Plots of the potential energy vs interatomic spacing, r, are shown below for all diatom sets associated with the interatomic potential. This calculation provides insights into the functional form of the potential's two-body interactions. A system consisting of only two atoms is created, and the potential energy is evaluated for the atoms separated by 0.02 Å <= r <= 6.0> Å in intervals of 0.02 Å. Two plots are shown: one for the "standard" interaction distance range, and one for small values of r. The small r plot is useful for determining whether the potential is suitable for radiation studies.
The calculation method used is available as the iprPy diatom_scan calculation method.
Clicking on the image of a plot will open an interactive version of it in a new tab. The underlying data for the plots can be downloaded by clicking on the links above each plot.
Notes and Disclaimers:
Version Information:
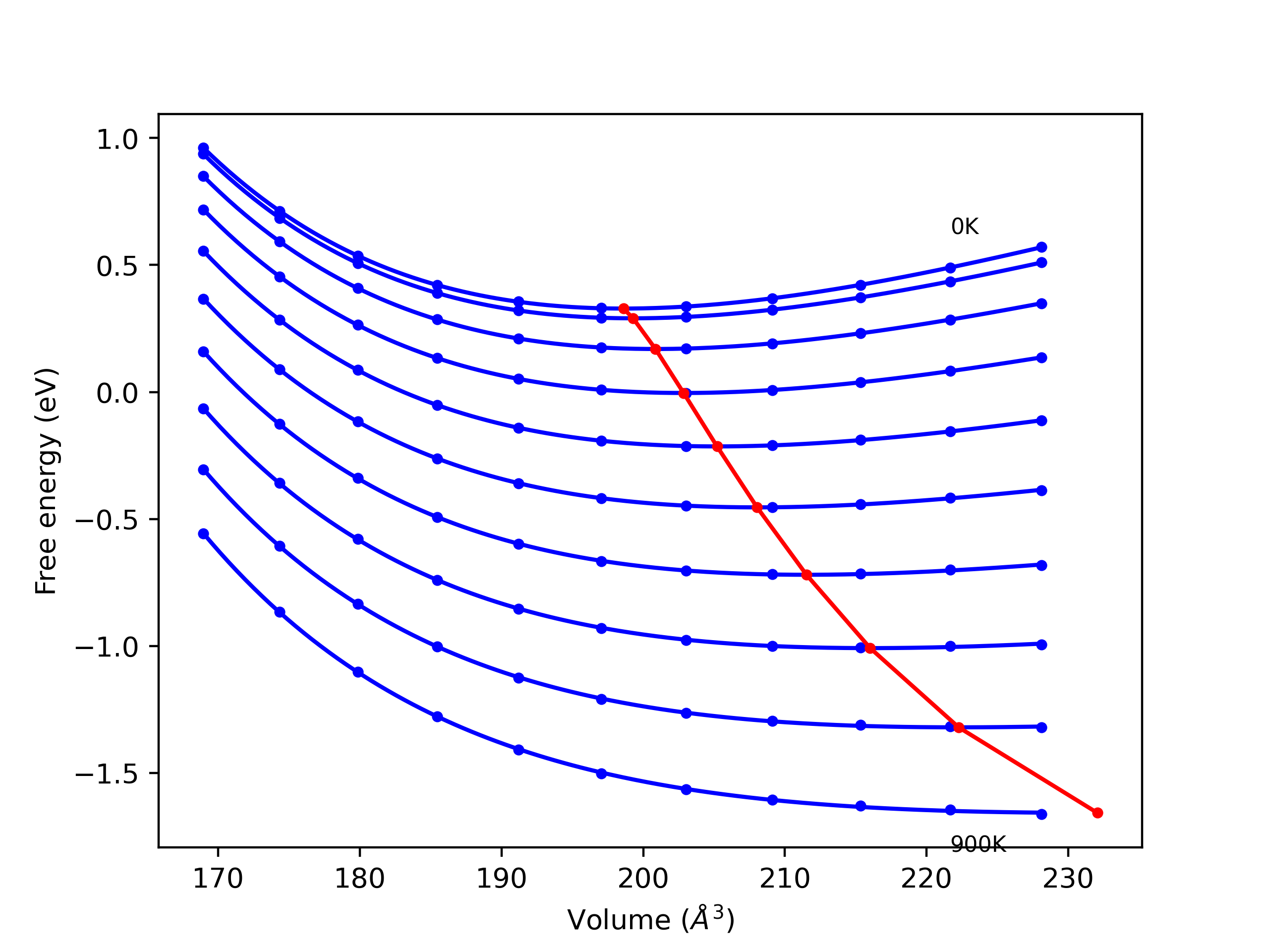
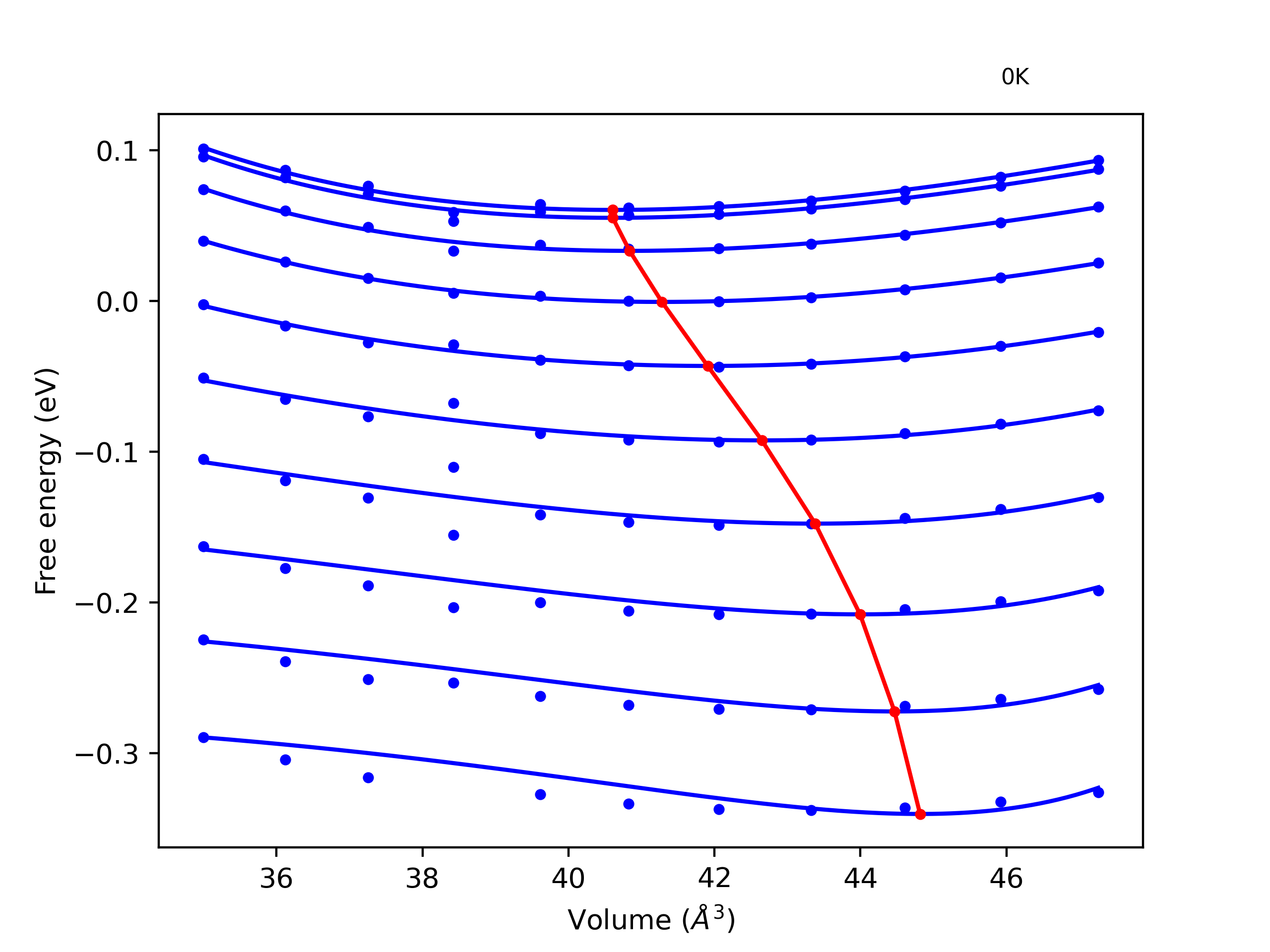
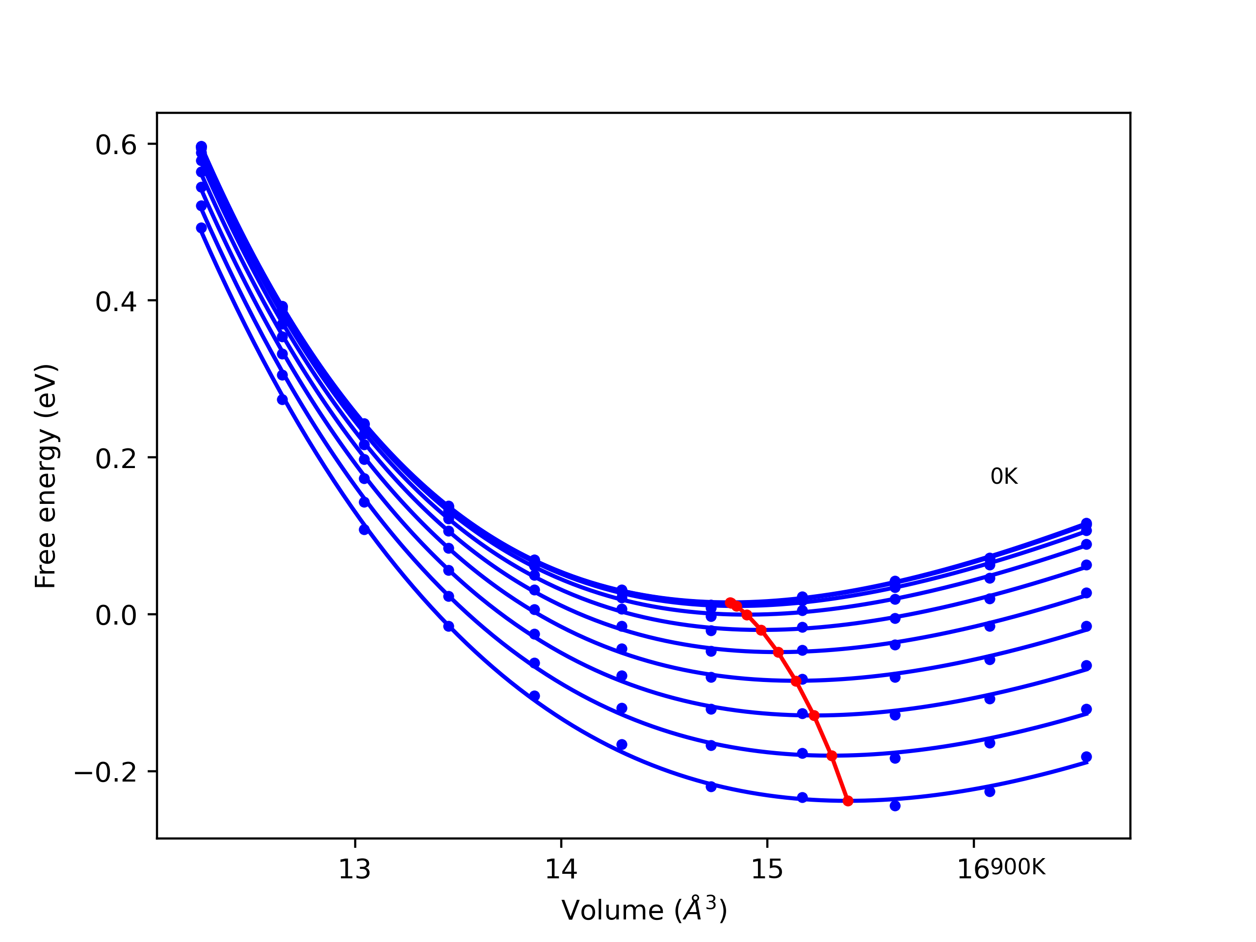
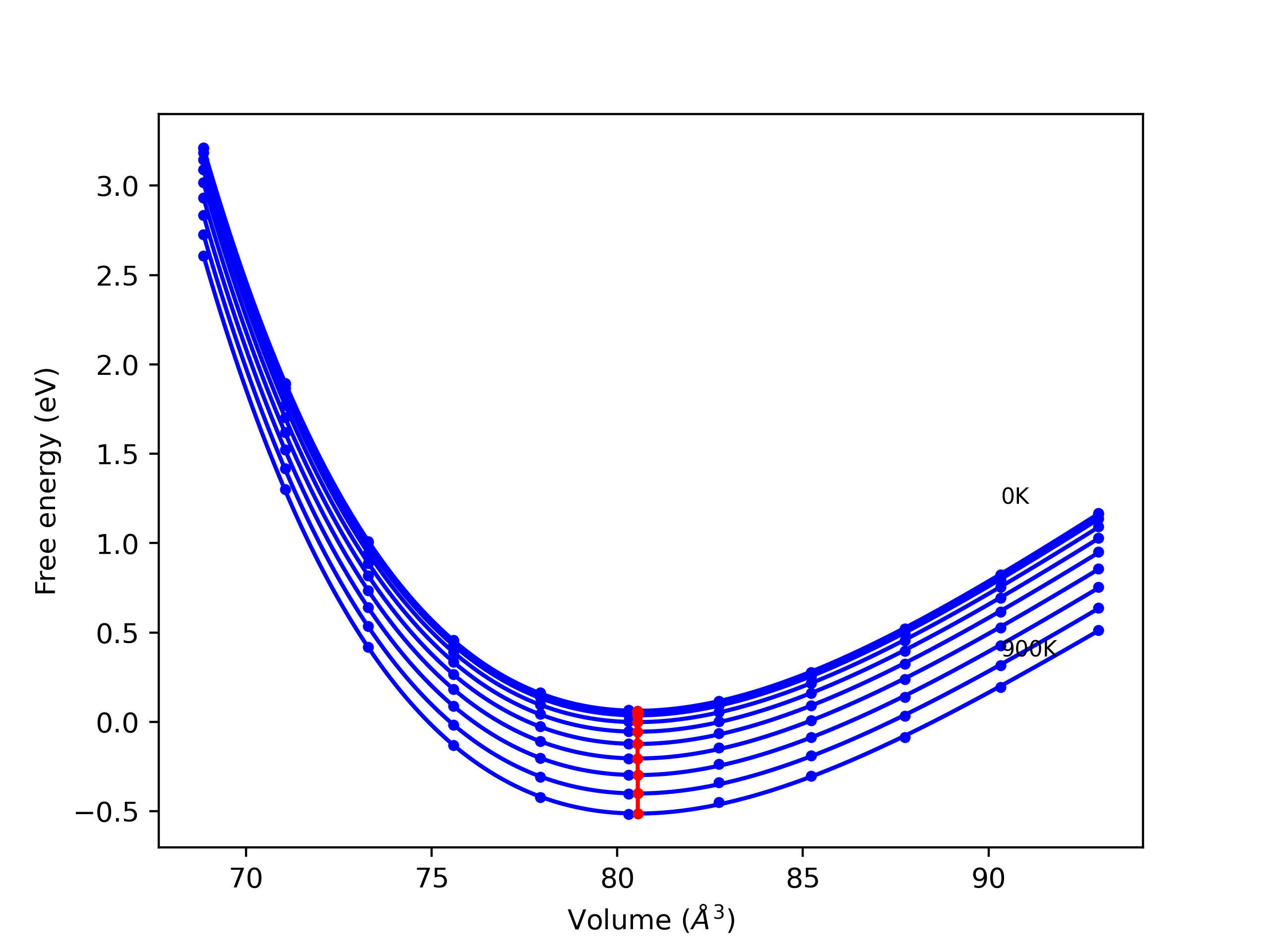
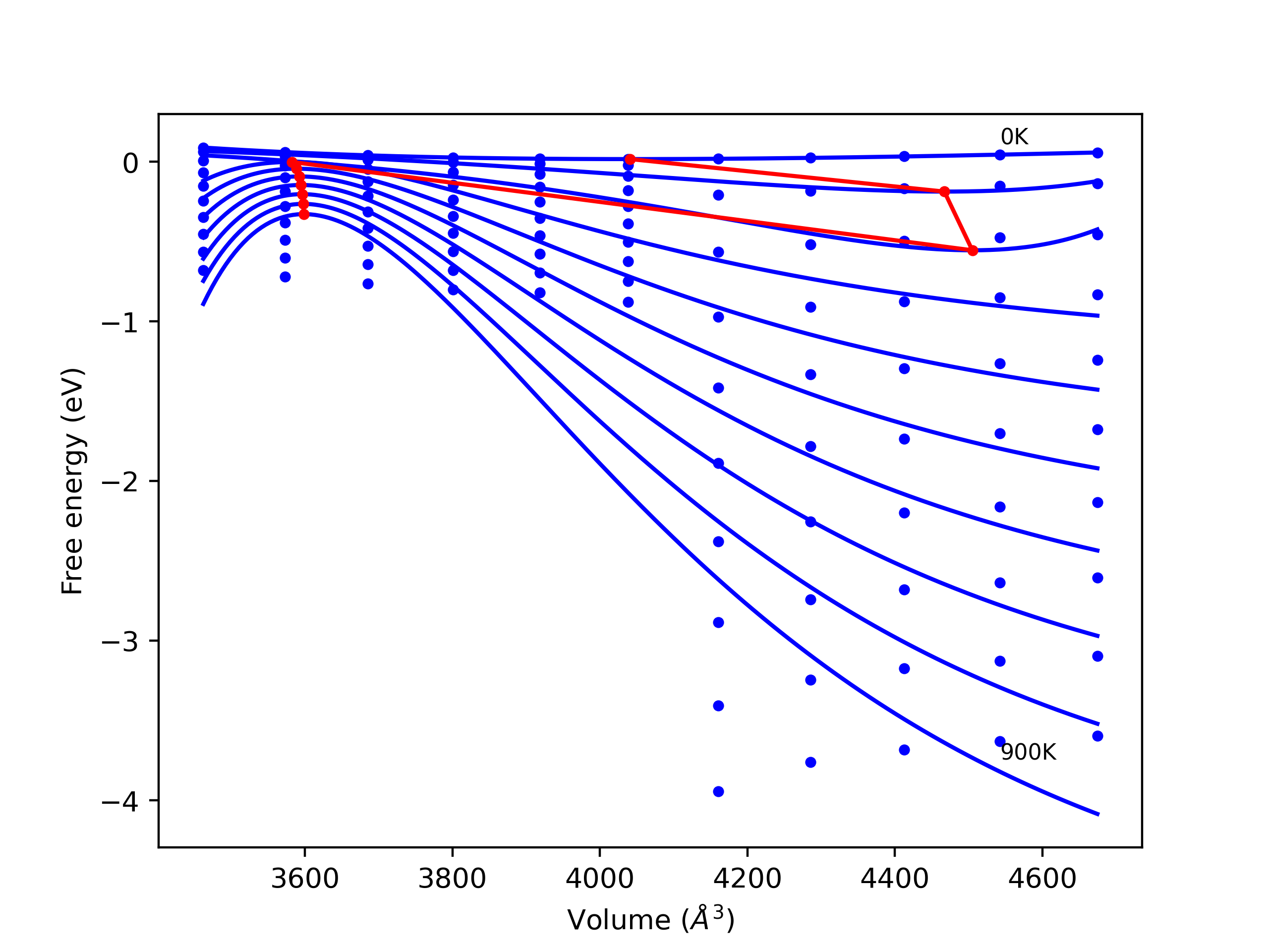
Plots of potential energy vs interatomic spacing, r, are shown below for a number of crystal structures. The structures are generated based on the ideal atomic positions and b/a and c/a lattice parameter ratios for a given crystal prototype. The size of the system is then uniformly scaled, and the energy calculated without relaxing the system. To obtain these plots, values of r are evaluated every 0.02 Å up to 6 Å.
The calculation method used is available as the iprPy E_vs_r_scan calculation method.
Clicking on the image of a plot will open an interactive version of it in a new tab. The underlying data for the plots can be downloaded by clicking on the links above each plot.
Notes and Disclaimers:
Version Information:
Computed lattice constants and cohesive/potential energies are displayed for a variety of crystal structures. The values displayed here are obtained using the following process.
The calculation methods used are implemented into iprPy as the following calculation styles
Notes and Disclaimers:
Version Information:
Download raw data (including filtered results)
Reference structure matches:
A1--Cu--fcc = mp-998861
A2--W--bcc = mp-673171
A6--In--bct = mp-1010048
| prototype | method | Ecoh (eV/atom) | Epot (eV/atom) | a0 (Å) | b0 (Å) | c0 (Å) | α (degrees) | β (degrees) | γ (degrees) |
|---|---|---|---|---|---|---|---|---|---|
| A2--W--bcc | dynamic | -1.1793 | -1.1793 | 5.1838 | 5.1838 | 5.1838 | 90.0 | 90.0 | 90.0 |
| A1--Cu--fcc | dynamic | -1.1585 | -1.1585 | 6.6256 | 6.6256 | 6.6256 | 90.0 | 90.0 | 90.0 |
| A3'--alpha-La--double-hcp | dynamic | -1.1585 | -1.1585 | 4.685 | 4.685 | 15.3012 | 90.0 | 90.0 | 120.0 |
| A3--Mg--hcp | dynamic | -1.1585 | -1.1585 | 4.685 | 4.685 | 7.6506 | 90.0 | 90.0 | 120.0 |
| A15--beta-W | dynamic | -1.1345 | -1.1345 | 8.3127 | 8.3127 | 8.3127 | 90.0 | 90.0 | 90.0 |
| mp-1062055 | dynamic | -0.7737 | -0.7737 | 6.6128 | 6.6128 | 6.6128 | 90.0 | 90.0 | 90.0 |
| A5--beta-Sn | static | -0.7613 | -0.7613 | 8.4635 | 8.4635 | 4.4564 | 90.0 | 90.0 | 90.0 |
| Ah--alpha-Po--sc | static | -0.5881 | -0.5881 | 4.5983 | 4.5983 | 4.5983 | 90.0 | 90.0 | 90.0 |
| A7--alpha-As | box | -0.4209 | -0.4209 | 6.1783 | 6.1783 | 18.6537 | 90.0 | 90.0 | 120.0 |
| A4--C--dc | dynamic | -0.3849 | -0.3849 | 10.8553 | 10.8553 | 10.8553 | 90.0 | 90.0 | 90.0 |
| mp-1120813 | static | -0.0962 | -0.0962 | 28.9904 | 46.7782 | 65.3861 | 90.0 | 90.0 | 90.0 |
Download raw data (including filtered results)
Reference structure matches:
| prototype | method | Ecoh (eV/atom) | Epot (eV/atom) | a0 (Å) | b0 (Å) | c0 (Å) | α (degrees) | β (degrees) | γ (degrees) |
|---|---|---|---|---|---|---|---|---|---|
| C1--CaF2--fluorite | dynamic | -0.8096 | -0.8096 | 10.3406 | 10.3406 | 10.3406 | 90.0 | 90.0 | 90.0 |
Download raw data (including filtered results)
Reference structure matches:
| prototype | method | Ecoh (eV/atom) | Epot (eV/atom) | a0 (Å) | b0 (Å) | c0 (Å) | α (degrees) | β (degrees) | γ (degrees) |
|---|---|---|---|---|---|---|---|---|---|
| mp-1183535 | box | -0.3611 | -0.3611 | 14.7404 | 14.7404 | 10.4045 | 90.0 | 90.0 | 120.0 |
Download raw data (including filtered results)
Reference structure matches:
| prototype | method | Ecoh (eV/atom) | Epot (eV/atom) | a0 (Å) | b0 (Å) | c0 (Å) | α (degrees) | β (degrees) | γ (degrees) |
|---|---|---|---|---|---|---|---|---|---|
| L2_1--AlCu2Mn--heusler | static | -1.3939 | -1.3939 | 8.9198 | 8.9198 | 8.9198 | 90.0 | 90.0 | 90.0 |
Download raw data (including filtered results)
Reference structure matches:
| prototype | method | Ecoh (eV/atom) | Epot (eV/atom) | a0 (Å) | b0 (Å) | c0 (Å) | α (degrees) | β (degrees) | γ (degrees) |
|---|---|---|---|---|---|---|---|---|---|
| L2_1--AlCu2Mn--heusler | dynamic | -1.0749 | -1.0749 | 10.0249 | 10.0249 | 10.0249 | 90.0 | 90.0 | 90.0 |
Download raw data (including filtered results)
Reference structure matches:
| prototype | method | Ecoh (eV/atom) | Epot (eV/atom) | a0 (Å) | b0 (Å) | c0 (Å) | α (degrees) | β (degrees) | γ (degrees) |
|---|---|---|---|---|---|---|---|---|---|
| L2_1--AlCu2Mn--heusler | dynamic | -1.1691 | -1.1691 | 10.6601 | 10.6601 | 10.6601 | 90.0 | 90.0 | 90.0 |
Download raw data (including filtered results)
Reference structure matches:
| prototype | method | Ecoh (eV/atom) | Epot (eV/atom) | a0 (Å) | b0 (Å) | c0 (Å) | α (degrees) | β (degrees) | γ (degrees) |
|---|---|---|---|---|---|---|---|---|---|
| L2_1--AlCu2Mn--heusler | static | -0.6864 | -0.6864 | 9.835 | 9.835 | 9.835 | 90.0 | 90.0 | 90.0 |
Download raw data (including filtered results)
Reference structure matches:
| prototype | method | Ecoh (eV/atom) | Epot (eV/atom) | a0 (Å) | b0 (Å) | c0 (Å) | α (degrees) | β (degrees) | γ (degrees) |
|---|---|---|---|---|---|---|---|---|---|
| L2_1--AlCu2Mn--heusler | static | -0.6101 | -0.6101 | 10.3164 | 10.3164 | 10.3164 | 90.0 | 90.0 | 90.0 |
Download raw data (including filtered results)
Reference structure matches:
| prototype | method | Ecoh (eV/atom) | Epot (eV/atom) | a0 (Å) | b0 (Å) | c0 (Å) | α (degrees) | β (degrees) | γ (degrees) |
|---|---|---|---|---|---|---|---|---|---|
| L2_1--AlCu2Mn--heusler | static | -0.7192 | -0.7192 | 9.7933 | 9.7933 | 9.7933 | 90.0 | 90.0 | 90.0 |
Download raw data (including filtered results)
Reference structure matches:
| prototype | method | Ecoh (eV/atom) | Epot (eV/atom) | a0 (Å) | b0 (Å) | c0 (Å) | α (degrees) | β (degrees) | γ (degrees) |
|---|---|---|---|---|---|---|---|---|---|
| L2_1--AlCu2Mn--heusler | static | -0.9389 | -0.9389 | 8.9392 | 8.9392 | 8.9392 | 90.0 | 90.0 | 90.0 |
Download raw data (including filtered results)
Reference structure matches:
| prototype | method | Ecoh (eV/atom) | Epot (eV/atom) | a0 (Å) | b0 (Å) | c0 (Å) | α (degrees) | β (degrees) | γ (degrees) |
|---|---|---|---|---|---|---|---|---|---|
| mp-1219643 | dynamic | -2.9356 | -2.9356 | 4.807 | 4.807 | 20.2951 | 90.0 | 90.0 | 90.0 |
| mp-1219643 | box | -2.931 | -2.931 | 4.8086 | 4.8086 | 20.325 | 90.0 | 90.0 | 90.0 |
Download raw data (including filtered results)
Reference structure matches:
| prototype | method | Ecoh (eV/atom) | Epot (eV/atom) | a0 (Å) | b0 (Å) | c0 (Å) | α (degrees) | β (degrees) | γ (degrees) |
|---|---|---|---|---|---|---|---|---|---|
| C1--CaF2--fluorite | dynamic | -1.9763 | -1.9763 | 8.3541 | 8.3541 | 8.3541 | 90.0 | 90.0 | 90.0 |
Download raw data (including filtered results)
Reference structure matches:
| prototype | method | Ecoh (eV/atom) | Epot (eV/atom) | a0 (Å) | b0 (Å) | c0 (Å) | α (degrees) | β (degrees) | γ (degrees) |
|---|---|---|---|---|---|---|---|---|---|
| L2_1--AlCu2Mn--heusler | static | -1.659 | -1.659 | 8.5105 | 8.5105 | 8.5105 | 90.0 | 90.0 | 90.0 |
| mp-28650 | box | -1.4621 | -1.4621 | 4.2268 | 4.2268 | 11.6402 | 90.0 | 90.0 | 90.0 |
Download raw data (including filtered results)
Reference structure matches:
| prototype | method | Ecoh (eV/atom) | Epot (eV/atom) | a0 (Å) | b0 (Å) | c0 (Å) | α (degrees) | β (degrees) | γ (degrees) |
|---|---|---|---|---|---|---|---|---|---|
| mp-1198032 | dynamic | -1.5468 | -1.5468 | 9.8822 | 10.8887 | 17.6065 | 90.0 | 116.6 | 90.0 |
| mp-1198032 | static | -0.9024 | -0.9024 | 17.1478 | 17.3611 | 7.1202 | 90.0 | 99.0 | 90.0 |
Download raw data (including filtered results)
Reference structure matches:
| prototype | method | Ecoh (eV/atom) | Epot (eV/atom) | a0 (Å) | b0 (Å) | c0 (Å) | α (degrees) | β (degrees) | γ (degrees) |
|---|---|---|---|---|---|---|---|---|---|
| L2_1--AlCu2Mn--heusler | static | -1.0558 | -1.0558 | 9.5535 | 9.5535 | 9.5535 | 90.0 | 90.0 | 90.0 |
Download raw data (including filtered results)
Reference structure matches:
| prototype | method | Ecoh (eV/atom) | Epot (eV/atom) | a0 (Å) | b0 (Å) | c0 (Å) | α (degrees) | β (degrees) | γ (degrees) |
|---|---|---|---|---|---|---|---|---|---|
| L2_1--AlCu2Mn--heusler | dynamic | -2.6279 | -2.6279 | 8.1142 | 8.1142 | 8.1142 | 90.0 | 90.0 | 90.0 |
Download raw data (including filtered results)
Reference structure matches:
| prototype | method | Ecoh (eV/atom) | Epot (eV/atom) | a0 (Å) | b0 (Å) | c0 (Å) | α (degrees) | β (degrees) | γ (degrees) |
|---|---|---|---|---|---|---|---|---|---|
| mp-23057 | dynamic | -3.0374 | -3.0374 | 5.0557 | 5.0557 | 9.8169 | 90.0 | 90.0 | 90.0 |
| mp-23057 | box | -2.8217 | -2.8217 | 5.0874 | 5.0874 | 10.2089 | 90.0 | 90.0 | 90.0 |
| L2_1--AlCu2Mn--heusler | static | -2.0077 | -2.0077 | 8.1624 | 8.1624 | 8.1624 | 90.0 | 90.0 | 90.0 |
Download raw data (including filtered results)
Reference structure matches:
| prototype | method | Ecoh (eV/atom) | Epot (eV/atom) | a0 (Å) | b0 (Å) | c0 (Å) | α (degrees) | β (degrees) | γ (degrees) |
|---|---|---|---|---|---|---|---|---|---|
| L2_1--AlCu2Mn--heusler | dynamic | -2.5256 | -2.5256 | 8.1458 | 8.1458 | 8.1458 | 90.0 | 90.0 | 90.0 |
Download raw data (including filtered results)
Reference structure matches:
| prototype | method | Ecoh (eV/atom) | Epot (eV/atom) | a0 (Å) | b0 (Å) | c0 (Å) | α (degrees) | β (degrees) | γ (degrees) |
|---|---|---|---|---|---|---|---|---|---|
| L2_1--AlCu2Mn--heusler | dynamic | -2.7519 | -2.7519 | 8.2571 | 8.2571 | 8.2571 | 90.0 | 90.0 | 90.0 |
Download raw data (including filtered results)
Reference structure matches:
| prototype | method | Ecoh (eV/atom) | Epot (eV/atom) | a0 (Å) | b0 (Å) | c0 (Å) | α (degrees) | β (degrees) | γ (degrees) |
|---|---|---|---|---|---|---|---|---|---|
| C1--CaF2--fluorite | dynamic | -0.7936 | -0.7936 | 9.6903 | 9.6903 | 9.6903 | 90.0 | 90.0 | 90.0 |
Download raw data (including filtered results)
Reference structure matches:
| prototype | method | Ecoh (eV/atom) | Epot (eV/atom) | a0 (Å) | b0 (Å) | c0 (Å) | α (degrees) | β (degrees) | γ (degrees) |
|---|---|---|---|---|---|---|---|---|---|
| L2_1--AlCu2Mn--heusler | dynamic | -0.9616 | -0.9616 | 10.4366 | 10.4366 | 10.4366 | 90.0 | 90.0 | 90.0 |
Download raw data (including filtered results)
Reference structure matches:
| prototype | method | Ecoh (eV/atom) | Epot (eV/atom) | a0 (Å) | b0 (Å) | c0 (Å) | α (degrees) | β (degrees) | γ (degrees) |
|---|---|---|---|---|---|---|---|---|---|
| L2_1--AlCu2Mn--heusler | dynamic | -1.2136 | -1.2136 | 7.9781 | 7.9781 | 7.9781 | 90.0 | 90.0 | 90.0 |
Download raw data (including filtered results)
Reference structure matches:
| prototype | method | Ecoh (eV/atom) | Epot (eV/atom) | a0 (Å) | b0 (Å) | c0 (Å) | α (degrees) | β (degrees) | γ (degrees) |
|---|---|---|---|---|---|---|---|---|---|
| L2_1--AlCu2Mn--heusler | static | -0.6109 | -0.6109 | 9.5597 | 9.5597 | 9.5597 | 90.0 | 90.0 | 90.0 |
Download raw data (including filtered results)
Reference structure matches:
| prototype | method | Ecoh (eV/atom) | Epot (eV/atom) | a0 (Å) | b0 (Å) | c0 (Å) | α (degrees) | β (degrees) | γ (degrees) |
|---|---|---|---|---|---|---|---|---|---|
| L2_1--AlCu2Mn--heusler | static | -0.9943 | -0.9943 | 8.4771 | 8.4771 | 8.4771 | 90.0 | 90.0 | 90.0 |
Download raw data (including filtered results)
Reference structure matches:
| prototype | method | Ecoh (eV/atom) | Epot (eV/atom) | a0 (Å) | b0 (Å) | c0 (Å) | α (degrees) | β (degrees) | γ (degrees) |
|---|---|---|---|---|---|---|---|---|---|
| L2_1--AlCu2Mn--heusler | dynamic | -1.4909 | -1.4909 | 8.211 | 8.211 | 8.211 | 90.0 | 90.0 | 90.0 |
Download raw data (including filtered results)
Reference structure matches:
| prototype | method | Ecoh (eV/atom) | Epot (eV/atom) | a0 (Å) | b0 (Å) | c0 (Å) | α (degrees) | β (degrees) | γ (degrees) |
|---|---|---|---|---|---|---|---|---|---|
| C1--CaF2--fluorite | dynamic | -0.6904 | -0.6904 | 10.8224 | 10.8224 | 10.8224 | 90.0 | 90.0 | 90.0 |
| mp-1184879 | dynamic | -0.5554 | -0.5554 | 13.0277 | 13.0277 | 4.8887 | 90.0 | 90.0 | 90.0 |
Download raw data (including filtered results)
Reference structure matches:
| prototype | method | Ecoh (eV/atom) | Epot (eV/atom) | a0 (Å) | b0 (Å) | c0 (Å) | α (degrees) | β (degrees) | γ (degrees) |
|---|---|---|---|---|---|---|---|---|---|
| L2_1--AlCu2Mn--heusler | box | -0.5528 | -0.5528 | 10.5683 | 10.5683 | 10.5683 | 90.0 | 90.0 | 90.0 |
Download raw data (including filtered results)
Reference structure matches:
| prototype | method | Ecoh (eV/atom) | Epot (eV/atom) | a0 (Å) | b0 (Å) | c0 (Å) | α (degrees) | β (degrees) | γ (degrees) |
|---|---|---|---|---|---|---|---|---|---|
| L2_1--AlCu2Mn--heusler | static | -0.5185 | -0.5185 | 10.8128 | 10.8128 | 10.8128 | 90.0 | 90.0 | 90.0 |
Download raw data (including filtered results)
Reference structure matches:
| prototype | method | Ecoh (eV/atom) | Epot (eV/atom) | a0 (Å) | b0 (Å) | c0 (Å) | α (degrees) | β (degrees) | γ (degrees) |
|---|---|---|---|---|---|---|---|---|---|
| L2_1--AlCu2Mn--heusler | static | -0.5612 | -0.5612 | 10.499 | 10.499 | 10.499 | 90.0 | 90.0 | 90.0 |
Download raw data (including filtered results)
Reference structure matches:
| prototype | method | Ecoh (eV/atom) | Epot (eV/atom) | a0 (Å) | b0 (Å) | c0 (Å) | α (degrees) | β (degrees) | γ (degrees) |
|---|---|---|---|---|---|---|---|---|---|
| L2_1--AlCu2Mn--heusler | box | -0.6557 | -0.6557 | 10.1348 | 10.1348 | 10.1348 | 90.0 | 90.0 | 90.0 |
Download raw data (including filtered results)
Reference structure matches:
| prototype | method | Ecoh (eV/atom) | Epot (eV/atom) | a0 (Å) | b0 (Å) | c0 (Å) | α (degrees) | β (degrees) | γ (degrees) |
|---|---|---|---|---|---|---|---|---|---|
| C1--CaF2--fluorite | dynamic | -1.9869 | -1.9869 | 7.7126 | 7.7126 | 7.7126 | 90.0 | 90.0 | 90.0 |
Download raw data (including filtered results)
Reference structure matches:
| prototype | method | Ecoh (eV/atom) | Epot (eV/atom) | a0 (Å) | b0 (Å) | c0 (Å) | α (degrees) | β (degrees) | γ (degrees) |
|---|---|---|---|---|---|---|---|---|---|
| L2_1--AlCu2Mn--heusler | static | -2.2334 | -2.2334 | 7.6015 | 7.6015 | 7.6015 | 90.0 | 90.0 | 90.0 |
Download raw data (including filtered results)
Reference structure matches:
| prototype | method | Ecoh (eV/atom) | Epot (eV/atom) | a0 (Å) | b0 (Å) | c0 (Å) | α (degrees) | β (degrees) | γ (degrees) |
|---|---|---|---|---|---|---|---|---|---|
| L2_1--AlCu2Mn--heusler | dynamic | -2.6724 | -2.6724 | 7.6604 | 7.6604 | 7.6604 | 90.0 | 90.0 | 90.0 |
Download raw data (including filtered results)
Reference structure matches:
| prototype | method | Ecoh (eV/atom) | Epot (eV/atom) | a0 (Å) | b0 (Å) | c0 (Å) | α (degrees) | β (degrees) | γ (degrees) |
|---|---|---|---|---|---|---|---|---|---|
| L2_1--AlCu2Mn--heusler | dynamic | -2.5232 | -2.5232 | 7.9609 | 7.9609 | 7.9609 | 90.0 | 90.0 | 90.0 |
Download raw data (including filtered results)
Reference structure matches:
| prototype | method | Ecoh (eV/atom) | Epot (eV/atom) | a0 (Å) | b0 (Å) | c0 (Å) | α (degrees) | β (degrees) | γ (degrees) |
|---|---|---|---|---|---|---|---|---|---|
| C1--CaF2--fluorite | box | -0.72 | -0.72 | 7.5238 | 7.5238 | 7.5238 | 90.0 | 90.0 | 90.0 |
Download raw data (including filtered results)
Reference structure matches:
| prototype | method | Ecoh (eV/atom) | Epot (eV/atom) | a0 (Å) | b0 (Å) | c0 (Å) | α (degrees) | β (degrees) | γ (degrees) |
|---|---|---|---|---|---|---|---|---|---|
| L2_1--AlCu2Mn--heusler | static | -2.2182 | -2.2182 | 7.0809 | 7.0809 | 7.0809 | 90.0 | 90.0 | 90.0 |
Download raw data (including filtered results)
Reference structure matches:
| prototype | method | Ecoh (eV/atom) | Epot (eV/atom) | a0 (Å) | b0 (Å) | c0 (Å) | α (degrees) | β (degrees) | γ (degrees) |
|---|---|---|---|---|---|---|---|---|---|
| mp-28237 | static | -2.7727 | -2.7727 | 4.4892 | 15.3576 | 7.657 | 90.0 | 90.0 | 90.0 |
| mp-28237 | box | -2.5929 | -2.5929 | 4.4896 | 15.5316 | 7.9674 | 90.0 | 90.0 | 90.0 |
| L2_1--AlCu2Mn--heusler | static | -2.12 | -2.12 | 7.9052 | 7.9052 | 7.9052 | 90.0 | 90.0 | 90.0 |
Download raw data (including filtered results)
Reference structure matches:
| prototype | method | Ecoh (eV/atom) | Epot (eV/atom) | a0 (Å) | b0 (Å) | c0 (Å) | α (degrees) | β (degrees) | γ (degrees) |
|---|---|---|---|---|---|---|---|---|---|
| C1--CaF2--fluorite | static | -1.577 | -1.577 | 7.6396 | 7.6396 | 7.6396 | 90.0 | 90.0 | 90.0 |
Download raw data (including filtered results)
Reference structure matches:
| prototype | method | Ecoh (eV/atom) | Epot (eV/atom) | a0 (Å) | b0 (Å) | c0 (Å) | α (degrees) | β (degrees) | γ (degrees) |
|---|---|---|---|---|---|---|---|---|---|
| L2_1--AlCu2Mn--heusler | dynamic | -2.5662 | -2.5662 | 7.9362 | 7.9362 | 7.9362 | 90.0 | 90.0 | 90.0 |
Download raw data (including filtered results)
Reference structure matches:
| prototype | method | Ecoh (eV/atom) | Epot (eV/atom) | a0 (Å) | b0 (Å) | c0 (Å) | α (degrees) | β (degrees) | γ (degrees) |
|---|---|---|---|---|---|---|---|---|---|
| C1--CaF2--fluorite | dynamic | -2.0867 | -2.0867 | 7.9933 | 7.9933 | 7.9933 | 90.0 | 90.0 | 90.0 |
Download raw data (including filtered results)
Reference structure matches:
| prototype | method | Ecoh (eV/atom) | Epot (eV/atom) | a0 (Å) | b0 (Å) | c0 (Å) | α (degrees) | β (degrees) | γ (degrees) |
|---|---|---|---|---|---|---|---|---|---|
| D0_3--BiF3 | dynamic | -1.2111 | -1.2111 | 10.3489 | 10.3489 | 10.3489 | 90.0 | 90.0 | 90.0 |
| L1_2--AuCu3 | dynamic | -1.1823 | -1.1823 | 6.6366 | 6.6366 | 6.6366 | 90.0 | 90.0 | 90.0 |
| A15--Cr3Si | dynamic | -1.1589 | -1.1589 | 8.3147 | 8.3147 | 8.3147 | 90.0 | 90.0 | 90.0 |
Download raw data (including filtered results)
Reference structure matches:
| prototype | method | Ecoh (eV/atom) | Epot (eV/atom) | a0 (Å) | b0 (Å) | c0 (Å) | α (degrees) | β (degrees) | γ (degrees) |
|---|---|---|---|---|---|---|---|---|---|
| mp-27641 | dynamic | -1.8899 | -1.8899 | 14.261 | 4.6797 | 12.2587 | 90.0 | 90.0 | 90.0 |
| mp-27641 | static | -1.7658 | -1.7658 | 16.4099 | 4.6134 | 11.9875 | 90.0 | 90.0 | 90.0 |
| L1_2--AuCu3 | static | -1.4235 | -1.4235 | 5.6389 | 5.6389 | 5.6389 | 90.0 | 90.0 | 90.0 |
| D0_3--BiF3 | static | -1.3371 | -1.3371 | 9.0646 | 9.0646 | 9.0646 | 90.0 | 90.0 | 90.0 |
| A15--Cr3Si | static | -1.319 | -1.319 | 7.2696 | 7.2696 | 7.2696 | 90.0 | 90.0 | 90.0 |
| mp-27641 | box | -0.7869 | -0.7869 | 18.2659 | 6.2303 | 10.0214 | 90.0 | 90.0 | 90.0 |
Download raw data (including filtered results)
Reference structure matches:
| prototype | method | Ecoh (eV/atom) | Epot (eV/atom) | a0 (Å) | b0 (Å) | c0 (Å) | α (degrees) | β (degrees) | γ (degrees) |
|---|---|---|---|---|---|---|---|---|---|
| mp-1095674 | static | -2.8311 | -2.8311 | 4.3448 | 24.5314 | 7.9074 | 90.0 | 90.0 | 90.0 |
| mp-1095674 | box | -2.6467 | -2.6467 | 4.4458 | 24.0278 | 8.33 | 90.0 | 90.0 | 90.0 |
Download raw data (including filtered results)
Reference structure matches:
| prototype | method | Ecoh (eV/atom) | Epot (eV/atom) | a0 (Å) | b0 (Å) | c0 (Å) | α (degrees) | β (degrees) | γ (degrees) |
|---|---|---|---|---|---|---|---|---|---|
| mp-606680 | dynamic | -2.9717 | -2.9717 | 4.4982 | 5.4923 | 13.8158 | 90.0 | 90.0 | 90.0 |
| mp-606680 | static | -2.9717 | -2.9717 | 4.5046 | 5.4909 | 13.8012 | 90.0 | 90.0 | 90.0 |
| mp-606680 | box | -2.8526 | -2.8526 | 4.7608 | 5.3963 | 13.6158 | 90.0 | 90.0 | 90.0 |
Download raw data (including filtered results)
Reference structure matches:
| prototype | method | Ecoh (eV/atom) | Epot (eV/atom) | a0 (Å) | b0 (Å) | c0 (Å) | α (degrees) | β (degrees) | γ (degrees) |
|---|---|---|---|---|---|---|---|---|---|
| D0_3--BiF3 | dynamic | -1.0434 | -1.0434 | 10.0799 | 10.0799 | 10.0799 | 90.0 | 90.0 | 90.0 |
| L1_2--AuCu3 | dynamic | -1.0296 | -1.0296 | 6.4213 | 6.4213 | 6.4213 | 90.0 | 90.0 | 90.0 |
| A15--Cr3Si | dynamic | -1.0184 | -1.0184 | 8.0906 | 8.0906 | 8.0906 | 90.0 | 90.0 | 90.0 |
Download raw data (including filtered results)
Reference structure matches:
| prototype | method | Ecoh (eV/atom) | Epot (eV/atom) | a0 (Å) | b0 (Å) | c0 (Å) | α (degrees) | β (degrees) | γ (degrees) |
|---|---|---|---|---|---|---|---|---|---|
| D0_3--BiF3 | dynamic | -1.1386 | -1.1386 | 10.662 | 10.662 | 10.662 | 90.0 | 90.0 | 90.0 |
| L1_2--AuCu3 | dynamic | -1.1291 | -1.1291 | 6.8062 | 6.8062 | 6.8062 | 90.0 | 90.0 | 90.0 |
| A15--Cr3Si | dynamic | -1.0812 | -1.0812 | 8.5337 | 8.5337 | 8.5337 | 90.0 | 90.0 | 90.0 |
Download raw data (including filtered results)
Reference structure matches:
| prototype | method | Ecoh (eV/atom) | Epot (eV/atom) | a0 (Å) | b0 (Å) | c0 (Å) | α (degrees) | β (degrees) | γ (degrees) |
|---|---|---|---|---|---|---|---|---|---|
| D0_3--BiF3 | static | -0.6578 | -0.6578 | 9.9913 | 9.9913 | 9.9913 | 90.0 | 90.0 | 90.0 |
| mp-1185135 | box | -0.6486 | -0.6486 | 8.6531 | 8.6531 | 6.9875 | 90.0 | 90.0 | 120.0 |
| L1_2--AuCu3 | static | -0.643 | -0.643 | 6.1408 | 6.1408 | 6.1408 | 90.0 | 90.0 | 90.0 |
| A15--Cr3Si | static | -0.6235 | -0.6235 | 7.9485 | 7.9485 | 7.9485 | 90.0 | 90.0 | 90.0 |
Download raw data (including filtered results)
Reference structure matches:
| prototype | method | Ecoh (eV/atom) | Epot (eV/atom) | a0 (Å) | b0 (Å) | c0 (Å) | α (degrees) | β (degrees) | γ (degrees) |
|---|---|---|---|---|---|---|---|---|---|
| D0_3--BiF3 | static | -0.5923 | -0.5923 | 10.3457 | 10.3457 | 10.3457 | 90.0 | 90.0 | 90.0 |
| L1_2--AuCu3 | static | -0.5814 | -0.5814 | 6.6019 | 6.6019 | 6.6019 | 90.0 | 90.0 | 90.0 |
| A15--Cr3Si | static | -0.5628 | -0.5628 | 8.2222 | 8.2222 | 8.2222 | 90.0 | 90.0 | 90.0 |
Download raw data (including filtered results)
Reference structure matches:
| prototype | method | Ecoh (eV/atom) | Epot (eV/atom) | a0 (Å) | b0 (Å) | c0 (Å) | α (degrees) | β (degrees) | γ (degrees) |
|---|---|---|---|---|---|---|---|---|---|
| D0_3--BiF3 | static | -0.6956 | -0.6956 | 9.8424 | 9.8424 | 9.8424 | 90.0 | 90.0 | 90.0 |
| L1_2--AuCu3 | static | -0.6875 | -0.6875 | 5.9994 | 5.9994 | 5.9994 | 90.0 | 90.0 | 90.0 |
| A15--Cr3Si | static | -0.6651 | -0.6651 | 7.7988 | 7.7988 | 7.7988 | 90.0 | 90.0 | 90.0 |
Download raw data (including filtered results)
Reference structure matches:
| prototype | method | Ecoh (eV/atom) | Epot (eV/atom) | a0 (Å) | b0 (Å) | c0 (Å) | α (degrees) | β (degrees) | γ (degrees) |
|---|---|---|---|---|---|---|---|---|---|
| L1_2--AuCu3 | static | -0.9559 | -0.9559 | 5.6858 | 5.6858 | 5.6858 | 90.0 | 90.0 | 90.0 |
| mp-975411 | box | -0.9407 | -0.9407 | 5.5077 | 5.5077 | 12.7571 | 90.0 | 90.0 | 90.0 |
| D0_3--BiF3 | static | -0.8708 | -0.8708 | 9.2761 | 9.2761 | 9.2761 | 90.0 | 90.0 | 90.0 |
| A15--Cr3Si | box | -0.8473 | -0.8473 | 7.4233 | 7.4233 | 7.4233 | 90.0 | 90.0 | 90.0 |
Download raw data (including filtered results)
Reference structure matches:
| prototype | method | Ecoh (eV/atom) | Epot (eV/atom) | a0 (Å) | b0 (Å) | c0 (Å) | α (degrees) | β (degrees) | γ (degrees) |
|---|---|---|---|---|---|---|---|---|---|
| mp-1223780 | dynamic | -3.0289 | -3.0289 | 10.3196 | 10.3196 | 6.5586 | 90.0 | 90.0 | 90.0 |
| mp-1223780 | box | -3.0228 | -3.0228 | 10.3381 | 10.3381 | 6.5609 | 90.0 | 90.0 | 90.0 |
Download raw data (including filtered results)
Reference structure matches:
| prototype | method | Ecoh (eV/atom) | Epot (eV/atom) | a0 (Å) | b0 (Å) | c0 (Å) | α (degrees) | β (degrees) | γ (degrees) |
|---|---|---|---|---|---|---|---|---|---|
| mp-1221141 | dynamic | -3.0443 | -3.0443 | 4.1632 | 4.1632 | 29.534 | 90.0 | 90.0 | 90.0 |
| mp-1221141 | static | -3.0443 | -3.0443 | 4.1622 | 4.1622 | 29.5132 | 90.0 | 90.0 | 90.0 |
| mp-1221141 | box | -3.0436 | -3.0436 | 4.1642 | 4.1642 | 29.4716 | 90.0 | 90.0 | 90.0 |
Download raw data (including filtered results)
Reference structure matches:
| prototype | method | Ecoh (eV/atom) | Epot (eV/atom) | a0 (Å) | b0 (Å) | c0 (Å) | α (degrees) | β (degrees) | γ (degrees) |
|---|---|---|---|---|---|---|---|---|---|
| mp-1189357 | dynamic | -2.5845 | -2.5845 | 11.3612 | 12.9667 | 8.1652 | 90.0 | 90.0 | 90.0 |
| mp-1189357 | box | -2.2719 | -2.2719 | 11.8423 | 13.6157 | 8.3739 | 90.0 | 90.0 | 90.0 |
Download raw data (including filtered results)
Reference structure matches:
| prototype | method | Ecoh (eV/atom) | Epot (eV/atom) | a0 (Å) | b0 (Å) | c0 (Å) | α (degrees) | β (degrees) | γ (degrees) |
|---|---|---|---|---|---|---|---|---|---|
| mp-580554 | static | -2.6885 | -2.6885 | 5.2946 | 10.7205 | 8.3412 | 90.0 | 90.0 | 90.0 |
| mp-580554 | box | -2.5165 | -2.5165 | 5.1602 | 11.174 | 8.9121 | 90.0 | 90.0 | 90.0 |
Download raw data (including filtered results)
Reference structure matches:
| prototype | method | Ecoh (eV/atom) | Epot (eV/atom) | a0 (Å) | b0 (Å) | c0 (Å) | α (degrees) | β (degrees) | γ (degrees) |
|---|---|---|---|---|---|---|---|---|---|
| mp-571409 | static | -2.8029 | -2.8029 | 14.8761 | 4.5789 | 9.5545 | 90.0 | 110.8 | 90.0 |
Download raw data (including filtered results)
Reference structure matches:
| prototype | method | Ecoh (eV/atom) | Epot (eV/atom) | a0 (Å) | b0 (Å) | c0 (Å) | α (degrees) | β (degrees) | γ (degrees) |
|---|---|---|---|---|---|---|---|---|---|
| mp-1080005 | static | -2.9632 | -2.9632 | 7.1225 | 25.7037 | 4.3612 | 90.0 | 127.8 | 90.0 |
| mp-1080005 | box | -2.5901 | -2.5901 | 7.5917 | 26.1977 | 4.404 | 90.0 | 125.1 | 90.0 |
Download raw data (including filtered results)
Reference structure matches:
| prototype | method | Ecoh (eV/atom) | Epot (eV/atom) | a0 (Å) | b0 (Å) | c0 (Å) | α (degrees) | β (degrees) | γ (degrees) |
|---|---|---|---|---|---|---|---|---|---|
| B2--CsCl | dynamic | -1.2431 | -1.2431 | 5.1635 | 5.1635 | 5.1635 | 90.0 | 90.0 | 90.0 |
| L1_0--AuCu | dynamic | -1.2066 | -1.2066 | 4.6987 | 4.6987 | 6.6512 | 90.0 | 90.0 | 90.0 |
| L1_0--AuCu | box | -1.2018 | -1.2018 | 4.8453 | 4.8453 | 6.1333 | 90.0 | 90.0 | 90.0 |
| mp-1008492 | box | -0.893 | -0.893 | 6.3195 | 6.1545 | 15.3889 | 90.0 | 90.0 | 90.0 |
| mp-864928 | box | -0.8427 | -0.8427 | 4.4708 | 4.4708 | 16.8763 | 90.0 | 90.0 | 120.0 |
| B1--NaCl--rock-salt | static | -0.6061 | -0.6061 | 9.3433 | 9.3433 | 9.3433 | 90.0 | 90.0 | 90.0 |
| B4--ZnS--wurtzite | dynamic | -0.4015 | -0.4015 | 7.6867 | 7.6867 | 12.5623 | 90.0 | 90.0 | 120.0 |
| B3--ZnS--cubic-zinc-blende | dynamic | -0.4015 | -0.4015 | 10.8735 | 10.8735 | 10.8735 | 90.0 | 90.0 | 90.0 |
Download raw data (including filtered results)
Reference structure matches:
| prototype | method | Ecoh (eV/atom) | Epot (eV/atom) | a0 (Å) | b0 (Å) | c0 (Å) | α (degrees) | β (degrees) | γ (degrees) |
|---|---|---|---|---|---|---|---|---|---|
| C1--CaF2--fluorite | dynamic | -0.8478 | -0.8478 | 10.3151 | 10.3151 | 10.3151 | 90.0 | 90.0 | 90.0 |
Download raw data (including filtered results)
Reference structure matches:
| prototype | method | Ecoh (eV/atom) | Epot (eV/atom) | a0 (Å) | b0 (Å) | c0 (Å) | α (degrees) | β (degrees) | γ (degrees) |
|---|---|---|---|---|---|---|---|---|---|
| L2_1--AlCu2Mn--heusler | static | -1.3783 | -1.3783 | 8.8286 | 8.8286 | 8.8286 | 90.0 | 90.0 | 90.0 |
Download raw data (including filtered results)
Reference structure matches:
| prototype | method | Ecoh (eV/atom) | Epot (eV/atom) | a0 (Å) | b0 (Å) | c0 (Å) | α (degrees) | β (degrees) | γ (degrees) |
|---|---|---|---|---|---|---|---|---|---|
| L2_1--AlCu2Mn--heusler | dynamic | -1.1087 | -1.1087 | 10.0499 | 10.0499 | 10.0499 | 90.0 | 90.0 | 90.0 |
Download raw data (including filtered results)
Reference structure matches:
| prototype | method | Ecoh (eV/atom) | Epot (eV/atom) | a0 (Å) | b0 (Å) | c0 (Å) | α (degrees) | β (degrees) | γ (degrees) |
|---|---|---|---|---|---|---|---|---|---|
| L2_1--AlCu2Mn--heusler | dynamic | -1.1997 | -1.1997 | 10.5973 | 10.5973 | 10.5973 | 90.0 | 90.0 | 90.0 |
Download raw data (including filtered results)
Reference structure matches:
| prototype | method | Ecoh (eV/atom) | Epot (eV/atom) | a0 (Å) | b0 (Å) | c0 (Å) | α (degrees) | β (degrees) | γ (degrees) |
|---|---|---|---|---|---|---|---|---|---|
| L2_1--AlCu2Mn--heusler | static | -0.7629 | -0.7629 | 9.6924 | 9.6924 | 9.6924 | 90.0 | 90.0 | 90.0 |
Download raw data (including filtered results)
Reference structure matches:
| prototype | method | Ecoh (eV/atom) | Epot (eV/atom) | a0 (Å) | b0 (Å) | c0 (Å) | α (degrees) | β (degrees) | γ (degrees) |
|---|---|---|---|---|---|---|---|---|---|
| mp-1223790 | dynamic | -3.2135 | -3.2135 | 4.5039 | 4.5039 | 11.1016 | 90.0 | 90.0 | 120.0 |
| mp-1223790 | box | -3.2047 | -3.2047 | 4.513 | 4.513 | 11.1526 | 90.0 | 90.0 | 120.0 |
Download raw data (including filtered results)
Reference structure matches:
| prototype | method | Ecoh (eV/atom) | Epot (eV/atom) | a0 (Å) | b0 (Å) | c0 (Å) | α (degrees) | β (degrees) | γ (degrees) |
|---|---|---|---|---|---|---|---|---|---|
| L2_1--AlCu2Mn--heusler | static | -0.6367 | -0.6367 | 10.2949 | 10.2949 | 10.2949 | 90.0 | 90.0 | 90.0 |
Download raw data (including filtered results)
Reference structure matches:
| prototype | method | Ecoh (eV/atom) | Epot (eV/atom) | a0 (Å) | b0 (Å) | c0 (Å) | α (degrees) | β (degrees) | γ (degrees) |
|---|---|---|---|---|---|---|---|---|---|
| L2_1--AlCu2Mn--heusler | static | -0.6558 | -0.6558 | 10.1397 | 10.1397 | 10.1397 | 90.0 | 90.0 | 90.0 |
Download raw data (including filtered results)
Reference structure matches:
| prototype | method | Ecoh (eV/atom) | Epot (eV/atom) | a0 (Å) | b0 (Å) | c0 (Å) | α (degrees) | β (degrees) | γ (degrees) |
|---|---|---|---|---|---|---|---|---|---|
| mp-1221224 | dynamic | -3.1915 | -3.1915 | 4.0588 | 4.0588 | 9.9523 | 90.0 | 90.0 | 120.0 |
| mp-1221224 | box | -3.1901 | -3.1901 | 4.0569 | 4.0569 | 9.9439 | 90.0 | 90.0 | 120.0 |
| mp-1221225 | dynamic | -3.1743 | -3.1743 | 4.0538 | 4.0538 | 17.2529 | 90.0 | 90.0 | 90.0 |
| mp-1221225 | box | -3.174 | -3.174 | 4.0531 | 4.0531 | 17.2711 | 90.0 | 90.0 | 90.0 |
Download raw data (including filtered results)
Reference structure matches:
| prototype | method | Ecoh (eV/atom) | Epot (eV/atom) | a0 (Å) | b0 (Å) | c0 (Å) | α (degrees) | β (degrees) | γ (degrees) |
|---|---|---|---|---|---|---|---|---|---|
| L2_1--AlCu2Mn--heusler | box | -0.9249 | -0.9249 | 8.9025 | 8.9025 | 8.9025 | 90.0 | 90.0 | 90.0 |
Download raw data (including filtered results)
Reference structure matches:
| prototype | method | Ecoh (eV/atom) | Epot (eV/atom) | a0 (Å) | b0 (Å) | c0 (Å) | α (degrees) | β (degrees) | γ (degrees) |
|---|---|---|---|---|---|---|---|---|---|
| D0_3--BiF3 | dynamic | -1.2774 | -1.2774 | 10.3023 | 10.3023 | 10.3023 | 90.0 | 90.0 | 90.0 |
| A15--Cr3Si | dynamic | -1.2508 | -1.2508 | 8.2587 | 8.2587 | 8.2587 | 90.0 | 90.0 | 90.0 |
| L1_2--AuCu3 | dynamic | -1.2314 | -1.2314 | 6.6571 | 6.6571 | 6.6571 | 90.0 | 90.0 | 90.0 |
Download raw data (including filtered results)
Reference structure matches:
| prototype | method | Ecoh (eV/atom) | Epot (eV/atom) | a0 (Å) | b0 (Å) | c0 (Å) | α (degrees) | β (degrees) | γ (degrees) |
|---|---|---|---|---|---|---|---|---|---|
| mp-1223752 | dynamic | -3.2626 | -3.2626 | 4.4787 | 4.4787 | 55.0683 | 90.0 | 90.0 | 120.0 |
| mp-1223752 | box | -3.2433 | -3.2433 | 4.4948 | 4.4948 | 55.4183 | 90.0 | 90.0 | 120.0 |
Download raw data (including filtered results)
Reference structure matches:
| prototype | method | Ecoh (eV/atom) | Epot (eV/atom) | a0 (Å) | b0 (Å) | c0 (Å) | α (degrees) | β (degrees) | γ (degrees) |
|---|---|---|---|---|---|---|---|---|---|
| mp-1221147 | dynamic | -3.2384 | -3.2384 | 4.0282 | 4.0282 | 49.3291 | 90.0 | 90.0 | 120.0 |
| mp-1221147 | box | -3.2376 | -3.2376 | 4.0272 | 4.0272 | 49.3071 | 90.0 | 90.0 | 120.0 |
Download raw data (including filtered results)
Reference structure matches:
| prototype | method | Ecoh (eV/atom) | Epot (eV/atom) | a0 (Å) | b0 (Å) | c0 (Å) | α (degrees) | β (degrees) | γ (degrees) |
|---|---|---|---|---|---|---|---|---|---|
| mp-989543 | box | -0.2102 | -0.2102 | 16.6017 | 16.6017 | 16.6017 | 90.0 | 90.0 | 90.0 |
Download raw data (including filtered results)
Reference structure matches:
| prototype | method | Ecoh (eV/atom) | Epot (eV/atom) | a0 (Å) | b0 (Å) | c0 (Å) | α (degrees) | β (degrees) | γ (degrees) |
|---|---|---|---|---|---|---|---|---|---|
| mp-992141 | dynamic | -0.2381 | -0.2381 | 19.3205 | 19.3205 | 19.3205 | 90.0 | 90.0 | 90.0 |
| mp-992141 | box | -0.1681 | -0.1681 | 19.7645 | 19.7645 | 19.7645 | 90.0 | 90.0 | 90.0 |
Download raw data (including filtered results)
Reference structure matches:
| prototype | method | Ecoh (eV/atom) | Epot (eV/atom) | a0 (Å) | b0 (Å) | c0 (Å) | α (degrees) | β (degrees) | γ (degrees) |
|---|---|---|---|---|---|---|---|---|---|
| mp-989591 | dynamic | -0.3587 | -0.3587 | 16.7433 | 16.7433 | 16.7433 | 90.0 | 90.0 | 90.0 |
| mp-989591 | box | -0.2465 | -0.2465 | 15.7934 | 15.7934 | 15.7934 | 90.0 | 90.0 | 90.0 |
Download raw data (including filtered results)
Reference structure matches:
| prototype | method | Ecoh (eV/atom) | Epot (eV/atom) | a0 (Å) | b0 (Å) | c0 (Å) | α (degrees) | β (degrees) | γ (degrees) |
|---|---|---|---|---|---|---|---|---|---|
| mp-989573 | dynamic | -0.3585 | -0.3585 | 16.7458 | 16.7458 | 16.7458 | 90.0 | 90.0 | 90.0 |
| mp-989573 | box | -0.2431 | -0.2431 | 15.8086 | 15.8086 | 15.8086 | 90.0 | 90.0 | 90.0 |
Download raw data (including filtered results)
Reference structure matches:
| prototype | method | Ecoh (eV/atom) | Epot (eV/atom) | a0 (Å) | b0 (Å) | c0 (Å) | α (degrees) | β (degrees) | γ (degrees) |
|---|---|---|---|---|---|---|---|---|---|
| mp-1226161 | dynamic | -3.1294 | -3.1294 | 5.7832 | 5.7832 | 4.0885 | 90.0 | 90.0 | 90.0 |
| L2_1--AlCu2Mn--heusler | dynamic | -3.1263 | -3.1263 | 8.1784 | 8.1784 | 8.1784 | 90.0 | 90.0 | 90.0 |
Download raw data (including filtered results)
Reference structure matches:
| prototype | method | Ecoh (eV/atom) | Epot (eV/atom) | a0 (Å) | b0 (Å) | c0 (Å) | α (degrees) | β (degrees) | γ (degrees) |
|---|---|---|---|---|---|---|---|---|---|
| L2_1--AlCu2Mn--heusler | dynamic | -1.0343 | -1.0343 | 9.5973 | 9.5973 | 9.5973 | 90.0 | 90.0 | 90.0 |
Download raw data (including filtered results)
Reference structure matches:
| prototype | method | Ecoh (eV/atom) | Epot (eV/atom) | a0 (Å) | b0 (Å) | c0 (Å) | α (degrees) | β (degrees) | γ (degrees) |
|---|---|---|---|---|---|---|---|---|---|
| L2_1--AlCu2Mn--heusler | dynamic | -1.1531 | -1.1531 | 10.894 | 10.894 | 10.894 | 90.0 | 90.0 | 90.0 |
Download raw data (including filtered results)
Reference structure matches:
| prototype | method | Ecoh (eV/atom) | Epot (eV/atom) | a0 (Å) | b0 (Å) | c0 (Å) | α (degrees) | β (degrees) | γ (degrees) |
|---|---|---|---|---|---|---|---|---|---|
| mp-1223648 | dynamic | -3.1539 | -3.1539 | 4.5356 | 4.5356 | 22.4109 | 90.0 | 90.0 | 120.0 |
| mp-1223648 | box | -3.1442 | -3.1442 | 4.5471 | 4.5471 | 22.5038 | 90.0 | 90.0 | 120.0 |
| L2_1--AlCu2Mn--heusler | dynamic | -2.8291 | -2.8291 | 7.6613 | 7.6613 | 7.6613 | 90.0 | 90.0 | 90.0 |
Download raw data (including filtered results)
Reference structure matches:
| prototype | method | Ecoh (eV/atom) | Epot (eV/atom) | a0 (Å) | b0 (Å) | c0 (Å) | α (degrees) | β (degrees) | γ (degrees) |
|---|---|---|---|---|---|---|---|---|---|
| L2_1--AlCu2Mn--heusler | static | -2.4676 | -2.4676 | 6.4991 | 6.4991 | 6.4991 | 90.0 | 90.0 | 90.0 |
Download raw data (including filtered results)
Reference structure matches:
| prototype | method | Ecoh (eV/atom) | Epot (eV/atom) | a0 (Å) | b0 (Å) | c0 (Å) | α (degrees) | β (degrees) | γ (degrees) |
|---|---|---|---|---|---|---|---|---|---|
| mp-1221385 | dynamic | -3.1365 | -3.1365 | 4.0981 | 4.0981 | 20.1162 | 90.0 | 90.0 | 120.0 |
| mp-1221385 | box | -3.1344 | -3.1344 | 4.0951 | 4.0951 | 20.0988 | 90.0 | 90.0 | 120.0 |
| L2_1--AlCu2Mn--heusler | static | -2.6907 | -2.6907 | 7.1442 | 7.1442 | 7.1442 | 90.0 | 90.0 | 90.0 |
Download raw data (including filtered results)
Reference structure matches:
| prototype | method | Ecoh (eV/atom) | Epot (eV/atom) | a0 (Å) | b0 (Å) | c0 (Å) | α (degrees) | β (degrees) | γ (degrees) |
|---|---|---|---|---|---|---|---|---|---|
| L2_1--AlCu2Mn--heusler | dynamic | -2.618 | -2.618 | 8.0044 | 8.0044 | 8.0044 | 90.0 | 90.0 | 90.0 |
Download raw data (including filtered results)
Reference structure matches:
B1--NaCl--rock-salt = mp-571222
B2--CsCl = mp-22906
| prototype | method | Ecoh (eV/atom) | Epot (eV/atom) | a0 (Å) | b0 (Å) | c0 (Å) | α (degrees) | β (degrees) | γ (degrees) |
|---|---|---|---|---|---|---|---|---|---|
| B2--CsCl | dynamic | -3.0562 | -3.0562 | 4.1551 | 4.1551 | 4.1551 | 90.0 | 90.0 | 90.0 |
| B1--NaCl--rock-salt | static | -2.5318 | -2.5318 | 7.0742 | 7.0742 | 7.0742 | 90.0 | 90.0 | 90.0 |
| B3--ZnS--cubic-zinc-blende | static | -1.3278 | -1.3278 | 8.1833 | 8.1833 | 8.1833 | 90.0 | 90.0 | 90.0 |
| B4--ZnS--wurtzite | box | -1.3264 | -1.3264 | 5.7844 | 5.7844 | 9.452 | 90.0 | 90.0 | 120.0 |
Download raw data (including filtered results)
Reference structure matches:
| prototype | method | Ecoh (eV/atom) | Epot (eV/atom) | a0 (Å) | b0 (Å) | c0 (Å) | α (degrees) | β (degrees) | γ (degrees) |
|---|---|---|---|---|---|---|---|---|---|
| C1--CaF2--fluorite | dynamic | -1.9803 | -1.9803 | 8.2836 | 8.2836 | 8.2836 | 90.0 | 90.0 | 90.0 |
Download raw data (including filtered results)
Reference structure matches:
| prototype | method | Ecoh (eV/atom) | Epot (eV/atom) | a0 (Å) | b0 (Å) | c0 (Å) | α (degrees) | β (degrees) | γ (degrees) |
|---|---|---|---|---|---|---|---|---|---|
| L2_1--AlCu2Mn--heusler | static | -2.7131 | -2.7131 | 8.0105 | 8.0105 | 8.0105 | 90.0 | 90.0 | 90.0 |
Download raw data (including filtered results)
Reference structure matches:
| prototype | method | Ecoh (eV/atom) | Epot (eV/atom) | a0 (Å) | b0 (Å) | c0 (Å) | α (degrees) | β (degrees) | γ (degrees) |
|---|---|---|---|---|---|---|---|---|---|
| L2_1--AlCu2Mn--heusler | dynamic | -2.8141 | -2.8141 | 8.6124 | 8.6124 | 8.6124 | 90.0 | 90.0 | 90.0 |
| mp-1096010 | dynamic | -0.5457 | -0.5457 | 13.4864 | 14.9046 | 19.0903 | 90.0 | 90.0 | 90.0 |
Download raw data (including filtered results)
Reference structure matches:
| prototype | method | Ecoh (eV/atom) | Epot (eV/atom) | a0 (Å) | b0 (Å) | c0 (Å) | α (degrees) | β (degrees) | γ (degrees) |
|---|---|---|---|---|---|---|---|---|---|
| L2_1--AlCu2Mn--heusler | box | -1.1861 | -1.1861 | 8.9424 | 8.9424 | 8.9424 | 90.0 | 90.0 | 90.0 |
Download raw data (including filtered results)
Reference structure matches:
| prototype | method | Ecoh (eV/atom) | Epot (eV/atom) | a0 (Å) | b0 (Å) | c0 (Å) | α (degrees) | β (degrees) | γ (degrees) |
|---|---|---|---|---|---|---|---|---|---|
| L2_1--AlCu2Mn--heusler | dynamic | -1.7832 | -1.7832 | 8.4196 | 8.4196 | 8.4196 | 90.0 | 90.0 | 90.0 |
Download raw data (including filtered results)
Reference structure matches:
| prototype | method | Ecoh (eV/atom) | Epot (eV/atom) | a0 (Å) | b0 (Å) | c0 (Å) | α (degrees) | β (degrees) | γ (degrees) |
|---|---|---|---|---|---|---|---|---|---|
| L2_1--AlCu2Mn--heusler | static | -1.6741 | -1.6741 | 8.4745 | 8.4745 | 8.4745 | 90.0 | 90.0 | 90.0 |
Download raw data (including filtered results)
Reference structure matches:
| prototype | method | Ecoh (eV/atom) | Epot (eV/atom) | a0 (Å) | b0 (Å) | c0 (Å) | α (degrees) | β (degrees) | γ (degrees) |
|---|---|---|---|---|---|---|---|---|---|
| L2_1--AlCu2Mn--heusler | static | -0.9582 | -0.9582 | 9.2454 | 9.2454 | 9.2454 | 90.0 | 90.0 | 90.0 |
Download raw data (including filtered results)
Reference structure matches:
| prototype | method | Ecoh (eV/atom) | Epot (eV/atom) | a0 (Å) | b0 (Å) | c0 (Å) | α (degrees) | β (degrees) | γ (degrees) |
|---|---|---|---|---|---|---|---|---|---|
| L1_2--AuCu3 | static | -1.6698 | -1.6698 | 5.4962 | 5.4962 | 5.4962 | 90.0 | 90.0 | 90.0 |
| D0_3--BiF3 | box | -1.5409 | -1.5409 | 8.7759 | 8.7759 | 8.7759 | 90.0 | 90.0 | 90.0 |
| A15--Cr3Si | static | -1.3697 | -1.3697 | 7.0614 | 7.0614 | 7.0614 | 90.0 | 90.0 | 90.0 |
Download raw data (including filtered results)
Reference structure matches:
| prototype | method | Ecoh (eV/atom) | Epot (eV/atom) | a0 (Å) | b0 (Å) | c0 (Å) | α (degrees) | β (degrees) | γ (degrees) |
|---|---|---|---|---|---|---|---|---|---|
| L2_1--AlCu2Mn--heusler | dynamic | -2.3259 | -2.3259 | 7.2625 | 7.2625 | 7.2625 | 90.0 | 90.0 | 90.0 |
Download raw data (including filtered results)
Reference structure matches:
| prototype | method | Ecoh (eV/atom) | Epot (eV/atom) | a0 (Å) | b0 (Å) | c0 (Å) | α (degrees) | β (degrees) | γ (degrees) |
|---|---|---|---|---|---|---|---|---|---|
| mp-1103152 | box | -0.5609 | -0.5609 | 4.0223 | 13.1466 | 20.8243 | 90.0 | 90.0 | 90.0 |
Download raw data (including filtered results)
Reference structure matches:
| prototype | method | Ecoh (eV/atom) | Epot (eV/atom) | a0 (Å) | b0 (Å) | c0 (Å) | α (degrees) | β (degrees) | γ (degrees) |
|---|---|---|---|---|---|---|---|---|---|
| mp-27662 | dynamic | -1.6838 | -1.6838 | 16.6257 | 4.8292 | 12.8157 | 90.0 | 90.0 | 90.0 |
| mp-27662 | static | -1.6131 | -1.6131 | 16.7763 | 4.9503 | 13.285 | 90.0 | 90.0 | 90.0 |
| L2_1--AlCu2Mn--heusler | static | -1.1501 | -1.1501 | 9.9264 | 9.9264 | 9.9264 | 90.0 | 90.0 | 90.0 |
Download raw data (including filtered results)
Reference structure matches:
| prototype | method | Ecoh (eV/atom) | Epot (eV/atom) | a0 (Å) | b0 (Å) | c0 (Å) | α (degrees) | β (degrees) | γ (degrees) |
|---|---|---|---|---|---|---|---|---|---|
| L2_1--AlCu2Mn--heusler | static | -0.8852 | -0.8852 | 8.7472 | 8.7472 | 8.7472 | 90.0 | 90.0 | 90.0 |
Download raw data (including filtered results)
Reference structure matches:
| prototype | method | Ecoh (eV/atom) | Epot (eV/atom) | a0 (Å) | b0 (Å) | c0 (Å) | α (degrees) | β (degrees) | γ (degrees) |
|---|---|---|---|---|---|---|---|---|---|
| L2_1--AlCu2Mn--heusler | static | -1.6405 | -1.6405 | 7.5044 | 7.5044 | 7.5044 | 90.0 | 90.0 | 90.0 |
Download raw data (including filtered results)
Reference structure matches:
| prototype | method | Ecoh (eV/atom) | Epot (eV/atom) | a0 (Å) | b0 (Å) | c0 (Å) | α (degrees) | β (degrees) | γ (degrees) |
|---|---|---|---|---|---|---|---|---|---|
| L2_1--AlCu2Mn--heusler | static | -1.6461 | -1.6461 | 7.9362 | 7.9362 | 7.9362 | 90.0 | 90.0 | 90.0 |
Download raw data (including filtered results)
Reference structure matches:
| prototype | method | Ecoh (eV/atom) | Epot (eV/atom) | a0 (Å) | b0 (Å) | c0 (Å) | α (degrees) | β (degrees) | γ (degrees) |
|---|---|---|---|---|---|---|---|---|---|
| L2_1--AlCu2Mn--heusler | static | -0.7958 | -0.7958 | 9.391 | 9.391 | 9.391 | 90.0 | 90.0 | 90.0 |
Download raw data (including filtered results)
Reference structure matches:
| prototype | method | Ecoh (eV/atom) | Epot (eV/atom) | a0 (Å) | b0 (Å) | c0 (Å) | α (degrees) | β (degrees) | γ (degrees) |
|---|---|---|---|---|---|---|---|---|---|
| B2--CsCl | dynamic | -1.0067 | -1.0067 | 4.7983 | 4.7983 | 4.7983 | 90.0 | 90.0 | 90.0 |
| B1--NaCl--rock-salt | static | -0.6639 | -0.6639 | 7.6885 | 7.6885 | 7.6885 | 90.0 | 90.0 | 90.0 |
| B3--ZnS--cubic-zinc-blende | dynamic | -0.3204 | -0.3204 | 10.0123 | 10.0123 | 10.0123 | 90.0 | 90.0 | 90.0 |
| B4--ZnS--wurtzite | dynamic | -0.3204 | -0.3204 | 7.0779 | 7.0779 | 11.5674 | 90.0 | 90.0 | 120.0 |
Download raw data (including filtered results)
Reference structure matches:
| prototype | method | Ecoh (eV/atom) | Epot (eV/atom) | a0 (Å) | b0 (Å) | c0 (Å) | α (degrees) | β (degrees) | γ (degrees) |
|---|---|---|---|---|---|---|---|---|---|
| C1--CaF2--fluorite | static | -0.5542 | -0.5542 | 9.4343 | 9.4343 | 9.4343 | 90.0 | 90.0 | 90.0 |
Download raw data (including filtered results)
Reference structure matches:
| prototype | method | Ecoh (eV/atom) | Epot (eV/atom) | a0 (Å) | b0 (Å) | c0 (Å) | α (degrees) | β (degrees) | γ (degrees) |
|---|---|---|---|---|---|---|---|---|---|
| L2_1--AlCu2Mn--heusler | dynamic | -0.9643 | -0.9643 | 9.9398 | 9.9398 | 9.9398 | 90.0 | 90.0 | 90.0 |
Download raw data (including filtered results)
Reference structure matches:
| prototype | method | Ecoh (eV/atom) | Epot (eV/atom) | a0 (Å) | b0 (Å) | c0 (Å) | α (degrees) | β (degrees) | γ (degrees) |
|---|---|---|---|---|---|---|---|---|---|
| L2_1--AlCu2Mn--heusler | static | -1.4436 | -1.4436 | 6.9015 | 6.9015 | 6.9015 | 90.0 | 90.0 | 90.0 |
Download raw data (including filtered results)
Reference structure matches:
| prototype | method | Ecoh (eV/atom) | Epot (eV/atom) | a0 (Å) | b0 (Å) | c0 (Å) | α (degrees) | β (degrees) | γ (degrees) |
|---|---|---|---|---|---|---|---|---|---|
| L2_1--AlCu2Mn--heusler | static | -0.4233 | -0.4233 | 9.3431 | 9.3431 | 9.3431 | 90.0 | 90.0 | 90.0 |
Download raw data (including filtered results)
Reference structure matches:
| prototype | method | Ecoh (eV/atom) | Epot (eV/atom) | a0 (Å) | b0 (Å) | c0 (Å) | α (degrees) | β (degrees) | γ (degrees) |
|---|---|---|---|---|---|---|---|---|---|
| L2_1--AlCu2Mn--heusler | box | -0.609 | -0.609 | 7.6362 | 7.6362 | 7.6362 | 90.0 | 90.0 | 90.0 |
Download raw data (including filtered results)
Reference structure matches:
| prototype | method | Ecoh (eV/atom) | Epot (eV/atom) | a0 (Å) | b0 (Å) | c0 (Å) | α (degrees) | β (degrees) | γ (degrees) |
|---|---|---|---|---|---|---|---|---|---|
| L2_1--AlCu2Mn--heusler | static | -1.9771 | -1.9771 | 6.9567 | 6.9567 | 6.9567 | 90.0 | 90.0 | 90.0 |
Download raw data (including filtered results)
Reference structure matches:
| prototype | method | Ecoh (eV/atom) | Epot (eV/atom) | a0 (Å) | b0 (Å) | c0 (Å) | α (degrees) | β (degrees) | γ (degrees) |
|---|---|---|---|---|---|---|---|---|---|
| D0_3--BiF3 | dynamic | -0.9008 | -0.9008 | 9.1898 | 9.1898 | 9.1898 | 90.0 | 90.0 | 90.0 |
| L1_2--AuCu3 | dynamic | -0.8842 | -0.8842 | 5.8349 | 5.8349 | 5.8349 | 90.0 | 90.0 | 90.0 |
| A15--Cr3Si | dynamic | -0.8587 | -0.8587 | 7.3405 | 7.3405 | 7.3405 | 90.0 | 90.0 | 90.0 |
| mp-23297 | box | -0.6329 | -0.6329 | 4.2376 | 15.4307 | 12.7861 | 90.0 | 90.0 | 90.0 |
Download raw data (including filtered results)
Reference structure matches:
| prototype | method | Ecoh (eV/atom) | Epot (eV/atom) | a0 (Å) | b0 (Å) | c0 (Å) | α (degrees) | β (degrees) | γ (degrees) |
|---|---|---|---|---|---|---|---|---|---|
| mp-23550 | box | -0.1513 | -0.1513 | 17.4748 | 17.4748 | 16.1744 | 90.0 | 90.0 | 90.0 |
Download raw data (including filtered results)
Reference structure matches:
| prototype | method | Ecoh (eV/atom) | Epot (eV/atom) | a0 (Å) | b0 (Å) | c0 (Å) | α (degrees) | β (degrees) | γ (degrees) |
|---|---|---|---|---|---|---|---|---|---|
| mp-28577 | box | -0.1513 | -0.1513 | 19.4409 | 19.4409 | 16.8025 | 90.0 | 90.0 | 90.0 |
Download raw data (including filtered results)
Reference structure matches:
| prototype | method | Ecoh (eV/atom) | Epot (eV/atom) | a0 (Å) | b0 (Å) | c0 (Å) | α (degrees) | β (degrees) | γ (degrees) |
|---|---|---|---|---|---|---|---|---|---|
| mp-27987 | box | -0.1335 | -0.1335 | 15.2706 | 17.038 | 18.9065 | 90.0 | 90.0 | 90.0 |
Download raw data (including filtered results)
Reference structure matches:
| prototype | method | Ecoh (eV/atom) | Epot (eV/atom) | a0 (Å) | b0 (Å) | c0 (Å) | α (degrees) | β (degrees) | γ (degrees) |
|---|---|---|---|---|---|---|---|---|---|
| L2_1--AlCu2Mn--heusler | dynamic | -0.99 | -0.99 | 10.7097 | 10.7097 | 10.7097 | 90.0 | 90.0 | 90.0 |
Download raw data (including filtered results)
Reference structure matches:
| prototype | method | Ecoh (eV/atom) | Epot (eV/atom) | a0 (Å) | b0 (Å) | c0 (Å) | α (degrees) | β (degrees) | γ (degrees) |
|---|---|---|---|---|---|---|---|---|---|
| L2_1--AlCu2Mn--heusler | static | -2.6414 | -2.6414 | 7.5298 | 7.5298 | 7.5298 | 90.0 | 90.0 | 90.0 |
Download raw data (including filtered results)
Reference structure matches:
| prototype | method | Ecoh (eV/atom) | Epot (eV/atom) | a0 (Å) | b0 (Å) | c0 (Å) | α (degrees) | β (degrees) | γ (degrees) |
|---|---|---|---|---|---|---|---|---|---|
| L2_1--AlCu2Mn--heusler | static | -2.9741 | -2.9741 | 6.2143 | 6.2143 | 6.2143 | 90.0 | 90.0 | 90.0 |
Download raw data (including filtered results)
Reference structure matches:
| prototype | method | Ecoh (eV/atom) | Epot (eV/atom) | a0 (Å) | b0 (Å) | c0 (Å) | α (degrees) | β (degrees) | γ (degrees) |
|---|---|---|---|---|---|---|---|---|---|
| L2_1--AlCu2Mn--heusler | box | -2.8545 | -2.8545 | 6.6257 | 6.6257 | 6.6257 | 90.0 | 90.0 | 90.0 |
Download raw data (including filtered results)
Reference structure matches:
| prototype | method | Ecoh (eV/atom) | Epot (eV/atom) | a0 (Å) | b0 (Å) | c0 (Å) | α (degrees) | β (degrees) | γ (degrees) |
|---|---|---|---|---|---|---|---|---|---|
| L2_1--AlCu2Mn--heusler | static | -2.1746 | -2.1746 | 7.8895 | 7.8895 | 7.8895 | 90.0 | 90.0 | 90.0 |
Download raw data (including filtered results)
Reference structure matches:
| prototype | method | Ecoh (eV/atom) | Epot (eV/atom) | a0 (Å) | b0 (Å) | c0 (Å) | α (degrees) | β (degrees) | γ (degrees) |
|---|---|---|---|---|---|---|---|---|---|
| B2--CsCl | dynamic | -1.1269 | -1.1269 | 5.4649 | 5.4649 | 5.4649 | 90.0 | 90.0 | 90.0 |
| L1_0--AuCu | dynamic | -1.1103 | -1.1103 | 4.9975 | 4.9975 | 6.811 | 90.0 | 90.0 | 90.0 |
| B1--NaCl--rock-salt | static | -0.5775 | -0.5775 | 9.6613 | 9.6613 | 9.6613 | 90.0 | 90.0 | 90.0 |
| B3--ZnS--cubic-zinc-blende | dynamic | -0.3767 | -0.3767 | 11.4101 | 11.4101 | 11.4101 | 90.0 | 90.0 | 90.0 |
| B4--ZnS--wurtzite | dynamic | -0.3767 | -0.3767 | 8.066 | 8.066 | 13.1823 | 90.0 | 90.0 | 120.0 |
Download raw data (including filtered results)
Reference structure matches:
| prototype | method | Ecoh (eV/atom) | Epot (eV/atom) | a0 (Å) | b0 (Å) | c0 (Å) | α (degrees) | β (degrees) | γ (degrees) |
|---|---|---|---|---|---|---|---|---|---|
| C1--CaF2--fluorite | dynamic | -0.8161 | -0.8161 | 11.0194 | 11.0194 | 11.0194 | 90.0 | 90.0 | 90.0 |
Download raw data (including filtered results)
Reference structure matches:
| prototype | method | Ecoh (eV/atom) | Epot (eV/atom) | a0 (Å) | b0 (Å) | c0 (Å) | α (degrees) | β (degrees) | γ (degrees) |
|---|---|---|---|---|---|---|---|---|---|
| L2_1--AlCu2Mn--heusler | static | -0.7492 | -0.7492 | 10.4713 | 10.4713 | 10.4713 | 90.0 | 90.0 | 90.0 |
Download raw data (including filtered results)
Reference structure matches:
| prototype | method | Ecoh (eV/atom) | Epot (eV/atom) | a0 (Å) | b0 (Å) | c0 (Å) | α (degrees) | β (degrees) | γ (degrees) |
|---|---|---|---|---|---|---|---|---|---|
| mp-1223867 | dynamic | -2.7863 | -2.7863 | 4.87 | 4.87 | 11.9421 | 90.0 | 90.0 | 120.0 |
| mp-1223867 | box | -2.7759 | -2.7759 | 4.8582 | 4.8582 | 11.9933 | 90.0 | 90.0 | 120.0 |
Download raw data (including filtered results)
Reference structure matches:
| prototype | method | Ecoh (eV/atom) | Epot (eV/atom) | a0 (Å) | b0 (Å) | c0 (Å) | α (degrees) | β (degrees) | γ (degrees) |
|---|---|---|---|---|---|---|---|---|---|
| L2_1--AlCu2Mn--heusler | static | -0.6148 | -0.6148 | 10.9981 | 10.9981 | 10.9981 | 90.0 | 90.0 | 90.0 |
Download raw data (including filtered results)
Reference structure matches:
| prototype | method | Ecoh (eV/atom) | Epot (eV/atom) | a0 (Å) | b0 (Å) | c0 (Å) | α (degrees) | β (degrees) | γ (degrees) |
|---|---|---|---|---|---|---|---|---|---|
| L2_1--AlCu2Mn--heusler | static | -0.6988 | -0.6988 | 10.6206 | 10.6206 | 10.6206 | 90.0 | 90.0 | 90.0 |
Download raw data (including filtered results)
Reference structure matches:
| prototype | method | Ecoh (eV/atom) | Epot (eV/atom) | a0 (Å) | b0 (Å) | c0 (Å) | α (degrees) | β (degrees) | γ (degrees) |
|---|---|---|---|---|---|---|---|---|---|
| L2_1--AlCu2Mn--heusler | static | -0.7999 | -0.7999 | 10.3234 | 10.3234 | 10.3234 | 90.0 | 90.0 | 90.0 |
Download raw data (including filtered results)
Reference structure matches:
| prototype | method | Ecoh (eV/atom) | Epot (eV/atom) | a0 (Å) | b0 (Å) | c0 (Å) | α (degrees) | β (degrees) | γ (degrees) |
|---|---|---|---|---|---|---|---|---|---|
| mp-1219640 | dynamic | -2.5621 | -2.5621 | 5.0582 | 7.2113 | 15.2421 | 90.0 | 90.0 | 90.0 |
| mp-1219640 | box | -2.5582 | -2.5582 | 5.0622 | 7.2153 | 15.2512 | 90.0 | 90.0 | 90.0 |
Download raw data (including filtered results)
Reference structure matches:
| prototype | method | Ecoh (eV/atom) | Epot (eV/atom) | a0 (Å) | b0 (Å) | c0 (Å) | α (degrees) | β (degrees) | γ (degrees) |
|---|---|---|---|---|---|---|---|---|---|
| D0_3--BiF3 | dynamic | -1.1047 | -1.1047 | 11.1898 | 11.1898 | 11.1898 | 90.0 | 90.0 | 90.0 |
| L1_2--AuCu3 | dynamic | -1.1017 | -1.1017 | 7.1587 | 7.1587 | 7.1587 | 90.0 | 90.0 | 90.0 |
| A15--Cr3Si | dynamic | -1.0744 | -1.0744 | 8.9886 | 8.9886 | 8.9886 | 90.0 | 90.0 | 90.0 |
Download raw data (including filtered results)
Reference structure matches:
| prototype | method | Ecoh (eV/atom) | Epot (eV/atom) | a0 (Å) | b0 (Å) | c0 (Å) | α (degrees) | β (degrees) | γ (degrees) |
|---|---|---|---|---|---|---|---|---|---|
| L2_1--AlCu2Mn--heusler | dynamic | -2.4094 | -2.4094 | 8.1124 | 8.1124 | 8.1124 | 90.0 | 90.0 | 90.0 |
Download raw data (including filtered results)
Reference structure matches:
| prototype | method | Ecoh (eV/atom) | Epot (eV/atom) | a0 (Å) | b0 (Å) | c0 (Å) | α (degrees) | β (degrees) | γ (degrees) |
|---|---|---|---|---|---|---|---|---|---|
| mp-1222669 | dynamic | -2.5656 | -2.5656 | 4.5361 | 4.5361 | 7.5867 | 90.0 | 90.0 | 120.0 |
| mp-1222669 | static | -2.5649 | -2.5649 | 4.5383 | 4.5383 | 7.5959 | 90.0 | 90.0 | 120.0 |
| mp-1222669 | box | -2.5053 | -2.5053 | 4.6491 | 4.6491 | 7.4494 | 90.0 | 90.0 | 120.0 |
| L2_1--AlCu2Mn--heusler | static | -1.7519 | -1.7519 | 7.1119 | 7.1119 | 7.1119 | 90.0 | 90.0 | 90.0 |
Download raw data (including filtered results)
Reference structure matches:
| prototype | method | Ecoh (eV/atom) | Epot (eV/atom) | a0 (Å) | b0 (Å) | c0 (Å) | α (degrees) | β (degrees) | γ (degrees) |
|---|---|---|---|---|---|---|---|---|---|
| L2_1--AlCu2Mn--heusler | static | -2.2696 | -2.2696 | 7.7618 | 7.7618 | 7.7618 | 90.0 | 90.0 | 90.0 |
Download raw data (including filtered results)
Reference structure matches:
| prototype | method | Ecoh (eV/atom) | Epot (eV/atom) | a0 (Å) | b0 (Å) | c0 (Å) | α (degrees) | β (degrees) | γ (degrees) |
|---|---|---|---|---|---|---|---|---|---|
| L2_1--AlCu2Mn--heusler | dynamic | -2.2685 | -2.2685 | 8.4739 | 8.4739 | 8.4739 | 90.0 | 90.0 | 90.0 |
Download raw data (including filtered results)
Reference structure matches:
B1--NaCl--rock-salt = mp-23251
B2--CsCl = mp-570891
| prototype | method | Ecoh (eV/atom) | Epot (eV/atom) | a0 (Å) | b0 (Å) | c0 (Å) | α (degrees) | β (degrees) | γ (degrees) |
|---|---|---|---|---|---|---|---|---|---|
| B1--NaCl--rock-salt | dynamic | -2.9732 | -2.9732 | 6.5859 | 6.5859 | 6.5859 | 90.0 | 90.0 | 90.0 |
| B2--CsCl | dynamic | -2.6835 | -2.6835 | 3.8732 | 3.8732 | 3.8732 | 90.0 | 90.0 | 90.0 |
| B4--ZnS--wurtzite | box | -2.0142 | -2.0142 | 5.2938 | 5.2938 | 8.6507 | 90.0 | 90.0 | 120.0 |
| B3--ZnS--cubic-zinc-blende | box | -2.0136 | -2.0136 | 7.4884 | 7.4884 | 7.4884 | 90.0 | 90.0 | 90.0 |
Download raw data (including filtered results)
Reference structure matches:
| prototype | method | Ecoh (eV/atom) | Epot (eV/atom) | a0 (Å) | b0 (Å) | c0 (Å) | α (degrees) | β (degrees) | γ (degrees) |
|---|---|---|---|---|---|---|---|---|---|
| C1--CaF2--fluorite | dynamic | -2.1588 | -2.1588 | 7.6486 | 7.6486 | 7.6486 | 90.0 | 90.0 | 90.0 |
Download raw data (including filtered results)
Reference structure matches:
| prototype | method | Ecoh (eV/atom) | Epot (eV/atom) | a0 (Å) | b0 (Å) | c0 (Å) | α (degrees) | β (degrees) | γ (degrees) |
|---|---|---|---|---|---|---|---|---|---|
| L2_1--AlCu2Mn--heusler | dynamic | -1.5418 | -1.5418 | 7.8542 | 7.8542 | 7.8542 | 90.0 | 90.0 | 90.0 |
Download raw data (including filtered results)
Reference structure matches:
| prototype | method | Ecoh (eV/atom) | Epot (eV/atom) | a0 (Å) | b0 (Å) | c0 (Å) | α (degrees) | β (degrees) | γ (degrees) |
|---|---|---|---|---|---|---|---|---|---|
| L2_1--AlCu2Mn--heusler | dynamic | -1.4217 | -1.4217 | 7.88 | 7.88 | 7.88 | 90.0 | 90.0 | 90.0 |
Download raw data (including filtered results)
Reference structure matches:
| prototype | method | Ecoh (eV/atom) | Epot (eV/atom) | a0 (Å) | b0 (Å) | c0 (Å) | α (degrees) | β (degrees) | γ (degrees) |
|---|---|---|---|---|---|---|---|---|---|
| L2_1--AlCu2Mn--heusler | static | -0.4994 | -0.4994 | 9.8766 | 9.8766 | 9.8766 | 90.0 | 90.0 | 90.0 |
Download raw data (including filtered results)
Reference structure matches:
| prototype | method | Ecoh (eV/atom) | Epot (eV/atom) | a0 (Å) | b0 (Å) | c0 (Å) | α (degrees) | β (degrees) | γ (degrees) |
|---|---|---|---|---|---|---|---|---|---|
| L1_2--AuCu3 | static | -0.7359 | -0.7359 | 5.4263 | 5.4263 | 5.4263 | 90.0 | 90.0 | 90.0 |
| D0_3--BiF3 | static | -0.6398 | -0.6398 | 8.703 | 8.703 | 8.703 | 90.0 | 90.0 | 90.0 |
| A15--Cr3Si | box | -0.5829 | -0.5829 | 7.2221 | 7.2221 | 7.2221 | 90.0 | 90.0 | 90.0 |
Download raw data (including filtered results)
Reference structure matches:
| prototype | method | Ecoh (eV/atom) | Epot (eV/atom) | a0 (Å) | b0 (Å) | c0 (Å) | α (degrees) | β (degrees) | γ (degrees) |
|---|---|---|---|---|---|---|---|---|---|
| L2_1--AlCu2Mn--heusler | static | -1.6937 | -1.6937 | 6.8366 | 6.8366 | 6.8366 | 90.0 | 90.0 | 90.0 |
Download raw data (including filtered results)
Reference structure matches:
| prototype | method | Ecoh (eV/atom) | Epot (eV/atom) | a0 (Å) | b0 (Å) | c0 (Å) | α (degrees) | β (degrees) | γ (degrees) |
|---|---|---|---|---|---|---|---|---|---|
| L2_1--AlCu2Mn--heusler | static | -1.3891 | -1.3891 | 7.6156 | 7.6156 | 7.6156 | 90.0 | 90.0 | 90.0 |
Download raw data (including filtered results)
Reference structure matches:
| prototype | method | Ecoh (eV/atom) | Epot (eV/atom) | a0 (Å) | b0 (Å) | c0 (Å) | α (degrees) | β (degrees) | γ (degrees) |
|---|---|---|---|---|---|---|---|---|---|
| L2_1--AlCu2Mn--heusler | box | -0.6425 | -0.6425 | 9.6885 | 9.6885 | 9.6885 | 90.0 | 90.0 | 90.0 |
Download raw data (including filtered results)
Reference structure matches:
B1--NaCl--rock-salt = mp-23259
| prototype | method | Ecoh (eV/atom) | Epot (eV/atom) | a0 (Å) | b0 (Å) | c0 (Å) | α (degrees) | β (degrees) | γ (degrees) |
|---|---|---|---|---|---|---|---|---|---|
| B1--NaCl--rock-salt | dynamic | -3.194 | -3.194 | 5.4944 | 5.4944 | 5.4944 | 90.0 | 90.0 | 90.0 |
| B3--ZnS--cubic-zinc-blende | dynamic | -2.7667 | -2.7667 | 6.146 | 6.146 | 6.146 | 90.0 | 90.0 | 90.0 |
| B4--ZnS--wurtzite | dynamic | -2.7661 | -2.7661 | 4.3498 | 4.3498 | 7.0816 | 90.0 | 90.0 | 120.0 |
| B4--ZnS--wurtzite | box | -2.766 | -2.766 | 4.3447 | 4.3447 | 7.0984 | 90.0 | 90.0 | 120.0 |
| mp-976280 | box | -2.7658 | -2.7658 | 4.3639 | 4.3639 | 7.0343 | 90.0 | 90.0 | 120.0 |
| B2--CsCl | static | -2.1349 | -2.1349 | 3.3165 | 3.3165 | 3.3165 | 90.0 | 90.0 | 90.0 |
| L1_0--AuCu | box | -0.3248 | -0.3248 | 4.2906 | 4.2906 | 8.1134 | 90.0 | 90.0 | 90.0 |
Download raw data (including filtered results)
Reference structure matches:
| prototype | method | Ecoh (eV/atom) | Epot (eV/atom) | a0 (Å) | b0 (Å) | c0 (Å) | α (degrees) | β (degrees) | γ (degrees) |
|---|---|---|---|---|---|---|---|---|---|
| C1--CaF2--fluorite | dynamic | -3.7644 | -3.7644 | 6.1541 | 6.1541 | 6.1541 | 90.0 | 90.0 | 90.0 |
Download raw data (including filtered results)
Reference structure matches:
| prototype | method | Ecoh (eV/atom) | Epot (eV/atom) | a0 (Å) | b0 (Å) | c0 (Å) | α (degrees) | β (degrees) | γ (degrees) |
|---|---|---|---|---|---|---|---|---|---|
| L2_1--AlCu2Mn--heusler | dynamic | -2.8999 | -2.8999 | 6.3741 | 6.3741 | 6.3741 | 90.0 | 90.0 | 90.0 |
Download raw data (including filtered results)
Reference structure matches:
| prototype | method | Ecoh (eV/atom) | Epot (eV/atom) | a0 (Å) | b0 (Å) | c0 (Å) | α (degrees) | β (degrees) | γ (degrees) |
|---|---|---|---|---|---|---|---|---|---|
| L2_1--AlCu2Mn--heusler | static | -1.1275 | -1.1275 | 7.4433 | 7.4433 | 7.4433 | 90.0 | 90.0 | 90.0 |
Download raw data (including filtered results)
Reference structure matches:
| prototype | method | Ecoh (eV/atom) | Epot (eV/atom) | a0 (Å) | b0 (Å) | c0 (Å) | α (degrees) | β (degrees) | γ (degrees) |
|---|---|---|---|---|---|---|---|---|---|
| A15--Cr3Si | dynamic | -3.3473 | -3.3473 | 4.8668 | 4.8668 | 4.8668 | 90.0 | 90.0 | 90.0 |
| D0_3--BiF3 | static | -3.2566 | -3.2566 | 6.1697 | 6.1697 | 6.1697 | 90.0 | 90.0 | 90.0 |
| L1_2--AuCu3 | dynamic | -3.1753 | -3.1753 | 3.8716 | 3.8716 | 3.8716 | 90.0 | 90.0 | 90.0 |
Download raw data (including filtered results)
Reference structure matches:
| prototype | method | Ecoh (eV/atom) | Epot (eV/atom) | a0 (Å) | b0 (Å) | c0 (Å) | α (degrees) | β (degrees) | γ (degrees) |
|---|---|---|---|---|---|---|---|---|---|
| L2_1--AlCu2Mn--heusler | static | -2.1686 | -2.1686 | 6.9559 | 6.9559 | 6.9559 | 90.0 | 90.0 | 90.0 |
Download raw data (including filtered results)
Reference structure matches:
| prototype | method | Ecoh (eV/atom) | Epot (eV/atom) | a0 (Å) | b0 (Å) | c0 (Å) | α (degrees) | β (degrees) | γ (degrees) |
|---|---|---|---|---|---|---|---|---|---|
| L2_1--AlCu2Mn--heusler | dynamic | -1.2727 | -1.2727 | 8.4673 | 8.4673 | 8.4673 | 90.0 | 90.0 | 90.0 |
Download raw data (including filtered results)
Reference structure matches:
B1--NaCl--rock-salt = mp-22916
| prototype | method | Ecoh (eV/atom) | Epot (eV/atom) | a0 (Å) | b0 (Å) | c0 (Å) | α (degrees) | β (degrees) | γ (degrees) |
|---|---|---|---|---|---|---|---|---|---|
| B1--NaCl--rock-salt | dynamic | -3.004 | -3.004 | 5.9536 | 5.9536 | 5.9536 | 90.0 | 90.0 | 90.0 |
| B4--ZnS--wurtzite | static | -2.6675 | -2.6675 | 4.7781 | 4.7781 | 6.1158 | 90.0 | 90.0 | 120.0 |
| B4--ZnS--wurtzite | static | -2.6675 | -2.6675 | 4.7781 | 4.7781 | 6.116 | 90.0 | 90.0 | 120.0 |
| B2--CsCl | dynamic | -2.5796 | -2.5796 | 3.6972 | 3.6972 | 3.6972 | 90.0 | 90.0 | 90.0 |
| B2--CsCl | box | -2.5796 | -2.5796 | 3.6981 | 3.6981 | 3.6981 | 90.0 | 90.0 | 90.0 |
| B4--ZnS--wurtzite | box | -2.553 | -2.553 | 4.4941 | 4.4941 | 7.2343 | 90.0 | 90.0 | 120.0 |
| B3--ZnS--cubic-zinc-blende | dynamic | -2.5382 | -2.5382 | 6.3423 | 6.3423 | 6.3423 | 90.0 | 90.0 | 90.0 |
Download raw data (including filtered results)
Reference structure matches:
| prototype | method | Ecoh (eV/atom) | Epot (eV/atom) | a0 (Å) | b0 (Å) | c0 (Å) | α (degrees) | β (degrees) | γ (degrees) |
|---|---|---|---|---|---|---|---|---|---|
| C1--CaF2--fluorite | dynamic | -2.8554 | -2.8554 | 6.6463 | 6.6463 | 6.6463 | 90.0 | 90.0 | 90.0 |
Download raw data (including filtered results)
Reference structure matches:
| prototype | method | Ecoh (eV/atom) | Epot (eV/atom) | a0 (Å) | b0 (Å) | c0 (Å) | α (degrees) | β (degrees) | γ (degrees) |
|---|---|---|---|---|---|---|---|---|---|
| L2_1--AlCu2Mn--heusler | static | -1.1323 | -1.1323 | 8.0253 | 8.0253 | 8.0253 | 90.0 | 90.0 | 90.0 |
Download raw data (including filtered results)
Reference structure matches:
| prototype | method | Ecoh (eV/atom) | Epot (eV/atom) | a0 (Å) | b0 (Å) | c0 (Å) | α (degrees) | β (degrees) | γ (degrees) |
|---|---|---|---|---|---|---|---|---|---|
| D0_3--BiF3 | static | -2.1778 | -2.1778 | 7.1254 | 7.1254 | 7.1254 | 90.0 | 90.0 | 90.0 |
| L1_2--AuCu3 | static | -2.0479 | -2.0479 | 4.6173 | 4.6173 | 4.6173 | 90.0 | 90.0 | 90.0 |
| A15--Cr3Si | static | -2.046 | -2.046 | 5.7117 | 5.7117 | 5.7117 | 90.0 | 90.0 | 90.0 |
Download raw data (including filtered results)
Reference structure matches:
| prototype | method | Ecoh (eV/atom) | Epot (eV/atom) | a0 (Å) | b0 (Å) | c0 (Å) | α (degrees) | β (degrees) | γ (degrees) |
|---|---|---|---|---|---|---|---|---|---|
| L2_1--AlCu2Mn--heusler | static | -1.0962 | -1.0962 | 8.5406 | 8.5406 | 8.5406 | 90.0 | 90.0 | 90.0 |
Download raw data (including filtered results)
Reference structure matches:
B1--NaCl--rock-salt = mp-22867
B2--CsCl = mp-23303
| prototype | method | Ecoh (eV/atom) | Epot (eV/atom) | a0 (Å) | b0 (Å) | c0 (Å) | α (degrees) | β (degrees) | γ (degrees) |
|---|---|---|---|---|---|---|---|---|---|
| B1--NaCl--rock-salt | dynamic | -2.8142 | -2.8142 | 6.8679 | 6.8679 | 6.8679 | 90.0 | 90.0 | 90.0 |
| B2--CsCl | dynamic | -2.4811 | -2.4811 | 4.0716 | 4.0716 | 4.0716 | 90.0 | 90.0 | 90.0 |
| B4--ZnS--wurtzite | box | -1.8641 | -1.8641 | 5.4941 | 5.4941 | 8.9771 | 90.0 | 90.0 | 120.0 |
| B3--ZnS--cubic-zinc-blende | box | -1.8633 | -1.8633 | 7.7717 | 7.7717 | 7.7717 | 90.0 | 90.0 | 90.0 |
Download raw data (including filtered results)
Reference structure matches:
| prototype | method | Ecoh (eV/atom) | Epot (eV/atom) | a0 (Å) | b0 (Å) | c0 (Å) | α (degrees) | β (degrees) | γ (degrees) |
|---|---|---|---|---|---|---|---|---|---|
| C1--CaF2--fluorite | dynamic | -1.7163 | -1.7163 | 8.1043 | 8.1043 | 8.1043 | 90.0 | 90.0 | 90.0 |
Download raw data (including filtered results)
Reference structure matches:
| prototype | method | Ecoh (eV/atom) | Epot (eV/atom) | a0 (Å) | b0 (Å) | c0 (Å) | α (degrees) | β (degrees) | γ (degrees) |
|---|---|---|---|---|---|---|---|---|---|
| L1_2--AuCu3 | static | -0.5314 | -0.5314 | 6.2523 | 6.2523 | 6.2523 | 90.0 | 90.0 | 90.0 |
| D0_3--BiF3 | static | -0.5236 | -0.5236 | 10.3015 | 10.3015 | 10.3015 | 90.0 | 90.0 | 90.0 |
| A15--Cr3Si | static | -0.4808 | -0.4808 | 8.2562 | 8.2562 | 8.2562 | 90.0 | 90.0 | 90.0 |
Download raw data (including filtered results)
Reference structure matches:
| prototype | method | Ecoh (eV/atom) | Epot (eV/atom) | a0 (Å) | b0 (Å) | c0 (Å) | α (degrees) | β (degrees) | γ (degrees) |
|---|---|---|---|---|---|---|---|---|---|
| A2--W--bcc | dynamic | -1.3122 | -1.3122 | 5.137 | 5.137 | 5.137 | 90.0 | 90.0 | 90.0 |
| A15--beta-W | dynamic | -1.2768 | -1.2768 | 8.2543 | 8.2543 | 8.2543 | 90.0 | 90.0 | 90.0 |
| A3'--alpha-La--double-hcp | dynamic | -1.2566 | -1.2566 | 4.7142 | 4.7142 | 15.3964 | 90.0 | 90.0 | 120.0 |
| A3--Mg--hcp | dynamic | -1.2566 | -1.2566 | 4.7142 | 4.7142 | 7.6982 | 90.0 | 90.0 | 120.0 |
| A1--Cu--fcc | dynamic | -1.2566 | -1.2566 | 6.6668 | 6.6668 | 6.6668 | 90.0 | 90.0 | 90.0 |
| mp-22848 | box | -1.0241 | -1.0241 | 4.4173 | 8.4902 | 16.2511 | 90.0 | 90.0 | 90.0 |
| A5--beta-Sn | box | -0.8466 | -0.8466 | 8.1405 | 8.1405 | 4.3841 | 90.0 | 90.0 | 90.0 |
| Ah--alpha-Po--sc | static | -0.633 | -0.633 | 3.9825 | 3.9825 | 3.9825 | 90.0 | 90.0 | 90.0 |
| Ah--alpha-Po--sc | dynamic | -0.6283 | -0.6283 | 4.7142 | 4.7142 | 4.7142 | 90.0 | 90.0 | 90.0 |
| A7--alpha-As | box | -0.4862 | -0.4862 | 6.1592 | 6.1592 | 17.6453 | 90.0 | 90.0 | 120.0 |
| A4--C--dc | dynamic | -0.4189 | -0.4189 | 10.8869 | 10.8869 | 10.8869 | 90.0 | 90.0 | 90.0 |
Download raw data (including filtered results)
Reference structure matches:
| prototype | method | Ecoh (eV/atom) | Epot (eV/atom) | a0 (Å) | b0 (Å) | c0 (Å) | α (degrees) | β (degrees) | γ (degrees) |
|---|---|---|---|---|---|---|---|---|---|
| C1--CaF2--fluorite | dynamic | -2.2045 | -2.2045 | 7.943 | 7.943 | 7.943 | 90.0 | 90.0 | 90.0 |
Download raw data (including filtered results)
Reference structure matches:
| prototype | method | Ecoh (eV/atom) | Epot (eV/atom) | a0 (Å) | b0 (Å) | c0 (Å) | α (degrees) | β (degrees) | γ (degrees) |
|---|---|---|---|---|---|---|---|---|---|
| L2_1--AlCu2Mn--heusler | static | -1.8057 | -1.8057 | 8.0628 | 8.0628 | 8.0628 | 90.0 | 90.0 | 90.0 |
Download raw data (including filtered results)
Reference structure matches:
| prototype | method | Ecoh (eV/atom) | Epot (eV/atom) | a0 (Å) | b0 (Å) | c0 (Å) | α (degrees) | β (degrees) | γ (degrees) |
|---|---|---|---|---|---|---|---|---|---|
| mp-22990 | dynamic | -1.8667 | -1.8667 | 4.8466 | 4.8466 | 36.5426 | 90.0 | 90.0 | 120.0 |
| L2_1--AlCu2Mn--heusler | static | -1.108 | -1.108 | 9.3862 | 9.3862 | 9.3862 | 90.0 | 90.0 | 90.0 |
Download raw data (including filtered results)
Reference structure matches:
| prototype | method | Ecoh (eV/atom) | Epot (eV/atom) | a0 (Å) | b0 (Å) | c0 (Å) | α (degrees) | β (degrees) | γ (degrees) |
|---|---|---|---|---|---|---|---|---|---|
| L2_1--AlCu2Mn--heusler | dynamic | -2.9975 | -2.9975 | 7.8194 | 7.8194 | 7.8194 | 90.0 | 90.0 | 90.0 |
Download raw data (including filtered results)
Reference structure matches:
| prototype | method | Ecoh (eV/atom) | Epot (eV/atom) | a0 (Å) | b0 (Å) | c0 (Å) | α (degrees) | β (degrees) | γ (degrees) |
|---|---|---|---|---|---|---|---|---|---|
| mp-23364 | dynamic | -3.4539 | -3.4539 | 4.7616 | 4.7616 | 9.3326 | 90.0 | 90.0 | 90.0 |
| mp-23364 | box | -3.3533 | -3.3533 | 4.7853 | 4.7853 | 9.4271 | 90.0 | 90.0 | 90.0 |
| mp-1188344 | dynamic | -3.1718 | -3.1718 | 6.96 | 13.4106 | 9.6957 | 90.0 | 98.6 | 90.0 |
| mp-1188344 | box | -2.9688 | -2.9688 | 7.1747 | 13.5756 | 9.8907 | 90.0 | 98.1 | 90.0 |
| L2_1--AlCu2Mn--heusler | static | -2.3934 | -2.3934 | 7.7382 | 7.7382 | 7.7382 | 90.0 | 90.0 | 90.0 |
Download raw data (including filtered results)
Reference structure matches:
| prototype | method | Ecoh (eV/atom) | Epot (eV/atom) | a0 (Å) | b0 (Å) | c0 (Å) | α (degrees) | β (degrees) | γ (degrees) |
|---|---|---|---|---|---|---|---|---|---|
| L2_1--AlCu2Mn--heusler | static | -2.6968 | -2.6968 | 7.7396 | 7.7396 | 7.7396 | 90.0 | 90.0 | 90.0 |
Download raw data (including filtered results)
Reference structure matches:
| prototype | method | Ecoh (eV/atom) | Epot (eV/atom) | a0 (Å) | b0 (Å) | c0 (Å) | α (degrees) | β (degrees) | γ (degrees) |
|---|---|---|---|---|---|---|---|---|---|
| L2_1--AlCu2Mn--heusler | dynamic | -3.0539 | -3.0539 | 7.9214 | 7.9214 | 7.9214 | 90.0 | 90.0 | 90.0 |
Download raw data (including filtered results)
Reference structure matches:
| prototype | method | Ecoh (eV/atom) | Epot (eV/atom) | a0 (Å) | b0 (Å) | c0 (Å) | α (degrees) | β (degrees) | γ (degrees) |
|---|---|---|---|---|---|---|---|---|---|
| C1--CaF2--fluorite | dynamic | -0.8492 | -0.8492 | 9.7208 | 9.7208 | 9.7208 | 90.0 | 90.0 | 90.0 |
Download raw data (including filtered results)
Reference structure matches:
| prototype | method | Ecoh (eV/atom) | Epot (eV/atom) | a0 (Å) | b0 (Å) | c0 (Å) | α (degrees) | β (degrees) | γ (degrees) |
|---|---|---|---|---|---|---|---|---|---|
| L2_1--AlCu2Mn--heusler | dynamic | -1.0313 | -1.0313 | 10.3715 | 10.3715 | 10.3715 | 90.0 | 90.0 | 90.0 |
Download raw data (including filtered results)
Reference structure matches:
| prototype | method | Ecoh (eV/atom) | Epot (eV/atom) | a0 (Å) | b0 (Å) | c0 (Å) | α (degrees) | β (degrees) | γ (degrees) |
|---|---|---|---|---|---|---|---|---|---|
| L2_1--AlCu2Mn--heusler | static | -1.531 | -1.531 | 7.6429 | 7.6429 | 7.6429 | 90.0 | 90.0 | 90.0 |
Download raw data (including filtered results)
Reference structure matches:
| prototype | method | Ecoh (eV/atom) | Epot (eV/atom) | a0 (Å) | b0 (Å) | c0 (Å) | α (degrees) | β (degrees) | γ (degrees) |
|---|---|---|---|---|---|---|---|---|---|
| L2_1--AlCu2Mn--heusler | static | -0.6499 | -0.6499 | 9.5824 | 9.5824 | 9.5824 | 90.0 | 90.0 | 90.0 |
Download raw data (including filtered results)
Reference structure matches:
| prototype | method | Ecoh (eV/atom) | Epot (eV/atom) | a0 (Å) | b0 (Å) | c0 (Å) | α (degrees) | β (degrees) | γ (degrees) |
|---|---|---|---|---|---|---|---|---|---|
| L2_1--AlCu2Mn--heusler | static | -0.9085 | -0.9085 | 7.8294 | 7.8294 | 7.8294 | 90.0 | 90.0 | 90.0 |
Download raw data (including filtered results)
Reference structure matches:
| prototype | method | Ecoh (eV/atom) | Epot (eV/atom) | a0 (Å) | b0 (Å) | c0 (Å) | α (degrees) | β (degrees) | γ (degrees) |
|---|---|---|---|---|---|---|---|---|---|
| L2_1--AlCu2Mn--heusler | static | -1.8381 | -1.8381 | 7.7377 | 7.7377 | 7.7377 | 90.0 | 90.0 | 90.0 |
Download raw data (including filtered results)
Reference structure matches:
| prototype | method | Ecoh (eV/atom) | Epot (eV/atom) | a0 (Å) | b0 (Å) | c0 (Å) | α (degrees) | β (degrees) | γ (degrees) |
|---|---|---|---|---|---|---|---|---|---|
| C1--CaF2--fluorite | dynamic | -0.7431 | -0.7431 | 10.6949 | 10.6949 | 10.6949 | 90.0 | 90.0 | 90.0 |
| mp-864616 | dynamic | -0.4627 | -0.4627 | 10.3315 | 10.3315 | 8.7018 | 90.0 | 90.0 | 90.0 |
| mp-864616 | box | -0.262 | -0.262 | 16.3276 | 16.3276 | 7.3511 | 90.0 | 90.0 | 90.0 |
Download raw data (including filtered results)
Reference structure matches:
| prototype | method | Ecoh (eV/atom) | Epot (eV/atom) | a0 (Å) | b0 (Å) | c0 (Å) | α (degrees) | β (degrees) | γ (degrees) |
|---|---|---|---|---|---|---|---|---|---|
| mp-628908 | dynamic | -1.9349 | -1.9349 | 8.9081 | 14.8751 | 15.093 | 90.0 | 119.0 | 90.0 |
| mp-628908 | static | -1.7265 | -1.7265 | 7.1873 | 26.8842 | 11.1311 | 90.0 | 125.8 | 90.0 |
| L2_1--AlCu2Mn--heusler | static | -0.6297 | -0.6297 | 10.2625 | 10.2625 | 10.2625 | 90.0 | 90.0 | 90.0 |
| mp-628908 | box | -0.3426 | -0.3426 | 19.7478 | 8.7271 | 22.5646 | 90.0 | 105.4 | 90.0 |
Download raw data (including filtered results)
Reference structure matches:
| prototype | method | Ecoh (eV/atom) | Epot (eV/atom) | a0 (Å) | b0 (Å) | c0 (Å) | α (degrees) | β (degrees) | γ (degrees) |
|---|---|---|---|---|---|---|---|---|---|
| L2_1--AlCu2Mn--heusler | dynamic | -0.5574 | -0.5574 | 10.6914 | 10.6914 | 10.6914 | 90.0 | 90.0 | 90.0 |
Download raw data (including filtered results)
Reference structure matches:
| prototype | method | Ecoh (eV/atom) | Epot (eV/atom) | a0 (Å) | b0 (Å) | c0 (Å) | α (degrees) | β (degrees) | γ (degrees) |
|---|---|---|---|---|---|---|---|---|---|
| L2_1--AlCu2Mn--heusler | static | -0.5669 | -0.5669 | 10.5912 | 10.5912 | 10.5912 | 90.0 | 90.0 | 90.0 |
Download raw data (including filtered results)
Reference structure matches:
| prototype | method | Ecoh (eV/atom) | Epot (eV/atom) | a0 (Å) | b0 (Å) | c0 (Å) | α (degrees) | β (degrees) | γ (degrees) |
|---|---|---|---|---|---|---|---|---|---|
| L2_1--AlCu2Mn--heusler | static | -0.7035 | -0.7035 | 9.9769 | 9.9769 | 9.9769 | 90.0 | 90.0 | 90.0 |
Download raw data (including filtered results)
Reference structure matches:
| prototype | method | Ecoh (eV/atom) | Epot (eV/atom) | a0 (Å) | b0 (Å) | c0 (Å) | α (degrees) | β (degrees) | γ (degrees) |
|---|---|---|---|---|---|---|---|---|---|
| C1--CaF2--fluorite | dynamic | -2.4728 | -2.4728 | 7.3602 | 7.3602 | 7.3602 | 90.0 | 90.0 | 90.0 |
Download raw data (including filtered results)
Reference structure matches:
| prototype | method | Ecoh (eV/atom) | Epot (eV/atom) | a0 (Å) | b0 (Å) | c0 (Å) | α (degrees) | β (degrees) | γ (degrees) |
|---|---|---|---|---|---|---|---|---|---|
| L2_1--AlCu2Mn--heusler | static | -2.794 | -2.794 | 7.2003 | 7.2003 | 7.2003 | 90.0 | 90.0 | 90.0 |
Download raw data (including filtered results)
Reference structure matches:
| prototype | method | Ecoh (eV/atom) | Epot (eV/atom) | a0 (Å) | b0 (Å) | c0 (Å) | α (degrees) | β (degrees) | γ (degrees) |
|---|---|---|---|---|---|---|---|---|---|
| mp-1223313 | dynamic | -3.236 | -3.236 | 4.2333 | 4.2333 | 20.8977 | 90.0 | 90.0 | 120.0 |
| mp-1223313 | box | -3.233 | -3.233 | 4.2243 | 4.2243 | 20.8663 | 90.0 | 90.0 | 120.0 |
| L2_1--AlCu2Mn--heusler | dynamic | -3.0133 | -3.0133 | 7.2714 | 7.2714 | 7.2714 | 90.0 | 90.0 | 90.0 |
Download raw data (including filtered results)
Reference structure matches:
| prototype | method | Ecoh (eV/atom) | Epot (eV/atom) | a0 (Å) | b0 (Å) | c0 (Å) | α (degrees) | β (degrees) | γ (degrees) |
|---|---|---|---|---|---|---|---|---|---|
| mp-1223311 | dynamic | -3.3036 | -3.3036 | 4.5479 | 4.5479 | 22.24 | 90.0 | 90.0 | 120.0 |
| mp-1223311 | box | -3.3033 | -3.3033 | 4.5486 | 4.5486 | 22.2534 | 90.0 | 90.0 | 120.0 |
| L2_1--AlCu2Mn--heusler | dynamic | -2.9833 | -2.9833 | 7.6561 | 7.6561 | 7.6561 | 90.0 | 90.0 | 90.0 |
| mp-1223307 | dynamic | -2.9691 | -2.9691 | 5.4096 | 5.4096 | 3.8366 | 90.0 | 90.0 | 90.0 |
Download raw data (including filtered results)
Reference structure matches:
| prototype | method | Ecoh (eV/atom) | Epot (eV/atom) | a0 (Å) | b0 (Å) | c0 (Å) | α (degrees) | β (degrees) | γ (degrees) |
|---|---|---|---|---|---|---|---|---|---|
| C1--CaF2--fluorite | static | -1.2324 | -1.2324 | 6.9873 | 6.9873 | 6.9873 | 90.0 | 90.0 | 90.0 |
Download raw data (including filtered results)
Reference structure matches:
| prototype | method | Ecoh (eV/atom) | Epot (eV/atom) | a0 (Å) | b0 (Å) | c0 (Å) | α (degrees) | β (degrees) | γ (degrees) |
|---|---|---|---|---|---|---|---|---|---|
| L2_1--AlCu2Mn--heusler | static | -2.8564 | -2.8564 | 6.6106 | 6.6106 | 6.6106 | 90.0 | 90.0 | 90.0 |
Download raw data (including filtered results)
Reference structure matches:
| prototype | method | Ecoh (eV/atom) | Epot (eV/atom) | a0 (Å) | b0 (Å) | c0 (Å) | α (degrees) | β (degrees) | γ (degrees) |
|---|---|---|---|---|---|---|---|---|---|
| mp-28243 | static | -3.3021 | -3.3021 | 4.2234 | 14.5573 | 7.0156 | 90.0 | 90.0 | 90.0 |
| mp-28243 | box | -3.2302 | -3.2302 | 4.1827 | 14.5998 | 7.1849 | 90.0 | 90.0 | 90.0 |
| L2_1--AlCu2Mn--heusler | static | -2.7069 | -2.7069 | 7.4963 | 7.4963 | 7.4963 | 90.0 | 90.0 | 90.0 |
Download raw data (including filtered results)
Reference structure matches:
| prototype | method | Ecoh (eV/atom) | Epot (eV/atom) | a0 (Å) | b0 (Å) | c0 (Å) | α (degrees) | β (degrees) | γ (degrees) |
|---|---|---|---|---|---|---|---|---|---|
| C1--CaF2--fluorite | static | -1.8326 | -1.8326 | 7.1061 | 7.1061 | 7.1061 | 90.0 | 90.0 | 90.0 |
Download raw data (including filtered results)
Reference structure matches:
| prototype | method | Ecoh (eV/atom) | Epot (eV/atom) | a0 (Å) | b0 (Å) | c0 (Å) | α (degrees) | β (degrees) | γ (degrees) |
|---|---|---|---|---|---|---|---|---|---|
| mp-1069676 | box | -2.5637 | -2.5637 | 3.4758 | 19.2306 | 3.4487 | 90.0 | 90.0 | 90.0 |
| mp-1095060 | box | -2.4995 | -2.4995 | 7.7274 | 7.7274 | 3.5599 | 90.0 | 90.0 | 90.0 |
Download raw data (including filtered results)
Reference structure matches:
| prototype | method | Ecoh (eV/atom) | Epot (eV/atom) | a0 (Å) | b0 (Å) | c0 (Å) | α (degrees) | β (degrees) | γ (degrees) |
|---|---|---|---|---|---|---|---|---|---|
| L2_1--AlCu2Mn--heusler | dynamic | -2.9228 | -2.9228 | 7.5266 | 7.5266 | 7.5266 | 90.0 | 90.0 | 90.0 |
Download raw data (including filtered results)
Reference structure matches:
| prototype | method | Ecoh (eV/atom) | Epot (eV/atom) | a0 (Å) | b0 (Å) | c0 (Å) | α (degrees) | β (degrees) | γ (degrees) |
|---|---|---|---|---|---|---|---|---|---|
| C1--CaF2--fluorite | dynamic | -2.648 | -2.648 | 7.5802 | 7.5802 | 7.5802 | 90.0 | 90.0 | 90.0 |
Download raw data (including filtered results)
Reference structure matches:
| prototype | method | Ecoh (eV/atom) | Epot (eV/atom) | a0 (Å) | b0 (Å) | c0 (Å) | α (degrees) | β (degrees) | γ (degrees) |
|---|---|---|---|---|---|---|---|---|---|
| L1_2--AuCu3 | static | -1.6283 | -1.6283 | 5.3798 | 5.3798 | 5.3798 | 90.0 | 90.0 | 90.0 |
| D0_3--BiF3 | box | -1.4894 | -1.4894 | 8.5109 | 8.5109 | 8.5109 | 90.0 | 90.0 | 90.0 |
| A15--Cr3Si | static | -1.478 | -1.478 | 6.9914 | 6.9914 | 6.9914 | 90.0 | 90.0 | 90.0 |
Download raw data (including filtered results)
Reference structure matches:
| prototype | method | Ecoh (eV/atom) | Epot (eV/atom) | a0 (Å) | b0 (Å) | c0 (Å) | α (degrees) | β (degrees) | γ (degrees) |
|---|---|---|---|---|---|---|---|---|---|
| mp-571390 | dynamic | -3.2244 | -3.2244 | 4.1383 | 23.0147 | 7.5254 | 90.0 | 90.0 | 90.0 |
| mp-571390 | box | -3.1575 | -3.1575 | 4.1256 | 22.8984 | 7.6807 | 90.0 | 90.0 | 90.0 |
Download raw data (including filtered results)
Reference structure matches:
| prototype | method | Ecoh (eV/atom) | Epot (eV/atom) | a0 (Å) | b0 (Å) | c0 (Å) | α (degrees) | β (degrees) | γ (degrees) |
|---|---|---|---|---|---|---|---|---|---|
| mp-569117 | dynamic | -3.4997 | -3.4997 | 4.3711 | 5.1379 | 12.371 | 90.0 | 90.0 | 90.0 |
| mp-1190687 | static | -3.4629 | -3.4629 | 11.993 | 6.7854 | 6.76 | 90.0 | 90.0 | 90.0 |
| mp-569117 | box | -3.4538 | -3.4538 | 4.5186 | 5.0323 | 12.1997 | 90.0 | 90.0 | 90.0 |
| mp-1190687 | box | -3.1256 | -3.1256 | 12.5054 | 7.3809 | 6.8815 | 90.0 | 90.0 | 90.0 |
Download raw data (including filtered results)
Reference structure matches:
| prototype | method | Ecoh (eV/atom) | Epot (eV/atom) | a0 (Å) | b0 (Å) | c0 (Å) | α (degrees) | β (degrees) | γ (degrees) |
|---|---|---|---|---|---|---|---|---|---|
| A15--Cr3Si | dynamic | -1.1464 | -1.1464 | 8.0291 | 8.0291 | 8.0291 | 90.0 | 90.0 | 90.0 |
| D0_3--BiF3 | dynamic | -1.1445 | -1.1445 | 9.9831 | 9.9831 | 9.9831 | 90.0 | 90.0 | 90.0 |
| L1_2--AuCu3 | dynamic | -1.0976 | -1.0976 | 6.4268 | 6.4268 | 6.4268 | 90.0 | 90.0 | 90.0 |
Download raw data (including filtered results)
Reference structure matches:
| prototype | method | Ecoh (eV/atom) | Epot (eV/atom) | a0 (Å) | b0 (Å) | c0 (Å) | α (degrees) | β (degrees) | γ (degrees) |
|---|---|---|---|---|---|---|---|---|---|
| D0_3--BiF3 | dynamic | -1.2315 | -1.2315 | 10.5915 | 10.5915 | 10.5915 | 90.0 | 90.0 | 90.0 |
| L1_2--AuCu3 | dynamic | -1.2067 | -1.2067 | 6.8269 | 6.8269 | 6.8269 | 90.0 | 90.0 | 90.0 |
| A15--Cr3Si | dynamic | -1.1856 | -1.1856 | 8.4561 | 8.4561 | 8.4561 | 90.0 | 90.0 | 90.0 |
| mp-27729 | static | -0.8085 | -0.8085 | 8.6916 | 9.1052 | 12.0634 | 101.7 | 95.6 | 98.1 |
Download raw data (including filtered results)
Reference structure matches:
| prototype | method | Ecoh (eV/atom) | Epot (eV/atom) | a0 (Å) | b0 (Å) | c0 (Å) | α (degrees) | β (degrees) | γ (degrees) |
|---|---|---|---|---|---|---|---|---|---|
| L1_2--AuCu3 | static | -0.9544 | -0.9544 | 5.4228 | 5.4228 | 5.4228 | 90.0 | 90.0 | 90.0 |
| A15--Cr3Si | static | -0.8355 | -0.8355 | 7.3278 | 7.3278 | 7.3278 | 90.0 | 90.0 | 90.0 |
| D0_3--BiF3 | static | -0.817 | -0.817 | 9.3669 | 9.3669 | 9.3669 | 90.0 | 90.0 | 90.0 |
Download raw data (including filtered results)
Reference structure matches:
| prototype | method | Ecoh (eV/atom) | Epot (eV/atom) | a0 (Å) | b0 (Å) | c0 (Å) | α (degrees) | β (degrees) | γ (degrees) |
|---|---|---|---|---|---|---|---|---|---|
| mp-1223818 | dynamic | -3.2575 | -3.2575 | 4.3103 | 4.3103 | 10.6044 | 90.0 | 90.0 | 120.0 |
| mp-1223818 | box | -3.2548 | -3.2548 | 4.3027 | 4.3027 | 10.5904 | 90.0 | 90.0 | 120.0 |
| mp-1223810 | dynamic | -3.2192 | -3.2192 | 4.3758 | 4.3758 | 18.2379 | 90.0 | 90.0 | 90.0 |
| mp-1223810 | box | -3.2113 | -3.2113 | 4.3746 | 4.3746 | 18.2912 | 90.0 | 90.0 | 90.0 |
Download raw data (including filtered results)
Reference structure matches:
| prototype | method | Ecoh (eV/atom) | Epot (eV/atom) | a0 (Å) | b0 (Å) | c0 (Å) | α (degrees) | β (degrees) | γ (degrees) |
|---|---|---|---|---|---|---|---|---|---|
| A15--Cr3Si | static | -0.6589 | -0.6589 | 8.1368 | 8.1368 | 8.1368 | 90.0 | 90.0 | 90.0 |
| D0_3--BiF3 | static | -0.6574 | -0.6574 | 10.2502 | 10.2502 | 10.2502 | 90.0 | 90.0 | 90.0 |
| L1_2--AuCu3 | dynamic | -0.6283 | -0.6283 | 6.6648 | 6.6648 | 6.6648 | 90.0 | 90.0 | 90.0 |
Download raw data (including filtered results)
Reference structure matches:
A15--Cr3Si = mp-1078558
| prototype | method | Ecoh (eV/atom) | Epot (eV/atom) | a0 (Å) | b0 (Å) | c0 (Å) | α (degrees) | β (degrees) | γ (degrees) |
|---|---|---|---|---|---|---|---|---|---|
| D0_3--BiF3 | static | -0.6783 | -0.6783 | 10.0941 | 10.0941 | 10.0941 | 90.0 | 90.0 | 90.0 |
| A15--Cr3Si | static | -0.6765 | -0.6765 | 8.0163 | 8.0163 | 8.0163 | 90.0 | 90.0 | 90.0 |
| L1_2--AuCu3 | static | -0.6327 | -0.6327 | 6.6009 | 6.6009 | 6.6009 | 90.0 | 90.0 | 90.0 |
Download raw data (including filtered results)
Reference structure matches:
| prototype | method | Ecoh (eV/atom) | Epot (eV/atom) | a0 (Å) | b0 (Å) | c0 (Å) | α (degrees) | β (degrees) | γ (degrees) |
|---|---|---|---|---|---|---|---|---|---|
| L1_2--AuCu3 | static | -1.2228 | -1.2228 | 5.3097 | 5.3097 | 5.3097 | 90.0 | 90.0 | 90.0 |
| D0_3--BiF3 | static | -1.121 | -1.121 | 8.1629 | 8.1629 | 8.1629 | 90.0 | 90.0 | 90.0 |
| A15--Cr3Si | static | -1.0505 | -1.0505 | 6.8579 | 6.8579 | 6.8579 | 90.0 | 90.0 | 90.0 |
Download raw data (including filtered results)
Reference structure matches:
| prototype | method | Ecoh (eV/atom) | Epot (eV/atom) | a0 (Å) | b0 (Å) | c0 (Å) | α (degrees) | β (degrees) | γ (degrees) |
|---|---|---|---|---|---|---|---|---|---|
| mp-606711 | dynamic | -2.9148 | -2.9148 | 10.188 | 4.1515 | 12.4429 | 90.0 | 90.0 | 90.0 |
| mp-606711 | box | -2.8764 | -2.8764 | 10.1466 | 4.1428 | 12.6169 | 90.0 | 90.0 | 90.0 |
| mp-1120734 | static | -2.8358 | -2.8358 | 7.833 | 7.833 | 3.9294 | 90.0 | 90.0 | 90.0 |
| mp-1120734 | box | -2.8232 | -2.8232 | 7.8277 | 7.8277 | 3.908 | 90.0 | 90.0 | 90.0 |
Download raw data (including filtered results)
Reference structure matches:
| prototype | method | Ecoh (eV/atom) | Epot (eV/atom) | a0 (Å) | b0 (Å) | c0 (Å) | α (degrees) | β (degrees) | γ (degrees) |
|---|---|---|---|---|---|---|---|---|---|
| mp-571666 | dynamic | -3.4747 | -3.4747 | 4.3875 | 31.7739 | 5.1341 | 90.0 | 90.0 | 90.0 |
| mp-571666 | static | -3.4391 | -3.4391 | 4.7414 | 29.6062 | 4.9563 | 90.0 | 90.0 | 90.0 |
| mp-571666 | box | -3.3859 | -3.3859 | 4.7224 | 30.3902 | 4.9401 | 90.0 | 90.0 | 90.0 |
Download raw data (including filtered results)
Reference structure matches:
| prototype | method | Ecoh (eV/atom) | Epot (eV/atom) | a0 (Å) | b0 (Å) | c0 (Å) | α (degrees) | β (degrees) | γ (degrees) |
|---|---|---|---|---|---|---|---|---|---|
| mp-647366 | box | -0.5532 | -0.5532 | 4.8042 | 25.5882 | 21.2969 | 90.0 | 97.3 | 90.0 |
Download raw data (including filtered results)
Reference structure matches:
| prototype | method | Ecoh (eV/atom) | Epot (eV/atom) | a0 (Å) | b0 (Å) | c0 (Å) | α (degrees) | β (degrees) | γ (degrees) |
|---|---|---|---|---|---|---|---|---|---|
| mp-570756 | box | -3.2305 | -3.2305 | 7.0144 | 24.0391 | 4.1067 | 90.0 | 125.8 | 90.0 |
Download raw data (including filtered results)
Reference structure matches:
| prototype | method | Ecoh (eV/atom) | Epot (eV/atom) | a0 (Å) | b0 (Å) | c0 (Å) | α (degrees) | β (degrees) | γ (degrees) |
|---|---|---|---|---|---|---|---|---|---|
| mp-1223916 | dynamic | -3.2848 | -3.2848 | 4.3661 | 4.3661 | 53.5838 | 90.0 | 90.0 | 120.0 |
| mp-1223916 | box | -3.2843 | -3.2843 | 4.3637 | 4.3637 | 53.5774 | 90.0 | 90.0 | 120.0 |
| mp-1223869 | dynamic | -3.2747 | -3.2747 | 14.5119 | 4.3729 | 10.7249 | 90.0 | 119.4 | 90.0 |
| mp-1223924 | dynamic | -3.2735 | -3.2735 | 4.3642 | 6.2275 | 21.8704 | 90.0 | 90.0 | 90.0 |
| mp-1223871 | dynamic | -3.2716 | -3.2716 | 9.7775 | 9.7775 | 6.2276 | 90.0 | 90.0 | 90.0 |
| mp-1223869 | box | -3.2683 | -3.2683 | 14.4877 | 4.3653 | 10.7086 | 90.0 | 119.5 | 90.0 |
| mp-1223924 | box | -3.268 | -3.268 | 4.3554 | 6.2271 | 21.8713 | 90.0 | 90.0 | 90.0 |
| mp-1223871 | box | -3.2645 | -3.2645 | 9.7664 | 9.7664 | 6.2268 | 90.0 | 90.0 | 90.0 |
| mp-1223813 | dynamic | -3.2627 | -3.2627 | 4.404 | 4.404 | 30.8527 | 90.0 | 90.0 | 90.0 |
| mp-1223813 | box | -3.2566 | -3.2566 | 4.4034 | 4.4034 | 30.9108 | 90.0 | 90.0 | 90.0 |
Download raw data (including filtered results)
Reference structure matches:
| prototype | method | Ecoh (eV/atom) | Epot (eV/atom) | a0 (Å) | b0 (Å) | c0 (Å) | α (degrees) | β (degrees) | γ (degrees) |
|---|---|---|---|---|---|---|---|---|---|
| mp-1223387 | dynamic | -3.26 | -3.26 | 4.0814 | 4.0814 | 50.3076 | 90.0 | 90.0 | 120.0 |
| mp-1223387 | box | -3.2596 | -3.2596 | 4.0814 | 4.0814 | 50.3093 | 90.0 | 90.0 | 120.0 |
| mp-1223378 | dynamic | -3.2391 | -3.2391 | 13.5741 | 4.0876 | 10.1051 | 90.0 | 119.1 | 90.0 |
| mp-1223378 | box | -3.2385 | -3.2385 | 13.5846 | 4.0916 | 10.0976 | 90.0 | 119.2 | 90.0 |
| mp-1223382 | dynamic | -3.2236 | -3.2236 | 4.0549 | 5.9801 | 20.4223 | 90.0 | 90.0 | 90.0 |
| mp-1223382 | box | -3.2234 | -3.2234 | 4.0573 | 5.9775 | 20.44 | 90.0 | 90.0 | 90.0 |
| mp-1223376 | dynamic | -3.1848 | -3.1848 | 4.2105 | 4.2105 | 28.6141 | 90.0 | 90.0 | 90.0 |
| mp-1223376 | box | -3.18 | -3.18 | 4.208 | 4.208 | 28.6963 | 90.0 | 90.0 | 90.0 |
Download raw data (including filtered results)
Reference structure matches:
| prototype | method | Ecoh (eV/atom) | Epot (eV/atom) | a0 (Å) | b0 (Å) | c0 (Å) | α (degrees) | β (degrees) | γ (degrees) |
|---|---|---|---|---|---|---|---|---|---|
| mp-989516 | dynamic | -0.356 | -0.356 | 17.2197 | 17.2197 | 17.2197 | 90.0 | 90.0 | 90.0 |
| mp-989516 | box | -0.1697 | -0.1697 | 19.2013 | 19.2013 | 19.2013 | 90.0 | 90.0 | 90.0 |
Download raw data (including filtered results)
Reference structure matches:
| prototype | method | Ecoh (eV/atom) | Epot (eV/atom) | a0 (Å) | b0 (Å) | c0 (Å) | α (degrees) | β (degrees) | γ (degrees) |
|---|---|---|---|---|---|---|---|---|---|
| mp-1080771 | box | 0.1483 | 0.1483 | 8.819 | 8.819 | 8.819 | 90.0 | 90.0 | 90.0 |
Download raw data (including filtered results)
Reference structure matches:
B1--NaCl--rock-salt = mp-573697
B2--CsCl = mp-22865
| prototype | method | Ecoh (eV/atom) | Epot (eV/atom) | a0 (Å) | b0 (Å) | c0 (Å) | α (degrees) | β (degrees) | γ (degrees) |
|---|---|---|---|---|---|---|---|---|---|
| B2--CsCl | dynamic | -3.3227 | -3.3227 | 3.9836 | 3.9836 | 3.9836 | 90.0 | 90.0 | 90.0 |
| B1--NaCl--rock-salt | dynamic | -2.891 | -2.891 | 6.7879 | 6.7879 | 6.7879 | 90.0 | 90.0 | 90.0 |
| B3--ZnS--cubic-zinc-blende | static | -1.582 | -1.582 | 7.7561 | 7.7561 | 7.7561 | 90.0 | 90.0 | 90.0 |
| B4--ZnS--wurtzite | box | -1.581 | -1.581 | 5.4825 | 5.4825 | 8.9534 | 90.0 | 90.0 | 120.0 |
Download raw data (including filtered results)
Reference structure matches:
| prototype | method | Ecoh (eV/atom) | Epot (eV/atom) | a0 (Å) | b0 (Å) | c0 (Å) | α (degrees) | β (degrees) | γ (degrees) |
|---|---|---|---|---|---|---|---|---|---|
| C1--CaF2--fluorite | dynamic | -2.1139 | -2.1139 | 7.9857 | 7.9857 | 7.9857 | 90.0 | 90.0 | 90.0 |
Download raw data (including filtered results)
Reference structure matches:
| prototype | method | Ecoh (eV/atom) | Epot (eV/atom) | a0 (Å) | b0 (Å) | c0 (Å) | α (degrees) | β (degrees) | γ (degrees) |
|---|---|---|---|---|---|---|---|---|---|
| L2_1--AlCu2Mn--heusler | dynamic | -3.122 | -3.122 | 7.6839 | 7.6839 | 7.6839 | 90.0 | 90.0 | 90.0 |
Download raw data (including filtered results)
Reference structure matches:
| prototype | method | Ecoh (eV/atom) | Epot (eV/atom) | a0 (Å) | b0 (Å) | c0 (Å) | α (degrees) | β (degrees) | γ (degrees) |
|---|---|---|---|---|---|---|---|---|---|
| L2_1--AlCu2Mn--heusler | dynamic | -2.787 | -2.787 | 8.5528 | 8.5528 | 8.5528 | 90.0 | 90.0 | 90.0 |
Download raw data (including filtered results)
Reference structure matches:
| prototype | method | Ecoh (eV/atom) | Epot (eV/atom) | a0 (Å) | b0 (Å) | c0 (Å) | α (degrees) | β (degrees) | γ (degrees) |
|---|---|---|---|---|---|---|---|---|---|
| L2_1--AlCu2Mn--heusler | static | -1.1215 | -1.1215 | 8.8985 | 8.8985 | 8.8985 | 90.0 | 90.0 | 90.0 |
Download raw data (including filtered results)
Reference structure matches:
| prototype | method | Ecoh (eV/atom) | Epot (eV/atom) | a0 (Å) | b0 (Å) | c0 (Å) | α (degrees) | β (degrees) | γ (degrees) |
|---|---|---|---|---|---|---|---|---|---|
| L2_1--AlCu2Mn--heusler | dynamic | -1.7753 | -1.7753 | 8.2314 | 8.2314 | 8.2314 | 90.0 | 90.0 | 90.0 |
Download raw data (including filtered results)
Reference structure matches:
| prototype | method | Ecoh (eV/atom) | Epot (eV/atom) | a0 (Å) | b0 (Å) | c0 (Å) | α (degrees) | β (degrees) | γ (degrees) |
|---|---|---|---|---|---|---|---|---|---|
| L2_1--AlCu2Mn--heusler | static | -1.5542 | -1.5542 | 8.374 | 8.374 | 8.374 | 90.0 | 90.0 | 90.0 |
Download raw data (including filtered results)
Reference structure matches:
| prototype | method | Ecoh (eV/atom) | Epot (eV/atom) | a0 (Å) | b0 (Å) | c0 (Å) | α (degrees) | β (degrees) | γ (degrees) |
|---|---|---|---|---|---|---|---|---|---|
| L2_1--AlCu2Mn--heusler | static | -0.8694 | -0.8694 | 9.2969 | 9.2969 | 9.2969 | 90.0 | 90.0 | 90.0 |
Download raw data (including filtered results)
Reference structure matches:
| prototype | method | Ecoh (eV/atom) | Epot (eV/atom) | a0 (Å) | b0 (Å) | c0 (Å) | α (degrees) | β (degrees) | γ (degrees) |
|---|---|---|---|---|---|---|---|---|---|
| L1_2--AuCu3 | static | -1.5575 | -1.5575 | 5.4816 | 5.4816 | 5.4816 | 90.0 | 90.0 | 90.0 |
| D0_3--BiF3 | static | -1.4176 | -1.4176 | 8.7598 | 8.7598 | 8.7598 | 90.0 | 90.0 | 90.0 |
| A15--Cr3Si | static | -1.2442 | -1.2442 | 7.0752 | 7.0752 | 7.0752 | 90.0 | 90.0 | 90.0 |
Download raw data (including filtered results)
Reference structure matches:
| prototype | method | Ecoh (eV/atom) | Epot (eV/atom) | a0 (Å) | b0 (Å) | c0 (Å) | α (degrees) | β (degrees) | γ (degrees) |
|---|---|---|---|---|---|---|---|---|---|
| L2_1--AlCu2Mn--heusler | dynamic | -2.7046 | -2.7046 | 7.0745 | 7.0745 | 7.0745 | 90.0 | 90.0 | 90.0 |
Download raw data (including filtered results)
Reference structure matches:
| prototype | method | Ecoh (eV/atom) | Epot (eV/atom) | a0 (Å) | b0 (Å) | c0 (Å) | α (degrees) | β (degrees) | γ (degrees) |
|---|---|---|---|---|---|---|---|---|---|
| L2_1--AlCu2Mn--heusler | static | -1.1863 | -1.1863 | 9.806 | 9.806 | 9.806 | 90.0 | 90.0 | 90.0 |
Download raw data (including filtered results)
Reference structure matches:
| prototype | method | Ecoh (eV/atom) | Epot (eV/atom) | a0 (Å) | b0 (Å) | c0 (Å) | α (degrees) | β (degrees) | γ (degrees) |
|---|---|---|---|---|---|---|---|---|---|
| mp-1002083 | static | -2.5664 | -2.5664 | 4.9069 | 4.9069 | 7.2563 | 90.0 | 90.0 | 90.0 |
Download raw data (including filtered results)
Reference structure matches:
| prototype | method | Ecoh (eV/atom) | Epot (eV/atom) | a0 (Å) | b0 (Å) | c0 (Å) | α (degrees) | β (degrees) | γ (degrees) |
|---|---|---|---|---|---|---|---|---|---|
| mp-1002080 | box | -2.1274 | -2.1274 | 4.6276 | 4.6276 | 7.3535 | 90.0 | 90.0 | 90.0 |
Download raw data (including filtered results)
Reference structure matches:
| prototype | method | Ecoh (eV/atom) | Epot (eV/atom) | a0 (Å) | b0 (Å) | c0 (Å) | α (degrees) | β (degrees) | γ (degrees) |
|---|---|---|---|---|---|---|---|---|---|
| mp-1021431 | box | -2.3802 | -2.3802 | 4.7224 | 4.7224 | 7.304 | 90.0 | 90.0 | 90.0 |
Download raw data (including filtered results)
Reference structure matches:
| prototype | method | Ecoh (eV/atom) | Epot (eV/atom) | a0 (Å) | b0 (Å) | c0 (Å) | α (degrees) | β (degrees) | γ (degrees) |
|---|---|---|---|---|---|---|---|---|---|
| L2_1--AlCu2Mn--heusler | static | -0.9095 | -0.9095 | 8.8454 | 8.8454 | 8.8454 | 90.0 | 90.0 | 90.0 |
Download raw data (including filtered results)
Reference structure matches:
| prototype | method | Ecoh (eV/atom) | Epot (eV/atom) | a0 (Å) | b0 (Å) | c0 (Å) | α (degrees) | β (degrees) | γ (degrees) |
|---|---|---|---|---|---|---|---|---|---|
| L2_1--AlCu2Mn--heusler | static | -1.5991 | -1.5991 | 7.4905 | 7.4905 | 7.4905 | 90.0 | 90.0 | 90.0 |
Download raw data (including filtered results)
Reference structure matches:
| prototype | method | Ecoh (eV/atom) | Epot (eV/atom) | a0 (Å) | b0 (Å) | c0 (Å) | α (degrees) | β (degrees) | γ (degrees) |
|---|---|---|---|---|---|---|---|---|---|
| L2_1--AlCu2Mn--heusler | static | -1.3619 | -1.3619 | 7.8448 | 7.8448 | 7.8448 | 90.0 | 90.0 | 90.0 |
Download raw data (including filtered results)
Reference structure matches:
| prototype | method | Ecoh (eV/atom) | Epot (eV/atom) | a0 (Å) | b0 (Å) | c0 (Å) | α (degrees) | β (degrees) | γ (degrees) |
|---|---|---|---|---|---|---|---|---|---|
| L2_1--AlCu2Mn--heusler | static | -0.7286 | -0.7286 | 9.4879 | 9.4879 | 9.4879 | 90.0 | 90.0 | 90.0 |
Download raw data (including filtered results)
Reference structure matches:
| prototype | method | Ecoh (eV/atom) | Epot (eV/atom) | a0 (Å) | b0 (Å) | c0 (Å) | α (degrees) | β (degrees) | γ (degrees) |
|---|---|---|---|---|---|---|---|---|---|
| B2--CsCl | dynamic | -1.0624 | -1.0624 | 4.7984 | 4.7984 | 4.7984 | 90.0 | 90.0 | 90.0 |
| mp-29504 | static | -1.0418 | -1.0418 | 12.0618 | 4.424 | 8.7083 | 90.0 | 110.9 | 90.0 |
| B1--NaCl--rock-salt | static | -0.7687 | -0.7687 | 7.4553 | 7.4553 | 7.4553 | 90.0 | 90.0 | 90.0 |
| mp-29504 | box | -0.3962 | -0.3962 | 9.3093 | 8.8751 | 6.7621 | 90.0 | 100.9 | 90.0 |
| B3--ZnS--cubic-zinc-blende | dynamic | -0.3343 | -0.3343 | 10.0256 | 10.0256 | 10.0256 | 90.0 | 90.0 | 90.0 |
| B4--ZnS--wurtzite | dynamic | -0.3343 | -0.3343 | 7.0873 | 7.0873 | 11.5829 | 90.0 | 90.0 | 120.0 |
Download raw data (including filtered results)
Reference structure matches:
| prototype | method | Ecoh (eV/atom) | Epot (eV/atom) | a0 (Å) | b0 (Å) | c0 (Å) | α (degrees) | β (degrees) | γ (degrees) |
|---|---|---|---|---|---|---|---|---|---|
| C1--CaF2--fluorite | dynamic | -0.5747 | -0.5747 | 9.4077 | 9.4077 | 9.4077 | 90.0 | 90.0 | 90.0 |
Download raw data (including filtered results)
Reference structure matches:
| prototype | method | Ecoh (eV/atom) | Epot (eV/atom) | a0 (Å) | b0 (Å) | c0 (Å) | α (degrees) | β (degrees) | γ (degrees) |
|---|---|---|---|---|---|---|---|---|---|
| L2_1--AlCu2Mn--heusler | dynamic | -0.9904 | -0.9904 | 9.9481 | 9.9481 | 9.9481 | 90.0 | 90.0 | 90.0 |
Download raw data (including filtered results)
Reference structure matches:
| prototype | method | Ecoh (eV/atom) | Epot (eV/atom) | a0 (Å) | b0 (Å) | c0 (Å) | α (degrees) | β (degrees) | γ (degrees) |
|---|---|---|---|---|---|---|---|---|---|
| L2_1--AlCu2Mn--heusler | static | -2.038 | -2.038 | 6.5889 | 6.5889 | 6.5889 | 90.0 | 90.0 | 90.0 |
Download raw data (including filtered results)
Reference structure matches:
| prototype | method | Ecoh (eV/atom) | Epot (eV/atom) | a0 (Å) | b0 (Å) | c0 (Å) | α (degrees) | β (degrees) | γ (degrees) |
|---|---|---|---|---|---|---|---|---|---|
| L2_1--AlCu2Mn--heusler | static | -0.438 | -0.438 | 9.3258 | 9.3258 | 9.3258 | 90.0 | 90.0 | 90.0 |
Download raw data (including filtered results)
Reference structure matches:
| prototype | method | Ecoh (eV/atom) | Epot (eV/atom) | a0 (Å) | b0 (Å) | c0 (Å) | α (degrees) | β (degrees) | γ (degrees) |
|---|---|---|---|---|---|---|---|---|---|
| L2_1--AlCu2Mn--heusler | static | -0.7558 | -0.7558 | 6.8642 | 6.8642 | 6.8642 | 90.0 | 90.0 | 90.0 |
Download raw data (including filtered results)
Reference structure matches:
| prototype | method | Ecoh (eV/atom) | Epot (eV/atom) | a0 (Å) | b0 (Å) | c0 (Å) | α (degrees) | β (degrees) | γ (degrees) |
|---|---|---|---|---|---|---|---|---|---|
| L2_1--AlCu2Mn--heusler | dynamic | -2.7842 | -2.7842 | 6.5989 | 6.5989 | 6.5989 | 90.0 | 90.0 | 90.0 |
Download raw data (including filtered results)
Reference structure matches:
| prototype | method | Ecoh (eV/atom) | Epot (eV/atom) | a0 (Å) | b0 (Å) | c0 (Å) | α (degrees) | β (degrees) | γ (degrees) |
|---|---|---|---|---|---|---|---|---|---|
| D0_3--BiF3 | dynamic | -0.9305 | -0.9305 | 9.1585 | 9.1585 | 9.1585 | 90.0 | 90.0 | 90.0 |
| L1_2--AuCu3 | static | -0.906 | -0.906 | 5.771 | 5.771 | 5.771 | 90.0 | 90.0 | 90.0 |
| A15--Cr3Si | dynamic | -0.879 | -0.879 | 7.3166 | 7.3166 | 7.3166 | 90.0 | 90.0 | 90.0 |
Download raw data (including filtered results)
Reference structure matches:
| prototype | method | Ecoh (eV/atom) | Epot (eV/atom) | a0 (Å) | b0 (Å) | c0 (Å) | α (degrees) | β (degrees) | γ (degrees) |
|---|---|---|---|---|---|---|---|---|---|
| mp-1213763 | box | -0.1387 | -0.1387 | 15.7537 | 18.0073 | 19.8562 | 90.0 | 90.0 | 90.0 |
Download raw data (including filtered results)
Reference structure matches:
| prototype | method | Ecoh (eV/atom) | Epot (eV/atom) | a0 (Å) | b0 (Å) | c0 (Å) | α (degrees) | β (degrees) | γ (degrees) |
|---|---|---|---|---|---|---|---|---|---|
| L2_1--AlCu2Mn--heusler | dynamic | -1.0113 | -1.0113 | 10.6488 | 10.6488 | 10.6488 | 90.0 | 90.0 | 90.0 |
Download raw data (including filtered results)
Reference structure matches:
| prototype | method | Ecoh (eV/atom) | Epot (eV/atom) | a0 (Å) | b0 (Å) | c0 (Å) | α (degrees) | β (degrees) | γ (degrees) |
|---|---|---|---|---|---|---|---|---|---|
| L2_1--AlCu2Mn--heusler | dynamic | -3.0604 | -3.0604 | 7.1618 | 7.1618 | 7.1618 | 90.0 | 90.0 | 90.0 |
Download raw data (including filtered results)
Reference structure matches:
| prototype | method | Ecoh (eV/atom) | Epot (eV/atom) | a0 (Å) | b0 (Å) | c0 (Å) | α (degrees) | β (degrees) | γ (degrees) |
|---|---|---|---|---|---|---|---|---|---|
| L2_1--AlCu2Mn--heusler | static | -3.4905 | -3.4905 | 5.7528 | 5.7528 | 5.7528 | 90.0 | 90.0 | 90.0 |
Download raw data (including filtered results)
Reference structure matches:
| prototype | method | Ecoh (eV/atom) | Epot (eV/atom) | a0 (Å) | b0 (Å) | c0 (Å) | α (degrees) | β (degrees) | γ (degrees) |
|---|---|---|---|---|---|---|---|---|---|
| L2_1--AlCu2Mn--heusler | static | -3.2824 | -3.2824 | 6.3423 | 6.3423 | 6.3423 | 90.0 | 90.0 | 90.0 |
Download raw data (including filtered results)
Reference structure matches:
| prototype | method | Ecoh (eV/atom) | Epot (eV/atom) | a0 (Å) | b0 (Å) | c0 (Å) | α (degrees) | β (degrees) | γ (degrees) |
|---|---|---|---|---|---|---|---|---|---|
| L2_1--AlCu2Mn--heusler | static | -2.5792 | -2.5792 | 7.5427 | 7.5427 | 7.5427 | 90.0 | 90.0 | 90.0 |
Download raw data (including filtered results)
Reference structure matches:
| prototype | method | Ecoh (eV/atom) | Epot (eV/atom) | a0 (Å) | b0 (Å) | c0 (Å) | α (degrees) | β (degrees) | γ (degrees) |
|---|---|---|---|---|---|---|---|---|---|
| B2--CsCl | dynamic | -1.1783 | -1.1783 | 5.4251 | 5.4251 | 5.4251 | 90.0 | 90.0 | 90.0 |
| L1_0--AuCu | dynamic | -1.1619 | -1.1619 | 4.996 | 4.996 | 6.8471 | 90.0 | 90.0 | 90.0 |
| mp-573495 | static | -1.145 | -1.145 | 17.2271 | 4.9143 | 16.3312 | 90.0 | 98.8 | 90.0 |
| mp-568024 | dynamic | -1.1044 | -1.1044 | 12.544 | 13.7362 | 8.0008 | 90.0 | 97.8 | 90.0 |
| mp-568024 | static | -1.0989 | -1.0989 | 12.4733 | 13.8158 | 7.9872 | 90.0 | 97.7 | 90.0 |
| B1--NaCl--rock-salt | static | -0.6013 | -0.6013 | 9.6844 | 9.6844 | 9.6844 | 90.0 | 90.0 | 90.0 |
| mp-567998 | box | -0.42 | -0.42 | 23.8555 | 4.8141 | 21.1027 | 90.0 | 115.9 | 90.0 |
| B3--ZnS--cubic-zinc-blende | dynamic | -0.3929 | -0.3929 | 11.4278 | 11.4278 | 11.4278 | 90.0 | 90.0 | 90.0 |
| B4--ZnS--wurtzite | dynamic | -0.3929 | -0.3929 | 8.0785 | 8.0785 | 13.2027 | 90.0 | 90.0 | 120.0 |
Download raw data (including filtered results)
Reference structure matches:
| prototype | method | Ecoh (eV/atom) | Epot (eV/atom) | a0 (Å) | b0 (Å) | c0 (Å) | α (degrees) | β (degrees) | γ (degrees) |
|---|---|---|---|---|---|---|---|---|---|
| C1--CaF2--fluorite | dynamic | -0.838 | -0.838 | 11.0031 | 11.0031 | 11.0031 | 90.0 | 90.0 | 90.0 |
Download raw data (including filtered results)
Reference structure matches:
| prototype | method | Ecoh (eV/atom) | Epot (eV/atom) | a0 (Å) | b0 (Å) | c0 (Å) | α (degrees) | β (degrees) | γ (degrees) |
|---|---|---|---|---|---|---|---|---|---|
| L2_1--AlCu2Mn--heusler | static | -0.776 | -0.776 | 10.3442 | 10.3442 | 10.3442 | 90.0 | 90.0 | 90.0 |
Download raw data (including filtered results)
Reference structure matches:
| prototype | method | Ecoh (eV/atom) | Epot (eV/atom) | a0 (Å) | b0 (Å) | c0 (Å) | α (degrees) | β (degrees) | γ (degrees) |
|---|---|---|---|---|---|---|---|---|---|
| L2_1--AlCu2Mn--heusler | static | -0.6315 | -0.6315 | 10.9795 | 10.9795 | 10.9795 | 90.0 | 90.0 | 90.0 |
Download raw data (including filtered results)
Reference structure matches:
| prototype | method | Ecoh (eV/atom) | Epot (eV/atom) | a0 (Å) | b0 (Å) | c0 (Å) | α (degrees) | β (degrees) | γ (degrees) |
|---|---|---|---|---|---|---|---|---|---|
| L2_1--AlCu2Mn--heusler | static | -0.7211 | -0.7211 | 10.5473 | 10.5473 | 10.5473 | 90.0 | 90.0 | 90.0 |
Download raw data (including filtered results)
Reference structure matches:
| prototype | method | Ecoh (eV/atom) | Epot (eV/atom) | a0 (Å) | b0 (Å) | c0 (Å) | α (degrees) | β (degrees) | γ (degrees) |
|---|---|---|---|---|---|---|---|---|---|
| L2_1--AlCu2Mn--heusler | static | -0.8299 | -0.8299 | 10.1933 | 10.1933 | 10.1933 | 90.0 | 90.0 | 90.0 |
Download raw data (including filtered results)
Reference structure matches:
| prototype | method | Ecoh (eV/atom) | Epot (eV/atom) | a0 (Å) | b0 (Å) | c0 (Å) | α (degrees) | β (degrees) | γ (degrees) |
|---|---|---|---|---|---|---|---|---|---|
| D0_3--BiF3 | dynamic | -1.1318 | -1.1318 | 11.1708 | 11.1708 | 11.1708 | 90.0 | 90.0 | 90.0 |
| L1_2--AuCu3 | dynamic | -1.1277 | -1.1277 | 7.1677 | 7.1677 | 7.1677 | 90.0 | 90.0 | 90.0 |
| A15--Cr3Si | dynamic | -1.0998 | -1.0998 | 8.9972 | 8.9972 | 8.9972 | 90.0 | 90.0 | 90.0 |
Download raw data (including filtered results)
Reference structure matches:
| prototype | method | Ecoh (eV/atom) | Epot (eV/atom) | a0 (Å) | b0 (Å) | c0 (Å) | α (degrees) | β (degrees) | γ (degrees) |
|---|---|---|---|---|---|---|---|---|---|
| L2_1--AlCu2Mn--heusler | static | -2.5138 | -2.5138 | 8.0928 | 8.0928 | 8.0928 | 90.0 | 90.0 | 90.0 |
Download raw data (including filtered results)
Reference structure matches:
| prototype | method | Ecoh (eV/atom) | Epot (eV/atom) | a0 (Å) | b0 (Å) | c0 (Å) | α (degrees) | β (degrees) | γ (degrees) |
|---|---|---|---|---|---|---|---|---|---|
| mp-1021327 | static | -2.8803 | -2.8803 | 4.2956 | 4.2956 | 6.9502 | 90.0 | 90.0 | 90.0 |
Download raw data (including filtered results)
Reference structure matches:
| prototype | method | Ecoh (eV/atom) | Epot (eV/atom) | a0 (Å) | b0 (Å) | c0 (Å) | α (degrees) | β (degrees) | γ (degrees) |
|---|---|---|---|---|---|---|---|---|---|
| mp-1002081 | static | -2.8454 | -2.8454 | 4.417 | 4.417 | 6.924 | 90.0 | 90.0 | 90.0 |
Download raw data (including filtered results)
Reference structure matches:
| prototype | method | Ecoh (eV/atom) | Epot (eV/atom) | a0 (Å) | b0 (Å) | c0 (Å) | α (degrees) | β (degrees) | γ (degrees) |
|---|---|---|---|---|---|---|---|---|---|
| L2_1--AlCu2Mn--heusler | static | -2.1183 | -2.1183 | 7.0205 | 7.0205 | 7.0205 | 90.0 | 90.0 | 90.0 |
Download raw data (including filtered results)
Reference structure matches:
| prototype | method | Ecoh (eV/atom) | Epot (eV/atom) | a0 (Å) | b0 (Å) | c0 (Å) | α (degrees) | β (degrees) | γ (degrees) |
|---|---|---|---|---|---|---|---|---|---|
| mp-1002069 | static | -2.8879 | -2.8879 | 4.2037 | 4.2037 | 6.0075 | 90.0 | 90.0 | 90.0 |
Download raw data (including filtered results)
Reference structure matches:
| prototype | method | Ecoh (eV/atom) | Epot (eV/atom) | a0 (Å) | b0 (Å) | c0 (Å) | α (degrees) | β (degrees) | γ (degrees) |
|---|---|---|---|---|---|---|---|---|---|
| L2_1--AlCu2Mn--heusler | static | -2.2869 | -2.2869 | 7.5103 | 7.5103 | 7.5103 | 90.0 | 90.0 | 90.0 |
Download raw data (including filtered results)
Reference structure matches:
| prototype | method | Ecoh (eV/atom) | Epot (eV/atom) | a0 (Å) | b0 (Å) | c0 (Å) | α (degrees) | β (degrees) | γ (degrees) |
|---|---|---|---|---|---|---|---|---|---|
| L2_1--AlCu2Mn--heusler | static | -2.2956 | -2.2956 | 8.4124 | 8.4124 | 8.4124 | 90.0 | 90.0 | 90.0 |
Download raw data (including filtered results)
Reference structure matches:
B1--NaCl--rock-salt = mp-23193
B2--CsCl = mp-23289
| prototype | method | Ecoh (eV/atom) | Epot (eV/atom) | a0 (Å) | b0 (Å) | c0 (Å) | α (degrees) | β (degrees) | γ (degrees) |
|---|---|---|---|---|---|---|---|---|---|
| B1--NaCl--rock-salt | dynamic | -3.3395 | -3.3395 | 6.2799 | 6.2799 | 6.2799 | 90.0 | 90.0 | 90.0 |
| B2--CsCl | dynamic | -3.0716 | -3.0716 | 3.7379 | 3.7379 | 3.7379 | 90.0 | 90.0 | 90.0 |
| B4--ZnS--wurtzite | box | -2.5811 | -2.5811 | 4.9723 | 4.9723 | 8.1187 | 90.0 | 90.0 | 120.0 |
| B3--ZnS--cubic-zinc-blende | dynamic | -2.5792 | -2.5792 | 7.0329 | 7.0329 | 7.0329 | 90.0 | 90.0 | 90.0 |
Download raw data (including filtered results)
Reference structure matches:
| prototype | method | Ecoh (eV/atom) | Epot (eV/atom) | a0 (Å) | b0 (Å) | c0 (Å) | α (degrees) | β (degrees) | γ (degrees) |
|---|---|---|---|---|---|---|---|---|---|
| C1--CaF2--fluorite | dynamic | -2.35 | -2.35 | 7.3843 | 7.3843 | 7.3843 | 90.0 | 90.0 | 90.0 |
Download raw data (including filtered results)
Reference structure matches:
| prototype | method | Ecoh (eV/atom) | Epot (eV/atom) | a0 (Å) | b0 (Å) | c0 (Å) | α (degrees) | β (degrees) | γ (degrees) |
|---|---|---|---|---|---|---|---|---|---|
| L2_1--AlCu2Mn--heusler | dynamic | -1.5447 | -1.5447 | 7.7793 | 7.7793 | 7.7793 | 90.0 | 90.0 | 90.0 |
Download raw data (including filtered results)
Reference structure matches:
| prototype | method | Ecoh (eV/atom) | Epot (eV/atom) | a0 (Å) | b0 (Å) | c0 (Å) | α (degrees) | β (degrees) | γ (degrees) |
|---|---|---|---|---|---|---|---|---|---|
| L2_1--AlCu2Mn--heusler | static | -1.2801 | -1.2801 | 7.8858 | 7.8858 | 7.8858 | 90.0 | 90.0 | 90.0 |
Download raw data (including filtered results)
Reference structure matches:
| prototype | method | Ecoh (eV/atom) | Epot (eV/atom) | a0 (Å) | b0 (Å) | c0 (Å) | α (degrees) | β (degrees) | γ (degrees) |
|---|---|---|---|---|---|---|---|---|---|
| L2_1--AlCu2Mn--heusler | static | -0.546 | -0.546 | 9.6395 | 9.6395 | 9.6395 | 90.0 | 90.0 | 90.0 |
Download raw data (including filtered results)
Reference structure matches:
| prototype | method | Ecoh (eV/atom) | Epot (eV/atom) | a0 (Å) | b0 (Å) | c0 (Å) | α (degrees) | β (degrees) | γ (degrees) |
|---|---|---|---|---|---|---|---|---|---|
| L1_2--AuCu3 | static | -0.86 | -0.86 | 5.4381 | 5.4381 | 5.4381 | 90.0 | 90.0 | 90.0 |
| D0_3--BiF3 | static | -0.7289 | -0.7289 | 8.7726 | 8.7726 | 8.7726 | 90.0 | 90.0 | 90.0 |
| A15--Cr3Si | box | -0.6886 | -0.6886 | 7.0827 | 7.0827 | 7.0827 | 90.0 | 90.0 | 90.0 |
Download raw data (including filtered results)
Reference structure matches:
| prototype | method | Ecoh (eV/atom) | Epot (eV/atom) | a0 (Å) | b0 (Å) | c0 (Å) | α (degrees) | β (degrees) | γ (degrees) |
|---|---|---|---|---|---|---|---|---|---|
| L2_1--AlCu2Mn--heusler | static | -1.6241 | -1.6241 | 6.9505 | 6.9505 | 6.9505 | 90.0 | 90.0 | 90.0 |
Download raw data (including filtered results)
Reference structure matches:
| prototype | method | Ecoh (eV/atom) | Epot (eV/atom) | a0 (Å) | b0 (Å) | c0 (Å) | α (degrees) | β (degrees) | γ (degrees) |
|---|---|---|---|---|---|---|---|---|---|
| L2_1--AlCu2Mn--heusler | static | -1.2968 | -1.2968 | 7.4488 | 7.4488 | 7.4488 | 90.0 | 90.0 | 90.0 |
Download raw data (including filtered results)
Reference structure matches:
| prototype | method | Ecoh (eV/atom) | Epot (eV/atom) | a0 (Å) | b0 (Å) | c0 (Å) | α (degrees) | β (degrees) | γ (degrees) |
|---|---|---|---|---|---|---|---|---|---|
| L2_1--AlCu2Mn--heusler | static | -0.6143 | -0.6143 | 9.7502 | 9.7502 | 9.7502 | 90.0 | 90.0 | 90.0 |
Download raw data (including filtered results)
Reference structure matches:
B1--NaCl--rock-salt = mp-22905
| prototype | method | Ecoh (eV/atom) | Epot (eV/atom) | a0 (Å) | b0 (Å) | c0 (Å) | α (degrees) | β (degrees) | γ (degrees) |
|---|---|---|---|---|---|---|---|---|---|
| B1--NaCl--rock-salt | dynamic | -3.5779 | -3.5779 | 5.1332 | 5.1332 | 5.1332 | 90.0 | 90.0 | 90.0 |
| B4--ZnS--wurtzite | dynamic | -3.3621 | -3.3621 | 4.0023 | 4.0023 | 6.3686 | 90.0 | 90.0 | 120.0 |
| mp-1185319 | box | -3.3612 | -3.3612 | 3.9835 | 3.9835 | 6.4397 | 90.0 | 90.0 | 120.0 |
| B4--ZnS--wurtzite | box | -3.3602 | -3.3602 | 3.9757 | 3.9757 | 6.4684 | 90.0 | 90.0 | 120.0 |
| B3--ZnS--cubic-zinc-blende | dynamic | -3.3551 | -3.3551 | 5.6214 | 5.6214 | 5.6214 | 90.0 | 90.0 | 90.0 |
| B2--CsCl | static | -2.9052 | -2.9052 | 3.1279 | 3.1279 | 3.1279 | 90.0 | 90.0 | 90.0 |
Download raw data (including filtered results)
Reference structure matches:
| prototype | method | Ecoh (eV/atom) | Epot (eV/atom) | a0 (Å) | b0 (Å) | c0 (Å) | α (degrees) | β (degrees) | γ (degrees) |
|---|---|---|---|---|---|---|---|---|---|
| C1--CaF2--fluorite | dynamic | -4.3044 | -4.3044 | 5.6663 | 5.6663 | 5.6663 | 90.0 | 90.0 | 90.0 |
Download raw data (including filtered results)
Reference structure matches:
| prototype | method | Ecoh (eV/atom) | Epot (eV/atom) | a0 (Å) | b0 (Å) | c0 (Å) | α (degrees) | β (degrees) | γ (degrees) |
|---|---|---|---|---|---|---|---|---|---|
| L2_1--AlCu2Mn--heusler | static | -2.7413 | -2.7413 | 6.1714 | 6.1714 | 6.1714 | 90.0 | 90.0 | 90.0 |
Download raw data (including filtered results)
Reference structure matches:
| prototype | method | Ecoh (eV/atom) | Epot (eV/atom) | a0 (Å) | b0 (Å) | c0 (Å) | α (degrees) | β (degrees) | γ (degrees) |
|---|---|---|---|---|---|---|---|---|---|
| L2_1--AlCu2Mn--heusler | static | -1.1172 | -1.1172 | 7.451 | 7.451 | 7.451 | 90.0 | 90.0 | 90.0 |
Download raw data (including filtered results)
Reference structure matches:
| prototype | method | Ecoh (eV/atom) | Epot (eV/atom) | a0 (Å) | b0 (Å) | c0 (Å) | α (degrees) | β (degrees) | γ (degrees) |
|---|---|---|---|---|---|---|---|---|---|
| D0_3--BiF3 | static | -3.3278 | -3.3278 | 5.8451 | 5.8451 | 5.8451 | 90.0 | 90.0 | 90.0 |
| A15--Cr3Si | dynamic | -3.2677 | -3.2677 | 4.6711 | 4.6711 | 4.6711 | 90.0 | 90.0 | 90.0 |
| L1_2--AuCu3 | static | -3.1135 | -3.1135 | 3.7286 | 3.7286 | 3.7286 | 90.0 | 90.0 | 90.0 |
Download raw data (including filtered results)
Reference structure matches:
| prototype | method | Ecoh (eV/atom) | Epot (eV/atom) | a0 (Å) | b0 (Å) | c0 (Å) | α (degrees) | β (degrees) | γ (degrees) |
|---|---|---|---|---|---|---|---|---|---|
| L2_1--AlCu2Mn--heusler | static | -2.2354 | -2.2354 | 6.7116 | 6.7116 | 6.7116 | 90.0 | 90.0 | 90.0 |
Download raw data (including filtered results)
Reference structure matches:
| prototype | method | Ecoh (eV/atom) | Epot (eV/atom) | a0 (Å) | b0 (Å) | c0 (Å) | α (degrees) | β (degrees) | γ (degrees) |
|---|---|---|---|---|---|---|---|---|---|
| L2_1--AlCu2Mn--heusler | static | -1.2214 | -1.2214 | 8.3555 | 8.3555 | 8.3555 | 90.0 | 90.0 | 90.0 |
Download raw data (including filtered results)
Reference structure matches:
B1--NaCl--rock-salt = mp-22862
B2--CsCl = mp-22851
| prototype | method | Ecoh (eV/atom) | Epot (eV/atom) | a0 (Å) | b0 (Å) | c0 (Å) | α (degrees) | β (degrees) | γ (degrees) |
|---|---|---|---|---|---|---|---|---|---|
| B1--NaCl--rock-salt | dynamic | -3.3145 | -3.3145 | 5.631 | 5.631 | 5.631 | 90.0 | 90.0 | 90.0 |
| mp-1120767 | box | -3.2106 | -3.2106 | 6.6897 | 6.6897 | 6.9251 | 90.0 | 90.0 | 120.0 |
| B2--CsCl | static | -2.9796 | -2.9796 | 3.4268 | 3.4268 | 3.4268 | 90.0 | 90.0 | 90.0 |
| B4--ZnS--wurtzite | box | -2.8303 | -2.8303 | 4.3676 | 4.3676 | 7.1035 | 90.0 | 90.0 | 120.0 |
| B3--ZnS--cubic-zinc-blende | static | -2.825 | -2.825 | 6.1748 | 6.1748 | 6.1748 | 90.0 | 90.0 | 90.0 |
Download raw data (including filtered results)
Reference structure matches:
| prototype | method | Ecoh (eV/atom) | Epot (eV/atom) | a0 (Å) | b0 (Å) | c0 (Å) | α (degrees) | β (degrees) | γ (degrees) |
|---|---|---|---|---|---|---|---|---|---|
| C1--CaF2--fluorite | dynamic | -3.1026 | -3.1026 | 6.4211 | 6.4211 | 6.4211 | 90.0 | 90.0 | 90.0 |
| mp-1018810 | box | -2.3084 | -2.3084 | 3.5091 | 3.5091 | 11.9973 | 90.0 | 90.0 | 90.0 |
Download raw data (including filtered results)
Reference structure matches:
| prototype | method | Ecoh (eV/atom) | Epot (eV/atom) | a0 (Å) | b0 (Å) | c0 (Å) | α (degrees) | β (degrees) | γ (degrees) |
|---|---|---|---|---|---|---|---|---|---|
| L2_1--AlCu2Mn--heusler | static | -0.8761 | -0.8761 | 7.8815 | 7.8815 | 7.8815 | 90.0 | 90.0 | 90.0 |
Download raw data (including filtered results)
Reference structure matches:
| prototype | method | Ecoh (eV/atom) | Epot (eV/atom) | a0 (Å) | b0 (Å) | c0 (Å) | α (degrees) | β (degrees) | γ (degrees) |
|---|---|---|---|---|---|---|---|---|---|
| mp-1064484 | static | -2.0676 | -2.0676 | 3.5344 | 3.5344 | 9.1368 | 90.0 | 90.0 | 90.0 |
| mp-1064484 | box | -2.0469 | -2.0469 | 3.5574 | 3.5574 | 8.6113 | 90.0 | 90.0 | 90.0 |
| D0_3--BiF3 | static | -2.0165 | -2.0165 | 6.8853 | 6.8853 | 6.8853 | 90.0 | 90.0 | 90.0 |
| A15--Cr3Si | static | -1.9391 | -1.9391 | 5.4753 | 5.4753 | 5.4753 | 90.0 | 90.0 | 90.0 |
| L1_2--AuCu3 | static | -1.8627 | -1.8627 | 4.4269 | 4.4269 | 4.4269 | 90.0 | 90.0 | 90.0 |
Download raw data (including filtered results)
Reference structure matches:
| prototype | method | Ecoh (eV/atom) | Epot (eV/atom) | a0 (Å) | b0 (Å) | c0 (Å) | α (degrees) | β (degrees) | γ (degrees) |
|---|---|---|---|---|---|---|---|---|---|
| L2_1--AlCu2Mn--heusler | static | -0.9635 | -0.9635 | 8.5935 | 8.5935 | 8.5935 | 90.0 | 90.0 | 90.0 |
Download raw data (including filtered results)
Reference structure matches:
B1--NaCl--rock-salt = mp-23295
B2--CsCl = mp-23299
| prototype | method | Ecoh (eV/atom) | Epot (eV/atom) | a0 (Å) | b0 (Å) | c0 (Å) | α (degrees) | β (degrees) | γ (degrees) |
|---|---|---|---|---|---|---|---|---|---|
| B1--NaCl--rock-salt | dynamic | -3.295 | -3.295 | 6.5676 | 6.5676 | 6.5676 | 90.0 | 90.0 | 90.0 |
| B2--CsCl | dynamic | -2.8945 | -2.8945 | 3.8937 | 3.8937 | 3.8937 | 90.0 | 90.0 | 90.0 |
| B4--ZnS--wurtzite | static | -2.4276 | -2.4276 | 5.3304 | 5.3304 | 8.1415 | 90.0 | 90.0 | 120.0 |
| B4--ZnS--wurtzite | static | -2.4273 | -2.4273 | 5.3106 | 5.3106 | 8.2197 | 90.0 | 90.0 | 120.0 |
| B4--ZnS--wurtzite | box | -2.4267 | -2.4267 | 5.2229 | 5.2229 | 8.5318 | 90.0 | 90.0 | 120.0 |
| B3--ZnS--cubic-zinc-blende | dynamic | -2.4258 | -2.4258 | 7.3879 | 7.3879 | 7.3879 | 90.0 | 90.0 | 90.0 |
Download raw data (including filtered results)
Reference structure matches:
| prototype | method | Ecoh (eV/atom) | Epot (eV/atom) | a0 (Å) | b0 (Å) | c0 (Å) | α (degrees) | β (degrees) | γ (degrees) |
|---|---|---|---|---|---|---|---|---|---|
| C1--CaF2--fluorite | dynamic | -1.8425 | -1.8425 | 7.8351 | 7.8351 | 7.8351 | 90.0 | 90.0 | 90.0 |
Download raw data (including filtered results)
Reference structure matches:
| prototype | method | Ecoh (eV/atom) | Epot (eV/atom) | a0 (Å) | b0 (Å) | c0 (Å) | α (degrees) | β (degrees) | γ (degrees) |
|---|---|---|---|---|---|---|---|---|---|
| D0_3--BiF3 | box | -0.5016 | -0.5016 | 10.4134 | 10.4134 | 10.4134 | 90.0 | 90.0 | 90.0 |
| L1_2--AuCu3 | static | -0.4981 | -0.4981 | 6.3508 | 6.3508 | 6.3508 | 90.0 | 90.0 | 90.0 |
| A15--Cr3Si | static | -0.4592 | -0.4592 | 8.3306 | 8.3306 | 8.3306 | 90.0 | 90.0 | 90.0 |
Download raw data (including filtered results)
Reference structure matches:
A1--Cu--fcc = mp-1055940, oqmd-676192, oqmd-676503, oqmd-676504, oqmd-1214519
A15--beta-W = mp-949029, oqmd-1214964
A2--W--bcc = mp-1, oqmd-676288, oqmd-677954, oqmd-1215142
A3'--alpha-La--double-hcp = mp-639727, oqmd-685233, oqmd-1215410
A3--Mg--hcp = mp-11832, oqmd-676673, oqmd-1215320
A4--C--dc = oqmd-1215499
A5--beta-Sn = mp-3, oqmd-620946, oqmd-621965, oqmd-1215588
A6--In--bct = mp-1183694, oqmd-635513, oqmd-1215677
A7--alpha-As = oqmd-1215766
| prototype | method | Ecoh (eV/atom) | Epot (eV/atom) | a0 (Å) | b0 (Å) | c0 (Å) | α (degrees) | β (degrees) | γ (degrees) |
|---|---|---|---|---|---|---|---|---|---|
| A1--Cu--fcc | dynamic | -0.7934 | -0.7934 | 6.0887 | 6.0887 | 6.0887 | 90.0 | 90.0 | 90.0 |
| oqmd-1216033 | dynamic | -0.7934 | -0.7934 | 4.3054 | 4.3054 | 31.638 | 90.0 | 90.0 | 120.0 |
| A3--Mg--hcp | dynamic | -0.7934 | -0.7934 | 4.3054 | 4.3054 | 7.0307 | 90.0 | 90.0 | 120.0 |
| A3'--alpha-La--double-hcp | dynamic | -0.7934 | -0.7934 | 4.3054 | 4.3054 | 14.0614 | 90.0 | 90.0 | 120.0 |
| A2--W--bcc | static | -0.7399 | -0.7399 | 4.8265 | 4.8265 | 4.8265 | 90.0 | 90.0 | 90.0 |
| oqmd-1214875 | dynamic | -0.7378 | -0.7378 | 10.5246 | 10.5246 | 10.5246 | 90.0 | 90.0 | 90.0 |
| mp-1183897 | static | -0.7377 | -0.7377 | 10.5236 | 10.5236 | 10.5236 | 90.0 | 90.0 | 90.0 |
| mp-1184151 | dynamic | -0.7106 | -0.7106 | 14.9917 | 14.9917 | 14.9917 | 90.0 | 90.0 | 90.0 |
| mp-1184151 | static | -0.7106 | -0.7106 | 14.991 | 14.991 | 14.991 | 90.0 | 90.0 | 90.0 |
| oqmd-620945 | static | -0.6756 | -0.6756 | 8.7911 | 14.1946 | 40.6604 | 90.0 | 90.0 | 90.0 |
| A15--beta-W | dynamic | -0.6715 | -0.6715 | 7.7635 | 7.7635 | 7.7635 | 90.0 | 90.0 | 90.0 |
| oqmd-1277954 | static | -0.6132 | -0.6132 | 19.7548 | 19.7548 | 19.7548 | 90.0 | 90.0 | 90.0 |
| A5--beta-Sn | dynamic | -0.5299 | -0.5299 | 4.2979 | 4.2979 | 14.9111 | 90.0 | 90.0 | 90.0 |
| A5--beta-Sn | static | -0.4596 | -0.4596 | 8.14 | 8.14 | 4.2076 | 90.0 | 90.0 | 90.0 |
| Ah--alpha-Po--sc | static | -0.3978 | -0.3978 | 4.2978 | 4.2978 | 4.2978 | 90.0 | 90.0 | 90.0 |
| A4--C--dc | dynamic | -0.2642 | -0.2642 | 9.9483 | 9.9483 | 9.9483 | 90.0 | 90.0 | 90.0 |
| A7--alpha-As | box | -0.2117 | -0.2117 | 5.79 | 5.79 | 20.9074 | 90.0 | 90.0 | 120.0 |
| A1--Cu--fcc | box | 0.0 | 0.0 | 8.8298 | 8.8298 | 8.8298 | 90.0 | 90.0 | 90.0 |
Download raw data (including filtered results)
Reference structure matches:
| prototype | method | Ecoh (eV/atom) | Epot (eV/atom) | a0 (Å) | b0 (Å) | c0 (Å) | α (degrees) | β (degrees) | γ (degrees) |
|---|---|---|---|---|---|---|---|---|---|
| C1--CaF2--fluorite | static | -1.908 | -1.908 | 7.403 | 7.403 | 7.403 | 90.0 | 90.0 | 90.0 |
Download raw data (including filtered results)
Reference structure matches:
| prototype | method | Ecoh (eV/atom) | Epot (eV/atom) | a0 (Å) | b0 (Å) | c0 (Å) | α (degrees) | β (degrees) | γ (degrees) |
|---|---|---|---|---|---|---|---|---|---|
| mp-553988 | dynamic | -3.6295 | -3.6295 | 3.8675 | 21.8098 | 6.0367 | 90.0 | 90.0 | 90.0 |
| mp-553988 | box | -3.4827 | -3.4827 | 3.8228 | 22.1022 | 6.1988 | 90.0 | 90.0 | 90.0 |
Download raw data (including filtered results)
Reference structure matches:
| prototype | method | Ecoh (eV/atom) | Epot (eV/atom) | a0 (Å) | b0 (Å) | c0 (Å) | α (degrees) | β (degrees) | γ (degrees) |
|---|---|---|---|---|---|---|---|---|---|
| mp-560088 | static | -3.5262 | -3.5262 | 3.9845 | 4.3288 | 20.3807 | 90.0 | 90.0 | 90.0 |
| mp-560088 | box | -3.4414 | -3.4414 | 3.9809 | 4.3203 | 20.8168 | 90.0 | 90.0 | 90.0 |
Download raw data (including filtered results)
Reference structure matches:
| prototype | method | Ecoh (eV/atom) | Epot (eV/atom) | a0 (Å) | b0 (Å) | c0 (Å) | α (degrees) | β (degrees) | γ (degrees) |
|---|---|---|---|---|---|---|---|---|---|
| mp-989559 | dynamic | -4.0897 | -4.0897 | 8.6041 | 8.6041 | 8.6041 | 90.0 | 90.0 | 90.0 |
| mp-989559 | box | -4.0597 | -4.0597 | 8.6083 | 8.6083 | 8.6083 | 90.0 | 90.0 | 90.0 |
Download raw data (including filtered results)
Reference structure matches:
| prototype | method | Ecoh (eV/atom) | Epot (eV/atom) | a0 (Å) | b0 (Å) | c0 (Å) | α (degrees) | β (degrees) | γ (degrees) |
|---|---|---|---|---|---|---|---|---|---|
| L2_1--AlCu2Mn--heusler | static | -2.308 | -2.308 | 8.457 | 8.457 | 8.457 | 90.0 | 90.0 | 90.0 |
Download raw data (including filtered results)
Reference structure matches:
| prototype | method | Ecoh (eV/atom) | Epot (eV/atom) | a0 (Å) | b0 (Å) | c0 (Å) | α (degrees) | β (degrees) | γ (degrees) |
|---|---|---|---|---|---|---|---|---|---|
| L2_1--AlCu2Mn--heusler | static | -0.5099 | -0.5099 | 9.255 | 9.255 | 9.255 | 90.0 | 90.0 | 90.0 |
Download raw data (including filtered results)
Reference structure matches:
| prototype | method | Ecoh (eV/atom) | Epot (eV/atom) | a0 (Å) | b0 (Å) | c0 (Å) | α (degrees) | β (degrees) | γ (degrees) |
|---|---|---|---|---|---|---|---|---|---|
| L2_1--AlCu2Mn--heusler | static | -1.2193 | -1.2193 | 8.0328 | 8.0328 | 8.0328 | 90.0 | 90.0 | 90.0 |
Download raw data (including filtered results)
Reference structure matches:
| prototype | method | Ecoh (eV/atom) | Epot (eV/atom) | a0 (Å) | b0 (Å) | c0 (Å) | α (degrees) | β (degrees) | γ (degrees) |
|---|---|---|---|---|---|---|---|---|---|
| L2_1--AlCu2Mn--heusler | static | -0.9162 | -0.9162 | 8.3423 | 8.3423 | 8.3423 | 90.0 | 90.0 | 90.0 |
Download raw data (including filtered results)
Reference structure matches:
| prototype | method | Ecoh (eV/atom) | Epot (eV/atom) | a0 (Å) | b0 (Å) | c0 (Å) | α (degrees) | β (degrees) | γ (degrees) |
|---|---|---|---|---|---|---|---|---|---|
| L2_1--AlCu2Mn--heusler | static | -0.3674 | -0.3674 | 9.8969 | 9.8969 | 9.8969 | 90.0 | 90.0 | 90.0 |
Download raw data (including filtered results)
Reference structure matches:
| prototype | method | Ecoh (eV/atom) | Epot (eV/atom) | a0 (Å) | b0 (Å) | c0 (Å) | α (degrees) | β (degrees) | γ (degrees) |
|---|---|---|---|---|---|---|---|---|---|
| C1--CaF2--fluorite | dynamic | -1.9303 | -1.9303 | 8.6773 | 8.6773 | 8.6773 | 90.0 | 90.0 | 90.0 |
Download raw data (including filtered results)
Reference structure matches:
| prototype | method | Ecoh (eV/atom) | Epot (eV/atom) | a0 (Å) | b0 (Å) | c0 (Å) | α (degrees) | β (degrees) | γ (degrees) |
|---|---|---|---|---|---|---|---|---|---|
| mp-1103949 | box | -2.2441 | -2.2441 | 4.9211 | 9.3093 | 13.0204 | 90.0 | 100.8 | 90.0 |
Download raw data (including filtered results)
Reference structure matches:
| prototype | method | Ecoh (eV/atom) | Epot (eV/atom) | a0 (Å) | b0 (Å) | c0 (Å) | α (degrees) | β (degrees) | γ (degrees) |
|---|---|---|---|---|---|---|---|---|---|
| mp-608311 | dynamic | -2.5469 | -2.5469 | 4.7341 | 8.2617 | 11.4285 | 101.8 | 101.1 | 104.4 |
Download raw data (including filtered results)
Reference structure matches:
| prototype | method | Ecoh (eV/atom) | Epot (eV/atom) | a0 (Å) | b0 (Å) | c0 (Å) | α (degrees) | β (degrees) | γ (degrees) |
|---|---|---|---|---|---|---|---|---|---|
| L2_1--AlCu2Mn--heusler | static | -1.5066 | -1.5066 | 8.9868 | 8.9868 | 8.9868 | 90.0 | 90.0 | 90.0 |
Download raw data (including filtered results)
Reference structure matches:
| prototype | method | Ecoh (eV/atom) | Epot (eV/atom) | a0 (Å) | b0 (Å) | c0 (Å) | α (degrees) | β (degrees) | γ (degrees) |
|---|---|---|---|---|---|---|---|---|---|
| L2_1--AlCu2Mn--heusler | dynamic | -1.8313 | -1.8313 | 8.7164 | 8.7164 | 8.7164 | 90.0 | 90.0 | 90.0 |
Download raw data (including filtered results)
Reference structure matches:
| prototype | method | Ecoh (eV/atom) | Epot (eV/atom) | a0 (Å) | b0 (Å) | c0 (Å) | α (degrees) | β (degrees) | γ (degrees) |
|---|---|---|---|---|---|---|---|---|---|
| L2_1--AlCu2Mn--heusler | static | -1.8197 | -1.8197 | 8.7347 | 8.7347 | 8.7347 | 90.0 | 90.0 | 90.0 |
Download raw data (including filtered results)
Reference structure matches:
| prototype | method | Ecoh (eV/atom) | Epot (eV/atom) | a0 (Å) | b0 (Å) | c0 (Å) | α (degrees) | β (degrees) | γ (degrees) |
|---|---|---|---|---|---|---|---|---|---|
| L2_1--AlCu2Mn--heusler | box | -1.2541 | -1.2541 | 9.2342 | 9.2342 | 9.2342 | 90.0 | 90.0 | 90.0 |
Download raw data (including filtered results)
Reference structure matches:
| prototype | method | Ecoh (eV/atom) | Epot (eV/atom) | a0 (Å) | b0 (Å) | c0 (Å) | α (degrees) | β (degrees) | γ (degrees) |
|---|---|---|---|---|---|---|---|---|---|
| C1--CaF2--fluorite | static | -0.4775 | -0.4775 | 9.9102 | 9.9102 | 9.9102 | 90.0 | 90.0 | 90.0 |
Download raw data (including filtered results)
Reference structure matches:
| prototype | method | Ecoh (eV/atom) | Epot (eV/atom) | a0 (Å) | b0 (Å) | c0 (Å) | α (degrees) | β (degrees) | γ (degrees) |
|---|---|---|---|---|---|---|---|---|---|
| L2_1--AlCu2Mn--heusler | dynamic | -0.8776 | -0.8776 | 9.4854 | 9.4854 | 9.4854 | 90.0 | 90.0 | 90.0 |
Download raw data (including filtered results)
Reference structure matches:
| prototype | method | Ecoh (eV/atom) | Epot (eV/atom) | a0 (Å) | b0 (Å) | c0 (Å) | α (degrees) | β (degrees) | γ (degrees) |
|---|---|---|---|---|---|---|---|---|---|
| L2_1--AlCu2Mn--heusler | dynamic | -0.8409 | -0.8409 | 9.6445 | 9.6445 | 9.6445 | 90.0 | 90.0 | 90.0 |
| mp-1095948 | static | -0.1472 | -0.1472 | 15.2008 | 17.2125 | 22.0081 | 90.0 | 90.0 | 90.0 |
| mp-1095948 | dynamic | -0.1472 | -0.1472 | 15.5934 | 17.2125 | 22.5764 | 90.0 | 90.0 | 90.0 |
Download raw data (including filtered results)
Reference structure matches:
L2_1--AlCu2Mn--heusler = mp-1183766
| prototype | method | Ecoh (eV/atom) | Epot (eV/atom) | a0 (Å) | b0 (Å) | c0 (Å) | α (degrees) | β (degrees) | γ (degrees) |
|---|---|---|---|---|---|---|---|---|---|
| L2_1--AlCu2Mn--heusler | static | -0.7864 | -0.7864 | 10.2116 | 10.2116 | 10.2116 | 90.0 | 90.0 | 90.0 |
| mp-1097633 | dynamic | -0.1385 | -0.1385 | 17.2625 | 18.1877 | 24.4195 | 90.0 | 90.0 | 90.0 |
| mp-1097633 | static | -0.1385 | -0.1385 | 16.8306 | 18.1877 | 23.8087 | 90.0 | 90.0 | 90.0 |
Download raw data (including filtered results)
Reference structure matches:
| prototype | method | Ecoh (eV/atom) | Epot (eV/atom) | a0 (Å) | b0 (Å) | c0 (Å) | α (degrees) | β (degrees) | γ (degrees) |
|---|---|---|---|---|---|---|---|---|---|
| C1--CaF2--fluorite | dynamic | -0.7294 | -0.7294 | 8.9292 | 8.9292 | 8.9292 | 90.0 | 90.0 | 90.0 |
Download raw data (including filtered results)
Reference structure matches:
| prototype | method | Ecoh (eV/atom) | Epot (eV/atom) | a0 (Å) | b0 (Å) | c0 (Å) | α (degrees) | β (degrees) | γ (degrees) |
|---|---|---|---|---|---|---|---|---|---|
| L2_1--AlCu2Mn--heusler | dynamic | -1.0053 | -1.0053 | 9.0416 | 9.0416 | 9.0416 | 90.0 | 90.0 | 90.0 |
Download raw data (including filtered results)
Reference structure matches:
| prototype | method | Ecoh (eV/atom) | Epot (eV/atom) | a0 (Å) | b0 (Å) | c0 (Å) | α (degrees) | β (degrees) | γ (degrees) |
|---|---|---|---|---|---|---|---|---|---|
| L2_1--AlCu2Mn--heusler | static | -0.7798 | -0.7798 | 9.7875 | 9.7875 | 9.7875 | 90.0 | 90.0 | 90.0 |
Download raw data (including filtered results)
Reference structure matches:
| prototype | method | Ecoh (eV/atom) | Epot (eV/atom) | a0 (Å) | b0 (Å) | c0 (Å) | α (degrees) | β (degrees) | γ (degrees) |
|---|---|---|---|---|---|---|---|---|---|
| C1--CaF2--fluorite | dynamic | -0.6042 | -0.6042 | 9.2451 | 9.2451 | 9.2451 | 90.0 | 90.0 | 90.0 |
Download raw data (including filtered results)
Reference structure matches:
| prototype | method | Ecoh (eV/atom) | Epot (eV/atom) | a0 (Å) | b0 (Å) | c0 (Å) | α (degrees) | β (degrees) | γ (degrees) |
|---|---|---|---|---|---|---|---|---|---|
| L2_1--AlCu2Mn--heusler | static | -0.7642 | -0.7642 | 9.9337 | 9.9337 | 9.9337 | 90.0 | 90.0 | 90.0 |
| mp-1097263 | dynamic | -0.1442 | -0.1442 | 17.5618 | 18.4738 | 26.2002 | 90.0 | 90.0 | 90.0 |
| mp-1097263 | static | -0.1442 | -0.1442 | 17.5618 | 18.0072 | 25.5384 | 90.0 | 90.0 | 90.0 |
Download raw data (including filtered results)
Reference structure matches:
| prototype | method | Ecoh (eV/atom) | Epot (eV/atom) | a0 (Å) | b0 (Å) | c0 (Å) | α (degrees) | β (degrees) | γ (degrees) |
|---|---|---|---|---|---|---|---|---|---|
| C1--CaF2--fluorite | static | -0.4138 | -0.4138 | 10.3722 | 10.3722 | 10.3722 | 90.0 | 90.0 | 90.0 |
Download raw data (including filtered results)
Reference structure matches:
| prototype | method | Ecoh (eV/atom) | Epot (eV/atom) | a0 (Å) | b0 (Å) | c0 (Å) | α (degrees) | β (degrees) | γ (degrees) |
|---|---|---|---|---|---|---|---|---|---|
| L1_2--AuCu3 | static | -0.6152 | -0.6152 | 5.6589 | 5.6589 | 5.6589 | 90.0 | 90.0 | 90.0 |
| D0_3--BiF3 | box | -0.5851 | -0.5851 | 9.0738 | 9.0738 | 9.0738 | 90.0 | 90.0 | 90.0 |
| A15--Cr3Si | box | -0.4293 | -0.4293 | 7.3642 | 7.3642 | 7.3642 | 90.0 | 90.0 | 90.0 |
Download raw data (including filtered results)
Reference structure matches:
| prototype | method | Ecoh (eV/atom) | Epot (eV/atom) | a0 (Å) | b0 (Å) | c0 (Å) | α (degrees) | β (degrees) | γ (degrees) |
|---|---|---|---|---|---|---|---|---|---|
| mp-559766 | dynamic | -3.5839 | -3.5839 | 13.7716 | 5.9942 | 8.9876 | 90.0 | 103.2 | 90.0 |
| mp-559766 | box | -3.4222 | -3.4222 | 13.9743 | 6.0434 | 9.0668 | 90.0 | 104.6 | 90.0 |
Download raw data (including filtered results)
Reference structure matches:
| prototype | method | Ecoh (eV/atom) | Epot (eV/atom) | a0 (Å) | b0 (Å) | c0 (Å) | α (degrees) | β (degrees) | γ (degrees) |
|---|---|---|---|---|---|---|---|---|---|
| mp-558728 | box | -3.5861 | -3.5861 | 6.0193 | 22.727 | 5.9919 | 90.0 | 90.0 | 90.0 |
Download raw data (including filtered results)
Reference structure matches:
| prototype | method | Ecoh (eV/atom) | Epot (eV/atom) | a0 (Å) | b0 (Å) | c0 (Å) | α (degrees) | β (degrees) | γ (degrees) |
|---|---|---|---|---|---|---|---|---|---|
| mp-1184038 | dynamic | -1.9913 | -1.9913 | 7.9606 | 7.9606 | 6.4102 | 90.0 | 90.0 | 120.0 |
| L1_2--AuCu3 | dynamic | -1.9584 | -1.9584 | 5.6063 | 5.6063 | 5.6063 | 90.0 | 90.0 | 90.0 |
| D0_3--BiF3 | static | -1.848 | -1.848 | 8.8994 | 8.8994 | 8.8994 | 90.0 | 90.0 | 90.0 |
| A15--Cr3Si | dynamic | -1.6967 | -1.6967 | 7.1391 | 7.1391 | 7.1391 | 90.0 | 90.0 | 90.0 |
Download raw data (including filtered results)
Reference structure matches:
| prototype | method | Ecoh (eV/atom) | Epot (eV/atom) | a0 (Å) | b0 (Å) | c0 (Å) | α (degrees) | β (degrees) | γ (degrees) |
|---|---|---|---|---|---|---|---|---|---|
| mp-569238 | box | -2.2356 | -2.2356 | 5.2971 | 9.6032 | 16.4305 | 90.0 | 98.9 | 90.0 |
Download raw data (including filtered results)
Reference structure matches:
| prototype | method | Ecoh (eV/atom) | Epot (eV/atom) | a0 (Å) | b0 (Å) | c0 (Å) | α (degrees) | β (degrees) | γ (degrees) |
|---|---|---|---|---|---|---|---|---|---|
| mp-1181918 | dynamic | -2.4572 | -2.4572 | 30.5326 | 4.5457 | 12.6252 | 90.0 | 94.5 | 90.0 |
| mp-1181918 | static | -2.4136 | -2.4136 | 30.7091 | 4.6997 | 12.6227 | 90.0 | 100.7 | 90.0 |
| mp-1181918 | box | -2.2156 | -2.2156 | 31.9825 | 4.9002 | 12.7115 | 90.0 | 101.6 | 90.0 |
Download raw data (including filtered results)
Reference structure matches:
| prototype | method | Ecoh (eV/atom) | Epot (eV/atom) | a0 (Å) | b0 (Å) | c0 (Å) | α (degrees) | β (degrees) | γ (degrees) |
|---|---|---|---|---|---|---|---|---|---|
| mp-1183940 | dynamic | -0.8219 | -0.8219 | 8.7387 | 8.7387 | 7.1262 | 90.0 | 90.0 | 120.0 |
| L1_2--AuCu3 | dynamic | -0.8208 | -0.8208 | 6.1762 | 6.1762 | 6.1762 | 90.0 | 90.0 | 90.0 |
| D0_3--BiF3 | static | -0.7795 | -0.7795 | 9.7907 | 9.7907 | 9.7907 | 90.0 | 90.0 | 90.0 |
| A15--Cr3Si | static | -0.6987 | -0.6987 | 7.8912 | 7.8912 | 7.8912 | 90.0 | 90.0 | 90.0 |
Download raw data (including filtered results)
Reference structure matches:
| prototype | method | Ecoh (eV/atom) | Epot (eV/atom) | a0 (Å) | b0 (Å) | c0 (Å) | α (degrees) | β (degrees) | γ (degrees) |
|---|---|---|---|---|---|---|---|---|---|
| L1_2--AuCu3 | dynamic | -0.8832 | -0.8832 | 5.9107 | 5.9107 | 5.9107 | 90.0 | 90.0 | 90.0 |
| D0_3--BiF3 | static | -0.8428 | -0.8428 | 9.3605 | 9.3605 | 9.3605 | 90.0 | 90.0 | 90.0 |
| A15--Cr3Si | static | -0.74 | -0.74 | 7.5686 | 7.5686 | 7.5686 | 90.0 | 90.0 | 90.0 |
Download raw data (including filtered results)
Reference structure matches:
| prototype | method | Ecoh (eV/atom) | Epot (eV/atom) | a0 (Å) | b0 (Å) | c0 (Å) | α (degrees) | β (degrees) | γ (degrees) |
|---|---|---|---|---|---|---|---|---|---|
| L1_2--AuCu3 | dynamic | -0.8459 | -0.8459 | 5.996 | 5.996 | 5.996 | 90.0 | 90.0 | 90.0 |
| D0_3--BiF3 | dynamic | -0.8102 | -0.8102 | 9.4923 | 9.4923 | 9.4923 | 90.0 | 90.0 | 90.0 |
| A15--Cr3Si | dynamic | -0.7129 | -0.7129 | 7.671 | 7.671 | 7.671 | 90.0 | 90.0 | 90.0 |
Download raw data (including filtered results)
Reference structure matches:
| prototype | method | Ecoh (eV/atom) | Epot (eV/atom) | a0 (Å) | b0 (Å) | c0 (Å) | α (degrees) | β (degrees) | γ (degrees) |
|---|---|---|---|---|---|---|---|---|---|
| mp-862689 | dynamic | -0.7798 | -0.7798 | 8.96 | 8.96 | 7.2416 | 90.0 | 90.0 | 120.0 |
| L1_2--AuCu3 | dynamic | -0.7731 | -0.7731 | 6.3166 | 6.3166 | 6.3166 | 90.0 | 90.0 | 90.0 |
| D0_3--BiF3 | static | -0.7243 | -0.7243 | 10.0299 | 10.0299 | 10.0299 | 90.0 | 90.0 | 90.0 |
| A15--Cr3Si | static | -0.6556 | -0.6556 | 8.071 | 8.071 | 8.071 | 90.0 | 90.0 | 90.0 |
Download raw data (including filtered results)
Reference structure matches:
B1--NaCl--rock-salt = mp-1784
B2--CsCl = mp-8455
| prototype | method | Ecoh (eV/atom) | Epot (eV/atom) | a0 (Å) | b0 (Å) | c0 (Å) | α (degrees) | β (degrees) | γ (degrees) |
|---|---|---|---|---|---|---|---|---|---|
| B1--NaCl--rock-salt | dynamic | -3.6309 | -3.6309 | 6.0103 | 6.0103 | 6.0103 | 90.0 | 90.0 | 90.0 |
| B1--NaCl--rock-salt | static | -3.6309 | -3.6309 | 6.0104 | 6.0104 | 6.0104 | 90.0 | 90.0 | 90.0 |
| B2--CsCl | dynamic | -3.2974 | -3.2974 | 3.6099 | 3.6099 | 3.6099 | 90.0 | 90.0 | 90.0 |
| B4--ZnS--wurtzite | box | -2.3741 | -2.3741 | 4.8248 | 4.8248 | 7.8816 | 90.0 | 90.0 | 120.0 |
| B3--ZnS--cubic-zinc-blende | static | -2.3728 | -2.3728 | 6.8249 | 6.8249 | 6.8249 | 90.0 | 90.0 | 90.0 |
Download raw data (including filtered results)
Reference structure matches:
| prototype | method | Ecoh (eV/atom) | Epot (eV/atom) | a0 (Å) | b0 (Å) | c0 (Å) | α (degrees) | β (degrees) | γ (degrees) |
|---|---|---|---|---|---|---|---|---|---|
| mp-28578 | box | -0.1191 | -0.1191 | 33.6419 | 33.6419 | 33.6419 | 90.0 | 90.0 | 90.0 |
Download raw data (including filtered results)
Reference structure matches:
| prototype | method | Ecoh (eV/atom) | Epot (eV/atom) | a0 (Å) | b0 (Å) | c0 (Å) | α (degrees) | β (degrees) | γ (degrees) |
|---|---|---|---|---|---|---|---|---|---|
| C1--CaF2--fluorite | dynamic | -3.1497 | -3.1497 | 6.8857 | 6.8857 | 6.8857 | 90.0 | 90.0 | 90.0 |
Download raw data (including filtered results)
Reference structure matches:
| prototype | method | Ecoh (eV/atom) | Epot (eV/atom) | a0 (Å) | b0 (Å) | c0 (Å) | α (degrees) | β (degrees) | γ (degrees) |
|---|---|---|---|---|---|---|---|---|---|
| L2_1--AlCu2Mn--heusler | static | -1.6278 | -1.6278 | 7.7709 | 7.7709 | 7.7709 | 90.0 | 90.0 | 90.0 |
Download raw data (including filtered results)
Reference structure matches:
| prototype | method | Ecoh (eV/atom) | Epot (eV/atom) | a0 (Å) | b0 (Å) | c0 (Å) | α (degrees) | β (degrees) | γ (degrees) |
|---|---|---|---|---|---|---|---|---|---|
| L2_1--AlCu2Mn--heusler | static | -3.0144 | -3.0144 | 7.0602 | 7.0602 | 7.0602 | 90.0 | 90.0 | 90.0 |
Download raw data (including filtered results)
Reference structure matches:
| prototype | method | Ecoh (eV/atom) | Epot (eV/atom) | a0 (Å) | b0 (Å) | c0 (Å) | α (degrees) | β (degrees) | γ (degrees) |
|---|---|---|---|---|---|---|---|---|---|
| mp-7594 | dynamic | -3.6635 | -3.6635 | 6.0217 | 12.0576 | 8.2217 | 90.0 | 99.0 | 90.0 |
| mp-7594 | box | -3.3717 | -3.3717 | 6.1642 | 11.92 | 8.4227 | 90.0 | 94.5 | 90.0 |
| L2_1--AlCu2Mn--heusler | static | -2.8052 | -2.8052 | 6.9107 | 6.9107 | 6.9107 | 90.0 | 90.0 | 90.0 |
Download raw data (including filtered results)
Reference structure matches:
| prototype | method | Ecoh (eV/atom) | Epot (eV/atom) | a0 (Å) | b0 (Å) | c0 (Å) | α (degrees) | β (degrees) | γ (degrees) |
|---|---|---|---|---|---|---|---|---|---|
| L2_1--AlCu2Mn--heusler | static | -2.9655 | -2.9655 | 6.9308 | 6.9308 | 6.9308 | 90.0 | 90.0 | 90.0 |
Download raw data (including filtered results)
Reference structure matches:
| prototype | method | Ecoh (eV/atom) | Epot (eV/atom) | a0 (Å) | b0 (Å) | c0 (Å) | α (degrees) | β (degrees) | γ (degrees) |
|---|---|---|---|---|---|---|---|---|---|
| L2_1--AlCu2Mn--heusler | static | -2.7106 | -2.7106 | 7.1704 | 7.1704 | 7.1704 | 90.0 | 90.0 | 90.0 |
Download raw data (including filtered results)
Reference structure matches:
| prototype | method | Ecoh (eV/atom) | Epot (eV/atom) | a0 (Å) | b0 (Å) | c0 (Å) | α (degrees) | β (degrees) | γ (degrees) |
|---|---|---|---|---|---|---|---|---|---|
| L1_2--AuCu3 | dynamic | -3.0513 | -3.0513 | 4.3075 | 4.3075 | 4.3075 | 90.0 | 90.0 | 90.0 |
| A15--Cr3Si | dynamic | -3.0395 | -3.0395 | 5.412 | 5.412 | 5.412 | 90.0 | 90.0 | 90.0 |
| D0_3--BiF3 | static | -2.9693 | -2.9693 | 6.8483 | 6.8483 | 6.8483 | 90.0 | 90.0 | 90.0 |
Download raw data (including filtered results)
Reference structure matches:
| prototype | method | Ecoh (eV/atom) | Epot (eV/atom) | a0 (Å) | b0 (Å) | c0 (Å) | α (degrees) | β (degrees) | γ (degrees) |
|---|---|---|---|---|---|---|---|---|---|
| mp-606604 | static | -3.8256 | -3.8256 | 4.1257 | 4.1257 | 10.2971 | 90.0 | 90.0 | 90.0 |
| mp-606604 | box | -3.8246 | -3.8246 | 4.1264 | 4.1264 | 10.3142 | 90.0 | 90.0 | 90.0 |
Download raw data (including filtered results)
Reference structure matches:
| prototype | method | Ecoh (eV/atom) | Epot (eV/atom) | a0 (Å) | b0 (Å) | c0 (Å) | α (degrees) | β (degrees) | γ (degrees) |
|---|---|---|---|---|---|---|---|---|---|
| mp-998309 | box | -4.0308 | -4.0308 | 6.2001 | 6.1694 | 4.3643 | 90.0 | 90.1 | 90.0 |
| mp-998609 | dynamic | -3.5467 | -3.5467 | 7.4175 | 3.9571 | 12.7651 | 90.0 | 90.0 | 90.0 |
| mp-998609 | box | -3.2168 | -3.2168 | 7.5977 | 4.0013 | 12.368 | 90.0 | 90.0 | 90.0 |
Download raw data (including filtered results)
Reference structure matches:
| prototype | method | Ecoh (eV/atom) | Epot (eV/atom) | a0 (Å) | b0 (Å) | c0 (Å) | α (degrees) | β (degrees) | γ (degrees) |
|---|---|---|---|---|---|---|---|---|---|
| mp-555439 | box | -3.5939 | -3.5939 | 10.3668 | 5.835 | 7.8923 | 90.0 | 111.9 | 90.0 |
Download raw data (including filtered results)
Reference structure matches:
| prototype | method | Ecoh (eV/atom) | Epot (eV/atom) | a0 (Å) | b0 (Å) | c0 (Å) | α (degrees) | β (degrees) | γ (degrees) |
|---|---|---|---|---|---|---|---|---|---|
| L2_1--AlCu2Mn--heusler | dynamic | -1.4192 | -1.4192 | 9.2374 | 9.2374 | 9.2374 | 90.0 | 90.0 | 90.0 |
Download raw data (including filtered results)
Reference structure matches:
| prototype | method | Ecoh (eV/atom) | Epot (eV/atom) | a0 (Å) | b0 (Å) | c0 (Å) | α (degrees) | β (degrees) | γ (degrees) |
|---|---|---|---|---|---|---|---|---|---|
| L2_1--AlCu2Mn--heusler | static | -0.4883 | -0.4883 | 9.8435 | 9.8435 | 9.8435 | 90.0 | 90.0 | 90.0 |
Download raw data (including filtered results)
Reference structure matches:
| prototype | method | Ecoh (eV/atom) | Epot (eV/atom) | a0 (Å) | b0 (Å) | c0 (Å) | α (degrees) | β (degrees) | γ (degrees) |
|---|---|---|---|---|---|---|---|---|---|
| L2_1--AlCu2Mn--heusler | static | -0.6776 | -0.6776 | 8.241 | 8.241 | 8.241 | 90.0 | 90.0 | 90.0 |
Download raw data (including filtered results)
Reference structure matches:
| prototype | method | Ecoh (eV/atom) | Epot (eV/atom) | a0 (Å) | b0 (Å) | c0 (Å) | α (degrees) | β (degrees) | γ (degrees) |
|---|---|---|---|---|---|---|---|---|---|
| L2_1--AlCu2Mn--heusler | static | -0.5381 | -0.5381 | 8.8181 | 8.8181 | 8.8181 | 90.0 | 90.0 | 90.0 |
Download raw data (including filtered results)
Reference structure matches:
| prototype | method | Ecoh (eV/atom) | Epot (eV/atom) | a0 (Å) | b0 (Å) | c0 (Å) | α (degrees) | β (degrees) | γ (degrees) |
|---|---|---|---|---|---|---|---|---|---|
| L2_1--AlCu2Mn--heusler | static | -0.4698 | -0.4698 | 10.3888 | 10.3888 | 10.3888 | 90.0 | 90.0 | 90.0 |
Download raw data (including filtered results)
Reference structure matches:
| prototype | method | Ecoh (eV/atom) | Epot (eV/atom) | a0 (Å) | b0 (Å) | c0 (Å) | α (degrees) | β (degrees) | γ (degrees) |
|---|---|---|---|---|---|---|---|---|---|
| B2--CsCl | dynamic | -2.6988 | -2.6988 | 4.4143 | 4.4143 | 4.4143 | 90.0 | 90.0 | 90.0 |
| B1--NaCl--rock-salt | dynamic | -2.3335 | -2.3335 | 7.5211 | 7.5211 | 7.5211 | 90.0 | 90.0 | 90.0 |
| mp-1078801 | box | -2.3332 | -2.3332 | 10.625 | 5.3242 | 7.5169 | 90.0 | 90.0 | 90.0 |
| B3--ZnS--cubic-zinc-blende | static | -1.325 | -1.325 | 8.6251 | 8.6251 | 8.6251 | 90.0 | 90.0 | 90.0 |
| B4--ZnS--wurtzite | box | -1.3243 | -1.3243 | 6.0971 | 6.0971 | 9.961 | 90.0 | 90.0 | 120.0 |
Download raw data (including filtered results)
Reference structure matches:
| prototype | method | Ecoh (eV/atom) | Epot (eV/atom) | a0 (Å) | b0 (Å) | c0 (Å) | α (degrees) | β (degrees) | γ (degrees) |
|---|---|---|---|---|---|---|---|---|---|
| C1--CaF2--fluorite | dynamic | -1.6962 | -1.6962 | 8.967 | 8.967 | 8.967 | 90.0 | 90.0 | 90.0 |
Download raw data (including filtered results)
Reference structure matches:
| prototype | method | Ecoh (eV/atom) | Epot (eV/atom) | a0 (Å) | b0 (Å) | c0 (Å) | α (degrees) | β (degrees) | γ (degrees) |
|---|---|---|---|---|---|---|---|---|---|
| L2_1--AlCu2Mn--heusler | dynamic | -2.4597 | -2.4597 | 8.6679 | 8.6679 | 8.6679 | 90.0 | 90.0 | 90.0 |
Download raw data (including filtered results)
Reference structure matches:
| prototype | method | Ecoh (eV/atom) | Epot (eV/atom) | a0 (Å) | b0 (Å) | c0 (Å) | α (degrees) | β (degrees) | γ (degrees) |
|---|---|---|---|---|---|---|---|---|---|
| mp-1190087 | dynamic | -2.5136 | -2.5136 | 4.5205 | 21.4876 | 13.5566 | 90.0 | 90.0 | 90.0 |
| mp-1190087 | static | -2.4918 | -2.4918 | 4.5451 | 21.25 | 13.8365 | 90.0 | 90.0 | 90.0 |
| mp-1190087 | box | -2.2272 | -2.2272 | 4.9353 | 21.4118 | 14.0989 | 90.0 | 90.0 | 90.0 |
| L2_1--AlCu2Mn--heusler | static | -1.7123 | -1.7123 | 8.7019 | 8.7019 | 8.7019 | 90.0 | 90.0 | 90.0 |
Download raw data (including filtered results)
Reference structure matches:
| prototype | method | Ecoh (eV/atom) | Epot (eV/atom) | a0 (Å) | b0 (Å) | c0 (Å) | α (degrees) | β (degrees) | γ (degrees) |
|---|---|---|---|---|---|---|---|---|---|
| L2_1--AlCu2Mn--heusler | dynamic | -2.1863 | -2.1863 | 8.6823 | 8.6823 | 8.6823 | 90.0 | 90.0 | 90.0 |
Download raw data (including filtered results)
Reference structure matches:
| prototype | method | Ecoh (eV/atom) | Epot (eV/atom) | a0 (Å) | b0 (Å) | c0 (Å) | α (degrees) | β (degrees) | γ (degrees) |
|---|---|---|---|---|---|---|---|---|---|
| L2_1--AlCu2Mn--heusler | dynamic | -2.4574 | -2.4574 | 8.7652 | 8.7652 | 8.7652 | 90.0 | 90.0 | 90.0 |
| mp-1096526 | dynamic | -0.5336 | -0.5336 | 13.6106 | 14.9887 | 19.2521 | 90.0 | 90.0 | 90.0 |
Download raw data (including filtered results)
Reference structure matches:
| prototype | method | Ecoh (eV/atom) | Epot (eV/atom) | a0 (Å) | b0 (Å) | c0 (Å) | α (degrees) | β (degrees) | γ (degrees) |
|---|---|---|---|---|---|---|---|---|---|
| mp-22876 | dynamic | -1.6666 | -1.6666 | 16.8685 | 5.0342 | 13.044 | 90.0 | 90.0 | 90.0 |
| mp-22876 | static | -1.6065 | -1.6065 | 17.4482 | 5.026 | 13.3452 | 90.0 | 90.0 | 90.0 |
| L1_2--AuCu3 | static | -0.9609 | -0.9609 | 6.4344 | 6.4344 | 6.4344 | 90.0 | 90.0 | 90.0 |
| D0_3--BiF3 | static | -0.9395 | -0.9395 | 10.4517 | 10.4517 | 10.4517 | 90.0 | 90.0 | 90.0 |
| A15--Cr3Si | static | -0.913 | -0.913 | 8.3139 | 8.3139 | 8.3139 | 90.0 | 90.0 | 90.0 |
Download raw data (including filtered results)
Reference structure matches:
| prototype | method | Ecoh (eV/atom) | Epot (eV/atom) | a0 (Å) | b0 (Å) | c0 (Å) | α (degrees) | β (degrees) | γ (degrees) |
|---|---|---|---|---|---|---|---|---|---|
| mp-569055 | box | -2.3756 | -2.3756 | 4.8247 | 4.8247 | 11.2498 | 90.0 | 90.0 | 90.0 |
Download raw data (including filtered results)
Reference structure matches:
| prototype | method | Ecoh (eV/atom) | Epot (eV/atom) | a0 (Å) | b0 (Å) | c0 (Å) | α (degrees) | β (degrees) | γ (degrees) |
|---|---|---|---|---|---|---|---|---|---|
| mp-571011 | dynamic | -1.4841 | -1.4841 | 9.8507 | 17.0686 | 10.2152 | 90.0 | 116.6 | 90.0 |
| mp-571011 | static | -1.0515 | -1.0515 | 9.9781 | 22.8253 | 8.6074 | 90.0 | 93.2 | 90.0 |
Download raw data (including filtered results)
Reference structure matches:
| prototype | method | Ecoh (eV/atom) | Epot (eV/atom) | a0 (Å) | b0 (Å) | c0 (Å) | α (degrees) | β (degrees) | γ (degrees) |
|---|---|---|---|---|---|---|---|---|---|
| mp-1184020 | box | -2.333 | -2.333 | 11.7948 | 4.8723 | 12.165 | 90.0 | 92.6 | 90.0 |
Download raw data (including filtered results)
Reference structure matches:
| prototype | method | Ecoh (eV/atom) | Epot (eV/atom) | a0 (Å) | b0 (Å) | c0 (Å) | α (degrees) | β (degrees) | γ (degrees) |
|---|---|---|---|---|---|---|---|---|---|
| L2_1--AlCu2Mn--heusler | static | -1.5525 | -1.5525 | 8.66 | 8.66 | 8.66 | 90.0 | 90.0 | 90.0 |
Download raw data (including filtered results)
Reference structure matches:
| prototype | method | Ecoh (eV/atom) | Epot (eV/atom) | a0 (Å) | b0 (Å) | c0 (Å) | α (degrees) | β (degrees) | γ (degrees) |
|---|---|---|---|---|---|---|---|---|---|
| L2_1--AlCu2Mn--heusler | static | -2.2996 | -2.2996 | 7.5386 | 7.5386 | 7.5386 | 90.0 | 90.0 | 90.0 |
Download raw data (including filtered results)
Reference structure matches:
| prototype | method | Ecoh (eV/atom) | Epot (eV/atom) | a0 (Å) | b0 (Å) | c0 (Å) | α (degrees) | β (degrees) | γ (degrees) |
|---|---|---|---|---|---|---|---|---|---|
| L2_1--AlCu2Mn--heusler | static | -2.0807 | -2.0807 | 8.0252 | 8.0252 | 8.0252 | 90.0 | 90.0 | 90.0 |
Download raw data (including filtered results)
Reference structure matches:
| prototype | method | Ecoh (eV/atom) | Epot (eV/atom) | a0 (Å) | b0 (Å) | c0 (Å) | α (degrees) | β (degrees) | γ (degrees) |
|---|---|---|---|---|---|---|---|---|---|
| L2_1--AlCu2Mn--heusler | static | -1.1583 | -1.1583 | 9.177 | 9.177 | 9.177 | 90.0 | 90.0 | 90.0 |
Download raw data (including filtered results)
Reference structure matches:
| prototype | method | Ecoh (eV/atom) | Epot (eV/atom) | a0 (Å) | b0 (Å) | c0 (Å) | α (degrees) | β (degrees) | γ (degrees) |
|---|---|---|---|---|---|---|---|---|---|
| L1_0--AuCu | dynamic | -0.8535 | -0.8535 | 4.4043 | 4.4043 | 6.3258 | 90.0 | 90.0 | 90.0 |
| B2--CsCl | static | -0.8263 | -0.8263 | 4.983 | 4.983 | 4.983 | 90.0 | 90.0 | 90.0 |
| B1--NaCl--rock-salt | box | -0.461 | -0.461 | 8.6784 | 8.6784 | 8.6784 | 90.0 | 90.0 | 90.0 |
| B4--ZnS--wurtzite | dynamic | -0.2831 | -0.2831 | 7.2805 | 7.2805 | 11.8986 | 90.0 | 90.0 | 120.0 |
| B3--ZnS--cubic-zinc-blende | dynamic | -0.2831 | -0.2831 | 10.299 | 10.299 | 10.299 | 90.0 | 90.0 | 90.0 |
Download raw data (including filtered results)
Reference structure matches:
| prototype | method | Ecoh (eV/atom) | Epot (eV/atom) | a0 (Å) | b0 (Å) | c0 (Å) | α (degrees) | β (degrees) | γ (degrees) |
|---|---|---|---|---|---|---|---|---|---|
| C1--CaF2--fluorite | dynamic | -0.6254 | -0.6254 | 10.0144 | 10.0144 | 10.0144 | 90.0 | 90.0 | 90.0 |
Download raw data (including filtered results)
Reference structure matches:
| prototype | method | Ecoh (eV/atom) | Epot (eV/atom) | a0 (Å) | b0 (Å) | c0 (Å) | α (degrees) | β (degrees) | γ (degrees) |
|---|---|---|---|---|---|---|---|---|---|
| L2_1--AlCu2Mn--heusler | static | -0.9355 | -0.9355 | 9.6711 | 9.6711 | 9.6711 | 90.0 | 90.0 | 90.0 |
Download raw data (including filtered results)
Reference structure matches:
| prototype | method | Ecoh (eV/atom) | Epot (eV/atom) | a0 (Å) | b0 (Å) | c0 (Å) | α (degrees) | β (degrees) | γ (degrees) |
|---|---|---|---|---|---|---|---|---|---|
| L2_1--AlCu2Mn--heusler | dynamic | -0.8971 | -0.8971 | 9.7969 | 9.7969 | 9.7969 | 90.0 | 90.0 | 90.0 |
Download raw data (including filtered results)
Reference structure matches:
L2_1--AlCu2Mn--heusler = mp-1185542
| prototype | method | Ecoh (eV/atom) | Epot (eV/atom) | a0 (Å) | b0 (Å) | c0 (Å) | α (degrees) | β (degrees) | γ (degrees) |
|---|---|---|---|---|---|---|---|---|---|
| L2_1--AlCu2Mn--heusler | dynamic | -0.8427 | -0.8427 | 10.2497 | 10.2497 | 10.2497 | 90.0 | 90.0 | 90.0 |
Download raw data (including filtered results)
Reference structure matches:
D0_3--BiF3 = mp-1185554
L1_2--AuCu3 = mp-1185543
| prototype | method | Ecoh (eV/atom) | Epot (eV/atom) | a0 (Å) | b0 (Å) | c0 (Å) | α (degrees) | β (degrees) | γ (degrees) |
|---|---|---|---|---|---|---|---|---|---|
| mp-1185558 | dynamic | -0.888 | -0.888 | 8.9892 | 8.9892 | 7.3365 | 90.0 | 90.0 | 120.0 |
| L1_2--AuCu3 | dynamic | -0.8873 | -0.8873 | 6.3546 | 6.3546 | 6.3546 | 90.0 | 90.0 | 90.0 |
| mp-1183958 | dynamic | -0.886 | -0.886 | 6.332 | 6.332 | 12.8207 | 90.0 | 90.0 | 90.0 |
| D0_3--BiF3 | dynamic | -0.8808 | -0.8808 | 10.0589 | 10.0589 | 10.0589 | 90.0 | 90.0 | 90.0 |
| A15--Cr3Si | dynamic | -0.8673 | -0.8673 | 8.0462 | 8.0462 | 8.0462 | 90.0 | 90.0 | 90.0 |
Download raw data (including filtered results)
Reference structure matches:
| prototype | method | Ecoh (eV/atom) | Epot (eV/atom) | a0 (Å) | b0 (Å) | c0 (Å) | α (degrees) | β (degrees) | γ (degrees) |
|---|---|---|---|---|---|---|---|---|---|
| mp-1192978 | dynamic | -0.8469 | -0.8469 | 8.5282 | 8.5282 | 30.5289 | 90.0 | 90.0 | 120.0 |
| mp-1192978 | box | -0.8437 | -0.8437 | 8.5154 | 8.5154 | 30.6975 | 90.0 | 90.0 | 120.0 |
Download raw data (including filtered results)
Reference structure matches:
| prototype | method | Ecoh (eV/atom) | Epot (eV/atom) | a0 (Å) | b0 (Å) | c0 (Å) | α (degrees) | β (degrees) | γ (degrees) |
|---|---|---|---|---|---|---|---|---|---|
| L2_1--AlCu2Mn--heusler | dynamic | -1.1412 | -1.1412 | 8.9391 | 8.9391 | 8.9391 | 90.0 | 90.0 | 90.0 |
Download raw data (including filtered results)
Reference structure matches:
| prototype | method | Ecoh (eV/atom) | Epot (eV/atom) | a0 (Å) | b0 (Å) | c0 (Å) | α (degrees) | β (degrees) | γ (degrees) |
|---|---|---|---|---|---|---|---|---|---|
| L2_1--AlCu2Mn--heusler | dynamic | -0.9702 | -0.9702 | 9.3494 | 9.3494 | 9.3494 | 90.0 | 90.0 | 90.0 |
| mp-1093922 | dynamic | -0.1584 | -0.1584 | 15.3349 | 16.8841 | 21.7826 | 90.0 | 90.0 | 90.0 |
| mp-1093922 | static | -0.1584 | -0.1584 | 14.952 | 16.8841 | 21.2387 | 90.0 | 90.0 | 90.0 |
Download raw data (including filtered results)
Reference structure matches:
L2_1--AlCu2Mn--heusler = mp-1183953
| prototype | method | Ecoh (eV/atom) | Epot (eV/atom) | a0 (Å) | b0 (Å) | c0 (Å) | α (degrees) | β (degrees) | γ (degrees) |
|---|---|---|---|---|---|---|---|---|---|
| L2_1--AlCu2Mn--heusler | dynamic | -0.8207 | -0.8207 | 10.4891 | 10.4891 | 10.4891 | 90.0 | 90.0 | 90.0 |
Download raw data (including filtered results)
Reference structure matches:
| prototype | method | Ecoh (eV/atom) | Epot (eV/atom) | a0 (Å) | b0 (Å) | c0 (Å) | α (degrees) | β (degrees) | γ (degrees) |
|---|---|---|---|---|---|---|---|---|---|
| B2--CsCl | dynamic | -1.1069 | -1.1069 | 4.4184 | 4.4184 | 4.4184 | 90.0 | 90.0 | 90.0 |
| B1--NaCl--rock-salt | static | -0.608 | -0.608 | 7.5352 | 7.5352 | 7.5352 | 90.0 | 90.0 | 90.0 |
| B4--ZnS--wurtzite | dynamic | -0.366 | -0.366 | 6.4544 | 6.4544 | 10.5485 | 90.0 | 90.0 | 120.0 |
| B3--ZnS--cubic-zinc-blende | dynamic | -0.366 | -0.366 | 9.1304 | 9.1304 | 9.1304 | 90.0 | 90.0 | 90.0 |
Download raw data (including filtered results)
Reference structure matches:
| prototype | method | Ecoh (eV/atom) | Epot (eV/atom) | a0 (Å) | b0 (Å) | c0 (Å) | α (degrees) | β (degrees) | γ (degrees) |
|---|---|---|---|---|---|---|---|---|---|
| C1--CaF2--fluorite | static | -0.7534 | -0.7534 | 8.7224 | 8.7224 | 8.7224 | 90.0 | 90.0 | 90.0 |
Download raw data (including filtered results)
Reference structure matches:
| prototype | method | Ecoh (eV/atom) | Epot (eV/atom) | a0 (Å) | b0 (Å) | c0 (Å) | α (degrees) | β (degrees) | γ (degrees) |
|---|---|---|---|---|---|---|---|---|---|
| L2_1--AlCu2Mn--heusler | dynamic | -1.2064 | -1.2064 | 8.6371 | 8.6371 | 8.6371 | 90.0 | 90.0 | 90.0 |
Download raw data (including filtered results)
Reference structure matches:
| prototype | method | Ecoh (eV/atom) | Epot (eV/atom) | a0 (Å) | b0 (Å) | c0 (Å) | α (degrees) | β (degrees) | γ (degrees) |
|---|---|---|---|---|---|---|---|---|---|
| L2_1--AlCu2Mn--heusler | dynamic | -1.0714 | -1.0714 | 9.1552 | 9.1552 | 9.1552 | 90.0 | 90.0 | 90.0 |
Download raw data (including filtered results)
Reference structure matches:
| prototype | method | Ecoh (eV/atom) | Epot (eV/atom) | a0 (Å) | b0 (Å) | c0 (Å) | α (degrees) | β (degrees) | γ (degrees) |
|---|---|---|---|---|---|---|---|---|---|
| D0_3--BiF3 | dynamic | -1.2949 | -1.2949 | 8.4777 | 8.4777 | 8.4777 | 90.0 | 90.0 | 90.0 |
| L1_2--AuCu3 | dynamic | -1.2868 | -1.2868 | 5.3453 | 5.3453 | 5.3453 | 90.0 | 90.0 | 90.0 |
| A15--Cr3Si | dynamic | -1.2683 | -1.2683 | 6.7651 | 6.7651 | 6.7651 | 90.0 | 90.0 | 90.0 |
Download raw data (including filtered results)
Reference structure matches:
| prototype | method | Ecoh (eV/atom) | Epot (eV/atom) | a0 (Å) | b0 (Å) | c0 (Å) | α (degrees) | β (degrees) | γ (degrees) |
|---|---|---|---|---|---|---|---|---|---|
| L2_1--AlCu2Mn--heusler | dynamic | -1.0672 | -1.0672 | 8.9068 | 8.9068 | 8.9068 | 90.0 | 90.0 | 90.0 |
Download raw data (including filtered results)
Reference structure matches:
| prototype | method | Ecoh (eV/atom) | Epot (eV/atom) | a0 (Å) | b0 (Å) | c0 (Å) | α (degrees) | β (degrees) | γ (degrees) |
|---|---|---|---|---|---|---|---|---|---|
| L2_1--AlCu2Mn--heusler | static | -0.8636 | -0.8636 | 10.1534 | 10.1534 | 10.1534 | 90.0 | 90.0 | 90.0 |
Download raw data (including filtered results)
Reference structure matches:
| prototype | method | Ecoh (eV/atom) | Epot (eV/atom) | a0 (Å) | b0 (Å) | c0 (Å) | α (degrees) | β (degrees) | γ (degrees) |
|---|---|---|---|---|---|---|---|---|---|
| B2--CsCl | dynamic | -0.9275 | -0.9275 | 4.6182 | 4.6182 | 4.6182 | 90.0 | 90.0 | 90.0 |
| B1--NaCl--rock-salt | static | -0.4875 | -0.4875 | 8.0531 | 8.0531 | 8.0531 | 90.0 | 90.0 | 90.0 |
| B4--ZnS--wurtzite | dynamic | -0.3059 | -0.3059 | 6.7696 | 6.7696 | 11.0636 | 90.0 | 90.0 | 120.0 |
| B3--ZnS--cubic-zinc-blende | dynamic | -0.3059 | -0.3059 | 9.5763 | 9.5763 | 9.5763 | 90.0 | 90.0 | 90.0 |
Download raw data (including filtered results)
Reference structure matches:
| prototype | method | Ecoh (eV/atom) | Epot (eV/atom) | a0 (Å) | b0 (Å) | c0 (Å) | α (degrees) | β (degrees) | γ (degrees) |
|---|---|---|---|---|---|---|---|---|---|
| mp-1095650 | dynamic | -0.9725 | -0.9725 | 7.3414 | 7.3414 | 11.8884 | 90.0 | 90.0 | 120.0 |
| mp-1095650 | box | -0.9607 | -0.9607 | 7.3309 | 7.3309 | 11.9837 | 90.0 | 90.0 | 120.0 |
| C1--CaF2--fluorite | dynamic | -0.6325 | -0.6325 | 9.2271 | 9.2271 | 9.2271 | 90.0 | 90.0 | 90.0 |
Download raw data (including filtered results)
Reference structure matches:
| prototype | method | Ecoh (eV/atom) | Epot (eV/atom) | a0 (Å) | b0 (Å) | c0 (Å) | α (degrees) | β (degrees) | γ (degrees) |
|---|---|---|---|---|---|---|---|---|---|
| L2_1--AlCu2Mn--heusler | dynamic | -0.9188 | -0.9188 | 9.5563 | 9.5563 | 9.5563 | 90.0 | 90.0 | 90.0 |
| mp-1097089 | dynamic | -0.1549 | -0.1549 | 15.7376 | 17.2334 | 22.2933 | 90.0 | 90.0 | 90.0 |
| mp-1097089 | static | -0.1549 | -0.1549 | 15.3442 | 17.2334 | 21.7361 | 90.0 | 90.0 | 90.0 |
Download raw data (including filtered results)
Reference structure matches:
D0_3--BiF3 = mp-1185541
| prototype | method | Ecoh (eV/atom) | Epot (eV/atom) | a0 (Å) | b0 (Å) | c0 (Å) | α (degrees) | β (degrees) | γ (degrees) |
|---|---|---|---|---|---|---|---|---|---|
| D0_3--BiF3 | dynamic | -1.0068 | -1.0068 | 9.0569 | 9.0569 | 9.0569 | 90.0 | 90.0 | 90.0 |
| L1_2--AuCu3 | dynamic | -1.0011 | -1.0011 | 5.7217 | 5.7217 | 5.7217 | 90.0 | 90.0 | 90.0 |
| A15--Cr3Si | dynamic | -0.9899 | -0.9899 | 7.2385 | 7.2385 | 7.2385 | 90.0 | 90.0 | 90.0 |
Download raw data (including filtered results)
Reference structure matches:
| prototype | method | Ecoh (eV/atom) | Epot (eV/atom) | a0 (Å) | b0 (Å) | c0 (Å) | α (degrees) | β (degrees) | γ (degrees) |
|---|---|---|---|---|---|---|---|---|---|
| L2_1--AlCu2Mn--heusler | dynamic | -0.8307 | -0.8307 | 10.2595 | 10.2595 | 10.2595 | 90.0 | 90.0 | 90.0 |
Download raw data (including filtered results)
Reference structure matches:
| prototype | method | Ecoh (eV/atom) | Epot (eV/atom) | a0 (Å) | b0 (Å) | c0 (Å) | α (degrees) | β (degrees) | γ (degrees) |
|---|---|---|---|---|---|---|---|---|---|
| L1_0--AuCu | dynamic | -0.7824 | -0.7824 | 4.6607 | 4.6607 | 6.402 | 90.0 | 90.0 | 90.0 |
| B2--CsCl | static | -0.7682 | -0.7682 | 5.217 | 5.217 | 5.217 | 90.0 | 90.0 | 90.0 |
| B1--NaCl--rock-salt | static | -0.4537 | -0.4537 | 8.9729 | 8.9729 | 8.9729 | 90.0 | 90.0 | 90.0 |
| B3--ZnS--cubic-zinc-blende | dynamic | -0.2709 | -0.2709 | 10.7024 | 10.7024 | 10.7024 | 90.0 | 90.0 | 90.0 |
| B4--ZnS--wurtzite | dynamic | -0.2709 | -0.2709 | 7.5657 | 7.5657 | 12.3646 | 90.0 | 90.0 | 120.0 |
Download raw data (including filtered results)
Reference structure matches:
| prototype | method | Ecoh (eV/atom) | Epot (eV/atom) | a0 (Å) | b0 (Å) | c0 (Å) | α (degrees) | β (degrees) | γ (degrees) |
|---|---|---|---|---|---|---|---|---|---|
| C1--CaF2--fluorite | dynamic | -0.6113 | -0.6113 | 10.4742 | 10.4742 | 10.4742 | 90.0 | 90.0 | 90.0 |
Download raw data (including filtered results)
Reference structure matches:
D0_3--BiF3 = mp-1185559
L1_2--AuCu3 = mp-1183945
| prototype | method | Ecoh (eV/atom) | Epot (eV/atom) | a0 (Å) | b0 (Å) | c0 (Å) | α (degrees) | β (degrees) | γ (degrees) |
|---|---|---|---|---|---|---|---|---|---|
| mp-1183963 | dynamic | -0.805 | -0.805 | 9.5447 | 9.5447 | 7.7656 | 90.0 | 90.0 | 120.0 |
| L1_2--AuCu3 | dynamic | -0.8024 | -0.8024 | 6.742 | 6.742 | 6.742 | 90.0 | 90.0 | 90.0 |
| mp-1184016 | dynamic | -0.8013 | -0.8013 | 6.715 | 6.715 | 13.6177 | 90.0 | 90.0 | 90.0 |
| mp-1183963 | box | -0.7957 | -0.7957 | 9.5383 | 9.5383 | 7.8012 | 90.0 | 90.0 | 120.0 |
| D0_3--BiF3 | dynamic | -0.7897 | -0.7897 | 10.6666 | 10.6666 | 10.6666 | 90.0 | 90.0 | 90.0 |
| A15--Cr3Si | dynamic | -0.7765 | -0.7765 | 8.5429 | 8.5429 | 8.5429 | 90.0 | 90.0 | 90.0 |
Download raw data (including filtered results)
Reference structure matches:
A15--beta-W = mp-21848
| prototype | method | Ecoh (eV/atom) | Epot (eV/atom) | a0 (Å) | b0 (Å) | c0 (Å) | α (degrees) | β (degrees) | γ (degrees) |
|---|---|---|---|---|---|---|---|---|---|
| A2--W--bcc | dynamic | -0.8638 | -0.8638 | 4.3382 | 4.3382 | 4.3382 | 90.0 | 90.0 | 90.0 |
| A15--beta-W | dynamic | -0.8375 | -0.8375 | 6.9601 | 6.9601 | 6.9601 | 90.0 | 90.0 | 90.0 |
| A6--In--bct | static | -0.829 | -0.829 | 3.5723 | 3.5723 | 6.121 | 90.0 | 90.0 | 90.0 |
| A3--Mg--hcp | box | -0.8193 | -0.8193 | 3.8564 | 3.8564 | 6.2974 | 90.0 | 90.0 | 120.0 |
| A3'--alpha-La--double-hcp | box | -0.8193 | -0.8193 | 3.8564 | 3.8564 | 12.5949 | 90.0 | 90.0 | 120.0 |
| A1--Cu--fcc | static | -0.8193 | -0.8193 | 5.4537 | 5.4537 | 5.4537 | 90.0 | 90.0 | 90.0 |
| A5--beta-Sn | static | -0.7276 | -0.7276 | 6.3008 | 6.3008 | 3.5465 | 90.0 | 90.0 | 90.0 |
| Ah--alpha-Po--sc | static | -0.6469 | -0.6469 | 3.2934 | 3.2934 | 3.2934 | 90.0 | 90.0 | 90.0 |
| mp-760482 | box | -0.482 | -0.482 | 4.6119 | 4.9552 | 15.1346 | 90.0 | 90.0 | 90.0 |
| A4--C--dc | dynamic | -0.2668 | -0.2668 | 9.1644 | 9.1644 | 9.1644 | 90.0 | 90.0 | 90.0 |
Download raw data (including filtered results)
Reference structure matches:
| prototype | method | Ecoh (eV/atom) | Epot (eV/atom) | a0 (Å) | b0 (Å) | c0 (Å) | α (degrees) | β (degrees) | γ (degrees) |
|---|---|---|---|---|---|---|---|---|---|
| mp-28634 | dynamic | -1.1679 | -1.1679 | 20.8966 | 21.5816 | 15.5083 | 90.0 | 91.8 | 90.0 |
| mp-28634 | static | -0.2149 | -0.2149 | 30.7484 | 20.0323 | 29.8479 | 90.0 | 90.7 | 90.0 |
| mp-28634 | box | -0.1203 | -0.1203 | 32.7312 | 32.8572 | 32.4038 | 90.0 | 90.1 | 90.0 |
Download raw data (including filtered results)
Reference structure matches:
| prototype | method | Ecoh (eV/atom) | Epot (eV/atom) | a0 (Å) | b0 (Å) | c0 (Å) | α (degrees) | β (degrees) | γ (degrees) |
|---|---|---|---|---|---|---|---|---|---|
| C1--CaF2--fluorite | box | -0.4826 | -0.4826 | 9.9348 | 9.9348 | 9.9348 | 90.0 | 90.0 | 90.0 |
Download raw data (including filtered results)
Reference structure matches:
| prototype | method | Ecoh (eV/atom) | Epot (eV/atom) | a0 (Å) | b0 (Å) | c0 (Å) | α (degrees) | β (degrees) | γ (degrees) |
|---|---|---|---|---|---|---|---|---|---|
| L2_1--AlCu2Mn--heusler | static | -0.8695 | -0.8695 | 7.7295 | 7.7295 | 7.7295 | 90.0 | 90.0 | 90.0 |
Download raw data (including filtered results)
Reference structure matches:
| prototype | method | Ecoh (eV/atom) | Epot (eV/atom) | a0 (Å) | b0 (Å) | c0 (Å) | α (degrees) | β (degrees) | γ (degrees) |
|---|---|---|---|---|---|---|---|---|---|
| L2_1--AlCu2Mn--heusler | box | -0.3648 | -0.3648 | 9.8683 | 9.8683 | 9.8683 | 90.0 | 90.0 | 90.0 |
Download raw data (including filtered results)
Reference structure matches:
| prototype | method | Ecoh (eV/atom) | Epot (eV/atom) | a0 (Å) | b0 (Å) | c0 (Å) | α (degrees) | β (degrees) | γ (degrees) |
|---|---|---|---|---|---|---|---|---|---|
| L2_1--AlCu2Mn--heusler | static | -0.449 | -0.449 | 8.7749 | 8.7749 | 8.7749 | 90.0 | 90.0 | 90.0 |
Download raw data (including filtered results)
Reference structure matches:
| prototype | method | Ecoh (eV/atom) | Epot (eV/atom) | a0 (Å) | b0 (Å) | c0 (Å) | α (degrees) | β (degrees) | γ (degrees) |
|---|---|---|---|---|---|---|---|---|---|
| L2_1--AlCu2Mn--heusler | static | -1.1138 | -1.1138 | 7.6592 | 7.6592 | 7.6592 | 90.0 | 90.0 | 90.0 |
Download raw data (including filtered results)
Reference structure matches:
| prototype | method | Ecoh (eV/atom) | Epot (eV/atom) | a0 (Å) | b0 (Å) | c0 (Å) | α (degrees) | β (degrees) | γ (degrees) |
|---|---|---|---|---|---|---|---|---|---|
| C1--CaF2--fluorite | dynamic | -3.9731 | -3.9731 | 5.9384 | 5.9384 | 5.9384 | 90.0 | 90.0 | 90.0 |
| mp-976802 | box | -2.4733 | -2.4733 | 5.0732 | 5.0732 | 4.6724 | 90.0 | 90.0 | 90.0 |
Download raw data (including filtered results)
Reference structure matches:
| prototype | method | Ecoh (eV/atom) | Epot (eV/atom) | a0 (Å) | b0 (Å) | c0 (Å) | α (degrees) | β (degrees) | γ (degrees) |
|---|---|---|---|---|---|---|---|---|---|
| L2_1--AlCu2Mn--heusler | static | -3.4029 | -3.4029 | 6.035 | 6.035 | 6.035 | 90.0 | 90.0 | 90.0 |
Download raw data (including filtered results)
Reference structure matches:
| prototype | method | Ecoh (eV/atom) | Epot (eV/atom) | a0 (Å) | b0 (Å) | c0 (Å) | α (degrees) | β (degrees) | γ (degrees) |
|---|---|---|---|---|---|---|---|---|---|
| L2_1--AlCu2Mn--heusler | static | -3.5853 | -3.5853 | 6.1204 | 6.1204 | 6.1204 | 90.0 | 90.0 | 90.0 |
Download raw data (including filtered results)
Reference structure matches:
| prototype | method | Ecoh (eV/atom) | Epot (eV/atom) | a0 (Å) | b0 (Å) | c0 (Å) | α (degrees) | β (degrees) | γ (degrees) |
|---|---|---|---|---|---|---|---|---|---|
| L2_1--AlCu2Mn--heusler | dynamic | -3.1406 | -3.1406 | 6.6049 | 6.6049 | 6.6049 | 90.0 | 90.0 | 90.0 |
Download raw data (including filtered results)
Reference structure matches:
| prototype | method | Ecoh (eV/atom) | Epot (eV/atom) | a0 (Å) | b0 (Å) | c0 (Å) | α (degrees) | β (degrees) | γ (degrees) |
|---|---|---|---|---|---|---|---|---|---|
| C1--CaF2--fluorite | static | -2.5552 | -2.5552 | 4.9402 | 4.9402 | 4.9402 | 90.0 | 90.0 | 90.0 |
Download raw data (including filtered results)
Reference structure matches:
| prototype | method | Ecoh (eV/atom) | Epot (eV/atom) | a0 (Å) | b0 (Å) | c0 (Å) | α (degrees) | β (degrees) | γ (degrees) |
|---|---|---|---|---|---|---|---|---|---|
| L2_1--AlCu2Mn--heusler | static | -3.5577 | -3.5577 | 5.3916 | 5.3916 | 5.3916 | 90.0 | 90.0 | 90.0 |
Download raw data (including filtered results)
Reference structure matches:
| prototype | method | Ecoh (eV/atom) | Epot (eV/atom) | a0 (Å) | b0 (Å) | c0 (Å) | α (degrees) | β (degrees) | γ (degrees) |
|---|---|---|---|---|---|---|---|---|---|
| mp-7593 | dynamic | -3.8383 | -3.8383 | 5.6928 | 11.7108 | 7.5808 | 90.0 | 100.1 | 90.0 |
| mp-7593 | static | -3.8383 | -3.8383 | 5.6928 | 11.7108 | 7.5809 | 90.0 | 100.1 | 90.0 |
| mp-7593 | box | -3.399 | -3.399 | 6.0233 | 11.5754 | 7.9719 | 90.0 | 96.9 | 90.0 |
| L2_1--AlCu2Mn--heusler | static | -3.314 | -3.314 | 6.3704 | 6.3704 | 6.3704 | 90.0 | 90.0 | 90.0 |
Download raw data (including filtered results)
Reference structure matches:
| prototype | method | Ecoh (eV/atom) | Epot (eV/atom) | a0 (Å) | b0 (Å) | c0 (Å) | α (degrees) | β (degrees) | γ (degrees) |
|---|---|---|---|---|---|---|---|---|---|
| C1--CaF2--fluorite | dynamic | -3.1703 | -3.1703 | 5.4109 | 5.4109 | 5.4109 | 90.0 | 90.0 | 90.0 |
Download raw data (including filtered results)
Reference structure matches:
| prototype | method | Ecoh (eV/atom) | Epot (eV/atom) | a0 (Å) | b0 (Å) | c0 (Å) | α (degrees) | β (degrees) | γ (degrees) |
|---|---|---|---|---|---|---|---|---|---|
| L2_1--AlCu2Mn--heusler | static | -3.446 | -3.446 | 6.4064 | 6.4064 | 6.4064 | 90.0 | 90.0 | 90.0 |
Download raw data (including filtered results)
Reference structure matches:
| prototype | method | Ecoh (eV/atom) | Epot (eV/atom) | a0 (Å) | b0 (Å) | c0 (Å) | α (degrees) | β (degrees) | γ (degrees) |
|---|---|---|---|---|---|---|---|---|---|
| C1--CaF2--fluorite | dynamic | -4.2197 | -4.2197 | 6.2924 | 6.2924 | 6.2924 | 90.0 | 90.0 | 90.0 |
| mp-863016 | box | -2.4873 | -2.4873 | 5.344 | 5.344 | 5.0547 | 90.0 | 90.0 | 90.0 |
Download raw data (including filtered results)
Reference structure matches:
| prototype | method | Ecoh (eV/atom) | Epot (eV/atom) | a0 (Å) | b0 (Å) | c0 (Å) | α (degrees) | β (degrees) | γ (degrees) |
|---|---|---|---|---|---|---|---|---|---|
| L1_2--AuCu3 | dynamic | -0.852 | -0.852 | 6.0705 | 6.0705 | 6.0705 | 90.0 | 90.0 | 90.0 |
| D0_3--BiF3 | static | -0.8378 | -0.8378 | 9.5175 | 9.5175 | 9.5175 | 90.0 | 90.0 | 90.0 |
| A15--Cr3Si | static | -0.7849 | -0.7849 | 7.5844 | 7.5844 | 7.5844 | 90.0 | 90.0 | 90.0 |
Download raw data (including filtered results)
Reference structure matches:
| prototype | method | Ecoh (eV/atom) | Epot (eV/atom) | a0 (Å) | b0 (Å) | c0 (Å) | α (degrees) | β (degrees) | γ (degrees) |
|---|---|---|---|---|---|---|---|---|---|
| D0_3--BiF3 | dynamic | -3.686 | -3.686 | 5.8574 | 5.8574 | 5.8574 | 90.0 | 90.0 | 90.0 |
| A15--Cr3Si | dynamic | -3.5919 | -3.5919 | 4.6692 | 4.6692 | 4.6692 | 90.0 | 90.0 | 90.0 |
| L1_2--AuCu3 | dynamic | -3.3612 | -3.3612 | 3.7336 | 3.7336 | 3.7336 | 90.0 | 90.0 | 90.0 |
| mp-867934 | box | -1.8741 | -1.8741 | 6.9541 | 7.1741 | 9.2113 | 90.0 | 90.0 | 90.0 |
Download raw data (including filtered results)
Reference structure matches:
| prototype | method | Ecoh (eV/atom) | Epot (eV/atom) | a0 (Å) | b0 (Å) | c0 (Å) | α (degrees) | β (degrees) | γ (degrees) |
|---|---|---|---|---|---|---|---|---|---|
| D0_3--BiF3 | static | -0.7849 | -0.7849 | 6.0277 | 6.0277 | 6.0277 | 90.0 | 90.0 | 90.0 |
| mp-1185348 | box | -0.7765 | -0.7765 | 5.8341 | 5.8341 | 4.2002 | 90.0 | 90.0 | 120.0 |
| A15--Cr3Si | static | -0.7655 | -0.7655 | 4.8198 | 4.8198 | 4.8198 | 90.0 | 90.0 | 90.0 |
| L1_2--AuCu3 | static | -0.698 | -0.698 | 4.0117 | 4.0117 | 4.0117 | 90.0 | 90.0 | 90.0 |
| A15--Cr3Si | static | -0.4827 | -0.4827 | 6.4804 | 6.4804 | 6.4804 | 90.0 | 90.0 | 90.0 |
| A15--Cr3Si | static | -0.4826 | -0.4826 | 6.3124 | 6.3124 | 6.3124 | 90.0 | 90.0 | 90.0 |
Download raw data (including filtered results)
Reference structure matches:
| prototype | method | Ecoh (eV/atom) | Epot (eV/atom) | a0 (Å) | b0 (Å) | c0 (Å) | α (degrees) | β (degrees) | γ (degrees) |
|---|---|---|---|---|---|---|---|---|---|
| D0_3--BiF3 | static | -1.8769 | -1.8769 | 5.8199 | 5.8199 | 5.8199 | 90.0 | 90.0 | 90.0 |
| A15--Cr3Si | static | -1.8248 | -1.8248 | 4.664 | 4.664 | 4.664 | 90.0 | 90.0 | 90.0 |
| L1_2--AuCu3 | static | -1.6668 | -1.6668 | 3.7457 | 3.7457 | 3.7457 | 90.0 | 90.0 | 90.0 |
Download raw data (including filtered results)
Reference structure matches:
L1_2--AuCu3 = mp-975312
| prototype | method | Ecoh (eV/atom) | Epot (eV/atom) | a0 (Å) | b0 (Å) | c0 (Å) | α (degrees) | β (degrees) | γ (degrees) |
|---|---|---|---|---|---|---|---|---|---|
| A15--Cr3Si | dynamic | -4.4203 | -4.4203 | 4.8648 | 4.8648 | 4.8648 | 90.0 | 90.0 | 90.0 |
| mp-975337 | dynamic | -4.4129 | -4.4129 | 3.9436 | 3.9436 | 7.3591 | 90.0 | 90.0 | 90.0 |
| D0_3--BiF3 | static | -4.2925 | -4.2925 | 6.1546 | 6.1546 | 6.1546 | 90.0 | 90.0 | 90.0 |
| L1_2--AuCu3 | dynamic | -4.1638 | -4.1638 | 3.8711 | 3.8711 | 3.8711 | 90.0 | 90.0 | 90.0 |
| mp-1179728 | box | -1.6338 | -1.6338 | 5.0185 | 6.6275 | 8.2968 | 90.0 | 90.2 | 90.0 |
Download raw data (including filtered results)
Reference structure matches:
| prototype | method | Ecoh (eV/atom) | Epot (eV/atom) | a0 (Å) | b0 (Å) | c0 (Å) | α (degrees) | β (degrees) | γ (degrees) |
|---|---|---|---|---|---|---|---|---|---|
| mp-23257 | dynamic | -0.8434 | -0.8434 | 28.365 | 9.5585 | 25.506 | 90.0 | 118.8 | 90.0 |
| mp-23257 | static | -0.3987 | -0.3987 | 34.4819 | 17.9923 | 18.1273 | 90.0 | 105.1 | 90.0 |
Download raw data (including filtered results)
Reference structure matches:
| prototype | method | Ecoh (eV/atom) | Epot (eV/atom) | a0 (Å) | b0 (Å) | c0 (Å) | α (degrees) | β (degrees) | γ (degrees) |
|---|---|---|---|---|---|---|---|---|---|
| mp-1095521 | box | -0.5519 | -0.5519 | 4.5287 | 4.5287 | 43.0173 | 90.0 | 90.0 | 90.0 |
Download raw data (including filtered results)
Reference structure matches:
| prototype | method | Ecoh (eV/atom) | Epot (eV/atom) | a0 (Å) | b0 (Å) | c0 (Å) | α (degrees) | β (degrees) | γ (degrees) |
|---|---|---|---|---|---|---|---|---|---|
| mp-685157 | dynamic | -0.8425 | -0.8425 | 7.619 | 9.4486 | 11.5339 | 102.6 | 90.5 | 108.6 |
| mp-685157 | static | -0.6141 | -0.6141 | 7.8502 | 10.0832 | 13.8051 | 76.4 | 85.4 | 87.7 |
| mp-1184928 | static | -0.4669 | -0.4669 | 29.6374 | 7.9747 | 10.6699 | 90.0 | 90.0 | 90.0 |
| mp-685049 | box | -0.1457 | -0.1457 | 17.0944 | 17.9328 | 18.306 | 90.0 | 90.0 | 90.0 |
| mp-27988 | box | -0.1371 | -0.1371 | 26.8035 | 17.2035 | 15.1622 | 90.0 | 90.0 | 90.0 |
Download raw data (including filtered results)
Reference structure matches:
| prototype | method | Ecoh (eV/atom) | Epot (eV/atom) | a0 (Å) | b0 (Å) | c0 (Å) | α (degrees) | β (degrees) | γ (degrees) |
|---|---|---|---|---|---|---|---|---|---|
| B2--CsCl | dynamic | -0.94 | -0.94 | 5.1573 | 5.1573 | 5.1573 | 90.0 | 90.0 | 90.0 |
| B1--NaCl--rock-salt | static | -0.7049 | -0.7049 | 8.2708 | 8.2708 | 8.2708 | 90.0 | 90.0 | 90.0 |
| B3--ZnS--cubic-zinc-blende | dynamic | -0.3136 | -0.3136 | 10.5664 | 10.5664 | 10.5664 | 90.0 | 90.0 | 90.0 |
| B4--ZnS--wurtzite | dynamic | -0.3136 | -0.3136 | 7.4696 | 7.4696 | 12.2076 | 90.0 | 90.0 | 120.0 |
Download raw data (including filtered results)
Reference structure matches:
| prototype | method | Ecoh (eV/atom) | Epot (eV/atom) | a0 (Å) | b0 (Å) | c0 (Å) | α (degrees) | β (degrees) | γ (degrees) |
|---|---|---|---|---|---|---|---|---|---|
| C1--CaF2--fluorite | dynamic | -0.7849 | -0.7849 | 10.4577 | 10.4577 | 10.4577 | 90.0 | 90.0 | 90.0 |
Download raw data (including filtered results)
Reference structure matches:
| prototype | method | Ecoh (eV/atom) | Epot (eV/atom) | a0 (Å) | b0 (Å) | c0 (Å) | α (degrees) | β (degrees) | γ (degrees) |
|---|---|---|---|---|---|---|---|---|---|
| L2_1--AlCu2Mn--heusler | static | -1.0357 | -1.0357 | 9.0078 | 9.0078 | 9.0078 | 90.0 | 90.0 | 90.0 |
Download raw data (including filtered results)
Reference structure matches:
| prototype | method | Ecoh (eV/atom) | Epot (eV/atom) | a0 (Å) | b0 (Å) | c0 (Å) | α (degrees) | β (degrees) | γ (degrees) |
|---|---|---|---|---|---|---|---|---|---|
| L2_1--AlCu2Mn--heusler | static | -0.5996 | -0.5996 | 10.3468 | 10.3468 | 10.3468 | 90.0 | 90.0 | 90.0 |
Download raw data (including filtered results)
Reference structure matches:
| prototype | method | Ecoh (eV/atom) | Epot (eV/atom) | a0 (Å) | b0 (Å) | c0 (Å) | α (degrees) | β (degrees) | γ (degrees) |
|---|---|---|---|---|---|---|---|---|---|
| L2_1--AlCu2Mn--heusler | static | -0.8502 | -0.8502 | 9.4124 | 9.4124 | 9.4124 | 90.0 | 90.0 | 90.0 |
Download raw data (including filtered results)
Reference structure matches:
| prototype | method | Ecoh (eV/atom) | Epot (eV/atom) | a0 (Å) | b0 (Å) | c0 (Å) | α (degrees) | β (degrees) | γ (degrees) |
|---|---|---|---|---|---|---|---|---|---|
| L2_1--AlCu2Mn--heusler | dynamic | -1.1295 | -1.1295 | 9.03 | 9.03 | 9.03 | 90.0 | 90.0 | 90.0 |
Download raw data (including filtered results)
Reference structure matches:
| prototype | method | Ecoh (eV/atom) | Epot (eV/atom) | a0 (Å) | b0 (Å) | c0 (Å) | α (degrees) | β (degrees) | γ (degrees) |
|---|---|---|---|---|---|---|---|---|---|
| L1_2--AuCu3 | dynamic | -0.9345 | -0.9345 | 7.0174 | 7.0174 | 7.0174 | 90.0 | 90.0 | 90.0 |
| D0_3--BiF3 | dynamic | -0.9271 | -0.9271 | 11.0239 | 11.0239 | 11.0239 | 90.0 | 90.0 | 90.0 |
| A15--Cr3Si | dynamic | -0.9142 | -0.9142 | 8.8389 | 8.8389 | 8.8389 | 90.0 | 90.0 | 90.0 |
Download raw data (including filtered results)
Reference structure matches:
| prototype | method | Ecoh (eV/atom) | Epot (eV/atom) | a0 (Å) | b0 (Å) | c0 (Å) | α (degrees) | β (degrees) | γ (degrees) |
|---|---|---|---|---|---|---|---|---|---|
| L2_1--AlCu2Mn--heusler | static | -2.3096 | -2.3096 | 8.0021 | 8.0021 | 8.0021 | 90.0 | 90.0 | 90.0 |
Download raw data (including filtered results)
Reference structure matches:
| prototype | method | Ecoh (eV/atom) | Epot (eV/atom) | a0 (Å) | b0 (Å) | c0 (Å) | α (degrees) | β (degrees) | γ (degrees) |
|---|---|---|---|---|---|---|---|---|---|
| L2_1--AlCu2Mn--heusler | static | -2.6067 | -2.6067 | 6.8545 | 6.8545 | 6.8545 | 90.0 | 90.0 | 90.0 |
Download raw data (including filtered results)
Reference structure matches:
| prototype | method | Ecoh (eV/atom) | Epot (eV/atom) | a0 (Å) | b0 (Å) | c0 (Å) | α (degrees) | β (degrees) | γ (degrees) |
|---|---|---|---|---|---|---|---|---|---|
| L2_1--AlCu2Mn--heusler | static | -2.4506 | -2.4506 | 7.0922 | 7.0922 | 7.0922 | 90.0 | 90.0 | 90.0 |
Download raw data (including filtered results)
Reference structure matches:
| prototype | method | Ecoh (eV/atom) | Epot (eV/atom) | a0 (Å) | b0 (Å) | c0 (Å) | α (degrees) | β (degrees) | γ (degrees) |
|---|---|---|---|---|---|---|---|---|---|
| L2_1--AlCu2Mn--heusler | static | -1.9028 | -1.9028 | 8.3768 | 8.3768 | 8.3768 | 90.0 | 90.0 | 90.0 |
Download raw data (including filtered results)
Reference structure matches:
B1--NaCl--rock-salt = mp-463
B2--CsCl = mp-8454
| prototype | method | Ecoh (eV/atom) | Epot (eV/atom) | a0 (Å) | b0 (Å) | c0 (Å) | α (degrees) | β (degrees) | γ (degrees) |
|---|---|---|---|---|---|---|---|---|---|
| B1--NaCl--rock-salt | dynamic | -3.8303 | -3.8303 | 5.3245 | 5.3245 | 5.3245 | 90.0 | 90.0 | 90.0 |
| B2--CsCl | dynamic | -3.4104 | -3.4104 | 3.2106 | 3.2106 | 3.2106 | 90.0 | 90.0 | 90.0 |
| B4--ZnS--wurtzite | box | -3.1199 | -3.1199 | 4.2065 | 4.2065 | 6.8556 | 90.0 | 90.0 | 120.0 |
| B3--ZnS--cubic-zinc-blende | dynamic | -3.1197 | -3.1197 | 5.9497 | 5.9497 | 5.9497 | 90.0 | 90.0 | 90.0 |
Download raw data (including filtered results)
Reference structure matches:
| prototype | method | Ecoh (eV/atom) | Epot (eV/atom) | a0 (Å) | b0 (Å) | c0 (Å) | α (degrees) | β (degrees) | γ (degrees) |
|---|---|---|---|---|---|---|---|---|---|
| C1--CaF2--fluorite | box | -1.5214 | -1.5214 | 7.0084 | 7.0084 | 7.0084 | 90.0 | 90.0 | 90.0 |
Download raw data (including filtered results)
Reference structure matches:
| prototype | method | Ecoh (eV/atom) | Epot (eV/atom) | a0 (Å) | b0 (Å) | c0 (Å) | α (degrees) | β (degrees) | γ (degrees) |
|---|---|---|---|---|---|---|---|---|---|
| L2_1--AlCu2Mn--heusler | static | -0.8263 | -0.8263 | 8.1375 | 8.1375 | 8.1375 | 90.0 | 90.0 | 90.0 |
Download raw data (including filtered results)
Reference structure matches:
| prototype | method | Ecoh (eV/atom) | Epot (eV/atom) | a0 (Å) | b0 (Å) | c0 (Å) | α (degrees) | β (degrees) | γ (degrees) |
|---|---|---|---|---|---|---|---|---|---|
| L2_1--AlCu2Mn--heusler | static | -0.6119 | -0.6119 | 8.8022 | 8.8022 | 8.8022 | 90.0 | 90.0 | 90.0 |
Download raw data (including filtered results)
Reference structure matches:
| prototype | method | Ecoh (eV/atom) | Epot (eV/atom) | a0 (Å) | b0 (Å) | c0 (Å) | α (degrees) | β (degrees) | γ (degrees) |
|---|---|---|---|---|---|---|---|---|---|
| L2_1--AlCu2Mn--heusler | static | -0.4276 | -0.4276 | 10.4724 | 10.4724 | 10.4724 | 90.0 | 90.0 | 90.0 |
Download raw data (including filtered results)
Reference structure matches:
| prototype | method | Ecoh (eV/atom) | Epot (eV/atom) | a0 (Å) | b0 (Å) | c0 (Å) | α (degrees) | β (degrees) | γ (degrees) |
|---|---|---|---|---|---|---|---|---|---|
| D0_3--BiF3 | static | -0.4803 | -0.4803 | 10.0733 | 10.0733 | 10.0733 | 90.0 | 90.0 | 90.0 |
| L1_2--AuCu3 | static | -0.4721 | -0.4721 | 6.3401 | 6.3401 | 6.3401 | 90.0 | 90.0 | 90.0 |
| A15--Cr3Si | static | -0.4521 | -0.4521 | 8.0464 | 8.0464 | 8.0464 | 90.0 | 90.0 | 90.0 |
Download raw data (including filtered results)
Reference structure matches:
| prototype | method | Ecoh (eV/atom) | Epot (eV/atom) | a0 (Å) | b0 (Å) | c0 (Å) | α (degrees) | β (degrees) | γ (degrees) |
|---|---|---|---|---|---|---|---|---|---|
| L2_1--AlCu2Mn--heusler | static | -0.6251 | -0.6251 | 8.321 | 8.321 | 8.321 | 90.0 | 90.0 | 90.0 |
Download raw data (including filtered results)
Reference structure matches:
| prototype | method | Ecoh (eV/atom) | Epot (eV/atom) | a0 (Å) | b0 (Å) | c0 (Å) | α (degrees) | β (degrees) | γ (degrees) |
|---|---|---|---|---|---|---|---|---|---|
| L2_1--AlCu2Mn--heusler | static | -0.507 | -0.507 | 8.99 | 8.99 | 8.99 | 90.0 | 90.0 | 90.0 |
Download raw data (including filtered results)
Reference structure matches:
| prototype | method | Ecoh (eV/atom) | Epot (eV/atom) | a0 (Å) | b0 (Å) | c0 (Å) | α (degrees) | β (degrees) | γ (degrees) |
|---|---|---|---|---|---|---|---|---|---|
| L2_1--AlCu2Mn--heusler | static | -0.4701 | -0.4701 | 10.5877 | 10.5877 | 10.5877 | 90.0 | 90.0 | 90.0 |
Download raw data (including filtered results)
Reference structure matches:
B1--NaCl--rock-salt = mp-1138
B2--CsCl = mp-1009009
| prototype | method | Ecoh (eV/atom) | Epot (eV/atom) | a0 (Å) | b0 (Å) | c0 (Å) | α (degrees) | β (degrees) | γ (degrees) |
|---|---|---|---|---|---|---|---|---|---|
| B1--NaCl--rock-salt | dynamic | -4.4256 | -4.4256 | 4.0181 | 4.0181 | 4.0181 | 90.0 | 90.0 | 90.0 |
| B2--CsCl | dynamic | -3.845 | -3.845 | 2.4268 | 2.4268 | 2.4268 | 90.0 | 90.0 | 90.0 |
| mp-1185301 | box | -3.7896 | -3.7896 | 3.2764 | 3.2764 | 5.1131 | 90.0 | 90.0 | 120.0 |
| B4--ZnS--wurtzite | box | -3.7851 | -3.7851 | 3.2321 | 3.2321 | 5.2623 | 90.0 | 90.0 | 120.0 |
| B3--ZnS--cubic-zinc-blende | dynamic | -3.7704 | -3.7704 | 4.5662 | 4.5662 | 4.5662 | 90.0 | 90.0 | 90.0 |
Download raw data (including filtered results)
Reference structure matches:
| prototype | method | Ecoh (eV/atom) | Epot (eV/atom) | a0 (Å) | b0 (Å) | c0 (Å) | α (degrees) | β (degrees) | γ (degrees) |
|---|---|---|---|---|---|---|---|---|---|
| C1--CaF2--fluorite | static | -2.9681 | -2.9681 | 5.0826 | 5.0826 | 5.0826 | 90.0 | 90.0 | 90.0 |
Download raw data (including filtered results)
Reference structure matches:
| prototype | method | Ecoh (eV/atom) | Epot (eV/atom) | a0 (Å) | b0 (Å) | c0 (Å) | α (degrees) | β (degrees) | γ (degrees) |
|---|---|---|---|---|---|---|---|---|---|
| L2_1--AlCu2Mn--heusler | static | -1.0448 | -1.0448 | 6.5723 | 6.5723 | 6.5723 | 90.0 | 90.0 | 90.0 |
Download raw data (including filtered results)
Reference structure matches:
| prototype | method | Ecoh (eV/atom) | Epot (eV/atom) | a0 (Å) | b0 (Å) | c0 (Å) | α (degrees) | β (degrees) | γ (degrees) |
|---|---|---|---|---|---|---|---|---|---|
| L2_1--AlCu2Mn--heusler | box | -0.5312 | -0.5312 | 8.8677 | 8.8677 | 8.8677 | 90.0 | 90.0 | 90.0 |
Download raw data (including filtered results)
Reference structure matches:
| prototype | method | Ecoh (eV/atom) | Epot (eV/atom) | a0 (Å) | b0 (Å) | c0 (Å) | α (degrees) | β (degrees) | γ (degrees) |
|---|---|---|---|---|---|---|---|---|---|
| D0_3--BiF3 | static | -1.3751 | -1.3751 | 6.2258 | 6.2258 | 6.2258 | 90.0 | 90.0 | 90.0 |
| L1_2--AuCu3 | static | -1.3172 | -1.3172 | 4.0657 | 4.0657 | 4.0657 | 90.0 | 90.0 | 90.0 |
| A15--Cr3Si | static | -1.312 | -1.312 | 4.91 | 4.91 | 4.91 | 90.0 | 90.0 | 90.0 |
Download raw data (including filtered results)
Reference structure matches:
| prototype | method | Ecoh (eV/atom) | Epot (eV/atom) | a0 (Å) | b0 (Å) | c0 (Å) | α (degrees) | β (degrees) | γ (degrees) |
|---|---|---|---|---|---|---|---|---|---|
| L2_1--AlCu2Mn--heusler | static | -1.1432 | -1.1432 | 6.825 | 6.825 | 6.825 | 90.0 | 90.0 | 90.0 |
Download raw data (including filtered results)
Reference structure matches:
| prototype | method | Ecoh (eV/atom) | Epot (eV/atom) | a0 (Å) | b0 (Å) | c0 (Å) | α (degrees) | β (degrees) | γ (degrees) |
|---|---|---|---|---|---|---|---|---|---|
| L2_1--AlCu2Mn--heusler | static | -0.6482 | -0.6482 | 9.2643 | 9.2643 | 9.2643 | 90.0 | 90.0 | 90.0 |
Download raw data (including filtered results)
Reference structure matches:
B1--NaCl--rock-salt = mp-682
| prototype | method | Ecoh (eV/atom) | Epot (eV/atom) | a0 (Å) | b0 (Å) | c0 (Å) | α (degrees) | β (degrees) | γ (degrees) |
|---|---|---|---|---|---|---|---|---|---|
| B1--NaCl--rock-salt | dynamic | -3.8757 | -3.8757 | 4.613 | 4.613 | 4.613 | 90.0 | 90.0 | 90.0 |
| B2--CsCl | static | -3.6489 | -3.6489 | 2.8281 | 2.8281 | 2.8281 | 90.0 | 90.0 | 90.0 |
| B4--ZnS--wurtzite | box | -3.3209 | -3.3209 | 3.6241 | 3.6241 | 5.859 | 90.0 | 90.0 | 120.0 |
| B3--ZnS--cubic-zinc-blende | static | -3.2989 | -3.2989 | 5.1184 | 5.1184 | 5.1184 | 90.0 | 90.0 | 90.0 |
Download raw data (including filtered results)
Reference structure matches:
| prototype | method | Ecoh (eV/atom) | Epot (eV/atom) | a0 (Å) | b0 (Å) | c0 (Å) | α (degrees) | β (degrees) | γ (degrees) |
|---|---|---|---|---|---|---|---|---|---|
| C1--CaF2--fluorite | static | -2.4043 | -2.4043 | 5.892 | 5.892 | 5.892 | 90.0 | 90.0 | 90.0 |
Download raw data (including filtered results)
Reference structure matches:
| prototype | method | Ecoh (eV/atom) | Epot (eV/atom) | a0 (Å) | b0 (Å) | c0 (Å) | α (degrees) | β (degrees) | γ (degrees) |
|---|---|---|---|---|---|---|---|---|---|
| L2_1--AlCu2Mn--heusler | box | -0.4333 | -0.4333 | 9.5284 | 9.5284 | 9.5284 | 90.0 | 90.0 | 90.0 |
Download raw data (including filtered results)
Reference structure matches:
| prototype | method | Ecoh (eV/atom) | Epot (eV/atom) | a0 (Å) | b0 (Å) | c0 (Å) | α (degrees) | β (degrees) | γ (degrees) |
|---|---|---|---|---|---|---|---|---|---|
| L1_2--AuCu3 | static | -0.8999 | -0.8999 | 4.5833 | 4.5833 | 4.5833 | 90.0 | 90.0 | 90.0 |
| D0_3--BiF3 | box | -0.8437 | -0.8437 | 7.1038 | 7.1038 | 7.1038 | 90.0 | 90.0 | 90.0 |
| A15--Cr3Si | box | -0.7943 | -0.7943 | 5.6642 | 5.6642 | 5.6642 | 90.0 | 90.0 | 90.0 |
Download raw data (including filtered results)
Reference structure matches:
| prototype | method | Ecoh (eV/atom) | Epot (eV/atom) | a0 (Å) | b0 (Å) | c0 (Å) | α (degrees) | β (degrees) | γ (degrees) |
|---|---|---|---|---|---|---|---|---|---|
| L2_1--AlCu2Mn--heusler | static | -0.5448 | -0.5448 | 9.8653 | 9.8653 | 9.8653 | 90.0 | 90.0 | 90.0 |
Download raw data (including filtered results)
Reference structure matches:
B1--NaCl--rock-salt = mp-11718
B2--CsCl = mp-2064
| prototype | method | Ecoh (eV/atom) | Epot (eV/atom) | a0 (Å) | b0 (Å) | c0 (Å) | α (degrees) | β (degrees) | γ (degrees) |
|---|---|---|---|---|---|---|---|---|---|
| B1--NaCl--rock-salt | dynamic | -3.6773 | -3.6773 | 5.6293 | 5.6293 | 5.6293 | 90.0 | 90.0 | 90.0 |
| B3--ZnS--cubic-zinc-blende | dynamic | -3.0392 | -3.0392 | 6.3382 | 6.3382 | 6.3382 | 90.0 | 90.0 | 90.0 |
| B4--ZnS--wurtzite | dynamic | -3.0359 | -3.0359 | 4.4886 | 4.4886 | 7.2907 | 90.0 | 90.0 | 120.0 |
| B4--ZnS--wurtzite | box | -3.0358 | -3.0358 | 4.4803 | 4.4803 | 7.3187 | 90.0 | 90.0 | 120.0 |
| B2--CsCl | static | -2.6953 | -2.6953 | 3.3792 | 3.3792 | 3.3792 | 90.0 | 90.0 | 90.0 |
| L1_0--AuCu | box | -0.2167 | -0.2167 | 4.613 | 4.613 | 8.9129 | 90.0 | 90.0 | 90.0 |
Download raw data (including filtered results)
Reference structure matches:
| prototype | method | Ecoh (eV/atom) | Epot (eV/atom) | a0 (Å) | b0 (Å) | c0 (Å) | α (degrees) | β (degrees) | γ (degrees) |
|---|---|---|---|---|---|---|---|---|---|
| C1--CaF2--fluorite | static | -0.7562 | -0.7562 | 7.7768 | 7.7768 | 7.7768 | 90.0 | 90.0 | 90.0 |
Download raw data (including filtered results)
Reference structure matches:
| prototype | method | Ecoh (eV/atom) | Epot (eV/atom) | a0 (Å) | b0 (Å) | c0 (Å) | α (degrees) | β (degrees) | γ (degrees) |
|---|---|---|---|---|---|---|---|---|---|
| D0_3--BiF3 | static | -0.4268 | -0.4268 | 10.9335 | 10.9335 | 10.9335 | 90.0 | 90.0 | 90.0 |
| L1_2--AuCu3 | dynamic | -0.422 | -0.422 | 6.9525 | 6.9525 | 6.9525 | 90.0 | 90.0 | 90.0 |
| A15--Cr3Si | static | -0.3952 | -0.3952 | 8.7356 | 8.7356 | 8.7356 | 90.0 | 90.0 | 90.0 |
Download raw data (including filtered results)
Reference structure matches:
| prototype | method | Ecoh (eV/atom) | Epot (eV/atom) | a0 (Å) | b0 (Å) | c0 (Å) | α (degrees) | β (degrees) | γ (degrees) |
|---|---|---|---|---|---|---|---|---|---|
| A2--W--bcc | dynamic | -1.109 | -1.109 | 5.7117 | 5.7117 | 5.7117 | 90.0 | 90.0 | 90.0 |
| A6--In--bct | dynamic | -1.106 | -1.106 | 5.1709 | 5.1709 | 7.3412 | 90.0 | 90.0 | 90.0 |
| A3'--alpha-La--double-hcp | dynamic | -1.106 | -1.106 | 5.1761 | 5.1761 | 16.9052 | 90.0 | 90.0 | 120.0 |
| A1--Cu--fcc | dynamic | -1.106 | -1.106 | 7.3202 | 7.3202 | 7.3202 | 90.0 | 90.0 | 90.0 |
| A3--Mg--hcp | dynamic | -1.106 | -1.106 | 5.1809 | 5.1809 | 8.4604 | 90.0 | 90.0 | 120.0 |
| A3'--alpha-La--double-hcp | static | -1.106 | -1.106 | 5.1809 | 5.1809 | 16.9209 | 90.0 | 90.0 | 120.0 |
| A1--Cu--fcc | static | -1.106 | -1.106 | 7.327 | 7.327 | 7.327 | 90.0 | 90.0 | 90.0 |
| A1--Cu--fcc | box | -1.106 | -1.106 | 7.3252 | 7.3252 | 7.3252 | 90.0 | 90.0 | 90.0 |
| A3--Mg--hcp | box | -1.106 | -1.106 | 5.1797 | 5.1797 | 8.4584 | 90.0 | 90.0 | 120.0 |
| A3'--alpha-La--double-hcp | box | -1.106 | -1.106 | 5.1797 | 5.1797 | 16.9168 | 90.0 | 90.0 | 120.0 |
| A15--beta-W | dynamic | -1.0656 | -1.0656 | 9.1651 | 9.1651 | 9.1651 | 90.0 | 90.0 | 90.0 |
| A5--beta-Sn | static | -0.6904 | -0.6904 | 9.4822 | 9.4822 | 4.9248 | 90.0 | 90.0 | 90.0 |
| Ah--alpha-Po--sc | static | -0.5532 | -0.5532 | 5.1586 | 5.1586 | 5.1586 | 90.0 | 90.0 | 90.0 |
| A4--C--dc | dynamic | -0.3687 | -0.3687 | 11.9649 | 11.9649 | 11.9649 | 90.0 | 90.0 | 90.0 |
Download raw data (including filtered results)
Reference structure matches:
| prototype | method | Ecoh (eV/atom) | Epot (eV/atom) | a0 (Å) | b0 (Å) | c0 (Å) | α (degrees) | β (degrees) | γ (degrees) |
|---|---|---|---|---|---|---|---|---|---|
| C1--CaF2--fluorite | dynamic | -1.474 | -1.474 | 8.492 | 8.492 | 8.492 | 90.0 | 90.0 | 90.0 |
Download raw data (including filtered results)
Reference structure matches:
| prototype | method | Ecoh (eV/atom) | Epot (eV/atom) | a0 (Å) | b0 (Å) | c0 (Å) | α (degrees) | β (degrees) | γ (degrees) |
|---|---|---|---|---|---|---|---|---|---|
| L2_1--AlCu2Mn--heusler | box | -1.8035 | -1.8035 | 8.2207 | 8.2207 | 8.2207 | 90.0 | 90.0 | 90.0 |
Download raw data (including filtered results)
Reference structure matches:
| prototype | method | Ecoh (eV/atom) | Epot (eV/atom) | a0 (Å) | b0 (Å) | c0 (Å) | α (degrees) | β (degrees) | γ (degrees) |
|---|---|---|---|---|---|---|---|---|---|
| L2_1--AlCu2Mn--heusler | dynamic | -2.2226 | -2.2226 | 8.2909 | 8.2909 | 8.2909 | 90.0 | 90.0 | 90.0 |
Download raw data (including filtered results)
Reference structure matches:
| prototype | method | Ecoh (eV/atom) | Epot (eV/atom) | a0 (Å) | b0 (Å) | c0 (Å) | α (degrees) | β (degrees) | γ (degrees) |
|---|---|---|---|---|---|---|---|---|---|
| L2_1--AlCu2Mn--heusler | dynamic | -2.2837 | -2.2837 | 8.5477 | 8.5477 | 8.5477 | 90.0 | 90.0 | 90.0 |
Download raw data (including filtered results)
Reference structure matches:
| prototype | method | Ecoh (eV/atom) | Epot (eV/atom) | a0 (Å) | b0 (Å) | c0 (Å) | α (degrees) | β (degrees) | γ (degrees) |
|---|---|---|---|---|---|---|---|---|---|
| C1--CaF2--fluorite | static | -0.4073 | -0.4073 | 8.8378 | 8.8378 | 8.8378 | 90.0 | 90.0 | 90.0 |
Download raw data (including filtered results)
Reference structure matches:
| prototype | method | Ecoh (eV/atom) | Epot (eV/atom) | a0 (Å) | b0 (Å) | c0 (Å) | α (degrees) | β (degrees) | γ (degrees) |
|---|---|---|---|---|---|---|---|---|---|
| L2_1--AlCu2Mn--heusler | static | -1.5748 | -1.5748 | 7.89 | 7.89 | 7.89 | 90.0 | 90.0 | 90.0 |
Download raw data (including filtered results)
Reference structure matches:
| prototype | method | Ecoh (eV/atom) | Epot (eV/atom) | a0 (Å) | b0 (Å) | c0 (Å) | α (degrees) | β (degrees) | γ (degrees) |
|---|---|---|---|---|---|---|---|---|---|
| L2_1--AlCu2Mn--heusler | static | -1.6993 | -1.6993 | 8.4896 | 8.4896 | 8.4896 | 90.0 | 90.0 | 90.0 |
Download raw data (including filtered results)
Reference structure matches:
| prototype | method | Ecoh (eV/atom) | Epot (eV/atom) | a0 (Å) | b0 (Å) | c0 (Å) | α (degrees) | β (degrees) | γ (degrees) |
|---|---|---|---|---|---|---|---|---|---|
| C1--CaF2--fluorite | static | -1.0804 | -1.0804 | 8.5685 | 8.5685 | 8.5685 | 90.0 | 90.0 | 90.0 |
Download raw data (including filtered results)
Reference structure matches:
| prototype | method | Ecoh (eV/atom) | Epot (eV/atom) | a0 (Å) | b0 (Å) | c0 (Å) | α (degrees) | β (degrees) | γ (degrees) |
|---|---|---|---|---|---|---|---|---|---|
| L2_1--AlCu2Mn--heusler | dynamic | -2.1195 | -2.1195 | 8.5121 | 8.5121 | 8.5121 | 90.0 | 90.0 | 90.0 |
Download raw data (including filtered results)
Reference structure matches:
| prototype | method | Ecoh (eV/atom) | Epot (eV/atom) | a0 (Å) | b0 (Å) | c0 (Å) | α (degrees) | β (degrees) | γ (degrees) |
|---|---|---|---|---|---|---|---|---|---|
| C1--CaF2--fluorite | dynamic | -1.5066 | -1.5066 | 8.6689 | 8.6689 | 8.6689 | 90.0 | 90.0 | 90.0 |
Download raw data (including filtered results)
Reference structure matches:
| prototype | method | Ecoh (eV/atom) | Epot (eV/atom) | a0 (Å) | b0 (Å) | c0 (Å) | α (degrees) | β (degrees) | γ (degrees) |
|---|---|---|---|---|---|---|---|---|---|
| D0_3--BiF3 | static | -0.6273 | -0.6273 | 11.0563 | 11.0563 | 11.0563 | 90.0 | 90.0 | 90.0 |
| L1_2--AuCu3 | static | -0.6024 | -0.6024 | 7.0341 | 7.0341 | 7.0341 | 90.0 | 90.0 | 90.0 |
| A15--Cr3Si | static | -0.5823 | -0.5823 | 8.8156 | 8.8156 | 8.8156 | 90.0 | 90.0 | 90.0 |
Download raw data (including filtered results)
Reference structure matches:
| prototype | method | Ecoh (eV/atom) | Epot (eV/atom) | a0 (Å) | b0 (Å) | c0 (Å) | α (degrees) | β (degrees) | γ (degrees) |
|---|---|---|---|---|---|---|---|---|---|
| D0_3--BiF3 | static | -0.5554 | -0.5554 | 11.4143 | 11.4143 | 11.4143 | 90.0 | 90.0 | 90.0 |
| L1_2--AuCu3 | static | -0.5532 | -0.5532 | 7.3131 | 7.3131 | 7.3131 | 90.0 | 90.0 | 90.0 |
| A15--Cr3Si | static | -0.517 | -0.517 | 9.081 | 9.081 | 9.081 | 90.0 | 90.0 | 90.0 |
Download raw data (including filtered results)
Reference structure matches:
| prototype | method | Ecoh (eV/atom) | Epot (eV/atom) | a0 (Å) | b0 (Å) | c0 (Å) | α (degrees) | β (degrees) | γ (degrees) |
|---|---|---|---|---|---|---|---|---|---|
| D0_3--BiF3 | box | -0.5952 | -0.5952 | 11.1755 | 11.1755 | 11.1755 | 90.0 | 90.0 | 90.0 |
| L1_2--AuCu3 | static | -0.5758 | -0.5758 | 7.1561 | 7.1561 | 7.1561 | 90.0 | 90.0 | 90.0 |
| A15--Cr3Si | static | -0.5509 | -0.5509 | 8.9123 | 8.9123 | 8.9123 | 90.0 | 90.0 | 90.0 |
Download raw data (including filtered results)
Reference structure matches:
| prototype | method | Ecoh (eV/atom) | Epot (eV/atom) | a0 (Å) | b0 (Å) | c0 (Å) | α (degrees) | β (degrees) | γ (degrees) |
|---|---|---|---|---|---|---|---|---|---|
| mp-28328 | dynamic | -1.573 | -1.573 | 16.5029 | 4.8913 | 13.8861 | 90.0 | 90.0 | 90.0 |
| mp-28328 | static | -1.5481 | -1.5481 | 16.7298 | 4.9073 | 13.8276 | 90.0 | 90.0 | 90.0 |
| D0_3--BiF3 | box | -0.6598 | -0.6598 | 10.9568 | 10.9568 | 10.9568 | 90.0 | 90.0 | 90.0 |
| L1_2--AuCu3 | static | -0.6353 | -0.6353 | 6.8943 | 6.8943 | 6.8943 | 90.0 | 90.0 | 90.0 |
| A15--Cr3Si | static | -0.6156 | -0.6156 | 8.7308 | 8.7308 | 8.7308 | 90.0 | 90.0 | 90.0 |
Download raw data (including filtered results)
Reference structure matches:
| prototype | method | Ecoh (eV/atom) | Epot (eV/atom) | a0 (Å) | b0 (Å) | c0 (Å) | α (degrees) | β (degrees) | γ (degrees) |
|---|---|---|---|---|---|---|---|---|---|
| B1--NaCl--rock-salt | dynamic | -2.7229 | -2.7229 | 7.0519 | 7.0519 | 7.0519 | 90.0 | 90.0 | 90.0 |
| mp-1078836 | box | -2.598 | -2.598 | 4.9453 | 8.3277 | 8.5732 | 90.0 | 90.0 | 90.0 |
| B2--CsCl | dynamic | -2.4136 | -2.4136 | 4.1868 | 4.1868 | 4.1868 | 90.0 | 90.0 | 90.0 |
| B4--ZnS--wurtzite | box | -1.8025 | -1.8025 | 5.6382 | 5.6382 | 9.2124 | 90.0 | 90.0 | 120.0 |
| B3--ZnS--cubic-zinc-blende | static | -1.8022 | -1.8022 | 7.9756 | 7.9756 | 7.9756 | 90.0 | 90.0 | 90.0 |
Download raw data (including filtered results)
Reference structure matches:
| prototype | method | Ecoh (eV/atom) | Epot (eV/atom) | a0 (Å) | b0 (Å) | c0 (Å) | α (degrees) | β (degrees) | γ (degrees) |
|---|---|---|---|---|---|---|---|---|---|
| C1--CaF2--fluorite | dynamic | -2.1963 | -2.1963 | 8.1175 | 8.1175 | 8.1175 | 90.0 | 90.0 | 90.0 |
Download raw data (including filtered results)
Reference structure matches:
| prototype | method | Ecoh (eV/atom) | Epot (eV/atom) | a0 (Å) | b0 (Å) | c0 (Å) | α (degrees) | β (degrees) | γ (degrees) |
|---|---|---|---|---|---|---|---|---|---|
| L2_1--AlCu2Mn--heusler | dynamic | -1.862 | -1.862 | 8.248 | 8.248 | 8.248 | 90.0 | 90.0 | 90.0 |
Download raw data (including filtered results)
Reference structure matches:
| prototype | method | Ecoh (eV/atom) | Epot (eV/atom) | a0 (Å) | b0 (Å) | c0 (Å) | α (degrees) | β (degrees) | γ (degrees) |
|---|---|---|---|---|---|---|---|---|---|
| L2_1--AlCu2Mn--heusler | dynamic | -1.8374 | -1.8374 | 8.2615 | 8.2615 | 8.2615 | 90.0 | 90.0 | 90.0 |
Download raw data (including filtered results)
Reference structure matches:
| prototype | method | Ecoh (eV/atom) | Epot (eV/atom) | a0 (Å) | b0 (Å) | c0 (Å) | α (degrees) | β (degrees) | γ (degrees) |
|---|---|---|---|---|---|---|---|---|---|
| L2_1--AlCu2Mn--heusler | static | -1.0016 | -1.0016 | 8.8321 | 8.8321 | 8.8321 | 90.0 | 90.0 | 90.0 |
Download raw data (including filtered results)
Reference structure matches:
| prototype | method | Ecoh (eV/atom) | Epot (eV/atom) | a0 (Å) | b0 (Å) | c0 (Å) | α (degrees) | β (degrees) | γ (degrees) |
|---|---|---|---|---|---|---|---|---|---|
| L1_2--AuCu3 | static | -1.4243 | -1.4243 | 5.4025 | 5.4025 | 5.4025 | 90.0 | 90.0 | 90.0 |
| D0_3--BiF3 | static | -1.3412 | -1.3412 | 8.5227 | 8.5227 | 8.5227 | 90.0 | 90.0 | 90.0 |
| A15--Cr3Si | static | -1.2873 | -1.2873 | 6.81 | 6.81 | 6.81 | 90.0 | 90.0 | 90.0 |
Download raw data (including filtered results)
Reference structure matches:
| prototype | method | Ecoh (eV/atom) | Epot (eV/atom) | a0 (Å) | b0 (Å) | c0 (Å) | α (degrees) | β (degrees) | γ (degrees) |
|---|---|---|---|---|---|---|---|---|---|
| L2_1--AlCu2Mn--heusler | dynamic | -2.6014 | -2.6014 | 7.1124 | 7.1124 | 7.1124 | 90.0 | 90.0 | 90.0 |
Download raw data (including filtered results)
Reference structure matches:
| prototype | method | Ecoh (eV/atom) | Epot (eV/atom) | a0 (Å) | b0 (Å) | c0 (Å) | α (degrees) | β (degrees) | γ (degrees) |
|---|---|---|---|---|---|---|---|---|---|
| L2_1--AlCu2Mn--heusler | static | -1.969 | -1.969 | 7.6885 | 7.6885 | 7.6885 | 90.0 | 90.0 | 90.0 |
Download raw data (including filtered results)
Reference structure matches:
| prototype | method | Ecoh (eV/atom) | Epot (eV/atom) | a0 (Å) | b0 (Å) | c0 (Å) | α (degrees) | β (degrees) | γ (degrees) |
|---|---|---|---|---|---|---|---|---|---|
| L2_1--AlCu2Mn--heusler | static | -0.9551 | -0.9551 | 9.1271 | 9.1271 | 9.1271 | 90.0 | 90.0 | 90.0 |
Download raw data (including filtered results)
Reference structure matches:
| prototype | method | Ecoh (eV/atom) | Epot (eV/atom) | a0 (Å) | b0 (Å) | c0 (Å) | α (degrees) | β (degrees) | γ (degrees) |
|---|---|---|---|---|---|---|---|---|---|
| B1--NaCl--rock-salt | dynamic | -2.8048 | -2.8048 | 6.05 | 6.05 | 6.05 | 90.0 | 90.0 | 90.0 |
| mp-568273 | dynamic | -2.7036 | -2.7036 | 4.2574 | 4.2574 | 7.1067 | 90.0 | 90.0 | 120.0 |
| B3--ZnS--cubic-zinc-blende | dynamic | -2.4846 | -2.4846 | 6.8159 | 6.8159 | 6.8159 | 90.0 | 90.0 | 90.0 |
| B4--ZnS--wurtzite | dynamic | -2.4838 | -2.4838 | 4.8215 | 4.8215 | 7.8629 | 90.0 | 90.0 | 120.0 |
| B4--ZnS--wurtzite | box | -2.4838 | -2.4838 | 4.8183 | 4.8183 | 7.8735 | 90.0 | 90.0 | 120.0 |
| mp-570935 | box | -2.4826 | -2.4826 | 4.8547 | 4.8547 | 7.751 | 90.0 | 90.0 | 120.0 |
| B2--CsCl | box | -1.3378 | -1.3378 | 3.699 | 3.699 | 3.699 | 90.0 | 90.0 | 90.0 |
| L1_0--AuCu | box | -0.2228 | -0.2228 | 4.8559 | 4.8559 | 8.7507 | 90.0 | 90.0 | 90.0 |
Download raw data (including filtered results)
Reference structure matches:
| prototype | method | Ecoh (eV/atom) | Epot (eV/atom) | a0 (Å) | b0 (Å) | c0 (Å) | α (degrees) | β (degrees) | γ (degrees) |
|---|---|---|---|---|---|---|---|---|---|
| C1--CaF2--fluorite | dynamic | -3.5725 | -3.5725 | 6.794 | 6.794 | 6.794 | 90.0 | 90.0 | 90.0 |
Download raw data (including filtered results)
Reference structure matches:
| prototype | method | Ecoh (eV/atom) | Epot (eV/atom) | a0 (Å) | b0 (Å) | c0 (Å) | α (degrees) | β (degrees) | γ (degrees) |
|---|---|---|---|---|---|---|---|---|---|
| L2_1--AlCu2Mn--heusler | dynamic | -3.3862 | -3.3862 | 6.8485 | 6.8485 | 6.8485 | 90.0 | 90.0 | 90.0 |
Download raw data (including filtered results)
Reference structure matches:
| prototype | method | Ecoh (eV/atom) | Epot (eV/atom) | a0 (Å) | b0 (Å) | c0 (Å) | α (degrees) | β (degrees) | γ (degrees) |
|---|---|---|---|---|---|---|---|---|---|
| L2_1--AlCu2Mn--heusler | static | -1.8824 | -1.8824 | 7.4385 | 7.4385 | 7.4385 | 90.0 | 90.0 | 90.0 |
Download raw data (including filtered results)
Reference structure matches:
| prototype | method | Ecoh (eV/atom) | Epot (eV/atom) | a0 (Å) | b0 (Å) | c0 (Å) | α (degrees) | β (degrees) | γ (degrees) |
|---|---|---|---|---|---|---|---|---|---|
| A15--Cr3Si | dynamic | -3.7456 | -3.7456 | 5.307 | 5.307 | 5.307 | 90.0 | 90.0 | 90.0 |
| L1_2--AuCu3 | dynamic | -3.5861 | -3.5861 | 4.2074 | 4.2074 | 4.2074 | 90.0 | 90.0 | 90.0 |
| D0_3--BiF3 | static | -3.5116 | -3.5116 | 6.7552 | 6.7552 | 6.7552 | 90.0 | 90.0 | 90.0 |
Download raw data (including filtered results)
Reference structure matches:
| prototype | method | Ecoh (eV/atom) | Epot (eV/atom) | a0 (Å) | b0 (Å) | c0 (Å) | α (degrees) | β (degrees) | γ (degrees) |
|---|---|---|---|---|---|---|---|---|---|
| L2_1--AlCu2Mn--heusler | static | -2.46 | -2.46 | 7.0923 | 7.0923 | 7.0923 | 90.0 | 90.0 | 90.0 |
Download raw data (including filtered results)
Reference structure matches:
| prototype | method | Ecoh (eV/atom) | Epot (eV/atom) | a0 (Å) | b0 (Å) | c0 (Å) | α (degrees) | β (degrees) | γ (degrees) |
|---|---|---|---|---|---|---|---|---|---|
| L2_1--AlCu2Mn--heusler | dynamic | -1.4941 | -1.4941 | 8.6891 | 8.6891 | 8.6891 | 90.0 | 90.0 | 90.0 |
Download raw data (including filtered results)
Reference structure matches:
| prototype | method | Ecoh (eV/atom) | Epot (eV/atom) | a0 (Å) | b0 (Å) | c0 (Å) | α (degrees) | β (degrees) | γ (degrees) |
|---|---|---|---|---|---|---|---|---|---|
| B1--NaCl--rock-salt | dynamic | -2.5973 | -2.5973 | 6.4545 | 6.4545 | 6.4545 | 90.0 | 90.0 | 90.0 |
| B4--ZnS--wurtzite | box | -2.2062 | -2.2062 | 4.9222 | 4.9222 | 7.9917 | 90.0 | 90.0 | 120.0 |
| B3--ZnS--cubic-zinc-blende | dynamic | -2.1994 | -2.1994 | 6.957 | 6.957 | 6.957 | 90.0 | 90.0 | 90.0 |
| B2--CsCl | static | -1.9795 | -1.9795 | 4.0639 | 4.0639 | 4.0639 | 90.0 | 90.0 | 90.0 |
Download raw data (including filtered results)
Reference structure matches:
| prototype | method | Ecoh (eV/atom) | Epot (eV/atom) | a0 (Å) | b0 (Å) | c0 (Å) | α (degrees) | β (degrees) | γ (degrees) |
|---|---|---|---|---|---|---|---|---|---|
| C1--CaF2--fluorite | dynamic | -2.7825 | -2.7825 | 7.0455 | 7.0455 | 7.0455 | 90.0 | 90.0 | 90.0 |
Download raw data (including filtered results)
Reference structure matches:
| prototype | method | Ecoh (eV/atom) | Epot (eV/atom) | a0 (Å) | b0 (Å) | c0 (Å) | α (degrees) | β (degrees) | γ (degrees) |
|---|---|---|---|---|---|---|---|---|---|
| L2_1--AlCu2Mn--heusler | static | -1.5793 | -1.5793 | 8.0358 | 8.0358 | 8.0358 | 90.0 | 90.0 | 90.0 |
Download raw data (including filtered results)
Reference structure matches:
| prototype | method | Ecoh (eV/atom) | Epot (eV/atom) | a0 (Å) | b0 (Å) | c0 (Å) | α (degrees) | β (degrees) | γ (degrees) |
|---|---|---|---|---|---|---|---|---|---|
| D0_3--BiF3 | dynamic | -2.4684 | -2.4684 | 7.312 | 7.312 | 7.312 | 90.0 | 90.0 | 90.0 |
| A15--Cr3Si | static | -2.3525 | -2.3525 | 5.8321 | 5.8321 | 5.8321 | 90.0 | 90.0 | 90.0 |
| L1_2--AuCu3 | static | -2.2602 | -2.2602 | 4.6937 | 4.6937 | 4.6937 | 90.0 | 90.0 | 90.0 |
Download raw data (including filtered results)
Reference structure matches:
| prototype | method | Ecoh (eV/atom) | Epot (eV/atom) | a0 (Å) | b0 (Å) | c0 (Å) | α (degrees) | β (degrees) | γ (degrees) |
|---|---|---|---|---|---|---|---|---|---|
| L2_1--AlCu2Mn--heusler | dynamic | -1.4061 | -1.4061 | 8.712 | 8.712 | 8.712 | 90.0 | 90.0 | 90.0 |
Download raw data (including filtered results)
Reference structure matches:
| prototype | method | Ecoh (eV/atom) | Epot (eV/atom) | a0 (Å) | b0 (Å) | c0 (Å) | α (degrees) | β (degrees) | γ (degrees) |
|---|---|---|---|---|---|---|---|---|---|
| B1--NaCl--rock-salt | dynamic | -2.5058 | -2.5058 | 7.3258 | 7.3258 | 7.3258 | 90.0 | 90.0 | 90.0 |
| B2--CsCl | dynamic | -2.1852 | -2.1852 | 4.3384 | 4.3384 | 4.3384 | 90.0 | 90.0 | 90.0 |
| B4--ZnS--wurtzite | box | -1.5689 | -1.5689 | 5.8596 | 5.8596 | 9.5749 | 90.0 | 90.0 | 120.0 |
| B3--ZnS--cubic-zinc-blende | box | -1.5685 | -1.5685 | 8.2888 | 8.2888 | 8.2888 | 90.0 | 90.0 | 90.0 |
Download raw data (including filtered results)
Reference structure matches:
| prototype | method | Ecoh (eV/atom) | Epot (eV/atom) | a0 (Å) | b0 (Å) | c0 (Å) | α (degrees) | β (degrees) | γ (degrees) |
|---|---|---|---|---|---|---|---|---|---|
| C1--CaF2--fluorite | dynamic | -1.7546 | -1.7546 | 8.5097 | 8.5097 | 8.5097 | 90.0 | 90.0 | 90.0 |
Download raw data (including filtered results)
Reference structure matches:
| prototype | method | Ecoh (eV/atom) | Epot (eV/atom) | a0 (Å) | b0 (Å) | c0 (Å) | α (degrees) | β (degrees) | γ (degrees) |
|---|---|---|---|---|---|---|---|---|---|
| L1_2--AuCu3 | static | -0.8196 | -0.8196 | 5.9607 | 5.9607 | 5.9607 | 90.0 | 90.0 | 90.0 |
| D0_3--BiF3 | static | -0.7127 | -0.7127 | 9.7052 | 9.7052 | 9.7052 | 90.0 | 90.0 | 90.0 |
| A15--Cr3Si | static | -0.6695 | -0.6695 | 7.7876 | 7.7876 | 7.7876 | 90.0 | 90.0 | 90.0 |
Download raw data (including filtered results)
Reference structure matches:
A1--Cu--fcc = mp-10157, oqmd-676282, oqmd-1214537
A15--beta-W = mp-1184808, oqmd-1214982
A2--W--bcc = mp-58, oqmd-8500, oqmd-1215160
A3'--alpha-La--double-hcp = mp-604318, oqmd-686161, oqmd-1215428
A3--Mg--hcp = mp-1184755, oqmd-1215338
A4--C--dc = oqmd-1215517
A5--beta-Sn = mp-1180961, oqmd-20427, oqmd-1215606
A6--In--bct = oqmd-1215695
Ah--alpha-Po--sc = mp-998881, oqmd-20089
| prototype | method | Ecoh (eV/atom) | Epot (eV/atom) | a0 (Å) | b0 (Å) | c0 (Å) | α (degrees) | β (degrees) | γ (degrees) |
|---|---|---|---|---|---|---|---|---|---|
| A2--W--bcc | dynamic | -0.9377 | -0.9377 | 5.0994 | 5.0994 | 5.0994 | 90.0 | 90.0 | 90.0 |
| A3'--alpha-La--double-hcp | dynamic | -0.9222 | -0.9222 | 4.57 | 4.57 | 14.9254 | 90.0 | 90.0 | 120.0 |
| A1--Cu--fcc | dynamic | -0.9222 | -0.9222 | 6.4629 | 6.4629 | 6.4629 | 90.0 | 90.0 | 90.0 |
| A3--Mg--hcp | dynamic | -0.9222 | -0.9222 | 4.57 | 4.57 | 7.4627 | 90.0 | 90.0 | 120.0 |
| oqmd-1216051 | dynamic | -0.9222 | -0.9222 | 4.57 | 4.57 | 33.5822 | 90.0 | 90.0 | 120.0 |
| mp-972981 | box | -0.9217 | -0.9217 | 4.6492 | 7.774 | 7.4533 | 90.0 | 90.0 | 90.0 |
| oqmd-1215249 | box | -0.9217 | -0.9217 | 4.6526 | 7.7679 | 7.4524 | 90.0 | 90.0 | 90.0 |
| mp-1184804 | box | -0.9197 | -0.9197 | 13.1061 | 9.0752 | 9.0752 | 90.0 | 90.0 | 90.0 |
| oqmd-20428 | box | -0.9171 | -0.9171 | 13.2082 | 9.0381 | 9.038 | 90.0 | 90.0 | 90.0 |
| mp-1184905 | dynamic | -0.9006 | -0.9006 | 11.1374 | 11.1374 | 11.1374 | 90.0 | 90.0 | 90.0 |
| mp-1184905 | box | -0.9001 | -0.9001 | 11.1361 | 11.1361 | 11.1361 | 90.0 | 90.0 | 90.0 |
| oqmd-1214893 | box | -0.8996 | -0.8996 | 11.1336 | 11.1336 | 11.1336 | 90.0 | 90.0 | 90.0 |
| A15--beta-W | dynamic | -0.8983 | -0.8983 | 8.1755 | 8.1755 | 8.1755 | 90.0 | 90.0 | 90.0 |
| oqmd-1214804 | dynamic | -0.8972 | -0.8972 | 15.8278 | 15.8278 | 15.8278 | 90.0 | 90.0 | 90.0 |
| mp-1185201 | box | -0.8969 | -0.8969 | 15.828 | 15.828 | 15.828 | 90.0 | 90.0 | 90.0 |
| oqmd-1214804 | box | -0.8968 | -0.8968 | 15.8291 | 15.8291 | 15.8291 | 90.0 | 90.0 | 90.0 |
| mp-573691 | box | -0.8666 | -0.8666 | 14.0201 | 8.7989 | 8.7973 | 90.0 | 90.0 | 90.0 |
| oqmd-30638 | dynamic | -0.8502 | -0.8502 | 22.4732 | 22.4732 | 22.4732 | 90.0 | 90.0 | 90.0 |
| oqmd-30638 | static | -0.8502 | -0.8502 | 22.4698 | 22.4698 | 22.4698 | 90.0 | 90.0 | 90.0 |
| oqmd-30638 | box | -0.8491 | -0.8491 | 22.4609 | 22.4609 | 22.4609 | 90.0 | 90.0 | 90.0 |
| mp-1199937 | box | -0.8348 | -0.8348 | 22.5797 | 22.5797 | 22.5797 | 90.0 | 90.0 | 90.0 |
| oqmd-21103 | box | -0.7891 | -0.7891 | 11.1505 | 4.5086 | 11.4275 | 90.0 | 90.0 | 90.0 |
| oqmd-1215071 | box | -0.7809 | -0.7809 | 7.4983 | 15.984 | 4.6575 | 90.0 | 90.0 | 90.0 |
| oqmd-1214715 | box | -0.7736 | -0.7736 | 7.5571 | 16.0908 | 4.7167 | 90.0 | 90.0 | 90.0 |
| oqmd-1277936 | static | -0.7395 | -0.7395 | 20.6038 | 20.6038 | 20.6038 | 90.0 | 90.0 | 90.0 |
| oqmd-1277936 | box | -0.7376 | -0.7376 | 20.5208 | 20.5208 | 20.5208 | 90.0 | 90.0 | 90.0 |
| A5--beta-Sn | static | -0.6456 | -0.6456 | 4.3538 | 4.3538 | 15.627 | 90.0 | 90.0 | 90.0 |
| A5--beta-Sn | static | -0.6382 | -0.6382 | 8.1764 | 8.1764 | 4.3651 | 90.0 | 90.0 | 90.0 |
| mp-1180991 | box | -0.5715 | -0.5715 | 6.1493 | 6.1493 | 11.1879 | 90.0 | 90.0 | 90.0 |
| mp-1078640 | box | -0.5369 | -0.5369 | 14.8452 | 14.8452 | 7.7289 | 90.0 | 90.0 | 90.0 |
| oqmd-100325 | box | -0.5289 | -0.5289 | 14.9053 | 14.9053 | 7.5831 | 90.0 | 90.0 | 90.0 |
| Ah--alpha-Po--sc | static | -0.5038 | -0.5038 | 4.2939 | 4.2939 | 4.2939 | 90.0 | 90.0 | 90.0 |
| oqmd-20090 | box | -0.503 | -0.503 | 12.1524 | 12.1524 | 8.5884 | 90.0 | 90.0 | 90.0 |
| oqmd-1215873 | box | -0.5028 | -0.5028 | 6.0765 | 6.0765 | 7.4391 | 90.0 | 90.0 | 120.0 |
| oqmd-100324 | box | -0.5026 | -0.5026 | 12.1572 | 12.1572 | 8.5902 | 90.0 | 90.0 | 90.0 |
| oqmd-1215962 | box | -0.3675 | -0.3675 | 7.3718 | 7.3718 | 7.931 | 90.0 | 90.0 | 120.0 |
| A7--alpha-As | box | -0.3626 | -0.3626 | 6.1659 | 6.1659 | 17.7313 | 90.0 | 90.0 | 120.0 |
| A4--C--dc | dynamic | -0.3033 | -0.3033 | 10.6433 | 10.6433 | 10.6433 | 90.0 | 90.0 | 90.0 |
| mp-1056027 | dynamic | -0.1516 | -0.1516 | 10.0796 | 10.0796 | 4.6087 | 90.0 | 90.0 | 90.0 |
Download raw data (including filtered results)
Reference structure matches:
| prototype | method | Ecoh (eV/atom) | Epot (eV/atom) | a0 (Å) | b0 (Å) | c0 (Å) | α (degrees) | β (degrees) | γ (degrees) |
|---|---|---|---|---|---|---|---|---|---|
| C1--CaF2--fluorite | dynamic | -0.8328 | -0.8328 | 9.2748 | 9.2748 | 9.2748 | 90.0 | 90.0 | 90.0 |
Download raw data (including filtered results)
Reference structure matches:
| prototype | method | Ecoh (eV/atom) | Epot (eV/atom) | a0 (Å) | b0 (Å) | c0 (Å) | α (degrees) | β (degrees) | γ (degrees) |
|---|---|---|---|---|---|---|---|---|---|
| L2_1--AlCu2Mn--heusler | dynamic | -1.0806 | -1.0806 | 9.3013 | 9.3013 | 9.3013 | 90.0 | 90.0 | 90.0 |
Download raw data (including filtered results)
Reference structure matches:
| prototype | method | Ecoh (eV/atom) | Epot (eV/atom) | a0 (Å) | b0 (Å) | c0 (Å) | α (degrees) | β (degrees) | γ (degrees) |
|---|---|---|---|---|---|---|---|---|---|
| L2_1--AlCu2Mn--heusler | dynamic | -0.9303 | -0.9303 | 9.9829 | 9.9829 | 9.9829 | 90.0 | 90.0 | 90.0 |
Download raw data (including filtered results)
Reference structure matches:
| prototype | method | Ecoh (eV/atom) | Epot (eV/atom) | a0 (Å) | b0 (Å) | c0 (Å) | α (degrees) | β (degrees) | γ (degrees) |
|---|---|---|---|---|---|---|---|---|---|
| C1--CaF2--fluorite | dynamic | -0.7205 | -0.7205 | 9.6133 | 9.6133 | 9.6133 | 90.0 | 90.0 | 90.0 |
Download raw data (including filtered results)
Reference structure matches:
| prototype | method | Ecoh (eV/atom) | Epot (eV/atom) | a0 (Å) | b0 (Å) | c0 (Å) | α (degrees) | β (degrees) | γ (degrees) |
|---|---|---|---|---|---|---|---|---|---|
| L2_1--AlCu2Mn--heusler | dynamic | -0.8959 | -0.8959 | 10.14 | 10.14 | 10.14 | 90.0 | 90.0 | 90.0 |
| mp-1096543 | static | -0.1545 | -0.1545 | 16.0579 | 18.1576 | 22.7229 | 90.0 | 90.0 | 90.0 |
Download raw data (including filtered results)
Reference structure matches:
| prototype | method | Ecoh (eV/atom) | Epot (eV/atom) | a0 (Å) | b0 (Å) | c0 (Å) | α (degrees) | β (degrees) | γ (degrees) |
|---|---|---|---|---|---|---|---|---|---|
| C1--CaF2--fluorite | dynamic | -0.5645 | -0.5645 | 10.5339 | 10.5339 | 10.5339 | 90.0 | 90.0 | 90.0 |
Download raw data (including filtered results)
Reference structure matches:
D0_3--BiF3 = mp-1184876
L1_2--AuCu3 = mp-1184845
| prototype | method | Ecoh (eV/atom) | Epot (eV/atom) | a0 (Å) | b0 (Å) | c0 (Å) | α (degrees) | β (degrees) | γ (degrees) |
|---|---|---|---|---|---|---|---|---|---|
| D0_3--BiF3 | dynamic | -0.998 | -0.998 | 9.7199 | 9.7199 | 9.7199 | 90.0 | 90.0 | 90.0 |
| L1_2--AuCu3 | static | -0.9966 | -0.9966 | 6.1347 | 6.1347 | 6.1347 | 90.0 | 90.0 | 90.0 |
| mp-1184918 | static | -0.9942 | -0.9942 | 6.0823 | 6.0823 | 12.5119 | 90.0 | 90.0 | 90.0 |
| A15--Cr3Si | dynamic | -0.9696 | -0.9696 | 7.823 | 7.823 | 7.823 | 90.0 | 90.0 | 90.0 |
Download raw data (including filtered results)
Reference structure matches:
D0_3--BiF3 = mp-1184893
L1_2--AuCu3 = mp-1184844
| prototype | method | Ecoh (eV/atom) | Epot (eV/atom) | a0 (Å) | b0 (Å) | c0 (Å) | α (degrees) | β (degrees) | γ (degrees) |
|---|---|---|---|---|---|---|---|---|---|
| D0_3--BiF3 | dynamic | -0.9504 | -0.9504 | 9.8918 | 9.8918 | 9.8918 | 90.0 | 90.0 | 90.0 |
| mp-1184919 | dynamic | -0.9428 | -0.9428 | 8.8515 | 8.8515 | 7.1952 | 90.0 | 90.0 | 120.0 |
| mp-1184919 | box | -0.941 | -0.941 | 8.8709 | 8.8709 | 7.1717 | 90.0 | 90.0 | 120.0 |
| L1_2--AuCu3 | dynamic | -0.9405 | -0.9405 | 6.2529 | 6.2529 | 6.2529 | 90.0 | 90.0 | 90.0 |
| A15--Cr3Si | dynamic | -0.9184 | -0.9184 | 7.948 | 7.948 | 7.948 | 90.0 | 90.0 | 90.0 |
Download raw data (including filtered results)
Reference structure matches:
D0_3--BiF3 = mp-1185090
| prototype | method | Ecoh (eV/atom) | Epot (eV/atom) | a0 (Å) | b0 (Å) | c0 (Å) | α (degrees) | β (degrees) | γ (degrees) |
|---|---|---|---|---|---|---|---|---|---|
| D0_3--BiF3 | dynamic | -0.9047 | -0.9047 | 10.4097 | 10.4097 | 10.4097 | 90.0 | 90.0 | 90.0 |
| mp-976115 | dynamic | -0.8942 | -0.8942 | 9.3384 | 9.3384 | 7.611 | 90.0 | 90.0 | 120.0 |
| mp-976115 | box | -0.8941 | -0.8941 | 9.3372 | 9.3372 | 7.6135 | 90.0 | 90.0 | 120.0 |
| L1_2--AuCu3 | dynamic | -0.8932 | -0.8932 | 6.6008 | 6.6008 | 6.6008 | 90.0 | 90.0 | 90.0 |
| mp-1185119 | dynamic | -0.8928 | -0.8928 | 6.5914 | 6.5914 | 13.2457 | 90.0 | 90.0 | 90.0 |
| A15--Cr3Si | dynamic | -0.8623 | -0.8623 | 8.3332 | 8.3332 | 8.3332 | 90.0 | 90.0 | 90.0 |
Download raw data (including filtered results)
Reference structure matches:
| prototype | method | Ecoh (eV/atom) | Epot (eV/atom) | a0 (Å) | b0 (Å) | c0 (Å) | α (degrees) | β (degrees) | γ (degrees) |
|---|---|---|---|---|---|---|---|---|---|
| B2--CsCl | dynamic | -1.1693 | -1.1693 | 4.537 | 4.537 | 4.537 | 90.0 | 90.0 | 90.0 |
| B1--NaCl--rock-salt | static | -0.8089 | -0.8089 | 7.5272 | 7.5272 | 7.5272 | 90.0 | 90.0 | 90.0 |
| B4--ZnS--wurtzite | static | -0.7449 | -0.7449 | 4.2421 | 4.2421 | 22.2984 | 90.0 | 90.0 | 120.0 |
| B4--ZnS--wurtzite | box | -0.3975 | -0.3975 | 6.5966 | 6.5966 | 10.7842 | 90.0 | 90.0 | 120.0 |
| B3--ZnS--cubic-zinc-blende | static | -0.3975 | -0.3975 | 9.3325 | 9.3325 | 9.3325 | 90.0 | 90.0 | 90.0 |
Download raw data (including filtered results)
Reference structure matches:
| prototype | method | Ecoh (eV/atom) | Epot (eV/atom) | a0 (Å) | b0 (Å) | c0 (Å) | α (degrees) | β (degrees) | γ (degrees) |
|---|---|---|---|---|---|---|---|---|---|
| C1--CaF2--fluorite | static | -0.766 | -0.766 | 8.7318 | 8.7318 | 8.7318 | 90.0 | 90.0 | 90.0 |
Download raw data (including filtered results)
Reference structure matches:
| prototype | method | Ecoh (eV/atom) | Epot (eV/atom) | a0 (Å) | b0 (Å) | c0 (Å) | α (degrees) | β (degrees) | γ (degrees) |
|---|---|---|---|---|---|---|---|---|---|
| L2_1--AlCu2Mn--heusler | dynamic | -1.2444 | -1.2444 | 8.6955 | 8.6955 | 8.6955 | 90.0 | 90.0 | 90.0 |
Download raw data (including filtered results)
Reference structure matches:
| prototype | method | Ecoh (eV/atom) | Epot (eV/atom) | a0 (Å) | b0 (Å) | c0 (Å) | α (degrees) | β (degrees) | γ (degrees) |
|---|---|---|---|---|---|---|---|---|---|
| L2_1--AlCu2Mn--heusler | dynamic | -1.1051 | -1.1051 | 9.3256 | 9.3256 | 9.3256 | 90.0 | 90.0 | 90.0 |
Download raw data (including filtered results)
Reference structure matches:
D0_3--BiF3 = mp-1184961
| prototype | method | Ecoh (eV/atom) | Epot (eV/atom) | a0 (Å) | b0 (Å) | c0 (Å) | α (degrees) | β (degrees) | γ (degrees) |
|---|---|---|---|---|---|---|---|---|---|
| D0_3--BiF3 | dynamic | -1.3555 | -1.3555 | 8.4911 | 8.4911 | 8.4911 | 90.0 | 90.0 | 90.0 |
| L1_2--AuCu3 | dynamic | -1.326 | -1.326 | 5.4033 | 5.4033 | 5.4033 | 90.0 | 90.0 | 90.0 |
| A15--Cr3Si | static | -1.2951 | -1.2951 | 6.7596 | 6.7596 | 6.7596 | 90.0 | 90.0 | 90.0 |
Download raw data (including filtered results)
Reference structure matches:
| prototype | method | Ecoh (eV/atom) | Epot (eV/atom) | a0 (Å) | b0 (Å) | c0 (Å) | α (degrees) | β (degrees) | γ (degrees) |
|---|---|---|---|---|---|---|---|---|---|
| L2_1--AlCu2Mn--heusler | dynamic | -1.1269 | -1.1269 | 8.954 | 8.954 | 8.954 | 90.0 | 90.0 | 90.0 |
Download raw data (including filtered results)
Reference structure matches:
| prototype | method | Ecoh (eV/atom) | Epot (eV/atom) | a0 (Å) | b0 (Å) | c0 (Å) | α (degrees) | β (degrees) | γ (degrees) |
|---|---|---|---|---|---|---|---|---|---|
| L2_1--AlCu2Mn--heusler | dynamic | -0.92 | -0.92 | 10.1718 | 10.1718 | 10.1718 | 90.0 | 90.0 | 90.0 |
Download raw data (including filtered results)
Reference structure matches:
| prototype | method | Ecoh (eV/atom) | Epot (eV/atom) | a0 (Å) | b0 (Å) | c0 (Å) | α (degrees) | β (degrees) | γ (degrees) |
|---|---|---|---|---|---|---|---|---|---|
| B2--CsCl | dynamic | -1.0076 | -1.0076 | 4.7547 | 4.7547 | 4.7547 | 90.0 | 90.0 | 90.0 |
| B4--ZnS--wurtzite | static | -0.6928 | -0.6928 | 4.3599 | 4.3599 | 22.2101 | 90.0 | 90.0 | 120.0 |
| B1--NaCl--rock-salt | static | -0.6351 | -0.6351 | 7.8364 | 7.8364 | 7.8364 | 90.0 | 90.0 | 90.0 |
| B4--ZnS--wurtzite | box | -0.3279 | -0.3279 | 6.9944 | 6.9944 | 11.4317 | 90.0 | 90.0 | 120.0 |
| B3--ZnS--cubic-zinc-blende | static | -0.3279 | -0.3279 | 9.8944 | 9.8944 | 9.8944 | 90.0 | 90.0 | 90.0 |
Download raw data (including filtered results)
Reference structure matches:
| prototype | method | Ecoh (eV/atom) | Epot (eV/atom) | a0 (Å) | b0 (Å) | c0 (Å) | α (degrees) | β (degrees) | γ (degrees) |
|---|---|---|---|---|---|---|---|---|---|
| mp-570786 | dynamic | -1.078 | -1.078 | 7.57 | 7.57 | 12.3065 | 90.0 | 90.0 | 120.0 |
| mp-570786 | box | -1.0769 | -1.0769 | 7.565 | 7.565 | 12.3354 | 90.0 | 90.0 | 120.0 |
| C1--CaF2--fluorite | static | -0.6309 | -0.6309 | 9.3559 | 9.3559 | 9.3559 | 90.0 | 90.0 | 90.0 |
Download raw data (including filtered results)
Reference structure matches:
| prototype | method | Ecoh (eV/atom) | Epot (eV/atom) | a0 (Å) | b0 (Å) | c0 (Å) | α (degrees) | β (degrees) | γ (degrees) |
|---|---|---|---|---|---|---|---|---|---|
| L2_1--AlCu2Mn--heusler | dynamic | -0.9609 | -0.9609 | 9.7431 | 9.7431 | 9.7431 | 90.0 | 90.0 | 90.0 |
| mp-1097334 | static | -0.1603 | -0.1603 | 15.2905 | 17.5309 | 21.6343 | 90.0 | 90.0 | 90.0 |
Download raw data (including filtered results)
Reference structure matches:
| prototype | method | Ecoh (eV/atom) | Epot (eV/atom) | a0 (Å) | b0 (Å) | c0 (Å) | α (degrees) | β (degrees) | γ (degrees) |
|---|---|---|---|---|---|---|---|---|---|
| D0_3--BiF3 | dynamic | -1.0485 | -1.0485 | 9.1609 | 9.1609 | 9.1609 | 90.0 | 90.0 | 90.0 |
| L1_2--AuCu3 | dynamic | -1.0347 | -1.0347 | 5.783 | 5.783 | 5.783 | 90.0 | 90.0 | 90.0 |
| A15--Cr3Si | dynamic | -1.0015 | -1.0015 | 7.3141 | 7.3141 | 7.3141 | 90.0 | 90.0 | 90.0 |
Download raw data (including filtered results)
Reference structure matches:
| prototype | method | Ecoh (eV/atom) | Epot (eV/atom) | a0 (Å) | b0 (Å) | c0 (Å) | α (degrees) | β (degrees) | γ (degrees) |
|---|---|---|---|---|---|---|---|---|---|
| L2_1--AlCu2Mn--heusler | dynamic | -0.8852 | -0.8852 | 10.3255 | 10.3255 | 10.3255 | 90.0 | 90.0 | 90.0 |
| mp-1096761 | static | -0.151 | -0.151 | 15.6956 | 18.5069 | 22.2461 | 90.0 | 90.0 | 90.0 |
Download raw data (including filtered results)
Reference structure matches:
| prototype | method | Ecoh (eV/atom) | Epot (eV/atom) | a0 (Å) | b0 (Å) | c0 (Å) | α (degrees) | β (degrees) | γ (degrees) |
|---|---|---|---|---|---|---|---|---|---|
| B2--CsCl | dynamic | -0.8842 | -0.8842 | 5.301 | 5.301 | 5.301 | 90.0 | 90.0 | 90.0 |
| L1_0--AuCu | box | -0.8697 | -0.8697 | 4.8503 | 4.8503 | 6.4671 | 90.0 | 90.0 | 90.0 |
| B1--NaCl--rock-salt | static | -0.4672 | -0.4672 | 9.0811 | 9.0811 | 9.0811 | 90.0 | 90.0 | 90.0 |
| B3--ZnS--cubic-zinc-blende | dynamic | -0.2902 | -0.2902 | 11.0467 | 11.0467 | 11.0467 | 90.0 | 90.0 | 90.0 |
| B4--ZnS--wurtzite | dynamic | -0.2902 | -0.2902 | 7.8091 | 7.8091 | 12.7625 | 90.0 | 90.0 | 120.0 |
Download raw data (including filtered results)
Reference structure matches:
| prototype | method | Ecoh (eV/atom) | Epot (eV/atom) | a0 (Å) | b0 (Å) | c0 (Å) | α (degrees) | β (degrees) | γ (degrees) |
|---|---|---|---|---|---|---|---|---|---|
| C1--CaF2--fluorite | dynamic | -0.6158 | -0.6158 | 10.6637 | 10.6637 | 10.6637 | 90.0 | 90.0 | 90.0 |
Download raw data (including filtered results)
Reference structure matches:
L1_2--AuCu3 = mp-1185080
| prototype | method | Ecoh (eV/atom) | Epot (eV/atom) | a0 (Å) | b0 (Å) | c0 (Å) | α (degrees) | β (degrees) | γ (degrees) |
|---|---|---|---|---|---|---|---|---|---|
| D0_3--BiF3 | dynamic | -0.8592 | -0.8592 | 10.7981 | 10.7981 | 10.7981 | 90.0 | 90.0 | 90.0 |
| mp-1185168 | dynamic | -0.8512 | -0.8512 | 9.7073 | 9.7073 | 7.9156 | 90.0 | 90.0 | 120.0 |
| mp-1185168 | box | -0.851 | -0.851 | 9.7106 | 9.7106 | 7.9111 | 90.0 | 90.0 | 120.0 |
| L1_2--AuCu3 | dynamic | -0.8506 | -0.8506 | 6.8621 | 6.8621 | 6.8621 | 90.0 | 90.0 | 90.0 |
| mp-973508 | dynamic | -0.8504 | -0.8504 | 6.8569 | 6.8569 | 13.7495 | 90.0 | 90.0 | 90.0 |
| A15--Cr3Si | dynamic | -0.8245 | -0.8245 | 8.6703 | 8.6703 | 8.6703 | 90.0 | 90.0 | 90.0 |
Download raw data (including filtered results)
Reference structure matches:
A1--Cu--fcc = mp-51, oqmd-13862, oqmd-1214540
A15--beta-W = oqmd-1214985
A2--W--bcc = mp-135, oqmd-17585, oqmd-1215163
A3'--alpha-La--double-hcp = mp-976411, oqmd-1215431
A3--Mg--hcp = mp-10173, oqmd-676289, oqmd-677955, oqmd-1215341
A4--C--dc = oqmd-1215520
A5--beta-Sn = oqmd-1215609
A6--In--bct = oqmd-1215698
| prototype | method | Ecoh (eV/atom) | Epot (eV/atom) | a0 (Å) | b0 (Å) | c0 (Å) | α (degrees) | β (degrees) | γ (degrees) |
|---|---|---|---|---|---|---|---|---|---|
| A2--W--bcc | dynamic | -1.6759 | -1.6759 | 3.8899 | 3.8899 | 3.8899 | 90.0 | 90.0 | 90.0 |
| oqmd-1215876 | box | -1.6758 | -1.6758 | 5.5012 | 5.5012 | 3.3687 | 90.0 | 90.0 | 120.0 |
| mp-567337 | box | -1.6744 | -1.6744 | 7.7771 | 7.7771 | 7.7771 | 90.0 | 90.0 | 90.0 |
| oqmd-1215252 | box | -1.656 | -1.656 | 3.3784 | 6.0928 | 5.5819 | 90.0 | 90.0 | 90.0 |
| A3--Mg--hcp | box | -1.6555 | -1.6555 | 3.4399 | 3.4399 | 5.5827 | 90.0 | 90.0 | 120.0 |
| mp-1018134 | static | -1.6544 | -1.6544 | 3.4387 | 3.4387 | 25.1674 | 90.0 | 90.0 | 120.0 |
| oqmd-30676 | static | -1.6544 | -1.6544 | 3.4385 | 3.4385 | 25.1687 | 90.0 | 90.0 | 120.0 |
| A3'--alpha-La--double-hcp | box | -1.6539 | -1.6539 | 3.4381 | 3.4381 | 11.1955 | 90.0 | 90.0 | 120.0 |
| mp-1018134 | box | -1.6537 | -1.6537 | 3.4387 | 3.4387 | 25.175 | 90.0 | 90.0 | 120.0 |
| A6--In--bct | static | -1.6536 | -1.6536 | 3.3381 | 3.3381 | 5.1812 | 90.0 | 90.0 | 90.0 |
| A1--Cu--fcc | static | -1.6524 | -1.6524 | 4.8599 | 4.8599 | 4.8599 | 90.0 | 90.0 | 90.0 |
| mp-1063005 | static | -1.6476 | -1.6476 | 5.5395 | 5.5395 | 3.2702 | 90.0 | 90.0 | 120.0 |
| mp-1063005 | box | -1.6476 | -1.6476 | 5.5394 | 5.5394 | 3.2702 | 90.0 | 90.0 | 120.0 |
| oqmd-1214807 | dynamic | -1.6107 | -1.6107 | 12.0135 | 12.0135 | 12.0135 | 90.0 | 90.0 | 90.0 |
| oqmd-1214807 | box | -1.6093 | -1.6093 | 12.0036 | 12.0036 | 12.0036 | 90.0 | 90.0 | 90.0 |
| A15--beta-W | dynamic | -1.6077 | -1.6077 | 6.2505 | 6.2505 | 6.2505 | 90.0 | 90.0 | 90.0 |
| oqmd-1214896 | static | -1.5995 | -1.5995 | 8.4583 | 8.4583 | 8.4583 | 90.0 | 90.0 | 90.0 |
| oqmd-1214896 | box | -1.5992 | -1.5992 | 8.4609 | 8.4609 | 8.4609 | 90.0 | 90.0 | 90.0 |
| mp-1103107 | box | -1.5347 | -1.5347 | 17.6062 | 6.3776 | 6.1279 | 90.0 | 90.0 | 90.0 |
| oqmd-22487 | box | -1.534 | -1.534 | 6.348 | 8.5817 | 3.2065 | 90.0 | 90.0 | 90.0 |
| A5--beta-Sn | static | -1.4965 | -1.4965 | 5.8868 | 5.8868 | 3.2134 | 90.0 | 90.0 | 90.0 |
| oqmd-1277944 | static | -1.4017 | -1.4017 | 15.3303 | 15.3303 | 15.3303 | 90.0 | 90.0 | 90.0 |
| oqmd-1277944 | box | -1.4016 | -1.4016 | 15.335 | 15.335 | 15.335 | 90.0 | 90.0 | 90.0 |
| Ah--alpha-Po--sc | static | -1.3383 | -1.3383 | 3.0559 | 3.0559 | 3.0559 | 90.0 | 90.0 | 90.0 |
| A7--alpha-As | box | -1.0605 | -1.0605 | 4.1315 | 4.1315 | 13.1732 | 90.0 | 90.0 | 120.0 |
| mp-604313 | box | -1.0076 | -1.0076 | 4.9062 | 4.9062 | 4.9062 | 90.0 | 90.0 | 90.0 |
| oqmd-1215965 | box | -1.0059 | -1.0059 | 5.3849 | 5.3849 | 5.7582 | 90.0 | 90.0 | 120.0 |
| A4--C--dc | static | -0.5139 | -0.5139 | 8.0897 | 8.0897 | 8.0897 | 90.0 | 90.0 | 90.0 |
Download raw data (including filtered results)
Reference structure matches:
| prototype | method | Ecoh (eV/atom) | Epot (eV/atom) | a0 (Å) | b0 (Å) | c0 (Å) | α (degrees) | β (degrees) | γ (degrees) |
|---|---|---|---|---|---|---|---|---|---|
| C1--CaF2--fluorite | static | -0.94 | -0.94 | 8.0792 | 8.0792 | 8.0792 | 90.0 | 90.0 | 90.0 |
Download raw data (including filtered results)
Reference structure matches:
| prototype | method | Ecoh (eV/atom) | Epot (eV/atom) | a0 (Å) | b0 (Å) | c0 (Å) | α (degrees) | β (degrees) | γ (degrees) |
|---|---|---|---|---|---|---|---|---|---|
| L2_1--AlCu2Mn--heusler | dynamic | -1.1571 | -1.1571 | 8.9541 | 8.9541 | 8.9541 | 90.0 | 90.0 | 90.0 |
Download raw data (including filtered results)
Reference structure matches:
| prototype | method | Ecoh (eV/atom) | Epot (eV/atom) | a0 (Å) | b0 (Å) | c0 (Å) | α (degrees) | β (degrees) | γ (degrees) |
|---|---|---|---|---|---|---|---|---|---|
| C1--CaF2--fluorite | static | -0.6722 | -0.6722 | 9.089 | 9.089 | 9.089 | 90.0 | 90.0 | 90.0 |
Download raw data (including filtered results)
Reference structure matches:
| prototype | method | Ecoh (eV/atom) | Epot (eV/atom) | a0 (Å) | b0 (Å) | c0 (Å) | α (degrees) | β (degrees) | γ (degrees) |
|---|---|---|---|---|---|---|---|---|---|
| D0_3--BiF3 | dynamic | -1.5076 | -1.5076 | 8.0366 | 8.0366 | 8.0366 | 90.0 | 90.0 | 90.0 |
| mp-973316 | static | -1.4857 | -1.4857 | 7.1453 | 7.1453 | 5.7809 | 90.0 | 90.0 | 120.0 |
| mp-973316 | box | -1.483 | -1.483 | 7.1622 | 7.1622 | 5.7673 | 90.0 | 90.0 | 120.0 |
| L1_2--AuCu3 | static | -1.4809 | -1.4809 | 5.0454 | 5.0454 | 5.0454 | 90.0 | 90.0 | 90.0 |
| A15--Cr3Si | dynamic | -1.4507 | -1.4507 | 6.4225 | 6.4225 | 6.4225 | 90.0 | 90.0 | 90.0 |
Download raw data (including filtered results)
Reference structure matches:
| prototype | method | Ecoh (eV/atom) | Epot (eV/atom) | a0 (Å) | b0 (Å) | c0 (Å) | α (degrees) | β (degrees) | γ (degrees) |
|---|---|---|---|---|---|---|---|---|---|
| D0_3--BiF3 | dynamic | -1.2515 | -1.2515 | 8.7673 | 8.7673 | 8.7673 | 90.0 | 90.0 | 90.0 |
| L1_2--AuCu3 | dynamic | -1.2258 | -1.2258 | 5.6078 | 5.6078 | 5.6078 | 90.0 | 90.0 | 90.0 |
| A15--Cr3Si | static | -1.1815 | -1.1815 | 6.9753 | 6.9753 | 6.9753 | 90.0 | 90.0 | 90.0 |
Download raw data (including filtered results)
Reference structure matches:
| prototype | method | Ecoh (eV/atom) | Epot (eV/atom) | a0 (Å) | b0 (Å) | c0 (Å) | α (degrees) | β (degrees) | γ (degrees) |
|---|---|---|---|---|---|---|---|---|---|
| B2--CsCl | dynamic | -1.3642 | -1.3642 | 4.135 | 4.135 | 4.135 | 90.0 | 90.0 | 90.0 |
| B1--NaCl--rock-salt | static | -0.99 | -0.99 | 6.5819 | 6.5819 | 6.5819 | 90.0 | 90.0 | 90.0 |
| B4--ZnS--wurtzite | box | -0.427 | -0.427 | 6.1255 | 6.1255 | 9.9929 | 90.0 | 90.0 | 120.0 |
| B3--ZnS--cubic-zinc-blende | static | -0.427 | -0.427 | 8.664 | 8.664 | 8.664 | 90.0 | 90.0 | 90.0 |
Download raw data (including filtered results)
Reference structure matches:
| prototype | method | Ecoh (eV/atom) | Epot (eV/atom) | a0 (Å) | b0 (Å) | c0 (Å) | α (degrees) | β (degrees) | γ (degrees) |
|---|---|---|---|---|---|---|---|---|---|
| C1--CaF2--fluorite | dynamic | -0.8998 | -0.8998 | 8.3455 | 8.3455 | 8.3455 | 90.0 | 90.0 | 90.0 |
Download raw data (including filtered results)
Reference structure matches:
| prototype | method | Ecoh (eV/atom) | Epot (eV/atom) | a0 (Å) | b0 (Å) | c0 (Å) | α (degrees) | β (degrees) | γ (degrees) |
|---|---|---|---|---|---|---|---|---|---|
| L2_1--AlCu2Mn--heusler | dynamic | -1.045 | -1.045 | 9.219 | 9.219 | 9.219 | 90.0 | 90.0 | 90.0 |
Download raw data (including filtered results)
Reference structure matches:
| prototype | method | Ecoh (eV/atom) | Epot (eV/atom) | a0 (Å) | b0 (Å) | c0 (Å) | α (degrees) | β (degrees) | γ (degrees) |
|---|---|---|---|---|---|---|---|---|---|
| D0_3--BiF3 | dynamic | -1.2385 | -1.2385 | 8.5164 | 8.5164 | 8.5164 | 90.0 | 90.0 | 90.0 |
| L1_2--AuCu3 | static | -1.2171 | -1.2171 | 5.3576 | 5.3576 | 5.3576 | 90.0 | 90.0 | 90.0 |
| A15--Cr3Si | dynamic | -1.1905 | -1.1905 | 6.8599 | 6.8599 | 6.8599 | 90.0 | 90.0 | 90.0 |
Download raw data (including filtered results)
Reference structure matches:
| prototype | method | Ecoh (eV/atom) | Epot (eV/atom) | a0 (Å) | b0 (Å) | c0 (Å) | α (degrees) | β (degrees) | γ (degrees) |
|---|---|---|---|---|---|---|---|---|---|
| L2_1--AlCu2Mn--heusler | dynamic | -0.9841 | -0.9841 | 9.7849 | 9.7849 | 9.7849 | 90.0 | 90.0 | 90.0 |
Download raw data (including filtered results)
Reference structure matches:
| prototype | method | Ecoh (eV/atom) | Epot (eV/atom) | a0 (Å) | b0 (Å) | c0 (Å) | α (degrees) | β (degrees) | γ (degrees) |
|---|---|---|---|---|---|---|---|---|---|
| B2--CsCl | dynamic | -1.0544 | -1.0544 | 4.791 | 4.791 | 4.791 | 90.0 | 90.0 | 90.0 |
| B1--NaCl--rock-salt | static | -0.7768 | -0.7768 | 7.9883 | 7.9883 | 7.9883 | 90.0 | 90.0 | 90.0 |
| B4--ZnS--wurtzite | box | -0.3813 | -0.3813 | 6.8573 | 6.8573 | 11.2114 | 90.0 | 90.0 | 120.0 |
| B3--ZnS--cubic-zinc-blende | static | -0.3813 | -0.3813 | 9.7016 | 9.7016 | 9.7016 | 90.0 | 90.0 | 90.0 |
Download raw data (including filtered results)
Reference structure matches:
| prototype | method | Ecoh (eV/atom) | Epot (eV/atom) | a0 (Å) | b0 (Å) | c0 (Å) | α (degrees) | β (degrees) | γ (degrees) |
|---|---|---|---|---|---|---|---|---|---|
| C1--CaF2--fluorite | dynamic | -0.7843 | -0.7843 | 9.8172 | 9.8172 | 9.8172 | 90.0 | 90.0 | 90.0 |
Download raw data (including filtered results)
Reference structure matches:
D0_3--BiF3 = mp-974950
L1_2--AuCu3 = mp-974938
| prototype | method | Ecoh (eV/atom) | Epot (eV/atom) | a0 (Å) | b0 (Å) | c0 (Å) | α (degrees) | β (degrees) | γ (degrees) |
|---|---|---|---|---|---|---|---|---|---|
| L1_2--AuCu3 | dynamic | -0.8727 | -0.8727 | 6.5722 | 6.5722 | 6.5722 | 90.0 | 90.0 | 90.0 |
| mp-974959 | static | -0.8707 | -0.8707 | 6.5159 | 6.5159 | 13.408 | 90.0 | 90.0 | 90.0 |
| D0_3--BiF3 | dynamic | -0.8629 | -0.8629 | 10.4218 | 10.4218 | 10.4218 | 90.0 | 90.0 | 90.0 |
| A15--Cr3Si | dynamic | -0.8417 | -0.8417 | 8.3725 | 8.3725 | 8.3725 | 90.0 | 90.0 | 90.0 |
Download raw data (including filtered results)
Reference structure matches:
A1--Cu--fcc = oqmd-1214546
A15--beta-W = mp-1186040, oqmd-1214991
A2--W--bcc = mp-127, oqmd-8534, oqmd-1215169
A3'--alpha-La--double-hcp = mp-982370, mp-999501, oqmd-22498, oqmd-1215437
A3--Mg--hcp = mp-10172, oqmd-8535, oqmd-1215347
A4--C--dc = oqmd-1215526
A5--beta-Sn = oqmd-1215615
A6--In--bct = mp-974558, mp-974920, oqmd-1215704
A7--alpha-As = oqmd-1215793
| prototype | method | Ecoh (eV/atom) | Epot (eV/atom) | a0 (Å) | b0 (Å) | c0 (Å) | α (degrees) | β (degrees) | γ (degrees) |
|---|---|---|---|---|---|---|---|---|---|
| A2--W--bcc | dynamic | -1.1328 | -1.1328 | 4.3733 | 4.3733 | 4.3733 | 90.0 | 90.0 | 90.0 |
| A3--Mg--hcp | box | -1.1117 | -1.1117 | 3.8893 | 3.8893 | 6.3376 | 90.0 | 90.0 | 120.0 |
| A3--Mg--hcp | box | -1.1117 | -1.1117 | 3.8892 | 3.8892 | 6.3376 | 90.0 | 90.0 | 120.0 |
| oqmd-30779 | static | -1.1116 | -1.1116 | 3.8889 | 3.8889 | 28.5381 | 90.0 | 90.0 | 120.0 |
| A3'--alpha-La--double-hcp | box | -1.1116 | -1.1116 | 3.8888 | 3.8888 | 12.6877 | 90.0 | 90.0 | 120.0 |
| A6--In--bct | static | -1.1115 | -1.1115 | 3.8361 | 3.8361 | 5.6498 | 90.0 | 90.0 | 90.0 |
| A1--Cu--fcc | static | -1.1114 | -1.1114 | 5.499 | 5.499 | 5.499 | 90.0 | 90.0 | 90.0 |
| oqmd-1215258 | box | -1.1086 | -1.1086 | 3.7507 | 6.9841 | 6.3371 | 90.0 | 90.0 | 90.0 |
| mp-567772 | box | -1.1033 | -1.1033 | 8.7405 | 8.7405 | 8.7405 | 90.0 | 90.0 | 90.0 |
| A15--beta-W | dynamic | -1.0891 | -1.0891 | 7.0208 | 7.0208 | 7.0208 | 90.0 | 90.0 | 90.0 |
| mp-1186081 | dynamic | -1.0856 | -1.0856 | 13.5514 | 13.5514 | 13.5514 | 90.0 | 90.0 | 90.0 |
| oqmd-1214813 | static | -1.0856 | -1.0856 | 13.5516 | 13.5516 | 13.5516 | 90.0 | 90.0 | 90.0 |
| mp-1186081 | box | -1.0856 | -1.0856 | 13.551 | 13.551 | 13.551 | 90.0 | 90.0 | 90.0 |
| oqmd-1214813 | box | -1.0854 | -1.0854 | 13.5543 | 13.5543 | 13.5543 | 90.0 | 90.0 | 90.0 |
| mp-1186055 | dynamic | -1.0827 | -1.0827 | 9.5344 | 9.5344 | 9.5344 | 90.0 | 90.0 | 90.0 |
| mp-1186055 | box | -1.0823 | -1.0823 | 9.5379 | 9.5379 | 9.5379 | 90.0 | 90.0 | 90.0 |
| oqmd-1214902 | box | -1.082 | -1.082 | 9.5386 | 9.5386 | 9.5386 | 90.0 | 90.0 | 90.0 |
| oqmd-1215080 | box | -1.0024 | -1.0024 | 6.3403 | 13.3258 | 3.9469 | 90.0 | 90.0 | 90.0 |
| oqmd-1277928 | static | -0.9191 | -0.9191 | 17.4036 | 17.4036 | 17.4036 | 90.0 | 90.0 | 90.0 |
| oqmd-1277928 | box | -0.9179 | -0.9179 | 17.3798 | 17.3798 | 17.3798 | 90.0 | 90.0 | 90.0 |
| A5--beta-Sn | static | -0.8993 | -0.8993 | 6.7041 | 6.7041 | 3.6644 | 90.0 | 90.0 | 90.0 |
| mp-1079952 | box | -0.8955 | -0.8955 | 9.2164 | 4.3921 | 9.0124 | 90.0 | 90.0 | 90.0 |
| Ah--alpha-Po--sc | static | -0.7648 | -0.7648 | 3.5009 | 3.5009 | 3.5009 | 90.0 | 90.0 | 90.0 |
| A7--alpha-As | box | -0.7642 | -0.7642 | 4.95 | 4.95 | 12.1357 | 90.0 | 90.0 | 120.0 |
| oqmd-1215882 | box | -0.7631 | -0.7631 | 4.9547 | 4.9547 | 6.0599 | 90.0 | 90.0 | 120.0 |
| oqmd-1215971 | box | -0.5809 | -0.5809 | 6.1556 | 6.1556 | 6.5346 | 90.0 | 90.0 | 120.0 |
| A7--alpha-As | box | -0.5707 | -0.5707 | 4.9238 | 4.9238 | 14.1735 | 90.0 | 90.0 | 120.0 |
| A4--C--dc | dynamic | -0.3542 | -0.3542 | 9.1965 | 9.1965 | 9.1965 | 90.0 | 90.0 | 90.0 |
| mp-1221597 | box | -0.287 | -0.287 | 14.1443 | 14.1443 | 14.1443 | 90.0 | 90.0 | 90.0 |
Download raw data (including filtered results)
Reference structure matches:
| prototype | method | Ecoh (eV/atom) | Epot (eV/atom) | a0 (Å) | b0 (Å) | c0 (Å) | α (degrees) | β (degrees) | γ (degrees) |
|---|---|---|---|---|---|---|---|---|---|
| C1--CaF2--fluorite | static | -0.5592 | -0.5592 | 9.7189 | 9.7189 | 9.7189 | 90.0 | 90.0 | 90.0 |
Download raw data (including filtered results)
Reference structure matches:
| prototype | method | Ecoh (eV/atom) | Epot (eV/atom) | a0 (Å) | b0 (Å) | c0 (Å) | α (degrees) | β (degrees) | γ (degrees) |
|---|---|---|---|---|---|---|---|---|---|
| mp-975109 | dynamic | -0.9914 | -0.9914 | 8.4789 | 8.4789 | 6.7287 | 90.0 | 90.0 | 120.0 |
| D0_3--BiF3 | dynamic | -0.9809 | -0.9809 | 9.408 | 9.408 | 9.408 | 90.0 | 90.0 | 90.0 |
| L1_2--AuCu3 | dynamic | -0.9766 | -0.9766 | 5.9632 | 5.9632 | 5.9632 | 90.0 | 90.0 | 90.0 |
| mp-975298 | box | -0.9709 | -0.9709 | 6.1 | 6.1 | 11.317 | 90.0 | 90.0 | 90.0 |
| mp-975109 | box | -0.966 | -0.966 | 8.6481 | 8.6481 | 6.5523 | 90.0 | 90.0 | 120.0 |
| A15--Cr3Si | static | -0.9298 | -0.9298 | 7.5078 | 7.5078 | 7.5078 | 90.0 | 90.0 | 90.0 |
Download raw data (including filtered results)
Reference structure matches:
| prototype | method | Ecoh (eV/atom) | Epot (eV/atom) | a0 (Å) | b0 (Å) | c0 (Å) | α (degrees) | β (degrees) | γ (degrees) |
|---|---|---|---|---|---|---|---|---|---|
| B2--CsCl | dynamic | -0.9266 | -0.9266 | 4.9863 | 4.9863 | 4.9863 | 90.0 | 90.0 | 90.0 |
| B1--NaCl--rock-salt | static | -0.6079 | -0.6079 | 8.2772 | 8.2772 | 8.2772 | 90.0 | 90.0 | 90.0 |
| B4--ZnS--wurtzite | static | -0.5948 | -0.5948 | 4.6515 | 4.6515 | 23.1648 | 90.0 | 90.0 | 120.0 |
| B4--ZnS--wurtzite | static | -0.5948 | -0.5948 | 4.6515 | 4.6515 | 23.1645 | 90.0 | 90.0 | 120.0 |
| B4--ZnS--wurtzite | box | -0.3138 | -0.3138 | 7.2771 | 7.2771 | 11.8939 | 90.0 | 90.0 | 120.0 |
| B3--ZnS--cubic-zinc-blende | static | -0.3138 | -0.3138 | 10.2943 | 10.2943 | 10.2943 | 90.0 | 90.0 | 90.0 |
Download raw data (including filtered results)
Reference structure matches:
| prototype | method | Ecoh (eV/atom) | Epot (eV/atom) | a0 (Å) | b0 (Å) | c0 (Å) | α (degrees) | β (degrees) | γ (degrees) |
|---|---|---|---|---|---|---|---|---|---|
| C1--CaF2--fluorite | dynamic | -0.6903 | -0.6903 | 10.1265 | 10.1265 | 10.1265 | 90.0 | 90.0 | 90.0 |
Download raw data (including filtered results)
Reference structure matches:
D0_3--BiF3 = mp-974883
L1_2--AuCu3 = mp-974866
| prototype | method | Ecoh (eV/atom) | Epot (eV/atom) | a0 (Å) | b0 (Å) | c0 (Å) | α (degrees) | β (degrees) | γ (degrees) |
|---|---|---|---|---|---|---|---|---|---|
| mp-1186861 | box | -0.8416 | -0.8416 | 9.5048 | 9.5048 | 7.6205 | 90.0 | 90.0 | 120.0 |
| L1_2--AuCu3 | dynamic | -0.8402 | -0.8402 | 6.6827 | 6.6827 | 6.6827 | 90.0 | 90.0 | 90.0 |
| D0_3--BiF3 | dynamic | -0.8402 | -0.8402 | 10.5611 | 10.5611 | 10.5611 | 90.0 | 90.0 | 90.0 |
| mp-974862 | static | -0.839 | -0.839 | 6.648 | 6.648 | 13.528 | 90.0 | 90.0 | 90.0 |
| A15--Cr3Si | dynamic | -0.8133 | -0.8133 | 8.4852 | 8.4852 | 8.4852 | 90.0 | 90.0 | 90.0 |
Download raw data (including filtered results)
Reference structure matches:
A1--Cu--fcc = mp-12628, oqmd-1214562
A15--beta-W = mp-974620, oqmd-1215007
A2--W--bcc = oqmd-8533, oqmd-1215185
A3'--alpha-La--double-hcp = mp-604321, oqmd-20430, oqmd-1215453
A3--Mg--hcp = mp-975129, oqmd-1215363
A4--C--dc = oqmd-1215542
A5--beta-Sn = mp-639736, oqmd-18972, oqmd-1215631
A6--In--bct = mp-639755, mp-975519, oqmd-18971, oqmd-1215720
A7--alpha-As = oqmd-1215809
| prototype | method | Ecoh (eV/atom) | Epot (eV/atom) | a0 (Å) | b0 (Å) | c0 (Å) | α (degrees) | β (degrees) | γ (degrees) |
|---|---|---|---|---|---|---|---|---|---|
| A2--W--bcc | dynamic | -0.8457 | -0.8457 | 5.4878 | 5.4878 | 5.4878 | 90.0 | 90.0 | 90.0 |
| mp-867126 | dynamic | -0.8372 | -0.8372 | 4.9389 | 4.9389 | 36.2936 | 90.0 | 90.0 | 120.0 |
| A3'--alpha-La--double-hcp | dynamic | -0.8372 | -0.8372 | 4.9389 | 4.9389 | 16.1305 | 90.0 | 90.0 | 120.0 |
| A1--Cu--fcc | dynamic | -0.8372 | -0.8372 | 6.9847 | 6.9847 | 6.9847 | 90.0 | 90.0 | 90.0 |
| A3--Mg--hcp | dynamic | -0.8372 | -0.8372 | 4.9389 | 4.9389 | 8.0652 | 90.0 | 90.0 | 120.0 |
| A7--alpha-As | static | -0.8372 | -0.8372 | 4.939 | 4.939 | 24.1956 | 90.0 | 90.0 | 120.0 |
| mp-867126 | box | -0.8372 | -0.8372 | 4.9389 | 4.9389 | 36.2939 | 90.0 | 90.0 | 120.0 |
| mp-975204 | box | -0.8366 | -0.8366 | 4.9089 | 8.6032 | 8.066 | 90.0 | 90.0 | 90.0 |
| oqmd-1215274 | box | -0.8366 | -0.8366 | 4.9081 | 8.6043 | 8.066 | 90.0 | 90.0 | 90.0 |
| mp-1179656 | box | -0.8356 | -0.8356 | 23.1665 | 7.8138 | 7.7884 | 90.0 | 109.6 | 90.0 |
| mp-70 | box | -0.833 | -0.833 | 8.1882 | 8.1887 | 11.4852 | 106.3 | 106.3 | 102.3 |
| mp-1186853 | dynamic | -0.8152 | -0.8152 | 12.0067 | 12.0067 | 12.0067 | 90.0 | 90.0 | 90.0 |
| mp-1186853 | static | -0.8152 | -0.8152 | 12.0065 | 12.0065 | 12.0065 | 90.0 | 90.0 | 90.0 |
| mp-1186853 | box | -0.8141 | -0.8141 | 12.0047 | 12.0047 | 12.0047 | 90.0 | 90.0 | 90.0 |
| oqmd-1214918 | box | -0.814 | -0.814 | 12.0078 | 12.0078 | 12.0078 | 90.0 | 90.0 | 90.0 |
| mp-1186899 | dynamic | -0.8091 | -0.8091 | 17.054 | 17.054 | 17.054 | 90.0 | 90.0 | 90.0 |
| mp-1186899 | box | -0.8087 | -0.8087 | 17.0548 | 17.0548 | 17.0548 | 90.0 | 90.0 | 90.0 |
| oqmd-18973 | box | -0.8084 | -0.8084 | 14.8345 | 9.5688 | 9.5685 | 90.0 | 90.0 | 90.0 |
| oqmd-1214829 | box | -0.8083 | -0.8083 | 17.0574 | 17.0574 | 17.0574 | 90.0 | 90.0 | 90.0 |
| A15--beta-W | dynamic | -0.8079 | -0.8079 | 8.8045 | 8.8045 | 8.8045 | 90.0 | 90.0 | 90.0 |
| oqmd-18969 | static | -0.7432 | -0.7432 | 9.6982 | 16.1074 | 29.6387 | 90.0 | 90.0 | 90.0 |
| mp-1179802 | box | -0.7204 | -0.7204 | 9.1358 | 9.2132 | 9.8362 | 115.9 | 107.8 | 91.2 |
| mp-640416 | box | -0.7126 | -0.7126 | 9.1302 | 9.2042 | 10.0716 | 113.9 | 112.1 | 91.8 |
| mp-569688 | static | -0.7083 | -0.7083 | 10.1953 | 16.2837 | 28.1243 | 90.0 | 90.0 | 90.0 |
| oqmd-18969 | box | -0.6944 | -0.6944 | 10.8634 | 16.107 | 26.4479 | 90.0 | 90.0 | 90.0 |
| mp-569688 | box | -0.6938 | -0.6938 | 11.2354 | 16.0376 | 25.7266 | 90.0 | 90.0 | 90.0 |
| oqmd-1214740 | box | -0.6872 | -0.6872 | 8.2032 | 17.5131 | 5.0664 | 90.0 | 90.0 | 90.0 |
| oqmd-1215096 | box | -0.6838 | -0.6838 | 8.1416 | 17.4584 | 5.0056 | 90.0 | 90.0 | 90.0 |
| oqmd-1277938 | static | -0.6618 | -0.6618 | 22.3975 | 22.3975 | 22.3975 | 90.0 | 90.0 | 90.0 |
| oqmd-1277938 | box | -0.6555 | -0.6555 | 22.2138 | 22.2138 | 22.2138 | 90.0 | 90.0 | 90.0 |
| oqmd-123350 | box | -0.5709 | -0.5709 | 4.81 | 17.7505 | 17.76 | 90.0 | 90.0 | 90.0 |
| mp-1018045 | box | -0.5691 | -0.5691 | 4.7942 | 17.7702 | 17.7802 | 90.0 | 90.0 | 90.0 |
| oqmd-23456 | box | -0.5686 | -0.5686 | 17.7766 | 4.7912 | 12.5726 | 90.0 | 135.0 | 90.0 |
| A5--beta-Sn | static | -0.5659 | -0.5659 | 4.8521 | 4.8521 | 17.0531 | 90.0 | 90.0 | 90.0 |
| A5--beta-Sn | static | -0.5471 | -0.5471 | 9.0076 | 9.0076 | 4.7281 | 90.0 | 90.0 | 90.0 |
| mp-1063817 | box | -0.4734 | -0.4734 | 4.8351 | 16.123 | 26.075 | 90.0 | 90.0 | 90.0 |
| Ah--alpha-Po--sc | static | -0.4281 | -0.4281 | 4.8358 | 4.8358 | 4.8358 | 90.0 | 90.0 | 90.0 |
| oqmd-1215898 | box | -0.4254 | -0.4254 | 6.853 | 6.853 | 8.3818 | 90.0 | 90.0 | 120.0 |
| oqmd-18970 | box | -0.3493 | -0.3493 | 16.7206 | 16.7206 | 9.7747 | 90.0 | 90.0 | 90.0 |
| A7--alpha-As | box | -0.2976 | -0.2976 | 6.5365 | 6.5365 | 20.2071 | 90.0 | 90.0 | 120.0 |
| oqmd-1215987 | box | -0.2916 | -0.2916 | 8.2245 | 8.2245 | 9.0431 | 90.0 | 90.0 | 120.0 |
| A4--C--dc | dynamic | -0.2777 | -0.2777 | 11.4499 | 11.4499 | 11.4499 | 90.0 | 90.0 | 90.0 |
| mp-1179832 | dynamic | -0.1389 | -0.1389 | 30.8687 | 28.4398 | 12.5729 | 90.0 | 113.1 | 90.0 |
| mp-1179832 | static | -0.1389 | -0.1389 | 28.9103 | 28.4771 | 11.9216 | 90.0 | 104.0 | 90.0 |
Static elastic constants are displayed for the unique structures identified in Crystal Structure Predictions above. The values displayed here are obtained by measuring the change in virial stresses due to applying small strains to the relaxed crystals. The initial structure and the strained states are all relaxed using force minimization.
The calculation method used is available as the iprPy elastic_constants_static calculation method.
Notes and Disclaimers:
Version Information:
| 17.747 | 11.531 | 11.531 | -0.000 | 0.000 | 0.000 |
| 11.531 | 17.747 | 11.531 | -0.000 | -0.000 | 0.000 |
| 11.531 | 11.531 | 17.747 | 0.000 | 0.000 | 0.000 |
| -0.000 | 0.000 | 0.000 | 11.531 | 0.000 | 0.000 |
| 0.000 | -0.000 | 0.000 | 0.000 | 11.531 | 0.000 |
| 0.000 | 0.000 | -0.000 | 0.000 | 0.000 | 11.531 |
| 17.747 | 11.531 | 11.531 | 0.000 | -0.000 | -0.000 |
| 11.531 | 17.747 | 11.531 | -0.000 | 0.000 | -0.000 |
| 11.531 | 11.531 | 17.747 | 0.000 | 0.000 | -0.000 |
| 0.000 | -0.000 | -0.000 | 11.531 | -0.000 | -0.000 |
| -0.000 | 0.000 | -0.000 | -0.000 | 11.531 | -0.000 |
| -0.000 | -0.000 | 0.000 | -0.000 | -0.000 | 11.531 |
| 17.747 | 11.531 | 11.531 | 0.000 | 0.000 | 0.000 |
| 11.531 | 17.747 | 11.531 | -0.000 | -0.000 | 0.000 |
| 11.531 | 11.531 | 17.747 | 0.000 | 0.000 | 0.000 |
| -0.000 | 0.000 | 0.000 | 11.531 | -0.000 | 0.000 |
| 0.000 | -0.000 | 0.000 | 0.000 | 11.531 | 0.000 |
| 0.000 | 0.000 | -0.000 | 0.000 | 0.000 | 11.531 |
| 17.747 | 11.531 | 11.531 | -0.000 | -0.000 | -0.000 |
| 11.531 | 17.747 | 11.531 | -0.000 | 0.000 | -0.000 |
| 11.531 | 11.531 | 17.747 | -0.000 | -0.000 | -0.000 |
| 0.000 | -0.000 | -0.000 | 11.531 | -0.000 | -0.000 |
| -0.000 | 0.000 | -0.000 | -0.000 | 11.531 | -0.000 |
| -0.000 | -0.000 | 0.000 | -0.000 | -0.000 | 11.531 |
| 17.747 | 11.531 | 11.531 | 0.000 | 0.000 | 0.000 |
| 11.531 | 17.747 | 11.531 | 0.000 | 0.000 | 0.000 |
| 11.531 | 11.531 | 17.747 | -0.000 | 0.000 | 0.000 |
| -0.000 | 0.000 | 0.000 | 11.531 | 0.000 | 0.000 |
| 0.000 | -0.000 | 0.000 | 0.000 | 11.531 | 0.000 |
| 0.000 | 0.000 | -0.000 | 0.000 | 0.000 | 11.531 |
| 17.747 | 11.531 | 11.531 | 0.000 | -0.000 | -0.000 |
| 11.531 | 17.747 | 11.531 | -0.000 | 0.000 | -0.000 |
| 11.531 | 11.531 | 17.747 | -0.000 | 0.000 | -0.000 |
| 0.000 | -0.000 | -0.000 | 11.531 | -0.000 | -0.000 |
| -0.000 | 0.000 | -0.000 | -0.000 | 11.531 | -0.000 |
| -0.000 | -0.000 | 0.000 | -0.000 | -0.000 | 11.531 |
| 39.030 | 6.862 | 6.862 | 0.000 | 0.000 | 0.000 |
| 6.862 | 39.030 | 6.862 | 0.000 | 0.000 | 0.000 |
| 6.862 | 6.862 | 39.030 | 0.000 | -0.000 | 0.000 |
| 0.000 | 0.000 | 0.000 | 6.034 | 0.000 | 0.000 |
| 0.000 | 0.000 | -0.000 | 0.000 | 6.034 | 0.000 |
| 0.000 | 0.000 | -0.000 | 0.000 | 0.000 | 6.034 |
| 39.030 | 6.862 | 6.862 | -0.000 | -0.000 | -0.000 |
| 6.862 | 39.030 | 6.862 | -0.000 | -0.000 | -0.000 |
| 6.862 | 6.862 | 39.030 | 0.000 | -0.000 | -0.000 |
| -0.000 | -0.000 | 0.000 | 6.034 | -0.000 | -0.000 |
| -0.000 | -0.000 | 0.000 | 0.000 | 6.034 | -0.000 |
| -0.000 | 0.000 | 0.000 | 0.000 | -0.000 | 6.034 |
| 39.030 | 6.862 | 6.862 | 0.000 | 0.000 | 0.000 |
| 6.862 | 39.030 | 6.862 | 0.000 | 0.000 | 0.000 |
| 6.862 | 6.862 | 39.030 | -0.000 | 0.000 | 0.000 |
| 0.000 | 0.000 | -0.000 | 6.034 | 0.000 | 0.000 |
| 0.000 | 0.000 | -0.000 | 0.000 | 6.034 | 0.000 |
| 0.000 | -0.000 | 0.000 | 0.000 | 0.000 | 6.034 |
| 39.030 | 6.862 | 6.862 | -0.000 | -0.000 | -0.000 |
| 6.862 | 39.030 | 6.862 | -0.000 | -0.000 | -0.000 |
| 6.862 | 6.862 | 39.030 | -0.000 | -0.000 | -0.000 |
| -0.000 | -0.000 | 0.000 | 6.034 | -0.000 | -0.000 |
| -0.000 | -0.000 | 0.000 | 0.000 | 6.034 | -0.000 |
| -0.000 | 0.000 | -0.000 | -0.000 | -0.000 | 6.034 |
| 39.030 | 6.862 | 6.862 | 0.000 | 0.000 | 0.000 |
| 6.862 | 39.030 | 6.862 | 0.000 | 0.000 | 0.000 |
| 6.862 | 6.862 | 39.030 | -0.000 | 0.000 | 0.000 |
| 0.000 | 0.000 | -0.000 | 6.034 | 0.000 | -0.000 |
| 0.000 | 0.000 | -0.000 | 0.000 | 6.034 | 0.000 |
| 0.000 | -0.000 | 0.000 | -0.000 | 0.000 | 6.034 |
| 39.030 | 6.862 | 6.862 | 0.000 | -0.000 | -0.000 |
| 6.862 | 39.030 | 6.862 | -0.000 | -0.000 | -0.000 |
| 6.862 | 6.862 | 39.030 | -0.000 | -0.000 | -0.000 |
| -0.000 | -0.000 | 0.000 | 6.034 | -0.000 | -0.000 |
| -0.000 | -0.000 | 0.000 | 0.000 | 6.034 | -0.000 |
| -0.000 | 0.000 | -0.000 | -0.000 | -0.000 | 6.034 |
| 24.796 | 15.823 | 15.823 | -0.000 | 0.000 | 0.000 |
| 15.823 | 24.796 | 15.823 | -0.000 | -0.000 | 0.000 |
| 15.823 | 15.823 | 24.796 | -0.000 | 0.000 | 0.000 |
| 0.000 | 0.000 | 0.000 | 15.823 | -0.000 | 0.000 |
| 0.000 | 0.000 | 0.000 | -0.000 | 15.823 | 0.000 |
| 0.000 | 0.000 | 0.000 | -0.000 | -0.000 | 15.823 |
| 24.796 | 15.823 | 15.823 | 0.000 | 0.000 | -0.000 |
| 15.823 | 24.796 | 15.823 | 0.000 | 0.000 | -0.000 |
| 15.823 | 15.823 | 24.796 | 0.000 | 0.000 | 0.000 |
| -0.000 | -0.000 | -0.000 | 15.823 | -0.000 | 0.000 |
| -0.000 | -0.000 | -0.000 | 0.000 | 15.823 | -0.000 |
| -0.000 | -0.000 | -0.000 | 0.000 | 0.000 | 15.823 |
| 24.796 | 15.823 | 15.823 | -0.000 | -0.000 | 0.000 |
| 15.823 | 24.796 | 15.823 | -0.000 | -0.000 | 0.000 |
| 15.823 | 15.823 | 24.796 | 0.000 | -0.000 | 0.000 |
| 0.000 | -0.000 | 0.000 | 15.823 | -0.000 | 0.000 |
| -0.000 | 0.000 | 0.000 | -0.000 | 15.823 | 0.000 |
| -0.000 | 0.000 | 0.000 | -0.000 | -0.000 | 15.823 |
| 24.796 | 15.823 | 15.823 | 0.000 | 0.000 | -0.000 |
| 15.823 | 24.796 | 15.823 | 0.000 | 0.000 | -0.000 |
| 15.823 | 15.823 | 24.796 | 0.000 | 0.000 | -0.000 |
| -0.000 | 0.000 | -0.000 | 15.823 | 0.000 | -0.000 |
| 0.000 | -0.000 | -0.000 | 0.000 | 15.823 | -0.000 |
| 0.000 | -0.000 | -0.000 | 0.000 | 0.000 | 15.823 |
| 24.796 | 15.823 | 15.823 | -0.000 | 0.000 | 0.000 |
| 15.823 | 24.796 | 15.823 | -0.000 | -0.000 | 0.000 |
| 15.823 | 15.823 | 24.796 | -0.000 | -0.000 | -0.000 |
| 0.000 | -0.000 | 0.000 | 15.823 | -0.000 | 0.000 |
| -0.000 | 0.000 | 0.000 | -0.000 | 15.823 | 0.000 |
| -0.000 | 0.000 | 0.000 | -0.000 | -0.000 | 15.823 |
| 24.796 | 15.823 | 15.823 | 0.000 | 0.000 | -0.000 |
| 15.823 | 24.796 | 15.823 | 0.000 | 0.000 | -0.000 |
| 15.823 | 15.823 | 24.796 | -0.000 | -0.000 | -0.000 |
| -0.000 | 0.000 | -0.000 | 15.823 | 0.000 | -0.000 |
| 0.000 | -0.000 | -0.000 | 0.000 | 15.823 | -0.000 |
| 0.000 | -0.000 | -0.000 | 0.000 | 0.000 | 15.823 |
| 25.192 | 9.701 | 5.916 | -0.000 | 0.000 | 0.000 |
| 8.723 | 26.170 | 5.916 | 0.000 | 0.000 | 0.000 |
| 5.916 | 5.916 | 28.978 | 0.000 | -0.000 | 0.000 |
| 0.000 | -0.000 | -0.000 | 5.916 | 0.000 | 0.000 |
| -0.000 | -0.000 | -0.000 | 0.000 | 5.916 | 0.000 |
| -0.000 | 0.000 | -0.000 | 0.000 | 0.000 | 7.745 |
| 26.170 | 8.723 | 5.916 | -0.000 | -0.000 | -0.000 |
| 9.701 | 25.192 | 5.916 | -0.000 | -0.000 | -0.000 |
| 5.916 | 5.916 | 28.978 | -0.000 | -0.000 | -0.000 |
| -0.000 | 0.000 | -0.000 | 5.916 | -0.000 | 0.000 |
| 0.000 | 0.000 | -0.000 | -0.000 | 5.916 | -0.000 |
| 0.000 | -0.000 | 0.000 | -0.000 | -0.000 | 7.745 |
| 24.573 | 10.321 | 5.916 | 0.000 | 0.000 | 0.000 |
| 8.723 | 26.170 | 5.916 | 0.000 | 0.000 | 0.000 |
| 5.916 | 5.916 | 28.978 | 0.000 | 0.000 | 0.000 |
| -0.000 | -0.000 | 0.000 | 5.916 | 0.000 | 0.000 |
| -0.000 | -0.000 | 0.000 | 0.000 | 5.916 | 0.000 |
| -0.000 | 0.000 | -0.000 | 0.000 | 0.000 | 7.745 |
| 24.573 | 10.321 | 5.916 | -0.000 | -0.000 | -0.000 |
| 9.701 | 25.192 | 5.916 | -0.000 | -0.000 | -0.000 |
| 5.916 | 5.916 | 28.978 | -0.000 | 0.000 | -0.000 |
| 0.000 | 0.000 | -0.000 | 5.916 | -0.000 | -0.000 |
| 0.000 | 0.000 | -0.000 | -0.000 | 5.916 | -0.000 |
| 0.000 | -0.000 | 0.000 | -0.000 | -0.000 | 7.745 |
| 25.193 | 9.702 | 5.916 | 0.000 | -0.000 | 0.000 |
| 8.724 | 26.171 | 5.916 | 0.000 | -0.000 | 0.000 |
| 5.916 | 5.916 | 28.978 | 0.000 | -0.000 | 0.000 |
| 0.000 | -0.000 | 0.000 | 5.916 | 0.000 | 0.000 |
| -0.000 | 0.000 | 0.000 | 0.000 | 5.916 | 0.000 |
| -0.000 | 0.000 | -0.000 | 0.000 | 0.000 | 8.723 |
| 26.170 | 8.723 | 5.916 | -0.000 | -0.000 | -0.000 |
| 10.321 | 24.573 | 5.916 | -0.000 | -0.000 | -0.000 |
| 5.916 | 5.916 | 28.978 | -0.000 | -0.000 | -0.000 |
| -0.000 | 0.000 | -0.000 | 5.916 | -0.000 | -0.000 |
| 0.000 | -0.000 | -0.000 | -0.000 | 5.916 | -0.000 |
| 0.000 | -0.000 | 0.000 | -0.000 | -0.000 | 8.723 |
| 24.214 | 10.680 | 5.916 | -0.000 | -0.000 | -0.000 |
| 10.680 | 24.214 | 5.916 | -0.000 | -0.000 | -0.000 |
| 5.916 | 5.916 | 28.978 | -0.000 | 0.000 | -0.000 |
| 0.000 | -0.000 | 0.000 | 5.916 | 0.000 | -0.000 |
| -0.000 | 0.000 | 0.000 | 0.000 | 5.916 | -0.000 |
| -0.000 | 0.000 | 0.000 | 0.000 | 0.000 | 8.723 |
| 24.214 | 10.680 | 5.916 | 0.000 | 0.000 | 0.000 |
| 8.723 | 26.170 | 5.916 | -0.000 | 0.000 | 0.000 |
| 5.916 | 5.916 | 28.978 | 0.000 | 0.000 | 0.000 |
| -0.000 | 0.000 | -0.000 | 5.916 | 0.000 | 0.000 |
| 0.000 | -0.000 | -0.000 | 0.000 | 5.916 | 0.000 |
| 0.000 | -0.000 | -0.000 | -0.000 | 0.000 | 8.723 |
| 26.170 | 8.723 | 5.916 | -0.000 | 0.000 | -0.000 |
| 8.723 | 26.170 | 5.916 | -0.000 | -0.000 | -0.000 |
| 5.916 | 5.916 | 28.978 | -0.000 | 0.000 | -0.000 |
| 0.000 | -0.000 | 0.000 | 5.916 | 0.000 | -0.000 |
| -0.000 | 0.000 | 0.000 | 0.000 | 5.916 | -0.000 |
| -0.000 | 0.000 | -0.000 | 0.000 | 0.000 | 8.723 |
| 24.214 | 10.680 | 5.916 | -0.000 | 0.000 | 0.000 |
| 10.680 | 24.214 | 5.916 | -0.000 | -0.000 | 0.000 |
| 5.916 | 5.916 | 28.978 | 0.000 | -0.000 | 0.000 |
| -0.000 | 0.000 | -0.000 | 5.916 | 0.000 | 0.000 |
| 0.000 | -0.000 | -0.000 | 0.000 | 5.916 | -0.000 |
| 0.000 | -0.000 | 0.000 | -0.000 | -0.000 | 8.723 |
| 24.215 | 10.680 | 5.916 | 0.000 | -0.000 | -0.000 |
| 8.724 | 26.171 | 5.916 | 0.000 | 0.000 | -0.000 |
| 5.916 | 5.916 | 28.978 | 0.000 | 0.000 | -0.000 |
| 0.000 | -0.000 | 0.000 | 5.916 | 0.000 | -0.000 |
| -0.000 | 0.000 | 0.000 | -0.000 | 5.916 | -0.000 |
| -0.000 | 0.000 | -0.000 | 0.000 | 0.000 | 8.723 |
| 24.214 | 10.679 | 5.916 | 0.000 | 0.000 | 0.000 |
| 10.679 | 24.214 | 5.916 | 0.000 | 0.000 | 0.000 |
| 5.916 | 5.916 | 28.978 | 0.000 | -0.000 | 0.000 |
| -0.000 | 0.000 | -0.000 | 5.916 | -0.000 | 0.000 |
| 0.000 | -0.000 | -0.000 | 0.000 | 5.916 | 0.000 |
| 0.000 | -0.000 | 0.000 | -0.000 | -0.000 | 8.723 |
| 2.262 | 2.262 | 2.262 | -0.000 | -0.000 | -0.000 |
| 2.262 | 2.262 | 2.262 | -0.000 | -0.000 | -0.000 |
| 2.262 | 2.262 | 2.262 | -0.000 | -0.000 | -0.000 |
| -0.000 | -0.000 | -0.000 | -0.000 | -0.000 | -0.000 |
| -0.000 | -0.000 | -0.000 | -0.000 | -0.000 | -0.000 |
| -0.000 | -0.000 | -0.000 | -0.000 | -0.000 | -0.000 |
| 2.262 | 2.262 | 2.262 | 0.000 | 0.000 | 0.000 |
| 2.262 | 2.262 | 2.262 | 0.000 | 0.000 | 0.000 |
| 2.262 | 2.262 | 2.262 | 0.000 | 0.000 | 0.000 |
| 0.000 | 0.000 | 0.000 | 0.000 | 0.000 | 0.000 |
| 0.000 | 0.000 | 0.000 | 0.000 | 0.000 | 0.000 |
| 0.000 | 0.000 | 0.000 | 0.000 | 0.000 | 0.000 |
| 2.262 | 2.262 | 2.262 | -0.000 | -0.000 | -0.000 |
| 2.262 | 2.262 | 2.262 | -0.000 | -0.000 | -0.000 |
| 2.262 | 2.262 | 2.262 | -0.000 | -0.000 | -0.000 |
| -0.000 | -0.000 | -0.000 | -0.000 | -0.000 | -0.000 |
| -0.000 | -0.000 | -0.000 | -0.000 | -0.000 | -0.000 |
| -0.000 | -0.000 | -0.000 | -0.000 | -0.000 | -0.000 |
| 2.262 | 2.262 | 2.262 | 0.000 | 0.000 | 0.000 |
| 2.262 | 2.262 | 2.262 | 0.000 | 0.000 | 0.000 |
| 2.262 | 2.262 | 2.262 | 0.000 | 0.000 | 0.000 |
| 0.000 | 0.000 | 0.000 | 0.000 | 0.000 | 0.000 |
| 0.000 | 0.000 | 0.000 | 0.000 | 0.000 | 0.000 |
| 0.000 | 0.000 | 0.000 | 0.000 | 0.000 | 0.000 |
| 2.262 | 2.262 | 2.262 | -0.000 | -0.000 | -0.000 |
| 2.262 | 2.262 | 2.262 | -0.000 | -0.000 | -0.000 |
| 2.262 | 2.262 | 2.262 | -0.000 | -0.000 | -0.000 |
| -0.000 | -0.000 | -0.000 | -0.000 | -0.000 | -0.000 |
| -0.000 | -0.000 | -0.000 | -0.000 | -0.000 | -0.000 |
| -0.000 | -0.000 | -0.000 | -0.000 | -0.000 | -0.000 |
| 2.262 | 2.262 | 2.262 | 0.000 | 0.000 | 0.000 |
| 2.262 | 2.262 | 2.262 | 0.000 | 0.000 | 0.000 |
| 2.262 | 2.262 | 2.262 | 0.000 | 0.000 | 0.000 |
| 0.000 | 0.000 | 0.000 | 0.000 | 0.000 | 0.000 |
| 0.000 | 0.000 | 0.000 | 0.000 | 0.000 | 0.000 |
| 0.000 | 0.000 | 0.000 | 0.000 | 0.000 | 0.000 |
| 26.742 | -7.954 | 0.528 | 0.000 | -0.000 | 0.000 |
| -7.954 | 26.742 | 0.528 | 0.000 | -0.000 | 0.000 |
| 0.528 | 0.528 | 33.381 | -0.000 | -0.000 | 0.000 |
| 0.000 | -0.000 | 0.000 | -1.646 | -0.000 | -0.000 |
| 0.000 | -0.000 | 0.000 | 0.000 | -1.646 | 0.000 |
| 0.000 | -0.000 | -0.000 | 0.000 | -0.000 | -7.954 |
| 26.742 | -7.954 | 0.528 | 0.000 | 0.000 | -0.000 |
| -7.954 | 26.742 | 0.528 | 0.000 | 0.000 | 0.000 |
| 0.528 | 0.528 | 33.381 | 0.000 | 0.000 | -0.000 |
| -0.000 | 0.000 | -0.000 | -1.646 | 0.000 | -0.000 |
| -0.000 | 0.000 | 0.000 | 0.000 | -1.646 | -0.000 |
| -0.000 | 0.000 | 0.000 | -0.000 | 0.000 | -7.954 |
| 18.683 | 0.105 | 0.528 | 0.000 | -0.000 | 0.000 |
| 0.105 | 18.683 | 0.528 | -0.000 | -0.000 | 0.000 |
| 0.528 | 0.528 | 33.381 | 0.000 | -0.000 | 0.000 |
| -0.000 | 0.000 | -0.000 | -1.646 | -0.000 | -0.000 |
| 0.000 | -0.000 | -0.000 | 0.000 | -1.646 | 0.000 |
| -0.000 | -0.000 | -0.000 | -0.000 | -0.000 | -7.954 |
| 26.742 | -7.954 | 0.528 | 0.000 | -0.000 | -0.000 |
| -7.954 | 26.742 | 0.528 | 0.000 | 0.000 | -0.000 |
| 0.528 | 0.528 | 33.381 | 0.000 | -0.000 | -0.000 |
| 0.000 | -0.000 | 0.000 | -1.646 | -0.000 | -0.000 |
| -0.000 | 0.000 | 0.000 | 0.000 | -1.646 | -0.000 |
| 0.000 | 0.000 | 0.000 | 0.000 | 0.000 | -7.954 |
| 9.486 | 9.302 | 0.528 | 0.000 | -0.000 | 0.000 |
| 8.914 | 9.875 | 0.528 | 0.000 | -0.000 | 0.000 |
| 0.528 | 0.528 | 33.381 | 0.000 | 0.000 | 0.000 |
| -0.000 | 0.000 | -0.000 | -1.646 | -0.000 | 0.000 |
| 0.000 | -0.000 | -0.000 | 0.000 | -1.646 | -0.000 |
| -0.000 | -0.000 | -0.000 | 0.000 | -0.000 | -7.954 |
| 10.587 | 8.201 | 0.528 | -0.000 | -0.000 | -0.000 |
| 8.201 | 10.587 | 0.528 | -0.000 | 0.000 | -0.000 |
| 0.528 | 0.528 | 33.381 | -0.000 | 0.000 | 0.000 |
| 0.000 | -0.000 | 0.000 | -1.646 | 0.000 | 0.000 |
| -0.000 | 0.000 | 0.000 | 0.000 | -1.646 | 0.000 |
| 0.000 | 0.000 | 0.000 | 0.000 | 0.000 | -7.954 |
| -6.738 | -3.572 | 5.356 | -3.149 | 0.000 | -0.000 |
| -3.572 | -6.738 | 5.356 | 3.149 | 0.000 | -0.000 |
| 4.495 | 4.495 | 8.472 | 0.000 | 0.000 | -0.000 |
| -3.149 | 3.149 | 0.000 | 5.622 | 0.000 | -0.000 |
| 0.000 | -0.000 | 0.000 | 0.000 | 5.622 | -3.149 |
| 0.000 | -0.000 | 0.000 | 0.000 | -3.149 | -1.583 |
| -6.738 | -3.572 | 5.356 | -3.149 | -0.000 | 0.000 |
| -3.572 | -6.738 | 5.356 | 3.149 | -0.000 | 0.000 |
| 4.495 | 4.495 | 8.472 | -0.000 | -0.000 | 0.000 |
| -3.149 | 3.149 | -0.000 | 5.622 | -0.000 | 0.000 |
| -0.000 | 0.000 | -0.000 | -0.000 | 5.622 | -3.149 |
| -0.000 | 0.000 | -0.000 | -0.000 | -3.149 | -1.583 |
| -6.738 | -3.572 | 5.356 | -3.149 | 0.000 | -0.000 |
| -3.572 | -6.738 | 5.356 | 3.149 | 0.000 | -0.000 |
| 4.495 | 4.495 | 8.472 | 0.000 | 0.000 | -0.000 |
| -3.149 | 3.149 | 0.000 | 5.622 | 0.000 | -0.000 |
| 0.000 | -0.000 | 0.000 | -0.000 | 5.622 | -3.149 |
| 0.000 | -0.000 | 0.000 | -0.000 | -3.149 | -1.583 |
| -6.738 | -3.572 | 5.356 | -3.149 | -0.000 | 0.000 |
| -3.572 | -6.738 | 5.356 | 3.149 | -0.000 | 0.000 |
| 4.495 | 4.495 | 8.472 | -0.000 | -0.000 | 0.000 |
| -3.149 | 3.149 | -0.000 | 5.622 | -0.000 | 0.000 |
| -0.000 | 0.000 | -0.000 | 0.000 | 5.622 | -3.149 |
| -0.000 | 0.000 | -0.000 | 0.000 | -3.149 | -1.583 |
| -6.738 | -3.572 | 5.356 | -3.149 | 0.000 | -0.000 |
| -3.572 | -6.738 | 5.356 | 3.149 | 0.000 | -0.000 |
| 4.495 | 4.495 | 8.472 | 0.000 | 0.000 | -0.000 |
| -3.149 | 3.149 | 0.000 | 5.622 | 0.000 | -0.000 |
| 0.000 | 0.000 | 0.000 | -0.000 | 5.622 | -3.149 |
| 0.000 | -0.000 | 0.000 | -0.000 | -3.149 | -1.583 |
| -6.738 | -3.572 | 5.356 | -3.149 | -0.000 | 0.000 |
| -3.571 | -6.738 | 5.356 | 3.149 | -0.000 | 0.000 |
| 4.495 | 4.495 | 8.472 | -0.000 | -0.000 | 0.000 |
| -3.149 | 3.149 | -0.000 | 5.622 | -0.000 | 0.000 |
| -0.000 | -0.000 | -0.000 | 0.000 | 5.622 | -3.149 |
| -0.000 | 0.000 | -0.000 | 0.000 | -3.149 | -1.583 |
| 14.374 | -3.049 | -3.049 | -0.000 | -0.000 | -0.000 |
| -3.049 | 14.374 | -3.049 | -0.000 | -0.000 | -0.000 |
| -3.049 | -3.049 | 14.374 | -0.000 | -0.000 | -0.000 |
| 0.000 | -0.000 | -0.000 | -3.049 | -0.000 | -0.000 |
| -0.000 | 0.000 | -0.000 | -0.000 | -3.049 | -0.000 |
| -0.000 | -0.000 | 0.000 | -0.000 | -0.000 | -3.049 |
| 14.374 | -3.049 | -3.049 | 0.000 | 0.000 | -0.000 |
| -3.049 | 14.374 | -3.049 | 0.000 | 0.000 | 0.000 |
| -3.049 | -3.049 | 14.374 | 0.000 | -0.000 | 0.000 |
| -0.000 | 0.000 | 0.000 | -3.049 | 0.000 | 0.000 |
| 0.000 | -0.000 | 0.000 | 0.000 | -3.049 | 0.000 |
| 0.000 | 0.000 | -0.000 | 0.000 | -0.000 | -3.049 |
| 14.374 | -3.049 | -3.049 | -0.000 | -0.000 | -0.000 |
| -3.049 | 14.374 | -3.049 | -0.000 | -0.000 | -0.000 |
| -3.049 | -3.049 | 14.374 | -0.000 | 0.000 | -0.000 |
| 0.000 | -0.000 | -0.000 | -3.049 | 0.000 | -0.000 |
| -0.000 | 0.000 | -0.000 | -0.000 | -3.049 | -0.000 |
| -0.000 | -0.000 | 0.000 | -0.000 | -0.000 | -3.049 |
| 14.374 | -3.049 | -3.049 | 0.000 | -0.000 | 0.000 |
| -3.049 | 14.374 | -3.049 | 0.000 | 0.000 | 0.000 |
| -3.049 | -3.049 | 14.374 | 0.000 | -0.000 | 0.000 |
| -0.000 | 0.000 | 0.000 | -3.049 | -0.000 | 0.000 |
| 0.000 | -0.000 | 0.000 | 0.000 | -3.049 | 0.000 |
| 0.000 | 0.000 | -0.000 | 0.000 | 0.000 | -3.049 |
| 14.374 | -3.049 | -3.049 | -0.000 | -0.000 | -0.000 |
| -3.049 | 14.374 | -3.049 | -0.000 | 0.000 | -0.000 |
| -3.049 | -3.049 | 14.374 | -0.000 | -0.000 | -0.000 |
| 0.000 | -0.000 | -0.000 | -3.049 | -0.000 | -0.000 |
| -0.000 | 0.000 | -0.000 | -0.000 | -3.049 | -0.000 |
| -0.000 | -0.000 | 0.000 | -0.000 | -0.000 | -3.049 |
| 14.374 | -3.049 | -3.049 | 0.000 | 0.000 | 0.000 |
| -3.049 | 14.374 | -3.049 | 0.000 | 0.000 | 0.000 |
| -3.049 | -3.049 | 14.374 | -0.000 | 0.000 | 0.000 |
| -0.000 | 0.000 | 0.000 | -3.049 | -0.000 | 0.000 |
| 0.000 | -0.000 | 0.000 | 0.000 | -3.049 | 0.000 |
| 0.000 | 0.000 | -0.000 | 0.000 | 0.000 | -3.049 |
| 7.595 | 5.903 | 5.903 | -0.000 | -0.000 | 0.000 |
| 5.903 | 7.595 | 5.903 | -0.000 | -0.000 | -0.000 |
| 5.903 | 5.903 | 7.595 | -0.000 | -0.000 | -0.000 |
| -0.000 | -0.000 | 0.000 | 5.903 | -0.000 | 0.000 |
| -0.000 | -0.000 | 0.000 | 0.000 | 5.903 | -0.000 |
| -0.000 | -0.000 | -0.000 | 0.000 | -0.000 | 5.903 |
| 7.595 | 5.903 | 5.903 | 0.000 | 0.000 | 0.000 |
| 5.903 | 7.595 | 5.903 | -0.000 | -0.000 | 0.000 |
| 5.903 | 5.903 | 7.595 | 0.000 | 0.000 | -0.000 |
| 0.000 | 0.000 | -0.000 | 5.903 | -0.000 | -0.000 |
| 0.000 | 0.000 | -0.000 | -0.000 | 5.903 | 0.000 |
| 0.000 | -0.000 | 0.000 | -0.000 | 0.000 | 5.903 |
| 7.595 | 5.903 | 5.903 | -0.000 | 0.000 | 0.000 |
| 5.903 | 7.595 | 5.903 | 0.000 | -0.000 | 0.000 |
| 5.903 | 5.903 | 7.595 | 0.000 | -0.000 | 0.000 |
| -0.000 | 0.000 | 0.000 | 5.903 | -0.000 | 0.000 |
| 0.000 | -0.000 | 0.000 | 0.000 | 5.903 | -0.000 |
| 0.000 | 0.000 | -0.000 | 0.000 | -0.000 | 5.903 |
| 7.595 | 5.903 | 5.903 | 0.000 | 0.000 | 0.000 |
| 5.903 | 7.595 | 5.903 | 0.000 | -0.000 | 0.000 |
| 5.903 | 5.903 | 7.595 | -0.000 | 0.000 | -0.000 |
| 0.000 | -0.000 | -0.000 | 5.903 | -0.000 | 0.000 |
| -0.000 | 0.000 | -0.000 | -0.000 | 5.903 | 0.000 |
| -0.000 | -0.000 | 0.000 | -0.000 | 0.000 | 5.903 |
| 7.595 | 5.903 | 5.903 | 0.000 | -0.000 | -0.000 |
| 5.903 | 7.595 | 5.903 | -0.000 | -0.000 | -0.000 |
| 5.903 | 5.903 | 7.595 | 0.000 | -0.000 | -0.000 |
| -0.000 | 0.000 | 0.000 | 5.903 | -0.000 | 0.000 |
| 0.000 | -0.000 | 0.000 | 0.000 | 5.903 | -0.000 |
| 0.000 | 0.000 | -0.000 | 0.000 | -0.000 | 5.903 |
| 7.595 | 5.903 | 5.903 | -0.000 | 0.000 | 0.000 |
| 5.903 | 7.595 | 5.903 | -0.000 | 0.000 | 0.000 |
| 5.903 | 5.903 | 7.595 | -0.000 | 0.000 | 0.000 |
| 0.000 | -0.000 | -0.000 | 5.903 | -0.000 | 0.000 |
| -0.000 | 0.000 | -0.000 | -0.000 | 5.903 | 0.000 |
| -0.000 | -0.000 | 0.000 | -0.000 | 0.000 | 5.903 |
| 11.836 | 7.126 | 7.126 | -0.000 | 0.000 | 0.000 |
| 7.126 | 11.836 | 7.126 | -0.000 | 0.000 | 0.000 |
| 7.126 | 7.126 | 11.836 | 0.000 | 0.000 | 0.000 |
| 0.000 | 0.000 | -0.000 | 3.371 | 0.000 | 0.000 |
| -0.000 | 0.000 | -0.000 | -0.000 | 3.371 | 0.000 |
| 0.000 | -0.000 | -0.000 | -0.000 | 0.000 | 3.371 |
| 11.836 | 7.126 | 7.126 | 0.000 | -0.000 | 0.000 |
| 7.126 | 11.836 | 7.126 | 0.000 | -0.000 | -0.000 |
| 7.126 | 7.126 | 11.836 | 0.000 | -0.000 | 0.000 |
| 0.000 | 0.000 | 0.000 | 3.371 | -0.000 | -0.000 |
| 0.000 | 0.000 | 0.000 | 0.000 | 3.371 | -0.000 |
| 0.000 | 0.000 | 0.000 | 0.000 | -0.000 | 3.371 |
| 11.836 | 7.126 | 7.126 | -0.000 | 0.000 | -0.000 |
| 7.126 | 11.836 | 7.126 | -0.000 | 0.000 | 0.000 |
| 7.126 | 7.126 | 11.836 | 0.000 | 0.000 | -0.000 |
| 0.000 | -0.000 | -0.000 | 3.371 | 0.000 | -0.000 |
| -0.000 | 0.000 | -0.000 | -0.000 | 3.371 | 0.000 |
| -0.000 | -0.000 | 0.000 | -0.000 | 0.000 | 3.371 |
| 11.836 | 7.126 | 7.126 | 0.000 | -0.000 | 0.000 |
| 7.126 | 11.836 | 7.126 | 0.000 | -0.000 | -0.000 |
| 7.126 | 7.126 | 11.836 | 0.000 | -0.000 | 0.000 |
| -0.000 | 0.000 | 0.000 | 3.371 | -0.000 | -0.000 |
| 0.000 | -0.000 | 0.000 | -0.000 | 3.371 | -0.000 |
| 0.000 | 0.000 | -0.000 | 0.000 | -0.000 | 3.371 |
| 11.836 | 7.126 | 7.126 | -0.000 | 0.000 | -0.000 |
| 7.126 | 11.836 | 7.126 | -0.000 | 0.000 | 0.000 |
| 7.126 | 7.126 | 11.836 | 0.000 | 0.000 | -0.000 |
| 0.000 | -0.000 | -0.000 | 3.371 | 0.000 | 0.000 |
| -0.000 | 0.000 | -0.000 | -0.000 | 3.371 | 0.000 |
| -0.000 | -0.000 | 0.000 | -0.000 | 0.000 | 3.371 |
| 11.836 | 7.126 | 7.126 | 0.000 | -0.000 | 0.000 |
| 7.126 | 11.836 | 7.126 | 0.000 | -0.000 | -0.000 |
| 7.126 | 7.126 | 11.836 | -0.000 | -0.000 | 0.000 |
| -0.000 | 0.000 | 0.000 | 3.371 | -0.000 | 0.000 |
| 0.000 | -0.000 | 0.000 | 0.000 | 3.371 | -0.000 |
| 0.000 | 0.000 | -0.000 | -0.000 | -0.000 | 3.371 |
| 9.177 | 3.034 | -2.581 | -2.196 | -0.000 | -0.000 |
| 3.034 | 9.177 | -2.581 | 2.196 | -0.000 | -0.000 |
| -4.113 | -4.113 | -10.979 | 0.000 | -0.000 | 0.000 |
| -2.196 | 2.196 | 0.000 | 0.317 | -0.000 | 0.000 |
| 0.000 | 0.000 | 0.000 | 0.000 | 0.317 | -2.196 |
| 0.000 | -0.000 | 0.000 | 0.000 | -2.196 | 3.072 |
| 9.177 | 3.034 | -2.581 | -2.196 | 0.000 | -0.000 |
| 3.034 | 9.177 | -2.581 | 2.196 | 0.000 | 0.000 |
| 3.125 | 3.125 | 18.547 | -0.000 | 0.000 | -0.000 |
| -2.196 | 2.196 | -0.000 | 0.317 | 0.000 | 0.000 |
| -0.000 | -0.000 | -0.000 | -0.000 | 0.317 | -2.196 |
| -0.000 | -0.000 | -0.000 | 0.000 | -2.196 | 3.072 |
| 2.166 | 9.442 | -3.811 | -1.951 | 0.000 | -0.000 |
| 7.679 | 3.640 | -4.401 | 2.010 | -0.000 | 0.000 |
| -1.480 | -1.480 | -0.238 | 0.000 | -0.000 | -0.000 |
| -2.196 | 2.196 | 0.000 | 0.317 | -0.000 | -0.000 |
| -0.433 | -0.433 | -1.766 | 0.000 | 0.310 | -2.010 |
| 0.000 | 0.000 | 0.000 | -0.000 | -2.196 | 3.072 |
| 9.177 | 3.034 | -2.581 | -2.196 | 0.000 | 0.000 |
| 3.034 | 9.177 | -2.581 | 2.196 | 0.000 | -0.000 |
| -1.151 | -1.151 | 1.105 | 0.000 | 0.000 | -0.000 |
| 5281470.519 | 5099999.452 | -9784223.480 | 17240.978 | 6178.056 | -11274.752 |
| -0.000 | -0.000 | -0.000 | 0.000 | 0.317 | -2.196 |
| -0.000 | -0.000 | -0.000 | 0.000 | -2.196 | 3.072 |
| 3.702 | 8.372 | -2.861 | -1.998 | -0.000 | 0.000 |
| -527967.347 | -505929.230 | 982490.923 | -2553.587 | 1166.928 | 1800.250 |
| -1.248 | -1.248 | 0.708 | -0.000 | -0.000 | 0.000 |
| -2.196 | 2.196 | 0.000 | 0.317 | -0.000 | -0.000 |
| 0.000 | 0.000 | 0.000 | -0.000 | 0.317 | -2.196 |
| -0.024 | -0.024 | -0.097 | -0.000 | -1.997 | -2.378 |
| 3.767 | 8.477 | -2.514 | -1.998 | 0.000 | 0.000 |
| 8.477 | 3.767 | -2.514 | 1.998 | 0.000 | -0.000 |
| -1.151 | -1.151 | 1.105 | 0.000 | 0.000 | 0.000 |
| -2.196 | 2.196 | -0.000 | 0.317 | 0.000 | -0.000 |
| -0.000 | -0.000 | -0.000 | 0.000 | 0.317 | -2.196 |
| 0.024 | 0.024 | 0.097 | 0.000 | -1.997 | -2.378 |
| 25.491 | 26.910 | 26.910 | -0.000 | -0.000 | -0.000 |
| 26.910 | 25.491 | 26.910 | -0.000 | -0.000 | -0.000 |
| 26.910 | 26.910 | 25.491 | -0.000 | -0.000 | -0.000 |
| -0.000 | -0.000 | -0.000 | 18.379 | -0.000 | -0.000 |
| -0.000 | -0.000 | -0.000 | -0.000 | 18.379 | -0.000 |
| -0.000 | -0.000 | -0.000 | -0.000 | -0.000 | 18.379 |
| 25.491 | 26.910 | 26.910 | 0.000 | -0.000 | 0.000 |
| 26.910 | 25.491 | 26.910 | -0.000 | -0.000 | 0.000 |
| 26.910 | 26.910 | 25.491 | 0.000 | -0.000 | 0.000 |
| 0.000 | 0.000 | 0.000 | 18.379 | 0.000 | 0.000 |
| 0.000 | 0.000 | 0.000 | 0.000 | 18.379 | 0.000 |
| 0.000 | 0.000 | 0.000 | 0.000 | 0.000 | 18.379 |
| 25.491 | 26.910 | 26.910 | -0.000 | -0.000 | -0.000 |
| 26.910 | 25.491 | 26.910 | 0.000 | -0.000 | -0.000 |
| 26.910 | 26.910 | 25.491 | -0.000 | -0.000 | -0.000 |
| 0.000 | 0.000 | 0.000 | 18.379 | -0.000 | -0.000 |
| 0.000 | 0.000 | 0.000 | -0.000 | 18.379 | -0.000 |
| 0.000 | 0.000 | 0.000 | 0.000 | -0.000 | 18.379 |
| 25.491 | 26.910 | 26.910 | 0.000 | -0.000 | 0.000 |
| 26.910 | 25.491 | 26.910 | 0.000 | 0.000 | 0.000 |
| 26.910 | 26.910 | 25.491 | 0.000 | 0.000 | 0.000 |
| -0.000 | -0.000 | -0.000 | 18.379 | 0.000 | 0.000 |
| -0.000 | -0.000 | -0.000 | 0.000 | 18.379 | 0.000 |
| -0.000 | -0.000 | -0.000 | 0.000 | 0.000 | 18.379 |
| 25.491 | 26.910 | 26.910 | -0.000 | -0.000 | -0.000 |
| 26.910 | 25.491 | 26.910 | -0.000 | -0.000 | -0.000 |
| 26.910 | 26.910 | 25.491 | -0.000 | 0.000 | -0.000 |
| 0.000 | 0.000 | 0.000 | 18.379 | -0.000 | -0.000 |
| 0.000 | 0.000 | 0.000 | -0.000 | 18.379 | -0.000 |
| 0.000 | 0.000 | 0.000 | -0.000 | -0.000 | 18.379 |
| 25.491 | 26.910 | 26.910 | 0.000 | 0.000 | 0.000 |
| 26.910 | 25.491 | 26.910 | 0.000 | 0.000 | 0.000 |
| 26.910 | 26.910 | 25.491 | 0.000 | 0.000 | 0.000 |
| -0.000 | -0.000 | -0.000 | 18.379 | 0.000 | 0.000 |
| -0.000 | -0.000 | -0.000 | 0.000 | 18.379 | 0.000 |
| -0.000 | -0.000 | -0.000 | -0.000 | 0.000 | 18.379 |
| 23.809 | 13.736 | 13.736 | 0.000 | 0.000 | 0.000 |
| 13.736 | 23.809 | 13.736 | 0.000 | 0.000 | 0.000 |
| 13.736 | 13.736 | 23.809 | 0.000 | 0.000 | 0.000 |
| 0.000 | 0.000 | 0.000 | 11.839 | 0.000 | 0.000 |
| 0.000 | 0.000 | 0.000 | 0.000 | 11.839 | 0.000 |
| 0.000 | 0.000 | 0.000 | 0.000 | 0.000 | 11.839 |
| 23.809 | 13.736 | 13.736 | -0.000 | -0.000 | -0.000 |
| 13.736 | 23.809 | 13.736 | -0.000 | -0.000 | -0.000 |
| 13.736 | 13.736 | 23.809 | -0.000 | -0.000 | -0.000 |
| -0.000 | -0.000 | -0.000 | 11.839 | -0.000 | -0.000 |
| -0.000 | -0.000 | -0.000 | -0.000 | 11.839 | -0.000 |
| -0.000 | -0.000 | -0.000 | -0.000 | -0.000 | 11.839 |
| 23.809 | 13.736 | 13.736 | 0.000 | 0.000 | 0.000 |
| 13.736 | 23.809 | 13.736 | 0.000 | 0.000 | 0.000 |
| 13.736 | 13.736 | 23.809 | 0.000 | 0.000 | 0.000 |
| 0.000 | -0.000 | 0.000 | 13.736 | 0.000 | 0.000 |
| -0.000 | 0.000 | 0.000 | 0.000 | 13.736 | 0.000 |
| -0.000 | 0.000 | 0.000 | 0.000 | 0.000 | 13.736 |
| 23.809 | 13.736 | 13.736 | -0.000 | -0.000 | -0.000 |
| 13.736 | 23.809 | 13.736 | 0.000 | -0.000 | -0.000 |
| 13.736 | 13.736 | 23.809 | 0.000 | 0.000 | -0.000 |
| -0.000 | 0.000 | -0.000 | 13.736 | -0.000 | -0.000 |
| 0.000 | -0.000 | -0.000 | -0.000 | 13.736 | -0.000 |
| 0.000 | -0.000 | -0.000 | 0.000 | -0.000 | 13.736 |
| 23.809 | 13.736 | 13.736 | 0.000 | 0.000 | 0.000 |
| 13.736 | 23.809 | 13.736 | 0.000 | 0.000 | 0.000 |
| 13.736 | 13.736 | 23.809 | 0.000 | 0.000 | 0.000 |
| 0.000 | -0.000 | 0.000 | 11.839 | 0.000 | 0.000 |
| -0.000 | 0.000 | 0.000 | 0.000 | 11.839 | 0.000 |
| -0.000 | 0.000 | 0.000 | 0.000 | 0.000 | 11.839 |
| 23.809 | 13.736 | 13.736 | -0.000 | -0.000 | -0.000 |
| 13.736 | 23.809 | 13.736 | -0.000 | -0.000 | -0.000 |
| 13.736 | 13.736 | 23.809 | -0.000 | -0.000 | -0.000 |
| -0.000 | 0.000 | -0.000 | 11.839 | -0.000 | -0.000 |
| 0.000 | -0.000 | -0.000 | -0.000 | 11.839 | -0.000 |
| 0.000 | -0.000 | -0.000 | -0.000 | -0.000 | 11.839 |
| 23.474 | 14.385 | 14.385 | -0.000 | -0.000 | 0.000 |
| 14.385 | 23.474 | 14.385 | -0.000 | -0.000 | -0.000 |
| 14.385 | 14.385 | 23.474 | -0.000 | -0.000 | 0.000 |
| 0.000 | 0.000 | -0.000 | 13.371 | -0.000 | -0.000 |
| 0.000 | 0.000 | -0.000 | -0.000 | 13.371 | 0.000 |
| 0.000 | 0.000 | -0.000 | -0.000 | -0.000 | 13.371 |
| 23.474 | 14.385 | 14.385 | 0.000 | 0.000 | -0.000 |
| 14.385 | 23.474 | 14.385 | 0.000 | 0.000 | 0.000 |
| 14.385 | 14.385 | 23.474 | 0.000 | 0.000 | -0.000 |
| -0.000 | -0.000 | 0.000 | 13.371 | 0.000 | -0.000 |
| -0.000 | -0.000 | 0.000 | 0.000 | 13.371 | -0.000 |
| -0.000 | -0.000 | 0.000 | 0.000 | 0.000 | 13.371 |
| 23.474 | 14.385 | 14.385 | -0.000 | -0.000 | 0.000 |
| 14.385 | 23.474 | 14.385 | -0.000 | -0.000 | -0.000 |
| 14.385 | 14.385 | 23.474 | -0.000 | -0.000 | 0.000 |
| 0.000 | -0.000 | 0.000 | 14.385 | -0.000 | -0.000 |
| -0.000 | 0.000 | 0.000 | -0.000 | 14.385 | -0.000 |
| -0.000 | 0.000 | 0.000 | -0.000 | -0.000 | 14.385 |
| 23.474 | 14.385 | 14.385 | 0.000 | 0.000 | -0.000 |
| 14.385 | 23.474 | 14.385 | 0.000 | 0.000 | -0.000 |
| 14.385 | 14.385 | 23.474 | 0.000 | 0.000 | -0.000 |
| -0.000 | 0.000 | -0.000 | 14.385 | 0.000 | -0.000 |
| 0.000 | -0.000 | -0.000 | 0.000 | 14.385 | 0.000 |
| 0.000 | -0.000 | -0.000 | 0.000 | 0.000 | 14.385 |
| 23.474 | 14.385 | 14.385 | -0.000 | -0.000 | 0.000 |
| 14.385 | 23.474 | 14.385 | -0.000 | -0.000 | -0.000 |
| 14.385 | 14.385 | 23.474 | -0.000 | -0.000 | 0.000 |
| 0.000 | -0.000 | 0.000 | 13.371 | -0.000 | -0.000 |
| -0.000 | 0.000 | 0.000 | -0.000 | 13.371 | 0.000 |
| -0.000 | 0.000 | 0.000 | -0.000 | -0.000 | 13.371 |
| 23.474 | 14.385 | 14.385 | 0.000 | 0.000 | -0.000 |
| 14.385 | 23.474 | 14.385 | 0.000 | 0.000 | 0.000 |
| 14.385 | 14.385 | 23.474 | 0.000 | 0.000 | -0.000 |
| -0.000 | 0.000 | -0.000 | 13.371 | 0.000 | -0.000 |
| 0.000 | -0.000 | -0.000 | 0.000 | 13.371 | -0.000 |
| 0.000 | -0.000 | -0.000 | 0.000 | 0.000 | 13.371 |
| 9.509 | 4.987 | 4.987 | -0.000 | -0.000 | -0.000 |
| 4.987 | 9.509 | 4.987 | -0.000 | -0.000 | -0.000 |
| 4.987 | 4.987 | 9.509 | -0.000 | -0.000 | -0.000 |
| -0.000 | -0.000 | -0.000 | -21.198 | -0.000 | -0.000 |
| -0.000 | -0.000 | -0.000 | -0.000 | -21.198 | -0.000 |
| -0.000 | -0.000 | 0.000 | -0.000 | -0.000 | -21.198 |
| 9.509 | 4.987 | 4.987 | 0.000 | 0.000 | 0.000 |
| 4.987 | 9.509 | 4.987 | 0.000 | 0.000 | 0.000 |
| 4.987 | 4.987 | 9.509 | 0.000 | 0.000 | 0.000 |
| 0.000 | 0.000 | 0.000 | -21.198 | 0.000 | 0.000 |
| 0.000 | 0.000 | 0.000 | 0.000 | -21.198 | 0.000 |
| 0.000 | 0.000 | -0.000 | 0.000 | 0.000 | -21.198 |
| 9.509 | 4.987 | 4.987 | -0.000 | -0.000 | -0.000 |
| 4.987 | 9.509 | 4.987 | -0.000 | -0.000 | -0.000 |
| 4.987 | 4.987 | 9.509 | -0.000 | -0.000 | -0.000 |
| 0.000 | -0.000 | -0.000 | -21.198 | -0.000 | -0.000 |
| -0.000 | 0.000 | -0.000 | -0.000 | -21.198 | -0.000 |
| -0.000 | -0.000 | 0.000 | -0.000 | -0.000 | -21.198 |
| 9.509 | 4.987 | 4.987 | 0.000 | 0.000 | 0.000 |
| 4.987 | 9.509 | 4.987 | 0.000 | 0.000 | 0.000 |
| 4.987 | 4.987 | 9.509 | 0.000 | 0.000 | 0.000 |
| -0.000 | 0.000 | 0.000 | -21.198 | 0.000 | 0.000 |
| 0.000 | -0.000 | 0.000 | 0.000 | -21.198 | 0.000 |
| 0.000 | 0.000 | -0.000 | 0.000 | 0.000 | -21.198 |
| 9.509 | 4.987 | 4.987 | -0.000 | -0.000 | -0.000 |
| 4.987 | 9.509 | 4.987 | -0.000 | -0.000 | -0.000 |
| 4.987 | 4.987 | 9.509 | -0.000 | -0.000 | -0.000 |
| 0.000 | -0.000 | -0.000 | -21.198 | -0.000 | -0.000 |
| -0.000 | 0.000 | -0.000 | -0.000 | -21.198 | -0.000 |
| -0.000 | -0.000 | 0.000 | -0.000 | -0.000 | -21.198 |
| 9.509 | 4.987 | 4.987 | 0.000 | 0.000 | 0.000 |
| 4.987 | 9.509 | 4.987 | 0.000 | 0.000 | 0.000 |
| 4.987 | 4.987 | 9.509 | 0.000 | 0.000 | 0.000 |
| -0.000 | 0.000 | 0.000 | -21.198 | 0.000 | 0.000 |
| 0.000 | -0.000 | 0.000 | 0.000 | -21.198 | 0.000 |
| 0.000 | 0.000 | -0.000 | 0.000 | 0.000 | -21.198 |
| 11.708 | 6.802 | 6.802 | 0.000 | 0.000 | 0.000 |
| 6.802 | 11.708 | 6.802 | 0.000 | 0.000 | 0.000 |
| 6.802 | 6.802 | 11.708 | 0.000 | 0.000 | 0.000 |
| 0.000 | -0.000 | 0.000 | 2.347 | -0.000 | 0.000 |
| -0.000 | -0.000 | 0.000 | 0.000 | 2.347 | 0.000 |
| 0.000 | -0.000 | 0.000 | 0.000 | 0.000 | 2.347 |
| 11.708 | 6.802 | 6.802 | -0.000 | -0.000 | -0.000 |
| 6.802 | 11.708 | 6.802 | -0.000 | -0.000 | -0.000 |
| 6.802 | 6.802 | 11.708 | -0.000 | -0.000 | -0.000 |
| -0.000 | 0.000 | -0.000 | 2.347 | 0.000 | -0.000 |
| 0.000 | 0.000 | -0.000 | -0.000 | 2.347 | -0.000 |
| -0.000 | -0.000 | -0.000 | -0.000 | -0.000 | 2.347 |
| 11.708 | 6.802 | 6.802 | 0.000 | 0.000 | 0.000 |
| 6.802 | 11.708 | 6.802 | 0.000 | 0.000 | 0.000 |
| 6.802 | 6.802 | 11.708 | 0.000 | 0.000 | 0.000 |
| 0.000 | -0.000 | -0.000 | 2.347 | 0.000 | 0.000 |
| -0.000 | 0.000 | -0.000 | 0.000 | 2.347 | 0.000 |
| -0.000 | -0.000 | 0.000 | 0.000 | 0.000 | 2.347 |
| 11.708 | 6.802 | 6.802 | -0.000 | -0.000 | -0.000 |
| 6.802 | 11.708 | 6.802 | -0.000 | -0.000 | -0.000 |
| 6.802 | 6.802 | 11.708 | -0.000 | -0.000 | -0.000 |
| -0.000 | 0.000 | 0.000 | 2.347 | -0.000 | -0.000 |
| 0.000 | -0.000 | 0.000 | -0.000 | 2.347 | -0.000 |
| 0.000 | 0.000 | -0.000 | -0.000 | -0.000 | 2.347 |
| 11.708 | 6.802 | 6.802 | 0.000 | 0.000 | 0.000 |
| 6.802 | 11.708 | 6.802 | 0.000 | 0.000 | 0.000 |
| 6.802 | 6.802 | 11.708 | 0.000 | 0.000 | 0.000 |
| 0.000 | -0.000 | -0.000 | 2.347 | 0.000 | 0.000 |
| -0.000 | 0.000 | -0.000 | 0.000 | 2.347 | 0.000 |
| -0.000 | -0.000 | 0.000 | 0.000 | 0.000 | 2.347 |
| 11.708 | 6.802 | 6.802 | -0.000 | -0.000 | -0.000 |
| 6.802 | 11.708 | 6.802 | -0.000 | -0.000 | -0.000 |
| 6.802 | 6.802 | 11.708 | -0.000 | -0.000 | -0.000 |
| -0.000 | 0.000 | 0.000 | 2.347 | -0.000 | -0.000 |
| 0.000 | -0.000 | 0.000 | -0.000 | 2.347 | -0.000 |
| 0.000 | 0.000 | -0.000 | -0.000 | -0.000 | 2.347 |
| 15.779 | 6.124 | 6.124 | -0.000 | -0.000 | -0.000 |
| 6.124 | 15.779 | 6.124 | -0.000 | -0.000 | -0.000 |
| 6.124 | 6.124 | 15.779 | 0.000 | -0.000 | -0.000 |
| -0.000 | -0.000 | -0.000 | -17.390 | -0.000 | -0.000 |
| -0.000 | 0.000 | -0.000 | -0.000 | -17.390 | -0.000 |
| -0.000 | -0.000 | 0.000 | -0.000 | -0.000 | -17.390 |
| 15.779 | 6.124 | 6.124 | -0.000 | -0.000 | 0.000 |
| 6.124 | 15.779 | 6.124 | -0.000 | -0.000 | 0.000 |
| 6.124 | 6.124 | 15.779 | 0.000 | -0.000 | 0.000 |
| -0.000 | 0.000 | -0.000 | -17.390 | 0.000 | 0.000 |
| 0.000 | -0.000 | -0.000 | 0.000 | -17.390 | 0.000 |
| 0.000 | 0.000 | -0.000 | 0.000 | 0.000 | -17.390 |
| 15.779 | 6.124 | 6.124 | 0.000 | -0.000 | -0.000 |
| 6.124 | 15.779 | 6.124 | 0.000 | -0.000 | -0.000 |
| 6.124 | 6.124 | 15.779 | -0.000 | -0.000 | -0.000 |
| 0.000 | 0.000 | 0.000 | 6.099 | -0.000 | -0.000 |
| 0.000 | 0.000 | 0.000 | -0.000 | 6.099 | -0.000 |
| 0.000 | 0.000 | 0.000 | -0.000 | 0.000 | 6.099 |
| 15.779 | 6.124 | 6.124 | -0.000 | 0.000 | 0.000 |
| 6.124 | 15.779 | 6.124 | -0.000 | 0.000 | 0.000 |
| 6.124 | 6.124 | 15.779 | 0.000 | 0.000 | 0.000 |
| -0.000 | -0.000 | -0.000 | 6.099 | 0.000 | 0.000 |
| -0.000 | -0.000 | -0.000 | 0.000 | 6.099 | 0.000 |
| -0.000 | -0.000 | -0.000 | 0.000 | 0.000 | 6.099 |
| 15.779 | 6.124 | 6.124 | -0.000 | -0.000 | -0.000 |
| 6.124 | 15.779 | 6.124 | -0.000 | -0.000 | -0.000 |
| 6.124 | 6.124 | 15.779 | -0.000 | -0.000 | -0.000 |
| 0.000 | -0.000 | -0.000 | -17.390 | -0.000 | -0.000 |
| -0.000 | 0.000 | -0.000 | -0.000 | -17.390 | -0.000 |
| -0.000 | -0.000 | 0.000 | -0.000 | -0.000 | -17.390 |
| 15.779 | 6.124 | 6.124 | 0.000 | 0.000 | 0.000 |
| 6.124 | 15.779 | 6.124 | 0.000 | 0.000 | 0.000 |
| 6.124 | 6.124 | 15.779 | 0.000 | 0.000 | 0.000 |
| -0.000 | 0.000 | 0.000 | -17.390 | 0.000 | 0.000 |
| 0.000 | -0.000 | 0.000 | 0.000 | -17.390 | 0.000 |
| 0.000 | 0.000 | -0.000 | 0.000 | 0.000 | -17.390 |
| 9.348 | 10.824 | 10.824 | 0.000 | 0.000 | 0.000 |
| 10.824 | 9.348 | 10.824 | 0.000 | 0.000 | 0.000 |
| 10.824 | 10.824 | 9.348 | -0.000 | -0.000 | -0.000 |
| 0.000 | 0.000 | -0.000 | -35.125 | -0.000 | 0.000 |
| 0.000 | 0.000 | -0.000 | -0.000 | -35.125 | -0.000 |
| -0.000 | 0.000 | -0.000 | 0.000 | 0.000 | -35.125 |
| 9.348 | 10.824 | 10.824 | 0.000 | 0.000 | -0.000 |
| 10.824 | 9.348 | 10.824 | 0.000 | 0.000 | -0.000 |
| 10.824 | 10.824 | 9.348 | -0.000 | 0.000 | 0.000 |
| -0.000 | -0.000 | 0.000 | -35.125 | 0.000 | 0.000 |
| -0.000 | -0.000 | 0.000 | 0.000 | -35.125 | -0.000 |
| -0.000 | -0.000 | -0.000 | -0.000 | -0.000 | -35.125 |
| 9.348 | 10.824 | 10.824 | 0.000 | 0.000 | -0.000 |
| 10.824 | 9.348 | 10.824 | -0.000 | -0.000 | -0.000 |
| 10.824 | 10.824 | 9.348 | -0.000 | -0.000 | 0.000 |
| 0.000 | 0.000 | -0.000 | -35.125 | 0.000 | 0.000 |
| 0.000 | 0.000 | -0.000 | 0.000 | -35.125 | 0.000 |
| 0.000 | -0.000 | 0.000 | 0.000 | -0.000 | -35.125 |
| 9.348 | 10.824 | 10.824 | -0.000 | 0.000 | -0.000 |
| 10.824 | 9.348 | 10.824 | -0.000 | -0.000 | -0.000 |
| 10.824 | 10.824 | 9.348 | 0.000 | -0.000 | -0.000 |
| -0.000 | -0.000 | 0.000 | -35.125 | -0.000 | 0.000 |
| -0.000 | -0.000 | 0.000 | -0.000 | -35.125 | 0.000 |
| -0.000 | 0.000 | -0.000 | -0.000 | 0.000 | -35.125 |
| 9.348 | 10.824 | 10.824 | -0.000 | -0.000 | -0.000 |
| 10.824 | 9.348 | 10.824 | -0.000 | -0.000 | 0.000 |
| 10.824 | 10.824 | 9.348 | -0.000 | -0.000 | 0.000 |
| 0.000 | 0.000 | -0.000 | -35.125 | -0.000 | 0.000 |
| 0.000 | 0.000 | -0.000 | 0.000 | -35.125 | 0.000 |
| 0.000 | -0.000 | 0.000 | -0.000 | -0.000 | -35.125 |
| 9.348 | 10.824 | 10.824 | -0.000 | -0.000 | -0.000 |
| 10.824 | 9.348 | 10.824 | 0.000 | 0.000 | -0.000 |
| 10.824 | 10.824 | 9.348 | 0.000 | 0.000 | -0.000 |
| -0.000 | -0.000 | 0.000 | -35.125 | 0.000 | 0.000 |
| -0.000 | -0.000 | 0.000 | -0.000 | -35.125 | 0.000 |
| -0.000 | 0.000 | -0.000 | -0.000 | 0.000 | -35.125 |
| 223.588 | 181.322 | 25.327 | 0.000 | 0.000 | 0.000 |
| 181.322 | 223.588 | 25.327 | 0.000 | 0.000 | -0.000 |
| 24.415 | 24.415 | 370.839 | 0.000 | 0.000 | 0.000 |
| 0.000 | -0.000 | -0.000 | 22.702 | 0.000 | 0.000 |
| 0.000 | 0.000 | -0.000 | 0.000 | 22.702 | 0.000 |
| 0.000 | 0.000 | 0.000 | 0.000 | 0.000 | 177.547 |
| 222.161 | 179.895 | 23.703 | -0.000 | -0.000 | -0.000 |
| 179.895 | 222.161 | 23.703 | -0.000 | -0.000 | -0.000 |
| 26.070 | 26.070 | 372.726 | -0.000 | -0.000 | -0.000 |
| -0.000 | -0.000 | 0.000 | 22.702 | -0.000 | -0.000 |
| -0.000 | -0.000 | 0.000 | -0.000 | 22.702 | -0.000 |
| -0.000 | -0.000 | -0.000 | -0.000 | -0.000 | 177.547 |
| 223.588 | 181.322 | 25.327 | 0.000 | 0.000 | 0.000 |
| 181.322 | 223.588 | 25.327 | 0.000 | 0.000 | 0.000 |
| 24.415 | 24.415 | 370.841 | 0.000 | 0.000 | 0.000 |
| 0.000 | 0.000 | -0.000 | 22.563 | 0.000 | 0.000 |
| 0.000 | 0.000 | -0.000 | 0.000 | 22.563 | 0.000 |
| 0.000 | 0.000 | 0.000 | 0.000 | 0.000 | 177.547 |
| 223.588 | 181.322 | 25.327 | -0.000 | -0.000 | -0.000 |
| 181.322 | 223.588 | 25.327 | -0.000 | -0.000 | -0.000 |
| 26.070 | 26.070 | 372.724 | -0.000 | -0.000 | -0.000 |
| -0.000 | -0.000 | 0.000 | 22.563 | -0.000 | -0.000 |
| -0.000 | -0.000 | 0.000 | -0.000 | 22.563 | -0.000 |
| -0.000 | -0.000 | -0.000 | -0.000 | -0.000 | 177.547 |
| 223.589 | 181.324 | 25.327 | 0.000 | 0.000 | -0.000 |
| 181.324 | 223.589 | 25.327 | 0.000 | 0.000 | 0.000 |
| 24.415 | 24.415 | 370.854 | 0.000 | 0.000 | 0.000 |
| 0.000 | -0.000 | -0.000 | 23.047 | 0.000 | 0.000 |
| -0.000 | 0.000 | -0.000 | 0.000 | 23.047 | 0.000 |
| 0.001 | 0.001 | 0.000 | -0.000 | 0.000 | 177.547 |
| 222.160 | 179.894 | 23.703 | 0.000 | 0.000 | -0.000 |
| 179.894 | 222.160 | 23.703 | -0.000 | -0.000 | -0.000 |
| 24.399 | 24.399 | 370.798 | -0.000 | -0.000 | -0.000 |
| -0.000 | 0.000 | 0.000 | 23.047 | -0.000 | -0.000 |
| 0.000 | -0.000 | 0.000 | -0.000 | 23.047 | -0.000 |
| -0.001 | -0.001 | -0.000 | 0.000 | -0.000 | 177.547 |
| 99.605 | 47.140 | 47.140 | -0.000 | -0.000 | 0.000 |
| 47.140 | 99.605 | 47.140 | -0.000 | 0.000 | 0.000 |
| 47.140 | 47.140 | 99.605 | -0.000 | -0.000 | 0.000 |
| 0.000 | -0.000 | -0.000 | 17.259 | -0.000 | -0.000 |
| 0.000 | -0.000 | -0.000 | -0.000 | 17.259 | -0.000 |
| 0.000 | -0.000 | -0.000 | -0.000 | -0.000 | 17.259 |
| 99.605 | 47.140 | 47.140 | -0.000 | 0.000 | 0.000 |
| 47.140 | 99.605 | 47.140 | 0.000 | 0.000 | -0.000 |
| 47.140 | 47.140 | 99.605 | -0.000 | 0.000 | 0.000 |
| -0.000 | 0.000 | 0.000 | 17.259 | 0.000 | 0.000 |
| -0.000 | 0.000 | 0.000 | 0.000 | 17.259 | -0.000 |
| -0.000 | 0.000 | 0.000 | 0.000 | 0.000 | 17.259 |
| 99.605 | 47.140 | 47.140 | -0.000 | -0.000 | -0.000 |
| 47.140 | 99.605 | 47.140 | -0.000 | 0.000 | 0.000 |
| 47.140 | 47.140 | 99.605 | 0.000 | 0.000 | -0.000 |
| 0.000 | -0.000 | -0.000 | 17.259 | -0.000 | 0.000 |
| -0.000 | 0.000 | -0.000 | -0.000 | 17.259 | 0.000 |
| -0.000 | -0.000 | 0.000 | -0.000 | -0.000 | 17.259 |
| 99.605 | 47.140 | 47.140 | -0.000 | 0.000 | -0.000 |
| 47.140 | 99.605 | 47.140 | 0.000 | 0.000 | -0.000 |
| 47.140 | 47.140 | 99.605 | -0.000 | -0.000 | 0.000 |
| -0.000 | 0.000 | 0.000 | 17.259 | 0.000 | 0.000 |
| 0.000 | -0.000 | 0.000 | 0.000 | 17.259 | -0.000 |
| 0.000 | 0.000 | -0.000 | 0.000 | 0.000 | 17.259 |
| 99.606 | 47.140 | 47.140 | -0.000 | -0.000 | -0.000 |
| 47.140 | 99.606 | 47.140 | -0.000 | -0.000 | 0.000 |
| 47.140 | 47.140 | 99.606 | -0.000 | -0.000 | -0.000 |
| 0.000 | -0.000 | -0.000 | 17.259 | -0.000 | -0.000 |
| -0.000 | 0.000 | -0.000 | -0.000 | 17.259 | -0.000 |
| -0.000 | -0.000 | 0.000 | 0.000 | -0.000 | 17.259 |
| 99.605 | 47.139 | 47.139 | -0.000 | 0.000 | 0.000 |
| 47.139 | 99.605 | 47.139 | 0.000 | 0.000 | 0.000 |
| 47.139 | 47.139 | 99.605 | 0.000 | 0.000 | -0.000 |
| -0.000 | 0.000 | 0.000 | 17.259 | 0.000 | -0.000 |
| 0.000 | -0.000 | 0.000 | 0.000 | 17.259 | -0.000 |
| 0.000 | 0.000 | -0.000 | -0.000 | 0.000 | 17.259 |
| 59.403 | 43.517 | 43.517 | 0.000 | 0.000 | 0.000 |
| 43.517 | 59.403 | 43.517 | 0.000 | -0.000 | -0.000 |
| 43.517 | 43.517 | 59.403 | 0.000 | 0.000 | 0.000 |
| 0.000 | 0.000 | 0.000 | 47.077 | 0.000 | -0.000 |
| 0.000 | 0.000 | 0.000 | 0.000 | 47.077 | 0.000 |
| 0.000 | 0.000 | 0.000 | 0.000 | 0.000 | 47.077 |
| 59.403 | 43.517 | 43.517 | -0.000 | 0.000 | -0.000 |
| 43.517 | 59.403 | 43.517 | 0.000 | -0.000 | -0.000 |
| 43.517 | 43.517 | 59.403 | 0.000 | 0.000 | -0.000 |
| -0.000 | -0.000 | -0.000 | 47.077 | 0.000 | -0.000 |
| 0.000 | -0.000 | -0.000 | -0.000 | 47.077 | -0.000 |
| -0.000 | -0.000 | -0.000 | -0.000 | -0.000 | 47.077 |
| 59.404 | 43.517 | 43.517 | 0.000 | 0.000 | 0.000 |
| 43.517 | 59.404 | 43.517 | 0.000 | 0.000 | 0.000 |
| 43.517 | 43.517 | 59.404 | 0.000 | 0.000 | 0.000 |
| 0.000 | 0.000 | 0.000 | 44.197 | 0.000 | 0.000 |
| 0.000 | 0.000 | 0.000 | 0.000 | 44.197 | 0.000 |
| 0.000 | 0.000 | 0.000 | 0.000 | 0.000 | 44.197 |
| 59.403 | 43.517 | 43.517 | 0.000 | -0.000 | -0.000 |
| 43.517 | 59.403 | 43.517 | 0.000 | -0.000 | -0.000 |
| 43.517 | 43.517 | 59.403 | -0.000 | -0.000 | -0.000 |
| -0.000 | -0.000 | -0.000 | 44.197 | 0.000 | -0.000 |
| -0.000 | -0.000 | -0.000 | 0.000 | 44.197 | -0.000 |
| -0.000 | -0.000 | -0.000 | 0.000 | 0.000 | 44.197 |
| 59.404 | 43.517 | 43.517 | -0.000 | -0.000 | 0.000 |
| 43.517 | 59.404 | 43.517 | -0.000 | -0.000 | 0.000 |
| 43.517 | 43.517 | 59.404 | -0.000 | -0.000 | 0.000 |
| 0.000 | 0.000 | 0.000 | 44.197 | -0.000 | 0.000 |
| 0.000 | 0.000 | 0.000 | 0.000 | 44.197 | 0.000 |
| 0.000 | 0.000 | 0.000 | 0.000 | 0.000 | 44.197 |
| 59.403 | 43.516 | 43.516 | -0.000 | -0.000 | 0.000 |
| 43.516 | 59.403 | 43.516 | -0.000 | -0.000 | 0.000 |
| 43.516 | 43.516 | 59.403 | 0.000 | 0.000 | -0.000 |
| -0.000 | -0.000 | -0.000 | 44.197 | 0.000 | -0.000 |
| -0.000 | -0.000 | -0.000 | -0.000 | 44.197 | -0.000 |
| -0.000 | -0.000 | -0.000 | 0.000 | 0.000 | 44.197 |
| 127.749 | 73.172 | -3.530 | -0.000 | -0.000 | 0.000 |
| 73.172 | 127.749 | -3.530 | -0.000 | -0.000 | 0.000 |
| -6.422 | -6.422 | 10.546 | -0.000 | -0.000 | -0.000 |
| 0.000 | 0.000 | 0.000 | -12.146 | -0.000 | 0.000 |
| 0.000 | 0.000 | 0.000 | 0.000 | -12.146 | 0.000 |
| -0.087 | -0.087 | 0.217 | -0.000 | -0.000 | 81.325 |
| 129.226 | 74.649 | -7.214 | -0.000 | 0.000 | -0.000 |
| 74.649 | 129.226 | -7.214 | 0.000 | 0.000 | -0.000 |
| -4.952 | -4.952 | 6.879 | 0.000 | 0.000 | -0.000 |
| -0.000 | -0.000 | -0.000 | -12.146 | 0.000 | -0.000 |
| -0.000 | -0.000 | -0.000 | -0.000 | -12.146 | -0.000 |
| 0.087 | 0.087 | -0.217 | 0.000 | 0.000 | 81.325 |
| 128.392 | 73.815 | -5.134 | -0.000 | -0.000 | 0.000 |
| 73.815 | 128.392 | -5.134 | 0.000 | -0.000 | 0.000 |
| -5.752 | -5.752 | 8.874 | 0.000 | -0.000 | 0.000 |
| 0.000 | 0.000 | -0.000 | -12.146 | -0.000 | 0.000 |
| 0.000 | 0.000 | -0.000 | -0.000 | -12.146 | 0.000 |
| -0.009 | -0.009 | 0.022 | -0.000 | -0.000 | 81.325 |
| 128.539 | 73.962 | -5.500 | 0.000 | 0.000 | -0.000 |
| 73.962 | 128.539 | -5.500 | -0.000 | 0.000 | -0.000 |
| -5.605 | -5.605 | 8.508 | 0.000 | 0.000 | -0.000 |
| -0.000 | -0.000 | 0.000 | -12.146 | 0.000 | -0.000 |
| -0.000 | -0.000 | 0.000 | 0.000 | -12.146 | -0.000 |
| 0.009 | 0.009 | -0.022 | -0.000 | 0.000 | 81.325 |
| 128.459 | 73.882 | -5.298 | -0.000 | -0.000 | -0.000 |
| 73.882 | 128.459 | -5.298 | -0.000 | -0.000 | 0.000 |
| -5.686 | -5.686 | 8.709 | -0.000 | -0.000 | 0.000 |
| -1073203.467 | -1369378.826 | 1251262.498 | -45034.812 | 28790.544 | 35015.366 |
| -1095341.403 | -1170228.539 | 1268544.908 | -4574.776 | -6768.457 | 46856.567 |
| -0.000 | -0.000 | 0.002 | -0.000 | -0.000 | 81.325 |
| 128.472 | 73.895 | -5.335 | -0.000 | 0.000 | -0.000 |
| 73.895 | 128.472 | -5.335 | -0.000 | 0.000 | -0.000 |
| -5.671 | -5.671 | 8.673 | -0.000 | 0.000 | -0.000 |
| 1294942.812 | 1444531.449 | -807750.757 | 37668.746 | -28236.889 | 5827.978 |
| 1115103.730 | 1206722.597 | -1250911.193 | 8979.812 | 4033.561 | -101128.657 |
| 0.000 | 0.000 | -0.002 | -0.000 | 0.000 | 81.325 |
| 11.405 | 19.857 | 19.857 | -0.000 | -0.000 | -0.000 |
| 19.857 | 11.405 | 19.857 | -0.000 | -0.000 | -0.000 |
| 19.857 | 19.857 | 11.405 | 0.000 | -0.000 | -0.000 |
| -0.000 | -0.000 | -0.000 | -17.021 | -0.000 | -0.000 |
| -0.000 | -0.000 | -0.000 | -0.000 | -17.021 | -0.000 |
| -0.000 | -0.000 | -0.000 | -0.000 | -0.000 | -17.021 |
| 11.405 | 19.857 | 19.857 | -0.000 | 0.000 | -0.000 |
| 19.857 | 11.405 | 19.857 | -0.000 | 0.000 | 0.000 |
| 19.857 | 19.857 | 11.405 | -0.000 | 0.000 | 0.000 |
| 0.000 | 0.000 | 0.000 | -17.021 | 0.000 | 0.000 |
| 0.000 | 0.000 | 0.000 | 0.000 | -17.021 | 0.000 |
| 0.000 | 0.000 | 0.000 | 0.000 | 0.000 | -17.021 |
| 11.405 | 19.857 | 19.857 | 0.000 | -0.000 | -0.000 |
| 19.857 | 11.405 | 19.857 | 0.000 | -0.000 | -0.000 |
| 19.857 | 19.857 | 11.405 | 0.000 | 0.000 | -0.000 |
| 0.000 | 0.000 | -0.000 | -17.021 | -0.000 | -0.000 |
| 0.000 | 0.000 | -0.000 | -0.000 | -17.021 | -0.000 |
| 0.000 | -0.000 | 0.000 | -0.000 | -0.000 | -17.021 |
| 11.405 | 19.857 | 19.857 | -0.000 | 0.000 | 0.000 |
| 19.857 | 11.405 | 19.857 | -0.000 | 0.000 | -0.000 |
| 19.857 | 19.857 | 11.405 | 0.000 | 0.000 | 0.000 |
| -0.000 | -0.000 | 0.000 | -17.021 | 0.000 | 0.000 |
| -0.000 | -0.000 | 0.000 | 0.000 | -17.021 | 0.000 |
| -0.000 | 0.000 | -0.000 | 0.000 | 0.000 | -17.021 |
| 11.405 | 19.858 | 19.858 | 0.000 | -0.000 | 0.000 |
| 19.858 | 11.405 | 19.858 | -0.000 | -0.000 | 0.000 |
| 19.858 | 19.858 | 11.405 | 0.000 | -0.000 | -0.000 |
| 0.000 | 0.000 | -0.000 | -17.021 | 0.000 | -0.000 |
| 0.000 | 0.000 | -0.000 | -0.000 | -17.021 | -0.000 |
| 0.000 | -0.000 | 0.000 | -0.000 | -0.000 | -17.021 |
| 11.405 | 19.857 | 19.857 | 0.000 | 0.000 | 0.000 |
| 19.857 | 11.405 | 19.857 | -0.000 | 0.000 | 0.000 |
| 19.857 | 19.857 | 11.405 | -0.000 | 0.000 | 0.000 |
| -0.000 | -0.000 | 0.000 | -17.021 | 0.000 | -0.000 |
| -0.000 | -0.000 | 0.000 | 0.000 | -17.021 | 0.000 |
| -0.000 | 0.000 | -0.000 | 0.000 | 0.000 | -17.021 |
| 255.285 | 101.123 | 101.123 | -0.000 | 0.000 | -0.000 |
| 101.123 | 255.285 | 101.123 | -0.000 | 0.000 | -0.000 |
| 101.123 | 101.123 | 255.285 | 0.000 | 0.000 | -0.000 |
| 0.000 | 0.000 | 0.000 | 23.968 | 0.000 | -0.000 |
| 0.000 | 0.000 | 0.000 | -0.000 | 23.968 | -0.000 |
| 0.000 | 0.000 | 0.000 | -0.000 | 0.000 | 23.968 |
| 255.285 | 101.123 | 101.123 | 0.000 | -0.000 | 0.000 |
| 101.123 | 255.285 | 101.123 | 0.000 | -0.000 | 0.000 |
| 101.123 | 101.123 | 255.285 | 0.000 | -0.000 | 0.000 |
| 0.000 | -0.000 | -0.000 | 23.968 | -0.000 | 0.000 |
| 0.000 | -0.000 | -0.000 | 0.000 | 23.968 | 0.000 |
| 0.000 | -0.000 | -0.000 | 0.000 | -0.000 | 23.968 |
| 255.285 | 101.123 | 101.123 | -0.000 | 0.000 | -0.000 |
| 101.123 | 255.285 | 101.123 | 0.000 | 0.000 | -0.000 |
| 101.123 | 101.123 | 255.285 | -0.000 | 0.000 | -0.000 |
| 0.000 | 0.000 | 0.000 | 103.818 | 0.000 | -0.000 |
| 0.000 | 0.000 | 0.000 | -0.000 | 103.818 | -0.000 |
| 0.000 | 0.000 | 0.000 | -0.000 | 0.000 | 103.818 |
| 255.285 | 101.123 | 101.123 | 0.000 | 0.000 | 0.000 |
| 101.123 | 255.285 | 101.123 | 0.000 | -0.000 | 0.000 |
| 101.123 | 101.123 | 255.285 | 0.000 | -0.000 | 0.000 |
| -0.000 | -0.000 | -0.000 | 103.818 | -0.000 | 0.000 |
| -0.000 | -0.000 | -0.000 | 0.000 | 103.818 | 0.000 |
| -0.000 | -0.000 | -0.000 | 0.000 | -0.000 | 103.818 |
| 255.286 | 101.124 | 101.124 | -0.000 | 0.000 | -0.000 |
| 101.124 | 255.286 | 101.124 | -0.000 | 0.000 | 0.000 |
| 101.124 | 101.124 | 255.286 | -0.000 | -0.000 | -0.000 |
| 0.001 | 0.000 | 0.000 | 23.968 | 0.000 | -0.000 |
| 0.000 | 0.001 | 0.000 | -0.000 | 23.968 | -0.000 |
| 0.000 | 0.000 | 0.001 | -0.000 | 0.000 | 23.968 |
| 255.284 | 101.123 | 101.123 | 0.000 | -0.000 | 0.000 |
| 101.123 | 255.284 | 101.123 | 0.000 | -0.000 | 0.000 |
| 101.123 | 101.123 | 255.284 | 0.000 | 0.000 | 0.000 |
| -0.001 | -0.000 | -0.000 | 23.968 | -0.000 | 0.000 |
| -0.000 | -0.001 | -0.000 | 0.000 | 23.968 | 0.000 |
| -0.000 | -0.000 | -0.001 | 0.000 | -0.000 | 23.968 |
| 156.617 | 70.904 | 70.904 | -0.000 | -0.000 | 0.000 |
| 70.904 | 156.617 | 70.904 | -0.000 | 0.000 | 0.000 |
| 70.904 | 70.904 | 156.617 | 0.000 | 0.000 | 0.000 |
| 0.000 | 0.000 | -0.000 | 76.771 | -0.000 | -0.000 |
| -0.000 | 0.000 | -0.000 | -0.000 | 76.771 | 0.000 |
| 0.000 | 0.000 | -0.000 | -0.000 | 0.000 | 76.771 |
| 156.617 | 70.904 | 70.904 | 0.000 | -0.000 | -0.000 |
| 70.904 | 156.617 | 70.904 | 0.000 | -0.000 | -0.000 |
| 70.904 | 70.904 | 156.617 | 0.000 | -0.000 | 0.000 |
| -0.000 | -0.000 | 0.000 | 76.771 | 0.000 | 0.000 |
| 0.000 | -0.000 | 0.000 | 0.000 | 76.771 | -0.000 |
| -0.000 | -0.000 | 0.000 | 0.000 | -0.000 | 76.771 |
| 156.617 | 70.904 | 70.904 | -0.000 | 0.000 | 0.000 |
| 70.904 | 156.617 | 70.904 | 0.000 | 0.000 | -0.000 |
| 70.904 | 70.904 | 156.617 | 0.000 | 0.000 | -0.000 |
| 0.000 | -0.000 | -0.000 | -18.373 | 0.000 | -0.000 |
| -0.000 | 0.000 | -0.000 | 0.000 | -18.373 | 0.000 |
| -0.000 | -0.000 | 0.000 | -0.000 | 0.000 | -18.373 |
| 156.617 | 70.904 | 70.904 | 0.000 | -0.000 | -0.000 |
| 70.904 | 156.617 | 70.904 | 0.000 | -0.000 | -0.000 |
| 70.904 | 70.904 | 156.617 | -0.000 | -0.000 | 0.000 |
| -0.000 | 0.000 | 0.000 | -18.373 | -0.000 | -0.000 |
| 0.000 | -0.000 | 0.000 | 0.000 | -18.373 | -0.000 |
| 0.000 | 0.000 | -0.000 | 0.000 | -0.000 | -18.373 |
| 156.618 | 70.904 | 70.904 | -0.000 | -0.000 | -0.000 |
| 70.904 | 156.618 | 70.904 | 0.000 | 0.000 | 0.000 |
| 70.904 | 70.904 | 156.618 | 0.000 | 0.000 | 0.000 |
| 0.000 | -0.000 | -0.000 | -18.373 | 0.000 | 0.000 |
| -0.000 | 0.000 | -0.000 | -0.000 | -18.373 | 0.000 |
| -0.000 | -0.000 | 0.000 | -0.000 | 0.000 | -18.373 |
| 156.617 | 70.903 | 70.903 | 0.000 | -0.000 | -0.000 |
| 70.903 | 156.617 | 70.903 | 0.000 | -0.000 | -0.000 |
| 70.903 | 70.903 | 156.617 | -0.000 | -0.000 | -0.000 |
| -0.000 | 0.000 | 0.000 | -18.373 | -0.000 | 0.000 |
| 0.000 | -0.000 | 0.000 | -0.000 | -18.373 | 0.000 |
| 0.000 | 0.000 | -0.000 | 0.000 | -0.000 | -18.373 |
| 250.631 | 92.851 | 79.256 | 0.000 | 0.000 | -0.000 |
| 92.851 | 250.631 | 79.256 | 0.000 | 0.000 | -0.000 |
| 65.942 | 65.942 | 383.768 | 0.000 | -0.000 | -0.000 |
| 0.000 | 0.000 | -0.002 | 29.553 | 0.000 | -0.000 |
| 0.000 | 0.000 | -0.002 | 0.000 | 29.553 | -0.000 |
| 0.000 | 0.000 | -0.000 | 0.000 | 0.000 | 103.797 |
| 273.981 | 82.488 | 100.206 | -0.000 | -0.000 | 0.000 |
| 82.488 | 273.981 | 100.206 | -0.000 | -0.000 | 0.000 |
| 77.234 | 77.234 | 321.300 | 0.000 | 0.000 | -0.000 |
| -0.000 | -0.000 | 0.002 | 29.553 | -0.000 | 0.000 |
| -0.000 | -0.000 | 0.002 | -0.000 | 29.553 | 0.000 |
| -0.000 | -0.000 | 0.000 | -0.000 | -0.000 | 103.797 |
| 253.825 | 90.086 | 73.933 | -0.000 | -0.000 | -0.000 |
| 90.086 | 253.825 | 73.933 | -0.000 | -0.000 | -0.000 |
| 79.275 | 79.275 | 321.191 | 0.000 | 0.000 | -0.000 |
| 0.000 | 0.000 | -0.000 | 29.553 | 0.000 | 0.000 |
| 0.000 | 0.000 | -0.000 | 0.000 | 29.553 | -0.000 |
| 0.000 | 0.000 | -0.000 | 0.000 | 0.000 | 103.797 |
| 253.824 | 90.086 | 73.933 | 0.000 | 0.000 | 0.000 |
| 90.086 | 253.824 | 73.933 | 0.000 | 0.000 | -0.000 |
| 79.277 | 79.277 | 321.180 | -0.000 | -0.000 | 0.000 |
| -0.000 | -0.000 | 0.000 | 29.553 | -0.000 | 0.000 |
| -0.000 | -0.000 | 0.000 | -0.000 | 29.553 | 0.000 |
| -0.000 | -0.000 | 0.000 | -0.000 | -0.000 | 103.797 |
| 250.422 | 88.866 | 79.276 | -0.000 | -0.000 | -0.000 |
| 88.866 | 250.422 | 79.276 | -0.000 | -0.000 | -0.000 |
| 77.237 | 77.237 | 321.289 | -0.000 | -0.000 | -0.000 |
| 0.000 | -0.000 | -0.000 | 29.553 | 0.000 | -0.000 |
| -0.000 | 0.000 | -0.000 | 0.000 | 29.553 | -0.000 |
| 0.000 | 0.000 | -0.000 | 0.000 | 0.000 | 103.797 |
| 250.632 | 92.851 | 79.255 | -0.000 | -0.000 | 0.000 |
| 92.851 | 250.632 | 79.255 | -0.000 | -0.000 | -0.000 |
| 77.230 | 77.230 | 321.310 | 0.000 | 0.000 | 0.000 |
| -0.000 | 0.000 | 0.000 | 29.553 | -0.000 | 0.000 |
| 0.000 | -0.000 | 0.000 | -0.000 | 29.553 | 0.000 |
| -0.000 | -0.000 | 0.000 | -0.000 | -0.000 | 103.797 |
| 178.131 | 77.174 | 9.739 | 0.149 | 0.102 | -0.000 |
| 77.174 | 178.131 | 9.739 | 0.149 | 0.102 | -0.000 |
| 20.077 | 20.077 | 61.151 | 0.130 | 0.089 | -0.000 |
| -4.159 | -4.159 | -4.377 | 34.757 | -0.020 | -0.000 |
| -4.159 | -4.159 | -4.377 | -0.029 | 34.766 | -0.000 |
| -1.667 | -1.667 | -4.182 | -0.166 | -0.113 | 92.372 |
| 183.317 | 81.906 | 19.362 | -0.147 | -0.100 | 0.000 |
| 81.906 | 183.317 | 19.362 | -0.147 | -0.100 | 0.000 |
| 24.726 | 24.726 | 70.432 | -0.129 | -0.088 | 0.000 |
| 4.159 | 4.159 | 4.377 | 34.815 | 0.020 | 0.000 |
| 4.159 | 4.159 | 4.377 | 0.029 | 34.806 | -0.000 |
| 1.667 | 1.667 | 4.182 | 0.166 | 0.113 | 92.372 |
| 180.103 | 75.220 | 13.845 | 0.000 | 0.000 | -0.000 |
| 75.220 | 180.103 | 13.845 | 0.000 | 0.000 | -0.000 |
| 44.611 | 44.611 | 209.279 | 0.000 | -0.000 | -0.000 |
| -0.263 | -0.263 | -0.577 | 34.495 | -0.002 | -0.000 |
| -0.263 | -0.263 | -0.577 | -0.003 | 34.496 | -0.000 |
| -0.167 | -0.167 | -0.418 | -0.017 | -0.011 | 92.372 |
| 180.607 | 75.719 | 14.752 | -0.000 | -0.000 | 0.000 |
| 75.719 | 180.607 | 14.752 | -0.000 | -0.000 | 0.000 |
| 19.727 | 19.727 | 65.805 | 0.000 | 0.000 | 0.000 |
| 0.263 | 0.263 | 0.577 | 34.501 | 0.002 | 0.000 |
| 0.263 | 0.263 | 0.577 | 0.003 | 34.500 | 0.000 |
| 0.167 | 0.167 | 0.418 | 0.017 | 0.011 | 92.372 |
| 180.330 | 75.380 | 14.121 | -0.002 | -0.001 | -0.000 |
| 75.380 | 180.330 | 14.121 | -0.002 | -0.001 | -0.000 |
| 19.453 | 19.453 | 65.346 | 0.001 | 0.000 | -0.000 |
| -0.026 | -0.026 | -0.058 | 34.497 | -0.000 | -0.000 |
| -0.026 | -0.026 | -0.058 | -0.000 | 34.497 | -0.000 |
| -0.016 | -0.016 | -0.042 | -0.002 | -0.001 | 92.372 |
| 180.379 | 75.430 | 14.213 | 0.002 | 0.001 | 0.000 |
| 75.430 | 180.379 | 14.213 | 0.002 | 0.001 | 0.000 |
| 19.499 | 19.499 | 65.362 | -0.001 | -0.000 | 0.000 |
| 0.026 | 0.026 | 0.058 | 34.498 | 0.000 | 0.000 |
| 0.026 | 0.026 | 0.058 | 0.000 | 34.498 | 0.000 |
| 0.016 | 0.016 | 0.042 | 0.002 | 0.001 | 92.372 |
| 190.475 | 88.670 | 88.670 | -0.000 | -0.000 | 0.000 |
| 88.670 | 190.475 | 88.670 | -0.000 | -0.000 | 0.000 |
| 88.670 | 88.670 | 190.475 | -0.000 | -0.000 | 0.000 |
| 0.000 | 0.000 | -0.000 | 16.038 | -0.000 | 0.000 |
| -0.000 | 0.000 | -0.000 | -0.000 | 16.038 | 0.000 |
| -0.000 | 0.000 | -0.000 | -0.000 | -0.000 | 16.038 |
| 190.475 | 88.670 | 88.670 | 0.000 | 0.000 | -0.000 |
| 88.670 | 190.475 | 88.670 | 0.000 | 0.000 | -0.000 |
| 88.670 | 88.670 | 190.475 | 0.000 | 0.000 | -0.000 |
| -0.000 | -0.000 | 0.000 | 16.038 | 0.000 | 0.000 |
| -0.000 | -0.000 | 0.000 | 0.000 | 16.038 | -0.000 |
| -0.000 | -0.000 | 0.000 | 0.000 | 0.000 | 16.038 |
| 190.476 | 88.670 | 88.670 | -0.000 | -0.000 | 0.000 |
| 88.670 | 190.476 | 88.670 | -0.000 | -0.000 | 0.000 |
| 88.670 | 88.670 | 190.476 | -0.000 | -0.000 | 0.000 |
| 0.000 | -0.000 | -0.000 | 16.038 | -0.000 | 0.000 |
| -0.000 | 0.000 | -0.000 | -0.000 | 16.038 | 0.000 |
| -0.000 | -0.000 | 0.000 | -0.000 | -0.000 | 16.038 |
| 190.475 | 88.670 | 88.670 | 0.000 | 0.000 | -0.000 |
| 88.670 | 190.475 | 88.670 | 0.000 | 0.000 | -0.000 |
| 88.670 | 88.670 | 190.475 | 0.000 | 0.000 | -0.000 |
| -0.000 | 0.000 | 0.000 | 16.038 | 0.000 | 0.000 |
| 0.000 | -0.000 | 0.000 | 0.000 | 16.038 | -0.000 |
| 0.000 | 0.000 | -0.000 | 0.000 | 0.000 | 16.038 |
| 190.476 | 88.670 | 88.670 | -0.000 | -0.000 | -0.000 |
| 88.670 | 190.476 | 88.670 | -0.000 | -0.000 | -0.000 |
| 88.670 | 88.670 | 190.476 | -0.000 | -0.000 | 0.000 |
| 0.000 | -0.000 | -0.000 | 16.038 | -0.000 | 0.000 |
| -0.000 | 0.000 | -0.000 | -0.000 | 16.038 | 0.000 |
| -0.000 | -0.000 | 0.000 | -0.000 | -0.000 | 16.038 |
| 190.475 | 88.670 | 88.670 | 0.000 | 0.000 | -0.000 |
| 88.670 | 190.475 | 88.670 | 0.000 | 0.000 | -0.000 |
| 88.670 | 88.670 | 190.475 | 0.000 | 0.000 | -0.000 |
| -0.000 | 0.000 | 0.000 | 16.038 | 0.000 | -0.000 |
| 0.000 | -0.000 | 0.000 | 0.000 | 16.038 | -0.000 |
| 0.000 | 0.000 | -0.000 | 0.000 | 0.000 | 16.038 |
| 251.102 | 91.982 | 91.982 | 0.000 | -0.000 | -0.000 |
| 91.982 | 251.102 | 91.982 | 0.000 | -0.000 | -0.000 |
| 91.982 | 91.982 | 251.102 | 0.000 | 0.000 | -0.000 |
| 0.000 | 0.000 | -0.000 | 73.920 | -0.000 | -0.000 |
| 0.000 | 0.000 | -0.000 | 0.000 | 73.920 | -0.000 |
| 0.000 | 0.000 | -0.000 | 0.000 | -0.000 | 73.920 |
| 251.102 | 91.982 | 91.982 | -0.000 | 0.000 | 0.000 |
| 91.982 | 251.102 | 91.982 | -0.000 | -0.000 | 0.000 |
| 91.982 | 91.982 | 251.102 | -0.000 | 0.000 | 0.000 |
| -0.000 | -0.000 | 0.000 | 73.920 | 0.000 | 0.000 |
| -0.000 | -0.000 | 0.000 | -0.000 | 73.920 | 0.000 |
| -0.000 | -0.000 | 0.000 | -0.000 | 0.000 | 73.920 |
| 251.102 | 91.982 | 91.982 | 0.000 | -0.000 | -0.000 |
| 91.982 | 251.102 | 91.982 | 0.000 | -0.000 | -0.000 |
| 91.982 | 91.982 | 251.102 | 0.000 | -0.000 | -0.000 |
| 0.000 | 0.000 | 0.000 | 73.920 | -0.000 | -0.000 |
| 0.000 | 0.000 | 0.000 | 0.000 | 73.920 | -0.000 |
| 0.000 | 0.000 | 0.000 | 0.000 | -0.000 | 73.920 |
| 251.102 | 91.982 | 91.982 | -0.000 | 0.000 | 0.000 |
| 91.982 | 251.102 | 91.982 | -0.000 | -0.000 | 0.000 |
| 91.982 | 91.982 | 251.102 | -0.000 | 0.000 | 0.000 |
| -0.000 | -0.000 | -0.000 | 73.920 | 0.000 | 0.000 |
| -0.000 | -0.000 | -0.000 | -0.000 | 73.920 | 0.000 |
| -0.000 | -0.000 | -0.000 | -0.000 | 0.000 | 73.920 |
| 251.105 | 91.983 | 91.983 | 0.000 | 0.000 | -0.000 |
| 91.983 | 251.105 | 91.983 | 0.000 | 0.000 | -0.000 |
| 91.983 | 91.983 | 251.105 | 0.000 | -0.000 | -0.000 |
| 0.001 | 0.000 | 0.001 | 73.920 | -0.000 | -0.000 |
| 0.000 | 0.001 | 0.001 | 0.000 | 73.920 | -0.000 |
| 0.000 | 0.001 | 0.001 | 0.000 | -0.000 | 73.920 |
| 251.099 | 91.981 | 91.981 | -0.000 | 0.000 | 0.000 |
| 91.981 | 251.099 | 91.981 | -0.000 | 0.000 | 0.000 |
| 91.981 | 91.981 | 251.099 | -0.000 | 0.000 | 0.000 |
| -0.001 | -0.000 | -0.001 | 73.920 | 0.000 | 0.000 |
| -0.000 | -0.001 | -0.001 | -0.000 | 73.920 | 0.000 |
| -0.000 | -0.001 | -0.001 | -0.000 | 0.000 | 73.920 |
| 14.993 | 4.664 | 4.664 | 0.000 | 0.000 | 0.000 |
| 4.664 | 14.993 | 4.664 | -0.000 | 0.000 | 0.000 |
| 4.664 | 4.664 | 14.993 | -0.000 | 0.000 | 0.000 |
| 0.000 | 0.000 | 0.000 | 3.020 | 0.000 | 0.000 |
| 0.000 | 0.000 | 0.000 | -0.000 | 3.020 | 0.000 |
| 0.000 | 0.000 | -0.000 | -0.000 | 0.000 | 3.020 |
| 14.993 | 4.664 | 4.664 | -0.000 | -0.000 | 0.000 |
| 4.664 | 14.993 | 4.664 | 0.000 | -0.000 | 0.000 |
| 4.664 | 4.664 | 14.993 | -0.000 | -0.000 | -0.000 |
| -0.000 | -0.000 | -0.000 | 3.020 | -0.000 | 0.000 |
| -0.000 | -0.000 | -0.000 | 0.000 | 3.020 | -0.000 |
| -0.000 | -0.000 | 0.000 | 0.000 | -0.000 | 3.020 |
| 14.993 | 4.664 | 4.664 | 0.000 | 0.000 | 0.000 |
| 4.664 | 14.993 | 4.664 | -0.000 | 0.000 | 0.000 |
| 4.664 | 4.664 | 14.993 | 0.000 | 0.000 | 0.000 |
| 0.000 | -0.000 | -0.000 | 3.020 | 0.000 | 0.000 |
| -0.000 | 0.000 | -0.000 | -0.000 | 3.020 | 0.000 |
| -0.000 | -0.000 | 0.000 | -0.000 | 0.000 | 3.020 |
| 14.993 | 4.664 | 4.664 | -0.000 | -0.000 | -0.000 |
| 4.664 | 14.993 | 4.664 | 0.000 | -0.000 | -0.000 |
| 4.664 | 4.664 | 14.993 | 0.000 | -0.000 | -0.000 |
| -0.000 | 0.000 | 0.000 | 3.020 | -0.000 | 0.000 |
| 0.000 | -0.000 | 0.000 | 0.000 | 3.020 | -0.000 |
| 0.000 | 0.000 | -0.000 | 0.000 | -0.000 | 3.020 |
| 14.993 | 4.664 | 4.664 | -0.000 | 0.000 | 0.000 |
| 4.664 | 14.993 | 4.664 | 0.000 | 0.000 | 0.000 |
| 4.664 | 4.664 | 14.993 | 0.000 | 0.000 | 0.000 |
| 0.000 | -0.000 | -0.000 | 3.020 | 0.000 | 0.000 |
| -0.000 | 0.000 | -0.000 | -0.000 | 3.020 | 0.000 |
| -0.000 | -0.000 | 0.000 | -0.000 | 0.000 | 3.020 |
| 14.993 | 4.664 | 4.664 | -0.000 | -0.000 | -0.000 |
| 4.664 | 14.993 | 4.664 | -0.000 | -0.000 | 0.000 |
| 4.664 | 4.664 | 14.993 | 0.000 | -0.000 | -0.000 |
| -0.000 | 0.000 | 0.000 | 3.020 | -0.000 | -0.000 |
| 0.000 | -0.000 | 0.000 | 0.000 | 3.020 | -0.000 |
| 0.000 | 0.000 | -0.000 | 0.000 | -0.000 | 3.020 |
| 20.534 | 14.437 | 14.437 | 0.000 | 0.000 | 0.000 |
| 14.437 | 20.534 | 14.437 | 0.000 | 0.000 | 0.000 |
| 14.437 | 14.437 | 20.534 | 0.000 | 0.000 | 0.000 |
| -0.000 | -0.000 | 0.000 | 9.809 | 0.000 | 0.000 |
| -0.000 | -0.000 | 0.000 | 0.000 | 9.809 | 0.000 |
| -0.000 | -0.000 | 0.000 | 0.000 | 0.000 | 9.809 |
| 20.534 | 14.437 | 14.437 | -0.000 | -0.000 | -0.000 |
| 14.437 | 20.534 | 14.437 | -0.000 | -0.000 | -0.000 |
| 14.437 | 14.437 | 20.534 | -0.000 | -0.000 | -0.000 |
| 0.000 | 0.000 | -0.000 | 9.809 | -0.000 | -0.000 |
| 0.000 | -0.000 | -0.000 | -0.000 | 9.809 | -0.000 |
| 0.000 | 0.000 | -0.000 | -0.000 | -0.000 | 9.809 |
| 20.534 | 14.437 | 14.437 | 0.000 | 0.000 | 0.000 |
| 14.437 | 20.534 | 14.437 | 0.000 | 0.000 | 0.000 |
| 14.437 | 14.437 | 20.534 | 0.000 | 0.000 | 0.000 |
| 0.000 | -0.000 | 0.000 | 9.809 | 0.000 | 0.000 |
| -0.000 | 0.000 | 0.000 | 0.000 | 9.809 | 0.000 |
| -0.000 | 0.000 | 0.000 | 0.000 | 0.000 | 9.809 |
| 20.534 | 14.437 | 14.437 | -0.000 | -0.000 | -0.000 |
| 14.437 | 20.534 | 14.437 | -0.000 | -0.000 | -0.000 |
| 14.437 | 14.437 | 20.534 | -0.000 | -0.000 | -0.000 |
| -0.000 | 0.000 | -0.000 | 9.809 | -0.000 | -0.000 |
| 0.000 | -0.000 | -0.000 | -0.000 | 9.809 | -0.000 |
| 0.000 | -0.000 | -0.000 | -0.000 | -0.000 | 9.809 |
| 20.535 | 14.437 | 14.437 | 0.000 | 0.000 | 0.000 |
| 14.437 | 20.535 | 14.437 | 0.000 | 0.000 | 0.000 |
| 14.437 | 14.437 | 20.535 | 0.000 | 0.000 | 0.000 |
| 0.000 | -0.000 | 0.000 | 9.809 | 0.000 | 0.000 |
| -0.000 | 0.000 | 0.000 | 0.000 | 9.809 | 0.000 |
| -0.000 | 0.000 | 0.000 | 0.000 | 0.000 | 9.809 |
| 20.534 | 14.437 | 14.437 | -0.000 | -0.000 | -0.000 |
| 14.437 | 20.534 | 14.437 | -0.000 | -0.000 | -0.000 |
| 14.437 | 14.437 | 20.534 | 0.000 | 0.000 | -0.000 |
| -0.000 | 0.000 | -0.000 | 9.809 | -0.000 | -0.000 |
| 0.000 | -0.000 | -0.000 | -0.000 | 9.809 | -0.000 |
| 0.000 | -0.000 | -0.000 | -0.000 | -0.000 | 9.809 |
| 107.688 | 43.575 | 43.575 | 0.000 | -0.000 | 0.000 |
| 43.575 | 107.688 | 43.575 | 0.000 | -0.000 | 0.000 |
| 43.575 | 43.575 | 107.688 | 0.000 | -0.000 | 0.000 |
| 0.000 | 0.000 | 0.000 | 42.427 | -0.000 | -0.000 |
| 0.000 | 0.000 | 0.000 | 0.000 | 42.427 | 0.000 |
| 0.000 | 0.000 | -0.000 | 0.000 | -0.000 | 42.427 |
| 107.688 | 43.575 | 43.575 | -0.000 | -0.000 | 0.000 |
| 43.575 | 107.688 | 43.575 | -0.000 | -0.000 | -0.000 |
| 43.575 | 43.575 | 107.688 | -0.000 | 0.000 | -0.000 |
| -0.000 | -0.000 | -0.000 | 42.427 | 0.000 | -0.000 |
| -0.000 | -0.000 | -0.000 | -0.000 | 42.427 | -0.000 |
| -0.000 | -0.000 | 0.000 | -0.000 | 0.000 | 42.427 |
| 107.688 | 43.575 | 43.575 | 0.000 | 0.000 | -0.000 |
| 43.575 | 107.688 | 43.575 | 0.000 | 0.000 | -0.000 |
| 43.575 | 43.575 | 107.688 | 0.000 | 0.000 | 0.000 |
| 0.000 | 0.000 | 0.000 | 39.065 | 0.000 | -0.000 |
| 0.000 | 0.000 | 0.000 | 0.000 | 39.065 | 0.000 |
| 0.000 | 0.000 | 0.000 | -0.000 | -0.000 | 39.065 |
| 107.688 | 43.575 | 43.575 | -0.000 | 0.000 | 0.000 |
| 43.575 | 107.688 | 43.575 | -0.000 | -0.000 | 0.000 |
| 43.575 | 43.575 | 107.688 | 0.000 | 0.000 | 0.000 |
| -0.000 | -0.000 | -0.000 | 39.065 | -0.000 | -0.000 |
| -0.000 | -0.000 | -0.000 | -0.000 | 39.065 | 0.000 |
| -0.000 | -0.000 | -0.000 | 0.000 | 0.000 | 39.065 |
| 107.688 | 43.575 | 43.575 | 0.000 | 0.000 | -0.000 |
| 43.575 | 107.688 | 43.575 | 0.000 | 0.000 | 0.000 |
| 43.575 | 43.575 | 107.688 | 0.000 | -0.000 | -0.000 |
| 0.000 | 0.000 | 0.000 | 39.065 | 0.000 | -0.000 |
| 0.000 | 0.000 | 0.000 | 0.000 | 39.065 | -0.000 |
| 0.000 | 0.000 | 0.000 | -0.000 | -0.000 | 39.065 |
| 107.687 | 43.575 | 43.575 | -0.000 | -0.000 | 0.000 |
| 43.575 | 107.687 | 43.575 | -0.000 | 0.000 | -0.000 |
| 43.575 | 43.575 | 107.687 | -0.000 | 0.000 | 0.000 |
| -0.000 | -0.000 | -0.000 | 39.065 | 0.000 | -0.000 |
| -0.000 | -0.000 | -0.000 | -0.000 | 39.065 | 0.000 |
| -0.000 | -0.000 | -0.000 | 0.000 | 0.000 | 39.065 |
| 14.663 | 2.849 | 2.849 | 0.000 | -0.000 | -0.000 |
| 2.849 | 14.663 | 2.849 | 0.000 | -0.000 | -0.000 |
| 2.849 | 2.849 | 14.663 | -0.000 | -0.000 | -0.000 |
| 0.000 | -0.000 | 0.000 | -1.070 | -0.000 | 0.000 |
| 0.000 | 0.000 | 0.000 | 0.000 | -1.070 | -0.000 |
| 0.000 | -0.000 | 0.000 | 0.000 | 0.000 | -1.070 |
| 14.663 | 2.849 | 2.849 | 0.000 | 0.000 | -0.000 |
| 2.849 | 14.663 | 2.849 | 0.000 | -0.000 | -0.000 |
| 2.849 | 2.849 | 14.663 | 0.000 | -0.000 | -0.000 |
| -0.000 | 0.000 | -0.000 | -1.070 | 0.000 | -0.000 |
| -0.000 | -0.000 | -0.000 | -0.000 | -1.070 | -0.000 |
| -0.000 | 0.000 | -0.000 | -0.000 | -0.000 | -1.070 |
| 14.663 | 2.849 | 2.849 | -0.000 | -0.000 | -0.000 |
| 2.849 | 14.663 | 2.849 | -0.000 | -0.000 | -0.000 |
| 2.849 | 2.849 | 14.663 | -0.000 | -0.000 | -0.000 |
| 0.000 | -0.000 | -0.000 | -1.070 | -0.000 | 0.000 |
| -0.000 | 0.000 | -0.000 | 0.000 | -1.070 | 0.000 |
| -0.000 | -0.000 | 0.000 | 0.000 | -0.000 | -1.070 |
| 14.663 | 2.849 | 2.849 | 0.000 | 0.000 | 0.000 |
| 2.849 | 14.663 | 2.849 | -0.000 | 0.000 | 0.000 |
| 2.849 | 2.849 | 14.663 | 0.000 | 0.000 | -0.000 |
| -0.000 | 0.000 | 0.000 | -1.070 | 0.000 | 0.000 |
| 0.000 | -0.000 | 0.000 | -0.000 | -1.070 | -0.000 |
| 0.000 | 0.000 | -0.000 | -0.000 | -0.000 | -1.070 |
| 14.663 | 2.849 | 2.849 | 0.000 | -0.000 | -0.000 |
| 2.849 | 14.663 | 2.849 | 0.000 | -0.000 | -0.000 |
| 2.849 | 2.849 | 14.663 | -0.000 | -0.000 | 0.000 |
| 0.000 | -0.000 | -0.000 | -1.070 | -0.000 | -0.000 |
| -0.000 | 0.000 | -0.000 | 0.000 | -1.070 | -0.000 |
| -0.000 | -0.000 | 0.000 | 0.000 | 0.000 | -1.070 |
| 14.663 | 2.849 | 2.849 | 0.000 | 0.000 | 0.000 |
| 2.849 | 14.663 | 2.849 | 0.000 | -0.000 | 0.000 |
| 2.849 | 2.849 | 14.663 | -0.000 | -0.000 | -0.000 |
| -0.000 | 0.000 | 0.000 | -1.070 | 0.000 | 0.000 |
| 0.000 | -0.000 | 0.000 | -0.000 | -1.070 | -0.000 |
| 0.000 | 0.000 | -0.000 | -0.000 | 0.000 | -1.070 |
| 43.283 | 4.504 | 4.504 | 0.000 | 0.000 | -0.000 |
| 4.504 | 43.283 | 4.504 | 0.000 | 0.000 | -0.000 |
| 4.504 | 4.504 | 43.283 | 0.000 | 0.000 | -0.000 |
| 0.000 | 0.000 | -0.000 | -8.179 | 0.000 | -0.000 |
| 0.000 | 0.000 | -0.000 | 0.000 | -8.179 | -0.000 |
| 0.000 | -0.000 | 0.000 | 0.000 | 0.000 | -8.179 |
| 43.283 | 4.504 | 4.504 | -0.000 | -0.000 | 0.000 |
| 4.504 | 43.283 | 4.504 | -0.000 | -0.000 | 0.000 |
| 4.504 | 4.504 | 43.283 | -0.000 | 0.000 | 0.000 |
| -0.000 | -0.000 | 0.000 | -8.179 | -0.000 | 0.000 |
| -0.000 | -0.000 | 0.000 | -0.000 | -8.179 | 0.000 |
| -0.000 | 0.000 | 0.000 | -0.000 | -0.000 | -8.179 |
| 43.283 | 4.504 | 4.504 | 0.000 | 0.000 | -0.000 |
| 4.504 | 43.283 | 4.504 | 0.000 | 0.000 | -0.000 |
| 4.504 | 4.504 | 43.283 | 0.000 | 0.000 | -0.000 |
| 0.000 | 0.000 | -0.000 | -8.179 | 0.000 | -0.000 |
| 0.000 | 0.000 | -0.000 | 0.000 | -8.179 | -0.000 |
| 0.000 | -0.000 | 0.000 | 0.000 | 0.000 | -8.179 |
| 43.283 | 4.504 | 4.504 | -0.000 | 0.000 | 0.000 |
| 4.504 | 43.283 | 4.504 | -0.000 | -0.000 | 0.000 |
| 4.504 | 4.504 | 43.283 | -0.000 | -0.000 | 0.000 |
| -0.000 | -0.000 | 0.000 | -8.179 | -0.000 | 0.000 |
| -0.000 | -0.000 | 0.000 | -0.000 | -8.179 | 0.000 |
| -0.000 | 0.000 | -0.000 | -0.000 | -0.000 | -8.179 |
| 43.283 | 4.504 | 4.504 | 0.000 | -0.000 | -0.000 |
| 4.504 | 43.283 | 4.504 | 0.000 | 0.000 | -0.000 |
| 4.504 | 4.504 | 43.283 | 0.000 | -0.000 | -0.000 |
| 0.000 | 0.000 | -0.000 | -8.179 | 0.000 | -0.000 |
| 0.000 | 0.000 | -0.000 | 0.000 | -8.179 | -0.000 |
| 0.000 | -0.000 | 0.000 | 0.000 | 0.000 | -8.179 |
| 43.282 | 4.504 | 4.504 | -0.000 | 0.000 | 0.000 |
| 4.504 | 43.282 | 4.504 | -0.000 | -0.000 | 0.000 |
| 4.504 | 4.504 | 43.282 | -0.000 | 0.000 | 0.000 |
| -0.000 | -0.000 | 0.000 | -8.179 | -0.000 | 0.000 |
| -0.000 | -0.000 | 0.000 | -0.000 | -8.179 | 0.000 |
| -0.000 | 0.000 | -0.000 | -0.000 | -0.000 | -8.179 |
| 94.968 | 50.240 | 50.240 | 0.000 | 0.000 | 0.000 |
| 50.240 | 94.968 | 50.240 | 0.000 | 0.000 | 0.000 |
| 50.240 | 50.240 | 94.968 | 0.000 | -0.000 | -0.000 |
| -0.000 | 0.000 | 0.000 | 49.158 | 0.000 | -0.000 |
| -0.000 | 0.000 | 0.000 | -0.000 | 49.158 | -0.000 |
| -0.000 | 0.000 | 0.000 | 0.000 | -0.000 | 49.158 |
| 94.968 | 50.240 | 50.240 | 0.000 | 0.000 | -0.000 |
| 50.240 | 94.968 | 50.240 | 0.000 | 0.000 | -0.000 |
| 50.240 | 50.240 | 94.968 | -0.000 | 0.000 | -0.000 |
| 0.000 | -0.000 | -0.000 | 49.158 | -0.000 | 0.000 |
| 0.000 | -0.000 | -0.000 | -0.000 | 49.158 | -0.000 |
| 0.000 | -0.000 | -0.000 | -0.000 | 0.000 | 49.158 |
| 94.968 | 50.240 | 50.240 | 0.000 | -0.000 | -0.000 |
| 50.240 | 94.968 | 50.240 | -0.000 | -0.000 | -0.000 |
| 50.240 | 50.240 | 94.968 | -0.000 | -0.000 | -0.000 |
| 0.000 | 0.000 | 0.000 | 49.158 | 0.000 | -0.000 |
| 0.000 | 0.000 | 0.000 | 0.000 | 49.158 | 0.000 |
| 0.000 | 0.000 | 0.000 | 0.000 | -0.000 | 49.158 |
| 94.968 | 50.239 | 50.239 | -0.000 | -0.000 | 0.000 |
| 50.239 | 94.968 | 50.239 | 0.000 | -0.000 | -0.000 |
| 50.239 | 50.239 | 94.968 | -0.000 | 0.000 | -0.000 |
| -0.000 | -0.000 | -0.000 | 49.158 | -0.000 | -0.000 |
| -0.000 | -0.000 | -0.000 | -0.000 | 49.158 | -0.000 |
| -0.000 | -0.000 | -0.000 | -0.000 | 0.000 | 49.158 |
| 94.968 | 50.240 | 50.240 | -0.000 | -0.000 | 0.000 |
| 50.240 | 94.968 | 50.240 | 0.000 | -0.000 | 0.000 |
| 50.240 | 50.240 | 94.968 | 0.000 | -0.000 | 0.000 |
| 0.000 | 0.000 | 0.000 | 49.209 | 0.000 | 0.000 |
| 0.000 | 0.000 | 0.000 | 0.000 | 49.209 | 0.000 |
| 0.000 | 0.000 | 0.000 | -0.000 | -0.000 | 49.209 |
| 94.967 | 50.239 | 50.239 | 0.000 | -0.000 | 0.000 |
| 50.239 | 94.967 | 50.239 | -0.000 | -0.000 | 0.000 |
| 50.239 | 50.239 | 94.967 | -0.000 | -0.000 | 0.000 |
| -0.000 | -0.000 | -0.000 | 49.209 | -0.000 | 0.000 |
| -0.000 | -0.000 | -0.000 | -0.000 | 49.209 | -0.000 |
| -0.000 | -0.000 | -0.000 | 0.000 | 0.000 | 49.209 |
| 8.182 | 7.740 | 7.740 | -0.000 | -0.000 | 0.000 |
| 7.740 | 8.182 | 7.740 | -0.000 | -0.000 | 0.000 |
| 7.740 | 7.740 | 8.182 | -0.000 | -0.000 | -0.000 |
| -0.000 | -0.000 | -0.000 | 1.766 | -0.000 | -0.000 |
| -0.000 | -0.000 | -0.000 | 0.000 | 1.766 | -0.000 |
| -0.000 | -0.000 | -0.000 | 0.000 | -0.000 | 1.766 |
| 8.182 | 7.740 | 7.740 | -0.000 | 0.000 | 0.000 |
| 7.740 | 8.182 | 7.740 | 0.000 | 0.000 | 0.000 |
| 7.740 | 7.740 | 8.182 | -0.000 | 0.000 | -0.000 |
| 0.000 | 0.000 | 0.000 | 1.766 | 0.000 | -0.000 |
| 0.000 | 0.000 | 0.000 | -0.000 | 1.766 | 0.000 |
| 0.000 | 0.000 | 0.000 | -0.000 | 0.000 | 1.766 |
| 8.182 | 7.740 | 7.740 | -0.000 | -0.000 | -0.000 |
| 7.740 | 8.182 | 7.740 | -0.000 | -0.000 | -0.000 |
| 7.740 | 7.740 | 8.182 | 0.000 | -0.000 | -0.000 |
| 0.000 | -0.000 | -0.000 | 1.766 | -0.000 | -0.000 |
| -0.000 | 0.000 | -0.000 | 0.000 | 1.766 | -0.000 |
| -0.000 | -0.000 | 0.000 | 0.000 | -0.000 | 1.766 |
| 8.182 | 7.740 | 7.740 | -0.000 | 0.000 | -0.000 |
| 7.740 | 8.182 | 7.740 | -0.000 | 0.000 | 0.000 |
| 7.740 | 7.740 | 8.182 | 0.000 | 0.000 | -0.000 |
| -0.000 | 0.000 | 0.000 | 1.766 | 0.000 | -0.000 |
| 0.000 | -0.000 | 0.000 | -0.000 | 1.766 | 0.000 |
| 0.000 | 0.000 | -0.000 | -0.000 | 0.000 | 1.766 |
| 8.182 | 7.740 | 7.740 | 0.000 | -0.000 | 0.000 |
| 7.740 | 8.182 | 7.740 | 0.000 | -0.000 | 0.000 |
| 7.740 | 7.740 | 8.182 | 0.000 | -0.000 | 0.000 |
| 0.000 | -0.000 | -0.000 | 1.766 | -0.000 | -0.000 |
| -0.000 | 0.000 | -0.000 | 0.000 | 1.766 | -0.000 |
| -0.000 | -0.000 | 0.000 | 0.000 | -0.000 | 1.766 |
| 8.182 | 7.740 | 7.740 | -0.000 | 0.000 | 0.000 |
| 7.740 | 8.182 | 7.740 | -0.000 | 0.000 | 0.000 |
| 7.740 | 7.740 | 8.182 | -0.000 | 0.000 | 0.000 |
| -0.000 | 0.000 | 0.000 | 1.766 | 0.000 | -0.000 |
| 0.000 | -0.000 | 0.000 | -0.000 | 1.766 | 0.000 |
| 0.000 | 0.000 | -0.000 | -0.000 | 0.000 | 1.766 |
| 6.421 | 7.405 | 7.405 | 0.000 | -0.000 | 0.000 |
| 7.405 | 6.421 | 7.405 | -0.000 | -0.000 | 0.000 |
| 7.405 | 7.405 | 6.421 | -0.000 | -0.000 | 0.000 |
| -0.000 | -0.000 | -0.000 | -7.764 | -0.000 | 0.000 |
| -0.000 | -0.000 | -0.000 | 0.000 | -7.764 | 0.000 |
| -0.000 | -0.000 | 0.000 | 0.000 | -0.000 | -7.764 |
| 6.421 | 7.405 | 7.405 | 0.000 | 0.000 | -0.000 |
| 7.405 | 6.421 | 7.405 | 0.000 | 0.000 | -0.000 |
| 7.405 | 7.405 | 6.421 | 0.000 | 0.000 | 0.000 |
| 0.000 | 0.000 | 0.000 | -7.764 | 0.000 | -0.000 |
| 0.000 | 0.000 | 0.000 | 0.000 | -7.764 | -0.000 |
| 0.000 | 0.000 | -0.000 | 0.000 | 0.000 | -7.764 |
| 6.421 | 7.405 | 7.405 | -0.000 | -0.000 | 0.000 |
| 7.405 | 6.421 | 7.405 | -0.000 | -0.000 | 0.000 |
| 7.405 | 7.405 | 6.421 | -0.000 | -0.000 | 0.000 |
| 0.000 | -0.000 | -0.000 | -7.764 | -0.000 | 0.000 |
| -0.000 | 0.000 | -0.000 | -0.000 | -7.764 | 0.000 |
| -0.000 | -0.000 | 0.000 | 0.000 | -0.000 | -7.764 |
| 6.421 | 7.405 | 7.405 | 0.000 | 0.000 | -0.000 |
| 7.405 | 6.421 | 7.405 | 0.000 | 0.000 | -0.000 |
| 7.405 | 7.405 | 6.421 | 0.000 | 0.000 | -0.000 |
| -0.000 | 0.000 | 0.000 | -7.764 | 0.000 | -0.000 |
| 0.000 | -0.000 | 0.000 | 0.000 | -7.764 | -0.000 |
| 0.000 | 0.000 | -0.000 | -0.000 | 0.000 | -7.764 |
| 6.421 | 7.405 | 7.405 | -0.000 | -0.000 | 0.000 |
| 7.405 | 6.421 | 7.405 | -0.000 | -0.000 | 0.000 |
| 7.405 | 7.405 | 6.421 | -0.000 | -0.000 | 0.000 |
| 0.000 | -0.000 | -0.000 | -7.764 | -0.000 | 0.000 |
| -0.000 | 0.000 | -0.000 | -0.000 | -7.764 | 0.000 |
| -0.000 | -0.000 | 0.000 | -0.000 | -0.000 | -7.764 |
| 6.421 | 7.405 | 7.405 | 0.000 | 0.000 | -0.000 |
| 7.405 | 6.421 | 7.405 | 0.000 | 0.000 | -0.000 |
| 7.405 | 7.405 | 6.421 | 0.000 | 0.000 | -0.000 |
| -0.000 | 0.000 | 0.000 | -7.764 | 0.000 | -0.000 |
| 0.000 | -0.000 | 0.000 | -0.000 | -7.764 | -0.000 |
| 0.000 | 0.000 | -0.000 | 0.000 | 0.000 | -7.764 |
| 8.140 | 7.643 | 7.643 | 0.000 | 0.000 | 0.000 |
| 7.643 | 8.140 | 7.643 | 0.000 | 0.000 | 0.000 |
| 7.643 | 7.643 | 8.140 | 0.000 | 0.000 | 0.000 |
| 0.000 | 0.000 | 0.000 | 1.360 | -0.000 | 0.000 |
| 0.000 | 0.000 | 0.000 | 0.000 | 1.360 | 0.000 |
| 0.000 | 0.000 | 0.000 | -0.000 | 0.000 | 1.360 |
| 8.140 | 7.643 | 7.643 | -0.000 | -0.000 | -0.000 |
| 7.643 | 8.140 | 7.643 | -0.000 | 0.000 | -0.000 |
| 7.643 | 7.643 | 8.140 | -0.000 | -0.000 | -0.000 |
| -0.000 | -0.000 | -0.000 | 1.360 | 0.000 | 0.000 |
| -0.000 | -0.000 | 0.000 | -0.000 | 1.360 | 0.000 |
| -0.000 | -0.000 | -0.000 | -0.000 | -0.000 | 1.360 |
| 8.140 | 7.643 | 7.643 | 0.000 | -0.000 | -0.000 |
| 7.643 | 8.140 | 7.643 | 0.000 | 0.000 | -0.000 |
| 7.643 | 7.643 | 8.140 | 0.000 | -0.000 | -0.000 |
| 0.000 | -0.000 | -0.000 | 1.360 | 0.000 | 0.000 |
| -0.000 | 0.000 | -0.000 | 0.000 | 1.360 | 0.000 |
| -0.000 | -0.000 | 0.000 | 0.000 | 0.000 | 1.360 |
| 8.140 | 7.643 | 7.643 | -0.000 | -0.000 | -0.000 |
| 7.643 | 8.140 | 7.643 | -0.000 | 0.000 | -0.000 |
| 7.643 | 7.643 | 8.140 | -0.000 | -0.000 | 0.000 |
| -0.000 | 0.000 | 0.000 | 1.360 | -0.000 | -0.000 |
| 0.000 | -0.000 | 0.000 | -0.000 | 1.360 | -0.000 |
| 0.000 | 0.000 | -0.000 | 0.000 | -0.000 | 1.360 |
| 8.140 | 7.643 | 7.643 | 0.000 | 0.000 | 0.000 |
| 7.643 | 8.140 | 7.643 | 0.000 | 0.000 | 0.000 |
| 7.643 | 7.643 | 8.140 | 0.000 | 0.000 | 0.000 |
| 0.000 | -0.000 | -0.000 | 1.360 | 0.000 | -0.000 |
| -0.000 | 0.000 | -0.000 | 0.000 | 1.360 | 0.000 |
| -0.000 | -0.000 | 0.000 | 0.000 | 0.000 | 1.360 |
| 8.140 | 7.643 | 7.643 | -0.000 | -0.000 | 0.000 |
| 7.643 | 8.140 | 7.643 | -0.000 | -0.000 | 0.000 |
| 7.643 | 7.643 | 8.140 | -0.000 | -0.000 | -0.000 |
| -0.000 | 0.000 | 0.000 | 1.360 | -0.000 | 0.000 |
| 0.000 | -0.000 | 0.000 | -0.000 | 1.360 | -0.000 |
| 0.000 | 0.000 | -0.000 | -0.000 | -0.000 | 1.360 |
| 7.411 | 7.095 | 7.095 | 0.000 | -0.000 | 0.000 |
| 7.095 | 7.411 | 7.095 | 0.000 | 0.000 | 0.000 |
| 7.095 | 7.095 | 7.411 | 0.000 | -0.000 | 0.000 |
| -0.000 | -0.000 | 0.000 | -12.089 | -0.000 | -0.000 |
| -0.000 | 0.000 | 0.000 | -0.000 | -12.089 | 0.000 |
| -0.000 | -0.000 | 0.000 | 0.000 | -0.000 | -12.089 |
| 7.411 | 7.095 | 7.095 | -0.000 | 0.000 | -0.000 |
| 7.095 | 7.411 | 7.095 | -0.000 | 0.000 | -0.000 |
| 7.095 | 7.095 | 7.411 | -0.000 | 0.000 | -0.000 |
| 0.000 | 0.000 | -0.000 | -12.089 | 0.000 | -0.000 |
| 0.000 | -0.000 | -0.000 | 0.000 | -12.089 | -0.000 |
| 0.000 | 0.000 | -0.000 | -0.000 | 0.000 | -12.089 |
| 7.411 | 7.095 | 7.095 | 0.000 | 0.000 | 0.000 |
| 7.095 | 7.411 | 7.095 | 0.000 | -0.000 | 0.000 |
| 7.095 | 7.095 | 7.411 | 0.000 | -0.000 | 0.000 |
| 0.000 | -0.000 | -0.000 | -12.089 | -0.000 | 0.000 |
| -0.000 | 0.000 | -0.000 | 0.000 | -12.089 | 0.000 |
| -0.000 | -0.000 | 0.000 | 0.000 | -0.000 | -12.089 |
| 7.411 | 7.095 | 7.095 | -0.000 | 0.000 | -0.000 |
| 7.095 | 7.411 | 7.095 | 0.000 | 0.000 | -0.000 |
| 7.095 | 7.095 | 7.411 | 0.000 | 0.000 | 0.000 |
| -0.000 | 0.000 | 0.000 | -12.089 | 0.000 | 0.000 |
| 0.000 | -0.000 | 0.000 | 0.000 | -12.089 | -0.000 |
| 0.000 | 0.000 | -0.000 | 0.000 | 0.000 | -12.089 |
| 7.411 | 7.095 | 7.095 | 0.000 | -0.000 | -0.000 |
| 7.095 | 7.411 | 7.095 | 0.000 | -0.000 | 0.000 |
| 7.095 | 7.095 | 7.411 | 0.000 | -0.000 | 0.000 |
| 0.000 | -0.000 | -0.000 | -12.089 | -0.000 | 0.000 |
| -0.000 | 0.000 | -0.000 | 0.000 | -12.089 | 0.000 |
| -0.000 | -0.000 | 0.000 | -0.000 | -0.000 | -12.089 |
| 7.411 | 7.095 | 7.095 | -0.000 | 0.000 | -0.000 |
| 7.095 | 7.411 | 7.095 | -0.000 | 0.000 | -0.000 |
| 7.095 | 7.095 | 7.411 | 0.000 | 0.000 | -0.000 |
| -0.000 | 0.000 | 0.000 | -12.089 | 0.000 | -0.000 |
| 0.000 | -0.000 | 0.000 | 0.000 | -12.089 | -0.000 |
| 0.000 | 0.000 | -0.000 | 0.000 | 0.000 | -12.089 |
| 6.047 | 8.568 | 8.568 | -0.000 | 0.000 | 0.000 |
| 8.568 | 6.047 | 8.568 | -0.000 | 0.000 | 0.000 |
| 8.568 | 8.568 | 6.047 | -0.000 | 0.000 | 0.000 |
| 0.000 | 0.000 | -0.000 | -26.494 | 0.000 | 0.000 |
| 0.000 | 0.000 | -0.000 | -0.000 | -26.494 | 0.000 |
| -0.000 | -0.000 | -0.000 | 0.000 | 0.000 | -26.494 |
| 6.047 | 8.568 | 8.568 | 0.000 | 0.000 | -0.000 |
| 8.568 | 6.047 | 8.568 | -0.000 | -0.000 | -0.000 |
| 8.568 | 8.568 | 6.047 | 0.000 | -0.000 | -0.000 |
| -0.000 | -0.000 | 0.000 | -26.494 | -0.000 | -0.000 |
| 0.000 | -0.000 | 0.000 | -0.000 | -26.494 | -0.000 |
| -0.000 | 0.000 | 0.000 | -0.000 | -0.000 | -26.494 |
| 6.047 | 8.568 | 8.568 | -0.000 | 0.000 | 0.000 |
| 8.568 | 6.047 | 8.568 | -0.000 | 0.000 | 0.000 |
| 8.568 | 8.568 | 6.047 | -0.000 | 0.000 | 0.000 |
| 0.000 | -0.000 | -0.000 | -26.494 | 0.000 | 0.000 |
| -0.000 | 0.000 | -0.000 | 0.000 | -26.494 | 0.000 |
| -0.000 | -0.000 | 0.000 | 0.000 | 0.000 | -26.494 |
| 6.047 | 8.568 | 8.568 | -0.000 | -0.000 | -0.000 |
| 8.568 | 6.047 | 8.568 | 0.000 | -0.000 | -0.000 |
| 8.568 | 8.568 | 6.047 | 0.000 | -0.000 | -0.000 |
| -0.000 | 0.000 | 0.000 | -26.494 | -0.000 | -0.000 |
| 0.000 | -0.000 | 0.000 | -0.000 | -26.494 | -0.000 |
| 0.000 | 0.000 | -0.000 | -0.000 | -0.000 | -26.494 |
| 6.047 | 8.568 | 8.568 | 0.000 | 0.000 | 0.000 |
| 8.568 | 6.047 | 8.568 | -0.000 | 0.000 | 0.000 |
| 8.568 | 8.568 | 6.047 | -0.000 | 0.000 | 0.000 |
| 0.000 | -0.000 | -0.000 | -26.494 | 0.000 | 0.000 |
| -0.000 | 0.000 | -0.000 | -0.000 | -26.494 | 0.000 |
| -0.000 | -0.000 | 0.000 | -0.000 | 0.000 | -26.494 |
| 6.047 | 8.568 | 8.568 | -0.000 | -0.000 | -0.000 |
| 8.568 | 6.047 | 8.568 | 0.000 | -0.000 | -0.000 |
| 8.568 | 8.568 | 6.047 | 0.000 | -0.000 | -0.000 |
| -0.000 | 0.000 | 0.000 | -26.494 | -0.000 | -0.000 |
| 0.000 | -0.000 | 0.000 | 0.000 | -26.494 | -0.000 |
| 0.000 | 0.000 | -0.000 | 0.000 | -0.000 | -26.494 |
| 238.179 | 97.151 | 97.151 | -0.000 | -0.000 | -0.000 |
| 97.151 | 238.179 | 97.151 | -0.000 | -0.000 | 0.000 |
| 97.151 | 97.151 | 238.179 | -0.000 | -0.000 | 0.000 |
| -0.000 | 0.000 | -0.000 | 48.183 | -0.000 | 0.000 |
| -0.000 | 0.000 | -0.000 | -0.000 | 48.183 | 0.000 |
| -0.000 | 0.000 | -0.000 | -0.000 | -0.000 | 48.183 |
| 238.179 | 97.151 | 97.151 | 0.000 | 0.000 | -0.000 |
| 97.151 | 238.179 | 97.151 | 0.000 | -0.000 | 0.000 |
| 97.151 | 97.151 | 238.179 | -0.000 | 0.000 | -0.000 |
| 0.000 | -0.000 | 0.000 | 48.183 | 0.000 | -0.000 |
| 0.000 | -0.000 | 0.000 | 0.000 | 48.183 | -0.000 |
| 0.000 | -0.000 | 0.000 | 0.000 | 0.000 | 48.183 |
| 238.179 | 97.151 | 97.151 | -0.000 | -0.000 | 0.000 |
| 97.151 | 238.179 | 97.151 | -0.000 | -0.000 | 0.000 |
| 97.151 | 97.151 | 238.179 | -0.000 | -0.000 | 0.000 |
| 0.000 | 0.000 | 0.000 | 94.284 | -0.000 | 0.000 |
| 0.000 | 0.000 | 0.000 | -0.000 | 94.284 | 0.000 |
| 0.000 | 0.000 | 0.000 | -0.000 | -0.000 | 94.284 |
| 238.179 | 97.151 | 97.151 | 0.000 | 0.000 | -0.000 |
| 97.151 | 238.179 | 97.151 | 0.000 | 0.000 | -0.000 |
| 97.151 | 97.151 | 238.179 | 0.000 | 0.000 | -0.000 |
| -0.000 | -0.000 | -0.000 | 94.284 | 0.000 | -0.000 |
| -0.000 | -0.000 | -0.000 | 0.000 | 94.284 | -0.000 |
| -0.000 | -0.000 | -0.000 | 0.000 | 0.000 | 94.284 |
| 238.180 | 97.152 | 97.152 | -0.000 | -0.000 | 0.000 |
| 97.152 | 238.180 | 97.152 | -0.000 | 0.000 | 0.000 |
| 97.152 | 97.152 | 238.180 | -0.000 | -0.000 | 0.000 |
| 0.000 | 0.000 | 0.000 | 48.183 | -0.000 | 0.000 |
| 0.000 | 0.000 | 0.000 | -0.000 | 48.183 | 0.000 |
| 0.000 | 0.000 | 0.000 | -0.000 | -0.000 | 48.183 |
| 238.178 | 97.151 | 97.151 | 0.000 | 0.000 | -0.000 |
| 97.151 | 238.178 | 97.151 | -0.000 | 0.000 | -0.000 |
| 97.151 | 97.151 | 238.178 | 0.000 | 0.000 | -0.000 |
| -0.000 | -0.000 | -0.000 | 48.183 | 0.000 | -0.000 |
| -0.000 | -0.000 | -0.000 | 0.000 | 48.183 | -0.000 |
| -0.000 | -0.000 | -0.000 | -0.000 | 0.000 | 48.183 |
| 340.677 | 134.780 | 134.780 | -0.000 | 0.000 | 0.000 |
| 134.780 | 340.677 | 134.780 | -0.000 | 0.000 | -0.000 |
| 134.780 | 134.780 | 340.677 | -0.000 | -0.000 | -0.000 |
| 0.000 | 0.000 | 0.000 | 131.962 | 0.000 | -0.000 |
| 0.000 | 0.000 | 0.000 | -0.000 | 131.962 | -0.000 |
| 0.000 | 0.000 | 0.000 | 0.000 | 0.000 | 131.962 |
| 340.677 | 134.780 | 134.780 | 0.000 | -0.000 | 0.000 |
| 134.780 | 340.677 | 134.780 | 0.000 | -0.000 | 0.000 |
| 134.780 | 134.780 | 340.677 | -0.000 | -0.000 | 0.000 |
| -0.000 | -0.000 | -0.000 | 131.962 | -0.000 | 0.000 |
| -0.000 | -0.000 | -0.000 | -0.000 | 131.962 | 0.000 |
| -0.000 | -0.000 | -0.000 | -0.000 | -0.000 | 131.962 |
| 340.677 | 134.780 | 134.780 | -0.000 | -0.000 | -0.000 |
| 134.780 | 340.677 | 134.780 | -0.000 | 0.000 | -0.000 |
| 134.780 | 134.780 | 340.677 | 0.000 | 0.000 | -0.000 |
| 0.000 | 0.000 | 0.000 | 131.962 | 0.000 | -0.000 |
| -0.000 | 0.000 | -0.000 | 0.000 | -6.359 | -0.000 |
| -0.000 | -0.000 | 0.000 | 0.000 | 0.000 | -6.359 |
| 340.677 | 134.780 | 134.780 | 0.000 | 0.000 | -0.000 |
| 134.780 | 340.677 | 134.780 | 0.000 | -0.000 | 0.000 |
| 134.780 | 134.780 | 340.677 | -0.000 | -0.000 | -0.000 |
| -0.000 | -0.000 | -0.000 | 131.962 | -0.000 | 0.000 |
| 0.000 | -0.000 | 0.000 | -0.000 | -6.359 | 0.000 |
| 0.000 | 0.000 | -0.000 | -0.000 | -0.000 | -6.359 |
| 340.678 | 134.781 | 134.781 | -0.000 | 0.000 | -0.000 |
| 134.781 | 340.678 | 134.781 | -0.000 | 0.000 | -0.000 |
| 134.781 | 134.781 | 340.678 | 0.000 | 0.000 | -0.000 |
| 0.000 | -0.000 | -0.000 | -6.359 | 0.000 | -0.000 |
| -0.000 | 0.000 | -0.000 | -0.000 | -6.359 | -0.000 |
| -0.000 | -0.000 | 0.000 | 0.000 | 0.000 | -6.359 |
| 340.675 | 134.779 | 134.779 | 0.000 | -0.000 | 0.000 |
| 134.779 | 340.675 | 134.779 | -0.000 | 0.000 | 0.000 |
| 134.779 | 134.779 | 340.675 | -0.000 | -0.000 | 0.000 |
| -0.000 | 0.000 | 0.000 | -6.359 | -0.000 | -0.000 |
| 0.000 | -0.000 | 0.000 | 0.000 | -6.359 | 0.000 |
| 0.000 | 0.000 | -0.000 | -0.000 | -0.000 | -6.359 |
| 336.858 | 126.967 | 126.967 | 0.000 | -0.000 | 0.000 |
| 126.967 | 336.858 | 126.967 | 0.000 | 0.000 | 0.000 |
| 126.967 | 126.967 | 336.858 | 0.000 | -0.000 | 0.000 |
| 0.000 | 0.000 | 0.000 | 52.175 | -0.000 | -0.000 |
| 0.000 | 0.000 | 0.000 | -0.000 | 52.175 | -0.000 |
| 0.000 | 0.000 | 0.000 | 0.000 | 0.000 | 52.175 |
| 336.858 | 126.967 | 126.967 | -0.000 | -0.000 | -0.000 |
| 126.967 | 336.858 | 126.967 | -0.000 | -0.000 | 0.000 |
| 126.967 | 126.967 | 336.858 | -0.000 | 0.000 | 0.000 |
| -0.000 | -0.000 | -0.000 | 52.175 | 0.000 | 0.000 |
| -0.000 | -0.000 | -0.000 | -0.000 | 52.175 | -0.000 |
| -0.000 | -0.000 | -0.000 | -0.000 | -0.000 | 52.175 |
| 336.858 | 126.968 | 126.968 | 0.000 | -0.000 | 0.000 |
| 126.968 | 336.858 | 126.968 | 0.000 | 0.000 | 0.000 |
| 126.968 | 126.968 | 336.858 | 0.000 | 0.000 | 0.000 |
| 0.000 | 0.000 | 0.000 | 52.175 | 0.000 | -0.000 |
| 0.000 | 0.000 | 0.000 | 0.000 | 52.175 | -0.000 |
| 0.000 | 0.000 | 0.000 | 0.000 | -0.000 | 52.175 |
| 336.858 | 126.967 | 126.967 | -0.000 | 0.000 | -0.000 |
| 126.967 | 336.858 | 126.967 | -0.000 | 0.000 | -0.000 |
| 126.967 | 126.967 | 336.858 | 0.000 | -0.000 | 0.000 |
| -0.000 | -0.000 | -0.000 | 52.175 | 0.000 | -0.000 |
| -0.000 | -0.000 | -0.000 | 0.000 | 52.175 | 0.000 |
| -0.000 | -0.000 | -0.000 | 0.000 | -0.000 | 52.175 |
| 336.860 | 126.968 | 126.968 | -0.000 | 0.000 | 0.000 |
| 126.968 | 336.860 | 126.968 | 0.000 | 0.000 | 0.000 |
| 126.968 | 126.968 | 336.860 | -0.000 | 0.000 | -0.000 |
| 0.000 | 0.000 | 0.000 | 52.175 | 0.000 | -0.000 |
| 0.000 | 0.000 | 0.000 | 0.000 | 52.175 | -0.000 |
| 0.000 | 0.000 | 0.000 | 0.000 | -0.000 | 52.175 |
| 336.857 | 126.967 | 126.967 | -0.000 | 0.000 | -0.000 |
| 126.967 | 336.857 | 126.967 | -0.000 | -0.000 | -0.000 |
| 126.967 | 126.967 | 336.857 | 0.000 | 0.000 | -0.000 |
| -0.000 | -0.000 | -0.000 | 52.175 | 0.000 | -0.000 |
| -0.000 | -0.000 | -0.000 | -0.000 | 52.175 | 0.000 |
| -0.000 | -0.000 | -0.000 | -0.000 | -0.000 | 52.175 |
| 325.319 | 115.599 | 115.599 | 0.000 | 0.000 | -0.000 |
| 115.599 | 325.319 | 115.599 | 0.000 | 0.000 | -0.000 |
| 115.599 | 115.599 | 325.319 | 0.000 | -0.000 | -0.000 |
| -0.000 | 0.000 | -0.000 | 78.682 | 0.000 | -0.000 |
| -0.000 | -0.000 | -0.000 | -0.000 | 78.682 | -0.000 |
| -0.000 | -0.000 | -0.000 | -0.000 | 0.000 | 78.682 |
| 325.319 | 115.599 | 115.599 | -0.000 | -0.000 | 0.000 |
| 115.599 | 325.319 | 115.599 | -0.000 | -0.000 | 0.000 |
| 115.599 | 115.599 | 325.319 | 0.000 | 0.000 | -0.000 |
| 0.000 | 0.000 | 0.000 | 78.682 | -0.000 | 0.000 |
| 0.000 | 0.000 | 0.000 | 0.000 | 78.682 | 0.000 |
| 0.000 | 0.000 | 0.000 | 0.000 | -0.000 | 78.682 |
| 325.319 | 115.599 | 115.599 | 0.000 | -0.000 | -0.000 |
| 115.599 | 325.319 | 115.599 | 0.000 | 0.000 | -0.000 |
| 115.599 | 115.599 | 325.319 | -0.000 | -0.000 | -0.000 |
| 0.000 | 0.000 | 0.000 | 78.682 | 0.000 | -0.000 |
| 0.000 | 0.000 | 0.000 | -0.000 | 78.682 | -0.000 |
| 0.000 | 0.000 | 0.000 | -0.000 | 0.000 | 78.682 |
| 325.319 | 115.599 | 115.599 | -0.000 | -0.000 | 0.000 |
| 115.599 | 325.319 | 115.599 | 0.000 | -0.000 | 0.000 |
| 115.599 | 115.599 | 325.319 | 0.000 | -0.000 | 0.000 |
| -0.000 | -0.000 | -0.000 | 78.682 | 0.000 | -0.000 |
| -0.000 | -0.000 | -0.000 | 0.000 | 78.682 | 0.000 |
| -0.000 | -0.000 | -0.000 | 0.000 | -0.000 | 78.682 |
| 325.321 | 115.600 | 115.600 | 0.000 | -0.000 | -0.000 |
| 115.600 | 325.321 | 115.600 | 0.000 | 0.000 | -0.000 |
| 115.600 | 115.600 | 325.321 | -0.000 | -0.000 | 0.000 |
| 0.001 | 0.000 | 0.001 | 78.682 | 0.000 | -0.000 |
| 0.000 | 0.001 | 0.001 | -0.000 | 78.682 | -0.000 |
| 0.000 | 0.001 | 0.001 | -0.000 | 0.000 | 78.682 |
| 325.318 | 115.598 | 115.598 | -0.000 | -0.000 | 0.000 |
| 115.598 | 325.318 | 115.598 | -0.000 | -0.000 | 0.000 |
| 115.598 | 115.598 | 325.318 | 0.000 | -0.000 | -0.000 |
| -0.001 | -0.000 | -0.001 | 78.682 | -0.000 | -0.000 |
| -0.000 | -0.001 | -0.001 | -0.000 | 78.682 | 0.000 |
| -0.000 | -0.001 | -0.001 | 0.000 | -0.000 | 78.682 |
| 140.110 | -34.496 | -34.496 | -0.000 | 0.000 | 0.000 |
| -34.496 | 140.110 | -34.496 | -0.000 | -0.000 | 0.000 |
| -34.496 | -34.496 | 140.110 | 0.000 | -0.000 | 0.000 |
| -0.000 | -0.000 | -0.000 | -40.986 | -0.000 | 0.000 |
| -0.000 | -0.000 | -0.000 | -0.000 | -40.986 | 0.000 |
| -0.000 | -0.000 | 0.000 | -0.000 | -0.000 | -40.986 |
| 140.110 | -34.496 | -34.496 | 0.000 | -0.000 | -0.000 |
| -34.496 | 140.110 | -34.496 | 0.000 | -0.000 | -0.000 |
| -34.496 | -34.496 | 140.110 | -0.000 | -0.000 | -0.000 |
| 0.000 | 0.000 | 0.000 | -40.986 | 0.000 | -0.000 |
| 0.000 | 0.000 | 0.000 | 0.000 | -40.986 | -0.000 |
| 0.000 | 0.000 | -0.000 | 0.000 | -0.000 | -40.986 |
| 140.110 | -34.496 | -34.496 | -0.000 | -0.000 | 0.000 |
| -34.496 | 140.110 | -34.496 | -0.000 | -0.000 | 0.000 |
| -34.496 | -34.496 | 140.110 | -0.000 | -0.000 | 0.000 |
| -0.000 | 0.000 | -0.000 | -40.986 | -0.000 | 0.000 |
| 0.000 | -0.000 | -0.000 | -0.000 | -40.986 | 0.000 |
| 0.000 | -0.000 | -0.000 | -0.000 | -0.000 | -40.986 |
| 140.110 | -34.496 | -34.496 | 0.000 | 0.000 | -0.000 |
| -34.496 | 140.110 | -34.496 | 0.000 | 0.000 | -0.000 |
| -34.496 | -34.496 | 140.110 | -0.000 | -0.000 | -0.000 |
| 0.000 | -0.000 | 0.000 | -40.986 | 0.000 | -0.000 |
| -0.000 | 0.000 | 0.000 | 0.000 | -40.986 | -0.000 |
| -0.000 | 0.000 | 0.000 | 0.000 | 0.000 | -40.986 |
| 140.110 | -34.496 | -34.496 | -0.000 | 0.000 | 0.000 |
| -34.496 | 140.110 | -34.496 | -0.000 | -0.000 | 0.000 |
| -34.496 | -34.496 | 140.110 | -0.000 | 0.000 | 0.000 |
| 0.000 | 0.000 | -0.000 | -40.986 | 0.000 | 0.000 |
| 0.000 | 0.000 | -0.000 | -0.000 | -40.986 | 0.000 |
| 0.000 | -0.000 | 0.000 | -0.000 | -0.000 | -40.986 |
| 140.109 | -34.496 | -34.496 | 0.000 | 0.000 | -0.000 |
| -34.496 | 140.109 | -34.496 | 0.000 | 0.000 | -0.000 |
| -34.496 | -34.496 | 140.109 | -0.000 | 0.000 | -0.000 |
| -0.000 | -0.000 | 0.000 | -40.986 | -0.000 | -0.000 |
| -0.000 | -0.000 | 0.000 | 0.000 | -40.986 | -0.000 |
| -0.000 | 0.000 | -0.000 | 0.000 | 0.000 | -40.986 |
| 314.194 | -35.145 | -35.144 | -0.000 | -0.000 | -0.000 |
| -35.144 | 314.194 | -35.144 | -0.000 | -0.000 | -0.000 |
| -35.144 | -35.144 | 314.195 | -0.000 | -0.000 | -0.000 |
| -0.000 | -0.000 | -0.000 | -37.172 | -0.000 | 0.000 |
| -0.000 | -0.000 | 0.000 | 0.000 | -37.172 | 0.000 |
| -0.000 | -0.000 | 0.000 | 0.000 | 0.000 | -37.172 |
| 314.194 | -35.144 | -35.144 | 0.000 | -0.000 | 0.000 |
| -35.144 | 314.194 | -35.145 | 0.000 | 0.000 | 0.000 |
| -35.144 | -35.144 | 314.194 | 0.000 | -0.000 | 0.000 |
| 0.000 | 0.000 | 0.000 | -37.172 | 0.000 | 0.000 |
| 0.000 | 0.000 | 0.000 | 0.000 | -37.172 | -0.000 |
| 0.000 | 0.000 | -0.000 | -0.000 | -0.000 | -37.172 |
| 314.195 | -35.144 | -35.144 | -0.000 | 0.000 | -0.000 |
| -35.144 | 314.195 | -35.144 | -0.000 | -0.000 | -0.000 |
| -35.144 | -35.144 | 314.195 | 0.000 | 0.000 | -0.000 |
| 0.000 | 0.000 | -0.000 | -45.269 | -0.000 | -0.000 |
| 0.000 | 0.000 | -0.000 | -0.000 | -45.269 | -0.000 |
| 0.000 | -0.000 | 0.000 | 0.000 | 0.000 | -45.269 |
| 314.194 | -35.144 | -35.144 | -0.000 | 0.000 | 0.000 |
| -35.144 | 314.194 | -35.144 | -0.000 | -0.000 | -0.000 |
| -35.144 | -35.144 | 314.194 | -0.000 | -0.000 | -0.000 |
| -0.000 | -0.000 | 0.000 | -45.269 | 0.000 | -0.000 |
| -0.000 | -0.000 | 0.000 | -0.000 | -45.269 | 0.000 |
| -0.000 | 0.000 | -0.000 | -0.000 | -0.000 | -45.269 |
| 314.196 | -35.144 | -35.144 | 0.000 | 0.000 | -0.000 |
| -35.144 | 314.196 | -35.144 | -0.000 | -0.000 | -0.000 |
| -35.144 | -35.144 | 314.196 | 0.000 | -0.000 | 0.000 |
| 0.000 | 0.000 | -0.000 | -45.269 | 0.000 | -0.000 |
| 0.000 | 0.000 | -0.000 | 0.000 | -45.269 | -0.000 |
| 0.000 | -0.000 | 0.000 | 0.000 | 0.000 | -45.269 |
| 314.193 | -35.145 | -35.145 | -0.000 | -0.000 | 0.000 |
| -35.145 | 314.193 | -35.145 | -0.000 | -0.000 | -0.000 |
| -35.145 | -35.145 | 314.193 | -0.000 | -0.000 | 0.000 |
| -0.000 | -0.000 | 0.000 | -45.269 | -0.000 | -0.000 |
| -0.000 | -0.000 | 0.000 | -0.000 | -45.269 | -0.000 |
| -0.000 | 0.000 | -0.000 | -0.000 | -0.000 | -45.269 |
| 240.956 | 90.252 | 90.252 | 0.000 | 0.000 | 0.000 |
| 90.252 | 240.956 | 90.252 | 0.000 | 0.000 | -0.000 |
| 90.252 | 90.252 | 240.956 | 0.000 | 0.000 | 0.000 |
| 0.000 | 0.000 | 0.000 | 87.138 | 0.000 | 0.000 |
| 0.000 | 0.000 | 0.000 | 0.000 | 87.138 | 0.000 |
| 0.000 | 0.000 | 0.000 | 0.000 | 0.000 | 87.138 |
| 240.956 | 90.252 | 90.252 | -0.000 | -0.000 | 0.000 |
| 90.252 | 240.956 | 90.252 | -0.000 | -0.000 | -0.000 |
| 90.252 | 90.252 | 240.956 | -0.000 | -0.000 | 0.000 |
| -0.000 | -0.000 | -0.000 | 87.138 | -0.000 | 0.000 |
| -0.000 | -0.000 | 0.000 | -0.000 | 87.138 | 0.000 |
| -0.000 | -0.000 | -0.000 | -0.000 | -0.000 | 87.138 |
| 240.956 | 90.252 | 90.252 | 0.000 | 0.000 | 0.000 |
| 90.252 | 240.956 | 90.252 | 0.000 | 0.000 | -0.000 |
| 90.252 | 90.252 | 240.956 | 0.000 | -0.000 | 0.000 |
| 0.000 | -0.000 | -0.000 | -10.523 | 0.000 | 0.000 |
| -0.000 | 0.000 | -0.000 | 0.000 | -10.523 | 0.000 |
| -0.000 | -0.000 | 0.000 | 0.000 | 0.000 | -10.523 |
| 240.956 | 90.252 | 90.252 | -0.000 | -0.000 | -0.000 |
| 90.252 | 240.956 | 90.252 | -0.000 | -0.000 | -0.000 |
| 90.252 | 90.252 | 240.956 | -0.000 | -0.000 | -0.000 |
| -0.000 | 0.000 | 0.000 | -10.523 | -0.000 | -0.000 |
| 0.000 | -0.000 | 0.000 | -0.000 | -10.523 | -0.000 |
| 0.000 | 0.000 | -0.000 | -0.000 | -0.000 | -10.523 |
| 240.957 | 90.253 | 90.253 | 0.000 | 0.000 | 0.000 |
| 90.253 | 240.957 | 90.253 | 0.000 | 0.000 | -0.000 |
| 90.253 | 90.253 | 240.957 | 0.000 | 0.000 | 0.000 |
| 0.000 | -0.000 | -0.000 | -10.523 | 0.000 | -0.000 |
| -0.000 | 0.000 | -0.000 | 0.000 | -10.523 | 0.000 |
| -0.000 | -0.000 | 0.000 | 0.000 | 0.000 | -10.523 |
| 240.955 | 90.252 | 90.252 | -0.000 | -0.000 | -0.000 |
| 90.252 | 240.955 | 90.252 | -0.000 | -0.000 | -0.000 |
| 90.252 | 90.252 | 240.955 | -0.000 | -0.000 | -0.000 |
| -0.000 | 0.000 | 0.000 | -10.523 | -0.000 | 0.000 |
| 0.000 | -0.000 | 0.000 | -0.000 | -10.523 | -0.000 |
| 0.000 | 0.000 | -0.000 | -0.000 | -0.000 | -10.523 |
| 43.850 | 216.774 | 13.536 | 0.000 | -0.000 | 0.000 |
| 109.571 | 180.963 | 71.710 | 0.000 | -0.000 | 0.000 |
| -126.677 | 175.948 | 108.855 | 0.000 | 0.000 | 0.000 |
| -180.594 | 107.152 | 9.742 | 45.273 | 0.000 | 0.000 |
| -179.111 | 106.272 | 9.662 | 0.000 | 46.042 | 0.000 |
| -149.263 | 96.436 | -46.779 | -0.000 | -0.000 | 100.262 |
| 338.093 | 34.777 | 100.047 | -0.000 | 0.000 | -0.000 |
| 109.571 | 180.963 | 71.710 | -0.000 | -0.000 | -0.000 |
| 231.833 | -37.248 | 91.880 | -0.000 | 0.000 | -0.000 |
| 180.594 | -107.152 | -9.742 | 45.273 | -0.000 | -0.000 |
| 179.111 | -106.272 | -9.662 | -0.000 | 46.042 | -0.000 |
| 149.263 | -96.436 | 46.779 | -0.000 | 0.000 | 100.262 |
| 177.203 | 130.513 | 56.101 | 0.000 | 0.000 | 0.000 |
| 102.169 | 185.362 | 65.377 | 0.000 | -0.000 | 0.000 |
| 37.683 | 71.232 | 135.316 | 0.000 | -0.000 | 0.000 |
| -10.653 | 7.812 | -9.807 | -5.123 | -0.000 | 0.000 |
| 0.000 | 0.000 | 0.000 | 0.000 | 46.042 | 0.000 |
| -15.781 | 9.363 | 0.851 | 0.000 | 0.000 | 94.925 |
| 218.384 | 108.710 | 37.301 | -0.000 | -0.000 | -0.000 |
| 139.188 | 163.395 | 65.372 | -0.000 | -0.000 | -0.000 |
| 75.218 | 59.047 | 92.580 | -0.000 | 0.000 | -0.000 |
| 10.653 | -7.812 | 9.807 | -5.123 | 0.000 | -0.000 |
| -0.000 | -0.000 | -0.000 | 0.000 | 46.042 | -0.000 |
| 15.781 | -9.363 | -0.851 | -0.000 | 0.000 | 94.925 |
| 190.384 | 121.909 | 61.119 | 0.000 | -0.000 | 0.000 |
| 121.456 | 170.625 | 67.856 | 0.000 | -0.000 | 0.000 |
| 63.122 | 65.294 | 89.004 | 0.000 | 0.000 | 0.000 |
| -1.459 | 0.859 | -0.393 | -17.091 | 0.000 | 0.000 |
| -1.464 | 0.873 | -0.398 | 0.000 | 46.042 | 0.000 |
| -1.464 | 0.873 | -0.398 | 0.000 | 0.000 | 73.622 |
| 193.432 | 119.938 | 62.005 | -0.000 | -0.000 | -0.000 |
| 123.689 | 169.048 | 70.531 | -0.000 | -0.000 | 0.000 |
| 62.374 | 66.011 | 89.118 | -0.000 | -0.000 | -0.000 |
| 1.459 | -0.859 | 0.393 | -17.091 | 0.000 | -0.000 |
| 1.464 | -0.873 | 0.398 | -0.000 | 46.042 | -0.000 |
| 1.464 | -0.873 | 0.398 | -0.000 | 0.000 | 73.622 |
| 146.070 | -5.740 | -5.740 | 0.000 | -0.000 | 0.000 |
| -5.740 | 146.070 | -5.740 | 0.000 | -0.000 | 0.000 |
| -5.740 | -5.740 | 146.070 | -0.000 | -0.000 | 0.000 |
| -0.000 | 0.000 | 0.000 | -6.815 | -0.000 | 0.000 |
| 0.000 | -0.000 | -0.000 | -0.000 | -6.815 | 0.000 |
| 0.000 | 0.000 | 0.000 | 0.000 | -0.000 | -6.815 |
| 146.070 | -5.740 | -5.740 | 0.000 | 0.000 | -0.000 |
| -5.740 | 146.070 | -5.740 | 0.000 | 0.000 | -0.000 |
| -5.740 | -5.740 | 146.070 | -0.000 | -0.000 | -0.000 |
| 0.000 | -0.000 | 0.000 | -6.815 | 0.000 | -0.000 |
| -0.000 | 0.000 | -0.000 | 0.000 | -6.815 | -0.000 |
| -0.000 | -0.000 | -0.000 | -0.000 | 0.000 | -6.815 |
| 146.070 | -5.740 | -5.740 | 0.000 | -0.000 | 0.000 |
| -5.740 | 146.070 | -5.740 | 0.000 | -0.000 | 0.000 |
| -5.740 | -5.740 | 146.070 | 0.000 | -0.000 | 0.000 |
| -0.000 | 0.000 | -0.000 | -6.815 | -0.000 | 0.000 |
| 0.000 | 0.000 | -0.000 | -0.000 | -6.815 | -0.000 |
| 0.000 | -0.000 | 0.000 | 0.000 | -0.000 | -6.815 |
| 146.070 | -5.740 | -5.740 | -0.000 | 0.000 | -0.000 |
| -5.740 | 146.070 | -5.740 | -0.000 | 0.000 | 0.000 |
| -5.740 | -5.740 | 146.070 | 0.000 | 0.000 | -0.000 |
| 0.000 | -0.000 | 0.000 | -6.815 | 0.000 | 0.000 |
| -0.000 | 0.000 | 0.000 | 0.000 | -6.815 | 0.000 |
| -0.000 | 0.000 | -0.000 | -0.000 | 0.000 | -6.815 |
| 146.071 | -5.740 | -5.740 | 0.000 | -0.000 | 0.000 |
| -5.740 | 146.071 | -5.740 | 0.000 | -0.000 | 0.000 |
| -5.740 | -5.740 | 146.071 | -0.000 | -0.000 | 0.000 |
| -0.000 | 0.000 | -0.000 | -6.815 | -0.000 | -0.000 |
| 0.000 | -0.000 | -0.000 | -0.000 | -6.815 | 0.000 |
| 0.000 | -0.000 | -0.000 | -0.000 | -0.000 | -6.815 |
| 146.070 | -5.740 | -5.740 | -0.000 | 0.000 | -0.000 |
| -5.740 | 146.070 | -5.740 | -0.000 | 0.000 | 0.000 |
| -5.740 | -5.740 | 146.070 | -0.000 | 0.000 | -0.000 |
| 0.000 | -0.000 | 0.000 | -6.815 | 0.000 | 0.000 |
| -0.000 | 0.000 | 0.000 | 0.000 | -6.815 | -0.000 |
| -0.000 | 0.000 | 0.000 | -0.000 | 0.000 | -6.815 |
| 261.225 | 99.214 | 99.214 | 0.000 | -0.000 | 0.000 |
| 99.214 | 261.225 | 99.214 | 0.000 | -0.000 | 0.000 |
| 99.214 | 99.214 | 261.225 | 0.000 | -0.000 | 0.000 |
| -0.000 | -0.000 | -0.000 | 33.601 | -0.000 | 0.000 |
| -0.000 | 0.000 | -0.000 | 0.000 | 33.601 | -0.000 |
| -0.000 | 0.000 | -0.000 | 0.000 | -0.000 | 33.601 |
| 261.225 | 99.214 | 99.214 | -0.000 | -0.000 | 0.000 |
| 99.214 | 261.225 | 99.214 | -0.000 | 0.000 | 0.000 |
| 99.214 | 99.214 | 261.225 | -0.000 | 0.000 | -0.000 |
| -0.000 | -0.000 | 0.000 | 33.601 | 0.000 | 0.000 |
| -0.000 | -0.000 | 0.000 | -0.000 | 33.601 | -0.000 |
| 0.000 | -0.000 | 0.000 | -0.000 | 0.000 | 33.601 |
| 261.225 | 99.214 | 99.214 | 0.000 | -0.000 | 0.000 |
| 99.214 | 261.225 | 99.214 | 0.000 | -0.000 | 0.000 |
| 99.214 | 99.214 | 261.225 | 0.000 | 0.000 | 0.000 |
| 0.000 | 0.000 | -0.000 | 33.601 | -0.000 | 0.000 |
| -0.000 | 0.000 | -0.000 | 0.000 | 33.601 | 0.000 |
| 0.000 | -0.000 | 0.000 | 0.000 | -0.000 | 33.601 |
| 261.224 | 99.214 | 99.214 | -0.000 | -0.000 | 0.000 |
| 99.214 | 261.224 | 99.214 | -0.000 | 0.000 | -0.000 |
| 99.214 | 99.214 | 261.224 | -0.000 | 0.000 | 0.000 |
| -0.000 | -0.000 | 0.000 | 33.601 | 0.000 | -0.000 |
| 0.000 | -0.000 | 0.000 | -0.000 | 33.601 | -0.000 |
| 0.000 | 0.000 | -0.000 | -0.000 | 0.000 | 33.601 |
| 261.226 | 99.215 | 99.215 | 0.000 | 0.000 | -0.000 |
| 99.215 | 261.226 | 99.215 | 0.000 | 0.000 | -0.000 |
| 99.215 | 99.215 | 261.226 | 0.000 | 0.000 | 0.000 |
| 0.000 | 0.000 | -0.000 | 33.601 | 0.000 | 0.000 |
| 0.000 | 0.000 | -0.000 | 0.000 | 33.601 | -0.000 |
| 0.000 | -0.000 | 0.000 | 0.000 | -0.000 | 33.601 |
| 261.223 | 99.214 | 99.214 | -0.000 | 0.000 | -0.000 |
| 99.214 | 261.223 | 99.214 | -0.000 | 0.000 | -0.000 |
| 99.214 | 99.214 | 261.223 | -0.000 | 0.000 | 0.000 |
| -0.000 | -0.000 | 0.000 | 33.601 | 0.000 | 0.000 |
| -0.000 | -0.000 | 0.000 | -0.000 | 33.601 | -0.000 |
| -0.000 | 0.000 | -0.000 | -0.000 | 0.000 | 33.601 |
| 175.530 | 79.390 | 79.390 | 0.000 | 0.000 | -0.000 |
| 79.390 | 175.530 | 79.390 | -0.000 | 0.000 | -0.000 |
| 79.390 | 79.390 | 175.530 | 0.000 | 0.000 | 0.000 |
| -0.000 | 0.000 | -0.000 | 35.705 | -0.000 | -0.000 |
| -0.000 | 0.000 | -0.000 | -0.000 | 35.705 | -0.000 |
| -0.000 | 0.000 | -0.000 | 0.000 | -0.000 | 35.705 |
| 175.530 | 79.390 | 79.390 | -0.000 | -0.000 | 0.000 |
| 79.390 | 175.530 | 79.390 | -0.000 | -0.000 | 0.000 |
| 79.390 | 79.390 | 175.530 | 0.000 | 0.000 | -0.000 |
| 0.000 | 0.000 | 0.000 | 35.705 | 0.000 | 0.000 |
| 0.000 | -0.000 | 0.000 | -0.000 | 35.705 | -0.000 |
| 0.000 | -0.000 | 0.000 | -0.000 | 0.000 | 35.705 |
| 175.530 | 79.390 | 79.390 | 0.000 | 0.000 | -0.000 |
| 79.390 | 175.530 | 79.390 | 0.000 | 0.000 | -0.000 |
| 79.390 | 79.390 | 175.530 | -0.000 | 0.000 | -0.000 |
| 0.000 | 0.000 | 0.000 | 76.481 | 0.000 | 0.000 |
| 0.000 | 0.000 | 0.000 | 0.000 | 76.481 | -0.000 |
| 0.000 | 0.000 | 0.000 | 0.000 | -0.000 | 76.481 |
| 175.530 | 79.390 | 79.390 | -0.000 | -0.000 | 0.000 |
| 79.390 | 175.530 | 79.390 | -0.000 | -0.000 | 0.000 |
| 79.390 | 79.390 | 175.530 | -0.000 | 0.000 | 0.000 |
| -0.000 | -0.000 | -0.000 | 76.481 | -0.000 | 0.000 |
| -0.000 | -0.000 | -0.000 | -0.000 | 76.481 | -0.000 |
| -0.000 | -0.000 | -0.000 | 0.000 | 0.000 | 76.481 |
| 175.531 | 79.390 | 79.390 | 0.000 | 0.000 | -0.000 |
| 79.390 | 175.531 | 79.390 | 0.000 | -0.000 | -0.000 |
| 79.390 | 79.390 | 175.531 | 0.000 | -0.000 | -0.000 |
| 0.000 | 0.000 | 0.000 | 35.705 | -0.000 | -0.000 |
| 0.000 | 0.000 | 0.000 | 0.000 | 35.705 | -0.000 |
| 0.000 | 0.000 | 0.000 | 0.000 | 0.000 | 35.705 |
| 175.529 | 79.389 | 79.389 | 0.000 | 0.000 | -0.000 |
| 79.389 | 175.529 | 79.389 | -0.000 | -0.000 | 0.000 |
| 79.389 | 79.389 | 175.529 | 0.000 | 0.000 | 0.000 |
| -0.000 | -0.000 | -0.000 | 35.705 | -0.000 | 0.000 |
| -0.000 | -0.000 | -0.000 | -0.000 | 35.705 | 0.000 |
| -0.000 | -0.000 | -0.000 | 0.000 | 0.000 | 35.705 |
| 37.446 | 6.465 | 6.465 | 0.000 | 0.000 | -0.000 |
| 6.465 | 37.446 | 6.465 | -0.000 | -0.000 | 0.000 |
| 6.465 | 6.465 | 37.446 | 0.000 | 0.000 | -0.000 |
| 0.000 | 0.000 | 0.000 | 5.854 | -0.000 | 0.000 |
| 0.000 | 0.000 | -0.000 | -0.000 | 5.854 | -0.000 |
| 0.000 | 0.000 | -0.000 | -0.000 | 0.000 | 5.854 |
| 37.446 | 6.465 | 6.465 | 0.000 | -0.000 | -0.000 |
| 6.465 | 37.446 | 6.465 | 0.000 | -0.000 | 0.000 |
| 6.465 | 6.465 | 37.446 | 0.000 | -0.000 | -0.000 |
| -0.000 | -0.000 | -0.000 | 5.854 | 0.000 | 0.000 |
| -0.000 | -0.000 | 0.000 | 0.000 | 5.854 | 0.000 |
| -0.000 | -0.000 | -0.000 | 0.000 | -0.000 | 5.854 |
| 37.446 | 6.465 | 6.465 | -0.000 | -0.000 | -0.000 |
| 6.465 | 37.446 | 6.465 | 0.000 | 0.000 | -0.000 |
| 6.465 | 6.465 | 37.446 | -0.000 | -0.000 | -0.000 |
| 0.000 | 0.000 | -0.000 | 5.854 | 0.000 | 0.000 |
| 0.000 | 0.000 | -0.000 | -0.000 | 5.854 | -0.000 |
| 0.000 | -0.000 | 0.000 | -0.000 | -0.000 | 5.854 |
| 37.446 | 6.465 | 6.465 | 0.000 | -0.000 | -0.000 |
| 6.465 | 37.446 | 6.465 | 0.000 | -0.000 | 0.000 |
| 6.465 | 6.465 | 37.446 | 0.000 | 0.000 | 0.000 |
| -0.000 | -0.000 | 0.000 | 5.854 | 0.000 | 0.000 |
| -0.000 | -0.000 | 0.000 | 0.000 | 5.854 | 0.000 |
| -0.000 | 0.000 | -0.000 | 0.000 | -0.000 | 5.854 |
| 37.446 | 6.465 | 6.465 | -0.000 | 0.000 | 0.000 |
| 6.465 | 37.446 | 6.465 | -0.000 | 0.000 | -0.000 |
| 6.465 | 6.465 | 37.446 | -0.000 | -0.000 | 0.000 |
| 0.000 | 0.000 | -0.000 | 5.854 | -0.000 | -0.000 |
| 0.000 | 0.000 | -0.000 | -0.000 | 5.854 | -0.000 |
| 0.000 | -0.000 | 0.000 | -0.000 | 0.000 | 5.854 |
| 37.445 | 6.465 | 6.465 | -0.000 | -0.000 | 0.000 |
| 6.465 | 37.445 | 6.465 | -0.000 | -0.000 | 0.000 |
| 6.465 | 6.465 | 37.445 | 0.000 | 0.000 | -0.000 |
| -0.000 | -0.000 | 0.000 | 5.854 | 0.000 | -0.000 |
| -0.000 | -0.000 | 0.000 | 0.000 | 5.854 | 0.000 |
| -0.000 | 0.000 | -0.000 | 0.000 | 0.000 | 5.854 |
| 26.055 | 15.147 | 15.147 | -0.000 | -0.000 | 0.000 |
| 15.147 | 26.055 | 15.147 | -0.000 | -0.000 | 0.000 |
| 15.147 | 15.147 | 26.055 | 0.000 | 0.000 | 0.000 |
| 0.000 | 0.000 | -0.000 | 15.096 | -0.000 | 0.000 |
| 0.000 | 0.000 | -0.000 | -0.000 | 15.096 | 0.000 |
| 0.000 | 0.000 | -0.000 | -0.000 | -0.000 | 15.096 |
| 26.055 | 15.147 | 15.147 | 0.000 | 0.000 | -0.000 |
| 15.147 | 26.055 | 15.147 | 0.000 | 0.000 | -0.000 |
| 15.147 | 15.147 | 26.055 | 0.000 | 0.000 | -0.000 |
| -0.000 | -0.000 | 0.000 | 15.096 | 0.000 | -0.000 |
| -0.000 | -0.000 | 0.000 | 0.000 | 15.096 | -0.000 |
| -0.000 | -0.000 | 0.000 | 0.000 | 0.000 | 15.096 |
| 26.055 | 15.147 | 15.147 | -0.000 | -0.000 | 0.000 |
| 15.147 | 26.055 | 15.147 | -0.000 | -0.000 | 0.000 |
| 15.147 | 15.147 | 26.055 | 0.000 | 0.000 | 0.000 |
| 0.000 | -0.000 | 0.000 | 15.147 | -0.000 | 0.000 |
| -0.000 | 0.000 | 0.000 | -0.000 | 15.147 | 0.000 |
| -0.000 | 0.000 | 0.000 | -0.000 | -0.000 | 15.147 |
| 26.055 | 15.147 | 15.147 | 0.000 | 0.000 | -0.000 |
| 15.147 | 26.055 | 15.147 | 0.000 | -0.000 | 0.000 |
| 15.147 | 15.147 | 26.055 | 0.000 | 0.000 | -0.000 |
| -0.000 | 0.000 | -0.000 | 15.147 | 0.000 | -0.000 |
| 0.000 | -0.000 | -0.000 | 0.000 | 15.147 | -0.000 |
| 0.000 | -0.000 | -0.000 | 0.000 | 0.000 | 15.147 |
| 26.055 | 15.147 | 15.147 | -0.000 | 0.000 | 0.000 |
| 15.147 | 26.055 | 15.147 | -0.000 | -0.000 | 0.000 |
| 15.147 | 15.147 | 26.055 | 0.000 | 0.000 | 0.000 |
| 0.000 | -0.000 | 0.000 | 15.096 | -0.000 | 0.000 |
| -0.000 | 0.000 | 0.000 | -0.000 | 15.096 | 0.000 |
| -0.000 | 0.000 | 0.000 | -0.000 | -0.000 | 15.096 |
| 26.055 | 15.147 | 15.147 | -0.000 | 0.000 | -0.000 |
| 15.147 | 26.055 | 15.147 | 0.000 | -0.000 | -0.000 |
| 15.147 | 15.147 | 26.055 | 0.000 | 0.000 | -0.000 |
| -0.000 | 0.000 | -0.000 | 15.096 | 0.000 | -0.000 |
| 0.000 | -0.000 | -0.000 | 0.000 | 15.096 | -0.000 |
| 0.000 | -0.000 | -0.000 | 0.000 | 0.000 | 15.096 |
| 17.981 | 10.892 | 10.892 | -0.000 | -0.000 | -0.000 |
| 10.892 | 17.981 | 10.892 | -0.000 | -0.000 | -0.000 |
| 10.892 | 10.892 | 17.981 | -0.000 | -0.000 | -0.000 |
| -0.000 | 0.000 | 0.000 | 10.892 | -0.000 | -0.000 |
| 0.000 | -0.000 | 0.000 | -0.000 | 10.892 | -0.000 |
| 0.000 | 0.000 | -0.000 | -0.000 | -0.000 | 10.892 |
| 17.981 | 10.892 | 10.892 | 0.000 | 0.000 | 0.000 |
| 10.892 | 17.981 | 10.892 | 0.000 | 0.000 | 0.000 |
| 10.892 | 10.892 | 17.981 | 0.000 | 0.000 | 0.000 |
| 0.000 | -0.000 | -0.000 | 10.892 | 0.000 | 0.000 |
| -0.000 | 0.000 | -0.000 | 0.000 | 10.892 | 0.000 |
| -0.000 | -0.000 | 0.000 | 0.000 | 0.000 | 10.892 |
| 17.981 | 10.892 | 10.892 | -0.000 | 0.000 | -0.000 |
| 10.892 | 17.981 | 10.892 | -0.000 | -0.000 | -0.000 |
| 10.892 | 10.892 | 17.981 | -0.000 | -0.000 | -0.000 |
| -0.000 | 0.000 | 0.000 | 10.892 | -0.000 | -0.000 |
| 0.000 | -0.000 | 0.000 | -0.000 | 10.892 | -0.000 |
| 0.000 | 0.000 | -0.000 | -0.000 | -0.000 | 10.892 |
| 17.981 | 10.892 | 10.892 | 0.000 | -0.000 | -0.000 |
| 10.892 | 17.981 | 10.892 | -0.000 | 0.000 | 0.000 |
| 10.892 | 10.892 | 17.981 | 0.000 | 0.000 | 0.000 |
| 0.000 | -0.000 | -0.000 | 10.892 | 0.000 | 0.000 |
| -0.000 | 0.000 | -0.000 | 0.000 | 10.892 | -0.000 |
| -0.000 | -0.000 | 0.000 | 0.000 | 0.000 | 10.892 |
| 17.981 | 10.892 | 10.892 | -0.000 | 0.000 | 0.000 |
| 10.892 | 17.981 | 10.892 | 0.000 | -0.000 | -0.000 |
| 10.892 | 10.892 | 17.981 | 0.000 | -0.000 | -0.000 |
| -0.000 | 0.000 | 0.000 | 10.892 | -0.000 | -0.000 |
| 0.000 | -0.000 | 0.000 | -0.000 | 10.892 | -0.000 |
| 0.000 | 0.000 | -0.000 | -0.000 | -0.000 | 10.892 |
| 17.981 | 10.892 | 10.892 | 0.000 | -0.000 | 0.000 |
| 10.892 | 17.981 | 10.892 | -0.000 | 0.000 | 0.000 |
| 10.892 | 10.892 | 17.981 | 0.000 | 0.000 | 0.000 |
| 0.000 | -0.000 | -0.000 | 10.892 | -0.000 | -0.000 |
| -0.000 | 0.000 | -0.000 | 0.000 | 10.892 | 0.000 |
| -0.000 | -0.000 | 0.000 | 0.000 | 0.000 | 10.892 |
| 64.574 | 7.326 | 7.326 | 0.000 | 0.000 | 0.000 |
| 7.326 | 64.574 | 7.326 | 0.000 | 0.000 | 0.000 |
| 7.326 | 7.326 | 64.574 | 0.000 | -0.000 | -0.000 |
| 0.000 | 0.000 | -0.000 | -24.399 | 0.000 | -0.000 |
| 0.000 | 0.000 | 0.000 | 0.000 | -24.399 | -0.000 |
| 0.000 | 0.000 | 0.000 | 0.000 | 0.000 | -24.399 |
| 64.574 | 7.326 | 7.326 | 0.000 | 0.000 | -0.000 |
| 7.326 | 64.574 | 7.326 | -0.000 | -0.000 | 0.000 |
| 7.326 | 7.326 | 64.574 | -0.000 | -0.000 | -0.000 |
| -0.000 | -0.000 | 0.000 | -24.399 | -0.000 | -0.000 |
| -0.000 | -0.000 | -0.000 | -0.000 | -24.399 | -0.000 |
| -0.000 | -0.000 | 0.000 | -0.000 | -0.000 | -24.399 |
| 64.574 | 7.326 | 7.326 | 0.000 | 0.000 | 0.000 |
| 7.326 | 64.574 | 7.326 | 0.000 | 0.000 | 0.000 |
| 7.326 | 7.326 | 64.574 | 0.000 | 0.000 | 0.000 |
| 0.000 | 0.000 | 0.000 | -24.399 | 0.000 | 0.000 |
| 0.000 | 0.000 | 0.000 | 0.000 | -24.399 | 0.000 |
| 0.000 | 0.000 | 0.000 | 0.000 | 0.000 | -24.399 |
| 64.574 | 7.326 | 7.326 | -0.000 | -0.000 | -0.000 |
| 7.326 | 64.574 | 7.326 | -0.000 | -0.000 | -0.000 |
| 7.326 | 7.326 | 64.574 | -0.000 | -0.000 | -0.000 |
| -0.000 | -0.000 | -0.000 | -24.399 | -0.000 | 0.000 |
| -0.000 | -0.000 | -0.000 | -0.000 | -24.399 | -0.000 |
| -0.000 | -0.000 | -0.000 | -0.000 | -0.000 | -24.399 |
| 64.575 | 7.326 | 7.326 | 0.000 | 0.000 | 0.000 |
| 7.326 | 64.575 | 7.326 | 0.000 | 0.000 | 0.000 |
| 7.326 | 7.326 | 64.575 | 0.000 | 0.000 | 0.000 |
| 0.001 | 0.000 | -0.000 | -34.100 | 0.000 | 0.000 |
| 0.000 | 0.001 | -0.000 | 0.000 | -34.100 | 0.000 |
| 0.000 | -0.000 | 0.001 | 0.000 | 0.000 | -34.100 |
| 64.574 | 7.326 | 7.326 | -0.000 | -0.000 | -0.000 |
| 7.326 | 64.574 | 7.326 | -0.000 | -0.000 | -0.000 |
| 7.326 | 7.326 | 64.574 | -0.000 | -0.000 | -0.000 |
| -0.001 | -0.000 | 0.000 | -34.100 | 0.000 | -0.000 |
| -0.000 | -0.001 | 0.000 | -0.000 | -34.100 | -0.000 |
| -0.000 | 0.000 | -0.001 | -0.000 | -0.000 | -34.100 |
| 22.667 | 26.635 | 26.635 | 0.000 | 0.000 | 0.000 |
| 26.635 | 22.667 | 26.635 | 0.000 | 0.000 | 0.000 |
| 26.635 | 26.635 | 22.667 | 0.000 | 0.000 | 0.000 |
| 0.000 | 0.000 | 0.000 | 8.827 | 0.000 | 0.000 |
| 0.000 | 0.000 | 0.000 | 0.000 | 8.827 | 0.000 |
| 0.000 | 0.000 | 0.000 | 0.000 | 0.000 | 8.827 |
| 22.667 | 26.635 | 26.635 | -0.000 | -0.000 | -0.000 |
| 26.635 | 22.667 | 26.635 | -0.000 | -0.000 | -0.000 |
| 26.635 | 26.635 | 22.667 | -0.000 | -0.000 | -0.000 |
| -0.000 | -0.000 | -0.000 | 8.827 | -0.000 | -0.000 |
| -0.000 | -0.000 | -0.000 | -0.000 | 8.827 | -0.000 |
| -0.000 | -0.000 | -0.000 | -0.000 | -0.000 | 8.827 |
| 22.667 | 26.635 | 26.635 | 0.000 | 0.000 | 0.000 |
| 26.635 | 22.667 | 26.635 | 0.000 | 0.000 | 0.000 |
| 26.635 | 26.635 | 22.667 | 0.000 | 0.000 | 0.000 |
| 0.000 | 0.000 | 0.000 | 8.827 | 0.000 | 0.000 |
| 0.000 | 0.000 | 0.000 | 0.000 | 8.827 | 0.000 |
| 0.000 | 0.000 | 0.000 | 0.000 | 0.000 | 8.827 |
| 22.667 | 26.635 | 26.635 | -0.000 | -0.000 | -0.000 |
| 26.635 | 22.667 | 26.635 | -0.000 | -0.000 | -0.000 |
| 26.635 | 26.635 | 22.667 | -0.000 | -0.000 | -0.000 |
| -0.000 | -0.000 | -0.000 | 8.827 | -0.000 | -0.000 |
| -0.000 | -0.000 | -0.000 | -0.000 | 8.827 | -0.000 |
| -0.000 | -0.000 | -0.000 | -0.000 | -0.000 | 8.827 |
| 22.667 | 26.635 | 26.635 | 0.000 | 0.000 | 0.000 |
| 26.635 | 22.667 | 26.635 | 0.000 | 0.000 | 0.000 |
| 26.635 | 26.635 | 22.667 | 0.000 | 0.000 | 0.000 |
| 0.000 | 0.000 | 0.000 | 8.827 | 0.000 | 0.000 |
| 0.000 | 0.000 | 0.000 | 0.000 | 8.827 | 0.000 |
| 0.000 | 0.000 | 0.000 | 0.000 | 0.000 | 8.827 |
| 22.667 | 26.635 | 26.635 | -0.000 | -0.000 | -0.000 |
| 26.635 | 22.667 | 26.635 | -0.000 | -0.000 | -0.000 |
| 26.635 | 26.635 | 22.667 | -0.000 | -0.000 | -0.000 |
| -0.000 | -0.000 | -0.000 | 8.827 | -0.000 | -0.000 |
| -0.000 | -0.000 | -0.000 | -0.000 | 8.827 | -0.000 |
| -0.000 | -0.000 | -0.000 | -0.000 | -0.000 | 8.827 |
| 49.087 | 30.027 | 30.027 | 0.000 | 0.000 | 0.000 |
| 30.027 | 49.087 | 30.027 | 0.000 | 0.000 | 0.000 |
| 30.027 | 30.027 | 49.087 | 0.000 | 0.000 | 0.000 |
| -0.000 | 0.000 | 0.000 | 32.777 | -0.000 | 0.000 |
| 0.000 | 0.000 | 0.000 | 0.000 | 32.777 | -0.000 |
| 0.000 | 0.000 | -0.000 | 0.000 | 0.000 | 32.777 |
| 49.087 | 30.027 | 30.027 | -0.000 | -0.000 | -0.000 |
| 30.027 | 49.087 | 30.027 | -0.000 | -0.000 | 0.000 |
| 30.027 | 30.027 | 49.087 | -0.000 | -0.000 | 0.000 |
| 0.000 | 0.000 | -0.000 | 32.777 | -0.000 | 0.000 |
| -0.000 | -0.000 | -0.000 | -0.000 | 32.777 | 0.000 |
| -0.000 | -0.000 | -0.000 | -0.000 | -0.000 | 32.777 |
| 49.087 | 30.027 | 30.027 | 0.000 | 0.000 | -0.000 |
| 30.027 | 49.087 | 30.027 | 0.000 | -0.000 | -0.000 |
| 30.027 | 30.027 | 49.087 | -0.000 | -0.000 | -0.000 |
| -0.000 | 0.000 | 0.000 | 32.777 | 0.000 | -0.000 |
| 0.000 | -0.000 | 0.000 | 0.000 | 32.777 | 0.000 |
| 0.000 | 0.000 | -0.000 | 0.000 | 0.000 | 32.777 |
| 49.087 | 30.027 | 30.027 | -0.000 | -0.000 | 0.000 |
| 30.027 | 49.087 | 30.027 | -0.000 | 0.000 | -0.000 |
| 30.027 | 30.027 | 49.087 | -0.000 | -0.000 | 0.000 |
| 0.000 | -0.000 | -0.000 | 32.777 | -0.000 | 0.000 |
| -0.000 | 0.000 | -0.000 | -0.000 | 32.777 | 0.000 |
| -0.000 | -0.000 | 0.000 | -0.000 | -0.000 | 32.777 |
| 49.087 | 30.027 | 30.027 | 0.000 | 0.000 | -0.000 |
| 30.027 | 49.087 | 30.027 | 0.000 | 0.000 | -0.000 |
| 30.027 | 30.027 | 49.087 | 0.000 | -0.000 | 0.000 |
| -0.000 | 0.000 | 0.000 | 32.777 | -0.000 | -0.000 |
| 0.000 | -0.000 | 0.000 | 0.000 | 32.777 | -0.000 |
| 0.000 | 0.000 | -0.000 | 0.000 | 0.000 | 32.777 |
| 49.087 | 30.026 | 30.026 | -0.000 | -0.000 | 0.000 |
| 30.026 | 49.087 | 30.026 | -0.000 | -0.000 | -0.000 |
| 30.026 | 30.026 | 49.087 | -0.000 | -0.000 | 0.000 |
| 0.000 | -0.000 | -0.000 | 32.777 | -0.000 | -0.000 |
| -0.000 | 0.000 | -0.000 | -0.000 | 32.777 | -0.000 |
| -0.000 | -0.000 | 0.000 | -0.000 | 0.000 | 32.777 |
| 68.507 | 29.718 | 19.181 | -0.000 | 0.000 | -0.000 |
| 24.276 | 54.795 | 30.839 | -0.000 | -0.000 | -0.000 |
| 16.000 | 26.849 | 51.733 | -0.000 | 0.000 | -0.000 |
| -0.000 | -0.000 | 0.000 | 29.401 | -0.000 | -0.000 |
| -0.000 | -0.000 | -0.000 | -0.000 | 24.622 | -0.000 |
| -0.000 | -0.000 | 0.000 | -0.000 | -0.000 | 27.152 |
| 71.918 | 28.283 | 18.125 | 0.000 | 0.000 | 0.000 |
| 24.277 | 54.795 | 30.838 | -0.000 | 0.000 | 0.000 |
| 23.021 | 44.374 | 73.563 | -0.000 | -0.000 | -0.000 |
| 0.000 | 0.000 | -0.000 | 29.401 | 0.000 | -0.000 |
| -0.000 | 0.000 | -0.000 | 0.000 | 24.622 | -0.000 |
| 0.000 | 0.000 | -0.000 | 0.000 | 0.000 | 27.152 |
| 71.918 | 28.283 | 18.125 | 0.000 | 0.000 | -0.000 |
| 27.658 | 50.127 | 26.402 | -0.000 | 0.000 | -0.000 |
| 14.333 | 28.698 | 53.036 | 0.000 | 0.000 | -0.000 |
| 0.000 | -0.000 | 0.000 | 30.019 | 0.000 | -0.000 |
| -0.000 | -0.000 | 0.000 | -0.000 | 14.718 | -0.000 |
| -0.000 | -0.000 | 0.000 | -0.000 | -0.000 | 27.152 |
| 69.798 | 26.992 | 15.006 | 0.000 | -0.000 | 0.000 |
| 27.658 | 50.128 | 26.402 | 0.000 | -0.000 | 0.000 |
| 23.021 | 44.374 | 73.563 | 0.000 | -0.000 | -0.000 |
| -0.000 | 0.000 | -0.000 | 30.019 | -0.000 | 0.000 |
| 0.000 | 0.000 | -0.000 | 0.000 | 14.718 | 0.000 |
| 0.000 | 0.000 | -0.000 | 0.000 | 0.000 | 27.152 |
| 69.798 | 26.992 | 15.006 | -0.000 | 0.000 | -0.000 |
| 28.783 | 48.723 | 28.221 | -0.000 | 0.000 | -0.000 |
| 16.001 | 26.850 | 51.733 | -0.000 | -0.000 | -0.000 |
| -0.000 | -0.000 | -0.000 | 28.805 | 0.000 | -0.000 |
| 0.000 | -0.000 | 0.000 | -0.000 | 16.851 | -0.000 |
| 0.000 | 0.000 | 0.000 | 0.000 | -0.000 | 26.278 |
| 67.106 | 27.977 | 19.318 | 0.000 | -0.000 | 0.000 |
| 28.750 | 48.892 | 28.698 | 0.000 | -0.000 | 0.000 |
| 19.320 | 28.696 | 49.370 | 0.000 | -0.000 | 0.000 |
| 0.000 | 0.000 | 0.000 | 28.805 | -0.000 | 0.000 |
| -0.000 | 0.000 | -0.000 | 0.000 | 16.851 | 0.000 |
| -0.000 | -0.000 | -0.000 | 0.000 | 0.000 | 26.278 |
| -12.557 | 365.596 | -35.630 | 1320.058 | 160.668 | 14.383 |
| -58.700 | 58.861 | 23.191 | 58.089 | 202.303 | 8.414 |
| -53.380 | 368.552 | 5.483 | 1316.643 | 174.267 | 14.726 |
| -151.694 | 298.237 | -138.954 | 1260.604 | 172.794 | 15.096 |
| -152.094 | 310.069 | -136.138 | 1318.211 | 244.935 | 16.989 |
| -199.066 | -0.906 | -112.785 | 20.301 | 93.720 | 50.238 |
| 293.218 | -253.754 | 238.829 | -1316.674 | -185.749 | -15.866 |
| 209.955 | -217.843 | 199.541 | -1328.572 | -172.697 | -15.323 |
| 252.410 | -250.843 | 279.939 | -1320.128 | -172.149 | -15.523 |
| 154.064 | -320.896 | 135.511 | -1375.887 | -173.645 | -15.151 |
| 153.713 | -309.348 | 138.324 | -1318.501 | -101.555 | -13.266 |
| 152.539 | -309.911 | 136.808 | -1318.298 | -171.556 | 37.193 |
| 125.000 | 86.841 | 87.912 | 133.415 | 4.809 | 0.768 |
| 41.795 | 122.689 | 48.561 | 121.617 | 17.838 | 1.309 |
| 84.218 | 89.817 | 128.989 | 130.057 | 18.391 | 1.116 |
| -14.200 | 19.561 | -15.424 | 74.323 | 16.923 | 1.493 |
| 1.190 | 0.416 | 1.543 | -0.426 | 111.632 | 5.861 |
| -15.680 | 30.774 | -14.104 | 131.929 | 18.970 | 53.830 |
| 155.551 | 25.040 | 115.392 | -130.189 | -29.857 | -2.250 |
| 72.377 | 60.806 | 76.005 | -141.929 | -16.813 | -1.713 |
| 114.765 | 27.929 | 156.371 | -133.522 | -16.253 | -1.922 |
| 15.208 | 4.542 | 6.775 | 36.063 | -15.615 | -0.180 |
| 16.110 | -30.543 | 14.812 | -131.934 | 54.081 | 0.329 |
| 14.934 | -31.176 | 13.305 | -131.734 | -15.666 | 50.817 |
| 138.773 | 58.988 | 100.253 | 14.870 | -10.719 | -0.590 |
| 55.534 | 94.870 | 60.905 | 3.337 | 2.244 | -0.054 |
| 97.998 | 61.944 | 141.313 | 11.476 | 2.800 | -0.254 |
| -0.417 | -8.241 | -3.097 | -44.388 | 1.348 | 0.129 |
| -0.803 | 3.522 | -0.326 | 12.753 | 73.103 | 1.980 |
| -1.928 | 2.893 | -1.775 | 13.216 | 3.378 | 52.481 |
| 141.863 | 52.803 | 103.029 | -11.526 | -14.229 | -0.880 |
| 58.632 | 88.652 | 63.641 | -23.359 | -1.223 | -0.353 |
| 101.080 | 55.760 | 144.082 | -14.890 | -0.672 | -0.543 |
| 2.651 | -14.423 | -0.335 | -70.718 | -2.128 | -0.166 |
| 2.279 | -2.659 | 2.445 | -13.558 | 69.602 | 1.683 |
| 1.150 | -3.301 | 0.977 | -13.106 | -0.113 | 52.179 |
| 259.462 | 85.550 | 57.347 | 0.000 | 67.884 | 0.000 |
| -252.139 | 1221.396 | -31.383 | 0.000 | -102.156 | 0.000 |
| -210.009 | 647.524 | 324.737 | 0.000 | -187.016 | 0.000 |
| -474.527 | 1141.054 | -130.366 | 91.922 | -145.943 | -10.647 |
| -373.442 | 1065.474 | -223.603 | 0.000 | -29.655 | 0.000 |
| 0.000 | 0.000 | 0.000 | 1.109 | 0.000 | 106.710 |
| 685.519 | -995.347 | 185.099 | -0.000 | 193.308 | -0.000 |
| 617.757 | -964.487 | 229.998 | -0.000 | 164.641 | -0.000 |
| 87.752 | 84.070 | 372.084 | -0.000 | -90.780 | -0.000 |
| 474.527 | -1141.054 | 130.366 | 91.922 | 145.943 | -10.647 |
| 532.848 | -1085.603 | 31.102 | -0.000 | 273.045 | -0.000 |
| -0.000 | -0.000 | -0.000 | 1.109 | -0.000 | 106.710 |
| 176.168 | 248.673 | 40.791 | 0.000 | 37.186 | 0.000 |
| 103.091 | 272.407 | 88.418 | 0.000 | 5.676 | 0.000 |
| 38.000 | 206.236 | 357.724 | 0.000 | -106.236 | 0.000 |
| -39.202 | 104.382 | -13.164 | 91.043 | -11.951 | -12.832 |
| -17.623 | 123.997 | -105.217 | 0.000 | 79.484 | 0.000 |
| -39.400 | 104.360 | -13.176 | -15.465 | -12.160 | 64.511 |
| 254.350 | 45.117 | 66.438 | -0.000 | 62.004 | -0.000 |
| 188.585 | 64.141 | 112.770 | -0.000 | 32.385 | -0.000 |
| 114.416 | 34.437 | 375.867 | -0.000 | -82.656 | -0.000 |
| 39.202 | -104.382 | 13.164 | 91.043 | 11.951 | -12.832 |
| 54.112 | -39.600 | -87.308 | -0.000 | 102.211 | -0.000 |
| 39.400 | -104.360 | 13.176 | -15.465 | 12.160 | 64.511 |
| 210.061 | 155.793 | 52.750 | 0.000 | 47.403 | 0.000 |
| 137.836 | 192.720 | 97.914 | 0.000 | 18.047 | 0.000 |
| 81.001 | 102.886 | 369.494 | 0.000 | -93.076 | 0.000 |
| -3.989 | 10.471 | -1.311 | 91.016 | -1.232 | -12.900 |
| 14.783 | 31.225 | -93.014 | 0.000 | 88.885 | 0.000 |
| -2.434 | 4.601 | -0.384 | -14.585 | -0.783 | 66.152 |
| 217.927 | 134.637 | 55.464 | -0.000 | 49.846 | -0.000 |
| 145.020 | 165.656 | 101.508 | -0.000 | 18.841 | -0.000 |
| 88.947 | 81.489 | 372.212 | -0.000 | -90.653 | -0.000 |
| 3.989 | -10.471 | 1.311 | 91.016 | 1.232 | -12.900 |
| 21.660 | 14.784 | -91.107 | -0.000 | 91.081 | -0.000 |
| 2.434 | -4.601 | 0.384 | -14.585 | 0.783 | 66.152 |
| 37.812 | 5.805 | 5.805 | -0.000 | -0.000 | 0.000 |
| 5.805 | 37.812 | 5.805 | -0.000 | 0.000 | 0.000 |
| 5.805 | 5.805 | 37.812 | 0.000 | 0.000 | 0.000 |
| 0.000 | -0.000 | 0.000 | 5.800 | -0.000 | 0.000 |
| -0.000 | -0.000 | 0.000 | -0.000 | 5.800 | 0.000 |
| -0.000 | -0.000 | 0.000 | -0.000 | 0.000 | 5.800 |
| 37.812 | 5.805 | 5.805 | 0.000 | -0.000 | -0.000 |
| 5.805 | 37.812 | 5.805 | 0.000 | -0.000 | -0.000 |
| 5.805 | 5.805 | 37.812 | 0.000 | 0.000 | -0.000 |
| -0.000 | 0.000 | -0.000 | 5.800 | 0.000 | -0.000 |
| 0.000 | 0.000 | -0.000 | 0.000 | 5.800 | -0.000 |
| 0.000 | 0.000 | -0.000 | 0.000 | -0.000 | 5.800 |
| 37.812 | 5.805 | 5.805 | -0.000 | 0.000 | 0.000 |
| 5.805 | 37.812 | 5.805 | -0.000 | -0.000 | -0.000 |
| 5.805 | 5.805 | 37.812 | -0.000 | -0.000 | 0.000 |
| 0.000 | -0.000 | -0.000 | 5.709 | -0.000 | -0.000 |
| -0.000 | 0.000 | -0.000 | -0.000 | 5.709 | 0.000 |
| -0.000 | -0.000 | 0.000 | -0.000 | -0.000 | 5.709 |
| 37.812 | 5.805 | 5.805 | -0.000 | -0.000 | -0.000 |
| 5.805 | 37.812 | 5.805 | 0.000 | -0.000 | 0.000 |
| 5.805 | 5.805 | 37.812 | 0.000 | 0.000 | -0.000 |
| -0.000 | 0.000 | 0.000 | 5.709 | 0.000 | -0.000 |
| 0.000 | -0.000 | 0.000 | 0.000 | 5.709 | -0.000 |
| 0.000 | 0.000 | -0.000 | 0.000 | 0.000 | 5.709 |
| 37.812 | 5.805 | 5.805 | -0.000 | 0.000 | 0.000 |
| 5.805 | 37.812 | 5.805 | 0.000 | 0.000 | 0.000 |
| 5.805 | 5.805 | 37.812 | -0.000 | -0.000 | 0.000 |
| 0.000 | -0.000 | -0.000 | 5.703 | -0.000 | -0.000 |
| -0.000 | 0.000 | -0.000 | -0.000 | 5.703 | 0.000 |
| -0.000 | -0.000 | 0.000 | -0.000 | -0.000 | 5.703 |
| 37.811 | 5.805 | 5.805 | 0.000 | 0.000 | -0.000 |
| 5.805 | 37.811 | 5.805 | 0.000 | -0.000 | -0.000 |
| 5.805 | 5.805 | 37.811 | 0.000 | 0.000 | -0.000 |
| -0.000 | 0.000 | 0.000 | 5.703 | 0.000 | -0.000 |
| 0.000 | -0.000 | 0.000 | 0.000 | 5.703 | -0.000 |
| 0.000 | 0.000 | -0.000 | 0.000 | 0.000 | 5.703 |
| 22.375 | 14.522 | 14.522 | 0.000 | 0.000 | -0.000 |
| 14.522 | 22.375 | 14.522 | 0.000 | 0.000 | -0.000 |
| 14.522 | 14.522 | 22.375 | 0.000 | 0.000 | -0.000 |
| 0.000 | -0.000 | 0.000 | 11.911 | 0.000 | -0.000 |
| 0.000 | 0.000 | 0.000 | 0.000 | 11.911 | -0.000 |
| 0.000 | 0.000 | 0.000 | 0.000 | 0.000 | 11.911 |
| 22.375 | 14.522 | 14.522 | -0.000 | -0.000 | 0.000 |
| 14.522 | 22.375 | 14.522 | -0.000 | -0.000 | 0.000 |
| 14.522 | 14.522 | 22.375 | -0.000 | -0.000 | 0.000 |
| -0.000 | 0.000 | -0.000 | 11.911 | -0.000 | -0.000 |
| -0.000 | 0.000 | -0.000 | -0.000 | 11.911 | 0.000 |
| -0.000 | -0.000 | -0.000 | 0.000 | -0.000 | 11.911 |
| 22.375 | 14.522 | 14.522 | 0.000 | 0.000 | -0.000 |
| 14.522 | 22.375 | 14.522 | 0.000 | 0.000 | 0.000 |
| 14.522 | 14.522 | 22.375 | 0.000 | 0.000 | -0.000 |
| 0.000 | -0.000 | 0.000 | 14.522 | 0.000 | -0.000 |
| -0.000 | 0.000 | 0.000 | -0.000 | 14.522 | -0.000 |
| -0.000 | 0.000 | 0.000 | 0.000 | 0.000 | 14.522 |
| 22.375 | 14.522 | 14.522 | -0.000 | -0.000 | 0.000 |
| 14.522 | 22.375 | 14.522 | -0.000 | -0.000 | 0.000 |
| 14.522 | 14.522 | 22.375 | 0.000 | 0.000 | 0.000 |
| -0.000 | 0.000 | -0.000 | 14.522 | -0.000 | 0.000 |
| 0.000 | -0.000 | -0.000 | -0.000 | 14.522 | 0.000 |
| 0.000 | -0.000 | -0.000 | -0.000 | -0.000 | 14.522 |
| 22.375 | 14.522 | 14.522 | 0.000 | 0.000 | -0.000 |
| 14.522 | 22.375 | 14.522 | 0.000 | 0.000 | -0.000 |
| 14.522 | 14.522 | 22.375 | 0.000 | 0.000 | -0.000 |
| 0.000 | -0.000 | 0.000 | 11.911 | 0.000 | -0.000 |
| -0.000 | 0.000 | 0.000 | 0.000 | 11.911 | -0.000 |
| -0.000 | 0.000 | 0.000 | 0.000 | 0.000 | 11.911 |
| 22.375 | 14.522 | 14.522 | -0.000 | -0.000 | 0.000 |
| 14.522 | 22.375 | 14.522 | -0.000 | -0.000 | 0.000 |
| 14.522 | 14.522 | 22.375 | -0.000 | -0.000 | 0.000 |
| -0.000 | 0.000 | -0.000 | 11.911 | -0.000 | 0.000 |
| 0.000 | -0.000 | -0.000 | -0.000 | 11.911 | 0.000 |
| 0.000 | -0.000 | -0.000 | -0.000 | -0.000 | 11.911 |
| 14.224 | 11.371 | 11.371 | 0.000 | 0.000 | -0.000 |
| 11.371 | 14.224 | 11.371 | 0.000 | 0.000 | 0.000 |
| 11.371 | 11.371 | 14.224 | 0.000 | 0.000 | -0.000 |
| -0.000 | 0.000 | 0.000 | 11.371 | 0.000 | 0.000 |
| 0.000 | 0.000 | 0.000 | 0.000 | 11.371 | -0.000 |
| 0.000 | 0.000 | 0.000 | 0.000 | 0.000 | 11.371 |
| 14.224 | 11.371 | 11.371 | -0.000 | 0.000 | 0.000 |
| 11.371 | 14.224 | 11.371 | 0.000 | -0.000 | 0.000 |
| 11.371 | 11.371 | 14.224 | -0.000 | -0.000 | -0.000 |
| 0.000 | -0.000 | -0.000 | 11.371 | -0.000 | -0.000 |
| -0.000 | -0.000 | -0.000 | -0.000 | 11.371 | 0.000 |
| -0.000 | -0.000 | -0.000 | -0.000 | -0.000 | 11.371 |
| 14.224 | 11.371 | 11.371 | 0.000 | 0.000 | -0.000 |
| 11.371 | 14.224 | 11.371 | 0.000 | 0.000 | -0.000 |
| 11.371 | 11.371 | 14.224 | 0.000 | 0.000 | -0.000 |
| -0.000 | 0.000 | 0.000 | 11.371 | 0.000 | -0.000 |
| 0.000 | -0.000 | 0.000 | 0.000 | 11.371 | -0.000 |
| 0.000 | 0.000 | -0.000 | 0.000 | 0.000 | 11.371 |
| 14.224 | 11.371 | 11.371 | -0.000 | 0.000 | 0.000 |
| 11.371 | 14.224 | 11.371 | 0.000 | -0.000 | -0.000 |
| 11.371 | 11.371 | 14.224 | -0.000 | -0.000 | -0.000 |
| 0.000 | -0.000 | -0.000 | 11.371 | -0.000 | -0.000 |
| -0.000 | 0.000 | -0.000 | -0.000 | 11.371 | 0.000 |
| -0.000 | -0.000 | 0.000 | -0.000 | -0.000 | 11.371 |
| 14.224 | 11.371 | 11.371 | 0.000 | 0.000 | -0.000 |
| 11.371 | 14.224 | 11.371 | 0.000 | 0.000 | -0.000 |
| 11.371 | 11.371 | 14.224 | 0.000 | 0.000 | -0.000 |
| -0.000 | 0.000 | 0.000 | 11.371 | 0.000 | -0.000 |
| 0.000 | -0.000 | 0.000 | 0.000 | 11.371 | -0.000 |
| 0.000 | 0.000 | -0.000 | 0.000 | 0.000 | 11.371 |
| 14.224 | 11.371 | 11.371 | -0.000 | 0.000 | 0.000 |
| 11.371 | 14.224 | 11.371 | 0.000 | -0.000 | 0.000 |
| 11.371 | 11.371 | 14.224 | -0.000 | -0.000 | -0.000 |
| 0.000 | -0.000 | -0.000 | 11.371 | -0.000 | 0.000 |
| -0.000 | 0.000 | -0.000 | -0.000 | 11.371 | 0.000 |
| -0.000 | -0.000 | 0.000 | -0.000 | -0.000 | 11.371 |
| 35.831 | 6.790 | 6.790 | 0.000 | -0.000 | 0.000 |
| 6.790 | 35.831 | 6.790 | 0.000 | -0.000 | 0.000 |
| 6.790 | 6.790 | 35.831 | 0.000 | 0.000 | 0.000 |
| 0.000 | 0.000 | -0.000 | 4.450 | 0.000 | 0.000 |
| 0.000 | -0.000 | 0.000 | 0.000 | 4.450 | 0.000 |
| 0.000 | -0.000 | 0.000 | 0.000 | -0.000 | 4.450 |
| 35.831 | 6.790 | 6.790 | -0.000 | -0.000 | -0.000 |
| 6.790 | 35.831 | 6.790 | -0.000 | 0.000 | -0.000 |
| 6.790 | 6.790 | 35.831 | -0.000 | -0.000 | -0.000 |
| -0.000 | -0.000 | 0.000 | 4.450 | -0.000 | -0.000 |
| -0.000 | 0.000 | 0.000 | -0.000 | 4.450 | -0.000 |
| -0.000 | 0.000 | -0.000 | -0.000 | -0.000 | 4.450 |
| 35.831 | 6.790 | 6.790 | -0.000 | -0.000 | 0.000 |
| 6.790 | 35.831 | 6.790 | -0.000 | 0.000 | 0.000 |
| 6.790 | 6.790 | 35.831 | -0.000 | -0.000 | 0.000 |
| 0.000 | 0.000 | 0.000 | 4.450 | 0.000 | 0.000 |
| 0.000 | 0.000 | 0.000 | 0.000 | 4.450 | 0.000 |
| 0.000 | 0.000 | 0.000 | 0.000 | -0.000 | 4.450 |
| 35.831 | 6.790 | 6.790 | -0.000 | -0.000 | -0.000 |
| 6.790 | 35.831 | 6.790 | -0.000 | -0.000 | -0.000 |
| 6.790 | 6.790 | 35.831 | -0.000 | 0.000 | -0.000 |
| -0.000 | -0.000 | -0.000 | 4.450 | -0.000 | -0.000 |
| -0.000 | -0.000 | -0.000 | -0.000 | 4.450 | -0.000 |
| -0.000 | -0.000 | -0.000 | -0.000 | 0.000 | 4.450 |
| 35.832 | 6.790 | 6.790 | 0.000 | -0.000 | 0.000 |
| 6.790 | 35.832 | 6.790 | -0.000 | 0.000 | 0.000 |
| 6.790 | 6.790 | 35.832 | 0.000 | 0.000 | 0.000 |
| 0.000 | 0.000 | 0.000 | 4.450 | 0.000 | 0.000 |
| 0.000 | 0.000 | 0.000 | 0.000 | 4.450 | 0.000 |
| 0.000 | 0.000 | 0.000 | 0.000 | -0.000 | 4.450 |
| 35.831 | 6.790 | 6.790 | -0.000 | -0.000 | -0.000 |
| 6.790 | 35.831 | 6.790 | -0.000 | 0.000 | -0.000 |
| 6.790 | 6.790 | 35.831 | -0.000 | -0.000 | -0.000 |
| -0.000 | -0.000 | -0.000 | 4.450 | 0.000 | -0.000 |
| -0.000 | -0.000 | -0.000 | -0.000 | 4.450 | -0.000 |
| -0.000 | -0.000 | -0.000 | -0.000 | -0.000 | 4.450 |
| 22.608 | 14.906 | 14.906 | -0.000 | -0.000 | 0.000 |
| 14.906 | 22.608 | 14.906 | -0.000 | -0.000 | -0.000 |
| 14.906 | 14.906 | 22.608 | -0.000 | -0.000 | 0.000 |
| 0.000 | -0.000 | 0.000 | 14.166 | -0.000 | 0.000 |
| -0.000 | 0.000 | 0.000 | -0.000 | 14.166 | 0.000 |
| -0.000 | 0.000 | 0.000 | -0.000 | -0.000 | 14.166 |
| 22.608 | 14.906 | 14.906 | 0.000 | 0.000 | 0.000 |
| 14.906 | 22.608 | 14.906 | 0.000 | 0.000 | 0.000 |
| 14.906 | 14.906 | 22.608 | 0.000 | 0.000 | 0.000 |
| -0.000 | -0.000 | -0.000 | 14.166 | 0.000 | 0.000 |
| -0.000 | -0.000 | -0.000 | 0.000 | 14.166 | 0.000 |
| -0.000 | -0.000 | -0.000 | 0.000 | 0.000 | 14.166 |
| 22.608 | 14.906 | 14.906 | -0.000 | -0.000 | -0.000 |
| 14.906 | 22.608 | 14.906 | -0.000 | -0.000 | -0.000 |
| 14.906 | 14.906 | 22.608 | -0.000 | -0.000 | -0.000 |
| 0.000 | -0.000 | 0.000 | 14.166 | -0.000 | -0.000 |
| -0.000 | 0.000 | 0.000 | -0.000 | 14.166 | 0.000 |
| -0.000 | 0.000 | 0.000 | -0.000 | -0.000 | 14.166 |
| 22.608 | 14.906 | 14.906 | 0.000 | 0.000 | -0.000 |
| 14.906 | 22.608 | 14.906 | 0.000 | 0.000 | -0.000 |
| 14.906 | 14.906 | 22.608 | 0.000 | 0.000 | 0.000 |
| -0.000 | 0.000 | -0.000 | 14.166 | 0.000 | -0.000 |
| 0.000 | -0.000 | -0.000 | 0.000 | 14.166 | -0.000 |
| 0.000 | -0.000 | -0.000 | 0.000 | 0.000 | 14.166 |
| 22.608 | 14.906 | 14.906 | -0.000 | -0.000 | 0.000 |
| 14.906 | 22.608 | 14.906 | -0.000 | -0.000 | 0.000 |
| 14.906 | 14.906 | 22.608 | -0.000 | -0.000 | -0.000 |
| 0.000 | -0.000 | 0.000 | 14.166 | -0.000 | 0.000 |
| -0.000 | 0.000 | 0.000 | -0.000 | 14.166 | -0.000 |
| -0.000 | 0.000 | 0.000 | -0.000 | -0.000 | 14.166 |
| 22.608 | 14.906 | 14.906 | 0.000 | 0.000 | 0.000 |
| 14.906 | 22.608 | 14.906 | 0.000 | 0.000 | 0.000 |
| 14.906 | 14.906 | 22.608 | 0.000 | 0.000 | 0.000 |
| -0.000 | 0.000 | -0.000 | 14.166 | 0.000 | 0.000 |
| 0.000 | -0.000 | -0.000 | 0.000 | 14.166 | 0.000 |
| 0.000 | -0.000 | -0.000 | 0.000 | 0.000 | 14.166 |
| 16.892 | 11.004 | 11.004 | 0.000 | -0.000 | -0.000 |
| 11.004 | 16.892 | 11.004 | 0.000 | -0.000 | -0.000 |
| 11.004 | 11.004 | 16.892 | 0.000 | 0.000 | -0.000 |
| -0.000 | 0.000 | 0.000 | 11.004 | 0.000 | -0.000 |
| -0.000 | -0.000 | 0.000 | 0.000 | 11.004 | -0.000 |
| -0.000 | 0.000 | -0.000 | 0.000 | -0.000 | 11.004 |
| 16.892 | 11.004 | 11.004 | -0.000 | 0.000 | 0.000 |
| 11.004 | 16.892 | 11.004 | -0.000 | 0.000 | 0.000 |
| 11.004 | 11.004 | 16.892 | -0.000 | -0.000 | -0.000 |
| 0.000 | -0.000 | -0.000 | 11.004 | 0.000 | 0.000 |
| 0.000 | 0.000 | -0.000 | -0.000 | 11.004 | 0.000 |
| 0.000 | -0.000 | 0.000 | -0.000 | -0.000 | 11.004 |
| 16.892 | 11.004 | 11.004 | 0.000 | -0.000 | -0.000 |
| 11.004 | 16.892 | 11.004 | 0.000 | -0.000 | -0.000 |
| 11.004 | 11.004 | 16.892 | 0.000 | -0.000 | -0.000 |
| -0.000 | 0.000 | 0.000 | 11.004 | -0.000 | -0.000 |
| 0.000 | -0.000 | 0.000 | 0.000 | 11.004 | -0.000 |
| 0.000 | 0.000 | -0.000 | 0.000 | -0.000 | 11.004 |
| 16.892 | 11.004 | 11.004 | -0.000 | 0.000 | 0.000 |
| 11.004 | 16.892 | 11.004 | -0.000 | 0.000 | 0.000 |
| 11.004 | 11.004 | 16.892 | -0.000 | 0.000 | 0.000 |
| 0.000 | -0.000 | -0.000 | 11.004 | 0.000 | 0.000 |
| -0.000 | 0.000 | -0.000 | -0.000 | 11.004 | -0.000 |
| -0.000 | -0.000 | 0.000 | -0.000 | -0.000 | 11.004 |
| 16.892 | 11.004 | 11.004 | 0.000 | -0.000 | -0.000 |
| 11.004 | 16.892 | 11.004 | 0.000 | -0.000 | -0.000 |
| 11.004 | 11.004 | 16.892 | 0.000 | -0.000 | 0.000 |
| -0.000 | 0.000 | 0.000 | 11.004 | 0.000 | -0.000 |
| 0.000 | -0.000 | 0.000 | 0.000 | 11.004 | -0.000 |
| 0.000 | 0.000 | -0.000 | 0.000 | -0.000 | 11.004 |
| 16.892 | 11.004 | 11.004 | -0.000 | 0.000 | 0.000 |
| 11.004 | 16.892 | 11.004 | -0.000 | 0.000 | 0.000 |
| 11.004 | 11.004 | 16.892 | -0.000 | -0.000 | -0.000 |
| 0.000 | -0.000 | -0.000 | 11.004 | 0.000 | 0.000 |
| -0.000 | 0.000 | -0.000 | -0.000 | 11.004 | 0.000 |
| -0.000 | -0.000 | 0.000 | -0.000 | 0.000 | 11.004 |
| 20.229 | 1.712 | 1.712 | 0.000 | 0.000 | 0.000 |
| 1.712 | 20.229 | 1.712 | 0.000 | 0.000 | -0.000 |
| 1.712 | 1.712 | 20.229 | 0.000 | 0.000 | -0.000 |
| 0.000 | -0.000 | -0.000 | -7.735 | 0.000 | 0.000 |
| -0.000 | 0.000 | -0.000 | 0.000 | -7.735 | -0.000 |
| 0.000 | -0.000 | -0.000 | -0.000 | 0.000 | -7.735 |
| 20.229 | 1.712 | 1.712 | -0.000 | -0.000 | 0.000 |
| 1.712 | 20.229 | 1.712 | 0.000 | -0.000 | 0.000 |
| 1.712 | 1.712 | 20.229 | -0.000 | -0.000 | 0.000 |
| 0.000 | -0.000 | 0.000 | -7.735 | -0.000 | 0.000 |
| 0.000 | 0.000 | 0.000 | -0.000 | -7.735 | 0.000 |
| 0.000 | 0.000 | 0.000 | -0.000 | -0.000 | -7.735 |
| 20.229 | 1.712 | 1.712 | 0.000 | 0.000 | -0.000 |
| 1.712 | 20.229 | 1.712 | -0.000 | 0.000 | -0.000 |
| 1.712 | 1.712 | 20.229 | 0.000 | 0.000 | -0.000 |
| 0.000 | -0.000 | -0.000 | 1.141 | 0.000 | 0.000 |
| -0.000 | 0.000 | -0.000 | -0.000 | 1.141 | -0.000 |
| -0.000 | -0.000 | 0.000 | -0.000 | 0.000 | 1.141 |
| 20.229 | 1.712 | 1.712 | -0.000 | -0.000 | 0.000 |
| 1.712 | 20.229 | 1.712 | -0.000 | -0.000 | -0.000 |
| 1.712 | 1.712 | 20.229 | 0.000 | -0.000 | 0.000 |
| -0.000 | 0.000 | 0.000 | 1.141 | -0.000 | 0.000 |
| 0.000 | -0.000 | 0.000 | 0.000 | 1.141 | 0.000 |
| 0.000 | 0.000 | -0.000 | 0.000 | -0.000 | 1.141 |
| 20.229 | 1.712 | 1.712 | -0.000 | 0.000 | -0.000 |
| 1.712 | 20.229 | 1.712 | 0.000 | 0.000 | -0.000 |
| 1.712 | 1.712 | 20.229 | -0.000 | 0.000 | -0.000 |
| -1040203.086 | -1039776.523 | -1138083.866 | 45792.162 | -21719.594 | -11250.169 |
| -1105519.367 | -1008474.478 | -1088270.552 | 12325.404 | 12880.724 | -24777.284 |
| -1031792.178 | -1092316.793 | -970967.598 | -9196.819 | -7618.354 | 12962.045 |
| 20.229 | 1.712 | 1.712 | -0.000 | -0.000 | 0.000 |
| 1.712 | 20.229 | 1.712 | -0.000 | -0.000 | 0.000 |
| 1.712 | 1.712 | 20.229 | -0.000 | -0.000 | 0.000 |
| 954026.373 | 1080085.160 | 1062257.473 | 48880.990 | 9552.681 | -13619.545 |
| 1083526.379 | 1088230.746 | 1127070.902 | 30712.843 | 16812.621 | 13938.986 |
| 1152421.442 | 1178975.151 | 1063099.361 | 8564.865 | -46719.111 | 39808.677 |
| 11.827 | 6.270 | 6.270 | 0.000 | 0.000 | 0.000 |
| 6.270 | 11.827 | 6.270 | 0.000 | 0.000 | 0.000 |
| 6.270 | 6.270 | 11.827 | 0.000 | 0.000 | 0.000 |
| -0.000 | -0.000 | -0.000 | -16.601 | 0.000 | 0.000 |
| -0.000 | -0.000 | -0.000 | 0.000 | -16.601 | 0.000 |
| -0.000 | -0.000 | -0.000 | 0.000 | 0.000 | -16.601 |
| 11.827 | 6.270 | 6.270 | 0.000 | -0.000 | -0.000 |
| 6.270 | 11.827 | 6.270 | -0.000 | -0.000 | -0.000 |
| 6.270 | 6.270 | 11.827 | 0.000 | -0.000 | -0.000 |
| 0.000 | 0.000 | 0.000 | -16.601 | -0.000 | -0.000 |
| 0.000 | 0.000 | 0.000 | -0.000 | -16.601 | -0.000 |
| 0.000 | 0.000 | 0.000 | -0.000 | -0.000 | -16.601 |
| 11.827 | 6.270 | 6.270 | 0.000 | 0.000 | -0.000 |
| 6.270 | 11.827 | 6.270 | 0.000 | 0.000 | -0.000 |
| 6.270 | 6.270 | 11.827 | 0.000 | 0.000 | -0.000 |
| -0.000 | -0.000 | -0.000 | -16.601 | 0.000 | -0.000 |
| -0.000 | -0.000 | -0.000 | 0.000 | -16.601 | 0.000 |
| -0.000 | -0.000 | -0.000 | 0.000 | 0.000 | -16.601 |
| 11.827 | 6.270 | 6.270 | -0.000 | -0.000 | 0.000 |
| 6.270 | 11.827 | 6.270 | -0.000 | -0.000 | 0.000 |
| 6.270 | 6.270 | 11.827 | -0.000 | -0.000 | -0.000 |
| 0.000 | 0.000 | 0.000 | -16.601 | -0.000 | -0.000 |
| 0.000 | -0.000 | 0.000 | 0.000 | -16.601 | -0.000 |
| 0.000 | 0.000 | -0.000 | -0.000 | -0.000 | -16.601 |
| 11.827 | 6.270 | 6.270 | 0.000 | 0.000 | 0.000 |
| 6.270 | 11.827 | 6.270 | 0.000 | 0.000 | 0.000 |
| 6.270 | 6.270 | 11.827 | 0.000 | 0.000 | -0.000 |
| 0.000 | -0.000 | -0.000 | -16.601 | 0.000 | 0.000 |
| -0.000 | 0.000 | -0.000 | 0.000 | -16.601 | 0.000 |
| -0.000 | -0.000 | 0.000 | 0.000 | 0.000 | -16.601 |
| 11.827 | 6.269 | 6.269 | -0.000 | -0.000 | 0.000 |
| 6.269 | 11.827 | 6.269 | -0.000 | -0.000 | 0.000 |
| 6.269 | 6.269 | 11.827 | -0.000 | -0.000 | -0.000 |
| -0.000 | 0.000 | 0.000 | -16.601 | -0.000 | 0.000 |
| 0.000 | -0.000 | 0.000 | -0.000 | -16.601 | -0.000 |
| 0.000 | 0.000 | -0.000 | -0.000 | -0.000 | -16.601 |
| -4.709 | 7.488 | 7.488 | -0.000 | 0.000 | -0.000 |
| 7.488 | -4.709 | 7.488 | 0.000 | -0.000 | 0.000 |
| 7.488 | 7.488 | -4.709 | 0.000 | 0.000 | -0.000 |
| -0.000 | -0.000 | 0.000 | 7.246 | 0.000 | 0.000 |
| -0.000 | -0.000 | 0.000 | -0.000 | 7.246 | -0.000 |
| -0.000 | -0.000 | -0.000 | -0.000 | -0.000 | 7.246 |
| -4.709 | 7.488 | 7.488 | 0.000 | 0.000 | 0.000 |
| 7.488 | -4.709 | 7.488 | 0.000 | 0.000 | 0.000 |
| 7.488 | 7.488 | -4.709 | -0.000 | 0.000 | -0.000 |
| 0.000 | 0.000 | -0.000 | 7.246 | 0.000 | 0.000 |
| 0.000 | 0.000 | -0.000 | 0.000 | 7.246 | -0.000 |
| 0.000 | -0.000 | 0.000 | 0.000 | 0.000 | 7.246 |
| -4.709 | 7.488 | 7.488 | -0.000 | 0.000 | -0.000 |
| 7.488 | -4.709 | 7.488 | -0.000 | 0.000 | 0.000 |
| 7.488 | 7.488 | -4.709 | -0.000 | 0.000 | -0.000 |
| -0.000 | 0.000 | 0.000 | 7.246 | -0.000 | -0.000 |
| 0.000 | -0.000 | 0.000 | 0.000 | 7.246 | 0.000 |
| 0.000 | 0.000 | -0.000 | -0.000 | 0.000 | 7.246 |
| -4.709 | 7.488 | 7.488 | 0.000 | -0.000 | -0.000 |
| 7.488 | -4.709 | 7.488 | -0.000 | 0.000 | -0.000 |
| 7.488 | 7.488 | -4.709 | 0.000 | -0.000 | 0.000 |
| 0.000 | -0.000 | -0.000 | 7.246 | 0.000 | -0.000 |
| -0.000 | 0.000 | -0.000 | 0.000 | 7.246 | -0.000 |
| -0.000 | -0.000 | 0.000 | 0.000 | -0.000 | 7.246 |
| -4.709 | 7.488 | 7.488 | 0.000 | -0.000 | -0.000 |
| 7.488 | -4.709 | 7.488 | -0.000 | 0.000 | 0.000 |
| 7.488 | 7.488 | -4.709 | -0.000 | 0.000 | 0.000 |
| -0.000 | 0.000 | 0.000 | 7.246 | 0.000 | -0.000 |
| 0.000 | -0.000 | 0.000 | 0.000 | 7.246 | 0.000 |
| 0.000 | 0.000 | -0.000 | 0.000 | 0.000 | 7.246 |
| -4.709 | 7.488 | 7.488 | 0.000 | -0.000 | -0.000 |
| 7.488 | -4.709 | 7.488 | 0.000 | -0.000 | -0.000 |
| 7.488 | 7.488 | -4.709 | 0.000 | -0.000 | -0.000 |
| 0.000 | -0.000 | -0.000 | 7.246 | -0.000 | 0.000 |
| -0.000 | 0.000 | -0.000 | 0.000 | 7.246 | 0.000 |
| -0.000 | -0.000 | 0.000 | -0.000 | -0.000 | 7.246 |
| 10.645 | 3.803 | -3.265 | 0.000 | -0.000 | 0.000 |
| 3.803 | 10.645 | -3.265 | -0.000 | 0.000 | 0.000 |
| 37.173 | 37.173 | -164.239 | 0.000 | 0.000 | 0.000 |
| 0.000 | 0.000 | -0.000 | -1.457 | 0.000 | 0.000 |
| 36.864 | 36.864 | -159.436 | -0.000 | -49.018 | -0.000 |
| 0.000 | -0.000 | -0.000 | 0.000 | 0.000 | 3.421 |
| -34.791 | -25.425 | 158.197 | -0.000 | -0.000 | 0.000 |
| 3.803 | 10.645 | -3.265 | -0.000 | -0.000 | -0.000 |
| -36.222 | -36.222 | 153.195 | 0.000 | -0.000 | -0.000 |
| -0.000 | -0.000 | 0.000 | -1.457 | -0.000 | -0.000 |
| -36.864 | -36.864 | 159.436 | 0.000 | -49.018 | 0.000 |
| -0.000 | -0.000 | 0.000 | -0.000 | -0.000 | 3.421 |
| 10.645 | 3.803 | -3.265 | 0.000 | 0.000 | 0.000 |
| 8.186 | 12.797 | -17.397 | -0.000 | -0.000 | 0.000 |
| 4.145 | 4.145 | -21.393 | -0.000 | 0.000 | -0.000 |
| 0.000 | 0.000 | 0.000 | -1.457 | 0.000 | 0.000 |
| 0.000 | -0.000 | 0.000 | -0.000 | -1.457 | 0.000 |
| 3.847 | 3.847 | -16.637 | 0.000 | 0.000 | 2.328 |
| 10.645 | 3.803 | -3.265 | -0.000 | -0.000 | 0.000 |
| 7.737 | -2.204 | 16.012 | -0.000 | -0.000 | -0.000 |
| -3.195 | -3.195 | 10.350 | -0.000 | 0.000 | -0.000 |
| -0.000 | -0.000 | -0.000 | -1.457 | -0.000 | 0.000 |
| -0.000 | 0.000 | -0.000 | 0.000 | -1.457 | 0.000 |
| -3.847 | -3.847 | 16.637 | -0.000 | -0.000 | 2.328 |
| -603530.494 | -631030.349 | 753664.594 | 18444.937 | 66.586 | 6793.528 |
| -1150521.712 | -744581.519 | 161916.491 | 11690.670 | 9511.176 | -9489.473 |
| 0.842 | 0.842 | -7.109 | -0.000 | 0.000 | -0.000 |
| -1562058.192 | -732740.321 | 360784.201 | -78332.181 | 17638.430 | -2410.344 |
| -173563.247 | -278730.120 | 792213.446 | 62960.562 | 41459.517 | 231392.469 |
| -519307.737 | -881046.685 | -908794.256 | 47712.836 | 11688.355 | -217937.838 |
| 1348362.390 | 695589.993 | -199294.106 | -17712.175 | 4010.713 | 47195.622 |
| 597831.088 | 634341.938 | -801189.663 | -2134.444 | 11971.367 | 6803.272 |
| 0.108 | 0.108 | -3.934 | -0.000 | 0.000 | -0.000 |
| 1546702.978 | 896856.535 | -197673.842 | 4694.457 | 8472.299 | 19332.466 |
| 186207.634 | 317769.286 | -778572.375 | -61885.477 | 45834.829 | 233346.725 |
| 678705.412 | 777595.021 | 1074385.808 | -38290.618 | 14711.891 | -361530.163 |
| 23.981 | 3.033 | 3.033 | 0.000 | -0.000 | -0.000 |
| 3.033 | 23.981 | 3.033 | 0.000 | -0.000 | -0.000 |
| 3.033 | 3.033 | 23.981 | 0.000 | -0.000 | -0.000 |
| -0.000 | -0.000 | -0.000 | 1.919 | -0.000 | -0.000 |
| -0.000 | 0.000 | -0.000 | 0.000 | 1.919 | 0.000 |
| -0.000 | -0.000 | -0.000 | 0.000 | -0.000 | 1.919 |
| 23.981 | 3.033 | 3.033 | 0.000 | 0.000 | -0.000 |
| 3.033 | 23.981 | 3.033 | -0.000 | 0.000 | 0.000 |
| 3.033 | 3.033 | 23.981 | 0.000 | 0.000 | 0.000 |
| 0.000 | 0.000 | 0.000 | 1.919 | 0.000 | 0.000 |
| 0.000 | 0.000 | 0.000 | -0.000 | 1.919 | -0.000 |
| 0.000 | 0.000 | 0.000 | -0.000 | 0.000 | 1.919 |
| 23.981 | 3.033 | 3.033 | 0.000 | -0.000 | -0.000 |
| 3.033 | 23.981 | 3.033 | -0.000 | -0.000 | -0.000 |
| 3.033 | 3.033 | 23.981 | 0.000 | -0.000 | -0.000 |
| 0.000 | -0.000 | -0.000 | 1.919 | -0.000 | 0.000 |
| -0.000 | 0.000 | -0.000 | 0.000 | 1.919 | 0.000 |
| -0.000 | -0.000 | 0.000 | 0.000 | -0.000 | 1.919 |
| 23.981 | 3.033 | 3.033 | -0.000 | 0.000 | 0.000 |
| 3.033 | 23.981 | 3.033 | -0.000 | 0.000 | -0.000 |
| 3.033 | 3.033 | 23.981 | 0.000 | 0.000 | -0.000 |
| -0.000 | 0.000 | 0.000 | 1.919 | -0.000 | 0.000 |
| 0.000 | -0.000 | 0.000 | 0.000 | 1.919 | -0.000 |
| 0.000 | 0.000 | -0.000 | -0.000 | 0.000 | 1.919 |
| 23.981 | 3.033 | 3.033 | 0.000 | -0.000 | 0.000 |
| 3.033 | 23.981 | 3.033 | 0.000 | -0.000 | -0.000 |
| 3.033 | 3.033 | 23.981 | 0.000 | -0.000 | -0.000 |
| 0.000 | -0.000 | -0.000 | 1.327 | -0.000 | 0.000 |
| -0.000 | 0.000 | -0.000 | 0.000 | 1.327 | 0.000 |
| -0.000 | -0.000 | 0.000 | 0.000 | -0.000 | 1.327 |
| 23.981 | 3.033 | 3.033 | -0.000 | 0.000 | 0.000 |
| 3.033 | 23.981 | 3.033 | -0.000 | 0.000 | 0.000 |
| 3.033 | 3.033 | 23.981 | -0.000 | 0.000 | 0.000 |
| -0.000 | 0.000 | 0.000 | 1.327 | 0.000 | 0.000 |
| 0.000 | -0.000 | 0.000 | -0.000 | 1.327 | 0.000 |
| 0.000 | 0.000 | -0.000 | -0.000 | 0.000 | 1.327 |
| 12.247 | 7.624 | 7.624 | 0.000 | 0.000 | 0.000 |
| 7.624 | 12.247 | 7.624 | 0.000 | 0.000 | 0.000 |
| 7.624 | 7.624 | 12.247 | -0.000 | 0.000 | 0.000 |
| 0.000 | 0.000 | -0.000 | 2.465 | -0.000 | 0.000 |
| 0.000 | 0.000 | -0.000 | -0.000 | 2.465 | -0.000 |
| 0.000 | 0.000 | 0.000 | -0.000 | -0.000 | 2.465 |
| 12.247 | 7.624 | 7.624 | -0.000 | -0.000 | -0.000 |
| 7.624 | 12.247 | 7.624 | -0.000 | 0.000 | 0.000 |
| 7.624 | 7.624 | 12.247 | 0.000 | 0.000 | -0.000 |
| -0.000 | -0.000 | 0.000 | 2.465 | 0.000 | 0.000 |
| -0.000 | -0.000 | 0.000 | 0.000 | 2.465 | 0.000 |
| -0.000 | -0.000 | 0.000 | 0.000 | 0.000 | 2.465 |
| 12.247 | 7.624 | 7.624 | 0.000 | 0.000 | 0.000 |
| 7.624 | 12.247 | 7.624 | -0.000 | 0.000 | 0.000 |
| 7.624 | 7.624 | 12.247 | -0.000 | -0.000 | 0.000 |
| 0.000 | -0.000 | -0.000 | 2.465 | 0.000 | -0.000 |
| -0.000 | 0.000 | -0.000 | -0.000 | 2.465 | 0.000 |
| -0.000 | -0.000 | 0.000 | -0.000 | 0.000 | 2.465 |
| 12.247 | 7.624 | 7.624 | -0.000 | -0.000 | -0.000 |
| 7.624 | 12.247 | 7.624 | -0.000 | -0.000 | -0.000 |
| 7.624 | 7.624 | 12.247 | 0.000 | 0.000 | -0.000 |
| -0.000 | 0.000 | 0.000 | 2.465 | -0.000 | 0.000 |
| 0.000 | -0.000 | 0.000 | 0.000 | 2.465 | -0.000 |
| 0.000 | 0.000 | -0.000 | 0.000 | 0.000 | 2.465 |
| 12.247 | 7.624 | 7.624 | 0.000 | 0.000 | 0.000 |
| 7.624 | 12.247 | 7.624 | 0.000 | 0.000 | -0.000 |
| 7.624 | 7.624 | 12.247 | -0.000 | -0.000 | 0.000 |
| 0.000 | -0.000 | -0.000 | 2.465 | 0.000 | -0.000 |
| -0.000 | 0.000 | -0.000 | -0.000 | 2.465 | -0.000 |
| -0.000 | -0.000 | 0.000 | 0.000 | -0.000 | 2.465 |
| 12.247 | 7.624 | 7.624 | -0.000 | -0.000 | -0.000 |
| 7.624 | 12.247 | 7.624 | -0.000 | 0.000 | -0.000 |
| 7.624 | 7.624 | 12.247 | -0.000 | 0.000 | -0.000 |
| -0.000 | 0.000 | 0.000 | 2.465 | -0.000 | -0.000 |
| 0.000 | -0.000 | 0.000 | 0.000 | 2.465 | -0.000 |
| 0.000 | 0.000 | -0.000 | -0.000 | -0.000 | 2.465 |
| 7.203 | 5.805 | 5.805 | -0.000 | 0.000 | -0.000 |
| 5.805 | 7.203 | 5.805 | -0.000 | 0.000 | 0.000 |
| 5.805 | 5.805 | 7.203 | -0.000 | 0.000 | -0.000 |
| -0.000 | -0.000 | 0.000 | 5.839 | 0.000 | 0.000 |
| -0.000 | -0.000 | 0.000 | 0.000 | 5.839 | -0.000 |
| -0.000 | 0.000 | -0.000 | -0.000 | -0.000 | 5.839 |
| 7.203 | 5.805 | 5.805 | 0.000 | -0.000 | -0.000 |
| 5.805 | 7.203 | 5.805 | -0.000 | -0.000 | -0.000 |
| 5.805 | 5.805 | 7.203 | -0.000 | -0.000 | -0.000 |
| 0.000 | 0.000 | -0.000 | 5.839 | -0.000 | 0.000 |
| 0.000 | 0.000 | -0.000 | -0.000 | 5.839 | 0.000 |
| 0.000 | -0.000 | 0.000 | 0.000 | 0.000 | 5.839 |
| 7.203 | 5.805 | 5.805 | -0.000 | -0.000 | -0.000 |
| 5.805 | 7.203 | 5.805 | -0.000 | -0.000 | 0.000 |
| 5.805 | 5.805 | 7.203 | 0.000 | 0.000 | -0.000 |
| -0.000 | 0.000 | 0.000 | 5.839 | 0.000 | 0.000 |
| 0.000 | -0.000 | 0.000 | -0.000 | 5.839 | -0.000 |
| 0.000 | 0.000 | -0.000 | -0.000 | 0.000 | 5.839 |
| 7.203 | 5.805 | 5.805 | 0.000 | 0.000 | 0.000 |
| 5.805 | 7.203 | 5.805 | 0.000 | -0.000 | 0.000 |
| 5.805 | 5.805 | 7.203 | 0.000 | -0.000 | 0.000 |
| 0.000 | -0.000 | -0.000 | 5.839 | -0.000 | 0.000 |
| -0.000 | 0.000 | -0.000 | 0.000 | 5.839 | 0.000 |
| -0.000 | -0.000 | 0.000 | 0.000 | 0.000 | 5.839 |
| 7.203 | 5.805 | 5.805 | -0.000 | -0.000 | -0.000 |
| 5.805 | 7.203 | 5.805 | -0.000 | 0.000 | 0.000 |
| 5.805 | 5.805 | 7.203 | 0.000 | 0.000 | 0.000 |
| -0.000 | 0.000 | 0.000 | 5.839 | 0.000 | 0.000 |
| 0.000 | -0.000 | 0.000 | 0.000 | 5.839 | -0.000 |
| 0.000 | 0.000 | -0.000 | -0.000 | -0.000 | 5.839 |
| 7.203 | 5.805 | 5.805 | 0.000 | 0.000 | 0.000 |
| 5.805 | 7.203 | 5.805 | 0.000 | -0.000 | 0.000 |
| 5.805 | 5.805 | 7.203 | -0.000 | -0.000 | -0.000 |
| 0.000 | -0.000 | -0.000 | 5.839 | -0.000 | -0.000 |
| -0.000 | 0.000 | -0.000 | -0.000 | 5.839 | 0.000 |
| -0.000 | -0.000 | 0.000 | 0.000 | 0.000 | 5.839 |
| 23.059 | 2.118 | 2.118 | -0.000 | 0.000 | -0.000 |
| 2.118 | 23.059 | 2.118 | 0.000 | 0.000 | 0.000 |
| 2.118 | 2.118 | 23.059 | 0.000 | -0.000 | -0.000 |
| 0.000 | 0.000 | -0.000 | 1.456 | -0.000 | -0.000 |
| 0.000 | 0.000 | -0.000 | -0.000 | 1.456 | 0.000 |
| 0.000 | 0.000 | 0.000 | 0.000 | 0.000 | 1.456 |
| 23.059 | 2.118 | 2.118 | -0.000 | 0.000 | -0.000 |
| 2.118 | 23.059 | 2.118 | 0.000 | -0.000 | -0.000 |
| 2.118 | 2.118 | 23.059 | -0.000 | -0.000 | -0.000 |
| -0.000 | -0.000 | 0.000 | 1.456 | 0.000 | -0.000 |
| -0.000 | -0.000 | 0.000 | 0.000 | 1.456 | -0.000 |
| -0.000 | -0.000 | -0.000 | -0.000 | -0.000 | 1.456 |
| 23.059 | 2.118 | 2.118 | 0.000 | 0.000 | 0.000 |
| 2.118 | 23.059 | 2.118 | 0.000 | 0.000 | 0.000 |
| 2.118 | 2.118 | 23.059 | 0.000 | 0.000 | 0.000 |
| 0.000 | -0.000 | -0.000 | -12.793 | 0.000 | 0.000 |
| -0.000 | 0.000 | -0.000 | -0.000 | -12.793 | -0.000 |
| -0.000 | -0.000 | 0.000 | -0.000 | -0.000 | -12.793 |
| 23.059 | 2.118 | 2.118 | -0.000 | -0.000 | -0.000 |
| 2.118 | 23.059 | 2.118 | -0.000 | 0.000 | -0.000 |
| 2.118 | 2.118 | 23.059 | -0.000 | -0.000 | -0.000 |
| -0.000 | 0.000 | 0.000 | -12.793 | -0.000 | 0.000 |
| 0.000 | -0.000 | 0.000 | 0.000 | -12.793 | -0.000 |
| 0.000 | 0.000 | -0.000 | 0.000 | 0.000 | -12.793 |
| 23.059 | 2.118 | 2.118 | 0.000 | 0.000 | 0.000 |
| 2.118 | 23.059 | 2.118 | 0.000 | 0.000 | 0.000 |
| 2.118 | 2.118 | 23.059 | 0.000 | 0.000 | 0.000 |
| -1364216.558 | -1275041.378 | -1255956.892 | -5903.872 | 12337.571 | -20243.659 |
| -1254163.121 | -1368360.786 | -1285332.786 | -11582.282 | 4042.940 | -1795.635 |
| -1264641.324 | -1224370.703 | -1434020.998 | -3297.019 | 150.369 | -6299.774 |
| 23.059 | 2.118 | 2.118 | -0.000 | -0.000 | -0.000 |
| 2.118 | 23.059 | 2.118 | 0.000 | 0.000 | -0.000 |
| 2.118 | 2.118 | 23.059 | 0.000 | 0.000 | 0.000 |
| 1446859.287 | 1265949.326 | 1332053.288 | -11299.942 | -2728.761 | -4373.465 |
| 1246119.074 | 1373053.179 | 1249452.951 | 21236.622 | 5009.905 | -25046.305 |
| 1299010.670 | 1301028.000 | 1408909.876 | 10047.306 | -4721.238 | -23529.227 |
| 12.578 | 7.853 | 7.853 | 0.000 | -0.000 | -0.000 |
| 7.853 | 12.578 | 7.853 | -0.000 | -0.000 | -0.000 |
| 7.853 | 7.853 | 12.578 | 0.000 | -0.000 | -0.000 |
| 0.000 | 0.000 | 0.000 | -17.466 | -0.000 | -0.000 |
| 0.000 | 0.000 | 0.000 | 0.000 | -17.466 | -0.000 |
| 0.000 | -0.000 | 0.000 | 0.000 | -0.000 | -17.466 |
| 12.578 | 7.853 | 7.853 | -0.000 | 0.000 | 0.000 |
| 7.853 | 12.578 | 7.853 | -0.000 | 0.000 | 0.000 |
| 7.853 | 7.853 | 12.578 | -0.000 | 0.000 | 0.000 |
| -0.000 | -0.000 | -0.000 | -17.466 | 0.000 | 0.000 |
| -0.000 | -0.000 | -0.000 | -0.000 | -17.466 | 0.000 |
| -0.000 | 0.000 | -0.000 | -0.000 | 0.000 | -17.466 |
| 12.578 | 7.853 | 7.853 | -0.000 | -0.000 | -0.000 |
| 7.853 | 12.578 | 7.853 | 0.000 | -0.000 | -0.000 |
| 7.853 | 7.853 | 12.578 | -0.000 | -0.000 | -0.000 |
| 0.000 | -0.000 | -0.000 | -17.466 | -0.000 | -0.000 |
| -0.000 | 0.000 | -0.000 | -0.000 | -17.466 | -0.000 |
| -0.000 | -0.000 | 0.000 | 0.000 | -0.000 | -17.466 |
| 12.578 | 7.853 | 7.853 | 0.000 | 0.000 | 0.000 |
| 7.853 | 12.578 | 7.853 | 0.000 | 0.000 | 0.000 |
| 7.853 | 7.853 | 12.578 | -0.000 | 0.000 | 0.000 |
| -0.000 | 0.000 | 0.000 | -17.466 | 0.000 | 0.000 |
| 0.000 | -0.000 | 0.000 | -0.000 | -17.466 | 0.000 |
| 0.000 | 0.000 | -0.000 | -0.000 | 0.000 | -17.466 |
| 12.578 | 7.853 | 7.853 | -0.000 | -0.000 | -0.000 |
| 7.853 | 12.578 | 7.853 | -0.000 | -0.000 | -0.000 |
| 7.853 | 7.853 | 12.578 | -0.000 | -0.000 | -0.000 |
| 0.000 | -0.000 | -0.000 | -17.466 | -0.000 | -0.000 |
| -0.000 | 0.000 | -0.000 | -0.000 | -17.466 | -0.000 |
| -0.000 | -0.000 | 0.000 | -0.000 | -0.000 | -17.466 |
| 12.578 | 7.853 | 7.853 | 0.000 | 0.000 | 0.000 |
| 7.853 | 12.578 | 7.853 | 0.000 | 0.000 | 0.000 |
| 7.853 | 7.853 | 12.578 | -0.000 | 0.000 | 0.000 |
| -0.000 | 0.000 | 0.000 | -17.466 | 0.000 | 0.000 |
| 0.000 | -0.000 | 0.000 | -0.000 | -17.466 | 0.000 |
| 0.000 | 0.000 | -0.000 | -0.000 | 0.000 | -17.466 |
| 0.983 | 10.452 | 10.452 | -0.000 | -0.000 | 0.000 |
| 10.452 | 0.983 | 10.452 | -0.000 | -0.000 | 0.000 |
| 10.452 | 10.452 | 0.983 | -0.000 | -0.000 | 0.000 |
| 0.000 | 0.000 | 0.000 | 10.361 | -0.000 | 0.000 |
| 0.000 | 0.000 | 0.000 | -0.000 | 10.361 | 0.000 |
| 0.000 | 0.000 | 0.000 | -0.000 | -0.000 | 10.361 |
| 0.983 | 10.452 | 10.452 | 0.000 | 0.000 | -0.000 |
| 10.452 | 0.983 | 10.452 | 0.000 | 0.000 | 0.000 |
| 10.452 | 10.452 | 0.983 | 0.000 | 0.000 | -0.000 |
| -0.000 | -0.000 | -0.000 | 10.361 | 0.000 | 0.000 |
| -0.000 | -0.000 | -0.000 | 0.000 | 10.361 | 0.000 |
| -0.000 | -0.000 | -0.000 | 0.000 | 0.000 | 10.361 |
| 0.983 | 10.452 | 10.452 | -0.000 | -0.000 | -0.000 |
| 10.452 | 0.983 | 10.452 | -0.000 | -0.000 | 0.000 |
| 10.452 | 10.452 | 0.983 | -0.000 | -0.000 | -0.000 |
| -0.000 | 0.000 | 0.000 | 10.361 | 0.000 | -0.000 |
| 0.000 | -0.000 | 0.000 | -0.000 | 10.361 | 0.000 |
| 0.000 | 0.000 | -0.000 | -0.000 | -0.000 | 10.361 |
| 0.983 | 10.452 | 10.452 | 0.000 | 0.000 | 0.000 |
| 10.452 | 0.983 | 10.452 | 0.000 | 0.000 | -0.000 |
| 10.452 | 10.452 | 0.983 | 0.000 | 0.000 | 0.000 |
| 0.000 | -0.000 | -0.000 | 10.361 | -0.000 | -0.000 |
| -0.000 | 0.000 | -0.000 | 0.000 | 10.361 | -0.000 |
| -0.000 | -0.000 | 0.000 | 0.000 | 0.000 | 10.361 |
| 0.983 | 10.452 | 10.452 | -0.000 | -0.000 | 0.000 |
| 10.452 | 0.983 | 10.452 | -0.000 | -0.000 | -0.000 |
| 10.452 | 10.452 | 0.983 | -0.000 | -0.000 | -0.000 |
| -0.000 | 0.000 | 0.000 | 10.361 | 0.000 | 0.000 |
| 0.000 | -0.000 | 0.000 | -0.000 | 10.361 | -0.000 |
| 0.000 | 0.000 | -0.000 | -0.000 | -0.000 | 10.361 |
| 0.983 | 10.452 | 10.452 | 0.000 | 0.000 | -0.000 |
| 10.452 | 0.983 | 10.452 | 0.000 | 0.000 | 0.000 |
| 10.452 | 10.452 | 0.983 | 0.000 | 0.000 | 0.000 |
| 0.000 | -0.000 | -0.000 | 10.361 | -0.000 | 0.000 |
| -0.000 | 0.000 | -0.000 | 0.000 | 10.361 | -0.000 |
| -0.000 | -0.000 | 0.000 | 0.000 | 0.000 | 10.361 |
| 32.757 | 2.768 | 2.768 | 0.000 | 0.000 | 0.000 |
| 2.768 | 32.757 | 2.768 | 0.000 | 0.000 | 0.000 |
| 2.768 | 2.768 | 32.757 | 0.000 | 0.000 | 0.000 |
| 0.000 | -0.000 | -0.000 | -134.988 | 0.000 | 0.000 |
| -0.000 | -0.000 | 0.000 | 0.000 | -134.988 | 0.000 |
| -0.000 | -0.000 | 0.000 | 0.000 | 0.000 | -134.988 |
| 32.757 | 2.768 | 2.768 | -0.000 | -0.000 | -0.000 |
| 2.768 | 32.757 | 2.768 | -0.000 | -0.000 | -0.000 |
| 2.768 | 2.768 | 32.757 | 0.000 | -0.000 | -0.000 |
| -0.000 | 0.000 | 0.000 | -134.988 | -0.000 | 0.000 |
| 0.000 | 0.000 | -0.000 | -0.000 | -134.988 | -0.000 |
| 0.000 | 0.000 | -0.000 | -0.000 | -0.000 | -134.988 |
| 32.757 | 2.768 | 2.768 | 0.000 | 0.000 | 0.000 |
| 2.768 | 32.757 | 2.768 | 0.000 | 0.000 | 0.000 |
| 2.768 | 2.768 | 32.757 | 0.000 | 0.000 | 0.000 |
| 9368849.986 | 9392463.114 | 9179812.495 | 88081.728 | 189071.826 | -233438.626 |
| 8575307.852 | 9092862.861 | 8048979.168 | 86136.523 | 51525.878 | 41742.227 |
| 8227899.171 | 9312821.460 | 8964755.056 | 66938.831 | 149464.981 | 66379.551 |
| 32.757 | 2.768 | 2.768 | -0.000 | -0.000 | -0.000 |
| 2.768 | 32.757 | 2.768 | -0.000 | -0.000 | -0.000 |
| 2.768 | 2.768 | 32.757 | -0.000 | -0.000 | -0.000 |
| -9044571.466 | -7439118.908 | -8952107.727 | 207744.212 | -257780.898 | -381519.601 |
| -9152189.560 | -8947422.632 | -8366718.534 | -91080.382 | 325332.283 | -8028.483 |
| -7828701.790 | -8424979.392 | -9537647.142 | -241177.416 | -40539.060 | 89891.104 |
| 32.757 | 2.768 | 2.768 | 0.000 | 0.000 | 0.000 |
| 2.768 | 32.757 | 2.768 | 0.000 | 0.000 | 0.000 |
| 2.768 | 2.768 | 32.757 | 0.000 | 0.000 | 0.000 |
| 1000677.931 | 915052.975 | 867206.893 | 70279.264 | 31788.957 | -4364.506 |
| 905746.207 | 906961.577 | 918504.746 | 1590.776 | 35858.780 | 293.201 |
| 912400.876 | 820288.590 | 876946.379 | -35654.392 | -24439.263 | -16314.287 |
| 32.757 | 2.768 | 2.768 | -0.000 | -0.000 | -0.000 |
| 2.768 | 32.757 | 2.768 | -0.000 | 0.000 | -0.000 |
| 2.768 | 2.768 | 32.757 | -0.000 | -0.000 | -0.000 |
| -909523.747 | -778208.368 | -817649.472 | 31229.593 | 12607.807 | 12444.558 |
| -844551.533 | -922467.515 | -863286.353 | 45598.005 | 5001.136 | -5500.085 |
| -814304.942 | -813409.467 | -932038.726 | 33381.255 | 22937.650 | 56383.818 |
| 8.240 | 10.225 | 10.225 | 0.000 | 0.000 | 0.000 |
| 10.225 | 8.240 | 10.225 | 0.000 | -0.000 | 0.000 |
| 10.225 | 10.225 | 8.240 | 0.000 | 0.000 | 0.000 |
| 0.000 | -0.000 | -0.000 | -41.256 | 0.000 | 0.000 |
| -0.000 | 0.000 | -0.000 | 0.000 | -41.256 | 0.000 |
| -0.000 | -0.000 | 0.000 | 0.000 | 0.000 | -41.256 |
| 8.240 | 10.225 | 10.225 | -0.000 | 0.000 | -0.000 |
| 10.225 | 8.240 | 10.225 | -0.000 | -0.000 | -0.000 |
| 10.225 | 10.225 | 8.240 | -0.000 | -0.000 | -0.000 |
| -0.000 | 0.000 | 0.000 | -41.256 | -0.000 | -0.000 |
| 0.000 | 0.000 | 0.000 | -0.000 | -41.256 | -0.000 |
| 0.000 | 0.000 | 0.000 | -0.000 | -0.000 | -41.256 |
| 8.240 | 10.225 | 10.225 | 0.000 | 0.000 | 0.000 |
| 10.225 | 8.240 | 10.225 | 0.000 | 0.000 | 0.000 |
| 10.225 | 10.225 | 8.240 | -0.000 | -0.000 | 0.000 |
| 0.000 | -0.000 | -0.000 | -41.256 | 0.000 | 0.000 |
| -0.000 | 0.000 | -0.000 | 0.000 | -41.256 | 0.000 |
| -0.000 | -0.000 | 0.000 | -0.000 | 0.000 | -41.256 |
| 8.240 | 10.225 | 10.225 | -0.000 | -0.000 | -0.000 |
| 10.225 | 8.240 | 10.225 | -0.000 | 0.000 | -0.000 |
| 10.225 | 10.225 | 8.240 | -0.000 | 0.000 | -0.000 |
| -0.000 | 0.000 | 0.000 | -41.256 | -0.000 | -0.000 |
| 0.000 | -0.000 | 0.000 | -0.000 | -41.256 | -0.000 |
| 0.000 | 0.000 | -0.000 | -0.000 | -0.000 | -41.256 |
| 8.240 | 10.225 | 10.225 | -0.000 | -0.000 | 0.000 |
| 10.225 | 8.240 | 10.225 | -0.000 | -0.000 | 0.000 |
| 10.225 | 10.225 | 8.240 | 0.000 | 0.000 | 0.000 |
| 0.000 | -0.000 | -0.000 | -41.256 | 0.000 | 0.000 |
| -0.000 | 0.000 | -0.000 | 0.000 | -41.256 | 0.000 |
| -0.000 | -0.000 | 0.000 | 0.000 | 0.000 | -41.256 |
| 8.240 | 10.225 | 10.225 | 0.000 | -0.000 | -0.000 |
| 10.225 | 8.240 | 10.225 | -0.000 | -0.000 | 0.000 |
| 10.225 | 10.225 | 8.240 | -0.000 | -0.000 | -0.000 |
| -0.000 | 0.000 | 0.000 | -41.256 | 0.000 | -0.000 |
| 0.000 | -0.000 | 0.000 | -0.000 | -41.256 | -0.000 |
| 0.000 | 0.000 | -0.000 | -0.000 | -0.000 | -41.256 |
| 26.165 | 19.511 | 19.511 | -0.000 | -0.000 | -0.000 |
| 19.511 | 26.165 | 19.511 | 0.000 | 0.000 | -0.000 |
| 19.511 | 19.511 | 26.165 | 0.000 | 0.000 | -0.000 |
| 0.000 | 0.000 | -0.000 | 18.269 | 0.000 | -0.000 |
| 0.000 | -0.000 | 0.000 | 0.000 | 18.269 | 0.000 |
| 0.000 | 0.000 | 0.000 | -0.000 | 0.000 | 18.269 |
| 26.165 | 19.511 | 19.511 | -0.000 | 0.000 | -0.000 |
| 19.511 | 26.165 | 19.511 | -0.000 | -0.000 | 0.000 |
| 19.511 | 19.511 | 26.165 | 0.000 | -0.000 | 0.000 |
| -0.000 | -0.000 | -0.000 | 18.269 | -0.000 | -0.000 |
| -0.000 | 0.000 | -0.000 | 0.000 | 18.269 | -0.000 |
| -0.000 | -0.000 | -0.000 | -0.000 | -0.000 | 18.269 |
| 26.165 | 19.511 | 19.511 | 0.000 | -0.000 | 0.000 |
| 19.511 | 26.165 | 19.511 | 0.000 | 0.000 | 0.000 |
| 19.511 | 19.511 | 26.165 | 0.000 | -0.000 | 0.000 |
| -0.000 | 0.000 | 0.000 | 18.269 | 0.000 | 0.000 |
| 0.000 | -0.000 | 0.000 | 0.000 | 18.269 | -0.000 |
| 0.000 | 0.000 | -0.000 | 0.000 | 0.000 | 18.269 |
| 26.165 | 19.511 | 19.511 | -0.000 | -0.000 | 0.000 |
| 19.511 | 26.165 | 19.511 | 0.000 | 0.000 | 0.000 |
| 19.511 | 19.511 | 26.165 | -0.000 | -0.000 | 0.000 |
| 0.000 | -0.000 | -0.000 | 18.269 | -0.000 | 0.000 |
| -0.000 | 0.000 | -0.000 | -0.000 | 18.269 | 0.000 |
| -0.000 | -0.000 | 0.000 | 0.000 | -0.000 | 18.269 |
| 26.165 | 19.512 | 19.512 | -0.000 | 0.000 | -0.000 |
| 19.512 | 26.165 | 19.512 | -0.000 | -0.000 | -0.000 |
| 19.512 | 19.512 | 26.165 | -0.000 | 0.000 | 0.000 |
| -0.000 | 0.000 | 0.000 | 18.269 | 0.000 | -0.000 |
| 0.000 | -0.000 | 0.000 | -0.000 | 18.269 | 0.000 |
| 0.000 | 0.000 | -0.000 | -0.000 | 0.000 | 18.269 |
| 26.164 | 19.511 | 19.511 | -0.000 | -0.000 | 0.000 |
| 19.511 | 26.164 | 19.511 | -0.000 | -0.000 | 0.000 |
| 19.511 | 19.511 | 26.164 | -0.000 | 0.000 | 0.000 |
| 0.000 | -0.000 | -0.000 | 18.269 | 0.000 | -0.000 |
| -0.000 | 0.000 | -0.000 | 0.000 | 18.269 | -0.000 |
| -0.000 | -0.000 | 0.000 | -0.000 | -0.000 | 18.269 |
| 33.169 | 27.286 | 9.802 | 0.000 | 0.000 | -0.000 |
| 27.286 | 33.169 | 9.802 | 0.000 | 0.000 | 0.000 |
| 9.802 | 9.802 | 15.969 | 0.000 | -0.000 | -0.000 |
| 0.000 | 0.000 | 0.000 | 2.329 | 0.000 | 0.000 |
| 0.000 | 0.000 | 0.000 | 0.000 | 2.329 | -0.000 |
| 0.000 | -0.000 | 0.000 | 0.000 | 0.000 | 26.184 |
| -212232772.455 | -200930500.688 | -215445562.412 | -1695329.364 | -2527667.703 | 3911737.568 |
| -204769048.328 | -213802359.027 | -222125916.997 | 5573752.645 | 6346721.297 | 4941256.610 |
| 9.802 | 9.802 | 15.969 | -0.000 | 0.000 | 0.000 |
| -0.000 | -0.000 | -0.000 | 2.329 | -0.000 | 0.000 |
| -0.000 | -0.000 | -0.000 | -0.000 | 2.329 | -0.000 |
| -0.000 | -0.000 | -0.000 | -0.000 | -0.000 | 26.184 |
| 19175016.369 | 20652917.393 | 22518877.234 | 220114.515 | 601236.555 | -167673.602 |
| 21042256.073 | 19933915.177 | 22976385.454 | -297514.475 | -46641.268 | 480835.832 |
| 9.802 | 9.802 | 15.969 | 0.000 | 0.000 | -0.000 |
| 0.000 | 0.000 | 0.000 | 2.329 | 0.000 | -0.000 |
| 0.000 | 0.000 | 0.000 | 0.000 | 2.329 | 0.000 |
| 0.000 | 0.000 | -0.000 | 0.000 | 0.000 | 26.184 |
| -20979125.862 | -20182010.136 | -22322600.766 | -440200.253 | 328516.086 | 145152.691 |
| -20404009.416 | -21490930.326 | -22424655.084 | 531665.216 | -121928.639 | 14347.750 |
| 9.802 | 9.802 | 15.969 | -0.000 | -0.000 | 0.000 |
| -0.000 | -0.000 | -0.000 | 2.329 | -0.000 | -0.000 |
| -0.000 | -0.000 | -0.000 | -0.000 | 2.329 | -0.000 |
| -0.000 | -0.000 | 0.000 | -0.000 | -0.000 | 26.184 |
| 2033072.029 | 2110924.568 | 2275966.087 | 17562.410 | -41450.165 | -58602.332 |
| 2073363.254 | 2089295.107 | 2158130.251 | -52909.748 | -45754.596 | 27576.005 |
| 9.802 | 9.802 | 15.969 | 0.000 | 0.000 | -0.000 |
| 0.000 | 0.000 | 0.000 | 2.329 | 0.000 | -0.000 |
| 0.000 | 0.000 | 0.000 | 0.000 | 2.329 | 0.000 |
| 0.000 | 0.000 | -0.000 | 0.000 | 0.000 | 26.184 |
| -2119176.745 | -2101365.442 | -2230308.206 | 26029.919 | -1716.278 | 692.963 |
| -2039970.177 | -2105951.288 | -2247313.600 | 52178.972 | -21863.617 | -18581.214 |
| 9.802 | 9.802 | 15.969 | -0.000 | 0.000 | 0.000 |
| -0.000 | -0.000 | -0.000 | 2.329 | -0.000 | -0.000 |
| -0.000 | -0.000 | -0.000 | -0.000 | 2.329 | 0.000 |
| -0.000 | -0.000 | 0.000 | -0.000 | 0.000 | 26.184 |
| 203.464 | -108.905 | 40.303 | 0.000 | -0.000 | -98.317 |
| -108.905 | 203.464 | 40.303 | -0.000 | -0.000 | 98.317 |
| -182.064 | -182.064 | 561.337 | 0.000 | -0.000 | -0.000 |
| -202.976 | -202.976 | 19.254 | 23.988 | 0.000 | -0.000 |
| -202.976 | -202.976 | 19.254 | -0.000 | 23.988 | -0.000 |
| -112.693 | 78.790 | 95.738 | -0.000 | 0.000 | 97.274 |
| 648.890 | 330.794 | 83.122 | -0.000 | 0.000 | -100.637 |
| 330.794 | 648.890 | 83.122 | 0.000 | 0.000 | 100.637 |
| 223.788 | 223.788 | 522.714 | -0.000 | 0.000 | 0.000 |
| 202.976 | 202.976 | -19.254 | 23.988 | 0.000 | 0.000 |
| 202.976 | 202.976 | -19.254 | -0.000 | 23.988 | 0.000 |
| -78.790 | 112.693 | -95.738 | 0.000 | -0.000 | 97.274 |
| 394.649 | 76.557 | 19.516 | 0.000 | -0.000 | -100.636 |
| 76.557 | 394.649 | 19.516 | 0.000 | -0.000 | 100.636 |
| 0.877 | 0.877 | 544.129 | 0.000 | 0.000 | -0.000 |
| -20.466 | -20.466 | 1.555 | 23.936 | 0.000 | 0.000 |
| -20.466 | -20.466 | 1.555 | -0.000 | 23.936 | -0.000 |
| -97.299 | 94.151 | 9.625 | -0.000 | 0.000 | 97.258 |
| 441.035 | 123.016 | 31.125 | -0.000 | 0.000 | -100.618 |
| 123.016 | 441.035 | 31.125 | -0.000 | 0.000 | 100.618 |
| 32.442 | 32.442 | 535.869 | -0.000 | 0.000 | 0.000 |
| 20.466 | 20.466 | -1.555 | 23.936 | 0.000 | -0.000 |
| 20.466 | 20.466 | -1.555 | -0.000 | 23.936 | 0.000 |
| -94.151 | 97.299 | -9.625 | 0.000 | -0.000 | 97.258 |
| 411.781 | 95.577 | 23.906 | -0.000 | -0.000 | -100.163 |
| 95.577 | 411.781 | 23.906 | -0.000 | -0.000 | 100.163 |
| 18.972 | 18.972 | 542.957 | 0.000 | -0.000 | -0.000 |
| -2.253 | -2.253 | -0.298 | 23.304 | 0.000 | 0.000 |
| -2.253 | -2.253 | -0.298 | -0.000 | 23.304 | -0.000 |
| -100.191 | 95.740 | 0.189 | -0.000 | 0.000 | 99.171 |
| 396.152 | 90.643 | 18.304 | 0.000 | -0.000 | -95.763 |
| 90.643 | 396.152 | 18.304 | 0.000 | -0.000 | 95.763 |
| 20.471 | 20.471 | 540.833 | -0.000 | -0.000 | 0.000 |
| 2.253 | 2.253 | 0.298 | 23.304 | 0.000 | -0.000 |
| 2.253 | 2.253 | 0.298 | -0.000 | 23.304 | 0.000 |
| -95.739 | 100.191 | -0.189 | 0.000 | 0.000 | 99.172 |
| 138.512 | 40.106 | 55.105 | -0.000 | 0.000 | -0.000 |
| 40.105 | 138.512 | 55.105 | -0.000 | -0.000 | -0.000 |
| 55.106 | 55.106 | 129.951 | -0.000 | -0.000 | 0.000 |
| -0.000 | -0.000 | 0.000 | 48.381 | -0.000 | -0.000 |
| -0.000 | -0.000 | 0.000 | 0.000 | 48.381 | 0.000 |
| -0.000 | -0.000 | 0.000 | -0.000 | -0.000 | 33.399 |
| 138.512 | 40.105 | 55.105 | 0.000 | 0.000 | 0.000 |
| 40.105 | 138.512 | 55.105 | 0.000 | 0.000 | 0.000 |
| 55.106 | 55.106 | 129.950 | -0.000 | -0.000 | 0.000 |
| 0.000 | 0.000 | -0.000 | 48.381 | 0.000 | -0.000 |
| 0.000 | 0.000 | -0.000 | -0.000 | 48.381 | -0.000 |
| 0.000 | 0.000 | -0.000 | 0.000 | 0.000 | 33.399 |
| 138.512 | 40.106 | 55.106 | -0.000 | -0.000 | -0.000 |
| 40.106 | 138.512 | 55.106 | -0.000 | -0.000 | -0.000 |
| 55.067 | 55.067 | 125.212 | -0.000 | -0.000 | 0.000 |
| -0.000 | -0.000 | 0.000 | 48.381 | 0.000 | 0.000 |
| -0.000 | -0.000 | 0.000 | -0.000 | 48.381 | 0.000 |
| 0.000 | 0.000 | 0.000 | -0.000 | 0.000 | 33.399 |
| 138.512 | 40.105 | 55.105 | -0.000 | -0.000 | -0.000 |
| 40.105 | 138.512 | 55.105 | 0.000 | -0.000 | 0.000 |
| 55.067 | 55.067 | 125.212 | -0.000 | 0.000 | 0.000 |
| 0.000 | 0.000 | -0.000 | 48.381 | 0.000 | -0.000 |
| 0.000 | 0.000 | -0.000 | -0.000 | 48.381 | -0.000 |
| -0.000 | -0.000 | -0.000 | 0.000 | -0.000 | 33.399 |
| 138.488 | 40.081 | 55.089 | 0.000 | -0.000 | 0.000 |
| 40.081 | 138.488 | 55.089 | -0.000 | 0.000 | 0.000 |
| 55.106 | 55.106 | 129.951 | -0.000 | -0.000 | 0.000 |
| 0.000 | -0.000 | 0.000 | 48.381 | 0.000 | 0.000 |
| -0.000 | 0.000 | 0.000 | -0.000 | 48.381 | 0.000 |
| 0.000 | 0.000 | 0.000 | 0.000 | 0.000 | 33.399 |
| 138.511 | 40.105 | 55.105 | 0.000 | 0.000 | -0.000 |
| 40.105 | 138.511 | 55.105 | 0.000 | 0.000 | -0.000 |
| 55.105 | 55.105 | 129.950 | 0.000 | 0.000 | -0.000 |
| -0.000 | 0.000 | -0.000 | 48.381 | -0.000 | -0.000 |
| 0.000 | -0.000 | -0.000 | 0.000 | 48.381 | -0.000 |
| -0.000 | -0.000 | -0.000 | -0.000 | -0.000 | 33.399 |
| 137.412 | 40.750 | 66.975 | 0.000 | 0.000 | 0.000 |
| 40.750 | 137.412 | 66.975 | 0.000 | 0.000 | 0.000 |
| 54.955 | 54.955 | 132.016 | -0.000 | 0.000 | -0.000 |
| 0.161 | 0.161 | 8.949 | 47.928 | 0.000 | 0.000 |
| 0.161 | 0.161 | 8.949 | 0.000 | 47.928 | 0.000 |
| 0.428 | 0.428 | 11.065 | 0.000 | 0.000 | 33.653 |
| 136.606 | 39.944 | 43.793 | -0.000 | 0.000 | -0.000 |
| 39.944 | 136.606 | 43.793 | -0.000 | -0.000 | -0.000 |
| 54.955 | 54.955 | 132.016 | 0.000 | -0.000 | -0.000 |
| -0.161 | -0.161 | -8.949 | 47.928 | -0.000 | 0.000 |
| -0.161 | -0.161 | -8.949 | -0.000 | 47.928 | -0.000 |
| -0.428 | -0.428 | -11.065 | -0.000 | -0.000 | 33.653 |
| 137.077 | 40.415 | 55.176 | 0.000 | 0.000 | 0.000 |
| 40.415 | 137.077 | 55.176 | 0.000 | -0.000 | 0.000 |
| 54.955 | 54.955 | 132.016 | 0.000 | 0.000 | 0.000 |
| 0.016 | 0.016 | 0.875 | 47.930 | -0.000 | 0.000 |
| 0.016 | 0.016 | 0.875 | -0.000 | 47.930 | 0.000 |
| 0.016 | 0.016 | 0.895 | 0.000 | 0.000 | 33.653 |
| 137.009 | 40.347 | 53.922 | -0.000 | -0.000 | 0.000 |
| 40.347 | 137.009 | 53.922 | -0.000 | -0.000 | 0.000 |
| 54.669 | 54.669 | 126.289 | 0.000 | -0.000 | -0.000 |
| -0.016 | -0.016 | -0.875 | 47.930 | -0.000 | -0.000 |
| -0.016 | -0.016 | -0.875 | -0.000 | 47.930 | -0.000 |
| -0.016 | -0.016 | -0.895 | -0.000 | -0.000 | 33.653 |
| 137.050 | 40.388 | 55.091 | 0.000 | 0.000 | -0.000 |
| 40.388 | 137.050 | 55.091 | 0.000 | -0.000 | -0.000 |
| 54.618 | 54.618 | 126.924 | 0.000 | -0.000 | 0.000 |
| 0.001 | 0.001 | 0.076 | 47.936 | 0.000 | 0.000 |
| 0.001 | 0.001 | 0.076 | 0.000 | 47.936 | 0.000 |
| 0.000 | 0.000 | 0.000 | 0.000 | 0.000 | 33.653 |
| 137.077 | 40.415 | 55.176 | -0.000 | -0.000 | -0.000 |
| 40.415 | 137.077 | 55.176 | -0.000 | 0.000 | 0.000 |
| 54.675 | 54.675 | 127.061 | -0.000 | -0.000 | -0.000 |
| -0.001 | -0.001 | -0.076 | 47.936 | -0.000 | 0.000 |
| -0.001 | -0.001 | -0.076 | -0.000 | 47.936 | -0.000 |
| -0.000 | -0.000 | -0.000 | -0.000 | -0.000 | 33.653 |
| 109.809 | 17.543 | 28.872 | -0.000 | 0.000 | 0.000 |
| 14.963 | 82.192 | 13.979 | -0.000 | -0.001 | -0.026 |
| 22.616 | 7.821 | 67.131 | -0.000 | 0.002 | 0.023 |
| 0.000 | 0.000 | 0.000 | 42.913 | -0.000 | -0.000 |
| -1.168 | -2.308 | -1.630 | -0.000 | 32.350 | 0.070 |
| -0.000 | -0.000 | 0.000 | 0.000 | -0.000 | 35.295 |
| 109.809 | 17.543 | 28.872 | -0.000 | 0.000 | -0.000 |
| 15.605 | 118.927 | 26.609 | 0.000 | 0.000 | 0.000 |
| 36.993 | 20.444 | 68.653 | 0.000 | 0.002 | 0.032 |
| 0.000 | -0.000 | -0.000 | 42.913 | 0.000 | -0.000 |
| 1.166 | 2.305 | 1.628 | 0.000 | 32.359 | -0.070 |
| 0.000 | 0.000 | -0.000 | -0.000 | -0.000 | 35.295 |
| 76.525 | 16.056 | 29.540 | 0.000 | 0.000 | 0.001 |
| 15.604 | 118.927 | 26.609 | -0.000 | -0.000 | 0.000 |
| 26.456 | 26.132 | 100.146 | -0.000 | 0.000 | -0.000 |
| -0.169 | -0.422 | 0.396 | 15.581 | 0.000 | -0.003 |
| -0.203 | -0.453 | -0.062 | 0.000 | 27.968 | -0.005 |
| -0.000 | -0.000 | -0.000 | -0.000 | -0.000 | 35.295 |
| 85.890 | 19.750 | 33.154 | 0.000 | -0.000 | -0.007 |
| 15.615 | 68.927 | 11.281 | 0.000 | -0.000 | 0.004 |
| 26.456 | 26.132 | 100.146 | 0.000 | 0.000 | 0.000 |
| 0.137 | 0.271 | 0.192 | 23.064 | -0.001 | -0.008 |
| 0.203 | 0.453 | 0.062 | -0.000 | 27.972 | 0.005 |
| 0.000 | 0.000 | 0.000 | 0.000 | 0.000 | 35.295 |
| 78.211 | 17.044 | 31.166 | 0.000 | 0.000 | 0.002 |
| 13.519 | 67.408 | 7.749 | -0.000 | -0.000 | 0.001 |
| 25.940 | 7.233 | 62.016 | -0.000 | -0.000 | 0.001 |
| -0.018 | -0.041 | 0.039 | 15.486 | -0.001 | -0.016 |
| -0.084 | -0.203 | 0.067 | -0.000 | -70.941 | -0.001 |
| -0.013 | -0.017 | -0.011 | -0.000 | 0.000 | 24.071 |
| 76.816 | 16.157 | 28.694 | 0.000 | 0.000 | -0.001 |
| 14.224 | 67.863 | 9.704 | -0.000 | -0.000 | -0.004 |
| 26.137 | 7.255 | 61.972 | -0.000 | -0.000 | -0.000 |
| 0.018 | 0.041 | -0.039 | 15.486 | 0.001 | 0.016 |
| 0.166 | 0.170 | -0.236 | -0.000 | -48.742 | -0.012 |
| 0.013 | 0.017 | 0.011 | 0.000 | -0.000 | 24.071 |
| -27178171.047 | 7866320.112 | 7419251.050 | -2729017.815 | -2135482.429 | -452618.471 |
| -27181247.506 | 7897728.566 | 7435400.209 | -2738431.470 | -2112585.583 | -443945.616 |
| -27172952.675 | 7835266.991 | 7385076.054 | -2723719.362 | -2142077.878 | -454692.814 |
| -27217998.543 | 7889194.867 | 7420529.469 | -2730799.622 | -2115017.078 | -470355.033 |
| -26418513.687 | 8301135.847 | 7726195.234 | -2943431.508 | -2010402.899 | -379014.580 |
| -26201173.126 | 8333859.017 | 7751345.516 | -3021353.503 | -1988523.737 | -385006.351 |
| 27181977.973 | -7809256.781 | -7351840.965 | 2709777.383 | 2141853.060 | 460215.698 |
| 26813067.114 | -8152382.686 | -7591561.065 | 2846584.168 | 2055191.027 | 420685.818 |
| 27180668.957 | -7852705.832 | -7400314.511 | 2718010.641 | 2137870.837 | 467031.648 |
| 27205053.655 | -7841671.529 | -7389749.021 | 2700261.447 | 2138462.241 | 465901.335 |
| 27000481.208 | -8078524.750 | -7528209.140 | 2811029.197 | 2056230.656 | 434106.811 |
| 27131070.226 | -7852576.528 | -7401025.469 | 2738078.521 | 2143398.497 | 448699.144 |
| -2717445.262 | 775565.319 | 728880.004 | -272171.263 | -214967.242 | -45549.054 |
| -2678880.205 | 815216.190 | 758146.106 | -285639.576 | -202399.883 | -43653.549 |
| -2724960.899 | 788727.399 | 741356.464 | -273059.024 | -211535.715 | -45274.793 |
| -2713103.061 | 779262.315 | 731775.238 | -272884.785 | -214653.137 | -43798.592 |
| -2687107.571 | 812720.405 | 757061.266 | -283019.028 | -205577.364 | -40771.767 |
| -2717627.587 | 793450.615 | 744643.530 | -276645.192 | -209354.161 | -44494.976 |
| 2581495.666 | -832443.701 | -772427.305 | 311544.801 | 197773.458 | 38295.061 |
| 2715563.497 | -791160.507 | -744969.852 | 277571.114 | 209423.246 | 45068.091 |
| 2716810.842 | -786073.512 | -741015.082 | 271829.796 | 213562.128 | 45971.195 |
| 2721840.388 | -791125.966 | -743358.124 | 274670.761 | 209423.807 | 44434.236 |
| 2718102.457 | -786917.528 | -741567.108 | 272598.030 | 213416.609 | 45752.048 |
| 2719058.142 | -783379.062 | -738420.867 | 272090.624 | 212916.038 | 45706.162 |
| -271946.111 | 79214.271 | 74379.526 | -27439.074 | -20960.081 | -4573.672 |
| -271393.514 | 78975.695 | 74380.038 | -27367.961 | -21339.829 | -4505.545 |
| -271646.019 | 79153.784 | 74464.543 | -27465.685 | -21027.713 | -4580.586 |
| -271751.141 | 78891.703 | 74410.430 | -27530.722 | -21107.796 | -4633.042 |
| -271459.992 | 78285.452 | 73663.429 | -27356.754 | -21337.181 | -4498.980 |
| -271639.273 | 79249.712 | 74488.534 | -27594.779 | -20905.009 | -4446.019 |
| 272001.059 | -78174.661 | -73627.369 | 27179.355 | 21331.525 | 4568.789 |
| 271381.390 | -79832.217 | -74708.901 | 27683.701 | 20715.566 | 4557.561 |
| 271950.033 | -78381.130 | -73926.035 | 27297.819 | 21381.682 | 4574.569 |
| 269804.196 | -80846.447 | -75320.699 | 28137.288 | 20581.301 | 4174.673 |
| 271489.111 | -79602.687 | -74735.423 | 27842.369 | 20971.489 | 4379.723 |
| 272072.282 | -78717.552 | -74215.655 | 27517.800 | 21107.367 | 4565.508 |
| 104.918 | 90.853 | 58.419 | -0.006 | 16.872 | -0.101 |
| 90.987 | 201.145 | 34.624 | -0.000 | -2.744 | -0.000 |
| 56.091 | 73.469 | 77.953 | -0.002 | 16.600 | -0.028 |
| 0.000 | 0.000 | 0.000 | 52.117 | 0.000 | 0.156 |
| -5.011 | -4.379 | 3.564 | -0.001 | 37.278 | -0.022 |
| -0.669 | 11.922 | -13.753 | 20.946 | 11.392 | 35.409 |
| 106.078 | 74.559 | 76.818 | 0.008 | 1.124 | 0.134 |
| 90.987 | 201.145 | 34.624 | -0.000 | -2.744 | -0.000 |
| 58.070 | 62.339 | 102.782 | 0.011 | -9.874 | 0.178 |
| -3.511 | -18.059 | 4.717 | 30.209 | -8.097 | 30.609 |
| 3.247 | -4.959 | 19.468 | 0.008 | 18.692 | 0.137 |
| 0.669 | -11.922 | 13.753 | 20.960 | -11.392 | 35.639 |
| 103.692 | 78.167 | 60.902 | -0.000 | 11.218 | -0.007 |
| 74.079 | 86.063 | 50.425 | -0.001 | 4.795 | -0.012 |
| 70.590 | 35.154 | 154.216 | 0.000 | 3.812 | 0.000 |
| 0.470 | 1.369 | -0.530 | 29.932 | 0.219 | 29.570 |
| 4.492 | 6.967 | 16.381 | -0.001 | 22.728 | -0.012 |
| 0.235 | 1.919 | -0.223 | 28.081 | 0.539 | 27.520 |
| 102.818 | 73.923 | 60.789 | 0.001 | 10.493 | 0.012 |
| 90.987 | 201.145 | 34.624 | 0.000 | -2.744 | -0.000 |
| 57.714 | 57.180 | 74.983 | 0.005 | 15.618 | 0.080 |
| -0.470 | -1.369 | 0.530 | 29.933 | -0.219 | 29.593 |
| 6.138 | -1.446 | 14.692 | 0.001 | 23.024 | 0.011 |
| -0.235 | -1.919 | 0.223 | 28.082 | -0.539 | 27.543 |
| 103.165 | 76.050 | 60.565 | -0.000 | 11.132 | -0.001 |
| 73.804 | 84.342 | 50.603 | -0.000 | 4.269 | -0.001 |
| 54.471 | 51.353 | 73.393 | -0.000 | 16.486 | -0.001 |
| 0.049 | 0.302 | -0.238 | 29.911 | 0.295 | 29.486 |
| 4.234 | 5.268 | 16.562 | -0.000 | 22.228 | -0.001 |
| 0.024 | 0.192 | -0.022 | 28.081 | 0.054 | 27.534 |
| 103.248 | 76.014 | 60.838 | -0.001 | 10.642 | -0.009 |
| 73.744 | 83.936 | 50.651 | 0.000 | 4.145 | 0.001 |
| 54.433 | 50.909 | 73.514 | 0.000 | 16.462 | 0.000 |
| -0.049 | -0.302 | 0.238 | 29.911 | -0.295 | 29.488 |
| 4.299 | 5.111 | 16.569 | 0.000 | 22.125 | 0.002 |
| -0.024 | -0.192 | 0.022 | 28.081 | -0.054 | 27.536 |
| 475.510 | -146.258 | 150.576 | -0.000 | 273.583 | 0.000 |
| 28.234 | 178.153 | 46.588 | 0.000 | -25.740 | 0.000 |
| 467.278 | -122.654 | 235.887 | 0.000 | 297.890 | 0.000 |
| 0.000 | 0.000 | -0.000 | 71.353 | 0.000 | -25.025 |
| 2.977 | -25.332 | -18.887 | 0.000 | 58.841 | -0.000 |
| 0.000 | 0.000 | 0.000 | -25.432 | 0.000 | 52.026 |
| -302.014 | 142.554 | -91.610 | -0.000 | -214.523 | -0.000 |
| -200.315 | 211.529 | 91.698 | 0.000 | -129.512 | -0.000 |
| -227.320 | 115.481 | 119.067 | 0.000 | -123.021 | -0.000 |
| -0.000 | -0.000 | 0.000 | 71.353 | -0.000 | -25.025 |
| -257.492 | 28.501 | 15.369 | 0.000 | -74.751 | -0.000 |
| -0.000 | -0.000 | -0.000 | -25.432 | -0.000 | 52.026 |
| 74.820 | 6.905 | 2.896 | 0.000 | 15.042 | 0.000 |
| 28.234 | 178.154 | 46.588 | -0.000 | -25.740 | -0.000 |
| 24.066 | 41.738 | 68.848 | -0.000 | 4.486 | 0.000 |
| 0.000 | 0.000 | 0.000 | 71.353 | -0.000 | -25.025 |
| 8.749 | -31.815 | -21.318 | -0.000 | 40.113 | -0.000 |
| 28.774 | -0.314 | 3.486 | -17.952 | 14.375 | 37.487 |
| 29.791 | 28.025 | 7.858 | -0.000 | -9.510 | 0.000 |
| 15.596 | 162.812 | 61.608 | -0.000 | -37.003 | -0.000 |
| -14.251 | 68.657 | 85.064 | -0.000 | -30.394 | -0.000 |
| -0.000 | -0.000 | -0.000 | 71.353 | 0.000 | -25.025 |
| 2.977 | -25.332 | -18.887 | 0.000 | 58.841 | 0.000 |
| -28.774 | 0.314 | -3.486 | -17.952 | -14.375 | 37.487 |
| 47.889 | 24.697 | -4.760 | -0.000 | -1.866 | -0.000 |
| 36.502 | 149.249 | 50.665 | -0.000 | -19.962 | 0.000 |
| 8.547 | 50.091 | 75.915 | 0.000 | -18.903 | 0.000 |
| 3.563 | -1.119 | 0.625 | 46.756 | 2.031 | -10.663 |
| -13.391 | -27.213 | -18.398 | -0.000 | 28.864 | 0.000 |
| 1.968 | -0.447 | -0.272 | -13.309 | 0.842 | 41.493 |
| 42.878 | 26.160 | -5.191 | -0.000 | -5.322 | -0.000 |
| 32.842 | 151.486 | 50.023 | 0.000 | -21.386 | 0.000 |
| 3.785 | 51.493 | 74.311 | -0.000 | -17.941 | -0.000 |
| -3.563 | 1.119 | -0.625 | 46.756 | -2.031 | -10.663 |
| -24.638 | -19.561 | -22.096 | -0.000 | 23.660 | 0.000 |
| -1.968 | 0.447 | 0.272 | -13.309 | -0.842 | 41.493 |
| 13.486 | -1.018 | -1.018 | -0.000 | -0.000 | -0.000 |
| -1.018 | 13.486 | -1.018 | -0.000 | -0.000 | -0.000 |
| -1.018 | -1.018 | 13.486 | -0.000 | -0.000 | -0.000 |
| -0.000 | -0.000 | -0.000 | -1.018 | 0.000 | -0.000 |
| -0.000 | 0.000 | -0.000 | -0.000 | -1.018 | -0.000 |
| -0.000 | -0.000 | -0.000 | -0.000 | -0.000 | -1.018 |
| 13.486 | -1.018 | -1.018 | 0.000 | 0.000 | 0.000 |
| -1.018 | 13.486 | -1.018 | 0.000 | 0.000 | 0.000 |
| -1.018 | -1.018 | 13.486 | 0.000 | 0.000 | 0.000 |
| 0.000 | -0.000 | 0.000 | -1.018 | 0.000 | 0.000 |
| 0.000 | -0.000 | 0.000 | 0.000 | -1.018 | 0.000 |
| 0.000 | 0.000 | -0.000 | 0.000 | 0.000 | -1.018 |
| 13.486 | -1.018 | -1.018 | -0.000 | -0.000 | -0.000 |
| -1.018 | 13.486 | -1.018 | -0.000 | -0.000 | -0.000 |
| -1.018 | -1.018 | 13.486 | 0.000 | 0.000 | -0.000 |
| 0.000 | -0.000 | -0.000 | -1.018 | -0.000 | -0.000 |
| -0.000 | 0.000 | -0.000 | -0.000 | -1.018 | -0.000 |
| -0.000 | -0.000 | 0.000 | -0.000 | -0.000 | -1.018 |
| 13.486 | -1.018 | -1.018 | 0.000 | 0.000 | 0.000 |
| -1.018 | 13.486 | -1.018 | 0.000 | 0.000 | 0.000 |
| -1.018 | -1.018 | 13.486 | 0.000 | 0.000 | 0.000 |
| -0.000 | 0.000 | 0.000 | -1.018 | 0.000 | 0.000 |
| 0.000 | -0.000 | 0.000 | 0.000 | -1.018 | 0.000 |
| 0.000 | 0.000 | -0.000 | 0.000 | 0.000 | -1.018 |
| 13.486 | -1.018 | -1.018 | -0.000 | -0.000 | -0.000 |
| -1.018 | 13.486 | -1.018 | -0.000 | -0.000 | -0.000 |
| -1.018 | -1.018 | 13.486 | -0.000 | 0.000 | -0.000 |
| 0.000 | -0.000 | -0.000 | -1.018 | -0.000 | -0.000 |
| -0.000 | 0.000 | -0.000 | -0.000 | -1.018 | -0.000 |
| -0.000 | -0.000 | 0.000 | -0.000 | -0.000 | -1.018 |
| 13.486 | -1.018 | -1.018 | 0.000 | 0.000 | 0.000 |
| -1.018 | 13.486 | -1.018 | 0.000 | 0.000 | 0.000 |
| -1.018 | -1.018 | 13.486 | 0.000 | -0.000 | 0.000 |
| -0.000 | 0.000 | 0.000 | -1.018 | 0.000 | 0.000 |
| 0.000 | -0.000 | 0.000 | 0.000 | -1.018 | 0.000 |
| 0.000 | 0.000 | -0.000 | 0.000 | 0.000 | -1.018 |
| 27.788 | 14.464 | 14.464 | -0.000 | 0.000 | -0.000 |
| 14.464 | 27.788 | 14.464 | -0.000 | 0.000 | 0.000 |
| 14.464 | 14.464 | 27.788 | -0.000 | 0.000 | -0.000 |
| 0.000 | 0.000 | 0.000 | 14.464 | 0.000 | 0.000 |
| 0.000 | 0.000 | -0.000 | -0.000 | 14.464 | -0.000 |
| 0.000 | 0.000 | -0.000 | -0.000 | -0.000 | 14.464 |
| 27.788 | 14.464 | 14.464 | 0.000 | 0.000 | 0.000 |
| 14.464 | 27.788 | 14.464 | 0.000 | 0.000 | 0.000 |
| 14.464 | 14.464 | 27.788 | 0.000 | 0.000 | 0.000 |
| -0.000 | -0.000 | 0.000 | 14.464 | -0.000 | 0.000 |
| 0.000 | -0.000 | 0.000 | 0.000 | 14.464 | 0.000 |
| -0.000 | -0.000 | 0.000 | 0.000 | 0.000 | 14.464 |
| 27.788 | 14.464 | 14.464 | -0.000 | 0.000 | -0.000 |
| 14.464 | 27.788 | 14.464 | -0.000 | 0.000 | -0.000 |
| 14.464 | 14.464 | 27.788 | -0.000 | 0.000 | -0.000 |
| 0.000 | -0.000 | 0.000 | 14.464 | 0.000 | 0.000 |
| -0.000 | 0.000 | 0.000 | -0.000 | 14.464 | -0.000 |
| -0.000 | 0.000 | 0.000 | -0.000 | -0.000 | 14.464 |
| 27.788 | 14.464 | 14.464 | 0.000 | 0.000 | 0.000 |
| 14.464 | 27.788 | 14.464 | 0.000 | -0.000 | 0.000 |
| 14.464 | 14.464 | 27.788 | 0.000 | 0.000 | 0.000 |
| -0.000 | 0.000 | -0.000 | 14.464 | -0.000 | 0.000 |
| 0.000 | -0.000 | -0.000 | 0.000 | 14.464 | 0.000 |
| 0.000 | -0.000 | -0.000 | 0.000 | 0.000 | 14.464 |
| 27.788 | 14.464 | 14.464 | -0.000 | -0.000 | -0.000 |
| 14.464 | 27.788 | 14.464 | -0.000 | -0.000 | 0.000 |
| 14.464 | 14.464 | 27.788 | 0.000 | 0.000 | -0.000 |
| 0.000 | -0.000 | 0.000 | 14.464 | 0.000 | -0.000 |
| -0.000 | 0.000 | 0.000 | -0.000 | 14.464 | -0.000 |
| -0.000 | 0.000 | 0.000 | -0.000 | -0.000 | 14.464 |
| 27.788 | 14.464 | 14.464 | 0.000 | -0.000 | 0.000 |
| 14.464 | 27.788 | 14.464 | 0.000 | -0.000 | -0.000 |
| 14.464 | 14.464 | 27.788 | 0.000 | -0.000 | 0.000 |
| -0.000 | 0.000 | -0.000 | 14.464 | 0.000 | -0.000 |
| 0.000 | -0.000 | -0.000 | 0.000 | 14.464 | 0.000 |
| 0.000 | -0.000 | -0.000 | 0.000 | 0.000 | 14.464 |
| 2.069 | 2.069 | 2.069 | 0.000 | 0.000 | 0.000 |
| 2.069 | 2.069 | 2.069 | 0.000 | 0.000 | 0.000 |
| 2.069 | 2.069 | 2.069 | 0.000 | 0.000 | 0.000 |
| -0.000 | -0.000 | -0.000 | 0.000 | 0.000 | 0.000 |
| -0.000 | -0.000 | -0.000 | 0.000 | 0.000 | 0.000 |
| -0.000 | -0.000 | -0.000 | 0.000 | 0.000 | 0.000 |
| 2.069 | 2.069 | 2.069 | -0.000 | -0.000 | 0.000 |
| 2.069 | 2.069 | 2.069 | -0.000 | -0.000 | 0.000 |
| 2.069 | 2.069 | 2.069 | -0.000 | -0.000 | 0.000 |
| 0.000 | 0.000 | 0.000 | -0.000 | -0.000 | -0.000 |
| 0.000 | 0.000 | 0.000 | -0.000 | -0.000 | -0.000 |
| 0.000 | 0.000 | 0.000 | -0.000 | -0.000 | -0.000 |
| 2.069 | 2.069 | 2.069 | -0.000 | -0.000 | -0.000 |
| 2.069 | 2.069 | 2.069 | -0.000 | -0.000 | -0.000 |
| 2.069 | 2.069 | 2.069 | -0.000 | -0.000 | -0.000 |
| -0.000 | -0.000 | -0.000 | -0.000 | 0.000 | 0.000 |
| -0.000 | -0.000 | -0.000 | 0.000 | -0.000 | 0.000 |
| -0.000 | -0.000 | -0.000 | 0.000 | 0.000 | -0.000 |
| 2.069 | 2.069 | 2.069 | -0.000 | -0.000 | -0.000 |
| 2.069 | 2.069 | 2.069 | -0.000 | -0.000 | -0.000 |
| 2.069 | 2.069 | 2.069 | -0.000 | -0.000 | -0.000 |
| 0.000 | 0.000 | 0.000 | 0.000 | -0.000 | -0.000 |
| 0.000 | 0.000 | 0.000 | -0.000 | 0.000 | -0.000 |
| 0.000 | 0.000 | 0.000 | -0.000 | -0.000 | 0.000 |
| 2.069 | 2.069 | 2.069 | 0.000 | 0.000 | 0.000 |
| 2.069 | 2.069 | 2.069 | 0.000 | 0.000 | 0.000 |
| 2.069 | 2.069 | 2.069 | 0.000 | 0.000 | 0.000 |
| -0.000 | -0.000 | -0.000 | 0.000 | 0.000 | 0.000 |
| -0.000 | -0.000 | -0.000 | 0.000 | 0.000 | 0.000 |
| -0.000 | -0.000 | -0.000 | 0.000 | 0.000 | 0.000 |
| 2.069 | 2.069 | 2.069 | 0.000 | -0.000 | -0.000 |
| 2.069 | 2.069 | 2.069 | -0.000 | 0.000 | -0.000 |
| 2.069 | 2.069 | 2.069 | -0.000 | -0.000 | 0.000 |
| 0.000 | 0.000 | 0.000 | 0.000 | -0.000 | -0.000 |
| 0.000 | 0.000 | 0.000 | -0.000 | 0.000 | -0.000 |
| 0.000 | 0.000 | 0.000 | -0.000 | -0.000 | 0.000 |
| 24.372 | 3.921 | 10.303 | -0.000 | -0.000 | 0.000 |
| 3.921 | 24.372 | 10.303 | -0.000 | -0.000 | 0.000 |
| 10.303 | 10.303 | 18.264 | -0.000 | -0.000 | 0.000 |
| 0.000 | -0.000 | 0.000 | 10.303 | -0.000 | 0.000 |
| -0.000 | 0.000 | 0.000 | -0.000 | 10.303 | 0.000 |
| -0.000 | -0.000 | 0.000 | -0.000 | -0.000 | 3.921 |
| 24.372 | 3.921 | 10.303 | 0.000 | 0.000 | -0.000 |
| 3.921 | 24.372 | 10.303 | 0.000 | 0.000 | -0.000 |
| 10.303 | 10.303 | 18.264 | 0.000 | 0.000 | -0.000 |
| -0.000 | 0.000 | -0.000 | 10.303 | 0.000 | -0.000 |
| 0.000 | -0.000 | -0.000 | 0.000 | 10.303 | -0.000 |
| 0.000 | 0.000 | 0.000 | 0.000 | 0.000 | 3.921 |
| 24.372 | 3.921 | 10.303 | -0.000 | 0.000 | 0.000 |
| 3.921 | 24.372 | 10.303 | 0.000 | -0.000 | 0.000 |
| 10.303 | 10.303 | 18.264 | -0.000 | -0.000 | -0.000 |
| 0.000 | -0.000 | 0.000 | 10.303 | -0.000 | 0.000 |
| -0.000 | 0.000 | 0.000 | -0.000 | 10.303 | 0.000 |
| -0.000 | -0.000 | 0.000 | -0.000 | -0.000 | 3.921 |
| 24.372 | 3.921 | 10.303 | 0.000 | 0.000 | -0.000 |
| 3.921 | 24.372 | 10.303 | -0.000 | 0.000 | -0.000 |
| 10.303 | 10.303 | 18.264 | 0.000 | 0.000 | -0.000 |
| -0.000 | 0.000 | -0.000 | 10.303 | 0.000 | -0.000 |
| 0.000 | -0.000 | -0.000 | 0.000 | 10.303 | -0.000 |
| 0.000 | 0.000 | -0.000 | 0.000 | 0.000 | 3.921 |
| 24.372 | 3.921 | 10.303 | -0.000 | -0.000 | 0.000 |
| 3.921 | 24.372 | 10.303 | -0.000 | -0.000 | 0.000 |
| 10.303 | 10.303 | 18.264 | -0.000 | -0.000 | 0.000 |
| 0.000 | -0.000 | 0.000 | 10.303 | -0.000 | 0.000 |
| -0.000 | 0.000 | 0.000 | -0.000 | 10.303 | 0.000 |
| -0.000 | -0.000 | 0.000 | -0.000 | -0.000 | 3.921 |
| 24.372 | 3.921 | 10.303 | 0.000 | 0.000 | -0.000 |
| 3.921 | 24.372 | 10.303 | -0.000 | 0.000 | -0.000 |
| 10.303 | 10.303 | 18.264 | 0.000 | 0.000 | -0.000 |
| -0.000 | 0.000 | -0.000 | 10.303 | 0.000 | -0.000 |
| 0.000 | -0.000 | -0.000 | 0.000 | 10.303 | -0.000 |
| 0.000 | 0.000 | -0.000 | 0.000 | 0.000 | 3.921 |
| 24.501 | 7.164 | 12.256 | -0.000 | -0.000 | 0.000 |
| 7.164 | 24.501 | 12.256 | -0.000 | -0.000 | 0.000 |
| 12.256 | 12.256 | -0.266 | -0.000 | -0.000 | 0.000 |
| 0.000 | -0.000 | 0.000 | 12.256 | -0.000 | 0.000 |
| -0.000 | 0.000 | 0.000 | -0.000 | 12.256 | 0.000 |
| -0.000 | -0.000 | -0.000 | -0.000 | -0.000 | 7.164 |
| 24.501 | 7.164 | 12.256 | 0.000 | 0.000 | -0.000 |
| 7.164 | 24.501 | 12.256 | 0.000 | 0.000 | -0.000 |
| 12.256 | 12.256 | -0.266 | 0.000 | -0.000 | -0.000 |
| -0.000 | 0.000 | -0.000 | 12.256 | 0.000 | -0.000 |
| 0.000 | -0.000 | -0.000 | 0.000 | 12.256 | -0.000 |
| 0.000 | 0.000 | -0.000 | 0.000 | 0.000 | 7.164 |
| 24.501 | 7.164 | 12.256 | -0.000 | -0.000 | 0.000 |
| 7.164 | 24.501 | 12.256 | -0.000 | 0.000 | 0.000 |
| 12.256 | 12.256 | -0.266 | -0.000 | -0.000 | 0.000 |
| 0.000 | -0.000 | 0.000 | 12.256 | -0.000 | 0.000 |
| -0.000 | 0.000 | 0.000 | -0.000 | 12.256 | 0.000 |
| -0.000 | -0.000 | 0.000 | -0.000 | -0.000 | 7.164 |
| 24.501 | 7.164 | 12.256 | 0.000 | 0.000 | -0.000 |
| 7.164 | 24.501 | 12.256 | 0.000 | 0.000 | -0.000 |
| 12.256 | 12.256 | -0.266 | 0.000 | 0.000 | -0.000 |
| -0.000 | 0.000 | -0.000 | 12.256 | 0.000 | -0.000 |
| 0.000 | -0.000 | -0.000 | 0.000 | 12.256 | -0.000 |
| 0.000 | 0.000 | -0.000 | 0.000 | 0.000 | 7.164 |
| 24.501 | 7.164 | 12.256 | 0.000 | -0.000 | 0.000 |
| 7.164 | 24.501 | 12.256 | -0.000 | -0.000 | 0.000 |
| 12.256 | 12.256 | -0.266 | -0.000 | -0.000 | 0.000 |
| 0.000 | -0.000 | 0.000 | 12.256 | -0.000 | 0.000 |
| -0.000 | 0.000 | 0.000 | -0.000 | 12.256 | 0.000 |
| -0.000 | -0.000 | 0.000 | -0.000 | -0.000 | 7.164 |
| 24.501 | 7.164 | 12.256 | 0.000 | 0.000 | -0.000 |
| 7.164 | 24.501 | 12.256 | 0.000 | 0.000 | -0.000 |
| 12.256 | 12.256 | -0.266 | 0.000 | 0.000 | 0.000 |
| -0.000 | 0.000 | -0.000 | 12.256 | 0.000 | -0.000 |
| 0.000 | -0.000 | -0.000 | 0.000 | 12.256 | -0.000 |
| 0.000 | 0.000 | -0.000 | 0.000 | 0.000 | 7.164 |
| 25.577 | 7.105 | 4.484 | -0.000 | -0.000 | -0.000 |
| 7.514 | 25.671 | 6.711 | -0.000 | 0.000 | -0.000 |
| 4.550 | 6.736 | 26.608 | -0.000 | 0.000 | -0.000 |
| 0.000 | -0.000 | 0.000 | 6.662 | 0.000 | -0.000 |
| 0.000 | -0.000 | 0.000 | -0.000 | 4.476 | 0.000 |
| 0.000 | 0.000 | 0.000 | -0.000 | 0.000 | 7.281 |
| 24.639 | 7.543 | 4.233 | 0.000 | -0.000 | 0.000 |
| 7.514 | 25.671 | 6.711 | 0.000 | -0.000 | 0.000 |
| 4.801 | 6.619 | 26.675 | 0.000 | -0.000 | 0.000 |
| -0.000 | 0.000 | -0.000 | 6.662 | -0.000 | 0.000 |
| -0.000 | 0.000 | -0.000 | 0.000 | 4.476 | 0.000 |
| -0.000 | -0.000 | -0.000 | 0.000 | 0.000 | 7.281 |
| 24.639 | 7.543 | 4.233 | -0.000 | 0.000 | -0.000 |
| 7.953 | 25.466 | 6.829 | -0.000 | -0.000 | -0.000 |
| 4.801 | 6.619 | 26.675 | -0.000 | 0.000 | -0.000 |
| 0.000 | -0.000 | 0.000 | 6.662 | 0.000 | -0.000 |
| 0.000 | -0.000 | 0.000 | -0.000 | 4.476 | -0.000 |
| -0.000 | 0.000 | -0.000 | -0.000 | 0.000 | 7.281 |
| 24.088 | 7.801 | 4.085 | -0.000 | 0.000 | 0.000 |
| 7.514 | 25.671 | 6.711 | 0.000 | -0.000 | 0.000 |
| 4.550 | 6.736 | 26.608 | 0.000 | 0.000 | 0.000 |
| -0.000 | 0.000 | -0.000 | 6.662 | -0.000 | 0.000 |
| -0.000 | 0.000 | -0.000 | 0.000 | 4.476 | 0.000 |
| 0.000 | -0.000 | 0.000 | 0.000 | -0.000 | 7.281 |
| 24.639 | 7.543 | 4.233 | -0.000 | 0.000 | -0.000 |
| 8.450 | 25.234 | 6.962 | -0.000 | 0.000 | -0.000 |
| 4.402 | 6.805 | 26.569 | -0.000 | 0.000 | -0.000 |
| -0.000 | -0.000 | 0.000 | 6.662 | 0.000 | -0.000 |
| -0.000 | -0.000 | -0.000 | -0.000 | 4.476 | -0.000 |
| -0.000 | 0.000 | -0.000 | -0.000 | 0.000 | 6.342 |
| 24.088 | 7.801 | 4.085 | 0.000 | -0.000 | 0.000 |
| 7.514 | 25.671 | 6.711 | 0.000 | -0.000 | 0.000 |
| 4.316 | 6.846 | 26.545 | 0.000 | -0.000 | 0.000 |
| 0.000 | 0.000 | -0.000 | 6.662 | -0.000 | 0.000 |
| 0.000 | 0.000 | 0.000 | 0.000 | 4.476 | 0.000 |
| 0.000 | -0.000 | 0.000 | 0.000 | -0.000 | 6.342 |
| 28.620 | 11.404 | -3.218 | -0.000 | 0.000 | 0.000 |
| 11.404 | 28.620 | -3.218 | 0.000 | 0.000 | -0.000 |
| -4.804 | -4.804 | 13.559 | -0.000 | 0.000 | 0.000 |
| 0.002 | 0.002 | 0.004 | -21.200 | 0.000 | 0.000 |
| 0.000 | 0.000 | 0.000 | -0.000 | -2.694 | 0.000 |
| 0.000 | 0.000 | 0.000 | 0.000 | -0.000 | 8.608 |
| 26.051 | 9.313 | -6.761 | -0.000 | 0.000 | -0.000 |
| 11.404 | 28.620 | -3.218 | 0.000 | 0.000 | -0.000 |
| -4.808 | -4.808 | 13.553 | -0.000 | 0.000 | -0.000 |
| -0.002 | -0.002 | -0.004 | -21.200 | -0.000 | 0.000 |
| -0.000 | -0.000 | -0.000 | -0.000 | -2.694 | -0.000 |
| -0.000 | -0.000 | -0.000 | 0.000 | 0.000 | 8.608 |
| 28.620 | 11.404 | -3.218 | 0.000 | 0.000 | 0.000 |
| 9.791 | 25.675 | -6.683 | 0.000 | 0.000 | -0.000 |
| -4.806 | -4.806 | 13.556 | 0.000 | 0.000 | 0.000 |
| 0.000 | 0.000 | 0.001 | -7.050 | -0.000 | 0.000 |
| 0.000 | 0.000 | 0.000 | -0.000 | -21.200 | 0.000 |
| -0.000 | 0.000 | -0.000 | 0.000 | -0.000 | 8.608 |
| 25.675 | 9.790 | -6.684 | -0.000 | -0.000 | -0.000 |
| 9.790 | 25.675 | -6.684 | 0.000 | -0.000 | -0.000 |
| -4.806 | -4.806 | 13.556 | 0.000 | -0.000 | -0.000 |
| -0.000 | -0.000 | -0.001 | -7.050 | 0.000 | 0.000 |
| -0.000 | -0.000 | -0.000 | 0.000 | -21.200 | 0.000 |
| 0.000 | -0.000 | 0.000 | 0.000 | -0.000 | 8.608 |
| 25.675 | 10.374 | -6.240 | -0.000 | -0.000 | 0.000 |
| 9.315 | 26.053 | -6.758 | 0.000 | -0.000 | 0.000 |
| -4.806 | -4.806 | 13.556 | 0.000 | 0.000 | 0.000 |
| -1874787.374 | -1509799.335 | -192526.130 | 122367.055 | -2005.489 | -19829.377 |
| -1296423.927 | -2418781.755 | -213724.136 | 12208.066 | -7893.652 | 3765.095 |
| -0.000 | 0.000 | -0.000 | 0.000 | -0.000 | 8.608 |
| 26.052 | 9.315 | -6.758 | 0.000 | -0.000 | 0.000 |
| 9.790 | 25.675 | -6.684 | 0.000 | 0.000 | 0.000 |
| -4.806 | -4.806 | 13.556 | -0.000 | 0.000 | -0.000 |
| 1910823.893 | 1522947.193 | 198793.442 | 140247.759 | -3149.127 | -11022.568 |
| 1266883.791 | 2383490.212 | 208598.194 | -19522.259 | -66263.770 | -10317.220 |
| 0.000 | -0.000 | 0.000 | 0.000 | -0.000 | 8.608 |
| 15.905 | 7.326 | 7.326 | 0.000 | 0.000 | -0.000 |
| 7.326 | 15.905 | 7.326 | 0.000 | 0.000 | -0.000 |
| 7.326 | 7.326 | 15.905 | 0.000 | 0.000 | 0.000 |
| -0.000 | 0.000 | 0.000 | 4.294 | 0.000 | -0.000 |
| 0.000 | -0.000 | 0.000 | 0.000 | 4.294 | -0.000 |
| -0.000 | -0.000 | 0.000 | 0.000 | -0.000 | 4.294 |
| 15.905 | 7.326 | 7.326 | -0.000 | 0.000 | 0.000 |
| 7.326 | 15.905 | 7.326 | -0.000 | 0.000 | 0.000 |
| 7.326 | 7.326 | 15.905 | -0.000 | 0.000 | 0.000 |
| 0.000 | 0.000 | -0.000 | 4.294 | -0.000 | -0.000 |
| 0.000 | 0.000 | -0.000 | -0.000 | 4.294 | 0.000 |
| -0.000 | 0.000 | -0.000 | -0.000 | 0.000 | 4.294 |
| 15.905 | 7.326 | 7.326 | 0.000 | 0.000 | -0.000 |
| 7.326 | 15.905 | 7.326 | 0.000 | 0.000 | -0.000 |
| 7.326 | 7.326 | 15.905 | 0.000 | 0.000 | -0.000 |
| 0.000 | -0.000 | -0.000 | 4.294 | 0.000 | -0.000 |
| -0.000 | 0.000 | -0.000 | 0.000 | 4.294 | -0.000 |
| -0.000 | -0.000 | 0.000 | 0.000 | -0.000 | 4.294 |
| 15.905 | 7.326 | 7.326 | -0.000 | 0.000 | 0.000 |
| 7.326 | 15.905 | 7.326 | -0.000 | 0.000 | -0.000 |
| 7.326 | 7.326 | 15.905 | -0.000 | 0.000 | 0.000 |
| -0.000 | 0.000 | 0.000 | 4.294 | -0.000 | 0.000 |
| 0.000 | -0.000 | 0.000 | -0.000 | 4.294 | 0.000 |
| 0.000 | 0.000 | -0.000 | -0.000 | 0.000 | 4.294 |
| 15.905 | 7.326 | 7.326 | 0.000 | 0.000 | -0.000 |
| 7.326 | 15.905 | 7.326 | 0.000 | 0.000 | -0.000 |
| 7.326 | 7.326 | 15.905 | 0.000 | 0.000 | -0.000 |
| 0.000 | -0.000 | -0.000 | 4.294 | -0.000 | -0.000 |
| -0.000 | 0.000 | -0.000 | 0.000 | 4.294 | -0.000 |
| -0.000 | -0.000 | 0.000 | 0.000 | -0.000 | 4.294 |
| 15.905 | 7.326 | 7.326 | -0.000 | -0.000 | 0.000 |
| 7.326 | 15.905 | 7.326 | -0.000 | -0.000 | 0.000 |
| 7.326 | 7.326 | 15.905 | 0.000 | 0.000 | 0.000 |
| -0.000 | 0.000 | 0.000 | 4.294 | 0.000 | 0.000 |
| 0.000 | -0.000 | 0.000 | -0.000 | 4.294 | 0.000 |
| 0.000 | 0.000 | -0.000 | -0.000 | 0.000 | 4.294 |
| 0.401 | 16.934 | 16.934 | 0.000 | -0.000 | 0.000 |
| 16.934 | 0.401 | 16.934 | 0.000 | 0.000 | 0.000 |
| 16.934 | 16.934 | 0.401 | 0.000 | -0.000 | 0.000 |
| 0.000 | 0.000 | 0.000 | -3.575 | 0.000 | 0.000 |
| 0.000 | 0.000 | 0.000 | 0.000 | -3.575 | 0.000 |
| 0.000 | 0.000 | 0.000 | 0.000 | 0.000 | -3.575 |
| 0.401 | 16.934 | 16.934 | -0.000 | 0.000 | -0.000 |
| 16.934 | 0.401 | 16.934 | -0.000 | 0.000 | -0.000 |
| 16.934 | 16.934 | 0.401 | -0.000 | -0.000 | -0.000 |
| -0.000 | -0.000 | -0.000 | -3.575 | -0.000 | -0.000 |
| -0.000 | -0.000 | -0.000 | -0.000 | -3.575 | -0.000 |
| -0.000 | -0.000 | -0.000 | -0.000 | -0.000 | -3.575 |
| 0.401 | 16.935 | 16.935 | 0.000 | -0.000 | 0.000 |
| 16.935 | 0.401 | 16.935 | 0.000 | 0.000 | 0.000 |
| 16.935 | 16.935 | 0.401 | 0.000 | 0.000 | 0.000 |
| 0.000 | 0.000 | 0.000 | -3.575 | 0.000 | 0.000 |
| 0.000 | 0.000 | 0.000 | 0.000 | -3.575 | 0.000 |
| 0.000 | 0.000 | 0.000 | 0.000 | 0.000 | -3.575 |
| 0.400 | 16.934 | 16.934 | -0.000 | -0.000 | -0.000 |
| 16.934 | 0.400 | 16.934 | -0.000 | -0.000 | -0.000 |
| 16.934 | 16.934 | 0.400 | -0.000 | 0.000 | -0.000 |
| -0.000 | -0.000 | -0.000 | -3.575 | -0.000 | -0.000 |
| -0.000 | -0.000 | -0.000 | -0.000 | -3.575 | -0.000 |
| -0.000 | -0.000 | -0.000 | -0.000 | -0.000 | -3.575 |
| 0.407 | 16.937 | 16.937 | 0.000 | -0.000 | 0.000 |
| 16.937 | 0.407 | 16.937 | 0.000 | 0.000 | 0.000 |
| 16.937 | 16.937 | 0.407 | 0.000 | 0.000 | 0.000 |
| 0.000 | 0.003 | 0.003 | -3.575 | 0.000 | 0.000 |
| 0.003 | 0.000 | 0.003 | 0.000 | -3.575 | 0.000 |
| 0.003 | 0.003 | 0.000 | 0.000 | 0.000 | -3.575 |
| 0.395 | 16.931 | 16.931 | -0.000 | 0.000 | -0.000 |
| 16.931 | 0.395 | 16.931 | -0.000 | -0.000 | -0.000 |
| 16.931 | 16.931 | 0.395 | -0.000 | -0.000 | -0.000 |
| -0.000 | -0.003 | -0.003 | -3.575 | -0.000 | -0.000 |
| -0.003 | -0.000 | -0.003 | -0.000 | -3.575 | -0.000 |
| -0.003 | -0.003 | -0.000 | -0.000 | -0.000 | -3.575 |
| 24.038 | 13.006 | 13.006 | 0.000 | 0.000 | -0.000 |
| 13.006 | 24.038 | 13.006 | 0.000 | 0.000 | -0.000 |
| 13.006 | 13.006 | 24.038 | -0.000 | 0.000 | -0.000 |
| -0.000 | -0.000 | 0.000 | 11.150 | 0.000 | -0.000 |
| -0.000 | -0.000 | 0.000 | 0.000 | 11.150 | -0.000 |
| -0.000 | -0.000 | 0.000 | -0.000 | -0.000 | 11.150 |
| 24.038 | 13.006 | 13.006 | -0.000 | -0.000 | 0.000 |
| 13.006 | 24.038 | 13.006 | -0.000 | -0.000 | 0.000 |
| 13.006 | 13.006 | 24.038 | -0.000 | -0.000 | 0.000 |
| 0.000 | 0.000 | -0.000 | 11.150 | -0.000 | 0.000 |
| 0.000 | 0.000 | -0.000 | -0.000 | 11.150 | 0.000 |
| 0.000 | 0.000 | -0.000 | 0.000 | 0.000 | 11.150 |
| 24.038 | 13.006 | 13.006 | 0.000 | 0.000 | -0.000 |
| 13.006 | 24.038 | 13.006 | 0.000 | 0.000 | -0.000 |
| 13.006 | 13.006 | 24.038 | 0.000 | 0.000 | -0.000 |
| 0.000 | -0.000 | 0.000 | 11.150 | 0.000 | -0.000 |
| -0.000 | 0.000 | 0.000 | 0.000 | 11.150 | -0.000 |
| -0.000 | 0.000 | 0.000 | -0.000 | -0.000 | 11.150 |
| 24.038 | 13.006 | 13.006 | -0.000 | 0.000 | 0.000 |
| 13.006 | 24.038 | 13.006 | -0.000 | -0.000 | 0.000 |
| 13.006 | 13.006 | 24.038 | -0.000 | 0.000 | 0.000 |
| -0.000 | 0.000 | -0.000 | 11.150 | -0.000 | 0.000 |
| 0.000 | -0.000 | -0.000 | -0.000 | 11.150 | 0.000 |
| 0.000 | -0.000 | -0.000 | 0.000 | 0.000 | 11.150 |
| 24.038 | 13.006 | 13.006 | 0.000 | 0.000 | -0.000 |
| 13.006 | 24.038 | 13.006 | 0.000 | 0.000 | -0.000 |
| 13.006 | 13.006 | 24.038 | 0.000 | 0.000 | -0.000 |
| 0.000 | -0.000 | 0.000 | 11.150 | 0.000 | -0.000 |
| -0.000 | 0.000 | 0.000 | 0.000 | 11.150 | -0.000 |
| -0.000 | 0.000 | 0.000 | -0.000 | -0.000 | 11.150 |
| 24.037 | 13.006 | 13.006 | -0.000 | 0.000 | 0.000 |
| 13.006 | 24.037 | 13.006 | -0.000 | -0.000 | 0.000 |
| 13.006 | 13.006 | 24.037 | -0.000 | -0.000 | 0.000 |
| -0.000 | 0.000 | -0.000 | 11.150 | -0.000 | 0.000 |
| 0.000 | -0.000 | -0.000 | -0.000 | 11.150 | 0.000 |
| 0.000 | -0.000 | -0.000 | 0.000 | 0.000 | 11.150 |
| 26.100 | 13.987 | 13.987 | 0.000 | 0.000 | -0.000 |
| 13.987 | 26.100 | 13.987 | 0.000 | 0.000 | -0.000 |
| 13.987 | 13.987 | 26.100 | 0.000 | 0.000 | -0.000 |
| 0.000 | 0.000 | 0.000 | 13.526 | 0.000 | 0.000 |
| 0.000 | 0.000 | 0.000 | 0.000 | 13.526 | -0.000 |
| 0.000 | 0.000 | 0.000 | 0.000 | 0.000 | 13.526 |
| 26.100 | 13.987 | 13.987 | -0.000 | -0.000 | -0.000 |
| 13.987 | 26.100 | 13.987 | -0.000 | -0.000 | -0.000 |
| 13.987 | 13.987 | 26.100 | -0.000 | -0.000 | -0.000 |
| -0.000 | -0.000 | -0.000 | 13.526 | -0.000 | 0.000 |
| -0.000 | -0.000 | -0.000 | -0.000 | 13.526 | 0.000 |
| -0.000 | -0.000 | -0.000 | -0.000 | -0.000 | 13.526 |
| 26.100 | 13.987 | 13.987 | 0.000 | 0.000 | 0.000 |
| 13.987 | 26.100 | 13.987 | 0.000 | 0.000 | 0.000 |
| 13.987 | 13.987 | 26.100 | 0.000 | 0.000 | -0.000 |
| 0.000 | -0.000 | 0.000 | 13.526 | 0.000 | 0.000 |
| -0.000 | 0.000 | 0.000 | 0.000 | 13.526 | -0.000 |
| -0.000 | 0.000 | 0.000 | 0.000 | 0.000 | 13.526 |
| 26.100 | 13.987 | 13.987 | -0.000 | -0.000 | 0.000 |
| 13.987 | 26.100 | 13.987 | -0.000 | -0.000 | 0.000 |
| 13.987 | 13.987 | 26.100 | -0.000 | -0.000 | -0.000 |
| -0.000 | 0.000 | -0.000 | 13.526 | -0.000 | -0.000 |
| 0.000 | -0.000 | -0.000 | -0.000 | 13.526 | 0.000 |
| 0.000 | -0.000 | -0.000 | -0.000 | -0.000 | 13.526 |
| 26.100 | 13.987 | 13.987 | 0.000 | 0.000 | -0.000 |
| 13.987 | 26.100 | 13.987 | 0.000 | 0.000 | -0.000 |
| 13.987 | 13.987 | 26.100 | 0.000 | 0.000 | -0.000 |
| 0.000 | -0.000 | 0.000 | 13.526 | 0.000 | -0.000 |
| -0.000 | 0.000 | 0.000 | 0.000 | 13.526 | -0.000 |
| -0.000 | 0.000 | 0.000 | 0.000 | 0.000 | 13.526 |
| 26.100 | 13.987 | 13.987 | -0.000 | -0.000 | 0.000 |
| 13.987 | 26.100 | 13.987 | -0.000 | -0.000 | 0.000 |
| 13.987 | 13.987 | 26.100 | -0.000 | -0.000 | 0.000 |
| -0.000 | 0.000 | -0.000 | 13.526 | -0.000 | 0.000 |
| 0.000 | -0.000 | -0.000 | -0.000 | 13.526 | 0.000 |
| 0.000 | -0.000 | -0.000 | -0.000 | -0.000 | 13.526 |
| 12.009 | 5.589 | 5.589 | -0.000 | -0.000 | -0.000 |
| 5.589 | 12.009 | 5.589 | -0.000 | -0.000 | -0.000 |
| 5.589 | 5.589 | 12.009 | -0.000 | -0.000 | -0.000 |
| -0.000 | -0.000 | -0.000 | -24.751 | -0.000 | -0.000 |
| -0.000 | 0.000 | -0.000 | -0.000 | -24.751 | -0.000 |
| -0.000 | -0.000 | 0.000 | -0.000 | 0.000 | -24.751 |
| 12.009 | 5.589 | 5.589 | -0.000 | 0.000 | 0.000 |
| 5.589 | 12.009 | 5.589 | 0.000 | -0.000 | 0.000 |
| 5.589 | 5.589 | 12.009 | 0.000 | 0.000 | 0.000 |
| 0.000 | 0.000 | 0.000 | -24.751 | 0.000 | -0.000 |
| 0.000 | 0.000 | 0.000 | -0.000 | -24.751 | 0.000 |
| 0.000 | 0.000 | 0.000 | 0.000 | 0.000 | -24.751 |
| 12.009 | 5.589 | 5.589 | -0.000 | -0.000 | -0.000 |
| 5.589 | 12.009 | 5.589 | 0.000 | 0.000 | -0.000 |
| 5.589 | 5.589 | 12.009 | -0.000 | -0.000 | -0.000 |
| 0.000 | -0.000 | 0.000 | 5.444 | 0.000 | -0.000 |
| -0.000 | 0.000 | 0.000 | -0.000 | 5.444 | -0.000 |
| -0.000 | 0.000 | 0.000 | -0.000 | -0.000 | 5.444 |
| 12.009 | 5.589 | 5.589 | 0.000 | 0.000 | 0.000 |
| 5.589 | 12.009 | 5.589 | 0.000 | 0.000 | 0.000 |
| 5.589 | 5.589 | 12.009 | 0.000 | 0.000 | 0.000 |
| -0.000 | 0.000 | -0.000 | 5.444 | -0.000 | -0.000 |
| 0.000 | -0.000 | -0.000 | 0.000 | 5.444 | 0.000 |
| 0.000 | -0.000 | -0.000 | 0.000 | 0.000 | 5.444 |
| 12.009 | 5.589 | 5.589 | -0.000 | 0.000 | -0.000 |
| 5.589 | 12.009 | 5.589 | -0.000 | -0.000 | -0.000 |
| 5.589 | 5.589 | 12.009 | -0.000 | -0.000 | -0.000 |
| -0.000 | -0.000 | -0.000 | -24.751 | -0.000 | 0.000 |
| -0.000 | -0.000 | -0.000 | -0.000 | -24.751 | -0.000 |
| -0.000 | -0.000 | -0.000 | -0.000 | -0.000 | -24.751 |
| 12.009 | 5.589 | 5.589 | 0.000 | 0.000 | 0.000 |
| 5.589 | 12.009 | 5.589 | -0.000 | 0.000 | 0.000 |
| 5.589 | 5.589 | 12.009 | 0.000 | 0.000 | 0.000 |
| 0.000 | 0.000 | 0.000 | -24.751 | 0.000 | 0.000 |
| 0.000 | 0.000 | 0.000 | 0.000 | -24.751 | 0.000 |
| 0.000 | 0.000 | 0.000 | 0.000 | -0.000 | -24.751 |
| 233.106 | 79.822 | 133.887 | 69.020 | 0.000 | -0.000 |
| 74.542 | 214.365 | 118.537 | -58.977 | -0.000 | -0.000 |
| 134.073 | 134.073 | 201.630 | 0.000 | -0.000 | -0.000 |
| 60.471 | -61.548 | -0.775 | 118.748 | -0.000 | -0.000 |
| 0.000 | 0.000 | 0.000 | 0.000 | 131.100 | 69.020 |
| 0.000 | -0.000 | 0.000 | 0.000 | 69.020 | 76.642 |
| 214.652 | 74.928 | 119.065 | 58.987 | -0.000 | 0.000 |
| 74.870 | 214.812 | 119.177 | -59.066 | 0.000 | 0.000 |
| 119.489 | 119.489 | 183.002 | -0.000 | 0.000 | 0.000 |
| 61.548 | -60.471 | 0.775 | 118.748 | 0.000 | 0.000 |
| -0.000 | -0.000 | -0.000 | -0.000 | 131.100 | 69.020 |
| -0.000 | 0.000 | -0.000 | -0.000 | 69.020 | 76.642 |
| 233.106 | 79.822 | 133.887 | 69.020 | -0.000 | -0.000 |
| 79.822 | 233.106 | 133.887 | -69.020 | 0.000 | -0.000 |
| 121.377 | 121.377 | 184.943 | -0.000 | -0.000 | 0.000 |
| 69.020 | -69.020 | 0.000 | 131.100 | -0.000 | -0.000 |
| 0.002 | 0.002 | -0.004 | 0.000 | 115.470 | 58.516 |
| 0.000 | 0.000 | 0.000 | 0.000 | 69.020 | 76.642 |
| 217.676 | 73.612 | 119.730 | 61.950 | 0.000 | 0.000 |
| 73.612 | 217.676 | 119.730 | -61.950 | 0.000 | 0.000 |
| 119.328 | 119.328 | 182.733 | -0.000 | 0.000 | 0.000 |
| 61.042 | -60.934 | 0.078 | 118.716 | 0.000 | 0.000 |
| -0.002 | -0.002 | 0.004 | -0.000 | 115.470 | 58.516 |
| -0.000 | -0.000 | -0.000 | -0.000 | 69.020 | 76.642 |
| 217.691 | 73.587 | 119.716 | 61.981 | -0.000 | -0.000 |
| 74.759 | 214.470 | 118.770 | -58.977 | -0.000 | -0.000 |
| 134.074 | 134.074 | 201.631 | 0.000 | -0.000 | -0.000 |
| 60.983 | -60.993 | -0.007 | 118.715 | -0.000 | -0.000 |
| 0.001 | 0.000 | 0.000 | 0.000 | 115.470 | 58.516 |
| -0.006 | -0.006 | -0.008 | 0.000 | 60.463 | 71.062 |
| 217.687 | 73.591 | 119.717 | 61.974 | 0.000 | 0.000 |
| 73.591 | 217.686 | 119.718 | -61.974 | 0.000 | 0.000 |
| 119.312 | 119.312 | 182.706 | 0.000 | 0.000 | 0.000 |
| 60.993 | -60.983 | 0.007 | 118.715 | 0.000 | 0.000 |
| -0.001 | -0.000 | -0.000 | -0.000 | 115.470 | 58.516 |
| 0.006 | 0.006 | 0.008 | -0.000 | 60.463 | 71.062 |
| 15.563 | 6.909 | 6.909 | 0.000 | 0.000 | 0.000 |
| 6.909 | 15.563 | 6.909 | 0.000 | 0.000 | 0.000 |
| 6.909 | 6.909 | 15.563 | -0.000 | 0.000 | 0.000 |
| -0.000 | -0.000 | -0.000 | 3.268 | 0.000 | 0.000 |
| -0.000 | -0.000 | -0.000 | 0.000 | 3.268 | 0.000 |
| -0.000 | -0.000 | -0.000 | -0.000 | -0.000 | 3.268 |
| 15.563 | 6.909 | 6.909 | -0.000 | -0.000 | -0.000 |
| 6.909 | 15.563 | 6.909 | -0.000 | -0.000 | -0.000 |
| 6.909 | 6.909 | 15.564 | -0.000 | -0.000 | 0.000 |
| 0.000 | 0.000 | 0.000 | 3.268 | -0.000 | -0.000 |
| 0.000 | 0.000 | 0.000 | -0.000 | 3.268 | -0.000 |
| 0.000 | 0.000 | 0.000 | -0.000 | 0.000 | 3.268 |
| 15.564 | 6.909 | 6.909 | 0.000 | 0.000 | 0.000 |
| 6.909 | 15.564 | 6.909 | 0.000 | 0.000 | 0.000 |
| 6.909 | 6.909 | 15.564 | 0.000 | -0.000 | 0.000 |
| 0.000 | -0.000 | -0.000 | 3.268 | 0.000 | 0.000 |
| -0.000 | 0.000 | -0.000 | 0.000 | 3.268 | 0.000 |
| -0.000 | -0.000 | -0.000 | 0.000 | -0.000 | 3.268 |
| 15.563 | 6.909 | 6.909 | -0.000 | -0.000 | -0.000 |
| 6.909 | 15.563 | 6.909 | -0.000 | -0.000 | -0.000 |
| 6.909 | 6.909 | 15.563 | -0.000 | -0.000 | -0.000 |
| -0.000 | 0.000 | 0.000 | 3.268 | -0.000 | -0.000 |
| 0.000 | -0.000 | 0.000 | -0.000 | 3.268 | -0.000 |
| 0.000 | 0.000 | 0.000 | 0.000 | 0.000 | 3.268 |
| 15.564 | 6.909 | 6.909 | 0.000 | -0.000 | 0.000 |
| 6.909 | 15.564 | 6.909 | 0.000 | 0.000 | 0.000 |
| 6.909 | 6.909 | 15.564 | 0.000 | -0.000 | -0.000 |
| 0.000 | -0.000 | -0.000 | 3.268 | 0.000 | 0.000 |
| -0.000 | 0.000 | -0.000 | 0.000 | 3.268 | 0.000 |
| -0.000 | -0.000 | 0.000 | 0.000 | -0.000 | 3.268 |
| 15.563 | 6.909 | 6.909 | -0.000 | -0.000 | -0.000 |
| 6.909 | 15.563 | 6.909 | -0.000 | -0.000 | -0.000 |
| 6.909 | 6.909 | 15.563 | -0.000 | 0.000 | -0.000 |
| -0.000 | 0.000 | 0.000 | 3.268 | -0.000 | -0.000 |
| 0.000 | -0.000 | 0.000 | -0.000 | 3.268 | -0.000 |
| 0.000 | 0.000 | -0.000 | 0.000 | 0.000 | 3.268 |
| 12.777 | 5.686 | 5.686 | -0.000 | -0.000 | 0.000 |
| 5.686 | 12.777 | 5.686 | 0.000 | -0.000 | 0.000 |
| 5.686 | 5.686 | 12.777 | 0.000 | -0.000 | 0.000 |
| -0.000 | -0.000 | -0.000 | -3.190 | 0.000 | -0.000 |
| -0.000 | -0.000 | -0.000 | 0.000 | -3.190 | 0.000 |
| -0.000 | -0.000 | -0.000 | 0.000 | 0.000 | -3.190 |
| 12.777 | 5.686 | 5.686 | -0.000 | -0.000 | -0.000 |
| 5.686 | 12.777 | 5.686 | -0.000 | -0.000 | -0.000 |
| 5.686 | 5.686 | 12.777 | -0.000 | -0.000 | -0.000 |
| 0.000 | 0.000 | 0.000 | -3.190 | -0.000 | -0.000 |
| 0.000 | 0.000 | 0.000 | -0.000 | -3.190 | -0.000 |
| 0.000 | 0.000 | 0.000 | -0.000 | -0.000 | -3.190 |
| 12.777 | 5.686 | 5.686 | 0.000 | 0.000 | 0.000 |
| 5.686 | 12.777 | 5.686 | -0.000 | -0.000 | 0.000 |
| 5.686 | 5.686 | 12.777 | 0.000 | 0.000 | 0.000 |
| -0.000 | -0.000 | -0.000 | -3.190 | 0.000 | 0.000 |
| -0.000 | -0.000 | -0.000 | 0.000 | -3.190 | 0.000 |
| -0.000 | -0.000 | -0.000 | 0.000 | 0.000 | -3.190 |
| 12.777 | 5.686 | 5.686 | 0.000 | 0.000 | 0.000 |
| 5.686 | 12.777 | 5.686 | -0.000 | -0.000 | 0.000 |
| 5.686 | 5.686 | 12.777 | 0.000 | 0.000 | -0.000 |
| 0.000 | 0.000 | 0.000 | -3.190 | -0.000 | -0.000 |
| 0.000 | 0.000 | 0.000 | -0.000 | -3.190 | -0.000 |
| 0.000 | 0.000 | 0.000 | -0.000 | -0.000 | -3.190 |
| 12.777 | 5.686 | 5.686 | 0.000 | 0.000 | 0.000 |
| 5.686 | 12.777 | 5.686 | 0.000 | -0.000 | 0.000 |
| 5.686 | 5.686 | 12.777 | -0.000 | 0.000 | 0.000 |
| -0.000 | -0.000 | -0.000 | -3.190 | 0.000 | 0.000 |
| -0.000 | -0.000 | -0.000 | 0.000 | -3.190 | 0.000 |
| -0.000 | -0.000 | -0.000 | 0.000 | 0.000 | -3.190 |
| 12.777 | 5.686 | 5.686 | -0.000 | -0.000 | -0.000 |
| 5.686 | 12.777 | 5.686 | -0.000 | -0.000 | -0.000 |
| 5.686 | 5.686 | 12.777 | -0.000 | -0.000 | -0.000 |
| 0.000 | 0.000 | 0.000 | -3.190 | -0.000 | 0.000 |
| 0.000 | 0.000 | 0.000 | -0.000 | -3.190 | -0.000 |
| 0.000 | 0.000 | 0.000 | -0.000 | -0.000 | -3.190 |
| 173.459 | 62.111 | 60.754 | -0.620 | -0.000 | 0.000 |
| 62.111 | 173.459 | 60.754 | 0.620 | -0.000 | 0.000 |
| 51.424 | 51.424 | 152.331 | -0.000 | -0.000 | 0.000 |
| -10.433 | -6.880 | -13.037 | 50.957 | -0.000 | 0.000 |
| 0.000 | -0.000 | -0.000 | -0.000 | 54.227 | -0.620 |
| 0.000 | 0.000 | -0.000 | 0.000 | -0.620 | 55.674 |
| 173.459 | 62.111 | 60.754 | -0.620 | 0.000 | -0.000 |
| 68.938 | 179.407 | 71.482 | 1.557 | 0.000 | -0.000 |
| 60.737 | 60.737 | 166.200 | -0.000 | 0.000 | -0.000 |
| 6.880 | 10.433 | 13.037 | 50.957 | 0.000 | -0.000 |
| -0.000 | -0.000 | 0.000 | -0.000 | 54.227 | -0.620 |
| -0.000 | -0.000 | 0.000 | 0.000 | -0.620 | 55.674 |
| 173.459 | 62.111 | 60.754 | -0.620 | -0.000 | 0.000 |
| 62.111 | 173.459 | 60.754 | 0.620 | -0.000 | 0.000 |
| 60.737 | 60.737 | 166.200 | -0.000 | -0.000 | 0.000 |
| -2.044 | 0.102 | -1.485 | 53.099 | -0.000 | 0.000 |
| -0.971 | -0.971 | -1.485 | 0.000 | 53.099 | -1.073 |
| 0.000 | 0.000 | 0.000 | 0.000 | -0.620 | 55.674 |
| 171.667 | 61.207 | 59.797 | -1.567 | 0.000 | -0.000 |
| 62.111 | 173.459 | 60.754 | 0.620 | 0.000 | -0.000 |
| 60.737 | 60.737 | 166.200 | -0.000 | 0.000 | -0.000 |
| -0.102 | 2.044 | 1.485 | 53.099 | -0.000 | -0.000 |
| 0.971 | 0.971 | 1.485 | -0.000 | 53.099 | -1.073 |
| -0.000 | -0.000 | -0.000 | -0.000 | -0.620 | 55.674 |
| 171.419 | 60.746 | 58.819 | -1.292 | 0.000 | 0.000 |
| 62.112 | 173.459 | 60.754 | 0.620 | -0.000 | 0.000 |
| 58.346 | 58.346 | 163.659 | 0.000 | 0.000 | 0.000 |
| -1.781 | 1.371 | -0.313 | 51.850 | -0.000 | 0.000 |
| 0.000 | 0.000 | 0.000 | 0.000 | 54.227 | -0.620 |
| -0.136 | -0.136 | -0.208 | 0.000 | -1.255 | 55.355 |
| 170.927 | 60.448 | 58.672 | -1.555 | 0.000 | -0.000 |
| 62.111 | 173.458 | 60.754 | 0.620 | 0.000 | -0.000 |
| 60.736 | 60.736 | 166.199 | -0.000 | 0.000 | -0.000 |
| -0.620 | 0.620 | -0.000 | 54.227 | 0.000 | -0.000 |
| -0.000 | -0.000 | -0.000 | -0.000 | 54.227 | -0.620 |
| 0.136 | 0.136 | 0.208 | -0.000 | -1.255 | 55.355 |
| 166.734 | 54.596 | 61.143 | 0.000 | 0.000 | -0.000 |
| 54.596 | 166.734 | 61.143 | 0.000 | -0.000 | -0.000 |
| 61.143 | 61.143 | 162.600 | 0.000 | 0.000 | 0.000 |
| -0.000 | 0.000 | -0.000 | 54.935 | 0.000 | -0.000 |
| -0.000 | 0.000 | -0.000 | 0.000 | 54.935 | 0.000 |
| 0.000 | 0.000 | -0.000 | -0.000 | 0.000 | 48.524 |
| 166.548 | 54.410 | 60.966 | -0.000 | 0.000 | -0.000 |
| 54.410 | 166.548 | 60.966 | -0.000 | -0.000 | 0.000 |
| 61.001 | 61.001 | 156.733 | -0.000 | 0.000 | 0.000 |
| 0.000 | -0.000 | 0.000 | 54.935 | 0.000 | -0.000 |
| 0.000 | -0.000 | 0.000 | -0.000 | 54.935 | -0.000 |
| -0.000 | -0.000 | 0.000 | 0.000 | 0.000 | 48.524 |
| 166.548 | 54.410 | 60.966 | 0.000 | 0.000 | 0.000 |
| 54.410 | 166.548 | 60.966 | 0.000 | -0.000 | 0.000 |
| 61.001 | 61.001 | 156.733 | 0.000 | -0.000 | 0.000 |
| 0.000 | -0.000 | -0.000 | 54.935 | -0.000 | 0.000 |
| -0.000 | 0.000 | -0.000 | 0.000 | 54.935 | 0.000 |
| 0.000 | 0.000 | 0.000 | -0.000 | 0.000 | 48.524 |
| 166.734 | 54.596 | 61.143 | 0.000 | 0.000 | -0.000 |
| 54.596 | 166.734 | 61.143 | -0.000 | 0.000 | -0.000 |
| 61.143 | 61.143 | 162.600 | -0.000 | -0.000 | 0.000 |
| -0.000 | 0.000 | 0.000 | 54.935 | -0.000 | 0.000 |
| 0.000 | -0.000 | 0.000 | -0.000 | 54.935 | -0.000 |
| -0.000 | -0.000 | -0.000 | 0.000 | 0.000 | 48.524 |
| 166.735 | 54.596 | 61.143 | 0.000 | 0.000 | -0.000 |
| 54.596 | 166.735 | 61.143 | 0.000 | 0.000 | -0.000 |
| 60.644 | 60.644 | 156.095 | 0.000 | -0.000 | -0.000 |
| 0.000 | -0.000 | 0.000 | 54.935 | 0.000 | 0.000 |
| -0.000 | 0.000 | 0.000 | 0.000 | 54.935 | 0.000 |
| 0.000 | 0.000 | 0.000 | 0.000 | -0.000 | 48.524 |
| 166.531 | 54.393 | 60.644 | -0.000 | 0.000 | -0.000 |
| 54.393 | 166.531 | 60.644 | -0.000 | 0.000 | -0.000 |
| 60.644 | 60.644 | 156.092 | -0.000 | -0.000 | -0.000 |
| -0.000 | 0.000 | -0.000 | 54.935 | -0.000 | 0.000 |
| 0.000 | -0.000 | -0.000 | -0.000 | 54.935 | -0.000 |
| -0.000 | -0.000 | -0.000 | -0.000 | 0.000 | 48.524 |
| 166.650 | 54.559 | 67.662 | 0.000 | 0.000 | 0.000 |
| 54.559 | 166.650 | 67.662 | -0.000 | 0.000 | 0.000 |
| 61.196 | 61.196 | 164.018 | 0.000 | 0.000 | -0.000 |
| -0.000 | -0.000 | -0.000 | 55.092 | 0.000 | 0.000 |
| 0.000 | 0.000 | -0.000 | 0.000 | 55.092 | -0.000 |
| 0.000 | 0.000 | -0.000 | 0.000 | 0.000 | 48.461 |
| 166.598 | 54.506 | 61.140 | 0.000 | -0.000 | 0.000 |
| 54.506 | 166.598 | 61.140 | 0.000 | 0.000 | -0.000 |
| 59.982 | 59.982 | 148.289 | -0.000 | -0.000 | -0.000 |
| 0.000 | 0.000 | 0.000 | 55.092 | -0.000 | 0.000 |
| -0.000 | -0.000 | 0.000 | -0.000 | 55.092 | 0.000 |
| -0.000 | -0.000 | 0.000 | -0.000 | -0.000 | 48.461 |
| 166.489 | 54.398 | 61.614 | 0.000 | 0.000 | -0.000 |
| 54.398 | 166.489 | 61.614 | 0.000 | 0.000 | -0.000 |
| 60.691 | 60.691 | 156.975 | 0.000 | -0.000 | 0.000 |
| 0.073 | 0.073 | 0.754 | 54.915 | 0.000 | -0.000 |
| 0.073 | 0.073 | 0.754 | 0.000 | 54.915 | -0.000 |
| 0.064 | 0.064 | 0.790 | 0.000 | 0.000 | 48.461 |
| 166.334 | 54.243 | 59.826 | 0.000 | -0.000 | 0.000 |
| 54.243 | 166.334 | 59.826 | -0.000 | 0.000 | 0.000 |
| 60.562 | 60.562 | 155.396 | -0.000 | -0.000 | 0.000 |
| -0.073 | -0.073 | -0.754 | 54.915 | -0.000 | -0.000 |
| -0.073 | -0.073 | -0.754 | -0.000 | 54.915 | 0.000 |
| -0.064 | -0.064 | -0.790 | -0.000 | -0.000 | 48.461 |
| 166.598 | 54.507 | 61.140 | 0.000 | 0.000 | -0.000 |
| 54.507 | 166.598 | 61.140 | 0.000 | 0.000 | 0.000 |
| 60.633 | 60.633 | 156.265 | -0.000 | 0.000 | -0.000 |
| 0.000 | -0.000 | 0.000 | 55.092 | 0.000 | 0.000 |
| -0.000 | 0.000 | 0.000 | 0.000 | 55.092 | -0.000 |
| 0.007 | 0.007 | 0.079 | 0.000 | 0.000 | 48.461 |
| 166.597 | 54.506 | 61.140 | -0.000 | 0.000 | 0.000 |
| 54.506 | 166.597 | 61.140 | -0.000 | -0.000 | 0.000 |
| 60.981 | 60.981 | 156.752 | -0.000 | -0.000 | 0.000 |
| -0.000 | 0.000 | -0.000 | 55.092 | -0.000 | 0.000 |
| 0.000 | -0.000 | -0.000 | -0.000 | 55.092 | 0.000 |
| -0.007 | -0.007 | -0.079 | -0.000 | -0.000 | 48.461 |
| -2.228 | 9.115 | 9.115 | 0.000 | 0.000 | 0.000 |
| 9.115 | -2.228 | 9.115 | 0.000 | -0.000 | 0.000 |
| 9.115 | 9.115 | -2.228 | 0.000 | 0.000 | 0.000 |
| 0.000 | 0.000 | 0.000 | -53.168 | 0.000 | 0.000 |
| 0.000 | 0.000 | 0.000 | 0.000 | -53.168 | 0.000 |
| 0.000 | 0.000 | 0.000 | 0.000 | 0.000 | -53.168 |
| -2.228 | 9.115 | 9.115 | -0.000 | -0.000 | -0.000 |
| 9.115 | -2.228 | 9.115 | -0.000 | 0.000 | -0.000 |
| 9.115 | 9.115 | -2.228 | 0.000 | -0.000 | -0.000 |
| -0.000 | -0.000 | -0.000 | -53.168 | -0.000 | -0.000 |
| -0.000 | -0.000 | -0.000 | -0.000 | -53.168 | -0.000 |
| -0.000 | -0.000 | -0.000 | -0.000 | -0.000 | -53.168 |
| -2.228 | 9.115 | 9.115 | 0.000 | 0.000 | 0.000 |
| 9.115 | -2.228 | 9.115 | 0.000 | 0.000 | 0.000 |
| 9.115 | 9.115 | -2.228 | 0.000 | 0.000 | 0.000 |
| 0.000 | -0.000 | -0.000 | -53.168 | -0.000 | -0.000 |
| -0.000 | 0.000 | -0.000 | 0.000 | -53.168 | 0.000 |
| -0.000 | -0.000 | 0.000 | 0.000 | 0.000 | -53.168 |
| -2.228 | 9.115 | 9.115 | -0.000 | 0.000 | -0.000 |
| 9.115 | -2.228 | 9.115 | -0.000 | -0.000 | -0.000 |
| 9.115 | 9.115 | -2.228 | -0.000 | -0.000 | -0.000 |
| -0.000 | 0.000 | 0.000 | -53.168 | -0.000 | -0.000 |
| 0.000 | -0.000 | 0.000 | -0.000 | -53.168 | -0.000 |
| 0.000 | 0.000 | -0.000 | -0.000 | -0.000 | -53.168 |
| -2.228 | 9.115 | 9.115 | 0.000 | -0.000 | 0.000 |
| 9.115 | -2.228 | 9.115 | 0.000 | 0.000 | 0.000 |
| 9.115 | 9.115 | -2.228 | 0.000 | -0.000 | 0.000 |
| 0.000 | -0.000 | -0.000 | -53.168 | 0.000 | 0.000 |
| -0.000 | 0.000 | -0.000 | 0.000 | -53.168 | 0.000 |
| -0.000 | -0.000 | 0.000 | 0.000 | 0.000 | -53.168 |
| -2.228 | 9.115 | 9.115 | 0.000 | -0.000 | -0.000 |
| 9.115 | -2.228 | 9.115 | -0.000 | 0.000 | -0.000 |
| 9.115 | 9.115 | -2.228 | -0.000 | -0.000 | -0.000 |
| -0.000 | 0.000 | 0.000 | -53.168 | 0.000 | -0.000 |
| 0.000 | -0.000 | 0.000 | -0.000 | -53.168 | -0.000 |
| 0.000 | 0.000 | -0.000 | -0.000 | -0.000 | -53.168 |
| 37.353 | 8.347 | 8.347 | 0.000 | 0.000 | 0.000 |
| 8.347 | 37.353 | 8.347 | 0.000 | -0.000 | 0.000 |
| 8.347 | 8.347 | 37.353 | 0.000 | -0.000 | 0.000 |
| 0.000 | 0.000 | 0.000 | 8.213 | -0.000 | -0.000 |
| 0.000 | -0.000 | 0.000 | -0.000 | 8.213 | 0.000 |
| 0.000 | 0.000 | 0.000 | 0.000 | 0.000 | 8.213 |
| 37.353 | 8.347 | 8.347 | -0.000 | 0.000 | -0.000 |
| 8.347 | 37.353 | 8.347 | -0.000 | -0.000 | -0.000 |
| 8.347 | 8.347 | 37.353 | -0.000 | 0.000 | -0.000 |
| -0.000 | -0.000 | -0.000 | 8.213 | 0.000 | -0.000 |
| -0.000 | 0.000 | -0.000 | 0.000 | 8.213 | -0.000 |
| -0.000 | -0.000 | -0.000 | -0.000 | -0.000 | 8.213 |
| 37.353 | 8.347 | 8.347 | -0.000 | 0.000 | 0.000 |
| 8.347 | 37.353 | 8.347 | 0.000 | -0.000 | 0.000 |
| 8.347 | 8.347 | 37.353 | 0.000 | -0.000 | 0.000 |
| -0.000 | -0.000 | -0.000 | 8.213 | 0.000 | 0.000 |
| -0.000 | -0.000 | -0.000 | 0.000 | 8.213 | 0.000 |
| -0.000 | -0.000 | -0.000 | 0.000 | 0.000 | 8.213 |
| 37.353 | 8.347 | 8.347 | -0.000 | 0.000 | -0.000 |
| 8.347 | 37.353 | 8.347 | -0.000 | -0.000 | -0.000 |
| 8.347 | 8.347 | 37.353 | 0.000 | 0.000 | -0.000 |
| 0.000 | 0.000 | 0.000 | 8.213 | -0.000 | -0.000 |
| 0.000 | 0.000 | 0.000 | -0.000 | 8.213 | -0.000 |
| 0.000 | 0.000 | 0.000 | -0.000 | -0.000 | 8.213 |
| 37.353 | 8.347 | 8.347 | -0.000 | -0.000 | 0.000 |
| 8.347 | 37.353 | 8.347 | -0.000 | -0.000 | 0.000 |
| 8.347 | 8.347 | 37.353 | 0.000 | 0.000 | 0.000 |
| -0.000 | -0.000 | -0.000 | 8.213 | -0.000 | 0.000 |
| -0.000 | -0.000 | -0.000 | -0.000 | 8.213 | 0.000 |
| -0.000 | -0.000 | -0.000 | 0.000 | -0.000 | 8.213 |
| 37.353 | 8.347 | 8.347 | -0.000 | -0.000 | -0.000 |
| 8.347 | 37.353 | 8.347 | 0.000 | -0.000 | -0.000 |
| 8.347 | 8.347 | 37.353 | -0.000 | 0.000 | -0.000 |
| 0.000 | 0.000 | 0.000 | 8.213 | -0.000 | -0.000 |
| 0.000 | 0.000 | 0.000 | -0.000 | 8.213 | -0.000 |
| 0.000 | 0.000 | 0.000 | -0.000 | -0.000 | 8.213 |
| 28.928 | 13.642 | 13.642 | 0.000 | 0.000 | 0.000 |
| 13.642 | 28.928 | 13.642 | 0.000 | 0.000 | 0.000 |
| 13.642 | 13.642 | 28.928 | 0.000 | 0.000 | 0.000 |
| 0.000 | 0.000 | -0.000 | 13.578 | 0.000 | 0.000 |
| 0.000 | 0.000 | -0.000 | 0.000 | 13.578 | 0.000 |
| 0.000 | 0.000 | 0.000 | 0.000 | 0.000 | 13.578 |
| 28.928 | 13.642 | 13.642 | -0.000 | -0.000 | -0.000 |
| 13.642 | 28.928 | 13.642 | -0.000 | -0.000 | -0.000 |
| 13.642 | 13.642 | 28.928 | -0.000 | -0.000 | -0.000 |
| -0.000 | -0.000 | 0.000 | 13.578 | -0.000 | -0.000 |
| -0.000 | -0.000 | 0.000 | -0.000 | 13.578 | -0.000 |
| -0.000 | -0.000 | -0.000 | -0.000 | -0.000 | 13.578 |
| 28.928 | 13.642 | 13.642 | 0.000 | 0.000 | 0.000 |
| 13.642 | 28.928 | 13.642 | 0.000 | 0.000 | 0.000 |
| 13.642 | 13.642 | 28.928 | 0.000 | 0.000 | 0.000 |
| 0.000 | -0.000 | 0.000 | 13.642 | -0.000 | 0.000 |
| -0.000 | 0.000 | 0.000 | -0.000 | 13.642 | 0.000 |
| -0.000 | 0.000 | 0.000 | -0.000 | 0.000 | 13.642 |
| 28.928 | 13.642 | 13.642 | -0.000 | -0.000 | -0.000 |
| 13.642 | 28.928 | 13.642 | -0.000 | -0.000 | -0.000 |
| 13.642 | 13.642 | 28.928 | 0.000 | 0.000 | -0.000 |
| -0.000 | 0.000 | -0.000 | 13.642 | -0.000 | -0.000 |
| 0.000 | -0.000 | -0.000 | -0.000 | 13.642 | -0.000 |
| 0.000 | -0.000 | -0.000 | -0.000 | -0.000 | 13.642 |
| 28.928 | 13.642 | 13.642 | 0.000 | 0.000 | 0.000 |
| 13.642 | 28.928 | 13.642 | 0.000 | 0.000 | 0.000 |
| 13.642 | 13.642 | 28.928 | 0.000 | 0.000 | 0.000 |
| 0.000 | -0.000 | 0.000 | 13.578 | 0.000 | 0.000 |
| -0.000 | 0.000 | 0.000 | 0.000 | 13.578 | 0.000 |
| -0.000 | 0.000 | 0.000 | 0.000 | 0.000 | 13.578 |
| 28.928 | 13.642 | 13.642 | -0.000 | -0.000 | -0.000 |
| 13.642 | 28.928 | 13.642 | -0.000 | -0.000 | -0.000 |
| 13.642 | 13.642 | 28.928 | 0.000 | 0.000 | -0.000 |
| -0.000 | 0.000 | -0.000 | 13.578 | -0.000 | -0.000 |
| 0.000 | -0.000 | -0.000 | -0.000 | 13.578 | -0.000 |
| 0.000 | -0.000 | -0.000 | -0.000 | -0.000 | 13.578 |
| 18.212 | 9.685 | 9.685 | 0.000 | 0.000 | 0.000 |
| 9.685 | 18.212 | 9.685 | 0.000 | 0.000 | 0.000 |
| 9.685 | 9.685 | 18.212 | 0.000 | 0.000 | 0.000 |
| 0.000 | 0.000 | 0.000 | 9.685 | 0.000 | 0.000 |
| 0.000 | 0.000 | 0.000 | 0.000 | 9.685 | 0.000 |
| 0.000 | 0.000 | -0.000 | 0.000 | 0.000 | 9.685 |
| 18.212 | 9.685 | 9.685 | -0.000 | -0.000 | -0.000 |
| 9.685 | 18.212 | 9.685 | -0.000 | -0.000 | -0.000 |
| 9.685 | 9.685 | 18.212 | -0.000 | -0.000 | -0.000 |
| -0.000 | -0.000 | -0.000 | 9.685 | -0.000 | -0.000 |
| -0.000 | -0.000 | -0.000 | -0.000 | 9.685 | -0.000 |
| -0.000 | -0.000 | 0.000 | -0.000 | -0.000 | 9.685 |
| 18.212 | 9.685 | 9.685 | 0.000 | 0.000 | 0.000 |
| 9.685 | 18.212 | 9.685 | 0.000 | 0.000 | 0.000 |
| 9.685 | 9.685 | 18.212 | 0.000 | 0.000 | 0.000 |
| -0.000 | -0.000 | 0.000 | 9.685 | 0.000 | 0.000 |
| -0.000 | -0.000 | 0.000 | 0.000 | 9.685 | 0.000 |
| -0.000 | 0.000 | -0.000 | 0.000 | 0.000 | 9.685 |
| 18.212 | 9.685 | 9.685 | -0.000 | 0.000 | 0.000 |
| 9.685 | 18.212 | 9.685 | 0.000 | -0.000 | -0.000 |
| 9.685 | 9.685 | 18.212 | -0.000 | -0.000 | -0.000 |
| 0.000 | 0.000 | -0.000 | 9.685 | -0.000 | -0.000 |
| 0.000 | 0.000 | -0.000 | -0.000 | 9.685 | -0.000 |
| 0.000 | -0.000 | 0.000 | -0.000 | -0.000 | 9.685 |
| 18.212 | 9.685 | 9.685 | 0.000 | 0.000 | 0.000 |
| 9.685 | 18.212 | 9.685 | -0.000 | 0.000 | 0.000 |
| 9.685 | 9.685 | 18.212 | 0.000 | 0.000 | 0.000 |
| -0.000 | -0.000 | 0.000 | 9.685 | 0.000 | 0.000 |
| -0.000 | -0.000 | 0.000 | 0.000 | 9.685 | 0.000 |
| -0.000 | 0.000 | -0.000 | 0.000 | 0.000 | 9.685 |
| 18.212 | 9.685 | 9.685 | -0.000 | -0.000 | -0.000 |
| 9.685 | 18.212 | 9.685 | -0.000 | -0.000 | -0.000 |
| 9.685 | 9.685 | 18.212 | -0.000 | -0.000 | -0.000 |
| 0.000 | 0.000 | -0.000 | 9.685 | -0.000 | -0.000 |
| 0.000 | 0.000 | -0.000 | -0.000 | 9.685 | -0.000 |
| 0.000 | -0.000 | 0.000 | -0.000 | -0.000 | 9.685 |
| 254.111 | 119.707 | 95.569 | 52.609 | 0.000 | 0.000 |
| 119.707 | 254.111 | 95.569 | -52.609 | 0.000 | 0.000 |
| 158.257 | 158.257 | 159.429 | -0.000 | 0.000 | 0.000 |
| 57.317 | -57.317 | -0.000 | 114.622 | 0.000 | 0.000 |
| 0.000 | -0.000 | 0.000 | 0.000 | 114.622 | 57.317 |
| 51.929 | 51.929 | -11.061 | 0.000 | 52.579 | 67.182 |
| 212.881 | 72.430 | 116.414 | 57.317 | -0.000 | -0.000 |
| 72.430 | 212.881 | 116.414 | -57.317 | -0.000 | -0.000 |
| 116.613 | 116.613 | 183.662 | 0.000 | -0.000 | -0.000 |
| 57.317 | -57.317 | -0.000 | 114.622 | -0.000 | -0.000 |
| -0.000 | 0.000 | -0.000 | -0.000 | 114.622 | 57.317 |
| -51.929 | -51.929 | 11.061 | -0.000 | 52.578 | 67.182 |
| 212.881 | 72.430 | 116.414 | 57.317 | 0.000 | 0.000 |
| 72.430 | 212.881 | 116.414 | -57.317 | 0.000 | 0.000 |
| 112.277 | 112.277 | 170.369 | 0.000 | 0.000 | 0.000 |
| 57.317 | -57.317 | 0.000 | 114.622 | -0.000 | 0.000 |
| 0.000 | 0.000 | 0.000 | 0.000 | 114.622 | 57.317 |
| 0.000 | 0.000 | 0.000 | 0.000 | 57.317 | 70.226 |
| 196.234 | 62.267 | 107.025 | 52.269 | -0.000 | -0.000 |
| 72.430 | 212.881 | 116.414 | -57.317 | -0.000 | -0.000 |
| 55.549 | 55.549 | 111.766 | -0.000 | -0.000 | -0.000 |
| 57.317 | -57.317 | -0.000 | 114.622 | -0.000 | -0.000 |
| -0.000 | -0.000 | -0.000 | -0.000 | 114.622 | 57.317 |
| -0.000 | -0.000 | -0.000 | -0.000 | 57.317 | 70.226 |
| 212.882 | 72.431 | 116.415 | 57.317 | 0.000 | 0.000 |
| 74.046 | 205.705 | 111.989 | -50.666 | 0.000 | 0.000 |
| 116.613 | 116.613 | 183.663 | -0.000 | 0.000 | 0.000 |
| 55.148 | -45.830 | 5.166 | 104.409 | 0.000 | 0.000 |
| 0.000 | 0.000 | 0.001 | 0.000 | 114.622 | 57.317 |
| 0.000 | 0.000 | 0.000 | 0.000 | 57.317 | 70.226 |
| 212.880 | 72.430 | 116.414 | 57.316 | -0.000 | -0.000 |
| 64.689 | 197.343 | 102.179 | -51.559 | -0.000 | -0.000 |
| 116.612 | 116.612 | 183.662 | 0.000 | 0.000 | -0.000 |
| 45.635 | -56.251 | -6.145 | 104.987 | -0.000 | -0.000 |
| -0.000 | -0.000 | -0.001 | -0.000 | 114.622 | 57.317 |
| -0.000 | -0.000 | -0.000 | -0.000 | 57.317 | 70.226 |
| 6.893 | -0.279 | -0.279 | 0.000 | 0.000 | -0.000 |
| -0.279 | 6.893 | -0.279 | 0.000 | 0.000 | 0.000 |
| -0.279 | -0.279 | 6.893 | 0.000 | 0.000 | -0.000 |
| 0.000 | -0.000 | 0.000 | 0.797 | 0.000 | -0.000 |
| 0.000 | -0.000 | 0.000 | -0.000 | 0.797 | -0.000 |
| 0.000 | -0.000 | 0.000 | 0.000 | 0.000 | 0.797 |
| 9.538 | 0.882 | 0.882 | 0.000 | -0.000 | 0.000 |
| 0.882 | 9.538 | 0.882 | 0.000 | -0.000 | 0.000 |
| 0.882 | 0.882 | 9.538 | 0.000 | -0.000 | 0.000 |
| -0.000 | 0.000 | -0.000 | 0.797 | -0.000 | 0.000 |
| -0.000 | 0.000 | -0.000 | -0.000 | 0.797 | 0.000 |
| -0.000 | 0.000 | -0.000 | -0.000 | -0.000 | 0.797 |
| 6.823 | 0.020 | 0.020 | -0.000 | 0.000 | -0.000 |
| 0.020 | 6.823 | 0.020 | -0.000 | 0.000 | -0.000 |
| 0.020 | 0.020 | 6.823 | -0.000 | 0.000 | -0.000 |
| 0.000 | -0.000 | -0.000 | 0.797 | 0.000 | -0.000 |
| -0.000 | -0.000 | -0.000 | -0.000 | 0.797 | -0.000 |
| -0.000 | -0.000 | 0.000 | -0.000 | 0.000 | 0.797 |
| 6.823 | 0.020 | 0.020 | 0.000 | -0.000 | 0.000 |
| 0.020 | 6.823 | 0.020 | 0.000 | -0.000 | 0.000 |
| 0.020 | 0.020 | 6.823 | 0.000 | -0.000 | 0.000 |
| -0.000 | 0.000 | 0.000 | 0.797 | -0.000 | 0.000 |
| 0.000 | 0.000 | 0.000 | 0.000 | 0.797 | 0.000 |
| 0.000 | 0.000 | -0.000 | -0.000 | -0.000 | 0.797 |
| 6.823 | 0.020 | 0.020 | 0.000 | 0.000 | -0.000 |
| 0.020 | 6.823 | 0.020 | -0.000 | 0.000 | -0.000 |
| 0.020 | 0.020 | 6.823 | -0.000 | 0.000 | -0.000 |
| -0.000 | -0.000 | -0.000 | 0.206 | 0.000 | -0.000 |
| -0.000 | -0.000 | -0.000 | -0.000 | 0.206 | -0.000 |
| -0.000 | -0.000 | -0.000 | 0.000 | 0.000 | 0.206 |
| 6.823 | 0.020 | 0.020 | 0.000 | -0.000 | 0.000 |
| 0.020 | 6.823 | 0.020 | 0.000 | 0.000 | 0.000 |
| 0.020 | 0.020 | 6.823 | 0.000 | -0.000 | 0.000 |
| 0.000 | 0.000 | 0.000 | 0.206 | -0.000 | -0.000 |
| 0.000 | 0.000 | 0.000 | 0.000 | 0.206 | 0.000 |
| 0.000 | 0.000 | 0.000 | -0.000 | -0.000 | 0.206 |
| 2.815 | -0.062 | -0.062 | 0.000 | 0.000 | -0.000 |
| -0.062 | 2.815 | -0.062 | 0.000 | 0.000 | -0.000 |
| -0.062 | -0.062 | 2.815 | 0.000 | 0.000 | 0.000 |
| 0.000 | 0.000 | 0.000 | 0.070 | 0.000 | 0.000 |
| 0.000 | -0.000 | 0.000 | 0.000 | 0.070 | 0.000 |
| 0.000 | -0.000 | 0.000 | 0.000 | 0.000 | 0.070 |
| 2.815 | -0.062 | -0.062 | 0.000 | -0.000 | -0.000 |
| -0.062 | 2.815 | -0.062 | -0.000 | 0.000 | -0.000 |
| -0.062 | -0.062 | 2.815 | 0.000 | 0.000 | -0.000 |
| -0.000 | -0.000 | -0.000 | 0.070 | -0.000 | -0.000 |
| 0.000 | 0.000 | -0.000 | -0.000 | 0.070 | -0.000 |
| -0.000 | 0.000 | -0.000 | -0.000 | -0.000 | 0.070 |
| 2.815 | -0.062 | -0.062 | 0.000 | 0.000 | 0.000 |
| -0.062 | 2.815 | -0.062 | 0.000 | 0.000 | 0.000 |
| -0.062 | -0.062 | 2.815 | 0.000 | 0.000 | 0.000 |
| 0.000 | 0.000 | -0.000 | 0.070 | -0.000 | -0.000 |
| -0.000 | 0.000 | -0.000 | -0.000 | 0.070 | 0.000 |
| -0.000 | -0.000 | 0.000 | -0.000 | 0.000 | 0.070 |
| 2.815 | -0.062 | -0.062 | -0.000 | -0.000 | -0.000 |
| -0.062 | 2.815 | -0.062 | -0.000 | -0.000 | -0.000 |
| -0.062 | -0.062 | 2.815 | -0.000 | -0.000 | -0.000 |
| -0.000 | -0.000 | 0.000 | 0.070 | 0.000 | -0.000 |
| -0.000 | -0.000 | 0.000 | 0.000 | 0.070 | -0.000 |
| -0.000 | 0.000 | -0.000 | 0.000 | -0.000 | 0.070 |
| 2.815 | -0.062 | -0.062 | 0.000 | -0.000 | -0.000 |
| -0.062 | 2.815 | -0.062 | -0.000 | 0.000 | 0.000 |
| -0.062 | -0.062 | 2.815 | 0.000 | 0.000 | 0.000 |
| 0.000 | -0.000 | -0.000 | 0.070 | 0.000 | 0.000 |
| -0.000 | 0.000 | -0.000 | 0.000 | 0.070 | -0.000 |
| -0.000 | -0.000 | 0.000 | 0.000 | 0.000 | 0.070 |
| 2.815 | -0.062 | -0.062 | -0.000 | 0.000 | -0.000 |
| -0.062 | 2.815 | -0.062 | 0.000 | -0.000 | -0.000 |
| -0.062 | -0.062 | 2.815 | -0.000 | -0.000 | 0.000 |
| -0.000 | 0.000 | 0.000 | 0.070 | -0.000 | -0.000 |
| 0.000 | -0.000 | 0.000 | -0.000 | 0.070 | -0.000 |
| 0.000 | 0.000 | -0.000 | -0.000 | -0.000 | 0.070 |
| 6.334 | -4.618 | -4.618 | 0.000 | 0.000 | 0.000 |
| -4.618 | 6.334 | -4.618 | 0.000 | 0.000 | -0.000 |
| -4.618 | -4.618 | 6.334 | 0.000 | 0.000 | 0.000 |
| 0.131 | 0.131 | 0.131 | -4.584 | -0.000 | -0.000 |
| 0.131 | 0.131 | 0.131 | -0.000 | -4.584 | 0.000 |
| 0.131 | 0.131 | 0.131 | -0.000 | 0.000 | -4.584 |
| 11.188 | -0.597 | -0.598 | -0.000 | -0.000 | -0.000 |
| -0.598 | 11.188 | -0.598 | -0.000 | -0.000 | -0.000 |
| -0.598 | -0.598 | 11.188 | -0.000 | -0.000 | -0.000 |
| -0.131 | -0.131 | -0.131 | -4.584 | 0.000 | -0.000 |
| -0.131 | -0.131 | -0.131 | 0.000 | -4.584 | -0.000 |
| -0.131 | -0.131 | -0.131 | 0.000 | 0.000 | -4.584 |
| 6.283 | -4.669 | -4.669 | 0.000 | 0.000 | 0.000 |
| -4.669 | 6.283 | -4.669 | 0.000 | 0.000 | 0.000 |
| -4.669 | -4.669 | 6.283 | 0.000 | 0.000 | 0.000 |
| 0.013 | 0.013 | 0.013 | -4.584 | -0.000 | 0.000 |
| 0.013 | 0.013 | 0.013 | -0.000 | -4.584 | 0.000 |
| 0.013 | 0.013 | 0.013 | -0.000 | -0.000 | -4.584 |
| 6.270 | -4.728 | -4.728 | -0.000 | -0.000 | 0.000 |
| -4.728 | 6.270 | -4.728 | 0.000 | 0.000 | -0.000 |
| -4.728 | -4.728 | 6.270 | -0.000 | -0.000 | -0.000 |
| -0.013 | -0.013 | -0.013 | -4.584 | 0.000 | -0.000 |
| -0.013 | -0.013 | -0.013 | 0.000 | -4.584 | -0.000 |
| -0.013 | -0.013 | -0.013 | 0.000 | -0.000 | -4.584 |
| 6.278 | -4.674 | -4.674 | 0.000 | 0.000 | 0.000 |
| -4.674 | 6.278 | -4.674 | 0.000 | 0.000 | 0.000 |
| -4.674 | -4.674 | 6.278 | 0.000 | 0.000 | 0.000 |
| -546234.122 | -653289.039 | -665411.604 | -8109.193 | -33.495 | -3935.105 |
| -652993.457 | -542674.131 | -664927.261 | -533.010 | -9726.160 | -2745.721 |
| -655019.330 | -665815.147 | -542456.756 | 6.511 | -2622.685 | -10349.896 |
| 6.275 | -4.723 | -4.723 | -0.000 | -0.000 | -0.000 |
| -4.723 | 6.275 | -4.723 | -0.000 | -0.000 | -0.000 |
| -4.723 | -4.723 | 6.275 | 0.000 | 0.000 | -0.000 |
| 549119.142 | 654579.390 | 670441.148 | -13139.856 | -1150.845 | -147.815 |
| 654570.513 | 546521.742 | 669799.986 | 192.547 | -10642.950 | 453.774 |
| 653233.722 | 671198.270 | 543199.209 | -2586.039 | -367.631 | -12633.978 |
| 5.794 | -3.425 | -3.425 | 0.000 | 0.000 | -0.000 |
| -3.425 | 5.795 | -3.425 | -0.000 | -0.000 | -0.000 |
| -3.425 | -3.425 | 5.795 | 0.000 | 0.000 | -0.000 |
| -0.000 | 0.000 | -0.000 | -0.552 | -0.000 | -0.000 |
| -0.000 | 0.000 | -0.000 | -0.000 | -0.552 | -0.000 |
| -0.000 | 0.000 | -0.000 | -0.000 | -0.000 | -0.552 |
| 10.229 | -0.289 | -0.289 | -0.000 | 0.000 | 0.000 |
| -0.289 | 10.229 | -0.289 | -0.000 | 0.000 | 0.000 |
| -0.289 | -0.289 | 10.229 | 0.000 | 0.000 | 0.000 |
| 0.000 | -0.000 | 0.000 | -0.552 | 0.000 | 0.000 |
| 0.000 | -0.000 | 0.000 | -0.000 | -0.552 | 0.000 |
| 0.000 | -0.000 | 0.000 | 0.000 | 0.000 | -0.552 |
| 5.417 | -3.804 | -3.804 | 0.000 | 0.000 | -0.000 |
| -3.804 | 5.417 | -3.804 | 0.000 | 0.000 | -0.000 |
| -3.804 | -3.804 | 5.417 | 0.000 | 0.000 | -0.000 |
| 0.101 | 0.101 | 0.101 | -3.395 | 0.000 | -0.000 |
| 0.101 | 0.101 | 0.101 | -0.000 | -3.395 | -0.000 |
| 0.101 | 0.101 | 0.101 | -0.000 | -0.000 | -3.395 |
| 5.333 | -3.888 | -3.888 | -0.000 | -0.000 | 0.000 |
| -3.888 | 5.333 | -3.888 | -0.000 | 0.000 | 0.000 |
| -3.888 | -3.888 | 5.333 | -0.000 | -0.000 | 0.000 |
| -0.101 | -0.101 | -0.101 | -3.395 | -0.000 | 0.000 |
| -0.101 | -0.101 | -0.101 | 0.000 | -3.395 | 0.000 |
| -0.101 | -0.101 | -0.101 | 0.000 | 0.000 | -3.395 |
| 5.379 | -3.803 | -3.803 | 0.000 | -0.000 | -0.000 |
| -3.803 | 5.379 | -3.803 | 0.000 | -0.000 | -0.000 |
| -3.803 | -3.803 | 5.379 | 0.000 | 0.000 | -0.000 |
| -692623.050 | -639127.454 | -701338.070 | 17350.365 | 564.750 | -2744.488 |
| -642209.381 | -699833.264 | -707687.519 | 1338.993 | 21461.125 | -2089.520 |
| -638486.734 | -697948.462 | -697919.301 | 806.483 | -2455.111 | 17063.283 |
| 5.370 | -3.812 | -3.812 | -0.000 | -0.000 | 0.000 |
| -3.812 | 5.370 | -3.812 | -0.000 | 0.000 | 0.000 |
| -3.812 | -3.812 | 5.370 | -0.000 | -0.000 | 0.000 |
| 692902.351 | 651799.634 | 701094.535 | 17448.926 | 825.422 | 112.890 |
| 652180.646 | 696573.090 | 705922.197 | 374.399 | 16696.734 | -1005.375 |
| 654945.735 | 704212.293 | 699275.214 | 1420.752 | -486.271 | 15554.869 |
| 227.872 | 107.460 | 107.460 | -0.000 | 0.000 | 0.000 |
| 107.460 | 227.872 | 107.460 | 0.000 | -0.000 | 0.000 |
| 107.460 | 107.460 | 227.872 | 0.000 | 0.000 | 0.000 |
| 0.000 | 0.000 | 0.000 | 119.941 | -0.000 | 0.000 |
| 0.000 | 0.000 | 0.000 | 0.000 | 119.940 | 0.000 |
| 0.000 | 0.000 | 0.000 | 0.000 | 0.000 | 119.940 |
| 227.872 | 107.460 | 107.460 | -0.000 | 0.000 | -0.000 |
| 107.460 | 227.872 | 107.460 | -0.000 | -0.000 | -0.000 |
| 107.460 | 107.460 | 227.872 | -0.000 | 0.000 | -0.000 |
| -0.000 | -0.000 | -0.000 | 119.940 | 0.000 | -0.000 |
| -0.000 | -0.000 | -0.000 | -0.000 | 119.940 | -0.000 |
| -0.000 | -0.000 | -0.000 | -0.000 | -0.000 | 119.940 |
| 227.872 | 107.460 | 107.460 | -0.000 | -0.000 | 0.000 |
| 107.460 | 227.872 | 107.460 | 0.000 | 0.000 | 0.000 |
| 107.460 | 107.460 | 227.872 | 0.000 | 0.000 | 0.000 |
| 0.000 | 0.000 | 0.000 | 100.512 | -0.000 | 0.000 |
| 0.000 | 0.000 | 0.000 | 0.000 | 100.512 | 0.000 |
| 0.000 | 0.000 | 0.000 | 0.000 | 0.000 | 100.512 |
| 227.872 | 107.460 | 107.460 | -0.000 | 0.000 | -0.000 |
| 107.460 | 227.872 | 107.460 | -0.000 | 0.000 | -0.000 |
| 107.460 | 107.460 | 227.872 | -0.000 | -0.000 | -0.000 |
| -0.000 | -0.000 | -0.000 | 100.512 | 0.000 | 0.000 |
| -0.000 | -0.000 | -0.000 | -0.000 | 100.512 | -0.000 |
| -0.000 | -0.000 | -0.000 | -0.000 | -0.000 | 100.512 |
| 227.873 | 107.460 | 107.460 | -0.000 | 0.000 | 0.000 |
| 107.460 | 227.873 | 107.460 | 0.000 | 0.000 | 0.000 |
| 107.460 | 107.460 | 227.873 | 0.000 | 0.000 | 0.000 |
| 0.000 | 0.000 | 0.000 | 100.512 | 0.000 | 0.000 |
| 0.000 | 0.000 | 0.000 | 0.000 | 100.512 | 0.000 |
| 0.000 | 0.000 | 0.000 | 0.000 | 0.000 | 100.512 |
| 227.871 | 107.459 | 107.459 | -0.000 | 0.000 | -0.000 |
| 107.459 | 227.871 | 107.459 | -0.000 | 0.000 | 0.000 |
| 107.459 | 107.459 | 227.871 | -0.000 | 0.000 | -0.000 |
| -0.000 | -0.000 | -0.000 | 100.512 | -0.000 | -0.000 |
| -0.000 | -0.000 | -0.000 | -0.000 | 100.512 | -0.000 |
| -0.000 | -0.000 | -0.000 | -0.000 | -0.000 | 100.512 |
| 288.075 | 47.951 | 108.052 | -0.000 | 0.000 | 0.000 |
| 47.951 | 288.075 | 108.052 | -0.000 | 0.000 | 0.000 |
| 108.052 | 108.052 | 229.324 | -0.000 | 0.000 | 0.000 |
| 0.000 | 0.000 | 0.000 | 120.535 | 0.000 | -0.000 |
| 0.000 | -0.000 | 0.000 | -0.000 | 120.535 | 0.000 |
| 0.000 | 0.000 | -0.000 | 0.000 | -0.000 | 60.438 |
| 288.075 | 47.951 | 108.052 | 0.000 | -0.000 | -0.000 |
| 47.951 | 288.075 | 108.052 | 0.000 | -0.000 | -0.000 |
| 108.052 | 108.052 | 229.324 | -0.000 | -0.000 | -0.000 |
| -0.000 | -0.000 | -0.000 | 120.535 | -0.000 | -0.000 |
| -0.000 | 0.000 | -0.000 | 0.000 | 120.535 | -0.000 |
| -0.000 | -0.000 | 0.000 | -0.000 | -0.000 | 60.438 |
| 288.075 | 47.951 | 108.052 | -0.000 | -0.000 | 0.000 |
| 47.951 | 288.075 | 108.052 | -0.000 | 0.000 | 0.000 |
| 108.052 | 108.052 | 229.324 | -0.000 | -0.000 | 0.000 |
| -0.000 | 0.000 | 0.000 | 120.535 | 0.000 | 0.000 |
| 0.000 | -0.000 | 0.000 | -0.000 | 120.535 | 0.000 |
| 0.000 | 0.000 | -0.000 | 0.000 | 0.000 | 60.438 |
| 288.075 | 47.951 | 108.052 | -0.000 | 0.000 | -0.000 |
| 47.951 | 288.075 | 108.052 | -0.000 | -0.000 | -0.000 |
| 108.052 | 108.052 | 229.324 | 0.000 | 0.000 | -0.000 |
| 0.000 | -0.000 | -0.000 | 120.535 | -0.000 | -0.000 |
| -0.000 | 0.000 | -0.000 | 0.000 | 120.535 | -0.000 |
| -0.000 | -0.000 | 0.000 | -0.000 | 0.000 | 60.438 |
| 288.077 | 47.951 | 108.053 | 0.000 | 0.000 | 0.000 |
| 47.951 | 288.077 | 108.053 | 0.000 | 0.000 | 0.000 |
| 108.053 | 108.053 | 229.325 | 0.000 | 0.000 | 0.000 |
| -0.000 | 0.001 | 0.000 | 120.535 | 0.000 | 0.000 |
| 0.001 | -0.000 | 0.000 | -0.000 | 120.535 | 0.000 |
| 0.000 | 0.000 | -0.000 | -0.000 | -0.000 | 60.438 |
| 288.073 | 47.950 | 108.051 | -0.000 | -0.000 | -0.000 |
| 47.950 | 288.073 | 108.051 | 0.000 | -0.000 | -0.000 |
| 108.052 | 108.052 | 229.323 | -0.000 | 0.000 | -0.000 |
| 0.000 | -0.001 | -0.000 | 120.535 | -0.000 | -0.000 |
| -0.001 | 0.000 | -0.000 | 0.000 | 120.535 | -0.000 |
| -0.000 | -0.000 | 0.000 | 0.000 | -0.000 | 60.438 |
| 21.109 | 10.308 | 10.308 | 0.000 | -0.000 | 0.000 |
| 10.308 | 21.109 | 10.308 | 0.000 | -0.000 | 0.000 |
| 10.308 | 10.308 | 21.109 | -0.000 | -0.000 | 0.000 |
| 0.000 | 0.000 | 0.000 | 10.308 | -0.000 | 0.000 |
| 0.000 | 0.000 | 0.000 | -0.000 | 10.308 | -0.000 |
| 0.000 | 0.000 | 0.000 | 0.000 | -0.000 | 10.308 |
| 21.109 | 10.308 | 10.308 | -0.000 | 0.000 | -0.000 |
| 10.308 | 21.109 | 10.308 | -0.000 | 0.000 | -0.000 |
| 10.308 | 10.308 | 21.109 | 0.000 | 0.000 | -0.000 |
| -0.000 | -0.000 | -0.000 | 10.308 | 0.000 | 0.000 |
| -0.000 | -0.000 | -0.000 | 0.000 | 10.308 | 0.000 |
| -0.000 | -0.000 | -0.000 | 0.000 | 0.000 | 10.308 |
| 21.109 | 10.308 | 10.308 | 0.000 | -0.000 | 0.000 |
| 10.308 | 21.109 | 10.308 | 0.000 | -0.000 | 0.000 |
| 10.308 | 10.308 | 21.109 | -0.000 | -0.000 | 0.000 |
| 0.000 | -0.000 | 0.000 | 10.224 | -0.000 | -0.000 |
| -0.000 | 0.000 | 0.000 | -0.000 | 10.224 | 0.000 |
| -0.000 | 0.000 | 0.000 | -0.000 | -0.000 | 10.224 |
| 21.109 | 10.308 | 10.308 | -0.000 | 0.000 | -0.000 |
| 10.308 | 21.109 | 10.308 | -0.000 | 0.000 | -0.000 |
| 10.308 | 10.308 | 21.109 | -0.000 | 0.000 | -0.000 |
| -0.000 | 0.000 | -0.000 | 10.224 | 0.000 | -0.000 |
| 0.000 | -0.000 | -0.000 | 0.000 | 10.224 | -0.000 |
| 0.000 | -0.000 | -0.000 | 0.000 | 0.000 | 10.224 |
| 21.109 | 10.308 | 10.308 | 0.000 | -0.000 | -0.000 |
| 10.308 | 21.109 | 10.308 | 0.000 | -0.000 | -0.000 |
| 10.308 | 10.308 | 21.109 | -0.000 | -0.000 | 0.000 |
| 0.000 | -0.000 | 0.000 | 10.308 | -0.000 | -0.000 |
| -0.000 | 0.000 | 0.000 | -0.000 | 10.308 | -0.000 |
| -0.000 | 0.000 | 0.000 | 0.000 | -0.000 | 10.308 |
| 21.108 | 10.308 | 10.308 | -0.000 | 0.000 | -0.000 |
| 10.308 | 21.108 | 10.308 | -0.000 | 0.000 | 0.000 |
| 10.308 | 10.308 | 21.108 | 0.000 | 0.000 | -0.000 |
| -0.000 | 0.000 | -0.000 | 10.308 | 0.000 | 0.000 |
| 0.000 | -0.000 | -0.000 | 0.000 | 10.308 | 0.000 |
| 0.000 | -0.000 | -0.000 | -0.000 | 0.000 | 10.308 |
| 21.061 | 13.378 | 13.378 | 0.000 | 0.000 | 0.000 |
| 13.378 | 21.061 | 13.378 | 0.000 | 0.000 | 0.000 |
| 13.378 | 13.378 | 21.061 | -0.000 | 0.000 | 0.000 |
| 0.000 | 0.000 | 0.000 | 13.339 | 0.000 | 0.000 |
| 0.000 | 0.000 | 0.000 | 0.000 | 13.339 | 0.000 |
| 0.000 | 0.000 | 0.000 | 0.000 | 0.000 | 13.339 |
| 21.061 | 13.378 | 13.378 | -0.000 | -0.000 | -0.000 |
| 13.378 | 21.061 | 13.378 | -0.000 | -0.000 | -0.000 |
| 13.378 | 13.378 | 21.061 | -0.000 | -0.000 | -0.000 |
| 0.000 | -0.000 | -0.000 | 13.339 | -0.000 | -0.000 |
| -0.000 | -0.000 | -0.000 | -0.000 | 13.339 | -0.000 |
| -0.000 | -0.000 | -0.000 | -0.000 | -0.000 | 13.339 |
| 21.061 | 13.378 | 13.378 | 0.000 | 0.000 | 0.000 |
| 13.378 | 21.061 | 13.378 | 0.000 | 0.000 | 0.000 |
| 13.378 | 13.378 | 21.061 | 0.000 | 0.000 | 0.000 |
| 0.000 | -0.000 | 0.000 | 13.339 | 0.000 | 0.000 |
| -0.000 | 0.000 | 0.000 | 0.000 | 13.339 | 0.000 |
| -0.000 | 0.000 | 0.000 | 0.000 | 0.000 | 13.339 |
| 21.061 | 13.378 | 13.378 | -0.000 | -0.000 | 0.000 |
| 13.378 | 21.061 | 13.378 | -0.000 | -0.000 | -0.000 |
| 13.378 | 13.378 | 21.061 | -0.000 | -0.000 | -0.000 |
| -0.000 | 0.000 | -0.000 | 13.339 | -0.000 | -0.000 |
| 0.000 | -0.000 | -0.000 | -0.000 | 13.339 | -0.000 |
| 0.000 | -0.000 | -0.000 | -0.000 | -0.000 | 13.339 |
| 21.061 | 13.378 | 13.378 | 0.000 | 0.000 | 0.000 |
| 13.378 | 21.061 | 13.378 | 0.000 | 0.000 | 0.000 |
| 13.378 | 13.378 | 21.061 | 0.000 | 0.000 | 0.000 |
| 0.000 | -0.000 | 0.000 | 13.339 | 0.000 | -0.000 |
| -0.000 | 0.000 | 0.000 | 0.000 | 13.339 | 0.000 |
| -0.000 | 0.000 | 0.000 | 0.000 | 0.000 | 13.339 |
| 21.061 | 13.378 | 13.378 | -0.000 | -0.000 | -0.000 |
| 13.378 | 21.061 | 13.378 | -0.000 | -0.000 | -0.000 |
| 13.378 | 13.378 | 21.061 | -0.000 | -0.000 | -0.000 |
| -0.000 | 0.000 | -0.000 | 13.339 | -0.000 | -0.000 |
| 0.000 | -0.000 | -0.000 | -0.000 | 13.339 | -0.000 |
| 0.000 | -0.000 | -0.000 | -0.000 | -0.000 | 13.339 |
| 386.410 | 144.900 | 144.900 | -0.000 | 0.000 | -0.000 |
| 144.900 | 386.410 | 144.900 | 0.000 | 0.000 | -0.000 |
| 144.900 | 144.900 | 386.410 | -0.000 | 0.000 | 0.000 |
| -0.000 | 0.000 | 0.000 | 133.640 | 0.000 | 0.000 |
| -0.000 | 0.000 | 0.000 | -0.000 | 133.640 | 0.000 |
| -0.000 | 0.000 | 0.000 | -0.000 | 0.000 | 133.640 |
| 386.410 | 144.900 | 144.900 | -0.000 | -0.000 | -0.000 |
| 144.900 | 386.410 | 144.900 | -0.000 | -0.000 | -0.000 |
| 144.900 | 144.900 | 386.410 | 0.000 | 0.000 | -0.000 |
| 0.000 | -0.000 | -0.000 | 133.640 | -0.000 | 0.000 |
| 0.000 | -0.000 | -0.000 | 0.000 | 133.640 | -0.000 |
| 0.000 | -0.000 | -0.000 | 0.000 | -0.000 | 133.640 |
| 386.410 | 144.900 | 144.900 | 0.000 | 0.000 | 0.000 |
| 144.900 | 386.410 | 144.900 | 0.000 | 0.000 | 0.000 |
| 144.900 | 144.900 | 386.410 | -0.000 | 0.000 | 0.000 |
| 0.000 | 0.000 | 0.000 | 76.089 | 0.000 | 0.000 |
| 0.000 | 0.000 | 0.000 | -0.000 | 76.089 | 0.000 |
| 0.000 | 0.000 | 0.000 | -0.000 | 0.000 | 76.089 |
| 386.410 | 144.900 | 144.900 | -0.000 | -0.000 | -0.000 |
| 144.900 | 386.410 | 144.900 | 0.000 | -0.000 | -0.000 |
| 144.900 | 144.900 | 386.410 | 0.000 | -0.000 | -0.000 |
| -0.000 | -0.000 | -0.000 | 76.089 | -0.000 | -0.000 |
| -0.000 | -0.000 | -0.000 | 0.000 | 76.089 | -0.000 |
| -0.000 | -0.000 | -0.000 | 0.000 | -0.000 | 76.089 |
| 386.411 | 144.901 | 144.901 | -0.000 | 0.000 | 0.000 |
| 144.901 | 386.411 | 144.901 | 0.000 | 0.000 | 0.000 |
| 144.901 | 144.901 | 386.411 | -0.000 | 0.000 | 0.000 |
| 0.000 | 0.000 | 0.000 | 76.089 | 0.000 | 0.000 |
| 0.000 | 0.000 | 0.000 | -0.000 | 76.089 | 0.000 |
| 0.000 | 0.000 | 0.000 | -0.000 | 0.000 | 76.089 |
| 386.408 | 144.899 | 144.899 | -0.000 | -0.000 | -0.000 |
| 144.899 | 386.408 | 144.899 | -0.000 | -0.000 | -0.000 |
| 144.899 | 144.899 | 386.408 | 0.000 | 0.000 | 0.000 |
| -0.000 | -0.000 | -0.000 | 76.089 | -0.000 | -0.000 |
| -0.000 | -0.000 | -0.000 | 0.000 | 76.089 | -0.000 |
| -0.000 | -0.000 | -0.000 | 0.000 | -0.000 | 76.089 |
| 247.552 | 84.021 | 145.943 | 78.749 | 0.000 | 0.000 |
| 102.554 | 250.498 | 159.046 | -67.187 | 0.000 | 0.000 |
| 153.785 | 153.785 | 222.008 | 0.000 | 0.000 | 0.000 |
| 78.749 | -78.749 | 0.000 | 144.008 | -0.000 | 0.000 |
| 25.749 | 25.749 | 31.413 | 0.000 | 129.443 | 68.932 |
| 0.000 | 0.000 | -0.000 | 0.000 | 78.749 | 81.765 |
| 247.551 | 84.021 | 145.943 | 78.749 | 0.000 | -0.000 |
| 84.021 | 247.551 | 145.943 | -78.749 | -0.000 | -0.000 |
| 104.649 | 104.649 | 162.062 | -0.000 | 0.000 | -0.000 |
| 78.749 | -78.749 | -0.000 | 144.008 | 0.000 | -0.000 |
| -25.749 | -25.749 | -31.413 | -0.000 | 129.443 | 68.932 |
| -0.000 | -0.000 | -0.000 | -0.000 | 78.749 | 81.765 |
| 247.552 | 84.021 | 145.943 | 78.749 | 0.000 | 0.000 |
| 78.544 | 228.401 | 130.920 | -68.606 | -0.000 | 0.000 |
| 146.087 | 146.087 | 212.617 | 0.000 | 0.000 | 0.000 |
| 69.644 | -64.730 | 2.997 | 126.854 | -0.000 | 0.000 |
| 2.457 | 2.457 | 2.997 | 0.000 | 126.854 | 67.187 |
| 2.987 | 2.987 | 3.645 | 0.000 | 67.359 | 74.089 |
| 223.838 | 73.557 | 125.095 | 68.920 | 0.000 | -0.000 |
| 73.557 | 223.838 | 125.095 | -68.920 | -0.000 | -0.000 |
| 146.087 | 146.087 | 212.617 | -0.000 | 0.000 | -0.000 |
| 64.730 | -69.644 | -2.997 | 126.854 | -0.000 | -0.000 |
| -2.457 | -2.457 | -2.997 | -0.000 | 126.854 | 67.187 |
| -2.987 | -2.987 | -3.645 | -0.000 | 67.359 | 74.089 |
| 226.364 | 76.280 | 128.297 | 68.774 | 0.000 | 0.000 |
| 84.021 | 247.553 | 145.944 | -78.750 | -0.000 | 0.000 |
| 129.463 | 129.463 | 192.335 | 0.000 | -0.000 | 0.000 |
| 67.491 | -66.884 | 0.370 | 126.855 | -0.000 | 0.000 |
| 0.246 | 0.246 | 0.300 | 0.000 | 126.854 | 67.187 |
| 0.000 | 0.000 | 0.000 | 0.000 | 78.749 | 81.765 |
| 225.906 | 75.782 | 127.713 | 68.804 | 0.000 | -0.000 |
| 84.020 | 247.550 | 145.941 | -78.748 | 0.000 | -0.000 |
| 128.971 | 128.971 | 191.735 | -0.000 | -0.000 | -0.000 |
| 66.884 | -67.491 | -0.370 | 126.856 | 0.000 | -0.000 |
| -0.246 | -0.246 | -0.300 | -0.000 | 126.854 | 67.187 |
| -0.000 | -0.000 | -0.000 | -0.000 | 78.749 | 81.765 |
| 530.541 | -0.676 | -0.676 | -0.000 | -0.000 | -0.000 |
| -0.676 | 530.541 | -0.676 | -0.000 | -0.000 | 0.000 |
| -0.676 | -0.676 | 530.541 | -0.000 | -0.000 | 0.000 |
| -0.000 | -0.000 | 0.000 | -21.619 | -0.000 | 0.000 |
| -0.000 | -0.000 | 0.000 | -0.000 | -21.619 | 0.000 |
| -0.000 | 0.000 | 0.000 | -0.000 | -0.000 | -21.619 |
| 530.541 | -0.676 | -0.676 | 0.000 | 0.000 | 0.000 |
| -0.676 | 530.541 | -0.676 | 0.000 | 0.000 | -0.000 |
| -0.676 | -0.676 | 530.541 | 0.000 | -0.000 | -0.000 |
| 0.000 | -0.000 | -0.000 | -21.619 | 0.000 | 0.000 |
| 0.000 | 0.000 | -0.000 | 0.000 | -21.619 | -0.000 |
| 0.000 | -0.000 | -0.000 | 0.000 | 0.000 | -21.619 |
| 530.541 | -0.676 | -0.676 | -0.000 | -0.000 | 0.000 |
| -0.676 | 530.541 | -0.676 | -0.000 | -0.000 | -0.000 |
| -0.676 | -0.676 | 530.541 | -0.000 | -0.000 | -0.000 |
| 0.000 | 0.000 | 0.000 | 12.051 | -0.000 | 0.000 |
| 0.000 | 0.000 | -0.000 | -0.000 | 12.051 | -0.000 |
| 0.000 | 0.000 | 0.000 | -0.000 | -0.000 | 12.051 |
| 530.541 | -0.676 | -0.676 | 0.000 | 0.000 | 0.000 |
| -0.676 | 530.541 | -0.676 | 0.000 | 0.000 | -0.000 |
| -0.676 | -0.676 | 530.541 | 0.000 | 0.000 | -0.000 |
| -0.000 | -0.000 | -0.000 | 12.051 | 0.000 | -0.000 |
| -0.000 | -0.000 | -0.000 | 0.000 | 12.051 | -0.000 |
| -0.000 | -0.000 | -0.000 | 0.000 | 0.000 | 12.051 |
| 530.543 | -0.676 | -0.676 | -0.000 | -0.000 | 0.000 |
| -0.676 | 530.543 | -0.676 | -0.000 | -0.000 | -0.000 |
| -0.676 | -0.676 | 530.543 | 0.000 | -0.000 | -0.000 |
| 0.000 | 0.000 | -0.000 | -21.619 | -0.000 | 0.000 |
| 0.000 | 0.000 | -0.000 | -0.000 | -21.619 | 0.000 |
| 0.000 | -0.000 | 0.000 | -0.000 | -0.000 | -21.619 |
| 530.539 | -0.677 | -0.677 | 0.000 | -0.000 | -0.000 |
| -0.677 | 530.539 | -0.677 | 0.000 | 0.000 | 0.000 |
| -0.677 | -0.677 | 530.539 | 0.000 | 0.000 | -0.000 |
| -0.000 | -0.000 | 0.000 | -21.619 | 0.000 | 0.000 |
| -0.000 | -0.000 | 0.000 | 0.000 | -21.619 | -0.000 |
| -0.000 | 0.000 | -0.000 | 0.000 | 0.000 | -21.619 |
| 294.202 | 1.588 | 1.588 | -0.000 | -0.000 | -0.000 |
| 1.588 | 294.202 | 1.588 | -0.000 | -0.000 | -0.000 |
| 1.588 | 1.588 | 294.202 | -0.000 | -0.000 | -0.000 |
| 0.000 | 0.000 | -0.000 | -8.300 | -0.000 | 0.000 |
| 0.000 | 0.000 | -0.000 | -0.000 | -8.300 | -0.000 |
| 0.000 | 0.000 | -0.000 | 0.000 | -0.000 | -8.300 |
| 294.202 | 1.588 | 1.588 | 0.000 | 0.000 | 0.000 |
| 1.588 | 294.202 | 1.588 | 0.000 | 0.000 | -0.000 |
| 1.588 | 1.588 | 294.202 | 0.000 | 0.000 | -0.000 |
| -0.000 | -0.000 | 0.000 | -8.300 | 0.000 | 0.000 |
| -0.000 | -0.000 | 0.000 | 0.000 | -8.300 | -0.000 |
| -0.000 | -0.000 | 0.000 | -0.000 | 0.000 | -8.300 |
| 294.202 | 1.588 | 1.588 | -0.000 | -0.000 | 0.000 |
| 1.588 | 294.202 | 1.588 | -0.000 | -0.000 | -0.000 |
| 1.588 | 1.588 | 294.202 | -0.000 | -0.000 | 0.000 |
| 0.000 | 0.000 | -0.000 | -8.300 | 0.000 | 0.000 |
| 0.000 | 0.000 | -0.000 | -0.000 | -8.300 | -0.000 |
| 0.000 | -0.000 | -0.000 | -0.000 | -0.000 | -8.300 |
| 294.202 | 1.588 | 1.588 | 0.000 | 0.000 | -0.000 |
| 1.588 | 294.202 | 1.588 | 0.000 | 0.000 | -0.000 |
| 1.588 | 1.588 | 294.202 | 0.000 | 0.000 | 0.000 |
| -0.000 | -0.000 | 0.000 | -8.300 | 0.000 | 0.000 |
| -0.000 | -0.000 | 0.000 | 0.000 | -8.300 | 0.000 |
| -0.000 | 0.000 | 0.000 | 0.000 | 0.000 | -8.300 |
| 294.203 | 1.588 | 1.588 | -0.000 | -0.000 | 0.000 |
| 1.588 | 294.203 | 1.588 | -0.000 | -0.000 | -0.000 |
| 1.588 | 1.588 | 294.203 | -0.000 | -0.000 | 0.000 |
| 0.000 | 0.000 | -0.000 | -6.543 | -0.000 | -0.000 |
| 0.000 | 0.000 | -0.000 | 0.000 | -6.543 | -0.000 |
| 0.000 | -0.000 | 0.000 | -0.000 | -0.000 | -6.543 |
| 294.201 | 1.588 | 1.588 | 0.000 | 0.000 | -0.000 |
| 1.588 | 294.201 | 1.588 | 0.000 | 0.000 | -0.000 |
| 1.588 | 1.588 | 294.201 | 0.000 | 0.000 | 0.000 |
| -0.000 | -0.000 | 0.000 | -6.543 | 0.000 | 0.000 |
| -0.000 | -0.000 | 0.000 | -0.000 | -6.543 | 0.000 |
| -0.000 | 0.000 | -0.000 | -0.000 | 0.000 | -6.543 |
| 158.499 | 56.114 | 53.207 | -3.624 | -0.000 | 0.000 |
| 58.248 | 161.045 | 55.417 | 2.911 | 0.000 | -0.000 |
| 53.252 | 53.252 | 153.344 | -0.000 | 0.000 | -0.000 |
| -2.911 | 2.911 | 0.000 | 48.490 | -0.000 | 0.000 |
| 0.144 | 0.144 | 0.136 | -0.000 | 45.012 | -3.915 |
| 0.142 | 0.142 | 0.134 | -0.000 | -3.907 | 51.111 |
| 158.306 | 55.919 | 53.023 | -3.622 | -0.000 | 0.000 |
| 55.919 | 158.306 | 53.023 | 3.622 | 0.000 | 0.000 |
| 55.399 | 55.399 | 155.372 | -0.000 | 0.000 | -0.000 |
| -4.059 | 3.772 | -0.136 | 45.012 | 0.000 | 0.000 |
| -0.144 | -0.144 | -0.136 | -0.000 | 45.012 | -3.915 |
| -0.142 | -0.142 | -0.134 | 0.000 | -3.907 | 51.111 |
| 161.045 | 58.248 | 55.417 | -2.911 | -0.000 | 0.000 |
| 56.170 | 158.386 | 53.180 | 3.916 | 0.000 | -0.000 |
| 55.399 | 55.399 | 155.372 | 0.000 | -0.000 | 0.000 |
| -3.902 | 3.930 | 0.014 | 45.010 | 0.000 | -0.000 |
| 0.014 | 0.014 | 0.014 | -0.000 | 45.010 | -3.916 |
| 0.014 | 0.014 | 0.014 | 0.000 | -3.916 | 51.108 |
| 161.045 | 58.248 | 55.417 | -2.911 | -0.000 | -0.000 |
| 56.150 | 158.366 | 53.161 | 3.916 | -0.000 | 0.000 |
| 55.399 | 55.399 | 155.372 | 0.000 | 0.000 | -0.000 |
| -3.930 | 3.902 | -0.014 | 45.010 | 0.000 | 0.000 |
| -0.014 | -0.014 | -0.014 | -0.000 | 45.010 | -3.916 |
| -0.014 | -0.014 | -0.014 | -0.000 | -3.916 | 51.108 |
| 158.378 | 56.161 | 53.171 | -3.916 | 0.000 | -0.000 |
| 58.249 | 161.046 | 55.417 | 2.911 | -0.000 | -0.000 |
| 53.154 | 53.154 | 153.251 | 0.000 | 0.000 | -0.000 |
| -2.911 | 2.911 | 0.000 | 48.489 | -0.000 | -0.000 |
| 0.001 | 0.001 | 0.001 | 0.000 | 45.010 | -3.916 |
| 0.001 | 0.002 | 0.001 | 0.000 | -3.916 | 51.108 |
| 161.044 | 58.248 | 55.416 | -2.911 | 0.000 | 0.000 |
| 56.159 | 158.375 | 53.169 | 3.916 | 0.000 | 0.000 |
| 53.152 | 53.152 | 153.249 | -0.000 | -0.000 | -0.000 |
| -3.917 | 3.915 | -0.001 | 45.010 | 0.000 | 0.000 |
| -0.001 | -0.001 | -0.001 | -0.000 | 45.010 | -3.916 |
| -0.001 | -0.002 | -0.001 | -0.000 | -3.916 | 51.108 |
| 308.692 | 89.005 | 89.005 | -0.000 | -0.000 | 0.000 |
| 89.005 | 308.692 | 89.005 | 0.000 | -0.000 | 0.000 |
| 89.005 | 89.005 | 308.692 | 0.000 | 0.000 | 0.000 |
| 0.000 | 0.000 | -0.000 | 80.424 | -0.000 | 0.000 |
| 0.000 | 0.000 | -0.000 | 0.000 | 80.424 | 0.000 |
| 0.000 | 0.000 | -0.000 | -0.000 | -0.000 | 80.424 |
| 308.692 | 89.005 | 89.005 | -0.000 | 0.000 | 0.000 |
| 89.005 | 308.692 | 89.005 | -0.000 | 0.000 | -0.000 |
| 89.005 | 89.005 | 308.692 | 0.000 | 0.000 | -0.000 |
| -0.000 | -0.000 | 0.000 | 80.424 | 0.000 | -0.000 |
| -0.000 | -0.000 | 0.000 | 0.000 | 80.424 | -0.000 |
| -0.000 | -0.000 | 0.000 | -0.000 | 0.000 | 80.424 |
| 308.692 | 89.005 | 89.005 | -0.000 | -0.000 | 0.000 |
| 89.005 | 308.692 | 89.005 | -0.000 | -0.000 | 0.000 |
| 89.005 | 89.005 | 308.692 | 0.000 | -0.000 | 0.000 |
| 0.000 | 0.000 | 0.000 | 57.258 | -0.000 | 0.000 |
| 0.000 | 0.000 | 0.000 | 0.000 | 57.258 | 0.000 |
| 0.000 | 0.000 | 0.000 | 0.000 | -0.000 | 57.258 |
| 308.691 | 89.005 | 89.005 | -0.000 | 0.000 | -0.000 |
| 89.005 | 308.691 | 89.005 | 0.000 | 0.000 | -0.000 |
| 89.005 | 89.005 | 308.691 | -0.000 | 0.000 | -0.000 |
| -0.000 | -0.000 | -0.000 | 57.258 | 0.000 | -0.000 |
| -0.000 | -0.000 | -0.000 | 0.000 | 57.258 | -0.000 |
| -0.000 | -0.000 | -0.000 | -0.000 | 0.000 | 57.258 |
| 308.693 | 89.006 | 89.006 | -0.000 | -0.000 | 0.000 |
| 89.006 | 308.693 | 89.006 | -0.000 | -0.000 | 0.000 |
| 89.006 | 89.006 | 308.693 | 0.000 | -0.000 | 0.000 |
| 0.000 | 0.000 | 0.000 | 57.258 | -0.000 | 0.000 |
| 0.000 | 0.000 | 0.000 | 0.000 | 57.258 | 0.000 |
| 0.000 | 0.000 | 0.000 | 0.000 | -0.000 | 57.258 |
| 308.690 | 89.004 | 89.004 | 0.000 | 0.000 | -0.000 |
| 89.004 | 308.690 | 89.004 | -0.000 | 0.000 | -0.000 |
| 89.004 | 89.004 | 308.690 | -0.000 | 0.000 | -0.000 |
| -0.000 | -0.000 | -0.000 | 57.258 | 0.000 | -0.000 |
| -0.000 | -0.000 | -0.000 | -0.000 | 57.258 | -0.000 |
| -0.000 | -0.000 | -0.000 | -0.000 | 0.000 | 57.258 |
| 350.307 | -4.057 | -4.057 | -0.000 | 0.000 | -0.000 |
| -4.057 | 350.307 | -4.057 | 0.000 | 0.000 | -0.000 |
| -4.057 | -4.057 | 350.307 | -0.000 | 0.000 | -0.000 |
| 0.000 | 0.000 | -0.000 | 0.842 | -0.000 | -0.000 |
| 0.000 | -0.000 | -0.000 | -0.000 | 0.842 | -0.000 |
| 0.000 | -0.000 | 0.000 | -0.000 | 0.000 | 0.842 |
| 350.307 | -4.057 | -4.057 | 0.000 | -0.000 | -0.000 |
| -4.057 | 350.307 | -4.057 | 0.000 | 0.000 | 0.000 |
| -4.057 | -4.057 | 350.307 | -0.000 | 0.000 | -0.000 |
| -0.000 | -0.000 | 0.000 | 0.842 | 0.000 | 0.000 |
| -0.000 | 0.000 | 0.000 | 0.000 | 0.842 | 0.000 |
| -0.000 | 0.000 | -0.000 | 0.000 | -0.000 | 0.842 |
| 350.307 | -4.057 | -4.057 | -0.000 | -0.000 | -0.000 |
| -4.057 | 350.307 | -4.057 | -0.000 | 0.000 | -0.000 |
| -4.057 | -4.057 | 350.307 | -0.000 | -0.000 | 0.000 |
| -0.000 | 0.000 | -0.000 | 0.842 | -0.000 | -0.000 |
| 0.000 | -0.000 | -0.000 | -0.000 | 0.842 | -0.000 |
| 0.000 | -0.000 | -0.000 | -0.000 | 0.000 | 0.842 |
| 350.306 | -4.057 | -4.057 | -0.000 | 0.000 | 0.000 |
| -4.057 | 350.306 | -4.057 | 0.000 | -0.000 | 0.000 |
| -4.057 | -4.057 | 350.306 | -0.000 | -0.000 | 0.000 |
| 0.000 | -0.000 | 0.000 | 0.842 | 0.000 | -0.000 |
| -0.000 | 0.000 | 0.000 | 0.000 | 0.842 | 0.000 |
| -0.000 | 0.000 | 0.000 | 0.000 | 0.000 | 0.842 |
| 350.310 | -4.057 | -4.057 | -0.000 | 0.000 | -0.000 |
| -4.057 | 350.310 | -4.057 | 0.000 | 0.000 | -0.000 |
| -4.057 | -4.057 | 350.310 | -0.000 | 0.000 | 0.000 |
| -0.000 | 0.000 | -0.000 | 0.842 | 0.000 | -0.000 |
| 0.000 | -0.000 | -0.000 | -0.000 | 0.842 | -0.000 |
| 0.000 | -0.000 | -0.000 | -0.000 | 0.000 | 0.842 |
| 350.303 | -4.057 | -4.057 | 0.000 | 0.000 | 0.000 |
| -4.057 | 350.303 | -4.057 | -0.000 | 0.000 | 0.000 |
| -4.057 | -4.057 | 350.303 | 0.000 | 0.000 | 0.000 |
| 0.000 | -0.000 | 0.000 | 0.842 | -0.000 | 0.000 |
| -0.000 | 0.000 | 0.000 | 0.000 | 0.842 | 0.000 |
| -0.000 | 0.000 | 0.000 | 0.000 | 0.000 | 0.842 |
| 220.191 | 111.924 | 111.924 | -0.000 | -0.000 | 0.000 |
| 111.924 | 220.191 | 111.924 | -0.000 | -0.000 | -0.000 |
| 111.924 | 111.924 | 220.191 | -0.000 | -0.000 | -0.000 |
| 0.000 | 0.000 | 0.000 | 122.762 | -0.000 | -0.000 |
| 0.000 | 0.000 | 0.000 | 0.000 | 122.762 | -0.000 |
| 0.000 | 0.000 | 0.000 | -0.000 | -0.000 | 122.762 |
| 220.191 | 111.924 | 111.924 | 0.000 | 0.000 | 0.000 |
| 111.924 | 220.191 | 111.924 | 0.000 | 0.000 | 0.000 |
| 111.924 | 111.924 | 220.191 | -0.000 | 0.000 | 0.000 |
| -0.000 | -0.000 | -0.000 | 122.762 | 0.000 | 0.000 |
| -0.000 | -0.000 | -0.000 | 0.000 | 122.762 | 0.000 |
| -0.000 | -0.000 | -0.000 | 0.000 | 0.000 | 122.762 |
| 220.191 | 111.924 | 111.924 | 0.000 | -0.000 | -0.000 |
| 111.924 | 220.191 | 111.924 | -0.000 | -0.000 | -0.000 |
| 111.924 | 111.924 | 220.191 | -0.000 | 0.000 | -0.000 |
| 0.000 | 0.000 | 0.000 | 122.762 | -0.000 | -0.000 |
| 0.000 | 0.000 | 0.000 | -0.000 | 122.762 | -0.000 |
| 0.000 | 0.000 | 0.000 | 0.000 | -0.000 | 122.762 |
| 220.190 | 111.924 | 111.924 | 0.000 | 0.000 | 0.000 |
| 111.924 | 220.190 | 111.924 | 0.000 | 0.000 | 0.000 |
| 111.924 | 111.924 | 220.190 | 0.000 | -0.000 | 0.000 |
| -0.000 | -0.000 | -0.000 | 122.762 | 0.000 | 0.000 |
| -0.000 | -0.000 | -0.000 | -0.000 | 122.762 | 0.000 |
| -0.000 | -0.000 | -0.000 | 0.000 | -0.000 | 122.762 |
| 220.192 | 111.925 | 111.925 | 0.000 | -0.000 | -0.000 |
| 111.925 | 220.192 | 111.925 | -0.000 | -0.000 | -0.000 |
| 111.925 | 111.925 | 220.192 | -0.000 | -0.000 | -0.000 |
| 0.001 | 0.000 | 0.000 | 122.762 | -0.000 | -0.000 |
| 0.000 | 0.001 | 0.000 | 0.000 | 122.762 | -0.000 |
| 0.000 | 0.000 | 0.001 | -0.000 | 0.000 | 122.762 |
| 220.189 | 111.923 | 111.923 | -0.000 | -0.000 | 0.000 |
| 111.923 | 220.189 | 111.923 | 0.000 | -0.000 | 0.000 |
| 111.923 | 111.923 | 220.189 | -0.000 | -0.000 | 0.000 |
| -0.001 | -0.000 | -0.000 | 122.762 | 0.000 | -0.000 |
| -0.000 | -0.001 | -0.000 | 0.000 | 122.762 | 0.000 |
| -0.000 | -0.000 | -0.001 | -0.000 | 0.000 | 122.762 |
| 37.153 | 42.865 | 42.865 | -0.000 | -0.000 | -0.000 |
| 42.865 | 37.153 | 42.865 | -0.000 | -0.000 | -0.000 |
| 42.865 | 42.865 | 37.153 | -0.000 | -0.000 | -0.000 |
| -0.000 | -0.000 | -0.000 | -8.084 | -0.000 | -0.000 |
| -0.000 | -0.000 | -0.000 | -0.000 | -8.084 | -0.000 |
| -0.000 | -0.000 | -0.000 | -0.000 | -0.000 | -8.084 |
| 37.153 | 42.865 | 42.865 | 0.000 | 0.000 | 0.000 |
| 42.865 | 37.153 | 42.865 | 0.000 | 0.000 | 0.000 |
| 42.865 | 42.865 | 37.153 | 0.000 | 0.000 | 0.000 |
| 0.000 | 0.000 | 0.000 | -8.084 | 0.000 | 0.000 |
| 0.000 | 0.000 | 0.000 | 0.000 | -8.084 | 0.000 |
| 0.000 | 0.000 | 0.000 | 0.000 | 0.000 | -8.084 |
| 37.153 | 42.865 | 42.865 | -0.000 | -0.000 | -0.000 |
| 42.865 | 37.153 | 42.865 | -0.000 | -0.000 | -0.000 |
| 42.865 | 42.865 | 37.153 | -0.000 | -0.000 | -0.000 |
| -0.000 | -0.000 | -0.000 | -8.084 | -0.000 | -0.000 |
| -0.000 | -0.000 | -0.000 | -0.000 | -8.084 | -0.000 |
| -0.000 | -0.000 | -0.000 | -0.000 | -0.000 | -8.084 |
| 37.153 | 42.865 | 42.865 | 0.000 | 0.000 | 0.000 |
| 42.865 | 37.153 | 42.865 | 0.000 | 0.000 | 0.000 |
| 42.865 | 42.865 | 37.153 | 0.000 | 0.000 | 0.000 |
| 0.000 | 0.000 | 0.000 | -8.084 | 0.000 | 0.000 |
| 0.000 | 0.000 | 0.000 | 0.000 | -8.084 | 0.000 |
| 0.000 | 0.000 | 0.000 | 0.000 | 0.000 | -8.084 |
| 37.153 | 42.866 | 42.866 | -0.000 | -0.000 | -0.000 |
| 42.866 | 37.153 | 42.866 | -0.000 | -0.000 | -0.000 |
| 42.866 | 42.866 | 37.153 | -0.000 | -0.000 | -0.000 |
| -0.000 | -0.000 | -0.000 | -8.084 | -0.000 | -0.000 |
| -0.000 | -0.000 | -0.000 | -0.000 | -8.084 | -0.000 |
| -0.000 | -0.000 | -0.000 | -0.000 | -0.000 | -8.084 |
| 37.153 | 42.865 | 42.865 | 0.000 | 0.000 | 0.000 |
| 42.865 | 37.153 | 42.865 | 0.000 | 0.000 | 0.000 |
| 42.865 | 42.865 | 37.153 | 0.000 | 0.000 | 0.000 |
| 0.000 | 0.000 | 0.000 | -8.084 | 0.000 | 0.000 |
| 0.000 | 0.000 | 0.000 | 0.000 | -8.084 | 0.000 |
| 0.000 | 0.000 | 0.000 | 0.000 | 0.000 | -8.084 |
| 112.082 | 63.543 | 63.543 | 0.000 | 0.000 | -0.000 |
| 63.543 | 112.082 | 63.543 | -0.000 | 0.000 | -0.000 |
| 63.543 | 63.543 | 112.082 | 0.000 | 0.000 | -0.000 |
| 0.000 | -0.000 | -0.000 | 22.747 | 0.000 | -0.000 |
| 0.000 | 0.000 | -0.000 | 0.000 | 22.747 | -0.000 |
| -0.000 | 0.000 | 0.000 | 0.000 | 0.000 | 22.747 |
| 112.082 | 63.543 | 63.543 | 0.000 | -0.000 | 0.000 |
| 63.543 | 112.082 | 63.543 | -0.000 | -0.000 | 0.000 |
| 63.543 | 63.543 | 112.082 | -0.000 | -0.000 | 0.000 |
| -0.000 | 0.000 | 0.000 | 22.747 | -0.000 | 0.000 |
| 0.000 | -0.000 | 0.000 | -0.000 | 22.747 | 0.000 |
| 0.000 | -0.000 | -0.000 | -0.000 | -0.000 | 22.747 |
| 112.082 | 63.543 | 63.543 | 0.000 | 0.000 | -0.000 |
| 63.543 | 112.082 | 63.543 | 0.000 | 0.000 | -0.000 |
| 63.543 | 63.543 | 112.082 | -0.000 | 0.000 | -0.000 |
| 0.000 | -0.000 | -0.000 | 22.747 | 0.000 | -0.000 |
| -0.000 | 0.000 | -0.000 | 0.000 | 22.747 | -0.000 |
| -0.000 | -0.000 | 0.000 | 0.000 | 0.000 | 22.747 |
| 112.082 | 63.543 | 63.543 | -0.000 | 0.000 | 0.000 |
| 63.543 | 112.082 | 63.543 | -0.000 | -0.000 | 0.000 |
| 63.543 | 63.543 | 112.082 | -0.000 | -0.000 | 0.000 |
| -0.000 | 0.000 | 0.000 | 22.747 | -0.000 | 0.000 |
| 0.000 | -0.000 | 0.000 | 0.000 | 22.747 | 0.000 |
| 0.000 | 0.000 | -0.000 | -0.000 | -0.000 | 22.747 |
| 112.083 | 63.543 | 63.543 | 0.000 | 0.000 | -0.000 |
| 63.543 | 112.083 | 63.543 | 0.000 | 0.000 | -0.000 |
| 63.543 | 63.543 | 112.083 | -0.000 | -0.000 | -0.000 |
| 0.000 | -0.000 | -0.000 | 22.747 | 0.000 | -0.000 |
| -0.000 | 0.000 | -0.000 | 0.000 | 22.747 | -0.000 |
| -0.000 | -0.000 | 0.000 | 0.000 | 0.000 | 22.747 |
| 112.081 | 63.542 | 63.542 | -0.000 | -0.000 | 0.000 |
| 63.542 | 112.081 | 63.542 | -0.000 | -0.000 | 0.000 |
| 63.542 | 63.542 | 112.081 | 0.000 | 0.000 | 0.000 |
| -0.000 | 0.000 | 0.000 | 22.747 | -0.000 | 0.000 |
| 0.000 | -0.000 | 0.000 | -0.000 | 22.747 | 0.000 |
| 0.000 | 0.000 | -0.000 | -0.000 | -0.000 | 22.747 |
| 234.600 | 117.750 | 117.750 | 0.000 | 0.000 | 0.000 |
| 117.750 | 234.600 | 117.750 | 0.000 | 0.000 | -0.000 |
| 117.750 | 117.750 | 234.600 | 0.000 | 0.000 | 0.000 |
| 0.000 | 0.000 | -0.000 | -16.686 | 0.000 | 0.000 |
| 0.000 | 0.000 | 0.000 | 0.000 | -16.686 | 0.000 |
| 0.000 | 0.000 | 0.000 | 0.000 | 0.000 | -16.686 |
| 234.600 | 117.750 | 117.750 | -0.000 | -0.000 | 0.000 |
| 117.750 | 234.600 | 117.750 | -0.000 | -0.000 | 0.000 |
| 117.750 | 117.750 | 234.600 | -0.000 | -0.000 | -0.000 |
| -0.000 | -0.000 | -0.000 | -16.686 | -0.000 | -0.000 |
| -0.000 | -0.000 | -0.000 | -0.000 | -16.686 | -0.000 |
| -0.000 | -0.000 | -0.000 | -0.000 | -0.000 | -16.686 |
| 234.600 | 117.750 | 117.750 | 0.000 | 0.000 | 0.000 |
| 117.750 | 234.600 | 117.750 | 0.000 | 0.000 | 0.000 |
| 117.750 | 117.750 | 234.600 | 0.000 | 0.000 | 0.000 |
| 0.000 | -0.000 | -0.000 | -16.686 | 0.000 | -0.000 |
| -0.000 | 0.000 | -0.000 | 0.000 | -16.686 | 0.000 |
| -0.000 | -0.000 | 0.000 | 0.000 | 0.000 | -16.686 |
| 234.600 | 117.750 | 117.750 | -0.000 | -0.000 | -0.000 |
| 117.750 | 234.600 | 117.750 | -0.000 | 0.000 | -0.000 |
| 117.750 | 117.750 | 234.600 | -0.000 | -0.000 | -0.000 |
| -0.000 | 0.000 | 0.000 | -16.686 | -0.000 | -0.000 |
| 0.000 | -0.000 | 0.000 | -0.000 | -16.686 | -0.000 |
| 0.000 | 0.000 | -0.000 | -0.000 | -0.000 | -16.686 |
| 234.602 | 117.751 | 117.751 | 0.000 | 0.000 | 0.000 |
| 117.751 | 234.602 | 117.751 | 0.000 | 0.000 | 0.000 |
| 117.751 | 117.751 | 234.602 | 0.000 | 0.000 | 0.000 |
| 0.000 | -0.000 | -0.000 | -16.686 | 0.000 | 0.000 |
| -0.000 | 0.000 | -0.000 | 0.000 | -16.686 | 0.000 |
| -0.000 | -0.000 | 0.000 | 0.000 | 0.000 | -16.686 |
| 234.599 | 117.750 | 117.750 | -0.000 | -0.000 | -0.000 |
| 117.750 | 234.599 | 117.750 | -0.000 | -0.000 | -0.000 |
| 117.750 | 117.750 | 234.599 | -0.000 | -0.000 | -0.000 |
| -0.000 | 0.000 | 0.000 | -16.686 | -0.000 | 0.000 |
| 0.000 | -0.000 | 0.000 | -0.000 | -16.686 | -0.000 |
| 0.000 | 0.000 | -0.000 | -0.000 | -0.000 | -16.686 |
| 184.545 | 92.702 | 92.702 | -0.000 | 0.000 | -0.000 |
| 92.702 | 184.545 | 92.702 | -0.000 | -0.000 | -0.000 |
| 92.702 | 92.702 | 184.545 | -0.000 | -0.000 | -0.000 |
| 0.000 | 0.000 | 0.000 | 100.569 | 0.000 | -0.000 |
| -0.000 | 0.000 | 0.000 | -0.000 | 100.569 | -0.000 |
| -0.000 | 0.000 | 0.000 | -0.000 | 0.000 | 100.569 |
| 184.545 | 92.702 | 92.702 | 0.000 | -0.000 | 0.000 |
| 92.702 | 184.545 | 92.702 | 0.000 | 0.000 | 0.000 |
| 92.702 | 92.702 | 184.545 | 0.000 | -0.000 | 0.000 |
| -0.000 | -0.000 | -0.000 | 100.569 | -0.000 | 0.000 |
| 0.000 | -0.000 | -0.000 | 0.000 | 100.569 | 0.000 |
| 0.000 | -0.000 | -0.000 | 0.000 | -0.000 | 100.569 |
| 184.545 | 92.702 | 92.702 | -0.000 | 0.000 | -0.000 |
| 92.702 | 184.545 | 92.702 | -0.000 | 0.000 | -0.000 |
| 92.702 | 92.702 | 184.545 | -0.000 | 0.000 | -0.000 |
| 0.000 | 0.000 | 0.000 | 76.493 | 0.000 | -0.000 |
| 0.000 | 0.000 | 0.000 | -0.000 | 76.493 | -0.000 |
| 0.000 | 0.000 | 0.000 | -0.000 | 0.000 | 76.493 |
| 184.545 | 92.702 | 92.702 | 0.000 | -0.000 | 0.000 |
| 92.702 | 184.545 | 92.702 | 0.000 | 0.000 | 0.000 |
| 92.702 | 92.702 | 184.545 | 0.000 | -0.000 | 0.000 |
| -0.000 | -0.000 | -0.000 | 76.493 | -0.000 | 0.000 |
| -0.000 | -0.000 | -0.000 | 0.000 | 76.493 | 0.000 |
| -0.000 | -0.000 | -0.000 | 0.000 | -0.000 | 76.493 |
| 184.546 | 92.702 | 92.702 | -0.000 | 0.000 | -0.000 |
| 92.702 | 184.546 | 92.702 | -0.000 | 0.000 | -0.000 |
| 92.702 | 92.702 | 184.546 | -0.000 | 0.000 | -0.000 |
| 0.000 | 0.000 | 0.000 | 76.493 | -0.000 | -0.000 |
| 0.000 | 0.000 | 0.000 | -0.000 | 76.493 | -0.000 |
| 0.000 | 0.000 | 0.000 | -0.000 | 0.000 | 76.493 |
| 184.544 | 92.701 | 92.701 | 0.000 | -0.000 | 0.000 |
| 92.701 | 184.544 | 92.701 | 0.000 | 0.000 | 0.000 |
| 92.701 | 92.701 | 184.544 | 0.000 | -0.000 | 0.000 |
| -0.000 | -0.000 | -0.000 | 76.493 | -0.000 | 0.000 |
| -0.000 | -0.000 | -0.000 | 0.000 | 76.493 | 0.000 |
| -0.000 | -0.000 | -0.000 | 0.000 | -0.000 | 76.493 |
| 0.000 | -0.000 | 0.000 | 0.000 | 0.000 | -0.000 |
| 0.000 | 19.225 | 0.000 | 0.000 | 0.000 | -0.000 |
| 0.000 | -0.000 | 0.000 | 0.000 | 0.000 | -0.000 |
| 0.000 | -0.000 | 0.000 | 0.000 | 0.000 | -0.000 |
| 0.000 | -0.000 | 0.000 | 0.000 | 0.000 | -0.000 |
| -0.000 | -0.000 | 0.000 | 0.000 | 0.000 | -0.000 |
| -0.000 | 0.000 | -0.000 | -0.000 | -0.000 | 0.000 |
| -0.000 | 19.225 | -0.000 | -0.000 | -0.000 | 0.000 |
| -0.000 | 0.000 | -0.000 | -0.000 | -0.000 | 0.000 |
| -0.000 | 0.000 | -0.000 | -0.000 | -0.000 | 0.000 |
| -0.000 | 0.000 | -0.000 | -0.000 | -0.000 | 0.000 |
| 0.000 | 0.000 | -0.000 | -0.000 | -0.000 | 0.000 |
| 0.000 | -0.000 | 0.000 | 0.000 | 0.000 | -0.000 |
| 0.000 | 19.225 | 0.000 | 0.000 | 0.000 | -0.000 |
| 0.000 | -0.000 | 0.000 | 0.000 | 0.000 | -0.000 |
| 0.000 | -0.000 | 0.000 | 0.000 | 0.000 | -0.000 |
| 0.000 | -0.000 | 0.000 | 0.000 | 0.000 | -0.000 |
| -0.000 | -0.000 | 0.000 | 0.000 | 0.000 | 0.000 |
| -0.000 | 0.000 | -0.000 | -0.000 | -0.000 | 0.000 |
| -0.000 | 19.225 | -0.000 | -0.000 | -0.000 | 0.000 |
| -0.000 | 0.000 | -0.000 | -0.000 | -0.000 | 0.000 |
| -0.000 | 0.000 | -0.000 | -0.000 | -0.000 | 0.000 |
| -0.000 | 0.000 | -0.000 | -0.000 | -0.000 | 0.000 |
| 0.000 | 0.000 | -0.000 | -0.000 | -0.000 | 0.000 |
| 0.000 | -0.000 | 0.000 | 0.000 | 0.000 | -0.000 |
| 0.000 | 19.225 | 0.000 | 0.000 | 0.000 | -0.000 |
| 0.000 | -0.000 | 0.000 | 0.000 | 0.000 | -0.000 |
| 0.000 | -0.000 | 0.000 | 0.000 | 0.000 | -0.000 |
| 0.000 | -0.000 | 0.000 | 0.000 | 0.000 | -0.000 |
| -0.000 | -0.000 | 0.000 | 0.000 | 0.000 | 0.000 |
| -0.000 | 0.000 | -0.000 | -0.000 | -0.000 | 0.000 |
| -0.000 | 19.225 | -0.000 | -0.000 | -0.000 | 0.000 |
| -0.000 | 0.000 | -0.000 | -0.000 | -0.000 | 0.000 |
| -0.000 | 0.000 | -0.000 | -0.000 | -0.000 | 0.000 |
| -0.000 | 0.000 | -0.000 | -0.000 | -0.000 | 0.000 |
| 0.000 | 0.000 | -0.000 | -0.000 | -0.000 | 0.000 |
| 0.000 | -0.000 | 0.000 | 0.000 | 0.000 | 0.000 |
| 0.000 | 19.210 | 0.000 | 0.000 | 0.000 | -0.000 |
| 0.000 | -0.000 | 0.000 | 0.000 | 0.000 | 0.000 |
| 0.000 | 0.000 | 0.000 | 0.000 | 0.000 | 0.000 |
| 0.000 | -0.000 | 0.000 | 0.000 | 0.000 | 0.000 |
| -0.000 | -0.000 | 0.000 | 0.000 | 0.000 | 0.000 |
| -0.000 | 0.000 | -0.000 | -0.000 | -0.000 | -0.000 |
| -0.000 | 19.210 | -0.000 | -0.000 | -0.000 | 0.000 |
| -0.000 | 0.000 | -0.000 | -0.000 | -0.000 | -0.000 |
| -0.000 | 0.000 | -0.000 | -0.000 | -0.000 | -0.000 |
| -0.000 | 0.000 | -0.000 | -0.000 | -0.000 | -0.000 |
| -0.000 | 0.000 | -0.000 | -0.000 | -0.000 | -0.000 |
| 0.000 | -0.000 | 0.000 | 0.000 | 0.000 | 0.000 |
| 0.000 | 19.210 | 0.000 | 0.000 | 0.000 | -0.000 |
| 0.000 | -0.000 | 0.000 | 0.000 | 0.000 | 0.000 |
| 0.000 | 0.000 | 0.000 | 0.000 | 0.000 | -0.000 |
| 0.000 | -0.000 | 0.000 | 0.000 | 0.000 | 0.000 |
| -0.000 | -0.000 | 0.000 | 0.000 | 0.000 | 0.000 |
| -0.000 | 0.000 | -0.000 | -0.000 | -0.000 | -0.000 |
| -0.000 | 19.210 | -0.000 | -0.000 | -0.000 | -0.000 |
| -0.000 | 0.000 | -0.000 | -0.000 | -0.000 | -0.000 |
| -0.000 | -0.000 | -0.000 | -0.000 | -0.000 | 0.000 |
| -0.000 | 0.000 | -0.000 | -0.000 | -0.000 | -0.000 |
| 0.000 | 0.000 | -0.000 | -0.000 | -0.000 | 0.000 |
| 0.000 | -0.000 | 0.000 | 0.000 | 0.000 | 0.000 |
| 0.000 | 19.210 | 0.000 | 0.000 | 0.000 | 0.000 |
| 0.000 | -0.000 | 0.000 | 0.000 | 0.000 | 0.000 |
| 0.000 | -0.000 | 0.000 | 0.000 | 0.000 | -0.000 |
| 0.000 | -0.000 | 0.000 | 0.000 | 0.000 | 0.000 |
| -0.000 | -0.000 | 0.000 | 0.000 | 0.000 | 0.000 |
| -0.000 | 0.000 | -0.000 | -0.000 | -0.000 | -0.000 |
| -0.000 | 19.210 | -0.000 | -0.000 | -0.000 | -0.000 |
| -0.000 | 0.000 | -0.000 | -0.000 | -0.000 | -0.000 |
| -0.000 | -0.000 | -0.000 | -0.000 | -0.000 | -0.000 |
| -0.000 | 0.000 | -0.000 | -0.000 | -0.000 | -0.000 |
| 0.000 | 0.000 | -0.000 | -0.000 | -0.000 | 0.000 |
| 32.503 | 39.537 | 39.537 | 0.000 | -0.000 | -0.000 |
| 39.537 | 32.503 | 39.537 | 0.000 | 0.000 | -0.000 |
| 39.537 | 39.537 | 32.503 | -0.000 | -0.000 | 0.000 |
| 0.000 | -0.000 | 0.000 | 19.709 | -0.000 | 0.000 |
| 0.000 | 0.000 | 0.000 | 0.000 | 19.709 | 0.000 |
| 0.000 | 0.000 | 0.000 | 0.000 | -0.000 | 19.709 |
| 32.503 | 39.537 | 39.537 | -0.000 | 0.000 | -0.000 |
| 39.537 | 32.503 | 39.537 | -0.000 | -0.000 | -0.000 |
| 39.537 | 39.537 | 32.503 | 0.000 | 0.000 | 0.000 |
| -0.000 | 0.000 | -0.000 | 19.709 | 0.000 | 0.000 |
| -0.000 | -0.000 | -0.000 | -0.000 | 19.709 | -0.000 |
| -0.000 | 0.000 | 0.000 | -0.000 | 0.000 | 19.709 |
| 32.503 | 39.537 | 39.537 | 0.000 | -0.000 | -0.000 |
| 39.537 | 32.503 | 39.537 | 0.000 | -0.000 | 0.000 |
| 39.537 | 39.537 | 32.503 | 0.000 | -0.000 | 0.000 |
| 0.000 | 0.000 | 0.000 | 19.709 | -0.000 | -0.000 |
| 0.000 | 0.000 | 0.000 | 0.000 | 19.709 | 0.000 |
| 0.000 | 0.000 | 0.000 | 0.000 | -0.000 | 19.709 |
| 32.503 | 39.537 | 39.537 | -0.000 | 0.000 | -0.000 |
| 39.537 | 32.503 | 39.537 | -0.000 | 0.000 | 0.000 |
| 39.537 | 39.537 | 32.503 | 0.000 | 0.000 | -0.000 |
| -0.000 | -0.000 | -0.000 | 19.709 | 0.000 | -0.000 |
| -0.000 | -0.000 | -0.000 | -0.000 | 19.709 | -0.000 |
| -0.000 | -0.000 | -0.000 | 0.000 | 0.000 | 19.709 |
| 32.503 | 39.538 | 39.538 | 0.000 | -0.000 | 0.000 |
| 39.538 | 32.503 | 39.538 | 0.000 | -0.000 | -0.000 |
| 39.538 | 39.538 | 32.503 | -0.000 | -0.000 | 0.000 |
| 0.000 | 0.000 | 0.000 | 19.709 | -0.000 | 0.000 |
| 0.000 | 0.000 | 0.000 | -0.000 | 19.709 | 0.000 |
| 0.000 | 0.000 | 0.000 | -0.000 | -0.000 | 19.709 |
| 32.503 | 39.537 | 39.537 | -0.000 | -0.000 | -0.000 |
| 39.537 | 32.503 | 39.537 | -0.000 | -0.000 | 0.000 |
| 39.537 | 39.537 | 32.503 | 0.000 | 0.000 | -0.000 |
| -0.000 | -0.000 | -0.000 | 19.709 | 0.000 | 0.000 |
| -0.000 | -0.000 | -0.000 | 0.000 | 19.709 | -0.000 |
| -0.000 | -0.000 | -0.000 | 0.000 | 0.000 | 19.709 |
| 92.747 | 64.452 | 64.452 | -0.000 | 0.000 | 0.000 |
| 64.452 | 92.747 | 64.452 | -0.000 | 0.000 | 0.000 |
| 64.452 | 64.452 | 92.747 | -0.000 | 0.000 | 0.000 |
| 0.000 | -0.000 | 0.000 | 68.763 | 0.000 | 0.000 |
| 0.000 | 0.000 | 0.000 | -0.000 | 68.763 | 0.000 |
| 0.000 | 0.000 | 0.000 | -0.000 | 0.000 | 68.763 |
| 92.747 | 64.452 | 64.452 | 0.000 | -0.000 | -0.000 |
| 64.452 | 92.747 | 64.452 | 0.000 | -0.000 | -0.000 |
| 64.452 | 64.452 | 92.747 | -0.000 | -0.000 | -0.000 |
| -0.000 | 0.000 | -0.000 | 68.763 | -0.000 | 0.000 |
| -0.000 | -0.000 | -0.000 | 0.000 | 68.763 | -0.000 |
| -0.000 | -0.000 | -0.000 | 0.000 | -0.000 | 68.763 |
| 92.747 | 64.452 | 64.452 | 0.000 | 0.000 | 0.000 |
| 64.452 | 92.747 | 64.452 | -0.000 | 0.000 | 0.000 |
| 64.452 | 64.452 | 92.747 | -0.000 | 0.000 | 0.000 |
| 0.000 | 0.000 | 0.000 | 68.763 | 0.000 | 0.000 |
| 0.000 | 0.000 | 0.000 | -0.000 | 68.763 | -0.000 |
| 0.000 | 0.000 | 0.000 | -0.000 | 0.000 | 68.763 |
| 92.747 | 64.452 | 64.452 | 0.000 | -0.000 | 0.000 |
| 64.452 | 92.747 | 64.452 | 0.000 | -0.000 | -0.000 |
| 64.452 | 64.452 | 92.747 | 0.000 | -0.000 | -0.000 |
| -0.000 | -0.000 | -0.000 | 68.763 | -0.000 | 0.000 |
| -0.000 | -0.000 | -0.000 | 0.000 | 68.763 | -0.000 |
| -0.000 | -0.000 | -0.000 | 0.000 | -0.000 | 68.763 |
| 92.747 | 64.452 | 64.452 | -0.000 | 0.000 | 0.000 |
| 64.452 | 92.747 | 64.452 | -0.000 | 0.000 | 0.000 |
| 64.452 | 64.452 | 92.747 | -0.000 | 0.000 | 0.000 |
| 0.000 | 0.000 | 0.000 | 68.763 | 0.000 | -0.000 |
| 0.000 | 0.000 | 0.000 | -0.000 | 68.763 | -0.000 |
| 0.000 | 0.000 | 0.000 | -0.000 | 0.000 | 68.763 |
| 92.746 | 64.452 | 64.452 | 0.000 | -0.000 | -0.000 |
| 64.452 | 92.746 | 64.452 | 0.000 | -0.000 | -0.000 |
| 64.452 | 64.452 | 92.746 | 0.000 | -0.000 | -0.000 |
| -0.000 | -0.000 | -0.000 | 68.763 | -0.000 | -0.000 |
| -0.000 | -0.000 | -0.000 | 0.000 | 68.763 | -0.000 |
| -0.000 | -0.000 | -0.000 | 0.000 | -0.000 | 68.763 |
| 72.793 | 66.793 | 66.793 | 0.000 | 0.000 | -0.000 |
| 66.793 | 72.793 | 66.793 | 0.000 | -0.000 | -0.000 |
| 66.793 | 66.793 | 72.793 | -0.000 | 0.000 | -0.000 |
| 0.000 | -0.000 | 0.000 | 69.819 | 0.000 | -0.000 |
| -0.000 | -0.000 | 0.000 | 0.000 | 69.819 | -0.000 |
| 0.000 | 0.000 | 0.000 | 0.000 | 0.000 | 69.819 |
| 72.793 | 66.793 | 66.792 | -0.000 | -0.000 | 0.000 |
| 66.793 | 72.793 | 66.792 | -0.000 | -0.000 | 0.000 |
| 66.793 | 66.793 | 72.793 | -0.000 | -0.000 | 0.000 |
| -0.000 | 0.000 | -0.000 | 69.819 | -0.000 | 0.000 |
| -0.000 | 0.000 | -0.000 | -0.000 | 69.819 | 0.000 |
| -0.000 | -0.000 | -0.000 | -0.000 | -0.000 | 69.819 |
| 72.793 | 66.793 | 66.793 | 0.000 | 0.000 | -0.000 |
| 66.793 | 72.793 | 66.793 | 0.000 | 0.000 | -0.000 |
| 66.793 | 66.793 | 72.793 | 0.000 | 0.000 | -0.000 |
| 0.000 | 0.000 | 0.000 | 69.819 | 0.000 | -0.000 |
| 0.000 | 0.000 | 0.000 | 0.000 | 69.819 | -0.000 |
| 0.000 | 0.000 | 0.000 | 0.000 | 0.000 | 69.819 |
| 72.793 | 66.792 | 66.792 | -0.000 | -0.000 | 0.000 |
| 66.792 | 72.793 | 66.792 | -0.000 | -0.000 | 0.000 |
| 66.792 | 66.792 | 72.793 | -0.000 | -0.000 | 0.000 |
| -0.000 | -0.000 | -0.000 | 69.819 | -0.000 | 0.000 |
| -0.000 | -0.000 | -0.000 | -0.000 | 69.819 | 0.000 |
| -0.000 | -0.000 | -0.000 | -0.000 | -0.000 | 69.819 |
| 72.793 | 66.793 | 66.793 | 0.000 | 0.000 | -0.000 |
| 66.793 | 72.793 | 66.793 | 0.000 | 0.000 | -0.000 |
| 66.793 | 66.793 | 72.793 | 0.000 | 0.000 | -0.000 |
| 0.000 | 0.000 | 0.000 | 69.819 | 0.000 | -0.000 |
| 0.000 | 0.000 | 0.000 | 0.000 | 69.819 | -0.000 |
| 0.000 | 0.000 | 0.000 | 0.000 | 0.000 | 69.819 |
| 72.792 | 66.792 | 66.792 | -0.000 | -0.000 | 0.000 |
| 66.792 | 72.792 | 66.792 | 0.000 | -0.000 | 0.000 |
| 66.792 | 66.792 | 72.792 | -0.000 | -0.000 | 0.000 |
| -0.000 | -0.000 | -0.000 | 69.819 | -0.000 | 0.000 |
| -0.000 | -0.000 | -0.000 | -0.000 | 69.819 | 0.000 |
| -0.000 | -0.000 | -0.000 | -0.000 | -0.000 | 69.819 |
| 17.881 | 33.071 | 33.071 | -0.000 | -0.000 | -0.000 |
| 33.071 | 17.881 | 33.071 | -0.000 | -0.000 | -0.000 |
| 33.071 | 33.071 | 17.881 | -0.000 | -0.000 | -0.000 |
| -0.000 | -0.000 | -0.000 | 34.436 | -0.000 | -0.000 |
| -0.000 | -0.000 | -0.000 | -0.000 | 34.436 | -0.000 |
| -0.000 | 0.000 | -0.000 | -0.000 | -0.000 | 34.436 |
| 17.881 | 33.071 | 33.071 | 0.000 | 0.000 | 0.000 |
| 33.071 | 17.881 | 33.071 | 0.000 | 0.000 | 0.000 |
| 33.071 | 33.071 | 17.881 | 0.000 | 0.000 | 0.000 |
| 0.000 | 0.000 | 0.000 | 34.436 | 0.000 | 0.000 |
| 0.000 | 0.000 | 0.000 | 0.000 | 34.436 | 0.000 |
| 0.000 | -0.000 | 0.000 | 0.000 | 0.000 | 34.436 |
| 17.881 | 33.071 | 33.071 | -0.000 | -0.000 | -0.000 |
| 33.071 | 17.881 | 33.071 | -0.000 | -0.000 | -0.000 |
| 33.071 | 33.071 | 17.881 | 0.000 | -0.000 | -0.000 |
| 0.000 | 0.000 | 0.000 | -9.692 | -0.000 | -0.000 |
| 0.000 | 0.000 | 0.000 | -0.000 | -9.692 | -0.000 |
| 0.000 | 0.000 | 0.000 | -0.000 | -0.000 | -9.692 |
| 17.881 | 33.071 | 33.071 | 0.000 | -0.000 | 0.000 |
| 33.071 | 17.881 | 33.071 | 0.000 | 0.000 | 0.000 |
| 33.071 | 33.071 | 17.881 | 0.000 | 0.000 | 0.000 |
| -0.000 | -0.000 | -0.000 | -9.692 | 0.000 | 0.000 |
| -0.000 | -0.000 | -0.000 | 0.000 | -9.692 | 0.000 |
| -0.000 | -0.000 | -0.000 | 0.000 | 0.000 | -9.692 |
| 17.881 | 33.071 | 33.071 | -0.000 | -0.000 | -0.000 |
| 33.071 | 17.881 | 33.071 | -0.000 | -0.000 | -0.000 |
| 33.071 | 33.071 | 17.881 | -0.000 | -0.000 | -0.000 |
| 0.000 | 0.000 | 0.000 | -9.692 | 0.000 | -0.000 |
| 0.000 | 0.000 | 0.000 | -0.000 | -9.692 | -0.000 |
| 0.000 | 0.000 | 0.000 | -0.000 | -0.000 | -9.692 |
| 17.881 | 33.071 | 33.071 | 0.000 | 0.000 | 0.000 |
| 33.071 | 17.881 | 33.071 | 0.000 | 0.000 | 0.000 |
| 33.071 | 33.071 | 17.881 | 0.000 | 0.000 | 0.000 |
| -0.000 | -0.000 | -0.000 | -9.692 | -0.000 | 0.000 |
| -0.000 | -0.000 | -0.000 | -0.000 | -9.692 | 0.000 |
| -0.000 | -0.000 | -0.000 | 0.000 | 0.000 | -9.692 |
| 153.289 | 4.276 | 4.276 | 0.000 | 0.000 | 0.000 |
| 4.276 | 153.289 | 4.276 | 0.000 | 0.000 | -0.000 |
| 4.276 | 4.276 | 153.289 | 0.000 | 0.000 | 0.000 |
| -0.000 | 0.000 | 0.000 | 7.421 | -0.000 | -0.000 |
| 0.000 | 0.000 | 0.000 | 0.000 | 7.421 | -0.000 |
| -0.000 | 0.000 | 0.000 | 0.000 | 0.000 | 7.421 |
| 153.289 | 4.276 | 4.276 | 0.000 | 0.000 | -0.000 |
| 4.276 | 153.289 | 4.276 | 0.000 | -0.000 | 0.000 |
| 4.276 | 4.276 | 153.289 | 0.000 | 0.000 | -0.000 |
| 0.000 | 0.000 | -0.000 | 7.421 | -0.000 | 0.000 |
| -0.000 | -0.000 | -0.000 | -0.000 | 7.421 | 0.000 |
| -0.000 | 0.000 | -0.000 | -0.000 | -0.000 | 7.421 |
| 153.289 | 4.276 | 4.276 | 0.000 | 0.000 | -0.000 |
| 4.276 | 153.289 | 4.276 | 0.000 | 0.000 | -0.000 |
| 4.276 | 4.276 | 153.289 | -0.000 | -0.000 | -0.000 |
| 0.000 | 0.000 | 0.000 | 7.421 | -0.000 | -0.000 |
| 0.000 | 0.000 | 0.000 | 0.000 | 7.421 | -0.000 |
| 0.000 | 0.000 | 0.000 | 0.000 | 0.000 | 7.421 |
| 153.289 | 4.276 | 4.276 | -0.000 | -0.000 | 0.000 |
| 4.276 | 153.289 | 4.276 | -0.000 | -0.000 | -0.000 |
| 4.276 | 4.276 | 153.289 | -0.000 | -0.000 | 0.000 |
| -0.000 | -0.000 | -0.000 | 7.421 | -0.000 | -0.000 |
| -0.000 | -0.000 | -0.000 | -0.000 | 7.421 | 0.000 |
| -0.000 | -0.000 | -0.000 | -0.000 | -0.000 | 7.421 |
| 153.290 | 4.276 | 4.276 | 0.000 | 0.000 | -0.000 |
| 4.276 | 153.290 | 4.276 | 0.000 | 0.000 | -0.000 |
| 4.276 | 4.276 | 153.290 | 0.000 | 0.000 | -0.000 |
| 2109487.196 | 2320809.471 | 2176360.185 | -90616.650 | 12214.276 | -21338.817 |
| 2251053.265 | 2192774.791 | 2376055.520 | 40420.191 | -154497.915 | 45109.100 |
| 2460446.142 | 2423551.043 | 2218987.913 | 24686.950 | 9465.083 | -139506.086 |
| 153.288 | 4.276 | 4.276 | -0.000 | -0.000 | 0.000 |
| 4.276 | 153.288 | 4.276 | -0.000 | -0.000 | 0.000 |
| 4.276 | 4.276 | 153.288 | 0.000 | -0.000 | -0.000 |
| -2239477.964 | -2288530.404 | -2319403.330 | -159356.094 | -88721.381 | -9327.589 |
| -2331630.995 | -2308109.928 | -2279436.989 | 3786.621 | -139270.379 | -55631.983 |
| -2392886.916 | -2217452.101 | -2308680.412 | 34970.320 | 36208.813 | -122595.788 |
| 56.554 | 66.477 | 66.477 | -0.000 | -0.000 | -0.000 |
| 66.477 | 56.554 | 66.477 | -0.000 | -0.000 | -0.000 |
| 66.477 | 66.477 | 56.554 | -0.000 | -0.000 | -0.000 |
| 0.000 | 0.000 | -0.000 | 44.547 | -0.000 | -0.000 |
| 0.000 | 0.000 | -0.000 | -0.000 | 44.547 | -0.000 |
| 0.000 | 0.000 | -0.000 | -0.000 | -0.000 | 44.547 |
| 56.554 | 66.477 | 66.477 | 0.000 | 0.000 | 0.000 |
| 66.477 | 56.554 | 66.477 | 0.000 | 0.000 | 0.000 |
| 66.477 | 66.477 | 56.554 | 0.000 | 0.000 | 0.000 |
| -0.000 | -0.000 | 0.000 | 44.547 | 0.000 | 0.000 |
| -0.000 | -0.000 | 0.000 | 0.000 | 44.547 | 0.000 |
| -0.000 | -0.000 | 0.000 | 0.000 | 0.000 | 44.547 |
| 56.554 | 66.477 | 66.477 | -0.000 | -0.000 | -0.000 |
| 66.477 | 56.554 | 66.477 | -0.000 | -0.000 | -0.000 |
| 66.477 | 66.477 | 56.554 | -0.000 | -0.000 | -0.000 |
| 0.000 | 0.000 | 0.000 | 44.547 | -0.000 | -0.000 |
| 0.000 | 0.000 | 0.000 | -0.000 | 44.547 | -0.000 |
| 0.000 | 0.000 | 0.000 | -0.000 | -0.000 | 44.547 |
| 56.554 | 66.477 | 66.477 | 0.000 | 0.000 | 0.000 |
| 66.477 | 56.554 | 66.477 | 0.000 | 0.000 | 0.000 |
| 66.477 | 66.477 | 56.554 | 0.000 | 0.000 | 0.000 |
| -0.000 | -0.000 | -0.000 | 44.547 | 0.000 | 0.000 |
| -0.000 | -0.000 | -0.000 | 0.000 | 44.547 | 0.000 |
| -0.000 | -0.000 | -0.000 | 0.000 | 0.000 | 44.547 |
| 56.555 | 66.477 | 66.477 | -0.000 | -0.000 | -0.000 |
| 66.477 | 56.555 | 66.477 | -0.000 | -0.000 | -0.000 |
| 66.477 | 66.477 | 56.555 | -0.000 | -0.000 | -0.000 |
| 0.000 | 0.000 | 0.000 | 44.547 | -0.000 | -0.000 |
| 0.000 | 0.000 | 0.000 | -0.000 | 44.547 | -0.000 |
| 0.000 | 0.000 | 0.000 | -0.000 | -0.000 | 44.547 |
| 56.554 | 66.477 | 66.477 | 0.000 | 0.000 | 0.000 |
| 66.477 | 56.554 | 66.477 | 0.000 | 0.000 | 0.000 |
| 66.477 | 66.477 | 56.554 | 0.000 | 0.000 | 0.000 |
| -0.000 | -0.000 | -0.000 | 44.547 | 0.000 | 0.000 |
| -0.000 | -0.000 | -0.000 | 0.000 | 44.547 | 0.000 |
| -0.000 | -0.000 | -0.000 | 0.000 | 0.000 | 44.547 |
| 98.046 | 54.610 | 54.610 | 0.000 | 0.000 | -0.000 |
| 54.610 | 98.046 | 54.610 | 0.000 | 0.000 | 0.000 |
| 54.610 | 54.610 | 98.046 | -0.000 | -0.000 | 0.000 |
| -0.000 | -0.000 | 0.000 | 58.468 | -0.000 | -0.000 |
| 0.000 | 0.000 | 0.000 | 0.000 | 58.468 | -0.000 |
| 0.000 | 0.000 | -0.000 | 0.000 | -0.000 | 58.468 |
| 98.046 | 54.610 | 54.610 | 0.000 | 0.000 | 0.000 |
| 54.610 | 98.046 | 54.610 | 0.000 | 0.000 | 0.000 |
| 54.610 | 54.610 | 98.046 | -0.000 | -0.000 | 0.000 |
| 0.000 | -0.000 | -0.000 | 58.468 | 0.000 | -0.000 |
| -0.000 | -0.000 | -0.000 | -0.000 | 58.468 | -0.000 |
| -0.000 | -0.000 | 0.000 | 0.000 | 0.000 | 58.468 |
| 98.046 | 54.610 | 54.610 | 0.000 | -0.000 | -0.000 |
| 54.610 | 98.046 | 54.610 | 0.000 | 0.000 | -0.000 |
| 54.610 | 54.610 | 98.046 | 0.000 | 0.000 | -0.000 |
| -0.000 | 0.000 | 0.000 | 58.468 | 0.000 | 0.000 |
| 0.000 | -0.000 | 0.000 | 0.000 | 58.468 | -0.000 |
| 0.000 | 0.000 | -0.000 | -0.000 | -0.000 | 58.468 |
| 98.046 | 54.610 | 54.610 | 0.000 | 0.000 | -0.000 |
| 54.610 | 98.046 | 54.610 | -0.000 | 0.000 | -0.000 |
| 54.610 | 54.610 | 98.046 | 0.000 | 0.000 | 0.000 |
| 0.000 | -0.000 | -0.000 | 58.468 | 0.000 | 0.000 |
| -0.000 | 0.000 | -0.000 | -0.000 | 58.468 | -0.000 |
| -0.000 | -0.000 | 0.000 | 0.000 | 0.000 | 58.468 |
| 98.046 | 54.611 | 54.611 | 0.000 | -0.000 | -0.000 |
| 54.611 | 98.046 | 54.611 | -0.000 | 0.000 | 0.000 |
| 54.611 | 54.611 | 98.046 | 0.000 | -0.000 | 0.000 |
| -0.000 | 0.000 | 0.000 | 58.468 | -0.000 | 0.000 |
| 0.000 | -0.000 | 0.000 | -0.000 | 58.468 | 0.000 |
| 0.000 | 0.000 | -0.000 | -0.000 | -0.000 | 58.468 |
| 98.045 | 54.610 | 54.610 | -0.000 | -0.000 | -0.000 |
| 54.610 | 98.045 | 54.610 | -0.000 | 0.000 | 0.000 |
| 54.610 | 54.610 | 98.045 | 0.000 | -0.000 | -0.000 |
| 0.000 | -0.000 | -0.000 | 58.468 | 0.000 | 0.000 |
| -0.000 | 0.000 | -0.000 | 0.000 | 58.468 | 0.000 |
| -0.000 | -0.000 | 0.000 | 0.000 | 0.000 | 58.468 |
| 136.662 | 54.140 | 18.911 | -0.000 | -0.000 | -0.000 |
| 54.140 | 136.662 | 18.911 | -0.000 | 0.000 | -0.000 |
| -20.448 | -20.448 | 304.543 | -0.000 | 0.000 | 0.000 |
| -46.521 | -46.521 | 204.560 | 9.644 | 0.000 | 0.000 |
| -46.521 | -46.521 | 204.560 | -0.000 | 9.644 | -0.000 |
| -25.222 | -25.222 | 180.115 | -0.000 | 0.000 | 69.194 |
| 136.662 | 54.140 | 18.911 | 0.000 | -0.000 | -0.000 |
| 54.140 | 136.662 | 18.911 | 0.000 | -0.000 | -0.000 |
| 52.922 | 52.921 | -176.002 | 0.000 | -0.000 | -0.000 |
| 46.521 | 46.521 | -204.560 | 9.644 | -0.000 | -0.000 |
| 46.521 | 46.521 | -204.560 | 0.000 | 9.644 | -0.000 |
| 25.222 | 25.222 | -180.115 | 0.000 | -0.000 | 69.194 |
| 119.476 | 36.954 | 16.646 | -0.000 | 0.000 | -0.000 |
| 36.954 | 119.476 | 16.646 | -0.000 | 0.000 | -0.000 |
| -20.772 | -20.772 | 7.673 | -0.000 | 0.000 | 0.000 |
| -2.956 | -2.956 | 21.109 | 17.998 | 0.000 | 0.000 |
| -2.956 | -2.956 | 21.109 | -0.000 | 17.998 | 0.000 |
| -2.522 | -2.522 | 18.012 | -0.000 | 0.000 | 69.194 |
| 128.545 | 46.024 | -17.230 | 0.000 | -0.000 | -0.000 |
| 46.024 | 128.545 | -17.230 | 0.000 | -0.000 | 0.000 |
| 12.739 | 12.739 | 205.993 | 0.000 | 0.000 | -0.000 |
| 2.956 | 2.956 | -21.109 | 17.998 | -0.000 | -0.000 |
| 2.956 | 2.956 | -21.109 | 0.000 | 17.998 | 0.000 |
| 2.522 | 2.522 | -18.012 | 0.000 | -0.000 | 69.194 |
| 123.714 | 41.192 | -1.294 | -0.000 | 0.000 | 0.000 |
| 41.192 | 123.714 | -1.294 | -0.000 | 0.000 | 0.000 |
| -9.924 | -9.924 | -24.888 | -0.000 | 0.000 | 0.000 |
| -0.773 | -0.773 | -2.898 | 7.581 | 0.000 | 0.000 |
| -0.773 | -0.773 | -2.898 | -0.000 | 7.581 | -0.000 |
| -0.471 | -0.471 | 1.993 | -0.000 | 0.000 | 69.194 |
| 124.794 | 42.272 | -1.091 | 0.000 | -0.000 | -0.000 |
| 42.272 | 124.794 | -1.091 | 0.000 | -0.000 | -0.000 |
| -8.994 | -8.994 | -28.933 | 0.000 | -0.000 | -0.000 |
| 0.773 | 0.773 | 2.898 | 7.581 | -0.000 | -0.000 |
| 0.773 | 0.773 | 2.898 | 0.000 | 7.581 | 0.000 |
| 0.471 | 0.471 | -1.993 | 0.000 | -0.000 | 69.194 |
| 258.087 | 90.608 | 90.608 | -0.000 | -0.000 | 0.000 |
| 90.608 | 258.087 | 90.608 | -0.000 | -0.000 | 0.000 |
| 90.608 | 90.608 | 258.087 | -0.000 | 0.000 | -0.000 |
| 0.000 | 0.000 | -0.000 | 86.594 | -0.000 | -0.000 |
| 0.000 | 0.000 | 0.000 | -0.000 | 86.594 | 0.000 |
| 0.000 | 0.000 | -0.000 | -0.000 | -0.000 | 86.594 |
| 258.087 | 90.608 | 90.608 | 0.000 | 0.000 | -0.000 |
| 90.608 | 258.087 | 90.608 | 0.000 | 0.000 | -0.000 |
| 90.608 | 90.608 | 258.087 | 0.000 | 0.000 | -0.000 |
| -0.000 | -0.000 | -0.000 | 86.594 | 0.000 | -0.000 |
| -0.000 | -0.000 | -0.000 | 0.000 | 86.594 | 0.000 |
| -0.000 | -0.000 | -0.000 | 0.000 | 0.000 | 86.594 |
| 258.087 | 90.608 | 90.608 | -0.000 | -0.000 | -0.000 |
| 90.608 | 258.087 | 90.608 | -0.000 | -0.000 | 0.000 |
| 90.608 | 90.608 | 258.087 | 0.000 | 0.000 | 0.000 |
| 0.000 | 0.000 | 0.000 | 99.610 | -0.000 | -0.000 |
| 0.000 | 0.000 | 0.000 | -0.000 | 99.610 | 0.000 |
| 0.000 | 0.000 | 0.000 | 0.000 | -0.000 | 99.610 |
| 258.087 | 90.608 | 90.608 | 0.000 | 0.000 | -0.000 |
| 90.608 | 258.087 | 90.608 | 0.000 | 0.000 | -0.000 |
| 90.608 | 90.608 | 258.087 | -0.000 | 0.000 | 0.000 |
| -0.000 | -0.000 | -0.000 | 99.610 | 0.000 | -0.000 |
| -0.000 | -0.000 | -0.000 | 0.000 | 99.610 | 0.000 |
| -0.000 | -0.000 | -0.000 | 0.000 | 0.000 | 99.610 |
| 258.089 | 90.609 | 90.609 | -0.000 | 0.000 | 0.000 |
| 90.609 | 258.089 | 90.609 | -0.000 | -0.000 | -0.000 |
| 90.609 | 90.609 | 258.089 | -0.000 | -0.000 | -0.000 |
| 0.000 | 0.000 | 0.000 | 99.610 | 0.000 | 0.000 |
| 0.000 | 0.000 | 0.000 | -0.000 | 99.610 | -0.000 |
| 0.000 | 0.000 | 0.000 | 0.000 | -0.000 | 99.610 |
| 258.085 | 90.608 | 90.608 | 0.000 | 0.000 | 0.000 |
| 90.608 | 258.085 | 90.608 | 0.000 | -0.000 | -0.000 |
| 90.608 | 90.608 | 258.085 | -0.000 | 0.000 | -0.000 |
| -0.000 | -0.000 | -0.000 | 99.610 | -0.000 | -0.000 |
| -0.000 | -0.000 | -0.000 | 0.000 | 99.610 | -0.000 |
| -0.000 | -0.000 | -0.000 | 0.000 | 0.000 | 99.610 |
| 19.814 | 13.782 | 13.782 | 0.000 | 0.000 | 0.000 |
| 13.782 | 19.814 | 13.782 | -0.000 | -0.000 | 0.000 |
| 13.782 | 13.782 | 19.814 | -0.000 | -0.000 | 0.000 |
| 0.000 | 0.000 | 0.000 | -2.214 | -0.000 | 0.000 |
| 0.000 | 0.000 | 0.000 | -0.000 | -2.214 | 0.000 |
| 0.000 | 0.000 | 0.000 | -0.000 | -0.000 | -2.214 |
| 19.814 | 13.782 | 13.782 | 0.000 | -0.000 | -0.000 |
| 13.782 | 19.814 | 13.782 | -0.000 | -0.000 | -0.000 |
| 13.782 | 13.782 | 19.814 | 0.000 | 0.000 | -0.000 |
| -0.000 | -0.000 | -0.000 | -2.214 | 0.000 | -0.000 |
| -0.000 | -0.000 | -0.000 | 0.000 | -2.214 | -0.000 |
| -0.000 | -0.000 | -0.000 | 0.000 | -0.000 | -2.214 |
| 19.814 | 13.782 | 13.782 | -0.000 | 0.000 | 0.000 |
| 13.782 | 19.814 | 13.782 | 0.000 | 0.000 | 0.000 |
| 13.782 | 13.782 | 19.814 | -0.000 | -0.000 | 0.000 |
| 0.000 | 0.000 | 0.000 | -2.214 | 0.000 | 0.000 |
| 0.000 | 0.000 | 0.000 | -0.000 | -2.214 | 0.000 |
| 0.000 | 0.000 | 0.000 | -0.000 | -0.000 | -2.214 |
| 19.814 | 13.782 | 13.782 | -0.000 | 0.000 | -0.000 |
| 13.782 | 19.814 | 13.782 | 0.000 | 0.000 | -0.000 |
| 13.782 | 13.782 | 19.814 | 0.000 | -0.000 | -0.000 |
| -0.000 | -0.000 | -0.000 | -2.214 | 0.000 | -0.000 |
| -0.000 | -0.000 | -0.000 | 0.000 | -2.214 | -0.000 |
| -0.000 | -0.000 | -0.000 | 0.000 | 0.000 | -2.214 |
| 19.815 | 13.782 | 13.782 | 0.000 | -0.000 | 0.000 |
| 13.782 | 19.815 | 13.782 | -0.000 | 0.000 | 0.000 |
| 13.782 | 13.782 | 19.815 | -0.000 | -0.000 | 0.000 |
| 0.000 | 0.000 | 0.000 | -2.214 | -0.000 | 0.000 |
| 0.000 | 0.000 | 0.000 | -0.000 | -2.214 | 0.000 |
| 0.000 | 0.000 | 0.000 | 0.000 | -0.000 | -2.214 |
| 19.814 | 13.782 | 13.782 | 0.000 | -0.000 | -0.000 |
| 13.782 | 19.814 | 13.782 | 0.000 | -0.000 | -0.000 |
| 13.782 | 13.782 | 19.814 | -0.000 | -0.000 | -0.000 |
| -0.000 | -0.000 | -0.000 | -2.214 | -0.000 | -0.000 |
| -0.000 | -0.000 | -0.000 | 0.000 | -2.214 | -0.000 |
| -0.000 | -0.000 | -0.000 | 0.000 | 0.000 | -2.214 |
| 74.202 | 18.725 | 13.882 | 0.000 | 0.000 | 0.000 |
| 18.725 | 61.996 | 37.155 | 0.000 | 0.000 | -0.000 |
| 11.299 | 19.055 | 32.398 | 0.000 | -0.000 | -0.000 |
| -0.059 | -0.052 | -0.008 | 17.628 | -0.000 | -0.000 |
| -0.030 | -0.020 | 0.004 | 0.000 | 10.118 | -0.000 |
| -0.080 | -0.054 | 0.012 | -0.000 | -0.000 | 14.158 |
| 49.823 | 11.343 | 9.604 | -0.000 | 0.000 | 0.000 |
| 18.725 | 61.996 | 37.155 | -0.000 | -0.000 | -0.000 |
| 10.141 | 22.218 | 34.819 | 0.000 | 0.000 | 0.000 |
| 0.059 | 0.052 | 0.008 | 17.628 | 0.000 | 0.000 |
| 0.030 | 0.020 | -0.004 | 0.000 | 10.118 | 0.000 |
| 0.080 | 0.054 | -0.012 | 0.000 | 0.000 | 14.158 |
| 74.195 | 18.724 | 13.882 | 0.000 | 0.000 | 0.000 |
| 11.250 | 46.417 | 19.559 | 0.000 | -0.000 | -0.000 |
| 10.085 | 22.165 | 34.794 | 0.000 | -0.000 | -0.000 |
| -0.006 | -0.005 | -0.001 | 17.628 | -0.000 | -0.000 |
| -0.000 | -0.000 | -0.000 | 0.000 | 14.595 | 0.000 |
| -0.008 | -0.007 | -0.001 | -0.000 | -0.000 | 12.034 |
| 51.792 | 9.546 | 9.532 | 0.000 | 0.000 | 0.000 |
| 10.743 | 47.966 | 22.201 | -0.000 | 0.000 | 0.000 |
| 10.096 | 22.175 | 34.799 | 0.000 | 0.000 | 0.000 |
| 0.006 | 0.005 | 0.001 | 17.628 | 0.000 | 0.000 |
| 0.000 | 0.000 | 0.000 | -0.000 | 14.595 | -0.000 |
| 0.008 | 0.007 | 0.001 | -0.000 | 0.000 | 12.034 |
| 49.494 | 12.320 | 10.969 | 0.000 | -0.000 | -0.000 |
| 12.650 | 45.488 | 19.474 | 0.000 | -0.000 | -0.000 |
| 9.871 | 20.598 | 33.570 | 0.000 | -0.000 | -0.000 |
| -0.008 | -0.007 | -0.003 | 16.595 | 0.000 | 0.000 |
| -0.000 | 0.000 | 0.001 | 0.000 | 7.656 | 0.000 |
| 0.001 | -0.000 | -0.000 | -0.000 | 0.000 | 11.985 |
| 49.233 | 12.204 | 10.586 | 0.000 | 0.000 | 0.000 |
| 11.255 | 46.423 | 19.561 | -0.000 | 0.000 | 0.000 |
| 11.342 | 19.104 | 32.398 | -0.000 | 0.000 | 0.000 |
| 0.008 | 0.007 | 0.003 | 16.595 | -0.000 | -0.000 |
| 0.000 | -0.000 | -0.001 | 0.000 | 7.656 | -0.000 |
| -0.001 | 0.000 | 0.000 | -0.000 | -0.000 | 11.985 |
| 65903393.683 | -10830448.603 | 54616915.961 | 224516.790 | -15694.299 | 591369.781 |
| 65905116.699 | -10830145.301 | 54618060.423 | 224340.026 | -15332.218 | 591302.738 |
| 65906421.201 | -10830540.375 | 54619185.380 | 224395.959 | -15291.413 | 591499.064 |
| 65905607.608 | -10830600.054 | 54618634.549 | 224416.863 | -15292.892 | 591387.762 |
| 65914399.041 | -10830445.854 | 54624681.727 | 223728.599 | -13564.174 | 590061.026 |
| 65901779.201 | -10830429.243 | 54615742.669 | 224544.088 | -15861.681 | 591255.374 |
| -65909814.778 | 10830900.752 | -54621819.537 | -224292.166 | 14672.917 | -591553.797 |
| -65908066.624 | 10831193.599 | -54620696.442 | -224462.935 | 15047.126 | -591625.841 |
| -65908829.642 | 10830872.435 | -54621087.861 | -224343.094 | 14806.201 | -591525.388 |
| -65903357.686 | 10830592.560 | -54616972.685 | -224517.614 | 15675.380 | -591348.828 |
| -65902129.145 | 10830583.355 | -54616073.185 | -224561.404 | 15809.135 | -591278.757 |
| -65906412.952 | 10830743.191 | -54619288.114 | -224421.632 | 15213.449 | -591444.619 |
| 6590390.952 | -1082972.213 | 5461674.887 | 22460.645 | -1603.994 | 59174.301 |
| 6591077.219 | -1082542.006 | 5461965.648 | 22272.521 | -1350.134 | 58890.652 |
| 6591051.339 | -1082914.769 | 5462117.334 | 22373.778 | -1492.187 | 59031.705 |
| 6590455.987 | -1083024.411 | 5461776.079 | 22430.848 | -1512.661 | 59103.402 |
| 6590613.053 | -1082939.138 | 5461825.572 | 22378.874 | -1486.930 | 58962.251 |
| 6591035.737 | -1082952.544 | 5462129.375 | 22372.730 | -1423.634 | 59000.350 |
| -6591073.253 | 1083111.064 | -5462271.559 | -22369.592 | 1355.045 | -58945.883 |
| -6591223.950 | 1083565.174 | -5462579.197 | -22530.525 | 1486.876 | -59256.786 |
| -6590971.623 | 1083141.870 | -5462198.698 | -22394.719 | 1345.420 | -58950.419 |
| -6590118.116 | 1083080.941 | -5461545.717 | -22471.762 | 1626.912 | -59151.094 |
| -6590163.563 | 1083115.395 | -5461598.394 | -22472.073 | 1581.639 | -59132.873 |
| -6591048.440 | 1083100.621 | -5462218.811 | -22395.818 | 1416.512 | -58985.315 |
| 658784.565 | -108179.946 | 545905.153 | 2256.997 | -241.696 | 5946.506 |
| 658881.813 | -107780.305 | 545810.736 | 2090.955 | -113.150 | 5760.808 |
| 658954.824 | -108190.067 | 546050.327 | 2225.071 | -223.094 | 5919.228 |
| 659116.916 | -108274.833 | 546219.815 | 2225.712 | -110.051 | 5884.672 |
| 659052.715 | -108221.764 | 546142.358 | 2220.499 | -153.091 | 5880.534 |
| 658900.897 | -108239.858 | 546021.961 | 2238.248 | -170.773 | 5909.389 |
| -659182.547 | 108371.487 | -546339.318 | -2216.746 | 85.569 | -5862.562 |
| -659075.855 | 108694.965 | -546360.774 | -2311.245 | 179.891 | -5964.607 |
| -658478.125 | 108719.058 | -545820.001 | -2263.450 | -68.857 | -6048.923 |
| -659161.472 | 108338.330 | -546268.505 | -2249.705 | 162.085 | -5929.011 |
| -659060.525 | 108375.809 | -546216.873 | -2256.588 | 138.208 | -5908.918 |
| -659094.054 | 108369.797 | -546252.395 | -2253.501 | 147.551 | -5910.242 |
| 18.067 | 24.789 | 24.789 | -0.000 | -0.000 | 0.000 |
| 24.789 | 18.067 | 24.789 | -0.000 | -0.000 | -0.000 |
| 24.789 | 24.789 | 18.067 | -0.000 | -0.000 | 0.000 |
| -0.000 | -0.000 | -0.000 | 25.329 | -0.000 | -0.000 |
| -0.000 | -0.000 | -0.000 | 0.000 | 25.329 | 0.000 |
| -0.000 | -0.000 | -0.000 | 0.000 | -0.000 | 25.329 |
| 18.067 | 24.789 | 24.789 | -0.000 | 0.000 | -0.000 |
| 24.789 | 18.067 | 24.789 | 0.000 | 0.000 | -0.000 |
| 24.789 | 24.789 | 18.067 | 0.000 | 0.000 | 0.000 |
| 0.000 | -0.000 | 0.000 | 25.329 | 0.000 | -0.000 |
| 0.000 | 0.000 | 0.000 | -0.000 | 25.329 | 0.000 |
| 0.000 | 0.000 | 0.000 | -0.000 | 0.000 | 25.329 |
| 18.067 | 24.789 | 24.789 | 0.000 | -0.000 | 0.000 |
| 24.789 | 18.067 | 24.789 | 0.000 | -0.000 | -0.000 |
| 24.789 | 24.789 | 18.067 | 0.000 | -0.000 | -0.000 |
| 0.000 | -0.000 | -0.000 | -78.799 | -0.000 | 0.000 |
| -0.000 | 0.000 | -0.000 | 0.000 | -78.799 | -0.000 |
| -0.000 | -0.000 | 0.000 | -0.000 | -0.000 | -78.799 |
| 18.067 | 24.789 | 24.789 | 0.000 | 0.000 | -0.000 |
| 24.789 | 18.067 | 24.789 | -0.000 | 0.000 | -0.000 |
| 24.789 | 24.789 | 18.067 | 0.000 | 0.000 | -0.000 |
| -0.000 | 0.000 | 0.000 | -78.799 | 0.000 | 0.000 |
| 0.000 | -0.000 | 0.000 | -0.000 | -78.799 | 0.000 |
| 0.000 | 0.000 | -0.000 | 0.000 | 0.000 | -78.799 |
| 18.068 | 24.789 | 24.789 | 0.000 | -0.000 | -0.000 |
| 24.789 | 18.068 | 24.789 | 0.000 | -0.000 | 0.000 |
| 24.789 | 24.789 | 18.068 | 0.000 | -0.000 | 0.000 |
| 0.000 | -0.000 | -0.000 | -78.799 | -0.000 | 0.000 |
| -0.000 | 0.000 | -0.000 | 0.000 | -78.799 | 0.000 |
| -0.000 | -0.000 | 0.000 | 0.000 | -0.000 | -78.799 |
| 18.067 | 24.789 | 24.789 | 0.000 | 0.000 | -0.000 |
| 24.789 | 18.067 | 24.789 | 0.000 | 0.000 | -0.000 |
| 24.789 | 24.789 | 18.067 | 0.000 | 0.000 | -0.000 |
| -0.000 | 0.000 | 0.000 | -78.799 | 0.000 | 0.000 |
| 0.000 | -0.000 | 0.000 | -0.000 | -78.799 | -0.000 |
| 0.000 | 0.000 | -0.000 | -0.000 | 0.000 | -78.799 |
| 123.862 | 51.804 | 51.804 | 0.000 | -0.000 | 0.000 |
| 51.804 | 123.862 | 51.804 | 0.000 | 0.000 | 0.000 |
| 51.804 | 51.804 | 123.862 | 0.000 | 0.000 | 0.000 |
| 0.000 | -0.000 | -0.000 | 59.100 | -0.000 | 0.000 |
| 0.000 | -0.000 | -0.000 | -0.000 | 59.100 | 0.000 |
| 0.000 | -0.000 | -0.000 | -0.000 | -0.000 | 59.100 |
| 123.862 | 51.804 | 51.804 | -0.000 | -0.000 | -0.000 |
| 51.804 | 123.862 | 51.804 | -0.000 | -0.000 | -0.000 |
| 51.804 | 51.804 | 123.862 | 0.000 | 0.000 | -0.000 |
| -0.000 | 0.000 | 0.000 | 59.100 | 0.000 | -0.000 |
| -0.000 | 0.000 | 0.000 | 0.000 | 59.100 | -0.000 |
| -0.000 | -0.000 | 0.000 | 0.000 | 0.000 | 59.100 |
| 123.862 | 51.804 | 51.804 | 0.000 | -0.000 | 0.000 |
| 51.804 | 123.862 | 51.804 | 0.000 | 0.000 | 0.000 |
| 51.804 | 51.804 | 123.862 | -0.000 | -0.000 | 0.000 |
| 0.000 | 0.000 | 0.000 | 59.100 | -0.000 | 0.000 |
| 0.000 | 0.000 | 0.000 | -0.000 | 59.100 | 0.000 |
| 0.000 | 0.000 | 0.000 | -0.000 | -0.000 | 59.100 |
| 123.862 | 51.804 | 51.804 | -0.000 | -0.000 | -0.000 |
| 51.804 | 123.862 | 51.804 | 0.000 | -0.000 | -0.000 |
| 51.804 | 51.804 | 123.862 | -0.000 | -0.000 | -0.000 |
| -0.000 | -0.000 | -0.000 | 59.100 | 0.000 | -0.000 |
| -0.000 | -0.000 | -0.000 | 0.000 | 59.100 | -0.000 |
| -0.000 | -0.000 | -0.000 | 0.000 | 0.000 | 59.100 |
| 123.863 | 51.805 | 51.805 | 0.000 | -0.000 | 0.000 |
| 51.805 | 123.863 | 51.805 | 0.000 | 0.000 | 0.000 |
| 51.805 | 51.805 | 123.863 | -0.000 | 0.000 | 0.000 |
| -0.000 | 0.000 | -0.000 | -155.247 | -0.000 | 0.000 |
| 0.000 | -0.000 | -0.000 | -0.000 | -155.247 | 0.000 |
| 0.000 | -0.000 | -0.000 | -0.000 | -0.000 | -155.247 |
| 123.860 | 51.804 | 51.804 | -0.000 | 0.000 | -0.000 |
| 51.804 | 123.860 | 51.804 | 0.000 | 0.000 | -0.000 |
| 51.804 | 51.804 | 123.860 | -0.000 | 0.000 | -0.000 |
| 0.000 | -0.000 | 0.000 | -155.247 | 0.000 | -0.000 |
| -0.000 | 0.000 | 0.000 | 0.000 | -155.247 | -0.000 |
| -0.000 | 0.000 | 0.000 | 0.000 | 0.000 | -155.247 |
| 60.528 | 59.404 | 59.404 | 0.000 | 0.000 | 0.000 |
| 59.404 | 60.528 | 59.404 | 0.000 | -0.000 | -0.000 |
| 59.404 | 59.404 | 60.528 | 0.000 | 0.000 | -0.000 |
| 0.000 | 0.000 | -0.000 | 61.453 | 0.000 | -0.000 |
| 0.000 | 0.000 | -0.000 | 0.000 | 61.453 | -0.000 |
| 0.000 | 0.000 | -0.000 | 0.000 | 0.000 | 61.453 |
| 60.528 | 59.404 | 59.404 | -0.000 | -0.000 | 0.000 |
| 59.404 | 60.527 | 59.404 | -0.000 | -0.000 | -0.000 |
| 59.404 | 59.404 | 60.528 | -0.000 | -0.000 | 0.000 |
| -0.000 | -0.000 | 0.000 | 61.453 | -0.000 | 0.000 |
| -0.000 | -0.000 | 0.000 | -0.000 | 61.453 | 0.000 |
| -0.000 | -0.000 | 0.000 | -0.000 | -0.000 | 61.453 |
| 60.528 | 59.404 | 59.404 | -0.000 | 0.000 | -0.000 |
| 59.404 | 60.528 | 59.404 | 0.000 | 0.000 | -0.000 |
| 59.404 | 59.404 | 60.528 | 0.000 | -0.000 | -0.000 |
| 0.000 | 0.000 | 0.000 | 61.453 | 0.000 | -0.000 |
| 0.000 | 0.000 | 0.000 | 0.000 | 61.453 | -0.000 |
| 0.000 | 0.000 | 0.000 | 0.000 | 0.000 | 61.453 |
| 60.527 | 59.404 | 59.404 | -0.000 | -0.000 | 0.000 |
| 59.404 | 60.527 | 59.404 | -0.000 | -0.000 | 0.000 |
| 59.404 | 59.404 | 60.527 | -0.000 | -0.000 | 0.000 |
| -0.000 | -0.000 | -0.000 | 61.453 | -0.000 | 0.000 |
| -0.000 | -0.000 | -0.000 | -0.000 | 61.453 | 0.000 |
| -0.000 | -0.000 | -0.000 | -0.000 | -0.000 | 61.453 |
| 60.528 | 59.404 | 59.404 | 0.000 | 0.000 | -0.000 |
| 59.404 | 60.528 | 59.404 | 0.000 | 0.000 | 0.000 |
| 59.404 | 59.404 | 60.528 | 0.000 | 0.000 | -0.000 |
| 0.000 | -0.000 | -0.000 | -17.671 | 0.000 | -0.000 |
| -0.000 | 0.000 | -0.000 | 0.000 | -17.671 | -0.000 |
| -0.000 | -0.000 | 0.000 | 0.000 | 0.000 | -17.671 |
| 60.527 | 59.404 | 59.404 | -0.000 | -0.000 | 0.000 |
| 59.404 | 60.527 | 59.404 | -0.000 | 0.000 | 0.000 |
| 59.404 | 59.404 | 60.527 | 0.000 | -0.000 | -0.000 |
| -0.000 | 0.000 | 0.000 | -17.671 | -0.000 | 0.000 |
| 0.000 | -0.000 | 0.000 | -0.000 | -17.671 | 0.000 |
| 0.000 | 0.000 | -0.000 | -0.000 | -0.000 | -17.671 |
| 16.489 | 17.091 | 17.091 | 0.000 | 0.000 | 0.000 |
| 17.091 | 16.489 | 17.091 | 0.000 | 0.000 | 0.000 |
| 17.091 | 17.091 | 16.489 | 0.000 | 0.000 | 0.000 |
| 0.000 | -0.000 | 0.000 | -35.789 | 0.000 | 0.000 |
| -0.000 | 0.000 | 0.000 | 0.000 | -35.789 | 0.000 |
| -0.000 | -0.000 | 0.000 | 0.000 | 0.000 | -35.789 |
| 16.489 | 17.091 | 17.091 | -0.000 | -0.000 | -0.000 |
| 17.091 | 16.489 | 17.091 | -0.000 | -0.000 | -0.000 |
| 17.091 | 17.091 | 16.489 | -0.000 | -0.000 | -0.000 |
| -0.000 | 0.000 | -0.000 | -35.789 | -0.000 | -0.000 |
| 0.000 | -0.000 | -0.000 | -0.000 | -35.789 | -0.000 |
| 0.000 | 0.000 | -0.000 | -0.000 | -0.000 | -35.789 |
| 16.489 | 17.091 | 17.091 | 0.000 | 0.000 | 0.000 |
| 17.091 | 16.489 | 17.091 | 0.000 | 0.000 | 0.000 |
| 17.091 | 17.091 | 16.489 | 0.000 | 0.000 | 0.000 |
| 0.000 | -0.000 | -0.000 | -35.789 | 0.000 | 0.000 |
| -0.000 | 0.000 | -0.000 | 0.000 | -35.789 | 0.000 |
| -0.000 | -0.000 | 0.000 | 0.000 | 0.000 | -35.789 |
| 16.489 | 17.091 | 17.091 | -0.000 | -0.000 | -0.000 |
| 17.091 | 16.489 | 17.091 | -0.000 | -0.000 | -0.000 |
| 17.091 | 17.091 | 16.489 | -0.000 | -0.000 | -0.000 |
| -0.000 | 0.000 | 0.000 | -35.789 | -0.000 | -0.000 |
| 0.000 | -0.000 | 0.000 | -0.000 | -35.789 | -0.000 |
| 0.000 | 0.000 | -0.000 | -0.000 | -0.000 | -35.789 |
| 16.489 | 17.091 | 17.091 | 0.000 | 0.000 | 0.000 |
| 17.091 | 16.489 | 17.091 | 0.000 | 0.000 | 0.000 |
| 17.091 | 17.091 | 16.489 | 0.000 | 0.000 | 0.000 |
| 0.000 | -0.000 | -0.000 | -35.789 | 0.000 | 0.000 |
| -0.000 | 0.000 | -0.000 | 0.000 | -35.789 | 0.000 |
| -0.000 | -0.000 | 0.000 | 0.000 | 0.000 | -35.789 |
| 16.489 | 17.091 | 17.091 | -0.000 | -0.000 | -0.000 |
| 17.091 | 16.489 | 17.091 | -0.000 | -0.000 | -0.000 |
| 17.091 | 17.091 | 16.489 | -0.000 | -0.000 | -0.000 |
| -0.000 | 0.000 | 0.000 | -35.789 | -0.000 | -0.000 |
| 0.000 | -0.000 | 0.000 | -0.000 | -35.789 | -0.000 |
| 0.000 | 0.000 | -0.000 | -0.000 | -0.000 | -35.789 |
| 39.623 | -3.271 | -3.271 | 0.000 | 0.000 | 0.000 |
| -3.271 | 39.623 | -3.271 | 0.000 | 0.000 | 0.000 |
| -3.271 | -3.271 | 39.623 | 0.000 | 0.000 | 0.000 |
| -0.000 | 0.000 | -0.000 | -3.271 | -0.000 | 0.000 |
| -0.000 | -0.000 | -0.000 | 0.000 | -3.271 | 0.000 |
| -0.000 | -0.000 | -0.000 | 0.000 | 0.000 | -3.271 |
| 39.623 | -3.271 | -3.271 | -0.000 | -0.000 | -0.000 |
| -3.271 | 39.623 | -3.271 | -0.000 | -0.000 | -0.000 |
| -3.271 | -3.271 | 39.623 | -0.000 | 0.000 | -0.000 |
| 0.000 | 0.000 | 0.000 | -3.271 | -0.000 | -0.000 |
| 0.000 | 0.000 | 0.000 | -0.000 | -3.271 | -0.000 |
| 0.000 | 0.000 | 0.000 | -0.000 | -0.000 | -3.271 |
| 39.623 | -3.271 | -3.271 | 0.000 | 0.000 | 0.000 |
| -3.271 | 39.623 | -3.271 | 0.000 | 0.000 | 0.000 |
| -3.271 | -3.271 | 39.623 | 0.000 | 0.000 | 0.000 |
| 0.000 | 0.000 | -0.000 | -3.271 | 0.000 | 0.000 |
| 0.000 | 0.000 | -0.000 | 0.000 | -3.271 | 0.000 |
| 0.000 | -0.000 | -0.000 | 0.000 | 0.000 | -3.271 |
| 39.623 | -3.271 | -3.271 | -0.000 | -0.000 | -0.000 |
| -3.271 | 39.623 | -3.271 | -0.000 | -0.000 | -0.000 |
| -3.271 | -3.271 | 39.623 | -0.000 | -0.000 | -0.000 |
| -0.000 | -0.000 | 0.000 | -3.271 | -0.000 | 0.000 |
| -0.000 | -0.000 | 0.000 | -0.000 | -3.271 | -0.000 |
| -0.000 | 0.000 | 0.000 | -0.000 | -0.000 | -3.271 |
| 39.623 | -3.271 | -3.271 | 0.000 | 0.000 | 0.000 |
| -3.271 | 39.623 | -3.271 | 0.000 | 0.000 | 0.000 |
| -3.271 | -3.271 | 39.623 | 0.000 | 0.000 | 0.000 |
| 0.000 | 0.000 | -0.000 | -3.271 | 0.000 | 0.000 |
| 0.000 | 0.000 | -0.000 | 0.000 | -3.271 | 0.000 |
| 0.000 | -0.000 | 0.000 | 0.000 | 0.000 | -3.271 |
| 39.623 | -3.271 | -3.271 | -0.000 | -0.000 | -0.000 |
| -3.271 | 39.623 | -3.271 | -0.000 | -0.000 | -0.000 |
| -3.271 | -3.271 | 39.623 | -0.000 | -0.000 | -0.000 |
| -0.000 | -0.000 | 0.000 | -3.271 | -0.000 | -0.000 |
| -0.000 | -0.000 | 0.000 | -0.000 | -3.271 | -0.000 |
| -0.000 | 0.000 | -0.000 | -0.000 | -0.000 | -3.271 |
| 21.497 | 10.857 | 10.857 | 0.000 | -0.000 | -0.000 |
| 10.857 | 21.497 | 10.857 | 0.000 | -0.000 | -0.000 |
| 10.857 | 10.857 | 21.497 | 0.000 | 0.000 | 0.000 |
| 0.000 | 0.000 | 0.000 | 10.857 | -0.000 | -0.000 |
| -0.000 | 0.000 | 0.000 | 0.000 | 10.857 | -0.000 |
| -0.000 | 0.000 | 0.000 | 0.000 | 0.000 | 10.857 |
| 21.497 | 10.857 | 10.857 | -0.000 | -0.000 | 0.000 |
| 10.857 | 21.497 | 10.857 | -0.000 | 0.000 | 0.000 |
| 10.857 | 10.857 | 21.497 | -0.000 | -0.000 | 0.000 |
| -0.000 | -0.000 | 0.000 | 10.857 | 0.000 | 0.000 |
| -0.000 | -0.000 | 0.000 | -0.000 | 10.857 | 0.000 |
| 0.000 | -0.000 | -0.000 | -0.000 | 0.000 | 10.857 |
| 21.497 | 10.857 | 10.857 | -0.000 | 0.000 | -0.000 |
| 10.857 | 21.497 | 10.857 | 0.000 | -0.000 | -0.000 |
| 10.857 | 10.857 | 21.497 | 0.000 | 0.000 | -0.000 |
| 0.000 | -0.000 | 0.000 | 10.857 | 0.000 | -0.000 |
| -0.000 | 0.000 | 0.000 | -0.000 | 10.857 | -0.000 |
| -0.000 | 0.000 | 0.000 | 0.000 | 0.000 | 10.857 |
| 21.497 | 10.857 | 10.857 | -0.000 | 0.000 | 0.000 |
| 10.857 | 21.497 | 10.857 | -0.000 | 0.000 | 0.000 |
| 10.857 | 10.857 | 21.497 | -0.000 | -0.000 | 0.000 |
| -0.000 | 0.000 | -0.000 | 10.857 | -0.000 | 0.000 |
| 0.000 | -0.000 | -0.000 | -0.000 | 10.857 | 0.000 |
| 0.000 | -0.000 | -0.000 | -0.000 | -0.000 | 10.857 |
| 21.497 | 10.857 | 10.857 | -0.000 | 0.000 | -0.000 |
| 10.857 | 21.497 | 10.857 | 0.000 | -0.000 | -0.000 |
| 10.857 | 10.857 | 21.497 | 0.000 | 0.000 | -0.000 |
| 0.000 | -0.000 | 0.000 | 10.857 | 0.000 | -0.000 |
| -0.000 | 0.000 | 0.000 | -0.000 | 10.857 | -0.000 |
| -0.000 | 0.000 | 0.000 | 0.000 | 0.000 | 10.857 |
| 21.497 | 10.857 | 10.857 | -0.000 | -0.000 | 0.000 |
| 10.857 | 21.497 | 10.857 | -0.000 | 0.000 | 0.000 |
| 10.857 | 10.857 | 21.497 | -0.000 | -0.000 | 0.000 |
| -0.000 | 0.000 | -0.000 | 10.857 | -0.000 | 0.000 |
| 0.000 | -0.000 | -0.000 | 0.000 | 10.857 | 0.000 |
| 0.000 | -0.000 | -0.000 | -0.000 | 0.000 | 10.857 |
| 1.862 | 1.862 | 1.862 | 0.000 | 0.000 | 0.000 |
| 1.862 | 1.862 | 1.862 | 0.000 | 0.000 | 0.000 |
| 1.862 | 1.862 | 1.862 | -0.000 | -0.000 | 0.000 |
| 0.000 | -0.000 | 0.000 | 1.862 | 0.000 | 0.000 |
| -0.000 | 0.000 | 0.000 | 0.000 | 1.862 | 0.000 |
| -0.000 | 0.000 | 0.000 | 0.000 | -0.000 | 1.862 |
| 1.862 | 1.862 | 1.862 | -0.000 | -0.000 | -0.000 |
| 1.862 | 1.862 | 1.862 | -0.000 | -0.000 | -0.000 |
| 1.862 | 1.862 | 1.862 | -0.000 | -0.000 | -0.000 |
| -0.000 | 0.000 | -0.000 | 1.862 | 0.000 | -0.000 |
| 0.000 | -0.000 | -0.000 | 0.000 | 1.862 | -0.000 |
| 0.000 | -0.000 | -0.000 | 0.000 | -0.000 | 1.862 |
| 1.862 | 1.862 | 1.862 | 0.000 | 0.000 | 0.000 |
| 1.862 | 1.862 | 1.862 | 0.000 | 0.000 | 0.000 |
| 1.862 | 1.862 | 1.862 | 0.000 | 0.000 | 0.000 |
| -0.000 | -0.000 | -0.000 | 0.128 | 0.000 | 0.000 |
| -0.000 | -0.000 | -0.000 | 0.000 | 0.128 | 0.000 |
| -0.000 | -0.000 | -0.000 | 0.000 | 0.000 | 0.128 |
| 1.862 | 1.862 | 1.862 | -0.000 | -0.000 | -0.000 |
| 1.862 | 1.862 | 1.862 | -0.000 | -0.000 | -0.000 |
| 1.862 | 1.862 | 1.862 | -0.000 | -0.000 | -0.000 |
| 0.000 | 0.000 | 0.000 | 0.128 | -0.000 | -0.000 |
| 0.000 | 0.000 | 0.000 | -0.000 | 0.128 | -0.000 |
| 0.000 | 0.000 | 0.000 | -0.000 | -0.000 | 0.128 |
| 1.862 | 1.862 | 1.862 | -0.000 | 0.000 | -0.000 |
| 1.862 | 1.862 | 1.862 | 0.000 | -0.000 | -0.000 |
| 1.862 | 1.862 | 1.862 | -0.000 | -0.000 | -0.000 |
| -0.000 | -0.000 | -0.000 | 0.128 | 0.000 | 0.000 |
| -0.000 | -0.000 | -0.000 | 0.000 | 0.128 | 0.000 |
| -0.000 | -0.000 | -0.000 | 0.000 | 0.000 | 0.128 |
| 1.862 | 1.862 | 1.862 | -0.000 | -0.000 | -0.000 |
| 1.862 | 1.862 | 1.862 | -0.000 | -0.000 | -0.000 |
| 1.862 | 1.862 | 1.862 | -0.000 | -0.000 | -0.000 |
| 0.000 | 0.000 | 0.000 | 0.128 | -0.000 | -0.000 |
| 0.000 | 0.000 | 0.000 | -0.000 | 0.128 | -0.000 |
| 0.000 | 0.000 | 0.000 | -0.000 | -0.000 | 0.128 |
| 6.281 | 6.295 | 6.295 | 0.000 | -0.000 | -0.000 |
| 6.295 | 6.281 | 6.295 | 0.000 | -0.000 | -0.000 |
| 6.295 | 6.295 | 6.281 | 0.000 | -0.000 | 0.000 |
| -0.000 | -0.000 | -0.000 | 1.032 | 0.000 | 0.000 |
| -0.000 | -0.000 | -0.000 | 0.000 | 1.032 | 0.000 |
| -0.000 | 0.000 | 0.000 | 0.000 | 0.000 | 1.032 |
| 6.281 | 6.295 | 6.295 | -0.000 | -0.000 | 0.000 |
| 6.295 | 6.281 | 6.295 | -0.000 | -0.000 | -0.000 |
| 6.295 | 6.295 | 6.281 | -0.000 | -0.000 | -0.000 |
| 0.000 | 0.000 | 0.000 | 1.032 | -0.000 | 0.000 |
| 0.000 | 0.000 | 0.000 | -0.000 | 1.032 | 0.000 |
| 0.000 | 0.000 | -0.000 | -0.000 | -0.000 | 1.032 |
| 6.281 | 6.295 | 6.295 | 0.000 | -0.000 | -0.000 |
| 6.295 | 6.281 | 6.295 | 0.000 | -0.000 | -0.000 |
| 6.295 | 6.295 | 6.281 | 0.000 | -0.000 | 0.000 |
| 0.000 | -0.000 | -0.000 | 1.032 | 0.000 | 0.000 |
| -0.000 | 0.000 | -0.000 | 0.000 | 1.032 | 0.000 |
| -0.000 | -0.000 | 0.000 | 0.000 | 0.000 | 1.032 |
| 6.281 | 6.295 | 6.295 | -0.000 | -0.000 | 0.000 |
| 6.295 | 6.281 | 6.295 | -0.000 | -0.000 | -0.000 |
| 6.295 | 6.295 | 6.281 | -0.000 | -0.000 | -0.000 |
| -0.000 | 0.000 | 0.000 | 1.032 | -0.000 | 0.000 |
| 0.000 | -0.000 | 0.000 | -0.000 | 1.032 | 0.000 |
| 0.000 | 0.000 | -0.000 | -0.000 | -0.000 | 1.032 |
| 6.281 | 6.295 | 6.295 | 0.000 | -0.000 | 0.000 |
| 6.295 | 6.281 | 6.295 | 0.000 | -0.000 | 0.000 |
| 6.295 | 6.295 | 6.281 | 0.000 | 0.000 | 0.000 |
| 0.000 | -0.000 | -0.000 | 1.032 | 0.000 | -0.000 |
| -0.000 | 0.000 | -0.000 | 0.000 | 1.032 | -0.000 |
| -0.000 | -0.000 | 0.000 | 0.000 | 0.000 | 1.032 |
| 6.281 | 6.295 | 6.295 | -0.000 | 0.000 | 0.000 |
| 6.295 | 6.281 | 6.295 | -0.000 | 0.000 | 0.000 |
| 6.295 | 6.295 | 6.281 | -0.000 | 0.000 | 0.000 |
| -0.000 | 0.000 | 0.000 | 1.032 | -0.000 | 0.000 |
| 0.000 | -0.000 | 0.000 | -0.000 | 1.032 | 0.000 |
| 0.000 | 0.000 | -0.000 | -0.000 | -0.000 | 1.032 |
| 17.427 | 9.260 | 9.260 | 0.000 | 0.000 | 0.000 |
| 9.260 | 17.427 | 9.260 | 0.000 | 0.000 | 0.000 |
| 9.260 | 9.260 | 17.427 | 0.000 | 0.000 | 0.000 |
| 0.000 | 0.000 | -0.000 | 8.539 | 0.000 | 0.000 |
| 0.000 | 0.000 | -0.000 | 0.000 | 8.539 | -0.000 |
| 0.000 | 0.000 | -0.000 | 0.000 | 0.000 | 8.539 |
| 17.427 | 9.260 | 9.260 | -0.000 | -0.000 | -0.000 |
| 9.260 | 17.427 | 9.260 | -0.000 | -0.000 | -0.000 |
| 9.260 | 9.260 | 17.427 | -0.000 | -0.000 | -0.000 |
| -0.000 | -0.000 | 0.000 | 8.539 | -0.000 | -0.000 |
| -0.000 | -0.000 | 0.000 | -0.000 | 8.539 | -0.000 |
| -0.000 | -0.000 | 0.000 | -0.000 | -0.000 | 8.539 |
| 17.427 | 9.260 | 9.260 | 0.000 | 0.000 | 0.000 |
| 9.260 | 17.427 | 9.260 | 0.000 | 0.000 | 0.000 |
| 9.260 | 9.260 | 17.427 | 0.000 | 0.000 | 0.000 |
| 0.000 | -0.000 | -0.000 | 8.539 | 0.000 | 0.000 |
| -0.000 | 0.000 | -0.000 | 0.000 | 8.539 | -0.000 |
| -0.000 | 0.000 | 0.000 | 0.000 | 0.000 | 8.539 |
| 17.427 | 9.260 | 9.260 | -0.000 | -0.000 | -0.000 |
| 9.260 | 17.427 | 9.260 | -0.000 | -0.000 | -0.000 |
| 9.260 | 9.260 | 17.427 | -0.000 | -0.000 | -0.000 |
| -0.000 | 0.000 | 0.000 | 8.539 | -0.000 | 0.000 |
| 0.000 | -0.000 | 0.000 | -0.000 | 8.539 | -0.000 |
| 0.000 | -0.000 | -0.000 | -0.000 | -0.000 | 8.539 |
| 17.427 | 9.260 | 9.260 | 0.000 | 0.000 | -0.000 |
| 9.260 | 17.427 | 9.260 | 0.000 | 0.000 | -0.000 |
| 9.260 | 9.260 | 17.427 | 0.000 | 0.000 | 0.000 |
| 0.000 | -0.000 | 0.000 | 8.539 | 0.000 | 0.000 |
| -0.000 | 0.000 | 0.000 | 0.000 | 8.539 | 0.000 |
| -0.000 | 0.000 | 0.000 | 0.000 | 0.000 | 8.539 |
| 17.426 | 9.260 | 9.260 | -0.000 | -0.000 | 0.000 |
| 9.260 | 17.426 | 9.260 | -0.000 | -0.000 | -0.000 |
| 9.260 | 9.260 | 17.426 | -0.000 | -0.000 | -0.000 |
| -0.000 | 0.000 | -0.000 | 8.539 | -0.000 | 0.000 |
| 0.000 | -0.000 | -0.000 | -0.000 | 8.539 | -0.000 |
| 0.000 | -0.000 | -0.000 | -0.000 | -0.000 | 8.539 |
| 130.119 | 85.904 | 85.904 | -0.000 | -0.000 | -0.000 |
| 85.904 | 130.119 | 85.904 | -0.000 | 0.000 | -0.000 |
| 85.904 | 85.904 | 130.119 | 0.000 | 0.000 | -0.000 |
| -0.000 | -0.000 | 0.000 | -84.472 | 0.000 | -0.000 |
| -0.000 | -0.000 | 0.000 | 0.000 | -84.472 | -0.000 |
| -0.000 | -0.000 | 0.000 | 0.000 | 0.000 | -84.472 |
| 130.119 | 85.904 | 85.904 | -0.000 | -0.000 | 0.000 |
| 85.904 | 130.119 | 85.904 | -0.000 | 0.000 | 0.000 |
| 85.904 | 85.904 | 130.119 | 0.000 | 0.000 | -0.000 |
| 0.000 | 0.000 | -0.000 | -84.472 | -0.000 | 0.000 |
| 0.000 | 0.000 | -0.000 | -0.000 | -84.472 | 0.000 |
| 0.000 | 0.000 | -0.000 | -0.000 | -0.000 | -84.472 |
| 130.119 | 85.904 | 85.904 | -0.000 | -0.000 | -0.000 |
| 85.904 | 130.119 | 85.904 | -0.000 | -0.000 | -0.000 |
| 85.904 | 85.904 | 130.119 | -0.000 | 0.000 | -0.000 |
| 0.000 | 0.000 | 0.000 | -84.472 | 0.000 | -0.000 |
| 0.000 | 0.000 | 0.000 | 0.000 | -84.472 | 0.000 |
| 0.000 | 0.000 | 0.000 | 0.000 | 0.000 | -84.472 |
| 130.119 | 85.904 | 85.904 | -0.000 | -0.000 | 0.000 |
| 85.904 | 130.119 | 85.904 | -0.000 | 0.000 | 0.000 |
| 85.904 | 85.904 | 130.119 | -0.000 | 0.000 | 0.000 |
| -0.000 | -0.000 | -0.000 | -84.472 | -0.000 | 0.000 |
| -0.000 | -0.000 | -0.000 | 0.000 | -84.472 | 0.000 |
| -0.000 | -0.000 | -0.000 | -0.000 | -0.000 | -84.472 |
| 130.122 | 85.904 | 85.904 | 0.000 | -0.000 | 0.000 |
| 85.904 | 130.122 | 85.904 | -0.000 | -0.000 | 0.000 |
| 85.904 | 85.904 | 130.122 | 0.000 | 0.000 | -0.000 |
| 0.000 | 0.000 | 0.000 | -84.472 | 0.000 | -0.000 |
| 0.000 | 0.000 | 0.000 | 0.000 | -84.472 | -0.000 |
| 0.000 | 0.000 | 0.000 | 0.000 | 0.000 | -84.472 |
| 130.117 | 85.904 | 85.904 | 0.000 | 0.000 | -0.000 |
| 85.904 | 130.117 | 85.904 | 0.000 | 0.000 | 0.000 |
| 85.904 | 85.904 | 130.117 | -0.000 | 0.000 | -0.000 |
| -0.000 | -0.000 | -0.000 | -84.472 | -0.000 | 0.000 |
| -0.000 | -0.000 | -0.000 | -0.000 | -84.472 | -0.000 |
| -0.000 | -0.000 | -0.000 | -0.000 | 0.000 | -84.472 |
| 5.721 | 5.782 | 5.782 | 0.000 | -0.000 | 0.000 |
| 5.782 | 5.721 | 5.782 | -0.000 | -0.000 | 0.000 |
| 5.782 | 5.782 | 5.721 | -0.000 | -0.000 | -0.000 |
| 0.000 | 0.000 | 0.000 | -1.490 | -0.000 | 0.000 |
| 0.000 | 0.000 | 0.000 | 0.000 | -1.490 | 0.000 |
| 0.000 | 0.000 | 0.000 | 0.000 | -0.000 | -1.490 |
| 5.721 | 5.782 | 5.782 | 0.000 | 0.000 | 0.000 |
| 5.782 | 5.721 | 5.782 | -0.000 | 0.000 | 0.000 |
| 5.782 | 5.782 | 5.721 | 0.000 | 0.000 | -0.000 |
| -0.000 | 0.000 | -0.000 | -1.490 | 0.000 | -0.000 |
| 0.000 | -0.000 | -0.000 | -0.000 | -1.490 | -0.000 |
| -0.000 | -0.000 | -0.000 | -0.000 | 0.000 | -1.490 |
| 5.721 | 5.782 | 5.782 | -0.000 | -0.000 | -0.000 |
| 5.782 | 5.721 | 5.782 | 0.000 | -0.000 | -0.000 |
| 5.782 | 5.782 | 5.721 | -0.000 | -0.000 | -0.000 |
| 0.000 | -0.000 | -0.000 | -1.490 | -0.000 | -0.000 |
| -0.000 | 0.000 | -0.000 | 0.000 | -1.490 | 0.000 |
| -0.000 | -0.000 | 0.000 | 0.000 | -0.000 | -1.490 |
| 5.721 | 5.782 | 5.782 | -0.000 | 0.000 | 0.000 |
| 5.782 | 5.721 | 5.782 | -0.000 | -0.000 | 0.000 |
| 5.782 | 5.782 | 5.721 | -0.000 | 0.000 | -0.000 |
| -0.000 | 0.000 | 0.000 | -1.490 | 0.000 | -0.000 |
| 0.000 | -0.000 | 0.000 | -0.000 | -1.490 | 0.000 |
| 0.000 | 0.000 | -0.000 | -0.000 | 0.000 | -1.490 |
| 5.721 | 5.782 | 5.782 | 0.000 | -0.000 | 0.000 |
| 5.782 | 5.721 | 5.782 | -0.000 | -0.000 | 0.000 |
| 5.782 | 5.782 | 5.721 | 0.000 | -0.000 | -0.000 |
| 0.000 | -0.000 | -0.000 | -1.490 | -0.000 | -0.000 |
| -0.000 | 0.000 | -0.000 | 0.000 | -1.490 | 0.000 |
| -0.000 | -0.000 | 0.000 | -0.000 | -0.000 | -1.490 |
| 5.721 | 5.782 | 5.782 | -0.000 | 0.000 | 0.000 |
| 5.782 | 5.721 | 5.782 | 0.000 | 0.000 | 0.000 |
| 5.782 | 5.782 | 5.721 | -0.000 | 0.000 | 0.000 |
| -0.000 | 0.000 | 0.000 | -1.490 | 0.000 | 0.000 |
| 0.000 | -0.000 | 0.000 | -0.000 | -1.490 | -0.000 |
| 0.000 | 0.000 | -0.000 | -0.000 | 0.000 | -1.490 |
| -4.152 | 24.505 | 24.505 | 0.000 | -0.000 | -0.000 |
| 24.505 | -4.152 | 24.505 | 0.000 | 0.000 | -0.000 |
| 24.505 | 24.505 | -4.152 | 0.000 | 0.000 | -0.000 |
| -0.000 | -0.000 | 0.000 | -97.582 | 0.000 | -0.000 |
| -0.000 | -0.000 | 0.000 | 0.000 | -97.582 | -0.000 |
| -0.000 | -0.000 | -0.000 | 0.000 | 0.000 | -97.582 |
| -4.152 | 24.505 | 24.505 | -0.000 | -0.000 | 0.000 |
| 24.505 | -4.152 | 24.505 | -0.000 | -0.000 | 0.000 |
| 24.505 | 24.505 | -4.152 | -0.000 | -0.000 | 0.000 |
| 0.000 | 0.000 | 0.000 | -97.582 | -0.000 | 0.000 |
| 0.000 | 0.000 | -0.000 | -0.000 | -97.582 | 0.000 |
| 0.000 | 0.000 | 0.000 | -0.000 | -0.000 | -97.582 |
| -4.152 | 24.505 | 24.505 | 0.000 | 0.000 | -0.000 |
| 24.505 | -4.152 | 24.505 | 0.000 | -0.000 | -0.000 |
| 24.505 | 24.505 | -4.152 | -0.000 | 0.000 | -0.000 |
| 0.000 | -0.000 | 0.000 | 24.507 | 0.000 | -0.000 |
| -0.000 | 0.000 | 0.000 | 0.000 | 24.507 | -0.000 |
| -0.000 | 0.000 | 0.000 | 0.000 | 0.000 | 24.507 |
| -4.152 | 24.505 | 24.505 | -0.000 | -0.000 | 0.000 |
| 24.505 | -4.152 | 24.505 | -0.000 | -0.000 | 0.000 |
| 24.505 | 24.505 | -4.152 | 0.000 | -0.000 | 0.000 |
| -0.000 | 0.000 | -0.000 | 24.507 | -0.000 | 0.000 |
| 0.000 | -0.000 | -0.000 | -0.000 | 24.507 | 0.000 |
| 0.000 | -0.000 | -0.000 | -0.000 | -0.000 | 24.507 |
| -4.152 | 24.506 | 24.506 | 0.000 | 0.000 | -0.000 |
| 24.506 | -4.152 | 24.506 | 0.000 | 0.000 | -0.000 |
| 24.506 | 24.506 | -4.152 | 0.000 | 0.000 | -0.000 |
| -0.000 | 0.000 | -0.000 | -97.582 | 0.000 | -0.000 |
| 0.000 | -0.000 | -0.000 | 0.000 | -97.582 | -0.000 |
| 0.000 | -0.000 | -0.000 | 0.000 | 0.000 | -97.582 |
| -4.152 | 24.505 | 24.505 | -0.000 | -0.000 | 0.000 |
| 24.505 | -4.152 | 24.505 | -0.000 | -0.000 | 0.000 |
| 24.505 | 24.505 | -4.152 | 0.000 | -0.000 | 0.000 |
| 0.000 | -0.000 | 0.000 | -97.582 | -0.000 | 0.000 |
| -0.000 | 0.000 | 0.000 | -0.000 | -97.582 | 0.000 |
| -0.000 | 0.000 | 0.000 | -0.000 | -0.000 | -97.582 |
| 297.410 | 77.689 | 77.689 | -0.000 | 0.000 | -0.000 |
| 77.689 | 297.410 | 77.689 | 0.000 | 0.000 | -0.000 |
| 77.689 | 77.689 | 297.410 | -0.000 | 0.000 | -0.000 |
| 0.000 | -0.000 | 0.000 | -57.548 | -0.000 | -0.000 |
| 0.000 | -0.000 | 0.000 | 0.000 | -57.548 | -0.000 |
| 0.000 | -0.000 | 0.000 | 0.000 | 0.000 | -57.548 |
| 297.410 | 77.689 | 77.689 | 0.000 | -0.000 | 0.000 |
| 77.689 | 297.410 | 77.689 | -0.000 | -0.000 | 0.000 |
| 77.689 | 77.689 | 297.410 | -0.000 | 0.000 | 0.000 |
| -0.000 | 0.000 | -0.000 | -57.548 | 0.000 | 0.000 |
| -0.000 | 0.000 | -0.000 | 0.000 | -57.548 | 0.000 |
| -0.000 | 0.000 | -0.000 | 0.000 | -0.000 | -57.548 |
| 297.411 | 77.689 | 77.689 | -0.000 | -0.000 | -0.000 |
| 77.689 | 297.411 | 77.689 | -0.000 | 0.000 | -0.000 |
| 77.689 | 77.689 | 297.411 | 0.000 | 0.000 | -0.000 |
| 0.000 | 0.000 | 0.000 | 88.248 | -0.000 | -0.000 |
| 0.000 | 0.000 | 0.000 | 0.000 | 88.248 | -0.000 |
| 0.000 | 0.000 | 0.000 | 0.000 | 0.000 | 88.248 |
| 297.410 | 77.689 | 77.689 | -0.000 | -0.000 | 0.000 |
| 77.689 | 297.410 | 77.689 | 0.000 | -0.000 | 0.000 |
| 77.689 | 77.689 | 297.410 | 0.000 | -0.000 | 0.000 |
| -0.000 | -0.000 | -0.000 | 88.248 | 0.000 | 0.000 |
| -0.000 | -0.000 | -0.000 | -0.000 | 88.248 | 0.000 |
| -0.000 | -0.000 | -0.000 | -0.000 | -0.000 | 88.248 |
| 297.414 | 77.689 | 77.689 | -0.000 | 0.000 | -0.000 |
| 77.689 | 297.414 | 77.689 | 0.000 | -0.000 | -0.000 |
| 77.689 | 77.689 | 297.414 | 0.000 | 0.000 | -0.000 |
| 0.001 | 0.001 | 0.000 | -57.548 | 0.000 | -0.000 |
| 0.001 | 0.001 | 0.000 | 0.000 | -57.548 | -0.000 |
| 0.001 | 0.000 | 0.001 | 0.000 | 0.000 | -57.548 |
| 297.407 | 77.689 | 77.689 | 0.000 | 0.000 | 0.000 |
| 77.689 | 297.407 | 77.689 | 0.000 | -0.000 | 0.000 |
| 77.689 | 77.689 | 297.407 | 0.000 | -0.000 | 0.000 |
| -0.001 | -0.001 | -0.000 | -57.548 | -0.000 | 0.000 |
| -0.001 | -0.001 | -0.000 | -0.000 | -57.548 | 0.000 |
| -0.001 | -0.000 | -0.001 | -0.000 | -0.000 | -57.548 |
| 28.147 | 5.676 | 5.676 | -0.000 | -0.000 | -0.000 |
| 5.676 | 28.147 | 5.676 | -0.000 | -0.000 | -0.000 |
| 5.676 | 5.676 | 28.147 | -0.000 | -0.000 | -0.000 |
| 0.000 | -0.000 | -0.000 | 3.062 | -0.000 | -0.000 |
| -0.000 | -0.000 | -0.000 | -0.000 | 3.062 | -0.000 |
| 0.000 | -0.000 | -0.000 | -0.000 | -0.000 | 3.062 |
| 28.147 | 5.676 | 5.676 | 0.000 | 0.000 | -0.000 |
| 5.676 | 28.147 | 5.676 | 0.000 | 0.000 | 0.000 |
| 5.676 | 5.676 | 28.147 | 0.000 | 0.000 | -0.000 |
| -0.000 | 0.000 | 0.000 | 3.062 | 0.000 | 0.000 |
| -0.000 | 0.000 | 0.000 | 0.000 | 3.062 | -0.000 |
| -0.000 | 0.000 | 0.000 | 0.000 | 0.000 | 3.062 |
| 28.147 | 5.676 | 5.676 | -0.000 | -0.000 | -0.000 |
| 5.676 | 28.147 | 5.676 | -0.000 | -0.000 | -0.000 |
| 5.676 | 5.676 | 28.147 | -0.000 | -0.000 | -0.000 |
| -0.000 | -0.000 | -0.000 | 3.062 | -0.000 | -0.000 |
| -0.000 | -0.000 | -0.000 | -0.000 | 3.062 | 0.000 |
| -0.000 | -0.000 | -0.000 | -0.000 | -0.000 | 3.062 |
| 28.147 | 5.676 | 5.676 | 0.000 | -0.000 | -0.000 |
| 5.676 | 28.147 | 5.676 | 0.000 | 0.000 | -0.000 |
| 5.676 | 5.676 | 28.147 | 0.000 | -0.000 | -0.000 |
| 0.000 | 0.000 | 0.000 | 3.062 | 0.000 | -0.000 |
| 0.000 | 0.000 | 0.000 | 0.000 | 3.062 | 0.000 |
| 0.000 | 0.000 | 0.000 | 0.000 | 0.000 | 3.062 |
| 28.148 | 5.676 | 5.676 | -0.000 | -0.000 | -0.000 |
| 5.676 | 28.148 | 5.676 | -0.000 | -0.000 | 0.000 |
| 5.676 | 5.676 | 28.148 | -0.000 | -0.000 | 0.000 |
| -0.000 | -0.000 | -0.000 | 3.062 | -0.000 | -0.000 |
| -0.000 | -0.000 | -0.000 | -0.000 | 3.062 | -0.000 |
| -0.000 | -0.000 | -0.000 | -0.000 | -0.000 | 3.062 |
| 28.147 | 5.676 | 5.676 | 0.000 | 0.000 | 0.000 |
| 5.676 | 28.147 | 5.676 | 0.000 | 0.000 | 0.000 |
| 5.676 | 5.676 | 28.147 | 0.000 | 0.000 | -0.000 |
| 0.000 | 0.000 | 0.000 | 3.062 | 0.000 | 0.000 |
| 0.000 | 0.000 | 0.000 | 0.000 | 3.062 | -0.000 |
| 0.000 | 0.000 | 0.000 | 0.000 | 0.000 | 3.062 |
| 19.352 | 10.664 | 10.664 | -0.000 | -0.000 | 0.000 |
| 10.664 | 19.352 | 10.664 | -0.000 | -0.000 | 0.000 |
| 10.664 | 10.664 | 19.352 | 0.000 | 0.000 | 0.000 |
| 0.000 | 0.000 | 0.000 | 8.027 | 0.000 | 0.000 |
| 0.000 | 0.000 | 0.000 | 0.000 | 8.027 | 0.000 |
| 0.000 | 0.000 | -0.000 | 0.000 | 0.000 | 8.027 |
| 19.352 | 10.664 | 10.664 | 0.000 | -0.000 | -0.000 |
| 10.664 | 19.352 | 10.664 | 0.000 | -0.000 | 0.000 |
| 10.664 | 10.664 | 19.352 | -0.000 | -0.000 | -0.000 |
| -0.000 | -0.000 | -0.000 | 8.027 | -0.000 | -0.000 |
| -0.000 | -0.000 | -0.000 | 0.000 | 8.027 | -0.000 |
| -0.000 | -0.000 | 0.000 | -0.000 | -0.000 | 8.027 |
| 19.352 | 10.664 | 10.664 | -0.000 | -0.000 | -0.000 |
| 10.664 | 19.352 | 10.664 | -0.000 | -0.000 | 0.000 |
| 10.664 | 10.664 | 19.352 | 0.000 | 0.000 | 0.000 |
| 0.000 | -0.000 | -0.000 | 10.664 | 0.000 | 0.000 |
| -0.000 | 0.000 | 0.000 | 0.000 | 10.664 | 0.000 |
| -0.000 | 0.000 | 0.000 | 0.000 | 0.000 | 10.664 |
| 19.352 | 10.664 | 10.664 | 0.000 | 0.000 | -0.000 |
| 10.664 | 19.352 | 10.664 | 0.000 | -0.000 | -0.000 |
| 10.664 | 10.664 | 19.352 | -0.000 | -0.000 | -0.000 |
| -0.000 | 0.000 | -0.000 | 10.664 | -0.000 | -0.000 |
| 0.000 | -0.000 | -0.000 | -0.000 | 10.664 | -0.000 |
| 0.000 | -0.000 | -0.000 | -0.000 | -0.000 | 10.664 |
| 19.352 | 10.664 | 10.664 | -0.000 | -0.000 | -0.000 |
| 10.664 | 19.352 | 10.664 | -0.000 | -0.000 | 0.000 |
| 10.664 | 10.664 | 19.352 | 0.000 | 0.000 | 0.000 |
| 0.000 | -0.000 | -0.000 | 8.027 | 0.000 | 0.000 |
| -0.000 | 0.000 | -0.000 | 0.000 | 8.027 | 0.000 |
| -0.000 | -0.000 | 0.000 | 0.000 | 0.000 | 8.027 |
| 19.352 | 10.664 | 10.664 | 0.000 | 0.000 | -0.000 |
| 10.664 | 19.352 | 10.664 | 0.000 | 0.000 | -0.000 |
| 10.664 | 10.664 | 19.352 | 0.000 | 0.000 | -0.000 |
| -0.000 | 0.000 | 0.000 | 8.027 | -0.000 | -0.000 |
| 0.000 | -0.000 | 0.000 | 0.000 | 8.027 | -0.000 |
| 0.000 | 0.000 | -0.000 | -0.000 | -0.000 | 8.027 |
| 11.130 | 10.454 | 10.454 | 0.000 | 0.000 | 0.000 |
| 10.454 | 11.130 | 10.454 | 0.000 | 0.000 | -0.000 |
| 10.454 | 10.454 | 11.130 | 0.000 | 0.000 | 0.000 |
| 0.000 | -0.000 | 0.000 | 10.454 | 0.000 | 0.000 |
| 0.000 | -0.000 | 0.000 | 0.000 | 10.454 | 0.000 |
| 0.000 | 0.000 | 0.000 | 0.000 | 0.000 | 10.454 |
| 11.130 | 10.454 | 10.454 | -0.000 | -0.000 | 0.000 |
| 10.454 | 11.130 | 10.454 | 0.000 | -0.000 | 0.000 |
| 10.454 | 10.454 | 11.130 | -0.000 | -0.000 | -0.000 |
| -0.000 | -0.000 | -0.000 | 10.454 | -0.000 | 0.000 |
| -0.000 | 0.000 | -0.000 | -0.000 | 10.454 | -0.000 |
| -0.000 | -0.000 | -0.000 | -0.000 | -0.000 | 10.454 |
| 11.130 | 10.454 | 10.454 | 0.000 | 0.000 | 0.000 |
| 10.454 | 11.130 | 10.454 | 0.000 | 0.000 | 0.000 |
| 10.454 | 10.454 | 11.130 | 0.000 | 0.000 | 0.000 |
| -0.000 | 0.000 | 0.000 | 10.454 | 0.000 | 0.000 |
| 0.000 | -0.000 | 0.000 | 0.000 | 10.454 | 0.000 |
| 0.000 | 0.000 | -0.000 | 0.000 | 0.000 | 10.454 |
| 11.130 | 10.454 | 10.454 | -0.000 | -0.000 | -0.000 |
| 10.454 | 11.130 | 10.454 | -0.000 | -0.000 | -0.000 |
| 10.454 | 10.454 | 11.130 | -0.000 | -0.000 | -0.000 |
| 0.000 | -0.000 | -0.000 | 10.454 | -0.000 | 0.000 |
| -0.000 | 0.000 | -0.000 | -0.000 | 10.454 | -0.000 |
| -0.000 | -0.000 | 0.000 | -0.000 | -0.000 | 10.454 |
| 11.130 | 10.454 | 10.454 | 0.000 | 0.000 | 0.000 |
| 10.454 | 11.130 | 10.454 | 0.000 | 0.000 | -0.000 |
| 10.454 | 10.454 | 11.130 | 0.000 | 0.000 | 0.000 |
| -0.000 | 0.000 | 0.000 | 10.454 | 0.000 | -0.000 |
| 0.000 | -0.000 | 0.000 | 0.000 | 10.454 | 0.000 |
| 0.000 | 0.000 | -0.000 | 0.000 | 0.000 | 10.454 |
| 11.130 | 10.454 | 10.454 | 0.000 | -0.000 | -0.000 |
| 10.454 | 11.130 | 10.454 | 0.000 | 0.000 | 0.000 |
| 10.454 | 10.454 | 11.130 | -0.000 | -0.000 | -0.000 |
| 0.000 | -0.000 | -0.000 | 10.454 | -0.000 | 0.000 |
| -0.000 | 0.000 | -0.000 | -0.000 | 10.454 | -0.000 |
| -0.000 | -0.000 | 0.000 | -0.000 | -0.000 | 10.454 |
| 20.068 | 4.126 | 9.597 | 0.000 | -0.000 | -0.000 |
| 2.428 | 18.019 | 7.557 | 0.000 | -0.000 | -0.000 |
| 6.058 | 6.123 | 10.322 | 0.000 | -0.000 | -0.000 |
| -1.223 | 0.354 | 1.520 | 7.244 | -0.000 | -0.000 |
| -0.824 | 0.438 | 3.193 | 0.000 | -4.679 | -0.000 |
| -1.445 | 0.419 | 1.804 | 0.000 | -0.000 | 0.350 |
| 22.869 | 2.745 | 4.316 | -0.000 | 0.000 | 0.000 |
| 5.032 | 16.924 | 2.008 | -0.000 | 0.000 | 0.000 |
| 9.784 | 4.677 | 1.435 | -0.000 | 0.000 | 0.000 |
| 1.223 | -0.354 | -1.520 | 7.244 | 0.000 | 0.000 |
| 0.824 | -0.438 | -3.193 | -0.000 | -4.679 | 0.000 |
| 1.445 | -0.419 | -1.804 | -0.000 | 0.000 | 0.350 |
| 21.024 | 3.682 | 8.102 | 0.000 | -0.000 | -0.000 |
| 3.198 | 17.851 | 6.926 | 0.000 | -0.000 | -0.000 |
| 8.198 | 5.290 | 5.896 | 0.000 | -0.000 | -0.000 |
| -0.118 | 0.034 | 0.269 | 7.419 | -0.000 | -0.000 |
| -0.000 | 0.000 | 0.000 | 0.000 | 4.715 | -0.000 |
| -0.000 | -0.000 | 0.000 | 0.000 | 0.000 | 3.205 |
| 21.369 | 3.550 | 7.005 | -0.000 | 0.000 | 0.000 |
| 3.377 | 17.806 | 6.785 | -0.000 | 0.000 | 0.000 |
| 8.163 | 5.281 | 4.842 | -0.000 | 0.000 | 0.000 |
| 0.118 | -0.034 | -0.269 | 7.419 | 0.000 | 0.000 |
| 0.000 | -0.000 | -0.000 | -0.000 | 4.715 | -0.000 |
| 0.000 | 0.000 | -0.000 | -0.000 | 0.000 | 3.205 |
| 21.163 | 3.636 | 7.557 | 0.000 | -0.000 | -0.000 |
| 3.889 | 17.413 | 5.342 | 0.000 | -0.000 | -0.000 |
| 8.032 | 5.350 | 5.307 | 0.000 | -0.000 | -0.000 |
| -0.012 | 0.004 | 0.030 | 7.421 | -0.000 | -0.000 |
| -0.024 | 0.004 | 0.045 | 0.000 | -4.998 | -0.000 |
| -651897.095 | -266948.707 | -47479.731 | 0.000 | -0.000 | -188617.228 |
| 21.200 | 3.625 | 7.627 | -0.000 | 0.000 | 0.000 |
| 3.916 | 17.403 | 5.255 | -0.000 | 0.000 | 0.000 |
| 8.062 | 5.339 | 5.224 | -0.000 | 0.000 | 0.000 |
| 0.012 | -0.004 | -0.030 | 7.421 | 0.000 | 0.000 |
| 0.024 | -0.004 | -0.045 | -0.000 | -4.998 | 0.000 |
| 651897.079 | 266948.692 | 47479.744 | -0.000 | 0.000 | -188617.217 |
| -18527136.385 | -10344282.622 | 17625827.881 | -24873.209 | 199635.352 | 24268.429 |
| -18527164.490 | -10344281.923 | 17625842.304 | -24871.605 | 199632.390 | 24257.229 |
| -18527158.415 | -10344286.654 | 17625818.697 | -24863.874 | 199628.315 | 24272.399 |
| -18527146.228 | -10344277.389 | 17625828.223 | -24867.872 | 199633.857 | 24272.162 |
| -18527162.091 | -10344287.518 | 17625821.745 | -24869.590 | 199633.874 | 24274.211 |
| -18527153.460 | -10344295.094 | 17625821.104 | -24869.587 | 199634.027 | 24279.899 |
| 18527182.826 | 10344282.652 | -17625812.878 | 24867.072 | -199630.632 | -24287.102 |
| 18527154.579 | 10344283.589 | -17625797.856 | 24868.962 | -199633.204 | -24298.557 |
| 18527160.024 | 10344278.284 | -17625821.326 | 24876.765 | -199637.561 | -24283.284 |
| 18527172.532 | 10344287.766 | -17625812.096 | 24872.944 | -199631.989 | -24283.490 |
| 18527156.449 | 10344277.681 | -17625819.159 | 24871.162 | -199632.461 | -24281.001 |
| 18527165.168 | 10344270.055 | -17625819.104 | 24871.119 | -199631.847 | -24275.717 |
| -1852694.997 | -1034433.251 | 1762590.358 | -2488.482 | 19964.969 | 2416.166 |
| -1852723.173 | -1034433.222 | 1762604.849 | -2487.163 | 19961.726 | 2404.754 |
| -1852716.910 | -1034437.301 | 1762581.085 | -2479.426 | 19957.701 | 2420.564 |
| -1852703.275 | -1034423.114 | 1762590.112 | -2484.438 | 19964.217 | 2422.064 |
| -1852718.714 | -1034433.132 | 1762583.594 | -2486.133 | 19964.136 | 2424.216 |
| -1852711.479 | -1034445.384 | 1762584.603 | -2485.087 | 19964.145 | 2428.229 |
| 1852739.166 | 1034428.750 | -1762575.155 | 2484.412 | -19961.339 | -2437.402 |
| 1852712.265 | 1034429.487 | -1762560.140 | 2485.347 | -19963.531 | -2448.270 |
| 1852716.980 | 1034424.599 | -1762583.338 | 2493.358 | -19967.863 | -2433.131 |
| 1852729.827 | 1034433.731 | -1762573.777 | 2489.636 | -19962.235 | -2433.474 |
| 1852712.857 | 1034423.406 | -1762581.508 | 2488.054 | -19963.133 | -2431.624 |
| 1852721.833 | 1034415.959 | -1762580.749 | 2487.855 | -19962.157 | -2425.601 |
| -185252.799 | -103447.774 | 176266.481 | -251.410 | 1997.798 | 230.596 |
| -185285.144 | -103452.876 | 176283.148 | -249.880 | 1993.548 | 215.334 |
| -185272.060 | -103449.430 | 176257.282 | -242.332 | 1991.402 | 236.861 |
| -185261.575 | -103438.966 | 176266.061 | -245.910 | 1996.820 | 236.370 |
| -185274.745 | -103449.166 | 176259.875 | -247.652 | 1996.973 | 238.829 |
| -185267.157 | -103457.226 | 176259.767 | -247.300 | 1997.408 | 244.113 |
| 185294.358 | 103445.402 | -176249.660 | 245.708 | -1993.125 | -251.304 |
| 185268.747 | 103447.071 | -176237.223 | 246.449 | -1996.398 | -260.976 |
| 185272.182 | 103440.441 | -176259.265 | 255.038 | -2000.815 | -248.289 |
| 185284.232 | 103449.079 | -176249.731 | 251.316 | -1995.084 | -248.179 |
| 185269.100 | 103438.661 | -176256.453 | 249.743 | -1995.618 | -246.252 |
| 185278.145 | 103431.076 | -176258.807 | 250.200 | -1994.584 | -239.712 |
| 0.414 | 0.414 | 0.219 | 0.000 | 0.000 | 0.000 |
| 0.414 | 0.414 | 0.219 | 0.000 | 0.000 | 0.000 |
| 0.219 | 0.219 | 0.916 | 0.000 | 0.000 | -0.000 |
| 0.000 | -0.000 | -0.000 | 0.219 | 0.000 | 0.000 |
| -0.000 | 0.000 | -0.000 | 0.000 | 0.219 | 0.000 |
| 0.000 | 0.000 | 0.000 | -0.000 | -0.000 | 0.414 |
| 0.414 | 0.414 | 0.219 | -0.000 | 0.000 | -0.000 |
| 0.414 | 0.414 | 0.219 | 0.000 | -0.000 | -0.000 |
| 0.219 | 0.219 | 0.916 | -0.000 | -0.000 | 0.000 |
| -0.000 | -0.000 | -0.000 | 0.219 | 0.000 | 0.000 |
| -0.000 | -0.000 | -0.000 | 0.000 | 0.219 | 0.000 |
| -0.000 | -0.000 | -0.000 | -0.000 | -0.000 | 0.414 |
| 0.269 | 0.269 | 0.032 | 0.000 | 0.000 | 0.000 |
| 0.269 | 0.269 | 0.032 | 0.000 | 0.000 | 0.000 |
| 0.219 | 0.219 | 0.916 | -0.000 | -0.000 | 0.000 |
| 0.000 | -0.000 | -0.000 | 0.219 | 0.000 | -0.000 |
| -0.000 | 0.000 | -0.000 | 0.000 | 0.219 | -0.000 |
| -0.000 | -0.000 | -0.000 | 0.000 | 0.000 | 0.269 |
| 0.270 | 0.270 | 0.033 | -0.000 | 0.000 | 0.000 |
| 0.270 | 0.270 | 0.033 | 0.000 | -0.000 | 0.000 |
| 0.219 | 0.219 | 0.916 | -0.000 | -0.000 | 0.000 |
| -0.000 | 0.000 | 0.000 | 0.219 | 0.000 | -0.000 |
| 0.000 | -0.000 | 0.000 | 0.000 | 0.219 | -0.000 |
| 0.000 | 0.000 | 0.000 | -0.000 | -0.000 | 0.269 |
| 0.414 | 0.414 | 0.219 | -0.000 | -0.000 | -0.000 |
| 0.414 | 0.414 | 0.219 | -0.000 | -0.000 | -0.000 |
| -0.026 | -0.026 | 0.146 | 0.000 | 0.000 | -0.000 |
| -0.000 | -0.000 | -0.000 | 0.093 | -0.000 | -0.000 |
| -0.000 | -0.000 | -0.000 | -0.000 | 0.093 | -0.000 |
| -0.000 | 0.000 | 0.000 | -0.000 | 0.000 | 0.414 |
| 0.414 | 0.414 | 0.219 | -0.000 | -0.000 | 0.000 |
| 0.414 | 0.414 | 0.219 | -0.000 | -0.000 | 0.000 |
| -0.026 | -0.026 | 0.146 | -0.000 | -0.000 | -0.000 |
| 0.000 | 0.000 | 0.000 | 0.093 | -0.000 | -0.000 |
| 0.000 | 0.000 | 0.000 | -0.000 | 0.093 | -0.000 |
| 0.000 | -0.000 | -0.000 | -0.000 | 0.000 | 0.414 |
| 20.369 | 986.459 | -95892.831 | 139.636 | -592.194 | -45.950 |
| 55.110 | 952.572 | -95881.418 | 269.491 | -293.576 | 46.274 |
| 86.273 | 984.835 | -100002.736 | 329.135 | -319.547 | -15.458 |
| 133.242 | 894.882 | -101761.128 | 322.442 | -212.574 | 40.773 |
| 880.323 | -758.693 | -1420081.449 | 107.925 | -5411.250 | 93.556 |
| 565.832 | -119.690 | -1219591.707 | 474.149 | 764.320 | -1063.774 |
| -49.412 | -1013.135 | 90485.387 | -286.313 | 470.577 | 5.089 |
| -32.784 | -1042.922 | 92982.723 | -62.430 | -146.110 | -65.203 |
| -189.726 | -791.147 | 107904.665 | -444.271 | 837.264 | -10.053 |
| -147.436 | -876.622 | 95309.185 | -224.252 | -37.297 | -119.028 |
| -667.409 | 841.990 | 1431251.493 | -305.936 | -7987.149 | 44.682 |
| -731.366 | 222.887 | 1211995.526 | -311.824 | 659.521 | -1102.426 |
| 13.613 | 96.440 | -9461.125 | 3.907 | -26.978 | -5.460 |
| 7.808 | 106.809 | -9431.896 | -3.111 | -42.406 | -4.235 |
| 17.888 | 86.455 | -9619.584 | 7.122 | -94.688 | -11.426 |
| 12.204 | 95.810 | -9782.862 | 5.099 | -46.892 | -7.890 |
| 34.795 | 102.103 | -146892.204 | 16.485 | -55.860 | -13.056 |
| 39.703 | 64.790 | -133192.353 | 21.919 | -9.663 | -36.607 |
| -22.659 | -78.094 | 9759.081 | -29.587 | 20.636 | -5.895 |
| -25.882 | -83.812 | 10257.705 | -0.203 | 73.810 | 13.613 |
| -14.135 | -92.984 | 9299.900 | -5.133 | 27.812 | 5.871 |
| -13.661 | -95.326 | 9497.885 | -9.968 | 27.102 | 5.330 |
| -30.192 | -110.584 | 146784.383 | -20.076 | -47.938 | -6.128 |
| -35.482 | -48.229 | 134124.963 | -23.387 | 15.746 | -33.635 |
| 1.230 | 9.278 | -956.906 | 1.529 | 0.772 | 0.106 |
| 1.584 | 8.382 | -982.840 | 5.146 | -6.382 | 0.650 |
| 1.625 | 9.006 | -1013.116 | 0.570 | -9.026 | -0.451 |
| 1.025 | 9.654 | -949.270 | 2.066 | -7.437 | -0.589 |
| 4.092 | 9.105 | -14653.805 | 2.927 | -4.915 | 1.321 |
| 2.666 | 10.618 | -13985.992 | 0.965 | 0.217 | -5.497 |
| -0.592 | -10.346 | 915.829 | -1.022 | 4.767 | 0.379 |
| -0.267 | -10.123 | 928.227 | -0.356 | 4.326 | -0.082 |
| -1.126 | -9.301 | 995.731 | -0.640 | 0.016 | -0.432 |
| -1.206 | -8.962 | 1011.036 | -2.397 | -0.989 | -1.493 |
| -4.088 | -9.110 | 14655.090 | -2.891 | -4.993 | 1.325 |
| -2.581 | -10.873 | 13982.505 | -0.977 | 2.225 | -5.711 |
| 382.033 | 197.195 | 197.195 | 0.000 | -0.000 | -0.000 |
| 197.195 | 382.033 | 197.195 | -0.000 | 0.000 | -0.000 |
| 197.195 | 197.195 | 382.033 | -0.000 | -0.000 | -0.000 |
| -0.000 | -0.000 | 0.000 | 5.554 | -0.000 | -0.000 |
| -0.000 | 0.000 | 0.000 | -0.000 | 5.554 | -0.000 |
| -0.000 | -0.000 | -0.000 | -0.000 | -0.000 | 5.554 |
| 382.033 | 197.195 | 197.195 | 0.000 | 0.000 | -0.000 |
| 197.195 | 382.033 | 197.195 | 0.000 | -0.000 | 0.000 |
| 197.195 | 197.195 | 382.033 | 0.000 | 0.000 | 0.000 |
| 0.000 | 0.000 | 0.000 | 5.554 | 0.000 | 0.000 |
| 0.000 | -0.000 | 0.000 | 0.000 | 5.554 | 0.000 |
| 0.000 | 0.000 | 0.000 | 0.000 | 0.000 | 5.554 |
| 382.033 | 197.195 | 197.195 | -0.000 | -0.000 | -0.000 |
| 197.195 | 382.033 | 197.195 | -0.000 | 0.000 | -0.000 |
| 197.195 | 197.195 | 382.033 | -0.000 | -0.000 | -0.000 |
| 0.000 | -0.000 | -0.000 | 5.554 | -0.000 | 0.000 |
| -0.000 | 0.000 | -0.000 | -0.000 | 5.554 | -0.000 |
| -0.000 | -0.000 | 0.000 | -0.000 | -0.000 | 5.554 |
| 382.033 | 197.195 | 197.195 | 0.000 | 0.000 | 0.000 |
| 197.195 | 382.033 | 197.195 | -0.000 | 0.000 | -0.000 |
| 197.195 | 197.195 | 382.033 | -0.000 | -0.000 | 0.000 |
| -0.000 | 0.000 | 0.000 | 5.554 | 0.000 | 0.000 |
| 0.000 | -0.000 | 0.000 | 0.000 | 5.554 | 0.000 |
| 0.000 | 0.000 | -0.000 | 0.000 | 0.000 | 5.554 |
| 382.035 | 197.196 | 197.196 | 0.000 | -0.000 | -0.000 |
| 197.196 | 382.035 | 197.196 | -0.000 | -0.000 | 0.000 |
| 197.196 | 197.196 | 382.035 | -0.000 | -0.000 | -0.000 |
| 0.000 | -0.000 | -0.000 | 5.554 | -0.000 | -0.000 |
| -0.000 | 0.000 | -0.000 | -0.000 | 5.554 | -0.000 |
| -0.000 | -0.000 | 0.000 | -0.000 | -0.000 | 5.554 |
| 382.032 | 197.194 | 197.194 | 0.000 | 0.000 | -0.000 |
| 197.194 | 382.032 | 197.194 | 0.000 | 0.000 | -0.000 |
| 197.194 | 197.194 | 382.032 | 0.000 | 0.000 | 0.000 |
| -0.000 | 0.000 | 0.000 | 5.554 | 0.000 | 0.000 |
| 0.000 | -0.000 | 0.000 | 0.000 | 5.554 | 0.000 |
| 0.000 | 0.000 | -0.000 | 0.000 | 0.000 | 5.554 |
| 567.342 | 174.728 | 174.727 | 0.000 | -0.000 | -0.000 |
| 174.728 | 567.342 | 174.727 | 0.000 | -0.000 | -0.000 |
| 174.728 | 174.728 | 567.342 | 0.000 | -0.000 | -0.000 |
| 0.000 | 0.000 | 0.000 | -33.730 | 0.000 | -0.000 |
| 0.000 | 0.000 | -0.000 | 0.000 | -33.730 | -0.000 |
| 0.000 | 0.000 | 0.000 | 0.000 | 0.000 | -33.730 |
| 567.342 | 174.727 | 174.728 | -0.000 | -0.000 | 0.000 |
| 174.727 | 567.342 | 174.728 | -0.000 | -0.000 | 0.000 |
| 174.727 | 174.727 | 567.342 | -0.000 | -0.000 | 0.000 |
| -0.000 | -0.000 | -0.000 | -33.730 | -0.000 | 0.000 |
| -0.000 | -0.000 | 0.000 | -0.000 | -33.730 | 0.000 |
| -0.000 | -0.000 | -0.000 | -0.000 | -0.000 | -33.730 |
| 567.342 | 174.728 | 174.728 | -0.000 | -0.000 | -0.000 |
| 174.728 | 567.342 | 174.728 | 0.000 | -0.000 | 0.000 |
| 174.728 | 174.728 | 567.342 | 0.000 | -0.000 | -0.000 |
| 0.000 | 0.000 | 0.000 | 191.401 | 0.000 | -0.000 |
| 0.000 | 0.000 | 0.000 | 0.000 | 191.401 | -0.000 |
| 0.000 | 0.000 | 0.000 | 0.000 | -0.000 | 191.401 |
| 567.342 | 174.727 | 174.727 | 0.000 | 0.000 | 0.000 |
| 174.727 | 567.342 | 174.727 | -0.000 | 0.000 | 0.000 |
| 174.727 | 174.727 | 567.342 | -0.000 | 0.000 | 0.000 |
| -0.000 | -0.000 | -0.000 | 191.401 | -0.000 | 0.000 |
| -0.000 | -0.000 | -0.000 | -0.000 | 191.401 | 0.000 |
| -0.000 | -0.000 | -0.000 | -0.000 | 0.000 | 191.401 |
| 567.344 | 174.729 | 174.729 | -0.000 | -0.000 | -0.000 |
| 174.729 | 567.344 | 174.729 | -0.000 | -0.000 | -0.000 |
| 174.729 | 174.729 | 567.344 | 0.000 | 0.000 | -0.000 |
| 0.000 | -0.000 | -0.000 | -33.730 | -0.000 | -0.000 |
| -0.000 | 0.000 | -0.000 | 0.000 | -33.730 | -0.000 |
| -0.000 | -0.000 | 0.000 | 0.000 | 0.000 | -33.730 |
| 567.340 | 174.726 | 174.726 | 0.000 | 0.000 | 0.000 |
| 174.726 | 567.340 | 174.726 | 0.000 | 0.000 | 0.000 |
| 174.726 | 174.726 | 567.340 | 0.000 | 0.000 | 0.000 |
| -0.000 | 0.000 | 0.000 | -33.730 | 0.000 | 0.000 |
| 0.000 | -0.000 | 0.000 | -0.000 | -33.730 | 0.000 |
| 0.000 | 0.000 | -0.000 | -0.000 | 0.000 | -33.730 |
| 311.168 | 6.740 | 6.740 | 0.000 | 0.000 | 0.000 |
| 6.740 | 311.168 | 6.740 | 0.000 | 0.000 | 0.000 |
| 6.740 | 6.740 | 311.168 | 0.000 | 0.000 | 0.000 |
| -0.000 | -0.000 | 0.000 | -21.996 | 0.000 | 0.000 |
| -0.000 | -0.000 | 0.000 | 0.000 | -21.996 | 0.000 |
| -0.000 | -0.000 | 0.000 | 0.000 | -0.000 | -21.996 |
| 311.168 | 6.740 | 6.740 | -0.000 | -0.000 | -0.000 |
| 6.740 | 311.168 | 6.740 | -0.000 | -0.000 | 0.000 |
| 6.740 | 6.740 | 311.168 | -0.000 | -0.000 | -0.000 |
| 0.000 | 0.000 | -0.000 | -21.996 | -0.000 | -0.000 |
| 0.000 | -0.000 | -0.000 | 0.000 | -21.996 | -0.000 |
| 0.000 | -0.000 | -0.000 | -0.000 | 0.000 | -21.996 |
| 311.168 | 6.740 | 6.740 | -0.000 | -0.000 | 0.000 |
| 6.740 | 311.168 | 6.740 | 0.000 | -0.000 | 0.000 |
| 6.740 | 6.740 | 311.168 | 0.000 | 0.000 | 0.000 |
| 0.000 | 0.000 | -0.000 | -21.996 | 0.000 | 0.000 |
| 0.000 | 0.000 | -0.000 | -0.000 | -21.996 | 0.000 |
| 0.000 | -0.000 | 0.000 | -0.000 | -0.000 | -21.996 |
| 311.168 | 6.740 | 6.740 | -0.000 | 0.000 | -0.000 |
| 6.740 | 311.168 | 6.740 | -0.000 | -0.000 | -0.000 |
| 6.740 | 6.740 | 311.168 | -0.000 | -0.000 | -0.000 |
| -0.000 | -0.000 | -0.000 | -21.996 | -0.000 | 0.000 |
| -0.000 | -0.000 | 0.000 | -0.000 | -21.996 | -0.000 |
| -0.000 | 0.000 | -0.000 | 0.000 | 0.000 | -21.996 |
| 311.169 | 6.740 | 6.740 | 0.000 | 0.000 | 0.000 |
| 6.740 | 311.169 | 6.740 | 0.000 | 0.000 | 0.000 |
| 6.740 | 6.740 | 311.169 | 0.000 | 0.000 | 0.000 |
| 0.000 | 0.000 | -0.000 | -21.996 | -0.000 | 0.000 |
| 0.000 | 0.000 | -0.000 | 0.000 | -21.996 | 0.000 |
| 0.000 | -0.000 | 0.000 | 0.000 | -0.000 | -21.996 |
| 311.167 | 6.740 | 6.740 | -0.000 | -0.000 | -0.000 |
| 6.740 | 311.167 | 6.740 | -0.000 | 0.000 | -0.000 |
| 6.740 | 6.740 | 311.167 | -0.000 | 0.000 | -0.000 |
| -0.000 | -0.000 | 0.000 | -21.996 | 0.000 | -0.000 |
| -0.000 | -0.000 | 0.000 | -0.000 | -21.996 | -0.000 |
| -0.000 | 0.000 | -0.000 | -0.000 | 0.000 | -21.996 |
| 277.147 | 85.898 | 85.898 | -0.000 | -0.000 | -0.000 |
| 85.898 | 277.147 | 85.898 | -0.000 | -0.000 | -0.000 |
| 85.898 | 85.898 | 277.147 | 0.000 | 0.000 | -0.000 |
| -0.000 | 0.000 | -0.000 | -10.660 | -0.000 | -0.000 |
| 0.000 | 0.000 | -0.000 | -0.000 | -10.660 | 0.000 |
| 0.000 | 0.000 | -0.000 | -0.000 | -0.000 | -10.660 |
| 277.147 | 85.898 | 85.898 | 0.000 | 0.000 | -0.000 |
| 85.898 | 277.147 | 85.898 | 0.000 | 0.000 | 0.000 |
| 85.898 | 85.898 | 277.147 | 0.000 | 0.000 | 0.000 |
| 0.000 | -0.000 | 0.000 | -10.660 | 0.000 | 0.000 |
| -0.000 | -0.000 | 0.000 | 0.000 | -10.660 | -0.000 |
| -0.000 | -0.000 | 0.000 | 0.000 | 0.000 | -10.660 |
| 277.147 | 85.898 | 85.898 | -0.000 | -0.000 | -0.000 |
| 85.898 | 277.147 | 85.898 | -0.000 | -0.000 | -0.000 |
| 85.898 | 85.898 | 277.147 | -0.000 | -0.000 | -0.000 |
| 0.000 | -0.000 | -0.000 | -10.660 | -0.000 | 0.000 |
| -0.000 | 0.000 | -0.000 | -0.000 | -10.660 | 0.000 |
| -0.000 | -0.000 | 0.000 | -0.000 | -0.000 | -10.660 |
| 277.147 | 85.898 | 85.898 | 0.000 | 0.000 | -0.000 |
| 85.898 | 277.147 | 85.898 | 0.000 | 0.000 | -0.000 |
| 85.898 | 85.898 | 277.147 | 0.000 | 0.000 | -0.000 |
| -0.000 | 0.000 | 0.000 | -10.660 | 0.000 | 0.000 |
| 0.000 | -0.000 | 0.000 | 0.000 | -10.660 | -0.000 |
| 0.000 | 0.000 | -0.000 | 0.000 | 0.000 | -10.660 |
| 277.148 | 85.899 | 85.899 | -0.000 | -0.000 | 0.000 |
| 85.899 | 277.148 | 85.899 | 0.000 | -0.000 | 0.000 |
| 85.899 | 85.899 | 277.148 | -0.000 | -0.000 | -0.000 |
| 0.000 | -0.000 | -0.000 | -10.660 | -0.000 | 0.000 |
| -0.000 | 0.000 | -0.000 | -0.000 | -10.660 | 0.000 |
| -0.000 | -0.000 | 0.000 | -0.000 | -0.000 | -10.660 |
| 277.146 | 85.898 | 85.898 | 0.000 | 0.000 | 0.000 |
| 85.898 | 277.146 | 85.898 | 0.000 | -0.000 | 0.000 |
| 85.898 | 85.898 | 277.146 | 0.000 | 0.000 | -0.000 |
| -0.000 | 0.000 | 0.000 | -10.660 | 0.000 | 0.000 |
| 0.000 | -0.000 | 0.000 | 0.000 | -10.660 | 0.000 |
| 0.000 | 0.000 | -0.000 | 0.000 | 0.000 | -10.660 |
| 13.179 | -2.620 | -2.620 | 0.000 | 0.000 | 0.000 |
| -2.620 | 13.179 | -2.620 | 0.000 | 0.000 | 0.000 |
| -2.620 | -2.620 | 13.179 | 0.000 | 0.000 | 0.000 |
| 0.000 | -0.000 | 0.000 | -2.620 | 0.000 | 0.000 |
| 0.000 | 0.000 | 0.000 | 0.000 | -2.620 | 0.000 |
| 0.000 | -0.000 | 0.000 | 0.000 | 0.000 | -2.620 |
| 13.179 | -2.620 | -2.620 | -0.000 | -0.000 | -0.000 |
| -2.620 | 13.179 | -2.620 | -0.000 | -0.000 | -0.000 |
| -2.620 | -2.620 | 13.179 | -0.000 | -0.000 | -0.000 |
| -0.000 | 0.000 | -0.000 | -2.620 | -0.000 | -0.000 |
| -0.000 | -0.000 | -0.000 | -0.000 | -2.620 | -0.000 |
| -0.000 | 0.000 | -0.000 | -0.000 | -0.000 | -2.620 |
| 13.179 | -2.620 | -2.620 | 0.000 | 0.000 | 0.000 |
| -2.620 | 13.179 | -2.620 | 0.000 | 0.000 | 0.000 |
| -2.620 | -2.620 | 13.179 | 0.000 | 0.000 | 0.000 |
| 0.000 | -0.000 | -0.000 | -2.620 | 0.000 | 0.000 |
| -0.000 | 0.000 | -0.000 | 0.000 | -2.620 | 0.000 |
| -0.000 | -0.000 | 0.000 | 0.000 | 0.000 | -2.620 |
| 13.179 | -2.620 | -2.620 | -0.000 | -0.000 | -0.000 |
| -2.620 | 13.179 | -2.620 | -0.000 | -0.000 | -0.000 |
| -2.620 | -2.620 | 13.179 | -0.000 | -0.000 | -0.000 |
| -0.000 | 0.000 | 0.000 | -2.620 | -0.000 | -0.000 |
| 0.000 | -0.000 | 0.000 | 0.000 | -2.620 | -0.000 |
| 0.000 | 0.000 | -0.000 | -0.000 | -0.000 | -2.620 |
| 13.179 | -2.620 | -2.620 | 0.000 | 0.000 | 0.000 |
| -2.620 | 13.179 | -2.620 | 0.000 | 0.000 | 0.000 |
| -2.620 | -2.620 | 13.179 | 0.000 | -0.000 | 0.000 |
| 0.000 | -0.000 | -0.000 | -2.620 | 0.000 | 0.000 |
| -0.000 | 0.000 | -0.000 | 0.000 | -2.620 | 0.000 |
| -0.000 | -0.000 | 0.000 | 0.000 | 0.000 | -2.620 |
| 13.179 | -2.620 | -2.620 | -0.000 | -0.000 | -0.000 |
| -2.620 | 13.179 | -2.620 | -0.000 | -0.000 | -0.000 |
| -2.620 | -2.620 | 13.179 | -0.000 | -0.000 | -0.000 |
| -0.000 | 0.000 | 0.000 | -2.620 | -0.000 | -0.000 |
| 0.000 | -0.000 | 0.000 | -0.000 | -2.620 | -0.000 |
| 0.000 | 0.000 | -0.000 | -0.000 | -0.000 | -2.620 |
| 20.026 | 13.708 | 13.708 | 0.000 | 0.000 | -0.000 |
| 13.708 | 20.026 | 13.708 | 0.000 | 0.000 | -0.000 |
| 13.708 | 13.708 | 20.026 | -0.000 | -0.000 | -0.000 |
| 0.000 | -0.000 | 0.000 | 13.708 | 0.000 | -0.000 |
| -0.000 | 0.000 | 0.000 | 0.000 | 13.708 | -0.000 |
| -0.000 | 0.000 | 0.000 | 0.000 | 0.000 | 13.708 |
| 20.026 | 13.708 | 13.708 | -0.000 | -0.000 | 0.000 |
| 13.708 | 20.026 | 13.708 | -0.000 | -0.000 | 0.000 |
| 13.708 | 13.708 | 20.026 | -0.000 | -0.000 | 0.000 |
| -0.000 | 0.000 | -0.000 | 13.708 | 0.000 | 0.000 |
| 0.000 | 0.000 | -0.000 | -0.000 | 13.708 | 0.000 |
| 0.000 | -0.000 | -0.000 | -0.000 | -0.000 | 13.708 |
| 20.026 | 13.708 | 13.708 | 0.000 | 0.000 | -0.000 |
| 13.708 | 20.026 | 13.708 | 0.000 | 0.000 | -0.000 |
| 13.708 | 13.708 | 20.026 | 0.000 | 0.000 | -0.000 |
| 0.000 | -0.000 | 0.000 | 13.708 | 0.000 | -0.000 |
| -0.000 | 0.000 | 0.000 | 0.000 | 13.708 | -0.000 |
| -0.000 | 0.000 | 0.000 | 0.000 | 0.000 | 13.708 |
| 20.026 | 13.708 | 13.708 | -0.000 | -0.000 | 0.000 |
| 13.708 | 20.026 | 13.708 | -0.000 | -0.000 | 0.000 |
| 13.708 | 13.708 | 20.026 | -0.000 | -0.000 | 0.000 |
| -0.000 | 0.000 | -0.000 | 13.708 | -0.000 | 0.000 |
| 0.000 | -0.000 | -0.000 | -0.000 | 13.708 | 0.000 |
| 0.000 | -0.000 | -0.000 | -0.000 | -0.000 | 13.708 |
| 20.026 | 13.708 | 13.708 | 0.000 | 0.000 | -0.000 |
| 13.708 | 20.026 | 13.708 | 0.000 | 0.000 | -0.000 |
| 13.708 | 13.708 | 20.026 | -0.000 | -0.000 | -0.000 |
| 0.000 | -0.000 | 0.000 | 13.708 | -0.000 | -0.000 |
| -0.000 | 0.000 | 0.000 | 0.000 | 13.708 | -0.000 |
| -0.000 | 0.000 | 0.000 | 0.000 | 0.000 | 13.708 |
| 20.026 | 13.708 | 13.708 | -0.000 | -0.000 | 0.000 |
| 13.708 | 20.026 | 13.708 | -0.000 | -0.000 | 0.000 |
| 13.708 | 13.708 | 20.026 | -0.000 | -0.000 | 0.000 |
| -0.000 | 0.000 | -0.000 | 13.708 | 0.000 | 0.000 |
| 0.000 | -0.000 | -0.000 | 0.000 | 13.708 | 0.000 |
| 0.000 | -0.000 | -0.000 | -0.000 | -0.000 | 13.708 |
| 2.016 | 2.016 | 2.016 | 0.000 | -0.000 | -0.000 |
| 2.016 | 2.016 | 2.016 | -0.000 | 0.000 | -0.000 |
| 2.016 | 2.016 | 2.016 | -0.000 | -0.000 | 0.000 |
| -0.000 | -0.000 | -0.000 | -0.000 | -0.000 | -0.000 |
| -0.000 | -0.000 | -0.000 | -0.000 | -0.000 | -0.000 |
| -0.000 | -0.000 | -0.000 | -0.000 | -0.000 | -0.000 |
| 2.016 | 2.016 | 2.016 | 0.000 | 0.000 | 0.000 |
| 2.016 | 2.016 | 2.016 | 0.000 | 0.000 | 0.000 |
| 2.016 | 2.016 | 2.016 | 0.000 | 0.000 | 0.000 |
| 0.000 | 0.000 | 0.000 | 0.000 | 0.000 | 0.000 |
| 0.000 | 0.000 | 0.000 | 0.000 | 0.000 | 0.000 |
| 0.000 | 0.000 | 0.000 | 0.000 | 0.000 | 0.000 |
| 2.016 | 2.016 | 2.016 | -0.000 | -0.000 | -0.000 |
| 2.016 | 2.016 | 2.016 | -0.000 | -0.000 | -0.000 |
| 2.016 | 2.016 | 2.016 | -0.000 | -0.000 | -0.000 |
| -0.000 | -0.000 | -0.000 | -0.000 | -0.000 | -0.000 |
| -0.000 | -0.000 | -0.000 | -0.000 | -0.000 | -0.000 |
| -0.000 | -0.000 | -0.000 | -0.000 | -0.000 | -0.000 |
| 2.016 | 2.016 | 2.016 | -0.000 | 0.000 | 0.000 |
| 2.016 | 2.016 | 2.016 | 0.000 | -0.000 | 0.000 |
| 2.016 | 2.016 | 2.016 | 0.000 | 0.000 | -0.000 |
| 0.000 | 0.000 | 0.000 | 0.000 | 0.000 | 0.000 |
| 0.000 | 0.000 | 0.000 | 0.000 | 0.000 | 0.000 |
| 0.000 | 0.000 | 0.000 | 0.000 | 0.000 | 0.000 |
| 2.016 | 2.016 | 2.016 | 0.000 | -0.000 | -0.000 |
| 2.016 | 2.016 | 2.016 | -0.000 | 0.000 | -0.000 |
| 2.016 | 2.016 | 2.016 | -0.000 | -0.000 | 0.000 |
| -0.000 | -0.000 | -0.000 | -0.000 | -0.000 | -0.000 |
| -0.000 | -0.000 | -0.000 | -0.000 | -0.000 | -0.000 |
| -0.000 | -0.000 | -0.000 | -0.000 | -0.000 | -0.000 |
| 2.016 | 2.016 | 2.016 | 0.000 | 0.000 | 0.000 |
| 2.016 | 2.016 | 2.016 | 0.000 | 0.000 | 0.000 |
| 2.016 | 2.016 | 2.016 | 0.000 | 0.000 | 0.000 |
| 0.000 | 0.000 | 0.000 | 0.000 | 0.000 | 0.000 |
| 0.000 | 0.000 | 0.000 | 0.000 | 0.000 | 0.000 |
| 0.000 | 0.000 | 0.000 | 0.000 | 0.000 | 0.000 |
| 24.172 | 4.168 | 10.518 | 0.000 | -0.000 | -0.000 |
| 4.168 | 24.172 | 10.518 | -0.000 | 0.000 | -0.000 |
| 10.518 | 10.518 | 12.215 | -0.000 | 0.000 | 0.000 |
| 0.000 | -0.000 | 0.000 | 10.518 | 0.000 | -0.000 |
| -0.000 | 0.000 | 0.000 | -0.000 | 10.518 | -0.000 |
| -0.000 | -0.000 | 0.000 | 0.000 | 0.000 | 4.168 |
| 24.172 | 4.168 | 10.518 | -0.000 | -0.000 | 0.000 |
| 4.168 | 24.172 | 10.518 | -0.000 | -0.000 | 0.000 |
| 10.518 | 10.518 | 12.215 | -0.000 | -0.000 | -0.000 |
| -0.000 | -0.000 | -0.000 | 10.518 | -0.000 | 0.000 |
| 0.000 | -0.000 | -0.000 | 0.000 | 10.518 | 0.000 |
| 0.000 | -0.000 | -0.000 | -0.000 | -0.000 | 4.168 |
| 24.172 | 4.168 | 10.518 | 0.000 | 0.000 | 0.000 |
| 4.168 | 24.172 | 10.518 | -0.000 | 0.000 | -0.000 |
| 10.518 | 10.518 | 12.215 | -0.000 | 0.000 | -0.000 |
| 0.000 | -0.000 | 0.000 | 10.518 | 0.000 | -0.000 |
| -0.000 | 0.000 | 0.000 | 0.000 | 10.518 | -0.000 |
| -0.000 | -0.000 | 0.000 | -0.000 | 0.000 | 4.168 |
| 24.172 | 4.168 | 10.518 | -0.000 | -0.000 | 0.000 |
| 4.168 | 24.172 | 10.518 | 0.000 | -0.000 | 0.000 |
| 10.518 | 10.518 | 12.215 | -0.000 | -0.000 | 0.000 |
| -0.000 | 0.000 | -0.000 | 10.518 | -0.000 | 0.000 |
| 0.000 | -0.000 | -0.000 | -0.000 | 10.518 | 0.000 |
| 0.000 | 0.000 | -0.000 | 0.000 | -0.000 | 4.168 |
| 24.172 | 4.168 | 10.518 | 0.000 | 0.000 | -0.000 |
| 4.168 | 24.172 | 10.518 | 0.000 | 0.000 | -0.000 |
| 10.518 | 10.518 | 12.215 | 0.000 | 0.000 | 0.000 |
| 0.000 | -0.000 | 0.000 | 10.518 | 0.000 | -0.000 |
| -0.000 | 0.000 | 0.000 | -0.000 | 10.518 | -0.000 |
| -0.000 | -0.000 | 0.000 | 0.000 | 0.000 | 4.168 |
| 24.172 | 4.168 | 10.518 | -0.000 | -0.000 | 0.000 |
| 4.168 | 24.172 | 10.518 | -0.000 | -0.000 | 0.000 |
| 10.518 | 10.518 | 12.215 | -0.000 | -0.000 | 0.000 |
| -0.000 | 0.000 | -0.000 | 10.518 | -0.000 | -0.000 |
| 0.000 | -0.000 | -0.000 | 0.000 | 10.518 | -0.000 |
| 0.000 | 0.000 | -0.000 | -0.000 | -0.000 | 4.168 |
| 12.497 | 6.195 | 6.195 | -0.000 | -0.000 | -0.000 |
| 6.195 | 12.497 | 6.195 | -0.000 | -0.000 | -0.000 |
| 6.195 | 6.195 | 12.497 | -0.000 | -0.000 | -0.000 |
| -0.000 | -0.000 | 0.000 | 3.366 | -0.000 | -0.000 |
| -0.000 | -0.000 | 0.000 | -0.000 | 3.366 | -0.000 |
| -0.000 | -0.000 | 0.000 | -0.000 | -0.000 | 3.366 |
| 12.497 | 6.195 | 6.195 | 0.000 | 0.000 | 0.000 |
| 6.195 | 12.497 | 6.195 | 0.000 | 0.000 | 0.000 |
| 6.195 | 6.195 | 12.497 | 0.000 | 0.000 | 0.000 |
| 0.000 | 0.000 | -0.000 | 3.366 | 0.000 | -0.000 |
| 0.000 | 0.000 | -0.000 | 0.000 | 3.366 | 0.000 |
| 0.000 | 0.000 | -0.000 | 0.000 | 0.000 | 3.366 |
| 12.497 | 6.195 | 6.195 | -0.000 | -0.000 | -0.000 |
| 6.195 | 12.497 | 6.195 | -0.000 | -0.000 | -0.000 |
| 6.195 | 6.195 | 12.497 | -0.000 | -0.000 | -0.000 |
| 0.000 | -0.000 | -0.000 | 3.366 | -0.000 | -0.000 |
| -0.000 | 0.000 | -0.000 | -0.000 | 3.366 | -0.000 |
| -0.000 | -0.000 | 0.000 | -0.000 | -0.000 | 3.366 |
| 12.497 | 6.195 | 6.195 | 0.000 | 0.000 | 0.000 |
| 6.195 | 12.497 | 6.195 | 0.000 | 0.000 | 0.000 |
| 6.195 | 6.195 | 12.497 | 0.000 | 0.000 | 0.000 |
| -0.000 | 0.000 | 0.000 | 3.366 | 0.000 | -0.000 |
| 0.000 | -0.000 | 0.000 | 0.000 | 3.366 | 0.000 |
| 0.000 | 0.000 | -0.000 | 0.000 | 0.000 | 3.366 |
| 12.497 | 6.195 | 6.195 | -0.000 | -0.000 | -0.000 |
| 6.195 | 12.497 | 6.195 | -0.000 | -0.000 | -0.000 |
| 6.195 | 6.195 | 12.497 | -0.000 | -0.000 | -0.000 |
| 0.000 | -0.000 | -0.000 | 3.366 | -0.000 | 0.000 |
| -0.000 | 0.000 | -0.000 | -0.000 | 3.366 | -0.000 |
| -0.000 | -0.000 | 0.000 | -0.000 | -0.000 | 3.366 |
| 12.497 | 6.195 | 6.195 | 0.000 | 0.000 | 0.000 |
| 6.195 | 12.497 | 6.195 | 0.000 | 0.000 | 0.000 |
| 6.195 | 6.195 | 12.497 | 0.000 | 0.000 | 0.000 |
| -0.000 | 0.000 | 0.000 | 3.366 | 0.000 | 0.000 |
| 0.000 | -0.000 | 0.000 | 0.000 | 3.366 | 0.000 |
| 0.000 | 0.000 | -0.000 | 0.000 | 0.000 | 3.366 |
| 15.732 | 5.394 | 5.394 | 0.000 | 0.000 | 0.000 |
| 5.394 | 15.732 | 5.394 | 0.000 | 0.000 | -0.000 |
| 5.394 | 5.394 | 15.732 | 0.000 | -0.000 | 0.000 |
| 0.000 | 0.000 | -0.000 | -13.565 | 0.000 | 0.000 |
| 0.000 | 0.000 | -0.000 | 0.000 | -13.565 | 0.000 |
| -0.000 | -0.000 | 0.000 | 0.000 | 0.000 | -13.565 |
| 15.732 | 5.394 | 5.394 | -0.000 | -0.000 | -0.000 |
| 5.394 | 15.732 | 5.394 | -0.000 | -0.000 | 0.000 |
| 5.394 | 5.394 | 15.732 | -0.000 | -0.000 | -0.000 |
| -0.000 | 0.000 | 0.000 | -13.565 | -0.000 | -0.000 |
| 0.000 | -0.000 | 0.000 | -0.000 | -13.565 | -0.000 |
| 0.000 | 0.000 | -0.000 | -0.000 | -0.000 | -13.565 |
| 15.732 | 5.394 | 5.394 | 0.000 | 0.000 | 0.000 |
| 5.394 | 15.732 | 5.394 | 0.000 | 0.000 | 0.000 |
| 5.394 | 5.394 | 15.732 | 0.000 | 0.000 | 0.000 |
| 0.000 | -0.000 | -0.000 | -13.565 | 0.000 | 0.000 |
| -0.000 | 0.000 | -0.000 | 0.000 | -13.565 | 0.000 |
| -0.000 | -0.000 | 0.000 | 0.000 | 0.000 | -13.565 |
| 15.732 | 5.394 | 5.394 | -0.000 | -0.000 | -0.000 |
| 5.394 | 15.732 | 5.394 | -0.000 | 0.000 | -0.000 |
| 5.394 | 5.394 | 15.732 | -0.000 | -0.000 | -0.000 |
| -0.000 | 0.000 | 0.000 | -13.565 | -0.000 | -0.000 |
| 0.000 | -0.000 | 0.000 | -0.000 | -13.565 | -0.000 |
| 0.000 | 0.000 | -0.000 | -0.000 | -0.000 | -13.565 |
| 15.732 | 5.394 | 5.394 | 0.000 | 0.000 | 0.000 |
| 5.394 | 15.732 | 5.394 | 0.000 | 0.000 | 0.000 |
| 5.394 | 5.394 | 15.732 | 0.000 | 0.000 | 0.000 |
| 0.000 | -0.000 | -0.000 | -13.565 | 0.000 | 0.000 |
| -0.000 | 0.000 | -0.000 | 0.000 | -13.565 | 0.000 |
| -0.000 | -0.000 | 0.000 | 0.000 | 0.000 | -13.565 |
| 15.732 | 5.394 | 5.394 | -0.000 | 0.000 | -0.000 |
| 5.394 | 15.732 | 5.394 | -0.000 | -0.000 | -0.000 |
| 5.394 | 5.394 | 15.732 | -0.000 | -0.000 | -0.000 |
| -0.000 | 0.000 | 0.000 | -13.565 | -0.000 | -0.000 |
| 0.000 | -0.000 | 0.000 | -0.000 | -13.565 | -0.000 |
| 0.000 | 0.000 | -0.000 | -0.000 | -0.000 | -13.565 |
| -64.312 | -213.851 | 44.458 | -76.852 | -0.000 | -0.000 |
| -238.813 | -91.305 | 40.116 | 75.715 | -0.000 | -0.000 |
| 131.855 | 131.855 | 169.027 | 0.000 | -0.000 | -0.000 |
| -369.258 | -215.553 | -86.581 | 127.682 | -0.000 | 0.000 |
| 0.000 | -0.000 | 0.000 | -0.000 | 129.800 | -78.819 |
| -292.405 | -292.405 | -86.581 | -0.000 | -76.852 | 74.771 |
| 232.171 | 78.973 | 131.597 | -78.819 | 0.000 | 0.000 |
| 78.973 | 232.171 | 131.597 | 78.819 | 0.000 | 0.000 |
| 131.855 | 131.855 | 169.027 | -0.000 | -0.000 | 0.000 |
| 241.471 | 392.901 | 90.728 | 126.407 | 0.000 | 0.000 |
| -0.000 | 0.000 | -0.000 | 0.000 | 129.800 | -78.819 |
| 292.405 | 292.405 | 86.581 | 0.000 | -76.852 | 74.771 |
| 198.805 | 49.280 | 122.369 | -76.844 | -0.000 | -0.000 |
| 46.575 | 194.239 | 121.771 | 75.784 | 0.000 | 0.000 |
| 102.069 | 102.069 | 160.224 | 0.000 | 0.000 | -0.000 |
| -106.119 | 47.582 | -8.666 | 127.680 | 0.000 | -0.000 |
| -29.265 | -29.265 | -8.665 | -0.000 | 127.680 | -76.851 |
| -31.750 | -31.750 | -9.078 | -0.000 | -75.870 | 73.907 |
| 257.598 | 110.121 | 139.919 | -75.698 | -0.000 | 0.000 |
| 107.837 | 257.384 | 139.710 | 76.856 | 0.000 | 0.000 |
| 160.550 | 160.550 | 177.541 | -0.000 | 0.000 | 0.000 |
| -44.111 | 107.626 | 9.080 | 126.560 | 0.000 | 0.000 |
| 29.265 | 29.265 | 8.665 | 0.000 | 127.680 | -76.851 |
| 31.750 | 31.750 | 9.078 | 0.000 | -75.870 | 73.907 |
| 222.804 | 75.016 | 129.930 | -75.855 | -0.000 | -0.000 |
| 75.223 | 222.728 | 129.947 | 75.713 | 0.000 | -0.000 |
| 131.855 | 131.855 | 169.027 | 0.000 | -0.000 | -0.000 |
| -78.818 | 78.819 | 0.001 | 129.801 | -0.000 | -0.000 |
| -3.124 | -3.124 | -0.925 | -0.000 | 127.537 | -76.718 |
| -3.087 | -3.087 | -0.914 | -0.000 | -76.743 | 74.668 |
| 232.170 | 78.972 | 131.596 | -78.818 | 0.000 | 0.000 |
| 82.127 | 230.885 | 132.003 | 76.431 | 0.000 | 0.000 |
| 134.239 | 134.239 | 169.750 | -0.000 | 0.000 | 0.000 |
| -72.544 | 78.785 | 0.889 | 126.348 | 0.000 | 0.000 |
| 3.124 | 3.124 | 0.925 | 0.000 | 127.537 | -76.718 |
| 3.087 | 3.087 | 0.914 | 0.000 | -76.743 | 74.668 |
| 12.368 | 5.936 | 5.936 | 0.000 | 0.000 | -0.000 |
| 5.936 | 12.368 | 5.936 | 0.000 | 0.000 | -0.000 |
| 5.936 | 5.936 | 12.368 | 0.000 | 0.000 | -0.000 |
| 0.000 | 0.000 | 0.000 | 2.581 | 0.000 | -0.000 |
| 0.000 | 0.000 | 0.000 | 0.000 | 2.581 | -0.000 |
| 0.000 | 0.000 | 0.000 | 0.000 | 0.000 | 2.581 |
| 12.368 | 5.936 | 5.936 | -0.000 | -0.000 | 0.000 |
| 5.936 | 12.368 | 5.936 | -0.000 | -0.000 | 0.000 |
| 5.936 | 5.936 | 12.368 | -0.000 | -0.000 | -0.000 |
| -0.000 | -0.000 | -0.000 | 2.581 | -0.000 | 0.000 |
| -0.000 | -0.000 | -0.000 | -0.000 | 2.581 | 0.000 |
| -0.000 | -0.000 | -0.000 | -0.000 | -0.000 | 2.581 |
| 12.368 | 5.936 | 5.936 | 0.000 | -0.000 | -0.000 |
| 5.936 | 12.368 | 5.936 | 0.000 | 0.000 | -0.000 |
| 5.936 | 5.936 | 12.368 | 0.000 | -0.000 | -0.000 |
| 0.000 | -0.000 | -0.000 | 2.581 | 0.000 | -0.000 |
| -0.000 | 0.000 | -0.000 | 0.000 | 2.581 | -0.000 |
| -0.000 | -0.000 | 0.000 | 0.000 | -0.000 | 2.581 |
| 12.368 | 5.936 | 5.936 | -0.000 | -0.000 | -0.000 |
| 5.936 | 12.368 | 5.936 | -0.000 | -0.000 | 0.000 |
| 5.936 | 5.936 | 12.368 | -0.000 | 0.000 | -0.000 |
| -0.000 | 0.000 | 0.000 | 2.581 | 0.000 | 0.000 |
| 0.000 | -0.000 | 0.000 | -0.000 | 2.581 | 0.000 |
| 0.000 | 0.000 | -0.000 | -0.000 | 0.000 | 2.581 |
| 12.368 | 5.936 | 5.936 | 0.000 | 0.000 | -0.000 |
| 5.936 | 12.368 | 5.936 | 0.000 | 0.000 | -0.000 |
| 5.936 | 5.936 | 12.368 | 0.000 | 0.000 | -0.000 |
| 0.000 | -0.000 | -0.000 | 2.581 | 0.000 | -0.000 |
| -0.000 | 0.000 | -0.000 | 0.000 | 2.581 | -0.000 |
| -0.000 | -0.000 | 0.000 | 0.000 | -0.000 | 2.581 |
| 12.368 | 5.936 | 5.936 | -0.000 | -0.000 | 0.000 |
| 5.936 | 12.368 | 5.936 | -0.000 | -0.000 | 0.000 |
| 5.936 | 5.936 | 12.368 | -0.000 | 0.000 | 0.000 |
| -0.000 | 0.000 | 0.000 | 2.581 | -0.000 | 0.000 |
| 0.000 | -0.000 | 0.000 | -0.000 | 2.581 | 0.000 |
| 0.000 | 0.000 | -0.000 | -0.000 | -0.000 | 2.581 |
| 14.672 | 5.275 | 5.275 | 0.000 | -0.000 | -0.000 |
| 5.275 | 14.672 | 5.275 | 0.000 | -0.000 | -0.000 |
| 5.275 | 5.275 | 14.672 | -0.000 | -0.000 | 0.000 |
| -0.000 | -0.000 | -0.000 | -8.029 | -0.000 | 0.000 |
| -0.000 | -0.000 | -0.000 | 0.000 | -8.029 | 0.000 |
| -0.000 | -0.000 | 0.000 | 0.000 | -0.000 | -8.029 |
| 14.672 | 5.275 | 5.275 | 0.000 | 0.000 | -0.000 |
| 5.275 | 14.672 | 5.275 | 0.000 | 0.000 | -0.000 |
| 5.275 | 5.275 | 14.672 | 0.000 | 0.000 | -0.000 |
| 0.000 | 0.000 | 0.000 | -8.029 | 0.000 | -0.000 |
| 0.000 | 0.000 | 0.000 | -0.000 | -8.029 | -0.000 |
| 0.000 | 0.000 | -0.000 | 0.000 | 0.000 | -8.029 |
| 14.672 | 5.275 | 5.275 | 0.000 | 0.000 | -0.000 |
| 5.275 | 14.672 | 5.275 | 0.000 | -0.000 | 0.000 |
| 5.275 | 5.275 | 14.672 | -0.000 | -0.000 | 0.000 |
| 0.000 | -0.000 | -0.000 | -8.029 | 0.000 | 0.000 |
| -0.000 | 0.000 | -0.000 | 0.000 | -8.029 | 0.000 |
| -0.000 | -0.000 | 0.000 | 0.000 | -0.000 | -8.029 |
| 14.672 | 5.275 | 5.275 | -0.000 | -0.000 | -0.000 |
| 5.275 | 14.672 | 5.275 | -0.000 | 0.000 | -0.000 |
| 5.275 | 5.275 | 14.672 | 0.000 | 0.000 | 0.000 |
| -0.000 | 0.000 | 0.000 | -8.029 | 0.000 | 0.000 |
| 0.000 | -0.000 | 0.000 | -0.000 | -8.029 | -0.000 |
| 0.000 | 0.000 | -0.000 | -0.000 | 0.000 | -8.029 |
| 14.672 | 5.275 | 5.275 | 0.000 | -0.000 | 0.000 |
| 5.275 | 14.672 | 5.275 | 0.000 | -0.000 | 0.000 |
| 5.275 | 5.275 | 14.672 | 0.000 | -0.000 | 0.000 |
| 0.000 | -0.000 | -0.000 | -8.029 | -0.000 | -0.000 |
| -0.000 | 0.000 | -0.000 | 0.000 | -8.029 | 0.000 |
| -0.000 | -0.000 | 0.000 | 0.000 | -0.000 | -8.029 |
| 14.672 | 5.275 | 5.275 | 0.000 | 0.000 | -0.000 |
| 5.275 | 14.672 | 5.275 | 0.000 | 0.000 | -0.000 |
| 5.275 | 5.275 | 14.672 | -0.000 | 0.000 | -0.000 |
| -0.000 | 0.000 | 0.000 | -8.029 | 0.000 | -0.000 |
| 0.000 | -0.000 | 0.000 | -0.000 | -8.029 | -0.000 |
| 0.000 | 0.000 | -0.000 | -0.000 | 0.000 | -8.029 |
| 14.587 | 5.758 | 5.758 | 0.000 | -0.000 | 0.000 |
| 5.758 | 14.587 | 5.758 | 0.000 | -0.000 | 0.000 |
| 5.758 | 5.758 | 14.587 | 0.000 | 0.000 | 0.000 |
| 0.000 | -0.000 | -0.000 | -16.840 | 0.000 | 0.000 |
| -0.000 | 0.000 | -0.000 | 0.000 | -16.840 | -0.000 |
| -0.000 | -0.000 | 0.000 | 0.000 | 0.000 | -16.840 |
| 14.587 | 5.758 | 5.758 | -0.000 | -0.000 | -0.000 |
| 5.758 | 14.587 | 5.758 | -0.000 | -0.000 | -0.000 |
| 5.758 | 5.758 | 14.587 | 0.000 | 0.000 | -0.000 |
| -0.000 | 0.000 | 0.000 | -16.840 | -0.000 | -0.000 |
| 0.000 | -0.000 | 0.000 | -0.000 | -16.840 | -0.000 |
| 0.000 | 0.000 | -0.000 | -0.000 | -0.000 | -16.840 |
| 14.587 | 5.758 | 5.758 | -0.000 | -0.000 | 0.000 |
| 5.758 | 14.587 | 5.758 | -0.000 | 0.000 | -0.000 |
| 5.758 | 5.758 | 14.587 | -0.000 | 0.000 | 0.000 |
| 0.000 | -0.000 | -0.000 | -16.840 | -0.000 | 0.000 |
| -0.000 | 0.000 | -0.000 | -0.000 | -16.840 | 0.000 |
| -0.000 | -0.000 | 0.000 | -0.000 | 0.000 | -16.840 |
| 14.587 | 5.758 | 5.758 | -0.000 | 0.000 | -0.000 |
| 5.758 | 14.587 | 5.758 | -0.000 | 0.000 | -0.000 |
| 5.758 | 5.758 | 14.587 | 0.000 | -0.000 | -0.000 |
| -0.000 | 0.000 | 0.000 | -16.840 | -0.000 | -0.000 |
| 0.000 | -0.000 | 0.000 | 0.000 | -16.840 | -0.000 |
| 0.000 | 0.000 | -0.000 | 0.000 | -0.000 | -16.840 |
| 14.587 | 5.758 | 5.758 | 0.000 | 0.000 | 0.000 |
| 5.758 | 14.587 | 5.758 | 0.000 | -0.000 | 0.000 |
| 5.758 | 5.758 | 14.587 | 0.000 | 0.000 | 0.000 |
| 0.000 | -0.000 | -0.000 | -16.840 | -0.000 | 0.000 |
| -0.000 | 0.000 | -0.000 | -0.000 | -16.840 | 0.000 |
| -0.000 | -0.000 | 0.000 | 0.000 | 0.000 | -16.840 |
| 14.587 | 5.758 | 5.758 | -0.000 | -0.000 | -0.000 |
| 5.758 | 14.587 | 5.758 | -0.000 | -0.000 | -0.000 |
| 5.758 | 5.758 | 14.587 | -0.000 | -0.000 | -0.000 |
| -0.000 | 0.000 | 0.000 | -16.840 | -0.000 | -0.000 |
| 0.000 | -0.000 | 0.000 | 0.000 | -16.840 | -0.000 |
| 0.000 | 0.000 | -0.000 | -0.000 | -0.000 | -16.840 |
| 188.273 | 17.273 | 157.965 | -0.000 | 0.000 | 0.000 |
| 17.390 | 315.614 | 18.319 | 0.000 | 0.000 | 0.000 |
| 157.784 | 17.393 | 190.957 | -0.000 | -0.000 | 0.000 |
| 0.016 | 0.033 | 0.020 | 15.108 | 0.000 | 0.000 |
| 0.000 | 0.000 | 0.000 | 0.000 | 155.915 | 0.000 |
| 0.000 | 0.000 | 0.000 | 0.000 | 0.000 | 15.073 |
| 188.659 | 17.390 | 158.218 | 0.000 | -0.000 | -0.000 |
| 17.390 | 315.614 | 18.319 | 0.000 | -0.000 | -0.000 |
| 157.694 | 17.211 | 190.847 | 0.000 | -0.000 | -0.000 |
| -0.016 | -0.033 | -0.020 | 15.108 | -0.000 | -0.000 |
| -0.000 | -0.000 | -0.000 | -0.000 | 155.915 | -0.000 |
| -0.000 | -0.000 | -0.000 | -0.000 | -0.000 | 15.073 |
| 188.659 | 17.390 | 158.218 | 0.000 | 0.000 | 0.000 |
| 16.936 | 311.868 | 16.827 | 0.000 | 0.000 | 0.000 |
| 158.218 | 18.319 | 191.505 | -0.000 | 0.000 | 0.000 |
| 0.015 | 0.047 | 0.024 | 14.896 | 0.000 | 0.000 |
| 0.003 | 0.006 | 0.004 | -0.000 | 155.438 | 0.000 |
| 0.004 | 0.009 | 0.006 | -0.000 | 0.000 | 15.073 |
| 188.659 | 17.390 | 158.218 | 0.000 | -0.000 | -0.000 |
| 17.390 | 315.614 | 18.319 | -0.000 | -0.000 | -0.000 |
| 157.818 | 16.806 | 190.782 | -0.000 | 0.000 | -0.000 |
| -0.015 | -0.047 | -0.024 | 14.896 | -0.000 | -0.000 |
| -0.003 | -0.006 | -0.004 | 0.000 | 155.438 | -0.000 |
| -0.004 | -0.009 | -0.006 | 0.000 | -0.000 | 15.073 |
| 188.219 | 16.934 | 157.823 | 0.000 | 0.000 | 0.000 |
| 16.972 | 311.863 | 16.844 | -0.000 | -0.000 | 0.000 |
| 158.220 | 18.319 | 191.506 | 0.000 | 0.000 | 0.000 |
| 0.000 | 0.000 | 0.000 | 15.110 | 0.000 | 0.000 |
| 0.001 | 0.001 | 0.001 | -0.000 | 155.438 | 0.000 |
| 0.000 | 0.001 | 0.001 | -0.000 | -0.000 | 15.073 |
| 188.216 | 16.931 | 157.820 | -0.000 | 0.000 | -0.000 |
| 16.932 | 311.849 | 16.819 | -0.000 | -0.000 | -0.000 |
| 157.820 | 16.819 | 190.787 | -0.000 | 0.000 | -0.000 |
| -0.000 | -0.000 | -0.000 | 15.110 | -0.000 | -0.000 |
| -0.001 | -0.001 | -0.001 | 0.000 | 155.438 | -0.000 |
| -0.000 | -0.001 | -0.001 | 0.000 | 0.000 | 15.073 |
| 184.509 | 16.870 | 153.745 | 0.000 | 0.000 | -0.000 |
| 16.447 | 307.677 | 16.348 | 0.000 | -0.000 | -0.000 |
| 153.524 | 16.935 | 186.778 | 0.000 | 0.000 | -0.000 |
| -0.000 | 0.000 | -0.000 | 15.256 | -0.000 | -0.000 |
| 0.000 | 0.000 | 0.000 | 0.000 | 151.890 | -0.000 |
| 0.000 | 0.000 | 0.000 | 0.000 | 0.000 | 15.136 |
| 184.935 | 17.068 | 154.053 | 0.000 | 0.000 | 0.000 |
| 16.447 | 307.677 | 16.348 | -0.000 | 0.000 | 0.000 |
| 154.021 | 17.942 | 187.390 | -0.000 | 0.000 | 0.000 |
| 0.000 | -0.000 | 0.000 | 15.256 | 0.000 | 0.000 |
| -0.000 | -0.000 | -0.000 | -0.000 | 151.890 | 0.000 |
| -0.000 | -0.000 | -0.000 | -0.000 | -0.000 | 15.136 |
| 184.483 | 16.563 | 153.630 | -0.000 | 0.000 | -0.000 |
| 16.411 | 307.674 | 16.326 | -0.000 | 0.000 | -0.000 |
| 153.524 | 16.935 | 186.778 | 0.000 | 0.000 | -0.000 |
| -0.000 | 0.000 | -0.000 | 16.150 | 0.000 | -0.000 |
| 0.000 | 0.000 | 0.000 | -0.000 | 151.848 | -0.000 |
| -0.000 | -0.000 | 0.000 | 0.000 | 0.000 | 15.136 |
| 184.935 | 17.068 | 154.053 | -0.000 | -0.000 | 0.000 |
| 16.447 | 307.676 | 16.348 | -0.000 | -0.000 | 0.000 |
| 153.598 | 16.446 | 186.662 | 0.000 | -0.000 | 0.000 |
| 0.000 | -0.000 | 0.000 | 16.150 | 0.000 | 0.000 |
| -0.000 | -0.000 | -0.000 | 0.000 | 151.848 | 0.000 |
| 0.000 | 0.000 | -0.000 | -0.000 | 0.000 | 15.136 |
| 184.484 | 16.563 | 153.631 | -0.000 | -0.000 | -0.000 |
| 16.447 | 307.680 | 16.348 | 0.000 | -0.000 | -0.000 |
| 153.600 | 16.446 | 186.663 | -0.000 | -0.000 | -0.000 |
| -0.000 | 0.000 | -0.000 | 16.150 | -0.000 | -0.000 |
| 0.001 | 0.000 | 0.001 | -0.000 | 151.848 | -0.000 |
| -0.000 | -0.000 | 0.000 | 0.000 | 0.000 | 15.136 |
| 184.934 | 17.068 | 154.052 | -0.000 | 0.000 | 0.000 |
| 16.411 | 307.670 | 16.326 | 0.000 | 0.000 | 0.000 |
| 153.597 | 16.446 | 186.661 | 0.000 | -0.000 | 0.000 |
| 0.000 | -0.000 | 0.000 | 16.150 | 0.000 | 0.000 |
| -0.001 | -0.000 | -0.001 | 0.000 | 151.848 | 0.000 |
| 0.000 | 0.000 | -0.000 | -0.000 | 0.000 | 15.136 |
| 33.971 | 5.486 | 5.486 | -0.000 | 0.000 | 0.000 |
| 5.486 | 33.971 | 5.486 | 0.000 | 0.000 | 0.000 |
| 5.486 | 5.486 | 33.971 | 0.000 | -0.000 | 0.000 |
| 0.000 | -0.000 | 0.000 | 5.403 | 0.000 | 0.000 |
| 0.000 | -0.000 | 0.000 | 0.000 | 5.403 | 0.000 |
| 0.000 | 0.000 | 0.000 | 0.000 | 0.000 | 5.403 |
| 33.971 | 5.486 | 5.486 | -0.000 | -0.000 | -0.000 |
| 5.486 | 33.971 | 5.486 | -0.000 | -0.000 | 0.000 |
| 5.486 | 5.486 | 33.971 | -0.000 | 0.000 | -0.000 |
| -0.000 | 0.000 | -0.000 | 5.403 | -0.000 | -0.000 |
| -0.000 | 0.000 | -0.000 | -0.000 | 5.403 | -0.000 |
| -0.000 | 0.000 | -0.000 | -0.000 | -0.000 | 5.403 |
| 33.971 | 5.486 | 5.486 | 0.000 | 0.000 | 0.000 |
| 5.486 | 33.971 | 5.486 | 0.000 | 0.000 | 0.000 |
| 5.486 | 5.486 | 33.971 | 0.000 | 0.000 | 0.000 |
| 0.000 | 0.000 | 0.000 | 5.403 | -0.000 | 0.000 |
| 0.000 | 0.000 | 0.000 | -0.000 | 5.403 | 0.000 |
| 0.000 | -0.000 | 0.000 | 0.000 | 0.000 | 5.403 |
| 33.971 | 5.486 | 5.486 | -0.000 | -0.000 | -0.000 |
| 5.486 | 33.971 | 5.486 | -0.000 | -0.000 | -0.000 |
| 5.486 | 5.486 | 33.971 | -0.000 | -0.000 | -0.000 |
| -0.000 | -0.000 | -0.000 | 5.403 | -0.000 | 0.000 |
| -0.000 | -0.000 | -0.000 | 0.000 | 5.403 | -0.000 |
| -0.000 | 0.000 | -0.000 | -0.000 | -0.000 | 5.403 |
| 33.971 | 5.486 | 5.486 | -0.000 | 0.000 | 0.000 |
| 5.486 | 33.971 | 5.486 | 0.000 | 0.000 | 0.000 |
| 5.486 | 5.486 | 33.971 | 0.000 | 0.000 | 0.000 |
| 0.000 | 0.000 | -0.000 | 5.403 | 0.000 | 0.000 |
| 0.000 | 0.000 | -0.000 | -0.000 | 5.403 | 0.000 |
| 0.000 | -0.000 | 0.000 | 0.000 | 0.000 | 5.403 |
| 33.970 | 5.486 | 5.486 | -0.000 | -0.000 | 0.000 |
| 5.486 | 33.970 | 5.486 | 0.000 | -0.000 | -0.000 |
| 5.486 | 5.486 | 33.970 | -0.000 | -0.000 | -0.000 |
| -0.000 | -0.000 | 0.000 | 5.403 | -0.000 | 0.000 |
| -0.000 | -0.000 | 0.000 | 0.000 | 5.403 | -0.000 |
| -0.000 | 0.000 | -0.000 | -0.000 | -0.000 | 5.403 |
| 20.384 | 13.466 | 13.466 | -0.000 | -0.000 | -0.000 |
| 13.466 | 20.384 | 13.466 | 0.000 | 0.000 | -0.000 |
| 13.466 | 13.466 | 20.384 | -0.000 | -0.000 | -0.000 |
| 0.000 | 0.000 | -0.000 | 12.922 | 0.000 | -0.000 |
| -0.000 | 0.000 | -0.000 | 0.000 | 12.922 | -0.000 |
| 0.000 | 0.000 | -0.000 | 0.000 | 0.000 | 12.922 |
| 20.384 | 13.466 | 13.467 | 0.000 | -0.000 | 0.000 |
| 13.466 | 20.384 | 13.467 | 0.000 | 0.000 | 0.000 |
| 13.466 | 13.466 | 20.384 | -0.000 | -0.000 | 0.000 |
| -0.000 | -0.000 | 0.000 | 12.922 | -0.000 | 0.000 |
| -0.000 | -0.000 | 0.000 | -0.000 | 12.922 | 0.000 |
| 0.000 | -0.000 | 0.000 | -0.000 | -0.000 | 12.922 |
| 20.384 | 13.467 | 13.467 | -0.000 | -0.000 | -0.000 |
| 13.467 | 20.384 | 13.467 | -0.000 | 0.000 | -0.000 |
| 13.467 | 13.467 | 20.384 | -0.000 | -0.000 | -0.000 |
| 0.000 | -0.000 | 0.000 | 12.922 | -0.000 | -0.000 |
| -0.000 | 0.000 | 0.000 | 0.000 | 12.922 | -0.000 |
| -0.000 | 0.000 | 0.000 | 0.000 | 0.000 | 12.922 |
| 20.384 | 13.466 | 13.466 | 0.000 | -0.000 | 0.000 |
| 13.466 | 20.384 | 13.466 | -0.000 | 0.000 | 0.000 |
| 13.466 | 13.466 | 20.384 | 0.000 | 0.000 | 0.000 |
| -0.000 | 0.000 | -0.000 | 12.922 | 0.000 | 0.000 |
| 0.000 | -0.000 | -0.000 | -0.000 | 12.922 | 0.000 |
| 0.000 | -0.000 | -0.000 | -0.000 | -0.000 | 12.922 |
| 20.384 | 13.467 | 13.467 | 0.000 | 0.000 | -0.000 |
| 13.467 | 20.384 | 13.467 | -0.000 | 0.000 | -0.000 |
| 13.467 | 13.467 | 20.384 | -0.000 | -0.000 | -0.000 |
| 0.000 | -0.000 | 0.000 | 12.922 | 0.000 | -0.000 |
| -0.000 | 0.000 | 0.000 | 0.000 | 12.922 | -0.000 |
| -0.000 | 0.000 | 0.000 | 0.000 | 0.000 | 12.922 |
| 20.384 | 13.466 | 13.466 | 0.000 | -0.000 | 0.000 |
| 13.466 | 20.384 | 13.466 | 0.000 | 0.000 | 0.000 |
| 13.466 | 13.466 | 20.384 | 0.000 | 0.000 | 0.000 |
| -0.000 | 0.000 | -0.000 | 12.922 | -0.000 | -0.000 |
| 0.000 | -0.000 | -0.000 | -0.000 | 12.922 | 0.000 |
| 0.000 | -0.000 | -0.000 | -0.000 | -0.000 | 12.922 |
| 16.321 | 9.612 | 9.612 | 0.000 | 0.000 | 0.000 |
| 9.612 | 16.321 | 9.612 | -0.000 | 0.000 | 0.000 |
| 9.612 | 9.612 | 16.321 | -0.000 | -0.000 | 0.000 |
| -0.000 | 0.000 | 0.000 | 9.612 | 0.000 | 0.000 |
| 0.000 | -0.000 | 0.000 | -0.000 | 9.612 | 0.000 |
| 0.000 | 0.000 | -0.000 | -0.000 | 0.000 | 9.612 |
| 16.321 | 9.612 | 9.612 | 0.000 | 0.000 | 0.000 |
| 9.612 | 16.321 | 9.612 | 0.000 | 0.000 | -0.000 |
| 9.612 | 9.612 | 16.321 | 0.000 | -0.000 | -0.000 |
| 0.000 | -0.000 | -0.000 | 9.612 | 0.000 | -0.000 |
| -0.000 | 0.000 | -0.000 | 0.000 | 9.612 | -0.000 |
| -0.000 | -0.000 | 0.000 | 0.000 | -0.000 | 9.612 |
| 16.321 | 9.612 | 9.612 | 0.000 | -0.000 | 0.000 |
| 9.612 | 16.321 | 9.612 | -0.000 | 0.000 | 0.000 |
| 9.612 | 9.612 | 16.321 | -0.000 | -0.000 | 0.000 |
| -0.000 | 0.000 | 0.000 | 9.612 | -0.000 | 0.000 |
| 0.000 | -0.000 | 0.000 | -0.000 | 9.612 | 0.000 |
| 0.000 | 0.000 | -0.000 | -0.000 | 0.000 | 9.612 |
| 16.321 | 9.612 | 9.612 | -0.000 | -0.000 | -0.000 |
| 9.612 | 16.321 | 9.612 | -0.000 | -0.000 | -0.000 |
| 9.612 | 9.612 | 16.321 | 0.000 | 0.000 | -0.000 |
| 0.000 | -0.000 | -0.000 | 9.612 | 0.000 | -0.000 |
| -0.000 | 0.000 | -0.000 | 0.000 | 9.612 | -0.000 |
| -0.000 | -0.000 | 0.000 | 0.000 | -0.000 | 9.612 |
| 16.321 | 9.612 | 9.612 | -0.000 | -0.000 | 0.000 |
| 9.612 | 16.321 | 9.612 | -0.000 | -0.000 | 0.000 |
| 9.612 | 9.612 | 16.321 | -0.000 | -0.000 | 0.000 |
| -0.000 | 0.000 | 0.000 | 9.612 | 0.000 | 0.000 |
| 0.000 | -0.000 | 0.000 | -0.000 | 9.612 | 0.000 |
| 0.000 | 0.000 | -0.000 | -0.000 | 0.000 | 9.612 |
| 16.321 | 9.612 | 9.612 | 0.000 | -0.000 | -0.000 |
| 9.612 | 16.321 | 9.612 | -0.000 | 0.000 | -0.000 |
| 9.612 | 9.612 | 16.321 | -0.000 | -0.000 | -0.000 |
| 0.000 | -0.000 | -0.000 | 9.612 | -0.000 | -0.000 |
| -0.000 | 0.000 | -0.000 | -0.000 | 9.612 | -0.000 |
| -0.000 | -0.000 | 0.000 | 0.000 | -0.000 | 9.612 |
| 278.471 | 88.903 | 88.903 | 0.000 | -0.000 | 0.000 |
| 88.903 | 278.471 | 88.903 | -0.000 | -0.000 | 0.000 |
| 88.903 | 88.903 | 278.471 | 0.000 | -0.000 | -0.000 |
| 0.000 | 0.000 | -0.000 | 21.397 | 0.000 | 0.000 |
| 0.000 | 0.000 | -0.000 | 0.000 | 21.397 | 0.000 |
| 0.000 | 0.000 | -0.000 | 0.000 | 0.000 | 21.397 |
| 278.471 | 88.903 | 88.903 | 0.000 | 0.000 | -0.000 |
| 88.903 | 278.471 | 88.903 | 0.000 | 0.000 | -0.000 |
| 88.903 | 88.903 | 278.471 | 0.000 | 0.000 | -0.000 |
| -0.000 | -0.000 | 0.000 | 21.397 | -0.000 | -0.000 |
| -0.000 | -0.000 | 0.000 | -0.000 | 21.397 | -0.000 |
| -0.000 | -0.000 | 0.000 | -0.000 | -0.000 | 21.397 |
| 278.471 | 88.903 | 88.903 | -0.000 | -0.000 | 0.000 |
| 88.903 | 278.471 | 88.903 | -0.000 | -0.000 | 0.000 |
| 88.903 | 88.903 | 278.471 | -0.000 | -0.000 | 0.000 |
| 0.000 | 0.000 | 0.000 | 21.397 | 0.000 | 0.000 |
| 0.000 | 0.000 | 0.000 | 0.000 | 21.397 | 0.000 |
| 0.000 | 0.000 | 0.000 | 0.000 | 0.000 | 21.397 |
| 278.471 | 88.903 | 88.903 | 0.000 | -0.000 | -0.000 |
| 88.903 | 278.471 | 88.903 | -0.000 | 0.000 | -0.000 |
| 88.903 | 88.903 | 278.471 | -0.000 | -0.000 | -0.000 |
| -0.000 | -0.000 | -0.000 | 21.397 | 0.000 | -0.000 |
| -0.000 | -0.000 | -0.000 | -0.000 | 21.397 | -0.000 |
| -0.000 | -0.000 | -0.000 | -0.000 | -0.000 | 21.397 |
| 278.472 | 88.904 | 88.904 | -0.000 | -0.000 | 0.000 |
| 88.904 | 278.472 | 88.904 | -0.000 | 0.000 | -0.000 |
| 88.904 | 88.904 | 278.472 | -0.000 | 0.000 | 0.000 |
| 0.000 | 0.000 | 0.000 | 21.397 | 0.000 | 0.000 |
| 0.000 | 0.000 | 0.000 | 0.000 | 21.397 | 0.000 |
| 0.000 | 0.000 | 0.000 | 0.000 | 0.000 | 21.397 |
| 278.470 | 88.903 | 88.903 | -0.000 | 0.000 | -0.000 |
| 88.903 | 278.470 | 88.903 | 0.000 | -0.000 | -0.000 |
| 88.903 | 88.903 | 278.470 | -0.000 | 0.000 | -0.000 |
| -0.000 | -0.000 | -0.000 | 21.397 | -0.000 | -0.000 |
| -0.000 | -0.000 | -0.000 | -0.000 | 21.397 | -0.000 |
| -0.000 | -0.000 | -0.000 | -0.000 | -0.000 | 21.397 |
| 439.203 | -3.672 | -3.672 | 0.000 | -0.000 | 0.000 |
| -3.672 | 439.203 | -3.672 | 0.000 | -0.000 | 0.000 |
| -3.672 | -3.672 | 439.203 | -0.000 | -0.000 | 0.000 |
| 0.000 | 0.000 | -0.000 | -75.963 | -0.000 | -0.000 |
| 0.000 | 0.000 | -0.000 | -0.000 | -75.963 | 0.000 |
| 0.000 | -0.000 | -0.000 | -0.000 | -0.000 | -75.963 |
| 439.203 | -3.672 | -3.672 | 0.000 | -0.000 | -0.000 |
| -3.672 | 439.203 | -3.672 | -0.000 | 0.000 | 0.000 |
| -3.672 | -3.672 | 439.203 | -0.000 | 0.000 | 0.000 |
| -0.000 | 0.000 | 0.000 | -75.963 | 0.000 | 0.000 |
| -0.000 | 0.000 | 0.000 | 0.000 | -75.963 | -0.000 |
| -0.000 | 0.000 | 0.000 | 0.000 | 0.000 | -75.963 |
| 439.203 | -3.672 | -3.672 | -0.000 | -0.000 | 0.000 |
| -3.672 | 439.203 | -3.672 | -0.000 | -0.000 | 0.000 |
| -3.672 | -3.672 | 439.203 | -0.000 | -0.000 | 0.000 |
| 0.000 | 0.000 | -0.000 | -75.963 | -0.000 | -0.000 |
| 0.000 | 0.000 | -0.000 | -0.000 | -75.963 | -0.000 |
| 0.000 | -0.000 | 0.000 | -0.000 | -0.000 | -75.963 |
| 439.203 | -3.672 | -3.672 | -0.000 | -0.000 | -0.000 |
| -3.672 | 439.203 | -3.672 | -0.000 | 0.000 | 0.000 |
| -3.672 | -3.672 | 439.203 | 0.000 | 0.000 | 0.000 |
| -0.000 | -0.000 | 0.000 | -75.963 | 0.000 | -0.000 |
| -0.000 | -0.000 | 0.000 | 0.000 | -75.963 | 0.000 |
| -0.000 | 0.000 | -0.000 | 0.000 | 0.000 | -75.963 |
| 439.205 | -3.672 | -3.672 | 0.000 | -0.000 | 0.000 |
| -3.672 | 439.205 | -3.672 | 0.000 | -0.000 | 0.000 |
| -3.672 | -3.672 | 439.205 | -0.000 | -0.000 | 0.000 |
| 0.000 | 0.000 | -0.000 | -75.963 | -0.000 | 0.000 |
| 0.000 | 0.000 | -0.000 | -0.000 | -75.963 | -0.000 |
| 0.000 | -0.000 | 0.000 | -0.000 | -0.000 | -75.963 |
| 439.201 | -3.673 | -3.673 | -0.000 | 0.000 | 0.000 |
| -3.673 | 439.201 | -3.673 | -0.000 | -0.000 | 0.000 |
| -3.673 | -3.673 | 439.201 | 0.000 | 0.000 | 0.000 |
| -0.000 | -0.000 | 0.000 | -75.963 | 0.000 | -0.000 |
| -0.000 | -0.000 | 0.000 | 0.000 | -75.963 | 0.000 |
| -0.000 | 0.000 | -0.000 | 0.000 | 0.000 | -75.963 |
| 244.020 | 73.118 | 47.534 | 31.785 | -0.000 | 0.000 |
| 136.931 | 158.165 | 72.522 | 16.837 | -0.000 | 0.000 |
| 45.196 | 45.196 | 313.938 | -0.000 | -0.000 | 0.000 |
| 20.248 | 55.451 | -41.355 | 6.102 | -0.000 | 0.000 |
| 0.000 | 0.000 | -0.000 | -0.000 | 55.226 | 31.785 |
| 0.000 | 0.000 | -0.000 | -0.000 | 31.785 | 85.451 |
| 244.019 | 73.118 | 47.534 | 31.785 | -0.000 | -0.000 |
| 62.546 | 85.757 | 152.545 | 16.195 | 0.000 | -0.000 |
| 45.196 | 45.196 | 313.938 | 0.000 | 0.000 | -0.000 |
| -55.451 | -20.248 | 41.355 | 6.102 | 0.000 | -0.000 |
| -0.000 | -0.000 | 0.000 | 0.000 | 55.226 | 31.785 |
| -0.000 | -0.000 | 0.000 | 0.000 | 31.785 | 85.451 |
| 244.020 | 73.118 | 47.534 | 31.785 | -0.000 | 0.000 |
| 73.118 | 244.020 | 47.534 | -31.785 | -0.000 | 0.000 |
| 93.078 | 93.078 | 153.476 | -0.000 | -0.000 | 0.000 |
| 2.808 | 5.738 | -1.151 | 13.999 | -0.000 | 0.000 |
| 0.000 | 0.000 | 0.000 | 0.000 | 55.226 | 31.785 |
| 0.000 | 0.000 | 0.000 | 0.000 | 31.785 | 85.451 |
| 244.019 | 73.118 | 47.534 | 31.785 | 0.000 | -0.000 |
| 86.804 | 117.818 | 100.367 | -1.107 | -0.000 | -0.000 |
| 105.826 | 105.826 | 179.632 | 0.000 | -0.000 | -0.000 |
| -5.739 | -2.807 | 1.152 | 13.998 | 0.000 | -0.000 |
| -0.000 | -0.000 | -0.000 | -0.000 | 55.226 | 31.785 |
| -0.000 | -0.000 | -0.000 | -0.000 | 31.785 | 85.451 |
| 122.352 | 99.309 | 87.573 | -2.316 | -0.000 | 0.000 |
| 92.460 | 121.539 | 88.374 | 1.323 | -0.000 | 0.000 |
| 86.914 | 86.914 | 152.120 | -0.000 | -0.000 | 0.000 |
| -7.924 | 8.537 | -0.335 | 15.424 | -0.000 | 0.000 |
| 0.306 | 0.307 | -0.335 | -0.000 | 15.418 | -8.236 |
| 0.420 | 0.420 | -0.128 | 0.000 | -1.804 | 14.345 |
| 120.629 | 91.481 | 88.097 | -1.336 | 0.000 | -0.000 |
| 98.471 | 121.233 | 87.284 | 2.350 | 0.000 | -0.000 |
| 87.943 | 87.943 | 152.362 | 0.000 | 0.000 | -0.000 |
| -2.122 | -1.145 | -0.711 | 13.282 | -0.000 | -0.000 |
| -0.306 | -0.307 | 0.335 | 0.000 | 15.418 | -8.236 |
| -0.420 | -0.420 | 0.128 | -0.000 | -1.804 | 14.345 |
| 218.862 | -2.736 | -2.736 | 0.000 | -0.000 | 0.000 |
| -2.736 | 218.862 | -2.736 | 0.000 | -0.000 | 0.000 |
| -2.736 | -2.736 | 218.862 | 0.000 | 0.000 | -0.000 |
| 0.000 | -0.000 | 0.000 | -6.719 | -0.000 | 0.000 |
| 0.000 | -0.000 | 0.000 | 0.000 | -6.719 | 0.000 |
| 0.000 | -0.000 | 0.000 | 0.000 | -0.000 | -6.719 |
| 218.862 | -2.736 | -2.736 | -0.000 | 0.000 | -0.000 |
| -2.736 | 218.862 | -2.736 | -0.000 | -0.000 | 0.000 |
| -2.736 | -2.736 | 218.862 | -0.000 | 0.000 | -0.000 |
| -0.000 | 0.000 | -0.000 | -6.719 | 0.000 | -0.000 |
| -0.000 | 0.000 | -0.000 | -0.000 | -6.719 | -0.000 |
| -0.000 | 0.000 | -0.000 | -0.000 | 0.000 | -6.719 |
| 218.863 | -2.736 | -2.736 | -0.000 | 0.000 | -0.000 |
| -2.736 | 218.863 | -2.736 | 0.000 | -0.000 | -0.000 |
| -2.736 | -2.736 | 218.863 | 0.000 | 0.000 | 0.000 |
| 0.000 | 0.000 | -0.000 | -6.719 | -0.000 | -0.000 |
| 0.000 | 0.000 | -0.000 | 0.000 | -6.719 | 0.000 |
| 0.000 | -0.000 | 0.000 | 0.000 | -0.000 | -6.719 |
| 218.862 | -2.736 | -2.736 | -0.000 | 0.000 | 0.000 |
| -2.736 | 218.862 | -2.736 | 0.000 | 0.000 | -0.000 |
| -2.736 | -2.736 | 218.862 | 0.000 | 0.000 | 0.000 |
| -0.000 | -0.000 | 0.000 | -6.719 | 0.000 | -0.000 |
| -0.000 | -0.000 | 0.000 | -0.000 | -6.719 | -0.000 |
| -0.000 | 0.000 | -0.000 | -0.000 | 0.000 | -6.719 |
| 218.863 | -2.736 | -2.736 | 0.000 | -0.000 | 0.000 |
| -2.736 | 218.863 | -2.736 | 0.000 | 0.000 | 0.000 |
| -2.736 | -2.736 | 218.863 | -0.000 | -0.000 | -0.000 |
| 0.000 | 0.000 | -0.000 | -6.719 | -0.000 | 0.000 |
| 0.000 | 0.000 | -0.000 | 0.000 | -6.719 | 0.000 |
| 0.000 | -0.000 | 0.000 | -0.000 | -0.000 | -6.719 |
| 218.862 | -2.736 | -2.736 | -0.000 | 0.000 | -0.000 |
| -2.736 | 218.862 | -2.736 | -0.000 | -0.000 | -0.000 |
| -2.736 | -2.736 | 218.862 | 0.000 | 0.000 | -0.000 |
| -0.000 | -0.000 | 0.000 | -6.719 | 0.000 | 0.000 |
| -0.000 | -0.000 | 0.000 | 0.000 | -6.719 | -0.000 |
| -0.000 | 0.000 | -0.000 | 0.000 | 0.000 | -6.719 |
| 233.149 | 77.143 | 77.143 | 0.000 | 0.000 | -0.000 |
| 77.143 | 233.149 | 77.143 | 0.000 | 0.000 | -0.000 |
| 77.143 | 77.143 | 233.149 | 0.000 | -0.000 | -0.000 |
| -0.000 | 0.000 | 0.000 | 33.730 | 0.000 | -0.000 |
| 0.000 | 0.000 | 0.000 | 0.000 | 33.730 | -0.000 |
| -0.000 | 0.000 | 0.000 | -0.000 | -0.000 | 33.730 |
| 233.149 | 77.143 | 77.143 | -0.000 | -0.000 | 0.000 |
| 77.143 | 233.149 | 77.143 | -0.000 | -0.000 | 0.000 |
| 77.143 | 77.143 | 233.149 | 0.000 | -0.000 | 0.000 |
| 0.000 | -0.000 | -0.000 | 33.730 | -0.000 | 0.000 |
| 0.000 | -0.000 | -0.000 | -0.000 | 33.730 | 0.000 |
| 0.000 | 0.000 | -0.000 | -0.000 | 0.000 | 33.730 |
| 233.150 | 77.143 | 77.143 | 0.000 | 0.000 | -0.000 |
| 77.143 | 233.150 | 77.143 | 0.000 | 0.000 | -0.000 |
| 77.143 | 77.143 | 233.150 | 0.000 | 0.000 | -0.000 |
| 0.000 | 0.000 | 0.000 | 33.730 | 0.000 | -0.000 |
| 0.000 | 0.000 | 0.000 | 0.000 | 33.730 | -0.000 |
| 0.000 | 0.000 | 0.000 | 0.000 | -0.000 | 33.730 |
| 233.149 | 77.143 | 77.143 | -0.000 | -0.000 | 0.000 |
| 77.143 | 233.149 | 77.143 | -0.000 | -0.000 | 0.000 |
| 77.143 | 77.143 | 233.149 | -0.000 | -0.000 | 0.000 |
| -0.000 | -0.000 | -0.000 | 33.730 | -0.000 | 0.000 |
| -0.000 | -0.000 | -0.000 | -0.000 | 33.730 | 0.000 |
| -0.000 | -0.000 | -0.000 | -0.000 | -0.000 | 33.730 |
| 233.151 | 77.144 | 77.144 | 0.000 | 0.000 | -0.000 |
| 77.144 | 233.151 | 77.144 | 0.000 | 0.000 | -0.000 |
| 77.144 | 77.144 | 233.151 | 0.000 | -0.000 | -0.000 |
| 0.000 | 0.000 | 0.000 | 33.730 | -0.000 | -0.000 |
| 0.000 | 0.000 | 0.000 | 0.000 | 33.730 | -0.000 |
| 0.000 | 0.000 | 0.000 | -0.000 | -0.000 | 33.730 |
| 233.148 | 77.142 | 77.142 | -0.000 | -0.000 | 0.000 |
| 77.142 | 233.148 | 77.142 | -0.000 | 0.000 | 0.000 |
| 77.142 | 77.142 | 233.148 | -0.000 | -0.000 | 0.000 |
| -0.000 | -0.000 | -0.000 | 33.730 | 0.000 | 0.000 |
| -0.000 | -0.000 | -0.000 | -0.000 | 33.730 | 0.000 |
| -0.000 | -0.000 | -0.000 | 0.000 | 0.000 | 33.730 |
| 585.761 | 17.073 | 17.073 | 0.000 | 0.000 | 0.000 |
| 17.073 | 585.761 | 17.073 | 0.000 | -0.000 | 0.000 |
| 17.073 | 17.073 | 585.761 | 0.000 | 0.000 | 0.000 |
| -0.000 | -0.000 | -0.000 | 12.369 | 0.000 | 0.000 |
| -0.000 | -0.000 | -0.000 | 0.000 | 12.369 | 0.000 |
| -0.000 | -0.000 | -0.000 | 0.000 | 0.000 | 12.369 |
| 585.761 | 17.073 | 17.073 | -0.000 | -0.000 | -0.000 |
| 17.073 | 585.761 | 17.073 | -0.000 | 0.000 | -0.000 |
| 17.073 | 17.073 | 585.761 | -0.000 | 0.000 | -0.000 |
| 0.000 | 0.000 | 0.000 | 12.369 | -0.000 | -0.000 |
| 0.000 | 0.000 | 0.000 | -0.000 | 12.369 | -0.000 |
| 0.000 | 0.000 | 0.000 | -0.000 | 0.000 | 12.369 |
| 585.761 | 17.072 | 17.072 | 0.000 | 0.000 | 0.000 |
| 17.072 | 585.761 | 17.072 | -0.000 | 0.000 | 0.000 |
| 17.072 | 17.072 | 585.761 | -0.000 | -0.000 | 0.000 |
| -0.001 | -0.001 | -0.001 | 12.369 | -0.000 | 0.000 |
| -0.001 | -0.001 | -0.001 | -0.000 | 12.369 | 0.000 |
| -0.001 | -0.001 | -0.001 | 0.000 | -0.000 | 12.369 |
| 585.761 | 17.074 | 17.074 | -0.000 | -0.000 | -0.000 |
| 17.074 | 585.761 | 17.074 | -0.000 | -0.000 | -0.000 |
| 17.074 | 17.074 | 585.761 | -0.000 | -0.000 | -0.000 |
| 0.001 | 0.001 | 0.001 | 12.369 | 0.000 | -0.000 |
| 0.001 | 0.001 | 0.001 | 0.000 | 12.369 | -0.000 |
| 0.001 | 0.001 | 0.001 | -0.000 | -0.000 | 12.369 |
| 585.760 | 17.063 | 17.063 | 0.000 | -0.000 | 0.000 |
| 17.063 | 585.760 | 17.063 | -0.000 | -0.000 | 0.000 |
| 17.063 | 17.063 | 585.760 | 0.000 | -0.000 | 0.000 |
| -0.010 | -0.010 | -0.010 | 12.369 | -0.000 | 0.000 |
| -0.010 | -0.010 | -0.010 | 0.000 | 12.369 | 0.000 |
| -0.010 | -0.010 | -0.010 | -0.000 | 0.000 | 12.369 |
| 585.762 | 17.083 | 17.083 | -0.000 | -0.000 | -0.000 |
| 17.083 | 585.762 | 17.083 | -0.000 | 0.000 | -0.000 |
| 17.083 | 17.083 | 585.762 | -0.000 | -0.000 | -0.000 |
| 0.010 | 0.010 | 0.010 | 12.369 | 0.000 | -0.000 |
| 0.010 | 0.010 | 0.010 | -0.000 | 12.369 | -0.000 |
| 0.010 | 0.010 | 0.010 | 0.000 | 0.000 | 12.369 |
| 410.260 | 171.323 | 171.323 | -0.000 | 0.000 | 0.000 |
| 171.323 | 410.260 | 171.323 | 0.000 | 0.000 | 0.000 |
| 171.323 | 171.323 | 410.260 | 0.000 | 0.000 | -0.000 |
| 0.000 | 0.000 | 0.000 | 159.987 | 0.000 | 0.000 |
| 0.000 | 0.000 | -0.000 | -0.000 | 159.987 | -0.000 |
| 0.000 | 0.000 | 0.000 | 0.000 | 0.000 | 159.987 |
| 410.260 | 171.323 | 171.323 | -0.000 | -0.000 | 0.000 |
| 171.323 | 410.260 | 171.323 | 0.000 | -0.000 | 0.000 |
| 171.323 | 171.323 | 410.260 | -0.000 | -0.000 | 0.000 |
| -0.000 | -0.000 | -0.000 | 159.987 | -0.000 | 0.000 |
| -0.000 | -0.000 | -0.000 | -0.000 | 159.987 | 0.000 |
| -0.000 | -0.000 | 0.000 | -0.000 | -0.000 | 159.987 |
| 410.260 | 171.323 | 171.323 | 0.000 | 0.000 | 0.000 |
| 171.323 | 410.260 | 171.323 | -0.000 | 0.000 | 0.000 |
| 171.323 | 171.323 | 410.260 | 0.000 | 0.000 | -0.000 |
| 0.000 | 0.000 | 0.000 | 159.987 | 0.000 | 0.000 |
| 0.000 | 0.000 | 0.000 | 0.000 | 159.987 | -0.000 |
| 0.000 | 0.000 | 0.000 | 0.000 | 0.000 | 159.987 |
| 410.260 | 171.323 | 171.323 | 0.000 | -0.000 | 0.000 |
| 171.323 | 410.260 | 171.323 | 0.000 | -0.000 | -0.000 |
| 171.323 | 171.323 | 410.260 | 0.000 | -0.000 | 0.000 |
| -0.000 | -0.000 | -0.000 | 159.987 | -0.000 | 0.000 |
| -0.000 | -0.000 | -0.000 | -0.000 | 159.987 | -0.000 |
| -0.000 | -0.000 | -0.000 | -0.000 | -0.000 | 159.987 |
| 410.262 | 171.324 | 171.324 | -0.000 | 0.000 | 0.000 |
| 171.324 | 410.262 | 171.324 | -0.000 | 0.000 | 0.000 |
| 171.324 | 171.324 | 410.262 | -0.000 | 0.000 | -0.000 |
| 0.001 | 0.001 | 0.001 | 159.987 | -0.000 | -0.000 |
| 0.001 | 0.001 | 0.001 | 0.000 | 159.987 | 0.000 |
| 0.001 | 0.001 | 0.001 | 0.000 | 0.000 | 159.987 |
| 410.258 | 171.322 | 171.322 | -0.000 | -0.000 | 0.000 |
| 171.322 | 410.258 | 171.322 | 0.000 | -0.000 | 0.000 |
| 171.322 | 171.322 | 410.258 | 0.000 | -0.000 | 0.000 |
| -0.001 | -0.001 | -0.001 | 159.987 | 0.000 | -0.000 |
| -0.001 | -0.001 | -0.001 | 0.000 | 159.987 | 0.000 |
| -0.001 | -0.001 | -0.001 | -0.000 | -0.000 | 159.987 |
| 137.223 | 134.609 | 134.609 | -0.000 | -0.000 | -0.000 |
| 134.609 | 137.223 | 134.609 | -0.000 | -0.000 | -0.000 |
| 134.609 | 134.609 | 137.223 | -0.000 | -0.000 | -0.000 |
| -0.000 | -0.000 | 0.000 | -1.824 | -0.000 | -0.000 |
| 0.000 | -0.000 | -0.000 | -0.000 | -1.824 | -0.000 |
| 0.000 | -0.000 | 0.000 | -0.000 | -0.000 | -1.824 |
| 137.223 | 134.609 | 134.609 | 0.000 | 0.000 | 0.000 |
| 134.609 | 137.223 | 134.609 | 0.000 | 0.000 | 0.000 |
| 134.609 | 134.609 | 137.223 | 0.000 | 0.000 | -0.000 |
| 0.000 | 0.000 | 0.000 | -1.824 | 0.000 | 0.000 |
| -0.000 | 0.000 | 0.000 | 0.000 | -1.824 | 0.000 |
| -0.000 | 0.000 | 0.000 | 0.000 | 0.000 | -1.824 |
| 137.223 | 134.609 | 134.609 | -0.000 | -0.000 | -0.000 |
| 134.609 | 137.223 | 134.609 | -0.000 | -0.000 | -0.000 |
| 134.609 | 134.609 | 137.223 | -0.000 | -0.000 | -0.000 |
| -0.000 | -0.000 | -0.000 | -1.824 | -0.000 | -0.000 |
| -0.000 | -0.000 | -0.000 | -0.000 | -1.824 | -0.000 |
| -0.000 | -0.000 | -0.000 | -0.000 | -0.000 | -1.824 |
| 137.223 | 134.609 | 134.609 | 0.000 | 0.000 | 0.000 |
| 134.609 | 137.223 | 134.609 | 0.000 | 0.000 | 0.000 |
| 134.609 | 134.609 | 137.223 | 0.000 | 0.000 | 0.000 |
| 0.000 | 0.000 | 0.000 | -1.824 | 0.000 | 0.000 |
| 0.000 | 0.000 | 0.000 | 0.000 | -1.824 | 0.000 |
| 0.000 | 0.000 | 0.000 | 0.000 | 0.000 | -1.824 |
| 137.224 | 134.610 | 134.610 | -0.000 | -0.000 | -0.000 |
| 134.610 | 137.224 | 134.610 | -0.000 | -0.000 | -0.000 |
| 134.610 | 134.610 | 137.224 | -0.000 | -0.000 | -0.000 |
| -0.000 | -0.000 | -0.000 | -1.824 | -0.000 | -0.000 |
| -0.000 | -0.000 | -0.000 | -0.000 | -1.824 | -0.000 |
| -0.000 | -0.000 | -0.000 | -0.000 | -0.000 | -1.824 |
| 137.223 | 134.609 | 134.609 | 0.000 | 0.000 | 0.000 |
| 134.609 | 137.223 | 134.609 | 0.000 | 0.000 | 0.000 |
| 134.609 | 134.609 | 137.223 | 0.000 | 0.000 | 0.000 |
| 0.000 | 0.000 | 0.000 | -1.824 | 0.000 | 0.000 |
| 0.000 | 0.000 | 0.000 | 0.000 | -1.824 | 0.000 |
| 0.000 | 0.000 | 0.000 | 0.000 | 0.000 | -1.824 |
| 244.889 | 131.945 | 131.945 | -0.000 | 0.000 | -0.000 |
| 131.945 | 244.889 | 131.945 | 0.000 | 0.000 | 0.000 |
| 131.945 | 131.945 | 244.889 | -0.000 | 0.000 | -0.000 |
| -0.000 | 0.000 | 0.000 | 49.401 | 0.000 | 0.000 |
| -0.000 | 0.000 | 0.000 | -0.000 | 49.401 | 0.000 |
| -0.000 | -0.000 | -0.000 | -0.000 | 0.000 | 49.401 |
| 244.889 | 131.945 | 131.945 | 0.000 | -0.000 | -0.000 |
| 131.945 | 244.889 | 131.945 | 0.000 | -0.000 | -0.000 |
| 131.945 | 131.945 | 244.889 | 0.000 | -0.000 | -0.000 |
| 0.000 | -0.000 | -0.000 | 49.401 | 0.000 | 0.000 |
| 0.000 | -0.000 | 0.000 | 0.000 | 49.401 | -0.000 |
| 0.000 | 0.000 | 0.000 | 0.000 | -0.000 | 49.401 |
| 244.889 | 131.945 | 131.945 | -0.000 | -0.000 | 0.000 |
| 131.945 | 244.889 | 131.945 | -0.000 | 0.000 | -0.000 |
| 131.945 | 131.945 | 244.889 | -0.000 | 0.000 | 0.000 |
| 0.000 | -0.000 | -0.000 | 49.401 | 0.000 | -0.000 |
| -0.000 | 0.000 | -0.000 | -0.000 | 49.401 | 0.000 |
| -0.000 | -0.000 | 0.000 | -0.000 | 0.000 | 49.401 |
| 244.889 | 131.945 | 131.945 | 0.000 | -0.000 | 0.000 |
| 131.945 | 244.889 | 131.945 | 0.000 | 0.000 | -0.000 |
| 131.945 | 131.945 | 244.889 | 0.000 | -0.000 | -0.000 |
| -0.000 | 0.000 | 0.000 | 49.401 | -0.000 | -0.000 |
| 0.000 | -0.000 | 0.000 | 0.000 | 49.401 | -0.000 |
| 0.000 | 0.000 | -0.000 | 0.000 | -0.000 | 49.401 |
| 244.890 | 131.946 | 131.946 | -0.000 | 0.000 | 0.000 |
| 131.946 | 244.890 | 131.946 | -0.000 | 0.000 | -0.000 |
| 131.946 | 131.946 | 244.890 | -0.000 | 0.000 | 0.000 |
| 0.000 | -0.000 | -0.000 | 49.401 | 0.000 | 0.000 |
| -0.000 | 0.000 | -0.000 | -0.000 | 49.401 | 0.000 |
| -0.000 | -0.000 | 0.000 | -0.000 | 0.000 | 49.401 |
| 244.888 | 131.944 | 131.944 | 0.000 | 0.000 | 0.000 |
| 131.944 | 244.888 | 131.944 | 0.000 | 0.000 | -0.000 |
| 131.944 | 131.944 | 244.888 | 0.000 | -0.000 | -0.000 |
| -0.000 | 0.000 | 0.000 | 49.401 | -0.000 | 0.000 |
| 0.000 | -0.000 | 0.000 | 0.000 | 49.401 | -0.000 |
| 0.000 | 0.000 | -0.000 | 0.000 | -0.000 | 49.401 |
| 134.992 | 76.054 | 76.054 | 0.000 | 0.000 | 0.000 |
| 76.054 | 134.992 | 76.054 | 0.000 | 0.000 | 0.000 |
| 76.054 | 76.054 | 134.992 | 0.000 | 0.000 | 0.000 |
| 0.000 | 0.000 | 0.000 | 74.946 | -0.000 | 0.000 |
| 0.000 | 0.000 | 0.000 | 0.000 | 74.946 | 0.000 |
| 0.000 | 0.000 | 0.000 | -0.000 | -0.000 | 74.946 |
| 134.992 | 76.054 | 76.054 | -0.000 | 0.000 | -0.000 |
| 76.054 | 134.992 | 76.054 | -0.000 | 0.000 | 0.000 |
| 76.054 | 76.054 | 134.992 | -0.000 | -0.000 | 0.000 |
| -0.000 | -0.000 | -0.000 | 74.946 | 0.000 | -0.000 |
| -0.000 | -0.000 | -0.000 | -0.000 | 74.946 | -0.000 |
| -0.000 | -0.000 | -0.000 | 0.000 | 0.000 | 74.946 |
| 134.992 | 76.054 | 76.054 | 0.000 | 0.000 | 0.000 |
| 76.054 | 134.992 | 76.054 | 0.000 | 0.000 | 0.000 |
| 76.054 | 76.054 | 134.992 | 0.000 | 0.000 | -0.000 |
| 0.000 | 0.000 | 0.000 | 75.024 | -0.000 | -0.000 |
| 0.000 | 0.000 | 0.000 | -0.000 | 75.024 | -0.000 |
| 0.000 | 0.000 | 0.000 | 0.000 | -0.000 | 75.024 |
| 134.992 | 76.054 | 76.054 | -0.000 | 0.000 | -0.000 |
| 76.054 | 134.992 | 76.054 | 0.000 | -0.000 | -0.000 |
| 76.054 | 76.054 | 134.992 | 0.000 | 0.000 | 0.000 |
| -0.000 | -0.000 | -0.000 | 75.024 | 0.000 | 0.000 |
| -0.000 | -0.000 | -0.000 | 0.000 | 75.024 | -0.000 |
| -0.000 | -0.000 | -0.000 | -0.000 | 0.000 | 75.024 |
| 134.993 | 76.054 | 76.054 | 0.000 | 0.000 | 0.000 |
| 76.054 | 134.993 | 76.054 | 0.000 | -0.000 | -0.000 |
| 76.054 | 76.054 | 134.993 | 0.000 | -0.000 | 0.000 |
| 0.000 | 0.000 | 0.000 | 74.946 | 0.000 | -0.000 |
| 0.000 | 0.000 | 0.000 | 0.000 | 74.946 | -0.000 |
| 0.000 | 0.000 | 0.000 | -0.000 | -0.000 | 74.946 |
| 134.992 | 76.053 | 76.053 | -0.000 | -0.000 | 0.000 |
| 76.053 | 134.992 | 76.053 | -0.000 | 0.000 | 0.000 |
| 76.053 | 76.053 | 134.992 | -0.000 | -0.000 | -0.000 |
| -0.000 | -0.000 | -0.000 | 74.946 | -0.000 | -0.000 |
| -0.000 | -0.000 | -0.000 | -0.000 | 74.946 | 0.000 |
| -0.000 | -0.000 | -0.000 | -0.000 | 0.000 | 74.946 |
| 122.684 | 79.328 | 79.328 | 0.000 | 0.000 | -0.000 |
| 79.328 | 122.684 | 79.328 | 0.000 | 0.000 | -0.000 |
| 79.328 | 79.328 | 122.684 | -0.000 | 0.000 | -0.000 |
| 0.000 | 0.000 | 0.000 | 76.981 | 0.000 | -0.000 |
| 0.000 | 0.000 | 0.000 | -0.000 | 76.981 | -0.000 |
| 0.000 | 0.000 | 0.000 | -0.000 | 0.000 | 76.981 |
| 122.684 | 79.328 | 79.328 | 0.000 | -0.000 | 0.000 |
| 79.328 | 122.684 | 79.328 | 0.000 | 0.000 | 0.000 |
| 79.328 | 79.328 | 122.684 | 0.000 | 0.000 | 0.000 |
| 0.000 | -0.000 | -0.000 | 76.981 | -0.000 | 0.000 |
| -0.000 | -0.000 | 0.000 | 0.000 | 76.981 | 0.000 |
| -0.000 | -0.000 | -0.000 | 0.000 | -0.000 | 76.981 |
| 122.684 | 79.328 | 79.328 | -0.000 | -0.000 | -0.000 |
| 79.328 | 122.684 | 79.328 | -0.000 | 0.000 | -0.000 |
| 79.328 | 79.328 | 122.684 | 0.000 | 0.000 | -0.000 |
| 0.000 | 0.000 | 0.000 | 75.527 | -0.000 | -0.000 |
| 0.000 | 0.000 | 0.000 | 0.000 | 75.527 | -0.000 |
| 0.000 | 0.000 | 0.000 | -0.000 | 0.000 | 75.527 |
| 122.684 | 79.328 | 79.328 | 0.000 | -0.000 | 0.000 |
| 79.328 | 122.684 | 79.328 | 0.000 | -0.000 | 0.000 |
| 79.328 | 79.328 | 122.684 | 0.000 | -0.000 | 0.000 |
| -0.000 | -0.000 | -0.000 | 75.527 | -0.000 | 0.000 |
| -0.000 | -0.000 | -0.000 | 0.000 | 75.527 | 0.000 |
| -0.000 | -0.000 | -0.000 | 0.000 | -0.000 | 75.527 |
| 122.685 | 79.328 | 79.328 | 0.000 | 0.000 | -0.000 |
| 79.328 | 122.685 | 79.328 | 0.000 | 0.000 | -0.000 |
| 79.328 | 79.328 | 122.685 | 0.000 | 0.000 | -0.000 |
| 0.000 | 0.000 | 0.000 | 75.527 | 0.000 | -0.000 |
| 0.000 | 0.000 | 0.000 | -0.000 | 75.527 | -0.000 |
| 0.000 | 0.000 | 0.000 | 0.000 | 0.000 | 75.527 |
| 122.684 | 79.327 | 79.327 | 0.000 | 0.000 | 0.000 |
| 79.327 | 122.684 | 79.327 | -0.000 | -0.000 | 0.000 |
| 79.327 | 79.327 | 122.684 | -0.000 | -0.000 | 0.000 |
| -0.000 | -0.000 | -0.000 | 75.527 | -0.000 | 0.000 |
| -0.000 | -0.000 | -0.000 | 0.000 | 75.527 | 0.000 |
| -0.000 | -0.000 | -0.000 | -0.000 | -0.000 | 75.527 |
| 2.350 | 5.763 | 5.763 | 0.000 | -0.000 | -0.000 |
| 5.763 | 2.350 | 5.763 | 0.000 | -0.000 | -0.000 |
| 5.763 | 5.763 | 2.350 | 0.000 | -0.000 | -0.000 |
| 0.000 | 0.000 | -0.000 | -30.399 | -0.000 | -0.000 |
| -0.000 | -0.000 | 0.000 | -0.000 | -30.399 | -0.000 |
| -0.000 | -0.000 | -0.000 | -0.000 | -0.000 | -30.399 |
| 2.350 | 5.763 | 5.763 | 0.000 | 0.000 | 0.000 |
| 5.763 | 2.350 | 5.763 | -0.000 | 0.000 | 0.000 |
| 5.763 | 5.763 | 2.350 | 0.000 | 0.000 | 0.000 |
| -0.000 | 0.000 | 0.000 | -30.399 | 0.000 | 0.000 |
| 0.000 | -0.000 | 0.000 | 0.000 | -30.399 | 0.000 |
| 0.000 | 0.000 | 0.000 | 0.000 | 0.000 | -30.399 |
| 2.350 | 5.763 | 5.763 | 0.000 | 0.000 | -0.000 |
| 5.763 | 2.350 | 5.763 | 0.000 | 0.000 | -0.000 |
| 5.763 | 5.763 | 2.350 | 0.000 | 0.000 | -0.000 |
| 0.000 | -0.000 | -0.000 | -30.399 | -0.000 | -0.000 |
| -0.000 | 0.000 | -0.000 | -0.000 | -30.399 | -0.000 |
| -0.000 | -0.000 | 0.000 | 0.000 | -0.000 | -30.399 |
| 2.350 | 5.763 | 5.763 | 0.000 | 0.000 | 0.000 |
| 5.763 | 2.350 | 5.763 | -0.000 | -0.000 | 0.000 |
| 5.763 | 5.763 | 2.350 | -0.000 | -0.000 | 0.000 |
| -0.000 | 0.000 | 0.000 | -30.399 | 0.000 | 0.000 |
| 0.000 | -0.000 | 0.000 | 0.000 | -30.399 | 0.000 |
| 0.000 | 0.000 | -0.000 | 0.000 | 0.000 | -30.399 |
| 2.350 | 5.763 | 5.763 | 0.000 | 0.000 | -0.000 |
| 5.763 | 2.350 | 5.763 | 0.000 | -0.000 | -0.000 |
| 5.763 | 5.763 | 2.350 | 0.000 | -0.000 | -0.000 |
| 0.000 | -0.000 | -0.000 | -30.399 | -0.000 | -0.000 |
| -0.000 | 0.000 | -0.000 | -0.000 | -30.399 | -0.000 |
| -0.000 | -0.000 | 0.000 | -0.000 | -0.000 | -30.399 |
| 2.350 | 5.763 | 5.763 | -0.000 | -0.000 | 0.000 |
| 5.763 | 2.350 | 5.763 | -0.000 | -0.000 | 0.000 |
| 5.763 | 5.763 | 2.350 | -0.000 | -0.000 | 0.000 |
| -0.000 | 0.000 | 0.000 | -30.399 | 0.000 | -0.000 |
| 0.000 | -0.000 | 0.000 | 0.000 | -30.399 | 0.000 |
| 0.000 | 0.000 | -0.000 | 0.000 | 0.000 | -30.399 |
| 16.738 | -2.707 | -2.707 | 0.000 | -0.000 | 0.000 |
| -2.707 | 16.738 | -2.707 | 0.000 | 0.000 | 0.000 |
| -2.707 | -2.707 | 16.738 | -0.000 | -0.000 | 0.000 |
| -0.000 | 0.000 | 0.000 | -4.553 | 0.000 | 0.000 |
| -0.000 | -0.000 | -0.000 | 0.000 | -4.553 | -0.000 |
| 0.000 | 0.000 | -0.000 | -0.000 | -0.000 | -4.553 |
| 16.738 | -2.707 | -2.707 | -0.000 | -0.000 | -0.000 |
| -2.707 | 16.738 | -2.707 | -0.000 | 0.000 | -0.000 |
| -2.707 | -2.707 | 16.738 | -0.000 | -0.000 | -0.000 |
| 0.000 | -0.000 | -0.000 | -4.553 | -0.000 | 0.000 |
| -0.000 | 0.000 | -0.000 | 0.000 | -4.553 | -0.000 |
| -0.000 | -0.000 | -0.000 | 0.000 | 0.000 | -4.553 |
| 16.738 | -2.707 | -2.707 | 0.000 | 0.000 | 0.000 |
| -2.707 | 16.738 | -2.707 | 0.000 | 0.000 | 0.000 |
| -2.707 | -2.707 | 16.738 | 0.000 | 0.000 | 0.000 |
| 0.000 | -0.000 | -0.000 | -4.553 | -0.000 | 0.000 |
| -0.000 | 0.000 | -0.000 | -0.000 | -4.553 | 0.000 |
| -0.000 | -0.000 | 0.000 | -0.000 | -0.000 | -4.553 |
| 16.738 | -2.707 | -2.707 | -0.000 | 0.000 | -0.000 |
| -2.707 | 16.738 | -2.707 | -0.000 | -0.000 | -0.000 |
| -2.707 | -2.707 | 16.738 | 0.000 | 0.000 | -0.000 |
| -0.000 | 0.000 | 0.000 | -4.553 | -0.000 | 0.000 |
| 0.000 | -0.000 | 0.000 | -0.000 | -4.553 | -0.000 |
| 0.000 | 0.000 | -0.000 | 0.000 | 0.000 | -4.553 |
| 16.738 | -2.707 | -2.707 | 0.000 | 0.000 | 0.000 |
| -2.707 | 16.738 | -2.707 | 0.000 | -0.000 | -0.000 |
| -2.707 | -2.707 | 16.738 | -0.000 | -0.000 | 0.000 |
| 701007.766 | 457306.023 | 437966.854 | -23005.111 | 16124.002 | -34895.680 |
| 577192.695 | 784468.510 | 504297.290 | -20875.218 | 17063.125 | -26406.185 |
| 573488.653 | 611442.225 | 761589.351 | -12124.856 | 26695.295 | -16876.517 |
| 16.738 | -2.707 | -2.707 | -0.000 | -0.000 | -0.000 |
| -2.707 | 16.738 | -2.707 | -0.000 | 0.000 | -0.000 |
| -2.707 | -2.707 | 16.738 | -0.000 | 0.000 | -0.000 |
| -724868.581 | -461369.992 | -589464.338 | -70026.680 | -15397.048 | 6009.363 |
| -556018.212 | -749196.873 | -511246.731 | -18369.095 | 2718.860 | 24349.162 |
| -375514.295 | -521323.797 | -603129.597 | 33314.970 | -12521.937 | -33268.308 |
| 3.610 | 7.429 | 7.429 | -0.000 | -0.000 | 0.000 |
| 7.429 | 3.610 | 7.429 | -0.000 | 0.000 | 0.000 |
| 7.429 | 7.429 | 3.610 | 0.000 | 0.000 | 0.000 |
| 0.000 | 0.000 | -0.000 | -79.830 | 0.000 | -0.000 |
| 0.000 | 0.000 | -0.000 | 0.000 | -79.830 | 0.000 |
| 0.000 | -0.000 | -0.000 | 0.000 | 0.000 | -79.830 |
| 3.610 | 7.429 | 7.429 | 0.000 | -0.000 | -0.000 |
| 7.429 | 3.610 | 7.429 | 0.000 | -0.000 | -0.000 |
| 7.429 | 7.429 | 3.610 | -0.000 | -0.000 | -0.000 |
| -0.000 | -0.000 | 0.000 | -79.830 | -0.000 | -0.000 |
| -0.000 | -0.000 | 0.000 | 0.000 | -79.830 | -0.000 |
| -0.000 | 0.000 | 0.000 | 0.000 | 0.000 | -79.830 |
| 3.610 | 7.429 | 7.429 | -0.000 | 0.000 | 0.000 |
| 7.429 | 3.610 | 7.429 | 0.000 | 0.000 | 0.000 |
| 7.429 | 7.429 | 3.610 | 0.000 | 0.000 | 0.000 |
| 0.000 | 0.000 | -0.000 | -79.830 | 0.000 | 0.000 |
| 0.000 | 0.000 | -0.000 | -0.000 | -79.830 | -0.000 |
| 0.000 | -0.000 | 0.000 | -0.000 | 0.000 | -79.830 |
| 3.610 | 7.429 | 7.429 | 0.000 | 0.000 | -0.000 |
| 7.429 | 3.610 | 7.429 | 0.000 | -0.000 | -0.000 |
| 7.429 | 7.429 | 3.610 | -0.000 | -0.000 | -0.000 |
| -0.000 | -0.000 | 0.000 | -79.830 | -0.000 | 0.000 |
| -0.000 | -0.000 | 0.000 | 0.000 | -79.830 | -0.000 |
| -0.000 | 0.000 | -0.000 | 0.000 | -0.000 | -79.830 |
| 3.610 | 7.429 | 7.429 | 0.000 | 0.000 | 0.000 |
| 7.429 | 3.610 | 7.429 | 0.000 | 0.000 | 0.000 |
| 7.429 | 7.429 | 3.610 | 0.000 | 0.000 | 0.000 |
| 0.000 | 0.000 | -0.000 | -79.830 | -0.000 | -0.000 |
| 0.000 | 0.000 | -0.000 | -0.000 | -79.830 | 0.000 |
| 0.000 | -0.000 | 0.000 | -0.000 | 0.000 | -79.830 |
| 3.610 | 7.429 | 7.429 | -0.000 | -0.000 | -0.000 |
| 7.429 | 3.610 | 7.429 | -0.000 | -0.000 | -0.000 |
| 7.429 | 7.429 | 3.610 | 0.000 | 0.000 | -0.000 |
| -0.000 | -0.000 | 0.000 | -79.830 | 0.000 | -0.000 |
| -0.000 | -0.000 | 0.000 | 0.000 | -79.830 | 0.000 |
| -0.000 | 0.000 | -0.000 | 0.000 | 0.000 | -79.830 |
| 23.579 | 12.639 | 12.639 | -0.000 | 0.000 | 0.000 |
| 12.639 | 23.579 | 12.639 | -0.000 | -0.000 | 0.000 |
| 12.639 | 12.639 | 23.579 | -0.000 | -0.000 | 0.000 |
| -0.000 | 0.000 | -0.000 | 11.801 | -0.000 | 0.000 |
| 0.000 | 0.000 | -0.000 | -0.000 | 11.801 | 0.000 |
| -0.000 | -0.000 | 0.000 | -0.000 | -0.000 | 11.801 |
| 23.579 | 12.639 | 12.639 | 0.000 | 0.000 | 0.000 |
| 12.639 | 23.579 | 12.639 | 0.000 | -0.000 | -0.000 |
| 12.639 | 12.639 | 23.579 | -0.000 | 0.000 | -0.000 |
| 0.000 | -0.000 | 0.000 | 11.801 | 0.000 | 0.000 |
| -0.000 | 0.000 | -0.000 | 0.000 | 11.801 | 0.000 |
| -0.000 | -0.000 | 0.000 | 0.000 | -0.000 | 11.801 |
| 23.579 | 12.639 | 12.639 | -0.000 | -0.000 | 0.000 |
| 12.639 | 23.579 | 12.639 | -0.000 | 0.000 | 0.000 |
| 12.639 | 12.639 | 23.579 | -0.000 | -0.000 | 0.000 |
| -0.000 | 0.000 | 0.000 | 11.801 | 0.000 | 0.000 |
| 0.000 | -0.000 | 0.000 | 0.000 | 11.801 | 0.000 |
| 0.000 | 0.000 | -0.000 | 0.000 | 0.000 | 11.801 |
| 23.579 | 12.639 | 12.639 | 0.000 | -0.000 | -0.000 |
| 12.639 | 23.579 | 12.639 | 0.000 | 0.000 | -0.000 |
| 12.639 | 12.639 | 23.579 | 0.000 | -0.000 | -0.000 |
| 0.000 | -0.000 | -0.000 | 11.801 | -0.000 | -0.000 |
| -0.000 | 0.000 | -0.000 | 0.000 | 11.801 | -0.000 |
| -0.000 | -0.000 | 0.000 | -0.000 | 0.000 | 11.801 |
| 23.579 | 12.639 | 12.639 | 0.000 | -0.000 | 0.000 |
| 12.639 | 23.579 | 12.639 | 0.000 | 0.000 | 0.000 |
| 12.639 | 12.639 | 23.579 | 0.000 | 0.000 | 0.000 |
| -0.000 | 0.000 | 0.000 | 11.801 | 0.000 | 0.000 |
| 0.000 | -0.000 | 0.000 | 0.000 | 11.801 | 0.000 |
| 0.000 | 0.000 | -0.000 | -0.000 | -0.000 | 11.801 |
| 23.578 | 12.639 | 12.639 | -0.000 | 0.000 | 0.000 |
| 12.639 | 23.578 | 12.639 | -0.000 | -0.000 | 0.000 |
| 12.639 | 12.639 | 23.578 | -0.000 | 0.000 | -0.000 |
| 0.000 | -0.000 | -0.000 | 11.801 | -0.000 | -0.000 |
| -0.000 | 0.000 | -0.000 | 0.000 | 11.801 | -0.000 |
| -0.000 | -0.000 | 0.000 | 0.000 | -0.000 | 11.801 |
| 201.865 | 90.769 | 90.769 | 0.000 | 0.000 | 0.000 |
| 90.769 | 201.865 | 90.769 | 0.000 | 0.000 | -0.000 |
| 90.769 | 90.769 | 201.865 | 0.000 | -0.000 | -0.000 |
| -0.000 | 0.000 | -0.000 | 90.505 | 0.000 | -0.000 |
| 0.000 | -0.000 | -0.000 | 0.000 | 90.505 | -0.000 |
| -0.000 | -0.000 | 0.000 | 0.000 | 0.000 | 90.505 |
| 201.865 | 90.769 | 90.769 | -0.000 | -0.000 | 0.000 |
| 90.769 | 201.865 | 90.769 | -0.000 | -0.000 | 0.000 |
| 90.769 | 90.769 | 201.865 | -0.000 | 0.000 | 0.000 |
| -0.000 | 0.000 | -0.000 | 90.505 | -0.000 | 0.000 |
| 0.000 | 0.000 | -0.000 | -0.000 | 90.505 | 0.000 |
| 0.000 | 0.000 | -0.000 | -0.000 | -0.000 | 90.505 |
| 201.865 | 90.769 | 90.769 | 0.000 | -0.000 | -0.000 |
| 90.769 | 201.865 | 90.769 | 0.000 | 0.000 | -0.000 |
| 90.769 | 90.769 | 201.865 | 0.000 | 0.000 | -0.000 |
| 0.000 | 0.000 | 0.000 | 90.505 | 0.000 | 0.000 |
| 0.000 | 0.000 | 0.000 | 0.000 | 90.505 | -0.000 |
| 0.000 | 0.000 | 0.000 | 0.000 | 0.000 | 90.505 |
| 201.864 | 90.769 | 90.769 | -0.000 | -0.000 | -0.000 |
| 90.769 | 201.864 | 90.769 | -0.000 | 0.000 | -0.000 |
| 90.769 | 90.769 | 201.864 | -0.000 | -0.000 | -0.000 |
| -0.000 | -0.000 | -0.000 | 90.505 | -0.000 | 0.000 |
| -0.000 | -0.000 | -0.000 | -0.000 | 90.505 | -0.000 |
| -0.000 | -0.000 | -0.000 | -0.000 | -0.000 | 90.505 |
| 201.868 | 90.770 | 90.770 | 0.000 | 0.000 | 0.000 |
| 90.770 | 201.868 | 90.770 | 0.000 | 0.000 | -0.000 |
| 90.770 | 90.770 | 201.868 | 0.000 | 0.000 | -0.000 |
| 0.001 | 0.001 | 0.000 | -135.570 | 0.000 | 0.000 |
| 0.001 | 0.001 | 0.000 | 0.000 | -135.570 | 0.000 |
| 0.001 | 0.000 | 0.001 | 0.000 | -0.000 | -135.570 |
| 201.861 | 90.769 | 90.769 | -0.000 | -0.000 | -0.000 |
| 90.769 | 201.861 | 90.769 | -0.000 | -0.000 | 0.000 |
| 90.769 | 90.769 | 201.861 | -0.000 | 0.000 | 0.000 |
| -0.001 | -0.001 | -0.000 | -135.570 | -0.000 | 0.000 |
| -0.001 | -0.001 | -0.000 | -0.000 | -135.570 | 0.000 |
| -0.001 | -0.000 | -0.001 | -0.000 | -0.000 | -135.570 |
| 5.174 | 59.730 | 59.730 | 0.000 | -0.000 | -0.000 |
| 59.730 | 5.174 | 59.730 | -0.000 | -0.000 | -0.000 |
| 59.730 | 59.730 | 5.174 | -0.000 | -0.000 | -0.000 |
| -0.000 | 0.000 | 0.000 | -7.725 | 0.000 | -0.000 |
| -0.000 | 0.000 | 0.000 | 0.000 | -7.725 | -0.000 |
| -0.000 | 0.000 | 0.000 | 0.000 | -0.000 | -7.725 |
| 5.174 | 59.730 | 59.730 | -0.000 | -0.000 | 0.000 |
| 59.730 | 5.174 | 59.730 | 0.000 | 0.000 | 0.000 |
| 59.730 | 59.730 | 5.174 | 0.000 | 0.000 | 0.000 |
| 0.000 | -0.000 | -0.000 | -7.725 | -0.000 | 0.000 |
| 0.000 | -0.000 | -0.000 | -0.000 | -7.725 | 0.000 |
| 0.000 | -0.000 | -0.000 | -0.000 | 0.000 | -7.725 |
| 5.174 | 59.730 | 59.730 | 0.000 | -0.000 | -0.000 |
| 59.730 | 5.174 | 59.730 | 0.000 | 0.000 | -0.000 |
| 59.730 | 59.730 | 5.174 | -0.000 | 0.000 | -0.000 |
| 0.000 | -0.000 | 0.000 | -7.725 | -0.000 | -0.000 |
| -0.000 | 0.000 | 0.000 | 0.000 | -7.725 | -0.000 |
| -0.000 | -0.000 | 0.000 | 0.000 | 0.000 | -7.725 |
| 5.174 | 59.730 | 59.730 | -0.000 | 0.000 | 0.000 |
| 59.730 | 5.174 | 59.730 | -0.000 | 0.000 | 0.000 |
| 59.730 | 59.730 | 5.174 | -0.000 | -0.000 | 0.000 |
| -0.000 | 0.000 | -0.000 | -7.725 | 0.000 | 0.000 |
| 0.000 | -0.000 | -0.000 | -0.000 | -7.725 | 0.000 |
| 0.000 | 0.000 | -0.000 | -0.000 | 0.000 | -7.725 |
| 5.174 | 59.730 | 59.730 | 0.000 | -0.000 | -0.000 |
| 59.730 | 5.174 | 59.730 | 0.000 | -0.000 | -0.000 |
| 59.730 | 59.730 | 5.174 | 0.000 | 0.000 | -0.000 |
| 0.000 | -0.000 | -0.000 | -7.725 | -0.000 | -0.000 |
| -0.000 | 0.000 | -0.000 | 0.000 | -7.725 | -0.000 |
| -0.000 | -0.000 | 0.000 | 0.000 | 0.000 | -7.725 |
| 5.174 | 59.730 | 59.730 | -0.000 | 0.000 | 0.000 |
| 59.730 | 5.174 | 59.730 | -0.000 | 0.000 | 0.000 |
| 59.730 | 59.730 | 5.174 | -0.000 | 0.000 | 0.000 |
| -0.000 | 0.000 | 0.000 | -7.725 | 0.000 | -0.000 |
| 0.000 | -0.000 | 0.000 | -0.000 | -7.725 | 0.000 |
| 0.000 | 0.000 | -0.000 | -0.000 | -0.000 | -7.725 |
| 12.133 | 4.501 | 4.501 | 0.000 | 0.000 | -0.000 |
| 4.501 | 12.133 | 4.501 | 0.000 | 0.000 | -0.000 |
| 4.501 | 4.501 | 12.133 | -0.000 | -0.000 | -0.000 |
| 0.000 | -0.000 | -0.000 | -32.631 | 0.000 | -0.000 |
| -0.000 | 0.000 | -0.000 | -0.000 | -32.631 | -0.000 |
| -0.000 | -0.000 | 0.000 | -0.000 | -0.000 | -32.631 |
| 12.133 | 4.501 | 4.501 | 0.000 | -0.000 | 0.000 |
| 4.501 | 12.133 | 4.501 | -0.000 | 0.000 | 0.000 |
| 4.501 | 4.501 | 12.133 | 0.000 | 0.000 | 0.000 |
| -0.000 | 0.000 | 0.000 | -32.631 | 0.000 | 0.000 |
| 0.000 | -0.000 | 0.000 | 0.000 | -32.631 | 0.000 |
| 0.000 | 0.000 | -0.000 | -0.000 | 0.000 | -32.631 |
| 12.133 | 4.501 | 4.501 | 0.000 | -0.000 | 0.000 |
| 4.501 | 12.133 | 4.501 | -0.000 | 0.000 | -0.000 |
| 4.501 | 4.501 | 12.133 | 0.000 | 0.000 | -0.000 |
| 0.000 | -0.000 | -0.000 | -32.631 | 0.000 | -0.000 |
| -0.000 | 0.000 | -0.000 | 0.000 | -32.631 | -0.000 |
| -0.000 | -0.000 | 0.000 | 0.000 | 0.000 | -32.631 |
| 12.133 | 4.501 | 4.501 | -0.000 | 0.000 | 0.000 |
| 4.501 | 12.133 | 4.501 | 0.000 | -0.000 | 0.000 |
| 4.501 | 4.501 | 12.133 | 0.000 | 0.000 | 0.000 |
| -0.000 | 0.000 | 0.000 | -32.631 | -0.000 | 0.000 |
| 0.000 | -0.000 | 0.000 | 0.000 | -32.631 | 0.000 |
| 0.000 | 0.000 | -0.000 | -0.000 | -0.000 | -32.631 |
| 12.133 | 4.501 | 4.501 | 0.000 | 0.000 | -0.000 |
| 4.501 | 12.133 | 4.501 | -0.000 | -0.000 | -0.000 |
| 4.501 | 4.501 | 12.133 | -0.000 | -0.000 | -0.000 |
| 0.000 | -0.000 | -0.000 | -32.631 | 0.000 | -0.000 |
| -0.000 | 0.000 | -0.000 | 0.000 | -32.631 | -0.000 |
| -0.000 | -0.000 | 0.000 | -0.000 | 0.000 | -32.631 |
| 12.133 | 4.501 | 4.501 | 0.000 | 0.000 | 0.000 |
| 4.501 | 12.133 | 4.501 | 0.000 | 0.000 | 0.000 |
| 4.501 | 4.501 | 12.133 | 0.000 | 0.000 | 0.000 |
| -0.000 | 0.000 | 0.000 | -32.631 | 0.000 | 0.000 |
| 0.000 | -0.000 | 0.000 | 0.000 | -32.631 | 0.000 |
| 0.000 | 0.000 | -0.000 | 0.000 | -0.000 | -32.631 |
| 513.669 | 45.958 | 45.958 | -0.000 | -0.000 | -0.000 |
| 45.958 | 513.669 | 45.958 | -0.000 | -0.000 | -0.000 |
| 45.958 | 45.958 | 513.669 | -0.000 | -0.000 | -0.000 |
| 0.000 | 0.000 | 0.000 | 55.012 | -0.000 | -0.000 |
| 0.000 | 0.000 | 0.000 | -0.000 | 55.012 | -0.000 |
| 0.000 | 0.000 | 0.000 | -0.000 | -0.000 | 55.012 |
| 513.668 | 45.957 | 45.957 | 0.000 | 0.000 | 0.000 |
| 45.957 | 513.668 | 45.957 | 0.000 | 0.000 | 0.000 |
| 45.957 | 45.957 | 513.668 | 0.000 | 0.000 | 0.000 |
| -0.000 | -0.000 | -0.000 | 55.012 | 0.000 | 0.000 |
| -0.000 | -0.000 | -0.000 | 0.000 | 55.012 | 0.000 |
| -0.000 | -0.000 | -0.000 | 0.000 | 0.000 | 55.012 |
| 513.671 | 45.959 | 45.959 | -0.000 | -0.000 | -0.000 |
| 45.959 | 513.671 | 45.959 | -0.000 | -0.000 | -0.000 |
| 45.959 | 45.959 | 513.671 | -0.000 | -0.000 | -0.000 |
| 0.002 | 0.002 | 0.002 | 55.012 | -0.000 | -0.000 |
| 0.002 | 0.002 | 0.002 | -0.000 | 55.012 | -0.000 |
| 0.002 | 0.002 | 0.002 | -0.000 | -0.000 | 55.012 |
| 513.666 | 45.956 | 45.956 | 0.000 | 0.000 | 0.000 |
| 45.956 | 513.666 | 45.956 | 0.000 | 0.000 | 0.000 |
| 45.956 | 45.956 | 513.666 | 0.000 | 0.000 | 0.000 |
| -0.002 | -0.002 | -0.002 | 55.012 | 0.000 | 0.000 |
| -0.002 | -0.002 | -0.002 | 0.000 | 55.012 | 0.000 |
| -0.002 | -0.002 | -0.002 | 0.000 | 0.000 | 55.012 |
| 513.694 | 45.977 | 45.977 | -0.000 | -0.000 | -0.000 |
| 45.977 | 513.694 | 45.977 | 0.000 | -0.000 | -0.000 |
| 45.977 | 45.977 | 513.694 | -0.000 | -0.000 | -0.000 |
| 0.019 | 0.019 | 0.019 | 55.012 | -0.000 | -0.000 |
| 0.019 | 0.019 | 0.019 | -0.000 | 55.012 | -0.000 |
| 0.019 | 0.019 | 0.019 | -0.000 | -0.000 | 55.012 |
| 513.642 | 45.938 | 45.938 | 0.000 | 0.000 | 0.000 |
| 45.938 | 513.642 | 45.938 | 0.000 | 0.000 | 0.000 |
| 45.938 | 45.938 | 513.642 | 0.000 | 0.000 | 0.000 |
| -0.019 | -0.019 | -0.019 | 55.012 | 0.000 | 0.000 |
| -0.019 | -0.019 | -0.019 | 0.000 | 55.012 | 0.000 |
| -0.019 | -0.019 | -0.019 | 0.000 | 0.000 | 55.012 |
| 540.903 | -20.211 | -20.211 | -0.000 | 0.000 | -0.000 |
| -20.211 | 540.903 | -20.211 | 0.000 | 0.000 | 0.000 |
| -20.211 | -20.211 | 540.903 | -0.000 | 0.000 | 0.000 |
| -0.000 | 0.000 | -0.000 | -5.288 | 0.000 | -0.000 |
| 0.000 | 0.000 | -0.000 | -0.000 | -5.288 | -0.000 |
| 0.000 | -0.000 | 0.000 | 0.000 | 0.000 | -5.288 |
| 540.903 | -20.211 | -20.211 | -0.000 | -0.000 | -0.000 |
| -20.211 | 540.903 | -20.211 | -0.000 | -0.000 | -0.000 |
| -20.211 | -20.211 | 540.903 | -0.000 | -0.000 | 0.000 |
| 0.000 | -0.000 | -0.000 | -5.288 | -0.000 | -0.000 |
| -0.000 | 0.000 | 0.000 | 0.000 | -5.288 | -0.000 |
| -0.000 | 0.000 | -0.000 | -0.000 | -0.000 | -5.288 |
| 540.903 | -20.211 | -20.211 | -0.000 | 0.000 | -0.000 |
| -20.211 | 540.903 | -20.211 | 0.000 | 0.000 | -0.000 |
| -20.211 | -20.211 | 540.903 | -0.000 | 0.000 | -0.000 |
| 0.000 | 0.000 | 0.000 | -5.288 | -0.000 | 0.000 |
| 0.000 | 0.000 | 0.000 | -0.000 | -5.288 | -0.000 |
| 0.000 | 0.000 | 0.000 | -0.000 | 0.000 | -5.288 |
| 540.903 | -20.211 | -20.211 | -0.000 | -0.000 | 0.000 |
| -20.211 | 540.903 | -20.211 | -0.000 | -0.000 | -0.000 |
| -20.211 | -20.211 | 540.903 | -0.000 | -0.000 | -0.000 |
| -0.000 | -0.000 | -0.000 | -5.288 | -0.000 | 0.000 |
| -0.000 | -0.000 | -0.000 | -0.000 | -5.288 | -0.000 |
| -0.000 | -0.000 | -0.000 | 0.000 | -0.000 | -5.288 |
| 540.905 | -20.210 | -20.210 | 0.000 | 0.000 | 0.000 |
| -20.210 | 540.905 | -20.210 | 0.000 | 0.000 | -0.000 |
| -20.210 | -20.210 | 540.905 | -0.000 | -0.000 | 0.000 |
| 0.000 | 0.001 | 0.000 | -5.288 | 0.000 | -0.000 |
| 0.001 | 0.000 | 0.000 | -0.000 | -5.288 | -0.000 |
| 0.001 | 0.000 | 0.000 | 0.000 | 0.000 | -5.288 |
| 540.901 | -20.211 | -20.211 | 0.000 | -0.000 | -0.000 |
| -20.211 | 540.901 | -20.211 | 0.000 | -0.000 | -0.000 |
| -20.211 | -20.211 | 540.901 | -0.000 | -0.000 | 0.000 |
| -0.000 | -0.001 | -0.000 | -5.288 | -0.000 | -0.000 |
| -0.001 | -0.000 | -0.000 | 0.000 | -5.288 | 0.000 |
| -0.001 | -0.000 | -0.000 | -0.000 | -0.000 | -5.288 |
| 186.230 | 181.494 | 181.494 | 0.000 | 0.000 | 0.000 |
| 181.494 | 186.230 | 181.494 | 0.000 | 0.000 | 0.000 |
| 181.494 | 181.494 | 186.230 | 0.000 | 0.000 | 0.000 |
| -0.000 | -0.000 | -0.000 | 25.762 | 0.000 | 0.000 |
| -0.000 | -0.000 | -0.000 | 0.000 | 25.762 | 0.000 |
| -0.000 | -0.000 | -0.000 | 0.000 | 0.000 | 25.762 |
| 186.230 | 181.494 | 181.494 | -0.000 | -0.000 | -0.000 |
| 181.494 | 186.230 | 181.494 | -0.000 | -0.000 | -0.000 |
| 181.494 | 181.494 | 186.230 | -0.000 | -0.000 | -0.000 |
| 0.000 | 0.000 | 0.000 | 25.762 | -0.000 | -0.000 |
| 0.000 | 0.000 | 0.000 | -0.000 | 25.762 | -0.000 |
| 0.000 | 0.000 | 0.000 | -0.000 | -0.000 | 25.762 |
| 186.230 | 181.494 | 181.494 | 0.000 | 0.000 | 0.000 |
| 181.494 | 186.230 | 181.494 | 0.000 | 0.000 | 0.000 |
| 181.494 | 181.494 | 186.230 | 0.000 | 0.000 | 0.000 |
| -0.000 | -0.000 | -0.000 | 25.762 | 0.000 | 0.000 |
| -0.000 | -0.000 | -0.000 | 0.000 | 25.762 | 0.000 |
| -0.000 | -0.000 | -0.000 | 0.000 | 0.000 | 25.762 |
| 186.230 | 181.494 | 181.494 | -0.000 | -0.000 | -0.000 |
| 181.494 | 186.230 | 181.494 | -0.000 | -0.000 | -0.000 |
| 181.494 | 181.494 | 186.230 | -0.000 | -0.000 | -0.000 |
| 0.000 | 0.000 | 0.000 | 25.762 | -0.000 | -0.000 |
| 0.000 | 0.000 | 0.000 | -0.000 | 25.762 | -0.000 |
| 0.000 | 0.000 | 0.000 | -0.000 | -0.000 | 25.762 |
| 186.231 | 181.495 | 181.495 | 0.000 | 0.000 | 0.000 |
| 181.495 | 186.231 | 181.495 | 0.000 | 0.000 | 0.000 |
| 181.495 | 181.495 | 186.231 | 0.000 | 0.000 | 0.000 |
| -0.000 | -0.000 | -0.000 | 25.762 | 0.000 | 0.000 |
| -0.000 | -0.000 | -0.000 | 0.000 | 25.762 | 0.000 |
| -0.000 | -0.000 | -0.000 | 0.000 | 0.000 | 25.762 |
| 186.230 | 181.493 | 181.493 | -0.000 | -0.000 | -0.000 |
| 181.493 | 186.230 | 181.493 | -0.000 | -0.000 | -0.000 |
| 181.493 | 181.493 | 186.230 | -0.000 | -0.000 | -0.000 |
| 0.000 | 0.000 | 0.000 | 25.762 | -0.000 | -0.000 |
| 0.000 | 0.000 | 0.000 | -0.000 | 25.762 | -0.000 |
| 0.000 | 0.000 | 0.000 | -0.000 | -0.000 | 25.762 |
| 20.678 | -4.343 | 0.001 | 0.000 | -0.000 | -0.000 |
| -4.343 | 20.678 | 0.001 | -0.000 | 0.000 | -0.000 |
| 0.001 | 0.001 | -0.373 | -0.000 | -0.000 | 0.000 |
| -0.000 | -0.000 | -0.000 | -0.048 | -0.000 | -0.000 |
| -0.000 | 0.000 | -0.000 | -0.000 | -0.048 | -0.000 |
| 0.000 | -0.000 | -0.000 | -0.000 | -0.000 | -4.386 |
| 20.678 | -4.343 | 0.001 | 0.000 | 0.000 | -0.000 |
| -4.343 | 20.678 | 0.001 | 0.000 | 0.000 | -0.000 |
| 0.001 | 0.001 | -0.373 | 0.000 | 0.000 | -0.000 |
| -0.000 | -0.000 | 0.000 | -0.048 | 0.000 | 0.000 |
| -0.000 | -0.000 | 0.000 | 0.000 | -0.048 | -0.000 |
| -0.000 | 0.000 | 0.000 | 0.000 | 0.000 | -4.386 |
| 20.678 | -4.343 | 0.001 | -0.000 | -0.000 | 0.000 |
| -4.343 | 20.678 | 0.001 | -0.000 | -0.000 | -0.000 |
| 0.001 | 0.001 | -0.373 | -0.000 | -0.000 | -0.000 |
| -0.000 | -0.000 | -0.000 | -0.048 | -0.000 | -0.000 |
| 0.000 | -0.000 | -0.000 | -0.000 | -0.048 | -0.000 |
| 0.000 | -0.000 | -0.000 | -0.000 | -0.000 | -4.386 |
| 20.678 | -4.343 | 0.001 | 0.000 | 0.000 | 0.000 |
| -4.343 | 20.678 | 0.001 | 0.000 | 0.000 | -0.000 |
| 0.001 | 0.001 | -0.373 | 0.000 | 0.000 | 0.000 |
| 0.000 | -0.000 | 0.000 | -0.048 | 0.000 | 0.000 |
| 0.000 | -0.000 | 0.000 | 0.000 | -0.048 | -0.000 |
| -0.000 | 0.000 | 0.000 | -0.000 | 0.000 | -4.386 |
| 20.678 | -4.343 | 0.001 | -0.000 | -0.000 | 0.000 |
| -4.343 | 20.678 | 0.001 | -0.000 | -0.000 | -0.000 |
| 0.001 | 0.001 | -0.373 | 0.000 | 0.000 | 0.000 |
| -0.000 | 0.000 | -0.000 | -0.048 | -0.000 | -0.000 |
| 0.000 | -0.000 | -0.000 | -0.000 | -0.048 | 0.000 |
| 0.000 | -0.000 | -0.000 | -0.000 | 0.000 | -4.386 |
| 20.678 | -4.343 | 0.001 | 0.000 | 0.000 | -0.000 |
| -4.343 | 20.678 | 0.001 | 0.000 | 0.000 | -0.000 |
| 0.001 | 0.001 | -0.373 | 0.000 | 0.000 | 0.000 |
| 0.000 | -0.000 | 0.000 | -0.048 | 0.000 | -0.000 |
| -0.000 | 0.000 | 0.000 | 0.000 | -0.048 | -0.000 |
| -0.000 | 0.000 | 0.000 | 0.000 | 0.000 | -4.386 |
| 192.038 | 194.025 | 166.487 | 0.000 | 0.000 | -0.000 |
| 174.410 | 202.627 | 175.620 | 0.000 | -0.000 | -0.000 |
| 166.460 | 166.460 | 208.960 | 0.000 | 0.000 | -0.000 |
| -0.000 | -0.000 | 0.000 | 62.313 | 0.000 | 0.000 |
| -0.000 | -0.000 | 0.000 | 0.000 | 10.350 | -0.000 |
| -0.000 | -0.000 | 0.000 | -0.000 | 0.000 | 10.456 |
| 203.518 | 184.644 | 164.363 | 0.000 | -0.000 | 0.000 |
| 121.601 | 369.887 | 59.809 | 0.000 | -0.000 | -0.000 |
| 59.782 | 59.782 | 424.851 | -0.000 | 0.000 | -0.000 |
| 0.000 | 0.000 | -0.000 | 62.313 | -0.000 | -0.000 |
| 0.000 | 0.000 | -0.000 | 0.000 | 10.350 | 0.000 |
| 0.000 | 0.000 | -0.000 | -0.000 | -0.000 | 10.456 |
| 203.519 | 184.644 | 164.363 | -0.000 | 0.000 | -0.000 |
| 184.614 | 203.598 | 164.313 | 0.000 | 0.000 | -0.000 |
| 166.464 | 166.463 | 208.954 | -0.000 | 0.000 | -0.000 |
| 0.000 | -0.000 | 0.000 | 10.350 | 0.000 | -0.000 |
| -0.000 | 0.000 | 0.000 | 0.000 | 10.350 | -0.000 |
| 0.000 | 0.000 | 0.000 | 0.000 | 0.000 | 124.143 |
| 202.627 | 174.410 | 175.620 | -0.000 | 0.000 | -0.000 |
| 121.601 | 369.887 | 59.809 | -0.000 | -0.000 | -0.000 |
| 166.457 | 166.457 | 208.968 | -0.000 | -0.000 | -0.000 |
| -0.000 | 0.000 | -0.000 | 10.350 | -0.000 | 0.000 |
| 0.000 | -0.000 | -0.000 | -0.000 | 10.350 | 0.000 |
| -0.000 | -0.000 | -0.000 | -0.000 | -0.000 | 124.143 |
| 203.521 | 184.644 | 164.362 | -0.000 | 0.000 | -0.000 |
| 184.659 | 203.484 | 164.385 | -0.000 | 0.000 | -0.000 |
| 166.461 | 166.461 | 208.961 | -0.000 | 0.000 | -0.000 |
| 0.000 | -0.000 | 0.000 | 10.350 | 0.000 | -0.000 |
| -0.000 | 0.000 | 0.000 | 0.000 | 10.350 | -0.000 |
| -0.001 | 0.000 | 0.000 | -0.000 | 0.000 | 10.456 |
| 203.515 | 184.644 | 164.363 | -0.000 | -0.000 | 0.000 |
| 184.630 | 203.552 | 164.341 | 0.000 | -0.000 | 0.000 |
| 166.426 | 166.426 | 209.027 | 0.000 | -0.000 | 0.000 |
| -0.000 | 0.000 | -0.000 | 10.350 | -0.000 | 0.000 |
| 0.000 | -0.000 | -0.000 | -0.000 | 10.350 | 0.000 |
| 0.001 | -0.000 | -0.000 | 0.000 | -0.000 | 10.456 |
| 429.298 | 303.604 | 303.604 | -0.000 | -0.000 | -0.000 |
| 303.604 | 429.298 | 303.604 | -0.000 | -0.000 | -0.000 |
| 303.604 | 303.604 | 429.298 | -0.000 | -0.000 | -0.000 |
| -0.000 | -0.000 | -0.000 | 76.627 | 0.000 | 0.000 |
| -0.000 | -0.000 | -0.000 | -0.000 | 76.627 | -0.000 |
| -0.000 | -0.000 | -0.000 | -0.000 | -0.000 | 76.627 |
| 429.298 | 303.604 | 303.604 | -0.000 | -0.000 | 0.000 |
| 303.604 | 429.298 | 303.604 | 0.000 | 0.000 | 0.000 |
| 303.604 | 303.604 | 429.298 | 0.000 | 0.000 | 0.000 |
| 0.000 | 0.000 | 0.000 | 76.627 | -0.000 | 0.000 |
| 0.000 | -0.000 | 0.000 | 0.000 | 76.627 | 0.000 |
| 0.000 | 0.000 | 0.000 | 0.000 | 0.000 | 76.627 |
| 429.298 | 303.604 | 303.604 | -0.000 | -0.000 | -0.000 |
| 303.604 | 429.298 | 303.604 | -0.000 | -0.000 | -0.000 |
| 303.604 | 303.604 | 429.298 | -0.000 | -0.000 | -0.000 |
| 0.000 | -0.000 | -0.000 | 76.627 | -0.000 | 0.000 |
| -0.000 | 0.000 | -0.000 | -0.000 | 76.627 | 0.000 |
| -0.000 | -0.000 | 0.000 | -0.000 | -0.000 | 76.627 |
| 429.298 | 303.604 | 303.604 | 0.000 | 0.000 | -0.000 |
| 303.604 | 429.298 | 303.604 | 0.000 | -0.000 | 0.000 |
| 303.604 | 303.604 | 429.298 | 0.000 | 0.000 | 0.000 |
| -0.000 | 0.000 | 0.000 | 76.627 | 0.000 | -0.000 |
| 0.000 | -0.000 | 0.000 | 0.000 | 76.627 | 0.000 |
| 0.000 | 0.000 | -0.000 | 0.000 | 0.000 | 76.627 |
| 429.299 | 303.606 | 303.606 | -0.000 | -0.000 | -0.000 |
| 303.606 | 429.299 | 303.606 | -0.000 | 0.000 | -0.000 |
| 303.606 | 303.606 | 429.299 | -0.000 | -0.000 | 0.000 |
| 0.000 | -0.000 | -0.000 | 76.627 | -0.000 | -0.000 |
| -0.000 | 0.000 | -0.000 | -0.000 | 76.627 | 0.000 |
| -0.000 | -0.000 | 0.000 | -0.000 | -0.000 | 76.627 |
| 429.296 | 303.602 | 303.602 | 0.000 | 0.000 | 0.000 |
| 303.602 | 429.296 | 303.602 | 0.000 | 0.000 | -0.000 |
| 303.602 | 303.602 | 429.296 | 0.000 | 0.000 | 0.000 |
| -0.000 | 0.000 | 0.000 | 76.627 | -0.000 | -0.000 |
| 0.000 | -0.000 | 0.000 | 0.000 | 76.627 | 0.000 |
| 0.000 | 0.000 | -0.000 | 0.000 | 0.000 | 76.627 |
| 235.052 | 197.709 | 197.709 | -0.000 | -0.000 | -0.000 |
| 197.709 | 235.052 | 197.709 | -0.000 | -0.000 | -0.000 |
| 197.709 | 197.709 | 235.052 | -0.000 | -0.000 | -0.000 |
| 0.000 | 0.000 | -0.000 | 198.535 | -0.000 | -0.000 |
| 0.000 | 0.000 | -0.000 | -0.000 | 198.535 | -0.000 |
| 0.000 | 0.000 | -0.000 | -0.000 | -0.000 | 198.535 |
| 235.052 | 197.709 | 197.709 | 0.000 | 0.000 | 0.000 |
| 197.709 | 235.052 | 197.709 | 0.000 | 0.000 | 0.000 |
| 197.709 | 197.709 | 235.052 | 0.000 | 0.000 | 0.000 |
| -0.000 | -0.000 | 0.000 | 198.535 | 0.000 | 0.000 |
| -0.000 | -0.000 | 0.000 | 0.000 | 198.535 | 0.000 |
| -0.000 | -0.000 | 0.000 | 0.000 | 0.000 | 198.535 |
| 235.052 | 197.709 | 197.709 | -0.000 | -0.000 | -0.000 |
| 197.710 | 235.052 | 197.709 | -0.000 | -0.000 | -0.000 |
| 197.710 | 197.709 | 235.052 | -0.000 | -0.000 | -0.000 |
| 0.000 | 0.000 | 0.000 | 201.569 | -0.000 | -0.000 |
| 0.000 | 0.000 | 0.000 | -0.000 | 201.569 | -0.000 |
| 0.000 | 0.000 | 0.000 | -0.000 | -0.000 | 201.569 |
| 235.051 | 197.709 | 197.709 | 0.000 | 0.000 | 0.000 |
| 197.709 | 235.051 | 197.709 | 0.000 | 0.000 | 0.000 |
| 197.709 | 197.709 | 235.051 | 0.000 | 0.000 | 0.000 |
| -0.000 | -0.000 | -0.000 | 201.569 | 0.000 | 0.000 |
| -0.000 | -0.000 | -0.000 | 0.000 | 201.569 | 0.000 |
| -0.000 | -0.000 | -0.000 | 0.000 | 0.000 | 201.569 |
| 235.052 | 197.710 | 197.710 | -0.000 | -0.000 | -0.000 |
| 197.710 | 235.052 | 197.710 | -0.000 | -0.000 | -0.000 |
| 197.710 | 197.710 | 235.052 | -0.000 | -0.000 | -0.000 |
| 0.001 | 0.000 | 0.001 | 201.569 | -0.000 | -0.000 |
| 0.000 | 0.001 | 0.001 | -0.000 | 201.569 | -0.000 |
| 0.000 | 0.001 | 0.001 | -0.000 | -0.000 | 201.569 |
| 235.051 | 197.708 | 197.708 | 0.000 | 0.000 | 0.000 |
| 197.708 | 235.051 | 197.708 | 0.000 | 0.000 | 0.000 |
| 197.708 | 197.708 | 235.051 | 0.000 | 0.000 | 0.000 |
| -0.001 | -0.000 | -0.001 | 201.569 | 0.000 | 0.000 |
| -0.000 | -0.001 | -0.001 | 0.000 | 201.569 | 0.000 |
| -0.000 | -0.001 | -0.001 | 0.000 | 0.000 | 201.569 |
| 28.299 | 50.469 | 50.469 | -0.000 | -0.000 | 0.000 |
| 50.469 | 28.299 | 50.469 | -0.000 | -0.000 | 0.000 |
| 50.469 | 50.469 | 28.299 | -0.000 | -0.000 | 0.000 |
| 0.000 | 0.000 | -0.000 | 50.259 | -0.000 | -0.000 |
| 0.000 | 0.000 | -0.000 | -0.000 | 50.259 | 0.000 |
| 0.000 | 0.000 | -0.000 | -0.000 | -0.000 | 50.259 |
| 28.299 | 50.469 | 50.469 | 0.000 | 0.000 | -0.000 |
| 50.469 | 28.299 | 50.469 | 0.000 | 0.000 | -0.000 |
| 50.469 | 50.469 | 28.299 | 0.000 | 0.000 | -0.000 |
| -0.000 | -0.000 | 0.000 | 50.259 | 0.000 | -0.000 |
| -0.000 | -0.000 | 0.000 | 0.000 | 50.259 | -0.000 |
| -0.000 | -0.000 | 0.000 | 0.000 | 0.000 | 50.259 |
| 28.299 | 50.469 | 50.469 | -0.000 | -0.000 | 0.000 |
| 50.469 | 28.299 | 50.469 | -0.000 | -0.000 | 0.000 |
| 50.469 | 50.469 | 28.299 | -0.000 | -0.000 | 0.000 |
| 0.000 | -0.000 | 0.000 | 50.259 | -0.000 | 0.000 |
| -0.000 | 0.000 | 0.000 | -0.000 | 50.259 | 0.000 |
| -0.000 | 0.000 | 0.000 | -0.000 | -0.000 | 50.259 |
| 28.299 | 50.469 | 50.469 | 0.000 | 0.000 | -0.000 |
| 50.469 | 28.299 | 50.469 | 0.000 | 0.000 | -0.000 |
| 50.469 | 50.469 | 28.299 | 0.000 | 0.000 | -0.000 |
| -0.000 | -0.000 | -0.000 | 50.259 | 0.000 | -0.000 |
| 0.000 | -0.000 | -0.000 | 0.000 | 50.259 | -0.000 |
| 0.000 | -0.000 | -0.000 | 0.000 | 0.000 | 50.259 |
| 28.300 | 50.469 | 50.469 | -0.000 | -0.000 | 0.000 |
| 50.469 | 28.300 | 50.469 | -0.000 | 0.000 | 0.000 |
| 50.469 | 50.469 | 28.300 | -0.000 | 0.000 | 0.000 |
| -0.000 | 0.000 | -0.000 | -199.900 | -0.000 | 0.000 |
| 0.000 | -0.000 | -0.000 | -0.000 | -199.900 | 0.000 |
| 0.000 | -0.000 | -0.000 | -0.000 | -0.000 | -199.900 |
| 28.299 | 50.469 | 50.469 | 0.000 | 0.000 | -0.000 |
| 50.469 | 28.299 | 50.469 | 0.000 | 0.000 | -0.000 |
| 50.469 | 50.469 | 28.299 | 0.000 | 0.000 | -0.000 |
| 0.000 | -0.000 | 0.000 | -199.900 | 0.000 | -0.000 |
| -0.000 | 0.000 | 0.000 | 0.000 | -199.900 | -0.000 |
| -0.000 | 0.000 | 0.000 | 0.000 | 0.000 | -199.900 |
| 740.642 | 174.477 | 174.477 | -0.000 | 0.000 | -0.000 |
| 174.477 | 740.642 | 174.477 | 0.000 | -0.000 | 0.000 |
| 174.477 | 174.477 | 740.642 | -0.000 | -0.000 | -0.000 |
| -0.000 | 0.000 | 0.000 | 191.611 | -0.000 | 0.000 |
| -0.000 | 0.000 | 0.000 | 0.000 | 191.611 | 0.000 |
| -0.000 | 0.000 | 0.000 | -0.000 | -0.000 | 191.611 |
| 752.613 | 168.492 | 168.492 | 0.000 | -0.000 | 0.000 |
| 168.492 | 752.613 | 168.492 | 0.000 | 0.000 | -0.000 |
| 168.492 | 168.492 | 752.613 | 0.000 | 0.000 | -0.000 |
| 0.000 | -0.000 | -0.000 | 191.611 | -0.000 | -0.000 |
| 0.000 | -0.000 | -0.000 | 0.000 | 191.611 | -0.000 |
| 0.000 | -0.000 | -0.000 | -0.000 | 0.000 | 191.611 |
| 740.643 | 174.477 | 174.477 | 0.000 | 0.000 | -0.000 |
| 174.477 | 740.643 | 174.477 | 0.000 | -0.000 | 0.000 |
| 174.477 | 174.477 | 740.643 | 0.000 | 0.000 | -0.000 |
| 0.000 | 0.000 | 0.000 | 158.769 | -0.000 | 0.000 |
| 0.000 | 0.000 | 0.000 | -0.000 | 158.769 | 0.000 |
| 0.000 | 0.000 | 0.000 | -0.000 | -0.000 | 158.769 |
| 740.642 | 174.477 | 174.477 | 0.000 | 0.000 | 0.000 |
| 174.477 | 740.642 | 174.477 | 0.000 | -0.000 | -0.000 |
| 174.477 | 174.477 | 740.642 | -0.000 | 0.000 | -0.000 |
| -0.000 | -0.000 | -0.000 | 158.769 | -0.000 | -0.000 |
| -0.000 | -0.000 | -0.000 | -0.000 | 158.769 | -0.000 |
| -0.000 | -0.000 | -0.000 | 0.000 | -0.000 | 158.769 |
| 740.648 | 174.478 | 174.478 | -0.000 | -0.000 | 0.000 |
| 174.478 | 740.648 | 174.478 | -0.000 | 0.000 | 0.000 |
| 174.478 | 174.478 | 740.648 | 0.000 | -0.000 | 0.000 |
| 0.000 | 0.000 | 0.000 | 158.769 | -0.000 | 0.000 |
| 0.000 | 0.000 | 0.000 | 0.000 | 158.769 | 0.000 |
| 0.000 | 0.000 | 0.000 | -0.000 | -0.000 | 158.769 |
| 740.636 | 174.476 | 174.476 | -0.000 | 0.000 | -0.000 |
| 174.476 | 740.636 | 174.476 | -0.000 | 0.000 | -0.000 |
| 174.476 | 174.476 | 740.636 | 0.000 | 0.000 | -0.000 |
| -0.000 | -0.000 | -0.000 | 158.769 | 0.000 | 0.000 |
| -0.000 | -0.000 | -0.000 | -0.000 | 158.769 | -0.000 |
| -0.000 | -0.000 | -0.000 | 0.000 | -0.000 | 158.769 |
| 285.217 | 358.692 | 358.692 | -0.000 | 0.000 | 0.000 |
| 358.692 | 285.217 | 358.692 | -0.000 | 0.000 | 0.000 |
| 358.692 | 358.692 | 285.217 | 0.000 | 0.000 | 0.000 |
| 0.000 | 0.000 | 0.000 | 322.640 | 0.000 | 0.000 |
| -0.000 | 0.000 | -0.000 | -0.000 | 322.640 | 0.000 |
| -0.000 | 0.000 | 0.000 | -0.000 | 0.000 | 322.640 |
| 285.217 | 358.692 | 358.692 | 0.000 | -0.000 | -0.000 |
| 358.692 | 285.217 | 358.692 | 0.000 | 0.000 | -0.000 |
| 358.692 | 358.692 | 285.217 | 0.000 | -0.000 | -0.000 |
| 0.000 | -0.000 | -0.000 | 322.640 | -0.000 | -0.000 |
| 0.000 | -0.000 | -0.000 | 0.000 | 322.640 | -0.000 |
| 0.000 | -0.000 | -0.000 | 0.000 | -0.000 | 322.640 |
| 285.218 | 358.692 | 358.692 | -0.000 | -0.000 | 0.000 |
| 358.692 | 285.218 | 358.692 | -0.000 | 0.000 | 0.000 |
| 358.692 | 358.692 | 285.218 | -0.000 | 0.000 | 0.000 |
| 0.000 | 0.000 | 0.000 | 322.640 | 0.000 | 0.000 |
| 0.000 | 0.000 | 0.000 | -0.000 | 322.640 | 0.000 |
| 0.000 | 0.000 | 0.000 | -0.000 | 0.000 | 322.640 |
| 285.217 | 358.692 | 358.692 | 0.000 | -0.000 | -0.000 |
| 358.692 | 285.217 | 358.692 | 0.000 | -0.000 | -0.000 |
| 358.692 | 358.692 | 285.217 | 0.000 | -0.000 | -0.000 |
| -0.000 | -0.000 | -0.000 | 322.640 | -0.000 | -0.000 |
| -0.000 | -0.000 | -0.000 | 0.000 | 322.640 | -0.000 |
| -0.000 | -0.000 | -0.000 | 0.000 | -0.000 | 322.640 |
| 285.219 | 358.694 | 358.694 | -0.000 | 0.000 | 0.000 |
| 358.694 | 285.219 | 358.694 | -0.000 | 0.000 | 0.000 |
| 358.694 | 358.694 | 285.219 | -0.000 | 0.000 | 0.000 |
| 0.001 | 0.000 | 0.001 | 322.640 | 0.000 | 0.000 |
| 0.000 | 0.001 | 0.001 | -0.000 | 322.640 | 0.000 |
| 0.000 | 0.001 | 0.001 | -0.000 | 0.000 | 322.640 |
| 285.216 | 358.690 | 358.690 | 0.000 | -0.000 | -0.000 |
| 358.690 | 285.216 | 358.690 | 0.000 | -0.000 | -0.000 |
| 358.690 | 358.690 | 285.216 | 0.000 | -0.000 | -0.000 |
| -0.001 | -0.000 | -0.001 | 322.640 | -0.000 | -0.000 |
| -0.000 | -0.001 | -0.001 | 0.000 | 322.640 | -0.000 |
| -0.000 | -0.001 | -0.001 | 0.000 | -0.000 | 322.640 |
| 583.827 | 200.150 | 200.150 | 0.000 | 0.000 | 0.000 |
| 200.150 | 583.827 | 200.150 | 0.000 | 0.000 | 0.000 |
| 200.150 | 200.150 | 583.827 | 0.000 | -0.000 | -0.000 |
| 0.000 | -0.000 | 0.000 | 221.877 | 0.000 | -0.000 |
| 0.000 | -0.000 | 0.000 | 0.000 | 221.877 | -0.000 |
| 0.000 | 0.000 | 0.000 | 0.000 | -0.000 | 221.877 |
| 583.827 | 200.150 | 200.150 | -0.000 | 0.000 | -0.000 |
| 200.150 | 583.827 | 200.150 | -0.000 | -0.000 | -0.000 |
| 200.150 | 200.150 | 583.827 | -0.000 | -0.000 | 0.000 |
| -0.000 | -0.000 | -0.000 | 221.877 | -0.000 | 0.000 |
| -0.000 | 0.000 | -0.000 | -0.000 | 221.877 | -0.000 |
| -0.000 | 0.000 | -0.000 | 0.000 | 0.000 | 221.877 |
| 583.827 | 200.150 | 200.150 | 0.000 | 0.000 | -0.000 |
| 200.150 | 583.827 | 200.150 | 0.000 | 0.000 | -0.000 |
| 200.150 | 200.150 | 583.827 | 0.000 | 0.000 | 0.000 |
| -0.000 | 0.000 | 0.000 | 221.877 | 0.000 | -0.000 |
| 0.000 | -0.000 | 0.000 | 0.000 | 221.877 | -0.000 |
| 0.000 | 0.000 | -0.000 | -0.000 | 0.000 | 221.877 |
| 583.826 | 200.150 | 200.150 | 0.000 | -0.000 | 0.000 |
| 200.150 | 583.826 | 200.150 | -0.000 | -0.000 | 0.000 |
| 200.150 | 200.150 | 583.826 | -0.000 | -0.000 | 0.000 |
| 0.000 | -0.000 | -0.000 | 221.877 | 0.000 | -0.000 |
| -0.000 | 0.000 | -0.000 | 0.000 | 221.877 | 0.000 |
| -0.000 | -0.000 | 0.000 | 0.000 | 0.000 | 221.877 |
| 583.830 | 200.152 | 200.152 | 0.000 | 0.000 | 0.000 |
| 200.152 | 583.830 | 200.152 | 0.000 | -0.000 | 0.000 |
| 200.152 | 200.152 | 583.830 | -0.000 | -0.000 | -0.000 |
| -0.000 | 0.001 | 0.001 | 221.877 | -0.000 | -0.000 |
| 0.001 | -0.000 | 0.001 | 0.000 | 221.877 | 0.000 |
| 0.001 | 0.001 | -0.000 | 0.000 | -0.000 | 221.877 |
| 583.823 | 200.149 | 200.149 | -0.000 | -0.000 | 0.000 |
| 200.149 | 583.823 | 200.149 | -0.000 | -0.000 | -0.000 |
| 200.149 | 200.149 | 583.823 | -0.000 | 0.000 | -0.000 |
| 0.000 | -0.001 | -0.001 | 221.877 | 0.000 | 0.000 |
| -0.001 | 0.000 | -0.001 | -0.000 | 221.877 | 0.000 |
| -0.001 | -0.001 | 0.000 | -0.000 | -0.000 | 221.877 |
| 51.675 | 60.361 | 60.361 | -0.000 | -0.000 | -0.000 |
| 60.361 | 51.675 | 60.361 | -0.000 | -0.000 | -0.000 |
| 60.361 | 60.361 | 51.675 | -0.000 | -0.000 | -0.000 |
| -0.000 | -0.000 | -0.000 | 32.817 | 0.000 | -0.000 |
| 0.000 | -0.000 | -0.000 | -0.000 | 32.817 | -0.000 |
| 0.000 | -0.000 | -0.000 | -0.000 | -0.000 | 32.817 |
| 51.675 | 60.361 | 60.361 | 0.000 | 0.000 | 0.000 |
| 60.361 | 51.675 | 60.361 | -0.000 | 0.000 | 0.000 |
| 60.361 | 60.361 | 51.675 | -0.000 | 0.000 | 0.000 |
| 0.000 | 0.000 | -0.000 | 32.817 | -0.000 | 0.000 |
| 0.000 | 0.000 | -0.000 | -0.000 | 32.817 | 0.000 |
| 0.000 | 0.000 | -0.000 | -0.000 | 0.000 | 32.817 |
| 51.675 | 60.361 | 60.361 | -0.000 | 0.000 | -0.000 |
| 60.361 | 51.675 | 60.361 | 0.000 | -0.000 | -0.000 |
| 60.361 | 60.361 | 51.675 | 0.000 | 0.000 | -0.000 |
| 0.000 | -0.000 | 0.000 | 32.817 | -0.000 | -0.000 |
| -0.000 | 0.000 | 0.000 | -0.000 | 32.817 | -0.000 |
| -0.000 | 0.000 | 0.000 | -0.000 | -0.000 | 32.817 |
| 51.675 | 60.361 | 60.361 | 0.000 | -0.000 | 0.000 |
| 60.361 | 51.675 | 60.361 | 0.000 | 0.000 | 0.000 |
| 60.361 | 60.361 | 51.675 | -0.000 | 0.000 | 0.000 |
| -0.000 | 0.000 | -0.000 | 32.817 | 0.000 | 0.000 |
| 0.000 | -0.000 | -0.000 | 0.000 | 32.817 | 0.000 |
| 0.000 | -0.000 | -0.000 | 0.000 | 0.000 | 32.817 |
| 51.675 | 60.361 | 60.361 | -0.000 | -0.000 | -0.000 |
| 60.361 | 51.675 | 60.361 | -0.000 | 0.000 | -0.000 |
| 60.361 | 60.361 | 51.675 | -0.000 | -0.000 | -0.000 |
| 0.000 | -0.000 | 0.000 | 32.817 | -0.000 | -0.000 |
| -0.000 | 0.000 | 0.000 | -0.000 | 32.817 | -0.000 |
| -0.000 | 0.000 | 0.000 | -0.000 | -0.000 | 32.817 |
| 51.675 | 60.361 | 60.361 | 0.000 | 0.000 | 0.000 |
| 60.361 | 51.675 | 60.361 | 0.000 | 0.000 | -0.000 |
| 60.361 | 60.361 | 51.675 | -0.000 | 0.000 | 0.000 |
| -0.000 | 0.000 | -0.000 | 32.817 | 0.000 | 0.000 |
| 0.000 | -0.000 | -0.000 | 0.000 | 32.817 | 0.000 |
| 0.000 | -0.000 | -0.000 | 0.000 | 0.000 | 32.817 |
| 85.728 | 22.805 | 22.805 | 0.000 | 0.000 | 0.000 |
| 22.805 | 85.728 | 22.805 | -0.000 | 0.000 | 0.000 |
| 22.805 | 22.805 | 85.728 | 0.000 | 0.000 | 0.000 |
| 0.000 | 0.000 | 0.000 | 15.359 | -0.000 | 0.000 |
| -0.000 | -0.000 | -0.000 | -0.000 | 15.359 | 0.000 |
| -0.000 | 0.000 | -0.000 | -0.000 | 0.000 | 15.359 |
| 85.728 | 22.805 | 22.805 | 0.000 | -0.000 | -0.000 |
| 22.805 | 85.728 | 22.805 | 0.000 | -0.000 | -0.000 |
| 22.805 | 22.805 | 85.728 | -0.000 | -0.000 | -0.000 |
| 0.000 | -0.000 | 0.000 | 15.359 | 0.000 | -0.000 |
| 0.000 | 0.000 | 0.000 | 0.000 | 15.359 | -0.000 |
| 0.000 | -0.000 | 0.000 | -0.000 | -0.000 | 15.359 |
| 85.728 | 22.805 | 22.805 | -0.000 | -0.000 | 0.000 |
| 22.805 | 85.728 | 22.805 | -0.000 | 0.000 | 0.000 |
| 22.805 | 22.805 | 85.728 | 0.000 | 0.000 | 0.000 |
| 0.000 | 0.000 | 0.000 | 15.359 | -0.000 | 0.000 |
| 0.000 | 0.000 | 0.000 | -0.000 | 15.359 | 0.000 |
| 0.000 | 0.000 | 0.000 | -0.000 | 0.000 | 15.359 |
| 85.728 | 22.805 | 22.805 | 0.000 | -0.000 | -0.000 |
| 22.805 | 85.728 | 22.805 | 0.000 | -0.000 | -0.000 |
| 22.805 | 22.805 | 85.728 | -0.000 | -0.000 | -0.000 |
| -0.000 | -0.000 | -0.000 | 15.359 | -0.000 | -0.000 |
| -0.000 | -0.000 | -0.000 | 0.000 | 15.359 | -0.000 |
| -0.000 | -0.000 | -0.000 | 0.000 | -0.000 | 15.359 |
| 85.728 | 22.805 | 22.805 | 0.000 | 0.000 | 0.000 |
| 22.805 | 85.728 | 22.805 | -0.000 | 0.000 | 0.000 |
| 22.805 | 22.805 | 85.728 | 0.000 | 0.000 | 0.000 |
| 0.000 | 0.000 | 0.000 | 15.359 | 0.000 | 0.000 |
| 0.000 | 0.000 | 0.000 | -0.000 | 15.359 | 0.000 |
| 0.000 | 0.000 | 0.000 | 0.000 | 0.000 | 15.359 |
| 85.727 | 22.805 | 22.805 | 0.000 | 0.000 | -0.000 |
| 22.805 | 85.727 | 22.805 | 0.000 | -0.000 | -0.000 |
| 22.805 | 22.805 | 85.727 | 0.000 | -0.000 | -0.000 |
| -0.000 | -0.000 | -0.000 | 15.359 | -0.000 | 0.000 |
| -0.000 | -0.000 | -0.000 | 0.000 | 15.359 | -0.000 |
| -0.000 | -0.000 | -0.000 | -0.000 | -0.000 | 15.359 |
| 116.375 | 52.280 | 52.280 | -0.000 | 0.000 | 0.000 |
| 52.280 | 116.375 | 52.280 | -0.000 | 0.000 | 0.000 |
| 52.280 | 52.280 | 116.375 | -0.000 | -0.000 | 0.000 |
| 0.000 | -0.000 | 0.000 | 45.364 | -0.000 | 0.000 |
| 0.000 | -0.000 | 0.000 | -0.000 | 45.364 | 0.000 |
| 0.000 | -0.000 | 0.000 | 0.000 | -0.000 | 45.364 |
| 116.375 | 52.280 | 52.280 | 0.000 | 0.000 | -0.000 |
| 52.280 | 116.375 | 52.280 | 0.000 | 0.000 | -0.000 |
| 52.280 | 52.280 | 116.375 | 0.000 | -0.000 | -0.000 |
| -0.000 | 0.000 | -0.000 | 45.364 | -0.000 | -0.000 |
| -0.000 | 0.000 | 0.000 | 0.000 | 45.364 | -0.000 |
| -0.000 | 0.000 | -0.000 | 0.000 | 0.000 | 45.364 |
| 116.375 | 52.280 | 52.280 | -0.000 | -0.000 | 0.000 |
| 52.280 | 116.375 | 52.280 | -0.000 | 0.000 | 0.000 |
| 52.280 | 52.280 | 116.375 | -0.000 | 0.000 | 0.000 |
| -0.000 | 0.000 | 0.000 | 45.364 | -0.000 | 0.000 |
| 0.000 | -0.000 | 0.000 | -0.000 | 45.364 | 0.000 |
| 0.000 | 0.000 | -0.000 | -0.000 | -0.000 | 45.364 |
| 116.375 | 52.280 | 52.280 | 0.000 | -0.000 | -0.000 |
| 52.280 | 116.375 | 52.280 | 0.000 | -0.000 | -0.000 |
| 52.280 | 52.280 | 116.375 | 0.000 | 0.000 | -0.000 |
| 0.000 | -0.000 | -0.000 | 45.364 | -0.000 | -0.000 |
| -0.000 | 0.000 | -0.000 | 0.000 | 45.364 | -0.000 |
| -0.000 | -0.000 | 0.000 | -0.000 | 0.000 | 45.364 |
| 116.376 | 52.280 | 52.280 | -0.000 | -0.000 | 0.000 |
| 52.280 | 116.376 | 52.280 | -0.000 | -0.000 | 0.000 |
| 52.280 | 52.280 | 116.376 | -0.000 | -0.000 | 0.000 |
| -0.000 | 0.000 | 0.000 | 45.364 | -0.000 | 0.000 |
| 0.000 | -0.000 | 0.000 | -0.000 | 45.364 | 0.000 |
| 0.000 | 0.000 | -0.000 | -0.000 | -0.000 | 45.364 |
| 116.375 | 52.280 | 52.280 | 0.000 | 0.000 | -0.000 |
| 52.280 | 116.375 | 52.280 | 0.000 | -0.000 | -0.000 |
| 52.280 | 52.280 | 116.375 | 0.000 | -0.000 | -0.000 |
| 0.000 | -0.000 | -0.000 | 45.364 | 0.000 | -0.000 |
| -0.000 | 0.000 | -0.000 | 0.000 | 45.364 | -0.000 |
| -0.000 | -0.000 | 0.000 | 0.000 | 0.000 | 45.364 |
| 223.546 | 161.703 | 161.703 | -0.000 | -0.000 | -0.000 |
| 161.703 | 223.546 | 161.703 | -0.000 | 0.000 | -0.000 |
| 161.703 | 161.703 | 223.546 | -0.000 | -0.000 | -0.000 |
| 0.001 | 0.001 | 0.001 | 154.939 | -0.000 | -0.000 |
| 0.001 | 0.001 | 0.001 | 0.000 | 154.939 | -0.000 |
| 0.001 | 0.001 | 0.001 | -0.000 | -0.000 | 154.939 |
| 223.544 | 161.701 | 161.701 | 0.000 | 0.000 | 0.000 |
| 161.701 | 223.544 | 161.701 | 0.000 | -0.000 | 0.000 |
| 161.701 | 161.701 | 223.544 | 0.000 | 0.000 | 0.000 |
| -0.001 | -0.001 | -0.001 | 154.939 | 0.000 | 0.000 |
| -0.001 | -0.001 | -0.001 | -0.000 | 154.939 | 0.000 |
| -0.001 | -0.001 | -0.001 | 0.000 | 0.000 | 154.939 |
| 223.555 | 161.712 | 161.712 | -0.000 | -0.000 | -0.000 |
| 161.712 | 223.555 | 161.712 | -0.000 | -0.000 | -0.000 |
| 161.712 | 161.712 | 223.555 | -0.000 | -0.000 | -0.000 |
| 0.010 | 0.010 | 0.010 | 154.939 | 0.000 | -0.000 |
| 0.010 | 0.010 | 0.010 | 0.000 | 154.939 | -0.000 |
| 0.010 | 0.010 | 0.010 | -0.000 | -0.000 | 154.939 |
| 223.535 | 161.693 | 161.693 | 0.000 | 0.000 | 0.000 |
| 161.693 | 223.535 | 161.693 | 0.000 | 0.000 | 0.000 |
| 161.693 | 161.693 | 223.535 | 0.000 | 0.000 | 0.000 |
| -0.010 | -0.010 | -0.010 | 154.939 | -0.000 | 0.000 |
| -0.010 | -0.010 | -0.010 | 0.000 | 154.939 | 0.000 |
| -0.010 | -0.010 | -0.010 | 0.000 | 0.000 | 154.939 |
| 223.642 | 161.799 | 161.799 | 0.000 | 0.000 | -0.000 |
| 161.799 | 223.642 | 161.799 | -0.000 | 0.000 | -0.000 |
| 161.799 | 161.799 | 223.642 | -0.000 | 0.000 | -0.000 |
| 0.096 | 0.096 | 0.096 | 154.939 | -0.000 | -0.000 |
| 0.096 | 0.096 | 0.096 | -0.000 | 154.939 | -0.000 |
| 0.096 | 0.096 | 0.096 | -0.000 | 0.000 | 154.939 |
| 223.449 | 161.606 | 161.606 | 0.000 | 0.000 | 0.000 |
| 161.606 | 223.449 | 161.606 | 0.000 | 0.000 | 0.000 |
| 161.606 | 161.606 | 223.449 | 0.000 | -0.000 | 0.000 |
| -0.096 | -0.096 | -0.096 | 154.939 | 0.000 | 0.000 |
| -0.096 | -0.096 | -0.096 | 0.000 | 154.939 | 0.000 |
| -0.096 | -0.096 | -0.096 | 0.000 | 0.000 | 154.939 |
| 253.784 | 2.168 | 2.168 | 0.000 | -0.000 | -0.000 |
| 2.168 | 253.784 | 2.168 | -0.000 | 0.000 | -0.000 |
| 2.168 | 2.168 | 253.784 | -0.000 | -0.000 | -0.000 |
| -0.000 | 0.000 | -0.000 | -4.856 | -0.000 | 0.000 |
| -0.000 | 0.000 | -0.000 | -0.000 | -4.856 | 0.000 |
| -0.000 | 0.000 | -0.000 | -0.000 | -0.000 | -4.856 |
| 253.784 | 2.168 | 2.168 | 0.000 | 0.000 | -0.000 |
| 2.168 | 253.784 | 2.168 | 0.000 | 0.000 | 0.000 |
| 2.168 | 2.168 | 253.784 | 0.000 | 0.000 | 0.000 |
| 0.000 | -0.000 | 0.000 | -4.856 | 0.000 | -0.000 |
| 0.000 | -0.000 | 0.000 | 0.000 | -4.856 | -0.000 |
| 0.000 | -0.000 | 0.000 | 0.000 | 0.000 | -4.856 |
| 253.784 | 2.168 | 2.168 | 0.000 | -0.000 | 0.000 |
| 2.168 | 253.784 | 2.168 | -0.000 | -0.000 | 0.000 |
| 2.168 | 2.168 | 253.784 | -0.000 | -0.000 | 0.000 |
| -0.000 | 0.000 | -0.000 | -4.856 | 0.000 | 0.000 |
| 0.000 | 0.000 | -0.000 | -0.000 | -4.856 | 0.000 |
| 0.000 | -0.000 | -0.000 | -0.000 | -0.000 | -4.856 |
| 253.784 | 2.168 | 2.168 | 0.000 | 0.000 | 0.000 |
| 2.168 | 253.784 | 2.168 | 0.000 | 0.000 | 0.000 |
| 2.168 | 2.168 | 253.784 | -0.000 | 0.000 | -0.000 |
| 0.000 | -0.000 | 0.000 | -4.856 | -0.000 | 0.000 |
| -0.000 | -0.000 | 0.000 | -0.000 | -4.856 | 0.000 |
| -0.000 | 0.000 | 0.000 | 0.000 | 0.000 | -4.856 |
| 253.785 | 2.168 | 2.168 | -0.000 | -0.000 | 0.000 |
| 2.168 | 253.785 | 2.168 | -0.000 | -0.000 | -0.000 |
| 2.168 | 2.168 | 253.785 | 0.000 | -0.000 | -0.000 |
| 0.000 | 0.000 | -0.000 | -4.856 | -0.000 | -0.000 |
| 0.000 | 0.000 | -0.000 | -0.000 | -4.856 | -0.000 |
| 0.000 | -0.000 | 0.000 | -0.000 | -0.000 | -4.856 |
| 253.783 | 2.168 | 2.168 | 0.000 | 0.000 | -0.000 |
| 2.168 | 253.783 | 2.168 | -0.000 | 0.000 | -0.000 |
| 2.168 | 2.168 | 253.783 | -0.000 | -0.000 | 0.000 |
| -0.000 | -0.000 | 0.000 | -4.856 | 0.000 | 0.000 |
| -0.000 | -0.000 | 0.000 | 0.000 | -4.856 | 0.000 |
| -0.000 | 0.000 | -0.000 | 0.000 | 0.000 | -4.856 |
| 58.159 | 50.973 | 50.973 | -0.000 | -0.000 | -0.000 |
| 50.973 | 58.159 | 50.973 | -0.000 | -0.000 | -0.000 |
| 50.973 | 50.973 | 58.159 | -0.000 | -0.000 | -0.000 |
| -0.000 | 0.000 | 0.000 | 23.083 | -0.000 | -0.000 |
| 0.000 | -0.000 | 0.000 | -0.000 | 23.083 | -0.000 |
| -0.000 | 0.000 | -0.000 | -0.000 | -0.000 | 23.083 |
| 58.159 | 50.973 | 50.973 | 0.000 | 0.000 | 0.000 |
| 50.973 | 58.159 | 50.973 | 0.000 | 0.000 | 0.000 |
| 50.973 | 50.973 | 58.159 | 0.000 | 0.000 | 0.000 |
| 0.000 | -0.000 | -0.000 | 23.083 | 0.000 | 0.000 |
| -0.000 | -0.000 | -0.000 | 0.000 | 23.083 | 0.000 |
| -0.000 | -0.000 | -0.000 | 0.000 | 0.000 | 23.083 |
| 58.159 | 50.973 | 50.973 | -0.000 | -0.000 | -0.000 |
| 50.973 | 58.159 | 50.973 | -0.000 | -0.000 | -0.000 |
| 50.973 | 50.973 | 58.159 | -0.000 | -0.000 | -0.000 |
| -0.000 | -0.000 | 0.000 | 23.083 | -0.000 | -0.000 |
| -0.000 | -0.000 | 0.000 | -0.000 | 23.083 | -0.000 |
| -0.000 | 0.000 | -0.000 | -0.000 | -0.000 | 23.083 |
| 58.159 | 50.973 | 50.973 | -0.000 | 0.000 | 0.000 |
| 50.973 | 58.159 | 50.973 | 0.000 | -0.000 | 0.000 |
| 50.973 | 50.973 | 58.159 | 0.000 | 0.000 | -0.000 |
| 0.000 | 0.000 | -0.000 | 23.083 | 0.000 | 0.000 |
| 0.000 | 0.000 | -0.000 | 0.000 | 23.083 | 0.000 |
| 0.000 | -0.000 | 0.000 | 0.000 | 0.000 | 23.083 |
| 58.159 | 50.973 | 50.973 | -0.000 | -0.000 | -0.000 |
| 50.973 | 58.159 | 50.973 | -0.000 | -0.000 | -0.000 |
| 50.973 | 50.973 | 58.159 | -0.000 | -0.000 | -0.000 |
| -0.000 | -0.000 | 0.000 | 23.083 | -0.000 | -0.000 |
| -0.000 | -0.000 | 0.000 | 0.000 | 23.083 | -0.000 |
| -0.000 | 0.000 | -0.000 | -0.000 | -0.000 | 23.083 |
| 58.159 | 50.972 | 50.972 | 0.000 | 0.000 | 0.000 |
| 50.972 | 58.159 | 50.972 | 0.000 | 0.000 | 0.000 |
| 50.972 | 50.972 | 58.159 | 0.000 | 0.000 | 0.000 |
| 0.000 | 0.000 | -0.000 | 23.083 | 0.000 | 0.000 |
| 0.000 | 0.000 | -0.000 | 0.000 | 23.083 | 0.000 |
| 0.000 | -0.000 | 0.000 | 0.000 | 0.000 | 23.083 |
| 161.465 | 37.040 | 37.040 | 0.000 | 0.000 | -0.000 |
| 37.040 | 161.465 | 37.040 | 0.000 | 0.000 | -0.000 |
| 37.040 | 37.040 | 161.465 | 0.000 | 0.000 | -0.000 |
| -0.000 | -0.000 | 0.000 | 25.111 | 0.000 | 0.000 |
| -0.000 | -0.000 | 0.000 | 0.000 | 25.111 | -0.000 |
| -0.000 | -0.000 | 0.000 | 0.000 | 0.000 | 25.111 |
| 161.465 | 37.040 | 37.040 | -0.000 | -0.000 | 0.000 |
| 37.040 | 161.465 | 37.040 | -0.000 | -0.000 | 0.000 |
| 37.040 | 37.040 | 161.465 | 0.000 | -0.000 | 0.000 |
| 0.000 | 0.000 | -0.000 | 25.111 | -0.000 | 0.000 |
| 0.000 | 0.000 | -0.000 | -0.000 | 25.111 | 0.000 |
| 0.000 | 0.000 | -0.000 | -0.000 | -0.000 | 25.111 |
| 161.465 | 37.040 | 37.040 | 0.000 | 0.000 | -0.000 |
| 37.040 | 161.465 | 37.040 | 0.000 | 0.000 | -0.000 |
| 37.040 | 37.040 | 161.465 | -0.000 | 0.000 | 0.000 |
| 0.000 | 0.000 | 0.000 | 25.111 | 0.000 | -0.000 |
| 0.000 | 0.000 | 0.000 | 0.000 | 25.111 | -0.000 |
| 0.000 | 0.000 | 0.000 | 0.000 | -0.000 | 25.111 |
| 161.465 | 37.040 | 37.040 | -0.000 | -0.000 | 0.000 |
| 37.040 | 161.465 | 37.040 | -0.000 | -0.000 | 0.000 |
| 37.040 | 37.040 | 161.465 | 0.000 | -0.000 | 0.000 |
| -0.000 | -0.000 | -0.000 | 25.111 | -0.000 | 0.000 |
| -0.000 | -0.000 | -0.000 | -0.000 | 25.111 | 0.000 |
| -0.000 | -0.000 | -0.000 | -0.000 | 0.000 | 25.111 |
| 161.466 | 37.040 | 37.040 | 0.000 | 0.000 | -0.000 |
| 37.040 | 161.466 | 37.040 | 0.000 | 0.000 | -0.000 |
| 37.040 | 37.040 | 161.466 | 0.000 | 0.000 | -0.000 |
| 0.000 | 0.000 | 0.000 | 25.111 | 0.000 | -0.000 |
| 0.000 | 0.000 | 0.000 | 0.000 | 25.111 | -0.000 |
| 0.000 | 0.000 | 0.000 | -0.000 | 0.000 | 25.111 |
| 161.465 | 37.039 | 37.039 | -0.000 | -0.000 | 0.000 |
| 37.039 | 161.465 | 37.039 | -0.000 | -0.000 | -0.000 |
| 37.039 | 37.039 | 161.465 | 0.000 | -0.000 | -0.000 |
| -0.000 | -0.000 | -0.000 | 25.111 | -0.000 | -0.000 |
| -0.000 | -0.000 | -0.000 | -0.000 | 25.111 | 0.000 |
| -0.000 | -0.000 | -0.000 | 0.000 | -0.000 | 25.111 |
| 7.878 | 47.663 | 47.663 | -0.000 | -0.000 | 0.000 |
| 47.663 | 7.878 | 47.663 | 0.000 | -0.000 | 0.000 |
| 47.663 | 47.663 | 7.878 | 0.000 | 0.000 | 0.000 |
| -0.000 | -0.000 | 0.000 | 46.123 | 0.000 | 0.000 |
| -0.000 | -0.000 | 0.000 | 0.000 | 46.123 | 0.000 |
| -0.000 | -0.000 | 0.000 | 0.000 | 0.000 | 46.123 |
| 7.878 | 47.663 | 47.663 | -0.000 | 0.000 | -0.000 |
| 47.663 | 7.878 | 47.663 | 0.000 | -0.000 | -0.000 |
| 47.663 | 47.663 | 7.878 | -0.000 | -0.000 | -0.000 |
| 0.000 | 0.000 | 0.000 | 46.123 | -0.000 | -0.000 |
| 0.000 | 0.000 | 0.000 | -0.000 | 46.123 | -0.000 |
| 0.000 | 0.000 | -0.000 | -0.000 | -0.000 | 46.123 |
| 7.878 | 47.663 | 47.663 | -0.000 | 0.000 | 0.000 |
| 47.663 | 7.878 | 47.663 | -0.000 | 0.000 | 0.000 |
| 47.663 | 47.663 | 7.878 | 0.000 | -0.000 | 0.000 |
| 0.000 | -0.000 | -0.000 | -22.706 | 0.000 | 0.000 |
| -0.000 | 0.000 | -0.000 | 0.000 | -22.706 | 0.000 |
| -0.000 | -0.000 | 0.000 | 0.000 | 0.000 | -22.706 |
| 7.878 | 47.663 | 47.663 | 0.000 | 0.000 | -0.000 |
| 47.663 | 7.878 | 47.663 | -0.000 | 0.000 | -0.000 |
| 47.663 | 47.663 | 7.878 | -0.000 | -0.000 | -0.000 |
| -0.000 | 0.000 | 0.000 | -22.706 | -0.000 | -0.000 |
| 0.000 | -0.000 | 0.000 | -0.000 | -22.706 | -0.000 |
| 0.000 | 0.000 | -0.000 | -0.000 | -0.000 | -22.706 |
| 7.879 | 47.663 | 47.663 | -0.000 | -0.000 | 0.000 |
| 47.663 | 7.879 | 47.663 | -0.000 | 0.000 | 0.000 |
| 47.663 | 47.663 | 7.879 | 0.000 | 0.000 | 0.000 |
| 0.000 | -0.000 | -0.000 | -22.706 | 0.000 | 0.000 |
| -0.000 | 0.000 | -0.000 | 0.000 | -22.706 | 0.000 |
| -0.000 | -0.000 | 0.000 | 0.000 | 0.000 | -22.706 |
| 7.878 | 47.663 | 47.663 | -0.000 | 0.000 | -0.000 |
| 47.663 | 7.878 | 47.663 | 0.000 | -0.000 | -0.000 |
| 47.663 | 47.663 | 7.878 | -0.000 | -0.000 | -0.000 |
| -0.000 | 0.000 | 0.000 | -22.706 | -0.000 | -0.000 |
| 0.000 | -0.000 | 0.000 | -0.000 | -22.706 | -0.000 |
| 0.000 | 0.000 | -0.000 | -0.000 | -0.000 | -22.706 |
| 110.352 | 27.937 | 27.937 | -0.000 | 0.000 | 0.000 |
| 27.937 | 110.352 | 27.937 | 0.000 | -0.000 | 0.000 |
| 27.937 | 27.937 | 110.352 | 0.000 | 0.000 | 0.000 |
| 0.000 | 0.000 | -0.000 | -16.793 | 0.000 | 0.000 |
| 0.000 | 0.000 | -0.000 | -0.000 | -16.793 | 0.000 |
| 0.000 | -0.000 | 0.000 | -0.000 | -0.000 | -16.793 |
| 110.352 | 27.937 | 27.937 | -0.000 | -0.000 | -0.000 |
| 27.937 | 110.352 | 27.937 | -0.000 | 0.000 | -0.000 |
| 27.937 | 27.937 | 110.352 | 0.000 | 0.000 | -0.000 |
| -0.000 | 0.000 | 0.000 | -16.793 | -0.000 | 0.000 |
| -0.000 | 0.000 | -0.000 | -0.000 | -16.793 | -0.000 |
| -0.000 | -0.000 | 0.000 | 0.000 | 0.000 | -16.793 |
| 110.352 | 27.937 | 27.937 | -0.000 | 0.000 | 0.000 |
| 27.937 | 110.352 | 27.937 | 0.000 | -0.000 | 0.000 |
| 27.937 | 27.937 | 110.352 | 0.000 | -0.000 | 0.000 |
| 0.000 | 0.000 | -0.000 | -16.793 | -0.000 | -0.000 |
| 0.000 | 0.000 | -0.000 | 0.000 | -16.793 | 0.000 |
| 0.000 | -0.000 | 0.000 | 0.000 | -0.000 | -16.793 |
| 110.352 | 27.937 | 27.937 | -0.000 | -0.000 | -0.000 |
| 27.937 | 110.352 | 27.937 | 0.000 | 0.000 | -0.000 |
| 27.937 | 27.937 | 110.352 | -0.000 | -0.000 | -0.000 |
| -0.000 | -0.000 | 0.000 | -16.793 | -0.000 | -0.000 |
| -0.000 | -0.000 | 0.000 | -0.000 | -16.793 | -0.000 |
| -0.000 | 0.000 | -0.000 | -0.000 | 0.000 | -16.793 |
| 110.353 | 27.937 | 27.937 | -0.000 | -0.000 | 0.000 |
| 27.937 | 110.353 | 27.937 | 0.000 | 0.000 | 0.000 |
| 27.937 | 27.937 | 110.353 | 0.000 | 0.000 | 0.000 |
| 0.000 | 0.000 | -0.000 | -16.793 | -0.000 | 0.000 |
| 0.000 | 0.000 | -0.000 | -0.000 | -16.793 | 0.000 |
| 0.000 | -0.000 | 0.000 | -0.000 | -0.000 | -16.793 |
| 110.352 | 27.937 | 27.937 | 0.000 | 0.000 | -0.000 |
| 27.937 | 110.352 | 27.937 | 0.000 | -0.000 | -0.000 |
| 27.937 | 27.937 | 110.352 | 0.000 | -0.000 | -0.000 |
| -0.000 | -0.000 | 0.000 | -16.793 | -0.000 | -0.000 |
| -0.000 | -0.000 | 0.000 | 0.000 | -16.793 | -0.000 |
| -0.000 | 0.000 | -0.000 | 0.000 | 0.000 | -16.793 |
| 86.985 | 64.900 | 64.900 | 0.000 | 0.000 | 0.000 |
| 64.900 | 86.985 | 64.900 | -0.000 | 0.000 | 0.000 |
| 64.900 | 64.900 | 86.985 | 0.000 | 0.000 | 0.000 |
| 0.000 | -0.000 | -0.000 | 22.763 | 0.000 | 0.000 |
| 0.000 | -0.000 | -0.000 | 0.000 | 22.763 | 0.000 |
| 0.000 | -0.000 | -0.000 | -0.000 | 0.000 | 22.763 |
| 86.985 | 64.900 | 64.900 | -0.000 | -0.000 | -0.000 |
| 64.900 | 86.985 | 64.900 | -0.000 | -0.000 | 0.000 |
| 64.900 | 64.900 | 86.985 | 0.000 | -0.000 | -0.000 |
| -0.000 | 0.000 | 0.000 | 22.763 | -0.000 | -0.000 |
| -0.000 | 0.000 | 0.000 | -0.000 | 22.763 | -0.000 |
| -0.000 | 0.000 | 0.000 | 0.000 | -0.000 | 22.763 |
| 86.985 | 64.900 | 64.900 | 0.000 | 0.000 | 0.000 |
| 64.900 | 86.985 | 64.900 | 0.000 | 0.000 | 0.000 |
| 64.900 | 64.900 | 86.985 | -0.000 | 0.000 | 0.000 |
| 0.000 | -0.000 | -0.000 | 22.763 | 0.000 | -0.000 |
| -0.000 | 0.000 | -0.000 | 0.000 | 22.763 | 0.000 |
| -0.000 | 0.000 | 0.000 | -0.000 | 0.000 | 22.763 |
| 86.985 | 64.900 | 64.900 | -0.000 | 0.000 | 0.000 |
| 64.900 | 86.985 | 64.900 | -0.000 | 0.000 | -0.000 |
| 64.900 | 64.900 | 86.985 | -0.000 | -0.000 | -0.000 |
| -0.000 | 0.000 | 0.000 | 22.763 | -0.000 | -0.000 |
| 0.000 | -0.000 | 0.000 | -0.000 | 22.763 | -0.000 |
| 0.000 | -0.000 | -0.000 | 0.000 | -0.000 | 22.763 |
| 86.986 | 64.900 | 64.900 | -0.000 | 0.000 | 0.000 |
| 64.900 | 86.986 | 64.900 | -0.000 | 0.000 | 0.000 |
| 64.900 | 64.900 | 86.986 | 0.000 | 0.000 | 0.000 |
| 0.000 | -0.000 | 0.000 | 22.763 | 0.000 | 0.000 |
| -0.000 | 0.000 | 0.000 | -0.000 | 22.763 | 0.000 |
| -0.000 | 0.000 | 0.000 | -0.000 | 0.000 | 22.763 |
| 86.985 | 64.900 | 64.900 | -0.000 | -0.000 | -0.000 |
| 64.900 | 86.985 | 64.900 | -0.000 | -0.000 | -0.000 |
| 64.900 | 64.900 | 86.985 | -0.000 | -0.000 | -0.000 |
| -0.000 | 0.000 | -0.000 | 22.763 | -0.000 | 0.000 |
| 0.000 | -0.000 | -0.000 | 0.000 | 22.763 | -0.000 |
| 0.000 | -0.000 | -0.000 | 0.000 | -0.000 | 22.763 |
| 93.187 | 34.419 | 34.419 | -0.000 | -0.000 | 0.000 |
| 34.419 | 93.187 | 34.419 | -0.000 | -0.000 | -0.000 |
| 34.419 | 34.419 | 93.187 | -0.000 | -0.000 | 0.000 |
| -0.000 | -0.000 | -0.000 | 31.333 | -0.000 | -0.000 |
| -0.000 | -0.000 | -0.000 | -0.000 | 31.333 | 0.000 |
| -0.000 | 0.000 | -0.000 | -0.000 | -0.000 | 31.333 |
| 93.187 | 34.419 | 34.419 | 0.000 | 0.000 | -0.000 |
| 34.419 | 93.187 | 34.419 | -0.000 | 0.000 | 0.000 |
| 34.419 | 34.419 | 93.187 | 0.000 | 0.000 | 0.000 |
| -0.000 | -0.000 | -0.000 | 31.333 | 0.000 | -0.000 |
| -0.000 | 0.000 | 0.000 | 0.000 | 31.333 | 0.000 |
| -0.000 | 0.000 | 0.000 | 0.000 | 0.000 | 31.333 |
| 93.187 | 34.419 | 34.419 | -0.000 | -0.000 | 0.000 |
| 34.419 | 93.187 | 34.419 | -0.000 | -0.000 | 0.000 |
| 34.419 | 34.419 | 93.187 | -0.000 | -0.000 | -0.000 |
| -0.000 | 0.000 | 0.000 | 31.333 | -0.000 | -0.000 |
| 0.000 | -0.000 | 0.000 | -0.000 | 31.333 | 0.000 |
| 0.000 | 0.000 | -0.000 | -0.000 | -0.000 | 31.333 |
| 93.187 | 34.419 | 34.419 | 0.000 | 0.000 | 0.000 |
| 34.419 | 93.187 | 34.419 | 0.000 | 0.000 | -0.000 |
| 34.419 | 34.419 | 93.187 | 0.000 | 0.000 | -0.000 |
| 0.000 | -0.000 | -0.000 | 31.333 | -0.000 | 0.000 |
| -0.000 | 0.000 | -0.000 | 0.000 | 31.333 | -0.000 |
| -0.000 | -0.000 | 0.000 | 0.000 | 0.000 | 31.333 |
| 93.187 | 34.419 | 34.419 | -0.000 | -0.000 | -0.000 |
| 34.419 | 93.187 | 34.419 | -0.000 | -0.000 | -0.000 |
| 34.419 | 34.419 | 93.187 | -0.000 | -0.000 | -0.000 |
| -0.000 | 0.000 | 0.000 | 31.333 | -0.000 | 0.000 |
| 0.000 | -0.000 | 0.000 | -0.000 | 31.333 | 0.000 |
| 0.000 | 0.000 | -0.000 | -0.000 | -0.000 | 31.333 |
| 93.186 | 34.419 | 34.419 | 0.000 | 0.000 | -0.000 |
| 34.419 | 93.186 | 34.419 | 0.000 | 0.000 | -0.000 |
| 34.419 | 34.419 | 93.186 | 0.000 | 0.000 | 0.000 |
| 0.000 | -0.000 | -0.000 | 31.333 | 0.000 | 0.000 |
| -0.000 | 0.000 | -0.000 | 0.000 | 31.333 | 0.000 |
| -0.000 | -0.000 | 0.000 | 0.000 | 0.000 | 31.333 |
| 61.361 | 23.714 | 23.714 | 0.000 | 0.000 | -0.000 |
| 23.714 | 61.361 | 23.714 | 0.000 | 0.000 | -0.000 |
| 23.714 | 23.714 | 61.361 | 0.000 | 0.000 | -0.000 |
| -0.000 | 0.000 | 0.000 | 22.642 | 0.000 | -0.000 |
| -0.000 | 0.000 | 0.000 | 0.000 | 22.642 | -0.000 |
| -0.000 | 0.000 | 0.000 | -0.000 | 0.000 | 22.642 |
| 61.361 | 23.714 | 23.714 | -0.000 | -0.000 | -0.000 |
| 23.714 | 61.361 | 23.714 | -0.000 | -0.000 | 0.000 |
| 23.714 | 23.714 | 61.361 | -0.000 | -0.000 | 0.000 |
| 0.000 | -0.000 | 0.000 | 22.642 | -0.000 | 0.000 |
| 0.000 | 0.000 | 0.000 | -0.000 | 22.642 | 0.000 |
| 0.000 | -0.000 | -0.000 | 0.000 | -0.000 | 22.642 |
| 61.361 | 23.714 | 23.714 | 0.000 | 0.000 | 0.000 |
| 23.714 | 61.361 | 23.714 | 0.000 | 0.000 | 0.000 |
| 23.714 | 23.714 | 61.361 | 0.000 | 0.000 | -0.000 |
| 0.000 | 0.000 | 0.000 | 22.642 | 0.000 | 0.000 |
| 0.000 | 0.000 | 0.000 | 0.000 | 22.642 | -0.000 |
| 0.000 | 0.000 | 0.000 | 0.000 | 0.000 | 22.642 |
| 61.361 | 23.714 | 23.714 | -0.000 | 0.000 | 0.000 |
| 23.714 | 61.361 | 23.714 | 0.000 | -0.000 | -0.000 |
| 23.714 | 23.714 | 61.361 | -0.000 | -0.000 | 0.000 |
| -0.000 | -0.000 | -0.000 | 22.642 | -0.000 | 0.000 |
| -0.000 | -0.000 | -0.000 | -0.000 | 22.642 | 0.000 |
| -0.000 | -0.000 | -0.000 | -0.000 | -0.000 | 22.642 |
| 61.362 | 23.714 | 23.714 | 0.000 | 0.000 | 0.000 |
| 23.714 | 61.362 | 23.714 | 0.000 | 0.000 | -0.000 |
| 23.714 | 23.714 | 61.362 | -0.000 | -0.000 | 0.000 |
| 0.000 | 0.000 | 0.000 | 8.155 | 0.000 | -0.000 |
| 0.000 | 0.000 | 0.000 | 0.000 | 8.155 | -0.000 |
| 0.000 | 0.000 | 0.000 | -0.000 | 0.000 | 8.155 |
| 61.361 | 23.714 | 23.714 | -0.000 | -0.000 | -0.000 |
| 23.714 | 61.361 | 23.714 | -0.000 | -0.000 | -0.000 |
| 23.714 | 23.714 | 61.361 | -0.000 | -0.000 | 0.000 |
| -0.000 | -0.000 | -0.000 | 8.155 | -0.000 | 0.000 |
| -0.000 | -0.000 | -0.000 | -0.000 | 8.155 | 0.000 |
| -0.000 | -0.000 | -0.000 | 0.000 | 0.000 | 8.155 |
| 344.546 | 13.310 | 13.310 | 0.000 | -0.000 | -0.000 |
| 13.310 | 344.546 | 13.310 | -0.000 | 0.000 | -0.000 |
| 13.310 | 13.310 | 344.546 | -0.000 | -0.000 | 0.000 |
| -0.000 | -0.000 | -0.000 | 8.687 | 0.000 | 0.000 |
| -0.000 | -0.000 | -0.000 | 0.000 | 8.687 | -0.000 |
| -0.000 | -0.000 | -0.000 | 0.000 | 0.000 | 8.687 |
| 344.549 | 13.310 | 13.310 | -0.000 | -0.000 | 0.000 |
| 13.310 | 344.549 | 13.310 | 0.000 | 0.000 | 0.000 |
| 13.310 | 13.310 | 344.549 | -0.000 | 0.000 | 0.000 |
| 0.000 | 0.000 | 0.000 | 8.687 | -0.000 | 0.000 |
| 0.000 | 0.000 | 0.000 | -0.000 | 8.687 | 0.000 |
| 0.000 | 0.000 | 0.000 | -0.000 | 0.000 | 8.687 |
| 344.531 | 13.310 | 13.310 | 0.000 | -0.000 | -0.000 |
| 13.310 | 344.531 | 13.310 | 0.000 | -0.000 | 0.000 |
| 13.310 | 13.310 | 344.531 | -0.000 | 0.000 | 0.000 |
| -0.000 | -0.000 | -0.000 | 8.687 | -0.000 | -0.000 |
| -0.000 | -0.000 | -0.000 | 0.000 | 8.687 | -0.000 |
| -0.000 | -0.000 | -0.000 | 0.000 | 0.000 | 8.687 |
| 344.564 | 13.311 | 13.311 | 0.000 | -0.000 | -0.000 |
| 13.311 | 344.564 | 13.311 | -0.000 | 0.000 | -0.000 |
| 13.311 | 13.311 | 344.564 | -0.000 | -0.000 | 0.000 |
| 0.000 | 0.000 | 0.000 | 8.687 | 0.000 | 0.000 |
| 0.000 | 0.000 | 0.000 | -0.000 | 8.687 | 0.000 |
| 0.000 | 0.000 | 0.000 | -0.000 | 0.000 | 8.687 |
| 344.384 | 13.307 | 13.307 | 0.000 | 0.000 | -0.000 |
| 13.307 | 344.384 | 13.307 | 0.000 | -0.000 | -0.000 |
| 13.307 | 13.307 | 344.384 | -0.000 | 0.000 | 0.000 |
| -0.004 | -0.004 | -0.004 | 8.687 | -0.000 | -0.000 |
| -0.004 | -0.004 | -0.004 | 0.000 | 8.687 | -0.000 |
| -0.004 | -0.004 | -0.004 | -0.000 | -0.000 | 8.687 |
| 344.710 | 13.314 | 13.314 | 0.000 | 0.000 | 0.000 |
| 13.314 | 344.710 | 13.314 | 0.000 | 0.000 | -0.000 |
| 13.314 | 13.314 | 344.710 | 0.000 | -0.000 | -0.000 |
| 0.004 | 0.004 | 0.004 | 8.687 | 0.000 | -0.000 |
| 0.004 | 0.004 | 0.004 | -0.000 | 8.687 | 0.000 |
| 0.004 | 0.004 | 0.004 | 0.000 | 0.000 | 8.687 |
| 286.562 | 88.927 | 88.927 | -0.000 | -0.000 | -0.000 |
| 88.927 | 286.562 | 88.927 | -0.000 | 0.000 | -0.000 |
| 88.927 | 88.927 | 286.562 | 0.000 | -0.000 | 0.000 |
| -0.000 | -0.000 | 0.000 | 78.897 | -0.000 | -0.000 |
| 0.000 | 0.000 | 0.000 | 0.000 | 78.897 | -0.000 |
| 0.000 | -0.000 | 0.000 | 0.000 | -0.000 | 78.897 |
| 286.562 | 88.927 | 88.927 | 0.000 | 0.000 | 0.000 |
| 88.927 | 286.562 | 88.927 | 0.000 | -0.000 | -0.000 |
| 88.927 | 88.927 | 286.562 | 0.000 | 0.000 | 0.000 |
| -0.000 | 0.000 | -0.000 | 78.897 | 0.000 | -0.000 |
| -0.000 | -0.000 | -0.000 | -0.000 | 78.897 | 0.000 |
| 0.000 | -0.000 | -0.000 | -0.000 | 0.000 | 78.897 |
| 286.562 | 88.927 | 88.927 | -0.000 | -0.000 | -0.000 |
| 88.927 | 286.562 | 88.927 | 0.000 | 0.000 | -0.000 |
| 88.927 | 88.927 | 286.562 | 0.000 | -0.000 | -0.000 |
| 0.000 | 0.000 | 0.000 | 78.897 | -0.000 | -0.000 |
| 0.000 | 0.000 | 0.000 | -0.000 | 78.897 | -0.000 |
| 0.000 | 0.000 | 0.000 | 0.000 | -0.000 | 78.897 |
| 286.561 | 88.927 | 88.927 | 0.000 | 0.000 | 0.000 |
| 88.927 | 286.561 | 88.927 | 0.000 | 0.000 | -0.000 |
| 88.927 | 88.927 | 286.561 | -0.000 | -0.000 | -0.000 |
| -0.000 | -0.000 | -0.000 | 78.897 | -0.000 | 0.000 |
| -0.000 | -0.000 | -0.000 | 0.000 | 78.897 | 0.000 |
| -0.000 | -0.000 | -0.000 | -0.000 | 0.000 | 78.897 |
| 286.563 | 88.928 | 88.928 | 0.000 | 0.000 | 0.000 |
| 88.928 | 286.563 | 88.928 | -0.000 | -0.000 | 0.000 |
| 88.928 | 88.928 | 286.563 | 0.000 | 0.000 | -0.000 |
| 0.001 | 0.000 | 0.000 | 78.897 | -0.000 | -0.000 |
| 0.000 | 0.001 | 0.000 | -0.000 | 78.897 | -0.000 |
| 0.000 | 0.000 | 0.001 | 0.000 | -0.000 | 78.897 |
| 286.560 | 88.927 | 88.927 | -0.000 | 0.000 | 0.000 |
| 88.927 | 286.560 | 88.927 | 0.000 | -0.000 | 0.000 |
| 88.927 | 88.927 | 286.560 | 0.000 | 0.000 | 0.000 |
| -0.001 | -0.000 | -0.000 | 78.897 | 0.000 | -0.000 |
| -0.000 | -0.001 | -0.000 | -0.000 | 78.897 | 0.000 |
| -0.000 | -0.000 | -0.001 | -0.000 | 0.000 | 78.897 |
| 92.714 | 91.631 | 91.631 | 0.000 | 0.000 | 0.000 |
| 91.631 | 92.714 | 91.631 | 0.000 | 0.000 | 0.000 |
| 91.631 | 91.631 | 92.714 | 0.000 | 0.000 | 0.000 |
| 0.000 | 0.000 | -0.000 | -2.923 | 0.000 | 0.000 |
| -0.000 | -0.000 | 0.000 | 0.000 | -2.923 | 0.000 |
| -0.000 | 0.000 | -0.000 | 0.000 | 0.000 | -2.923 |
| 92.714 | 91.631 | 91.631 | -0.000 | -0.000 | -0.000 |
| 91.631 | 92.714 | 91.631 | -0.000 | -0.000 | -0.000 |
| 91.631 | 91.631 | 92.714 | -0.000 | -0.000 | -0.000 |
| 0.000 | 0.000 | -0.000 | -2.923 | -0.000 | 0.000 |
| 0.000 | 0.000 | -0.000 | -0.000 | -2.923 | 0.000 |
| 0.000 | -0.000 | -0.000 | -0.000 | -0.000 | -2.923 |
| 92.714 | 91.631 | 91.631 | 0.000 | 0.000 | 0.000 |
| 91.631 | 92.714 | 91.631 | 0.000 | 0.000 | 0.000 |
| 91.631 | 91.631 | 92.714 | 0.000 | 0.000 | 0.000 |
| -0.000 | -0.000 | -0.000 | -2.923 | 0.000 | -0.000 |
| -0.000 | -0.000 | -0.000 | 0.000 | -2.923 | -0.000 |
| -0.000 | -0.000 | -0.000 | 0.000 | 0.000 | -2.923 |
| 92.714 | 91.631 | 91.631 | -0.000 | -0.000 | -0.000 |
| 91.631 | 92.714 | 91.631 | -0.000 | -0.000 | -0.000 |
| 91.631 | 91.631 | 92.714 | -0.000 | -0.000 | -0.000 |
| 0.000 | 0.000 | 0.000 | -2.923 | -0.000 | 0.000 |
| 0.000 | 0.000 | 0.000 | -0.000 | -2.923 | 0.000 |
| 0.000 | 0.000 | 0.000 | -0.000 | -0.000 | -2.923 |
| 92.715 | 91.631 | 91.631 | 0.000 | 0.000 | 0.000 |
| 91.631 | 92.715 | 91.631 | 0.000 | 0.000 | 0.000 |
| 91.631 | 91.631 | 92.715 | 0.000 | 0.000 | 0.000 |
| -0.000 | -0.000 | -0.000 | -2.923 | 0.000 | 0.000 |
| -0.000 | -0.000 | -0.000 | 0.000 | -2.923 | -0.000 |
| -0.000 | -0.000 | -0.000 | 0.000 | 0.000 | -2.923 |
| 92.714 | 91.630 | 91.630 | -0.000 | -0.000 | -0.000 |
| 91.630 | 92.714 | 91.630 | -0.000 | -0.000 | -0.000 |
| 91.630 | 91.630 | 92.714 | -0.000 | -0.000 | -0.000 |
| 0.000 | 0.000 | 0.000 | -2.923 | -0.000 | 0.000 |
| 0.000 | 0.000 | 0.000 | -0.000 | -2.923 | -0.000 |
| 0.000 | 0.000 | 0.000 | -0.000 | -0.000 | -2.923 |
| 166.722 | 47.916 | 47.916 | 0.000 | 0.000 | -0.000 |
| 47.916 | 166.722 | 47.916 | 0.000 | 0.000 | 0.000 |
| 47.916 | 47.916 | 166.722 | 0.000 | 0.000 | 0.000 |
| -0.000 | 0.000 | -0.000 | 28.270 | 0.000 | 0.000 |
| 0.000 | 0.000 | -0.000 | -0.000 | 28.270 | 0.000 |
| 0.000 | 0.000 | -0.000 | 0.000 | 0.000 | 28.270 |
| 166.722 | 47.916 | 47.916 | 0.000 | -0.000 | -0.000 |
| 47.916 | 166.722 | 47.916 | -0.000 | 0.000 | -0.000 |
| 47.916 | 47.916 | 166.722 | 0.000 | -0.000 | -0.000 |
| -0.000 | -0.000 | -0.000 | 28.270 | -0.000 | -0.000 |
| -0.000 | -0.000 | -0.000 | -0.000 | 28.270 | -0.000 |
| -0.000 | -0.000 | 0.000 | 0.000 | -0.000 | 28.270 |
| 166.722 | 47.916 | 47.916 | 0.000 | 0.000 | 0.000 |
| 47.916 | 166.722 | 47.916 | -0.000 | 0.000 | 0.000 |
| 47.916 | 47.916 | 166.722 | -0.000 | -0.000 | 0.000 |
| 0.000 | 0.000 | 0.000 | 28.270 | 0.000 | 0.000 |
| 0.000 | 0.000 | 0.000 | 0.000 | 28.270 | 0.000 |
| 0.000 | 0.000 | 0.000 | 0.000 | 0.000 | 28.270 |
| 166.722 | 47.916 | 47.916 | -0.000 | -0.000 | -0.000 |
| 47.916 | 166.722 | 47.916 | -0.000 | -0.000 | -0.000 |
| 47.916 | 47.916 | 166.722 | 0.000 | 0.000 | -0.000 |
| -0.000 | -0.000 | -0.000 | 28.270 | -0.000 | -0.000 |
| -0.000 | -0.000 | -0.000 | -0.000 | 28.270 | -0.000 |
| -0.000 | -0.000 | -0.000 | -0.000 | -0.000 | 28.270 |
| 166.723 | 47.916 | 47.916 | -0.000 | 0.000 | -0.000 |
| 47.916 | 166.723 | 47.916 | -0.000 | 0.000 | 0.000 |
| 47.916 | 47.916 | 166.723 | -0.000 | -0.000 | 0.000 |
| 0.000 | 0.000 | 0.000 | 28.270 | 0.000 | 0.000 |
| 0.000 | 0.000 | 0.000 | -0.000 | 28.270 | 0.000 |
| 0.000 | 0.000 | 0.000 | -0.000 | 0.000 | 28.270 |
| 166.721 | 47.916 | 47.916 | 0.000 | -0.000 | 0.000 |
| 47.916 | 166.721 | 47.916 | 0.000 | -0.000 | 0.000 |
| 47.916 | 47.916 | 166.721 | 0.000 | -0.000 | -0.000 |
| -0.000 | -0.000 | -0.000 | 28.270 | -0.000 | -0.000 |
| -0.000 | -0.000 | -0.000 | -0.000 | 28.270 | -0.000 |
| -0.000 | -0.000 | -0.000 | -0.000 | -0.000 | 28.270 |
| 16.157 | 0.505 | 0.505 | 0.000 | -0.000 | 0.000 |
| 0.505 | 16.157 | 0.505 | 0.000 | 0.000 | 0.000 |
| 0.505 | 0.505 | 16.157 | 0.000 | 0.000 | 0.000 |
| -0.000 | 0.000 | -0.000 | 0.062 | 0.000 | 0.000 |
| 0.000 | -0.000 | -0.000 | 0.000 | 0.062 | -0.000 |
| 0.000 | 0.000 | -0.000 | 0.000 | 0.000 | 0.062 |
| 16.157 | 0.505 | 0.505 | -0.000 | -0.000 | -0.000 |
| 0.505 | 16.157 | 0.505 | -0.000 | -0.000 | 0.000 |
| 0.505 | 0.505 | 16.157 | -0.000 | 0.000 | 0.000 |
| 0.000 | -0.000 | 0.000 | 0.062 | 0.000 | 0.000 |
| 0.000 | 0.000 | 0.000 | -0.000 | 0.062 | 0.000 |
| 0.000 | -0.000 | 0.000 | 0.000 | 0.000 | 0.062 |
| 16.157 | 0.505 | 0.505 | 0.000 | -0.000 | 0.000 |
| 0.505 | 16.157 | 0.505 | 0.000 | 0.000 | 0.000 |
| 0.505 | 0.505 | 16.157 | 0.000 | -0.000 | 0.000 |
| -5302741.842 | -5018886.672 | -5132088.713 | 24209.237 | -92775.748 | 23181.025 |
| -5067709.856 | -4641183.286 | -5030831.039 | 155.315 | -31157.393 | -111355.009 |
| -4868633.908 | -5352233.044 | -5388392.173 | 112120.035 | -168566.561 | -118909.573 |
| 16.157 | 0.505 | 0.505 | -0.000 | 0.000 | 0.000 |
| 0.505 | 16.157 | 0.505 | 0.000 | 0.000 | 0.000 |
| 0.505 | 0.505 | 16.157 | 0.000 | -0.000 | -0.000 |
| 5662039.512 | 5462730.118 | 5698069.750 | -260379.036 | -183600.393 | 41956.249 |
| 5293363.970 | 5294769.903 | 5594578.849 | -13548.624 | -53000.488 | -105051.314 |
| 5317513.708 | 5757759.957 | 5940479.803 | 58262.693 | 173085.492 | -21260.666 |
| 16.157 | 0.505 | 0.505 | 0.000 | 0.000 | -0.000 |
| 0.505 | 16.157 | 0.505 | 0.000 | 0.000 | 0.000 |
| 0.505 | 0.505 | 16.157 | 0.000 | 0.000 | -0.000 |
| -516418.614 | -502603.135 | -565345.375 | 10142.521 | -4847.825 | 3207.451 |
| -511015.521 | -518462.423 | -552150.647 | 22323.202 | -8324.851 | 10203.875 |
| -507480.767 | -550863.822 | -494808.882 | 8768.168 | 15532.348 | 1763.291 |
| 16.157 | 0.505 | 0.505 | -0.000 | 0.000 | 0.000 |
| 0.505 | 16.157 | 0.505 | -0.000 | -0.000 | 0.000 |
| 0.505 | 0.505 | 16.157 | -0.000 | -0.000 | 0.000 |
| 482824.471 | 536035.050 | 552552.452 | 5597.161 | 5989.296 | 21988.947 |
| 587132.103 | 599019.371 | 578095.584 | 5113.808 | 9677.733 | -14367.384 |
| 522549.830 | 614832.016 | 554494.534 | 5635.354 | 9942.152 | 9332.969 |
| 7.069 | 5.103 | 5.103 | -0.000 | -0.000 | 0.000 |
| 5.103 | 7.069 | 5.103 | 0.000 | -0.000 | -0.000 |
| 5.103 | 5.103 | 7.069 | 0.000 | 0.000 | 0.000 |
| 0.000 | 0.000 | -0.000 | -23.140 | -0.000 | 0.000 |
| -0.000 | 0.000 | 0.000 | 0.000 | -23.140 | -0.000 |
| -0.000 | -0.000 | 0.000 | 0.000 | -0.000 | -23.140 |
| 7.069 | 5.103 | 5.103 | -0.000 | 0.000 | -0.000 |
| 5.103 | 7.069 | 5.103 | -0.000 | 0.000 | -0.000 |
| 5.103 | 5.103 | 7.069 | -0.000 | 0.000 | 0.000 |
| -0.000 | 0.000 | 0.000 | -23.140 | 0.000 | 0.000 |
| 0.000 | -0.000 | 0.000 | -0.000 | -23.140 | -0.000 |
| 0.000 | 0.000 | -0.000 | -0.000 | 0.000 | -23.140 |
| 7.069 | 5.103 | 5.103 | 0.000 | -0.000 | 0.000 |
| 5.103 | 7.069 | 5.103 | 0.000 | -0.000 | 0.000 |
| 5.103 | 5.103 | 7.069 | -0.000 | -0.000 | -0.000 |
| 0.000 | -0.000 | -0.000 | -23.140 | -0.000 | 0.000 |
| -0.000 | 0.000 | -0.000 | -0.000 | -23.140 | -0.000 |
| -0.000 | -0.000 | 0.000 | -0.000 | -0.000 | -23.140 |
| 7.069 | 5.103 | 5.103 | -0.000 | 0.000 | -0.000 |
| 5.103 | 7.069 | 5.103 | -0.000 | 0.000 | -0.000 |
| 5.103 | 5.103 | 7.069 | 0.000 | 0.000 | 0.000 |
| -0.000 | 0.000 | 0.000 | -23.140 | 0.000 | 0.000 |
| 0.000 | -0.000 | 0.000 | 0.000 | -23.140 | 0.000 |
| 0.000 | 0.000 | -0.000 | 0.000 | 0.000 | -23.140 |
| 7.069 | 5.103 | 5.103 | 0.000 | -0.000 | -0.000 |
| 5.103 | 7.069 | 5.103 | -0.000 | -0.000 | -0.000 |
| 5.103 | 5.103 | 7.069 | 0.000 | 0.000 | -0.000 |
| 0.000 | -0.000 | -0.000 | -23.140 | -0.000 | 0.000 |
| -0.000 | 0.000 | -0.000 | -0.000 | -23.140 | -0.000 |
| -0.000 | -0.000 | 0.000 | 0.000 | -0.000 | -23.140 |
| 7.069 | 5.103 | 5.103 | -0.000 | 0.000 | 0.000 |
| 5.103 | 7.069 | 5.103 | -0.000 | -0.000 | 0.000 |
| 5.103 | 5.103 | 7.069 | -0.000 | 0.000 | 0.000 |
| -0.000 | 0.000 | 0.000 | -23.140 | 0.000 | 0.000 |
| 0.000 | -0.000 | 0.000 | 0.000 | -23.140 | 0.000 |
| 0.000 | 0.000 | -0.000 | -0.000 | 0.000 | -23.140 |
| 1.415 | 8.065 | 8.065 | -0.000 | -0.000 | 0.000 |
| 8.065 | 1.415 | 8.065 | -0.000 | 0.000 | -0.000 |
| 8.065 | 8.065 | 1.415 | -0.000 | -0.000 | -0.000 |
| -0.000 | -0.000 | -0.000 | 7.877 | -0.000 | -0.000 |
| -0.000 | -0.000 | 0.000 | 0.000 | 7.877 | 0.000 |
| -0.000 | -0.000 | -0.000 | -0.000 | 0.000 | 7.877 |
| 1.415 | 8.065 | 8.065 | 0.000 | -0.000 | 0.000 |
| 8.065 | 1.415 | 8.065 | 0.000 | 0.000 | -0.000 |
| 8.065 | 8.065 | 1.415 | 0.000 | 0.000 | 0.000 |
| 0.000 | -0.000 | -0.000 | 7.877 | 0.000 | -0.000 |
| -0.000 | 0.000 | -0.000 | 0.000 | 7.877 | -0.000 |
| -0.000 | 0.000 | -0.000 | -0.000 | -0.000 | 7.877 |
| 1.415 | 8.065 | 8.065 | 0.000 | -0.000 | 0.000 |
| 8.065 | 1.415 | 8.065 | 0.000 | -0.000 | 0.000 |
| 8.065 | 8.065 | 1.415 | -0.000 | 0.000 | 0.000 |
| -0.000 | 0.000 | 0.000 | 7.877 | -0.000 | -0.000 |
| 0.000 | -0.000 | 0.000 | -0.000 | 7.877 | 0.000 |
| 0.000 | 0.000 | -0.000 | -0.000 | 0.000 | 7.877 |
| 1.415 | 8.065 | 8.065 | -0.000 | -0.000 | -0.000 |
| 8.065 | 1.415 | 8.065 | -0.000 | -0.000 | -0.000 |
| 8.065 | 8.065 | 1.415 | 0.000 | -0.000 | 0.000 |
| 0.000 | -0.000 | -0.000 | 7.877 | -0.000 | -0.000 |
| -0.000 | 0.000 | -0.000 | 0.000 | 7.877 | -0.000 |
| -0.000 | -0.000 | 0.000 | 0.000 | -0.000 | 7.877 |
| 1.415 | 8.065 | 8.065 | -0.000 | 0.000 | 0.000 |
| 8.065 | 1.415 | 8.065 | 0.000 | -0.000 | 0.000 |
| 8.065 | 8.065 | 1.415 | -0.000 | -0.000 | 0.000 |
| -0.000 | 0.000 | 0.000 | 7.877 | -0.000 | 0.000 |
| 0.000 | -0.000 | 0.000 | -0.000 | 7.877 | 0.000 |
| 0.000 | 0.000 | -0.000 | 0.000 | 0.000 | 7.877 |
| 1.415 | 8.065 | 8.065 | 0.000 | -0.000 | -0.000 |
| 8.065 | 1.415 | 8.065 | 0.000 | 0.000 | 0.000 |
| 8.065 | 8.065 | 1.415 | 0.000 | 0.000 | -0.000 |
| 0.000 | -0.000 | -0.000 | 7.877 | -0.000 | -0.000 |
| -0.000 | 0.000 | -0.000 | 0.000 | 7.877 | -0.000 |
| -0.000 | -0.000 | 0.000 | 0.000 | -0.000 | 7.877 |
| 18.225 | 9.112 | 9.112 | 0.000 | 0.000 | 0.000 |
| 9.112 | 18.225 | 9.112 | 0.000 | 0.000 | 0.000 |
| 9.112 | 9.112 | 18.225 | 0.000 | 0.000 | 0.000 |
| 0.000 | 0.000 | 0.000 | 9.112 | 0.000 | 0.000 |
| 0.000 | 0.000 | 0.000 | 0.000 | 9.112 | 0.000 |
| 0.000 | 0.000 | 0.000 | 0.000 | 0.000 | 9.112 |
| 18.225 | 9.112 | 9.112 | -0.000 | -0.000 | -0.000 |
| 9.112 | 18.225 | 9.112 | -0.000 | -0.000 | -0.000 |
| 9.112 | 9.112 | 18.225 | -0.000 | -0.000 | -0.000 |
| -0.000 | -0.000 | -0.000 | 9.112 | -0.000 | -0.000 |
| -0.000 | -0.000 | -0.000 | -0.000 | 9.112 | -0.000 |
| -0.000 | -0.000 | -0.000 | -0.000 | -0.000 | 9.112 |
| 18.225 | 9.112 | 9.112 | 0.000 | 0.000 | 0.000 |
| 9.112 | 18.225 | 9.112 | 0.000 | 0.000 | 0.000 |
| 9.112 | 9.112 | 18.225 | 0.000 | 0.000 | 0.000 |
| -0.000 | -0.000 | 0.000 | 9.112 | 0.000 | 0.000 |
| -0.000 | -0.000 | 0.000 | 0.000 | 9.112 | 0.000 |
| -0.000 | 0.000 | -0.000 | 0.000 | 0.000 | 9.112 |
| 18.225 | 9.112 | 9.112 | -0.000 | -0.000 | -0.000 |
| 9.112 | 18.225 | 9.112 | -0.000 | -0.000 | -0.000 |
| 9.112 | 9.112 | 18.225 | -0.000 | -0.000 | -0.000 |
| 0.000 | 0.000 | -0.000 | 9.112 | -0.000 | -0.000 |
| 0.000 | 0.000 | -0.000 | -0.000 | 9.112 | -0.000 |
| 0.000 | -0.000 | 0.000 | -0.000 | -0.000 | 9.112 |
| 18.225 | 9.112 | 9.112 | 0.000 | 0.000 | 0.000 |
| 9.112 | 18.225 | 9.112 | 0.000 | 0.000 | 0.000 |
| 9.112 | 9.112 | 18.225 | 0.000 | 0.000 | 0.000 |
| -0.000 | -0.000 | 0.000 | 9.112 | 0.000 | 0.000 |
| -0.000 | -0.000 | 0.000 | 0.000 | 9.112 | 0.000 |
| -0.000 | 0.000 | -0.000 | 0.000 | 0.000 | 9.112 |
| 18.225 | 9.112 | 9.112 | -0.000 | -0.000 | -0.000 |
| 9.112 | 18.225 | 9.112 | -0.000 | -0.000 | -0.000 |
| 9.112 | 9.112 | 18.225 | -0.000 | -0.000 | -0.000 |
| 0.000 | 0.000 | -0.000 | 9.112 | -0.000 | -0.000 |
| 0.000 | 0.000 | -0.000 | -0.000 | 9.112 | -0.000 |
| 0.000 | -0.000 | 0.000 | -0.000 | -0.000 | 9.112 |
| 35.367 | 7.850 | 7.850 | 0.000 | 0.000 | -0.000 |
| 7.850 | 35.367 | 7.850 | -0.000 | -0.000 | -0.000 |
| 7.850 | 7.850 | 35.367 | -0.000 | -0.000 | -0.000 |
| -0.000 | -0.000 | 0.000 | 7.814 | -0.000 | 0.000 |
| -0.000 | -0.000 | -0.000 | -0.000 | 7.814 | -0.000 |
| -0.000 | -0.000 | -0.000 | -0.000 | -0.000 | 7.814 |
| 35.367 | 7.850 | 7.850 | -0.000 | 0.000 | 0.000 |
| 7.850 | 35.367 | 7.850 | -0.000 | -0.000 | 0.000 |
| 7.850 | 7.850 | 35.367 | -0.000 | 0.000 | 0.000 |
| 0.000 | 0.000 | -0.000 | 7.814 | 0.000 | 0.000 |
| 0.000 | 0.000 | -0.000 | -0.000 | 7.814 | 0.000 |
| 0.000 | 0.000 | 0.000 | 0.000 | 0.000 | 7.814 |
| 35.367 | 7.850 | 7.850 | 0.000 | 0.000 | 0.000 |
| 7.850 | 35.367 | 7.850 | -0.000 | 0.000 | -0.000 |
| 7.850 | 7.850 | 35.367 | 0.000 | -0.000 | -0.000 |
| -0.000 | -0.000 | -0.000 | 7.814 | 0.000 | 0.000 |
| -0.000 | -0.000 | -0.000 | 0.000 | 7.814 | -0.000 |
| -0.000 | -0.000 | -0.000 | 0.000 | -0.000 | 7.814 |
| 35.367 | 7.850 | 7.850 | -0.000 | 0.000 | 0.000 |
| 7.850 | 35.367 | 7.850 | -0.000 | 0.000 | 0.000 |
| 7.850 | 7.850 | 35.367 | -0.000 | -0.000 | 0.000 |
| 0.000 | 0.000 | 0.000 | 7.814 | 0.000 | 0.000 |
| 0.000 | 0.000 | 0.000 | -0.000 | 7.814 | 0.000 |
| 0.000 | 0.000 | 0.000 | -0.000 | 0.000 | 7.814 |
| 35.367 | 7.850 | 7.850 | 0.000 | 0.000 | -0.000 |
| 7.850 | 35.367 | 7.850 | 0.000 | 0.000 | 0.000 |
| 7.850 | 7.850 | 35.367 | 0.000 | 0.000 | -0.000 |
| -0.000 | -0.000 | -0.000 | 7.814 | -0.000 | -0.000 |
| -0.000 | -0.000 | -0.000 | 0.000 | 7.814 | -0.000 |
| -0.000 | -0.000 | -0.000 | 0.000 | -0.000 | 7.814 |
| 35.367 | 7.850 | 7.850 | -0.000 | 0.000 | 0.000 |
| 7.850 | 35.367 | 7.850 | -0.000 | 0.000 | 0.000 |
| 7.850 | 7.850 | 35.367 | 0.000 | 0.000 | 0.000 |
| 0.000 | 0.000 | 0.000 | 7.814 | 0.000 | 0.000 |
| 0.000 | 0.000 | 0.000 | -0.000 | 7.814 | 0.000 |
| 0.000 | 0.000 | 0.000 | -0.000 | 0.000 | 7.814 |
| 30.455 | 12.788 | 12.788 | 0.000 | -0.000 | -0.000 |
| 12.788 | 30.455 | 12.788 | -0.000 | 0.000 | -0.000 |
| 12.788 | 12.788 | 30.455 | 0.000 | 0.000 | -0.000 |
| 0.000 | -0.000 | 0.000 | 12.788 | -0.000 | -0.000 |
| -0.000 | 0.000 | 0.000 | 0.000 | 12.788 | -0.000 |
| -0.000 | -0.000 | -0.000 | -0.000 | -0.000 | 12.788 |
| 30.455 | 12.788 | 12.788 | 0.000 | 0.000 | 0.000 |
| 12.788 | 30.455 | 12.788 | 0.000 | 0.000 | -0.000 |
| 12.788 | 12.788 | 30.455 | -0.000 | -0.000 | 0.000 |
| -0.000 | -0.000 | -0.000 | 12.788 | 0.000 | 0.000 |
| -0.000 | -0.000 | -0.000 | -0.000 | 12.788 | 0.000 |
| -0.000 | -0.000 | 0.000 | 0.000 | 0.000 | 12.788 |
| 30.455 | 12.788 | 12.788 | -0.000 | -0.000 | -0.000 |
| 12.788 | 30.455 | 12.788 | -0.000 | -0.000 | -0.000 |
| 12.788 | 12.788 | 30.455 | 0.000 | 0.000 | -0.000 |
| 0.000 | -0.000 | 0.000 | 12.788 | -0.000 | -0.000 |
| -0.000 | 0.000 | 0.000 | -0.000 | 12.788 | -0.000 |
| -0.000 | 0.000 | 0.000 | -0.000 | -0.000 | 12.788 |
| 30.455 | 12.788 | 12.788 | -0.000 | -0.000 | 0.000 |
| 12.788 | 30.455 | 12.788 | -0.000 | -0.000 | 0.000 |
| 12.788 | 12.788 | 30.455 | -0.000 | -0.000 | 0.000 |
| -0.000 | 0.000 | -0.000 | 12.788 | -0.000 | 0.000 |
| 0.000 | -0.000 | -0.000 | -0.000 | 12.788 | 0.000 |
| 0.000 | -0.000 | -0.000 | 0.000 | 0.000 | 12.788 |
| 30.455 | 12.788 | 12.788 | -0.000 | -0.000 | -0.000 |
| 12.788 | 30.455 | 12.788 | -0.000 | -0.000 | -0.000 |
| 12.788 | 12.788 | 30.455 | 0.000 | 0.000 | -0.000 |
| 0.000 | -0.000 | 0.000 | 12.788 | 0.000 | -0.000 |
| -0.000 | 0.000 | 0.000 | 0.000 | 12.788 | -0.000 |
| -0.000 | 0.000 | 0.000 | -0.000 | -0.000 | 12.788 |
| 30.455 | 12.788 | 12.788 | 0.000 | 0.000 | 0.000 |
| 12.788 | 30.455 | 12.788 | 0.000 | 0.000 | 0.000 |
| 12.788 | 12.788 | 30.455 | -0.000 | -0.000 | 0.000 |
| -0.000 | 0.000 | -0.000 | 12.788 | -0.000 | 0.000 |
| 0.000 | -0.000 | -0.000 | -0.000 | 12.788 | 0.000 |
| 0.000 | -0.000 | -0.000 | 0.000 | 0.000 | 12.788 |
| 22.781 | 7.594 | 6.075 | -0.000 | 0.000 | 0.000 |
| 7.594 | 22.781 | 6.075 | -0.000 | 0.000 | 0.000 |
| 6.075 | 6.075 | 24.300 | -0.000 | -0.000 | 0.000 |
| 0.000 | -0.000 | 0.000 | 6.075 | -0.000 | 0.000 |
| -0.000 | -0.000 | 0.000 | -0.000 | 6.075 | 0.000 |
| -0.000 | 0.000 | 0.000 | 0.000 | 0.000 | 7.594 |
| 22.781 | 7.594 | 6.075 | 0.000 | -0.000 | -0.000 |
| 7.594 | 22.781 | 6.075 | -0.000 | -0.000 | -0.000 |
| 6.075 | 6.075 | 24.300 | 0.000 | 0.000 | -0.000 |
| 0.000 | 0.000 | -0.000 | 6.075 | 0.000 | -0.000 |
| 0.000 | 0.000 | -0.000 | 0.000 | 6.075 | 0.000 |
| 0.000 | -0.000 | -0.000 | -0.000 | -0.000 | 7.594 |
| 22.781 | 7.594 | 6.075 | -0.000 | 0.000 | 0.000 |
| 7.594 | 22.781 | 6.075 | -0.000 | 0.000 | 0.000 |
| 6.075 | 6.075 | 24.300 | -0.000 | -0.000 | 0.000 |
| -0.000 | -0.000 | 0.000 | 6.075 | -0.000 | 0.000 |
| -0.000 | -0.000 | 0.000 | -0.000 | 6.075 | 0.000 |
| -0.000 | 0.000 | -0.000 | -0.000 | 0.000 | 7.594 |
| 22.781 | 7.594 | 6.075 | 0.000 | -0.000 | -0.000 |
| 7.594 | 22.781 | 6.075 | -0.000 | -0.000 | -0.000 |
| 6.075 | 6.075 | 24.300 | 0.000 | 0.000 | -0.000 |
| 0.000 | 0.000 | -0.000 | 6.075 | 0.000 | -0.000 |
| 0.000 | 0.000 | -0.000 | 0.000 | 6.075 | 0.000 |
| 0.000 | -0.000 | 0.000 | -0.000 | -0.000 | 7.594 |
| 22.781 | 7.594 | 6.075 | -0.000 | 0.000 | 0.000 |
| 7.594 | 22.781 | 6.075 | 0.000 | 0.000 | 0.000 |
| 6.075 | 6.075 | 24.300 | -0.000 | -0.000 | 0.000 |
| -0.000 | -0.000 | 0.000 | 6.075 | 0.000 | 0.000 |
| -0.000 | -0.000 | 0.000 | -0.000 | 6.075 | -0.000 |
| -0.000 | 0.000 | -0.000 | -0.000 | 0.000 | 7.306 |
| 22.781 | 7.594 | 6.075 | 0.000 | -0.000 | -0.000 |
| 7.594 | 22.781 | 6.075 | -0.000 | -0.000 | -0.000 |
| 6.075 | 6.075 | 24.300 | 0.000 | 0.000 | -0.000 |
| 0.000 | 0.000 | -0.000 | 6.075 | -0.000 | -0.000 |
| 0.000 | 0.000 | -0.000 | -0.000 | 6.075 | -0.000 |
| 0.000 | -0.000 | 0.000 | 0.000 | 0.000 | 7.306 |
| 22.781 | 7.594 | 6.075 | 0.000 | 0.000 | 0.000 |
| 7.594 | 22.781 | 6.075 | 0.000 | 0.000 | 0.000 |
| 6.075 | 6.075 | 24.300 | 0.000 | -0.000 | 0.000 |
| 0.000 | -0.000 | 0.000 | 6.075 | -0.000 | 0.000 |
| -0.000 | -0.000 | 0.000 | -0.000 | 6.075 | -0.000 |
| 0.000 | 0.000 | 0.000 | 0.000 | 0.000 | 7.594 |
| 22.781 | 7.594 | 6.075 | -0.000 | -0.000 | 0.000 |
| 7.594 | 22.781 | 6.075 | -0.000 | -0.000 | -0.000 |
| 6.075 | 6.075 | 24.300 | 0.000 | 0.000 | -0.000 |
| 0.000 | 0.000 | -0.000 | 6.075 | 0.000 | -0.000 |
| 0.000 | 0.000 | -0.000 | 0.000 | 6.075 | -0.000 |
| -0.000 | -0.000 | -0.000 | -0.000 | -0.000 | 7.594 |
| 22.781 | 7.594 | 6.075 | 0.000 | 0.000 | 0.000 |
| 7.594 | 22.781 | 6.075 | -0.000 | 0.000 | 0.000 |
| 6.075 | 6.075 | 24.300 | 0.000 | -0.000 | 0.000 |
| 0.000 | -0.000 | 0.000 | 6.075 | -0.000 | 0.000 |
| -0.000 | 0.000 | 0.000 | 0.000 | 6.075 | 0.000 |
| -0.000 | 0.000 | -0.000 | 0.000 | 0.000 | 7.594 |
| 22.781 | 7.594 | 6.075 | -0.000 | -0.000 | -0.000 |
| 7.594 | 22.781 | 6.075 | -0.000 | -0.000 | -0.000 |
| 6.075 | 6.075 | 24.300 | 0.000 | 0.000 | -0.000 |
| -0.000 | 0.000 | -0.000 | 6.075 | 0.000 | -0.000 |
| 0.000 | -0.000 | -0.000 | 0.000 | 6.075 | 0.000 |
| 0.000 | -0.000 | 0.000 | -0.000 | 0.000 | 7.594 |
| 22.781 | 7.594 | 6.075 | 0.000 | 0.000 | -0.000 |
| 8.342 | 22.033 | 6.075 | -0.000 | -0.000 | 0.000 |
| 6.075 | 6.075 | 24.300 | -0.000 | -0.000 | 0.000 |
| -0.000 | -0.000 | 0.000 | 6.075 | 0.000 | 0.000 |
| -0.000 | -0.000 | 0.000 | 0.000 | 6.075 | 0.000 |
| -0.000 | 0.000 | -0.000 | -0.000 | 0.000 | 7.018 |
| 22.781 | 7.594 | 6.075 | 0.000 | -0.000 | 0.000 |
| 8.342 | 22.032 | 6.075 | 0.000 | 0.000 | -0.000 |
| 6.075 | 6.075 | 24.300 | 0.000 | 0.000 | -0.000 |
| 0.000 | 0.000 | -0.000 | 6.075 | -0.000 | -0.000 |
| 0.000 | 0.000 | -0.000 | -0.000 | 6.075 | 0.000 |
| 0.000 | -0.000 | 0.000 | 0.000 | 0.000 | 7.018 |
| 1.860 | 1.860 | 1.860 | -0.000 | 0.000 | 0.000 |
| 1.860 | 1.860 | 1.860 | 0.000 | -0.000 | 0.000 |
| 1.860 | 1.860 | 1.860 | 0.000 | 0.000 | -0.000 |
| -0.000 | -0.000 | -0.000 | 0.000 | 0.000 | 0.000 |
| -0.000 | -0.000 | -0.000 | 0.000 | 0.000 | 0.000 |
| -0.000 | -0.000 | -0.000 | 0.000 | 0.000 | 0.000 |
| 1.860 | 1.860 | 1.860 | -0.000 | -0.000 | 0.000 |
| 1.860 | 1.860 | 1.860 | -0.000 | -0.000 | 0.000 |
| 1.860 | 1.860 | 1.860 | 0.000 | 0.000 | -0.000 |
| 0.000 | 0.000 | 0.000 | -0.000 | -0.000 | -0.000 |
| 0.000 | 0.000 | 0.000 | -0.000 | -0.000 | -0.000 |
| 0.000 | 0.000 | 0.000 | -0.000 | -0.000 | -0.000 |
| 1.860 | 1.860 | 1.860 | -0.000 | 0.000 | -0.000 |
| 1.860 | 1.860 | 1.860 | 0.000 | -0.000 | -0.000 |
| 1.860 | 1.860 | 1.860 | 0.000 | 0.000 | -0.000 |
| -0.000 | -0.000 | -0.000 | 0.000 | 0.000 | 0.000 |
| -0.000 | -0.000 | -0.000 | 0.000 | 0.000 | 0.000 |
| -0.000 | -0.000 | -0.000 | 0.000 | 0.000 | 0.000 |
| 1.860 | 1.860 | 1.860 | -0.000 | 0.000 | -0.000 |
| 1.860 | 1.860 | 1.860 | 0.000 | -0.000 | -0.000 |
| 1.860 | 1.860 | 1.860 | -0.000 | -0.000 | -0.000 |
| 0.000 | 0.000 | 0.000 | -0.000 | -0.000 | -0.000 |
| 0.000 | 0.000 | 0.000 | -0.000 | -0.000 | -0.000 |
| 0.000 | 0.000 | 0.000 | -0.000 | -0.000 | -0.000 |
| 1.860 | 1.860 | 1.860 | -0.000 | 0.000 | 0.000 |
| 1.860 | 1.860 | 1.860 | 0.000 | -0.000 | 0.000 |
| 1.860 | 1.860 | 1.860 | 0.000 | 0.000 | -0.000 |
| -0.000 | -0.000 | -0.000 | 0.000 | 0.000 | 0.000 |
| -0.000 | -0.000 | -0.000 | 0.000 | 0.000 | 0.000 |
| -0.000 | -0.000 | -0.000 | 0.000 | 0.000 | 0.000 |
| 1.860 | 1.860 | 1.860 | -0.000 | 0.000 | -0.000 |
| 1.860 | 1.860 | 1.860 | 0.000 | -0.000 | -0.000 |
| 1.860 | 1.860 | 1.860 | -0.000 | -0.000 | -0.000 |
| 0.000 | 0.000 | 0.000 | -0.000 | -0.000 | -0.000 |
| 0.000 | 0.000 | 0.000 | -0.000 | -0.000 | -0.000 |
| 0.000 | 0.000 | 0.000 | -0.000 | -0.000 | -0.000 |
| 21.251 | -13.220 | 1.346 | 0.000 | 0.000 | -0.000 |
| -13.220 | 21.251 | 1.346 | -0.000 | 0.000 | -0.000 |
| 1.346 | 1.346 | 33.505 | 0.000 | 0.000 | -0.000 |
| -0.000 | 0.000 | -0.000 | 0.660 | 0.000 | -0.000 |
| 0.000 | -0.000 | -0.000 | 0.000 | 0.660 | -0.000 |
| -0.000 | -0.000 | -0.000 | 0.000 | 0.000 | -16.006 |
| 21.251 | -13.220 | 1.346 | 0.000 | -0.000 | 0.000 |
| -13.220 | 21.251 | 1.346 | 0.000 | -0.000 | 0.000 |
| 1.346 | 1.346 | 33.505 | -0.000 | -0.000 | 0.000 |
| 0.000 | -0.000 | 0.000 | 0.660 | -0.000 | 0.000 |
| -0.000 | 0.000 | 0.000 | -0.000 | 0.660 | 0.000 |
| 0.000 | 0.000 | 0.000 | -0.000 | -0.000 | -16.006 |
| 21.251 | -13.220 | 1.346 | 0.000 | 0.000 | -0.000 |
| -13.220 | 21.251 | 1.346 | 0.000 | 0.000 | -0.000 |
| 1.346 | 1.346 | 33.505 | -0.000 | 0.000 | -0.000 |
| -0.000 | 0.000 | -0.000 | 0.660 | 0.000 | -0.000 |
| 0.000 | -0.000 | -0.000 | -0.000 | 0.660 | -0.000 |
| -0.000 | -0.000 | -0.000 | 0.000 | 0.000 | -16.006 |
| 21.251 | -13.220 | 1.346 | 0.000 | -0.000 | 0.000 |
| -13.220 | 21.251 | 1.346 | 0.000 | -0.000 | 0.000 |
| 1.346 | 1.346 | 33.505 | -0.000 | -0.000 | 0.000 |
| 0.000 | -0.000 | 0.000 | 0.660 | -0.000 | 0.000 |
| -0.000 | 0.000 | 0.000 | 0.000 | 0.660 | 0.000 |
| 0.000 | 0.000 | 0.000 | -0.000 | 0.000 | -16.006 |
| 21.252 | -13.220 | 1.346 | 0.000 | -0.000 | -0.000 |
| -13.220 | 21.252 | 1.346 | -0.000 | 0.000 | -0.000 |
| 1.346 | 1.346 | 33.505 | 0.000 | 0.000 | -0.000 |
| -0.000 | 0.000 | -0.000 | 0.660 | 0.000 | -0.000 |
| 0.000 | -0.000 | -0.000 | 0.000 | 0.660 | -0.000 |
| -0.000 | -0.000 | -0.000 | 0.000 | 0.000 | -16.006 |
| 21.251 | -13.220 | 1.346 | -0.000 | -0.000 | 0.000 |
| -13.220 | 21.251 | 1.346 | -0.000 | -0.000 | 0.000 |
| 1.346 | 1.346 | 33.505 | 0.000 | -0.000 | 0.000 |
| 0.000 | -0.000 | 0.000 | 0.660 | -0.000 | 0.000 |
| -0.000 | 0.000 | 0.000 | 0.000 | 0.660 | 0.000 |
| 0.000 | 0.000 | 0.000 | -0.000 | -0.000 | -16.006 |
| -10.919 | -4.482 | 6.034 | -3.421 | 0.000 | 0.000 |
| -4.482 | -10.919 | 6.034 | 3.421 | -0.000 | -0.000 |
| 5.027 | 5.027 | 7.365 | 0.000 | -0.000 | -0.000 |
| -3.421 | 3.421 | 0.000 | 5.283 | 0.000 | -0.000 |
| 0.000 | 0.000 | 0.000 | 0.000 | 5.283 | -3.421 |
| 0.000 | 0.000 | 0.000 | 0.000 | -3.421 | -3.219 |
| -10.919 | -4.482 | 6.034 | -3.421 | -0.000 | 0.000 |
| -4.482 | -10.919 | 6.034 | 3.421 | 0.000 | 0.000 |
| 5.027 | 5.027 | 7.365 | -0.000 | -0.000 | 0.000 |
| -3.421 | 3.421 | -0.000 | 5.283 | 0.000 | 0.000 |
| -0.000 | -0.000 | -0.000 | -0.000 | 5.283 | -3.421 |
| -0.000 | -0.000 | -0.000 | -0.000 | -3.421 | -3.219 |
| -10.919 | -4.482 | 6.034 | -3.421 | -0.000 | -0.000 |
| -4.482 | -10.919 | 6.034 | 3.421 | 0.000 | -0.000 |
| 5.027 | 5.027 | 7.365 | -0.000 | 0.000 | -0.000 |
| -3.421 | 3.421 | 0.000 | 5.283 | 0.000 | 0.000 |
| 0.000 | 0.000 | 0.000 | -0.000 | 5.283 | -3.421 |
| 0.000 | -0.000 | 0.000 | -0.000 | -3.421 | -3.219 |
| -10.919 | -4.482 | 6.034 | -3.421 | -0.000 | 0.000 |
| -4.482 | -10.919 | 6.034 | 3.421 | 0.000 | 0.000 |
| 5.027 | 5.027 | 7.365 | -0.000 | -0.000 | 0.000 |
| -3.421 | 3.421 | -0.000 | 5.283 | -0.000 | 0.000 |
| -0.000 | -0.000 | -0.000 | 0.000 | 5.283 | -3.421 |
| -0.000 | 0.000 | -0.000 | 0.000 | -3.421 | -3.219 |
| -10.919 | -4.482 | 6.034 | -3.421 | 0.000 | 0.000 |
| -4.482 | -10.919 | 6.034 | 3.421 | 0.000 | -0.000 |
| 5.027 | 5.027 | 7.365 | 0.000 | 0.000 | -0.000 |
| -3.421 | 3.421 | 0.000 | 5.283 | 0.000 | -0.000 |
| -0.000 | 0.000 | 0.000 | -0.000 | 5.283 | -3.421 |
| 0.000 | -0.000 | 0.000 | -0.000 | -3.421 | -3.219 |
| -10.919 | -4.482 | 6.034 | -3.421 | -0.000 | -0.000 |
| -4.482 | -10.919 | 6.034 | 3.421 | -0.000 | 0.000 |
| 5.027 | 5.027 | 7.365 | -0.000 | 0.000 | -0.000 |
| -3.421 | 3.421 | -0.000 | 5.283 | 0.000 | 0.000 |
| 0.000 | -0.000 | -0.000 | 0.000 | 5.283 | -3.421 |
| -0.000 | 0.000 | -0.000 | 0.000 | -3.421 | -3.219 |
| 52.479 | -7.306 | -7.306 | 0.000 | 0.000 | 0.000 |
| -7.306 | 52.479 | -7.306 | -0.000 | 0.000 | 0.000 |
| -7.306 | -7.306 | 52.479 | -0.000 | 0.000 | -0.000 |
| 0.000 | 0.000 | 0.000 | -7.306 | -0.000 | 0.000 |
| 0.000 | 0.000 | 0.000 | -0.000 | -7.306 | -0.000 |
| 0.000 | 0.000 | 0.000 | 0.000 | 0.000 | -7.306 |
| 52.479 | -7.306 | -7.306 | 0.000 | -0.000 | 0.000 |
| -7.306 | 52.479 | -7.306 | -0.000 | -0.000 | 0.000 |
| -7.306 | -7.306 | 52.479 | -0.000 | -0.000 | -0.000 |
| -0.000 | -0.000 | -0.000 | -7.306 | -0.000 | -0.000 |
| -0.000 | -0.000 | -0.000 | 0.000 | -7.306 | -0.000 |
| -0.000 | -0.000 | -0.000 | -0.000 | -0.000 | -7.306 |
| 52.479 | -7.306 | -7.306 | -0.000 | 0.000 | -0.000 |
| -7.306 | 52.479 | -7.306 | 0.000 | 0.000 | -0.000 |
| -7.306 | -7.306 | 52.479 | 0.000 | 0.000 | -0.000 |
| 0.000 | 0.000 | 0.000 | -7.306 | 0.000 | 0.000 |
| 0.000 | 0.000 | 0.000 | -0.000 | -7.306 | 0.000 |
| 0.000 | 0.000 | 0.000 | 0.000 | 0.000 | -7.306 |
| 52.479 | -7.306 | -7.306 | -0.000 | -0.000 | 0.000 |
| -7.306 | 52.479 | -7.306 | 0.000 | -0.000 | 0.000 |
| -7.306 | -7.306 | 52.479 | 0.000 | -0.000 | 0.000 |
| -0.000 | -0.000 | -0.000 | -7.306 | -0.000 | -0.000 |
| -0.000 | -0.000 | -0.000 | 0.000 | -7.306 | -0.000 |
| -0.000 | -0.000 | -0.000 | -0.000 | -0.000 | -7.306 |
| 52.479 | -7.306 | -7.306 | 0.000 | 0.000 | 0.000 |
| -7.306 | 52.479 | -7.306 | 0.000 | 0.000 | 0.000 |
| -7.306 | -7.306 | 52.479 | -0.000 | 0.000 | 0.000 |
| 0.000 | 0.000 | 0.000 | -7.306 | 0.000 | 0.000 |
| 0.000 | 0.000 | 0.000 | -0.000 | -7.306 | -0.000 |
| 0.000 | 0.000 | 0.000 | 0.000 | 0.000 | -7.306 |
| 52.478 | -7.306 | -7.306 | 0.000 | -0.000 | 0.000 |
| -7.306 | 52.478 | -7.306 | -0.000 | -0.000 | 0.000 |
| -7.306 | -7.306 | 52.478 | 0.000 | -0.000 | 0.000 |
| -0.000 | -0.000 | -0.000 | -7.306 | -0.000 | 0.000 |
| -0.000 | -0.000 | -0.000 | 0.000 | -7.306 | -0.000 |
| -0.000 | -0.000 | -0.000 | -0.000 | -0.000 | -7.306 |
| 12.887 | 0.000 | 0.000 | -0.000 | -0.000 | -0.000 |
| 0.000 | 12.887 | 0.000 | -0.000 | -0.000 | -0.000 |
| 0.000 | 0.000 | 12.887 | -0.000 | -0.000 | -0.000 |
| 0.000 | -0.000 | -0.000 | 0.000 | -0.000 | -0.000 |
| -0.000 | 0.000 | -0.000 | -0.000 | 0.000 | 0.000 |
| -0.000 | -0.000 | 0.000 | -0.000 | 0.000 | 0.000 |
| 12.887 | -0.000 | -0.000 | 0.000 | 0.000 | -0.000 |
| -0.000 | 12.887 | -0.000 | 0.000 | 0.000 | -0.000 |
| -0.000 | -0.000 | 12.887 | 0.000 | 0.000 | 0.000 |
| -0.000 | 0.000 | 0.000 | 0.000 | 0.000 | -0.000 |
| 0.000 | -0.000 | 0.000 | 0.000 | 0.000 | -0.000 |
| 0.000 | 0.000 | -0.000 | 0.000 | -0.000 | 0.000 |
| 12.887 | 0.000 | 0.000 | -0.000 | 0.000 | -0.000 |
| 0.000 | 12.887 | 0.000 | -0.000 | -0.000 | 0.000 |
| 0.000 | 0.000 | 12.887 | 0.000 | 0.000 | -0.000 |
| 0.000 | -0.000 | -0.000 | 0.000 | -0.000 | 0.000 |
| -0.000 | 0.000 | -0.000 | -0.000 | 0.000 | 0.000 |
| -0.000 | -0.000 | 0.000 | -0.000 | 0.000 | 0.000 |
| 12.887 | -0.000 | -0.000 | 0.000 | -0.000 | -0.000 |
| -0.000 | 12.887 | -0.000 | -0.000 | 0.000 | -0.000 |
| -0.000 | -0.000 | 12.887 | -0.000 | -0.000 | 0.000 |
| -0.000 | 0.000 | 0.000 | 0.000 | 0.000 | -0.000 |
| 0.000 | -0.000 | 0.000 | 0.000 | 0.000 | -0.000 |
| 0.000 | 0.000 | -0.000 | 0.000 | -0.000 | 0.000 |
| 12.887 | 0.000 | 0.000 | -0.000 | 0.000 | 0.000 |
| 0.000 | 12.887 | 0.000 | 0.000 | -0.000 | -0.000 |
| 0.000 | 0.000 | 12.887 | -0.000 | 0.000 | -0.000 |
| 0.000 | -0.000 | -0.000 | 0.000 | -0.000 | -0.000 |
| -0.000 | 0.000 | -0.000 | -0.000 | 0.000 | 0.000 |
| -0.000 | -0.000 | 0.000 | -0.000 | 0.000 | 0.000 |
| 12.887 | -0.000 | -0.000 | 0.000 | 0.000 | 0.000 |
| -0.000 | 12.887 | -0.000 | 0.000 | 0.000 | 0.000 |
| -0.000 | -0.000 | 12.887 | -0.000 | 0.000 | 0.000 |
| -0.000 | 0.000 | 0.000 | 0.000 | 0.000 | -0.000 |
| 0.000 | -0.000 | 0.000 | 0.000 | 0.000 | 0.000 |
| 0.000 | 0.000 | -0.000 | 0.000 | 0.000 | 0.000 |
| 116.993 | 58.635 | 58.635 | -0.000 | -0.000 | -0.000 |
| 58.635 | 116.993 | 58.635 | -0.000 | 0.000 | 0.000 |
| 58.635 | 58.635 | 116.993 | -0.000 | -0.000 | -0.000 |
| 0.000 | -0.000 | 0.000 | 19.198 | -0.000 | -0.000 |
| 0.000 | 0.000 | 0.000 | -0.000 | 19.198 | -0.000 |
| 0.000 | 0.000 | 0.000 | -0.000 | -0.000 | 19.198 |
| 116.992 | 58.635 | 58.635 | 0.000 | 0.000 | 0.000 |
| 58.635 | 116.992 | 58.635 | 0.000 | 0.000 | 0.000 |
| 58.635 | 58.635 | 116.992 | 0.000 | 0.000 | 0.000 |
| -0.000 | 0.000 | -0.000 | 19.198 | 0.000 | 0.000 |
| -0.000 | -0.000 | -0.000 | 0.000 | 19.198 | 0.000 |
| -0.000 | -0.000 | -0.000 | 0.000 | 0.000 | 19.198 |
| 116.993 | 58.635 | 58.635 | -0.000 | -0.000 | -0.000 |
| 58.635 | 116.993 | 58.635 | -0.000 | -0.000 | -0.000 |
| 58.635 | 58.635 | 116.993 | -0.000 | -0.000 | -0.000 |
| 0.000 | 0.000 | 0.000 | 19.198 | -0.000 | 0.000 |
| 0.000 | 0.000 | 0.000 | -0.000 | 19.198 | -0.000 |
| 0.000 | 0.000 | 0.000 | -0.000 | -0.000 | 19.198 |
| 116.992 | 58.635 | 58.635 | 0.000 | 0.000 | 0.000 |
| 58.635 | 116.992 | 58.635 | 0.000 | 0.000 | -0.000 |
| 58.635 | 58.635 | 116.992 | 0.000 | 0.000 | 0.000 |
| -0.000 | -0.000 | -0.000 | 19.198 | 0.000 | 0.000 |
| -0.000 | -0.000 | -0.000 | 0.000 | 19.198 | 0.000 |
| -0.000 | -0.000 | -0.000 | 0.000 | 0.000 | 19.198 |
| 116.993 | 58.635 | 58.635 | -0.000 | -0.000 | -0.000 |
| 58.635 | 116.993 | 58.635 | -0.000 | -0.000 | -0.000 |
| 58.635 | 58.635 | 116.993 | -0.000 | -0.000 | -0.000 |
| 0.000 | 0.000 | 0.000 | 19.198 | -0.000 | -0.000 |
| 0.000 | 0.000 | 0.000 | -0.000 | 19.198 | -0.000 |
| 0.000 | 0.000 | 0.000 | -0.000 | -0.000 | 19.198 |
| 116.992 | 58.634 | 58.634 | 0.000 | 0.000 | 0.000 |
| 58.634 | 116.992 | 58.634 | 0.000 | 0.000 | 0.000 |
| 58.634 | 58.634 | 116.992 | 0.000 | 0.000 | -0.000 |
| -0.000 | -0.000 | -0.000 | 19.198 | 0.000 | 0.000 |
| -0.000 | -0.000 | -0.000 | 0.000 | 19.198 | 0.000 |
| -0.000 | -0.000 | -0.000 | 0.000 | 0.000 | 19.198 |
| 60.212 | 56.794 | 56.794 | 0.000 | -0.000 | 0.000 |
| 56.794 | 60.212 | 56.794 | 0.000 | -0.000 | 0.000 |
| 56.794 | 56.794 | 60.212 | 0.000 | -0.000 | 0.000 |
| 0.000 | 0.000 | 0.000 | 56.115 | -0.000 | 0.000 |
| 0.000 | 0.000 | -0.000 | 0.000 | 56.115 | 0.000 |
| 0.000 | 0.000 | 0.000 | 0.000 | -0.000 | 56.115 |
| 60.212 | 56.794 | 56.794 | -0.000 | 0.000 | -0.000 |
| 56.794 | 60.212 | 56.794 | -0.000 | 0.000 | -0.000 |
| 56.794 | 56.794 | 60.212 | -0.000 | 0.000 | -0.000 |
| -0.000 | -0.000 | -0.000 | 56.115 | 0.000 | -0.000 |
| 0.000 | -0.000 | -0.000 | -0.000 | 56.115 | -0.000 |
| -0.000 | -0.000 | 0.000 | -0.000 | 0.000 | 56.115 |
| 60.212 | 56.794 | 56.794 | 0.000 | -0.000 | 0.000 |
| 56.794 | 60.212 | 56.794 | -0.000 | -0.000 | 0.000 |
| 56.794 | 56.794 | 60.212 | 0.000 | -0.000 | 0.000 |
| 0.000 | 0.000 | 0.000 | 56.115 | -0.000 | 0.000 |
| 0.000 | 0.000 | 0.000 | 0.000 | 56.115 | 0.000 |
| 0.000 | 0.000 | 0.000 | 0.000 | -0.000 | 56.115 |
| 60.212 | 56.794 | 56.794 | -0.000 | 0.000 | -0.000 |
| 56.794 | 60.212 | 56.794 | -0.000 | 0.000 | -0.000 |
| 56.794 | 56.794 | 60.212 | -0.000 | 0.000 | -0.000 |
| -0.000 | -0.000 | -0.000 | 56.115 | 0.000 | -0.000 |
| -0.000 | -0.000 | -0.000 | -0.000 | 56.115 | -0.000 |
| -0.000 | -0.000 | -0.000 | -0.000 | 0.000 | 56.115 |
| 60.213 | 56.794 | 56.794 | 0.000 | -0.000 | 0.000 |
| 56.794 | 60.213 | 56.794 | 0.000 | -0.000 | 0.000 |
| 56.794 | 56.794 | 60.213 | 0.000 | -0.000 | 0.000 |
| 0.000 | 0.000 | 0.000 | 56.115 | -0.000 | 0.000 |
| 0.000 | 0.000 | 0.000 | 0.000 | 56.115 | 0.000 |
| 0.000 | 0.000 | 0.000 | 0.000 | -0.000 | 56.115 |
| 60.212 | 56.793 | 56.793 | 0.000 | 0.000 | -0.000 |
| 56.793 | 60.212 | 56.793 | -0.000 | 0.000 | -0.000 |
| 56.793 | 56.793 | 60.212 | -0.000 | 0.000 | -0.000 |
| -0.000 | -0.000 | -0.000 | 56.115 | 0.000 | -0.000 |
| -0.000 | -0.000 | -0.000 | -0.000 | 56.115 | -0.000 |
| -0.000 | -0.000 | -0.000 | -0.000 | 0.000 | 56.115 |
| 10.555 | 19.413 | 19.413 | -0.000 | -0.000 | -0.000 |
| 19.413 | 10.555 | 19.413 | -0.000 | 0.000 | -0.000 |
| 19.413 | 19.413 | 10.555 | -0.000 | -0.000 | -0.000 |
| 0.000 | 0.000 | 0.000 | 20.863 | -0.000 | -0.000 |
| 0.000 | 0.000 | 0.000 | -0.000 | 20.863 | -0.000 |
| 0.000 | 0.000 | -0.000 | -0.000 | -0.000 | 20.863 |
| 10.555 | 19.413 | 19.413 | 0.000 | 0.000 | 0.000 |
| 19.413 | 10.555 | 19.413 | 0.000 | 0.000 | 0.000 |
| 19.413 | 19.413 | 10.555 | 0.000 | 0.000 | 0.000 |
| -0.000 | -0.000 | -0.000 | 20.863 | 0.000 | 0.000 |
| -0.000 | -0.000 | -0.000 | -0.000 | 20.863 | 0.000 |
| -0.000 | -0.000 | 0.000 | 0.000 | 0.000 | 20.863 |
| 10.555 | 19.413 | 19.413 | -0.000 | -0.000 | -0.000 |
| 19.413 | 10.555 | 19.413 | -0.000 | -0.000 | -0.000 |
| 19.413 | 19.413 | 10.555 | -0.000 | -0.000 | -0.000 |
| 0.000 | 0.000 | -0.000 | -16.324 | -0.000 | -0.000 |
| 0.000 | 0.000 | -0.000 | -0.000 | -16.324 | -0.000 |
| 0.000 | -0.000 | 0.000 | -0.000 | -0.000 | -16.324 |
| 10.555 | 19.413 | 19.413 | 0.000 | 0.000 | 0.000 |
| 19.413 | 10.555 | 19.413 | 0.000 | 0.000 | 0.000 |
| 19.413 | 19.413 | 10.555 | -0.000 | 0.000 | 0.000 |
| -0.000 | -0.000 | 0.000 | -16.324 | 0.000 | 0.000 |
| -0.000 | -0.000 | 0.000 | 0.000 | -16.324 | 0.000 |
| -0.000 | 0.000 | -0.000 | 0.000 | 0.000 | -16.324 |
| 10.555 | 19.413 | 19.413 | -0.000 | -0.000 | -0.000 |
| 19.413 | 10.555 | 19.413 | -0.000 | -0.000 | -0.000 |
| 19.413 | 19.413 | 10.555 | -0.000 | -0.000 | -0.000 |
| 0.000 | 0.000 | -0.000 | -16.324 | -0.000 | -0.000 |
| 0.000 | 0.000 | -0.000 | -0.000 | -16.324 | -0.000 |
| 0.000 | -0.000 | 0.000 | -0.000 | -0.000 | -16.324 |
| 10.555 | 19.413 | 19.413 | 0.000 | 0.000 | 0.000 |
| 19.413 | 10.555 | 19.413 | 0.000 | 0.000 | 0.000 |
| 19.413 | 19.413 | 10.555 | 0.000 | 0.000 | 0.000 |
| -0.000 | -0.000 | 0.000 | -16.324 | 0.000 | 0.000 |
| -0.000 | -0.000 | 0.000 | 0.000 | -16.324 | 0.000 |
| -0.000 | 0.000 | -0.000 | 0.000 | 0.000 | -16.324 |
| 287.818 | 88.331 | 88.331 | -0.000 | 0.000 | -0.000 |
| 88.331 | 287.818 | 88.331 | 0.000 | -0.000 | -0.000 |
| 88.331 | 88.331 | 287.818 | 0.000 | 0.000 | -0.000 |
| -0.000 | -0.000 | -0.000 | 92.846 | 0.000 | -0.000 |
| -0.000 | -0.000 | -0.000 | 0.000 | 92.846 | -0.000 |
| -0.000 | 0.000 | -0.000 | 0.000 | -0.000 | 92.846 |
| 287.818 | 88.331 | 88.331 | -0.000 | -0.000 | 0.000 |
| 88.331 | 287.818 | 88.331 | -0.000 | 0.000 | 0.000 |
| 88.331 | 88.331 | 287.818 | 0.000 | -0.000 | 0.000 |
| 0.000 | -0.000 | 0.000 | 92.846 | -0.000 | 0.000 |
| 0.000 | 0.000 | 0.000 | -0.000 | 92.846 | 0.000 |
| 0.000 | -0.000 | 0.000 | -0.000 | -0.000 | 92.846 |
| 287.818 | 88.331 | 88.331 | -0.000 | 0.000 | -0.000 |
| 88.331 | 287.818 | 88.331 | 0.000 | -0.000 | -0.000 |
| 88.331 | 88.331 | 287.818 | 0.000 | 0.000 | -0.000 |
| 0.000 | 0.000 | 0.000 | 29.167 | 0.000 | -0.000 |
| 0.000 | 0.000 | 0.000 | 0.000 | 29.167 | -0.000 |
| 0.000 | 0.000 | 0.000 | 0.000 | 0.000 | 29.167 |
| 287.818 | 88.331 | 88.331 | -0.000 | -0.000 | 0.000 |
| 88.331 | 287.818 | 88.331 | -0.000 | 0.000 | 0.000 |
| 88.331 | 88.331 | 287.818 | -0.000 | 0.000 | 0.000 |
| -0.000 | -0.000 | -0.000 | 29.167 | -0.000 | 0.000 |
| -0.000 | -0.000 | -0.000 | -0.000 | 29.167 | 0.000 |
| -0.000 | -0.000 | -0.000 | -0.000 | -0.000 | 29.167 |
| 287.819 | 88.332 | 88.332 | 0.000 | -0.000 | -0.000 |
| 88.332 | 287.819 | 88.332 | 0.000 | 0.000 | -0.000 |
| 88.332 | 88.332 | 287.819 | 0.000 | 0.000 | -0.000 |
| 0.000 | 0.000 | 0.000 | 29.167 | 0.000 | -0.000 |
| 0.000 | 0.000 | 0.000 | 0.000 | 29.167 | -0.000 |
| 0.000 | 0.000 | 0.000 | 0.000 | 0.000 | 29.167 |
| 287.816 | 88.331 | 88.331 | -0.000 | 0.000 | 0.000 |
| 88.331 | 287.816 | 88.331 | -0.000 | -0.000 | 0.000 |
| 88.331 | 88.331 | 287.816 | 0.000 | 0.000 | 0.000 |
| -0.000 | -0.000 | -0.000 | 29.167 | 0.000 | 0.000 |
| -0.000 | -0.000 | -0.000 | -0.000 | 29.167 | 0.000 |
| -0.000 | -0.000 | -0.000 | -0.000 | -0.000 | 29.167 |
| 209.268 | 90.235 | 90.235 | -0.000 | -0.000 | -0.000 |
| 90.235 | 209.268 | 90.235 | -0.000 | -0.000 | -0.000 |
| 90.235 | 90.235 | 209.268 | -0.000 | -0.000 | -0.000 |
| -0.000 | -0.000 | 0.000 | -25.671 | -0.000 | -0.000 |
| -0.000 | -0.000 | 0.000 | -0.000 | -25.671 | -0.000 |
| -0.000 | -0.000 | 0.000 | 0.000 | -0.000 | -25.671 |
| 209.268 | 90.235 | 90.235 | 0.000 | 0.000 | 0.000 |
| 90.235 | 209.268 | 90.235 | 0.000 | 0.000 | 0.000 |
| 90.235 | 90.235 | 209.268 | -0.000 | 0.000 | 0.000 |
| 0.000 | 0.000 | -0.000 | -25.671 | -0.000 | 0.000 |
| 0.000 | 0.000 | -0.000 | -0.000 | -25.671 | 0.000 |
| 0.000 | 0.000 | -0.000 | 0.000 | 0.000 | -25.671 |
| 209.268 | 90.235 | 90.235 | -0.000 | -0.000 | -0.000 |
| 90.235 | 209.268 | 90.235 | -0.000 | -0.000 | -0.000 |
| 90.235 | 90.235 | 209.268 | 0.000 | -0.000 | -0.000 |
| 0.000 | 0.000 | 0.000 | 98.464 | -0.000 | -0.000 |
| 0.000 | 0.000 | 0.000 | -0.000 | 98.464 | -0.000 |
| 0.000 | 0.000 | 0.000 | 0.000 | -0.000 | 98.464 |
| 209.268 | 90.235 | 90.235 | 0.000 | 0.000 | 0.000 |
| 90.235 | 209.268 | 90.235 | 0.000 | 0.000 | 0.000 |
| 90.235 | 90.235 | 209.268 | -0.000 | 0.000 | 0.000 |
| -0.000 | -0.000 | -0.000 | 98.464 | 0.000 | 0.000 |
| -0.000 | -0.000 | -0.000 | -0.000 | 98.464 | 0.000 |
| -0.000 | -0.000 | -0.000 | -0.000 | 0.000 | 98.464 |
| 209.269 | 90.235 | 90.235 | 0.000 | -0.000 | -0.000 |
| 90.235 | 209.269 | 90.235 | -0.000 | -0.000 | -0.000 |
| 90.235 | 90.235 | 209.269 | 0.000 | -0.000 | -0.000 |
| 0.000 | -0.000 | -0.000 | -25.671 | 0.000 | -0.000 |
| -0.000 | 0.000 | -0.000 | 0.000 | -25.671 | -0.000 |
| -0.000 | -0.000 | 0.000 | 0.000 | -0.000 | -25.671 |
| 209.267 | 90.234 | 90.234 | -0.000 | 0.000 | 0.000 |
| 90.234 | 209.267 | 90.234 | 0.000 | 0.000 | 0.000 |
| 90.234 | 90.234 | 209.267 | 0.000 | 0.000 | 0.000 |
| -0.000 | 0.000 | 0.000 | -25.671 | -0.000 | 0.000 |
| 0.000 | -0.000 | 0.000 | 0.000 | -25.671 | 0.000 |
| 0.000 | 0.000 | -0.000 | -0.000 | 0.000 | -25.671 |
| 280.682 | 301.803 | -72.352 | 0.000 | 178.428 | 0.001 |
| 110.257 | 319.095 | -174.389 | -0.000 | 136.309 | -0.000 |
| 83.829 | 81.473 | 222.810 | -0.000 | 5.267 | -0.000 |
| -0.000 | 0.000 | 0.000 | 89.947 | -0.000 | 38.090 |
| -45.524 | 38.182 | 5.267 | 0.000 | 93.357 | 0.000 |
| -444.470 | 120.550 | 74.949 | 5.892 | 381.786 | -11.169 |
| 611.750 | -22.305 | 18.802 | 0.000 | -403.600 | -0.000 |
| 542.486 | 87.672 | -3.883 | 0.000 | -359.981 | -0.000 |
| 83.829 | 81.473 | 222.810 | -0.000 | 5.267 | 0.000 |
| 0.000 | -0.000 | -0.000 | 89.947 | 0.000 | 38.090 |
| 422.404 | -95.448 | -72.118 | 0.000 | -343.170 | -0.000 |
| 444.470 | -120.550 | -74.949 | 5.892 | -381.786 | -11.169 |
| 168.766 | 93.695 | 97.194 | -0.000 | 10.168 | 0.000 |
| 52.050 | 290.707 | 81.473 | -0.000 | 38.182 | -0.000 |
| 84.884 | 106.884 | 174.842 | -0.000 | 25.443 | -0.000 |
| 0.000 | 0.000 | 0.000 | 89.947 | -0.000 | 38.090 |
| -45.523 | 38.183 | 5.268 | -0.000 | 93.357 | -0.000 |
| -29.574 | 13.107 | -5.347 | 21.910 | 32.010 | 33.492 |
| 277.330 | 57.810 | 84.624 | 0.000 | -31.440 | 0.000 |
| 52.049 | 290.707 | 81.473 | 0.000 | 38.182 | -0.000 |
| 127.601 | 64.229 | 178.633 | 0.000 | -27.462 | -0.000 |
| -0.000 | -0.000 | -0.000 | 89.947 | 0.000 | 38.090 |
| -45.524 | 38.182 | 5.267 | 0.000 | 93.357 | -0.000 |
| 29.574 | -13.107 | 5.347 | 21.910 | -32.010 | 33.491 |
| 207.860 | 77.544 | 80.278 | 0.000 | -6.752 | 0.000 |
| 75.086 | 211.056 | 84.379 | 0.000 | 30.809 | 0.000 |
| 89.049 | 75.723 | 192.233 | -0.000 | 4.714 | 0.000 |
| 0.001 | 0.001 | 0.001 | 89.947 | -0.001 | 38.090 |
| -31.259 | 31.305 | 3.544 | -0.000 | 65.608 | 0.000 |
| -1.432 | 0.389 | 0.242 | 27.708 | 1.230 | 37.295 |
| 277.327 | 57.809 | 84.622 | -0.000 | -31.439 | 0.000 |
| 72.860 | 208.206 | 87.149 | 0.000 | 27.383 | 0.000 |
| 78.443 | 81.450 | 191.080 | 0.000 | 3.696 | 0.000 |
| -0.001 | -0.001 | -0.001 | 89.947 | 0.001 | 38.090 |
| -12.883 | 25.651 | 3.908 | 0.000 | 57.559 | 0.000 |
| 1.432 | -0.389 | -0.242 | 27.708 | -1.230 | 37.295 |
| 221.556 | 12.601 | 186.552 | 0.003 | -37.909 | 0.010 |
| 156.697 | -45.757 | 123.292 | -0.007 | -11.624 | -0.020 |
| 47.145 | 44.639 | 140.295 | 0.000 | 3.888 | 0.000 |
| 0.000 | -0.000 | 0.000 | 63.626 | 0.000 | 24.508 |
| 118.412 | -15.467 | 153.979 | 0.004 | 19.312 | 0.011 |
| 123.553 | -37.901 | 127.807 | 2.639 | -9.489 | -1.447 |
| -25.765 | 78.182 | -81.833 | -0.003 | -11.322 | -0.010 |
| -89.417 | 179.685 | -116.095 | -0.004 | 52.712 | -0.012 |
| -91.038 | 120.708 | 4.792 | -0.005 | 11.641 | -0.014 |
| -103.494 | 207.970 | -72.939 | 44.779 | 29.075 | 5.213 |
| -111.968 | 220.319 | -70.793 | -0.016 | 52.394 | -0.048 |
| -123.553 | 37.901 | -127.807 | 2.633 | 9.489 | -1.465 |
| 163.469 | 29.384 | 48.453 | -0.000 | -24.221 | 0.000 |
| 48.073 | 138.957 | 45.237 | -0.001 | 12.714 | -0.002 |
| 54.612 | 21.610 | 112.145 | -0.001 | 1.836 | -0.002 |
| 0.000 | 0.000 | 0.000 | 63.626 | 0.000 | 24.508 |
| -3.996 | 15.027 | 21.148 | 0.000 | 40.140 | 0.001 |
| 0.000 | 0.000 | 0.000 | 23.821 | 0.000 | 44.655 |
| 102.647 | 59.762 | 49.250 | -0.001 | -10.049 | -0.003 |
| 33.138 | 152.725 | 21.608 | 0.001 | 11.820 | 0.004 |
| 47.145 | 44.639 | 140.295 | 0.000 | 3.888 | -0.000 |
| -0.000 | -0.000 | -0.000 | 63.626 | -0.000 | 24.508 |
| -32.145 | 23.923 | 3.888 | 0.000 | 68.298 | -0.000 |
| -0.000 | -0.000 | -0.000 | 23.821 | -0.000 | 44.655 |
| 121.179 | 41.141 | 53.460 | 0.000 | -14.664 | 0.000 |
| 38.645 | 147.266 | 41.601 | -0.000 | 18.635 | -0.000 |
| 43.133 | 40.054 | 107.808 | -0.000 | 6.113 | -0.000 |
| 1.162 | -0.853 | 1.096 | 46.098 | -0.105 | 12.972 |
| -19.616 | 16.736 | 3.509 | 0.000 | 45.622 | 0.000 |
| 0.385 | -0.773 | 0.271 | 16.665 | -0.108 | 28.147 |
| 110.271 | 41.868 | 43.358 | -0.000 | -9.140 | -0.000 |
| 36.067 | 147.477 | 39.225 | -0.000 | 17.837 | -0.000 |
| 40.965 | 41.815 | 104.030 | -0.000 | 5.068 | -0.000 |
| -1.162 | 0.853 | -1.096 | 46.097 | 0.105 | 12.972 |
| -20.679 | 18.833 | 2.780 | -0.000 | 45.961 | -0.000 |
| -1.542 | 0.344 | -1.677 | 12.341 | 0.494 | 20.746 |
| 222.823 | 136.568 | 34.474 | 0.000 | 0.000 | -0.000 |
| 136.568 | 222.823 | 34.474 | -0.000 | 0.000 | -0.000 |
| 39.959 | 39.959 | 320.774 | 0.000 | 0.000 | -0.000 |
| -0.000 | -0.000 | 0.000 | 21.570 | 0.000 | 0.000 |
| -0.000 | -0.000 | 0.000 | 0.000 | 21.570 | -0.000 |
| -0.000 | -0.000 | 0.000 | -0.000 | 0.000 | 152.668 |
| 222.823 | 136.568 | 34.474 | 0.000 | 0.000 | 0.000 |
| 136.568 | 222.823 | 34.474 | 0.000 | -0.000 | 0.000 |
| 38.377 | 38.377 | 306.979 | -0.000 | -0.000 | 0.000 |
| 0.000 | 0.000 | -0.000 | 21.570 | -0.000 | 0.000 |
| 0.000 | 0.000 | -0.000 | -0.000 | 21.570 | 0.000 |
| 0.000 | -0.000 | 0.000 | -0.000 | -0.000 | 152.668 |
| 230.716 | 140.899 | 39.959 | 0.000 | 0.000 | -0.000 |
| 140.899 | 230.716 | 39.959 | -0.000 | 0.000 | -0.000 |
| 39.959 | 39.959 | 320.774 | 0.000 | 0.000 | -0.000 |
| -0.000 | -0.000 | -0.000 | 21.193 | 0.000 | -0.000 |
| -0.000 | -0.000 | -0.000 | -0.000 | 21.193 | -0.000 |
| 0.000 | 0.000 | -0.000 | -0.000 | 0.000 | 152.668 |
| 219.885 | 136.946 | 39.107 | -0.000 | -0.000 | 0.000 |
| 136.946 | 219.885 | 39.107 | -0.000 | -0.000 | 0.000 |
| 38.377 | 38.377 | 306.979 | -0.000 | -0.000 | 0.000 |
| 0.000 | 0.000 | 0.000 | 21.193 | -0.000 | 0.000 |
| 0.000 | 0.000 | 0.000 | 0.000 | 21.193 | 0.000 |
| -0.000 | -0.000 | 0.000 | 0.000 | -0.000 | 152.668 |
| 219.886 | 136.947 | 39.107 | 0.000 | -0.000 | -0.000 |
| 136.947 | 219.886 | 39.107 | -0.000 | 0.000 | -0.000 |
| 36.384 | 36.384 | 308.494 | -0.000 | 0.000 | -0.000 |
| -0.000 | -0.000 | -0.000 | 21.108 | 0.000 | -0.000 |
| -0.000 | -0.000 | -0.000 | 0.000 | 21.108 | 0.000 |
| 0.000 | 0.000 | -0.000 | -0.000 | 0.000 | 152.668 |
| 222.822 | 136.567 | 34.474 | 0.000 | 0.000 | 0.000 |
| 136.567 | 222.822 | 34.474 | 0.000 | -0.000 | 0.000 |
| 36.384 | 36.384 | 308.492 | -0.000 | 0.000 | -0.000 |
| 0.000 | 0.000 | 0.000 | 21.108 | -0.000 | 0.000 |
| 0.000 | 0.000 | 0.000 | -0.000 | 21.108 | 0.000 |
| -0.000 | -0.000 | 0.000 | 0.000 | -0.000 | 152.668 |
| 207.244 | 133.586 | 99.860 | 0.000 | -0.000 | 0.000 |
| 133.586 | 207.244 | 99.860 | 0.000 | -0.000 | 0.000 |
| 33.784 | 33.784 | 280.496 | -0.000 | 0.000 | 0.000 |
| 4.816 | 4.816 | 66.630 | 32.940 | 0.000 | 0.000 |
| 4.816 | 4.816 | 66.630 | 0.000 | 32.940 | 0.000 |
| 9.267 | 9.267 | 70.647 | 0.000 | 0.000 | 142.609 |
| 189.881 | 115.105 | -41.065 | -0.000 | -0.000 | -0.000 |
| 115.105 | 189.881 | -41.065 | -0.000 | -0.000 | -0.000 |
| 19.823 | 19.823 | 182.101 | -0.000 | -0.000 | -0.000 |
| -4.816 | -4.816 | -66.630 | 32.940 | -0.000 | -0.000 |
| -4.816 | -4.816 | -66.630 | -0.000 | 32.940 | -0.000 |
| -9.267 | -9.267 | -70.647 | -0.000 | -0.000 | 142.609 |
| 201.190 | 126.387 | 34.279 | 0.000 | 0.000 | 0.000 |
| 126.387 | 201.190 | 34.279 | 0.000 | 0.000 | 0.000 |
| 29.699 | 29.699 | 260.124 | 0.000 | 0.000 | 0.000 |
| 2.198 | 2.198 | 13.374 | 37.018 | 0.000 | -0.000 |
| 2.198 | 2.198 | 13.374 | -0.000 | 37.018 | 0.000 |
| 1.481 | 1.481 | 5.978 | 0.000 | 0.000 | 142.609 |
| 197.498 | 124.471 | 21.906 | 0.000 | -0.000 | 0.000 |
| 124.471 | 197.498 | 21.906 | -0.000 | -0.000 | -0.000 |
| 33.784 | 33.784 | 280.500 | -0.000 | -0.000 | -0.000 |
| -2.198 | -2.198 | -13.374 | 37.018 | 0.000 | -0.000 |
| -2.198 | -2.198 | -13.374 | -0.000 | 37.018 | -0.000 |
| -1.481 | -1.481 | -5.978 | -0.000 | -0.000 | 142.609 |
| 198.296 | 125.383 | 29.291 | -0.000 | 0.000 | 0.000 |
| 125.383 | 198.296 | 29.291 | 0.000 | -0.000 | 0.000 |
| 28.311 | 28.311 | 254.631 | 0.000 | 0.000 | 0.000 |
| 0.066 | 0.066 | 0.693 | 27.134 | 0.000 | 0.000 |
| 0.066 | 0.066 | 0.693 | -0.000 | 27.134 | -0.000 |
| 0.000 | 0.000 | 0.000 | 0.000 | 0.000 | 142.609 |
| 198.152 | 125.240 | 27.934 | 0.000 | 0.000 | -0.000 |
| 125.240 | 198.152 | 27.934 | 0.000 | -0.000 | -0.000 |
| 30.484 | 30.484 | 252.180 | 0.000 | -0.000 | -0.000 |
| -0.066 | -0.066 | -0.693 | 27.134 | 0.000 | 0.000 |
| -0.066 | -0.066 | -0.693 | -0.000 | 27.134 | -0.000 |
| -0.000 | -0.000 | -0.000 | -0.000 | -0.000 | 142.609 |
| 240.394 | 98.009 | 98.009 | 0.000 | 0.000 | -0.000 |
| 98.009 | 240.394 | 98.009 | 0.000 | -0.000 | -0.000 |
| 98.009 | 98.009 | 240.394 | 0.000 | 0.000 | -0.000 |
| -0.000 | -0.000 | -0.000 | -0.692 | 0.000 | -0.000 |
| 0.000 | -0.000 | -0.000 | 0.000 | -0.692 | -0.000 |
| 0.000 | -0.000 | -0.000 | 0.000 | 0.000 | -0.692 |
| 240.394 | 98.009 | 98.009 | -0.000 | 0.000 | 0.000 |
| 98.009 | 240.394 | 98.009 | -0.000 | -0.000 | 0.000 |
| 98.009 | 98.009 | 240.394 | -0.000 | -0.000 | 0.000 |
| 0.000 | 0.000 | 0.000 | -0.692 | -0.000 | 0.000 |
| -0.000 | 0.000 | 0.000 | -0.000 | -0.692 | 0.000 |
| -0.000 | 0.000 | 0.000 | -0.000 | -0.000 | -0.692 |
| 240.394 | 98.009 | 98.009 | 0.000 | -0.000 | -0.000 |
| 98.009 | 240.394 | 98.009 | 0.000 | -0.000 | -0.000 |
| 98.009 | 98.009 | 240.394 | 0.000 | -0.000 | -0.000 |
| 0.000 | 0.000 | 0.000 | 105.051 | -0.000 | -0.000 |
| 0.000 | 0.000 | 0.000 | 0.000 | 105.051 | -0.000 |
| 0.000 | 0.000 | 0.000 | 0.000 | 0.000 | 105.051 |
| 240.394 | 98.009 | 98.009 | -0.000 | 0.000 | 0.000 |
| 98.009 | 240.394 | 98.009 | -0.000 | 0.000 | 0.000 |
| 98.009 | 98.009 | 240.394 | -0.000 | 0.000 | 0.000 |
| -0.000 | -0.000 | -0.000 | 105.051 | 0.000 | 0.000 |
| -0.000 | -0.000 | -0.000 | -0.000 | 105.051 | 0.000 |
| 0.000 | 0.000 | -0.000 | -0.000 | 0.000 | -0.692 |
| 240.395 | 98.010 | 98.010 | 0.000 | 0.000 | 0.000 |
| 98.010 | 240.395 | 98.010 | 0.000 | -0.000 | 0.000 |
| 98.010 | 98.010 | 240.395 | 0.000 | 0.000 | -0.000 |
| 0.000 | -0.000 | -0.000 | -0.692 | 0.000 | 0.000 |
| -0.000 | 0.000 | -0.000 | 0.000 | -0.692 | -0.000 |
| -0.000 | -0.000 | 0.000 | 0.000 | 0.000 | -0.692 |
| 240.393 | 98.009 | 98.009 | -0.000 | -0.000 | 0.000 |
| 98.009 | 240.393 | 98.009 | -0.000 | 0.000 | 0.000 |
| 98.009 | 98.009 | 240.393 | -0.000 | 0.000 | 0.000 |
| -0.000 | 0.000 | 0.000 | -0.692 | -0.000 | 0.000 |
| 0.000 | -0.000 | 0.000 | -0.000 | -0.692 | 0.000 |
| 0.000 | 0.000 | -0.000 | -0.000 | -0.000 | -0.692 |
| 307.180 | 82.025 | 82.026 | 0.000 | 0.000 | 0.000 |
| 82.025 | 307.180 | 82.026 | 0.000 | 0.000 | 0.000 |
| 82.025 | 82.025 | 307.180 | 0.000 | 0.000 | 0.000 |
| 0.000 | 0.000 | 0.000 | 86.756 | 0.000 | 0.000 |
| 0.000 | 0.000 | 0.000 | 0.000 | 86.756 | 0.000 |
| 0.000 | 0.000 | 0.000 | 0.000 | -0.000 | 86.756 |
| 307.179 | 82.025 | 82.025 | -0.000 | -0.000 | -0.000 |
| 82.025 | 307.179 | 82.025 | -0.000 | 0.000 | -0.000 |
| 82.025 | 82.025 | 307.179 | 0.000 | 0.000 | -0.000 |
| -0.000 | -0.000 | -0.000 | 86.756 | -0.000 | -0.000 |
| -0.000 | -0.000 | -0.000 | -0.000 | 86.756 | -0.000 |
| -0.000 | 0.000 | -0.000 | -0.000 | 0.000 | 86.756 |
| 307.180 | 82.025 | 82.025 | 0.000 | -0.000 | 0.000 |
| 82.025 | 307.180 | 82.025 | 0.000 | 0.000 | 0.000 |
| 82.025 | 82.025 | 307.180 | -0.000 | -0.000 | 0.000 |
| 0.000 | 0.000 | 0.000 | 86.756 | 0.000 | 0.000 |
| 0.000 | 0.000 | 0.000 | 0.000 | 86.756 | 0.000 |
| 0.000 | 0.000 | 0.000 | 0.000 | -0.000 | 86.756 |
| 307.179 | 82.025 | 82.025 | -0.000 | -0.000 | -0.000 |
| 82.025 | 307.179 | 82.025 | -0.000 | 0.000 | -0.000 |
| 82.025 | 82.025 | 307.179 | 0.000 | 0.000 | -0.000 |
| -0.000 | -0.000 | -0.000 | 86.756 | -0.000 | -0.000 |
| -0.000 | -0.000 | -0.000 | -0.000 | 86.756 | -0.000 |
| -0.000 | -0.000 | -0.000 | -0.000 | 0.000 | 86.756 |
| 307.181 | 82.026 | 82.026 | 0.000 | 0.000 | 0.000 |
| 82.026 | 307.181 | 82.026 | 0.000 | -0.000 | 0.000 |
| 82.026 | 82.026 | 307.181 | 0.000 | -0.000 | 0.000 |
| 0.000 | 0.000 | 0.000 | 64.601 | -0.000 | 0.000 |
| 0.000 | 0.000 | 0.000 | 0.000 | 64.601 | 0.000 |
| 0.000 | 0.000 | 0.000 | 0.000 | -0.000 | 64.601 |
| 307.178 | 82.025 | 82.025 | -0.000 | 0.000 | -0.000 |
| 82.025 | 307.178 | 82.025 | -0.000 | 0.000 | -0.000 |
| 82.025 | 82.025 | 307.178 | -0.000 | 0.000 | -0.000 |
| -0.000 | -0.000 | -0.000 | 64.601 | 0.000 | -0.000 |
| -0.000 | -0.000 | -0.000 | -0.000 | 64.601 | -0.000 |
| -0.000 | -0.000 | -0.000 | -0.000 | 0.000 | 64.601 |
| 15.179 | 4.312 | 4.312 | 0.000 | 0.000 | 0.000 |
| 4.312 | 15.179 | 4.312 | 0.000 | 0.000 | 0.000 |
| 4.312 | 4.312 | 15.179 | 0.000 | 0.000 | 0.000 |
| 0.000 | 0.000 | 0.000 | 3.142 | 0.000 | 0.000 |
| 0.000 | 0.000 | 0.000 | 0.000 | 3.142 | 0.000 |
| 0.000 | 0.000 | 0.000 | 0.000 | 0.000 | 3.142 |
| 15.179 | 4.312 | 4.312 | -0.000 | -0.000 | -0.000 |
| 4.312 | 15.179 | 4.312 | -0.000 | -0.000 | -0.000 |
| 4.312 | 4.312 | 15.179 | -0.000 | -0.000 | -0.000 |
| -0.000 | -0.000 | -0.000 | 3.142 | -0.000 | -0.000 |
| -0.000 | -0.000 | -0.000 | -0.000 | 3.142 | -0.000 |
| -0.000 | -0.000 | -0.000 | -0.000 | -0.000 | 3.142 |
| 15.179 | 4.312 | 4.312 | 0.000 | -0.000 | 0.000 |
| 4.312 | 15.179 | 4.312 | 0.000 | 0.000 | 0.000 |
| 4.312 | 4.312 | 15.179 | -0.000 | -0.000 | 0.000 |
| 0.000 | -0.000 | -0.000 | 3.142 | -0.000 | -0.000 |
| -0.000 | 0.000 | -0.000 | 0.000 | 3.142 | 0.000 |
| -0.000 | -0.000 | 0.000 | 0.000 | 0.000 | 3.142 |
| 15.179 | 4.312 | 4.312 | -0.000 | -0.000 | -0.000 |
| 4.312 | 15.179 | 4.312 | -0.000 | -0.000 | -0.000 |
| 4.312 | 4.312 | 15.179 | -0.000 | -0.000 | -0.000 |
| -0.000 | 0.000 | 0.000 | 3.142 | -0.000 | -0.000 |
| 0.000 | -0.000 | 0.000 | -0.000 | 3.142 | -0.000 |
| 0.000 | 0.000 | -0.000 | -0.000 | -0.000 | 3.142 |
| 15.179 | 4.312 | 4.312 | 0.000 | -0.000 | 0.000 |
| 4.312 | 15.179 | 4.312 | 0.000 | 0.000 | 0.000 |
| 4.312 | 4.312 | 15.179 | 0.000 | 0.000 | 0.000 |
| 0.000 | -0.000 | -0.000 | 3.142 | 0.000 | -0.000 |
| -0.000 | 0.000 | -0.000 | 0.000 | 3.142 | 0.000 |
| -0.000 | -0.000 | 0.000 | 0.000 | 0.000 | 3.142 |
| 15.179 | 4.312 | 4.312 | -0.000 | -0.000 | -0.000 |
| 4.312 | 15.179 | 4.312 | -0.000 | -0.000 | -0.000 |
| 4.312 | 4.312 | 15.179 | -0.000 | -0.000 | -0.000 |
| -0.000 | 0.000 | 0.000 | 3.142 | -0.000 | -0.000 |
| 0.000 | -0.000 | 0.000 | -0.000 | 3.142 | -0.000 |
| 0.000 | 0.000 | -0.000 | -0.000 | -0.000 | 3.142 |
| 24.378 | 13.511 | 13.511 | 0.000 | 0.000 | 0.000 |
| 13.511 | 24.378 | 13.511 | 0.000 | 0.000 | 0.000 |
| 13.511 | 13.511 | 24.378 | -0.000 | 0.000 | 0.000 |
| 0.000 | 0.000 | 0.000 | 10.504 | -0.000 | 0.000 |
| 0.000 | 0.000 | 0.000 | 0.000 | 10.504 | 0.000 |
| 0.000 | 0.000 | 0.000 | -0.000 | -0.000 | 10.504 |
| 24.378 | 13.511 | 13.511 | -0.000 | -0.000 | -0.000 |
| 13.511 | 24.378 | 13.511 | -0.000 | -0.000 | -0.000 |
| 13.511 | 13.511 | 24.378 | 0.000 | 0.000 | -0.000 |
| -0.000 | -0.000 | -0.000 | 10.504 | -0.000 | -0.000 |
| -0.000 | -0.000 | -0.000 | -0.000 | 10.504 | -0.000 |
| -0.000 | -0.000 | -0.000 | 0.000 | 0.000 | 10.504 |
| 24.378 | 13.511 | 13.511 | -0.000 | -0.000 | 0.000 |
| 13.511 | 24.378 | 13.511 | -0.000 | -0.000 | 0.000 |
| 13.511 | 13.511 | 24.378 | -0.000 | -0.000 | 0.000 |
| 0.000 | -0.000 | 0.000 | 10.504 | -0.000 | 0.000 |
| -0.000 | 0.000 | 0.000 | 0.000 | 10.504 | 0.000 |
| -0.000 | 0.000 | 0.000 | -0.000 | -0.000 | 10.504 |
| 24.378 | 13.511 | 13.511 | 0.000 | 0.000 | -0.000 |
| 13.511 | 24.378 | 13.511 | 0.000 | 0.000 | -0.000 |
| 13.511 | 13.511 | 24.378 | 0.000 | 0.000 | -0.000 |
| -0.000 | 0.000 | -0.000 | 10.504 | 0.000 | -0.000 |
| 0.000 | -0.000 | -0.000 | -0.000 | 10.504 | -0.000 |
| 0.000 | -0.000 | -0.000 | 0.000 | 0.000 | 10.504 |
| 24.378 | 13.511 | 13.511 | -0.000 | -0.000 | 0.000 |
| 13.511 | 24.378 | 13.511 | -0.000 | -0.000 | 0.000 |
| 13.511 | 13.511 | 24.378 | -0.000 | -0.000 | 0.000 |
| 0.000 | -0.000 | 0.000 | 10.504 | -0.000 | 0.000 |
| -0.000 | 0.000 | 0.000 | 0.000 | 10.504 | 0.000 |
| -0.000 | 0.000 | 0.000 | 0.000 | 0.000 | 10.504 |
| 24.378 | 13.511 | 13.511 | 0.000 | 0.000 | -0.000 |
| 13.511 | 24.378 | 13.511 | 0.000 | 0.000 | -0.000 |
| 13.511 | 13.511 | 24.378 | 0.000 | 0.000 | -0.000 |
| -0.000 | 0.000 | -0.000 | 10.504 | 0.000 | -0.000 |
| 0.000 | -0.000 | -0.000 | -0.000 | 10.504 | -0.000 |
| 0.000 | -0.000 | -0.000 | -0.000 | -0.000 | 10.504 |
| 107.292 | 51.952 | 51.952 | 0.000 | -0.000 | 0.000 |
| 51.952 | 107.292 | 51.952 | 0.000 | 0.000 | 0.000 |
| 51.952 | 51.952 | 107.292 | 0.000 | 0.000 | 0.000 |
| -0.000 | -0.000 | 0.000 | 44.028 | -0.000 | 0.000 |
| -0.000 | -0.000 | 0.000 | 0.000 | 44.028 | 0.000 |
| -0.000 | -0.000 | 0.000 | 0.000 | 0.000 | 44.028 |
| 107.292 | 51.952 | 51.952 | -0.000 | -0.000 | -0.000 |
| 51.952 | 107.292 | 51.952 | -0.000 | -0.000 | -0.000 |
| 51.952 | 51.952 | 107.292 | -0.000 | -0.000 | -0.000 |
| 0.000 | 0.000 | -0.000 | 44.028 | 0.000 | 0.000 |
| 0.000 | 0.000 | -0.000 | -0.000 | 44.028 | -0.000 |
| 0.000 | 0.000 | -0.000 | -0.000 | -0.000 | 44.028 |
| 107.292 | 51.952 | 51.952 | 0.000 | 0.000 | 0.000 |
| 51.952 | 107.292 | 51.952 | -0.000 | -0.000 | -0.000 |
| 51.952 | 51.952 | 107.292 | -0.000 | -0.000 | 0.000 |
| 0.000 | 0.000 | 0.000 | 44.028 | 0.000 | 0.000 |
| 0.000 | 0.000 | 0.000 | -0.000 | 44.028 | 0.000 |
| 0.000 | 0.000 | 0.000 | 0.000 | 0.000 | 44.028 |
| 107.292 | 51.952 | 51.952 | -0.000 | -0.000 | -0.000 |
| 51.952 | 107.292 | 51.952 | -0.000 | -0.000 | -0.000 |
| 51.952 | 51.952 | 107.292 | -0.000 | 0.000 | -0.000 |
| -0.000 | -0.000 | -0.000 | 44.028 | 0.000 | -0.000 |
| -0.000 | -0.000 | -0.000 | 0.000 | 44.028 | -0.000 |
| -0.000 | -0.000 | -0.000 | -0.000 | -0.000 | 44.028 |
| 107.293 | 51.953 | 51.953 | -0.000 | -0.000 | -0.000 |
| 51.953 | 107.293 | 51.953 | 0.000 | -0.000 | 0.000 |
| 51.953 | 51.953 | 107.293 | 0.000 | 0.000 | 0.000 |
| 0.000 | 0.000 | 0.000 | 44.028 | -0.000 | 0.000 |
| 0.000 | 0.000 | 0.000 | 0.000 | 44.028 | 0.000 |
| 0.000 | 0.000 | 0.000 | 0.000 | 0.000 | 44.028 |
| 107.292 | 51.952 | 51.952 | -0.000 | -0.000 | -0.000 |
| 51.952 | 107.292 | 51.952 | -0.000 | -0.000 | -0.000 |
| 51.952 | 51.952 | 107.292 | 0.000 | -0.000 | -0.000 |
| -0.000 | -0.000 | -0.000 | 44.028 | 0.000 | -0.000 |
| -0.000 | -0.000 | -0.000 | -0.000 | 44.028 | -0.000 |
| -0.000 | -0.000 | -0.000 | -0.000 | -0.000 | 44.028 |
| 14.093 | 2.466 | 2.466 | -0.000 | -0.000 | 0.000 |
| 2.466 | 14.093 | 2.466 | -0.000 | 0.000 | 0.000 |
| 2.466 | 2.466 | 14.093 | -0.000 | -0.000 | -0.000 |
| -0.000 | -0.000 | -0.000 | -1.157 | -0.000 | 0.000 |
| -0.000 | -0.000 | 0.000 | -0.000 | -1.157 | 0.000 |
| -0.000 | -0.000 | 0.000 | -0.000 | -0.000 | -1.157 |
| 14.093 | 2.466 | 2.466 | 0.000 | -0.000 | 0.000 |
| 2.466 | 14.093 | 2.466 | 0.000 | 0.000 | 0.000 |
| 2.466 | 2.466 | 14.093 | 0.000 | -0.000 | -0.000 |
| 0.000 | 0.000 | 0.000 | -1.157 | 0.000 | -0.000 |
| 0.000 | 0.000 | 0.000 | -0.000 | -1.157 | -0.000 |
| 0.000 | 0.000 | -0.000 | 0.000 | -0.000 | -1.157 |
| 14.093 | 2.466 | 2.466 | -0.000 | -0.000 | 0.000 |
| 2.466 | 14.093 | 2.466 | -0.000 | -0.000 | 0.000 |
| 2.466 | 2.466 | 14.093 | -0.000 | -0.000 | -0.000 |
| -0.000 | -0.000 | -0.000 | -1.157 | -0.000 | 0.000 |
| -0.000 | -0.000 | -0.000 | -0.000 | -1.157 | 0.000 |
| -0.000 | -0.000 | -0.000 | -0.000 | -0.000 | -1.157 |
| 14.093 | 2.466 | 2.466 | 0.000 | -0.000 | 0.000 |
| 2.466 | 14.093 | 2.466 | 0.000 | -0.000 | 0.000 |
| 2.466 | 2.466 | 14.093 | -0.000 | -0.000 | -0.000 |
| 0.000 | 0.000 | 0.000 | -1.157 | 0.000 | -0.000 |
| 0.000 | 0.000 | 0.000 | 0.000 | -1.157 | -0.000 |
| 0.000 | 0.000 | 0.000 | 0.000 | 0.000 | -1.157 |
| 14.093 | 2.466 | 2.466 | 0.000 | 0.000 | 0.000 |
| 2.466 | 14.093 | 2.466 | -0.000 | -0.000 | 0.000 |
| 2.466 | 2.466 | 14.093 | -0.000 | -0.000 | -0.000 |
| -0.000 | -0.000 | -0.000 | -1.157 | 0.000 | -0.000 |
| -0.000 | -0.000 | -0.000 | -0.000 | -1.157 | -0.000 |
| -0.000 | -0.000 | -0.000 | 0.000 | 0.000 | -1.157 |
| 14.093 | 2.466 | 2.466 | 0.000 | -0.000 | 0.000 |
| 2.466 | 14.093 | 2.466 | 0.000 | 0.000 | 0.000 |
| 2.466 | 2.466 | 14.093 | 0.000 | -0.000 | 0.000 |
| 0.000 | 0.000 | 0.000 | -1.157 | -0.000 | 0.000 |
| 0.000 | 0.000 | 0.000 | 0.000 | -1.157 | -0.000 |
| 0.000 | 0.000 | 0.000 | -0.000 | 0.000 | -1.157 |
| 66.117 | 11.281 | 11.281 | 0.000 | 0.000 | -0.000 |
| 11.281 | 66.117 | 11.281 | 0.000 | 0.000 | -0.000 |
| 11.281 | 11.281 | 66.117 | -0.000 | 0.000 | -0.000 |
| -0.000 | 0.000 | -0.000 | -14.426 | 0.000 | 0.000 |
| -0.000 | 0.000 | -0.000 | -0.000 | -14.426 | -0.000 |
| -0.000 | 0.000 | -0.000 | -0.000 | 0.000 | -14.426 |
| 66.117 | 11.281 | 11.281 | -0.000 | -0.000 | 0.000 |
| 11.281 | 66.117 | 11.281 | -0.000 | -0.000 | 0.000 |
| 11.281 | 11.281 | 66.117 | -0.000 | -0.000 | -0.000 |
| 0.000 | -0.000 | 0.000 | -14.426 | -0.000 | 0.000 |
| 0.000 | -0.000 | 0.000 | 0.000 | -14.426 | 0.000 |
| 0.000 | -0.000 | 0.000 | -0.000 | -0.000 | -14.426 |
| 66.117 | 11.281 | 11.281 | -0.000 | 0.000 | -0.000 |
| 11.281 | 66.117 | 11.281 | -0.000 | 0.000 | -0.000 |
| 11.281 | 11.281 | 66.117 | -0.000 | 0.000 | -0.000 |
| 0.000 | 0.000 | 0.000 | -14.426 | 0.000 | -0.000 |
| 0.000 | 0.000 | 0.000 | -0.000 | -14.426 | -0.000 |
| 0.000 | 0.000 | 0.000 | 0.000 | 0.000 | -14.426 |
| 66.117 | 11.281 | 11.281 | -0.000 | -0.000 | 0.000 |
| 11.281 | 66.117 | 11.281 | -0.000 | -0.000 | 0.000 |
| 11.281 | 11.281 | 66.117 | 0.000 | -0.000 | -0.000 |
| -0.000 | -0.000 | -0.000 | -14.426 | -0.000 | 0.000 |
| -0.000 | -0.000 | -0.000 | 0.000 | -14.426 | 0.000 |
| -0.000 | -0.000 | -0.000 | -0.000 | -0.000 | -14.426 |
| 66.118 | 11.281 | 11.281 | 0.000 | 0.000 | -0.000 |
| 11.281 | 66.118 | 11.281 | 0.000 | 0.000 | -0.000 |
| 11.281 | 11.281 | 66.118 | 0.000 | 0.000 | -0.000 |
| 0.000 | 0.000 | 0.000 | -14.426 | 0.000 | 0.000 |
| 0.000 | 0.000 | 0.000 | -0.000 | -14.426 | -0.000 |
| 0.000 | 0.000 | 0.000 | 0.000 | 0.000 | -14.426 |
| 66.117 | 11.280 | 11.280 | -0.000 | -0.000 | 0.000 |
| 11.280 | 66.117 | 11.280 | -0.000 | -0.000 | 0.000 |
| 11.280 | 11.280 | 66.117 | -0.000 | -0.000 | 0.000 |
| -0.000 | -0.000 | -0.000 | -14.426 | -0.000 | 0.000 |
| -0.000 | -0.000 | -0.000 | 0.000 | -14.426 | 0.000 |
| -0.000 | -0.000 | -0.000 | -0.000 | -0.000 | -14.426 |
| 129.510 | 83.768 | 83.768 | -0.000 | -0.000 | 0.000 |
| 83.768 | 129.510 | 83.768 | -0.000 | -0.000 | 0.000 |
| 83.768 | 83.768 | 129.510 | 0.000 | 0.000 | -0.000 |
| 0.000 | -0.000 | 0.000 | 84.495 | 0.000 | 0.000 |
| 0.000 | 0.000 | 0.000 | 0.000 | 84.495 | -0.000 |
| 0.000 | 0.000 | 0.000 | 0.000 | 0.000 | 84.495 |
| 129.510 | 83.768 | 83.768 | 0.000 | 0.000 | -0.000 |
| 83.768 | 129.510 | 83.768 | 0.000 | 0.000 | 0.000 |
| 83.768 | 83.768 | 129.510 | -0.000 | -0.000 | -0.000 |
| -0.000 | 0.000 | -0.000 | 84.495 | -0.000 | -0.000 |
| -0.000 | 0.000 | -0.000 | -0.000 | 84.495 | 0.000 |
| -0.000 | -0.000 | -0.000 | -0.000 | -0.000 | 84.495 |
| 129.510 | 83.768 | 83.768 | 0.000 | 0.000 | 0.000 |
| 83.768 | 129.510 | 83.768 | 0.000 | 0.000 | -0.000 |
| 83.768 | 83.768 | 129.510 | 0.000 | 0.000 | 0.000 |
| 0.000 | 0.000 | 0.000 | 84.495 | -0.000 | 0.000 |
| 0.000 | 0.000 | 0.000 | -0.000 | 84.495 | -0.000 |
| 0.000 | 0.000 | 0.000 | 0.000 | 0.000 | 84.495 |
| 129.510 | 83.768 | 83.768 | -0.000 | -0.000 | 0.000 |
| 83.768 | 129.510 | 83.768 | -0.000 | -0.000 | -0.000 |
| 83.768 | 83.768 | 129.510 | 0.000 | -0.000 | -0.000 |
| -0.000 | -0.000 | -0.000 | 84.495 | -0.000 | 0.000 |
| -0.000 | -0.000 | -0.000 | 0.000 | 84.495 | 0.000 |
| -0.000 | -0.000 | -0.000 | -0.000 | -0.000 | 84.495 |
| 129.511 | 83.769 | 83.769 | 0.000 | 0.000 | -0.000 |
| 83.769 | 129.511 | 83.769 | 0.000 | 0.000 | -0.000 |
| 83.769 | 83.769 | 129.511 | 0.000 | 0.000 | -0.000 |
| 0.000 | 0.000 | 0.000 | 82.960 | 0.000 | 0.000 |
| 0.000 | 0.000 | 0.000 | 0.000 | 82.960 | 0.000 |
| 0.000 | 0.000 | 0.000 | -0.000 | -0.000 | 82.960 |
| 129.510 | 83.768 | 83.768 | 0.000 | 0.000 | -0.000 |
| 83.768 | 129.510 | 83.768 | 0.000 | 0.000 | -0.000 |
| 83.768 | 83.768 | 129.510 | 0.000 | 0.000 | -0.000 |
| -0.000 | -0.000 | -0.000 | 82.960 | -0.000 | 0.000 |
| -0.000 | -0.000 | -0.000 | -0.000 | 82.960 | 0.000 |
| -0.000 | -0.000 | -0.000 | 0.000 | 0.000 | 82.960 |
| 12.244 | 7.713 | 7.713 | 0.000 | 0.000 | -0.000 |
| 7.713 | 12.244 | 7.713 | 0.000 | 0.000 | -0.000 |
| 7.713 | 7.713 | 12.244 | -0.000 | -0.000 | -0.000 |
| -0.000 | 0.000 | -0.000 | 3.600 | 0.000 | -0.000 |
| -0.000 | -0.000 | -0.000 | 0.000 | 3.600 | -0.000 |
| -0.000 | 0.000 | -0.000 | -0.000 | -0.000 | 3.600 |
| 12.244 | 7.713 | 7.713 | -0.000 | -0.000 | 0.000 |
| 7.713 | 12.244 | 7.713 | -0.000 | -0.000 | 0.000 |
| 7.713 | 7.713 | 12.244 | -0.000 | -0.000 | 0.000 |
| 0.000 | 0.000 | 0.000 | 3.600 | -0.000 | 0.000 |
| 0.000 | 0.000 | 0.000 | -0.000 | 3.600 | 0.000 |
| 0.000 | -0.000 | 0.000 | 0.000 | 0.000 | 3.600 |
| 12.244 | 7.713 | 7.713 | 0.000 | 0.000 | -0.000 |
| 7.713 | 12.244 | 7.713 | 0.000 | 0.000 | -0.000 |
| 7.713 | 7.713 | 12.244 | -0.000 | 0.000 | -0.000 |
| 0.000 | -0.000 | -0.000 | 3.600 | 0.000 | -0.000 |
| -0.000 | 0.000 | -0.000 | 0.000 | 3.600 | -0.000 |
| -0.000 | -0.000 | 0.000 | -0.000 | -0.000 | 3.600 |
| 12.244 | 7.713 | 7.713 | -0.000 | -0.000 | 0.000 |
| 7.713 | 12.244 | 7.713 | -0.000 | -0.000 | 0.000 |
| 7.713 | 7.713 | 12.244 | 0.000 | 0.000 | 0.000 |
| -0.000 | 0.000 | 0.000 | 3.600 | -0.000 | 0.000 |
| 0.000 | -0.000 | 0.000 | -0.000 | 3.600 | 0.000 |
| 0.000 | 0.000 | -0.000 | 0.000 | 0.000 | 3.600 |
| 12.244 | 7.713 | 7.713 | 0.000 | -0.000 | -0.000 |
| 7.713 | 12.244 | 7.713 | 0.000 | 0.000 | -0.000 |
| 7.713 | 7.713 | 12.244 | -0.000 | -0.000 | -0.000 |
| 0.000 | -0.000 | -0.000 | 3.600 | 0.000 | -0.000 |
| -0.000 | 0.000 | -0.000 | -0.000 | 3.600 | -0.000 |
| -0.000 | -0.000 | 0.000 | -0.000 | -0.000 | 3.600 |
| 12.244 | 7.713 | 7.713 | -0.000 | -0.000 | 0.000 |
| 7.713 | 12.244 | 7.713 | -0.000 | -0.000 | 0.000 |
| 7.713 | 7.713 | 12.244 | 0.000 | 0.000 | 0.000 |
| -0.000 | 0.000 | 0.000 | 3.600 | -0.000 | 0.000 |
| 0.000 | -0.000 | 0.000 | -0.000 | 3.600 | 0.000 |
| 0.000 | 0.000 | -0.000 | 0.000 | 0.000 | 3.600 |
| 0.318 | 0.318 | 0.784 | -0.000 | 0.000 | 0.000 |
| 0.318 | 0.318 | 0.784 | 0.000 | -0.000 | 0.000 |
| 0.784 | 0.784 | 1.929 | -0.000 | -0.000 | 0.000 |
| 0.000 | 0.000 | 0.000 | 0.784 | -0.000 | -0.000 |
| 0.000 | 0.000 | 0.000 | -0.000 | 0.784 | -0.000 |
| 0.000 | 0.000 | 0.000 | -0.000 | -0.000 | 0.318 |
| 0.318 | 0.318 | 0.784 | 0.000 | 0.000 | -0.000 |
| 0.318 | 0.318 | 0.784 | 0.000 | 0.000 | -0.000 |
| 0.784 | 0.784 | 1.929 | 0.000 | 0.000 | -0.000 |
| -0.000 | -0.000 | -0.000 | 0.784 | 0.000 | -0.000 |
| -0.000 | -0.000 | -0.000 | 0.000 | 0.784 | -0.000 |
| -0.000 | -0.000 | -0.000 | 0.000 | 0.000 | 0.318 |
| 0.318 | 0.318 | 0.784 | 0.000 | 0.000 | 0.000 |
| 0.318 | 0.318 | 0.784 | 0.000 | 0.000 | 0.000 |
| 0.784 | 0.784 | 1.929 | 0.000 | 0.000 | 0.000 |
| 0.000 | -0.000 | 0.000 | 0.784 | -0.000 | -0.000 |
| -0.000 | 0.000 | 0.000 | -0.000 | 0.784 | -0.000 |
| -0.000 | 0.000 | 0.000 | 0.000 | -0.000 | 0.318 |
| 0.318 | 0.318 | 0.784 | 0.000 | -0.000 | -0.000 |
| 0.318 | 0.318 | 0.784 | -0.000 | 0.000 | -0.000 |
| 0.784 | 0.784 | 1.929 | 0.000 | 0.000 | -0.000 |
| -0.000 | 0.000 | -0.000 | 0.784 | 0.000 | 0.000 |
| 0.000 | -0.000 | -0.000 | 0.000 | 0.784 | 0.000 |
| 0.000 | -0.000 | -0.000 | 0.000 | 0.000 | 0.318 |
| 0.205 | 0.205 | 0.506 | -0.000 | 0.000 | 0.000 |
| 0.205 | 0.205 | 0.506 | 0.000 | -0.000 | 0.000 |
| 0.211 | 0.211 | 0.518 | 0.000 | 0.000 | 0.000 |
| -0.000 | -0.000 | -0.000 | 0.140 | 0.000 | 0.000 |
| -0.000 | -0.000 | -0.000 | 0.000 | 0.140 | 0.000 |
| -0.000 | 0.000 | 0.000 | 0.000 | 0.000 | 0.205 |
| 0.205 | 0.205 | 0.506 | 0.000 | -0.000 | -0.000 |
| 0.205 | 0.205 | 0.506 | -0.000 | 0.000 | -0.000 |
| 0.211 | 0.211 | 0.518 | 0.000 | 0.000 | -0.000 |
| 0.000 | 0.000 | 0.000 | 0.140 | 0.000 | -0.000 |
| 0.000 | 0.000 | 0.000 | 0.000 | 0.140 | -0.000 |
| 0.000 | -0.000 | -0.000 | 0.000 | -0.000 | 0.205 |
| 8.976 | 6.468 | 6.468 | -0.000 | -0.000 | 0.000 |
| 6.468 | 8.976 | 6.468 | -0.000 | -0.000 | 0.000 |
| 6.468 | 6.468 | 8.976 | -0.000 | -0.000 | 0.000 |
| -0.000 | -0.000 | -0.000 | -11.841 | -0.000 | 0.000 |
| -0.000 | -0.000 | -0.000 | -0.000 | -11.841 | 0.000 |
| -0.000 | -0.000 | -0.000 | -0.000 | -0.000 | -11.841 |
| 8.976 | 6.468 | 6.468 | 0.000 | 0.000 | -0.000 |
| 6.468 | 8.976 | 6.468 | 0.000 | -0.000 | -0.000 |
| 6.468 | 6.468 | 8.976 | 0.000 | 0.000 | -0.000 |
| 0.000 | 0.000 | 0.000 | -11.841 | 0.000 | -0.000 |
| 0.000 | 0.000 | 0.000 | 0.000 | -11.841 | -0.000 |
| 0.000 | 0.000 | 0.000 | 0.000 | 0.000 | -11.841 |
| 8.976 | 6.468 | 6.468 | -0.000 | -0.000 | 0.000 |
| 6.468 | 8.976 | 6.468 | -0.000 | -0.000 | 0.000 |
| 6.468 | 6.468 | 8.976 | -0.000 | -0.000 | 0.000 |
| -0.000 | -0.000 | -0.000 | -11.841 | -0.000 | -0.000 |
| -0.000 | -0.000 | -0.000 | -0.000 | -11.841 | 0.000 |
| -0.000 | -0.000 | -0.000 | -0.000 | -0.000 | -11.841 |
| 8.976 | 6.468 | 6.468 | 0.000 | 0.000 | 0.000 |
| 6.468 | 8.976 | 6.468 | 0.000 | 0.000 | 0.000 |
| 6.468 | 6.468 | 8.976 | 0.000 | 0.000 | -0.000 |
| 0.000 | 0.000 | 0.000 | -11.841 | 0.000 | -0.000 |
| 0.000 | 0.000 | 0.000 | 0.000 | -11.841 | -0.000 |
| 0.000 | 0.000 | 0.000 | 0.000 | 0.000 | -11.841 |
| 8.976 | 6.468 | 6.468 | -0.000 | 0.000 | 0.000 |
| 6.468 | 8.976 | 6.468 | -0.000 | -0.000 | 0.000 |
| 6.468 | 6.468 | 8.976 | -0.000 | -0.000 | 0.000 |
| -0.000 | -0.000 | -0.000 | -11.841 | -0.000 | 0.000 |
| -0.000 | -0.000 | -0.000 | -0.000 | -11.841 | 0.000 |
| -0.000 | -0.000 | -0.000 | -0.000 | -0.000 | -11.841 |
| 8.976 | 6.468 | 6.468 | 0.000 | 0.000 | -0.000 |
| 6.468 | 8.976 | 6.468 | 0.000 | 0.000 | -0.000 |
| 6.468 | 6.468 | 8.976 | 0.000 | 0.000 | -0.000 |
| 0.000 | 0.000 | 0.000 | -11.841 | 0.000 | -0.000 |
| 0.000 | 0.000 | 0.000 | 0.000 | -11.841 | -0.000 |
| 0.000 | 0.000 | 0.000 | 0.000 | 0.000 | -11.841 |
| 12.215 | 7.679 | 7.679 | 0.000 | 0.000 | -0.000 |
| 7.679 | 12.215 | 7.679 | 0.000 | 0.000 | -0.000 |
| 7.679 | 7.679 | 12.215 | 0.000 | 0.000 | 0.000 |
| 0.000 | -0.000 | 0.000 | 3.548 | 0.000 | 0.000 |
| -0.000 | 0.000 | 0.000 | 0.000 | 3.548 | 0.000 |
| -0.000 | -0.000 | -0.000 | 0.000 | 0.000 | 3.548 |
| 12.215 | 7.679 | 7.679 | -0.000 | -0.000 | -0.000 |
| 7.679 | 12.215 | 7.679 | -0.000 | -0.000 | -0.000 |
| 7.679 | 7.679 | 12.215 | 0.000 | -0.000 | 0.000 |
| -0.000 | 0.000 | -0.000 | 3.548 | -0.000 | 0.000 |
| 0.000 | -0.000 | 0.000 | -0.000 | 3.548 | 0.000 |
| 0.000 | 0.000 | 0.000 | -0.000 | -0.000 | 3.548 |
| 12.215 | 7.679 | 7.679 | 0.000 | 0.000 | -0.000 |
| 7.679 | 12.215 | 7.679 | 0.000 | 0.000 | -0.000 |
| 7.679 | 7.679 | 12.215 | 0.000 | 0.000 | -0.000 |
| 0.000 | -0.000 | -0.000 | 3.548 | 0.000 | -0.000 |
| -0.000 | 0.000 | -0.000 | 0.000 | 3.548 | 0.000 |
| -0.000 | -0.000 | 0.000 | 0.000 | 0.000 | 3.548 |
| 12.215 | 7.679 | 7.679 | -0.000 | 0.000 | -0.000 |
| 7.679 | 12.215 | 7.679 | -0.000 | -0.000 | -0.000 |
| 7.679 | 7.679 | 12.215 | 0.000 | 0.000 | -0.000 |
| -0.000 | 0.000 | 0.000 | 3.548 | -0.000 | -0.000 |
| 0.000 | -0.000 | 0.000 | -0.000 | 3.548 | 0.000 |
| 0.000 | 0.000 | -0.000 | -0.000 | -0.000 | 3.548 |
| 12.215 | 7.679 | 7.679 | 0.000 | 0.000 | 0.000 |
| 7.679 | 12.215 | 7.679 | 0.000 | 0.000 | 0.000 |
| 7.679 | 7.679 | 12.215 | 0.000 | 0.000 | 0.000 |
| 0.000 | -0.000 | -0.000 | 3.548 | 0.000 | -0.000 |
| -0.000 | 0.000 | -0.000 | 0.000 | 3.548 | 0.000 |
| -0.000 | -0.000 | 0.000 | 0.000 | 0.000 | 3.548 |
| 12.215 | 7.679 | 7.679 | -0.000 | -0.000 | 0.000 |
| 7.679 | 12.215 | 7.679 | -0.000 | -0.000 | -0.000 |
| 7.679 | 7.679 | 12.215 | -0.000 | -0.000 | 0.000 |
| -0.000 | 0.000 | 0.000 | 3.548 | -0.000 | -0.000 |
| 0.000 | -0.000 | 0.000 | -0.000 | 3.548 | -0.000 |
| 0.000 | 0.000 | -0.000 | -0.000 | -0.000 | 3.548 |
| 10.475 | 7.112 | 7.112 | -0.000 | 0.000 | 0.000 |
| 7.112 | 10.475 | 7.112 | -0.000 | 0.000 | 0.000 |
| 7.112 | 7.112 | 10.475 | -0.000 | -0.000 | 0.000 |
| -0.000 | -0.000 | -0.000 | 0.282 | -0.000 | 0.000 |
| -0.000 | -0.000 | -0.000 | -0.000 | 0.282 | 0.000 |
| -0.000 | -0.000 | -0.000 | -0.000 | -0.000 | 0.282 |
| 10.475 | 7.112 | 7.112 | 0.000 | -0.000 | -0.000 |
| 7.112 | 10.475 | 7.112 | 0.000 | -0.000 | -0.000 |
| 7.112 | 7.112 | 10.475 | 0.000 | 0.000 | -0.000 |
| 0.000 | 0.000 | 0.000 | 0.282 | 0.000 | -0.000 |
| 0.000 | 0.000 | 0.000 | 0.000 | 0.282 | -0.000 |
| 0.000 | 0.000 | 0.000 | 0.000 | 0.000 | 0.282 |
| 10.475 | 7.112 | 7.112 | -0.000 | 0.000 | 0.000 |
| 7.112 | 10.475 | 7.112 | -0.000 | 0.000 | 0.000 |
| 7.112 | 7.112 | 10.475 | -0.000 | 0.000 | 0.000 |
| 0.000 | -0.000 | -0.000 | 0.282 | -0.000 | 0.000 |
| -0.000 | 0.000 | -0.000 | -0.000 | 0.282 | 0.000 |
| -0.000 | -0.000 | 0.000 | -0.000 | -0.000 | 0.282 |
| 10.475 | 7.112 | 7.112 | 0.000 | -0.000 | -0.000 |
| 7.112 | 10.475 | 7.112 | 0.000 | 0.000 | -0.000 |
| 7.112 | 7.112 | 10.475 | 0.000 | -0.000 | -0.000 |
| -0.000 | 0.000 | 0.000 | 0.282 | 0.000 | -0.000 |
| 0.000 | -0.000 | 0.000 | 0.000 | 0.282 | -0.000 |
| 0.000 | 0.000 | -0.000 | 0.000 | 0.000 | 0.282 |
| 10.476 | 7.112 | 7.112 | -0.000 | 0.000 | 0.000 |
| 7.112 | 10.476 | 7.112 | -0.000 | 0.000 | 0.000 |
| 7.112 | 7.112 | 10.476 | -0.000 | -0.000 | 0.000 |
| 0.000 | -0.000 | -0.000 | 0.282 | -0.000 | 0.000 |
| -0.000 | 0.000 | -0.000 | -0.000 | 0.282 | 0.000 |
| -0.000 | -0.000 | 0.000 | -0.000 | -0.000 | 0.282 |
| 10.475 | 7.112 | 7.112 | 0.000 | -0.000 | -0.000 |
| 7.112 | 10.475 | 7.112 | 0.000 | -0.000 | -0.000 |
| 7.112 | 7.112 | 10.475 | 0.000 | 0.000 | -0.000 |
| -0.000 | 0.000 | 0.000 | 0.282 | 0.000 | -0.000 |
| 0.000 | -0.000 | 0.000 | 0.000 | 0.282 | -0.000 |
| 0.000 | 0.000 | -0.000 | 0.000 | 0.000 | 0.282 |
| 6.079 | 7.284 | 7.284 | -0.000 | -0.000 | 0.000 |
| 7.284 | 6.079 | 7.284 | -0.000 | -0.000 | 0.000 |
| 7.284 | 7.284 | 6.079 | 0.000 | 0.000 | 0.000 |
| 0.000 | -0.000 | -0.000 | -23.700 | 0.000 | 0.000 |
| 0.000 | -0.000 | -0.000 | -0.000 | -23.700 | 0.000 |
| 0.000 | -0.000 | -0.000 | -0.000 | 0.000 | -23.700 |
| 6.079 | 7.284 | 7.284 | 0.000 | 0.000 | -0.000 |
| 7.284 | 6.079 | 7.284 | 0.000 | 0.000 | -0.000 |
| 7.284 | 7.284 | 6.079 | 0.000 | 0.000 | -0.000 |
| -0.000 | 0.000 | 0.000 | -23.700 | -0.000 | -0.000 |
| -0.000 | 0.000 | 0.000 | 0.000 | -23.700 | -0.000 |
| -0.000 | 0.000 | 0.000 | 0.000 | 0.000 | -23.700 |
| 6.079 | 7.284 | 7.284 | -0.000 | -0.000 | 0.000 |
| 7.284 | 6.079 | 7.284 | -0.000 | -0.000 | 0.000 |
| 7.284 | 7.284 | 6.079 | -0.000 | 0.000 | 0.000 |
| -0.000 | -0.000 | -0.000 | -23.700 | -0.000 | 0.000 |
| -0.000 | -0.000 | -0.000 | -0.000 | -23.700 | 0.000 |
| -0.000 | -0.000 | -0.000 | -0.000 | 0.000 | -23.700 |
| 6.079 | 7.284 | 7.284 | -0.000 | -0.000 | -0.000 |
| 7.284 | 6.079 | 7.284 | 0.000 | -0.000 | -0.000 |
| 7.284 | 7.284 | 6.079 | -0.000 | -0.000 | -0.000 |
| 0.000 | 0.000 | 0.000 | -23.700 | 0.000 | -0.000 |
| 0.000 | 0.000 | 0.000 | 0.000 | -23.700 | -0.000 |
| 0.000 | 0.000 | 0.000 | 0.000 | -0.000 | -23.700 |
| 6.079 | 7.284 | 7.284 | -0.000 | -0.000 | 0.000 |
| 7.284 | 6.079 | 7.284 | -0.000 | -0.000 | 0.000 |
| 7.284 | 7.284 | 6.079 | -0.000 | -0.000 | 0.000 |
| -0.000 | -0.000 | -0.000 | -23.700 | -0.000 | 0.000 |
| -0.000 | -0.000 | -0.000 | -0.000 | -23.700 | 0.000 |
| -0.000 | -0.000 | -0.000 | -0.000 | -0.000 | -23.700 |
| 6.079 | 7.284 | 7.284 | 0.000 | -0.000 | -0.000 |
| 7.284 | 6.079 | 7.284 | 0.000 | -0.000 | -0.000 |
| 7.284 | 7.284 | 6.079 | 0.000 | -0.000 | -0.000 |
| 0.000 | 0.000 | 0.000 | -23.700 | 0.000 | -0.000 |
| 0.000 | 0.000 | 0.000 | 0.000 | -23.700 | -0.000 |
| 0.000 | 0.000 | 0.000 | 0.000 | -0.000 | -23.700 |
| 210.877 | 61.754 | 61.754 | -0.000 | -0.000 | 0.000 |
| 61.753 | 210.877 | 61.754 | -0.000 | 0.000 | -0.000 |
| 61.753 | 61.754 | 210.877 | -0.000 | 0.000 | -0.000 |
| -0.000 | 0.000 | 0.000 | 57.852 | 0.000 | -0.000 |
| -0.000 | 0.000 | 0.000 | -0.000 | 57.852 | 0.000 |
| -0.000 | 0.000 | 0.000 | -0.000 | -0.000 | 57.852 |
| 210.877 | 61.754 | 61.753 | -0.000 | 0.000 | 0.000 |
| 61.754 | 210.877 | 61.753 | -0.000 | -0.000 | 0.000 |
| 61.754 | 61.754 | 210.877 | 0.000 | 0.000 | 0.000 |
| 0.000 | 0.000 | -0.000 | 57.852 | -0.000 | 0.000 |
| 0.000 | -0.000 | -0.000 | 0.000 | 57.852 | 0.000 |
| 0.000 | 0.000 | -0.000 | 0.000 | 0.000 | 57.852 |
| 210.877 | 61.754 | 61.754 | -0.000 | -0.000 | -0.000 |
| 61.754 | 210.877 | 61.754 | 0.000 | 0.000 | 0.000 |
| 61.754 | 61.754 | 210.877 | -0.000 | -0.000 | -0.000 |
| 0.000 | -0.000 | 0.000 | 39.678 | -0.000 | -0.000 |
| -0.000 | 0.000 | 0.000 | -0.000 | 39.678 | 0.000 |
| -0.000 | 0.000 | 0.000 | -0.000 | -0.000 | 39.678 |
| 210.877 | 61.753 | 61.753 | -0.000 | 0.000 | 0.000 |
| 61.753 | 210.877 | 61.753 | 0.000 | 0.000 | 0.000 |
| 61.753 | 61.753 | 210.877 | 0.000 | 0.000 | -0.000 |
| -0.000 | 0.000 | -0.000 | 39.678 | 0.000 | -0.000 |
| 0.000 | -0.000 | -0.000 | -0.000 | 39.678 | -0.000 |
| 0.000 | -0.000 | -0.000 | 0.000 | 0.000 | 39.678 |
| 210.878 | 61.754 | 61.754 | -0.000 | 0.000 | -0.000 |
| 61.754 | 210.878 | 61.754 | 0.000 | -0.000 | -0.000 |
| 61.754 | 61.754 | 210.878 | -0.000 | -0.000 | -0.000 |
| 0.000 | -0.000 | 0.000 | 39.678 | -0.000 | -0.000 |
| -0.000 | 0.000 | 0.000 | -0.000 | 39.678 | 0.000 |
| -0.000 | 0.000 | 0.000 | -0.000 | -0.000 | 39.678 |
| 210.877 | 61.753 | 61.753 | 0.000 | -0.000 | 0.000 |
| 61.753 | 210.877 | 61.753 | -0.000 | 0.000 | 0.000 |
| 61.753 | 61.753 | 210.877 | 0.000 | 0.000 | 0.000 |
| -0.000 | 0.000 | -0.000 | 39.678 | 0.000 | -0.000 |
| 0.000 | -0.000 | -0.000 | 0.000 | 39.678 | -0.000 |
| 0.000 | -0.000 | -0.000 | 0.000 | 0.000 | 39.678 |
| 326.084 | 72.428 | 72.428 | -0.000 | 0.000 | 0.000 |
| 72.428 | 326.084 | 72.428 | -0.000 | 0.000 | 0.000 |
| 72.428 | 72.428 | 326.084 | -0.000 | 0.000 | 0.000 |
| -0.000 | 0.000 | -0.000 | 66.962 | -0.000 | 0.000 |
| -0.000 | -0.000 | -0.000 | 0.000 | 66.962 | -0.000 |
| -0.000 | -0.000 | -0.000 | -0.000 | 0.000 | 66.962 |
| 326.084 | 72.428 | 72.428 | 0.000 | -0.000 | 0.000 |
| 72.428 | 326.084 | 72.428 | 0.000 | -0.000 | 0.000 |
| 72.428 | 72.428 | 326.084 | 0.000 | 0.000 | 0.000 |
| 0.000 | -0.000 | 0.000 | 66.962 | 0.000 | 0.000 |
| 0.000 | 0.000 | -0.000 | 0.000 | 66.962 | 0.000 |
| 0.000 | 0.000 | 0.000 | 0.000 | 0.000 | 66.962 |
| 326.084 | 72.428 | 72.428 | -0.000 | 0.000 | -0.000 |
| 72.428 | 326.084 | 72.428 | -0.000 | 0.000 | 0.000 |
| 72.428 | 72.428 | 326.084 | -0.000 | 0.000 | -0.000 |
| 0.000 | -0.000 | -0.000 | -9.255 | 0.000 | -0.000 |
| -0.000 | 0.000 | -0.000 | -0.000 | -9.255 | -0.000 |
| -0.000 | -0.000 | 0.000 | -0.000 | 0.000 | -9.255 |
| 326.084 | 72.428 | 72.428 | 0.000 | -0.000 | 0.000 |
| 72.428 | 326.084 | 72.428 | -0.000 | -0.000 | 0.000 |
| 72.428 | 72.428 | 326.084 | 0.000 | -0.000 | -0.000 |
| -0.000 | 0.000 | 0.000 | -9.255 | -0.000 | 0.000 |
| 0.000 | -0.000 | 0.000 | 0.000 | -9.255 | 0.000 |
| 0.000 | 0.000 | -0.000 | 0.000 | -0.000 | -9.255 |
| 326.085 | 72.429 | 72.429 | -0.000 | 0.000 | 0.000 |
| 72.429 | 326.085 | 72.429 | -0.000 | 0.000 | -0.000 |
| 72.429 | 72.429 | 326.085 | -0.000 | 0.000 | -0.000 |
| 0.000 | -0.000 | -0.000 | -9.255 | -0.000 | -0.000 |
| -0.000 | 0.000 | -0.000 | -0.000 | -9.255 | -0.000 |
| -0.000 | -0.000 | 0.000 | -0.000 | 0.000 | -9.255 |
| 326.083 | 72.428 | 72.428 | 0.000 | -0.000 | 0.000 |
| 72.428 | 326.083 | 72.428 | 0.000 | -0.000 | 0.000 |
| 72.428 | 72.428 | 326.083 | 0.000 | -0.000 | -0.000 |
| -0.000 | 0.000 | 0.000 | -9.255 | 0.000 | 0.000 |
| 0.000 | -0.000 | 0.000 | 0.000 | -9.255 | 0.000 |
| 0.000 | 0.000 | -0.000 | 0.000 | -0.000 | -9.255 |
| 338.590 | 75.488 | 75.488 | -0.000 | 0.000 | 0.000 |
| 75.488 | 338.590 | 75.488 | -0.000 | 0.000 | 0.000 |
| 75.488 | 75.488 | 338.590 | -0.000 | -0.000 | 0.000 |
| -0.000 | -0.000 | 0.000 | 65.914 | 0.000 | 0.000 |
| -0.000 | -0.000 | 0.000 | 0.000 | 65.914 | 0.000 |
| -0.000 | -0.000 | -0.000 | -0.000 | 0.000 | 65.914 |
| 338.590 | 75.488 | 75.488 | 0.000 | 0.000 | -0.000 |
| 75.488 | 338.590 | 75.488 | 0.000 | -0.000 | -0.000 |
| 75.488 | 75.488 | 338.590 | 0.000 | -0.000 | -0.000 |
| 0.000 | 0.000 | 0.000 | 65.914 | -0.000 | -0.000 |
| 0.000 | -0.000 | -0.000 | 0.000 | 65.914 | -0.000 |
| 0.000 | 0.000 | 0.000 | 0.000 | -0.000 | 65.914 |
| 338.590 | 75.488 | 75.488 | -0.000 | 0.000 | 0.000 |
| 75.488 | 338.590 | 75.488 | 0.000 | 0.000 | 0.000 |
| 75.488 | 75.488 | 338.590 | -0.000 | 0.000 | 0.000 |
| 0.000 | -0.000 | -0.000 | 28.504 | -0.000 | 0.000 |
| -0.000 | 0.000 | -0.000 | -0.000 | 28.504 | 0.000 |
| -0.000 | -0.000 | 0.000 | -0.000 | 0.000 | 28.504 |
| 338.590 | 75.488 | 75.488 | 0.000 | -0.000 | -0.000 |
| 75.488 | 338.590 | 75.488 | 0.000 | -0.000 | -0.000 |
| 75.488 | 75.488 | 338.590 | 0.000 | -0.000 | -0.000 |
| -0.000 | 0.000 | 0.000 | 28.504 | 0.000 | -0.000 |
| 0.000 | -0.000 | 0.000 | 0.000 | 28.504 | -0.000 |
| 0.000 | 0.000 | -0.000 | 0.000 | -0.000 | 28.504 |
| 338.591 | 75.489 | 75.489 | -0.000 | 0.000 | 0.000 |
| 75.489 | 338.591 | 75.489 | -0.000 | 0.000 | 0.000 |
| 75.489 | 75.489 | 338.591 | 0.000 | 0.000 | 0.000 |
| 0.000 | 0.000 | -0.000 | 28.504 | -0.000 | 0.000 |
| 0.000 | 0.000 | -0.000 | -0.000 | 28.504 | 0.000 |
| 0.000 | -0.000 | 0.000 | -0.000 | 0.000 | 28.504 |
| 338.589 | 75.488 | 75.488 | 0.000 | 0.000 | -0.000 |
| 75.488 | 338.589 | 75.488 | 0.000 | -0.000 | -0.000 |
| 75.488 | 75.488 | 338.589 | -0.000 | -0.000 | -0.000 |
| -0.000 | -0.000 | 0.000 | 28.504 | 0.000 | -0.000 |
| -0.000 | -0.000 | 0.000 | -0.000 | 28.504 | -0.000 |
| -0.000 | 0.000 | -0.000 | -0.000 | -0.000 | 28.504 |
| 196.068 | 69.830 | 100.784 | 33.087 | 0.000 | 0.000 |
| 69.830 | 196.068 | 100.784 | -33.087 | 0.000 | 0.000 |
| 100.791 | 100.791 | 188.502 | 0.000 | 0.000 | 0.000 |
| 7.121 | -7.121 | 0.000 | 65.201 | 0.000 | 0.000 |
| -0.000 | 0.000 | 0.000 | -0.000 | 65.201 | 7.121 |
| -0.000 | 0.000 | 0.000 | 0.000 | 7.121 | 39.740 |
| 160.884 | 66.337 | 82.118 | 15.489 | 0.000 | -0.000 |
| 69.830 | 196.068 | 100.784 | -33.087 | 0.000 | -0.000 |
| 86.024 | 86.024 | 174.249 | -0.000 | -0.000 | -0.000 |
| 33.087 | -33.087 | -0.000 | 94.039 | -0.000 | -0.000 |
| 0.000 | -0.000 | -0.000 | 0.000 | 65.201 | 7.121 |
| 0.000 | -0.000 | -0.000 | -0.000 | 7.121 | 39.739 |
| 196.068 | 69.830 | 100.784 | 33.087 | 0.000 | 0.000 |
| 66.337 | 160.884 | 82.118 | -15.489 | 0.000 | 0.000 |
| 100.791 | 100.791 | 188.502 | -0.000 | 0.000 | -0.000 |
| 7.121 | -7.121 | 0.000 | 65.201 | 0.000 | 0.000 |
| 0.000 | 0.000 | 0.000 | 0.000 | 94.039 | 33.087 |
| 0.000 | 0.000 | 0.000 | 0.000 | 33.087 | 63.119 |
| 196.068 | 69.830 | 100.784 | 33.087 | -0.000 | -0.000 |
| 66.337 | 160.884 | 82.118 | -15.489 | -0.000 | -0.000 |
| 86.024 | 86.024 | 174.249 | -0.000 | -0.000 | -0.000 |
| 7.121 | -7.121 | -0.000 | 65.201 | -0.000 | -0.000 |
| -0.000 | -0.000 | -0.000 | -0.000 | 94.039 | 33.087 |
| -0.000 | -0.000 | -0.000 | -0.000 | 33.087 | 63.119 |
| 196.069 | 69.830 | 100.784 | 33.088 | 0.000 | 0.000 |
| 66.337 | 160.884 | 82.118 | -15.489 | 0.000 | 0.000 |
| 100.792 | 100.792 | 188.502 | 0.000 | 0.000 | 0.000 |
| 7.122 | -7.122 | 0.000 | 65.201 | 0.000 | 0.000 |
| 0.000 | 0.000 | 0.000 | 0.000 | 94.039 | 33.087 |
| 0.000 | 0.000 | 0.000 | 0.000 | 33.087 | 63.119 |
| 160.881 | 66.336 | 82.117 | 15.488 | 0.000 | -0.000 |
| 69.829 | 196.067 | 100.783 | -33.087 | -0.000 | -0.000 |
| 100.790 | 100.790 | 188.501 | -0.000 | -0.000 | -0.000 |
| 7.121 | -7.121 | -0.000 | 65.201 | -0.000 | -0.000 |
| -0.000 | -0.000 | -0.000 | -0.000 | 94.039 | 33.087 |
| -0.000 | -0.000 | -0.000 | -0.000 | 33.087 | 63.119 |
| 358.755 | 95.103 | 95.103 | -0.000 | -0.000 | -0.000 |
| 95.103 | 358.755 | 95.103 | -0.000 | -0.000 | -0.000 |
| 95.103 | 95.103 | 358.755 | -0.000 | -0.000 | -0.000 |
| 0.000 | -0.000 | -0.000 | 85.712 | -0.000 | -0.000 |
| 0.000 | 0.000 | -0.000 | -0.000 | 85.712 | -0.000 |
| 0.000 | -0.000 | -0.000 | -0.000 | -0.000 | 85.712 |
| 358.755 | 95.103 | 95.103 | 0.000 | 0.000 | 0.000 |
| 95.103 | 358.755 | 95.103 | 0.000 | 0.000 | 0.000 |
| 95.103 | 95.103 | 358.755 | 0.000 | 0.000 | 0.000 |
| -0.000 | -0.000 | 0.000 | 85.712 | 0.000 | 0.000 |
| -0.000 | -0.000 | 0.000 | 0.000 | 85.712 | 0.000 |
| -0.000 | -0.000 | 0.000 | 0.000 | 0.000 | 85.712 |
| 358.755 | 95.103 | 95.103 | -0.000 | -0.000 | -0.000 |
| 95.103 | 358.755 | 95.103 | -0.000 | -0.000 | -0.000 |
| 95.103 | 95.103 | 358.755 | -0.000 | -0.000 | -0.000 |
| 0.000 | 0.000 | 0.000 | 85.712 | -0.000 | -0.000 |
| 0.000 | 0.000 | 0.000 | -0.000 | 85.712 | -0.000 |
| 0.000 | 0.000 | 0.000 | 0.000 | -0.000 | 85.712 |
| 358.755 | 95.103 | 95.103 | 0.000 | 0.000 | 0.000 |
| 95.103 | 358.755 | 95.103 | 0.000 | 0.000 | 0.000 |
| 95.103 | 95.103 | 358.755 | 0.000 | 0.000 | 0.000 |
| -0.000 | -0.000 | -0.000 | 85.712 | 0.000 | 0.000 |
| -0.000 | -0.000 | -0.000 | 0.000 | 85.712 | 0.000 |
| -0.000 | -0.000 | -0.000 | -0.000 | 0.000 | 85.712 |
| 358.756 | 95.104 | 95.104 | -0.000 | -0.000 | -0.000 |
| 95.104 | 358.756 | 95.104 | -0.000 | -0.000 | -0.000 |
| 95.104 | 95.104 | 358.756 | -0.000 | -0.000 | -0.000 |
| 0.000 | 0.000 | 0.000 | 63.075 | -0.000 | -0.000 |
| 0.000 | 0.000 | 0.000 | -0.000 | 63.075 | -0.000 |
| 0.000 | 0.000 | 0.000 | -0.000 | -0.000 | 63.075 |
| 358.754 | 95.103 | 95.103 | 0.000 | 0.000 | 0.000 |
| 95.103 | 358.754 | 95.103 | 0.000 | 0.000 | 0.000 |
| 95.103 | 95.103 | 358.754 | 0.000 | 0.000 | 0.000 |
| -0.000 | -0.000 | -0.000 | 63.075 | 0.000 | 0.000 |
| -0.000 | -0.000 | -0.000 | 0.000 | 63.075 | 0.000 |
| -0.000 | -0.000 | -0.000 | 0.000 | 0.000 | 63.075 |
| 311.356 | 141.530 | 94.302 | -0.000 | -0.000 | 0.000 |
| 141.530 | 311.356 | 94.302 | 0.000 | 0.000 | 0.000 |
| 94.302 | 94.302 | 362.484 | -0.000 | -0.000 | 0.000 |
| 0.000 | 0.000 | 0.000 | 84.936 | -0.000 | 0.000 |
| 0.000 | 0.000 | -0.000 | 0.000 | 84.936 | 0.000 |
| 0.000 | 0.000 | -0.000 | -0.000 | -0.000 | 132.204 |
| 311.356 | 141.530 | 94.302 | -0.000 | 0.000 | -0.000 |
| 141.530 | 311.356 | 94.302 | 0.000 | 0.000 | -0.000 |
| 94.302 | 94.302 | 362.484 | 0.000 | 0.000 | -0.000 |
| -0.000 | -0.000 | -0.000 | 84.936 | 0.000 | -0.000 |
| -0.000 | -0.000 | -0.000 | 0.000 | 84.936 | -0.000 |
| -0.000 | -0.000 | 0.000 | 0.000 | 0.000 | 132.204 |
| 311.357 | 141.530 | 94.302 | -0.000 | -0.000 | 0.000 |
| 141.530 | 311.357 | 94.302 | -0.000 | -0.000 | 0.000 |
| 94.302 | 94.302 | 362.484 | -0.000 | 0.000 | 0.000 |
| 0.000 | 0.000 | 0.000 | 84.936 | -0.000 | 0.000 |
| 0.000 | 0.000 | 0.000 | 0.000 | 84.936 | 0.000 |
| 0.000 | 0.000 | 0.000 | -0.000 | -0.000 | 132.204 |
| 311.356 | 141.530 | 94.302 | 0.000 | 0.000 | -0.000 |
| 141.530 | 311.356 | 94.302 | 0.000 | 0.000 | -0.000 |
| 94.302 | 94.302 | 362.484 | 0.000 | 0.000 | -0.000 |
| -0.000 | -0.000 | -0.000 | 84.936 | 0.000 | -0.000 |
| -0.000 | -0.000 | -0.000 | -0.000 | 84.936 | -0.000 |
| -0.000 | -0.000 | 0.000 | 0.000 | 0.000 | 132.204 |
| 311.359 | 141.531 | 94.303 | 0.000 | -0.000 | 0.000 |
| 141.531 | 311.359 | 94.303 | -0.000 | -0.000 | 0.000 |
| 94.303 | 94.303 | 362.486 | -0.000 | -0.000 | 0.000 |
| 0.000 | 0.001 | 0.000 | 84.936 | -0.000 | 0.000 |
| 0.001 | 0.000 | 0.000 | -0.000 | 84.936 | 0.000 |
| 0.000 | 0.000 | 0.000 | -0.000 | -0.000 | 132.204 |
| 311.354 | 141.530 | 94.301 | 0.000 | 0.000 | -0.000 |
| 141.530 | 311.354 | 94.301 | 0.000 | -0.000 | -0.000 |
| 94.302 | 94.302 | 362.483 | 0.000 | 0.000 | -0.000 |
| -0.000 | -0.001 | -0.000 | 84.936 | 0.000 | -0.000 |
| -0.001 | -0.000 | -0.000 | -0.000 | 84.936 | -0.000 |
| -0.000 | -0.000 | -0.000 | 0.000 | 0.000 | 132.204 |
| 212.908 | 74.159 | 113.822 | 55.285 | 0.000 | 0.000 |
| 76.096 | 219.517 | 119.330 | -58.569 | 0.000 | 0.000 |
| 119.364 | 119.364 | 186.308 | 0.000 | 0.000 | 0.000 |
| 58.569 | -58.569 | 0.000 | 115.182 | -0.000 | 0.000 |
| 0.000 | 0.000 | 0.000 | 0.000 | 115.182 | 58.569 |
| 0.000 | -0.000 | 0.000 | -0.000 | 58.569 | 71.711 |
| 219.517 | 76.095 | 119.330 | 58.569 | -0.000 | -0.000 |
| 76.095 | 219.517 | 119.330 | -58.569 | 0.000 | -0.000 |
| 119.364 | 119.364 | 186.308 | 0.000 | 0.000 | -0.000 |
| 58.569 | -58.569 | -0.000 | 115.182 | 0.000 | -0.000 |
| -0.000 | 0.000 | -0.000 | -0.000 | 115.182 | 58.569 |
| -0.000 | 0.000 | -0.000 | -0.000 | 58.569 | 71.711 |
| 219.517 | 76.096 | 119.330 | 58.569 | 0.000 | 0.000 |
| 74.095 | 212.852 | 113.744 | -55.291 | -0.000 | 0.000 |
| 119.364 | 119.364 | 186.309 | 0.000 | 0.000 | 0.000 |
| 58.569 | -58.569 | 0.000 | 115.182 | -0.000 | 0.000 |
| 0.000 | 0.000 | 0.000 | 0.000 | 115.182 | 58.569 |
| 0.000 | 0.000 | 0.000 | 0.000 | 58.569 | 71.711 |
| 212.840 | 74.081 | 113.727 | 55.292 | -0.000 | -0.000 |
| 74.081 | 212.840 | 113.727 | -55.292 | -0.000 | -0.000 |
| 114.198 | 114.198 | 179.646 | 0.000 | 0.000 | -0.000 |
| 54.672 | -54.690 | -0.012 | 109.716 | 0.000 | -0.000 |
| -0.000 | -0.000 | -0.000 | -0.000 | 115.182 | 58.569 |
| -0.000 | -0.000 | -0.000 | -0.000 | 58.569 | 71.711 |
| 212.848 | 74.089 | 113.737 | 55.292 | -0.000 | 0.000 |
| 74.089 | 212.848 | 113.737 | -55.292 | 0.000 | 0.000 |
| 114.207 | 114.207 | 179.670 | -0.000 | 0.000 | 0.000 |
| 54.682 | -54.679 | 0.002 | 109.715 | -0.000 | 0.000 |
| 0.001 | 0.001 | 0.002 | 0.000 | 109.716 | 54.681 |
| 0.001 | 0.001 | 0.001 | 0.000 | 54.681 | 68.945 |
| 219.516 | 76.095 | 119.329 | 58.569 | 0.000 | -0.000 |
| 74.087 | 212.844 | 113.734 | -55.291 | 0.000 | -0.000 |
| 119.363 | 119.363 | 186.296 | 0.000 | -0.000 | -0.000 |
| 54.680 | -54.682 | -0.002 | 109.716 | 0.000 | -0.000 |
| -0.001 | -0.001 | -0.002 | -0.000 | 109.716 | 54.681 |
| -0.001 | -0.001 | -0.001 | -0.000 | 54.681 | 68.945 |
| 174.490 | -37.013 | -37.013 | 0.000 | 0.000 | -0.000 |
| -37.013 | 174.490 | -37.013 | -0.000 | 0.000 | -0.000 |
| -37.013 | -37.013 | 174.490 | 0.000 | 0.000 | 0.000 |
| -0.000 | 0.000 | -0.000 | -42.172 | 0.000 | 0.000 |
| -0.000 | 0.000 | -0.000 | 0.000 | -42.172 | -0.000 |
| -0.000 | -0.000 | -0.000 | 0.000 | 0.000 | -42.172 |
| 174.490 | -37.013 | -37.013 | -0.000 | -0.000 | 0.000 |
| -37.013 | 174.490 | -37.013 | -0.000 | -0.000 | 0.000 |
| -37.013 | -37.013 | 174.491 | -0.000 | -0.000 | -0.000 |
| 0.000 | 0.000 | 0.000 | -42.172 | -0.000 | 0.000 |
| 0.000 | 0.000 | 0.000 | -0.000 | -42.172 | 0.000 |
| 0.000 | 0.000 | 0.000 | -0.000 | -0.000 | -42.172 |
| 174.491 | -37.013 | -37.013 | 0.000 | 0.000 | -0.000 |
| -37.013 | 174.491 | -37.013 | 0.000 | 0.000 | -0.000 |
| -37.013 | -37.013 | 174.491 | 0.000 | -0.000 | -0.000 |
| -0.000 | 0.000 | -0.000 | -42.172 | -0.000 | 0.000 |
| 0.000 | 0.000 | -0.000 | -0.000 | -42.172 | -0.000 |
| 0.000 | -0.000 | -0.000 | 0.000 | 0.000 | -42.172 |
| 174.490 | -37.013 | -37.013 | -0.000 | -0.000 | 0.000 |
| -37.013 | 174.490 | -37.013 | -0.000 | -0.000 | 0.000 |
| -37.013 | -37.013 | 174.490 | -0.000 | -0.000 | 0.000 |
| 0.000 | -0.000 | 0.000 | -42.172 | 0.000 | 0.000 |
| -0.000 | -0.000 | 0.000 | -0.000 | -42.172 | 0.000 |
| -0.000 | 0.000 | 0.000 | -0.000 | -0.000 | -42.172 |
| 174.491 | -37.013 | -37.013 | 0.000 | 0.000 | -0.000 |
| -37.013 | 174.491 | -37.013 | 0.000 | -0.000 | -0.000 |
| -37.013 | -37.013 | 174.491 | 0.000 | 0.000 | -0.000 |
| 0.000 | 0.000 | -0.000 | -42.172 | -0.000 | -0.000 |
| 0.000 | 0.000 | -0.000 | 0.000 | -42.172 | 0.000 |
| 0.000 | -0.000 | 0.000 | -0.000 | 0.000 | -42.172 |
| 174.490 | -37.013 | -37.013 | -0.000 | -0.000 | 0.000 |
| -37.013 | 174.490 | -37.013 | -0.000 | -0.000 | 0.000 |
| -37.013 | -37.013 | 174.490 | 0.000 | 0.000 | 0.000 |
| -0.000 | -0.000 | 0.000 | -42.172 | 0.000 | 0.000 |
| -0.000 | -0.000 | 0.000 | -0.000 | -42.172 | 0.000 |
| -0.000 | 0.000 | -0.000 | -0.000 | -0.000 | -42.172 |
| 404.355 | -11.207 | -11.207 | 0.000 | -0.000 | -0.000 |
| -11.207 | 404.355 | -11.207 | 0.000 | 0.000 | -0.000 |
| -11.207 | -11.207 | 404.355 | 0.000 | 0.000 | -0.000 |
| -0.000 | -0.000 | -0.000 | -23.455 | -0.000 | -0.000 |
| -0.000 | -0.000 | -0.000 | 0.000 | -23.455 | -0.000 |
| -0.000 | -0.000 | -0.000 | 0.000 | 0.000 | -23.455 |
| 404.355 | -11.207 | -11.207 | -0.000 | -0.000 | -0.000 |
| -11.207 | 404.355 | -11.207 | -0.000 | -0.000 | 0.000 |
| -11.207 | -11.207 | 404.355 | -0.000 | -0.000 | -0.000 |
| 0.000 | 0.000 | 0.000 | -23.455 | 0.000 | 0.000 |
| 0.000 | 0.000 | 0.000 | -0.000 | -23.455 | 0.000 |
| 0.000 | 0.000 | 0.000 | -0.000 | -0.000 | -23.455 |
| 404.356 | -11.207 | -11.207 | 0.000 | -0.000 | -0.000 |
| -11.207 | 404.356 | -11.207 | 0.000 | 0.000 | -0.000 |
| -11.207 | -11.207 | 404.356 | 0.000 | -0.000 | -0.000 |
| 0.000 | 0.000 | -0.000 | -23.455 | 0.000 | -0.000 |
| 0.000 | 0.000 | -0.000 | 0.000 | -23.455 | -0.000 |
| 0.000 | -0.000 | 0.000 | 0.000 | 0.000 | -23.455 |
| 404.355 | -11.207 | -11.207 | -0.000 | -0.000 | 0.000 |
| -11.207 | 404.355 | -11.207 | -0.000 | -0.000 | 0.000 |
| -11.207 | -11.207 | 404.355 | -0.000 | 0.000 | -0.000 |
| -0.000 | -0.000 | 0.000 | -23.455 | -0.000 | 0.000 |
| -0.000 | -0.000 | 0.000 | -0.000 | -23.455 | 0.000 |
| -0.000 | 0.000 | -0.000 | -0.000 | -0.000 | -23.455 |
| 404.357 | -11.207 | -11.207 | 0.000 | 0.000 | 0.000 |
| -11.207 | 404.357 | -11.207 | 0.000 | 0.000 | -0.000 |
| -11.207 | -11.207 | 404.357 | 0.000 | 0.000 | -0.000 |
| 0.000 | 0.000 | -0.000 | -23.455 | -0.000 | -0.000 |
| 0.000 | 0.000 | -0.000 | 0.000 | -23.455 | -0.000 |
| 0.000 | -0.000 | 0.000 | 0.000 | 0.000 | -23.455 |
| 404.354 | -11.207 | -11.207 | -0.000 | -0.000 | -0.000 |
| -11.207 | 404.354 | -11.207 | -0.000 | -0.000 | -0.000 |
| -11.207 | -11.207 | 404.354 | -0.000 | -0.000 | 0.000 |
| -0.000 | -0.000 | 0.000 | -23.455 | 0.000 | 0.000 |
| -0.000 | -0.000 | 0.000 | -0.000 | -23.455 | 0.000 |
| -0.000 | 0.000 | -0.000 | -0.000 | -0.000 | -23.455 |
| 315.898 | 115.879 | 115.879 | -0.000 | -0.000 | 0.000 |
| 115.879 | 315.898 | 115.879 | -0.000 | 0.000 | 0.000 |
| 115.879 | 115.879 | 315.898 | -0.000 | -0.000 | 0.000 |
| 0.000 | 0.000 | 0.000 | -6.697 | -0.000 | 0.000 |
| 0.000 | 0.000 | 0.000 | -0.000 | -6.697 | 0.000 |
| 0.000 | 0.000 | 0.000 | -0.000 | -0.000 | -6.697 |
| 315.898 | 115.879 | 115.879 | 0.000 | 0.000 | -0.000 |
| 115.879 | 315.898 | 115.879 | 0.000 | 0.000 | -0.000 |
| 115.879 | 115.879 | 315.898 | -0.000 | 0.000 | -0.000 |
| -0.000 | -0.000 | -0.000 | -6.697 | 0.000 | -0.000 |
| -0.000 | -0.000 | -0.000 | 0.000 | -6.697 | -0.000 |
| -0.000 | -0.000 | -0.000 | 0.000 | 0.000 | -6.697 |
| 315.898 | 115.879 | 115.879 | -0.000 | -0.000 | 0.000 |
| 115.879 | 315.898 | 115.879 | -0.000 | -0.000 | 0.000 |
| 115.879 | 115.879 | 315.898 | -0.000 | -0.000 | -0.000 |
| 0.000 | -0.000 | -0.000 | -6.697 | -0.000 | 0.000 |
| -0.000 | 0.000 | -0.000 | -0.000 | -6.697 | 0.000 |
| -0.000 | -0.000 | 0.000 | -0.000 | -0.000 | -6.697 |
| 315.898 | 115.879 | 115.879 | -0.000 | 0.000 | -0.000 |
| 115.879 | 315.898 | 115.879 | 0.000 | 0.000 | -0.000 |
| 115.879 | 115.879 | 315.898 | 0.000 | 0.000 | -0.000 |
| -0.000 | 0.000 | 0.000 | -6.697 | 0.000 | -0.000 |
| 0.000 | -0.000 | 0.000 | 0.000 | -6.697 | -0.000 |
| 0.000 | 0.000 | -0.000 | 0.000 | 0.000 | -6.697 |
| 315.899 | 115.880 | 115.880 | -0.000 | -0.000 | 0.000 |
| 115.880 | 315.899 | 115.880 | -0.000 | -0.000 | 0.000 |
| 115.880 | 115.880 | 315.899 | -0.000 | -0.000 | -0.000 |
| 0.000 | -0.000 | -0.000 | -6.697 | -0.000 | 0.000 |
| -0.000 | 0.000 | -0.000 | -0.000 | -6.697 | 0.000 |
| -0.000 | -0.000 | 0.000 | -0.000 | -0.000 | -6.697 |
| 315.897 | 115.878 | 115.878 | -0.000 | 0.000 | -0.000 |
| 115.878 | 315.897 | 115.878 | -0.000 | 0.000 | -0.000 |
| 115.878 | 115.878 | 315.897 | 0.000 | 0.000 | -0.000 |
| -0.000 | 0.000 | 0.000 | -6.697 | 0.000 | -0.000 |
| 0.000 | -0.000 | 0.000 | 0.000 | -6.697 | -0.000 |
| 0.000 | 0.000 | -0.000 | 0.000 | 0.000 | -6.697 |
| 278.390 | 141.569 | 64.923 | -0.000 | 0.000 | -0.000 |
| 150.388 | 227.422 | 83.936 | -0.000 | 0.000 | -0.000 |
| 76.981 | 80.869 | 121.336 | 0.000 | -0.000 | 0.000 |
| 1.315 | -4.287 | -0.006 | -12.935 | 0.000 | 0.000 |
| -0.000 | 0.000 | 0.000 | 0.000 | 68.130 | -0.000 |
| 1.295 | -1.679 | -3.499 | 0.000 | 0.000 | 116.397 |
| 268.383 | 154.451 | 75.397 | 0.000 | -0.000 | 0.000 |
| 151.328 | 228.699 | 81.457 | -0.000 | -0.000 | 0.000 |
| 67.853 | 84.931 | 161.769 | 0.000 | -0.000 | -0.000 |
| -1.315 | 4.287 | 0.006 | -12.935 | -0.000 | 0.000 |
| 0.000 | -0.000 | -0.000 | -0.000 | 68.130 | 0.000 |
| -1.295 | 1.679 | 3.499 | -0.000 | -0.000 | 116.397 |
| 278.390 | 141.569 | 64.923 | -0.000 | 0.000 | 0.000 |
| 143.046 | 249.265 | 83.478 | -0.000 | 0.000 | -0.000 |
| 75.215 | 86.589 | 123.754 | 0.000 | 0.000 | 0.000 |
| 0.359 | -1.165 | 0.020 | -14.849 | 0.000 | -0.000 |
| 0.000 | 0.000 | 0.000 | 0.000 | 68.130 | 0.000 |
| 0.000 | 0.000 | 0.000 | 0.000 | -0.000 | 141.916 |
| 278.390 | 141.569 | 64.923 | 0.000 | -0.000 | 0.000 |
| 151.816 | 227.858 | 80.300 | -0.000 | 0.000 | -0.000 |
| 75.073 | 86.809 | 124.084 | 0.000 | -0.000 | -0.000 |
| -0.359 | 1.165 | -0.020 | -14.849 | -0.000 | -0.000 |
| -0.000 | -0.000 | -0.000 | -0.000 | 68.130 | -0.000 |
| -0.000 | -0.000 | -0.000 | 0.000 | -0.000 | 141.916 |
| 266.018 | 150.120 | 76.008 | -0.000 | 0.000 | 0.000 |
| 151.876 | 227.763 | 80.158 | 0.000 | 0.000 | -0.000 |
| 76.378 | 81.852 | 122.674 | 0.000 | -0.000 | 0.000 |
| 0.037 | -0.118 | 0.001 | -14.911 | 0.000 | 0.000 |
| 0.006 | -0.011 | -0.011 | -0.000 | 68.130 | -0.000 |
| 0.005 | -0.008 | -0.011 | -0.000 | 0.000 | 115.587 |
| 268.653 | 153.666 | 74.453 | -0.000 | 0.000 | -0.000 |
| 152.661 | 227.640 | 81.203 | -0.000 | -0.000 | -0.000 |
| 74.793 | 82.653 | 122.462 | -0.000 | -0.000 | 0.000 |
| -0.037 | 0.118 | -0.001 | -14.911 | 0.000 | -0.000 |
| -0.006 | 0.011 | 0.011 | 0.000 | 68.130 | -0.000 |
| -0.005 | 0.008 | 0.011 | -0.000 | -0.000 | 115.587 |
| 183.241 | -7.368 | -7.368 | 0.000 | -0.000 | 0.000 |
| -7.368 | 183.241 | -7.368 | 0.000 | -0.000 | 0.000 |
| -7.368 | -7.368 | 183.241 | 0.000 | -0.000 | -0.000 |
| -0.000 | 0.000 | 0.000 | -8.266 | -0.000 | 0.000 |
| 0.000 | -0.000 | 0.000 | -0.000 | -8.266 | 0.000 |
| -0.000 | 0.000 | 0.000 | 0.000 | -0.000 | -8.266 |
| 183.241 | -7.368 | -7.368 | -0.000 | 0.000 | 0.000 |
| -7.368 | 183.241 | -7.368 | -0.000 | -0.000 | -0.000 |
| -7.368 | -7.368 | 183.241 | -0.000 | -0.000 | -0.000 |
| 0.000 | -0.000 | -0.000 | -8.266 | 0.000 | -0.000 |
| 0.000 | 0.000 | -0.000 | 0.000 | -8.266 | -0.000 |
| 0.000 | -0.000 | -0.000 | -0.000 | 0.000 | -8.266 |
| 183.241 | -7.368 | -7.368 | 0.000 | -0.000 | -0.000 |
| -7.368 | 183.241 | -7.368 | 0.000 | -0.000 | 0.000 |
| -7.368 | -7.368 | 183.241 | 0.000 | -0.000 | 0.000 |
| -0.000 | 0.000 | -0.000 | -8.266 | -0.000 | -0.000 |
| 0.000 | -0.000 | -0.000 | 0.000 | -8.266 | 0.000 |
| 0.000 | -0.000 | 0.000 | 0.000 | -0.000 | -8.266 |
| 183.241 | -7.368 | -7.368 | -0.000 | 0.000 | -0.000 |
| -7.368 | 183.241 | -7.368 | -0.000 | 0.000 | -0.000 |
| -7.368 | -7.368 | 183.241 | -0.000 | 0.000 | -0.000 |
| 0.000 | -0.000 | 0.000 | -8.266 | 0.000 | -0.000 |
| 0.000 | 0.000 | 0.000 | 0.000 | -8.266 | -0.000 |
| 0.000 | 0.000 | -0.000 | -0.000 | 0.000 | -8.266 |
| 183.242 | -7.368 | -7.368 | 0.000 | -0.000 | -0.000 |
| -7.368 | 183.242 | -7.368 | 0.000 | -0.000 | -0.000 |
| -7.368 | -7.368 | 183.242 | 0.000 | -0.000 | 0.000 |
| -0.000 | 0.000 | -0.000 | -8.461 | -0.000 | 0.000 |
| 0.000 | -0.000 | -0.000 | 0.000 | -8.461 | 0.000 |
| 0.000 | -0.000 | -0.000 | 0.000 | -0.000 | -8.461 |
| 183.240 | -7.368 | -7.368 | -0.000 | 0.000 | -0.000 |
| -7.368 | 183.240 | -7.368 | -0.000 | 0.000 | -0.000 |
| -7.368 | -7.368 | 183.240 | -0.000 | 0.000 | 0.000 |
| 0.000 | -0.000 | 0.000 | -8.461 | 0.000 | 0.000 |
| -0.000 | 0.000 | 0.000 | -0.000 | -8.461 | -0.000 |
| -0.000 | 0.000 | 0.000 | -0.000 | 0.000 | -8.461 |
| 283.759 | 18.796 | 41.130 | -0.000 | -0.000 | 0.000 |
| 30.735 | 45.400 | 18.274 | 0.000 | 0.000 | 0.000 |
| 25.673 | 13.131 | 271.709 | 0.000 | 0.000 | 0.000 |
| -0.003 | 0.000 | -0.003 | -13.503 | 0.000 | 0.000 |
| -0.002 | 0.000 | -0.003 | 0.000 | 30.371 | 0.000 |
| -0.003 | 0.000 | -0.003 | -0.000 | 0.000 | 2.453 |
| 270.777 | 22.342 | 26.549 | 0.000 | -0.000 | -0.000 |
| 25.961 | 43.588 | 12.716 | 0.000 | -0.000 | -0.000 |
| 25.677 | 13.131 | 271.714 | 0.000 | -0.000 | -0.000 |
| 0.003 | -0.000 | 0.003 | -13.503 | -0.000 | -0.000 |
| 0.002 | -0.000 | 0.003 | 0.000 | 30.371 | -0.000 |
| 0.003 | -0.000 | 0.003 | 0.000 | -0.000 | 2.453 |
| 270.775 | 22.343 | 26.546 | -0.000 | 0.000 | 0.000 |
| 25.959 | 43.587 | 12.714 | 0.000 | 0.000 | 0.000 |
| 40.430 | 13.175 | 288.541 | -0.000 | 0.000 | 0.000 |
| -0.000 | 0.000 | -0.000 | -13.503 | 0.000 | 0.000 |
| -0.000 | 0.000 | -0.000 | -0.000 | 30.371 | 0.000 |
| -0.000 | 0.000 | -0.000 | -0.000 | 0.000 | 2.453 |
| 283.759 | 18.796 | 41.130 | 0.000 | 0.000 | -0.000 |
| 25.959 | 43.588 | 12.714 | 0.000 | 0.000 | -0.000 |
| 40.430 | 13.175 | 288.541 | 0.000 | 0.000 | -0.000 |
| 0.000 | -0.000 | 0.000 | -13.503 | -0.000 | -0.000 |
| 0.000 | -0.000 | 0.000 | 0.000 | 30.371 | -0.000 |
| 0.000 | -0.000 | 0.000 | -0.000 | -0.000 | 2.453 |
| 283.760 | 18.796 | 41.131 | -0.000 | -0.000 | 0.000 |
| 25.960 | 43.586 | 12.714 | 0.000 | 0.000 | 0.000 |
| 25.785 | 7.519 | 271.485 | 0.000 | 0.000 | 0.000 |
| -0.000 | 0.000 | -0.000 | -13.503 | -0.000 | 0.000 |
| 0.000 | 0.000 | -0.000 | 0.000 | 30.371 | 0.000 |
| -0.000 | -0.000 | -0.000 | 0.000 | 0.000 | 2.453 |
| 270.774 | 22.342 | 26.547 | 0.000 | -0.000 | -0.000 |
| 25.959 | 43.589 | 12.714 | -0.000 | -0.000 | -0.000 |
| 40.430 | 13.174 | 288.540 | -0.000 | -0.000 | -0.000 |
| 0.000 | -0.000 | 0.000 | -13.503 | 0.000 | -0.000 |
| -0.000 | -0.000 | 0.000 | -0.000 | 30.371 | -0.000 |
| 0.000 | 0.000 | 0.000 | -0.000 | -0.000 | 2.453 |
| 206.143 | 215.236 | -126.912 | 0.000 | -0.000 | -13.811 |
| 215.236 | 206.143 | -126.912 | -0.000 | -0.000 | 13.811 |
| 19.060 | 19.060 | 263.029 | -0.000 | 0.000 | -0.000 |
| -0.000 | -0.000 | 0.000 | 28.552 | -0.000 | -0.000 |
| 0.000 | -0.000 | 0.000 | 0.000 | 28.552 | -0.000 |
| 56.155 | 85.655 | -169.520 | -0.000 | -0.000 | 57.280 |
| 57.758 | 14.051 | 161.971 | 0.000 | -0.000 | -15.498 |
| 14.051 | 57.758 | 161.971 | -0.000 | -0.000 | 15.498 |
| 19.060 | 19.060 | 263.029 | -0.000 | -0.000 | 0.000 |
| -0.000 | 0.000 | -0.000 | 28.552 | 0.000 | 0.000 |
| -0.000 | 0.000 | -0.000 | 0.000 | 28.552 | 0.000 |
| -85.655 | -56.155 | 169.520 | 0.000 | 0.000 | 57.280 |
| 157.439 | 104.624 | 5.116 | -0.000 | -0.000 | -14.156 |
| 104.624 | 157.439 | 5.116 | -0.000 | -0.000 | 14.156 |
| 30.234 | 30.234 | 235.482 | 0.000 | -0.000 | -0.000 |
| 9.742 | 9.742 | -19.141 | 3.729 | -0.000 | -0.000 |
| 9.742 | 9.742 | -19.141 | -0.000 | 3.729 | 0.000 |
| -3.624 | 21.195 | -15.030 | 0.000 | -0.000 | 66.747 |
| 95.699 | 130.593 | 43.046 | 0.000 | 0.000 | -15.363 |
| 130.593 | 95.699 | 43.046 | 0.000 | -0.000 | 15.363 |
| 12.687 | 12.687 | 264.504 | 0.000 | -0.000 | 0.000 |
| -9.742 | -9.742 | 19.141 | 3.729 | 0.000 | 0.000 |
| -9.742 | -9.742 | 19.141 | 0.000 | 3.729 | -0.000 |
| -21.195 | 3.624 | 15.030 | -0.000 | 0.000 | 66.747 |
| 96.213 | 150.553 | 24.986 | -0.000 | 0.000 | -17.258 |
| 150.553 | 96.213 | 24.986 | 0.000 | 0.000 | 17.258 |
| 22.282 | 22.282 | 247.979 | 0.000 | 0.000 | -0.000 |
| 0.904 | 0.904 | -1.531 | -6.813 | -0.000 | -0.000 |
| 0.904 | 0.904 | -1.531 | 0.000 | -6.813 | 0.000 |
| -11.367 | 13.117 | -1.504 | -0.000 | -0.000 | 66.723 |
| 92.174 | 151.015 | 27.026 | -0.000 | 0.000 | -12.233 |
| 151.015 | 92.174 | 27.026 | 0.000 | 0.000 | 12.233 |
| 20.558 | 20.558 | 250.999 | 0.000 | 0.000 | 0.000 |
| -0.904 | -0.904 | 1.531 | -6.813 | -0.000 | 0.000 |
| -0.904 | -0.904 | 1.531 | 0.000 | -6.813 | -0.000 |
| -16.232 | 14.191 | 1.601 | 0.000 | 0.000 | 66.949 |
| 336.017 | 116.120 | 116.120 | -0.000 | -0.000 | -0.000 |
| 116.120 | 336.017 | 116.120 | 0.000 | -0.000 | 0.000 |
| 116.120 | 116.120 | 336.017 | 0.000 | -0.000 | -0.000 |
| 0.000 | 0.000 | 0.000 | 110.506 | -0.000 | -0.000 |
| 0.000 | 0.000 | 0.000 | 0.000 | 110.505 | -0.000 |
| 0.000 | -0.000 | 0.000 | 0.000 | -0.000 | 110.506 |
| 336.017 | 116.120 | 116.120 | -0.000 | 0.000 | 0.000 |
| 116.120 | 336.017 | 116.120 | 0.000 | 0.000 | 0.000 |
| 116.120 | 116.120 | 336.017 | -0.000 | -0.000 | -0.000 |
| -0.000 | -0.000 | -0.000 | 110.505 | 0.000 | 0.000 |
| -0.000 | -0.000 | -0.000 | -0.000 | 110.506 | 0.000 |
| -0.000 | -0.000 | -0.000 | 0.000 | 0.000 | 110.506 |
| 336.017 | 116.120 | 116.120 | -0.000 | -0.000 | 0.000 |
| 116.120 | 336.017 | 116.120 | 0.000 | -0.000 | -0.000 |
| 116.120 | 116.120 | 336.017 | 0.000 | 0.000 | -0.000 |
| 0.000 | 0.000 | 0.000 | 110.506 | -0.000 | 0.000 |
| 0.000 | 0.000 | 0.000 | 0.000 | 110.506 | -0.000 |
| 0.000 | 0.000 | 0.000 | 0.000 | -0.000 | 110.506 |
| 336.017 | 116.120 | 116.120 | 0.000 | 0.000 | -0.000 |
| 116.120 | 336.017 | 116.120 | -0.000 | 0.000 | 0.000 |
| 116.120 | 116.120 | 336.017 | -0.000 | 0.000 | 0.000 |
| -0.000 | -0.000 | -0.000 | 110.506 | 0.000 | 0.000 |
| -0.000 | -0.000 | -0.000 | -0.000 | 110.506 | 0.000 |
| -0.000 | -0.000 | -0.000 | -0.000 | 0.000 | 110.506 |
| 336.018 | 116.121 | 116.121 | 0.000 | -0.000 | 0.000 |
| 116.121 | 336.018 | 116.121 | 0.000 | -0.000 | 0.000 |
| 116.121 | 116.121 | 336.018 | 0.000 | -0.000 | -0.000 |
| 0.000 | -0.000 | -0.000 | 24.619 | 0.000 | 0.000 |
| -0.000 | 0.000 | -0.000 | 0.000 | 24.619 | -0.000 |
| -0.000 | -0.000 | 0.000 | 0.000 | 0.000 | 24.619 |
| 336.015 | 116.120 | 116.120 | -0.000 | 0.000 | 0.000 |
| 116.120 | 336.015 | 116.120 | -0.000 | 0.000 | 0.000 |
| 116.120 | 116.120 | 336.015 | -0.000 | 0.000 | 0.000 |
| -0.000 | 0.000 | 0.000 | 24.619 | -0.000 | 0.000 |
| 0.000 | -0.000 | 0.000 | -0.000 | 24.619 | 0.000 |
| 0.000 | 0.000 | -0.000 | -0.000 | -0.000 | 24.619 |
| 220.312 | 105.615 | 105.615 | -0.000 | -0.000 | 0.000 |
| 105.615 | 220.312 | 105.615 | -0.000 | -0.000 | 0.000 |
| 105.615 | 105.615 | 220.312 | -0.000 | -0.000 | 0.000 |
| -0.000 | -0.000 | -0.000 | 48.742 | -0.000 | 0.000 |
| -0.000 | -0.000 | -0.000 | -0.000 | 48.742 | 0.000 |
| -0.000 | 0.000 | -0.000 | -0.000 | -0.000 | 48.742 |
| 220.312 | 105.615 | 105.615 | 0.000 | 0.000 | 0.000 |
| 105.615 | 220.312 | 105.615 | 0.000 | 0.000 | -0.000 |
| 105.615 | 105.615 | 220.312 | 0.000 | 0.000 | -0.000 |
| 0.000 | 0.000 | 0.000 | 48.742 | 0.000 | -0.000 |
| 0.000 | -0.000 | 0.000 | 0.000 | 48.742 | -0.000 |
| 0.000 | 0.000 | 0.000 | 0.000 | 0.000 | 48.742 |
| 220.312 | 105.615 | 105.615 | -0.000 | -0.000 | 0.000 |
| 105.615 | 220.312 | 105.615 | -0.000 | -0.000 | 0.000 |
| 105.615 | 105.615 | 220.312 | -0.000 | -0.000 | -0.000 |
| 0.000 | -0.000 | -0.000 | 48.742 | -0.000 | -0.000 |
| -0.000 | 0.000 | -0.000 | -0.000 | 48.742 | 0.000 |
| -0.000 | -0.000 | 0.000 | -0.000 | -0.000 | 48.742 |
| 220.312 | 105.615 | 105.615 | 0.000 | -0.000 | -0.000 |
| 105.615 | 220.312 | 105.615 | 0.000 | 0.000 | -0.000 |
| 105.615 | 105.615 | 220.312 | 0.000 | 0.000 | -0.000 |
| -0.000 | 0.000 | 0.000 | 48.742 | 0.000 | -0.000 |
| 0.000 | -0.000 | 0.000 | 0.000 | 48.742 | -0.000 |
| 0.000 | 0.000 | -0.000 | 0.000 | 0.000 | 48.742 |
| 220.312 | 105.616 | 105.616 | -0.000 | -0.000 | 0.000 |
| 105.616 | 220.312 | 105.616 | -0.000 | -0.000 | 0.000 |
| 105.616 | 105.616 | 220.312 | -0.000 | -0.000 | 0.000 |
| 0.000 | -0.000 | 0.000 | 48.742 | -0.000 | 0.000 |
| -0.000 | 0.000 | 0.000 | -0.000 | 48.742 | 0.000 |
| -0.000 | 0.000 | 0.000 | -0.000 | -0.000 | 48.742 |
| 220.311 | 105.615 | 105.615 | 0.000 | 0.000 | -0.000 |
| 105.615 | 220.311 | 105.615 | 0.000 | 0.000 | 0.000 |
| 105.615 | 105.615 | 220.311 | 0.000 | 0.000 | -0.000 |
| -0.000 | 0.000 | -0.000 | 48.742 | 0.000 | -0.000 |
| 0.000 | -0.000 | -0.000 | 0.000 | 48.742 | -0.000 |
| 0.000 | -0.000 | -0.000 | 0.000 | 0.000 | 48.742 |
| 57.093 | 6.449 | 6.449 | 0.000 | -0.000 | 0.000 |
| 6.449 | 57.093 | 6.449 | 0.000 | 0.000 | 0.000 |
| 6.449 | 6.449 | 57.093 | -0.000 | -0.000 | 0.000 |
| -0.000 | 0.000 | -0.000 | -21.678 | -0.000 | 0.000 |
| -0.000 | -0.000 | -0.000 | -0.000 | -21.678 | 0.000 |
| -0.000 | -0.000 | -0.000 | -0.000 | -0.000 | -21.678 |
| 57.093 | 6.449 | 6.449 | 0.000 | 0.000 | -0.000 |
| 6.449 | 57.093 | 6.449 | 0.000 | -0.000 | -0.000 |
| 6.449 | 6.449 | 57.093 | 0.000 | -0.000 | -0.000 |
| 0.000 | -0.000 | 0.000 | -21.678 | 0.000 | -0.000 |
| 0.000 | -0.000 | 0.000 | 0.000 | -21.678 | 0.000 |
| 0.000 | 0.000 | 0.000 | 0.000 | 0.000 | -21.678 |
| 57.093 | 6.449 | 6.449 | 0.000 | -0.000 | 0.000 |
| 6.449 | 57.093 | 6.449 | -0.000 | -0.000 | 0.000 |
| 6.449 | 6.449 | 57.093 | -0.000 | -0.000 | 0.000 |
| 0.000 | 0.000 | 0.000 | -21.678 | -0.000 | 0.000 |
| 0.000 | 0.000 | 0.000 | -0.000 | -21.678 | 0.000 |
| 0.000 | 0.000 | 0.000 | -0.000 | -0.000 | -21.678 |
| 57.093 | 6.449 | 6.449 | 0.000 | 0.000 | -0.000 |
| 6.449 | 57.093 | 6.449 | -0.000 | 0.000 | -0.000 |
| 6.449 | 6.449 | 57.093 | -0.000 | 0.000 | -0.000 |
| -0.000 | -0.000 | -0.000 | -21.678 | 0.000 | -0.000 |
| -0.000 | -0.000 | -0.000 | 0.000 | -21.678 | 0.000 |
| -0.000 | -0.000 | -0.000 | 0.000 | 0.000 | -21.678 |
| 58.941 | 5.525 | 5.525 | -0.000 | -0.000 | 0.000 |
| 5.525 | 58.941 | 5.525 | -0.000 | -0.000 | 0.000 |
| 5.525 | 5.525 | 58.941 | -0.000 | 0.000 | -0.000 |
| 0.000 | 0.000 | 0.000 | -21.678 | -0.000 | 0.000 |
| 0.000 | 0.000 | 0.000 | -0.000 | -21.678 | 0.000 |
| 0.000 | 0.000 | 0.000 | -0.000 | -0.000 | -21.678 |
| 57.093 | 6.449 | 6.449 | 0.000 | 0.000 | -0.000 |
| 6.449 | 57.093 | 6.449 | 0.000 | 0.000 | -0.000 |
| 6.449 | 6.449 | 57.093 | -0.000 | 0.000 | -0.000 |
| -0.000 | -0.000 | -0.000 | -21.678 | 0.000 | -0.000 |
| -0.000 | -0.000 | -0.000 | 0.000 | -21.678 | -0.000 |
| -0.000 | -0.000 | -0.000 | 0.000 | 0.000 | -21.678 |
| 17.359 | 25.655 | 25.655 | -0.000 | -0.000 | -0.000 |
| 25.655 | 17.359 | 25.655 | -0.000 | -0.000 | -0.000 |
| 25.655 | 25.655 | 17.359 | 0.000 | -0.000 | -0.000 |
| 0.000 | -0.000 | -0.000 | 30.154 | -0.000 | -0.000 |
| -0.000 | -0.000 | 0.000 | 0.000 | 30.154 | -0.000 |
| 0.000 | -0.000 | -0.000 | 0.000 | -0.000 | 30.154 |
| 17.359 | 25.655 | 25.655 | 0.000 | 0.000 | 0.000 |
| 25.655 | 17.359 | 25.655 | 0.000 | 0.000 | 0.000 |
| 25.655 | 25.655 | 17.359 | 0.000 | 0.000 | 0.000 |
| -0.000 | 0.000 | 0.000 | 30.154 | 0.000 | 0.000 |
| -0.000 | 0.000 | 0.000 | -0.000 | 30.154 | 0.000 |
| 0.000 | 0.000 | 0.000 | 0.000 | 0.000 | 30.154 |
| 17.359 | 25.655 | 25.655 | -0.000 | -0.000 | -0.000 |
| 25.655 | 17.359 | 25.655 | -0.000 | -0.000 | -0.000 |
| 25.655 | 25.655 | 17.359 | -0.000 | -0.000 | -0.000 |
| 0.000 | 0.000 | 0.000 | 20.060 | -0.000 | -0.000 |
| 0.000 | 0.000 | 0.000 | -0.000 | 20.060 | -0.000 |
| 0.000 | 0.000 | 0.000 | -0.000 | -0.000 | 20.060 |
| 17.359 | 25.655 | 25.655 | 0.000 | 0.000 | 0.000 |
| 25.655 | 17.359 | 25.655 | 0.000 | 0.000 | 0.000 |
| 25.655 | 25.655 | 17.359 | 0.000 | 0.000 | 0.000 |
| -0.000 | -0.000 | -0.000 | 20.060 | 0.000 | 0.000 |
| -0.000 | -0.000 | -0.000 | 0.000 | 20.060 | 0.000 |
| -0.000 | -0.000 | -0.000 | 0.000 | 0.000 | 20.060 |
| 17.359 | 25.655 | 25.655 | -0.000 | -0.000 | -0.000 |
| 25.655 | 17.359 | 25.655 | -0.000 | -0.000 | -0.000 |
| 25.655 | 25.655 | 17.359 | 0.000 | -0.000 | -0.000 |
| 0.000 | 0.000 | 0.000 | 20.060 | -0.000 | -0.000 |
| 0.000 | 0.000 | 0.000 | -0.000 | 20.060 | -0.000 |
| 0.000 | 0.000 | 0.000 | -0.000 | -0.000 | 20.060 |
| 17.359 | 25.655 | 25.655 | 0.000 | 0.000 | 0.000 |
| 25.655 | 17.359 | 25.655 | 0.000 | 0.000 | 0.000 |
| 25.655 | 25.655 | 17.359 | -0.000 | 0.000 | 0.000 |
| -0.000 | -0.000 | -0.000 | 20.060 | 0.000 | 0.000 |
| -0.000 | -0.000 | -0.000 | 0.000 | 20.060 | 0.000 |
| -0.000 | -0.000 | -0.000 | 0.000 | 0.000 | 20.060 |
| 74.986 | 32.553 | 32.553 | -0.000 | 0.000 | -0.000 |
| 32.553 | 74.986 | 32.553 | -0.000 | 0.000 | -0.000 |
| 32.553 | 32.553 | 74.986 | -0.000 | 0.000 | 0.000 |
| 0.000 | 0.000 | 0.000 | 36.878 | 0.000 | -0.000 |
| 0.000 | -0.000 | 0.000 | -0.000 | 36.878 | 0.000 |
| 0.000 | 0.000 | 0.000 | 0.000 | 0.000 | 36.878 |
| 74.986 | 32.553 | 32.553 | 0.000 | -0.000 | 0.000 |
| 32.553 | 74.986 | 32.553 | 0.000 | -0.000 | -0.000 |
| 32.553 | 32.553 | 74.986 | 0.000 | -0.000 | -0.000 |
| -0.000 | -0.000 | -0.000 | 36.878 | 0.000 | -0.000 |
| -0.000 | 0.000 | -0.000 | 0.000 | 36.878 | 0.000 |
| -0.000 | 0.000 | -0.000 | 0.000 | -0.000 | 36.878 |
| 74.986 | 32.553 | 32.553 | -0.000 | 0.000 | -0.000 |
| 32.553 | 74.986 | 32.553 | -0.000 | 0.000 | 0.000 |
| 32.553 | 32.553 | 74.986 | -0.000 | -0.000 | -0.000 |
| -0.000 | 0.000 | 0.000 | 36.878 | -0.000 | -0.000 |
| 0.000 | -0.000 | 0.000 | -0.000 | 36.878 | -0.000 |
| 0.000 | 0.000 | -0.000 | -0.000 | 0.000 | 36.878 |
| 74.986 | 32.553 | 32.553 | 0.000 | -0.000 | -0.000 |
| 32.553 | 74.986 | 32.553 | 0.000 | -0.000 | -0.000 |
| 32.553 | 32.553 | 74.986 | 0.000 | 0.000 | -0.000 |
| 0.000 | -0.000 | -0.000 | 36.878 | 0.000 | -0.000 |
| -0.000 | 0.000 | -0.000 | 0.000 | 36.878 | -0.000 |
| -0.000 | -0.000 | 0.000 | 0.000 | -0.000 | 36.878 |
| 74.986 | 32.553 | 32.553 | -0.000 | 0.000 | -0.000 |
| 32.553 | 74.986 | 32.553 | -0.000 | 0.000 | -0.000 |
| 32.553 | 32.553 | 74.986 | -0.000 | -0.000 | -0.000 |
| -0.000 | 0.000 | 0.000 | 36.878 | 0.000 | -0.000 |
| 0.000 | -0.000 | 0.000 | -0.000 | 36.878 | -0.000 |
| 0.000 | 0.000 | -0.000 | -0.000 | 0.000 | 36.878 |
| 74.985 | 32.552 | 32.552 | 0.000 | -0.000 | -0.000 |
| 32.552 | 74.985 | 32.552 | 0.000 | 0.000 | 0.000 |
| 32.552 | 32.552 | 74.985 | 0.000 | -0.000 | -0.000 |
| 0.000 | -0.000 | -0.000 | 36.878 | -0.000 | 0.000 |
| -0.000 | 0.000 | -0.000 | 0.000 | 36.878 | -0.000 |
| -0.000 | -0.000 | 0.000 | 0.000 | -0.000 | 36.878 |
| 562.467 | 132.058 | 263.791 | -0.000 | 0.000 | -0.000 |
| 128.635 | 213.910 | 80.466 | -0.000 | -0.000 | 0.000 |
| 61.344 | 83.317 | 196.203 | -0.000 | -0.000 | 0.000 |
| -0.000 | -0.000 | 0.000 | 96.693 | 0.000 | -0.000 |
| 273.322 | 171.415 | 261.914 | -0.000 | 72.592 | -0.000 |
| -0.000 | 0.000 | 0.000 | -0.000 | -0.000 | 138.880 |
| -135.721 | 137.527 | -114.539 | 0.000 | 0.000 | 0.000 |
| -85.706 | 314.980 | -143.152 | 0.000 | -0.000 | -0.000 |
| 61.344 | 83.317 | 196.203 | 0.000 | 0.000 | 0.000 |
| -0.000 | -0.000 | -0.000 | 96.693 | 0.000 | -0.000 |
| -273.322 | -171.415 | -261.914 | 0.000 | 72.592 | -0.000 |
| 0.000 | -0.000 | -0.000 | 0.000 | 0.000 | 138.880 |
| 237.639 | 124.300 | 89.504 | -0.000 | -0.000 | -0.000 |
| 128.635 | 213.910 | 80.466 | -0.000 | -0.000 | 0.000 |
| 96.269 | 72.266 | 195.271 | -0.000 | 0.000 | -0.000 |
| 0.000 | 0.000 | 0.000 | 96.693 | 0.000 | -0.000 |
| 34.877 | -0.301 | 18.896 | 0.000 | 72.777 | -0.000 |
| 35.099 | -0.318 | 19.032 | -0.000 | -0.000 | 120.425 |
| 230.463 | 128.496 | 58.353 | 0.000 | 0.000 | 0.000 |
| 128.635 | 213.909 | 80.466 | 0.000 | 0.000 | 0.000 |
| 61.344 | 83.317 | 196.203 | 0.000 | 0.000 | 0.000 |
| -0.000 | -0.000 | -0.000 | 96.693 | -0.000 | 0.000 |
| -34.877 | 0.301 | -18.896 | 0.000 | 72.777 | -0.000 |
| -35.099 | 0.318 | -19.032 | 0.000 | 0.000 | 120.425 |
| 217.206 | 135.518 | 71.369 | -0.000 | -0.000 | -0.000 |
| 136.233 | 201.315 | 83.304 | -0.000 | -0.000 | 0.000 |
| 61.344 | 83.318 | 196.204 | -0.000 | -0.000 | 0.000 |
| 2.491 | 3.799 | 3.821 | -9.910 | -0.000 | -0.000 |
| 0.000 | 0.000 | 0.000 | -0.000 | 74.200 | 0.000 |
| 0.000 | 0.001 | 0.000 | -0.000 | -0.000 | 138.880 |
| 212.062 | 135.302 | 67.472 | 0.000 | 0.000 | 0.000 |
| 128.635 | 213.909 | 80.465 | 0.000 | 0.000 | 0.000 |
| 70.331 | 81.819 | 169.181 | 0.000 | -0.000 | 0.000 |
| -2.491 | -3.799 | -3.821 | -9.910 | 0.000 | 0.000 |
| -0.000 | -0.000 | -0.000 | 0.000 | 74.200 | -0.000 |
| -0.000 | -0.001 | -0.000 | 0.000 | 0.000 | 138.880 |
| 135.491 | -6.513 | 6.816 | 0.004 | 0.002 | 0.000 |
| 2.505 | 104.865 | -6.323 | 0.003 | -0.001 | -0.034 |
| 4.171 | -17.959 | 192.565 | 0.003 | 0.000 | -0.008 |
| 0.529 | -0.650 | -0.509 | -5.161 | -0.001 | -0.032 |
| 0.202 | -0.387 | -0.307 | 0.002 | 22.947 | -0.013 |
| 0.130 | -0.281 | -0.224 | 0.001 | 0.002 | 21.998 |
| 134.524 | -5.205 | 7.902 | -0.004 | -0.002 | -0.001 |
| 0.322 | 106.577 | -4.584 | -0.002 | -0.005 | 0.015 |
| 3.218 | -16.824 | 193.514 | -0.003 | -0.000 | 0.008 |
| -0.529 | 0.650 | 0.509 | -5.168 | 0.001 | 0.032 |
| -0.202 | 0.387 | 0.307 | -0.002 | 22.944 | 0.013 |
| -0.130 | 0.281 | 0.224 | -0.001 | -0.002 | 22.028 |
| 134.949 | -5.692 | 6.986 | 0.000 | 0.000 | -0.002 |
| 2.630 | 105.256 | -6.332 | 0.000 | 0.000 | -0.001 |
| 3.241 | -18.472 | 192.583 | 0.000 | 0.000 | -0.002 |
| 0.040 | -0.059 | -0.051 | -5.218 | 0.000 | -0.002 |
| 0.018 | -0.036 | -0.028 | 0.000 | 23.083 | -0.002 |
| 0.026 | -0.042 | -0.034 | 0.000 | 0.000 | 21.920 |
| 134.855 | -5.567 | 7.089 | -0.000 | -0.000 | 0.002 |
| 2.538 | 105.372 | -6.233 | -0.000 | -0.000 | 0.001 |
| 3.154 | -18.349 | 192.678 | -0.000 | -0.000 | 0.002 |
| -0.040 | 0.059 | 0.051 | -5.218 | -0.000 | 0.002 |
| -0.018 | 0.036 | 0.028 | -0.000 | 23.082 | 0.002 |
| -0.026 | 0.042 | 0.034 | -0.000 | -0.000 | 21.924 |
| 134.908 | -5.637 | 7.031 | 0.000 | 0.000 | -0.000 |
| 2.680 | 105.310 | -6.256 | 0.000 | 0.000 | -0.000 |
| 3.236 | -18.370 | 192.624 | 0.000 | 0.000 | -0.000 |
| 0.004 | -0.006 | -0.005 | -5.217 | 0.000 | -0.000 |
| 0.003 | -0.004 | -0.003 | 0.000 | 23.082 | -0.000 |
| 0.003 | -0.005 | -0.004 | 0.000 | 0.000 | 21.922 |
| 134.897 | -5.625 | 7.041 | -0.000 | -0.000 | 0.000 |
| 2.670 | 105.319 | -6.246 | -0.000 | -0.000 | 0.000 |
| 3.226 | -18.359 | 192.632 | -0.000 | -0.000 | 0.000 |
| -0.004 | 0.006 | 0.005 | -5.217 | -0.000 | 0.000 |
| -0.003 | 0.004 | 0.003 | -0.000 | 23.082 | 0.000 |
| -0.003 | 0.005 | 0.004 | -0.000 | -0.000 | 21.923 |
| 280.213 | 142.451 | 169.186 | -0.000 | -0.000 | 0.000 |
| 142.534 | 292.861 | 31.477 | -0.000 | 0.000 | 0.000 |
| 171.226 | 30.710 | 279.381 | -0.000 | 0.000 | 0.000 |
| 0.000 | 0.000 | -0.000 | 44.165 | -0.000 | 0.000 |
| 0.000 | 0.000 | -0.000 | -0.000 | 97.882 | 0.000 |
| 0.000 | 0.000 | -0.000 | 0.000 | -0.000 | 154.642 |
| 321.987 | 142.534 | 112.058 | 0.000 | -0.000 | 0.000 |
| 142.534 | 292.861 | 31.477 | 0.000 | 0.000 | -0.000 |
| 112.058 | 31.477 | 362.732 | 0.000 | 0.000 | -0.000 |
| -0.000 | -0.000 | 0.000 | 44.165 | 0.000 | 0.000 |
| -0.000 | -0.000 | 0.000 | 0.000 | 97.882 | 0.000 |
| -0.000 | -0.000 | 0.000 | -0.000 | 0.000 | 154.642 |
| 279.416 | 142.795 | 171.226 | 0.000 | -0.000 | 0.000 |
| 142.414 | 292.717 | 31.242 | -0.000 | -0.000 | 0.000 |
| 171.226 | 30.710 | 279.381 | -0.000 | -0.000 | 0.000 |
| 0.000 | 0.000 | -0.000 | 44.116 | -0.000 | -0.000 |
| 0.000 | 0.000 | -0.000 | -0.000 | 97.882 | 0.000 |
| 0.000 | 0.000 | 0.000 | -0.000 | -0.000 | 154.642 |
| 279.416 | 142.795 | 171.226 | 0.000 | 0.000 | 0.000 |
| 142.795 | 292.713 | 30.710 | 0.000 | 0.000 | -0.000 |
| 112.058 | 31.477 | 362.731 | -0.000 | 0.000 | -0.000 |
| -0.000 | -0.000 | 0.000 | 44.116 | 0.000 | -0.000 |
| -0.000 | -0.000 | -0.000 | -0.000 | 97.882 | -0.000 |
| -0.000 | -0.000 | -0.000 | -0.000 | 0.000 | 154.642 |
| 280.215 | 142.452 | 169.187 | -0.000 | -0.000 | 0.000 |
| 142.796 | 292.715 | 30.710 | 0.000 | -0.000 | 0.000 |
| 171.228 | 30.710 | 279.381 | -0.000 | -0.000 | 0.000 |
| 0.000 | 0.000 | -0.000 | 44.165 | -0.000 | -0.000 |
| 0.000 | 0.000 | 0.001 | -0.000 | 101.912 | 0.000 |
| 0.000 | 0.001 | 0.000 | -0.000 | 0.000 | 154.642 |
| 279.414 | 142.794 | 171.226 | 0.000 | -0.000 | -0.000 |
| 142.533 | 292.859 | 31.477 | 0.000 | -0.000 | 0.000 |
| 171.224 | 30.710 | 279.381 | 0.000 | 0.000 | 0.000 |
| -0.000 | -0.000 | 0.000 | 44.165 | 0.000 | 0.000 |
| -0.000 | -0.000 | -0.001 | 0.000 | 101.912 | -0.000 |
| -0.000 | -0.001 | -0.000 | 0.000 | -0.000 | 154.642 |
| 160.525 | 165.846 | 210.586 | 0.000 | -0.000 | -0.000 |
| 85.195 | 332.847 | 79.816 | 0.000 | 0.000 | -0.000 |
| 71.053 | 40.635 | 314.144 | -0.000 | 0.000 | -0.000 |
| -0.000 | 0.000 | 0.000 | 41.113 | -0.000 | -0.000 |
| -32.832 | 10.441 | 35.215 | 0.000 | 53.433 | -0.000 |
| -60.425 | 20.283 | 63.187 | 0.000 | 0.000 | 151.081 |
| 273.048 | 142.320 | 71.241 | 0.000 | -0.000 | 0.000 |
| 206.889 | 292.373 | -48.014 | -0.000 | 0.000 | 0.000 |
| 69.263 | 28.350 | 335.624 | -0.000 | -0.000 | -0.000 |
| 0.000 | -0.000 | -0.000 | 41.113 | 0.000 | 0.000 |
| 32.832 | -10.441 | -35.215 | 0.000 | 53.433 | 0.000 |
| 60.425 | -20.283 | -63.187 | 0.000 | -0.000 | 151.081 |
| 273.048 | 142.320 | 71.241 | 0.000 | 0.000 | -0.000 |
| 139.578 | 314.592 | 22.948 | 0.000 | 0.000 | -0.000 |
| 69.263 | 28.350 | 335.624 | -0.000 | 0.000 | -0.000 |
| -0.000 | 0.000 | -0.000 | 41.113 | -0.000 | 0.000 |
| -1.851 | 0.589 | 1.986 | -0.000 | 68.625 | -0.000 |
| 0.000 | 0.000 | 0.000 | -0.000 | 0.000 | 151.081 |
| 236.065 | 145.498 | 123.970 | -0.000 | 0.000 | 0.000 |
| 136.620 | 316.513 | 24.628 | -0.000 | -0.000 | 0.000 |
| 137.520 | 18.323 | 244.638 | 0.000 | -0.000 | 0.000 |
| 0.000 | -0.000 | 0.000 | 41.113 | -0.000 | 0.000 |
| 1.851 | -0.589 | -1.986 | -0.000 | 68.625 | -0.000 |
| -0.000 | -0.000 | -0.000 | 0.000 | -0.000 | 151.081 |
| 223.677 | 151.523 | 134.087 | 0.000 | 0.000 | -0.000 |
| 145.017 | 312.768 | 17.261 | -0.000 | 0.000 | 0.000 |
| 130.876 | 20.554 | 251.588 | 0.000 | 0.000 | 0.000 |
| -0.621 | 0.204 | 0.656 | 39.688 | 0.000 | -0.000 |
| -0.635 | 0.208 | 0.672 | -0.000 | 68.031 | -0.000 |
| 0.000 | 0.001 | 0.000 | 0.000 | 0.000 | 151.081 |
| 224.881 | 151.117 | 132.824 | 0.000 | -0.000 | 0.000 |
| 144.020 | 312.478 | 19.245 | -0.000 | 0.000 | 0.000 |
| 122.529 | 25.388 | 257.219 | 0.000 | 0.000 | -0.000 |
| 0.621 | -0.204 | -0.656 | 39.688 | -0.000 | 0.000 |
| 0.635 | -0.208 | -0.672 | 0.000 | 68.031 | 0.000 |
| -0.000 | -0.001 | -0.000 | 0.000 | -0.000 | 151.081 |
| 33.751 | 6.847 | 6.847 | 0.000 | 0.000 | 0.000 |
| 6.847 | 33.751 | 6.847 | 0.000 | 0.000 | 0.000 |
| 6.847 | 6.847 | 33.751 | 0.000 | 0.000 | -0.000 |
| 0.000 | 0.000 | 0.000 | 6.620 | 0.000 | 0.000 |
| 0.000 | 0.000 | 0.000 | 0.000 | 6.620 | 0.000 |
| 0.000 | 0.000 | 0.000 | 0.000 | -0.000 | 6.620 |
| 33.751 | 6.847 | 6.847 | -0.000 | -0.000 | 0.000 |
| 6.847 | 33.751 | 6.847 | -0.000 | -0.000 | -0.000 |
| 6.847 | 6.847 | 33.751 | -0.000 | -0.000 | -0.000 |
| -0.000 | -0.000 | -0.000 | 6.620 | -0.000 | -0.000 |
| -0.000 | -0.000 | -0.000 | -0.000 | 6.620 | -0.000 |
| -0.000 | -0.000 | -0.000 | -0.000 | -0.000 | 6.620 |
| 33.751 | 6.847 | 6.847 | 0.000 | 0.000 | -0.000 |
| 6.847 | 33.751 | 6.847 | 0.000 | 0.000 | 0.000 |
| 6.847 | 6.847 | 33.751 | 0.000 | -0.000 | 0.000 |
| -0.000 | -0.000 | -0.000 | 6.620 | -0.000 | 0.000 |
| -0.000 | -0.000 | -0.000 | 0.000 | 6.620 | 0.000 |
| -0.000 | -0.000 | 0.000 | 0.000 | -0.000 | 6.620 |
| 33.751 | 6.847 | 6.847 | -0.000 | -0.000 | -0.000 |
| 6.847 | 33.751 | 6.847 | -0.000 | -0.000 | -0.000 |
| 6.847 | 6.847 | 33.751 | -0.000 | 0.000 | -0.000 |
| 0.000 | 0.000 | 0.000 | 6.620 | 0.000 | 0.000 |
| 0.000 | 0.000 | 0.000 | -0.000 | 6.620 | -0.000 |
| 0.000 | 0.000 | 0.000 | -0.000 | -0.000 | 6.620 |
| 33.751 | 6.847 | 6.847 | 0.000 | -0.000 | 0.000 |
| 6.847 | 33.751 | 6.847 | 0.000 | 0.000 | 0.000 |
| 6.847 | 6.847 | 33.751 | -0.000 | 0.000 | 0.000 |
| -0.000 | -0.000 | -0.000 | 6.620 | 0.000 | -0.000 |
| -0.000 | -0.000 | -0.000 | 0.000 | 6.620 | 0.000 |
| -0.000 | -0.000 | -0.000 | 0.000 | -0.000 | 6.620 |
| 33.751 | 6.847 | 6.847 | -0.000 | 0.000 | -0.000 |
| 6.847 | 33.751 | 6.847 | -0.000 | -0.000 | -0.000 |
| 6.847 | 6.847 | 33.751 | -0.000 | -0.000 | -0.000 |
| 0.000 | 0.000 | 0.000 | 6.620 | -0.000 | -0.000 |
| 0.000 | 0.000 | 0.000 | -0.000 | 6.620 | -0.000 |
| 0.000 | 0.000 | 0.000 | -0.000 | -0.000 | 6.620 |
| 25.195 | 12.031 | 12.031 | -0.000 | 0.000 | 0.000 |
| 12.031 | 25.195 | 12.031 | -0.000 | -0.000 | 0.000 |
| 12.031 | 12.031 | 25.195 | -0.000 | 0.000 | 0.000 |
| 0.000 | 0.000 | 0.000 | 12.031 | -0.000 | 0.000 |
| 0.000 | 0.000 | -0.000 | -0.000 | 12.031 | 0.000 |
| 0.000 | 0.000 | 0.000 | -0.000 | -0.000 | 12.031 |
| 25.195 | 12.031 | 12.031 | 0.000 | 0.000 | -0.000 |
| 12.031 | 25.195 | 12.031 | 0.000 | -0.000 | -0.000 |
| 12.031 | 12.031 | 25.195 | -0.000 | -0.000 | -0.000 |
| -0.000 | -0.000 | -0.000 | 12.031 | 0.000 | -0.000 |
| -0.000 | -0.000 | -0.000 | 0.000 | 12.031 | -0.000 |
| -0.000 | -0.000 | -0.000 | 0.000 | 0.000 | 12.031 |
| 25.195 | 12.031 | 12.031 | -0.000 | -0.000 | 0.000 |
| 12.031 | 25.195 | 12.031 | -0.000 | -0.000 | 0.000 |
| 12.031 | 12.031 | 25.195 | 0.000 | -0.000 | 0.000 |
| 0.000 | -0.000 | 0.000 | 12.031 | -0.000 | 0.000 |
| -0.000 | 0.000 | 0.000 | -0.000 | 12.031 | 0.000 |
| -0.000 | 0.000 | 0.000 | -0.000 | -0.000 | 12.031 |
| 25.195 | 12.031 | 12.031 | 0.000 | -0.000 | -0.000 |
| 12.031 | 25.195 | 12.031 | 0.000 | 0.000 | -0.000 |
| 12.031 | 12.031 | 25.195 | -0.000 | -0.000 | -0.000 |
| -0.000 | 0.000 | -0.000 | 12.031 | 0.000 | -0.000 |
| 0.000 | -0.000 | -0.000 | 0.000 | 12.031 | -0.000 |
| 0.000 | -0.000 | -0.000 | 0.000 | 0.000 | 12.031 |
| 25.195 | 12.031 | 12.031 | -0.000 | -0.000 | 0.000 |
| 12.031 | 25.195 | 12.031 | -0.000 | -0.000 | 0.000 |
| 12.031 | 12.031 | 25.195 | -0.000 | -0.000 | 0.000 |
| 0.000 | -0.000 | 0.000 | 10.798 | -0.000 | 0.000 |
| -0.000 | 0.000 | 0.000 | -0.000 | 10.798 | 0.000 |
| -0.000 | 0.000 | 0.000 | 0.000 | 0.000 | 10.798 |
| 25.195 | 12.031 | 12.031 | 0.000 | 0.000 | -0.000 |
| 12.031 | 25.195 | 12.031 | 0.000 | 0.000 | -0.000 |
| 12.031 | 12.031 | 25.195 | 0.000 | 0.000 | -0.000 |
| -0.000 | 0.000 | -0.000 | 10.798 | -0.000 | -0.000 |
| 0.000 | -0.000 | -0.000 | -0.000 | 10.798 | -0.000 |
| 0.000 | -0.000 | -0.000 | -0.000 | 0.000 | 10.798 |
| 11.516 | 9.317 | 9.317 | -0.000 | -0.000 | 0.000 |
| 9.317 | 11.516 | 9.317 | -0.000 | -0.000 | -0.000 |
| 9.317 | 9.317 | 11.516 | -0.000 | -0.000 | -0.000 |
| -0.000 | -0.000 | 0.000 | 9.317 | -0.000 | 0.000 |
| -0.000 | -0.000 | 0.000 | -0.000 | 9.317 | -0.000 |
| -0.000 | 0.000 | -0.000 | -0.000 | -0.000 | 9.317 |
| 11.516 | 9.317 | 9.317 | 0.000 | -0.000 | 0.000 |
| 9.317 | 11.516 | 9.317 | -0.000 | 0.000 | -0.000 |
| 9.317 | 9.317 | 11.516 | 0.000 | 0.000 | 0.000 |
| 0.000 | -0.000 | -0.000 | 9.317 | 0.000 | 0.000 |
| 0.000 | 0.000 | -0.000 | 0.000 | 9.317 | 0.000 |
| 0.000 | 0.000 | 0.000 | 0.000 | 0.000 | 9.317 |
| 11.516 | 9.317 | 9.317 | -0.000 | -0.000 | 0.000 |
| 9.317 | 11.516 | 9.317 | -0.000 | 0.000 | 0.000 |
| 9.317 | 9.317 | 11.516 | 0.000 | -0.000 | -0.000 |
| -0.000 | -0.000 | 0.000 | 9.317 | -0.000 | 0.000 |
| -0.000 | -0.000 | 0.000 | -0.000 | 9.317 | -0.000 |
| -0.000 | 0.000 | -0.000 | -0.000 | -0.000 | 9.317 |
| 11.516 | 9.317 | 9.317 | 0.000 | 0.000 | 0.000 |
| 9.317 | 11.516 | 9.317 | -0.000 | 0.000 | 0.000 |
| 9.317 | 9.317 | 11.516 | 0.000 | 0.000 | 0.000 |
| 0.000 | 0.000 | -0.000 | 9.317 | 0.000 | 0.000 |
| 0.000 | 0.000 | -0.000 | 0.000 | 9.317 | 0.000 |
| 0.000 | -0.000 | 0.000 | 0.000 | 0.000 | 9.317 |
| 11.516 | 9.317 | 9.317 | -0.000 | -0.000 | -0.000 |
| 9.317 | 11.516 | 9.317 | -0.000 | -0.000 | -0.000 |
| 9.317 | 9.317 | 11.516 | -0.000 | -0.000 | -0.000 |
| -0.000 | -0.000 | 0.000 | 9.317 | -0.000 | 0.000 |
| -0.000 | -0.000 | 0.000 | -0.000 | 9.317 | 0.000 |
| -0.000 | 0.000 | -0.000 | -0.000 | -0.000 | 9.317 |
| 11.516 | 9.317 | 9.317 | 0.000 | -0.000 | 0.000 |
| 9.317 | 11.516 | 9.317 | -0.000 | 0.000 | -0.000 |
| 9.317 | 9.317 | 11.516 | 0.000 | 0.000 | 0.000 |
| 0.000 | 0.000 | -0.000 | 9.317 | 0.000 | 0.000 |
| 0.000 | 0.000 | -0.000 | 0.000 | 9.317 | 0.000 |
| 0.000 | -0.000 | 0.000 | 0.000 | 0.000 | 9.317 |
| 42.728 | 14.499 | 14.499 | -0.000 | 0.000 | 0.000 |
| 14.499 | 42.728 | 14.499 | -0.000 | 0.000 | 0.000 |
| 14.499 | 14.499 | 42.728 | -0.000 | 0.000 | 0.000 |
| -0.000 | -0.000 | -0.000 | 13.880 | 0.000 | 0.000 |
| -0.000 | -0.000 | -0.000 | 0.000 | 13.880 | 0.000 |
| -0.000 | -0.000 | -0.000 | 0.000 | 0.000 | 13.880 |
| 42.728 | 14.499 | 14.499 | 0.000 | -0.000 | -0.000 |
| 14.499 | 42.728 | 14.499 | -0.000 | -0.000 | -0.000 |
| 14.499 | 14.499 | 42.728 | -0.000 | -0.000 | -0.000 |
| 0.000 | 0.000 | 0.000 | 13.880 | -0.000 | -0.000 |
| 0.000 | 0.000 | 0.000 | -0.000 | 13.880 | -0.000 |
| 0.000 | 0.000 | 0.000 | -0.000 | -0.000 | 13.880 |
| 42.727 | 14.499 | 14.499 | 0.000 | 0.000 | 0.000 |
| 14.499 | 42.727 | 14.499 | 0.000 | 0.000 | 0.000 |
| 14.499 | 14.499 | 42.727 | 0.000 | 0.000 | 0.000 |
| -0.001 | -0.001 | -0.001 | 13.880 | 0.000 | 0.000 |
| -0.001 | -0.001 | -0.001 | 0.000 | 13.880 | 0.000 |
| -0.001 | -0.001 | -0.001 | -0.000 | 0.000 | 13.880 |
| 42.729 | 14.500 | 14.500 | 0.000 | -0.000 | -0.000 |
| 14.500 | 42.729 | 14.500 | 0.000 | -0.000 | -0.000 |
| 14.500 | 14.500 | 42.729 | 0.000 | -0.000 | -0.000 |
| 0.001 | 0.001 | 0.001 | 13.880 | -0.000 | 0.000 |
| 0.001 | 0.001 | 0.001 | -0.000 | 13.880 | -0.000 |
| 0.001 | 0.001 | 0.001 | -0.000 | 0.000 | 13.880 |
| 42.721 | 14.492 | 14.492 | -0.000 | 0.000 | 0.000 |
| 14.492 | 42.721 | 14.492 | 0.000 | 0.000 | 0.000 |
| 14.492 | 14.492 | 42.721 | 0.000 | 0.000 | 0.000 |
| -0.007 | -0.007 | -0.007 | 13.880 | 0.000 | 0.000 |
| -0.007 | -0.007 | -0.007 | 0.000 | 13.880 | 0.000 |
| -0.007 | -0.007 | -0.007 | -0.000 | 0.000 | 13.880 |
| 42.735 | 14.506 | 14.506 | 0.000 | -0.000 | -0.000 |
| 14.506 | 42.735 | 14.506 | 0.000 | -0.000 | -0.000 |
| 14.506 | 14.506 | 42.735 | -0.000 | -0.000 | -0.000 |
| 0.007 | 0.007 | 0.007 | 13.880 | -0.000 | 0.000 |
| 0.007 | 0.007 | 0.007 | -0.000 | 13.880 | -0.000 |
| 0.007 | 0.007 | 0.007 | 0.000 | -0.000 | 13.880 |
| 26.785 | 13.317 | 13.317 | 0.000 | 0.000 | -0.000 |
| 13.317 | 26.785 | 13.317 | 0.000 | 0.000 | 0.000 |
| 13.317 | 13.317 | 26.785 | -0.000 | 0.000 | -0.000 |
| 0.000 | 0.000 | 0.000 | 12.580 | 0.000 | -0.000 |
| 0.000 | 0.000 | 0.000 | 0.000 | 12.580 | -0.000 |
| 0.000 | 0.000 | 0.000 | -0.000 | -0.000 | 12.580 |
| 26.785 | 13.317 | 13.317 | -0.000 | -0.000 | 0.000 |
| 13.317 | 26.785 | 13.317 | -0.000 | -0.000 | -0.000 |
| 13.317 | 13.317 | 26.785 | -0.000 | -0.000 | 0.000 |
| -0.000 | -0.000 | -0.000 | 12.580 | -0.000 | 0.000 |
| -0.000 | -0.000 | -0.000 | -0.000 | 12.580 | 0.000 |
| -0.000 | -0.000 | -0.000 | 0.000 | 0.000 | 12.580 |
| 26.785 | 13.317 | 13.317 | 0.000 | 0.000 | -0.000 |
| 13.317 | 26.785 | 13.317 | 0.000 | 0.000 | -0.000 |
| 13.317 | 13.317 | 26.785 | 0.000 | -0.000 | -0.000 |
| 0.000 | -0.000 | 0.000 | 12.580 | 0.000 | -0.000 |
| -0.000 | 0.000 | 0.000 | 0.000 | 12.580 | -0.000 |
| -0.000 | 0.000 | 0.000 | -0.000 | -0.000 | 12.580 |
| 26.785 | 13.317 | 13.317 | -0.000 | -0.000 | 0.000 |
| 13.317 | 26.785 | 13.317 | -0.000 | -0.000 | 0.000 |
| 13.317 | 13.317 | 26.785 | 0.000 | 0.000 | 0.000 |
| -0.000 | 0.000 | -0.000 | 12.580 | -0.000 | 0.000 |
| 0.000 | -0.000 | -0.000 | -0.000 | 12.580 | 0.000 |
| 0.000 | -0.000 | -0.000 | 0.000 | 0.000 | 12.580 |
| 26.785 | 13.317 | 13.317 | 0.000 | 0.000 | 0.000 |
| 13.317 | 26.785 | 13.317 | 0.000 | 0.000 | -0.000 |
| 13.317 | 13.317 | 26.785 | -0.000 | -0.000 | -0.000 |
| 0.000 | -0.000 | 0.000 | 12.580 | 0.000 | -0.000 |
| -0.000 | 0.000 | 0.000 | 0.000 | 12.580 | -0.000 |
| -0.000 | 0.000 | 0.000 | -0.000 | -0.000 | 12.580 |
| 26.784 | 13.317 | 13.317 | -0.000 | -0.000 | 0.000 |
| 13.317 | 26.784 | 13.317 | -0.000 | -0.000 | 0.000 |
| 13.317 | 13.317 | 26.784 | -0.000 | -0.000 | 0.000 |
| -0.000 | 0.000 | -0.000 | 12.580 | -0.000 | -0.000 |
| 0.000 | -0.000 | -0.000 | -0.000 | 12.580 | 0.000 |
| 0.000 | -0.000 | -0.000 | 0.000 | 0.000 | 12.580 |
| 16.421 | 9.840 | 9.840 | -0.000 | 0.000 | 0.000 |
| 9.840 | 16.421 | 9.840 | 0.000 | -0.000 | -0.000 |
| 9.840 | 9.840 | 16.421 | -0.000 | -0.000 | -0.000 |
| 0.000 | 0.000 | 0.000 | 9.840 | -0.000 | 0.000 |
| 0.000 | -0.000 | 0.000 | -0.000 | 9.840 | 0.000 |
| 0.000 | 0.000 | 0.000 | -0.000 | 0.000 | 9.840 |
| 16.421 | 9.840 | 9.840 | -0.000 | 0.000 | 0.000 |
| 9.840 | 16.421 | 9.840 | 0.000 | 0.000 | 0.000 |
| 9.840 | 9.840 | 16.421 | 0.000 | 0.000 | 0.000 |
| -0.000 | -0.000 | -0.000 | 9.840 | -0.000 | 0.000 |
| -0.000 | -0.000 | -0.000 | 0.000 | 9.840 | 0.000 |
| -0.000 | -0.000 | -0.000 | 0.000 | -0.000 | 9.840 |
| 16.421 | 9.840 | 9.840 | -0.000 | 0.000 | 0.000 |
| 9.840 | 16.421 | 9.840 | -0.000 | -0.000 | -0.000 |
| 9.840 | 9.840 | 16.421 | 0.000 | 0.000 | -0.000 |
| -0.000 | -0.000 | 0.000 | 9.840 | 0.000 | -0.000 |
| -0.000 | -0.000 | 0.000 | -0.000 | 9.840 | -0.000 |
| -0.000 | 0.000 | -0.000 | -0.000 | 0.000 | 9.840 |
| 16.421 | 9.840 | 9.840 | 0.000 | 0.000 | -0.000 |
| 9.840 | 16.421 | 9.840 | 0.000 | 0.000 | -0.000 |
| 9.840 | 9.840 | 16.421 | -0.000 | -0.000 | -0.000 |
| 0.000 | 0.000 | -0.000 | 9.840 | -0.000 | -0.000 |
| 0.000 | 0.000 | -0.000 | 0.000 | 9.840 | 0.000 |
| 0.000 | -0.000 | 0.000 | -0.000 | 0.000 | 9.840 |
| 16.421 | 9.840 | 9.840 | -0.000 | 0.000 | -0.000 |
| 9.840 | 16.421 | 9.840 | 0.000 | -0.000 | 0.000 |
| 9.840 | 9.840 | 16.421 | -0.000 | -0.000 | -0.000 |
| -0.000 | -0.000 | 0.000 | 9.840 | -0.000 | -0.000 |
| -0.000 | -0.000 | 0.000 | -0.000 | 9.840 | -0.000 |
| -0.000 | 0.000 | -0.000 | 0.000 | 0.000 | 9.840 |
| 16.421 | 9.840 | 9.840 | 0.000 | -0.000 | -0.000 |
| 9.840 | 16.421 | 9.840 | -0.000 | 0.000 | -0.000 |
| 9.840 | 9.840 | 16.421 | 0.000 | 0.000 | 0.000 |
| 0.000 | 0.000 | -0.000 | 9.840 | 0.000 | -0.000 |
| 0.000 | 0.000 | -0.000 | 0.000 | 9.840 | -0.000 |
| 0.000 | -0.000 | 0.000 | -0.000 | 0.000 | 9.840 |
| 17.919 | 2.307 | 2.307 | 0.000 | 0.000 | -0.000 |
| 2.307 | 17.919 | 2.307 | 0.000 | 0.000 | 0.000 |
| 2.307 | 2.307 | 17.919 | -0.000 | -0.000 | -0.000 |
| 0.000 | -0.000 | -0.000 | -34.380 | -0.000 | -0.000 |
| -0.000 | -0.000 | -0.000 | 0.000 | -34.380 | 0.000 |
| -0.000 | -0.000 | 0.000 | 0.000 | 0.000 | -34.380 |
| 17.919 | 2.307 | 2.307 | -0.000 | -0.000 | -0.000 |
| 2.307 | 17.919 | 2.307 | 0.000 | -0.000 | -0.000 |
| 2.307 | 2.307 | 17.919 | -0.000 | -0.000 | -0.000 |
| -0.000 | 0.000 | 0.000 | -34.380 | 0.000 | -0.000 |
| 0.000 | 0.000 | -0.000 | -0.000 | -34.380 | 0.000 |
| 0.000 | 0.000 | -0.000 | -0.000 | -0.000 | -34.380 |
| 17.919 | 2.307 | 2.307 | 0.000 | 0.000 | 0.000 |
| 2.307 | 17.919 | 2.307 | 0.000 | 0.000 | -0.000 |
| 2.307 | 2.307 | 17.919 | -0.000 | -0.000 | 0.000 |
| -3051401.290 | -2767616.752 | -2508516.619 | 75623.148 | 371154.653 | -23851.841 |
| -2258863.192 | -2219027.609 | -2574966.071 | -156487.923 | -49571.636 | -535966.062 |
| -3100232.654 | -3055659.120 | -2491668.308 | 337844.949 | 122768.277 | -8375.269 |
| 17.919 | 2.307 | 2.307 | -0.000 | -0.000 | -0.000 |
| 2.307 | 17.919 | 2.307 | -0.000 | -0.000 | 0.000 |
| 2.307 | 2.307 | 17.919 | -0.000 | -0.000 | 0.000 |
| 2357861.414 | 2503523.464 | 2714898.679 | -472275.212 | -116639.245 | 344374.342 |
| 2375116.965 | 1379733.139 | 2531641.937 | -72234.192 | 202526.447 | 213433.090 |
| 2278357.458 | 2349394.717 | 2103282.112 | 312977.836 | 206553.807 | 1892.401 |
| 17.919 | 2.307 | 2.307 | 0.000 | 0.000 | -0.000 |
| 2.307 | 17.919 | 2.307 | 0.000 | 0.000 | 0.000 |
| 2.307 | 2.307 | 17.919 | -0.000 | -0.000 | 0.000 |
| -210941.024 | -199745.455 | -203336.196 | 1879.400 | -25036.139 | 32925.207 |
| -253703.244 | -243716.553 | -318596.489 | 9609.517 | 7755.683 | 12070.672 |
| -264361.881 | -238108.624 | -265925.039 | 10019.430 | -55217.623 | 77197.706 |
| 17.919 | 2.307 | 2.307 | -0.000 | -0.000 | -0.000 |
| 2.307 | 17.919 | 2.307 | 0.000 | 0.000 | -0.000 |
| 2.307 | 2.307 | 17.919 | -0.000 | -0.000 | -0.000 |
| 172893.287 | 255645.524 | 327641.168 | 47744.574 | -15806.816 | 11203.038 |
| 264300.840 | 144793.508 | 275658.725 | 25646.182 | 11312.867 | 3095.769 |
| 288432.266 | 347567.709 | 145472.917 | 10506.734 | 22684.835 | -4883.948 |
| 8.439 | 5.667 | 5.667 | 0.000 | 0.000 | -0.000 |
| 5.667 | 8.439 | 5.667 | -0.000 | 0.000 | 0.000 |
| 5.667 | 5.667 | 8.439 | 0.000 | 0.000 | 0.000 |
| 0.000 | 0.000 | 0.000 | 5.444 | 0.000 | -0.000 |
| 0.000 | 0.000 | 0.000 | -0.000 | 5.444 | -0.000 |
| -0.000 | 0.000 | 0.000 | -0.000 | 0.000 | 5.444 |
| 8.439 | 5.667 | 5.667 | 0.000 | -0.000 | -0.000 |
| 5.667 | 8.439 | 5.667 | -0.000 | -0.000 | 0.000 |
| 5.667 | 5.667 | 8.439 | 0.000 | -0.000 | 0.000 |
| -0.000 | -0.000 | -0.000 | 5.444 | -0.000 | 0.000 |
| -0.000 | -0.000 | -0.000 | 0.000 | 5.444 | 0.000 |
| -0.000 | -0.000 | -0.000 | 0.000 | -0.000 | 5.444 |
| 8.439 | 5.667 | 5.667 | -0.000 | 0.000 | -0.000 |
| 5.667 | 8.439 | 5.667 | -0.000 | 0.000 | -0.000 |
| 5.667 | 5.667 | 8.439 | -0.000 | 0.000 | -0.000 |
| 0.000 | -0.000 | -0.000 | -31.957 | 0.000 | -0.000 |
| -0.000 | 0.000 | -0.000 | -0.000 | -31.957 | -0.000 |
| -0.000 | -0.000 | 0.000 | -0.000 | 0.000 | -31.957 |
| 8.439 | 5.667 | 5.667 | 0.000 | -0.000 | 0.000 |
| 5.667 | 8.439 | 5.667 | -0.000 | -0.000 | 0.000 |
| 5.667 | 5.667 | 8.439 | -0.000 | -0.000 | 0.000 |
| -0.000 | 0.000 | 0.000 | -31.957 | -0.000 | 0.000 |
| 0.000 | -0.000 | 0.000 | 0.000 | -31.957 | 0.000 |
| 0.000 | 0.000 | -0.000 | 0.000 | -0.000 | -31.957 |
| 8.439 | 5.667 | 5.667 | -0.000 | 0.000 | -0.000 |
| 5.667 | 8.439 | 5.667 | 0.000 | 0.000 | -0.000 |
| 5.667 | 5.667 | 8.439 | -0.000 | 0.000 | -0.000 |
| 0.000 | -0.000 | -0.000 | -31.957 | 0.000 | 0.000 |
| -0.000 | 0.000 | -0.000 | -0.000 | -31.957 | -0.000 |
| -0.000 | -0.000 | 0.000 | -0.000 | 0.000 | -31.957 |
| 8.439 | 5.667 | 5.667 | -0.000 | 0.000 | 0.000 |
| 5.667 | 8.439 | 5.667 | 0.000 | -0.000 | 0.000 |
| 5.667 | 5.667 | 8.439 | 0.000 | -0.000 | 0.000 |
| -0.000 | 0.000 | 0.000 | -31.957 | -0.000 | 0.000 |
| 0.000 | -0.000 | 0.000 | 0.000 | -31.957 | 0.000 |
| 0.000 | 0.000 | -0.000 | 0.000 | -0.000 | -31.957 |
| 43.934 | 19.316 | 19.316 | -0.000 | 0.000 | -0.000 |
| 19.316 | 43.934 | 19.316 | -0.000 | 0.000 | -0.000 |
| 19.316 | 19.316 | 43.934 | 0.000 | 0.000 | -0.000 |
| 0.000 | -0.000 | 0.000 | 18.423 | -0.000 | -0.000 |
| 0.000 | 0.000 | 0.000 | -0.000 | 18.423 | -0.000 |
| 0.000 | 0.000 | -0.000 | -0.000 | 0.000 | 18.423 |
| 43.934 | 19.316 | 19.316 | 0.000 | -0.000 | -0.000 |
| 19.316 | 43.934 | 19.316 | -0.000 | -0.000 | -0.000 |
| 19.316 | 19.316 | 43.934 | 0.000 | -0.000 | -0.000 |
| -0.000 | -0.000 | -0.000 | 18.423 | -0.000 | -0.000 |
| -0.000 | -0.000 | -0.000 | 0.000 | 18.423 | -0.000 |
| -0.000 | -0.000 | 0.000 | 0.000 | -0.000 | 18.423 |
| 43.934 | 19.316 | 19.316 | 0.000 | 0.000 | -0.000 |
| 19.316 | 43.934 | 19.316 | -0.000 | 0.000 | 0.000 |
| 19.316 | 19.316 | 43.934 | -0.000 | 0.000 | -0.000 |
| -0.000 | 0.000 | 0.000 | 18.423 | -0.000 | -0.000 |
| 0.000 | -0.000 | 0.000 | -0.000 | 18.423 | -0.000 |
| 0.000 | 0.000 | -0.000 | -0.000 | 0.000 | 18.423 |
| 43.934 | 19.316 | 19.316 | -0.000 | -0.000 | 0.000 |
| 19.316 | 43.934 | 19.316 | 0.000 | 0.000 | -0.000 |
| 19.316 | 19.316 | 43.934 | 0.000 | 0.000 | -0.000 |
| 0.000 | -0.000 | -0.000 | 18.423 | 0.000 | -0.000 |
| -0.000 | 0.000 | -0.000 | 0.000 | 18.423 | 0.000 |
| -0.000 | -0.000 | 0.000 | 0.000 | -0.000 | 18.423 |
| 43.935 | 19.316 | 19.316 | -0.000 | -0.000 | -0.000 |
| 19.316 | 43.935 | 19.316 | -0.000 | 0.000 | -0.000 |
| 19.316 | 19.316 | 43.935 | -0.000 | 0.000 | -0.000 |
| -0.000 | 0.000 | 0.000 | 18.423 | -0.000 | -0.000 |
| 0.000 | -0.000 | 0.000 | -0.000 | 18.423 | 0.000 |
| 0.000 | 0.000 | -0.000 | -0.000 | 0.000 | 18.423 |
| 43.934 | 19.316 | 19.316 | 0.000 | -0.000 | 0.000 |
| 19.316 | 43.934 | 19.316 | 0.000 | -0.000 | -0.000 |
| 19.316 | 19.316 | 43.934 | -0.000 | -0.000 | 0.000 |
| 0.000 | -0.000 | -0.000 | 18.423 | 0.000 | 0.000 |
| -0.000 | 0.000 | -0.000 | 0.000 | 18.423 | 0.000 |
| -0.000 | -0.000 | 0.000 | -0.000 | -0.000 | 18.423 |
| 200.366 | 134.345 | 39.198 | 0.000 | -0.000 | -0.000 |
| 134.345 | 200.366 | 39.198 | 0.000 | -0.000 | 0.000 |
| 35.351 | 35.351 | 226.481 | 0.000 | -0.000 | -0.000 |
| -0.000 | -0.000 | -0.000 | 35.016 | -0.000 | -0.000 |
| -0.000 | -0.000 | -0.000 | 0.000 | 35.016 | -0.000 |
| -0.000 | -0.000 | -0.000 | 0.000 | -0.000 | 128.950 |
| 200.074 | 134.053 | 34.986 | -0.000 | 0.000 | 0.000 |
| 134.053 | 200.074 | 34.986 | -0.000 | 0.000 | 0.000 |
| 39.844 | 39.844 | 291.379 | -0.000 | 0.000 | 0.000 |
| 0.000 | 0.000 | 0.000 | 35.016 | 0.000 | 0.000 |
| 0.000 | 0.000 | 0.000 | -0.000 | 35.016 | 0.000 |
| 0.000 | 0.000 | 0.000 | -0.000 | 0.000 | 128.950 |
| 200.055 | 134.034 | 34.705 | 0.000 | -0.000 | -0.000 |
| 134.034 | 200.055 | 34.705 | 0.000 | -0.000 | -0.000 |
| 39.844 | 39.844 | 291.380 | 0.000 | -0.000 | -0.000 |
| 0.000 | -0.000 | -0.000 | 35.016 | -0.000 | 0.000 |
| -0.000 | 0.000 | -0.000 | 0.000 | 35.016 | 0.000 |
| 0.000 | 0.000 | -0.000 | 0.000 | -0.000 | 128.950 |
| 200.366 | 134.345 | 39.198 | -0.000 | 0.000 | 0.000 |
| 134.345 | 200.366 | 39.198 | -0.000 | 0.000 | 0.000 |
| 39.844 | 39.844 | 291.379 | -0.000 | 0.000 | 0.000 |
| -0.000 | 0.000 | 0.000 | 35.016 | 0.000 | 0.000 |
| 0.000 | -0.000 | 0.000 | -0.000 | 35.016 | 0.000 |
| -0.000 | -0.000 | 0.000 | -0.000 | 0.000 | 128.950 |
| 200.076 | 134.054 | 34.992 | 0.000 | -0.000 | -0.000 |
| 134.054 | 200.076 | 34.992 | 0.000 | -0.000 | -0.000 |
| 35.351 | 35.351 | 226.482 | 0.000 | -0.000 | -0.000 |
| 0.000 | -0.000 | -0.000 | 35.084 | -0.000 | -0.000 |
| -0.000 | 0.000 | -0.000 | 0.000 | 35.084 | -0.000 |
| 0.000 | 0.001 | 0.000 | -0.000 | -0.000 | 128.950 |
| 200.074 | 134.053 | 34.992 | -0.000 | 0.000 | 0.000 |
| 134.053 | 200.074 | 34.992 | -0.000 | 0.000 | 0.000 |
| 35.351 | 35.351 | 226.479 | -0.000 | 0.000 | 0.000 |
| -0.000 | 0.000 | 0.000 | 35.084 | 0.000 | -0.000 |
| 0.000 | -0.000 | 0.000 | -0.000 | 35.084 | 0.000 |
| -0.000 | -0.001 | -0.000 | -0.000 | 0.000 | 128.950 |
| 180.072 | 69.958 | 96.839 | -30.656 | -0.000 | -0.000 |
| 72.283 | 202.413 | 107.467 | 41.342 | -0.000 | -0.000 |
| 97.918 | 97.918 | 176.800 | 0.000 | -0.000 | -0.000 |
| -26.907 | 24.361 | -0.701 | 83.464 | -0.000 | -0.000 |
| 1.857 | 1.857 | 1.824 | 0.000 | 71.464 | -14.200 |
| -0.000 | -0.000 | -0.000 | 0.000 | -41.342 | 65.065 |
| 202.413 | 72.283 | 107.467 | -41.342 | 0.000 | 0.000 |
| 72.283 | 202.413 | 107.467 | 41.342 | 0.000 | 0.000 |
| 94.318 | 94.318 | 172.345 | -0.000 | 0.000 | -0.000 |
| -16.057 | 12.342 | -1.824 | 71.464 | 0.000 | -0.000 |
| -1.857 | -1.857 | -1.824 | -0.000 | 71.464 | -14.200 |
| 0.000 | 0.000 | 0.000 | -0.000 | -41.342 | 65.065 |
| 202.413 | 72.283 | 107.467 | -41.342 | -0.000 | -0.000 |
| 72.283 | 202.413 | 107.467 | 41.342 | -0.000 | -0.000 |
| 107.472 | 107.472 | 185.174 | 0.000 | -0.000 | -0.000 |
| -24.869 | 24.600 | -0.074 | 82.503 | -0.000 | -0.000 |
| 0.000 | 0.000 | 0.000 | -0.000 | 100.240 | -41.342 |
| 0.000 | 0.000 | 0.000 | -0.000 | -41.342 | 65.065 |
| 202.412 | 72.283 | 107.467 | -41.342 | 0.000 | 0.000 |
| 72.283 | 202.412 | 107.467 | 41.342 | 0.000 | 0.000 |
| 107.472 | 107.472 | 185.174 | -0.000 | 0.000 | 0.000 |
| -14.153 | 13.707 | -0.210 | 71.197 | 0.000 | 0.000 |
| -0.000 | -0.000 | -0.000 | 0.000 | 100.240 | -41.342 |
| -0.000 | -0.000 | -0.000 | 0.000 | -41.342 | 65.065 |
| 177.738 | 70.598 | 95.804 | -29.069 | -0.000 | -0.000 |
| 70.598 | 177.738 | 95.803 | 29.069 | -0.000 | -0.000 |
| 94.504 | 94.504 | 172.769 | 0.000 | -0.000 | -0.000 |
| -24.738 | 24.711 | -0.007 | 82.493 | -0.000 | -0.000 |
| -0.013 | -0.013 | -0.007 | -0.000 | 82.493 | -24.725 |
| 0.000 | 0.000 | 0.000 | -0.000 | -41.342 | 65.065 |
| 165.694 | 77.387 | 92.214 | -19.136 | 0.000 | 0.000 |
| 70.612 | 177.684 | 95.779 | 29.032 | 0.000 | 0.000 |
| 107.472 | 107.472 | 185.173 | 0.000 | 0.000 | 0.000 |
| -24.711 | 24.738 | 0.007 | 82.493 | 0.000 | 0.000 |
| 0.013 | 0.013 | 0.007 | 0.000 | 82.493 | -24.725 |
| -0.000 | -0.000 | -0.000 | 0.000 | -41.342 | 65.065 |
| 22.461 | 4.711 | 4.711 | 0.000 | -0.000 | 0.000 |
| 4.711 | 22.461 | 4.711 | 0.000 | 0.000 | 0.000 |
| 4.711 | 4.711 | 22.461 | -0.000 | 0.000 | 0.000 |
| -0.000 | -0.000 | -0.000 | 2.629 | 0.000 | 0.000 |
| -0.000 | -0.000 | -0.000 | 0.000 | 2.629 | 0.000 |
| -0.000 | -0.000 | -0.000 | 0.000 | 0.000 | 2.629 |
| 22.461 | 4.711 | 4.711 | -0.000 | -0.000 | -0.000 |
| 4.711 | 22.461 | 4.711 | -0.000 | 0.000 | -0.000 |
| 4.711 | 4.711 | 22.461 | -0.000 | -0.000 | -0.000 |
| 0.000 | 0.000 | 0.000 | 2.629 | -0.000 | -0.000 |
| 0.000 | 0.000 | -0.000 | -0.000 | 2.629 | -0.000 |
| 0.000 | 0.000 | -0.000 | 0.000 | -0.000 | 2.629 |
| 22.461 | 4.711 | 4.711 | 0.000 | 0.000 | 0.000 |
| 4.711 | 22.461 | 4.711 | 0.000 | 0.000 | 0.000 |
| 4.711 | 4.711 | 22.461 | 0.000 | 0.000 | 0.000 |
| -0.000 | -0.000 | -0.000 | 4.595 | -0.000 | 0.000 |
| -0.000 | -0.000 | -0.000 | 0.000 | 4.595 | 0.000 |
| -0.000 | -0.000 | 0.000 | 0.000 | 0.000 | 4.595 |
| 22.461 | 4.711 | 4.711 | -0.000 | 0.000 | -0.000 |
| 4.711 | 22.461 | 4.711 | -0.000 | -0.000 | -0.000 |
| 4.711 | 4.711 | 22.461 | -0.000 | -0.000 | -0.000 |
| 0.000 | 0.000 | 0.000 | 4.595 | -0.000 | -0.000 |
| 0.000 | 0.000 | 0.000 | -0.000 | 4.595 | -0.000 |
| 0.000 | 0.000 | -0.000 | -0.000 | -0.000 | 4.595 |
| 22.461 | 4.711 | 4.711 | 0.000 | 0.000 | 0.000 |
| 4.711 | 22.461 | 4.711 | 0.000 | 0.000 | 0.000 |
| 4.711 | 4.711 | 22.461 | 0.000 | 0.000 | 0.000 |
| -0.000 | -0.000 | -0.000 | 2.629 | 0.000 | 0.000 |
| -0.000 | -0.000 | -0.000 | 0.000 | 2.629 | 0.000 |
| -0.000 | -0.000 | -0.000 | 0.000 | 0.000 | 2.629 |
| 22.461 | 4.711 | 4.711 | -0.000 | 0.000 | -0.000 |
| 4.711 | 22.461 | 4.711 | -0.000 | -0.000 | -0.000 |
| 4.711 | 4.711 | 22.461 | -0.000 | -0.000 | -0.000 |
| 0.000 | 0.000 | 0.000 | 2.629 | -0.000 | -0.000 |
| 0.000 | 0.000 | 0.000 | -0.000 | 2.629 | -0.000 |
| 0.000 | 0.000 | 0.000 | -0.000 | -0.000 | 2.629 |
| 14.875 | 5.920 | 5.920 | -0.000 | -0.000 | -0.000 |
| 5.920 | 14.875 | 5.920 | -0.000 | 0.000 | -0.000 |
| 5.920 | 5.920 | 14.875 | -0.000 | -0.000 | 0.000 |
| -0.000 | 0.000 | -0.000 | 2.899 | 0.000 | 0.000 |
| 0.000 | 0.000 | -0.000 | -0.000 | 2.899 | -0.000 |
| 0.000 | 0.000 | -0.000 | -0.000 | 0.000 | 2.899 |
| 14.875 | 5.920 | 5.920 | 0.000 | 0.000 | 0.000 |
| 5.920 | 14.875 | 5.920 | 0.000 | -0.000 | -0.000 |
| 5.920 | 5.920 | 14.875 | 0.000 | 0.000 | 0.000 |
| 0.000 | -0.000 | 0.000 | 2.899 | -0.000 | 0.000 |
| -0.000 | -0.000 | 0.000 | 0.000 | 2.899 | 0.000 |
| -0.000 | -0.000 | 0.000 | 0.000 | -0.000 | 2.899 |
| 14.875 | 5.920 | 5.920 | -0.000 | -0.000 | -0.000 |
| 5.920 | 14.875 | 5.920 | -0.000 | -0.000 | -0.000 |
| 5.920 | 5.920 | 14.875 | -0.000 | -0.000 | 0.000 |
| 0.000 | -0.000 | -0.000 | 2.899 | 0.000 | -0.000 |
| -0.000 | 0.000 | -0.000 | -0.000 | 2.899 | -0.000 |
| -0.000 | -0.000 | 0.000 | -0.000 | 0.000 | 2.899 |
| 14.875 | 5.920 | 5.920 | 0.000 | -0.000 | 0.000 |
| 5.920 | 14.875 | 5.920 | 0.000 | 0.000 | 0.000 |
| 5.920 | 5.920 | 14.875 | -0.000 | -0.000 | 0.000 |
| -0.000 | 0.000 | 0.000 | 2.899 | -0.000 | 0.000 |
| 0.000 | -0.000 | 0.000 | 0.000 | 2.899 | 0.000 |
| 0.000 | 0.000 | -0.000 | 0.000 | -0.000 | 2.899 |
| 14.875 | 5.920 | 5.920 | -0.000 | 0.000 | 0.000 |
| 5.920 | 14.875 | 5.920 | -0.000 | -0.000 | -0.000 |
| 5.920 | 5.920 | 14.875 | -0.000 | 0.000 | -0.000 |
| 0.000 | -0.000 | -0.000 | 2.899 | 0.000 | -0.000 |
| -0.000 | 0.000 | -0.000 | -0.000 | 2.899 | -0.000 |
| -0.000 | -0.000 | 0.000 | -0.000 | -0.000 | 2.899 |
| 14.875 | 5.920 | 5.920 | 0.000 | -0.000 | 0.000 |
| 5.920 | 14.875 | 5.920 | 0.000 | -0.000 | 0.000 |
| 5.920 | 5.920 | 14.875 | 0.000 | -0.000 | -0.000 |
| -0.000 | 0.000 | 0.000 | 2.899 | -0.000 | 0.000 |
| 0.000 | -0.000 | 0.000 | 0.000 | 2.899 | 0.000 |
| 0.000 | 0.000 | -0.000 | 0.000 | -0.000 | 2.899 |
| 9.044 | 4.530 | 4.530 | -0.000 | -0.000 | -0.000 |
| 4.530 | 9.044 | 4.530 | -0.000 | -0.000 | -0.000 |
| 4.530 | 4.530 | 9.044 | -0.000 | -0.000 | -0.000 |
| 0.000 | 0.000 | 0.000 | 4.546 | -0.000 | -0.000 |
| 0.000 | -0.000 | 0.000 | -0.000 | 4.546 | 0.000 |
| 0.000 | 0.000 | -0.000 | 0.000 | 0.000 | 4.546 |
| 9.044 | 4.530 | 4.530 | 0.000 | -0.000 | -0.000 |
| 4.530 | 9.044 | 4.530 | -0.000 | 0.000 | 0.000 |
| 4.530 | 4.530 | 9.044 | 0.000 | 0.000 | 0.000 |
| 0.000 | -0.000 | -0.000 | 4.546 | 0.000 | 0.000 |
| -0.000 | 0.000 | -0.000 | 0.000 | 4.546 | -0.000 |
| -0.000 | -0.000 | 0.000 | -0.000 | -0.000 | 4.546 |
| 9.044 | 4.530 | 4.530 | -0.000 | -0.000 | -0.000 |
| 4.530 | 9.044 | 4.530 | -0.000 | -0.000 | -0.000 |
| 4.530 | 4.530 | 9.044 | -0.000 | -0.000 | -0.000 |
| -0.000 | -0.000 | 0.000 | 4.546 | -0.000 | -0.000 |
| -0.000 | -0.000 | 0.000 | -0.000 | 4.546 | 0.000 |
| -0.000 | 0.000 | -0.000 | -0.000 | 0.000 | 4.546 |
| 9.044 | 4.530 | 4.530 | 0.000 | 0.000 | 0.000 |
| 4.530 | 9.044 | 4.530 | 0.000 | 0.000 | 0.000 |
| 4.530 | 4.530 | 9.044 | 0.000 | 0.000 | 0.000 |
| 0.000 | 0.000 | -0.000 | 4.546 | 0.000 | 0.000 |
| 0.000 | 0.000 | -0.000 | 0.000 | 4.546 | -0.000 |
| 0.000 | -0.000 | 0.000 | 0.000 | -0.000 | 4.546 |
| 9.044 | 4.530 | 4.530 | -0.000 | 0.000 | 0.000 |
| 4.530 | 9.044 | 4.530 | 0.000 | -0.000 | -0.000 |
| 4.530 | 4.530 | 9.044 | -0.000 | -0.000 | -0.000 |
| -0.000 | -0.000 | 0.000 | 4.546 | -0.000 | -0.000 |
| -0.000 | -0.000 | 0.000 | -0.000 | 4.546 | 0.000 |
| -0.000 | 0.000 | -0.000 | 0.000 | 0.000 | 4.546 |
| 9.044 | 4.530 | 4.530 | 0.000 | 0.000 | 0.000 |
| 4.530 | 9.044 | 4.530 | 0.000 | 0.000 | 0.000 |
| 4.530 | 4.530 | 9.044 | 0.000 | 0.000 | 0.000 |
| 0.000 | 0.000 | -0.000 | 4.546 | 0.000 | 0.000 |
| 0.000 | 0.000 | -0.000 | 0.000 | 4.546 | -0.000 |
| 0.000 | -0.000 | 0.000 | 0.000 | -0.000 | 4.546 |
| 17.048 | 3.434 | 3.434 | 0.000 | 0.000 | -0.000 |
| 3.434 | 17.048 | 3.434 | -0.000 | 0.000 | -0.000 |
| 3.434 | 3.434 | 17.048 | -0.000 | 0.000 | 0.000 |
| 0.000 | -0.000 | 0.000 | 3.044 | 0.000 | -0.000 |
| -0.000 | -0.000 | 0.000 | 0.000 | 3.044 | -0.000 |
| -0.000 | -0.000 | 0.000 | -0.000 | 0.000 | 3.044 |
| 17.048 | 3.434 | 3.434 | 0.000 | -0.000 | 0.000 |
| 3.434 | 17.048 | 3.434 | -0.000 | -0.000 | 0.000 |
| 3.434 | 3.434 | 17.048 | 0.000 | -0.000 | 0.000 |
| -0.000 | 0.000 | -0.000 | 3.044 | -0.000 | 0.000 |
| -0.000 | -0.000 | -0.000 | 0.000 | 3.044 | 0.000 |
| -0.000 | 0.000 | -0.000 | 0.000 | -0.000 | 3.044 |
| 17.048 | 3.434 | 3.434 | -0.000 | -0.000 | -0.000 |
| 3.434 | 17.048 | 3.434 | -0.000 | 0.000 | -0.000 |
| 3.434 | 3.434 | 17.048 | -0.000 | 0.000 | -0.000 |
| 0.000 | -0.000 | -0.000 | 3.044 | 0.000 | 0.000 |
| -0.000 | 0.000 | -0.000 | 0.000 | 3.044 | -0.000 |
| -0.000 | -0.000 | 0.000 | -0.000 | 0.000 | 3.044 |
| 17.048 | 3.434 | 3.434 | 0.000 | 0.000 | 0.000 |
| 3.434 | 17.048 | 3.434 | 0.000 | -0.000 | 0.000 |
| 3.434 | 3.434 | 17.048 | 0.000 | -0.000 | 0.000 |
| -0.000 | 0.000 | 0.000 | 3.044 | -0.000 | 0.000 |
| 0.000 | -0.000 | 0.000 | 0.000 | 3.044 | 0.000 |
| 0.000 | 0.000 | -0.000 | 0.000 | -0.000 | 3.044 |
| 17.048 | 3.434 | 3.434 | -0.000 | 0.000 | -0.000 |
| 3.434 | 17.048 | 3.434 | 0.000 | 0.000 | -0.000 |
| 3.434 | 3.434 | 17.048 | -0.000 | 0.000 | -0.000 |
| 0.000 | -0.000 | -0.000 | -4.365 | 0.000 | -0.000 |
| -0.000 | 0.000 | -0.000 | -0.000 | -4.365 | -0.000 |
| -0.000 | -0.000 | 0.000 | -0.000 | 0.000 | -4.365 |
| 17.048 | 3.434 | 3.434 | 0.000 | 0.000 | 0.000 |
| 3.434 | 17.048 | 3.434 | -0.000 | -0.000 | 0.000 |
| 3.434 | 3.434 | 17.048 | -0.000 | -0.000 | 0.000 |
| -0.000 | 0.000 | 0.000 | -4.365 | -0.000 | 0.000 |
| 0.000 | -0.000 | 0.000 | 0.000 | -4.365 | 0.000 |
| 0.000 | 0.000 | -0.000 | -0.000 | -0.000 | -4.365 |
| 13.901 | 4.273 | 4.273 | -0.000 | -0.000 | 0.000 |
| 4.273 | 13.901 | 4.273 | -0.000 | 0.000 | 0.000 |
| 4.273 | 4.273 | 13.901 | -0.000 | -0.000 | 0.000 |
| 0.000 | -0.000 | 0.000 | -3.842 | -0.000 | 0.000 |
| -0.000 | -0.000 | 0.000 | -0.000 | -3.842 | 0.000 |
| 0.000 | -0.000 | 0.000 | -0.000 | -0.000 | -3.842 |
| 13.901 | 4.273 | 4.273 | 0.000 | 0.000 | -0.000 |
| 4.273 | 13.901 | 4.273 | 0.000 | 0.000 | 0.000 |
| 4.273 | 4.273 | 13.901 | 0.000 | 0.000 | 0.000 |
| -0.000 | 0.000 | -0.000 | -3.842 | 0.000 | 0.000 |
| 0.000 | 0.000 | -0.000 | 0.000 | -3.842 | -0.000 |
| 0.000 | 0.000 | -0.000 | 0.000 | 0.000 | -3.842 |
| 13.901 | 4.273 | 4.273 | -0.000 | 0.000 | 0.000 |
| 4.273 | 13.901 | 4.273 | -0.000 | -0.000 | 0.000 |
| 4.273 | 4.273 | 13.901 | -0.000 | 0.000 | 0.000 |
| -0.000 | -0.000 | -0.000 | -3.842 | -0.000 | 0.000 |
| -0.000 | -0.000 | -0.000 | -0.000 | -3.842 | 0.000 |
| -0.000 | -0.000 | -0.000 | -0.000 | -0.000 | -3.842 |
| 13.901 | 4.273 | 4.273 | 0.000 | -0.000 | -0.000 |
| 4.273 | 13.901 | 4.273 | 0.000 | -0.000 | -0.000 |
| 4.273 | 4.273 | 13.901 | 0.000 | -0.000 | -0.000 |
| 0.000 | 0.000 | 0.000 | -3.842 | -0.000 | -0.000 |
| 0.000 | 0.000 | 0.000 | 0.000 | -3.842 | -0.000 |
| 0.000 | 0.000 | 0.000 | 0.000 | 0.000 | -3.842 |
| 13.901 | 4.273 | 4.273 | -0.000 | 0.000 | 0.000 |
| 4.273 | 13.901 | 4.273 | -0.000 | -0.000 | 0.000 |
| 4.273 | 4.273 | 13.901 | -0.000 | -0.000 | 0.000 |
| -0.000 | -0.000 | -0.000 | -3.842 | 0.000 | 0.000 |
| -0.000 | -0.000 | -0.000 | -0.000 | -3.842 | 0.000 |
| -0.000 | -0.000 | -0.000 | -0.000 | -0.000 | -3.842 |
| 13.901 | 4.273 | 4.273 | 0.000 | 0.000 | -0.000 |
| 4.273 | 13.901 | 4.273 | 0.000 | 0.000 | -0.000 |
| 4.273 | 4.273 | 13.901 | 0.000 | 0.000 | -0.000 |
| 0.000 | 0.000 | 0.000 | -3.842 | -0.000 | -0.000 |
| 0.000 | 0.000 | 0.000 | 0.000 | -3.842 | -0.000 |
| 0.000 | 0.000 | 0.000 | 0.000 | 0.000 | -3.842 |
| 7.284 | 3.654 | 3.654 | -0.000 | -0.000 | -0.000 |
| 3.654 | 7.284 | 3.654 | -0.000 | -0.000 | -0.000 |
| 3.654 | 3.654 | 7.284 | -0.000 | -0.000 | -0.000 |
| -0.000 | -0.000 | -0.000 | 3.640 | 0.000 | -0.000 |
| -0.000 | -0.000 | -0.000 | -0.000 | 3.640 | -0.000 |
| -0.000 | -0.000 | -0.000 | -0.000 | -0.000 | 3.640 |
| 7.284 | 3.654 | 3.654 | 0.000 | 0.000 | 0.000 |
| 3.654 | 7.284 | 3.654 | 0.000 | 0.000 | 0.000 |
| 3.654 | 3.654 | 7.284 | 0.000 | 0.000 | 0.000 |
| 0.000 | 0.000 | 0.000 | 3.640 | -0.000 | 0.000 |
| 0.000 | 0.000 | 0.000 | 0.000 | 3.640 | -0.000 |
| 0.000 | 0.000 | 0.000 | 0.000 | -0.000 | 3.640 |
| 7.284 | 3.654 | 3.654 | -0.000 | -0.000 | -0.000 |
| 3.654 | 7.284 | 3.654 | -0.000 | -0.000 | 0.000 |
| 3.654 | 3.654 | 7.284 | -0.000 | 0.000 | -0.000 |
| -0.000 | -0.000 | 0.000 | 3.640 | -0.000 | 0.000 |
| -0.000 | -0.000 | 0.000 | -0.000 | 3.640 | -0.000 |
| -0.000 | 0.000 | -0.000 | -0.000 | -0.000 | 3.640 |
| 7.284 | 3.654 | 3.654 | 0.000 | 0.000 | -0.000 |
| 3.654 | 7.284 | 3.654 | 0.000 | 0.000 | 0.000 |
| 3.654 | 3.654 | 7.284 | 0.000 | 0.000 | 0.000 |
| 0.000 | 0.000 | -0.000 | 3.640 | 0.000 | 0.000 |
| 0.000 | 0.000 | -0.000 | 0.000 | 3.640 | 0.000 |
| 0.000 | -0.000 | 0.000 | 0.000 | 0.000 | 3.640 |
| 7.284 | 3.654 | 3.654 | -0.000 | -0.000 | 0.000 |
| 3.654 | 7.284 | 3.654 | 0.000 | -0.000 | -0.000 |
| 3.654 | 3.654 | 7.284 | -0.000 | -0.000 | -0.000 |
| -0.000 | -0.000 | 0.000 | 3.640 | -0.000 | -0.000 |
| -0.000 | -0.000 | 0.000 | -0.000 | 3.640 | 0.000 |
| -0.000 | 0.000 | -0.000 | -0.000 | 0.000 | 3.640 |
| 7.284 | 3.654 | 3.654 | 0.000 | 0.000 | 0.000 |
| 3.654 | 7.284 | 3.654 | -0.000 | 0.000 | 0.000 |
| 3.654 | 3.654 | 7.284 | 0.000 | -0.000 | 0.000 |
| 0.000 | 0.000 | -0.000 | 3.640 | 0.000 | 0.000 |
| 0.000 | 0.000 | -0.000 | 0.000 | 3.640 | 0.000 |
| 0.000 | -0.000 | 0.000 | 0.000 | 0.000 | 3.640 |
| 22.291 | -0.303 | 3.701 | 0.042 | -0.072 | 0.147 |
| 1.921 | 46.235 | 3.124 | 0.135 | 0.044 | 0.079 |
| 3.630 | 2.055 | 32.725 | 0.070 | 0.071 | 0.082 |
| 0.039 | 0.141 | 0.050 | 4.667 | 0.038 | 0.233 |
| 0.124 | 0.064 | 0.049 | 0.015 | 8.287 | 0.088 |
| -0.017 | 0.039 | 0.005 | 0.135 | 0.091 | 5.586 |
| 22.338 | -0.296 | 3.655 | 0.053 | -0.009 | 0.024 |
| 1.938 | 46.229 | 3.106 | 0.135 | 0.026 | 0.013 |
| 3.640 | 2.091 | 32.760 | 0.067 | 0.048 | 0.014 |
| 0.093 | 0.175 | 0.100 | 4.668 | 0.021 | 0.169 |
| 0.113 | 0.081 | 0.111 | 0.007 | 8.272 | 0.047 |
| -0.014 | 0.061 | 0.088 | 0.126 | 0.066 | 5.537 |
| 18.726 | -3.516 | 2.192 | 0.463 | -0.242 | 0.189 |
| -3.489 | 41.647 | 0.106 | 0.453 | -0.124 | 0.251 |
| 1.085 | -0.822 | 30.443 | 0.157 | 0.096 | 0.204 |
| 0.304 | 0.394 | 0.171 | 3.573 | 0.011 | 0.113 |
| -0.092 | -0.046 | 0.130 | 0.026 | 7.542 | 0.235 |
| 0.117 | 0.234 | 0.176 | 0.095 | 0.225 | 3.865 |
| 18.928 | -3.454 | 2.095 | 0.393 | -0.213 | 0.149 |
| -3.451 | 41.645 | 0.067 | 0.419 | -0.101 | 0.236 |
| 1.116 | -0.861 | 30.324 | 0.100 | 0.115 | 0.203 |
| 0.399 | 0.446 | 0.157 | 3.510 | 0.024 | 0.107 |
| -0.059 | -0.038 | 0.113 | -0.004 | 7.566 | 0.222 |
| 0.154 | 0.244 | 0.160 | 0.069 | 0.259 | 3.814 |
| 18.709 | -3.508 | 2.213 | 0.499 | -0.225 | 0.195 |
| -3.622 | 41.561 | 0.076 | 0.467 | -0.100 | 0.282 |
| 1.208 | -0.798 | 30.317 | 0.072 | 0.112 | 0.216 |
| 0.494 | 0.486 | 0.072 | 3.444 | 0.038 | 0.116 |
| -0.135 | -0.049 | 0.123 | 0.042 | 7.452 | 0.288 |
| 0.170 | 0.276 | 0.218 | 0.079 | 0.282 | 3.764 |
| 18.727 | -3.504 | 2.203 | 0.487 | -0.222 | 0.192 |
| -3.603 | 41.567 | 0.066 | 0.456 | -0.096 | 0.278 |
| 1.226 | -0.793 | 30.303 | 0.059 | 0.113 | 0.210 |
| 0.511 | 0.488 | 0.059 | 3.432 | 0.040 | 0.112 |
| -0.126 | -0.051 | 0.113 | 0.034 | 7.454 | 0.284 |
| 0.184 | 0.279 | 0.207 | 0.069 | 0.285 | 3.759 |
| 25.579 | 2.295 | 2.295 | -0.000 | -0.000 | 0.000 |
| 2.295 | 25.579 | 2.295 | -0.000 | -0.000 | 0.000 |
| 2.295 | 2.295 | 25.579 | -0.000 | -0.000 | 0.000 |
| 0.000 | -0.000 | -0.000 | -112.673 | -0.000 | -0.000 |
| 0.000 | 0.000 | -0.000 | -0.000 | -112.673 | 0.000 |
| 0.000 | -0.000 | 0.000 | -0.000 | -0.000 | -112.673 |
| 25.579 | 2.295 | 2.295 | 0.000 | -0.000 | -0.000 |
| 2.295 | 25.579 | 2.295 | 0.000 | 0.000 | 0.000 |
| 2.295 | 2.295 | 25.579 | -0.000 | 0.000 | -0.000 |
| -0.000 | 0.000 | 0.000 | -112.673 | 0.000 | -0.000 |
| -0.000 | -0.000 | 0.000 | 0.000 | -112.673 | -0.000 |
| -0.000 | 0.000 | -0.000 | 0.000 | 0.000 | -112.673 |
| 25.579 | 2.295 | 2.295 | 0.000 | 0.000 | 0.000 |
| 2.295 | 25.579 | 2.295 | -0.000 | -0.000 | -0.000 |
| 2.295 | 2.295 | 25.579 | -0.000 | 0.000 | 0.000 |
| 43186511.679 | 43756569.639 | 42636569.680 | -23117.677 | -229164.767 | -416915.462 |
| 42698304.936 | 41997115.658 | 43206468.469 | -643352.278 | -358860.339 | -628595.689 |
| 42455712.455 | 41675347.920 | 41758913.473 | 758274.817 | -311975.843 | -212826.209 |
| 25.579 | 2.295 | 2.295 | 0.000 | 0.000 | -0.000 |
| 2.295 | 25.579 | 2.295 | 0.000 | 0.000 | 0.000 |
| 2.295 | 2.295 | 25.579 | 0.000 | 0.000 | -0.000 |
| -41539534.230 | -43132023.051 | -41354331.584 | -146137.967 | 232008.986 | -18561.653 |
| -41547034.820 | -42915900.100 | -42379951.449 | -385566.750 | -47137.456 | -223336.923 |
| -41739234.604 | -42382534.953 | -41715356.899 | -188326.949 | 140929.229 | -627017.276 |
| 25.579 | 2.295 | 2.295 | -0.000 | -0.000 | 0.000 |
| 2.295 | 25.579 | 2.295 | -0.000 | 0.000 | 0.000 |
| 2.295 | 2.295 | 25.579 | -0.000 | 0.000 | 0.000 |
| 4251279.292 | 4191173.842 | 4187841.719 | -185033.858 | -46785.516 | -16393.747 |
| 4116218.565 | 4185746.774 | 4024562.977 | -12684.330 | -34974.421 | 26781.248 |
| 4301287.702 | 4266030.911 | 4267915.165 | 84882.606 | -62505.476 | -41988.109 |
| 25.579 | 2.295 | 2.295 | 0.000 | 0.000 | -0.000 |
| 2.295 | 25.579 | 2.295 | 0.000 | 0.000 | 0.000 |
| 2.295 | 2.295 | 25.579 | 0.000 | 0.000 | 0.000 |
| -4183758.196 | -4199983.157 | -4188078.155 | -70686.916 | -21144.241 | 29920.613 |
| -4169469.663 | -4241263.585 | -4202406.838 | -34351.471 | -22861.529 | 26986.867 |
| -4115048.634 | -4208961.374 | -4275115.707 | -25377.196 | -25007.213 | -42825.150 |
| 33.185 | 35.355 | 35.355 | 0.000 | 0.000 | -0.000 |
| 35.355 | 33.185 | 35.355 | 0.000 | 0.000 | -0.000 |
| 35.355 | 35.355 | 33.185 | 0.000 | 0.000 | -0.000 |
| 0.000 | 0.000 | 0.000 | -4.218 | 0.000 | -0.000 |
| 0.000 | 0.000 | 0.000 | 0.000 | -4.218 | -0.000 |
| 0.000 | 0.000 | -0.000 | 0.000 | -0.000 | -4.218 |
| 33.185 | 35.355 | 35.355 | -0.000 | -0.000 | 0.000 |
| 35.355 | 33.185 | 35.355 | -0.000 | -0.000 | 0.000 |
| 35.355 | 35.355 | 33.185 | -0.000 | -0.000 | 0.000 |
| 0.000 | -0.000 | -0.000 | -4.218 | -0.000 | 0.000 |
| -0.000 | -0.000 | -0.000 | -0.000 | -4.218 | 0.000 |
| -0.000 | -0.000 | -0.000 | -0.000 | 0.000 | -4.218 |
| 33.185 | 35.355 | 35.355 | 0.000 | 0.000 | -0.000 |
| 35.355 | 33.185 | 35.355 | 0.000 | -0.000 | -0.000 |
| 35.355 | 35.355 | 33.185 | 0.000 | -0.000 | -0.000 |
| 0.000 | 0.000 | 0.000 | -4.218 | 0.000 | -0.000 |
| 0.000 | 0.000 | 0.000 | 0.000 | -4.218 | -0.000 |
| 0.000 | 0.000 | 0.000 | 0.000 | -0.000 | -4.218 |
| 33.185 | 35.355 | 35.355 | -0.000 | -0.000 | 0.000 |
| 35.355 | 33.185 | 35.355 | -0.000 | -0.000 | 0.000 |
| 35.355 | 35.355 | 33.185 | -0.000 | -0.000 | 0.000 |
| -0.000 | -0.000 | -0.000 | -4.218 | -0.000 | 0.000 |
| -0.000 | -0.000 | -0.000 | -0.000 | -4.218 | 0.000 |
| -0.000 | -0.000 | -0.000 | -0.000 | 0.000 | -4.218 |
| 33.186 | 35.355 | 35.355 | 0.000 | 0.000 | -0.000 |
| 35.355 | 33.186 | 35.355 | 0.000 | 0.000 | -0.000 |
| 35.355 | 35.355 | 33.186 | 0.000 | -0.000 | -0.000 |
| 0.000 | 0.000 | 0.000 | -4.218 | 0.000 | -0.000 |
| 0.000 | 0.000 | 0.000 | 0.000 | -4.218 | -0.000 |
| 0.000 | 0.000 | 0.000 | 0.000 | -0.000 | -4.218 |
| 33.185 | 35.355 | 35.355 | -0.000 | -0.000 | 0.000 |
| 35.355 | 33.185 | 35.355 | -0.000 | -0.000 | 0.000 |
| 35.355 | 35.355 | 33.185 | -0.000 | -0.000 | 0.000 |
| -0.000 | -0.000 | -0.000 | -4.218 | -0.000 | 0.000 |
| -0.000 | -0.000 | -0.000 | -0.000 | -4.218 | 0.000 |
| -0.000 | -0.000 | -0.000 | -0.000 | 0.000 | -4.218 |
| 58.971 | 18.643 | 18.643 | 0.000 | 0.000 | -0.000 |
| 18.643 | 58.971 | 18.643 | -0.000 | 0.000 | -0.000 |
| 18.643 | 18.643 | 58.971 | 0.000 | 0.000 | -0.000 |
| 0.000 | 0.000 | 0.000 | 17.694 | -0.000 | -0.000 |
| 0.000 | -0.000 | 0.000 | -0.000 | 17.694 | -0.000 |
| 0.000 | 0.000 | -0.000 | -0.000 | 0.000 | 17.694 |
| 58.971 | 18.643 | 18.643 | -0.000 | 0.000 | 0.000 |
| 18.643 | 58.971 | 18.643 | -0.000 | -0.000 | 0.000 |
| 18.643 | 18.643 | 58.971 | 0.000 | -0.000 | 0.000 |
| -0.000 | -0.000 | -0.000 | 17.694 | -0.000 | 0.000 |
| -0.000 | 0.000 | -0.000 | -0.000 | 17.694 | 0.000 |
| -0.000 | -0.000 | 0.000 | -0.000 | 0.000 | 17.694 |
| 58.971 | 18.643 | 18.643 | 0.000 | 0.000 | -0.000 |
| 18.643 | 58.971 | 18.643 | 0.000 | -0.000 | -0.000 |
| 18.643 | 18.643 | 58.971 | 0.000 | -0.000 | -0.000 |
| -0.000 | 0.000 | 0.000 | 17.694 | -0.000 | -0.000 |
| 0.000 | -0.000 | 0.000 | 0.000 | 17.694 | -0.000 |
| 0.000 | 0.000 | -0.000 | 0.000 | 0.000 | 17.694 |
| 58.971 | 18.643 | 18.643 | 0.000 | -0.000 | 0.000 |
| 18.643 | 58.971 | 18.643 | -0.000 | -0.000 | 0.000 |
| 18.643 | 18.643 | 58.971 | -0.000 | -0.000 | 0.000 |
| 0.000 | -0.000 | -0.000 | 17.694 | 0.000 | -0.000 |
| -0.000 | 0.000 | -0.000 | -0.000 | 17.694 | 0.000 |
| -0.000 | -0.000 | 0.000 | -0.000 | -0.000 | 17.694 |
| 58.972 | 18.643 | 18.643 | -0.000 | 0.000 | -0.000 |
| 18.643 | 58.972 | 18.643 | -0.000 | -0.000 | -0.000 |
| 18.643 | 18.643 | 58.972 | 0.000 | -0.000 | -0.000 |
| -0.000 | 0.000 | 0.000 | 17.694 | -0.000 | -0.000 |
| 0.000 | -0.000 | 0.000 | 0.000 | 17.694 | -0.000 |
| 0.000 | 0.000 | -0.000 | 0.000 | -0.000 | 17.694 |
| 58.971 | 18.642 | 18.642 | 0.000 | 0.000 | 0.000 |
| 18.642 | 58.971 | 18.642 | 0.000 | -0.000 | 0.000 |
| 18.642 | 18.642 | 58.971 | -0.000 | 0.000 | 0.000 |
| 0.000 | -0.000 | -0.000 | 17.694 | 0.000 | 0.000 |
| -0.000 | 0.000 | -0.000 | -0.000 | 17.694 | 0.000 |
| -0.000 | -0.000 | 0.000 | -0.000 | -0.000 | 17.694 |
| 253.063 | 88.613 | 102.909 | -0.000 | -0.107 | 0.000 |
| 407517178.994 | -174991817.236 | -590545145.018 | 1406349.560 | -6660.276 | 1723.427 |
| 96.332 | 95.400 | 214.336 | -0.000 | -0.624 | 0.000 |
| 1.395 | 2.507 | 2.296 | 53.705 | -0.765 | 0.000 |
| 355632716.629 | -283019814.023 | -709611844.014 | -0.001 | 111.481 | -0.000 |
| -0.147 | -0.040 | 2.168 | -0.000 | -0.159 | 97.836 |
| 252.252 | 87.622 | 100.417 | 0.000 | 0.112 | -0.000 |
| -407515447.355 | 174993008.661 | 590546204.457 | -1406532.188 | 7603.103 | -1843.077 |
| 95.429 | 93.471 | 209.019 | 0.000 | 0.612 | -0.000 |
| -1.395 | -2.507 | -2.296 | 53.707 | 0.765 | 0.000 |
| -0.752 | -1.437 | -3.491 | 0.000 | 81.425 | 0.000 |
| 0.147 | 0.040 | -2.168 | 0.000 | 0.159 | 97.836 |
| 40752298.706 | -17464047.005 | -59060855.537 | 200784.095 | -692.127 | 125.987 |
| 40711820.549 | -17394309.809 | -59044442.893 | -196999.547 | -444.172 | 155.170 |
| 94.700 | 95.145 | 213.792 | -0.000 | -0.114 | -0.000 |
| 35563271.659 | -28301981.402 | -70961184.403 | 111.158 | 0.026 | 0.002 |
| 35563271.654 | -28301981.406 | -70961184.400 | 0.000 | 111.261 | 0.000 |
| -0.013 | -0.002 | 0.210 | -0.000 | -0.015 | 98.077 |
| 252.585 | 86.868 | 98.201 | 0.000 | 0.095 | -0.000 |
| -40711608.231 | 17394776.631 | 59044665.051 | 197000.490 | 444.230 | -155.164 |
| -40740786.044 | 17467219.948 | 59059026.581 | -23476.477 | 525.238 | -135.689 |
| -35563271.674 | 28301981.400 | 70961184.400 | 111.136 | -0.021 | -0.002 |
| -35563271.654 | 28301981.403 | 70961184.403 | -0.000 | 111.215 | 0.000 |
| 0.013 | 0.002 | -0.210 | 0.000 | 0.015 | 98.077 |
| 4076258.005 | -1753620.265 | -5901766.746 | -3257.538 | -71.507 | 15.563 |
| 4075433.523 | -1739857.701 | -5907209.019 | -3320.709 | -49.992 | -14.632 |
| 4075434.783 | -1739978.985 | -5907083.407 | -3319.597 | -50.190 | -14.660 |
| 3556327.167 | -2830198.140 | -7096118.440 | 111.144 | 0.002 | -0.000 |
| 3556327.167 | -2830198.141 | -7096118.439 | 0.000 | 111.241 | -0.000 |
| -0.001 | 0.000 | 0.021 | -0.000 | -0.002 | 98.079 |
| -4075713.903 | 1753822.177 | 5901968.609 | 3256.107 | 68.099 | -12.561 |
| 87.422 | 238.888 | 99.586 | 0.000 | 0.009 | -0.000 |
| 95.049 | 95.338 | 213.527 | 0.000 | 0.008 | 0.000 |
| -3575346.960 | 2781428.839 | 7047057.430 | 14656.435 | -27.913 | -16.324 |
| -3556327.167 | 2830198.141 | 7096118.439 | -0.000 | 111.237 | 0.000 |
| 0.001 | -0.000 | -0.021 | 0.000 | 0.002 | 98.079 |
| 163.290 | 36.887 | 104.674 | -0.344 | 0.897 | 10.316 |
| 38.917 | 177.533 | 61.921 | 0.707 | 0.770 | -0.209 |
| 103.773 | 58.386 | 208.912 | -0.181 | 0.669 | -0.885 |
| 0.326 | 0.516 | 0.702 | 42.554 | 0.020 | -0.213 |
| 0.013 | -0.230 | 0.730 | -0.501 | 98.266 | -0.012 |
| -0.110 | -0.177 | 0.261 | -0.265 | 0.983 | 33.641 |
| 163.067 | 37.944 | 102.963 | 0.705 | -0.500 | 11.146 |
| 38.549 | 178.050 | 60.264 | 1.479 | -0.547 | 0.447 |
| 103.474 | 59.078 | 207.478 | 0.609 | -0.607 | -0.251 |
| -0.090 | 1.090 | -0.284 | 43.523 | -0.519 | -0.021 |
| -0.141 | 0.399 | -0.627 | 0.035 | 97.193 | 0.308 |
| -0.161 | 0.485 | -1.310 | 0.161 | -0.382 | 34.701 |
| 162.784 | 36.449 | 103.546 | 0.124 | 0.219 | 10.722 |
| 38.902 | 177.746 | 60.798 | 0.985 | 0.173 | 0.063 |
| 103.612 | 58.266 | 208.232 | 0.166 | 0.089 | -0.606 |
| 0.090 | 1.616 | -0.273 | 39.268 | -0.342 | -0.305 |
| -0.054 | 0.052 | 0.121 | -0.265 | 97.827 | 0.132 |
| -0.064 | 0.039 | -0.390 | -0.051 | 0.303 | 33.647 |
| 162.758 | 36.466 | 103.451 | 0.288 | 0.116 | 10.785 |
| 38.868 | 177.810 | 60.628 | 1.113 | 0.052 | 0.135 |
| 103.585 | 58.336 | 208.088 | 0.299 | -0.029 | -0.535 |
| 0.169 | 1.061 | 0.150 | 42.794 | -0.336 | -0.118 |
| -0.070 | 0.115 | -0.016 | -0.209 | 97.720 | 0.164 |
| -0.107 | 0.091 | -0.518 | -0.040 | 0.200 | 33.722 |
| 162.743 | 36.500 | 103.355 | 0.059 | 0.165 | 10.826 |
| 38.948 | 177.558 | 60.809 | 1.832 | 0.152 | 0.084 |
| 103.433 | 58.244 | 208.105 | -0.258 | 0.019 | -0.590 |
| 0.190 | 1.028 | 0.263 | 42.712 | -0.236 | -0.169 |
| -0.092 | 0.081 | 0.021 | -0.438 | 97.771 | 0.143 |
| -0.064 | 0.085 | -0.532 | -0.220 | 0.246 | 33.675 |
| 162.740 | 36.478 | 103.349 | 0.192 | 0.163 | 10.839 |
| 38.964 | 177.839 | 60.710 | 1.059 | 0.109 | 0.090 |
| 103.426 | 58.242 | 208.083 | -0.209 | 0.016 | -0.578 |
| 0.187 | 1.050 | 0.242 | 42.720 | -0.254 | -0.159 |
| -0.094 | 0.076 | 0.011 | -0.384 | 97.763 | 0.148 |
| -0.062 | 0.070 | -0.515 | -0.075 | 0.252 | 33.687 |
| 325.020 | 107.757 | 127.241 | 0.000 | -0.000 | -0.000 |
| 181.996 | 254.027 | 39.900 | 0.000 | -0.000 | -0.000 |
| 126.305 | 40.818 | 287.229 | 0.000 | -0.000 | -0.000 |
| 0.000 | 0.000 | 0.000 | 50.604 | 0.000 | -0.000 |
| -0.000 | 0.000 | -0.000 | -0.000 | 137.516 | -0.000 |
| 0.002 | -0.004 | 0.000 | 0.000 | 0.000 | 80.506 |
| 325.020 | 107.757 | 127.242 | -0.000 | -0.000 | 0.000 |
| 107.757 | 349.733 | 39.720 | -0.000 | 0.000 | 0.000 |
| 126.300 | 40.829 | 287.227 | -0.000 | -0.000 | 0.000 |
| 0.000 | -0.000 | -0.000 | 50.603 | -0.000 | 0.000 |
| -0.000 | -0.000 | 0.000 | -0.000 | 137.516 | 0.000 |
| -0.002 | 0.004 | -0.000 | -0.000 | -0.000 | 80.506 |
| 325.020 | 107.757 | 127.242 | 0.000 | -0.000 | -0.000 |
| 107.757 | 349.733 | 39.720 | 0.000 | -0.000 | -0.000 |
| 126.303 | 40.823 | 287.228 | 0.000 | 0.000 | -0.000 |
| -0.000 | 0.000 | 0.000 | 50.604 | 0.000 | -0.000 |
| 0.001 | -0.001 | 0.000 | 0.000 | 137.516 | -0.000 |
| 0.000 | 0.000 | 0.000 | -0.000 | -0.000 | 118.883 |
| 325.020 | 107.756 | 127.241 | -0.000 | 0.000 | 0.000 |
| 173.343 | 265.368 | 39.322 | -0.000 | -0.000 | 0.000 |
| 128.025 | 38.951 | 287.518 | -0.000 | 0.000 | 0.000 |
| 0.000 | -0.000 | -0.000 | 50.604 | -0.000 | 0.000 |
| -0.001 | 0.001 | -0.000 | -0.000 | 137.516 | 0.000 |
| -0.000 | -0.000 | 0.000 | -0.000 | 0.000 | 118.883 |
| 267.024 | 180.213 | 127.135 | 0.000 | 0.000 | -0.000 |
| 181.809 | 252.541 | 40.079 | 0.000 | 0.000 | -0.000 |
| 127.242 | 39.720 | 287.894 | 0.000 | 0.000 | -0.000 |
| -0.000 | 0.000 | 0.000 | 50.604 | 0.000 | -0.000 |
| 0.000 | -0.000 | 0.001 | 0.000 | 137.516 | -0.000 |
| 0.000 | -0.000 | 0.000 | 0.000 | 0.000 | 60.519 |
| 272.590 | 173.142 | 127.645 | -0.000 | 0.000 | 0.000 |
| 173.338 | 265.372 | 39.322 | -0.000 | 0.000 | 0.000 |
| 128.024 | 38.950 | 287.516 | -0.000 | -0.000 | 0.000 |
| 0.000 | -0.000 | -0.000 | 50.604 | -0.000 | 0.000 |
| -0.000 | 0.000 | -0.001 | -0.000 | 137.516 | 0.000 |
| -0.000 | 0.000 | -0.000 | -0.000 | -0.000 | 60.519 |
| -1812.121 | 2721.020 | 831.588 | -0.000 | -0.000 | 0.000 |
| -2146.793 | 2821.609 | 980.920 | 0.000 | -0.000 | -0.000 |
| -1838.594 | 2569.833 | 997.937 | 0.000 | 0.000 | 0.000 |
| -1245.225 | 1971.410 | 318.838 | 26.764 | -0.000 | 0.000 |
| 0.000 | 0.000 | -0.000 | 0.000 | 129.125 | -0.000 |
| 0.000 | 0.000 | -0.000 | -0.000 | 0.000 | 58.711 |
| 260.914 | 44.058 | 123.424 | -0.000 | -0.000 | 0.000 |
| 1330.462 | -1746.628 | -290.162 | 0.000 | 0.000 | -0.000 |
| 116.285 | 26.524 | 337.930 | 0.000 | 0.000 | 0.000 |
| 1245.225 | -1971.410 | -318.838 | 26.764 | 0.000 | -0.000 |
| -0.000 | -0.000 | 0.000 | -0.000 | 129.125 | -0.000 |
| -0.000 | -0.000 | 0.000 | 0.000 | 0.000 | 58.711 |
| 260.915 | 44.058 | 123.424 | -0.000 | -0.000 | -0.000 |
| 41.038 | 308.424 | 30.643 | -0.000 | 0.000 | -0.000 |
| -46.366 | 251.166 | 385.681 | -0.000 | -0.000 | 0.000 |
| -0.000 | 0.000 | -0.000 | 36.525 | -0.000 | -0.000 |
| -226.974 | 263.834 | 96.803 | -0.000 | 129.125 | -0.000 |
| 0.000 | 0.000 | -0.000 | 0.000 | -0.000 | 58.711 |
| 324.384 | -65.224 | 107.825 | 0.000 | 0.000 | -0.000 |
| 317.646 | -71.823 | -49.764 | 0.000 | -0.000 | -0.000 |
| 375.620 | -263.016 | 220.576 | 0.000 | 0.000 | 0.000 |
| 0.000 | -0.000 | 0.000 | 36.525 | 0.000 | 0.000 |
| 226.974 | -263.834 | -96.803 | 0.000 | 129.125 | 0.000 |
| -0.000 | -0.000 | 0.000 | -0.000 | 0.000 | 58.711 |
| 158.992 | 164.751 | 163.715 | -0.000 | -0.000 | 0.000 |
| 41.038 | 308.426 | 30.643 | -0.000 | -0.000 | -0.000 |
| 116.286 | 26.524 | 337.933 | -0.000 | 0.000 | -0.000 |
| -6.086 | 9.634 | 1.558 | 31.755 | 0.000 | 0.000 |
| 0.000 | -0.000 | 0.000 | -0.000 | 129.125 | -0.000 |
| 0.000 | 0.000 | -0.000 | 0.000 | 0.000 | 58.711 |
| 260.912 | 44.058 | 123.424 | 0.000 | 0.000 | 0.000 |
| 160.133 | 145.634 | -5.948 | -0.000 | -0.000 | -0.000 |
| 171.811 | -25.170 | 307.412 | 0.000 | 0.000 | 0.000 |
| 6.086 | -9.634 | -1.558 | 31.755 | 0.000 | -0.000 |
| -0.000 | 0.000 | -0.000 | -0.000 | 129.125 | 0.000 |
| -0.000 | -0.000 | 0.000 | 0.000 | -0.000 | 58.711 |
| 18.498 | 0.641 | 0.646 | 0.002 | 0.280 | 0.000 |
| 1.238 | 4.494 | 2.715 | 0.002 | -0.270 | 0.000 |
| 0.928 | 2.117 | 2.205 | 0.003 | -0.085 | 0.000 |
| 0.253 | -0.091 | 0.205 | 0.626 | 0.014 | 0.101 |
| 0.705 | -0.182 | 0.074 | 0.002 | 1.435 | 0.000 |
| 0.213 | -0.238 | 0.129 | -0.072 | 0.012 | 2.188 |
| 17.992 | 0.841 | 0.359 | -0.002 | 0.287 | -0.000 |
| 0.736 | 4.657 | 2.390 | -0.002 | -0.280 | -0.000 |
| 0.350 | 2.355 | 1.884 | -0.003 | -0.068 | -0.000 |
| -0.253 | 0.091 | -0.205 | 0.621 | -0.014 | 0.101 |
| 0.207 | -0.020 | -0.226 | -0.002 | 1.434 | -0.000 |
| -0.213 | 0.238 | -0.129 | -0.078 | -0.012 | 2.188 |
| 18.266 | 0.922 | 0.634 | 0.000 | 0.273 | 0.000 |
| 1.027 | 4.532 | 2.518 | 0.000 | -0.414 | 0.000 |
| 0.605 | 2.418 | 2.014 | 0.000 | -0.120 | 0.000 |
| 0.024 | -0.008 | 0.017 | 0.541 | 0.002 | 0.105 |
| 0.425 | -0.186 | -0.125 | 0.000 | 1.166 | 0.000 |
| 0.028 | 0.003 | 0.025 | -0.008 | 0.002 | 2.168 |
| 18.218 | 0.943 | 0.595 | -0.000 | 0.268 | -0.000 |
| 0.978 | 4.553 | 2.482 | -0.000 | -0.432 | -0.000 |
| 0.556 | 2.436 | 1.981 | -0.000 | -0.122 | -0.000 |
| -0.024 | 0.008 | -0.017 | 0.540 | -0.002 | 0.105 |
| 0.400 | -0.186 | -0.145 | -0.000 | 1.160 | -0.000 |
| -0.028 | -0.003 | -0.025 | -0.008 | -0.002 | 2.168 |
| 18.241 | 0.933 | 0.612 | 0.000 | 0.232 | 0.000 |
| 1.011 | 4.573 | 2.467 | 0.000 | -0.303 | 0.000 |
| 0.587 | 2.415 | 2.029 | 0.000 | -0.099 | 0.000 |
| 0.002 | -0.001 | 0.002 | 0.541 | 0.000 | 0.105 |
| 0.442 | -0.177 | -0.110 | 0.000 | 1.162 | 0.000 |
| 0.002 | -0.001 | 0.002 | -0.020 | 0.000 | 2.163 |
| 18.240 | 0.935 | 0.610 | -0.000 | 0.231 | -0.000 |
| 1.005 | 4.575 | 2.464 | -0.000 | -0.303 | -0.000 |
| 0.582 | 2.417 | 2.025 | -0.000 | -0.100 | -0.000 |
| -0.002 | 0.001 | -0.002 | 0.541 | -0.000 | 0.105 |
| 0.437 | -0.176 | -0.112 | -0.000 | 1.161 | -0.000 |
| -0.002 | 0.001 | -0.002 | -0.020 | -0.000 | 2.163 |
| 165.509 | 51.888 | 40.580 | -0.007 | -6.332 | 0.005 |
| 54.338 | 286.068 | 78.538 | 0.000 | -36.536 | 0.000 |
| 51.436 | 92.757 | 218.845 | -0.026 | -7.342 | 0.018 |
| 0.043 | -0.065 | -0.018 | 72.162 | 0.149 | -19.770 |
| -30.250 | -30.969 | -8.956 | -0.021 | 42.773 | 0.015 |
| -0.021 | -0.099 | -0.176 | -25.210 | 0.311 | 53.440 |
| 160.581 | 57.157 | 35.444 | 0.013 | -4.680 | -0.010 |
| 76.083 | 247.118 | 98.482 | 0.018 | -33.905 | -0.013 |
| 43.209 | 95.566 | 213.210 | 0.005 | -7.315 | -0.003 |
| 0.018 | 0.058 | 0.148 | 71.600 | -0.305 | -21.776 |
| -30.173 | -30.856 | -8.631 | 0.020 | 42.210 | -0.015 |
| 0.021 | 0.099 | 0.176 | -25.178 | -0.311 | 53.417 |
| 160.438 | 57.080 | 35.215 | 0.003 | -4.848 | -0.003 |
| 76.682 | 249.796 | 95.238 | 0.001 | -28.011 | -0.001 |
| 56.190 | 79.726 | 233.184 | -0.000 | -12.464 | 0.000 |
| 0.000 | 0.000 | 0.000 | 97.374 | -0.000 | -32.405 |
| -29.943 | -30.655 | -7.916 | -0.000 | 42.668 | 0.000 |
| 0.005 | -0.007 | -0.002 | -20.795 | 0.016 | 55.002 |
| 168.479 | 51.694 | 46.320 | 0.005 | -1.058 | -0.004 |
| 64.366 | 257.406 | 89.760 | 0.002 | -38.348 | -0.002 |
| 39.972 | 100.082 | 211.060 | 0.000 | -10.225 | -0.000 |
| -0.000 | -0.000 | -0.000 | 97.374 | 0.000 | -32.405 |
| -29.937 | -30.634 | -7.885 | 0.000 | 42.618 | -0.000 |
| -0.005 | 0.007 | 0.002 | -20.792 | -0.016 | 55.000 |
| 160.951 | 56.263 | 34.964 | -0.000 | -3.872 | 0.000 |
| 76.916 | 246.468 | 98.556 | -0.000 | -32.673 | 0.000 |
| 40.392 | 99.294 | 210.785 | -0.000 | -9.841 | 0.000 |
| -0.000 | -0.000 | -0.002 | 73.901 | 0.003 | -19.805 |
| -30.193 | -30.996 | -8.856 | -0.000 | 42.475 | 0.000 |
| 0.000 | -0.001 | -0.000 | -20.793 | 0.002 | 55.001 |
| 162.269 | 52.660 | 37.093 | 0.000 | -4.440 | -0.000 |
| 76.916 | 246.464 | 98.558 | 0.000 | -32.679 | -0.000 |
| 51.484 | 92.867 | 218.938 | 0.000 | -7.588 | -0.000 |
| 0.000 | 0.000 | 0.002 | 73.902 | -0.003 | -19.805 |
| -30.987 | -30.650 | -9.455 | 0.000 | 42.377 | -0.000 |
| -0.000 | 0.001 | 0.000 | -20.793 | -0.002 | 55.001 |
| 170.011 | 139.799 | 19.833 | 0.000 | -0.000 | 0.000 |
| 139.799 | 170.011 | 19.833 | 0.000 | -0.000 | 0.000 |
| 19.898 | 19.898 | 257.001 | 0.000 | -0.000 | 0.000 |
| 0.000 | 0.000 | 0.000 | 15.080 | -0.000 | 0.000 |
| 0.000 | 0.000 | 0.000 | 0.000 | 15.080 | 0.000 |
| 0.000 | 0.000 | -0.000 | 0.000 | -0.000 | 134.066 |
| 170.010 | 139.799 | 19.833 | -0.000 | 0.000 | -0.000 |
| 139.799 | 170.010 | 19.833 | -0.000 | 0.000 | -0.000 |
| 20.316 | 20.316 | 281.058 | -0.000 | 0.000 | -0.000 |
| -0.000 | -0.000 | -0.000 | 15.080 | 0.000 | -0.000 |
| -0.000 | -0.000 | -0.000 | -0.000 | 15.080 | -0.000 |
| -0.000 | -0.000 | 0.000 | -0.000 | 0.000 | 134.066 |
| 165.235 | 135.017 | 16.454 | 0.000 | -0.000 | 0.000 |
| 135.017 | 165.235 | 16.454 | 0.000 | -0.000 | 0.000 |
| 16.905 | 16.905 | 254.932 | -0.000 | -0.000 | 0.000 |
| 0.000 | 0.003 | 0.001 | 15.080 | -0.000 | 0.000 |
| 0.003 | 0.000 | 0.001 | 0.000 | 15.080 | 0.000 |
| 0.000 | 0.000 | 0.000 | 0.000 | -0.000 | 134.066 |
| 162.648 | 132.445 | 16.366 | -0.000 | 0.000 | -0.000 |
| 132.445 | 162.648 | 16.366 | -0.000 | 0.000 | -0.000 |
| 16.199 | 16.199 | 254.848 | -0.000 | 0.000 | -0.000 |
| -0.000 | -0.003 | -0.001 | 15.080 | 0.000 | -0.000 |
| -0.003 | -0.000 | -0.001 | 0.000 | 15.080 | -0.000 |
| -0.000 | -0.000 | -0.000 | -0.000 | 0.000 | 134.066 |
| 170.064 | 139.800 | 19.861 | 0.000 | -0.000 | 0.000 |
| 139.800 | 170.064 | 19.861 | 0.000 | -0.000 | 0.000 |
| 16.911 | 16.911 | 261.592 | 0.000 | -0.000 | 0.000 |
| 0.000 | 0.028 | 0.015 | 15.080 | -0.000 | 0.000 |
| 0.028 | 0.000 | 0.015 | 0.000 | 15.080 | 0.000 |
| 0.001 | 0.001 | 0.000 | 0.000 | -0.000 | 134.066 |
| 169.956 | 139.798 | 19.805 | -0.000 | 0.000 | -0.000 |
| 139.798 | 169.956 | 19.805 | -0.000 | 0.000 | -0.000 |
| 17.192 | 17.192 | 254.103 | -0.000 | 0.000 | -0.000 |
| -0.000 | -0.028 | -0.015 | 15.080 | 0.000 | -0.000 |
| -0.028 | -0.000 | -0.015 | -0.000 | 15.080 | -0.000 |
| -0.001 | -0.001 | -0.000 | -0.000 | 0.000 | 134.066 |
| 203.050 | 71.978 | 107.468 | 45.009 | 0.000 | -0.000 |
| 172.206 | 295.170 | 179.580 | -40.783 | 0.000 | -0.000 |
| 107.492 | 107.492 | 178.861 | -0.000 | 0.000 | -0.000 |
| 45.009 | -45.009 | -0.000 | 101.061 | 0.000 | 0.000 |
| 146.789 | 146.789 | 123.196 | -0.000 | 89.691 | 34.057 |
| 0.000 | -0.000 | -0.000 | -0.000 | 45.010 | 65.536 |
| 203.050 | 71.978 | 107.469 | 45.010 | -0.000 | -0.000 |
| -30.482 | 92.364 | 26.799 | -40.722 | -0.000 | -0.000 |
| 107.492 | 107.492 | 178.861 | 0.000 | -0.000 | -0.000 |
| -60.595 | -142.099 | -76.368 | 96.621 | -0.000 | 0.000 |
| -146.789 | -146.789 | -123.196 | 0.000 | 89.691 | 34.057 |
| -0.000 | 0.000 | 0.000 | 0.000 | 45.009 | 65.536 |
| 203.050 | 71.978 | 107.469 | 45.010 | 0.000 | 0.000 |
| 90.906 | 197.253 | 112.497 | -32.183 | 0.000 | 0.000 |
| 115.228 | 115.228 | 184.928 | -0.000 | -0.000 | -0.000 |
| 51.314 | -29.573 | 8.191 | 96.299 | 0.000 | -0.000 |
| 0.000 | 0.000 | 0.000 | 0.000 | 101.061 | 45.009 |
| 0.000 | 0.000 | 0.000 | 0.000 | 45.009 | 65.536 |
| 203.050 | 71.978 | 107.468 | 45.009 | -0.000 | 0.000 |
| 71.978 | 203.050 | 107.468 | -45.009 | 0.000 | 0.000 |
| 84.139 | 84.139 | 158.366 | 0.000 | 0.000 | 0.000 |
| 29.573 | -51.314 | -8.191 | 96.299 | -0.000 | -0.000 |
| -0.000 | -0.000 | -0.000 | -0.000 | 101.061 | 45.009 |
| -0.000 | -0.000 | -0.000 | -0.000 | 45.009 | 65.536 |
| 188.207 | 73.206 | 101.629 | 36.633 | 0.000 | 0.000 |
| 71.978 | 203.051 | 107.469 | -45.010 | 0.000 | -0.000 |
| 101.864 | 101.864 | 173.776 | -0.000 | -0.000 | -0.000 |
| 45.010 | -45.009 | 0.000 | 101.060 | 0.000 | -0.000 |
| 0.000 | 0.000 | 0.000 | 0.000 | 101.061 | 45.009 |
| 0.000 | 0.000 | 0.000 | 0.000 | 45.009 | 65.536 |
| 188.305 | 69.816 | 100.542 | 38.450 | -0.000 | 0.000 |
| 69.816 | 188.305 | 100.542 | -38.450 | 0.000 | 0.000 |
| 100.583 | 100.583 | 173.061 | 0.000 | -0.000 | 0.000 |
| 45.009 | -45.010 | -0.000 | 101.061 | -0.000 | -0.000 |
| -0.000 | -0.000 | -0.000 | -0.000 | 101.061 | 45.009 |
| -0.000 | -0.000 | -0.000 | -0.000 | 45.009 | 65.536 |
| 186.953 | 70.614 | 100.008 | 37.182 | -0.000 | 0.000 |
| 71.301 | 201.692 | 106.430 | -44.511 | 0.000 | 0.000 |
| 106.430 | 106.430 | 177.674 | 0.000 | -0.000 | -0.000 |
| 44.511 | -44.511 | -0.000 | 100.312 | -0.000 | 0.000 |
| -0.000 | -0.000 | -0.000 | -0.000 | 100.312 | 44.511 |
| -0.000 | 0.000 | -0.000 | -0.000 | 44.511 | 65.195 |
| 201.692 | 71.301 | 106.430 | 44.511 | -0.000 | -0.000 |
| 71.301 | 201.692 | 106.430 | -44.511 | 0.000 | 0.000 |
| 98.461 | 98.461 | 170.122 | -0.000 | -0.000 | -0.000 |
| 34.896 | -34.872 | 0.014 | 90.269 | 0.000 | -0.000 |
| 0.000 | -0.000 | 0.000 | -0.000 | 100.312 | 44.511 |
| 0.000 | -0.000 | 0.000 | -0.000 | 44.511 | 65.195 |
| 201.692 | 71.301 | 106.430 | 44.511 | -0.000 | 0.000 |
| 71.301 | 201.692 | 106.430 | -44.511 | -0.000 | 0.000 |
| 106.430 | 106.430 | 177.674 | 0.000 | -0.000 | -0.000 |
| 34.883 | -34.885 | -0.001 | 90.269 | 0.000 | -0.000 |
| -0.003 | -0.003 | -0.003 | 0.000 | 84.099 | 28.857 |
| -0.001 | -0.001 | -0.001 | 0.000 | 34.683 | 55.774 |
| 201.692 | 71.301 | 106.430 | 44.511 | 0.000 | -0.000 |
| 70.624 | 186.980 | 100.027 | -37.191 | 0.000 | -0.000 |
| 106.430 | 106.430 | 177.673 | -0.000 | 0.000 | -0.000 |
| 44.511 | -44.511 | -0.000 | 100.312 | -0.000 | 0.000 |
| 0.003 | 0.003 | 0.003 | -0.000 | 84.099 | 28.857 |
| 0.001 | 0.001 | 0.001 | -0.000 | 34.683 | 55.774 |
| 179.002 | 75.285 | 97.667 | 30.680 | -0.000 | -0.000 |
| 71.302 | 201.693 | 106.431 | -44.511 | 0.000 | -0.000 |
| 100.155 | 100.155 | 172.271 | 0.000 | -0.000 | 0.000 |
| 44.511 | -44.510 | 0.000 | 100.311 | -0.000 | 0.000 |
| 0.000 | 0.000 | 0.000 | 0.000 | 100.312 | 44.511 |
| 0.000 | 0.000 | 0.000 | 0.000 | 44.511 | 65.195 |
| 186.977 | 70.623 | 100.025 | 37.190 | 0.000 | -0.000 |
| 70.623 | 186.976 | 100.024 | -37.189 | -0.000 | -0.000 |
| 106.430 | 106.430 | 177.673 | -0.000 | 0.000 | -0.000 |
| 44.510 | -44.511 | -0.000 | 100.312 | 0.000 | -0.000 |
| -0.000 | -0.000 | -0.000 | -0.000 | 100.312 | 44.511 |
| -0.000 | -0.000 | -0.000 | -0.000 | 44.511 | 65.195 |
| 236.484 | 41.612 | 162.008 | -0.000 | 0.000 | -0.000 |
| 39.443 | 305.299 | 39.416 | -0.000 | 0.000 | -0.000 |
| 167.628 | 40.933 | 232.588 | -0.000 | 0.000 | -0.000 |
| 0.000 | 0.000 | 0.000 | 33.038 | -0.000 | -0.000 |
| 35.652 | 2.915 | 25.921 | -0.000 | 125.529 | -0.000 |
| 45.995 | 5.034 | 34.245 | -0.000 | 0.000 | 33.075 |
| 142.989 | 31.203 | 92.100 | 0.000 | -0.000 | 0.000 |
| 39.443 | 305.299 | 39.416 | 0.000 | -0.000 | 0.000 |
| 97.294 | 35.138 | 181.383 | 0.000 | -0.000 | 0.000 |
| -0.000 | -0.000 | -0.000 | 33.038 | 0.000 | 0.000 |
| -35.652 | -2.915 | -25.921 | 0.000 | 125.529 | 0.000 |
| -45.995 | -5.034 | -34.245 | 0.000 | -0.000 | 33.075 |
| 192.760 | 36.360 | 128.499 | -0.000 | 0.000 | -0.000 |
| 39.443 | 305.299 | 39.416 | -0.000 | 0.000 | -0.000 |
| 129.790 | 36.619 | 203.162 | -0.000 | 0.000 | -0.000 |
| -0.000 | 0.000 | -0.000 | 33.038 | 0.000 | -0.000 |
| 0.000 | 0.000 | 0.000 | -0.000 | 134.431 | -0.000 |
| 3.470 | 0.284 | 2.523 | -0.000 | 0.000 | 33.075 |
| 183.518 | 35.489 | 121.965 | 0.000 | -0.000 | 0.000 |
| 39.443 | 305.299 | 39.416 | 0.000 | -0.000 | 0.000 |
| 140.929 | 39.309 | 214.034 | 0.000 | -0.000 | 0.000 |
| 0.000 | -0.000 | 0.000 | 33.038 | 0.000 | 0.000 |
| -0.000 | -0.000 | -0.000 | 0.000 | 134.431 | 0.000 |
| -3.470 | -0.284 | -2.523 | 0.000 | -0.000 | 33.075 |
| 206.053 | 39.225 | 140.819 | -0.000 | 0.000 | -0.000 |
| 39.443 | 305.302 | 39.417 | 0.000 | 0.000 | -0.000 |
| 128.044 | 37.153 | 202.973 | -0.000 | 0.000 | -0.000 |
| -0.000 | 0.000 | -0.000 | 33.038 | 0.000 | -0.000 |
| 0.737 | 0.079 | 0.587 | -0.000 | 95.923 | -0.000 |
| -0.000 | -0.000 | 0.000 | -0.000 | 0.000 | 33.075 |
| 192.567 | 37.305 | 129.856 | 0.000 | -0.000 | 0.000 |
| 39.443 | 305.296 | 39.416 | 0.000 | 0.000 | 0.000 |
| 140.928 | 39.309 | 214.034 | 0.000 | -0.000 | 0.000 |
| 0.000 | -0.000 | 0.000 | 33.038 | -0.000 | 0.000 |
| -0.737 | -0.079 | -0.587 | 0.000 | 95.923 | 0.000 |
| 0.000 | 0.000 | -0.000 | 0.000 | -0.000 | 33.075 |
| 186.717 | 105.757 | 64.077 | 0.000 | 0.000 | 0.000 |
| 105.757 | 186.717 | 64.077 | 0.000 | -0.000 | 0.000 |
| 48.377 | 48.377 | 255.239 | 0.000 | 0.000 | 0.000 |
| -0.000 | -0.000 | 0.000 | 44.797 | 0.000 | 0.000 |
| -0.000 | -0.000 | 0.000 | 0.000 | 44.797 | 0.000 |
| -2.996 | -2.996 | 13.598 | 0.000 | 0.000 | 104.638 |
| 191.663 | 110.703 | 43.569 | -0.000 | -0.000 | -0.000 |
| 110.589 | 191.549 | 41.516 | -0.000 | -0.000 | -0.000 |
| 52.530 | 52.530 | 233.236 | -0.000 | -0.000 | -0.000 |
| -0.000 | 0.000 | 0.000 | 44.797 | -0.000 | -0.000 |
| 0.000 | 0.000 | -0.000 | -0.000 | 44.797 | -0.000 |
| 2.996 | 2.996 | -13.598 | -0.000 | -0.000 | 104.637 |
| 189.652 | 108.691 | 50.291 | 0.000 | 0.000 | 0.000 |
| 108.691 | 189.652 | 50.291 | 0.000 | -0.000 | 0.000 |
| 50.782 | 50.782 | 238.638 | 0.000 | 0.000 | 0.000 |
| 0.000 | -0.000 | -0.000 | 44.797 | 0.000 | 0.000 |
| -0.000 | 0.000 | -0.000 | 0.000 | 44.797 | 0.000 |
| -0.172 | -0.172 | 0.793 | -0.000 | 0.000 | 104.638 |
| 190.005 | 109.045 | 48.634 | -0.000 | -0.000 | -0.000 |
| 109.045 | 190.005 | 48.634 | -0.000 | 0.000 | -0.000 |
| 51.133 | 51.133 | 239.077 | -0.000 | -0.000 | -0.000 |
| -0.000 | 0.000 | 0.000 | 44.797 | 0.000 | -0.000 |
| 0.000 | -0.000 | 0.000 | -0.000 | 44.797 | -0.000 |
| 0.172 | 0.172 | -0.793 | -0.000 | -0.000 | 104.638 |
| 189.728 | 108.768 | 50.230 | -0.000 | 0.000 | 0.000 |
| 108.768 | 189.728 | 50.230 | 0.000 | 0.000 | 0.000 |
| 50.981 | 50.981 | 238.492 | 0.000 | -0.000 | 0.000 |
| -0.063 | -0.063 | 0.285 | 43.920 | 0.000 | 0.000 |
| -0.063 | -0.063 | 0.285 | 0.000 | 43.920 | 0.000 |
| 0.000 | 0.001 | 0.000 | 0.000 | 0.000 | 104.638 |
| 190.009 | 109.049 | 47.938 | -0.000 | -0.000 | -0.000 |
| 109.049 | 190.009 | 47.938 | -0.000 | -0.000 | -0.000 |
| 50.746 | 50.746 | 241.645 | -0.000 | -0.000 | -0.000 |
| 0.063 | 0.063 | -0.285 | 43.920 | -0.000 | -0.000 |
| 0.063 | 0.063 | -0.285 | -0.000 | 43.920 | -0.000 |
| -0.000 | -0.001 | -0.000 | -0.000 | -0.000 | 104.638 |
| 158.972 | 66.306 | 75.711 | -0.000 | 24.071 | 0.000 |
| 65.045 | 169.861 | 62.215 | -0.000 | -8.269 | 0.000 |
| 70.975 | 68.230 | 174.904 | -0.000 | 8.465 | 0.000 |
| -3.341 | -0.127 | -4.850 | 51.440 | -3.656 | -9.242 |
| -9.715 | -8.682 | 15.459 | 0.000 | 60.079 | 0.000 |
| -3.878 | -0.448 | -6.000 | -9.057 | -3.901 | 63.947 |
| 176.690 | 76.030 | 92.070 | 0.000 | 28.664 | -0.000 |
| 76.976 | 176.711 | 67.762 | 0.000 | -7.229 | -0.000 |
| 77.673 | 67.819 | 188.263 | 0.000 | 17.350 | -0.000 |
| 3.341 | 0.127 | 4.850 | 51.440 | 3.656 | -9.242 |
| -11.771 | -16.441 | 28.702 | 0.000 | 70.723 | -0.000 |
| 0.746 | -1.087 | 2.806 | -12.427 | 2.493 | 72.989 |
| 161.885 | 66.217 | 81.597 | -0.000 | 27.764 | 0.000 |
| 68.583 | 170.105 | 69.325 | -0.000 | -4.490 | 0.000 |
| 73.908 | 68.029 | 180.331 | -0.000 | 12.287 | 0.000 |
| -0.322 | -0.004 | -0.643 | 51.368 | -0.374 | -9.547 |
| -5.400 | -4.837 | 11.763 | -0.000 | 56.790 | 0.000 |
| -0.336 | 0.089 | -0.948 | -9.109 | -0.560 | 62.990 |
| 162.498 | 66.135 | 82.969 | 0.000 | 28.660 | -0.000 |
| 69.295 | 170.076 | 70.492 | 0.000 | -3.601 | -0.000 |
| 74.797 | 68.351 | 181.567 | 0.000 | 12.951 | -0.000 |
| 0.322 | 0.004 | 0.643 | 51.368 | 0.374 | -9.547 |
| -4.962 | -4.911 | 14.238 | 0.000 | 58.262 | -0.000 |
| 0.336 | -0.089 | 0.948 | -9.109 | 0.560 | 62.990 |
| 162.131 | 66.126 | 82.243 | -0.000 | 28.215 | 0.000 |
| 68.495 | 169.937 | 68.913 | 0.000 | -4.165 | 0.000 |
| 74.381 | 68.239 | 180.872 | -0.000 | 12.624 | 0.000 |
| -0.041 | -0.012 | -0.044 | 51.369 | -0.026 | -9.621 |
| -4.501 | -4.400 | 12.596 | -0.000 | 57.060 | 0.000 |
| -0.039 | -0.003 | -0.064 | -9.357 | -0.039 | 62.880 |
| 162.200 | 66.130 | 82.370 | -0.000 | 28.292 | -0.000 |
| 68.569 | 169.939 | 69.026 | -0.000 | -4.089 | -0.000 |
| 74.450 | 68.241 | 180.996 | 0.000 | 12.700 | -0.000 |
| 0.041 | 0.012 | 0.044 | 51.369 | 0.026 | -9.621 |
| -4.431 | -4.397 | 12.723 | 0.000 | 57.136 | -0.000 |
| 0.039 | 0.003 | 0.064 | -9.357 | 0.039 | 62.880 |
| 202.742 | 49.043 | 102.978 | 0.000 | -0.000 | -0.000 |
| 51.845 | 242.990 | 50.176 | -0.000 | 0.000 | -0.000 |
| 102.978 | 46.672 | 218.004 | -0.000 | -0.000 | -0.000 |
| 0.001 | 0.000 | -0.001 | 40.647 | -0.000 | -0.000 |
| 0.000 | 0.000 | -0.000 | -0.000 | 97.992 | -0.000 |
| 0.000 | 0.000 | -0.000 | 0.000 | -0.000 | 44.202 |
| 188.488 | 51.894 | 86.272 | 0.000 | -0.000 | 0.000 |
| 49.043 | 243.660 | 46.672 | -0.000 | 0.000 | 0.000 |
| 88.869 | 49.440 | 201.391 | -0.000 | 0.000 | 0.000 |
| -0.001 | -0.000 | 0.001 | 40.647 | 0.000 | 0.000 |
| -0.000 | -0.000 | -0.000 | -0.000 | 97.992 | 0.000 |
| -0.000 | -0.000 | 0.000 | -0.000 | 0.000 | 44.202 |
| 190.994 | 51.032 | 90.297 | -0.000 | -0.000 | -0.000 |
| 52.036 | 242.604 | 51.180 | 0.000 | -0.000 | -0.000 |
| 102.978 | 46.672 | 218.004 | 0.000 | -0.000 | -0.000 |
| 0.000 | 0.000 | -0.000 | 40.647 | -0.000 | -0.000 |
| 0.000 | 0.000 | 0.000 | -0.000 | 97.992 | -0.000 |
| 0.000 | 0.000 | -0.000 | -0.000 | -0.000 | 44.202 |
| 202.742 | 49.043 | 102.978 | 0.000 | 0.000 | 0.000 |
| 51.848 | 242.988 | 50.181 | -0.000 | -0.000 | 0.000 |
| 88.867 | 49.440 | 201.388 | 0.000 | 0.000 | 0.000 |
| -0.000 | -0.000 | 0.000 | 40.647 | 0.000 | 0.000 |
| -0.000 | -0.000 | -0.000 | 0.000 | 97.992 | -0.000 |
| -0.000 | -0.000 | 0.000 | 0.000 | 0.000 | 44.202 |
| 188.490 | 51.895 | 86.273 | -0.000 | 0.000 | -0.000 |
| 52.111 | 242.599 | 51.188 | -0.000 | -0.000 | -0.000 |
| 88.870 | 49.440 | 201.393 | -0.000 | -0.000 | -0.000 |
| -0.000 | 0.002 | 0.000 | 40.647 | -0.000 | -0.000 |
| 0.000 | 0.000 | 0.000 | -0.000 | 79.060 | -0.000 |
| -0.000 | 0.000 | 0.000 | -0.000 | -0.000 | 44.202 |
| 202.741 | 49.042 | 102.977 | -0.000 | -0.000 | 0.000 |
| 51.848 | 242.984 | 50.179 | 0.000 | 0.000 | 0.000 |
| 88.866 | 49.440 | 201.387 | -0.000 | 0.000 | 0.000 |
| 0.000 | -0.002 | -0.000 | 40.647 | 0.000 | -0.000 |
| -0.000 | -0.000 | -0.000 | 0.000 | 79.060 | 0.000 |
| 0.000 | -0.000 | -0.000 | 0.000 | 0.000 | 44.202 |
| 275.182 | 75.933 | 179.324 | 0.000 | -0.000 | 0.000 |
| 39.428 | 313.146 | -29.806 | -0.000 | 0.000 | 0.000 |
| 98.907 | 47.022 | 213.123 | 0.000 | 0.000 | 0.000 |
| -22.917 | 64.369 | -77.134 | 41.427 | -0.000 | 0.000 |
| -27.007 | 69.965 | -98.888 | 0.000 | 75.700 | 0.000 |
| -22.915 | 64.369 | -77.131 | 0.000 | 0.000 | 43.893 |
| 198.054 | 48.786 | 98.908 | -0.000 | -0.000 | -0.000 |
| 48.271 | 247.071 | 46.508 | -0.000 | -0.000 | -0.000 |
| 104.523 | -9.043 | 254.786 | 0.000 | 0.000 | -0.000 |
| 22.917 | -64.369 | 77.134 | 41.427 | -0.000 | -0.000 |
| 27.007 | -69.965 | 98.888 | -0.000 | 75.700 | -0.000 |
| 22.915 | -64.369 | 77.131 | 0.000 | -0.000 | 43.893 |
| 198.054 | 48.786 | 98.908 | -0.000 | 0.000 | 0.000 |
| 61.469 | 248.186 | 61.207 | -0.000 | 0.000 | 0.000 |
| 75.540 | 56.120 | 184.145 | -0.000 | -0.000 | 0.000 |
| -1.162 | 6.708 | -8.054 | 41.464 | 0.000 | 0.000 |
| 9.101 | 1.962 | 9.574 | -0.000 | 70.501 | 0.000 |
| -2.291 | 6.437 | -7.713 | -0.000 | 0.000 | 43.893 |
| 172.488 | 50.173 | 71.547 | -0.000 | -0.000 | -0.000 |
| 41.799 | 243.620 | 40.670 | -0.000 | -0.000 | -0.000 |
| 84.701 | 44.219 | 200.391 | 0.000 | 0.000 | -0.000 |
| -0.000 | -0.000 | 0.000 | 42.559 | -0.000 | -0.000 |
| -9.101 | -1.962 | -9.574 | -0.000 | 70.501 | -0.000 |
| 2.291 | -6.437 | 7.713 | 0.000 | 0.000 | 43.893 |
| 186.087 | 50.804 | 86.008 | -0.000 | 0.000 | 0.000 |
| 48.271 | 247.074 | 46.508 | -0.000 | 0.000 | 0.000 |
| 84.286 | 49.874 | 195.875 | 0.000 | 0.000 | 0.000 |
| -0.469 | 0.654 | -0.975 | 41.444 | -0.000 | 0.000 |
| 0.042 | 0.592 | -0.525 | -0.000 | 76.103 | 0.000 |
| -0.000 | 0.000 | 0.000 | 0.000 | 0.000 | 43.893 |
| 184.353 | 50.769 | 83.346 | 0.000 | 0.000 | -0.000 |
| 51.002 | 245.472 | 51.177 | -0.000 | -0.000 | -0.000 |
| 83.118 | 50.198 | 192.438 | 0.000 | 0.000 | -0.000 |
| 0.469 | -0.654 | 0.975 | 41.444 | 0.000 | -0.000 |
| -0.042 | -0.592 | 0.525 | -0.000 | 76.103 | -0.000 |
| 0.000 | -0.000 | -0.000 | -0.000 | -0.000 | 43.893 |
| 191.892 | 67.331 | 84.106 | 15.850 | 0.000 | -0.000 |
| 67.331 | 191.892 | 84.106 | -15.850 | 0.000 | -0.000 |
| -4.338 | -4.338 | 98.361 | 0.000 | 0.000 | -0.000 |
| -57.960 | -74.237 | -68.956 | 69.979 | -0.000 | -0.000 |
| 0.000 | -0.000 | -0.000 | -0.000 | 79.131 | 15.850 |
| 0.000 | -0.000 | -0.000 | 0.000 | 15.850 | 62.281 |
| 242.122 | 130.533 | 142.037 | 8.158 | -0.000 | 0.000 |
| 130.533 | 242.122 | 142.037 | -8.158 | 0.000 | 0.000 |
| 84.150 | 84.150 | 191.832 | -0.000 | -0.000 | 0.000 |
| 15.850 | -15.850 | -0.000 | 79.131 | -0.000 | 0.000 |
| -0.000 | 0.000 | 0.000 | -0.000 | 79.131 | 15.850 |
| -0.000 | 0.000 | 0.000 | -0.000 | 15.850 | 62.281 |
| 191.892 | 67.331 | 84.106 | 15.850 | 0.000 | -0.000 |
| 61.359 | 170.126 | 68.678 | -6.547 | -0.000 | -0.000 |
| 68.440 | 68.440 | 174.157 | 0.000 | 0.000 | -0.000 |
| 15.850 | -15.850 | 0.000 | 79.131 | -0.000 | -0.000 |
| 0.000 | 0.000 | 0.000 | 0.000 | 79.131 | 15.850 |
| 0.000 | 0.000 | 0.000 | 0.000 | 15.850 | 62.281 |
| 191.892 | 67.331 | 84.106 | 15.850 | 0.000 | 0.000 |
| 77.405 | 187.206 | 86.168 | -7.132 | -0.000 | 0.000 |
| 80.078 | 80.078 | 186.156 | 0.000 | 0.000 | 0.000 |
| 15.850 | -15.850 | -0.000 | 79.131 | -0.000 | 0.000 |
| -0.000 | -0.000 | -0.000 | -0.000 | 79.131 | 15.850 |
| -0.000 | -0.000 | -0.000 | -0.000 | 15.850 | 62.281 |
| 177.534 | 64.355 | 73.978 | 9.100 | 0.000 | -0.000 |
| 67.331 | 191.893 | 84.106 | -15.850 | -0.000 | -0.000 |
| 84.150 | 84.150 | 191.833 | -0.000 | 0.000 | -0.000 |
| 15.850 | -15.849 | 0.000 | 79.131 | 0.000 | -0.000 |
| -1.424 | -1.424 | -1.553 | 0.000 | 66.827 | 5.358 |
| 0.000 | 0.000 | 0.000 | 0.000 | 15.850 | 62.281 |
| 177.555 | 70.798 | 77.443 | 5.341 | 0.000 | 0.000 |
| 65.645 | 179.655 | 75.837 | -9.593 | -0.000 | 0.000 |
| 77.143 | 77.143 | 183.495 | 0.000 | 0.000 | 0.000 |
| 6.782 | -3.934 | 1.553 | 66.827 | 0.000 | 0.000 |
| 1.424 | 1.424 | 1.553 | -0.000 | 66.827 | 5.358 |
| -0.000 | -0.000 | -0.000 | -0.000 | 15.850 | 62.281 |
| 316.651 | 220.298 | 282.149 | -0.600 | 0.000 | 0.000 |
| 65.434 | 188.041 | 81.168 | -14.865 | 0.000 | -0.000 |
| 81.300 | 81.300 | 188.555 | 0.000 | -0.000 | -0.000 |
| 14.865 | -14.865 | 0.000 | 77.287 | -0.000 | -0.000 |
| 0.000 | -0.000 | -0.000 | -0.000 | 77.287 | 14.865 |
| 0.000 | -0.000 | 0.000 | 0.000 | 14.865 | 61.304 |
| 13.136 | -81.318 | -142.769 | -1.739 | -0.000 | 0.000 |
| 65.434 | 188.042 | 81.168 | -14.865 | 0.000 | 0.000 |
| 81.300 | 81.300 | 188.555 | 0.000 | -0.000 | -0.000 |
| -209.422 | -192.296 | -267.061 | 49.463 | 0.000 | 0.000 |
| -0.000 | 0.000 | -0.000 | 0.000 | 77.287 | 14.865 |
| -151.401 | -151.401 | -212.612 | 0.000 | -1.388 | 47.520 |
| 169.671 | 73.195 | 77.109 | -0.641 | -0.000 | -0.000 |
| 87.620 | 185.025 | 95.432 | -0.015 | 0.000 | 0.000 |
| 81.300 | 81.300 | 188.555 | -0.000 | 0.000 | -0.000 |
| 14.865 | -14.865 | 0.000 | 77.287 | 0.000 | -0.000 |
| 15.912 | 15.912 | 21.157 | 0.000 | 55.245 | -3.695 |
| 0.000 | 0.000 | 0.000 | 0.000 | 14.865 | 61.304 |
| 150.337 | 49.645 | 48.117 | 1.861 | -0.000 | -0.000 |
| 49.645 | 150.337 | 48.117 | -1.861 | 0.000 | 0.000 |
| 56.194 | 56.194 | 155.221 | 0.000 | 0.000 | 0.000 |
| -19.608 | -12.217 | -21.157 | 55.245 | -0.000 | 0.000 |
| -15.912 | -15.912 | -21.157 | 0.000 | 55.245 | -3.695 |
| -0.000 | -0.000 | -0.000 | -0.000 | 14.865 | 61.304 |
| 188.042 | 65.434 | 81.169 | 14.865 | 0.000 | -0.000 |
| 63.733 | 175.763 | 73.086 | -8.589 | 0.000 | -0.000 |
| 74.322 | 74.322 | 180.396 | -0.000 | -0.000 | -0.000 |
| 14.865 | -14.864 | 0.000 | 77.287 | 0.000 | -0.000 |
| 0.000 | 0.000 | 0.000 | 0.000 | 77.287 | 14.865 |
| 0.000 | 0.000 | 0.000 | 0.000 | 14.865 | 61.304 |
| 188.041 | 65.434 | 81.168 | 14.864 | -0.000 | -0.000 |
| 65.434 | 188.041 | 81.168 | -14.864 | -0.000 | 0.000 |
| 70.898 | 70.898 | 175.711 | 0.000 | 0.000 | -0.000 |
| 4.742 | -6.341 | -1.063 | 66.214 | 0.000 | 0.000 |
| -0.000 | -0.000 | -0.000 | -0.000 | 77.287 | 14.865 |
| -0.000 | -0.000 | -0.000 | -0.000 | 14.865 | 61.304 |
| -1.384 | -0.059 | -0.059 | 0.000 | 0.000 | 0.000 |
| -0.059 | -1.384 | -0.059 | 0.000 | 0.000 | 0.000 |
| -0.059 | -0.059 | -1.383 | 0.000 | 0.000 | 0.000 |
| 0.448 | 0.448 | 0.448 | 0.620 | -0.000 | -0.000 |
| 0.448 | 0.448 | 0.448 | 0.000 | 0.620 | -0.000 |
| 0.448 | 0.448 | 0.448 | 0.000 | -0.000 | 0.620 |
| -1.865 | -0.540 | -0.540 | -0.000 | -0.000 | -0.000 |
| -0.540 | -1.865 | -0.540 | -0.000 | -0.000 | -0.000 |
| -0.540 | -0.540 | -1.865 | -0.000 | -0.000 | -0.000 |
| -0.448 | -0.448 | -0.448 | 0.620 | 0.000 | -0.000 |
| -0.448 | -0.448 | -0.448 | 0.000 | 0.620 | 0.000 |
| -0.448 | -0.448 | -0.448 | -0.000 | 0.000 | 0.620 |
| -1.600 | -0.276 | -0.276 | 0.000 | 0.000 | 0.000 |
| -0.276 | -1.600 | -0.276 | 0.000 | 0.000 | 0.000 |
| -0.276 | -0.276 | -1.600 | 0.000 | -0.000 | 0.000 |
| 0.006 | 0.006 | 0.006 | 0.514 | 0.000 | 0.000 |
| 0.006 | 0.006 | 0.006 | 0.000 | 0.514 | 0.000 |
| 0.006 | 0.006 | 0.006 | -0.000 | -0.000 | 0.514 |
| -1.648 | -0.324 | -0.324 | -0.000 | -0.000 | -0.000 |
| -0.324 | -1.648 | -0.324 | -0.000 | -0.000 | -0.000 |
| -0.324 | -0.324 | -1.648 | -0.000 | -0.000 | -0.000 |
| -0.006 | -0.006 | -0.006 | 0.514 | -0.000 | 0.000 |
| -0.006 | -0.006 | -0.006 | -0.000 | 0.514 | -0.000 |
| -0.006 | -0.006 | -0.006 | -0.000 | -0.000 | 0.514 |
| -1.622 | -0.297 | -0.297 | 0.000 | 0.000 | 0.000 |
| -0.297 | -1.622 | -0.297 | 0.000 | 0.000 | 0.000 |
| -0.297 | -0.297 | -1.622 | 0.000 | 0.000 | 0.000 |
| 0.001 | 0.001 | 0.001 | 0.514 | -0.000 | 0.000 |
| 0.001 | 0.001 | 0.001 | 0.000 | 0.514 | 0.000 |
| 0.001 | 0.001 | 0.001 | 0.000 | 0.000 | 0.514 |
| -1.627 | -0.302 | -0.302 | 0.000 | -0.000 | -0.000 |
| -0.302 | -1.627 | -0.302 | -0.000 | -0.000 | -0.000 |
| -0.302 | -0.302 | -1.627 | -0.000 | -0.000 | -0.000 |
| -0.001 | -0.001 | -0.001 | 0.514 | 0.000 | 0.000 |
| -0.001 | -0.001 | -0.001 | 0.000 | 0.514 | -0.000 |
| -0.001 | -0.001 | -0.001 | -0.000 | -0.000 | 0.514 |
| 10.047 | -2.101 | -2.101 | 0.000 | -0.000 | -0.000 |
| -2.101 | 10.047 | -2.101 | -0.000 | -0.000 | -0.000 |
| -2.101 | -2.101 | 10.047 | 0.000 | 0.000 | -0.000 |
| 0.000 | 0.000 | 0.000 | 2.737 | 0.000 | -0.000 |
| 0.000 | 0.000 | 0.000 | 0.000 | 2.737 | -0.000 |
| 0.000 | 0.000 | 0.000 | 0.000 | -0.000 | 2.737 |
| 10.043 | -2.106 | -2.106 | -0.000 | -0.000 | 0.000 |
| -2.106 | 10.043 | -2.106 | -0.000 | -0.000 | 0.000 |
| -2.106 | -2.106 | 10.043 | -0.000 | -0.000 | 0.000 |
| -0.000 | -0.000 | -0.000 | 2.737 | -0.000 | -0.000 |
| -0.000 | -0.000 | -0.000 | -0.000 | 2.737 | 0.000 |
| -0.000 | -0.000 | -0.000 | 0.000 | -0.000 | 2.737 |
| 10.045 | -2.104 | -2.104 | 0.000 | -0.000 | -0.000 |
| -2.104 | 10.045 | -2.104 | 0.000 | 0.000 | -0.000 |
| -2.104 | -2.104 | 10.045 | 0.000 | 0.000 | -0.000 |
| 0.000 | 0.000 | 0.000 | 2.737 | -0.000 | 0.000 |
| 0.000 | 0.000 | 0.000 | 0.000 | 2.737 | 0.000 |
| 0.000 | 0.000 | 0.000 | 0.000 | 0.000 | 2.737 |
| 10.045 | -2.104 | -2.104 | -0.000 | 0.000 | 0.000 |
| -2.104 | 10.045 | -2.104 | -0.000 | -0.000 | 0.000 |
| -2.104 | -2.104 | 10.045 | -0.000 | -0.000 | 0.000 |
| -0.000 | -0.000 | -0.000 | 2.737 | 0.000 | 0.000 |
| -0.000 | -0.000 | -0.000 | -0.000 | 2.737 | 0.000 |
| -0.000 | -0.000 | -0.000 | -0.000 | 0.000 | 2.737 |
| 10.045 | -2.097 | -2.097 | 0.000 | -0.000 | -0.000 |
| -2.097 | 10.045 | -2.097 | 0.000 | -0.000 | -0.000 |
| -2.097 | -2.097 | 10.045 | 0.000 | 0.000 | 0.000 |
| 0.000 | 0.000 | 0.000 | 1.943 | 0.000 | 0.000 |
| 0.000 | 0.000 | 0.000 | -0.000 | 2.737 | -0.000 |
| 0.000 | 0.000 | 0.000 | 0.000 | 0.000 | 1.943 |
| 10.045 | -2.097 | -2.097 | 0.000 | 0.000 | -0.000 |
| -2.097 | 10.045 | -2.097 | -0.000 | -0.000 | 0.000 |
| -2.097 | -2.097 | 10.045 | -0.000 | 0.000 | 0.000 |
| -0.000 | -0.000 | -0.000 | 1.943 | -0.000 | -0.000 |
| -0.000 | -0.000 | -0.000 | 0.000 | 2.737 | 0.000 |
| -0.000 | -0.000 | -0.000 | -0.000 | -0.000 | 1.943 |
| 337.593 | -1.953 | -1.953 | 0.000 | -0.000 | -0.000 |
| -1.953 | 337.593 | -1.953 | 0.000 | -0.000 | -0.000 |
| -1.953 | -1.953 | 337.593 | 0.000 | -0.000 | -0.000 |
| 0.000 | 0.000 | -0.000 | 5.071 | -0.000 | -0.000 |
| 0.000 | -0.000 | -0.000 | -0.000 | 5.071 | -0.000 |
| 0.000 | -0.000 | -0.000 | 0.000 | -0.000 | 5.071 |
| 337.593 | -1.953 | -1.953 | 0.000 | 0.000 | 0.000 |
| -1.953 | 337.593 | -1.953 | -0.000 | 0.000 | 0.000 |
| -1.953 | -1.953 | 337.593 | -0.000 | 0.000 | 0.000 |
| -0.000 | -0.000 | 0.000 | 5.071 | 0.000 | 0.000 |
| -0.000 | 0.000 | 0.000 | -0.000 | 5.071 | 0.000 |
| -0.000 | 0.000 | 0.000 | 0.000 | 0.000 | 5.071 |
| 337.593 | -1.953 | -1.953 | 0.000 | -0.000 | -0.000 |
| -1.953 | 337.593 | -1.953 | 0.000 | -0.000 | -0.000 |
| -1.953 | -1.953 | 337.593 | 0.000 | -0.000 | -0.000 |
| -0.000 | 0.000 | -0.000 | 5.071 | -0.000 | -0.000 |
| 0.000 | -0.000 | -0.000 | 0.000 | 5.071 | -0.000 |
| 0.000 | -0.000 | -0.000 | -0.000 | -0.000 | 5.071 |
| 337.592 | -1.953 | -1.953 | -0.000 | 0.000 | 0.000 |
| -1.953 | 337.592 | -1.953 | 0.000 | 0.000 | 0.000 |
| -1.953 | -1.953 | 337.592 | 0.000 | 0.000 | 0.000 |
| 0.000 | -0.000 | 0.000 | 5.071 | 0.000 | 0.000 |
| -0.000 | 0.000 | 0.000 | 0.000 | 5.071 | 0.000 |
| -0.000 | 0.000 | 0.000 | 0.000 | 0.000 | 5.071 |
| 337.596 | -1.953 | -1.953 | 0.000 | -0.000 | -0.000 |
| -1.953 | 337.596 | -1.953 | -0.000 | -0.000 | -0.000 |
| -1.953 | -1.953 | 337.596 | 0.000 | -0.000 | -0.000 |
| -0.000 | 0.000 | -0.000 | 5.071 | -0.000 | -0.000 |
| 0.000 | -0.000 | -0.000 | 0.000 | 5.071 | -0.000 |
| 0.000 | -0.000 | -0.000 | 0.000 | -0.000 | 5.071 |
| 337.589 | -1.953 | -1.953 | 0.000 | 0.000 | 0.000 |
| -1.953 | 337.589 | -1.953 | 0.000 | 0.000 | 0.000 |
| -1.953 | -1.953 | 337.589 | -0.000 | 0.000 | 0.000 |
| 0.000 | -0.000 | 0.000 | 5.071 | 0.000 | 0.000 |
| -0.000 | 0.000 | 0.000 | 0.000 | 5.071 | 0.000 |
| -0.000 | 0.000 | 0.000 | -0.000 | 0.000 | 5.071 |
| 261.659 | 103.646 | 103.646 | 0.000 | 0.000 | -0.000 |
| 103.646 | 261.659 | 103.646 | 0.000 | 0.000 | -0.000 |
| 103.646 | 103.646 | 261.659 | -0.000 | 0.000 | -0.000 |
| 0.000 | 0.000 | 0.000 | 119.393 | -0.000 | 0.000 |
| -0.000 | 0.000 | 0.000 | 0.000 | 119.393 | 0.000 |
| 0.000 | 0.000 | 0.000 | -0.000 | 0.000 | 119.393 |
| 261.659 | 103.646 | 103.646 | 0.000 | 0.000 | 0.000 |
| 103.646 | 261.659 | 103.646 | 0.000 | -0.000 | -0.000 |
| 103.646 | 103.646 | 261.659 | -0.000 | -0.000 | 0.000 |
| -0.000 | -0.000 | -0.000 | 119.393 | -0.000 | 0.000 |
| 0.000 | -0.000 | -0.000 | -0.000 | 119.393 | -0.000 |
| 0.000 | -0.000 | -0.000 | 0.000 | -0.000 | 119.393 |
| 261.660 | 103.646 | 103.646 | 0.000 | 0.000 | 0.000 |
| 103.646 | 261.660 | 103.646 | -0.000 | 0.000 | 0.000 |
| 103.646 | 103.646 | 261.660 | -0.000 | 0.000 | 0.000 |
| 0.000 | 0.000 | 0.000 | 119.393 | -0.000 | 0.000 |
| 0.000 | 0.000 | 0.000 | 0.000 | 119.393 | 0.000 |
| 0.000 | 0.000 | 0.000 | -0.000 | -0.000 | 119.393 |
| 261.659 | 103.646 | 103.646 | 0.000 | -0.000 | -0.000 |
| 103.646 | 261.659 | 103.646 | -0.000 | -0.000 | -0.000 |
| 103.646 | 103.646 | 261.659 | -0.000 | 0.000 | -0.000 |
| -0.000 | -0.000 | -0.000 | 119.393 | -0.000 | -0.000 |
| -0.000 | -0.000 | -0.000 | -0.000 | 119.393 | -0.000 |
| -0.000 | -0.000 | -0.000 | 0.000 | -0.000 | 119.393 |
| 261.661 | 103.646 | 103.646 | -0.000 | 0.000 | 0.000 |
| 103.646 | 261.661 | 103.646 | -0.000 | 0.000 | 0.000 |
| 103.646 | 103.646 | 261.661 | -0.000 | -0.000 | 0.000 |
| 0.000 | 0.000 | 0.000 | 119.393 | 0.000 | 0.000 |
| 0.000 | 0.000 | 0.000 | 0.000 | 119.393 | 0.000 |
| 0.000 | 0.000 | 0.000 | 0.000 | 0.000 | 119.393 |
| 261.658 | 103.645 | 103.645 | 0.000 | -0.000 | -0.000 |
| 103.645 | 261.658 | 103.645 | -0.000 | -0.000 | -0.000 |
| 103.645 | 103.645 | 261.658 | -0.000 | -0.000 | -0.000 |
| -0.000 | -0.000 | -0.000 | 119.393 | -0.000 | 0.000 |
| -0.000 | -0.000 | -0.000 | -0.000 | 119.393 | -0.000 |
| -0.000 | -0.000 | -0.000 | -0.000 | -0.000 | 119.393 |
| 50.767 | 54.948 | 54.948 | -0.000 | -0.000 | -0.000 |
| 54.948 | 50.767 | 54.948 | -0.000 | -0.000 | -0.000 |
| 54.948 | 54.948 | 50.767 | -0.000 | -0.000 | -0.000 |
| 0.000 | -0.000 | -0.000 | -8.712 | -0.000 | -0.000 |
| -0.000 | -0.000 | -0.000 | -0.000 | -8.712 | -0.000 |
| 0.000 | 0.000 | -0.000 | -0.000 | -0.000 | -8.712 |
| 50.767 | 54.948 | 54.948 | 0.000 | 0.000 | 0.000 |
| 54.948 | 50.767 | 54.948 | 0.000 | 0.000 | 0.000 |
| 54.948 | 54.948 | 50.767 | 0.000 | 0.000 | 0.000 |
| -0.000 | 0.000 | 0.000 | -8.712 | 0.000 | 0.000 |
| -0.000 | 0.000 | 0.000 | 0.000 | -8.712 | 0.000 |
| -0.000 | -0.000 | 0.000 | 0.000 | 0.000 | -8.712 |
| 50.767 | 54.948 | 54.948 | -0.000 | -0.000 | -0.000 |
| 54.948 | 50.767 | 54.948 | -0.000 | -0.000 | -0.000 |
| 54.948 | 54.948 | 50.767 | -0.000 | -0.000 | -0.000 |
| -0.000 | -0.000 | -0.000 | -8.712 | -0.000 | -0.000 |
| -0.000 | -0.000 | -0.000 | -0.000 | -8.712 | -0.000 |
| -0.000 | -0.000 | -0.000 | -0.000 | -0.000 | -8.712 |
| 50.767 | 54.948 | 54.948 | 0.000 | 0.000 | 0.000 |
| 54.948 | 50.767 | 54.948 | 0.000 | 0.000 | 0.000 |
| 54.948 | 54.948 | 50.767 | 0.000 | 0.000 | 0.000 |
| 0.000 | 0.000 | 0.000 | -8.712 | 0.000 | 0.000 |
| 0.000 | 0.000 | 0.000 | 0.000 | -8.712 | 0.000 |
| 0.000 | 0.000 | 0.000 | 0.000 | 0.000 | -8.712 |
| 50.767 | 54.948 | 54.948 | -0.000 | -0.000 | -0.000 |
| 54.948 | 50.767 | 54.948 | -0.000 | -0.000 | -0.000 |
| 54.948 | 54.948 | 50.767 | -0.000 | -0.000 | -0.000 |
| -0.000 | -0.000 | -0.000 | -8.712 | -0.000 | -0.000 |
| -0.000 | -0.000 | -0.000 | -0.000 | -8.712 | -0.000 |
| -0.000 | -0.000 | -0.000 | -0.000 | -0.000 | -8.712 |
| 50.767 | 54.948 | 54.948 | 0.000 | 0.000 | 0.000 |
| 54.948 | 50.767 | 54.948 | 0.000 | 0.000 | 0.000 |
| 54.948 | 54.948 | 50.767 | 0.000 | 0.000 | 0.000 |
| 0.000 | 0.000 | 0.000 | -8.712 | 0.000 | 0.000 |
| 0.000 | 0.000 | 0.000 | 0.000 | -8.712 | 0.000 |
| 0.000 | 0.000 | 0.000 | 0.000 | 0.000 | -8.712 |
| 142.566 | 50.900 | 50.900 | -0.000 | -0.000 | 0.000 |
| 50.900 | 142.566 | 50.900 | -0.000 | 0.000 | -0.000 |
| 50.900 | 50.900 | 142.566 | -0.000 | 0.000 | -0.000 |
| 0.000 | -0.000 | -0.000 | 27.782 | -0.000 | -0.000 |
| 0.000 | 0.000 | -0.000 | 0.000 | 27.782 | -0.000 |
| 0.000 | 0.000 | -0.000 | -0.000 | -0.000 | 27.782 |
| 142.566 | 50.900 | 50.900 | 0.000 | 0.000 | 0.000 |
| 50.900 | 142.566 | 50.900 | 0.000 | 0.000 | 0.000 |
| 50.900 | 50.900 | 142.566 | 0.000 | 0.000 | 0.000 |
| -0.000 | 0.000 | -0.000 | 27.782 | 0.000 | 0.000 |
| -0.000 | -0.000 | -0.000 | 0.000 | 27.782 | 0.000 |
| -0.000 | -0.000 | 0.000 | 0.000 | 0.000 | 27.782 |
| 142.566 | 50.900 | 50.900 | 0.000 | -0.000 | -0.000 |
| 50.900 | 142.566 | 50.900 | -0.000 | -0.000 | -0.000 |
| 50.900 | 50.900 | 142.566 | -0.000 | -0.000 | -0.000 |
| 0.000 | -0.000 | 0.000 | 27.782 | 0.000 | -0.000 |
| -0.000 | 0.000 | 0.000 | 0.000 | 27.782 | -0.000 |
| -0.000 | 0.000 | 0.000 | -0.000 | -0.000 | 27.782 |
| 142.566 | 50.900 | 50.900 | 0.000 | 0.000 | 0.000 |
| 50.900 | 142.566 | 50.900 | 0.000 | 0.000 | 0.000 |
| 50.900 | 50.900 | 142.566 | -0.000 | 0.000 | -0.000 |
| -0.000 | 0.000 | -0.000 | 27.782 | 0.000 | 0.000 |
| 0.000 | -0.000 | 0.000 | -0.000 | 27.782 | 0.000 |
| 0.000 | -0.000 | -0.000 | 0.000 | 0.000 | 27.782 |
| 142.567 | 50.900 | 50.900 | -0.000 | -0.000 | -0.000 |
| 50.900 | 142.567 | 50.900 | -0.000 | 0.000 | -0.000 |
| 50.900 | 50.900 | 142.567 | -0.000 | 0.000 | 0.000 |
| 0.000 | -0.000 | 0.000 | 27.782 | 0.000 | -0.000 |
| -0.000 | 0.000 | 0.000 | 0.000 | 27.782 | -0.000 |
| -0.000 | 0.000 | 0.000 | -0.000 | -0.000 | 27.782 |
| 142.565 | 50.900 | 50.900 | 0.000 | 0.000 | 0.000 |
| 50.900 | 142.565 | 50.900 | 0.000 | 0.000 | -0.000 |
| 50.900 | 50.900 | 142.565 | -0.000 | 0.000 | 0.000 |
| -0.000 | 0.000 | -0.000 | 27.782 | -0.000 | 0.000 |
| 0.000 | -0.000 | -0.000 | 0.000 | 27.782 | 0.000 |
| 0.000 | -0.000 | -0.000 | 0.000 | 0.000 | 27.782 |
| 316.229 | 109.329 | 109.328 | -0.000 | -0.000 | -0.000 |
| 109.329 | 316.229 | 109.328 | -0.000 | -0.000 | -0.000 |
| 109.329 | 109.329 | 316.229 | -0.000 | -0.000 | -0.000 |
| 0.000 | 0.000 | -0.000 | 119.275 | -0.000 | -0.000 |
| -0.000 | 0.000 | -0.000 | -0.000 | 119.275 | -0.000 |
| -0.000 | 0.000 | 0.000 | 0.000 | -0.000 | 119.275 |
| 316.229 | 109.328 | 109.329 | 0.000 | 0.000 | 0.000 |
| 109.329 | 316.229 | 109.329 | 0.000 | 0.000 | 0.000 |
| 109.329 | 109.328 | 316.229 | 0.000 | 0.000 | 0.000 |
| -0.000 | -0.000 | -0.000 | 119.275 | 0.000 | 0.000 |
| 0.000 | -0.000 | -0.000 | 0.000 | 119.275 | 0.000 |
| -0.000 | -0.000 | -0.000 | -0.000 | 0.000 | 119.275 |
| 316.229 | 109.329 | 109.329 | -0.000 | -0.000 | -0.000 |
| 109.329 | 316.229 | 109.329 | -0.000 | -0.000 | -0.000 |
| 109.329 | 109.329 | 316.229 | -0.000 | -0.000 | -0.000 |
| 0.000 | 0.000 | 0.000 | 35.013 | -0.000 | -0.000 |
| 0.000 | 0.000 | 0.000 | -0.000 | 35.013 | -0.000 |
| 0.000 | 0.000 | 0.000 | -0.000 | -0.000 | 35.013 |
| 316.229 | 109.328 | 109.328 | 0.000 | 0.000 | 0.000 |
| 109.328 | 316.229 | 109.328 | 0.000 | 0.000 | 0.000 |
| 109.328 | 109.328 | 316.229 | 0.000 | 0.000 | 0.000 |
| -0.000 | -0.000 | -0.000 | 35.013 | 0.000 | 0.000 |
| -0.000 | -0.000 | -0.000 | 0.000 | 35.013 | 0.000 |
| -0.000 | -0.000 | -0.000 | 0.000 | 0.000 | 35.013 |
| 316.231 | 109.329 | 109.329 | -0.000 | -0.000 | -0.000 |
| 109.329 | 316.231 | 109.329 | -0.000 | -0.000 | -0.000 |
| 109.329 | 109.329 | 316.231 | -0.000 | -0.000 | -0.000 |
| 0.001 | 0.000 | 0.000 | 35.013 | -0.000 | -0.000 |
| 0.000 | 0.001 | 0.000 | -0.000 | 35.013 | -0.000 |
| 0.000 | 0.000 | 0.001 | -0.000 | -0.000 | 35.013 |
| 316.227 | 109.328 | 109.328 | 0.000 | 0.000 | 0.000 |
| 109.328 | 316.227 | 109.328 | 0.000 | 0.000 | 0.000 |
| 109.328 | 109.328 | 316.227 | 0.000 | 0.000 | 0.000 |
| -0.001 | -0.000 | -0.000 | 35.013 | 0.000 | 0.000 |
| -0.000 | -0.001 | -0.000 | 0.000 | 35.013 | 0.000 |
| -0.000 | -0.000 | -0.001 | 0.000 | 0.000 | 35.013 |
| 177.122 | 89.961 | 89.961 | 0.000 | -0.000 | -0.000 |
| 89.961 | 177.122 | 89.961 | 0.000 | -0.000 | -0.000 |
| 89.961 | 89.961 | 177.122 | 0.000 | -0.000 | -0.000 |
| -0.000 | -0.000 | -0.000 | 98.224 | -0.000 | -0.000 |
| -0.000 | -0.000 | -0.000 | 0.000 | 98.224 | -0.000 |
| -0.000 | -0.000 | -0.000 | 0.000 | -0.000 | 98.224 |
| 177.122 | 89.962 | 89.962 | 0.000 | 0.000 | 0.000 |
| 89.962 | 177.122 | 89.962 | 0.000 | 0.000 | 0.000 |
| 89.962 | 89.962 | 177.122 | -0.000 | 0.000 | 0.000 |
| 0.000 | 0.000 | 0.000 | 98.224 | 0.000 | 0.000 |
| 0.000 | 0.000 | 0.000 | 0.000 | 98.224 | 0.000 |
| 0.000 | 0.000 | 0.000 | -0.000 | 0.000 | 98.224 |
| 177.121 | 89.961 | 89.961 | 0.000 | 0.000 | -0.000 |
| 89.961 | 177.121 | 89.961 | -0.000 | -0.000 | -0.000 |
| 89.961 | 89.961 | 177.121 | 0.000 | -0.000 | -0.000 |
| -0.000 | -0.001 | -0.001 | 43.203 | 0.000 | -0.000 |
| -0.001 | -0.000 | -0.001 | 0.000 | 43.203 | -0.000 |
| -0.001 | -0.001 | -0.000 | -0.000 | 0.000 | 43.203 |
| 177.123 | 89.962 | 89.962 | -0.000 | -0.000 | 0.000 |
| 89.962 | 177.123 | 89.962 | 0.000 | -0.000 | 0.000 |
| 89.962 | 89.962 | 177.123 | 0.000 | 0.000 | 0.000 |
| 0.000 | 0.001 | 0.001 | 43.203 | 0.000 | 0.000 |
| 0.001 | 0.000 | 0.001 | 0.000 | 43.203 | 0.000 |
| 0.001 | 0.001 | 0.000 | 0.000 | 0.000 | 43.203 |
| 177.109 | 89.954 | 89.954 | 0.000 | -0.000 | -0.000 |
| 89.954 | 177.109 | 89.954 | 0.000 | -0.000 | -0.000 |
| 89.954 | 89.954 | 177.109 | -0.000 | -0.000 | -0.000 |
| -0.005 | -0.010 | -0.010 | 43.203 | 0.000 | -0.000 |
| -0.010 | -0.005 | -0.010 | -0.000 | 43.203 | -0.000 |
| -0.010 | -0.010 | -0.005 | -0.000 | -0.000 | 43.203 |
| 177.135 | 89.969 | 89.969 | -0.000 | 0.000 | 0.000 |
| 89.969 | 177.135 | 89.969 | -0.000 | 0.000 | 0.000 |
| 89.969 | 89.969 | 177.135 | 0.000 | 0.000 | 0.000 |
| 0.005 | 0.010 | 0.010 | 43.203 | 0.000 | 0.000 |
| 0.010 | 0.005 | 0.010 | 0.000 | 43.203 | 0.000 |
| 0.010 | 0.010 | 0.005 | 0.000 | 0.000 | 43.203 |
| 24.691 | 35.367 | 35.367 | -0.000 | -0.000 | 0.000 |
| 35.367 | 24.691 | 35.367 | -0.000 | 0.000 | 0.000 |
| 35.367 | 35.367 | 24.691 | -0.000 | 0.000 | 0.000 |
| 0.000 | 0.000 | 0.000 | 2.303 | -0.000 | -0.000 |
| 0.000 | 0.000 | 0.000 | -0.000 | 2.303 | 0.000 |
| 0.000 | 0.000 | 0.000 | -0.000 | 0.000 | 2.303 |
| 24.691 | 35.367 | 35.367 | 0.000 | -0.000 | -0.000 |
| 35.367 | 24.691 | 35.367 | 0.000 | 0.000 | -0.000 |
| 35.367 | 35.367 | 24.691 | 0.000 | -0.000 | -0.000 |
| -0.000 | 0.000 | -0.000 | 2.303 | 0.000 | -0.000 |
| -0.000 | -0.000 | -0.000 | 0.000 | 2.303 | -0.000 |
| -0.000 | -0.000 | -0.000 | -0.000 | -0.000 | 2.303 |
| 24.691 | 35.367 | 35.367 | -0.000 | 0.000 | 0.000 |
| 35.367 | 24.691 | 35.367 | -0.000 | -0.000 | 0.000 |
| 35.367 | 35.367 | 24.691 | -0.000 | 0.000 | 0.000 |
| 0.000 | 0.000 | 0.000 | 37.340 | 0.000 | 0.000 |
| 0.000 | 0.000 | 0.000 | -0.000 | 37.340 | 0.000 |
| 0.000 | 0.000 | 0.000 | -0.000 | 0.000 | 37.340 |
| 24.691 | 35.367 | 35.367 | 0.000 | -0.000 | -0.000 |
| 35.367 | 24.691 | 35.367 | 0.000 | -0.000 | -0.000 |
| 35.367 | 35.367 | 24.691 | 0.000 | -0.000 | 0.000 |
| -0.000 | -0.000 | -0.000 | 37.340 | -0.000 | 0.000 |
| -0.000 | -0.000 | -0.000 | 0.000 | 37.340 | -0.000 |
| -0.000 | -0.000 | -0.000 | 0.000 | -0.000 | 37.340 |
| 24.692 | 35.367 | 35.367 | -0.000 | 0.000 | 0.000 |
| 35.367 | 24.692 | 35.367 | -0.000 | -0.000 | 0.000 |
| 35.367 | 35.367 | 24.692 | -0.000 | 0.000 | 0.000 |
| 0.000 | 0.000 | 0.000 | 2.303 | 0.000 | 0.000 |
| 0.000 | 0.000 | 0.000 | 0.000 | 2.303 | 0.000 |
| 0.000 | 0.000 | 0.000 | -0.000 | 0.000 | 2.303 |
| 24.691 | 35.367 | 35.367 | 0.000 | -0.000 | 0.000 |
| 35.367 | 24.691 | 35.367 | 0.000 | -0.000 | 0.000 |
| 35.367 | 35.367 | 24.691 | 0.000 | -0.000 | 0.000 |
| -0.000 | -0.000 | -0.000 | 2.303 | -0.000 | -0.000 |
| -0.000 | -0.000 | -0.000 | 0.000 | 2.303 | -0.000 |
| -0.000 | -0.000 | -0.000 | 0.000 | -0.000 | 2.303 |
| 91.812 | 51.324 | 51.324 | 0.000 | 0.000 | 0.000 |
| 51.324 | 91.812 | 51.324 | 0.000 | 0.000 | -0.000 |
| 51.324 | 51.324 | 91.812 | 0.000 | 0.000 | 0.000 |
| 0.000 | -0.000 | 0.000 | 56.171 | 0.000 | 0.000 |
| 0.000 | 0.000 | 0.000 | 0.000 | 56.171 | 0.000 |
| 0.000 | 0.000 | 0.000 | 0.000 | 0.000 | 56.171 |
| 91.812 | 51.324 | 51.324 | -0.000 | -0.000 | -0.000 |
| 51.324 | 91.812 | 51.324 | -0.000 | -0.000 | -0.000 |
| 51.324 | 51.324 | 91.812 | -0.000 | -0.000 | 0.000 |
| -0.000 | 0.000 | -0.000 | 56.171 | -0.000 | 0.000 |
| -0.000 | -0.000 | -0.000 | -0.000 | 56.171 | 0.000 |
| 0.000 | -0.000 | -0.000 | -0.000 | -0.000 | 56.171 |
| 91.812 | 51.324 | 51.324 | 0.000 | 0.000 | 0.000 |
| 51.324 | 91.812 | 51.324 | 0.000 | 0.000 | 0.000 |
| 51.324 | 51.324 | 91.812 | 0.000 | 0.000 | -0.000 |
| 0.000 | 0.000 | 0.000 | 56.249 | 0.000 | 0.000 |
| 0.000 | 0.000 | 0.000 | 0.000 | 56.249 | 0.000 |
| 0.000 | 0.000 | 0.000 | 0.000 | 0.000 | 56.249 |
| 91.811 | 51.324 | 51.324 | -0.000 | -0.000 | -0.000 |
| 51.324 | 91.811 | 51.324 | -0.000 | -0.000 | 0.000 |
| 51.324 | 51.324 | 91.811 | -0.000 | -0.000 | -0.000 |
| -0.000 | -0.000 | -0.000 | 56.249 | -0.000 | -0.000 |
| -0.000 | -0.000 | -0.000 | -0.000 | 56.249 | -0.000 |
| -0.000 | -0.000 | -0.000 | -0.000 | -0.000 | 56.249 |
| 91.812 | 51.325 | 51.325 | 0.000 | 0.000 | 0.000 |
| 51.325 | 91.812 | 51.325 | 0.000 | 0.000 | 0.000 |
| 51.325 | 51.325 | 91.812 | 0.000 | 0.000 | 0.000 |
| 0.000 | 0.000 | 0.000 | 56.249 | 0.000 | 0.000 |
| 0.000 | 0.000 | 0.000 | 0.000 | 56.249 | 0.000 |
| 0.000 | 0.000 | 0.000 | 0.000 | 0.000 | 56.249 |
| 91.811 | 51.324 | 51.324 | -0.000 | -0.000 | 0.000 |
| 51.324 | 91.811 | 51.324 | -0.000 | -0.000 | -0.000 |
| 51.324 | 51.324 | 91.811 | -0.000 | -0.000 | -0.000 |
| -0.000 | -0.000 | -0.000 | 56.249 | -0.000 | -0.000 |
| -0.000 | -0.000 | -0.000 | -0.000 | 56.249 | 0.000 |
| -0.000 | -0.000 | -0.000 | -0.000 | -0.000 | 56.249 |
| 61.367 | 46.767 | 46.767 | 0.000 | 0.000 | -0.000 |
| 46.767 | 61.367 | 46.767 | 0.000 | 0.000 | 0.000 |
| 46.767 | 46.767 | 61.367 | 0.000 | 0.000 | -0.000 |
| 0.000 | -0.000 | 0.000 | 46.089 | 0.000 | -0.000 |
| 0.000 | -0.000 | 0.000 | 0.000 | 46.089 | 0.000 |
| 0.000 | -0.000 | -0.000 | 0.000 | 0.000 | 46.089 |
| 61.367 | 46.767 | 46.767 | -0.000 | 0.000 | 0.000 |
| 46.767 | 61.367 | 46.767 | -0.000 | -0.000 | 0.000 |
| 46.767 | 46.767 | 61.367 | -0.000 | -0.000 | 0.000 |
| -0.000 | 0.000 | -0.000 | 46.089 | -0.000 | 0.000 |
| -0.000 | 0.000 | 0.000 | -0.000 | 46.089 | 0.000 |
| -0.000 | 0.000 | -0.000 | -0.000 | -0.000 | 46.089 |
| 61.367 | 46.767 | 46.767 | 0.000 | 0.000 | -0.000 |
| 46.767 | 61.367 | 46.767 | 0.000 | 0.000 | 0.000 |
| 46.767 | 46.767 | 61.367 | 0.000 | 0.000 | -0.000 |
| 0.000 | 0.000 | 0.000 | 46.089 | 0.000 | -0.000 |
| 0.000 | 0.000 | 0.000 | 0.000 | 46.089 | -0.000 |
| 0.000 | 0.000 | 0.000 | 0.000 | 0.000 | 46.089 |
| 61.367 | 46.767 | 46.767 | -0.000 | -0.000 | 0.000 |
| 46.767 | 61.367 | 46.767 | -0.000 | -0.000 | -0.000 |
| 46.767 | 46.767 | 61.367 | -0.000 | -0.000 | 0.000 |
| -0.000 | -0.000 | -0.000 | 46.089 | -0.000 | 0.000 |
| -0.000 | -0.000 | -0.000 | -0.000 | 46.089 | 0.000 |
| -0.000 | -0.000 | -0.000 | -0.000 | -0.000 | 46.089 |
| 61.367 | 46.767 | 46.767 | 0.000 | -0.000 | -0.000 |
| 46.767 | 61.367 | 46.767 | 0.000 | 0.000 | -0.000 |
| 46.767 | 46.767 | 61.367 | 0.000 | -0.000 | 0.000 |
| 0.000 | 0.000 | 0.000 | 46.089 | 0.000 | 0.000 |
| 0.000 | 0.000 | 0.000 | 0.000 | 46.089 | -0.000 |
| 0.000 | 0.000 | 0.000 | 0.000 | 0.000 | 46.089 |
| 61.367 | 46.766 | 46.766 | -0.000 | -0.000 | 0.000 |
| 46.766 | 61.367 | 46.766 | -0.000 | -0.000 | 0.000 |
| 46.766 | 46.766 | 61.367 | -0.000 | 0.000 | 0.000 |
| -0.000 | -0.000 | -0.000 | 46.089 | -0.000 | 0.000 |
| -0.000 | -0.000 | -0.000 | -0.000 | 46.089 | 0.000 |
| -0.000 | -0.000 | -0.000 | -0.000 | -0.000 | 46.089 |
| 16.147 | 29.365 | 29.365 | -0.000 | -0.000 | 0.000 |
| 29.365 | 16.147 | 29.365 | -0.000 | -0.000 | -0.000 |
| 29.365 | 29.365 | 16.147 | -0.000 | 0.000 | -0.000 |
| -0.000 | 0.000 | -0.000 | -19.464 | -0.000 | 0.000 |
| -0.000 | 0.000 | -0.000 | 0.000 | -19.464 | 0.000 |
| -0.000 | -0.000 | -0.000 | -0.000 | -0.000 | -19.464 |
| 16.147 | 29.365 | 29.365 | 0.000 | 0.000 | 0.000 |
| 29.365 | 16.147 | 29.365 | 0.000 | 0.000 | -0.000 |
| 29.365 | 29.365 | 16.147 | -0.000 | 0.000 | 0.000 |
| 0.000 | -0.000 | 0.000 | -19.464 | 0.000 | -0.000 |
| 0.000 | -0.000 | 0.000 | 0.000 | -19.464 | -0.000 |
| 0.000 | 0.000 | 0.000 | 0.000 | 0.000 | -19.464 |
| 16.147 | 29.365 | 29.365 | -0.000 | -0.000 | 0.000 |
| 29.365 | 16.147 | 29.365 | -0.000 | -0.000 | -0.000 |
| 29.365 | 29.365 | 16.147 | -0.000 | -0.000 | 0.000 |
| 0.000 | 0.000 | 0.000 | 30.646 | -0.000 | 0.000 |
| 0.000 | 0.000 | 0.000 | 0.000 | 30.646 | 0.000 |
| 0.000 | 0.000 | 0.000 | -0.000 | -0.000 | 30.646 |
| 16.147 | 29.365 | 29.365 | 0.000 | 0.000 | -0.000 |
| 29.365 | 16.147 | 29.365 | 0.000 | 0.000 | -0.000 |
| 29.365 | 29.365 | 16.147 | 0.000 | 0.000 | -0.000 |
| -0.000 | -0.000 | -0.000 | 30.646 | 0.000 | 0.000 |
| -0.000 | -0.000 | -0.000 | 0.000 | 30.646 | -0.000 |
| -0.000 | -0.000 | -0.000 | 0.000 | 0.000 | 30.646 |
| 16.148 | 29.366 | 29.366 | -0.000 | -0.000 | -0.000 |
| 29.366 | 16.148 | 29.366 | -0.000 | -0.000 | -0.000 |
| 29.366 | 29.366 | 16.148 | -0.000 | -0.000 | -0.000 |
| 0.000 | 0.000 | 0.000 | -19.464 | 0.000 | 0.000 |
| 0.000 | 0.000 | 0.000 | 0.000 | -19.464 | 0.000 |
| 0.000 | 0.000 | 0.000 | 0.000 | -0.000 | -19.464 |
| 16.147 | 29.365 | 29.365 | 0.000 | 0.000 | 0.000 |
| 29.365 | 16.147 | 29.365 | 0.000 | 0.000 | 0.000 |
| 29.365 | 29.365 | 16.147 | 0.000 | 0.000 | 0.000 |
| -0.000 | -0.000 | -0.000 | -19.464 | -0.000 | 0.000 |
| -0.000 | -0.000 | -0.000 | -0.000 | -19.464 | -0.000 |
| -0.000 | -0.000 | -0.000 | -0.000 | 0.000 | -19.464 |
| 137.339 | 1.294 | 1.294 | 0.000 | -0.000 | 0.000 |
| 1.294 | 137.339 | 1.294 | 0.000 | -0.000 | 0.000 |
| 1.294 | 1.294 | 137.339 | 0.000 | 0.000 | 0.000 |
| 0.000 | 0.000 | -0.000 | 3.610 | 0.000 | 0.000 |
| -0.000 | 0.000 | 0.000 | 0.000 | 3.610 | 0.000 |
| -0.000 | 0.000 | 0.000 | 0.000 | 0.000 | 3.610 |
| 137.339 | 1.294 | 1.294 | -0.000 | -0.000 | -0.000 |
| 1.294 | 137.339 | 1.294 | 0.000 | 0.000 | -0.000 |
| 1.294 | 1.294 | 137.339 | -0.000 | -0.000 | 0.000 |
| -0.000 | -0.000 | 0.000 | 3.610 | -0.000 | -0.000 |
| -0.000 | -0.000 | -0.000 | -0.000 | 3.610 | -0.000 |
| 0.000 | 0.000 | -0.000 | -0.000 | -0.000 | 3.610 |
| 137.339 | 1.294 | 1.294 | -0.000 | -0.000 | 0.000 |
| 1.294 | 137.339 | 1.294 | 0.000 | 0.000 | -0.000 |
| 1.294 | 1.294 | 137.339 | 0.000 | 0.000 | 0.000 |
| 2517718.699 | 2855799.134 | 3272025.491 | -1352931.334 | -175954.902 | -551995.557 |
| 2974065.369 | 1912871.637 | 3144853.579 | 58440.935 | -739794.831 | 293913.170 |
| 3010788.138 | 2764823.629 | 1195322.308 | 16927.186 | 568682.733 | -1540177.708 |
| 137.339 | 1.294 | 1.294 | -0.000 | 0.000 | -0.000 |
| 1.294 | 137.339 | 1.294 | 0.000 | 0.000 | 0.000 |
| 1.294 | 1.294 | 137.339 | -0.000 | -0.000 | -0.000 |
| -3659236.804 | -4020546.825 | -4652856.068 | -1844803.753 | -361171.682 | -134941.893 |
| -2921175.675 | -1561769.691 | -2902481.439 | -49775.982 | -1589439.767 | -267662.577 |
| -4704347.991 | -2924223.209 | -1899743.142 | -375586.422 | -205528.412 | -1550352.582 |
| 137.340 | 1.294 | 1.294 | -0.000 | -0.000 | 0.000 |
| 1.294 | 137.340 | 1.294 | 0.000 | -0.000 | 0.000 |
| 1.294 | 1.294 | 137.340 | 0.000 | 0.000 | 0.000 |
| 386856.666 | 399531.041 | 341947.283 | -215580.147 | -11986.823 | 73716.464 |
| 276299.909 | 339139.859 | 380167.730 | -47694.418 | -168696.911 | 5265.549 |
| 351044.543 | 311041.748 | 318881.950 | -4631.903 | 14524.938 | -148348.490 |
| 137.338 | 1.294 | 1.294 | -0.000 | 0.000 | -0.000 |
| 1.294 | 137.338 | 1.294 | 0.000 | 0.000 | -0.000 |
| 1.294 | 1.294 | 137.338 | -0.000 | 0.000 | -0.000 |
| -296777.283 | -306617.468 | -469696.024 | -188664.379 | 24326.183 | -17975.787 |
| -387370.235 | -195632.858 | -335734.953 | -44599.874 | -134586.753 | 7163.012 |
| -385620.055 | -276730.221 | -371082.011 | 30116.332 | -34397.352 | -165633.810 |
| 47.402 | 56.670 | 56.670 | 0.000 | 0.000 | 0.000 |
| 56.670 | 47.402 | 56.670 | -0.000 | 0.000 | 0.000 |
| 56.670 | 56.670 | 47.402 | -0.000 | 0.000 | 0.000 |
| 0.000 | -0.000 | 0.000 | 14.611 | -0.000 | 0.000 |
| -0.000 | -0.000 | 0.000 | -0.000 | 14.611 | 0.000 |
| -0.000 | -0.000 | 0.000 | 0.000 | 0.000 | 14.611 |
| 47.402 | 56.670 | 56.670 | -0.000 | -0.000 | -0.000 |
| 56.670 | 47.402 | 56.670 | -0.000 | -0.000 | -0.000 |
| 56.670 | 56.670 | 47.402 | -0.000 | 0.000 | -0.000 |
| 0.000 | 0.000 | -0.000 | 14.611 | 0.000 | -0.000 |
| 0.000 | 0.000 | -0.000 | 0.000 | 14.611 | -0.000 |
| 0.000 | 0.000 | -0.000 | 0.000 | -0.000 | 14.611 |
| 47.402 | 56.670 | 56.670 | -0.000 | -0.000 | 0.000 |
| 56.670 | 47.402 | 56.670 | 0.000 | -0.000 | 0.000 |
| 56.670 | 56.670 | 47.402 | 0.000 | 0.000 | 0.000 |
| 0.000 | 0.000 | 0.000 | 14.611 | 0.000 | 0.000 |
| 0.000 | 0.000 | 0.000 | -0.000 | 14.611 | 0.000 |
| 0.000 | 0.000 | 0.000 | -0.000 | -0.000 | 14.611 |
| 47.402 | 56.670 | 56.670 | -0.000 | -0.000 | -0.000 |
| 56.670 | 47.402 | 56.670 | 0.000 | -0.000 | -0.000 |
| 56.670 | 56.670 | 47.402 | 0.000 | 0.000 | -0.000 |
| -0.000 | -0.000 | -0.000 | 14.611 | -0.000 | -0.000 |
| -0.000 | -0.000 | -0.000 | -0.000 | 14.611 | -0.000 |
| -0.000 | -0.000 | -0.000 | 0.000 | 0.000 | 14.611 |
| 47.402 | 56.670 | 56.670 | 0.000 | 0.000 | 0.000 |
| 56.670 | 47.402 | 56.670 | -0.000 | 0.000 | 0.000 |
| 56.670 | 56.670 | 47.402 | -0.000 | -0.000 | 0.000 |
| 0.000 | 0.000 | 0.000 | 14.611 | 0.000 | 0.000 |
| 0.000 | 0.000 | 0.000 | 0.000 | 14.611 | 0.000 |
| 0.000 | 0.000 | 0.000 | 0.000 | -0.000 | 14.611 |
| 47.402 | 56.669 | 56.669 | -0.000 | -0.000 | -0.000 |
| 56.669 | 47.402 | 56.669 | 0.000 | 0.000 | -0.000 |
| 56.669 | 56.669 | 47.402 | 0.000 | 0.000 | -0.000 |
| -0.000 | -0.000 | -0.000 | 14.611 | -0.000 | -0.000 |
| -0.000 | -0.000 | -0.000 | -0.000 | 14.611 | -0.000 |
| -0.000 | -0.000 | -0.000 | -0.000 | 0.000 | 14.611 |
| 89.111 | 49.547 | 49.547 | -0.000 | -0.000 | -0.000 |
| 49.547 | 89.111 | 49.547 | -0.000 | -0.000 | 0.000 |
| 49.547 | 49.547 | 89.111 | -0.000 | -0.000 | -0.000 |
| 0.000 | -0.000 | 0.000 | 53.528 | -0.000 | 0.000 |
| 0.000 | -0.000 | 0.000 | -0.000 | 53.528 | -0.000 |
| 0.000 | 0.000 | 0.000 | 0.000 | 0.000 | 53.528 |
| 89.111 | 49.547 | 49.547 | 0.000 | 0.000 | 0.000 |
| 49.547 | 89.111 | 49.547 | 0.000 | -0.000 | -0.000 |
| 49.547 | 49.547 | 89.111 | -0.000 | -0.000 | -0.000 |
| -0.000 | -0.000 | -0.000 | 53.528 | -0.000 | 0.000 |
| -0.000 | 0.000 | -0.000 | -0.000 | 53.528 | -0.000 |
| -0.000 | 0.000 | 0.000 | 0.000 | 0.000 | 53.528 |
| 89.111 | 49.547 | 49.547 | -0.000 | 0.000 | -0.000 |
| 49.547 | 89.111 | 49.547 | 0.000 | -0.000 | -0.000 |
| 49.547 | 49.547 | 89.111 | -0.000 | -0.000 | -0.000 |
| -0.000 | 0.000 | 0.000 | 53.528 | 0.000 | -0.000 |
| 0.000 | -0.000 | 0.000 | -0.000 | 53.528 | -0.000 |
| 0.000 | 0.000 | -0.000 | 0.000 | 0.000 | 53.528 |
| 89.110 | 49.547 | 49.547 | 0.000 | -0.000 | 0.000 |
| 49.547 | 89.110 | 49.547 | -0.000 | -0.000 | -0.000 |
| 49.547 | 49.547 | 89.110 | -0.000 | -0.000 | 0.000 |
| 0.000 | -0.000 | -0.000 | 53.528 | -0.000 | -0.000 |
| -0.000 | 0.000 | -0.000 | -0.000 | 53.528 | -0.000 |
| -0.000 | -0.000 | 0.000 | -0.000 | 0.000 | 53.528 |
| 89.111 | 49.548 | 49.548 | 0.000 | -0.000 | 0.000 |
| 49.548 | 89.111 | 49.548 | -0.000 | 0.000 | 0.000 |
| 49.548 | 49.548 | 89.111 | -0.000 | -0.000 | -0.000 |
| -0.000 | 0.000 | 0.000 | 53.528 | 0.000 | 0.000 |
| 0.000 | -0.000 | 0.000 | 0.000 | 53.528 | -0.000 |
| 0.000 | 0.000 | -0.000 | 0.000 | -0.000 | 53.528 |
| 89.110 | 49.547 | 49.547 | 0.000 | 0.000 | 0.000 |
| 49.547 | 89.110 | 49.547 | 0.000 | 0.000 | -0.000 |
| 49.547 | 49.547 | 89.110 | -0.000 | -0.000 | -0.000 |
| 0.000 | -0.000 | -0.000 | 53.528 | -0.000 | 0.000 |
| -0.000 | 0.000 | -0.000 | -0.000 | 53.528 | 0.000 |
| -0.000 | -0.000 | 0.000 | -0.000 | 0.000 | 53.528 |
| 249.809 | 145.443 | 145.443 | -0.000 | 0.000 | 0.000 |
| 145.443 | 249.809 | 145.443 | 0.000 | -0.000 | 0.000 |
| 145.443 | 145.443 | 249.809 | -0.000 | -0.000 | 0.000 |
| 0.000 | -0.000 | 0.000 | 151.277 | -0.000 | 0.000 |
| 0.000 | 0.000 | 0.000 | -0.000 | 151.277 | 0.000 |
| 0.000 | 0.000 | 0.000 | 0.000 | -0.000 | 151.277 |
| 249.809 | 145.443 | 145.443 | -0.000 | -0.000 | -0.000 |
| 145.443 | 249.809 | 145.443 | -0.000 | 0.000 | -0.000 |
| 145.443 | 145.443 | 249.809 | 0.000 | 0.000 | -0.000 |
| -0.000 | 0.000 | -0.000 | 151.277 | 0.000 | -0.000 |
| -0.000 | -0.000 | -0.000 | -0.000 | 151.277 | -0.000 |
| -0.000 | 0.000 | -0.000 | 0.000 | 0.000 | 151.277 |
| 249.809 | 145.443 | 145.443 | 0.000 | 0.000 | -0.000 |
| 145.443 | 249.809 | 145.443 | 0.000 | -0.000 | -0.000 |
| 145.443 | 145.443 | 249.809 | -0.000 | -0.000 | 0.000 |
| 0.000 | 0.000 | 0.000 | 151.277 | -0.000 | 0.000 |
| 0.000 | 0.000 | 0.000 | 0.000 | 151.277 | -0.000 |
| 0.000 | 0.000 | 0.000 | -0.000 | -0.000 | 151.277 |
| 249.809 | 145.443 | 145.443 | 0.000 | 0.000 | -0.000 |
| 145.443 | 249.809 | 145.443 | -0.000 | -0.000 | -0.000 |
| 145.443 | 145.443 | 249.809 | 0.000 | 0.000 | -0.000 |
| -0.000 | -0.000 | -0.000 | 151.277 | 0.000 | 0.000 |
| -0.000 | -0.000 | -0.000 | 0.000 | 151.277 | -0.000 |
| -0.000 | -0.000 | -0.000 | 0.000 | 0.000 | 151.277 |
| 249.811 | 145.444 | 145.444 | 0.000 | 0.000 | 0.000 |
| 145.444 | 249.811 | 145.444 | 0.000 | 0.000 | 0.000 |
| 145.444 | 145.444 | 249.811 | 0.000 | 0.000 | -0.000 |
| 0.001 | 0.000 | 0.000 | 155.703 | -0.000 | -0.000 |
| 0.000 | 0.001 | 0.000 | 0.000 | 155.703 | 0.000 |
| 0.000 | 0.000 | 0.001 | -0.000 | -0.000 | 155.703 |
| 249.807 | 145.442 | 145.442 | 0.000 | 0.000 | -0.000 |
| 145.442 | 249.807 | 145.442 | 0.000 | 0.000 | 0.000 |
| 145.442 | 145.442 | 249.807 | 0.000 | 0.000 | 0.000 |
| -0.001 | -0.000 | -0.000 | 155.703 | 0.000 | -0.000 |
| -0.000 | -0.001 | -0.000 | -0.000 | 155.703 | 0.000 |
| -0.000 | -0.000 | -0.001 | -0.000 | 0.000 | 155.703 |
| 20.388 | 12.678 | 12.678 | 0.000 | 0.000 | 0.000 |
| 12.678 | 20.388 | 12.678 | 0.000 | -0.000 | 0.000 |
| 12.678 | 12.678 | 20.388 | 0.000 | -0.000 | 0.000 |
| 0.000 | -0.000 | 0.000 | 0.762 | 0.000 | -0.000 |
| -0.000 | 0.000 | 0.000 | 0.000 | 0.762 | 0.000 |
| -0.000 | -0.000 | 0.000 | 0.000 | -0.000 | 0.762 |
| 20.388 | 12.678 | 12.678 | -0.000 | -0.000 | -0.000 |
| 12.678 | 20.388 | 12.678 | -0.000 | -0.000 | -0.000 |
| 12.678 | 12.678 | 20.388 | -0.000 | 0.000 | -0.000 |
| -0.000 | 0.000 | -0.000 | 0.762 | -0.000 | -0.000 |
| 0.000 | -0.000 | -0.000 | -0.000 | 0.762 | -0.000 |
| 0.000 | 0.000 | -0.000 | -0.000 | 0.000 | 0.762 |
| 20.388 | 12.678 | 12.678 | 0.000 | -0.000 | 0.000 |
| 12.678 | 20.388 | 12.678 | 0.000 | -0.000 | 0.000 |
| 12.678 | 12.678 | 20.388 | 0.000 | 0.000 | 0.000 |
| 0.000 | 0.000 | 0.000 | 0.762 | -0.000 | 0.000 |
| 0.000 | 0.000 | 0.000 | 0.000 | 0.762 | 0.000 |
| 0.000 | 0.000 | 0.000 | 0.000 | -0.000 | 0.762 |
| 20.388 | 12.678 | 12.678 | -0.000 | -0.000 | -0.000 |
| 12.678 | 20.388 | 12.678 | -0.000 | -0.000 | -0.000 |
| 12.678 | 12.678 | 20.388 | -0.000 | -0.000 | -0.000 |
| -0.000 | -0.000 | -0.000 | 0.762 | 0.000 | -0.000 |
| -0.000 | -0.000 | -0.000 | -0.000 | 0.762 | -0.000 |
| -0.000 | -0.000 | -0.000 | -0.000 | 0.000 | 0.762 |
| 20.388 | 12.678 | 12.678 | 0.000 | -0.000 | 0.000 |
| 12.678 | 20.388 | 12.678 | 0.000 | 0.000 | 0.000 |
| 12.678 | 12.678 | 20.388 | 0.000 | 0.000 | 0.000 |
| 0.000 | 0.000 | 0.000 | 0.762 | 0.000 | 0.000 |
| 0.000 | 0.000 | 0.000 | 0.000 | 0.762 | 0.000 |
| 0.000 | 0.000 | 0.000 | 0.000 | -0.000 | 0.762 |
| 20.388 | 12.678 | 12.678 | -0.000 | -0.000 | -0.000 |
| 12.678 | 20.388 | 12.678 | -0.000 | -0.000 | -0.000 |
| 12.678 | 12.678 | 20.388 | -0.000 | 0.000 | -0.000 |
| -0.000 | -0.000 | -0.000 | 0.762 | -0.000 | 0.000 |
| -0.000 | -0.000 | -0.000 | -0.000 | 0.762 | -0.000 |
| -0.000 | -0.000 | -0.000 | -0.000 | 0.000 | 0.762 |
| 178.654 | 156.253 | 5.227 | 0.000 | -0.000 | 0.000 |
| 156.253 | 178.654 | 5.227 | -0.000 | 0.000 | 0.000 |
| 5.227 | 5.227 | 273.568 | 0.000 | -0.000 | 0.000 |
| 0.000 | 0.000 | -0.000 | 6.647 | 0.000 | 0.000 |
| -0.000 | 0.000 | -0.000 | -0.000 | 6.647 | 0.000 |
| 0.000 | 0.000 | -0.000 | -0.000 | -0.000 | 157.808 |
| 178.654 | 156.253 | 5.227 | 0.000 | -0.000 | -0.000 |
| 156.253 | 178.654 | 5.227 | 0.000 | 0.000 | -0.000 |
| 5.227 | 5.227 | 273.567 | 0.000 | -0.000 | -0.000 |
| -0.000 | -0.000 | 0.000 | 6.647 | 0.000 | -0.000 |
| 0.000 | -0.000 | 0.000 | -0.000 | 6.647 | -0.000 |
| -0.000 | -0.000 | 0.000 | 0.000 | 0.000 | 157.808 |
| 178.654 | 156.253 | 5.227 | 0.000 | -0.000 | 0.000 |
| 156.253 | 178.654 | 5.227 | 0.000 | -0.000 | 0.000 |
| 5.227 | 5.227 | 273.568 | -0.000 | -0.000 | 0.000 |
| 0.000 | -0.000 | -0.000 | 6.647 | 0.000 | 0.000 |
| -0.000 | 0.000 | -0.000 | -0.000 | 6.647 | 0.000 |
| 0.000 | 0.000 | 0.000 | -0.000 | -0.000 | 157.808 |
| 178.654 | 156.253 | 5.227 | 0.000 | -0.000 | -0.000 |
| 156.253 | 178.654 | 5.227 | 0.000 | -0.000 | -0.000 |
| 5.227 | 5.227 | 273.567 | -0.000 | -0.000 | -0.000 |
| -0.000 | 0.000 | 0.000 | 6.647 | -0.000 | -0.000 |
| 0.000 | -0.000 | 0.000 | 0.000 | 6.647 | -0.000 |
| -0.000 | -0.000 | -0.000 | 0.000 | 0.000 | 157.808 |
| 178.655 | 156.254 | 5.227 | -0.000 | -0.000 | 0.000 |
| 156.254 | 178.655 | 5.227 | -0.000 | 0.000 | 0.000 |
| 5.227 | 5.227 | 273.570 | -0.000 | 0.000 | 0.000 |
| 0.000 | -0.000 | -0.000 | 6.647 | 0.000 | 0.000 |
| -0.000 | 0.000 | -0.000 | -0.000 | 6.647 | 0.000 |
| 0.001 | 0.001 | 0.000 | -0.000 | -0.000 | 157.808 |
| 178.653 | 156.252 | 5.227 | 0.000 | 0.000 | -0.000 |
| 156.252 | 178.653 | 5.227 | 0.000 | 0.000 | -0.000 |
| 5.227 | 5.227 | 273.565 | 0.000 | 0.000 | -0.000 |
| -0.000 | 0.000 | 0.000 | 6.647 | -0.000 | -0.000 |
| 0.000 | -0.000 | 0.000 | 0.000 | 6.647 | -0.000 |
| -0.001 | -0.001 | -0.000 | -0.000 | -0.000 | 157.808 |
| 153.787 | 120.776 | -1.555 | 0.000 | -0.000 | 0.000 |
| 120.776 | 153.787 | -1.555 | -0.000 | -0.000 | 0.000 |
| -1.555 | -1.555 | 228.241 | 0.000 | -0.000 | -0.000 |
| 0.000 | -0.000 | -0.000 | 1.424 | -0.000 | 0.000 |
| -0.000 | -0.000 | -0.000 | 0.000 | 1.424 | 0.000 |
| 0.000 | 0.000 | -0.000 | -0.000 | -0.000 | 123.703 |
| 153.787 | 120.776 | -1.555 | -0.000 | 0.000 | -0.000 |
| 120.776 | 153.787 | -1.555 | -0.000 | 0.000 | -0.000 |
| -1.555 | -1.555 | 228.241 | -0.000 | 0.000 | -0.000 |
| -0.000 | -0.000 | 0.000 | 1.424 | 0.000 | -0.000 |
| 0.000 | -0.000 | 0.000 | -0.000 | 1.424 | -0.000 |
| -0.000 | -0.000 | 0.000 | 0.000 | 0.000 | 123.703 |
| 153.787 | 120.776 | -1.555 | -0.000 | -0.000 | 0.000 |
| 120.776 | 153.787 | -1.555 | -0.000 | -0.000 | 0.000 |
| -1.555 | -1.555 | 228.241 | 0.000 | 0.000 | 0.000 |
| 0.000 | -0.000 | -0.000 | 1.424 | -0.000 | 0.000 |
| -0.000 | 0.000 | -0.000 | -0.000 | 1.424 | 0.000 |
| 0.000 | 0.000 | 0.000 | -0.000 | -0.000 | 123.703 |
| 153.787 | 120.776 | -1.555 | 0.000 | 0.000 | -0.000 |
| 120.776 | 153.787 | -1.555 | -0.000 | 0.000 | -0.000 |
| -1.555 | -1.555 | 228.241 | 0.000 | 0.000 | -0.000 |
| -0.000 | 0.000 | 0.000 | 1.424 | 0.000 | 0.000 |
| 0.000 | -0.000 | 0.000 | -0.000 | 1.424 | -0.000 |
| -0.000 | -0.000 | -0.000 | -0.000 | 0.000 | 123.703 |
| 153.788 | 120.777 | -1.555 | -0.000 | -0.000 | 0.000 |
| 120.777 | 153.788 | -1.555 | 0.000 | -0.000 | -0.000 |
| -1.555 | -1.555 | 228.243 | -0.000 | -0.000 | 0.000 |
| 0.000 | -0.000 | -0.000 | 1.424 | -0.000 | -0.000 |
| -0.000 | 0.000 | -0.000 | 0.000 | 1.424 | 0.000 |
| 0.000 | 0.001 | 0.000 | -0.000 | -0.000 | 123.703 |
| 153.786 | 120.775 | -1.555 | -0.000 | 0.000 | -0.000 |
| 120.775 | 153.786 | -1.555 | -0.000 | 0.000 | -0.000 |
| -1.555 | -1.555 | 228.239 | 0.000 | 0.000 | -0.000 |
| -0.000 | 0.000 | 0.000 | 1.424 | 0.000 | -0.000 |
| 0.000 | -0.000 | 0.000 | 0.000 | 1.424 | -0.000 |
| -0.000 | -0.001 | -0.000 | 0.000 | 0.000 | 123.703 |
| 136.130 | 107.024 | 1.829 | 0.000 | -0.000 | 0.000 |
| 107.024 | 136.130 | 1.829 | 0.000 | 0.000 | 0.000 |
| 1.829 | 1.829 | 254.450 | 0.000 | -0.000 | -0.000 |
| 0.000 | -0.000 | -0.000 | 3.951 | 0.000 | 0.000 |
| -0.000 | -0.000 | -0.000 | 0.000 | 3.951 | 0.000 |
| 0.000 | 0.000 | -0.000 | -0.000 | -0.000 | 109.028 |
| 136.130 | 107.024 | 1.829 | 0.000 | 0.000 | -0.000 |
| 107.024 | 136.130 | 1.829 | 0.000 | 0.000 | 0.000 |
| 1.829 | 1.829 | 254.450 | -0.000 | -0.000 | -0.000 |
| -0.000 | -0.000 | 0.000 | 3.951 | -0.000 | 0.000 |
| 0.000 | 0.000 | 0.000 | -0.000 | 3.951 | 0.000 |
| -0.000 | -0.000 | 0.000 | -0.000 | 0.000 | 109.028 |
| 136.130 | 107.025 | 1.829 | 0.000 | -0.000 | -0.000 |
| 107.025 | 136.130 | 1.829 | 0.000 | -0.000 | -0.000 |
| 1.829 | 1.829 | 254.450 | -0.000 | -0.000 | 0.000 |
| 0.000 | -0.000 | -0.000 | 3.951 | -0.000 | -0.000 |
| -0.000 | 0.000 | -0.000 | 0.000 | 3.951 | 0.000 |
| 0.000 | 0.000 | 0.000 | -0.000 | -0.000 | 109.028 |
| 136.130 | 107.024 | 1.829 | 0.000 | 0.000 | -0.000 |
| 107.024 | 136.130 | 1.829 | 0.000 | 0.000 | -0.000 |
| 1.829 | 1.829 | 254.449 | -0.000 | 0.000 | -0.000 |
| -0.000 | 0.000 | 0.000 | 3.951 | 0.000 | -0.000 |
| 0.000 | -0.000 | 0.000 | 0.000 | 3.951 | 0.000 |
| -0.000 | -0.000 | -0.000 | 0.000 | 0.000 | 109.028 |
| 136.130 | 107.025 | 1.829 | 0.000 | -0.000 | -0.000 |
| 107.025 | 136.130 | 1.829 | 0.000 | -0.000 | -0.000 |
| 1.829 | 1.829 | 254.452 | 0.000 | -0.000 | 0.000 |
| 0.000 | -0.000 | -0.000 | 3.951 | -0.000 | -0.000 |
| -0.000 | 0.000 | -0.000 | 0.000 | 3.951 | 0.000 |
| 0.000 | 0.001 | 0.000 | -0.000 | -0.000 | 109.028 |
| 136.129 | 107.024 | 1.829 | -0.000 | 0.000 | 0.000 |
| 107.024 | 136.129 | 1.829 | -0.000 | 0.000 | 0.000 |
| 1.829 | 1.829 | 254.447 | -0.000 | -0.000 | -0.000 |
| -0.000 | 0.000 | 0.000 | 3.951 | 0.000 | 0.000 |
| 0.000 | -0.000 | 0.000 | -0.000 | 3.951 | 0.000 |
| -0.000 | -0.001 | -0.000 | 0.000 | 0.000 | 109.028 |
| 17.878 | 25.799 | 25.800 | 0.000 | -0.000 | 0.000 |
| 25.800 | 17.878 | 25.800 | -0.000 | -0.000 | 0.000 |
| 25.800 | 25.799 | 17.878 | -0.000 | -0.000 | 0.000 |
| -0.000 | -0.000 | -0.000 | -44.157 | 0.000 | 0.000 |
| -0.000 | -0.000 | -0.000 | -0.000 | -44.157 | 0.000 |
| -0.000 | -0.000 | 0.000 | 0.000 | -0.000 | -44.157 |
| 17.878 | 25.800 | 25.800 | 0.000 | 0.000 | -0.000 |
| 25.800 | 17.878 | 25.800 | 0.000 | -0.000 | -0.000 |
| 25.800 | 25.800 | 17.878 | 0.000 | 0.000 | -0.000 |
| 0.000 | 0.000 | 0.000 | -44.157 | -0.000 | -0.000 |
| 0.000 | 0.000 | 0.000 | -0.000 | -44.157 | -0.000 |
| 0.000 | 0.000 | -0.000 | 0.000 | 0.000 | -44.157 |
| 17.878 | 25.800 | 25.800 | 0.000 | 0.000 | 0.000 |
| 25.800 | 17.878 | 25.800 | -0.000 | -0.000 | 0.000 |
| 25.800 | 25.800 | 17.878 | 0.000 | 0.000 | 0.000 |
| 0.000 | -0.000 | -0.000 | -44.157 | -0.000 | 0.000 |
| -0.000 | 0.000 | -0.000 | -0.000 | -44.157 | 0.000 |
| -0.000 | -0.000 | 0.000 | 0.000 | 0.000 | -44.157 |
| 17.878 | 25.799 | 25.799 | 0.000 | 0.000 | -0.000 |
| 25.799 | 17.878 | 25.799 | 0.000 | -0.000 | -0.000 |
| 25.799 | 25.799 | 17.878 | -0.000 | 0.000 | -0.000 |
| -0.000 | 0.000 | 0.000 | -44.157 | 0.000 | -0.000 |
| 0.000 | -0.000 | 0.000 | 0.000 | -44.157 | -0.000 |
| 0.000 | 0.000 | -0.000 | 0.000 | 0.000 | -44.157 |
| 17.878 | 25.800 | 25.800 | -0.000 | -0.000 | 0.000 |
| 25.800 | 17.878 | 25.800 | -0.000 | -0.000 | 0.000 |
| 25.800 | 25.800 | 17.878 | 0.000 | 0.000 | 0.000 |
| 0.000 | -0.000 | -0.000 | -44.157 | -0.000 | 0.000 |
| -0.000 | 0.000 | -0.000 | -0.000 | -44.157 | 0.000 |
| -0.000 | -0.000 | 0.000 | 0.000 | -0.000 | -44.157 |
| 17.878 | 25.799 | 25.799 | -0.000 | -0.000 | -0.000 |
| 25.799 | 17.878 | 25.799 | 0.000 | 0.000 | -0.000 |
| 25.799 | 25.799 | 17.878 | -0.000 | -0.000 | -0.000 |
| -0.000 | 0.000 | 0.000 | -44.157 | -0.000 | -0.000 |
| 0.000 | -0.000 | 0.000 | 0.000 | -44.157 | -0.000 |
| 0.000 | 0.000 | -0.000 | -0.000 | 0.000 | -44.157 |
| 87.296 | 65.155 | 65.155 | -0.000 | -0.000 | -0.000 |
| 65.155 | 87.296 | 65.155 | -0.000 | -0.000 | 0.000 |
| 65.155 | 65.155 | 87.296 | -0.000 | -0.000 | -0.000 |
| 0.000 | 0.000 | 0.000 | 70.506 | -0.000 | -0.000 |
| 0.000 | 0.000 | 0.000 | -0.000 | 70.506 | 0.000 |
| -0.000 | 0.000 | 0.000 | -0.000 | -0.000 | 70.506 |
| 87.296 | 65.155 | 65.155 | 0.000 | 0.000 | 0.000 |
| 65.155 | 87.296 | 65.155 | 0.000 | 0.000 | 0.000 |
| 65.155 | 65.155 | 87.296 | 0.000 | 0.000 | 0.000 |
| -0.000 | 0.000 | -0.000 | 70.506 | 0.000 | -0.000 |
| 0.000 | -0.000 | -0.000 | 0.000 | 70.506 | 0.000 |
| 0.000 | -0.000 | -0.000 | 0.000 | 0.000 | 70.506 |
| 87.296 | 65.155 | 65.155 | -0.000 | -0.000 | -0.000 |
| 65.155 | 87.296 | 65.155 | -0.000 | -0.000 | -0.000 |
| 65.155 | 65.155 | 87.296 | -0.000 | -0.000 | -0.000 |
| 0.000 | 0.000 | -0.000 | -108.926 | -0.000 | 0.000 |
| 0.000 | 0.000 | -0.000 | -0.000 | -108.926 | 0.000 |
| 0.000 | -0.000 | 0.000 | -0.000 | -0.000 | -108.926 |
| 87.296 | 65.155 | 65.155 | 0.000 | 0.000 | 0.000 |
| 65.155 | 87.296 | 65.155 | 0.000 | 0.000 | 0.000 |
| 65.155 | 65.155 | 87.296 | 0.000 | 0.000 | 0.000 |
| -0.000 | -0.000 | 0.000 | -108.926 | 0.000 | -0.000 |
| -0.000 | -0.000 | 0.000 | 0.000 | -108.926 | -0.000 |
| -0.000 | 0.000 | -0.000 | 0.000 | 0.000 | -108.926 |
| 87.296 | 65.155 | 65.155 | -0.000 | -0.000 | -0.000 |
| 65.155 | 87.296 | 65.155 | -0.000 | -0.000 | -0.000 |
| 65.155 | 65.155 | 87.296 | -0.000 | -0.000 | -0.000 |
| 0.000 | 0.000 | -0.000 | -108.926 | -0.000 | 0.000 |
| 0.000 | 0.000 | -0.000 | -0.000 | -108.926 | 0.000 |
| 0.000 | -0.000 | 0.000 | -0.000 | -0.000 | -108.926 |
| 87.295 | 65.155 | 65.155 | 0.000 | 0.000 | 0.000 |
| 65.155 | 87.295 | 65.155 | 0.000 | 0.000 | 0.000 |
| 65.155 | 65.155 | 87.295 | 0.000 | 0.000 | 0.000 |
| -0.000 | -0.000 | 0.000 | -108.926 | 0.000 | -0.000 |
| -0.000 | -0.000 | 0.000 | 0.000 | -108.926 | -0.000 |
| -0.000 | 0.000 | -0.000 | 0.000 | 0.000 | -108.926 |
| 55.053 | 59.084 | 59.084 | -0.000 | -0.000 | 0.000 |
| 59.084 | 55.053 | 59.084 | -0.000 | -0.000 | 0.000 |
| 59.084 | 59.084 | 55.053 | -0.000 | -0.000 | 0.000 |
| 0.000 | 0.000 | -0.000 | -55.886 | -0.000 | 0.000 |
| 0.000 | 0.000 | 0.000 | -0.000 | -55.886 | 0.000 |
| 0.000 | 0.000 | -0.000 | -0.000 | -0.000 | -55.886 |
| 55.053 | 59.084 | 59.084 | 0.000 | 0.000 | -0.000 |
| 59.084 | 55.053 | 59.084 | 0.000 | -0.000 | -0.000 |
| 59.084 | 59.084 | 55.053 | 0.000 | 0.000 | -0.000 |
| -0.000 | -0.000 | 0.000 | -55.886 | 0.000 | -0.000 |
| -0.000 | -0.000 | 0.000 | 0.000 | -55.886 | -0.000 |
| -0.000 | -0.000 | 0.000 | 0.000 | 0.000 | -55.886 |
| 55.053 | 59.084 | 59.084 | -0.000 | -0.000 | 0.000 |
| 59.084 | 55.053 | 59.084 | -0.000 | -0.000 | 0.000 |
| 59.084 | 59.084 | 55.053 | -0.000 | -0.000 | 0.000 |
| 0.000 | 0.000 | -0.000 | -55.886 | -0.000 | 0.000 |
| 0.000 | 0.000 | -0.000 | -0.000 | -55.886 | 0.000 |
| 0.000 | -0.000 | 0.000 | -0.000 | -0.000 | -55.886 |
| 55.053 | 59.084 | 59.084 | 0.000 | -0.000 | -0.000 |
| 59.084 | 55.053 | 59.084 | 0.000 | 0.000 | -0.000 |
| 59.084 | 59.084 | 55.053 | 0.000 | 0.000 | -0.000 |
| -0.000 | -0.000 | 0.000 | -55.886 | 0.000 | -0.000 |
| -0.000 | -0.000 | 0.000 | 0.000 | -55.886 | -0.000 |
| -0.000 | 0.000 | -0.000 | 0.000 | 0.000 | -55.886 |
| 55.053 | 59.084 | 59.084 | -0.000 | -0.000 | 0.000 |
| 59.084 | 55.053 | 59.084 | -0.000 | -0.000 | 0.000 |
| 59.084 | 59.084 | 55.053 | -0.000 | -0.000 | 0.000 |
| 0.000 | 0.000 | -0.000 | -55.886 | 0.000 | 0.000 |
| 0.000 | 0.000 | -0.000 | -0.000 | -55.886 | 0.000 |
| 0.000 | -0.000 | 0.000 | -0.000 | -0.000 | -55.886 |
| 55.052 | 59.083 | 59.083 | 0.000 | 0.000 | -0.000 |
| 59.083 | 55.052 | 59.083 | 0.000 | 0.000 | -0.000 |
| 59.083 | 59.083 | 55.052 | 0.000 | -0.000 | -0.000 |
| -0.000 | -0.000 | 0.000 | -55.886 | -0.000 | -0.000 |
| -0.000 | -0.000 | 0.000 | 0.000 | -55.886 | -0.000 |
| -0.000 | 0.000 | -0.000 | 0.000 | 0.000 | -55.886 |
| 14.207 | 15.244 | 15.244 | -0.000 | 0.000 | -0.000 |
| 15.244 | 14.207 | 15.244 | -0.000 | -0.000 | -0.000 |
| 15.244 | 15.244 | 14.207 | -0.000 | -0.000 | -0.000 |
| 0.000 | 0.000 | -0.000 | -31.185 | 0.000 | -0.000 |
| -0.000 | 0.000 | -0.000 | 0.000 | -31.185 | -0.000 |
| -0.000 | -0.000 | 0.000 | 0.000 | 0.000 | -31.185 |
| 14.207 | 15.244 | 15.244 | 0.000 | 0.000 | 0.000 |
| 15.244 | 14.207 | 15.244 | 0.000 | 0.000 | 0.000 |
| 15.244 | 15.244 | 14.207 | -0.000 | 0.000 | 0.000 |
| -0.000 | 0.000 | 0.000 | -31.185 | 0.000 | 0.000 |
| 0.000 | -0.000 | 0.000 | -0.000 | -31.185 | 0.000 |
| 0.000 | 0.000 | -0.000 | -0.000 | 0.000 | -31.185 |
| 14.207 | 15.244 | 15.244 | -0.000 | -0.000 | -0.000 |
| 15.244 | 14.207 | 15.244 | 0.000 | -0.000 | -0.000 |
| 15.244 | 15.244 | 14.207 | 0.000 | 0.000 | -0.000 |
| 0.000 | -0.000 | -0.000 | -31.185 | -0.000 | -0.000 |
| -0.000 | 0.000 | -0.000 | 0.000 | -31.185 | -0.000 |
| -0.000 | -0.000 | 0.000 | 0.000 | -0.000 | -31.185 |
| 14.207 | 15.244 | 15.244 | 0.000 | 0.000 | 0.000 |
| 15.244 | 14.207 | 15.244 | 0.000 | 0.000 | 0.000 |
| 15.244 | 15.244 | 14.207 | -0.000 | 0.000 | 0.000 |
| -0.000 | 0.000 | 0.000 | -31.185 | 0.000 | 0.000 |
| 0.000 | -0.000 | 0.000 | 0.000 | -31.185 | 0.000 |
| 0.000 | 0.000 | -0.000 | 0.000 | 0.000 | -31.185 |
| 14.207 | 15.244 | 15.244 | -0.000 | 0.000 | -0.000 |
| 15.244 | 14.207 | 15.244 | -0.000 | -0.000 | -0.000 |
| 15.244 | 15.244 | 14.207 | 0.000 | -0.000 | -0.000 |
| 0.000 | -0.000 | -0.000 | -31.185 | -0.000 | -0.000 |
| -0.000 | 0.000 | -0.000 | -0.000 | -31.185 | -0.000 |
| -0.000 | -0.000 | 0.000 | 0.000 | 0.000 | -31.185 |
| 14.207 | 15.244 | 15.244 | 0.000 | 0.000 | 0.000 |
| 15.244 | 14.207 | 15.244 | 0.000 | -0.000 | 0.000 |
| 15.244 | 15.244 | 14.207 | 0.000 | 0.000 | 0.000 |
| -0.000 | 0.000 | 0.000 | -31.185 | 0.000 | 0.000 |
| 0.000 | -0.000 | 0.000 | 0.000 | -31.185 | 0.000 |
| 0.000 | 0.000 | -0.000 | -0.000 | 0.000 | -31.185 |
| 50.378 | 0.721 | 0.721 | 0.000 | 0.000 | 0.000 |
| 0.721 | 50.378 | 0.721 | 0.000 | 0.000 | -0.000 |
| 0.721 | 0.721 | 50.378 | 0.000 | 0.000 | -0.000 |
| -0.000 | 0.000 | -0.000 | 0.721 | 0.000 | -0.000 |
| 0.000 | -0.000 | -0.000 | 0.000 | 0.721 | -0.000 |
| 0.000 | 0.000 | -0.000 | 0.000 | 0.000 | 0.721 |
| 50.378 | 0.721 | 0.721 | -0.000 | 0.000 | 0.000 |
| 0.721 | 50.378 | 0.721 | 0.000 | -0.000 | 0.000 |
| 0.721 | 0.721 | 50.378 | -0.000 | 0.000 | 0.000 |
| -0.000 | -0.000 | 0.000 | 0.721 | -0.000 | 0.000 |
| -0.000 | -0.000 | 0.000 | -0.000 | 0.721 | 0.000 |
| 0.000 | 0.000 | 0.000 | -0.000 | -0.000 | 0.721 |
| 50.378 | 0.721 | 0.721 | 0.000 | 0.000 | -0.000 |
| 0.721 | 50.378 | 0.721 | 0.000 | 0.000 | -0.000 |
| 0.721 | 0.721 | 50.378 | 0.000 | 0.000 | -0.000 |
| -0.000 | 0.000 | -0.000 | 0.721 | 0.000 | -0.000 |
| 0.000 | -0.000 | -0.000 | 0.000 | 0.721 | -0.000 |
| 0.000 | -0.000 | -0.000 | 0.000 | 0.000 | 0.721 |
| 50.378 | 0.721 | 0.721 | -0.000 | -0.000 | 0.000 |
| 0.721 | 50.378 | 0.721 | -0.000 | -0.000 | 0.000 |
| 0.721 | 0.721 | 50.378 | -0.000 | -0.000 | 0.000 |
| 0.000 | -0.000 | 0.000 | 0.721 | -0.000 | 0.000 |
| -0.000 | 0.000 | 0.000 | -0.000 | 0.721 | 0.000 |
| -0.000 | 0.000 | 0.000 | -0.000 | -0.000 | 0.721 |
| 50.379 | 0.721 | 0.721 | 0.000 | 0.000 | 0.000 |
| 0.721 | 50.379 | 0.721 | 0.000 | 0.000 | -0.000 |
| 0.721 | 0.721 | 50.379 | 0.000 | -0.000 | 0.000 |
| -0.000 | 0.000 | -0.000 | 0.721 | 0.000 | -0.000 |
| 0.000 | -0.000 | -0.000 | 0.000 | 0.721 | -0.000 |
| 0.000 | -0.000 | -0.000 | 0.000 | 0.000 | 0.721 |
| 50.378 | 0.721 | 0.721 | -0.000 | -0.000 | -0.000 |
| 0.721 | 50.378 | 0.721 | -0.000 | -0.000 | 0.000 |
| 0.721 | 0.721 | 50.378 | -0.000 | -0.000 | 0.000 |
| 0.000 | -0.000 | 0.000 | 0.721 | -0.000 | 0.000 |
| -0.000 | 0.000 | 0.000 | -0.000 | 0.721 | 0.000 |
| -0.000 | 0.000 | 0.000 | 0.000 | -0.000 | 0.721 |
| 20.557 | 9.770 | 9.770 | 0.000 | 0.000 | -0.000 |
| 9.770 | 20.557 | 9.770 | 0.000 | 0.000 | 0.000 |
| 9.770 | 9.770 | 20.557 | 0.000 | 0.000 | 0.000 |
| -0.000 | -0.000 | -0.000 | 9.770 | 0.000 | 0.000 |
| -0.000 | -0.000 | -0.000 | 0.000 | 9.770 | -0.000 |
| -0.000 | -0.000 | 0.000 | 0.000 | 0.000 | 9.770 |
| 20.557 | 9.770 | 9.770 | -0.000 | -0.000 | -0.000 |
| 9.770 | 20.557 | 9.770 | -0.000 | -0.000 | -0.000 |
| 9.770 | 9.770 | 20.557 | -0.000 | -0.000 | -0.000 |
| 0.000 | 0.000 | 0.000 | 9.770 | -0.000 | 0.000 |
| 0.000 | 0.000 | 0.000 | 0.000 | 9.770 | 0.000 |
| 0.000 | -0.000 | -0.000 | -0.000 | -0.000 | 9.770 |
| 20.557 | 9.770 | 9.770 | 0.000 | 0.000 | 0.000 |
| 9.770 | 20.557 | 9.770 | 0.000 | 0.000 | 0.000 |
| 9.770 | 9.770 | 20.557 | 0.000 | 0.000 | 0.000 |
| 0.000 | -0.000 | 0.000 | 9.770 | 0.000 | -0.000 |
| -0.000 | 0.000 | 0.000 | 0.000 | 9.770 | -0.000 |
| -0.000 | 0.000 | 0.000 | 0.000 | 0.000 | 9.770 |
| 20.557 | 9.770 | 9.770 | -0.000 | -0.000 | -0.000 |
| 9.770 | 20.557 | 9.770 | -0.000 | -0.000 | 0.000 |
| 9.770 | 9.770 | 20.557 | -0.000 | -0.000 | -0.000 |
| -0.000 | 0.000 | -0.000 | 9.770 | -0.000 | -0.000 |
| 0.000 | -0.000 | -0.000 | -0.000 | 9.770 | -0.000 |
| 0.000 | -0.000 | -0.000 | -0.000 | -0.000 | 9.770 |
| 20.557 | 9.770 | 9.770 | 0.000 | 0.000 | 0.000 |
| 9.770 | 20.557 | 9.770 | 0.000 | 0.000 | -0.000 |
| 9.770 | 9.770 | 20.557 | 0.000 | 0.000 | 0.000 |
| 0.000 | -0.000 | 0.000 | 9.770 | 0.000 | -0.000 |
| -0.000 | 0.000 | 0.000 | 0.000 | 9.770 | 0.000 |
| -0.000 | 0.000 | 0.000 | 0.000 | 0.000 | 9.770 |
| 20.557 | 9.770 | 9.770 | -0.000 | -0.000 | -0.000 |
| 9.770 | 20.557 | 9.770 | -0.000 | -0.000 | -0.000 |
| 9.770 | 9.770 | 20.557 | -0.000 | -0.000 | -0.000 |
| -0.000 | 0.000 | -0.000 | 9.770 | -0.000 | -0.000 |
| 0.000 | -0.000 | -0.000 | -0.000 | 9.770 | -0.000 |
| 0.000 | -0.000 | -0.000 | -0.000 | -0.000 | 9.770 |
| 1.640 | 1.640 | 1.640 | 0.000 | 0.000 | 0.000 |
| 1.640 | 1.640 | 1.640 | 0.000 | 0.000 | 0.000 |
| 1.640 | 1.640 | 1.640 | 0.000 | 0.000 | 0.000 |
| 0.000 | -0.000 | 0.000 | 1.640 | 0.000 | 0.000 |
| -0.000 | 0.000 | 0.000 | 0.000 | 1.640 | 0.000 |
| -0.000 | 0.000 | 0.000 | 0.000 | 0.000 | 1.640 |
| 1.640 | 1.640 | 1.640 | -0.000 | -0.000 | 0.000 |
| 1.640 | 1.640 | 1.640 | -0.000 | -0.000 | 0.000 |
| 1.640 | 1.640 | 1.640 | 0.000 | 0.000 | -0.000 |
| -0.000 | 0.000 | -0.000 | 1.640 | -0.000 | 0.000 |
| 0.000 | -0.000 | -0.000 | -0.000 | 1.640 | 0.000 |
| 0.000 | -0.000 | -0.000 | -0.000 | 0.000 | 1.640 |
| 1.640 | 1.640 | 1.640 | -0.000 | -0.000 | 0.000 |
| 1.640 | 1.640 | 1.640 | -0.000 | -0.000 | 0.000 |
| 1.640 | 1.640 | 1.640 | 0.000 | 0.000 | -0.000 |
| 0.000 | -0.000 | 0.000 | 1.640 | 0.000 | 0.000 |
| -0.000 | 0.000 | 0.000 | 0.000 | 1.640 | 0.000 |
| -0.000 | 0.000 | 0.000 | 0.000 | -0.000 | 1.640 |
| 1.640 | 1.640 | 1.640 | 0.000 | -0.000 | -0.000 |
| 1.640 | 1.640 | 1.640 | -0.000 | 0.000 | -0.000 |
| 1.640 | 1.640 | 1.640 | -0.000 | -0.000 | 0.000 |
| -0.000 | 0.000 | -0.000 | 1.640 | 0.000 | -0.000 |
| 0.000 | -0.000 | -0.000 | 0.000 | 1.640 | -0.000 |
| 0.000 | -0.000 | -0.000 | 0.000 | 0.000 | 1.640 |
| 1.640 | 1.640 | 1.640 | -0.000 | 0.000 | 0.000 |
| 1.640 | 1.640 | 1.640 | 0.000 | -0.000 | 0.000 |
| 1.640 | 1.640 | 1.640 | 0.000 | 0.000 | -0.000 |
| -0.000 | -0.000 | -0.000 | 0.294 | -0.000 | -0.000 |
| -0.000 | -0.000 | -0.000 | -0.000 | 0.294 | -0.000 |
| -0.000 | -0.000 | -0.000 | -0.000 | -0.000 | 0.294 |
| 1.640 | 1.640 | 1.640 | -0.000 | -0.000 | 0.000 |
| 1.640 | 1.640 | 1.640 | -0.000 | -0.000 | 0.000 |
| 1.640 | 1.640 | 1.640 | -0.000 | -0.000 | -0.000 |
| 0.000 | 0.000 | 0.000 | 0.294 | 0.000 | 0.000 |
| 0.000 | 0.000 | 0.000 | 0.000 | 0.294 | 0.000 |
| 0.000 | 0.000 | 0.000 | 0.000 | 0.000 | 0.294 |
| 7.099 | -2.675 | 0.795 | -0.028 | -4.533 | 0.029 |
| -2.647 | 6.258 | 4.251 | -0.026 | -0.737 | 0.027 |
| -1.278 | 2.081 | 11.733 | -0.027 | -1.037 | 0.027 |
| -0.024 | 0.053 | -0.005 | 4.647 | -0.085 | -1.026 |
| -2.188 | -0.429 | -0.163 | 0.000 | 2.464 | 0.000 |
| -0.037 | 0.081 | -0.007 | -1.540 | -0.129 | -1.756 |
| 7.283 | -2.756 | 0.857 | 0.027 | -4.249 | -0.028 |
| -2.694 | 5.957 | 4.174 | 0.028 | -0.537 | -0.029 |
| -1.208 | 1.965 | 11.756 | 0.026 | -0.830 | -0.027 |
| 0.026 | -0.056 | 0.005 | 4.651 | 0.089 | -1.107 |
| -4.548 | -0.650 | -1.082 | 0.032 | 0.129 | -0.032 |
| -0.000 | -0.000 | -0.000 | -0.429 | -0.000 | 3.480 |
| 5.221 | -2.733 | -0.955 | -0.005 | -6.495 | 0.005 |
| -3.085 | 5.464 | 3.873 | -0.003 | -0.684 | 0.003 |
| 0.233 | 3.371 | 13.241 | -0.000 | -0.163 | 0.000 |
| 0.000 | -0.000 | 0.000 | 5.527 | 0.000 | -0.342 |
| -5.054 | 0.325 | -1.510 | 0.002 | -1.474 | -0.002 |
| 10113677.250 | 7011376.357 | -8704991.516 | -72636.983 | 576580.489 | 47487.549 |
| 5.244 | -2.775 | -0.948 | 0.005 | -6.424 | -0.005 |
| -3.078 | 5.448 | 3.874 | 0.003 | -0.658 | -0.003 |
| 0.233 | 3.371 | 13.241 | -0.000 | -0.163 | -0.000 |
| -0.000 | 0.000 | -0.000 | 5.527 | -0.000 | -0.342 |
| -4.742 | -0.592 | -1.152 | 0.003 | -0.147 | -0.003 |
| -11140509.415 | -7495996.603 | 7069600.567 | 92983.578 | -557266.588 | 2958.080 |
| 4.118 | -2.844 | -1.625 | 0.001 | -7.638 | -0.001 |
| -3.145 | 2.847 | 2.899 | -0.001 | 2.091 | 0.000 |
| -3.165 | 0.939 | 10.079 | 0.001 | -2.045 | -0.001 |
| 1050011.559 | 741596.394 | -810494.154 | -7431.141 | 85077.572 | 6874.978 |
| -7.060 | 2.265 | -2.401 | 0.000 | -5.841 | -0.000 |
| 1115506.433 | 811904.671 | -913894.999 | 12552.010 | 57790.969 | 5896.227 |
| 4.121 | -2.850 | -1.625 | -0.001 | -7.629 | 0.001 |
| -3.188 | 3.161 | 2.944 | 0.002 | 1.706 | -0.002 |
| -3.717 | 0.665 | 9.627 | 0.001 | -2.381 | -0.001 |
| 0.001 | -0.003 | 0.000 | 2.833 | 0.005 | -3.909 |
| -6.548 | 1.484 | -2.223 | -0.002 | -4.424 | 0.002 |
| -1142999.061 | -872794.271 | 813620.097 | 2469.577 | -61336.571 | -11493.560 |
| 6.954 | 5.961 | 5.961 | 0.000 | 0.000 | -0.000 |
| 5.961 | 6.954 | 5.961 | 0.000 | 0.000 | -0.000 |
| 5.961 | 5.961 | 6.954 | -0.000 | -0.000 | -0.000 |
| -0.000 | -0.000 | -0.000 | 1.876 | 0.000 | -0.000 |
| -0.000 | -0.000 | -0.000 | -0.000 | 1.876 | -0.000 |
| -0.000 | -0.000 | -0.000 | -0.000 | 0.000 | 1.876 |
| 6.954 | 5.961 | 5.961 | -0.000 | -0.000 | 0.000 |
| 5.961 | 6.954 | 5.961 | -0.000 | -0.000 | 0.000 |
| 5.961 | 5.961 | 6.954 | 0.000 | -0.000 | 0.000 |
| 0.000 | 0.000 | 0.000 | 1.876 | -0.000 | -0.000 |
| 0.000 | 0.000 | 0.000 | -0.000 | 1.876 | 0.000 |
| 0.000 | 0.000 | 0.000 | 0.000 | -0.000 | 1.876 |
| 6.954 | 5.961 | 5.961 | -0.000 | 0.000 | -0.000 |
| 5.961 | 6.954 | 5.961 | -0.000 | -0.000 | -0.000 |
| 5.961 | 5.961 | 6.954 | -0.000 | 0.000 | -0.000 |
| 0.000 | -0.000 | -0.000 | 1.876 | 0.000 | -0.000 |
| -0.000 | 0.000 | -0.000 | 0.000 | 1.876 | -0.000 |
| -0.000 | -0.000 | 0.000 | -0.000 | 0.000 | 1.876 |
| 6.954 | 5.961 | 5.961 | -0.000 | -0.000 | 0.000 |
| 5.961 | 6.954 | 5.961 | -0.000 | -0.000 | 0.000 |
| 5.961 | 5.961 | 6.954 | 0.000 | -0.000 | 0.000 |
| -0.000 | 0.000 | 0.000 | 1.876 | -0.000 | 0.000 |
| 0.000 | -0.000 | 0.000 | -0.000 | 1.876 | 0.000 |
| 0.000 | 0.000 | -0.000 | -0.000 | -0.000 | 1.876 |
| 6.954 | 5.961 | 5.961 | 0.000 | 0.000 | -0.000 |
| 5.961 | 6.954 | 5.961 | -0.000 | 0.000 | -0.000 |
| 5.961 | 5.961 | 6.954 | -0.000 | 0.000 | -0.000 |
| 0.000 | -0.000 | -0.000 | 1.876 | 0.000 | -0.000 |
| -0.000 | 0.000 | -0.000 | -0.000 | 1.876 | -0.000 |
| -0.000 | -0.000 | 0.000 | -0.000 | 0.000 | 1.876 |
| 6.954 | 5.961 | 5.961 | -0.000 | -0.000 | 0.000 |
| 5.961 | 6.954 | 5.961 | -0.000 | -0.000 | 0.000 |
| 5.961 | 5.961 | 6.954 | 0.000 | 0.000 | 0.000 |
| -0.000 | 0.000 | 0.000 | 1.876 | -0.000 | 0.000 |
| 0.000 | -0.000 | 0.000 | 0.000 | 1.876 | 0.000 |
| 0.000 | 0.000 | -0.000 | 0.000 | -0.000 | 1.876 |
| 16.012 | 8.705 | 8.705 | 0.000 | 0.000 | 0.000 |
| 8.705 | 16.012 | 8.705 | 0.000 | 0.000 | 0.000 |
| 8.705 | 8.705 | 16.012 | 0.000 | 0.000 | 0.000 |
| 0.000 | 0.000 | 0.000 | 8.705 | 0.000 | 0.000 |
| 0.000 | 0.000 | 0.000 | 0.000 | 8.705 | 0.000 |
| 0.000 | 0.000 | 0.000 | -0.000 | 0.000 | 8.705 |
| 16.012 | 8.705 | 8.705 | -0.000 | -0.000 | -0.000 |
| 8.705 | 16.012 | 8.705 | -0.000 | 0.000 | -0.000 |
| 8.705 | 8.705 | 16.012 | -0.000 | -0.000 | -0.000 |
| -0.000 | -0.000 | -0.000 | 8.705 | -0.000 | -0.000 |
| -0.000 | -0.000 | -0.000 | -0.000 | 8.705 | -0.000 |
| -0.000 | -0.000 | -0.000 | 0.000 | -0.000 | 8.705 |
| 16.012 | 8.705 | 8.705 | 0.000 | 0.000 | 0.000 |
| 8.705 | 16.012 | 8.705 | 0.000 | 0.000 | 0.000 |
| 8.705 | 8.705 | 16.012 | 0.000 | 0.000 | 0.000 |
| 0.000 | -0.000 | 0.000 | 7.678 | 0.000 | 0.000 |
| -0.000 | 0.000 | 0.000 | 0.000 | 7.678 | 0.000 |
| -0.000 | 0.000 | 0.000 | 0.000 | 0.000 | 7.678 |
| 16.012 | 8.705 | 8.705 | -0.000 | -0.000 | -0.000 |
| 8.705 | 16.012 | 8.705 | -0.000 | -0.000 | -0.000 |
| 8.705 | 8.705 | 16.012 | -0.000 | -0.000 | -0.000 |
| -0.000 | 0.000 | -0.000 | 7.678 | -0.000 | -0.000 |
| 0.000 | -0.000 | -0.000 | -0.000 | 7.678 | -0.000 |
| 0.000 | -0.000 | -0.000 | -0.000 | -0.000 | 7.678 |
| 16.013 | 8.705 | 8.705 | 0.000 | 0.000 | 0.000 |
| 8.705 | 16.013 | 8.705 | 0.000 | 0.000 | 0.000 |
| 8.705 | 8.705 | 16.013 | 0.000 | 0.000 | 0.000 |
| 0.000 | -0.000 | 0.000 | 8.705 | 0.000 | 0.000 |
| -0.000 | 0.000 | 0.000 | 0.000 | 8.705 | 0.000 |
| -0.000 | 0.000 | 0.000 | 0.000 | 0.000 | 8.705 |
| 16.012 | 8.705 | 8.705 | -0.000 | -0.000 | -0.000 |
| 8.705 | 16.012 | 8.705 | -0.000 | -0.000 | -0.000 |
| 8.705 | 8.705 | 16.012 | -0.000 | -0.000 | -0.000 |
| -0.000 | 0.000 | -0.000 | 8.705 | -0.000 | -0.000 |
| 0.000 | -0.000 | -0.000 | -0.000 | 8.705 | -0.000 |
| 0.000 | -0.000 | -0.000 | -0.000 | -0.000 | 8.705 |
| 149.184 | 103.104 | 103.104 | 0.000 | -0.000 | 0.000 |
| 103.104 | 149.184 | 103.104 | 0.000 | 0.000 | -0.000 |
| 103.104 | 103.104 | 149.184 | 0.000 | -0.000 | 0.000 |
| -0.000 | -0.000 | -0.000 | 112.069 | -0.000 | 0.000 |
| -0.000 | -0.000 | -0.000 | 0.000 | 112.069 | 0.000 |
| -0.000 | -0.000 | -0.000 | 0.000 | -0.000 | 112.069 |
| 149.184 | 103.104 | 103.104 | -0.000 | -0.000 | 0.000 |
| 103.104 | 149.184 | 103.104 | -0.000 | -0.000 | 0.000 |
| 103.104 | 103.104 | 149.184 | 0.000 | 0.000 | -0.000 |
| 0.000 | 0.000 | 0.000 | 112.069 | 0.000 | 0.000 |
| 0.000 | 0.000 | 0.000 | -0.000 | 112.069 | 0.000 |
| 0.000 | 0.000 | 0.000 | -0.000 | 0.000 | 112.069 |
| 149.185 | 103.104 | 103.104 | 0.000 | -0.000 | -0.000 |
| 103.104 | 149.185 | 103.104 | 0.000 | 0.000 | -0.000 |
| 103.104 | 103.104 | 149.185 | 0.000 | -0.000 | -0.000 |
| 0.000 | 0.000 | 0.000 | 112.069 | -0.000 | -0.000 |
| 0.000 | 0.000 | 0.000 | 0.000 | 112.069 | -0.000 |
| 0.000 | 0.000 | 0.000 | -0.000 | -0.000 | 112.069 |
| 149.184 | 103.104 | 103.104 | -0.000 | 0.000 | -0.000 |
| 103.104 | 149.184 | 103.104 | -0.000 | 0.000 | 0.000 |
| 103.104 | 103.104 | 149.184 | -0.000 | -0.000 | -0.000 |
| -0.000 | -0.000 | -0.000 | 112.069 | 0.000 | 0.000 |
| -0.000 | -0.000 | -0.000 | -0.000 | 112.069 | 0.000 |
| -0.000 | -0.000 | -0.000 | -0.000 | 0.000 | 112.069 |
| 149.186 | 103.105 | 103.105 | 0.000 | -0.000 | 0.000 |
| 103.105 | 149.186 | 103.105 | 0.000 | -0.000 | -0.000 |
| 103.105 | 103.105 | 149.186 | 0.000 | -0.000 | 0.000 |
| 0.000 | 0.000 | 0.000 | -0.669 | -0.000 | -0.000 |
| 0.000 | 0.000 | 0.000 | 0.000 | -0.669 | -0.000 |
| 0.000 | 0.000 | 0.000 | -0.000 | -0.000 | -0.669 |
| 149.183 | 103.104 | 103.104 | -0.000 | 0.000 | 0.000 |
| 103.104 | 149.183 | 103.104 | -0.000 | 0.000 | -0.000 |
| 103.104 | 103.104 | 149.183 | 0.000 | 0.000 | -0.000 |
| -0.000 | -0.000 | -0.000 | -0.669 | 0.000 | 0.000 |
| -0.000 | -0.000 | -0.000 | 0.000 | -0.669 | 0.000 |
| -0.000 | -0.000 | -0.000 | -0.000 | 0.000 | -0.669 |
| 7.025 | 5.466 | 5.466 | -0.000 | 0.000 | -0.000 |
| 5.466 | 7.025 | 5.466 | -0.000 | 0.000 | 0.000 |
| 5.466 | 5.466 | 7.025 | -0.000 | 0.000 | -0.000 |
| 0.000 | 0.000 | -0.000 | -0.381 | 0.000 | 0.000 |
| -0.000 | 0.000 | -0.000 | -0.000 | -0.381 | 0.000 |
| -0.000 | -0.000 | -0.000 | -0.000 | 0.000 | -0.381 |
| 7.025 | 5.466 | 5.466 | 0.000 | -0.000 | 0.000 |
| 5.466 | 7.025 | 5.466 | 0.000 | -0.000 | -0.000 |
| 5.466 | 5.466 | 7.025 | 0.000 | -0.000 | -0.000 |
| -0.000 | -0.000 | 0.000 | -0.381 | -0.000 | 0.000 |
| -0.000 | -0.000 | 0.000 | 0.000 | -0.381 | -0.000 |
| 0.000 | 0.000 | 0.000 | 0.000 | -0.000 | -0.381 |
| 7.025 | 5.466 | 5.466 | -0.000 | 0.000 | 0.000 |
| 5.466 | 7.025 | 5.466 | -0.000 | 0.000 | 0.000 |
| 5.466 | 5.466 | 7.025 | -0.000 | -0.000 | 0.000 |
| 0.000 | -0.000 | -0.000 | -0.381 | 0.000 | 0.000 |
| -0.000 | 0.000 | -0.000 | -0.000 | -0.381 | 0.000 |
| -0.000 | -0.000 | 0.000 | -0.000 | 0.000 | -0.381 |
| 7.025 | 5.466 | 5.466 | 0.000 | -0.000 | 0.000 |
| 5.466 | 7.025 | 5.466 | 0.000 | -0.000 | -0.000 |
| 5.466 | 5.466 | 7.025 | 0.000 | 0.000 | 0.000 |
| -0.000 | 0.000 | 0.000 | -0.381 | -0.000 | -0.000 |
| 0.000 | -0.000 | 0.000 | 0.000 | -0.381 | -0.000 |
| 0.000 | 0.000 | -0.000 | 0.000 | -0.000 | -0.381 |
| 7.025 | 5.466 | 5.466 | -0.000 | 0.000 | 0.000 |
| 5.466 | 7.025 | 5.466 | -0.000 | 0.000 | 0.000 |
| 5.466 | 5.466 | 7.025 | -0.000 | 0.000 | 0.000 |
| 0.000 | -0.000 | -0.000 | -0.381 | 0.000 | 0.000 |
| -0.000 | 0.000 | -0.000 | -0.000 | -0.381 | 0.000 |
| -0.000 | -0.000 | 0.000 | -0.000 | 0.000 | -0.381 |
| 7.025 | 5.466 | 5.466 | -0.000 | -0.000 | -0.000 |
| 5.466 | 7.025 | 5.466 | 0.000 | -0.000 | -0.000 |
| 5.466 | 5.466 | 7.025 | 0.000 | 0.000 | -0.000 |
| -0.000 | 0.000 | 0.000 | -0.381 | -0.000 | -0.000 |
| 0.000 | -0.000 | 0.000 | 0.000 | -0.381 | -0.000 |
| 0.000 | 0.000 | -0.000 | 0.000 | -0.000 | -0.381 |
| -17.213 | 47.771 | 47.771 | -0.000 | -0.000 | -0.000 |
| 47.771 | -17.213 | 47.771 | -0.000 | -0.000 | 0.000 |
| 47.771 | 47.771 | -17.213 | -0.000 | -0.000 | -0.000 |
| -0.000 | 0.000 | -0.000 | 48.374 | -0.000 | -0.000 |
| -0.000 | 0.000 | -0.000 | -0.000 | 48.374 | -0.000 |
| -0.000 | 0.000 | -0.000 | -0.000 | -0.000 | 48.374 |
| -17.213 | 47.771 | 47.771 | 0.000 | 0.000 | 0.000 |
| 47.771 | -17.213 | 47.771 | 0.000 | 0.000 | -0.000 |
| 47.771 | 47.771 | -17.213 | 0.000 | 0.000 | -0.000 |
| 0.000 | -0.000 | 0.000 | 48.374 | 0.000 | 0.000 |
| 0.000 | -0.000 | 0.000 | 0.000 | 48.374 | 0.000 |
| 0.000 | -0.000 | 0.000 | 0.000 | 0.000 | 48.374 |
| -17.213 | 47.771 | 47.771 | -0.000 | -0.000 | -0.000 |
| 47.771 | -17.213 | 47.771 | -0.000 | -0.000 | -0.000 |
| 47.771 | 47.771 | -17.213 | -0.000 | -0.000 | -0.000 |
| 0.000 | 0.000 | -0.000 | -164.768 | -0.000 | -0.000 |
| 0.000 | 0.000 | -0.000 | -0.000 | -164.768 | -0.000 |
| 0.000 | -0.000 | 0.000 | -0.000 | -0.000 | -164.768 |
| -17.213 | 47.771 | 47.771 | 0.000 | 0.000 | 0.000 |
| 47.771 | -17.213 | 47.771 | 0.000 | 0.000 | 0.000 |
| 47.771 | 47.771 | -17.213 | 0.000 | 0.000 | -0.000 |
| -0.000 | -0.000 | 0.000 | -164.768 | 0.000 | -0.000 |
| -0.000 | -0.000 | 0.000 | 0.000 | -164.768 | 0.000 |
| -0.000 | 0.000 | -0.000 | 0.000 | 0.000 | -164.768 |
| -17.213 | 47.771 | 47.771 | -0.000 | -0.000 | -0.000 |
| 47.771 | -17.213 | 47.771 | -0.000 | -0.000 | -0.000 |
| 47.771 | 47.771 | -17.213 | -0.000 | -0.000 | -0.000 |
| 0.000 | 0.000 | -0.000 | -164.768 | -0.000 | -0.000 |
| 0.000 | 0.000 | -0.000 | -0.000 | -164.768 | -0.000 |
| 0.000 | -0.000 | 0.000 | -0.000 | -0.000 | -164.768 |
| -17.213 | 47.771 | 47.771 | 0.000 | -0.000 | -0.000 |
| 47.771 | -17.213 | 47.771 | 0.000 | 0.000 | -0.000 |
| 47.771 | 47.771 | -17.213 | 0.000 | 0.000 | -0.000 |
| -0.000 | -0.000 | 0.000 | -164.768 | 0.000 | 0.000 |
| -0.000 | -0.000 | 0.000 | 0.000 | -164.768 | -0.000 |
| -0.000 | 0.000 | -0.000 | 0.000 | 0.000 | -164.768 |
| 430.645 | 160.005 | 160.005 | 0.000 | 0.000 | 0.000 |
| 160.005 | 430.645 | 160.005 | 0.000 | 0.000 | 0.000 |
| 160.005 | 160.005 | 430.645 | -0.000 | 0.000 | 0.000 |
| 0.000 | 0.000 | -0.000 | 180.239 | 0.000 | 0.000 |
| 0.000 | 0.000 | -0.000 | -0.000 | 180.239 | 0.000 |
| 0.000 | 0.000 | 0.000 | 0.000 | 0.000 | 180.239 |
| 430.645 | 160.005 | 160.005 | -0.000 | -0.000 | -0.000 |
| 160.005 | 430.645 | 160.005 | 0.000 | -0.000 | -0.000 |
| 160.005 | 160.005 | 430.645 | 0.000 | -0.000 | -0.000 |
| -0.000 | -0.000 | 0.000 | 180.239 | -0.000 | 0.000 |
| -0.000 | -0.000 | 0.000 | 0.000 | 180.239 | -0.000 |
| -0.000 | -0.000 | -0.000 | -0.000 | -0.000 | 180.239 |
| 430.646 | 160.005 | 160.005 | 0.000 | 0.000 | 0.000 |
| 160.005 | 430.646 | 160.005 | 0.000 | -0.000 | 0.000 |
| 160.005 | 160.005 | 430.646 | 0.000 | 0.000 | 0.000 |
| 0.000 | 0.000 | 0.000 | 188.104 | 0.000 | -0.000 |
| 0.000 | 0.000 | 0.000 | -0.000 | 188.104 | 0.000 |
| 0.000 | 0.000 | 0.000 | -0.000 | 0.000 | 188.104 |
| 430.645 | 160.005 | 160.005 | 0.000 | -0.000 | -0.000 |
| 160.005 | 430.645 | 160.005 | -0.000 | -0.000 | -0.000 |
| 160.005 | 160.005 | 430.645 | 0.000 | 0.000 | -0.000 |
| -0.000 | -0.000 | -0.000 | 188.104 | -0.000 | -0.000 |
| -0.000 | -0.000 | -0.000 | 0.000 | 188.104 | -0.000 |
| -0.000 | -0.000 | -0.000 | 0.000 | -0.000 | 188.104 |
| 430.650 | 160.005 | 160.005 | -0.000 | 0.000 | 0.000 |
| 160.005 | 430.650 | 160.005 | -0.000 | 0.000 | 0.000 |
| 160.005 | 160.005 | 430.650 | 0.000 | 0.000 | 0.000 |
| 0.001 | 0.000 | 0.001 | 180.239 | 0.000 | 0.000 |
| 0.000 | 0.001 | 0.001 | -0.000 | 180.239 | 0.000 |
| 0.000 | 0.001 | 0.001 | 0.000 | 0.000 | 180.239 |
| 430.641 | 160.004 | 160.004 | -0.000 | -0.000 | -0.000 |
| 160.004 | 430.641 | 160.004 | -0.000 | -0.000 | -0.000 |
| 160.004 | 160.004 | 430.641 | 0.000 | -0.000 | -0.000 |
| -0.001 | -0.000 | -0.001 | 180.239 | -0.000 | -0.000 |
| -0.000 | -0.001 | -0.001 | 0.000 | 180.239 | -0.000 |
| -0.000 | -0.001 | -0.001 | -0.000 | -0.000 | 180.239 |
| 25.491 | 4.690 | 4.690 | 0.000 | -0.000 | -0.000 |
| 4.690 | 25.491 | 4.690 | 0.000 | 0.000 | -0.000 |
| 4.690 | 4.690 | 25.491 | -0.000 | -0.000 | -0.000 |
| -0.000 | 0.000 | -0.000 | 2.931 | -0.000 | -0.000 |
| -0.000 | -0.000 | 0.000 | 0.000 | 2.931 | -0.000 |
| -0.000 | -0.000 | -0.000 | 0.000 | -0.000 | 2.931 |
| 25.491 | 4.690 | 4.690 | -0.000 | 0.000 | 0.000 |
| 4.690 | 25.491 | 4.690 | 0.000 | -0.000 | 0.000 |
| 4.690 | 4.690 | 25.491 | 0.000 | 0.000 | 0.000 |
| 0.000 | 0.000 | -0.000 | 2.931 | -0.000 | 0.000 |
| 0.000 | 0.000 | -0.000 | 0.000 | 2.931 | 0.000 |
| 0.000 | 0.000 | 0.000 | -0.000 | 0.000 | 2.931 |
| 25.491 | 4.690 | 4.690 | 0.000 | 0.000 | -0.000 |
| 4.690 | 25.491 | 4.690 | 0.000 | 0.000 | -0.000 |
| 4.690 | 4.690 | 25.491 | 0.000 | -0.000 | -0.000 |
| -0.000 | -0.000 | -0.000 | 2.931 | -0.000 | -0.000 |
| -0.000 | -0.000 | -0.000 | 0.000 | 2.931 | -0.000 |
| -0.000 | -0.000 | -0.000 | 0.000 | -0.000 | 2.931 |
| 25.491 | 4.690 | 4.690 | -0.000 | -0.000 | 0.000 |
| 4.690 | 25.491 | 4.690 | -0.000 | -0.000 | 0.000 |
| 4.690 | 4.690 | 25.491 | 0.000 | 0.000 | 0.000 |
| 0.000 | 0.000 | 0.000 | 2.931 | 0.000 | 0.000 |
| 0.000 | 0.000 | 0.000 | 0.000 | 2.931 | 0.000 |
| 0.000 | 0.000 | 0.000 | -0.000 | -0.000 | 2.931 |
| 25.491 | 4.690 | 4.690 | 0.000 | 0.000 | -0.000 |
| 4.690 | 25.491 | 4.690 | 0.000 | 0.000 | -0.000 |
| 4.690 | 4.690 | 25.491 | -0.000 | -0.000 | -0.000 |
| -0.000 | -0.000 | -0.000 | 2.931 | -0.000 | -0.000 |
| -0.000 | -0.000 | -0.000 | 0.000 | 2.931 | -0.000 |
| -0.000 | -0.000 | -0.000 | 0.000 | -0.000 | 2.931 |
| 25.491 | 4.690 | 4.690 | 0.000 | -0.000 | 0.000 |
| 4.690 | 25.491 | 4.690 | -0.000 | 0.000 | 0.000 |
| 4.690 | 4.690 | 25.491 | -0.000 | 0.000 | 0.000 |
| 0.000 | 0.000 | 0.000 | 2.931 | 0.000 | 0.000 |
| 0.000 | 0.000 | 0.000 | -0.000 | 2.931 | 0.000 |
| 0.000 | 0.000 | 0.000 | -0.000 | 0.000 | 2.931 |
| 19.411 | 9.443 | 9.443 | 0.000 | 0.000 | 0.000 |
| 9.443 | 19.411 | 9.443 | 0.000 | 0.000 | 0.000 |
| 9.443 | 9.443 | 19.411 | 0.000 | 0.000 | 0.000 |
| -0.000 | -0.000 | -0.000 | 9.443 | -0.000 | 0.000 |
| -0.000 | -0.000 | -0.000 | 0.000 | 9.443 | 0.000 |
| -0.000 | -0.000 | -0.000 | 0.000 | 0.000 | 9.443 |
| 19.411 | 9.443 | 9.443 | -0.000 | -0.000 | -0.000 |
| 9.443 | 19.411 | 9.443 | -0.000 | -0.000 | -0.000 |
| 9.443 | 9.443 | 19.411 | -0.000 | -0.000 | -0.000 |
| 0.000 | 0.000 | 0.000 | 9.443 | 0.000 | -0.000 |
| 0.000 | -0.000 | 0.000 | -0.000 | 9.443 | -0.000 |
| 0.000 | 0.000 | 0.000 | -0.000 | -0.000 | 9.443 |
| 19.411 | 9.443 | 9.443 | 0.000 | 0.000 | 0.000 |
| 9.443 | 19.411 | 9.443 | 0.000 | 0.000 | 0.000 |
| 9.443 | 9.443 | 19.411 | 0.000 | 0.000 | 0.000 |
| 0.000 | -0.000 | -0.000 | 7.855 | 0.000 | -0.000 |
| -0.000 | 0.000 | -0.000 | 0.000 | 7.855 | 0.000 |
| -0.000 | -0.000 | 0.000 | 0.000 | 0.000 | 7.855 |
| 19.411 | 9.443 | 9.443 | -0.000 | -0.000 | -0.000 |
| 9.443 | 19.411 | 9.443 | -0.000 | -0.000 | -0.000 |
| 9.443 | 9.443 | 19.411 | -0.000 | -0.000 | -0.000 |
| -0.000 | 0.000 | 0.000 | 7.855 | -0.000 | -0.000 |
| 0.000 | -0.000 | 0.000 | -0.000 | 7.855 | -0.000 |
| 0.000 | 0.000 | -0.000 | -0.000 | -0.000 | 7.855 |
| 19.411 | 9.443 | 9.443 | 0.000 | 0.000 | 0.000 |
| 9.443 | 19.411 | 9.443 | 0.000 | 0.000 | 0.000 |
| 9.443 | 9.443 | 19.411 | 0.000 | 0.000 | 0.000 |
| 0.000 | -0.000 | -0.000 | 7.855 | 0.000 | 0.000 |
| -0.000 | 0.000 | -0.000 | 0.000 | 7.855 | 0.000 |
| -0.000 | -0.000 | 0.000 | 0.000 | 0.000 | 7.855 |
| 19.411 | 9.443 | 9.443 | -0.000 | -0.000 | -0.000 |
| 9.443 | 19.411 | 9.443 | -0.000 | 0.000 | -0.000 |
| 9.443 | 9.443 | 19.411 | -0.000 | -0.000 | -0.000 |
| -0.000 | 0.000 | 0.000 | 7.855 | -0.000 | -0.000 |
| 0.000 | -0.000 | 0.000 | -0.000 | 7.855 | -0.000 |
| 0.000 | 0.000 | -0.000 | -0.000 | -0.000 | 7.855 |
| 6.506 | 10.066 | 10.066 | 0.000 | -0.000 | 0.000 |
| 10.066 | 6.506 | 10.066 | 0.000 | 0.000 | 0.000 |
| 10.066 | 10.066 | 6.506 | 0.000 | -0.000 | 0.000 |
| -0.000 | 0.000 | 0.000 | 10.066 | 0.000 | 0.000 |
| -0.000 | -0.000 | 0.000 | 0.000 | 10.066 | -0.000 |
| -0.000 | 0.000 | 0.000 | 0.000 | 0.000 | 10.066 |
| 6.506 | 10.066 | 10.066 | -0.000 | -0.000 | 0.000 |
| 10.066 | 6.506 | 10.066 | -0.000 | -0.000 | 0.000 |
| 10.066 | 10.066 | 6.506 | -0.000 | -0.000 | -0.000 |
| 0.000 | -0.000 | -0.000 | 10.066 | -0.000 | -0.000 |
| 0.000 | 0.000 | -0.000 | -0.000 | 10.066 | -0.000 |
| 0.000 | 0.000 | -0.000 | -0.000 | -0.000 | 10.066 |
| 6.506 | 10.066 | 10.066 | 0.000 | 0.000 | -0.000 |
| 10.066 | 6.506 | 10.066 | 0.000 | 0.000 | 0.000 |
| 10.066 | 10.066 | 6.506 | 0.000 | 0.000 | 0.000 |
| -0.000 | 0.000 | 0.000 | 10.066 | 0.000 | 0.000 |
| 0.000 | -0.000 | 0.000 | 0.000 | 10.066 | 0.000 |
| 0.000 | 0.000 | -0.000 | 0.000 | 0.000 | 10.066 |
| 6.506 | 10.066 | 10.066 | -0.000 | 0.000 | -0.000 |
| 10.066 | 6.506 | 10.066 | -0.000 | -0.000 | -0.000 |
| 10.066 | 10.066 | 6.506 | -0.000 | 0.000 | 0.000 |
| 0.000 | -0.000 | -0.000 | 10.066 | -0.000 | -0.000 |
| -0.000 | 0.000 | -0.000 | 0.000 | 10.066 | -0.000 |
| -0.000 | -0.000 | 0.000 | -0.000 | -0.000 | 10.066 |
| 6.506 | 10.066 | 10.066 | 0.000 | 0.000 | -0.000 |
| 10.066 | 6.506 | 10.066 | 0.000 | 0.000 | 0.000 |
| 10.066 | 10.066 | 6.506 | 0.000 | 0.000 | 0.000 |
| -0.000 | 0.000 | 0.000 | 10.066 | 0.000 | -0.000 |
| 0.000 | -0.000 | 0.000 | 0.000 | 10.066 | -0.000 |
| 0.000 | 0.000 | -0.000 | 0.000 | 0.000 | 10.066 |
| 6.506 | 10.066 | 10.066 | -0.000 | -0.000 | 0.000 |
| 10.066 | 6.506 | 10.066 | -0.000 | -0.000 | -0.000 |
| 10.066 | 10.066 | 6.506 | -0.000 | 0.000 | -0.000 |
| 0.000 | -0.000 | -0.000 | 10.066 | -0.000 | -0.000 |
| -0.000 | 0.000 | -0.000 | -0.000 | 10.066 | -0.000 |
| -0.000 | -0.000 | 0.000 | -0.000 | -0.000 | 10.066 |
| 0.190 | 0.001 | 0.192 | -0.000 | -0.000 | 0.000 |
| 0.001 | 1.528 | 0.001 | -0.000 | -0.000 | -0.000 |
| 0.192 | 0.001 | 0.193 | 0.000 | -0.000 | 0.000 |
| -0.000 | -0.000 | -0.000 | 0.001 | -0.000 | -0.000 |
| 0.000 | -0.000 | 0.000 | 0.000 | 0.192 | 0.000 |
| 0.000 | -0.000 | 0.000 | 0.000 | -0.000 | 0.001 |
| 0.190 | 0.001 | 0.192 | 0.000 | -0.000 | -0.000 |
| 0.001 | 1.528 | 0.001 | 0.000 | 0.000 | -0.000 |
| 0.192 | 0.001 | 0.193 | -0.000 | -0.000 | -0.000 |
| 0.000 | 0.000 | 0.000 | 0.001 | 0.000 | -0.000 |
| 0.000 | 0.000 | -0.000 | -0.000 | 0.192 | -0.000 |
| -0.000 | 0.000 | -0.000 | 0.000 | 0.000 | 0.001 |
| 0.190 | 0.001 | 0.192 | -0.000 | -0.000 | 0.000 |
| -0.008 | 1.057 | -0.008 | 0.000 | 0.000 | -0.000 |
| 0.192 | 0.001 | 0.193 | 0.000 | -0.000 | 0.000 |
| -0.000 | -0.000 | -0.000 | 0.001 | -0.000 | 0.000 |
| -0.000 | -0.000 | 0.000 | -0.000 | 0.192 | 0.000 |
| 0.000 | -0.000 | 0.000 | 0.000 | -0.000 | 0.001 |
| 0.190 | 0.001 | 0.192 | 0.000 | 0.000 | -0.000 |
| -0.008 | 1.057 | -0.008 | -0.000 | 0.000 | 0.000 |
| 0.192 | 0.001 | 0.193 | -0.000 | -0.000 | -0.000 |
| 0.000 | 0.000 | 0.000 | 0.001 | 0.000 | -0.000 |
| 0.000 | 0.000 | -0.000 | -0.000 | 0.192 | -0.000 |
| 0.000 | 0.000 | 0.000 | 0.000 | 0.000 | 0.001 |
| 0.028 | -0.009 | 0.028 | -0.000 | -0.000 | -0.000 |
| -0.004 | 0.242 | -0.004 | 0.000 | -0.000 | -0.000 |
| 0.028 | -0.009 | 0.029 | 0.000 | 0.000 | -0.000 |
| -0.000 | 0.000 | -0.000 | 0.001 | -0.000 | -0.000 |
| -0.000 | -0.000 | -0.000 | 0.000 | 0.028 | -0.000 |
| -0.000 | -0.000 | -0.000 | -0.000 | -0.000 | 0.001 |
| 0.028 | -0.009 | 0.028 | 0.000 | 0.000 | 0.000 |
| -0.004 | 0.242 | -0.004 | 0.000 | -0.000 | 0.000 |
| 0.028 | -0.009 | 0.029 | -0.000 | 0.000 | 0.000 |
| 0.000 | -0.000 | 0.000 | 0.001 | 0.000 | -0.000 |
| 0.000 | 0.000 | 0.000 | 0.000 | 0.028 | 0.000 |
| 0.000 | 0.000 | 0.000 | -0.000 | 0.000 | 0.001 |
| 1.383 | 0.562 | 0.497 | -0.000 | 0.000 | 0.000 |
| 0.317 | -0.762 | 0.029 | 0.000 | 0.000 | 0.000 |
| 0.315 | -0.998 | 0.331 | -0.000 | 0.000 | -0.000 |
| 2.189 | -1.772 | 1.270 | 0.058 | -0.000 | -0.000 |
| -0.000 | 0.000 | -0.000 | -0.000 | 0.497 | -0.000 |
| -0.000 | 0.000 | -0.000 | 0.000 | 0.000 | 0.562 |
| -1.736 | 1.373 | -1.129 | 0.000 | 0.000 | -0.000 |
| -1.306 | 1.269 | -0.633 | -0.000 | -0.000 | -0.000 |
| -1.309 | 1.217 | -0.573 | 0.000 | -0.000 | 0.000 |
| -2.189 | 1.772 | -1.270 | 0.058 | 0.000 | 0.000 |
| 0.000 | -0.000 | 0.000 | -0.000 | 0.497 | 0.000 |
| 0.000 | -0.000 | -0.000 | -0.000 | -0.000 | 0.562 |
| 0.167 | -0.496 | -0.395 | 0.000 | -0.000 | -0.000 |
| 0.091 | -0.177 | 0.065 | -0.000 | 0.000 | -0.000 |
| 0.497 | 0.302 | 1.725 | 0.000 | 0.000 | 0.000 |
| 0.182 | -0.146 | 0.105 | 0.078 | -0.000 | -0.000 |
| -0.000 | 0.000 | -0.000 | 0.000 | 0.497 | -0.000 |
| 0.000 | -0.000 | 0.000 | 0.000 | 0.000 | 0.562 |
| 1.383 | 0.562 | 0.497 | -0.000 | -0.000 | 0.000 |
| -0.093 | 0.297 | 0.060 | 0.000 | -0.000 | 0.000 |
| -0.513 | -0.338 | -0.139 | 0.000 | -0.000 | -0.000 |
| -0.182 | 0.146 | -0.105 | 0.078 | 0.000 | 0.000 |
| 0.000 | -0.000 | 0.000 | 0.000 | 0.497 | -0.000 |
| -0.000 | 0.000 | -0.000 | -0.000 | -0.000 | 0.562 |
| 0.082 | -0.180 | -0.153 | -0.000 | 0.000 | 0.000 |
| -0.005 | 0.017 | 0.050 | -0.000 | -0.000 | 0.000 |
| -0.100 | -0.004 | -0.032 | -0.000 | -0.000 | -0.000 |
| 0.008 | -0.006 | 0.004 | 0.166 | 0.000 | 0.000 |
| 0.018 | -0.015 | 0.010 | -0.000 | 0.065 | 0.000 |
| 0.018 | -0.015 | 0.010 | 0.000 | 0.000 | 0.047 |
| 0.171 | -0.363 | -0.379 | -0.000 | -0.000 | -0.000 |
| -0.055 | 0.020 | -0.012 | 0.000 | -0.000 | -0.000 |
| -0.032 | 0.056 | 0.025 | 0.000 | -0.000 | 0.000 |
| -0.008 | 0.006 | -0.004 | 0.166 | 0.000 | 0.000 |
| -0.018 | 0.015 | -0.010 | -0.000 | 0.065 | 0.000 |
| -0.018 | 0.015 | -0.010 | -0.000 | -0.000 | 0.047 |
| 15.453 | 11.147 | 11.147 | -0.000 | 0.000 | 0.000 |
| 11.147 | 15.453 | 11.147 | -0.000 | -0.000 | 0.000 |
| 11.147 | 11.147 | 15.453 | 0.000 | 0.000 | 0.000 |
| 0.000 | 0.000 | -0.000 | 9.867 | 0.000 | 0.000 |
| 0.000 | 0.000 | -0.000 | 0.000 | 9.867 | 0.000 |
| 0.000 | 0.000 | 0.000 | -0.000 | 0.000 | 9.867 |
| 15.453 | 11.147 | 11.147 | 0.000 | -0.000 | -0.000 |
| 11.147 | 15.453 | 11.147 | 0.000 | -0.000 | -0.000 |
| 11.147 | 11.147 | 15.453 | -0.000 | -0.000 | -0.000 |
| -0.000 | -0.000 | 0.000 | 9.867 | -0.000 | -0.000 |
| -0.000 | -0.000 | 0.000 | 0.000 | 9.867 | -0.000 |
| -0.000 | -0.000 | -0.000 | -0.000 | -0.000 | 9.867 |
| 15.453 | 11.147 | 11.147 | -0.000 | 0.000 | 0.000 |
| 11.147 | 15.453 | 11.147 | -0.000 | 0.000 | 0.000 |
| 11.147 | 11.147 | 15.453 | 0.000 | 0.000 | 0.000 |
| 0.000 | -0.000 | 0.000 | 9.867 | 0.000 | 0.000 |
| -0.000 | 0.000 | 0.000 | -0.000 | 9.867 | 0.000 |
| -0.000 | 0.000 | 0.000 | 0.000 | 0.000 | 9.867 |
| 15.453 | 11.147 | 11.147 | 0.000 | 0.000 | -0.000 |
| 11.147 | 15.453 | 11.147 | 0.000 | 0.000 | -0.000 |
| 11.147 | 11.147 | 15.453 | -0.000 | -0.000 | -0.000 |
| -0.000 | 0.000 | -0.000 | 9.867 | -0.000 | -0.000 |
| 0.000 | -0.000 | -0.000 | -0.000 | 9.867 | -0.000 |
| 0.000 | -0.000 | -0.000 | -0.000 | -0.000 | 9.867 |
| 15.453 | 11.147 | 11.147 | -0.000 | 0.000 | 0.000 |
| 11.147 | 15.453 | 11.147 | -0.000 | 0.000 | 0.000 |
| 11.147 | 11.147 | 15.453 | 0.000 | 0.000 | 0.000 |
| 0.000 | -0.000 | 0.000 | 9.867 | 0.000 | 0.000 |
| -0.000 | 0.000 | 0.000 | 0.000 | 9.867 | 0.000 |
| -0.000 | 0.000 | 0.000 | 0.000 | 0.000 | 9.867 |
| 15.453 | 11.147 | 11.147 | 0.000 | -0.000 | -0.000 |
| 11.147 | 15.453 | 11.147 | 0.000 | 0.000 | -0.000 |
| 11.147 | 11.147 | 15.453 | -0.000 | -0.000 | -0.000 |
| -0.000 | 0.000 | -0.000 | 9.867 | -0.000 | -0.000 |
| 0.000 | -0.000 | -0.000 | 0.000 | 9.867 | -0.000 |
| 0.000 | -0.000 | -0.000 | -0.000 | -0.000 | 9.867 |
| 372.263 | 87.406 | 87.406 | 0.000 | 0.000 | -0.000 |
| 87.406 | 372.263 | 87.406 | 0.000 | 0.000 | 0.000 |
| 87.406 | 87.406 | 372.263 | 0.000 | 0.000 | 0.000 |
| -0.000 | -0.000 | -0.000 | 27.204 | 0.000 | 0.000 |
| -0.000 | 0.000 | -0.000 | 0.000 | 27.204 | 0.000 |
| -0.000 | 0.000 | -0.000 | 0.000 | 0.000 | 27.204 |
| 372.263 | 87.406 | 87.406 | -0.000 | -0.000 | -0.000 |
| 87.406 | 372.263 | 87.406 | 0.000 | -0.000 | -0.000 |
| 87.406 | 87.406 | 372.263 | -0.000 | -0.000 | -0.000 |
| 0.000 | 0.000 | 0.000 | 27.204 | -0.000 | -0.000 |
| 0.000 | -0.000 | 0.000 | -0.000 | 27.204 | -0.000 |
| 0.000 | -0.000 | 0.000 | -0.000 | -0.000 | 27.204 |
| 372.263 | 87.406 | 87.406 | 0.000 | 0.000 | 0.000 |
| 87.406 | 372.263 | 87.406 | 0.000 | 0.000 | 0.000 |
| 87.406 | 87.406 | 372.263 | 0.000 | 0.000 | 0.000 |
| 0.000 | 0.000 | 0.000 | 87.828 | 0.000 | 0.000 |
| 0.000 | 0.000 | 0.000 | 0.000 | 87.828 | 0.000 |
| 0.000 | 0.000 | 0.000 | 0.000 | 0.000 | 87.828 |
| 372.263 | 87.406 | 87.406 | -0.000 | -0.000 | -0.000 |
| 87.406 | 372.263 | 87.406 | -0.000 | -0.000 | -0.000 |
| 87.406 | 87.406 | 372.263 | -0.000 | -0.000 | -0.000 |
| -0.000 | -0.000 | -0.000 | 87.828 | -0.000 | -0.000 |
| -0.000 | -0.000 | -0.000 | -0.000 | 87.828 | -0.000 |
| -0.000 | -0.000 | -0.000 | -0.000 | -0.000 | 87.828 |
| 372.264 | 87.406 | 87.406 | -0.000 | 0.000 | 0.000 |
| 87.406 | 372.264 | 87.406 | 0.000 | 0.000 | 0.000 |
| 87.406 | 87.406 | 372.264 | -0.000 | 0.000 | 0.000 |
| 0.000 | 0.000 | -0.000 | 27.204 | 0.000 | 0.000 |
| 0.000 | 0.000 | -0.000 | -0.000 | 27.204 | 0.000 |
| 0.000 | -0.000 | 0.000 | 0.000 | 0.000 | 27.204 |
| 372.261 | 87.405 | 87.405 | -0.000 | -0.000 | -0.000 |
| 87.405 | 372.261 | 87.405 | -0.000 | -0.000 | -0.000 |
| 87.405 | 87.405 | 372.261 | -0.000 | -0.000 | -0.000 |
| -0.000 | -0.000 | 0.000 | 27.204 | -0.000 | -0.000 |
| -0.000 | -0.000 | 0.000 | -0.000 | 27.204 | -0.000 |
| -0.000 | 0.000 | -0.000 | -0.000 | -0.000 | 27.204 |
| 607.982 | 47.094 | 47.094 | 0.000 | 0.000 | 0.000 |
| 47.094 | 607.982 | 47.094 | 0.000 | 0.000 | 0.000 |
| 47.094 | 47.094 | 607.982 | 0.000 | 0.000 | 0.000 |
| -0.000 | -0.000 | -0.000 | 74.995 | 0.000 | 0.000 |
| 0.000 | -0.000 | -0.000 | 0.000 | 74.995 | 0.000 |
| -0.000 | -0.000 | -0.000 | 0.000 | 0.000 | 74.995 |
| 607.982 | 47.094 | 47.094 | -0.000 | -0.000 | -0.000 |
| 47.094 | 607.982 | 47.094 | -0.000 | -0.000 | -0.000 |
| 47.094 | 47.094 | 607.982 | -0.000 | -0.000 | -0.000 |
| 0.000 | 0.000 | 0.000 | 74.995 | -0.000 | -0.000 |
| 0.000 | 0.000 | 0.000 | -0.000 | 74.995 | -0.000 |
| 0.000 | 0.000 | 0.000 | -0.000 | -0.000 | 74.994 |
| 607.982 | 47.094 | 47.094 | 0.000 | 0.000 | 0.000 |
| 47.094 | 607.982 | 47.094 | 0.000 | 0.000 | 0.000 |
| 47.094 | 47.094 | 607.982 | -0.000 | 0.000 | 0.000 |
| 0.000 | 0.000 | 0.000 | 74.995 | 0.000 | 0.000 |
| 0.000 | 0.000 | 0.000 | 0.000 | 74.995 | 0.000 |
| 0.000 | 0.000 | 0.000 | 0.000 | 0.000 | 74.995 |
| 607.982 | 47.094 | 47.094 | -0.000 | -0.000 | -0.000 |
| 47.094 | 607.982 | 47.094 | -0.000 | -0.000 | -0.000 |
| 47.094 | 47.094 | 607.982 | -0.000 | -0.000 | -0.000 |
| -0.000 | -0.000 | -0.000 | 74.995 | -0.000 | -0.000 |
| -0.000 | -0.000 | -0.000 | -0.000 | 74.995 | -0.000 |
| -0.000 | -0.000 | -0.000 | -0.000 | -0.000 | 74.995 |
| 607.984 | 47.094 | 47.094 | 0.000 | 0.000 | 0.000 |
| 47.094 | 607.984 | 47.094 | -0.000 | 0.000 | 0.000 |
| 47.094 | 47.094 | 607.984 | 0.000 | 0.000 | 0.000 |
| 0.000 | 0.000 | -0.000 | -11.339 | 0.000 | 0.000 |
| 0.000 | 0.000 | -0.000 | 0.000 | -11.339 | 0.000 |
| 0.000 | -0.000 | 0.000 | 0.000 | 0.000 | -11.339 |
| 607.980 | 47.093 | 47.093 | -0.000 | -0.000 | -0.000 |
| 47.093 | 607.980 | 47.093 | -0.000 | -0.000 | -0.000 |
| 47.093 | 47.093 | 607.980 | -0.000 | -0.000 | -0.000 |
| -0.000 | -0.000 | 0.000 | -11.339 | -0.000 | -0.000 |
| -0.000 | -0.000 | 0.000 | -0.000 | -11.339 | -0.000 |
| -0.000 | 0.000 | -0.000 | -0.000 | -0.000 | -11.339 |
| 394.516 | 33.646 | 33.646 | -0.000 | -0.000 | -0.000 |
| 33.646 | 394.516 | 33.646 | 0.000 | -0.000 | -0.000 |
| 33.646 | 33.646 | 394.516 | -0.000 | 0.000 | -0.000 |
| 0.000 | 0.000 | -0.000 | 31.305 | -0.000 | -0.000 |
| 0.000 | 0.000 | -0.000 | -0.000 | 31.305 | -0.000 |
| 0.000 | 0.000 | -0.000 | 0.000 | 0.000 | 31.305 |
| 394.516 | 33.646 | 33.646 | 0.000 | 0.000 | 0.000 |
| 33.646 | 394.516 | 33.646 | -0.000 | -0.000 | 0.000 |
| 33.646 | 33.646 | 394.516 | -0.000 | -0.000 | 0.000 |
| -0.000 | -0.000 | 0.000 | 31.305 | 0.000 | 0.000 |
| -0.000 | -0.000 | 0.000 | 0.000 | 31.305 | 0.000 |
| -0.000 | -0.000 | 0.000 | -0.000 | -0.000 | 31.305 |
| 394.516 | 33.646 | 33.646 | -0.000 | -0.000 | -0.000 |
| 33.646 | 394.516 | 33.646 | -0.000 | -0.000 | -0.000 |
| 33.646 | 33.646 | 394.516 | 0.000 | 0.000 | -0.000 |
| 0.000 | 0.000 | -0.000 | -6.410 | -0.000 | -0.000 |
| 0.000 | 0.000 | -0.000 | -0.000 | -6.410 | -0.000 |
| 0.000 | -0.000 | 0.000 | -0.000 | -0.000 | -6.410 |
| 394.516 | 33.646 | 33.646 | 0.000 | 0.000 | 0.000 |
| 33.646 | 394.516 | 33.646 | 0.000 | -0.000 | 0.000 |
| 33.646 | 33.646 | 394.516 | -0.000 | -0.000 | 0.000 |
| -0.000 | -0.000 | 0.000 | -6.410 | 0.000 | 0.000 |
| -0.000 | -0.000 | 0.000 | 0.000 | -6.410 | 0.000 |
| -0.000 | 0.000 | -0.000 | 0.000 | -0.000 | -6.410 |
| 394.517 | 33.646 | 33.646 | -0.000 | 0.000 | -0.000 |
| 33.646 | 394.517 | 33.646 | -0.000 | -0.000 | -0.000 |
| 33.646 | 33.646 | 394.517 | -0.000 | -0.000 | -0.000 |
| 0.000 | 0.000 | 0.000 | 31.305 | -0.000 | -0.000 |
| 0.000 | 0.000 | 0.000 | -0.000 | 31.305 | -0.000 |
| 0.000 | 0.000 | 0.000 | 0.000 | 0.000 | 31.305 |
| 394.515 | 33.645 | 33.645 | 0.000 | -0.000 | 0.000 |
| 33.645 | 394.515 | 33.645 | 0.000 | -0.000 | 0.000 |
| 33.645 | 33.645 | 394.515 | 0.000 | 0.000 | 0.000 |
| -0.000 | -0.000 | -0.000 | 31.305 | 0.000 | 0.000 |
| -0.000 | -0.000 | -0.000 | 0.000 | 31.305 | 0.000 |
| -0.000 | -0.000 | -0.000 | -0.000 | -0.000 | 31.305 |
| 362.049 | 71.789 | 71.789 | 0.000 | 0.000 | -0.000 |
| 71.789 | 362.049 | 71.789 | 0.000 | 0.000 | -0.000 |
| 71.789 | 71.789 | 362.049 | -0.000 | 0.000 | -0.000 |
| 0.000 | -0.000 | 0.000 | 4.054 | -0.000 | 0.000 |
| -0.000 | -0.000 | 0.000 | -0.000 | 4.054 | 0.000 |
| -0.000 | -0.000 | 0.000 | 0.000 | 0.000 | 4.054 |
| 362.049 | 71.789 | 71.789 | -0.000 | -0.000 | -0.000 |
| 71.789 | 362.049 | 71.789 | 0.000 | 0.000 | -0.000 |
| 71.789 | 71.789 | 362.049 | 0.000 | 0.000 | -0.000 |
| -0.000 | 0.000 | -0.000 | 4.054 | 0.000 | -0.000 |
| 0.000 | 0.000 | -0.000 | 0.000 | 4.054 | -0.000 |
| 0.000 | 0.000 | -0.000 | -0.000 | -0.000 | 4.054 |
| 362.049 | 71.789 | 71.789 | 0.000 | 0.000 | -0.000 |
| 71.789 | 362.049 | 71.789 | 0.000 | -0.000 | -0.000 |
| 71.789 | 71.789 | 362.049 | -0.000 | -0.000 | 0.000 |
| 0.000 | 0.000 | 0.000 | 77.809 | 0.000 | 0.000 |
| 0.000 | 0.000 | 0.000 | -0.000 | 77.809 | 0.000 |
| 0.000 | 0.000 | 0.000 | -0.000 | -0.000 | 77.809 |
| 362.049 | 71.789 | 71.789 | -0.000 | -0.000 | -0.000 |
| 71.789 | 362.049 | 71.789 | 0.000 | -0.000 | -0.000 |
| 71.789 | 71.789 | 362.049 | -0.000 | -0.000 | -0.000 |
| -0.000 | -0.000 | -0.000 | 77.809 | -0.000 | -0.000 |
| -0.000 | -0.000 | -0.000 | 0.000 | 77.809 | -0.000 |
| -0.000 | -0.000 | -0.000 | 0.000 | -0.000 | 77.809 |
| 362.050 | 71.790 | 71.790 | 0.000 | -0.000 | -0.000 |
| 71.790 | 362.050 | 71.790 | -0.000 | 0.000 | -0.000 |
| 71.790 | 71.790 | 362.050 | 0.000 | 0.000 | -0.000 |
| 0.000 | 0.000 | -0.000 | 4.054 | -0.000 | 0.000 |
| 0.000 | 0.000 | -0.000 | 0.000 | 4.054 | 0.000 |
| 0.000 | -0.000 | 0.000 | 0.000 | 0.000 | 4.054 |
| 362.047 | 71.788 | 71.788 | -0.000 | 0.000 | 0.000 |
| 71.788 | 362.047 | 71.788 | -0.000 | 0.000 | 0.000 |
| 71.788 | 71.788 | 362.047 | 0.000 | -0.000 | 0.000 |
| -0.000 | -0.000 | 0.000 | 4.054 | 0.000 | 0.000 |
| -0.000 | -0.000 | 0.000 | -0.000 | 4.054 | -0.000 |
| -0.000 | 0.000 | -0.000 | 0.000 | -0.000 | 4.054 |
| 11.735 | -2.175 | -2.175 | -0.000 | 0.000 | 0.000 |
| -2.175 | 11.735 | -2.175 | -0.000 | 0.000 | 0.000 |
| -2.175 | -2.175 | 11.735 | -0.000 | 0.000 | 0.000 |
| 0.000 | -0.000 | 0.000 | -2.175 | 0.000 | 0.000 |
| 0.000 | 0.000 | 0.000 | 0.000 | -2.175 | 0.000 |
| 0.000 | -0.000 | 0.000 | 0.000 | -0.000 | -2.175 |
| 11.735 | -2.175 | -2.175 | 0.000 | -0.000 | -0.000 |
| -2.175 | 11.735 | -2.175 | -0.000 | -0.000 | -0.000 |
| -2.175 | -2.175 | 11.735 | 0.000 | -0.000 | 0.000 |
| -0.000 | 0.000 | -0.000 | -2.175 | -0.000 | -0.000 |
| -0.000 | -0.000 | -0.000 | -0.000 | -2.175 | -0.000 |
| -0.000 | 0.000 | -0.000 | 0.000 | 0.000 | -2.175 |
| 11.735 | -2.175 | -2.175 | 0.000 | 0.000 | 0.000 |
| -2.175 | 11.735 | -2.175 | -0.000 | -0.000 | 0.000 |
| -2.175 | -2.175 | 11.735 | -0.000 | 0.000 | 0.000 |
| 0.000 | -0.000 | -0.000 | -2.175 | 0.000 | 0.000 |
| -0.000 | 0.000 | -0.000 | 0.000 | -2.175 | 0.000 |
| -0.000 | -0.000 | 0.000 | 0.000 | -0.000 | -2.175 |
| 11.735 | -2.175 | -2.175 | 0.000 | -0.000 | -0.000 |
| -2.175 | 11.735 | -2.175 | 0.000 | 0.000 | -0.000 |
| -2.175 | -2.175 | 11.735 | -0.000 | -0.000 | -0.000 |
| -0.000 | 0.000 | 0.000 | -2.175 | -0.000 | -0.000 |
| 0.000 | -0.000 | 0.000 | -0.000 | -2.175 | -0.000 |
| 0.000 | 0.000 | -0.000 | -0.000 | -0.000 | -2.175 |
| 11.735 | -2.176 | -2.176 | -0.000 | 0.000 | 0.000 |
| -2.176 | 11.735 | -2.176 | -0.000 | -0.000 | 0.000 |
| -2.176 | -2.176 | 11.735 | 0.000 | 0.000 | 0.000 |
| 0.000 | -0.000 | -0.000 | -2.175 | 0.000 | 0.000 |
| -0.000 | 0.000 | -0.000 | -0.000 | -2.175 | 0.000 |
| -0.000 | -0.000 | 0.000 | -0.000 | -0.000 | -2.175 |
| 11.735 | -2.175 | -2.175 | 0.000 | 0.000 | -0.000 |
| -2.175 | 11.735 | -2.175 | 0.000 | 0.000 | -0.000 |
| -2.175 | -2.175 | 11.735 | -0.000 | -0.000 | 0.000 |
| -0.000 | 0.000 | 0.000 | -2.175 | -0.000 | -0.000 |
| 0.000 | -0.000 | 0.000 | -0.000 | -2.175 | -0.000 |
| 0.000 | 0.000 | -0.000 | 0.000 | 0.000 | -2.175 |
| 22.559 | 13.073 | 13.073 | -0.000 | 0.000 | -0.000 |
| 13.073 | 22.559 | 13.073 | -0.000 | 0.000 | -0.000 |
| 13.073 | 13.073 | 22.559 | -0.000 | 0.000 | -0.000 |
| -0.000 | -0.000 | -0.000 | 13.073 | 0.000 | -0.000 |
| -0.000 | -0.000 | -0.000 | -0.000 | 13.073 | -0.000 |
| -0.000 | -0.000 | -0.000 | -0.000 | 0.000 | 13.073 |
| 22.559 | 13.073 | 13.073 | 0.000 | -0.000 | 0.000 |
| 13.073 | 22.559 | 13.073 | 0.000 | -0.000 | 0.000 |
| 13.073 | 13.073 | 22.559 | -0.000 | -0.000 | 0.000 |
| 0.000 | 0.000 | 0.000 | 13.073 | 0.000 | 0.000 |
| 0.000 | 0.000 | 0.000 | 0.000 | 13.073 | 0.000 |
| 0.000 | 0.000 | 0.000 | 0.000 | -0.000 | 13.073 |
| 22.559 | 13.073 | 13.073 | -0.000 | 0.000 | -0.000 |
| 13.073 | 22.559 | 13.073 | -0.000 | 0.000 | -0.000 |
| 13.073 | 13.073 | 22.559 | -0.000 | -0.000 | -0.000 |
| 0.000 | -0.000 | 0.000 | 13.073 | 0.000 | -0.000 |
| -0.000 | 0.000 | 0.000 | -0.000 | 13.073 | -0.000 |
| -0.000 | 0.000 | 0.000 | -0.000 | 0.000 | 13.073 |
| 22.559 | 13.073 | 13.073 | 0.000 | 0.000 | 0.000 |
| 13.073 | 22.559 | 13.073 | 0.000 | 0.000 | 0.000 |
| 13.073 | 13.073 | 22.559 | 0.000 | -0.000 | 0.000 |
| -0.000 | 0.000 | -0.000 | 13.073 | -0.000 | 0.000 |
| 0.000 | -0.000 | -0.000 | 0.000 | 13.073 | 0.000 |
| 0.000 | -0.000 | -0.000 | 0.000 | 0.000 | 13.073 |
| 22.559 | 13.073 | 13.073 | -0.000 | 0.000 | -0.000 |
| 13.073 | 22.559 | 13.073 | -0.000 | 0.000 | -0.000 |
| 13.073 | 13.073 | 22.559 | -0.000 | 0.000 | -0.000 |
| 0.000 | -0.000 | 0.000 | 13.073 | 0.000 | -0.000 |
| -0.000 | 0.000 | 0.000 | -0.000 | 13.073 | -0.000 |
| -0.000 | 0.000 | 0.000 | -0.000 | 0.000 | 13.073 |
| 22.559 | 13.073 | 13.073 | 0.000 | 0.000 | 0.000 |
| 13.073 | 22.559 | 13.073 | 0.000 | -0.000 | 0.000 |
| 13.073 | 13.073 | 22.559 | 0.000 | 0.000 | 0.000 |
| -0.000 | 0.000 | -0.000 | 13.073 | -0.000 | -0.000 |
| 0.000 | -0.000 | -0.000 | -0.000 | 13.073 | 0.000 |
| 0.000 | -0.000 | -0.000 | 0.000 | -0.000 | 13.073 |
| 1.849 | 1.849 | 1.849 | 0.000 | -0.000 | -0.000 |
| 1.849 | 1.849 | 1.849 | -0.000 | 0.000 | -0.000 |
| 1.849 | 1.849 | 1.849 | -0.000 | -0.000 | 0.000 |
| -0.000 | -0.000 | -0.000 | 0.000 | 0.000 | 0.000 |
| -0.000 | -0.000 | -0.000 | 0.000 | 0.000 | 0.000 |
| -0.000 | -0.000 | -0.000 | 0.000 | 0.000 | 0.000 |
| 1.849 | 1.849 | 1.849 | 0.000 | 0.000 | 0.000 |
| 1.849 | 1.849 | 1.849 | 0.000 | 0.000 | 0.000 |
| 1.849 | 1.849 | 1.849 | 0.000 | 0.000 | 0.000 |
| 0.000 | 0.000 | 0.000 | -0.000 | -0.000 | -0.000 |
| 0.000 | 0.000 | 0.000 | -0.000 | -0.000 | -0.000 |
| 0.000 | 0.000 | 0.000 | -0.000 | -0.000 | -0.000 |
| 1.849 | 1.849 | 1.849 | 0.000 | 0.000 | 0.000 |
| 1.849 | 1.849 | 1.849 | 0.000 | 0.000 | 0.000 |
| 1.849 | 1.849 | 1.849 | 0.000 | 0.000 | 0.000 |
| -0.000 | -0.000 | -0.000 | 0.000 | 0.000 | 0.000 |
| -0.000 | -0.000 | -0.000 | 0.000 | 0.000 | 0.000 |
| -0.000 | -0.000 | -0.000 | 0.000 | 0.000 | 0.000 |
| 1.849 | 1.849 | 1.849 | -0.000 | 0.000 | 0.000 |
| 1.849 | 1.849 | 1.849 | 0.000 | -0.000 | 0.000 |
| 1.849 | 1.849 | 1.849 | 0.000 | 0.000 | -0.000 |
| 0.000 | 0.000 | 0.000 | -0.000 | -0.000 | -0.000 |
| 0.000 | 0.000 | 0.000 | -0.000 | -0.000 | -0.000 |
| 0.000 | 0.000 | 0.000 | -0.000 | -0.000 | -0.000 |
| 1.849 | 1.849 | 1.849 | 0.000 | -0.000 | 0.000 |
| 1.849 | 1.849 | 1.849 | -0.000 | 0.000 | 0.000 |
| 1.849 | 1.849 | 1.849 | -0.000 | -0.000 | 0.000 |
| -0.000 | -0.000 | -0.000 | 0.000 | 0.000 | 0.000 |
| -0.000 | -0.000 | -0.000 | 0.000 | 0.000 | 0.000 |
| -0.000 | -0.000 | -0.000 | 0.000 | 0.000 | 0.000 |
| 1.849 | 1.849 | 1.849 | -0.000 | 0.000 | -0.000 |
| 1.849 | 1.849 | 1.849 | 0.000 | -0.000 | -0.000 |
| 1.849 | 1.849 | 1.849 | 0.000 | 0.000 | -0.000 |
| 0.000 | 0.000 | 0.000 | -0.000 | -0.000 | -0.000 |
| 0.000 | 0.000 | 0.000 | -0.000 | -0.000 | -0.000 |
| 0.000 | 0.000 | 0.000 | -0.000 | -0.000 | -0.000 |
| 25.183 | 3.537 | 9.459 | -0.000 | -0.000 | -0.000 |
| 3.537 | 25.183 | 9.459 | 0.000 | -0.000 | -0.000 |
| 9.459 | 9.459 | 11.976 | 0.000 | 0.000 | -0.000 |
| -0.000 | -0.000 | -0.000 | 9.459 | 0.000 | -0.000 |
| -0.000 | -0.000 | -0.000 | 0.000 | 9.459 | -0.000 |
| -0.000 | -0.000 | -0.000 | 0.000 | 0.000 | 3.537 |
| 25.183 | 3.537 | 9.459 | -0.000 | -0.000 | 0.000 |
| 3.537 | 25.183 | 9.459 | 0.000 | 0.000 | 0.000 |
| 9.459 | 9.459 | 11.976 | -0.000 | -0.000 | 0.000 |
| 0.000 | 0.000 | 0.000 | 9.459 | -0.000 | 0.000 |
| 0.000 | 0.000 | 0.000 | 0.000 | 9.459 | 0.000 |
| 0.000 | 0.000 | 0.000 | -0.000 | 0.000 | 3.537 |
| 25.183 | 3.537 | 9.459 | 0.000 | 0.000 | -0.000 |
| 3.537 | 25.183 | 9.459 | 0.000 | 0.000 | -0.000 |
| 9.459 | 9.459 | 11.976 | 0.000 | -0.000 | -0.000 |
| 0.000 | -0.000 | 0.000 | 9.459 | 0.000 | -0.000 |
| -0.000 | 0.000 | 0.000 | 0.000 | 9.459 | -0.000 |
| -0.000 | -0.000 | 0.000 | -0.000 | -0.000 | 3.537 |
| 25.183 | 3.537 | 9.459 | 0.000 | 0.000 | 0.000 |
| 3.537 | 25.183 | 9.459 | -0.000 | 0.000 | 0.000 |
| 9.459 | 9.459 | 11.976 | -0.000 | -0.000 | 0.000 |
| -0.000 | 0.000 | -0.000 | 9.459 | 0.000 | 0.000 |
| 0.000 | -0.000 | -0.000 | -0.000 | 9.459 | 0.000 |
| 0.000 | 0.000 | -0.000 | 0.000 | -0.000 | 3.537 |
| 25.183 | 3.537 | 9.459 | 0.000 | -0.000 | -0.000 |
| 3.537 | 25.183 | 9.459 | 0.000 | 0.000 | -0.000 |
| 9.459 | 9.459 | 11.976 | -0.000 | -0.000 | -0.000 |
| 0.000 | -0.000 | 0.000 | 9.459 | 0.000 | -0.000 |
| -0.000 | 0.000 | 0.000 | 0.000 | 9.459 | -0.000 |
| -0.000 | -0.000 | 0.000 | 0.000 | 0.000 | 3.537 |
| 25.183 | 3.537 | 9.459 | 0.000 | -0.000 | 0.000 |
| 3.537 | 25.183 | 9.459 | -0.000 | -0.000 | 0.000 |
| 9.459 | 9.459 | 11.976 | -0.000 | -0.000 | 0.000 |
| -0.000 | 0.000 | -0.000 | 9.459 | -0.000 | 0.000 |
| 0.000 | -0.000 | -0.000 | -0.000 | 9.459 | 0.000 |
| 0.000 | 0.000 | -0.000 | -0.000 | -0.000 | 3.537 |
| 10.287 | 7.497 | -5.262 | 0.000 | 2.409 | -0.000 |
| 1.375 | 12.135 | -58.452 | -0.000 | 10.950 | -0.000 |
| 3.486 | 6.287 | -42.109 | 0.000 | 8.411 | -0.000 |
| 1.074 | 3.052 | -36.469 | 2.379 | 6.870 | -0.403 |
| 4.925 | 6.261 | -26.309 | 0.000 | 6.328 | 0.000 |
| 7.758 | 5.562 | -6.512 | 0.066 | 2.575 | 2.638 |
| -6.124 | -6.837 | 24.208 | 0.000 | -5.574 | -0.000 |
| -5.928 | -2.082 | 22.254 | -0.000 | -5.147 | -0.000 |
| -5.478 | -8.594 | 32.700 | -0.000 | -6.819 | -0.000 |
| -1.074 | -3.052 | 36.469 | 2.379 | -6.870 | -0.403 |
| -8.543 | -5.117 | 5.770 | -0.000 | -0.045 | 0.000 |
| -1.067 | -3.049 | 36.502 | -0.332 | -6.875 | 0.435 |
| -1.157 | -0.477 | -3.805 | 0.000 | 0.525 | 0.000 |
| 2.560 | 7.176 | -1.919 | 0.000 | 0.817 | -0.000 |
| 1.841 | -0.894 | 8.655 | 0.000 | -0.748 | -0.000 |
| 0.158 | 0.751 | -5.632 | 2.316 | 1.060 | -0.419 |
| 0.060 | 1.051 | -1.520 | 0.000 | 2.715 | -0.000 |
| 0.033 | 0.267 | -4.140 | -0.399 | 0.764 | 0.061 |
| -0.072 | -0.863 | 5.078 | -0.000 | -0.927 | 0.000 |
| -1.179 | 3.562 | 1.375 | -0.000 | -0.466 | 0.000 |
| -0.759 | -3.393 | 10.538 | -0.000 | -1.911 | -0.000 |
| -0.158 | -0.751 | 5.632 | 2.316 | -1.060 | -0.419 |
| -1.541 | -0.178 | -0.107 | -0.000 | 1.988 | 0.000 |
| -0.033 | -0.267 | 4.140 | -0.399 | -0.764 | 0.061 |
| -0.026 | -0.141 | -0.612 | 0.000 | -0.017 | 0.000 |
| -0.096 | 4.805 | -2.753 | 0.000 | 0.487 | -0.000 |
| -1.078 | -3.481 | 6.325 | 0.000 | -1.495 | -0.000 |
| 0.021 | 0.044 | -0.358 | 2.313 | 0.069 | -0.477 |
| -0.174 | 0.413 | -1.710 | 0.000 | 0.734 | -0.000 |
| 0.015 | 0.075 | -0.569 | -0.344 | 0.107 | 0.314 |
| -0.035 | -0.333 | 0.137 | 0.000 | -0.017 | -0.000 |
| -0.183 | 4.573 | -2.149 | -0.000 | 0.361 | 0.000 |
| -0.244 | -2.778 | 8.448 | 0.000 | -1.417 | -0.000 |
| -0.021 | -0.044 | 0.358 | 2.313 | -0.069 | -0.477 |
| -0.230 | 0.263 | -0.791 | -0.000 | 0.585 | 0.000 |
| -0.015 | -0.075 | 0.569 | -0.344 | -0.107 | 0.314 |
| 11.975 | 5.568 | 5.568 | -0.000 | 0.000 | -0.000 |
| 5.568 | 11.975 | 5.568 | 0.000 | -0.000 | 0.000 |
| 5.568 | 5.568 | 11.975 | 0.000 | 0.000 | -0.000 |
| 0.000 | 0.000 | -0.000 | 3.188 | -0.000 | -0.000 |
| 0.000 | 0.000 | -0.000 | 0.000 | 3.188 | -0.000 |
| 0.000 | 0.000 | -0.000 | 0.000 | 0.000 | 3.188 |
| 11.975 | 5.568 | 5.568 | -0.000 | -0.000 | 0.000 |
| 5.568 | 11.975 | 5.568 | -0.000 | 0.000 | 0.000 |
| 5.568 | 5.568 | 11.975 | -0.000 | -0.000 | 0.000 |
| -0.000 | -0.000 | 0.000 | 3.188 | -0.000 | 0.000 |
| -0.000 | -0.000 | 0.000 | -0.000 | 3.188 | -0.000 |
| -0.000 | -0.000 | 0.000 | -0.000 | 0.000 | 3.188 |
| 11.975 | 5.568 | 5.568 | 0.000 | -0.000 | -0.000 |
| 5.568 | 11.975 | 5.568 | 0.000 | -0.000 | -0.000 |
| 5.568 | 5.568 | 11.975 | -0.000 | -0.000 | -0.000 |
| 0.000 | -0.000 | -0.000 | 3.188 | 0.000 | -0.000 |
| -0.000 | 0.000 | -0.000 | 0.000 | 3.188 | -0.000 |
| -0.000 | -0.000 | 0.000 | 0.000 | 0.000 | 3.188 |
| 11.975 | 5.568 | 5.568 | -0.000 | 0.000 | 0.000 |
| 5.568 | 11.975 | 5.568 | -0.000 | -0.000 | 0.000 |
| 5.568 | 5.568 | 11.975 | 0.000 | 0.000 | 0.000 |
| -0.000 | 0.000 | 0.000 | 3.188 | 0.000 | 0.000 |
| 0.000 | -0.000 | 0.000 | -0.000 | 3.188 | 0.000 |
| 0.000 | 0.000 | -0.000 | -0.000 | 0.000 | 3.188 |
| 11.975 | 5.568 | 5.568 | 0.000 | -0.000 | -0.000 |
| 5.568 | 11.975 | 5.568 | 0.000 | 0.000 | -0.000 |
| 5.568 | 5.568 | 11.975 | 0.000 | 0.000 | -0.000 |
| 0.000 | -0.000 | -0.000 | 3.188 | -0.000 | -0.000 |
| -0.000 | 0.000 | -0.000 | 0.000 | 3.188 | -0.000 |
| -0.000 | -0.000 | 0.000 | -0.000 | -0.000 | 3.188 |
| 11.975 | 5.568 | 5.568 | -0.000 | 0.000 | 0.000 |
| 5.568 | 11.975 | 5.568 | -0.000 | -0.000 | 0.000 |
| 5.568 | 5.568 | 11.975 | -0.000 | -0.000 | 0.000 |
| -0.000 | 0.000 | 0.000 | 3.188 | 0.000 | 0.000 |
| 0.000 | -0.000 | 0.000 | -0.000 | 3.188 | 0.000 |
| 0.000 | 0.000 | -0.000 | 0.000 | 0.000 | 3.188 |
| 14.599 | 3.956 | 3.956 | 0.000 | -0.000 | 0.000 |
| 3.956 | 14.599 | 3.956 | 0.000 | 0.000 | 0.000 |
| 3.956 | 3.956 | 14.599 | 0.000 | 0.000 | 0.000 |
| 0.000 | -0.000 | -0.000 | -14.997 | -0.000 | 0.000 |
| -0.000 | 0.000 | -0.000 | -0.000 | -14.997 | 0.000 |
| -0.000 | -0.000 | 0.000 | -0.000 | 0.000 | -14.997 |
| 14.599 | 3.956 | 3.956 | -0.000 | -0.000 | -0.000 |
| 3.956 | 14.599 | 3.956 | -0.000 | -0.000 | -0.000 |
| 3.956 | 3.956 | 14.599 | -0.000 | -0.000 | -0.000 |
| -0.000 | 0.000 | 0.000 | -14.997 | 0.000 | -0.000 |
| 0.000 | -0.000 | 0.000 | 0.000 | -14.997 | -0.000 |
| 0.000 | 0.000 | -0.000 | 0.000 | 0.000 | -14.997 |
| 14.599 | 3.956 | 3.956 | -0.000 | -0.000 | 0.000 |
| 3.956 | 14.599 | 3.956 | -0.000 | -0.000 | 0.000 |
| 3.956 | 3.956 | 14.599 | -0.000 | -0.000 | 0.000 |
| 0.000 | -0.000 | -0.000 | -14.997 | -0.000 | 0.000 |
| -0.000 | 0.000 | -0.000 | -0.000 | -14.997 | 0.000 |
| -0.000 | -0.000 | 0.000 | -0.000 | -0.000 | -14.997 |
| 14.599 | 3.956 | 3.956 | -0.000 | -0.000 | -0.000 |
| 3.956 | 14.599 | 3.956 | -0.000 | -0.000 | -0.000 |
| 3.956 | 3.956 | 14.599 | 0.000 | -0.000 | -0.000 |
| -0.000 | 0.000 | 0.000 | -14.997 | 0.000 | -0.000 |
| 0.000 | -0.000 | 0.000 | 0.000 | -14.997 | -0.000 |
| 0.000 | 0.000 | -0.000 | 0.000 | 0.000 | -14.997 |
| 14.599 | 3.956 | 3.956 | 0.000 | 0.000 | 0.000 |
| 3.956 | 14.599 | 3.956 | 0.000 | 0.000 | 0.000 |
| 3.956 | 3.956 | 14.599 | 0.000 | 0.000 | 0.000 |
| 0.000 | -0.000 | -0.000 | -14.997 | -0.000 | 0.000 |
| -0.000 | 0.000 | -0.000 | -0.000 | -14.997 | 0.000 |
| -0.000 | -0.000 | 0.000 | -0.000 | -0.000 | -14.997 |
| 14.599 | 3.956 | 3.956 | -0.000 | -0.000 | -0.000 |
| 3.956 | 14.599 | 3.956 | -0.000 | 0.000 | -0.000 |
| 3.956 | 3.956 | 14.599 | 0.000 | 0.000 | -0.000 |
| -0.000 | 0.000 | 0.000 | -14.997 | 0.000 | -0.000 |
| 0.000 | -0.000 | 0.000 | 0.000 | -14.997 | -0.000 |
| 0.000 | 0.000 | -0.000 | 0.000 | 0.000 | -14.997 |
| 11.857 | 5.286 | 5.286 | 0.000 | -0.000 | -0.000 |
| 5.286 | 11.857 | 5.286 | 0.000 | -0.000 | -0.000 |
| 5.286 | 5.286 | 11.857 | 0.000 | -0.000 | -0.000 |
| 0.000 | -0.000 | 0.000 | 2.410 | -0.000 | -0.000 |
| 0.000 | 0.000 | 0.000 | -0.000 | 2.410 | -0.000 |
| 0.000 | 0.000 | 0.000 | 0.000 | 0.000 | 2.410 |
| 11.857 | 5.286 | 5.286 | -0.000 | 0.000 | 0.000 |
| 5.286 | 11.857 | 5.286 | -0.000 | 0.000 | 0.000 |
| 5.286 | 5.286 | 11.857 | -0.000 | 0.000 | 0.000 |
| -0.000 | 0.000 | -0.000 | 2.410 | 0.000 | 0.000 |
| -0.000 | -0.000 | -0.000 | 0.000 | 2.410 | 0.000 |
| -0.000 | -0.000 | -0.000 | -0.000 | -0.000 | 2.410 |
| 11.857 | 5.286 | 5.286 | 0.000 | -0.000 | -0.000 |
| 5.286 | 11.857 | 5.286 | 0.000 | 0.000 | -0.000 |
| 5.286 | 5.286 | 11.857 | -0.000 | -0.000 | -0.000 |
| 0.000 | -0.000 | -0.000 | 2.410 | -0.000 | -0.000 |
| -0.000 | 0.000 | -0.000 | -0.000 | 2.410 | -0.000 |
| -0.000 | -0.000 | 0.000 | 0.000 | -0.000 | 2.410 |
| 11.857 | 5.286 | 5.286 | 0.000 | 0.000 | 0.000 |
| 5.286 | 11.857 | 5.286 | 0.000 | 0.000 | 0.000 |
| 5.286 | 5.286 | 11.857 | 0.000 | 0.000 | 0.000 |
| -0.000 | 0.000 | 0.000 | 2.410 | 0.000 | 0.000 |
| 0.000 | -0.000 | 0.000 | -0.000 | 2.410 | 0.000 |
| 0.000 | 0.000 | -0.000 | -0.000 | -0.000 | 2.410 |
| 11.857 | 5.286 | 5.286 | -0.000 | -0.000 | -0.000 |
| 5.286 | 11.857 | 5.286 | -0.000 | -0.000 | -0.000 |
| 5.286 | 5.286 | 11.857 | -0.000 | -0.000 | -0.000 |
| 0.000 | -0.000 | -0.000 | 2.410 | -0.000 | -0.000 |
| -0.000 | 0.000 | -0.000 | 0.000 | 2.410 | -0.000 |
| -0.000 | -0.000 | 0.000 | 0.000 | -0.000 | 2.410 |
| 11.857 | 5.286 | 5.286 | 0.000 | 0.000 | 0.000 |
| 5.286 | 11.857 | 5.286 | 0.000 | 0.000 | 0.000 |
| 5.286 | 5.286 | 11.857 | -0.000 | 0.000 | 0.000 |
| -0.000 | 0.000 | 0.000 | 2.410 | 0.000 | 0.000 |
| 0.000 | -0.000 | 0.000 | 0.000 | 2.410 | 0.000 |
| 0.000 | 0.000 | -0.000 | -0.000 | 0.000 | 2.410 |
| 14.533 | 4.380 | 4.380 | -0.000 | -0.000 | 0.000 |
| 4.380 | 14.533 | 4.380 | -0.000 | -0.000 | 0.000 |
| 4.380 | 4.380 | 14.533 | -0.000 | -0.000 | 0.000 |
| 0.000 | -0.000 | -0.000 | -8.227 | 0.000 | 0.000 |
| -0.000 | 0.000 | -0.000 | -0.000 | -8.227 | 0.000 |
| -0.000 | -0.000 | 0.000 | -0.000 | 0.000 | -8.227 |
| 14.533 | 4.380 | 4.380 | 0.000 | 0.000 | -0.000 |
| 4.380 | 14.533 | 4.380 | 0.000 | 0.000 | -0.000 |
| 4.380 | 4.380 | 14.533 | 0.000 | 0.000 | -0.000 |
| -0.000 | 0.000 | 0.000 | -8.227 | 0.000 | -0.000 |
| 0.000 | -0.000 | 0.000 | 0.000 | -8.227 | -0.000 |
| 0.000 | 0.000 | -0.000 | 0.000 | 0.000 | -8.227 |
| 14.533 | 4.380 | 4.380 | -0.000 | 0.000 | 0.000 |
| 4.380 | 14.533 | 4.380 | -0.000 | -0.000 | 0.000 |
| 4.380 | 4.380 | 14.533 | -0.000 | 0.000 | 0.000 |
| 0.000 | -0.000 | -0.000 | -8.227 | 0.000 | 0.000 |
| -0.000 | 0.000 | -0.000 | -0.000 | -8.227 | 0.000 |
| -0.000 | -0.000 | 0.000 | -0.000 | -0.000 | -8.227 |
| 14.533 | 4.380 | 4.380 | -0.000 | -0.000 | -0.000 |
| 4.380 | 14.533 | 4.380 | 0.000 | -0.000 | -0.000 |
| 4.380 | 4.380 | 14.533 | 0.000 | 0.000 | -0.000 |
| -0.000 | 0.000 | 0.000 | -8.227 | -0.000 | -0.000 |
| 0.000 | -0.000 | 0.000 | 0.000 | -8.227 | -0.000 |
| 0.000 | 0.000 | -0.000 | 0.000 | -0.000 | -8.227 |
| 14.533 | 4.380 | 4.380 | -0.000 | -0.000 | 0.000 |
| 4.380 | 14.533 | 4.380 | -0.000 | -0.000 | 0.000 |
| 4.380 | 4.380 | 14.533 | -0.000 | -0.000 | 0.000 |
| 0.000 | -0.000 | -0.000 | -8.227 | -0.000 | 0.000 |
| -0.000 | 0.000 | -0.000 | -0.000 | -8.227 | 0.000 |
| -0.000 | -0.000 | 0.000 | -0.000 | -0.000 | -8.227 |
| 14.533 | 4.380 | 4.380 | 0.000 | 0.000 | -0.000 |
| 4.380 | 14.533 | 4.380 | 0.000 | 0.000 | -0.000 |
| 4.380 | 4.380 | 14.533 | 0.000 | 0.000 | -0.000 |
| -0.000 | 0.000 | 0.000 | -8.227 | 0.000 | -0.000 |
| 0.000 | -0.000 | 0.000 | 0.000 | -8.227 | -0.000 |
| 0.000 | 0.000 | -0.000 | 0.000 | 0.000 | -8.227 |
| 14.583 | 4.321 | 4.321 | -0.000 | 0.000 | -0.000 |
| 4.321 | 14.583 | 4.321 | -0.000 | -0.000 | -0.000 |
| 4.321 | 4.321 | 14.583 | -0.000 | -0.000 | -0.000 |
| 0.000 | 0.000 | -0.000 | -17.604 | -0.000 | 0.000 |
| 0.000 | 0.000 | -0.000 | -0.000 | -17.604 | -0.000 |
| -0.000 | -0.000 | 0.000 | -0.000 | 0.000 | -17.604 |
| 14.583 | 4.321 | 4.321 | 0.000 | -0.000 | 0.000 |
| 4.321 | 14.583 | 4.321 | 0.000 | -0.000 | 0.000 |
| 4.321 | 4.321 | 14.583 | 0.000 | -0.000 | -0.000 |
| -0.000 | 0.000 | 0.000 | -17.604 | 0.000 | 0.000 |
| 0.000 | -0.000 | 0.000 | 0.000 | -17.604 | -0.000 |
| 0.000 | 0.000 | 0.000 | 0.000 | 0.000 | -17.604 |
| 14.583 | 4.321 | 4.321 | -0.000 | 0.000 | 0.000 |
| 4.321 | 14.583 | 4.321 | 0.000 | 0.000 | -0.000 |
| 4.321 | 4.321 | 14.583 | 0.000 | 0.000 | -0.000 |
| 0.000 | -0.000 | -0.000 | -17.604 | 0.000 | -0.000 |
| -0.000 | 0.000 | -0.000 | 0.000 | -17.604 | -0.000 |
| -0.000 | -0.000 | 0.000 | -0.000 | 0.000 | -17.604 |
| 14.583 | 4.321 | 4.321 | 0.000 | 0.000 | -0.000 |
| 4.321 | 14.583 | 4.321 | 0.000 | 0.000 | -0.000 |
| 4.321 | 4.321 | 14.583 | 0.000 | 0.000 | 0.000 |
| -0.000 | 0.000 | 0.000 | -17.604 | -0.000 | -0.000 |
| 0.000 | -0.000 | 0.000 | -0.000 | -17.604 | 0.000 |
| 0.000 | 0.000 | -0.000 | 0.000 | -0.000 | -17.604 |
| 14.583 | 4.321 | 4.321 | -0.000 | 0.000 | 0.000 |
| 4.321 | 14.583 | 4.321 | 0.000 | 0.000 | 0.000 |
| 4.321 | 4.321 | 14.583 | -0.000 | -0.000 | -0.000 |
| 0.000 | -0.000 | -0.000 | -17.604 | -0.000 | -0.000 |
| -0.000 | 0.000 | -0.000 | -0.000 | -17.604 | -0.000 |
| -0.000 | -0.000 | 0.000 | -0.000 | 0.000 | -17.604 |
| 14.583 | 4.321 | 4.321 | -0.000 | -0.000 | -0.000 |
| 4.321 | 14.583 | 4.321 | -0.000 | -0.000 | -0.000 |
| 4.321 | 4.321 | 14.583 | -0.000 | 0.000 | 0.000 |
| -0.000 | 0.000 | 0.000 | -17.604 | 0.000 | -0.000 |
| 0.000 | -0.000 | 0.000 | 0.000 | -17.604 | -0.000 |
| 0.000 | 0.000 | -0.000 | -0.000 | 0.000 | -17.604 |
| 33.338 | 5.361 | 5.361 | 0.000 | 0.000 | 0.000 |
| 5.361 | 33.338 | 5.361 | -0.000 | 0.000 | 0.000 |
| 5.361 | 5.361 | 33.338 | 0.000 | 0.000 | 0.000 |
| 0.000 | 0.000 | 0.000 | 5.295 | 0.000 | -0.000 |
| 0.000 | -0.000 | -0.000 | 0.000 | 5.295 | 0.000 |
| 0.000 | 0.000 | -0.000 | 0.000 | 0.000 | 5.295 |
| 33.338 | 5.361 | 5.361 | -0.000 | -0.000 | 0.000 |
| 5.361 | 33.338 | 5.361 | -0.000 | 0.000 | 0.000 |
| 5.361 | 5.361 | 33.338 | -0.000 | -0.000 | 0.000 |
| -0.000 | 0.000 | 0.000 | 5.295 | -0.000 | -0.000 |
| -0.000 | -0.000 | 0.000 | -0.000 | 5.295 | -0.000 |
| -0.000 | -0.000 | 0.000 | -0.000 | -0.000 | 5.295 |
| 33.338 | 5.361 | 5.361 | 0.000 | 0.000 | -0.000 |
| 5.361 | 33.338 | 5.361 | 0.000 | 0.000 | 0.000 |
| 5.361 | 5.361 | 33.338 | 0.000 | 0.000 | -0.000 |
| 0.000 | 0.000 | -0.000 | 5.295 | 0.000 | 0.000 |
| 0.000 | 0.000 | -0.000 | 0.000 | 5.295 | 0.000 |
| 0.000 | -0.000 | 0.000 | 0.000 | 0.000 | 5.295 |
| 33.338 | 5.361 | 5.361 | -0.000 | -0.000 | -0.000 |
| 5.361 | 33.338 | 5.361 | -0.000 | -0.000 | 0.000 |
| 5.361 | 5.361 | 33.338 | 0.000 | 0.000 | -0.000 |
| -0.000 | -0.000 | 0.000 | 5.295 | -0.000 | -0.000 |
| -0.000 | -0.000 | 0.000 | -0.000 | 5.295 | -0.000 |
| -0.000 | 0.000 | -0.000 | -0.000 | -0.000 | 5.295 |
| 33.339 | 5.361 | 5.361 | 0.000 | 0.000 | 0.000 |
| 5.361 | 33.339 | 5.361 | 0.000 | 0.000 | 0.000 |
| 5.361 | 5.361 | 33.339 | 0.000 | 0.000 | 0.000 |
| 0.000 | -0.000 | -0.000 | 5.295 | 0.000 | 0.000 |
| -0.000 | 0.000 | -0.000 | 0.000 | 5.295 | 0.000 |
| -0.000 | -0.000 | 0.000 | 0.000 | 0.000 | 5.295 |
| 33.338 | 5.361 | 5.361 | -0.000 | -0.000 | -0.000 |
| 5.361 | 33.338 | 5.361 | -0.000 | -0.000 | -0.000 |
| 5.361 | 5.361 | 33.338 | -0.000 | -0.000 | 0.000 |
| -0.000 | 0.000 | 0.000 | 5.295 | -0.000 | 0.000 |
| 0.000 | -0.000 | 0.000 | -0.000 | 5.295 | -0.000 |
| 0.000 | 0.000 | -0.000 | -0.000 | -0.000 | 5.295 |
| 21.663 | 13.219 | 13.219 | -0.000 | -0.000 | -0.000 |
| 13.219 | 21.663 | 13.219 | -0.000 | -0.000 | -0.000 |
| 13.219 | 13.219 | 21.663 | -0.000 | -0.000 | -0.000 |
| 0.000 | 0.000 | -0.000 | 12.445 | -0.000 | -0.000 |
| 0.000 | 0.000 | -0.000 | -0.000 | 12.445 | -0.000 |
| 0.000 | 0.000 | -0.000 | -0.000 | -0.000 | 12.445 |
| 21.663 | 13.219 | 13.219 | 0.000 | 0.000 | 0.000 |
| 13.219 | 21.663 | 13.219 | 0.000 | 0.000 | 0.000 |
| 13.219 | 13.219 | 21.663 | 0.000 | 0.000 | 0.000 |
| -0.000 | -0.000 | 0.000 | 12.445 | 0.000 | 0.000 |
| -0.000 | -0.000 | 0.000 | 0.000 | 12.445 | 0.000 |
| -0.000 | -0.000 | 0.000 | 0.000 | 0.000 | 12.445 |
| 21.663 | 13.219 | 13.219 | -0.000 | -0.000 | 0.000 |
| 13.219 | 21.663 | 13.219 | -0.000 | -0.000 | -0.000 |
| 13.219 | 13.219 | 21.663 | -0.000 | -0.000 | -0.000 |
| 0.000 | -0.000 | 0.000 | 12.445 | -0.000 | -0.000 |
| -0.000 | 0.000 | 0.000 | -0.000 | 12.445 | -0.000 |
| -0.000 | 0.000 | 0.000 | -0.000 | -0.000 | 12.445 |
| 21.663 | 13.219 | 13.219 | 0.000 | 0.000 | 0.000 |
| 13.219 | 21.663 | 13.219 | 0.000 | 0.000 | 0.000 |
| 13.219 | 13.219 | 21.663 | 0.000 | 0.000 | 0.000 |
| -0.000 | 0.000 | -0.000 | 12.445 | 0.000 | 0.000 |
| 0.000 | -0.000 | -0.000 | 0.000 | 12.445 | 0.000 |
| 0.000 | -0.000 | -0.000 | 0.000 | 0.000 | 12.445 |
| 21.663 | 13.219 | 13.219 | -0.000 | -0.000 | -0.000 |
| 13.219 | 21.663 | 13.219 | -0.000 | -0.000 | -0.000 |
| 13.219 | 13.219 | 21.663 | -0.000 | -0.000 | -0.000 |
| 0.000 | -0.000 | 0.000 | 13.219 | -0.000 | -0.000 |
| -0.000 | 0.000 | 0.000 | -0.000 | 13.219 | -0.000 |
| -0.000 | 0.000 | 0.000 | 0.000 | -0.000 | 13.219 |
| 21.663 | 13.219 | 13.219 | 0.000 | 0.000 | 0.000 |
| 13.219 | 21.663 | 13.219 | 0.000 | 0.000 | 0.000 |
| 13.219 | 13.219 | 21.663 | 0.000 | 0.000 | 0.000 |
| -0.000 | 0.000 | -0.000 | 13.219 | 0.000 | 0.000 |
| 0.000 | -0.000 | -0.000 | 0.000 | 13.219 | 0.000 |
| 0.000 | -0.000 | -0.000 | 0.000 | 0.000 | 13.219 |
| 16.135 | 9.459 | 9.459 | -0.000 | -0.000 | -0.000 |
| 9.459 | 16.135 | 9.459 | -0.000 | -0.000 | -0.000 |
| 9.459 | 9.459 | 16.135 | -0.000 | -0.000 | -0.000 |
| -0.000 | -0.000 | 0.000 | 9.459 | 0.000 | -0.000 |
| -0.000 | -0.000 | 0.000 | -0.000 | 9.459 | -0.000 |
| -0.000 | 0.000 | -0.000 | -0.000 | 0.000 | 9.459 |
| 16.135 | 9.459 | 9.459 | 0.000 | -0.000 | 0.000 |
| 9.459 | 16.135 | 9.459 | 0.000 | 0.000 | 0.000 |
| 9.459 | 9.459 | 16.135 | 0.000 | 0.000 | 0.000 |
| 0.000 | -0.000 | -0.000 | 9.459 | 0.000 | -0.000 |
| 0.000 | 0.000 | -0.000 | 0.000 | 9.459 | 0.000 |
| 0.000 | -0.000 | 0.000 | 0.000 | -0.000 | 9.459 |
| 16.135 | 9.459 | 9.459 | -0.000 | -0.000 | -0.000 |
| 9.459 | 16.135 | 9.459 | -0.000 | -0.000 | -0.000 |
| 9.459 | 9.459 | 16.135 | -0.000 | -0.000 | -0.000 |
| -0.000 | 0.000 | 0.000 | 9.459 | -0.000 | 0.000 |
| 0.000 | -0.000 | 0.000 | -0.000 | 9.459 | -0.000 |
| 0.000 | 0.000 | -0.000 | -0.000 | 0.000 | 9.459 |
| 16.135 | 9.459 | 9.459 | 0.000 | 0.000 | 0.000 |
| 9.459 | 16.135 | 9.459 | 0.000 | 0.000 | 0.000 |
| 9.459 | 9.459 | 16.135 | 0.000 | 0.000 | 0.000 |
| 0.000 | -0.000 | -0.000 | 9.459 | 0.000 | 0.000 |
| -0.000 | 0.000 | -0.000 | 0.000 | 9.459 | -0.000 |
| -0.000 | -0.000 | 0.000 | -0.000 | -0.000 | 9.459 |
| 16.135 | 9.459 | 9.459 | -0.000 | -0.000 | -0.000 |
| 9.459 | 16.135 | 9.459 | -0.000 | -0.000 | 0.000 |
| 9.459 | 9.459 | 16.135 | -0.000 | -0.000 | -0.000 |
| -0.000 | 0.000 | 0.000 | 9.459 | -0.000 | -0.000 |
| 0.000 | -0.000 | 0.000 | -0.000 | 9.459 | 0.000 |
| 0.000 | 0.000 | -0.000 | -0.000 | 0.000 | 9.459 |
| 16.135 | 9.459 | 9.459 | 0.000 | 0.000 | 0.000 |
| 9.459 | 16.135 | 9.459 | -0.000 | 0.000 | -0.000 |
| 9.459 | 9.459 | 16.135 | 0.000 | 0.000 | 0.000 |
| 0.000 | -0.000 | -0.000 | 9.459 | 0.000 | -0.000 |
| -0.000 | 0.000 | -0.000 | 0.000 | 9.459 | -0.000 |
| -0.000 | -0.000 | 0.000 | 0.000 | -0.000 | 9.459 |
| 259.300 | 86.898 | 86.898 | -0.000 | 0.000 | -0.000 |
| 86.898 | 259.300 | 86.898 | -0.000 | -0.000 | -0.000 |
| 86.898 | 86.898 | 259.300 | -0.000 | -0.000 | -0.000 |
| -0.000 | 0.000 | 0.000 | 82.745 | 0.000 | -0.000 |
| -0.000 | 0.000 | 0.000 | 0.000 | 82.745 | -0.000 |
| -0.000 | 0.000 | 0.000 | 0.000 | -0.000 | 82.745 |
| 259.301 | 86.898 | 86.898 | 0.000 | -0.000 | 0.000 |
| 86.898 | 259.301 | 86.898 | 0.000 | -0.000 | 0.000 |
| 86.898 | 86.898 | 259.301 | -0.000 | -0.000 | 0.000 |
| 0.000 | -0.000 | -0.000 | 82.745 | 0.000 | 0.000 |
| 0.000 | -0.000 | -0.000 | 0.000 | 82.745 | 0.000 |
| 0.000 | -0.000 | -0.000 | 0.000 | 0.000 | 82.745 |
| 259.298 | 86.898 | 86.898 | -0.000 | -0.000 | -0.000 |
| 86.898 | 259.298 | 86.898 | -0.000 | -0.000 | -0.000 |
| 86.898 | 86.898 | 259.298 | -0.000 | 0.000 | -0.000 |
| 0.000 | 0.000 | -0.000 | 1.282 | 0.000 | -0.000 |
| 0.000 | 0.000 | -0.000 | -0.000 | 1.282 | -0.000 |
| 0.000 | -0.000 | 0.000 | 0.000 | -0.000 | 1.282 |
| 259.303 | 86.898 | 86.898 | 0.000 | 0.000 | 0.000 |
| 86.898 | 259.303 | 86.898 | 0.000 | 0.000 | 0.000 |
| 86.898 | 86.898 | 259.303 | 0.000 | 0.000 | 0.000 |
| -0.000 | -0.000 | 0.000 | 1.282 | -0.000 | 0.000 |
| -0.000 | -0.000 | 0.000 | 0.000 | 1.282 | 0.000 |
| -0.000 | 0.000 | -0.000 | 0.000 | 0.000 | 1.282 |
| 259.279 | 86.899 | 86.899 | -0.000 | -0.000 | -0.000 |
| 86.899 | 259.279 | 86.899 | 0.000 | -0.000 | -0.000 |
| 86.899 | 86.899 | 259.279 | -0.000 | -0.000 | -0.000 |
| 0.000 | 0.000 | -0.000 | 1.282 | -0.000 | -0.000 |
| 0.000 | 0.000 | -0.000 | -0.000 | 1.282 | -0.000 |
| 0.000 | -0.000 | 0.000 | -0.000 | -0.000 | 1.282 |
| 259.322 | 86.897 | 86.897 | 0.000 | -0.000 | 0.000 |
| 86.897 | 259.322 | 86.897 | 0.000 | 0.000 | 0.000 |
| 86.897 | 86.897 | 259.322 | 0.000 | -0.000 | 0.000 |
| -0.000 | -0.000 | 0.000 | 1.282 | 0.000 | 0.000 |
| -0.000 | -0.000 | 0.000 | 0.000 | 1.282 | 0.000 |
| -0.000 | 0.000 | -0.000 | 0.000 | 0.000 | 1.282 |
| 312.454 | 207.628 | 21.921 | 0.000 | -0.000 | 0.000 |
| 207.628 | 312.454 | 21.921 | 0.000 | -0.000 | -0.000 |
| 21.921 | 21.921 | 296.417 | 0.000 | -0.000 | -0.000 |
| -0.000 | -0.000 | -0.000 | 21.430 | 0.000 | -0.000 |
| -0.000 | -0.000 | -0.000 | -0.000 | 21.430 | -0.000 |
| 0.000 | 0.000 | 0.000 | 0.000 | -0.000 | 207.170 |
| 312.454 | 207.628 | 21.921 | -0.000 | 0.000 | 0.000 |
| 207.628 | 312.454 | 21.921 | -0.000 | 0.000 | 0.000 |
| 21.921 | 21.921 | 296.417 | -0.000 | 0.000 | 0.000 |
| 0.000 | 0.000 | 0.000 | 21.430 | -0.000 | -0.000 |
| 0.000 | 0.000 | 0.000 | -0.000 | 21.430 | -0.000 |
| -0.000 | -0.000 | -0.000 | -0.000 | 0.000 | 207.170 |
| 312.454 | 207.628 | 21.921 | 0.000 | -0.000 | -0.000 |
| 207.628 | 312.454 | 21.921 | -0.000 | 0.000 | -0.000 |
| 21.921 | 21.921 | 296.417 | 0.000 | -0.000 | -0.000 |
| 0.000 | -0.000 | -0.000 | 21.430 | 0.000 | -0.000 |
| -0.000 | 0.000 | -0.000 | -0.000 | 21.430 | -0.000 |
| 0.000 | 0.000 | 0.000 | -0.000 | -0.000 | 207.170 |
| 312.453 | 207.628 | 21.921 | -0.000 | 0.000 | 0.000 |
| 207.628 | 312.453 | 21.921 | 0.000 | 0.000 | 0.000 |
| 21.921 | 21.921 | 296.416 | 0.000 | 0.000 | 0.000 |
| -0.000 | 0.000 | 0.000 | 21.430 | -0.000 | 0.000 |
| 0.000 | -0.000 | 0.000 | -0.000 | 21.430 | 0.000 |
| -0.000 | -0.000 | -0.000 | 0.000 | 0.000 | 207.170 |
| 312.456 | 207.630 | 21.921 | 0.000 | -0.000 | 0.000 |
| 207.630 | 312.456 | 21.921 | 0.000 | -0.000 | -0.000 |
| 21.921 | 21.921 | 296.420 | 0.000 | -0.000 | -0.000 |
| 0.000 | -0.000 | -0.000 | 21.430 | -0.000 | -0.000 |
| -0.000 | 0.000 | -0.000 | 0.000 | 21.430 | 0.000 |
| 0.001 | 0.002 | 0.000 | -0.000 | -0.000 | 207.170 |
| 312.452 | 207.626 | 21.921 | 0.000 | -0.000 | 0.000 |
| 207.626 | 312.452 | 21.921 | -0.000 | 0.000 | 0.000 |
| 21.921 | 21.921 | 296.413 | -0.000 | 0.000 | 0.000 |
| -0.000 | 0.000 | 0.000 | 21.430 | 0.000 | -0.000 |
| 0.000 | -0.000 | 0.000 | -0.000 | 21.430 | 0.000 |
| -0.001 | -0.002 | -0.000 | 0.000 | 0.000 | 207.170 |
| 177.443 | 92.711 | 23.407 | -0.000 | 0.000 | -0.000 |
| 92.711 | 177.443 | 23.407 | -0.000 | -0.000 | -0.000 |
| 23.407 | 23.407 | 312.764 | 0.000 | 0.000 | -0.000 |
| 0.000 | -0.000 | -0.000 | 21.284 | 0.000 | -0.000 |
| -0.000 | 0.000 | -0.000 | 0.000 | 21.284 | -0.000 |
| 0.000 | 0.000 | -0.000 | 0.000 | 0.000 | 90.275 |
| 177.443 | 92.711 | 23.407 | -0.000 | 0.000 | 0.000 |
| 92.711 | 177.443 | 23.407 | -0.000 | 0.000 | -0.000 |
| 23.407 | 23.407 | 312.764 | -0.000 | 0.000 | 0.000 |
| -0.000 | 0.000 | 0.000 | 21.284 | -0.000 | -0.000 |
| 0.000 | 0.000 | 0.000 | -0.000 | 21.284 | 0.000 |
| -0.000 | -0.000 | 0.000 | -0.000 | 0.000 | 90.275 |
| 177.443 | 92.711 | 23.407 | 0.000 | -0.000 | -0.000 |
| 92.711 | 177.443 | 23.407 | -0.000 | -0.000 | -0.000 |
| 23.407 | 23.407 | 312.765 | 0.000 | 0.000 | -0.000 |
| 0.000 | -0.000 | -0.000 | 21.284 | 0.000 | -0.000 |
| -0.000 | 0.000 | -0.000 | 0.000 | 21.284 | -0.000 |
| 0.000 | 0.000 | 0.000 | 0.000 | 0.000 | 90.275 |
| 177.443 | 92.711 | 23.407 | -0.000 | -0.000 | -0.000 |
| 92.711 | 177.443 | 23.407 | -0.000 | 0.000 | 0.000 |
| 23.407 | 23.407 | 312.764 | 0.000 | -0.000 | -0.000 |
| -0.000 | 0.000 | 0.000 | 21.284 | -0.000 | 0.000 |
| 0.000 | -0.000 | 0.000 | -0.000 | 21.284 | 0.000 |
| -0.000 | -0.000 | -0.000 | -0.000 | 0.000 | 90.275 |
| 177.444 | 92.712 | 23.407 | -0.000 | -0.000 | -0.000 |
| 92.712 | 177.444 | 23.407 | -0.000 | -0.000 | -0.000 |
| 23.407 | 23.407 | 312.768 | 0.000 | 0.000 | 0.000 |
| 0.000 | -0.000 | -0.000 | 21.284 | 0.000 | 0.000 |
| -0.000 | 0.000 | -0.000 | 0.000 | 21.284 | -0.000 |
| 0.000 | 0.000 | 0.000 | 0.000 | -0.000 | 90.275 |
| 177.442 | 92.711 | 23.407 | -0.000 | -0.000 | 0.000 |
| 92.711 | 177.442 | 23.407 | -0.000 | 0.000 | -0.000 |
| 23.407 | 23.407 | 312.761 | -0.000 | 0.000 | 0.000 |
| -0.000 | 0.000 | 0.000 | 21.284 | -0.000 | -0.000 |
| 0.000 | -0.000 | 0.000 | -0.000 | 21.284 | 0.000 |
| -0.000 | -0.000 | -0.000 | -0.000 | 0.000 | 90.275 |
| 455.333 | 57.451 | 57.451 | -0.000 | -0.000 | 0.000 |
| 57.451 | 455.333 | 57.451 | -0.000 | -0.000 | -0.000 |
| 57.451 | 57.451 | 455.333 | -0.000 | -0.000 | 0.000 |
| 0.000 | 0.000 | 0.000 | 65.426 | 0.000 | 0.000 |
| 0.000 | 0.000 | 0.000 | 0.000 | 65.426 | 0.000 |
| 0.000 | 0.000 | 0.000 | -0.000 | 0.000 | 65.426 |
| 455.333 | 57.451 | 57.451 | 0.000 | 0.000 | -0.000 |
| 57.451 | 455.333 | 57.451 | 0.000 | -0.000 | 0.000 |
| 57.451 | 57.451 | 455.333 | -0.000 | -0.000 | -0.000 |
| -0.000 | -0.000 | -0.000 | 65.426 | -0.000 | -0.000 |
| -0.000 | -0.000 | -0.000 | -0.000 | 65.426 | -0.000 |
| -0.000 | -0.000 | -0.000 | 0.000 | -0.000 | 65.426 |
| 455.333 | 57.451 | 57.451 | -0.000 | -0.000 | 0.000 |
| 57.451 | 455.333 | 57.451 | -0.000 | 0.000 | 0.000 |
| 57.451 | 57.451 | 455.333 | -0.000 | -0.000 | 0.000 |
| 0.000 | 0.000 | -0.000 | -44.951 | -0.000 | 0.000 |
| 0.000 | 0.000 | -0.000 | -0.000 | -44.951 | 0.000 |
| 0.000 | -0.000 | 0.000 | -0.000 | -0.000 | -44.951 |
| 455.333 | 57.451 | 57.451 | 0.000 | 0.000 | -0.000 |
| 57.451 | 455.333 | 57.451 | 0.000 | 0.000 | -0.000 |
| 57.451 | 57.451 | 455.333 | 0.000 | 0.000 | -0.000 |
| -0.000 | -0.000 | 0.000 | -44.951 | 0.000 | -0.000 |
| -0.000 | -0.000 | 0.000 | 0.000 | -44.951 | -0.000 |
| -0.000 | 0.000 | -0.000 | 0.000 | 0.000 | -44.951 |
| 455.335 | 57.452 | 57.452 | -0.000 | -0.000 | 0.000 |
| 57.452 | 455.335 | 57.452 | -0.000 | 0.000 | 0.000 |
| 57.452 | 57.452 | 455.335 | -0.000 | -0.000 | 0.000 |
| 0.000 | 0.000 | -0.000 | -44.951 | 0.000 | 0.000 |
| 0.000 | 0.000 | -0.000 | 0.000 | -44.951 | 0.000 |
| 0.000 | -0.000 | 0.000 | -0.000 | 0.000 | -44.951 |
| 455.331 | 57.450 | 57.450 | 0.000 | 0.000 | -0.000 |
| 57.450 | 455.331 | 57.450 | 0.000 | 0.000 | -0.000 |
| 57.450 | 57.450 | 455.331 | 0.000 | -0.000 | -0.000 |
| -0.000 | -0.000 | 0.000 | -44.951 | -0.000 | -0.000 |
| -0.000 | -0.000 | 0.000 | 0.000 | -44.951 | -0.000 |
| -0.000 | 0.000 | -0.000 | 0.000 | 0.000 | -44.951 |
| 345.708 | 224.545 | 48.105 | 0.000 | 0.000 | 0.000 |
| 224.545 | 345.708 | 48.106 | 0.000 | 0.000 | 0.000 |
| 48.105 | 48.106 | 141.938 | 0.000 | 0.000 | 0.000 |
| -0.000 | 0.000 | -0.000 | 49.170 | 0.000 | 0.000 |
| -0.000 | 0.000 | -0.000 | -0.000 | 49.170 | -0.000 |
| 0.000 | 0.000 | 0.000 | 0.000 | -0.000 | 225.997 |
| 345.708 | 224.545 | 48.106 | -0.000 | -0.000 | -0.000 |
| 224.545 | 345.708 | 48.105 | 0.000 | -0.000 | -0.000 |
| 48.106 | 48.105 | 141.938 | -0.000 | 0.000 | -0.000 |
| 0.000 | -0.000 | 0.000 | 49.170 | -0.000 | -0.000 |
| 0.000 | -0.000 | 0.000 | -0.000 | 49.170 | -0.000 |
| -0.000 | -0.000 | -0.000 | -0.000 | 0.000 | 225.997 |
| 345.708 | 224.546 | 48.106 | 0.000 | -0.000 | 0.000 |
| 224.546 | 345.708 | 48.106 | 0.000 | 0.000 | -0.000 |
| 48.106 | 48.106 | 141.938 | 0.000 | 0.000 | 0.000 |
| 0.000 | -0.000 | 0.000 | 49.170 | 0.000 | 0.000 |
| -0.000 | 0.000 | 0.000 | 0.000 | 49.170 | 0.000 |
| 0.000 | 0.000 | 0.000 | 0.000 | 0.000 | 225.997 |
| 345.708 | 224.545 | 48.105 | -0.000 | 0.000 | -0.000 |
| 224.545 | 345.708 | 48.105 | -0.000 | -0.000 | -0.000 |
| 48.105 | 48.105 | 141.937 | -0.000 | 0.000 | -0.000 |
| -0.000 | 0.000 | -0.000 | 49.170 | -0.000 | -0.000 |
| 0.000 | -0.000 | -0.000 | -0.000 | 49.170 | -0.000 |
| -0.000 | -0.000 | -0.000 | -0.000 | -0.000 | 225.997 |
| 345.710 | 224.547 | 48.106 | 0.000 | -0.000 | -0.000 |
| 224.547 | 345.710 | 48.106 | 0.000 | 0.000 | 0.000 |
| 48.106 | 48.106 | 141.939 | 0.000 | -0.000 | 0.000 |
| 0.000 | -0.000 | 0.000 | 49.170 | 0.000 | 0.000 |
| -0.000 | 0.000 | 0.000 | -0.000 | 49.170 | 0.000 |
| 0.001 | 0.002 | 0.000 | -0.000 | 0.000 | 225.997 |
| 345.706 | 224.543 | 48.105 | 0.000 | -0.000 | -0.000 |
| 224.543 | 345.706 | 48.105 | -0.000 | 0.000 | -0.000 |
| 48.105 | 48.105 | 141.937 | -0.000 | 0.000 | -0.000 |
| -0.000 | 0.000 | -0.000 | 49.170 | -0.000 | -0.000 |
| 0.000 | -0.000 | -0.000 | -0.000 | 49.170 | -0.000 |
| -0.001 | -0.002 | -0.000 | -0.000 | 0.000 | 225.997 |
| 249.604 | -2.570 | -2.570 | 0.000 | 0.000 | 0.000 |
| -2.570 | 249.604 | -2.570 | 0.000 | 0.000 | 0.000 |
| -2.570 | -2.570 | 249.604 | 0.000 | 0.000 | 0.000 |
| -0.000 | -0.000 | -0.000 | -15.022 | 0.000 | 0.000 |
| -0.000 | -0.000 | -0.000 | -0.000 | -15.022 | 0.000 |
| -0.000 | -0.000 | -0.000 | -0.000 | 0.000 | -15.022 |
| 249.604 | -2.570 | -2.570 | -0.000 | -0.000 | -0.000 |
| -2.570 | 249.604 | -2.570 | -0.000 | -0.000 | -0.000 |
| -2.570 | -2.570 | 249.604 | 0.000 | -0.000 | -0.000 |
| 0.000 | 0.000 | 0.000 | -15.022 | -0.000 | -0.000 |
| 0.000 | 0.000 | 0.000 | 0.000 | -15.022 | -0.000 |
| 0.000 | 0.000 | 0.000 | 0.000 | -0.000 | -15.022 |
| 249.604 | -2.570 | -2.570 | 0.000 | 0.000 | 0.000 |
| -2.570 | 249.604 | -2.570 | 0.000 | 0.000 | 0.000 |
| -2.570 | -2.570 | 249.604 | 0.000 | 0.000 | 0.000 |
| -0.000 | 0.000 | 0.000 | -5.327 | 0.000 | 0.000 |
| 0.000 | 0.000 | 0.000 | -0.000 | -5.327 | 0.000 |
| 0.000 | -0.000 | 0.000 | 0.000 | 0.000 | -5.327 |
| 249.604 | -2.570 | -2.570 | -0.000 | -0.000 | -0.000 |
| -2.570 | 249.604 | -2.570 | -0.000 | -0.000 | -0.000 |
| -2.570 | -2.570 | 249.604 | -0.000 | -0.000 | -0.000 |
| 0.000 | -0.000 | -0.000 | -5.327 | -0.000 | -0.000 |
| -0.000 | -0.000 | -0.000 | 0.000 | -5.327 | -0.000 |
| -0.000 | 0.000 | -0.000 | -0.000 | -0.000 | -5.327 |
| 249.605 | -2.570 | -2.570 | 0.000 | 0.000 | 0.000 |
| -2.570 | 249.605 | -2.570 | 0.000 | 0.000 | 0.000 |
| -2.570 | -2.570 | 249.605 | 0.000 | 0.000 | 0.000 |
| 0.000 | 0.000 | -0.000 | -15.022 | 0.000 | 0.000 |
| 0.000 | 0.000 | -0.000 | -0.000 | -15.022 | 0.000 |
| 0.000 | -0.000 | 0.000 | -0.000 | 0.000 | -15.022 |
| 249.603 | -2.570 | -2.570 | -0.000 | -0.000 | -0.000 |
| -2.570 | 249.603 | -2.570 | -0.000 | -0.000 | -0.000 |
| -2.570 | -2.570 | 249.603 | -0.000 | -0.000 | -0.000 |
| -0.000 | -0.000 | 0.000 | -15.022 | -0.000 | -0.000 |
| -0.000 | -0.000 | 0.000 | 0.000 | -15.022 | -0.000 |
| -0.000 | 0.000 | -0.000 | 0.000 | -0.000 | -15.022 |
| 228.481 | 77.502 | 77.502 | 0.000 | 0.000 | 0.000 |
| 77.502 | 228.481 | 77.502 | 0.000 | 0.000 | 0.000 |
| 77.502 | 77.502 | 228.481 | 0.000 | 0.000 | 0.000 |
| 0.000 | -0.000 | 0.000 | 73.737 | 0.000 | 0.000 |
| 0.000 | 0.000 | -0.000 | 0.000 | 73.737 | 0.000 |
| 0.000 | -0.000 | 0.000 | 0.000 | 0.000 | 73.737 |
| 228.481 | 77.502 | 77.502 | -0.000 | -0.000 | -0.000 |
| 77.502 | 228.481 | 77.502 | -0.000 | 0.000 | -0.000 |
| 77.502 | 77.502 | 228.481 | -0.000 | -0.000 | -0.000 |
| -0.000 | 0.000 | -0.000 | 73.737 | 0.000 | -0.000 |
| -0.000 | -0.000 | -0.000 | -0.000 | 73.737 | -0.000 |
| -0.000 | 0.000 | -0.000 | -0.000 | -0.000 | 73.737 |
| 228.481 | 77.502 | 77.502 | 0.000 | 0.000 | 0.000 |
| 77.502 | 228.481 | 77.502 | 0.000 | 0.000 | 0.000 |
| 77.502 | 77.502 | 228.481 | 0.000 | 0.000 | 0.000 |
| 0.000 | 0.000 | -0.000 | 1.329 | 0.000 | 0.000 |
| 0.000 | 0.000 | -0.000 | 0.000 | 1.329 | 0.000 |
| 0.000 | -0.000 | 0.000 | 0.000 | 0.000 | 1.329 |
| 228.481 | 77.502 | 77.502 | -0.000 | -0.000 | -0.000 |
| 77.502 | 228.481 | 77.502 | -0.000 | -0.000 | -0.000 |
| 77.502 | 77.502 | 228.481 | 0.000 | -0.000 | -0.000 |
| -0.000 | -0.000 | 0.000 | 1.329 | -0.000 | -0.000 |
| -0.000 | -0.000 | 0.000 | -0.000 | 1.329 | -0.000 |
| -0.000 | 0.000 | -0.000 | -0.000 | -0.000 | 1.329 |
| 228.482 | 77.503 | 77.503 | 0.000 | 0.000 | 0.000 |
| 77.503 | 228.482 | 77.503 | 0.000 | 0.000 | 0.000 |
| 77.503 | 77.503 | 228.482 | 0.000 | 0.000 | 0.000 |
| 0.000 | 0.000 | -0.000 | 1.329 | 0.000 | 0.000 |
| 0.000 | 0.000 | -0.000 | 0.000 | 1.329 | 0.000 |
| 0.000 | -0.000 | 0.000 | 0.000 | 0.000 | 1.329 |
| 228.480 | 77.502 | 77.502 | -0.000 | -0.000 | -0.000 |
| 77.502 | 228.480 | 77.502 | -0.000 | -0.000 | -0.000 |
| 77.502 | 77.502 | 228.480 | -0.000 | -0.000 | -0.000 |
| -0.000 | -0.000 | 0.000 | 1.329 | -0.000 | -0.000 |
| -0.000 | -0.000 | 0.000 | -0.000 | 1.329 | -0.000 |
| -0.000 | 0.000 | -0.000 | -0.000 | -0.000 | 1.329 |
| 304.002 | 27.344 | 27.344 | -0.000 | -0.000 | -0.000 |
| 27.344 | 304.002 | 27.344 | 0.000 | -0.000 | -0.000 |
| 27.344 | 27.344 | 304.002 | 0.000 | 0.000 | -0.000 |
| -0.000 | -0.000 | -0.000 | 20.900 | -0.000 | -0.000 |
| -0.000 | -0.000 | -0.000 | -0.000 | 20.900 | -0.000 |
| -0.000 | -0.000 | -0.000 | -0.000 | -0.000 | 20.900 |
| 304.002 | 27.344 | 27.344 | 0.000 | 0.000 | 0.000 |
| 27.344 | 304.002 | 27.344 | 0.000 | -0.000 | 0.000 |
| 27.344 | 27.344 | 304.002 | 0.000 | 0.000 | 0.000 |
| 0.000 | 0.000 | 0.000 | 20.900 | 0.000 | 0.000 |
| 0.000 | 0.000 | 0.000 | 0.000 | 20.900 | 0.000 |
| 0.000 | 0.000 | 0.000 | 0.000 | 0.000 | 20.900 |
| 304.002 | 27.343 | 27.343 | -0.000 | -0.000 | -0.000 |
| 27.343 | 304.002 | 27.343 | -0.000 | 0.000 | 0.000 |
| 27.343 | 27.343 | 304.002 | -0.000 | -0.000 | -0.000 |
| -0.001 | -0.001 | -0.001 | 20.900 | -0.000 | -0.000 |
| -0.001 | -0.001 | -0.001 | -0.000 | 20.900 | -0.000 |
| -0.001 | -0.001 | -0.001 | -0.000 | -0.000 | 20.900 |
| 304.003 | 27.345 | 27.345 | -0.000 | 0.000 | 0.000 |
| 27.345 | 304.003 | 27.345 | -0.000 | 0.000 | 0.000 |
| 27.345 | 27.345 | 304.003 | 0.000 | -0.000 | 0.000 |
| 0.001 | 0.001 | 0.001 | 20.900 | 0.000 | 0.000 |
| 0.001 | 0.001 | 0.001 | 0.000 | 20.900 | 0.000 |
| 0.001 | 0.001 | 0.001 | 0.000 | 0.000 | 20.900 |
| 303.996 | 27.335 | 27.335 | -0.000 | -0.000 | -0.000 |
| 27.335 | 303.996 | 27.335 | -0.000 | -0.000 | -0.000 |
| 27.335 | 27.335 | 303.996 | -0.000 | 0.000 | -0.000 |
| -0.009 | -0.009 | -0.009 | 20.900 | -0.000 | -0.000 |
| -0.009 | -0.009 | -0.009 | -0.000 | 20.900 | -0.000 |
| -0.009 | -0.009 | -0.009 | -0.000 | -0.000 | 20.900 |
| 304.008 | 27.353 | 27.353 | -0.000 | 0.000 | 0.000 |
| 27.353 | 304.008 | 27.353 | 0.000 | 0.000 | -0.000 |
| 27.353 | 27.353 | 304.008 | 0.000 | 0.000 | 0.000 |
| 0.009 | 0.009 | 0.009 | 20.900 | 0.000 | 0.000 |
| 0.009 | 0.009 | 0.009 | 0.000 | 20.900 | 0.000 |
| 0.009 | 0.009 | 0.009 | 0.000 | 0.000 | 20.900 |
| 358.783 | 80.719 | 80.719 | 0.000 | 0.000 | 0.000 |
| 80.719 | 358.783 | 80.719 | 0.000 | 0.000 | 0.000 |
| 80.719 | 80.719 | 358.783 | -0.000 | 0.000 | 0.000 |
| 0.000 | 0.000 | 0.000 | 67.394 | -0.000 | 0.000 |
| 0.000 | 0.000 | 0.000 | 0.000 | 67.394 | 0.000 |
| 0.000 | 0.000 | 0.000 | 0.000 | 0.000 | 67.394 |
| 358.783 | 80.719 | 80.719 | 0.000 | 0.000 | -0.000 |
| 80.719 | 358.783 | 80.719 | 0.000 | 0.000 | -0.000 |
| 80.719 | 80.719 | 358.783 | 0.000 | 0.000 | 0.000 |
| -0.000 | -0.000 | -0.000 | 67.394 | 0.000 | 0.000 |
| -0.000 | -0.000 | -0.000 | 0.000 | 67.394 | -0.000 |
| -0.000 | -0.000 | -0.000 | -0.000 | -0.000 | 67.394 |
| 358.783 | 80.719 | 80.719 | 0.000 | 0.000 | 0.000 |
| 80.719 | 358.783 | 80.719 | -0.000 | 0.000 | 0.000 |
| 80.719 | 80.719 | 358.783 | -0.000 | 0.000 | 0.000 |
| 0.000 | 0.000 | 0.000 | 67.394 | 0.000 | -0.000 |
| 0.000 | 0.000 | 0.000 | -0.000 | 67.394 | 0.000 |
| 0.000 | 0.000 | 0.000 | -0.000 | 0.000 | 67.394 |
| 358.782 | 80.719 | 80.719 | -0.000 | -0.000 | -0.000 |
| 80.719 | 358.782 | 80.719 | -0.000 | -0.000 | -0.000 |
| 80.719 | 80.719 | 358.782 | 0.000 | 0.000 | 0.000 |
| -0.000 | -0.000 | -0.000 | 67.394 | -0.000 | -0.000 |
| -0.000 | -0.000 | -0.000 | 0.000 | 67.394 | -0.000 |
| -0.000 | -0.000 | -0.000 | 0.000 | -0.000 | 67.394 |
| 358.784 | 80.720 | 80.720 | -0.000 | 0.000 | 0.000 |
| 80.720 | 358.784 | 80.720 | -0.000 | 0.000 | 0.000 |
| 80.720 | 80.720 | 358.784 | -0.000 | -0.000 | -0.000 |
| 0.000 | 0.000 | 0.000 | 67.394 | 0.000 | 0.000 |
| 0.000 | 0.000 | 0.000 | -0.000 | 67.394 | 0.000 |
| 0.000 | 0.000 | 0.000 | 0.000 | 0.000 | 67.394 |
| 358.781 | 80.719 | 80.719 | -0.000 | -0.000 | -0.000 |
| 80.719 | 358.781 | 80.719 | -0.000 | 0.000 | -0.000 |
| 80.719 | 80.719 | 358.781 | 0.000 | -0.000 | 0.000 |
| -0.000 | -0.000 | -0.000 | 67.394 | -0.000 | -0.000 |
| -0.000 | -0.000 | -0.000 | -0.000 | 67.394 | -0.000 |
| -0.000 | -0.000 | -0.000 | -0.000 | -0.000 | 67.394 |
| 104.463 | 94.420 | 94.420 | -0.000 | -0.000 | -0.000 |
| 94.420 | 104.463 | 94.420 | -0.000 | -0.000 | -0.000 |
| 94.420 | 94.420 | 104.463 | -0.000 | -0.000 | -0.000 |
| 0.000 | 0.000 | 0.000 | 93.022 | 0.000 | 0.000 |
| 0.000 | 0.000 | 0.000 | 0.000 | 93.022 | 0.000 |
| 0.000 | 0.000 | 0.000 | 0.000 | 0.000 | 93.022 |
| 104.463 | 94.420 | 94.420 | 0.000 | 0.000 | 0.000 |
| 94.420 | 104.463 | 94.420 | 0.000 | 0.000 | 0.000 |
| 94.420 | 94.420 | 104.463 | 0.000 | 0.000 | 0.000 |
| -0.000 | -0.000 | -0.000 | 93.022 | -0.000 | -0.000 |
| -0.000 | -0.000 | -0.000 | -0.000 | 93.022 | -0.000 |
| -0.000 | -0.000 | -0.000 | -0.000 | -0.000 | 93.022 |
| 104.463 | 94.420 | 94.420 | -0.000 | -0.000 | -0.000 |
| 94.420 | 104.463 | 94.420 | -0.000 | -0.000 | -0.000 |
| 94.420 | 94.420 | 104.463 | -0.000 | -0.000 | -0.000 |
| -0.000 | -0.000 | -0.000 | 7.828 | -0.000 | -0.000 |
| -0.000 | -0.000 | -0.000 | -0.000 | 7.828 | -0.000 |
| -0.000 | -0.000 | -0.000 | -0.000 | -0.000 | 7.828 |
| 104.463 | 94.420 | 94.420 | 0.000 | 0.000 | 0.000 |
| 94.420 | 104.463 | 94.420 | 0.000 | 0.000 | 0.000 |
| 94.420 | 94.420 | 104.463 | 0.000 | 0.000 | 0.000 |
| 0.000 | 0.000 | 0.000 | 7.828 | 0.000 | 0.000 |
| 0.000 | 0.000 | 0.000 | 0.000 | 7.828 | 0.000 |
| 0.000 | 0.000 | 0.000 | 0.000 | 0.000 | 7.828 |
| 104.463 | 94.420 | 94.420 | -0.000 | -0.000 | -0.000 |
| 94.420 | 104.463 | 94.420 | -0.000 | -0.000 | -0.000 |
| 94.420 | 94.420 | 104.463 | -0.000 | -0.000 | -0.000 |
| -0.000 | -0.000 | -0.000 | 7.828 | -0.000 | -0.000 |
| -0.000 | -0.000 | -0.000 | -0.000 | 7.828 | -0.000 |
| -0.000 | -0.000 | -0.000 | -0.000 | -0.000 | 7.828 |
| 104.463 | 94.419 | 94.419 | 0.000 | 0.000 | 0.000 |
| 94.419 | 104.463 | 94.419 | 0.000 | 0.000 | 0.000 |
| 94.419 | 94.419 | 104.463 | 0.000 | 0.000 | 0.000 |
| 0.000 | 0.000 | 0.000 | 7.828 | 0.000 | 0.000 |
| 0.000 | 0.000 | 0.000 | 0.000 | 7.828 | 0.000 |
| 0.000 | 0.000 | 0.000 | 0.000 | 0.000 | 7.828 |
| 219.352 | 52.620 | 52.620 | -0.000 | -0.000 | -0.000 |
| 52.620 | 219.352 | 52.620 | -0.000 | -0.000 | -0.000 |
| 52.620 | 52.620 | 219.352 | -0.000 | -0.000 | -0.000 |
| 0.000 | 0.000 | -0.000 | 49.650 | -0.000 | -0.000 |
| 0.000 | -0.000 | -0.000 | -0.000 | 49.650 | -0.000 |
| 0.000 | -0.000 | -0.000 | -0.000 | -0.000 | 49.650 |
| 219.352 | 52.620 | 52.620 | 0.000 | 0.000 | 0.000 |
| 52.620 | 219.352 | 52.620 | 0.000 | 0.000 | 0.000 |
| 52.620 | 52.620 | 219.352 | -0.000 | -0.000 | -0.000 |
| -0.000 | 0.000 | 0.000 | 49.650 | 0.000 | -0.000 |
| -0.000 | 0.000 | 0.000 | 0.000 | 49.650 | 0.000 |
| -0.000 | 0.000 | 0.000 | 0.000 | 0.000 | 49.650 |
| 219.352 | 52.620 | 52.620 | -0.000 | 0.000 | -0.000 |
| 52.620 | 219.352 | 52.620 | -0.000 | -0.000 | 0.000 |
| 52.620 | 52.620 | 219.352 | 0.000 | 0.000 | -0.000 |
| 0.000 | 0.000 | 0.000 | 49.650 | -0.000 | 0.000 |
| 0.000 | 0.000 | 0.000 | 0.000 | 49.650 | 0.000 |
| 0.000 | 0.000 | 0.000 | 0.000 | -0.000 | 49.650 |
| 219.352 | 52.620 | 52.620 | 0.000 | 0.000 | 0.000 |
| 52.620 | 219.352 | 52.620 | 0.000 | 0.000 | 0.000 |
| 52.620 | 52.620 | 219.352 | -0.000 | -0.000 | 0.000 |
| -0.000 | -0.000 | -0.000 | 49.650 | -0.000 | 0.000 |
| -0.000 | -0.000 | -0.000 | 0.000 | 49.650 | 0.000 |
| -0.000 | -0.000 | -0.000 | 0.000 | 0.000 | 49.650 |
| 219.353 | 52.620 | 52.620 | -0.000 | -0.000 | -0.000 |
| 52.620 | 219.353 | 52.620 | -0.000 | -0.000 | 0.000 |
| 52.620 | 52.620 | 219.353 | -0.000 | -0.000 | -0.000 |
| 0.000 | 0.000 | 0.000 | 36.596 | -0.000 | -0.000 |
| 0.000 | 0.000 | 0.000 | -0.000 | 36.596 | -0.000 |
| 0.000 | 0.000 | 0.000 | 0.000 | 0.000 | 36.596 |
| 219.351 | 52.620 | 52.620 | 0.000 | 0.000 | 0.000 |
| 52.620 | 219.351 | 52.620 | 0.000 | 0.000 | -0.000 |
| 52.620 | 52.620 | 219.351 | -0.000 | 0.000 | -0.000 |
| -0.000 | -0.000 | -0.000 | 36.596 | 0.000 | -0.000 |
| -0.000 | -0.000 | -0.000 | -0.000 | 36.596 | 0.000 |
| -0.000 | -0.000 | -0.000 | -0.000 | -0.000 | 36.596 |
| 101.593 | 37.979 | 37.979 | -0.000 | -0.000 | 0.000 |
| 37.979 | 101.593 | 37.979 | -0.000 | -0.000 | 0.000 |
| 37.979 | 37.979 | 101.593 | -0.000 | -0.000 | 0.000 |
| -0.000 | 0.000 | 0.000 | 37.127 | -0.000 | 0.000 |
| -0.000 | 0.000 | 0.000 | -0.000 | 37.127 | 0.000 |
| -0.000 | 0.000 | -0.000 | -0.000 | -0.000 | 37.127 |
| 101.593 | 37.979 | 37.979 | -0.000 | 0.000 | -0.000 |
| 37.979 | 101.593 | 37.979 | 0.000 | 0.000 | -0.000 |
| 37.979 | 37.979 | 101.593 | 0.000 | -0.000 | 0.000 |
| 0.000 | -0.000 | -0.000 | 37.127 | 0.000 | 0.000 |
| 0.000 | -0.000 | -0.000 | 0.000 | 37.127 | -0.000 |
| 0.000 | -0.000 | 0.000 | 0.000 | 0.000 | 37.127 |
| 101.593 | 37.979 | 37.979 | -0.000 | 0.000 | -0.000 |
| 37.979 | 101.593 | 37.979 | -0.000 | 0.000 | 0.000 |
| 37.979 | 37.979 | 101.593 | -0.000 | -0.000 | 0.000 |
| 0.000 | 0.000 | 0.000 | 20.996 | -0.000 | 0.000 |
| 0.000 | 0.000 | 0.000 | -0.000 | 20.996 | 0.000 |
| 0.000 | 0.000 | 0.000 | -0.000 | -0.000 | 20.996 |
| 101.593 | 37.979 | 37.979 | 0.000 | -0.000 | -0.000 |
| 37.979 | 101.593 | 37.979 | 0.000 | -0.000 | -0.000 |
| 37.979 | 37.979 | 101.593 | 0.000 | 0.000 | 0.000 |
| -0.000 | -0.000 | -0.000 | 20.996 | 0.000 | -0.000 |
| -0.000 | -0.000 | -0.000 | 0.000 | 20.996 | 0.000 |
| -0.000 | -0.000 | -0.000 | 0.000 | -0.000 | 20.996 |
| 101.593 | 37.979 | 37.979 | -0.000 | -0.000 | -0.000 |
| 37.979 | 101.593 | 37.979 | -0.000 | 0.000 | 0.000 |
| 37.979 | 37.979 | 101.593 | 0.000 | 0.000 | 0.000 |
| 0.000 | 0.000 | 0.000 | 20.996 | 0.000 | 0.000 |
| 0.000 | 0.000 | 0.000 | -0.000 | 20.996 | 0.000 |
| 0.000 | 0.000 | 0.000 | -0.000 | -0.000 | 20.996 |
| 101.592 | 37.979 | 37.979 | -0.000 | -0.000 | -0.000 |
| 37.979 | 101.592 | 37.979 | -0.000 | -0.000 | -0.000 |
| 37.979 | 37.979 | 101.592 | 0.000 | -0.000 | -0.000 |
| -0.000 | -0.000 | -0.000 | 20.996 | -0.000 | 0.000 |
| -0.000 | -0.000 | -0.000 | 0.000 | 20.996 | -0.000 |
| -0.000 | -0.000 | -0.000 | 0.000 | 0.000 | 20.996 |
| 71.990 | 36.362 | 36.362 | 0.000 | -0.000 | 0.000 |
| 36.362 | 71.990 | 36.362 | 0.000 | 0.000 | 0.000 |
| 36.362 | 36.362 | 71.990 | -0.000 | -0.000 | 0.000 |
| 0.000 | -0.000 | 0.000 | 6.350 | -0.000 | 0.000 |
| 0.000 | -0.000 | 0.000 | -0.000 | 6.350 | 0.000 |
| 0.000 | -0.000 | 0.000 | -0.000 | -0.000 | 6.350 |
| 71.990 | 36.362 | 36.362 | -0.000 | 0.000 | -0.000 |
| 36.362 | 71.990 | 36.362 | 0.000 | 0.000 | -0.000 |
| 36.362 | 36.362 | 71.990 | -0.000 | -0.000 | -0.000 |
| -0.000 | 0.000 | -0.000 | 6.350 | 0.000 | -0.000 |
| -0.000 | 0.000 | -0.000 | 0.000 | 6.350 | -0.000 |
| -0.000 | 0.000 | -0.000 | 0.000 | 0.000 | 6.350 |
| 71.990 | 36.362 | 36.362 | -0.000 | -0.000 | -0.000 |
| 36.362 | 71.990 | 36.362 | -0.000 | -0.000 | -0.000 |
| 36.362 | 36.362 | 71.990 | -0.000 | -0.000 | 0.000 |
| 0.000 | 0.000 | 0.000 | 6.350 | -0.000 | -0.000 |
| 0.000 | 0.000 | 0.000 | -0.000 | 6.350 | 0.000 |
| 0.000 | 0.000 | 0.000 | -0.000 | -0.000 | 6.350 |
| 71.990 | 36.362 | 36.362 | 0.000 | 0.000 | -0.000 |
| 36.362 | 71.990 | 36.362 | -0.000 | 0.000 | -0.000 |
| 36.362 | 36.362 | 71.990 | 0.000 | 0.000 | -0.000 |
| -0.000 | -0.000 | -0.000 | 6.350 | 0.000 | -0.000 |
| -0.000 | -0.000 | -0.000 | 0.000 | 6.350 | -0.000 |
| -0.000 | -0.000 | -0.000 | 0.000 | 0.000 | 6.350 |
| 71.991 | 36.362 | 36.362 | 0.000 | 0.000 | -0.000 |
| 36.362 | 71.991 | 36.362 | -0.000 | -0.000 | -0.000 |
| 36.362 | 36.362 | 71.991 | -0.000 | -0.000 | 0.000 |
| 0.000 | 0.000 | 0.000 | 6.350 | -0.000 | 0.000 |
| 0.000 | 0.000 | 0.000 | 0.000 | 6.350 | 0.000 |
| 0.000 | 0.000 | 0.000 | 0.000 | -0.000 | 6.350 |
| 71.990 | 36.362 | 36.362 | 0.000 | -0.000 | -0.000 |
| 36.362 | 71.990 | 36.362 | 0.000 | -0.000 | 0.000 |
| 36.362 | 36.362 | 71.990 | 0.000 | -0.000 | -0.000 |
| -0.000 | -0.000 | -0.000 | 6.350 | 0.000 | -0.000 |
| -0.000 | -0.000 | -0.000 | -0.000 | 6.350 | -0.000 |
| -0.000 | -0.000 | -0.000 | -0.000 | 0.000 | 6.350 |
| 3.170 | 7.491 | 7.491 | 0.000 | 0.000 | 0.000 |
| 7.491 | 3.170 | 7.491 | -0.000 | -0.000 | 0.000 |
| 7.491 | 7.491 | 3.170 | -0.000 | -0.000 | 0.000 |
| 0.000 | -0.000 | -0.000 | -37.034 | 0.000 | 0.000 |
| -0.000 | -0.000 | -0.000 | 0.000 | -37.034 | 0.000 |
| -0.000 | -0.000 | -0.000 | 0.000 | 0.000 | -37.034 |
| 3.170 | 7.491 | 7.491 | 0.000 | 0.000 | -0.000 |
| 7.491 | 3.170 | 7.491 | 0.000 | -0.000 | -0.000 |
| 7.491 | 7.491 | 3.170 | 0.000 | 0.000 | -0.000 |
| -0.000 | 0.000 | 0.000 | -37.034 | -0.000 | -0.000 |
| 0.000 | 0.000 | 0.000 | 0.000 | -37.034 | -0.000 |
| 0.000 | 0.000 | 0.000 | -0.000 | -0.000 | -37.034 |
| 3.170 | 7.491 | 7.491 | -0.000 | 0.000 | 0.000 |
| 7.491 | 3.170 | 7.491 | -0.000 | 0.000 | 0.000 |
| 7.491 | 7.491 | 3.170 | 0.000 | -0.000 | 0.000 |
| 0.000 | -0.000 | -0.000 | -37.034 | 0.000 | 0.000 |
| -0.000 | 0.000 | -0.000 | -0.000 | -37.034 | 0.000 |
| -0.000 | -0.000 | 0.000 | -0.000 | 0.000 | -37.034 |
| 3.170 | 7.491 | 7.491 | 0.000 | 0.000 | -0.000 |
| 7.491 | 3.170 | 7.491 | 0.000 | 0.000 | -0.000 |
| 7.491 | 7.491 | 3.170 | -0.000 | -0.000 | -0.000 |
| -0.000 | 0.000 | 0.000 | -37.034 | -0.000 | -0.000 |
| 0.000 | -0.000 | 0.000 | -0.000 | -37.034 | -0.000 |
| 0.000 | 0.000 | -0.000 | 0.000 | -0.000 | -37.034 |
| 3.170 | 7.491 | 7.491 | -0.000 | 0.000 | 0.000 |
| 7.491 | 3.170 | 7.491 | 0.000 | -0.000 | 0.000 |
| 7.491 | 7.491 | 3.170 | -0.000 | -0.000 | 0.000 |
| 0.000 | -0.000 | -0.000 | -37.034 | 0.000 | 0.000 |
| -0.000 | 0.000 | -0.000 | -0.000 | -37.034 | 0.000 |
| -0.000 | -0.000 | 0.000 | -0.000 | -0.000 | -37.034 |
| 3.170 | 7.491 | 7.491 | -0.000 | 0.000 | 0.000 |
| 7.491 | 3.170 | 7.491 | -0.000 | 0.000 | -0.000 |
| 7.491 | 7.491 | 3.170 | -0.000 | 0.000 | -0.000 |
| -0.000 | 0.000 | 0.000 | -37.034 | -0.000 | -0.000 |
| 0.000 | -0.000 | 0.000 | 0.000 | -37.034 | -0.000 |
| 0.000 | 0.000 | -0.000 | -0.000 | -0.000 | -37.034 |
| 31.916 | -1.924 | -1.924 | 0.000 | 0.000 | -0.000 |
| -1.924 | 31.916 | -1.924 | -0.000 | -0.000 | 0.000 |
| -1.924 | -1.924 | 31.916 | 0.000 | 0.000 | -0.000 |
| 0.000 | -0.000 | -0.000 | -63.541 | -0.000 | 0.000 |
| -0.000 | 0.000 | -0.000 | 0.000 | -63.541 | -0.000 |
| -0.000 | -0.000 | 0.000 | 0.000 | -0.000 | -63.541 |
| 31.916 | -1.924 | -1.924 | -0.000 | 0.000 | 0.000 |
| -1.924 | 31.916 | -1.924 | -0.000 | -0.000 | -0.000 |
| -1.924 | -1.924 | 31.916 | -0.000 | 0.000 | -0.000 |
| 0.000 | 0.000 | -0.000 | -63.541 | 0.000 | 0.000 |
| 0.000 | 0.000 | -0.000 | -0.000 | -63.541 | 0.000 |
| 0.000 | -0.000 | 0.000 | -0.000 | 0.000 | -63.541 |
| 31.916 | -1.924 | -1.924 | 0.000 | 0.000 | 0.000 |
| -1.924 | 31.916 | -1.924 | -0.000 | -0.000 | -0.000 |
| -1.924 | -1.924 | 31.916 | 0.000 | 0.000 | 0.000 |
| 8585560.214 | 8093962.601 | 8697474.967 | -161618.701 | -318089.804 | -17055.029 |
| 8705451.288 | 8513639.200 | 8146684.287 | 56991.962 | -16148.824 | -96720.466 |
| 9131157.497 | 8465110.751 | 8522332.676 | 31731.016 | 250818.820 | -50402.132 |
| 31.916 | -1.924 | -1.924 | -0.000 | 0.000 | -0.000 |
| -1.924 | 31.916 | -1.924 | -0.000 | 0.000 | -0.000 |
| -1.924 | -1.924 | 31.916 | -0.000 | 0.000 | 0.000 |
| -9573333.262 | -8086439.776 | -8515447.691 | 97797.641 | 284178.287 | -352355.685 |
| -8726432.024 | -9161828.415 | -8735535.274 | -144969.510 | -319940.771 | -36999.824 |
| -9329663.161 | -8219405.008 | -8672422.478 | -312604.772 | -60445.131 | -180044.279 |
| 31.916 | -1.924 | -1.924 | 0.000 | 0.000 | 0.000 |
| -1.924 | 31.916 | -1.924 | 0.000 | -0.000 | -0.000 |
| -1.924 | -1.924 | 31.916 | 0.000 | 0.000 | -0.000 |
| 870285.292 | 947425.834 | 909948.728 | 26397.749 | 35036.346 | 914.186 |
| 800384.188 | 844293.817 | 901082.158 | -3986.630 | 11757.611 | -31677.817 |
| 956386.217 | 887287.114 | 840983.512 | -3785.437 | -48357.019 | 28129.115 |
| 31.916 | -1.924 | -1.924 | 0.000 | 0.000 | -0.000 |
| -1.924 | 31.916 | -1.924 | -0.000 | 0.000 | -0.000 |
| -1.924 | -1.924 | 31.916 | -0.000 | -0.000 | 0.000 |
| -876258.366 | -783268.882 | -796618.697 | 14227.955 | -18214.735 | 3348.051 |
| -877944.773 | -918118.471 | -784424.396 | -1771.963 | 10876.421 | 1550.226 |
| -878868.817 | -942805.676 | -861927.949 | -42701.351 | 15907.344 | -21572.347 |
| 3.920 | 11.441 | 11.441 | -0.000 | -0.000 | 0.000 |
| 11.441 | 3.920 | 11.441 | -0.000 | -0.000 | 0.000 |
| 11.441 | 11.441 | 3.920 | 0.000 | -0.000 | 0.000 |
| -0.000 | -0.000 | 0.000 | -44.593 | -0.000 | 0.000 |
| -0.000 | 0.000 | -0.000 | -0.000 | -44.593 | 0.000 |
| -0.000 | -0.000 | 0.000 | 0.000 | -0.000 | -44.593 |
| 3.920 | 11.441 | 11.441 | -0.000 | 0.000 | -0.000 |
| 11.441 | 3.920 | 11.441 | 0.000 | 0.000 | -0.000 |
| 11.441 | 11.441 | 3.920 | -0.000 | 0.000 | -0.000 |
| -0.000 | 0.000 | 0.000 | -44.593 | 0.000 | 0.000 |
| 0.000 | -0.000 | -0.000 | 0.000 | -44.593 | -0.000 |
| 0.000 | 0.000 | -0.000 | 0.000 | 0.000 | -44.593 |
| 3.920 | 11.441 | 11.441 | 0.000 | 0.000 | 0.000 |
| 11.441 | 3.920 | 11.441 | 0.000 | 0.000 | 0.000 |
| 11.441 | 11.441 | 3.920 | -0.000 | -0.000 | 0.000 |
| 0.000 | -0.000 | -0.000 | -44.593 | 0.000 | 0.000 |
| -0.000 | 0.000 | -0.000 | 0.000 | -44.593 | 0.000 |
| -0.000 | -0.000 | 0.000 | 0.000 | -0.000 | -44.593 |
| 3.920 | 11.441 | 11.441 | -0.000 | 0.000 | -0.000 |
| 11.441 | 3.920 | 11.441 | -0.000 | -0.000 | -0.000 |
| 11.441 | 11.441 | 3.920 | -0.000 | 0.000 | -0.000 |
| -0.000 | 0.000 | 0.000 | -44.593 | 0.000 | -0.000 |
| 0.000 | -0.000 | 0.000 | -0.000 | -44.593 | -0.000 |
| 0.000 | 0.000 | -0.000 | -0.000 | 0.000 | -44.593 |
| 3.920 | 11.441 | 11.441 | 0.000 | -0.000 | 0.000 |
| 11.441 | 3.920 | 11.441 | 0.000 | -0.000 | 0.000 |
| 11.441 | 11.441 | 3.920 | 0.000 | -0.000 | 0.000 |
| 0.000 | -0.000 | -0.000 | -44.593 | -0.000 | -0.000 |
| -0.000 | 0.000 | -0.000 | 0.000 | -44.593 | 0.000 |
| -0.000 | -0.000 | 0.000 | 0.000 | -0.000 | -44.593 |
| 3.920 | 11.441 | 11.441 | -0.000 | 0.000 | -0.000 |
| 11.441 | 3.920 | 11.441 | -0.000 | 0.000 | -0.000 |
| 11.441 | 11.441 | 3.920 | 0.000 | 0.000 | -0.000 |
| -0.000 | 0.000 | 0.000 | -44.593 | 0.000 | -0.000 |
| 0.000 | -0.000 | 0.000 | -0.000 | -44.593 | -0.000 |
| 0.000 | 0.000 | -0.000 | 0.000 | 0.000 | -44.593 |
| 37.231 | 18.969 | 18.969 | -0.000 | -0.000 | 0.000 |
| 18.969 | 37.231 | 18.969 | 0.000 | 0.000 | 0.000 |
| 18.969 | 18.969 | 37.231 | 0.000 | 0.000 | -0.000 |
| 0.000 | 0.000 | -0.000 | 18.498 | -0.000 | 0.000 |
| 0.000 | 0.000 | -0.000 | -0.000 | 18.498 | -0.000 |
| 0.000 | 0.000 | -0.000 | 0.000 | -0.000 | 18.498 |
| 37.231 | 18.969 | 18.969 | 0.000 | -0.000 | 0.000 |
| 18.969 | 37.231 | 18.969 | -0.000 | 0.000 | -0.000 |
| 18.969 | 18.969 | 37.231 | -0.000 | 0.000 | -0.000 |
| 0.000 | 0.000 | 0.000 | 18.498 | 0.000 | 0.000 |
| 0.000 | -0.000 | -0.000 | 0.000 | 18.498 | 0.000 |
| -0.000 | 0.000 | -0.000 | 0.000 | -0.000 | 18.498 |
| 37.231 | 18.969 | 18.969 | -0.000 | -0.000 | 0.000 |
| 18.969 | 37.231 | 18.969 | -0.000 | -0.000 | 0.000 |
| 18.969 | 18.969 | 37.231 | 0.000 | -0.000 | 0.000 |
| -0.000 | 0.000 | 0.000 | 18.498 | -0.000 | -0.000 |
| 0.000 | -0.000 | 0.000 | -0.000 | 18.498 | -0.000 |
| 0.000 | 0.000 | -0.000 | -0.000 | 0.000 | 18.498 |
| 37.231 | 18.969 | 18.969 | 0.000 | 0.000 | -0.000 |
| 18.969 | 37.231 | 18.969 | 0.000 | 0.000 | -0.000 |
| 18.969 | 18.969 | 37.231 | -0.000 | -0.000 | 0.000 |
| 0.000 | -0.000 | -0.000 | 18.498 | 0.000 | -0.000 |
| -0.000 | 0.000 | -0.000 | 0.000 | 18.498 | -0.000 |
| -0.000 | -0.000 | 0.000 | -0.000 | -0.000 | 18.498 |
| 37.231 | 18.969 | 18.969 | -0.000 | -0.000 | 0.000 |
| 18.969 | 37.231 | 18.969 | 0.000 | -0.000 | 0.000 |
| 18.969 | 18.969 | 37.231 | -0.000 | -0.000 | 0.000 |
| -0.000 | 0.000 | 0.000 | 18.498 | 0.000 | 0.000 |
| 0.000 | -0.000 | 0.000 | 0.000 | 18.498 | -0.000 |
| 0.000 | 0.000 | -0.000 | 0.000 | 0.000 | 18.498 |
| 37.230 | 18.969 | 18.969 | 0.000 | -0.000 | -0.000 |
| 18.969 | 37.230 | 18.969 | 0.000 | -0.000 | -0.000 |
| 18.969 | 18.969 | 37.230 | 0.000 | -0.000 | -0.000 |
| 0.000 | -0.000 | -0.000 | 18.498 | 0.000 | 0.000 |
| -0.000 | 0.000 | -0.000 | 0.000 | 18.498 | -0.000 |
| -0.000 | -0.000 | 0.000 | 0.000 | 0.000 | 18.498 |
| 42.176 | 74.414 | 74.414 | -0.000 | 0.000 | -0.000 |
| 74.414 | 42.176 | 74.414 | -0.000 | 0.000 | 0.000 |
| 74.414 | 74.414 | 42.176 | 0.000 | 0.000 | -0.000 |
| -0.000 | -0.000 | -0.000 | -149.800 | -0.000 | -0.000 |
| -0.000 | -0.000 | -0.000 | -0.000 | -149.800 | -0.000 |
| -0.000 | -0.000 | 0.000 | -0.000 | 0.000 | -149.800 |
| 42.176 | 74.414 | 74.414 | 0.000 | 0.000 | 0.000 |
| 74.414 | 42.176 | 74.414 | 0.000 | -0.000 | 0.000 |
| 74.414 | 74.414 | 42.176 | 0.000 | 0.000 | 0.000 |
| 0.000 | 0.000 | 0.000 | -149.800 | 0.000 | -0.000 |
| 0.000 | 0.000 | -0.000 | 0.000 | -149.800 | 0.000 |
| 0.000 | 0.000 | 0.000 | 0.000 | -0.000 | -149.800 |
| 42.176 | 74.414 | 74.414 | -0.000 | 0.000 | -0.000 |
| 74.414 | 42.176 | 74.414 | -0.000 | 0.000 | -0.000 |
| 74.414 | 74.414 | 42.176 | -0.000 | 0.000 | 0.000 |
| 0.000 | -0.000 | 0.000 | 73.897 | 0.000 | -0.000 |
| -0.000 | 0.000 | 0.000 | 0.000 | 73.897 | -0.000 |
| -0.000 | 0.000 | 0.000 | -0.000 | 0.000 | 73.897 |
| 42.175 | 74.414 | 74.414 | 0.000 | -0.000 | 0.000 |
| 74.414 | 42.175 | 74.414 | -0.000 | -0.000 | 0.000 |
| 74.414 | 74.414 | 42.175 | 0.000 | 0.000 | 0.000 |
| -0.000 | 0.000 | -0.000 | 73.897 | 0.000 | -0.000 |
| 0.000 | -0.000 | -0.000 | 0.000 | 73.897 | 0.000 |
| 0.000 | -0.000 | -0.000 | 0.000 | -0.000 | 73.897 |
| 42.176 | 74.414 | 74.414 | -0.000 | -0.000 | -0.000 |
| 74.414 | 42.176 | 74.414 | -0.000 | -0.000 | 0.000 |
| 74.414 | 74.414 | 42.176 | 0.000 | 0.000 | -0.000 |
| 0.000 | 0.000 | -0.000 | -149.800 | 0.000 | -0.000 |
| 0.000 | 0.000 | -0.000 | -0.000 | -149.800 | -0.000 |
| 0.000 | -0.000 | 0.000 | -0.000 | 0.000 | -149.800 |
| 42.175 | 74.414 | 74.414 | 0.000 | 0.000 | 0.000 |
| 74.414 | 42.175 | 74.414 | 0.000 | 0.000 | 0.000 |
| 74.414 | 74.414 | 42.175 | -0.000 | -0.000 | 0.000 |
| -0.000 | -0.000 | 0.000 | -149.800 | -0.000 | -0.000 |
| -0.000 | -0.000 | 0.000 | 0.000 | -149.800 | 0.000 |
| -0.000 | 0.000 | -0.000 | 0.000 | -0.000 | -149.800 |
| 36.808 | 65.315 | 65.315 | 0.000 | 0.000 | 0.000 |
| 65.315 | 36.808 | 65.315 | -0.000 | 0.000 | 0.000 |
| 65.315 | 65.315 | 36.808 | -0.000 | 0.000 | 0.000 |
| 0.000 | 0.000 | 0.000 | -40.754 | 0.000 | 0.000 |
| 0.000 | 0.000 | 0.000 | -0.000 | -40.754 | 0.000 |
| 0.000 | 0.000 | 0.000 | 0.000 | 0.000 | -40.754 |
| 36.808 | 65.315 | 65.315 | 0.000 | -0.000 | -0.000 |
| 65.315 | 36.808 | 65.315 | -0.000 | -0.000 | -0.000 |
| 65.315 | 65.315 | 36.808 | -0.000 | -0.000 | -0.000 |
| -0.000 | -0.000 | -0.000 | -40.754 | -0.000 | -0.000 |
| -0.000 | -0.000 | -0.000 | 0.000 | -40.754 | -0.000 |
| -0.000 | -0.000 | -0.000 | 0.000 | -0.000 | -40.754 |
| 36.808 | 65.315 | 65.315 | -0.000 | 0.000 | 0.000 |
| 65.315 | 36.808 | 65.315 | -0.000 | 0.000 | 0.000 |
| 65.315 | 65.315 | 36.808 | -0.000 | 0.000 | 0.000 |
| 0.000 | 0.000 | -0.000 | -40.754 | 0.000 | 0.000 |
| 0.000 | 0.000 | -0.000 | -0.000 | -40.754 | 0.000 |
| 0.000 | -0.000 | 0.000 | 0.000 | 0.000 | -40.754 |
| 36.808 | 65.315 | 65.315 | 0.000 | -0.000 | -0.000 |
| 65.315 | 36.808 | 65.315 | -0.000 | -0.000 | -0.000 |
| 65.315 | 65.315 | 36.808 | -0.000 | -0.000 | -0.000 |
| -0.000 | -0.000 | 0.000 | -40.754 | -0.000 | -0.000 |
| -0.000 | -0.000 | 0.000 | 0.000 | -40.754 | -0.000 |
| -0.000 | 0.000 | -0.000 | -0.000 | -0.000 | -40.754 |
| 36.808 | 65.315 | 65.315 | 0.000 | 0.000 | 0.000 |
| 65.315 | 36.808 | 65.315 | 0.000 | 0.000 | 0.000 |
| 65.315 | 65.315 | 36.808 | -0.000 | 0.000 | 0.000 |
| 0.000 | 0.000 | -0.000 | -40.754 | 0.000 | 0.000 |
| 0.000 | 0.000 | -0.000 | -0.000 | -40.754 | 0.000 |
| 0.000 | -0.000 | 0.000 | -0.000 | 0.000 | -40.754 |
| 36.808 | 65.315 | 65.315 | -0.000 | -0.000 | -0.000 |
| 65.315 | 36.808 | 65.315 | -0.000 | -0.000 | -0.000 |
| 65.315 | 65.315 | 36.808 | 0.000 | -0.000 | -0.000 |
| -0.000 | -0.000 | 0.000 | -40.754 | -0.000 | -0.000 |
| -0.000 | -0.000 | 0.000 | 0.000 | -40.754 | -0.000 |
| -0.000 | 0.000 | -0.000 | -0.000 | -0.000 | -40.754 |
| 10.355 | 4.778 | 4.778 | 0.000 | 0.000 | -0.000 |
| 4.778 | 10.355 | 4.778 | -0.000 | 0.000 | -0.000 |
| 4.778 | 4.778 | 10.355 | -0.000 | 0.000 | -0.000 |
| 0.000 | -0.000 | -0.000 | -28.093 | -0.000 | -0.000 |
| -0.000 | 0.000 | -0.000 | -0.000 | -28.093 | -0.000 |
| -0.000 | -0.000 | 0.000 | -0.000 | -0.000 | -28.093 |
| 10.355 | 4.778 | 4.778 | 0.000 | 0.000 | 0.000 |
| 4.778 | 10.355 | 4.778 | 0.000 | 0.000 | 0.000 |
| 4.778 | 4.778 | 10.355 | 0.000 | 0.000 | 0.000 |
| -0.000 | 0.000 | 0.000 | -28.093 | 0.000 | 0.000 |
| 0.000 | -0.000 | 0.000 | 0.000 | -28.093 | 0.000 |
| 0.000 | 0.000 | -0.000 | 0.000 | 0.000 | -28.093 |
| 10.355 | 4.778 | 4.778 | -0.000 | -0.000 | -0.000 |
| 4.778 | 10.355 | 4.778 | -0.000 | 0.000 | -0.000 |
| 4.778 | 4.778 | 10.355 | -0.000 | -0.000 | -0.000 |
| 0.000 | -0.000 | -0.000 | -28.093 | -0.000 | -0.000 |
| -0.000 | 0.000 | -0.000 | -0.000 | -28.093 | -0.000 |
| -0.000 | -0.000 | 0.000 | -0.000 | -0.000 | -28.093 |
| 10.355 | 4.778 | 4.778 | 0.000 | 0.000 | 0.000 |
| 4.778 | 10.355 | 4.778 | 0.000 | 0.000 | 0.000 |
| 4.778 | 4.778 | 10.355 | 0.000 | 0.000 | 0.000 |
| -0.000 | 0.000 | 0.000 | -28.093 | 0.000 | 0.000 |
| 0.000 | -0.000 | 0.000 | 0.000 | -28.093 | 0.000 |
| 0.000 | 0.000 | -0.000 | 0.000 | 0.000 | -28.093 |
| 10.355 | 4.778 | 4.778 | 0.000 | 0.000 | -0.000 |
| 4.778 | 10.355 | 4.778 | -0.000 | 0.000 | -0.000 |
| 4.778 | 4.778 | 10.355 | -0.000 | -0.000 | -0.000 |
| 0.000 | -0.000 | -0.000 | -28.093 | -0.000 | -0.000 |
| -0.000 | 0.000 | -0.000 | -0.000 | -28.093 | -0.000 |
| -0.000 | -0.000 | 0.000 | -0.000 | 0.000 | -28.093 |
| 10.355 | 4.778 | 4.778 | -0.000 | -0.000 | 0.000 |
| 4.778 | 10.355 | 4.778 | -0.000 | -0.000 | 0.000 |
| 4.778 | 4.778 | 10.355 | 0.000 | -0.000 | 0.000 |
| -0.000 | 0.000 | 0.000 | -28.093 | -0.000 | 0.000 |
| 0.000 | -0.000 | 0.000 | 0.000 | -28.093 | 0.000 |
| 0.000 | 0.000 | -0.000 | 0.000 | 0.000 | -28.093 |
| 276.552 | 72.214 | 72.214 | 0.000 | 0.000 | -0.000 |
| 72.214 | 276.552 | 72.214 | 0.000 | -0.000 | -0.000 |
| 72.214 | 72.214 | 276.552 | 0.000 | 0.000 | -0.000 |
| -0.000 | 0.000 | -0.000 | 82.064 | -0.000 | -0.000 |
| -0.000 | -0.000 | -0.000 | -0.000 | 82.064 | -0.000 |
| -0.000 | -0.000 | -0.000 | 0.000 | -0.000 | 82.064 |
| 276.552 | 72.214 | 72.214 | -0.000 | 0.000 | 0.000 |
| 72.214 | 276.552 | 72.214 | -0.000 | 0.000 | -0.000 |
| 72.214 | 72.214 | 276.552 | -0.000 | 0.000 | 0.000 |
| 0.000 | 0.000 | 0.000 | 82.064 | 0.000 | 0.000 |
| 0.000 | 0.000 | 0.000 | -0.000 | 82.064 | 0.000 |
| 0.000 | 0.000 | 0.000 | 0.000 | 0.000 | 82.064 |
| 276.552 | 72.214 | 72.214 | 0.000 | -0.000 | -0.000 |
| 72.214 | 276.552 | 72.214 | 0.000 | -0.000 | -0.000 |
| 72.214 | 72.214 | 276.552 | 0.000 | 0.000 | -0.000 |
| -0.000 | -0.000 | -0.000 | 82.064 | -0.000 | -0.000 |
| -0.000 | -0.000 | -0.000 | 0.000 | 82.064 | -0.000 |
| -0.000 | -0.000 | -0.000 | 0.000 | -0.000 | 82.064 |
| 276.552 | 72.214 | 72.214 | 0.000 | 0.000 | 0.000 |
| 72.214 | 276.552 | 72.214 | 0.000 | 0.000 | 0.000 |
| 72.214 | 72.214 | 276.552 | -0.000 | 0.000 | 0.000 |
| 0.000 | 0.000 | 0.000 | 82.064 | 0.000 | 0.000 |
| 0.000 | 0.000 | 0.000 | -0.000 | 82.064 | 0.000 |
| 0.000 | 0.000 | 0.000 | -0.000 | 0.000 | 82.064 |
| 276.554 | 72.215 | 72.215 | 0.000 | -0.000 | -0.000 |
| 72.215 | 276.554 | 72.215 | 0.000 | -0.000 | -0.000 |
| 72.215 | 72.215 | 276.554 | 0.000 | -0.000 | -0.000 |
| -0.000 | -0.000 | -0.000 | 82.064 | -0.000 | 0.000 |
| -0.000 | -0.000 | -0.000 | 0.000 | 82.064 | -0.000 |
| -0.000 | -0.000 | -0.000 | 0.000 | -0.000 | 82.064 |
| 276.550 | 72.214 | 72.214 | -0.000 | 0.000 | 0.000 |
| 72.214 | 276.550 | 72.214 | -0.000 | -0.000 | 0.000 |
| 72.214 | 72.214 | 276.550 | -0.000 | 0.000 | 0.000 |
| 0.000 | 0.000 | 0.000 | 82.064 | 0.000 | 0.000 |
| 0.000 | 0.000 | 0.000 | -0.000 | 82.064 | 0.000 |
| 0.000 | 0.000 | 0.000 | -0.000 | 0.000 | 82.064 |
| 522.832 | -24.307 | -24.307 | 0.000 | -0.000 | -0.000 |
| -24.307 | 522.832 | -24.307 | -0.000 | -0.000 | 0.000 |
| -24.307 | -24.307 | 522.832 | 0.000 | -0.000 | -0.000 |
| -0.000 | -0.000 | 0.000 | -11.258 | -0.000 | 0.000 |
| -0.000 | 0.000 | 0.000 | 0.000 | -11.258 | 0.000 |
| -0.000 | 0.000 | 0.000 | -0.000 | -0.000 | -11.258 |
| 522.832 | -24.307 | -24.307 | -0.000 | 0.000 | -0.000 |
| -24.307 | 522.832 | -24.307 | -0.000 | 0.000 | -0.000 |
| -24.307 | -24.307 | 522.832 | -0.000 | 0.000 | 0.000 |
| 0.000 | -0.000 | -0.000 | -11.258 | 0.000 | -0.000 |
| 0.000 | -0.000 | -0.000 | -0.000 | -11.258 | -0.000 |
| 0.000 | 0.000 | -0.000 | 0.000 | 0.000 | -11.258 |
| 522.832 | -24.307 | -24.307 | 0.000 | -0.000 | 0.000 |
| -24.307 | 522.832 | -24.307 | 0.000 | -0.000 | 0.000 |
| -24.307 | -24.307 | 522.832 | 0.000 | -0.000 | 0.000 |
| 0.000 | 0.000 | 0.000 | -11.258 | -0.000 | 0.000 |
| 0.000 | 0.000 | 0.000 | 0.000 | -11.258 | 0.000 |
| 0.000 | 0.000 | 0.000 | 0.000 | -0.000 | -11.258 |
| 522.832 | -24.307 | -24.307 | -0.000 | 0.000 | -0.000 |
| -24.307 | 522.832 | -24.307 | -0.000 | 0.000 | -0.000 |
| -24.307 | -24.307 | 522.832 | -0.000 | 0.000 | -0.000 |
| -0.000 | -0.000 | -0.000 | -11.258 | 0.000 | -0.000 |
| -0.000 | -0.000 | -0.000 | -0.000 | -11.258 | -0.000 |
| -0.000 | -0.000 | -0.000 | -0.000 | 0.000 | -11.258 |
| 522.833 | -24.307 | -24.307 | 0.000 | -0.000 | 0.000 |
| -24.307 | 522.833 | -24.307 | 0.000 | -0.000 | 0.000 |
| -24.307 | -24.307 | 522.833 | 0.000 | -0.000 | 0.000 |
| 0.000 | 0.000 | 0.000 | -11.258 | -0.000 | 0.000 |
| 0.000 | 0.000 | 0.000 | 0.000 | -11.258 | 0.000 |
| 0.000 | 0.000 | 0.000 | 0.000 | -0.000 | -11.258 |
| 522.830 | -24.307 | -24.307 | -0.000 | 0.000 | -0.000 |
| -24.307 | 522.830 | -24.307 | -0.000 | 0.000 | -0.000 |
| -24.307 | -24.307 | 522.830 | -0.000 | 0.000 | -0.000 |
| -0.000 | -0.000 | -0.000 | -11.258 | 0.000 | 0.000 |
| -0.000 | -0.000 | -0.000 | -0.000 | -11.258 | -0.000 |
| -0.000 | -0.000 | -0.000 | -0.000 | 0.000 | -11.258 |
| 161.980 | 139.528 | 139.528 | -0.000 | -0.000 | -0.000 |
| 139.528 | 161.980 | 139.528 | -0.000 | -0.000 | -0.000 |
| 139.528 | 139.528 | 161.980 | -0.000 | -0.000 | -0.000 |
| 0.000 | 0.000 | 0.000 | 58.028 | 0.000 | -0.000 |
| 0.000 | 0.000 | 0.000 | 0.000 | 58.028 | -0.000 |
| 0.000 | 0.000 | -0.000 | -0.000 | -0.000 | 58.028 |
| 161.980 | 139.528 | 139.528 | -0.000 | 0.000 | 0.000 |
| 139.528 | 161.980 | 139.528 | 0.000 | -0.000 | 0.000 |
| 139.528 | 139.528 | 161.980 | 0.000 | 0.000 | -0.000 |
| -0.000 | -0.000 | -0.000 | 58.028 | -0.000 | 0.000 |
| -0.000 | -0.000 | -0.000 | 0.000 | 58.028 | 0.000 |
| -0.000 | -0.000 | -0.000 | 0.000 | -0.000 | 58.028 |
| 161.980 | 139.528 | 139.528 | 0.000 | -0.000 | -0.000 |
| 139.528 | 161.980 | 139.528 | -0.000 | -0.000 | -0.000 |
| 139.528 | 139.528 | 161.980 | -0.000 | -0.000 | -0.000 |
| -0.000 | -0.000 | 0.000 | 58.028 | -0.000 | -0.000 |
| -0.000 | -0.000 | 0.000 | -0.000 | 58.028 | -0.000 |
| -0.000 | 0.000 | -0.000 | -0.000 | -0.000 | 58.028 |
| 161.980 | 139.528 | 139.528 | 0.000 | 0.000 | 0.000 |
| 139.528 | 161.980 | 139.528 | 0.000 | 0.000 | 0.000 |
| 139.528 | 139.528 | 161.980 | 0.000 | 0.000 | 0.000 |
| 0.000 | 0.000 | -0.000 | 58.028 | 0.000 | 0.000 |
| 0.000 | 0.000 | -0.000 | 0.000 | 58.028 | 0.000 |
| 0.000 | -0.000 | 0.000 | 0.000 | 0.000 | 58.028 |
| 161.981 | 139.529 | 139.529 | -0.000 | -0.000 | -0.000 |
| 139.529 | 161.981 | 139.529 | -0.000 | -0.000 | -0.000 |
| 139.529 | 139.529 | 161.981 | -0.000 | -0.000 | -0.000 |
| -0.000 | -0.000 | 0.000 | 58.028 | 0.000 | -0.000 |
| -0.000 | -0.000 | 0.000 | -0.000 | 58.028 | 0.000 |
| -0.000 | 0.000 | -0.000 | 0.000 | 0.000 | 58.028 |
| 161.980 | 139.528 | 139.528 | 0.000 | 0.000 | 0.000 |
| 139.528 | 161.980 | 139.528 | 0.000 | 0.000 | 0.000 |
| 139.528 | 139.528 | 161.980 | 0.000 | 0.000 | 0.000 |
| 0.000 | 0.000 | -0.000 | 58.028 | 0.000 | 0.000 |
| 0.000 | 0.000 | -0.000 | 0.000 | 58.028 | 0.000 |
| 0.000 | -0.000 | 0.000 | 0.000 | -0.000 | 58.028 |
| 303.367 | 99.169 | 51.758 | -0.000 | -0.000 | -0.000 |
| 99.169 | 303.367 | 51.758 | 0.000 | -0.000 | -0.000 |
| 116.683 | 116.683 | 169.203 | -0.000 | 0.000 | -0.000 |
| -0.000 | 0.000 | 0.000 | 56.688 | -0.000 | -0.000 |
| -0.000 | -0.000 | 0.000 | -0.000 | 28.808 | -0.000 |
| -0.000 | -0.000 | 0.000 | 0.000 | -0.000 | 25.694 |
| 303.367 | 99.169 | 51.758 | -0.000 | 0.000 | 0.000 |
| 99.169 | 303.367 | 51.758 | -0.000 | 0.000 | 0.000 |
| 52.756 | 52.756 | 302.406 | -0.000 | 0.000 | 0.000 |
| 0.000 | 0.000 | -0.000 | 56.688 | 0.000 | 0.000 |
| 0.000 | 0.000 | -0.000 | 0.000 | 28.808 | 0.000 |
| -0.000 | 0.000 | -0.000 | -0.000 | 0.000 | 25.694 |
| 199.303 | 146.787 | 110.564 | -0.000 | -0.000 | -0.000 |
| 146.788 | 199.302 | 110.565 | -0.000 | -0.000 | -0.000 |
| 116.684 | 116.684 | 169.202 | 0.000 | -0.000 | -0.000 |
| 0.000 | -0.000 | 0.000 | 28.808 | -0.000 | -0.000 |
| 0.000 | 0.000 | 0.000 | -0.000 | 56.688 | -0.000 |
| 0.000 | -0.000 | -0.000 | -0.000 | -0.000 | 25.694 |
| 199.303 | 146.787 | 110.564 | 0.000 | -0.000 | 0.000 |
| 146.786 | 199.304 | 110.564 | 0.000 | 0.000 | 0.000 |
| 52.756 | 52.756 | 302.406 | 0.000 | 0.000 | 0.000 |
| -0.000 | 0.000 | -0.000 | 28.808 | 0.000 | 0.000 |
| -0.000 | -0.000 | -0.000 | 0.000 | 56.688 | 0.000 |
| -0.000 | 0.000 | 0.000 | 0.000 | 0.000 | 25.694 |
| 196.271 | 144.899 | 115.692 | -0.000 | -0.000 | -0.000 |
| 146.793 | 199.293 | 110.571 | 0.000 | -0.000 | -0.000 |
| 116.693 | 116.693 | 169.184 | -0.000 | -0.000 | -0.000 |
| 0.000 | -0.000 | 0.000 | 28.808 | -0.000 | -0.000 |
| -0.000 | 0.000 | 0.000 | -0.000 | 28.808 | -0.000 |
| -0.000 | 0.000 | 0.000 | -0.000 | -0.000 | 28.453 |
| 199.302 | 146.787 | 110.564 | 0.000 | 0.000 | 0.000 |
| 139.812 | 198.661 | 118.498 | 0.000 | 0.000 | 0.000 |
| 116.673 | 116.673 | 169.223 | 0.000 | 0.000 | 0.000 |
| -0.000 | 0.000 | -0.000 | 28.808 | 0.000 | 0.000 |
| 0.000 | -0.000 | -0.000 | -0.000 | 28.808 | 0.000 |
| 0.000 | -0.000 | -0.000 | 0.000 | -0.000 | 28.453 |
| 424.672 | 166.628 | 166.628 | 0.000 | -0.000 | -0.000 |
| 166.628 | 424.672 | 166.628 | 0.000 | 0.000 | -0.000 |
| 166.628 | 166.628 | 424.672 | 0.000 | -0.000 | -0.000 |
| 0.000 | 0.000 | 0.000 | 111.133 | 0.000 | -0.000 |
| 0.000 | 0.000 | 0.000 | 0.000 | 111.133 | -0.000 |
| 0.000 | 0.000 | 0.000 | 0.000 | -0.000 | 111.133 |
| 424.672 | 166.628 | 166.628 | -0.000 | -0.000 | 0.000 |
| 166.628 | 424.672 | 166.628 | -0.000 | 0.000 | 0.000 |
| 166.628 | 166.628 | 424.672 | -0.000 | 0.000 | 0.000 |
| -0.000 | -0.000 | -0.000 | 111.133 | -0.000 | 0.000 |
| 0.000 | -0.000 | -0.000 | -0.000 | 111.133 | 0.000 |
| 0.000 | -0.000 | -0.000 | -0.000 | -0.000 | 111.133 |
| 424.672 | 166.628 | 166.628 | 0.000 | 0.000 | -0.000 |
| 166.628 | 424.672 | 166.628 | 0.000 | 0.000 | -0.000 |
| 166.628 | 166.628 | 424.672 | 0.000 | 0.000 | -0.000 |
| 0.000 | 0.000 | 0.000 | 178.651 | 0.000 | -0.000 |
| 0.000 | 0.000 | 0.000 | 0.000 | 178.651 | -0.000 |
| 0.000 | 0.000 | 0.000 | 0.000 | 0.000 | 178.651 |
| 424.671 | 166.628 | 166.628 | -0.000 | 0.000 | 0.000 |
| 166.628 | 424.671 | 166.628 | -0.000 | -0.000 | 0.000 |
| 166.628 | 166.628 | 424.671 | -0.000 | -0.000 | 0.000 |
| -0.000 | -0.000 | -0.000 | 178.651 | -0.000 | 0.000 |
| -0.000 | -0.000 | -0.000 | -0.000 | 178.651 | 0.000 |
| -0.000 | -0.000 | -0.000 | -0.000 | -0.000 | 178.651 |
| 424.673 | 166.629 | 166.629 | 0.000 | 0.000 | -0.000 |
| 166.629 | 424.673 | 166.629 | 0.000 | 0.000 | -0.000 |
| 166.629 | 166.629 | 424.673 | 0.000 | 0.000 | -0.000 |
| 0.000 | -0.000 | 0.000 | 111.133 | 0.000 | -0.000 |
| -0.000 | 0.000 | 0.000 | 0.000 | 111.133 | -0.000 |
| -0.000 | 0.000 | 0.000 | 0.000 | 0.000 | 111.133 |
| 424.670 | 166.627 | 166.627 | -0.000 | -0.000 | 0.000 |
| 166.627 | 424.670 | 166.627 | -0.000 | 0.000 | 0.000 |
| 166.627 | 166.627 | 424.670 | -0.000 | 0.000 | 0.000 |
| -0.000 | 0.000 | -0.000 | 111.133 | -0.000 | 0.000 |
| 0.000 | -0.000 | -0.000 | -0.000 | 111.133 | 0.000 |
| 0.000 | -0.000 | -0.000 | -0.000 | 0.000 | 111.133 |
| 154.823 | 123.505 | 123.505 | -0.000 | 0.000 | -0.000 |
| 123.505 | 154.823 | 123.505 | 0.000 | 0.000 | -0.000 |
| 123.505 | 123.505 | 154.823 | -0.000 | -0.000 | -0.000 |
| -0.000 | 0.000 | -0.000 | -15.742 | 0.000 | -0.000 |
| -0.000 | 0.000 | -0.000 | -0.000 | -15.742 | -0.000 |
| 0.000 | -0.000 | -0.000 | -0.000 | 0.000 | -15.742 |
| 154.823 | 123.505 | 123.505 | -0.000 | -0.000 | 0.000 |
| 123.505 | 154.823 | 123.505 | 0.000 | -0.000 | 0.000 |
| 123.505 | 123.505 | 154.823 | 0.000 | -0.000 | 0.000 |
| 0.000 | 0.000 | 0.000 | -15.742 | -0.000 | 0.000 |
| -0.000 | -0.000 | 0.000 | 0.000 | -15.742 | 0.000 |
| -0.000 | 0.000 | 0.000 | 0.000 | -0.000 | -15.742 |
| 154.823 | 123.505 | 123.505 | -0.000 | 0.000 | -0.000 |
| 123.505 | 154.823 | 123.505 | -0.000 | 0.000 | -0.000 |
| 123.505 | 123.505 | 154.823 | -0.000 | -0.000 | -0.000 |
| 0.000 | 0.000 | 0.000 | -15.742 | 0.000 | -0.000 |
| 0.000 | 0.000 | 0.000 | -0.000 | -15.742 | -0.000 |
| 0.000 | 0.000 | 0.000 | -0.000 | 0.000 | -15.742 |
| 154.823 | 123.505 | 123.505 | -0.000 | -0.000 | 0.000 |
| 123.505 | 154.823 | 123.505 | -0.000 | 0.000 | 0.000 |
| 123.505 | 123.505 | 154.823 | 0.000 | 0.000 | 0.000 |
| -0.000 | -0.000 | -0.000 | -15.742 | -0.000 | 0.000 |
| -0.000 | -0.000 | -0.000 | 0.000 | -15.742 | 0.000 |
| -0.000 | -0.000 | -0.000 | -0.000 | -0.000 | -15.742 |
| 154.824 | 123.506 | 123.506 | -0.000 | 0.000 | -0.000 |
| 123.506 | 154.824 | 123.506 | -0.000 | 0.000 | -0.000 |
| 123.506 | 123.506 | 154.824 | 0.000 | 0.000 | -0.000 |
| 0.001 | 0.000 | 0.000 | -15.742 | 0.000 | -0.000 |
| 0.000 | 0.001 | 0.000 | -0.000 | -15.742 | -0.000 |
| 0.000 | 0.000 | 0.001 | -0.000 | 0.000 | -15.742 |
| 154.823 | 123.505 | 123.505 | 0.000 | -0.000 | 0.000 |
| 123.505 | 154.823 | 123.505 | -0.000 | -0.000 | 0.000 |
| 123.505 | 123.505 | 154.823 | 0.000 | -0.000 | 0.000 |
| -0.001 | -0.000 | -0.000 | -15.742 | -0.000 | 0.000 |
| -0.000 | -0.001 | -0.000 | 0.000 | -15.742 | 0.000 |
| -0.000 | -0.000 | -0.001 | 0.000 | -0.000 | -15.742 |
| 7.362 | 58.796 | 58.796 | 0.000 | 0.000 | -0.000 |
| 58.796 | 7.362 | 58.796 | 0.000 | 0.000 | -0.000 |
| 58.796 | 58.796 | 7.362 | 0.000 | 0.000 | -0.000 |
| -0.000 | -0.000 | 0.000 | -136.263 | 0.000 | -0.000 |
| -0.000 | 0.000 | 0.000 | 0.000 | -136.263 | -0.000 |
| -0.000 | -0.000 | 0.000 | 0.000 | 0.000 | -136.263 |
| 7.362 | 58.796 | 58.796 | -0.000 | -0.000 | 0.000 |
| 58.796 | 7.362 | 58.796 | -0.000 | -0.000 | 0.000 |
| 58.796 | 58.796 | 7.362 | -0.000 | -0.000 | 0.000 |
| 0.000 | 0.000 | -0.000 | -136.263 | -0.000 | 0.000 |
| 0.000 | 0.000 | -0.000 | -0.000 | -136.263 | 0.000 |
| 0.000 | 0.000 | -0.000 | -0.000 | -0.000 | -136.263 |
| 7.362 | 58.796 | 58.796 | 0.000 | 0.000 | -0.000 |
| 58.796 | 7.362 | 58.796 | 0.000 | -0.000 | -0.000 |
| 58.796 | 58.796 | 7.362 | 0.000 | 0.000 | -0.000 |
| -0.000 | 0.000 | -0.000 | -136.263 | 0.000 | -0.000 |
| 0.000 | -0.000 | -0.000 | 0.000 | -136.263 | -0.000 |
| 0.000 | -0.000 | 0.000 | 0.000 | 0.000 | -136.263 |
| 7.362 | 58.796 | 58.796 | 0.000 | -0.000 | 0.000 |
| 58.796 | 7.362 | 58.796 | -0.000 | 0.000 | 0.000 |
| 58.796 | 58.796 | 7.362 | 0.000 | -0.000 | 0.000 |
| 0.000 | -0.000 | 0.000 | -136.263 | -0.000 | 0.000 |
| -0.000 | 0.000 | 0.000 | -0.000 | -136.263 | 0.000 |
| -0.000 | 0.000 | -0.000 | -0.000 | -0.000 | -136.263 |
| 7.362 | 58.796 | 58.796 | 0.000 | 0.000 | -0.000 |
| 58.796 | 7.362 | 58.796 | 0.000 | 0.000 | -0.000 |
| 58.796 | 58.796 | 7.362 | 0.000 | 0.000 | -0.000 |
| -0.000 | 0.000 | -0.000 | -136.263 | 0.000 | -0.000 |
| 0.000 | -0.000 | -0.000 | 0.000 | -136.263 | -0.000 |
| 0.000 | -0.000 | -0.000 | 0.000 | 0.000 | -136.263 |
| 7.362 | 58.796 | 58.796 | -0.000 | -0.000 | 0.000 |
| 58.796 | 7.362 | 58.796 | -0.000 | -0.000 | 0.000 |
| 58.796 | 58.796 | 7.362 | -0.000 | -0.000 | 0.000 |
| 0.000 | -0.000 | 0.000 | -136.263 | -0.000 | 0.000 |
| -0.000 | 0.000 | 0.000 | -0.000 | -136.263 | 0.000 |
| -0.000 | 0.000 | 0.000 | -0.000 | -0.000 | -136.263 |
| 384.768 | 89.356 | 89.356 | 0.000 | -0.000 | -0.000 |
| 89.356 | 384.768 | 89.356 | 0.000 | -0.000 | -0.000 |
| 89.356 | 89.356 | 384.768 | 0.000 | -0.000 | -0.000 |
| 0.000 | 0.000 | 0.000 | 41.123 | -0.000 | -0.000 |
| 0.000 | 0.000 | 0.000 | -0.000 | 41.123 | -0.000 |
| 0.000 | 0.000 | 0.000 | 0.000 | -0.000 | 41.123 |
| 391.942 | 85.769 | 85.769 | -0.000 | 0.000 | 0.000 |
| 85.769 | 391.942 | 85.769 | -0.000 | 0.000 | -0.000 |
| 85.769 | 85.769 | 391.942 | -0.000 | 0.000 | 0.000 |
| -0.000 | -0.000 | -0.000 | 41.123 | 0.000 | 0.000 |
| -0.000 | 0.000 | -0.000 | -0.000 | 41.123 | 0.000 |
| -0.000 | -0.000 | -0.000 | -0.000 | 0.000 | 41.123 |
| 391.942 | 85.769 | 85.769 | 0.000 | -0.000 | -0.000 |
| 85.769 | 391.942 | 85.769 | 0.000 | -0.000 | -0.000 |
| 85.769 | 85.769 | 391.942 | 0.000 | -0.000 | -0.000 |
| 0.000 | 0.000 | 0.000 | 41.123 | -0.000 | -0.000 |
| 0.000 | 0.000 | 0.000 | 0.000 | 41.123 | -0.000 |
| 0.000 | 0.000 | 0.000 | -0.000 | -0.000 | 41.123 |
| 391.942 | 85.769 | 85.769 | -0.000 | 0.000 | 0.000 |
| 85.769 | 391.942 | 85.769 | -0.000 | 0.000 | 0.000 |
| 85.769 | 85.769 | 391.942 | -0.000 | 0.000 | 0.000 |
| -0.000 | -0.000 | -0.000 | 41.123 | 0.000 | -0.000 |
| -0.000 | -0.000 | -0.000 | 0.000 | 41.123 | 0.000 |
| -0.000 | -0.000 | -0.000 | -0.000 | 0.000 | 41.123 |
| 384.770 | 89.356 | 89.356 | 0.000 | -0.000 | -0.000 |
| 89.356 | 384.770 | 89.356 | 0.000 | -0.000 | -0.000 |
| 89.356 | 89.356 | 384.770 | -0.000 | -0.000 | -0.000 |
| 0.000 | 0.001 | 0.001 | 41.123 | -0.000 | 0.000 |
| 0.001 | 0.000 | 0.001 | -0.000 | 41.123 | -0.000 |
| 0.001 | 0.001 | 0.000 | -0.000 | -0.000 | 41.123 |
| 384.766 | 89.356 | 89.356 | -0.000 | 0.000 | -0.000 |
| 89.356 | 384.766 | 89.356 | -0.000 | 0.000 | -0.000 |
| 89.356 | 89.356 | 384.766 | -0.000 | 0.000 | 0.000 |
| -0.000 | -0.001 | -0.001 | 41.123 | 0.000 | 0.000 |
| -0.001 | -0.000 | -0.001 | -0.000 | 41.123 | 0.000 |
| -0.001 | -0.001 | -0.000 | -0.000 | 0.000 | 41.123 |
| 207.201 | 201.759 | 201.759 | -0.000 | -0.000 | 0.000 |
| 201.759 | 207.201 | 201.759 | 0.000 | -0.000 | 0.000 |
| 201.759 | 201.759 | 207.201 | -0.000 | -0.000 | 0.000 |
| 0.000 | 0.000 | -0.000 | 220.093 | -0.000 | 0.000 |
| -0.000 | 0.000 | -0.000 | -0.000 | 220.093 | -0.000 |
| 0.000 | 0.000 | -0.000 | 0.000 | -0.000 | 220.093 |
| 207.201 | 201.759 | 201.759 | 0.000 | 0.000 | -0.000 |
| 201.759 | 207.201 | 201.759 | 0.000 | 0.000 | 0.000 |
| 201.759 | 201.759 | 207.201 | 0.000 | 0.000 | -0.000 |
| -0.000 | -0.000 | 0.000 | 220.093 | 0.000 | -0.000 |
| -0.000 | 0.000 | 0.000 | 0.000 | 220.094 | 0.000 |
| -0.000 | -0.000 | 0.000 | -0.000 | 0.000 | 220.093 |
| 207.201 | 201.759 | 201.759 | -0.000 | -0.000 | 0.000 |
| 201.759 | 207.201 | 201.759 | -0.000 | -0.000 | -0.000 |
| 201.759 | 201.759 | 207.201 | 0.000 | -0.000 | 0.000 |
| 0.000 | 0.000 | 0.000 | 220.093 | -0.000 | 0.000 |
| 0.000 | 0.000 | 0.000 | -0.000 | 220.093 | 0.000 |
| 0.000 | 0.000 | 0.000 | 0.000 | -0.000 | 220.093 |
| 207.201 | 201.759 | 201.759 | 0.000 | 0.000 | 0.000 |
| 201.759 | 207.201 | 201.759 | 0.000 | -0.000 | 0.000 |
| 201.759 | 201.759 | 207.201 | -0.000 | -0.000 | 0.000 |
| -0.000 | -0.000 | -0.000 | 220.093 | 0.000 | -0.000 |
| -0.000 | -0.000 | -0.000 | 0.000 | 220.093 | 0.000 |
| -0.000 | -0.000 | -0.000 | -0.000 | 0.000 | 220.093 |
| 207.202 | 201.759 | 201.759 | -0.000 | -0.000 | 0.000 |
| 201.759 | 207.202 | 201.759 | 0.000 | -0.000 | 0.000 |
| 201.759 | 201.759 | 207.202 | 0.000 | -0.000 | -0.000 |
| 0.001 | 0.000 | 0.001 | 171.493 | -0.000 | -0.000 |
| 0.000 | 0.001 | 0.001 | -0.000 | 171.493 | -0.000 |
| 0.000 | 0.001 | 0.001 | -0.000 | -0.000 | 171.493 |
| 207.199 | 201.758 | 201.758 | 0.000 | 0.000 | 0.000 |
| 201.758 | 207.199 | 201.758 | 0.000 | 0.000 | -0.000 |
| 201.758 | 201.758 | 207.199 | 0.000 | 0.000 | -0.000 |
| -0.001 | -0.000 | -0.001 | 171.493 | 0.000 | 0.000 |
| -0.000 | -0.001 | -0.001 | 0.000 | 171.493 | 0.000 |
| -0.000 | -0.001 | -0.001 | 0.000 | 0.000 | 171.493 |
| 367.009 | 99.517 | 99.517 | 0.000 | -0.000 | -0.000 |
| 99.517 | 367.009 | 99.517 | 0.000 | 0.000 | -0.000 |
| 99.517 | 99.517 | 367.009 | 0.000 | -0.000 | 0.000 |
| 0.000 | -0.000 | 0.000 | 113.903 | 0.000 | 0.000 |
| -0.000 | -0.000 | 0.000 | 0.000 | 113.903 | -0.000 |
| 0.000 | 0.000 | 0.000 | 0.000 | 0.000 | 113.903 |
| 367.009 | 99.517 | 99.517 | -0.000 | -0.000 | 0.000 |
| 99.517 | 367.009 | 99.517 | -0.000 | 0.000 | -0.000 |
| 99.517 | 99.517 | 367.009 | -0.000 | 0.000 | -0.000 |
| -0.000 | -0.000 | -0.000 | 113.903 | -0.000 | 0.000 |
| -0.000 | 0.000 | -0.000 | -0.000 | 113.903 | -0.000 |
| -0.000 | -0.000 | -0.000 | -0.000 | 0.000 | 113.903 |
| 367.009 | 99.517 | 99.517 | -0.000 | 0.000 | 0.000 |
| 99.517 | 367.009 | 99.517 | -0.000 | 0.000 | 0.000 |
| 99.517 | 99.517 | 367.009 | -0.000 | -0.000 | 0.000 |
| -0.000 | 0.000 | 0.000 | 113.903 | 0.000 | 0.000 |
| 0.000 | -0.000 | 0.000 | 0.000 | 113.903 | -0.000 |
| 0.000 | 0.000 | -0.000 | 0.000 | 0.000 | 113.903 |
| 367.009 | 99.517 | 99.517 | -0.000 | -0.000 | 0.000 |
| 99.517 | 367.009 | 99.517 | 0.000 | -0.000 | -0.000 |
| 99.517 | 99.517 | 367.009 | -0.000 | 0.000 | 0.000 |
| 0.000 | -0.000 | -0.000 | 113.903 | -0.000 | 0.000 |
| -0.000 | 0.000 | -0.000 | -0.000 | 113.903 | -0.000 |
| -0.000 | -0.000 | 0.000 | 0.000 | 0.000 | 113.903 |
| 367.010 | 99.518 | 99.518 | -0.000 | -0.000 | -0.000 |
| 99.518 | 367.010 | 99.518 | 0.000 | -0.000 | -0.000 |
| 99.518 | 99.518 | 367.010 | 0.000 | -0.000 | -0.000 |
| -0.000 | 0.000 | 0.000 | 113.903 | 0.000 | 0.000 |
| 0.000 | -0.000 | 0.000 | 0.000 | 113.903 | 0.000 |
| 0.000 | 0.000 | -0.000 | -0.000 | -0.000 | 113.903 |
| 367.008 | 99.517 | 99.517 | -0.000 | 0.000 | -0.000 |
| 99.517 | 367.008 | 99.517 | -0.000 | 0.000 | -0.000 |
| 99.517 | 99.517 | 367.008 | 0.000 | -0.000 | -0.000 |
| 0.000 | -0.000 | -0.000 | 113.903 | 0.000 | 0.000 |
| -0.000 | 0.000 | -0.000 | -0.000 | 113.903 | -0.000 |
| -0.000 | -0.000 | 0.000 | -0.000 | 0.000 | 113.903 |
| 85.107 | 78.407 | 78.407 | -0.000 | -0.000 | 0.000 |
| 78.407 | 85.107 | 78.407 | -0.000 | -0.000 | 0.000 |
| 78.407 | 78.407 | 85.107 | -0.000 | -0.000 | 0.000 |
| 0.000 | 0.000 | 0.000 | 43.109 | -0.000 | 0.000 |
| 0.000 | 0.000 | 0.000 | -0.000 | 43.109 | 0.000 |
| 0.000 | 0.000 | -0.000 | -0.000 | -0.000 | 43.109 |
| 85.107 | 78.407 | 78.407 | 0.000 | 0.000 | -0.000 |
| 78.407 | 85.107 | 78.407 | 0.000 | 0.000 | -0.000 |
| 78.407 | 78.407 | 85.107 | -0.000 | 0.000 | -0.000 |
| -0.000 | -0.000 | -0.000 | 43.109 | 0.000 | -0.000 |
| -0.000 | -0.000 | -0.000 | 0.000 | 43.109 | -0.000 |
| -0.000 | -0.000 | -0.000 | 0.000 | 0.000 | 43.109 |
| 85.107 | 78.407 | 78.407 | -0.000 | -0.000 | 0.000 |
| 78.407 | 85.107 | 78.407 | -0.000 | -0.000 | 0.000 |
| 78.407 | 78.407 | 85.107 | -0.000 | -0.000 | 0.000 |
| 0.000 | 0.000 | 0.000 | 43.109 | -0.000 | 0.000 |
| 0.000 | 0.000 | 0.000 | -0.000 | 43.109 | 0.000 |
| 0.000 | 0.000 | 0.000 | -0.000 | -0.000 | 43.109 |
| 85.107 | 78.407 | 78.407 | 0.000 | 0.000 | -0.000 |
| 78.407 | 85.107 | 78.407 | 0.000 | 0.000 | -0.000 |
| 78.407 | 78.407 | 85.107 | 0.000 | 0.000 | -0.000 |
| -0.000 | -0.000 | -0.000 | 43.109 | 0.000 | 0.000 |
| -0.000 | -0.000 | -0.000 | 0.000 | 43.109 | -0.000 |
| -0.000 | -0.000 | -0.000 | 0.000 | 0.000 | 43.109 |
| 85.107 | 78.407 | 78.407 | -0.000 | -0.000 | 0.000 |
| 78.407 | 85.107 | 78.407 | -0.000 | -0.000 | 0.000 |
| 78.407 | 78.407 | 85.107 | -0.000 | -0.000 | 0.000 |
| 0.000 | 0.000 | 0.000 | 43.109 | -0.000 | 0.000 |
| 0.000 | 0.000 | 0.000 | -0.000 | 43.109 | 0.000 |
| 0.000 | 0.000 | 0.000 | -0.000 | -0.000 | 43.109 |
| 85.107 | 78.407 | 78.407 | 0.000 | 0.000 | -0.000 |
| 78.407 | 85.107 | 78.407 | 0.000 | 0.000 | -0.000 |
| 78.407 | 78.407 | 85.107 | -0.000 | 0.000 | -0.000 |
| -0.000 | -0.000 | -0.000 | 43.109 | 0.000 | -0.000 |
| -0.000 | -0.000 | -0.000 | 0.000 | 43.109 | -0.000 |
| -0.000 | -0.000 | -0.000 | 0.000 | 0.000 | 43.109 |
| 81.160 | 10.797 | 10.797 | -0.000 | 0.000 | -0.000 |
| 10.797 | 81.160 | 10.797 | -0.000 | -0.000 | -0.000 |
| 10.797 | 10.797 | 81.160 | 0.000 | 0.000 | -0.000 |
| 0.000 | 0.000 | 0.000 | -7.593 | 0.000 | 0.000 |
| 0.000 | 0.000 | 0.000 | -0.000 | -7.593 | 0.000 |
| 0.000 | 0.000 | 0.000 | 0.000 | 0.000 | -7.593 |
| 81.160 | 10.797 | 10.797 | 0.000 | -0.000 | 0.000 |
| 10.797 | 81.160 | 10.797 | 0.000 | -0.000 | -0.000 |
| 10.797 | 10.797 | 81.160 | 0.000 | -0.000 | -0.000 |
| -0.000 | -0.000 | -0.000 | -7.593 | -0.000 | 0.000 |
| -0.000 | -0.000 | -0.000 | 0.000 | -7.593 | -0.000 |
| -0.000 | -0.000 | -0.000 | -0.000 | -0.000 | -7.593 |
| 81.160 | 10.797 | 10.797 | 0.000 | 0.000 | 0.000 |
| 10.797 | 81.160 | 10.797 | 0.000 | 0.000 | 0.000 |
| 10.797 | 10.797 | 81.160 | 0.000 | 0.000 | 0.000 |
| 0.000 | 0.000 | 0.000 | -7.593 | 0.000 | 0.000 |
| 0.000 | 0.000 | 0.000 | -0.000 | -7.593 | 0.000 |
| 0.000 | 0.000 | 0.000 | -0.000 | 0.000 | -7.593 |
| 81.160 | 10.797 | 10.797 | 0.000 | -0.000 | -0.000 |
| 10.797 | 81.160 | 10.797 | 0.000 | 0.000 | -0.000 |
| 10.797 | 10.797 | 81.160 | -0.000 | -0.000 | -0.000 |
| -0.000 | -0.000 | -0.000 | -7.593 | -0.000 | 0.000 |
| -0.000 | -0.000 | -0.000 | 0.000 | -7.593 | -0.000 |
| -0.000 | -0.000 | -0.000 | 0.000 | -0.000 | -7.593 |
| 81.160 | 10.797 | 10.797 | -0.000 | 0.000 | 0.000 |
| 10.797 | 81.160 | 10.797 | -0.000 | 0.000 | 0.000 |
| 10.797 | 10.797 | 81.160 | -0.000 | -0.000 | -0.000 |
| 0.000 | 0.000 | 0.000 | -7.593 | 0.000 | 0.000 |
| 0.000 | 0.000 | 0.000 | -0.000 | -7.593 | 0.000 |
| 0.000 | 0.000 | 0.000 | -0.000 | 0.000 | -7.593 |
| 81.160 | 10.797 | 10.797 | -0.000 | -0.000 | -0.000 |
| 10.797 | 81.160 | 10.797 | 0.000 | -0.000 | -0.000 |
| 10.797 | 10.797 | 81.160 | -0.000 | -0.000 | 0.000 |
| -0.000 | -0.000 | -0.000 | -7.593 | -0.000 | -0.000 |
| -0.000 | -0.000 | -0.000 | 0.000 | -7.593 | -0.000 |
| -0.000 | -0.000 | -0.000 | 0.000 | -0.000 | -7.593 |
| 242.340 | 97.718 | 97.718 | -0.000 | 0.000 | -0.000 |
| 97.718 | 242.340 | 97.718 | -0.000 | 0.000 | -0.000 |
| 97.718 | 97.718 | 242.340 | -0.000 | -0.000 | -0.000 |
| 0.000 | 0.000 | 0.000 | 92.658 | -0.000 | -0.000 |
| 0.000 | 0.000 | 0.000 | -0.000 | 92.658 | -0.000 |
| 0.000 | 0.000 | 0.000 | -0.000 | 0.000 | 92.658 |
| 242.339 | 97.717 | 97.717 | 0.000 | 0.000 | 0.000 |
| 97.717 | 242.339 | 97.717 | 0.000 | -0.000 | 0.000 |
| 97.717 | 97.717 | 242.339 | 0.000 | -0.000 | 0.000 |
| -0.000 | -0.000 | -0.000 | 92.658 | 0.000 | 0.000 |
| -0.000 | -0.000 | -0.000 | 0.000 | 92.658 | 0.000 |
| -0.000 | -0.000 | -0.000 | 0.000 | -0.000 | 92.658 |
| 242.342 | 97.721 | 97.721 | -0.000 | 0.000 | -0.000 |
| 97.721 | 242.342 | 97.721 | 0.000 | 0.000 | -0.000 |
| 97.721 | 97.721 | 242.342 | -0.000 | 0.000 | -0.000 |
| 0.003 | 0.003 | 0.003 | 92.658 | -0.000 | -0.000 |
| 0.003 | 0.003 | 0.003 | -0.000 | 92.658 | -0.000 |
| 0.003 | 0.003 | 0.003 | -0.000 | 0.000 | 92.658 |
| 242.336 | 97.715 | 97.715 | 0.000 | -0.000 | 0.000 |
| 97.715 | 242.336 | 97.715 | 0.000 | -0.000 | 0.000 |
| 97.715 | 97.715 | 242.336 | 0.000 | -0.000 | 0.000 |
| -0.003 | -0.003 | -0.003 | 92.658 | 0.000 | 0.000 |
| -0.003 | -0.003 | -0.003 | 0.000 | 92.658 | 0.000 |
| -0.003 | -0.003 | -0.003 | 0.000 | -0.000 | 92.658 |
| 242.370 | 97.747 | 97.747 | -0.000 | 0.000 | -0.000 |
| 97.747 | 242.370 | 97.747 | -0.000 | 0.000 | -0.000 |
| 97.747 | 97.747 | 242.370 | 0.000 | 0.000 | -0.000 |
| 0.029 | 0.029 | 0.029 | 92.658 | -0.000 | -0.000 |
| 0.029 | 0.029 | 0.029 | -0.000 | 92.658 | -0.000 |
| 0.029 | 0.029 | 0.029 | -0.000 | 0.000 | 92.658 |
| 242.309 | 97.689 | 97.689 | -0.000 | -0.000 | 0.000 |
| 97.689 | 242.309 | 97.689 | 0.000 | -0.000 | 0.000 |
| 97.689 | 97.689 | 242.309 | 0.000 | -0.000 | 0.000 |
| -0.029 | -0.029 | -0.029 | 92.658 | 0.000 | 0.000 |
| -0.029 | -0.029 | -0.029 | 0.000 | 92.658 | 0.000 |
| -0.029 | -0.029 | -0.029 | 0.000 | -0.000 | 92.658 |
| 348.509 | 6.011 | 6.011 | 0.000 | 0.000 | 0.000 |
| 6.011 | 348.509 | 6.011 | 0.000 | 0.000 | 0.000 |
| 6.011 | 6.011 | 348.509 | -0.000 | 0.000 | 0.000 |
| 0.000 | 0.000 | 0.000 | -2.025 | 0.000 | 0.000 |
| 0.000 | 0.000 | -0.000 | 0.000 | -2.025 | 0.000 |
| 0.000 | 0.000 | 0.000 | 0.000 | 0.000 | -2.025 |
| 348.509 | 6.011 | 6.011 | 0.000 | 0.000 | -0.000 |
| 6.011 | 348.509 | 6.011 | -0.000 | 0.000 | -0.000 |
| 6.011 | 6.011 | 348.509 | -0.000 | -0.000 | 0.000 |
| -0.000 | -0.000 | -0.000 | -2.025 | -0.000 | 0.000 |
| -0.000 | -0.000 | 0.000 | -0.000 | -2.025 | -0.000 |
| -0.000 | -0.000 | -0.000 | -0.000 | -0.000 | -2.025 |
| 348.509 | 6.011 | 6.011 | 0.000 | 0.000 | 0.000 |
| 6.011 | 348.509 | 6.011 | 0.000 | 0.000 | 0.000 |
| 6.011 | 6.011 | 348.509 | 0.000 | 0.000 | 0.000 |
| 0.000 | 0.000 | -0.000 | -2.025 | 0.000 | 0.000 |
| 0.000 | 0.000 | -0.000 | 0.000 | -2.025 | -0.000 |
| 0.000 | -0.000 | 0.000 | -0.000 | 0.000 | -2.025 |
| 348.509 | 6.011 | 6.011 | -0.000 | 0.000 | 0.000 |
| 6.011 | 348.509 | 6.011 | -0.000 | -0.000 | 0.000 |
| 6.011 | 6.011 | 348.509 | -0.000 | -0.000 | -0.000 |
| -0.000 | -0.000 | 0.000 | -2.025 | -0.000 | 0.000 |
| -0.000 | -0.000 | 0.000 | -0.000 | -2.025 | -0.000 |
| -0.000 | 0.000 | -0.000 | -0.000 | -0.000 | -2.025 |
| 348.510 | 6.011 | 6.011 | 0.000 | 0.000 | 0.000 |
| 6.011 | 348.510 | 6.011 | 0.000 | -0.000 | -0.000 |
| 6.011 | 6.011 | 348.510 | 0.000 | 0.000 | -0.000 |
| 0.000 | 0.000 | -0.000 | -2.025 | 0.000 | 0.000 |
| 0.000 | 0.000 | -0.000 | 0.000 | -2.025 | -0.000 |
| 0.000 | -0.000 | 0.000 | -0.000 | 0.000 | -2.025 |
| 348.508 | 6.011 | 6.011 | -0.000 | -0.000 | 0.000 |
| 6.011 | 348.508 | 6.011 | -0.000 | -0.000 | 0.000 |
| 6.011 | 6.011 | 348.508 | -0.000 | -0.000 | 0.000 |
| -0.000 | -0.000 | 0.000 | -2.025 | -0.000 | 0.000 |
| -0.000 | -0.000 | 0.000 | -0.000 | -2.025 | 0.000 |
| -0.000 | 0.000 | -0.000 | 0.000 | -0.000 | -2.025 |
| 69.941 | 75.161 | 75.161 | 0.000 | 0.000 | 0.000 |
| 75.161 | 69.941 | 75.161 | 0.000 | 0.000 | 0.000 |
| 75.161 | 75.161 | 69.941 | 0.000 | 0.000 | 0.000 |
| -0.000 | -0.000 | 0.000 | 23.901 | 0.000 | 0.000 |
| -0.000 | -0.000 | 0.000 | 0.000 | 23.901 | 0.000 |
| -0.000 | 0.000 | -0.000 | 0.000 | 0.000 | 23.901 |
| 69.941 | 75.161 | 75.161 | -0.000 | -0.000 | -0.000 |
| 75.161 | 69.941 | 75.161 | -0.000 | -0.000 | -0.000 |
| 75.161 | 75.161 | 69.941 | -0.000 | -0.000 | -0.000 |
| 0.000 | 0.000 | -0.000 | 23.901 | -0.000 | -0.000 |
| 0.000 | 0.000 | -0.000 | -0.000 | 23.901 | -0.000 |
| 0.000 | -0.000 | 0.000 | -0.000 | -0.000 | 23.901 |
| 69.941 | 75.161 | 75.161 | 0.000 | 0.000 | 0.000 |
| 75.161 | 69.941 | 75.161 | 0.000 | 0.000 | 0.000 |
| 75.161 | 75.161 | 69.941 | 0.000 | 0.000 | 0.000 |
| -0.000 | -0.000 | 0.000 | 23.901 | 0.000 | 0.000 |
| -0.000 | -0.000 | 0.000 | 0.000 | 23.901 | 0.000 |
| -0.000 | 0.000 | -0.000 | 0.000 | 0.000 | 23.901 |
| 69.941 | 75.161 | 75.161 | -0.000 | -0.000 | -0.000 |
| 75.161 | 69.941 | 75.161 | -0.000 | -0.000 | -0.000 |
| 75.161 | 75.161 | 69.941 | -0.000 | -0.000 | -0.000 |
| 0.000 | 0.000 | -0.000 | 23.901 | -0.000 | -0.000 |
| 0.000 | 0.000 | -0.000 | -0.000 | 23.901 | -0.000 |
| 0.000 | -0.000 | 0.000 | -0.000 | -0.000 | 23.901 |
| 69.940 | 75.161 | 75.161 | 0.000 | 0.000 | 0.000 |
| 75.161 | 69.940 | 75.161 | 0.000 | 0.000 | 0.000 |
| 75.161 | 75.161 | 69.940 | 0.000 | 0.000 | 0.000 |
| -0.000 | -0.000 | 0.000 | 23.901 | 0.000 | 0.000 |
| -0.000 | -0.000 | 0.000 | 0.000 | 23.901 | 0.000 |
| -0.000 | 0.000 | -0.000 | 0.000 | 0.000 | 23.901 |
| 69.941 | 75.161 | 75.161 | -0.000 | -0.000 | -0.000 |
| 75.161 | 69.941 | 75.161 | -0.000 | -0.000 | -0.000 |
| 75.161 | 75.161 | 69.941 | -0.000 | -0.000 | -0.000 |
| 0.000 | 0.000 | -0.000 | 23.901 | -0.000 | -0.000 |
| 0.000 | 0.000 | -0.000 | -0.000 | 23.901 | -0.000 |
| 0.000 | -0.000 | 0.000 | -0.000 | -0.000 | 23.901 |
| 225.206 | 78.086 | 61.974 | -0.000 | 0.000 | -0.000 |
| 78.086 | 225.206 | 61.974 | -0.000 | 0.000 | -0.000 |
| 61.980 | 61.980 | 310.034 | -0.000 | 0.000 | -0.000 |
| -0.000 | 0.000 | 0.000 | 57.320 | -0.000 | -0.000 |
| 0.000 | 0.000 | 0.000 | -0.000 | 57.320 | -0.000 |
| -0.000 | 0.000 | 0.000 | -0.000 | 0.000 | 66.449 |
| 225.206 | 78.086 | 61.974 | 0.000 | -0.000 | 0.000 |
| 78.086 | 225.206 | 61.974 | 0.000 | 0.000 | 0.000 |
| 61.980 | 61.980 | 310.034 | 0.000 | 0.000 | 0.000 |
| 0.000 | -0.000 | -0.000 | 57.320 | 0.000 | 0.000 |
| 0.000 | -0.000 | -0.000 | -0.000 | 57.320 | 0.000 |
| 0.000 | -0.000 | -0.000 | 0.000 | 0.000 | 66.449 |
| 225.206 | 78.086 | 61.974 | 0.000 | -0.000 | -0.000 |
| 78.086 | 225.206 | 61.974 | -0.000 | -0.000 | -0.000 |
| 61.980 | 61.980 | 310.034 | -0.000 | -0.000 | -0.000 |
| 0.000 | 0.000 | 0.000 | 57.320 | -0.000 | -0.000 |
| 0.000 | 0.000 | 0.000 | -0.000 | 57.320 | -0.000 |
| 0.000 | 0.000 | 0.000 | -0.000 | -0.000 | 73.560 |
| 216.348 | 86.944 | 61.974 | 0.000 | -0.000 | 0.000 |
| 80.505 | 222.787 | 61.974 | -0.000 | 0.000 | -0.000 |
| 61.980 | 61.980 | 310.034 | 0.000 | 0.000 | 0.000 |
| -0.000 | -0.000 | -0.000 | 57.320 | 0.000 | 0.000 |
| -0.000 | -0.000 | -0.000 | 0.000 | 57.320 | 0.000 |
| -0.000 | -0.000 | -0.000 | -0.000 | -0.000 | 73.560 |
| 225.207 | 78.086 | 61.975 | 0.000 | 0.000 | -0.000 |
| 78.086 | 225.207 | 61.975 | -0.000 | 0.000 | -0.000 |
| 61.980 | 61.980 | 310.035 | -0.000 | -0.000 | -0.000 |
| 0.000 | 0.000 | 0.000 | 57.320 | -0.000 | -0.000 |
| 0.000 | 0.000 | 0.000 | -0.000 | 57.320 | -0.000 |
| 0.000 | 0.000 | 0.000 | 0.000 | -0.000 | 73.560 |
| 217.281 | 86.010 | 61.974 | -0.000 | -0.000 | 0.000 |
| 86.942 | 216.349 | 61.974 | -0.000 | -0.000 | 0.000 |
| 61.980 | 61.980 | 310.033 | 0.000 | 0.000 | 0.000 |
| -0.000 | -0.000 | -0.000 | 57.320 | 0.000 | 0.000 |
| -0.000 | -0.000 | -0.000 | -0.000 | 57.320 | 0.000 |
| -0.000 | -0.000 | -0.000 | -0.000 | -0.000 | 73.560 |
| 216.675 | 56.137 | 56.137 | -0.000 | -0.000 | 0.000 |
| 56.137 | 216.675 | 56.137 | 0.000 | 0.000 | 0.000 |
| 56.137 | 56.137 | 216.675 | -0.000 | 0.000 | 0.000 |
| 0.000 | -0.000 | -0.000 | 52.435 | 0.000 | 0.000 |
| 0.000 | 0.000 | 0.000 | 0.000 | 52.435 | 0.000 |
| 0.000 | 0.000 | -0.000 | -0.000 | 0.000 | 52.435 |
| 216.675 | 56.137 | 56.137 | 0.000 | -0.000 | -0.000 |
| 56.137 | 216.675 | 56.137 | 0.000 | -0.000 | -0.000 |
| 56.137 | 56.137 | 216.675 | 0.000 | -0.000 | -0.000 |
| -0.000 | 0.000 | 0.000 | 52.435 | -0.000 | -0.000 |
| -0.000 | -0.000 | 0.000 | -0.000 | 52.435 | -0.000 |
| -0.000 | -0.000 | 0.000 | 0.000 | -0.000 | 52.435 |
| 216.675 | 56.137 | 56.137 | -0.000 | 0.000 | 0.000 |
| 56.137 | 216.675 | 56.137 | -0.000 | 0.000 | 0.000 |
| 56.137 | 56.137 | 216.675 | 0.000 | -0.000 | 0.000 |
| 0.000 | 0.000 | 0.000 | 39.412 | 0.000 | 0.000 |
| 0.000 | 0.000 | 0.000 | -0.000 | 39.412 | 0.000 |
| 0.000 | 0.000 | 0.000 | -0.000 | 0.000 | 39.412 |
| 216.675 | 56.137 | 56.137 | -0.000 | -0.000 | -0.000 |
| 56.137 | 216.675 | 56.137 | 0.000 | -0.000 | -0.000 |
| 56.137 | 56.137 | 216.675 | 0.000 | -0.000 | -0.000 |
| -0.000 | -0.000 | -0.000 | 39.412 | -0.000 | -0.000 |
| -0.000 | -0.000 | -0.000 | 0.000 | 39.412 | -0.000 |
| -0.000 | -0.000 | -0.000 | 0.000 | -0.000 | 39.412 |
| 216.676 | 56.137 | 56.137 | -0.000 | 0.000 | 0.000 |
| 56.137 | 216.676 | 56.137 | 0.000 | 0.000 | 0.000 |
| 56.137 | 56.137 | 216.676 | -0.000 | 0.000 | 0.000 |
| 0.000 | 0.000 | 0.000 | 52.435 | 0.000 | 0.000 |
| 0.000 | 0.000 | 0.000 | -0.000 | 52.435 | 0.000 |
| 0.000 | 0.000 | 0.000 | -0.000 | 0.000 | 52.435 |
| 216.675 | 56.136 | 56.136 | 0.000 | -0.000 | -0.000 |
| 56.136 | 216.675 | 56.136 | -0.000 | -0.000 | -0.000 |
| 56.136 | 56.136 | 216.675 | 0.000 | -0.000 | -0.000 |
| -0.000 | -0.000 | -0.000 | 52.435 | -0.000 | -0.000 |
| -0.000 | -0.000 | -0.000 | 0.000 | 52.435 | -0.000 |
| -0.000 | -0.000 | -0.000 | 0.000 | -0.000 | 52.435 |
| 222.308 | 24.500 | 29.317 | 0.000 | -0.000 | 0.000 |
| 24.500 | 222.308 | 29.317 | 0.000 | -0.000 | 0.000 |
| 30.658 | 30.658 | 41.928 | 0.000 | -0.000 | 0.000 |
| 0.112 | 0.112 | 0.357 | 6.107 | 0.000 | 0.000 |
| 0.112 | 0.112 | 0.357 | 0.000 | 6.107 | 0.000 |
| 0.146 | 0.146 | 0.466 | 0.000 | 0.000 | 26.814 |
| 222.131 | 24.323 | 28.703 | -0.000 | -0.000 | -0.000 |
| 24.323 | 222.131 | 28.703 | -0.000 | -0.000 | -0.000 |
| 30.480 | 30.480 | 40.592 | -0.000 | -0.000 | -0.000 |
| -0.112 | -0.112 | -0.357 | 6.107 | -0.000 | -0.000 |
| -0.112 | -0.112 | -0.357 | -0.000 | 6.107 | -0.000 |
| -0.146 | -0.146 | -0.466 | -0.000 | 0.000 | 26.814 |
| 222.230 | 24.422 | 29.040 | 0.000 | -0.000 | 0.000 |
| 24.422 | 222.230 | 29.040 | 0.000 | -0.000 | 0.000 |
| 30.578 | 30.578 | 41.326 | -0.000 | -0.000 | 0.000 |
| -0.103 | -0.103 | 0.427 | -75.634 | -0.000 | 0.000 |
| -0.103 | -0.103 | 0.427 | 0.000 | -75.634 | 0.000 |
| 0.015 | 0.015 | 0.047 | 0.000 | -0.000 | 26.814 |
| 222.212 | 24.404 | 28.978 | 0.000 | -0.000 | -0.000 |
| 24.404 | 222.212 | 28.978 | -0.000 | -0.000 | -0.000 |
| 30.560 | 30.560 | 41.193 | 0.000 | 0.000 | -0.000 |
| 0.103 | 0.103 | -0.427 | -75.634 | -0.000 | -0.000 |
| 0.103 | 0.103 | -0.426 | -0.000 | -75.634 | -0.000 |
| -0.015 | -0.015 | -0.047 | -0.000 | 0.000 | 26.814 |
| 222.213 | 24.405 | 30.018 | 0.000 | 0.000 | 0.000 |
| 24.405 | 222.213 | 30.018 | 0.000 | -0.000 | 0.000 |
| 30.570 | 30.570 | 41.265 | 0.000 | 0.000 | 0.000 |
| -0.010 | -0.009 | 0.038 | -75.683 | -0.000 | 0.000 |
| -0.009 | -0.010 | 0.038 | 0.000 | -75.683 | 0.000 |
| 0.002 | 0.001 | 0.005 | 0.000 | 0.000 | 26.814 |
| 222.210 | 24.403 | 30.005 | 0.000 | -0.000 | -0.000 |
| 24.403 | 222.210 | 30.005 | -0.000 | -0.000 | -0.000 |
| 30.568 | 30.568 | 41.255 | 0.000 | -0.000 | -0.000 |
| 0.010 | 0.009 | -0.038 | -75.683 | 0.000 | -0.000 |
| 0.009 | 0.010 | -0.038 | -0.000 | -75.683 | -0.000 |
| -0.002 | -0.001 | -0.005 | -0.000 | 0.000 | 26.814 |
| 4.861 | 47.054 | 47.054 | 0.000 | -0.000 | -0.000 |
| 47.054 | 4.861 | 47.054 | 0.000 | -0.000 | -0.000 |
| 47.054 | 47.054 | 4.861 | 0.000 | -0.000 | -0.000 |
| 0.000 | 0.000 | -0.000 | -64.717 | -0.000 | -0.000 |
| 0.000 | 0.000 | -0.000 | 0.000 | -64.717 | -0.000 |
| 0.000 | 0.000 | -0.000 | 0.000 | -0.000 | -64.717 |
| 4.861 | 47.054 | 47.054 | -0.000 | 0.000 | 0.000 |
| 47.054 | 4.861 | 47.054 | -0.000 | 0.000 | 0.000 |
| 47.054 | 47.054 | 4.861 | -0.000 | 0.000 | 0.000 |
| -0.000 | -0.000 | 0.000 | -64.717 | 0.000 | 0.000 |
| -0.000 | -0.000 | 0.000 | -0.000 | -64.717 | 0.000 |
| -0.000 | -0.000 | 0.000 | -0.000 | 0.000 | -64.717 |
| 4.861 | 47.054 | 47.054 | 0.000 | -0.000 | -0.000 |
| 47.054 | 4.861 | 47.054 | 0.000 | -0.000 | -0.000 |
| 47.054 | 47.054 | 4.861 | 0.000 | -0.000 | -0.000 |
| 0.000 | 0.000 | 0.000 | 46.903 | -0.000 | -0.000 |
| 0.000 | 0.000 | 0.000 | 0.000 | 46.903 | -0.000 |
| 0.000 | 0.000 | 0.000 | 0.000 | -0.000 | 46.903 |
| 4.861 | 47.054 | 47.054 | -0.000 | 0.000 | 0.000 |
| 47.054 | 4.861 | 47.054 | -0.000 | 0.000 | 0.000 |
| 47.054 | 47.054 | 4.861 | -0.000 | 0.000 | 0.000 |
| -0.000 | -0.000 | -0.000 | 46.903 | 0.000 | 0.000 |
| -0.000 | -0.000 | -0.000 | -0.000 | 46.903 | 0.000 |
| -0.000 | -0.000 | -0.000 | -0.000 | 0.000 | 46.903 |
| 4.861 | 47.054 | 47.054 | 0.000 | -0.000 | -0.000 |
| 47.054 | 4.861 | 47.054 | 0.000 | -0.000 | -0.000 |
| 47.054 | 47.054 | 4.861 | 0.000 | -0.000 | -0.000 |
| 0.000 | 0.000 | -0.000 | -64.717 | -0.000 | -0.000 |
| 0.000 | 0.000 | -0.000 | 0.000 | -64.717 | -0.000 |
| 0.000 | -0.000 | 0.000 | 0.000 | -0.000 | -64.717 |
| 4.861 | 47.054 | 47.054 | -0.000 | 0.000 | 0.000 |
| 47.054 | 4.861 | 47.054 | -0.000 | 0.000 | 0.000 |
| 47.054 | 47.054 | 4.861 | -0.000 | 0.000 | 0.000 |
| -0.000 | -0.000 | 0.000 | -64.717 | 0.000 | 0.000 |
| -0.000 | -0.000 | 0.000 | -0.000 | -64.717 | 0.000 |
| -0.000 | 0.000 | -0.000 | -0.000 | 0.000 | -64.717 |
| 159.440 | 41.506 | 41.506 | -0.000 | 0.000 | 0.000 |
| 41.506 | 159.440 | 41.506 | -0.000 | 0.000 | 0.000 |
| 41.506 | 41.506 | 159.440 | 0.000 | 0.000 | 0.000 |
| 0.000 | 0.000 | -0.000 | -38.376 | 0.000 | 0.000 |
| 0.000 | 0.000 | 0.000 | -0.000 | -38.376 | -0.000 |
| -0.000 | 0.000 | 0.000 | -0.000 | 0.000 | -38.376 |
| 159.440 | 41.506 | 41.506 | 0.000 | 0.000 | -0.000 |
| 41.506 | 159.440 | 41.506 | 0.000 | -0.000 | -0.000 |
| 41.506 | 41.506 | 159.440 | -0.000 | -0.000 | 0.000 |
| -0.000 | 0.000 | 0.000 | -38.376 | -0.000 | -0.000 |
| 0.000 | 0.000 | -0.000 | 0.000 | -38.376 | -0.000 |
| 0.000 | 0.000 | -0.000 | -0.000 | -0.000 | -38.376 |
| 159.440 | 41.506 | 41.506 | -0.000 | -0.000 | 0.000 |
| 41.506 | 159.440 | 41.506 | -0.000 | 0.000 | 0.000 |
| 41.506 | 41.506 | 159.440 | 0.000 | 0.000 | -0.000 |
| 0.000 | 0.000 | 0.000 | 36.540 | 0.000 | 0.000 |
| 0.000 | 0.000 | 0.000 | 0.000 | 36.540 | 0.000 |
| 0.000 | 0.000 | 0.000 | 0.000 | 0.000 | 36.540 |
| 159.440 | 41.506 | 41.506 | 0.000 | -0.000 | -0.000 |
| 41.506 | 159.440 | 41.506 | -0.000 | -0.000 | -0.000 |
| 41.506 | 41.506 | 159.440 | 0.000 | -0.000 | -0.000 |
| -0.000 | -0.000 | -0.000 | 36.540 | 0.000 | 0.000 |
| -0.000 | -0.000 | -0.000 | -0.000 | 36.540 | -0.000 |
| -0.000 | -0.000 | -0.000 | -0.000 | -0.000 | 36.540 |
| 165.420 | 38.517 | 38.517 | -0.000 | -0.000 | 0.000 |
| 38.517 | 165.420 | 38.517 | 0.000 | -0.000 | -0.000 |
| 38.517 | 38.517 | 165.420 | -0.000 | -0.000 | 0.000 |
| 0.000 | 0.000 | 0.000 | -38.376 | 0.000 | 0.000 |
| 0.000 | 0.000 | 0.000 | -0.000 | -38.376 | -0.000 |
| 0.000 | 0.000 | 0.000 | -0.000 | 0.000 | -38.376 |
| 159.439 | 41.506 | 41.506 | -0.000 | -0.000 | -0.000 |
| 41.506 | 159.439 | 41.506 | -0.000 | -0.000 | 0.000 |
| 41.506 | 41.506 | 159.439 | 0.000 | -0.000 | 0.000 |
| -0.000 | -0.000 | -0.000 | -38.376 | -0.000 | 0.000 |
| -0.000 | -0.000 | -0.000 | -0.000 | -38.376 | 0.000 |
| -0.000 | -0.000 | -0.000 | 0.000 | -0.000 | -38.376 |
| 89.910 | 77.874 | 77.874 | -0.000 | -0.000 | -0.000 |
| 77.874 | 89.910 | 77.874 | -0.000 | 0.000 | -0.000 |
| 77.874 | 77.874 | 89.910 | -0.000 | -0.000 | -0.000 |
| 0.000 | -0.000 | -0.000 | 75.710 | 0.000 | -0.000 |
| 0.000 | -0.000 | -0.000 | -0.000 | 75.710 | -0.000 |
| 0.000 | -0.000 | -0.000 | -0.000 | 0.000 | 75.710 |
| 89.910 | 77.874 | 77.874 | 0.000 | -0.000 | 0.000 |
| 77.874 | 89.910 | 77.874 | 0.000 | -0.000 | 0.000 |
| 77.874 | 77.874 | 89.910 | 0.000 | -0.000 | 0.000 |
| -0.000 | 0.000 | 0.000 | 75.710 | -0.000 | 0.000 |
| -0.000 | 0.000 | 0.000 | 0.000 | 75.710 | 0.000 |
| -0.000 | 0.000 | 0.000 | 0.000 | -0.000 | 75.710 |
| 89.910 | 77.874 | 77.874 | -0.000 | 0.000 | -0.000 |
| 77.874 | 89.910 | 77.874 | -0.000 | -0.000 | -0.000 |
| 77.874 | 77.874 | 89.910 | -0.000 | 0.000 | -0.000 |
| 0.000 | 0.000 | -0.000 | 19.203 | 0.000 | -0.000 |
| 0.000 | 0.000 | 0.000 | -0.000 | 19.203 | -0.000 |
| 0.000 | 0.000 | 0.000 | -0.000 | 0.000 | 19.203 |
| 89.910 | 77.874 | 77.874 | 0.000 | 0.000 | 0.000 |
| 77.874 | 89.910 | 77.874 | 0.000 | -0.000 | 0.000 |
| 77.874 | 77.874 | 89.910 | 0.000 | -0.000 | 0.000 |
| -0.000 | -0.000 | -0.000 | 19.203 | -0.000 | 0.000 |
| -0.000 | -0.000 | -0.000 | 0.000 | 19.203 | 0.000 |
| -0.000 | -0.000 | -0.000 | 0.000 | -0.000 | 19.203 |
| 89.910 | 77.874 | 77.874 | -0.000 | 0.000 | -0.000 |
| 77.874 | 89.910 | 77.874 | -0.000 | -0.000 | -0.000 |
| 77.874 | 77.874 | 89.910 | -0.000 | -0.000 | -0.000 |
| 0.000 | 0.000 | 0.000 | 19.203 | -0.000 | -0.000 |
| 0.000 | 0.000 | 0.000 | -0.000 | 19.203 | -0.000 |
| 0.000 | 0.000 | 0.000 | -0.000 | 0.000 | 19.203 |
| 89.909 | 77.874 | 77.874 | 0.000 | -0.000 | 0.000 |
| 77.874 | 89.909 | 77.874 | 0.000 | 0.000 | 0.000 |
| 77.874 | 77.874 | 89.909 | 0.000 | 0.000 | 0.000 |
| -0.000 | -0.000 | -0.000 | 19.203 | 0.000 | 0.000 |
| -0.000 | -0.000 | -0.000 | 0.000 | 19.203 | 0.000 |
| -0.000 | -0.000 | -0.000 | 0.000 | -0.000 | 19.203 |
| 105.294 | 33.439 | 33.439 | 0.000 | 0.000 | -0.000 |
| 33.439 | 105.294 | 33.439 | 0.000 | 0.000 | -0.000 |
| 33.439 | 33.439 | 105.294 | -0.000 | -0.000 | -0.000 |
| 0.000 | -0.000 | 0.000 | 32.409 | 0.000 | -0.000 |
| 0.000 | 0.000 | 0.000 | 0.000 | 32.409 | 0.000 |
| -0.000 | 0.000 | 0.000 | 0.000 | 0.000 | 32.409 |
| 105.294 | 33.439 | 33.439 | -0.000 | -0.000 | 0.000 |
| 33.439 | 105.294 | 33.439 | -0.000 | -0.000 | -0.000 |
| 33.439 | 33.439 | 105.294 | -0.000 | -0.000 | 0.000 |
| -0.000 | 0.000 | -0.000 | 32.409 | -0.000 | 0.000 |
| -0.000 | -0.000 | -0.000 | -0.000 | 32.409 | -0.000 |
| -0.000 | -0.000 | -0.000 | -0.000 | -0.000 | 32.409 |
| 105.294 | 33.439 | 33.439 | 0.000 | 0.000 | 0.000 |
| 33.439 | 105.294 | 33.439 | 0.000 | 0.000 | -0.000 |
| 33.439 | 33.439 | 105.294 | -0.000 | -0.000 | -0.000 |
| -0.000 | 0.000 | 0.000 | 32.409 | 0.000 | 0.000 |
| 0.000 | -0.000 | 0.000 | 0.000 | 32.409 | -0.000 |
| 0.000 | 0.000 | -0.000 | 0.000 | 0.000 | 32.409 |
| 105.294 | 33.439 | 33.439 | -0.000 | -0.000 | 0.000 |
| 33.439 | 105.294 | 33.439 | -0.000 | -0.000 | -0.000 |
| 33.439 | 33.439 | 105.294 | -0.000 | -0.000 | 0.000 |
| 0.000 | -0.000 | -0.000 | 32.409 | -0.000 | -0.000 |
| -0.000 | 0.000 | -0.000 | -0.000 | 32.409 | 0.000 |
| -0.000 | -0.000 | 0.000 | -0.000 | -0.000 | 32.409 |
| 105.294 | 33.439 | 33.439 | 0.000 | 0.000 | -0.000 |
| 33.439 | 105.294 | 33.439 | 0.000 | 0.000 | -0.000 |
| 33.439 | 33.439 | 105.294 | 0.000 | 0.000 | 0.000 |
| -0.000 | 0.000 | 0.000 | 32.409 | -0.000 | 0.000 |
| 0.000 | -0.000 | 0.000 | 0.000 | 32.409 | -0.000 |
| 0.000 | 0.000 | -0.000 | 0.000 | 0.000 | 32.409 |
| 105.294 | 33.439 | 33.439 | -0.000 | -0.000 | -0.000 |
| 33.439 | 105.294 | 33.439 | -0.000 | -0.000 | 0.000 |
| 33.439 | 33.439 | 105.294 | -0.000 | -0.000 | 0.000 |
| 0.000 | -0.000 | -0.000 | 32.409 | -0.000 | 0.000 |
| -0.000 | 0.000 | -0.000 | -0.000 | 32.409 | -0.000 |
| -0.000 | -0.000 | 0.000 | -0.000 | -0.000 | 32.409 |
| 162.924 | 17.735 | 29.859 | 0.000 | -0.000 | -0.000 |
| 17.735 | 162.924 | 29.859 | 0.000 | 0.000 | -0.000 |
| 26.450 | 26.450 | 31.613 | 0.000 | -0.000 | -0.000 |
| -0.000 | -0.000 | 0.003 | 18.072 | 0.000 | -0.000 |
| -0.000 | -0.000 | 0.003 | 0.000 | 18.072 | -0.000 |
| -0.000 | -0.000 | 0.000 | 0.000 | -0.000 | 15.294 |
| 162.924 | 17.735 | 29.859 | -0.000 | 0.000 | -0.000 |
| 17.735 | 162.924 | 29.859 | -0.000 | 0.000 | -0.000 |
| 26.450 | 26.450 | 31.612 | -0.000 | 0.000 | 0.000 |
| 0.000 | 0.000 | -0.003 | 18.072 | 0.000 | 0.000 |
| 0.000 | 0.000 | -0.003 | -0.000 | 18.072 | 0.000 |
| 0.000 | 0.000 | -0.000 | -0.000 | 0.000 | 15.294 |
| 162.924 | 17.735 | 29.859 | 0.000 | -0.000 | -0.000 |
| 17.735 | 162.924 | 29.859 | 0.000 | -0.000 | 0.000 |
| 26.450 | 26.450 | 31.612 | 0.000 | -0.000 | -0.000 |
| -0.000 | -0.000 | 0.000 | 18.072 | -0.000 | 0.000 |
| -0.000 | -0.000 | 0.000 | 0.000 | 18.072 | -0.000 |
| 0.000 | 0.000 | 0.000 | 0.000 | -0.000 | 15.294 |
| 162.924 | 17.735 | 29.859 | 0.000 | -0.000 | -0.000 |
| 17.735 | 162.924 | 29.859 | -0.000 | 0.000 | -0.000 |
| 26.450 | 26.450 | 31.612 | -0.000 | 0.000 | 0.000 |
| 0.000 | 0.000 | -0.000 | 18.072 | 0.000 | 0.000 |
| 0.000 | 0.000 | -0.000 | -0.000 | 18.072 | 0.000 |
| -0.000 | -0.000 | -0.000 | -0.000 | 0.000 | 15.294 |
| 162.925 | 17.735 | 29.859 | 0.000 | -0.000 | -0.000 |
| 17.735 | 162.925 | 29.859 | 0.000 | -0.000 | -0.000 |
| 26.450 | 26.450 | 31.611 | 0.000 | -0.000 | -0.000 |
| 0.000 | 0.000 | 0.000 | 18.072 | -0.000 | -0.000 |
| 0.000 | 0.000 | 0.000 | 0.000 | 18.072 | -0.000 |
| 0.000 | 0.000 | 0.000 | 0.000 | -0.000 | 15.294 |
| 162.923 | 17.735 | 29.859 | -0.000 | 0.000 | 0.000 |
| 17.735 | 162.923 | 29.859 | -0.000 | -0.000 | -0.000 |
| 26.450 | 26.450 | 31.614 | -0.000 | -0.000 | 0.000 |
| -0.000 | -0.000 | -0.000 | 18.072 | 0.000 | -0.000 |
| -0.000 | -0.000 | -0.000 | -0.000 | 18.072 | 0.000 |
| -0.000 | -0.000 | -0.000 | -0.000 | 0.000 | 15.294 |
| 45.998 | 7.319 | 7.319 | 0.000 | 0.000 | -0.000 |
| 7.319 | 45.998 | 7.319 | 0.000 | 0.000 | -0.000 |
| 7.319 | 7.319 | 45.998 | 0.000 | 0.000 | 0.000 |
| 0.000 | 0.000 | -0.000 | -21.494 | -0.000 | 0.000 |
| 0.000 | 0.000 | -0.000 | 0.000 | -21.494 | -0.000 |
| 0.000 | 0.000 | 0.000 | 0.000 | 0.000 | -21.494 |
| 45.998 | 7.319 | 7.319 | 0.000 | 0.000 | 0.000 |
| 7.319 | 45.998 | 7.319 | 0.000 | -0.000 | -0.000 |
| 7.319 | 7.319 | 45.998 | -0.000 | 0.000 | -0.000 |
| -0.000 | -0.000 | 0.000 | -21.494 | 0.000 | 0.000 |
| -0.000 | -0.000 | 0.000 | -0.000 | -21.494 | -0.000 |
| -0.000 | 0.000 | 0.000 | -0.000 | -0.000 | -21.494 |
| 45.998 | 7.319 | 7.319 | 0.000 | 0.000 | 0.000 |
| 7.319 | 45.998 | 7.319 | 0.000 | 0.000 | 0.000 |
| 7.319 | 7.319 | 45.998 | 0.000 | 0.000 | 0.000 |
| 0.000 | 0.000 | -0.000 | -21.494 | -0.000 | 0.000 |
| 0.000 | 0.000 | -0.000 | -0.000 | -21.494 | -0.000 |
| 0.000 | -0.000 | 0.000 | -0.000 | 0.000 | -21.494 |
| 45.998 | 7.319 | 7.319 | -0.000 | 0.000 | -0.000 |
| 7.319 | 45.998 | 7.319 | -0.000 | -0.000 | -0.000 |
| 7.319 | 7.319 | 45.998 | 0.000 | -0.000 | 0.000 |
| -0.000 | -0.000 | 0.000 | -21.494 | 0.000 | 0.000 |
| -0.000 | -0.000 | 0.000 | -0.000 | -21.494 | -0.000 |
| -0.000 | 0.000 | -0.000 | 0.000 | -0.000 | -21.494 |
| 45.999 | 7.319 | 7.319 | -0.000 | -0.000 | -0.000 |
| 7.319 | 45.999 | 7.319 | -0.000 | -0.000 | -0.000 |
| 7.319 | 7.319 | 45.999 | 0.000 | 0.000 | 0.000 |
| 0.000 | 0.000 | -0.000 | -21.494 | 0.000 | 0.000 |
| 0.000 | 0.000 | -0.000 | -0.000 | -21.494 | 0.000 |
| 0.000 | -0.000 | 0.000 | 0.000 | 0.000 | -21.494 |
| 45.998 | 7.319 | 7.319 | 0.000 | 0.000 | -0.000 |
| 7.319 | 45.998 | 7.319 | 0.000 | 0.000 | -0.000 |
| 7.319 | 7.319 | 45.998 | 0.000 | 0.000 | 0.000 |
| -0.000 | -0.000 | 0.000 | -21.494 | -0.000 | -0.000 |
| -0.000 | -0.000 | 0.000 | 0.000 | -21.494 | 0.000 |
| -0.000 | 0.000 | -0.000 | -0.000 | -0.000 | -21.494 |
| 209.685 | 30.748 | 30.748 | 0.000 | 0.000 | 0.000 |
| 30.748 | 209.685 | 30.748 | 0.000 | 0.000 | 0.000 |
| 30.748 | 30.748 | 209.685 | 0.000 | -0.000 | 0.000 |
| 0.000 | 0.000 | 0.000 | 27.401 | -0.000 | 0.000 |
| 0.000 | 0.000 | 0.000 | 0.000 | 27.401 | 0.000 |
| 0.000 | 0.000 | 0.000 | 0.000 | -0.000 | 27.401 |
| 209.670 | 30.747 | 30.747 | -0.000 | 0.000 | -0.000 |
| 30.747 | 209.670 | 30.747 | -0.000 | -0.000 | -0.000 |
| 30.747 | 30.747 | 209.670 | -0.000 | 0.000 | -0.000 |
| -0.000 | -0.000 | -0.000 | 27.401 | 0.000 | -0.000 |
| -0.000 | -0.000 | -0.000 | 0.000 | 27.401 | -0.000 |
| -0.000 | -0.000 | -0.000 | -0.000 | 0.000 | 27.401 |
| 209.753 | 30.750 | 30.750 | 0.000 | 0.000 | 0.000 |
| 30.750 | 209.753 | 30.750 | -0.000 | 0.000 | 0.000 |
| 30.750 | 30.750 | 209.753 | 0.000 | -0.000 | 0.000 |
| 0.002 | 0.002 | 0.002 | 27.401 | -0.000 | 0.000 |
| 0.002 | 0.002 | 0.002 | -0.000 | 27.401 | 0.000 |
| 0.002 | 0.002 | 0.002 | 0.000 | 0.000 | 27.401 |
| 209.603 | 30.746 | 30.746 | 0.000 | 0.000 | -0.000 |
| 30.746 | 209.603 | 30.746 | 0.000 | 0.000 | -0.000 |
| 30.746 | 30.746 | 209.603 | 0.000 | 0.000 | -0.000 |
| -0.002 | -0.002 | -0.002 | 27.401 | 0.000 | -0.000 |
| -0.002 | -0.002 | -0.002 | -0.000 | 27.401 | -0.000 |
| -0.002 | -0.002 | -0.002 | -0.000 | 0.000 | 27.401 |
| 210.428 | 30.767 | 30.767 | -0.000 | 0.000 | 0.000 |
| 30.767 | 210.428 | 30.767 | 0.000 | -0.000 | 0.000 |
| 30.767 | 30.767 | 210.428 | 0.000 | -0.000 | 0.000 |
| 0.020 | 0.020 | 0.020 | 27.401 | -0.000 | 0.000 |
| 0.020 | 0.020 | 0.020 | -0.000 | 27.401 | 0.000 |
| 0.020 | 0.020 | 0.020 | -0.000 | -0.000 | 27.401 |
| 208.927 | 30.728 | 30.728 | 0.000 | -0.000 | -0.000 |
| 30.728 | 208.927 | 30.728 | -0.000 | 0.000 | -0.000 |
| 30.728 | 30.728 | 208.927 | -0.000 | -0.000 | -0.000 |
| -0.020 | -0.020 | -0.020 | 27.401 | 0.000 | -0.000 |
| -0.020 | -0.020 | -0.020 | 0.000 | 27.401 | -0.000 |
| -0.020 | -0.020 | -0.020 | 0.000 | -0.000 | 27.401 |
| 358.934 | 86.423 | 86.423 | 0.000 | -0.000 | -0.000 |
| 86.423 | 358.934 | 86.423 | -0.000 | -0.000 | -0.000 |
| 86.423 | 86.423 | 358.934 | -0.000 | -0.000 | -0.000 |
| 0.000 | 0.000 | 0.000 | 79.064 | -0.000 | 0.000 |
| 0.000 | 0.000 | -0.000 | 0.000 | 79.064 | -0.000 |
| 0.000 | 0.000 | 0.000 | 0.000 | -0.000 | 79.064 |
| 358.934 | 86.423 | 86.423 | -0.000 | 0.000 | 0.000 |
| 86.423 | 358.934 | 86.423 | 0.000 | -0.000 | 0.000 |
| 86.423 | 86.423 | 358.934 | -0.000 | 0.000 | 0.000 |
| -0.000 | -0.000 | -0.000 | 79.064 | -0.000 | -0.000 |
| -0.000 | -0.000 | 0.000 | 0.000 | 79.064 | 0.000 |
| -0.000 | -0.000 | -0.000 | -0.000 | 0.000 | 79.064 |
| 358.934 | 86.423 | 86.423 | 0.000 | -0.000 | -0.000 |
| 86.423 | 358.934 | 86.423 | 0.000 | -0.000 | -0.000 |
| 86.423 | 86.423 | 358.934 | 0.000 | -0.000 | -0.000 |
| 0.000 | 0.000 | 0.000 | 79.064 | -0.000 | 0.000 |
| 0.000 | 0.000 | 0.000 | -0.000 | 79.064 | -0.000 |
| 0.000 | 0.000 | 0.000 | -0.000 | -0.000 | 79.064 |
| 358.934 | 86.423 | 86.423 | 0.000 | 0.000 | 0.000 |
| 86.423 | 358.934 | 86.423 | -0.000 | 0.000 | 0.000 |
| 86.423 | 86.423 | 358.934 | -0.000 | 0.000 | 0.000 |
| -0.000 | -0.000 | -0.000 | 79.064 | 0.000 | 0.000 |
| -0.000 | -0.000 | -0.000 | 0.000 | 79.064 | 0.000 |
| -0.000 | -0.000 | -0.000 | 0.000 | 0.000 | 79.064 |
| 358.936 | 86.423 | 86.423 | -0.000 | 0.000 | 0.000 |
| 86.423 | 358.936 | 86.423 | -0.000 | -0.000 | 0.000 |
| 86.423 | 86.423 | 358.936 | 0.000 | -0.000 | -0.000 |
| 0.000 | 0.000 | 0.000 | 79.064 | -0.000 | -0.000 |
| 0.000 | 0.000 | 0.000 | 0.000 | 79.064 | -0.000 |
| 0.000 | 0.000 | 0.000 | 0.000 | -0.000 | 79.064 |
| 358.932 | 86.422 | 86.422 | -0.000 | 0.000 | 0.000 |
| 86.422 | 358.932 | 86.422 | 0.000 | 0.000 | 0.000 |
| 86.422 | 86.422 | 358.932 | -0.000 | 0.000 | 0.000 |
| -0.000 | -0.000 | -0.000 | 79.064 | 0.000 | 0.000 |
| -0.000 | -0.000 | -0.000 | -0.000 | 79.064 | 0.000 |
| -0.000 | -0.000 | -0.000 | 0.000 | 0.000 | 79.064 |
| 115.969 | 106.744 | 106.744 | 0.000 | 0.000 | -0.000 |
| 106.744 | 115.969 | 106.744 | -0.000 | 0.000 | 0.000 |
| 106.744 | 106.744 | 115.969 | -0.000 | -0.000 | 0.000 |
| 0.000 | -0.000 | -0.000 | 5.383 | -0.000 | 0.000 |
| 0.000 | -0.000 | -0.000 | -0.000 | 5.383 | 0.000 |
| 0.000 | -0.000 | 0.000 | -0.000 | -0.000 | 5.383 |
| 115.969 | 106.744 | 106.744 | -0.000 | 0.000 | -0.000 |
| 106.744 | 115.969 | 106.744 | 0.000 | -0.000 | -0.000 |
| 106.744 | 106.744 | 115.969 | 0.000 | 0.000 | -0.000 |
| -0.000 | 0.000 | 0.000 | 5.383 | 0.000 | -0.000 |
| -0.000 | 0.000 | 0.000 | 0.000 | 5.383 | -0.000 |
| -0.000 | 0.000 | -0.000 | 0.000 | 0.000 | 5.383 |
| 115.969 | 106.744 | 106.744 | -0.000 | -0.000 | -0.000 |
| 106.744 | 115.969 | 106.744 | -0.000 | -0.000 | -0.000 |
| 106.744 | 106.744 | 115.969 | -0.000 | -0.000 | -0.000 |
| -0.000 | -0.000 | -0.000 | 5.383 | -0.000 | -0.000 |
| -0.000 | -0.000 | -0.000 | -0.000 | 5.383 | 0.000 |
| -0.000 | -0.000 | -0.000 | -0.000 | -0.000 | 5.383 |
| 115.969 | 106.744 | 106.744 | 0.000 | -0.000 | -0.000 |
| 106.744 | 115.969 | 106.744 | -0.000 | 0.000 | -0.000 |
| 106.744 | 106.744 | 115.969 | 0.000 | 0.000 | 0.000 |
| 0.000 | 0.000 | 0.000 | 5.383 | 0.000 | 0.000 |
| 0.000 | 0.000 | 0.000 | 0.000 | 5.383 | 0.000 |
| 0.000 | 0.000 | 0.000 | 0.000 | 0.000 | 5.383 |
| 115.969 | 106.745 | 106.745 | -0.000 | -0.000 | 0.000 |
| 106.745 | 115.969 | 106.745 | 0.000 | -0.000 | 0.000 |
| 106.745 | 106.745 | 115.969 | -0.000 | -0.000 | -0.000 |
| -0.000 | -0.000 | -0.000 | 5.383 | -0.000 | -0.000 |
| -0.000 | -0.000 | -0.000 | -0.000 | 5.383 | -0.000 |
| -0.000 | -0.000 | -0.000 | -0.000 | -0.000 | 5.383 |
| 115.968 | 106.744 | 106.744 | 0.000 | -0.000 | -0.000 |
| 106.744 | 115.968 | 106.744 | 0.000 | 0.000 | -0.000 |
| 106.744 | 106.744 | 115.968 | 0.000 | 0.000 | 0.000 |
| 0.000 | 0.000 | 0.000 | 5.383 | 0.000 | -0.000 |
| 0.000 | 0.000 | 0.000 | 0.000 | 5.383 | -0.000 |
| 0.000 | 0.000 | 0.000 | 0.000 | 0.000 | 5.383 |
| 201.595 | 29.365 | 29.365 | 0.000 | -0.000 | 0.000 |
| 29.365 | 201.595 | 29.365 | 0.000 | -0.000 | 0.000 |
| 29.365 | 29.365 | 201.595 | 0.000 | 0.000 | 0.000 |
| -0.000 | -0.000 | 0.000 | 22.499 | -0.000 | -0.000 |
| -0.000 | -0.000 | 0.000 | 0.000 | 22.499 | 0.000 |
| -0.000 | -0.000 | -0.000 | 0.000 | -0.000 | 22.499 |
| 201.595 | 29.365 | 29.365 | -0.000 | -0.000 | -0.000 |
| 29.365 | 201.595 | 29.365 | -0.000 | 0.000 | -0.000 |
| 29.365 | 29.365 | 201.595 | -0.000 | 0.000 | -0.000 |
| 0.000 | 0.000 | 0.000 | 22.499 | 0.000 | -0.000 |
| 0.000 | 0.000 | 0.000 | -0.000 | 22.499 | 0.000 |
| 0.000 | 0.000 | 0.000 | -0.000 | -0.000 | 22.499 |
| 201.595 | 29.365 | 29.365 | 0.000 | -0.000 | 0.000 |
| 29.365 | 201.595 | 29.365 | 0.000 | -0.000 | -0.000 |
| 29.365 | 29.365 | 201.595 | 0.000 | 0.000 | -0.000 |
| 0.000 | 0.000 | 0.000 | 28.496 | 0.000 | 0.000 |
| 0.000 | 0.000 | 0.000 | 0.000 | 28.496 | 0.000 |
| 0.000 | 0.000 | 0.000 | 0.000 | -0.000 | 28.496 |
| 201.595 | 29.365 | 29.365 | -0.000 | 0.000 | 0.000 |
| 29.365 | 201.595 | 29.365 | -0.000 | 0.000 | 0.000 |
| 29.365 | 29.365 | 201.595 | -0.000 | 0.000 | 0.000 |
| -0.000 | -0.000 | -0.000 | 28.496 | -0.000 | 0.000 |
| -0.000 | -0.000 | -0.000 | -0.000 | 28.496 | -0.000 |
| -0.000 | -0.000 | -0.000 | -0.000 | 0.000 | 28.496 |
| 201.596 | 29.365 | 29.365 | 0.000 | -0.000 | 0.000 |
| 29.365 | 201.596 | 29.365 | 0.000 | -0.000 | 0.000 |
| 29.365 | 29.365 | 201.596 | 0.000 | -0.000 | -0.000 |
| 0.000 | 0.000 | 0.000 | 22.499 | -0.000 | 0.000 |
| 0.000 | 0.000 | 0.000 | 0.000 | 22.499 | 0.000 |
| 0.000 | 0.000 | 0.000 | 0.000 | -0.000 | 22.499 |
| 201.594 | 29.365 | 29.365 | -0.000 | 0.000 | -0.000 |
| 29.365 | 201.594 | 29.365 | -0.000 | -0.000 | -0.000 |
| 29.365 | 29.365 | 201.594 | -0.000 | 0.000 | 0.000 |
| -0.000 | -0.000 | -0.000 | 22.499 | 0.000 | -0.000 |
| -0.000 | -0.000 | -0.000 | -0.000 | 22.499 | 0.000 |
| -0.000 | -0.000 | -0.000 | -0.000 | 0.000 | 22.499 |
| 15.189 | 0.412 | 0.412 | 0.000 | 0.000 | 0.000 |
| 0.412 | 15.189 | 0.412 | 0.000 | 0.000 | 0.000 |
| 0.412 | 0.412 | 15.189 | -0.000 | 0.000 | -0.000 |
| 0.000 | -0.000 | 0.000 | 0.121 | 0.000 | -0.000 |
| 0.000 | -0.000 | 0.000 | 0.000 | 0.121 | -0.000 |
| 0.000 | 0.000 | 0.000 | 0.000 | 0.000 | 0.121 |
| 15.189 | 0.412 | 0.412 | -0.000 | -0.000 | -0.000 |
| 0.412 | 15.189 | 0.412 | -0.000 | -0.000 | 0.000 |
| 0.412 | 0.412 | 15.189 | 0.000 | 0.000 | -0.000 |
| -0.000 | -0.000 | -0.000 | 0.121 | -0.000 | -0.000 |
| -0.000 | 0.000 | -0.000 | 0.000 | 0.121 | -0.000 |
| -0.000 | -0.000 | -0.000 | -0.000 | -0.000 | 0.121 |
| 15.189 | 0.412 | 0.412 | 0.000 | 0.000 | 0.000 |
| 0.412 | 15.189 | 0.412 | 0.000 | 0.000 | -0.000 |
| 0.412 | 0.412 | 15.189 | 0.000 | 0.000 | 0.000 |
| 0.000 | -0.000 | -0.000 | -15.879 | 0.000 | -0.000 |
| -0.000 | 0.000 | -0.000 | 0.000 | -15.879 | -0.000 |
| -0.000 | -0.000 | 0.000 | -0.000 | -0.000 | -15.879 |
| 15.189 | 0.412 | 0.412 | -0.000 | -0.000 | -0.000 |
| 0.412 | 15.189 | 0.412 | -0.000 | -0.000 | 0.000 |
| 0.412 | 0.412 | 15.189 | 0.000 | 0.000 | -0.000 |
| -0.000 | 0.000 | 0.000 | -15.879 | -0.000 | -0.000 |
| 0.000 | -0.000 | 0.000 | -0.000 | -15.879 | 0.000 |
| 0.000 | 0.000 | -0.000 | 0.000 | -0.000 | -15.879 |
| 15.189 | 0.412 | 0.412 | 0.000 | 0.000 | 0.000 |
| 0.412 | 15.189 | 0.412 | 0.000 | 0.000 | -0.000 |
| 0.412 | 0.412 | 15.189 | -0.000 | 0.000 | -0.000 |
| -876161.972 | -710073.784 | -782340.422 | -9178.233 | -18952.671 | 17846.517 |
| -771515.333 | -937609.931 | -733604.750 | 27663.037 | 12459.383 | 14262.530 |
| -708538.922 | -764320.714 | -903197.570 | -21880.116 | 29983.264 | -38117.410 |
| 15.189 | 0.412 | 0.412 | -0.000 | -0.000 | -0.000 |
| 0.412 | 15.189 | 0.412 | -0.000 | -0.000 | -0.000 |
| 0.412 | 0.412 | 15.189 | 0.000 | -0.000 | 0.000 |
| 973869.129 | 739084.908 | 782842.693 | 17734.275 | 85.281 | -4256.901 |
| 800664.213 | 974034.587 | 741392.209 | 14896.813 | 27061.182 | -18838.788 |
| 719910.935 | 752893.268 | 960902.644 | 11158.712 | -13915.895 | 11309.337 |
| 7.704 | 4.967 | 4.967 | -0.000 | 0.000 | 0.000 |
| 4.967 | 7.704 | 4.967 | 0.000 | -0.000 | 0.000 |
| 4.967 | 4.967 | 7.704 | 0.000 | -0.000 | 0.000 |
| 0.000 | 0.000 | -0.000 | -18.702 | -0.000 | 0.000 |
| -0.000 | 0.000 | -0.000 | -0.000 | -18.702 | 0.000 |
| -0.000 | -0.000 | 0.000 | 0.000 | -0.000 | -18.702 |
| 7.704 | 4.967 | 4.967 | -0.000 | -0.000 | -0.000 |
| 4.967 | 7.704 | 4.967 | 0.000 | 0.000 | -0.000 |
| 4.967 | 4.967 | 7.704 | 0.000 | 0.000 | -0.000 |
| -0.000 | 0.000 | 0.000 | -18.702 | 0.000 | -0.000 |
| 0.000 | -0.000 | 0.000 | 0.000 | -18.702 | -0.000 |
| 0.000 | 0.000 | -0.000 | -0.000 | 0.000 | -18.702 |
| 7.704 | 4.967 | 4.967 | -0.000 | -0.000 | 0.000 |
| 4.967 | 7.704 | 4.967 | -0.000 | -0.000 | 0.000 |
| 4.967 | 4.967 | 7.704 | -0.000 | -0.000 | 0.000 |
| 0.000 | -0.000 | -0.000 | -18.702 | -0.000 | -0.000 |
| -0.000 | 0.000 | -0.000 | 0.000 | -18.702 | 0.000 |
| -0.000 | -0.000 | 0.000 | 0.000 | -0.000 | -18.702 |
| 7.704 | 4.967 | 4.967 | 0.000 | -0.000 | -0.000 |
| 4.967 | 7.704 | 4.967 | 0.000 | 0.000 | -0.000 |
| 4.967 | 4.967 | 7.704 | -0.000 | 0.000 | -0.000 |
| -0.000 | 0.000 | 0.000 | -18.702 | -0.000 | -0.000 |
| 0.000 | -0.000 | 0.000 | -0.000 | -18.702 | -0.000 |
| 0.000 | 0.000 | -0.000 | 0.000 | 0.000 | -18.702 |
| 7.704 | 4.967 | 4.967 | 0.000 | -0.000 | 0.000 |
| 4.967 | 7.704 | 4.967 | 0.000 | -0.000 | 0.000 |
| 4.967 | 4.967 | 7.704 | 0.000 | -0.000 | 0.000 |
| 0.000 | -0.000 | -0.000 | -18.702 | -0.000 | 0.000 |
| -0.000 | 0.000 | -0.000 | -0.000 | -18.702 | 0.000 |
| -0.000 | -0.000 | 0.000 | 0.000 | -0.000 | -18.702 |
| 7.704 | 4.967 | 4.967 | -0.000 | 0.000 | -0.000 |
| 4.967 | 7.704 | 4.967 | 0.000 | 0.000 | -0.000 |
| 4.967 | 4.967 | 7.704 | 0.000 | -0.000 | -0.000 |
| -0.000 | 0.000 | 0.000 | -18.702 | 0.000 | -0.000 |
| 0.000 | -0.000 | 0.000 | 0.000 | -18.702 | -0.000 |
| 0.000 | 0.000 | -0.000 | 0.000 | 0.000 | -18.702 |
| -0.530 | 6.465 | 6.465 | 0.000 | 0.000 | 0.000 |
| 6.465 | -0.530 | 6.465 | -0.000 | 0.000 | 0.000 |
| 6.465 | 6.465 | -0.530 | -0.000 | -0.000 | 0.000 |
| -0.000 | 0.000 | 0.000 | 6.497 | -0.000 | -0.000 |
| 0.000 | -0.000 | 0.000 | 0.000 | 6.497 | 0.000 |
| 0.000 | 0.000 | -0.000 | -0.000 | 0.000 | 6.497 |
| -0.530 | 6.465 | 6.465 | -0.000 | -0.000 | -0.000 |
| 6.465 | -0.530 | 6.465 | 0.000 | -0.000 | -0.000 |
| 6.465 | 6.465 | -0.530 | 0.000 | 0.000 | 0.000 |
| -0.000 | -0.000 | -0.000 | 6.497 | 0.000 | -0.000 |
| -0.000 | 0.000 | 0.000 | 0.000 | 6.497 | 0.000 |
| -0.000 | 0.000 | 0.000 | 0.000 | -0.000 | 6.497 |
| -0.530 | 6.465 | 6.465 | -0.000 | 0.000 | 0.000 |
| 6.465 | -0.530 | 6.465 | -0.000 | 0.000 | -0.000 |
| 6.465 | 6.465 | -0.530 | 0.000 | 0.000 | -0.000 |
| -0.000 | 0.000 | 0.000 | 6.497 | -0.000 | 0.000 |
| 0.000 | -0.000 | 0.000 | 0.000 | 6.497 | -0.000 |
| 0.000 | 0.000 | -0.000 | 0.000 | 0.000 | 6.497 |
| -0.530 | 6.465 | 6.465 | 0.000 | 0.000 | -0.000 |
| 6.465 | -0.530 | 6.465 | -0.000 | -0.000 | -0.000 |
| 6.465 | 6.465 | -0.530 | -0.000 | -0.000 | -0.000 |
| 0.000 | -0.000 | -0.000 | 6.497 | 0.000 | -0.000 |
| -0.000 | 0.000 | -0.000 | -0.000 | 6.497 | -0.000 |
| -0.000 | -0.000 | 0.000 | 0.000 | -0.000 | 6.497 |
| -0.530 | 6.465 | 6.465 | 0.000 | 0.000 | 0.000 |
| 6.465 | -0.530 | 6.465 | 0.000 | 0.000 | 0.000 |
| 6.465 | 6.465 | -0.530 | -0.000 | 0.000 | 0.000 |
| -0.000 | 0.000 | 0.000 | 6.497 | 0.000 | -0.000 |
| 0.000 | -0.000 | 0.000 | 0.000 | 6.497 | -0.000 |
| 0.000 | 0.000 | -0.000 | -0.000 | 0.000 | 6.497 |
| -0.530 | 6.465 | 6.465 | -0.000 | 0.000 | -0.000 |
| 6.465 | -0.530 | 6.465 | -0.000 | -0.000 | -0.000 |
| 6.465 | 6.465 | -0.530 | -0.000 | -0.000 | -0.000 |
| 0.000 | -0.000 | -0.000 | 6.497 | -0.000 | -0.000 |
| -0.000 | 0.000 | -0.000 | -0.000 | 6.497 | 0.000 |
| -0.000 | -0.000 | 0.000 | -0.000 | -0.000 | 6.497 |
| 37.079 | 19.466 | 19.466 | -0.000 | -0.000 | -0.000 |
| 19.466 | 37.079 | 19.466 | -0.000 | -0.000 | -0.000 |
| 19.466 | 19.466 | 37.079 | -0.000 | -0.000 | -0.000 |
| -0.000 | 0.000 | 0.000 | 19.466 | -0.000 | -0.000 |
| 0.000 | -0.000 | 0.000 | -0.000 | 19.466 | -0.000 |
| 0.000 | 0.000 | -0.000 | -0.000 | -0.000 | 19.466 |
| 37.079 | 19.466 | 19.466 | 0.000 | 0.000 | 0.000 |
| 19.466 | 37.079 | 19.466 | 0.000 | 0.000 | 0.000 |
| 19.466 | 19.466 | 37.079 | 0.000 | 0.000 | 0.000 |
| 0.000 | -0.000 | -0.000 | 19.466 | 0.000 | 0.000 |
| -0.000 | 0.000 | -0.000 | 0.000 | 19.466 | 0.000 |
| -0.000 | -0.000 | 0.000 | 0.000 | 0.000 | 19.466 |
| 37.079 | 19.466 | 19.466 | -0.000 | -0.000 | -0.000 |
| 19.466 | 37.079 | 19.466 | -0.000 | -0.000 | -0.000 |
| 19.466 | 19.466 | 37.079 | -0.000 | -0.000 | -0.000 |
| -0.000 | 0.000 | 0.000 | 19.466 | -0.000 | -0.000 |
| 0.000 | -0.000 | 0.000 | -0.000 | 19.466 | -0.000 |
| 0.000 | 0.000 | -0.000 | -0.000 | -0.000 | 19.466 |
| 37.079 | 19.466 | 19.466 | 0.000 | 0.000 | 0.000 |
| 19.466 | 37.079 | 19.466 | 0.000 | 0.000 | 0.000 |
| 19.466 | 19.466 | 37.079 | 0.000 | 0.000 | 0.000 |
| 0.000 | -0.000 | -0.000 | 19.466 | 0.000 | 0.000 |
| -0.000 | 0.000 | -0.000 | 0.000 | 19.466 | 0.000 |
| -0.000 | -0.000 | 0.000 | 0.000 | 0.000 | 19.466 |
| 37.080 | 19.466 | 19.466 | -0.000 | -0.000 | -0.000 |
| 19.466 | 37.080 | 19.466 | -0.000 | -0.000 | -0.000 |
| 19.466 | 19.466 | 37.080 | -0.000 | -0.000 | -0.000 |
| -0.000 | 0.000 | 0.000 | 19.466 | -0.000 | -0.000 |
| 0.000 | -0.000 | 0.000 | -0.000 | 19.466 | -0.000 |
| 0.000 | 0.000 | -0.000 | -0.000 | -0.000 | 19.466 |
| 37.079 | 19.466 | 19.466 | 0.000 | 0.000 | 0.000 |
| 19.466 | 37.079 | 19.466 | 0.000 | 0.000 | 0.000 |
| 19.466 | 19.466 | 37.079 | 0.000 | 0.000 | 0.000 |
| 0.000 | -0.000 | -0.000 | 19.466 | 0.000 | 0.000 |
| -0.000 | 0.000 | -0.000 | 0.000 | 19.466 | 0.000 |
| -0.000 | -0.000 | 0.000 | 0.000 | 0.000 | 19.466 |
| -2.880 | -1.440 | -1.440 | 0.000 | -0.000 | -0.000 |
| -1.440 | -2.880 | -1.440 | -0.000 | 0.000 | -0.000 |
| -1.440 | -1.440 | -2.880 | -0.000 | -0.000 | 0.000 |
| 0.000 | -0.000 | -0.000 | -1.440 | 0.000 | 0.000 |
| -0.000 | 0.000 | -0.000 | 0.000 | -1.440 | -0.000 |
| -0.000 | -0.000 | 0.000 | -0.000 | -0.000 | -1.440 |
| -2.880 | -1.440 | -1.440 | -0.000 | -0.000 | -0.000 |
| -1.440 | -2.880 | -1.440 | -0.000 | -0.000 | 0.000 |
| -1.440 | -1.440 | -2.880 | -0.000 | -0.000 | -0.000 |
| -0.000 | 0.000 | 0.000 | -1.440 | -0.000 | -0.000 |
| 0.000 | -0.000 | 0.000 | 0.000 | -1.440 | 0.000 |
| 0.000 | 0.000 | -0.000 | 0.000 | 0.000 | -1.440 |
| -2.881 | -1.441 | -1.441 | -0.000 | 0.000 | 0.000 |
| -1.441 | -2.881 | -1.441 | 0.000 | 0.000 | -0.000 |
| -1.441 | -1.441 | -2.881 | 0.000 | -0.000 | -0.000 |
| 0.000 | -0.000 | -0.000 | -1.440 | -0.000 | -0.000 |
| -0.000 | 0.000 | -0.000 | -0.000 | -1.440 | -0.000 |
| -0.000 | -0.000 | 0.000 | -0.000 | -0.000 | -1.440 |
| -2.880 | -1.440 | -1.440 | 0.000 | 0.000 | 0.000 |
| -1.440 | -2.880 | -1.440 | 0.000 | 0.000 | 0.000 |
| -1.440 | -1.440 | -2.880 | 0.000 | 0.000 | 0.000 |
| -0.000 | 0.000 | 0.000 | -1.440 | 0.000 | 0.000 |
| 0.000 | -0.000 | 0.000 | 0.000 | -1.440 | 0.000 |
| 0.000 | 0.000 | -0.000 | 0.000 | 0.000 | -1.440 |
| -2.888 | -1.444 | -1.444 | -0.000 | -0.000 | -0.000 |
| -1.444 | -2.888 | -1.444 | -0.000 | -0.000 | -0.000 |
| -1.444 | -1.444 | -2.888 | -0.000 | -0.000 | -0.000 |
| 0.000 | -0.004 | -0.004 | -1.440 | -0.000 | -0.000 |
| -0.004 | 0.000 | -0.004 | -0.000 | -1.440 | -0.000 |
| -0.004 | -0.004 | 0.000 | -0.000 | -0.000 | -1.440 |
| -2.873 | -1.437 | -1.437 | 0.000 | 0.000 | 0.000 |
| -1.437 | -2.873 | -1.437 | 0.000 | 0.000 | 0.000 |
| -1.437 | -1.437 | -2.873 | 0.000 | 0.000 | 0.000 |
| -0.000 | 0.004 | 0.004 | -1.440 | 0.000 | 0.000 |
| 0.004 | -0.000 | 0.004 | 0.000 | -1.440 | -0.000 |
| 0.004 | 0.004 | -0.000 | 0.000 | -0.000 | -1.440 |
| 61.751 | 5.713 | 5.713 | -0.000 | 0.000 | -0.000 |
| 5.713 | 61.751 | 5.713 | -0.000 | 0.000 | 0.000 |
| 5.713 | 5.713 | 61.751 | 0.000 | 0.000 | -0.000 |
| -0.000 | -0.000 | 0.000 | 0.580 | 0.000 | -0.000 |
| -0.000 | -0.000 | 0.000 | 0.000 | 0.580 | 0.000 |
| -0.000 | -0.000 | 0.000 | 0.000 | 0.000 | 0.580 |
| 61.751 | 5.713 | 5.713 | 0.000 | 0.000 | 0.000 |
| 5.713 | 61.751 | 5.713 | 0.000 | -0.000 | 0.000 |
| 5.713 | 5.713 | 61.751 | 0.000 | -0.000 | 0.000 |
| 0.000 | 0.000 | -0.000 | 0.580 | -0.000 | -0.000 |
| 0.000 | 0.000 | -0.000 | -0.000 | 0.580 | 0.000 |
| 0.000 | 0.000 | -0.000 | -0.000 | -0.000 | 0.580 |
| 61.751 | 5.713 | 5.713 | -0.000 | 0.000 | -0.000 |
| 5.713 | 61.751 | 5.713 | -0.000 | 0.000 | -0.000 |
| 5.713 | 5.713 | 61.751 | 0.000 | 0.000 | -0.000 |
| 0.000 | 0.000 | -0.000 | -1.687 | 0.000 | 0.000 |
| 0.000 | -0.000 | 0.000 | -0.000 | -1.687 | -0.000 |
| 0.000 | -0.000 | 0.000 | 0.000 | 0.000 | -1.687 |
| 61.751 | 5.713 | 5.713 | 0.000 | -0.000 | -0.000 |
| 5.713 | 61.751 | 5.713 | -0.000 | 0.000 | 0.000 |
| 5.713 | 5.713 | 61.751 | -0.000 | -0.000 | 0.000 |
| 0.000 | -0.000 | 0.000 | -1.687 | -0.000 | 0.000 |
| -0.000 | 0.000 | -0.000 | -0.000 | -1.687 | 0.000 |
| -0.000 | 0.000 | -0.000 | -0.000 | -0.000 | -1.687 |
| 61.751 | 5.713 | 5.713 | -0.000 | 0.000 | -0.000 |
| 5.713 | 61.751 | 5.713 | -0.000 | 0.000 | -0.000 |
| 5.713 | 5.713 | 61.751 | -0.000 | 0.000 | -0.000 |
| 0.001 | -0.001 | 0.000 | -2.721 | 0.000 | -0.000 |
| -0.001 | 0.001 | 0.000 | 0.000 | -2.721 | -0.000 |
| -0.001 | 0.000 | 0.001 | 0.000 | 0.000 | -2.721 |
| 61.750 | 5.713 | 5.713 | 0.000 | -0.000 | 0.000 |
| 5.713 | 61.750 | 5.713 | 0.000 | -0.000 | 0.000 |
| 5.713 | 5.713 | 61.750 | -0.000 | -0.000 | 0.000 |
| -0.001 | 0.001 | -0.000 | -2.721 | -0.000 | -0.000 |
| 0.001 | -0.001 | -0.000 | -0.000 | -2.721 | -0.000 |
| 0.001 | -0.000 | -0.001 | -0.000 | -0.000 | -2.721 |
| 25.228 | 27.493 | 27.493 | -0.000 | -0.000 | 0.000 |
| 27.493 | 25.228 | 27.493 | 0.000 | -0.000 | 0.000 |
| 27.493 | 27.493 | 25.228 | -0.000 | -0.000 | 0.000 |
| 0.000 | -0.000 | 0.000 | 27.493 | 0.000 | 0.000 |
| -0.000 | 0.000 | 0.000 | -0.000 | 27.493 | -0.000 |
| -0.000 | 0.000 | 0.000 | -0.000 | 0.000 | 27.493 |
| 25.228 | 27.493 | 27.493 | -0.000 | 0.000 | -0.000 |
| 27.493 | 25.228 | 27.493 | 0.000 | 0.000 | 0.000 |
| 27.493 | 27.493 | 25.228 | 0.000 | 0.000 | -0.000 |
| -0.000 | 0.000 | -0.000 | 27.493 | 0.000 | 0.000 |
| 0.000 | -0.000 | -0.000 | 0.000 | 27.493 | 0.000 |
| 0.000 | -0.000 | -0.000 | -0.000 | -0.000 | 27.493 |
| 25.228 | 27.493 | 27.493 | 0.000 | 0.000 | 0.000 |
| 27.493 | 25.228 | 27.493 | 0.000 | 0.000 | -0.000 |
| 27.493 | 27.493 | 25.228 | 0.000 | 0.000 | 0.000 |
| 0.000 | 0.000 | 0.000 | 27.493 | 0.000 | -0.000 |
| 0.000 | 0.000 | 0.000 | 0.000 | 27.493 | -0.000 |
| 0.000 | 0.000 | 0.000 | 0.000 | 0.000 | 27.493 |
| 25.228 | 27.492 | 27.492 | -0.000 | -0.000 | -0.000 |
| 27.492 | 25.228 | 27.492 | 0.000 | -0.000 | -0.000 |
| 27.492 | 27.492 | 25.228 | 0.000 | -0.000 | -0.000 |
| -0.000 | -0.000 | -0.000 | 27.493 | -0.000 | -0.000 |
| -0.000 | -0.000 | -0.000 | -0.000 | 27.493 | 0.000 |
| -0.000 | -0.000 | -0.000 | 0.000 | -0.000 | 27.493 |
| 25.228 | 27.493 | 27.493 | -0.000 | 0.000 | -0.000 |
| 27.493 | 25.228 | 27.493 | 0.000 | -0.000 | 0.000 |
| 27.493 | 27.493 | 25.228 | -0.000 | 0.000 | -0.000 |
| 0.000 | 0.000 | 0.000 | 27.493 | 0.000 | -0.000 |
| 0.000 | 0.000 | 0.000 | 0.000 | 27.493 | -0.000 |
| 0.000 | 0.000 | 0.000 | -0.000 | -0.000 | 27.493 |
| 25.228 | 27.492 | 27.492 | 0.000 | -0.000 | -0.000 |
| 27.492 | 25.228 | 27.492 | -0.000 | -0.000 | -0.000 |
| 27.492 | 27.492 | 25.228 | 0.000 | 0.000 | 0.000 |
| -0.000 | -0.000 | -0.000 | 27.493 | -0.000 | -0.000 |
| -0.000 | -0.000 | -0.000 | 0.000 | 27.493 | 0.000 |
| -0.000 | -0.000 | -0.000 | -0.000 | 0.000 | 27.493 |
| 46.300 | 17.352 | 12.360 | -0.000 | -0.000 | 0.000 |
| 15.913 | 47.739 | 12.360 | -0.000 | -0.000 | 0.000 |
| 12.360 | 12.360 | 51.292 | 0.000 | 0.000 | -0.000 |
| 0.000 | -0.000 | 0.000 | 12.360 | -0.000 | 0.000 |
| 0.000 | 0.000 | 0.000 | 0.000 | 12.360 | 0.000 |
| 0.000 | 0.000 | 0.000 | -0.000 | -0.000 | 15.913 |
| 47.739 | 15.913 | 12.360 | 0.000 | 0.000 | -0.000 |
| 17.352 | 46.300 | 12.360 | -0.000 | -0.000 | 0.000 |
| 12.360 | 12.360 | 51.292 | -0.000 | -0.000 | -0.000 |
| -0.000 | -0.000 | -0.000 | 12.360 | -0.000 | -0.000 |
| -0.000 | -0.000 | -0.000 | -0.000 | 12.360 | 0.000 |
| -0.000 | -0.000 | -0.000 | 0.000 | 0.000 | 15.913 |
| 47.739 | 15.913 | 12.360 | 0.000 | -0.000 | -0.000 |
| 15.913 | 47.739 | 12.360 | -0.000 | 0.000 | 0.000 |
| 12.360 | 12.360 | 51.292 | -0.000 | 0.000 | 0.000 |
| 0.000 | -0.000 | 0.000 | 12.360 | -0.000 | 0.000 |
| -0.000 | 0.000 | 0.000 | 0.000 | 12.360 | -0.000 |
| -0.000 | 0.000 | -0.000 | 0.000 | -0.000 | 14.474 |
| 47.739 | 15.913 | 12.360 | -0.000 | 0.000 | 0.000 |
| 15.913 | 47.739 | 12.360 | 0.000 | 0.000 | 0.000 |
| 12.360 | 12.360 | 51.292 | -0.000 | -0.000 | -0.000 |
| -0.000 | 0.000 | -0.000 | 12.360 | 0.000 | -0.000 |
| 0.000 | -0.000 | -0.000 | -0.000 | 12.360 | -0.000 |
| 0.000 | -0.000 | 0.000 | -0.000 | 0.000 | 14.474 |
| 46.300 | 17.352 | 12.360 | -0.000 | -0.000 | -0.000 |
| 15.913 | 47.739 | 12.360 | 0.000 | 0.000 | 0.000 |
| 12.360 | 12.360 | 51.292 | 0.000 | 0.000 | 0.000 |
| 0.000 | -0.000 | 0.000 | 12.360 | -0.000 | 0.000 |
| -0.000 | 0.000 | 0.000 | -0.000 | 12.360 | 0.000 |
| -0.000 | 0.000 | 0.000 | -0.000 | -0.000 | 15.913 |
| 46.299 | 17.352 | 12.360 | 0.000 | 0.000 | 0.000 |
| 17.352 | 46.299 | 12.360 | 0.000 | -0.000 | -0.000 |
| 12.360 | 12.360 | 51.292 | -0.000 | -0.000 | -0.000 |
| -0.000 | 0.000 | -0.000 | 12.360 | 0.000 | -0.000 |
| 0.000 | -0.000 | -0.000 | 0.000 | 12.360 | 0.000 |
| 0.000 | -0.000 | -0.000 | 0.000 | 0.000 | 15.913 |
| 45.696 | 17.956 | 12.360 | 0.000 | -0.000 | -0.000 |
| 17.956 | 45.696 | 12.360 | -0.000 | 0.000 | -0.000 |
| 12.360 | 12.360 | 51.292 | 0.000 | 0.000 | -0.000 |
| 0.000 | -0.000 | 0.000 | 12.360 | -0.000 | -0.000 |
| -0.000 | -0.000 | 0.000 | -0.000 | 12.360 | -0.000 |
| -0.000 | 0.000 | -0.000 | -0.000 | 0.000 | 13.870 |
| 45.696 | 17.956 | 12.360 | 0.000 | -0.000 | 0.000 |
| 17.956 | 45.696 | 12.360 | -0.000 | -0.000 | 0.000 |
| 12.360 | 12.360 | 51.292 | 0.000 | -0.000 | 0.000 |
| -0.000 | 0.000 | -0.000 | 12.360 | 0.000 | 0.000 |
| 0.000 | 0.000 | -0.000 | 0.000 | 12.360 | 0.000 |
| 0.000 | -0.000 | 0.000 | 0.000 | 0.000 | 13.870 |
| 45.696 | 17.956 | 12.360 | -0.000 | -0.000 | -0.000 |
| 17.956 | 45.696 | 12.360 | -0.000 | 0.000 | -0.000 |
| 12.360 | 12.360 | 51.292 | -0.000 | -0.000 | -0.000 |
| 0.000 | -0.000 | 0.000 | 12.360 | -0.000 | -0.000 |
| -0.000 | 0.000 | 0.000 | 0.000 | 12.360 | -0.000 |
| -0.000 | 0.000 | -0.000 | -0.000 | -0.000 | 13.870 |
| 45.696 | 17.956 | 12.360 | 0.000 | 0.000 | 0.000 |
| 17.956 | 45.696 | 12.360 | 0.000 | -0.000 | 0.000 |
| 12.360 | 12.360 | 51.292 | 0.000 | -0.000 | 0.000 |
| -0.000 | 0.000 | -0.000 | 12.360 | 0.000 | 0.000 |
| 0.000 | -0.000 | -0.000 | 0.000 | 12.360 | 0.000 |
| 0.000 | -0.000 | 0.000 | 0.000 | 0.000 | 13.870 |
| 45.696 | 17.956 | 12.360 | -0.000 | 0.000 | -0.000 |
| 17.956 | 45.696 | 12.360 | -0.000 | -0.000 | -0.000 |
| 12.360 | 12.360 | 51.292 | -0.000 | 0.000 | -0.000 |
| 0.000 | -0.000 | 0.000 | 12.360 | -0.000 | -0.000 |
| -0.000 | 0.000 | 0.000 | -0.000 | 12.360 | -0.000 |
| -0.000 | 0.000 | -0.000 | -0.000 | -0.000 | 13.870 |
| 45.696 | 17.956 | 12.360 | 0.000 | 0.000 | 0.000 |
| 17.956 | 45.696 | 12.360 | 0.000 | 0.000 | 0.000 |
| 12.360 | 12.360 | 51.292 | 0.000 | 0.000 | 0.000 |
| -0.000 | 0.000 | -0.000 | 12.360 | 0.000 | 0.000 |
| 0.000 | -0.000 | -0.000 | 0.000 | 12.360 | 0.000 |
| 0.000 | -0.000 | 0.000 | 0.000 | 0.000 | 13.870 |
| 3.932 | 3.932 | 3.932 | -0.000 | -0.000 | -0.000 |
| 3.932 | 3.932 | 3.932 | -0.000 | -0.000 | -0.000 |
| 3.932 | 3.932 | 3.932 | -0.000 | -0.000 | -0.000 |
| -0.000 | -0.000 | -0.000 | -0.000 | -0.000 | -0.000 |
| -0.000 | -0.000 | -0.000 | -0.000 | -0.000 | -0.000 |
| -0.000 | -0.000 | -0.000 | -0.000 | -0.000 | -0.000 |
| 3.932 | 3.932 | 3.932 | 0.000 | 0.000 | 0.000 |
| 3.932 | 3.932 | 3.932 | 0.000 | 0.000 | 0.000 |
| 3.932 | 3.932 | 3.932 | 0.000 | 0.000 | 0.000 |
| 0.000 | 0.000 | 0.000 | 0.000 | 0.000 | 0.000 |
| 0.000 | 0.000 | 0.000 | 0.000 | 0.000 | 0.000 |
| 0.000 | 0.000 | 0.000 | 0.000 | 0.000 | 0.000 |
| 3.932 | 3.932 | 3.932 | -0.000 | -0.000 | -0.000 |
| 3.932 | 3.932 | 3.932 | -0.000 | -0.000 | -0.000 |
| 3.932 | 3.932 | 3.932 | -0.000 | -0.000 | -0.000 |
| -0.000 | -0.000 | -0.000 | -0.000 | -0.000 | -0.000 |
| -0.000 | -0.000 | -0.000 | -0.000 | -0.000 | -0.000 |
| -0.000 | -0.000 | -0.000 | -0.000 | -0.000 | -0.000 |
| 3.932 | 3.932 | 3.932 | 0.000 | 0.000 | 0.000 |
| 3.932 | 3.932 | 3.932 | 0.000 | 0.000 | 0.000 |
| 3.932 | 3.932 | 3.932 | 0.000 | 0.000 | 0.000 |
| 0.000 | 0.000 | 0.000 | 0.000 | 0.000 | 0.000 |
| 0.000 | 0.000 | 0.000 | 0.000 | 0.000 | 0.000 |
| 0.000 | 0.000 | 0.000 | 0.000 | 0.000 | 0.000 |
| 3.932 | 3.932 | 3.932 | -0.000 | -0.000 | -0.000 |
| 3.932 | 3.932 | 3.932 | -0.000 | -0.000 | -0.000 |
| 3.932 | 3.932 | 3.932 | -0.000 | -0.000 | -0.000 |
| -0.000 | -0.000 | -0.000 | -0.000 | -0.000 | -0.000 |
| -0.000 | -0.000 | -0.000 | -0.000 | -0.000 | -0.000 |
| -0.000 | -0.000 | -0.000 | -0.000 | -0.000 | -0.000 |
| 3.932 | 3.932 | 3.932 | 0.000 | 0.000 | 0.000 |
| 3.932 | 3.932 | 3.932 | 0.000 | 0.000 | 0.000 |
| 3.932 | 3.932 | 3.932 | 0.000 | 0.000 | 0.000 |
| 0.000 | 0.000 | 0.000 | 0.000 | 0.000 | 0.000 |
| 0.000 | 0.000 | 0.000 | 0.000 | 0.000 | 0.000 |
| 0.000 | 0.000 | 0.000 | 0.000 | 0.000 | 0.000 |
| 32.006 | -0.014 | 5.291 | -0.000 | 0.000 | -0.000 |
| -0.014 | 32.006 | 5.291 | 0.000 | -0.000 | -0.000 |
| 5.291 | 5.291 | 35.410 | 0.000 | -0.000 | -0.000 |
| -0.000 | 0.000 | -0.000 | 0.103 | 0.000 | -0.000 |
| -0.000 | 0.000 | -0.000 | 0.000 | 0.103 | -0.000 |
| -0.000 | -0.000 | -0.000 | 0.000 | 0.000 | -1.198 |
| 32.006 | -0.014 | 5.291 | 0.000 | 0.000 | 0.000 |
| -0.014 | 32.006 | 5.291 | -0.000 | 0.000 | 0.000 |
| 5.291 | 5.291 | 35.410 | -0.000 | 0.000 | 0.000 |
| 0.000 | -0.000 | 0.000 | 0.103 | 0.000 | 0.000 |
| 0.000 | -0.000 | 0.000 | -0.000 | 0.103 | 0.000 |
| 0.000 | 0.000 | 0.000 | -0.000 | 0.000 | -1.198 |
| 32.006 | -0.014 | 5.291 | -0.000 | -0.000 | -0.000 |
| -0.014 | 32.006 | 5.291 | -0.000 | -0.000 | -0.000 |
| 5.291 | 5.291 | 35.410 | 0.000 | -0.000 | -0.000 |
| 0.000 | -0.000 | -0.000 | 0.103 | -0.000 | -0.000 |
| -0.000 | 0.000 | -0.000 | 0.000 | 0.103 | -0.000 |
| -0.000 | -0.000 | -0.000 | -0.000 | -0.000 | -1.198 |
| 32.006 | -0.014 | 5.291 | 0.000 | 0.000 | 0.000 |
| -0.014 | 32.006 | 5.291 | -0.000 | 0.000 | 0.000 |
| 5.291 | 5.291 | 35.410 | -0.000 | -0.000 | 0.000 |
| -0.000 | 0.000 | 0.000 | 0.103 | 0.000 | 0.000 |
| 0.000 | -0.000 | 0.000 | -0.000 | 0.103 | 0.000 |
| 0.000 | 0.000 | 0.000 | 0.000 | -0.000 | -1.198 |
| 32.006 | -0.014 | 5.291 | -0.000 | -0.000 | -0.000 |
| -0.014 | 32.006 | 5.291 | -0.000 | -0.000 | -0.000 |
| 5.291 | 5.291 | 35.410 | 0.000 | -0.000 | -0.000 |
| 0.000 | -0.000 | -0.000 | 0.103 | -0.000 | -0.000 |
| -0.000 | 0.000 | -0.000 | 0.000 | 0.103 | -0.000 |
| -0.000 | -0.000 | -0.000 | 0.000 | -0.000 | -1.198 |
| 32.005 | -0.014 | 5.291 | 0.000 | 0.000 | 0.000 |
| -0.014 | 32.005 | 5.291 | -0.000 | 0.000 | 0.000 |
| 5.291 | 5.291 | 35.409 | -0.000 | 0.000 | 0.000 |
| -0.000 | 0.000 | 0.000 | 0.103 | 0.000 | 0.000 |
| 0.000 | -0.000 | 0.000 | -0.000 | 0.103 | 0.000 |
| 0.000 | 0.000 | 0.000 | -0.000 | -0.000 | -1.198 |
| 14.670 | 19.292 | -0.242 | -0.000 | 0.000 | 0.000 |
| 19.292 | 14.670 | -0.242 | -0.000 | 0.000 | 0.000 |
| -0.242 | -0.242 | 42.286 | -0.000 | -0.000 | -0.000 |
| 0.000 | -0.000 | 0.000 | -5.629 | -0.000 | -0.000 |
| 0.000 | -0.000 | 0.000 | -0.000 | -5.629 | 0.000 |
| 0.000 | -0.000 | 0.000 | -0.000 | -0.000 | -0.934 |
| 34.896 | -0.934 | -0.242 | 0.000 | -0.000 | 0.000 |
| -0.934 | 34.896 | -0.242 | 0.000 | -0.000 | 0.000 |
| -0.242 | -0.242 | 42.286 | 0.000 | -0.000 | 0.000 |
| -0.000 | -0.000 | -0.000 | -5.629 | -0.000 | -0.000 |
| -0.000 | 0.000 | -0.000 | 0.000 | -5.629 | -0.000 |
| -0.000 | 0.000 | -0.000 | 0.000 | 0.000 | -0.934 |
| 14.670 | 19.292 | -0.242 | -0.000 | -0.000 | -0.000 |
| 19.292 | 14.670 | -0.242 | -0.000 | 0.000 | -0.000 |
| -0.242 | -0.242 | 42.286 | -0.000 | 0.000 | -0.000 |
| -0.000 | 0.000 | -0.000 | -5.629 | -0.000 | 0.000 |
| 0.000 | -0.000 | -0.000 | -0.000 | -5.629 | -0.000 |
| -0.000 | -0.000 | -0.000 | -0.000 | 0.000 | -0.934 |
| 34.896 | -0.934 | -0.242 | 0.000 | 0.000 | 0.000 |
| -0.934 | 34.896 | -0.242 | 0.000 | -0.000 | 0.000 |
| -0.242 | -0.242 | 42.286 | 0.000 | 0.000 | 0.000 |
| 0.000 | -0.000 | 0.000 | -5.629 | -0.000 | 0.000 |
| -0.000 | 0.000 | 0.000 | 0.000 | -5.629 | 0.000 |
| 0.000 | 0.000 | 0.000 | 0.000 | -0.000 | -0.934 |
| -672464.010 | -729722.104 | -735637.382 | 16242.912 | 610.057 | 3043.588 |
| -697578.395 | -710656.057 | -666500.692 | 94.354 | -2401.835 | 18215.157 |
| -0.242 | -0.242 | 42.287 | -0.000 | -0.000 | -0.000 |
| -0.000 | 0.000 | -0.000 | -5.629 | 0.000 | 0.000 |
| 0.000 | -0.000 | -0.000 | -0.000 | -5.629 | -0.000 |
| -0.000 | -0.000 | -0.000 | -0.000 | 0.000 | -0.934 |
| 727512.594 | 726657.056 | 688772.424 | 666.269 | -12948.411 | -1075.660 |
| 518005.336 | 646304.245 | 364146.988 | 1044.877 | -7251.950 | -30219.591 |
| -0.242 | -0.242 | 42.286 | 0.000 | -0.000 | -0.000 |
| 0.000 | -0.000 | 0.000 | -5.629 | 0.000 | 0.000 |
| -0.000 | 0.000 | 0.000 | 0.000 | -5.629 | 0.000 |
| 0.000 | 0.000 | 0.000 | 0.000 | 0.000 | -0.934 |
| 5184438.390 | 2269014.570 | 3838569.899 | -1021834.618 | -104124.351 | -16888.657 |
| 5184110.371 | 2269128.685 | 3838412.922 | -1021771.077 | -104001.424 | -16851.324 |
| 5184027.294 | 2269048.023 | 3838193.185 | -1021816.587 | -104046.360 | -16840.178 |
| 5184263.401 | 2269025.403 | 3838418.757 | -1021819.718 | -104070.404 | -16872.702 |
| 5184109.093 | 2269066.063 | 3838361.181 | -1021807.840 | -104023.126 | -16858.919 |
| 5184208.691 | 2269024.718 | 3838352.026 | -1021820.517 | -104068.333 | -16863.350 |
| -5183951.001 | -2269105.952 | -3838211.378 | 1021804.200 | 103974.562 | 16852.137 |
| -5184220.047 | -2268967.859 | -3838303.967 | 1021854.275 | 104116.548 | 16881.869 |
| -5184348.536 | -2269058.692 | -3838554.517 | 1021820.086 | 104053.425 | 16897.622 |
| -5184095.503 | -2269074.783 | -3838300.193 | 1021814.318 | 104033.161 | 16860.043 |
| -5184244.454 | -2269031.119 | -3838351.182 | 1021824.762 | 104082.316 | 16873.379 |
| -5184146.040 | -2269073.034 | -3838360.463 | 1021812.586 | 104036.583 | 16868.623 |
| 519282.401 | 226944.269 | 384996.394 | -102390.397 | -10520.249 | -2018.688 |
| 518289.499 | 226898.177 | 384222.088 | -102255.537 | -10535.484 | -1421.606 |
| 518304.959 | 226918.533 | 383749.809 | -102172.389 | -10385.182 | -1673.835 |
| 518533.133 | 226896.173 | 383955.226 | -102186.713 | -10430.798 | -1697.914 |
| 518330.097 | 226924.557 | 383851.502 | -102168.806 | -10390.345 | -1679.515 |
| 518444.717 | 226882.247 | 383838.824 | -102184.816 | -10423.611 | -1686.037 |
| -518146.282 | -226957.426 | -383819.819 | 102137.981 | 10351.233 | 1669.239 |
| -518411.829 | -226845.512 | -383826.113 | 102207.564 | 10501.897 | 1717.391 |
| -519418.688 | -227068.922 | -385176.163 | 102430.340 | 10440.846 | 2085.703 |
| -518349.596 | -226940.041 | -383806.412 | 102178.100 | 10384.814 | 1686.344 |
| -518480.406 | -226888.694 | -383841.089 | 102188.215 | 10439.605 | 1696.071 |
| -518375.491 | -226930.907 | -383848.177 | 102174.154 | 10397.682 | 1689.250 |
| 51629.449 | 22638.908 | 38368.859 | -10271.339 | -1081.394 | -233.963 |
| 51892.052 | 22654.399 | 38647.790 | -10244.351 | -1148.016 | -92.342 |
| 51802.442 | 22691.667 | 38369.410 | -10184.869 | -1052.031 | -145.268 |
| 51684.800 | 22632.688 | 38362.946 | -10273.056 | -1055.215 | -229.036 |
| 51826.443 | 22622.642 | 38670.384 | -10213.099 | -1122.573 | -64.080 |
| 51913.729 | 22686.853 | 38489.376 | -10234.277 | -1067.100 | -202.584 |
| -51855.199 | -22658.363 | -38705.972 | 10210.066 | 1104.497 | 73.406 |
| -51844.197 | -22678.112 | -38426.564 | 10224.894 | 1087.111 | 181.625 |
| -51732.420 | -22568.097 | -38652.829 | 10279.057 | 1125.673 | 118.593 |
| -51845.795 | -22639.772 | -38662.476 | 10196.237 | 1103.040 | 53.244 |
| -51950.047 | -22697.674 | -38497.241 | 10236.837 | 1080.109 | 213.928 |
| -51859.196 | -22631.028 | -38669.538 | 10210.784 | 1124.914 | 67.193 |
| 27.092 | -0.698 | -0.698 | -0.000 | -0.000 | -0.000 |
| -0.698 | 27.092 | -0.698 | -0.000 | -0.000 | -0.000 |
| -0.698 | -0.698 | 27.092 | 0.000 | -0.000 | -0.000 |
| 0.000 | -0.000 | -0.000 | -0.698 | -0.000 | -0.000 |
| -0.000 | 0.000 | -0.000 | -0.000 | -0.698 | -0.000 |
| -0.000 | -0.000 | 0.000 | -0.000 | -0.000 | -0.698 |
| 27.092 | -0.698 | -0.698 | 0.000 | 0.000 | 0.000 |
| -0.698 | 27.092 | -0.698 | -0.000 | 0.000 | 0.000 |
| -0.698 | -0.698 | 27.092 | 0.000 | 0.000 | 0.000 |
| 0.000 | 0.000 | 0.000 | -0.698 | 0.000 | 0.000 |
| 0.000 | 0.000 | 0.000 | 0.000 | -0.698 | 0.000 |
| 0.000 | 0.000 | 0.000 | 0.000 | 0.000 | -0.698 |
| 27.092 | -0.698 | -0.698 | -0.000 | 0.000 | -0.000 |
| -0.698 | 27.092 | -0.698 | -0.000 | -0.000 | 0.000 |
| -0.698 | -0.698 | 27.092 | -0.000 | 0.000 | -0.000 |
| 0.000 | -0.000 | -0.000 | -0.698 | -0.000 | -0.000 |
| -0.000 | 0.000 | -0.000 | -0.000 | -0.698 | -0.000 |
| -0.000 | -0.000 | 0.000 | 0.000 | -0.000 | -0.698 |
| 27.092 | -0.698 | -0.698 | -0.000 | -0.000 | -0.000 |
| -0.698 | 27.092 | -0.698 | 0.000 | 0.000 | -0.000 |
| -0.698 | -0.698 | 27.092 | 0.000 | 0.000 | 0.000 |
| -0.000 | 0.000 | 0.000 | -0.698 | 0.000 | 0.000 |
| 0.000 | -0.000 | 0.000 | 0.000 | -0.698 | 0.000 |
| 0.000 | 0.000 | -0.000 | 0.000 | 0.000 | -0.698 |
| 27.092 | -0.698 | -0.698 | -0.000 | -0.000 | -0.000 |
| -0.698 | 27.092 | -0.698 | -0.000 | -0.000 | -0.000 |
| -0.698 | -0.698 | 27.092 | -0.000 | -0.000 | -0.000 |
| 0.000 | -0.000 | -0.000 | -0.698 | 0.000 | -0.000 |
| -0.000 | 0.000 | -0.000 | -0.000 | -0.698 | -0.000 |
| -0.000 | -0.000 | 0.000 | 0.000 | -0.000 | -0.698 |
| 27.092 | -0.698 | -0.698 | -0.000 | 0.000 | 0.000 |
| -0.698 | 27.092 | -0.698 | 0.000 | 0.000 | 0.000 |
| -0.698 | -0.698 | 27.092 | 0.000 | 0.000 | 0.000 |
| -0.000 | 0.000 | 0.000 | -0.698 | 0.000 | 0.000 |
| 0.000 | -0.000 | 0.000 | 0.000 | -0.698 | 0.000 |
| 0.000 | 0.000 | -0.000 | -0.000 | 0.000 | -0.698 |
| -0.211 | -0.627 | -0.292 | 0.000 | 0.000 | -0.000 |
| -0.627 | -1.863 | -0.869 | -0.000 | 0.000 | -0.000 |
| -0.292 | -0.869 | -0.405 | 0.000 | 0.000 | -0.000 |
| -0.000 | -0.000 | -0.000 | -0.777 | 0.000 | -0.000 |
| -0.000 | -0.000 | -0.000 | 0.000 | -0.304 | -0.000 |
| -0.000 | -0.000 | -0.000 | -0.000 | 0.000 | -0.758 |
| -0.211 | -0.627 | -0.292 | -0.000 | -0.000 | 0.000 |
| -0.627 | -1.863 | -0.868 | -0.000 | -0.000 | -0.000 |
| -0.292 | -0.868 | -0.405 | -0.000 | 0.000 | 0.000 |
| 0.000 | 0.000 | 0.000 | -0.777 | -0.000 | 0.000 |
| 0.000 | 0.000 | 0.000 | -0.000 | -0.304 | 0.000 |
| 0.000 | 0.000 | 0.000 | -0.000 | -0.000 | -0.758 |
| -2199108.937 | -3016.705 | -2375405.514 | 73.111 | -16311.910 | -262.678 |
| -2576282.012 | 0.000 | -2648504.037 | -0.000 | 0.000 | 0.000 |
| -2576278.876 | -0.000 | -2648500.220 | -0.000 | -0.000 | 0.000 |
| -0.000 | -0.000 | -0.000 | -0.777 | 0.000 | 0.000 |
| 0.000 | -5282930.142 | 0.000 | 0.000 | -0.000 | 0.000 |
| -2862535.283 | 0.000 | -2942781.969 | 0.000 | 0.000 | 0.000 |
| -0.186 | -0.550 | -0.257 | -0.000 | 0.000 | -0.000 |
| -0.182 | -0.540 | -0.252 | -0.000 | 0.000 | -0.000 |
| -0.182 | -0.539 | -0.251 | -0.000 | -0.000 | -0.000 |
| 0.000 | 0.000 | 0.000 | -0.777 | -0.000 | 0.000 |
| -0.000 | 5282930.142 | -0.000 | -0.000 | -0.000 | -0.000 |
| 2862535.283 | -0.000 | 2942781.969 | -0.000 | 0.000 | -0.000 |
| -201301.608 | -360.953 | -211555.926 | -146.579 | 253.439 | -96.697 |
| -10432.840 | -398.656 | -33605.362 | 71.835 | -56.085 | -26.643 |
| -200375.231 | 0.000 | -205991.975 | -0.000 | 0.000 | -0.000 |
| -0.001 | -0.002 | -0.001 | -0.777 | 0.000 | -0.000 |
| 0.000 | -528293.014 | 0.000 | 0.000 | -0.000 | 0.000 |
| -286253.528 | 0.000 | -294278.197 | -0.000 | 0.000 | 0.000 |
| -0.019 | -0.055 | -0.026 | 0.000 | 0.000 | -0.000 |
| -0.018 | -0.054 | -0.025 | -0.000 | 0.000 | -0.000 |
| -0.018 | -0.054 | -0.025 | 0.000 | 0.000 | -0.000 |
| 0.001 | 0.002 | 0.001 | -0.777 | -0.000 | 0.000 |
| -0.000 | 528293.014 | -0.000 | 0.000 | -0.000 | -0.000 |
| 286253.528 | -0.000 | 294278.197 | -0.000 | 0.000 | -0.000 |
| -0.058 | -0.058 | -0.277 | 0.000 | 0.000 | 0.000 |
| -0.058 | -0.058 | -0.277 | -0.000 | 0.000 | -0.000 |
| -0.277 | -0.277 | -1.309 | 0.000 | -0.000 | -0.000 |
| -0.000 | -0.000 | -0.000 | -0.309 | 0.000 | -0.000 |
| -0.000 | -0.000 | -0.000 | 0.000 | -0.309 | -0.000 |
| -0.000 | -0.000 | -0.000 | 0.000 | 0.000 | -0.058 |
| -0.058 | -0.058 | -0.277 | -0.000 | -0.000 | 0.000 |
| -0.058 | -0.058 | -0.277 | -0.000 | -0.000 | 0.000 |
| -0.277 | -0.277 | -1.308 | -0.000 | -0.000 | 0.000 |
| 0.000 | 0.000 | 0.000 | -0.309 | -0.000 | -0.000 |
| 0.000 | 0.000 | 0.000 | -0.000 | -0.309 | 0.000 |
| 0.000 | 0.000 | 0.000 | -0.000 | -0.000 | -0.058 |
| -0.058 | -0.058 | -0.277 | 0.000 | 0.000 | -0.000 |
| -0.058 | -0.058 | -0.277 | 0.000 | 0.000 | -0.000 |
| -12813.481 | -10991.237 | -3640.996 | 749.268 | 845.477 | -214.876 |
| 0.000 | 0.000 | 0.000 | -0.000 | -0.000 | 0.000 |
| 0.000 | 0.000 | 0.000 | -0.000 | -0.000 | 0.000 |
| -0.000 | -0.000 | -0.000 | -0.000 | 0.000 | -0.058 |
| -0.058 | -0.058 | -0.277 | 0.000 | -0.000 | -0.000 |
| -0.058 | -0.058 | -0.277 | -0.000 | -0.000 | 0.000 |
| -0.074 | -0.074 | -0.349 | -0.000 | -0.000 | -0.000 |
| -0.000 | -0.000 | -0.000 | -0.000 | -0.000 | -0.000 |
| -0.000 | -0.000 | -0.000 | -0.000 | -0.000 | -0.000 |
| 0.000 | 0.000 | 0.000 | -0.000 | -0.000 | -0.058 |
| -2099.161 | -2093.246 | -909.262 | -69.701 | 94.182 | 18.821 |
| -1793.111 | -2149.984 | -1189.338 | 7.521 | -96.511 | 0.681 |
| -4284.161 | -4904.650 | -852.790 | 114.033 | 176.071 | -49.415 |
| -0.002 | -0.002 | -0.012 | -0.005 | 0.000 | 0.000 |
| -0.002 | -0.002 | -0.012 | 0.000 | -0.005 | 0.000 |
| -2485.595 | -2700.119 | -1057.135 | -162.883 | -133.788 | -2676.437 |
| -0.007 | -0.007 | -0.034 | -0.000 | -0.000 | -0.000 |
| -0.007 | -0.007 | -0.034 | -0.000 | -0.000 | -0.000 |
| -0.007 | -0.007 | -0.035 | 0.000 | 0.000 | -0.000 |
| 0.002 | 0.002 | 0.012 | -0.005 | 0.000 | -0.000 |
| 0.002 | 0.002 | 0.012 | 0.000 | -0.005 | -0.000 |
| 3025.957 | 3187.926 | 987.160 | -31.192 | 71.542 | -3192.282 |
| 44.779 | 13.468 | 13.468 | -0.000 | 0.000 | 0.000 |
| 13.468 | 44.779 | 13.468 | -0.000 | 0.000 | 0.000 |
| 13.468 | 13.468 | 44.779 | -0.000 | 0.000 | 0.000 |
| 0.000 | 0.000 | 0.000 | 10.871 | 0.000 | 0.000 |
| 0.000 | 0.000 | 0.000 | -0.000 | 10.871 | 0.000 |
| 0.000 | 0.000 | -0.000 | -0.000 | 0.000 | 10.871 |
| 50.139 | 10.871 | 10.871 | 0.000 | -0.000 | -0.000 |
| 10.871 | 50.139 | 10.871 | -0.000 | -0.000 | -0.000 |
| 10.871 | 10.871 | 50.139 | -0.000 | -0.000 | 0.000 |
| -0.000 | -0.000 | -0.000 | 10.871 | -0.000 | -0.000 |
| -0.000 | -0.000 | -0.000 | -0.000 | 10.871 | -0.000 |
| -0.000 | -0.000 | 0.000 | -0.000 | -0.000 | 10.871 |
| 44.779 | 13.468 | 13.468 | -0.000 | 0.000 | 0.000 |
| 13.468 | 44.779 | 13.468 | -0.000 | 0.000 | 0.000 |
| 13.468 | 13.468 | 44.779 | -0.000 | 0.000 | 0.000 |
| 0.000 | 0.000 | 0.000 | 6.476 | 0.000 | 0.000 |
| 0.000 | 0.000 | 0.000 | -0.000 | 6.476 | 0.000 |
| 0.000 | 0.000 | 0.000 | -0.000 | 0.000 | 6.476 |
| 44.779 | 13.468 | 13.468 | 0.000 | -0.000 | -0.000 |
| 13.468 | 44.779 | 13.468 | 0.000 | -0.000 | -0.000 |
| 13.468 | 13.468 | 44.779 | 0.000 | -0.000 | -0.000 |
| -0.000 | -0.000 | -0.000 | 6.476 | 0.000 | -0.000 |
| -0.000 | -0.000 | -0.000 | 0.000 | 6.476 | -0.000 |
| -0.000 | -0.000 | -0.000 | 0.000 | -0.000 | 6.476 |
| 43.181 | 13.994 | 13.994 | -0.000 | -0.000 | 0.000 |
| 13.994 | 43.181 | 13.994 | -0.000 | -0.000 | 0.000 |
| 13.994 | 13.994 | 43.181 | -0.000 | -0.000 | 0.000 |
| 0.000 | 0.000 | 0.000 | 4.758 | -0.000 | 0.000 |
| 0.000 | 0.000 | 0.000 | -0.000 | 4.758 | 0.000 |
| 0.000 | 0.000 | 0.000 | -0.000 | -0.000 | 4.758 |
| 43.226 | 14.009 | 14.009 | 0.000 | 0.000 | -0.000 |
| 14.009 | 43.226 | 14.009 | 0.000 | -0.000 | -0.000 |
| 14.009 | 14.009 | 43.226 | 0.000 | 0.000 | -0.000 |
| -0.000 | -0.000 | -0.000 | 4.758 | 0.000 | -0.000 |
| -0.000 | -0.000 | -0.000 | 0.000 | 4.758 | -0.000 |
| -0.000 | -0.000 | -0.000 | 0.000 | 0.000 | 4.758 |
| 35.186 | 17.498 | 17.498 | 0.000 | 0.000 | 0.000 |
| 17.498 | 35.186 | 17.498 | 0.000 | 0.000 | 0.000 |
| 17.498 | 17.498 | 35.186 | 0.000 | 0.000 | 0.000 |
| 0.000 | 0.000 | 0.000 | 10.612 | 0.000 | 0.000 |
| 0.000 | 0.000 | 0.000 | 0.000 | 10.612 | 0.000 |
| 0.000 | 0.000 | 0.000 | 0.000 | 0.000 | 10.612 |
| 36.196 | 17.513 | 17.513 | -0.000 | -0.000 | -0.000 |
| 17.513 | 36.196 | 17.513 | -0.000 | -0.000 | -0.000 |
| 17.513 | 17.513 | 36.196 | -0.000 | -0.000 | -0.000 |
| -0.000 | -0.000 | -0.000 | 10.612 | -0.000 | -0.000 |
| -0.000 | -0.000 | -0.000 | -0.000 | 10.612 | -0.000 |
| -0.000 | -0.000 | -0.000 | -0.000 | -0.000 | 10.612 |
| 36.196 | 17.513 | 17.513 | 0.000 | 0.000 | 0.000 |
| 17.513 | 36.196 | 17.513 | 0.000 | 0.000 | 0.000 |
| 17.513 | 17.513 | 36.196 | 0.000 | 0.000 | 0.000 |
| 0.000 | 0.000 | 0.000 | 10.517 | 0.000 | 0.000 |
| 0.000 | 0.000 | 0.000 | 0.000 | 10.517 | 0.000 |
| 0.000 | 0.000 | 0.000 | 0.000 | 0.000 | 10.517 |
| 35.186 | 17.498 | 17.498 | -0.000 | -0.000 | -0.000 |
| 17.498 | 35.186 | 17.498 | -0.000 | -0.000 | -0.000 |
| 17.498 | 17.498 | 35.186 | -0.000 | -0.000 | -0.000 |
| -0.000 | -0.000 | -0.000 | 10.517 | -0.000 | -0.000 |
| -0.000 | -0.000 | -0.000 | -0.000 | 10.517 | -0.000 |
| -0.000 | -0.000 | -0.000 | -0.000 | -0.000 | 10.517 |
| 34.839 | 17.731 | 17.731 | 0.000 | 0.000 | 0.000 |
| 17.731 | 34.839 | 17.731 | 0.000 | 0.000 | 0.000 |
| 17.731 | 17.731 | 34.839 | 0.000 | 0.000 | 0.000 |
| 0.000 | 0.000 | 0.000 | 10.516 | 0.000 | 0.000 |
| 0.000 | 0.000 | 0.000 | 0.000 | 10.516 | 0.000 |
| 0.000 | 0.000 | 0.000 | 0.000 | 0.000 | 10.516 |
| 34.838 | 17.732 | 17.732 | -0.000 | -0.000 | -0.000 |
| 17.732 | 34.838 | 17.732 | -0.000 | -0.000 | -0.000 |
| 17.732 | 17.732 | 34.838 | -0.000 | -0.000 | -0.000 |
| -0.000 | -0.000 | -0.000 | 10.516 | -0.000 | -0.000 |
| -0.000 | -0.000 | -0.000 | -0.000 | 10.516 | -0.000 |
| -0.000 | -0.000 | -0.000 | -0.000 | -0.000 | 10.516 |
| 298.710 | 4.169 | 4.169 | 0.000 | -0.000 | -0.000 |
| 4.169 | 298.710 | 4.169 | 0.000 | -0.000 | -0.000 |
| 4.169 | 4.169 | 298.710 | 0.000 | -0.000 | -0.000 |
| -0.000 | -0.000 | -0.000 | 1.368 | 0.000 | -0.000 |
| -0.000 | 0.000 | -0.000 | 0.000 | 1.368 | -0.000 |
| -0.000 | -0.000 | 0.000 | 0.000 | -0.000 | 1.368 |
| 298.710 | 4.169 | 4.169 | -0.000 | -0.000 | 0.000 |
| 4.169 | 298.710 | 4.169 | -0.000 | -0.000 | 0.000 |
| 4.169 | 4.169 | 298.709 | -0.000 | -0.000 | 0.000 |
| 0.000 | 0.000 | 0.000 | 1.368 | -0.000 | 0.000 |
| 0.000 | 0.000 | 0.000 | -0.000 | 1.368 | 0.000 |
| 0.000 | 0.000 | -0.000 | -0.000 | -0.000 | 1.368 |
| 298.710 | 4.169 | 4.169 | 0.000 | 0.000 | -0.000 |
| 4.169 | 298.710 | 4.169 | 0.000 | 0.000 | -0.000 |
| 4.169 | 4.169 | 298.710 | 0.000 | 0.000 | 0.000 |
| 0.000 | 0.000 | 0.000 | 1.368 | 0.000 | -0.000 |
| 0.000 | 0.000 | 0.000 | 0.000 | 1.368 | -0.000 |
| 0.000 | 0.000 | 0.000 | 0.000 | 0.000 | 1.368 |
| 298.709 | 4.169 | 4.169 | -0.000 | -0.000 | 0.000 |
| 4.169 | 298.709 | 4.169 | -0.000 | -0.000 | 0.000 |
| 4.169 | 4.169 | 298.709 | -0.000 | -0.000 | 0.000 |
| -0.000 | -0.000 | -0.000 | 1.368 | -0.000 | 0.000 |
| -0.000 | -0.000 | 0.000 | -0.000 | 1.368 | 0.000 |
| -0.000 | 0.000 | -0.000 | -0.000 | -0.000 | 1.368 |
| 298.712 | 4.169 | 4.169 | 0.000 | 0.000 | -0.000 |
| 4.169 | 298.712 | 4.169 | 0.000 | 0.000 | -0.000 |
| 4.169 | 4.169 | 298.712 | 0.000 | -0.000 | -0.000 |
| 0.000 | 0.000 | 0.000 | 1.368 | 0.000 | -0.000 |
| 0.000 | 0.000 | 0.000 | 0.000 | 1.368 | -0.000 |
| 0.000 | 0.000 | 0.000 | 0.000 | -0.000 | 1.368 |
| 298.708 | 4.169 | 4.169 | -0.000 | -0.000 | 0.000 |
| 4.169 | 298.708 | 4.169 | -0.000 | -0.000 | 0.000 |
| 4.169 | 4.169 | 298.708 | -0.000 | -0.000 | 0.000 |
| -0.000 | -0.000 | -0.000 | 1.368 | -0.000 | 0.000 |
| -0.000 | -0.000 | -0.000 | -0.000 | 1.368 | 0.000 |
| -0.000 | -0.000 | -0.000 | -0.000 | 0.000 | 1.368 |
| 328647049.202 | 146009579.295 | -87282157.177 | 24287300.444 | -34552373.468 | -4655606.093 |
| 334528791.701 | 148293389.411 | -88206745.629 | 25073805.955 | -2404371.833 | -9298398.525 |
| 97.872 | 57.759 | 375.739 | -0.003 | -0.007 | -0.000 |
| 334667379.592 | 147872150.819 | -83879584.263 | 24448248.280 | -35725477.002 | -7304114.423 |
| 2.128 | 0.903 | -3.548 | -0.002 | -8.672 | -0.000 |
| -0.089 | -0.052 | -0.323 | -0.002 | -0.005 | 333.828 |
| -334924622.825 | -148213362.706 | 86944652.051 | -24049889.560 | 2283858.733 | 6446387.732 |
| -330588686.799 | -151538741.051 | 78842733.180 | -25291830.008 | 68872547.507 | -2174515.786 |
| -35.014 | 63.534 | 263.558 | -0.006 | 0.029 | -0.000 |
| -335461460.288 | -148869294.816 | 83565792.684 | -23882609.371 | 36729457.493 | 8780085.785 |
| -2.115 | -0.904 | 3.528 | 0.002 | -8.602 | -0.000 |
| 0.089 | 0.052 | 0.323 | 0.002 | 0.005 | 333.828 |
| 33558634.129 | 14800553.702 | -8300563.498 | 2392364.861 | -3569547.765 | -682827.338 |
| 354.151 | 428.495 | 50.511 | 0.003 | -0.009 | -0.000 |
| -27.109 | 58.291 | 269.599 | 0.002 | -0.006 | -0.000 |
| -0.364 | -0.010 | -0.326 | 54.624 | 0.004 | 0.000 |
| 30842880.676 | 21315027.087 | -2180896.012 | 3050252.612 | -17982775.833 | 746950.344 |
| -0.009 | -0.005 | -0.032 | -0.000 | -0.000 | 333.828 |
| 347.431 | 319.493 | 55.784 | -0.000 | -0.000 | -0.000 |
| 322.404 | 434.544 | 30.685 | -0.001 | -0.003 | 0.000 |
| -26.588 | 58.260 | 269.852 | -0.002 | 0.006 | 0.000 |
| 0.364 | 0.010 | 0.326 | 54.624 | -0.004 | -0.000 |
| -31359596.983 | -21431446.633 | 1691532.638 | -3133023.601 | -18120501.673 | 840452.764 |
| 0.009 | 0.005 | 0.032 | 0.000 | 0.000 | 333.828 |
| 187.291 | 353.579 | -33.849 | 0.000 | 0.000 | 0.000 |
| 353.122 | 428.597 | 50.350 | -0.000 | 0.000 | -0.000 |
| 3350889.338 | 1478744.745 | -833628.405 | 246727.382 | -360939.426 | -77904.684 |
| 3339963.601 | 1461219.201 | -869907.596 | 247949.439 | -17789.192 | -86139.488 |
| 3064563.069 | 2123232.283 | -214381.888 | 336082.194 | -1810373.833 | 70231.363 |
| 0.000 | 0.001 | -0.003 | -0.000 | -0.000 | 333.828 |
| -3320575.375 | -1539293.870 | 791445.665 | -238066.238 | 679913.666 | 39076.271 |
| 353.152 | 428.588 | 50.377 | 0.000 | -0.000 | -0.000 |
| -26.928 | 57.867 | 269.842 | -0.000 | 0.000 | -0.000 |
| -3342923.051 | -1470779.739 | 872347.832 | -245917.344 | 22599.329 | 80261.035 |
| -3071055.815 | -2144499.647 | 226037.960 | -321677.952 | -1805370.085 | 60205.772 |
| -0.000 | -0.001 | 0.003 | 0.000 | 0.000 | 333.828 |
| 587.465 | 231.160 | 231.160 | -0.000 | 0.000 | -0.000 |
| 231.160 | 587.465 | 231.160 | 0.000 | 0.000 | 0.000 |
| 231.160 | 231.160 | 587.465 | -0.000 | 0.000 | 0.000 |
| -0.745 | -0.745 | -0.745 | 221.231 | 0.000 | 0.000 |
| -0.745 | -0.745 | -0.745 | 0.000 | 221.231 | 0.000 |
| -0.745 | -0.745 | -0.745 | -0.000 | 0.000 | 221.231 |
| 583.926 | 233.179 | 233.179 | 0.000 | -0.000 | -0.000 |
| 233.179 | 583.926 | 233.179 | 0.000 | -0.000 | -0.000 |
| 233.179 | 233.179 | 583.926 | 0.000 | -0.000 | 0.000 |
| 0.745 | 0.745 | 0.745 | 221.231 | -0.000 | -0.000 |
| 0.745 | 0.745 | 0.745 | 0.000 | 221.231 | -0.000 |
| 0.745 | 0.745 | 0.745 | 0.000 | -0.000 | 221.231 |
| 583.066 | 232.349 | 232.349 | 0.000 | 0.000 | -0.000 |
| 232.349 | 583.066 | 232.349 | -0.000 | 0.000 | -0.000 |
| 232.349 | 232.349 | 583.066 | -0.000 | 0.000 | 0.000 |
| -0.125 | -0.125 | -0.125 | 221.143 | 0.000 | 0.000 |
| -0.125 | -0.125 | -0.125 | 0.000 | 221.143 | 0.000 |
| -0.125 | -0.125 | -0.125 | -0.000 | 0.000 | 221.143 |
| 583.205 | 232.489 | 232.489 | 0.000 | -0.000 | -0.000 |
| 232.489 | 583.205 | 232.489 | 0.000 | -0.000 | -0.000 |
| 232.489 | 232.489 | 583.205 | 0.000 | -0.000 | -0.000 |
| 0.125 | 0.125 | 0.125 | 221.143 | -0.000 | -0.000 |
| 0.125 | 0.125 | 0.125 | -0.000 | 221.143 | 0.000 |
| 0.125 | 0.125 | 0.125 | -0.000 | -0.000 | 221.143 |
| 583.133 | 232.413 | 232.413 | -0.000 | 0.000 | 0.000 |
| 232.413 | 583.133 | 232.413 | 0.000 | 0.000 | 0.000 |
| 232.413 | 232.413 | 583.133 | -0.000 | 0.000 | 0.000 |
| -0.015 | -0.015 | -0.014 | 220.982 | 0.000 | 0.000 |
| -0.015 | -0.015 | -0.014 | -0.000 | 220.982 | 0.000 |
| -0.015 | -0.014 | -0.015 | -0.000 | 0.000 | 220.982 |
| 587.461 | 231.159 | 231.159 | -0.000 | -0.000 | -0.000 |
| 231.159 | 587.461 | 231.159 | 0.000 | -0.000 | -0.000 |
| 231.159 | 231.159 | 587.461 | 0.000 | 0.000 | -0.000 |
| 0.015 | 0.015 | 0.014 | 220.982 | -0.000 | 0.000 |
| 0.015 | 0.015 | 0.014 | 0.000 | 220.982 | -0.000 |
| 0.015 | 0.014 | 0.015 | 0.000 | -0.000 | 220.982 |
| 159.507 | 96.370 | 96.370 | -0.000 | -0.000 | -0.000 |
| 96.370 | 159.507 | 96.370 | -0.000 | 0.000 | -0.000 |
| 96.370 | 96.370 | 159.507 | -0.000 | -0.000 | 0.000 |
| 0.000 | -0.000 | -0.000 | -46.643 | -0.000 | -0.000 |
| -0.000 | 0.000 | -0.000 | -0.000 | -46.643 | -0.000 |
| -0.000 | -0.000 | -0.000 | -0.000 | 0.000 | -46.643 |
| 159.507 | 96.370 | 96.370 | 0.000 | 0.000 | 0.000 |
| 96.370 | 159.507 | 96.370 | -0.000 | -0.000 | 0.000 |
| 96.370 | 96.370 | 159.507 | 0.000 | -0.000 | 0.000 |
| -0.000 | 0.000 | 0.000 | -46.643 | 0.000 | 0.000 |
| 0.000 | 0.000 | 0.000 | 0.000 | -46.643 | 0.000 |
| 0.000 | 0.000 | 0.000 | 0.000 | -0.000 | -46.643 |
| 159.508 | 96.370 | 96.370 | -0.000 | 0.000 | -0.000 |
| 96.370 | 159.508 | 96.370 | -0.000 | -0.000 | -0.000 |
| 96.370 | 96.370 | 159.508 | -0.000 | -0.000 | -0.000 |
| 0.000 | -0.000 | -0.000 | -46.643 | -0.000 | -0.000 |
| -0.000 | 0.000 | -0.000 | -0.000 | -46.643 | -0.000 |
| -0.000 | -0.000 | 0.000 | -0.000 | 0.000 | -46.643 |
| 159.507 | 96.370 | 96.370 | 0.000 | 0.000 | 0.000 |
| 96.370 | 159.507 | 96.370 | 0.000 | 0.000 | 0.000 |
| 96.370 | 96.370 | 159.507 | 0.000 | -0.000 | 0.000 |
| -0.000 | 0.000 | 0.000 | -46.643 | 0.000 | 0.000 |
| 0.000 | -0.000 | 0.000 | 0.000 | -46.643 | 0.000 |
| 0.000 | 0.000 | -0.000 | 0.000 | -0.000 | -46.643 |
| 159.508 | 96.370 | 96.370 | -0.000 | -0.000 | -0.000 |
| 96.370 | 159.508 | 96.370 | -0.000 | -0.000 | -0.000 |
| 96.370 | 96.370 | 159.508 | -0.000 | 0.000 | -0.000 |
| 0.000 | -0.000 | -0.000 | -46.643 | -0.000 | -0.000 |
| -0.000 | 0.000 | -0.000 | -0.000 | -46.643 | -0.000 |
| -0.000 | -0.000 | 0.000 | -0.000 | 0.000 | -46.643 |
| 159.507 | 96.369 | 96.369 | 0.000 | -0.000 | 0.000 |
| 96.369 | 159.507 | 96.369 | -0.000 | -0.000 | 0.000 |
| 96.369 | 96.369 | 159.507 | -0.000 | -0.000 | 0.000 |
| -0.000 | 0.000 | 0.000 | -46.643 | 0.000 | 0.000 |
| 0.000 | -0.000 | 0.000 | 0.000 | -46.643 | 0.000 |
| 0.000 | 0.000 | -0.000 | 0.000 | -0.000 | -46.643 |
| 16.174 | 12.871 | 12.871 | 0.000 | 0.000 | -0.000 |
| 12.871 | 16.174 | 12.871 | 0.000 | 0.000 | -0.000 |
| 12.871 | 12.871 | 16.174 | 0.000 | 0.000 | 0.000 |
| 0.000 | 0.000 | -0.000 | -61.358 | -0.000 | 0.000 |
| 0.000 | 0.000 | 0.000 | 0.000 | -61.358 | -0.000 |
| 0.000 | -0.000 | 0.000 | -0.000 | -0.000 | -61.358 |
| 16.174 | 12.871 | 12.871 | -0.000 | 0.000 | -0.000 |
| 12.871 | 16.174 | 12.871 | -0.000 | 0.000 | -0.000 |
| 12.871 | 12.871 | 16.174 | -0.000 | 0.000 | -0.000 |
| -0.000 | -0.000 | -0.000 | -61.358 | 0.000 | 0.000 |
| -0.000 | -0.000 | -0.000 | -0.000 | -61.358 | -0.000 |
| -0.000 | 0.000 | -0.000 | -0.000 | 0.000 | -61.358 |
| 16.174 | 12.871 | 12.871 | 0.000 | 0.000 | 0.000 |
| 12.871 | 16.174 | 12.871 | 0.000 | -0.000 | 0.000 |
| 12.871 | 12.871 | 16.174 | 0.000 | -0.000 | -0.000 |
| 0.000 | -0.000 | -0.000 | -61.358 | 0.000 | 0.000 |
| -0.000 | 0.000 | -0.000 | 0.000 | -61.358 | 0.000 |
| -0.000 | -0.000 | 0.000 | 0.000 | -0.000 | -61.358 |
| 16.174 | 12.871 | 12.871 | -0.000 | -0.000 | -0.000 |
| 12.871 | 16.174 | 12.871 | -0.000 | -0.000 | -0.000 |
| 12.871 | 12.871 | 16.174 | -0.000 | -0.000 | 0.000 |
| -0.000 | 0.000 | 0.000 | -61.358 | 0.000 | 0.000 |
| 0.000 | -0.000 | 0.000 | -0.000 | -61.358 | -0.000 |
| 0.000 | 0.000 | -0.000 | -0.000 | 0.000 | -61.358 |
| 16.174 | 12.871 | 12.871 | 0.000 | -0.000 | 0.000 |
| 12.871 | 16.174 | 12.871 | 0.000 | -0.000 | -0.000 |
| 12.871 | 12.871 | 16.174 | 0.000 | -0.000 | 0.000 |
| 0.000 | -0.000 | -0.000 | -61.358 | -0.000 | -0.000 |
| -0.000 | 0.000 | -0.000 | 0.000 | -61.358 | 0.000 |
| -0.000 | -0.000 | 0.000 | 0.000 | -0.000 | -61.358 |
| 16.174 | 12.871 | 12.871 | -0.000 | 0.000 | -0.000 |
| 12.871 | 16.174 | 12.871 | -0.000 | -0.000 | 0.000 |
| 12.871 | 12.871 | 16.174 | -0.000 | 0.000 | -0.000 |
| -0.000 | 0.000 | 0.000 | -61.358 | 0.000 | -0.000 |
| 0.000 | -0.000 | 0.000 | -0.000 | -61.358 | -0.000 |
| 0.000 | 0.000 | -0.000 | -0.000 | 0.000 | -61.358 |
| 102.069 | 19.102 | 19.102 | 0.000 | -0.000 | -0.000 |
| 19.102 | 102.069 | 19.102 | -0.000 | -0.000 | -0.000 |
| 19.102 | 19.102 | 102.069 | -0.000 | -0.000 | -0.000 |
| -0.000 | 0.000 | 0.000 | -23.160 | -0.000 | 0.000 |
| -0.000 | 0.000 | 0.000 | 0.000 | -23.160 | -0.000 |
| -0.000 | 0.000 | 0.000 | 0.000 | -0.000 | -23.160 |
| 102.069 | 19.102 | 19.102 | -0.000 | 0.000 | 0.000 |
| 19.102 | 102.069 | 19.102 | -0.000 | 0.000 | 0.000 |
| 19.102 | 19.102 | 102.069 | 0.000 | 0.000 | 0.000 |
| 0.000 | 0.000 | -0.000 | -23.160 | -0.000 | 0.000 |
| 0.000 | -0.000 | -0.000 | 0.000 | -23.160 | 0.000 |
| 0.000 | -0.000 | -0.000 | -0.000 | 0.000 | -23.160 |
| 102.069 | 19.102 | 19.102 | 0.000 | -0.000 | -0.000 |
| 19.102 | 102.069 | 19.102 | 0.000 | -0.000 | -0.000 |
| 19.102 | 19.102 | 102.069 | 0.000 | -0.000 | -0.000 |
| 0.000 | 0.000 | -0.000 | -23.160 | -0.000 | -0.000 |
| 0.000 | 0.000 | -0.000 | 0.000 | -23.160 | -0.000 |
| 0.000 | -0.000 | 0.000 | 0.000 | -0.000 | -23.160 |
| 102.069 | 19.102 | 19.102 | 0.000 | 0.000 | 0.000 |
| 19.102 | 102.069 | 19.102 | -0.000 | 0.000 | 0.000 |
| 19.102 | 19.102 | 102.069 | 0.000 | 0.000 | 0.000 |
| -0.000 | -0.000 | 0.000 | -23.160 | 0.000 | 0.000 |
| -0.000 | -0.000 | 0.000 | -0.000 | -23.160 | 0.000 |
| -0.000 | 0.000 | -0.000 | -0.000 | 0.000 | -23.160 |
| 102.070 | 19.102 | 19.102 | 0.000 | 0.000 | -0.000 |
| 19.102 | 102.070 | 19.102 | 0.000 | -0.000 | -0.000 |
| 19.102 | 19.102 | 102.070 | 0.000 | -0.000 | 0.000 |
| 0.000 | 0.000 | -0.000 | -23.160 | -0.000 | -0.000 |
| 0.000 | 0.000 | -0.000 | -0.000 | -23.160 | -0.000 |
| 0.000 | -0.000 | 0.000 | 0.000 | -0.000 | -23.160 |
| 102.069 | 19.102 | 19.102 | -0.000 | 0.000 | 0.000 |
| 19.102 | 102.069 | 19.102 | 0.000 | -0.000 | 0.000 |
| 19.102 | 19.102 | 102.069 | -0.000 | -0.000 | 0.000 |
| -0.000 | -0.000 | 0.000 | -23.160 | 0.000 | 0.000 |
| -0.000 | -0.000 | 0.000 | -0.000 | -23.160 | 0.000 |
| -0.000 | 0.000 | -0.000 | -0.000 | 0.000 | -23.160 |
| 58.550 | 18.787 | 18.787 | -0.000 | -0.000 | 0.000 |
| 18.787 | 58.550 | 18.787 | -0.000 | 0.000 | 0.000 |
| 18.787 | 18.787 | 58.550 | -0.000 | -0.000 | 0.000 |
| 0.000 | 0.000 | -0.000 | -40.891 | 0.000 | 0.000 |
| 0.000 | 0.000 | -0.000 | -0.000 | -40.891 | 0.000 |
| -0.000 | -0.000 | 0.000 | -0.000 | -0.000 | -40.891 |
| 58.550 | 18.787 | 18.787 | 0.000 | 0.000 | -0.000 |
| 18.787 | 58.550 | 18.787 | 0.000 | 0.000 | -0.000 |
| 18.787 | 18.787 | 58.550 | 0.000 | -0.000 | -0.000 |
| -0.000 | 0.000 | 0.000 | -40.891 | -0.000 | 0.000 |
| 0.000 | -0.000 | 0.000 | 0.000 | -40.891 | -0.000 |
| 0.000 | 0.000 | -0.000 | 0.000 | -0.000 | -40.891 |
| 58.550 | 18.787 | 18.787 | -0.000 | 0.000 | 0.000 |
| 18.787 | 58.550 | 18.787 | -0.000 | -0.000 | 0.000 |
| 18.787 | 18.787 | 58.550 | -0.000 | 0.000 | 0.000 |
| 0.000 | -0.000 | -0.000 | -40.891 | 0.000 | 0.000 |
| -0.000 | 0.000 | -0.000 | 0.000 | -40.891 | 0.000 |
| -0.000 | -0.000 | 0.000 | -0.000 | 0.000 | -40.891 |
| 58.550 | 18.787 | 18.787 | 0.000 | -0.000 | -0.000 |
| 18.787 | 58.550 | 18.787 | 0.000 | 0.000 | -0.000 |
| 18.787 | 18.787 | 58.550 | 0.000 | -0.000 | -0.000 |
| -0.000 | 0.000 | 0.000 | -40.891 | -0.000 | -0.000 |
| 0.000 | -0.000 | 0.000 | 0.000 | -40.891 | -0.000 |
| 0.000 | 0.000 | -0.000 | 0.000 | -0.000 | -40.891 |
| 58.550 | 18.787 | 18.787 | -0.000 | 0.000 | 0.000 |
| 18.787 | 58.550 | 18.787 | -0.000 | -0.000 | 0.000 |
| 18.787 | 18.787 | 58.550 | -0.000 | 0.000 | 0.000 |
| 0.000 | -0.000 | -0.000 | -40.891 | -0.000 | 0.000 |
| -0.000 | 0.000 | -0.000 | -0.000 | -40.891 | 0.000 |
| -0.000 | -0.000 | 0.000 | 0.000 | 0.000 | -40.891 |
| 58.549 | 18.787 | 18.787 | 0.000 | 0.000 | -0.000 |
| 18.787 | 58.549 | 18.787 | 0.000 | 0.000 | -0.000 |
| 18.787 | 18.787 | 58.549 | 0.000 | 0.000 | -0.000 |
| -0.000 | 0.000 | 0.000 | -40.891 | -0.000 | -0.000 |
| 0.000 | -0.000 | 0.000 | 0.000 | -40.891 | -0.000 |
| 0.000 | 0.000 | -0.000 | 0.000 | -0.000 | -40.891 |
| 4.520 | 8.983 | 8.983 | -0.000 | 0.000 | 0.000 |
| 8.983 | 4.520 | 8.983 | -0.000 | 0.000 | 0.000 |
| 8.983 | 8.983 | 4.520 | -0.000 | 0.000 | 0.000 |
| 0.000 | 0.000 | -0.000 | -58.545 | 0.000 | 0.000 |
| 0.000 | 0.000 | -0.000 | -0.000 | -58.545 | 0.000 |
| 0.000 | -0.000 | 0.000 | -0.000 | 0.000 | -58.545 |
| 4.520 | 8.983 | 8.983 | 0.000 | -0.000 | -0.000 |
| 8.983 | 4.520 | 8.983 | 0.000 | 0.000 | -0.000 |
| 8.983 | 8.983 | 4.520 | -0.000 | -0.000 | -0.000 |
| -0.000 | -0.000 | 0.000 | -58.545 | -0.000 | -0.000 |
| -0.000 | -0.000 | 0.000 | 0.000 | -58.545 | -0.000 |
| -0.000 | 0.000 | -0.000 | 0.000 | -0.000 | -58.545 |
| 4.520 | 8.983 | 8.983 | -0.000 | -0.000 | 0.000 |
| 8.983 | 4.520 | 8.983 | -0.000 | -0.000 | 0.000 |
| 8.983 | 8.983 | 4.520 | -0.000 | 0.000 | 0.000 |
| 0.000 | 0.000 | 0.000 | 9.068 | 0.000 | 0.000 |
| 0.000 | 0.000 | 0.000 | -0.000 | 9.068 | 0.000 |
| 0.000 | 0.000 | 0.000 | -0.000 | 0.000 | 9.068 |
| 4.520 | 8.983 | 8.983 | 0.000 | -0.000 | -0.000 |
| 8.983 | 4.520 | 8.983 | 0.000 | -0.000 | -0.000 |
| 8.983 | 8.983 | 4.520 | -0.000 | -0.000 | -0.000 |
| -0.000 | -0.000 | -0.000 | 9.068 | -0.000 | -0.000 |
| -0.000 | -0.000 | -0.000 | 0.000 | 9.068 | -0.000 |
| -0.000 | -0.000 | -0.000 | 0.000 | -0.000 | 9.068 |
| 4.520 | 8.983 | 8.983 | 0.000 | 0.000 | 0.000 |
| 8.983 | 4.520 | 8.983 | 0.000 | 0.000 | 0.000 |
| 8.983 | 8.983 | 4.520 | -0.000 | 0.000 | 0.000 |
| 0.000 | 0.000 | -0.000 | -58.545 | 0.000 | 0.000 |
| 0.000 | 0.000 | -0.000 | -0.000 | -58.545 | 0.000 |
| 0.000 | -0.000 | 0.000 | -0.000 | 0.000 | -58.545 |
| 4.520 | 8.983 | 8.983 | 0.000 | -0.000 | -0.000 |
| 8.983 | 4.520 | 8.983 | -0.000 | -0.000 | -0.000 |
| 8.983 | 8.983 | 4.520 | -0.000 | -0.000 | -0.000 |
| -0.000 | -0.000 | 0.000 | -58.545 | -0.000 | -0.000 |
| -0.000 | -0.000 | 0.000 | 0.000 | -58.545 | -0.000 |
| -0.000 | 0.000 | -0.000 | 0.000 | -0.000 | -58.545 |
| 85.766 | 65.221 | 65.221 | 0.000 | -0.000 | 0.000 |
| 65.221 | 85.766 | 65.221 | -0.000 | 0.000 | -0.000 |
| 65.221 | 65.221 | 85.766 | 0.000 | 0.000 | 0.000 |
| 0.000 | 0.000 | 0.000 | 13.447 | -0.000 | -0.000 |
| -0.000 | 0.000 | 0.000 | 0.000 | 13.447 | -0.000 |
| -0.000 | 0.000 | 0.000 | 0.000 | -0.000 | 13.447 |
| 85.766 | 65.221 | 65.221 | 0.000 | 0.000 | -0.000 |
| 65.221 | 85.766 | 65.221 | 0.000 | 0.000 | -0.000 |
| 65.221 | 65.221 | 85.766 | -0.000 | 0.000 | -0.000 |
| -0.000 | 0.000 | -0.000 | 13.447 | 0.000 | -0.000 |
| 0.000 | -0.000 | -0.000 | -0.000 | 13.447 | 0.000 |
| 0.000 | -0.000 | -0.000 | -0.000 | 0.000 | 13.447 |
| 85.766 | 65.221 | 65.221 | 0.000 | 0.000 | 0.000 |
| 65.221 | 85.766 | 65.221 | -0.000 | -0.000 | -0.000 |
| 65.221 | 65.221 | 85.766 | 0.000 | -0.000 | 0.000 |
| 0.000 | -0.000 | -0.000 | 13.447 | 0.000 | 0.000 |
| -0.000 | 0.000 | -0.000 | 0.000 | 13.447 | 0.000 |
| -0.000 | -0.000 | 0.000 | 0.000 | -0.000 | 13.447 |
| 85.766 | 65.221 | 65.221 | -0.000 | 0.000 | -0.000 |
| 65.221 | 85.766 | 65.221 | -0.000 | 0.000 | 0.000 |
| 65.221 | 65.221 | 85.766 | -0.000 | -0.000 | -0.000 |
| -0.000 | 0.000 | 0.000 | 13.447 | -0.000 | 0.000 |
| 0.000 | -0.000 | 0.000 | -0.000 | 13.447 | 0.000 |
| 0.000 | 0.000 | -0.000 | -0.000 | 0.000 | 13.447 |
| 85.766 | 65.221 | 65.221 | 0.000 | -0.000 | 0.000 |
| 65.221 | 85.766 | 65.221 | 0.000 | 0.000 | -0.000 |
| 65.221 | 65.221 | 85.766 | 0.000 | -0.000 | -0.000 |
| 0.000 | -0.000 | -0.000 | 13.447 | 0.000 | 0.000 |
| -0.000 | 0.000 | -0.000 | -0.000 | 13.447 | -0.000 |
| -0.000 | -0.000 | 0.000 | 0.000 | 0.000 | 13.447 |
| 85.765 | 65.221 | 65.221 | -0.000 | -0.000 | -0.000 |
| 65.221 | 85.765 | 65.221 | -0.000 | 0.000 | 0.000 |
| 65.221 | 65.221 | 85.765 | -0.000 | 0.000 | -0.000 |
| -0.000 | 0.000 | 0.000 | 13.447 | -0.000 | -0.000 |
| 0.000 | -0.000 | 0.000 | -0.000 | 13.447 | 0.000 |
| 0.000 | 0.000 | -0.000 | -0.000 | 0.000 | 13.447 |
| 909.833 | -225.080 | -413.810 | -0.000 | 0.000 | -0.000 |
| 874.595 | -162.488 | -393.109 | -0.000 | 0.000 | -0.000 |
| 1117.094 | -232.247 | -858.347 | -0.000 | 0.000 | -0.000 |
| 253.671 | -1063.305 | -671.191 | 25.482 | 0.000 | -0.000 |
| 1059.008 | -320.785 | -1005.173 | -0.000 | 42.274 | -0.000 |
| 360.792 | -877.328 | -868.898 | 0.000 | 0.000 | 98.175 |
| 193.344 | 110.456 | 45.702 | 0.000 | -0.000 | -0.000 |
| -714.173 | 441.817 | 555.937 | 0.000 | -0.000 | 0.000 |
| -297.897 | 951.952 | 983.467 | -0.000 | -0.000 | 0.000 |
| -253.671 | 1063.305 | 671.191 | 25.482 | -0.000 | 0.000 |
| -1059.008 | 320.785 | 1005.173 | 0.000 | 42.274 | 0.000 |
| -360.792 | 877.328 | 868.898 | -0.000 | -0.000 | 98.175 |
| 266.458 | 67.450 | -44.301 | -0.000 | 0.000 | -0.000 |
| 128.381 | 59.491 | -2.126 | 0.000 | 0.000 | 0.000 |
| 137.901 | 43.890 | 59.065 | -0.000 | 0.000 | -0.000 |
| 26.119 | -107.172 | -66.686 | 36.112 | 0.000 | -0.000 |
| 105.755 | -32.034 | -100.379 | -0.000 | 42.284 | -0.000 |
| 48.931 | -80.727 | -86.099 | 0.000 | 0.000 | 89.483 |
| 193.344 | 110.456 | 45.702 | 0.000 | -0.000 | -0.000 |
| -2.593 | 202.556 | 187.794 | 0.000 | -0.000 | 0.000 |
| 28.305 | 166.565 | 202.335 | -0.000 | -0.000 | 0.000 |
| -26.119 | 107.172 | 66.686 | 36.112 | -0.000 | 0.000 |
| -105.755 | 32.034 | 100.379 | 0.000 | 42.284 | 0.000 |
| -48.931 | 80.727 | 86.099 | -0.000 | -0.000 | 89.483 |
| 133.203 | 84.347 | 64.339 | -0.000 | 0.000 | -0.000 |
| 92.046 | 137.744 | 80.649 | -0.000 | 0.000 | -0.000 |
| 69.256 | 78.502 | 118.093 | -0.000 | 0.000 | -0.000 |
| 2.801 | -12.348 | -6.648 | 38.055 | 0.000 | -0.000 |
| 5.477 | -2.324 | -2.117 | -0.000 | 39.556 | -0.000 |
| 2.027 | -14.406 | -4.815 | -0.000 | 0.000 | 51.086 |
| 126.262 | 98.418 | 75.526 | 0.000 | -0.000 | 0.000 |
| 82.478 | 159.428 | 94.164 | 0.000 | -0.000 | 0.000 |
| 53.025 | 85.526 | 134.675 | 0.000 | -0.000 | 0.000 |
| -2.801 | 12.348 | 6.648 | 38.055 | -0.000 | 0.000 |
| -5.477 | 2.324 | 2.117 | 0.000 | 39.556 | 0.000 |
| -2.027 | 14.406 | 4.815 | 0.000 | -0.000 | 51.086 |
| 47.515 | 32.161 | 11.615 | -0.001 | -0.011 | -0.224 |
| 27.110 | 70.278 | 19.598 | -0.001 | -0.010 | -0.192 |
| 8.376 | 24.646 | 48.082 | -0.001 | -0.007 | -0.132 |
| 2.710 | 0.473 | -0.310 | -9.746 | -0.005 | -0.141 |
| 0.601 | -1.552 | -3.818 | -0.001 | 22.719 | -0.186 |
| -2.884 | -0.095 | -0.614 | -0.001 | -0.006 | 24.268 |
| 109.033 | 43.429 | 9.768 | 0.000 | 0.000 | 0.000 |
| 30.130 | 70.183 | 24.573 | 0.001 | 0.006 | 0.093 |
| 7.820 | 22.332 | 58.080 | 0.001 | 0.010 | 0.194 |
| -2.709 | -0.473 | 0.310 | -9.745 | 0.005 | 0.141 |
| -0.603 | 1.559 | 3.835 | 0.001 | 22.731 | 0.187 |
| 2.884 | 0.095 | 0.614 | 0.001 | 0.006 | 24.497 |
| 64.023 | 43.182 | 27.575 | -0.000 | -0.001 | -0.022 |
| 29.377 | 69.917 | 21.940 | -0.000 | -0.001 | -0.018 |
| 21.803 | 23.629 | 59.770 | -0.000 | -0.001 | -0.016 |
| 0.153 | -0.001 | -0.040 | -10.701 | -0.001 | -0.014 |
| -0.031 | 0.003 | -0.225 | -0.000 | 18.658 | -0.008 |
| 0.098 | 0.004 | -0.140 | -0.000 | -0.001 | 17.019 |
| 48.299 | 33.211 | 15.472 | 0.000 | 0.000 | 0.003 |
| 39.963 | 89.919 | 37.706 | 0.000 | 0.000 | 0.000 |
| 6.358 | 24.195 | 47.750 | 0.000 | 0.000 | 0.022 |
| -0.153 | 0.001 | 0.040 | -10.701 | 0.001 | 0.014 |
| 0.031 | -0.003 | 0.225 | 0.000 | 18.659 | 0.008 |
| -0.098 | -0.004 | 0.140 | 0.000 | 0.001 | 17.042 |
| 42.547 | 32.693 | 7.577 | -0.000 | -0.000 | -0.001 |
| 29.549 | 69.967 | 22.110 | -0.000 | -0.000 | 0.006 |
| 6.378 | 23.999 | 47.615 | -0.000 | -0.000 | -0.002 |
| 0.030 | -0.000 | -0.012 | -10.708 | -0.000 | -0.001 |
| 0.016 | 0.003 | -0.066 | -0.000 | 18.660 | -0.002 |
| 0.088 | 0.054 | 0.117 | 0.000 | -0.000 | 17.040 |
| 42.492 | 32.692 | 7.609 | 0.000 | 0.000 | 0.003 |
| 29.207 | 69.868 | 21.768 | 0.000 | 0.000 | 0.001 |
| 6.370 | 24.004 | 47.643 | 0.000 | 0.000 | 0.000 |
| -0.030 | 0.000 | 0.012 | -10.708 | 0.000 | 0.001 |
| -0.016 | -0.003 | 0.066 | 0.000 | 18.660 | 0.002 |
| -0.088 | -0.054 | -0.117 | -0.000 | 0.000 | 17.042 |
| 94.382 | 64.954 | 36.218 | 7.859 | -16.171 | -38.367 |
| 135.411 | 182.337 | 85.672 | 46.419 | 3.634 | -7.453 |
| 50.329 | 60.443 | 82.936 | -10.751 | -21.500 | -35.323 |
| -4.317 | -0.756 | -27.808 | 26.921 | -21.796 | -31.630 |
| -23.292 | -13.937 | -30.958 | 1.997 | 17.575 | -26.825 |
| -33.050 | -22.233 | -29.232 | 6.067 | -5.672 | 18.438 |
| 122.966 | 83.464 | 94.623 | -1.051 | 19.542 | 24.588 |
| 97.179 | 118.297 | 93.704 | 1.057 | 10.188 | 15.178 |
| 82.274 | 75.431 | 134.095 | -19.285 | 15.832 | 34.867 |
| 21.624 | 8.951 | 15.488 | 15.505 | 12.621 | 29.468 |
| 7.360 | 1.697 | 28.412 | -11.612 | 53.280 | 30.842 |
| -2.490 | -7.645 | 28.249 | -7.576 | 29.844 | 75.117 |
| 106.164 | 73.804 | 63.667 | 4.706 | 0.028 | -6.368 |
| 79.831 | 109.341 | 60.699 | 7.946 | -9.647 | -16.511 |
| 83.435 | 82.009 | 132.865 | 9.360 | 4.844 | 5.970 |
| 16.769 | 22.101 | 6.966 | 44.297 | -3.086 | -4.301 |
| -8.288 | -1.801 | -1.104 | -5.405 | 34.975 | 0.534 |
| -20.195 | -16.009 | -2.420 | -1.118 | 10.332 | 44.883 |
| 110.063 | 76.243 | 69.176 | 2.950 | 4.104 | -0.644 |
| 83.397 | 111.476 | 67.597 | 6.432 | -5.827 | -11.082 |
| 68.285 | 67.623 | 111.884 | -16.296 | 1.140 | 3.516 |
| 7.084 | 1.969 | -11.128 | 21.202 | -3.524 | 2.592 |
| -1.095 | 0.178 | 6.290 | -3.465 | 42.999 | 19.575 |
| -17.143 | -14.625 | 3.376 | -2.515 | 13.872 | 50.613 |
| 107.571 | 74.465 | 66.275 | 3.967 | 1.647 | -3.764 |
| 81.142 | 110.024 | 63.237 | 7.302 | -8.058 | -13.967 |
| 66.574 | 67.233 | 106.962 | -13.683 | -1.721 | 0.700 |
| 5.354 | 1.131 | -14.029 | 22.011 | -5.511 | -0.738 |
| -8.698 | -6.443 | -1.895 | -5.189 | 35.226 | 1.990 |
| -18.731 | -15.425 | 0.230 | -1.866 | 11.908 | 47.479 |
| 107.889 | 74.615 | 66.857 | 3.830 | 2.006 | -3.193 |
| 81.462 | 110.173 | 63.811 | 7.172 | -7.697 | -13.399 |
| 66.890 | 67.383 | 107.545 | -13.820 | -1.361 | 1.262 |
| 5.648 | 1.258 | -13.458 | 21.875 | -5.165 | -0.166 |
| -8.727 | -6.768 | -1.025 | -5.913 | 35.705 | 1.939 |
| -18.416 | -15.274 | 0.814 | -2.005 | 12.263 | 48.056 |
| 41.964 | 59.780 | 59.780 | -0.000 | -0.000 | 0.000 |
| 59.780 | 41.964 | 59.780 | -0.000 | -0.000 | 0.000 |
| 59.780 | 59.780 | 41.964 | -0.000 | -0.000 | -0.000 |
| 0.000 | 0.000 | 0.000 | 61.855 | -0.000 | -0.000 |
| -0.000 | 0.000 | 0.000 | 0.000 | 61.855 | -0.000 |
| 0.000 | 0.000 | 0.000 | -0.000 | -0.000 | 61.855 |
| 41.964 | 59.780 | 59.780 | 0.000 | 0.000 | -0.000 |
| 59.780 | 41.964 | 59.780 | 0.000 | 0.000 | 0.000 |
| 59.780 | 59.780 | 41.964 | 0.000 | 0.000 | -0.000 |
| -0.000 | 0.000 | -0.000 | 61.855 | 0.000 | 0.000 |
| 0.000 | -0.000 | -0.000 | 0.000 | 61.855 | 0.000 |
| -0.000 | -0.000 | -0.000 | 0.000 | 0.000 | 61.855 |
| 41.964 | 59.780 | 59.780 | -0.000 | -0.000 | 0.000 |
| 59.780 | 41.964 | 59.780 | -0.000 | -0.000 | 0.000 |
| 59.780 | 59.780 | 41.964 | 0.000 | -0.000 | -0.000 |
| 0.000 | 0.000 | 0.000 | 61.855 | -0.000 | -0.000 |
| 0.000 | 0.000 | 0.000 | -0.000 | 61.855 | 0.000 |
| 0.000 | 0.000 | 0.000 | -0.000 | -0.000 | 61.855 |
| 41.964 | 59.780 | 59.780 | 0.000 | 0.000 | 0.000 |
| 59.780 | 41.964 | 59.780 | 0.000 | 0.000 | 0.000 |
| 59.780 | 59.780 | 41.964 | -0.000 | 0.000 | 0.000 |
| -0.000 | -0.000 | -0.000 | 61.855 | 0.000 | -0.000 |
| -0.000 | -0.000 | -0.000 | 0.000 | 61.855 | 0.000 |
| -0.000 | -0.000 | -0.000 | 0.000 | 0.000 | 61.855 |
| 41.964 | 59.781 | 59.781 | -0.000 | -0.000 | -0.000 |
| 59.781 | 41.964 | 59.781 | -0.000 | -0.000 | 0.000 |
| 59.781 | 59.781 | 41.964 | 0.000 | 0.000 | -0.000 |
| 0.000 | 0.000 | 0.000 | 60.758 | -0.000 | 0.000 |
| 0.000 | 0.000 | 0.000 | -0.000 | 60.758 | -0.000 |
| 0.000 | 0.000 | 0.000 | -0.000 | -0.000 | 60.758 |
| 41.964 | 59.780 | 59.780 | 0.000 | 0.000 | -0.000 |
| 59.780 | 41.964 | 59.780 | 0.000 | 0.000 | -0.000 |
| 59.780 | 59.780 | 41.964 | -0.000 | 0.000 | -0.000 |
| -0.000 | -0.000 | -0.000 | 60.758 | 0.000 | -0.000 |
| -0.000 | -0.000 | -0.000 | 0.000 | 60.758 | 0.000 |
| -0.000 | -0.000 | -0.000 | 0.000 | 0.000 | 60.758 |
| 83.423 | 73.635 | 73.635 | -0.000 | -0.000 | -0.000 |
| 73.635 | 83.423 | 73.635 | -0.000 | -0.000 | -0.000 |
| 73.635 | 73.635 | 83.423 | -0.000 | -0.000 | -0.000 |
| 0.000 | -0.000 | 0.000 | 54.531 | 0.000 | -0.000 |
| -0.000 | 0.000 | -0.000 | -0.000 | 54.531 | -0.000 |
| -0.000 | 0.000 | 0.000 | 0.000 | -0.000 | 54.531 |
| 83.423 | 73.635 | 73.635 | 0.000 | -0.000 | 0.000 |
| 73.635 | 83.423 | 73.635 | 0.000 | 0.000 | 0.000 |
| 73.635 | 73.635 | 83.423 | 0.000 | 0.000 | 0.000 |
| -0.000 | 0.000 | -0.000 | 54.531 | 0.000 | 0.000 |
| 0.000 | -0.000 | -0.000 | 0.000 | 54.531 | 0.000 |
| 0.000 | -0.000 | -0.000 | -0.000 | -0.000 | 54.531 |
| 83.423 | 73.635 | 73.635 | -0.000 | -0.000 | -0.000 |
| 73.635 | 83.423 | 73.635 | -0.000 | 0.000 | -0.000 |
| 73.635 | 73.635 | 83.423 | -0.000 | -0.000 | -0.000 |
| 0.000 | 0.000 | 0.000 | 54.531 | -0.000 | -0.000 |
| 0.000 | 0.000 | 0.000 | -0.000 | 54.531 | -0.000 |
| 0.000 | 0.000 | 0.000 | -0.000 | 0.000 | 54.531 |
| 83.422 | 73.635 | 73.635 | 0.000 | -0.000 | 0.000 |
| 73.635 | 83.422 | 73.635 | 0.000 | 0.000 | 0.000 |
| 73.635 | 73.635 | 83.422 | 0.000 | 0.000 | 0.000 |
| -0.000 | -0.000 | -0.000 | 54.531 | 0.000 | 0.000 |
| -0.000 | -0.000 | -0.000 | 0.000 | 54.531 | 0.000 |
| -0.000 | -0.000 | -0.000 | -0.000 | -0.000 | 54.531 |
| 83.423 | 73.636 | 73.636 | -0.000 | -0.000 | -0.000 |
| 73.636 | 83.423 | 73.636 | -0.000 | 0.000 | -0.000 |
| 73.636 | 73.636 | 83.423 | -0.000 | -0.000 | -0.000 |
| 0.000 | 0.000 | 0.000 | 54.531 | 0.000 | -0.000 |
| 0.000 | 0.000 | 0.000 | 0.000 | 54.531 | -0.000 |
| 0.000 | 0.000 | 0.000 | -0.000 | 0.000 | 54.531 |
| 83.422 | 73.635 | 73.635 | 0.000 | 0.000 | 0.000 |
| 73.635 | 83.422 | 73.635 | 0.000 | 0.000 | 0.000 |
| 73.635 | 73.635 | 83.422 | 0.000 | 0.000 | 0.000 |
| -0.000 | -0.000 | -0.000 | 54.531 | -0.000 | 0.000 |
| -0.000 | -0.000 | -0.000 | 0.000 | 54.531 | 0.000 |
| -0.000 | -0.000 | -0.000 | 0.000 | -0.000 | 54.531 |
| 75.082 | 78.350 | 78.350 | -0.000 | -0.000 | -0.000 |
| 78.350 | 75.082 | 78.350 | -0.000 | -0.000 | 0.000 |
| 78.350 | 78.350 | 75.082 | -0.000 | 0.000 | -0.000 |
| -0.000 | -0.000 | -0.000 | 68.232 | 0.000 | -0.000 |
| -0.000 | -0.000 | -0.000 | -0.000 | 68.232 | 0.000 |
| -0.000 | -0.000 | -0.000 | 0.000 | 0.000 | 68.232 |
| 75.082 | 78.350 | 78.350 | 0.000 | -0.000 | -0.000 |
| 78.350 | 75.082 | 78.350 | 0.000 | 0.000 | 0.000 |
| 78.350 | 78.350 | 75.082 | 0.000 | -0.000 | -0.000 |
| 0.000 | 0.000 | 0.000 | 68.232 | -0.000 | -0.000 |
| 0.000 | 0.000 | 0.000 | 0.000 | 68.232 | 0.000 |
| 0.000 | 0.000 | 0.000 | 0.000 | -0.000 | 68.232 |
| 75.082 | 78.350 | 78.350 | 0.000 | -0.000 | -0.000 |
| 78.350 | 75.082 | 78.350 | -0.000 | -0.000 | -0.000 |
| 78.350 | 78.350 | 75.082 | -0.000 | -0.000 | -0.000 |
| 0.000 | 0.000 | 0.000 | 68.232 | -0.000 | 0.000 |
| 0.000 | 0.000 | 0.000 | -0.000 | 68.232 | 0.000 |
| 0.000 | 0.000 | 0.000 | 0.000 | 0.000 | 68.232 |
| 75.082 | 78.350 | 78.350 | -0.000 | 0.000 | -0.000 |
| 78.350 | 75.082 | 78.350 | 0.000 | 0.000 | -0.000 |
| 78.350 | 78.350 | 75.082 | 0.000 | 0.000 | -0.000 |
| -0.000 | -0.000 | -0.000 | 68.232 | -0.000 | 0.000 |
| -0.000 | -0.000 | -0.000 | 0.000 | 68.232 | 0.000 |
| -0.000 | -0.000 | -0.000 | -0.000 | 0.000 | 68.232 |
| 75.083 | 78.350 | 78.350 | -0.000 | 0.000 | 0.000 |
| 78.350 | 75.083 | 78.350 | -0.000 | -0.000 | 0.000 |
| 78.350 | 78.350 | 75.083 | -0.000 | -0.000 | 0.000 |
| 0.000 | 0.000 | 0.000 | 68.232 | 0.000 | -0.000 |
| 0.000 | 0.000 | 0.000 | 0.000 | 68.232 | -0.000 |
| 0.000 | 0.000 | 0.000 | 0.000 | 0.000 | 68.232 |
| 75.082 | 78.350 | 78.350 | 0.000 | 0.000 | -0.000 |
| 78.350 | 75.082 | 78.350 | 0.000 | 0.000 | -0.000 |
| 78.350 | 78.350 | 75.082 | 0.000 | -0.000 | -0.000 |
| -0.000 | -0.000 | -0.000 | 68.232 | -0.000 | -0.000 |
| -0.000 | -0.000 | -0.000 | -0.000 | 68.232 | 0.000 |
| -0.000 | -0.000 | -0.000 | -0.000 | -0.000 | 68.232 |
| 24.925 | 46.101 | 46.101 | 0.000 | -0.000 | -0.000 |
| 46.101 | 24.925 | 46.101 | 0.000 | -0.000 | -0.000 |
| 46.101 | 46.101 | 24.925 | 0.000 | 0.000 | -0.000 |
| -0.000 | -0.000 | -0.000 | 47.597 | -0.000 | -0.000 |
| -0.000 | 0.000 | 0.000 | 0.000 | 47.597 | -0.000 |
| -0.000 | 0.000 | 0.000 | 0.000 | -0.000 | 47.597 |
| 24.925 | 46.101 | 46.101 | -0.000 | 0.000 | 0.000 |
| 46.101 | 24.925 | 46.101 | 0.000 | 0.000 | 0.000 |
| 46.101 | 46.101 | 24.925 | 0.000 | -0.000 | 0.000 |
| 0.000 | 0.000 | 0.000 | 47.597 | 0.000 | 0.000 |
| 0.000 | -0.000 | 0.000 | -0.000 | 47.597 | 0.000 |
| 0.000 | -0.000 | -0.000 | -0.000 | -0.000 | 47.597 |
| 24.925 | 46.101 | 46.101 | -0.000 | -0.000 | -0.000 |
| 46.101 | 24.925 | 46.101 | -0.000 | 0.000 | -0.000 |
| 46.101 | 46.101 | 24.925 | 0.000 | -0.000 | -0.000 |
| 0.000 | 0.000 | 0.000 | 32.948 | -0.000 | -0.000 |
| 0.000 | 0.000 | 0.000 | 0.000 | 32.948 | -0.000 |
| 0.000 | 0.000 | 0.000 | -0.000 | -0.000 | 32.948 |
| 24.925 | 46.101 | 46.101 | 0.000 | -0.000 | 0.000 |
| 46.101 | 24.925 | 46.101 | -0.000 | 0.000 | 0.000 |
| 46.101 | 46.101 | 24.925 | -0.000 | 0.000 | 0.000 |
| -0.000 | -0.000 | -0.000 | 32.948 | 0.000 | 0.000 |
| -0.000 | -0.000 | -0.000 | -0.000 | 32.948 | 0.000 |
| -0.000 | -0.000 | -0.000 | -0.000 | 0.000 | 32.948 |
| 24.925 | 46.101 | 46.101 | -0.000 | -0.000 | -0.000 |
| 46.101 | 24.925 | 46.101 | 0.000 | -0.000 | -0.000 |
| 46.101 | 46.101 | 24.925 | 0.000 | -0.000 | -0.000 |
| 0.000 | 0.000 | 0.000 | 32.948 | -0.000 | -0.000 |
| 0.000 | 0.000 | 0.000 | 0.000 | 32.948 | -0.000 |
| 0.000 | 0.000 | 0.000 | 0.000 | -0.000 | 32.948 |
| 24.925 | 46.101 | 46.101 | 0.000 | 0.000 | 0.000 |
| 46.101 | 24.925 | 46.101 | -0.000 | 0.000 | 0.000 |
| 46.101 | 46.101 | 24.925 | 0.000 | 0.000 | 0.000 |
| -0.000 | -0.000 | -0.000 | 32.948 | 0.000 | 0.000 |
| -0.000 | -0.000 | -0.000 | -0.000 | 32.948 | 0.000 |
| -0.000 | -0.000 | -0.000 | -0.000 | 0.000 | 32.948 |
| 6.172 | 9.967 | 9.967 | 0.000 | 0.000 | 0.000 |
| 9.967 | 6.172 | 9.967 | 0.000 | 0.000 | -0.000 |
| 9.967 | 9.967 | 6.172 | 0.000 | 0.000 | 0.000 |
| 0.000 | 0.000 | 0.000 | -2.478 | 0.000 | -0.000 |
| 0.000 | 0.000 | 0.000 | 0.000 | -2.478 | -0.000 |
| 0.000 | 0.000 | 0.000 | 0.000 | 0.000 | -2.478 |
| 6.172 | 9.967 | 9.967 | -0.000 | -0.000 | 0.000 |
| 9.967 | 6.172 | 9.967 | -0.000 | -0.000 | -0.000 |
| 9.967 | 9.967 | 6.172 | -0.000 | -0.000 | -0.000 |
| -0.000 | -0.000 | -0.000 | -2.478 | -0.000 | 0.000 |
| -0.000 | -0.000 | -0.000 | -0.000 | -2.478 | 0.000 |
| -0.000 | -0.000 | -0.000 | -0.000 | -0.000 | -2.478 |
| 6.172 | 9.967 | 9.967 | 0.000 | 0.000 | 0.000 |
| 9.967 | 6.172 | 9.967 | 0.000 | 0.000 | -0.000 |
| 9.967 | 9.967 | 6.172 | 0.000 | 0.000 | 0.000 |
| 0.000 | -0.000 | -0.000 | -2.478 | 0.000 | -0.000 |
| -0.000 | 0.000 | -0.000 | 0.000 | -2.478 | -0.000 |
| -0.000 | -0.000 | 0.000 | 0.000 | 0.000 | -2.478 |
| 6.172 | 9.967 | 9.967 | -0.000 | -0.000 | 0.000 |
| 9.967 | 6.172 | 9.967 | -0.000 | -0.000 | 0.000 |
| 9.967 | 9.967 | 6.172 | -0.000 | -0.000 | -0.000 |
| -0.000 | 0.000 | 0.000 | -2.478 | -0.000 | 0.000 |
| 0.000 | -0.000 | 0.000 | -0.000 | -2.478 | 0.000 |
| 0.000 | 0.000 | -0.000 | -0.000 | -0.000 | -2.478 |
| 6.172 | 9.967 | 9.967 | 0.000 | 0.000 | 0.000 |
| 9.967 | 6.172 | 9.967 | 0.000 | 0.000 | -0.000 |
| 9.967 | 9.967 | 6.172 | 0.000 | 0.000 | 0.000 |
| 0.000 | -0.000 | -0.000 | -2.478 | 0.000 | -0.000 |
| -0.000 | 0.000 | -0.000 | 0.000 | -2.478 | -0.000 |
| -0.000 | -0.000 | 0.000 | 0.000 | 0.000 | -2.478 |
| 6.171 | 9.967 | 9.967 | -0.000 | -0.000 | -0.000 |
| 9.967 | 6.171 | 9.967 | -0.000 | -0.000 | 0.000 |
| 9.967 | 9.967 | 6.171 | -0.000 | -0.000 | -0.000 |
| -0.000 | 0.000 | 0.000 | -2.478 | -0.000 | -0.000 |
| 0.000 | -0.000 | 0.000 | -0.000 | -2.478 | 0.000 |
| 0.000 | 0.000 | -0.000 | -0.000 | -0.000 | -2.478 |
| 24.564 | 22.929 | 22.929 | 0.000 | 0.000 | 0.000 |
| 22.929 | 24.564 | 22.929 | 0.000 | 0.000 | -0.000 |
| 22.929 | 22.929 | 24.564 | 0.000 | 0.000 | -0.000 |
| -0.000 | -0.000 | -0.000 | 14.602 | 0.000 | -0.000 |
| -0.000 | -0.000 | 0.000 | 0.000 | 14.602 | -0.000 |
| -0.000 | -0.000 | -0.000 | 0.000 | 0.000 | 14.602 |
| 24.564 | 22.929 | 22.929 | -0.000 | -0.000 | 0.000 |
| 22.929 | 24.564 | 22.929 | -0.000 | -0.000 | 0.000 |
| 22.929 | 22.929 | 24.564 | -0.000 | -0.000 | -0.000 |
| 0.000 | 0.000 | -0.000 | 14.602 | -0.000 | 0.000 |
| 0.000 | 0.000 | 0.000 | -0.000 | 14.602 | 0.000 |
| 0.000 | 0.000 | 0.000 | -0.000 | -0.000 | 14.602 |
| 24.564 | 22.929 | 22.929 | 0.000 | 0.000 | -0.000 |
| 22.929 | 24.564 | 22.929 | 0.000 | 0.000 | 0.000 |
| 22.929 | 22.929 | 24.564 | 0.000 | 0.000 | 0.000 |
| 0.000 | -0.000 | 0.000 | 14.602 | 0.000 | 0.000 |
| -0.000 | 0.000 | 0.000 | 0.000 | 14.602 | 0.000 |
| -0.000 | 0.000 | 0.000 | 0.000 | 0.000 | 14.602 |
| 24.564 | 22.929 | 22.929 | -0.000 | -0.000 | 0.000 |
| 22.929 | 24.564 | 22.929 | -0.000 | -0.000 | 0.000 |
| 22.929 | 22.929 | 24.564 | -0.000 | -0.000 | -0.000 |
| -0.000 | 0.000 | -0.000 | 14.602 | -0.000 | 0.000 |
| 0.000 | -0.000 | -0.000 | -0.000 | 14.602 | 0.000 |
| 0.000 | -0.000 | -0.000 | -0.000 | -0.000 | 14.602 |
| 24.565 | 22.929 | 22.929 | 0.000 | 0.000 | -0.000 |
| 22.929 | 24.565 | 22.929 | 0.000 | 0.000 | -0.000 |
| 22.929 | 22.929 | 24.565 | 0.000 | 0.000 | 0.000 |
| 0.000 | -0.000 | 0.000 | 14.602 | 0.000 | -0.000 |
| -0.000 | 0.000 | 0.000 | 0.000 | 14.602 | -0.000 |
| -0.000 | 0.000 | 0.000 | 0.000 | 0.000 | 14.602 |
| 24.564 | 22.929 | 22.929 | -0.000 | -0.000 | 0.000 |
| 22.929 | 24.564 | 22.929 | -0.000 | -0.000 | 0.000 |
| 22.929 | 22.929 | 24.564 | -0.000 | -0.000 | -0.000 |
| -0.000 | 0.000 | -0.000 | 14.602 | -0.000 | 0.000 |
| 0.000 | -0.000 | -0.000 | -0.000 | 14.602 | 0.000 |
| 0.000 | -0.000 | -0.000 | -0.000 | -0.000 | 14.602 |
| 21.618 | 20.601 | 20.601 | 0.000 | -0.000 | -0.000 |
| 20.601 | 21.618 | 20.601 | -0.000 | 0.000 | -0.000 |
| 20.601 | 20.601 | 21.618 | -0.000 | -0.000 | 0.000 |
| -0.000 | 0.000 | -0.000 | 20.601 | -0.000 | -0.000 |
| -0.000 | 0.000 | -0.000 | -0.000 | 20.601 | -0.000 |
| -0.000 | 0.000 | -0.000 | 0.000 | -0.000 | 20.601 |
| 21.618 | 20.601 | 20.601 | 0.000 | 0.000 | 0.000 |
| 20.601 | 21.618 | 20.601 | 0.000 | 0.000 | 0.000 |
| 20.601 | 20.601 | 21.618 | 0.000 | 0.000 | 0.000 |
| -0.000 | 0.000 | 0.000 | 20.601 | 0.000 | 0.000 |
| 0.000 | -0.000 | 0.000 | 0.000 | 20.601 | 0.000 |
| 0.000 | 0.000 | 0.000 | -0.000 | 0.000 | 20.601 |
| 21.618 | 20.601 | 20.601 | 0.000 | -0.000 | -0.000 |
| 20.601 | 21.618 | 20.601 | 0.000 | -0.000 | -0.000 |
| 20.601 | 20.601 | 21.618 | 0.000 | -0.000 | 0.000 |
| 0.000 | -0.000 | 0.000 | 16.597 | -0.000 | 0.000 |
| -0.000 | 0.000 | 0.000 | 0.000 | 16.597 | -0.000 |
| -0.000 | 0.000 | 0.000 | 0.000 | 0.000 | 16.597 |
| 21.618 | 20.601 | 20.601 | 0.000 | 0.000 | 0.000 |
| 20.601 | 21.618 | 20.601 | 0.000 | 0.000 | 0.000 |
| 20.601 | 20.601 | 21.618 | 0.000 | 0.000 | 0.000 |
| -0.000 | 0.000 | -0.000 | 16.597 | 0.000 | 0.000 |
| 0.000 | -0.000 | -0.000 | 0.000 | 16.597 | 0.000 |
| 0.000 | -0.000 | -0.000 | -0.000 | -0.000 | 16.597 |
| 21.619 | 20.601 | 20.601 | 0.000 | 0.000 | -0.000 |
| 20.601 | 21.619 | 20.601 | 0.000 | -0.000 | -0.000 |
| 20.601 | 20.601 | 21.619 | -0.000 | -0.000 | 0.000 |
| 0.000 | -0.000 | 0.000 | 16.597 | 0.000 | -0.000 |
| -0.000 | 0.000 | 0.000 | 0.000 | 16.597 | -0.000 |
| -0.000 | 0.000 | 0.000 | 0.000 | 0.000 | 16.597 |
| 21.618 | 20.601 | 20.601 | -0.000 | -0.000 | 0.000 |
| 20.601 | 21.618 | 20.601 | -0.000 | 0.000 | 0.000 |
| 20.601 | 20.601 | 21.618 | 0.000 | 0.000 | -0.000 |
| -0.000 | 0.000 | -0.000 | 16.597 | -0.000 | 0.000 |
| 0.000 | -0.000 | -0.000 | -0.000 | 16.597 | 0.000 |
| 0.000 | -0.000 | -0.000 | -0.000 | 0.000 | 16.597 |
| 0.000 | 0.000 | 0.000 | 0.000 | 0.000 | 0.000 |
| 0.000 | 2.313 | 0.000 | 0.000 | 0.000 | 0.000 |
| 0.000 | 0.000 | 0.000 | 0.000 | 0.000 | 0.000 |
| 0.000 | 0.000 | 0.000 | 0.000 | 0.000 | 0.000 |
| 0.000 | 0.000 | 0.000 | 0.000 | 0.000 | 0.000 |
| -0.000 | -0.000 | 0.000 | 0.000 | 0.000 | 0.000 |
| -0.000 | -0.000 | -0.000 | -0.000 | -0.000 | -0.000 |
| -0.000 | 2.313 | -0.000 | -0.000 | -0.000 | -0.000 |
| -0.000 | -0.000 | -0.000 | -0.000 | -0.000 | -0.000 |
| -0.000 | 0.000 | -0.000 | -0.000 | -0.000 | 0.000 |
| -0.000 | -0.000 | -0.000 | -0.000 | -0.000 | -0.000 |
| 0.000 | 0.000 | -0.000 | -0.000 | -0.000 | 0.000 |
| 0.000 | 0.000 | 0.000 | 0.000 | 0.000 | 0.000 |
| 0.000 | 2.313 | 0.000 | 0.000 | 0.000 | -0.000 |
| 0.000 | 0.000 | 0.000 | 0.000 | 0.000 | 0.000 |
| 0.000 | 0.000 | 0.000 | 0.000 | 0.000 | 0.000 |
| 0.000 | 0.000 | 0.000 | 0.000 | 0.000 | -0.000 |
| -0.000 | -0.000 | 0.000 | 0.000 | 0.000 | 0.000 |
| -0.000 | -0.000 | -0.000 | -0.000 | -0.000 | 0.000 |
| -0.000 | 2.313 | -0.000 | -0.000 | -0.000 | -0.000 |
| -0.000 | -0.000 | -0.000 | -0.000 | -0.000 | -0.000 |
| -0.000 | 0.000 | -0.000 | -0.000 | -0.000 | 0.000 |
| -0.000 | -0.000 | -0.000 | -0.000 | -0.000 | 0.000 |
| 0.000 | 0.000 | -0.000 | -0.000 | -0.000 | 0.000 |
| 0.000 | 0.000 | 0.000 | 0.000 | 0.000 | -0.000 |
| 0.000 | 2.313 | 0.000 | 0.000 | 0.000 | -0.000 |
| 0.000 | 0.000 | 0.000 | 0.000 | 0.000 | 0.000 |
| 0.000 | -0.000 | 0.000 | 0.000 | 0.000 | 0.000 |
| 0.000 | 0.000 | 0.000 | 0.000 | 0.000 | -0.000 |
| -0.000 | -0.000 | 0.000 | 0.000 | 0.000 | 0.000 |
| -0.000 | -0.000 | -0.000 | -0.000 | -0.000 | 0.000 |
| -0.000 | 2.313 | -0.000 | -0.000 | -0.000 | 0.000 |
| -0.000 | -0.000 | -0.000 | -0.000 | -0.000 | -0.000 |
| -0.000 | -0.000 | -0.000 | -0.000 | -0.000 | -0.000 |
| -0.000 | -0.000 | -0.000 | -0.000 | -0.000 | 0.000 |
| 0.000 | 0.000 | -0.000 | -0.000 | -0.000 | 0.000 |
| 15.360 | 16.540 | 16.540 | 0.000 | 0.000 | -0.000 |
| 16.540 | 15.360 | 16.540 | 0.000 | -0.000 | -0.000 |
| 16.540 | 16.540 | 15.360 | -0.000 | -0.000 | -0.000 |
| -0.000 | -0.000 | 0.000 | 15.165 | 0.000 | -0.000 |
| -0.000 | -0.000 | 0.000 | 0.000 | 15.165 | -0.000 |
| -0.000 | 0.000 | 0.000 | 0.000 | 0.000 | 15.165 |
| 15.360 | 16.540 | 16.540 | 0.000 | -0.000 | 0.000 |
| 16.540 | 15.360 | 16.540 | -0.000 | 0.000 | 0.000 |
| 16.540 | 16.540 | 15.360 | -0.000 | -0.000 | 0.000 |
| 0.000 | 0.000 | -0.000 | 15.165 | -0.000 | -0.000 |
| 0.000 | 0.000 | -0.000 | -0.000 | 15.165 | 0.000 |
| 0.000 | 0.000 | -0.000 | -0.000 | -0.000 | 15.165 |
| 15.360 | 16.540 | 16.540 | 0.000 | 0.000 | -0.000 |
| 16.540 | 15.360 | 16.540 | 0.000 | 0.000 | -0.000 |
| 16.540 | 16.540 | 15.360 | 0.000 | 0.000 | -0.000 |
| 0.000 | 0.000 | 0.000 | 15.165 | 0.000 | -0.000 |
| 0.000 | 0.000 | 0.000 | 0.000 | 15.165 | -0.000 |
| 0.000 | 0.000 | 0.000 | 0.000 | 0.000 | 15.165 |
| 15.360 | 16.540 | 16.540 | -0.000 | -0.000 | 0.000 |
| 16.540 | 15.360 | 16.540 | -0.000 | -0.000 | 0.000 |
| 16.540 | 16.540 | 15.360 | -0.000 | -0.000 | 0.000 |
| -0.000 | -0.000 | -0.000 | 15.165 | -0.000 | 0.000 |
| -0.000 | -0.000 | -0.000 | -0.000 | 15.165 | 0.000 |
| -0.000 | -0.000 | -0.000 | -0.000 | -0.000 | 15.165 |
| 15.360 | 16.540 | 16.540 | 0.000 | 0.000 | -0.000 |
| 16.540 | 15.360 | 16.540 | 0.000 | 0.000 | -0.000 |
| 16.540 | 16.540 | 15.360 | 0.000 | 0.000 | -0.000 |
| 0.000 | 0.000 | 0.000 | 15.165 | 0.000 | -0.000 |
| 0.000 | 0.000 | 0.000 | 0.000 | 15.165 | -0.000 |
| 0.000 | 0.000 | 0.000 | 0.000 | 0.000 | 15.165 |
| 15.360 | 16.540 | 16.540 | -0.000 | -0.000 | 0.000 |
| 16.540 | 15.360 | 16.540 | -0.000 | -0.000 | 0.000 |
| 16.540 | 16.540 | 15.360 | -0.000 | -0.000 | 0.000 |
| -0.000 | -0.000 | -0.000 | 15.165 | -0.000 | 0.000 |
| -0.000 | -0.000 | -0.000 | -0.000 | 15.165 | 0.000 |
| -0.000 | -0.000 | -0.000 | -0.000 | -0.000 | 15.165 |
| 0.000 | 0.000 | 0.000 | 0.000 | 0.000 | -0.000 |
| 0.000 | 1.866 | 0.000 | 0.000 | 0.000 | 0.000 |
| 0.000 | 0.000 | 0.000 | 0.000 | 0.000 | 0.000 |
| 0.000 | 0.000 | 0.000 | 0.000 | 0.000 | 0.000 |
| 0.000 | 0.000 | 0.000 | 0.000 | 0.000 | 0.000 |
| -0.000 | 0.000 | 0.000 | 0.000 | 0.000 | 0.000 |
| -0.000 | -0.000 | -0.000 | -0.000 | -0.000 | -0.000 |
| -0.000 | 1.866 | -0.000 | -0.000 | -0.000 | 0.000 |
| -0.000 | -0.000 | -0.000 | -0.000 | -0.000 | -0.000 |
| -0.000 | -0.000 | -0.000 | -0.000 | -0.000 | -0.000 |
| -0.000 | -0.000 | -0.000 | -0.000 | -0.000 | -0.000 |
| 0.000 | -0.000 | -0.000 | -0.000 | -0.000 | 0.000 |
| 0.000 | 0.000 | 0.000 | 0.000 | 0.000 | 0.000 |
| 0.000 | 1.866 | 0.000 | 0.000 | 0.000 | 0.000 |
| 0.000 | 0.000 | 0.000 | 0.000 | 0.000 | 0.000 |
| 0.000 | 0.000 | 0.000 | 0.000 | 0.000 | 0.000 |
| 0.000 | 0.000 | 0.000 | 0.000 | 0.000 | 0.000 |
| -0.000 | -0.000 | 0.000 | 0.000 | 0.000 | 0.000 |
| -0.000 | -0.000 | -0.000 | -0.000 | -0.000 | 0.000 |
| -0.000 | 1.866 | -0.000 | -0.000 | -0.000 | -0.000 |
| -0.000 | -0.000 | -0.000 | -0.000 | -0.000 | -0.000 |
| -0.000 | -0.000 | -0.000 | -0.000 | -0.000 | 0.000 |
| -0.000 | -0.000 | -0.000 | -0.000 | -0.000 | -0.000 |
| 0.000 | 0.000 | -0.000 | -0.000 | -0.000 | 0.000 |
| 0.000 | 0.000 | 0.000 | 0.000 | 0.000 | 0.000 |
| 0.000 | 1.866 | 0.000 | 0.000 | 0.000 | -0.000 |
| 0.000 | 0.000 | 0.000 | 0.000 | 0.000 | 0.000 |
| 0.000 | 0.000 | 0.000 | 0.000 | 0.000 | 0.000 |
| 0.000 | 0.000 | 0.000 | 0.000 | 0.000 | 0.000 |
| -0.000 | -0.000 | 0.000 | 0.000 | 0.000 | 0.000 |
| -0.000 | -0.000 | -0.000 | -0.000 | -0.000 | 0.000 |
| -0.000 | 1.866 | -0.000 | -0.000 | -0.000 | -0.000 |
| -0.000 | -0.000 | -0.000 | -0.000 | -0.000 | -0.000 |
| -0.000 | -0.000 | -0.000 | -0.000 | -0.000 | 0.000 |
| -0.000 | -0.000 | -0.000 | -0.000 | -0.000 | -0.000 |
| 0.000 | 0.000 | -0.000 | -0.000 | -0.000 | 0.000 |
| 24.585 | 11.785 | 11.785 | 0.000 | -0.000 | 0.000 |
| 11.785 | 24.585 | 11.785 | 0.000 | -0.000 | 0.000 |
| 11.785 | 11.785 | 24.585 | 0.000 | 0.000 | -0.000 |
| 0.000 | 0.000 | -0.000 | 6.431 | -0.000 | -0.000 |
| 0.000 | 0.000 | -0.000 | 0.000 | 6.431 | 0.000 |
| 0.000 | 0.000 | -0.000 | -0.000 | -0.000 | 6.431 |
| 24.585 | 11.785 | 11.785 | -0.000 | -0.000 | -0.000 |
| 11.785 | 24.585 | 11.785 | -0.000 | -0.000 | -0.000 |
| 11.785 | 11.785 | 24.585 | -0.000 | -0.000 | 0.000 |
| -0.000 | -0.000 | 0.000 | 6.431 | 0.000 | -0.000 |
| -0.000 | -0.000 | 0.000 | -0.000 | 6.431 | -0.000 |
| -0.000 | -0.000 | 0.000 | -0.000 | 0.000 | 6.431 |
| 24.585 | 11.785 | 11.785 | 0.000 | -0.000 | 0.000 |
| 11.785 | 24.585 | 11.785 | 0.000 | -0.000 | 0.000 |
| 11.785 | 11.785 | 24.585 | 0.000 | -0.000 | -0.000 |
| 0.000 | -0.000 | -0.000 | 6.431 | -0.000 | 0.000 |
| -0.000 | 0.000 | -0.000 | 0.000 | 6.431 | 0.000 |
| -0.000 | -0.000 | 0.000 | 0.000 | 0.000 | 6.431 |
| 24.585 | 11.785 | 11.785 | -0.000 | -0.000 | -0.000 |
| 11.785 | 24.585 | 11.785 | -0.000 | -0.000 | -0.000 |
| 11.785 | 11.785 | 24.585 | -0.000 | 0.000 | 0.000 |
| -0.000 | 0.000 | 0.000 | 6.431 | 0.000 | 0.000 |
| 0.000 | -0.000 | 0.000 | -0.000 | 6.431 | -0.000 |
| 0.000 | 0.000 | -0.000 | -0.000 | -0.000 | 6.431 |
| 24.586 | 11.785 | 11.785 | 0.000 | 0.000 | 0.000 |
| 11.785 | 24.586 | 11.785 | 0.000 | 0.000 | 0.000 |
| 11.785 | 11.785 | 24.586 | 0.000 | 0.000 | -0.000 |
| 0.000 | -0.000 | -0.000 | 6.431 | -0.000 | 0.000 |
| -0.000 | 0.000 | -0.000 | 0.000 | 6.431 | 0.000 |
| -0.000 | -0.000 | 0.000 | 0.000 | -0.000 | 6.431 |
| 24.585 | 11.784 | 11.784 | -0.000 | -0.000 | -0.000 |
| 11.784 | 24.585 | 11.784 | -0.000 | -0.000 | -0.000 |
| 11.784 | 11.784 | 24.585 | 0.000 | 0.000 | 0.000 |
| -0.000 | 0.000 | 0.000 | 6.431 | 0.000 | 0.000 |
| 0.000 | -0.000 | 0.000 | -0.000 | 6.431 | -0.000 |
| 0.000 | 0.000 | -0.000 | -0.000 | 0.000 | 6.431 |
| 34.041 | 25.040 | 25.040 | 0.000 | 0.000 | -0.000 |
| 25.040 | 34.041 | 25.040 | 0.000 | -0.000 | -0.000 |
| 25.040 | 25.040 | 34.041 | 0.000 | 0.000 | -0.000 |
| 0.000 | 0.000 | 0.000 | 24.117 | -0.000 | -0.000 |
| 0.000 | -0.000 | 0.000 | 0.000 | 24.117 | -0.000 |
| 0.000 | 0.000 | 0.000 | 0.000 | -0.000 | 24.117 |
| 34.041 | 25.040 | 25.039 | -0.000 | 0.000 | 0.000 |
| 25.040 | 34.041 | 25.039 | -0.000 | -0.000 | 0.000 |
| 25.040 | 25.040 | 34.041 | -0.000 | -0.000 | 0.000 |
| -0.000 | -0.000 | -0.000 | 24.117 | 0.000 | 0.000 |
| -0.000 | -0.000 | -0.000 | -0.000 | 24.117 | 0.000 |
| -0.000 | -0.000 | -0.000 | 0.000 | 0.000 | 24.117 |
| 34.041 | 25.040 | 25.040 | 0.000 | -0.000 | -0.000 |
| 25.040 | 34.041 | 25.040 | 0.000 | -0.000 | 0.000 |
| 25.040 | 25.040 | 34.041 | 0.000 | -0.000 | -0.000 |
| 0.000 | -0.000 | 0.000 | 24.117 | -0.000 | -0.000 |
| -0.000 | 0.000 | 0.000 | 0.000 | 24.117 | -0.000 |
| -0.000 | 0.000 | 0.000 | 0.000 | -0.000 | 24.117 |
| 34.041 | 25.040 | 25.039 | -0.000 | -0.000 | 0.000 |
| 25.040 | 34.041 | 25.039 | -0.000 | -0.000 | 0.000 |
| 25.040 | 25.040 | 34.041 | -0.000 | -0.000 | 0.000 |
| -0.000 | 0.000 | -0.000 | 24.117 | 0.000 | -0.000 |
| 0.000 | -0.000 | -0.000 | -0.000 | 24.117 | 0.000 |
| 0.000 | -0.000 | -0.000 | -0.000 | 0.000 | 24.117 |
| 34.041 | 25.040 | 25.040 | 0.000 | -0.000 | -0.000 |
| 25.040 | 34.041 | 25.040 | 0.000 | -0.000 | -0.000 |
| 25.040 | 25.040 | 34.041 | 0.000 | -0.000 | -0.000 |
| 0.000 | -0.000 | 0.000 | 24.117 | -0.000 | -0.000 |
| -0.000 | 0.000 | 0.000 | 0.000 | 24.117 | -0.000 |
| -0.000 | 0.000 | 0.000 | 0.000 | -0.000 | 24.117 |
| 34.040 | 25.039 | 25.039 | -0.000 | -0.000 | 0.000 |
| 25.039 | 34.040 | 25.039 | -0.000 | -0.000 | 0.000 |
| 25.039 | 25.039 | 34.040 | -0.000 | -0.000 | 0.000 |
| -0.000 | 0.000 | -0.000 | 24.117 | 0.000 | 0.000 |
| 0.000 | -0.000 | -0.000 | -0.000 | 24.117 | 0.000 |
| 0.000 | -0.000 | -0.000 | -0.000 | 0.000 | 24.117 |
| 19.350 | 20.934 | 20.934 | 0.000 | 0.000 | 0.000 |
| 20.934 | 19.350 | 20.934 | 0.000 | 0.000 | 0.000 |
| 20.934 | 20.934 | 19.350 | 0.000 | 0.000 | 0.000 |
| 0.000 | 0.000 | 0.000 | 6.799 | 0.000 | 0.000 |
| 0.000 | 0.000 | 0.000 | 0.000 | 6.799 | 0.000 |
| 0.000 | -0.000 | 0.000 | 0.000 | 0.000 | 6.799 |
| 19.350 | 20.934 | 20.934 | -0.000 | -0.000 | -0.000 |
| 20.934 | 19.350 | 20.934 | -0.000 | -0.000 | -0.000 |
| 20.934 | 20.934 | 19.350 | -0.000 | -0.000 | -0.000 |
| -0.000 | 0.000 | -0.000 | 6.799 | -0.000 | -0.000 |
| 0.000 | -0.000 | -0.000 | -0.000 | 6.799 | -0.000 |
| -0.000 | 0.000 | -0.000 | -0.000 | -0.000 | 6.799 |
| 19.350 | 20.934 | 20.934 | 0.000 | 0.000 | 0.000 |
| 20.934 | 19.350 | 20.934 | 0.000 | 0.000 | 0.000 |
| 20.934 | 20.934 | 19.350 | 0.000 | 0.000 | 0.000 |
| 0.000 | -0.000 | 0.000 | 6.799 | 0.000 | 0.000 |
| -0.000 | 0.000 | 0.000 | 0.000 | 6.799 | 0.000 |
| -0.000 | 0.000 | 0.000 | 0.000 | 0.000 | 6.799 |
| 19.350 | 20.934 | 20.934 | -0.000 | -0.000 | -0.000 |
| 20.934 | 19.350 | 20.934 | -0.000 | -0.000 | -0.000 |
| 20.934 | 20.934 | 19.350 | -0.000 | -0.000 | -0.000 |
| -0.000 | 0.000 | -0.000 | 6.799 | -0.000 | -0.000 |
| 0.000 | -0.000 | -0.000 | -0.000 | 6.799 | -0.000 |
| 0.000 | -0.000 | -0.000 | -0.000 | -0.000 | 6.799 |
| 19.351 | 20.934 | 20.934 | 0.000 | 0.000 | 0.000 |
| 20.934 | 19.351 | 20.934 | 0.000 | 0.000 | 0.000 |
| 20.934 | 20.934 | 19.351 | -0.000 | 0.000 | 0.000 |
| 0.000 | -0.000 | 0.000 | 6.799 | 0.000 | 0.000 |
| -0.000 | 0.000 | 0.000 | 0.000 | 6.799 | 0.000 |
| -0.000 | 0.000 | 0.000 | 0.000 | 0.000 | 6.799 |
| 19.350 | 20.934 | 20.934 | -0.000 | -0.000 | -0.000 |
| 20.934 | 19.350 | 20.934 | -0.000 | -0.000 | -0.000 |
| 20.934 | 20.934 | 19.350 | -0.000 | -0.000 | -0.000 |
| -0.000 | 0.000 | -0.000 | 6.799 | -0.000 | -0.000 |
| 0.000 | -0.000 | -0.000 | -0.000 | 6.799 | -0.000 |
| 0.000 | -0.000 | -0.000 | -0.000 | -0.000 | 6.799 |
| 16.095 | 11.291 | 11.291 | -0.000 | -0.000 | -0.000 |
| 11.291 | 16.095 | 11.291 | -0.000 | 0.000 | 0.000 |
| 11.291 | 11.291 | 16.095 | -0.000 | -0.000 | 0.000 |
| 0.000 | 0.000 | 0.000 | 4.201 | -0.000 | -0.000 |
| 0.000 | 0.000 | 0.000 | -0.000 | 4.201 | -0.000 |
| 0.000 | 0.000 | 0.000 | -0.000 | -0.000 | 4.201 |
| 16.095 | 11.291 | 11.291 | 0.000 | 0.000 | 0.000 |
| 11.291 | 16.095 | 11.291 | 0.000 | -0.000 | 0.000 |
| 11.291 | 11.291 | 16.095 | 0.000 | 0.000 | -0.000 |
| -0.000 | -0.000 | -0.000 | 4.201 | 0.000 | -0.000 |
| -0.000 | -0.000 | -0.000 | 0.000 | 4.201 | -0.000 |
| -0.000 | -0.000 | -0.000 | 0.000 | 0.000 | 4.201 |
| 16.095 | 11.291 | 11.291 | -0.000 | 0.000 | -0.000 |
| 11.291 | 16.095 | 11.291 | -0.000 | -0.000 | -0.000 |
| 11.291 | 11.291 | 16.095 | -0.000 | 0.000 | -0.000 |
| 0.000 | -0.000 | -0.000 | 4.201 | -0.000 | -0.000 |
| -0.000 | 0.000 | -0.000 | -0.000 | 4.201 | -0.000 |
| -0.000 | -0.000 | 0.000 | -0.000 | 0.000 | 4.201 |
| 16.095 | 11.291 | 11.291 | 0.000 | -0.000 | 0.000 |
| 11.291 | 16.095 | 11.291 | 0.000 | 0.000 | 0.000 |
| 11.291 | 11.291 | 16.095 | 0.000 | 0.000 | 0.000 |
| -0.000 | 0.000 | 0.000 | 4.201 | 0.000 | -0.000 |
| 0.000 | -0.000 | 0.000 | 0.000 | 4.201 | 0.000 |
| 0.000 | 0.000 | -0.000 | 0.000 | -0.000 | 4.201 |
| 16.096 | 11.291 | 11.291 | -0.000 | 0.000 | -0.000 |
| 11.291 | 16.096 | 11.291 | -0.000 | -0.000 | 0.000 |
| 11.291 | 11.291 | 16.096 | 0.000 | 0.000 | -0.000 |
| 0.000 | -0.000 | -0.000 | 4.201 | -0.000 | -0.000 |
| -0.000 | 0.000 | -0.000 | -0.000 | 4.201 | -0.000 |
| -0.000 | -0.000 | 0.000 | -0.000 | -0.000 | 4.201 |
| 16.095 | 11.291 | 11.291 | 0.000 | 0.000 | 0.000 |
| 11.291 | 16.095 | 11.291 | 0.000 | 0.000 | 0.000 |
| 11.291 | 11.291 | 16.095 | 0.000 | 0.000 | -0.000 |
| -0.000 | 0.000 | 0.000 | 4.201 | 0.000 | 0.000 |
| 0.000 | -0.000 | 0.000 | 0.000 | 4.201 | 0.000 |
| 0.000 | 0.000 | -0.000 | 0.000 | 0.000 | 4.201 |
| 17.087 | 18.669 | 18.669 | 0.000 | 0.000 | -0.000 |
| 18.669 | 17.087 | 18.669 | -0.000 | 0.000 | -0.000 |
| 18.669 | 18.669 | 17.087 | -0.000 | 0.000 | -0.000 |
| -0.000 | -0.000 | 0.000 | 9.749 | 0.000 | -0.000 |
| -0.000 | -0.000 | 0.000 | 0.000 | 9.749 | -0.000 |
| -0.000 | -0.000 | 0.000 | 0.000 | 0.000 | 9.749 |
| 17.087 | 18.669 | 18.669 | -0.000 | -0.000 | 0.000 |
| 18.669 | 17.087 | 18.669 | -0.000 | -0.000 | 0.000 |
| 18.669 | 18.669 | 17.087 | 0.000 | 0.000 | 0.000 |
| 0.000 | 0.000 | -0.000 | 9.749 | -0.000 | 0.000 |
| 0.000 | 0.000 | -0.000 | -0.000 | 9.749 | 0.000 |
| 0.000 | 0.000 | -0.000 | -0.000 | -0.000 | 9.749 |
| 17.087 | 18.669 | 18.669 | 0.000 | -0.000 | -0.000 |
| 18.669 | 17.087 | 18.669 | -0.000 | 0.000 | -0.000 |
| 18.669 | 18.669 | 17.087 | 0.000 | -0.000 | -0.000 |
| 0.000 | -0.000 | 0.000 | 9.749 | 0.000 | -0.000 |
| -0.000 | 0.000 | 0.000 | 0.000 | 9.749 | -0.000 |
| -0.000 | 0.000 | 0.000 | 0.000 | 0.000 | 9.749 |
| 17.087 | 18.669 | 18.669 | -0.000 | -0.000 | 0.000 |
| 18.669 | 17.087 | 18.669 | -0.000 | -0.000 | 0.000 |
| 18.669 | 18.669 | 17.087 | -0.000 | -0.000 | 0.000 |
| -0.000 | 0.000 | -0.000 | 9.749 | -0.000 | 0.000 |
| 0.000 | -0.000 | -0.000 | -0.000 | 9.749 | 0.000 |
| 0.000 | -0.000 | -0.000 | -0.000 | -0.000 | 9.749 |
| 17.087 | 18.669 | 18.669 | -0.000 | -0.000 | -0.000 |
| 18.669 | 17.087 | 18.669 | -0.000 | 0.000 | -0.000 |
| 18.669 | 18.669 | 17.087 | -0.000 | -0.000 | -0.000 |
| 0.000 | -0.000 | 0.000 | 9.749 | 0.000 | -0.000 |
| -0.000 | 0.000 | 0.000 | 0.000 | 9.749 | -0.000 |
| -0.000 | 0.000 | 0.000 | 0.000 | 0.000 | 9.749 |
| 17.087 | 18.669 | 18.669 | -0.000 | -0.000 | 0.000 |
| 18.669 | 17.087 | 18.669 | -0.000 | -0.000 | 0.000 |
| 18.669 | 18.669 | 17.087 | -0.000 | -0.000 | 0.000 |
| -0.000 | 0.000 | -0.000 | 9.749 | -0.000 | 0.000 |
| 0.000 | -0.000 | -0.000 | -0.000 | 9.749 | 0.000 |
| 0.000 | -0.000 | -0.000 | -0.000 | -0.000 | 9.749 |
| 1.652 | 0.000 | 0.000 | 0.000 | 0.000 | 0.000 |
| 0.000 | 0.000 | 0.000 | 0.000 | 0.000 | 0.000 |
| 0.000 | 0.000 | 0.000 | 0.000 | 0.000 | 0.000 |
| 0.000 | 0.000 | 0.000 | 0.000 | 0.000 | 0.000 |
| -0.000 | 0.000 | 0.000 | 0.000 | 0.000 | 0.000 |
| -0.000 | 0.000 | 0.000 | 0.000 | 0.000 | 0.000 |
| 1.652 | -0.000 | -0.000 | -0.000 | -0.000 | -0.000 |
| -0.000 | -0.000 | -0.000 | -0.000 | -0.000 | -0.000 |
| -0.000 | -0.000 | -0.000 | -0.000 | -0.000 | -0.000 |
| -0.000 | -0.000 | -0.000 | -0.000 | -0.000 | -0.000 |
| 0.000 | -0.000 | -0.000 | -0.000 | -0.000 | -0.000 |
| 0.000 | -0.000 | -0.000 | -0.000 | -0.000 | -0.000 |
| 1.652 | 0.000 | 0.000 | 0.000 | 0.000 | 0.000 |
| 0.000 | 0.000 | 0.000 | 0.000 | 0.000 | 0.000 |
| 0.000 | 0.000 | 0.000 | 0.000 | 0.000 | 0.000 |
| 0.000 | 0.000 | 0.000 | 0.000 | 0.000 | 0.000 |
| -0.000 | 0.000 | 0.000 | 0.000 | 0.000 | 0.000 |
| -0.000 | 0.000 | 0.000 | 0.000 | 0.000 | 0.000 |
| 1.652 | -0.000 | -0.000 | -0.000 | -0.000 | -0.000 |
| -0.000 | -0.000 | -0.000 | -0.000 | -0.000 | -0.000 |
| -0.000 | -0.000 | -0.000 | -0.000 | -0.000 | -0.000 |
| -0.000 | -0.000 | -0.000 | -0.000 | -0.000 | -0.000 |
| 0.000 | -0.000 | -0.000 | -0.000 | -0.000 | -0.000 |
| 0.000 | -0.000 | -0.000 | -0.000 | -0.000 | -0.000 |
| 1.652 | 0.000 | 0.000 | 0.000 | 0.000 | 0.000 |
| 0.000 | 0.000 | 0.000 | 0.000 | 0.000 | 0.000 |
| 0.000 | 0.000 | 0.000 | 0.000 | 0.000 | 0.000 |
| 0.000 | 0.000 | 0.000 | 0.000 | 0.000 | 0.000 |
| -0.000 | 0.000 | 0.000 | 0.000 | 0.000 | 0.000 |
| -0.000 | 0.000 | 0.000 | 0.000 | 0.000 | 0.000 |
| 1.652 | -0.000 | -0.000 | -0.000 | -0.000 | -0.000 |
| -0.000 | -0.000 | -0.000 | -0.000 | -0.000 | -0.000 |
| -0.000 | -0.000 | -0.000 | -0.000 | -0.000 | -0.000 |
| -0.000 | -0.000 | -0.000 | -0.000 | -0.000 | -0.000 |
| 0.000 | -0.000 | -0.000 | -0.000 | -0.000 | -0.000 |
| 0.000 | -0.000 | -0.000 | -0.000 | -0.000 | -0.000 |
| 2.194 | 8.212 | 8.212 | -0.000 | 0.000 | 0.000 |
| 8.212 | 2.194 | 8.212 | 0.000 | 0.000 | -0.000 |
| 8.212 | 8.212 | 2.194 | 0.000 | 0.000 | 0.000 |
| 0.000 | 0.000 | -0.000 | 8.212 | -0.000 | -0.000 |
| 0.000 | 0.000 | -0.000 | -0.000 | 8.212 | 0.000 |
| 0.000 | 0.000 | -0.000 | -0.000 | 0.000 | 8.212 |
| 2.194 | 8.212 | 8.212 | -0.000 | -0.000 | 0.000 |
| 8.212 | 2.194 | 8.212 | -0.000 | -0.000 | 0.000 |
| 8.212 | 8.212 | 2.194 | 0.000 | 0.000 | -0.000 |
| -0.000 | -0.000 | 0.000 | 8.212 | 0.000 | 0.000 |
| -0.000 | -0.000 | 0.000 | 0.000 | 8.212 | 0.000 |
| -0.000 | -0.000 | 0.000 | 0.000 | -0.000 | 8.212 |
| 2.194 | 8.212 | 8.212 | -0.000 | 0.000 | 0.000 |
| 8.212 | 2.194 | 8.212 | -0.000 | 0.000 | -0.000 |
| 8.212 | 8.212 | 2.194 | -0.000 | -0.000 | 0.000 |
| 0.000 | -0.000 | -0.000 | -0.520 | 0.000 | 0.000 |
| -0.000 | 0.000 | -0.000 | 0.000 | -0.520 | -0.000 |
| -0.000 | -0.000 | 0.000 | -0.000 | -0.000 | -0.520 |
| 2.194 | 8.212 | 8.212 | 0.000 | -0.000 | 0.000 |
| 8.212 | 2.194 | 8.212 | -0.000 | -0.000 | -0.000 |
| 8.212 | 8.212 | 2.194 | 0.000 | -0.000 | -0.000 |
| -0.000 | 0.000 | 0.000 | -0.520 | -0.000 | 0.000 |
| 0.000 | -0.000 | 0.000 | 0.000 | -0.520 | 0.000 |
| 0.000 | 0.000 | -0.000 | 0.000 | 0.000 | -0.520 |
| 2.194 | 8.212 | 8.212 | -0.000 | 0.000 | 0.000 |
| 8.212 | 2.194 | 8.212 | -0.000 | 0.000 | 0.000 |
| 8.212 | 8.212 | 2.194 | 0.000 | 0.000 | 0.000 |
| 0.000 | 0.000 | 0.000 | -8.081 | 0.000 | 0.000 |
| 0.000 | 0.000 | 0.000 | -0.000 | -8.081 | 0.000 |
| 0.000 | 0.000 | 0.000 | -0.000 | -0.000 | -8.081 |
| 2.194 | 8.212 | 8.212 | -0.000 | -0.000 | -0.000 |
| 8.212 | 2.194 | 8.212 | -0.000 | -0.000 | 0.000 |
| 8.212 | 8.212 | 2.194 | 0.000 | 0.000 | -0.000 |
| -0.000 | -0.000 | -0.000 | -8.081 | -0.000 | -0.000 |
| -0.000 | -0.000 | -0.000 | 0.000 | -8.081 | 0.000 |
| -0.000 | -0.000 | -0.000 | 0.000 | -0.000 | -8.081 |
| 57.500 | -2.567 | -2.567 | 0.000 | -0.000 | 0.000 |
| -2.567 | 57.500 | -2.567 | 0.000 | -0.000 | 0.000 |
| -2.567 | -2.567 | 57.500 | 0.000 | 0.000 | 0.000 |
| 0.000 | -0.000 | -0.000 | -25.232 | -0.000 | 0.000 |
| 0.000 | -0.000 | -0.000 | -0.000 | -25.232 | 0.000 |
| 0.000 | -0.000 | 0.000 | 0.000 | -0.000 | -25.232 |
| 57.500 | -2.567 | -2.567 | -0.000 | 0.000 | -0.000 |
| -2.567 | 57.500 | -2.567 | -0.000 | 0.000 | 0.000 |
| -2.567 | -2.567 | 57.500 | -0.000 | 0.000 | -0.000 |
| -0.000 | 0.000 | -0.000 | -25.232 | 0.000 | -0.000 |
| -0.000 | 0.000 | 0.000 | -0.000 | -25.232 | -0.000 |
| -0.000 | -0.000 | 0.000 | 0.000 | 0.000 | -25.232 |
| 57.500 | -2.567 | -2.567 | 0.000 | -0.000 | 0.000 |
| -2.567 | 57.500 | -2.567 | 0.000 | -0.000 | 0.000 |
| -2.567 | -2.567 | 57.500 | 0.000 | -0.000 | 0.000 |
| -8774387.031 | -6945779.853 | -5512857.661 | -419550.182 | 102139.539 | -62683.916 |
| -6733695.493 | -8549562.299 | -6447174.175 | 339219.844 | -159787.038 | 3879.901 |
| -6788962.729 | -7080990.805 | -8639808.910 | 79004.346 | 346895.737 | -547948.036 |
| 57.500 | -2.567 | -2.567 | -0.000 | 0.000 | -0.000 |
| -2.567 | 57.500 | -2.567 | -0.000 | 0.000 | -0.000 |
| -2.567 | -2.567 | 57.500 | -0.000 | 0.000 | -0.000 |
| 9379059.516 | 6822241.201 | 6947591.346 | 124066.271 | 58222.499 | -262348.256 |
| 5858780.722 | 8062656.487 | 5856230.551 | -37496.640 | 135063.733 | 213980.031 |
| 7437285.736 | 7217133.423 | 9672441.315 | 156485.346 | -295367.087 | -104443.030 |
| 57.500 | -2.567 | -2.567 | 0.000 | -0.000 | 0.000 |
| -2.567 | 57.500 | -2.567 | 0.000 | -0.000 | 0.000 |
| -2.567 | -2.567 | 57.500 | 0.000 | -0.000 | 0.000 |
| -917728.192 | -764408.258 | -693739.766 | 3217.496 | 36511.073 | 9950.595 |
| -696764.897 | -950473.404 | -718946.857 | -4564.226 | 37246.442 | -13775.368 |
| -772770.015 | -746861.234 | -1009163.317 | 25553.437 | -61346.213 | -3038.577 |
| 57.499 | -2.567 | -2.567 | -0.000 | 0.000 | -0.000 |
| -2.567 | 57.499 | -2.567 | -0.000 | 0.000 | -0.000 |
| -2.567 | -2.567 | 57.499 | -0.000 | 0.000 | -0.000 |
| 1050741.358 | 638540.380 | 705642.484 | 32568.919 | -8228.334 | 1646.980 |
| 634552.275 | 928705.994 | 693506.999 | 23789.586 | 15637.193 | 25204.020 |
| 702264.071 | 685327.059 | 933836.322 | 52525.486 | -6633.210 | -3543.841 |
| 21.575 | 23.889 | 23.889 | 0.000 | -0.000 | 0.000 |
| 23.889 | 21.575 | 23.889 | 0.000 | -0.000 | 0.000 |
| 23.889 | 23.889 | 21.575 | 0.000 | -0.000 | 0.000 |
| 0.000 | -0.000 | -0.000 | -57.407 | -0.000 | 0.000 |
| -0.000 | 0.000 | -0.000 | 0.000 | -57.407 | 0.000 |
| -0.000 | -0.000 | -0.000 | 0.000 | -0.000 | -57.407 |
| 21.575 | 23.889 | 23.889 | -0.000 | 0.000 | -0.000 |
| 23.889 | 21.575 | 23.889 | -0.000 | 0.000 | -0.000 |
| 23.889 | 23.889 | 21.575 | -0.000 | 0.000 | -0.000 |
| -0.000 | 0.000 | 0.000 | -57.407 | 0.000 | -0.000 |
| 0.000 | -0.000 | 0.000 | -0.000 | -57.407 | -0.000 |
| 0.000 | 0.000 | 0.000 | -0.000 | 0.000 | -57.407 |
| 21.575 | 23.889 | 23.889 | 0.000 | -0.000 | 0.000 |
| 23.889 | 21.575 | 23.889 | 0.000 | -0.000 | 0.000 |
| 23.889 | 23.889 | 21.575 | 0.000 | -0.000 | 0.000 |
| 0.000 | -0.000 | -0.000 | -57.407 | -0.000 | 0.000 |
| -0.000 | 0.000 | -0.000 | 0.000 | -57.407 | 0.000 |
| -0.000 | -0.000 | 0.000 | 0.000 | -0.000 | -57.407 |
| 21.575 | 23.889 | 23.889 | -0.000 | 0.000 | -0.000 |
| 23.889 | 21.575 | 23.889 | -0.000 | 0.000 | -0.000 |
| 23.889 | 23.889 | 21.575 | -0.000 | 0.000 | -0.000 |
| -0.000 | 0.000 | 0.000 | -57.407 | 0.000 | -0.000 |
| 0.000 | -0.000 | 0.000 | -0.000 | -57.407 | -0.000 |
| 0.000 | 0.000 | -0.000 | -0.000 | 0.000 | -57.407 |
| 21.575 | 23.889 | 23.889 | 0.000 | 0.000 | 0.000 |
| 23.889 | 21.575 | 23.889 | 0.000 | -0.000 | 0.000 |
| 23.889 | 23.889 | 21.575 | 0.000 | -0.000 | 0.000 |
| 0.000 | -0.000 | -0.000 | -57.407 | -0.000 | 0.000 |
| -0.000 | 0.000 | -0.000 | 0.000 | -57.407 | 0.000 |
| -0.000 | -0.000 | 0.000 | 0.000 | -0.000 | -57.407 |
| 21.575 | 23.889 | 23.889 | -0.000 | 0.000 | -0.000 |
| 23.889 | 21.575 | 23.889 | -0.000 | 0.000 | -0.000 |
| 23.889 | 23.889 | 21.575 | -0.000 | 0.000 | -0.000 |
| -0.000 | 0.000 | 0.000 | -57.407 | 0.000 | -0.000 |
| 0.000 | -0.000 | 0.000 | -0.000 | -57.407 | -0.000 |
| 0.000 | 0.000 | -0.000 | -0.000 | 0.000 | -57.407 |
| 27.630 | 19.919 | 19.919 | -0.000 | 0.000 | -0.000 |
| 19.919 | 27.630 | 19.919 | 0.000 | 0.000 | -0.000 |
| 19.919 | 19.919 | 27.630 | -0.000 | -0.000 | -0.000 |
| -0.000 | 0.000 | 0.000 | 19.672 | -0.000 | 0.000 |
| -0.000 | -0.000 | -0.000 | -0.000 | 19.672 | -0.000 |
| -0.000 | -0.000 | 0.000 | -0.000 | 0.000 | 19.672 |
| 27.630 | 19.919 | 19.919 | 0.000 | 0.000 | 0.000 |
| 19.919 | 27.630 | 19.919 | 0.000 | -0.000 | -0.000 |
| 19.919 | 19.919 | 27.630 | -0.000 | -0.000 | 0.000 |
| 0.000 | 0.000 | -0.000 | 19.672 | 0.000 | 0.000 |
| -0.000 | 0.000 | -0.000 | 0.000 | 19.672 | 0.000 |
| -0.000 | -0.000 | -0.000 | 0.000 | -0.000 | 19.672 |
| 27.630 | 19.919 | 19.919 | 0.000 | -0.000 | -0.000 |
| 19.919 | 27.630 | 19.919 | -0.000 | -0.000 | -0.000 |
| 19.919 | 19.919 | 27.630 | -0.000 | 0.000 | 0.000 |
| -0.000 | 0.000 | 0.000 | 19.672 | -0.000 | -0.000 |
| 0.000 | -0.000 | 0.000 | -0.000 | 19.672 | -0.000 |
| 0.000 | 0.000 | -0.000 | 0.000 | 0.000 | 19.672 |
| 27.630 | 19.919 | 19.919 | -0.000 | 0.000 | 0.000 |
| 19.919 | 27.630 | 19.919 | 0.000 | 0.000 | 0.000 |
| 19.919 | 19.919 | 27.630 | 0.000 | 0.000 | 0.000 |
| 0.000 | -0.000 | -0.000 | 19.672 | -0.000 | 0.000 |
| -0.000 | 0.000 | -0.000 | 0.000 | 19.672 | 0.000 |
| -0.000 | -0.000 | 0.000 | 0.000 | 0.000 | 19.672 |
| 27.630 | 19.919 | 19.919 | -0.000 | 0.000 | 0.000 |
| 19.919 | 27.630 | 19.919 | -0.000 | 0.000 | 0.000 |
| 19.919 | 19.919 | 27.630 | -0.000 | -0.000 | 0.000 |
| -0.000 | 0.000 | 0.000 | 19.672 | -0.000 | -0.000 |
| 0.000 | -0.000 | 0.000 | -0.000 | 19.672 | -0.000 |
| 0.000 | 0.000 | -0.000 | 0.000 | -0.000 | 19.672 |
| 27.630 | 19.918 | 19.918 | 0.000 | 0.000 | 0.000 |
| 19.918 | 27.630 | 19.918 | -0.000 | 0.000 | 0.000 |
| 19.918 | 19.918 | 27.630 | -0.000 | -0.000 | 0.000 |
| 0.000 | -0.000 | -0.000 | 19.672 | 0.000 | 0.000 |
| -0.000 | 0.000 | -0.000 | 0.000 | 19.672 | 0.000 |
| -0.000 | -0.000 | 0.000 | 0.000 | -0.000 | 19.672 |
| 145.876 | 356.486 | 750.390 | 0.000 | -459.048 | -0.000 |
| -829.300 | 970.606 | 1277.216 | -0.000 | -820.943 | -0.000 |
| -124.839 | 325.294 | 891.369 | 0.000 | -631.378 | 0.000 |
| -323.325 | 285.169 | 562.692 | 40.027 | -583.344 | -5.798 |
| 85.085 | 1.025 | -54.594 | 0.000 | 185.937 | -0.000 |
| -0.000 | 0.000 | -0.000 | 1.081 | -0.000 | 63.728 |
| 793.270 | -214.066 | -375.341 | -0.000 | 707.841 | 0.000 |
| 969.202 | 79.865 | -1197.537 | -0.000 | 826.609 | -0.000 |
| 1094.730 | -404.768 | -913.201 | -0.000 | 775.035 | 0.000 |
| 323.325 | -285.169 | -562.692 | 40.027 | 583.344 | -5.798 |
| 408.765 | -286.028 | -619.298 | -0.000 | 742.387 | 0.000 |
| -0.000 | 0.000 | -0.000 | 1.081 | 0.000 | 63.728 |
| 328.870 | 132.967 | 352.368 | -0.000 | 7.573 | -0.000 |
| 35.170 | 557.623 | 99.361 | 0.000 | -55.074 | -0.000 |
| 181.399 | 45.953 | 369.486 | -0.000 | -54.594 | -0.000 |
| -90.113 | 44.608 | 123.979 | 38.868 | -82.505 | -7.564 |
| 85.085 | 1.025 | -54.594 | 0.000 | 185.937 | -0.000 |
| -90.469 | 44.749 | 124.435 | -4.637 | -82.750 | 46.280 |
| 501.142 | 59.555 | 167.326 | -0.000 | 139.564 | -0.000 |
| 99.589 | 500.691 | -12.547 | 0.000 | 60.882 | -0.000 |
| 285.385 | -3.798 | 200.166 | -0.000 | 33.184 | 0.000 |
| 90.113 | -44.608 | -123.979 | 38.868 | 82.505 | -7.564 |
| 117.111 | -28.777 | -111.711 | 0.000 | 216.463 | 0.000 |
| 90.469 | -44.749 | -124.435 | -4.637 | 82.750 | 46.280 |
| 465.448 | 72.027 | 188.648 | -0.000 | 124.242 | 0.000 |
| 62.931 | 534.443 | 48.751 | 0.000 | -1.927 | 0.000 |
| 186.549 | 45.938 | 341.997 | 0.000 | -58.602 | 0.000 |
| -13.224 | 6.269 | 16.415 | 34.699 | -10.749 | -9.004 |
| 58.086 | 5.069 | -22.902 | 0.000 | 135.760 | 0.000 |
| 0.000 | 0.000 | -0.000 | 1.081 | 0.000 | 63.728 |
| 475.307 | 64.124 | 170.471 | 0.000 | 135.629 | 0.000 |
| 58.988 | 543.437 | 45.850 | 0.000 | 3.969 | 0.000 |
| 216.657 | 30.486 | 301.938 | 0.000 | -27.657 | -0.000 |
| 13.224 | -6.269 | -16.415 | 34.699 | 10.749 | -9.004 |
| 88.742 | -8.813 | -62.506 | -0.000 | 164.507 | -0.000 |
| -0.000 | -0.000 | 0.000 | 1.081 | -0.000 | 63.728 |
| 597.070 | 23.778 | 7.510 | 0.000 | 0.000 | 0.000 |
| -253.196 | 286.058 | -259.900 | 0.000 | 0.000 | 0.000 |
| 74.451 | 401.233 | 702.953 | 0.000 | 0.000 | 0.000 |
| 84.125 | 399.230 | 71.100 | -13.442 | 0.000 | 0.000 |
| -254.976 | -119.668 | -268.511 | 0.000 | -10.568 | 0.000 |
| 0.000 | -0.000 | 0.000 | 0.000 | 0.000 | 36.129 |
| 868.263 | 205.566 | 289.318 | -0.000 | 0.000 | -0.000 |
| 22.360 | 473.223 | 26.334 | -0.000 | -0.000 | -0.000 |
| -93.072 | -396.831 | 561.512 | -0.000 | 0.000 | -0.000 |
| -84.125 | -399.230 | -71.100 | -13.442 | -0.000 | -0.000 |
| 254.976 | 119.668 | 268.511 | -0.000 | -10.568 | -0.000 |
| -0.000 | 0.000 | -0.000 | -0.000 | -0.000 | 36.129 |
| 597.071 | 23.778 | 7.510 | 0.000 | -0.000 | 0.000 |
| 3.480 | 468.416 | 6.256 | 0.000 | -0.000 | -0.000 |
| -24.723 | 4.249 | 615.690 | 0.000 | 0.000 | 0.000 |
| -27.369 | -18.437 | -28.436 | 33.608 | 0.000 | 0.000 |
| 0.000 | 0.000 | 0.000 | 0.000 | 17.578 | 0.000 |
| -42.313 | -39.871 | -43.313 | 0.000 | 0.000 | 22.762 |
| 622.307 | 39.877 | 33.771 | -0.000 | -0.000 | -0.000 |
| 22.360 | 473.223 | 26.334 | -0.000 | -0.000 | -0.000 |
| 29.966 | 41.087 | 672.510 | -0.000 | -0.000 | -0.000 |
| 27.369 | 18.437 | 28.436 | 33.608 | -0.000 | -0.000 |
| -0.000 | -0.000 | -0.000 | -0.000 | 17.578 | -0.000 |
| 42.313 | 39.871 | 43.313 | -0.000 | -0.000 | 22.762 |
| 592.155 | 19.556 | 2.438 | 0.000 | 0.000 | 0.000 |
| 17.010 | 468.003 | 20.846 | 0.000 | 0.000 | 0.000 |
| -1.587 | 18.268 | 639.786 | 0.000 | -0.000 | 0.000 |
| -3.071 | -2.084 | -3.182 | 15.619 | 0.000 | 0.000 |
| -2.695 | -1.599 | -2.822 | 0.000 | 8.094 | -0.000 |
| -3.106 | -2.150 | -3.216 | 0.000 | 0.000 | 14.619 |
| 597.063 | 23.776 | 7.509 | -0.000 | -0.000 | -0.000 |
| 18.902 | 463.635 | 23.020 | 0.000 | -0.000 | -0.000 |
| 5.264 | 24.896 | 646.845 | -0.000 | 0.000 | 0.000 |
| 3.071 | 2.084 | 3.182 | 15.619 | -0.000 | -0.000 |
| 2.695 | 1.599 | 2.822 | -0.000 | 8.094 | 0.000 |
| 3.106 | 2.150 | 3.216 | -0.000 | -0.000 | 14.619 |
| 173.814 | 13.257 | 13.257 | -0.000 | 0.000 | -0.000 |
| 13.257 | 173.814 | 13.257 | -0.000 | 0.000 | -0.000 |
| 13.257 | 13.257 | 173.814 | -0.000 | -0.000 | -0.000 |
| -0.000 | 0.000 | 0.000 | 14.164 | 0.000 | -0.000 |
| -0.000 | 0.000 | 0.000 | -0.000 | 14.164 | -0.000 |
| -0.000 | 0.000 | 0.000 | -0.000 | 0.000 | 14.164 |
| 173.814 | 13.257 | 13.257 | 0.000 | -0.000 | 0.000 |
| 13.257 | 173.814 | 13.257 | 0.000 | -0.000 | 0.000 |
| 13.257 | 13.257 | 173.814 | 0.000 | -0.000 | 0.000 |
| 0.000 | -0.000 | -0.000 | 14.164 | -0.000 | 0.000 |
| 0.000 | -0.000 | -0.000 | 0.000 | 14.164 | 0.000 |
| 0.000 | -0.000 | -0.000 | 0.000 | -0.000 | 14.164 |
| 173.814 | 13.257 | 13.257 | -0.000 | 0.000 | -0.000 |
| 13.257 | 173.814 | 13.257 | -0.000 | 0.000 | -0.000 |
| 13.257 | 13.257 | 173.814 | -0.000 | 0.000 | -0.000 |
| 0.000 | 0.000 | 0.000 | 14.164 | 0.000 | -0.000 |
| 0.000 | 0.000 | 0.000 | -0.000 | 14.164 | -0.000 |
| 0.000 | 0.000 | 0.000 | -0.000 | 0.000 | 14.164 |
| 173.814 | 13.257 | 13.257 | 0.000 | -0.000 | 0.000 |
| 13.257 | 173.814 | 13.257 | 0.000 | -0.000 | 0.000 |
| 13.257 | 13.257 | 173.814 | 0.000 | -0.000 | 0.000 |
| -0.000 | -0.000 | -0.000 | 14.164 | 0.000 | 0.000 |
| -0.000 | -0.000 | -0.000 | 0.000 | 14.164 | 0.000 |
| -0.000 | -0.000 | -0.000 | 0.000 | -0.000 | 14.164 |
| 173.816 | 13.257 | 13.257 | -0.000 | 0.000 | -0.000 |
| 13.257 | 173.816 | 13.257 | -0.000 | 0.000 | -0.000 |
| 13.257 | 13.257 | 173.816 | -0.000 | 0.000 | -0.000 |
| 0.000 | 0.000 | -0.000 | 14.164 | 0.000 | -0.000 |
| 0.000 | 0.000 | -0.000 | -0.000 | 14.164 | -0.000 |
| 0.000 | -0.000 | 0.000 | -0.000 | 0.000 | 14.164 |
| 173.813 | 13.257 | 13.257 | 0.000 | 0.000 | 0.000 |
| 13.257 | 173.813 | 13.257 | 0.000 | -0.000 | 0.000 |
| 13.257 | 13.257 | 173.813 | -0.000 | -0.000 | 0.000 |
| -0.000 | -0.000 | 0.000 | 14.164 | -0.000 | 0.000 |
| -0.000 | -0.000 | 0.000 | 0.000 | 14.164 | 0.000 |
| -0.000 | 0.000 | -0.000 | 0.000 | -0.000 | 14.164 |
| 71.302 | 80.623 | 80.623 | -0.000 | -0.000 | -0.000 |
| 80.623 | 71.302 | 80.623 | -0.000 | -0.000 | -0.000 |
| 80.623 | 80.623 | 71.302 | -0.000 | -0.000 | 0.000 |
| -0.000 | -0.000 | 0.000 | 84.231 | -0.000 | 0.000 |
| -0.000 | -0.000 | 0.000 | -0.000 | 84.231 | -0.000 |
| -0.000 | 0.000 | -0.000 | -0.000 | -0.000 | 84.231 |
| 71.302 | 80.623 | 80.623 | 0.000 | 0.000 | -0.000 |
| 80.623 | 71.302 | 80.623 | 0.000 | 0.000 | -0.000 |
| 80.623 | 80.623 | 71.302 | 0.000 | 0.000 | 0.000 |
| 0.000 | 0.000 | -0.000 | 84.231 | 0.000 | -0.000 |
| 0.000 | 0.000 | -0.000 | 0.000 | 84.231 | 0.000 |
| 0.000 | -0.000 | -0.000 | 0.000 | 0.000 | 84.231 |
| 71.302 | 80.623 | 80.623 | -0.000 | -0.000 | -0.000 |
| 80.623 | 71.302 | 80.623 | -0.000 | -0.000 | -0.000 |
| 80.623 | 80.623 | 71.302 | -0.000 | -0.000 | -0.000 |
| 0.000 | 0.000 | 0.000 | 82.663 | -0.000 | -0.000 |
| 0.000 | 0.000 | 0.000 | -0.000 | 82.663 | -0.000 |
| 0.000 | 0.000 | 0.000 | -0.000 | -0.000 | 82.663 |
| 71.301 | 80.623 | 80.623 | 0.000 | 0.000 | 0.000 |
| 80.623 | 71.301 | 80.623 | 0.000 | 0.000 | 0.000 |
| 80.623 | 80.623 | 71.301 | 0.000 | 0.000 | 0.000 |
| -0.000 | -0.000 | -0.000 | 82.663 | 0.000 | 0.000 |
| -0.000 | -0.000 | -0.000 | 0.000 | 82.663 | -0.000 |
| -0.000 | -0.000 | -0.000 | 0.000 | 0.000 | 82.663 |
| 71.302 | 80.624 | 80.624 | -0.000 | -0.000 | 0.000 |
| 80.624 | 71.302 | 80.624 | -0.000 | -0.000 | -0.000 |
| 80.624 | 80.624 | 71.302 | -0.000 | -0.000 | 0.000 |
| 0.000 | 0.000 | 0.000 | 84.231 | -0.000 | -0.000 |
| 0.000 | 0.000 | 0.000 | -0.000 | 84.231 | -0.000 |
| 0.000 | 0.000 | 0.000 | -0.000 | -0.000 | 84.231 |
| 71.301 | 80.623 | 80.623 | 0.000 | 0.000 | -0.000 |
| 80.623 | 71.301 | 80.623 | 0.000 | 0.000 | 0.000 |
| 80.623 | 80.623 | 71.301 | 0.000 | 0.000 | -0.000 |
| -0.000 | -0.000 | -0.000 | 84.231 | 0.000 | 0.000 |
| -0.000 | -0.000 | -0.000 | 0.000 | 84.231 | 0.000 |
| -0.000 | -0.000 | -0.000 | 0.000 | 0.000 | 84.231 |
| 111.923 | 57.620 | 57.620 | 0.000 | 0.000 | 0.000 |
| 57.620 | 111.923 | 57.620 | 0.000 | 0.000 | 0.000 |
| 57.620 | 57.620 | 111.923 | 0.000 | 0.000 | 0.000 |
| 0.000 | 0.000 | 0.000 | 60.442 | 0.000 | -0.000 |
| 0.000 | 0.000 | 0.000 | -0.000 | 60.442 | 0.000 |
| 0.000 | 0.000 | 0.000 | -0.000 | -0.000 | 60.442 |
| 111.923 | 57.620 | 57.620 | -0.000 | -0.000 | -0.000 |
| 57.620 | 111.923 | 57.620 | -0.000 | -0.000 | -0.000 |
| 57.620 | 57.620 | 111.923 | -0.000 | -0.000 | -0.000 |
| 0.000 | -0.000 | -0.000 | 60.442 | -0.000 | -0.000 |
| -0.000 | -0.000 | -0.000 | -0.000 | 60.442 | -0.000 |
| -0.000 | -0.000 | -0.000 | 0.000 | 0.000 | 60.442 |
| 111.923 | 57.620 | 57.620 | 0.000 | 0.000 | 0.000 |
| 57.620 | 111.923 | 57.620 | -0.000 | 0.000 | 0.000 |
| 57.620 | 57.620 | 111.923 | -0.000 | -0.000 | 0.000 |
| -0.000 | 0.000 | 0.000 | 60.442 | 0.000 | 0.000 |
| 0.000 | -0.000 | 0.000 | 0.000 | 60.442 | 0.000 |
| 0.000 | 0.000 | -0.000 | 0.000 | 0.000 | 60.442 |
| 111.923 | 57.620 | 57.620 | -0.000 | -0.000 | -0.000 |
| 57.620 | 111.923 | 57.620 | -0.000 | -0.000 | -0.000 |
| 57.620 | 57.620 | 111.923 | -0.000 | -0.000 | -0.000 |
| 0.000 | -0.000 | -0.000 | 60.442 | -0.000 | 0.000 |
| -0.000 | 0.000 | -0.000 | -0.000 | 60.442 | -0.000 |
| -0.000 | -0.000 | 0.000 | -0.000 | -0.000 | 60.442 |
| 111.923 | 57.621 | 57.621 | 0.000 | 0.000 | 0.000 |
| 57.621 | 111.923 | 57.621 | -0.000 | -0.000 | -0.000 |
| 57.621 | 57.621 | 111.923 | 0.000 | 0.000 | -0.000 |
| -0.000 | 0.000 | 0.000 | 60.442 | -0.000 | -0.000 |
| 0.000 | -0.000 | 0.000 | 0.000 | 60.442 | 0.000 |
| 0.000 | 0.000 | -0.000 | 0.000 | 0.000 | 60.442 |
| 111.922 | 57.620 | 57.620 | -0.000 | -0.000 | -0.000 |
| 57.620 | 111.922 | 57.620 | -0.000 | -0.000 | -0.000 |
| 57.620 | 57.620 | 111.922 | -0.000 | -0.000 | -0.000 |
| 0.000 | -0.000 | -0.000 | 60.442 | 0.000 | -0.000 |
| -0.000 | 0.000 | -0.000 | 0.000 | 60.442 | -0.000 |
| -0.000 | -0.000 | 0.000 | 0.000 | 0.000 | 60.442 |
| 141.589 | 45.172 | 40.672 | 0.000 | 0.000 | 0.000 |
| 43.270 | 130.429 | 42.931 | 0.000 | -0.000 | 0.000 |
| 42.230 | 42.230 | 163.635 | 0.000 | -0.000 | 0.000 |
| 0.001 | 0.001 | -0.000 | 42.985 | 0.000 | 0.000 |
| 0.000 | 0.000 | 0.000 | 0.000 | 43.854 | 0.000 |
| 0.000 | 0.000 | 0.000 | 0.000 | 0.000 | 48.208 |
| 141.589 | 45.172 | 40.672 | -0.000 | 0.000 | -0.000 |
| 55.643 | 122.420 | 42.176 | -0.000 | -0.000 | -0.000 |
| 42.230 | 42.230 | 163.636 | -0.000 | -0.000 | -0.000 |
| -0.001 | -0.001 | 0.000 | 42.985 | -0.000 | -0.000 |
| -0.000 | -0.000 | -0.000 | -0.000 | 43.854 | -0.000 |
| -0.000 | -0.000 | -0.000 | -0.000 | -0.000 | 48.208 |
| 130.429 | 43.270 | 42.931 | 0.000 | -0.000 | 0.000 |
| 45.172 | 141.589 | 40.672 | 0.000 | 0.000 | 0.000 |
| 40.672 | 40.672 | 164.175 | 0.000 | 0.000 | 0.000 |
| 0.000 | 0.000 | 0.000 | 43.854 | -0.000 | 0.000 |
| 0.000 | 0.000 | 0.000 | 0.000 | 43.854 | 0.000 |
| 0.000 | 0.000 | 0.000 | 0.000 | 0.000 | 48.208 |
| 130.429 | 43.270 | 42.931 | 0.000 | -0.000 | -0.000 |
| 43.270 | 130.429 | 42.931 | 0.000 | 0.000 | -0.000 |
| 42.230 | 42.230 | 163.635 | -0.000 | 0.000 | -0.000 |
| -0.000 | -0.000 | -0.000 | 43.854 | -0.000 | -0.000 |
| -0.000 | -0.000 | -0.000 | -0.000 | 43.854 | -0.000 |
| -0.000 | -0.000 | -0.000 | -0.000 | -0.000 | 48.208 |
| 122.146 | 55.608 | 42.230 | 0.000 | -0.000 | 0.000 |
| 45.173 | 141.590 | 40.672 | 0.000 | -0.000 | 0.000 |
| 40.672 | 40.672 | 164.176 | 0.000 | 0.000 | 0.000 |
| 0.000 | 0.000 | 0.000 | 43.854 | 0.000 | 0.000 |
| -0.000 | 0.000 | 0.000 | 0.000 | 42.985 | 0.000 |
| -0.000 | 0.000 | -0.000 | 0.000 | 0.000 | 35.534 |
| 130.428 | 43.270 | 42.931 | -0.000 | -0.000 | -0.000 |
| 55.643 | 122.420 | 42.176 | 0.000 | 0.000 | -0.000 |
| 40.671 | 40.671 | 164.173 | -0.000 | -0.000 | -0.000 |
| -0.000 | -0.000 | -0.000 | 43.854 | -0.000 | -0.000 |
| 0.000 | -0.000 | -0.000 | -0.000 | 42.985 | -0.000 |
| 0.000 | -0.000 | 0.000 | -0.000 | -0.000 | 35.534 |
| 70.219 | 46.365 | 48.347 | 0.000 | -2.026 | -0.000 |
| 38.774 | 60.112 | 37.137 | 0.000 | 0.923 | -0.000 |
| 43.036 | 31.400 | 67.326 | 0.000 | -2.764 | -0.000 |
| -2.947 | 0.156 | 0.060 | 4.662 | -6.203 | 0.972 |
| -2.766 | -0.063 | -0.141 | 0.000 | 10.610 | -0.000 |
| -3.223 | 0.763 | -0.084 | 0.642 | -5.880 | 39.137 |
| 77.369 | 45.219 | 49.646 | -0.000 | 5.868 | 0.000 |
| 50.053 | 57.785 | 37.087 | -0.000 | 5.759 | 0.000 |
| 51.199 | 34.688 | 63.820 | -0.000 | 6.184 | 0.000 |
| 2.947 | -0.156 | -0.060 | 4.662 | 6.203 | 0.972 |
| 3.903 | 0.346 | 0.335 | -0.000 | 22.714 | 0.000 |
| 3.223 | -0.763 | 0.084 | 0.642 | 5.880 | 39.137 |
| 73.478 | 45.503 | 48.722 | -0.000 | 3.304 | 0.000 |
| 45.872 | 58.487 | 36.507 | 0.000 | -0.322 | -0.000 |
| 47.621 | 35.148 | 63.729 | 0.000 | -0.328 | -0.000 |
| -0.296 | 0.092 | -0.002 | 3.897 | -0.851 | 0.899 |
| 0.781 | 0.529 | 0.199 | -0.000 | 15.904 | 0.000 |
| -0.334 | 0.012 | -0.004 | 0.608 | -0.587 | 39.123 |
| 80.173 | 48.917 | 47.340 | -0.000 | 0.682 | 0.000 |
| 46.571 | 58.393 | 36.492 | -0.000 | 0.863 | 0.000 |
| 41.836 | 43.442 | 73.186 | -0.000 | -0.428 | 0.000 |
| 0.296 | -0.092 | 0.002 | 3.897 | 0.851 | 0.899 |
| 1.283 | 0.307 | 0.201 | -0.000 | 17.095 | 0.000 |
| 0.334 | -0.012 | 0.004 | 0.608 | 0.587 | 39.123 |
| 74.026 | 44.892 | 49.019 | 0.000 | 3.556 | -0.000 |
| 46.207 | 58.442 | 36.502 | 0.000 | 0.236 | -0.000 |
| 49.120 | 35.306 | 63.884 | 0.000 | 0.540 | -0.000 |
| -0.028 | 0.003 | 0.000 | 3.860 | -0.079 | 0.910 |
| 1.033 | 0.449 | 0.128 | -0.000 | 16.440 | 0.000 |
| -0.028 | 0.005 | 0.000 | 0.742 | -0.076 | 39.123 |
| 75.955 | 44.247 | 46.601 | -0.000 | 5.724 | 0.000 |
| 46.270 | 58.432 | 36.503 | 0.000 | 0.358 | -0.000 |
| 47.991 | 35.132 | 63.739 | -0.000 | 0.180 | 0.000 |
| 0.028 | -0.003 | -0.000 | 3.860 | 0.079 | 0.910 |
| 1.050 | 0.420 | 0.143 | -0.000 | 16.546 | 0.000 |
| 0.028 | -0.005 | -0.000 | 0.742 | 0.076 | 39.123 |
| 262.119 | 92.118 | 44.883 | 0.000 | 29.991 | -0.000 |
| 305.296 | 1849.065 | -1240.656 | 0.000 | 422.319 | -0.000 |
| 269.669 | 1809.026 | -1147.985 | 0.000 | 416.332 | -0.000 |
| 0.000 | 0.000 | -0.000 | 54.174 | 0.000 | 11.707 |
| 1005.618 | 1018.817 | -1563.326 | 0.000 | 603.365 | -0.000 |
| 498.522 | 965.277 | -1149.622 | -17.624 | 634.362 | 58.113 |
| 104.768 | -538.491 | 1323.069 | -0.000 | -293.999 | 0.000 |
| -77.980 | -1613.134 | 1347.114 | -0.000 | -399.995 | 0.000 |
| -112.382 | -1657.832 | 1439.786 | -0.000 | -406.088 | 0.000 |
| -0.000 | -0.000 | 0.000 | 54.174 | -0.000 | 11.707 |
| -489.824 | -947.527 | 1145.031 | -0.000 | -605.566 | 0.000 |
| -498.522 | -965.277 | 1149.622 | -17.624 | -634.362 | 58.113 |
| 212.197 | 183.266 | -87.926 | 0.000 | 56.005 | -0.000 |
| 85.081 | 165.939 | -81.842 | 0.000 | 29.690 | -0.000 |
| 97.242 | 250.860 | 17.127 | 0.000 | 46.388 | -0.000 |
| 18.393 | 166.805 | -124.541 | 16.589 | 39.575 | -8.102 |
| 29.983 | 58.477 | -120.151 | 0.000 | 62.246 | -0.000 |
| 96.726 | 111.389 | -159.696 | 12.790 | 57.012 | 64.012 |
| 138.380 | 10.822 | 186.095 | 0.000 | -22.536 | 0.000 |
| 88.678 | 31.014 | 173.066 | -0.000 | -32.522 | 0.000 |
| 38.994 | -15.129 | 194.835 | 0.000 | -21.609 | 0.000 |
| -18.393 | -166.805 | 124.541 | 16.589 | -39.575 | -8.102 |
| -22.962 | -168.940 | 134.104 | -0.000 | -11.752 | 0.000 |
| -96.726 | -111.389 | 159.696 | 12.790 | -57.012 | 64.012 |
| 142.319 | 96.874 | 50.157 | 0.000 | 9.806 | -0.000 |
| 86.545 | 111.894 | 40.353 | 0.000 | 8.110 | -0.000 |
| 56.350 | 66.082 | 98.929 | -0.000 | 8.435 | -0.000 |
| 2.145 | 7.029 | -11.880 | 28.263 | 5.096 | -3.782 |
| 5.001 | 10.535 | -3.571 | -0.000 | 34.276 | -0.000 |
| 8.957 | 14.085 | -17.226 | 7.529 | 6.023 | 46.308 |
| 126.651 | 69.945 | 79.189 | -0.000 | -1.511 | 0.000 |
| 79.872 | 97.190 | 59.235 | 0.000 | 1.611 | 0.000 |
| 62.519 | 54.470 | 127.624 | -0.000 | 3.151 | 0.000 |
| -2.145 | -7.029 | 11.880 | 28.263 | -5.096 | -3.782 |
| -8.421 | -5.611 | 14.102 | -0.000 | 19.874 | 0.000 |
| -8.957 | -14.085 | 17.226 | 7.529 | -6.023 | 46.308 |
| -12.113 | 5.106 | -37.133 | 0.135 | -5.345 | 0.102 |
| -67.012 | 21.196 | 7.176 | 0.082 | -29.940 | 0.063 |
| -20.873 | 67.471 | 42.936 | 0.314 | -10.126 | 0.238 |
| -104.813 | -5.210 | -46.554 | 20.083 | -30.361 | 3.594 |
| -12.104 | 115.801 | 29.384 | -0.033 | -4.785 | -0.025 |
| -104.261 | -5.538 | -46.766 | 3.962 | -30.397 | 20.633 |
| 78.679 | 28.395 | 43.360 | -0.288 | 7.470 | -0.218 |
| 105.244 | 55.400 | 50.132 | -0.264 | 9.226 | -0.200 |
| 99.263 | 28.796 | 99.974 | -0.279 | 16.094 | -0.211 |
| 104.843 | 5.195 | 46.547 | 19.851 | 30.361 | 3.429 |
| 2.754 | -143.535 | -29.934 | 0.020 | 29.758 | 0.014 |
| 104.286 | 5.526 | 46.760 | 3.759 | 30.396 | 20.459 |
| 31.033 | 17.691 | 24.002 | 0.004 | -5.124 | 0.003 |
| 33.034 | 126.384 | 25.554 | -0.000 | 3.129 | -0.000 |
| 2.187 | 2.907 | 7.946 | 0.081 | -4.435 | 0.060 |
| -6.716 | 0.988 | -6.290 | 14.008 | -0.591 | -3.068 |
| 21.636 | 28.045 | 14.323 | 0.028 | 11.343 | 0.021 |
| -12.921 | -1.022 | -6.227 | 5.378 | -3.952 | 18.974 |
| 53.898 | 37.292 | 29.731 | -0.020 | 4.210 | -0.015 |
| -107.024 | -99.667 | -65.788 | -0.093 | -17.733 | -0.070 |
| 30.131 | 38.538 | 64.204 | 0.001 | 10.503 | 0.001 |
| -0.000 | -0.000 | -0.000 | 36.647 | -0.000 | 2.700 |
| 2.456 | -1.341 | 4.396 | -0.021 | 21.984 | -0.016 |
| -21127764.454 | -22409549.834 | -10863641.767 | -221688.467 | -1857885.510 | -339315.185 |
| -131.893 | -129.019 | -43.906 | -0.007 | -11.834 | -0.005 |
| -124.543 | -112.760 | -76.268 | 0.001 | -18.406 | 0.001 |
| -36.193 | -72.226 | -39.492 | 0.017 | -7.509 | 0.013 |
| 2402843.931 | 2481121.592 | 1308831.173 | 20025.235 | 202659.873 | -13389.330 |
| -3.518 | -0.399 | 3.713 | 0.002 | 20.814 | 0.002 |
| 2535854.551 | 2489931.530 | 1351226.627 | 598.728 | 209266.300 | -14376.708 |
| -139.693 | -138.786 | -48.829 | -0.001 | -12.292 | -0.001 |
| -1233796.467 | -1601398.827 | -694314.550 | -8293.874 | -148897.377 | -17483.885 |
| -1254784.111 | -1625399.920 | -691901.261 | -20617.918 | -152142.921 | -20028.135 |
| -2374431.435 | -2460875.773 | -1259778.261 | 14674.007 | -227400.109 | -5403.652 |
| -15.516 | -19.449 | -7.108 | -0.008 | 11.261 | -0.006 |
| -2455387.851 | -2489666.340 | -1311484.545 | -62757.913 | -170367.533 | 13391.604 |
| 50.403 | 4.465 | 4.465 | 0.000 | 0.000 | 0.000 |
| 4.465 | 50.403 | 4.465 | 0.000 | 0.000 | 0.000 |
| 4.465 | 4.465 | 50.403 | -0.000 | 0.000 | 0.000 |
| 0.000 | -0.000 | -0.000 | 4.220 | -0.000 | -0.000 |
| 0.000 | 0.000 | -0.000 | 0.000 | 4.220 | 0.000 |
| 0.000 | -0.000 | -0.000 | 0.000 | -0.000 | 4.220 |
| 50.403 | 4.465 | 4.465 | -0.000 | 0.000 | -0.000 |
| 4.465 | 50.403 | 4.465 | -0.000 | -0.000 | -0.000 |
| 4.465 | 4.465 | 50.403 | -0.000 | 0.000 | -0.000 |
| -0.000 | 0.000 | 0.000 | 4.220 | 0.000 | -0.000 |
| -0.000 | -0.000 | 0.000 | -0.000 | 4.220 | -0.000 |
| -0.000 | -0.000 | 0.000 | -0.000 | 0.000 | 4.220 |
| 50.403 | 4.465 | 4.465 | -0.000 | 0.000 | 0.000 |
| 4.465 | 50.403 | 4.465 | 0.000 | 0.000 | 0.000 |
| 4.465 | 4.465 | 50.403 | 0.000 | -0.000 | 0.000 |
| 0.000 | 0.000 | -0.000 | -1.725 | 0.000 | 0.000 |
| 0.000 | 0.000 | -0.000 | -0.000 | -1.725 | 0.000 |
| 0.000 | -0.000 | 0.000 | -0.000 | 0.000 | -1.725 |
| 50.403 | 4.465 | 4.465 | -0.000 | -0.000 | -0.000 |
| 4.465 | 50.403 | 4.465 | -0.000 | 0.000 | -0.000 |
| 4.465 | 4.465 | 50.403 | -0.000 | -0.000 | -0.000 |
| -0.000 | -0.000 | 0.000 | -1.725 | -0.000 | -0.000 |
| -0.000 | -0.000 | 0.000 | 0.000 | -1.725 | -0.000 |
| -0.000 | 0.000 | -0.000 | 0.000 | -0.000 | -1.725 |
| 50.404 | 4.465 | 4.465 | -0.000 | 0.000 | 0.000 |
| 4.465 | 50.404 | 4.465 | 0.000 | -0.000 | 0.000 |
| 4.465 | 4.465 | 50.404 | 0.000 | -0.000 | 0.000 |
| 0.000 | -0.000 | 0.000 | -6.449 | -0.000 | 0.000 |
| -0.000 | 0.000 | 0.000 | 0.000 | -6.449 | 0.000 |
| -0.000 | 0.000 | 0.000 | 0.000 | 0.000 | -6.449 |
| 50.403 | 4.464 | 4.464 | 0.000 | -0.000 | -0.000 |
| 4.464 | 50.403 | 4.464 | -0.000 | 0.000 | -0.000 |
| 4.464 | 4.464 | 50.403 | -0.000 | -0.000 | -0.000 |
| -0.000 | 0.000 | -0.000 | -6.449 | -0.000 | -0.000 |
| 0.000 | -0.000 | -0.000 | -0.000 | -6.449 | -0.000 |
| 0.000 | -0.000 | -0.000 | -0.000 | -0.000 | -6.449 |
| 22.224 | 22.533 | 22.533 | 0.000 | 0.000 | -0.000 |
| 22.533 | 22.224 | 22.533 | 0.000 | 0.000 | -0.000 |
| 22.533 | 22.533 | 22.224 | -0.000 | -0.000 | -0.000 |
| 0.000 | 0.000 | -0.000 | 22.427 | 0.000 | 0.000 |
| 0.000 | 0.000 | -0.000 | 0.000 | 22.427 | -0.000 |
| 0.000 | 0.000 | -0.000 | 0.000 | 0.000 | 22.427 |
| 22.224 | 22.533 | 22.533 | -0.000 | -0.000 | 0.000 |
| 22.533 | 22.224 | 22.533 | -0.000 | -0.000 | -0.000 |
| 22.533 | 22.533 | 22.224 | -0.000 | -0.000 | 0.000 |
| -0.000 | -0.000 | 0.000 | 22.427 | -0.000 | -0.000 |
| -0.000 | -0.000 | 0.000 | -0.000 | 22.427 | 0.000 |
| -0.000 | -0.000 | 0.000 | -0.000 | -0.000 | 22.427 |
| 22.224 | 22.533 | 22.533 | 0.000 | 0.000 | 0.000 |
| 22.533 | 22.224 | 22.533 | 0.000 | -0.000 | 0.000 |
| 22.533 | 22.533 | 22.224 | 0.000 | 0.000 | -0.000 |
| 0.000 | 0.000 | 0.000 | 22.427 | -0.000 | 0.000 |
| 0.000 | 0.000 | 0.000 | 0.000 | 22.427 | -0.000 |
| 0.000 | 0.000 | 0.000 | 0.000 | 0.000 | 22.427 |
| 22.224 | 22.533 | 22.533 | -0.000 | 0.000 | 0.000 |
| 22.533 | 22.224 | 22.533 | -0.000 | 0.000 | -0.000 |
| 22.533 | 22.533 | 22.224 | -0.000 | -0.000 | 0.000 |
| -0.000 | -0.000 | -0.000 | 22.427 | -0.000 | 0.000 |
| -0.000 | -0.000 | -0.000 | -0.000 | 22.427 | 0.000 |
| -0.000 | -0.000 | -0.000 | -0.000 | -0.000 | 22.427 |
| 22.224 | 22.533 | 22.533 | 0.000 | -0.000 | -0.000 |
| 22.533 | 22.224 | 22.533 | 0.000 | -0.000 | -0.000 |
| 22.533 | 22.533 | 22.224 | 0.000 | -0.000 | -0.000 |
| 0.000 | 0.000 | 0.000 | 22.427 | -0.000 | -0.000 |
| 0.000 | 0.000 | 0.000 | 0.000 | 22.427 | -0.000 |
| 0.000 | 0.000 | 0.000 | 0.000 | 0.000 | 22.427 |
| 22.224 | 22.533 | 22.533 | -0.000 | 0.000 | -0.000 |
| 22.533 | 22.224 | 22.533 | -0.000 | 0.000 | -0.000 |
| 22.533 | 22.533 | 22.224 | -0.000 | -0.000 | 0.000 |
| -0.000 | -0.000 | -0.000 | 22.427 | 0.000 | 0.000 |
| -0.000 | -0.000 | -0.000 | -0.000 | 22.427 | 0.000 |
| -0.000 | -0.000 | -0.000 | -0.000 | 0.000 | 22.427 |
| 29.489 | 16.792 | 16.792 | -0.000 | 0.000 | 0.000 |
| 16.792 | 29.489 | 16.792 | 0.000 | -0.000 | -0.000 |
| 16.792 | 16.792 | 29.489 | -0.000 | -0.000 | 0.000 |
| -0.000 | 0.000 | 0.000 | 16.792 | 0.000 | 0.000 |
| 0.000 | -0.000 | 0.000 | 0.000 | 16.792 | 0.000 |
| 0.000 | 0.000 | -0.000 | -0.000 | -0.000 | 16.792 |
| 29.489 | 16.792 | 16.792 | 0.000 | 0.000 | -0.000 |
| 16.792 | 29.489 | 16.792 | 0.000 | -0.000 | -0.000 |
| 16.792 | 16.792 | 29.489 | -0.000 | -0.000 | -0.000 |
| 0.000 | -0.000 | -0.000 | 16.792 | -0.000 | -0.000 |
| -0.000 | 0.000 | -0.000 | 0.000 | 16.792 | -0.000 |
| -0.000 | -0.000 | 0.000 | 0.000 | 0.000 | 16.792 |
| 29.489 | 16.792 | 16.792 | -0.000 | 0.000 | 0.000 |
| 16.792 | 29.489 | 16.792 | 0.000 | 0.000 | 0.000 |
| 16.792 | 16.792 | 29.489 | 0.000 | 0.000 | 0.000 |
| -0.000 | 0.000 | 0.000 | 16.792 | -0.000 | 0.000 |
| 0.000 | -0.000 | 0.000 | -0.000 | 16.792 | 0.000 |
| 0.000 | 0.000 | -0.000 | -0.000 | -0.000 | 16.792 |
| 29.489 | 16.792 | 16.792 | 0.000 | 0.000 | -0.000 |
| 16.792 | 29.489 | 16.792 | 0.000 | -0.000 | -0.000 |
| 16.792 | 16.792 | 29.489 | 0.000 | 0.000 | -0.000 |
| 0.000 | -0.000 | -0.000 | 16.792 | 0.000 | -0.000 |
| -0.000 | 0.000 | -0.000 | 0.000 | 16.792 | -0.000 |
| -0.000 | -0.000 | 0.000 | 0.000 | 0.000 | 16.792 |
| 29.489 | 16.792 | 16.792 | -0.000 | -0.000 | 0.000 |
| 16.792 | 29.489 | 16.792 | -0.000 | 0.000 | 0.000 |
| 16.792 | 16.792 | 29.489 | -0.000 | -0.000 | 0.000 |
| -0.000 | 0.000 | 0.000 | 16.792 | 0.000 | 0.000 |
| 0.000 | -0.000 | 0.000 | 0.000 | 16.792 | 0.000 |
| 0.000 | 0.000 | -0.000 | -0.000 | -0.000 | 16.792 |
| 29.489 | 16.792 | 16.792 | 0.000 | 0.000 | 0.000 |
| 16.792 | 29.489 | 16.792 | 0.000 | -0.000 | -0.000 |
| 16.792 | 16.792 | 29.489 | 0.000 | -0.000 | -0.000 |
| 0.000 | -0.000 | -0.000 | 16.792 | -0.000 | -0.000 |
| -0.000 | 0.000 | -0.000 | -0.000 | 16.792 | -0.000 |
| -0.000 | -0.000 | 0.000 | 0.000 | 0.000 | 16.792 |
| 37.360 | 14.730 | 10.198 | -0.000 | -0.000 | -0.000 |
| 14.730 | 37.360 | 10.198 | -0.000 | -0.000 | 0.000 |
| 10.038 | 10.038 | 43.586 | -0.000 | -0.000 | 0.000 |
| -0.000 | -0.000 | 0.000 | 9.863 | -0.000 | 0.000 |
| -0.000 | -0.000 | 0.000 | -0.000 | 9.863 | -0.000 |
| -0.000 | -0.000 | 0.000 | -0.000 | -0.000 | 9.901 |
| 39.914 | 13.305 | 9.928 | -0.000 | 0.000 | -0.000 |
| 13.305 | 39.914 | 9.928 | 0.000 | 0.000 | 0.000 |
| 9.928 | 9.928 | 43.639 | 0.000 | 0.000 | -0.000 |
| 0.000 | 0.000 | -0.000 | 9.863 | 0.000 | 0.000 |
| 0.000 | 0.000 | -0.000 | 0.000 | 9.863 | 0.000 |
| 0.000 | 0.000 | -0.000 | 0.000 | 0.000 | 9.901 |
| 39.914 | 13.305 | 9.928 | -0.000 | -0.000 | 0.000 |
| 14.730 | 37.360 | 10.198 | -0.000 | -0.000 | 0.000 |
| 9.928 | 9.928 | 43.639 | -0.000 | -0.000 | 0.000 |
| 0.000 | -0.000 | 0.000 | 9.928 | -0.000 | -0.000 |
| -0.000 | 0.000 | 0.000 | 0.000 | 9.928 | -0.000 |
| -0.000 | 0.000 | -0.000 | -0.000 | -0.000 | 9.834 |
| 37.360 | 14.730 | 10.198 | 0.000 | 0.000 | 0.000 |
| 14.730 | 37.360 | 10.198 | -0.000 | 0.000 | -0.000 |
| 9.928 | 9.928 | 43.639 | 0.000 | 0.000 | -0.000 |
| -0.000 | 0.000 | -0.000 | 9.928 | 0.000 | -0.000 |
| 0.000 | -0.000 | -0.000 | -0.000 | 9.928 | -0.000 |
| 0.000 | -0.000 | 0.000 | 0.000 | 0.000 | 9.834 |
| 36.197 | 16.563 | 10.038 | -0.000 | -0.000 | -0.000 |
| 14.730 | 37.360 | 10.198 | 0.000 | -0.000 | -0.000 |
| 10.038 | 10.038 | 43.587 | 0.000 | -0.000 | -0.000 |
| 0.000 | -0.000 | 0.000 | 9.863 | 0.000 | -0.000 |
| -0.000 | 0.000 | 0.000 | 0.000 | 9.863 | -0.000 |
| -0.000 | 0.000 | -0.000 | -0.000 | -0.000 | 9.834 |
| 37.360 | 14.730 | 10.198 | 0.000 | 0.000 | 0.000 |
| 14.730 | 37.360 | 10.198 | 0.000 | 0.000 | 0.000 |
| 9.928 | 9.928 | 43.639 | -0.000 | 0.000 | -0.000 |
| -0.000 | 0.000 | -0.000 | 9.863 | 0.000 | -0.000 |
| 0.000 | -0.000 | -0.000 | 0.000 | 9.928 | 0.000 |
| 0.000 | -0.000 | 0.000 | 0.000 | 0.000 | 9.834 |
| 68.761 | 3.977 | 3.977 | -0.000 | -0.000 | 0.000 |
| 3.977 | 68.761 | 3.977 | -0.000 | 0.000 | 0.000 |
| 3.977 | 3.977 | 68.761 | -0.000 | -0.000 | 0.000 |
| 0.000 | 0.000 | -0.000 | 3.976 | -0.000 | 0.000 |
| 0.000 | 0.000 | 0.000 | -0.000 | 3.976 | 0.000 |
| 0.000 | 0.000 | 0.000 | -0.000 | 0.000 | 3.976 |
| 68.761 | 3.977 | 3.977 | 0.000 | -0.000 | -0.000 |
| 3.977 | 68.761 | 3.977 | 0.000 | -0.000 | -0.000 |
| 3.977 | 3.977 | 68.761 | 0.000 | -0.000 | -0.000 |
| -0.000 | -0.000 | 0.000 | 3.976 | 0.000 | -0.000 |
| -0.000 | -0.000 | -0.000 | 0.000 | 3.976 | -0.000 |
| 0.000 | 0.000 | -0.000 | 0.000 | -0.000 | 3.976 |
| 68.761 | 3.977 | 3.977 | -0.000 | 0.000 | 0.000 |
| 3.977 | 68.761 | 3.977 | -0.000 | 0.000 | 0.000 |
| 3.977 | 3.977 | 68.761 | -0.000 | -0.000 | 0.000 |
| 0.000 | 0.000 | -0.000 | 3.976 | 0.000 | 0.000 |
| 0.000 | 0.000 | -0.000 | -0.000 | 3.976 | 0.000 |
| 0.000 | -0.000 | 0.000 | -0.000 | 0.000 | 3.976 |
| 68.761 | 3.977 | 3.977 | 0.000 | -0.000 | -0.000 |
| 3.977 | 68.761 | 3.977 | 0.000 | -0.000 | -0.000 |
| 3.977 | 3.977 | 68.761 | 0.000 | 0.000 | -0.000 |
| -0.000 | -0.000 | 0.000 | 3.976 | -0.000 | -0.000 |
| -0.000 | -0.000 | 0.000 | 0.000 | 3.976 | -0.000 |
| -0.000 | 0.000 | -0.000 | 0.000 | -0.000 | 3.976 |
| 68.761 | 3.978 | 3.978 | -0.000 | 0.000 | 0.000 |
| 3.978 | 68.761 | 3.978 | -0.000 | 0.000 | 0.000 |
| 3.978 | 3.978 | 68.761 | -0.000 | -0.000 | 0.000 |
| 0.000 | 0.000 | -0.000 | 3.976 | 0.000 | 0.000 |
| 0.000 | 0.000 | -0.000 | -0.000 | 3.976 | 0.000 |
| 0.000 | -0.000 | 0.000 | -0.000 | -0.000 | 3.976 |
| 68.760 | 3.977 | 3.977 | -0.000 | -0.000 | -0.000 |
| 3.977 | 68.760 | 3.977 | 0.000 | 0.000 | -0.000 |
| 3.977 | 3.977 | 68.760 | 0.000 | -0.000 | -0.000 |
| -0.000 | -0.000 | 0.000 | 3.976 | -0.000 | -0.000 |
| -0.000 | -0.000 | 0.000 | 0.000 | 3.976 | -0.000 |
| -0.000 | 0.000 | -0.000 | 0.000 | 0.000 | 3.976 |
| 28.188 | 28.831 | 28.831 | 0.000 | 0.000 | -0.000 |
| 28.831 | 28.188 | 28.831 | -0.000 | 0.000 | -0.000 |
| 28.831 | 28.831 | 28.188 | -0.000 | 0.000 | -0.000 |
| -0.000 | -0.000 | 0.000 | 19.362 | 0.000 | -0.000 |
| -0.000 | -0.000 | 0.000 | -0.000 | 19.362 | -0.000 |
| -0.000 | -0.000 | 0.000 | -0.000 | 0.000 | 19.362 |
| 28.188 | 28.831 | 28.831 | -0.000 | -0.000 | 0.000 |
| 28.831 | 28.188 | 28.831 | 0.000 | -0.000 | 0.000 |
| 28.831 | 28.831 | 28.188 | 0.000 | -0.000 | 0.000 |
| 0.000 | 0.000 | -0.000 | 19.362 | -0.000 | 0.000 |
| 0.000 | 0.000 | -0.000 | 0.000 | 19.362 | 0.000 |
| 0.000 | 0.000 | -0.000 | 0.000 | -0.000 | 19.362 |
| 28.188 | 28.831 | 28.831 | 0.000 | 0.000 | -0.000 |
| 28.831 | 28.188 | 28.831 | 0.000 | 0.000 | -0.000 |
| 28.831 | 28.831 | 28.188 | -0.000 | 0.000 | -0.000 |
| 0.000 | -0.000 | 0.000 | 19.362 | 0.000 | -0.000 |
| -0.000 | 0.000 | 0.000 | -0.000 | 19.362 | -0.000 |
| -0.000 | 0.000 | 0.000 | -0.000 | 0.000 | 19.362 |
| 28.188 | 28.831 | 28.831 | -0.000 | -0.000 | 0.000 |
| 28.831 | 28.188 | 28.831 | 0.000 | -0.000 | 0.000 |
| 28.831 | 28.831 | 28.188 | 0.000 | 0.000 | 0.000 |
| -0.000 | 0.000 | -0.000 | 19.362 | -0.000 | 0.000 |
| 0.000 | -0.000 | -0.000 | 0.000 | 19.362 | 0.000 |
| 0.000 | -0.000 | -0.000 | 0.000 | -0.000 | 19.362 |
| 28.188 | 28.831 | 28.831 | -0.000 | 0.000 | -0.000 |
| 28.831 | 28.188 | 28.831 | 0.000 | 0.000 | -0.000 |
| 28.831 | 28.831 | 28.188 | -0.000 | 0.000 | -0.000 |
| 0.000 | -0.000 | 0.000 | 19.362 | 0.000 | -0.000 |
| -0.000 | 0.000 | 0.000 | -0.000 | 19.362 | -0.000 |
| -0.000 | 0.000 | 0.000 | -0.000 | 0.000 | 19.362 |
| 28.188 | 28.831 | 28.831 | 0.000 | -0.000 | 0.000 |
| 28.831 | 28.188 | 28.831 | 0.000 | -0.000 | 0.000 |
| 28.831 | 28.831 | 28.188 | 0.000 | -0.000 | 0.000 |
| -0.000 | 0.000 | -0.000 | 19.362 | -0.000 | 0.000 |
| 0.000 | -0.000 | -0.000 | 0.000 | 19.362 | 0.000 |
| 0.000 | -0.000 | -0.000 | 0.000 | -0.000 | 19.362 |
| 37.381 | 20.879 | 20.879 | 0.000 | -0.000 | 0.000 |
| 20.879 | 37.381 | 20.879 | 0.000 | 0.000 | 0.000 |
| 20.879 | 20.879 | 37.381 | -0.000 | -0.000 | 0.000 |
| 0.000 | 0.000 | 0.000 | 20.879 | -0.000 | 0.000 |
| 0.000 | -0.000 | 0.000 | -0.000 | 20.879 | -0.000 |
| 0.000 | 0.000 | -0.000 | -0.000 | -0.000 | 20.879 |
| 37.381 | 20.879 | 20.879 | 0.000 | -0.000 | -0.000 |
| 20.879 | 37.381 | 20.879 | -0.000 | 0.000 | 0.000 |
| 20.879 | 20.879 | 37.381 | 0.000 | 0.000 | -0.000 |
| -0.000 | 0.000 | -0.000 | 20.879 | 0.000 | -0.000 |
| -0.000 | 0.000 | -0.000 | 0.000 | 20.879 | -0.000 |
| -0.000 | -0.000 | 0.000 | 0.000 | 0.000 | 20.879 |
| 37.381 | 20.879 | 20.879 | -0.000 | 0.000 | -0.000 |
| 20.879 | 37.381 | 20.879 | 0.000 | -0.000 | 0.000 |
| 20.879 | 20.879 | 37.381 | 0.000 | -0.000 | 0.000 |
| -0.000 | 0.000 | 0.000 | 20.879 | 0.000 | -0.000 |
| 0.000 | -0.000 | 0.000 | 0.000 | 20.879 | 0.000 |
| 0.000 | 0.000 | -0.000 | -0.000 | 0.000 | 20.879 |
| 37.381 | 20.879 | 20.879 | -0.000 | -0.000 | -0.000 |
| 20.879 | 37.381 | 20.879 | -0.000 | 0.000 | 0.000 |
| 20.879 | 20.879 | 37.381 | 0.000 | 0.000 | -0.000 |
| 0.000 | -0.000 | -0.000 | 20.879 | 0.000 | -0.000 |
| -0.000 | 0.000 | -0.000 | 0.000 | 20.879 | 0.000 |
| -0.000 | -0.000 | 0.000 | -0.000 | 0.000 | 20.879 |
| 37.381 | 20.879 | 20.879 | -0.000 | -0.000 | 0.000 |
| 20.879 | 37.381 | 20.879 | 0.000 | -0.000 | -0.000 |
| 20.879 | 20.879 | 37.381 | -0.000 | -0.000 | 0.000 |
| -0.000 | 0.000 | 0.000 | 20.879 | -0.000 | -0.000 |
| 0.000 | -0.000 | 0.000 | -0.000 | 20.879 | 0.000 |
| 0.000 | 0.000 | -0.000 | 0.000 | 0.000 | 20.879 |
| 37.381 | 20.879 | 20.879 | 0.000 | -0.000 | -0.000 |
| 20.879 | 37.381 | 20.879 | -0.000 | 0.000 | -0.000 |
| 20.879 | 20.879 | 37.381 | 0.000 | 0.000 | -0.000 |
| 0.000 | -0.000 | -0.000 | 20.879 | 0.000 | 0.000 |
| -0.000 | 0.000 | -0.000 | 0.000 | 20.879 | -0.000 |
| -0.000 | -0.000 | 0.000 | 0.000 | 0.000 | 20.879 |
| 61.030 | 3.983 | 3.983 | 0.000 | 0.000 | 0.000 |
| 3.983 | 61.030 | 3.983 | 0.000 | -0.000 | 0.000 |
| 3.983 | 3.983 | 61.030 | 0.000 | 0.000 | 0.000 |
| -0.000 | 0.000 | -0.000 | 3.956 | 0.000 | 0.000 |
| 0.000 | -0.000 | 0.000 | 0.000 | 3.956 | 0.000 |
| 0.000 | -0.000 | -0.000 | -0.000 | 0.000 | 3.956 |
| 61.030 | 3.983 | 3.983 | -0.000 | -0.000 | -0.000 |
| 3.983 | 61.030 | 3.983 | -0.000 | -0.000 | -0.000 |
| 3.983 | 3.983 | 61.030 | -0.000 | 0.000 | -0.000 |
| 0.000 | -0.000 | -0.000 | 3.956 | 0.000 | -0.000 |
| -0.000 | 0.000 | -0.000 | 0.000 | 3.956 | -0.000 |
| -0.000 | 0.000 | 0.000 | -0.000 | -0.000 | 3.956 |
| 61.030 | 3.983 | 3.983 | 0.000 | 0.000 | 0.000 |
| 3.983 | 61.030 | 3.983 | 0.000 | 0.000 | 0.000 |
| 3.983 | 3.983 | 61.030 | 0.000 | 0.000 | 0.000 |
| 0.000 | 0.000 | -0.000 | -4.479 | 0.000 | 0.000 |
| 0.000 | 0.000 | -0.000 | 0.000 | 0.729 | 0.000 |
| 0.000 | -0.000 | 0.000 | 0.000 | 0.000 | -4.479 |
| 61.030 | 3.983 | 3.983 | -0.000 | -0.000 | -0.000 |
| 3.983 | 61.030 | 3.983 | -0.000 | -0.000 | -0.000 |
| 3.983 | 3.983 | 61.030 | -0.000 | -0.000 | -0.000 |
| -0.000 | -0.000 | 0.000 | -4.481 | -0.000 | -0.000 |
| -0.000 | -0.000 | 0.000 | -0.000 | -4.479 | -0.000 |
| -0.000 | 0.000 | -0.000 | -0.000 | -0.000 | 0.729 |
| 61.030 | 3.983 | 3.983 | 0.000 | 0.000 | 0.000 |
| 3.983 | 61.030 | 3.983 | 0.000 | 0.000 | 0.000 |
| 3.983 | 3.983 | 61.030 | 0.000 | 0.000 | 0.000 |
| 0.000 | 0.000 | 0.000 | -4.495 | 0.000 | 0.000 |
| 0.000 | 0.000 | 0.000 | 0.000 | -4.495 | 0.000 |
| 0.000 | 0.000 | 0.000 | 0.000 | 0.000 | -4.495 |
| 61.029 | 3.983 | 3.983 | 0.000 | 0.000 | -0.000 |
| 3.983 | 61.029 | 3.983 | -0.000 | -0.000 | -0.000 |
| 3.983 | 3.983 | 61.029 | -0.000 | -0.000 | -0.000 |
| -0.000 | -0.000 | -0.000 | -4.495 | -0.000 | -0.000 |
| -0.000 | -0.000 | -0.000 | -0.000 | -4.495 | -0.000 |
| -0.000 | -0.000 | -0.000 | -0.000 | -0.000 | -4.495 |
| 26.170 | 25.979 | 25.979 | -0.000 | 0.000 | -0.000 |
| 25.979 | 26.170 | 25.979 | -0.000 | 0.000 | 0.000 |
| 25.979 | 25.979 | 26.170 | -0.000 | 0.000 | -0.000 |
| 0.000 | 0.000 | -0.000 | 21.804 | 0.000 | -0.000 |
| 0.000 | 0.000 | 0.000 | 0.000 | 21.804 | -0.000 |
| 0.000 | 0.000 | 0.000 | 0.000 | 0.000 | 21.804 |
| 26.170 | 25.979 | 25.979 | 0.000 | -0.000 | 0.000 |
| 25.979 | 26.170 | 25.979 | 0.000 | -0.000 | 0.000 |
| 25.979 | 25.979 | 26.170 | -0.000 | -0.000 | 0.000 |
| -0.000 | -0.000 | -0.000 | 21.804 | -0.000 | -0.000 |
| -0.000 | -0.000 | -0.000 | 0.000 | 21.804 | 0.000 |
| -0.000 | -0.000 | -0.000 | -0.000 | -0.000 | 21.804 |
| 26.170 | 25.979 | 25.979 | -0.000 | 0.000 | -0.000 |
| 25.979 | 26.170 | 25.979 | -0.000 | 0.000 | -0.000 |
| 25.979 | 25.979 | 26.170 | 0.000 | 0.000 | 0.000 |
| 0.000 | 0.000 | 0.000 | 21.804 | 0.000 | -0.000 |
| 0.000 | 0.000 | 0.000 | 0.000 | 21.804 | -0.000 |
| 0.000 | 0.000 | 0.000 | 0.000 | 0.000 | 21.804 |
| 26.170 | 25.979 | 25.979 | 0.000 | -0.000 | -0.000 |
| 25.979 | 26.170 | 25.979 | 0.000 | -0.000 | 0.000 |
| 25.979 | 25.979 | 26.170 | 0.000 | -0.000 | 0.000 |
| -0.000 | -0.000 | -0.000 | 21.804 | -0.000 | -0.000 |
| -0.000 | -0.000 | -0.000 | 0.000 | 21.804 | 0.000 |
| -0.000 | -0.000 | -0.000 | 0.000 | -0.000 | 21.804 |
| 26.170 | 25.979 | 25.979 | -0.000 | 0.000 | 0.000 |
| 25.979 | 26.170 | 25.979 | -0.000 | 0.000 | 0.000 |
| 25.979 | 25.979 | 26.170 | -0.000 | 0.000 | 0.000 |
| 0.000 | 0.000 | 0.000 | 21.804 | 0.000 | 0.000 |
| 0.000 | 0.000 | 0.000 | 0.000 | 21.804 | -0.000 |
| 0.000 | 0.000 | 0.000 | 0.000 | 0.000 | 21.804 |
| 26.170 | 25.979 | 25.979 | 0.000 | -0.000 | 0.000 |
| 25.979 | 26.170 | 25.979 | 0.000 | -0.000 | 0.000 |
| 25.979 | 25.979 | 26.170 | -0.000 | -0.000 | 0.000 |
| -0.000 | -0.000 | -0.000 | 21.804 | 0.000 | -0.000 |
| -0.000 | -0.000 | -0.000 | -0.000 | 21.804 | -0.000 |
| -0.000 | -0.000 | -0.000 | -0.000 | -0.000 | 21.804 |
| 33.397 | 18.652 | 18.652 | -0.000 | 0.000 | -0.000 |
| 18.652 | 33.397 | 18.652 | -0.000 | -0.000 | -0.000 |
| 18.652 | 18.652 | 33.397 | 0.000 | 0.000 | -0.000 |
| 0.000 | 0.000 | 0.000 | 18.652 | 0.000 | 0.000 |
| 0.000 | 0.000 | 0.000 | 0.000 | 18.652 | -0.000 |
| 0.000 | 0.000 | 0.000 | 0.000 | -0.000 | 18.652 |
| 33.397 | 18.652 | 18.652 | -0.000 | 0.000 | 0.000 |
| 18.652 | 33.397 | 18.652 | -0.000 | -0.000 | -0.000 |
| 18.652 | 18.652 | 33.397 | -0.000 | -0.000 | 0.000 |
| -0.000 | -0.000 | -0.000 | 18.652 | -0.000 | 0.000 |
| -0.000 | -0.000 | -0.000 | -0.000 | 18.652 | 0.000 |
| -0.000 | -0.000 | -0.000 | 0.000 | 0.000 | 18.652 |
| 33.397 | 18.652 | 18.652 | 0.000 | 0.000 | -0.000 |
| 18.652 | 33.397 | 18.652 | 0.000 | 0.000 | 0.000 |
| 18.652 | 18.652 | 33.397 | -0.000 | -0.000 | -0.000 |
| -0.000 | 0.000 | 0.000 | 18.652 | -0.000 | 0.000 |
| 0.000 | -0.000 | 0.000 | -0.000 | 18.652 | -0.000 |
| 0.000 | 0.000 | -0.000 | 0.000 | -0.000 | 18.652 |
| 33.397 | 18.652 | 18.652 | 0.000 | -0.000 | -0.000 |
| 18.652 | 33.397 | 18.652 | -0.000 | 0.000 | -0.000 |
| 18.652 | 18.652 | 33.397 | 0.000 | 0.000 | -0.000 |
| 0.000 | -0.000 | -0.000 | 18.652 | -0.000 | -0.000 |
| -0.000 | 0.000 | -0.000 | -0.000 | 18.652 | 0.000 |
| -0.000 | -0.000 | 0.000 | 0.000 | 0.000 | 18.652 |
| 33.397 | 18.652 | 18.652 | -0.000 | -0.000 | -0.000 |
| 18.652 | 33.397 | 18.652 | -0.000 | -0.000 | 0.000 |
| 18.652 | 18.652 | 33.397 | 0.000 | -0.000 | 0.000 |
| -0.000 | 0.000 | 0.000 | 18.652 | -0.000 | 0.000 |
| 0.000 | -0.000 | 0.000 | -0.000 | 18.652 | 0.000 |
| 0.000 | 0.000 | -0.000 | 0.000 | -0.000 | 18.652 |
| 33.397 | 18.652 | 18.652 | 0.000 | 0.000 | 0.000 |
| 18.652 | 33.397 | 18.652 | -0.000 | 0.000 | 0.000 |
| 18.652 | 18.652 | 33.397 | -0.000 | -0.000 | -0.000 |
| 0.000 | -0.000 | -0.000 | 18.652 | 0.000 | 0.000 |
| -0.000 | 0.000 | -0.000 | -0.000 | 18.652 | -0.000 |
| -0.000 | -0.000 | 0.000 | 0.000 | 0.000 | 18.652 |
| 41.936 | 4.376 | 4.376 | -0.000 | -0.000 | -0.000 |
| 4.376 | 41.936 | 4.376 | -0.000 | -0.000 | -0.000 |
| 4.376 | 4.376 | 41.936 | -0.000 | -0.000 | -0.000 |
| 0.000 | -0.000 | 0.000 | 3.824 | -0.000 | -0.000 |
| 0.000 | -0.000 | 0.000 | -0.000 | 3.824 | -0.000 |
| -0.000 | -0.000 | 0.000 | -0.000 | -0.000 | 3.824 |
| 41.936 | 4.376 | 4.376 | 0.000 | 0.000 | 0.000 |
| 4.376 | 41.936 | 4.376 | 0.000 | 0.000 | 0.000 |
| 4.376 | 4.376 | 41.936 | 0.000 | 0.000 | 0.000 |
| -0.000 | 0.000 | -0.000 | 3.824 | 0.000 | 0.000 |
| 0.000 | 0.000 | -0.000 | 0.000 | 3.824 | 0.000 |
| 0.000 | 0.000 | -0.000 | 0.000 | 0.000 | 3.824 |
| 41.936 | 4.376 | 4.376 | -0.000 | -0.000 | -0.000 |
| 4.376 | 41.936 | 4.376 | -0.000 | -0.000 | -0.000 |
| 4.376 | 4.376 | 41.936 | -0.000 | -0.000 | -0.000 |
| 0.000 | 0.000 | 0.000 | -10.117 | -0.000 | -0.000 |
| 0.000 | 0.000 | -0.000 | -0.000 | -10.117 | -0.000 |
| 0.000 | 0.000 | 0.000 | -0.000 | -0.000 | -10.117 |
| 41.936 | 4.376 | 4.376 | 0.000 | 0.000 | 0.000 |
| 4.376 | 41.936 | 4.376 | 0.000 | 0.000 | 0.000 |
| 4.376 | 4.376 | 41.936 | 0.000 | 0.000 | 0.000 |
| -0.000 | -0.000 | -0.000 | -10.117 | 0.000 | 0.000 |
| -0.000 | -0.000 | 0.000 | 0.000 | -10.117 | 0.000 |
| -0.000 | 0.000 | -0.000 | 0.000 | 0.000 | -10.117 |
| 41.936 | 4.376 | 4.376 | -0.000 | -0.000 | -0.000 |
| 4.376 | 41.936 | 4.376 | -0.000 | -0.000 | -0.000 |
| 4.376 | 4.376 | 41.936 | -0.000 | -0.000 | -0.000 |
| 0.000 | -0.000 | 0.000 | -11.889 | -0.000 | -0.000 |
| -0.000 | 0.000 | 0.000 | -0.000 | -11.889 | -0.000 |
| -0.000 | 0.000 | 0.000 | -0.000 | -0.000 | -11.889 |
| 41.936 | 4.376 | 4.376 | 0.000 | 0.000 | 0.000 |
| 4.376 | 41.936 | 4.376 | 0.000 | 0.000 | 0.000 |
| 4.376 | 4.376 | 41.936 | 0.000 | 0.000 | 0.000 |
| -0.000 | 0.000 | -0.000 | -11.889 | 0.000 | 0.000 |
| 0.000 | -0.000 | -0.000 | 0.000 | -11.889 | 0.000 |
| 0.000 | -0.000 | -0.000 | 0.000 | 0.000 | -11.889 |
| 18.510 | 19.887 | 19.887 | 0.000 | 0.000 | 0.000 |
| 19.887 | 18.510 | 19.887 | 0.000 | 0.000 | 0.000 |
| 19.887 | 19.887 | 18.510 | 0.000 | 0.000 | 0.000 |
| 0.000 | 0.000 | -0.000 | 17.002 | 0.000 | 0.000 |
| 0.000 | 0.000 | -0.000 | 0.000 | 17.002 | 0.000 |
| 0.000 | 0.000 | -0.000 | 0.000 | 0.000 | 17.002 |
| 18.510 | 19.887 | 19.887 | -0.000 | -0.000 | -0.000 |
| 19.887 | 18.510 | 19.887 | -0.000 | -0.000 | -0.000 |
| 19.887 | 19.887 | 18.510 | -0.000 | 0.000 | -0.000 |
| -0.000 | -0.000 | 0.000 | 17.002 | -0.000 | -0.000 |
| -0.000 | -0.000 | 0.000 | -0.000 | 17.002 | -0.000 |
| -0.000 | -0.000 | 0.000 | -0.000 | -0.000 | 17.002 |
| 18.510 | 19.887 | 19.887 | 0.000 | 0.000 | 0.000 |
| 19.887 | 18.510 | 19.887 | 0.000 | -0.000 | 0.000 |
| 19.887 | 19.887 | 18.510 | -0.000 | -0.000 | 0.000 |
| 0.000 | 0.000 | 0.000 | 17.002 | 0.000 | 0.000 |
| 0.000 | 0.000 | 0.000 | 0.000 | 17.002 | 0.000 |
| 0.000 | 0.000 | 0.000 | 0.000 | 0.000 | 17.002 |
| 18.510 | 19.887 | 19.887 | -0.000 | -0.000 | -0.000 |
| 19.887 | 18.510 | 19.887 | -0.000 | -0.000 | -0.000 |
| 19.887 | 19.887 | 18.510 | -0.000 | -0.000 | -0.000 |
| -0.000 | -0.000 | -0.000 | 17.002 | -0.000 | -0.000 |
| -0.000 | -0.000 | -0.000 | -0.000 | 17.002 | -0.000 |
| -0.000 | -0.000 | -0.000 | -0.000 | -0.000 | 17.002 |
| 18.510 | 19.887 | 19.887 | 0.000 | 0.000 | 0.000 |
| 19.887 | 18.510 | 19.887 | 0.000 | 0.000 | 0.000 |
| 19.887 | 19.887 | 18.510 | 0.000 | 0.000 | 0.000 |
| 0.000 | 0.000 | 0.000 | 17.002 | 0.000 | 0.000 |
| 0.000 | 0.000 | 0.000 | 0.000 | 17.002 | 0.000 |
| 0.000 | 0.000 | 0.000 | 0.000 | 0.000 | 17.002 |
| 18.510 | 19.887 | 19.887 | -0.000 | -0.000 | -0.000 |
| 19.887 | 18.510 | 19.887 | -0.000 | 0.000 | -0.000 |
| 19.887 | 19.887 | 18.510 | -0.000 | -0.000 | -0.000 |
| -0.000 | -0.000 | -0.000 | 17.002 | -0.000 | -0.000 |
| -0.000 | -0.000 | -0.000 | -0.000 | 17.002 | -0.000 |
| -0.000 | -0.000 | -0.000 | -0.000 | -0.000 | 17.002 |
| 27.413 | 15.446 | 15.446 | -0.000 | 0.000 | 0.000 |
| 15.446 | 27.413 | 15.446 | 0.000 | -0.000 | -0.000 |
| 15.446 | 15.446 | 27.413 | -0.000 | -0.000 | -0.000 |
| 0.000 | 0.000 | 0.000 | 15.446 | -0.000 | -0.000 |
| 0.000 | -0.000 | 0.000 | -0.000 | 15.446 | -0.000 |
| 0.000 | 0.000 | -0.000 | 0.000 | -0.000 | 15.446 |
| 27.413 | 15.446 | 15.446 | 0.000 | -0.000 | 0.000 |
| 15.446 | 27.413 | 15.446 | 0.000 | 0.000 | -0.000 |
| 15.446 | 15.446 | 27.413 | 0.000 | 0.000 | 0.000 |
| -0.000 | -0.000 | -0.000 | 15.446 | 0.000 | 0.000 |
| -0.000 | -0.000 | -0.000 | 0.000 | 15.446 | 0.000 |
| -0.000 | -0.000 | 0.000 | -0.000 | 0.000 | 15.446 |
| 27.413 | 15.446 | 15.446 | -0.000 | 0.000 | 0.000 |
| 15.446 | 27.413 | 15.446 | -0.000 | -0.000 | 0.000 |
| 15.446 | 15.446 | 27.413 | -0.000 | -0.000 | -0.000 |
| -0.000 | 0.000 | 0.000 | 15.446 | 0.000 | -0.000 |
| 0.000 | -0.000 | 0.000 | -0.000 | 15.446 | -0.000 |
| 0.000 | 0.000 | -0.000 | -0.000 | 0.000 | 15.446 |
| 27.413 | 15.446 | 15.446 | 0.000 | 0.000 | -0.000 |
| 15.446 | 27.413 | 15.446 | 0.000 | 0.000 | -0.000 |
| 15.446 | 15.446 | 27.413 | 0.000 | 0.000 | 0.000 |
| 0.000 | -0.000 | -0.000 | 15.446 | -0.000 | 0.000 |
| -0.000 | 0.000 | -0.000 | 0.000 | 15.446 | 0.000 |
| -0.000 | -0.000 | 0.000 | 0.000 | -0.000 | 15.446 |
| 27.413 | 15.446 | 15.446 | -0.000 | 0.000 | -0.000 |
| 15.446 | 27.413 | 15.446 | 0.000 | -0.000 | 0.000 |
| 15.446 | 15.446 | 27.413 | -0.000 | 0.000 | -0.000 |
| -0.000 | 0.000 | 0.000 | 15.446 | 0.000 | -0.000 |
| 0.000 | -0.000 | 0.000 | 0.000 | 15.446 | -0.000 |
| 0.000 | 0.000 | -0.000 | -0.000 | -0.000 | 15.446 |
| 27.413 | 15.446 | 15.446 | 0.000 | -0.000 | -0.000 |
| 15.446 | 27.413 | 15.446 | -0.000 | -0.000 | -0.000 |
| 15.446 | 15.446 | 27.413 | 0.000 | 0.000 | 0.000 |
| 0.000 | -0.000 | -0.000 | 15.446 | 0.000 | -0.000 |
| -0.000 | 0.000 | -0.000 | 0.000 | 15.446 | -0.000 |
| -0.000 | -0.000 | 0.000 | 0.000 | 0.000 | 15.446 |
| 691.981 | -24.257 | -24.257 | -0.000 | -0.000 | 0.000 |
| -24.257 | 691.981 | -24.257 | -0.000 | -0.000 | 0.000 |
| -24.257 | -24.257 | 691.981 | -0.000 | -0.000 | 0.000 |
| -0.001 | -0.001 | -0.001 | -31.066 | -0.000 | -0.000 |
| -0.001 | -0.001 | -0.001 | -0.000 | -31.066 | 0.000 |
| -0.001 | -0.001 | -0.001 | -0.000 | -0.000 | -31.066 |
| 692.000 | -24.256 | -24.256 | 0.000 | 0.000 | -0.000 |
| -24.256 | 692.000 | -24.256 | 0.000 | 0.000 | 0.000 |
| -24.256 | -24.256 | 692.000 | 0.000 | 0.000 | -0.000 |
| 0.001 | 0.001 | 0.001 | -31.066 | 0.000 | -0.000 |
| 0.001 | 0.001 | 0.001 | 0.000 | -31.066 | -0.000 |
| 0.001 | 0.001 | 0.001 | 0.000 | 0.000 | -31.066 |
| 691.899 | -24.262 | -24.262 | -0.000 | -0.000 | 0.000 |
| -24.262 | 691.899 | -24.262 | -0.000 | -0.000 | -0.000 |
| -24.262 | -24.262 | 691.899 | -0.000 | -0.000 | 0.000 |
| -0.006 | -0.006 | -0.006 | -31.066 | -0.000 | 0.000 |
| -0.006 | -0.006 | -0.006 | -0.000 | -31.066 | 0.000 |
| -0.006 | -0.006 | -0.006 | -0.000 | -0.000 | -31.066 |
| 692.082 | -24.250 | -24.250 | 0.000 | 0.000 | -0.000 |
| -24.250 | 692.082 | -24.250 | 0.000 | 0.000 | -0.000 |
| -24.250 | -24.250 | 692.082 | 0.000 | 0.000 | -0.000 |
| 0.006 | 0.006 | 0.006 | -31.066 | 0.000 | -0.000 |
| 0.006 | 0.006 | 0.006 | 0.000 | -31.066 | -0.000 |
| 0.006 | 0.006 | 0.006 | 0.000 | 0.000 | -31.066 |
| 691.076 | -24.312 | -24.312 | -0.000 | -0.000 | 0.000 |
| -24.312 | 691.076 | -24.312 | -0.000 | -0.000 | -0.000 |
| -24.312 | -24.312 | 691.076 | -0.000 | -0.000 | 0.000 |
| -0.056 | -0.056 | -0.057 | -31.066 | -0.000 | 0.000 |
| -0.056 | -0.056 | -0.057 | -0.000 | -31.066 | 0.000 |
| -0.056 | -0.057 | -0.056 | -0.000 | -0.000 | -31.066 |
| 692.905 | -24.200 | -24.200 | 0.000 | 0.000 | -0.000 |
| -24.200 | 692.905 | -24.200 | 0.000 | 0.000 | -0.000 |
| -24.200 | -24.200 | 692.905 | 0.000 | 0.000 | -0.000 |
| 0.056 | 0.056 | 0.057 | -31.066 | 0.000 | -0.000 |
| 0.056 | 0.056 | 0.057 | 0.000 | -31.066 | -0.000 |
| 0.056 | 0.057 | 0.056 | 0.000 | 0.000 | -31.066 |
| 550.107 | 105.879 | 105.879 | -0.000 | -0.000 | 0.000 |
| 105.879 | 550.107 | 105.878 | -0.000 | -0.000 | 0.000 |
| 105.879 | 105.879 | 550.107 | -0.000 | 0.000 | 0.000 |
| 0.000 | 0.000 | 0.000 | 93.280 | -0.000 | 0.000 |
| -0.000 | 0.000 | 0.000 | 0.000 | 93.280 | 0.000 |
| 0.000 | 0.000 | 0.000 | 0.000 | -0.000 | 93.280 |
| 550.107 | 105.878 | 105.878 | -0.000 | 0.000 | -0.000 |
| 105.878 | 550.107 | 105.878 | -0.000 | 0.000 | -0.000 |
| 105.878 | 105.878 | 550.107 | 0.000 | 0.000 | -0.000 |
| -0.000 | -0.000 | -0.000 | 93.280 | 0.000 | -0.000 |
| 0.000 | -0.000 | -0.000 | -0.000 | 93.280 | -0.000 |
| 0.000 | -0.000 | -0.000 | -0.000 | 0.000 | 93.280 |
| 550.108 | 105.879 | 105.879 | -0.000 | 0.000 | 0.000 |
| 105.879 | 550.108 | 105.879 | 0.000 | -0.000 | 0.000 |
| 105.879 | 105.879 | 550.108 | 0.000 | -0.000 | 0.000 |
| 0.000 | 0.000 | 0.000 | 93.280 | -0.000 | 0.000 |
| 0.000 | 0.000 | 0.000 | 0.000 | 93.280 | 0.000 |
| 0.000 | 0.000 | 0.000 | 0.000 | -0.000 | 93.280 |
| 550.107 | 105.878 | 105.878 | 0.000 | 0.000 | -0.000 |
| 105.878 | 550.107 | 105.878 | 0.000 | 0.000 | -0.000 |
| 105.878 | 105.878 | 550.107 | -0.000 | 0.000 | -0.000 |
| -0.000 | -0.000 | -0.000 | 93.280 | 0.000 | 0.000 |
| -0.000 | -0.000 | -0.000 | -0.000 | 93.280 | -0.000 |
| -0.000 | -0.000 | -0.000 | 0.000 | 0.000 | 93.280 |
| 550.110 | 105.879 | 105.879 | -0.000 | -0.000 | 0.000 |
| 105.879 | 550.110 | 105.879 | -0.000 | -0.000 | 0.000 |
| 105.879 | 105.879 | 550.110 | 0.000 | -0.000 | 0.000 |
| 0.001 | 0.000 | 0.000 | 93.280 | -0.000 | 0.000 |
| 0.000 | 0.001 | 0.000 | 0.000 | 93.280 | 0.000 |
| 0.000 | 0.000 | 0.001 | 0.000 | -0.000 | 93.280 |
| 550.104 | 105.878 | 105.878 | 0.000 | -0.000 | -0.000 |
| 105.878 | 550.104 | 105.878 | -0.000 | 0.000 | -0.000 |
| 105.878 | 105.878 | 550.104 | -0.000 | 0.000 | -0.000 |
| -0.001 | -0.000 | -0.000 | 93.280 | 0.000 | -0.000 |
| -0.000 | -0.001 | -0.000 | -0.000 | 93.280 | -0.000 |
| -0.000 | -0.000 | -0.001 | 0.000 | 0.000 | 93.280 |
| 135.523 | 136.570 | 136.570 | -0.000 | -0.000 | -0.000 |
| 136.570 | 135.523 | 136.570 | -0.000 | -0.000 | -0.000 |
| 136.570 | 136.570 | 135.523 | -0.000 | -0.000 | -0.000 |
| 0.000 | 0.000 | 0.000 | -6.081 | -0.000 | -0.000 |
| 0.000 | 0.000 | 0.000 | -0.000 | -6.081 | -0.000 |
| 0.000 | 0.000 | -0.000 | -0.000 | -0.000 | -6.081 |
| 135.523 | 136.570 | 136.570 | 0.000 | 0.000 | 0.000 |
| 136.570 | 135.523 | 136.570 | 0.000 | 0.000 | 0.000 |
| 136.570 | 136.570 | 135.523 | 0.000 | 0.000 | 0.000 |
| -0.000 | -0.000 | -0.000 | -6.080 | 0.000 | 0.000 |
| -0.000 | -0.000 | -0.000 | 0.000 | -6.080 | 0.000 |
| -0.000 | -0.000 | -0.000 | 0.000 | 0.000 | -6.080 |
| 135.523 | 136.570 | 136.570 | -0.000 | -0.000 | -0.000 |
| 136.570 | 135.523 | 136.570 | -0.000 | -0.000 | -0.000 |
| 136.570 | 136.570 | 135.523 | -0.000 | -0.000 | -0.000 |
| -0.000 | -0.000 | -0.000 | -6.081 | -0.000 | -0.000 |
| -0.000 | -0.000 | -0.000 | -0.000 | -6.081 | -0.000 |
| -0.000 | -0.000 | -0.000 | -0.000 | -0.000 | -6.081 |
| 135.523 | 136.570 | 136.570 | 0.000 | 0.000 | 0.000 |
| 136.570 | 135.523 | 136.570 | 0.000 | 0.000 | 0.000 |
| 136.570 | 136.570 | 135.523 | 0.000 | 0.000 | 0.000 |
| 0.000 | 0.000 | 0.000 | -6.081 | 0.000 | 0.000 |
| 0.000 | 0.000 | 0.000 | 0.000 | -6.081 | 0.000 |
| 0.000 | 0.000 | 0.000 | 0.000 | 0.000 | -6.081 |
| 135.524 | 136.570 | 136.570 | -0.000 | -0.000 | -0.000 |
| 136.570 | 135.524 | 136.570 | -0.000 | -0.000 | -0.000 |
| 136.570 | 136.570 | 135.524 | -0.000 | -0.000 | -0.000 |
| -0.000 | -0.000 | -0.000 | -6.081 | -0.000 | -0.000 |
| -0.000 | -0.000 | -0.000 | -0.000 | -6.081 | -0.000 |
| -0.000 | -0.000 | -0.000 | -0.000 | -0.000 | -6.081 |
| 135.523 | 136.569 | 136.569 | 0.000 | 0.000 | 0.000 |
| 136.569 | 135.523 | 136.569 | 0.000 | 0.000 | 0.000 |
| 136.569 | 136.569 | 135.523 | 0.000 | 0.000 | 0.000 |
| 0.000 | 0.000 | 0.000 | -6.081 | 0.000 | 0.000 |
| 0.000 | 0.000 | 0.000 | 0.000 | -6.081 | 0.000 |
| 0.000 | 0.000 | 0.000 | 0.000 | 0.000 | -6.081 |
| 1.677 | 1.519 | 1.519 | -0.000 | 0.000 | -0.000 |
| 1.519 | 1.677 | 1.519 | -0.000 | 0.000 | 0.000 |
| 1.519 | 1.519 | 1.677 | -0.000 | 0.000 | -0.000 |
| 2.388 | 2.388 | 2.388 | 0.290 | 0.000 | 0.000 |
| 2.388 | 2.388 | 2.388 | -0.000 | 0.290 | 0.000 |
| 2.388 | 2.388 | 2.388 | -0.000 | 0.000 | 0.290 |
| -1.302 | -1.984 | -1.984 | 0.000 | -0.000 | 0.000 |
| -1.984 | -1.302 | -1.984 | 0.000 | -0.000 | -0.000 |
| -0.373 | -0.373 | -0.111 | 0.000 | -0.000 | 0.000 |
| -2.388 | -2.388 | -2.388 | 0.290 | -0.000 | 0.000 |
| -2.388 | -2.388 | -2.388 | 0.000 | 0.290 | -0.000 |
| -2.388 | -2.388 | -2.388 | 0.000 | -0.000 | 0.290 |
| 1.718 | 0.567 | 0.567 | -0.000 | 0.000 | 0.000 |
| 0.567 | 1.718 | 0.567 | -0.000 | 0.000 | 0.000 |
| 0.567 | 0.567 | 1.718 | -0.000 | 0.000 | 0.000 |
| 0.092 | 0.092 | 0.092 | 0.214 | 0.000 | -0.000 |
| 0.092 | 0.092 | 0.092 | -0.000 | 0.214 | 0.000 |
| 0.092 | 0.092 | 0.092 | -0.000 | 0.000 | 0.214 |
| -0.025 | -0.712 | -0.712 | 0.000 | -0.000 | -0.000 |
| -0.712 | -0.025 | -0.712 | 0.000 | -0.000 | 0.000 |
| -0.712 | -0.712 | -0.025 | 0.000 | -0.000 | -0.000 |
| -0.092 | -0.092 | -0.092 | 0.214 | -0.000 | 0.000 |
| -0.092 | -0.092 | -0.092 | 0.000 | 0.214 | -0.000 |
| -0.092 | -0.092 | -0.092 | 0.000 | -0.000 | 0.214 |
| 0.320 | -0.034 | -0.034 | -0.000 | 0.000 | -0.000 |
| -0.034 | 0.320 | -0.034 | -0.000 | 0.000 | -0.000 |
| -0.034 | -0.034 | 0.320 | -0.000 | 0.000 | -0.000 |
| -0.001 | -0.001 | -0.001 | 0.136 | 0.000 | 0.000 |
| -0.001 | -0.001 | -0.001 | -0.000 | 0.136 | -0.000 |
| -0.001 | -0.001 | -0.001 | -0.000 | 0.000 | 0.136 |
| 0.115 | 0.006 | 0.006 | 0.000 | -0.000 | 0.000 |
| -0.023 | 0.138 | -0.023 | 0.000 | -0.000 | 0.000 |
| -0.023 | -0.023 | 0.138 | 0.000 | -0.000 | 0.000 |
| 0.001 | 0.001 | 0.001 | 0.136 | -0.000 | 0.000 |
| 0.001 | 0.001 | 0.001 | 0.000 | 0.136 | 0.000 |
| 0.001 | 0.001 | 0.001 | 0.000 | -0.000 | 0.136 |
| 255.599 | 219.120 | 219.120 | -0.000 | 0.000 | 0.000 |
| 219.120 | 255.599 | 219.120 | 0.000 | -0.000 | 0.000 |
| 219.120 | 219.120 | 255.599 | 0.000 | 0.000 | 0.000 |
| 0.000 | 0.000 | 0.000 | 214.619 | 0.000 | 0.000 |
| 0.000 | 0.000 | 0.000 | 0.000 | 214.619 | 0.000 |
| 0.000 | 0.000 | 0.000 | 0.000 | 0.000 | 214.619 |
| 255.599 | 219.120 | 219.120 | -0.000 | -0.000 | -0.000 |
| 219.120 | 255.599 | 219.120 | -0.000 | -0.000 | -0.000 |
| 219.120 | 219.120 | 255.599 | -0.000 | -0.000 | -0.000 |
| -0.000 | -0.000 | -0.000 | 214.619 | -0.000 | -0.000 |
| -0.000 | -0.000 | -0.000 | -0.000 | 214.619 | -0.000 |
| -0.000 | -0.000 | -0.000 | -0.000 | -0.000 | 214.619 |
| 255.599 | 219.120 | 219.120 | -0.000 | 0.000 | 0.000 |
| 219.120 | 255.599 | 219.120 | 0.000 | -0.000 | 0.000 |
| 219.120 | 219.120 | 255.599 | 0.000 | 0.000 | 0.000 |
| -0.000 | -0.000 | -0.000 | 17.994 | -0.000 | 0.000 |
| -0.000 | -0.000 | -0.000 | -0.000 | 17.994 | 0.000 |
| -0.000 | -0.000 | -0.000 | 0.000 | 0.000 | 17.994 |
| 255.599 | 219.120 | 219.120 | 0.000 | -0.000 | -0.000 |
| 219.120 | 255.599 | 219.120 | -0.000 | 0.000 | -0.000 |
| 219.120 | 219.120 | 255.599 | -0.000 | -0.000 | -0.000 |
| 0.000 | 0.000 | 0.000 | 17.994 | 0.000 | -0.000 |
| 0.000 | 0.000 | 0.000 | -0.000 | 17.994 | -0.000 |
| 0.000 | 0.000 | 0.000 | -0.000 | -0.000 | 17.994 |
| 255.600 | 219.121 | 219.121 | -0.000 | -0.000 | 0.000 |
| 219.121 | 255.600 | 219.121 | 0.000 | -0.000 | 0.000 |
| 219.121 | 219.121 | 255.600 | 0.000 | 0.000 | 0.000 |
| -0.000 | -0.000 | -0.000 | 17.994 | 0.000 | 0.000 |
| -0.000 | -0.000 | -0.000 | 0.000 | 17.994 | 0.000 |
| -0.000 | -0.000 | -0.000 | 0.000 | 0.000 | 17.994 |
| 255.598 | 219.119 | 219.119 | 0.000 | -0.000 | -0.000 |
| 219.119 | 255.598 | 219.119 | -0.000 | 0.000 | -0.000 |
| 219.119 | 219.119 | 255.598 | -0.000 | 0.000 | -0.000 |
| 0.000 | 0.000 | 0.000 | 17.994 | -0.000 | -0.000 |
| 0.000 | 0.000 | 0.000 | -0.000 | 17.994 | -0.000 |
| 0.000 | 0.000 | 0.000 | -0.000 | -0.000 | 17.994 |
| 129.497 | 35.036 | 35.036 | -0.000 | -0.000 | 0.000 |
| 35.036 | 129.497 | 35.036 | -0.000 | 0.000 | 0.000 |
| 35.036 | 35.036 | 129.497 | -0.000 | 0.000 | 0.000 |
| 0.000 | 0.000 | -0.000 | -97.139 | -0.000 | 0.000 |
| 0.000 | -0.000 | 0.000 | -0.000 | -97.139 | 0.000 |
| 0.000 | -0.000 | 0.000 | -0.000 | -0.000 | -97.139 |
| 129.497 | 35.036 | 35.036 | 0.000 | 0.000 | -0.000 |
| 35.036 | 129.497 | 35.036 | 0.000 | 0.000 | -0.000 |
| 35.036 | 35.036 | 129.497 | 0.000 | 0.000 | -0.000 |
| -0.000 | -0.000 | -0.000 | -97.139 | 0.000 | -0.000 |
| -0.000 | 0.000 | -0.000 | 0.000 | -97.139 | -0.000 |
| -0.000 | 0.000 | -0.000 | 0.000 | -0.000 | -97.139 |
| 129.497 | 35.036 | 35.036 | -0.000 | -0.000 | 0.000 |
| 35.036 | 129.497 | 35.036 | -0.000 | -0.000 | 0.000 |
| 35.036 | 35.036 | 129.497 | -0.000 | -0.000 | 0.000 |
| 0.000 | 0.000 | 0.000 | -97.139 | -0.000 | 0.000 |
| 0.000 | 0.000 | 0.000 | -0.000 | -97.139 | 0.000 |
| 0.000 | 0.000 | 0.000 | -0.000 | -0.000 | -97.139 |
| 129.497 | 35.036 | 35.036 | 0.000 | 0.000 | -0.000 |
| 35.036 | 129.497 | 35.036 | 0.000 | 0.000 | -0.000 |
| 35.036 | 35.036 | 129.497 | 0.000 | 0.000 | -0.000 |
| -0.000 | -0.000 | -0.000 | -97.139 | 0.000 | -0.000 |
| -0.000 | -0.000 | -0.000 | 0.000 | -97.139 | -0.000 |
| -0.000 | -0.000 | -0.000 | 0.000 | 0.000 | -97.139 |
| 129.498 | 35.036 | 35.036 | -0.000 | -0.000 | 0.000 |
| 35.036 | 129.498 | 35.036 | -0.000 | 0.000 | 0.000 |
| 35.036 | 35.036 | 129.498 | -0.000 | -0.000 | 0.000 |
| 0.000 | 0.000 | 0.000 | -97.139 | -0.000 | 0.000 |
| 0.000 | 0.000 | 0.000 | -0.000 | -97.139 | 0.000 |
| 0.000 | 0.000 | 0.000 | -0.000 | -0.000 | -97.139 |
| 129.496 | 35.036 | 35.036 | 0.000 | -0.000 | -0.000 |
| 35.036 | 129.496 | 35.036 | -0.000 | 0.000 | -0.000 |
| 35.036 | 35.036 | 129.496 | 0.000 | 0.000 | -0.000 |
| -0.000 | -0.000 | -0.000 | -97.139 | 0.000 | -0.000 |
| -0.000 | -0.000 | -0.000 | 0.000 | -97.139 | -0.000 |
| -0.000 | -0.000 | -0.000 | 0.000 | 0.000 | -97.139 |
| 501.932 | 79.100 | 79.100 | 0.000 | -0.000 | 0.000 |
| 79.100 | 501.932 | 79.100 | -0.000 | 0.000 | 0.000 |
| 79.100 | 79.100 | 501.932 | 0.000 | 0.000 | 0.000 |
| 0.000 | 0.000 | -0.000 | -23.129 | -0.000 | 0.000 |
| 0.000 | 0.000 | 0.000 | 0.000 | -23.129 | 0.000 |
| 0.000 | 0.000 | 0.000 | 0.000 | 0.000 | -23.129 |
| 501.932 | 79.100 | 79.100 | -0.000 | 0.000 | -0.000 |
| 79.100 | 501.932 | 79.100 | -0.000 | -0.000 | -0.000 |
| 79.100 | 79.100 | 501.932 | -0.000 | -0.000 | -0.000 |
| -0.000 | -0.000 | 0.000 | -23.130 | 0.000 | -0.000 |
| -0.000 | -0.000 | 0.000 | -0.000 | -23.130 | -0.000 |
| -0.000 | -0.000 | -0.000 | -0.000 | -0.000 | -23.130 |
| 501.932 | 79.100 | 79.100 | 0.000 | 0.000 | 0.000 |
| 79.100 | 501.932 | 79.100 | -0.000 | 0.000 | 0.000 |
| 79.100 | 79.100 | 501.932 | 0.000 | 0.000 | 0.000 |
| 0.000 | 0.000 | 0.000 | 83.134 | 0.000 | 0.000 |
| 0.000 | 0.000 | 0.000 | -0.000 | 83.134 | 0.000 |
| 0.000 | 0.000 | 0.000 | -0.000 | 0.000 | 83.134 |
| 501.932 | 79.100 | 79.100 | -0.000 | -0.000 | -0.000 |
| 79.100 | 501.932 | 79.100 | -0.000 | -0.000 | -0.000 |
| 79.100 | 79.100 | 501.932 | -0.000 | -0.000 | -0.000 |
| -0.000 | -0.000 | -0.000 | 83.134 | -0.000 | -0.000 |
| -0.000 | -0.000 | -0.000 | 0.000 | 83.134 | -0.000 |
| -0.000 | -0.000 | -0.000 | 0.000 | 0.000 | 83.134 |
| 501.935 | 79.101 | 79.101 | -0.000 | -0.000 | 0.000 |
| 79.101 | 501.935 | 79.101 | 0.000 | 0.000 | 0.000 |
| 79.101 | 79.101 | 501.935 | 0.000 | 0.000 | 0.000 |
| 0.000 | 0.000 | -0.000 | -23.129 | 0.000 | 0.000 |
| 0.000 | 0.000 | -0.000 | 0.000 | -23.129 | 0.000 |
| 0.000 | -0.000 | 0.000 | 0.000 | 0.000 | -23.129 |
| 501.930 | 79.099 | 79.099 | -0.000 | -0.000 | -0.000 |
| 79.099 | 501.930 | 79.099 | 0.000 | -0.000 | -0.000 |
| 79.099 | 79.099 | 501.930 | -0.000 | -0.000 | -0.000 |
| -0.000 | -0.000 | 0.000 | -23.129 | -0.000 | -0.000 |
| -0.000 | -0.000 | 0.000 | -0.000 | -23.129 | -0.000 |
| -0.000 | 0.000 | -0.000 | -0.000 | -0.000 | -23.129 |
| 380.504 | 175.295 | 175.295 | 0.000 | 0.000 | -0.000 |
| 175.295 | 380.504 | 175.295 | 0.000 | 0.000 | -0.000 |
| 175.295 | 175.295 | 380.504 | 0.000 | 0.000 | -0.000 |
| 0.000 | -0.000 | 0.000 | 171.368 | 0.000 | 0.000 |
| 0.000 | -0.000 | 0.000 | 0.000 | 171.368 | -0.000 |
| 0.000 | -0.000 | 0.000 | 0.000 | 0.000 | 171.368 |
| 380.504 | 175.295 | 175.295 | -0.000 | -0.000 | 0.000 |
| 175.295 | 380.504 | 175.295 | -0.000 | -0.000 | 0.000 |
| 175.295 | 175.295 | 380.504 | -0.000 | -0.000 | 0.000 |
| -0.000 | 0.000 | -0.000 | 171.368 | -0.000 | 0.000 |
| -0.000 | 0.000 | -0.000 | -0.000 | 171.368 | 0.000 |
| -0.000 | 0.000 | -0.000 | -0.000 | -0.000 | 171.368 |
| 380.504 | 175.295 | 175.295 | 0.000 | 0.000 | -0.000 |
| 175.295 | 380.504 | 175.295 | 0.000 | 0.000 | -0.000 |
| 175.295 | 175.295 | 380.504 | 0.000 | 0.000 | -0.000 |
| 0.000 | 0.000 | 0.000 | 171.368 | 0.000 | -0.000 |
| 0.000 | 0.000 | 0.000 | 0.000 | 171.368 | -0.000 |
| 0.000 | 0.000 | 0.000 | 0.000 | 0.000 | 171.368 |
| 380.504 | 175.295 | 175.295 | -0.000 | -0.000 | 0.000 |
| 175.295 | 380.504 | 175.295 | -0.000 | -0.000 | 0.000 |
| 175.295 | 175.295 | 380.504 | -0.000 | -0.000 | 0.000 |
| -0.000 | -0.000 | -0.000 | 171.368 | -0.000 | -0.000 |
| -0.000 | -0.000 | -0.000 | -0.000 | 171.368 | 0.000 |
| -0.000 | -0.000 | -0.000 | -0.000 | -0.000 | 171.368 |
| 380.506 | 175.296 | 175.296 | 0.000 | 0.000 | -0.000 |
| 175.296 | 380.506 | 175.296 | 0.000 | 0.000 | -0.000 |
| 175.296 | 175.296 | 380.506 | 0.000 | 0.000 | -0.000 |
| -0.000 | -0.000 | -0.000 | -44.322 | 0.000 | -0.000 |
| -0.000 | -0.000 | -0.000 | 0.000 | -44.322 | -0.000 |
| -0.000 | -0.000 | -0.000 | 0.000 | 0.000 | -44.322 |
| 380.502 | 175.294 | 175.294 | -0.000 | -0.000 | 0.000 |
| 175.294 | 380.502 | 175.294 | -0.000 | -0.000 | 0.000 |
| 175.294 | 175.294 | 380.502 | -0.000 | -0.000 | 0.000 |
| 0.000 | 0.000 | 0.000 | -44.322 | -0.000 | 0.000 |
| 0.000 | 0.000 | 0.000 | -0.000 | -44.322 | 0.000 |
| 0.000 | 0.000 | 0.000 | -0.000 | -0.000 | -44.322 |
| 241.926 | 120.709 | 194.731 | -1.032 | 37.388 | -1.023 |
| -239.427 | 513.058 | 296.037 | -0.706 | 199.716 | -0.700 |
| -16.526 | 167.854 | 516.907 | -0.991 | 30.390 | -0.982 |
| -0.000 | -0.000 | -0.000 | 140.745 | -0.000 | 40.032 |
| -350.278 | 175.750 | 131.407 | -0.708 | 260.811 | -0.701 |
| 0.000 | 0.000 | -0.000 | 35.337 | -0.000 | 80.397 |
| 508.269 | 50.677 | 38.454 | 0.972 | -95.689 | 0.964 |
| 209.927 | 365.144 | 49.120 | 1.025 | -43.573 | 1.016 |
| 345.631 | -183.846 | 340.249 | 0.734 | -264.231 | 0.728 |
| 0.000 | 0.000 | 0.000 | 140.745 | 0.000 | 40.032 |
| -45.321 | 35.376 | -32.243 | 0.000 | 123.065 | 0.000 |
| -0.000 | -0.000 | 0.000 | 35.337 | 0.000 | 80.397 |
| 309.887 | 115.293 | 117.776 | -0.074 | -0.912 | -0.074 |
| 67.047 | 426.127 | 125.554 | -0.000 | 30.680 | 0.000 |
| 90.804 | 154.613 | 397.733 | -0.068 | -22.892 | -0.067 |
| -0.000 | -0.001 | -0.004 | 140.745 | -0.001 | 40.032 |
| -39.216 | 45.651 | -37.314 | -0.075 | 91.243 | -0.074 |
| -31.144 | 14.038 | 15.800 | 29.955 | 17.757 | 54.620 |
| 414.464 | 77.581 | 105.027 | 0.000 | -44.898 | 0.000 |
| 97.587 | 321.999 | 136.869 | 0.078 | -6.985 | 0.077 |
| 134.180 | 129.910 | 420.643 | 0.130 | -44.417 | 0.129 |
| 0.000 | 0.001 | 0.004 | 140.745 | 0.001 | 40.032 |
| -7.031 | 22.112 | -46.284 | 0.134 | 84.957 | 0.132 |
| 31.143 | -14.042 | -15.798 | 30.090 | -17.758 | 54.754 |
| 320.136 | 90.739 | 111.007 | -0.009 | -16.047 | -0.009 |
| 75.211 | 357.186 | 137.188 | -0.005 | 16.590 | -0.005 |
| 112.413 | 138.321 | 397.850 | -0.012 | -41.987 | -0.012 |
| -2.015 | 4.110 | 1.509 | 95.920 | 2.717 | 26.311 |
| -16.843 | 22.280 | -39.487 | -0.008 | 76.915 | -0.008 |
| -1.657 | 3.385 | 0.631 | 25.617 | 2.094 | 53.067 |
| 334.320 | 87.721 | 115.897 | -0.024 | -18.830 | -0.023 |
| 82.880 | 351.408 | 139.563 | 0.007 | 10.614 | 0.007 |
| 112.913 | 138.230 | 395.705 | 0.008 | -42.002 | 0.008 |
| 2.016 | -4.111 | -1.510 | 95.935 | -2.717 | 26.325 |
| -14.007 | 17.092 | -41.140 | 0.007 | 73.109 | 0.007 |
| 1.657 | -3.385 | -0.631 | 25.632 | -2.094 | 53.082 |
| 432.579 | 161.043 | 161.043 | -0.000 | 0.000 | 0.000 |
| 161.043 | 432.579 | 161.043 | -0.000 | 0.000 | 0.000 |
| 161.043 | 161.043 | 432.579 | 0.000 | 0.000 | 0.000 |
| 0.000 | 0.000 | 0.000 | 155.763 | 0.000 | 0.000 |
| 0.000 | 0.000 | 0.000 | -0.000 | 155.763 | 0.000 |
| 0.000 | 0.000 | 0.000 | 0.000 | 0.000 | 155.763 |
| 432.579 | 161.043 | 161.043 | 0.000 | -0.000 | -0.000 |
| 161.043 | 432.579 | 161.043 | 0.000 | 0.000 | -0.000 |
| 161.043 | 161.043 | 432.579 | 0.000 | -0.000 | -0.000 |
| -0.000 | -0.000 | -0.000 | 155.763 | -0.000 | -0.000 |
| -0.000 | -0.000 | -0.000 | 0.000 | 155.763 | -0.000 |
| -0.000 | -0.000 | -0.000 | 0.000 | -0.000 | 155.763 |
| 432.579 | 161.043 | 161.043 | -0.000 | 0.000 | 0.000 |
| 161.043 | 432.579 | 161.043 | 0.000 | 0.000 | 0.000 |
| 161.043 | 161.043 | 432.579 | -0.000 | 0.000 | 0.000 |
| 0.000 | 0.000 | 0.000 | 155.763 | 0.000 | 0.000 |
| 0.000 | 0.000 | 0.000 | -0.000 | 155.763 | 0.000 |
| 0.000 | 0.000 | 0.000 | -0.000 | 0.000 | 155.763 |
| 432.578 | 161.043 | 161.043 | 0.000 | -0.000 | -0.000 |
| 161.043 | 432.578 | 161.043 | 0.000 | 0.000 | -0.000 |
| 161.043 | 161.043 | 432.578 | 0.000 | -0.000 | -0.000 |
| -0.000 | -0.000 | -0.000 | 155.763 | -0.000 | -0.000 |
| -0.000 | -0.000 | -0.000 | 0.000 | 155.763 | -0.000 |
| -0.000 | -0.000 | -0.000 | 0.000 | -0.000 | 155.763 |
| 432.581 | 161.044 | 161.044 | -0.000 | 0.000 | 0.000 |
| 161.044 | 432.581 | 161.044 | 0.000 | 0.000 | 0.000 |
| 161.044 | 161.044 | 432.581 | -0.000 | 0.000 | 0.000 |
| -0.000 | -0.000 | -0.000 | -49.372 | 0.000 | 0.000 |
| -0.000 | -0.000 | -0.000 | 0.000 | -49.372 | 0.000 |
| -0.000 | -0.000 | -0.000 | 0.000 | 0.000 | -49.372 |
| 432.577 | 161.042 | 161.042 | 0.000 | -0.000 | -0.000 |
| 161.042 | 432.577 | 161.042 | 0.000 | -0.000 | -0.000 |
| 161.042 | 161.042 | 432.577 | 0.000 | 0.000 | -0.000 |
| 0.000 | 0.000 | 0.000 | -49.372 | -0.000 | -0.000 |
| 0.000 | 0.000 | 0.000 | 0.000 | -49.372 | -0.000 |
| 0.000 | 0.000 | 0.000 | -0.000 | -0.000 | -49.372 |
| 523.353 | 17.521 | 17.521 | -0.000 | 0.000 | -0.000 |
| 17.521 | 523.353 | 17.521 | -0.000 | -0.000 | -0.000 |
| 17.521 | 17.521 | 523.353 | -0.000 | -0.000 | -0.000 |
| -0.000 | -0.000 | -0.000 | -56.401 | -0.000 | -0.000 |
| -0.000 | -0.000 | -0.000 | -0.000 | -56.401 | -0.000 |
| -0.000 | -0.000 | -0.000 | -0.000 | -0.000 | -56.401 |
| 523.353 | 17.521 | 17.521 | 0.000 | 0.000 | 0.000 |
| 17.521 | 523.353 | 17.521 | 0.000 | 0.000 | 0.000 |
| 17.521 | 17.521 | 523.353 | -0.000 | -0.000 | 0.000 |
| 0.000 | 0.000 | 0.000 | -56.400 | 0.000 | 0.000 |
| 0.000 | 0.000 | 0.000 | 0.000 | -56.400 | 0.000 |
| 0.000 | 0.000 | 0.000 | 0.000 | 0.000 | -56.400 |
| 523.353 | 17.521 | 17.521 | -0.000 | 0.000 | -0.000 |
| 17.521 | 523.353 | 17.521 | -0.000 | -0.000 | -0.000 |
| 17.521 | 17.521 | 523.353 | -0.000 | 0.000 | -0.000 |
| 0.000 | 0.000 | -0.000 | -56.400 | -0.000 | -0.000 |
| 0.000 | 0.000 | -0.000 | -0.000 | -56.400 | -0.000 |
| 0.000 | -0.000 | 0.000 | -0.000 | -0.000 | -56.400 |
| 523.352 | 17.521 | 17.521 | 0.000 | 0.000 | 0.000 |
| 17.521 | 523.352 | 17.521 | 0.000 | 0.000 | 0.000 |
| 17.521 | 17.521 | 523.352 | -0.000 | 0.000 | 0.000 |
| -0.000 | -0.000 | 0.000 | -56.400 | 0.000 | 0.000 |
| -0.000 | -0.000 | 0.000 | 0.000 | -56.400 | 0.000 |
| -0.000 | 0.000 | -0.000 | 0.000 | 0.000 | -56.400 |
| 523.355 | 17.521 | 17.521 | -0.000 | -0.000 | -0.000 |
| 17.521 | 523.355 | 17.521 | -0.000 | -0.000 | -0.000 |
| 17.521 | 17.521 | 523.355 | -0.000 | -0.000 | -0.000 |
| 0.000 | 0.000 | -0.000 | -56.400 | -0.000 | -0.000 |
| 0.000 | 0.000 | -0.000 | -0.000 | -56.400 | -0.000 |
| 0.000 | -0.000 | 0.000 | -0.000 | -0.000 | -56.400 |
| 523.350 | 17.520 | 17.520 | 0.000 | 0.000 | 0.000 |
| 17.520 | 523.350 | 17.520 | 0.000 | 0.000 | 0.000 |
| 17.520 | 17.520 | 523.350 | 0.000 | -0.000 | 0.000 |
| -0.000 | -0.000 | 0.000 | -56.400 | 0.000 | 0.000 |
| -0.000 | -0.000 | 0.000 | 0.000 | -56.400 | 0.000 |
| -0.000 | 0.000 | -0.000 | 0.000 | -0.000 | -56.400 |
| 491.213 | 162.603 | 162.603 | 0.000 | 0.000 | 0.000 |
| 162.603 | 491.213 | 162.603 | -0.000 | -0.000 | -0.000 |
| 162.603 | 162.603 | 491.213 | 0.000 | 0.000 | 0.000 |
| -0.000 | -0.000 | -0.000 | 54.169 | -0.000 | 0.000 |
| -0.000 | -0.000 | -0.000 | -0.000 | 54.169 | -0.000 |
| -0.000 | -0.000 | -0.000 | 0.000 | 0.000 | 54.169 |
| 543.387 | 136.516 | 136.516 | 0.000 | -0.000 | 0.000 |
| 136.516 | 543.387 | 136.516 | -0.000 | -0.000 | -0.000 |
| 136.516 | 136.516 | 543.387 | 0.000 | 0.000 | 0.000 |
| 0.000 | 0.000 | 0.000 | 54.169 | 0.000 | -0.000 |
| 0.000 | 0.000 | 0.000 | 0.000 | 54.169 | -0.000 |
| 0.000 | 0.000 | 0.000 | -0.000 | -0.000 | 54.169 |
| 491.213 | 162.604 | 162.604 | 0.000 | 0.000 | 0.000 |
| 162.604 | 491.213 | 162.604 | -0.000 | 0.000 | 0.000 |
| 162.604 | 162.604 | 491.213 | -0.000 | -0.000 | 0.000 |
| 0.000 | -0.000 | -0.000 | 54.169 | -0.000 | 0.000 |
| -0.000 | 0.000 | -0.000 | -0.000 | 54.169 | -0.000 |
| -0.000 | -0.000 | 0.000 | -0.000 | 0.000 | 54.169 |
| 491.213 | 162.603 | 162.603 | 0.000 | 0.000 | -0.000 |
| 162.603 | 491.213 | 162.603 | 0.000 | -0.000 | -0.000 |
| 162.603 | 162.603 | 491.213 | -0.000 | -0.000 | -0.000 |
| -0.000 | 0.000 | 0.000 | 54.169 | -0.000 | 0.000 |
| 0.000 | -0.000 | 0.000 | -0.000 | 54.169 | 0.000 |
| 0.000 | 0.000 | -0.000 | -0.000 | -0.000 | 54.169 |
| 491.216 | 162.605 | 162.605 | -0.000 | -0.000 | 0.000 |
| 162.605 | 491.216 | 162.605 | -0.000 | -0.000 | 0.000 |
| 162.605 | 162.605 | 491.216 | -0.000 | -0.000 | 0.000 |
| 0.000 | -0.000 | -0.000 | 54.169 | 0.000 | 0.000 |
| -0.000 | 0.000 | -0.000 | -0.000 | 54.169 | -0.000 |
| -0.000 | -0.000 | 0.000 | -0.000 | -0.000 | 54.169 |
| 491.210 | 162.602 | 162.602 | 0.000 | -0.000 | 0.000 |
| 162.602 | 491.210 | 162.602 | -0.000 | -0.000 | 0.000 |
| 162.602 | 162.602 | 491.210 | 0.000 | 0.000 | -0.000 |
| -0.000 | 0.000 | 0.000 | 54.169 | -0.000 | 0.000 |
| 0.000 | -0.000 | 0.000 | 0.000 | 54.169 | 0.000 |
| 0.000 | 0.000 | -0.000 | 0.000 | 0.000 | 54.169 |
| 240.072 | 289.641 | 289.641 | -0.000 | 0.000 | 0.000 |
| 289.641 | 240.072 | 289.641 | 0.000 | 0.000 | 0.000 |
| 289.641 | 289.641 | 240.073 | 0.000 | 0.000 | 0.000 |
| 0.000 | 0.000 | 0.000 | 279.641 | 0.000 | 0.000 |
| 0.000 | 0.000 | 0.000 | 0.000 | 279.641 | 0.000 |
| 0.000 | 0.000 | 0.000 | 0.000 | 0.000 | 279.641 |
| 240.072 | 289.641 | 289.641 | 0.000 | -0.000 | -0.000 |
| 289.641 | 240.072 | 289.641 | -0.000 | -0.000 | -0.000 |
| 289.641 | 289.641 | 240.072 | -0.000 | -0.000 | -0.000 |
| -0.000 | -0.000 | -0.000 | 279.641 | -0.000 | -0.000 |
| -0.000 | -0.000 | -0.000 | -0.000 | 279.641 | 0.000 |
| -0.000 | -0.000 | -0.000 | -0.000 | -0.000 | 279.641 |
| 240.073 | 289.641 | 289.641 | 0.000 | 0.000 | -0.000 |
| 289.641 | 240.073 | 289.641 | 0.000 | 0.000 | 0.000 |
| 289.641 | 289.641 | 240.073 | 0.000 | 0.000 | 0.000 |
| 0.000 | 0.000 | 0.000 | 279.641 | 0.000 | 0.000 |
| 0.000 | 0.000 | 0.000 | 0.000 | 279.641 | 0.000 |
| 0.000 | 0.000 | 0.000 | 0.000 | 0.000 | 279.641 |
| 240.072 | 289.641 | 289.641 | -0.000 | -0.000 | 0.000 |
| 289.641 | 240.072 | 289.641 | 0.000 | -0.000 | 0.000 |
| 289.641 | 289.641 | 240.072 | -0.000 | -0.000 | -0.000 |
| -0.000 | -0.000 | -0.000 | 279.641 | -0.000 | -0.000 |
| -0.000 | -0.000 | -0.000 | -0.000 | 279.641 | -0.000 |
| -0.000 | -0.000 | -0.000 | -0.000 | -0.000 | 279.641 |
| 240.074 | 289.642 | 289.642 | 0.000 | 0.000 | 0.000 |
| 289.642 | 240.074 | 289.642 | -0.000 | 0.000 | 0.000 |
| 289.642 | 289.642 | 240.074 | 0.000 | 0.000 | 0.000 |
| 0.000 | -0.000 | 0.000 | 129.074 | 0.000 | 0.000 |
| -0.000 | 0.000 | 0.000 | 0.000 | 129.074 | 0.000 |
| -0.000 | 0.000 | 0.000 | 0.000 | 0.000 | 129.074 |
| 240.071 | 289.640 | 289.640 | 0.000 | -0.000 | -0.000 |
| 289.640 | 240.071 | 289.640 | 0.000 | -0.000 | -0.000 |
| 289.640 | 289.640 | 240.071 | -0.000 | -0.000 | 0.000 |
| -0.000 | 0.000 | -0.000 | 129.074 | -0.000 | 0.000 |
| 0.000 | -0.000 | -0.000 | -0.000 | 129.074 | -0.000 |
| 0.000 | -0.000 | -0.000 | -0.000 | -0.000 | 129.074 |
| 402.681 | 177.804 | 177.804 | -0.000 | -0.000 | -0.000 |
| 177.804 | 402.681 | 177.804 | -0.000 | -0.000 | -0.000 |
| 177.804 | 177.804 | 402.681 | -0.000 | 0.000 | -0.000 |
| -0.000 | 0.000 | 0.000 | 169.129 | 0.000 | -0.000 |
| 0.000 | -0.000 | 0.000 | -0.000 | 169.129 | -0.000 |
| 0.000 | 0.000 | 0.000 | -0.000 | -0.000 | 169.129 |
| 402.681 | 177.804 | 177.804 | 0.000 | -0.000 | 0.000 |
| 177.804 | 402.681 | 177.804 | 0.000 | 0.000 | 0.000 |
| 177.804 | 177.804 | 402.681 | -0.000 | -0.000 | 0.000 |
| 0.000 | -0.000 | -0.000 | 169.129 | -0.000 | 0.000 |
| -0.000 | -0.000 | -0.000 | -0.000 | 169.129 | 0.000 |
| -0.000 | -0.000 | -0.000 | 0.000 | -0.000 | 169.129 |
| 402.681 | 177.804 | 177.804 | -0.000 | 0.000 | -0.000 |
| 177.804 | 402.681 | 177.804 | -0.000 | -0.000 | -0.000 |
| 177.804 | 177.804 | 402.681 | 0.000 | 0.000 | -0.000 |
| -0.000 | 0.000 | 0.000 | 169.129 | 0.000 | -0.000 |
| 0.000 | -0.000 | 0.000 | 0.000 | 169.129 | -0.000 |
| 0.000 | 0.000 | -0.000 | -0.000 | 0.000 | 169.129 |
| 402.681 | 177.804 | 177.804 | 0.000 | 0.000 | 0.000 |
| 177.804 | 402.681 | 177.804 | 0.000 | -0.000 | 0.000 |
| 177.804 | 177.804 | 402.681 | -0.000 | 0.000 | 0.000 |
| 0.000 | -0.000 | -0.000 | 169.129 | -0.000 | 0.000 |
| -0.000 | 0.000 | -0.000 | 0.000 | 169.129 | 0.000 |
| -0.000 | -0.000 | 0.000 | -0.000 | -0.000 | 169.129 |
| 402.683 | 177.805 | 177.805 | 0.000 | -0.000 | -0.000 |
| 177.805 | 402.683 | 177.805 | 0.000 | -0.000 | -0.000 |
| 177.805 | 177.805 | 402.683 | -0.000 | -0.000 | -0.000 |
| -0.000 | 0.001 | 0.001 | 169.129 | -0.000 | -0.000 |
| 0.001 | -0.000 | 0.001 | -0.000 | 169.129 | -0.000 |
| 0.001 | 0.001 | -0.000 | -0.000 | -0.000 | 169.129 |
| 402.679 | 177.802 | 177.802 | 0.000 | 0.000 | 0.000 |
| 177.802 | 402.679 | 177.802 | 0.000 | -0.000 | 0.000 |
| 177.802 | 177.802 | 402.679 | -0.000 | -0.000 | -0.000 |
| 0.000 | -0.001 | -0.001 | 169.129 | -0.000 | 0.000 |
| -0.001 | 0.000 | -0.001 | -0.000 | 169.129 | 0.000 |
| -0.001 | -0.001 | 0.000 | 0.000 | 0.000 | 169.129 |
| 528.215 | 475.038 | 49.859 | -0.000 | 0.000 | 0.000 |
| 475.038 | 528.215 | 49.859 | -0.000 | 0.000 | 0.000 |
| 40.972 | 40.972 | 584.300 | -0.000 | -0.000 | 0.000 |
| -0.827 | -0.827 | -3.279 | 35.681 | 0.000 | 0.000 |
| -0.827 | -0.827 | -3.279 | -0.000 | 35.681 | 0.000 |
| -0.281 | -0.281 | -1.115 | -0.000 | 0.000 | 471.117 |
| 486.528 | 512.561 | 41.599 | 0.000 | -0.000 | -0.000 |
| 512.561 | 486.528 | 41.599 | 0.000 | 0.000 | -0.000 |
| 50.629 | 50.629 | 622.610 | 0.000 | 0.000 | -0.000 |
| 0.827 | 0.827 | 3.279 | 35.681 | -0.000 | -0.000 |
| 0.827 | 0.827 | 3.279 | 0.000 | 35.681 | -0.000 |
| 0.281 | 0.281 | 1.115 | 0.000 | -0.000 | 471.117 |
| 486.219 | 512.252 | 40.373 | -0.000 | 0.000 | 0.000 |
| 512.252 | 486.219 | 40.373 | -0.000 | -0.000 | 0.000 |
| 41.225 | 41.225 | 585.304 | -0.000 | 0.000 | 0.000 |
| -0.084 | -0.084 | -0.333 | 35.489 | 0.000 | 0.000 |
| -0.084 | -0.084 | -0.333 | -0.000 | 35.489 | 0.000 |
| -0.028 | -0.028 | -0.112 | -0.000 | -0.000 | 471.117 |
| 519.494 | 474.956 | 32.399 | 0.000 | -0.000 | -0.000 |
| 474.956 | 519.494 | 32.399 | 0.000 | -0.000 | -0.000 |
| 41.281 | 41.281 | 585.527 | 0.000 | -0.000 | -0.000 |
| 0.084 | 0.084 | 0.333 | 35.489 | -0.000 | -0.000 |
| 0.084 | 0.084 | 0.333 | 0.000 | 35.489 | -0.000 |
| 0.028 | 0.028 | 0.112 | 0.000 | 0.000 | 471.117 |
| 486.247 | 512.280 | 40.473 | -0.000 | -0.000 | 0.000 |
| 512.280 | 486.247 | 40.473 | -0.000 | -0.000 | 0.000 |
| 41.250 | 41.250 | 585.406 | -0.000 | 0.000 | 0.000 |
| -0.003 | -0.002 | -0.011 | 35.469 | 0.000 | 0.000 |
| -0.002 | -0.003 | -0.011 | -0.000 | 35.469 | 0.000 |
| -0.002 | -0.001 | -0.011 | -0.000 | -0.000 | 471.117 |
| 519.527 | 474.907 | 32.376 | 0.000 | 0.000 | -0.000 |
| 474.907 | 519.527 | 32.376 | 0.000 | -0.000 | -0.000 |
| 41.254 | 41.254 | 585.415 | 0.000 | 0.000 | -0.000 |
| 0.003 | 0.002 | 0.011 | 35.469 | 0.000 | -0.000 |
| 0.002 | 0.003 | 0.011 | 0.000 | 35.469 | -0.000 |
| 0.002 | 0.001 | 0.011 | 0.000 | 0.000 | 471.117 |
| 564.367 | 169.690 | 168.684 | -0.850 | -0.616 | -0.977 |
| 170.368 | 556.553 | 166.342 | -7.189 | -0.076 | -0.846 |
| 169.571 | 166.522 | 554.179 | -6.170 | -0.538 | -0.120 |
| -0.138 | -5.053 | -6.170 | 158.710 | -0.026 | 0.045 |
| -0.432 | -0.015 | -0.538 | -0.026 | 161.073 | 0.555 |
| -0.684 | -0.846 | -0.021 | -0.016 | -0.167 | 161.657 |
| 564.367 | 169.690 | 168.684 | -0.850 | -0.616 | -0.977 |
| 170.368 | 556.553 | 166.342 | -7.189 | -0.076 | -0.846 |
| 169.571 | 166.522 | 554.179 | -6.170 | -0.538 | -0.120 |
| -0.138 | -5.053 | -6.170 | 158.710 | -0.026 | 0.045 |
| -0.432 | -0.015 | -0.538 | -0.026 | 161.073 | 0.555 |
| -0.684 | -0.846 | -0.021 | -0.016 | -0.167 | 161.657 |
| 564.367 | 169.690 | 168.684 | -0.850 | -0.616 | -0.977 |
| 170.369 | 556.554 | 166.342 | -7.189 | -0.076 | -0.846 |
| 169.571 | 166.522 | 554.179 | -6.170 | -0.538 | -0.120 |
| -0.138 | -5.053 | -6.170 | 158.710 | -0.026 | 0.045 |
| -0.432 | -0.015 | -0.537 | -0.026 | 161.073 | 0.555 |
| -0.684 | -0.846 | -0.021 | -0.016 | -0.167 | 161.657 |
| 564.366 | 169.690 | 168.684 | -0.850 | -0.616 | -0.977 |
| 170.368 | 556.553 | 166.342 | -7.189 | -0.076 | -0.846 |
| 169.571 | 166.522 | 554.178 | -6.170 | -0.538 | -0.120 |
| -0.138 | -5.053 | -6.170 | 158.710 | -0.026 | 0.045 |
| -0.433 | -0.015 | -0.538 | -0.026 | 161.073 | 0.555 |
| -0.684 | -0.846 | -0.021 | -0.016 | -0.167 | 161.657 |
| 564.371 | 169.691 | 168.685 | -0.850 | -0.616 | -0.977 |
| 170.370 | 556.557 | 166.343 | -7.189 | -0.076 | -0.846 |
| 169.572 | 166.523 | 554.182 | -6.170 | -0.538 | -0.120 |
| -0.138 | -5.053 | -6.169 | 158.710 | -0.026 | 0.045 |
| -0.432 | -0.015 | -0.537 | -0.026 | 161.073 | 0.555 |
| -0.684 | -0.845 | -0.021 | -0.016 | -0.167 | 161.657 |
| 564.363 | 169.689 | 168.683 | -0.850 | -0.616 | -0.977 |
| 170.367 | 556.550 | 166.341 | -7.189 | -0.076 | -0.846 |
| 169.570 | 166.521 | 554.175 | -6.170 | -0.538 | -0.120 |
| -0.138 | -5.054 | -6.170 | 158.710 | -0.026 | 0.045 |
| -0.433 | -0.015 | -0.538 | -0.026 | 161.073 | 0.555 |
| -0.685 | -0.846 | -0.021 | -0.016 | -0.167 | 161.657 |
| 408.842 | 169.204 | 173.494 | 0.000 | 0.000 | -0.000 |
| -57.823 | -143.734 | 208.553 | -0.000 | -0.000 | 0.000 |
| -70.769 | -319.503 | 410.896 | 0.000 | -0.000 | -0.000 |
| -456.238 | -1889.712 | -179.259 | 29.589 | -0.000 | -0.000 |
| -455.463 | -1886.087 | -178.836 | 0.000 | -3.189 | -0.000 |
| -0.000 | 0.000 | 0.000 | 0.000 | -0.000 | 168.958 |
| 893.532 | 2612.158 | 863.330 | -0.000 | 0.000 | -0.000 |
| 937.588 | 2717.532 | 843.098 | -0.000 | 0.000 | 0.000 |
| 167.424 | 158.765 | 412.699 | -0.000 | 0.000 | 0.000 |
| 456.238 | 1889.712 | 179.259 | 29.589 | 0.000 | -0.000 |
| 455.463 | 1886.087 | 178.836 | -0.000 | -3.189 | 0.000 |
| -0.000 | -0.000 | -0.000 | -0.000 | 0.000 | 168.958 |
| 408.842 | 169.204 | 173.495 | 0.000 | -0.000 | -0.000 |
| 168.722 | 359.177 | 164.353 | -0.000 | -0.000 | 0.000 |
| 138.803 | 94.834 | 356.128 | 0.000 | -0.000 | 0.000 |
| -24.833 | -49.204 | 5.548 | 130.245 | -0.000 | -0.000 |
| -38.971 | -157.017 | -14.057 | 0.000 | 24.728 | -0.000 |
| 0.000 | 0.000 | 0.000 | -0.000 | -0.000 | 168.958 |
| 385.537 | 233.493 | 166.205 | -0.000 | 0.000 | 0.000 |
| 201.597 | 373.916 | 151.028 | 0.000 | 0.000 | 0.000 |
| 167.424 | 158.765 | 412.699 | 0.000 | -0.000 | 0.000 |
| 24.833 | 49.204 | -5.548 | 130.245 | -0.000 | -0.000 |
| 38.971 | 157.017 | 14.057 | 0.000 | 24.728 | -0.000 |
| -0.000 | -0.000 | -0.000 | -0.000 | 0.000 | 168.958 |
| 240.301 | 144.025 | 117.514 | -0.000 | -0.000 | -0.000 |
| 201.876 | 252.411 | 134.451 | 0.000 | -0.000 | -0.000 |
| 105.438 | 103.846 | 206.416 | -0.000 | -0.000 | 0.000 |
| -5.353 | -16.769 | -5.837 | 52.373 | -0.000 | -0.000 |
| -23.683 | -19.811 | -11.332 | 0.000 | 73.969 | -0.000 |
| -2.907 | -11.138 | -0.884 | 0.000 | -0.000 | 139.771 |
| 288.782 | 202.851 | 145.747 | -0.000 | 0.000 | 0.000 |
| 202.584 | 276.027 | 135.303 | 0.000 | 0.000 | 0.000 |
| 169.796 | 136.690 | 235.763 | 0.000 | 0.000 | -0.000 |
| 5.353 | 16.769 | 5.837 | 52.373 | 0.000 | 0.000 |
| 23.683 | 19.811 | 11.332 | -0.000 | 73.969 | 0.000 |
| 2.907 | 11.138 | 0.884 | 0.000 | 0.000 | 139.771 |
| 507.828 | 64.258 | 90.059 | -1.069 | 22.650 | -0.125 |
| 72.482 | 856.731 | 148.841 | -0.000 | -6.453 | -0.000 |
| 83.495 | 160.072 | 452.676 | -0.000 | -4.681 | -0.000 |
| -6.066 | -17.182 | 0.203 | 121.627 | 4.767 | -13.648 |
| -9.252 | -7.853 | -4.681 | -0.000 | 96.524 | -0.000 |
| 0.000 | -0.000 | 0.000 | -7.719 | 0.000 | 74.049 |
| 561.580 | 70.556 | 71.615 | 0.000 | 32.412 | 0.000 |
| 89.974 | 826.194 | 125.208 | 1.084 | -8.602 | 0.127 |
| 83.495 | 160.072 | 452.676 | 0.000 | -4.681 | 0.000 |
| 6.301 | 17.847 | -0.211 | 121.771 | -4.952 | -13.579 |
| -8.295 | 14.193 | -13.634 | 0.810 | 50.352 | 0.095 |
| 0.000 | 0.000 | -0.000 | -7.718 | -0.000 | 74.049 |
| 501.219 | 73.678 | 87.261 | 0.022 | 13.960 | 0.003 |
| 72.482 | 856.732 | 148.841 | -0.000 | -6.453 | -0.000 |
| 83.495 | 160.072 | 452.676 | -0.000 | -4.681 | -0.000 |
| -0.620 | -1.757 | 0.021 | 121.416 | 0.488 | -13.642 |
| -18.180 | -6.273 | -1.793 | -0.150 | 65.406 | -0.018 |
| -0.584 | -1.514 | 0.736 | -9.138 | 0.466 | 53.155 |
| 561.580 | 70.556 | 71.615 | 0.000 | 32.412 | 0.000 |
| 72.482 | 856.730 | 148.841 | 0.000 | -6.453 | 0.000 |
| 99.642 | 141.050 | 430.078 | 0.096 | -3.315 | 0.011 |
| 0.626 | 1.772 | -0.021 | 121.181 | -0.492 | -13.658 |
| -13.069 | -5.247 | -4.830 | -0.205 | 54.506 | -0.024 |
| 0.820 | 2.323 | -0.027 | -13.547 | -0.645 | 58.182 |
| 501.766 | 74.403 | 86.319 | 0.003 | 13.557 | 0.000 |
| 72.483 | 856.737 | 148.843 | -0.000 | -6.453 | -0.000 |
| 94.035 | 134.769 | 418.884 | 0.016 | -3.078 | 0.002 |
| 4483873.874 | -173783.680 | 1576511.352 | -312061.151 | -749799.279 | -14655.190 |
| -12.575 | -6.503 | -3.984 | 0.028 | 52.490 | 0.003 |
| 0.000 | 0.000 | 0.000 | -7.718 | 0.000 | 74.049 |
| 501.823 | 74.579 | 86.134 | -0.003 | 13.453 | -0.000 |
| 76.824 | 791.631 | 127.749 | -0.004 | -2.866 | -0.000 |
| 98.689 | 140.145 | 430.717 | 0.009 | -2.956 | 0.001 |
| -4655545.248 | 603439.790 | -854692.431 | -329954.352 | 641635.487 | -83424.288 |
| -10.082 | -8.226 | -2.301 | 0.128 | 44.771 | 0.015 |
| -0.000 | -0.000 | -0.000 | -7.718 | -0.000 | 74.049 |
| 51.204 | 16.535 | 16.535 | -0.000 | 0.000 | -0.000 |
| 16.535 | 51.204 | 16.535 | -0.000 | 0.000 | 0.000 |
| 16.535 | 16.535 | 51.204 | -0.000 | 0.000 | -0.000 |
| -0.000 | 0.000 | 0.000 | 18.269 | -0.000 | 0.000 |
| -0.000 | 0.000 | 0.000 | 0.000 | 18.269 | -0.000 |
| -0.000 | 0.000 | 0.000 | -0.000 | 0.000 | 18.269 |
| 51.204 | 16.535 | 16.535 | 0.000 | 0.000 | -0.000 |
| 16.535 | 51.204 | 16.535 | 0.000 | 0.000 | 0.000 |
| 16.535 | 16.535 | 51.204 | 0.000 | -0.000 | 0.000 |
| 0.000 | 0.000 | -0.000 | 18.269 | -0.000 | 0.000 |
| -0.000 | -0.000 | -0.000 | -0.000 | 18.269 | 0.000 |
| -0.000 | -0.000 | -0.000 | 0.000 | -0.000 | 18.269 |
| 51.204 | 16.535 | 16.535 | -0.000 | 0.000 | 0.000 |
| 16.535 | 51.204 | 16.535 | -0.000 | -0.000 | -0.000 |
| 16.535 | 16.535 | 51.204 | -0.000 | 0.000 | 0.000 |
| 0.000 | 0.000 | 0.000 | 18.222 | 0.000 | 0.000 |
| 0.000 | 0.000 | 0.000 | -0.000 | 18.222 | -0.000 |
| 0.000 | 0.000 | 0.000 | -0.000 | 0.000 | 18.222 |
| 51.204 | 16.535 | 16.535 | 0.000 | 0.000 | -0.000 |
| 16.535 | 51.204 | 16.535 | 0.000 | 0.000 | -0.000 |
| 16.535 | 16.535 | 51.204 | 0.000 | -0.000 | -0.000 |
| -0.000 | -0.000 | -0.000 | 18.222 | -0.000 | -0.000 |
| -0.000 | -0.000 | -0.000 | 0.000 | 18.222 | 0.000 |
| -0.000 | -0.000 | -0.000 | 0.000 | -0.000 | 18.222 |
| 51.204 | 16.536 | 16.536 | -0.000 | -0.000 | 0.000 |
| 16.536 | 51.204 | 16.536 | -0.000 | -0.000 | -0.000 |
| 16.536 | 16.536 | 51.204 | -0.000 | 0.000 | 0.000 |
| 0.000 | 0.000 | 0.000 | 18.222 | -0.000 | 0.000 |
| 0.000 | 0.000 | 0.000 | -0.000 | 18.222 | -0.000 |
| 0.000 | 0.000 | 0.000 | -0.000 | 0.000 | 18.222 |
| 51.203 | 16.535 | 16.535 | 0.000 | 0.000 | -0.000 |
| 16.535 | 51.203 | 16.535 | 0.000 | -0.000 | 0.000 |
| 16.535 | 16.535 | 51.203 | 0.000 | 0.000 | -0.000 |
| -0.000 | -0.000 | -0.000 | 18.222 | -0.000 | 0.000 |
| -0.000 | -0.000 | -0.000 | 0.000 | 18.222 | 0.000 |
| -0.000 | -0.000 | -0.000 | 0.000 | -0.000 | 18.222 |
| 9.909 | 7.517 | 7.517 | 0.000 | 0.000 | 0.000 |
| 7.517 | 9.909 | 7.517 | 0.000 | 0.000 | 0.000 |
| 7.517 | 7.517 | 9.909 | 0.000 | 0.000 | 0.000 |
| -0.000 | -0.000 | -0.000 | -7.090 | 0.000 | 0.000 |
| -0.000 | 0.000 | -0.000 | 0.000 | -7.090 | 0.000 |
| -0.000 | -0.000 | 0.000 | 0.000 | 0.000 | -7.090 |
| 9.909 | 7.517 | 7.517 | -0.000 | -0.000 | -0.000 |
| 7.517 | 9.909 | 7.517 | -0.000 | -0.000 | 0.000 |
| 7.517 | 7.517 | 9.909 | -0.000 | -0.000 | -0.000 |
| -0.000 | 0.000 | 0.000 | -7.090 | -0.000 | -0.000 |
| 0.000 | 0.000 | 0.000 | -0.000 | -7.090 | -0.000 |
| 0.000 | 0.000 | -0.000 | -0.000 | -0.000 | -7.090 |
| 9.909 | 7.517 | 7.517 | 0.000 | 0.000 | 0.000 |
| 7.517 | 9.909 | 7.517 | 0.000 | 0.000 | 0.000 |
| 7.517 | 7.517 | 9.909 | 0.000 | 0.000 | 0.000 |
| -0.000 | -0.000 | -0.000 | -7.090 | 0.000 | 0.000 |
| -0.000 | -0.000 | -0.000 | 0.000 | -7.090 | 0.000 |
| -0.000 | -0.000 | -0.000 | 0.000 | 0.000 | -7.090 |
| 9.909 | 7.517 | 7.517 | -0.000 | -0.000 | -0.000 |
| 7.517 | 9.909 | 7.517 | -0.000 | -0.000 | -0.000 |
| 7.517 | 7.517 | 9.909 | -0.000 | -0.000 | -0.000 |
| 0.000 | 0.000 | 0.000 | -7.090 | -0.000 | -0.000 |
| 0.000 | 0.000 | 0.000 | -0.000 | -7.090 | -0.000 |
| 0.000 | 0.000 | 0.000 | -0.000 | -0.000 | -7.090 |
| 9.909 | 7.517 | 7.517 | 0.000 | 0.000 | 0.000 |
| 7.517 | 9.909 | 7.517 | 0.000 | 0.000 | 0.000 |
| 7.517 | 7.517 | 9.909 | 0.000 | 0.000 | 0.000 |
| -0.000 | -0.000 | -0.000 | -7.090 | 0.000 | 0.000 |
| -0.000 | -0.000 | -0.000 | 0.000 | -7.090 | 0.000 |
| -0.000 | -0.000 | -0.000 | 0.000 | 0.000 | -7.090 |
| 9.909 | 7.517 | 7.517 | -0.000 | -0.000 | -0.000 |
| 7.517 | 9.909 | 7.517 | -0.000 | -0.000 | -0.000 |
| 7.517 | 7.517 | 9.909 | -0.000 | -0.000 | -0.000 |
| 0.000 | 0.000 | 0.000 | -7.090 | -0.000 | -0.000 |
| 0.000 | 0.000 | 0.000 | -0.000 | -7.090 | -0.000 |
| 0.000 | 0.000 | 0.000 | -0.000 | -0.000 | -7.090 |
| -7.728 | 26.352 | 26.352 | 0.000 | 0.000 | 0.000 |
| 26.352 | -7.728 | 26.352 | 0.000 | 0.000 | 0.000 |
| 26.352 | 26.352 | -7.728 | 0.000 | 0.000 | 0.000 |
| 0.000 | 0.000 | 0.000 | -16.482 | 0.000 | 0.000 |
| 0.000 | 0.000 | 0.000 | 0.000 | -16.482 | 0.000 |
| 0.000 | -0.000 | 0.000 | 0.000 | 0.000 | -16.482 |
| -7.728 | 26.352 | 26.352 | -0.000 | -0.000 | -0.000 |
| 26.352 | -7.728 | 26.352 | -0.000 | -0.000 | -0.000 |
| 26.352 | 26.352 | -7.728 | -0.000 | 0.000 | -0.000 |
| -0.000 | -0.000 | -0.000 | -16.482 | -0.000 | -0.000 |
| -0.000 | -0.000 | -0.000 | -0.000 | -16.482 | -0.000 |
| -0.000 | -0.000 | -0.000 | -0.000 | -0.000 | -16.482 |
| -7.728 | 26.352 | 26.352 | 0.000 | -0.000 | 0.000 |
| 26.352 | -7.728 | 26.352 | 0.000 | 0.000 | 0.000 |
| 26.352 | 26.352 | -7.728 | 0.000 | 0.000 | 0.000 |
| 0.000 | -0.000 | -0.000 | -16.482 | 0.000 | 0.000 |
| -0.000 | -0.000 | -0.000 | 0.000 | -16.482 | 0.000 |
| -0.000 | -0.000 | 0.000 | 0.000 | 0.000 | -16.482 |
| -7.728 | 26.352 | 26.352 | -0.000 | -0.000 | -0.000 |
| 26.352 | -7.728 | 26.352 | -0.000 | -0.000 | -0.000 |
| 26.352 | 26.352 | -7.728 | 0.000 | -0.000 | -0.000 |
| 0.000 | 0.000 | 0.000 | -16.482 | -0.000 | -0.000 |
| 0.000 | 0.000 | 0.000 | -0.000 | -16.482 | -0.000 |
| 0.000 | 0.000 | -0.000 | -0.000 | -0.000 | -16.482 |
| -7.728 | 26.352 | 26.352 | 0.000 | 0.000 | 0.000 |
| 26.352 | -7.728 | 26.352 | 0.000 | 0.000 | 0.000 |
| 26.352 | 26.352 | -7.728 | 0.000 | 0.000 | 0.000 |
| -0.000 | -0.000 | -0.000 | -16.482 | 0.000 | 0.000 |
| -0.000 | -0.000 | -0.000 | 0.000 | -16.482 | 0.000 |
| -0.000 | -0.000 | -0.000 | 0.000 | 0.000 | -16.482 |
| -7.728 | 26.352 | 26.352 | -0.000 | -0.000 | -0.000 |
| 26.352 | -7.728 | 26.352 | -0.000 | -0.000 | -0.000 |
| 26.352 | 26.352 | -7.728 | -0.000 | -0.000 | -0.000 |
| 0.000 | 0.000 | 0.000 | -16.482 | -0.000 | -0.000 |
| 0.000 | 0.000 | 0.000 | -0.000 | -16.482 | -0.000 |
| 0.000 | 0.000 | 0.000 | -0.000 | -0.000 | -16.482 |
| 1.285 | 14.814 | 14.814 | -0.000 | 0.000 | 0.000 |
| 14.814 | 1.285 | 14.814 | -0.000 | 0.000 | 0.000 |
| 14.814 | 14.814 | 1.285 | -0.000 | 0.000 | 0.000 |
| -0.000 | -0.000 | 0.000 | -21.257 | 0.000 | 0.000 |
| -0.000 | -0.000 | 0.000 | -0.000 | -21.257 | 0.000 |
| -0.000 | -0.000 | 0.000 | -0.000 | 0.000 | -21.257 |
| 1.285 | 14.814 | 14.814 | 0.000 | -0.000 | -0.000 |
| 14.814 | 1.285 | 14.814 | 0.000 | 0.000 | -0.000 |
| 14.814 | 14.814 | 1.285 | 0.000 | -0.000 | -0.000 |
| 0.000 | 0.000 | -0.000 | -21.257 | -0.000 | -0.000 |
| 0.000 | 0.000 | -0.000 | 0.000 | -21.257 | -0.000 |
| 0.000 | 0.000 | -0.000 | 0.000 | -0.000 | -21.257 |
| 1.285 | 14.814 | 14.814 | -0.000 | 0.000 | 0.000 |
| 14.814 | 1.285 | 14.814 | -0.000 | 0.000 | 0.000 |
| 14.814 | 14.814 | 1.285 | -0.000 | 0.000 | 0.000 |
| -0.000 | -0.000 | -0.000 | -21.257 | 0.000 | 0.000 |
| -0.000 | -0.000 | -0.000 | -0.000 | -21.257 | 0.000 |
| -0.000 | -0.000 | -0.000 | -0.000 | 0.000 | -21.257 |
| 1.285 | 14.814 | 14.814 | 0.000 | -0.000 | -0.000 |
| 14.814 | 1.285 | 14.814 | 0.000 | -0.000 | -0.000 |
| 14.814 | 14.814 | 1.285 | 0.000 | -0.000 | -0.000 |
| 0.000 | 0.000 | 0.000 | -21.257 | -0.000 | -0.000 |
| 0.000 | 0.000 | 0.000 | 0.000 | -21.257 | -0.000 |
| 0.000 | 0.000 | 0.000 | 0.000 | -0.000 | -21.257 |
| 1.285 | 14.814 | 14.814 | -0.000 | 0.000 | 0.000 |
| 14.814 | 1.285 | 14.814 | -0.000 | 0.000 | 0.000 |
| 14.814 | 14.814 | 1.285 | -0.000 | 0.000 | 0.000 |
| -0.000 | -0.000 | -0.000 | -21.257 | -0.000 | 0.000 |
| -0.000 | -0.000 | -0.000 | -0.000 | -21.257 | 0.000 |
| -0.000 | -0.000 | -0.000 | -0.000 | 0.000 | -21.257 |
| 1.285 | 14.814 | 14.814 | 0.000 | -0.000 | -0.000 |
| 14.814 | 1.285 | 14.814 | 0.000 | -0.000 | -0.000 |
| 14.814 | 14.814 | 1.285 | 0.000 | 0.000 | -0.000 |
| 0.000 | 0.000 | 0.000 | -21.257 | -0.000 | -0.000 |
| 0.000 | 0.000 | 0.000 | 0.000 | -21.257 | -0.000 |
| 0.000 | 0.000 | 0.000 | 0.000 | -0.000 | -21.257 |
| 11.478 | 6.484 | 6.484 | 0.000 | 0.000 | 0.000 |
| 6.484 | 11.478 | 6.484 | 0.000 | 0.000 | 0.000 |
| 6.484 | 6.484 | 11.478 | -0.000 | 0.000 | 0.000 |
| -0.000 | -0.000 | -0.000 | -0.333 | -0.000 | 0.000 |
| -0.000 | -0.000 | -0.000 | -0.000 | -0.333 | 0.000 |
| -0.000 | -0.000 | -0.000 | -0.000 | -0.000 | -0.333 |
| 11.478 | 6.484 | 6.484 | 0.000 | 0.000 | -0.000 |
| 6.484 | 11.478 | 6.484 | 0.000 | 0.000 | -0.000 |
| 6.484 | 6.484 | 11.478 | 0.000 | 0.000 | 0.000 |
| 0.000 | 0.000 | 0.000 | -0.333 | 0.000 | -0.000 |
| 0.000 | -0.000 | 0.000 | 0.000 | -0.333 | -0.000 |
| 0.000 | 0.000 | -0.000 | 0.000 | 0.000 | -0.333 |
| 11.478 | 6.484 | 6.484 | -0.000 | -0.000 | 0.000 |
| 6.484 | 11.478 | 6.484 | -0.000 | -0.000 | 0.000 |
| 6.484 | 6.484 | 11.478 | -0.000 | -0.000 | 0.000 |
| 0.000 | -0.000 | -0.000 | -0.333 | -0.000 | 0.000 |
| -0.000 | 0.000 | -0.000 | -0.000 | -0.333 | 0.000 |
| -0.000 | -0.000 | 0.000 | -0.000 | -0.000 | -0.333 |
| 11.478 | 6.484 | 6.484 | 0.000 | -0.000 | -0.000 |
| 6.484 | 11.478 | 6.484 | 0.000 | -0.000 | -0.000 |
| 6.484 | 6.484 | 11.478 | 0.000 | -0.000 | -0.000 |
| -0.000 | 0.000 | 0.000 | -0.333 | 0.000 | -0.000 |
| 0.000 | -0.000 | 0.000 | 0.000 | -0.333 | -0.000 |
| 0.000 | 0.000 | -0.000 | 0.000 | 0.000 | -0.333 |
| 11.478 | 6.484 | 6.484 | -0.000 | 0.000 | 0.000 |
| 6.484 | 11.478 | 6.484 | -0.000 | -0.000 | 0.000 |
| 6.484 | 6.484 | 11.478 | -0.000 | 0.000 | 0.000 |
| 0.000 | -0.000 | -0.000 | -0.333 | -0.000 | -0.000 |
| -0.000 | 0.000 | -0.000 | -0.000 | -0.333 | 0.000 |
| -0.000 | -0.000 | 0.000 | -0.000 | -0.000 | -0.333 |
| 11.478 | 6.484 | 6.484 | 0.000 | 0.000 | 0.000 |
| 6.484 | 11.478 | 6.484 | 0.000 | 0.000 | -0.000 |
| 6.484 | 6.484 | 11.478 | -0.000 | 0.000 | -0.000 |
| -0.000 | 0.000 | 0.000 | -0.333 | 0.000 | -0.000 |
| 0.000 | -0.000 | 0.000 | 0.000 | -0.333 | -0.000 |
| 0.000 | 0.000 | -0.000 | 0.000 | -0.000 | -0.333 |
| 238.810 | -1.491 | -1.491 | 0.000 | -0.000 | 0.000 |
| -1.491 | 238.810 | -1.491 | -0.000 | -0.000 | 0.000 |
| -1.491 | -1.491 | 238.810 | 0.000 | 0.000 | -0.000 |
| 0.000 | -0.000 | -0.000 | 1.392 | 0.000 | -0.000 |
| 0.000 | 0.000 | -0.000 | 0.000 | 1.392 | -0.000 |
| 0.000 | -0.000 | -0.000 | 0.000 | -0.000 | 1.392 |
| 238.810 | -1.491 | -1.491 | -0.000 | 0.000 | 0.000 |
| -1.491 | 238.810 | -1.491 | 0.000 | 0.000 | 0.000 |
| -1.491 | -1.491 | 238.810 | -0.000 | 0.000 | -0.000 |
| -0.000 | 0.000 | 0.000 | 1.392 | -0.000 | 0.000 |
| 0.000 | 0.000 | 0.000 | -0.000 | 1.392 | -0.000 |
| -0.000 | 0.000 | 0.000 | -0.000 | 0.000 | 1.392 |
| 238.811 | -1.491 | -1.491 | 0.000 | -0.000 | -0.000 |
| -1.491 | 238.811 | -1.491 | 0.000 | 0.000 | -0.000 |
| -1.491 | -1.491 | 238.811 | 0.000 | -0.000 | -0.000 |
| -0.000 | 0.000 | -0.000 | 1.392 | 0.000 | 0.000 |
| 0.000 | -0.000 | -0.000 | 0.000 | 1.392 | -0.000 |
| 0.000 | -0.000 | -0.000 | 0.000 | -0.000 | 1.392 |
| 238.810 | -1.491 | -1.491 | -0.000 | 0.000 | -0.000 |
| -1.491 | 238.810 | -1.491 | 0.000 | 0.000 | 0.000 |
| -1.491 | -1.491 | 238.810 | -0.000 | -0.000 | -0.000 |
| 0.000 | -0.000 | 0.000 | 1.392 | -0.000 | 0.000 |
| -0.000 | 0.000 | 0.000 | -0.000 | 1.392 | 0.000 |
| -0.000 | 0.000 | 0.000 | -0.000 | 0.000 | 1.392 |
| 238.813 | -1.491 | -1.491 | 0.000 | -0.000 | 0.000 |
| -1.491 | 238.813 | -1.491 | 0.000 | -0.000 | 0.000 |
| -1.491 | -1.491 | 238.813 | 0.000 | -0.000 | -0.000 |
| -0.000 | 0.000 | -0.000 | 1.392 | 0.000 | -0.000 |
| 0.000 | -0.000 | -0.000 | 0.000 | 1.392 | -0.000 |
| 0.000 | -0.000 | -0.000 | 0.000 | -0.000 | 1.392 |
| 238.808 | -1.491 | -1.491 | 0.000 | 0.000 | 0.000 |
| -1.491 | 238.808 | -1.491 | -0.000 | 0.000 | -0.000 |
| -1.491 | -1.491 | 238.808 | -0.000 | 0.000 | 0.000 |
| 0.000 | -0.000 | 0.000 | 1.392 | -0.000 | 0.000 |
| -0.000 | 0.000 | 0.000 | -0.000 | 1.392 | 0.000 |
| -0.000 | 0.000 | 0.000 | -0.000 | 0.000 | 1.392 |
| 157.050 | 70.765 | 70.764 | 0.000 | 0.000 | -0.000 |
| 70.765 | 157.050 | 70.764 | 0.000 | 0.000 | 0.000 |
| 70.765 | 70.765 | 157.050 | 0.000 | -0.000 | 0.000 |
| 0.000 | 0.000 | 0.000 | 77.023 | -0.000 | 0.000 |
| 0.000 | 0.000 | 0.000 | 0.000 | 77.023 | -0.000 |
| 0.000 | 0.000 | 0.000 | -0.000 | -0.000 | 77.023 |
| 157.050 | 70.764 | 70.764 | -0.000 | 0.000 | -0.000 |
| 70.764 | 157.050 | 70.764 | -0.000 | -0.000 | -0.000 |
| 70.764 | 70.764 | 157.050 | 0.000 | 0.000 | -0.000 |
| -0.000 | -0.000 | -0.000 | 77.023 | 0.000 | 0.000 |
| -0.000 | -0.000 | -0.000 | -0.000 | 77.023 | 0.000 |
| -0.000 | -0.000 | -0.000 | -0.000 | 0.000 | 77.023 |
| 157.050 | 70.765 | 70.765 | 0.000 | -0.000 | 0.000 |
| 70.765 | 157.050 | 70.765 | 0.000 | -0.000 | 0.000 |
| 70.765 | 70.765 | 157.050 | -0.000 | -0.000 | -0.000 |
| 0.000 | 0.000 | 0.000 | 77.023 | 0.000 | 0.000 |
| 0.000 | 0.000 | 0.000 | 0.000 | 77.023 | 0.000 |
| 0.000 | 0.000 | 0.000 | 0.000 | -0.000 | 77.023 |
| 157.049 | 70.764 | 70.764 | -0.000 | 0.000 | -0.000 |
| 70.764 | 157.049 | 70.764 | -0.000 | 0.000 | -0.000 |
| 70.764 | 70.764 | 157.049 | -0.000 | 0.000 | -0.000 |
| -0.000 | -0.000 | -0.000 | 77.023 | 0.000 | -0.000 |
| -0.000 | -0.000 | -0.000 | -0.000 | 77.023 | -0.000 |
| -0.000 | -0.000 | -0.000 | -0.000 | 0.000 | 77.023 |
| 157.052 | 70.766 | 70.766 | 0.000 | -0.000 | 0.000 |
| 70.766 | 157.052 | 70.766 | 0.000 | -0.000 | 0.000 |
| 70.766 | 70.766 | 157.052 | 0.000 | -0.000 | -0.000 |
| 0.000 | 0.001 | 0.001 | 77.023 | -0.000 | -0.000 |
| 0.001 | 0.000 | 0.001 | 0.000 | 77.023 | -0.000 |
| 0.001 | 0.001 | 0.000 | 0.000 | -0.000 | 77.023 |
| 157.047 | 70.763 | 70.763 | -0.000 | -0.000 | -0.000 |
| 70.763 | 157.047 | 70.763 | -0.000 | 0.000 | -0.000 |
| 70.763 | 70.763 | 157.047 | -0.000 | 0.000 | -0.000 |
| -0.000 | -0.001 | -0.001 | 77.023 | 0.000 | 0.000 |
| -0.001 | -0.000 | -0.001 | -0.000 | 77.023 | -0.000 |
| -0.001 | -0.001 | -0.000 | -0.000 | 0.000 | 77.023 |
| 35.363 | 37.700 | 37.700 | -0.000 | -0.000 | -0.000 |
| 37.700 | 35.363 | 37.700 | -0.000 | -0.000 | -0.000 |
| 37.700 | 37.700 | 35.363 | -0.000 | -0.000 | -0.000 |
| -0.000 | 0.000 | -0.000 | -4.524 | -0.000 | -0.000 |
| -0.000 | 0.000 | -0.000 | -0.000 | -4.524 | -0.000 |
| -0.000 | -0.000 | -0.000 | -0.000 | -0.000 | -4.524 |
| 35.363 | 37.700 | 37.700 | 0.000 | 0.000 | 0.000 |
| 37.700 | 35.363 | 37.700 | 0.000 | 0.000 | 0.000 |
| 37.700 | 37.700 | 35.363 | 0.000 | 0.000 | 0.000 |
| 0.000 | 0.000 | 0.000 | -4.524 | 0.000 | 0.000 |
| 0.000 | 0.000 | 0.000 | 0.000 | -4.524 | 0.000 |
| 0.000 | -0.000 | 0.000 | 0.000 | 0.000 | -4.524 |
| 35.363 | 37.700 | 37.700 | -0.000 | -0.000 | -0.000 |
| 37.700 | 35.363 | 37.700 | -0.000 | -0.000 | -0.000 |
| 37.700 | 37.700 | 35.363 | -0.000 | -0.000 | -0.000 |
| -0.000 | -0.000 | -0.000 | -4.524 | -0.000 | -0.000 |
| -0.000 | -0.000 | -0.000 | -0.000 | -4.524 | -0.000 |
| -0.000 | -0.000 | -0.000 | -0.000 | -0.000 | -4.524 |
| 35.363 | 37.700 | 37.700 | 0.000 | 0.000 | 0.000 |
| 37.700 | 35.363 | 37.700 | 0.000 | 0.000 | 0.000 |
| 37.700 | 37.700 | 35.363 | 0.000 | 0.000 | 0.000 |
| 0.000 | 0.000 | 0.000 | -4.524 | 0.000 | 0.000 |
| 0.000 | 0.000 | 0.000 | 0.000 | -4.524 | 0.000 |
| 0.000 | 0.000 | 0.000 | 0.000 | 0.000 | -4.524 |
| 35.363 | 37.700 | 37.700 | -0.000 | -0.000 | -0.000 |
| 37.700 | 35.363 | 37.700 | -0.000 | -0.000 | -0.000 |
| 37.700 | 37.700 | 35.363 | -0.000 | -0.000 | -0.000 |
| -0.000 | -0.000 | -0.000 | -4.524 | -0.000 | -0.000 |
| -0.000 | -0.000 | -0.000 | -0.000 | -4.524 | -0.000 |
| -0.000 | -0.000 | -0.000 | -0.000 | -0.000 | -4.524 |
| 35.363 | 37.700 | 37.700 | 0.000 | 0.000 | 0.000 |
| 37.700 | 35.363 | 37.700 | 0.000 | 0.000 | 0.000 |
| 37.700 | 37.700 | 35.363 | 0.000 | 0.000 | 0.000 |
| 0.000 | 0.000 | 0.000 | -4.524 | 0.000 | -0.000 |
| 0.000 | 0.000 | 0.000 | 0.000 | -4.524 | 0.000 |
| 0.000 | 0.000 | 0.000 | 0.000 | 0.000 | -4.524 |
| 57.267 | 55.916 | -6.413 | -0.005 | -0.035 | 0.061 |
| 56.180 | 58.489 | -6.714 | -0.005 | -0.036 | 0.060 |
| -1.252 | -1.072 | 200.182 | 0.014 | -0.008 | 0.027 |
| -0.043 | 0.030 | -0.019 | 3.335 | 0.005 | 0.009 |
| -0.043 | 0.030 | -0.019 | 0.010 | 3.237 | 0.009 |
| -0.370 | -0.314 | -1.236 | 0.021 | -0.019 | 75.926 |
| 59.506 | 58.692 | -4.988 | 0.006 | 0.040 | -0.060 |
| 61.944 | 62.087 | -2.861 | 0.007 | 0.038 | -0.061 |
| -0.769 | -0.892 | 201.473 | -0.014 | 0.008 | -0.027 |
| 0.043 | -0.030 | 0.019 | 3.316 | -0.005 | -0.009 |
| 0.043 | -0.030 | 0.019 | -0.010 | 3.223 | -0.009 |
| 0.370 | 0.314 | 1.237 | -0.021 | 0.019 | 75.814 |
| 111.051 | 106.253 | 1.176 | 0.001 | 0.000 | 0.001 |
| 54.936 | 57.664 | -6.140 | 0.001 | -0.000 | 0.005 |
| 0.644 | 0.723 | 228.043 | 0.001 | 0.001 | 0.001 |
| -0.042 | -0.023 | -0.101 | 2.891 | -0.002 | 0.005 |
| -0.044 | -0.023 | -0.103 | 0.001 | 2.732 | 0.005 |
| -0.069 | -0.049 | -0.073 | 0.001 | -0.002 | 74.901 |
| 56.198 | 54.931 | -5.745 | -0.001 | -0.002 | -0.005 |
| 106.281 | 112.953 | 1.265 | -0.001 | -0.000 | -0.001 |
| 0.654 | 0.717 | 228.058 | -0.001 | -0.001 | -0.001 |
| 0.043 | 0.023 | 0.101 | 2.889 | 0.002 | -0.005 |
| 0.043 | 0.024 | 0.103 | -0.001 | 2.739 | -0.005 |
| 0.005 | -0.004 | 0.002 | -0.001 | -0.001 | 109.063 |
| 55.888 | 54.633 | -5.980 | 0.000 | 0.002 | 0.001 |
| 54.652 | 57.458 | -6.089 | 0.000 | 0.002 | 0.001 |
| -6.492 | -6.605 | 200.049 | 0.000 | 0.001 | 0.001 |
| -0.005 | -0.005 | -0.006 | 2.885 | -0.000 | 0.001 |
| -0.008 | -0.007 | -0.012 | 0.000 | 2.611 | 0.000 |
| -0.009 | -0.007 | -0.010 | 0.000 | -0.000 | 74.889 |
| 55.907 | 54.648 | -5.965 | -0.000 | -0.002 | -0.001 |
| 54.669 | 57.472 | -6.073 | -0.000 | -0.002 | -0.001 |
| -6.473 | -6.590 | 200.065 | -0.000 | -0.001 | -0.001 |
| 0.005 | 0.005 | 0.006 | 2.885 | 0.000 | -0.001 |
| 0.009 | 0.006 | 0.012 | -0.000 | 2.606 | -0.000 |
| 0.009 | 0.007 | 0.010 | -0.000 | 0.000 | 74.892 |
| 85.048 | 21.887 | 21.887 | -0.000 | -0.000 | 0.000 |
| 21.887 | 85.048 | 21.887 | 0.000 | -0.000 | 0.000 |
| 21.887 | 21.887 | 85.048 | -0.000 | 0.000 | 0.000 |
| -0.000 | 0.000 | -0.000 | 23.509 | 0.000 | 0.000 |
| -0.000 | -0.000 | -0.000 | -0.000 | 23.509 | 0.000 |
| 0.000 | 0.000 | -0.000 | 0.000 | -0.000 | 23.509 |
| 85.048 | 21.887 | 21.887 | 0.000 | 0.000 | 0.000 |
| 21.887 | 85.048 | 21.887 | 0.000 | 0.000 | -0.000 |
| 21.887 | 21.887 | 85.048 | -0.000 | 0.000 | -0.000 |
| 0.000 | -0.000 | 0.000 | 23.509 | -0.000 | -0.000 |
| -0.000 | 0.000 | 0.000 | -0.000 | 23.509 | -0.000 |
| -0.000 | -0.000 | 0.000 | -0.000 | 0.000 | 23.509 |
| 85.048 | 21.887 | 21.887 | -0.000 | -0.000 | 0.000 |
| 21.887 | 85.048 | 21.887 | -0.000 | 0.000 | 0.000 |
| 21.887 | 21.887 | 85.048 | -0.000 | -0.000 | 0.000 |
| 0.000 | 0.000 | 0.000 | 12.455 | -0.000 | 0.000 |
| 0.000 | 0.000 | 0.000 | -0.000 | 12.455 | 0.000 |
| 0.000 | 0.000 | 0.000 | -0.000 | -0.000 | 12.455 |
| 85.048 | 21.887 | 21.887 | 0.000 | -0.000 | 0.000 |
| 21.887 | 85.048 | 21.887 | 0.000 | 0.000 | 0.000 |
| 21.887 | 21.887 | 85.048 | 0.000 | 0.000 | 0.000 |
| -0.000 | -0.000 | -0.000 | 12.455 | 0.000 | 0.000 |
| -0.000 | -0.000 | -0.000 | 0.000 | 12.455 | -0.000 |
| -0.000 | -0.000 | -0.000 | -0.000 | 0.000 | 12.455 |
| 85.049 | 21.887 | 21.887 | 0.000 | -0.000 | -0.000 |
| 21.887 | 85.049 | 21.887 | -0.000 | -0.000 | 0.000 |
| 21.887 | 21.887 | 85.049 | 0.000 | 0.000 | 0.000 |
| 0.000 | 0.000 | 0.000 | 12.455 | -0.000 | 0.000 |
| 0.000 | 0.000 | 0.000 | -0.000 | 12.455 | 0.000 |
| 0.000 | 0.000 | 0.000 | -0.000 | -0.000 | 12.455 |
| 85.048 | 21.887 | 21.887 | 0.000 | 0.000 | -0.000 |
| 21.887 | 85.048 | 21.887 | 0.000 | 0.000 | -0.000 |
| 21.887 | 21.887 | 85.048 | -0.000 | -0.000 | -0.000 |
| -0.000 | -0.000 | -0.000 | 12.455 | 0.000 | -0.000 |
| -0.000 | -0.000 | -0.000 | 0.000 | 12.455 | 0.000 |
| -0.000 | -0.000 | -0.000 | 0.000 | 0.000 | 12.455 |
| 192.681 | 67.564 | 67.564 | -0.000 | 0.000 | 0.000 |
| 67.564 | 192.681 | 67.564 | -0.000 | 0.000 | 0.000 |
| 67.564 | 67.564 | 192.681 | 0.000 | 0.000 | 0.000 |
| 0.000 | 0.000 | 0.000 | 70.238 | 0.000 | 0.000 |
| 0.000 | 0.000 | 0.000 | -0.000 | 70.238 | 0.000 |
| 0.000 | 0.000 | 0.000 | -0.000 | -0.000 | 70.238 |
| 192.681 | 67.564 | 67.564 | 0.000 | -0.000 | -0.000 |
| 67.564 | 192.681 | 67.564 | 0.000 | 0.000 | -0.000 |
| 67.564 | 67.564 | 192.681 | -0.000 | -0.000 | -0.000 |
| -0.000 | -0.000 | -0.000 | 70.238 | -0.000 | -0.000 |
| -0.000 | -0.000 | -0.000 | 0.000 | 70.238 | -0.000 |
| -0.000 | -0.000 | -0.000 | 0.000 | 0.000 | 70.238 |
| 192.681 | 67.564 | 67.564 | -0.000 | 0.000 | 0.000 |
| 67.564 | 192.681 | 67.564 | -0.000 | 0.000 | 0.000 |
| 67.564 | 67.564 | 192.681 | 0.000 | 0.000 | 0.000 |
| 0.000 | 0.000 | 0.000 | 42.514 | 0.000 | 0.000 |
| 0.000 | 0.000 | 0.000 | -0.000 | 42.514 | 0.000 |
| 0.000 | 0.000 | 0.000 | -0.000 | 0.000 | 42.514 |
| 192.681 | 67.564 | 67.564 | -0.000 | 0.000 | -0.000 |
| 67.564 | 192.681 | 67.564 | 0.000 | -0.000 | -0.000 |
| 67.564 | 67.564 | 192.681 | -0.000 | -0.000 | -0.000 |
| -0.000 | -0.000 | -0.000 | 42.514 | -0.000 | -0.000 |
| -0.000 | -0.000 | -0.000 | 0.000 | 42.514 | -0.000 |
| -0.000 | -0.000 | -0.000 | 0.000 | 0.000 | 42.514 |
| 192.682 | 67.564 | 67.564 | -0.000 | 0.000 | 0.000 |
| 67.564 | 192.682 | 67.564 | -0.000 | 0.000 | 0.000 |
| 67.564 | 67.564 | 192.682 | -0.000 | -0.000 | 0.000 |
| 0.000 | 0.000 | 0.000 | 42.514 | -0.000 | 0.000 |
| 0.000 | 0.000 | 0.000 | -0.000 | 42.514 | 0.000 |
| 0.000 | 0.000 | 0.000 | -0.000 | 0.000 | 42.514 |
| 192.680 | 67.563 | 67.563 | 0.000 | 0.000 | -0.000 |
| 67.563 | 192.680 | 67.563 | 0.000 | 0.000 | -0.000 |
| 67.563 | 67.563 | 192.680 | 0.000 | 0.000 | -0.000 |
| -0.000 | -0.000 | -0.000 | 42.514 | -0.000 | -0.000 |
| -0.000 | -0.000 | -0.000 | 0.000 | 42.514 | -0.000 |
| -0.000 | -0.000 | -0.000 | -0.000 | -0.000 | 42.514 |
| 135.960 | 40.535 | 40.535 | 0.000 | -0.000 | 0.000 |
| 40.535 | 135.960 | 40.535 | 0.000 | -0.000 | 0.000 |
| 40.535 | 40.535 | 135.960 | 0.000 | 0.000 | 0.000 |
| 0.000 | -0.000 | -0.000 | 44.296 | 0.000 | -0.000 |
| -0.000 | 0.000 | -0.000 | -0.000 | 44.296 | 0.000 |
| -0.000 | -0.000 | -0.000 | 0.000 | 0.000 | 44.296 |
| 135.960 | 40.535 | 40.535 | -0.000 | 0.000 | 0.000 |
| 40.535 | 135.960 | 40.535 | -0.000 | 0.000 | 0.000 |
| 40.535 | 40.535 | 135.960 | 0.000 | 0.000 | -0.000 |
| -0.000 | 0.000 | -0.000 | 44.296 | 0.000 | -0.000 |
| 0.000 | -0.000 | -0.000 | -0.000 | 44.296 | 0.000 |
| 0.000 | -0.000 | 0.000 | -0.000 | -0.000 | 44.296 |
| 135.960 | 40.535 | 40.535 | 0.000 | -0.000 | 0.000 |
| 40.535 | 135.960 | 40.535 | 0.000 | 0.000 | 0.000 |
| 40.535 | 40.535 | 135.960 | 0.000 | 0.000 | 0.000 |
| 0.000 | 0.000 | 0.000 | 44.296 | -0.000 | -0.000 |
| 0.000 | 0.000 | 0.000 | 0.000 | 44.296 | 0.000 |
| 0.000 | 0.000 | 0.000 | 0.000 | 0.000 | 44.296 |
| 135.960 | 40.535 | 40.535 | -0.000 | -0.000 | -0.000 |
| 40.535 | 135.960 | 40.535 | -0.000 | 0.000 | -0.000 |
| 40.535 | 40.535 | 135.960 | 0.000 | -0.000 | -0.000 |
| -0.000 | -0.000 | -0.000 | 44.296 | 0.000 | -0.000 |
| -0.000 | -0.000 | -0.000 | -0.000 | 44.296 | 0.000 |
| -0.000 | -0.000 | -0.000 | -0.000 | -0.000 | 44.296 |
| 135.960 | 40.535 | 40.535 | 0.000 | 0.000 | -0.000 |
| 40.535 | 135.960 | 40.535 | 0.000 | -0.000 | -0.000 |
| 40.535 | 40.535 | 135.960 | 0.000 | 0.000 | 0.000 |
| 0.000 | -0.000 | -0.000 | -8.419 | -0.000 | 0.000 |
| -0.000 | 0.000 | -0.000 | 0.000 | -8.419 | -0.000 |
| -0.000 | -0.000 | 0.000 | 0.000 | 0.000 | -8.419 |
| 135.959 | 40.535 | 40.535 | -0.000 | 0.000 | -0.000 |
| 40.535 | 135.959 | 40.535 | -0.000 | -0.000 | -0.000 |
| 40.535 | 40.535 | 135.959 | -0.000 | -0.000 | -0.000 |
| -0.000 | 0.000 | 0.000 | -8.419 | 0.000 | -0.000 |
| 0.000 | -0.000 | 0.000 | -0.000 | -8.419 | -0.000 |
| 0.000 | 0.000 | -0.000 | -0.000 | -0.000 | -8.419 |
| 229.677 | 119.276 | 40.995 | -0.000 | -0.000 | -0.000 |
| 128.076 | 179.967 | 75.823 | -0.000 | -0.000 | 0.000 |
| 18.752 | -51.055 | 20.536 | -0.000 | -0.000 | -0.000 |
| 19.934 | -128.295 | -54.460 | 35.184 | 0.000 | 0.000 |
| 0.000 | -0.000 | 0.000 | -0.000 | 44.287 | -0.000 |
| 0.000 | -0.000 | 0.000 | -0.000 | -0.000 | 122.764 |
| 153.767 | 201.339 | 44.631 | 0.000 | 0.000 | -0.000 |
| 119.276 | 317.220 | 42.385 | 0.000 | 0.000 | -0.000 |
| 310.673 | -57.992 | 98.137 | 0.000 | -0.000 | 0.000 |
| -19.934 | 128.295 | 54.460 | 35.184 | -0.000 | 0.000 |
| -0.000 | 0.000 | 0.000 | 0.000 | 44.287 | -0.000 |
| -0.000 | -0.000 | 0.000 | 0.000 | 0.000 | 122.764 |
| 150.141 | 130.809 | 72.616 | -0.000 | -0.000 | 0.000 |
| 134.885 | 234.410 | 82.934 | -0.000 | 0.000 | -0.000 |
| 75.515 | 78.592 | 127.707 | -0.000 | -0.000 | -0.000 |
| -0.964 | -3.363 | -1.514 | 28.140 | 0.000 | -0.000 |
| -0.996 | -3.475 | -1.565 | -0.000 | 28.191 | -0.000 |
| -23.672 | 6.871 | -0.563 | -0.000 | -0.000 | 42.415 |
| 150.138 | 136.833 | 75.881 | 0.000 | 0.000 | 0.000 |
| 119.276 | 317.220 | 42.385 | 0.000 | 0.000 | -0.000 |
| 76.753 | 84.093 | 132.518 | 0.000 | 0.000 | 0.000 |
| 0.964 | 3.363 | 1.514 | 28.140 | -0.000 | -0.000 |
| 0.996 | 3.475 | 1.565 | 0.000 | 28.191 | -0.000 |
| 23.672 | -6.871 | 0.563 | 0.000 | -0.000 | 42.415 |
| 144.266 | 119.815 | 50.854 | -0.000 | -0.000 | -0.000 |
| 118.289 | 235.946 | 68.634 | 0.000 | 0.000 | 0.000 |
| 45.600 | 64.154 | 96.573 | -0.000 | -0.000 | -0.000 |
| 0.010 | -0.643 | -0.278 | 31.459 | 0.000 | 0.000 |
| 2.131 | -0.916 | -1.959 | -0.000 | 25.812 | -0.000 |
| 2.364 | -0.992 | -2.135 | -0.000 | -0.000 | 34.872 |
| 148.912 | 118.671 | 56.033 | 0.000 | -0.000 | -0.000 |
| 122.230 | 231.338 | 90.798 | 0.000 | 0.000 | 0.000 |
| 47.126 | 84.093 | 84.453 | 0.000 | -0.000 | 0.000 |
| -0.010 | 0.643 | 0.278 | 31.459 | -0.000 | 0.000 |
| -2.131 | 0.916 | 1.959 | 0.000 | 25.812 | 0.000 |
| -2.364 | 0.992 | 2.135 | 0.000 | 0.000 | 34.872 |
| 121.306 | 29.905 | 16.304 | -0.000 | -0.000 | -0.000 |
| 13.816 | 55.283 | 26.629 | 0.000 | 0.011 | -0.014 |
| 5.919 | 24.416 | 45.711 | 0.000 | -0.008 | 0.010 |
| 0.098 | 0.040 | -0.101 | 22.238 | 0.004 | -0.005 |
| 0.579 | 0.447 | -0.045 | 0.001 | 4.416 | -0.003 |
| 361773472.421 | 293942718.484 | 130187134.527 | 5012378.626 | 7343836.142 | -97798527.793 |
| 121.306 | 29.905 | 16.304 | 0.000 | 0.000 | 0.000 |
| 15.282 | 56.184 | 28.192 | -0.000 | -0.014 | 0.017 |
| 5.787 | 22.922 | 48.087 | -0.000 | -0.001 | 0.001 |
| -0.098 | -0.040 | 0.101 | 22.238 | -0.004 | 0.005 |
| -0.579 | -0.447 | 0.045 | -0.001 | 4.411 | 0.003 |
| -299558132.849 | -181021714.455 | -69879896.724 | -3681125.133 | 10879957.567 | -114290912.056 |
| 50.137 | 27.743 | 14.302 | 0.000 | 0.000 | -0.000 |
| 15.557 | 57.330 | 26.088 | 0.000 | -0.001 | 0.001 |
| 34.693 | 33.469 | 70.013 | 0.000 | 0.000 | -0.000 |
| 0.012 | 0.006 | 0.008 | 21.510 | -0.000 | 0.000 |
| 0.037 | 0.019 | 0.023 | 0.000 | 9.596 | -0.000 |
| 0.030 | 0.015 | 0.015 | 0.000 | 0.000 | 15.126 |
| 39.612 | 15.275 | 9.518 | -0.000 | -0.004 | 0.005 |
| 14.326 | 60.178 | 26.343 | -0.000 | -0.000 | 0.001 |
| 34.679 | 33.464 | 70.023 | -0.000 | -0.000 | 0.000 |
| -0.025 | -0.012 | -0.003 | 20.946 | -0.000 | 0.001 |
| -0.007 | -0.003 | 0.007 | -0.000 | 14.846 | 0.000 |
| -0.030 | -0.015 | -0.015 | -0.000 | -0.000 | 15.127 |
| 39.047 | 14.580 | 7.871 | 0.000 | -0.005 | 0.007 |
| 15.654 | 56.446 | 28.243 | 0.000 | 0.000 | -0.000 |
| 6.053 | 23.037 | 48.133 | 0.000 | 0.000 | -0.000 |
| 4077104.730 | 2739519.326 | 657915.045 | 66585.539 | -31141.641 | 37877.101 |
| 0.009 | 0.005 | 0.002 | 0.000 | 4.309 | -0.000 |
| 4494883.913 | 4359709.396 | 2341822.193 | -39789.507 | 34582.545 | -934197.215 |
| 42.452 | 18.449 | 9.276 | -0.000 | 0.000 | -0.000 |
| 15.517 | 57.327 | 26.052 | -0.000 | 0.000 | -0.000 |
| 6.797 | 26.579 | 47.239 | -0.000 | -0.000 | 0.000 |
| -4132272.881 | -2764374.762 | -644259.176 | 35640.161 | -3415.732 | -48417.847 |
| -0.009 | -0.005 | -0.002 | -0.000 | 4.309 | 0.000 |
| -4072350.767 | -3575981.828 | -1863677.683 | -7896.063 | 28894.377 | -996505.251 |
| 159.910 | 55.252 | 55.252 | -0.000 | 0.000 | 0.000 |
| 55.252 | 159.910 | 55.252 | 0.000 | 0.000 | 0.000 |
| 55.252 | 55.252 | 159.910 | -0.000 | -0.000 | 0.000 |
| 0.000 | 0.000 | -0.000 | 18.744 | 0.000 | 0.000 |
| 0.000 | 0.000 | -0.000 | 0.000 | 18.744 | 0.000 |
| 0.000 | 0.000 | 0.000 | 0.000 | 0.000 | 18.744 |
| 159.910 | 55.252 | 55.252 | 0.000 | 0.000 | -0.000 |
| 55.252 | 159.910 | 55.252 | 0.000 | -0.000 | 0.000 |
| 55.252 | 55.252 | 159.910 | 0.000 | -0.000 | -0.000 |
| -0.000 | -0.000 | 0.000 | 18.744 | -0.000 | -0.000 |
| -0.000 | 0.000 | 0.000 | -0.000 | 18.744 | -0.000 |
| -0.000 | -0.000 | -0.000 | 0.000 | -0.000 | 18.744 |
| 159.910 | 55.252 | 55.252 | -0.000 | -0.000 | 0.000 |
| 55.252 | 159.910 | 55.252 | -0.000 | -0.000 | 0.000 |
| 55.252 | 55.252 | 159.910 | 0.000 | 0.000 | -0.000 |
| 0.000 | 0.000 | -0.000 | 18.744 | 0.000 | 0.000 |
| 0.000 | 0.000 | -0.000 | 0.000 | 18.744 | 0.000 |
| 0.000 | -0.000 | 0.000 | -0.000 | 0.000 | 18.744 |
| 159.909 | 55.252 | 55.252 | 0.000 | -0.000 | -0.000 |
| 55.252 | 159.909 | 55.252 | 0.000 | 0.000 | -0.000 |
| 55.252 | 55.252 | 159.909 | -0.000 | -0.000 | -0.000 |
| -0.000 | -0.000 | 0.000 | 18.744 | 0.000 | -0.000 |
| -0.000 | -0.000 | 0.000 | -0.000 | 18.744 | -0.000 |
| -0.000 | 0.000 | -0.000 | -0.000 | -0.000 | 18.744 |
| 159.910 | 55.252 | 55.252 | -0.000 | -0.000 | -0.000 |
| 55.252 | 159.910 | 55.252 | -0.000 | -0.000 | 0.000 |
| 55.252 | 55.252 | 159.910 | 0.000 | 0.000 | 0.000 |
| 0.000 | 0.000 | -0.000 | 18.744 | 0.000 | 0.000 |
| 0.000 | 0.000 | -0.000 | 0.000 | 18.744 | 0.000 |
| 0.000 | -0.000 | 0.000 | -0.000 | 0.000 | 18.744 |
| 159.909 | 55.251 | 55.251 | -0.000 | 0.000 | -0.000 |
| 55.251 | 159.909 | 55.251 | 0.000 | -0.000 | -0.000 |
| 55.251 | 55.251 | 159.909 | 0.000 | -0.000 | -0.000 |
| -0.000 | -0.000 | 0.000 | 18.744 | -0.000 | -0.000 |
| -0.000 | -0.000 | 0.000 | -0.000 | 18.744 | -0.000 |
| -0.000 | 0.000 | -0.000 | 0.000 | -0.000 | 18.744 |
| 194.636 | 69.460 | 69.460 | 0.000 | 0.000 | 0.000 |
| 69.460 | 194.636 | 69.460 | 0.000 | 0.000 | 0.000 |
| 69.460 | 69.460 | 194.636 | 0.000 | -0.000 | 0.000 |
| -0.000 | -0.000 | -0.000 | 64.212 | 0.000 | 0.000 |
| -0.000 | 0.000 | -0.000 | 0.000 | 64.211 | 0.000 |
| -0.000 | 0.000 | 0.000 | 0.000 | -0.000 | 64.212 |
| 194.636 | 69.460 | 69.460 | -0.000 | -0.000 | -0.000 |
| 69.460 | 194.636 | 69.460 | -0.000 | -0.000 | -0.000 |
| 69.460 | 69.460 | 194.636 | -0.000 | 0.000 | -0.000 |
| 0.000 | -0.000 | 0.000 | 64.211 | -0.000 | -0.000 |
| 0.000 | -0.000 | 0.000 | -0.000 | 64.212 | -0.000 |
| 0.000 | 0.000 | 0.000 | -0.000 | 0.000 | 64.211 |
| 194.636 | 69.460 | 69.460 | 0.000 | 0.000 | 0.000 |
| 69.460 | 194.636 | 69.460 | 0.000 | 0.000 | 0.000 |
| 69.460 | 69.460 | 194.636 | 0.000 | -0.000 | 0.000 |
| 0.000 | 0.000 | 0.000 | 70.805 | -0.000 | 0.000 |
| 0.000 | 0.000 | 0.000 | 0.000 | 70.805 | 0.000 |
| 0.000 | 0.000 | 0.000 | 0.000 | -0.000 | 70.805 |
| 194.636 | 69.460 | 69.460 | -0.000 | 0.000 | -0.000 |
| 69.460 | 194.636 | 69.460 | -0.000 | 0.000 | -0.000 |
| 69.460 | 69.460 | 194.636 | 0.000 | 0.000 | -0.000 |
| -0.000 | -0.000 | -0.000 | 70.805 | 0.000 | -0.000 |
| -0.000 | -0.000 | -0.000 | -0.000 | 70.805 | -0.000 |
| -0.000 | -0.000 | -0.000 | -0.000 | 0.000 | 70.805 |
| 194.637 | 69.461 | 69.461 | 0.000 | 0.000 | 0.000 |
| 69.461 | 194.637 | 69.461 | 0.000 | -0.000 | 0.000 |
| 69.461 | 69.461 | 194.637 | -0.000 | -0.000 | 0.000 |
| 0.000 | 0.000 | 0.000 | 64.212 | 0.000 | -0.000 |
| 0.000 | 0.000 | 0.000 | 0.000 | 64.212 | 0.000 |
| 0.000 | 0.000 | 0.000 | 0.000 | -0.000 | 64.212 |
| 194.635 | 69.460 | 69.460 | -0.000 | 0.000 | -0.000 |
| 69.460 | 194.635 | 69.460 | -0.000 | -0.000 | -0.000 |
| 69.460 | 69.460 | 194.635 | -0.000 | -0.000 | -0.000 |
| -0.000 | -0.000 | -0.000 | 64.212 | -0.000 | -0.000 |
| -0.000 | -0.000 | -0.000 | -0.000 | 64.212 | -0.000 |
| -0.000 | -0.000 | -0.000 | -0.000 | 0.000 | 64.212 |
| 0.000 | -0.000 | 0.000 | 0.000 | 0.000 | -0.000 |
| 0.000 | 21.527 | 0.000 | 0.000 | 0.000 | 0.000 |
| 0.000 | -0.000 | 0.000 | 0.000 | 0.000 | -0.000 |
| 0.000 | -0.000 | 0.000 | 0.000 | 0.000 | -0.000 |
| 0.000 | -0.000 | 0.000 | 0.000 | 0.000 | -0.000 |
| 0.000 | -0.000 | 0.000 | 0.000 | 0.000 | 0.000 |
| -0.000 | 0.000 | -0.000 | -0.000 | -0.000 | 0.000 |
| -0.000 | 21.527 | -0.000 | -0.000 | -0.000 | 0.000 |
| -0.000 | 0.000 | -0.000 | -0.000 | -0.000 | 0.000 |
| -0.000 | 0.000 | -0.000 | -0.000 | -0.000 | 0.000 |
| -0.000 | 0.000 | -0.000 | -0.000 | -0.000 | 0.000 |
| 0.000 | 0.000 | -0.000 | -0.000 | -0.000 | -0.000 |
| 0.000 | -0.000 | 0.000 | 0.000 | 0.000 | -0.000 |
| 0.000 | 21.527 | 0.000 | 0.000 | 0.000 | -0.000 |
| 0.000 | -0.000 | 0.000 | 0.000 | 0.000 | -0.000 |
| 0.000 | -0.000 | 0.000 | 0.000 | 0.000 | -0.000 |
| 0.000 | -0.000 | 0.000 | 0.000 | 0.000 | -0.000 |
| -0.000 | -0.000 | 0.000 | 0.000 | 0.000 | 0.000 |
| -0.000 | 0.000 | -0.000 | -0.000 | -0.000 | 0.000 |
| -0.000 | 21.527 | -0.000 | -0.000 | -0.000 | 0.000 |
| -0.000 | 0.000 | -0.000 | -0.000 | -0.000 | 0.000 |
| -0.000 | 0.000 | -0.000 | -0.000 | -0.000 | 0.000 |
| -0.000 | 0.000 | -0.000 | -0.000 | -0.000 | 0.000 |
| 0.000 | 0.000 | -0.000 | -0.000 | -0.000 | 0.000 |
| 0.000 | -0.000 | 0.000 | 0.000 | 0.000 | -0.000 |
| 0.000 | 21.528 | 0.000 | 0.000 | 0.000 | -0.000 |
| 0.000 | -0.000 | 0.000 | 0.000 | 0.000 | -0.000 |
| 0.000 | -0.000 | 0.000 | 0.000 | 0.000 | -0.000 |
| 0.000 | -0.000 | 0.000 | 0.000 | 0.000 | -0.000 |
| -0.000 | -0.000 | 0.000 | 0.000 | 0.000 | 0.000 |
| -0.000 | 0.000 | -0.000 | -0.000 | -0.000 | 0.000 |
| -0.000 | 21.527 | -0.000 | -0.000 | -0.000 | 0.000 |
| -0.000 | 0.000 | -0.000 | -0.000 | -0.000 | 0.000 |
| -0.000 | 0.000 | -0.000 | -0.000 | -0.000 | 0.000 |
| -0.000 | 0.000 | -0.000 | -0.000 | -0.000 | 0.000 |
| 0.000 | 0.000 | -0.000 | -0.000 | -0.000 | 0.000 |
| 0.000 | 0.000 | 0.000 | 0.000 | 0.000 | 0.000 |
| 0.000 | 21.472 | 0.000 | 0.000 | 0.000 | -0.000 |
| 0.000 | 0.000 | 0.000 | 0.000 | 0.000 | 0.000 |
| 0.000 | 0.000 | 0.000 | 0.000 | 0.000 | 0.000 |
| 0.000 | 0.000 | 0.000 | 0.000 | 0.000 | 0.000 |
| 0.000 | 0.000 | 0.000 | 0.000 | 0.000 | 0.000 |
| -0.000 | -0.000 | -0.000 | -0.000 | -0.000 | -0.000 |
| -0.000 | 21.471 | -0.000 | -0.000 | -0.000 | -0.000 |
| -0.000 | -0.000 | -0.000 | -0.000 | -0.000 | -0.000 |
| -0.000 | -0.000 | -0.000 | -0.000 | -0.000 | -0.000 |
| -0.000 | -0.000 | -0.000 | -0.000 | -0.000 | -0.000 |
| -0.000 | -0.000 | -0.000 | -0.000 | -0.000 | -0.000 |
| 0.000 | 0.000 | 0.000 | 0.000 | 0.000 | 0.000 |
| 0.000 | 21.472 | 0.000 | 0.000 | 0.000 | 0.000 |
| 0.000 | 0.000 | 0.000 | 0.000 | 0.000 | 0.000 |
| 0.000 | 0.000 | 0.000 | 0.000 | 0.000 | 0.000 |
| 0.000 | 0.000 | 0.000 | 0.000 | 0.000 | 0.000 |
| -0.000 | -0.000 | 0.000 | 0.000 | 0.000 | 0.000 |
| -0.000 | -0.000 | -0.000 | -0.000 | -0.000 | -0.000 |
| -0.000 | 21.471 | -0.000 | -0.000 | -0.000 | -0.000 |
| -0.000 | -0.000 | -0.000 | -0.000 | -0.000 | -0.000 |
| -0.000 | -0.000 | -0.000 | -0.000 | -0.000 | -0.000 |
| -0.000 | -0.000 | -0.000 | -0.000 | -0.000 | -0.000 |
| 0.000 | 0.000 | -0.000 | -0.000 | -0.000 | 0.000 |
| 0.000 | 0.000 | 0.000 | 0.000 | 0.000 | 0.000 |
| 0.000 | 21.472 | 0.000 | 0.000 | 0.000 | 0.000 |
| 0.000 | 0.000 | 0.000 | 0.000 | 0.000 | 0.000 |
| 0.000 | 0.000 | 0.000 | 0.000 | 0.000 | 0.000 |
| 0.000 | 0.000 | 0.000 | 0.000 | 0.000 | 0.000 |
| -0.000 | -0.000 | 0.000 | 0.000 | 0.000 | 0.000 |
| -0.000 | -0.000 | -0.000 | -0.000 | -0.000 | -0.000 |
| -0.000 | 21.471 | -0.000 | -0.000 | -0.000 | -0.000 |
| -0.000 | -0.000 | -0.000 | -0.000 | -0.000 | -0.000 |
| -0.000 | -0.000 | -0.000 | -0.000 | -0.000 | -0.000 |
| -0.000 | -0.000 | -0.000 | -0.000 | -0.000 | -0.000 |
| 0.000 | 0.000 | -0.000 | -0.000 | -0.000 | 0.000 |
| 33.660 | 3.172 | 3.172 | 0.000 | 0.000 | 0.000 |
| 3.172 | 33.660 | 3.172 | 0.000 | 0.000 | 0.000 |
| 3.172 | 3.172 | 33.660 | -0.000 | -0.000 | 0.000 |
| -0.000 | -0.000 | 0.000 | -13.079 | -0.000 | -0.000 |
| -0.000 | 0.000 | -0.000 | 0.000 | -13.079 | 0.000 |
| -0.000 | 0.000 | -0.000 | 0.000 | 0.000 | -13.079 |
| 33.660 | 3.172 | 3.172 | -0.000 | 0.000 | 0.000 |
| 3.172 | 33.660 | 3.172 | -0.000 | -0.000 | 0.000 |
| 3.172 | 3.172 | 33.660 | -0.000 | -0.000 | 0.000 |
| 0.000 | 0.000 | -0.000 | -13.079 | -0.000 | 0.000 |
| 0.000 | -0.000 | -0.000 | -0.000 | -13.079 | -0.000 |
| 0.000 | -0.000 | 0.000 | -0.000 | -0.000 | -13.079 |
| 33.660 | 3.172 | 3.172 | 0.000 | 0.000 | 0.000 |
| 3.172 | 33.660 | 3.172 | 0.000 | 0.000 | 0.000 |
| 3.172 | 3.172 | 33.660 | 0.000 | -0.000 | 0.000 |
| 0.000 | 0.000 | -0.000 | 3.043 | 0.000 | 0.000 |
| 0.000 | 0.000 | -0.000 | 0.000 | 3.043 | -0.000 |
| 0.000 | -0.000 | 0.000 | 0.000 | 0.000 | 3.043 |
| 33.660 | 3.172 | 3.172 | -0.000 | 0.000 | 0.000 |
| 3.172 | 33.660 | 3.172 | -0.000 | -0.000 | 0.000 |
| 3.172 | 3.172 | 33.660 | -0.000 | -0.000 | 0.000 |
| -0.000 | -0.000 | 0.000 | 3.043 | -0.000 | 0.000 |
| -0.000 | -0.000 | 0.000 | -0.000 | 3.043 | 0.000 |
| -0.000 | 0.000 | -0.000 | -0.000 | -0.000 | 3.043 |
| 33.661 | 3.172 | 3.172 | 0.000 | 0.000 | 0.000 |
| 3.172 | 33.661 | 3.172 | 0.000 | 0.000 | 0.000 |
| 3.172 | 3.172 | 33.661 | 0.000 | -0.000 | -0.000 |
| -23798.432 | 18808.055 | 12611.605 | -4669.694 | 6054.213 | 12202.996 |
| -33517.651 | -9896.659 | -11250.913 | 39605.301 | -36144.767 | -1622.113 |
| -5407.290 | 45196.526 | 34694.831 | -19921.910 | -17472.517 | -6998.989 |
| 33.660 | 3.172 | 3.172 | -0.000 | -0.000 | -0.000 |
| 3.172 | 33.660 | 3.172 | -0.000 | 0.000 | -0.000 |
| 3.172 | 3.172 | 33.660 | -0.000 | -0.000 | -0.000 |
| -53689.852 | -2855.094 | -28835.901 | -1512.645 | -10927.210 | -6127.268 |
| 19616.813 | 16054.694 | 27431.304 | -12195.254 | 42879.435 | -8099.433 |
| -23263.879 | -26318.893 | -30851.961 | -9302.443 | -11856.508 | -24401.660 |
| 13.456 | 12.681 | 12.681 | 0.000 | 0.000 | 0.000 |
| 12.681 | 13.456 | 12.681 | 0.000 | 0.000 | 0.000 |
| 12.681 | 12.681 | 13.456 | 0.000 | 0.000 | 0.000 |
| 0.000 | 0.000 | -0.000 | -10.729 | 0.000 | 0.000 |
| 0.000 | 0.000 | -0.000 | 0.000 | -10.729 | 0.000 |
| 0.000 | 0.000 | -0.000 | 0.000 | 0.000 | -10.729 |
| 13.456 | 12.681 | 12.681 | -0.000 | 0.000 | -0.000 |
| 12.681 | 13.456 | 12.681 | -0.000 | -0.000 | -0.000 |
| 12.681 | 12.681 | 13.456 | -0.000 | 0.000 | -0.000 |
| -0.000 | -0.000 | 0.000 | -10.729 | -0.000 | -0.000 |
| -0.000 | -0.000 | 0.000 | -0.000 | -10.729 | -0.000 |
| -0.000 | -0.000 | 0.000 | -0.000 | -0.000 | -10.729 |
| 13.456 | 12.681 | 12.681 | 0.000 | -0.000 | 0.000 |
| 12.681 | 13.456 | 12.681 | 0.000 | -0.000 | 0.000 |
| 12.681 | 12.681 | 13.456 | 0.000 | -0.000 | 0.000 |
| 0.000 | 0.000 | -0.000 | -10.729 | 0.000 | 0.000 |
| 0.000 | 0.000 | -0.000 | 0.000 | -10.729 | 0.000 |
| 0.000 | -0.000 | 0.000 | 0.000 | 0.000 | -10.729 |
| 13.456 | 12.681 | 12.681 | -0.000 | -0.000 | -0.000 |
| 12.681 | 13.456 | 12.681 | -0.000 | -0.000 | -0.000 |
| 12.681 | 12.681 | 13.456 | -0.000 | -0.000 | -0.000 |
| -0.000 | -0.000 | 0.000 | -10.729 | -0.000 | -0.000 |
| -0.000 | -0.000 | 0.000 | -0.000 | -10.729 | -0.000 |
| -0.000 | 0.000 | -0.000 | -0.000 | -0.000 | -10.729 |
| 13.456 | 12.681 | 12.681 | 0.000 | -0.000 | 0.000 |
| 12.681 | 13.456 | 12.681 | 0.000 | 0.000 | 0.000 |
| 12.681 | 12.681 | 13.456 | -0.000 | -0.000 | 0.000 |
| 0.000 | 0.000 | -0.000 | -10.729 | 0.000 | 0.000 |
| 0.000 | 0.000 | -0.000 | 0.000 | -10.729 | 0.000 |
| 0.000 | -0.000 | 0.000 | 0.000 | 0.000 | -10.729 |
| 13.456 | 12.681 | 12.681 | -0.000 | 0.000 | -0.000 |
| 12.681 | 13.456 | 12.681 | -0.000 | 0.000 | -0.000 |
| 12.681 | 12.681 | 13.456 | -0.000 | -0.000 | -0.000 |
| -0.000 | -0.000 | 0.000 | -10.729 | -0.000 | -0.000 |
| -0.000 | -0.000 | 0.000 | -0.000 | -10.729 | -0.000 |
| -0.000 | 0.000 | -0.000 | -0.000 | -0.000 | -10.729 |
| 12.250 | 13.995 | 13.995 | 0.000 | 0.000 | 0.000 |
| 13.995 | 12.250 | 13.995 | -0.000 | -0.000 | 0.000 |
| 13.995 | 13.995 | 12.250 | -0.000 | -0.000 | -0.000 |
| -0.000 | -0.000 | 0.000 | 14.701 | 0.000 | -0.000 |
| 0.000 | -0.000 | 0.000 | 0.000 | 14.701 | 0.000 |
| -0.000 | -0.000 | -0.000 | 0.000 | -0.000 | 14.701 |
| 12.250 | 13.995 | 13.995 | -0.000 | -0.000 | 0.000 |
| 13.995 | 12.250 | 13.995 | -0.000 | 0.000 | 0.000 |
| 13.995 | 13.995 | 12.250 | -0.000 | 0.000 | -0.000 |
| 0.000 | 0.000 | -0.000 | 14.701 | -0.000 | -0.000 |
| 0.000 | 0.000 | -0.000 | -0.000 | 14.701 | -0.000 |
| -0.000 | -0.000 | -0.000 | -0.000 | -0.000 | 14.701 |
| 12.250 | 13.995 | 13.995 | -0.000 | -0.000 | 0.000 |
| 13.995 | 12.250 | 13.995 | 0.000 | -0.000 | 0.000 |
| 13.995 | 13.995 | 12.250 | 0.000 | 0.000 | 0.000 |
| -0.000 | 0.000 | 0.000 | 14.701 | 0.000 | 0.000 |
| 0.000 | -0.000 | 0.000 | 0.000 | 14.701 | -0.000 |
| 0.000 | 0.000 | -0.000 | 0.000 | 0.000 | 14.701 |
| 12.250 | 13.995 | 13.995 | -0.000 | -0.000 | -0.000 |
| 13.995 | 12.250 | 13.995 | -0.000 | 0.000 | -0.000 |
| 13.995 | 13.995 | 12.250 | -0.000 | 0.000 | -0.000 |
| 0.000 | -0.000 | -0.000 | 14.701 | -0.000 | 0.000 |
| -0.000 | 0.000 | -0.000 | 0.000 | 14.701 | -0.000 |
| -0.000 | -0.000 | 0.000 | 0.000 | -0.000 | 14.701 |
| 12.250 | 13.995 | 13.995 | 0.000 | -0.000 | -0.000 |
| 13.995 | 12.250 | 13.995 | 0.000 | 0.000 | 0.000 |
| 13.995 | 13.995 | 12.250 | 0.000 | -0.000 | 0.000 |
| -0.000 | 0.000 | 0.000 | 14.701 | 0.000 | -0.000 |
| 0.000 | -0.000 | 0.000 | 0.000 | 14.701 | -0.000 |
| 0.000 | 0.000 | -0.000 | 0.000 | -0.000 | 14.701 |
| 12.250 | 13.995 | 13.995 | 0.000 | -0.000 | -0.000 |
| 13.995 | 12.250 | 13.995 | -0.000 | -0.000 | 0.000 |
| 13.995 | 13.995 | 12.250 | -0.000 | -0.000 | -0.000 |
| 0.000 | -0.000 | -0.000 | 14.701 | 0.000 | 0.000 |
| -0.000 | 0.000 | -0.000 | -0.000 | 14.701 | -0.000 |
| -0.000 | -0.000 | 0.000 | -0.000 | 0.000 | 14.701 |
| 45.267 | 10.227 | 11.605 | -0.000 | -0.000 | -0.000 |
| 9.534 | 43.292 | 17.977 | -0.000 | -0.000 | -0.000 |
| 11.798 | 18.962 | 32.865 | -0.000 | -0.000 | -0.000 |
| 0.032 | -0.042 | 0.144 | 13.112 | -0.000 | -0.000 |
| -0.000 | -0.000 | 0.000 | 0.000 | 15.822 | -0.000 |
| 0.000 | 0.000 | -0.000 | -0.000 | -0.000 | 16.341 |
| 44.682 | 11.154 | 12.336 | 0.000 | 0.000 | 0.000 |
| 15.834 | 54.563 | 31.474 | 0.000 | 0.000 | 0.000 |
| 11.624 | 18.925 | 32.944 | 0.000 | 0.000 | 0.000 |
| -0.032 | 0.042 | -0.144 | 13.112 | 0.000 | 0.000 |
| -0.000 | 0.000 | 0.000 | -0.000 | 15.822 | 0.000 |
| -0.000 | 0.000 | -0.000 | -0.000 | 0.000 | 16.341 |
| 44.850 | 11.111 | 12.269 | -0.000 | -0.000 | -0.000 |
| 11.205 | 40.884 | 16.226 | 0.000 | -0.000 | -0.000 |
| 11.720 | 18.946 | 32.902 | -0.000 | -0.000 | -0.000 |
| 0.000 | 0.000 | 0.000 | 31.991 | -0.000 | -0.000 |
| 0.006 | 0.001 | -0.004 | -0.000 | 11.527 | -0.000 |
| 0.019 | 0.002 | -0.012 | -0.000 | -0.000 | 11.240 |
| 45.125 | 10.245 | 11.663 | 0.000 | 0.000 | 0.000 |
| 9.469 | 43.343 | 18.118 | 0.000 | 0.000 | 0.000 |
| 11.703 | 18.943 | 32.910 | -0.000 | 0.000 | 0.000 |
| -0.000 | -0.000 | -0.000 | 31.991 | -0.000 | 0.000 |
| -0.006 | -0.001 | 0.004 | 0.000 | 11.527 | 0.000 |
| -0.019 | -0.002 | 0.012 | 0.000 | 0.000 | 11.240 |
| 44.837 | 11.115 | 12.275 | 0.000 | -0.000 | -0.000 |
| 11.171 | 40.539 | 15.983 | -0.000 | 0.000 | -0.000 |
| 12.164 | 15.954 | 30.581 | -0.000 | 0.000 | -0.000 |
| 0.008 | 0.004 | -0.002 | 12.684 | 0.000 | -0.000 |
| 0.001 | -0.001 | 0.000 | 0.000 | 8.241 | -0.000 |
| 0.001 | -0.000 | -0.001 | -0.000 | 0.000 | 10.124 |
| 45.137 | 10.244 | 11.659 | 0.000 | 0.000 | 0.000 |
| 11.261 | 41.259 | 15.439 | 0.000 | -0.000 | 0.000 |
| 12.580 | 15.210 | 29.408 | 0.000 | 0.000 | 0.000 |
| -0.008 | -0.004 | 0.002 | 12.684 | -0.000 | 0.000 |
| -0.001 | 0.001 | -0.000 | -0.000 | 8.241 | 0.000 |
| -0.001 | 0.000 | 0.001 | -0.000 | -0.000 | 10.124 |
| 14860139.718 | 20248253.676 | 27173661.563 | -347476.560 | -640158.886 | -519137.250 |
| 14858706.976 | 20246868.956 | 27171566.860 | -347586.497 | -639735.936 | -519335.734 |
| 14861186.850 | 20249207.213 | 27175106.284 | -347336.324 | -640505.135 | -518993.301 |
| 14862608.514 | 20250516.051 | 27177122.567 | -347215.287 | -640918.791 | -518820.704 |
| 14860445.939 | 20248466.578 | 27173889.555 | -347409.711 | -640266.457 | -519113.391 |
| 14861479.464 | 20249490.143 | 27175561.372 | -347303.804 | -640602.094 | -518939.784 |
| -14861361.695 | -20249265.628 | -27175073.216 | 347274.668 | 640572.299 | 519002.593 |
| -14863042.397 | -20250831.765 | -27177522.437 | 347148.756 | 641071.184 | 518786.805 |
| -14860283.804 | -20248278.184 | -27173591.305 | 347415.860 | 640214.567 | 519140.799 |
| -14859209.919 | -20247221.452 | -27172023.058 | 347499.172 | 639910.074 | 519286.363 |
| -14861011.568 | -20249009.089 | -27174783.606 | 347342.467 | 640449.727 | 519023.165 |
| -14860033.968 | -20248024.831 | -27173191.030 | 347445.019 | 640129.304 | 519190.203 |
| 1485552.275 | 2024440.189 | 2716828.124 | -34824.800 | -63861.173 | -51968.794 |
| 1485109.150 | 2023819.721 | 2715710.491 | -34725.272 | -63831.115 | -52086.082 |
| 1486511.811 | 2025325.945 | 2718186.090 | -34706.447 | -64175.048 | -51833.662 |
| 1488284.686 | 2027069.510 | 2720619.259 | -34482.763 | -64758.686 | -51619.472 |
| 1485856.392 | 2024650.612 | 2717056.582 | -34758.566 | -63969.404 | -51949.257 |
| 1486794.937 | 2025605.228 | 2718620.757 | -34681.658 | -64273.227 | -51775.064 |
| -1486610.448 | -2025320.795 | -2718067.094 | 34663.623 | 64211.025 | 51846.697 |
| -1488683.579 | -2027400.360 | -2721026.859 | 34402.262 | 64902.460 | 51577.671 |
| -1485820.551 | -2024552.923 | -2716886.829 | 34737.522 | 63969.353 | 51971.433 |
| -1485626.979 | -2024179.956 | -2716179.649 | 34640.058 | 64016.056 | 52047.665 |
| -1486285.953 | -2025090.717 | -2717816.252 | 34720.052 | 64100.845 | 51866.152 |
| -1485681.193 | -2024377.679 | -2716606.881 | 34741.432 | 63926.981 | 52013.088 |
| 148246.848 | 202194.679 | 271300.071 | -3516.900 | -6289.814 | -5234.409 |
| 147319.247 | 201173.420 | 270387.698 | -3380.108 | -6756.859 | -5005.776 |
| 148706.419 | 202638.878 | 272062.176 | -3494.806 | -6426.579 | -5137.445 |
| 148749.064 | 202659.201 | 272072.392 | -3501.951 | -6458.887 | -5134.328 |
| 148808.310 | 202601.110 | 271790.456 | -3414.258 | -6496.690 | -5198.572 |
| 148779.275 | 202720.806 | 272111.015 | -3475.525 | -6471.935 | -5074.247 |
| -149063.613 | -202916.947 | -272332.910 | 3384.443 | 6560.637 | 5133.226 |
| -149094.343 | -202948.798 | -272419.400 | 3424.054 | 6576.166 | 5091.309 |
| -149091.567 | -202774.381 | -271944.664 | 3346.412 | 6614.257 | 5168.818 |
| -147913.105 | -201763.669 | -271146.896 | 3240.739 | 6970.264 | 4962.825 |
| -148904.963 | -202791.985 | -272221.538 | 3432.651 | 6507.857 | 5139.228 |
| -148457.104 | -202090.011 | -271066.230 | 3497.061 | 6395.707 | 5194.303 |
| 71.371 | 38.842 | 68.516 | 0.000 | -0.000 | 0.000 |
| 38.842 | 71.371 | 68.516 | 0.000 | -0.000 | 0.000 |
| 65.179 | 65.179 | 101.534 | -0.000 | 0.000 | 0.000 |
| -2.832 | -2.832 | -0.710 | 4.647 | -0.000 | 0.000 |
| -2.832 | -2.832 | -0.710 | 0.000 | 4.646 | 0.000 |
| 0.697 | 0.697 | 0.175 | 0.000 | -0.000 | 13.260 |
| 69.917 | 37.398 | 68.151 | -0.000 | 0.000 | -0.000 |
| 37.398 | 69.917 | 68.151 | -0.000 | 0.000 | -0.000 |
| 63.749 | 63.749 | 101.173 | 0.000 | -0.000 | -0.000 |
| 2.832 | 2.832 | 0.710 | 4.646 | 0.000 | -0.000 |
| 2.832 | 2.832 | 0.710 | -0.000 | 4.646 | -0.000 |
| -0.697 | -0.697 | -0.175 | -0.000 | 0.000 | 13.260 |
| 70.416 | 36.051 | 68.026 | 0.000 | -0.000 | 0.000 |
| 36.051 | 70.416 | 68.026 | 0.000 | -0.000 | 0.000 |
| 64.536 | 64.536 | 101.372 | -0.000 | 0.000 | 0.000 |
| 0.020 | 0.130 | 0.019 | 3.750 | 0.000 | 0.000 |
| 0.131 | 0.019 | 0.019 | 0.000 | 3.752 | 0.000 |
| 0.070 | 0.070 | 0.018 | 0.000 | -0.000 | 13.260 |
| 70.263 | 35.918 | 67.990 | -0.000 | 0.000 | -0.000 |
| 35.918 | 70.263 | 67.990 | -0.000 | 0.000 | -0.000 |
| 64.393 | 64.393 | 101.335 | 0.000 | -0.000 | -0.000 |
| -0.020 | -0.130 | -0.019 | 3.748 | -0.000 | -0.000 |
| -0.131 | -0.019 | -0.019 | 0.000 | 3.749 | -0.000 |
| -0.070 | -0.070 | -0.018 | -0.000 | 0.000 | 13.260 |
| 70.346 | 35.991 | 68.010 | -0.000 | 0.000 | 0.000 |
| 35.991 | 70.346 | 68.010 | -0.000 | 0.000 | 0.000 |
| 64.472 | 64.472 | 101.356 | -0.000 | 0.000 | 0.000 |
| 0.023 | 0.014 | 0.005 | 3.775 | 0.000 | 0.000 |
| 0.014 | 0.023 | 0.005 | -0.000 | 3.775 | 0.000 |
| 0.007 | 0.007 | 0.002 | 0.000 | -0.000 | 13.260 |
| 70.333 | 35.977 | 68.006 | 0.000 | -0.000 | -0.000 |
| 35.977 | 70.333 | 68.006 | 0.000 | -0.000 | -0.000 |
| 64.457 | 64.457 | 101.351 | 0.000 | -0.000 | -0.000 |
| -0.023 | -0.014 | -0.005 | 3.775 | 0.000 | -0.000 |
| -0.014 | -0.023 | -0.005 | 0.000 | 3.775 | -0.000 |
| -0.007 | -0.007 | -0.002 | -0.000 | 0.000 | 13.260 |
| 67.119 | -33.136 | 18.128 | -0.000 | -69.193 | -0.000 |
| 23.964 | 110.439 | 202.220 | -0.000 | -24.944 | -0.000 |
| 107.821 | 214.776 | 371.619 | -0.000 | -25.801 | 0.000 |
| -98.825 | -121.711 | 134.572 | 11.229 | 90.454 | 2.444 |
| -26.019 | 0.023 | 34.107 | -0.000 | 55.081 | -0.000 |
| 43.575 | 156.123 | 170.009 | -5.666 | -55.582 | -16.500 |
| 256.928 | 180.398 | -90.345 | 0.000 | -135.216 | 0.000 |
| 26.299 | 201.904 | 75.451 | 0.000 | -1.179 | 0.000 |
| 231.276 | 218.579 | -21.317 | 0.000 | -122.008 | 0.000 |
| 98.825 | 121.711 | -134.572 | 11.229 | -90.454 | 2.444 |
| 68.386 | -62.055 | -251.328 | 0.000 | 85.957 | 0.000 |
| -43.575 | -156.123 | -170.009 | -5.666 | 55.582 | -16.500 |
| 49.216 | 45.477 | 79.792 | -0.000 | 5.797 | 0.000 |
| 26.702 | 87.984 | 99.075 | 0.000 | 13.228 | 0.000 |
| 69.079 | 92.871 | 130.534 | 0.000 | 5.496 | -0.000 |
| -8.359 | -10.295 | 11.383 | 22.952 | 7.651 | 2.264 |
| 17.033 | 30.152 | 27.901 | 0.000 | 7.503 | -0.000 |
| -9.304 | -11.458 | 12.669 | 1.173 | 8.516 | 15.003 |
| 44.728 | 10.825 | 38.824 | 0.000 | 19.055 | 0.000 |
| 28.401 | 67.675 | 58.907 | 0.000 | 18.771 | -0.000 |
| 45.798 | 76.305 | 183.969 | 0.000 | 34.107 | 0.000 |
| 8.359 | 10.295 | -11.383 | 22.952 | -7.651 | 2.264 |
| -2.727 | -6.578 | -9.879 | -0.000 | 20.327 | 0.000 |
| 9.304 | 11.458 | -12.669 | 1.173 | -8.516 | 15.003 |
| 54.002 | 37.280 | 62.883 | 0.000 | 9.277 | -0.000 |
| 41.647 | 92.206 | 80.818 | -0.000 | 10.480 | -0.000 |
| 62.345 | 77.822 | 114.034 | -0.000 | 11.532 | -0.000 |
| 0.533 | 0.783 | 0.870 | 20.905 | -0.681 | -2.525 |
| 14.248 | 15.410 | 12.351 | -0.000 | 12.219 | 0.000 |
| 0.078 | 0.621 | 1.128 | -2.781 | -0.267 | -12.485 |
| 56.146 | 37.806 | 61.099 | 0.000 | 8.696 | 0.000 |
| 32.181 | 83.834 | 75.335 | 0.000 | 14.343 | 0.000 |
| 67.364 | 78.611 | 111.288 | 0.000 | 10.217 | 0.000 |
| -0.533 | -0.783 | -0.870 | 20.905 | 0.681 | -2.525 |
| 12.111 | 12.804 | 7.904 | 0.000 | 13.900 | 0.000 |
| -0.078 | -0.621 | -1.128 | -2.781 | 0.267 | -12.485 |
| 62.915 | 57.467 | 57.467 | -0.000 | 0.000 | 0.000 |
| 57.467 | 62.915 | 57.467 | 0.000 | -0.000 | 0.000 |
| 57.467 | 57.467 | 62.915 | -0.000 | -0.000 | 0.000 |
| 0.000 | 0.000 | -0.000 | 24.521 | 0.000 | 0.000 |
| 0.000 | 0.000 | -0.000 | 0.000 | 24.521 | 0.000 |
| -0.000 | 0.000 | -0.000 | 0.000 | 0.000 | 24.521 |
| 62.915 | 57.467 | 57.467 | 0.000 | 0.000 | -0.000 |
| 57.467 | 62.915 | 57.467 | -0.000 | 0.000 | -0.000 |
| 57.467 | 57.467 | 62.915 | -0.000 | 0.000 | -0.000 |
| -0.000 | 0.000 | 0.000 | 24.521 | -0.000 | -0.000 |
| -0.000 | -0.000 | 0.000 | -0.000 | 24.521 | -0.000 |
| 0.000 | -0.000 | 0.000 | -0.000 | -0.000 | 24.521 |
| 62.915 | 57.467 | 57.467 | 0.000 | 0.000 | 0.000 |
| 57.467 | 62.915 | 57.467 | 0.000 | 0.000 | 0.000 |
| 57.467 | 57.467 | 62.915 | -0.000 | 0.000 | 0.000 |
| 0.000 | 0.000 | 0.000 | 24.521 | 0.000 | 0.000 |
| 0.000 | 0.000 | 0.000 | 0.000 | 24.521 | 0.000 |
| 0.000 | 0.000 | 0.000 | 0.000 | 0.000 | 24.521 |
| 62.915 | 57.467 | 57.467 | 0.000 | 0.000 | -0.000 |
| 57.467 | 62.915 | 57.467 | -0.000 | -0.000 | -0.000 |
| 57.467 | 57.467 | 62.915 | -0.000 | -0.000 | -0.000 |
| -0.000 | -0.000 | -0.000 | 24.521 | -0.000 | -0.000 |
| -0.000 | -0.000 | -0.000 | 0.000 | 24.521 | -0.000 |
| -0.000 | -0.000 | -0.000 | -0.000 | -0.000 | 24.521 |
| 62.915 | 57.467 | 57.467 | 0.000 | 0.000 | 0.000 |
| 57.467 | 62.915 | 57.467 | -0.000 | 0.000 | 0.000 |
| 57.467 | 57.467 | 62.915 | 0.000 | -0.000 | 0.000 |
| 0.000 | 0.000 | 0.000 | 24.521 | 0.000 | 0.000 |
| 0.000 | 0.000 | 0.000 | 0.000 | 24.521 | 0.000 |
| 0.000 | 0.000 | 0.000 | 0.000 | 0.000 | 24.521 |
| 62.914 | 57.467 | 57.467 | 0.000 | 0.000 | -0.000 |
| 57.467 | 62.914 | 57.467 | 0.000 | -0.000 | -0.000 |
| 57.467 | 57.467 | 62.914 | -0.000 | -0.000 | -0.000 |
| -0.000 | -0.000 | -0.000 | 24.521 | -0.000 | -0.000 |
| -0.000 | -0.000 | -0.000 | 0.000 | 24.521 | -0.000 |
| -0.000 | -0.000 | -0.000 | -0.000 | -0.000 | 24.521 |
| 275.886 | 45.677 | 45.677 | 0.000 | -0.000 | -0.000 |
| 45.677 | 275.886 | 45.677 | -0.000 | 0.000 | 0.000 |
| 45.677 | 45.677 | 275.886 | 0.000 | 0.000 | -0.000 |
| 0.000 | 0.000 | 0.000 | -165.995 | 0.000 | -0.000 |
| 0.000 | 0.000 | 0.000 | 0.000 | -165.995 | -0.000 |
| 0.000 | 0.000 | 0.000 | -0.000 | -0.000 | -165.995 |
| 275.886 | 45.677 | 45.677 | -0.000 | -0.000 | 0.000 |
| 45.677 | 275.886 | 45.677 | 0.000 | -0.000 | 0.000 |
| 45.677 | 45.677 | 275.886 | 0.000 | -0.000 | 0.000 |
| -0.000 | -0.000 | -0.000 | -165.995 | 0.000 | -0.000 |
| -0.000 | -0.000 | 0.000 | -0.000 | -165.995 | 0.000 |
| -0.000 | 0.000 | 0.000 | 0.000 | 0.000 | -165.995 |
| 275.886 | 45.677 | 45.677 | -0.000 | 0.000 | -0.000 |
| 45.677 | 275.886 | 45.677 | 0.000 | 0.000 | -0.000 |
| 45.677 | 45.677 | 275.886 | -0.000 | -0.000 | -0.000 |
| 0.000 | 0.000 | 0.000 | -165.995 | -0.000 | -0.000 |
| 0.000 | 0.000 | 0.000 | -0.000 | -165.995 | -0.000 |
| 0.000 | 0.000 | 0.000 | -0.000 | 0.000 | -165.995 |
| 275.886 | 45.677 | 45.677 | -0.000 | -0.000 | 0.000 |
| 45.677 | 275.886 | 45.677 | 0.000 | 0.000 | 0.000 |
| 45.677 | 45.677 | 275.886 | 0.000 | -0.000 | 0.000 |
| -0.000 | -0.000 | -0.000 | -165.995 | 0.000 | 0.000 |
| -0.000 | -0.000 | -0.000 | 0.000 | -165.995 | 0.000 |
| -0.000 | -0.000 | -0.000 | 0.000 | 0.000 | -165.995 |
| 275.888 | 45.677 | 45.677 | 0.000 | -0.000 | -0.000 |
| 45.677 | 275.888 | 45.677 | 0.000 | 0.000 | -0.000 |
| 45.677 | 45.677 | 275.888 | -0.000 | -0.000 | -0.000 |
| 0.001 | 0.001 | 0.000 | -165.995 | -0.000 | 0.000 |
| 0.001 | 0.001 | 0.000 | 0.000 | -165.995 | -0.000 |
| 0.001 | 0.000 | 0.001 | 0.000 | -0.000 | -165.995 |
| 275.883 | 45.677 | 45.677 | 0.000 | -0.000 | 0.000 |
| 45.677 | 275.883 | 45.677 | -0.000 | -0.000 | 0.000 |
| 45.677 | 45.677 | 275.883 | 0.000 | -0.000 | 0.000 |
| -0.001 | -0.001 | -0.000 | -165.995 | 0.000 | 0.000 |
| -0.001 | -0.001 | -0.000 | 0.000 | -165.995 | 0.000 |
| -0.001 | -0.000 | -0.001 | -0.000 | 0.000 | -165.995 |
| 105.411 | 58.580 | 58.580 | 0.000 | -0.000 | -0.000 |
| 58.580 | 105.411 | 58.580 | 0.000 | 0.000 | -0.000 |
| 58.580 | 58.580 | 105.411 | 0.000 | 0.000 | -0.000 |
| -0.000 | -0.000 | 0.000 | -2.803 | 0.000 | -0.000 |
| -0.000 | -0.000 | 0.000 | 0.000 | -2.803 | -0.000 |
| -0.000 | -0.000 | 0.000 | -0.000 | -0.000 | -2.803 |
| 105.411 | 58.580 | 58.580 | -0.000 | 0.000 | 0.000 |
| 58.580 | 105.411 | 58.580 | -0.000 | -0.000 | 0.000 |
| 58.580 | 58.580 | 105.411 | -0.000 | 0.000 | 0.000 |
| 0.000 | 0.000 | -0.000 | -2.803 | -0.000 | 0.000 |
| 0.000 | 0.000 | -0.000 | -0.000 | -2.803 | 0.000 |
| 0.000 | 0.000 | -0.000 | 0.000 | 0.000 | -2.803 |
| 105.411 | 58.580 | 58.580 | 0.000 | 0.000 | -0.000 |
| 58.580 | 105.411 | 58.580 | 0.000 | 0.000 | -0.000 |
| 58.580 | 58.580 | 105.411 | -0.000 | -0.000 | -0.000 |
| 0.000 | -0.000 | 0.000 | 61.156 | 0.000 | -0.000 |
| -0.000 | 0.000 | 0.000 | 0.000 | 61.156 | -0.000 |
| -0.000 | 0.000 | 0.000 | -0.000 | -0.000 | 61.156 |
| 105.411 | 58.580 | 58.580 | -0.000 | -0.000 | 0.000 |
| 58.580 | 105.411 | 58.580 | -0.000 | 0.000 | 0.000 |
| 58.580 | 58.580 | 105.411 | 0.000 | 0.000 | 0.000 |
| -0.000 | 0.000 | -0.000 | 61.156 | -0.000 | 0.000 |
| 0.000 | -0.000 | -0.000 | -0.000 | 61.156 | 0.000 |
| 0.000 | -0.000 | -0.000 | 0.000 | 0.000 | 61.156 |
| 105.411 | 58.580 | 58.580 | 0.000 | 0.000 | -0.000 |
| 58.580 | 105.411 | 58.580 | 0.000 | -0.000 | -0.000 |
| 58.580 | 58.580 | 105.411 | 0.000 | 0.000 | -0.000 |
| 0.000 | -0.000 | -0.000 | -2.803 | -0.000 | -0.000 |
| -0.000 | 0.000 | -0.000 | 0.000 | -2.803 | -0.000 |
| -0.000 | -0.000 | 0.000 | 0.000 | -0.000 | -2.803 |
| 105.410 | 58.580 | 58.580 | -0.000 | -0.000 | 0.000 |
| 58.580 | 105.410 | 58.580 | -0.000 | 0.000 | 0.000 |
| 58.580 | 58.580 | 105.410 | -0.000 | 0.000 | 0.000 |
| -0.000 | 0.000 | 0.000 | -2.803 | 0.000 | 0.000 |
| 0.000 | -0.000 | 0.000 | -0.000 | -2.803 | 0.000 |
| 0.000 | 0.000 | -0.000 | -0.000 | 0.000 | -2.803 |
| 35.721 | 33.455 | 33.455 | 0.000 | -0.000 | 0.000 |
| 33.455 | 35.721 | 33.455 | -0.000 | -0.000 | 0.000 |
| 33.455 | 33.455 | 35.721 | -0.000 | 0.000 | 0.000 |
| -0.000 | -0.000 | 0.000 | -1.708 | -0.000 | 0.000 |
| -0.000 | -0.000 | 0.000 | -0.000 | -1.708 | 0.000 |
| -0.000 | -0.000 | 0.000 | -0.000 | 0.000 | -1.708 |
| 35.721 | 33.455 | 33.455 | 0.000 | 0.000 | -0.000 |
| 33.455 | 35.721 | 33.455 | -0.000 | -0.000 | -0.000 |
| 33.455 | 33.455 | 35.721 | 0.000 | 0.000 | -0.000 |
| 0.000 | 0.000 | -0.000 | -1.708 | 0.000 | -0.000 |
| 0.000 | 0.000 | -0.000 | -0.000 | -1.708 | -0.000 |
| 0.000 | 0.000 | -0.000 | 0.000 | -0.000 | -1.708 |
| 35.721 | 33.455 | 33.455 | -0.000 | 0.000 | 0.000 |
| 33.455 | 35.721 | 33.455 | 0.000 | 0.000 | 0.000 |
| 33.455 | 33.455 | 35.721 | 0.000 | 0.000 | 0.000 |
| 0.000 | 0.000 | 0.000 | -1.708 | -0.000 | 0.000 |
| 0.000 | 0.000 | 0.000 | -0.000 | -1.708 | 0.000 |
| 0.000 | 0.000 | 0.000 | 0.000 | 0.000 | -1.708 |
| 35.721 | 33.455 | 33.455 | 0.000 | 0.000 | -0.000 |
| 33.455 | 35.721 | 33.455 | 0.000 | 0.000 | -0.000 |
| 33.455 | 33.455 | 35.721 | 0.000 | 0.000 | -0.000 |
| -0.000 | -0.000 | -0.000 | -1.708 | -0.000 | -0.000 |
| -0.000 | -0.000 | -0.000 | -0.000 | -1.708 | -0.000 |
| -0.000 | -0.000 | -0.000 | -0.000 | -0.000 | -1.708 |
| 35.721 | 33.455 | 33.455 | -0.000 | 0.000 | 0.000 |
| 33.455 | 35.721 | 33.455 | 0.000 | -0.000 | 0.000 |
| 33.455 | 33.455 | 35.721 | 0.000 | 0.000 | 0.000 |
| 0.000 | 0.000 | 0.000 | -1.708 | 0.000 | 0.000 |
| 0.000 | 0.000 | 0.000 | 0.000 | -1.708 | 0.000 |
| 0.000 | 0.000 | 0.000 | 0.000 | 0.000 | -1.708 |
| 35.721 | 33.455 | 33.455 | 0.000 | 0.000 | -0.000 |
| 33.455 | 35.721 | 33.455 | 0.000 | 0.000 | -0.000 |
| 33.455 | 33.455 | 35.721 | -0.000 | -0.000 | -0.000 |
| -0.000 | -0.000 | -0.000 | -1.708 | -0.000 | -0.000 |
| -0.000 | -0.000 | -0.000 | -0.000 | -1.708 | -0.000 |
| -0.000 | -0.000 | -0.000 | -0.000 | -0.000 | -1.708 |
| 24.267 | -2.682 | -2.682 | 0.000 | 0.000 | -0.000 |
| -2.682 | 24.267 | -2.682 | -0.000 | 0.000 | -0.000 |
| -2.682 | -2.682 | 24.267 | -0.000 | 0.000 | -0.000 |
| -0.000 | 0.000 | -0.000 | -2.682 | 0.000 | -0.000 |
| 0.000 | 0.000 | -0.000 | 0.000 | -2.682 | -0.000 |
| -0.000 | -0.000 | 0.000 | 0.000 | 0.000 | -2.682 |
| 24.267 | -2.682 | -2.682 | -0.000 | -0.000 | 0.000 |
| -2.682 | 24.267 | -2.682 | 0.000 | -0.000 | 0.000 |
| -2.682 | -2.682 | 24.267 | 0.000 | -0.000 | 0.000 |
| 0.000 | -0.000 | 0.000 | -2.682 | -0.000 | 0.000 |
| 0.000 | -0.000 | 0.000 | 0.000 | -2.682 | 0.000 |
| 0.000 | 0.000 | -0.000 | -0.000 | 0.000 | -2.682 |
| 24.267 | -2.682 | -2.682 | 0.000 | -0.000 | -0.000 |
| -2.682 | 24.267 | -2.682 | 0.000 | 0.000 | -0.000 |
| -2.682 | -2.682 | 24.267 | 0.000 | -0.000 | -0.000 |
| 0.000 | -0.000 | -0.000 | -2.682 | 0.000 | -0.000 |
| -0.000 | 0.000 | -0.000 | -0.000 | -2.682 | -0.000 |
| -0.000 | -0.000 | 0.000 | 0.000 | -0.000 | -2.682 |
| 24.267 | -2.682 | -2.682 | -0.000 | -0.000 | 0.000 |
| -2.682 | 24.267 | -2.682 | -0.000 | -0.000 | 0.000 |
| -2.682 | -2.682 | 24.267 | -0.000 | -0.000 | 0.000 |
| -0.000 | 0.000 | 0.000 | -2.682 | -0.000 | 0.000 |
| 0.000 | -0.000 | 0.000 | 0.000 | -2.682 | 0.000 |
| 0.000 | 0.000 | -0.000 | -0.000 | -0.000 | -2.682 |
| 24.267 | -2.682 | -2.682 | 0.000 | -0.000 | -0.000 |
| -2.682 | 24.267 | -2.682 | 0.000 | 0.000 | -0.000 |
| -2.682 | -2.682 | 24.267 | -0.000 | -0.000 | -0.000 |
| 0.000 | -0.000 | -0.000 | -2.682 | -0.000 | -0.000 |
| -0.000 | 0.000 | -0.000 | -0.000 | -2.682 | -0.000 |
| -0.000 | -0.000 | 0.000 | -0.000 | 0.000 | -2.682 |
| 24.267 | -2.682 | -2.682 | -0.000 | -0.000 | 0.000 |
| -2.682 | 24.267 | -2.682 | -0.000 | -0.000 | 0.000 |
| -2.682 | -2.682 | 24.267 | 0.000 | -0.000 | 0.000 |
| -0.000 | 0.000 | 0.000 | -2.682 | 0.000 | 0.000 |
| 0.000 | -0.000 | 0.000 | 0.000 | -2.682 | 0.000 |
| 0.000 | 0.000 | -0.000 | 0.000 | 0.000 | -2.682 |
| 16.343 | 17.451 | 17.451 | 0.000 | 0.000 | 0.000 |
| 17.451 | 16.343 | 17.451 | 0.000 | -0.000 | -0.000 |
| 17.451 | 17.451 | 16.343 | 0.000 | 0.000 | 0.000 |
| -0.000 | -0.000 | -0.000 | 17.451 | -0.000 | 0.000 |
| -0.000 | 0.000 | -0.000 | 0.000 | 17.451 | 0.000 |
| -0.000 | -0.000 | -0.000 | -0.000 | -0.000 | 17.451 |
| 16.343 | 17.451 | 17.451 | -0.000 | -0.000 | 0.000 |
| 17.451 | 16.343 | 17.451 | -0.000 | 0.000 | 0.000 |
| 17.451 | 17.451 | 16.343 | -0.000 | -0.000 | 0.000 |
| 0.000 | 0.000 | 0.000 | 17.451 | -0.000 | 0.000 |
| 0.000 | -0.000 | 0.000 | -0.000 | 17.451 | -0.000 |
| 0.000 | 0.000 | 0.000 | 0.000 | -0.000 | 17.451 |
| 16.342 | 17.451 | 17.451 | 0.000 | 0.000 | 0.000 |
| 17.451 | 16.342 | 17.451 | 0.000 | 0.000 | 0.000 |
| 17.451 | 17.451 | 16.342 | 0.000 | 0.000 | 0.000 |
| 0.000 | -0.000 | -0.000 | 17.451 | -0.000 | 0.000 |
| -0.000 | 0.000 | -0.000 | -0.000 | 17.451 | 0.000 |
| -0.000 | -0.000 | 0.000 | -0.000 | -0.000 | 17.451 |
| 16.344 | 17.452 | 17.452 | -0.000 | -0.000 | -0.000 |
| 17.452 | 16.344 | 17.452 | -0.000 | 0.000 | -0.000 |
| 17.452 | 17.452 | 16.344 | 0.000 | -0.000 | -0.000 |
| -0.000 | 0.000 | 0.000 | 17.451 | 0.000 | -0.000 |
| 0.000 | -0.000 | 0.000 | -0.000 | 17.451 | -0.000 |
| 0.000 | 0.000 | -0.000 | 0.000 | -0.000 | 17.451 |
| 16.333 | 17.446 | 17.446 | 0.000 | -0.000 | 0.000 |
| 17.446 | 16.333 | 17.446 | -0.000 | -0.000 | 0.000 |
| 17.446 | 17.446 | 16.333 | 0.000 | -0.000 | -0.000 |
| 0.000 | -0.005 | -0.005 | 17.451 | 0.000 | 0.000 |
| -0.005 | 0.000 | -0.005 | 0.000 | 17.451 | 0.000 |
| -0.005 | -0.005 | 0.000 | -0.000 | 0.000 | 17.451 |
| 16.353 | 17.456 | 17.456 | -0.000 | 0.000 | -0.000 |
| 17.456 | 16.353 | 17.456 | -0.000 | 0.000 | -0.000 |
| 17.456 | 17.456 | 16.353 | -0.000 | -0.000 | -0.000 |
| -0.000 | 0.005 | 0.005 | 17.451 | -0.000 | 0.000 |
| 0.005 | -0.000 | 0.005 | -0.000 | 17.451 | -0.000 |
| 0.005 | 0.005 | -0.000 | -0.000 | 0.000 | 17.451 |
| 2.760 | 2.760 | 2.760 | -0.000 | 0.000 | 0.000 |
| 2.760 | 2.760 | 2.760 | 0.000 | -0.000 | 0.000 |
| 2.760 | 2.760 | 2.760 | 0.000 | 0.000 | -0.000 |
| -0.000 | -0.000 | -0.000 | -0.000 | -0.000 | -0.000 |
| -0.000 | -0.000 | -0.000 | -0.000 | -0.000 | -0.000 |
| -0.000 | -0.000 | -0.000 | -0.000 | -0.000 | -0.000 |
| 2.760 | 2.760 | 2.760 | -0.000 | -0.000 | -0.000 |
| 2.760 | 2.760 | 2.760 | -0.000 | -0.000 | -0.000 |
| 2.760 | 2.760 | 2.760 | -0.000 | -0.000 | -0.000 |
| 0.000 | 0.000 | 0.000 | 0.000 | 0.000 | 0.000 |
| 0.000 | 0.000 | 0.000 | 0.000 | 0.000 | 0.000 |
| 0.000 | 0.000 | 0.000 | 0.000 | 0.000 | 0.000 |
| 2.760 | 2.760 | 2.760 | 0.000 | 0.000 | 0.000 |
| 2.760 | 2.760 | 2.760 | 0.000 | 0.000 | 0.000 |
| 2.760 | 2.760 | 2.760 | 0.000 | 0.000 | 0.000 |
| -0.000 | -0.000 | -0.000 | -0.000 | -0.000 | -0.000 |
| -0.000 | -0.000 | -0.000 | -0.000 | -0.000 | -0.000 |
| -0.000 | -0.000 | -0.000 | -0.000 | -0.000 | -0.000 |
| 2.760 | 2.760 | 2.760 | -0.000 | -0.000 | -0.000 |
| 2.760 | 2.760 | 2.760 | -0.000 | -0.000 | -0.000 |
| 2.760 | 2.760 | 2.760 | -0.000 | -0.000 | -0.000 |
| 0.000 | 0.000 | 0.000 | 0.000 | 0.000 | 0.000 |
| 0.000 | 0.000 | 0.000 | 0.000 | 0.000 | 0.000 |
| 0.000 | 0.000 | 0.000 | 0.000 | 0.000 | 0.000 |
| 2.760 | 2.760 | 2.760 | 0.000 | 0.000 | 0.000 |
| 2.760 | 2.760 | 2.760 | 0.000 | 0.000 | 0.000 |
| 2.760 | 2.760 | 2.760 | 0.000 | 0.000 | 0.000 |
| -0.000 | -0.000 | -0.000 | -0.000 | -0.000 | -0.000 |
| -0.000 | -0.000 | -0.000 | -0.000 | -0.000 | -0.000 |
| -0.000 | -0.000 | -0.000 | -0.000 | -0.000 | -0.000 |
| 2.760 | 2.760 | 2.760 | -0.000 | -0.000 | -0.000 |
| 2.760 | 2.760 | 2.760 | -0.000 | -0.000 | -0.000 |
| 2.760 | 2.760 | 2.760 | -0.000 | -0.000 | -0.000 |
| 0.000 | 0.000 | 0.000 | 0.000 | 0.000 | 0.000 |
| 0.000 | 0.000 | 0.000 | 0.000 | 0.000 | 0.000 |
| 0.000 | 0.000 | 0.000 | 0.000 | 0.000 | 0.000 |
| 31.970 | 3.933 | 14.713 | -0.000 | -0.000 | -0.000 |
| 3.933 | 31.970 | 14.713 | -0.000 | -0.000 | -0.000 |
| 14.713 | 14.713 | 25.019 | 0.000 | 0.000 | -0.000 |
| 0.000 | 0.000 | 0.000 | 14.713 | 0.000 | 0.000 |
| 0.000 | 0.000 | 0.000 | 0.000 | 14.713 | -0.000 |
| 0.000 | -0.000 | 0.000 | -0.000 | 0.000 | 3.933 |
| 31.970 | 3.933 | 14.713 | 0.000 | 0.000 | 0.000 |
| 3.933 | 31.970 | 14.713 | 0.000 | 0.000 | 0.000 |
| 14.713 | 14.713 | 25.019 | 0.000 | 0.000 | -0.000 |
| -0.000 | -0.000 | -0.000 | 14.713 | -0.000 | 0.000 |
| -0.000 | -0.000 | -0.000 | -0.000 | 14.713 | -0.000 |
| -0.000 | 0.000 | -0.000 | 0.000 | 0.000 | 3.933 |
| 31.970 | 3.933 | 14.713 | -0.000 | -0.000 | -0.000 |
| 3.933 | 31.970 | 14.713 | 0.000 | -0.000 | -0.000 |
| 14.713 | 14.713 | 25.019 | 0.000 | -0.000 | -0.000 |
| 0.000 | -0.000 | 0.000 | 14.713 | 0.000 | -0.000 |
| -0.000 | 0.000 | 0.000 | 0.000 | 14.713 | -0.000 |
| -0.000 | -0.000 | 0.000 | 0.000 | -0.000 | 3.933 |
| 31.970 | 3.933 | 14.713 | -0.000 | -0.000 | -0.000 |
| 3.933 | 31.970 | 14.713 | -0.000 | 0.000 | -0.000 |
| 14.713 | 14.713 | 25.019 | -0.000 | 0.000 | 0.000 |
| -0.000 | 0.000 | -0.000 | 14.713 | 0.000 | 0.000 |
| 0.000 | -0.000 | -0.000 | 0.000 | 14.713 | -0.000 |
| 0.000 | 0.000 | -0.000 | 0.000 | -0.000 | 3.933 |
| 31.970 | 3.933 | 14.713 | -0.000 | -0.000 | 0.000 |
| 3.933 | 31.970 | 14.713 | -0.000 | -0.000 | -0.000 |
| 14.713 | 14.713 | 25.019 | 0.000 | 0.000 | -0.000 |
| 0.000 | -0.000 | 0.000 | 14.713 | -0.000 | -0.000 |
| -0.000 | 0.000 | 0.000 | -0.000 | 14.713 | 0.000 |
| -0.000 | -0.000 | 0.000 | 0.000 | -0.000 | 3.933 |
| 31.970 | 3.933 | 14.713 | 0.000 | 0.000 | 0.000 |
| 3.933 | 31.970 | 14.713 | 0.000 | 0.000 | 0.000 |
| 14.713 | 14.713 | 25.019 | 0.000 | 0.000 | 0.000 |
| -0.000 | 0.000 | -0.000 | 14.713 | -0.000 | 0.000 |
| 0.000 | -0.000 | -0.000 | 0.000 | 14.713 | -0.000 |
| 0.000 | 0.000 | -0.000 | -0.000 | 0.000 | 3.933 |
| 12.433 | 8.640 | 8.640 | -0.000 | -0.000 | -0.000 |
| 8.640 | 12.433 | 8.640 | -0.000 | -0.000 | -0.000 |
| 8.640 | 8.640 | 12.433 | -0.000 | -0.000 | -0.000 |
| 0.000 | 0.000 | -0.000 | 3.160 | -0.000 | 0.000 |
| 0.000 | -0.000 | -0.000 | -0.000 | 3.160 | -0.000 |
| 0.000 | 0.000 | -0.000 | -0.000 | -0.000 | 3.160 |
| 12.433 | 8.640 | 8.640 | 0.000 | 0.000 | 0.000 |
| 8.640 | 12.433 | 8.640 | 0.000 | 0.000 | 0.000 |
| 8.640 | 8.640 | 12.433 | 0.000 | 0.000 | 0.000 |
| -0.000 | -0.000 | 0.000 | 3.160 | 0.000 | 0.000 |
| -0.000 | -0.000 | 0.000 | 0.000 | 3.160 | 0.000 |
| -0.000 | -0.000 | 0.000 | 0.000 | 0.000 | 3.160 |
| 12.433 | 8.640 | 8.640 | -0.000 | -0.000 | -0.000 |
| 8.640 | 12.433 | 8.640 | -0.000 | -0.000 | -0.000 |
| 8.640 | 8.640 | 12.433 | -0.000 | -0.000 | -0.000 |
| 0.000 | -0.000 | -0.000 | 3.160 | -0.000 | 0.000 |
| -0.000 | 0.000 | -0.000 | -0.000 | 3.160 | -0.000 |
| -0.000 | -0.000 | 0.000 | -0.000 | -0.000 | 3.160 |
| 12.433 | 8.640 | 8.640 | 0.000 | 0.000 | 0.000 |
| 8.640 | 12.433 | 8.640 | 0.000 | 0.000 | -0.000 |
| 8.640 | 8.640 | 12.433 | 0.000 | 0.000 | 0.000 |
| -0.000 | 0.000 | 0.000 | 3.160 | 0.000 | 0.000 |
| 0.000 | -0.000 | 0.000 | 0.000 | 3.160 | 0.000 |
| 0.000 | 0.000 | -0.000 | 0.000 | 0.000 | 3.160 |
| 12.433 | 8.640 | 8.640 | -0.000 | -0.000 | -0.000 |
| 8.640 | 12.433 | 8.640 | -0.000 | -0.000 | -0.000 |
| 8.640 | 8.640 | 12.433 | 0.000 | -0.000 | -0.000 |
| 0.000 | -0.000 | -0.000 | 3.160 | -0.000 | 0.000 |
| -0.000 | 0.000 | -0.000 | -0.000 | 3.160 | -0.000 |
| -0.000 | -0.000 | 0.000 | -0.000 | -0.000 | 3.160 |
| 12.433 | 8.640 | 8.640 | 0.000 | 0.000 | 0.000 |
| 8.640 | 12.433 | 8.640 | 0.000 | 0.000 | 0.000 |
| 8.640 | 8.640 | 12.433 | -0.000 | 0.000 | -0.000 |
| -0.000 | 0.000 | 0.000 | 3.160 | 0.000 | 0.000 |
| 0.000 | -0.000 | 0.000 | 0.000 | 3.160 | 0.000 |
| 0.000 | 0.000 | -0.000 | 0.000 | 0.000 | 3.160 |
| 18.026 | 17.875 | 17.875 | 0.000 | 0.000 | 0.000 |
| 17.875 | 18.026 | 17.875 | -0.000 | 0.000 | 0.000 |
| 17.875 | 17.875 | 18.026 | -0.000 | 0.000 | 0.000 |
| 0.000 | 0.000 | -0.000 | 13.526 | 0.000 | 0.000 |
| 0.000 | 0.000 | -0.000 | -0.000 | 13.526 | 0.000 |
| 0.000 | 0.000 | -0.000 | 0.000 | 0.000 | 13.526 |
| 18.026 | 17.875 | 17.875 | -0.000 | -0.000 | -0.000 |
| 17.875 | 18.026 | 17.875 | -0.000 | -0.000 | -0.000 |
| 17.875 | 17.875 | 18.026 | 0.000 | -0.000 | -0.000 |
| -0.000 | -0.000 | 0.000 | 13.526 | -0.000 | -0.000 |
| -0.000 | -0.000 | 0.000 | -0.000 | 13.526 | -0.000 |
| -0.000 | -0.000 | 0.000 | -0.000 | 0.000 | 13.526 |
| 18.026 | 17.875 | 17.875 | 0.000 | 0.000 | 0.000 |
| 17.875 | 18.026 | 17.875 | 0.000 | 0.000 | 0.000 |
| 17.875 | 17.875 | 18.026 | -0.000 | -0.000 | 0.000 |
| 0.000 | -0.000 | 0.000 | 13.526 | 0.000 | 0.000 |
| -0.000 | 0.000 | 0.000 | -0.000 | 13.526 | 0.000 |
| -0.000 | 0.000 | 0.000 | -0.000 | 0.000 | 13.526 |
| 18.026 | 17.875 | 17.875 | 0.000 | -0.000 | -0.000 |
| 17.875 | 18.026 | 17.875 | -0.000 | -0.000 | -0.000 |
| 17.875 | 17.875 | 18.026 | 0.000 | 0.000 | -0.000 |
| -0.000 | 0.000 | -0.000 | 13.526 | -0.000 | -0.000 |
| 0.000 | -0.000 | -0.000 | 0.000 | 13.526 | -0.000 |
| 0.000 | -0.000 | -0.000 | -0.000 | -0.000 | 13.526 |
| 18.026 | 17.875 | 17.875 | 0.000 | -0.000 | 0.000 |
| 17.875 | 18.026 | 17.875 | -0.000 | 0.000 | 0.000 |
| 17.875 | 17.875 | 18.026 | -0.000 | -0.000 | 0.000 |
| 0.000 | -0.000 | 0.000 | 13.526 | 0.000 | 0.000 |
| -0.000 | 0.000 | 0.000 | 0.000 | 13.526 | 0.000 |
| -0.000 | 0.000 | 0.000 | -0.000 | 0.000 | 13.526 |
| 18.026 | 17.875 | 17.875 | -0.000 | -0.000 | -0.000 |
| 17.875 | 18.026 | 17.875 | -0.000 | -0.000 | -0.000 |
| 17.875 | 17.875 | 18.026 | 0.000 | -0.000 | -0.000 |
| -0.000 | 0.000 | -0.000 | 13.526 | -0.000 | -0.000 |
| 0.000 | -0.000 | -0.000 | 0.000 | 13.526 | -0.000 |
| 0.000 | -0.000 | -0.000 | 0.000 | -0.000 | 13.526 |
| 18.452 | 16.534 | 16.534 | -0.000 | -0.000 | -0.000 |
| 16.534 | 18.452 | 16.534 | -0.000 | -0.000 | -0.000 |
| 16.534 | 16.534 | 18.452 | 0.000 | -0.000 | -0.000 |
| 0.000 | 0.000 | 0.000 | 14.335 | -0.000 | -0.000 |
| 0.000 | 0.000 | 0.000 | -0.000 | 14.335 | 0.000 |
| 0.000 | 0.000 | 0.000 | 0.000 | -0.000 | 14.335 |
| 18.452 | 16.534 | 16.534 | 0.000 | 0.000 | -0.000 |
| 16.534 | 18.452 | 16.534 | 0.000 | 0.000 | -0.000 |
| 16.534 | 16.534 | 18.452 | -0.000 | 0.000 | 0.000 |
| -0.000 | -0.000 | -0.000 | 14.335 | 0.000 | 0.000 |
| -0.000 | -0.000 | -0.000 | 0.000 | 14.335 | -0.000 |
| -0.000 | -0.000 | -0.000 | -0.000 | 0.000 | 14.335 |
| 18.452 | 16.534 | 16.534 | -0.000 | -0.000 | 0.000 |
| 16.534 | 18.452 | 16.534 | -0.000 | -0.000 | 0.000 |
| 16.534 | 16.534 | 18.452 | -0.000 | -0.000 | -0.000 |
| 0.000 | -0.000 | 0.000 | 14.335 | -0.000 | -0.000 |
| -0.000 | 0.000 | 0.000 | -0.000 | 14.335 | 0.000 |
| -0.000 | 0.000 | 0.000 | 0.000 | -0.000 | 14.335 |
| 18.452 | 16.534 | 16.534 | 0.000 | 0.000 | -0.000 |
| 16.534 | 18.452 | 16.534 | 0.000 | 0.000 | -0.000 |
| 16.534 | 16.534 | 18.452 | 0.000 | 0.000 | 0.000 |
| -0.000 | 0.000 | -0.000 | 14.335 | 0.000 | 0.000 |
| 0.000 | -0.000 | -0.000 | 0.000 | 14.335 | -0.000 |
| 0.000 | -0.000 | -0.000 | 0.000 | 0.000 | 14.335 |
| 18.452 | 16.534 | 16.534 | -0.000 | -0.000 | -0.000 |
| 16.534 | 18.452 | 16.534 | -0.000 | -0.000 | -0.000 |
| 16.534 | 16.534 | 18.452 | -0.000 | -0.000 | -0.000 |
| 0.000 | -0.000 | 0.000 | 14.335 | -0.000 | -0.000 |
| -0.000 | 0.000 | 0.000 | -0.000 | 14.335 | 0.000 |
| -0.000 | 0.000 | 0.000 | -0.000 | -0.000 | 14.335 |
| 18.452 | 16.534 | 16.534 | 0.000 | 0.000 | -0.000 |
| 16.534 | 18.452 | 16.534 | 0.000 | 0.000 | -0.000 |
| 16.534 | 16.534 | 18.452 | 0.000 | 0.000 | 0.000 |
| -0.000 | 0.000 | -0.000 | 14.335 | 0.000 | -0.000 |
| 0.000 | -0.000 | -0.000 | 0.000 | 14.335 | 0.000 |
| 0.000 | -0.000 | -0.000 | -0.000 | 0.000 | 14.335 |
| 18.314 | 14.578 | 14.578 | 0.000 | 0.000 | -0.000 |
| 14.578 | 18.314 | 14.578 | 0.000 | -0.000 | -0.000 |
| 14.578 | 14.578 | 18.314 | -0.000 | -0.000 | -0.000 |
| -0.000 | -0.000 | 0.000 | 14.119 | -0.000 | -0.000 |
| -0.000 | -0.000 | 0.000 | -0.000 | 14.119 | -0.000 |
| -0.000 | -0.000 | 0.000 | 0.000 | -0.000 | 14.119 |
| 18.314 | 14.578 | 14.578 | -0.000 | 0.000 | 0.000 |
| 14.578 | 18.314 | 14.578 | -0.000 | 0.000 | -0.000 |
| 14.578 | 14.578 | 18.314 | -0.000 | 0.000 | 0.000 |
| 0.000 | 0.000 | -0.000 | 14.119 | -0.000 | 0.000 |
| 0.000 | 0.000 | -0.000 | -0.000 | 14.119 | 0.000 |
| 0.000 | 0.000 | -0.000 | -0.000 | -0.000 | 14.119 |
| 18.314 | 14.578 | 14.578 | 0.000 | -0.000 | -0.000 |
| 14.578 | 18.314 | 14.578 | 0.000 | 0.000 | -0.000 |
| 14.578 | 14.578 | 18.314 | -0.000 | -0.000 | -0.000 |
| 0.000 | -0.000 | 0.000 | 14.119 | 0.000 | -0.000 |
| -0.000 | 0.000 | 0.000 | 0.000 | 14.119 | -0.000 |
| -0.000 | 0.000 | 0.000 | 0.000 | -0.000 | 14.119 |
| 18.314 | 14.578 | 14.578 | -0.000 | 0.000 | 0.000 |
| 14.578 | 18.314 | 14.578 | -0.000 | -0.000 | 0.000 |
| 14.578 | 14.578 | 18.314 | -0.000 | 0.000 | 0.000 |
| -0.000 | 0.000 | -0.000 | 14.119 | -0.000 | 0.000 |
| 0.000 | -0.000 | -0.000 | -0.000 | 14.119 | 0.000 |
| 0.000 | -0.000 | -0.000 | -0.000 | 0.000 | 14.119 |
| 18.314 | 14.578 | 14.578 | 0.000 | -0.000 | -0.000 |
| 14.578 | 18.314 | 14.578 | 0.000 | 0.000 | -0.000 |
| 14.578 | 14.578 | 18.314 | 0.000 | -0.000 | -0.000 |
| 0.000 | -0.000 | 0.000 | 14.119 | -0.000 | -0.000 |
| -0.000 | 0.000 | 0.000 | 0.000 | 14.119 | -0.000 |
| -0.000 | 0.000 | 0.000 | 0.000 | 0.000 | 14.119 |
| 18.314 | 14.578 | 14.578 | -0.000 | -0.000 | 0.000 |
| 14.578 | 18.314 | 14.578 | -0.000 | 0.000 | 0.000 |
| 14.578 | 14.578 | 18.314 | -0.000 | -0.000 | 0.000 |
| -0.000 | 0.000 | -0.000 | 14.119 | 0.000 | 0.000 |
| 0.000 | -0.000 | -0.000 | -0.000 | 14.119 | 0.000 |
| 0.000 | -0.000 | -0.000 | -0.000 | -0.000 | 14.119 |
| 36.690 | 6.042 | 6.042 | -0.000 | 0.000 | -0.000 |
| 6.042 | 36.690 | 6.042 | -0.000 | -0.000 | -0.000 |
| 6.042 | 6.042 | 36.690 | -0.000 | 0.000 | -0.000 |
| 0.000 | -0.000 | 0.000 | 5.028 | -0.000 | -0.000 |
| 0.000 | 0.000 | -0.000 | -0.000 | 5.028 | -0.000 |
| 0.000 | 0.000 | 0.000 | -0.000 | -0.000 | 5.028 |
| 36.690 | 6.042 | 6.042 | 0.000 | -0.000 | 0.000 |
| 6.042 | 36.690 | 6.042 | 0.000 | 0.000 | 0.000 |
| 6.042 | 6.042 | 36.690 | 0.000 | -0.000 | 0.000 |
| -0.000 | -0.000 | -0.000 | 5.028 | 0.000 | 0.000 |
| -0.000 | -0.000 | -0.000 | 0.000 | 5.028 | 0.000 |
| -0.000 | -0.000 | -0.000 | 0.000 | 0.000 | 5.028 |
| 36.690 | 6.042 | 6.042 | -0.000 | 0.000 | -0.000 |
| 6.042 | 36.690 | 6.042 | -0.000 | -0.000 | 0.000 |
| 6.042 | 6.042 | 36.690 | -0.000 | -0.000 | -0.000 |
| 0.000 | 0.000 | -0.000 | 5.028 | -0.000 | -0.000 |
| 0.000 | 0.000 | -0.000 | -0.000 | 5.028 | -0.000 |
| 0.000 | -0.000 | 0.000 | -0.000 | -0.000 | 5.028 |
| 36.690 | 6.042 | 6.042 | 0.000 | 0.000 | 0.000 |
| 6.042 | 36.690 | 6.042 | 0.000 | -0.000 | 0.000 |
| 6.042 | 6.042 | 36.690 | 0.000 | -0.000 | 0.000 |
| -0.000 | -0.000 | 0.000 | 5.028 | 0.000 | 0.000 |
| -0.000 | -0.000 | 0.000 | 0.000 | 5.028 | 0.000 |
| -0.000 | 0.000 | -0.000 | 0.000 | 0.000 | 5.028 |
| 36.690 | 6.042 | 6.042 | -0.000 | -0.000 | -0.000 |
| 6.042 | 36.690 | 6.042 | -0.000 | -0.000 | -0.000 |
| 6.042 | 6.042 | 36.690 | -0.000 | -0.000 | -0.000 |
| 0.000 | 0.000 | -0.000 | 5.028 | -0.000 | -0.000 |
| 0.000 | 0.000 | -0.000 | -0.000 | 5.028 | -0.000 |
| 0.000 | -0.000 | 0.000 | -0.000 | -0.000 | 5.028 |
| 36.690 | 6.042 | 6.042 | 0.000 | -0.000 | 0.000 |
| 6.042 | 36.690 | 6.042 | 0.000 | 0.000 | 0.000 |
| 6.042 | 6.042 | 36.690 | -0.000 | 0.000 | 0.000 |
| -0.000 | -0.000 | 0.000 | 5.028 | 0.000 | 0.000 |
| -0.000 | -0.000 | 0.000 | 0.000 | 5.028 | 0.000 |
| -0.000 | 0.000 | -0.000 | 0.000 | 0.000 | 5.028 |
| 19.326 | 15.675 | 15.675 | -0.000 | 0.000 | 0.000 |
| 15.675 | 19.326 | 15.675 | -0.000 | 0.000 | 0.000 |
| 15.675 | 15.675 | 19.326 | -0.000 | 0.000 | 0.000 |
| -0.000 | -0.000 | 0.000 | 15.665 | -0.000 | 0.000 |
| -0.000 | -0.000 | 0.000 | -0.000 | 15.665 | 0.000 |
| -0.000 | -0.000 | 0.000 | -0.000 | 0.000 | 15.665 |
| 19.326 | 15.675 | 15.675 | 0.000 | -0.000 | -0.000 |
| 15.675 | 19.326 | 15.675 | 0.000 | -0.000 | -0.000 |
| 15.675 | 15.675 | 19.326 | 0.000 | -0.000 | -0.000 |
| 0.000 | 0.000 | -0.000 | 15.665 | 0.000 | -0.000 |
| 0.000 | 0.000 | -0.000 | 0.000 | 15.665 | -0.000 |
| 0.000 | 0.000 | -0.000 | 0.000 | -0.000 | 15.665 |
| 19.326 | 15.675 | 15.675 | -0.000 | 0.000 | 0.000 |
| 15.675 | 19.326 | 15.675 | -0.000 | 0.000 | 0.000 |
| 15.675 | 15.675 | 19.326 | -0.000 | 0.000 | 0.000 |
| 0.000 | -0.000 | 0.000 | 15.665 | 0.000 | 0.000 |
| -0.000 | 0.000 | 0.000 | 0.000 | 15.665 | 0.000 |
| -0.000 | 0.000 | 0.000 | -0.000 | 0.000 | 15.665 |
| 19.326 | 15.675 | 15.675 | 0.000 | -0.000 | -0.000 |
| 15.675 | 19.326 | 15.675 | 0.000 | 0.000 | -0.000 |
| 15.675 | 15.675 | 19.326 | -0.000 | -0.000 | -0.000 |
| -0.000 | 0.000 | -0.000 | 15.665 | -0.000 | -0.000 |
| 0.000 | -0.000 | -0.000 | 0.000 | 15.665 | -0.000 |
| -0.000 | -0.000 | -0.000 | 0.000 | -0.000 | 15.665 |
| 19.326 | 15.675 | 15.675 | -0.000 | 0.000 | 0.000 |
| 15.675 | 19.326 | 15.675 | -0.000 | 0.000 | 0.000 |
| 15.675 | 15.675 | 19.326 | 0.000 | 0.000 | 0.000 |
| 0.000 | -0.000 | 0.000 | 15.665 | 0.000 | 0.000 |
| -0.000 | 0.000 | 0.000 | -0.000 | 15.665 | 0.000 |
| -0.000 | 0.000 | 0.000 | -0.000 | 0.000 | 15.665 |
| 19.326 | 15.675 | 15.675 | 0.000 | -0.000 | -0.000 |
| 15.675 | 19.326 | 15.675 | 0.000 | -0.000 | -0.000 |
| 15.675 | 15.675 | 19.326 | -0.000 | -0.000 | -0.000 |
| -0.000 | 0.000 | -0.000 | 15.665 | -0.000 | -0.000 |
| 0.000 | -0.000 | -0.000 | 0.000 | 15.665 | -0.000 |
| 0.000 | -0.000 | -0.000 | 0.000 | -0.000 | 15.665 |
| 17.151 | 12.231 | 12.231 | 0.000 | -0.000 | -0.000 |
| 12.231 | 17.151 | 12.231 | -0.000 | 0.000 | 0.000 |
| 12.231 | 12.231 | 17.151 | 0.000 | -0.000 | 0.000 |
| -0.000 | 0.000 | 0.000 | 12.231 | 0.000 | 0.000 |
| 0.000 | -0.000 | 0.000 | 0.000 | 12.231 | 0.000 |
| 0.000 | 0.000 | -0.000 | -0.000 | 0.000 | 12.231 |
| 17.151 | 12.231 | 12.231 | -0.000 | -0.000 | -0.000 |
| 12.231 | 17.151 | 12.231 | -0.000 | -0.000 | -0.000 |
| 12.231 | 12.231 | 17.151 | -0.000 | -0.000 | -0.000 |
| -0.000 | -0.000 | -0.000 | 12.231 | -0.000 | -0.000 |
| -0.000 | 0.000 | -0.000 | 0.000 | 12.231 | -0.000 |
| -0.000 | -0.000 | -0.000 | 0.000 | 0.000 | 12.231 |
| 17.151 | 12.231 | 12.231 | -0.000 | 0.000 | 0.000 |
| 12.231 | 17.151 | 12.231 | 0.000 | -0.000 | 0.000 |
| 12.231 | 12.231 | 17.151 | 0.000 | 0.000 | 0.000 |
| -0.000 | 0.000 | 0.000 | 12.231 | 0.000 | 0.000 |
| 0.000 | -0.000 | 0.000 | 0.000 | 12.231 | 0.000 |
| 0.000 | 0.000 | -0.000 | -0.000 | 0.000 | 12.231 |
| 17.151 | 12.231 | 12.231 | -0.000 | -0.000 | -0.000 |
| 12.231 | 17.151 | 12.231 | -0.000 | -0.000 | -0.000 |
| 12.231 | 12.231 | 17.151 | -0.000 | -0.000 | -0.000 |
| 0.000 | -0.000 | -0.000 | 12.231 | -0.000 | -0.000 |
| -0.000 | 0.000 | -0.000 | 0.000 | 12.231 | -0.000 |
| -0.000 | -0.000 | 0.000 | -0.000 | -0.000 | 12.231 |
| 17.151 | 12.231 | 12.231 | 0.000 | 0.000 | 0.000 |
| 12.231 | 17.151 | 12.231 | -0.000 | 0.000 | 0.000 |
| 12.231 | 12.231 | 17.151 | 0.000 | 0.000 | 0.000 |
| -0.000 | 0.000 | 0.000 | 12.231 | 0.000 | 0.000 |
| 0.000 | -0.000 | 0.000 | 0.000 | 12.231 | 0.000 |
| 0.000 | 0.000 | -0.000 | 0.000 | 0.000 | 12.231 |
| 17.151 | 12.231 | 12.231 | -0.000 | -0.000 | -0.000 |
| 12.231 | 17.151 | 12.231 | 0.000 | -0.000 | -0.000 |
| 12.231 | 12.231 | 17.151 | 0.000 | -0.000 | -0.000 |
| 0.000 | -0.000 | -0.000 | 12.231 | -0.000 | -0.000 |
| -0.000 | 0.000 | -0.000 | -0.000 | 12.231 | -0.000 |
| -0.000 | -0.000 | 0.000 | -0.000 | -0.000 | 12.231 |
| 16.713 | 12.746 | 11.834 | -0.000 | -0.000 | 0.000 |
| 12.746 | 16.713 | 11.834 | 0.000 | -0.000 | 0.000 |
| 11.834 | 11.834 | 18.595 | -0.000 | -0.000 | 0.000 |
| -0.000 | 0.000 | 0.000 | 11.830 | -0.000 | 0.000 |
| 0.000 | -0.000 | 0.000 | -0.000 | 11.830 | 0.000 |
| 0.000 | 0.000 | -0.000 | -0.000 | -0.000 | 12.739 |
| 16.713 | 12.746 | 11.834 | 0.000 | 0.000 | -0.000 |
| 12.746 | 16.713 | 11.834 | 0.000 | 0.000 | -0.000 |
| 11.834 | 11.834 | 18.595 | 0.000 | 0.000 | -0.000 |
| 0.000 | 0.000 | -0.000 | 11.830 | 0.000 | 0.000 |
| -0.000 | 0.000 | -0.000 | -0.000 | 11.830 | -0.000 |
| -0.000 | -0.000 | 0.000 | 0.000 | 0.000 | 12.739 |
| 16.713 | 12.746 | 11.834 | -0.000 | 0.000 | -0.000 |
| 12.746 | 16.713 | 11.834 | 0.000 | 0.000 | -0.000 |
| 11.834 | 11.834 | 18.595 | -0.000 | -0.000 | 0.000 |
| -0.000 | 0.000 | 0.000 | 11.830 | 0.000 | 0.000 |
| 0.000 | -0.000 | 0.000 | 0.000 | 11.830 | 0.000 |
| 0.000 | 0.000 | -0.000 | 0.000 | -0.000 | 12.739 |
| 16.713 | 12.746 | 11.834 | 0.000 | 0.000 | -0.000 |
| 12.746 | 16.713 | 11.834 | 0.000 | 0.000 | -0.000 |
| 11.834 | 11.834 | 18.595 | -0.000 | -0.000 | -0.000 |
| 0.000 | -0.000 | -0.000 | 11.830 | -0.000 | -0.000 |
| -0.000 | 0.000 | -0.000 | 0.000 | 11.830 | 0.000 |
| -0.000 | -0.000 | 0.000 | 0.000 | 0.000 | 12.739 |
| 16.713 | 12.746 | 11.834 | -0.000 | -0.000 | -0.000 |
| 12.746 | 16.713 | 11.834 | -0.000 | 0.000 | 0.000 |
| 11.834 | 11.834 | 18.595 | -0.000 | -0.000 | 0.000 |
| -0.000 | 0.000 | 0.000 | 11.830 | 0.000 | -0.000 |
| 0.000 | -0.000 | 0.000 | 0.000 | 11.830 | 0.000 |
| 0.000 | 0.000 | -0.000 | 0.000 | -0.000 | 12.739 |
| 16.713 | 12.746 | 11.834 | 0.000 | 0.000 | -0.000 |
| 12.746 | 16.713 | 11.834 | 0.000 | 0.000 | -0.000 |
| 11.834 | 11.834 | 18.595 | -0.000 | -0.000 | -0.000 |
| 0.000 | -0.000 | -0.000 | 11.830 | -0.000 | -0.000 |
| -0.000 | 0.000 | -0.000 | -0.000 | 11.830 | -0.000 |
| -0.000 | -0.000 | 0.000 | 0.000 | 0.000 | 12.739 |
| 23.375 | 11.174 | 5.653 | -0.000 | -0.000 | 0.000 |
| 8.702 | 26.330 | 5.620 | -0.000 | 0.000 | 0.000 |
| 5.630 | 5.600 | 29.839 | -0.000 | 0.000 | 0.000 |
| 0.000 | -0.000 | 0.000 | 5.706 | 0.000 | 0.000 |
| -0.018 | 0.016 | 0.000 | -0.000 | 5.740 | 0.000 |
| 0.000 | -0.000 | -0.000 | -0.000 | 0.000 | 8.832 |
| 23.413 | 11.139 | 5.653 | 0.000 | -0.000 | -0.000 |
| 11.172 | 23.421 | 5.615 | 0.000 | 0.000 | -0.000 |
| 5.630 | 5.600 | 29.839 | 0.000 | 0.000 | -0.000 |
| -0.000 | 0.000 | -0.000 | 5.706 | 0.000 | -0.000 |
| 0.018 | -0.016 | -0.000 | 0.000 | 5.740 | -0.000 |
| -0.000 | 0.000 | -0.000 | 0.000 | -0.000 | 8.832 |
| 21.820 | 13.055 | 5.656 | -0.000 | 0.000 | 0.000 |
| 8.702 | 26.330 | 5.620 | -0.000 | -0.000 | 0.000 |
| 5.630 | 5.600 | 29.839 | -0.000 | -0.000 | 0.000 |
| -0.002 | 0.002 | 0.000 | 5.706 | 0.000 | 0.000 |
| -0.000 | -0.000 | 0.000 | -0.000 | 5.740 | 0.000 |
| -0.000 | 0.000 | -0.000 | -0.000 | -0.000 | 8.832 |
| 23.396 | 11.155 | 5.653 | 0.000 | -0.000 | -0.000 |
| 8.702 | 26.330 | 5.620 | 0.000 | 0.000 | -0.000 |
| 5.630 | 5.598 | 29.839 | 0.000 | 0.000 | -0.000 |
| 0.002 | -0.002 | -0.000 | 5.706 | -0.000 | -0.000 |
| 0.000 | 0.000 | -0.000 | 0.000 | 5.740 | -0.000 |
| 0.000 | -0.000 | 0.000 | 0.000 | -0.000 | 8.832 |
| 26.275 | 8.707 | 5.654 | -0.000 | 0.000 | 0.000 |
| 13.048 | 21.857 | 5.616 | -0.000 | -0.000 | 0.000 |
| 5.630 | 5.599 | 29.839 | -0.000 | 0.000 | 0.000 |
| -0.000 | -0.000 | 0.000 | 5.706 | 0.000 | 0.000 |
| -0.000 | -0.000 | 0.000 | -0.000 | 5.740 | 0.000 |
| -0.000 | 0.000 | -0.000 | -0.000 | 0.000 | 8.832 |
| 26.275 | 8.707 | 5.654 | 0.000 | 0.000 | -0.000 |
| 12.984 | 21.902 | 5.616 | 0.000 | 0.000 | -0.000 |
| 5.630 | 5.598 | 29.839 | 0.000 | 0.000 | -0.000 |
| 0.000 | 0.000 | -0.000 | 5.706 | -0.000 | -0.000 |
| 0.000 | 0.000 | -0.000 | 0.000 | 5.740 | 0.000 |
| 0.000 | -0.000 | 0.000 | 0.000 | 0.000 | 8.832 |
| 17.606 | 2.588 | 20.225 | 0.000 | -0.000 | -0.000 |
| 8.001 | 23.960 | 5.385 | -0.000 | 0.000 | -0.000 |
| 2.755 | 2.755 | 35.413 | -0.000 | -0.000 | -0.000 |
| 0.000 | 0.000 | -0.000 | 5.610 | -0.000 | -0.000 |
| -4.832 | -4.832 | 13.295 | -0.000 | 3.652 | -0.000 |
| 0.000 | 0.000 | 0.000 | 0.000 | -0.000 | 7.979 |
| 26.711 | 11.856 | -5.368 | -0.000 | 0.000 | 0.000 |
| 8.001 | 23.960 | 5.385 | -0.000 | 0.000 | 0.000 |
| 11.939 | 11.939 | 9.821 | 0.000 | 0.000 | 0.000 |
| -0.000 | -0.000 | 0.000 | 5.610 | 0.000 | 0.000 |
| 4.832 | 4.832 | -13.295 | 0.000 | 3.652 | 0.000 |
| -0.000 | 0.000 | -0.000 | 0.000 | 0.000 | 7.979 |
| 23.960 | 8.001 | 5.385 | 0.000 | -0.000 | -0.000 |
| 7.226 | 22.606 | 7.485 | 0.000 | -0.000 | -0.000 |
| 5.509 | 5.509 | 25.619 | -0.000 | 0.000 | -0.000 |
| -0.382 | -0.382 | 1.050 | 4.064 | -0.000 | -0.000 |
| -0.382 | -0.382 | 1.050 | -0.000 | 4.064 | -0.000 |
| -0.400 | -0.400 | 1.220 | -0.000 | -0.000 | 7.386 |
| 23.960 | 8.001 | 5.385 | -0.000 | 0.000 | 0.000 |
| 7.775 | 23.104 | 5.970 | 0.000 | 0.000 | 0.000 |
| 5.509 | 5.509 | 25.619 | 0.000 | 0.000 | 0.000 |
| 0.382 | 0.382 | -1.050 | 4.064 | 0.000 | 0.000 |
| 0.382 | 0.382 | -1.050 | -0.000 | 4.064 | 0.000 |
| 0.400 | 0.400 | -1.220 | 0.000 | 0.000 | 7.386 |
| 23.165 | 7.625 | 6.395 | -0.000 | 0.000 | -0.000 |
| 8.001 | 23.960 | 5.386 | 0.000 | -0.000 | -0.000 |
| 6.265 | 6.265 | 24.257 | -0.000 | -0.000 | -0.000 |
| 0.000 | 0.000 | 0.000 | 5.610 | -0.000 | -0.000 |
| -0.038 | -0.038 | 0.127 | -0.000 | 3.608 | -0.000 |
| -0.058 | -0.058 | 0.159 | -0.000 | -0.000 | 7.390 |
| 23.221 | 7.673 | 6.264 | -0.000 | -0.000 | 0.000 |
| 8.490 | 22.570 | 6.160 | 0.000 | -0.000 | 0.000 |
| 6.342 | 6.342 | 24.084 | -0.000 | -0.000 | 0.000 |
| -0.000 | -0.000 | -0.000 | 5.610 | 0.000 | -0.000 |
| 0.038 | 0.038 | -0.127 | 0.000 | 3.608 | 0.000 |
| 0.058 | 0.058 | -0.159 | 0.000 | 0.000 | 7.390 |
| 33.929 | 20.267 | 20.267 | -0.000 | -0.000 | -0.000 |
| 20.267 | 33.929 | 20.267 | -0.000 | -0.000 | -0.000 |
| 20.267 | 20.267 | 33.929 | -0.000 | -0.000 | -0.000 |
| -0.000 | -0.000 | 0.000 | 20.214 | -0.000 | -0.000 |
| -0.000 | -0.000 | 0.000 | -0.000 | 20.214 | -0.000 |
| -0.000 | -0.000 | 0.000 | -0.000 | -0.000 | 20.214 |
| 33.929 | 20.267 | 20.267 | -0.000 | 0.000 | 0.000 |
| 20.267 | 33.929 | 20.267 | 0.000 | 0.000 | 0.000 |
| 20.267 | 20.267 | 33.929 | -0.000 | -0.000 | 0.000 |
| 0.000 | 0.000 | 0.000 | 20.214 | 0.000 | -0.000 |
| 0.000 | 0.000 | -0.000 | 0.000 | 20.214 | 0.000 |
| 0.000 | 0.000 | -0.000 | 0.000 | 0.000 | 20.214 |
| 33.929 | 20.267 | 20.267 | -0.000 | -0.000 | -0.000 |
| 20.267 | 33.929 | 20.267 | 0.000 | -0.000 | -0.000 |
| 20.267 | 20.267 | 33.929 | -0.000 | -0.000 | -0.000 |
| 0.000 | -0.000 | 0.000 | 20.214 | -0.000 | -0.000 |
| -0.000 | 0.000 | 0.000 | -0.000 | 20.214 | -0.000 |
| -0.000 | 0.000 | 0.000 | -0.000 | -0.000 | 20.214 |
| 33.929 | 20.267 | 20.267 | -0.000 | 0.000 | 0.000 |
| 20.267 | 33.929 | 20.267 | 0.000 | -0.000 | 0.000 |
| 20.267 | 20.267 | 33.929 | 0.000 | 0.000 | 0.000 |
| -0.000 | 0.000 | -0.000 | 20.214 | 0.000 | 0.000 |
| 0.000 | -0.000 | -0.000 | 0.000 | 20.214 | 0.000 |
| 0.000 | -0.000 | -0.000 | 0.000 | 0.000 | 20.214 |
| 33.929 | 20.267 | 20.267 | -0.000 | -0.000 | -0.000 |
| 20.267 | 33.929 | 20.267 | -0.000 | -0.000 | -0.000 |
| 20.267 | 20.267 | 33.929 | -0.000 | -0.000 | -0.000 |
| 0.000 | -0.000 | 0.000 | 20.214 | -0.000 | -0.000 |
| -0.000 | 0.000 | 0.000 | -0.000 | 20.214 | -0.000 |
| -0.000 | 0.000 | 0.000 | -0.000 | -0.000 | 20.214 |
| 33.928 | 20.267 | 20.267 | 0.000 | 0.000 | 0.000 |
| 20.267 | 33.928 | 20.267 | 0.000 | -0.000 | 0.000 |
| 20.267 | 20.267 | 33.928 | 0.000 | 0.000 | 0.000 |
| -0.000 | 0.000 | -0.000 | 20.214 | 0.000 | 0.000 |
| 0.000 | -0.000 | -0.000 | 0.000 | 20.214 | 0.000 |
| 0.000 | -0.000 | -0.000 | 0.000 | 0.000 | 20.214 |
| 25.205 | 17.507 | 17.507 | -0.000 | -0.000 | 0.000 |
| 17.507 | 25.205 | 17.507 | -0.000 | -0.000 | 0.000 |
| 17.507 | 17.507 | 25.205 | -0.000 | -0.000 | 0.000 |
| -0.000 | -0.000 | -0.000 | 17.477 | -0.000 | 0.000 |
| -0.000 | -0.000 | -0.000 | -0.000 | 17.477 | 0.000 |
| -0.000 | -0.000 | -0.000 | -0.000 | -0.000 | 17.477 |
| 25.205 | 17.507 | 17.507 | 0.000 | 0.000 | -0.000 |
| 17.507 | 25.205 | 17.507 | 0.000 | 0.000 | -0.000 |
| 17.507 | 17.507 | 25.205 | 0.000 | -0.000 | -0.000 |
| 0.000 | 0.000 | 0.000 | 17.477 | 0.000 | -0.000 |
| 0.000 | 0.000 | 0.000 | 0.000 | 17.477 | 0.000 |
| 0.000 | 0.000 | 0.000 | 0.000 | 0.000 | 17.477 |
| 25.205 | 17.507 | 17.507 | -0.000 | -0.000 | 0.000 |
| 17.507 | 25.205 | 17.507 | -0.000 | -0.000 | 0.000 |
| 17.507 | 17.507 | 25.205 | -0.000 | -0.000 | 0.000 |
| 0.000 | -0.000 | 0.000 | 17.477 | -0.000 | 0.000 |
| -0.000 | 0.000 | 0.000 | -0.000 | 17.477 | 0.000 |
| -0.000 | 0.000 | 0.000 | -0.000 | -0.000 | 17.477 |
| 25.205 | 17.507 | 17.507 | 0.000 | 0.000 | -0.000 |
| 17.507 | 25.205 | 17.507 | 0.000 | 0.000 | -0.000 |
| 17.507 | 17.507 | 25.205 | 0.000 | -0.000 | -0.000 |
| -0.000 | 0.000 | -0.000 | 17.477 | 0.000 | -0.000 |
| 0.000 | -0.000 | -0.000 | 0.000 | 17.477 | -0.000 |
| 0.000 | -0.000 | -0.000 | 0.000 | 0.000 | 17.477 |
| 25.205 | 17.507 | 17.507 | -0.000 | -0.000 | 0.000 |
| 17.507 | 25.205 | 17.507 | -0.000 | -0.000 | 0.000 |
| 17.507 | 17.507 | 25.205 | -0.000 | 0.000 | 0.000 |
| 0.000 | -0.000 | 0.000 | 17.477 | -0.000 | 0.000 |
| -0.000 | 0.000 | 0.000 | -0.000 | 17.477 | 0.000 |
| -0.000 | 0.000 | 0.000 | -0.000 | -0.000 | 17.477 |
| 25.205 | 17.507 | 17.507 | 0.000 | 0.000 | -0.000 |
| 17.507 | 25.205 | 17.507 | 0.000 | 0.000 | -0.000 |
| 17.507 | 17.507 | 25.205 | 0.000 | 0.000 | -0.000 |
| -0.000 | 0.000 | -0.000 | 17.477 | 0.000 | -0.000 |
| 0.000 | -0.000 | -0.000 | 0.000 | 17.477 | -0.000 |
| 0.000 | -0.000 | -0.000 | 0.000 | 0.000 | 17.477 |
| 0.000 | -0.000 | 0.000 | 0.000 | 0.000 | 0.000 |
| 0.000 | 2.095 | 0.000 | 0.000 | 0.000 | 0.000 |
| 0.000 | -0.000 | 0.000 | 0.000 | 0.000 | 0.000 |
| 0.000 | -0.000 | 0.000 | 0.000 | 0.000 | 0.000 |
| 0.000 | -0.000 | 0.000 | 0.000 | 0.000 | 0.000 |
| -0.000 | -0.000 | 0.000 | 0.000 | 0.000 | 0.000 |
| -0.000 | 0.000 | -0.000 | -0.000 | -0.000 | -0.000 |
| -0.000 | 2.095 | -0.000 | -0.000 | -0.000 | -0.000 |
| -0.000 | 0.000 | -0.000 | -0.000 | -0.000 | -0.000 |
| -0.000 | 0.000 | -0.000 | -0.000 | -0.000 | -0.000 |
| -0.000 | 0.000 | -0.000 | -0.000 | -0.000 | -0.000 |
| 0.000 | 0.000 | -0.000 | -0.000 | -0.000 | 0.000 |
| 0.000 | -0.000 | 0.000 | 0.000 | 0.000 | 0.000 |
| 0.000 | 2.027 | 0.000 | 0.000 | 0.000 | -0.000 |
| 0.000 | -0.000 | 0.000 | 0.000 | 0.000 | 0.000 |
| 0.000 | -0.000 | 0.000 | 0.000 | 0.000 | 0.000 |
| 0.000 | -0.000 | 0.000 | 0.000 | 0.000 | 0.000 |
| -0.000 | -0.000 | 0.000 | 0.000 | 0.000 | 0.000 |
| -0.000 | 0.000 | -0.000 | -0.000 | -0.000 | -0.000 |
| -0.000 | 2.027 | -0.000 | -0.000 | -0.000 | 0.000 |
| -0.000 | 0.000 | -0.000 | -0.000 | -0.000 | -0.000 |
| -0.000 | 0.000 | -0.000 | -0.000 | -0.000 | 0.000 |
| -0.000 | 0.000 | -0.000 | -0.000 | -0.000 | -0.000 |
| 0.000 | 0.000 | -0.000 | -0.000 | -0.000 | 0.000 |
| 0.000 | -0.000 | 0.000 | 0.000 | 0.000 | 0.000 |
| 0.000 | 2.027 | 0.000 | 0.000 | 0.000 | 0.000 |
| 0.000 | -0.000 | 0.000 | 0.000 | 0.000 | 0.000 |
| 0.000 | -0.000 | 0.000 | 0.000 | 0.000 | 0.000 |
| 0.000 | -0.000 | 0.000 | 0.000 | 0.000 | 0.000 |
| -0.000 | -0.000 | 0.000 | 0.000 | 0.000 | 0.000 |
| -0.000 | 0.000 | -0.000 | -0.000 | -0.000 | -0.000 |
| -0.000 | 2.027 | -0.000 | -0.000 | -0.000 | -0.000 |
| -0.000 | 0.000 | -0.000 | -0.000 | -0.000 | -0.000 |
| -0.000 | 0.000 | -0.000 | -0.000 | -0.000 | -0.000 |
| -0.000 | 0.000 | -0.000 | -0.000 | -0.000 | -0.000 |
| 0.000 | 0.000 | -0.000 | -0.000 | -0.000 | 0.000 |
| 15.448 | 13.470 | 13.470 | 0.000 | 0.000 | 0.000 |
| 13.470 | 15.448 | 13.470 | 0.000 | 0.000 | 0.000 |
| 13.470 | 13.470 | 15.448 | 0.000 | 0.000 | 0.000 |
| 0.000 | 0.000 | 0.000 | 13.466 | 0.000 | 0.000 |
| 0.000 | 0.000 | 0.000 | 0.000 | 13.466 | 0.000 |
| 0.000 | 0.000 | 0.000 | 0.000 | 0.000 | 13.466 |
| 15.448 | 13.470 | 13.470 | -0.000 | -0.000 | -0.000 |
| 13.470 | 15.448 | 13.470 | -0.000 | -0.000 | -0.000 |
| 13.470 | 13.470 | 15.448 | -0.000 | -0.000 | -0.000 |
| -0.000 | -0.000 | -0.000 | 13.466 | -0.000 | -0.000 |
| -0.000 | -0.000 | -0.000 | -0.000 | 13.466 | -0.000 |
| -0.000 | -0.000 | -0.000 | -0.000 | -0.000 | 13.466 |
| 15.448 | 13.470 | 13.470 | 0.000 | 0.000 | 0.000 |
| 13.470 | 15.448 | 13.470 | 0.000 | 0.000 | 0.000 |
| 13.470 | 13.470 | 15.448 | 0.000 | 0.000 | 0.000 |
| 0.000 | 0.000 | 0.000 | 13.466 | 0.000 | 0.000 |
| 0.000 | 0.000 | 0.000 | 0.000 | 13.466 | 0.000 |
| 0.000 | 0.000 | 0.000 | 0.000 | 0.000 | 13.466 |
| 15.448 | 13.470 | 13.470 | -0.000 | -0.000 | -0.000 |
| 13.470 | 15.448 | 13.470 | -0.000 | -0.000 | -0.000 |
| 13.470 | 13.470 | 15.448 | -0.000 | -0.000 | -0.000 |
| -0.000 | -0.000 | -0.000 | 13.466 | -0.000 | -0.000 |
| -0.000 | -0.000 | -0.000 | -0.000 | 13.466 | -0.000 |
| -0.000 | -0.000 | -0.000 | -0.000 | -0.000 | 13.466 |
| 15.448 | 13.470 | 13.470 | 0.000 | 0.000 | 0.000 |
| 13.470 | 15.448 | 13.470 | 0.000 | 0.000 | 0.000 |
| 13.470 | 13.470 | 15.448 | 0.000 | 0.000 | 0.000 |
| 0.000 | 0.000 | 0.000 | 13.470 | 0.000 | 0.000 |
| 0.000 | 0.000 | 0.000 | 0.000 | 13.470 | 0.000 |
| 0.000 | 0.000 | 0.000 | 0.000 | 0.000 | 13.470 |
| 15.448 | 13.470 | 13.470 | -0.000 | -0.000 | -0.000 |
| 13.470 | 15.448 | 13.470 | -0.000 | -0.000 | -0.000 |
| 13.470 | 13.470 | 15.448 | -0.000 | -0.000 | -0.000 |
| -0.000 | -0.000 | -0.000 | 13.470 | -0.000 | -0.000 |
| -0.000 | -0.000 | -0.000 | -0.000 | 13.470 | -0.000 |
| -0.000 | -0.000 | -0.000 | -0.000 | -0.000 | 13.470 |
| 43.207 | -7.853 | -7.853 | 0.000 | 0.000 | -0.000 |
| -7.853 | 43.207 | -7.853 | 0.000 | 0.000 | -0.000 |
| -7.853 | -7.853 | 43.207 | 0.000 | 0.000 | -0.000 |
| 0.000 | -0.000 | 0.000 | -7.853 | 0.000 | -0.000 |
| 0.000 | 0.000 | 0.000 | 0.000 | -7.853 | -0.000 |
| 0.000 | -0.000 | 0.000 | 0.000 | 0.000 | -7.853 |
| 43.207 | -7.853 | -7.853 | -0.000 | 0.000 | 0.000 |
| -7.853 | 43.207 | -7.853 | -0.000 | -0.000 | 0.000 |
| -7.853 | -7.853 | 43.207 | -0.000 | 0.000 | 0.000 |
| -0.000 | 0.000 | -0.000 | -7.853 | -0.000 | 0.000 |
| -0.000 | -0.000 | -0.000 | -0.000 | -7.853 | 0.000 |
| -0.000 | -0.000 | -0.000 | -0.000 | -0.000 | -7.853 |
| 43.207 | -7.853 | -7.853 | 0.000 | -0.000 | -0.000 |
| -7.853 | 43.207 | -7.853 | 0.000 | 0.000 | -0.000 |
| -7.853 | -7.853 | 43.207 | 0.000 | -0.000 | -0.000 |
| 0.000 | 0.000 | -0.000 | -7.853 | 0.000 | -0.000 |
| 0.000 | 0.000 | -0.000 | 0.000 | -7.853 | -0.000 |
| 0.000 | -0.000 | 0.000 | 0.000 | 0.000 | -7.853 |
| 43.207 | -7.853 | -7.853 | -0.000 | -0.000 | -0.000 |
| -7.853 | 43.207 | -7.853 | -0.000 | -0.000 | -0.000 |
| -7.853 | -7.853 | 43.207 | -0.000 | -0.000 | -0.000 |
| -0.000 | -0.000 | 0.000 | -7.853 | -0.000 | -0.000 |
| -0.000 | -0.000 | 0.000 | -0.000 | -7.853 | 0.000 |
| -0.000 | 0.000 | -0.000 | -0.000 | -0.000 | -7.853 |
| 43.208 | -7.854 | -7.854 | 0.000 | 0.000 | 0.000 |
| -7.854 | 43.208 | -7.854 | 0.000 | 0.000 | 0.000 |
| -7.854 | -7.854 | 43.208 | 0.000 | 0.000 | -0.000 |
| 0.000 | 0.000 | -0.000 | -7.853 | 0.000 | -0.000 |
| 0.000 | 0.000 | -0.000 | 0.000 | -7.853 | -0.000 |
| 0.000 | -0.000 | 0.000 | 0.000 | 0.000 | -7.853 |
| 43.207 | -7.853 | -7.853 | -0.000 | -0.000 | 0.000 |
| -7.853 | 43.207 | -7.853 | -0.000 | -0.000 | 0.000 |
| -7.853 | -7.853 | 43.207 | -0.000 | -0.000 | 0.000 |
| -0.000 | -0.000 | 0.000 | -7.853 | -0.000 | 0.000 |
| -0.000 | -0.000 | 0.000 | -0.000 | -7.853 | 0.000 |
| -0.000 | 0.000 | -0.000 | -0.000 | -0.000 | -7.853 |
| 41.605 | 27.382 | 27.382 | -0.000 | -0.000 | 0.000 |
| 27.382 | 41.605 | 27.382 | -0.000 | -0.000 | -0.000 |
| 27.382 | 27.382 | 41.605 | -0.000 | -0.000 | 0.000 |
| 0.000 | 0.000 | 0.000 | 27.382 | -0.000 | -0.000 |
| 0.000 | 0.000 | 0.000 | -0.000 | 27.382 | 0.000 |
| 0.000 | 0.000 | 0.000 | -0.000 | -0.000 | 27.382 |
| 41.605 | 27.382 | 27.382 | 0.000 | 0.000 | -0.000 |
| 27.382 | 41.605 | 27.382 | 0.000 | 0.000 | 0.000 |
| 27.382 | 27.382 | 41.605 | 0.000 | 0.000 | -0.000 |
| -0.000 | -0.000 | -0.000 | 27.382 | 0.000 | -0.000 |
| -0.000 | -0.000 | -0.000 | 0.000 | 27.382 | -0.000 |
| -0.000 | -0.000 | -0.000 | 0.000 | 0.000 | 27.382 |
| 41.605 | 27.382 | 27.382 | -0.000 | -0.000 | 0.000 |
| 27.382 | 41.605 | 27.382 | -0.000 | -0.000 | 0.000 |
| 27.382 | 27.382 | 41.605 | 0.000 | -0.000 | 0.000 |
| 0.000 | 0.000 | 0.000 | 27.382 | -0.000 | 0.000 |
| 0.000 | 0.000 | 0.000 | -0.000 | 27.382 | 0.000 |
| 0.000 | 0.000 | 0.000 | -0.000 | -0.000 | 27.382 |
| 41.605 | 27.382 | 27.382 | -0.000 | 0.000 | -0.000 |
| 27.382 | 41.605 | 27.382 | 0.000 | 0.000 | -0.000 |
| 27.382 | 27.382 | 41.605 | 0.000 | 0.000 | 0.000 |
| -0.000 | -0.000 | -0.000 | 27.382 | 0.000 | 0.000 |
| -0.000 | -0.000 | -0.000 | 0.000 | 27.382 | -0.000 |
| -0.000 | -0.000 | -0.000 | 0.000 | 0.000 | 27.382 |
| 41.605 | 27.382 | 27.382 | -0.000 | -0.000 | 0.000 |
| 27.382 | 41.605 | 27.382 | -0.000 | -0.000 | 0.000 |
| 27.382 | 27.382 | 41.605 | -0.000 | -0.000 | 0.000 |
| 0.000 | 0.000 | 0.000 | 27.382 | -0.000 | 0.000 |
| 0.000 | 0.000 | 0.000 | 0.000 | 27.382 | 0.000 |
| 0.000 | 0.000 | 0.000 | -0.000 | -0.000 | 27.382 |
| 41.604 | 27.382 | 27.382 | 0.000 | 0.000 | -0.000 |
| 27.382 | 41.604 | 27.382 | 0.000 | 0.000 | -0.000 |
| 27.382 | 27.382 | 41.604 | 0.000 | 0.000 | 0.000 |
| -0.000 | -0.000 | -0.000 | 27.382 | 0.000 | 0.000 |
| -0.000 | -0.000 | -0.000 | 0.000 | 27.382 | 0.000 |
| -0.000 | -0.000 | -0.000 | 0.000 | 0.000 | 27.382 |
| 4.218 | 4.218 | 4.218 | -0.000 | -0.000 | -0.000 |
| 4.218 | 4.218 | 4.218 | -0.000 | -0.000 | -0.000 |
| 4.218 | 4.218 | 4.218 | -0.000 | -0.000 | 0.000 |
| -0.000 | -0.000 | -0.000 | -0.000 | -0.000 | -0.000 |
| -0.000 | -0.000 | -0.000 | -0.000 | -0.000 | -0.000 |
| -0.000 | -0.000 | -0.000 | -0.000 | -0.000 | -0.000 |
| 4.218 | 4.218 | 4.218 | 0.000 | 0.000 | 0.000 |
| 4.218 | 4.218 | 4.218 | 0.000 | 0.000 | 0.000 |
| 4.218 | 4.218 | 4.218 | 0.000 | 0.000 | 0.000 |
| 0.000 | 0.000 | 0.000 | 0.000 | 0.000 | 0.000 |
| 0.000 | 0.000 | 0.000 | 0.000 | 0.000 | 0.000 |
| 0.000 | 0.000 | 0.000 | 0.000 | 0.000 | 0.000 |
| 4.218 | 4.218 | 4.218 | -0.000 | -0.000 | -0.000 |
| 4.218 | 4.218 | 4.218 | -0.000 | -0.000 | -0.000 |
| 4.218 | 4.218 | 4.218 | -0.000 | -0.000 | -0.000 |
| -0.000 | -0.000 | -0.000 | -0.000 | -0.000 | -0.000 |
| -0.000 | -0.000 | -0.000 | -0.000 | -0.000 | -0.000 |
| -0.000 | -0.000 | -0.000 | -0.000 | -0.000 | -0.000 |
| 4.218 | 4.218 | 4.218 | 0.000 | 0.000 | 0.000 |
| 4.218 | 4.218 | 4.218 | 0.000 | 0.000 | 0.000 |
| 4.218 | 4.218 | 4.218 | 0.000 | 0.000 | 0.000 |
| 0.000 | 0.000 | 0.000 | 0.000 | 0.000 | 0.000 |
| 0.000 | 0.000 | 0.000 | 0.000 | 0.000 | 0.000 |
| 0.000 | 0.000 | 0.000 | 0.000 | 0.000 | 0.000 |
| 4.218 | 4.218 | 4.218 | 0.000 | -0.000 | -0.000 |
| 4.218 | 4.218 | 4.218 | -0.000 | 0.000 | -0.000 |
| 4.218 | 4.218 | 4.218 | -0.000 | -0.000 | 0.000 |
| -0.000 | -0.000 | -0.000 | -0.000 | -0.000 | -0.000 |
| -0.000 | -0.000 | -0.000 | -0.000 | -0.000 | -0.000 |
| -0.000 | -0.000 | -0.000 | -0.000 | -0.000 | -0.000 |
| 4.218 | 4.218 | 4.218 | 0.000 | 0.000 | 0.000 |
| 4.218 | 4.218 | 4.218 | 0.000 | 0.000 | 0.000 |
| 4.218 | 4.218 | 4.218 | 0.000 | 0.000 | -0.000 |
| 0.000 | 0.000 | 0.000 | 0.000 | 0.000 | 0.000 |
| 0.000 | 0.000 | 0.000 | 0.000 | 0.000 | 0.000 |
| 0.000 | 0.000 | 0.000 | 0.000 | 0.000 | 0.000 |
| 15.214 | 16.239 | 16.239 | -0.000 | 0.000 | -0.000 |
| 16.239 | 15.214 | 16.239 | -0.000 | -0.000 | -0.000 |
| 16.239 | 16.239 | 15.214 | -0.000 | 0.000 | -0.000 |
| -0.000 | -0.000 | -0.000 | 1.974 | -0.000 | -0.000 |
| -0.000 | -0.000 | -0.000 | -0.000 | 1.974 | -0.000 |
| -0.000 | -0.000 | -0.000 | -0.000 | 0.000 | 1.974 |
| 15.214 | 16.239 | 16.239 | 0.000 | 0.000 | 0.000 |
| 16.239 | 15.214 | 16.239 | 0.000 | -0.000 | 0.000 |
| 16.239 | 16.239 | 15.214 | 0.000 | 0.000 | 0.000 |
| 0.000 | 0.000 | 0.000 | 1.974 | 0.000 | -0.000 |
| 0.000 | 0.000 | 0.000 | 0.000 | 1.974 | 0.000 |
| 0.000 | 0.000 | 0.000 | -0.000 | 0.000 | 1.974 |
| 15.214 | 16.239 | 16.239 | -0.000 | 0.000 | -0.000 |
| 16.239 | 15.214 | 16.239 | -0.000 | -0.000 | -0.000 |
| 16.239 | 16.239 | 15.214 | -0.000 | -0.000 | -0.000 |
| 0.000 | -0.000 | -0.000 | 1.974 | 0.000 | -0.000 |
| -0.000 | 0.000 | -0.000 | -0.000 | 1.974 | -0.000 |
| -0.000 | -0.000 | 0.000 | 0.000 | 0.000 | 1.974 |
| 15.214 | 16.239 | 16.239 | 0.000 | 0.000 | 0.000 |
| 16.239 | 15.214 | 16.239 | 0.000 | -0.000 | 0.000 |
| 16.239 | 16.239 | 15.214 | 0.000 | 0.000 | 0.000 |
| -0.000 | 0.000 | 0.000 | 1.974 | 0.000 | -0.000 |
| 0.000 | -0.000 | 0.000 | 0.000 | 1.974 | 0.000 |
| 0.000 | 0.000 | -0.000 | 0.000 | 0.000 | 1.974 |
| 15.214 | 16.239 | 16.239 | -0.000 | 0.000 | -0.000 |
| 16.239 | 15.214 | 16.239 | -0.000 | -0.000 | -0.000 |
| 16.239 | 16.239 | 15.214 | -0.000 | 0.000 | -0.000 |
| 0.000 | -0.000 | -0.000 | 1.974 | 0.000 | -0.000 |
| -0.000 | 0.000 | -0.000 | -0.000 | 1.974 | -0.000 |
| -0.000 | -0.000 | 0.000 | -0.000 | -0.000 | 1.974 |
| 15.214 | 16.239 | 16.239 | 0.000 | 0.000 | 0.000 |
| 16.239 | 15.214 | 16.239 | 0.000 | 0.000 | 0.000 |
| 16.239 | 16.239 | 15.214 | 0.000 | 0.000 | 0.000 |
| -0.000 | 0.000 | 0.000 | 1.974 | 0.000 | -0.000 |
| 0.000 | -0.000 | 0.000 | 0.000 | 1.974 | 0.000 |
| 0.000 | 0.000 | -0.000 | 0.000 | 0.000 | 1.974 |
| 35.514 | 25.005 | 25.005 | 0.000 | 0.000 | -0.000 |
| 25.005 | 35.514 | 25.005 | 0.000 | 0.000 | -0.000 |
| 25.005 | 25.005 | 35.514 | 0.000 | 0.000 | -0.000 |
| 0.000 | 0.000 | 0.000 | 20.345 | -0.000 | -0.000 |
| 0.000 | 0.000 | 0.000 | 0.000 | 20.345 | 0.000 |
| 0.000 | 0.000 | 0.000 | 0.000 | 0.000 | 20.345 |
| 35.514 | 25.005 | 25.005 | -0.000 | -0.000 | 0.000 |
| 25.005 | 35.514 | 25.005 | -0.000 | -0.000 | 0.000 |
| 25.005 | 25.005 | 35.514 | -0.000 | -0.000 | 0.000 |
| -0.000 | 0.000 | -0.000 | 20.345 | 0.000 | -0.000 |
| -0.000 | -0.000 | -0.000 | -0.000 | 20.345 | -0.000 |
| -0.000 | -0.000 | -0.000 | -0.000 | -0.000 | 20.345 |
| 35.514 | 25.005 | 25.005 | 0.000 | -0.000 | 0.000 |
| 25.005 | 35.514 | 25.005 | 0.000 | 0.000 | 0.000 |
| 25.005 | 25.005 | 35.514 | 0.000 | -0.000 | 0.000 |
| 0.000 | -0.000 | 0.000 | 20.345 | -0.000 | 0.000 |
| -0.000 | 0.000 | 0.000 | 0.000 | 20.345 | 0.000 |
| -0.000 | 0.000 | 0.000 | 0.000 | 0.000 | 20.345 |
| 35.514 | 25.005 | 25.005 | -0.000 | 0.000 | -0.000 |
| 25.005 | 35.514 | 25.005 | -0.000 | -0.000 | -0.000 |
| 25.005 | 25.005 | 35.514 | -0.000 | -0.000 | 0.000 |
| -0.000 | 0.000 | -0.000 | 20.345 | 0.000 | -0.000 |
| 0.000 | -0.000 | -0.000 | -0.000 | 20.345 | -0.000 |
| 0.000 | -0.000 | -0.000 | -0.000 | -0.000 | 20.345 |
| 35.514 | 25.005 | 25.005 | 0.000 | 0.000 | 0.000 |
| 25.005 | 35.514 | 25.005 | 0.000 | 0.000 | -0.000 |
| 25.005 | 25.005 | 35.514 | -0.000 | -0.000 | -0.000 |
| 0.000 | -0.000 | 0.000 | 20.345 | 0.000 | -0.000 |
| -0.000 | 0.000 | 0.000 | 0.000 | 20.345 | 0.000 |
| -0.000 | 0.000 | 0.000 | 0.000 | 0.000 | 20.345 |
| 35.514 | 25.005 | 25.005 | -0.000 | -0.000 | -0.000 |
| 25.005 | 35.514 | 25.005 | -0.000 | -0.000 | 0.000 |
| 25.005 | 25.005 | 35.514 | -0.000 | -0.000 | -0.000 |
| -0.000 | 0.000 | -0.000 | 20.345 | -0.000 | 0.000 |
| 0.000 | -0.000 | -0.000 | -0.000 | 20.345 | -0.000 |
| 0.000 | -0.000 | -0.000 | -0.000 | -0.000 | 20.345 |
| 31.622 | 17.636 | 17.636 | -0.000 | -0.000 | -0.000 |
| 17.636 | 31.622 | 17.636 | -0.000 | -0.000 | -0.000 |
| 17.636 | 17.636 | 31.622 | 0.000 | 0.000 | -0.000 |
| 0.000 | 0.000 | -0.000 | 16.868 | 0.000 | -0.000 |
| 0.000 | 0.000 | -0.000 | 0.000 | 16.868 | -0.000 |
| 0.000 | 0.000 | -0.000 | 0.000 | -0.000 | 16.868 |
| 31.622 | 17.636 | 17.636 | 0.000 | 0.000 | 0.000 |
| 17.636 | 31.622 | 17.636 | -0.000 | 0.000 | 0.000 |
| 17.636 | 17.636 | 31.622 | -0.000 | -0.000 | 0.000 |
| -0.000 | -0.000 | 0.000 | 16.868 | -0.000 | 0.000 |
| -0.000 | -0.000 | 0.000 | -0.000 | 16.868 | 0.000 |
| -0.000 | -0.000 | 0.000 | -0.000 | 0.000 | 16.868 |
| 31.622 | 17.636 | 17.636 | -0.000 | -0.000 | -0.000 |
| 17.636 | 31.622 | 17.636 | 0.000 | -0.000 | 0.000 |
| 17.636 | 17.636 | 31.622 | 0.000 | 0.000 | -0.000 |
| 0.000 | -0.000 | 0.000 | 17.636 | -0.000 | -0.000 |
| -0.000 | 0.000 | 0.000 | 0.000 | 17.636 | -0.000 |
| -0.000 | 0.000 | 0.000 | 0.000 | -0.000 | 17.636 |
| 31.622 | 17.636 | 17.636 | 0.000 | 0.000 | 0.000 |
| 17.636 | 31.622 | 17.636 | 0.000 | 0.000 | -0.000 |
| 17.636 | 17.636 | 31.622 | -0.000 | 0.000 | 0.000 |
| -0.000 | 0.000 | -0.000 | 17.636 | -0.000 | 0.000 |
| 0.000 | -0.000 | -0.000 | -0.000 | 17.636 | 0.000 |
| 0.000 | -0.000 | -0.000 | 0.000 | 0.000 | 17.636 |
| 31.622 | 17.636 | 17.636 | 0.000 | -0.000 | -0.000 |
| 17.636 | 31.622 | 17.636 | 0.000 | -0.000 | -0.000 |
| 17.636 | 17.636 | 31.622 | 0.000 | -0.000 | -0.000 |
| 0.000 | 0.000 | 0.000 | 16.868 | -0.000 | -0.000 |
| 0.000 | 0.000 | 0.000 | 0.000 | 16.868 | -0.000 |
| 0.000 | 0.000 | 0.000 | 0.000 | -0.000 | 16.868 |
| 31.622 | 17.636 | 17.636 | 0.000 | 0.000 | 0.000 |
| 17.636 | 31.622 | 17.636 | -0.000 | 0.000 | 0.000 |
| 17.636 | 17.636 | 31.622 | 0.000 | 0.000 | 0.000 |
| -0.000 | -0.000 | -0.000 | 16.868 | 0.000 | -0.000 |
| -0.000 | -0.000 | -0.000 | -0.000 | 16.868 | 0.000 |
| -0.000 | -0.000 | -0.000 | -0.000 | -0.000 | 16.868 |
| 63.651 | 15.005 | 15.005 | -0.000 | -0.000 | 0.000 |
| 15.005 | 63.651 | 15.005 | -0.000 | -0.000 | 0.000 |
| 15.005 | 15.005 | 63.651 | -0.000 | -0.000 | -0.000 |
| -0.000 | 0.000 | 0.000 | 4.021 | -0.000 | -0.000 |
| -0.000 | 0.000 | 0.000 | -0.000 | 4.021 | -0.000 |
| -0.000 | 0.000 | 0.000 | -0.000 | -0.000 | 4.021 |
| 63.651 | 15.005 | 15.005 | 0.000 | 0.000 | 0.000 |
| 15.005 | 63.651 | 15.005 | 0.000 | 0.000 | -0.000 |
| 15.005 | 15.005 | 63.651 | 0.000 | 0.000 | 0.000 |
| 0.000 | -0.000 | -0.000 | 4.021 | 0.000 | -0.000 |
| 0.000 | -0.000 | -0.000 | -0.000 | 4.021 | 0.000 |
| 0.000 | -0.000 | -0.000 | -0.000 | 0.000 | 4.021 |
| 63.651 | 15.005 | 15.005 | -0.000 | -0.000 | 0.000 |
| 15.005 | 63.651 | 15.005 | -0.000 | -0.000 | 0.000 |
| 15.005 | 15.005 | 63.651 | -0.000 | -0.000 | 0.000 |
| -0.000 | -0.000 | -0.000 | 4.021 | -0.000 | 0.000 |
| -0.000 | 0.000 | -0.000 | -0.000 | 4.021 | 0.000 |
| -0.000 | -0.000 | -0.000 | -0.000 | -0.000 | 4.021 |
| 63.651 | 15.005 | 15.005 | -0.000 | 0.000 | -0.000 |
| 15.005 | 63.651 | 15.005 | 0.000 | 0.000 | -0.000 |
| 15.005 | 15.005 | 63.651 | 0.000 | 0.000 | -0.000 |
| 0.000 | 0.000 | 0.000 | 4.021 | 0.000 | 0.000 |
| 0.000 | -0.000 | 0.000 | 0.000 | 4.021 | -0.000 |
| 0.000 | 0.000 | -0.000 | 0.000 | 0.000 | 4.021 |
| 63.651 | 15.005 | 15.005 | -0.000 | -0.000 | 0.000 |
| 15.005 | 63.651 | 15.005 | -0.000 | -0.000 | 0.000 |
| 15.005 | 15.005 | 63.651 | -0.000 | -0.000 | 0.000 |
| -0.000 | -0.000 | -0.000 | 4.021 | -0.000 | 0.000 |
| -0.000 | -0.000 | -0.000 | 0.000 | 4.021 | 0.000 |
| -0.000 | -0.000 | -0.000 | -0.000 | -0.000 | 4.021 |
| 63.651 | 15.004 | 15.004 | 0.000 | 0.000 | -0.000 |
| 15.004 | 63.651 | 15.004 | 0.000 | 0.000 | 0.000 |
| 15.004 | 15.004 | 63.651 | 0.000 | 0.000 | -0.000 |
| 0.000 | 0.000 | 0.000 | 4.021 | 0.000 | 0.000 |
| 0.000 | 0.000 | 0.000 | 0.000 | 4.021 | -0.000 |
| 0.000 | 0.000 | 0.000 | 0.000 | 0.000 | 4.021 |
| 37.160 | 28.586 | 28.586 | 0.000 | 0.000 | 0.000 |
| 28.586 | 37.160 | 28.586 | 0.000 | 0.000 | 0.000 |
| 28.586 | 28.586 | 37.160 | 0.000 | 0.000 | -0.000 |
| -0.000 | 0.000 | 0.000 | 19.140 | 0.000 | 0.000 |
| -0.000 | -0.000 | 0.000 | 0.000 | 19.140 | 0.000 |
| -0.000 | 0.000 | 0.000 | -0.000 | 0.000 | 19.140 |
| 37.160 | 28.586 | 28.586 | 0.000 | 0.000 | 0.000 |
| 28.586 | 37.160 | 28.586 | 0.000 | -0.000 | 0.000 |
| 28.586 | 28.586 | 37.160 | -0.000 | -0.000 | 0.000 |
| 0.000 | 0.000 | -0.000 | 19.140 | -0.000 | -0.000 |
| 0.000 | -0.000 | -0.000 | -0.000 | 19.140 | 0.000 |
| 0.000 | -0.000 | -0.000 | 0.000 | -0.000 | 19.140 |
| 37.160 | 28.586 | 28.586 | -0.000 | 0.000 | 0.000 |
| 28.586 | 37.160 | 28.586 | -0.000 | 0.000 | -0.000 |
| 28.586 | 28.586 | 37.160 | -0.000 | 0.000 | -0.000 |
| 0.000 | -0.000 | 0.000 | 28.586 | 0.000 | 0.000 |
| -0.000 | 0.000 | 0.000 | -0.000 | 28.586 | 0.000 |
| -0.000 | 0.000 | 0.000 | -0.000 | 0.000 | 28.586 |
| 37.160 | 28.586 | 28.586 | 0.000 | -0.000 | 0.000 |
| 28.586 | 37.160 | 28.586 | -0.000 | -0.000 | 0.000 |
| 28.586 | 28.586 | 37.160 | 0.000 | -0.000 | 0.000 |
| -0.000 | 0.000 | -0.000 | 28.586 | -0.000 | -0.000 |
| 0.000 | -0.000 | -0.000 | 0.000 | 28.586 | 0.000 |
| 0.000 | -0.000 | -0.000 | 0.000 | -0.000 | 28.586 |
| 37.160 | 28.586 | 28.586 | -0.000 | 0.000 | 0.000 |
| 28.586 | 37.160 | 28.586 | -0.000 | 0.000 | 0.000 |
| 28.586 | 28.586 | 37.160 | -0.000 | 0.000 | -0.000 |
| 0.000 | -0.000 | 0.000 | 19.140 | 0.000 | 0.000 |
| -0.000 | 0.000 | 0.000 | -0.000 | 19.140 | -0.000 |
| -0.000 | 0.000 | 0.000 | -0.000 | 0.000 | 19.140 |
| 37.160 | 28.586 | 28.586 | 0.000 | -0.000 | 0.000 |
| 28.586 | 37.160 | 28.586 | 0.000 | -0.000 | 0.000 |
| 28.586 | 28.586 | 37.160 | 0.000 | -0.000 | 0.000 |
| -0.000 | 0.000 | -0.000 | 19.140 | -0.000 | -0.000 |
| 0.000 | -0.000 | -0.000 | -0.000 | 19.140 | 0.000 |
| 0.000 | -0.000 | -0.000 | 0.000 | -0.000 | 19.140 |
| 29.921 | 25.313 | 25.313 | -0.000 | 0.000 | 0.000 |
| 25.313 | 29.921 | 25.313 | 0.000 | 0.000 | -0.000 |
| 25.313 | 25.313 | 29.921 | 0.000 | 0.000 | 0.000 |
| -0.000 | 0.000 | 0.000 | 25.313 | 0.000 | 0.000 |
| 0.000 | -0.000 | 0.000 | 0.000 | 25.313 | -0.000 |
| 0.000 | 0.000 | -0.000 | -0.000 | 0.000 | 25.313 |
| 29.921 | 25.313 | 25.313 | 0.000 | -0.000 | 0.000 |
| 25.313 | 29.921 | 25.313 | 0.000 | -0.000 | 0.000 |
| 25.313 | 25.313 | 29.921 | -0.000 | -0.000 | -0.000 |
| 0.000 | -0.000 | -0.000 | 25.313 | -0.000 | -0.000 |
| -0.000 | 0.000 | -0.000 | -0.000 | 25.313 | -0.000 |
| -0.000 | -0.000 | 0.000 | 0.000 | -0.000 | 25.313 |
| 29.921 | 25.313 | 25.313 | -0.000 | 0.000 | -0.000 |
| 25.313 | 29.921 | 25.313 | 0.000 | 0.000 | 0.000 |
| 25.313 | 25.313 | 29.921 | -0.000 | 0.000 | 0.000 |
| -0.000 | 0.000 | 0.000 | 25.313 | -0.000 | 0.000 |
| 0.000 | -0.000 | 0.000 | 0.000 | 25.313 | 0.000 |
| 0.000 | 0.000 | -0.000 | -0.000 | -0.000 | 25.313 |
| 29.921 | 25.313 | 25.313 | 0.000 | 0.000 | 0.000 |
| 25.313 | 29.921 | 25.313 | -0.000 | -0.000 | 0.000 |
| 25.313 | 25.313 | 29.921 | 0.000 | 0.000 | -0.000 |
| 0.000 | -0.000 | -0.000 | 25.313 | -0.000 | -0.000 |
| -0.000 | 0.000 | -0.000 | -0.000 | 25.313 | 0.000 |
| -0.000 | -0.000 | 0.000 | 0.000 | 0.000 | 25.313 |
| 29.921 | 25.313 | 25.313 | -0.000 | -0.000 | -0.000 |
| 25.313 | 29.921 | 25.313 | -0.000 | 0.000 | 0.000 |
| 25.313 | 25.313 | 29.921 | -0.000 | 0.000 | 0.000 |
| -0.000 | 0.000 | 0.000 | 25.313 | -0.000 | 0.000 |
| 0.000 | -0.000 | 0.000 | 0.000 | 25.313 | -0.000 |
| 0.000 | 0.000 | -0.000 | -0.000 | 0.000 | 25.313 |
| 29.921 | 25.312 | 25.312 | 0.000 | 0.000 | 0.000 |
| 25.312 | 29.921 | 25.312 | 0.000 | -0.000 | 0.000 |
| 25.312 | 25.312 | 29.921 | -0.000 | 0.000 | -0.000 |
| 0.000 | -0.000 | -0.000 | 25.313 | 0.000 | 0.000 |
| -0.000 | 0.000 | -0.000 | -0.000 | 25.313 | 0.000 |
| -0.000 | -0.000 | 0.000 | 0.000 | 0.000 | 25.313 |
| 27.641 | 23.357 | 23.357 | 0.000 | 0.000 | 0.000 |
| 23.357 | 27.641 | 23.357 | 0.000 | -0.000 | -0.000 |
| 23.357 | 23.357 | 27.641 | -0.000 | -0.000 | 0.000 |
| 0.000 | 0.000 | 0.000 | 16.500 | -0.000 | 0.000 |
| 0.000 | 0.000 | 0.000 | 0.000 | 16.500 | 0.000 |
| 0.000 | 0.000 | 0.000 | 0.000 | 0.000 | 16.500 |
| 27.641 | 23.357 | 23.357 | -0.000 | 0.000 | -0.000 |
| 23.357 | 27.641 | 23.357 | -0.000 | 0.000 | -0.000 |
| 23.357 | 23.357 | 27.641 | -0.000 | -0.000 | -0.000 |
| -0.000 | -0.000 | -0.000 | 16.500 | 0.000 | -0.000 |
| -0.000 | -0.000 | -0.000 | -0.000 | 16.500 | -0.000 |
| -0.000 | -0.000 | -0.000 | -0.000 | -0.000 | 16.500 |
| 27.641 | 23.357 | 23.357 | 0.000 | -0.000 | 0.000 |
| 23.357 | 27.641 | 23.357 | 0.000 | 0.000 | 0.000 |
| 23.357 | 23.357 | 27.641 | -0.000 | -0.000 | 0.000 |
| 0.000 | -0.000 | 0.000 | 16.500 | 0.000 | 0.000 |
| -0.000 | 0.000 | 0.000 | 0.000 | 16.500 | 0.000 |
| -0.000 | 0.000 | 0.000 | -0.000 | -0.000 | 16.500 |
| 27.641 | 23.357 | 23.357 | -0.000 | 0.000 | -0.000 |
| 23.357 | 27.641 | 23.357 | -0.000 | -0.000 | 0.000 |
| 23.357 | 23.357 | 27.641 | -0.000 | 0.000 | -0.000 |
| -0.000 | 0.000 | -0.000 | 16.500 | -0.000 | 0.000 |
| 0.000 | -0.000 | -0.000 | -0.000 | 16.500 | -0.000 |
| 0.000 | -0.000 | -0.000 | 0.000 | 0.000 | 16.500 |
| 27.642 | 23.357 | 23.357 | 0.000 | 0.000 | 0.000 |
| 23.357 | 27.642 | 23.357 | 0.000 | 0.000 | 0.000 |
| 23.357 | 23.357 | 27.642 | -0.000 | -0.000 | 0.000 |
| 0.000 | -0.000 | 0.000 | 16.500 | 0.000 | -0.000 |
| -0.000 | 0.000 | 0.000 | -0.000 | 16.500 | 0.000 |
| -0.000 | 0.000 | 0.000 | -0.000 | -0.000 | 16.500 |
| 27.641 | 23.357 | 23.357 | -0.000 | -0.000 | -0.000 |
| 23.357 | 27.641 | 23.357 | -0.000 | 0.000 | -0.000 |
| 23.357 | 23.357 | 27.641 | -0.000 | -0.000 | -0.000 |
| -0.000 | 0.000 | -0.000 | 16.500 | -0.000 | -0.000 |
| 0.000 | -0.000 | -0.000 | 0.000 | 16.500 | -0.000 |
| 0.000 | -0.000 | -0.000 | -0.000 | -0.000 | 16.500 |
| 14.194 | 14.141 | 14.141 | -0.000 | -0.000 | -0.000 |
| 14.141 | 14.194 | 14.141 | -0.000 | -0.000 | -0.000 |
| 14.141 | 14.141 | 14.194 | -0.000 | -0.000 | 0.000 |
| 0.000 | -0.000 | 0.000 | 14.141 | 0.000 | -0.000 |
| -0.000 | 0.000 | 0.000 | -0.000 | 14.141 | -0.000 |
| -0.000 | 0.000 | -0.000 | 0.000 | 0.000 | 14.141 |
| 14.194 | 14.141 | 14.141 | 0.000 | 0.000 | -0.000 |
| 14.141 | 14.194 | 14.141 | 0.000 | 0.000 | -0.000 |
| 14.141 | 14.141 | 14.194 | 0.000 | 0.000 | -0.000 |
| -0.000 | 0.000 | -0.000 | 14.141 | -0.000 | -0.000 |
| -0.000 | -0.000 | -0.000 | 0.000 | 14.141 | 0.000 |
| -0.000 | -0.000 | 0.000 | -0.000 | 0.000 | 14.141 |
| 14.194 | 14.141 | 14.141 | -0.000 | -0.000 | -0.000 |
| 14.141 | 14.194 | 14.141 | -0.000 | -0.000 | -0.000 |
| 14.141 | 14.141 | 14.194 | -0.000 | -0.000 | 0.000 |
| 0.000 | -0.000 | 0.000 | 11.205 | 0.000 | 0.000 |
| -0.000 | 0.000 | 0.000 | -0.000 | 11.205 | 0.000 |
| -0.000 | 0.000 | 0.000 | -0.000 | -0.000 | 11.205 |
| 14.194 | 14.141 | 14.141 | 0.000 | 0.000 | -0.000 |
| 14.141 | 14.194 | 14.141 | -0.000 | -0.000 | -0.000 |
| 14.141 | 14.141 | 14.194 | -0.000 | 0.000 | -0.000 |
| -0.000 | 0.000 | -0.000 | 11.205 | 0.000 | 0.000 |
| 0.000 | -0.000 | -0.000 | 0.000 | 11.205 | -0.000 |
| 0.000 | -0.000 | -0.000 | 0.000 | 0.000 | 11.205 |
| 14.194 | 14.141 | 14.141 | -0.000 | 0.000 | 0.000 |
| 14.141 | 14.194 | 14.141 | 0.000 | -0.000 | -0.000 |
| 14.141 | 14.141 | 14.194 | -0.000 | 0.000 | 0.000 |
| 0.000 | -0.000 | 0.000 | 11.205 | -0.000 | -0.000 |
| -0.000 | 0.000 | 0.000 | 0.000 | 11.205 | 0.000 |
| -0.000 | 0.000 | 0.000 | 0.000 | 0.000 | 11.205 |
| 14.194 | 14.141 | 14.141 | 0.000 | -0.000 | 0.000 |
| 14.141 | 14.194 | 14.141 | 0.000 | 0.000 | 0.000 |
| 14.141 | 14.141 | 14.194 | 0.000 | -0.000 | -0.000 |
| -0.000 | 0.000 | -0.000 | 11.205 | 0.000 | -0.000 |
| 0.000 | -0.000 | -0.000 | -0.000 | 11.205 | -0.000 |
| 0.000 | -0.000 | -0.000 | -0.000 | -0.000 | 11.205 |
| 27.068 | -4.430 | -4.430 | -0.000 | -0.000 | -0.000 |
| -4.430 | 27.068 | -4.430 | -0.000 | 0.000 | -0.000 |
| -4.430 | -4.430 | 27.068 | 0.000 | 0.000 | 0.000 |
| 0.000 | -0.000 | -0.000 | -4.430 | 0.000 | -0.000 |
| 0.000 | -0.000 | -0.000 | -0.000 | -4.430 | -0.000 |
| 0.000 | -0.000 | -0.000 | 0.000 | -0.000 | -4.430 |
| 27.068 | -4.430 | -4.430 | 0.000 | -0.000 | -0.000 |
| -4.430 | 27.068 | -4.430 | -0.000 | -0.000 | -0.000 |
| -4.430 | -4.430 | 27.068 | 0.000 | -0.000 | -0.000 |
| -0.000 | -0.000 | 0.000 | -4.430 | -0.000 | 0.000 |
| -0.000 | 0.000 | 0.000 | 0.000 | -4.430 | 0.000 |
| -0.000 | 0.000 | 0.000 | 0.000 | 0.000 | -4.430 |
| 27.068 | -4.430 | -4.430 | 0.000 | 0.000 | 0.000 |
| -4.430 | 27.068 | -4.430 | -0.000 | 0.000 | 0.000 |
| -4.430 | -4.430 | 27.068 | -0.000 | 0.000 | 0.000 |
| 0.000 | -0.000 | -0.000 | -4.430 | 0.000 | 0.000 |
| -0.000 | 0.000 | -0.000 | -0.000 | -4.430 | -0.000 |
| -0.000 | -0.000 | 0.000 | -0.000 | -0.000 | -4.430 |
| 27.068 | -4.430 | -4.430 | 0.000 | 0.000 | 0.000 |
| -4.430 | 27.068 | -4.430 | -0.000 | -0.000 | 0.000 |
| -4.430 | -4.430 | 27.068 | 0.000 | 0.000 | -0.000 |
| -0.000 | 0.000 | 0.000 | -4.430 | 0.000 | 0.000 |
| 0.000 | -0.000 | 0.000 | 0.000 | -4.430 | 0.000 |
| 0.000 | 0.000 | -0.000 | 0.000 | -0.000 | -4.430 |
| 27.068 | -4.430 | -4.430 | -0.000 | -0.000 | -0.000 |
| -4.430 | 27.068 | -4.430 | 0.000 | 0.000 | -0.000 |
| -4.430 | -4.430 | 27.068 | -0.000 | -0.000 | 0.000 |
| 0.000 | -0.000 | -0.000 | -4.430 | -0.000 | -0.000 |
| -0.000 | 0.000 | -0.000 | -0.000 | -4.430 | -0.000 |
| -0.000 | -0.000 | 0.000 | -0.000 | -0.000 | -4.430 |
| 27.067 | -4.430 | -4.430 | -0.000 | 0.000 | 0.000 |
| -4.430 | 27.067 | -4.430 | 0.000 | -0.000 | -0.000 |
| -4.430 | -4.430 | 27.067 | 0.000 | 0.000 | -0.000 |
| -0.000 | 0.000 | 0.000 | -4.430 | 0.000 | -0.000 |
| 0.000 | -0.000 | 0.000 | 0.000 | -4.430 | 0.000 |
| 0.000 | 0.000 | -0.000 | -0.000 | 0.000 | -4.430 |
| 28.963 | 22.889 | 22.889 | -0.000 | 0.000 | 0.000 |
| 22.889 | 28.963 | 22.889 | -0.000 | -0.000 | 0.000 |
| 22.889 | 22.889 | 28.963 | -0.000 | 0.000 | 0.000 |
| 0.000 | 0.000 | 0.000 | 22.889 | -0.000 | 0.000 |
| 0.000 | 0.000 | 0.000 | -0.000 | 22.889 | 0.000 |
| 0.000 | 0.000 | 0.000 | -0.000 | -0.000 | 22.889 |
| 28.963 | 22.889 | 22.889 | 0.000 | 0.000 | -0.000 |
| 22.889 | 28.963 | 22.889 | 0.000 | 0.000 | -0.000 |
| 22.889 | 22.889 | 28.963 | 0.000 | 0.000 | -0.000 |
| -0.000 | -0.000 | -0.000 | 22.889 | 0.000 | -0.000 |
| -0.000 | -0.000 | -0.000 | 0.000 | 22.889 | -0.000 |
| -0.000 | -0.000 | -0.000 | 0.000 | 0.000 | 22.889 |
| 28.963 | 22.889 | 22.889 | -0.000 | -0.000 | 0.000 |
| 22.889 | 28.963 | 22.889 | -0.000 | -0.000 | 0.000 |
| 22.889 | 22.889 | 28.963 | -0.000 | -0.000 | 0.000 |
| 0.000 | 0.000 | 0.000 | 22.889 | -0.000 | 0.000 |
| 0.000 | 0.000 | 0.000 | -0.000 | 22.889 | 0.000 |
| 0.000 | 0.000 | 0.000 | -0.000 | -0.000 | 22.889 |
| 28.963 | 22.889 | 22.889 | 0.000 | 0.000 | -0.000 |
| 22.889 | 28.963 | 22.889 | 0.000 | 0.000 | -0.000 |
| 22.889 | 22.889 | 28.963 | 0.000 | -0.000 | -0.000 |
| -0.000 | -0.000 | -0.000 | 22.889 | 0.000 | 0.000 |
| -0.000 | -0.000 | -0.000 | 0.000 | 22.889 | -0.000 |
| -0.000 | -0.000 | -0.000 | 0.000 | 0.000 | 22.889 |
| 28.963 | 22.889 | 22.889 | -0.000 | -0.000 | 0.000 |
| 22.889 | 28.963 | 22.889 | -0.000 | -0.000 | 0.000 |
| 22.889 | 22.889 | 28.963 | -0.000 | -0.000 | 0.000 |
| 0.000 | 0.000 | 0.000 | 22.889 | -0.000 | 0.000 |
| 0.000 | 0.000 | 0.000 | -0.000 | 22.889 | 0.000 |
| 0.000 | 0.000 | 0.000 | -0.000 | -0.000 | 22.889 |
| 28.962 | 22.889 | 22.889 | 0.000 | 0.000 | -0.000 |
| 22.889 | 28.962 | 22.889 | 0.000 | 0.000 | -0.000 |
| 22.889 | 22.889 | 28.962 | 0.000 | 0.000 | -0.000 |
| -0.000 | -0.000 | -0.000 | 22.889 | 0.000 | -0.000 |
| -0.000 | -0.000 | -0.000 | 0.000 | 22.889 | -0.000 |
| -0.000 | -0.000 | -0.000 | 0.000 | 0.000 | 22.889 |
| 3.311 | 3.311 | 3.311 | -0.000 | -0.000 | -0.000 |
| 3.311 | 3.311 | 3.311 | -0.000 | -0.000 | -0.000 |
| 3.311 | 3.311 | 3.311 | -0.000 | -0.000 | -0.000 |
| -0.000 | -0.000 | -0.000 | 0.000 | 0.000 | -0.000 |
| -0.000 | -0.000 | -0.000 | 0.000 | 0.000 | -0.000 |
| -0.000 | -0.000 | -0.000 | 0.000 | -0.000 | 0.000 |
| 3.311 | 3.311 | 3.311 | 0.000 | 0.000 | 0.000 |
| 3.311 | 3.311 | 3.311 | 0.000 | 0.000 | 0.000 |
| 3.311 | 3.311 | 3.311 | 0.000 | 0.000 | 0.000 |
| 0.000 | 0.000 | 0.000 | 0.000 | -0.000 | 0.000 |
| 0.000 | 0.000 | 0.000 | -0.000 | 0.000 | 0.000 |
| 0.000 | 0.000 | 0.000 | -0.000 | 0.000 | 0.000 |
| 3.311 | 3.311 | 3.311 | -0.000 | -0.000 | -0.000 |
| 3.311 | 3.311 | 3.311 | -0.000 | -0.000 | -0.000 |
| 3.311 | 3.311 | 3.311 | -0.000 | -0.000 | -0.000 |
| -0.000 | -0.000 | -0.000 | -0.000 | 0.000 | -0.000 |
| -0.000 | -0.000 | -0.000 | 0.000 | -0.000 | -0.000 |
| -0.000 | -0.000 | -0.000 | 0.000 | -0.000 | -0.000 |
| 3.311 | 3.311 | 3.311 | 0.000 | 0.000 | 0.000 |
| 3.311 | 3.311 | 3.311 | 0.000 | 0.000 | 0.000 |
| 3.311 | 3.311 | 3.311 | 0.000 | 0.000 | 0.000 |
| 0.000 | 0.000 | 0.000 | -0.000 | -0.000 | 0.000 |
| 0.000 | 0.000 | 0.000 | -0.000 | -0.000 | 0.000 |
| 0.000 | 0.000 | 0.000 | -0.000 | 0.000 | -0.000 |
| 3.311 | 3.311 | 3.311 | 0.000 | -0.000 | -0.000 |
| 3.311 | 3.311 | 3.311 | -0.000 | 0.000 | -0.000 |
| 3.311 | 3.311 | 3.311 | -0.000 | -0.000 | 0.000 |
| -0.000 | -0.000 | -0.000 | 0.000 | 0.000 | -0.000 |
| -0.000 | -0.000 | -0.000 | 0.000 | 0.000 | -0.000 |
| -0.000 | -0.000 | -0.000 | 0.000 | -0.000 | 0.000 |
| 3.311 | 3.311 | 3.311 | 0.000 | -0.000 | 0.000 |
| 3.311 | 3.311 | 3.311 | -0.000 | 0.000 | 0.000 |
| 3.311 | 3.311 | 3.311 | -0.000 | -0.000 | 0.000 |
| 0.000 | 0.000 | 0.000 | -0.000 | -0.000 | 0.000 |
| 0.000 | 0.000 | 0.000 | -0.000 | -0.000 | 0.000 |
| 0.000 | 0.000 | 0.000 | -0.000 | 0.000 | -0.000 |
| 12.784 | 11.614 | 11.614 | -0.000 | -0.000 | 0.000 |
| 11.614 | 12.784 | 11.614 | -0.000 | 0.000 | 0.000 |
| 11.614 | 11.614 | 12.784 | -0.000 | -0.000 | -0.000 |
| -0.000 | -0.000 | -0.000 | 2.504 | -0.000 | 0.000 |
| -0.000 | -0.000 | -0.000 | -0.000 | 2.504 | 0.000 |
| -0.000 | -0.000 | -0.000 | -0.000 | 0.000 | 2.504 |
| 12.784 | 11.614 | 11.614 | 0.000 | 0.000 | -0.000 |
| 11.614 | 12.784 | 11.614 | 0.000 | -0.000 | -0.000 |
| 11.614 | 11.614 | 12.784 | 0.000 | 0.000 | 0.000 |
| 0.000 | 0.000 | 0.000 | 2.504 | 0.000 | -0.000 |
| 0.000 | 0.000 | 0.000 | 0.000 | 2.504 | -0.000 |
| 0.000 | 0.000 | 0.000 | -0.000 | -0.000 | 2.504 |
| 12.784 | 11.614 | 11.614 | -0.000 | 0.000 | 0.000 |
| 11.614 | 12.784 | 11.614 | -0.000 | 0.000 | 0.000 |
| 11.614 | 11.614 | 12.784 | -0.000 | 0.000 | -0.000 |
| 0.000 | -0.000 | -0.000 | 2.504 | 0.000 | 0.000 |
| -0.000 | 0.000 | -0.000 | -0.000 | 2.504 | 0.000 |
| -0.000 | -0.000 | 0.000 | -0.000 | 0.000 | 2.504 |
| 12.784 | 11.614 | 11.614 | 0.000 | -0.000 | -0.000 |
| 11.614 | 12.784 | 11.614 | 0.000 | 0.000 | -0.000 |
| 11.614 | 11.614 | 12.784 | 0.000 | -0.000 | 0.000 |
| -0.000 | 0.000 | 0.000 | 2.504 | -0.000 | -0.000 |
| 0.000 | -0.000 | 0.000 | 0.000 | 2.504 | -0.000 |
| 0.000 | 0.000 | -0.000 | 0.000 | -0.000 | 2.504 |
| 12.784 | 11.614 | 11.614 | -0.000 | -0.000 | 0.000 |
| 11.614 | 12.784 | 11.614 | -0.000 | -0.000 | -0.000 |
| 11.614 | 11.614 | 12.784 | -0.000 | -0.000 | -0.000 |
| 0.000 | -0.000 | -0.000 | 2.504 | 0.000 | -0.000 |
| -0.000 | 0.000 | -0.000 | -0.000 | 2.504 | 0.000 |
| -0.000 | -0.000 | 0.000 | -0.000 | 0.000 | 2.504 |
| 12.784 | 11.614 | 11.614 | 0.000 | 0.000 | -0.000 |
| 11.614 | 12.784 | 11.614 | 0.000 | 0.000 | -0.000 |
| 11.614 | 11.614 | 12.784 | 0.000 | 0.000 | 0.000 |
| -0.000 | 0.000 | 0.000 | 2.504 | 0.000 | -0.000 |
| 0.000 | -0.000 | 0.000 | 0.000 | 2.504 | -0.000 |
| 0.000 | 0.000 | -0.000 | 0.000 | -0.000 | 2.504 |
| 23.202 | 15.498 | 15.498 | 0.000 | 0.000 | 0.000 |
| 15.498 | 23.202 | 15.498 | 0.000 | 0.000 | 0.000 |
| 15.498 | 15.498 | 23.202 | 0.000 | 0.000 | 0.000 |
| -0.000 | 0.000 | 0.000 | 14.924 | 0.000 | 0.000 |
| -0.000 | -0.000 | 0.000 | 0.000 | 14.924 | 0.000 |
| -0.000 | 0.000 | 0.000 | 0.000 | 0.000 | 14.924 |
| 23.202 | 15.498 | 15.498 | 0.000 | -0.000 | -0.000 |
| 15.498 | 23.202 | 15.498 | -0.000 | 0.000 | -0.000 |
| 15.498 | 15.498 | 23.202 | -0.000 | -0.000 | 0.000 |
| 0.000 | 0.000 | -0.000 | 14.924 | -0.000 | -0.000 |
| 0.000 | 0.000 | -0.000 | -0.000 | 14.924 | -0.000 |
| 0.000 | -0.000 | -0.000 | -0.000 | -0.000 | 14.924 |
| 23.202 | 15.498 | 15.498 | 0.000 | 0.000 | 0.000 |
| 15.498 | 23.202 | 15.498 | 0.000 | -0.000 | 0.000 |
| 15.498 | 15.498 | 23.202 | 0.000 | 0.000 | 0.000 |
| 0.000 | -0.000 | 0.000 | 14.924 | 0.000 | 0.000 |
| -0.000 | 0.000 | 0.000 | 0.000 | 14.924 | 0.000 |
| -0.000 | 0.000 | 0.000 | 0.000 | 0.000 | 14.924 |
| 23.202 | 15.498 | 15.498 | -0.000 | -0.000 | -0.000 |
| 15.498 | 23.202 | 15.498 | -0.000 | -0.000 | -0.000 |
| 15.498 | 15.498 | 23.202 | -0.000 | -0.000 | -0.000 |
| -0.000 | 0.000 | -0.000 | 14.924 | -0.000 | -0.000 |
| 0.000 | -0.000 | -0.000 | -0.000 | 14.924 | -0.000 |
| 0.000 | -0.000 | -0.000 | -0.000 | -0.000 | 14.924 |
| 23.202 | 15.498 | 15.498 | 0.000 | 0.000 | 0.000 |
| 15.498 | 23.202 | 15.498 | 0.000 | 0.000 | 0.000 |
| 15.498 | 15.498 | 23.202 | 0.000 | 0.000 | 0.000 |
| 0.000 | -0.000 | 0.000 | 14.924 | 0.000 | 0.000 |
| -0.000 | 0.000 | 0.000 | 0.000 | 14.924 | 0.000 |
| -0.000 | 0.000 | 0.000 | 0.000 | 0.000 | 14.924 |
| 23.201 | 15.498 | 15.498 | -0.000 | -0.000 | -0.000 |
| 15.498 | 23.201 | 15.498 | -0.000 | -0.000 | -0.000 |
| 15.498 | 15.498 | 23.201 | -0.000 | -0.000 | -0.000 |
| -0.000 | 0.000 | -0.000 | 14.924 | -0.000 | -0.000 |
| 0.000 | -0.000 | -0.000 | -0.000 | 14.924 | -0.000 |
| 0.000 | -0.000 | -0.000 | -0.000 | -0.000 | 14.924 |
| 0.000 | 0.000 | 0.000 | 0.000 | 0.000 | -0.000 |
| 0.000 | 1.967 | 0.000 | 0.000 | 0.000 | 0.000 |
| 0.000 | 0.000 | 0.000 | 0.000 | 0.000 | 0.000 |
| 0.000 | 0.000 | 0.000 | 0.000 | 0.000 | -0.000 |
| 0.000 | 0.000 | 0.000 | 0.000 | 0.000 | -0.000 |
| -0.000 | 0.000 | 0.000 | 0.000 | 0.000 | 0.000 |
| -0.000 | -0.000 | -0.000 | -0.000 | -0.000 | 0.000 |
| -0.000 | 1.967 | -0.000 | -0.000 | -0.000 | -0.000 |
| -0.000 | -0.000 | -0.000 | -0.000 | -0.000 | -0.000 |
| -0.000 | -0.000 | -0.000 | -0.000 | -0.000 | 0.000 |
| -0.000 | -0.000 | -0.000 | -0.000 | -0.000 | 0.000 |
| 0.000 | -0.000 | -0.000 | -0.000 | -0.000 | 0.000 |
| 0.000 | 0.000 | 0.000 | 0.000 | 0.000 | -0.000 |
| 0.000 | 1.967 | 0.000 | 0.000 | 0.000 | 0.000 |
| 0.000 | 0.000 | 0.000 | 0.000 | 0.000 | 0.000 |
| 0.000 | 0.000 | 0.000 | 0.000 | 0.000 | -0.000 |
| 0.000 | 0.000 | 0.000 | 0.000 | 0.000 | -0.000 |
| -0.000 | -0.000 | 0.000 | 0.000 | 0.000 | 0.000 |
| -0.000 | -0.000 | -0.000 | -0.000 | -0.000 | 0.000 |
| -0.000 | 1.967 | -0.000 | -0.000 | -0.000 | 0.000 |
| -0.000 | -0.000 | -0.000 | -0.000 | -0.000 | -0.000 |
| -0.000 | -0.000 | -0.000 | -0.000 | -0.000 | 0.000 |
| -0.000 | -0.000 | -0.000 | -0.000 | -0.000 | 0.000 |
| 0.000 | 0.000 | -0.000 | -0.000 | -0.000 | 0.000 |
| 0.000 | 0.000 | 0.000 | 0.000 | 0.000 | -0.000 |
| 0.000 | 1.896 | 0.000 | 0.000 | 0.000 | 0.000 |
| 0.000 | 0.000 | 0.000 | 0.000 | 0.000 | 0.000 |
| 0.000 | 0.000 | 0.000 | 0.000 | 0.000 | -0.000 |
| 0.000 | 0.000 | 0.000 | 0.000 | 0.000 | -0.000 |
| -0.000 | -0.000 | 0.000 | 0.000 | 0.000 | 0.000 |
| -0.000 | -0.000 | -0.000 | -0.000 | -0.000 | 0.000 |
| -0.000 | 1.896 | -0.000 | -0.000 | -0.000 | -0.000 |
| -0.000 | -0.000 | -0.000 | -0.000 | -0.000 | -0.000 |
| -0.000 | -0.000 | -0.000 | -0.000 | -0.000 | 0.000 |
| -0.000 | -0.000 | -0.000 | -0.000 | -0.000 | 0.000 |
| 0.000 | 0.000 | -0.000 | -0.000 | -0.000 | 0.000 |
| 46.617 | 9.939 | 9.939 | 0.000 | 0.000 | -0.000 |
| 9.939 | 46.617 | 9.939 | 0.000 | 0.000 | -0.000 |
| 9.939 | 9.939 | 46.617 | -0.000 | 0.000 | -0.000 |
| -0.000 | -0.000 | -0.000 | 4.948 | 0.000 | -0.000 |
| -0.000 | -0.000 | -0.000 | 0.000 | 4.948 | -0.000 |
| -0.000 | -0.000 | -0.000 | -0.000 | 0.000 | 4.948 |
| 46.617 | 9.939 | 9.939 | 0.000 | -0.000 | 0.000 |
| 9.939 | 46.617 | 9.939 | 0.000 | -0.000 | 0.000 |
| 9.939 | 9.939 | 46.617 | 0.000 | 0.000 | 0.000 |
| 0.000 | 0.000 | 0.000 | 4.948 | -0.000 | 0.000 |
| 0.000 | 0.000 | 0.000 | 0.000 | 4.948 | -0.000 |
| 0.000 | 0.000 | 0.000 | 0.000 | -0.000 | 4.948 |
| 46.617 | 9.939 | 9.939 | -0.000 | 0.000 | -0.000 |
| 9.939 | 46.617 | 9.939 | -0.000 | 0.000 | -0.000 |
| 9.939 | 9.939 | 46.617 | -0.000 | 0.000 | -0.000 |
| 0.000 | -0.000 | -0.000 | 4.948 | 0.000 | -0.000 |
| -0.000 | 0.000 | -0.000 | -0.000 | 4.948 | -0.000 |
| -0.000 | -0.000 | 0.000 | -0.000 | 0.000 | 4.948 |
| 46.617 | 9.939 | 9.939 | 0.000 | -0.000 | 0.000 |
| 9.939 | 46.617 | 9.939 | 0.000 | -0.000 | 0.000 |
| 9.939 | 9.939 | 46.617 | 0.000 | -0.000 | 0.000 |
| -0.000 | 0.000 | 0.000 | 4.948 | -0.000 | -0.000 |
| 0.000 | -0.000 | 0.000 | 0.000 | 4.948 | 0.000 |
| 0.000 | 0.000 | -0.000 | 0.000 | -0.000 | 4.948 |
| 46.617 | 9.939 | 9.939 | 0.000 | 0.000 | -0.000 |
| 9.939 | 46.617 | 9.939 | -0.000 | -0.000 | -0.000 |
| 9.939 | 9.939 | 46.617 | 0.000 | -0.000 | -0.000 |
| 0.000 | 0.000 | -0.000 | 4.948 | 0.000 | -0.000 |
| 0.000 | 0.000 | -0.000 | -0.000 | 4.948 | -0.000 |
| 0.000 | -0.000 | 0.000 | -0.000 | 0.000 | 4.948 |
| 46.617 | 9.939 | 9.939 | 0.000 | -0.000 | 0.000 |
| 9.939 | 46.617 | 9.939 | 0.000 | -0.000 | 0.000 |
| 9.939 | 9.939 | 46.617 | 0.000 | -0.000 | 0.000 |
| -0.000 | -0.000 | 0.000 | 4.948 | -0.000 | -0.000 |
| -0.000 | -0.000 | 0.000 | -0.000 | 4.948 | 0.000 |
| -0.000 | 0.000 | -0.000 | 0.000 | -0.000 | 4.948 |
| 26.229 | 20.496 | 20.496 | 0.000 | -0.000 | -0.000 |
| 20.496 | 26.229 | 20.496 | -0.000 | -0.000 | -0.000 |
| 20.496 | 20.496 | 26.229 | -0.000 | -0.000 | -0.000 |
| -0.000 | -0.000 | 0.000 | 17.113 | -0.000 | -0.000 |
| -0.000 | -0.000 | 0.000 | -0.000 | 17.112 | -0.000 |
| -0.000 | -0.000 | -0.000 | -0.000 | -0.000 | 17.113 |
| 26.229 | 20.496 | 20.496 | 0.000 | 0.000 | 0.000 |
| 20.496 | 26.229 | 20.496 | 0.000 | 0.000 | 0.000 |
| 20.496 | 20.496 | 26.229 | 0.000 | 0.000 | 0.000 |
| 0.000 | 0.000 | 0.000 | 17.113 | 0.000 | 0.000 |
| 0.000 | 0.000 | 0.000 | 0.000 | 17.113 | 0.000 |
| 0.000 | 0.000 | 0.000 | 0.000 | 0.000 | 17.113 |
| 26.229 | 20.496 | 20.496 | -0.000 | -0.000 | -0.000 |
| 20.496 | 26.229 | 20.496 | -0.000 | -0.000 | -0.000 |
| 20.496 | 20.496 | 26.229 | -0.000 | -0.000 | -0.000 |
| 0.000 | -0.000 | 0.000 | 20.496 | -0.000 | -0.000 |
| -0.000 | 0.000 | 0.000 | -0.000 | 20.496 | -0.000 |
| -0.000 | 0.000 | 0.000 | -0.000 | -0.000 | 20.496 |
| 26.229 | 20.496 | 20.496 | 0.000 | 0.000 | 0.000 |
| 20.496 | 26.229 | 20.496 | 0.000 | 0.000 | 0.000 |
| 20.496 | 20.496 | 26.229 | 0.000 | 0.000 | 0.000 |
| -0.000 | 0.000 | -0.000 | 20.496 | 0.000 | 0.000 |
| 0.000 | -0.000 | -0.000 | 0.000 | 20.496 | 0.000 |
| 0.000 | -0.000 | -0.000 | 0.000 | 0.000 | 20.496 |
| 26.229 | 20.497 | 20.497 | -0.000 | -0.000 | -0.000 |
| 20.497 | 26.229 | 20.497 | -0.000 | -0.000 | -0.000 |
| 20.497 | 20.497 | 26.229 | -0.000 | -0.000 | -0.000 |
| 0.000 | -0.000 | 0.000 | 20.496 | -0.000 | -0.000 |
| -0.000 | 0.000 | 0.000 | -0.000 | 20.496 | -0.000 |
| -0.000 | 0.000 | 0.000 | -0.000 | -0.000 | 20.496 |
| 26.229 | 20.496 | 20.496 | 0.000 | 0.000 | 0.000 |
| 20.496 | 26.229 | 20.496 | 0.000 | 0.000 | 0.000 |
| 20.496 | 20.496 | 26.229 | 0.000 | 0.000 | 0.000 |
| -0.000 | 0.000 | -0.000 | 20.496 | 0.000 | 0.000 |
| 0.000 | -0.000 | -0.000 | 0.000 | 20.496 | 0.000 |
| 0.000 | -0.000 | -0.000 | 0.000 | 0.000 | 20.496 |
| 21.575 | 16.901 | 16.901 | -0.000 | -0.000 | 0.000 |
| 16.901 | 21.575 | 16.901 | -0.000 | 0.000 | 0.000 |
| 16.901 | 16.901 | 21.575 | -0.000 | 0.000 | 0.000 |
| -0.000 | 0.000 | 0.000 | 16.901 | 0.000 | -0.000 |
| -0.000 | -0.000 | 0.000 | 0.000 | 16.901 | 0.000 |
| -0.000 | 0.000 | 0.000 | -0.000 | 0.000 | 16.901 |
| 21.575 | 16.901 | 16.901 | 0.000 | 0.000 | -0.000 |
| 16.901 | 21.575 | 16.901 | 0.000 | -0.000 | -0.000 |
| 16.901 | 16.901 | 21.575 | 0.000 | -0.000 | -0.000 |
| 0.000 | -0.000 | -0.000 | 16.901 | -0.000 | -0.000 |
| 0.000 | 0.000 | -0.000 | -0.000 | 16.901 | -0.000 |
| 0.000 | -0.000 | -0.000 | -0.000 | -0.000 | 16.901 |
| 21.575 | 16.901 | 16.901 | -0.000 | -0.000 | 0.000 |
| 16.901 | 21.575 | 16.901 | 0.000 | -0.000 | 0.000 |
| 16.901 | 16.901 | 21.575 | -0.000 | 0.000 | 0.000 |
| -0.000 | 0.000 | 0.000 | 16.901 | 0.000 | 0.000 |
| 0.000 | -0.000 | 0.000 | 0.000 | 16.901 | -0.000 |
| 0.000 | 0.000 | -0.000 | -0.000 | 0.000 | 16.901 |
| 21.575 | 16.901 | 16.901 | -0.000 | 0.000 | -0.000 |
| 16.901 | 21.575 | 16.901 | -0.000 | -0.000 | -0.000 |
| 16.901 | 16.901 | 21.575 | 0.000 | -0.000 | -0.000 |
| 0.000 | -0.000 | -0.000 | 16.901 | 0.000 | -0.000 |
| -0.000 | 0.000 | -0.000 | 0.000 | 16.901 | -0.000 |
| -0.000 | -0.000 | 0.000 | 0.000 | -0.000 | 16.901 |
| 21.575 | 16.901 | 16.901 | -0.000 | 0.000 | 0.000 |
| 16.901 | 21.575 | 16.901 | 0.000 | -0.000 | -0.000 |
| 16.901 | 16.901 | 21.575 | -0.000 | 0.000 | 0.000 |
| -0.000 | 0.000 | 0.000 | 16.901 | 0.000 | 0.000 |
| 0.000 | -0.000 | 0.000 | 0.000 | 16.901 | 0.000 |
| 0.000 | 0.000 | -0.000 | -0.000 | 0.000 | 16.901 |
| 21.575 | 16.901 | 16.901 | 0.000 | 0.000 | -0.000 |
| 16.901 | 21.575 | 16.901 | 0.000 | -0.000 | 0.000 |
| 16.901 | 16.901 | 21.575 | 0.000 | -0.000 | -0.000 |
| 0.000 | -0.000 | -0.000 | 16.901 | -0.000 | 0.000 |
| -0.000 | 0.000 | -0.000 | 0.000 | 16.901 | -0.000 |
| -0.000 | -0.000 | 0.000 | -0.000 | -0.000 | 16.901 |
| 14.407 | 13.474 | 13.474 | 0.000 | 0.000 | 0.000 |
| 13.474 | 14.407 | 13.474 | 0.000 | 0.000 | 0.000 |
| 13.474 | 13.474 | 14.407 | 0.000 | 0.000 | 0.000 |
| 0.000 | 0.000 | 0.000 | 11.949 | 0.000 | -0.000 |
| -0.000 | 0.000 | 0.000 | 0.000 | 11.949 | 0.000 |
| -0.000 | 0.000 | 0.000 | 0.000 | 0.000 | 11.949 |
| 14.407 | 13.474 | 13.474 | -0.000 | -0.000 | -0.000 |
| 13.474 | 14.407 | 13.474 | -0.000 | -0.000 | -0.000 |
| 13.474 | 13.474 | 14.407 | -0.000 | -0.000 | -0.000 |
| -0.000 | -0.000 | -0.000 | 11.949 | -0.000 | -0.000 |
| 0.000 | -0.000 | -0.000 | 0.000 | 11.949 | -0.000 |
| 0.000 | -0.000 | -0.000 | -0.000 | -0.000 | 11.949 |
| 14.407 | 13.474 | 13.474 | -0.000 | 0.000 | -0.000 |
| 13.474 | 14.407 | 13.474 | 0.000 | 0.000 | -0.000 |
| 13.474 | 13.474 | 14.407 | -0.000 | 0.000 | 0.000 |
| 0.000 | -0.000 | 0.000 | 13.474 | 0.000 | 0.000 |
| -0.000 | 0.000 | 0.000 | 0.000 | 13.474 | 0.000 |
| -0.000 | 0.000 | 0.000 | 0.000 | 0.000 | 13.474 |
| 14.407 | 13.474 | 13.474 | -0.000 | -0.000 | -0.000 |
| 13.474 | 14.407 | 13.474 | -0.000 | -0.000 | -0.000 |
| 13.474 | 13.474 | 14.407 | -0.000 | -0.000 | -0.000 |
| -0.000 | 0.000 | -0.000 | 13.474 | -0.000 | 0.000 |
| 0.000 | -0.000 | -0.000 | -0.000 | 13.474 | -0.000 |
| 0.000 | -0.000 | -0.000 | -0.000 | -0.000 | 13.474 |
| 14.407 | 13.474 | 13.474 | 0.000 | 0.000 | -0.000 |
| 13.474 | 14.407 | 13.474 | 0.000 | 0.000 | -0.000 |
| 13.474 | 13.474 | 14.407 | 0.000 | 0.000 | 0.000 |
| 0.000 | -0.000 | 0.000 | 11.949 | 0.000 | 0.000 |
| -0.000 | 0.000 | 0.000 | 0.000 | 11.949 | 0.000 |
| -0.000 | 0.000 | 0.000 | 0.000 | 0.000 | 11.949 |
| 14.407 | 13.474 | 13.474 | 0.000 | -0.000 | -0.000 |
| 13.474 | 14.407 | 13.474 | 0.000 | -0.000 | -0.000 |
| 13.474 | 13.474 | 14.407 | -0.000 | -0.000 | -0.000 |
| -0.000 | 0.000 | -0.000 | 11.949 | -0.000 | -0.000 |
| 0.000 | -0.000 | -0.000 | -0.000 | 11.949 | -0.000 |
| 0.000 | -0.000 | -0.000 | -0.000 | -0.000 | 11.949 |
| 24.047 | -2.443 | -2.443 | 0.000 | 0.000 | 0.000 |
| -2.443 | 24.047 | -2.443 | 0.000 | 0.000 | 0.000 |
| -2.443 | -2.443 | 24.047 | 0.000 | 0.000 | 0.000 |
| 0.000 | 0.000 | 0.000 | -2.443 | 0.000 | 0.000 |
| 0.000 | 0.000 | 0.000 | 0.000 | -2.443 | 0.000 |
| 0.000 | 0.000 | 0.000 | 0.000 | 0.000 | -2.443 |
| 24.047 | -2.443 | -2.443 | -0.000 | -0.000 | -0.000 |
| -2.443 | 24.047 | -2.443 | -0.000 | -0.000 | -0.000 |
| -2.443 | -2.443 | 24.047 | -0.000 | -0.000 | -0.000 |
| -0.000 | 0.000 | -0.000 | -2.443 | -0.000 | -0.000 |
| -0.000 | -0.000 | -0.000 | -0.000 | -2.443 | -0.000 |
| -0.000 | -0.000 | -0.000 | -0.000 | -0.000 | -2.443 |
| 24.047 | -2.443 | -2.443 | 0.000 | 0.000 | 0.000 |
| -2.443 | 24.047 | -2.443 | 0.000 | 0.000 | 0.000 |
| -2.443 | -2.443 | 24.047 | 0.000 | 0.000 | 0.000 |
| 0.000 | 0.000 | -0.000 | -2.443 | 0.000 | 0.000 |
| 0.000 | 0.000 | -0.000 | 0.000 | -2.443 | 0.000 |
| 0.000 | -0.000 | 0.000 | 0.000 | 0.000 | -2.443 |
| 24.047 | -2.443 | -2.443 | -0.000 | -0.000 | -0.000 |
| -2.443 | 24.047 | -2.443 | -0.000 | -0.000 | -0.000 |
| -2.443 | -2.443 | 24.047 | 0.000 | 0.000 | -0.000 |
| -0.000 | -0.000 | 0.000 | -2.443 | -0.000 | -0.000 |
| -0.000 | -0.000 | 0.000 | -0.000 | -2.443 | -0.000 |
| -0.000 | 0.000 | -0.000 | -0.000 | -0.000 | -2.443 |
| 24.047 | -2.443 | -2.443 | 0.000 | 0.000 | 0.000 |
| -2.443 | 24.047 | -2.443 | 0.000 | 0.000 | 0.000 |
| -2.443 | -2.443 | 24.047 | 0.000 | 0.000 | 0.000 |
| 0.000 | 0.000 | -0.000 | -2.443 | 0.000 | 0.000 |
| 0.000 | 0.000 | -0.000 | 0.000 | -2.443 | 0.000 |
| 0.000 | -0.000 | 0.000 | 0.000 | 0.000 | -2.443 |
| 24.047 | -2.443 | -2.443 | -0.000 | -0.000 | -0.000 |
| -2.443 | 24.047 | -2.443 | -0.000 | -0.000 | -0.000 |
| -2.443 | -2.443 | 24.047 | -0.000 | -0.000 | -0.000 |
| -0.000 | -0.000 | 0.000 | -2.443 | -0.000 | -0.000 |
| -0.000 | -0.000 | 0.000 | -0.000 | -2.443 | -0.000 |
| -0.000 | 0.000 | -0.000 | -0.000 | -0.000 | -2.443 |
| 13.984 | 14.957 | 14.957 | 0.000 | 0.000 | 0.000 |
| 14.957 | 13.984 | 14.957 | 0.000 | 0.000 | 0.000 |
| 14.957 | 14.957 | 13.984 | 0.000 | 0.000 | 0.000 |
| 0.000 | 0.000 | 0.000 | 14.957 | 0.000 | 0.000 |
| 0.000 | 0.000 | 0.000 | 0.000 | 14.957 | 0.000 |
| 0.000 | 0.000 | 0.000 | 0.000 | 0.000 | 14.957 |
| 13.984 | 14.957 | 14.957 | -0.000 | -0.000 | -0.000 |
| 14.957 | 13.984 | 14.957 | -0.000 | -0.000 | -0.000 |
| 14.957 | 14.957 | 13.984 | -0.000 | -0.000 | -0.000 |
| -0.000 | -0.000 | -0.000 | 14.957 | -0.000 | -0.000 |
| -0.000 | -0.000 | -0.000 | -0.000 | 14.957 | -0.000 |
| -0.000 | -0.000 | -0.000 | -0.000 | -0.000 | 14.957 |
| 13.984 | 14.957 | 14.957 | 0.000 | 0.000 | 0.000 |
| 14.957 | 13.984 | 14.957 | 0.000 | 0.000 | 0.000 |
| 14.957 | 14.957 | 13.984 | 0.000 | 0.000 | 0.000 |
| 0.000 | 0.000 | 0.000 | 14.957 | 0.000 | -0.000 |
| 0.000 | 0.000 | 0.000 | 0.000 | 14.957 | 0.000 |
| 0.000 | 0.000 | 0.000 | 0.000 | 0.000 | 14.957 |
| 13.984 | 14.957 | 14.957 | -0.000 | -0.000 | -0.000 |
| 14.957 | 13.984 | 14.957 | -0.000 | -0.000 | -0.000 |
| 14.957 | 14.957 | 13.984 | -0.000 | -0.000 | -0.000 |
| -0.000 | -0.000 | -0.000 | 14.957 | -0.000 | -0.000 |
| -0.000 | -0.000 | -0.000 | -0.000 | 14.957 | -0.000 |
| -0.000 | -0.000 | -0.000 | -0.000 | -0.000 | 14.957 |
| 13.984 | 14.957 | 14.957 | 0.000 | 0.000 | -0.000 |
| 14.957 | 13.984 | 14.957 | 0.000 | 0.000 | 0.000 |
| 14.957 | 14.957 | 13.984 | 0.000 | 0.000 | 0.000 |
| 0.000 | 0.000 | 0.000 | 14.957 | 0.000 | 0.000 |
| 0.000 | 0.000 | 0.000 | 0.000 | 14.957 | 0.000 |
| 0.000 | 0.000 | 0.000 | 0.000 | 0.000 | 14.957 |
| 13.984 | 14.957 | 14.957 | -0.000 | -0.000 | 0.000 |
| 14.957 | 13.984 | 14.957 | -0.000 | -0.000 | -0.000 |
| 14.957 | 14.957 | 13.984 | -0.000 | -0.000 | -0.000 |
| -0.000 | -0.000 | -0.000 | 14.957 | -0.000 | -0.000 |
| -0.000 | -0.000 | -0.000 | 0.000 | 14.957 | -0.000 |
| -0.000 | -0.000 | -0.000 | -0.000 | -0.000 | 14.957 |
| 2.472 | 2.472 | 2.472 | -0.000 | -0.000 | -0.000 |
| 2.472 | 2.472 | 2.472 | -0.000 | -0.000 | -0.000 |
| 2.472 | 2.472 | 2.472 | -0.000 | -0.000 | -0.000 |
| -0.000 | -0.000 | -0.000 | -0.000 | -0.000 | -0.000 |
| -0.000 | -0.000 | -0.000 | -0.000 | -0.000 | -0.000 |
| -0.000 | -0.000 | -0.000 | -0.000 | -0.000 | -0.000 |
| 2.472 | 2.472 | 2.472 | 0.000 | 0.000 | 0.000 |
| 2.472 | 2.472 | 2.472 | 0.000 | 0.000 | 0.000 |
| 2.472 | 2.472 | 2.472 | 0.000 | 0.000 | -0.000 |
| 0.000 | 0.000 | 0.000 | 0.000 | 0.000 | 0.000 |
| 0.000 | 0.000 | 0.000 | 0.000 | 0.000 | 0.000 |
| 0.000 | 0.000 | 0.000 | 0.000 | 0.000 | 0.000 |
| 2.472 | 2.472 | 2.472 | -0.000 | -0.000 | -0.000 |
| 2.472 | 2.472 | 2.472 | -0.000 | -0.000 | -0.000 |
| 2.472 | 2.472 | 2.472 | -0.000 | -0.000 | -0.000 |
| -0.000 | -0.000 | -0.000 | -0.000 | -0.000 | -0.000 |
| -0.000 | -0.000 | -0.000 | -0.000 | -0.000 | -0.000 |
| -0.000 | -0.000 | -0.000 | -0.000 | -0.000 | -0.000 |
| 2.472 | 2.472 | 2.472 | 0.000 | 0.000 | 0.000 |
| 2.472 | 2.472 | 2.472 | 0.000 | 0.000 | 0.000 |
| 2.472 | 2.472 | 2.472 | 0.000 | 0.000 | 0.000 |
| 0.000 | 0.000 | 0.000 | 0.000 | 0.000 | 0.000 |
| 0.000 | 0.000 | 0.000 | 0.000 | 0.000 | 0.000 |
| 0.000 | 0.000 | 0.000 | 0.000 | 0.000 | 0.000 |
| 2.472 | 2.472 | 2.472 | -0.000 | -0.000 | -0.000 |
| 2.472 | 2.472 | 2.472 | -0.000 | -0.000 | -0.000 |
| 2.472 | 2.472 | 2.472 | -0.000 | -0.000 | -0.000 |
| -0.000 | -0.000 | -0.000 | -0.000 | -0.000 | -0.000 |
| -0.000 | -0.000 | -0.000 | -0.000 | -0.000 | -0.000 |
| -0.000 | -0.000 | -0.000 | -0.000 | -0.000 | -0.000 |
| 2.472 | 2.472 | 2.472 | -0.000 | 0.000 | 0.000 |
| 2.472 | 2.472 | 2.472 | 0.000 | -0.000 | 0.000 |
| 2.472 | 2.472 | 2.472 | 0.000 | 0.000 | -0.000 |
| 0.000 | 0.000 | 0.000 | 0.000 | 0.000 | 0.000 |
| 0.000 | 0.000 | 0.000 | 0.000 | 0.000 | 0.000 |
| 0.000 | 0.000 | 0.000 | 0.000 | 0.000 | 0.000 |
| 24.492 | 4.550 | 13.775 | 0.000 | 0.000 | -0.000 |
| 4.550 | 24.492 | 13.775 | 0.000 | 0.000 | -0.000 |
| 13.775 | 13.775 | 19.657 | 0.000 | 0.000 | -0.000 |
| 0.000 | 0.000 | 0.000 | 13.775 | 0.000 | -0.000 |
| 0.000 | 0.000 | 0.000 | 0.000 | 13.775 | -0.000 |
| 0.000 | 0.000 | 0.000 | 0.000 | 0.000 | 4.550 |
| 24.492 | 4.550 | 13.775 | -0.000 | -0.000 | 0.000 |
| 4.550 | 24.492 | 13.775 | -0.000 | -0.000 | 0.000 |
| 13.775 | 13.775 | 19.657 | -0.000 | -0.000 | -0.000 |
| -0.000 | -0.000 | -0.000 | 13.775 | -0.000 | 0.000 |
| -0.000 | -0.000 | -0.000 | -0.000 | 13.775 | 0.000 |
| -0.000 | -0.000 | -0.000 | -0.000 | -0.000 | 4.550 |
| 24.492 | 4.550 | 13.775 | 0.000 | 0.000 | -0.000 |
| 4.550 | 24.492 | 13.775 | 0.000 | 0.000 | -0.000 |
| 13.775 | 13.775 | 19.657 | 0.000 | 0.000 | -0.000 |
| 0.000 | -0.000 | 0.000 | 13.775 | 0.000 | -0.000 |
| -0.000 | 0.000 | 0.000 | 0.000 | 13.775 | -0.000 |
| -0.000 | -0.000 | 0.000 | 0.000 | 0.000 | 4.550 |
| 24.492 | 4.550 | 13.775 | -0.000 | -0.000 | 0.000 |
| 4.550 | 24.492 | 13.775 | -0.000 | -0.000 | 0.000 |
| 13.775 | 13.775 | 19.657 | -0.000 | -0.000 | 0.000 |
| -0.000 | 0.000 | -0.000 | 13.775 | -0.000 | 0.000 |
| 0.000 | -0.000 | -0.000 | -0.000 | 13.775 | 0.000 |
| 0.000 | 0.000 | -0.000 | -0.000 | -0.000 | 4.550 |
| 24.492 | 4.550 | 13.775 | 0.000 | 0.000 | -0.000 |
| 4.550 | 24.492 | 13.775 | 0.000 | 0.000 | 0.000 |
| 13.775 | 13.775 | 19.657 | 0.000 | 0.000 | -0.000 |
| 0.000 | -0.000 | 0.000 | 13.775 | 0.000 | -0.000 |
| -0.000 | 0.000 | 0.000 | 0.000 | 13.775 | -0.000 |
| -0.000 | -0.000 | 0.000 | 0.000 | 0.000 | 4.550 |
| 24.492 | 4.550 | 13.775 | -0.000 | -0.000 | 0.000 |
| 4.550 | 24.492 | 13.775 | -0.000 | -0.000 | 0.000 |
| 13.775 | 13.775 | 19.657 | -0.000 | -0.000 | 0.000 |
| -0.000 | 0.000 | -0.000 | 13.775 | -0.000 | 0.000 |
| 0.000 | -0.000 | -0.000 | -0.000 | 13.775 | 0.000 |
| 0.000 | 0.000 | -0.000 | -0.000 | -0.000 | 4.550 |
| 11.898 | 7.033 | 7.033 | -0.000 | -0.000 | -0.000 |
| 7.033 | 11.898 | 7.033 | -0.000 | -0.000 | -0.000 |
| 7.033 | 7.033 | 11.898 | -0.000 | -0.000 | -0.000 |
| -0.000 | 0.000 | -0.000 | 3.130 | -0.000 | -0.000 |
| 0.000 | -0.000 | -0.000 | -0.000 | 3.130 | -0.000 |
| 0.000 | -0.000 | -0.000 | -0.000 | -0.000 | 3.130 |
| 11.898 | 7.033 | 7.033 | 0.000 | 0.000 | 0.000 |
| 7.033 | 11.898 | 7.033 | 0.000 | 0.000 | 0.000 |
| 7.033 | 7.033 | 11.898 | 0.000 | 0.000 | 0.000 |
| -0.000 | 0.000 | 0.000 | 3.130 | 0.000 | -0.000 |
| 0.000 | 0.000 | 0.000 | 0.000 | 3.130 | 0.000 |
| 0.000 | 0.000 | 0.000 | 0.000 | 0.000 | 3.130 |
| 11.898 | 7.033 | 7.033 | -0.000 | -0.000 | -0.000 |
| 7.033 | 11.898 | 7.033 | -0.000 | -0.000 | -0.000 |
| 7.033 | 7.033 | 11.898 | -0.000 | -0.000 | -0.000 |
| 0.000 | -0.000 | -0.000 | 3.130 | -0.000 | -0.000 |
| -0.000 | 0.000 | -0.000 | -0.000 | 3.130 | -0.000 |
| -0.000 | -0.000 | 0.000 | -0.000 | -0.000 | 3.130 |
| 11.898 | 7.033 | 7.033 | 0.000 | 0.000 | 0.000 |
| 7.033 | 11.898 | 7.033 | 0.000 | 0.000 | 0.000 |
| 7.033 | 7.033 | 11.898 | 0.000 | 0.000 | 0.000 |
| -0.000 | 0.000 | 0.000 | 3.130 | 0.000 | -0.000 |
| 0.000 | -0.000 | 0.000 | 0.000 | 3.130 | 0.000 |
| 0.000 | 0.000 | -0.000 | 0.000 | 0.000 | 3.130 |
| 11.898 | 7.033 | 7.033 | -0.000 | -0.000 | -0.000 |
| 7.033 | 11.898 | 7.033 | -0.000 | -0.000 | -0.000 |
| 7.033 | 7.033 | 11.898 | -0.000 | -0.000 | -0.000 |
| 0.000 | -0.000 | -0.000 | 3.130 | -0.000 | -0.000 |
| -0.000 | 0.000 | -0.000 | -0.000 | 3.130 | -0.000 |
| -0.000 | -0.000 | 0.000 | -0.000 | -0.000 | 3.130 |
| 11.898 | 7.033 | 7.033 | 0.000 | 0.000 | 0.000 |
| 7.033 | 11.898 | 7.033 | 0.000 | 0.000 | 0.000 |
| 7.033 | 7.033 | 11.898 | 0.000 | 0.000 | 0.000 |
| -0.000 | 0.000 | 0.000 | 3.130 | 0.000 | -0.000 |
| 0.000 | -0.000 | 0.000 | 0.000 | 3.130 | 0.000 |
| 0.000 | 0.000 | -0.000 | 0.000 | 0.000 | 3.130 |
| 31.350 | 4.548 | 4.548 | -0.000 | 0.000 | 0.000 |
| 4.548 | 31.350 | 4.548 | 0.000 | 0.000 | 0.000 |
| 4.548 | 4.548 | 31.350 | 0.000 | 0.000 | 0.000 |
| 0.000 | -0.000 | 0.000 | 4.417 | 0.000 | 0.000 |
| -0.000 | 0.000 | 0.000 | 0.000 | 4.417 | 0.000 |
| -0.000 | 0.000 | -0.000 | 0.000 | 0.000 | 4.417 |
| 31.350 | 4.548 | 4.548 | -0.000 | -0.000 | -0.000 |
| 4.548 | 31.350 | 4.548 | 0.000 | -0.000 | -0.000 |
| 4.548 | 4.548 | 31.350 | -0.000 | -0.000 | -0.000 |
| -0.000 | 0.000 | -0.000 | 4.417 | -0.000 | 0.000 |
| 0.000 | 0.000 | -0.000 | -0.000 | 4.417 | -0.000 |
| 0.000 | 0.000 | 0.000 | -0.000 | -0.000 | 4.417 |
| 31.350 | 4.548 | 4.548 | 0.000 | 0.000 | 0.000 |
| 4.548 | 31.350 | 4.548 | 0.000 | 0.000 | 0.000 |
| 4.548 | 4.548 | 31.350 | 0.000 | 0.000 | 0.000 |
| 0.000 | 0.000 | 0.000 | 4.539 | 0.000 | 0.000 |
| 0.000 | 0.000 | 0.000 | 0.000 | 4.539 | 0.000 |
| 0.000 | 0.000 | 0.000 | 0.000 | -0.000 | 4.539 |
| 31.350 | 4.548 | 4.548 | -0.000 | -0.000 | -0.000 |
| 4.548 | 31.350 | 4.548 | -0.000 | -0.000 | -0.000 |
| 4.548 | 4.548 | 31.350 | -0.000 | -0.000 | -0.000 |
| -0.000 | -0.000 | -0.000 | 4.539 | -0.000 | -0.000 |
| -0.000 | -0.000 | -0.000 | -0.000 | 4.539 | -0.000 |
| -0.000 | -0.000 | -0.000 | 0.000 | 0.000 | 4.539 |
| 31.351 | 4.548 | 4.548 | 0.000 | 0.000 | 0.000 |
| 4.548 | 31.351 | 4.548 | 0.000 | -0.000 | 0.000 |
| 4.548 | 4.548 | 31.351 | 0.000 | 0.000 | 0.000 |
| 0.000 | 0.000 | 0.000 | 4.417 | -0.000 | 0.000 |
| 0.000 | 0.000 | 0.000 | 0.000 | 4.417 | 0.000 |
| 0.000 | 0.000 | 0.000 | 0.000 | 0.000 | 4.417 |
| 31.350 | 4.548 | 4.548 | -0.000 | -0.000 | -0.000 |
| 4.548 | 31.350 | 4.548 | -0.000 | -0.000 | -0.000 |
| 4.548 | 4.548 | 31.350 | -0.000 | -0.000 | -0.000 |
| -0.000 | -0.000 | -0.000 | 4.417 | 0.000 | -0.000 |
| -0.000 | -0.000 | -0.000 | -0.000 | 4.417 | -0.000 |
| -0.000 | -0.000 | -0.000 | -0.000 | -0.000 | 4.417 |
| 15.262 | 13.000 | 13.000 | -0.000 | -0.000 | 0.000 |
| 13.000 | 15.262 | 13.000 | -0.000 | 0.000 | 0.000 |
| 13.000 | 13.000 | 15.262 | -0.000 | -0.000 | 0.000 |
| 0.000 | -0.000 | 0.000 | 12.617 | 0.000 | 0.000 |
| 0.000 | -0.000 | 0.000 | 0.000 | 12.617 | 0.000 |
| 0.000 | 0.000 | 0.000 | 0.000 | 0.000 | 12.617 |
| 15.262 | 13.000 | 13.000 | 0.000 | -0.000 | -0.000 |
| 13.000 | 15.262 | 13.000 | -0.000 | 0.000 | -0.000 |
| 13.000 | 13.000 | 15.262 | 0.000 | -0.000 | -0.000 |
| -0.000 | 0.000 | -0.000 | 12.617 | -0.000 | 0.000 |
| -0.000 | -0.000 | -0.000 | -0.000 | 12.617 | -0.000 |
| -0.000 | -0.000 | -0.000 | -0.000 | -0.000 | 12.617 |
| 15.262 | 13.000 | 13.000 | 0.000 | 0.000 | 0.000 |
| 13.000 | 15.262 | 13.000 | 0.000 | 0.000 | 0.000 |
| 13.000 | 13.000 | 15.262 | 0.000 | 0.000 | 0.000 |
| 0.000 | 0.000 | 0.000 | 12.617 | 0.000 | 0.000 |
| 0.000 | 0.000 | 0.000 | 0.000 | 12.617 | 0.000 |
| 0.000 | 0.000 | 0.000 | -0.000 | 0.000 | 12.617 |
| 15.262 | 13.000 | 13.000 | -0.000 | -0.000 | -0.000 |
| 13.000 | 15.262 | 13.000 | -0.000 | -0.000 | -0.000 |
| 13.000 | 13.000 | 15.262 | 0.000 | -0.000 | -0.000 |
| -0.000 | -0.000 | -0.000 | 12.617 | -0.000 | -0.000 |
| -0.000 | -0.000 | -0.000 | -0.000 | 12.617 | -0.000 |
| -0.000 | -0.000 | -0.000 | 0.000 | -0.000 | 12.617 |
| 15.262 | 13.000 | 13.000 | 0.000 | 0.000 | 0.000 |
| 13.000 | 15.262 | 13.000 | 0.000 | 0.000 | 0.000 |
| 13.000 | 13.000 | 15.262 | 0.000 | 0.000 | 0.000 |
| 0.000 | 0.000 | 0.000 | 13.000 | -0.000 | 0.000 |
| 0.000 | 0.000 | 0.000 | -0.000 | 13.000 | 0.000 |
| 0.000 | 0.000 | 0.000 | 0.000 | 0.000 | 13.000 |
| 15.262 | 13.000 | 13.000 | -0.000 | 0.000 | -0.000 |
| 13.000 | 15.262 | 13.000 | -0.000 | -0.000 | -0.000 |
| 13.000 | 13.000 | 15.262 | -0.000 | 0.000 | -0.000 |
| -0.000 | -0.000 | -0.000 | 13.000 | -0.000 | -0.000 |
| -0.000 | -0.000 | -0.000 | -0.000 | 13.000 | -0.000 |
| -0.000 | -0.000 | -0.000 | -0.000 | -0.000 | 13.000 |
| 14.130 | 9.989 | 9.989 | -0.000 | -0.000 | 0.000 |
| 9.989 | 14.130 | 9.989 | -0.000 | 0.000 | 0.000 |
| 9.989 | 9.989 | 14.130 | -0.000 | 0.000 | -0.000 |
| -0.000 | 0.000 | 0.000 | 9.989 | 0.000 | 0.000 |
| 0.000 | -0.000 | 0.000 | -0.000 | 9.989 | -0.000 |
| 0.000 | 0.000 | -0.000 | 0.000 | -0.000 | 9.989 |
| 14.130 | 9.989 | 9.989 | 0.000 | -0.000 | 0.000 |
| 9.989 | 14.130 | 9.989 | 0.000 | -0.000 | -0.000 |
| 9.989 | 9.989 | 14.130 | -0.000 | -0.000 | -0.000 |
| 0.000 | -0.000 | -0.000 | 9.989 | -0.000 | -0.000 |
| -0.000 | 0.000 | -0.000 | 0.000 | 9.989 | -0.000 |
| -0.000 | -0.000 | 0.000 | -0.000 | -0.000 | 9.989 |
| 14.130 | 9.989 | 9.989 | 0.000 | 0.000 | 0.000 |
| 9.989 | 14.130 | 9.989 | -0.000 | 0.000 | 0.000 |
| 9.989 | 9.989 | 14.130 | -0.000 | 0.000 | 0.000 |
| -0.000 | 0.000 | 0.000 | 9.989 | -0.000 | 0.000 |
| 0.000 | -0.000 | 0.000 | -0.000 | 9.989 | 0.000 |
| 0.000 | 0.000 | -0.000 | -0.000 | -0.000 | 9.989 |
| 14.130 | 9.989 | 9.989 | 0.000 | 0.000 | -0.000 |
| 9.989 | 14.130 | 9.989 | -0.000 | -0.000 | 0.000 |
| 9.989 | 9.989 | 14.130 | 0.000 | 0.000 | -0.000 |
| 0.000 | -0.000 | -0.000 | 9.989 | -0.000 | -0.000 |
| -0.000 | 0.000 | -0.000 | 0.000 | 9.989 | 0.000 |
| -0.000 | -0.000 | 0.000 | -0.000 | -0.000 | 9.989 |
| 14.130 | 9.989 | 9.989 | -0.000 | 0.000 | 0.000 |
| 9.989 | 14.130 | 9.989 | 0.000 | 0.000 | 0.000 |
| 9.989 | 9.989 | 14.130 | -0.000 | -0.000 | -0.000 |
| -0.000 | 0.000 | 0.000 | 9.989 | -0.000 | -0.000 |
| 0.000 | -0.000 | 0.000 | -0.000 | 9.989 | -0.000 |
| 0.000 | 0.000 | -0.000 | -0.000 | 0.000 | 9.989 |
| 14.130 | 9.989 | 9.989 | 0.000 | -0.000 | -0.000 |
| 9.989 | 14.130 | 9.989 | 0.000 | 0.000 | -0.000 |
| 9.989 | 9.989 | 14.130 | 0.000 | 0.000 | 0.000 |
| 0.000 | -0.000 | -0.000 | 9.989 | 0.000 | -0.000 |
| -0.000 | 0.000 | -0.000 | 0.000 | 9.989 | 0.000 |
| -0.000 | -0.000 | 0.000 | 0.000 | -0.000 | 9.989 |
| 18.178 | 11.004 | 4.661 | -0.000 | -0.000 | -0.000 |
| 11.004 | 18.178 | 4.661 | 0.000 | -0.000 | -0.000 |
| 4.593 | 4.593 | 24.155 | -0.000 | 0.000 | -0.000 |
| 0.001 | 0.001 | -0.001 | 4.365 | -0.000 | -0.000 |
| 0.001 | 0.001 | -0.001 | -0.000 | 4.365 | -0.000 |
| -0.000 | 0.000 | -0.000 | -0.000 | -0.000 | 7.368 |
| 19.857 | 8.711 | 5.009 | 0.000 | 0.000 | 0.000 |
| 7.371 | 22.107 | 4.494 | 0.000 | 0.000 | 0.000 |
| 4.761 | 4.761 | 23.965 | -0.000 | 0.000 | 0.000 |
| -0.001 | -0.001 | 0.001 | 4.365 | 0.000 | 0.000 |
| -0.001 | -0.001 | 0.001 | 0.000 | 4.365 | 0.000 |
| 0.000 | -0.000 | 0.000 | 0.000 | 0.000 | 7.368 |
| 22.107 | 7.371 | 4.494 | -0.000 | -0.000 | -0.000 |
| 7.371 | 22.107 | 4.494 | 0.000 | -0.000 | -0.000 |
| 4.761 | 4.761 | 23.965 | -0.000 | -0.000 | -0.000 |
| 0.000 | 0.000 | -0.000 | 4.365 | -0.000 | -0.000 |
| -0.000 | -0.000 | 0.000 | -0.000 | 4.274 | -0.000 |
| -0.000 | 0.000 | -0.000 | -0.000 | -0.000 | 7.368 |
| 19.856 | 8.713 | 5.009 | -0.000 | 0.000 | 0.000 |
| 8.713 | 19.856 | 5.009 | -0.000 | 0.000 | 0.000 |
| 4.761 | 4.761 | 23.965 | 0.000 | 0.000 | 0.000 |
| -0.000 | -0.000 | 0.000 | 4.365 | 0.000 | 0.000 |
| 0.000 | 0.000 | -0.000 | 0.000 | 4.274 | 0.000 |
| 0.000 | -0.000 | 0.000 | 0.000 | 0.000 | 7.368 |
| 22.107 | 7.371 | 4.494 | -0.000 | -0.000 | -0.000 |
| 7.371 | 22.107 | 4.494 | -0.000 | -0.000 | -0.000 |
| 4.761 | 4.761 | 23.965 | -0.000 | -0.000 | -0.000 |
| 0.000 | -0.000 | 0.000 | 4.365 | -0.000 | -0.000 |
| -0.000 | 0.000 | 0.000 | -0.000 | 4.365 | -0.000 |
| -0.000 | 0.000 | -0.000 | 0.000 | -0.000 | 4.419 |
| 22.107 | 7.371 | 4.494 | 0.000 | 0.000 | 0.000 |
| 11.004 | 18.178 | 4.661 | 0.000 | 0.000 | 0.000 |
| 4.761 | 4.761 | 23.965 | 0.000 | 0.000 | 0.000 |
| -0.000 | 0.000 | -0.000 | 4.365 | 0.000 | 0.000 |
| 0.000 | -0.000 | -0.000 | 0.000 | 4.365 | 0.000 |
| 0.000 | -0.000 | 0.000 | -0.000 | 0.000 | 4.419 |
| 17.935 | 11.133 | 4.995 | 0.000 | 0.000 | 0.000 |
| 7.343 | 22.030 | 4.825 | 0.000 | 0.000 | 0.000 |
| 4.995 | 4.995 | 24.611 | -0.000 | 0.000 | 0.000 |
| -0.000 | -0.000 | 0.000 | 4.500 | 0.000 | 0.000 |
| -0.000 | 0.000 | 0.000 | 0.000 | 4.825 | 0.000 |
| -0.000 | 0.000 | 0.000 | 0.000 | 0.000 | 7.343 |
| 22.030 | 7.343 | 4.825 | -0.000 | -0.000 | -0.000 |
| 11.133 | 17.935 | 4.995 | -0.000 | -0.000 | -0.000 |
| 4.825 | 4.825 | 24.801 | -0.000 | -0.000 | -0.000 |
| 0.000 | 0.000 | -0.000 | 4.500 | -0.000 | -0.000 |
| 0.000 | -0.000 | -0.000 | -0.000 | 4.825 | -0.000 |
| 0.000 | -0.000 | -0.000 | -0.000 | -0.000 | 7.343 |
| 22.030 | 7.343 | 4.825 | 0.000 | 0.000 | 0.000 |
| 7.343 | 22.030 | 4.825 | 0.000 | 0.000 | 0.000 |
| 4.825 | 4.825 | 24.801 | 0.000 | 0.000 | 0.000 |
| -0.000 | -0.000 | 0.000 | 4.825 | 0.000 | 0.000 |
| -0.000 | -0.000 | 0.000 | 0.000 | 4.825 | -0.000 |
| -0.000 | 0.000 | -0.000 | 0.000 | 0.000 | 5.195 |
| 17.935 | 11.133 | 4.995 | -0.000 | -0.000 | -0.000 |
| 8.803 | 19.625 | 5.351 | 0.000 | -0.000 | -0.000 |
| 4.825 | 4.825 | 24.801 | -0.000 | -0.000 | -0.000 |
| 0.000 | 0.000 | -0.000 | 4.825 | -0.000 | -0.000 |
| 0.000 | 0.000 | -0.000 | -0.000 | 4.825 | -0.000 |
| 0.000 | -0.000 | 0.000 | -0.000 | -0.000 | 5.195 |
| 17.935 | 11.133 | 4.995 | 0.000 | 0.000 | 0.000 |
| 8.803 | 19.625 | 5.351 | -0.000 | 0.000 | 0.000 |
| 4.995 | 4.995 | 24.611 | 0.000 | 0.000 | 0.000 |
| 0.000 | -0.000 | 0.000 | 4.421 | 0.000 | 0.000 |
| -0.000 | -0.000 | 0.000 | 0.000 | 4.825 | 0.000 |
| -0.000 | 0.000 | -0.000 | 0.000 | 0.000 | 7.343 |
| 17.931 | 11.136 | 4.996 | -0.000 | -0.000 | -0.000 |
| 7.343 | 22.030 | 4.825 | -0.000 | -0.000 | -0.000 |
| 4.825 | 4.825 | 24.801 | -0.000 | -0.000 | -0.000 |
| -0.000 | 0.000 | -0.000 | 4.421 | -0.000 | -0.000 |
| 0.000 | 0.000 | -0.000 | -0.000 | 4.825 | -0.000 |
| 0.000 | -0.000 | 0.000 | -0.000 | -0.000 | 7.343 |
| 13.220 | 10.908 | 9.614 | -0.000 | 0.000 | 0.000 |
| 10.908 | 13.220 | 9.614 | -0.000 | -0.000 | 0.000 |
| 9.614 | 9.614 | 16.405 | -0.000 | -0.000 | 0.000 |
| -0.000 | 0.000 | 0.000 | 9.427 | -0.000 | 0.000 |
| 0.000 | -0.000 | 0.000 | -0.000 | 9.427 | 0.000 |
| -0.000 | 0.000 | -0.000 | -0.000 | 0.000 | 10.465 |
| 13.220 | 10.908 | 9.614 | -0.000 | -0.000 | -0.000 |
| 10.908 | 13.220 | 9.614 | -0.000 | 0.000 | -0.000 |
| 9.614 | 9.614 | 16.405 | 0.000 | 0.000 | -0.000 |
| 0.000 | -0.000 | -0.000 | 9.427 | 0.000 | -0.000 |
| -0.000 | 0.000 | -0.000 | 0.000 | 9.427 | -0.000 |
| -0.000 | -0.000 | 0.000 | 0.000 | 0.000 | 10.465 |
| 13.220 | 10.908 | 9.614 | -0.000 | 0.000 | 0.000 |
| 10.908 | 13.220 | 9.614 | -0.000 | 0.000 | 0.000 |
| 9.614 | 9.614 | 16.405 | -0.000 | -0.000 | -0.000 |
| -0.000 | 0.000 | 0.000 | 9.427 | -0.000 | 0.000 |
| 0.000 | -0.000 | 0.000 | -0.000 | 9.427 | 0.000 |
| 0.000 | 0.000 | -0.000 | -0.000 | -0.000 | 10.465 |
| 13.220 | 10.908 | 9.614 | -0.000 | -0.000 | -0.000 |
| 10.908 | 13.220 | 9.614 | -0.000 | 0.000 | -0.000 |
| 9.614 | 9.614 | 16.405 | 0.000 | 0.000 | 0.000 |
| 0.000 | -0.000 | -0.000 | 9.427 | 0.000 | -0.000 |
| -0.000 | 0.000 | -0.000 | 0.000 | 9.427 | -0.000 |
| -0.000 | -0.000 | 0.000 | 0.000 | 0.000 | 10.465 |
| 13.220 | 10.908 | 9.614 | -0.000 | 0.000 | 0.000 |
| 10.908 | 13.220 | 9.614 | 0.000 | 0.000 | 0.000 |
| 9.614 | 9.614 | 16.405 | -0.000 | -0.000 | 0.000 |
| -0.000 | 0.000 | 0.000 | 9.427 | -0.000 | -0.000 |
| 0.000 | -0.000 | 0.000 | -0.000 | 9.427 | 0.000 |
| 0.000 | 0.000 | -0.000 | -0.000 | -0.000 | 10.465 |
| 13.220 | 10.908 | 9.614 | 0.000 | -0.000 | -0.000 |
| 10.908 | 13.220 | 9.614 | -0.000 | -0.000 | 0.000 |
| 9.614 | 9.614 | 16.405 | -0.000 | 0.000 | 0.000 |
| 0.000 | -0.000 | -0.000 | 9.427 | 0.000 | 0.000 |
| -0.000 | 0.000 | -0.000 | 0.000 | 9.427 | -0.000 |
| -0.000 | -0.000 | 0.000 | 0.000 | 0.000 | 10.465 |
| 0.780 | 9.280 | 9.280 | 0.000 | 0.000 | -0.000 |
| 9.280 | 0.780 | 9.280 | 0.000 | 0.000 | 0.000 |
| 9.280 | 9.280 | 0.780 | 0.000 | 0.000 | -0.000 |
| 0.000 | 0.000 | 0.000 | 9.280 | -0.000 | -0.000 |
| -0.000 | 0.000 | 0.000 | 0.000 | 9.280 | -0.000 |
| -0.000 | 0.000 | 0.000 | 0.000 | 0.000 | 9.280 |
| 0.780 | 9.280 | 9.280 | -0.000 | 0.000 | 0.000 |
| 9.280 | 0.780 | 9.280 | -0.000 | -0.000 | 0.000 |
| 9.280 | 9.280 | 0.780 | -0.000 | 0.000 | 0.000 |
| -0.000 | -0.000 | -0.000 | 9.280 | 0.000 | 0.000 |
| 0.000 | -0.000 | -0.000 | 0.000 | 9.280 | 0.000 |
| 0.000 | -0.000 | -0.000 | -0.000 | -0.000 | 9.280 |
| 0.780 | 9.280 | 9.280 | 0.000 | 0.000 | -0.000 |
| 9.280 | 0.780 | 9.280 | 0.000 | 0.000 | -0.000 |
| 9.280 | 9.280 | 0.780 | 0.000 | 0.000 | -0.000 |
| -0.000 | 0.000 | 0.000 | 9.280 | -0.000 | -0.000 |
| 0.000 | -0.000 | 0.000 | -0.000 | 9.280 | -0.000 |
| 0.000 | 0.000 | -0.000 | 0.000 | 0.000 | 9.280 |
| 0.780 | 9.280 | 9.280 | -0.000 | -0.000 | 0.000 |
| 9.280 | 0.780 | 9.280 | -0.000 | -0.000 | 0.000 |
| 9.280 | 9.280 | 0.780 | 0.000 | 0.000 | 0.000 |
| 0.000 | -0.000 | -0.000 | 9.280 | 0.000 | 0.000 |
| -0.000 | 0.000 | -0.000 | 0.000 | 9.280 | 0.000 |
| -0.000 | -0.000 | 0.000 | -0.000 | -0.000 | 9.280 |
| 0.780 | 9.280 | 9.280 | 0.000 | 0.000 | -0.000 |
| 9.280 | 0.780 | 9.280 | 0.000 | 0.000 | -0.000 |
| 9.280 | 9.280 | 0.780 | -0.000 | -0.000 | -0.000 |
| -0.000 | 0.000 | 0.000 | 9.280 | -0.000 | -0.000 |
| 0.000 | -0.000 | 0.000 | -0.000 | 9.280 | -0.000 |
| 0.000 | 0.000 | -0.000 | 0.000 | 0.000 | 9.280 |
| 0.780 | 9.280 | 9.280 | 0.000 | 0.000 | 0.000 |
| 9.280 | 0.780 | 9.280 | 0.000 | -0.000 | 0.000 |
| 9.280 | 9.280 | 0.780 | 0.000 | 0.000 | 0.000 |
| 0.000 | -0.000 | -0.000 | 9.280 | 0.000 | 0.000 |
| -0.000 | 0.000 | -0.000 | 0.000 | 9.280 | 0.000 |
| -0.000 | -0.000 | 0.000 | -0.000 | -0.000 | 9.280 |
| 25.923 | 5.599 | 5.599 | -0.000 | -0.000 | -0.000 |
| 5.599 | 25.923 | 5.599 | -0.000 | -0.000 | -0.000 |
| 5.599 | 5.599 | 25.923 | -0.000 | -0.000 | -0.000 |
| -0.000 | -0.000 | -0.000 | 5.477 | -0.000 | -0.000 |
| -0.000 | -0.000 | -0.000 | -0.000 | 5.477 | -0.000 |
| -0.000 | -0.000 | -0.000 | -0.000 | -0.000 | 5.477 |
| 25.923 | 5.599 | 5.599 | 0.000 | 0.000 | 0.000 |
| 5.599 | 25.923 | 5.599 | 0.000 | 0.000 | 0.000 |
| 5.599 | 5.599 | 25.923 | 0.000 | 0.000 | 0.000 |
| 0.000 | 0.000 | 0.000 | 5.477 | 0.000 | 0.000 |
| 0.000 | 0.000 | 0.000 | 0.000 | 5.477 | 0.000 |
| 0.000 | 0.000 | 0.000 | 0.000 | 0.000 | 5.477 |
| 25.923 | 5.599 | 5.599 | -0.000 | -0.000 | -0.000 |
| 5.599 | 25.923 | 5.599 | -0.000 | -0.000 | -0.000 |
| 5.599 | 5.599 | 25.923 | 0.000 | -0.000 | -0.000 |
| -0.000 | -0.000 | -0.000 | 5.477 | -0.000 | -0.000 |
| -0.000 | -0.000 | -0.000 | -0.000 | 5.477 | -0.000 |
| -0.000 | -0.000 | -0.000 | -0.000 | -0.000 | 5.477 |
| 25.923 | 5.599 | 5.599 | 0.000 | 0.000 | 0.000 |
| 5.599 | 25.923 | 5.599 | 0.000 | 0.000 | 0.000 |
| 5.599 | 5.599 | 25.923 | 0.000 | 0.000 | 0.000 |
| 0.000 | 0.000 | 0.000 | 5.477 | 0.000 | 0.000 |
| 0.000 | 0.000 | 0.000 | 0.000 | 5.477 | 0.000 |
| 0.000 | 0.000 | 0.000 | 0.000 | 0.000 | 5.477 |
| 25.923 | 5.599 | 5.599 | -0.000 | -0.000 | -0.000 |
| 5.599 | 25.923 | 5.599 | -0.000 | -0.000 | -0.000 |
| 5.599 | 5.599 | 25.923 | -0.000 | -0.000 | -0.000 |
| -0.000 | -0.000 | -0.000 | 5.477 | -0.000 | -0.000 |
| -0.000 | -0.000 | -0.000 | -0.000 | 5.477 | -0.000 |
| -0.000 | -0.000 | -0.000 | -0.000 | -0.000 | 5.477 |
| 25.922 | 5.599 | 5.599 | 0.000 | 0.000 | 0.000 |
| 5.599 | 25.922 | 5.599 | 0.000 | 0.000 | 0.000 |
| 5.599 | 5.599 | 25.922 | 0.000 | 0.000 | 0.000 |
| 0.000 | 0.000 | 0.000 | 5.477 | 0.000 | 0.000 |
| 0.000 | 0.000 | 0.000 | 0.000 | 5.477 | 0.000 |
| 0.000 | 0.000 | 0.000 | 0.000 | 0.000 | 5.477 |
| 21.022 | 9.723 | 9.723 | 0.000 | 0.000 | -0.000 |
| 9.723 | 21.022 | 9.723 | -0.000 | 0.000 | 0.000 |
| 9.723 | 9.723 | 21.022 | 0.000 | 0.000 | -0.000 |
| 0.000 | -0.000 | -0.000 | 9.723 | 0.000 | -0.000 |
| -0.000 | 0.000 | -0.000 | -0.000 | 9.723 | -0.000 |
| -0.000 | -0.000 | -0.000 | -0.000 | 0.000 | 9.723 |
| 21.022 | 9.723 | 9.723 | 0.000 | 0.000 | -0.000 |
| 9.723 | 21.022 | 9.723 | -0.000 | -0.000 | -0.000 |
| 9.723 | 9.723 | 21.022 | 0.000 | -0.000 | 0.000 |
| 0.000 | 0.000 | 0.000 | 9.723 | 0.000 | 0.000 |
| 0.000 | -0.000 | 0.000 | 0.000 | 9.723 | 0.000 |
| 0.000 | -0.000 | 0.000 | -0.000 | -0.000 | 9.723 |
| 21.022 | 9.723 | 9.723 | -0.000 | 0.000 | -0.000 |
| 9.723 | 21.022 | 9.723 | 0.000 | 0.000 | -0.000 |
| 9.723 | 9.723 | 21.022 | 0.000 | 0.000 | -0.000 |
| 0.000 | -0.000 | 0.000 | 9.723 | 0.000 | 0.000 |
| -0.000 | 0.000 | 0.000 | -0.000 | 9.723 | -0.000 |
| -0.000 | 0.000 | 0.000 | 0.000 | 0.000 | 9.723 |
| 21.022 | 9.723 | 9.723 | 0.000 | -0.000 | 0.000 |
| 9.723 | 21.022 | 9.723 | -0.000 | -0.000 | -0.000 |
| 9.723 | 9.723 | 21.022 | 0.000 | -0.000 | 0.000 |
| -0.000 | 0.000 | -0.000 | 9.723 | -0.000 | 0.000 |
| 0.000 | -0.000 | -0.000 | -0.000 | 9.723 | 0.000 |
| 0.000 | -0.000 | -0.000 | 0.000 | -0.000 | 9.723 |
| 21.022 | 9.723 | 9.723 | 0.000 | 0.000 | -0.000 |
| 9.723 | 21.022 | 9.723 | -0.000 | 0.000 | -0.000 |
| 9.723 | 9.723 | 21.022 | -0.000 | 0.000 | 0.000 |
| 0.000 | -0.000 | 0.000 | 9.723 | -0.000 | 0.000 |
| -0.000 | 0.000 | 0.000 | -0.000 | 9.723 | 0.000 |
| -0.000 | 0.000 | 0.000 | 0.000 | 0.000 | 9.723 |
| 21.022 | 9.723 | 9.723 | 0.000 | -0.000 | 0.000 |
| 9.723 | 21.022 | 9.723 | -0.000 | -0.000 | 0.000 |
| 9.723 | 9.723 | 21.022 | 0.000 | -0.000 | 0.000 |
| -0.000 | 0.000 | -0.000 | 9.723 | 0.000 | 0.000 |
| 0.000 | -0.000 | -0.000 | 0.000 | 9.723 | 0.000 |
| 0.000 | -0.000 | -0.000 | 0.000 | -0.000 | 9.723 |
| 14.310 | 4.770 | 0.260 | 0.000 | -0.000 | -0.000 |
| 4.770 | 14.310 | 0.260 | 0.000 | -0.000 | 0.000 |
| 0.260 | 0.260 | 18.820 | 0.000 | -0.000 | -0.000 |
| 0.000 | -0.000 | -0.000 | 0.260 | 0.000 | -0.000 |
| 0.000 | 0.000 | -0.000 | -0.000 | 0.260 | -0.000 |
| 0.000 | 0.000 | 0.000 | 0.000 | 0.000 | 4.770 |
| 14.310 | 4.770 | 0.260 | -0.000 | -0.000 | 0.000 |
| 4.770 | 14.310 | 0.260 | 0.000 | -0.000 | 0.000 |
| 0.260 | 0.260 | 18.820 | 0.000 | 0.000 | 0.000 |
| -0.000 | 0.000 | 0.000 | 0.260 | 0.000 | 0.000 |
| -0.000 | 0.000 | 0.000 | 0.000 | 0.260 | -0.000 |
| 0.000 | -0.000 | -0.000 | -0.000 | 0.000 | 4.770 |
| 6.111 | 12.969 | 0.260 | -0.000 | -0.000 | 0.000 |
| 4.770 | 14.310 | 0.260 | 0.000 | 0.000 | 0.000 |
| 0.260 | 0.260 | 18.820 | -0.000 | -0.000 | -0.000 |
| 0.000 | -0.000 | 0.000 | 0.260 | -0.000 | -0.000 |
| -0.000 | -0.000 | 0.000 | 0.000 | 0.260 | 0.000 |
| -0.000 | 0.000 | -0.000 | -0.000 | -0.000 | 4.770 |
| 10.156 | 8.925 | 0.260 | -0.000 | -0.000 | 0.000 |
| 4.770 | 14.310 | 0.260 | 0.000 | -0.000 | 0.000 |
| 0.260 | 0.260 | 18.820 | -0.000 | 0.000 | 0.000 |
| 0.000 | 0.000 | -0.000 | 0.260 | 0.000 | 0.000 |
| 0.000 | -0.000 | -0.000 | 0.000 | 0.260 | 0.000 |
| 0.000 | -0.000 | 0.000 | -0.000 | -0.000 | 4.770 |
| -22.608 | 41.688 | 0.260 | 0.000 | -0.000 | -0.000 |
| 41.690 | -22.610 | 0.260 | 0.000 | 0.000 | -0.000 |
| 0.260 | 0.260 | 18.820 | -0.000 | -0.000 | -0.000 |
| -0.000 | -0.000 | 0.000 | 0.260 | -0.000 | -0.000 |
| -0.000 | -0.000 | 0.000 | 0.000 | 0.260 | 0.000 |
| -0.000 | 0.000 | -0.000 | 0.000 | -0.000 | -18.560 |
| 6.111 | 12.969 | 0.260 | 0.000 | -0.000 | 0.000 |
| 28.100 | -9.020 | 0.260 | -0.000 | -0.000 | 0.000 |
| 0.260 | 0.260 | 18.820 | 0.000 | 0.000 | 0.000 |
| 0.000 | 0.000 | -0.000 | 0.260 | 0.000 | 0.000 |
| 0.000 | 0.000 | -0.000 | 0.000 | 0.260 | 0.000 |
| 0.000 | -0.000 | 0.000 | -0.000 | 0.000 | -18.560 |
| 1.466 | 1.466 | 1.466 | 0.000 | 0.000 | 0.000 |
| 1.466 | 1.466 | 1.466 | 0.000 | 0.000 | 0.000 |
| 1.466 | 1.466 | 1.466 | 0.000 | 0.000 | 0.000 |
| 0.000 | -0.000 | 0.000 | 1.466 | 0.000 | -0.000 |
| -0.000 | 0.000 | 0.000 | 0.000 | 1.466 | -0.000 |
| -0.000 | 0.000 | 0.000 | 0.000 | -0.000 | 1.466 |
| 1.466 | 1.466 | 1.466 | 0.000 | 0.000 | 0.000 |
| 1.466 | 1.466 | 1.466 | 0.000 | 0.000 | 0.000 |
| 1.466 | 1.466 | 1.466 | -0.000 | -0.000 | 0.000 |
| -0.000 | 0.000 | -0.000 | 1.466 | 0.000 | -0.000 |
| 0.000 | -0.000 | -0.000 | 0.000 | 1.466 | -0.000 |
| 0.000 | -0.000 | -0.000 | 0.000 | -0.000 | 1.466 |
| 1.466 | 1.466 | 1.466 | -0.000 | 0.000 | 0.000 |
| 1.466 | 1.466 | 1.466 | 0.000 | -0.000 | 0.000 |
| 1.466 | 1.466 | 1.466 | 0.000 | 0.000 | -0.000 |
| 0.000 | -0.000 | 0.000 | 1.466 | 0.000 | -0.000 |
| -0.000 | 0.000 | 0.000 | 0.000 | 1.466 | -0.000 |
| -0.000 | 0.000 | 0.000 | 0.000 | -0.000 | 1.466 |
| 1.466 | 1.466 | 1.466 | 0.000 | 0.000 | 0.000 |
| 1.466 | 1.466 | 1.466 | 0.000 | 0.000 | 0.000 |
| 1.466 | 1.466 | 1.466 | -0.000 | -0.000 | 0.000 |
| -0.000 | 0.000 | -0.000 | 1.466 | 0.000 | 0.000 |
| 0.000 | -0.000 | -0.000 | 0.000 | 1.466 | 0.000 |
| 0.000 | -0.000 | -0.000 | 0.000 | -0.000 | 1.466 |
| 1.466 | 1.466 | 1.466 | -0.000 | -0.000 | -0.000 |
| 1.466 | 1.466 | 1.466 | -0.000 | -0.000 | -0.000 |
| 1.466 | 1.466 | 1.466 | 0.000 | 0.000 | -0.000 |
| -0.000 | -0.000 | -0.000 | 0.482 | 0.000 | 0.000 |
| -0.000 | -0.000 | -0.000 | 0.000 | 0.482 | 0.000 |
| -0.000 | -0.000 | -0.000 | 0.000 | 0.000 | 0.482 |
| 1.466 | 1.466 | 1.466 | -0.000 | -0.000 | -0.000 |
| 1.466 | 1.466 | 1.466 | -0.000 | -0.000 | -0.000 |
| 1.466 | 1.466 | 1.466 | -0.000 | -0.000 | 0.000 |
| 0.000 | 0.000 | 0.000 | 0.482 | -0.000 | -0.000 |
| 0.000 | 0.000 | 0.000 | -0.000 | 0.482 | -0.000 |
| 0.000 | 0.000 | 0.000 | -0.000 | -0.000 | 0.482 |
| 48.277 | 2.340 | 2.567 | 0.000 | 0.000 | -0.000 |
| 2.340 | 48.277 | 2.567 | -0.000 | 0.000 | 0.000 |
| 2.567 | 2.567 | 24.362 | 0.000 | 0.000 | -0.000 |
| 0.000 | -0.000 | -0.000 | 1.570 | 0.000 | 0.000 |
| 0.000 | -0.000 | -0.000 | -0.000 | 1.570 | -0.000 |
| 0.000 | -0.000 | -0.000 | -0.000 | -0.000 | -1.590 |
| 52.207 | -1.590 | 2.567 | 0.000 | -0.000 | -0.000 |
| 2.340 | 48.277 | 2.567 | 0.000 | -0.000 | -0.000 |
| 2.567 | 2.567 | 24.362 | 0.000 | -0.000 | 0.000 |
| -0.000 | 0.000 | 0.000 | 1.570 | -0.000 | 0.000 |
| -0.000 | -0.000 | 0.000 | 0.000 | 1.570 | 0.000 |
| -0.000 | 0.000 | 0.000 | -0.000 | -0.000 | -1.590 |
| 41.851 | 8.765 | 2.567 | -0.000 | 0.000 | -0.000 |
| 8.765 | 41.851 | 2.567 | 0.000 | -0.000 | -0.000 |
| 2.567 | 2.567 | 24.362 | -0.000 | 0.000 | -0.000 |
| 0.000 | 0.000 | -0.000 | 1.570 | 0.000 | 0.000 |
| 0.000 | 0.000 | -0.000 | 0.000 | 1.570 | -0.000 |
| 0.000 | 0.000 | 0.000 | -0.000 | 0.000 | -1.590 |
| 52.207 | -1.590 | 2.567 | 0.000 | 0.000 | -0.000 |
| -1.590 | 52.207 | 2.567 | 0.000 | -0.000 | 0.000 |
| 2.567 | 2.567 | 24.362 | 0.000 | -0.000 | 0.000 |
| -0.000 | -0.000 | 0.000 | 1.570 | -0.000 | 0.000 |
| -0.000 | -0.000 | 0.000 | 0.000 | 1.570 | 0.000 |
| -0.000 | -0.000 | -0.000 | -0.000 | -0.000 | -1.590 |
| -1451289.430 | 853349.519 | -730322.320 | -0.000 | -0.000 | -0.000 |
| 853349.519 | -1451289.430 | -730322.320 | 0.000 | 0.000 | 0.000 |
| 2.567 | 2.567 | 24.362 | 0.000 | 0.000 | -0.000 |
| 0.000 | 0.000 | -0.000 | 1.570 | 0.000 | -0.000 |
| 0.000 | 0.000 | -0.000 | -0.000 | 1.570 | -0.000 |
| 0.000 | 0.000 | 0.000 | -0.000 | 0.000 | -1.590 |
| -853280.028 | 1451324.035 | 730332.229 | -0.000 | 0.000 | -0.000 |
| 1451324.035 | -853280.028 | 730332.229 | 0.000 | -0.000 | 0.000 |
| 2.567 | 2.567 | 24.362 | -0.000 | -0.000 | -0.000 |
| -0.000 | -0.000 | 0.000 | 1.570 | -0.000 | 0.000 |
| -0.000 | -0.000 | 0.000 | -0.000 | 1.570 | 0.000 |
| -0.000 | -0.000 | -0.000 | 0.000 | -0.000 | -1.590 |
| 26.852 | -5.039 | 7.835 | 0.000 | -0.000 | 0.000 |
| -5.039 | 26.852 | 7.835 | -0.000 | 0.000 | -0.000 |
| 7.835 | 7.835 | 23.002 | 0.000 | 0.000 | -0.000 |
| 0.000 | -0.000 | 0.000 | 7.835 | 0.000 | 0.000 |
| -0.000 | -0.000 | 0.000 | 0.000 | 7.835 | -0.000 |
| 0.000 | 0.000 | 0.000 | 0.000 | -0.000 | -5.039 |
| 26.852 | -5.039 | 7.835 | -0.000 | -0.000 | 0.000 |
| -5.039 | 26.852 | 7.835 | -0.000 | -0.000 | 0.000 |
| 7.835 | 7.835 | 23.002 | 0.000 | 0.000 | 0.000 |
| -0.000 | 0.000 | -0.000 | 7.835 | -0.000 | 0.000 |
| 0.000 | -0.000 | -0.000 | -0.000 | 7.835 | -0.000 |
| -0.000 | 0.000 | -0.000 | -0.000 | -0.000 | -5.039 |
| 26.852 | -5.039 | 7.835 | 0.000 | 0.000 | 0.000 |
| -5.039 | 26.852 | 7.835 | 0.000 | 0.000 | 0.000 |
| 7.835 | 7.835 | 23.002 | 0.000 | 0.000 | -0.000 |
| 0.000 | -0.000 | 0.000 | 7.835 | 0.000 | 0.000 |
| -0.000 | 0.000 | 0.000 | 0.000 | 7.835 | 0.000 |
| 0.000 | 0.000 | 0.000 | 0.000 | -0.000 | -5.039 |
| 26.852 | -5.039 | 7.835 | -0.000 | -0.000 | -0.000 |
| -5.039 | 26.852 | 7.835 | -0.000 | -0.000 | -0.000 |
| 7.835 | 7.835 | 23.002 | -0.000 | -0.000 | 0.000 |
| -0.000 | 0.000 | -0.000 | 7.835 | -0.000 | -0.000 |
| 0.000 | -0.000 | -0.000 | -0.000 | 7.835 | -0.000 |
| -0.000 | -0.000 | -0.000 | -0.000 | -0.000 | -5.039 |
| 26.852 | -5.039 | 7.835 | 0.000 | 0.000 | 0.000 |
| -5.039 | 26.852 | 7.835 | 0.000 | 0.000 | -0.000 |
| 7.835 | 7.835 | 23.002 | -0.000 | -0.000 | -0.000 |
| 0.000 | -0.000 | 0.000 | 7.835 | 0.000 | -0.000 |
| -0.000 | 0.000 | 0.000 | 0.000 | 7.835 | 0.000 |
| 0.000 | 0.000 | 0.000 | 0.000 | 0.000 | -5.039 |
| 26.852 | -5.039 | 7.835 | -0.000 | -0.000 | -0.000 |
| -5.039 | 26.852 | 7.835 | -0.000 | -0.000 | -0.000 |
| 7.835 | 7.835 | 23.002 | 0.000 | 0.000 | -0.000 |
| -0.000 | 0.000 | -0.000 | 7.835 | -0.000 | -0.000 |
| 0.000 | -0.000 | -0.000 | -0.000 | 7.835 | -0.000 |
| -0.000 | -0.000 | -0.000 | -0.000 | 0.000 | -5.039 |
| 56.492 | -2.584 | -2.584 | -0.000 | -0.000 | -0.000 |
| -2.584 | 56.492 | -2.584 | 0.000 | 0.000 | -0.000 |
| -2.584 | -2.584 | 56.492 | 0.000 | 0.000 | 0.000 |
| 0.000 | 0.000 | -0.000 | -2.584 | 0.000 | -0.000 |
| 0.000 | -0.000 | -0.000 | 0.000 | -2.584 | -0.000 |
| 0.000 | -0.000 | 0.000 | -0.000 | 0.000 | -2.584 |
| 56.492 | -2.584 | -2.584 | -0.000 | 0.000 | 0.000 |
| -2.584 | 56.492 | -2.584 | 0.000 | -0.000 | 0.000 |
| -2.584 | -2.584 | 56.492 | 0.000 | 0.000 | -0.000 |
| -0.000 | -0.000 | 0.000 | -2.584 | -0.000 | 0.000 |
| -0.000 | 0.000 | -0.000 | -0.000 | -2.584 | 0.000 |
| -0.000 | 0.000 | -0.000 | -0.000 | 0.000 | -2.584 |
| 56.492 | -2.584 | -2.584 | -0.000 | 0.000 | -0.000 |
| -2.584 | 56.492 | -2.584 | 0.000 | 0.000 | -0.000 |
| -2.584 | -2.584 | 56.492 | 0.000 | 0.000 | 0.000 |
| -0.000 | 0.000 | -0.000 | -2.584 | -0.000 | -0.000 |
| 0.000 | -0.000 | -0.000 | -0.000 | -2.584 | -0.000 |
| 0.000 | -0.000 | -0.000 | 0.000 | 0.000 | -2.584 |
| 56.492 | -2.584 | -2.584 | 0.000 | 0.000 | 0.000 |
| -2.584 | 56.492 | -2.584 | -0.000 | -0.000 | 0.000 |
| -2.584 | -2.584 | 56.492 | -0.000 | 0.000 | -0.000 |
| 0.000 | -0.000 | 0.000 | -2.584 | 0.000 | 0.000 |
| -0.000 | 0.000 | 0.000 | 0.000 | -2.584 | 0.000 |
| -0.000 | 0.000 | 0.000 | -0.000 | -0.000 | -2.584 |
| 56.493 | -2.584 | -2.584 | -0.000 | -0.000 | -0.000 |
| -2.584 | 56.493 | -2.584 | -0.000 | -0.000 | -0.000 |
| -2.584 | -2.584 | 56.493 | 0.000 | 0.000 | 0.000 |
| -0.000 | 0.000 | -0.000 | -2.584 | 0.000 | 0.000 |
| 0.000 | -0.000 | -0.000 | -0.000 | -2.584 | -0.000 |
| 0.000 | -0.000 | -0.000 | -0.000 | -0.000 | -2.584 |
| 56.492 | -2.584 | -2.584 | 0.000 | -0.000 | 0.000 |
| -2.584 | 56.492 | -2.584 | -0.000 | 0.000 | 0.000 |
| -2.584 | -2.584 | 56.492 | -0.000 | 0.000 | 0.000 |
| 0.000 | -0.000 | 0.000 | -2.584 | -0.000 | 0.000 |
| -0.000 | 0.000 | 0.000 | 0.000 | -2.584 | 0.000 |
| -0.000 | 0.000 | 0.000 | 0.000 | -0.000 | -2.584 |
| -2112956.904 | -355650.152 | 2185385.598 | -2041127.153 | -10290725.439 | 681977.446 |
| -2112913.694 | -354838.196 | 2185223.411 | -2041516.738 | -10291332.005 | 681189.320 |
| -2111576.412 | -347120.272 | 2184686.613 | -2044429.146 | -10296505.825 | 674549.222 |
| -2111197.135 | -345856.251 | 2184102.079 | -2044668.845 | -10295926.162 | 673732.578 |
| -2111122.394 | -345632.939 | 2184014.437 | -2044648.486 | -10295719.527 | 673623.293 |
| -2112317.210 | -351749.791 | 2184791.251 | -2042665.175 | -10292813.971 | 678741.646 |
| 2112559.315 | 352162.347 | -2185370.653 | 2042613.006 | 10293731.932 | -679279.725 |
| 2113040.042 | 354369.780 | -2185808.691 | 2041908.479 | 10293149.002 | -680944.362 |
| 2113473.207 | 357675.250 | -2186102.442 | 2040321.842 | 10290723.287 | -683782.944 |
| 2113661.453 | 357967.385 | -2186593.775 | 2040355.243 | 10291695.855 | -684024.670 |
| 2113110.734 | 357013.678 | -2185537.024 | 2040297.338 | 10289554.294 | -683542.266 |
| 2112094.664 | 351513.327 | -2184192.954 | 2042735.896 | 10291728.309 | -678359.716 |
| -211585.766 | -37253.547 | 218886.046 | -203200.841 | -1028504.684 | 69905.469 |
| -211320.765 | -35715.851 | 218577.499 | -204017.086 | -1028988.586 | 68374.963 |
| -211356.385 | -35844.857 | 218652.263 | -204001.951 | -1029083.920 | 68440.608 |
| -211295.171 | -35526.055 | 218544.349 | -204141.896 | -1029164.908 | 68154.236 |
| -211379.354 | -35820.185 | 218670.206 | -204021.967 | -1029164.869 | 68422.812 |
| -211641.730 | -37525.049 | 218922.474 | -203010.526 | -1028237.082 | 70282.241 |
| 211285.465 | 35266.306 | -218554.979 | 204247.087 | 1029389.803 | -67967.903 |
| 211202.846 | 34727.779 | -218564.120 | 204545.535 | 1029939.560 | -67407.714 |
| 211506.305 | 36672.211 | -218714.479 | 203535.351 | 1028637.481 | -69264.481 |
| 211123.724 | 34593.777 | -218412.030 | 204467.220 | 1029589.334 | -67374.982 |
| 211203.823 | 35139.342 | -218420.957 | 204271.992 | 1029197.339 | -67834.004 |
| 211290.099 | 35497.849 | -218526.840 | 204149.180 | 1029140.914 | -68128.942 |
| -21091.657 | -3461.638 | 21843.804 | -20442.295 | -102940.273 | 6745.816 |
| -21119.816 | -3497.003 | 21850.152 | -20425.393 | -102925.166 | 6789.235 |
| -21107.364 | -3430.617 | 21872.786 | -20467.229 | -103000.100 | 6717.773 |
| -21153.255 | -3696.516 | 21872.429 | -20329.145 | -102841.077 | 6960.566 |
| -21123.734 | -3519.982 | 21849.678 | -20425.791 | -102923.322 | 6789.922 |
| -21113.013 | -3461.474 | 21843.232 | -20447.222 | -102964.493 | 6741.830 |
| 21157.143 | 3594.583 | -21858.203 | 20397.878 | 102908.965 | -6848.711 |
| 21143.498 | 3636.729 | -21856.775 | 20383.421 | 102879.744 | -6872.447 |
| 21147.989 | 3614.988 | -21848.357 | 20386.802 | 102900.309 | -6868.313 |
| 21150.059 | 3662.651 | -21875.089 | 20360.509 | 102868.859 | -6922.220 |
| 21124.154 | 3523.879 | -21853.023 | 20426.035 | 102943.485 | -6795.194 |
| 21112.305 | 3459.007 | -21841.538 | 20446.704 | 102960.217 | -6733.645 |
| 23.878 | 20.544 | -0.749 | 0.000 | -0.000 | 0.000 |
| 20.481 | 14.163 | -1.170 | 0.000 | -0.000 | 0.000 |
| 4.385 | 4.027 | 22.836 | -0.000 | -0.000 | 0.000 |
| 0.000 | 0.000 | 0.000 | 7.986 | -0.000 | 0.000 |
| 0.000 | 0.000 | 0.000 | 0.000 | 8.408 | 0.000 |
| 0.000 | 0.000 | 0.000 | 0.000 | -0.000 | 19.307 |
| 23.878 | 20.544 | -0.749 | -0.000 | 0.000 | -0.000 |
| 20.481 | 14.163 | -1.170 | 0.000 | 0.000 | -0.000 |
| 4.385 | 4.027 | 22.836 | -0.000 | 0.000 | -0.000 |
| -0.000 | -0.000 | -0.000 | 7.986 | 0.000 | -0.000 |
| -0.000 | -0.000 | -0.000 | -0.000 | 8.408 | -0.000 |
| -0.000 | -0.000 | -0.000 | -0.000 | 0.000 | 19.307 |
| 23.878 | 20.544 | -0.749 | 0.000 | -0.000 | 0.000 |
| 20.481 | 14.163 | -1.170 | 0.000 | -0.000 | 0.000 |
| 4.385 | 4.027 | 22.836 | 0.000 | -0.000 | 0.000 |
| -0.000 | -0.000 | 0.000 | 7.986 | -0.000 | 0.000 |
| -0.000 | -0.000 | 0.000 | 0.000 | 8.408 | 0.000 |
| -0.000 | 0.000 | 0.000 | 0.000 | 0.000 | 19.307 |
| 23.878 | 20.544 | -0.749 | -0.000 | 0.000 | -0.000 |
| 20.481 | 14.163 | -1.170 | 0.000 | 0.000 | -0.000 |
| 4.385 | 4.027 | 22.836 | 0.000 | 0.000 | -0.000 |
| 0.000 | 0.000 | -0.000 | 7.986 | 0.000 | -0.000 |
| 0.000 | 0.000 | -0.000 | 0.000 | 8.408 | -0.000 |
| 0.000 | -0.000 | -0.000 | -0.000 | 0.000 | 19.307 |
| 23.878 | 20.544 | -0.749 | 0.000 | -0.000 | 0.000 |
| 20.481 | 14.163 | -1.170 | -0.000 | -0.000 | 0.000 |
| 4.385 | 4.027 | 22.836 | 0.000 | 0.000 | 0.000 |
| -0.000 | -0.000 | 0.000 | 7.986 | 0.000 | 0.000 |
| -0.000 | -0.000 | 0.000 | -0.000 | 8.408 | 0.000 |
| -0.000 | 0.000 | -0.000 | -0.000 | -0.000 | 19.307 |
| 23.878 | 20.544 | -0.749 | -0.000 | 0.000 | -0.000 |
| 20.481 | 14.163 | -1.170 | 0.000 | 0.000 | -0.000 |
| 4.385 | 4.027 | 22.836 | 0.000 | 0.000 | -0.000 |
| 0.000 | 0.000 | -0.000 | 7.986 | 0.000 | -0.000 |
| 0.000 | 0.000 | -0.000 | -0.000 | 8.408 | -0.000 |
| 0.000 | -0.000 | 0.000 | 0.000 | 0.000 | 19.307 |
| -193.388 | -212.947 | -208.375 | 0.000 | -32.198 | 0.000 |
| -37.354 | -104.178 | -46.001 | -0.000 | -32.825 | -0.000 |
| 12.755 | 10.666 | 36.401 | 0.000 | 0.126 | 0.000 |
| -144.043 | -176.120 | -119.259 | 6.261 | -18.417 | -0.794 |
| -181.985 | -166.877 | -161.032 | -0.000 | -38.921 | -0.000 |
| -180.797 | -167.005 | -160.976 | -0.370 | -48.980 | 10.296 |
| 35.420 | 12.324 | 12.757 | 0.000 | -1.357 | -0.000 |
| 12.327 | 36.247 | 10.666 | -0.000 | -0.123 | -0.000 |
| 12.755 | 10.666 | 36.401 | -0.000 | 0.126 | -0.000 |
| 144.043 | 176.120 | 119.259 | 6.261 | 18.417 | -0.794 |
| -1.587 | -0.123 | 0.126 | -0.000 | 12.781 | 0.000 |
| 180.797 | 167.005 | 160.976 | -0.370 | 48.980 | 10.296 |
| 10.459 | -7.917 | -7.339 | -0.000 | -6.128 | -0.000 |
| 12.327 | 36.247 | 10.666 | 0.000 | -0.123 | 0.000 |
| 12.755 | 10.665 | 36.401 | -0.000 | 0.126 | 0.000 |
| -21.744 | -22.136 | -21.598 | 8.094 | -3.198 | -0.377 |
| -1.587 | -0.123 | 0.126 | 0.000 | 12.781 | 0.000 |
| 0.000 | 0.000 | 0.000 | -0.120 | -0.000 | 12.359 |
| 46.032 | 25.252 | 24.569 | 0.000 | 3.728 | 0.000 |
| 26.582 | 45.200 | 24.124 | 0.000 | 4.847 | 0.000 |
| 28.400 | 30.606 | 36.511 | -0.000 | 3.212 | -0.000 |
| 21.744 | 22.136 | 21.598 | 8.094 | 3.198 | -0.377 |
| 3.064 | 12.124 | 4.576 | 0.000 | 7.973 | 0.000 |
| -0.000 | -0.000 | -0.000 | -0.120 | 0.000 | 12.359 |
| 23.375 | 8.172 | 9.233 | 0.000 | -1.763 | 0.000 |
| 6.309 | 24.516 | 6.329 | -0.000 | -0.945 | 0.000 |
| 9.035 | 9.154 | 20.439 | -0.000 | -0.888 | -0.000 |
| -2.306 | -2.256 | -2.190 | 8.463 | -0.460 | -0.412 |
| -1.587 | -0.123 | 0.126 | 0.000 | 12.781 | -0.000 |
| -0.421 | -1.027 | -0.446 | -0.358 | -0.284 | 7.080 |
| 28.928 | 9.387 | 9.290 | 0.000 | -0.952 | 0.000 |
| 11.719 | 26.238 | 12.123 | 0.000 | 0.126 | 0.000 |
| 9.009 | 8.746 | 25.912 | 0.000 | 0.016 | 0.000 |
| 2.306 | 2.256 | 2.190 | 8.463 | 0.460 | -0.412 |
| -0.041 | 0.783 | 0.469 | 0.000 | 7.083 | 0.000 |
| 0.421 | 1.027 | 0.446 | -0.358 | 0.284 | 7.080 |
| 8184.312 | 18961.056 | 221.767 | -0.000 | 1757.140 | 0.000 |
| 8184.232 | 18962.368 | 221.767 | 0.000 | 1757.140 | 0.000 |
| 8184.056 | 18960.880 | 221.767 | -0.000 | 1757.140 | -0.000 |
| 8184.079 | 18960.985 | 221.767 | -0.000 | 1757.140 | 0.000 |
| 8184.079 | 18960.985 | 221.767 | -0.000 | 1757.140 | -0.000 |
| 8184.079 | 18960.985 | 221.767 | 0.000 | 1757.140 | 0.246 |
| -8183.845 | -18960.914 | -221.767 | 0.000 | -1757.139 | -0.000 |
| -8183.925 | -18959.602 | -221.767 | 0.000 | -1757.140 | 0.000 |
| -8184.101 | -18961.090 | -221.767 | 0.000 | -1757.139 | 0.000 |
| -8184.079 | -18960.985 | -221.767 | -0.000 | -1757.140 | 0.000 |
| -8184.078 | -18960.985 | -221.767 | 0.000 | -1757.140 | -0.000 |
| -8184.079 | -18960.985 | -221.767 | 0.000 | -1757.140 | 0.246 |
| 818.641 | 1896.169 | 22.177 | -0.000 | 175.714 | -0.000 |
| 818.561 | 1897.482 | 22.177 | -0.000 | 175.714 | 0.000 |
| 818.385 | 1895.994 | 22.176 | 0.000 | 175.714 | 0.000 |
| 818.408 | 1896.099 | 22.177 | -0.000 | 175.714 | 0.000 |
| 818.408 | 1896.099 | 22.177 | -0.000 | 175.714 | 0.000 |
| 818.408 | 1896.099 | 22.177 | 0.000 | 175.714 | 0.246 |
| -818.175 | -1896.028 | -22.177 | 0.000 | -175.714 | -0.000 |
| -818.254 | -1894.715 | -22.177 | 0.000 | -175.714 | 0.000 |
| -818.430 | -1896.203 | -22.177 | 0.000 | -175.714 | 0.000 |
| -818.408 | -1896.099 | -22.177 | -0.000 | -175.714 | 0.000 |
| -818.408 | -1896.098 | -22.177 | 0.000 | -175.714 | 0.000 |
| -818.408 | -1896.099 | -22.177 | 0.000 | -175.714 | 0.246 |
| 82.074 | 189.681 | 2.217 | -0.000 | 17.571 | 0.000 |
| 81.994 | 190.993 | 2.218 | -0.000 | 17.571 | -0.000 |
| 81.818 | 189.505 | 2.217 | 0.000 | 17.572 | -0.000 |
| 81.841 | 189.610 | 2.218 | -0.000 | 17.571 | 0.000 |
| 81.841 | 189.610 | 2.218 | -0.000 | 17.571 | -0.000 |
| 81.841 | 189.610 | 2.218 | 0.000 | 17.571 | 0.246 |
| -81.608 | -189.539 | -2.218 | 0.000 | -17.571 | 0.000 |
| -81.687 | -188.227 | -2.218 | 0.000 | -17.571 | 0.000 |
| -81.863 | -189.715 | -2.218 | -0.000 | -17.571 | 0.000 |
| -81.841 | -189.610 | -2.218 | -0.000 | -17.571 | 0.000 |
| -81.841 | -189.610 | -2.218 | 0.000 | -17.571 | -0.000 |
| -81.841 | -189.610 | -2.218 | 0.000 | -17.571 | 0.246 |
| 0.436 | 5.261 | 5.261 | -0.000 | -0.000 | -0.000 |
| 5.261 | 0.436 | 5.261 | -0.000 | -0.000 | -0.000 |
| 5.261 | 5.261 | 0.436 | -0.000 | -0.000 | -0.000 |
| 0.000 | -0.000 | -0.000 | 0.074 | -0.000 | -0.000 |
| 0.000 | 0.000 | -0.000 | -0.000 | 0.074 | -0.000 |
| 0.000 | -0.000 | -0.000 | 0.000 | -0.000 | 0.074 |
| 0.436 | 5.261 | 5.261 | 0.000 | 0.000 | 0.000 |
| 5.261 | 0.436 | 5.261 | 0.000 | 0.000 | -0.000 |
| 5.261 | 5.261 | 0.436 | 0.000 | 0.000 | 0.000 |
| -0.000 | 0.000 | 0.000 | 0.074 | 0.000 | -0.000 |
| -0.000 | -0.000 | 0.000 | 0.000 | 0.074 | 0.000 |
| -0.000 | 0.000 | 0.000 | 0.000 | 0.000 | 0.074 |
| 0.436 | 5.261 | 5.261 | -0.000 | -0.000 | -0.000 |
| 5.261 | 0.436 | 5.261 | -0.000 | -0.000 | -0.000 |
| 5.261 | 5.261 | 0.436 | -0.000 | -0.000 | -0.000 |
| 0.000 | -0.000 | 0.000 | 5.261 | 0.000 | 0.000 |
| -0.000 | 0.000 | 0.000 | 0.000 | 5.261 | 0.000 |
| -0.000 | 0.000 | 0.000 | -0.000 | -0.000 | 5.261 |
| 0.436 | 5.261 | 5.261 | 0.000 | 0.000 | 0.000 |
| 5.261 | 0.436 | 5.261 | 0.000 | 0.000 | 0.000 |
| 5.261 | 5.261 | 0.436 | 0.000 | 0.000 | 0.000 |
| -0.000 | 0.000 | -0.000 | 5.261 | -0.000 | -0.000 |
| 0.000 | -0.000 | -0.000 | -0.000 | 5.261 | -0.000 |
| 0.000 | -0.000 | -0.000 | 0.000 | 0.000 | 5.261 |
| 0.436 | 5.261 | 5.261 | -0.000 | -0.000 | -0.000 |
| 5.261 | 0.436 | 5.261 | -0.000 | -0.000 | -0.000 |
| 5.261 | 5.261 | 0.436 | -0.000 | 0.000 | -0.000 |
| 0.000 | -0.000 | -0.000 | 0.074 | -0.000 | 0.000 |
| -0.000 | 0.000 | -0.000 | -0.000 | 0.074 | 0.000 |
| -0.000 | -0.000 | 0.000 | -0.000 | -0.000 | 0.074 |
| 0.436 | 5.261 | 5.261 | 0.000 | 0.000 | 0.000 |
| 5.261 | 0.436 | 5.261 | 0.000 | 0.000 | 0.000 |
| 5.261 | 5.261 | 0.436 | 0.000 | 0.000 | 0.000 |
| -0.000 | 0.000 | 0.000 | 0.074 | 0.000 | 0.000 |
| 0.000 | -0.000 | 0.000 | 0.000 | 0.074 | 0.000 |
| 0.000 | 0.000 | -0.000 | 0.000 | 0.000 | 0.074 |
| 15.229 | 39.318 | 39.318 | -0.000 | -0.000 | 0.000 |
| 39.318 | 15.229 | 39.318 | -0.000 | -0.000 | -0.000 |
| 39.318 | 39.318 | 15.229 | -0.000 | -0.000 | 0.000 |
| 0.000 | 0.000 | 0.000 | 40.939 | -0.000 | 0.000 |
| 0.000 | 0.000 | 0.000 | -0.000 | 40.939 | 0.000 |
| -0.000 | 0.000 | 0.000 | -0.000 | -0.000 | 40.939 |
| 15.229 | 39.318 | 39.318 | 0.000 | 0.000 | -0.000 |
| 39.318 | 15.229 | 39.318 | 0.000 | 0.000 | -0.000 |
| 39.318 | 39.318 | 15.229 | 0.000 | 0.000 | -0.000 |
| -0.000 | -0.000 | -0.000 | 40.939 | 0.000 | 0.000 |
| -0.000 | -0.000 | -0.000 | 0.000 | 40.939 | -0.000 |
| -0.000 | -0.000 | -0.000 | 0.000 | 0.000 | 40.939 |
| 15.229 | 39.318 | 39.318 | -0.000 | -0.000 | -0.000 |
| 39.318 | 15.229 | 39.318 | -0.000 | -0.000 | -0.000 |
| 39.318 | 39.318 | 15.229 | -0.000 | -0.000 | 0.000 |
| 0.000 | -0.000 | 0.000 | 40.939 | -0.000 | -0.000 |
| -0.000 | 0.000 | 0.000 | -0.000 | 40.939 | -0.000 |
| -0.000 | 0.000 | 0.000 | -0.000 | -0.000 | 40.939 |
| 15.229 | 39.318 | 39.318 | 0.000 | 0.000 | -0.000 |
| 39.318 | 15.229 | 39.318 | 0.000 | 0.000 | 0.000 |
| 39.318 | 39.318 | 15.229 | 0.000 | 0.000 | -0.000 |
| -0.000 | 0.000 | -0.000 | 40.939 | 0.000 | -0.000 |
| 0.000 | -0.000 | -0.000 | 0.000 | 40.939 | 0.000 |
| 0.000 | -0.000 | -0.000 | 0.000 | 0.000 | 40.939 |
| 15.230 | 39.318 | 39.318 | -0.000 | -0.000 | 0.000 |
| 39.318 | 15.230 | 39.318 | -0.000 | -0.000 | 0.000 |
| 39.318 | 39.318 | 15.230 | -0.000 | -0.000 | 0.000 |
| -0.000 | 0.000 | -0.000 | -138.779 | -0.000 | 0.000 |
| 0.000 | -0.000 | -0.000 | -0.000 | -138.779 | 0.000 |
| 0.000 | -0.000 | -0.000 | -0.000 | -0.000 | -138.779 |
| 15.229 | 39.318 | 39.318 | 0.000 | 0.000 | -0.000 |
| 39.318 | 15.229 | 39.318 | 0.000 | 0.000 | 0.000 |
| 39.318 | 39.318 | 15.229 | 0.000 | 0.000 | 0.000 |
| 0.000 | -0.000 | 0.000 | -138.779 | 0.000 | 0.000 |
| -0.000 | 0.000 | 0.000 | 0.000 | -138.779 | -0.000 |
| -0.000 | 0.000 | 0.000 | 0.000 | 0.000 | -138.779 |
| -0.025 | 5.124 | 5.124 | 0.000 | -0.000 | -0.000 |
| 5.124 | -0.025 | 5.124 | 0.000 | 0.000 | -0.000 |
| 5.124 | 5.124 | -0.025 | 0.000 | -0.000 | -0.000 |
| 0.000 | -0.000 | -0.000 | 5.212 | 0.000 | -0.000 |
| -0.000 | -0.000 | -0.000 | -0.000 | 5.212 | -0.000 |
| -0.000 | -0.000 | -0.000 | -0.000 | -0.000 | 5.212 |
| -0.025 | 5.124 | 5.124 | -0.000 | 0.000 | 0.000 |
| 5.124 | -0.025 | 5.124 | -0.000 | -0.000 | 0.000 |
| 5.124 | 5.124 | -0.025 | 0.000 | 0.000 | 0.000 |
| -0.000 | 0.000 | 0.000 | 5.212 | -0.000 | 0.000 |
| 0.000 | 0.000 | 0.000 | 0.000 | 5.212 | 0.000 |
| 0.000 | 0.000 | 0.000 | 0.000 | 0.000 | 5.212 |
| -0.025 | 5.124 | 5.124 | 0.000 | 0.000 | 0.000 |
| 5.124 | -0.025 | 5.124 | 0.000 | 0.000 | 0.000 |
| 5.124 | 5.124 | -0.025 | 0.000 | 0.000 | 0.000 |
| 0.000 | -0.000 | 0.000 | 5.212 | 0.000 | -0.000 |
| -0.000 | 0.000 | 0.000 | -0.000 | 5.212 | -0.000 |
| -0.000 | 0.000 | 0.000 | -0.000 | -0.000 | 5.212 |
| -0.025 | 5.124 | 5.124 | -0.000 | -0.000 | 0.000 |
| 5.124 | -0.025 | 5.124 | -0.000 | 0.000 | 0.000 |
| 5.124 | 5.124 | -0.025 | 0.000 | 0.000 | 0.000 |
| -0.000 | 0.000 | -0.000 | 5.212 | -0.000 | 0.000 |
| 0.000 | -0.000 | -0.000 | 0.000 | 5.212 | 0.000 |
| 0.000 | -0.000 | -0.000 | 0.000 | 0.000 | 5.212 |
| -0.025 | 5.124 | 5.124 | 0.000 | 0.000 | -0.000 |
| 5.124 | -0.025 | 5.124 | 0.000 | 0.000 | -0.000 |
| 5.124 | 5.124 | -0.025 | 0.000 | 0.000 | 0.000 |
| 0.000 | -0.000 | -0.000 | -1.334 | 0.000 | -0.000 |
| -0.000 | 0.000 | -0.000 | 0.000 | -1.334 | -0.000 |
| -0.000 | -0.000 | 0.000 | -0.000 | -0.000 | -1.334 |
| -0.025 | 5.124 | 5.124 | 0.000 | 0.000 | 0.000 |
| 5.124 | -0.025 | 5.124 | -0.000 | -0.000 | 0.000 |
| 5.124 | 5.124 | -0.025 | 0.000 | 0.000 | 0.000 |
| -0.000 | 0.000 | 0.000 | -1.334 | -0.000 | -0.000 |
| 0.000 | -0.000 | 0.000 | -0.000 | -1.334 | 0.000 |
| 0.000 | 0.000 | -0.000 | 0.000 | 0.000 | -1.334 |
| -4.382 | 13.362 | 13.362 | 0.000 | -0.000 | 0.000 |
| 13.362 | -4.382 | 13.362 | 0.000 | -0.000 | 0.000 |
| 13.362 | 13.362 | -4.382 | 0.000 | -0.000 | -0.000 |
| -0.000 | 0.000 | 0.000 | -30.148 | -0.000 | -0.000 |
| -0.000 | 0.000 | 0.000 | 0.000 | -30.148 | -0.000 |
| -0.000 | -0.000 | 0.000 | -0.000 | -0.000 | -30.148 |
| -4.382 | 13.362 | 13.362 | -0.000 | 0.000 | 0.000 |
| 13.362 | -4.382 | 13.362 | 0.000 | 0.000 | 0.000 |
| 13.362 | 13.362 | -4.382 | -0.000 | 0.000 | 0.000 |
| 0.000 | -0.000 | -0.000 | -30.148 | -0.000 | 0.000 |
| 0.000 | -0.000 | -0.000 | -0.000 | -30.148 | 0.000 |
| 0.000 | -0.000 | -0.000 | -0.000 | 0.000 | -30.148 |
| -4.382 | 13.362 | 13.362 | 0.000 | 0.000 | -0.000 |
| 13.362 | -4.382 | 13.362 | -0.000 | 0.000 | -0.000 |
| 13.362 | 13.362 | -4.382 | 0.000 | 0.000 | -0.000 |
| -0.000 | -0.000 | -0.000 | -30.148 | -0.000 | 0.000 |
| -0.000 | -0.000 | -0.000 | 0.000 | -30.148 | -0.000 |
| -0.000 | -0.000 | -0.000 | 0.000 | -0.000 | -30.148 |
| -4.382 | 13.362 | 13.362 | 0.000 | 0.000 | -0.000 |
| 13.362 | -4.382 | 13.362 | -0.000 | 0.000 | 0.000 |
| 13.362 | 13.362 | -4.382 | 0.000 | 0.000 | -0.000 |
| 0.000 | 0.000 | 0.000 | -30.148 | 0.000 | 0.000 |
| 0.000 | 0.000 | 0.000 | 0.000 | -30.148 | 0.000 |
| 0.000 | 0.000 | 0.000 | -0.000 | 0.000 | -30.148 |
| -4.382 | 13.362 | 13.362 | 0.000 | -0.000 | -0.000 |
| 13.362 | -4.382 | 13.362 | -0.000 | -0.000 | -0.000 |
| 13.362 | 13.362 | -4.382 | -0.000 | 0.000 | -0.000 |
| -0.000 | -0.000 | -0.000 | -30.148 | -0.000 | 0.000 |
| -0.000 | -0.000 | -0.000 | -0.000 | -30.148 | -0.000 |
| -0.000 | -0.000 | -0.000 | -0.000 | -0.000 | -30.148 |
| -4.382 | 13.362 | 13.362 | 0.000 | 0.000 | -0.000 |
| 13.362 | -4.382 | 13.362 | -0.000 | 0.000 | 0.000 |
| 13.362 | 13.362 | -4.382 | -0.000 | 0.000 | 0.000 |
| 0.000 | 0.000 | 0.000 | -30.148 | 0.000 | 0.000 |
| 0.000 | 0.000 | 0.000 | -0.000 | -30.148 | 0.000 |
| 0.000 | 0.000 | 0.000 | 0.000 | 0.000 | -30.148 |
| 78.635 | 33.914 | 33.914 | 0.000 | -0.000 | 0.000 |
| 33.914 | 78.635 | 33.914 | 0.000 | -0.000 | 0.000 |
| 33.914 | 33.914 | 78.635 | -0.000 | -0.000 | -0.000 |
| -0.000 | -0.000 | 0.000 | 37.820 | -0.000 | -0.000 |
| -0.000 | 0.000 | -0.000 | -0.000 | 37.820 | -0.000 |
| -0.000 | 0.000 | 0.000 | -0.000 | -0.000 | 37.820 |
| 78.635 | 33.914 | 33.914 | -0.000 | -0.000 | 0.000 |
| 33.914 | 78.635 | 33.914 | -0.000 | -0.000 | 0.000 |
| 33.914 | 33.914 | 78.635 | 0.000 | 0.000 | 0.000 |
| 0.000 | 0.000 | -0.000 | 37.820 | 0.000 | -0.000 |
| 0.000 | -0.000 | 0.000 | 0.000 | 37.820 | 0.000 |
| 0.000 | 0.000 | -0.000 | 0.000 | 0.000 | 37.820 |
| 78.635 | 33.914 | 33.914 | -0.000 | -0.000 | 0.000 |
| 33.914 | 78.635 | 33.914 | 0.000 | -0.000 | -0.000 |
| 33.914 | 33.914 | 78.635 | -0.000 | -0.000 | 0.000 |
| -0.000 | 0.000 | -0.000 | -225.401 | -0.000 | -0.000 |
| 0.000 | -0.000 | -0.000 | -0.000 | -225.401 | -0.000 |
| 0.000 | -0.000 | 0.000 | -0.000 | -0.000 | -225.401 |
| 78.635 | 33.914 | 33.914 | 0.000 | -0.000 | -0.000 |
| 33.914 | 78.635 | 33.914 | -0.000 | 0.000 | 0.000 |
| 33.914 | 33.914 | 78.635 | 0.000 | 0.000 | -0.000 |
| 0.000 | -0.000 | 0.000 | -225.401 | 0.000 | 0.000 |
| -0.000 | 0.000 | 0.000 | 0.000 | -225.401 | 0.000 |
| -0.000 | 0.000 | -0.000 | 0.000 | 0.000 | -225.401 |
| 78.636 | 33.914 | 33.914 | 0.000 | 0.000 | 0.000 |
| 33.914 | 78.636 | 33.914 | 0.000 | 0.000 | -0.000 |
| 33.914 | 33.914 | 78.636 | -0.000 | -0.000 | -0.000 |
| -0.000 | 0.000 | -0.000 | -225.401 | -0.000 | -0.000 |
| 0.000 | -0.000 | -0.000 | -0.000 | -225.401 | -0.000 |
| 0.000 | -0.000 | -0.000 | -0.000 | -0.000 | -225.401 |
| 78.634 | 33.914 | 33.914 | -0.000 | 0.000 | -0.000 |
| 33.914 | 78.634 | 33.914 | -0.000 | -0.000 | 0.000 |
| 33.914 | 33.914 | 78.634 | 0.000 | 0.000 | 0.000 |
| 0.000 | -0.000 | 0.000 | -225.401 | 0.000 | 0.000 |
| -0.000 | 0.000 | 0.000 | 0.000 | -225.401 | -0.000 |
| -0.000 | 0.000 | 0.000 | 0.000 | 0.000 | -225.401 |
| 287.282 | 163.291 | 163.291 | -0.000 | -0.000 | -0.000 |
| 163.291 | 287.282 | 163.291 | -0.000 | -0.000 | -0.000 |
| 163.291 | 163.291 | 287.282 | -0.000 | -0.000 | -0.000 |
| -0.000 | -0.000 | -0.000 | 65.200 | -0.000 | -0.000 |
| -0.000 | 0.000 | -0.000 | -0.000 | 65.200 | -0.000 |
| -0.000 | 0.000 | -0.000 | -0.000 | -0.000 | 65.200 |
| 287.282 | 163.291 | 163.291 | 0.000 | 0.000 | 0.000 |
| 163.291 | 287.282 | 163.291 | 0.000 | -0.000 | 0.000 |
| 163.291 | 163.291 | 287.282 | 0.000 | 0.000 | 0.000 |
| 0.000 | 0.000 | 0.000 | 65.200 | 0.000 | 0.000 |
| 0.000 | -0.000 | 0.000 | 0.000 | 65.200 | -0.000 |
| 0.000 | 0.000 | 0.000 | 0.000 | 0.000 | 65.200 |
| 287.282 | 163.291 | 163.291 | -0.000 | -0.000 | -0.000 |
| 163.291 | 287.282 | 163.291 | -0.000 | -0.000 | 0.000 |
| 163.291 | 163.291 | 287.282 | 0.000 | -0.000 | -0.000 |
| 0.000 | -0.000 | -0.000 | 65.200 | 0.000 | -0.000 |
| -0.000 | 0.000 | -0.000 | -0.000 | 65.200 | 0.000 |
| -0.000 | -0.000 | 0.000 | -0.000 | -0.000 | 65.200 |
| 287.282 | 163.291 | 163.291 | 0.000 | 0.000 | -0.000 |
| 163.291 | 287.282 | 163.291 | 0.000 | 0.000 | -0.000 |
| 163.291 | 163.291 | 287.282 | -0.000 | 0.000 | -0.000 |
| -0.000 | 0.000 | 0.000 | 65.200 | -0.000 | -0.000 |
| 0.000 | -0.000 | 0.000 | 0.000 | 65.200 | -0.000 |
| 0.000 | 0.000 | -0.000 | 0.000 | 0.000 | 65.200 |
| 287.283 | 163.292 | 163.292 | -0.000 | 0.000 | 0.000 |
| 163.292 | 287.283 | 163.292 | -0.000 | -0.000 | 0.000 |
| 163.292 | 163.292 | 287.283 | 0.000 | -0.000 | 0.000 |
| 0.000 | -0.000 | -0.000 | 65.200 | -0.000 | 0.000 |
| -0.000 | 0.000 | -0.000 | -0.000 | 65.200 | 0.000 |
| -0.000 | -0.000 | 0.000 | -0.000 | -0.000 | 65.200 |
| 287.282 | 163.290 | 163.290 | 0.000 | -0.000 | -0.000 |
| 163.290 | 287.282 | 163.290 | 0.000 | 0.000 | 0.000 |
| 163.290 | 163.290 | 287.282 | 0.000 | 0.000 | -0.000 |
| -0.000 | 0.000 | 0.000 | 65.200 | 0.000 | 0.000 |
| 0.000 | -0.000 | 0.000 | 0.000 | 65.200 | -0.000 |
| 0.000 | 0.000 | -0.000 | 0.000 | 0.000 | 65.200 |
| -2335091249.805 | -1679713170.438 | -527748287.845 | 3434642.395 | -9482944.610 | 21033841.446 |
| -1560988082.013 | -2189953601.188 | -485584493.440 | -14930627.800 | 12782449.440 | 32400623.802 |
| 89.998 | 89.998 | 349.343 | -0.000 | 0.000 | 0.000 |
| 0.063 | 0.063 | -0.027 | 40.278 | 0.000 | -0.000 |
| 0.063 | 0.063 | -0.027 | -0.000 | 40.278 | -0.000 |
| 0.012 | 0.012 | -0.005 | 0.000 | 0.000 | 174.940 |
| 86.373 | 158.718 | 64.616 | 0.000 | -0.000 | -0.000 |
| 158.718 | 86.373 | 64.616 | -0.000 | 0.000 | -0.000 |
| 89.972 | 89.972 | 349.354 | 0.000 | 0.000 | -0.000 |
| -0.063 | -0.063 | 0.027 | 40.278 | 0.000 | 0.000 |
| -0.063 | -0.063 | 0.027 | -0.000 | 40.278 | 0.000 |
| -0.012 | -0.012 | 0.005 | -0.000 | -0.000 | 174.940 |
| -201879933.283 | -155323280.132 | -31711377.381 | 428690.430 | -736417.518 | 3989236.881 |
| -155642289.985 | -228666637.111 | -53747751.774 | -132084.650 | -289308.531 | 91735.967 |
| 89.986 | 89.986 | 349.348 | -0.000 | -0.000 | 0.000 |
| 0.006 | 0.006 | -0.003 | 40.278 | -0.000 | -0.000 |
| 0.006 | 0.006 | -0.003 | 0.000 | 40.278 | -0.000 |
| 0.001 | 0.001 | -0.000 | 0.000 | -0.000 | 174.940 |
| 136160536.484 | 202512774.902 | 34810173.007 | 947355.464 | 209283.116 | -4596133.640 |
| 233589510.026 | 158950265.031 | 52400294.768 | -78370.337 | 922364.492 | -3294658.153 |
| 55.219 | 55.219 | 364.116 | 0.000 | 0.000 | -0.000 |
| -0.006 | -0.006 | 0.003 | 40.278 | 0.000 | 0.000 |
| -0.006 | -0.006 | 0.003 | -0.000 | 40.278 | 0.000 |
| -0.001 | -0.001 | 0.000 | 0.000 | 0.000 | 174.940 |
| -21224587.512 | -14941863.297 | -4668554.426 | -7190.664 | 30361.690 | 684888.082 |
| -5064582.375 | -44075463.764 | -10604671.196 | 0.000 | 0.000 | 0.000 |
| 89.985 | 89.985 | 349.351 | -0.000 | -0.000 | 0.000 |
| 0.001 | 0.001 | -0.000 | 40.278 | 0.000 | -0.000 |
| 0.001 | 0.001 | -0.000 | 0.000 | 40.278 | -0.000 |
| -0.000 | 0.000 | 0.000 | -0.000 | 0.000 | 174.940 |
| 14568834.270 | 21413285.110 | 4160115.300 | -85719.430 | -89574.128 | -308126.364 |
| 44075332.650 | 5064821.804 | 10604691.675 | -0.000 | 0.000 | -0.000 |
| 89.984 | 89.984 | 349.346 | 0.000 | 0.000 | -0.000 |
| -0.001 | -0.001 | 0.000 | 40.278 | -0.000 | -0.000 |
| -0.001 | -0.001 | 0.000 | -0.000 | 40.278 | 0.000 |
| 0.000 | -0.000 | -0.000 | 0.000 | 0.000 | 174.940 |
| 517.806 | 45.278 | 45.278 | -0.000 | 0.000 | -0.000 |
| 45.278 | 517.806 | 45.278 | -0.000 | 0.000 | -0.000 |
| 45.278 | 45.278 | 517.806 | -0.000 | 0.000 | -0.000 |
| 0.000 | 0.000 | -0.000 | -69.359 | 0.000 | -0.000 |
| 0.000 | 0.000 | -0.000 | -0.000 | -69.359 | -0.000 |
| 0.000 | 0.000 | -0.000 | -0.000 | 0.000 | -69.359 |
| 517.806 | 45.278 | 45.278 | -0.000 | -0.000 | 0.000 |
| 45.278 | 517.806 | 45.278 | 0.000 | -0.000 | 0.000 |
| 45.278 | 45.278 | 517.806 | 0.000 | -0.000 | 0.000 |
| -0.000 | -0.000 | 0.000 | -69.359 | -0.000 | 0.000 |
| -0.000 | 0.000 | 0.000 | 0.000 | -69.359 | 0.000 |
| -0.000 | -0.000 | 0.000 | 0.000 | -0.000 | -69.359 |
| 517.806 | 45.278 | 45.278 | -0.000 | 0.000 | -0.000 |
| 45.278 | 517.806 | 45.278 | -0.000 | 0.000 | -0.000 |
| 45.278 | 45.278 | 517.806 | -0.000 | 0.000 | -0.000 |
| 0.000 | -0.000 | -0.000 | -69.359 | 0.000 | -0.000 |
| 0.000 | 0.000 | -0.000 | -0.000 | -69.359 | -0.000 |
| 0.000 | -0.000 | 0.000 | -0.000 | 0.000 | -69.359 |
| 517.806 | 45.278 | 45.278 | -0.000 | -0.000 | 0.000 |
| 45.278 | 517.806 | 45.278 | 0.000 | -0.000 | 0.000 |
| 45.278 | 45.278 | 517.806 | 0.000 | -0.000 | 0.000 |
| -0.000 | 0.000 | 0.000 | -69.359 | -0.000 | 0.000 |
| -0.000 | -0.000 | 0.000 | 0.000 | -69.359 | 0.000 |
| -0.000 | 0.000 | -0.000 | 0.000 | -0.000 | -69.359 |
| 517.808 | 45.279 | 45.279 | -0.000 | 0.000 | -0.000 |
| 45.279 | 517.808 | 45.279 | -0.000 | 0.000 | -0.000 |
| 45.279 | 45.279 | 517.808 | -0.000 | 0.000 | -0.000 |
| 0.000 | -0.000 | -0.000 | -69.359 | 0.000 | -0.000 |
| -0.000 | 0.000 | -0.000 | -0.000 | -69.359 | -0.000 |
| -0.000 | -0.000 | 0.000 | -0.000 | 0.000 | -69.359 |
| 517.804 | 45.278 | 45.278 | 0.000 | -0.000 | 0.000 |
| 45.278 | 517.804 | 45.278 | 0.000 | -0.000 | 0.000 |
| 45.278 | 45.278 | 517.804 | 0.000 | -0.000 | 0.000 |
| -0.000 | 0.000 | 0.000 | -69.359 | -0.000 | 0.000 |
| 0.000 | -0.000 | 0.000 | 0.000 | -69.359 | 0.000 |
| 0.000 | 0.000 | -0.000 | 0.000 | -0.000 | -69.359 |
| 540.947 | 33.134 | 33.134 | 0.000 | 0.000 | -0.000 |
| 33.134 | 540.947 | 33.134 | 0.000 | 0.000 | -0.000 |
| 33.134 | 33.134 | 540.948 | -0.000 | -0.000 | -0.000 |
| 0.000 | 0.000 | 0.000 | 71.041 | 0.000 | -0.000 |
| 0.000 | 0.000 | 0.000 | 0.000 | 71.041 | -0.000 |
| 0.000 | 0.000 | 0.000 | -0.000 | -0.000 | 71.041 |
| 540.947 | 33.134 | 33.133 | -0.000 | -0.000 | 0.000 |
| 33.134 | 540.947 | 33.133 | -0.000 | -0.000 | 0.000 |
| 33.134 | 33.134 | 540.947 | -0.000 | 0.000 | 0.000 |
| -0.000 | -0.000 | -0.000 | 71.041 | -0.000 | 0.000 |
| -0.000 | -0.000 | -0.000 | -0.000 | 71.041 | 0.000 |
| -0.000 | -0.000 | -0.000 | 0.000 | 0.000 | 71.041 |
| 540.947 | 33.134 | 33.134 | 0.000 | 0.000 | -0.000 |
| 33.134 | 540.947 | 33.134 | 0.000 | -0.000 | -0.000 |
| 33.134 | 33.134 | 540.947 | 0.000 | -0.000 | -0.000 |
| 0.000 | 0.000 | 0.000 | -10.119 | 0.000 | -0.000 |
| 0.000 | 0.000 | 0.000 | 0.000 | -10.119 | -0.000 |
| 0.000 | -0.000 | 0.000 | 0.000 | 0.000 | -10.119 |
| 540.947 | 33.134 | 33.134 | -0.000 | -0.000 | 0.000 |
| 33.134 | 540.947 | 33.134 | -0.000 | 0.000 | 0.000 |
| 33.134 | 33.134 | 540.947 | 0.000 | 0.000 | 0.000 |
| -0.000 | -0.000 | -0.000 | -10.119 | -0.000 | 0.000 |
| -0.000 | -0.000 | -0.000 | -0.000 | -10.119 | 0.000 |
| -0.000 | 0.000 | -0.000 | -0.000 | -0.000 | -10.119 |
| 540.949 | 33.134 | 33.134 | 0.000 | 0.000 | -0.000 |
| 33.134 | 540.949 | 33.134 | 0.000 | 0.000 | -0.000 |
| 33.134 | 33.134 | 540.949 | 0.000 | -0.000 | -0.000 |
| 0.000 | 0.000 | -0.000 | -10.119 | -0.000 | -0.000 |
| 0.000 | 0.000 | -0.000 | 0.000 | -10.119 | -0.000 |
| 0.000 | -0.000 | 0.000 | 0.000 | -0.000 | -10.119 |
| 540.945 | 33.133 | 33.133 | -0.000 | -0.000 | 0.000 |
| 33.133 | 540.945 | 33.133 | -0.000 | -0.000 | 0.000 |
| 33.133 | 33.133 | 540.945 | -0.000 | 0.000 | 0.000 |
| -0.000 | -0.000 | 0.000 | -10.119 | 0.000 | 0.000 |
| -0.000 | -0.000 | 0.000 | -0.000 | -10.119 | 0.000 |
| -0.000 | 0.000 | -0.000 | -0.000 | 0.000 | -10.119 |
| 576.882 | -4.177 | -4.177 | 0.000 | -0.000 | -0.000 |
| -4.177 | 576.883 | -4.177 | 0.000 | -0.000 | 0.000 |
| -4.177 | -4.177 | 576.882 | 0.000 | 0.000 | 0.000 |
| -0.001 | -0.003 | -0.003 | 53.008 | -0.000 | -0.000 |
| -0.003 | -0.001 | -0.003 | 0.000 | 53.008 | 0.000 |
| -0.003 | -0.003 | -0.001 | 0.000 | -0.000 | 53.008 |
| 576.892 | -4.172 | -4.172 | -0.000 | -0.000 | -0.000 |
| -4.172 | 576.892 | -4.172 | -0.000 | 0.000 | -0.000 |
| -4.172 | -4.172 | 576.893 | -0.000 | -0.000 | 0.000 |
| 0.001 | 0.003 | 0.003 | 53.008 | 0.000 | 0.000 |
| 0.003 | 0.001 | 0.003 | -0.000 | 53.008 | 0.000 |
| 0.003 | 0.003 | 0.001 | -0.000 | 0.000 | 53.008 |
| 576.839 | -4.202 | -4.202 | 0.000 | -0.000 | 0.000 |
| -4.202 | 576.839 | -4.202 | 0.000 | 0.000 | 0.000 |
| -4.202 | -4.202 | 576.839 | 0.000 | 0.000 | 0.000 |
| -0.008 | -0.027 | -0.027 | 53.008 | -0.000 | 0.000 |
| -0.027 | -0.008 | -0.027 | 0.000 | 53.008 | 0.000 |
| -0.027 | -0.027 | -0.008 | 0.000 | -0.000 | 53.008 |
| 576.936 | -4.147 | -4.147 | -0.000 | 0.000 | -0.000 |
| -4.147 | 576.936 | -4.147 | -0.000 | 0.000 | -0.000 |
| -4.147 | -4.147 | 576.936 | -0.000 | 0.000 | 0.000 |
| 0.008 | 0.027 | 0.027 | 53.008 | 0.000 | -0.000 |
| 0.027 | 0.008 | 0.027 | -0.000 | 53.008 | 0.000 |
| 0.027 | 0.027 | 0.008 | -0.000 | 0.000 | 53.008 |
| 576.400 | -4.449 | -4.449 | 0.000 | -0.000 | 0.000 |
| -4.449 | 576.400 | -4.449 | 0.000 | -0.000 | 0.000 |
| -4.449 | -4.449 | 576.400 | 0.000 | 0.000 | -0.000 |
| -0.155 | -0.343 | -0.343 | 11.635 | -0.000 | 0.000 |
| -0.343 | -0.155 | -0.343 | 0.000 | 11.635 | 0.000 |
| -0.343 | -0.343 | -0.155 | 0.000 | -0.000 | 11.635 |
| 577.375 | -3.900 | -3.900 | -0.000 | -0.000 | -0.000 |
| -3.900 | 577.375 | -3.900 | -0.000 | 0.000 | -0.000 |
| -3.900 | -3.900 | 577.375 | 0.000 | 0.000 | -0.000 |
| 0.155 | 0.343 | 0.343 | 11.635 | 0.000 | 0.000 |
| 0.343 | 0.155 | 0.343 | -0.000 | 11.635 | -0.000 |
| 0.343 | 0.343 | 0.155 | -0.000 | 0.000 | 11.635 |
| 689.464 | 195.683 | 195.684 | -0.000 | -0.000 | -0.000 |
| 195.684 | 689.463 | 195.684 | -0.000 | -0.000 | -0.000 |
| 195.684 | 195.683 | 689.463 | -0.000 | -0.000 | -0.000 |
| -0.003 | -0.006 | -0.006 | 221.019 | -0.000 | -0.000 |
| -0.006 | -0.003 | -0.006 | -0.000 | 221.019 | -0.000 |
| -0.006 | -0.006 | -0.003 | -0.000 | -0.000 | 221.019 |
| 689.499 | 195.695 | 195.694 | 0.000 | 0.000 | 0.000 |
| 195.695 | 689.499 | 195.694 | 0.000 | 0.000 | 0.000 |
| 195.695 | 195.695 | 689.499 | 0.000 | 0.000 | 0.000 |
| 0.003 | 0.006 | 0.006 | 221.020 | 0.000 | 0.000 |
| 0.006 | 0.003 | 0.006 | 0.000 | 221.020 | 0.000 |
| 0.006 | 0.006 | 0.003 | 0.000 | 0.000 | 221.020 |
| 689.303 | 195.632 | 195.632 | -0.000 | -0.000 | -0.000 |
| 195.632 | 689.303 | 195.632 | -0.000 | -0.000 | -0.000 |
| 195.632 | 195.632 | 689.303 | -0.000 | -0.000 | -0.000 |
| -0.032 | -0.057 | -0.057 | 221.020 | -0.000 | -0.000 |
| -0.057 | -0.032 | -0.057 | -0.000 | 221.020 | -0.000 |
| -0.057 | -0.057 | -0.032 | -0.000 | -0.000 | 221.020 |
| 689.660 | 195.746 | 195.746 | 0.000 | 0.000 | 0.000 |
| 195.746 | 689.660 | 195.746 | 0.000 | 0.000 | 0.000 |
| 195.746 | 195.746 | 689.660 | 0.000 | 0.000 | 0.000 |
| 0.032 | 0.057 | 0.057 | 221.020 | 0.000 | 0.000 |
| 0.057 | 0.032 | 0.057 | 0.000 | 221.020 | 0.000 |
| 0.057 | 0.057 | 0.032 | 0.000 | 0.000 | 221.020 |
| 687.698 | 195.122 | 195.122 | -0.000 | -0.000 | -0.000 |
| 195.122 | 687.698 | 195.122 | -0.000 | -0.000 | -0.000 |
| 195.122 | 195.122 | 687.698 | -0.000 | -0.000 | -0.000 |
| -0.324 | -0.568 | -0.568 | 221.020 | -0.000 | -0.000 |
| -0.568 | -0.324 | -0.568 | -0.000 | 221.020 | -0.000 |
| -0.568 | -0.568 | -0.324 | -0.000 | -0.000 | 221.020 |
| 691.264 | 196.256 | 196.256 | 0.000 | 0.000 | 0.000 |
| 196.256 | 691.264 | 196.256 | 0.000 | -0.000 | 0.000 |
| 196.256 | 196.256 | 691.264 | 0.000 | 0.000 | -0.000 |
| 0.324 | 0.568 | 0.568 | 221.020 | 0.000 | 0.000 |
| 0.568 | 0.324 | 0.568 | 0.000 | 221.020 | 0.000 |
| 0.568 | 0.568 | 0.324 | 0.000 | 0.000 | 221.020 |
| 622.659 | -6.633 | -6.633 | -0.000 | 0.000 | -0.000 |
| -6.633 | 622.658 | -6.633 | 0.000 | 0.000 | 0.000 |
| -6.633 | -6.633 | 622.658 | 0.000 | 0.000 | -0.000 |
| 0.000 | 0.000 | -0.000 | -36.660 | 0.000 | 0.000 |
| -0.000 | 0.000 | -0.000 | 0.000 | -36.660 | 0.000 |
| -0.000 | 0.000 | 0.000 | 0.000 | 0.000 | -36.660 |
| 622.659 | -6.633 | -6.633 | 0.000 | -0.000 | 0.000 |
| -6.633 | 622.658 | -6.633 | 0.000 | -0.000 | -0.000 |
| -6.633 | -6.633 | 622.659 | 0.000 | -0.000 | 0.000 |
| -0.000 | -0.000 | 0.000 | -36.660 | -0.000 | 0.000 |
| -0.000 | -0.000 | 0.000 | -0.000 | -36.661 | -0.000 |
| 0.000 | -0.000 | -0.000 | -0.000 | -0.000 | -36.660 |
| 622.659 | -6.633 | -6.633 | -0.000 | 0.000 | 0.000 |
| -6.633 | 622.659 | -6.633 | -0.000 | 0.000 | 0.000 |
| -6.633 | -6.633 | 622.659 | -0.000 | 0.000 | 0.000 |
| 0.000 | 0.000 | -0.000 | -36.660 | 0.000 | 0.000 |
| 0.000 | 0.000 | -0.000 | 0.000 | -36.660 | 0.000 |
| 0.000 | -0.000 | 0.000 | 0.000 | 0.000 | -36.660 |
| 622.658 | -6.633 | -6.633 | -0.000 | -0.000 | 0.000 |
| -6.633 | 622.658 | -6.633 | 0.000 | -0.000 | -0.000 |
| -6.633 | -6.633 | 622.658 | -0.000 | -0.000 | -0.000 |
| -0.000 | -0.000 | 0.000 | -36.660 | -0.000 | -0.000 |
| -0.000 | -0.000 | 0.000 | -0.000 | -36.660 | -0.000 |
| -0.000 | 0.000 | -0.000 | -0.000 | -0.000 | -36.660 |
| 622.660 | -6.633 | -6.633 | -0.000 | 0.000 | 0.000 |
| -6.633 | 622.660 | -6.633 | 0.000 | 0.000 | 0.000 |
| -6.633 | -6.633 | 622.660 | 0.000 | 0.000 | 0.000 |
| 0.000 | 0.000 | 0.000 | 22.080 | 0.000 | 0.000 |
| 0.000 | 0.000 | 0.000 | 0.000 | 22.080 | 0.000 |
| 0.000 | 0.000 | 0.000 | 0.000 | 0.000 | 22.080 |
| 622.657 | -6.633 | -6.633 | 0.000 | -0.000 | -0.000 |
| -6.633 | 622.657 | -6.633 | -0.000 | 0.000 | -0.000 |
| -6.633 | -6.633 | 622.657 | -0.000 | -0.000 | 0.000 |
| -0.000 | -0.000 | -0.000 | 22.080 | -0.000 | -0.000 |
| -0.000 | -0.000 | -0.000 | -0.000 | 22.080 | -0.000 |
| -0.000 | -0.000 | -0.000 | -0.000 | -0.000 | 22.080 |
| 560.740 | 165.999 | 165.999 | 0.000 | 0.000 | -0.000 |
| 165.999 | 560.740 | 165.999 | 0.000 | 0.000 | -0.000 |
| 165.999 | 165.999 | 560.740 | 0.000 | 0.000 | -0.000 |
| 0.000 | 0.000 | 0.000 | 205.654 | 0.000 | -0.000 |
| 0.000 | 0.000 | 0.000 | 0.000 | 205.654 | -0.000 |
| 0.000 | 0.000 | 0.000 | 0.000 | 0.000 | 205.654 |
| 560.740 | 165.999 | 165.999 | 0.000 | 0.000 | 0.000 |
| 165.999 | 560.740 | 165.999 | 0.000 | 0.000 | 0.000 |
| 165.999 | 165.999 | 560.740 | -0.000 | -0.000 | 0.000 |
| -0.000 | -0.000 | -0.000 | 205.654 | -0.000 | 0.000 |
| -0.000 | -0.000 | -0.000 | -0.000 | 205.654 | 0.000 |
| -0.000 | -0.000 | -0.000 | -0.000 | -0.000 | 205.654 |
| 560.740 | 165.999 | 165.999 | 0.000 | 0.000 | -0.000 |
| 165.999 | 560.740 | 165.999 | 0.000 | 0.000 | -0.000 |
| 165.999 | 165.999 | 560.740 | 0.000 | 0.000 | -0.000 |
| -0.000 | -0.000 | -0.000 | -55.468 | 0.000 | -0.000 |
| -0.000 | -0.000 | -0.000 | 0.000 | -55.468 | -0.000 |
| -0.000 | -0.000 | -0.000 | 0.000 | 0.000 | -55.468 |
| 560.740 | 165.999 | 165.999 | -0.000 | -0.000 | 0.000 |
| 165.999 | 560.740 | 165.999 | -0.000 | -0.000 | 0.000 |
| 165.999 | 165.999 | 560.740 | -0.000 | -0.000 | 0.000 |
| 0.000 | 0.000 | 0.000 | -55.468 | -0.000 | 0.000 |
| 0.000 | 0.000 | 0.000 | -0.000 | -55.468 | 0.000 |
| 0.000 | 0.000 | 0.000 | -0.000 | -0.000 | -55.468 |
| 560.742 | 166.000 | 166.000 | 0.000 | 0.000 | -0.000 |
| 166.000 | 560.742 | 166.000 | 0.000 | 0.000 | -0.000 |
| 166.000 | 166.000 | 560.742 | 0.000 | 0.000 | -0.000 |
| -0.000 | -0.000 | -0.000 | -55.468 | 0.000 | -0.000 |
| -0.000 | -0.000 | -0.000 | 0.000 | -55.468 | -0.000 |
| -0.000 | -0.000 | -0.000 | 0.000 | 0.000 | -55.468 |
| 560.738 | 165.998 | 165.998 | -0.000 | 0.000 | 0.000 |
| 165.998 | 560.738 | 165.998 | 0.000 | 0.000 | 0.000 |
| 165.998 | 165.998 | 560.738 | -0.000 | -0.000 | 0.000 |
| 0.000 | 0.000 | 0.000 | -55.468 | -0.000 | 0.000 |
| 0.000 | 0.000 | 0.000 | -0.000 | -55.468 | 0.000 |
| 0.000 | 0.000 | 0.000 | -0.000 | -0.000 | -55.468 |
| 409.124 | 71.045 | 46.440 | -0.090 | 65.762 | 0.037 |
| 52.929 | 409.482 | 72.838 | -0.000 | 34.233 | -0.000 |
| 209.470 | 66.478 | 134.284 | -0.093 | 35.742 | 0.039 |
| -0.000 | -0.000 | -0.000 | 142.835 | 0.000 | 34.657 |
| -28.368 | 34.602 | -21.143 | -0.000 | 98.346 | 0.000 |
| -0.000 | -0.000 | -0.000 | 34.288 | 0.000 | 107.448 |
| 57.049 | 93.725 | 35.636 | 0.104 | -65.852 | -0.043 |
| 52.929 | 409.482 | 72.838 | 0.000 | 34.233 | 0.000 |
| -125.193 | 86.298 | 117.564 | 0.100 | -99.803 | -0.042 |
| 0.000 | 0.000 | 0.000 | 142.835 | -0.000 | 34.657 |
| -28.368 | 34.602 | -21.142 | 0.000 | 98.346 | -0.000 |
| 0.000 | 0.000 | 0.000 | 34.288 | -0.000 | 107.448 |
| 190.187 | 81.291 | 33.820 | -0.004 | -6.364 | 0.002 |
| 107.358 | 346.051 | 61.864 | 0.000 | 14.697 | -0.000 |
| 30.996 | 85.322 | 176.636 | -0.000 | -21.151 | 0.000 |
| 39.350 | -4.331 | 5.623 | 100.581 | 12.670 | 6.125 |
| -28.369 | 34.602 | -21.147 | -0.000 | 98.346 | 0.000 |
| 19.748 | -1.204 | 0.774 | 23.106 | 7.936 | 76.773 |
| 119.753 | 90.291 | 12.915 | 0.005 | -27.696 | -0.002 |
| 52.929 | 409.482 | 72.838 | 0.000 | 34.233 | -0.000 |
| 31.327 | 74.303 | 108.509 | 0.013 | -41.477 | -0.005 |
| -39.352 | 4.332 | -5.625 | 100.587 | -12.669 | 6.119 |
| -18.727 | 10.243 | -30.153 | 0.009 | 55.841 | -0.004 |
| -19.738 | 1.204 | -0.774 | 23.135 | -7.931 | 76.781 |
| 153.337 | 85.554 | 26.742 | -0.003 | -16.479 | 0.001 |
| 88.814 | 339.528 | 50.772 | 0.001 | 4.716 | -0.001 |
| 39.521 | 61.823 | 79.427 | -0.002 | -39.460 | 0.001 |
| -4.068 | 0.254 | -1.779 | -715.015 | -0.120 | -727.188 |
| -1.765 | 10.203 | -29.136 | -0.001 | 64.617 | 0.000 |
| 4.140 | -1.175 | -0.167 | -741.606 | 0.818 | -622.423 |
| 152.370 | 87.416 | 20.517 | -0.003 | -15.673 | 0.001 |
| 68.169 | 363.484 | 64.150 | 0.001 | 9.624 | -0.000 |
| 31.584 | 60.224 | 78.116 | -0.000 | -40.014 | 0.000 |
| -4.403 | 0.106 | 1.197 | -730.586 | -0.658 | -739.994 |
| -9.851 | 10.540 | -40.678 | -0.001 | 57.225 | 0.000 |
| -1.510 | -1.381 | 1.776 | -736.069 | -0.854 | -609.820 |
| 289.427 | 79.237 | 79.237 | -0.000 | 0.000 | -0.000 |
| 79.237 | 289.427 | 79.237 | -0.000 | 0.000 | 0.000 |
| 79.237 | 79.237 | 289.427 | 0.000 | 0.000 | -0.000 |
| 0.000 | -0.000 | 0.000 | 86.042 | 0.000 | 0.000 |
| 0.000 | 0.000 | 0.000 | -0.000 | 86.042 | 0.000 |
| -0.000 | -0.000 | 0.000 | 0.000 | 0.000 | 86.042 |
| 289.427 | 79.237 | 79.236 | 0.000 | -0.000 | -0.000 |
| 79.237 | 289.427 | 79.237 | 0.000 | -0.000 | -0.000 |
| 79.237 | 79.237 | 289.427 | 0.000 | -0.000 | 0.000 |
| -0.000 | 0.000 | -0.000 | 86.042 | -0.000 | -0.000 |
| 0.000 | -0.000 | -0.000 | 0.000 | 86.042 | -0.000 |
| 0.000 | 0.000 | -0.000 | -0.000 | -0.000 | 86.042 |
| 289.427 | 79.237 | 79.237 | -0.000 | -0.000 | -0.000 |
| 79.237 | 289.427 | 79.237 | 0.000 | 0.000 | -0.000 |
| 79.237 | 79.237 | 289.427 | -0.000 | -0.000 | 0.000 |
| 0.000 | 0.000 | 0.000 | 73.505 | -0.000 | 0.000 |
| 0.000 | 0.000 | 0.000 | -0.000 | 73.505 | 0.000 |
| 0.000 | 0.000 | 0.000 | -0.000 | 0.000 | 73.505 |
| 289.427 | 79.237 | 79.237 | -0.000 | 0.000 | -0.000 |
| 79.237 | 289.427 | 79.237 | -0.000 | -0.000 | -0.000 |
| 79.237 | 79.237 | 289.427 | 0.000 | 0.000 | -0.000 |
| -0.000 | -0.000 | -0.000 | 73.505 | 0.000 | 0.000 |
| -0.000 | -0.000 | -0.000 | 0.000 | 73.505 | 0.000 |
| -0.000 | -0.000 | -0.000 | 0.000 | -0.000 | 73.505 |
| 289.428 | 79.237 | 79.237 | -0.000 | 0.000 | -0.000 |
| 79.237 | 289.428 | 79.237 | 0.000 | -0.000 | -0.000 |
| 79.237 | 79.237 | 289.428 | 0.000 | 0.000 | 0.000 |
| 0.000 | 0.000 | 0.000 | 73.505 | 0.000 | -0.000 |
| 0.000 | 0.000 | 0.000 | 0.000 | 73.505 | 0.000 |
| 0.000 | 0.000 | 0.000 | -0.000 | 0.000 | 73.505 |
| 289.426 | 79.236 | 79.236 | 0.000 | -0.000 | 0.000 |
| 79.236 | 289.426 | 79.236 | 0.000 | -0.000 | 0.000 |
| 79.236 | 79.236 | 289.426 | 0.000 | 0.000 | 0.000 |
| -0.000 | -0.000 | -0.000 | 73.505 | 0.000 | -0.000 |
| -0.000 | -0.000 | -0.000 | 0.000 | 73.505 | -0.000 |
| -0.000 | -0.000 | -0.000 | 0.000 | -0.000 | 73.505 |
| 595.563 | 139.192 | 139.192 | -0.000 | -0.000 | -0.000 |
| 139.192 | 595.563 | 139.192 | -0.000 | -0.000 | -0.000 |
| 139.192 | 139.192 | 595.563 | -0.000 | -0.000 | -0.000 |
| -0.000 | -0.000 | -0.000 | 181.872 | -0.000 | -0.000 |
| -0.000 | 0.000 | -0.000 | -0.000 | 181.872 | -0.000 |
| -0.000 | -0.000 | -0.000 | -0.000 | -0.000 | 181.872 |
| 595.563 | 139.192 | 139.193 | 0.000 | 0.000 | 0.000 |
| 139.193 | 595.563 | 139.193 | 0.000 | 0.000 | 0.000 |
| 139.193 | 139.192 | 595.563 | 0.000 | 0.000 | 0.000 |
| 0.000 | 0.000 | 0.000 | 181.872 | 0.000 | 0.000 |
| 0.000 | -0.000 | 0.000 | 0.000 | 181.872 | 0.000 |
| 0.000 | 0.000 | 0.000 | 0.000 | 0.000 | 181.872 |
| 595.563 | 139.193 | 139.193 | -0.000 | -0.000 | -0.000 |
| 139.193 | 595.563 | 139.193 | -0.000 | -0.000 | -0.000 |
| 139.193 | 139.193 | 595.563 | -0.000 | -0.000 | -0.000 |
| 0.000 | 0.000 | 0.000 | 181.872 | -0.000 | -0.000 |
| 0.000 | 0.000 | 0.000 | -0.000 | 181.872 | -0.000 |
| 0.000 | 0.000 | 0.000 | -0.000 | -0.000 | 181.872 |
| 595.563 | 139.192 | 139.192 | 0.000 | 0.000 | 0.000 |
| 139.192 | 595.563 | 139.192 | 0.000 | 0.000 | 0.000 |
| 139.192 | 139.192 | 595.563 | 0.000 | 0.000 | 0.000 |
| -0.000 | -0.000 | -0.000 | 181.872 | 0.000 | 0.000 |
| -0.000 | -0.000 | -0.000 | 0.000 | 181.872 | 0.000 |
| -0.000 | -0.000 | -0.000 | 0.000 | 0.000 | 181.872 |
| 595.565 | 139.193 | 139.193 | -0.000 | -0.000 | -0.000 |
| 139.193 | 595.565 | 139.193 | -0.000 | -0.000 | -0.000 |
| 139.193 | 139.193 | 595.565 | -0.000 | -0.000 | -0.000 |
| 0.000 | -0.000 | -0.000 | -24.307 | -0.000 | -0.000 |
| -0.000 | 0.000 | -0.000 | -0.000 | -24.307 | -0.000 |
| -0.000 | -0.000 | 0.000 | -0.000 | -0.000 | -24.307 |
| 595.561 | 139.191 | 139.191 | 0.000 | 0.000 | 0.000 |
| 139.191 | 595.561 | 139.191 | 0.000 | 0.000 | 0.000 |
| 139.191 | 139.191 | 595.561 | 0.000 | 0.000 | 0.000 |
| -0.000 | 0.000 | 0.000 | -24.307 | 0.000 | 0.000 |
| 0.000 | -0.000 | 0.000 | 0.000 | -24.307 | 0.000 |
| 0.000 | 0.000 | -0.000 | 0.000 | 0.000 | -24.307 |
| 393.581 | 310.949 | 310.949 | 0.000 | -0.000 | 0.000 |
| 310.949 | 393.581 | 310.949 | 0.000 | 0.000 | 0.000 |
| 310.949 | 310.949 | 393.581 | 0.000 | 0.000 | 0.000 |
| 0.000 | 0.000 | 0.000 | 345.524 | 0.000 | 0.000 |
| -0.000 | 0.000 | 0.000 | 0.000 | 345.524 | 0.000 |
| -0.000 | 0.000 | 0.000 | 0.000 | 0.000 | 345.524 |
| 393.581 | 310.949 | 310.949 | -0.000 | 0.000 | -0.000 |
| 310.949 | 393.581 | 310.949 | -0.000 | -0.000 | -0.000 |
| 310.949 | 310.949 | 393.581 | -0.000 | 0.000 | -0.000 |
| -0.000 | -0.000 | -0.000 | 345.524 | -0.000 | -0.000 |
| 0.000 | -0.000 | -0.000 | -0.000 | 345.524 | -0.000 |
| 0.000 | -0.000 | -0.000 | -0.000 | -0.000 | 345.524 |
| 393.582 | 310.949 | 310.949 | 0.000 | 0.000 | -0.000 |
| 310.949 | 393.582 | 310.949 | 0.000 | 0.000 | 0.000 |
| 310.949 | 310.949 | 393.582 | -0.000 | 0.000 | 0.000 |
| -0.000 | -0.000 | -0.000 | 49.160 | 0.000 | 0.000 |
| -0.000 | -0.000 | -0.000 | 0.000 | 49.160 | 0.000 |
| -0.000 | -0.000 | -0.000 | 0.000 | -0.000 | 49.160 |
| 393.581 | 310.949 | 310.949 | -0.000 | -0.000 | -0.000 |
| 310.949 | 393.581 | 310.949 | 0.000 | -0.000 | -0.000 |
| 310.949 | 310.949 | 393.581 | -0.000 | 0.000 | -0.000 |
| 0.000 | 0.000 | 0.000 | 49.160 | -0.000 | -0.000 |
| 0.000 | 0.000 | 0.000 | -0.000 | 49.160 | -0.000 |
| 0.000 | 0.000 | 0.000 | -0.000 | 0.000 | 49.160 |
| 393.583 | 310.951 | 310.951 | 0.000 | 0.000 | 0.000 |
| 310.951 | 393.583 | 310.951 | 0.000 | -0.000 | 0.000 |
| 310.951 | 310.951 | 393.583 | 0.000 | 0.000 | 0.000 |
| -0.000 | -0.000 | -0.000 | 49.160 | -0.000 | -0.000 |
| -0.000 | -0.000 | -0.000 | 0.000 | 49.160 | 0.000 |
| -0.000 | -0.000 | -0.000 | 0.000 | 0.000 | 49.160 |
| 393.580 | 310.948 | 310.948 | -0.000 | -0.000 | -0.000 |
| 310.948 | 393.580 | 310.948 | -0.000 | 0.000 | 0.000 |
| 310.948 | 310.948 | 393.580 | -0.000 | -0.000 | -0.000 |
| 0.000 | 0.000 | 0.000 | 49.160 | 0.000 | -0.000 |
| 0.000 | 0.000 | 0.000 | -0.000 | 49.160 | -0.000 |
| 0.000 | 0.000 | 0.000 | -0.000 | -0.000 | 49.160 |
| 519.220 | 592.146 | -71.898 | 0.000 | 0.000 | 0.000 |
| 592.146 | 519.220 | -71.898 | 0.000 | 0.000 | -0.000 |
| 525.024 | 525.024 | 352.390 | -0.000 | 0.000 | -0.000 |
| 384.063 | 384.064 | -180.417 | 29.628 | -0.000 | -0.000 |
| 384.063 | 384.064 | -180.417 | -0.000 | 29.628 | -0.000 |
| 382.994 | 382.994 | -179.915 | -0.000 | -0.000 | 210.172 |
| 1427758386.355 | 1640233037.771 | 521315783.497 | 1592956.508 | -370743.412 | -1219148.178 |
| 1601786583.925 | 1410853901.401 | 521832532.126 | -2233208.413 | -11821383.217 | 2624707.364 |
| -243.103 | -243.103 | 713.225 | 0.000 | 0.000 | 0.000 |
| -384.063 | -384.064 | 180.417 | 29.628 | -0.000 | 0.000 |
| -384.063 | -384.064 | 180.417 | -0.000 | 29.628 | 0.000 |
| -382.994 | -382.994 | 179.915 | 0.000 | -0.000 | 210.172 |
| -163592601.360 | -142270863.230 | -49753545.093 | 427607.375 | 353261.401 | -128931.277 |
| -139909215.095 | -162888877.710 | -50957429.984 | -448951.470 | 5882.844 | -598441.351 |
| 179.367 | 179.367 | 514.767 | -0.000 | -0.000 | 0.000 |
| 38.407 | 38.407 | -18.042 | 29.628 | -0.000 | -0.000 |
| 38.407 | 38.407 | -18.042 | -0.000 | 29.628 | -0.000 |
| 38.406 | 38.406 | -18.042 | 0.000 | -0.000 | 212.834 |
| 96.153 | 169.079 | 126.842 | 0.000 | 0.000 | -0.000 |
| 169.079 | 96.153 | 126.842 | 0.000 | 0.000 | -0.000 |
| 102.554 | 102.554 | 550.849 | 0.000 | 0.000 | 0.000 |
| -38.407 | -38.407 | 18.042 | 29.628 | 0.000 | -0.000 |
| -38.407 | -38.407 | 18.042 | 0.000 | 29.628 | -0.000 |
| -38.406 | -38.406 | 18.042 | -0.000 | 0.000 | 212.834 |
| -15727218.604 | -15584559.204 | -3695335.238 | 12022.121 | 58137.348 | -24956.382 |
| -15811634.486 | -15842644.903 | -3679381.264 | 104908.587 | 2217.879 | -9842.425 |
| 144.800 | 144.800 | 531.010 | -0.000 | -0.000 | -0.000 |
| 3.841 | 3.841 | -1.804 | 29.628 | 0.000 | 0.000 |
| 3.841 | 3.841 | -1.804 | 0.000 | 29.628 | 0.000 |
| 3.841 | 3.841 | -1.804 | -0.000 | -0.000 | 212.833 |
| 15378510.697 | 16354380.103 | 4558712.420 | 40820.484 | 7582.261 | 10865.067 |
| 16097204.225 | 14743812.861 | 4509405.189 | 35341.042 | 69629.999 | -68441.830 |
| 137.121 | 137.121 | 534.605 | 0.000 | 0.000 | 0.000 |
| -3.841 | -3.841 | 1.804 | 29.628 | -0.000 | -0.000 |
| -3.841 | -3.841 | 1.804 | -0.000 | 29.628 | 0.000 |
| -3.841 | -3.841 | 1.804 | -0.000 | 0.000 | 212.833 |
| 25.191 | 5.007 | 5.007 | 0.000 | 0.000 | 0.000 |
| 5.007 | 25.191 | 5.007 | 0.000 | 0.000 | 0.000 |
| 5.007 | 5.007 | 25.191 | 0.000 | -0.000 | 0.000 |
| 0.000 | 0.000 | 0.000 | -0.128 | -0.000 | 0.000 |
| 0.000 | 0.000 | 0.000 | 0.000 | -0.128 | 0.000 |
| 0.000 | 0.000 | 0.000 | 0.000 | -0.000 | -0.128 |
| 25.191 | 5.007 | 5.007 | -0.000 | 0.000 | -0.000 |
| 5.007 | 25.191 | 5.007 | -0.000 | 0.000 | -0.000 |
| 5.007 | 5.007 | 25.191 | -0.000 | -0.000 | -0.000 |
| 0.000 | -0.000 | -0.000 | -0.128 | 0.000 | -0.000 |
| -0.000 | -0.000 | 0.000 | 0.000 | -0.128 | -0.000 |
| -0.000 | -0.000 | -0.000 | -0.000 | 0.000 | -0.128 |
| 25.191 | 5.007 | 5.007 | 0.000 | 0.000 | 0.000 |
| 5.007 | 25.191 | 5.007 | 0.000 | -0.000 | 0.000 |
| 5.007 | 5.007 | 25.191 | 0.000 | 0.000 | 0.000 |
| -0.000 | 0.000 | 0.000 | -0.128 | -0.000 | 0.000 |
| 0.000 | 0.000 | 0.000 | 0.000 | -0.128 | 0.000 |
| 0.000 | 0.000 | -0.000 | 0.000 | -0.000 | -0.128 |
| 25.191 | 5.007 | 5.007 | -0.000 | 0.000 | -0.000 |
| 5.007 | 25.191 | 5.007 | -0.000 | -0.000 | -0.000 |
| 5.007 | 5.007 | 25.191 | -0.000 | -0.000 | 0.000 |
| 0.000 | -0.000 | -0.000 | -0.128 | 0.000 | -0.000 |
| -0.000 | -0.000 | -0.000 | -0.000 | -0.128 | -0.000 |
| -0.000 | -0.000 | 0.000 | -0.000 | 0.000 | -0.128 |
| 25.191 | 5.007 | 5.007 | 0.000 | 0.000 | 0.000 |
| 5.007 | 25.191 | 5.007 | 0.000 | 0.000 | -0.000 |
| 5.007 | 5.007 | 25.191 | 0.000 | -0.000 | 0.000 |
| -0.000 | 0.000 | 0.000 | -0.128 | 0.000 | 0.000 |
| 0.000 | -0.000 | 0.000 | 0.000 | -0.128 | 0.000 |
| 0.000 | 0.000 | -0.000 | 0.000 | -0.000 | -0.128 |
| 25.191 | 5.007 | 5.007 | -0.000 | -0.000 | -0.000 |
| 5.007 | 25.191 | 5.007 | 0.000 | 0.000 | -0.000 |
| 5.007 | 5.007 | 25.191 | -0.000 | 0.000 | -0.000 |
| 0.000 | -0.000 | -0.000 | -0.128 | -0.000 | -0.000 |
| -0.000 | 0.000 | -0.000 | -0.000 | -0.128 | -0.000 |
| -0.000 | -0.000 | 0.000 | -0.000 | 0.000 | -0.128 |
| 14.571 | 9.604 | 9.604 | 0.000 | 0.000 | 0.000 |
| 9.604 | 14.571 | 9.604 | 0.000 | -0.000 | 0.000 |
| 9.604 | 9.604 | 14.571 | 0.000 | 0.000 | 0.000 |
| -0.000 | -0.000 | -0.000 | 9.604 | 0.000 | 0.000 |
| -0.000 | 0.000 | -0.000 | 0.000 | 9.604 | 0.000 |
| -0.000 | -0.000 | -0.000 | 0.000 | -0.000 | 9.604 |
| 14.571 | 9.604 | 9.604 | -0.000 | -0.000 | -0.000 |
| 9.604 | 14.571 | 9.604 | -0.000 | 0.000 | -0.000 |
| 9.604 | 9.604 | 14.571 | -0.000 | -0.000 | 0.000 |
| 0.000 | 0.000 | 0.000 | 9.604 | -0.000 | -0.000 |
| 0.000 | 0.000 | 0.000 | -0.000 | 9.604 | -0.000 |
| 0.000 | 0.000 | 0.000 | -0.000 | -0.000 | 9.604 |
| 14.571 | 9.604 | 9.604 | 0.000 | -0.000 | 0.000 |
| 9.604 | 14.571 | 9.604 | 0.000 | -0.000 | 0.000 |
| 9.604 | 9.604 | 14.571 | -0.000 | -0.000 | 0.000 |
| 0.000 | -0.000 | -0.000 | 4.714 | 0.000 | 0.000 |
| -0.000 | 0.000 | -0.000 | 0.000 | 4.714 | 0.000 |
| -0.000 | -0.000 | 0.000 | 0.000 | -0.000 | 4.714 |
| 14.571 | 9.604 | 9.604 | -0.000 | 0.000 | -0.000 |
| 9.604 | 14.571 | 9.604 | -0.000 | 0.000 | -0.000 |
| 9.604 | 9.604 | 14.571 | -0.000 | 0.000 | -0.000 |
| -0.000 | 0.000 | 0.000 | 4.714 | 0.000 | -0.000 |
| 0.000 | -0.000 | 0.000 | -0.000 | 4.714 | -0.000 |
| 0.000 | 0.000 | -0.000 | -0.000 | 0.000 | 4.714 |
| 14.571 | 9.604 | 9.604 | 0.000 | -0.000 | 0.000 |
| 9.604 | 14.571 | 9.604 | 0.000 | -0.000 | 0.000 |
| 9.604 | 9.604 | 14.571 | 0.000 | -0.000 | 0.000 |
| 0.000 | -0.000 | -0.000 | 4.714 | 0.000 | 0.000 |
| -0.000 | 0.000 | -0.000 | 0.000 | 4.714 | 0.000 |
| -0.000 | -0.000 | 0.000 | 0.000 | -0.000 | 4.714 |
| 14.571 | 9.604 | 9.604 | -0.000 | 0.000 | -0.000 |
| 9.604 | 14.571 | 9.604 | 0.000 | 0.000 | -0.000 |
| 9.604 | 9.604 | 14.571 | -0.000 | 0.000 | -0.000 |
| -0.000 | 0.000 | 0.000 | 4.714 | -0.000 | -0.000 |
| 0.000 | -0.000 | 0.000 | -0.000 | 4.714 | -0.000 |
| 0.000 | 0.000 | -0.000 | -0.000 | -0.000 | 4.714 |
| 18.332 | 10.244 | 10.244 | -0.000 | -0.000 | -0.000 |
| 10.244 | 18.332 | 10.244 | -0.000 | 0.000 | -0.000 |
| 10.244 | 10.244 | 18.332 | 0.000 | 0.000 | 0.000 |
| -0.000 | -0.000 | 0.000 | 10.244 | 0.000 | 0.000 |
| 0.000 | -0.000 | 0.000 | -0.000 | 10.244 | 0.000 |
| 0.000 | 0.000 | 0.000 | -0.000 | -0.000 | 10.244 |
| 18.332 | 10.244 | 10.244 | 0.000 | 0.000 | -0.000 |
| 10.244 | 18.332 | 10.244 | 0.000 | -0.000 | -0.000 |
| 10.244 | 10.244 | 18.332 | -0.000 | -0.000 | -0.000 |
| 0.000 | -0.000 | -0.000 | 10.244 | -0.000 | -0.000 |
| 0.000 | 0.000 | -0.000 | 0.000 | 10.244 | -0.000 |
| -0.000 | -0.000 | -0.000 | -0.000 | -0.000 | 10.244 |
| 18.332 | 10.244 | 10.244 | -0.000 | 0.000 | -0.000 |
| 10.244 | 18.332 | 10.244 | 0.000 | 0.000 | -0.000 |
| 10.244 | 10.244 | 18.332 | -0.000 | 0.000 | 0.000 |
| -0.000 | 0.000 | 0.000 | 10.244 | -0.000 | 0.000 |
| 0.000 | -0.000 | 0.000 | -0.000 | 10.244 | 0.000 |
| 0.000 | 0.000 | -0.000 | -0.000 | -0.000 | 10.244 |
| 18.332 | 10.244 | 10.244 | 0.000 | 0.000 | -0.000 |
| 10.244 | 18.332 | 10.244 | 0.000 | -0.000 | -0.000 |
| 10.244 | 10.244 | 18.332 | 0.000 | 0.000 | -0.000 |
| 0.000 | -0.000 | -0.000 | 10.244 | 0.000 | -0.000 |
| -0.000 | 0.000 | -0.000 | 0.000 | 10.244 | -0.000 |
| -0.000 | -0.000 | 0.000 | -0.000 | 0.000 | 10.244 |
| 18.332 | 10.244 | 10.244 | -0.000 | -0.000 | 0.000 |
| 10.244 | 18.332 | 10.244 | 0.000 | 0.000 | -0.000 |
| 10.244 | 10.244 | 18.332 | 0.000 | 0.000 | 0.000 |
| -0.000 | 0.000 | 0.000 | 10.244 | 0.000 | -0.000 |
| 0.000 | -0.000 | 0.000 | 0.000 | 10.244 | 0.000 |
| 0.000 | 0.000 | -0.000 | 0.000 | -0.000 | 10.244 |
| 18.332 | 10.244 | 10.244 | 0.000 | 0.000 | -0.000 |
| 10.244 | 18.332 | 10.244 | 0.000 | -0.000 | 0.000 |
| 10.244 | 10.244 | 18.332 | 0.000 | -0.000 | -0.000 |
| 0.000 | -0.000 | -0.000 | 10.244 | -0.000 | -0.000 |
| -0.000 | 0.000 | -0.000 | 0.000 | 10.244 | -0.000 |
| -0.000 | -0.000 | 0.000 | -0.000 | 0.000 | 10.244 |
| 556.404 | 72.867 | 72.866 | 0.000 | -0.000 | 0.000 |
| 72.866 | 556.404 | 72.866 | -0.000 | -0.000 | -0.000 |
| 72.866 | 72.866 | 556.404 | 0.000 | -0.000 | 0.000 |
| 0.000 | 0.000 | -0.000 | 118.439 | -0.000 | 0.000 |
| 0.000 | 0.000 | -0.000 | -0.000 | 118.439 | -0.000 |
| -0.000 | 0.000 | -0.000 | -0.000 | -0.000 | 118.439 |
| 556.404 | 72.866 | 72.866 | 0.000 | 0.000 | -0.000 |
| 72.867 | 556.404 | 72.866 | 0.000 | 0.000 | -0.000 |
| 72.866 | 72.866 | 556.404 | -0.000 | 0.000 | -0.000 |
| 0.000 | -0.000 | 0.000 | 118.439 | 0.000 | -0.000 |
| -0.000 | -0.000 | 0.000 | 0.000 | 118.439 | -0.000 |
| -0.000 | -0.000 | 0.000 | 0.000 | 0.000 | 118.439 |
| 543.950 | 79.093 | 79.093 | -0.000 | -0.000 | -0.000 |
| 79.093 | 543.950 | 79.093 | -0.000 | -0.000 | -0.000 |
| 79.093 | 79.093 | 543.950 | 0.000 | -0.000 | 0.000 |
| 0.000 | -0.000 | -0.000 | 118.439 | -0.000 | -0.000 |
| -0.000 | 0.000 | -0.000 | 0.000 | 118.439 | 0.000 |
| -0.000 | -0.000 | 0.000 | -0.000 | -0.000 | 118.439 |
| 543.950 | 79.093 | 79.093 | 0.000 | 0.000 | 0.000 |
| 79.093 | 543.950 | 79.093 | 0.000 | 0.000 | -0.000 |
| 79.093 | 79.093 | 543.950 | 0.000 | 0.000 | -0.000 |
| -0.000 | 0.000 | 0.000 | 118.439 | 0.000 | -0.000 |
| 0.000 | -0.000 | 0.000 | -0.000 | 118.439 | -0.000 |
| 0.000 | 0.000 | -0.000 | 0.000 | 0.000 | 118.439 |
| 543.953 | 79.094 | 79.094 | 0.000 | -0.000 | 0.000 |
| 79.094 | 543.953 | 79.094 | -0.000 | 0.000 | 0.000 |
| 79.094 | 79.094 | 543.953 | 0.000 | -0.000 | 0.000 |
| 0.000 | -0.000 | -0.000 | 118.439 | -0.000 | -0.000 |
| -0.000 | 0.000 | -0.000 | 0.000 | 118.439 | 0.000 |
| -0.000 | -0.000 | 0.000 | -0.000 | -0.000 | 118.439 |
| 543.947 | 79.093 | 79.093 | -0.000 | 0.000 | -0.000 |
| 79.093 | 543.947 | 79.093 | 0.000 | -0.000 | -0.000 |
| 79.093 | 79.093 | 543.947 | 0.000 | 0.000 | 0.000 |
| -0.000 | 0.000 | 0.000 | 118.439 | 0.000 | -0.000 |
| 0.000 | -0.000 | 0.000 | 0.000 | 118.439 | -0.000 |
| 0.000 | 0.000 | -0.000 | 0.000 | 0.000 | 118.439 |
| 321.674 | 260.806 | 260.806 | 0.000 | -0.000 | 0.000 |
| 260.806 | 321.674 | 260.806 | 0.000 | 0.000 | 0.000 |
| 260.806 | 260.806 | 321.674 | -0.000 | -0.000 | 0.000 |
| 0.000 | 0.000 | 0.000 | 341.524 | -0.000 | 0.000 |
| -0.000 | 0.000 | 0.000 | -0.000 | 341.524 | -0.000 |
| 0.000 | 0.000 | 0.000 | -0.000 | -0.000 | 341.524 |
| 321.674 | 260.806 | 260.806 | -0.000 | 0.000 | 0.000 |
| 260.806 | 321.674 | 260.805 | -0.000 | 0.000 | -0.000 |
| 260.806 | 260.806 | 321.674 | 0.000 | 0.000 | -0.000 |
| -0.000 | -0.000 | -0.000 | 341.524 | 0.000 | 0.000 |
| -0.000 | -0.000 | -0.000 | 0.000 | 341.524 | 0.000 |
| -0.000 | -0.000 | -0.000 | 0.000 | 0.000 | 341.524 |
| 321.675 | 260.806 | 260.806 | -0.000 | 0.000 | -0.000 |
| 260.806 | 321.675 | 260.806 | -0.000 | -0.000 | 0.000 |
| 260.806 | 260.806 | 321.675 | 0.000 | -0.000 | -0.000 |
| 0.000 | 0.000 | 0.000 | 341.524 | -0.000 | -0.000 |
| 0.000 | 0.000 | 0.000 | -0.000 | 341.524 | -0.000 |
| 0.000 | 0.000 | 0.000 | -0.000 | -0.000 | 341.524 |
| 321.674 | 260.805 | 260.805 | -0.000 | 0.000 | 0.000 |
| 260.805 | 321.674 | 260.805 | 0.000 | 0.000 | -0.000 |
| 260.805 | 260.805 | 321.674 | -0.000 | 0.000 | 0.000 |
| -0.000 | -0.000 | -0.000 | 341.524 | 0.000 | -0.000 |
| -0.000 | -0.000 | -0.000 | 0.000 | 341.524 | 0.000 |
| -0.000 | -0.000 | -0.000 | 0.000 | 0.000 | 341.524 |
| 321.676 | 260.806 | 260.806 | 0.000 | 0.000 | -0.000 |
| 260.806 | 321.676 | 260.806 | -0.000 | -0.000 | 0.000 |
| 260.806 | 260.806 | 321.676 | -0.000 | -0.000 | -0.000 |
| 0.000 | -0.000 | 0.001 | 300.612 | -0.000 | -0.000 |
| -0.000 | 0.000 | 0.001 | 0.000 | 300.612 | 0.000 |
| -0.000 | 0.001 | 0.000 | 0.000 | -0.000 | 300.612 |
| 321.673 | 260.805 | 260.805 | -0.000 | -0.000 | -0.000 |
| 260.805 | 321.673 | 260.805 | -0.000 | 0.000 | -0.000 |
| 260.805 | 260.805 | 321.673 | 0.000 | 0.000 | -0.000 |
| -0.000 | 0.000 | -0.001 | 300.612 | 0.000 | -0.000 |
| 0.000 | -0.000 | -0.001 | 0.000 | 300.612 | 0.000 |
| 0.000 | -0.001 | -0.000 | -0.000 | 0.000 | 300.612 |
| 425.743 | 108.544 | 108.544 | -0.000 | -0.000 | -0.000 |
| 108.544 | 425.743 | 108.544 | 0.000 | -0.000 | -0.000 |
| 108.544 | 108.544 | 425.743 | -0.000 | -0.000 | -0.000 |
| -0.000 | -0.000 | 0.000 | 176.503 | -0.000 | -0.000 |
| -0.000 | 0.000 | 0.000 | 0.000 | 176.503 | -0.000 |
| -0.000 | 0.000 | -0.000 | -0.000 | -0.000 | 176.503 |
| 425.743 | 108.544 | 108.544 | 0.000 | 0.000 | 0.000 |
| 108.544 | 425.743 | 108.544 | 0.000 | 0.000 | 0.000 |
| 108.544 | 108.544 | 425.743 | -0.000 | -0.000 | 0.000 |
| 0.000 | -0.000 | -0.000 | 176.503 | 0.000 | 0.000 |
| -0.000 | -0.000 | -0.000 | 0.000 | 176.503 | 0.000 |
| -0.000 | -0.000 | 0.000 | 0.000 | 0.000 | 176.503 |
| 425.743 | 108.544 | 108.544 | -0.000 | -0.000 | -0.000 |
| 108.544 | 425.743 | 108.544 | -0.000 | -0.000 | -0.000 |
| 108.544 | 108.544 | 425.743 | 0.000 | -0.000 | -0.000 |
| -0.000 | 0.000 | 0.000 | 176.503 | -0.000 | -0.000 |
| 0.000 | -0.000 | 0.000 | -0.000 | 176.503 | -0.000 |
| 0.000 | 0.000 | -0.000 | -0.000 | -0.000 | 176.503 |
| 425.743 | 108.543 | 108.543 | -0.000 | 0.000 | 0.000 |
| 108.543 | 425.743 | 108.543 | -0.000 | 0.000 | -0.000 |
| 108.543 | 108.543 | 425.743 | 0.000 | 0.000 | 0.000 |
| 0.000 | -0.000 | -0.000 | 176.503 | 0.000 | 0.000 |
| -0.000 | 0.000 | -0.000 | 0.000 | 176.503 | 0.000 |
| -0.000 | -0.000 | 0.000 | 0.000 | 0.000 | 176.503 |
| 425.744 | 108.544 | 108.544 | 0.000 | -0.000 | -0.000 |
| 108.544 | 425.744 | 108.544 | -0.000 | -0.000 | -0.000 |
| 108.544 | 108.544 | 425.744 | 0.000 | -0.000 | -0.000 |
| -0.000 | 0.000 | 0.001 | 176.503 | -0.000 | -0.000 |
| 0.000 | -0.000 | 0.001 | -0.000 | 176.503 | -0.000 |
| 0.000 | 0.001 | -0.000 | -0.000 | -0.000 | 176.503 |
| 425.742 | 108.543 | 108.543 | 0.000 | 0.000 | 0.000 |
| 108.543 | 425.742 | 108.543 | -0.000 | 0.000 | 0.000 |
| 108.543 | 108.543 | 425.742 | -0.000 | 0.000 | 0.000 |
| 0.000 | -0.000 | -0.001 | 176.503 | 0.000 | -0.000 |
| -0.000 | 0.000 | -0.001 | 0.000 | 176.503 | 0.000 |
| -0.000 | -0.001 | 0.000 | 0.000 | 0.000 | 176.503 |
| 196.708 | -218.390 | 11.570 | 0.000 | 0.000 | 0.000 |
| 19.359 | 183.076 | 47.074 | -0.000 | 0.000 | 0.000 |
| 2.935 | -213.318 | 424.985 | 0.000 | -0.000 | 0.000 |
| -26.252 | -230.853 | -39.106 | 72.973 | 0.000 | 0.000 |
| -32.891 | -155.784 | -140.650 | 0.000 | 88.640 | 0.000 |
| -32.893 | -155.792 | -140.657 | 0.000 | 0.000 | 116.870 |
| 223.160 | 13.668 | 51.352 | -0.000 | 0.000 | -0.000 |
| 51.223 | 426.901 | 119.525 | -0.000 | -0.000 | -0.000 |
| 58.182 | 165.321 | 580.906 | 0.000 | 0.000 | -0.000 |
| 26.252 | 230.853 | 39.106 | 72.973 | -0.000 | -0.000 |
| 32.891 | 155.784 | 140.650 | 0.000 | 88.640 | -0.000 |
| 32.893 | 155.792 | 140.657 | -0.000 | 0.000 | 116.870 |
| 223.160 | 13.668 | 51.352 | -0.000 | 0.000 | 0.000 |
| 19.359 | 183.076 | 47.074 | 0.000 | 0.000 | 0.000 |
| 26.138 | -6.457 | 457.613 | 0.000 | 0.000 | 0.000 |
| 0.000 | 0.000 | 0.000 | 97.121 | 0.000 | 0.000 |
| -2.572 | -22.706 | -3.771 | -0.000 | 82.405 | 0.000 |
| 0.000 | 0.000 | 0.000 | 0.000 | 0.000 | 117.608 |
| 226.109 | 37.453 | 57.223 | 0.000 | -0.000 | -0.000 |
| 20.378 | 190.195 | 49.855 | 0.000 | -0.000 | -0.000 |
| 28.412 | 24.144 | 453.718 | -0.000 | 0.000 | -0.000 |
| -0.000 | -0.000 | -0.000 | 97.121 | -0.000 | -0.000 |
| 2.572 | 22.706 | 3.771 | 0.000 | 82.405 | -0.000 |
| -0.000 | -0.000 | -0.000 | 0.000 | 0.000 | 117.608 |
| 223.161 | 13.668 | 51.353 | 0.000 | 0.000 | 0.000 |
| 17.687 | 171.997 | 42.091 | 0.000 | 0.000 | 0.000 |
| 29.877 | 19.907 | 467.655 | 0.000 | 0.000 | 0.000 |
| -0.281 | -1.331 | -1.202 | 83.856 | -0.000 | 0.000 |
| -0.274 | -1.299 | -1.172 | 0.000 | 90.812 | 0.000 |
| -0.315 | -2.531 | -0.638 | -0.000 | 0.000 | 116.466 |
| 223.158 | 13.667 | 51.352 | 0.000 | -0.000 | -0.000 |
| 17.985 | 178.174 | 40.094 | -0.000 | -0.000 | -0.000 |
| 28.079 | 15.960 | 456.832 | 0.000 | -0.000 | -0.000 |
| 0.281 | 1.331 | 1.202 | 83.856 | -0.000 | -0.000 |
| 0.274 | 1.299 | 1.172 | 0.000 | 90.812 | -0.000 |
| 0.315 | 2.531 | 0.638 | -0.000 | -0.000 | 116.466 |
| 80.560 | 34.415 | 34.415 | 0.000 | 0.000 | -0.000 |
| 34.415 | 80.560 | 34.415 | 0.000 | 0.000 | -0.000 |
| 34.415 | 34.415 | 80.560 | 0.000 | -0.000 | 0.000 |
| 0.000 | 0.000 | 0.000 | 29.655 | -0.000 | -0.000 |
| 0.000 | 0.000 | 0.000 | 0.000 | 29.655 | 0.000 |
| 0.000 | 0.000 | 0.000 | 0.000 | 0.000 | 29.655 |
| 80.560 | 34.415 | 34.415 | -0.000 | 0.000 | -0.000 |
| 34.415 | 80.560 | 34.415 | -0.000 | -0.000 | 0.000 |
| 34.415 | 34.415 | 80.560 | -0.000 | -0.000 | 0.000 |
| -0.000 | -0.000 | 0.000 | 29.655 | 0.000 | -0.000 |
| -0.000 | -0.000 | -0.000 | -0.000 | 29.655 | -0.000 |
| 0.000 | -0.000 | 0.000 | -0.000 | 0.000 | 29.655 |
| 80.560 | 34.415 | 34.415 | 0.000 | 0.000 | -0.000 |
| 34.415 | 80.560 | 34.415 | 0.000 | -0.000 | 0.000 |
| 34.415 | 34.415 | 80.560 | 0.000 | 0.000 | 0.000 |
| 108308980.339 | 105619672.877 | 107667845.003 | -53020.896 | 303487.544 | -227398.261 |
| 106528726.616 | 106462242.101 | 107341808.841 | 837641.059 | -1578162.435 | -325528.544 |
| -0.021 | -0.005 | 0.018 | 0.000 | 0.000 | -4586.025 |
| 80.559 | 34.415 | 34.415 | -0.000 | -0.000 | -0.000 |
| 34.415 | 80.559 | 34.415 | -0.000 | 0.000 | 0.000 |
| 34.415 | 34.415 | 80.559 | -0.000 | -0.000 | -0.000 |
| -109612254.569 | -106865213.533 | -108613495.223 | 401334.036 | -529902.930 | 324439.239 |
| 0.021 | -0.021 | 0.007 | -0.000 | -4586.026 | -0.000 |
| 0.021 | 0.006 | -0.020 | -0.000 | -0.000 | -4586.025 |
| 80.560 | 34.415 | 34.415 | 0.000 | 0.000 | 0.000 |
| 34.415 | 80.560 | 34.415 | 0.000 | -0.000 | -0.000 |
| 34.415 | 34.415 | 80.560 | 0.000 | -0.000 | 0.000 |
| 0.663 | -0.362 | -0.373 | -4587.685 | -0.000 | 0.000 |
| -0.362 | 0.663 | -0.373 | 0.000 | -4587.684 | -0.000 |
| -0.362 | -0.373 | 0.663 | 0.000 | 0.000 | -4587.685 |
| 80.559 | 34.415 | 34.415 | -0.000 | -0.000 | -0.000 |
| 34.415 | 80.559 | 34.415 | -0.000 | -0.000 | -0.000 |
| 34.415 | 34.415 | 80.559 | -0.000 | -0.000 | -0.000 |
| -0.663 | 0.362 | 0.373 | -4587.686 | -0.000 | -0.000 |
| 0.362 | -0.663 | 0.373 | -0.000 | -4587.684 | -0.000 |
| 0.362 | 0.373 | -0.663 | -0.000 | -0.000 | -4587.685 |
| 6.058 | -2.388 | -2.388 | 0.000 | 0.000 | -0.000 |
| -2.388 | 6.058 | -2.388 | 0.000 | 0.000 | -0.000 |
| -2.388 | -2.388 | 6.058 | 0.000 | 0.000 | -0.000 |
| -0.000 | -0.000 | -0.000 | -25.926 | 0.000 | -0.000 |
| -0.000 | -0.000 | -0.000 | 0.000 | -25.926 | -0.000 |
| -0.000 | -0.000 | 0.000 | 0.000 | 0.000 | -25.926 |
| 6.058 | -2.388 | -2.388 | 0.000 | -0.000 | 0.000 |
| -2.388 | 6.058 | -2.388 | -0.000 | -0.000 | 0.000 |
| -2.388 | -2.388 | 6.058 | -0.000 | -0.000 | 0.000 |
| 0.000 | 0.000 | 0.000 | -25.926 | -0.000 | -0.000 |
| 0.000 | 0.000 | 0.000 | -0.000 | -25.926 | -0.000 |
| 0.000 | 0.000 | -0.000 | -0.000 | -0.000 | -25.926 |
| 6.058 | -2.388 | -2.388 | 0.000 | 0.000 | -0.000 |
| -2.388 | 6.058 | -2.388 | 0.000 | 0.000 | 0.000 |
| -2.388 | -2.388 | 6.058 | 0.000 | 0.000 | -0.000 |
| -0.000 | -0.000 | -0.000 | -2.870 | 0.000 | 0.000 |
| -0.000 | -0.000 | -0.000 | -0.000 | -2.870 | -0.000 |
| -0.000 | -0.000 | -0.000 | -0.000 | 0.000 | -2.870 |
| 6.058 | -2.388 | -2.388 | -0.000 | -0.000 | 0.000 |
| -2.388 | 6.058 | -2.388 | -0.000 | -0.000 | -0.000 |
| -2.388 | -2.388 | 6.058 | 0.000 | -0.000 | 0.000 |
| 0.000 | 0.000 | 0.000 | -2.870 | -0.000 | -0.000 |
| 0.000 | 0.000 | 0.000 | -0.000 | -2.870 | 0.000 |
| 0.000 | 0.000 | 0.000 | 0.000 | -0.000 | -2.870 |
| 6.058 | -2.388 | -2.388 | 0.000 | 0.000 | 0.000 |
| -2.388 | 6.058 | -2.388 | -0.000 | 0.000 | -0.000 |
| -2.388 | -2.388 | 6.058 | -0.000 | 0.000 | -0.000 |
| -1958074.758 | -1937579.688 | -1872454.466 | 518.055 | 18256.073 | 32110.565 |
| -1979735.946 | -1974863.321 | -1906842.764 | 4082.979 | -19774.466 | 4742.558 |
| -1940637.578 | -1937702.233 | -1992999.708 | 8490.730 | 25639.483 | -13108.199 |
| 6.058 | -2.388 | -2.388 | -0.000 | -0.000 | 0.000 |
| -2.388 | 6.058 | -2.388 | -0.000 | -0.000 | -0.000 |
| -2.388 | -2.388 | 6.058 | -0.000 | -0.000 | 0.000 |
| 1958990.526 | 2009875.338 | 1982679.378 | -10998.142 | 5939.347 | -1422.354 |
| 1970017.786 | 1988820.207 | 1913599.562 | -29341.476 | 18992.763 | -3806.772 |
| 1917753.188 | 1895562.394 | 1856019.747 | 24473.840 | 5369.968 | 13665.612 |
| 10.961 | 0.692 | 0.692 | -0.000 | -0.000 | -0.000 |
| 0.692 | 10.961 | 0.692 | -0.000 | -0.000 | -0.000 |
| 0.692 | 0.692 | 10.961 | -0.000 | -0.000 | -0.000 |
| -0.000 | -0.000 | -0.000 | -5.023 | -0.000 | -0.000 |
| -0.000 | -0.000 | 0.000 | -0.000 | -5.023 | -0.000 |
| -0.000 | -0.000 | 0.000 | -0.000 | -0.000 | -5.023 |
| 10.961 | 0.692 | 0.692 | 0.000 | 0.000 | 0.000 |
| 0.692 | 10.961 | 0.692 | 0.000 | 0.000 | 0.000 |
| 0.692 | 0.692 | 10.961 | 0.000 | -0.000 | 0.000 |
| 0.000 | 0.000 | 0.000 | -5.023 | 0.000 | 0.000 |
| 0.000 | 0.000 | -0.000 | 0.000 | -5.023 | 0.000 |
| 0.000 | 0.000 | -0.000 | 0.000 | 0.000 | -5.023 |
| 10.961 | 0.692 | 0.692 | -0.000 | -0.000 | -0.000 |
| 0.692 | 10.961 | 0.692 | -0.000 | -0.000 | -0.000 |
| 0.692 | 0.692 | 10.961 | -0.000 | -0.000 | -0.000 |
| 0.000 | -0.000 | -0.000 | -5.023 | -0.000 | -0.000 |
| -0.000 | 0.000 | -0.000 | -0.000 | -5.023 | -0.000 |
| -0.000 | -0.000 | 0.000 | -0.000 | -0.000 | -5.023 |
| 10.961 | 0.692 | 0.692 | 0.000 | 0.000 | 0.000 |
| 0.692 | 10.961 | 0.692 | 0.000 | 0.000 | 0.000 |
| 0.692 | 0.692 | 10.961 | 0.000 | 0.000 | 0.000 |
| -0.000 | 0.000 | 0.000 | -5.023 | 0.000 | 0.000 |
| 0.000 | -0.000 | 0.000 | 0.000 | -5.023 | 0.000 |
| 0.000 | 0.000 | -0.000 | 0.000 | 0.000 | -5.023 |
| 10.961 | 0.692 | 0.692 | -0.000 | -0.000 | -0.000 |
| 0.692 | 10.961 | 0.692 | -0.000 | -0.000 | -0.000 |
| 0.692 | 0.692 | 10.961 | -0.000 | -0.000 | -0.000 |
| 0.000 | -0.000 | -0.000 | -17.853 | -0.000 | 0.000 |
| -0.000 | 0.000 | -0.000 | -0.000 | -17.853 | -0.000 |
| -0.000 | -0.000 | 0.000 | -0.000 | -0.000 | -17.853 |
| 10.961 | 0.692 | 0.692 | 0.000 | 0.000 | 0.000 |
| 0.692 | 10.961 | 0.692 | 0.000 | 0.000 | 0.000 |
| 0.692 | 0.692 | 10.961 | 0.000 | 0.000 | 0.000 |
| -0.000 | 0.000 | 0.000 | -17.853 | 0.000 | 0.000 |
| 0.000 | -0.000 | 0.000 | 0.000 | -17.853 | 0.000 |
| 0.000 | 0.000 | -0.000 | 0.000 | 0.000 | -17.853 |
| 66.176 | 37.218 | 37.218 | -0.000 | 0.000 | -0.000 |
| 37.218 | 66.176 | 37.218 | -0.000 | -0.000 | -0.000 |
| 37.218 | 37.218 | 66.176 | 0.000 | 0.000 | 0.000 |
| 0.000 | 0.000 | -0.000 | -155.512 | 0.000 | 0.000 |
| 0.000 | 0.000 | -0.000 | -0.000 | -155.512 | 0.000 |
| 0.000 | -0.000 | 0.000 | 0.000 | 0.000 | -155.512 |
| 66.176 | 37.218 | 37.218 | -0.000 | -0.000 | 0.000 |
| 37.218 | 66.176 | 37.218 | 0.000 | -0.000 | -0.000 |
| 37.218 | 37.218 | 66.176 | 0.000 | -0.000 | 0.000 |
| -0.000 | -0.000 | 0.000 | -155.512 | -0.000 | 0.000 |
| -0.000 | -0.000 | 0.000 | 0.000 | -155.512 | -0.000 |
| -0.000 | 0.000 | -0.000 | 0.000 | -0.000 | -155.512 |
| 66.176 | 37.218 | 37.218 | 0.000 | 0.000 | 0.000 |
| 37.218 | 66.176 | 37.218 | -0.000 | 0.000 | -0.000 |
| 37.218 | 37.218 | 66.176 | -0.000 | 0.000 | 0.000 |
| 0.000 | 0.000 | 0.000 | 40.056 | 0.000 | 0.000 |
| 0.000 | 0.000 | 0.000 | 0.000 | 40.056 | -0.000 |
| 0.000 | 0.000 | 0.000 | 0.000 | 0.000 | 40.056 |
| 66.176 | 37.218 | 37.218 | 0.000 | -0.000 | -0.000 |
| 37.218 | 66.176 | 37.218 | 0.000 | 0.000 | -0.000 |
| 37.218 | 37.218 | 66.176 | 0.000 | 0.000 | -0.000 |
| -0.000 | -0.000 | -0.000 | 40.056 | -0.000 | 0.000 |
| -0.000 | -0.000 | -0.000 | 0.000 | 40.056 | 0.000 |
| -0.000 | -0.000 | -0.000 | -0.000 | -0.000 | 40.056 |
| 66.176 | 37.218 | 37.218 | 0.000 | 0.000 | 0.000 |
| 37.218 | 66.176 | 37.218 | 0.000 | 0.000 | 0.000 |
| 37.218 | 37.218 | 66.176 | -0.000 | 0.000 | -0.000 |
| 0.001 | 0.000 | -0.000 | -155.512 | 0.000 | -0.000 |
| 0.000 | 0.001 | -0.000 | 0.000 | -155.512 | -0.000 |
| 0.000 | -0.000 | 0.001 | -0.000 | 0.000 | -155.512 |
| 66.175 | 37.218 | 37.218 | 0.000 | -0.000 | -0.000 |
| 37.218 | 66.175 | 37.218 | 0.000 | 0.000 | 0.000 |
| 37.218 | 37.218 | 66.175 | -0.000 | -0.000 | -0.000 |
| -0.001 | -0.000 | 0.000 | -155.512 | -0.000 | 0.000 |
| -0.000 | -0.001 | 0.000 | 0.000 | -155.512 | 0.000 |
| -0.000 | 0.000 | -0.001 | 0.000 | -0.000 | -155.512 |
| 52.620 | 7.513 | 7.513 | 0.000 | 0.000 | -0.000 |
| 7.513 | 52.620 | 7.513 | 0.000 | 0.000 | -0.000 |
| 7.513 | 7.513 | 52.620 | -0.000 | -0.000 | -0.000 |
| -0.000 | 0.000 | -0.000 | 9.521 | 0.000 | -0.000 |
| -0.000 | -0.000 | -0.000 | 0.000 | 9.521 | -0.000 |
| -0.000 | -0.000 | -0.000 | -0.000 | -0.000 | 9.521 |
| 52.620 | 7.513 | 7.513 | -0.000 | -0.000 | 0.000 |
| 7.513 | 52.620 | 7.513 | -0.000 | -0.000 | 0.000 |
| 7.513 | 7.513 | 52.620 | -0.000 | -0.000 | -0.000 |
| 0.000 | 0.000 | 0.000 | 9.521 | 0.000 | 0.000 |
| 0.000 | 0.000 | 0.000 | 0.000 | 9.521 | 0.000 |
| 0.000 | 0.000 | 0.000 | 0.000 | 0.000 | 9.521 |
| 52.620 | 7.513 | 7.513 | -0.000 | 0.000 | -0.000 |
| 7.513 | 52.620 | 7.513 | -0.000 | -0.000 | -0.000 |
| 7.513 | 7.513 | 52.620 | -0.000 | -0.000 | -0.000 |
| 0.000 | 0.000 | 0.000 | 9.521 | 0.000 | -0.000 |
| 0.000 | 0.000 | 0.000 | 0.000 | 9.521 | -0.000 |
| 0.000 | 0.000 | 0.000 | 0.000 | -0.000 | 9.521 |
| 52.620 | 7.513 | 7.513 | -0.000 | -0.000 | 0.000 |
| 7.513 | 52.620 | 7.513 | -0.000 | -0.000 | -0.000 |
| 7.513 | 7.513 | 52.620 | -0.000 | -0.000 | -0.000 |
| -0.000 | -0.000 | -0.000 | 9.521 | -0.000 | -0.000 |
| -0.000 | -0.000 | -0.000 | -0.000 | 9.521 | 0.000 |
| -0.000 | -0.000 | -0.000 | -0.000 | 0.000 | 9.521 |
| 52.620 | 7.513 | 7.513 | 0.000 | 0.000 | -0.000 |
| 7.513 | 52.620 | 7.513 | 0.000 | 0.000 | 0.000 |
| 7.513 | 7.513 | 52.620 | -0.000 | -0.000 | -0.000 |
| 0.000 | 0.000 | 0.000 | 9.521 | 0.000 | 0.000 |
| 0.000 | 0.000 | 0.000 | 0.000 | 9.521 | -0.000 |
| 0.000 | 0.000 | 0.000 | 0.000 | -0.000 | 9.521 |
| 52.620 | 7.513 | 7.513 | -0.000 | -0.000 | 0.000 |
| 7.513 | 52.620 | 7.513 | -0.000 | 0.000 | 0.000 |
| 7.513 | 7.513 | 52.620 | 0.000 | 0.000 | 0.000 |
| -0.000 | -0.000 | -0.000 | 9.521 | -0.000 | 0.000 |
| -0.000 | -0.000 | -0.000 | -0.000 | 9.521 | 0.000 |
| -0.000 | -0.000 | -0.000 | -0.000 | -0.000 | 9.521 |
| 86.566 | 50.219 | -34.789 | -0.000 | 0.000 | 0.000 |
| 26.687 | 70.463 | 3.989 | 0.000 | -0.000 | -0.000 |
| 75.838 | 75.838 | -84.875 | -0.000 | 0.000 | 0.000 |
| 39.713 | 39.713 | -77.710 | 7.359 | 0.000 | -0.000 |
| 0.000 | -0.000 | -0.000 | -0.000 | 36.666 | 0.000 |
| -0.000 | -0.000 | -0.000 | -0.000 | 0.000 | 21.888 |
| 70.463 | 26.687 | 3.989 | 0.000 | 0.000 | -0.000 |
| 26.687 | 70.463 | 3.989 | -0.000 | -0.000 | -0.000 |
| 15.588 | 15.588 | 33.021 | -0.000 | -0.000 | -0.000 |
| -39.713 | -39.713 | 77.710 | 7.359 | -0.000 | -0.000 |
| -0.000 | 0.000 | 0.000 | 0.000 | 36.666 | -0.000 |
| -0.000 | 0.000 | -0.000 | 0.000 | 0.000 | 21.888 |
| 40.739 | 39.101 | 20.925 | -0.000 | -0.000 | 0.000 |
| 19.994 | 54.830 | 25.832 | -0.000 | 0.000 | -0.000 |
| 22.904 | 22.904 | 18.706 | -0.000 | 0.000 | 0.000 |
| 59161052.115 | 14154250.077 | 182381053.595 | 442730.673 | 311149.736 | 267526.707 |
| 19086996.825 | 20482381.385 | 208772364.770 | 2105217.459 | -880180.721 | 2577145.831 |
| 6.347 | 6.347 | -12.419 | 0.000 | 0.000 | 14.595 |
| 70.463 | 26.687 | 3.989 | -0.000 | 0.000 | -0.000 |
| 14.212 | 50.282 | 35.940 | -0.000 | 0.000 | -0.000 |
| 42.701 | 42.701 | -20.032 | -0.000 | 0.000 | -0.000 |
| -56602873.815 | -14943241.342 | -185197998.926 | 690718.765 | 116307.019 | 217024.621 |
| -19047580.758 | -21081279.160 | -209761414.234 | -2746365.127 | -1062797.546 | 2815586.759 |
| -6.347 | -6.347 | 12.419 | -0.000 | -0.000 | 14.595 |
| 70.463 | 26.687 | 3.989 | -0.000 | 0.000 | 0.000 |
| 30.101 | 45.840 | 24.740 | -0.000 | 0.000 | 0.000 |
| 46.017 | 46.017 | -26.520 | -0.000 | 0.000 | -0.000 |
| 6079594.262 | 1559811.320 | 18076036.690 | 87076.414 | 26772.006 | -35286.356 |
| 1717370.493 | 1943046.852 | 20741724.371 | 173707.124 | -102101.662 | 234542.158 |
| 0.000 | 0.000 | 0.000 | -0.000 | 0.000 | 21.888 |
| 52.500 | 16.789 | 31.248 | 0.000 | -0.000 | -0.000 |
| 35.790 | 37.428 | 27.404 | 0.000 | -0.000 | -0.000 |
| 45.412 | 45.412 | -25.338 | -0.000 | -0.000 | -0.000 |
| -6150844.321 | -1681619.033 | -18069945.564 | 66187.976 | 21239.933 | 25982.370 |
| -1667944.147 | -1956407.784 | -20826057.791 | -207475.036 | -84101.348 | 299404.519 |
| -0.000 | -0.000 | -0.000 | 0.000 | -0.000 | 21.888 |
| 204.353 | 54.676 | 54.676 | 0.000 | 0.000 | 0.000 |
| 54.676 | 204.353 | 54.676 | 0.000 | 0.000 | -0.000 |
| 54.676 | 54.676 | 204.353 | 0.000 | 0.000 | 0.000 |
| -0.000 | 0.000 | 0.000 | -116.231 | 0.000 | 0.000 |
| -0.000 | 0.000 | 0.000 | 0.000 | -116.231 | 0.000 |
| -0.000 | -0.000 | 0.000 | 0.000 | -0.000 | -116.231 |
| 215.057 | 49.324 | 49.324 | -0.000 | -0.000 | -0.000 |
| 49.324 | 215.057 | 49.324 | -0.000 | -0.000 | -0.000 |
| 49.324 | 49.324 | 215.057 | -0.000 | -0.000 | -0.000 |
| 0.000 | -0.000 | -0.000 | -116.231 | -0.000 | -0.000 |
| 0.000 | -0.000 | 0.000 | -0.000 | -116.231 | -0.000 |
| 0.000 | 0.000 | -0.000 | -0.000 | -0.000 | -116.231 |
| 204.353 | 54.676 | 54.676 | 0.000 | 0.000 | 0.000 |
| 54.676 | 204.353 | 54.676 | 0.000 | 0.000 | 0.000 |
| 54.676 | 54.676 | 204.353 | 0.000 | 0.000 | 0.000 |
| 0.000 | -0.000 | 0.000 | 53.194 | 0.000 | -0.000 |
| -0.000 | 0.000 | 0.000 | 0.000 | 53.194 | 0.000 |
| -0.000 | 0.000 | 0.000 | 0.000 | 0.000 | 53.194 |
| 204.353 | 54.676 | 54.676 | -0.000 | -0.000 | -0.000 |
| 54.676 | 204.353 | 54.676 | -0.000 | 0.000 | 0.000 |
| 54.676 | 54.676 | 204.353 | -0.000 | -0.000 | -0.000 |
| -0.000 | 0.000 | -0.000 | 53.194 | -0.000 | -0.000 |
| 0.000 | -0.000 | -0.000 | -0.000 | 53.194 | -0.000 |
| 0.000 | -0.000 | -0.000 | -0.000 | -0.000 | 53.194 |
| 204.354 | 54.676 | 54.676 | 0.000 | -0.000 | 0.000 |
| 54.676 | 204.354 | 54.676 | -0.000 | 0.000 | 0.000 |
| 54.676 | 54.676 | 204.354 | 0.000 | 0.000 | 0.000 |
| 0.001 | 0.000 | 0.000 | -116.231 | 0.000 | 0.000 |
| 0.000 | 0.001 | 0.000 | 0.000 | -116.231 | -0.000 |
| 0.000 | 0.000 | 0.001 | 0.000 | 0.000 | -116.231 |
| 204.352 | 54.676 | 54.676 | -0.000 | -0.000 | -0.000 |
| 54.676 | 204.352 | 54.676 | -0.000 | -0.000 | -0.000 |
| 54.676 | 54.676 | 204.352 | -0.000 | 0.000 | -0.000 |
| -0.001 | -0.000 | -0.000 | -116.231 | -0.000 | -0.000 |
| -0.000 | -0.001 | -0.000 | -0.000 | -116.231 | -0.000 |
| -0.000 | -0.000 | -0.001 | -0.000 | -0.000 | -116.231 |
| 161.270 | 106.135 | 106.135 | -0.000 | 0.000 | 0.000 |
| 106.135 | 161.270 | 106.135 | -0.000 | 0.000 | 0.000 |
| 106.135 | 106.135 | 161.270 | -0.000 | 0.000 | 0.000 |
| 0.000 | 0.000 | 0.000 | 110.725 | 0.000 | 0.000 |
| 0.000 | 0.000 | 0.000 | 0.000 | 110.725 | 0.000 |
| 0.000 | 0.000 | 0.000 | 0.000 | 0.000 | 110.725 |
| 161.270 | 106.135 | 106.135 | 0.000 | -0.000 | -0.000 |
| 106.135 | 161.270 | 106.135 | -0.000 | -0.000 | 0.000 |
| 106.135 | 106.135 | 161.270 | -0.000 | -0.000 | -0.000 |
| -0.000 | -0.000 | -0.000 | 110.725 | -0.000 | -0.000 |
| -0.000 | -0.000 | -0.000 | -0.000 | 110.725 | 0.000 |
| -0.000 | -0.000 | -0.000 | -0.000 | -0.000 | 110.725 |
| 161.270 | 106.135 | 106.135 | -0.000 | 0.000 | 0.000 |
| 106.135 | 161.270 | 106.135 | -0.000 | 0.000 | 0.000 |
| 106.135 | 106.135 | 161.270 | 0.000 | 0.000 | -0.000 |
| 0.000 | 0.000 | 0.000 | 110.725 | 0.000 | -0.000 |
| 0.000 | 0.000 | 0.000 | 0.000 | 110.725 | 0.000 |
| 0.000 | 0.000 | 0.000 | 0.000 | 0.000 | 110.725 |
| 161.270 | 106.135 | 106.135 | 0.000 | -0.000 | -0.000 |
| 106.135 | 161.270 | 106.135 | 0.000 | -0.000 | 0.000 |
| 106.135 | 106.135 | 161.270 | -0.000 | -0.000 | 0.000 |
| -0.000 | -0.000 | -0.000 | 110.725 | -0.000 | -0.000 |
| -0.000 | -0.000 | -0.000 | -0.000 | 110.725 | -0.000 |
| -0.000 | -0.000 | -0.000 | -0.000 | -0.000 | 110.725 |
| 161.271 | 106.136 | 106.136 | -0.000 | 0.000 | 0.000 |
| 106.136 | 161.271 | 106.136 | -0.000 | 0.000 | -0.000 |
| 106.136 | 106.136 | 161.271 | -0.000 | 0.000 | 0.000 |
| 0.000 | 0.000 | 0.000 | 110.725 | 0.000 | -0.000 |
| 0.000 | 0.000 | 0.000 | 0.000 | 110.725 | 0.000 |
| 0.000 | 0.000 | 0.000 | 0.000 | 0.000 | 110.725 |
| 161.270 | 106.135 | 106.135 | 0.000 | -0.000 | -0.000 |
| 106.135 | 161.270 | 106.135 | 0.000 | -0.000 | -0.000 |
| 106.135 | 106.135 | 161.270 | 0.000 | -0.000 | -0.000 |
| -0.000 | -0.000 | -0.000 | 110.725 | -0.000 | -0.000 |
| -0.000 | -0.000 | -0.000 | -0.000 | 110.725 | -0.000 |
| -0.000 | -0.000 | -0.000 | -0.000 | -0.000 | 110.725 |
| 165.194 | 45.660 | 45.660 | -0.000 | -0.000 | -0.000 |
| 45.660 | 165.194 | 45.660 | -0.000 | -0.000 | 0.000 |
| 45.660 | 45.660 | 165.194 | -0.000 | -0.000 | -0.000 |
| -0.000 | -0.000 | -0.000 | 50.647 | -0.000 | 0.000 |
| 0.000 | -0.000 | -0.000 | -0.000 | 50.647 | -0.000 |
| 0.000 | -0.000 | -0.000 | 0.000 | 0.000 | 50.647 |
| 165.194 | 45.660 | 45.660 | -0.000 | -0.000 | 0.000 |
| 45.660 | 165.194 | 45.660 | 0.000 | 0.000 | 0.000 |
| 45.660 | 45.660 | 165.194 | -0.000 | -0.000 | 0.000 |
| 0.000 | 0.000 | -0.000 | 50.647 | -0.000 | 0.000 |
| 0.000 | -0.000 | -0.000 | -0.000 | 50.647 | 0.000 |
| -0.000 | 0.000 | -0.000 | 0.000 | -0.000 | 50.647 |
| 165.194 | 45.660 | 45.660 | 0.000 | 0.000 | -0.000 |
| 45.660 | 165.194 | 45.660 | 0.000 | 0.000 | 0.000 |
| 45.660 | 45.660 | 165.194 | 0.000 | 0.000 | 0.000 |
| -0.000 | 0.000 | 0.000 | 50.647 | 0.000 | -0.000 |
| 0.000 | -0.000 | 0.000 | -0.000 | 50.647 | -0.000 |
| 0.000 | 0.000 | 0.000 | 0.000 | 0.000 | 50.647 |
| 165.194 | 45.660 | 45.660 | -0.000 | -0.000 | 0.000 |
| 45.660 | 165.194 | 45.660 | -0.000 | -0.000 | -0.000 |
| 45.660 | 45.660 | 165.194 | -0.000 | -0.000 | 0.000 |
| -0.000 | -0.000 | -0.000 | 50.647 | -0.000 | -0.000 |
| -0.000 | -0.000 | -0.000 | 0.000 | 50.647 | 0.000 |
| -0.000 | -0.000 | -0.000 | -0.000 | -0.000 | 50.647 |
| 165.194 | 45.660 | 45.660 | -0.000 | 0.000 | 0.000 |
| 45.660 | 165.194 | 45.660 | -0.000 | 0.000 | 0.000 |
| 45.660 | 45.660 | 165.194 | 0.000 | 0.000 | -0.000 |
| 0.000 | 0.000 | 0.000 | 50.647 | 0.000 | -0.000 |
| 0.000 | 0.000 | 0.000 | -0.000 | 50.647 | -0.000 |
| 0.000 | 0.000 | 0.000 | 0.000 | 0.000 | 50.647 |
| 165.193 | 45.660 | 45.660 | -0.000 | -0.000 | 0.000 |
| 45.660 | 165.193 | 45.660 | -0.000 | 0.000 | 0.000 |
| 45.660 | 45.660 | 165.193 | -0.000 | 0.000 | 0.000 |
| -0.000 | -0.000 | -0.000 | 50.647 | -0.000 | -0.000 |
| -0.000 | -0.000 | -0.000 | -0.000 | 50.647 | 0.000 |
| -0.000 | -0.000 | -0.000 | -0.000 | -0.000 | 50.647 |
| 1144.853 | 200.106 | 200.106 | -0.000 | -0.000 | 0.000 |
| 200.106 | 1144.853 | 200.106 | -0.000 | 0.000 | 0.000 |
| 200.106 | 200.106 | 1144.853 | -0.000 | 0.000 | 0.000 |
| 0.000 | -0.000 | -0.000 | 105.536 | 0.000 | 0.000 |
| 0.000 | 0.000 | -0.000 | 0.000 | 105.536 | 0.000 |
| 0.000 | -0.000 | 0.000 | 0.000 | 0.000 | 105.536 |
| 1144.853 | 200.106 | 200.106 | 0.000 | -0.000 | -0.000 |
| 200.106 | 1144.853 | 200.106 | 0.000 | 0.000 | -0.000 |
| 200.106 | 200.106 | 1144.853 | 0.000 | -0.000 | -0.000 |
| -0.000 | 0.000 | 0.000 | 105.536 | -0.000 | -0.000 |
| 0.000 | -0.000 | 0.000 | -0.000 | 105.536 | -0.000 |
| -0.000 | 0.000 | -0.000 | -0.000 | -0.000 | 105.536 |
| 984.287 | 280.390 | 280.390 | -0.000 | -0.000 | 0.000 |
| 280.390 | 984.287 | 280.390 | -0.000 | -0.000 | 0.000 |
| 280.390 | 280.390 | 984.287 | -0.000 | 0.000 | 0.000 |
| -0.000 | 0.000 | 0.000 | 308.070 | 0.000 | 0.000 |
| 0.000 | -0.000 | 0.000 | -0.000 | 308.070 | 0.000 |
| 0.000 | 0.000 | -0.000 | -0.000 | 0.000 | 308.070 |
| 1144.852 | 200.106 | 200.106 | 0.000 | -0.000 | -0.000 |
| 200.106 | 1144.852 | 200.106 | 0.000 | -0.000 | -0.000 |
| 200.106 | 200.106 | 1144.852 | -0.000 | -0.000 | -0.000 |
| 0.000 | -0.000 | -0.000 | 308.070 | -0.000 | -0.000 |
| -0.000 | 0.000 | -0.000 | 0.000 | 308.070 | -0.000 |
| -0.000 | -0.000 | 0.000 | 0.000 | -0.000 | 308.070 |
| 984.292 | 280.391 | 280.391 | 0.000 | 0.000 | 0.000 |
| 280.391 | 984.292 | 280.391 | 0.000 | 0.000 | 0.000 |
| 280.391 | 280.391 | 984.292 | -0.000 | 0.000 | 0.000 |
| 0.000 | -0.001 | -0.001 | 105.536 | -0.000 | 0.000 |
| -0.001 | 0.000 | -0.001 | -0.000 | 105.536 | 0.000 |
| -0.001 | -0.001 | 0.000 | 0.000 | 0.000 | 105.536 |
| 984.281 | 280.387 | 280.387 | 0.000 | -0.000 | -0.000 |
| 280.387 | 984.281 | 280.387 | 0.000 | 0.000 | -0.000 |
| 280.387 | 280.387 | 984.281 | -0.000 | -0.000 | 0.000 |
| -0.000 | 0.001 | 0.001 | 105.536 | -0.000 | -0.000 |
| 0.001 | -0.000 | 0.001 | 0.000 | 105.536 | -0.000 |
| 0.001 | 0.001 | -0.000 | 0.000 | -0.000 | 105.536 |
| 456.247 | 523.896 | 523.896 | 0.000 | -0.000 | -0.000 |
| 523.896 | 456.247 | 523.896 | 0.000 | -0.000 | 0.000 |
| 523.896 | 523.896 | 456.247 | 0.000 | -0.000 | 0.000 |
| 0.000 | 0.000 | 0.000 | 622.790 | -0.000 | 0.000 |
| 0.000 | 0.000 | 0.000 | 0.000 | 622.790 | 0.000 |
| 0.000 | 0.000 | 0.000 | 0.000 | -0.000 | 622.790 |
| 456.247 | 523.896 | 523.896 | -0.000 | 0.000 | 0.000 |
| 523.896 | 456.247 | 523.896 | -0.000 | 0.000 | 0.000 |
| 523.896 | 523.896 | 456.247 | -0.000 | 0.000 | -0.000 |
| -0.000 | -0.000 | -0.000 | 622.790 | 0.000 | -0.000 |
| -0.000 | -0.000 | -0.000 | -0.000 | 622.790 | -0.000 |
| -0.000 | -0.000 | -0.000 | -0.000 | 0.000 | 622.790 |
| 456.247 | 523.897 | 523.897 | 0.000 | -0.000 | 0.000 |
| 523.897 | 456.247 | 523.897 | 0.000 | -0.000 | 0.000 |
| 523.897 | 523.897 | 456.247 | 0.000 | -0.000 | 0.000 |
| 0.000 | -0.000 | 0.000 | 260.763 | -0.000 | 0.000 |
| -0.000 | 0.000 | 0.000 | 0.000 | 260.763 | 0.000 |
| -0.000 | 0.000 | 0.000 | 0.000 | -0.000 | 260.763 |
| 456.246 | 523.896 | 523.896 | -0.000 | 0.000 | -0.000 |
| 523.896 | 456.246 | 523.896 | -0.000 | 0.000 | -0.000 |
| 523.896 | 523.896 | 456.246 | -0.000 | 0.000 | -0.000 |
| -0.000 | 0.000 | -0.000 | 260.763 | 0.000 | -0.000 |
| 0.000 | -0.000 | -0.000 | -0.000 | 260.763 | -0.000 |
| 0.000 | -0.000 | -0.000 | -0.000 | 0.000 | 260.763 |
| 456.249 | 523.899 | 523.899 | 0.000 | -0.000 | 0.000 |
| 523.899 | 456.249 | 523.899 | 0.000 | -0.000 | 0.000 |
| 523.899 | 523.899 | 456.249 | 0.000 | -0.000 | 0.000 |
| 0.000 | -0.001 | 0.000 | 260.763 | -0.000 | -0.000 |
| -0.001 | 0.000 | 0.000 | 0.000 | 260.763 | 0.000 |
| -0.001 | 0.000 | 0.000 | 0.000 | -0.000 | 260.763 |
| 456.244 | 523.894 | 523.894 | -0.000 | 0.000 | -0.000 |
| 523.894 | 456.244 | 523.894 | -0.000 | 0.000 | -0.000 |
| 523.894 | 523.894 | 456.244 | -0.000 | 0.000 | -0.000 |
| -0.000 | 0.001 | -0.000 | 260.763 | 0.000 | -0.000 |
| 0.001 | -0.000 | -0.000 | -0.000 | 260.763 | -0.000 |
| 0.001 | -0.000 | -0.000 | -0.000 | 0.000 | 260.763 |
| 842.107 | 280.137 | 280.137 | -0.000 | -0.000 | -0.000 |
| 280.137 | 842.107 | 280.137 | -0.000 | 0.000 | 0.000 |
| 280.137 | 280.137 | 842.107 | -0.000 | -0.000 | 0.000 |
| 0.000 | 0.000 | 0.000 | 377.238 | -0.000 | -0.000 |
| 0.000 | 0.000 | 0.000 | -0.000 | 377.238 | 0.000 |
| 0.000 | 0.000 | 0.000 | -0.000 | -0.000 | 377.238 |
| 842.107 | 280.137 | 280.137 | 0.000 | -0.000 | -0.000 |
| 280.137 | 842.107 | 280.137 | 0.000 | -0.000 | -0.000 |
| 280.137 | 280.137 | 842.107 | 0.000 | -0.000 | -0.000 |
| -0.000 | -0.000 | -0.000 | 377.238 | 0.000 | -0.000 |
| -0.000 | -0.000 | -0.000 | 0.000 | 377.238 | -0.000 |
| -0.000 | -0.000 | -0.000 | 0.000 | 0.000 | 377.238 |
| 842.108 | 280.137 | 280.137 | -0.000 | -0.000 | 0.000 |
| 280.137 | 842.108 | 280.137 | -0.000 | -0.000 | -0.000 |
| 280.137 | 280.137 | 842.108 | -0.000 | -0.000 | 0.000 |
| -0.000 | 0.000 | 0.000 | 377.238 | -0.000 | -0.000 |
| 0.000 | -0.000 | 0.000 | -0.000 | 377.238 | 0.000 |
| 0.000 | 0.000 | -0.000 | -0.000 | -0.000 | 377.238 |
| 842.107 | 280.137 | 280.137 | 0.000 | 0.000 | 0.000 |
| 280.137 | 842.107 | 280.137 | 0.000 | -0.000 | 0.000 |
| 280.137 | 280.137 | 842.107 | 0.000 | 0.000 | 0.000 |
| 0.000 | -0.000 | -0.000 | 377.238 | 0.000 | -0.000 |
| -0.000 | 0.000 | -0.000 | 0.000 | 377.238 | -0.000 |
| -0.000 | -0.000 | 0.000 | 0.000 | -0.000 | 377.238 |
| 842.112 | 280.139 | 280.139 | -0.000 | -0.000 | 0.000 |
| 280.139 | 842.112 | 280.139 | -0.000 | -0.000 | 0.000 |
| 280.139 | 280.139 | 842.112 | -0.000 | -0.000 | 0.000 |
| -0.000 | 0.002 | 0.002 | 377.238 | -0.000 | -0.000 |
| 0.002 | -0.000 | 0.002 | -0.000 | 377.238 | 0.000 |
| 0.002 | 0.002 | -0.000 | -0.000 | -0.000 | 377.238 |
| 842.103 | 280.135 | 280.135 | 0.000 | 0.000 | -0.000 |
| 280.135 | 842.103 | 280.135 | 0.000 | 0.000 | -0.000 |
| 280.135 | 280.135 | 842.103 | 0.000 | 0.000 | 0.000 |
| 0.000 | -0.002 | -0.002 | 377.238 | 0.000 | -0.000 |
| -0.002 | 0.000 | -0.002 | 0.000 | 377.238 | -0.000 |
| -0.002 | -0.002 | 0.000 | 0.000 | -0.000 | 377.238 |
| 879.439 | 146.337 | 442.178 | -0.000 | -0.000 | 0.000 |
| 146.337 | 879.439 | 442.178 | 0.000 | -0.000 | 0.000 |
| 442.178 | 442.178 | 756.402 | -0.000 | 0.000 | 0.000 |
| 0.000 | 0.000 | -0.000 | 307.578 | 0.000 | -0.000 |
| 0.000 | 0.000 | 0.000 | 0.000 | 307.578 | 0.000 |
| 0.000 | 0.000 | -0.000 | -0.000 | 0.000 | 253.071 |
| 690.533 | 335.240 | 442.178 | 0.000 | -0.000 | -0.000 |
| 335.240 | 690.533 | 442.178 | -0.000 | -0.000 | -0.000 |
| 442.178 | 442.178 | 756.402 | -0.000 | -0.000 | -0.000 |
| -0.000 | -0.000 | -0.000 | 307.578 | 0.000 | -0.000 |
| -0.000 | -0.000 | 0.000 | -0.000 | 307.578 | -0.000 |
| -0.000 | -0.000 | 0.000 | 0.000 | -0.000 | 253.071 |
| 690.550 | 335.241 | 442.180 | -0.000 | -0.000 | 0.000 |
| 335.241 | 690.550 | 442.180 | 0.000 | -0.000 | 0.000 |
| 442.179 | 442.179 | 756.403 | 0.000 | 0.000 | 0.000 |
| 0.000 | 0.000 | 0.000 | 307.578 | -0.000 | 0.000 |
| 0.000 | 0.000 | 0.000 | 0.000 | 307.578 | 0.000 |
| 0.000 | 0.000 | -0.000 | 0.000 | -0.000 | 253.071 |
| 879.418 | 146.337 | 442.176 | -0.000 | -0.000 | -0.000 |
| 146.337 | 879.418 | 442.176 | -0.000 | -0.000 | -0.000 |
| 442.178 | 442.178 | 756.402 | 0.000 | 0.000 | -0.000 |
| -0.000 | -0.000 | -0.000 | 307.578 | -0.000 | -0.000 |
| -0.000 | -0.000 | -0.000 | -0.000 | 307.578 | -0.000 |
| -0.000 | -0.000 | 0.000 | 0.000 | -0.000 | 253.071 |
| 690.694 | 335.250 | 442.196 | 0.000 | -0.000 | 0.000 |
| 335.250 | 690.694 | 442.196 | -0.000 | -0.000 | 0.000 |
| 442.183 | 442.183 | 756.406 | 0.000 | 0.000 | 0.000 |
| 0.002 | 0.001 | 0.001 | 307.578 | -0.000 | 0.000 |
| 0.001 | 0.002 | 0.001 | -0.000 | 307.578 | 0.000 |
| 0.001 | 0.001 | -0.000 | 0.000 | 0.000 | 253.071 |
| 690.375 | 335.230 | 442.160 | 0.000 | 0.000 | -0.000 |
| 335.230 | 690.375 | 442.160 | 0.000 | -0.000 | -0.000 |
| 442.173 | 442.173 | 756.399 | 0.000 | 0.000 | -0.000 |
| -0.002 | -0.001 | -0.001 | 307.578 | 0.000 | -0.000 |
| -0.001 | -0.002 | -0.001 | 0.000 | 307.578 | -0.000 |
| -0.001 | -0.001 | 0.000 | -0.000 | 0.000 | 253.071 |
| 14.522 | 18.284 | 7.287 | 0.000 | 11.966 | -0.000 |
| 5.639 | 23.652 | 7.683 | -0.000 | -0.297 | -0.000 |
| 104.918 | 68.109 | -36.993 | -0.000 | 44.838 | -0.000 |
| 94.308 | 59.566 | -55.025 | 6.308 | 44.194 | -0.279 |
| 0.403 | -0.297 | 0.112 | 0.000 | 9.017 | 0.000 |
| 0.000 | 0.000 | -0.000 | -0.297 | 0.000 | 5.639 |
| 18.127 | 5.607 | 9.029 | 0.000 | 1.377 | -0.000 |
| 7.741 | 9.732 | 10.039 | 0.000 | -11.337 | 0.000 |
| 9.017 | 7.683 | 20.221 | 0.000 | 0.112 | -0.000 |
| -94.308 | -59.566 | 55.025 | 6.308 | -44.194 | -0.279 |
| 2.188 | -13.067 | 2.274 | 0.000 | -2.712 | 0.000 |
| 0.000 | -0.000 | -0.000 | -0.297 | 0.000 | 5.639 |
| 18.127 | 5.607 | 9.029 | -0.000 | 1.377 | 0.000 |
| 5.639 | 23.652 | 7.683 | -0.000 | -0.297 | 0.000 |
| 9.017 | 7.683 | 20.221 | -0.000 | 0.112 | 0.000 |
| 4.378 | 3.213 | -2.757 | 6.401 | 3.445 | -0.302 |
| 0.099 | 0.806 | -0.031 | -0.000 | 9.295 | -0.000 |
| -0.000 | 0.000 | 0.000 | -0.297 | -0.000 | 5.639 |
| 18.127 | 5.607 | 9.029 | 0.000 | 1.377 | -0.000 |
| 1.239 | 18.028 | 11.278 | 0.000 | -4.198 | 0.000 |
| 9.017 | 7.683 | 20.221 | 0.000 | 0.112 | 0.000 |
| -4.378 | -3.213 | 2.757 | 6.401 | -3.445 | -0.302 |
| 0.473 | -1.731 | 0.393 | 0.000 | 7.060 | 0.000 |
| 0.000 | -0.000 | -0.000 | -0.297 | 0.000 | 5.639 |
| 15.511 | 5.922 | 9.510 | -0.000 | 1.374 | -0.000 |
| 5.639 | 23.652 | 7.683 | -0.000 | -0.297 | 0.000 |
| 9.790 | 8.439 | 18.469 | -0.000 | 0.529 | -0.000 |
| 0.000 | 0.000 | 0.000 | 7.683 | 0.000 | -0.297 |
| 0.403 | -0.297 | 0.112 | -0.000 | 9.017 | 0.000 |
| -0.021 | 0.137 | -0.023 | -0.242 | 0.119 | 4.693 |
| 15.292 | 5.399 | 9.818 | 0.000 | 0.968 | 0.000 |
| 5.639 | 23.652 | 7.683 | -0.000 | -0.297 | -0.000 |
| 9.355 | 7.812 | 19.294 | 0.000 | 0.067 | 0.000 |
| -0.000 | -0.000 | -0.000 | 7.683 | -0.000 | -0.297 |
| -0.259 | -1.103 | 0.930 | 0.000 | 6.692 | 0.000 |
| 0.021 | -0.137 | 0.023 | -0.242 | -0.119 | 4.693 |
| 1.037 | 0.469 | 0.267 | 0.000 | 0.000 | -0.000 |
| 0.469 | 2.046 | 0.590 | 0.000 | 0.000 | 0.000 |
| 0.267 | 0.590 | 2.078 | 0.000 | 0.000 | -0.000 |
| 0.000 | 0.000 | 0.000 | 0.590 | 0.000 | 0.000 |
| 0.000 | 0.000 | 0.000 | 0.000 | 0.267 | 0.000 |
| 0.000 | 0.000 | 0.000 | 0.000 | 0.000 | 0.469 |
| 1.037 | 0.469 | 0.267 | -0.000 | -0.000 | 0.000 |
| 0.469 | 2.046 | 0.590 | -0.000 | -0.000 | 0.000 |
| 0.267 | 0.590 | 2.078 | -0.000 | 0.000 | 0.000 |
| -0.000 | -0.000 | -0.000 | 0.590 | -0.000 | -0.000 |
| 0.000 | 0.000 | 0.000 | -0.000 | 0.267 | -0.000 |
| -0.000 | -0.000 | -0.000 | -0.000 | 0.000 | 0.469 |
| 1.037 | 0.469 | 0.267 | 0.000 | 0.000 | -0.000 |
| 0.469 | 2.046 | 0.590 | 0.000 | 0.000 | -0.000 |
| -0.173 | 0.320 | 0.734 | 0.000 | 0.000 | 0.000 |
| -0.040 | 0.334 | -0.227 | 0.143 | 0.000 | 0.000 |
| -0.000 | 0.000 | -0.000 | 0.000 | 0.267 | 0.000 |
| -0.040 | 0.334 | -0.227 | 0.000 | -0.000 | 0.269 |
| 0.316 | -0.385 | 0.093 | -0.000 | 0.000 | -0.000 |
| -0.012 | 0.556 | 0.214 | 0.000 | -0.000 | -0.000 |
| -0.094 | -0.347 | 1.188 | -0.000 | -0.000 | -0.000 |
| 0.040 | -0.334 | 0.227 | 0.143 | -0.000 | -0.000 |
| 0.000 | -0.000 | 0.000 | -0.000 | 0.267 | 0.000 |
| 0.040 | -0.334 | 0.227 | -0.000 | -0.000 | 0.269 |
| 0.143 | 0.054 | -0.094 | 0.000 | 0.000 | 0.000 |
| -0.068 | 0.650 | -0.064 | -0.000 | 0.000 | 0.000 |
| -0.033 | 0.095 | 0.110 | 0.000 | 0.000 | 0.000 |
| -0.011 | 0.096 | -0.065 | 0.082 | 0.000 | 0.000 |
| -0.016 | 0.131 | -0.089 | -0.000 | 0.035 | 0.000 |
| -0.010 | 0.089 | -0.060 | -0.000 | -0.000 | 0.098 |
| 0.036 | -0.182 | 0.072 | 0.000 | -0.000 | -0.000 |
| -0.032 | 0.206 | 0.056 | 0.000 | 0.000 | 0.000 |
| -0.013 | -0.129 | 0.365 | -0.000 | -0.000 | -0.000 |
| 0.011 | -0.096 | 0.065 | 0.082 | -0.000 | -0.000 |
| 0.016 | -0.131 | 0.089 | 0.000 | 0.035 | -0.000 |
| 0.010 | -0.089 | 0.060 | 0.000 | -0.000 | 0.098 |
| -5.187 | 28.935 | 5.644 | 0.002 | -0.001 | -0.000 |
| -3.093 | 17.392 | 3.319 | 0.001 | -0.000 | -0.000 |
| -2.081 | 11.429 | 2.303 | 0.000 | -0.000 | -0.000 |
| -2.419 | 13.497 | 2.633 | 0.041 | -0.000 | -0.000 |
| -4.236 | 23.631 | 4.610 | 0.001 | -0.003 | -0.000 |
| -4.967 | 27.708 | 5.405 | 0.002 | -0.001 | 0.002 |
| 2.766 | -15.404 | -3.011 | -0.001 | 0.000 | -0.000 |
| 4.727 | -26.338 | -5.156 | -0.002 | 0.001 | 0.000 |
| 1.233 | -7.362 | -1.329 | -0.000 | 0.000 | -0.000 |
| 2.419 | -13.497 | -2.633 | 0.040 | 0.000 | 0.000 |
| 4.236 | -23.631 | -4.610 | -0.001 | -0.001 | 0.000 |
| 4.967 | -27.708 | -5.405 | -0.002 | 0.001 | 0.002 |
| -0.132 | 0.924 | 0.161 | 0.000 | -0.000 | -0.000 |
| -0.286 | 1.769 | 0.252 | 0.000 | -0.000 | -0.000 |
| -0.373 | 2.037 | 0.418 | 0.000 | -0.000 | -0.000 |
| -0.473 | 2.641 | 0.515 | 0.002 | -0.000 | -0.000 |
| -0.397 | 2.214 | 0.432 | 0.000 | -0.002 | -0.000 |
| -0.473 | 2.641 | 0.515 | 0.000 | -0.000 | 0.003 |
| 0.255 | -0.495 | -0.114 | -0.000 | 0.000 | 0.000 |
| 0.299 | -1.531 | -0.373 | -0.000 | 0.000 | 0.000 |
| 0.302 | -1.757 | -0.308 | -0.000 | 0.000 | 0.000 |
| 0.473 | -2.641 | -0.515 | 0.001 | 0.000 | 0.000 |
| 0.397 | -2.214 | -0.432 | -0.000 | -0.002 | -0.000 |
| 0.473 | -2.641 | -0.515 | -0.000 | 0.000 | 0.003 |
| -0.022 | 0.146 | 0.023 | 0.000 | -0.000 | -0.000 |
| -0.035 | 0.628 | -0.081 | 0.000 | -0.000 | -0.000 |
| -0.049 | -0.007 | 0.086 | 0.000 | -0.000 | -0.000 |
| -0.034 | 0.191 | 0.037 | 0.009 | -0.000 | -0.000 |
| -0.042 | 0.236 | 0.046 | 0.000 | -0.002 | -0.000 |
| -0.037 | 0.206 | 0.040 | 0.000 | -0.000 | 0.006 |
| 0.097 | -0.113 | -0.102 | -0.000 | 0.000 | 0.000 |
| 0.022 | 0.010 | -0.070 | -0.000 | 0.000 | 0.000 |
| 0.007 | -0.190 | 0.040 | -0.000 | 0.000 | 0.000 |
| 0.043 | -0.238 | -0.046 | 0.003 | 0.000 | 0.000 |
| 0.024 | -0.135 | -0.026 | -0.000 | 0.002 | -0.000 |
| 0.037 | -0.206 | -0.040 | -0.000 | 0.000 | 0.006 |
| 18.730 | 7.355 | 9.225 | 0.312 | 0.455 | 1.044 |
| 7.406 | 21.945 | 6.106 | -0.133 | -0.344 | -0.209 |
| 9.048 | 6.135 | 19.390 | -0.222 | -0.038 | 0.039 |
| 0.115 | -0.209 | -0.267 | 5.360 | 0.157 | -0.187 |
| 0.384 | -0.361 | -0.095 | 0.150 | 7.636 | -0.064 |
| 0.732 | -0.242 | -0.003 | -0.192 | 0.205 | 6.329 |
| 18.923 | 7.317 | 9.232 | 0.258 | 0.446 | 1.003 |
| 7.515 | 21.806 | 6.140 | -0.183 | -0.374 | -0.220 |
| 8.600 | 6.126 | 20.948 | -0.023 | -0.278 | 0.027 |
| 0.092 | -0.179 | -0.200 | 5.381 | 0.133 | -0.226 |
| 0.372 | -0.334 | -0.047 | 0.120 | 7.617 | -0.092 |
| 0.701 | -0.205 | 0.016 | -0.322 | 0.288 | 6.834 |
| 17.438 | 8.638 | 9.038 | 0.504 | 0.839 | 1.316 |
| 8.401 | 20.768 | 6.118 | -0.454 | -0.559 | -0.366 |
| 9.041 | 6.283 | 17.617 | -0.378 | -0.463 | 0.088 |
| 0.401 | -0.544 | -0.443 | 4.717 | 0.473 | -0.178 |
| 0.335 | -0.402 | -0.046 | 0.407 | 6.825 | -0.110 |
| 0.996 | -0.261 | 0.008 | -0.149 | 0.157 | 6.076 |
| 17.473 | 8.613 | 9.050 | 0.494 | 0.824 | 1.308 |
| 8.438 | 20.739 | 6.131 | -0.466 | -0.573 | -0.375 |
| 9.268 | 6.137 | 18.599 | -0.419 | -0.034 | -0.103 |
| -0.026 | -0.183 | -0.023 | 6.126 | 0.027 | -0.323 |
| 0.383 | -0.442 | -0.175 | 0.491 | 6.650 | -0.092 |
| 0.835 | -0.225 | -0.063 | -0.135 | 0.178 | 6.173 |
| 17.571 | 8.421 | 9.113 | 0.485 | 0.684 | 1.288 |
| 8.670 | 20.638 | 6.286 | -0.493 | -0.572 | -0.415 |
| 9.114 | 6.133 | 17.692 | -0.454 | -0.310 | 0.084 |
| 0.407 | -0.531 | -0.442 | 4.722 | 0.447 | -0.175 |
| 0.379 | -0.348 | -0.070 | 0.135 | 7.622 | -0.078 |
| 0.919 | -0.215 | -0.035 | -0.149 | 0.167 | 6.111 |
| 17.454 | 8.631 | 9.039 | 0.498 | 0.841 | 1.312 |
| 7.809 | 21.391 | 6.035 | -0.274 | -0.396 | -0.196 |
| 9.201 | 6.095 | 17.770 | -0.454 | -0.261 | 0.042 |
| 0.318 | -0.366 | -0.376 | 4.856 | 0.355 | -0.159 |
| 0.317 | -0.323 | -0.278 | 0.027 | 8.600 | -0.026 |
| 0.833 | -0.224 | -0.065 | -0.134 | 0.180 | 6.175 |
| 2.291 | 0.708 | 0.573 | -0.005 | 0.006 | -0.134 |
| 0.425 | 4.803 | 1.487 | -0.492 | 2.620 | -0.125 |
| 0.409 | 2.202 | 3.814 | -0.422 | 2.592 | -0.070 |
| 0.539 | 4.496 | 2.877 | -0.089 | 6.176 | -0.214 |
| 0.906 | 7.578 | 4.808 | -1.864 | 10.748 | -0.401 |
| -0.139 | -0.023 | -0.019 | 0.018 | 0.041 | 1.158 |
| 2.291 | 0.708 | 0.573 | -0.005 | 0.006 | -0.134 |
| -0.064 | 1.857 | -0.465 | 0.197 | -1.325 | 0.000 |
| -0.058 | -1.617 | 1.365 | 0.447 | -2.625 | 0.106 |
| -0.227 | -1.930 | -1.212 | 1.515 | -2.623 | 0.101 |
| -0.088 | -0.970 | -0.665 | 0.197 | -0.570 | 0.077 |
| -0.528 | -4.530 | -2.866 | 1.077 | -6.157 | 0.618 |
| 0.180 | 0.770 | 0.385 | -0.255 | 1.310 | -0.068 |
| 0.145 | 3.102 | 0.403 | -0.150 | 0.507 | -0.044 |
| 0.828 | 0.782 | 3.710 | 0.046 | -0.065 | -0.018 |
| 0.092 | 0.645 | 0.419 | 0.768 | 0.937 | -0.028 |
| 0.079 | 0.607 | 0.376 | -0.154 | 1.224 | -0.009 |
| 0.061 | 0.673 | 0.446 | -0.157 | 0.969 | 0.304 |
| 0.457 | -0.225 | -0.202 | 0.029 | -0.252 | -0.057 |
| 0.028 | 2.428 | -0.048 | 0.015 | -0.392 | -0.011 |
| -0.052 | -0.670 | 1.470 | 0.164 | -1.047 | 0.060 |
| 0.010 | -0.082 | -0.034 | 1.126 | -0.154 | 0.017 |
| 0.019 | -0.095 | -0.103 | 0.000 | 0.625 | 0.038 |
| -0.028 | -0.306 | -0.155 | 0.079 | -0.349 | 0.507 |
| 0.075 | -0.108 | -0.146 | -0.040 | 0.051 | -0.008 |
| -0.020 | 2.722 | 0.132 | -0.055 | 0.037 | -0.043 |
| 0.048 | 0.168 | 1.999 | -0.041 | 0.101 | 0.011 |
| -0.004 | 0.013 | 0.018 | 1.014 | 0.023 | 0.013 |
| 0.011 | 0.076 | 0.043 | -0.022 | 0.455 | 0.016 |
| 0.021 | 0.079 | 0.064 | -0.010 | 0.130 | 0.299 |
| 0.068 | -0.173 | -0.188 | -0.025 | -0.037 | -0.005 |
| 0.024 | 2.499 | 0.010 | -0.059 | -0.107 | 0.005 |
| 0.012 | -0.047 | 1.804 | -0.005 | -0.149 | 0.017 |
| 0.005 | -0.038 | -0.002 | 1.074 | -0.042 | 0.014 |
| -0.012 | -0.054 | -0.040 | 0.007 | 0.346 | 0.033 |
| 0.001 | -0.089 | -0.045 | 0.032 | -0.106 | 0.289 |
| 34.940 | 0.273 | 0.273 | 0.000 | 0.000 | 0.000 |
| 0.273 | 34.940 | 0.273 | 0.000 | 0.000 | 0.000 |
| 0.273 | 0.273 | 34.940 | 0.000 | 0.000 | 0.000 |
| 0.000 | 0.000 | 0.000 | 0.273 | 0.000 | 0.000 |
| 0.000 | 0.000 | 0.000 | 0.000 | 0.273 | 0.000 |
| 0.000 | -0.000 | -0.000 | 0.000 | 0.000 | 0.273 |
| 34.940 | 0.273 | 0.273 | -0.000 | 0.000 | -0.000 |
| 0.273 | 34.940 | 0.273 | 0.000 | -0.000 | -0.000 |
| 0.273 | 0.273 | 34.940 | 0.000 | 0.000 | -0.000 |
| -0.000 | -0.000 | -0.000 | 0.273 | -0.000 | 0.000 |
| -0.000 | -0.000 | -0.000 | -0.000 | 0.273 | -0.000 |
| -0.000 | -0.000 | -0.000 | 0.000 | 0.000 | 0.273 |
| 34.940 | 0.273 | 0.273 | 0.000 | 0.000 | 0.000 |
| 0.273 | 34.940 | 0.273 | 0.000 | 0.000 | 0.000 |
| 0.273 | 0.273 | 34.940 | -0.000 | 0.000 | 0.000 |
| 0.000 | 0.000 | -0.000 | 0.273 | 0.000 | 0.000 |
| 0.000 | -0.000 | -0.000 | 0.000 | 0.273 | 0.000 |
| 0.000 | -0.000 | -0.000 | 0.000 | 0.000 | 0.273 |
| 34.940 | 0.273 | 0.273 | -0.000 | -0.000 | -0.000 |
| 0.273 | 34.940 | 0.273 | -0.000 | -0.000 | 0.000 |
| 0.273 | 0.273 | 34.940 | -0.000 | 0.000 | -0.000 |
| -0.000 | -0.000 | 0.000 | 0.273 | -0.000 | -0.000 |
| -0.000 | 0.000 | 0.000 | -0.000 | 0.273 | -0.000 |
| -0.000 | 0.000 | -0.000 | 0.000 | 0.000 | 0.273 |
| 34.940 | 0.273 | 0.273 | 0.000 | -0.000 | 0.000 |
| 0.273 | 34.940 | 0.273 | -0.000 | 0.000 | 0.000 |
| 0.273 | 0.273 | 34.940 | -0.000 | -0.000 | 0.000 |
| -0.000 | 0.000 | -0.000 | 0.273 | 0.000 | 0.000 |
| 0.000 | -0.000 | -0.000 | -0.000 | 0.273 | 0.000 |
| 0.000 | -0.000 | -0.000 | 0.000 | 0.000 | 0.273 |
| 34.940 | 0.273 | 0.273 | -0.000 | 0.000 | -0.000 |
| 0.273 | 34.940 | 0.273 | -0.000 | -0.000 | -0.000 |
| 0.273 | 0.273 | 34.940 | -0.000 | -0.000 | -0.000 |
| 0.000 | -0.000 | 0.000 | 0.273 | 0.000 | -0.000 |
| -0.000 | 0.000 | 0.000 | 0.000 | 0.273 | -0.000 |
| -0.000 | 0.000 | 0.000 | 0.000 | 0.000 | 0.273 |
| 14.944 | 7.830 | 7.830 | -0.000 | 0.000 | 0.000 |
| 7.830 | 14.944 | 7.830 | -0.000 | 0.000 | 0.000 |
| 7.830 | 7.830 | 14.944 | -0.000 | 0.000 | 0.000 |
| 0.000 | -0.000 | 0.000 | 7.830 | 0.000 | 0.000 |
| -0.000 | 0.000 | 0.000 | 0.000 | 7.830 | 0.000 |
| 0.000 | 0.000 | 0.000 | 0.000 | 0.000 | 7.830 |
| 14.944 | 7.830 | 7.830 | 0.000 | -0.000 | 0.000 |
| 7.830 | 14.944 | 7.830 | 0.000 | -0.000 | 0.000 |
| 7.830 | 7.830 | 14.944 | -0.000 | -0.000 | -0.000 |
| -0.000 | -0.000 | -0.000 | 7.830 | -0.000 | -0.000 |
| -0.000 | -0.000 | -0.000 | -0.000 | 7.830 | -0.000 |
| -0.000 | -0.000 | -0.000 | 0.000 | -0.000 | 7.830 |
| 14.944 | 7.830 | 7.830 | -0.000 | -0.000 | 0.000 |
| 7.830 | 14.944 | 7.830 | -0.000 | 0.000 | 0.000 |
| 7.830 | 7.830 | 14.944 | 0.000 | 0.000 | 0.000 |
| 0.000 | -0.000 | 0.000 | 7.830 | 0.000 | -0.000 |
| -0.000 | 0.000 | 0.000 | 0.000 | 7.830 | -0.000 |
| -0.000 | 0.000 | 0.000 | 0.000 | 0.000 | 7.830 |
| 14.944 | 7.830 | 7.830 | 0.000 | 0.000 | -0.000 |
| 7.830 | 14.944 | 7.830 | 0.000 | -0.000 | -0.000 |
| 7.830 | 7.830 | 14.944 | 0.000 | 0.000 | -0.000 |
| -0.000 | 0.000 | -0.000 | 7.830 | -0.000 | -0.000 |
| 0.000 | -0.000 | -0.000 | -0.000 | 7.830 | -0.000 |
| 0.000 | -0.000 | -0.000 | 0.000 | -0.000 | 7.830 |
| 14.944 | 7.830 | 7.830 | 0.000 | 0.000 | 0.000 |
| 7.830 | 14.944 | 7.830 | -0.000 | 0.000 | -0.000 |
| 7.830 | 7.830 | 14.944 | 0.000 | 0.000 | 0.000 |
| 0.000 | -0.000 | 0.000 | 7.830 | 0.000 | 0.000 |
| -0.000 | 0.000 | 0.000 | -0.000 | 7.830 | -0.000 |
| -0.000 | 0.000 | 0.000 | -0.000 | 0.000 | 7.830 |
| 14.944 | 7.830 | 7.830 | 0.000 | -0.000 | -0.000 |
| 7.830 | 14.944 | 7.830 | -0.000 | -0.000 | -0.000 |
| 7.830 | 7.830 | 14.944 | 0.000 | 0.000 | -0.000 |
| -0.000 | 0.000 | -0.000 | 7.830 | -0.000 | -0.000 |
| 0.000 | -0.000 | -0.000 | 0.000 | 7.830 | -0.000 |
| 0.000 | -0.000 | -0.000 | 0.000 | -0.000 | 7.830 |
| 1.647 | 1.647 | 1.647 | 0.000 | -0.000 | -0.000 |
| 1.647 | 1.647 | 1.647 | -0.000 | 0.000 | -0.000 |
| 1.647 | 1.647 | 1.647 | -0.000 | -0.000 | 0.000 |
| 0.000 | -0.000 | 0.000 | 1.647 | -0.000 | 0.000 |
| -0.000 | 0.000 | 0.000 | -0.000 | 1.647 | 0.000 |
| -0.000 | 0.000 | 0.000 | -0.000 | -0.000 | 1.647 |
| 1.647 | 1.647 | 1.647 | -0.000 | -0.000 | -0.000 |
| 1.647 | 1.647 | 1.647 | -0.000 | -0.000 | -0.000 |
| 1.647 | 1.647 | 1.647 | -0.000 | -0.000 | -0.000 |
| -0.000 | 0.000 | -0.000 | 1.647 | -0.000 | -0.000 |
| 0.000 | -0.000 | -0.000 | -0.000 | 1.647 | -0.000 |
| 0.000 | -0.000 | -0.000 | -0.000 | -0.000 | 1.647 |
| 1.647 | 1.647 | 1.647 | 0.000 | -0.000 | 0.000 |
| 1.647 | 1.647 | 1.647 | -0.000 | 0.000 | 0.000 |
| 1.647 | 1.647 | 1.647 | 0.000 | 0.000 | 0.000 |
| 0.000 | -0.000 | 0.000 | 1.647 | 0.000 | 0.000 |
| -0.000 | 0.000 | 0.000 | 0.000 | 1.647 | 0.000 |
| -0.000 | 0.000 | 0.000 | 0.000 | -0.000 | 1.647 |
| 1.647 | 1.647 | 1.647 | -0.000 | -0.000 | -0.000 |
| 1.647 | 1.647 | 1.647 | -0.000 | -0.000 | -0.000 |
| 1.647 | 1.647 | 1.647 | -0.000 | -0.000 | -0.000 |
| -0.000 | 0.000 | -0.000 | 1.647 | 0.000 | -0.000 |
| 0.000 | -0.000 | -0.000 | 0.000 | 1.647 | -0.000 |
| 0.000 | -0.000 | -0.000 | 0.000 | -0.000 | 1.647 |
| 1.647 | 1.647 | 1.647 | 0.000 | 0.000 | 0.000 |
| 1.647 | 1.647 | 1.647 | 0.000 | 0.000 | 0.000 |
| 1.647 | 1.647 | 1.647 | 0.000 | 0.000 | 0.000 |
| -0.000 | -0.000 | -0.000 | 0.216 | 0.000 | 0.000 |
| -0.000 | -0.000 | -0.000 | 0.000 | 0.216 | 0.000 |
| -0.000 | -0.000 | -0.000 | 0.000 | 0.000 | 0.216 |
| 1.647 | 1.647 | 1.647 | -0.000 | -0.000 | -0.000 |
| 1.647 | 1.647 | 1.647 | -0.000 | -0.000 | -0.000 |
| 1.647 | 1.647 | 1.647 | -0.000 | -0.000 | -0.000 |
| 0.000 | 0.000 | 0.000 | 0.216 | -0.000 | -0.000 |
| 0.000 | 0.000 | 0.000 | -0.000 | 0.216 | -0.000 |
| 0.000 | 0.000 | 0.000 | -0.000 | -0.000 | 0.216 |
| 14.884 | 3.672 | 3.672 | -0.000 | -0.000 | -0.000 |
| 3.672 | 14.884 | 3.672 | -0.000 | -0.000 | -0.000 |
| 3.672 | 3.672 | 14.884 | -0.000 | -0.000 | -0.000 |
| 0.000 | 0.000 | -0.000 | 2.779 | -0.000 | -0.000 |
| 0.000 | 0.000 | -0.000 | -0.000 | 2.779 | -0.000 |
| 0.000 | 0.000 | 0.000 | -0.000 | -0.000 | 2.779 |
| 14.884 | 3.672 | 3.672 | 0.000 | 0.000 | 0.000 |
| 3.672 | 14.884 | 3.672 | 0.000 | 0.000 | 0.000 |
| 3.672 | 3.672 | 14.884 | 0.000 | -0.000 | 0.000 |
| -0.000 | -0.000 | 0.000 | 2.779 | 0.000 | 0.000 |
| -0.000 | -0.000 | 0.000 | 0.000 | 2.779 | -0.000 |
| -0.000 | -0.000 | 0.000 | 0.000 | 0.000 | 2.779 |
| 14.884 | 3.672 | 3.672 | -0.000 | -0.000 | 0.000 |
| 3.672 | 14.884 | 3.672 | -0.000 | -0.000 | -0.000 |
| 3.672 | 3.672 | 14.884 | -0.000 | -0.000 | -0.000 |
| 0.000 | -0.000 | -0.000 | 2.779 | -0.000 | -0.000 |
| -0.000 | 0.000 | -0.000 | -0.000 | 2.779 | -0.000 |
| -0.000 | -0.000 | 0.000 | -0.000 | -0.000 | 2.779 |
| 14.884 | 3.672 | 3.672 | 0.000 | 0.000 | 0.000 |
| 3.672 | 14.884 | 3.672 | 0.000 | 0.000 | 0.000 |
| 3.672 | 3.672 | 14.884 | 0.000 | 0.000 | 0.000 |
| -0.000 | 0.000 | 0.000 | 2.779 | 0.000 | 0.000 |
| 0.000 | -0.000 | 0.000 | 0.000 | 2.779 | 0.000 |
| 0.000 | 0.000 | -0.000 | 0.000 | 0.000 | 2.779 |
| 14.884 | 3.672 | 3.672 | -0.000 | -0.000 | 0.000 |
| 3.672 | 14.884 | 3.672 | -0.000 | -0.000 | -0.000 |
| 3.672 | 3.672 | 14.884 | -0.000 | -0.000 | -0.000 |
| 0.000 | -0.000 | -0.000 | 2.779 | -0.000 | -0.000 |
| -0.000 | 0.000 | -0.000 | -0.000 | 2.779 | -0.000 |
| -0.000 | -0.000 | 0.000 | -0.000 | -0.000 | 2.779 |
| 14.884 | 3.672 | 3.672 | 0.000 | 0.000 | 0.000 |
| 3.672 | 14.884 | 3.672 | 0.000 | 0.000 | 0.000 |
| 3.672 | 3.672 | 14.884 | 0.000 | 0.000 | 0.000 |
| -0.000 | 0.000 | 0.000 | 2.779 | 0.000 | -0.000 |
| 0.000 | -0.000 | 0.000 | 0.000 | 2.779 | 0.000 |
| 0.000 | 0.000 | -0.000 | 0.000 | 0.000 | 2.779 |
| 56.693 | 1.949 | 1.949 | -0.000 | -0.000 | 0.000 |
| 1.949 | 56.693 | 1.949 | -0.000 | -0.000 | 0.000 |
| 1.949 | 1.949 | 56.693 | -0.000 | 0.000 | 0.000 |
| 0.000 | 0.000 | 0.000 | -7.149 | 0.000 | 0.000 |
| 0.000 | 0.000 | 0.000 | -0.000 | -7.149 | 0.000 |
| 0.000 | 0.000 | 0.000 | 0.000 | -0.000 | -7.149 |
| 56.693 | 1.949 | 1.949 | 0.000 | 0.000 | -0.000 |
| 1.949 | 56.693 | 1.949 | 0.000 | 0.000 | -0.000 |
| 1.949 | 1.949 | 56.693 | -0.000 | -0.000 | 0.000 |
| -0.000 | -0.000 | -0.000 | -7.149 | -0.000 | -0.000 |
| -0.000 | -0.000 | -0.000 | 0.000 | -7.149 | -0.000 |
| -0.000 | -0.000 | -0.000 | -0.000 | 0.000 | -7.149 |
| 56.693 | 1.949 | 1.949 | -0.000 | -0.000 | 0.000 |
| 1.949 | 56.693 | 1.949 | -0.000 | -0.000 | 0.000 |
| 1.949 | 1.949 | 56.693 | 0.000 | -0.000 | 0.000 |
| 0.000 | 0.000 | 0.000 | 2.050 | -0.000 | 0.000 |
| 0.000 | 0.000 | 0.000 | 0.000 | 2.050 | 0.000 |
| 0.000 | 0.000 | 0.000 | 0.000 | -0.000 | 2.050 |
| 56.693 | 1.949 | 1.949 | 0.000 | 0.000 | 0.000 |
| 1.949 | 56.693 | 1.949 | 0.000 | 0.000 | 0.000 |
| 1.949 | 1.949 | 56.693 | -0.000 | -0.000 | -0.000 |
| -0.000 | -0.000 | -0.000 | 2.050 | 0.000 | 0.000 |
| -0.000 | -0.000 | -0.000 | -0.000 | 2.050 | -0.000 |
| -0.000 | -0.000 | -0.000 | -0.000 | 0.000 | 2.050 |
| 56.693 | 1.949 | 1.949 | -0.000 | -0.000 | 0.000 |
| 1.949 | 56.693 | 1.949 | -0.000 | -0.000 | 0.000 |
| 1.949 | 1.949 | 56.693 | -0.000 | -0.000 | 0.000 |
| 0.000 | 0.000 | 0.000 | -7.149 | -0.000 | 0.000 |
| 0.000 | 0.000 | 0.000 | 0.000 | -7.149 | 0.000 |
| 0.000 | 0.000 | 0.000 | -0.000 | -0.000 | -7.149 |
| 56.693 | 1.949 | 1.949 | 0.000 | 0.000 | -0.000 |
| 1.949 | 56.693 | 1.949 | 0.000 | 0.000 | -0.000 |
| 1.949 | 1.949 | 56.693 | 0.000 | 0.000 | -0.000 |
| -0.000 | -0.000 | -0.000 | -7.149 | -0.000 | -0.000 |
| -0.000 | -0.000 | -0.000 | -0.000 | -7.149 | -0.000 |
| -0.000 | -0.000 | -0.000 | 0.000 | 0.000 | -7.149 |
| 14.229 | 2.099 | 2.099 | -0.000 | -0.000 | -0.000 |
| 2.099 | 14.229 | 2.099 | 0.000 | -0.000 | 0.000 |
| 2.099 | 2.099 | 14.229 | -0.000 | -0.000 | -0.000 |
| -0.000 | -0.000 | -0.000 | 0.169 | 0.000 | 0.000 |
| -0.000 | -0.000 | -0.000 | 0.000 | 0.169 | 0.000 |
| -0.000 | -0.000 | 0.000 | -0.000 | 0.000 | 0.169 |
| 14.229 | 2.099 | 2.099 | 0.000 | -0.000 | -0.000 |
| 2.099 | 14.229 | 2.099 | 0.000 | 0.000 | -0.000 |
| 2.099 | 2.099 | 14.229 | 0.000 | -0.000 | -0.000 |
| 0.000 | 0.000 | 0.000 | 0.169 | -0.000 | -0.000 |
| 0.000 | 0.000 | 0.000 | 0.000 | 0.169 | 0.000 |
| 0.000 | 0.000 | -0.000 | 0.000 | -0.000 | 0.169 |
| 14.229 | 2.099 | 2.099 | -0.000 | -0.000 | -0.000 |
| 2.099 | 14.229 | 2.099 | -0.000 | -0.000 | -0.000 |
| 2.099 | 2.099 | 14.229 | -0.000 | -0.000 | 0.000 |
| 0.000 | -0.000 | -0.000 | 0.169 | 0.000 | -0.000 |
| -0.000 | 0.000 | -0.000 | 0.000 | 0.169 | -0.000 |
| -0.000 | -0.000 | 0.000 | 0.000 | 0.000 | 0.169 |
| 14.229 | 2.099 | 2.099 | 0.000 | 0.000 | -0.000 |
| 2.099 | 14.229 | 2.099 | 0.000 | 0.000 | -0.000 |
| 2.099 | 2.099 | 14.229 | 0.000 | -0.000 | 0.000 |
| -0.000 | 0.000 | 0.000 | 0.169 | 0.000 | 0.000 |
| 0.000 | -0.000 | 0.000 | 0.000 | 0.169 | -0.000 |
| 0.000 | 0.000 | -0.000 | -0.000 | -0.000 | 0.169 |
| 14.229 | 2.099 | 2.099 | -0.000 | -0.000 | -0.000 |
| 2.099 | 14.229 | 2.099 | -0.000 | -0.000 | -0.000 |
| 2.099 | 2.099 | 14.229 | 0.000 | 0.000 | -0.000 |
| 0.000 | -0.000 | -0.000 | 0.169 | 0.000 | -0.000 |
| -0.000 | 0.000 | -0.000 | 0.000 | 0.169 | 0.000 |
| -0.000 | -0.000 | 0.000 | -0.000 | 0.000 | 0.169 |
| 14.229 | 2.099 | 2.099 | 0.000 | 0.000 | 0.000 |
| 2.099 | 14.229 | 2.099 | -0.000 | 0.000 | 0.000 |
| 2.099 | 2.099 | 14.229 | -0.000 | 0.000 | 0.000 |
| -0.000 | 0.000 | 0.000 | 0.169 | -0.000 | -0.000 |
| 0.000 | -0.000 | 0.000 | -0.000 | 0.169 | -0.000 |
| 0.000 | 0.000 | -0.000 | -0.000 | -0.000 | 0.169 |
| 33.007 | -1.402 | -1.402 | 0.000 | -0.000 | 0.000 |
| -1.402 | 33.007 | -1.402 | 0.000 | -0.000 | 0.000 |
| -1.402 | -1.402 | 33.007 | -0.000 | -0.000 | 0.000 |
| 0.000 | 0.000 | 0.000 | -9.253 | -0.000 | 0.000 |
| 0.000 | 0.000 | 0.000 | 0.000 | -9.253 | 0.000 |
| 0.000 | -0.000 | 0.000 | -0.000 | -0.000 | -9.253 |
| 33.007 | -1.402 | -1.402 | 0.000 | 0.000 | -0.000 |
| -1.402 | 33.007 | -1.402 | -0.000 | 0.000 | -0.000 |
| -1.402 | -1.402 | 33.007 | 0.000 | 0.000 | -0.000 |
| -0.000 | 0.000 | -0.000 | -9.253 | 0.000 | -0.000 |
| -0.000 | -0.000 | -0.000 | 0.000 | -9.253 | -0.000 |
| -0.000 | 0.000 | -0.000 | 0.000 | 0.000 | -9.253 |
| 33.007 | -1.402 | -1.402 | 0.000 | -0.000 | 0.000 |
| -1.402 | 33.007 | -1.402 | -0.000 | -0.000 | 0.000 |
| -1.402 | -1.402 | 33.007 | -0.000 | -0.000 | 0.000 |
| 0.000 | 0.000 | -0.000 | -9.253 | -0.000 | 0.000 |
| 0.000 | 0.000 | -0.000 | -0.000 | -9.253 | 0.000 |
| 0.000 | -0.000 | 0.000 | -0.000 | -0.000 | -9.253 |
| 33.007 | -1.402 | -1.402 | -0.000 | 0.000 | -0.000 |
| -1.402 | 33.007 | -1.402 | -0.000 | 0.000 | -0.000 |
| -1.402 | -1.402 | 33.007 | -0.000 | 0.000 | -0.000 |
| -0.000 | -0.000 | 0.000 | -9.253 | 0.000 | -0.000 |
| -0.000 | -0.000 | 0.000 | 0.000 | -9.253 | -0.000 |
| -0.000 | 0.000 | -0.000 | 0.000 | 0.000 | -9.253 |
| 33.007 | -1.402 | -1.402 | 0.000 | -0.000 | 0.000 |
| -1.402 | 33.007 | -1.402 | -0.000 | -0.000 | 0.000 |
| -1.402 | -1.402 | 33.007 | 0.000 | -0.000 | 0.000 |
| 0.000 | 0.000 | -0.000 | -9.253 | -0.000 | -0.000 |
| 0.000 | 0.000 | -0.000 | -0.000 | -9.253 | 0.000 |
| 0.000 | -0.000 | 0.000 | -0.000 | -0.000 | -9.253 |
| 33.007 | -1.402 | -1.402 | 0.000 | 0.000 | -0.000 |
| -1.402 | 33.007 | -1.402 | -0.000 | 0.000 | -0.000 |
| -1.402 | -1.402 | 33.007 | -0.000 | 0.000 | -0.000 |
| -0.000 | -0.000 | 0.000 | -9.253 | 0.000 | -0.000 |
| -0.000 | -0.000 | 0.000 | 0.000 | -9.253 | -0.000 |
| -0.000 | 0.000 | -0.000 | 0.000 | 0.000 | -9.253 |
| 61.782 | 10.750 | 10.750 | 0.000 | 0.000 | 0.000 |
| 10.750 | 61.782 | 10.750 | -0.000 | 0.000 | 0.000 |
| 10.750 | 10.750 | 61.782 | 0.000 | 0.000 | 0.000 |
| 0.000 | 0.000 | 0.000 | 7.827 | -0.000 | 0.000 |
| 0.000 | 0.000 | 0.000 | 0.000 | 7.827 | 0.000 |
| 0.000 | 0.000 | 0.000 | 0.000 | -0.000 | 7.827 |
| 61.782 | 10.750 | 10.750 | -0.000 | -0.000 | -0.000 |
| 10.750 | 61.782 | 10.750 | -0.000 | -0.000 | -0.000 |
| 10.750 | 10.750 | 61.782 | 0.000 | 0.000 | -0.000 |
| -0.000 | -0.000 | -0.000 | 7.827 | 0.000 | -0.000 |
| -0.000 | -0.000 | -0.000 | -0.000 | 7.827 | -0.000 |
| -0.000 | -0.000 | -0.000 | -0.000 | -0.000 | 7.827 |
| 61.782 | 10.750 | 10.750 | 0.000 | 0.000 | -0.000 |
| 10.750 | 61.782 | 10.750 | 0.000 | 0.000 | 0.000 |
| 10.750 | 10.750 | 61.782 | 0.000 | 0.000 | 0.000 |
| 0.000 | 0.000 | 0.000 | 7.827 | 0.000 | 0.000 |
| 0.000 | 0.000 | 0.000 | 0.000 | 7.827 | 0.000 |
| 0.000 | 0.000 | 0.000 | 0.000 | 0.000 | 7.827 |
| 61.782 | 10.750 | 10.750 | 0.000 | -0.000 | -0.000 |
| 10.750 | 61.782 | 10.750 | 0.000 | 0.000 | -0.000 |
| 10.750 | 10.750 | 61.782 | -0.000 | -0.000 | -0.000 |
| -0.000 | -0.000 | -0.000 | 7.827 | -0.000 | -0.000 |
| -0.000 | -0.000 | -0.000 | -0.000 | 7.827 | -0.000 |
| -0.000 | -0.000 | -0.000 | -0.000 | -0.000 | 7.827 |
| 61.782 | 10.750 | 10.750 | -0.000 | 0.000 | 0.000 |
| 10.750 | 61.782 | 10.750 | -0.000 | -0.000 | 0.000 |
| 10.750 | 10.750 | 61.782 | 0.000 | 0.000 | 0.000 |
| 0.000 | 0.000 | 0.000 | 7.827 | 0.000 | 0.000 |
| 0.000 | 0.000 | 0.000 | 0.000 | 7.827 | 0.000 |
| 0.000 | 0.000 | 0.000 | 0.000 | 0.000 | 7.827 |
| 61.781 | 10.750 | 10.750 | -0.000 | 0.000 | -0.000 |
| 10.750 | 61.781 | 10.750 | 0.000 | 0.000 | -0.000 |
| 10.750 | 10.750 | 61.781 | 0.000 | -0.000 | -0.000 |
| -0.000 | -0.000 | -0.000 | 7.827 | -0.000 | -0.000 |
| -0.000 | -0.000 | -0.000 | -0.000 | 7.827 | -0.000 |
| -0.000 | -0.000 | -0.000 | -0.000 | -0.000 | 7.827 |
| 33.087 | 4.800 | 4.800 | -0.000 | -0.000 | -0.000 |
| 4.800 | 33.087 | 4.800 | -0.000 | 0.000 | -0.000 |
| 4.800 | 4.800 | 33.087 | 0.000 | -0.000 | 0.000 |
| -0.000 | 0.000 | -0.000 | 4.787 | -0.000 | -0.000 |
| -0.000 | 0.000 | 0.000 | -0.000 | 4.787 | -0.000 |
| -0.000 | -0.000 | -0.000 | -0.000 | -0.000 | 4.787 |
| 33.087 | 4.800 | 4.800 | -0.000 | 0.000 | -0.000 |
| 4.800 | 33.087 | 4.800 | 0.000 | -0.000 | -0.000 |
| 4.800 | 4.800 | 33.087 | -0.000 | -0.000 | -0.000 |
| 0.000 | -0.000 | 0.000 | 4.787 | 0.000 | -0.000 |
| 0.000 | -0.000 | -0.000 | 0.000 | 4.787 | 0.000 |
| 0.000 | 0.000 | 0.000 | 0.000 | 0.000 | 4.787 |
| 33.087 | 4.800 | 4.800 | -0.000 | -0.000 | -0.000 |
| 4.800 | 33.087 | 4.800 | -0.000 | -0.000 | 0.000 |
| 4.800 | 4.800 | 33.087 | -0.000 | -0.000 | 0.000 |
| 0.000 | -0.000 | -0.000 | 4.787 | -0.000 | -0.000 |
| -0.000 | 0.000 | -0.000 | -0.000 | 4.539 | -0.000 |
| -0.000 | -0.000 | 0.000 | -0.000 | -0.000 | 4.539 |
| 33.087 | 4.800 | 4.800 | 0.000 | 0.000 | -0.000 |
| 4.800 | 33.087 | 4.800 | 0.000 | 0.000 | 0.000 |
| 4.800 | 4.800 | 33.087 | 0.000 | 0.000 | -0.000 |
| -0.000 | 0.000 | 0.000 | 4.539 | 0.000 | 0.000 |
| 0.000 | -0.000 | 0.000 | 0.000 | 4.539 | -0.000 |
| 0.000 | 0.000 | -0.000 | -0.000 | 0.000 | 4.539 |
| 33.087 | 4.800 | 4.800 | 0.000 | -0.000 | -0.000 |
| 4.800 | 33.087 | 4.800 | -0.000 | -0.000 | -0.000 |
| 4.800 | 4.800 | 33.087 | -0.000 | -0.000 | -0.000 |
| 0.000 | -0.000 | -0.000 | 4.539 | -0.000 | 0.000 |
| -0.000 | 0.000 | -0.000 | -0.000 | 4.539 | -0.000 |
| -0.000 | -0.000 | 0.000 | 0.000 | -0.000 | 4.539 |
| 33.087 | 4.800 | 4.800 | 0.000 | 0.000 | 0.000 |
| 4.800 | 33.087 | 4.800 | -0.000 | 0.000 | 0.000 |
| 4.800 | 4.800 | 33.087 | 0.000 | 0.000 | -0.000 |
| -0.000 | 0.000 | 0.000 | 4.539 | 0.000 | 0.000 |
| 0.000 | -0.000 | 0.000 | 0.000 | 4.539 | -0.000 |
| 0.000 | 0.000 | -0.000 | -0.000 | 0.000 | 4.539 |
| 15.678 | 12.225 | 12.225 | 0.000 | -0.000 | 0.000 |
| 12.225 | 15.678 | 12.225 | 0.000 | -0.000 | 0.000 |
| 12.225 | 12.225 | 15.678 | 0.000 | 0.000 | 0.000 |
| -0.000 | -0.000 | 0.000 | 8.998 | -0.000 | 0.000 |
| -0.000 | -0.000 | 0.000 | -0.000 | 8.998 | -0.000 |
| -0.000 | -0.000 | 0.000 | -0.000 | -0.000 | 8.998 |
| 15.678 | 12.225 | 12.225 | 0.000 | 0.000 | -0.000 |
| 12.225 | 15.678 | 12.225 | 0.000 | 0.000 | -0.000 |
| 12.225 | 12.225 | 15.678 | -0.000 | 0.000 | 0.000 |
| 0.000 | 0.000 | -0.000 | 8.998 | 0.000 | -0.000 |
| 0.000 | 0.000 | -0.000 | -0.000 | 8.998 | -0.000 |
| 0.000 | 0.000 | -0.000 | 0.000 | 0.000 | 8.998 |
| 15.678 | 12.225 | 12.225 | 0.000 | -0.000 | 0.000 |
| 12.225 | 15.678 | 12.225 | 0.000 | -0.000 | -0.000 |
| 12.225 | 12.225 | 15.678 | -0.000 | -0.000 | 0.000 |
| 0.000 | -0.000 | 0.000 | 8.998 | -0.000 | 0.000 |
| -0.000 | 0.000 | 0.000 | 0.000 | 8.998 | 0.000 |
| -0.000 | 0.000 | 0.000 | -0.000 | -0.000 | 8.998 |
| 15.678 | 12.225 | 12.225 | -0.000 | 0.000 | -0.000 |
| 12.225 | 15.678 | 12.225 | -0.000 | 0.000 | -0.000 |
| 12.225 | 12.225 | 15.678 | -0.000 | -0.000 | -0.000 |
| -0.000 | 0.000 | -0.000 | 8.998 | 0.000 | -0.000 |
| 0.000 | -0.000 | -0.000 | 0.000 | 8.998 | -0.000 |
| 0.000 | -0.000 | -0.000 | 0.000 | 0.000 | 8.998 |
| 15.678 | 12.225 | 12.225 | 0.000 | -0.000 | 0.000 |
| 12.225 | 15.678 | 12.225 | -0.000 | -0.000 | 0.000 |
| 12.225 | 12.225 | 15.678 | 0.000 | 0.000 | 0.000 |
| 0.000 | -0.000 | 0.000 | 8.998 | -0.000 | 0.000 |
| -0.000 | 0.000 | 0.000 | 0.000 | 8.998 | 0.000 |
| -0.000 | 0.000 | 0.000 | -0.000 | -0.000 | 8.998 |
| 15.678 | 12.225 | 12.225 | -0.000 | 0.000 | -0.000 |
| 12.225 | 15.678 | 12.225 | 0.000 | 0.000 | -0.000 |
| 12.225 | 12.225 | 15.678 | -0.000 | 0.000 | -0.000 |
| -0.000 | 0.000 | -0.000 | 8.998 | 0.000 | -0.000 |
| 0.000 | -0.000 | -0.000 | -0.000 | 8.998 | 0.000 |
| 0.000 | -0.000 | -0.000 | 0.000 | 0.000 | 8.998 |
| 13.802 | 9.535 | 9.535 | 0.000 | 0.000 | 0.000 |
| 9.535 | 13.802 | 9.535 | 0.000 | 0.000 | 0.000 |
| 9.535 | 9.535 | 13.802 | 0.000 | 0.000 | 0.000 |
| 0.000 | 0.000 | 0.000 | 9.535 | 0.000 | 0.000 |
| 0.000 | 0.000 | 0.000 | 0.000 | 9.535 | 0.000 |
| 0.000 | 0.000 | 0.000 | 0.000 | 0.000 | 9.535 |
| 13.802 | 9.535 | 9.535 | -0.000 | -0.000 | -0.000 |
| 9.535 | 13.802 | 9.535 | -0.000 | -0.000 | -0.000 |
| 9.535 | 9.535 | 13.802 | -0.000 | -0.000 | -0.000 |
| -0.000 | -0.000 | -0.000 | 9.535 | 0.000 | -0.000 |
| -0.000 | -0.000 | -0.000 | 0.000 | 9.535 | -0.000 |
| -0.000 | -0.000 | -0.000 | -0.000 | -0.000 | 9.535 |
| 13.802 | 9.535 | 9.535 | 0.000 | 0.000 | 0.000 |
| 9.535 | 13.802 | 9.535 | 0.000 | -0.000 | 0.000 |
| 9.535 | 9.535 | 13.802 | 0.000 | 0.000 | 0.000 |
| -0.000 | 0.000 | 0.000 | 9.535 | 0.000 | 0.000 |
| 0.000 | -0.000 | 0.000 | 0.000 | 9.535 | 0.000 |
| 0.000 | 0.000 | -0.000 | 0.000 | 0.000 | 9.535 |
| 13.802 | 9.534 | 9.534 | -0.000 | -0.000 | 0.000 |
| 9.534 | 13.802 | 9.534 | -0.000 | -0.000 | 0.000 |
| 9.534 | 9.534 | 13.802 | 0.000 | -0.000 | -0.000 |
| 0.000 | -0.000 | -0.000 | 9.535 | -0.000 | 0.000 |
| -0.000 | 0.000 | -0.000 | -0.000 | 9.535 | -0.000 |
| -0.000 | -0.000 | 0.000 | -0.000 | -0.000 | 9.535 |
| 13.802 | 9.535 | 9.535 | 0.000 | 0.000 | 0.000 |
| 9.535 | 13.802 | 9.535 | 0.000 | 0.000 | 0.000 |
| 9.535 | 9.535 | 13.802 | -0.000 | 0.000 | 0.000 |
| -0.000 | 0.000 | 0.000 | 9.535 | -0.000 | 0.000 |
| 0.000 | -0.000 | 0.000 | 0.000 | 9.535 | 0.000 |
| 0.000 | 0.000 | -0.000 | 0.000 | 0.000 | 9.535 |
| 13.802 | 9.534 | 9.534 | -0.000 | 0.000 | -0.000 |
| 9.534 | 13.802 | 9.534 | -0.000 | -0.000 | -0.000 |
| 9.534 | 9.534 | 13.802 | -0.000 | 0.000 | -0.000 |
| 0.000 | -0.000 | -0.000 | 9.535 | 0.000 | -0.000 |
| -0.000 | 0.000 | -0.000 | -0.000 | 9.535 | -0.000 |
| -0.000 | -0.000 | 0.000 | -0.000 | -0.000 | 9.535 |
| 224.550 | 109.405 | 109.405 | -0.000 | 0.000 | -0.000 |
| 109.405 | 224.550 | 109.405 | -0.000 | -0.000 | -0.000 |
| 109.405 | 109.405 | 224.550 | -0.000 | 0.000 | -0.000 |
| 0.000 | -0.000 | -0.000 | -24.994 | -0.000 | -0.000 |
| -0.000 | -0.000 | -0.000 | -0.000 | -24.994 | -0.000 |
| -0.000 | -0.000 | -0.000 | -0.000 | -0.000 | -24.994 |
| 224.550 | 109.405 | 109.405 | 0.000 | -0.000 | 0.000 |
| 109.405 | 224.550 | 109.405 | 0.000 | 0.000 | -0.000 |
| 109.405 | 109.405 | 224.550 | 0.000 | 0.000 | 0.000 |
| -0.000 | 0.000 | 0.000 | -24.994 | 0.000 | 0.000 |
| -0.000 | -0.000 | 0.000 | -0.000 | -24.994 | 0.000 |
| -0.000 | 0.000 | 0.000 | 0.000 | 0.000 | -24.994 |
| 224.550 | 109.405 | 109.405 | -0.000 | -0.000 | -0.000 |
| 109.405 | 224.550 | 109.405 | -0.000 | -0.000 | -0.000 |
| 109.405 | 109.405 | 224.550 | 0.000 | 0.000 | -0.000 |
| 0.000 | -0.000 | -0.000 | -24.994 | 0.000 | -0.000 |
| -0.000 | 0.000 | -0.000 | 0.000 | -24.994 | -0.000 |
| -0.000 | -0.000 | 0.000 | -0.000 | -0.000 | -24.994 |
| 224.550 | 109.405 | 109.405 | 0.000 | 0.000 | -0.000 |
| 109.405 | 224.550 | 109.405 | 0.000 | 0.000 | 0.000 |
| 109.405 | 109.405 | 224.550 | 0.000 | 0.000 | 0.000 |
| -0.000 | 0.000 | 0.000 | -24.994 | 0.000 | 0.000 |
| 0.000 | -0.000 | 0.000 | 0.000 | -24.994 | 0.000 |
| 0.000 | 0.000 | -0.000 | 0.000 | 0.000 | -24.994 |
| 224.551 | 109.406 | 109.406 | -0.000 | -0.000 | -0.000 |
| 109.406 | 224.551 | 109.406 | -0.000 | -0.000 | -0.000 |
| 109.406 | 109.406 | 224.551 | 0.000 | 0.000 | -0.000 |
| 0.000 | -0.000 | -0.000 | -24.994 | -0.000 | -0.000 |
| -0.000 | 0.000 | -0.000 | -0.000 | -24.994 | -0.000 |
| -0.000 | -0.000 | 0.000 | -0.000 | -0.000 | -24.994 |
| 224.549 | 109.404 | 109.404 | 0.000 | 0.000 | 0.000 |
| 109.404 | 224.549 | 109.404 | 0.000 | 0.000 | 0.000 |
| 109.404 | 109.404 | 224.549 | 0.000 | 0.000 | 0.000 |
| -0.000 | 0.000 | 0.000 | -24.994 | 0.000 | 0.000 |
| 0.000 | -0.000 | 0.000 | 0.000 | -24.994 | 0.000 |
| 0.000 | 0.000 | -0.000 | 0.000 | 0.000 | -24.994 |
| 454.458 | 222.474 | 222.474 | -0.000 | -0.000 | -0.000 |
| 222.474 | 454.458 | 222.474 | -0.000 | 0.000 | 0.000 |
| 222.474 | 222.474 | 454.458 | -0.000 | 0.000 | 0.000 |
| -0.000 | 0.000 | -0.000 | -25.499 | -0.000 | -0.000 |
| -0.000 | 0.000 | -0.000 | -0.000 | -25.499 | -0.000 |
| -0.000 | -0.000 | -0.000 | -0.000 | -0.000 | -25.499 |
| 454.458 | 222.474 | 222.474 | 0.000 | 0.000 | -0.000 |
| 222.474 | 454.458 | 222.474 | 0.000 | 0.000 | 0.000 |
| 222.474 | 222.474 | 454.458 | 0.000 | 0.000 | -0.000 |
| 0.000 | 0.000 | 0.000 | -25.499 | 0.000 | -0.000 |
| 0.000 | -0.000 | 0.000 | 0.000 | -25.499 | -0.000 |
| 0.000 | 0.000 | 0.000 | 0.000 | 0.000 | -25.499 |
| 454.458 | 222.474 | 222.474 | -0.000 | 0.000 | -0.000 |
| 222.474 | 454.458 | 222.474 | -0.000 | -0.000 | -0.000 |
| 222.474 | 222.474 | 454.458 | -0.000 | -0.000 | -0.000 |
| -0.000 | -0.000 | -0.000 | -25.499 | 0.000 | -0.000 |
| -0.000 | -0.000 | -0.000 | -0.000 | -25.499 | -0.000 |
| -0.000 | -0.000 | -0.000 | -0.000 | -0.000 | -25.499 |
| 454.458 | 222.474 | 222.474 | 0.000 | 0.000 | 0.000 |
| 222.474 | 454.458 | 222.474 | 0.000 | 0.000 | 0.000 |
| 222.474 | 222.474 | 454.458 | 0.000 | 0.000 | 0.000 |
| 0.000 | 0.000 | 0.000 | -25.499 | 0.000 | -0.000 |
| 0.000 | 0.000 | 0.000 | 0.000 | -25.499 | 0.000 |
| 0.000 | 0.000 | 0.000 | 0.000 | 0.000 | -25.499 |
| 454.460 | 222.476 | 222.476 | -0.000 | 0.000 | -0.000 |
| 222.476 | 454.460 | 222.476 | -0.000 | -0.000 | -0.000 |
| 222.476 | 222.476 | 454.460 | -0.000 | -0.000 | -0.000 |
| -0.000 | -0.000 | -0.000 | -25.499 | 0.000 | -0.000 |
| -0.000 | -0.000 | -0.000 | -0.000 | -25.499 | -0.000 |
| -0.000 | -0.000 | -0.000 | -0.000 | -0.000 | -25.499 |
| 454.456 | 222.472 | 222.472 | 0.000 | 0.000 | -0.000 |
| 222.472 | 454.456 | 222.472 | 0.000 | 0.000 | -0.000 |
| 222.472 | 222.472 | 454.456 | 0.000 | -0.000 | 0.000 |
| 0.000 | 0.000 | 0.000 | -25.499 | 0.000 | -0.000 |
| 0.000 | 0.000 | 0.000 | 0.000 | -25.499 | -0.000 |
| 0.000 | 0.000 | 0.000 | 0.000 | 0.000 | -25.499 |
| 227.094 | 17.457 | 17.458 | 0.000 | 0.000 | 0.000 |
| 17.457 | 227.094 | 17.458 | 0.000 | 0.000 | 0.000 |
| 17.457 | 17.457 | 227.094 | 0.000 | 0.000 | 0.000 |
| 0.000 | 0.000 | 0.000 | 16.198 | 0.000 | 0.000 |
| 0.000 | 0.000 | 0.000 | 0.000 | 16.198 | 0.000 |
| 0.000 | 0.000 | 0.000 | -0.000 | 0.000 | 16.198 |
| 227.094 | 17.457 | 17.457 | -0.000 | -0.000 | -0.000 |
| 17.457 | 227.094 | 17.457 | -0.000 | -0.000 | -0.000 |
| 17.457 | 17.457 | 227.094 | 0.000 | 0.000 | -0.000 |
| -0.000 | -0.000 | -0.000 | 16.198 | -0.000 | -0.000 |
| -0.000 | -0.000 | -0.000 | 0.000 | 16.198 | -0.000 |
| -0.000 | -0.000 | -0.000 | 0.000 | -0.000 | 16.198 |
| 227.094 | 17.457 | 17.457 | 0.000 | 0.000 | 0.000 |
| 17.457 | 227.094 | 17.457 | 0.000 | 0.000 | 0.000 |
| 17.457 | 17.457 | 227.094 | 0.000 | 0.000 | 0.000 |
| 0.000 | 0.000 | 0.000 | 16.198 | 0.000 | 0.000 |
| 0.000 | 0.000 | 0.000 | 0.000 | 16.198 | 0.000 |
| 0.000 | 0.000 | 0.000 | -0.000 | 0.000 | 16.198 |
| 227.094 | 17.457 | 17.457 | -0.000 | -0.000 | -0.000 |
| 17.457 | 227.094 | 17.457 | -0.000 | -0.000 | -0.000 |
| 17.457 | 17.457 | 227.094 | -0.000 | -0.000 | -0.000 |
| -0.000 | -0.000 | -0.000 | 16.198 | -0.000 | -0.000 |
| -0.000 | -0.000 | -0.000 | 0.000 | 16.198 | -0.000 |
| -0.000 | -0.000 | -0.000 | 0.000 | -0.000 | 16.198 |
| 227.095 | 17.458 | 17.458 | 0.000 | 0.000 | 0.000 |
| 17.458 | 227.095 | 17.458 | 0.000 | 0.000 | 0.000 |
| 17.458 | 17.458 | 227.095 | -0.000 | 0.000 | 0.000 |
| 0.000 | 0.000 | -0.000 | -26.235 | 0.000 | 0.000 |
| 0.000 | 0.000 | -0.000 | 0.000 | -26.235 | 0.000 |
| 0.000 | -0.000 | 0.000 | 0.000 | 0.000 | -26.235 |
| 227.093 | 17.457 | 17.457 | -0.000 | -0.000 | -0.000 |
| 17.457 | 227.093 | 17.457 | -0.000 | -0.000 | -0.000 |
| 17.457 | 17.457 | 227.093 | -0.000 | -0.000 | -0.000 |
| -0.000 | -0.000 | 0.000 | -26.235 | -0.000 | -0.000 |
| -0.000 | -0.000 | 0.000 | -0.000 | -26.235 | -0.000 |
| -0.000 | 0.000 | -0.000 | -0.000 | -0.000 | -26.235 |
| 193.574 | 81.746 | 81.745 | -0.000 | -0.000 | -0.000 |
| 81.745 | 193.574 | 81.745 | -0.000 | 0.000 | -0.000 |
| 81.745 | 81.746 | 193.574 | -0.000 | 0.000 | -0.000 |
| -0.000 | 0.000 | -0.000 | 82.432 | 0.000 | -0.000 |
| -0.000 | 0.000 | -0.000 | -0.000 | 82.432 | -0.000 |
| -0.000 | 0.000 | -0.000 | 0.000 | 0.000 | 82.432 |
| 193.574 | 81.745 | 81.746 | 0.000 | 0.000 | 0.000 |
| 81.745 | 193.574 | 81.745 | -0.000 | 0.000 | 0.000 |
| 81.746 | 81.745 | 193.574 | 0.000 | -0.000 | 0.000 |
| 0.000 | -0.000 | 0.000 | 82.432 | -0.000 | 0.000 |
| 0.000 | -0.000 | 0.000 | 0.000 | 82.432 | 0.000 |
| 0.000 | -0.000 | 0.000 | -0.000 | -0.000 | 82.432 |
| 193.574 | 81.746 | 81.746 | -0.000 | 0.000 | -0.000 |
| 81.746 | 193.574 | 81.746 | -0.000 | -0.000 | -0.000 |
| 81.746 | 81.746 | 193.574 | -0.000 | -0.000 | -0.000 |
| 0.000 | -0.000 | -0.000 | -17.905 | 0.000 | -0.000 |
| -0.000 | 0.000 | -0.000 | -0.000 | -17.905 | -0.000 |
| -0.000 | -0.000 | 0.000 | -0.000 | 0.000 | -17.905 |
| 193.574 | 81.745 | 81.745 | -0.000 | -0.000 | 0.000 |
| 81.745 | 193.574 | 81.745 | 0.000 | -0.000 | 0.000 |
| 81.745 | 81.745 | 193.574 | 0.000 | -0.000 | 0.000 |
| -0.000 | 0.000 | 0.000 | -17.905 | -0.000 | 0.000 |
| 0.000 | -0.000 | 0.000 | 0.000 | -17.905 | 0.000 |
| 0.000 | 0.000 | -0.000 | 0.000 | -0.000 | -17.905 |
| 193.575 | 81.746 | 81.746 | -0.000 | -0.000 | -0.000 |
| 81.746 | 193.575 | 81.746 | -0.000 | -0.000 | -0.000 |
| 81.746 | 81.746 | 193.575 | 0.000 | 0.000 | -0.000 |
| 0.000 | -0.000 | -0.000 | -17.905 | 0.000 | -0.000 |
| -0.000 | 0.000 | -0.000 | -0.000 | -17.905 | -0.000 |
| -0.000 | -0.000 | 0.000 | -0.000 | 0.000 | -17.905 |
| 193.573 | 81.745 | 81.745 | 0.000 | -0.000 | 0.000 |
| 81.745 | 193.573 | 81.745 | 0.000 | -0.000 | 0.000 |
| 81.745 | 81.745 | 193.573 | 0.000 | 0.000 | 0.000 |
| -0.000 | 0.000 | 0.000 | -17.905 | -0.000 | -0.000 |
| 0.000 | -0.000 | 0.000 | 0.000 | -17.905 | 0.000 |
| 0.000 | 0.000 | -0.000 | 0.000 | -0.000 | -17.905 |
| 414.302 | 70.059 | 70.059 | -0.000 | -0.000 | -0.000 |
| 70.059 | 414.302 | 70.059 | -0.000 | -0.000 | -0.000 |
| 70.059 | 70.059 | 414.302 | -0.000 | 0.000 | -0.000 |
| -0.000 | -0.000 | -0.000 | 100.516 | -0.000 | -0.000 |
| -0.000 | -0.000 | -0.000 | -0.000 | 100.516 | -0.000 |
| -0.000 | -0.000 | -0.000 | -0.000 | -0.000 | 100.516 |
| 414.303 | 70.060 | 70.060 | 0.000 | -0.000 | 0.000 |
| 70.060 | 414.303 | 70.060 | -0.000 | 0.000 | -0.000 |
| 70.060 | 70.060 | 414.303 | -0.000 | 0.000 | 0.000 |
| 0.000 | 0.000 | 0.000 | 100.516 | 0.000 | 0.000 |
| 0.000 | 0.000 | 0.000 | -0.000 | 100.516 | 0.000 |
| 0.000 | 0.000 | 0.000 | 0.000 | 0.000 | 100.516 |
| 414.301 | 70.058 | 70.058 | 0.000 | 0.000 | -0.000 |
| 70.058 | 414.301 | 70.058 | 0.000 | -0.000 | -0.000 |
| 70.058 | 70.058 | 414.301 | -0.000 | -0.000 | -0.000 |
| -0.002 | -0.002 | -0.002 | 100.516 | -0.000 | -0.000 |
| -0.002 | -0.002 | -0.002 | 0.000 | 100.516 | -0.000 |
| -0.002 | -0.002 | -0.002 | -0.000 | -0.000 | 100.516 |
| 414.304 | 70.062 | 70.062 | -0.000 | 0.000 | 0.000 |
| 70.062 | 414.304 | 70.062 | -0.000 | 0.000 | 0.000 |
| 70.062 | 70.062 | 414.304 | -0.000 | 0.000 | 0.000 |
| 0.002 | 0.002 | 0.002 | 100.516 | 0.000 | 0.000 |
| 0.002 | 0.002 | 0.002 | -0.000 | 100.516 | -0.000 |
| 0.002 | 0.002 | 0.002 | 0.000 | 0.000 | 100.516 |
| 414.285 | 70.039 | 70.039 | -0.000 | 0.000 | -0.000 |
| 70.039 | 414.285 | 70.039 | -0.000 | -0.000 | -0.000 |
| 70.039 | 70.039 | 414.285 | -0.000 | -0.000 | -0.000 |
| -0.021 | -0.021 | -0.021 | 100.516 | -0.000 | -0.000 |
| -0.021 | -0.021 | -0.021 | 0.000 | 100.516 | -0.000 |
| -0.021 | -0.021 | -0.021 | 0.000 | -0.000 | 100.516 |
| 414.320 | 70.080 | 70.080 | -0.000 | 0.000 | 0.000 |
| 70.080 | 414.320 | 70.080 | -0.000 | 0.000 | 0.000 |
| 70.080 | 70.080 | 414.320 | 0.000 | 0.000 | 0.000 |
| 0.021 | 0.021 | 0.021 | 100.516 | 0.000 | 0.000 |
| 0.021 | 0.021 | 0.021 | 0.000 | 100.516 | -0.000 |
| 0.021 | 0.021 | 0.021 | -0.000 | 0.000 | 100.516 |
| 560.858 | -7.791 | -7.791 | -0.000 | 0.000 | -0.000 |
| -7.791 | 560.858 | -7.791 | 0.000 | 0.000 | -0.000 |
| -7.791 | -7.791 | 560.858 | -0.000 | 0.000 | -0.000 |
| -0.000 | 0.000 | -0.000 | 43.056 | 0.000 | -0.000 |
| -0.000 | -0.000 | -0.000 | 0.000 | 43.056 | -0.000 |
| -0.000 | 0.000 | -0.000 | 0.000 | 0.000 | 43.056 |
| 560.858 | -7.791 | -7.791 | 0.000 | -0.000 | -0.000 |
| -7.791 | 560.858 | -7.791 | 0.000 | -0.000 | 0.000 |
| -7.791 | -7.791 | 560.858 | 0.000 | -0.000 | 0.000 |
| 0.000 | -0.000 | 0.000 | 43.056 | -0.000 | 0.000 |
| 0.000 | 0.000 | -0.000 | -0.000 | 43.056 | 0.000 |
| 0.000 | -0.000 | 0.000 | -0.000 | -0.000 | 43.056 |
| 560.858 | -7.791 | -7.791 | 0.000 | 0.000 | -0.000 |
| -7.791 | 560.859 | -7.791 | 0.000 | 0.000 | -0.000 |
| -7.791 | -7.791 | 560.859 | -0.000 | 0.000 | -0.000 |
| 0.000 | 0.000 | 0.000 | 43.056 | 0.000 | -0.000 |
| 0.000 | 0.000 | 0.000 | 0.000 | 43.056 | -0.000 |
| 0.000 | 0.000 | 0.000 | 0.000 | 0.000 | 43.056 |
| 560.858 | -7.791 | -7.791 | 0.000 | 0.000 | 0.000 |
| -7.791 | 560.858 | -7.791 | 0.000 | -0.000 | 0.000 |
| -7.791 | -7.791 | 560.858 | -0.000 | -0.000 | 0.000 |
| -0.000 | -0.000 | -0.000 | 43.056 | -0.000 | 0.000 |
| -0.000 | -0.000 | -0.000 | -0.000 | 43.056 | 0.000 |
| -0.000 | -0.000 | -0.000 | -0.000 | -0.000 | 43.056 |
| 560.860 | -7.790 | -7.790 | -0.000 | 0.000 | -0.000 |
| -7.790 | 560.860 | -7.790 | -0.000 | 0.000 | -0.000 |
| -7.790 | -7.790 | 560.860 | -0.000 | 0.000 | -0.000 |
| 0.000 | 0.000 | 0.000 | 43.056 | 0.000 | -0.000 |
| 0.000 | 0.000 | 0.000 | 0.000 | 43.056 | -0.000 |
| 0.000 | 0.000 | 0.000 | 0.000 | 0.000 | 43.056 |
| 560.856 | -7.791 | -7.791 | -0.000 | -0.000 | -0.000 |
| -7.791 | 560.856 | -7.791 | -0.000 | -0.000 | 0.000 |
| -7.791 | -7.791 | 560.856 | -0.000 | -0.000 | 0.000 |
| -0.000 | -0.000 | -0.000 | 43.056 | -0.000 | 0.000 |
| -0.000 | -0.000 | -0.000 | -0.000 | 43.056 | 0.000 |
| -0.000 | -0.000 | -0.000 | -0.000 | -0.000 | 43.056 |
| 119.606 | 110.187 | 110.187 | -0.000 | -0.000 | -0.000 |
| 110.187 | 119.606 | 110.187 | -0.000 | -0.000 | -0.000 |
| 110.187 | 110.187 | 119.606 | -0.000 | -0.000 | -0.000 |
| -0.000 | 0.000 | 0.000 | 29.993 | -0.000 | -0.000 |
| 0.000 | -0.000 | 0.000 | -0.000 | 29.993 | -0.000 |
| 0.000 | 0.000 | 0.000 | -0.000 | -0.000 | 29.993 |
| 119.606 | 110.187 | 110.187 | 0.000 | 0.000 | 0.000 |
| 110.187 | 119.606 | 110.187 | 0.000 | 0.000 | 0.000 |
| 110.187 | 110.187 | 119.606 | 0.000 | 0.000 | 0.000 |
| -0.000 | -0.000 | -0.000 | 29.993 | 0.000 | 0.000 |
| 0.000 | -0.000 | -0.000 | 0.000 | 29.993 | 0.000 |
| -0.000 | -0.000 | 0.000 | 0.000 | 0.000 | 29.993 |
| 119.606 | 110.187 | 110.187 | -0.000 | -0.000 | -0.000 |
| 110.187 | 119.606 | 110.187 | -0.000 | -0.000 | -0.000 |
| 110.187 | 110.187 | 119.606 | -0.000 | -0.000 | -0.000 |
| -0.000 | -0.000 | -0.000 | 29.993 | -0.000 | -0.000 |
| -0.000 | -0.000 | -0.000 | -0.000 | 29.993 | -0.000 |
| -0.000 | -0.000 | -0.000 | -0.000 | -0.000 | 29.993 |
| 119.606 | 110.187 | 110.187 | 0.000 | 0.000 | 0.000 |
| 110.187 | 119.606 | 110.187 | 0.000 | 0.000 | 0.000 |
| 110.187 | 110.187 | 119.606 | 0.000 | 0.000 | 0.000 |
| 0.000 | 0.000 | 0.000 | 29.993 | 0.000 | 0.000 |
| 0.000 | 0.000 | 0.000 | 0.000 | 29.993 | 0.000 |
| 0.000 | 0.000 | 0.000 | 0.000 | 0.000 | 29.993 |
| 119.606 | 110.188 | 110.188 | -0.000 | -0.000 | -0.000 |
| 110.188 | 119.606 | 110.188 | -0.000 | -0.000 | -0.000 |
| 110.188 | 110.188 | 119.606 | -0.000 | -0.000 | -0.000 |
| -0.000 | -0.000 | -0.000 | 29.993 | -0.000 | -0.000 |
| -0.000 | -0.000 | -0.000 | -0.000 | 29.993 | -0.000 |
| -0.000 | -0.000 | -0.000 | -0.000 | -0.000 | 29.993 |
| 119.606 | 110.187 | 110.187 | 0.000 | 0.000 | 0.000 |
| 110.187 | 119.606 | 110.187 | 0.000 | 0.000 | 0.000 |
| 110.187 | 110.187 | 119.606 | 0.000 | 0.000 | 0.000 |
| 0.000 | 0.000 | 0.000 | 29.993 | 0.000 | 0.000 |
| 0.000 | 0.000 | 0.000 | 0.000 | 29.993 | 0.000 |
| 0.000 | 0.000 | 0.000 | 0.000 | 0.000 | 29.993 |
| 227.925 | -23.720 | -23.720 | 0.000 | 0.000 | 0.000 |
| -23.720 | 227.925 | -23.720 | 0.000 | 0.000 | 0.000 |
| -23.720 | -23.720 | 227.925 | 0.000 | -0.000 | 0.000 |
| -0.000 | 0.000 | 0.000 | -20.527 | 0.000 | -0.000 |
| -0.000 | -0.000 | 0.000 | 0.000 | -20.527 | 0.000 |
| -0.000 | -0.000 | -0.000 | 0.000 | -0.000 | -20.527 |
| 227.925 | -23.720 | -23.720 | -0.000 | -0.000 | -0.000 |
| -23.720 | 227.925 | -23.720 | -0.000 | -0.000 | -0.000 |
| -23.720 | -23.720 | 227.925 | -0.000 | 0.000 | -0.000 |
| 0.000 | 0.000 | -0.000 | -20.527 | -0.000 | -0.000 |
| 0.000 | 0.000 | -0.000 | -0.000 | -20.527 | -0.000 |
| 0.000 | 0.000 | 0.000 | -0.000 | 0.000 | -20.527 |
| 227.925 | -23.720 | -23.720 | 0.000 | 0.000 | 0.000 |
| -23.720 | 227.925 | -23.720 | 0.000 | 0.000 | 0.000 |
| -23.720 | -23.720 | 227.925 | -0.000 | -0.000 | 0.000 |
| -0.000 | 0.000 | -0.000 | -20.527 | -0.000 | -0.000 |
| 0.000 | 0.000 | -0.000 | 0.000 | -20.527 | 0.000 |
| 0.000 | -0.000 | 0.000 | -0.000 | -0.000 | -20.527 |
| 227.925 | -23.720 | -23.720 | -0.000 | -0.000 | -0.000 |
| -23.720 | 227.925 | -23.720 | -0.000 | -0.000 | -0.000 |
| -23.720 | -23.720 | 227.925 | -0.000 | -0.000 | -0.000 |
| -0.000 | -0.000 | 0.000 | -20.527 | 0.000 | -0.000 |
| -0.000 | -0.000 | 0.000 | -0.000 | -20.527 | -0.000 |
| -0.000 | 0.000 | -0.000 | 0.000 | 0.000 | -20.527 |
| 227.926 | -23.720 | -23.720 | 0.000 | -0.000 | 0.000 |
| -23.720 | 227.926 | -23.720 | 0.000 | 0.000 | 0.000 |
| -23.720 | -23.720 | 227.926 | 0.000 | -0.000 | 0.000 |
| 0.000 | 0.000 | -0.000 | -20.527 | -0.000 | -0.000 |
| 0.000 | 0.000 | -0.000 | 0.000 | -20.527 | 0.000 |
| 0.000 | -0.000 | 0.000 | 0.000 | -0.000 | -20.527 |
| 227.924 | -23.720 | -23.720 | -0.000 | -0.000 | -0.000 |
| -23.720 | 227.924 | -23.720 | -0.000 | 0.000 | -0.000 |
| -23.720 | -23.720 | 227.924 | -0.000 | 0.000 | -0.000 |
| -0.000 | -0.000 | 0.000 | -20.527 | 0.000 | -0.000 |
| -0.000 | -0.000 | 0.000 | -0.000 | -20.527 | -0.000 |
| -0.000 | 0.000 | -0.000 | -0.000 | 0.000 | -20.527 |
| 48.173 | 0.668 | 0.668 | 0.000 | 0.000 | -0.000 |
| 0.668 | 48.173 | 0.668 | 0.000 | 0.000 | -0.000 |
| 0.668 | 0.668 | 48.173 | 0.000 | 0.000 | -0.000 |
| -0.000 | -0.000 | -0.000 | -37.139 | 0.000 | 0.000 |
| -0.000 | -0.000 | -0.000 | -0.000 | -37.139 | -0.000 |
| -0.000 | -0.000 | -0.000 | 0.000 | 0.000 | -37.139 |
| 48.173 | 0.668 | 0.668 | 0.000 | -0.000 | 0.000 |
| 0.668 | 48.173 | 0.668 | 0.000 | -0.000 | 0.000 |
| 0.668 | 0.668 | 48.173 | -0.000 | -0.000 | 0.000 |
| 0.000 | 0.000 | 0.000 | -37.139 | -0.000 | 0.000 |
| 0.000 | 0.000 | 0.000 | -0.000 | -37.139 | 0.000 |
| 0.000 | 0.000 | 0.000 | -0.000 | -0.000 | -37.139 |
| 48.173 | 0.667 | 0.667 | 0.000 | 0.000 | -0.000 |
| 0.667 | 48.173 | 0.667 | 0.000 | 0.000 | -0.000 |
| 0.667 | 0.667 | 48.173 | 0.000 | 0.000 | -0.000 |
| -0.001 | -0.001 | -0.001 | -37.139 | 0.000 | -0.000 |
| -0.001 | -0.001 | -0.001 | 0.000 | -37.139 | -0.000 |
| -0.001 | -0.001 | -0.001 | 0.000 | 0.000 | -37.139 |
| 48.174 | 0.668 | 0.668 | 0.000 | -0.000 | 0.000 |
| 0.668 | 48.174 | 0.668 | 0.000 | -0.000 | 0.000 |
| 0.668 | 0.668 | 48.174 | 0.000 | -0.000 | 0.000 |
| 0.001 | 0.001 | 0.001 | -37.139 | -0.000 | 0.000 |
| 0.001 | 0.001 | 0.001 | -0.000 | -37.139 | 0.000 |
| 0.001 | 0.001 | 0.001 | -0.000 | -0.000 | -37.139 |
| 48.168 | 0.663 | 0.663 | 0.000 | 0.000 | -0.000 |
| 0.663 | 48.168 | 0.663 | 0.000 | 0.000 | -0.000 |
| 0.663 | 0.663 | 48.168 | -0.000 | 0.000 | -0.000 |
| -0.009 | -0.009 | -0.009 | -37.139 | 0.000 | -0.000 |
| -0.009 | -0.009 | -0.009 | -0.000 | -37.139 | -0.000 |
| -0.009 | -0.009 | -0.009 | 0.000 | 0.000 | -37.139 |
| 48.179 | 0.673 | 0.673 | 0.000 | -0.000 | 0.000 |
| 0.673 | 48.179 | 0.673 | 0.000 | 0.000 | -0.000 |
| 0.673 | 0.673 | 48.179 | -0.000 | 0.000 | 0.000 |
| 0.009 | 0.009 | 0.009 | -37.139 | -0.000 | 0.000 |
| 0.009 | 0.009 | 0.009 | -0.000 | -37.139 | 0.000 |
| 0.009 | 0.009 | 0.009 | -0.000 | -0.000 | -37.139 |
| 15.453 | -0.596 | -0.596 | -0.000 | -0.000 | 0.000 |
| -0.596 | 15.453 | -0.596 | -0.000 | -0.000 | 0.000 |
| -0.596 | -0.596 | 15.453 | -0.000 | -0.000 | 0.000 |
| 0.000 | -0.000 | -0.000 | -36.108 | -0.000 | 0.000 |
| -0.000 | 0.000 | -0.000 | 0.000 | -36.108 | 0.000 |
| -0.000 | -0.000 | 0.000 | 0.000 | 0.000 | -36.108 |
| 15.453 | -0.596 | -0.596 | -0.000 | -0.000 | 0.000 |
| -0.596 | 15.453 | -0.596 | -0.000 | -0.000 | -0.000 |
| -0.596 | -0.596 | 15.453 | 0.000 | 0.000 | 0.000 |
| -0.000 | 0.000 | 0.000 | -36.108 | 0.000 | 0.000 |
| 0.000 | -0.000 | 0.000 | 0.000 | -36.108 | -0.000 |
| 0.000 | 0.000 | -0.000 | 0.000 | 0.000 | -36.108 |
| 15.453 | -0.596 | -0.596 | -0.000 | -0.000 | 0.000 |
| -0.596 | 15.453 | -0.596 | -0.000 | -0.000 | 0.000 |
| -0.596 | -0.596 | 15.453 | -0.000 | 0.000 | -0.000 |
| 0.000 | -0.000 | -0.000 | -36.108 | 0.000 | 0.000 |
| -0.000 | 0.000 | -0.000 | 0.000 | -36.108 | 0.000 |
| -0.000 | -0.000 | 0.000 | -0.000 | 0.000 | -36.108 |
| 15.453 | -0.596 | -0.596 | 0.000 | 0.000 | 0.000 |
| -0.596 | 15.453 | -0.596 | 0.000 | 0.000 | 0.000 |
| -0.596 | -0.596 | 15.453 | 0.000 | 0.000 | 0.000 |
| -0.000 | 0.000 | 0.000 | -36.108 | 0.000 | -0.000 |
| 0.000 | -0.000 | 0.000 | 0.000 | -36.108 | -0.000 |
| 0.000 | 0.000 | -0.000 | -0.000 | -0.000 | -36.108 |
| 15.453 | -0.596 | -0.596 | -0.000 | -0.000 | -0.000 |
| -0.596 | 15.453 | -0.596 | -0.000 | -0.000 | 0.000 |
| -0.596 | -0.596 | 15.453 | 0.000 | -0.000 | 0.000 |
| 0.000 | -0.000 | -0.000 | -36.108 | -0.000 | 0.000 |
| -0.000 | 0.000 | -0.000 | -0.000 | -36.108 | 0.000 |
| -0.000 | -0.000 | 0.000 | -0.000 | -0.000 | -36.108 |
| 15.453 | -0.596 | -0.596 | -0.000 | -0.000 | -0.000 |
| -0.596 | 15.453 | -0.596 | 0.000 | -0.000 | -0.000 |
| -0.596 | -0.596 | 15.453 | 0.000 | 0.000 | -0.000 |
| -0.000 | 0.000 | 0.000 | -36.108 | 0.000 | 0.000 |
| 0.000 | -0.000 | 0.000 | 0.000 | -36.108 | -0.000 |
| 0.000 | 0.000 | -0.000 | 0.000 | -0.000 | -36.108 |
| 6.721 | 5.754 | 5.754 | -0.000 | -0.000 | 0.000 |
| 5.754 | 6.721 | 5.754 | 0.000 | -0.000 | 0.000 |
| 5.754 | 5.754 | 6.721 | 0.000 | 0.000 | -0.000 |
| -0.000 | -0.000 | -0.000 | -0.945 | -0.000 | -0.000 |
| -0.000 | -0.000 | 0.000 | 0.000 | -0.945 | -0.000 |
| -0.000 | -0.000 | -0.000 | 0.000 | -0.000 | -0.945 |
| 6.721 | 5.754 | 5.754 | -0.000 | 0.000 | 0.000 |
| 5.754 | 6.721 | 5.754 | 0.000 | 0.000 | 0.000 |
| 5.754 | 5.754 | 6.721 | -0.000 | 0.000 | 0.000 |
| 0.000 | 0.000 | 0.000 | -0.945 | 0.000 | 0.000 |
| 0.000 | 0.000 | 0.000 | -0.000 | -0.945 | -0.000 |
| 0.000 | 0.000 | 0.000 | -0.000 | 0.000 | -0.945 |
| 6.721 | 5.754 | 5.754 | -0.000 | -0.000 | -0.000 |
| 5.754 | 6.721 | 5.754 | 0.000 | -0.000 | -0.000 |
| 5.754 | 5.754 | 6.721 | 0.000 | -0.000 | -0.000 |
| 0.000 | -0.000 | -0.000 | -0.945 | -0.000 | 0.000 |
| -0.000 | 0.000 | -0.000 | 0.000 | -0.945 | -0.000 |
| -0.000 | -0.000 | 0.000 | 0.000 | -0.000 | -0.945 |
| 6.721 | 5.754 | 5.754 | 0.000 | 0.000 | 0.000 |
| 5.754 | 6.721 | 5.754 | 0.000 | 0.000 | 0.000 |
| 5.754 | 5.754 | 6.721 | -0.000 | 0.000 | -0.000 |
| -0.000 | 0.000 | 0.000 | -0.945 | 0.000 | 0.000 |
| 0.000 | -0.000 | 0.000 | 0.000 | -0.945 | -0.000 |
| 0.000 | 0.000 | -0.000 | -0.000 | 0.000 | -0.945 |
| 6.721 | 5.754 | 5.754 | -0.000 | -0.000 | -0.000 |
| 5.754 | 6.721 | 5.754 | -0.000 | -0.000 | -0.000 |
| 5.754 | 5.754 | 6.721 | 0.000 | -0.000 | -0.000 |
| 0.000 | -0.000 | -0.000 | -0.945 | -0.000 | -0.000 |
| -0.000 | 0.000 | -0.000 | 0.000 | -0.945 | -0.000 |
| -0.000 | -0.000 | 0.000 | 0.000 | -0.000 | -0.945 |
| 6.721 | 5.754 | 5.754 | -0.000 | 0.000 | 0.000 |
| 5.754 | 6.721 | 5.754 | 0.000 | 0.000 | 0.000 |
| 5.754 | 5.754 | 6.721 | 0.000 | 0.000 | 0.000 |
| -0.000 | 0.000 | 0.000 | -0.945 | 0.000 | 0.000 |
| 0.000 | -0.000 | 0.000 | -0.000 | -0.945 | 0.000 |
| 0.000 | 0.000 | -0.000 | -0.000 | 0.000 | -0.945 |
| 17.445 | 1.423 | 1.423 | 0.000 | -0.000 | -0.000 |
| 1.423 | 17.445 | 1.423 | 0.000 | -0.000 | -0.000 |
| 1.423 | 1.423 | 17.445 | 0.000 | -0.000 | -0.000 |
| 0.000 | -0.000 | 0.000 | 0.429 | -0.000 | -0.000 |
| -0.000 | 0.000 | 0.000 | 0.000 | 0.429 | -0.000 |
| -0.000 | 0.000 | 0.000 | -0.000 | -0.000 | 0.429 |
| 17.445 | 1.423 | 1.423 | -0.000 | 0.000 | 0.000 |
| 1.423 | 17.445 | 1.423 | 0.000 | 0.000 | 0.000 |
| 1.423 | 1.423 | 17.445 | -0.000 | 0.000 | 0.000 |
| 0.000 | 0.000 | -0.000 | 0.429 | 0.000 | 0.000 |
| 0.000 | 0.000 | -0.000 | -0.000 | 0.429 | 0.000 |
| 0.000 | -0.000 | -0.000 | -0.000 | 0.000 | 0.429 |
| 17.445 | 1.423 | 1.423 | 0.000 | 0.000 | -0.000 |
| 1.423 | 17.445 | 1.423 | 0.000 | -0.000 | -0.000 |
| 1.423 | 1.423 | 17.445 | -0.000 | -0.000 | -0.000 |
| 0.000 | -0.000 | -0.000 | 1.491 | -0.000 | 0.000 |
| -0.000 | 0.000 | -0.000 | 0.000 | 1.491 | -0.000 |
| -0.000 | -0.000 | 0.000 | 0.000 | -0.000 | 1.491 |
| 17.445 | 1.423 | 1.423 | -0.000 | 0.000 | 0.000 |
| 1.423 | 17.445 | 1.423 | -0.000 | 0.000 | 0.000 |
| 1.423 | 1.423 | 17.445 | -0.000 | 0.000 | 0.000 |
| -0.000 | 0.000 | 0.000 | 1.491 | 0.000 | 0.000 |
| 0.000 | -0.000 | 0.000 | -0.000 | 1.491 | 0.000 |
| 0.000 | 0.000 | -0.000 | -0.000 | 0.000 | 1.491 |
| 17.445 | 1.423 | 1.423 | -0.000 | -0.000 | -0.000 |
| 1.423 | 17.445 | 1.423 | 0.000 | -0.000 | -0.000 |
| 1.423 | 1.423 | 17.445 | 0.000 | -0.000 | -0.000 |
| 0.000 | -0.000 | -0.000 | -7.343 | -0.000 | -0.000 |
| 0.000 | -0.000 | -0.000 | 0.000 | -2.050 | -0.000 |
| -0.000 | -0.000 | 0.000 | 0.000 | -0.000 | -7.343 |
| 17.445 | 1.423 | 1.423 | -0.000 | 0.000 | 0.000 |
| 1.423 | 17.445 | 1.423 | -0.000 | 0.000 | 0.000 |
| 1.423 | 1.423 | 17.445 | 0.000 | 0.000 | 0.000 |
| -0.000 | 0.000 | 0.000 | -7.343 | 0.000 | 0.000 |
| -0.000 | 0.000 | 0.000 | -0.000 | -2.050 | 0.000 |
| 0.000 | 0.000 | -0.000 | -0.000 | 0.000 | -7.343 |
| 8.571 | 5.284 | 5.284 | -0.000 | 0.000 | 0.000 |
| 5.284 | 8.571 | 5.284 | 0.000 | 0.000 | 0.000 |
| 5.284 | 5.284 | 8.571 | -0.000 | 0.000 | 0.000 |
| 0.000 | -0.000 | -0.000 | -3.451 | 0.000 | 0.000 |
| -0.000 | 0.000 | -0.000 | -0.000 | -3.451 | 0.000 |
| -0.000 | 0.000 | -0.000 | -0.000 | 0.000 | -3.451 |
| 8.571 | 5.284 | 5.284 | 0.000 | -0.000 | -0.000 |
| 5.284 | 8.571 | 5.284 | 0.000 | 0.000 | -0.000 |
| 5.284 | 5.284 | 8.571 | 0.000 | 0.000 | -0.000 |
| -0.000 | 0.000 | 0.000 | -3.451 | -0.000 | -0.000 |
| 0.000 | -0.000 | 0.000 | 0.000 | -3.451 | -0.000 |
| 0.000 | 0.000 | 0.000 | 0.000 | -0.000 | -3.451 |
| 8.571 | 5.284 | 5.284 | 0.000 | 0.000 | 0.000 |
| 5.284 | 8.571 | 5.284 | 0.000 | 0.000 | 0.000 |
| 5.284 | 5.284 | 8.571 | -0.000 | 0.000 | 0.000 |
| -0.000 | -0.000 | -0.000 | -3.451 | 0.000 | 0.000 |
| -0.000 | -0.000 | -0.000 | -0.000 | -3.451 | 0.000 |
| -0.000 | -0.000 | -0.000 | -0.000 | 0.000 | -3.451 |
| 8.571 | 5.284 | 5.284 | 0.000 | -0.000 | -0.000 |
| 5.284 | 8.571 | 5.284 | 0.000 | 0.000 | -0.000 |
| 5.284 | 5.284 | 8.571 | 0.000 | 0.000 | -0.000 |
| 0.000 | 0.000 | 0.000 | -3.451 | -0.000 | -0.000 |
| 0.000 | 0.000 | 0.000 | 0.000 | -3.451 | -0.000 |
| 0.000 | 0.000 | 0.000 | 0.000 | -0.000 | -3.451 |
| 8.571 | 5.285 | 5.285 | -0.000 | -0.000 | 0.000 |
| 5.285 | 8.571 | 5.285 | -0.000 | -0.000 | 0.000 |
| 5.285 | 5.285 | 8.571 | -0.000 | -0.000 | 0.000 |
| -0.000 | -0.000 | -0.000 | -3.451 | -0.000 | 0.000 |
| -0.000 | -0.000 | -0.000 | -0.000 | -3.451 | 0.000 |
| -0.000 | -0.000 | -0.000 | -0.000 | -0.000 | -3.451 |
| 8.571 | 5.284 | 5.284 | -0.000 | -0.000 | -0.000 |
| 5.284 | 8.571 | 5.284 | 0.000 | -0.000 | -0.000 |
| 5.284 | 5.284 | 8.571 | -0.000 | -0.000 | -0.000 |
| 0.000 | 0.000 | 0.000 | -3.451 | 0.000 | -0.000 |
| 0.000 | 0.000 | 0.000 | 0.000 | -3.451 | -0.000 |
| 0.000 | 0.000 | 0.000 | 0.000 | -0.000 | -3.451 |
| 2.528 | 4.992 | 4.992 | -0.000 | 0.000 | 0.000 |
| 4.992 | 2.528 | 4.992 | -0.000 | -0.000 | 0.000 |
| 4.992 | 4.992 | 2.528 | -0.000 | -0.000 | 0.000 |
| -0.000 | 0.000 | 0.000 | 5.126 | -0.000 | 0.000 |
| 0.000 | -0.000 | 0.000 | -0.000 | 5.126 | 0.000 |
| 0.000 | 0.000 | 0.000 | -0.000 | -0.000 | 5.126 |
| 2.528 | 4.992 | 4.992 | 0.000 | 0.000 | -0.000 |
| 4.992 | 2.528 | 4.992 | 0.000 | 0.000 | -0.000 |
| 4.992 | 4.992 | 2.528 | 0.000 | 0.000 | -0.000 |
| 0.000 | 0.000 | -0.000 | 5.126 | 0.000 | 0.000 |
| -0.000 | 0.000 | -0.000 | 0.000 | 5.126 | -0.000 |
| -0.000 | -0.000 | -0.000 | 0.000 | 0.000 | 5.126 |
| 2.528 | 4.992 | 4.992 | -0.000 | -0.000 | -0.000 |
| 4.992 | 2.528 | 4.992 | -0.000 | 0.000 | 0.000 |
| 4.992 | 4.992 | 2.528 | -0.000 | 0.000 | 0.000 |
| -0.000 | 0.000 | 0.000 | 5.126 | -0.000 | 0.000 |
| 0.000 | -0.000 | 0.000 | -0.000 | 5.126 | 0.000 |
| 0.000 | 0.000 | -0.000 | -0.000 | -0.000 | 5.126 |
| 2.528 | 4.992 | 4.992 | 0.000 | 0.000 | -0.000 |
| 4.992 | 2.528 | 4.992 | 0.000 | -0.000 | -0.000 |
| 4.992 | 4.992 | 2.528 | 0.000 | 0.000 | -0.000 |
| 0.000 | -0.000 | -0.000 | 5.126 | 0.000 | -0.000 |
| -0.000 | 0.000 | -0.000 | 0.000 | 5.126 | -0.000 |
| -0.000 | -0.000 | 0.000 | 0.000 | 0.000 | 5.126 |
| 2.528 | 4.992 | 4.992 | -0.000 | -0.000 | 0.000 |
| 4.992 | 2.528 | 4.992 | -0.000 | 0.000 | 0.000 |
| 4.992 | 4.992 | 2.528 | -0.000 | -0.000 | -0.000 |
| -0.000 | 0.000 | 0.000 | 5.126 | -0.000 | 0.000 |
| 0.000 | -0.000 | 0.000 | -0.000 | 5.126 | 0.000 |
| 0.000 | 0.000 | -0.000 | -0.000 | -0.000 | 5.126 |
| 2.528 | 4.992 | 4.992 | 0.000 | -0.000 | -0.000 |
| 4.992 | 2.528 | 4.992 | 0.000 | 0.000 | -0.000 |
| 4.992 | 4.992 | 2.528 | -0.000 | 0.000 | -0.000 |
| 0.000 | -0.000 | -0.000 | 5.126 | 0.000 | 0.000 |
| -0.000 | 0.000 | -0.000 | 0.000 | 5.126 | -0.000 |
| -0.000 | -0.000 | 0.000 | 0.000 | 0.000 | 5.126 |
| -3.932 | 13.680 | 13.680 | 0.000 | -0.000 | 0.000 |
| 13.680 | -3.932 | 13.680 | 0.000 | -0.000 | 0.000 |
| 13.680 | 13.680 | -3.932 | -0.000 | -0.000 | 0.000 |
| -0.000 | 0.000 | -0.000 | -15.645 | 0.000 | 0.000 |
| 0.000 | 0.000 | -0.000 | 0.000 | -15.645 | 0.000 |
| -0.000 | 0.000 | -0.000 | 0.000 | -0.000 | -15.645 |
| -3.932 | 13.680 | 13.680 | 0.000 | 0.000 | -0.000 |
| 13.680 | -3.932 | 13.680 | 0.000 | 0.000 | -0.000 |
| 13.680 | 13.680 | -3.932 | 0.000 | 0.000 | -0.000 |
| 0.000 | -0.000 | 0.000 | -15.645 | -0.000 | -0.000 |
| 0.000 | -0.000 | 0.000 | -0.000 | -15.645 | -0.000 |
| 0.000 | -0.000 | 0.000 | -0.000 | 0.000 | -15.645 |
| -3.932 | 13.680 | 13.680 | -0.000 | -0.000 | 0.000 |
| 13.680 | -3.932 | 13.680 | -0.000 | -0.000 | 0.000 |
| 13.680 | 13.680 | -3.932 | -0.000 | -0.000 | 0.000 |
| 0.000 | -0.000 | -0.000 | -15.645 | 0.000 | -0.000 |
| -0.000 | 0.000 | -0.000 | 0.000 | -15.645 | 0.000 |
| -0.000 | -0.000 | 0.000 | 0.000 | 0.000 | -15.645 |
| -3.932 | 13.680 | 13.680 | 0.000 | 0.000 | -0.000 |
| 13.680 | -3.932 | 13.680 | 0.000 | 0.000 | -0.000 |
| 13.680 | 13.680 | -3.932 | 0.000 | 0.000 | -0.000 |
| -0.000 | 0.000 | 0.000 | -15.645 | -0.000 | -0.000 |
| 0.000 | -0.000 | 0.000 | -0.000 | -15.645 | -0.000 |
| 0.000 | 0.000 | -0.000 | -0.000 | 0.000 | -15.645 |
| -3.932 | 13.680 | 13.680 | -0.000 | -0.000 | 0.000 |
| 13.680 | -3.932 | 13.680 | -0.000 | -0.000 | 0.000 |
| 13.680 | 13.680 | -3.932 | -0.000 | -0.000 | 0.000 |
| 0.000 | -0.000 | -0.000 | -15.645 | 0.000 | 0.000 |
| -0.000 | 0.000 | -0.000 | 0.000 | -15.645 | 0.000 |
| -0.000 | -0.000 | 0.000 | 0.000 | -0.000 | -15.645 |
| -3.931 | 13.680 | 13.680 | 0.000 | -0.000 | -0.000 |
| 13.680 | -3.931 | 13.680 | -0.000 | 0.000 | -0.000 |
| 13.680 | 13.680 | -3.931 | 0.000 | 0.000 | -0.000 |
| -0.000 | 0.000 | 0.000 | -15.645 | -0.000 | -0.000 |
| 0.000 | -0.000 | 0.000 | -0.000 | -15.645 | -0.000 |
| 0.000 | 0.000 | -0.000 | -0.000 | 0.000 | -15.645 |
| 3.466 | 6.482 | 6.482 | 0.000 | -0.000 | -0.000 |
| 6.482 | 3.466 | 6.482 | 0.000 | 0.000 | -0.000 |
| 6.482 | 6.482 | 3.466 | -0.000 | -0.000 | -0.000 |
| 0.000 | 0.000 | 0.000 | -18.696 | -0.000 | -0.000 |
| 0.000 | 0.000 | 0.000 | -0.000 | -18.696 | -0.000 |
| 0.000 | 0.000 | 0.000 | 0.000 | -0.000 | -18.696 |
| 3.466 | 6.482 | 6.482 | -0.000 | 0.000 | 0.000 |
| 6.482 | 3.466 | 6.482 | -0.000 | -0.000 | -0.000 |
| 6.482 | 6.482 | 3.466 | -0.000 | -0.000 | 0.000 |
| -0.000 | -0.000 | -0.000 | -18.696 | 0.000 | 0.000 |
| -0.000 | -0.000 | -0.000 | -0.000 | -18.696 | 0.000 |
| -0.000 | -0.000 | -0.000 | -0.000 | 0.000 | -18.696 |
| 3.466 | 6.482 | 6.482 | 0.000 | -0.000 | -0.000 |
| 6.482 | 3.466 | 6.482 | 0.000 | -0.000 | -0.000 |
| 6.482 | 6.482 | 3.466 | -0.000 | -0.000 | -0.000 |
| 0.000 | -0.000 | -0.000 | -18.696 | -0.000 | -0.000 |
| -0.000 | 0.000 | -0.000 | -0.000 | -18.696 | -0.000 |
| -0.000 | -0.000 | 0.000 | 0.000 | -0.000 | -18.696 |
| 3.466 | 6.482 | 6.482 | -0.000 | 0.000 | 0.000 |
| 6.482 | 3.466 | 6.482 | -0.000 | -0.000 | 0.000 |
| 6.482 | 6.482 | 3.466 | -0.000 | 0.000 | 0.000 |
| -0.000 | 0.000 | 0.000 | -18.696 | 0.000 | 0.000 |
| 0.000 | -0.000 | 0.000 | 0.000 | -18.696 | 0.000 |
| 0.000 | 0.000 | -0.000 | -0.000 | 0.000 | -18.696 |
| 3.466 | 6.482 | 6.482 | 0.000 | 0.000 | -0.000 |
| 6.482 | 3.466 | 6.482 | 0.000 | -0.000 | -0.000 |
| 6.482 | 6.482 | 3.466 | 0.000 | 0.000 | -0.000 |
| 0.000 | -0.000 | -0.000 | -18.696 | -0.000 | -0.000 |
| -0.000 | 0.000 | -0.000 | 0.000 | -18.696 | -0.000 |
| -0.000 | -0.000 | 0.000 | 0.000 | -0.000 | -18.696 |
| 3.466 | 6.482 | 6.482 | -0.000 | 0.000 | 0.000 |
| 6.482 | 3.466 | 6.482 | -0.000 | -0.000 | 0.000 |
| 6.482 | 6.482 | 3.466 | 0.000 | 0.000 | 0.000 |
| -0.000 | 0.000 | 0.000 | -18.696 | 0.000 | -0.000 |
| 0.000 | -0.000 | 0.000 | -0.000 | -18.696 | 0.000 |
| 0.000 | 0.000 | -0.000 | -0.000 | 0.000 | -18.696 |
| 8.879 | 4.767 | 4.767 | 0.000 | 0.000 | -0.000 |
| 4.767 | 8.879 | 4.767 | 0.000 | 0.000 | -0.000 |
| 4.767 | 4.767 | 8.879 | -0.000 | 0.000 | 0.000 |
| -0.000 | -0.000 | 0.000 | 0.325 | -0.000 | 0.000 |
| -0.000 | 0.000 | 0.000 | 0.000 | 0.325 | -0.000 |
| -0.000 | -0.000 | 0.000 | 0.000 | 0.000 | 0.325 |
| 8.879 | 4.767 | 4.767 | -0.000 | -0.000 | -0.000 |
| 4.767 | 8.879 | 4.767 | -0.000 | -0.000 | -0.000 |
| 4.767 | 4.767 | 8.879 | -0.000 | -0.000 | 0.000 |
| 0.000 | 0.000 | -0.000 | 0.325 | 0.000 | 0.000 |
| 0.000 | -0.000 | -0.000 | -0.000 | 0.325 | 0.000 |
| 0.000 | 0.000 | -0.000 | -0.000 | -0.000 | 0.325 |
| 8.879 | 4.767 | 4.767 | 0.000 | 0.000 | -0.000 |
| 4.767 | 8.879 | 4.767 | 0.000 | 0.000 | 0.000 |
| 4.767 | 4.767 | 8.879 | 0.000 | 0.000 | -0.000 |
| 0.000 | -0.000 | -0.000 | 0.325 | 0.000 | -0.000 |
| -0.000 | 0.000 | -0.000 | 0.000 | 0.325 | -0.000 |
| -0.000 | -0.000 | 0.000 | -0.000 | 0.000 | 0.325 |
| 8.879 | 4.767 | 4.767 | -0.000 | -0.000 | 0.000 |
| 4.767 | 8.879 | 4.767 | -0.000 | -0.000 | 0.000 |
| 4.767 | 4.767 | 8.879 | -0.000 | -0.000 | 0.000 |
| -0.000 | 0.000 | 0.000 | 0.325 | -0.000 | -0.000 |
| 0.000 | -0.000 | 0.000 | -0.000 | 0.325 | 0.000 |
| 0.000 | 0.000 | -0.000 | 0.000 | -0.000 | 0.325 |
| 8.879 | 4.767 | 4.767 | 0.000 | 0.000 | -0.000 |
| 4.767 | 8.879 | 4.767 | 0.000 | -0.000 | -0.000 |
| 4.767 | 4.767 | 8.879 | 0.000 | -0.000 | -0.000 |
| 0.000 | -0.000 | -0.000 | 0.325 | 0.000 | -0.000 |
| -0.000 | 0.000 | -0.000 | 0.000 | 0.325 | -0.000 |
| -0.000 | -0.000 | 0.000 | 0.000 | 0.000 | 0.325 |
| 8.879 | 4.767 | 4.767 | -0.000 | -0.000 | 0.000 |
| 4.767 | 8.879 | 4.767 | -0.000 | 0.000 | 0.000 |
| 4.767 | 4.767 | 8.879 | -0.000 | -0.000 | 0.000 |
| -0.000 | 0.000 | 0.000 | 0.325 | -0.000 | 0.000 |
| 0.000 | -0.000 | 0.000 | -0.000 | 0.325 | 0.000 |
| 0.000 | 0.000 | -0.000 | -0.000 | -0.000 | 0.325 |
| 1290.485 | 48.268 | 48.268 | 0.000 | 0.000 | 0.000 |
| 48.268 | 1290.485 | 48.268 | 0.000 | 0.000 | -0.000 |
| 48.268 | 48.268 | 1290.485 | 0.000 | 0.000 | 0.000 |
| 0.000 | 0.000 | 0.000 | 125.255 | 0.000 | -0.000 |
| 0.000 | 0.000 | 0.000 | 0.000 | 125.255 | 0.000 |
| 0.000 | 0.000 | -0.000 | 0.000 | 0.000 | 125.255 |
| 1290.484 | 48.268 | 48.268 | -0.000 | -0.000 | -0.000 |
| 48.268 | 1290.484 | 48.268 | -0.000 | -0.000 | 0.000 |
| 48.268 | 48.268 | 1290.484 | -0.000 | -0.000 | -0.000 |
| -0.000 | -0.000 | -0.000 | 125.255 | -0.000 | 0.000 |
| -0.000 | 0.000 | -0.000 | -0.000 | 125.255 | -0.000 |
| -0.000 | -0.000 | 0.000 | -0.000 | -0.000 | 125.255 |
| 1290.486 | 48.268 | 48.268 | 0.000 | 0.000 | 0.000 |
| 48.268 | 1290.486 | 48.268 | 0.000 | 0.000 | 0.000 |
| 48.268 | 48.268 | 1290.486 | 0.000 | 0.000 | 0.000 |
| -0.000 | 0.000 | -0.000 | 125.255 | 0.000 | -0.000 |
| 0.000 | -0.000 | -0.000 | 0.000 | 125.255 | 0.000 |
| 0.000 | -0.000 | -0.000 | 0.000 | 0.000 | 125.255 |
| 1290.483 | 48.268 | 48.268 | -0.000 | -0.000 | -0.000 |
| 48.268 | 1290.483 | 48.268 | -0.000 | -0.000 | 0.000 |
| 48.268 | 48.268 | 1290.483 | -0.000 | -0.000 | 0.000 |
| 0.000 | -0.000 | 0.000 | 125.255 | -0.000 | -0.000 |
| -0.000 | 0.000 | 0.000 | -0.000 | 125.255 | -0.000 |
| -0.000 | 0.000 | 0.000 | -0.000 | -0.000 | 125.255 |
| 1290.499 | 48.268 | 48.268 | 0.000 | 0.000 | 0.000 |
| 48.268 | 1290.499 | 48.268 | 0.000 | 0.000 | -0.000 |
| 48.268 | 48.268 | 1290.499 | 0.000 | 0.000 | -0.000 |
| -0.000 | 0.000 | -0.000 | 125.255 | 0.000 | 0.000 |
| 0.000 | -0.000 | -0.000 | 0.000 | 125.255 | 0.000 |
| 0.000 | -0.000 | -0.000 | 0.000 | 0.000 | 125.255 |
| 1290.470 | 48.268 | 48.268 | -0.000 | -0.000 | 0.000 |
| 48.268 | 1290.470 | 48.268 | -0.000 | -0.000 | -0.000 |
| 48.268 | 48.268 | 1290.470 | -0.000 | -0.000 | 0.000 |
| 0.000 | -0.000 | 0.000 | 125.255 | -0.000 | 0.000 |
| -0.000 | 0.000 | 0.000 | -0.000 | 125.255 | -0.000 |
| -0.000 | 0.000 | 0.000 | -0.000 | -0.000 | 125.255 |
| 900.347 | -25.065 | -25.065 | 0.000 | 0.000 | -0.000 |
| -25.065 | 900.347 | -25.065 | 0.000 | -0.000 | -0.000 |
| -25.065 | -25.065 | 900.347 | 0.000 | 0.000 | -0.000 |
| 0.000 | 0.000 | 0.000 | 104.657 | 0.000 | -0.000 |
| 0.000 | 0.000 | -0.000 | 0.000 | 104.657 | -0.000 |
| 0.000 | -0.000 | 0.000 | -0.000 | -0.000 | 104.657 |
| 900.347 | -25.065 | -25.065 | 0.000 | 0.000 | 0.000 |
| -25.065 | 900.347 | -25.065 | -0.000 | 0.000 | 0.000 |
| -25.065 | -25.065 | 900.347 | -0.000 | 0.000 | 0.000 |
| -0.000 | 0.000 | -0.000 | 104.657 | -0.000 | 0.000 |
| -0.000 | -0.000 | -0.000 | 0.000 | 104.657 | 0.000 |
| -0.000 | 0.000 | -0.000 | 0.000 | 0.000 | 104.657 |
| 900.347 | -25.065 | -25.065 | -0.000 | -0.000 | -0.000 |
| -25.065 | 900.347 | -25.065 | -0.000 | -0.000 | -0.000 |
| -25.065 | -25.065 | 900.347 | 0.000 | 0.000 | -0.000 |
| 0.000 | 0.000 | 0.000 | 104.657 | 0.000 | -0.000 |
| 0.000 | 0.000 | 0.000 | -0.000 | 104.657 | -0.000 |
| 0.000 | 0.000 | 0.000 | -0.000 | -0.000 | 104.657 |
| 900.346 | -25.065 | -25.065 | 0.000 | 0.000 | 0.000 |
| -25.065 | 900.346 | -25.065 | -0.000 | 0.000 | 0.000 |
| -25.065 | -25.065 | 900.346 | 0.000 | -0.000 | 0.000 |
| -0.000 | -0.000 | -0.000 | 104.657 | -0.000 | 0.000 |
| -0.000 | -0.000 | -0.000 | 0.000 | 104.657 | 0.000 |
| -0.000 | -0.000 | -0.000 | 0.000 | 0.000 | 104.657 |
| 900.349 | -25.064 | -25.064 | 0.000 | -0.000 | -0.000 |
| -25.064 | 900.349 | -25.064 | -0.000 | 0.000 | -0.000 |
| -25.064 | -25.064 | 900.349 | 0.000 | -0.000 | -0.000 |
| 0.001 | 0.001 | 0.001 | 104.657 | -0.000 | -0.000 |
| 0.001 | 0.001 | 0.001 | -0.000 | 104.657 | -0.000 |
| 0.001 | 0.001 | 0.001 | -0.000 | -0.000 | 104.657 |
| 900.344 | -25.065 | -25.065 | 0.000 | 0.000 | 0.000 |
| -25.065 | 900.344 | -25.065 | -0.000 | 0.000 | 0.000 |
| -25.065 | -25.065 | 900.344 | -0.000 | -0.000 | 0.000 |
| -0.001 | -0.001 | -0.001 | 104.657 | 0.000 | 0.000 |
| -0.001 | -0.001 | -0.001 | 0.000 | 104.657 | 0.000 |
| -0.001 | -0.001 | -0.001 | 0.000 | -0.000 | 104.657 |
| 272.991 | 262.121 | 262.121 | -0.000 | -0.000 | -0.000 |
| 262.121 | 272.991 | 262.121 | -0.000 | -0.000 | -0.000 |
| 262.121 | 262.121 | 272.991 | -0.000 | -0.000 | -0.000 |
| 0.000 | 0.000 | 0.000 | 279.372 | 0.000 | -0.000 |
| 0.000 | 0.000 | 0.000 | 0.000 | 279.372 | -0.000 |
| 0.000 | 0.000 | 0.000 | 0.000 | 0.000 | 279.372 |
| 272.991 | 262.121 | 262.121 | 0.000 | 0.000 | 0.000 |
| 262.121 | 272.991 | 262.121 | 0.000 | 0.000 | 0.000 |
| 262.121 | 262.121 | 272.991 | 0.000 | 0.000 | 0.000 |
| -0.000 | -0.000 | -0.000 | 279.372 | 0.000 | 0.000 |
| -0.000 | -0.000 | -0.000 | 0.000 | 279.372 | 0.000 |
| -0.000 | -0.000 | -0.000 | 0.000 | -0.000 | 279.372 |
| 272.991 | 262.121 | 262.121 | -0.000 | -0.000 | -0.000 |
| 262.121 | 272.991 | 262.121 | -0.000 | -0.000 | -0.000 |
| 262.121 | 262.121 | 272.991 | -0.000 | -0.000 | -0.000 |
| 0.000 | 0.000 | 0.000 | 279.372 | -0.000 | -0.000 |
| 0.000 | 0.000 | 0.000 | -0.000 | 279.372 | -0.000 |
| 0.000 | 0.000 | 0.000 | -0.000 | 0.000 | 279.372 |
| 272.990 | 262.121 | 262.121 | 0.000 | 0.000 | 0.000 |
| 262.121 | 272.990 | 262.121 | 0.000 | 0.000 | 0.000 |
| 262.121 | 262.121 | 272.990 | 0.000 | 0.000 | 0.000 |
| -0.000 | -0.000 | -0.000 | 279.372 | -0.000 | -0.000 |
| -0.000 | -0.000 | -0.000 | -0.000 | 279.372 | -0.000 |
| -0.000 | -0.000 | -0.000 | -0.000 | -0.000 | 279.372 |
| 272.991 | 262.122 | 262.122 | -0.000 | -0.000 | -0.000 |
| 262.122 | 272.991 | 262.122 | -0.000 | -0.000 | -0.000 |
| 262.122 | 262.122 | 272.991 | -0.000 | -0.000 | -0.000 |
| -0.000 | -0.000 | -0.000 | 36.802 | -0.000 | -0.000 |
| -0.000 | -0.000 | -0.000 | -0.000 | 36.802 | -0.000 |
| -0.000 | -0.000 | -0.000 | -0.000 | -0.000 | 36.802 |
| 272.990 | 262.120 | 262.120 | 0.000 | 0.000 | 0.000 |
| 262.120 | 272.990 | 262.120 | 0.000 | 0.000 | 0.000 |
| 262.120 | 262.120 | 272.990 | 0.000 | 0.000 | 0.000 |
| 0.000 | 0.000 | 0.000 | 36.802 | 0.000 | 0.000 |
| 0.000 | 0.000 | 0.000 | 0.000 | 36.802 | 0.000 |
| 0.000 | 0.000 | 0.000 | 0.000 | 0.000 | 36.802 |
| 575.643 | 180.156 | 83.714 | 0.000 | -0.000 | -0.000 |
| -684.431 | -650.752 | 2331.068 | -0.000 | -0.000 | -0.000 |
| -713.153 | -713.153 | 2333.491 | 0.000 | -0.000 | -0.000 |
| -965.872 | -965.872 | 2076.207 | 24.586 | -0.000 | -0.000 |
| -966.301 | -966.301 | 2077.129 | 0.000 | 24.552 | -0.000 |
| -0.000 | -0.000 | 0.000 | -0.000 | -0.000 | 197.744 |
| 575.643 | 180.156 | 83.714 | -0.000 | -0.000 | 0.000 |
| 1281.469 | 1243.848 | -1818.134 | 0.000 | -0.000 | 0.000 |
| 1220.802 | 1220.802 | -1823.676 | -0.000 | 0.000 | 0.000 |
| 965.872 | 965.872 | -2076.207 | 24.586 | 0.000 | 0.000 |
| 966.301 | 966.301 | -2077.129 | -0.000 | 24.552 | 0.000 |
| 0.000 | 0.000 | -0.000 | 0.000 | 0.000 | 197.744 |
| 219.342 | 185.668 | 460.737 | -0.000 | -0.000 | -0.000 |
| 180.156 | 575.644 | 83.714 | 0.000 | -0.000 | -0.000 |
| 85.136 | 85.136 | 617.516 | 0.000 | -0.000 | -0.000 |
| -90.405 | -90.405 | 194.332 | 29.581 | -0.000 | -0.000 |
| -90.405 | -90.405 | 194.332 | 0.000 | 29.581 | -0.000 |
| -85.636 | -85.636 | 184.081 | 0.000 | -0.000 | 5.151 |
| 414.944 | 381.411 | 40.125 | 0.000 | 0.000 | 0.000 |
| 380.939 | 411.030 | 44.839 | 0.000 | -0.000 | 0.000 |
| 350.517 | 350.517 | 47.061 | 0.000 | 0.000 | 0.000 |
| 90.405 | 90.405 | -194.332 | 29.581 | 0.000 | 0.000 |
| 90.405 | 90.405 | -194.332 | -0.000 | 29.581 | 0.000 |
| 85.636 | 85.636 | -184.081 | -0.000 | 0.000 | 5.151 |
| 302.952 | 276.364 | 273.398 | 0.000 | -0.000 | -0.000 |
| 275.308 | 305.427 | 271.873 | -0.000 | 0.000 | -0.000 |
| 244.162 | 244.162 | 275.680 | -0.000 | 0.000 | -0.000 |
| -9.670 | -9.670 | 20.787 | 36.176 | -0.000 | -0.000 |
| -9.670 | -9.670 | 20.787 | 0.000 | 36.176 | -0.000 |
| -8.067 | -8.066 | 17.338 | 0.000 | -0.000 | 16.345 |
| 325.356 | 291.710 | 232.820 | -0.000 | -0.000 | 0.000 |
| 308.666 | 328.169 | 211.572 | -0.000 | 0.000 | 0.000 |
| 263.500 | 263.500 | 234.108 | -0.000 | 0.000 | 0.000 |
| 9.670 | 9.670 | -20.787 | 36.176 | 0.000 | 0.000 |
| 9.670 | 9.670 | -20.787 | -0.000 | 36.176 | 0.000 |
| 8.067 | 8.066 | -17.338 | -0.000 | 0.000 | 16.345 |
| 455.468 | -17.299 | -17.299 | 0.000 | -0.000 | 0.000 |
| -17.299 | 455.468 | -17.299 | 0.000 | 0.000 | 0.000 |
| -17.299 | -17.299 | 455.468 | 0.000 | 0.000 | 0.000 |
| 0.000 | 0.000 | -0.000 | -1.541 | 0.000 | -0.000 |
| 0.000 | 0.000 | -0.000 | 0.000 | -1.541 | 0.000 |
| 0.000 | 0.000 | -0.000 | 0.000 | 0.000 | -1.541 |
| 455.468 | -17.299 | -17.299 | -0.000 | -0.000 | 0.000 |
| -17.299 | 455.468 | -17.299 | 0.000 | 0.000 | -0.000 |
| -17.299 | -17.299 | 455.468 | -0.000 | -0.000 | 0.000 |
| -0.000 | -0.000 | 0.000 | -1.542 | -0.000 | -0.000 |
| -0.000 | -0.000 | 0.000 | -0.000 | -1.542 | -0.000 |
| -0.000 | -0.000 | 0.000 | -0.000 | -0.000 | -1.542 |
| 455.468 | -17.299 | -17.299 | 0.000 | 0.000 | 0.000 |
| -17.299 | 455.468 | -17.299 | 0.000 | 0.000 | 0.000 |
| -17.299 | -17.299 | 455.468 | -0.000 | 0.000 | 0.000 |
| 0.000 | 0.000 | -0.000 | -1.542 | -0.000 | 0.000 |
| 0.000 | 0.000 | -0.000 | 0.000 | -1.542 | 0.000 |
| 0.000 | 0.000 | 0.000 | 0.000 | 0.000 | -1.542 |
| 455.468 | -17.299 | -17.299 | -0.000 | -0.000 | -0.000 |
| -17.299 | 455.468 | -17.299 | -0.000 | -0.000 | 0.000 |
| -17.299 | -17.299 | 455.468 | -0.000 | 0.000 | -0.000 |
| -0.000 | -0.000 | 0.000 | -1.542 | 0.000 | -0.000 |
| -0.000 | -0.000 | 0.000 | -0.000 | -1.542 | -0.000 |
| -0.000 | -0.000 | -0.000 | -0.000 | -0.000 | -1.542 |
| 455.469 | -17.299 | -17.299 | 0.000 | 0.000 | 0.000 |
| -17.299 | 455.469 | -17.299 | 0.000 | 0.000 | 0.000 |
| -17.299 | -17.299 | 455.469 | 0.000 | 0.000 | 0.000 |
| 0.000 | 0.000 | 0.000 | -1.542 | 0.000 | -0.000 |
| 0.000 | 0.000 | 0.000 | -0.000 | -1.542 | 0.000 |
| 0.000 | 0.000 | 0.000 | 0.000 | 0.000 | -1.542 |
| 455.467 | -17.299 | -17.299 | -0.000 | -0.000 | -0.000 |
| -17.299 | 455.467 | -17.299 | 0.000 | -0.000 | -0.000 |
| -17.299 | -17.299 | 455.467 | 0.000 | -0.000 | 0.000 |
| -0.000 | -0.000 | -0.000 | -1.542 | -0.000 | -0.000 |
| -0.000 | -0.000 | -0.000 | -0.000 | -1.542 | -0.000 |
| -0.000 | -0.000 | -0.000 | -0.000 | -0.000 | -1.542 |
| 9.633 | 44.782 | 44.782 | 0.000 | 0.000 | 0.000 |
| 44.782 | 9.633 | 44.782 | -0.000 | 0.000 | 0.000 |
| 44.782 | 44.782 | 9.633 | -0.000 | 0.000 | 0.000 |
| 0.000 | -0.000 | -0.000 | -112.480 | 0.000 | 0.000 |
| -0.000 | -0.000 | -0.000 | 0.000 | -112.480 | 0.000 |
| -0.000 | -0.000 | -0.000 | 0.000 | 0.000 | -112.480 |
| 9.633 | 44.782 | 44.782 | -0.000 | -0.000 | -0.000 |
| 44.782 | 9.633 | 44.782 | -0.000 | -0.000 | -0.000 |
| 44.782 | 44.782 | 9.633 | -0.000 | -0.000 | -0.000 |
| -0.000 | 0.000 | 0.000 | -112.480 | -0.000 | -0.000 |
| -0.000 | 0.000 | 0.000 | -0.000 | -112.481 | -0.000 |
| 0.000 | 0.000 | 0.000 | -0.000 | -0.000 | -112.480 |
| 9.633 | 44.782 | 44.782 | 0.000 | -0.000 | 0.000 |
| 44.782 | 9.633 | 44.782 | -0.000 | 0.000 | 0.000 |
| 44.782 | 44.782 | 9.633 | 0.000 | 0.000 | 0.000 |
| 0.000 | -0.000 | -0.000 | -112.480 | 0.000 | 0.000 |
| -0.000 | 0.000 | -0.000 | 0.000 | -112.480 | 0.000 |
| -0.000 | -0.000 | 0.000 | 0.000 | 0.000 | -112.480 |
| 9.633 | 44.782 | 44.782 | -0.000 | -0.000 | -0.000 |
| 44.782 | 9.633 | 44.782 | -0.000 | -0.000 | -0.000 |
| 44.782 | 44.782 | 9.633 | -0.000 | -0.000 | -0.000 |
| -0.000 | 0.000 | 0.000 | -112.480 | -0.000 | -0.000 |
| 0.000 | -0.000 | 0.000 | -0.000 | -112.480 | -0.000 |
| 0.000 | 0.000 | -0.000 | -0.000 | -0.000 | -112.480 |
| 9.633 | 44.782 | 44.782 | 0.000 | -0.000 | 0.000 |
| 44.782 | 9.633 | 44.782 | 0.000 | 0.000 | 0.000 |
| 44.782 | 44.782 | 9.633 | 0.000 | 0.000 | 0.000 |
| 0.000 | -0.000 | -0.000 | -112.480 | 0.000 | 0.000 |
| -0.000 | 0.000 | -0.000 | 0.000 | -112.480 | 0.000 |
| -0.000 | -0.000 | 0.000 | 0.000 | 0.000 | -112.480 |
| 9.632 | 44.782 | 44.782 | -0.000 | -0.000 | -0.000 |
| 44.782 | 9.632 | 44.782 | -0.000 | -0.000 | -0.000 |
| 44.782 | 44.782 | 9.632 | -0.000 | -0.000 | -0.000 |
| -0.000 | 0.000 | 0.000 | -112.480 | -0.000 | -0.000 |
| 0.000 | -0.000 | 0.000 | -0.000 | -112.480 | -0.000 |
| 0.000 | 0.000 | -0.000 | -0.000 | -0.000 | -112.480 |
| 0.812 | 12.018 | 12.018 | -0.000 | -0.000 | 0.000 |
| 12.018 | 0.812 | 12.018 | -0.000 | -0.000 | 0.000 |
| 12.018 | 12.018 | 0.812 | -0.000 | -0.000 | -0.000 |
| 0.000 | 0.000 | 0.000 | -11.068 | -0.000 | 0.000 |
| 0.000 | 0.000 | 0.000 | -0.000 | -11.068 | 0.000 |
| 0.000 | 0.000 | 0.000 | -0.000 | -0.000 | -11.068 |
| 0.812 | 12.018 | 12.018 | 0.000 | 0.000 | -0.000 |
| 12.018 | 0.812 | 12.018 | 0.000 | 0.000 | -0.000 |
| 12.018 | 12.018 | 0.812 | 0.000 | 0.000 | -0.000 |
| -0.000 | -0.000 | -0.000 | -11.068 | 0.000 | -0.000 |
| -0.000 | -0.000 | -0.000 | 0.000 | -11.068 | -0.000 |
| -0.000 | -0.000 | -0.000 | 0.000 | 0.000 | -11.068 |
| 0.812 | 12.018 | 12.018 | -0.000 | -0.000 | -0.000 |
| 12.018 | 0.812 | 12.018 | -0.000 | -0.000 | -0.000 |
| 12.018 | 12.018 | 0.812 | -0.000 | -0.000 | -0.000 |
| 0.000 | -0.000 | -0.000 | -11.068 | -0.000 | 0.000 |
| -0.000 | 0.000 | -0.000 | -0.000 | -11.068 | 0.000 |
| -0.000 | -0.000 | 0.000 | -0.000 | -0.000 | -11.068 |
| 0.812 | 12.018 | 12.018 | 0.000 | 0.000 | 0.000 |
| 12.018 | 0.812 | 12.018 | 0.000 | 0.000 | -0.000 |
| 12.018 | 12.018 | 0.812 | 0.000 | 0.000 | -0.000 |
| -0.000 | 0.000 | 0.000 | -11.068 | 0.000 | -0.000 |
| 0.000 | -0.000 | 0.000 | 0.000 | -11.068 | -0.000 |
| 0.000 | 0.000 | -0.000 | 0.000 | 0.000 | -11.068 |
| 0.812 | 12.018 | 12.018 | -0.000 | -0.000 | 0.000 |
| 12.018 | 0.812 | 12.018 | -0.000 | -0.000 | 0.000 |
| 12.018 | 12.018 | 0.812 | -0.000 | -0.000 | 0.000 |
| 0.000 | -0.000 | -0.000 | -11.068 | -0.000 | 0.000 |
| -0.000 | 0.000 | -0.000 | -0.000 | -11.068 | 0.000 |
| -0.000 | -0.000 | 0.000 | -0.000 | -0.000 | -11.068 |
| 0.812 | 12.018 | 12.018 | 0.000 | 0.000 | -0.000 |
| 12.018 | 0.812 | 12.018 | 0.000 | 0.000 | -0.000 |
| 12.018 | 12.018 | 0.812 | 0.000 | 0.000 | -0.000 |
| -0.000 | 0.000 | 0.000 | -11.068 | 0.000 | -0.000 |
| 0.000 | -0.000 | 0.000 | 0.000 | -11.068 | -0.000 |
| 0.000 | 0.000 | -0.000 | 0.000 | 0.000 | -11.068 |
| 92.893 | 28.286 | 28.286 | 0.000 | 0.000 | -0.000 |
| 28.286 | 92.892 | 28.286 | 0.000 | -0.000 | -0.000 |
| 28.286 | 28.286 | 92.893 | -0.000 | -0.000 | -0.000 |
| 0.000 | -0.000 | 0.000 | 22.661 | 0.000 | 0.000 |
| 0.000 | -0.000 | -0.000 | -0.000 | 22.661 | -0.000 |
| 0.000 | 0.000 | 0.000 | -0.000 | 0.000 | 22.661 |
| 92.892 | 28.286 | 28.286 | 0.000 | -0.000 | -0.000 |
| 28.286 | 92.892 | 28.286 | 0.000 | -0.000 | 0.000 |
| 28.286 | 28.286 | 92.892 | 0.000 | 0.000 | 0.000 |
| -0.000 | -0.000 | -0.000 | 22.661 | 0.000 | 0.000 |
| -0.000 | 0.000 | -0.000 | 0.000 | 22.661 | -0.000 |
| -0.000 | 0.000 | 0.000 | 0.000 | 0.000 | 22.661 |
| 92.893 | 28.286 | 28.286 | 0.000 | 0.000 | -0.000 |
| 28.286 | 92.893 | 28.286 | -0.000 | -0.000 | -0.000 |
| 28.286 | 28.286 | 92.893 | 0.000 | -0.000 | -0.000 |
| 0.001 | -0.000 | -0.001 | -625.200 | -0.000 | -0.000 |
| -0.000 | 0.001 | -0.001 | 0.000 | -625.200 | -0.000 |
| -0.000 | -0.001 | 0.001 | -0.000 | -0.000 | -625.200 |
| 92.892 | 28.286 | 28.286 | 0.000 | 0.000 | 0.000 |
| 28.286 | 92.892 | 28.286 | -0.000 | 0.000 | -0.000 |
| 28.286 | 28.286 | 92.892 | 0.000 | 0.000 | 0.000 |
| -0.001 | 0.000 | 0.001 | -625.200 | -0.000 | -0.000 |
| 0.000 | -0.001 | 0.001 | -0.000 | -625.200 | 0.000 |
| 0.000 | 0.001 | -0.001 | 0.000 | 0.000 | -625.200 |
| 92.893 | 28.287 | 28.287 | 0.000 | -0.000 | 0.000 |
| 28.287 | 92.893 | 28.287 | 0.000 | 0.000 | -0.000 |
| 28.287 | 28.287 | 92.893 | -0.000 | 0.000 | -0.000 |
| 0.013 | -0.005 | -0.007 | -665.570 | -0.000 | 0.000 |
| -0.005 | 0.013 | -0.007 | 0.000 | -665.570 | 0.000 |
| -0.005 | -0.007 | 0.013 | 0.000 | -0.000 | -665.570 |
| 92.892 | 28.286 | 28.286 | 0.000 | -0.000 | -0.000 |
| 28.286 | 92.892 | 28.286 | 0.000 | 0.000 | -0.000 |
| 28.286 | 28.286 | 92.892 | 0.000 | -0.000 | 0.000 |
| -0.013 | 0.005 | 0.007 | -665.570 | 0.000 | 0.000 |
| 0.004 | -0.010 | 0.005 | -0.000 | -625.200 | -0.000 |
| 0.005 | 0.007 | -0.013 | -0.000 | 0.000 | -665.570 |
| 47.315 | 43.317 | 43.317 | -0.000 | 0.000 | -0.000 |
| 43.317 | 47.315 | 43.317 | -0.000 | -0.000 | -0.000 |
| 43.317 | 43.317 | 47.315 | -0.000 | 0.000 | -0.000 |
| 0.000 | -0.000 | -0.000 | -136.590 | 0.000 | -0.000 |
| -0.000 | -0.000 | -0.000 | -0.000 | -136.590 | -0.000 |
| -0.000 | -0.000 | -0.000 | -0.000 | -0.000 | -136.590 |
| 47.315 | 43.317 | 43.317 | 0.000 | 0.000 | 0.000 |
| 43.317 | 47.315 | 43.317 | 0.000 | 0.000 | 0.000 |
| 43.317 | 43.317 | 47.315 | 0.000 | 0.000 | 0.000 |
| -0.000 | 0.000 | 0.000 | -136.590 | -0.000 | 0.000 |
| 0.000 | 0.000 | 0.000 | 0.000 | -136.590 | 0.000 |
| 0.000 | 0.000 | 0.000 | 0.000 | 0.000 | -136.590 |
| 47.315 | 43.317 | 43.317 | -0.000 | 0.000 | -0.000 |
| 43.317 | 47.315 | 43.317 | -0.000 | 0.000 | -0.000 |
| 43.317 | 43.317 | 47.315 | -0.000 | -0.000 | -0.000 |
| 0.000 | -0.000 | -0.000 | -136.590 | -0.000 | -0.000 |
| -0.000 | 0.000 | -0.000 | -0.000 | -136.590 | -0.000 |
| -0.000 | -0.000 | 0.000 | -0.000 | -0.000 | -136.590 |
| 47.315 | 43.317 | 43.317 | -0.000 | -0.000 | 0.000 |
| 43.317 | 47.315 | 43.317 | 0.000 | 0.000 | 0.000 |
| 43.317 | 43.317 | 47.315 | 0.000 | -0.000 | 0.000 |
| -0.000 | 0.000 | 0.000 | -136.590 | 0.000 | 0.000 |
| 0.000 | -0.000 | 0.000 | 0.000 | -136.590 | 0.000 |
| 0.000 | 0.000 | -0.000 | 0.000 | 0.000 | -136.590 |
| 47.316 | 43.317 | 43.317 | -0.000 | 0.000 | -0.000 |
| 43.317 | 47.316 | 43.317 | -0.000 | 0.000 | -0.000 |
| 43.317 | 43.317 | 47.316 | -0.000 | -0.000 | -0.000 |
| 0.000 | -0.000 | -0.000 | -136.590 | -0.000 | -0.000 |
| -0.000 | 0.000 | -0.000 | -0.000 | -136.590 | -0.000 |
| -0.000 | -0.000 | 0.000 | -0.000 | -0.000 | -136.590 |
| 47.315 | 43.317 | 43.317 | 0.000 | 0.000 | 0.000 |
| 43.317 | 47.315 | 43.317 | 0.000 | 0.000 | 0.000 |
| 43.317 | 43.317 | 47.315 | 0.000 | 0.000 | 0.000 |
| -0.000 | 0.000 | 0.000 | -136.590 | -0.000 | 0.000 |
| 0.000 | -0.000 | 0.000 | 0.000 | -136.590 | 0.000 |
| 0.000 | 0.000 | -0.000 | 0.000 | -0.000 | -136.590 |
| 54.765 | 13.710 | 13.710 | 0.000 | 0.000 | -0.000 |
| 13.710 | 54.765 | 13.710 | 0.000 | 0.000 | 0.000 |
| 13.710 | 13.710 | 54.765 | 0.000 | 0.000 | -0.000 |
| 0.000 | 0.000 | 0.000 | 15.325 | 0.000 | -0.000 |
| 0.000 | 0.000 | 0.000 | 0.000 | 15.325 | 0.000 |
| 0.000 | 0.000 | 0.000 | 0.000 | 0.000 | 15.325 |
| 54.765 | 13.710 | 13.710 | -0.000 | -0.000 | 0.000 |
| 13.710 | 54.765 | 13.710 | -0.000 | 0.000 | 0.000 |
| 13.710 | 13.710 | 54.765 | -0.000 | -0.000 | -0.000 |
| -0.000 | -0.000 | -0.000 | 15.325 | -0.000 | 0.000 |
| -0.000 | -0.000 | -0.000 | -0.000 | 15.325 | 0.000 |
| -0.000 | -0.000 | -0.000 | -0.000 | -0.000 | 15.325 |
| 54.765 | 13.710 | 13.710 | 0.000 | 0.000 | -0.000 |
| 13.710 | 54.765 | 13.710 | 0.000 | -0.000 | -0.000 |
| 13.710 | 13.710 | 54.765 | 0.000 | 0.000 | 0.000 |
| -0.000 | 0.000 | 0.000 | 15.325 | -0.000 | -0.000 |
| 0.000 | -0.000 | 0.000 | 0.000 | 15.325 | 0.000 |
| 0.000 | 0.000 | -0.000 | 0.000 | 0.000 | 15.325 |
| 54.765 | 13.710 | 13.710 | -0.000 | -0.000 | 0.000 |
| 13.710 | 54.765 | 13.710 | -0.000 | -0.000 | -0.000 |
| 13.710 | 13.710 | 54.765 | -0.000 | -0.000 | 0.000 |
| 0.000 | -0.000 | -0.000 | 15.325 | -0.000 | 0.000 |
| -0.000 | 0.000 | -0.000 | -0.000 | 15.325 | -0.000 |
| -0.000 | -0.000 | 0.000 | -0.000 | -0.000 | 15.325 |
| 54.765 | 13.710 | 13.710 | 0.000 | 0.000 | 0.000 |
| 13.710 | 54.765 | 13.710 | 0.000 | 0.000 | -0.000 |
| 13.710 | 13.710 | 54.765 | 0.000 | 0.000 | -0.000 |
| -0.000 | 0.000 | 0.000 | 15.325 | 0.000 | -0.000 |
| 0.000 | -0.000 | 0.000 | 0.000 | 15.325 | -0.000 |
| 0.000 | 0.000 | -0.000 | -0.000 | 0.000 | 15.325 |
| 54.764 | 13.710 | 13.710 | -0.000 | -0.000 | 0.000 |
| 13.710 | 54.764 | 13.710 | -0.000 | -0.000 | -0.000 |
| 13.710 | 13.710 | 54.764 | -0.000 | -0.000 | -0.000 |
| 0.000 | -0.000 | -0.000 | 15.325 | -0.000 | -0.000 |
| -0.000 | 0.000 | -0.000 | -0.000 | 15.325 | -0.000 |
| -0.000 | -0.000 | 0.000 | -0.000 | -0.000 | 15.325 |
| 55.267 | 25.160 | 25.160 | -0.000 | 0.000 | -0.000 |
| 25.160 | 55.267 | 25.160 | 0.000 | 0.000 | -0.000 |
| 25.160 | 25.160 | 55.267 | -0.000 | 0.000 | -0.000 |
| -0.000 | -0.000 | -0.000 | -62.135 | 0.000 | -0.000 |
| -0.000 | -0.000 | -0.000 | -0.000 | -62.135 | -0.000 |
| -0.000 | -0.000 | 0.000 | 0.000 | 0.000 | -62.135 |
| 55.267 | 25.160 | 25.160 | -0.000 | -0.000 | 0.000 |
| 25.160 | 55.267 | 25.160 | -0.000 | 0.000 | 0.000 |
| 25.160 | 25.160 | 55.267 | 0.000 | -0.000 | 0.000 |
| 0.000 | 0.000 | -0.000 | -62.135 | -0.000 | 0.000 |
| 0.000 | 0.000 | -0.000 | -0.000 | -62.135 | 0.000 |
| 0.000 | 0.000 | -0.000 | -0.000 | -0.000 | -62.135 |
| 55.267 | 25.160 | 25.160 | 0.000 | 0.000 | -0.000 |
| 25.160 | 55.267 | 25.160 | 0.000 | 0.000 | -0.000 |
| 25.160 | 25.160 | 55.267 | -0.000 | 0.000 | -0.000 |
| 0.000 | -0.000 | -0.000 | -62.135 | 0.000 | -0.000 |
| -0.000 | 0.000 | -0.000 | 0.000 | -62.135 | -0.000 |
| -0.000 | -0.000 | 0.000 | -0.000 | 0.000 | -62.135 |
| 55.267 | 25.160 | 25.160 | 0.000 | -0.000 | 0.000 |
| 25.160 | 55.267 | 25.160 | 0.000 | -0.000 | 0.000 |
| 25.160 | 25.160 | 55.267 | 0.000 | -0.000 | 0.000 |
| -0.000 | 0.000 | 0.000 | -62.135 | -0.000 | 0.000 |
| 0.000 | -0.000 | 0.000 | -0.000 | -62.135 | 0.000 |
| 0.000 | 0.000 | -0.000 | 0.000 | -0.000 | -62.135 |
| 55.267 | 25.160 | 25.160 | 0.000 | 0.000 | -0.000 |
| 25.160 | 55.267 | 25.160 | 0.000 | 0.000 | -0.000 |
| 25.160 | 25.160 | 55.267 | -0.000 | -0.000 | -0.000 |
| 0.000 | -0.000 | -0.000 | -62.135 | 0.000 | -0.000 |
| -0.000 | 0.000 | -0.000 | -0.000 | -62.135 | -0.000 |
| -0.000 | -0.000 | 0.000 | -0.000 | 0.000 | -62.135 |
| 55.266 | 25.160 | 25.160 | -0.000 | -0.000 | 0.000 |
| 25.160 | 55.266 | 25.160 | -0.000 | -0.000 | 0.000 |
| 25.160 | 25.160 | 55.266 | -0.000 | -0.000 | 0.000 |
| -0.000 | 0.000 | 0.000 | -62.135 | -0.000 | 0.000 |
| 0.000 | -0.000 | 0.000 | 0.000 | -62.135 | 0.000 |
| 0.000 | 0.000 | -0.000 | 0.000 | -0.000 | -62.135 |
| 19.817 | -2.015 | -2.015 | -0.000 | -0.000 | -0.000 |
| -2.015 | 19.817 | -2.015 | -0.000 | -0.000 | -0.000 |
| -2.015 | -2.015 | 19.817 | 0.000 | -0.000 | -0.000 |
| 0.000 | -0.000 | -0.000 | -15.281 | 0.000 | -0.000 |
| -0.000 | 0.000 | -0.000 | -0.000 | -15.281 | -0.000 |
| -0.000 | -0.000 | 0.000 | 0.000 | 0.000 | -15.281 |
| 19.817 | -2.015 | -2.015 | 0.000 | 0.000 | 0.000 |
| -2.015 | 19.817 | -2.015 | 0.000 | -0.000 | 0.000 |
| -2.015 | -2.015 | 19.817 | 0.000 | 0.000 | 0.000 |
| -0.000 | 0.000 | -0.000 | -15.281 | -0.000 | -0.000 |
| 0.000 | -0.000 | -0.000 | 0.000 | -15.281 | 0.000 |
| 0.000 | 0.000 | -0.000 | -0.000 | -0.000 | -15.281 |
| 19.817 | -2.015 | -2.015 | -0.000 | 0.000 | -0.000 |
| -2.015 | 19.817 | -2.015 | -0.000 | 0.000 | -0.000 |
| -2.015 | -2.015 | 19.817 | -0.000 | -0.000 | -0.000 |
| 0.000 | -0.000 | -0.000 | -15.281 | 0.000 | -0.000 |
| -0.000 | 0.000 | -0.000 | 0.000 | -15.281 | -0.000 |
| -0.000 | -0.000 | 0.000 | 0.000 | 0.000 | -15.281 |
| 19.817 | -2.015 | -2.015 | 0.000 | -0.000 | 0.000 |
| -2.015 | 19.817 | -2.015 | 0.000 | 0.000 | 0.000 |
| -2.015 | -2.015 | 19.817 | 0.000 | 0.000 | 0.000 |
| -0.000 | 0.000 | 0.000 | -15.281 | -0.000 | 0.000 |
| 0.000 | -0.000 | 0.000 | 0.000 | -15.281 | 0.000 |
| 0.000 | 0.000 | -0.000 | -0.000 | -0.000 | -15.281 |
| 19.817 | -2.015 | -2.015 | 0.000 | -0.000 | -0.000 |
| -2.015 | 19.817 | -2.015 | -0.000 | -0.000 | -0.000 |
| -2.015 | -2.015 | 19.817 | -0.000 | -0.000 | -0.000 |
| 0.000 | -0.000 | -0.000 | -15.281 | 0.000 | -0.000 |
| -0.000 | 0.000 | -0.000 | -0.000 | -15.281 | -0.000 |
| -0.000 | -0.000 | 0.000 | 0.000 | 0.000 | -15.281 |
| 19.817 | -2.015 | -2.015 | 0.000 | 0.000 | 0.000 |
| -2.015 | 19.817 | -2.015 | 0.000 | 0.000 | 0.000 |
| -2.015 | -2.015 | 19.817 | 0.000 | -0.000 | 0.000 |
| -0.000 | 0.000 | 0.000 | -15.281 | -0.000 | 0.000 |
| 0.000 | -0.000 | 0.000 | 0.000 | -15.281 | 0.000 |
| 0.000 | 0.000 | -0.000 | -0.000 | -0.000 | -15.281 |
| 419.729 | 49.930 | 49.930 | -0.000 | -0.000 | -0.000 |
| 49.930 | 419.729 | 49.930 | 0.000 | -0.000 | -0.000 |
| 49.930 | 49.930 | 419.729 | 0.000 | -0.000 | -0.000 |
| -0.000 | -0.000 | -0.000 | 60.291 | -0.000 | 0.000 |
| -0.000 | -0.000 | -0.000 | 0.000 | 60.291 | 0.000 |
| -0.000 | -0.000 | -0.000 | -0.000 | -0.000 | 60.291 |
| 419.729 | 49.930 | 49.930 | 0.000 | 0.000 | -0.000 |
| 49.930 | 419.729 | 49.930 | -0.000 | 0.000 | -0.000 |
| 49.930 | 49.930 | 419.729 | -0.000 | 0.000 | -0.000 |
| 0.000 | 0.000 | 0.000 | 60.291 | 0.000 | -0.000 |
| 0.000 | 0.000 | 0.000 | 0.000 | 60.291 | 0.000 |
| 0.000 | 0.000 | 0.000 | 0.000 | 0.000 | 60.291 |
| 419.730 | 49.930 | 49.930 | 0.000 | -0.000 | -0.000 |
| 49.930 | 419.730 | 49.930 | 0.000 | -0.000 | 0.000 |
| 49.930 | 49.930 | 419.730 | 0.000 | -0.000 | 0.000 |
| -0.000 | -0.000 | -0.000 | 60.291 | -0.000 | 0.000 |
| -0.000 | -0.000 | -0.000 | 0.000 | 60.291 | 0.000 |
| -0.000 | -0.000 | -0.000 | 0.000 | -0.000 | 60.291 |
| 419.729 | 49.930 | 49.930 | -0.000 | 0.000 | 0.000 |
| 49.930 | 419.729 | 49.930 | -0.000 | 0.000 | -0.000 |
| 49.930 | 49.930 | 419.729 | 0.000 | 0.000 | -0.000 |
| 0.000 | 0.000 | 0.000 | 60.291 | 0.000 | 0.000 |
| 0.000 | 0.000 | 0.000 | -0.000 | 60.291 | -0.000 |
| 0.000 | 0.000 | 0.000 | -0.000 | 0.000 | 60.291 |
| 419.733 | 49.930 | 49.930 | 0.000 | -0.000 | 0.000 |
| 49.930 | 419.733 | 49.930 | 0.000 | -0.000 | 0.000 |
| 49.930 | 49.930 | 419.733 | -0.000 | -0.000 | -0.000 |
| -0.000 | -0.000 | -0.000 | 60.291 | -0.000 | 0.000 |
| -0.000 | -0.000 | -0.000 | 0.000 | 60.291 | -0.000 |
| -0.000 | -0.000 | -0.000 | -0.000 | -0.000 | 60.291 |
| 419.726 | 49.930 | 49.930 | 0.000 | 0.000 | 0.000 |
| 49.930 | 419.726 | 49.930 | 0.000 | 0.000 | -0.000 |
| 49.930 | 49.930 | 419.726 | -0.000 | -0.000 | -0.000 |
| 0.000 | 0.000 | 0.000 | 60.291 | 0.000 | -0.000 |
| 0.000 | 0.000 | 0.000 | -0.000 | 60.291 | 0.000 |
| 0.000 | 0.000 | 0.000 | 0.000 | 0.000 | 60.291 |
| 573.343 | 8.560 | 8.560 | -0.000 | -0.000 | 0.000 |
| 8.560 | 573.343 | 8.560 | -0.000 | -0.000 | 0.000 |
| 8.560 | 8.560 | 573.342 | -0.000 | -0.000 | 0.000 |
| -0.000 | 0.000 | -0.000 | 21.241 | -0.000 | -0.000 |
| -0.000 | 0.000 | -0.000 | -0.000 | 21.241 | 0.000 |
| -0.000 | 0.000 | -0.000 | -0.000 | -0.000 | 21.242 |
| 573.343 | 8.560 | 8.560 | 0.000 | 0.000 | -0.000 |
| 8.560 | 573.342 | 8.560 | 0.000 | 0.000 | -0.000 |
| 8.560 | 8.560 | 573.343 | 0.000 | 0.000 | 0.000 |
| 0.000 | -0.000 | 0.000 | 21.242 | 0.000 | -0.000 |
| 0.000 | -0.000 | 0.000 | 0.000 | 21.242 | -0.000 |
| 0.000 | 0.000 | 0.000 | 0.000 | 0.000 | 21.242 |
| 573.343 | 8.560 | 8.560 | -0.000 | -0.000 | 0.000 |
| 8.560 | 573.343 | 8.560 | -0.000 | -0.000 | 0.000 |
| 8.560 | 8.560 | 573.343 | -0.000 | -0.000 | 0.000 |
| 0.000 | 0.000 | -0.000 | 21.242 | -0.000 | 0.000 |
| 0.000 | 0.000 | -0.000 | -0.000 | 21.242 | 0.000 |
| 0.000 | 0.000 | 0.000 | -0.000 | -0.000 | 21.242 |
| 573.342 | 8.560 | 8.560 | 0.000 | 0.000 | -0.000 |
| 8.560 | 573.342 | 8.560 | 0.000 | 0.000 | -0.000 |
| 8.560 | 8.560 | 573.342 | 0.000 | 0.000 | 0.000 |
| -0.000 | -0.000 | -0.000 | 21.242 | 0.000 | -0.000 |
| -0.000 | -0.000 | 0.000 | 0.000 | 21.242 | -0.000 |
| -0.000 | -0.000 | -0.000 | -0.000 | 0.000 | 21.242 |
| 573.344 | 8.560 | 8.560 | -0.000 | -0.000 | 0.000 |
| 8.560 | 573.344 | 8.560 | -0.000 | 0.000 | 0.000 |
| 8.560 | 8.560 | 573.344 | -0.000 | -0.000 | -0.000 |
| 0.000 | 0.000 | 0.000 | 21.242 | 0.000 | 0.000 |
| 0.000 | 0.000 | 0.000 | -0.000 | 21.242 | 0.000 |
| 0.000 | 0.000 | 0.000 | -0.000 | -0.000 | 21.242 |
| 573.341 | 8.559 | 8.559 | 0.000 | 0.000 | -0.000 |
| 8.559 | 573.341 | 8.559 | 0.000 | 0.000 | -0.000 |
| 8.559 | 8.559 | 573.341 | 0.000 | 0.000 | 0.000 |
| -0.000 | -0.000 | -0.000 | 21.242 | 0.000 | 0.000 |
| -0.000 | -0.000 | -0.000 | 0.000 | 21.242 | -0.000 |
| -0.000 | -0.000 | -0.000 | 0.000 | 0.000 | 21.242 |
| 122.835 | 136.692 | 136.692 | 0.000 | 0.000 | 0.000 |
| 136.692 | 122.835 | 136.692 | 0.000 | 0.000 | 0.000 |
| 136.692 | 136.692 | 122.835 | 0.000 | 0.000 | 0.000 |
| 0.000 | 0.000 | 0.000 | 140.161 | 0.000 | 0.000 |
| 0.000 | 0.000 | 0.000 | 0.000 | 140.161 | -0.000 |
| 0.000 | 0.000 | 0.000 | 0.000 | -0.000 | 140.161 |
| 122.835 | 136.692 | 136.692 | 0.000 | -0.000 | 0.000 |
| 136.692 | 122.835 | 136.692 | -0.000 | 0.000 | -0.000 |
| 136.692 | 136.692 | 122.835 | -0.000 | -0.000 | -0.000 |
| -0.000 | -0.000 | -0.000 | 140.161 | 0.000 | -0.000 |
| -0.000 | -0.000 | -0.000 | 0.000 | 140.161 | 0.000 |
| -0.000 | -0.000 | -0.000 | 0.000 | 0.000 | 140.161 |
| 122.835 | 136.692 | 136.692 | 0.000 | 0.000 | 0.000 |
| 136.692 | 122.835 | 136.692 | 0.000 | 0.000 | 0.000 |
| 136.692 | 136.692 | 122.835 | 0.000 | 0.000 | 0.000 |
| -0.000 | -0.000 | -0.000 | 34.966 | -0.000 | -0.000 |
| -0.000 | -0.000 | -0.000 | -0.000 | 34.966 | -0.000 |
| -0.000 | -0.000 | -0.000 | -0.000 | -0.000 | 34.966 |
| 122.835 | 136.691 | 136.691 | 0.000 | -0.000 | -0.000 |
| 136.691 | 122.835 | 136.691 | -0.000 | 0.000 | -0.000 |
| 136.691 | 136.691 | 122.835 | -0.000 | -0.000 | -0.000 |
| 0.000 | 0.000 | 0.000 | 34.966 | -0.000 | 0.000 |
| 0.000 | 0.000 | 0.000 | 0.000 | 34.966 | 0.000 |
| 0.000 | 0.000 | 0.000 | 0.000 | 0.000 | 34.966 |
| 122.835 | 136.692 | 136.692 | 0.000 | 0.000 | 0.000 |
| 136.692 | 122.835 | 136.692 | 0.000 | 0.000 | 0.000 |
| 136.692 | 136.692 | 122.835 | 0.000 | 0.000 | 0.000 |
| -0.000 | -0.000 | -0.000 | 34.966 | -0.000 | -0.000 |
| -0.000 | -0.000 | -0.000 | -0.000 | 34.966 | -0.000 |
| -0.000 | -0.000 | -0.000 | -0.000 | -0.000 | 34.966 |
| 122.834 | 136.691 | 136.691 | -0.000 | -0.000 | -0.000 |
| 136.691 | 122.834 | 136.691 | -0.000 | -0.000 | -0.000 |
| 136.691 | 136.691 | 122.834 | -0.000 | -0.000 | -0.000 |
| 0.000 | 0.000 | 0.000 | 34.966 | 0.000 | 0.000 |
| 0.000 | 0.000 | 0.000 | 0.000 | 34.966 | -0.000 |
| 0.000 | 0.000 | 0.000 | 0.000 | 0.000 | 34.966 |
| 297.903 | -8.311 | -8.311 | 0.000 | 0.000 | -0.000 |
| -8.311 | 297.903 | -8.311 | 0.000 | 0.000 | -0.000 |
| -8.311 | -8.311 | 297.903 | 0.000 | -0.000 | -0.000 |
| 0.000 | -0.000 | -0.000 | -7.636 | -0.000 | 0.000 |
| 0.000 | 0.000 | -0.000 | -0.000 | -7.636 | -0.000 |
| 0.000 | 0.000 | 0.000 | 0.000 | -0.000 | -7.636 |
| 297.903 | -8.311 | -8.311 | -0.000 | 0.000 | 0.000 |
| -8.311 | 297.903 | -8.311 | -0.000 | 0.000 | 0.000 |
| -8.311 | -8.311 | 297.903 | -0.000 | 0.000 | -0.000 |
| -0.000 | -0.000 | 0.000 | -7.636 | 0.000 | 0.000 |
| -0.000 | -0.000 | 0.000 | 0.000 | -7.636 | 0.000 |
| -0.000 | -0.000 | -0.000 | -0.000 | 0.000 | -7.636 |
| 297.903 | -8.311 | -8.311 | 0.000 | -0.000 | -0.000 |
| -8.311 | 297.903 | -8.311 | 0.000 | 0.000 | -0.000 |
| -8.311 | -8.311 | 297.903 | 0.000 | 0.000 | 0.000 |
| 0.000 | 0.000 | -0.000 | -7.636 | -0.000 | 0.000 |
| 0.000 | 0.000 | -0.000 | 0.000 | -7.636 | -0.000 |
| 0.000 | -0.000 | 0.000 | 0.000 | -0.000 | -7.636 |
| 297.903 | -8.311 | -8.311 | -0.000 | 0.000 | 0.000 |
| -8.311 | 297.903 | -8.311 | 0.000 | 0.000 | -0.000 |
| -8.311 | -8.311 | 297.903 | -0.000 | 0.000 | -0.000 |
| -0.000 | -0.000 | 0.000 | -7.636 | 0.000 | -0.000 |
| -0.000 | -0.000 | 0.000 | -0.000 | -7.636 | 0.000 |
| -0.000 | 0.000 | -0.000 | 0.000 | 0.000 | -7.636 |
| 297.903 | -8.311 | -8.311 | 0.000 | -0.000 | 0.000 |
| -8.311 | 297.903 | -8.311 | 0.000 | -0.000 | 0.000 |
| -8.311 | -8.311 | 297.903 | 0.000 | -0.000 | -0.000 |
| 0.000 | 0.000 | -0.000 | -7.636 | -0.000 | -0.000 |
| 0.000 | 0.000 | -0.000 | -0.000 | -7.636 | -0.000 |
| 0.000 | -0.000 | 0.000 | -0.000 | -0.000 | -7.636 |
| 297.902 | -8.311 | -8.311 | -0.000 | -0.000 | 0.000 |
| -8.311 | 297.902 | -8.311 | 0.000 | 0.000 | 0.000 |
| -8.311 | -8.311 | 297.902 | -0.000 | -0.000 | 0.000 |
| -0.000 | -0.000 | 0.000 | -7.636 | 0.000 | -0.000 |
| -0.000 | -0.000 | 0.000 | -0.000 | -7.636 | 0.000 |
| -0.000 | 0.000 | -0.000 | 0.000 | 0.000 | -7.636 |
| 2.896 | 6.588 | 6.588 | 0.000 | 0.000 | -0.000 |
| 6.588 | 2.896 | 6.588 | 0.000 | 0.000 | -0.000 |
| 6.588 | 6.588 | 2.896 | 0.000 | 0.000 | -0.000 |
| -0.000 | -0.000 | -0.000 | -10.437 | 0.000 | -0.000 |
| -0.000 | -0.000 | -0.000 | 0.000 | -10.437 | -0.000 |
| -0.000 | -0.000 | -0.000 | 0.000 | 0.000 | -10.437 |
| 2.896 | 6.588 | 6.588 | -0.000 | -0.000 | 0.000 |
| 6.588 | 2.896 | 6.588 | -0.000 | -0.000 | 0.000 |
| 6.588 | 6.588 | 2.896 | -0.000 | -0.000 | 0.000 |
| 0.000 | 0.000 | 0.000 | -10.437 | -0.000 | 0.000 |
| 0.000 | 0.000 | 0.000 | -0.000 | -10.437 | 0.000 |
| 0.000 | 0.000 | 0.000 | 0.000 | -0.000 | -10.437 |
| 2.896 | 6.588 | 6.588 | 0.000 | 0.000 | -0.000 |
| 6.588 | 2.896 | 6.588 | 0.000 | 0.000 | -0.000 |
| 6.588 | 6.588 | 2.896 | 0.000 | 0.000 | 0.000 |
| 0.000 | -0.000 | -0.000 | -10.437 | 0.000 | -0.000 |
| -0.000 | 0.000 | -0.000 | 0.000 | -10.437 | -0.000 |
| -0.000 | -0.000 | 0.000 | -0.000 | 0.000 | -10.437 |
| 2.896 | 6.588 | 6.588 | -0.000 | -0.000 | 0.000 |
| 6.588 | 2.896 | 6.588 | -0.000 | -0.000 | 0.000 |
| 6.588 | 6.588 | 2.896 | 0.000 | -0.000 | 0.000 |
| -0.000 | 0.000 | 0.000 | -10.437 | -0.000 | 0.000 |
| 0.000 | -0.000 | 0.000 | -0.000 | -10.437 | 0.000 |
| 0.000 | 0.000 | -0.000 | 0.000 | -0.000 | -10.437 |
| 2.896 | 6.588 | 6.588 | 0.000 | 0.000 | -0.000 |
| 6.588 | 2.896 | 6.588 | 0.000 | 0.000 | -0.000 |
| 6.588 | 6.588 | 2.896 | 0.000 | 0.000 | -0.000 |
| 0.000 | -0.000 | -0.000 | -10.437 | 0.000 | -0.000 |
| -0.000 | 0.000 | -0.000 | 0.000 | -10.437 | -0.000 |
| -0.000 | -0.000 | 0.000 | 0.000 | 0.000 | -10.437 |
| 2.896 | 6.588 | 6.588 | -0.000 | -0.000 | -0.000 |
| 6.588 | 2.896 | 6.588 | -0.000 | -0.000 | -0.000 |
| 6.588 | 6.588 | 2.896 | -0.000 | -0.000 | 0.000 |
| -0.000 | 0.000 | 0.000 | -10.437 | -0.000 | 0.000 |
| 0.000 | -0.000 | 0.000 | -0.000 | -10.437 | 0.000 |
| 0.000 | 0.000 | -0.000 | 0.000 | -0.000 | -10.437 |
| 45.265 | 7.385 | 7.385 | -0.000 | -0.000 | 0.000 |
| 7.385 | 45.265 | 7.385 | -0.000 | -0.000 | -0.000 |
| 7.385 | 7.385 | 45.265 | -0.000 | -0.000 | 0.000 |
| 0.000 | -0.000 | 0.000 | 3.467 | -0.000 | 0.000 |
| 0.000 | -0.000 | 0.000 | -0.000 | 3.467 | 0.000 |
| 0.000 | -0.000 | 0.000 | 0.000 | -0.000 | 3.467 |
| 45.265 | 7.385 | 7.385 | 0.000 | -0.000 | -0.000 |
| 7.385 | 45.265 | 7.385 | -0.000 | 0.000 | -0.000 |
| 7.385 | 7.385 | 45.265 | -0.000 | -0.000 | -0.000 |
| -0.000 | -0.000 | -0.000 | 3.467 | 0.000 | -0.000 |
| 0.000 | -0.000 | -0.000 | 0.000 | 3.467 | -0.000 |
| -0.000 | -0.000 | -0.000 | -0.000 | 0.000 | 3.467 |
| 45.265 | 7.385 | 7.385 | -0.000 | -0.000 | 0.000 |
| 7.385 | 45.265 | 7.385 | 0.000 | 0.000 | 0.000 |
| 7.385 | 7.385 | 45.265 | -0.000 | -0.000 | 0.000 |
| 0.000 | 0.000 | 0.000 | 3.467 | 0.000 | 0.000 |
| 0.000 | 0.000 | 0.000 | 0.000 | 3.467 | 0.000 |
| 0.000 | 0.000 | 0.000 | 0.000 | -0.000 | 3.467 |
| 45.265 | 7.385 | 7.385 | 0.000 | 0.000 | -0.000 |
| 7.385 | 45.265 | 7.385 | -0.000 | -0.000 | -0.000 |
| 7.385 | 7.385 | 45.265 | 0.000 | 0.000 | -0.000 |
| -0.000 | -0.000 | -0.000 | 3.467 | 0.000 | -0.000 |
| -0.000 | -0.000 | -0.000 | 0.000 | 3.467 | -0.000 |
| -0.000 | -0.000 | -0.000 | 0.000 | 0.000 | 3.467 |
| 45.265 | 7.385 | 7.385 | -0.000 | 0.000 | 0.000 |
| 7.385 | 45.265 | 7.385 | -0.000 | 0.000 | 0.000 |
| 7.385 | 7.385 | 45.265 | -0.000 | 0.000 | 0.000 |
| 0.018 | -0.003 | -0.005 | -594.848 | -0.000 | 0.000 |
| -0.003 | 0.018 | -0.005 | -0.000 | -594.849 | 0.000 |
| -0.003 | -0.005 | 0.018 | -0.000 | -0.000 | -594.847 |
| 45.264 | 7.385 | 7.385 | -0.000 | -0.000 | -0.000 |
| 7.385 | 45.264 | 7.385 | 0.000 | 0.000 | 0.000 |
| 7.385 | 7.385 | 45.264 | 0.000 | -0.000 | -0.000 |
| -0.018 | 0.003 | 0.005 | -594.848 | -0.000 | -0.000 |
| 0.003 | -0.018 | 0.005 | 0.000 | -594.850 | -0.000 |
| 0.003 | 0.005 | -0.018 | 0.000 | -0.000 | -594.848 |
| 18.320 | 25.609 | 25.609 | -0.000 | -0.000 | -0.000 |
| 25.609 | 18.320 | 25.609 | -0.000 | -0.000 | -0.000 |
| 25.609 | 25.609 | 18.320 | -0.000 | -0.000 | -0.000 |
| 0.000 | -0.000 | 0.000 | -67.745 | -0.000 | -0.000 |
| 0.000 | -0.000 | -0.000 | -0.000 | -67.745 | -0.000 |
| -0.000 | -0.000 | 0.000 | -0.000 | -0.000 | -67.745 |
| 18.320 | 25.609 | 25.609 | 0.000 | 0.000 | 0.000 |
| 25.609 | 18.320 | 25.609 | 0.000 | 0.000 | 0.000 |
| 25.609 | 25.609 | 18.320 | 0.000 | 0.000 | 0.000 |
| -0.000 | 0.000 | -0.000 | -67.745 | 0.000 | 0.000 |
| -0.000 | 0.000 | -0.000 | 0.000 | -67.745 | 0.000 |
| -0.000 | 0.000 | -0.000 | 0.000 | 0.000 | -67.745 |
| 18.320 | 25.609 | 25.609 | -0.000 | -0.000 | -0.000 |
| 25.609 | 18.320 | 25.609 | -0.000 | 0.000 | -0.000 |
| 25.609 | 25.609 | 18.320 | -0.000 | -0.000 | -0.000 |
| 0.000 | -0.000 | -0.000 | -67.745 | -0.000 | -0.000 |
| -0.000 | 0.000 | -0.000 | -0.000 | -67.745 | -0.000 |
| -0.000 | -0.000 | 0.000 | -0.000 | -0.000 | -67.745 |
| 18.320 | 25.609 | 25.609 | 0.000 | 0.000 | 0.000 |
| 25.609 | 18.320 | 25.609 | 0.000 | 0.000 | 0.000 |
| 25.609 | 25.609 | 18.320 | 0.000 | 0.000 | 0.000 |
| -0.000 | 0.000 | 0.000 | -67.745 | 0.000 | 0.000 |
| 0.000 | -0.000 | 0.000 | 0.000 | -67.745 | 0.000 |
| 0.000 | 0.000 | -0.000 | 0.000 | 0.000 | -67.745 |
| 18.320 | 25.610 | 25.610 | -0.000 | 0.000 | -0.000 |
| 25.610 | 18.320 | 25.610 | 0.000 | -0.000 | -0.000 |
| 25.610 | 25.610 | 18.320 | -0.000 | -0.000 | -0.000 |
| 0.000 | -0.000 | -0.000 | -67.745 | -0.000 | 0.000 |
| -0.000 | 0.000 | -0.000 | -0.000 | -67.745 | -0.000 |
| -0.000 | -0.000 | 0.000 | -0.000 | -0.000 | -67.745 |
| 18.320 | 25.609 | 25.609 | -0.000 | 0.000 | 0.000 |
| 25.609 | 18.320 | 25.609 | -0.000 | 0.000 | 0.000 |
| 25.609 | 25.609 | 18.320 | 0.000 | 0.000 | 0.000 |
| -0.000 | 0.000 | 0.000 | -67.745 | 0.000 | 0.000 |
| 0.000 | -0.000 | 0.000 | 0.000 | -67.745 | 0.000 |
| 0.000 | 0.000 | -0.000 | 0.000 | 0.000 | -67.745 |
| 40.438 | 15.888 | 15.888 | -0.000 | 0.000 | 0.000 |
| 15.888 | 40.438 | 15.888 | -0.000 | -0.000 | 0.000 |
| 15.888 | 15.888 | 40.438 | -0.000 | 0.000 | 0.000 |
| -0.000 | 0.000 | 0.000 | 16.363 | -0.000 | 0.000 |
| 0.000 | 0.000 | 0.000 | -0.000 | 16.363 | 0.000 |
| 0.000 | -0.000 | -0.000 | -0.000 | -0.000 | 16.363 |
| 40.438 | 15.888 | 15.888 | 0.000 | 0.000 | 0.000 |
| 15.888 | 40.438 | 15.888 | 0.000 | 0.000 | 0.000 |
| 15.888 | 15.888 | 40.438 | -0.000 | 0.000 | 0.000 |
| 0.000 | 0.000 | -0.000 | 16.363 | 0.000 | -0.000 |
| -0.000 | -0.000 | -0.000 | 0.000 | 16.363 | 0.000 |
| -0.000 | -0.000 | -0.000 | 0.000 | -0.000 | 16.363 |
| 40.438 | 15.888 | 15.888 | -0.000 | -0.000 | -0.000 |
| 15.888 | 40.438 | 15.888 | -0.000 | 0.000 | -0.000 |
| 15.888 | 15.888 | 40.438 | -0.000 | 0.000 | -0.000 |
| -0.000 | 0.000 | 0.000 | 16.363 | -0.000 | 0.000 |
| 0.000 | -0.000 | 0.000 | -0.000 | 16.363 | -0.000 |
| 0.000 | 0.000 | -0.000 | 0.000 | 0.000 | 16.363 |
| 40.438 | 15.888 | 15.888 | 0.000 | 0.000 | 0.000 |
| 15.888 | 40.438 | 15.888 | 0.000 | 0.000 | -0.000 |
| 15.888 | 15.888 | 40.438 | 0.000 | -0.000 | 0.000 |
| 0.000 | -0.000 | -0.000 | 16.363 | -0.000 | 0.000 |
| -0.000 | 0.000 | -0.000 | 0.000 | 16.363 | 0.000 |
| -0.000 | -0.000 | 0.000 | 0.000 | -0.000 | 16.363 |
| 40.438 | 15.888 | 15.888 | -0.000 | -0.000 | -0.000 |
| 15.888 | 40.438 | 15.888 | -0.000 | 0.000 | -0.000 |
| 15.888 | 15.888 | 40.438 | 0.000 | 0.000 | -0.000 |
| -0.000 | 0.000 | 0.000 | 16.363 | -0.000 | -0.000 |
| 0.000 | -0.000 | 0.000 | -0.000 | 16.363 | 0.000 |
| 0.000 | 0.000 | -0.000 | -0.000 | 0.000 | 16.363 |
| 40.438 | 15.887 | 15.887 | 0.000 | 0.000 | -0.000 |
| 15.887 | 40.438 | 15.887 | 0.000 | 0.000 | 0.000 |
| 15.887 | 15.887 | 40.438 | 0.000 | -0.000 | -0.000 |
| 0.000 | -0.000 | -0.000 | 16.363 | 0.000 | -0.000 |
| -0.000 | 0.000 | -0.000 | -0.000 | 16.363 | 0.000 |
| -0.000 | -0.000 | 0.000 | 0.000 | -0.000 | 16.363 |
| 11.580 | 1.799 | 1.799 | 0.000 | 0.000 | 0.000 |
| 1.799 | 11.580 | 1.799 | 0.000 | 0.000 | 0.000 |
| 1.799 | 1.799 | 11.580 | 0.000 | 0.000 | 0.000 |
| 0.000 | -0.000 | -0.000 | -5.458 | 0.000 | 0.000 |
| -0.000 | 0.000 | -0.000 | 0.000 | -5.458 | -0.000 |
| -0.000 | -0.000 | 0.000 | -0.000 | 0.000 | -5.458 |
| 11.580 | 1.799 | 1.799 | -0.000 | -0.000 | -0.000 |
| 1.799 | 11.580 | 1.799 | 0.000 | -0.000 | -0.000 |
| 1.799 | 1.799 | 11.580 | -0.000 | -0.000 | -0.000 |
| -0.000 | 0.000 | 0.000 | -5.458 | -0.000 | -0.000 |
| 0.000 | 0.000 | 0.000 | 0.000 | -5.458 | -0.000 |
| 0.000 | 0.000 | -0.000 | -0.000 | -0.000 | -5.458 |
| 11.580 | 1.799 | 1.799 | 0.000 | 0.000 | 0.000 |
| 1.799 | 11.580 | 1.799 | 0.000 | 0.000 | 0.000 |
| 1.799 | 1.799 | 11.580 | 0.000 | 0.000 | 0.000 |
| 0.000 | -0.000 | -0.000 | -5.458 | 0.000 | 0.000 |
| -0.000 | 0.000 | -0.000 | 0.000 | -5.458 | 0.000 |
| -0.000 | -0.000 | 0.000 | 0.000 | 0.000 | -5.458 |
| 11.580 | 1.799 | 1.799 | 0.000 | -0.000 | -0.000 |
| 1.799 | 11.580 | 1.799 | 0.000 | 0.000 | -0.000 |
| 1.799 | 1.799 | 11.580 | 0.000 | -0.000 | 0.000 |
| -0.000 | 0.000 | 0.000 | -5.458 | -0.000 | -0.000 |
| 0.000 | -0.000 | 0.000 | 0.000 | -5.458 | -0.000 |
| 0.000 | 0.000 | -0.000 | 0.000 | 0.000 | -5.458 |
| 11.580 | 1.799 | 1.799 | -0.000 | -0.000 | -0.000 |
| 1.799 | 11.580 | 1.799 | -0.000 | -0.000 | -0.000 |
| 1.799 | 1.799 | 11.580 | -0.000 | -0.000 | 0.000 |
| 0.000 | -0.000 | -0.000 | -5.458 | 0.000 | 0.000 |
| -0.000 | 0.000 | -0.000 | -0.000 | -5.458 | 0.000 |
| -0.000 | -0.000 | 0.000 | 0.000 | 0.000 | -5.458 |
| 11.580 | 1.799 | 1.799 | 0.000 | -0.000 | -0.000 |
| 1.799 | 11.580 | 1.799 | -0.000 | -0.000 | 0.000 |
| 1.799 | 1.799 | 11.580 | 0.000 | -0.000 | -0.000 |
| -0.000 | 0.000 | 0.000 | -5.458 | -0.000 | -0.000 |
| 0.000 | -0.000 | 0.000 | -0.000 | -5.458 | -0.000 |
| 0.000 | 0.000 | -0.000 | -0.000 | 0.000 | -5.458 |
| 563.156 | 26.164 | 26.164 | 0.000 | -0.000 | 0.000 |
| 26.164 | 563.156 | 26.164 | 0.000 | -0.000 | 0.000 |
| 26.164 | 26.164 | 563.156 | -0.000 | -0.000 | -0.000 |
| 0.001 | 0.001 | 0.001 | 60.257 | -0.000 | 0.000 |
| 0.001 | 0.001 | 0.001 | -0.000 | 60.257 | 0.000 |
| 0.001 | 0.001 | 0.001 | 0.000 | -0.000 | 60.257 |
| 563.155 | 26.163 | 26.163 | 0.000 | 0.000 | -0.000 |
| 26.163 | 563.155 | 26.163 | 0.000 | 0.000 | -0.000 |
| 26.163 | 26.163 | 563.155 | -0.000 | 0.000 | -0.000 |
| -0.001 | -0.001 | -0.001 | 60.257 | 0.000 | -0.000 |
| -0.001 | -0.001 | -0.001 | 0.000 | 60.257 | -0.000 |
| -0.001 | -0.001 | -0.001 | -0.000 | 0.000 | 60.257 |
| 563.165 | 26.172 | 26.172 | -0.000 | -0.000 | 0.000 |
| 26.172 | 563.165 | 26.172 | -0.000 | -0.000 | 0.000 |
| 26.172 | 26.172 | 563.165 | 0.000 | -0.000 | 0.000 |
| 0.008 | 0.008 | 0.008 | 60.257 | -0.000 | 0.000 |
| 0.008 | 0.008 | 0.008 | 0.000 | 60.257 | 0.000 |
| 0.008 | 0.008 | 0.008 | -0.000 | 0.000 | 60.257 |
| 563.146 | 26.155 | 26.155 | 0.000 | 0.000 | -0.000 |
| 26.155 | 563.146 | 26.155 | 0.000 | 0.000 | 0.000 |
| 26.155 | 26.155 | 563.146 | 0.000 | 0.000 | -0.000 |
| -0.008 | -0.008 | -0.008 | 60.257 | 0.000 | -0.000 |
| -0.008 | -0.008 | -0.008 | -0.000 | 60.257 | -0.000 |
| -0.008 | -0.008 | -0.008 | -0.000 | 0.000 | 60.257 |
| 563.246 | 26.248 | 26.248 | -0.000 | -0.000 | 0.000 |
| 26.248 | 563.246 | 26.248 | 0.000 | -0.000 | 0.000 |
| 26.248 | 26.248 | 563.246 | 0.000 | 0.000 | 0.000 |
| 0.084 | 0.084 | 0.084 | 60.257 | -0.000 | 0.000 |
| 0.084 | 0.084 | 0.084 | 0.000 | 60.257 | 0.000 |
| 0.084 | 0.084 | 0.084 | 0.000 | -0.000 | 60.257 |
| 563.065 | 26.079 | 26.079 | -0.000 | 0.000 | -0.000 |
| 26.079 | 563.065 | 26.079 | -0.000 | 0.000 | -0.000 |
| 26.079 | 26.079 | 563.065 | -0.000 | 0.000 | -0.000 |
| -0.084 | -0.084 | -0.084 | 60.257 | -0.000 | -0.000 |
| -0.084 | -0.084 | -0.084 | -0.000 | 60.257 | -0.000 |
| -0.084 | -0.084 | -0.084 | -0.000 | 0.000 | 60.257 |
| 643.926 | -15.167 | -15.167 | 0.000 | 0.000 | -0.000 |
| -15.167 | 643.926 | -15.167 | -0.000 | 0.000 | 0.000 |
| -15.167 | -15.167 | 643.926 | 0.000 | 0.000 | 0.000 |
| -0.000 | 0.000 | -0.000 | 46.314 | 0.000 | 0.000 |
| 0.000 | -0.000 | -0.000 | -0.000 | 46.314 | 0.000 |
| 0.000 | 0.000 | -0.000 | -0.000 | 0.000 | 46.313 |
| 643.926 | -15.167 | -15.167 | -0.000 | -0.000 | 0.000 |
| -15.167 | 643.926 | -15.167 | -0.000 | -0.000 | 0.000 |
| -15.167 | -15.167 | 643.926 | -0.000 | 0.000 | -0.000 |
| 0.000 | -0.000 | 0.000 | 46.313 | -0.000 | -0.000 |
| -0.000 | -0.000 | 0.000 | 0.000 | 46.313 | -0.000 |
| -0.000 | -0.000 | 0.000 | 0.000 | -0.000 | 46.313 |
| 643.926 | -15.167 | -15.167 | 0.000 | 0.000 | 0.000 |
| -15.167 | 643.926 | -15.167 | 0.000 | 0.000 | 0.000 |
| -15.167 | -15.167 | 643.926 | 0.000 | 0.000 | 0.000 |
| 0.000 | 0.000 | 0.000 | 46.313 | 0.000 | 0.000 |
| 0.000 | 0.000 | 0.000 | -0.000 | 46.313 | 0.000 |
| 0.000 | 0.000 | 0.000 | -0.000 | 0.000 | 46.313 |
| 643.925 | -15.167 | -15.167 | -0.000 | -0.000 | -0.000 |
| -15.167 | 643.925 | -15.167 | -0.000 | 0.000 | -0.000 |
| -15.167 | -15.167 | 643.925 | 0.000 | 0.000 | -0.000 |
| -0.000 | -0.000 | -0.000 | 46.313 | -0.000 | -0.000 |
| -0.000 | -0.000 | -0.000 | 0.000 | 46.313 | -0.000 |
| -0.000 | -0.000 | -0.000 | 0.000 | -0.000 | 46.313 |
| 643.928 | -15.167 | -15.167 | 0.000 | 0.000 | 0.000 |
| -15.167 | 643.928 | -15.167 | 0.000 | 0.000 | 0.000 |
| -15.167 | -15.167 | 643.928 | 0.000 | 0.000 | 0.000 |
| 0.001 | 0.001 | 0.000 | 46.313 | -0.000 | 0.000 |
| 0.001 | 0.001 | 0.000 | 0.000 | 46.313 | 0.000 |
| 0.001 | 0.000 | 0.001 | -0.000 | 0.000 | 46.313 |
| 643.923 | -15.168 | -15.168 | -0.000 | -0.000 | -0.000 |
| -15.168 | 643.923 | -15.168 | 0.000 | 0.000 | -0.000 |
| -15.168 | -15.168 | 643.923 | 0.000 | -0.000 | -0.000 |
| -0.001 | -0.001 | -0.000 | 46.313 | 0.000 | 0.000 |
| -0.001 | -0.001 | -0.000 | -0.000 | 46.313 | -0.000 |
| -0.001 | -0.000 | -0.001 | -0.000 | -0.000 | 46.313 |
| 170.445 | 158.882 | 158.882 | -0.000 | -0.000 | -0.000 |
| 158.882 | 170.445 | 158.882 | -0.000 | -0.000 | -0.000 |
| 158.882 | 158.882 | 170.445 | -0.000 | -0.000 | -0.000 |
| 0.000 | 0.000 | 0.000 | 27.305 | -0.000 | -0.000 |
| 0.000 | 0.000 | 0.000 | -0.000 | 27.305 | -0.000 |
| 0.000 | 0.000 | 0.000 | -0.000 | -0.000 | 27.305 |
| 170.445 | 158.882 | 158.882 | -0.000 | 0.000 | 0.000 |
| 158.882 | 170.445 | 158.882 | 0.000 | -0.000 | 0.000 |
| 158.882 | 158.882 | 170.445 | 0.000 | 0.000 | 0.000 |
| -0.000 | -0.000 | -0.000 | 27.305 | 0.000 | 0.000 |
| -0.000 | -0.000 | -0.000 | 0.000 | 27.305 | 0.000 |
| -0.000 | -0.000 | 0.000 | 0.000 | 0.000 | 27.305 |
| 170.445 | 158.882 | 158.882 | -0.000 | -0.000 | -0.000 |
| 158.882 | 170.445 | 158.882 | -0.000 | -0.000 | -0.000 |
| 158.882 | 158.882 | 170.445 | -0.000 | -0.000 | -0.000 |
| -0.000 | -0.000 | -0.000 | 27.305 | -0.000 | -0.000 |
| -0.000 | -0.000 | -0.000 | -0.000 | 27.305 | -0.000 |
| -0.000 | -0.000 | -0.000 | -0.000 | -0.000 | 27.305 |
| 170.445 | 158.882 | 158.882 | 0.000 | 0.000 | 0.000 |
| 158.882 | 170.445 | 158.882 | 0.000 | 0.000 | 0.000 |
| 158.882 | 158.882 | 170.445 | 0.000 | 0.000 | 0.000 |
| 0.000 | 0.000 | 0.000 | 27.305 | 0.000 | 0.000 |
| 0.000 | 0.000 | 0.000 | 0.000 | 27.305 | 0.000 |
| 0.000 | 0.000 | 0.000 | 0.000 | 0.000 | 27.305 |
| 170.445 | 158.883 | 158.883 | -0.000 | -0.000 | -0.000 |
| 158.883 | 170.445 | 158.883 | -0.000 | -0.000 | -0.000 |
| 158.883 | 158.883 | 170.445 | -0.000 | -0.000 | -0.000 |
| -0.000 | -0.000 | -0.000 | 27.305 | -0.000 | -0.000 |
| -0.000 | -0.000 | -0.000 | -0.000 | 27.305 | -0.000 |
| -0.000 | -0.000 | -0.000 | -0.000 | -0.000 | 27.305 |
| 170.444 | 158.881 | 158.881 | -0.000 | 0.000 | 0.000 |
| 158.881 | 170.444 | 158.881 | 0.000 | -0.000 | 0.000 |
| 158.881 | 158.881 | 170.444 | 0.000 | 0.000 | -0.000 |
| 0.000 | 0.000 | 0.000 | 27.305 | 0.000 | 0.000 |
| 0.000 | 0.000 | 0.000 | 0.000 | 27.305 | 0.000 |
| 0.000 | 0.000 | 0.000 | 0.000 | 0.000 | 27.305 |
| 13.337 | -2.154 | -0.006 | -0.000 | 0.000 | 0.000 |
| -2.154 | 13.337 | -0.006 | 0.000 | -0.000 | 0.000 |
| -0.006 | -0.006 | -0.193 | 0.000 | 0.000 | -0.000 |
| -0.000 | 0.000 | -0.000 | -0.022 | 0.000 | 0.000 |
| -0.000 | -0.000 | -0.000 | -0.000 | -0.022 | 0.000 |
| -0.000 | -0.000 | -0.000 | -0.000 | 0.000 | -2.170 |
| 13.337 | -2.154 | -0.006 | 0.000 | 0.000 | 0.000 |
| -2.154 | 13.337 | -0.006 | 0.000 | 0.000 | -0.000 |
| -0.006 | -0.006 | -0.193 | -0.000 | -0.000 | -0.000 |
| 0.000 | 0.000 | 0.000 | -0.022 | 0.000 | -0.000 |
| 0.000 | -0.000 | 0.000 | 0.000 | -0.022 | -0.000 |
| 0.000 | 0.000 | 0.000 | 0.000 | -0.000 | -2.170 |
| 13.337 | -2.154 | -0.006 | -0.000 | 0.000 | -0.000 |
| -2.154 | 13.337 | -0.006 | 0.000 | -0.000 | 0.000 |
| -0.006 | -0.006 | -0.193 | 0.000 | 0.000 | 0.000 |
| -0.000 | -0.000 | -0.000 | -0.022 | -0.000 | 0.000 |
| -0.000 | -0.000 | -0.000 | -0.000 | -0.022 | 0.000 |
| 0.000 | -0.000 | -0.000 | -0.000 | 0.000 | -2.170 |
| 13.337 | -2.154 | -0.006 | -0.000 | 0.000 | -0.000 |
| -2.154 | 13.337 | -0.006 | 0.000 | -0.000 | -0.000 |
| -0.006 | -0.006 | -0.193 | 0.000 | 0.000 | -0.000 |
| 0.000 | -0.000 | 0.000 | -0.022 | 0.000 | 0.000 |
| 0.000 | 0.000 | 0.000 | 0.000 | -0.022 | -0.000 |
| -0.000 | 0.000 | 0.000 | 0.000 | 0.000 | -2.170 |
| 13.337 | -2.154 | -0.006 | -0.000 | -0.000 | 0.000 |
| -2.154 | 13.337 | -0.006 | -0.000 | -0.000 | -0.000 |
| -0.006 | -0.006 | -0.193 | -0.000 | -0.000 | 0.000 |
| -0.000 | -0.000 | -0.000 | -0.022 | -0.000 | -0.000 |
| -0.000 | -0.000 | -0.000 | -0.000 | -0.022 | -0.000 |
| 0.000 | -0.000 | -0.000 | -0.000 | 0.000 | -2.170 |
| 13.337 | -2.154 | -0.006 | 0.000 | -0.000 | -0.000 |
| -2.154 | 13.337 | -0.006 | -0.000 | 0.000 | 0.000 |
| -0.006 | -0.006 | -0.193 | 0.000 | 0.000 | 0.000 |
| 0.000 | 0.000 | 0.000 | -0.022 | 0.000 | 0.000 |
| 0.000 | 0.000 | 0.000 | 0.000 | -0.022 | 0.000 |
| -0.000 | 0.000 | 0.000 | -0.000 | 0.000 | -2.170 |
| 144.765 | -35.611 | -35.611 | 0.000 | -0.000 | -0.000 |
| -35.611 | 144.765 | -35.611 | 0.000 | -0.000 | -0.000 |
| -35.611 | -35.611 | 144.765 | 0.000 | -0.000 | 0.000 |
| -0.000 | 0.000 | -0.000 | -39.426 | -0.000 | -0.000 |
| 0.000 | -0.000 | -0.000 | 0.000 | -39.426 | -0.000 |
| 0.000 | -0.000 | -0.000 | 0.000 | -0.000 | -39.426 |
| 144.765 | -35.611 | -35.611 | 0.000 | 0.000 | 0.000 |
| -35.611 | 144.765 | -35.611 | -0.000 | 0.000 | 0.000 |
| -35.611 | -35.611 | 144.765 | -0.000 | 0.000 | 0.000 |
| -0.000 | 0.000 | 0.000 | -39.426 | 0.000 | -0.000 |
| -0.000 | 0.000 | 0.000 | -0.000 | -39.426 | 0.000 |
| -0.000 | 0.000 | 0.000 | -0.000 | 0.000 | -39.426 |
| 144.765 | -35.611 | -35.611 | -0.000 | -0.000 | 0.000 |
| -35.611 | 144.765 | -35.611 | -0.000 | -0.000 | -0.000 |
| -35.611 | -35.611 | 144.765 | -0.000 | -0.000 | 0.000 |
| 0.000 | 0.000 | -0.000 | -39.426 | -0.000 | 0.000 |
| 0.000 | 0.000 | -0.000 | 0.000 | -39.426 | -0.000 |
| 0.000 | -0.000 | 0.000 | -0.000 | -0.000 | -39.426 |
| 144.765 | -35.611 | -35.611 | -0.000 | 0.000 | -0.000 |
| -35.611 | 144.765 | -35.611 | 0.000 | 0.000 | -0.000 |
| -35.611 | -35.611 | 144.765 | -0.000 | 0.000 | 0.000 |
| -0.000 | -0.000 | 0.000 | -39.426 | 0.000 | 0.000 |
| -0.000 | -0.000 | 0.000 | -0.000 | -39.426 | 0.000 |
| -0.000 | 0.000 | -0.000 | -0.000 | 0.000 | -39.426 |
| 144.765 | -35.611 | -35.611 | 0.000 | -0.000 | -0.000 |
| -35.611 | 144.765 | -35.611 | 0.000 | -0.000 | -0.000 |
| -35.611 | -35.611 | 144.765 | -0.000 | -0.000 | -0.000 |
| 0.000 | 0.000 | -0.000 | -39.426 | -0.000 | 0.000 |
| 0.000 | 0.000 | -0.000 | 0.000 | -39.426 | 0.000 |
| 0.000 | -0.000 | 0.000 | -0.000 | -0.000 | -39.426 |
| 144.764 | -35.611 | -35.611 | 0.000 | 0.000 | 0.000 |
| -35.611 | 144.764 | -35.611 | 0.000 | 0.000 | 0.000 |
| -35.611 | -35.611 | 144.764 | -0.000 | 0.000 | 0.000 |
| -0.000 | -0.000 | 0.000 | -39.426 | 0.000 | 0.000 |
| -0.000 | -0.000 | 0.000 | -0.000 | -39.426 | -0.000 |
| -0.000 | 0.000 | -0.000 | -0.000 | 0.000 | -39.426 |
| 16.221 | 1.503 | 1.503 | -0.000 | -0.000 | 0.000 |
| 1.503 | 16.221 | 1.503 | 0.000 | -0.000 | -0.000 |
| 1.503 | 1.503 | 16.221 | 0.000 | -0.000 | -0.000 |
| 0.000 | 0.000 | -0.000 | 1.584 | 0.000 | -0.000 |
| -0.000 | 0.000 | -0.000 | -0.000 | 1.584 | -0.000 |
| 0.000 | 0.000 | -0.000 | -0.000 | 0.000 | 1.584 |
| 16.221 | 1.503 | 1.503 | -0.000 | 0.000 | 0.000 |
| 1.503 | 16.221 | 1.503 | -0.000 | -0.000 | -0.000 |
| 1.503 | 1.503 | 16.221 | 0.000 | -0.000 | 0.000 |
| -0.000 | -0.000 | 0.000 | 1.584 | -0.000 | 0.000 |
| 0.000 | -0.000 | 0.000 | -0.000 | 1.584 | 0.000 |
| -0.000 | -0.000 | 0.000 | 0.000 | -0.000 | 1.584 |
| 16.221 | 1.503 | 1.503 | -0.000 | -0.000 | -0.000 |
| 1.503 | 16.221 | 1.503 | -0.000 | -0.000 | 0.000 |
| 1.503 | 1.503 | 16.221 | -0.000 | 0.000 | -0.000 |
| 0.000 | 0.000 | -0.000 | 1.584 | -0.000 | -0.000 |
| 0.000 | 0.000 | -0.000 | -0.000 | 1.584 | -0.000 |
| 0.000 | -0.000 | 0.000 | -0.000 | 0.000 | 1.584 |
| 16.221 | 1.503 | 1.503 | 0.000 | 0.000 | 0.000 |
| 1.503 | 16.221 | 1.503 | -0.000 | 0.000 | 0.000 |
| 1.503 | 1.503 | 16.221 | -0.000 | 0.000 | 0.000 |
| -0.000 | -0.000 | 0.000 | 1.584 | -0.000 | -0.000 |
| -0.000 | -0.000 | 0.000 | 0.000 | 1.584 | 0.000 |
| -0.000 | 0.000 | -0.000 | 0.000 | -0.000 | 1.584 |
| 16.222 | 1.503 | 1.503 | 0.000 | 0.000 | -0.000 |
| 1.503 | 16.222 | 1.503 | -0.000 | -0.000 | 0.000 |
| 1.503 | 1.503 | 16.222 | -0.000 | 0.000 | -0.000 |
| 0.000 | -0.000 | -0.000 | 1.078 | 0.000 | -0.000 |
| -0.000 | 0.000 | -0.000 | 0.000 | 1.078 | 0.000 |
| -0.000 | -0.000 | 0.000 | 0.000 | 0.000 | 1.078 |
| 16.221 | 1.503 | 1.503 | 0.000 | 0.000 | -0.000 |
| 1.503 | 16.221 | 1.503 | 0.000 | 0.000 | 0.000 |
| 1.503 | 1.503 | 16.221 | 0.000 | 0.000 | 0.000 |
| -0.000 | 0.000 | 0.000 | 1.078 | -0.000 | -0.000 |
| 0.000 | -0.000 | 0.000 | -0.000 | 0.898 | 0.000 |
| 0.000 | 0.000 | -0.000 | -0.000 | -0.000 | 1.078 |
| 7.368 | 5.075 | 5.075 | 0.000 | -0.000 | -0.000 |
| 5.075 | 7.368 | 5.075 | 0.000 | -0.000 | -0.000 |
| 5.075 | 5.075 | 7.368 | 0.000 | -0.000 | -0.000 |
| -0.000 | -0.000 | 0.000 | 0.906 | -0.000 | -0.000 |
| -0.000 | -0.000 | 0.000 | 0.000 | 0.906 | -0.000 |
| 0.000 | -0.000 | 0.000 | 0.000 | 0.000 | 0.906 |
| 7.368 | 5.075 | 5.075 | -0.000 | -0.000 | 0.000 |
| 5.075 | 7.368 | 5.075 | -0.000 | -0.000 | 0.000 |
| 5.075 | 5.075 | 7.368 | -0.000 | -0.000 | 0.000 |
| 0.000 | 0.000 | -0.000 | 0.906 | 0.000 | 0.000 |
| 0.000 | 0.000 | -0.000 | -0.000 | 0.906 | 0.000 |
| 0.000 | 0.000 | -0.000 | -0.000 | -0.000 | 0.906 |
| 7.368 | 5.075 | 5.075 | 0.000 | 0.000 | -0.000 |
| 5.075 | 7.368 | 5.075 | 0.000 | -0.000 | -0.000 |
| 5.075 | 5.075 | 7.368 | -0.000 | 0.000 | -0.000 |
| 0.000 | -0.000 | -0.000 | 0.906 | 0.000 | -0.000 |
| -0.000 | 0.000 | -0.000 | 0.000 | 0.906 | -0.000 |
| -0.000 | -0.000 | 0.000 | 0.000 | 0.000 | 0.906 |
| 7.368 | 5.075 | 5.075 | -0.000 | -0.000 | -0.000 |
| 5.075 | 7.368 | 5.075 | -0.000 | -0.000 | -0.000 |
| 5.075 | 5.075 | 7.368 | -0.000 | -0.000 | 0.000 |
| -0.000 | 0.000 | 0.000 | 0.906 | -0.000 | 0.000 |
| 0.000 | -0.000 | 0.000 | -0.000 | 0.906 | 0.000 |
| 0.000 | 0.000 | -0.000 | -0.000 | 0.000 | 0.906 |
| 7.368 | 5.075 | 5.075 | 0.000 | 0.000 | -0.000 |
| 5.075 | 7.368 | 5.075 | 0.000 | 0.000 | -0.000 |
| 5.075 | 5.075 | 7.368 | 0.000 | 0.000 | -0.000 |
| 0.000 | -0.000 | -0.000 | 0.906 | 0.000 | -0.000 |
| -0.000 | 0.000 | -0.000 | 0.000 | 0.906 | -0.000 |
| -0.000 | -0.000 | 0.000 | 0.000 | 0.000 | 0.906 |
| 7.368 | 5.075 | 5.075 | -0.000 | -0.000 | 0.000 |
| 5.075 | 7.368 | 5.075 | -0.000 | 0.000 | 0.000 |
| 5.075 | 5.075 | 7.368 | 0.000 | 0.000 | 0.000 |
| -0.000 | 0.000 | 0.000 | 0.906 | -0.000 | 0.000 |
| 0.000 | -0.000 | 0.000 | -0.000 | 0.906 | 0.000 |
| 0.000 | 0.000 | -0.000 | -0.000 | 0.000 | 0.906 |
| 4.884 | 3.991 | 3.991 | 0.000 | -0.000 | -0.000 |
| 3.991 | 4.884 | 3.991 | -0.000 | 0.000 | -0.000 |
| 3.991 | 3.991 | 4.884 | -0.000 | -0.000 | -0.000 |
| -0.000 | 0.000 | 0.000 | 4.072 | -0.000 | -0.000 |
| -0.000 | -0.000 | 0.000 | 0.000 | 4.072 | -0.000 |
| -0.000 | 0.000 | -0.000 | 0.000 | -0.000 | 4.072 |
| 4.884 | 3.991 | 3.991 | -0.000 | 0.000 | 0.000 |
| 3.991 | 4.884 | 3.991 | -0.000 | -0.000 | 0.000 |
| 3.991 | 3.991 | 4.884 | -0.000 | -0.000 | 0.000 |
| 0.000 | -0.000 | -0.000 | 4.072 | 0.000 | 0.000 |
| 0.000 | 0.000 | -0.000 | -0.000 | 4.072 | 0.000 |
| 0.000 | -0.000 | 0.000 | 0.000 | 0.000 | 4.072 |
| 4.884 | 3.991 | 3.991 | 0.000 | 0.000 | -0.000 |
| 3.991 | 4.884 | 3.991 | -0.000 | 0.000 | -0.000 |
| 3.991 | 3.991 | 4.884 | 0.000 | -0.000 | 0.000 |
| -0.000 | 0.000 | 0.000 | 4.072 | -0.000 | -0.000 |
| 0.000 | -0.000 | 0.000 | -0.000 | 4.072 | -0.000 |
| 0.000 | 0.000 | -0.000 | -0.000 | -0.000 | 4.072 |
| 4.884 | 3.991 | 3.991 | -0.000 | -0.000 | -0.000 |
| 3.991 | 4.884 | 3.991 | 0.000 | -0.000 | 0.000 |
| 3.991 | 3.991 | 4.884 | -0.000 | -0.000 | 0.000 |
| 0.000 | -0.000 | -0.000 | 4.072 | 0.000 | 0.000 |
| -0.000 | 0.000 | -0.000 | 0.000 | 4.072 | 0.000 |
| -0.000 | -0.000 | 0.000 | 0.000 | 0.000 | 4.072 |
| 4.884 | 3.991 | 3.991 | -0.000 | -0.000 | -0.000 |
| 3.991 | 4.884 | 3.991 | -0.000 | -0.000 | 0.000 |
| 3.991 | 3.991 | 4.884 | 0.000 | 0.000 | -0.000 |
| -0.000 | 0.000 | 0.000 | 4.072 | -0.000 | -0.000 |
| 0.000 | -0.000 | 0.000 | -0.000 | 4.072 | 0.000 |
| 0.000 | 0.000 | -0.000 | -0.000 | 0.000 | 4.072 |
| 4.884 | 3.991 | 3.991 | -0.000 | -0.000 | -0.000 |
| 3.991 | 4.884 | 3.991 | -0.000 | -0.000 | 0.000 |
| 3.991 | 3.991 | 4.884 | -0.000 | -0.000 | 0.000 |
| 0.000 | -0.000 | -0.000 | 4.072 | -0.000 | 0.000 |
| -0.000 | 0.000 | -0.000 | 0.000 | 4.072 | -0.000 |
| -0.000 | -0.000 | 0.000 | 0.000 | -0.000 | 4.072 |
| 16.196 | 8.949 | 8.949 | 0.000 | 0.000 | 0.000 |
| 8.949 | 16.196 | 8.949 | 0.000 | 0.000 | 0.000 |
| 8.949 | 8.949 | 16.196 | 0.000 | 0.000 | 0.000 |
| -0.000 | 0.000 | 0.000 | 8.949 | 0.000 | 0.000 |
| 0.000 | 0.000 | 0.000 | 0.000 | 8.949 | -0.000 |
| 0.000 | 0.000 | 0.000 | 0.000 | -0.000 | 8.949 |
| 16.196 | 8.949 | 8.949 | -0.000 | -0.000 | -0.000 |
| 8.949 | 16.196 | 8.949 | -0.000 | -0.000 | -0.000 |
| 8.949 | 8.949 | 16.196 | -0.000 | -0.000 | -0.000 |
| 0.000 | -0.000 | -0.000 | 8.949 | -0.000 | -0.000 |
| -0.000 | -0.000 | -0.000 | -0.000 | 8.949 | 0.000 |
| -0.000 | -0.000 | -0.000 | -0.000 | 0.000 | 8.949 |
| 16.196 | 8.949 | 8.949 | 0.000 | -0.000 | -0.000 |
| 8.949 | 16.196 | 8.949 | -0.000 | 0.000 | 0.000 |
| 8.949 | 8.949 | 16.196 | 0.000 | 0.000 | 0.000 |
| -0.000 | 0.000 | 0.000 | 8.949 | 0.000 | 0.000 |
| 0.000 | -0.000 | 0.000 | 0.000 | 8.949 | 0.000 |
| 0.000 | 0.000 | -0.000 | 0.000 | -0.000 | 8.949 |
| 16.196 | 8.949 | 8.949 | -0.000 | 0.000 | 0.000 |
| 8.949 | 16.196 | 8.949 | 0.000 | -0.000 | -0.000 |
| 8.949 | 8.949 | 16.196 | -0.000 | -0.000 | -0.000 |
| 0.000 | -0.000 | -0.000 | 8.949 | -0.000 | -0.000 |
| -0.000 | 0.000 | -0.000 | -0.000 | 8.949 | 0.000 |
| -0.000 | -0.000 | 0.000 | -0.000 | 0.000 | 8.949 |
| 16.196 | 8.949 | 8.949 | 0.000 | -0.000 | -0.000 |
| 8.949 | 16.196 | 8.949 | -0.000 | 0.000 | 0.000 |
| 8.949 | 8.949 | 16.196 | 0.000 | 0.000 | 0.000 |
| -0.000 | 0.000 | 0.000 | 8.949 | 0.000 | 0.000 |
| 0.000 | -0.000 | 0.000 | 0.000 | 8.949 | -0.000 |
| 0.000 | 0.000 | -0.000 | 0.000 | -0.000 | 8.949 |
| 16.196 | 8.949 | 8.949 | -0.000 | 0.000 | 0.000 |
| 8.949 | 16.196 | 8.949 | 0.000 | -0.000 | -0.000 |
| 8.949 | 8.949 | 16.196 | -0.000 | -0.000 | -0.000 |
| 0.000 | -0.000 | -0.000 | 8.949 | -0.000 | -0.000 |
| -0.000 | 0.000 | -0.000 | -0.000 | 8.949 | 0.000 |
| -0.000 | -0.000 | 0.000 | -0.000 | 0.000 | 8.949 |
| -147.754 | 8.875 | 8.875 | 0.000 | 0.000 | 0.000 |
| 8.875 | -147.754 | 8.875 | -0.000 | 0.000 | 0.000 |
| 8.875 | 8.875 | -147.754 | -0.000 | -0.000 | 0.000 |
| -0.000 | -0.000 | 0.000 | 8.875 | 0.000 | 0.000 |
| -0.000 | -0.000 | 0.000 | 0.000 | 8.875 | -0.000 |
| -0.000 | 0.000 | -0.000 | 0.000 | -0.000 | 8.875 |
| -147.742 | 8.875 | 8.875 | -0.000 | -0.000 | -0.000 |
| 8.875 | -147.742 | 8.875 | 0.000 | 0.000 | -0.000 |
| 8.875 | 8.875 | -147.742 | -0.000 | -0.000 | 0.000 |
| 0.000 | 0.000 | -0.000 | 8.875 | -0.000 | 0.000 |
| 0.000 | 0.000 | -0.000 | -0.000 | 8.875 | -0.000 |
| 0.000 | -0.000 | 0.000 | 0.000 | -0.000 | 8.875 |
| -147.812 | 8.875 | 8.875 | 0.000 | 0.000 | 0.000 |
| 8.875 | -147.812 | 8.875 | 0.000 | -0.000 | 0.000 |
| 8.875 | 8.875 | -147.812 | 0.000 | 0.000 | -0.000 |
| -0.000 | 0.000 | 0.000 | 8.875 | 0.000 | -0.000 |
| 0.000 | -0.000 | 0.000 | -0.000 | 8.875 | 0.000 |
| 0.000 | 0.000 | -0.000 | -0.000 | 0.000 | 8.875 |
| -147.684 | 8.875 | 8.875 | -0.000 | -0.000 | -0.000 |
| 8.875 | -147.684 | 8.875 | -0.000 | 0.000 | -0.000 |
| 8.875 | 8.875 | -147.684 | -0.000 | -0.000 | -0.000 |
| 0.000 | -0.000 | -0.000 | 8.875 | -0.000 | -0.000 |
| -0.000 | 0.000 | -0.000 | -0.000 | 8.875 | 0.000 |
| -0.000 | -0.000 | 0.000 | 0.000 | 0.000 | 8.875 |
| -148.392 | 8.875 | 8.875 | 0.000 | -0.000 | -0.000 |
| 8.875 | -148.392 | 8.875 | -0.000 | -0.000 | 0.000 |
| 8.875 | 8.875 | -148.392 | 0.000 | 0.000 | 0.000 |
| -0.000 | 0.000 | 0.000 | 8.875 | 0.000 | 0.000 |
| 0.000 | -0.000 | 0.000 | 0.000 | 8.875 | -0.000 |
| 0.000 | 0.000 | -0.000 | -0.000 | -0.000 | 8.875 |
| -147.104 | 8.875 | 8.875 | -0.000 | -0.000 | 0.000 |
| 8.875 | -147.104 | 8.875 | -0.000 | -0.000 | -0.000 |
| 8.875 | 8.875 | -147.104 | -0.000 | -0.000 | 0.000 |
| 0.000 | -0.000 | -0.000 | 8.875 | -0.000 | -0.000 |
| -0.000 | 0.000 | -0.000 | 0.000 | 8.875 | -0.000 |
| -0.000 | -0.000 | 0.000 | 0.000 | -0.000 | 8.875 |
| 24.310 | 8.849 | 8.849 | -0.000 | -0.000 | -0.000 |
| 8.849 | 24.310 | 8.849 | -0.000 | -0.000 | -0.000 |
| 8.849 | 8.849 | 24.310 | -0.000 | -0.000 | -0.000 |
| -0.000 | -0.000 | 0.000 | 8.849 | -0.000 | -0.000 |
| -0.000 | -0.000 | 0.000 | -0.000 | 8.849 | -0.000 |
| -0.000 | 0.000 | -0.000 | -0.000 | -0.000 | 8.849 |
| 24.309 | 8.849 | 8.849 | 0.000 | 0.000 | 0.000 |
| 8.849 | 24.309 | 8.849 | 0.000 | 0.000 | 0.000 |
| 8.849 | 8.849 | 24.309 | 0.000 | 0.000 | 0.000 |
| 0.000 | -0.000 | -0.000 | 8.849 | 0.000 | 0.000 |
| 0.000 | 0.000 | -0.000 | 0.000 | 8.849 | 0.000 |
| 0.000 | -0.000 | 0.000 | 0.000 | 0.000 | 8.849 |
| 24.315 | 8.849 | 8.849 | -0.000 | -0.000 | -0.000 |
| 8.849 | 24.315 | 8.849 | -0.000 | -0.000 | -0.000 |
| 8.849 | 8.849 | 24.315 | -0.000 | -0.000 | -0.000 |
| -0.000 | 0.000 | 0.000 | 8.849 | -0.000 | -0.000 |
| 0.000 | -0.000 | 0.000 | -0.000 | 8.849 | 0.000 |
| 0.000 | 0.000 | -0.000 | -0.000 | 0.000 | 8.849 |
| 24.304 | 8.849 | 8.849 | 0.000 | 0.000 | 0.000 |
| 8.849 | 24.304 | 8.849 | 0.000 | 0.000 | 0.000 |
| 8.849 | 8.849 | 24.304 | 0.000 | 0.000 | 0.000 |
| 0.000 | -0.000 | -0.000 | 8.849 | 0.000 | 0.000 |
| -0.000 | 0.000 | -0.000 | 0.000 | 8.849 | -0.000 |
| -0.000 | -0.000 | 0.000 | 0.000 | -0.000 | 8.849 |
| 24.368 | 8.849 | 8.849 | -0.000 | -0.000 | -0.000 |
| 8.849 | 24.368 | 8.849 | -0.000 | -0.000 | -0.000 |
| 8.849 | 8.849 | 24.368 | -0.000 | -0.000 | -0.000 |
| -0.000 | 0.000 | 0.000 | 8.849 | -0.000 | -0.000 |
| 0.000 | -0.000 | 0.000 | -0.000 | 8.849 | 0.000 |
| 0.000 | 0.000 | -0.000 | -0.000 | -0.000 | 8.849 |
| 24.251 | 8.849 | 8.849 | 0.000 | 0.000 | 0.000 |
| 8.849 | 24.251 | 8.849 | 0.000 | 0.000 | 0.000 |
| 8.849 | 8.849 | 24.251 | 0.000 | 0.000 | 0.000 |
| 0.000 | -0.000 | -0.000 | 8.849 | 0.000 | 0.000 |
| -0.000 | 0.000 | -0.000 | 0.000 | 8.849 | -0.000 |
| -0.000 | -0.000 | 0.000 | 0.000 | -0.000 | 8.849 |
| 32.082 | 5.555 | 5.555 | 0.000 | -0.000 | 0.000 |
| 5.555 | 32.082 | 5.555 | 0.000 | -0.000 | -0.000 |
| 5.555 | 5.555 | 32.082 | 0.000 | -0.000 | 0.000 |
| 0.000 | -0.000 | -0.000 | 4.954 | 0.000 | 0.000 |
| 0.000 | -0.000 | -0.000 | 0.000 | 4.954 | 0.000 |
| -0.000 | -0.000 | -0.000 | 0.000 | -0.000 | 4.954 |
| 32.082 | 5.555 | 5.555 | 0.000 | -0.000 | -0.000 |
| 5.555 | 32.082 | 5.555 | -0.000 | -0.000 | -0.000 |
| 5.555 | 5.555 | 32.082 | -0.000 | -0.000 | -0.000 |
| -0.000 | 0.000 | 0.000 | 4.954 | -0.000 | -0.000 |
| -0.000 | 0.000 | 0.000 | -0.000 | 4.954 | -0.000 |
| -0.000 | 0.000 | 0.000 | 0.000 | -0.000 | 4.954 |
| 32.082 | 5.555 | 5.555 | -0.000 | 0.000 | 0.000 |
| 5.555 | 32.082 | 5.555 | 0.000 | -0.000 | -0.000 |
| 5.555 | 5.555 | 32.082 | 0.000 | 0.000 | -0.000 |
| 0.000 | 0.000 | -0.000 | 4.954 | 0.000 | -0.000 |
| 0.000 | 0.000 | -0.000 | -0.000 | 4.954 | 0.000 |
| 0.000 | -0.000 | 0.000 | -0.000 | -0.000 | 4.954 |
| 32.082 | 5.555 | 5.555 | -0.000 | -0.000 | -0.000 |
| 5.555 | 32.082 | 5.555 | -0.000 | -0.000 | 0.000 |
| 5.555 | 5.555 | 32.082 | 0.000 | 0.000 | -0.000 |
| -0.000 | -0.000 | 0.000 | 4.954 | -0.000 | -0.000 |
| -0.000 | -0.000 | 0.000 | 0.000 | 4.954 | -0.000 |
| -0.000 | 0.000 | -0.000 | 0.000 | 0.000 | 4.954 |
| 32.082 | 5.555 | 5.555 | 0.000 | -0.000 | -0.000 |
| 5.555 | 32.082 | 5.555 | 0.000 | 0.000 | 0.000 |
| 5.555 | 5.555 | 32.082 | 0.000 | 0.000 | 0.000 |
| 0.000 | 0.000 | -0.000 | 4.954 | 0.000 | 0.000 |
| 0.000 | 0.000 | -0.000 | 0.000 | 4.954 | 0.000 |
| 0.000 | -0.000 | 0.000 | 0.000 | -0.000 | 4.954 |
| 32.082 | 5.555 | 5.555 | 0.000 | -0.000 | 0.000 |
| 5.555 | 32.082 | 5.555 | -0.000 | -0.000 | -0.000 |
| 5.555 | 5.555 | 32.082 | -0.000 | -0.000 | -0.000 |
| -0.000 | -0.000 | 0.000 | 4.954 | -0.000 | -0.000 |
| -0.000 | -0.000 | 0.000 | 0.000 | 4.954 | -0.000 |
| -0.000 | 0.000 | -0.000 | -0.000 | -0.000 | 4.954 |
| 20.283 | 12.897 | 12.897 | 0.000 | 0.000 | -0.000 |
| 12.897 | 20.283 | 12.897 | 0.000 | 0.000 | 0.000 |
| 12.897 | 12.897 | 20.283 | 0.000 | -0.000 | -0.000 |
| 0.000 | 0.000 | 0.000 | 12.897 | 0.000 | 0.000 |
| 0.000 | 0.000 | 0.000 | 0.000 | 12.897 | 0.000 |
| 0.000 | 0.000 | -0.000 | 0.000 | 0.000 | 12.897 |
| 20.283 | 12.897 | 12.897 | -0.000 | -0.000 | -0.000 |
| 12.897 | 20.283 | 12.897 | -0.000 | -0.000 | -0.000 |
| 12.897 | 12.897 | 20.283 | -0.000 | -0.000 | -0.000 |
| -0.000 | -0.000 | -0.000 | 12.897 | -0.000 | 0.000 |
| -0.000 | -0.000 | -0.000 | -0.000 | 12.897 | 0.000 |
| -0.000 | -0.000 | 0.000 | -0.000 | -0.000 | 12.897 |
| 20.283 | 12.897 | 12.897 | 0.000 | 0.000 | -0.000 |
| 12.897 | 20.283 | 12.897 | 0.000 | 0.000 | 0.000 |
| 12.897 | 12.897 | 20.283 | 0.000 | 0.000 | 0.000 |
| 0.000 | -0.000 | 0.000 | 12.897 | 0.000 | 0.000 |
| -0.000 | 0.000 | 0.000 | 0.000 | 12.897 | -0.000 |
| -0.000 | 0.000 | 0.000 | 0.000 | 0.000 | 12.897 |
| 20.283 | 12.897 | 12.897 | -0.000 | -0.000 | 0.000 |
| 12.897 | 20.283 | 12.897 | -0.000 | -0.000 | 0.000 |
| 12.897 | 12.897 | 20.283 | 0.000 | -0.000 | -0.000 |
| -0.000 | 0.000 | -0.000 | 12.897 | -0.000 | 0.000 |
| 0.000 | -0.000 | -0.000 | -0.000 | 12.897 | -0.000 |
| 0.000 | -0.000 | -0.000 | -0.000 | -0.000 | 12.897 |
| 20.283 | 12.897 | 12.897 | 0.000 | 0.000 | -0.000 |
| 12.897 | 20.283 | 12.897 | 0.000 | 0.000 | -0.000 |
| 12.897 | 12.897 | 20.283 | 0.000 | 0.000 | 0.000 |
| 0.000 | -0.000 | 0.000 | 12.897 | 0.000 | -0.000 |
| -0.000 | 0.000 | 0.000 | 0.000 | 12.897 | -0.000 |
| -0.000 | 0.000 | 0.000 | 0.000 | 0.000 | 12.897 |
| 20.283 | 12.897 | 12.897 | -0.000 | -0.000 | -0.000 |
| 12.897 | 20.283 | 12.897 | -0.000 | -0.000 | -0.000 |
| 12.897 | 12.897 | 20.283 | -0.000 | -0.000 | -0.000 |
| -0.000 | 0.000 | -0.000 | 12.897 | 0.000 | -0.000 |
| 0.000 | -0.000 | -0.000 | -0.000 | 12.897 | -0.000 |
| 0.000 | -0.000 | -0.000 | -0.000 | -0.000 | 12.897 |
| -60.563 | -20.188 | -49.250 | 0.000 | 0.000 | -0.000 |
| 1435897.118 | -1968879.616 | -258755.063 | 0.000 | 0.000 | 0.000 |
| -49.250 | -49.250 | -31.500 | -0.000 | 0.000 | -0.000 |
| 0.001 | -0.002 | -0.001 | -49.249 | 0.000 | -0.000 |
| -0.001 | -0.000 | -0.001 | -0.000 | -49.249 | -0.000 |
| -1117723.031 | 584713.652 | -258759.918 | 0.000 | 0.000 | -1474287.042 |
| -60.560 | -20.187 | -49.248 | -0.000 | -0.000 | -0.000 |
| 2968699.150 | -318857.312 | 1317732.364 | -0.000 | -0.000 | 0.000 |
| -49.249 | -49.249 | -31.498 | -0.000 | -0.000 | 0.000 |
| -0.001 | 0.003 | 0.001 | -49.249 | -0.000 | 0.000 |
| 0.001 | 0.000 | 0.001 | -0.000 | -49.249 | -0.000 |
| 1117723.030 | -584713.650 | 258759.918 | -0.000 | 0.000 | -1474287.043 |
| -296847.683 | 31894.928 | -131767.357 | -0.000 | 0.000 | 0.000 |
| 143597.336 | -196869.882 | -25870.667 | -0.000 | 0.000 | 0.000 |
| -49.256 | -49.256 | -31.506 | -0.000 | -0.000 | -0.000 |
| 0.011 | -0.025 | -0.007 | -49.249 | 0.000 | -0.000 |
| -0.011 | -0.004 | -0.007 | -0.000 | -49.249 | -0.000 |
| -111770.703 | 58469.077 | -25876.330 | 0.000 | 0.000 | -147425.377 |
| -60.545 | -20.182 | -49.239 | -0.000 | -0.000 | -0.000 |
| 296875.900 | -31865.529 | 131778.393 | 0.000 | -0.000 | -0.000 |
| -49.242 | -49.242 | -31.492 | 0.000 | -0.000 | 0.000 |
| -0.011 | 0.025 | 0.007 | -49.249 | -0.000 | 0.000 |
| 0.011 | 0.004 | 0.007 | 0.000 | -49.249 | -0.000 |
| 111770.703 | -58469.077 | 25876.330 | -0.000 | -0.000 | -147425.377 |
| -29666.541 | 3196.683 | -13172.051 | 0.000 | 0.000 | 0.000 |
| 14367.334 | -19668.879 | -2582.225 | 0.000 | 0.000 | 0.000 |
| -49.321 | -49.321 | -31.571 | 0.000 | 0.000 | -0.000 |
| -0.036 | -0.107 | -0.072 | -49.249 | 0.000 | -0.000 |
| -0.250 | 0.107 | -0.072 | 0.000 | -49.250 | -0.000 |
| -11177.719 | 5847.074 | -2587.895 | 0.000 | 0.000 | -14736.813 |
| -14337.584 | 19697.487 | 2593.653 | -0.000 | -0.000 | -0.000 |
| 29694.739 | -3167.269 | 13183.086 | -0.000 | -0.000 | -0.000 |
| -49.178 | -49.178 | -31.428 | -0.000 | -0.000 | 0.000 |
| 0.036 | 0.107 | 0.072 | -49.249 | -0.000 | 0.000 |
| 0.250 | -0.107 | 0.072 | -0.000 | -49.250 | 0.000 |
| 11177.718 | -5847.073 | 2587.895 | -0.000 | -0.000 | -14736.815 |
| -60.563 | -20.188 | -49.250 | -0.000 | 0.000 | -0.000 |
| 1435897.244 | -1968879.775 | -258755.075 | 0.001 | 0.000 | 0.000 |
| -49.250 | -49.250 | -31.500 | -0.000 | 0.000 | -0.000 |
| 0.003 | -0.004 | -0.001 | -49.249 | 0.000 | -0.000 |
| -0.001 | -0.000 | -0.001 | -0.000 | -49.249 | -0.000 |
| -0.001 | -0.000 | -0.000 | -0.000 | 0.000 | -20.187 |
| -1435867.441 | 1968908.316 | 258766.497 | -0.001 | -0.000 | -0.000 |
| -20.187 | -60.559 | -49.248 | -0.000 | -0.000 | 0.000 |
| -49.249 | -49.249 | -31.498 | -0.000 | -0.000 | 0.000 |
| -0.003 | 0.004 | 0.001 | -49.249 | -0.000 | 0.000 |
| 0.001 | 0.000 | 0.001 | -0.000 | -49.249 | -0.000 |
| 0.001 | 0.000 | 0.000 | 0.000 | -0.000 | -20.187 |
| -296847.713 | 31894.952 | -131767.359 | 0.000 | 0.000 | 0.000 |
| 143599.210 | -196872.240 | -25870.845 | -0.003 | 0.000 | 0.000 |
| -49.256 | -49.256 | -31.506 | -0.000 | 0.000 | -0.000 |
| 0.025 | -0.039 | -0.007 | -49.249 | 0.000 | -0.000 |
| -0.011 | -0.004 | -0.007 | -0.000 | -49.249 | -0.000 |
| -111770.728 | 58469.102 | -25876.330 | -0.000 | -0.001 | -147425.367 |
| -143567.498 | 196898.380 | 25882.086 | -0.001 | -0.000 | -0.000 |
| 296881.735 | -31870.134 | 131778.844 | -0.000 | -0.000 | 0.000 |
| -49.242 | -49.242 | -31.492 | 0.000 | -0.000 | -0.000 |
| -0.025 | 0.039 | 0.007 | -49.249 | -0.000 | 0.000 |
| 0.011 | 0.004 | 0.007 | -0.000 | -49.249 | -0.000 |
| 111770.728 | -58469.102 | 25876.330 | 0.000 | -0.001 | -147425.367 |
| -29666.261 | 3196.463 | -13172.029 | 0.000 | 0.000 | 0.000 |
| 14367.641 | -19669.265 | -2582.254 | -0.000 | 0.000 | 0.000 |
| -49.321 | -49.321 | -31.571 | 0.000 | 0.000 | -0.000 |
| -0.036 | -0.107 | -0.072 | -49.249 | -0.000 | 0.000 |
| -29686.799 | 3188.698 | -13177.257 | 0.000 | 5.316 | -0.000 |
| -11177.434 | 5846.818 | -2587.885 | 0.000 | 0.000 | -14736.824 |
| -14337.576 | 19697.477 | 2593.652 | -0.000 | -0.000 | -0.000 |
| 29693.423 | -3166.231 | 13182.985 | 0.000 | -0.000 | -0.000 |
| -49.178 | -49.178 | -31.428 | 0.000 | -0.000 | -0.000 |
| 0.036 | 0.107 | 0.072 | -49.249 | -0.000 | 0.000 |
| 29686.799 | -3188.698 | 13177.257 | -0.000 | 5.316 | 0.000 |
| 11177.434 | -5846.818 | 2587.885 | -0.000 | 0.000 | -14736.824 |
| 1.806 | 1.806 | 1.806 | -0.000 | 0.000 | 0.000 |
| 1.806 | 1.806 | 1.806 | 0.000 | -0.000 | 0.000 |
| 1.806 | 1.806 | 1.806 | 0.000 | 0.000 | -0.000 |
| -0.000 | -0.000 | -0.000 | 0.000 | 0.000 | 0.000 |
| -0.000 | -0.000 | -0.000 | 0.000 | 0.000 | 0.000 |
| -0.000 | -0.000 | -0.000 | 0.000 | 0.000 | 0.000 |
| 1.806 | 1.806 | 1.806 | 0.000 | -0.000 | -0.000 |
| 1.806 | 1.806 | 1.806 | -0.000 | 0.000 | -0.000 |
| 1.806 | 1.806 | 1.806 | -0.000 | -0.000 | 0.000 |
| 0.000 | 0.000 | 0.000 | -0.000 | -0.000 | -0.000 |
| 0.000 | 0.000 | 0.000 | -0.000 | -0.000 | -0.000 |
| 0.000 | 0.000 | 0.000 | -0.000 | -0.000 | 0.000 |
| 1.806 | 1.806 | 1.806 | 0.000 | 0.000 | 0.000 |
| 1.806 | 1.806 | 1.806 | 0.000 | 0.000 | 0.000 |
| 1.806 | 1.806 | 1.806 | 0.000 | 0.000 | 0.000 |
| -0.000 | -0.000 | -0.000 | -0.000 | 0.000 | 0.000 |
| -0.000 | -0.000 | -0.000 | 0.000 | -0.000 | 0.000 |
| -0.000 | -0.000 | -0.000 | 0.000 | 0.000 | -0.000 |
| 1.806 | 1.806 | 1.806 | -0.000 | -0.000 | -0.000 |
| 1.806 | 1.806 | 1.806 | -0.000 | -0.000 | -0.000 |
| 1.806 | 1.806 | 1.806 | -0.000 | -0.000 | -0.000 |
| 0.000 | 0.000 | 0.000 | -0.000 | -0.000 | -0.000 |
| 0.000 | 0.000 | 0.000 | -0.000 | -0.000 | -0.000 |
| 0.000 | 0.000 | 0.000 | -0.000 | -0.000 | -0.000 |
| 1.806 | 1.806 | 1.806 | -0.000 | 0.000 | 0.000 |
| 1.806 | 1.806 | 1.806 | 0.000 | -0.000 | 0.000 |
| 1.806 | 1.806 | 1.806 | 0.000 | 0.000 | -0.000 |
| -0.000 | -0.000 | -0.000 | 0.000 | 0.000 | 0.000 |
| -0.000 | -0.000 | -0.000 | 0.000 | 0.000 | 0.000 |
| -0.000 | -0.000 | -0.000 | 0.000 | 0.000 | 0.000 |
| 1.806 | 1.806 | 1.806 | -0.000 | -0.000 | -0.000 |
| 1.806 | 1.806 | 1.806 | -0.000 | -0.000 | -0.000 |
| 1.806 | 1.806 | 1.806 | -0.000 | -0.000 | -0.000 |
| 0.000 | 0.000 | 0.000 | -0.000 | -0.000 | -0.000 |
| 0.000 | 0.000 | 0.000 | -0.000 | -0.000 | -0.000 |
| 0.000 | 0.000 | 0.000 | -0.000 | -0.000 | -0.000 |
| 20.006 | -2.660 | 0.343 | 0.000 | 0.000 | -0.000 |
| -2.660 | 20.006 | 0.343 | 0.000 | 0.000 | 0.000 |
| 0.343 | 0.343 | 24.857 | 0.000 | 0.000 | -0.000 |
| 0.000 | -0.000 | 0.000 | -1.716 | -0.000 | 0.000 |
| 0.000 | -0.000 | 0.000 | 0.000 | -1.716 | 0.000 |
| -0.000 | -0.000 | -0.000 | 0.000 | 0.000 | -2.660 |
| 14.343 | 3.003 | 0.343 | -0.000 | -0.000 | -0.000 |
| 3.003 | 14.343 | 0.343 | -0.000 | -0.000 | 0.000 |
| 0.343 | 0.343 | 24.857 | -0.000 | 0.000 | -0.000 |
| 0.000 | 0.000 | -0.000 | -1.716 | -0.000 | 0.000 |
| -0.000 | 0.000 | -0.000 | -0.000 | -1.716 | -0.000 |
| 0.000 | 0.000 | 0.000 | -0.000 | -0.000 | -2.660 |
| 20.006 | -2.660 | 0.343 | -0.000 | -0.000 | -0.000 |
| -2.660 | 20.006 | 0.343 | -0.000 | 0.000 | 0.000 |
| 0.343 | 0.343 | 24.857 | 0.000 | 0.000 | 0.000 |
| -0.000 | 0.000 | 0.000 | -1.716 | 0.000 | 0.000 |
| 0.000 | -0.000 | 0.000 | -0.000 | -1.716 | 0.000 |
| -0.000 | -0.000 | -0.000 | 0.000 | 0.000 | -2.660 |
| 14.343 | 3.003 | 0.343 | -0.000 | -0.000 | 0.000 |
| 3.003 | 14.343 | 0.343 | -0.000 | -0.000 | 0.000 |
| 0.343 | 0.343 | 24.857 | -0.000 | 0.000 | -0.000 |
| 0.000 | -0.000 | -0.000 | -1.716 | -0.000 | -0.000 |
| -0.000 | 0.000 | -0.000 | 0.000 | -1.716 | -0.000 |
| 0.000 | 0.000 | 0.000 | -0.000 | -0.000 | -2.660 |
| -0.991 | 18.337 | 0.343 | 0.000 | 0.000 | -0.000 |
| 18.337 | -0.991 | 0.343 | 0.000 | 0.000 | -0.000 |
| 0.343 | 0.343 | 24.857 | 0.000 | 0.000 | -0.000 |
| -0.000 | 0.000 | 0.000 | -1.716 | 0.000 | -0.000 |
| 0.000 | -0.000 | 0.000 | 0.000 | -1.716 | -0.000 |
| -0.000 | -0.000 | -0.000 | 0.000 | 0.000 | -2.660 |
| -1.951 | 19.296 | 0.343 | 0.000 | -0.000 | -0.000 |
| 19.296 | -1.951 | 0.343 | -0.000 | 0.000 | -0.000 |
| 0.343 | 0.343 | 24.857 | -0.000 | -0.000 | 0.000 |
| 0.000 | -0.000 | -0.000 | -1.716 | -0.000 | 0.000 |
| -0.000 | 0.000 | -0.000 | 0.000 | -1.716 | 0.000 |
| 0.000 | 0.000 | 0.000 | -0.000 | -0.000 | -2.660 |
| 21.566 | 3.516 | 8.866 | 0.000 | -0.000 | -0.000 |
| 3.516 | 21.566 | 8.866 | -0.000 | 0.000 | -0.000 |
| 8.866 | 8.866 | 17.870 | 0.000 | 0.000 | -0.000 |
| 0.000 | -0.000 | 0.000 | 8.866 | 0.000 | 0.000 |
| -0.000 | 0.000 | 0.000 | 0.000 | 8.866 | 0.000 |
| -0.000 | -0.000 | 0.000 | -0.000 | -0.000 | 3.516 |
| 21.566 | 3.516 | 8.866 | -0.000 | 0.000 | 0.000 |
| 3.516 | 21.566 | 8.866 | 0.000 | -0.000 | 0.000 |
| 8.866 | 8.866 | 17.870 | -0.000 | -0.000 | 0.000 |
| -0.000 | 0.000 | -0.000 | 8.866 | -0.000 | 0.000 |
| 0.000 | -0.000 | -0.000 | -0.000 | 8.866 | 0.000 |
| 0.000 | 0.000 | -0.000 | 0.000 | 0.000 | 3.516 |
| 21.566 | 3.516 | 8.866 | 0.000 | -0.000 | -0.000 |
| 3.516 | 21.566 | 8.866 | -0.000 | 0.000 | -0.000 |
| 8.866 | 8.866 | 17.870 | 0.000 | 0.000 | -0.000 |
| 0.000 | -0.000 | 0.000 | 8.866 | 0.000 | -0.000 |
| -0.000 | 0.000 | 0.000 | 0.000 | 8.866 | -0.000 |
| -0.000 | -0.000 | 0.000 | 0.000 | -0.000 | 3.516 |
| 21.566 | 3.516 | 8.866 | -0.000 | 0.000 | 0.000 |
| 3.516 | 21.566 | 8.866 | 0.000 | -0.000 | 0.000 |
| 8.866 | 8.866 | 17.870 | -0.000 | -0.000 | 0.000 |
| -0.000 | 0.000 | -0.000 | 8.866 | -0.000 | 0.000 |
| 0.000 | -0.000 | -0.000 | -0.000 | 8.866 | 0.000 |
| 0.000 | 0.000 | -0.000 | 0.000 | 0.000 | 3.516 |
| 21.566 | 3.516 | 8.866 | 0.000 | -0.000 | -0.000 |
| 3.516 | 21.566 | 8.866 | -0.000 | 0.000 | -0.000 |
| 8.866 | 8.866 | 17.870 | 0.000 | 0.000 | -0.000 |
| 0.000 | -0.000 | 0.000 | 8.866 | 0.000 | -0.000 |
| -0.000 | 0.000 | 0.000 | 0.000 | 8.866 | 0.000 |
| -0.000 | -0.000 | 0.000 | -0.000 | -0.000 | 3.516 |
| 21.565 | 3.516 | 8.866 | -0.000 | 0.000 | -0.000 |
| 3.516 | 21.565 | 8.866 | 0.000 | -0.000 | -0.000 |
| 8.866 | 8.866 | 17.870 | -0.000 | -0.000 | 0.000 |
| -0.000 | 0.000 | -0.000 | 8.866 | -0.000 | 0.000 |
| 0.000 | -0.000 | -0.000 | -0.000 | 8.866 | 0.000 |
| 0.000 | 0.000 | -0.000 | -0.000 | 0.000 | 3.516 |
| 11.811 | -0.689 | -0.689 | -0.000 | -0.000 | -0.000 |
| -0.689 | 11.811 | -0.689 | -0.000 | 0.000 | -0.000 |
| -0.689 | -0.689 | 11.811 | -0.000 | -0.000 | 0.000 |
| 0.000 | 0.000 | -0.000 | -0.689 | 0.000 | -0.000 |
| 0.000 | 0.000 | -0.000 | -0.000 | -0.689 | 0.000 |
| -0.000 | -0.000 | 0.000 | -0.000 | -0.000 | -0.689 |
| 11.811 | -0.689 | -0.689 | -0.000 | -0.000 | 0.000 |
| -0.689 | 11.811 | -0.689 | 0.000 | -0.000 | -0.000 |
| -0.689 | -0.689 | 11.811 | -0.000 | -0.000 | -0.000 |
| -0.000 | 0.000 | 0.000 | -0.689 | -0.000 | 0.000 |
| 0.000 | -0.000 | 0.000 | 0.000 | -0.689 | 0.000 |
| -0.000 | 0.000 | -0.000 | -0.000 | 0.000 | -0.689 |
| 11.811 | -0.689 | -0.689 | -0.000 | -0.000 | 0.000 |
| -0.689 | 11.811 | -0.689 | -0.000 | 0.000 | -0.000 |
| -0.689 | -0.689 | 11.811 | -0.000 | -0.000 | 0.000 |
| 0.000 | -0.000 | -0.000 | -0.689 | -0.000 | 0.000 |
| -0.000 | 0.000 | -0.000 | -0.000 | -0.689 | -0.000 |
| -0.000 | -0.000 | 0.000 | 0.000 | -0.000 | -0.689 |
| 11.811 | -0.689 | -0.689 | 0.000 | -0.000 | -0.000 |
| -0.689 | 11.811 | -0.689 | 0.000 | 0.000 | -0.000 |
| -0.689 | -0.689 | 11.811 | 0.000 | -0.000 | -0.000 |
| -0.000 | 0.000 | 0.000 | -0.689 | 0.000 | -0.000 |
| 0.000 | -0.000 | 0.000 | 0.000 | -0.689 | -0.000 |
| 0.000 | 0.000 | -0.000 | -0.000 | -0.000 | -0.689 |
| 11.811 | -0.689 | -0.689 | -0.000 | -0.000 | -0.000 |
| -0.689 | 11.811 | -0.689 | -0.000 | 0.000 | -0.000 |
| -0.689 | -0.689 | 11.811 | -0.000 | -0.000 | -0.000 |
| 0.000 | -0.000 | -0.000 | -0.689 | -0.000 | 0.000 |
| -0.000 | 0.000 | -0.000 | -0.000 | -0.689 | -0.000 |
| -0.000 | -0.000 | 0.000 | -0.000 | -0.000 | -0.689 |
| 11.811 | -0.689 | -0.689 | 0.000 | -0.000 | -0.000 |
| -0.689 | 11.811 | -0.689 | 0.000 | -0.000 | -0.000 |
| -0.689 | -0.689 | 11.811 | 0.000 | -0.000 | -0.000 |
| -0.000 | 0.000 | 0.000 | -0.689 | 0.000 | 0.000 |
| 0.000 | -0.000 | 0.000 | 0.000 | -0.689 | 0.000 |
| 0.000 | 0.000 | -0.000 | 0.000 | 0.000 | -0.689 |
| 137.300 | 16.605 | 16.605 | 0.000 | 0.000 | 0.000 |
| 16.605 | 137.300 | 16.605 | 0.000 | 0.000 | 0.000 |
| 16.605 | 16.605 | 137.300 | 0.000 | 0.000 | 0.000 |
| 0.000 | 0.000 | 0.000 | 12.721 | -0.000 | 0.000 |
| 0.000 | 0.000 | 0.000 | 0.000 | 12.721 | -0.000 |
| 0.000 | 0.000 | 0.000 | 0.000 | -0.000 | 12.721 |
| 137.300 | 16.605 | 16.605 | -0.000 | -0.000 | -0.000 |
| 16.605 | 137.300 | 16.605 | -0.000 | -0.000 | -0.000 |
| 16.605 | 16.605 | 137.300 | -0.000 | -0.000 | -0.000 |
| -0.000 | -0.000 | -0.000 | 12.721 | 0.000 | -0.000 |
| -0.000 | -0.000 | -0.000 | -0.000 | 12.721 | 0.000 |
| -0.000 | -0.000 | -0.000 | -0.000 | 0.000 | 12.721 |
| 137.300 | 16.605 | 16.605 | 0.000 | -0.000 | -0.000 |
| 16.605 | 137.300 | 16.605 | 0.000 | 0.000 | -0.000 |
| 16.605 | 16.605 | 137.300 | 0.000 | 0.000 | -0.000 |
| 0.000 | 0.000 | 0.000 | 12.721 | -0.000 | 0.000 |
| 0.000 | 0.000 | 0.000 | 0.000 | 12.721 | 0.000 |
| 0.000 | 0.000 | 0.000 | 0.000 | -0.000 | 12.721 |
| 137.300 | 16.605 | 16.605 | -0.000 | -0.000 | -0.000 |
| 16.605 | 137.300 | 16.605 | -0.000 | 0.000 | 0.000 |
| 16.605 | 16.605 | 137.300 | -0.000 | 0.000 | 0.000 |
| -0.000 | -0.000 | -0.000 | 12.721 | 0.000 | 0.000 |
| -0.000 | -0.000 | -0.000 | -0.000 | 12.721 | -0.000 |
| -0.000 | -0.000 | -0.000 | -0.000 | 0.000 | 12.721 |
| 137.300 | 16.606 | 16.606 | 0.000 | 0.000 | 0.000 |
| 16.606 | 137.300 | 16.606 | 0.000 | 0.000 | 0.000 |
| 16.606 | 16.606 | 137.300 | 0.000 | 0.000 | -0.000 |
| 0.000 | 0.000 | 0.000 | 12.721 | 0.000 | 0.000 |
| 0.000 | 0.000 | 0.000 | 0.000 | 12.721 | 0.000 |
| 0.000 | 0.000 | 0.000 | 0.000 | -0.000 | 12.721 |
| 137.299 | 16.605 | 16.605 | -0.000 | 0.000 | -0.000 |
| 16.605 | 137.299 | 16.605 | -0.000 | -0.000 | -0.000 |
| 16.605 | 16.605 | 137.299 | -0.000 | -0.000 | 0.000 |
| -0.000 | -0.000 | -0.000 | 12.721 | -0.000 | -0.000 |
| -0.000 | -0.000 | -0.000 | -0.000 | 12.721 | -0.000 |
| -0.000 | -0.000 | -0.000 | -0.000 | 0.000 | 12.721 |
| 221.453 | 33.475 | 33.475 | 0.000 | -0.000 | 0.000 |
| 33.475 | 221.453 | 33.475 | 0.000 | -0.000 | -0.000 |
| 33.475 | 33.475 | 221.453 | 0.000 | -0.000 | 0.000 |
| -0.000 | -0.000 | -0.000 | -14.737 | -0.000 | -0.000 |
| -0.000 | -0.000 | -0.000 | -0.000 | -14.737 | -0.000 |
| -0.000 | 0.000 | -0.000 | -0.000 | -0.000 | -14.737 |
| 221.453 | 33.475 | 33.475 | 0.000 | 0.000 | -0.000 |
| 33.475 | 221.453 | 33.475 | 0.000 | 0.000 | -0.000 |
| 33.475 | 33.475 | 221.453 | -0.000 | -0.000 | -0.000 |
| 0.000 | 0.000 | 0.000 | -14.737 | 0.000 | -0.000 |
| 0.000 | 0.000 | 0.000 | 0.000 | -14.737 | 0.000 |
| 0.000 | 0.000 | 0.000 | 0.000 | 0.000 | -14.737 |
| 221.453 | 33.475 | 33.475 | 0.000 | -0.000 | 0.000 |
| 33.475 | 221.453 | 33.475 | 0.000 | 0.000 | -0.000 |
| 33.475 | 33.475 | 221.453 | 0.000 | -0.000 | -0.000 |
| 0.000 | 0.000 | 0.000 | 33.968 | -0.000 | 0.000 |
| 0.000 | 0.000 | 0.000 | -0.000 | 33.968 | 0.000 |
| 0.000 | 0.000 | 0.000 | -0.000 | -0.000 | 33.968 |
| 221.453 | 33.475 | 33.475 | -0.000 | 0.000 | -0.000 |
| 33.475 | 221.453 | 33.475 | -0.000 | 0.000 | -0.000 |
| 33.475 | 33.475 | 221.453 | 0.000 | 0.000 | 0.000 |
| -0.000 | -0.000 | -0.000 | 33.968 | 0.000 | 0.000 |
| -0.000 | -0.000 | -0.000 | -0.000 | 33.968 | -0.000 |
| -0.000 | -0.000 | -0.000 | -0.000 | 0.000 | 33.968 |
| 221.454 | 33.475 | 33.475 | -0.000 | -0.000 | -0.000 |
| 33.475 | 221.454 | 33.475 | -0.000 | -0.000 | -0.000 |
| 33.475 | 33.475 | 221.454 | -0.000 | -0.000 | -0.000 |
| 0.000 | -0.000 | -0.000 | -14.737 | -0.000 | 0.000 |
| -0.000 | 0.000 | -0.000 | -0.000 | -14.737 | -0.000 |
| -0.000 | -0.000 | 0.000 | 0.000 | -0.000 | -14.737 |
| 221.452 | 33.474 | 33.474 | 0.000 | 0.000 | -0.000 |
| 33.474 | 221.452 | 33.474 | -0.000 | 0.000 | -0.000 |
| 33.474 | 33.474 | 221.452 | -0.000 | 0.000 | -0.000 |
| -0.000 | 0.000 | 0.000 | -14.737 | 0.000 | 0.000 |
| 0.000 | -0.000 | 0.000 | 0.000 | -14.737 | -0.000 |
| 0.000 | 0.000 | -0.000 | -0.000 | 0.000 | -14.737 |
| 222.987 | 43.178 | 43.178 | 0.000 | 0.000 | -0.000 |
| 43.178 | 222.987 | 43.178 | 0.000 | 0.000 | 0.000 |
| 43.178 | 43.178 | 222.987 | 0.000 | 0.000 | 0.000 |
| -0.000 | 0.000 | -0.000 | 24.842 | 0.000 | 0.000 |
| 0.000 | 0.000 | -0.000 | 0.000 | 24.842 | 0.000 |
| 0.000 | 0.000 | -0.000 | 0.000 | -0.000 | 24.842 |
| 222.987 | 43.178 | 43.178 | -0.000 | 0.000 | -0.000 |
| 43.178 | 222.987 | 43.178 | -0.000 | 0.000 | -0.000 |
| 43.178 | 43.178 | 222.987 | 0.000 | 0.000 | -0.000 |
| 0.000 | -0.000 | 0.000 | 24.842 | -0.000 | -0.000 |
| -0.000 | -0.000 | 0.000 | -0.000 | 24.842 | -0.000 |
| -0.000 | -0.000 | 0.000 | -0.000 | 0.000 | 24.842 |
| 222.988 | 43.178 | 43.178 | -0.000 | 0.000 | 0.000 |
| 43.178 | 222.988 | 43.178 | -0.000 | 0.000 | 0.000 |
| 43.178 | 43.178 | 222.988 | -0.000 | -0.000 | 0.000 |
| 0.000 | 0.000 | 0.000 | 41.491 | -0.000 | 0.000 |
| 0.000 | 0.000 | 0.000 | -0.000 | 41.491 | 0.000 |
| 0.000 | 0.000 | 0.000 | 0.000 | -0.000 | 41.491 |
| 222.987 | 43.178 | 43.178 | -0.000 | -0.000 | -0.000 |
| 43.178 | 222.987 | 43.178 | -0.000 | -0.000 | -0.000 |
| 43.178 | 43.178 | 222.987 | -0.000 | -0.000 | -0.000 |
| -0.000 | -0.000 | -0.000 | 41.491 | 0.000 | -0.000 |
| -0.000 | -0.000 | -0.000 | -0.000 | 41.491 | -0.000 |
| -0.000 | -0.000 | -0.000 | -0.000 | 0.000 | 41.491 |
| 222.988 | 43.178 | 43.178 | 0.000 | 0.000 | 0.000 |
| 43.178 | 222.988 | 43.178 | 0.000 | -0.000 | 0.000 |
| 43.178 | 43.178 | 222.988 | 0.000 | -0.000 | 0.000 |
| 0.000 | 0.000 | 0.000 | 24.842 | 0.000 | 0.000 |
| 0.000 | 0.000 | 0.000 | 0.000 | 24.842 | 0.000 |
| 0.000 | 0.000 | 0.000 | 0.000 | -0.000 | 24.842 |
| 222.986 | 43.178 | 43.178 | -0.000 | -0.000 | -0.000 |
| 43.178 | 222.986 | 43.178 | -0.000 | -0.000 | -0.000 |
| 43.178 | 43.178 | 222.986 | -0.000 | -0.000 | -0.000 |
| -0.000 | -0.000 | -0.000 | 24.842 | -0.000 | -0.000 |
| -0.000 | -0.000 | -0.000 | -0.000 | 24.842 | -0.000 |
| -0.000 | -0.000 | -0.000 | -0.000 | 0.000 | 24.842 |
| 231.032 | 70.312 | 70.312 | -0.000 | -0.000 | 0.000 |
| 70.312 | 231.032 | 70.312 | -0.000 | 0.000 | -0.000 |
| 70.312 | 70.312 | 231.032 | -0.000 | -0.000 | 0.000 |
| 0.000 | 0.000 | 0.000 | 55.789 | -0.000 | 0.000 |
| 0.000 | 0.000 | 0.000 | -0.000 | 55.789 | 0.000 |
| 0.000 | 0.000 | 0.000 | 0.000 | 0.000 | 55.789 |
| 231.032 | 70.312 | 70.312 | 0.000 | 0.000 | -0.000 |
| 70.312 | 231.032 | 70.312 | 0.000 | -0.000 | -0.000 |
| 70.312 | 70.312 | 231.032 | 0.000 | 0.000 | -0.000 |
| -0.000 | -0.000 | -0.000 | 55.789 | 0.000 | -0.000 |
| -0.000 | -0.000 | -0.000 | 0.000 | 55.789 | -0.000 |
| -0.000 | -0.000 | -0.000 | -0.000 | -0.000 | 55.789 |
| 231.032 | 70.312 | 70.312 | -0.000 | 0.000 | 0.000 |
| 70.312 | 231.032 | 70.312 | -0.000 | 0.000 | 0.000 |
| 70.312 | 70.312 | 231.032 | 0.000 | 0.000 | -0.000 |
| 0.000 | 0.000 | 0.000 | 55.789 | -0.000 | 0.000 |
| 0.000 | 0.000 | 0.000 | -0.000 | 55.789 | 0.000 |
| 0.000 | 0.000 | 0.000 | 0.000 | 0.000 | 55.789 |
| 231.032 | 70.312 | 70.312 | 0.000 | 0.000 | -0.000 |
| 70.312 | 231.032 | 70.312 | 0.000 | -0.000 | -0.000 |
| 70.312 | 70.312 | 231.032 | -0.000 | -0.000 | 0.000 |
| -0.000 | -0.000 | -0.000 | 55.789 | 0.000 | -0.000 |
| -0.000 | -0.000 | -0.000 | 0.000 | 55.789 | -0.000 |
| -0.000 | -0.000 | -0.000 | -0.000 | -0.000 | 55.789 |
| 231.032 | 70.313 | 70.313 | -0.000 | -0.000 | 0.000 |
| 70.313 | 231.032 | 70.313 | -0.000 | -0.000 | 0.000 |
| 70.313 | 70.313 | 231.032 | -0.000 | 0.000 | 0.000 |
| 0.000 | 0.000 | 0.000 | 55.789 | -0.000 | 0.000 |
| 0.000 | 0.000 | 0.000 | -0.000 | 55.789 | 0.000 |
| 0.000 | 0.000 | 0.000 | -0.000 | 0.000 | 55.789 |
| 231.032 | 70.312 | 70.312 | 0.000 | -0.000 | -0.000 |
| 70.312 | 231.032 | 70.312 | 0.000 | 0.000 | -0.000 |
| 70.312 | 70.312 | 231.032 | 0.000 | 0.000 | -0.000 |
| -0.000 | -0.000 | -0.000 | 55.789 | 0.000 | -0.000 |
| -0.000 | -0.000 | -0.000 | 0.000 | 55.789 | -0.000 |
| -0.000 | -0.000 | -0.000 | 0.000 | -0.000 | 55.789 |
| 56.137 | -19.899 | -19.899 | 0.000 | 0.000 | -0.000 |
| -19.899 | 56.137 | -19.899 | 0.000 | 0.000 | -0.000 |
| -19.899 | -19.899 | 56.137 | -0.000 | -0.000 | -0.000 |
| -0.000 | 0.000 | -0.000 | -22.865 | -0.000 | -0.000 |
| -0.000 | 0.000 | 0.000 | 0.000 | -22.865 | -0.000 |
| -0.000 | 0.000 | -0.000 | 0.000 | 0.000 | -22.865 |
| 56.137 | -19.899 | -19.899 | -0.000 | 0.000 | 0.000 |
| -19.899 | 56.137 | -19.899 | -0.000 | 0.000 | 0.000 |
| -19.899 | -19.899 | 56.137 | -0.000 | 0.000 | 0.000 |
| 0.000 | -0.000 | -0.000 | -22.865 | -0.000 | -0.000 |
| 0.000 | -0.000 | -0.000 | -0.000 | -22.865 | 0.000 |
| 0.000 | -0.000 | 0.000 | -0.000 | -0.000 | -22.865 |
| 56.137 | -19.899 | -19.899 | 0.000 | 0.000 | 0.000 |
| -19.899 | 56.137 | -19.899 | 0.000 | 0.000 | 0.000 |
| -19.899 | -19.899 | 56.137 | 0.000 | 0.000 | -0.000 |
| -0.000 | 0.000 | -0.000 | -22.865 | -0.000 | -0.000 |
| 0.000 | 0.000 | -0.000 | 0.000 | -22.865 | -0.000 |
| 0.000 | -0.000 | -0.000 | 0.000 | 0.000 | -22.865 |
| 56.137 | -19.899 | -19.899 | -0.000 | -0.000 | -0.000 |
| -19.899 | 56.137 | -19.899 | -0.000 | -0.000 | -0.000 |
| -19.899 | -19.899 | 56.137 | -0.000 | 0.000 | 0.000 |
| 0.000 | -0.000 | 0.000 | -22.865 | 0.000 | -0.000 |
| -0.000 | -0.000 | 0.000 | -0.000 | -22.865 | -0.000 |
| -0.000 | 0.000 | 0.000 | -0.000 | -0.000 | -22.865 |
| 56.138 | -19.899 | -19.899 | 0.000 | -0.000 | -0.000 |
| -19.899 | 56.138 | -19.899 | 0.000 | 0.000 | -0.000 |
| -19.899 | -19.899 | 56.138 | 0.000 | -0.000 | -0.000 |
| -0.000 | 0.000 | -0.000 | -22.865 | 0.000 | -0.000 |
| 0.000 | -0.000 | -0.000 | 0.000 | -22.865 | -0.000 |
| 0.000 | -0.000 | -0.000 | 0.000 | 0.000 | -22.865 |
| 56.137 | -19.899 | -19.899 | -0.000 | -0.000 | 0.000 |
| -19.899 | 56.137 | -19.899 | 0.000 | 0.000 | 0.000 |
| -19.899 | -19.899 | 56.137 | 0.000 | -0.000 | -0.000 |
| 0.000 | -0.000 | 0.000 | -22.865 | 0.000 | -0.000 |
| -0.000 | 0.000 | 0.000 | -0.000 | -22.865 | 0.000 |
| -0.000 | 0.000 | 0.000 | -0.000 | -0.000 | -22.865 |
| 223.446 | -40.412 | -40.412 | 0.000 | 0.000 | 0.000 |
| -40.412 | 223.446 | -40.412 | 0.000 | 0.000 | -0.000 |
| -40.412 | -40.412 | 223.446 | -0.000 | -0.000 | 0.000 |
| -0.000 | 0.000 | 0.000 | -38.990 | 0.000 | 0.000 |
| -0.000 | 0.000 | 0.000 | 0.000 | -38.990 | -0.000 |
| -0.000 | 0.000 | -0.000 | 0.000 | 0.000 | -38.990 |
| 223.446 | -40.412 | -40.412 | -0.000 | -0.000 | -0.000 |
| -40.412 | 223.446 | -40.412 | 0.000 | -0.000 | 0.000 |
| -40.412 | -40.412 | 223.446 | 0.000 | -0.000 | 0.000 |
| 0.000 | 0.000 | -0.000 | -38.990 | -0.000 | -0.000 |
| 0.000 | -0.000 | -0.000 | -0.000 | -38.990 | 0.000 |
| 0.000 | -0.000 | 0.000 | -0.000 | -0.000 | -38.990 |
| 223.446 | -40.412 | -40.412 | 0.000 | 0.000 | -0.000 |
| -40.412 | 223.446 | -40.412 | -0.000 | 0.000 | -0.000 |
| -40.412 | -40.412 | 223.446 | 0.000 | 0.000 | -0.000 |
| 0.000 | 0.000 | -0.000 | -47.187 | 0.000 | 0.000 |
| 0.000 | 0.000 | -0.000 | 0.000 | -47.187 | -0.000 |
| 0.000 | -0.000 | -0.000 | -0.000 | 0.000 | -47.187 |
| 223.446 | -40.412 | -40.412 | -0.000 | 0.000 | 0.000 |
| -40.412 | 223.446 | -40.412 | -0.000 | -0.000 | 0.000 |
| -40.412 | -40.412 | 223.446 | -0.000 | -0.000 | 0.000 |
| -0.000 | -0.000 | 0.000 | -47.187 | -0.000 | 0.000 |
| -0.000 | -0.000 | 0.000 | 0.000 | -47.187 | 0.000 |
| -0.000 | 0.000 | 0.000 | 0.000 | 0.000 | -47.187 |
| 223.447 | -40.412 | -40.412 | 0.000 | 0.000 | 0.000 |
| -40.412 | 223.447 | -40.412 | 0.000 | 0.000 | 0.000 |
| -40.412 | -40.412 | 223.447 | -0.000 | -0.000 | 0.000 |
| 0.000 | 0.000 | -0.000 | -47.187 | 0.000 | -0.000 |
| 0.000 | 0.000 | -0.000 | 0.000 | -47.187 | -0.000 |
| 0.000 | -0.000 | 0.000 | -0.000 | 0.000 | -47.187 |
| 223.445 | -40.412 | -40.412 | -0.000 | 0.000 | -0.000 |
| -40.412 | 223.445 | -40.412 | -0.000 | 0.000 | -0.000 |
| -40.412 | -40.412 | 223.445 | 0.000 | -0.000 | -0.000 |
| -0.000 | -0.000 | 0.000 | -47.187 | -0.000 | -0.000 |
| -0.000 | -0.000 | 0.000 | -0.000 | -47.187 | 0.000 |
| -0.000 | 0.000 | -0.000 | 0.000 | -0.000 | -47.187 |
| 189.085 | 48.981 | 48.981 | -0.000 | 0.000 | -0.000 |
| 48.981 | 189.085 | 48.981 | -0.000 | -0.000 | -0.000 |
| 48.981 | 48.981 | 189.085 | -0.000 | -0.000 | -0.000 |
| 0.000 | -0.000 | -0.000 | -7.809 | -0.000 | 0.000 |
| 0.000 | -0.000 | -0.000 | -0.000 | -7.809 | -0.000 |
| 0.000 | -0.000 | -0.000 | -0.000 | -0.000 | -7.809 |
| 189.085 | 48.981 | 48.981 | 0.000 | 0.000 | 0.000 |
| 48.981 | 189.085 | 48.981 | 0.000 | 0.000 | 0.000 |
| 48.981 | 48.981 | 189.085 | 0.000 | 0.000 | -0.000 |
| -0.000 | 0.000 | 0.000 | -7.809 | 0.000 | 0.000 |
| -0.000 | 0.000 | 0.000 | 0.000 | -7.809 | 0.000 |
| -0.000 | 0.000 | 0.000 | 0.000 | 0.000 | -7.809 |
| 189.085 | 48.981 | 48.981 | 0.000 | -0.000 | 0.000 |
| 48.981 | 189.085 | 48.981 | -0.000 | -0.000 | 0.000 |
| 48.981 | 48.981 | 189.085 | -0.000 | -0.000 | -0.000 |
| 0.000 | 0.000 | 0.000 | 48.525 | -0.000 | 0.000 |
| 0.000 | 0.000 | 0.000 | -0.000 | 48.525 | -0.000 |
| 0.000 | 0.000 | 0.000 | -0.000 | -0.000 | 48.525 |
| 189.085 | 48.981 | 48.981 | 0.000 | 0.000 | 0.000 |
| 48.981 | 189.085 | 48.981 | 0.000 | 0.000 | 0.000 |
| 48.981 | 48.981 | 189.085 | 0.000 | 0.000 | -0.000 |
| -0.000 | -0.000 | -0.000 | 48.525 | 0.000 | 0.000 |
| -0.000 | -0.000 | -0.000 | 0.000 | 48.525 | 0.000 |
| -0.000 | -0.000 | -0.000 | 0.000 | 0.000 | 48.525 |
| 189.086 | 48.982 | 48.982 | -0.000 | -0.000 | -0.000 |
| 48.982 | 189.086 | 48.982 | -0.000 | -0.000 | -0.000 |
| 48.982 | 48.982 | 189.086 | -0.000 | -0.000 | -0.000 |
| 0.000 | -0.000 | -0.000 | -7.809 | -0.000 | -0.000 |
| -0.000 | 0.000 | -0.000 | -0.000 | -7.809 | -0.000 |
| -0.000 | -0.000 | 0.000 | -0.000 | -0.000 | -7.809 |
| 189.084 | 48.981 | 48.981 | 0.000 | -0.000 | 0.000 |
| 48.981 | 189.084 | 48.981 | 0.000 | 0.000 | 0.000 |
| 48.981 | 48.981 | 189.084 | 0.000 | 0.000 | 0.000 |
| -0.000 | 0.000 | 0.000 | -7.809 | 0.000 | 0.000 |
| 0.000 | -0.000 | 0.000 | 0.000 | -7.809 | 0.000 |
| 0.000 | 0.000 | -0.000 | 0.000 | 0.000 | -7.809 |
| 101.613 | -8.579 | -8.579 | -0.000 | -0.000 | -0.000 |
| -8.579 | 101.613 | -8.579 | -0.000 | 0.000 | -0.000 |
| -8.579 | -8.579 | 101.613 | -0.000 | -0.000 | -0.000 |
| 0.000 | 0.000 | -0.000 | -8.910 | -0.000 | -0.000 |
| 0.000 | 0.000 | -0.000 | -0.000 | -8.910 | 0.000 |
| 0.000 | 0.000 | 0.000 | -0.000 | 0.000 | -8.910 |
| 101.613 | -8.579 | -8.579 | 0.000 | 0.000 | 0.000 |
| -8.579 | 101.613 | -8.579 | 0.000 | -0.000 | 0.000 |
| -8.579 | -8.579 | 101.613 | 0.000 | -0.000 | -0.000 |
| -0.000 | -0.000 | 0.000 | -8.910 | 0.000 | -0.000 |
| -0.000 | -0.000 | 0.000 | 0.000 | -8.910 | -0.000 |
| -0.000 | -0.000 | -0.000 | 0.000 | 0.000 | -8.910 |
| 101.613 | -8.579 | -8.579 | -0.000 | -0.000 | -0.000 |
| -8.579 | 101.613 | -8.579 | -0.000 | -0.000 | -0.000 |
| -8.579 | -8.579 | 101.613 | -0.000 | -0.000 | -0.000 |
| 0.000 | 0.000 | -0.000 | -8.910 | 0.000 | -0.000 |
| 0.000 | 0.000 | -0.000 | -0.000 | -8.910 | 0.000 |
| 0.000 | -0.000 | -0.000 | -0.000 | -0.000 | -8.910 |
| 101.613 | -8.579 | -8.579 | 0.000 | 0.000 | 0.000 |
| -8.579 | 101.613 | -8.579 | 0.000 | 0.000 | -0.000 |
| -8.579 | -8.579 | 101.613 | 0.000 | -0.000 | -0.000 |
| -0.000 | -0.000 | 0.000 | -8.910 | -0.000 | -0.000 |
| -0.000 | -0.000 | 0.000 | 0.000 | -8.910 | -0.000 |
| -0.000 | 0.000 | -0.000 | -0.000 | -0.000 | -8.910 |
| 101.614 | -8.579 | -8.579 | -0.000 | -0.000 | 0.000 |
| -8.579 | 101.614 | -8.579 | -0.000 | -0.000 | -0.000 |
| -8.579 | -8.579 | 101.614 | -0.000 | -0.000 | -0.000 |
| 0.000 | 0.000 | -0.000 | -8.910 | -0.000 | -0.000 |
| 0.000 | 0.000 | -0.000 | -0.000 | -8.910 | 0.000 |
| 0.000 | -0.000 | 0.000 | -0.000 | -0.000 | -8.910 |
| 101.613 | -8.579 | -8.579 | 0.000 | -0.000 | -0.000 |
| -8.579 | 101.613 | -8.579 | 0.000 | 0.000 | -0.000 |
| -8.579 | -8.579 | 101.613 | 0.000 | -0.000 | -0.000 |
| -0.000 | -0.000 | 0.000 | -8.910 | 0.000 | -0.000 |
| -0.000 | -0.000 | 0.000 | 0.000 | -8.910 | -0.000 |
| -0.000 | 0.000 | -0.000 | 0.000 | 0.000 | -8.910 |
| 203.861 | 59.847 | 59.847 | -0.000 | -0.000 | 0.000 |
| 59.847 | 203.861 | 59.847 | -0.000 | -0.000 | 0.000 |
| 59.847 | 59.847 | 203.861 | -0.000 | -0.000 | 0.000 |
| -0.000 | 0.000 | -0.000 | 25.556 | -0.000 | 0.000 |
| -0.000 | 0.000 | 0.000 | -0.000 | 25.556 | 0.000 |
| -0.000 | 0.000 | -0.000 | -0.000 | -0.000 | 25.556 |
| 203.861 | 59.847 | 59.847 | 0.000 | -0.000 | 0.000 |
| 59.847 | 203.861 | 59.847 | 0.000 | 0.000 | -0.000 |
| 59.847 | 59.847 | 203.861 | 0.000 | -0.000 | -0.000 |
| 0.000 | -0.000 | 0.000 | 25.556 | 0.000 | -0.000 |
| 0.000 | -0.000 | 0.000 | 0.000 | 25.556 | -0.000 |
| 0.000 | -0.000 | 0.000 | 0.000 | 0.000 | 25.556 |
| 203.861 | 59.847 | 59.847 | -0.000 | -0.000 | 0.000 |
| 59.847 | 203.861 | 59.847 | -0.000 | -0.000 | 0.000 |
| 59.847 | 59.847 | 203.861 | -0.000 | 0.000 | -0.000 |
| 0.000 | 0.000 | 0.000 | 25.556 | -0.000 | 0.000 |
| 0.000 | 0.000 | 0.000 | -0.000 | 25.556 | 0.000 |
| 0.000 | 0.000 | 0.000 | -0.000 | -0.000 | 25.556 |
| 203.861 | 59.847 | 59.847 | 0.000 | 0.000 | -0.000 |
| 59.847 | 203.861 | 59.847 | 0.000 | 0.000 | -0.000 |
| 59.847 | 59.847 | 203.861 | 0.000 | 0.000 | -0.000 |
| -0.000 | -0.000 | -0.000 | 25.556 | 0.000 | 0.000 |
| -0.000 | -0.000 | -0.000 | 0.000 | 25.556 | -0.000 |
| -0.000 | -0.000 | -0.000 | 0.000 | 0.000 | 25.556 |
| 203.862 | 59.848 | 59.848 | -0.000 | -0.000 | 0.000 |
| 59.848 | 203.862 | 59.848 | -0.000 | -0.000 | 0.000 |
| 59.848 | 59.848 | 203.862 | -0.000 | -0.000 | 0.000 |
| 0.000 | 0.000 | 0.000 | 25.556 | -0.000 | 0.000 |
| 0.000 | 0.000 | 0.000 | -0.000 | 25.556 | 0.000 |
| 0.000 | 0.000 | 0.000 | -0.000 | -0.000 | 25.556 |
| 203.860 | 59.847 | 59.847 | 0.000 | -0.000 | -0.000 |
| 59.847 | 203.860 | 59.847 | 0.000 | 0.000 | -0.000 |
| 59.847 | 59.847 | 203.860 | 0.000 | 0.000 | -0.000 |
| -0.000 | -0.000 | -0.000 | 25.556 | 0.000 | -0.000 |
| -0.000 | -0.000 | -0.000 | 0.000 | 25.556 | -0.000 |
| -0.000 | -0.000 | -0.000 | 0.000 | 0.000 | 25.556 |
| 126.122 | 30.910 | 30.910 | -0.000 | 0.000 | 0.000 |
| 30.910 | 126.122 | 30.910 | -0.000 | 0.000 | 0.000 |
| 30.910 | 30.910 | 126.122 | 0.000 | 0.000 | 0.000 |
| 0.000 | 0.000 | 0.000 | 18.719 | -0.000 | -0.000 |
| -0.000 | 0.000 | -0.000 | -0.000 | 18.719 | 0.000 |
| -0.000 | 0.000 | -0.000 | -0.000 | -0.000 | 18.719 |
| 126.122 | 30.910 | 30.910 | 0.000 | 0.000 | 0.000 |
| 30.910 | 126.122 | 30.910 | 0.000 | 0.000 | -0.000 |
| 30.910 | 30.910 | 126.122 | 0.000 | -0.000 | 0.000 |
| 0.000 | -0.000 | -0.000 | 18.719 | 0.000 | -0.000 |
| 0.000 | -0.000 | 0.000 | 0.000 | 18.719 | -0.000 |
| 0.000 | -0.000 | 0.000 | 0.000 | 0.000 | 18.719 |
| 126.123 | 30.910 | 30.910 | -0.000 | -0.000 | -0.000 |
| 30.910 | 126.123 | 30.910 | -0.000 | -0.000 | 0.000 |
| 30.910 | 30.910 | 126.123 | -0.000 | -0.000 | -0.000 |
| 0.000 | 0.000 | 0.000 | 18.719 | 0.000 | 0.000 |
| 0.000 | 0.000 | 0.000 | -0.000 | 18.719 | 0.000 |
| 0.000 | 0.000 | 0.000 | -0.000 | -0.000 | 18.719 |
| 126.122 | 30.910 | 30.910 | 0.000 | 0.000 | -0.000 |
| 30.910 | 126.122 | 30.910 | 0.000 | 0.000 | -0.000 |
| 30.910 | 30.910 | 126.122 | 0.000 | 0.000 | -0.000 |
| -0.000 | -0.000 | -0.000 | 18.719 | 0.000 | -0.000 |
| -0.000 | -0.000 | -0.000 | 0.000 | 18.719 | -0.000 |
| -0.000 | -0.000 | -0.000 | 0.000 | 0.000 | 18.719 |
| 126.123 | 30.910 | 30.910 | -0.000 | -0.000 | 0.000 |
| 30.910 | 126.123 | 30.910 | -0.000 | -0.000 | 0.000 |
| 30.910 | 30.910 | 126.123 | -0.000 | -0.000 | 0.000 |
| 0.000 | 0.000 | 0.000 | 18.719 | 0.000 | 0.000 |
| 0.000 | 0.000 | 0.000 | -0.000 | 18.719 | 0.000 |
| 0.000 | 0.000 | 0.000 | -0.000 | -0.000 | 18.719 |
| 126.122 | 30.910 | 30.910 | 0.000 | -0.000 | 0.000 |
| 30.910 | 126.122 | 30.910 | 0.000 | 0.000 | -0.000 |
| 30.910 | 30.910 | 126.122 | 0.000 | 0.000 | -0.000 |
| -0.000 | -0.000 | -0.000 | 18.719 | -0.000 | 0.000 |
| -0.000 | -0.000 | -0.000 | 0.000 | 18.719 | -0.000 |
| -0.000 | -0.000 | -0.000 | 0.000 | 0.000 | 18.719 |
| 18.481 | 1.665 | 1.665 | 0.000 | 0.000 | 0.000 |
| 1.665 | 18.481 | 1.665 | 0.000 | 0.000 | 0.000 |
| 1.665 | 1.665 | 18.481 | 0.000 | 0.000 | 0.000 |
| 0.000 | 0.000 | -0.000 | -3.398 | 0.000 | 0.000 |
| -0.000 | 0.000 | -0.000 | 0.000 | -3.398 | 0.000 |
| -0.000 | -0.000 | 0.000 | 0.000 | 0.000 | -3.398 |
| 18.481 | 1.665 | 1.665 | -0.000 | -0.000 | -0.000 |
| 1.665 | 18.481 | 1.665 | -0.000 | -0.000 | -0.000 |
| 1.665 | 1.665 | 18.481 | -0.000 | -0.000 | -0.000 |
| -0.000 | -0.000 | -0.000 | -3.398 | -0.000 | -0.000 |
| 0.000 | 0.000 | -0.000 | -0.000 | -3.398 | -0.000 |
| 0.000 | -0.000 | 0.000 | -0.000 | -0.000 | -3.398 |
| 18.481 | 1.665 | 1.665 | 0.000 | 0.000 | 0.000 |
| 1.665 | 18.481 | 1.665 | 0.000 | 0.000 | 0.000 |
| 1.665 | 1.665 | 18.481 | 0.000 | 0.000 | 0.000 |
| 0.000 | -0.000 | -0.000 | 1.384 | 0.000 | 0.000 |
| -0.000 | 0.000 | -0.000 | 0.000 | 1.384 | 0.000 |
| -0.000 | -0.000 | 0.000 | 0.000 | 0.000 | 1.384 |
| 18.481 | 1.665 | 1.665 | -0.000 | -0.000 | -0.000 |
| 1.665 | 18.481 | 1.665 | -0.000 | -0.000 | -0.000 |
| 1.665 | 1.665 | 18.481 | -0.000 | -0.000 | -0.000 |
| -0.000 | 0.000 | 0.000 | 1.384 | 0.000 | -0.000 |
| 0.000 | -0.000 | 0.000 | -0.000 | 1.384 | -0.000 |
| 0.000 | 0.000 | -0.000 | -0.000 | -0.000 | 1.384 |
| 18.481 | 1.665 | 1.665 | 0.000 | 0.000 | 0.000 |
| 1.665 | 18.481 | 1.665 | 0.000 | 0.000 | 0.000 |
| 1.665 | 1.665 | 18.481 | 0.000 | 0.000 | 0.000 |
| 0.019 | -0.022 | -0.023 | -210.967 | 0.000 | 0.000 |
| -0.022 | 0.019 | -0.023 | 0.000 | -210.967 | 0.000 |
| -0.022 | -0.023 | 0.019 | 0.000 | -0.000 | -210.967 |
| 18.481 | 1.665 | 1.665 | -0.000 | -0.000 | -0.000 |
| 1.665 | 18.481 | 1.665 | -0.000 | -0.000 | -0.000 |
| 1.665 | 1.665 | 18.481 | -0.000 | -0.000 | -0.000 |
| -0.019 | 0.022 | 0.023 | -210.967 | 0.000 | -0.000 |
| 0.022 | -0.019 | 0.023 | -0.000 | -210.967 | -0.000 |
| 0.022 | 0.023 | -0.019 | -0.000 | 0.000 | -210.967 |
| 10.243 | 5.782 | 5.782 | 0.000 | 0.000 | -0.000 |
| 5.782 | 10.243 | 5.782 | 0.000 | 0.000 | -0.000 |
| 5.782 | 5.782 | 10.243 | 0.000 | 0.000 | -0.000 |
| 0.000 | 0.000 | -0.000 | -8.599 | 0.000 | -0.000 |
| 0.000 | 0.000 | -0.000 | -0.000 | -8.599 | -0.000 |
| 0.000 | 0.000 | -0.000 | -0.000 | 0.000 | -8.599 |
| 10.243 | 5.782 | 5.782 | 0.000 | -0.000 | 0.000 |
| 5.782 | 10.243 | 5.782 | 0.000 | -0.000 | 0.000 |
| 5.782 | 5.782 | 10.243 | -0.000 | -0.000 | 0.000 |
| -0.000 | -0.000 | 0.000 | -8.599 | -0.000 | 0.000 |
| 0.000 | -0.000 | 0.000 | -0.000 | -8.599 | 0.000 |
| 0.000 | -0.000 | 0.000 | 0.000 | -0.000 | -8.599 |
| 10.243 | 5.782 | 5.782 | 0.000 | 0.000 | -0.000 |
| 5.782 | 10.243 | 5.782 | -0.000 | 0.000 | -0.000 |
| 5.782 | 5.782 | 10.243 | -0.000 | -0.000 | -0.000 |
| 0.000 | -0.000 | -0.000 | -8.599 | 0.000 | -0.000 |
| -0.000 | 0.000 | -0.000 | -0.000 | -8.599 | -0.000 |
| -0.000 | -0.000 | 0.000 | -0.000 | 0.000 | -8.599 |
| 10.243 | 5.782 | 5.782 | -0.000 | -0.000 | 0.000 |
| 5.782 | 10.243 | 5.782 | 0.000 | -0.000 | 0.000 |
| 5.782 | 5.782 | 10.243 | -0.000 | -0.000 | 0.000 |
| -0.000 | 0.000 | 0.000 | -8.599 | -0.000 | 0.000 |
| 0.000 | -0.000 | 0.000 | 0.000 | -8.599 | 0.000 |
| 0.000 | 0.000 | -0.000 | 0.000 | -0.000 | -8.599 |
| 10.243 | 5.782 | 5.782 | -0.000 | 0.000 | -0.000 |
| 5.782 | 10.243 | 5.782 | 0.000 | 0.000 | -0.000 |
| 5.782 | 5.782 | 10.243 | -0.000 | 0.000 | -0.000 |
| 0.000 | -0.000 | -0.000 | -8.599 | 0.000 | -0.000 |
| -0.000 | 0.000 | -0.000 | -0.000 | -8.599 | -0.000 |
| -0.000 | -0.000 | 0.000 | -0.000 | 0.000 | -8.599 |
| 10.243 | 5.782 | 5.782 | 0.000 | -0.000 | 0.000 |
| 5.782 | 10.243 | 5.782 | 0.000 | -0.000 | 0.000 |
| 5.782 | 5.782 | 10.243 | -0.000 | 0.000 | 0.000 |
| -0.000 | 0.000 | 0.000 | -8.599 | -0.000 | 0.000 |
| 0.000 | -0.000 | 0.000 | 0.000 | -8.599 | 0.000 |
| 0.000 | 0.000 | -0.000 | 0.000 | -0.000 | -8.599 |
| 3.305 | 4.227 | 4.227 | 0.000 | 0.000 | 0.000 |
| 4.227 | 3.305 | 4.227 | 0.000 | 0.000 | 0.000 |
| 4.227 | 4.227 | 3.305 | 0.000 | 0.000 | 0.000 |
| 0.000 | 0.000 | 0.000 | 4.206 | 0.000 | -0.000 |
| 0.000 | 0.000 | 0.000 | 0.000 | 4.206 | 0.000 |
| 0.000 | 0.000 | 0.000 | 0.000 | 0.000 | 4.206 |
| 3.305 | 4.227 | 4.227 | -0.000 | -0.000 | -0.000 |
| 4.227 | 3.305 | 4.227 | -0.000 | -0.000 | 0.000 |
| 4.227 | 4.227 | 3.305 | -0.000 | 0.000 | -0.000 |
| 0.000 | -0.000 | -0.000 | 4.206 | -0.000 | -0.000 |
| -0.000 | -0.000 | -0.000 | -0.000 | 4.206 | -0.000 |
| -0.000 | -0.000 | -0.000 | -0.000 | -0.000 | 4.206 |
| 3.305 | 4.227 | 4.227 | 0.000 | 0.000 | 0.000 |
| 4.227 | 3.305 | 4.227 | 0.000 | 0.000 | 0.000 |
| 4.227 | 4.227 | 3.305 | 0.000 | 0.000 | 0.000 |
| -0.000 | 0.000 | 0.000 | 4.206 | 0.000 | 0.000 |
| 0.000 | -0.000 | 0.000 | 0.000 | 4.206 | -0.000 |
| 0.000 | 0.000 | -0.000 | 0.000 | 0.000 | 4.206 |
| 3.305 | 4.227 | 4.227 | -0.000 | -0.000 | -0.000 |
| 4.227 | 3.305 | 4.227 | -0.000 | -0.000 | -0.000 |
| 4.227 | 4.227 | 3.305 | 0.000 | 0.000 | -0.000 |
| 0.000 | -0.000 | -0.000 | 4.206 | -0.000 | 0.000 |
| -0.000 | 0.000 | -0.000 | -0.000 | 4.206 | -0.000 |
| -0.000 | -0.000 | 0.000 | -0.000 | -0.000 | 4.206 |
| 3.305 | 4.227 | 4.227 | 0.000 | 0.000 | 0.000 |
| 4.227 | 3.305 | 4.227 | 0.000 | 0.000 | -0.000 |
| 4.227 | 4.227 | 3.305 | -0.000 | 0.000 | 0.000 |
| -0.000 | 0.000 | 0.000 | 4.206 | -0.000 | -0.000 |
| 0.000 | -0.000 | 0.000 | 0.000 | 4.206 | 0.000 |
| 0.000 | 0.000 | -0.000 | 0.000 | 0.000 | 4.206 |
| 3.305 | 4.227 | 4.227 | -0.000 | -0.000 | -0.000 |
| 4.227 | 3.305 | 4.227 | -0.000 | 0.000 | -0.000 |
| 4.227 | 4.227 | 3.305 | -0.000 | 0.000 | -0.000 |
| 0.000 | -0.000 | -0.000 | 4.206 | -0.000 | -0.000 |
| -0.000 | 0.000 | -0.000 | -0.000 | 4.206 | -0.000 |
| -0.000 | -0.000 | 0.000 | -0.000 | -0.000 | 4.206 |
| 20.268 | 2.575 | 2.575 | -0.000 | -0.000 | -0.000 |
| 2.575 | 20.268 | 2.575 | -0.000 | -0.000 | -0.000 |
| 2.575 | 2.575 | 20.268 | -0.000 | -0.000 | -0.000 |
| -0.000 | -0.000 | 0.000 | 1.810 | -0.000 | 0.000 |
| -0.000 | 0.000 | 0.000 | -0.000 | 1.810 | -0.000 |
| -0.000 | -0.000 | 0.000 | -0.000 | -0.000 | 1.810 |
| 20.268 | 2.575 | 2.575 | 0.000 | 0.000 | 0.000 |
| 2.575 | 20.268 | 2.575 | 0.000 | 0.000 | -0.000 |
| 2.575 | 2.575 | 20.268 | 0.000 | 0.000 | 0.000 |
| -0.000 | 0.000 | -0.000 | 1.810 | 0.000 | 0.000 |
| 0.000 | -0.000 | -0.000 | 0.000 | 1.810 | 0.000 |
| 0.000 | 0.000 | -0.000 | 0.000 | 0.000 | 1.810 |
| 20.269 | 2.575 | 2.575 | -0.000 | -0.000 | -0.000 |
| 2.575 | 20.269 | 2.575 | -0.000 | -0.000 | -0.000 |
| 2.575 | 2.575 | 20.269 | -0.000 | -0.000 | -0.000 |
| 0.000 | 0.000 | -0.000 | 2.540 | -0.000 | -0.000 |
| 0.000 | 0.000 | -0.000 | -0.000 | 2.540 | -0.000 |
| -0.000 | -0.000 | 0.000 | -0.000 | -0.000 | 2.540 |
| 20.268 | 2.575 | 2.575 | 0.000 | 0.000 | 0.000 |
| 2.575 | 20.268 | 2.575 | 0.000 | 0.000 | -0.000 |
| 2.575 | 2.575 | 20.268 | 0.000 | 0.000 | 0.000 |
| -0.000 | -0.000 | 0.000 | 2.540 | 0.000 | 0.000 |
| 0.000 | -0.000 | 0.000 | 0.000 | 2.540 | 0.000 |
| 0.000 | 0.000 | -0.000 | 0.000 | 0.000 | 2.540 |
| 20.269 | 2.575 | 2.575 | -0.000 | -0.000 | -0.000 |
| 2.575 | 20.269 | 2.575 | -0.000 | -0.000 | 0.000 |
| 2.575 | 2.575 | 20.269 | -0.000 | -0.000 | -0.000 |
| 0.000 | -0.000 | -0.000 | 1.810 | -0.000 | -0.000 |
| -0.000 | 0.000 | -0.000 | -0.000 | 1.810 | -0.000 |
| -0.000 | -0.000 | 0.000 | -0.000 | -0.000 | 1.810 |
| 20.268 | 2.575 | 2.575 | 0.000 | 0.000 | 0.000 |
| 2.575 | 20.268 | 2.575 | 0.000 | 0.000 | -0.000 |
| 2.575 | 2.575 | 20.268 | 0.000 | 0.000 | 0.000 |
| -0.000 | 0.000 | 0.000 | 1.810 | 0.000 | -0.000 |
| 0.000 | -0.000 | 0.000 | 0.000 | 1.810 | 0.000 |
| 0.000 | 0.000 | -0.000 | 0.000 | 0.000 | 1.810 |
| 10.088 | 6.342 | 6.342 | -0.000 | 0.000 | -0.000 |
| 6.342 | 10.088 | 6.342 | -0.000 | -0.000 | -0.000 |
| 6.342 | 6.342 | 10.088 | -0.000 | 0.000 | -0.000 |
| 0.000 | -0.000 | 0.000 | 6.361 | -0.000 | -0.000 |
| 0.000 | 0.000 | 0.000 | 0.000 | 6.361 | 0.000 |
| 0.000 | 0.000 | 0.000 | 0.000 | 0.000 | 6.361 |
| 10.088 | 6.342 | 6.342 | 0.000 | 0.000 | 0.000 |
| 6.342 | 10.088 | 6.342 | 0.000 | -0.000 | 0.000 |
| 6.342 | 6.342 | 10.088 | -0.000 | 0.000 | 0.000 |
| -0.000 | 0.000 | -0.000 | 6.361 | -0.000 | -0.000 |
| -0.000 | -0.000 | -0.000 | -0.000 | 6.361 | -0.000 |
| -0.000 | -0.000 | -0.000 | 0.000 | -0.000 | 6.361 |
| 10.088 | 6.342 | 6.342 | -0.000 | 0.000 | -0.000 |
| 6.342 | 10.088 | 6.342 | 0.000 | 0.000 | -0.000 |
| 6.342 | 6.342 | 10.088 | 0.000 | 0.000 | 0.000 |
| 0.000 | -0.000 | -0.000 | 2.484 | 0.000 | -0.000 |
| -0.000 | 0.000 | -0.000 | 0.000 | 2.484 | -0.000 |
| -0.000 | -0.000 | 0.000 | 0.000 | 0.000 | 2.484 |
| 10.088 | 6.342 | 6.342 | -0.000 | -0.000 | 0.000 |
| 6.342 | 10.088 | 6.342 | -0.000 | -0.000 | 0.000 |
| 6.342 | 6.342 | 10.088 | -0.000 | -0.000 | -0.000 |
| -0.000 | 0.000 | 0.000 | 2.484 | -0.000 | -0.000 |
| 0.000 | -0.000 | 0.000 | -0.000 | 2.484 | 0.000 |
| 0.000 | 0.000 | -0.000 | -0.000 | -0.000 | 2.484 |
| 10.088 | 6.342 | 6.342 | 0.000 | 0.000 | -0.000 |
| 6.342 | 10.088 | 6.342 | 0.000 | -0.000 | -0.000 |
| 6.342 | 6.342 | 10.088 | -0.000 | 0.000 | 0.000 |
| 0.000 | -0.000 | -0.000 | 2.484 | 0.000 | 0.000 |
| -0.000 | 0.000 | -0.000 | 0.000 | 2.484 | -0.000 |
| -0.000 | -0.000 | 0.000 | 0.000 | 0.000 | 2.484 |
| 10.088 | 6.342 | 6.342 | 0.000 | -0.000 | 0.000 |
| 6.342 | 10.088 | 6.342 | 0.000 | 0.000 | 0.000 |
| 6.342 | 6.342 | 10.088 | 0.000 | -0.000 | -0.000 |
| -0.000 | 0.000 | 0.000 | 2.484 | -0.000 | 0.000 |
| 0.000 | -0.000 | 0.000 | 0.000 | 2.484 | 0.000 |
| 0.000 | 0.000 | -0.000 | -0.000 | -0.000 | 2.484 |
| 7.600 | 4.465 | 4.465 | -0.000 | 0.000 | 0.000 |
| 4.465 | 7.600 | 4.465 | -0.000 | -0.000 | 0.000 |
| 4.465 | 4.465 | 7.600 | -0.000 | -0.000 | 0.000 |
| -0.000 | 0.000 | 0.000 | 4.474 | -0.000 | 0.000 |
| 0.000 | -0.000 | 0.000 | -0.000 | 4.474 | 0.000 |
| 0.000 | 0.000 | -0.000 | -0.000 | 0.000 | 4.474 |
| 7.600 | 4.465 | 4.465 | 0.000 | 0.000 | -0.000 |
| 4.465 | 7.600 | 4.465 | 0.000 | 0.000 | 0.000 |
| 4.465 | 4.465 | 7.600 | 0.000 | 0.000 | -0.000 |
| -0.000 | -0.000 | -0.000 | 4.474 | 0.000 | -0.000 |
| -0.000 | 0.000 | -0.000 | 0.000 | 4.474 | -0.000 |
| -0.000 | -0.000 | 0.000 | 0.000 | -0.000 | 4.474 |
| 7.600 | 4.465 | 4.465 | -0.000 | 0.000 | 0.000 |
| 4.465 | 7.600 | 4.465 | 0.000 | -0.000 | 0.000 |
| 4.465 | 4.465 | 7.600 | 0.000 | 0.000 | -0.000 |
| -0.000 | 0.000 | 0.000 | 4.474 | -0.000 | 0.000 |
| 0.000 | -0.000 | 0.000 | -0.000 | 4.474 | 0.000 |
| 0.000 | 0.000 | -0.000 | 0.000 | 0.000 | 4.474 |
| 7.600 | 4.465 | 4.465 | 0.000 | -0.000 | -0.000 |
| 4.465 | 7.600 | 4.465 | -0.000 | 0.000 | -0.000 |
| 4.465 | 4.465 | 7.600 | 0.000 | 0.000 | -0.000 |
| 0.000 | -0.000 | -0.000 | 4.474 | 0.000 | 0.000 |
| -0.000 | 0.000 | -0.000 | 0.000 | 4.474 | -0.000 |
| -0.000 | -0.000 | 0.000 | -0.000 | -0.000 | 4.474 |
| 7.600 | 4.465 | 4.465 | -0.000 | -0.000 | -0.000 |
| 4.465 | 7.600 | 4.465 | -0.000 | -0.000 | -0.000 |
| 4.465 | 4.465 | 7.600 | -0.000 | -0.000 | 0.000 |
| -0.000 | 0.000 | 0.000 | 4.474 | -0.000 | -0.000 |
| 0.000 | -0.000 | 0.000 | -0.000 | 4.474 | 0.000 |
| 0.000 | 0.000 | -0.000 | -0.000 | 0.000 | 4.474 |
| 7.600 | 4.465 | 4.465 | 0.000 | -0.000 | -0.000 |
| 4.465 | 7.600 | 4.465 | 0.000 | 0.000 | -0.000 |
| 4.465 | 4.465 | 7.600 | 0.000 | 0.000 | -0.000 |
| 0.000 | -0.000 | -0.000 | 4.474 | 0.000 | -0.000 |
| -0.000 | 0.000 | -0.000 | 0.000 | 4.474 | -0.000 |
| -0.000 | -0.000 | 0.000 | -0.000 | -0.000 | 4.474 |
| 18.278 | 1.828 | 1.828 | -0.000 | 0.000 | -0.000 |
| 1.828 | 18.278 | 1.828 | -0.000 | 0.000 | -0.000 |
| 1.828 | 1.828 | 18.278 | -0.000 | 0.000 | -0.000 |
| 0.000 | 0.000 | 0.000 | 1.637 | 0.000 | -0.000 |
| -0.000 | 0.000 | -0.000 | 0.000 | 1.637 | -0.000 |
| -0.000 | 0.000 | 0.000 | 0.000 | 0.000 | 1.637 |
| 18.278 | 1.828 | 1.828 | 0.000 | -0.000 | 0.000 |
| 1.828 | 18.278 | 1.828 | -0.000 | 0.000 | 0.000 |
| 1.828 | 1.828 | 18.278 | -0.000 | -0.000 | 0.000 |
| -0.000 | 0.000 | 0.000 | 1.637 | -0.000 | 0.000 |
| -0.000 | -0.000 | 0.000 | 0.000 | 1.637 | 0.000 |
| 0.000 | -0.000 | -0.000 | -0.000 | -0.000 | 1.637 |
| 18.278 | 1.828 | 1.828 | -0.000 | 0.000 | -0.000 |
| 1.828 | 18.278 | 1.828 | -0.000 | 0.000 | 0.000 |
| 1.828 | 1.828 | 18.278 | 0.000 | 0.000 | 0.000 |
| 0.000 | -0.000 | -0.000 | 1.637 | 0.000 | -0.000 |
| -0.000 | 0.000 | -0.000 | -0.000 | 1.637 | -0.000 |
| -0.000 | -0.000 | 0.000 | 0.000 | 0.000 | 1.637 |
| 18.277 | 1.828 | 1.828 | 0.000 | -0.000 | 0.000 |
| 1.828 | 18.277 | 1.828 | 0.000 | -0.000 | 0.000 |
| 1.828 | 1.828 | 18.277 | -0.000 | -0.000 | -0.000 |
| -0.000 | 0.000 | 0.000 | 1.637 | -0.000 | 0.000 |
| 0.000 | -0.000 | 0.000 | -0.000 | 1.637 | 0.000 |
| 0.000 | 0.000 | -0.000 | -0.000 | -0.000 | 1.637 |
| 18.278 | 1.828 | 1.828 | 0.000 | 0.000 | -0.000 |
| 1.828 | 18.278 | 1.828 | -0.000 | -0.000 | -0.000 |
| 1.828 | 1.828 | 18.278 | 0.000 | 0.000 | 0.000 |
| 0.000 | -0.000 | -0.000 | -20.020 | 0.000 | -0.000 |
| -0.000 | 0.000 | -0.000 | -0.000 | -20.020 | -0.000 |
| -0.000 | -0.000 | 0.000 | -0.000 | 0.000 | -20.020 |
| 18.277 | 1.828 | 1.828 | -0.000 | -0.000 | 0.000 |
| 1.828 | 18.277 | 1.828 | -0.000 | -0.000 | 0.000 |
| 1.828 | 1.828 | 18.277 | 0.000 | -0.000 | 0.000 |
| -0.000 | 0.000 | 0.000 | -20.020 | -0.000 | 0.000 |
| 0.000 | -0.000 | 0.000 | 0.000 | -20.020 | 0.000 |
| 0.000 | 0.000 | -0.000 | 0.000 | -0.000 | -20.020 |
| 10.164 | 5.596 | 5.596 | 0.000 | 0.000 | -0.000 |
| 5.596 | 10.164 | 5.596 | 0.000 | 0.000 | -0.000 |
| 5.596 | 5.596 | 10.164 | 0.000 | 0.000 | 0.000 |
| -0.000 | 0.000 | -0.000 | -5.111 | 0.000 | -0.000 |
| -0.000 | 0.000 | -0.000 | 0.000 | -5.111 | 0.000 |
| -0.000 | 0.000 | 0.000 | 0.000 | 0.000 | -5.111 |
| 10.164 | 5.596 | 5.596 | -0.000 | -0.000 | -0.000 |
| 5.596 | 10.164 | 5.596 | 0.000 | -0.000 | -0.000 |
| 5.596 | 5.596 | 10.164 | 0.000 | -0.000 | 0.000 |
| 0.000 | -0.000 | 0.000 | -5.111 | -0.000 | -0.000 |
| 0.000 | -0.000 | 0.000 | -0.000 | -5.111 | -0.000 |
| 0.000 | -0.000 | 0.000 | -0.000 | -0.000 | -5.111 |
| 10.164 | 5.596 | 5.596 | -0.000 | -0.000 | -0.000 |
| 5.596 | 10.164 | 5.596 | 0.000 | -0.000 | -0.000 |
| 5.596 | 5.596 | 10.164 | 0.000 | 0.000 | 0.000 |
| 0.000 | -0.000 | -0.000 | -5.111 | 0.000 | 0.000 |
| -0.000 | 0.000 | -0.000 | 0.000 | -5.111 | -0.000 |
| -0.000 | -0.000 | 0.000 | 0.000 | 0.000 | -5.111 |
| 10.164 | 5.596 | 5.596 | -0.000 | 0.000 | 0.000 |
| 5.596 | 10.164 | 5.596 | -0.000 | -0.000 | 0.000 |
| 5.596 | 5.596 | 10.164 | -0.000 | -0.000 | -0.000 |
| -0.000 | 0.000 | 0.000 | -5.111 | -0.000 | -0.000 |
| 0.000 | -0.000 | 0.000 | -0.000 | -5.111 | -0.000 |
| 0.000 | 0.000 | -0.000 | -0.000 | -0.000 | -5.111 |
| 10.165 | 5.596 | 5.596 | 0.000 | 0.000 | 0.000 |
| 5.596 | 10.165 | 5.596 | 0.000 | 0.000 | 0.000 |
| 5.596 | 5.596 | 10.165 | 0.000 | 0.000 | 0.000 |
| 0.000 | -0.000 | -0.000 | -5.111 | 0.000 | -0.000 |
| -0.000 | 0.000 | -0.000 | 0.000 | -5.111 | 0.000 |
| -0.000 | -0.000 | 0.000 | 0.000 | 0.000 | -5.111 |
| 10.164 | 5.596 | 5.596 | -0.000 | -0.000 | -0.000 |
| 5.596 | 10.164 | 5.596 | -0.000 | -0.000 | -0.000 |
| 5.596 | 5.596 | 10.164 | -0.000 | -0.000 | 0.000 |
| -0.000 | 0.000 | 0.000 | -5.111 | -0.000 | -0.000 |
| 0.000 | -0.000 | 0.000 | -0.000 | -5.111 | -0.000 |
| 0.000 | 0.000 | -0.000 | -0.000 | -0.000 | -5.111 |
| 4.913 | 3.930 | 3.930 | 0.000 | 0.000 | 0.000 |
| 3.930 | 4.913 | 3.930 | 0.000 | 0.000 | 0.000 |
| 3.930 | 3.930 | 4.913 | 0.000 | 0.000 | 0.000 |
| -0.000 | -0.000 | 0.000 | 3.923 | 0.000 | -0.000 |
| -0.000 | -0.000 | 0.000 | 0.000 | 3.923 | 0.000 |
| -0.000 | 0.000 | -0.000 | 0.000 | 0.000 | 3.923 |
| 4.913 | 3.930 | 3.930 | -0.000 | -0.000 | -0.000 |
| 3.930 | 4.913 | 3.930 | -0.000 | -0.000 | -0.000 |
| 3.930 | 3.930 | 4.913 | 0.000 | -0.000 | -0.000 |
| 0.000 | 0.000 | -0.000 | 3.923 | -0.000 | -0.000 |
| 0.000 | 0.000 | -0.000 | -0.000 | 3.923 | -0.000 |
| 0.000 | -0.000 | 0.000 | -0.000 | -0.000 | 3.923 |
| 4.913 | 3.930 | 3.930 | 0.000 | 0.000 | -0.000 |
| 3.930 | 4.913 | 3.930 | 0.000 | 0.000 | 0.000 |
| 3.930 | 3.930 | 4.913 | 0.000 | 0.000 | 0.000 |
| -0.000 | 0.000 | 0.000 | 3.923 | -0.000 | 0.000 |
| 0.000 | -0.000 | 0.000 | -0.000 | 3.923 | 0.000 |
| 0.000 | 0.000 | -0.000 | 0.000 | 0.000 | 3.923 |
| 4.913 | 3.930 | 3.930 | -0.000 | -0.000 | 0.000 |
| 3.930 | 4.913 | 3.930 | -0.000 | -0.000 | -0.000 |
| 3.930 | 3.930 | 4.913 | -0.000 | -0.000 | -0.000 |
| 0.000 | -0.000 | -0.000 | 3.923 | -0.000 | 0.000 |
| -0.000 | 0.000 | -0.000 | -0.000 | 3.923 | -0.000 |
| -0.000 | -0.000 | 0.000 | -0.000 | -0.000 | 3.923 |
| 4.913 | 3.930 | 3.930 | 0.000 | 0.000 | -0.000 |
| 3.930 | 4.913 | 3.930 | 0.000 | 0.000 | -0.000 |
| 3.930 | 3.930 | 4.913 | 0.000 | 0.000 | 0.000 |
| -0.000 | 0.000 | 0.000 | 3.923 | 0.000 | -0.000 |
| 0.000 | -0.000 | 0.000 | 0.000 | 3.923 | -0.000 |
| 0.000 | 0.000 | -0.000 | 0.000 | 0.000 | 3.923 |
| 4.913 | 3.930 | 3.930 | -0.000 | -0.000 | 0.000 |
| 3.930 | 4.913 | 3.930 | -0.000 | -0.000 | -0.000 |
| 3.930 | 3.930 | 4.913 | -0.000 | -0.000 | -0.000 |
| 0.000 | -0.000 | -0.000 | 3.923 | -0.000 | -0.000 |
| -0.000 | 0.000 | -0.000 | -0.000 | 3.923 | -0.000 |
| -0.000 | -0.000 | 0.000 | -0.000 | -0.000 | 3.923 |
| 19.322 | 1.658 | 1.658 | 0.000 | 0.000 | 0.000 |
| 1.658 | 19.322 | 1.658 | 0.000 | 0.000 | 0.000 |
| 1.658 | 1.658 | 19.322 | 0.000 | 0.000 | 0.000 |
| 0.000 | -0.000 | 0.000 | 1.290 | 0.000 | 0.000 |
| -0.000 | -0.000 | 0.000 | 0.000 | 1.290 | -0.000 |
| -0.000 | -0.000 | 0.000 | 0.000 | 0.000 | 1.290 |
| 19.322 | 1.658 | 1.658 | -0.000 | -0.000 | -0.000 |
| 1.658 | 19.322 | 1.658 | -0.000 | -0.000 | -0.000 |
| 1.658 | 1.658 | 19.322 | -0.000 | -0.000 | 0.000 |
| -0.000 | -0.000 | -0.000 | 1.290 | -0.000 | 0.000 |
| 0.000 | 0.000 | 0.000 | -0.000 | 1.290 | 0.000 |
| 0.000 | 0.000 | -0.000 | -0.000 | -0.000 | 1.290 |
| 19.322 | 1.658 | 1.658 | 0.000 | 0.000 | 0.000 |
| 1.658 | 19.322 | 1.658 | 0.000 | 0.000 | 0.000 |
| 1.658 | 1.658 | 19.322 | 0.000 | 0.000 | 0.000 |
| -6712363.087 | -6681702.849 | -6308259.767 | 421267.973 | 78157.423 | 137438.471 |
| -6547343.823 | -5597074.573 | -6544426.055 | 52061.996 | 40433.033 | -172121.938 |
| -7210493.805 | -6794290.696 | -6327358.655 | 105532.230 | 27436.922 | 123709.988 |
| 19.322 | 1.658 | 1.658 | -0.000 | -0.000 | -0.000 |
| 1.658 | 19.322 | 1.658 | -0.000 | -0.000 | 0.000 |
| 1.658 | 1.658 | 19.322 | -0.000 | -0.000 | -0.000 |
| 6417384.079 | 6741462.832 | 7051566.611 | 232959.227 | 351368.275 | 32108.473 |
| 6603553.949 | 6560738.682 | 6733447.734 | -109472.322 | 193970.160 | -69543.583 |
| 6749462.728 | 6622627.521 | 6434416.040 | -124431.923 | 15378.437 | 199551.304 |
| 19.322 | 1.658 | 1.658 | 0.000 | 0.000 | 0.000 |
| 1.658 | 19.322 | 1.658 | 0.000 | 0.000 | 0.000 |
| 1.658 | 1.658 | 19.322 | 0.000 | 0.000 | 0.000 |
| -638770.744 | -649240.187 | -644289.965 | 7607.747 | 6254.536 | -976.833 |
| -635959.137 | -573345.980 | -646250.346 | -3444.595 | 10382.613 | 9745.613 |
| -638852.440 | -680910.444 | -602400.765 | -3622.097 | 2334.386 | 33952.442 |
| 19.322 | 1.658 | 1.658 | -0.000 | -0.000 | 0.000 |
| 1.658 | 19.322 | 1.658 | -0.000 | -0.000 | 0.000 |
| 1.658 | 1.658 | 19.322 | -0.000 | -0.000 | 0.000 |
| 685856.757 | 706172.276 | 766479.976 | 8251.807 | 16167.995 | -9041.684 |
| 666560.602 | 651073.837 | 692216.643 | 4.673 | 12971.572 | 10415.859 |
| 719785.468 | 675834.082 | 664819.719 | 6949.648 | 1041.935 | 17426.733 |
| 10.384 | 6.257 | 6.257 | -0.000 | -0.000 | 0.000 |
| 6.257 | 10.384 | 6.257 | -0.000 | 0.000 | 0.000 |
| 6.257 | 6.257 | 10.384 | -0.000 | -0.000 | 0.000 |
| -0.000 | -0.000 | 0.000 | -10.985 | 0.000 | 0.000 |
| -0.000 | -0.000 | -0.000 | -0.000 | -10.985 | 0.000 |
| -0.000 | -0.000 | 0.000 | 0.000 | 0.000 | -10.985 |
| 10.384 | 6.257 | 6.257 | 0.000 | -0.000 | -0.000 |
| 6.257 | 10.384 | 6.257 | 0.000 | -0.000 | -0.000 |
| 6.257 | 6.257 | 10.384 | 0.000 | -0.000 | -0.000 |
| 0.000 | 0.000 | -0.000 | -10.985 | -0.000 | -0.000 |
| 0.000 | 0.000 | -0.000 | 0.000 | -10.985 | -0.000 |
| 0.000 | 0.000 | -0.000 | 0.000 | -0.000 | -10.985 |
| 10.384 | 6.257 | 6.257 | -0.000 | 0.000 | 0.000 |
| 6.257 | 10.384 | 6.257 | -0.000 | -0.000 | 0.000 |
| 6.257 | 6.257 | 10.384 | 0.000 | 0.000 | 0.000 |
| 0.000 | -0.000 | -0.000 | -10.985 | 0.000 | 0.000 |
| -0.000 | 0.000 | -0.000 | -0.000 | -10.985 | 0.000 |
| -0.000 | -0.000 | 0.000 | -0.000 | 0.000 | -10.985 |
| 10.384 | 6.257 | 6.257 | -0.000 | -0.000 | -0.000 |
| 6.257 | 10.384 | 6.257 | 0.000 | -0.000 | 0.000 |
| 6.257 | 6.257 | 10.384 | 0.000 | -0.000 | -0.000 |
| -0.000 | 0.000 | 0.000 | -10.985 | -0.000 | -0.000 |
| 0.000 | -0.000 | 0.000 | 0.000 | -10.985 | -0.000 |
| 0.000 | 0.000 | -0.000 | -0.000 | -0.000 | -10.985 |
| 10.384 | 6.257 | 6.257 | -0.000 | 0.000 | -0.000 |
| 6.257 | 10.384 | 6.257 | -0.000 | -0.000 | -0.000 |
| 6.257 | 6.257 | 10.384 | -0.000 | 0.000 | 0.000 |
| 0.000 | -0.000 | -0.000 | -10.985 | -0.000 | 0.000 |
| -0.000 | 0.000 | -0.000 | -0.000 | -10.985 | 0.000 |
| -0.000 | -0.000 | 0.000 | -0.000 | 0.000 | -10.985 |
| 10.384 | 6.257 | 6.257 | 0.000 | 0.000 | -0.000 |
| 6.257 | 10.384 | 6.257 | 0.000 | 0.000 | 0.000 |
| 6.257 | 6.257 | 10.384 | 0.000 | -0.000 | -0.000 |
| -0.000 | 0.000 | 0.000 | -10.985 | 0.000 | -0.000 |
| 0.000 | -0.000 | 0.000 | 0.000 | -10.985 | -0.000 |
| 0.000 | 0.000 | -0.000 | 0.000 | -0.000 | -10.985 |
| 1.067 | 5.199 | 5.199 | 0.000 | -0.000 | -0.000 |
| 5.199 | 1.067 | 5.199 | -0.000 | -0.000 | 0.000 |
| 5.199 | 5.199 | 1.067 | 0.000 | 0.000 | 0.000 |
| -0.000 | 0.000 | 0.000 | 5.133 | -0.000 | 0.000 |
| -0.000 | -0.000 | 0.000 | -0.000 | 5.133 | 0.000 |
| -0.000 | -0.000 | -0.000 | 0.000 | 0.000 | 5.133 |
| 1.067 | 5.199 | 5.199 | -0.000 | -0.000 | -0.000 |
| 5.199 | 1.067 | 5.199 | -0.000 | 0.000 | -0.000 |
| 5.199 | 5.199 | 1.067 | -0.000 | -0.000 | -0.000 |
| 0.000 | 0.000 | -0.000 | 5.133 | 0.000 | 0.000 |
| 0.000 | 0.000 | -0.000 | -0.000 | 5.133 | -0.000 |
| 0.000 | -0.000 | 0.000 | -0.000 | -0.000 | 5.133 |
| 1.067 | 5.199 | 5.199 | 0.000 | 0.000 | 0.000 |
| 5.199 | 1.067 | 5.199 | 0.000 | 0.000 | 0.000 |
| 5.199 | 5.199 | 1.067 | -0.000 | -0.000 | 0.000 |
| -0.000 | 0.000 | 0.000 | 5.133 | -0.000 | -0.000 |
| 0.000 | -0.000 | 0.000 | 0.000 | 5.133 | -0.000 |
| 0.000 | 0.000 | -0.000 | 0.000 | 0.000 | 5.133 |
| 1.067 | 5.199 | 5.199 | 0.000 | -0.000 | -0.000 |
| 5.199 | 1.067 | 5.199 | -0.000 | -0.000 | 0.000 |
| 5.199 | 5.199 | 1.067 | -0.000 | -0.000 | -0.000 |
| 0.000 | -0.000 | -0.000 | 5.133 | 0.000 | -0.000 |
| -0.000 | 0.000 | -0.000 | -0.000 | 5.133 | -0.000 |
| -0.000 | -0.000 | 0.000 | -0.000 | -0.000 | 5.133 |
| 1.066 | 5.199 | 5.199 | 0.000 | -0.000 | 0.000 |
| 5.199 | 1.066 | 5.199 | 0.000 | 0.000 | 0.000 |
| 5.199 | 5.199 | 1.066 | -0.000 | -0.000 | 0.000 |
| -0.000 | 0.000 | 0.000 | 5.133 | -0.000 | -0.000 |
| 0.000 | -0.000 | 0.000 | 0.000 | 5.133 | 0.000 |
| 0.000 | 0.000 | -0.000 | 0.000 | 0.000 | 5.133 |
| 1.067 | 5.199 | 5.199 | -0.000 | -0.000 | -0.000 |
| 5.199 | 1.067 | 5.199 | -0.000 | -0.000 | -0.000 |
| 5.199 | 5.199 | 1.067 | -0.000 | -0.000 | -0.000 |
| 0.000 | -0.000 | -0.000 | 5.133 | 0.000 | -0.000 |
| -0.000 | 0.000 | -0.000 | -0.000 | 5.133 | -0.000 |
| -0.000 | -0.000 | 0.000 | -0.000 | -0.000 | 5.133 |
| 46.003 | 6.589 | 13.449 | -0.000 | 0.000 | -0.000 |
| 8.077 | 55.927 | 15.847 | -0.000 | -0.000 | 0.000 |
| 21.151 | 37.091 | 69.539 | -0.000 | -0.000 | -0.000 |
| -0.516 | -0.720 | -0.982 | 9.527 | 0.000 | 0.000 |
| 0.000 | 0.000 | 0.000 | -0.000 | 20.933 | -0.000 |
| -0.555 | -1.026 | -1.253 | -0.000 | -0.000 | 8.767 |
| 65.398 | 12.363 | 21.151 | 0.000 | -0.000 | 0.000 |
| 12.363 | 72.034 | 37.091 | 0.000 | -0.000 | 0.000 |
| 21.151 | 37.091 | 69.539 | 0.000 | -0.000 | 0.000 |
| 0.516 | 0.720 | 0.982 | 9.527 | -0.000 | -0.000 |
| -0.000 | -0.000 | -0.000 | 0.000 | 20.933 | 0.000 |
| 1.271 | 2.394 | 3.260 | 0.000 | 0.000 | 10.934 |
| 44.866 | 9.152 | 14.900 | -0.000 | -0.000 | 0.000 |
| 9.336 | 55.849 | 16.852 | 0.000 | -0.000 | -0.000 |
| 12.425 | 19.011 | 38.798 | -0.000 | -0.000 | 0.000 |
| -0.063 | -0.092 | -0.152 | 8.945 | 0.000 | 0.000 |
| -0.082 | -0.155 | -0.209 | -0.000 | 15.046 | 0.000 |
| 0.000 | 0.000 | 0.000 | -0.000 | 0.000 | 12.071 |
| 65.398 | 12.363 | 21.151 | 0.000 | -0.000 | 0.000 |
| 9.403 | 56.027 | 17.232 | -0.000 | 0.000 | 0.000 |
| 15.019 | 17.304 | 37.530 | 0.000 | 0.000 | 0.000 |
| 0.063 | 0.092 | 0.152 | 8.945 | -0.000 | -0.000 |
| 0.082 | 0.155 | 0.209 | 0.000 | 15.046 | -0.000 |
| -0.000 | -0.000 | -0.000 | 0.000 | -0.000 | 12.071 |
| 45.760 | 9.457 | 17.079 | -0.000 | -0.000 | 0.000 |
| 8.897 | 56.862 | 17.273 | -0.000 | -0.000 | 0.000 |
| 15.737 | 17.724 | 37.563 | -0.000 | 0.000 | -0.000 |
| -0.006 | -0.011 | -0.014 | 13.871 | 0.000 | -0.000 |
| -0.007 | -0.012 | -0.016 | -0.000 | 14.885 | 0.000 |
| 0.000 | 0.000 | 0.000 | -0.000 | 0.000 | 12.071 |
| 44.592 | 9.171 | 14.813 | 0.000 | 0.000 | -0.000 |
| 9.630 | 55.912 | 17.204 | 0.000 | 0.000 | -0.000 |
| 15.018 | 17.200 | 37.389 | 0.000 | 0.000 | -0.000 |
| 0.006 | 0.011 | 0.014 | 13.871 | -0.000 | 0.000 |
| 0.007 | 0.012 | 0.016 | 0.000 | 14.885 | -0.000 |
| -0.000 | -0.000 | -0.000 | 0.000 | -0.000 | 12.071 |
| 282.598 | -1.568 | -1.568 | -0.000 | 0.000 | -0.000 |
| -1.568 | 282.598 | -1.568 | -0.000 | -0.000 | -0.000 |
| -1.568 | -1.568 | 282.598 | -0.000 | 0.000 | -0.000 |
| -0.000 | -0.000 | -0.000 | -2.751 | 0.000 | -0.000 |
| -0.000 | -0.000 | -0.000 | -0.000 | -2.751 | -0.000 |
| -0.000 | -0.000 | -0.000 | -0.000 | -0.000 | -2.751 |
| 282.602 | -1.568 | -1.568 | 0.000 | 0.000 | 0.000 |
| -1.568 | 282.602 | -1.568 | -0.000 | 0.000 | 0.000 |
| -1.568 | -1.568 | 282.602 | 0.000 | -0.000 | 0.000 |
| 0.000 | 0.000 | 0.000 | -2.751 | -0.000 | 0.000 |
| 0.000 | 0.000 | 0.000 | 0.000 | -2.751 | 0.000 |
| 0.000 | 0.000 | 0.000 | 0.000 | 0.000 | -2.751 |
| 282.584 | -1.570 | -1.570 | -0.000 | -0.000 | -0.000 |
| -1.570 | 282.584 | -1.570 | -0.000 | 0.000 | -0.000 |
| -1.570 | -1.570 | 282.584 | 0.000 | -0.000 | -0.000 |
| -0.002 | -0.002 | -0.002 | -2.751 | 0.000 | -0.000 |
| -0.002 | -0.002 | -0.002 | -0.000 | -2.751 | -0.000 |
| -0.002 | -0.002 | -0.002 | -0.000 | -0.000 | -2.751 |
| 282.616 | -1.566 | -1.566 | 0.000 | 0.000 | 0.000 |
| -1.566 | 282.616 | -1.566 | 0.000 | -0.000 | 0.000 |
| -1.566 | -1.566 | 282.616 | 0.000 | 0.000 | 0.000 |
| 0.002 | 0.002 | 0.002 | -2.751 | 0.000 | 0.000 |
| 0.002 | 0.002 | 0.002 | 0.000 | -2.751 | 0.000 |
| 0.002 | 0.002 | 0.002 | 0.000 | -0.000 | -2.751 |
| 282.438 | -1.586 | -1.586 | 0.000 | -0.000 | -0.000 |
| -1.586 | 282.438 | -1.586 | 0.000 | 0.000 | -0.000 |
| -1.586 | -1.586 | 282.438 | -0.000 | -0.000 | -0.000 |
| -0.018 | -0.018 | -0.018 | -2.751 | 0.000 | -0.000 |
| -0.018 | -0.018 | -0.018 | -0.000 | -2.751 | -0.000 |
| -0.018 | -0.018 | -0.018 | 0.000 | -0.000 | -2.751 |
| 282.762 | -1.550 | -1.550 | -0.000 | -0.000 | 0.000 |
| -1.550 | 282.762 | -1.550 | 0.000 | -0.000 | 0.000 |
| -1.550 | -1.550 | 282.762 | 0.000 | 0.000 | 0.000 |
| 0.018 | 0.018 | 0.018 | -2.751 | -0.000 | -0.000 |
| 0.018 | 0.018 | 0.018 | -0.000 | -2.751 | 0.000 |
| 0.018 | 0.018 | 0.018 | 0.000 | 0.000 | -2.751 |
| 250.894 | 67.421 | 67.421 | 0.000 | 0.000 | 0.000 |
| 67.421 | 250.894 | 67.421 | 0.000 | 0.000 | 0.000 |
| 67.421 | 67.421 | 250.894 | 0.000 | 0.000 | -0.000 |
| 0.000 | 0.000 | -0.000 | 64.840 | 0.000 | -0.000 |
| -0.000 | 0.000 | 0.000 | 0.000 | 64.840 | -0.000 |
| -0.000 | -0.000 | -0.000 | 0.000 | 0.000 | 64.840 |
| 250.894 | 67.421 | 67.421 | -0.000 | 0.000 | -0.000 |
| 67.421 | 250.894 | 67.421 | 0.000 | -0.000 | -0.000 |
| 67.421 | 67.421 | 250.894 | -0.000 | -0.000 | 0.000 |
| -0.000 | 0.000 | 0.000 | 64.840 | -0.000 | 0.000 |
| 0.000 | -0.000 | 0.000 | -0.000 | 64.840 | 0.000 |
| 0.000 | 0.000 | 0.000 | -0.000 | -0.000 | 64.840 |
| 250.894 | 67.421 | 67.421 | 0.000 | 0.000 | -0.000 |
| 67.421 | 250.894 | 67.421 | -0.000 | 0.000 | -0.000 |
| 67.421 | 67.421 | 250.894 | 0.000 | 0.000 | -0.000 |
| 0.000 | -0.000 | -0.000 | 64.840 | 0.000 | -0.000 |
| -0.000 | 0.000 | -0.000 | -0.000 | 64.840 | -0.000 |
| -0.000 | -0.000 | 0.000 | -0.000 | 0.000 | 64.840 |
| 250.895 | 67.421 | 67.421 | -0.000 | -0.000 | -0.000 |
| 67.421 | 250.895 | 67.421 | -0.000 | -0.000 | -0.000 |
| 67.421 | 67.421 | 250.895 | -0.000 | -0.000 | -0.000 |
| -0.000 | 0.000 | 0.000 | 64.840 | 0.000 | -0.000 |
| 0.000 | -0.000 | 0.000 | 0.000 | 64.840 | 0.000 |
| 0.000 | 0.000 | -0.000 | -0.000 | -0.000 | 64.840 |
| 250.892 | 67.421 | 67.421 | 0.000 | 0.000 | -0.000 |
| 67.421 | 250.892 | 67.421 | 0.000 | 0.000 | -0.000 |
| 67.421 | 67.421 | 250.892 | 0.000 | 0.000 | -0.000 |
| 0.000 | -0.000 | -0.000 | 64.840 | 0.000 | -0.000 |
| -0.000 | 0.000 | -0.000 | -0.000 | 64.840 | -0.000 |
| -0.000 | -0.000 | 0.000 | -0.000 | 0.000 | 64.840 |
| 250.897 | 67.421 | 67.421 | -0.000 | -0.000 | 0.000 |
| 67.421 | 250.897 | 67.421 | -0.000 | -0.000 | 0.000 |
| 67.421 | 67.421 | 250.897 | 0.000 | -0.000 | 0.000 |
| -0.000 | 0.000 | 0.000 | 64.840 | -0.000 | -0.000 |
| 0.000 | -0.000 | 0.000 | -0.000 | 64.840 | 0.000 |
| 0.000 | 0.000 | -0.000 | -0.000 | -0.000 | 64.840 |
| 75.614 | 74.114 | 74.114 | 0.000 | 0.000 | 0.000 |
| 74.114 | 75.614 | 74.114 | 0.000 | 0.000 | 0.000 |
| 74.114 | 74.114 | 75.614 | 0.000 | 0.000 | 0.000 |
| -0.000 | -0.000 | 0.000 | -2.031 | 0.000 | 0.000 |
| -0.000 | -0.000 | 0.000 | 0.000 | -2.031 | 0.000 |
| -0.000 | -0.000 | 0.000 | 0.000 | 0.000 | -2.031 |
| 75.614 | 74.114 | 74.114 | -0.000 | -0.000 | -0.000 |
| 74.114 | 75.614 | 74.114 | -0.000 | -0.000 | -0.000 |
| 74.114 | 74.114 | 75.614 | -0.000 | -0.000 | -0.000 |
| 0.000 | 0.000 | -0.000 | -2.031 | -0.000 | -0.000 |
| 0.000 | 0.000 | -0.000 | -0.000 | -2.031 | -0.000 |
| 0.000 | 0.000 | -0.000 | -0.000 | -0.000 | -2.031 |
| 75.614 | 74.114 | 74.114 | 0.000 | 0.000 | 0.000 |
| 74.114 | 75.614 | 74.114 | 0.000 | 0.000 | 0.000 |
| 74.114 | 74.114 | 75.614 | 0.000 | 0.000 | 0.000 |
| -0.000 | -0.000 | -0.000 | -2.031 | 0.000 | 0.000 |
| -0.000 | -0.000 | -0.000 | 0.000 | -2.031 | 0.000 |
| -0.000 | -0.000 | -0.000 | 0.000 | 0.000 | -2.031 |
| 75.614 | 74.114 | 74.114 | -0.000 | -0.000 | -0.000 |
| 74.114 | 75.614 | 74.114 | -0.000 | -0.000 | -0.000 |
| 74.114 | 74.114 | 75.614 | -0.000 | -0.000 | -0.000 |
| 0.000 | 0.000 | 0.000 | -2.031 | -0.000 | -0.000 |
| 0.000 | 0.000 | 0.000 | -0.000 | -2.031 | -0.000 |
| 0.000 | 0.000 | 0.000 | -0.000 | -0.000 | -2.031 |
| 75.614 | 74.115 | 74.115 | 0.000 | 0.000 | 0.000 |
| 74.115 | 75.614 | 74.115 | 0.000 | 0.000 | 0.000 |
| 74.115 | 74.115 | 75.614 | 0.000 | 0.000 | 0.000 |
| -0.000 | -0.000 | -0.000 | -2.031 | 0.000 | 0.000 |
| -0.000 | -0.000 | -0.000 | 0.000 | -2.031 | 0.000 |
| -0.000 | -0.000 | -0.000 | 0.000 | 0.000 | -2.031 |
| 75.613 | 74.114 | 74.114 | -0.000 | -0.000 | -0.000 |
| 74.114 | 75.613 | 74.114 | -0.000 | -0.000 | -0.000 |
| 74.114 | 74.114 | 75.613 | -0.000 | -0.000 | -0.000 |
| 0.000 | 0.000 | 0.000 | -2.031 | -0.000 | -0.000 |
| 0.000 | 0.000 | 0.000 | -0.000 | -2.031 | -0.000 |
| 0.000 | 0.000 | 0.000 | -0.000 | -0.000 | -2.031 |
| 160.626 | 92.679 | 94.248 | -0.000 | -0.000 | 0.000 |
| 96.191 | 138.471 | 85.273 | 0.000 | -0.000 | 0.000 |
| 90.228 | 84.282 | 129.790 | -0.000 | -0.000 | 0.000 |
| 0.271 | -4.322 | 4.965 | 22.078 | -0.000 | 0.000 |
| 0.130 | -2.065 | 2.372 | 0.000 | 90.367 | 0.000 |
| 0.129 | -2.060 | 2.366 | 0.000 | -0.000 | 94.277 |
| 160.365 | 96.846 | 89.461 | 0.000 | 0.000 | -0.000 |
| 96.183 | 138.599 | 85.126 | 0.000 | 0.000 | -0.000 |
| 89.680 | 93.009 | 119.764 | -0.000 | 0.000 | -0.000 |
| -0.271 | 4.322 | -4.965 | 22.078 | 0.000 | 0.000 |
| -0.130 | 2.065 | -2.372 | -0.000 | 90.367 | -0.000 |
| -0.129 | 2.060 | -2.366 | -0.000 | 0.000 | 94.277 |
| 160.555 | 93.812 | 92.947 | -0.000 | -0.000 | 0.000 |
| 94.525 | 165.003 | 54.793 | -0.000 | -0.000 | 0.000 |
| 89.982 | 88.198 | 125.291 | 0.000 | -0.000 | 0.000 |
| 0.027 | -0.432 | 0.496 | 22.097 | -0.000 | -0.000 |
| 0.023 | -0.373 | 0.429 | 0.000 | 90.338 | 0.000 |
| 0.013 | -0.206 | 0.237 | -0.000 | -0.000 | 94.277 |
| 160.555 | 93.812 | 92.947 | -0.000 | 0.000 | -0.000 |
| 96.417 | 134.866 | 89.414 | -0.000 | 0.000 | -0.000 |
| 89.927 | 89.071 | 124.289 | -0.000 | 0.000 | -0.000 |
| -0.027 | 0.432 | -0.496 | 22.097 | 0.000 | -0.000 |
| -0.023 | 0.373 | -0.429 | -0.000 | 90.338 | -0.000 |
| -0.013 | 0.206 | -0.237 | 0.000 | 0.000 | 94.277 |
| 160.437 | 95.699 | 90.781 | -0.000 | -0.000 | 0.000 |
| 96.459 | 134.207 | 90.173 | 0.000 | -0.000 | 0.000 |
| 89.958 | 88.590 | 124.841 | -0.000 | -0.000 | 0.000 |
| 0.003 | -0.043 | 0.050 | 22.098 | -0.000 | -0.000 |
| 0.003 | -0.036 | 0.042 | 0.000 | 90.339 | 0.000 |
| 0.002 | -0.020 | 0.024 | -0.000 | -0.000 | 94.277 |
| 160.431 | 95.785 | 90.679 | -0.000 | 0.000 | -0.000 |
| 96.452 | 134.292 | 90.073 | -0.000 | 0.000 | -0.000 |
| 89.952 | 88.676 | 124.741 | 0.000 | 0.000 | -0.000 |
| -0.003 | 0.043 | -0.050 | 22.098 | 0.000 | -0.000 |
| -0.003 | 0.036 | -0.042 | -0.000 | 90.339 | -0.000 |
| -0.002 | 0.020 | -0.024 | -0.000 | 0.000 | 94.277 |
| 147.488 | 89.296 | 89.296 | -0.000 | 0.000 | -0.000 |
| 89.296 | 147.488 | 89.296 | -0.000 | 0.000 | -0.000 |
| 89.296 | 89.296 | 147.488 | -0.000 | 0.000 | 0.000 |
| 0.000 | 0.000 | -0.000 | 28.395 | 0.000 | 0.000 |
| -0.000 | 0.000 | -0.000 | -0.000 | 28.396 | -0.000 |
| -0.000 | 0.000 | -0.000 | -0.000 | 0.000 | 28.396 |
| 147.488 | 89.296 | 89.296 | 0.000 | -0.000 | 0.000 |
| 89.296 | 147.488 | 89.296 | 0.000 | -0.000 | -0.000 |
| 89.296 | 89.296 | 147.488 | 0.000 | -0.000 | 0.000 |
| -0.000 | 0.000 | 0.000 | 28.396 | -0.000 | 0.000 |
| 0.000 | -0.000 | 0.000 | 0.000 | 28.395 | 0.000 |
| 0.000 | -0.000 | 0.000 | 0.000 | -0.000 | 28.396 |
| 147.488 | 89.296 | 89.296 | -0.000 | 0.000 | -0.000 |
| 89.296 | 147.488 | 89.296 | -0.000 | 0.000 | -0.000 |
| 89.296 | 89.296 | 147.488 | -0.000 | 0.000 | -0.000 |
| 0.000 | -0.000 | -0.000 | 28.396 | 0.000 | 0.000 |
| -0.000 | 0.000 | -0.000 | -0.000 | 28.396 | 0.000 |
| -0.000 | -0.000 | 0.000 | -0.000 | 0.000 | 28.396 |
| 147.488 | 89.296 | 89.296 | 0.000 | 0.000 | 0.000 |
| 89.296 | 147.488 | 89.296 | 0.000 | -0.000 | 0.000 |
| 89.296 | 89.296 | 147.488 | 0.000 | -0.000 | -0.000 |
| -0.000 | 0.000 | 0.000 | 28.396 | -0.000 | 0.000 |
| 0.000 | -0.000 | 0.000 | 0.000 | 28.396 | 0.000 |
| 0.000 | 0.000 | -0.000 | 0.000 | 0.000 | 28.396 |
| 147.489 | 89.296 | 89.296 | 0.000 | 0.000 | -0.000 |
| 89.296 | 147.489 | 89.296 | -0.000 | 0.000 | 0.000 |
| 89.296 | 89.296 | 147.489 | -0.000 | 0.000 | 0.000 |
| 0.000 | -0.000 | -0.000 | 28.396 | 0.000 | 0.000 |
| -0.000 | 0.000 | -0.000 | -0.000 | 28.396 | 0.000 |
| -0.000 | -0.000 | 0.000 | -0.000 | 0.000 | 28.396 |
| 147.488 | 89.295 | 89.295 | 0.000 | -0.000 | 0.000 |
| 89.295 | 147.488 | 89.295 | 0.000 | -0.000 | 0.000 |
| 89.295 | 89.295 | 147.488 | 0.000 | -0.000 | -0.000 |
| -0.000 | 0.000 | 0.000 | 28.396 | -0.000 | 0.000 |
| 0.000 | -0.000 | 0.000 | 0.000 | 28.396 | 0.000 |
| 0.000 | 0.000 | -0.000 | 0.000 | -0.000 | 28.396 |
| 104.915 | 77.686 | 77.686 | 0.000 | 0.000 | -0.000 |
| 77.686 | 104.915 | 77.686 | 0.000 | -0.000 | -0.000 |
| 77.686 | 77.686 | 104.915 | 0.000 | 0.000 | -0.000 |
| 0.000 | 0.000 | 0.000 | 77.893 | -0.000 | -0.000 |
| 0.000 | 0.000 | 0.000 | 0.000 | 77.893 | -0.000 |
| 0.000 | 0.000 | 0.000 | -0.000 | -0.000 | 77.893 |
| 104.915 | 77.686 | 77.686 | -0.000 | -0.000 | 0.000 |
| 77.686 | 104.915 | 77.686 | -0.000 | -0.000 | 0.000 |
| 77.686 | 77.686 | 104.915 | -0.000 | -0.000 | 0.000 |
| -0.000 | -0.000 | -0.000 | 77.893 | 0.000 | -0.000 |
| -0.000 | -0.000 | -0.000 | 0.000 | 77.893 | 0.000 |
| -0.000 | -0.000 | -0.000 | -0.000 | -0.000 | 77.893 |
| 104.915 | 77.686 | 77.686 | 0.000 | -0.000 | -0.000 |
| 77.686 | 104.915 | 77.686 | 0.000 | 0.000 | -0.000 |
| 77.686 | 77.686 | 104.915 | 0.000 | 0.000 | 0.000 |
| 0.000 | 0.000 | 0.000 | 77.893 | -0.000 | -0.000 |
| 0.000 | 0.000 | 0.000 | 0.000 | 77.893 | -0.000 |
| 0.000 | 0.000 | 0.000 | 0.000 | 0.000 | 77.893 |
| 104.915 | 77.686 | 77.686 | -0.000 | 0.000 | 0.000 |
| 77.686 | 104.915 | 77.686 | -0.000 | 0.000 | 0.000 |
| 77.686 | 77.686 | 104.915 | -0.000 | -0.000 | 0.000 |
| -0.000 | -0.000 | -0.000 | 77.893 | 0.000 | 0.000 |
| -0.000 | -0.000 | -0.000 | -0.000 | 77.893 | -0.000 |
| -0.000 | -0.000 | -0.000 | -0.000 | -0.000 | 77.893 |
| 104.916 | 77.686 | 77.686 | 0.000 | 0.000 | -0.000 |
| 77.686 | 104.916 | 77.686 | 0.000 | 0.000 | -0.000 |
| 77.686 | 77.686 | 104.916 | 0.000 | -0.000 | -0.000 |
| 0.000 | 0.000 | 0.000 | 68.967 | -0.000 | -0.000 |
| 0.000 | 0.000 | 0.000 | -0.000 | 68.967 | -0.000 |
| 0.000 | 0.000 | 0.000 | 0.000 | 0.000 | 68.967 |
| 104.915 | 77.686 | 77.686 | -0.000 | 0.000 | 0.000 |
| 77.686 | 104.915 | 77.686 | -0.000 | 0.000 | 0.000 |
| 77.686 | 77.686 | 104.915 | -0.000 | -0.000 | 0.000 |
| -0.000 | -0.000 | -0.000 | 68.967 | -0.000 | 0.000 |
| -0.000 | -0.000 | -0.000 | -0.000 | 68.967 | 0.000 |
| -0.000 | -0.000 | -0.000 | 0.000 | -0.000 | 68.967 |
| 104.636 | 82.356 | 82.356 | 0.000 | -0.000 | 0.000 |
| 82.356 | 104.636 | 82.356 | 0.000 | -0.000 | 0.000 |
| 82.356 | 82.356 | 104.636 | 0.000 | -0.000 | 0.000 |
| 0.000 | 0.000 | -0.000 | 81.839 | 0.000 | 0.000 |
| 0.000 | 0.000 | -0.000 | 0.000 | 81.839 | 0.000 |
| 0.000 | 0.000 | -0.000 | 0.000 | 0.000 | 81.839 |
| 104.636 | 82.356 | 82.356 | -0.000 | -0.000 | -0.000 |
| 82.356 | 104.636 | 82.356 | -0.000 | 0.000 | -0.000 |
| 82.356 | 82.356 | 104.636 | -0.000 | -0.000 | -0.000 |
| -0.000 | -0.000 | 0.000 | 81.839 | -0.000 | -0.000 |
| -0.000 | -0.000 | 0.000 | -0.000 | 81.839 | -0.000 |
| -0.000 | -0.000 | 0.000 | -0.000 | -0.000 | 81.839 |
| 104.636 | 82.356 | 82.356 | 0.000 | -0.000 | 0.000 |
| 82.356 | 104.636 | 82.356 | 0.000 | -0.000 | 0.000 |
| 82.356 | 82.356 | 104.636 | 0.000 | -0.000 | 0.000 |
| 0.000 | 0.000 | 0.000 | 81.839 | 0.000 | 0.000 |
| 0.000 | 0.000 | 0.000 | 0.000 | 81.839 | 0.000 |
| 0.000 | 0.000 | 0.000 | 0.000 | 0.000 | 81.839 |
| 104.636 | 82.356 | 82.356 | -0.000 | -0.000 | -0.000 |
| 82.356 | 104.636 | 82.356 | -0.000 | -0.000 | -0.000 |
| 82.356 | 82.356 | 104.636 | -0.000 | 0.000 | -0.000 |
| -0.000 | -0.000 | -0.000 | 81.839 | -0.000 | -0.000 |
| -0.000 | -0.000 | -0.000 | -0.000 | 81.839 | -0.000 |
| -0.000 | -0.000 | -0.000 | -0.000 | -0.000 | 81.839 |
| 104.636 | 82.356 | 82.356 | 0.000 | -0.000 | 0.000 |
| 82.356 | 104.636 | 82.356 | 0.000 | -0.000 | 0.000 |
| 82.356 | 82.356 | 104.636 | 0.000 | -0.000 | 0.000 |
| 0.000 | 0.000 | 0.000 | 77.748 | -0.000 | 0.000 |
| 0.000 | 0.000 | 0.000 | 0.000 | 77.748 | 0.000 |
| 0.000 | 0.000 | 0.000 | 0.000 | -0.000 | 77.748 |
| 104.635 | 82.356 | 82.356 | -0.000 | 0.000 | -0.000 |
| 82.356 | 104.635 | 82.356 | -0.000 | 0.000 | -0.000 |
| 82.356 | 82.356 | 104.635 | -0.000 | 0.000 | -0.000 |
| -0.000 | -0.000 | -0.000 | 77.748 | 0.000 | -0.000 |
| -0.000 | -0.000 | -0.000 | -0.000 | 77.748 | -0.000 |
| -0.000 | -0.000 | -0.000 | -0.000 | 0.000 | 77.748 |
| 19.817 | 33.829 | 33.829 | 0.000 | 0.000 | -0.000 |
| 33.829 | 19.817 | 33.829 | 0.000 | 0.000 | -0.000 |
| 33.829 | 33.829 | 19.817 | -0.000 | 0.000 | -0.000 |
| 0.000 | 0.000 | -0.000 | -5.252 | -0.000 | -0.000 |
| -0.000 | 0.000 | -0.000 | -0.000 | -5.252 | -0.000 |
| 0.000 | 0.000 | -0.000 | -0.000 | 0.000 | -5.252 |
| 19.817 | 33.829 | 33.829 | -0.000 | -0.000 | 0.000 |
| 33.829 | 19.817 | 33.829 | -0.000 | -0.000 | 0.000 |
| 33.829 | 33.829 | 19.817 | -0.000 | -0.000 | 0.000 |
| -0.000 | -0.000 | 0.000 | -5.252 | 0.000 | 0.000 |
| 0.000 | -0.000 | 0.000 | 0.000 | -5.252 | 0.000 |
| 0.000 | -0.000 | 0.000 | 0.000 | -0.000 | -5.252 |
| 19.817 | 33.829 | 33.829 | 0.000 | 0.000 | -0.000 |
| 33.829 | 19.817 | 33.829 | 0.000 | -0.000 | -0.000 |
| 33.829 | 33.829 | 19.817 | 0.000 | 0.000 | -0.000 |
| 0.000 | 0.000 | 0.000 | -5.252 | 0.000 | -0.000 |
| 0.000 | 0.000 | 0.000 | -0.000 | -5.252 | -0.000 |
| 0.000 | 0.000 | 0.000 | -0.000 | 0.000 | -5.252 |
| 19.817 | 33.829 | 33.829 | -0.000 | -0.000 | 0.000 |
| 33.829 | 19.817 | 33.829 | -0.000 | -0.000 | 0.000 |
| 33.829 | 33.829 | 19.817 | -0.000 | -0.000 | 0.000 |
| -0.000 | -0.000 | -0.000 | -5.252 | -0.000 | 0.000 |
| -0.000 | -0.000 | -0.000 | 0.000 | -5.252 | 0.000 |
| -0.000 | -0.000 | -0.000 | 0.000 | -0.000 | -5.252 |
| 19.818 | 33.830 | 33.830 | 0.000 | 0.000 | -0.000 |
| 33.830 | 19.818 | 33.830 | 0.000 | 0.000 | -0.000 |
| 33.830 | 33.830 | 19.818 | 0.000 | 0.000 | -0.000 |
| 0.000 | 0.000 | 0.000 | -5.252 | -0.000 | -0.000 |
| 0.000 | 0.000 | 0.000 | 0.000 | -5.252 | -0.000 |
| 0.000 | 0.000 | 0.000 | 0.000 | 0.000 | -5.252 |
| 19.817 | 33.829 | 33.829 | -0.000 | -0.000 | 0.000 |
| 33.829 | 19.817 | 33.829 | -0.000 | -0.000 | 0.000 |
| 33.829 | 33.829 | 19.817 | -0.000 | -0.000 | 0.000 |
| -0.000 | -0.000 | -0.000 | -5.252 | 0.000 | 0.000 |
| -0.000 | -0.000 | -0.000 | -0.000 | -5.252 | 0.000 |
| -0.000 | -0.000 | -0.000 | 0.000 | -0.000 | -5.252 |
| 94.945 | 14.244 | 14.244 | -0.000 | 0.000 | -0.000 |
| 14.244 | 94.945 | 14.244 | -0.000 | 0.000 | -0.000 |
| 14.244 | 14.244 | 94.945 | -0.000 | -0.000 | -0.000 |
| -0.000 | 0.000 | 0.000 | -17.371 | 0.000 | -0.000 |
| 0.000 | 0.000 | -0.000 | -0.000 | -17.371 | -0.000 |
| -0.000 | 0.000 | -0.000 | -0.000 | -0.000 | -17.371 |
| 94.945 | 14.244 | 14.244 | 0.000 | 0.000 | 0.000 |
| 14.244 | 94.945 | 14.244 | 0.000 | -0.000 | 0.000 |
| 14.244 | 14.244 | 94.945 | 0.000 | -0.000 | 0.000 |
| 0.000 | -0.000 | -0.000 | -17.371 | -0.000 | -0.000 |
| -0.000 | -0.000 | 0.000 | 0.000 | -17.371 | -0.000 |
| -0.000 | -0.000 | 0.000 | 0.000 | -0.000 | -17.371 |
| 94.945 | 14.244 | 14.244 | -0.000 | 0.000 | -0.000 |
| 14.244 | 94.945 | 14.244 | -0.000 | -0.000 | -0.000 |
| 14.244 | 14.244 | 94.945 | -0.000 | -0.000 | -0.000 |
| 0.000 | 0.000 | 0.000 | -17.371 | 0.000 | -0.000 |
| 0.000 | 0.000 | 0.000 | -0.000 | -17.371 | -0.000 |
| 0.000 | 0.000 | 0.000 | -0.000 | 0.000 | -17.371 |
| 94.945 | 14.244 | 14.244 | 0.000 | -0.000 | -0.000 |
| 14.244 | 94.945 | 14.244 | 0.000 | -0.000 | 0.000 |
| 14.244 | 14.244 | 94.945 | 0.000 | 0.000 | 0.000 |
| -0.000 | -0.000 | -0.000 | -17.371 | 0.000 | 0.000 |
| -0.000 | -0.000 | -0.000 | 0.000 | -17.371 | 0.000 |
| -0.000 | -0.000 | -0.000 | -0.000 | -0.000 | -17.371 |
| 94.946 | 14.245 | 14.245 | 0.000 | 0.000 | -0.000 |
| 14.245 | 94.946 | 14.245 | -0.000 | 0.000 | 0.000 |
| 14.245 | 14.245 | 94.946 | -0.000 | -0.000 | -0.000 |
| 0.000 | 0.000 | 0.000 | -17.371 | -0.000 | -0.000 |
| 0.000 | 0.000 | 0.000 | -0.000 | -17.371 | -0.000 |
| 0.000 | 0.000 | 0.000 | -0.000 | 0.000 | -17.371 |
| 94.944 | 14.244 | 14.244 | 0.000 | 0.000 | 0.000 |
| 14.244 | 94.944 | 14.244 | 0.000 | 0.000 | 0.000 |
| 14.244 | 14.244 | 94.944 | 0.000 | -0.000 | 0.000 |
| -0.000 | -0.000 | -0.000 | -17.371 | -0.000 | 0.000 |
| -0.000 | -0.000 | -0.000 | 0.000 | -17.371 | -0.000 |
| -0.000 | -0.000 | -0.000 | 0.000 | -0.000 | -17.371 |
| 49.432 | 54.609 | 54.609 | -0.000 | -0.000 | 0.000 |
| 54.609 | 49.432 | 54.609 | -0.000 | -0.000 | 0.000 |
| 54.609 | 54.609 | 49.432 | -0.000 | -0.000 | 0.000 |
| 0.000 | 0.000 | -0.000 | 44.485 | -0.000 | 0.000 |
| 0.000 | 0.000 | -0.000 | -0.000 | 44.485 | 0.000 |
| 0.000 | 0.000 | 0.000 | -0.000 | -0.000 | 44.485 |
| 49.432 | 54.609 | 54.609 | 0.000 | 0.000 | -0.000 |
| 54.609 | 49.432 | 54.609 | 0.000 | 0.000 | -0.000 |
| 54.609 | 54.609 | 49.432 | 0.000 | 0.000 | -0.000 |
| -0.000 | -0.000 | 0.000 | 44.485 | 0.000 | -0.000 |
| -0.000 | -0.000 | -0.000 | 0.000 | 44.485 | -0.000 |
| -0.000 | -0.000 | -0.000 | 0.000 | 0.000 | 44.485 |
| 49.432 | 54.609 | 54.609 | -0.000 | -0.000 | 0.000 |
| 54.609 | 49.432 | 54.609 | -0.000 | -0.000 | 0.000 |
| 54.609 | 54.609 | 49.432 | -0.000 | -0.000 | 0.000 |
| 0.000 | 0.000 | 0.000 | 44.485 | 0.000 | 0.000 |
| 0.000 | 0.000 | 0.000 | -0.000 | 44.485 | 0.000 |
| 0.000 | 0.000 | 0.000 | 0.000 | -0.000 | 44.485 |
| 49.432 | 54.609 | 54.609 | 0.000 | 0.000 | -0.000 |
| 54.609 | 49.432 | 54.609 | 0.000 | 0.000 | -0.000 |
| 54.609 | 54.609 | 49.432 | -0.000 | 0.000 | -0.000 |
| -0.000 | -0.000 | -0.000 | 44.485 | 0.000 | -0.000 |
| -0.000 | -0.000 | -0.000 | 0.000 | 44.485 | -0.000 |
| -0.000 | -0.000 | -0.000 | -0.000 | 0.000 | 44.485 |
| 49.433 | 54.609 | 54.609 | -0.000 | -0.000 | 0.000 |
| 54.609 | 49.433 | 54.609 | -0.000 | -0.000 | 0.000 |
| 54.609 | 54.609 | 49.433 | -0.000 | -0.000 | 0.000 |
| 0.000 | 0.000 | 0.000 | 44.485 | -0.000 | 0.000 |
| 0.000 | 0.000 | 0.000 | -0.000 | 44.485 | 0.000 |
| 0.000 | 0.000 | 0.000 | -0.000 | -0.000 | 44.485 |
| 49.432 | 54.609 | 54.609 | 0.000 | 0.000 | -0.000 |
| 54.609 | 49.432 | 54.609 | 0.000 | 0.000 | -0.000 |
| 54.609 | 54.609 | 49.432 | -0.000 | 0.000 | -0.000 |
| -0.000 | -0.000 | -0.000 | 44.485 | 0.000 | -0.000 |
| -0.000 | -0.000 | -0.000 | 0.000 | 44.485 | -0.000 |
| -0.000 | -0.000 | -0.000 | 0.000 | 0.000 | 44.485 |
| 74.990 | 34.060 | 34.060 | 0.000 | 0.000 | 0.000 |
| 34.060 | 74.990 | 34.060 | 0.000 | 0.000 | 0.000 |
| 34.060 | 34.060 | 74.990 | 0.000 | 0.000 | 0.000 |
| -0.000 | -0.000 | 0.000 | 33.640 | 0.000 | -0.000 |
| 0.000 | 0.000 | 0.000 | 0.000 | 33.640 | 0.000 |
| 0.000 | 0.000 | -0.000 | -0.000 | -0.000 | 33.640 |
| 74.990 | 34.060 | 34.060 | -0.000 | 0.000 | -0.000 |
| 34.060 | 74.990 | 34.060 | -0.000 | 0.000 | 0.000 |
| 34.060 | 34.060 | 74.990 | -0.000 | -0.000 | -0.000 |
| 0.000 | -0.000 | -0.000 | 33.640 | -0.000 | -0.000 |
| -0.000 | -0.000 | -0.000 | 0.000 | 33.640 | -0.000 |
| -0.000 | -0.000 | 0.000 | -0.000 | -0.000 | 33.640 |
| 74.990 | 34.060 | 34.060 | 0.000 | -0.000 | 0.000 |
| 34.060 | 74.990 | 34.060 | 0.000 | -0.000 | 0.000 |
| 34.060 | 34.060 | 74.990 | 0.000 | 0.000 | 0.000 |
| -0.000 | 0.000 | 0.000 | 33.640 | -0.000 | 0.000 |
| 0.000 | -0.000 | 0.000 | 0.000 | 33.640 | 0.000 |
| 0.000 | 0.000 | -0.000 | 0.000 | 0.000 | 33.640 |
| 74.990 | 34.060 | 34.060 | -0.000 | 0.000 | -0.000 |
| 34.060 | 74.990 | 34.060 | -0.000 | 0.000 | -0.000 |
| 34.060 | 34.060 | 74.990 | -0.000 | -0.000 | -0.000 |
| 0.000 | -0.000 | -0.000 | 33.640 | -0.000 | -0.000 |
| -0.000 | 0.000 | -0.000 | -0.000 | 33.640 | -0.000 |
| -0.000 | -0.000 | 0.000 | -0.000 | 0.000 | 33.640 |
| 74.990 | 34.060 | 34.060 | 0.000 | 0.000 | 0.000 |
| 34.060 | 74.990 | 34.060 | 0.000 | 0.000 | 0.000 |
| 34.060 | 34.060 | 74.990 | 0.000 | -0.000 | 0.000 |
| -0.000 | 0.000 | 0.000 | 33.640 | 0.000 | -0.000 |
| 0.000 | -0.000 | 0.000 | 0.000 | 33.640 | 0.000 |
| 0.000 | 0.000 | -0.000 | 0.000 | 0.000 | 33.640 |
| 74.989 | 34.060 | 34.060 | -0.000 | 0.000 | -0.000 |
| 34.060 | 74.989 | 34.060 | -0.000 | 0.000 | -0.000 |
| 34.060 | 34.060 | 74.989 | -0.000 | 0.000 | -0.000 |
| 0.000 | -0.000 | -0.000 | 33.640 | -0.000 | -0.000 |
| -0.000 | 0.000 | -0.000 | -0.000 | 33.640 | -0.000 |
| -0.000 | -0.000 | 0.000 | -0.000 | -0.000 | 33.640 |
| 356.147 | 132.149 | 132.149 | 0.000 | -0.000 | 0.000 |
| 132.149 | 356.147 | 132.149 | -0.000 | 0.000 | 0.000 |
| 132.149 | 132.149 | 356.147 | 0.000 | 0.000 | 0.000 |
| 0.000 | 0.000 | 0.000 | 120.389 | -0.000 | -0.000 |
| 0.000 | 0.000 | 0.000 | 0.000 | 120.389 | 0.000 |
| 0.000 | 0.000 | 0.000 | 0.000 | 0.000 | 120.389 |
| 356.147 | 132.149 | 132.149 | 0.000 | -0.000 | -0.000 |
| 132.149 | 356.147 | 132.149 | -0.000 | 0.000 | 0.000 |
| 132.149 | 132.149 | 356.147 | 0.000 | 0.000 | 0.000 |
| -0.000 | -0.000 | -0.000 | 120.389 | 0.000 | -0.000 |
| -0.000 | -0.000 | -0.000 | 0.000 | 120.389 | -0.000 |
| -0.000 | -0.000 | -0.000 | -0.000 | 0.000 | 120.389 |
| 356.147 | 132.149 | 132.149 | 0.000 | 0.000 | 0.000 |
| 132.149 | 356.147 | 132.149 | 0.000 | -0.000 | 0.000 |
| 132.149 | 132.149 | 356.147 | 0.000 | -0.000 | 0.000 |
| 0.000 | 0.000 | 0.000 | 120.389 | -0.000 | 0.000 |
| 0.000 | 0.000 | 0.000 | 0.000 | 120.389 | 0.000 |
| 0.000 | 0.000 | 0.000 | 0.000 | -0.000 | 120.389 |
| 356.147 | 132.149 | 132.149 | 0.000 | 0.000 | -0.000 |
| 132.149 | 356.147 | 132.149 | 0.000 | 0.000 | -0.000 |
| 132.149 | 132.149 | 356.147 | -0.000 | 0.000 | -0.000 |
| -0.000 | -0.000 | -0.000 | 120.389 | 0.000 | 0.000 |
| -0.000 | -0.000 | -0.000 | -0.000 | 120.389 | -0.000 |
| -0.000 | -0.000 | -0.000 | -0.000 | 0.000 | 120.389 |
| 356.151 | 132.150 | 132.150 | -0.000 | -0.000 | 0.000 |
| 132.150 | 356.151 | 132.150 | -0.000 | -0.000 | 0.000 |
| 132.150 | 132.150 | 356.151 | 0.000 | -0.000 | 0.000 |
| 0.001 | 0.001 | 0.001 | 120.389 | 0.000 | -0.000 |
| 0.001 | 0.001 | 0.001 | -0.000 | 120.389 | -0.000 |
| 0.001 | 0.001 | 0.001 | -0.000 | -0.000 | 120.389 |
| 356.143 | 132.148 | 132.148 | 0.000 | 0.000 | 0.000 |
| 132.148 | 356.143 | 132.148 | 0.000 | 0.000 | 0.000 |
| 132.148 | 132.148 | 356.143 | -0.000 | 0.000 | -0.000 |
| -0.001 | -0.001 | -0.001 | 120.389 | -0.000 | -0.000 |
| -0.001 | -0.001 | -0.001 | 0.000 | 120.389 | -0.000 |
| -0.001 | -0.001 | -0.001 | 0.000 | 0.000 | 120.389 |
| 66.040 | 63.675 | 63.675 | 0.000 | 0.000 | 0.000 |
| 63.675 | 66.040 | 63.675 | 0.000 | 0.000 | 0.000 |
| 63.675 | 63.675 | 66.040 | 0.000 | 0.000 | 0.000 |
| -0.000 | -0.000 | 0.000 | 17.320 | 0.000 | 0.000 |
| -0.000 | -0.000 | 0.000 | 0.000 | 17.320 | 0.000 |
| -0.000 | -0.000 | 0.000 | 0.000 | 0.000 | 17.320 |
| 66.040 | 63.675 | 63.675 | -0.000 | -0.000 | -0.000 |
| 63.675 | 66.040 | 63.675 | -0.000 | -0.000 | -0.000 |
| 63.675 | 63.675 | 66.040 | -0.000 | 0.000 | -0.000 |
| 0.000 | 0.000 | -0.000 | 17.320 | -0.000 | -0.000 |
| 0.000 | 0.000 | -0.000 | -0.000 | 17.320 | -0.000 |
| 0.000 | 0.000 | -0.000 | -0.000 | -0.000 | 17.320 |
| 66.040 | 63.675 | 63.675 | 0.000 | 0.000 | 0.000 |
| 63.675 | 66.040 | 63.675 | 0.000 | 0.000 | 0.000 |
| 63.675 | 63.675 | 66.040 | 0.000 | 0.000 | 0.000 |
| 0.000 | -0.000 | 0.000 | 17.320 | 0.000 | 0.000 |
| 0.000 | 0.000 | 0.000 | 0.000 | 17.320 | 0.000 |
| 0.000 | 0.000 | 0.000 | 0.000 | 0.000 | 17.320 |
| 66.040 | 63.675 | 63.675 | -0.000 | -0.000 | -0.000 |
| 63.675 | 66.040 | 63.675 | -0.000 | -0.000 | -0.000 |
| 63.675 | 63.675 | 66.040 | -0.000 | -0.000 | -0.000 |
| -0.000 | 0.000 | -0.000 | 17.320 | -0.000 | -0.000 |
| -0.000 | -0.000 | -0.000 | -0.000 | 17.320 | -0.000 |
| -0.000 | -0.000 | -0.000 | -0.000 | -0.000 | 17.320 |
| 66.040 | 63.675 | 63.675 | 0.000 | 0.000 | 0.000 |
| 63.675 | 66.040 | 63.675 | 0.000 | 0.000 | 0.000 |
| 63.675 | 63.675 | 66.040 | 0.000 | 0.000 | 0.000 |
| 0.000 | 0.000 | 0.000 | 17.320 | 0.000 | 0.000 |
| 0.000 | 0.000 | 0.000 | 0.000 | 17.320 | 0.000 |
| 0.000 | 0.000 | 0.000 | 0.000 | 0.000 | 17.320 |
| 66.039 | 63.675 | 63.675 | -0.000 | -0.000 | -0.000 |
| 63.675 | 66.039 | 63.675 | -0.000 | -0.000 | -0.000 |
| 63.675 | 63.675 | 66.039 | -0.000 | -0.000 | -0.000 |
| -0.000 | -0.000 | -0.000 | 17.320 | -0.000 | -0.000 |
| -0.000 | -0.000 | -0.000 | -0.000 | 17.320 | -0.000 |
| -0.000 | -0.000 | -0.000 | -0.000 | -0.000 | 17.320 |
| 23.539 | 22.186 | 22.186 | 0.000 | -0.000 | -0.000 |
| 22.186 | 23.539 | 22.186 | 0.000 | -0.000 | -0.000 |
| 22.186 | 22.186 | 23.539 | -0.000 | -0.000 | -0.000 |
| 0.000 | 0.000 | 0.000 | 1.471 | -0.000 | -0.000 |
| 0.000 | 0.000 | 0.000 | 0.000 | 1.471 | -0.000 |
| 0.000 | -0.000 | 0.000 | 0.000 | -0.000 | 1.471 |
| 23.539 | 22.186 | 22.186 | -0.000 | -0.000 | 0.000 |
| 22.186 | 23.539 | 22.186 | -0.000 | -0.000 | 0.000 |
| 22.186 | 22.186 | 23.539 | -0.000 | -0.000 | 0.000 |
| -0.000 | -0.000 | -0.000 | 1.471 | 0.000 | 0.000 |
| -0.000 | 0.000 | -0.000 | -0.000 | 1.471 | 0.000 |
| -0.000 | 0.000 | -0.000 | -0.000 | 0.000 | 1.471 |
| 23.539 | 22.186 | 22.186 | 0.000 | -0.000 | -0.000 |
| 22.186 | 23.539 | 22.186 | 0.000 | 0.000 | -0.000 |
| 22.186 | 22.186 | 23.539 | 0.000 | -0.000 | -0.000 |
| 0.000 | 0.000 | 0.000 | 1.471 | 0.000 | -0.000 |
| 0.000 | 0.000 | 0.000 | 0.000 | 1.471 | -0.000 |
| 0.000 | 0.000 | 0.000 | 0.000 | -0.000 | 1.471 |
| 23.539 | 22.186 | 22.186 | -0.000 | 0.000 | 0.000 |
| 22.186 | 23.539 | 22.186 | -0.000 | -0.000 | 0.000 |
| 22.186 | 22.186 | 23.539 | -0.000 | -0.000 | 0.000 |
| -0.000 | -0.000 | -0.000 | 1.471 | -0.000 | 0.000 |
| -0.000 | -0.000 | -0.000 | -0.000 | 1.471 | 0.000 |
| -0.000 | -0.000 | -0.000 | -0.000 | -0.000 | 1.471 |
| 23.540 | 22.186 | 22.186 | 0.000 | 0.000 | -0.000 |
| 22.186 | 23.540 | 22.186 | 0.000 | 0.000 | -0.000 |
| 22.186 | 22.186 | 23.540 | 0.000 | 0.000 | -0.000 |
| 0.000 | 0.000 | 0.000 | 1.471 | -0.000 | -0.000 |
| 0.000 | 0.000 | 0.000 | 0.000 | 1.471 | -0.000 |
| 0.000 | 0.000 | 0.000 | 0.000 | 0.000 | 1.471 |
| 23.539 | 22.186 | 22.186 | -0.000 | 0.000 | 0.000 |
| 22.186 | 23.539 | 22.186 | -0.000 | 0.000 | 0.000 |
| 22.186 | 22.186 | 23.539 | -0.000 | 0.000 | 0.000 |
| -0.000 | -0.000 | -0.000 | 1.471 | 0.000 | 0.000 |
| -0.000 | -0.000 | -0.000 | -0.000 | 1.471 | 0.000 |
| -0.000 | -0.000 | -0.000 | -0.000 | 0.000 | 1.471 |
| 536.463 | 61.857 | 61.857 | 0.000 | 0.000 | 0.000 |
| 61.857 | 536.463 | 61.857 | 0.000 | -0.000 | 0.000 |
| 61.857 | 61.857 | 536.463 | 0.000 | 0.000 | 0.000 |
| -0.000 | -0.000 | -0.000 | 67.343 | 0.000 | 0.000 |
| -0.000 | -0.000 | -0.000 | 0.000 | 67.343 | 0.000 |
| -0.000 | -0.000 | -0.000 | 0.000 | 0.000 | 67.343 |
| 536.476 | 61.857 | 61.857 | -0.000 | -0.000 | -0.000 |
| 61.857 | 536.476 | 61.857 | 0.000 | -0.000 | -0.000 |
| 61.857 | 61.857 | 536.476 | 0.000 | -0.000 | -0.000 |
| 0.000 | 0.000 | 0.000 | 67.343 | -0.000 | -0.000 |
| 0.000 | 0.000 | 0.000 | -0.000 | 67.343 | -0.000 |
| 0.000 | 0.000 | 0.000 | -0.000 | -0.000 | 67.343 |
| 536.408 | 61.856 | 61.856 | 0.000 | 0.000 | 0.000 |
| 61.856 | 536.408 | 61.856 | 0.000 | 0.000 | 0.000 |
| 61.856 | 61.856 | 536.408 | -0.000 | -0.000 | 0.000 |
| -0.001 | -0.001 | -0.001 | 67.343 | 0.000 | 0.000 |
| -0.001 | -0.001 | -0.001 | 0.000 | 67.343 | 0.000 |
| -0.001 | -0.001 | -0.001 | 0.000 | 0.000 | 67.343 |
| 536.531 | 61.858 | 61.858 | 0.000 | 0.000 | -0.000 |
| 61.858 | 536.531 | 61.858 | -0.000 | -0.000 | -0.000 |
| 61.858 | 61.858 | 536.531 | 0.000 | -0.000 | -0.000 |
| 0.001 | 0.001 | 0.001 | 67.343 | -0.000 | -0.000 |
| 0.001 | 0.001 | 0.001 | -0.000 | 67.343 | -0.000 |
| 0.001 | 0.001 | 0.001 | -0.000 | -0.000 | 67.343 |
| 535.854 | 61.845 | 61.845 | 0.000 | -0.000 | 0.000 |
| 61.845 | 535.854 | 61.845 | 0.000 | 0.000 | 0.000 |
| 61.845 | 61.845 | 535.854 | 0.000 | 0.000 | 0.000 |
| -0.012 | -0.012 | -0.012 | 67.343 | 0.000 | 0.000 |
| -0.012 | -0.012 | -0.012 | 0.000 | 67.343 | 0.000 |
| -0.012 | -0.012 | -0.012 | 0.000 | 0.000 | 67.343 |
| 537.085 | 61.869 | 61.869 | -0.000 | -0.000 | -0.000 |
| 61.869 | 537.085 | 61.869 | -0.000 | -0.000 | -0.000 |
| 61.869 | 61.869 | 537.085 | 0.000 | -0.000 | -0.000 |
| 0.012 | 0.012 | 0.012 | 67.343 | -0.000 | -0.000 |
| 0.012 | 0.012 | 0.012 | -0.000 | 67.343 | -0.000 |
| 0.012 | 0.012 | 0.012 | -0.000 | -0.000 | 67.343 |
| 389.824 | -62.694 | -62.694 | -0.000 | -0.000 | -0.000 |
| -62.694 | 389.824 | -62.694 | -0.000 | -0.000 | -0.000 |
| -62.694 | -62.694 | 389.824 | -0.000 | 0.000 | 0.000 |
| 0.000 | 0.000 | -0.000 | -54.490 | -0.000 | 0.000 |
| 0.000 | 0.000 | -0.000 | -0.000 | -54.490 | 0.000 |
| 0.000 | 0.000 | -0.000 | -0.000 | -0.000 | -54.490 |
| 389.824 | -62.694 | -62.694 | 0.000 | 0.000 | -0.000 |
| -62.694 | 389.824 | -62.694 | 0.000 | 0.000 | -0.000 |
| -62.694 | -62.694 | 389.824 | 0.000 | 0.000 | -0.000 |
| -0.000 | -0.000 | 0.000 | -54.490 | 0.000 | -0.000 |
| -0.000 | -0.000 | -0.000 | 0.000 | -54.490 | -0.000 |
| -0.000 | 0.000 | 0.000 | 0.000 | 0.000 | -54.490 |
| 389.824 | -62.694 | -62.694 | -0.000 | -0.000 | 0.000 |
| -62.694 | 389.824 | -62.694 | -0.000 | -0.000 | 0.000 |
| -62.694 | -62.694 | 389.824 | -0.000 | -0.000 | -0.000 |
| 0.000 | 0.000 | 0.000 | -54.490 | -0.000 | 0.000 |
| 0.000 | 0.000 | 0.000 | -0.000 | -54.490 | 0.000 |
| 0.000 | 0.000 | 0.000 | -0.000 | -0.000 | -54.490 |
| 389.824 | -62.694 | -62.694 | 0.000 | 0.000 | -0.000 |
| -62.694 | 389.824 | -62.694 | 0.000 | 0.000 | -0.000 |
| -62.694 | -62.694 | 389.824 | 0.000 | 0.000 | -0.000 |
| -0.000 | -0.000 | -0.000 | -54.490 | 0.000 | 0.000 |
| -0.000 | -0.000 | -0.000 | 0.000 | -54.490 | -0.000 |
| -0.000 | -0.000 | -0.000 | 0.000 | 0.000 | -54.490 |
| 389.826 | -62.694 | -62.694 | -0.000 | -0.000 | 0.000 |
| -62.694 | 389.826 | -62.694 | -0.000 | -0.000 | 0.000 |
| -62.694 | -62.694 | 389.826 | -0.000 | -0.000 | 0.000 |
| 0.000 | 0.000 | 0.000 | -54.490 | -0.000 | 0.000 |
| 0.000 | 0.000 | 0.000 | -0.000 | -54.490 | 0.000 |
| 0.000 | 0.000 | 0.000 | -0.000 | -0.000 | -54.490 |
| 389.822 | -62.695 | -62.695 | 0.000 | 0.000 | -0.000 |
| -62.695 | 389.822 | -62.695 | 0.000 | 0.000 | -0.000 |
| -62.695 | -62.695 | 389.822 | 0.000 | 0.000 | -0.000 |
| -0.000 | -0.000 | -0.000 | -54.490 | 0.000 | -0.000 |
| -0.000 | -0.000 | -0.000 | 0.000 | -54.490 | -0.000 |
| -0.000 | -0.000 | -0.000 | 0.000 | 0.000 | -54.490 |
| 172.188 | 169.781 | 169.781 | -0.000 | -0.000 | -0.000 |
| 169.781 | 172.188 | 169.781 | -0.000 | -0.000 | -0.000 |
| 169.781 | 169.781 | 172.188 | -0.000 | -0.000 | -0.000 |
| -0.000 | -0.000 | -0.000 | 16.370 | -0.000 | -0.000 |
| -0.000 | -0.000 | -0.000 | -0.000 | 16.370 | -0.000 |
| -0.000 | -0.000 | -0.000 | -0.000 | -0.000 | 16.370 |
| 172.188 | 169.781 | 169.781 | 0.000 | 0.000 | 0.000 |
| 169.781 | 172.188 | 169.781 | 0.000 | 0.000 | 0.000 |
| 169.781 | 169.781 | 172.188 | 0.000 | 0.000 | 0.000 |
| 0.000 | 0.000 | 0.000 | 16.370 | 0.000 | 0.000 |
| 0.000 | 0.000 | 0.000 | 0.000 | 16.370 | 0.000 |
| 0.000 | 0.000 | 0.000 | 0.000 | 0.000 | 16.370 |
| 172.188 | 169.781 | 169.781 | -0.000 | -0.000 | -0.000 |
| 169.781 | 172.188 | 169.781 | -0.000 | -0.000 | -0.000 |
| 169.781 | 169.781 | 172.188 | -0.000 | -0.000 | -0.000 |
| -0.000 | -0.000 | -0.000 | 16.370 | -0.000 | -0.000 |
| -0.000 | -0.000 | -0.000 | -0.000 | 16.370 | -0.000 |
| -0.000 | -0.000 | -0.000 | -0.000 | -0.000 | 16.370 |
| 172.188 | 169.780 | 169.780 | 0.000 | 0.000 | 0.000 |
| 169.780 | 172.188 | 169.780 | 0.000 | 0.000 | 0.000 |
| 169.780 | 169.780 | 172.188 | 0.000 | 0.000 | 0.000 |
| 0.000 | 0.000 | 0.000 | 16.370 | 0.000 | 0.000 |
| 0.000 | 0.000 | 0.000 | 0.000 | 16.370 | 0.000 |
| 0.000 | 0.000 | 0.000 | 0.000 | 0.000 | 16.370 |
| 172.188 | 169.782 | 169.782 | -0.000 | -0.000 | -0.000 |
| 169.782 | 172.188 | 169.782 | -0.000 | -0.000 | -0.000 |
| 169.782 | 169.782 | 172.188 | -0.000 | -0.000 | -0.000 |
| -0.000 | -0.000 | -0.000 | 16.370 | -0.000 | -0.000 |
| -0.000 | -0.000 | -0.000 | -0.000 | 16.370 | -0.000 |
| -0.000 | -0.000 | -0.000 | -0.000 | -0.000 | 16.370 |
| 172.187 | 169.780 | 169.780 | 0.000 | 0.000 | 0.000 |
| 169.780 | 172.187 | 169.780 | 0.000 | 0.000 | 0.000 |
| 169.780 | 169.780 | 172.187 | 0.000 | 0.000 | 0.000 |
| 0.000 | 0.000 | 0.000 | 16.370 | 0.000 | 0.000 |
| 0.000 | 0.000 | 0.000 | 0.000 | 16.370 | 0.000 |
| 0.000 | 0.000 | 0.000 | 0.000 | 0.000 | 16.370 |
| 9.175 | -2.272 | -0.001 | -0.000 | 0.000 | -0.000 |
| -2.272 | 9.175 | -0.001 | 0.000 | -0.000 | -0.000 |
| -0.001 | -0.001 | -0.098 | 0.000 | 0.000 | -0.000 |
| 0.000 | 0.000 | -0.000 | -0.016 | -0.000 | 0.000 |
| 0.000 | 0.000 | -0.000 | 0.000 | -0.016 | -0.000 |
| 0.000 | -0.000 | 0.000 | 0.000 | 0.000 | -2.286 |
| 9.175 | -2.272 | -0.001 | -0.000 | -0.000 | 0.000 |
| -2.272 | 9.175 | -0.001 | 0.000 | -0.000 | -0.000 |
| -0.001 | -0.001 | -0.098 | -0.000 | -0.000 | 0.000 |
| -0.000 | -0.000 | 0.000 | -0.016 | -0.000 | -0.000 |
| -0.000 | -0.000 | 0.000 | -0.000 | -0.016 | 0.000 |
| -0.000 | 0.000 | -0.000 | -0.000 | -0.000 | -2.286 |
| 9.175 | -2.272 | -0.001 | -0.000 | 0.000 | -0.000 |
| -2.272 | 9.175 | -0.001 | 0.000 | -0.000 | 0.000 |
| -0.001 | -0.001 | -0.098 | 0.000 | 0.000 | -0.000 |
| 0.000 | 0.000 | -0.000 | -0.016 | 0.000 | 0.000 |
| 0.000 | 0.000 | -0.000 | 0.000 | -0.016 | -0.000 |
| -0.000 | -0.000 | -0.000 | 0.000 | 0.000 | -2.286 |
| 9.175 | -2.272 | -0.001 | -0.000 | -0.000 | -0.000 |
| -2.272 | 9.175 | -0.001 | -0.000 | -0.000 | -0.000 |
| -0.001 | -0.001 | -0.098 | -0.000 | -0.000 | 0.000 |
| -0.000 | -0.000 | 0.000 | -0.016 | -0.000 | -0.000 |
| -0.000 | -0.000 | 0.000 | -0.000 | -0.016 | 0.000 |
| 0.000 | 0.000 | 0.000 | -0.000 | 0.000 | -2.286 |
| 9.175 | -2.272 | -0.001 | 0.000 | 0.000 | -0.000 |
| -2.272 | 9.175 | -0.001 | 0.000 | 0.000 | -0.000 |
| -0.001 | -0.001 | -0.098 | 0.000 | 0.000 | 0.000 |
| -0.000 | 0.000 | -0.000 | -0.016 | -0.000 | 0.000 |
| 0.000 | -0.000 | -0.000 | 0.000 | -0.016 | -0.000 |
| -0.000 | -0.000 | -0.000 | 0.000 | -0.000 | -2.286 |
| 9.175 | -2.272 | -0.001 | -0.000 | -0.000 | -0.000 |
| -2.272 | 9.175 | -0.001 | -0.000 | -0.000 | 0.000 |
| -0.001 | -0.001 | -0.098 | -0.000 | -0.000 | 0.000 |
| 0.000 | -0.000 | 0.000 | -0.016 | 0.000 | -0.000 |
| 0.000 | 0.000 | 0.000 | -0.000 | -0.016 | -0.000 |
| 0.000 | 0.000 | 0.000 | -0.000 | -0.000 | -2.286 |
| 371.251 | 120.438 | 162.471 | 0.000 | 0.000 | -0.000 |
| 148.926 | 342.764 | 162.471 | -0.000 | -0.000 | -0.000 |
| 162.471 | 162.471 | 337.010 | 0.000 | 0.000 | -0.000 |
| 0.000 | 0.000 | 0.000 | 167.452 | 0.000 | -0.000 |
| 0.000 | -0.000 | 0.000 | -0.000 | 167.452 | 0.000 |
| -0.000 | 0.000 | 0.000 | 0.000 | -0.000 | 125.406 |
| 342.763 | 148.925 | 162.471 | -0.000 | -0.000 | 0.000 |
| 120.438 | 371.251 | 162.471 | -0.000 | 0.000 | -0.000 |
| 162.471 | 162.471 | 337.010 | -0.000 | -0.000 | -0.000 |
| 0.000 | -0.000 | -0.000 | 167.452 | 0.000 | -0.000 |
| -0.000 | -0.000 | -0.000 | 0.000 | 167.452 | -0.000 |
| -0.000 | -0.000 | -0.000 | -0.000 | 0.000 | 125.406 |
| 342.764 | 148.926 | 162.471 | 0.000 | -0.000 | -0.000 |
| 120.438 | 371.251 | 162.471 | 0.000 | 0.000 | 0.000 |
| 162.471 | 162.471 | 337.010 | -0.000 | 0.000 | 0.000 |
| 0.000 | 0.000 | 0.000 | 167.452 | -0.000 | 0.000 |
| 0.000 | 0.000 | 0.000 | -0.000 | 167.452 | 0.000 |
| 0.000 | 0.000 | 0.000 | 0.000 | -0.000 | 125.406 |
| 371.250 | 120.438 | 162.471 | -0.000 | 0.000 | -0.000 |
| 120.438 | 371.250 | 162.471 | -0.000 | -0.000 | -0.000 |
| 162.471 | 162.471 | 337.010 | 0.000 | 0.000 | -0.000 |
| -0.000 | -0.000 | -0.000 | 167.452 | -0.000 | -0.000 |
| -0.000 | -0.000 | -0.000 | 0.000 | 167.452 | -0.000 |
| -0.000 | -0.000 | -0.000 | -0.000 | 0.000 | 125.406 |
| 342.766 | 148.926 | 162.472 | -0.000 | 0.000 | -0.000 |
| 148.926 | 342.765 | 162.472 | -0.000 | -0.000 | -0.000 |
| 162.472 | 162.472 | 337.011 | 0.000 | -0.000 | -0.000 |
| 0.001 | 0.001 | 0.001 | 167.452 | -0.000 | 0.000 |
| 0.001 | 0.000 | 0.001 | -0.000 | 167.452 | 0.000 |
| -0.000 | 0.000 | 0.000 | 0.000 | -0.000 | 96.919 |
| 342.761 | 148.925 | 162.470 | 0.000 | 0.000 | 0.000 |
| 148.924 | 342.763 | 162.470 | -0.000 | 0.000 | -0.000 |
| 162.470 | 162.470 | 337.009 | 0.000 | -0.000 | 0.000 |
| -0.001 | -0.001 | -0.001 | 167.452 | 0.000 | 0.000 |
| -0.001 | -0.000 | -0.001 | 0.000 | 167.452 | -0.000 |
| 0.000 | -0.000 | -0.000 | -0.000 | 0.000 | 96.919 |
| 343.499 | 113.555 | 55.852 | 0.000 | 0.000 | -0.000 |
| 171.810 | 183.725 | 158.497 | 0.000 | 0.000 | 0.000 |
| 159.452 | 159.452 | 187.854 | 0.000 | 0.000 | -0.000 |
| -0.031 | -0.031 | 0.063 | 6.335 | -0.000 | -0.000 |
| -0.031 | -0.031 | 0.063 | 0.000 | 6.335 | -0.000 |
| -0.058 | -0.058 | 0.117 | -0.000 | 0.000 | 3.268 |
| 183.789 | 171.871 | 158.370 | 0.000 | 0.000 | -0.000 |
| 178.831 | 175.724 | 159.487 | 0.000 | 0.000 | 0.000 |
| 159.514 | 159.514 | 187.728 | -0.000 | 0.000 | 0.000 |
| 0.031 | 0.031 | -0.063 | 6.335 | -0.000 | 0.000 |
| 0.031 | 0.031 | -0.063 | -0.000 | 6.335 | -0.000 |
| 0.058 | 0.058 | -0.117 | 0.000 | -0.000 | 3.268 |
| 183.747 | 171.840 | 158.444 | 0.000 | -0.000 | 0.000 |
| 171.839 | 183.750 | 158.442 | 0.000 | -0.000 | -0.000 |
| 159.484 | 159.484 | 187.789 | 0.000 | 0.000 | -0.000 |
| -0.003 | -0.003 | 0.006 | 6.335 | -0.000 | 0.000 |
| -0.003 | -0.003 | 0.006 | 0.000 | 6.335 | 0.000 |
| -0.003 | -0.003 | 0.006 | 0.000 | -0.000 | 6.500 |
| 183.760 | 171.843 | 158.427 | 0.000 | 0.000 | -0.000 |
| 178.823 | 175.631 | 159.588 | -0.000 | 0.000 | 0.000 |
| 159.482 | 159.482 | 187.793 | -0.000 | 0.000 | -0.000 |
| 0.003 | 0.003 | -0.006 | 6.335 | 0.000 | 0.000 |
| 0.003 | 0.003 | -0.006 | 0.000 | 6.335 | -0.000 |
| 0.003 | 0.003 | -0.006 | -0.000 | 0.000 | 6.500 |
| 175.656 | 178.812 | 159.577 | 0.000 | 0.000 | 0.000 |
| 171.857 | 183.716 | 158.461 | -0.000 | -0.000 | -0.000 |
| 159.484 | 159.484 | 187.792 | 0.000 | -0.000 | 0.000 |
| -0.000 | -0.001 | 0.001 | 6.335 | -0.000 | -0.000 |
| -0.001 | -0.000 | 0.001 | 0.000 | 6.335 | 0.000 |
| -0.001 | -0.000 | 0.001 | 0.000 | -0.000 | 6.500 |
| 175.700 | 178.797 | 159.544 | 0.000 | 0.000 | -0.000 |
| 171.824 | 183.798 | 158.406 | 0.000 | 0.000 | 0.000 |
| 159.483 | 159.483 | 187.790 | -0.000 | 0.000 | -0.000 |
| 0.000 | 0.001 | -0.001 | 6.335 | 0.000 | -0.000 |
| 0.001 | 0.000 | -0.001 | -0.000 | 6.335 | 0.000 |
| 0.001 | 0.000 | -0.001 | -0.000 | 0.000 | 6.500 |
| 391.690 | 347.195 | 347.195 | 0.000 | 0.000 | -0.000 |
| 347.195 | 391.690 | 347.195 | 0.000 | 0.000 | -0.000 |
| 347.195 | 347.195 | 391.690 | 0.000 | 0.000 | -0.000 |
| 0.000 | 0.000 | 0.000 | 352.426 | 0.000 | 0.000 |
| 0.000 | 0.000 | 0.000 | 0.000 | 352.426 | -0.000 |
| 0.000 | 0.000 | 0.000 | 0.000 | 0.000 | 352.426 |
| 391.690 | 347.195 | 347.195 | -0.000 | -0.000 | -0.000 |
| 347.195 | 391.690 | 347.195 | -0.000 | -0.000 | -0.000 |
| 347.195 | 347.195 | 391.690 | -0.000 | -0.000 | -0.000 |
| -0.000 | -0.000 | -0.000 | 352.426 | -0.000 | -0.000 |
| -0.000 | -0.000 | -0.000 | -0.000 | 352.426 | 0.000 |
| -0.000 | -0.000 | -0.000 | -0.000 | -0.000 | 352.426 |
| 391.690 | 347.195 | 347.195 | 0.000 | 0.000 | -0.000 |
| 347.195 | 391.690 | 347.195 | 0.000 | 0.000 | -0.000 |
| 347.195 | 347.195 | 391.690 | 0.000 | 0.000 | -0.000 |
| -0.000 | -0.000 | -0.000 | 43.378 | 0.000 | -0.000 |
| -0.000 | -0.000 | -0.000 | 0.000 | 43.378 | -0.000 |
| -0.000 | -0.000 | -0.000 | 0.000 | 0.000 | 43.378 |
| 391.690 | 347.195 | 347.195 | -0.000 | -0.000 | 0.000 |
| 347.195 | 391.690 | 347.195 | -0.000 | -0.000 | 0.000 |
| 347.195 | 347.195 | 391.690 | -0.000 | -0.000 | 0.000 |
| 0.000 | 0.000 | 0.000 | 43.378 | -0.000 | 0.000 |
| 0.000 | 0.000 | 0.000 | -0.000 | 43.378 | 0.000 |
| 0.000 | 0.000 | 0.000 | -0.000 | -0.000 | 43.378 |
| 391.692 | 347.197 | 347.197 | 0.000 | 0.000 | -0.000 |
| 347.197 | 391.692 | 347.197 | 0.000 | 0.000 | -0.000 |
| 347.197 | 347.197 | 391.692 | 0.000 | 0.000 | -0.000 |
| -0.000 | -0.000 | -0.000 | 43.378 | 0.000 | -0.000 |
| -0.000 | -0.000 | -0.000 | 0.000 | 43.378 | -0.000 |
| -0.000 | -0.000 | -0.000 | 0.000 | 0.000 | 43.378 |
| 391.689 | 347.193 | 347.193 | -0.000 | -0.000 | 0.000 |
| 347.193 | 391.689 | 347.193 | -0.000 | -0.000 | 0.000 |
| 347.193 | 347.193 | 391.689 | -0.000 | -0.000 | -0.000 |
| 0.000 | 0.000 | 0.000 | 43.378 | -0.000 | 0.000 |
| 0.000 | 0.000 | 0.000 | -0.000 | 43.378 | 0.000 |
| 0.000 | 0.000 | 0.000 | -0.000 | -0.000 | 43.378 |
| 331.088 | 320.477 | 320.477 | 0.000 | -0.000 | 0.000 |
| 320.477 | 331.088 | 320.477 | 0.000 | 0.000 | -0.000 |
| 320.477 | 320.477 | 331.088 | 0.000 | 0.000 | -0.000 |
| 0.000 | 0.000 | 0.000 | 326.831 | -0.000 | 0.000 |
| 0.000 | 0.000 | 0.000 | 0.000 | 326.831 | -0.000 |
| 0.000 | 0.000 | 0.000 | 0.000 | -0.000 | 326.831 |
| 331.088 | 320.477 | 320.477 | -0.000 | -0.000 | -0.000 |
| 320.477 | 331.088 | 320.477 | -0.000 | 0.000 | 0.000 |
| 320.477 | 320.477 | 331.088 | -0.000 | 0.000 | 0.000 |
| -0.000 | -0.000 | -0.000 | 326.831 | 0.000 | -0.000 |
| -0.000 | -0.000 | -0.000 | -0.000 | 326.831 | 0.000 |
| -0.000 | -0.000 | -0.000 | -0.000 | 0.000 | 326.831 |
| 331.089 | 320.477 | 320.477 | 0.000 | -0.000 | -0.000 |
| 320.477 | 331.089 | 320.477 | 0.000 | 0.000 | -0.000 |
| 320.477 | 320.477 | 331.089 | 0.000 | -0.000 | -0.000 |
| 0.000 | 0.000 | 0.000 | 326.831 | -0.000 | -0.000 |
| 0.000 | 0.000 | 0.000 | 0.000 | 326.831 | -0.000 |
| 0.000 | 0.000 | 0.000 | 0.000 | -0.000 | 326.831 |
| 331.088 | 320.477 | 320.477 | -0.000 | 0.000 | 0.000 |
| 320.477 | 331.088 | 320.477 | -0.000 | 0.000 | 0.000 |
| 320.477 | 320.477 | 331.088 | -0.000 | 0.000 | 0.000 |
| -0.000 | -0.000 | -0.000 | 326.831 | 0.000 | -0.000 |
| -0.000 | -0.000 | -0.000 | -0.000 | 326.831 | 0.000 |
| -0.000 | -0.000 | -0.000 | -0.000 | 0.000 | 326.831 |
| 331.090 | 320.479 | 320.479 | 0.000 | -0.000 | -0.000 |
| 320.479 | 331.090 | 320.479 | 0.000 | -0.000 | 0.000 |
| 320.479 | 320.479 | 331.090 | 0.000 | -0.000 | -0.000 |
| 0.000 | -0.000 | 0.000 | 220.388 | 0.000 | -0.000 |
| -0.000 | 0.000 | 0.000 | 0.000 | 220.388 | -0.000 |
| -0.000 | 0.000 | 0.000 | 0.000 | -0.000 | 220.388 |
| 331.087 | 320.475 | 320.475 | -0.000 | 0.000 | 0.000 |
| 320.475 | 331.087 | 320.475 | -0.000 | -0.000 | 0.000 |
| 320.475 | 320.475 | 331.087 | -0.000 | 0.000 | 0.000 |
| -0.000 | 0.000 | -0.000 | 220.388 | -0.000 | 0.000 |
| 0.000 | -0.000 | -0.000 | -0.000 | 220.388 | 0.000 |
| 0.000 | -0.000 | -0.000 | -0.000 | 0.000 | 220.388 |
| 227.110 | 56.400 | 56.400 | -0.000 | -0.000 | -0.000 |
| 56.400 | 227.110 | 56.400 | -0.000 | -0.000 | -0.000 |
| 56.400 | 56.400 | 227.110 | -0.000 | -0.000 | -0.000 |
| 0.000 | 0.000 | -0.000 | -146.502 | -0.000 | -0.000 |
| 0.000 | 0.000 | -0.000 | -0.000 | -146.502 | -0.000 |
| 0.000 | -0.000 | -0.000 | -0.000 | -0.000 | -146.502 |
| 227.110 | 56.400 | 56.400 | 0.000 | 0.000 | 0.000 |
| 56.400 | 227.110 | 56.400 | 0.000 | 0.000 | 0.000 |
| 56.400 | 56.400 | 227.110 | -0.000 | 0.000 | 0.000 |
| -0.000 | -0.000 | 0.000 | -146.502 | 0.000 | 0.000 |
| -0.000 | -0.000 | 0.000 | 0.000 | -146.502 | 0.000 |
| -0.000 | 0.000 | 0.000 | 0.000 | 0.000 | -146.502 |
| 227.110 | 56.400 | 56.400 | -0.000 | -0.000 | -0.000 |
| 56.400 | 227.110 | 56.400 | -0.000 | -0.000 | -0.000 |
| 56.400 | 56.400 | 227.110 | -0.000 | -0.000 | -0.000 |
| 0.000 | 0.000 | 0.000 | 57.767 | -0.000 | -0.000 |
| 0.000 | 0.000 | 0.000 | -0.000 | 57.767 | -0.000 |
| 0.000 | 0.000 | 0.000 | -0.000 | -0.000 | 57.767 |
| 227.110 | 56.400 | 56.400 | 0.000 | 0.000 | 0.000 |
| 56.400 | 227.110 | 56.400 | 0.000 | 0.000 | 0.000 |
| 56.400 | 56.400 | 227.110 | 0.000 | -0.000 | 0.000 |
| -0.000 | -0.000 | -0.000 | 57.767 | 0.000 | 0.000 |
| -0.000 | -0.000 | -0.000 | 0.000 | 57.767 | 0.000 |
| -0.000 | -0.000 | -0.000 | 0.000 | -0.000 | 57.767 |
| 227.113 | 56.400 | 56.400 | -0.000 | -0.000 | -0.000 |
| 56.400 | 227.113 | 56.400 | -0.000 | -0.000 | -0.000 |
| 56.400 | 56.400 | 227.113 | -0.000 | -0.000 | -0.000 |
| 0.001 | 0.001 | 0.001 | -146.502 | -0.000 | -0.000 |
| 0.001 | 0.001 | 0.001 | -0.000 | -146.502 | -0.000 |
| 0.001 | 0.001 | 0.001 | -0.000 | -0.000 | -146.502 |
| 227.107 | 56.399 | 56.399 | 0.000 | 0.000 | 0.000 |
| 56.399 | 227.107 | 56.399 | 0.000 | 0.000 | 0.000 |
| 56.399 | 56.399 | 227.107 | 0.000 | 0.000 | 0.000 |
| -0.001 | -0.001 | -0.001 | -146.502 | 0.000 | 0.000 |
| -0.001 | -0.001 | -0.001 | 0.000 | -146.502 | 0.000 |
| -0.001 | -0.001 | -0.001 | 0.000 | 0.000 | -146.502 |
| 955.192 | 218.648 | 218.648 | -0.000 | 0.000 | -0.000 |
| 218.648 | 955.192 | 218.648 | -0.000 | 0.000 | -0.000 |
| 218.648 | 218.648 | 955.192 | -0.000 | -0.000 | -0.000 |
| 0.000 | 0.000 | -0.000 | 97.823 | -0.000 | 0.000 |
| -0.000 | -0.000 | -0.000 | -0.000 | 97.823 | -0.000 |
| -0.000 | -0.000 | -0.000 | -0.000 | -0.000 | 97.823 |
| 857.931 | 267.279 | 267.279 | -0.000 | -0.000 | 0.000 |
| 267.279 | 857.931 | 267.279 | -0.000 | -0.000 | -0.000 |
| 267.279 | 267.279 | 857.931 | -0.000 | -0.000 | 0.000 |
| -0.000 | 0.000 | 0.000 | 97.823 | 0.000 | 0.000 |
| 0.000 | 0.000 | 0.000 | 0.000 | 97.823 | 0.000 |
| 0.000 | 0.000 | 0.000 | 0.000 | -0.000 | 97.823 |
| 955.193 | 218.648 | 218.648 | -0.000 | 0.000 | -0.000 |
| 218.648 | 955.193 | 218.648 | 0.000 | 0.000 | 0.000 |
| 218.648 | 218.648 | 955.193 | -0.000 | 0.000 | -0.000 |
| 0.000 | -0.000 | -0.000 | 97.823 | -0.000 | -0.000 |
| -0.000 | 0.000 | -0.000 | -0.000 | 97.823 | -0.000 |
| -0.000 | -0.000 | 0.000 | -0.000 | -0.000 | 97.823 |
| 955.191 | 218.648 | 218.648 | 0.000 | -0.000 | 0.000 |
| 218.648 | 955.191 | 218.648 | -0.000 | -0.000 | -0.000 |
| 218.648 | 218.648 | 955.191 | -0.000 | 0.000 | 0.000 |
| -0.000 | 0.000 | 0.000 | 97.823 | 0.000 | -0.000 |
| 0.000 | -0.000 | 0.000 | 0.000 | 97.823 | 0.000 |
| 0.000 | 0.000 | -0.000 | 0.000 | 0.000 | 97.823 |
| 857.938 | 267.281 | 267.281 | 0.000 | 0.000 | -0.000 |
| 267.281 | 857.938 | 267.281 | -0.000 | 0.000 | -0.000 |
| 267.281 | 267.281 | 857.938 | 0.000 | -0.000 | 0.000 |
| 0.000 | -0.000 | -0.000 | 97.823 | -0.000 | -0.000 |
| -0.000 | 0.000 | -0.000 | -0.000 | 97.823 | -0.000 |
| -0.000 | -0.000 | 0.000 | -0.000 | -0.000 | 97.823 |
| 857.924 | 267.276 | 267.276 | -0.000 | -0.000 | 0.000 |
| 267.276 | 857.924 | 267.276 | -0.000 | -0.000 | 0.000 |
| 267.276 | 267.276 | 857.924 | -0.000 | 0.000 | -0.000 |
| -0.000 | 0.000 | 0.000 | 97.823 | 0.000 | -0.000 |
| 0.000 | -0.000 | 0.000 | 0.000 | 97.823 | 0.000 |
| 0.000 | 0.000 | -0.000 | 0.000 | 0.000 | 97.823 |
| 337.941 | 451.108 | 451.107 | 0.000 | 0.000 | -0.000 |
| 451.108 | 337.941 | 451.107 | 0.000 | 0.000 | -0.000 |
| 451.108 | 451.108 | 337.941 | 0.000 | 0.000 | -0.000 |
| 0.000 | 0.000 | 0.000 | 463.781 | -0.000 | -0.000 |
| 0.000 | 0.000 | 0.000 | -0.000 | 463.781 | -0.000 |
| 0.000 | 0.000 | 0.000 | 0.000 | 0.000 | 463.781 |
| 337.941 | 451.107 | 451.107 | -0.000 | 0.000 | 0.000 |
| 451.107 | 337.941 | 451.107 | -0.000 | 0.000 | 0.000 |
| 451.107 | 451.107 | 337.941 | -0.000 | -0.000 | 0.000 |
| -0.000 | -0.000 | -0.000 | 463.781 | 0.000 | 0.000 |
| -0.000 | -0.000 | -0.000 | -0.000 | 463.781 | 0.000 |
| -0.000 | -0.000 | -0.000 | -0.000 | -0.000 | 463.781 |
| 337.942 | 451.108 | 451.108 | 0.000 | 0.000 | -0.000 |
| 451.108 | 337.942 | 451.108 | 0.000 | 0.000 | -0.000 |
| 451.108 | 451.108 | 337.942 | 0.000 | 0.000 | -0.000 |
| 0.000 | 0.000 | 0.000 | 463.781 | -0.000 | -0.000 |
| 0.000 | 0.000 | 0.000 | -0.000 | 463.781 | -0.000 |
| 0.000 | 0.000 | 0.000 | 0.000 | 0.000 | 463.781 |
| 337.941 | 451.107 | 451.107 | -0.000 | -0.000 | 0.000 |
| 451.107 | 337.941 | 451.107 | -0.000 | 0.000 | 0.000 |
| 451.107 | 451.107 | 337.941 | -0.000 | 0.000 | 0.000 |
| -0.000 | -0.000 | -0.000 | 463.781 | 0.000 | 0.000 |
| -0.000 | -0.000 | -0.000 | 0.000 | 463.781 | 0.000 |
| -0.000 | -0.000 | -0.000 | -0.000 | -0.000 | 463.781 |
| 337.943 | 451.110 | 451.110 | 0.000 | 0.000 | -0.000 |
| 451.110 | 337.943 | 451.110 | 0.000 | 0.000 | -0.000 |
| 451.110 | 451.110 | 337.943 | 0.000 | -0.000 | -0.000 |
| 0.000 | -0.000 | 0.000 | 206.940 | -0.000 | -0.000 |
| -0.000 | 0.000 | 0.000 | 0.000 | 206.940 | -0.000 |
| -0.000 | 0.000 | 0.000 | 0.000 | 0.000 | 206.940 |
| 337.940 | 451.105 | 451.105 | -0.000 | -0.000 | 0.000 |
| 451.105 | 337.940 | 451.105 | -0.000 | -0.000 | 0.000 |
| 451.105 | 451.105 | 337.940 | -0.000 | -0.000 | 0.000 |
| -0.000 | 0.000 | -0.000 | 206.940 | 0.000 | 0.000 |
| 0.000 | -0.000 | -0.000 | -0.000 | 206.940 | 0.000 |
| 0.000 | -0.000 | -0.000 | -0.000 | -0.000 | 206.940 |
| 752.326 | 299.493 | 299.493 | 0.000 | 0.000 | 0.000 |
| 299.493 | 752.326 | 299.493 | 0.000 | 0.000 | 0.000 |
| 299.493 | 299.493 | 752.326 | 0.000 | 0.000 | 0.000 |
| 0.000 | 0.000 | 0.000 | 313.082 | 0.000 | 0.000 |
| 0.000 | -0.000 | 0.000 | -0.000 | 313.082 | 0.000 |
| 0.000 | 0.000 | 0.000 | 0.000 | 0.000 | 313.082 |
| 752.326 | 299.493 | 299.493 | -0.000 | 0.000 | -0.000 |
| 299.493 | 752.326 | 299.493 | -0.000 | -0.000 | 0.000 |
| 299.493 | 299.493 | 752.326 | -0.000 | 0.000 | -0.000 |
| 0.000 | -0.000 | -0.000 | 313.082 | -0.000 | -0.000 |
| -0.000 | 0.000 | -0.000 | -0.000 | 313.082 | -0.000 |
| -0.000 | -0.000 | -0.000 | -0.000 | -0.000 | 313.082 |
| 752.326 | 299.493 | 299.493 | 0.000 | 0.000 | 0.000 |
| 299.493 | 752.326 | 299.493 | 0.000 | -0.000 | 0.000 |
| 299.493 | 299.493 | 752.326 | 0.000 | -0.000 | -0.000 |
| -0.000 | 0.000 | 0.000 | 313.082 | 0.000 | 0.000 |
| 0.000 | -0.000 | 0.000 | 0.000 | 313.082 | 0.000 |
| 0.000 | 0.000 | -0.000 | 0.000 | 0.000 | 313.082 |
| 752.325 | 299.492 | 299.492 | -0.000 | -0.000 | -0.000 |
| 299.492 | 752.325 | 299.492 | -0.000 | 0.000 | -0.000 |
| 299.492 | 299.492 | 752.325 | -0.000 | 0.000 | -0.000 |
| 0.000 | -0.000 | -0.000 | 313.082 | -0.000 | -0.000 |
| -0.000 | 0.000 | -0.000 | -0.000 | 313.082 | -0.000 |
| -0.000 | -0.000 | 0.000 | -0.000 | -0.000 | 313.082 |
| 752.331 | 299.495 | 299.495 | 0.000 | 0.000 | 0.000 |
| 299.495 | 752.331 | 299.495 | 0.000 | -0.000 | 0.000 |
| 299.495 | 299.495 | 752.331 | 0.000 | -0.000 | 0.000 |
| -0.000 | 0.002 | 0.002 | 313.082 | 0.000 | 0.000 |
| 0.002 | -0.000 | 0.002 | -0.000 | 313.082 | 0.000 |
| 0.002 | 0.002 | -0.000 | -0.000 | 0.000 | 313.082 |
| 752.321 | 299.490 | 299.490 | -0.000 | -0.000 | -0.000 |
| 299.490 | 752.321 | 299.490 | -0.000 | -0.000 | -0.000 |
| 299.490 | 299.490 | 752.321 | -0.000 | -0.000 | -0.000 |
| 0.000 | -0.002 | -0.002 | 313.082 | -0.000 | -0.000 |
| -0.002 | 0.000 | -0.002 | -0.000 | 313.082 | -0.000 |
| -0.002 | -0.002 | 0.000 | -0.000 | -0.000 | 313.082 |
| 35.068 | 85.927 | 85.927 | 0.000 | 0.000 | 0.000 |
| 85.927 | 35.068 | 85.927 | 0.000 | 0.000 | 0.000 |
| 85.927 | 85.927 | 35.068 | 0.000 | 0.000 | 0.000 |
| -0.000 | 0.000 | 0.000 | 85.638 | 0.000 | 0.000 |
| -0.000 | 0.000 | 0.000 | 0.000 | 85.638 | 0.000 |
| -0.000 | 0.000 | 0.000 | 0.000 | 0.000 | 85.638 |
| 35.068 | 85.927 | 85.927 | -0.000 | -0.000 | -0.000 |
| 85.927 | 35.068 | 85.927 | -0.000 | -0.000 | -0.000 |
| 85.927 | 85.927 | 35.068 | -0.000 | -0.000 | -0.000 |
| 0.000 | -0.000 | -0.000 | 85.638 | -0.000 | -0.000 |
| 0.000 | -0.000 | -0.000 | -0.000 | 85.638 | -0.000 |
| 0.000 | -0.000 | -0.000 | -0.000 | -0.000 | 85.638 |
| 35.068 | 85.927 | 85.927 | 0.000 | 0.000 | 0.000 |
| 85.927 | 35.068 | 85.927 | 0.000 | 0.000 | 0.000 |
| 85.927 | 85.927 | 35.068 | 0.000 | 0.000 | 0.000 |
| 0.000 | 0.000 | 0.000 | 86.791 | 0.000 | 0.000 |
| 0.000 | 0.000 | 0.000 | 0.000 | 86.791 | 0.000 |
| 0.000 | 0.000 | 0.000 | 0.000 | 0.000 | 86.791 |
| 35.068 | 85.927 | 85.927 | -0.000 | -0.000 | -0.000 |
| 85.927 | 35.068 | 85.927 | -0.000 | -0.000 | -0.000 |
| 85.927 | 85.927 | 35.068 | -0.000 | -0.000 | -0.000 |
| -0.000 | -0.000 | -0.000 | 86.791 | -0.000 | -0.000 |
| -0.000 | -0.000 | -0.000 | -0.000 | 86.791 | -0.000 |
| -0.000 | -0.000 | -0.000 | -0.000 | -0.000 | 86.791 |
| 35.068 | 85.928 | 85.928 | 0.000 | 0.000 | 0.000 |
| 85.928 | 35.068 | 85.928 | 0.000 | 0.000 | 0.000 |
| 85.928 | 85.928 | 35.068 | 0.000 | 0.000 | 0.000 |
| 0.000 | 0.000 | 0.000 | 85.638 | 0.000 | 0.000 |
| 0.000 | 0.000 | 0.000 | 0.000 | 85.638 | 0.000 |
| 0.000 | 0.000 | 0.000 | 0.000 | 0.000 | 85.638 |
| 35.068 | 85.927 | 85.927 | -0.000 | -0.000 | -0.000 |
| 85.927 | 35.068 | 85.927 | -0.000 | -0.000 | -0.000 |
| 85.927 | 85.927 | 35.068 | -0.000 | -0.000 | -0.000 |
| -0.000 | -0.000 | -0.000 | 85.638 | -0.000 | -0.000 |
| -0.000 | -0.000 | -0.000 | -0.000 | 85.638 | -0.000 |
| -0.000 | -0.000 | -0.000 | -0.000 | -0.000 | 85.638 |
| 89.504 | 48.004 | 48.004 | 0.000 | 0.000 | 0.000 |
| 48.004 | 89.504 | 48.004 | 0.000 | 0.000 | 0.000 |
| 48.004 | 48.004 | 89.504 | 0.000 | -0.000 | 0.000 |
| -0.000 | 0.000 | 0.000 | 47.676 | -0.000 | 0.000 |
| 0.000 | 0.000 | 0.000 | -0.000 | 47.676 | 0.000 |
| 0.000 | 0.000 | 0.000 | -0.000 | -0.000 | 47.676 |
| 89.504 | 48.004 | 48.004 | -0.000 | -0.000 | -0.000 |
| 48.004 | 89.504 | 48.004 | -0.000 | 0.000 | -0.000 |
| 48.004 | 48.004 | 89.504 | -0.000 | -0.000 | -0.000 |
| 0.000 | -0.000 | -0.000 | 47.676 | 0.000 | -0.000 |
| -0.000 | -0.000 | -0.000 | -0.000 | 47.676 | -0.000 |
| -0.000 | -0.000 | -0.000 | 0.000 | 0.000 | 47.676 |
| 89.504 | 48.004 | 48.004 | 0.000 | -0.000 | 0.000 |
| 48.004 | 89.504 | 48.004 | 0.000 | -0.000 | 0.000 |
| 48.004 | 48.004 | 89.504 | 0.000 | -0.000 | 0.000 |
| 0.000 | 0.000 | 0.000 | 46.087 | -0.000 | 0.000 |
| 0.000 | 0.000 | 0.000 | 0.000 | 46.087 | 0.000 |
| 0.000 | 0.000 | 0.000 | -0.000 | -0.000 | 46.087 |
| 89.504 | 48.004 | 48.004 | -0.000 | -0.000 | -0.000 |
| 48.004 | 89.504 | 48.004 | -0.000 | -0.000 | -0.000 |
| 48.004 | 48.004 | 89.504 | 0.000 | -0.000 | 0.000 |
| -0.000 | -0.000 | -0.000 | 46.087 | 0.000 | -0.000 |
| -0.000 | -0.000 | -0.000 | -0.000 | 46.087 | -0.000 |
| -0.000 | -0.000 | -0.000 | -0.000 | 0.000 | 46.087 |
| 89.504 | 48.005 | 48.005 | 0.000 | -0.000 | 0.000 |
| 48.005 | 89.504 | 48.005 | -0.000 | -0.000 | -0.000 |
| 48.005 | 48.005 | 89.504 | 0.000 | 0.000 | 0.000 |
| 0.000 | 0.000 | 0.000 | 46.087 | 0.000 | 0.000 |
| 0.000 | 0.000 | 0.000 | 0.000 | 46.087 | 0.000 |
| 0.000 | 0.000 | 0.000 | 0.000 | -0.000 | 46.087 |
| 89.503 | 48.004 | 48.004 | -0.000 | 0.000 | -0.000 |
| 48.004 | 89.503 | 48.004 | -0.000 | 0.000 | -0.000 |
| 48.004 | 48.004 | 89.503 | -0.000 | 0.000 | 0.000 |
| -0.000 | -0.000 | -0.000 | 46.087 | -0.000 | -0.000 |
| -0.000 | -0.000 | -0.000 | -0.000 | 46.087 | -0.000 |
| -0.000 | -0.000 | -0.000 | -0.000 | -0.000 | 46.087 |
| 109.466 | 42.754 | 42.754 | 0.000 | 0.000 | 0.000 |
| 42.754 | 109.466 | 42.754 | 0.000 | 0.000 | 0.000 |
| 42.754 | 42.754 | 109.466 | 0.000 | 0.000 | 0.000 |
| 0.000 | -0.000 | 0.000 | 41.400 | 0.000 | 0.000 |
| 0.000 | 0.000 | 0.000 | 0.000 | 41.400 | 0.000 |
| 0.000 | -0.000 | 0.000 | 0.000 | 0.000 | 41.400 |
| 109.466 | 42.754 | 42.754 | -0.000 | 0.000 | -0.000 |
| 42.754 | 109.466 | 42.754 | -0.000 | -0.000 | -0.000 |
| 42.754 | 42.754 | 109.466 | -0.000 | -0.000 | -0.000 |
| -0.000 | -0.000 | -0.000 | 41.400 | -0.000 | -0.000 |
| -0.000 | -0.000 | -0.000 | -0.000 | 41.400 | -0.000 |
| -0.000 | -0.000 | -0.000 | -0.000 | -0.000 | 41.400 |
| 109.466 | 42.754 | 42.754 | 0.000 | 0.000 | 0.000 |
| 42.754 | 109.466 | 42.754 | 0.000 | 0.000 | 0.000 |
| 42.754 | 42.754 | 109.466 | 0.000 | 0.000 | 0.000 |
| -0.000 | 0.000 | 0.000 | 41.400 | 0.000 | 0.000 |
| 0.000 | -0.000 | 0.000 | 0.000 | 41.400 | 0.000 |
| 0.000 | 0.000 | -0.000 | 0.000 | 0.000 | 41.400 |
| 109.466 | 42.754 | 42.754 | -0.000 | -0.000 | -0.000 |
| 42.754 | 109.466 | 42.754 | -0.000 | -0.000 | -0.000 |
| 42.754 | 42.754 | 109.466 | -0.000 | -0.000 | -0.000 |
| 0.000 | -0.000 | -0.000 | 41.400 | -0.000 | -0.000 |
| -0.000 | 0.000 | -0.000 | -0.000 | 41.400 | -0.000 |
| -0.000 | -0.000 | 0.000 | -0.000 | -0.000 | 41.400 |
| 109.467 | 42.754 | 42.754 | 0.000 | 0.000 | 0.000 |
| 42.754 | 109.467 | 42.754 | 0.000 | 0.000 | 0.000 |
| 42.754 | 42.754 | 109.467 | 0.000 | 0.000 | 0.000 |
| -0.000 | 0.000 | 0.000 | 41.400 | 0.000 | 0.000 |
| 0.000 | -0.000 | 0.000 | 0.000 | 41.400 | 0.000 |
| 0.000 | 0.000 | -0.000 | 0.000 | 0.000 | 41.400 |
| 109.465 | 42.754 | 42.754 | -0.000 | -0.000 | -0.000 |
| 42.754 | 109.465 | 42.754 | -0.000 | 0.000 | -0.000 |
| 42.754 | 42.754 | 109.465 | -0.000 | -0.000 | -0.000 |
| 0.000 | -0.000 | -0.000 | 41.400 | -0.000 | -0.000 |
| -0.000 | 0.000 | -0.000 | -0.000 | 41.400 | -0.000 |
| -0.000 | -0.000 | 0.000 | -0.000 | -0.000 | 41.400 |
| 197.786 | -6.983 | -6.983 | 0.000 | 0.000 | 0.000 |
| -6.983 | 197.786 | -6.983 | 0.000 | -0.000 | 0.000 |
| -6.983 | -6.983 | 197.786 | 0.000 | -0.000 | 0.000 |
| 0.000 | -0.000 | 0.000 | -8.029 | 0.000 | 0.000 |
| -0.000 | 0.000 | 0.000 | 0.000 | -8.029 | 0.000 |
| 0.000 | 0.000 | 0.000 | -0.000 | 0.000 | -8.029 |
| 197.786 | -6.983 | -6.983 | -0.000 | -0.000 | -0.000 |
| -6.983 | 197.786 | -6.983 | -0.000 | -0.000 | -0.000 |
| -6.983 | -6.983 | 197.786 | -0.000 | -0.000 | -0.000 |
| -0.000 | -0.000 | -0.000 | -8.029 | -0.000 | -0.000 |
| -0.000 | -0.000 | -0.000 | -0.000 | -8.029 | -0.000 |
| -0.000 | -0.000 | -0.000 | 0.000 | -0.000 | -8.029 |
| 197.786 | -6.983 | -6.983 | 0.000 | 0.000 | 0.000 |
| -6.983 | 197.786 | -6.983 | 0.000 | 0.000 | 0.000 |
| -6.983 | -6.983 | 197.786 | 0.000 | 0.000 | 0.000 |
| 0.000 | 0.000 | -0.000 | -8.029 | 0.000 | 0.000 |
| 0.000 | 0.000 | -0.000 | 0.000 | -8.029 | 0.000 |
| 0.000 | -0.000 | 0.000 | -0.000 | 0.000 | -8.029 |
| 197.786 | -6.983 | -6.983 | -0.000 | -0.000 | -0.000 |
| -6.983 | 197.786 | -6.983 | -0.000 | -0.000 | -0.000 |
| -6.983 | -6.983 | 197.786 | -0.000 | -0.000 | -0.000 |
| -0.000 | -0.000 | 0.000 | -8.029 | -0.000 | -0.000 |
| -0.000 | -0.000 | 0.000 | -0.000 | -8.029 | -0.000 |
| -0.000 | 0.000 | -0.000 | 0.000 | -0.000 | -8.029 |
| 197.787 | -6.983 | -6.983 | 0.000 | 0.000 | 0.000 |
| -6.983 | 197.787 | -6.983 | 0.000 | 0.000 | 0.000 |
| -6.983 | -6.983 | 197.787 | 0.000 | 0.000 | 0.000 |
| 0.000 | 0.000 | -0.000 | -8.029 | 0.000 | 0.000 |
| 0.000 | 0.000 | -0.000 | 0.000 | -8.029 | 0.000 |
| 0.000 | -0.000 | 0.000 | 0.000 | 0.000 | -8.029 |
| 197.786 | -6.983 | -6.983 | -0.000 | -0.000 | -0.000 |
| -6.983 | 197.786 | -6.983 | -0.000 | -0.000 | -0.000 |
| -6.983 | -6.983 | 197.786 | -0.000 | -0.000 | -0.000 |
| -0.000 | -0.000 | 0.000 | -8.029 | -0.000 | -0.000 |
| -0.000 | -0.000 | 0.000 | -0.000 | -8.029 | -0.000 |
| -0.000 | 0.000 | -0.000 | -0.000 | -0.000 | -8.029 |
| 51.289 | 44.756 | 44.756 | 0.000 | 0.000 | 0.000 |
| 44.756 | 51.289 | 44.756 | 0.000 | 0.000 | 0.000 |
| 44.756 | 44.756 | 51.289 | 0.000 | 0.000 | -0.000 |
| -0.000 | 0.000 | -0.000 | 15.221 | 0.000 | 0.000 |
| 0.000 | -0.000 | 0.000 | 0.000 | 15.221 | 0.000 |
| 0.000 | 0.000 | -0.000 | 0.000 | 0.000 | 15.221 |
| 51.289 | 44.756 | 44.756 | -0.000 | -0.000 | -0.000 |
| 44.756 | 51.289 | 44.756 | -0.000 | -0.000 | -0.000 |
| 44.756 | 44.756 | 51.289 | -0.000 | -0.000 | -0.000 |
| 0.000 | -0.000 | 0.000 | 15.221 | -0.000 | -0.000 |
| -0.000 | 0.000 | 0.000 | 0.000 | 15.221 | -0.000 |
| -0.000 | -0.000 | 0.000 | -0.000 | -0.000 | 15.221 |
| 51.289 | 44.756 | 44.756 | 0.000 | 0.000 | 0.000 |
| 44.756 | 51.289 | 44.756 | 0.000 | 0.000 | 0.000 |
| 44.756 | 44.756 | 51.289 | 0.000 | 0.000 | 0.000 |
| -0.000 | -0.000 | 0.000 | 15.221 | 0.000 | 0.000 |
| -0.000 | -0.000 | 0.000 | 0.000 | 15.221 | 0.000 |
| -0.000 | 0.000 | -0.000 | 0.000 | 0.000 | 15.221 |
| 51.289 | 44.756 | 44.756 | -0.000 | -0.000 | -0.000 |
| 44.756 | 51.289 | 44.756 | -0.000 | -0.000 | -0.000 |
| 44.756 | 44.756 | 51.289 | -0.000 | -0.000 | -0.000 |
| 0.000 | 0.000 | -0.000 | 15.221 | -0.000 | -0.000 |
| 0.000 | 0.000 | -0.000 | -0.000 | 15.221 | -0.000 |
| 0.000 | -0.000 | 0.000 | -0.000 | -0.000 | 15.221 |
| 51.289 | 44.757 | 44.757 | 0.000 | 0.000 | 0.000 |
| 44.757 | 51.289 | 44.757 | 0.000 | 0.000 | 0.000 |
| 44.757 | 44.757 | 51.289 | 0.000 | 0.000 | 0.000 |
| -0.000 | -0.000 | 0.000 | 15.221 | 0.000 | 0.000 |
| -0.000 | -0.000 | 0.000 | -0.000 | 15.221 | 0.000 |
| -0.000 | 0.000 | -0.000 | 0.000 | 0.000 | 15.221 |
| 51.289 | 44.756 | 44.756 | -0.000 | -0.000 | -0.000 |
| 44.756 | 51.289 | 44.756 | -0.000 | -0.000 | -0.000 |
| 44.756 | 44.756 | 51.289 | -0.000 | -0.000 | -0.000 |
| 0.000 | 0.000 | -0.000 | 15.221 | -0.000 | -0.000 |
| 0.000 | 0.000 | -0.000 | -0.000 | 15.221 | -0.000 |
| 0.000 | -0.000 | 0.000 | -0.000 | -0.000 | 15.221 |
| 140.681 | 47.816 | 5.840 | -0.000 | 0.000 | -0.000 |
| 47.816 | 140.681 | 5.840 | -0.000 | -0.000 | -0.000 |
| 5.840 | 5.840 | 65.450 | -0.000 | 0.000 | -0.000 |
| 0.000 | -0.000 | -0.000 | -24.668 | 0.000 | -0.000 |
| 0.000 | -0.000 | -0.000 | 0.000 | -24.668 | -0.000 |
| 0.000 | -0.000 | -0.000 | 0.000 | -0.000 | 37.660 |
| 125.776 | 62.721 | 5.840 | -0.000 | 0.000 | 0.000 |
| 62.721 | 125.776 | 5.840 | 0.000 | 0.000 | 0.000 |
| 5.840 | 5.840 | 65.450 | -0.000 | -0.000 | 0.000 |
| -0.000 | 0.000 | 0.000 | -24.668 | -0.000 | 0.000 |
| -0.000 | 0.000 | 0.000 | -0.000 | -24.668 | 0.000 |
| -0.000 | 0.000 | -0.000 | -0.000 | -0.000 | 37.660 |
| 140.681 | 47.816 | 5.840 | -0.000 | -0.000 | -0.000 |
| 47.816 | 140.681 | 5.840 | -0.000 | -0.000 | -0.000 |
| 5.840 | 5.840 | 65.450 | -0.000 | 0.000 | -0.000 |
| 0.000 | 0.000 | 0.000 | -211.065 | -0.000 | -0.000 |
| 0.000 | 0.000 | 0.000 | -0.000 | -211.065 | -0.000 |
| 0.000 | 0.000 | -0.000 | -0.000 | -0.000 | 37.660 |
| 125.776 | 62.721 | 5.840 | 0.000 | 0.000 | 0.000 |
| 62.721 | 125.776 | 5.840 | -0.000 | -0.000 | 0.000 |
| 5.840 | 5.840 | 65.450 | 0.000 | -0.000 | -0.000 |
| -0.000 | -0.000 | -0.000 | -211.065 | -0.000 | 0.000 |
| -0.000 | -0.000 | -0.000 | 0.000 | -211.065 | 0.000 |
| -0.000 | -0.000 | -0.000 | 0.000 | 0.000 | 37.660 |
| 1130748.822 | 1368024.732 | -1967827.902 | -63985.108 | 33093.122 | -121635.125 |
| 1605572.811 | 1073916.818 | -2988722.851 | -521994.405 | 212227.992 | -22100.294 |
| 5.840 | 5.840 | 65.450 | -0.000 | 0.000 | -0.000 |
| -0.003 | 0.005 | 0.001 | -214.566 | 0.000 | 0.000 |
| 0.005 | -0.003 | 0.001 | -0.000 | -214.566 | -0.000 |
| 0.000 | 0.000 | 0.000 | -0.000 | 0.000 | 37.660 |
| -921503.960 | -1671800.297 | 2703332.525 | 126790.854 | 211349.182 | 71687.055 |
| -752324.204 | -1564043.250 | 2628247.140 | -234865.817 | -219966.111 | -119779.005 |
| 5.840 | 5.840 | 65.450 | 0.000 | 0.000 | -0.000 |
| 0.003 | -0.005 | -0.001 | -214.566 | -0.000 | -0.000 |
| -0.005 | 0.003 | -0.001 | 0.000 | -214.566 | 0.000 |
| -0.000 | -0.000 | -0.000 | -0.000 | 0.000 | 37.660 |
| 126.364 | 55.605 | 55.605 | -0.000 | 0.000 | 0.000 |
| 55.605 | 126.364 | 55.605 | 0.000 | -0.000 | -0.000 |
| 55.605 | 55.605 | 126.364 | 0.000 | -0.000 | 0.000 |
| 0.000 | 0.000 | -0.000 | 32.310 | 0.000 | 0.000 |
| 0.000 | 0.000 | -0.000 | 0.000 | 32.310 | 0.000 |
| 0.000 | 0.000 | -0.000 | 0.000 | 0.000 | 32.310 |
| 126.364 | 55.605 | 55.605 | -0.000 | -0.000 | 0.000 |
| 55.605 | 126.364 | 55.605 | -0.000 | -0.000 | -0.000 |
| 55.605 | 55.605 | 126.364 | -0.000 | -0.000 | -0.000 |
| -0.000 | -0.000 | 0.000 | 32.310 | -0.000 | -0.000 |
| -0.000 | -0.000 | 0.000 | -0.000 | 32.310 | -0.000 |
| -0.000 | -0.000 | 0.000 | -0.000 | -0.000 | 32.310 |
| 126.364 | 55.605 | 55.605 | 0.000 | -0.000 | 0.000 |
| 55.605 | 126.364 | 55.605 | 0.000 | 0.000 | 0.000 |
| 55.605 | 55.605 | 126.364 | 0.000 | 0.000 | -0.000 |
| 0.000 | 0.000 | 0.000 | 53.871 | 0.000 | 0.000 |
| 0.000 | 0.000 | 0.000 | -0.000 | 53.871 | 0.000 |
| 0.000 | 0.000 | 0.000 | 0.000 | 0.000 | 53.871 |
| 126.364 | 55.605 | 55.605 | -0.000 | 0.000 | -0.000 |
| 55.605 | 126.364 | 55.605 | -0.000 | -0.000 | -0.000 |
| 55.605 | 55.605 | 126.364 | -0.000 | -0.000 | -0.000 |
| -0.000 | -0.000 | -0.000 | 53.871 | 0.000 | -0.000 |
| -0.000 | -0.000 | -0.000 | -0.000 | 53.871 | -0.000 |
| -0.000 | -0.000 | -0.000 | -0.000 | -0.000 | 53.871 |
| 126.364 | 55.605 | 55.605 | 0.000 | 0.000 | -0.000 |
| 55.605 | 126.364 | 55.605 | 0.000 | -0.000 | 0.000 |
| 55.605 | 55.605 | 126.364 | 0.000 | -0.000 | 0.000 |
| 0.000 | -0.000 | 0.000 | 32.310 | -0.000 | 0.000 |
| -0.000 | 0.000 | 0.000 | 0.000 | 32.310 | 0.000 |
| -0.000 | 0.000 | 0.000 | 0.000 | 0.000 | 32.310 |
| 126.364 | 55.605 | 55.605 | -0.000 | -0.000 | -0.000 |
| 55.605 | 126.364 | 55.605 | -0.000 | -0.000 | -0.000 |
| 55.605 | 55.605 | 126.364 | -0.000 | -0.000 | -0.000 |
| -0.000 | 0.000 | -0.000 | 32.310 | 0.000 | -0.000 |
| 0.000 | -0.000 | -0.000 | -0.000 | 32.310 | -0.000 |
| 0.000 | -0.000 | -0.000 | -0.000 | -0.000 | 32.310 |
| 45.865 | 54.989 | 54.989 | 0.000 | -0.000 | -0.000 |
| 54.989 | 45.865 | 54.989 | 0.000 | -0.000 | 0.000 |
| 54.989 | 54.989 | 45.865 | 0.000 | 0.000 | -0.000 |
| -0.000 | -0.000 | -0.000 | -6.465 | -0.000 | -0.000 |
| -0.000 | -0.000 | -0.000 | 0.000 | -6.465 | 0.000 |
| -0.000 | -0.000 | 0.000 | 0.000 | -0.000 | -6.465 |
| 45.865 | 54.989 | 54.989 | -0.000 | 0.000 | -0.000 |
| 54.989 | 45.865 | 54.989 | -0.000 | -0.000 | 0.000 |
| 54.989 | 54.989 | 45.865 | 0.000 | 0.000 | -0.000 |
| 0.000 | 0.000 | 0.000 | -6.465 | 0.000 | 0.000 |
| 0.000 | 0.000 | 0.000 | -0.000 | -6.465 | -0.000 |
| 0.000 | 0.000 | -0.000 | -0.000 | 0.000 | -6.465 |
| 45.865 | 54.989 | 54.989 | 0.000 | -0.000 | 0.000 |
| 54.989 | 45.865 | 54.989 | 0.000 | -0.000 | -0.000 |
| 54.989 | 54.989 | 45.865 | 0.000 | -0.000 | -0.000 |
| 0.000 | -0.000 | 0.000 | 53.749 | -0.000 | -0.000 |
| -0.000 | 0.000 | 0.000 | -0.000 | 53.749 | 0.000 |
| -0.000 | 0.000 | 0.000 | -0.000 | -0.000 | 53.749 |
| 45.865 | 54.989 | 54.989 | -0.000 | -0.000 | -0.000 |
| 54.989 | 45.865 | 54.989 | -0.000 | -0.000 | -0.000 |
| 54.989 | 54.989 | 45.865 | -0.000 | 0.000 | -0.000 |
| -0.000 | 0.000 | -0.000 | 53.749 | 0.000 | -0.000 |
| 0.000 | -0.000 | -0.000 | -0.000 | 53.749 | 0.000 |
| 0.000 | -0.000 | -0.000 | 0.000 | -0.000 | 53.749 |
| 45.865 | 54.989 | 54.989 | 0.000 | 0.000 | -0.000 |
| 54.989 | 45.865 | 54.989 | 0.000 | 0.000 | 0.000 |
| 54.989 | 54.989 | 45.865 | -0.000 | 0.000 | 0.000 |
| 0.000 | 0.000 | -0.000 | -6.465 | -0.000 | 0.000 |
| 0.000 | 0.000 | -0.000 | 0.000 | -6.465 | -0.000 |
| 0.000 | -0.000 | 0.000 | -0.000 | -0.000 | -6.465 |
| 45.864 | 54.989 | 54.989 | -0.000 | -0.000 | -0.000 |
| 54.989 | 45.864 | 54.989 | -0.000 | -0.000 | -0.000 |
| 54.989 | 54.989 | 45.864 | -0.000 | -0.000 | 0.000 |
| -0.000 | -0.000 | 0.000 | -6.465 | 0.000 | 0.000 |
| -0.000 | -0.000 | 0.000 | -0.000 | -6.465 | 0.000 |
| -0.000 | 0.000 | -0.000 | 0.000 | 0.000 | -6.465 |
| 131.614 | 28.471 | 28.471 | 0.000 | -0.000 | -0.000 |
| 28.471 | 131.614 | 28.471 | -0.000 | -0.000 | -0.000 |
| 28.471 | 28.471 | 131.614 | 0.000 | 0.000 | -0.000 |
| -0.000 | 0.000 | 0.000 | 17.495 | -0.000 | -0.000 |
| -0.000 | 0.000 | 0.000 | -0.000 | 17.495 | 0.000 |
| -0.000 | 0.000 | 0.000 | -0.000 | -0.000 | 17.495 |
| 131.614 | 28.471 | 28.471 | -0.000 | 0.000 | 0.000 |
| 28.471 | 131.614 | 28.471 | -0.000 | -0.000 | 0.000 |
| 28.471 | 28.471 | 131.614 | -0.000 | 0.000 | -0.000 |
| 0.000 | -0.000 | -0.000 | 17.495 | 0.000 | -0.000 |
| -0.000 | 0.000 | -0.000 | -0.000 | 17.495 | 0.000 |
| -0.000 | -0.000 | -0.000 | 0.000 | 0.000 | 17.495 |
| 131.614 | 28.471 | 28.471 | 0.000 | -0.000 | -0.000 |
| 28.471 | 131.614 | 28.471 | -0.000 | -0.000 | 0.000 |
| 28.471 | 28.471 | 131.614 | 0.000 | -0.000 | -0.000 |
| 0.000 | 0.000 | 0.000 | 17.495 | -0.000 | -0.000 |
| 0.000 | 0.000 | 0.000 | -0.000 | 17.495 | 0.000 |
| 0.000 | 0.000 | 0.000 | -0.000 | -0.000 | 17.495 |
| 132.656 | 27.950 | 27.950 | 0.000 | -0.000 | -0.000 |
| 27.950 | 132.656 | 27.950 | -0.000 | 0.000 | -0.000 |
| 27.950 | 27.950 | 132.656 | 0.000 | -0.000 | -0.000 |
| -0.000 | -0.000 | -0.000 | 17.495 | 0.000 | -0.000 |
| -0.000 | -0.000 | -0.000 | 0.000 | 17.495 | -0.000 |
| -0.000 | -0.000 | -0.000 | 0.000 | 0.000 | 17.495 |
| 132.657 | 27.950 | 27.950 | 0.000 | -0.000 | -0.000 |
| 27.950 | 132.657 | 27.950 | 0.000 | 0.000 | 0.000 |
| 27.950 | 27.950 | 132.657 | -0.000 | 0.000 | 0.000 |
| 0.000 | 0.000 | 0.000 | 17.495 | -0.000 | 0.000 |
| 0.000 | 0.000 | 0.000 | -0.000 | 17.495 | -0.000 |
| 0.000 | 0.000 | 0.000 | -0.000 | -0.000 | 17.495 |
| 131.613 | 28.471 | 28.471 | 0.000 | 0.000 | -0.000 |
| 28.471 | 131.613 | 28.471 | -0.000 | 0.000 | -0.000 |
| 28.471 | 28.471 | 131.613 | -0.000 | 0.000 | -0.000 |
| -0.000 | -0.000 | -0.000 | 17.495 | 0.000 | 0.000 |
| -0.000 | -0.000 | -0.000 | -0.000 | 17.495 | 0.000 |
| -0.000 | -0.000 | -0.000 | 0.000 | 0.000 | 17.495 |
| 86.043 | 69.636 | 69.636 | 0.000 | 0.000 | 0.000 |
| 69.636 | 86.043 | 69.636 | 0.000 | -0.000 | -0.000 |
| 69.636 | 69.636 | 86.043 | 0.000 | -0.000 | 0.000 |
| 0.000 | -0.000 | -0.000 | 67.639 | -0.000 | -0.000 |
| 0.000 | -0.000 | 0.000 | 0.000 | 67.639 | 0.000 |
| 0.000 | -0.000 | -0.000 | 0.000 | -0.000 | 67.639 |
| 86.043 | 69.636 | 69.636 | -0.000 | 0.000 | -0.000 |
| 69.636 | 86.043 | 69.636 | -0.000 | -0.000 | 0.000 |
| 69.636 | 69.636 | 86.043 | -0.000 | 0.000 | 0.000 |
| -0.000 | 0.000 | -0.000 | 67.639 | 0.000 | 0.000 |
| -0.000 | 0.000 | -0.000 | -0.000 | 67.639 | -0.000 |
| -0.000 | -0.000 | 0.000 | -0.000 | 0.000 | 67.639 |
| 86.043 | 69.636 | 69.636 | 0.000 | 0.000 | 0.000 |
| 69.636 | 86.043 | 69.636 | 0.000 | -0.000 | -0.000 |
| 69.636 | 69.636 | 86.043 | 0.000 | -0.000 | 0.000 |
| 0.000 | 0.000 | 0.000 | 57.699 | 0.000 | -0.000 |
| 0.000 | 0.000 | 0.000 | 0.000 | 57.699 | 0.000 |
| 0.000 | 0.000 | 0.000 | 0.000 | -0.000 | 57.699 |
| 86.043 | 69.636 | 69.636 | -0.000 | 0.000 | -0.000 |
| 69.636 | 86.043 | 69.636 | -0.000 | 0.000 | -0.000 |
| 69.636 | 69.636 | 86.043 | -0.000 | 0.000 | -0.000 |
| -0.000 | -0.000 | -0.000 | 57.699 | 0.000 | -0.000 |
| -0.000 | -0.000 | -0.000 | -0.000 | 57.699 | 0.000 |
| -0.000 | -0.000 | -0.000 | -0.000 | 0.000 | 57.699 |
| 86.044 | 69.637 | 69.637 | 0.000 | 0.000 | 0.000 |
| 69.637 | 86.044 | 69.637 | 0.000 | -0.000 | 0.000 |
| 69.637 | 69.637 | 86.044 | -0.000 | 0.000 | -0.000 |
| 0.000 | 0.000 | 0.000 | 57.699 | 0.000 | 0.000 |
| 0.000 | 0.000 | 0.000 | 0.000 | 57.699 | -0.000 |
| 0.000 | 0.000 | 0.000 | -0.000 | -0.000 | 57.699 |
| 86.043 | 69.636 | 69.636 | -0.000 | 0.000 | 0.000 |
| 69.636 | 86.043 | 69.636 | -0.000 | 0.000 | 0.000 |
| 69.636 | 69.636 | 86.043 | -0.000 | 0.000 | -0.000 |
| -0.000 | -0.000 | -0.000 | 57.699 | -0.000 | 0.000 |
| -0.000 | -0.000 | -0.000 | -0.000 | 57.699 | 0.000 |
| -0.000 | -0.000 | -0.000 | -0.000 | 0.000 | 57.699 |
| 106.344 | 31.028 | 31.028 | 0.000 | -0.000 | 0.000 |
| 31.028 | 106.344 | 31.028 | 0.000 | -0.000 | 0.000 |
| 31.028 | 31.028 | 106.344 | -0.000 | 0.000 | -0.000 |
| -0.000 | -0.000 | 0.000 | 29.959 | 0.000 | 0.000 |
| 0.000 | 0.000 | 0.000 | 0.000 | 29.959 | -0.000 |
| 0.000 | 0.000 | 0.000 | 0.000 | -0.000 | 29.959 |
| 106.344 | 31.028 | 31.028 | 0.000 | -0.000 | 0.000 |
| 31.028 | 106.344 | 31.028 | -0.000 | 0.000 | 0.000 |
| 31.028 | 31.028 | 106.344 | 0.000 | -0.000 | -0.000 |
| 0.000 | -0.000 | -0.000 | 29.959 | -0.000 | -0.000 |
| -0.000 | -0.000 | -0.000 | -0.000 | 29.959 | -0.000 |
| -0.000 | -0.000 | -0.000 | -0.000 | 0.000 | 29.959 |
| 106.344 | 31.028 | 31.028 | -0.000 | 0.000 | 0.000 |
| 31.028 | 106.344 | 31.028 | -0.000 | -0.000 | 0.000 |
| 31.028 | 31.028 | 106.344 | 0.000 | -0.000 | 0.000 |
| -0.000 | 0.000 | 0.000 | 29.959 | 0.000 | 0.000 |
| 0.000 | -0.000 | 0.000 | 0.000 | 29.959 | -0.000 |
| 0.000 | 0.000 | -0.000 | 0.000 | 0.000 | 29.959 |
| 106.344 | 31.028 | 31.028 | -0.000 | 0.000 | 0.000 |
| 31.028 | 106.344 | 31.028 | 0.000 | -0.000 | 0.000 |
| 31.028 | 31.028 | 106.344 | 0.000 | 0.000 | 0.000 |
| 0.000 | -0.000 | -0.000 | 29.959 | -0.000 | -0.000 |
| -0.000 | 0.000 | -0.000 | 0.000 | 29.959 | -0.000 |
| -0.000 | -0.000 | 0.000 | -0.000 | 0.000 | 29.959 |
| 106.345 | 31.028 | 31.028 | -0.000 | 0.000 | 0.000 |
| 31.028 | 106.345 | 31.028 | -0.000 | -0.000 | 0.000 |
| 31.028 | 31.028 | 106.345 | -0.000 | -0.000 | 0.000 |
| -0.000 | 0.000 | 0.000 | 29.959 | 0.000 | 0.000 |
| 0.000 | -0.000 | 0.000 | -0.000 | 29.959 | 0.000 |
| 0.000 | 0.000 | -0.000 | -0.000 | 0.000 | 29.959 |
| 106.344 | 31.028 | 31.028 | -0.000 | -0.000 | 0.000 |
| 31.028 | 106.344 | 31.028 | -0.000 | -0.000 | -0.000 |
| 31.028 | 31.028 | 106.344 | -0.000 | -0.000 | -0.000 |
| 0.000 | -0.000 | -0.000 | 29.959 | -0.000 | 0.000 |
| -0.000 | 0.000 | -0.000 | -0.000 | 29.959 | -0.000 |
| -0.000 | -0.000 | 0.000 | 0.000 | 0.000 | 29.959 |
| 78.556 | 50.839 | 50.839 | 0.000 | 0.000 | 0.000 |
| 50.839 | 78.556 | 50.839 | -0.000 | 0.000 | 0.000 |
| 50.839 | 50.839 | 78.556 | -0.000 | -0.000 | 0.000 |
| 0.000 | 0.000 | 0.000 | 49.989 | -0.000 | 0.000 |
| 0.000 | 0.000 | 0.000 | -0.000 | 49.989 | 0.000 |
| 0.000 | 0.000 | 0.000 | -0.000 | 0.000 | 49.989 |
| 78.556 | 50.839 | 50.839 | 0.000 | 0.000 | -0.000 |
| 50.839 | 78.556 | 50.839 | -0.000 | -0.000 | -0.000 |
| 50.839 | 50.839 | 78.556 | 0.000 | -0.000 | -0.000 |
| -0.000 | -0.000 | -0.000 | 49.989 | 0.000 | -0.000 |
| -0.000 | -0.000 | -0.000 | 0.000 | 49.989 | -0.000 |
| -0.000 | -0.000 | -0.000 | 0.000 | -0.000 | 49.989 |
| 78.556 | 50.839 | 50.839 | 0.000 | 0.000 | 0.000 |
| 50.839 | 78.556 | 50.839 | 0.000 | 0.000 | 0.000 |
| 50.839 | 50.839 | 78.556 | -0.000 | 0.000 | 0.000 |
| 0.000 | 0.000 | 0.000 | 50.086 | 0.000 | 0.000 |
| 0.000 | 0.000 | 0.000 | -0.000 | 50.086 | 0.000 |
| 0.000 | 0.000 | 0.000 | -0.000 | -0.000 | 50.086 |
| 78.556 | 50.839 | 50.839 | -0.000 | -0.000 | -0.000 |
| 50.839 | 78.556 | 50.839 | -0.000 | -0.000 | -0.000 |
| 50.839 | 50.839 | 78.556 | 0.000 | -0.000 | -0.000 |
| -0.000 | -0.000 | -0.000 | 50.086 | -0.000 | -0.000 |
| -0.000 | -0.000 | -0.000 | 0.000 | 50.086 | -0.000 |
| -0.000 | -0.000 | -0.000 | -0.000 | -0.000 | 50.086 |
| 78.556 | 50.839 | 50.839 | -0.000 | -0.000 | 0.000 |
| 50.839 | 78.556 | 50.839 | -0.000 | 0.000 | 0.000 |
| 50.839 | 50.839 | 78.556 | -0.000 | 0.000 | 0.000 |
| 0.000 | 0.000 | 0.000 | 49.989 | 0.000 | 0.000 |
| 0.000 | 0.000 | 0.000 | -0.000 | 49.989 | 0.000 |
| 0.000 | 0.000 | 0.000 | 0.000 | 0.000 | 49.989 |
| 78.555 | 50.839 | 50.839 | 0.000 | -0.000 | -0.000 |
| 50.839 | 78.555 | 50.839 | 0.000 | 0.000 | -0.000 |
| 50.839 | 50.839 | 78.555 | 0.000 | 0.000 | -0.000 |
| -0.000 | -0.000 | -0.000 | 49.989 | -0.000 | -0.000 |
| -0.000 | -0.000 | -0.000 | -0.000 | 49.989 | -0.000 |
| -0.000 | -0.000 | -0.000 | -0.000 | -0.000 | 49.989 |
| 222.220 | 4.549 | 4.549 | -0.000 | -0.000 | 0.000 |
| 4.549 | 222.220 | 4.549 | -0.000 | -0.000 | 0.000 |
| 4.549 | 4.549 | 222.220 | -0.000 | -0.000 | 0.000 |
| -0.000 | -0.000 | -0.000 | 2.834 | 0.000 | 0.000 |
| -0.000 | -0.000 | -0.000 | -0.000 | 2.834 | 0.000 |
| -0.000 | -0.000 | -0.000 | 0.000 | 0.000 | 2.834 |
| 222.225 | 4.550 | 4.550 | -0.000 | -0.000 | -0.000 |
| 4.550 | 222.225 | 4.550 | -0.000 | 0.000 | -0.000 |
| 4.550 | 4.550 | 222.225 | 0.000 | 0.000 | -0.000 |
| 0.000 | 0.000 | 0.000 | 2.834 | -0.000 | -0.000 |
| 0.000 | 0.000 | 0.000 | 0.000 | 2.834 | -0.000 |
| 0.000 | 0.000 | 0.000 | -0.000 | 0.000 | 2.834 |
| 222.201 | 4.548 | 4.548 | -0.000 | 0.000 | 0.000 |
| 4.548 | 222.201 | 4.548 | -0.000 | 0.000 | 0.000 |
| 4.548 | 4.548 | 222.201 | -0.000 | -0.000 | 0.000 |
| -0.001 | -0.001 | -0.001 | 2.834 | 0.000 | 0.000 |
| -0.001 | -0.001 | -0.001 | -0.000 | 2.834 | 0.000 |
| -0.001 | -0.001 | -0.001 | 0.000 | -0.000 | 2.834 |
| 222.244 | 4.551 | 4.551 | 0.000 | 0.000 | -0.000 |
| 4.551 | 222.244 | 4.551 | 0.000 | 0.000 | 0.000 |
| 4.551 | 4.551 | 222.244 | -0.000 | 0.000 | -0.000 |
| 0.001 | 0.001 | 0.001 | 2.834 | -0.000 | -0.000 |
| 0.001 | 0.001 | 0.001 | 0.000 | 2.834 | -0.000 |
| 0.001 | 0.001 | 0.001 | -0.000 | -0.000 | 2.834 |
| 222.010 | 4.538 | 4.538 | 0.000 | 0.000 | 0.000 |
| 4.538 | 222.010 | 4.538 | -0.000 | 0.000 | 0.000 |
| 4.538 | 4.538 | 222.010 | -0.000 | -0.000 | 0.000 |
| -0.011 | -0.011 | -0.011 | 2.834 | -0.000 | 0.000 |
| -0.011 | -0.011 | -0.011 | -0.000 | 2.834 | 0.000 |
| -0.011 | -0.011 | -0.011 | -0.000 | 0.000 | 2.834 |
| 222.435 | 4.561 | 4.561 | 0.000 | -0.000 | -0.000 |
| 4.561 | 222.435 | 4.561 | 0.000 | -0.000 | -0.000 |
| 4.561 | 4.561 | 222.435 | 0.000 | -0.000 | -0.000 |
| 0.011 | 0.011 | 0.011 | 2.834 | 0.000 | -0.000 |
| 0.011 | 0.011 | 0.011 | 0.000 | 2.834 | -0.000 |
| 0.011 | 0.011 | 0.011 | 0.000 | -0.000 | 2.834 |
| 218.904 | 66.553 | 66.553 | 0.000 | -0.000 | 0.000 |
| 66.553 | 218.904 | 66.553 | -0.000 | -0.000 | 0.000 |
| 66.553 | 66.553 | 218.904 | -0.000 | -0.000 | 0.000 |
| 0.000 | 0.000 | 0.000 | 62.690 | -0.000 | -0.000 |
| 0.000 | 0.000 | -0.000 | -0.000 | 62.690 | 0.000 |
| 0.000 | 0.000 | 0.000 | -0.000 | -0.000 | 62.690 |
| 218.904 | 66.553 | 66.553 | -0.000 | -0.000 | -0.000 |
| 66.553 | 218.904 | 66.553 | -0.000 | -0.000 | -0.000 |
| 66.553 | 66.553 | 218.904 | -0.000 | 0.000 | -0.000 |
| 0.000 | -0.000 | -0.000 | 62.690 | 0.000 | -0.000 |
| -0.000 | -0.000 | -0.000 | -0.000 | 62.690 | -0.000 |
| -0.000 | -0.000 | -0.000 | 0.000 | 0.000 | 62.690 |
| 218.904 | 66.553 | 66.553 | -0.000 | 0.000 | 0.000 |
| 66.553 | 218.904 | 66.553 | -0.000 | -0.000 | 0.000 |
| 66.553 | 66.553 | 218.904 | -0.000 | -0.000 | 0.000 |
| 0.000 | 0.000 | 0.000 | 62.690 | -0.000 | -0.000 |
| 0.000 | 0.000 | 0.000 | 0.000 | 62.690 | 0.000 |
| 0.000 | 0.000 | 0.000 | -0.000 | -0.000 | 62.690 |
| 218.904 | 66.553 | 66.553 | -0.000 | 0.000 | -0.000 |
| 66.553 | 218.904 | 66.553 | 0.000 | 0.000 | -0.000 |
| 66.553 | 66.553 | 218.904 | 0.000 | 0.000 | -0.000 |
| -0.000 | -0.000 | -0.000 | 62.690 | 0.000 | -0.000 |
| -0.000 | -0.000 | -0.000 | 0.000 | 62.690 | -0.000 |
| -0.000 | -0.000 | -0.000 | 0.000 | 0.000 | 62.690 |
| 218.905 | 66.554 | 66.554 | -0.000 | 0.000 | 0.000 |
| 66.554 | 218.905 | 66.554 | 0.000 | -0.000 | 0.000 |
| 66.554 | 66.554 | 218.905 | -0.000 | -0.000 | 0.000 |
| 0.000 | 0.000 | 0.000 | 62.690 | -0.000 | -0.000 |
| 0.000 | 0.000 | 0.000 | -0.000 | 62.690 | 0.000 |
| 0.000 | 0.000 | 0.000 | -0.000 | -0.000 | 62.690 |
| 218.903 | 66.553 | 66.553 | -0.000 | 0.000 | 0.000 |
| 66.553 | 218.903 | 66.553 | 0.000 | 0.000 | -0.000 |
| 66.553 | 66.553 | 218.903 | 0.000 | 0.000 | -0.000 |
| -0.000 | -0.000 | -0.000 | 62.690 | 0.000 | -0.000 |
| -0.000 | -0.000 | -0.000 | 0.000 | 62.690 | -0.000 |
| -0.000 | -0.000 | -0.000 | 0.000 | 0.000 | 62.690 |
| 70.737 | 70.549 | 70.549 | 0.000 | 0.000 | 0.000 |
| 70.549 | 70.737 | 70.549 | 0.000 | 0.000 | 0.000 |
| 70.549 | 70.549 | 70.737 | 0.000 | 0.000 | 0.000 |
| -0.000 | -0.000 | -0.000 | -3.477 | 0.000 | 0.000 |
| -0.000 | -0.000 | 0.000 | 0.000 | -3.477 | 0.000 |
| -0.000 | -0.000 | -0.000 | 0.000 | 0.000 | -3.477 |
| 70.737 | 70.549 | 70.549 | -0.000 | -0.000 | -0.000 |
| 70.549 | 70.737 | 70.549 | -0.000 | -0.000 | -0.000 |
| 70.549 | 70.549 | 70.737 | -0.000 | -0.000 | -0.000 |
| 0.000 | 0.000 | 0.000 | -3.477 | -0.000 | -0.000 |
| 0.000 | 0.000 | 0.000 | -0.000 | -3.477 | -0.000 |
| 0.000 | 0.000 | 0.000 | -0.000 | -0.000 | -3.477 |
| 70.737 | 70.549 | 70.549 | 0.000 | 0.000 | 0.000 |
| 70.549 | 70.737 | 70.549 | 0.000 | 0.000 | 0.000 |
| 70.549 | 70.549 | 70.737 | 0.000 | 0.000 | 0.000 |
| -0.000 | -0.000 | -0.000 | -3.477 | 0.000 | 0.000 |
| -0.000 | -0.000 | -0.000 | 0.000 | -3.477 | 0.000 |
| -0.000 | -0.000 | -0.000 | 0.000 | 0.000 | -3.477 |
| 70.737 | 70.549 | 70.549 | -0.000 | -0.000 | -0.000 |
| 70.549 | 70.737 | 70.549 | -0.000 | -0.000 | -0.000 |
| 70.549 | 70.549 | 70.737 | -0.000 | -0.000 | -0.000 |
| 0.000 | 0.000 | 0.000 | -3.477 | -0.000 | -0.000 |
| 0.000 | 0.000 | 0.000 | -0.000 | -3.477 | -0.000 |
| 0.000 | 0.000 | 0.000 | -0.000 | -0.000 | -3.477 |
| 70.737 | 70.549 | 70.549 | 0.000 | 0.000 | 0.000 |
| 70.549 | 70.737 | 70.549 | 0.000 | 0.000 | 0.000 |
| 70.549 | 70.549 | 70.737 | 0.000 | 0.000 | 0.000 |
| -0.000 | -0.000 | -0.000 | -3.477 | 0.000 | 0.000 |
| -0.000 | -0.000 | -0.000 | 0.000 | -3.477 | 0.000 |
| -0.000 | -0.000 | -0.000 | 0.000 | 0.000 | -3.477 |
| 70.737 | 70.548 | 70.548 | -0.000 | -0.000 | -0.000 |
| 70.548 | 70.737 | 70.548 | -0.000 | -0.000 | -0.000 |
| 70.548 | 70.548 | 70.737 | -0.000 | -0.000 | -0.000 |
| 0.000 | 0.000 | 0.000 | -3.477 | -0.000 | -0.000 |
| 0.000 | 0.000 | 0.000 | -0.000 | -3.477 | -0.000 |
| 0.000 | 0.000 | 0.000 | -0.000 | -0.000 | -3.477 |
| 131.497 | 63.630 | 63.630 | -0.000 | 0.000 | -0.000 |
| 63.630 | 131.498 | 63.630 | 0.000 | 0.000 | 0.000 |
| 63.630 | 63.630 | 131.498 | 0.000 | 0.000 | 0.000 |
| 0.000 | 0.000 | 0.000 | 62.774 | 0.000 | -0.000 |
| 0.000 | 0.000 | 0.000 | 0.000 | 62.774 | 0.000 |
| 0.000 | 0.000 | 0.000 | -0.000 | 0.000 | 62.774 |
| 131.497 | 63.630 | 63.630 | -0.000 | -0.000 | -0.000 |
| 63.630 | 131.497 | 63.630 | 0.000 | -0.000 | -0.000 |
| 63.630 | 63.630 | 131.497 | -0.000 | -0.000 | 0.000 |
| 0.000 | -0.000 | -0.000 | 62.774 | 0.000 | -0.000 |
| -0.000 | -0.000 | -0.000 | -0.000 | 62.774 | -0.000 |
| -0.000 | -0.000 | -0.000 | 0.000 | -0.000 | 62.774 |
| 131.498 | 63.630 | 63.630 | -0.000 | 0.000 | 0.000 |
| 63.630 | 131.498 | 63.630 | 0.000 | -0.000 | -0.000 |
| 63.630 | 63.630 | 131.498 | 0.000 | 0.000 | 0.000 |
| 0.000 | -0.000 | 0.000 | 26.622 | 0.000 | 0.000 |
| -0.000 | 0.000 | 0.000 | -0.000 | 26.622 | 0.000 |
| -0.000 | 0.000 | 0.000 | -0.000 | 0.000 | 26.622 |
| 131.497 | 63.630 | 63.630 | -0.000 | -0.000 | -0.000 |
| 63.630 | 131.497 | 63.630 | -0.000 | -0.000 | -0.000 |
| 63.630 | 63.630 | 131.497 | 0.000 | -0.000 | 0.000 |
| -0.000 | 0.000 | -0.000 | 26.622 | -0.000 | 0.000 |
| 0.000 | -0.000 | -0.000 | 0.000 | 26.622 | -0.000 |
| 0.000 | -0.000 | -0.000 | 0.000 | -0.000 | 26.622 |
| 131.498 | 63.631 | 63.631 | 0.000 | 0.000 | -0.000 |
| 63.631 | 131.498 | 63.631 | -0.000 | 0.000 | 0.000 |
| 63.631 | 63.631 | 131.498 | -0.000 | 0.000 | -0.000 |
| 0.000 | 0.000 | 0.000 | 26.622 | 0.000 | 0.000 |
| 0.000 | 0.000 | 0.000 | -0.000 | 26.622 | 0.000 |
| 0.000 | 0.000 | 0.000 | 0.000 | 0.000 | 26.622 |
| 131.497 | 63.630 | 63.630 | 0.000 | -0.000 | -0.000 |
| 63.630 | 131.497 | 63.630 | 0.000 | -0.000 | -0.000 |
| 63.630 | 63.630 | 131.497 | -0.000 | -0.000 | 0.000 |
| -0.000 | -0.000 | -0.000 | 26.622 | -0.000 | -0.000 |
| -0.000 | -0.000 | -0.000 | 0.000 | 26.622 | -0.000 |
| -0.000 | -0.000 | -0.000 | -0.000 | -0.000 | 26.622 |
| 29.132 | -0.272 | -0.272 | -0.000 | -0.000 | -0.000 |
| -0.272 | 29.132 | -0.272 | -0.000 | -0.000 | 0.000 |
| -0.272 | -0.272 | 29.132 | -0.000 | -0.000 | -0.000 |
| -0.000 | 0.000 | -0.000 | -1.273 | -0.000 | -0.000 |
| -0.000 | 0.000 | 0.000 | -0.000 | -1.273 | 0.000 |
| -0.000 | 0.000 | 0.000 | -0.000 | -0.000 | -1.273 |
| 29.132 | -0.272 | -0.272 | 0.000 | 0.000 | 0.000 |
| -0.271 | 29.132 | -0.272 | 0.000 | 0.000 | 0.000 |
| -0.271 | -0.272 | 29.132 | 0.000 | 0.000 | -0.000 |
| 0.000 | -0.000 | 0.000 | -1.273 | 0.000 | -0.000 |
| 0.000 | -0.000 | -0.000 | 0.000 | -1.273 | -0.000 |
| 0.000 | -0.000 | 0.000 | 0.000 | -0.000 | -1.273 |
| 29.132 | -0.272 | -0.272 | -0.000 | -0.000 | -0.000 |
| -0.272 | 29.132 | -0.272 | -0.000 | -0.000 | -0.000 |
| -0.272 | -0.272 | 29.132 | -0.000 | 0.000 | -0.000 |
| 9940540.490 | 10229848.582 | 10124873.064 | -875104.246 | -8378.339 | -56552.927 |
| -0.000 | 0.000 | -0.000 | -0.000 | -29.570 | 0.000 |
| -0.000 | -0.000 | 0.000 | -0.000 | -0.000 | -29.570 |
| 29.132 | -0.272 | -0.272 | 0.000 | 0.000 | 0.000 |
| -0.272 | 29.132 | -0.272 | 0.000 | -0.000 | 0.000 |
| -0.272 | -0.272 | 29.132 | 0.000 | -0.000 | -0.000 |
| -0.000 | 0.000 | 0.000 | -29.570 | 0.000 | -0.000 |
| 0.000 | -0.000 | 0.000 | 0.000 | -29.570 | -0.000 |
| 0.000 | 0.000 | -0.000 | 0.000 | 0.000 | -29.570 |
| 29.132 | -0.271 | -0.271 | -0.000 | -0.000 | -0.000 |
| -0.271 | 29.132 | -0.271 | -0.000 | -0.000 | 0.000 |
| -0.271 | -0.271 | 29.132 | -0.000 | -0.000 | 0.000 |
| 1016531.439 | 1064524.640 | 957845.460 | -41054.876 | 21212.721 | 19233.239 |
| 1082165.081 | 1014741.492 | 1049973.984 | 12872.437 | -67001.705 | -6936.506 |
| 993112.499 | 967194.896 | 954709.310 | 56978.753 | -26349.254 | -58089.245 |
| 29.132 | -0.272 | -0.272 | 0.000 | 0.000 | 0.000 |
| -0.272 | 29.132 | -0.272 | 0.000 | 0.000 | -0.000 |
| -0.272 | -0.272 | 29.132 | 0.000 | -0.000 | 0.000 |
| -981889.229 | -1024236.163 | -976528.370 | -31745.796 | -17462.022 | -54826.841 |
| -972648.528 | -1016675.731 | -994676.701 | -6803.333 | -59498.709 | -31500.218 |
| -997632.751 | -961033.368 | -1015197.200 | -28838.026 | -38481.074 | -28425.153 |
| 6.335 | 10.193 | 10.193 | 0.000 | 0.000 | 0.000 |
| 10.193 | 6.335 | 10.193 | -0.000 | 0.000 | 0.000 |
| 10.193 | 10.193 | 6.335 | -0.000 | 0.000 | 0.000 |
| 0.000 | 0.000 | -0.000 | -29.871 | 0.000 | 0.000 |
| 0.000 | 0.000 | -0.000 | 0.000 | -29.871 | 0.000 |
| 0.000 | -0.000 | 0.000 | -0.000 | 0.000 | -29.871 |
| 6.335 | 10.193 | 10.193 | -0.000 | -0.000 | -0.000 |
| 10.193 | 6.335 | 10.193 | -0.000 | -0.000 | -0.000 |
| 10.193 | 10.193 | 6.335 | -0.000 | -0.000 | -0.000 |
| -0.000 | -0.000 | 0.000 | -29.871 | -0.000 | 0.000 |
| -0.000 | -0.000 | 0.000 | -0.000 | -29.871 | -0.000 |
| 0.000 | 0.000 | 0.000 | -0.000 | -0.000 | -29.871 |
| 6.335 | 10.193 | 10.193 | -0.000 | 0.000 | 0.000 |
| 10.193 | 6.335 | 10.193 | -0.000 | 0.000 | -0.000 |
| 10.193 | 10.193 | 6.335 | 0.000 | 0.000 | 0.000 |
| 0.000 | 0.000 | -0.000 | -29.871 | 0.000 | -0.000 |
| 0.000 | 0.000 | -0.000 | 0.000 | -29.871 | 0.000 |
| 0.000 | -0.000 | 0.000 | 0.000 | 0.000 | -29.871 |
| 6.335 | 10.193 | 10.193 | 0.000 | -0.000 | -0.000 |
| 10.193 | 6.335 | 10.193 | -0.000 | -0.000 | -0.000 |
| 10.193 | 10.193 | 6.335 | -0.000 | -0.000 | -0.000 |
| -0.000 | -0.000 | 0.000 | -29.871 | -0.000 | 0.000 |
| -0.000 | -0.000 | 0.000 | -0.000 | -29.871 | -0.000 |
| -0.000 | 0.000 | -0.000 | -0.000 | -0.000 | -29.871 |
| 6.335 | 10.193 | 10.193 | 0.000 | 0.000 | -0.000 |
| 10.193 | 6.335 | 10.193 | 0.000 | 0.000 | 0.000 |
| 10.193 | 10.193 | 6.335 | 0.000 | 0.000 | 0.000 |
| 0.000 | 0.000 | -0.000 | -29.871 | 0.000 | 0.000 |
| 0.000 | 0.000 | -0.000 | 0.000 | -29.871 | -0.000 |
| 0.000 | -0.000 | 0.000 | 0.000 | 0.000 | -29.871 |
| 6.335 | 10.193 | 10.193 | -0.000 | -0.000 | -0.000 |
| 10.193 | 6.335 | 10.193 | -0.000 | -0.000 | -0.000 |
| 10.193 | 10.193 | 6.335 | -0.000 | -0.000 | -0.000 |
| -0.000 | -0.000 | 0.000 | -29.871 | -0.000 | 0.000 |
| -0.000 | -0.000 | 0.000 | -0.000 | -29.871 | -0.000 |
| -0.000 | 0.000 | -0.000 | -0.000 | -0.000 | -29.871 |
| 27.322 | 16.939 | 16.939 | -0.000 | 0.000 | -0.000 |
| 16.939 | 27.322 | 16.939 | 0.000 | -0.000 | -0.000 |
| 16.939 | 16.939 | 27.322 | 0.000 | -0.000 | -0.000 |
| -0.000 | 0.000 | -0.000 | 16.542 | -0.000 | -0.000 |
| -0.000 | -0.000 | -0.000 | -0.000 | 16.542 | -0.000 |
| 0.000 | -0.000 | -0.000 | -0.000 | 0.000 | 16.542 |
| 27.322 | 16.939 | 16.939 | 0.000 | 0.000 | -0.000 |
| 16.939 | 27.322 | 16.939 | 0.000 | 0.000 | 0.000 |
| 16.939 | 16.939 | 27.322 | 0.000 | 0.000 | 0.000 |
| -0.000 | 0.000 | 0.000 | 16.542 | 0.000 | 0.000 |
| -0.000 | 0.000 | 0.000 | -0.000 | 16.542 | -0.000 |
| 0.000 | 0.000 | 0.000 | 0.000 | -0.000 | 16.542 |
| 27.322 | 16.939 | 16.939 | 0.000 | 0.000 | -0.000 |
| 16.939 | 27.322 | 16.939 | 0.000 | 0.000 | 0.000 |
| 16.939 | 16.939 | 27.322 | -0.000 | -0.000 | -0.000 |
| -0.000 | 0.000 | 0.000 | 16.542 | -0.000 | 0.000 |
| 0.000 | -0.000 | 0.000 | 0.000 | 16.542 | -0.000 |
| 0.000 | 0.000 | -0.000 | 0.000 | 0.000 | 16.542 |
| 27.322 | 16.939 | 16.939 | 0.000 | 0.000 | 0.000 |
| 16.939 | 27.322 | 16.939 | 0.000 | 0.000 | -0.000 |
| 16.939 | 16.939 | 27.322 | -0.000 | -0.000 | 0.000 |
| 0.000 | -0.000 | -0.000 | 16.542 | 0.000 | -0.000 |
| -0.000 | 0.000 | -0.000 | -0.000 | 16.542 | 0.000 |
| -0.000 | -0.000 | 0.000 | -0.000 | -0.000 | 16.542 |
| 27.322 | 16.939 | 16.939 | 0.000 | -0.000 | -0.000 |
| 16.939 | 27.322 | 16.939 | -0.000 | -0.000 | -0.000 |
| 16.939 | 16.939 | 27.322 | 0.000 | -0.000 | 0.000 |
| -0.000 | 0.000 | 0.000 | 16.542 | 0.000 | -0.000 |
| 0.000 | -0.000 | 0.000 | 0.000 | 16.542 | -0.000 |
| 0.000 | 0.000 | -0.000 | -0.000 | 0.000 | 16.542 |
| 27.322 | 16.938 | 16.938 | 0.000 | 0.000 | 0.000 |
| 16.938 | 27.322 | 16.938 | 0.000 | 0.000 | 0.000 |
| 16.938 | 16.938 | 27.322 | -0.000 | 0.000 | 0.000 |
| 0.000 | -0.000 | -0.000 | 16.542 | 0.000 | 0.000 |
| -0.000 | 0.000 | -0.000 | 0.000 | 16.542 | -0.000 |
| -0.000 | -0.000 | 0.000 | 0.000 | 0.000 | 16.542 |
| 12.536 | 10.044 | 10.044 | 0.000 | -0.000 | -0.000 |
| 10.044 | 12.536 | 10.044 | -0.000 | -0.000 | -0.000 |
| 10.044 | 10.044 | 12.536 | 0.000 | -0.000 | -0.000 |
| -0.000 | 0.000 | 0.000 | 10.044 | -0.000 | -0.000 |
| 0.000 | -0.000 | 0.000 | 0.000 | 10.044 | -0.000 |
| 0.000 | 0.000 | -0.000 | -0.000 | -0.000 | 10.044 |
| 12.536 | 10.044 | 10.044 | 0.000 | 0.000 | 0.000 |
| 10.044 | 12.536 | 10.044 | 0.000 | 0.000 | 0.000 |
| 10.044 | 10.044 | 12.536 | -0.000 | 0.000 | 0.000 |
| 0.000 | -0.000 | -0.000 | 10.044 | 0.000 | 0.000 |
| -0.000 | 0.000 | -0.000 | 0.000 | 10.044 | 0.000 |
| -0.000 | -0.000 | 0.000 | 0.000 | 0.000 | 10.044 |
| 12.536 | 10.044 | 10.044 | -0.000 | -0.000 | -0.000 |
| 10.044 | 12.536 | 10.044 | -0.000 | -0.000 | -0.000 |
| 10.044 | 10.044 | 12.536 | -0.000 | -0.000 | -0.000 |
| -0.000 | 0.000 | 0.000 | 10.044 | -0.000 | -0.000 |
| 0.000 | -0.000 | 0.000 | 0.000 | 10.044 | -0.000 |
| 0.000 | 0.000 | -0.000 | -0.000 | -0.000 | 10.044 |
| 12.536 | 10.044 | 10.044 | 0.000 | 0.000 | 0.000 |
| 10.044 | 12.536 | 10.044 | 0.000 | 0.000 | 0.000 |
| 10.044 | 10.044 | 12.536 | -0.000 | 0.000 | 0.000 |
| 0.000 | -0.000 | -0.000 | 10.044 | 0.000 | 0.000 |
| -0.000 | 0.000 | -0.000 | -0.000 | 10.044 | 0.000 |
| -0.000 | -0.000 | 0.000 | 0.000 | 0.000 | 10.044 |
| 12.536 | 10.044 | 10.044 | -0.000 | -0.000 | -0.000 |
| 10.044 | 12.536 | 10.044 | 0.000 | -0.000 | -0.000 |
| 10.044 | 10.044 | 12.536 | 0.000 | -0.000 | -0.000 |
| -0.000 | 0.000 | 0.000 | 10.044 | -0.000 | -0.000 |
| 0.000 | -0.000 | 0.000 | 0.000 | 10.044 | -0.000 |
| 0.000 | 0.000 | -0.000 | -0.000 | -0.000 | 10.044 |
| 12.536 | 10.044 | 10.044 | 0.000 | 0.000 | 0.000 |
| 10.044 | 12.536 | 10.044 | -0.000 | 0.000 | 0.000 |
| 10.044 | 10.044 | 12.536 | -0.000 | 0.000 | 0.000 |
| 0.000 | -0.000 | -0.000 | 10.044 | 0.000 | 0.000 |
| -0.000 | 0.000 | -0.000 | -0.000 | 10.044 | 0.000 |
| -0.000 | -0.000 | 0.000 | -0.000 | 0.000 | 10.044 |
| 30.738 | 4.989 | 4.989 | -0.000 | -0.000 | -0.000 |
| 4.989 | 30.738 | 4.989 | -0.000 | -0.000 | -0.000 |
| 4.989 | 4.989 | 30.738 | -0.000 | 0.000 | -0.000 |
| -0.000 | -0.000 | -0.000 | 4.096 | 0.000 | -0.000 |
| -0.000 | -0.000 | -0.000 | -0.000 | 4.096 | -0.000 |
| -0.000 | -0.000 | -0.000 | -0.000 | -0.000 | 4.096 |
| 30.738 | 4.989 | 4.989 | 0.000 | 0.000 | 0.000 |
| 4.989 | 30.738 | 4.989 | 0.000 | 0.000 | 0.000 |
| 4.989 | 4.989 | 30.738 | -0.000 | -0.000 | 0.000 |
| 0.000 | 0.000 | 0.000 | 4.096 | 0.000 | 0.000 |
| 0.000 | 0.000 | 0.000 | -0.000 | 4.096 | 0.000 |
| 0.000 | 0.000 | 0.000 | -0.000 | -0.000 | 4.096 |
| 30.738 | 4.989 | 4.989 | -0.000 | -0.000 | -0.000 |
| 4.989 | 30.738 | 4.989 | -0.000 | -0.000 | -0.000 |
| 4.989 | 4.989 | 30.738 | -0.000 | 0.000 | -0.000 |
| 0.000 | 0.000 | -0.000 | 4.096 | -0.000 | -0.000 |
| 0.000 | 0.000 | -0.000 | 0.000 | 4.096 | -0.000 |
| 0.000 | -0.000 | 0.000 | 0.000 | 0.000 | 4.096 |
| 30.738 | 4.989 | 4.989 | 0.000 | 0.000 | 0.000 |
| 4.989 | 30.738 | 4.989 | 0.000 | 0.000 | 0.000 |
| 4.989 | 4.989 | 30.738 | 0.000 | 0.000 | 0.000 |
| -0.000 | -0.000 | 0.000 | 4.096 | -0.000 | 0.000 |
| -0.000 | -0.000 | 0.000 | 0.000 | 4.096 | 0.000 |
| -0.000 | 0.000 | -0.000 | -0.000 | -0.000 | 4.096 |
| 30.738 | 4.989 | 4.989 | -0.000 | -0.000 | -0.000 |
| 4.989 | 30.738 | 4.989 | 0.000 | 0.000 | -0.000 |
| 4.989 | 4.989 | 30.738 | -0.000 | 0.000 | -0.000 |
| 0.000 | 0.000 | 0.000 | 4.920 | 0.000 | 0.000 |
| 0.000 | 0.000 | 0.000 | -0.000 | 4.920 | -0.000 |
| 0.000 | 0.000 | 0.000 | -0.000 | -0.000 | 4.920 |
| 30.738 | 4.989 | 4.989 | 0.000 | 0.000 | 0.000 |
| 4.989 | 30.738 | 4.989 | 0.000 | 0.000 | 0.000 |
| 4.989 | 4.989 | 30.738 | 0.000 | 0.000 | 0.000 |
| -0.000 | -0.000 | -0.000 | 4.920 | -0.000 | 0.000 |
| -0.000 | -0.000 | -0.000 | 0.000 | 4.920 | 0.000 |
| -0.000 | -0.000 | -0.000 | 0.000 | 0.000 | 4.920 |
| 18.089 | 12.798 | 12.798 | 0.000 | 0.000 | -0.000 |
| 12.798 | 18.089 | 12.798 | 0.000 | 0.000 | 0.000 |
| 12.798 | 12.798 | 18.089 | 0.000 | 0.000 | 0.000 |
| 0.000 | -0.000 | 0.000 | 12.798 | 0.000 | -0.000 |
| -0.000 | -0.000 | 0.000 | -0.000 | 12.798 | -0.000 |
| -0.000 | -0.000 | 0.000 | 0.000 | -0.000 | 12.798 |
| 18.089 | 12.798 | 12.798 | -0.000 | -0.000 | 0.000 |
| 12.798 | 18.089 | 12.798 | -0.000 | -0.000 | -0.000 |
| 12.798 | 12.798 | 18.089 | -0.000 | -0.000 | 0.000 |
| -0.000 | 0.000 | -0.000 | 12.798 | -0.000 | 0.000 |
| 0.000 | -0.000 | -0.000 | -0.000 | 12.798 | 0.000 |
| 0.000 | 0.000 | -0.000 | -0.000 | -0.000 | 12.798 |
| 18.089 | 12.798 | 12.798 | 0.000 | 0.000 | 0.000 |
| 12.798 | 18.089 | 12.798 | 0.000 | 0.000 | -0.000 |
| 12.798 | 12.798 | 18.089 | -0.000 | -0.000 | 0.000 |
| 0.000 | -0.000 | 0.000 | 12.798 | 0.000 | 0.000 |
| -0.000 | 0.000 | 0.000 | 0.000 | 12.798 | 0.000 |
| -0.000 | 0.000 | 0.000 | 0.000 | 0.000 | 12.798 |
| 18.089 | 12.798 | 12.798 | -0.000 | -0.000 | -0.000 |
| 12.798 | 18.089 | 12.798 | 0.000 | 0.000 | 0.000 |
| 12.798 | 12.798 | 18.089 | 0.000 | -0.000 | -0.000 |
| -0.000 | 0.000 | -0.000 | 12.798 | 0.000 | 0.000 |
| 0.000 | -0.000 | -0.000 | 0.000 | 12.798 | -0.000 |
| 0.000 | -0.000 | -0.000 | -0.000 | -0.000 | 12.798 |
| 18.089 | 12.798 | 12.798 | 0.000 | -0.000 | 0.000 |
| 12.798 | 18.089 | 12.798 | 0.000 | 0.000 | -0.000 |
| 12.798 | 12.798 | 18.089 | 0.000 | 0.000 | 0.000 |
| 0.000 | -0.000 | 0.000 | 12.798 | 0.000 | 0.000 |
| -0.000 | 0.000 | 0.000 | 0.000 | 12.798 | 0.000 |
| -0.000 | 0.000 | 0.000 | 0.000 | 0.000 | 12.798 |
| 18.089 | 12.798 | 12.798 | -0.000 | -0.000 | 0.000 |
| 12.798 | 18.089 | 12.798 | -0.000 | -0.000 | 0.000 |
| 12.798 | 12.798 | 18.089 | 0.000 | 0.000 | -0.000 |
| -0.000 | 0.000 | -0.000 | 12.798 | 0.000 | 0.000 |
| 0.000 | -0.000 | -0.000 | -0.000 | 12.798 | 0.000 |
| 0.000 | -0.000 | -0.000 | -0.000 | -0.000 | 12.798 |
| 20.293 | 8.152 | 4.179 | 0.000 | -0.000 | 0.000 |
| 8.152 | 20.293 | 4.179 | -0.000 | 0.000 | 0.000 |
| 4.179 | 4.179 | 24.267 | 0.000 | 0.000 | 0.000 |
| 0.000 | -0.000 | -0.000 | 4.179 | 0.000 | 0.000 |
| -0.000 | -0.000 | -0.000 | -0.000 | 4.179 | 0.000 |
| -0.000 | 0.000 | -0.000 | 0.000 | 0.000 | 7.111 |
| 20.293 | 8.152 | 4.179 | 0.000 | -0.000 | -0.000 |
| 8.152 | 20.293 | 4.179 | -0.000 | -0.000 | -0.000 |
| 4.179 | 4.179 | 24.267 | -0.000 | -0.000 | -0.000 |
| -0.000 | 0.000 | 0.000 | 4.179 | -0.000 | -0.000 |
| 0.000 | 0.000 | 0.000 | -0.000 | 4.179 | -0.000 |
| 0.000 | -0.000 | 0.000 | -0.000 | -0.000 | 7.111 |
| 21.334 | 7.111 | 4.179 | -0.000 | -0.000 | 0.000 |
| 7.111 | 21.334 | 4.179 | 0.000 | -0.000 | 0.000 |
| 4.179 | 4.179 | 24.267 | 0.000 | 0.000 | 0.000 |
| 0.000 | -0.000 | 0.000 | 4.179 | 0.000 | 0.000 |
| -0.000 | 0.000 | 0.000 | 0.000 | 4.179 | 0.000 |
| -0.000 | 0.000 | -0.000 | 0.000 | -0.000 | 7.111 |
| 20.293 | 8.152 | 4.179 | -0.000 | 0.000 | -0.000 |
| 8.152 | 20.293 | 4.179 | -0.000 | -0.000 | -0.000 |
| 4.179 | 4.179 | 24.267 | 0.000 | -0.000 | -0.000 |
| -0.000 | 0.000 | -0.000 | 4.179 | -0.000 | -0.000 |
| 0.000 | -0.000 | -0.000 | -0.000 | 4.179 | -0.000 |
| 0.000 | -0.000 | 0.000 | -0.000 | 0.000 | 7.111 |
| 20.293 | 8.152 | 4.179 | 0.000 | 0.000 | -0.000 |
| 7.111 | 21.334 | 4.179 | 0.000 | 0.000 | 0.000 |
| 4.179 | 4.179 | 24.267 | 0.000 | 0.000 | 0.000 |
| 0.000 | -0.000 | 0.000 | 4.179 | -0.000 | 0.000 |
| -0.000 | -0.000 | 0.000 | 0.000 | 4.179 | 0.000 |
| -0.000 | 0.000 | -0.000 | 0.000 | 0.000 | 5.293 |
| 20.293 | 8.152 | 4.179 | -0.000 | -0.000 | -0.000 |
| 8.930 | 19.515 | 4.179 | -0.000 | -0.000 | -0.000 |
| 4.179 | 4.179 | 24.267 | 0.000 | -0.000 | -0.000 |
| -0.000 | 0.000 | -0.000 | 4.179 | 0.000 | -0.000 |
| 0.000 | 0.000 | -0.000 | -0.000 | 4.179 | 0.000 |
| 0.000 | -0.000 | 0.000 | -0.000 | -0.000 | 5.293 |
| 19.252 | 9.193 | 4.179 | 0.000 | -0.000 | 0.000 |
| 7.111 | 21.334 | 4.179 | -0.000 | -0.000 | 0.000 |
| 4.179 | 4.179 | 24.267 | -0.000 | 0.000 | 0.000 |
| -0.000 | 0.000 | 0.000 | 4.179 | -0.000 | 0.000 |
| -0.000 | 0.000 | 0.000 | 0.000 | 4.179 | 0.000 |
| -0.000 | 0.000 | -0.000 | -0.000 | 0.000 | 5.030 |
| 21.334 | 7.111 | 4.179 | 0.000 | -0.000 | -0.000 |
| 9.193 | 19.252 | 4.179 | -0.000 | -0.000 | -0.000 |
| 4.179 | 4.179 | 24.267 | 0.000 | -0.000 | -0.000 |
| 0.000 | 0.000 | 0.000 | 4.179 | 0.000 | -0.000 |
| 0.000 | -0.000 | -0.000 | -0.000 | 4.179 | -0.000 |
| 0.000 | -0.000 | -0.000 | 0.000 | -0.000 | 5.030 |
| 21.334 | 7.111 | 4.179 | -0.000 | -0.000 | 0.000 |
| 9.193 | 19.252 | 4.179 | -0.000 | 0.000 | 0.000 |
| 4.179 | 4.179 | 24.267 | 0.000 | -0.000 | 0.000 |
| 0.000 | -0.000 | 0.000 | 4.179 | 0.000 | 0.000 |
| -0.000 | 0.000 | 0.000 | -0.000 | 4.179 | 0.000 |
| -0.000 | 0.000 | -0.000 | -0.000 | 0.000 | 5.030 |
| 21.334 | 7.111 | 4.179 | 0.000 | -0.000 | -0.000 |
| 7.111 | 21.334 | 4.179 | 0.000 | 0.000 | -0.000 |
| 4.179 | 4.179 | 24.267 | -0.000 | -0.000 | -0.000 |
| -0.000 | 0.000 | -0.000 | 4.179 | 0.000 | -0.000 |
| 0.000 | -0.000 | -0.000 | -0.000 | 4.179 | -0.000 |
| 0.000 | -0.000 | 0.000 | 0.000 | 0.000 | 5.030 |
| 21.334 | 7.111 | 4.179 | 0.000 | 0.000 | 0.000 |
| 9.193 | 19.252 | 4.179 | -0.000 | -0.000 | 0.000 |
| 4.179 | 4.179 | 24.267 | 0.000 | 0.000 | 0.000 |
| 0.000 | -0.000 | 0.000 | 4.179 | -0.000 | 0.000 |
| -0.000 | -0.000 | 0.000 | 0.000 | 4.179 | 0.000 |
| -0.000 | 0.000 | -0.000 | 0.000 | -0.000 | 4.001 |
| 19.252 | 9.193 | 4.179 | -0.000 | -0.000 | -0.000 |
| 7.111 | 21.334 | 4.179 | 0.000 | 0.000 | -0.000 |
| 4.179 | 4.179 | 24.267 | 0.000 | 0.000 | -0.000 |
| -0.000 | 0.000 | -0.000 | 4.179 | 0.000 | -0.000 |
| 0.000 | 0.000 | -0.000 | -0.000 | 4.179 | 0.000 |
| 0.000 | -0.000 | 0.000 | -0.000 | 0.000 | 4.001 |
| 1.832 | 1.832 | 1.832 | -0.000 | -0.000 | 0.000 |
| 1.832 | 1.832 | 1.832 | -0.000 | -0.000 | 0.000 |
| 1.832 | 1.832 | 1.832 | -0.000 | -0.000 | -0.000 |
| 0.000 | -0.000 | 0.000 | 1.832 | 0.000 | -0.000 |
| -0.000 | 0.000 | 0.000 | 0.000 | 1.832 | -0.000 |
| -0.000 | 0.000 | 0.000 | 0.000 | -0.000 | 1.832 |
| 1.832 | 1.832 | 1.832 | 0.000 | -0.000 | -0.000 |
| 1.832 | 1.832 | 1.832 | -0.000 | 0.000 | -0.000 |
| 1.832 | 1.832 | 1.832 | 0.000 | 0.000 | 0.000 |
| -0.000 | 0.000 | -0.000 | 1.832 | 0.000 | -0.000 |
| 0.000 | -0.000 | -0.000 | 0.000 | 1.832 | -0.000 |
| 0.000 | -0.000 | -0.000 | 0.000 | -0.000 | 1.832 |
| 1.832 | 1.832 | 1.832 | -0.000 | -0.000 | -0.000 |
| 1.832 | 1.832 | 1.832 | -0.000 | -0.000 | -0.000 |
| 1.832 | 1.832 | 1.832 | 0.000 | 0.000 | -0.000 |
| 0.000 | -0.000 | 0.000 | 1.832 | -0.000 | 0.000 |
| -0.000 | 0.000 | 0.000 | -0.000 | 1.832 | 0.000 |
| -0.000 | 0.000 | 0.000 | -0.000 | 0.000 | 1.832 |
| 1.832 | 1.832 | 1.832 | 0.000 | -0.000 | -0.000 |
| 1.832 | 1.832 | 1.832 | -0.000 | 0.000 | -0.000 |
| 1.832 | 1.832 | 1.832 | -0.000 | -0.000 | 0.000 |
| -0.000 | 0.000 | -0.000 | 1.832 | -0.000 | -0.000 |
| 0.000 | -0.000 | -0.000 | -0.000 | 1.832 | -0.000 |
| 0.000 | -0.000 | -0.000 | -0.000 | 0.000 | 1.832 |
| 1.832 | 1.832 | 1.832 | -0.000 | -0.000 | -0.000 |
| 1.832 | 1.832 | 1.832 | -0.000 | -0.000 | -0.000 |
| 1.832 | 1.832 | 1.832 | -0.000 | -0.000 | -0.000 |
| -0.000 | -0.000 | -0.000 | 0.049 | 0.000 | 0.000 |
| -0.000 | -0.000 | -0.000 | 0.000 | 0.049 | 0.000 |
| -0.000 | -0.000 | -0.000 | 0.000 | 0.000 | 0.049 |
| 1.832 | 1.832 | 1.832 | 0.000 | -0.000 | -0.000 |
| 1.832 | 1.832 | 1.832 | -0.000 | 0.000 | -0.000 |
| 1.832 | 1.832 | 1.832 | -0.000 | -0.000 | 0.000 |
| 0.000 | 0.000 | 0.000 | 0.049 | -0.000 | -0.000 |
| 0.000 | 0.000 | 0.000 | -0.000 | 0.049 | -0.000 |
| 0.000 | 0.000 | 0.000 | -0.000 | -0.000 | 0.049 |
| 18.188 | -5.294 | -0.579 | 0.000 | -0.000 | 0.000 |
| -5.294 | 18.188 | -0.579 | 0.000 | 0.000 | 0.000 |
| -0.579 | -0.579 | 20.474 | 0.000 | -0.000 | 0.000 |
| 0.000 | -0.000 | 0.000 | -0.579 | -0.000 | 0.000 |
| 0.000 | 0.000 | 0.000 | 0.000 | -0.579 | 0.000 |
| 0.000 | -0.000 | 0.000 | 0.000 | 0.000 | -7.644 |
| 18.188 | -5.294 | -0.579 | -0.000 | 0.000 | -0.000 |
| -5.294 | 18.188 | -0.579 | -0.000 | 0.000 | -0.000 |
| -0.579 | -0.579 | 20.474 | -0.000 | 0.000 | -0.000 |
| -0.000 | 0.000 | 0.000 | -6.407 | -0.000 | -0.000 |
| -0.000 | -0.000 | -0.000 | -0.000 | -0.579 | -0.000 |
| -0.000 | 0.000 | -0.000 | -0.000 | -0.000 | -7.644 |
| 18.189 | -5.294 | -0.579 | 0.000 | -0.000 | 0.000 |
| -5.294 | 18.189 | -0.579 | 0.000 | -0.000 | 0.000 |
| -0.579 | -0.579 | 20.474 | 0.000 | -0.000 | 0.000 |
| -0.000 | -0.000 | 0.000 | -0.579 | 0.000 | 0.000 |
| -0.000 | -0.000 | 0.000 | 0.000 | -0.579 | 0.000 |
| 0.000 | -0.000 | -0.000 | 0.000 | -0.000 | -7.644 |
| 18.188 | -5.294 | -0.579 | -0.000 | 0.000 | -0.000 |
| -5.294 | 18.188 | -0.579 | -0.000 | 0.000 | -0.000 |
| -0.579 | -0.579 | 20.474 | -0.000 | 0.000 | -0.000 |
| 0.000 | 0.000 | -0.000 | -0.579 | 0.000 | -0.000 |
| 0.000 | 0.000 | -0.000 | -0.000 | -0.579 | -0.000 |
| -0.000 | 0.000 | 0.000 | 0.000 | -0.000 | -7.644 |
| 18.189 | -5.294 | -0.579 | 0.000 | -0.000 | 0.000 |
| -5.294 | 18.189 | -0.579 | 0.000 | -0.000 | 0.000 |
| -0.579 | -0.579 | 20.474 | 0.000 | 0.000 | 0.000 |
| -619893.017 | -818056.649 | -1083544.583 | 31290.218 | -30023.000 | 103.270 |
| -1024185.737 | -524348.478 | -1032205.987 | -10173.249 | -30447.921 | -3161.853 |
| 0.000 | -0.000 | -0.000 | 0.000 | -0.000 | -7.644 |
| 18.188 | -5.294 | -0.579 | -0.000 | -0.000 | -0.000 |
| -5.294 | 18.188 | -0.579 | -0.000 | 0.000 | -0.000 |
| -0.579 | -0.579 | 20.474 | -0.000 | -0.000 | -0.000 |
| 987108.143 | 783318.110 | 1028642.932 | -4286.713 | 1205.339 | -31953.172 |
| 790333.997 | 795573.245 | 1044110.132 | -7054.666 | 17497.396 | -30009.131 |
| -0.000 | 0.000 | 0.000 | -0.000 | 0.000 | -7.644 |
| 19.317 | -1.207 | 0.047 | -0.000 | 0.000 | -0.000 |
| -1.207 | 19.317 | 0.047 | -0.000 | 0.000 | 0.000 |
| 0.047 | 0.047 | 27.576 | -0.000 | 0.000 | -0.000 |
| -0.000 | 0.000 | -0.000 | -1.934 | 0.000 | 0.000 |
| 0.000 | -0.000 | 0.000 | -0.000 | -1.934 | -0.000 |
| 0.000 | -0.000 | -0.000 | -0.000 | 0.000 | -8.125 |
| 26.235 | -8.125 | 0.047 | -0.000 | -0.000 | 0.000 |
| -8.125 | 26.235 | 0.047 | 0.000 | -0.000 | 0.000 |
| 0.047 | 0.047 | 27.576 | 0.000 | -0.000 | 0.000 |
| 0.000 | -0.000 | -0.000 | -1.934 | -0.000 | 0.000 |
| -0.000 | 0.000 | -0.000 | 0.000 | -1.934 | 0.000 |
| 0.000 | 0.000 | -0.000 | -0.000 | -0.000 | -8.125 |
| 26.235 | -8.125 | 0.047 | -0.000 | 0.000 | -0.000 |
| -8.125 | 26.235 | 0.047 | 0.000 | 0.000 | -0.000 |
| 0.047 | 0.047 | 27.576 | -0.000 | 0.000 | -0.000 |
| -0.000 | 0.000 | -0.000 | -1.934 | -0.000 | -0.000 |
| 0.000 | -0.000 | -0.000 | -0.000 | -1.934 | -0.000 |
| 0.000 | -0.000 | -0.000 | 0.000 | 0.000 | -8.125 |
| 19.317 | -1.207 | 0.047 | 0.000 | 0.000 | 0.000 |
| -1.207 | 19.317 | 0.047 | 0.000 | 0.000 | 0.000 |
| 0.047 | 0.047 | 27.576 | 0.000 | -0.000 | 0.000 |
| 0.000 | -0.000 | 0.000 | -1.934 | 0.000 | 0.000 |
| -0.000 | 0.000 | 0.000 | 0.000 | -1.934 | 0.000 |
| -0.000 | 0.000 | 0.000 | -0.000 | -0.000 | -8.125 |
| 2.285 | 15.825 | 0.047 | -0.000 | 0.000 | -0.000 |
| 15.825 | 2.285 | 0.047 | 0.000 | -0.000 | -0.000 |
| 0.047 | 0.047 | 27.576 | 0.000 | 0.000 | -0.000 |
| -0.000 | 0.000 | -0.000 | -1.934 | 0.000 | 0.000 |
| 0.000 | -0.000 | -0.000 | 0.000 | -1.934 | -0.000 |
| 0.000 | -0.000 | -0.000 | -0.000 | -0.000 | -8.125 |
| 1.690 | 16.420 | 0.047 | -0.000 | 0.000 | 0.000 |
| 16.420 | 1.690 | 0.047 | 0.000 | -0.000 | 0.000 |
| 0.047 | 0.047 | 27.576 | 0.000 | -0.000 | 0.000 |
| 0.000 | -0.000 | 0.000 | -1.934 | -0.000 | -0.000 |
| -0.000 | 0.000 | 0.000 | 0.000 | -1.934 | 0.000 |
| -0.000 | 0.000 | 0.000 | 0.000 | -0.000 | -8.125 |
| -3.494 | -2.259 | 3.908 | -2.794 | 0.000 | 0.000 |
| -2.259 | -3.494 | 3.908 | 2.794 | 0.000 | 0.000 |
| 3.225 | 3.225 | 4.079 | 0.000 | 0.000 | 0.000 |
| -2.794 | 2.794 | 0.000 | 4.184 | 0.000 | 0.000 |
| 0.000 | -0.000 | 0.000 | 0.000 | 4.184 | -2.794 |
| 0.000 | -0.000 | 0.000 | 0.000 | -2.794 | -0.617 |
| -3.494 | -2.259 | 3.908 | -2.794 | -0.000 | -0.000 |
| -2.259 | -3.494 | 3.908 | 2.794 | 0.000 | -0.000 |
| 3.225 | 3.225 | 4.079 | -0.000 | -0.000 | -0.000 |
| -2.794 | 2.794 | -0.000 | 4.184 | -0.000 | -0.000 |
| -0.000 | 0.000 | -0.000 | -0.000 | 4.184 | -2.794 |
| -0.000 | 0.000 | -0.000 | -0.000 | -2.794 | -0.617 |
| -3.494 | -2.259 | 3.908 | -2.794 | 0.000 | 0.000 |
| -2.259 | -3.494 | 3.908 | 2.794 | 0.000 | 0.000 |
| 3.225 | 3.225 | 4.079 | 0.000 | 0.000 | 0.000 |
| -2.794 | 2.794 | 0.000 | 4.184 | 0.000 | 0.000 |
| 0.000 | 0.000 | 0.000 | -0.000 | 4.184 | -2.794 |
| 0.000 | -0.000 | 0.000 | -0.000 | -2.794 | -0.617 |
| -3.494 | -2.259 | 3.908 | -2.794 | -0.000 | -0.000 |
| -2.259 | -3.494 | 3.908 | 2.794 | -0.000 | -0.000 |
| 3.225 | 3.225 | 4.079 | -0.000 | -0.000 | -0.000 |
| -2.794 | 2.794 | -0.000 | 4.184 | -0.000 | -0.000 |
| -0.000 | -0.000 | -0.000 | 0.000 | 4.184 | -2.794 |
| -0.000 | 0.000 | -0.000 | 0.000 | -2.794 | -0.617 |
| -3.494 | -2.259 | 3.908 | -2.794 | 0.000 | 0.000 |
| -2.259 | -3.494 | 3.908 | 2.794 | 0.000 | 0.000 |
| 3.225 | 3.225 | 4.079 | 0.000 | 0.000 | 0.000 |
| -2.794 | 2.794 | 0.000 | 4.184 | 0.000 | 0.000 |
| 0.000 | 0.000 | 0.000 | -0.000 | 4.184 | -2.794 |
| 0.000 | -0.000 | 0.000 | -0.000 | -2.794 | -0.617 |
| -3.494 | -2.259 | 3.908 | -2.794 | -0.000 | -0.000 |
| -2.259 | -3.494 | 3.908 | 2.794 | -0.000 | -0.000 |
| 3.225 | 3.225 | 4.079 | -0.000 | -0.000 | -0.000 |
| -2.794 | 2.794 | -0.000 | 4.184 | -0.000 | -0.000 |
| -0.000 | -0.000 | -0.000 | 0.000 | 4.184 | -2.794 |
| -0.000 | 0.000 | -0.000 | 0.000 | -2.794 | -0.617 |
| 21.080 | -5.163 | -5.163 | -0.000 | -0.000 | 0.000 |
| -5.163 | 21.080 | -5.163 | -0.000 | 0.000 | -0.000 |
| -5.163 | -5.163 | 21.080 | 0.000 | 0.000 | 0.000 |
| -0.000 | -0.000 | -0.000 | -5.163 | 0.000 | -0.000 |
| -0.000 | -0.000 | -0.000 | -0.000 | -5.163 | 0.000 |
| -0.000 | -0.000 | -0.000 | -0.000 | 0.000 | -5.163 |
| 21.080 | -5.163 | -5.163 | -0.000 | 0.000 | 0.000 |
| -5.163 | 21.080 | -5.163 | 0.000 | -0.000 | 0.000 |
| -5.163 | -5.163 | 21.080 | -0.000 | 0.000 | -0.000 |
| 0.000 | -0.000 | 0.000 | -5.163 | -0.000 | -0.000 |
| 0.000 | -0.000 | 0.000 | -0.000 | -5.163 | 0.000 |
| 0.000 | 0.000 | 0.000 | 0.000 | -0.000 | -5.163 |
| 21.080 | -5.163 | -5.163 | -0.000 | 0.000 | 0.000 |
| -5.163 | 21.080 | -5.163 | -0.000 | 0.000 | -0.000 |
| -5.163 | -5.163 | 21.080 | -0.000 | 0.000 | 0.000 |
| 0.000 | 0.000 | -0.000 | -5.163 | -0.000 | -0.000 |
| 0.000 | 0.000 | -0.000 | -0.000 | -5.163 | -0.000 |
| 0.000 | -0.000 | 0.000 | -0.000 | -0.000 | -5.163 |
| 21.080 | -5.163 | -5.163 | 0.000 | 0.000 | 0.000 |
| -5.163 | 21.080 | -5.163 | 0.000 | -0.000 | 0.000 |
| -5.163 | -5.163 | 21.080 | -0.000 | -0.000 | -0.000 |
| -0.000 | -0.000 | 0.000 | -5.163 | 0.000 | -0.000 |
| -0.000 | -0.000 | 0.000 | 0.000 | -5.163 | 0.000 |
| -0.000 | 0.000 | -0.000 | 0.000 | -0.000 | -5.163 |
| 21.080 | -5.163 | -5.163 | -0.000 | -0.000 | -0.000 |
| -5.163 | 21.080 | -5.163 | -0.000 | 0.000 | -0.000 |
| -5.163 | -5.163 | 21.080 | -0.000 | -0.000 | 0.000 |
| 0.000 | 0.000 | -0.000 | -5.163 | -0.000 | 0.000 |
| 0.000 | 0.000 | -0.000 | -0.000 | -5.163 | -0.000 |
| 0.000 | -0.000 | 0.000 | -0.000 | 0.000 | -5.163 |
| 21.080 | -5.163 | -5.163 | 0.000 | -0.000 | -0.000 |
| -5.163 | 21.080 | -5.163 | 0.000 | -0.000 | -0.000 |
| -5.163 | -5.163 | 21.080 | 0.000 | -0.000 | -0.000 |
| -0.000 | -0.000 | 0.000 | -5.163 | 0.000 | -0.000 |
| -0.000 | -0.000 | 0.000 | 0.000 | -5.163 | 0.000 |
| -0.000 | 0.000 | -0.000 | 0.000 | -0.000 | -5.163 |
| 0.000 | 0.000 | -0.000 | -0.000 | -0.000 | 0.000 |
| 0.000 | 0.000 | -0.000 | -0.000 | 0.000 | 0.000 |
| 0.000 | 0.000 | 2.621 | -0.000 | -0.000 | 0.000 |
| 0.000 | -0.000 | -0.000 | 0.000 | -0.000 | 0.000 |
| -0.000 | 0.000 | -0.000 | -0.000 | 0.000 | 0.000 |
| 0.000 | 0.000 | 0.000 | 0.000 | -0.000 | 0.000 |
| -0.000 | -0.000 | -0.000 | -0.000 | 0.000 | -0.000 |
| -0.000 | -0.000 | -0.000 | -0.000 | 0.000 | -0.000 |
| -0.000 | -0.000 | 2.621 | -0.000 | -0.000 | -0.000 |
| -0.000 | 0.000 | 0.000 | 0.000 | 0.000 | 0.000 |
| 0.000 | -0.000 | 0.000 | 0.000 | 0.000 | -0.000 |
| -0.000 | -0.000 | -0.000 | -0.000 | 0.000 | -0.000 |
| 0.000 | 0.000 | -0.000 | -0.000 | -0.000 | 0.000 |
| 0.000 | 0.000 | -0.000 | -0.000 | 0.000 | 0.000 |
| 0.000 | 0.000 | 2.621 | -0.000 | -0.000 | 0.000 |
| 0.000 | -0.000 | -0.000 | 0.000 | 0.000 | 0.000 |
| -0.000 | 0.000 | -0.000 | 0.000 | 0.000 | 0.000 |
| 0.000 | 0.000 | 0.000 | 0.000 | -0.000 | 0.000 |
| -0.000 | -0.000 | -0.000 | -0.000 | 0.000 | -0.000 |
| -0.000 | -0.000 | -0.000 | -0.000 | 0.000 | -0.000 |
| -0.000 | -0.000 | 2.621 | 0.000 | 0.000 | -0.000 |
| -0.000 | 0.000 | 0.000 | 0.000 | -0.000 | -0.000 |
| 0.000 | -0.000 | 0.000 | -0.000 | 0.000 | -0.000 |
| -0.000 | -0.000 | -0.000 | -0.000 | 0.000 | -0.000 |
| 0.000 | 0.000 | -0.000 | -0.000 | -0.000 | 0.000 |
| 0.000 | 0.000 | -0.000 | 0.000 | 0.000 | 0.000 |
| 0.000 | 0.000 | 2.621 | -0.000 | -0.000 | 0.000 |
| 0.000 | -0.000 | -0.000 | 0.000 | -0.000 | -0.000 |
| -0.000 | 0.000 | -0.000 | -0.000 | 0.000 | 0.000 |
| 0.000 | 0.000 | 0.000 | 0.000 | -0.000 | 0.000 |
| -0.000 | -0.000 | -0.000 | -0.000 | 0.000 | -0.000 |
| -0.000 | -0.000 | -0.000 | -0.000 | 0.000 | -0.000 |
| -0.000 | -0.000 | 2.621 | -0.000 | -0.000 | -0.000 |
| -0.000 | 0.000 | 0.000 | 0.000 | 0.000 | 0.000 |
| 0.000 | -0.000 | 0.000 | 0.000 | 0.000 | -0.000 |
| -0.000 | -0.000 | -0.000 | -0.000 | 0.000 | -0.000 |
| 5.628 | 3.158 | 1.929 | 0.000 | 0.000 | 0.000 |
| 3.158 | 5.628 | 1.929 | -0.000 | 0.000 | 0.000 |
| 1.348 | 1.348 | 10.233 | -0.000 | 0.000 | 0.000 |
| -0.007 | -0.007 | 0.099 | 0.765 | 0.000 | 0.000 |
| -0.007 | -0.007 | 0.099 | 0.000 | 0.765 | 0.000 |
| -0.007 | -0.007 | 0.099 | -0.000 | -0.000 | -0.151 |
| 2.217 | 5.773 | 0.985 | 0.000 | 0.000 | -0.000 |
| 5.773 | 2.217 | 0.985 | 0.000 | -0.000 | -0.000 |
| 1.380 | 1.380 | 10.162 | 0.000 | -0.000 | -0.000 |
| 0.007 | 0.007 | -0.099 | 0.765 | 0.000 | -0.000 |
| 0.007 | 0.007 | -0.099 | -0.000 | 0.765 | 0.000 |
| 0.007 | 0.007 | -0.099 | 0.000 | 0.000 | -0.151 |
| 1.745 | 6.316 | 1.360 | -0.000 | 0.000 | 0.000 |
| 6.316 | 1.745 | 1.360 | -0.000 | -0.000 | 0.000 |
| 1.366 | 1.366 | 10.210 | 0.000 | 0.000 | -0.000 |
| -0.005 | -0.005 | 0.001 | -0.160 | 0.000 | -0.000 |
| -0.005 | -0.005 | 0.001 | -0.000 | -0.160 | 0.000 |
| 0.000 | 0.000 | -0.000 | 0.000 | 0.000 | 3.133 |
| 2.141 | 5.821 | 1.053 | 0.000 | -0.000 | -0.000 |
| 5.821 | 2.141 | 1.053 | -0.000 | 0.000 | -0.000 |
| 1.369 | 1.369 | 10.202 | 0.000 | 0.000 | -0.000 |
| 0.005 | 0.005 | -0.001 | -0.160 | 0.000 | -0.000 |
| 0.005 | 0.005 | -0.001 | 0.000 | -0.160 | -0.000 |
| -0.000 | -0.000 | 0.000 | -0.000 | -0.000 | 3.133 |
| 2.131 | 5.827 | 1.061 | -0.000 | -0.000 | 0.000 |
| 5.827 | 2.131 | 1.061 | -0.000 | -0.000 | 0.000 |
| 1.300 | 1.300 | 10.177 | -0.000 | -0.000 | 0.000 |
| -0.000 | -0.001 | 0.000 | -0.160 | 0.000 | 0.000 |
| -0.001 | -0.000 | 0.000 | -0.000 | -0.160 | 0.000 |
| -0.000 | -0.000 | 0.000 | -0.000 | 0.000 | -1.345 |
| 1.750 | 6.321 | 1.356 | 0.000 | -0.000 | -0.000 |
| 6.321 | 1.750 | 1.356 | -0.000 | 0.000 | -0.000 |
| 1.307 | 1.307 | 10.185 | 0.000 | -0.000 | -0.000 |
| 0.000 | 0.001 | -0.000 | -0.160 | 0.000 | 0.000 |
| 0.001 | 0.000 | -0.000 | 0.000 | -0.160 | -0.000 |
| 0.000 | 0.000 | -0.000 | 0.000 | 0.000 | -1.345 |
| 0.436 | 7.703 | 2.418 | -0.000 | -0.000 | -0.000 |
| 7.703 | 0.436 | 2.418 | -0.000 | -0.000 | -0.000 |
| 2.195 | 2.195 | 12.496 | 0.000 | -0.000 | -0.000 |
| -0.000 | -0.000 | -0.000 | 1.110 | -0.000 | -0.000 |
| -0.000 | -0.000 | -0.000 | -0.000 | 1.110 | 0.000 |
| -0.128 | -0.128 | 0.107 | 0.000 | -0.000 | 8.900 |
| 0.699 | 7.960 | 2.199 | -0.000 | -0.000 | 0.000 |
| 7.960 | 0.699 | 2.199 | -0.000 | 0.000 | 0.000 |
| 2.450 | 2.450 | 12.281 | 0.000 | 0.000 | 0.000 |
| 0.000 | 0.000 | 0.000 | 1.110 | 0.000 | 0.000 |
| 0.000 | 0.000 | 0.000 | 0.000 | 1.110 | 0.000 |
| 0.128 | 0.128 | -0.107 | -0.000 | 0.000 | 8.900 |
| 0.554 | 7.819 | 2.319 | 0.000 | -0.000 | -0.000 |
| 7.819 | 0.554 | 2.319 | -0.000 | 0.000 | -0.000 |
| 2.310 | 2.310 | 12.399 | -0.000 | -0.000 | -0.000 |
| -0.000 | 0.000 | 0.000 | 1.110 | -0.000 | 0.000 |
| 0.000 | -0.000 | 0.000 | 0.000 | 1.110 | -0.000 |
| -0.013 | -0.013 | 0.011 | 0.000 | -0.000 | 8.900 |
| 0.581 | 7.844 | 2.298 | 0.000 | 0.000 | 0.000 |
| 7.844 | 0.581 | 2.298 | -0.000 | 0.000 | 0.000 |
| 2.335 | 2.335 | 12.378 | -0.000 | 0.000 | -0.000 |
| 0.000 | -0.000 | -0.000 | 1.110 | 0.000 | 0.000 |
| -0.000 | 0.000 | -0.000 | -0.000 | 1.110 | 0.000 |
| 0.013 | 0.013 | -0.011 | -0.000 | 0.000 | 8.900 |
| 0.559 | 7.740 | 2.350 | 0.000 | -0.000 | -0.000 |
| 7.740 | 0.559 | 2.350 | 0.000 | -0.000 | -0.000 |
| 2.321 | 2.321 | 12.390 | -0.000 | -0.000 | -0.000 |
| -686754.122 | -689377.822 | -758520.136 | 7666.472 | 8672.997 | 8116.634 |
| -733766.819 | -744144.316 | -749859.797 | -18485.769 | -5174.119 | -5017.737 |
| -0.001 | -0.001 | 0.001 | -0.000 | -0.000 | 8.900 |
| 0.562 | 7.743 | 2.348 | -0.000 | 0.000 | -0.000 |
| 7.743 | 0.562 | 2.348 | 0.000 | 0.000 | 0.000 |
| 2.324 | 2.324 | 12.388 | -0.000 | 0.000 | -0.000 |
| 694868.107 | 694306.518 | 697142.075 | 22298.992 | -6342.181 | -6363.770 |
| 735079.824 | 723874.515 | 725483.136 | 6558.413 | 5565.174 | -5749.967 |
| 0.001 | 0.001 | -0.001 | 0.000 | 0.000 | 8.900 |
| 19.555 | 8.890 | 4.177 | 1.383 | 0.000 | -0.000 |
| 7.741 | 20.703 | 4.177 | -1.383 | -0.000 | -0.000 |
| 4.178 | 4.178 | 24.265 | 0.000 | -0.000 | 0.000 |
| 1.382 | -1.383 | -0.001 | 4.179 | 0.000 | -0.000 |
| -0.000 | -0.000 | -0.001 | 0.000 | 4.179 | 1.383 |
| -0.000 | -0.000 | -0.001 | 0.000 | 1.383 | 6.481 |
| 20.704 | 7.742 | 4.180 | 1.383 | 0.000 | -0.000 |
| 7.111 | 21.334 | 4.179 | -1.383 | 0.000 | 0.000 |
| 4.179 | 4.179 | 24.268 | 0.000 | -0.000 | -0.000 |
| 1.383 | -1.382 | 0.001 | 4.179 | -0.000 | -0.000 |
| 0.000 | 0.000 | 0.001 | 0.000 | 4.179 | 1.383 |
| 0.000 | 0.000 | 0.001 | 0.000 | 1.383 | 6.481 |
| 21.334 | 7.111 | 4.179 | 1.383 | 0.000 | -0.000 |
| 8.892 | 19.553 | 4.178 | -1.383 | 0.000 | -0.000 |
| 4.178 | 4.178 | 24.266 | 0.000 | 0.000 | -0.000 |
| 1.382 | -1.383 | -0.000 | 4.179 | 0.000 | -0.000 |
| -0.000 | -0.000 | 0.000 | 0.000 | 4.179 | 1.383 |
| -0.000 | -0.000 | -0.000 | 0.000 | 1.383 | 6.480 |
| 19.553 | 8.892 | 4.179 | 1.383 | 0.000 | 0.000 |
| 7.111 | 21.334 | 4.179 | -1.383 | -0.000 | -0.000 |
| 4.179 | 4.179 | 24.267 | 0.000 | -0.000 | 0.000 |
| 1.383 | -1.382 | 0.000 | 4.179 | -0.000 | -0.000 |
| 0.000 | 0.000 | -0.000 | -0.000 | 4.179 | 1.383 |
| 0.000 | 0.000 | 0.000 | -0.000 | 1.383 | 6.480 |
| 20.632 | 7.813 | 4.179 | 1.383 | 0.000 | -0.000 |
| 7.813 | 20.632 | 4.179 | -1.383 | 0.000 | 0.000 |
| 4.179 | 4.179 | 24.267 | 0.000 | 0.000 | -0.000 |
| 1.383 | -1.383 | 0.000 | 4.179 | 0.000 | 0.000 |
| -0.000 | -0.000 | 0.000 | 0.000 | 4.179 | 1.383 |
| -0.000 | 0.000 | -0.000 | 0.000 | 1.383 | 6.410 |
| 20.632 | 7.813 | 4.179 | 1.383 | -0.000 | -0.000 |
| 7.813 | 20.632 | 4.179 | -1.383 | 0.000 | 0.000 |
| 4.179 | 4.179 | 24.267 | 0.000 | -0.000 | 0.000 |
| 1.383 | -1.382 | -0.000 | 4.179 | -0.000 | 0.000 |
| 0.000 | 0.000 | -0.000 | -0.000 | 4.179 | 1.383 |
| 0.000 | -0.000 | 0.000 | -0.000 | 1.383 | 6.410 |
| 17.099 | 12.647 | 12.634 | 0.000 | -0.000 | 0.000 |
| 12.559 | 17.973 | 12.191 | 0.000 | -0.000 | -0.000 |
| 12.542 | 12.187 | 18.006 | 0.000 | 0.000 | -0.000 |
| 0.000 | 0.000 | 0.000 | 12.264 | -0.000 | 0.000 |
| 0.000 | 0.000 | -0.000 | 0.000 | 12.708 | 0.000 |
| 0.000 | 0.000 | 0.000 | 0.000 | 0.000 | 12.729 |
| 17.099 | 12.647 | 12.634 | -0.000 | 0.000 | -0.000 |
| 12.559 | 17.973 | 12.191 | -0.000 | -0.000 | -0.000 |
| 12.542 | 12.187 | 18.006 | -0.000 | -0.000 | 0.000 |
| -0.000 | -0.000 | -0.000 | 12.264 | -0.000 | -0.000 |
| -0.000 | -0.000 | -0.000 | -0.000 | 12.708 | 0.000 |
| -0.000 | -0.000 | -0.000 | -0.000 | 0.000 | 12.729 |
| 17.099 | 12.647 | 12.634 | 0.000 | -0.000 | 0.000 |
| 12.559 | 17.973 | 12.191 | 0.000 | -0.000 | -0.000 |
| 12.542 | 12.187 | 18.006 | 0.000 | -0.000 | -0.000 |
| 0.000 | -0.000 | 0.000 | 12.264 | -0.000 | 0.000 |
| -0.000 | 0.000 | 0.000 | 0.000 | 12.708 | -0.000 |
| -0.000 | 0.000 | 0.000 | 0.000 | -0.000 | 12.729 |
| 17.099 | 12.647 | 12.634 | -0.000 | 0.000 | -0.000 |
| 12.559 | 17.973 | 12.191 | -0.000 | 0.000 | -0.000 |
| 12.542 | 12.187 | 18.006 | -0.000 | -0.000 | 0.000 |
| -0.000 | 0.000 | -0.000 | 12.264 | 0.000 | -0.000 |
| 0.000 | -0.000 | -0.000 | -0.000 | 12.708 | 0.000 |
| 0.000 | -0.000 | -0.000 | -0.000 | 0.000 | 12.729 |
| 17.099 | 12.647 | 12.634 | 0.000 | -0.000 | 0.000 |
| 12.559 | 17.973 | 12.191 | 0.000 | 0.000 | -0.000 |
| 12.542 | 12.187 | 18.006 | 0.000 | -0.000 | -0.000 |
| 0.000 | -0.000 | 0.000 | 12.264 | -0.000 | 0.000 |
| -0.000 | 0.000 | 0.000 | 0.000 | 12.708 | 0.000 |
| -0.000 | 0.000 | 0.000 | 0.000 | -0.000 | 12.729 |
| 17.099 | 12.647 | 12.634 | -0.000 | 0.000 | -0.000 |
| 12.559 | 17.973 | 12.191 | -0.000 | 0.000 | 0.000 |
| 12.542 | 12.187 | 18.006 | -0.000 | -0.000 | 0.000 |
| -0.000 | 0.000 | -0.000 | 12.264 | 0.000 | -0.000 |
| 0.000 | -0.000 | -0.000 | -0.000 | 12.708 | 0.000 |
| 0.000 | -0.000 | -0.000 | -0.000 | 0.000 | 12.729 |
| 12.782 | 3.151 | 3.151 | -0.000 | 0.000 | -0.000 |
| 3.151 | 12.782 | 3.151 | -0.000 | 0.000 | -0.000 |
| 3.151 | 3.151 | 12.782 | -0.000 | 0.000 | -0.000 |
| -5.592 | -5.592 | -5.592 | 6.834 | 0.000 | -0.000 |
| -5.592 | -5.592 | -5.592 | -0.000 | 6.834 | -0.000 |
| -5.592 | -5.592 | -5.592 | -0.000 | 0.000 | 6.834 |
| 23.958 | 14.335 | 14.335 | 0.000 | -0.000 | 0.000 |
| 14.335 | 23.958 | 14.335 | 0.000 | -0.000 | 0.000 |
| 14.335 | 14.335 | 23.958 | 0.000 | -0.000 | 0.000 |
| 5.592 | 5.592 | 5.592 | 6.834 | -0.000 | 0.000 |
| 5.592 | 5.592 | 5.592 | 0.000 | 6.834 | 0.000 |
| 5.592 | 5.592 | 5.592 | 0.000 | -0.000 | 6.834 |
| 17.572 | 8.196 | 8.196 | -0.000 | 0.000 | -0.000 |
| 8.196 | 17.572 | 8.196 | -0.000 | 0.000 | -0.000 |
| 8.196 | 8.196 | 17.572 | -0.000 | 0.000 | -0.000 |
| -0.606 | -0.606 | -0.606 | 6.394 | 0.000 | -0.000 |
| -0.606 | -0.606 | -0.606 | -0.000 | 6.394 | -0.000 |
| -0.606 | -0.606 | -0.606 | -0.000 | 0.000 | 6.394 |
| 18.805 | 9.431 | 9.431 | 0.000 | -0.000 | 0.000 |
| 9.431 | 18.805 | 9.431 | 0.000 | -0.000 | 0.000 |
| 9.431 | 9.431 | 18.805 | 0.000 | -0.000 | 0.000 |
| 0.606 | 0.606 | 0.606 | 6.394 | -0.000 | 0.000 |
| 0.606 | 0.606 | 0.606 | 0.000 | 6.394 | 0.000 |
| 0.606 | 0.606 | 0.606 | 0.000 | -0.000 | 6.394 |
| 18.113 | 8.759 | 8.759 | -0.000 | 0.000 | -0.000 |
| 8.759 | 18.113 | 8.759 | -0.000 | 0.000 | -0.000 |
| 8.759 | 8.759 | 18.113 | -0.000 | 0.000 | -0.000 |
| -0.061 | -0.061 | -0.061 | 6.451 | 0.000 | -0.000 |
| -0.061 | -0.061 | -0.061 | -0.000 | 6.451 | -0.000 |
| -0.061 | -0.061 | -0.061 | -0.000 | 0.000 | 6.451 |
| 18.565 | 8.715 | 8.715 | 0.000 | -0.000 | 0.000 |
| 8.715 | 18.565 | 8.715 | 0.000 | -0.000 | 0.000 |
| 8.715 | 8.715 | 18.565 | 0.000 | -0.000 | 0.000 |
| 0.061 | 0.061 | 0.061 | 6.451 | -0.000 | 0.000 |
| 0.061 | 0.061 | 0.061 | 0.000 | 6.451 | 0.000 |
| 0.061 | 0.061 | 0.061 | 0.000 | -0.000 | 6.451 |
| 18.487 | 8.655 | 8.655 | -0.000 | -0.000 | -0.000 |
| 8.655 | 18.487 | 8.655 | 0.000 | 0.000 | -0.000 |
| 8.655 | 8.655 | 18.487 | 0.000 | 0.000 | -0.000 |
| 0.000 | 0.000 | 0.000 | 6.911 | -0.000 | -0.000 |
| 0.000 | 0.000 | 0.000 | 0.000 | 6.911 | -0.000 |
| 0.000 | 0.000 | 0.000 | -0.000 | -0.000 | 6.911 |
| 19.134 | 8.447 | 8.447 | 0.000 | 0.000 | 0.000 |
| 8.447 | 19.134 | 8.447 | 0.000 | -0.000 | -0.000 |
| 8.447 | 8.447 | 19.134 | 0.000 | -0.000 | 0.000 |
| -0.000 | -0.000 | -0.000 | 6.911 | 0.000 | 0.000 |
| -0.000 | -0.000 | -0.000 | 0.000 | 6.911 | 0.000 |
| -0.000 | -0.000 | -0.000 | 0.000 | -0.000 | 6.911 |
| 18.487 | 8.655 | 8.655 | 0.000 | -0.000 | -0.000 |
| 8.655 | 18.487 | 8.655 | 0.000 | -0.000 | -0.000 |
| 8.655 | 8.655 | 18.487 | -0.000 | 0.000 | -0.000 |
| 0.000 | 0.000 | 0.000 | 6.444 | 0.000 | 0.000 |
| 0.000 | 0.000 | 0.000 | 0.000 | 6.444 | 0.000 |
| 0.000 | 0.000 | 0.000 | 0.000 | -0.000 | 6.444 |
| 18.149 | 8.799 | 8.799 | -0.000 | -0.000 | -0.000 |
| 8.799 | 18.149 | 8.799 | 0.000 | -0.000 | -0.000 |
| 8.799 | 8.799 | 18.149 | -0.000 | -0.000 | -0.000 |
| -0.000 | -0.000 | -0.000 | 6.444 | -0.000 | -0.000 |
| -0.000 | -0.000 | -0.000 | -0.000 | 6.444 | -0.000 |
| -0.000 | -0.000 | -0.000 | 0.000 | 0.000 | 6.444 |
| 18.487 | 8.655 | 8.655 | -0.000 | 0.000 | -0.000 |
| 8.655 | 18.487 | 8.655 | 0.000 | 0.000 | -0.000 |
| 8.655 | 8.655 | 18.487 | -0.000 | -0.000 | -0.000 |
| 0.000 | 0.000 | 0.000 | 6.443 | 0.000 | 0.000 |
| 0.000 | 0.000 | 0.000 | 0.000 | 6.443 | 0.000 |
| 0.000 | 0.000 | 0.000 | 0.000 | 0.000 | 6.443 |
| 18.148 | 8.801 | 8.801 | 0.000 | -0.000 | -0.000 |
| 8.801 | 18.148 | 8.801 | 0.000 | 0.000 | -0.000 |
| 8.801 | 8.801 | 18.148 | 0.000 | -0.000 | -0.000 |
| -0.000 | -0.000 | -0.000 | 6.443 | 0.000 | -0.000 |
| -0.000 | -0.000 | -0.000 | -0.000 | 6.443 | -0.000 |
| -0.000 | -0.000 | -0.000 | -0.000 | -0.000 | 6.443 |
| 32.003 | 14.916 | 14.916 | 0.000 | 0.000 | 0.000 |
| 14.916 | 32.003 | 14.916 | 0.000 | 0.000 | 0.000 |
| 14.916 | 14.916 | 32.003 | 0.000 | 0.000 | 0.000 |
| 7.214 | 7.214 | 7.214 | 3.812 | 0.000 | 0.000 |
| 7.214 | 7.214 | 7.214 | 0.000 | 3.812 | 0.000 |
| 7.214 | 7.214 | 7.214 | 0.000 | 0.000 | 3.812 |
| 24.556 | 7.098 | 7.098 | -0.000 | -0.000 | -0.000 |
| 7.098 | 24.556 | 7.098 | -0.000 | -0.000 | -0.000 |
| 7.098 | 7.098 | 24.556 | -0.000 | -0.000 | -0.000 |
| -7.214 | -7.214 | -7.214 | 3.812 | -0.000 | -0.000 |
| -7.214 | -7.214 | -7.214 | -0.000 | 3.812 | -0.000 |
| -7.214 | -7.214 | -7.214 | -0.000 | -0.000 | 3.812 |
| 26.217 | 6.145 | 6.145 | 0.000 | 0.000 | 0.000 |
| 6.145 | 26.217 | 6.145 | 0.000 | 0.000 | -0.000 |
| 6.145 | 6.145 | 26.217 | 0.000 | 0.000 | -0.000 |
| 0.711 | 0.711 | 0.711 | 3.877 | 0.000 | 0.000 |
| 0.711 | 0.711 | 0.711 | 0.000 | 3.877 | 0.000 |
| 0.711 | 0.711 | 0.711 | 0.000 | 0.000 | 3.877 |
| 22.588 | 6.787 | 6.787 | -0.000 | -0.000 | -0.000 |
| 6.787 | 22.588 | 6.787 | -0.000 | -0.000 | -0.000 |
| 6.787 | 6.787 | 22.588 | -0.000 | -0.000 | -0.000 |
| -0.711 | -0.711 | -0.711 | 3.877 | -0.000 | -0.000 |
| -0.711 | -0.711 | -0.711 | -0.000 | 3.877 | -0.000 |
| -0.711 | -0.711 | -0.711 | -0.000 | -0.000 | 3.877 |
| 24.360 | 6.994 | 6.994 | 0.000 | 0.000 | 0.000 |
| 6.994 | 24.360 | 6.994 | 0.000 | 0.000 | 0.000 |
| 6.994 | 6.994 | 24.360 | 0.000 | 0.000 | 0.000 |
| 0.076 | 0.076 | 0.076 | 4.117 | -0.000 | -0.000 |
| 0.076 | 0.076 | 0.076 | 0.000 | 4.117 | 0.000 |
| 0.076 | 0.076 | 0.076 | 0.000 | 0.000 | 4.117 |
| 23.823 | 7.125 | 7.125 | -0.000 | 0.000 | -0.000 |
| 7.125 | 23.823 | 7.125 | -0.000 | -0.000 | -0.000 |
| 7.125 | 7.125 | 23.823 | -0.000 | -0.000 | -0.000 |
| -0.076 | -0.076 | -0.076 | 4.117 | -0.000 | -0.000 |
| -0.076 | -0.076 | -0.076 | -0.000 | 4.117 | -0.000 |
| -0.076 | -0.076 | -0.076 | -0.000 | -0.000 | 4.117 |
| 19.865 | 6.029 | 6.029 | 0.000 | -0.000 | -0.000 |
| 7.265 | 17.371 | 7.265 | 0.000 | -0.000 | -0.000 |
| 7.265 | 7.265 | 17.371 | 0.000 | -0.000 | -0.000 |
| -0.467 | -0.467 | -0.467 | 3.960 | 0.000 | -0.000 |
| -1.034 | -1.034 | -1.034 | -0.000 | 5.301 | -0.000 |
| -1.034 | -1.034 | -1.034 | 0.000 | 0.000 | 5.301 |
| 18.378 | 8.736 | 8.736 | -0.000 | -0.000 | 0.000 |
| 8.736 | 18.378 | 8.736 | -0.000 | -0.000 | 0.000 |
| 8.736 | 8.736 | 18.378 | -0.000 | -0.000 | 0.000 |
| 1.034 | 1.034 | 1.034 | 5.301 | -0.000 | 0.000 |
| 1.034 | 1.034 | 1.034 | -0.000 | 5.301 | 0.000 |
| 1.034 | 1.034 | 1.034 | 0.000 | -0.000 | 5.301 |
| 18.179 | 8.023 | 8.023 | 0.000 | 0.000 | -0.000 |
| 8.023 | 18.179 | 8.023 | -0.000 | -0.000 | -0.000 |
| 8.023 | 8.023 | 18.179 | 0.000 | 0.000 | -0.000 |
| -0.053 | -0.053 | -0.053 | 3.935 | 0.000 | -0.000 |
| -0.117 | -0.117 | -0.117 | -0.000 | 5.140 | -0.000 |
| -0.053 | -0.053 | -0.053 | 0.000 | -0.000 | 3.935 |
| 18.008 | 8.233 | 8.233 | -0.000 | -0.000 | 0.000 |
| 7.415 | 20.461 | 7.415 | -0.000 | -0.000 | 0.000 |
| 8.233 | 8.233 | 18.008 | -0.000 | -0.000 | 0.000 |
| 0.053 | 0.053 | 0.053 | 3.935 | -0.000 | 0.000 |
| 0.053 | 0.053 | 0.053 | -0.000 | 3.935 | 0.000 |
| 0.053 | 0.053 | 0.053 | 0.000 | -0.000 | 3.935 |
| 17.906 | 8.217 | 8.217 | -0.000 | 0.000 | -0.000 |
| 8.208 | 17.922 | 8.208 | 0.000 | 0.000 | -0.000 |
| 8.217 | 8.217 | 17.906 | 0.000 | 0.000 | -0.000 |
| -0.002 | -0.002 | -0.002 | 3.918 | 0.000 | -0.000 |
| -0.002 | -0.002 | -0.002 | 0.000 | 3.918 | -0.000 |
| -0.002 | -0.002 | -0.002 | 0.000 | 0.000 | 3.918 |
| 17.918 | 8.219 | 8.219 | -0.000 | -0.000 | 0.000 |
| 8.221 | 17.903 | 8.221 | -0.000 | -0.000 | 0.000 |
| 8.221 | 8.221 | 17.903 | -0.000 | -0.000 | 0.000 |
| 0.002 | 0.002 | 0.002 | 3.918 | -0.000 | 0.000 |
| 0.002 | 0.002 | 0.002 | -0.000 | 3.918 | 0.000 |
| 0.002 | 0.002 | 0.002 | 0.000 | -0.000 | 3.918 |
| 14731625.216 | -75085052.556 | 43007376.654 | -2122.553 | 0.000 | 0.002 |
| 14731615.771 | -75085049.120 | 43007366.586 | -2122.553 | 0.000 | 0.002 |
| 14731607.918 | -75085065.997 | 43007393.261 | -2122.553 | 0.000 | 0.002 |
| 14731600.972 | -75085067.258 | 43007362.859 | -2123.226 | 0.000 | 0.002 |
| 14731599.600 | -75085067.715 | 43007361.324 | -2122.553 | 5.103 | 0.002 |
| 14731598.172 | -75085068.190 | 43007359.727 | -2122.553 | 0.000 | 10.039 |
| -14731582.808 | 75085079.939 | -43007355.861 | 2122.553 | -0.000 | -0.002 |
| -14731587.103 | 75085085.087 | -43007360.171 | 2122.553 | -0.000 | -0.002 |
| -14731590.634 | 75085069.648 | -43007328.663 | 2122.553 | -0.000 | -0.002 |
| -14731600.071 | 75085067.558 | -43007361.851 | 2121.880 | -0.000 | -0.002 |
| -14731600.081 | 75085067.555 | -43007361.862 | 2122.553 | 5.102 | -0.002 |
| -14731598.655 | 75085068.029 | -43007360.268 | 2122.553 | -0.000 | 10.035 |
| 1473179.096 | -7508493.767 | 4300744.217 | -212.255 | 0.000 | 0.000 |
| 1473173.924 | -7508488.911 | 4300738.926 | -212.255 | 0.000 | 0.000 |
| 1473167.911 | -7508505.176 | 4300767.658 | -212.255 | 0.000 | 0.000 |
| 1473160.350 | -7508506.642 | 4300736.569 | -212.928 | 0.000 | 0.000 |
| 1473160.652 | -7508506.541 | 4300736.906 | -212.255 | 5.102 | 0.000 |
| 1473160.074 | -7508506.734 | 4300736.260 | -212.255 | 0.000 | 10.037 |
| -1473142.112 | 7508519.347 | -4300729.488 | 212.255 | -0.000 | -0.000 |
| -1473147.058 | 7508524.279 | -4300734.526 | 212.255 | -0.000 | -0.000 |
| -1473153.044 | 7508508.023 | -4300705.764 | 212.255 | -0.000 | -0.000 |
| -1473160.205 | 7508506.690 | -4300736.406 | 211.583 | -0.000 | -0.000 |
| -1473160.715 | 7508506.520 | -4300736.976 | 212.255 | 5.102 | -0.000 |
| -1473160.116 | 7508506.720 | -4300736.307 | 212.255 | -0.000 | 10.037 |
| 147334.746 | -750837.802 | 430081.266 | -21.226 | 0.000 | 0.000 |
| 147329.513 | -750832.965 | 430075.907 | -21.226 | 0.000 | 0.000 |
| 147323.308 | -750849.294 | 430104.425 | -21.226 | 0.000 | 0.000 |
| 147316.113 | -750850.638 | 430073.744 | -21.898 | 0.000 | 0.000 |
| 147316.070 | -750850.653 | 430073.696 | -21.226 | 5.102 | 0.000 |
| 147316.078 | -750850.650 | 430073.705 | -21.226 | 0.000 | 10.037 |
| -147297.438 | 750863.489 | -430066.175 | 21.226 | -0.000 | -0.000 |
| -147302.878 | 750868.256 | -430071.766 | 21.226 | -0.000 | -0.000 |
| -147308.838 | 750852.009 | -430042.974 | 21.226 | -0.000 | -0.000 |
| -147316.146 | 750850.627 | -430073.781 | 20.553 | -0.000 | -0.000 |
| -147316.069 | 750850.653 | -430073.694 | 21.226 | 5.102 | -0.000 |
| -147316.082 | 750850.649 | -430073.709 | 21.226 | -0.000 | 10.037 |
| -7682857.707 | 1419417.448 | 4157302.931 | -5132074.106 | 232869.335 | -699081.456 |
| -7682889.278 | 1419421.853 | 4157347.392 | -5132090.524 | 232881.911 | -699084.511 |
| -7682505.299 | 1419954.932 | 4157031.172 | -5132512.558 | 232176.217 | -699928.777 |
| -7682873.634 | 1419412.783 | 4157298.312 | -5132072.991 | 232871.869 | -699084.585 |
| -7682876.486 | 1419412.063 | 4157297.121 | -5132071.426 | 232873.585 | -699082.123 |
| -7682874.203 | 1419408.647 | 4157297.691 | -5132074.214 | 232870.677 | -699076.329 |
| 7682889.402 | -1419406.159 | -4157292.845 | 5132076.213 | -232871.109 | 699086.008 |
| 7682879.245 | -1419396.308 | -4157293.474 | 5132077.488 | -232869.730 | 699080.786 |
| 7681275.563 | -1419285.239 | -4157481.162 | 5133490.271 | -231813.283 | 700912.555 |
| 7682875.292 | -1419411.050 | -4157295.006 | 5132077.163 | -232868.220 | 699081.658 |
| 7681268.360 | -1419290.049 | -4157492.507 | 5133490.061 | -231811.798 | 700910.883 |
| 7682876.573 | -1419415.056 | -4157292.577 | 5132073.728 | -232869.104 | 699087.582 |
| -768232.947 | 142000.652 | 415703.236 | -513249.050 | 23215.093 | -69992.084 |
| -768281.710 | 141956.754 | 415734.461 | -513205.582 | 23287.408 | -69911.547 |
| -768282.359 | 141946.142 | 415742.866 | -513206.905 | 23289.174 | -69906.414 |
| -768287.525 | 141942.115 | 415730.313 | -513204.533 | 23288.783 | -69908.696 |
| -768289.161 | 141941.290 | 415732.030 | -513205.752 | 23290.718 | -69908.228 |
| -768285.785 | 141937.994 | 415732.001 | -513207.438 | 23287.767 | -69902.874 |
| 768180.790 | -141870.173 | -415772.495 | 513304.940 | -23252.542 | 70007.298 |
| 768256.663 | -141979.402 | -415696.873 | 513252.885 | -23216.984 | 69989.804 |
| 768256.146 | -141990.065 | -415688.594 | 513251.828 | -23215.218 | 69994.953 |
| 768287.425 | -141940.269 | -415729.055 | 513210.430 | -23285.241 | 69907.876 |
| 768285.807 | -141941.090 | -415727.331 | 513209.189 | -23283.300 | 69908.321 |
| 768289.016 | -141944.379 | -415727.475 | 513207.449 | -23286.281 | 69913.769 |
| -76794.629 | 14199.485 | 41582.566 | -51322.140 | 2323.264 | -7004.619 |
| -76823.146 | 14209.712 | 41577.907 | -51319.184 | 2329.141 | -6994.072 |
| -76823.668 | 14199.072 | 41586.202 | -51320.288 | 2330.888 | -6988.956 |
| -76810.412 | 14194.723 | 41577.308 | -51319.269 | 2325.763 | -7006.975 |
| -76812.288 | 14193.919 | 41579.248 | -51320.690 | 2327.864 | -7006.415 |
| -76827.158 | 14190.942 | 41575.178 | -51320.723 | 2329.432 | -6985.360 |
| 76844.549 | -14188.441 | -41567.438 | 51321.036 | -2329.593 | 6992.806 |
| 76834.323 | -14178.527 | -41568.028 | 51322.290 | -2328.260 | 6987.595 |
| 76821.565 | -14182.624 | -41564.551 | 51330.907 | -2322.985 | 7002.403 |
| 76828.583 | -14193.197 | -41572.513 | 51323.770 | -2326.945 | 6990.540 |
| 76826.921 | -14194.016 | -41570.789 | 51322.515 | -2325.001 | 6991.012 |
| 76830.323 | -14197.295 | -41570.786 | 51320.783 | -2327.975 | 6996.310 |
| 20.796 | 7.086 | 5.796 | -0.019 | -0.000 | 0.000 |
| 8.216 | 21.412 | 2.612 | -0.000 | 0.000 | 0.000 |
| 8.941 | -1.684 | 24.298 | -0.028 | 0.000 | 0.000 |
| -0.000 | 0.000 | 0.000 | 2.609 | 0.000 | 0.000 |
| -0.000 | 0.000 | 0.000 | -0.000 | 5.852 | -0.000 |
| 2.999 | -4.173 | -0.208 | -0.028 | 0.000 | 6.502 |
| 4.707 | 29.469 | 6.909 | 0.008 | -0.000 | -0.000 |
| 7.943 | 21.791 | 2.631 | 0.012 | -0.000 | -0.000 |
| 5.824 | 2.653 | 24.513 | 0.000 | -0.000 | -0.000 |
| -0.000 | 0.000 | -0.000 | 2.609 | -0.000 | -0.000 |
| 0.000 | -0.000 | -0.000 | 0.000 | 5.852 | -0.000 |
| -2.999 | 4.173 | 0.208 | 0.028 | 0.000 | 6.502 |
| 18.529 | 10.239 | 5.953 | -0.003 | 0.000 | 0.000 |
| 12.710 | 15.160 | 2.301 | 0.003 | 0.000 | 0.000 |
| 5.824 | 2.653 | 24.513 | -0.000 | 0.000 | 0.000 |
| 0.274 | -0.381 | -0.019 | 2.599 | 0.000 | 0.000 |
| 0.300 | -0.417 | -0.021 | -0.003 | 5.852 | 0.000 |
| 0.300 | -0.417 | -0.021 | -0.003 | 0.000 | 6.502 |
| 15.623 | 14.283 | 6.154 | 0.008 | -0.000 | -0.000 |
| 10.284 | 18.535 | 2.469 | 0.003 | -0.000 | -0.000 |
| 5.658 | 2.884 | 24.525 | 0.003 | 0.000 | -0.000 |
| -0.300 | 0.417 | 0.021 | 2.603 | -0.000 | -0.000 |
| 0.000 | 0.000 | -0.000 | 0.000 | 5.852 | -0.000 |
| -0.656 | 0.912 | 0.045 | 0.001 | 0.000 | 5.751 |
| 14.604 | 15.701 | 6.224 | -0.000 | 0.000 | 0.000 |
| 15.851 | 10.791 | 2.083 | -0.000 | 0.000 | 0.000 |
| 5.824 | 2.653 | 24.513 | -0.000 | 0.000 | 0.000 |
| 0.011 | -0.015 | -0.001 | 2.606 | 0.000 | 0.000 |
| -0.000 | -0.000 | 0.000 | -0.000 | 5.852 | -0.000 |
| 0.071 | -0.098 | -0.005 | 0.000 | -0.000 | 5.825 |
| 14.412 | 15.968 | 6.238 | 0.000 | -0.000 | -0.000 |
| 15.661 | 11.055 | 2.097 | 0.000 | -0.000 | -0.000 |
| 5.824 | 2.653 | 24.513 | -0.000 | -0.000 | -0.000 |
| -0.011 | 0.015 | 0.001 | 2.606 | -0.000 | -0.000 |
| -0.030 | 0.042 | 0.002 | 0.000 | 5.852 | 0.000 |
| -0.050 | 0.070 | 0.004 | -0.000 | -0.000 | 6.006 |
| 2.675 | 12.932 | -5.141 | -0.000 | -0.000 | 0.000 |
| 12.932 | 2.675 | -5.141 | -0.000 | -0.000 | 0.000 |
| -5.160 | -5.160 | 20.970 | -0.000 | -0.000 | 0.000 |
| 0.000 | 0.000 | -0.000 | -5.150 | -0.000 | 0.000 |
| 0.000 | 0.000 | -0.000 | -0.000 | -5.150 | -0.000 |
| 0.000 | 0.000 | -0.000 | -0.000 | -0.000 | 12.961 |
| 2.675 | 12.932 | -5.141 | 0.000 | 0.000 | 0.000 |
| 12.932 | 2.675 | -5.141 | 0.000 | 0.000 | 0.000 |
| -5.160 | -5.160 | 20.970 | 0.000 | 0.000 | -0.000 |
| -0.000 | -0.000 | 0.000 | -5.150 | 0.000 | 0.000 |
| -0.000 | -0.000 | 0.000 | 0.000 | -5.150 | -0.000 |
| -0.000 | -0.000 | 0.000 | 0.000 | 0.000 | 12.961 |
| 2.675 | 12.932 | -5.141 | -0.000 | -0.000 | 0.000 |
| 12.932 | 2.675 | -5.141 | -0.000 | -0.000 | 0.000 |
| -5.160 | -5.160 | 20.970 | -0.000 | -0.000 | 0.000 |
| -0.000 | 0.000 | -0.000 | -5.150 | -0.000 | 0.000 |
| 0.000 | -0.000 | -0.000 | -0.000 | -5.150 | 0.000 |
| 0.000 | 0.000 | -0.000 | -0.000 | -0.000 | 12.961 |
| 2.675 | 12.932 | -5.141 | 0.000 | 0.000 | -0.000 |
| 12.932 | 2.675 | -5.141 | 0.000 | 0.000 | -0.000 |
| -5.160 | -5.160 | 20.970 | 0.000 | 0.000 | -0.000 |
| 0.000 | -0.000 | 0.000 | -5.150 | 0.000 | -0.000 |
| -0.000 | 0.000 | 0.000 | 0.000 | -5.150 | -0.000 |
| -0.000 | -0.000 | 0.000 | 0.000 | 0.000 | 12.961 |
| 2.675 | 12.932 | -5.141 | -0.000 | -0.000 | -0.000 |
| 12.932 | 2.675 | -5.141 | -0.000 | -0.000 | -0.000 |
| -5.160 | -5.160 | 20.971 | -0.000 | -0.000 | 0.000 |
| -0.000 | 0.000 | -0.000 | -5.150 | -0.000 | -0.000 |
| 0.000 | -0.000 | -0.000 | -0.000 | -5.150 | 0.000 |
| 0.000 | 0.000 | -0.000 | -0.000 | -0.000 | 12.961 |
| 2.675 | 12.932 | -5.141 | 0.000 | 0.000 | 0.000 |
| 12.932 | 2.675 | -5.141 | 0.000 | 0.000 | -0.000 |
| -5.160 | -5.160 | 20.970 | 0.000 | 0.000 | 0.000 |
| 0.000 | -0.000 | 0.000 | -5.150 | 0.000 | -0.000 |
| -0.000 | 0.000 | 0.000 | 0.000 | -5.150 | 0.000 |
| -0.000 | -0.000 | 0.000 | 0.000 | 0.000 | 12.961 |
| 5.481 | 3.165 | 2.462 | -0.000 | 0.000 | -0.000 |
| 3.165 | 5.481 | 2.462 | -0.000 | -0.000 | -0.000 |
| 1.683 | 1.683 | 10.721 | -0.000 | -0.000 | 0.000 |
| -0.000 | -0.000 | -0.000 | 0.609 | -0.000 | -0.000 |
| -0.000 | -0.000 | -0.000 | -0.000 | 0.609 | -0.000 |
| -0.000 | -0.000 | -0.000 | -0.000 | -0.000 | -0.133 |
| 5.481 | 3.165 | 2.462 | 0.000 | 0.000 | 0.000 |
| 3.165 | 5.481 | 2.462 | 0.000 | 0.000 | 0.000 |
| 1.683 | 1.683 | 10.721 | 0.000 | 0.000 | 0.000 |
| 0.000 | 0.000 | 0.000 | 0.609 | -0.000 | 0.000 |
| 0.000 | 0.000 | 0.000 | 0.000 | 0.609 | -0.000 |
| 0.000 | 0.000 | 0.000 | 0.000 | 0.000 | -0.133 |
| 5.481 | 3.165 | 2.462 | -0.000 | -0.000 | -0.000 |
| 3.165 | 5.481 | 2.462 | 0.000 | -0.000 | -0.000 |
| 1.683 | 1.683 | 10.721 | -0.000 | -0.000 | 0.000 |
| -0.000 | -0.000 | 0.000 | 2.089 | -0.000 | 0.000 |
| -0.000 | 0.000 | 0.000 | -0.000 | 2.089 | -0.000 |
| 0.000 | 0.000 | 0.000 | -0.000 | -0.000 | 3.150 |
| 5.481 | 3.165 | 2.462 | 0.000 | 0.000 | 0.000 |
| 3.165 | 5.481 | 2.462 | 0.000 | 0.000 | 0.000 |
| 1.683 | 1.683 | 10.721 | 0.000 | 0.000 | -0.000 |
| 0.000 | 0.000 | -0.000 | 2.089 | 0.000 | -0.000 |
| 0.000 | -0.000 | -0.000 | 0.000 | 2.089 | -0.000 |
| -0.000 | -0.000 | -0.000 | 0.000 | 0.000 | 3.150 |
| 2.008 | 5.944 | 1.556 | -0.000 | -0.000 | -0.000 |
| 5.944 | 2.008 | 1.556 | -0.000 | -0.000 | -0.000 |
| 1.683 | 1.683 | 10.721 | -0.000 | -0.000 | -0.000 |
| -0.000 | -0.000 | -0.000 | -3.525 | -0.000 | 0.000 |
| -0.000 | -0.000 | -0.000 | -0.000 | -3.525 | 0.000 |
| -0.000 | -0.000 | 0.000 | -0.000 | 0.000 | -0.739 |
| 2.008 | 5.944 | 1.556 | 0.000 | 0.000 | 0.000 |
| 5.944 | 2.008 | 1.556 | 0.000 | 0.000 | 0.000 |
| 1.683 | 1.683 | 10.721 | 0.000 | 0.000 | 0.000 |
| 0.000 | 0.000 | 0.000 | -3.525 | 0.000 | -0.000 |
| 0.000 | 0.000 | 0.000 | 0.000 | -3.525 | -0.000 |
| 0.000 | 0.000 | -0.000 | 0.000 | 0.000 | -0.739 |
| 22.143 | -4.815 | 6.886 | -0.000 | -0.000 | -0.000 |
| -4.794 | 22.212 | -0.522 | -0.000 | -0.000 | -0.000 |
| 7.119 | -0.337 | 13.342 | -0.000 | -0.000 | -0.000 |
| 0.000 | 0.000 | 0.000 | 2.125 | -0.000 | 0.000 |
| 0.000 | 0.000 | 0.000 | -0.000 | 8.854 | 0.000 |
| 0.000 | -0.000 | 0.000 | -0.000 | -0.000 | -3.537 |
| 22.071 | -4.931 | 6.708 | -0.000 | 0.000 | 0.000 |
| -4.874 | 22.083 | -0.721 | -0.000 | 0.000 | 0.000 |
| 7.032 | -0.474 | 13.129 | 0.000 | 0.000 | 0.000 |
| -0.000 | -0.000 | -0.000 | 2.125 | 0.000 | 0.000 |
| -0.000 | -0.000 | -0.000 | -0.000 | 8.854 | -0.000 |
| -0.000 | 0.000 | -0.000 | 0.000 | 0.000 | -3.537 |
| 22.297 | -4.570 | 7.264 | -0.000 | -0.000 | -0.000 |
| -4.699 | 22.362 | -0.290 | -0.000 | -0.000 | -0.000 |
| 7.169 | -0.257 | 13.464 | -0.000 | -0.000 | 0.000 |
| -0.000 | 0.000 | -0.000 | 2.125 | -0.000 | -0.000 |
| 0.000 | -0.000 | 0.000 | -0.000 | 8.854 | 0.000 |
| 0.000 | -0.000 | -0.000 | -0.000 | -0.000 | -3.537 |
| 22.288 | -4.585 | 7.241 | 0.000 | 0.000 | -0.000 |
| -4.708 | 22.348 | -0.313 | 0.000 | 0.000 | 0.000 |
| 7.159 | -0.272 | 13.442 | 0.000 | 0.000 | 0.000 |
| 0.000 | -0.000 | 0.000 | 2.125 | 0.000 | -0.000 |
| -0.000 | 0.000 | -0.000 | 0.000 | 8.854 | 0.000 |
| -0.000 | 0.000 | 0.000 | 0.000 | 0.000 | -3.537 |
| 22.295 | -4.573 | 7.259 | -0.000 | -0.000 | -0.000 |
| -4.702 | 22.358 | -0.297 | -0.000 | 0.000 | -0.000 |
| 7.165 | -0.262 | 13.456 | -0.000 | -0.000 | -0.000 |
| -0.001 | -0.002 | -0.002 | -13.046 | -0.000 | -0.000 |
| 0.000 | -0.000 | 0.000 | -0.000 | 8.854 | -0.000 |
| 936708.030 | -944509.090 | -656450.020 | 0.000 | 0.000 | -847145.817 |
| 22.294 | -4.575 | 7.257 | 0.000 | 0.000 | -0.000 |
| -4.703 | 22.356 | -0.299 | 0.000 | 0.000 | 0.000 |
| 7.164 | -0.264 | 13.454 | 0.000 | 0.000 | 0.000 |
| 0.001 | 0.002 | 0.002 | -13.046 | 0.000 | 0.000 |
| -0.000 | 0.000 | -0.000 | 0.000 | 8.854 | 0.000 |
| -936708.030 | 944509.090 | 656450.020 | -0.000 | 0.000 | -847145.817 |
| 26.226 | 6.149 | 6.149 | -0.000 | -0.000 | 0.000 |
| 6.149 | 26.226 | 6.149 | -0.000 | -0.000 | 0.000 |
| 6.149 | 6.149 | 26.226 | -0.000 | -0.000 | 0.000 |
| 0.001 | 0.001 | 0.001 | 4.256 | 0.000 | 0.000 |
| 0.001 | 0.001 | 0.001 | 0.000 | 4.256 | 0.000 |
| 0.001 | 0.001 | 0.001 | 0.000 | 0.000 | 4.256 |
| 24.278 | 7.042 | 7.042 | -0.000 | -0.000 | -0.000 |
| 7.042 | 24.278 | 7.042 | -0.000 | -0.000 | -0.000 |
| 7.042 | 7.042 | 24.278 | -0.000 | -0.000 | -0.000 |
| -0.001 | -0.001 | -0.001 | 4.256 | -0.000 | -0.000 |
| -0.001 | -0.001 | -0.001 | -0.000 | 4.256 | -0.000 |
| -0.001 | -0.001 | -0.001 | -0.000 | -0.000 | 4.256 |
| 26.226 | 6.149 | 6.149 | -0.000 | 0.000 | 0.000 |
| 6.149 | 26.226 | 6.149 | -0.000 | 0.000 | 0.000 |
| 6.149 | 6.149 | 26.226 | -0.000 | -0.000 | 0.000 |
| -0.000 | -0.000 | -0.000 | 4.649 | 0.000 | 0.000 |
| -0.000 | -0.000 | -0.000 | 0.000 | 4.649 | 0.000 |
| -0.000 | -0.000 | -0.000 | 0.000 | 0.000 | 4.649 |
| 24.279 | 7.041 | 7.041 | -0.000 | -0.000 | -0.000 |
| 7.041 | 24.279 | 7.041 | -0.000 | -0.000 | -0.000 |
| 7.041 | 7.041 | 24.279 | -0.000 | -0.000 | -0.000 |
| 0.000 | 0.000 | 0.000 | 4.649 | -0.000 | -0.000 |
| 0.000 | 0.000 | 0.000 | -0.000 | 4.649 | -0.000 |
| 0.000 | 0.000 | 0.000 | -0.000 | -0.000 | 4.649 |
| 26.226 | 6.149 | 6.149 | -0.000 | -0.000 | 0.000 |
| 6.149 | 26.226 | 6.149 | -0.000 | -0.000 | 0.000 |
| 6.149 | 6.149 | 26.226 | -0.000 | 0.000 | 0.000 |
| 0.000 | 0.000 | 0.000 | 6.149 | -0.000 | 0.000 |
| 0.000 | 0.000 | 0.000 | -0.000 | 6.149 | 0.000 |
| 0.000 | 0.000 | 0.000 | 0.000 | 0.000 | 6.149 |
| 23.945 | 7.191 | 7.191 | -0.000 | -0.000 | -0.000 |
| 7.191 | 23.945 | 7.191 | -0.000 | -0.000 | -0.000 |
| 7.191 | 7.191 | 23.945 | -0.000 | -0.000 | -0.000 |
| -0.000 | -0.000 | -0.000 | 6.149 | -0.000 | -0.000 |
| -0.000 | -0.000 | -0.000 | -0.000 | 6.149 | -0.000 |
| -0.000 | -0.000 | -0.000 | 0.000 | 0.000 | 6.149 |
| -115.228 | -135.359 | -135.359 | 0.000 | -0.000 | 0.000 |
| -135.359 | -115.228 | -135.359 | 0.000 | -0.000 | 0.000 |
| -135.359 | -135.359 | -115.228 | 0.000 | -0.000 | 0.000 |
| -145.591 | -145.591 | -145.591 | 4.111 | -0.000 | 0.000 |
| -145.591 | -145.591 | -145.591 | 0.000 | 4.111 | 0.000 |
| -145.591 | -145.591 | -145.591 | 0.000 | -0.000 | 4.111 |
| 133.765 | 117.773 | 117.773 | -0.000 | 0.000 | -0.000 |
| 117.773 | 133.765 | 117.773 | -0.000 | 0.000 | -0.000 |
| 117.773 | 117.773 | 133.765 | -0.000 | 0.000 | -0.000 |
| 145.591 | 145.591 | 145.591 | 4.111 | 0.000 | -0.000 |
| 145.591 | 145.591 | 145.591 | -0.000 | 4.111 | -0.000 |
| 145.591 | 145.591 | 145.591 | -0.000 | 0.000 | 4.111 |
| 9.477 | -7.416 | -7.416 | 0.000 | -0.000 | 0.000 |
| -7.416 | 9.477 | -7.416 | 0.000 | -0.000 | 0.000 |
| -7.416 | -7.416 | 9.477 | 0.000 | -0.000 | 0.000 |
| -11.071 | -11.071 | -11.071 | 4.218 | -0.000 | 0.000 |
| -11.071 | -11.071 | -11.071 | 0.000 | 4.218 | 0.000 |
| -11.071 | -11.071 | -11.071 | 0.000 | -0.000 | 4.218 |
| 40.261 | 20.156 | 20.156 | -0.000 | 0.000 | -0.000 |
| 20.156 | 40.261 | 20.156 | -0.000 | 0.000 | -0.000 |
| 20.156 | 20.156 | 40.261 | -0.000 | 0.000 | -0.000 |
| 11.071 | 11.071 | 11.071 | 4.218 | 0.000 | -0.000 |
| 11.071 | 11.071 | 11.071 | -0.000 | 4.218 | -0.000 |
| 11.071 | 11.071 | 11.071 | -0.000 | 0.000 | 4.218 |
| 22.406 | 5.703 | 5.703 | 0.000 | -0.000 | 0.000 |
| 5.703 | 22.406 | 5.703 | 0.000 | -0.000 | 0.000 |
| 5.703 | 5.703 | 22.406 | 0.000 | -0.000 | 0.000 |
| -1.444 | -1.444 | -1.444 | 4.113 | -0.000 | 0.000 |
| -1.444 | -1.444 | -1.444 | 0.000 | 4.113 | 0.000 |
| -1.444 | -1.444 | -1.444 | 0.000 | -0.000 | 4.113 |
| 24.286 | 8.915 | 8.915 | -0.000 | 0.000 | -0.000 |
| 8.915 | 24.286 | 8.915 | -0.000 | 0.000 | -0.000 |
| 8.915 | 8.915 | 24.286 | -0.000 | 0.000 | -0.000 |
| 1.444 | 1.444 | 1.444 | 4.113 | 0.000 | -0.000 |
| 1.444 | 1.444 | 1.444 | -0.000 | 4.113 | -0.000 |
| 1.444 | 1.444 | 1.444 | -0.000 | 0.000 | 4.113 |
| 19.215 | 8.497 | 8.497 | 0.000 | 0.000 | -0.000 |
| 8.497 | 19.215 | 8.497 | -0.000 | -0.000 | 0.000 |
| 8.497 | 8.497 | 19.215 | -0.000 | 0.000 | -0.000 |
| 0.569 | 0.569 | 0.569 | 6.374 | -0.000 | -0.000 |
| 0.569 | 0.569 | 0.569 | -0.000 | 6.374 | -0.000 |
| 0.569 | 0.569 | 0.569 | -0.000 | -0.000 | 6.374 |
| 17.634 | 8.295 | 8.295 | 0.000 | 0.000 | 0.000 |
| 8.295 | 17.634 | 8.295 | 0.000 | 0.000 | 0.000 |
| 8.295 | 8.295 | 17.634 | 0.000 | 0.000 | 0.000 |
| -0.569 | -0.569 | -0.569 | 6.374 | 0.000 | 0.000 |
| -0.569 | -0.569 | -0.569 | 0.000 | 6.374 | 0.000 |
| -0.569 | -0.569 | -0.569 | 0.000 | 0.000 | 6.374 |
| 18.583 | 8.943 | 8.943 | -0.000 | -0.000 | -0.000 |
| 8.943 | 18.583 | 8.943 | -0.000 | -0.000 | 0.000 |
| 8.943 | 8.943 | 18.583 | -0.000 | -0.000 | -0.000 |
| 0.051 | 0.051 | 0.051 | 6.409 | -0.000 | -0.000 |
| 0.051 | 0.051 | 0.051 | -0.000 | 6.409 | -0.000 |
| 0.051 | 0.051 | 0.051 | -0.000 | -0.000 | 6.409 |
| 18.020 | 8.444 | 8.444 | 0.000 | 0.000 | 0.000 |
| 8.444 | 18.020 | 8.444 | 0.000 | 0.000 | 0.000 |
| 8.444 | 8.444 | 18.020 | 0.000 | 0.000 | 0.000 |
| -0.051 | -0.051 | -0.051 | 6.409 | 0.000 | 0.000 |
| -0.051 | -0.051 | -0.051 | 0.000 | 6.409 | 0.000 |
| -0.051 | -0.051 | -0.051 | 0.000 | 0.000 | 6.409 |
| 18.230 | 8.860 | 8.860 | -0.000 | -0.000 | -0.000 |
| 8.860 | 18.230 | 8.860 | -0.000 | -0.000 | -0.000 |
| 8.860 | 8.860 | 18.230 | -0.000 | -0.000 | -0.000 |
| 0.005 | 0.005 | 0.005 | 6.465 | -0.000 | -0.000 |
| 0.005 | 0.005 | 0.005 | -0.000 | 6.465 | -0.000 |
| 0.005 | 0.005 | 0.005 | -0.000 | -0.000 | 6.465 |
| 18.219 | 8.849 | 8.849 | 0.000 | 0.000 | 0.000 |
| 8.849 | 18.219 | 8.849 | 0.000 | 0.000 | 0.000 |
| 8.849 | 8.849 | 18.219 | 0.000 | 0.000 | 0.000 |
| -0.005 | -0.005 | -0.005 | 6.465 | 0.000 | 0.000 |
| -0.005 | -0.005 | -0.005 | 0.000 | 6.465 | 0.000 |
| -0.005 | -0.005 | -0.005 | 0.000 | 0.000 | 6.465 |
| 24.996 | -4.665 | 8.300 | 0.000 | -0.000 | 0.000 |
| -4.665 | 25.647 | -0.078 | -0.000 | -0.000 | 0.000 |
| 8.220 | -0.159 | 15.269 | 0.000 | -0.000 | -0.000 |
| -0.000 | -0.000 | -0.000 | -15.666 | -0.000 | 0.000 |
| 0.000 | 0.000 | 0.000 | -0.000 | 9.460 | -0.000 |
| 0.000 | 0.000 | 0.000 | -0.000 | -0.000 | -5.771 |
| 24.996 | -4.665 | 8.300 | -0.000 | 0.000 | 0.000 |
| -4.665 | 25.647 | -0.078 | 0.000 | 0.000 | 0.000 |
| 8.220 | -0.159 | 15.269 | -0.000 | 0.000 | -0.000 |
| 0.000 | 0.000 | 0.000 | -15.666 | 0.000 | -0.000 |
| -0.000 | -0.000 | -0.000 | -0.000 | 9.460 | -0.000 |
| -0.000 | -0.000 | -0.000 | -0.000 | 0.000 | -5.771 |
| 24.996 | -4.665 | 8.300 | 0.000 | -0.000 | 0.000 |
| -4.665 | 25.647 | -0.078 | -0.000 | -0.000 | -0.000 |
| 8.220 | -0.159 | 15.269 | 0.000 | 0.000 | 0.000 |
| -0.000 | -0.000 | -0.000 | -8.675 | -0.000 | 0.000 |
| 0.000 | -0.000 | 0.000 | 0.000 | 9.460 | -0.000 |
| 0.000 | -0.000 | -0.000 | -0.000 | -0.000 | -4.012 |
| 24.996 | -4.665 | 8.300 | -0.000 | 0.000 | -0.000 |
| -4.665 | 25.647 | -0.078 | 0.000 | -0.000 | -0.000 |
| 8.220 | -0.159 | 15.269 | 0.000 | 0.000 | -0.000 |
| 0.000 | 0.000 | 0.000 | -8.675 | 0.000 | -0.000 |
| -0.000 | 0.000 | -0.000 | -0.000 | 9.460 | 0.000 |
| -0.000 | 0.000 | 0.000 | 0.000 | 0.000 | -4.012 |
| 24.996 | -4.665 | 8.300 | 0.000 | -0.000 | 0.000 |
| -4.665 | 25.647 | -0.078 | -0.000 | -0.000 | -0.000 |
| 8.220 | -0.159 | 15.270 | -0.000 | -0.000 | 0.000 |
| 0.000 | -0.000 | 0.000 | -23.820 | -0.000 | -0.000 |
| 0.000 | -0.000 | 0.000 | 0.000 | 9.460 | -0.000 |
| 1075602.460 | -914590.419 | -621391.597 | 0.000 | -0.000 | -873941.637 |
| 24.996 | -4.665 | 8.300 | 0.000 | 0.000 | -0.000 |
| -4.665 | 25.647 | -0.078 | 0.000 | 0.000 | -0.000 |
| 8.220 | -0.159 | 15.269 | -0.000 | 0.000 | -0.000 |
| -0.000 | 0.000 | -0.000 | -23.820 | 0.000 | -0.000 |
| -0.000 | 0.000 | -0.000 | -0.000 | 9.460 | -0.000 |
| -1075602.460 | 914590.419 | 621391.597 | 0.000 | 0.000 | -873941.637 |
| 6.251 | 27.464 | 6.867 | -0.005 | 0.000 | -0.000 |
| 8.231 | 21.439 | 2.569 | -0.010 | 0.000 | -0.000 |
| 3.732 | 5.612 | 24.678 | -0.028 | 0.000 | -0.000 |
| -6.995 | 9.803 | 0.492 | 2.552 | 0.000 | -0.000 |
| -2.373 | 3.325 | 0.167 | -0.029 | 5.903 | -0.000 |
| -0.000 | 0.000 | -0.000 | -0.000 | -0.000 | 8.233 |
| 20.215 | 7.893 | 5.885 | 0.012 | -0.000 | 0.000 |
| 8.245 | 21.420 | 2.568 | 0.000 | -0.000 | 0.000 |
| 8.405 | -0.937 | 24.349 | 0.029 | -0.000 | -0.000 |
| -0.000 | 0.000 | -0.000 | 2.565 | -0.000 | 0.000 |
| 2.373 | -3.325 | -0.167 | 0.029 | 5.903 | -0.000 |
| 0.000 | -0.000 | 0.000 | 0.000 | -0.000 | 8.233 |
| 16.650 | 12.890 | 6.136 | 0.003 | 0.000 | -0.000 |
| 8.245 | 21.420 | 2.568 | 0.000 | 0.000 | -0.000 |
| 5.810 | 2.700 | 24.532 | -0.002 | 0.000 | -0.000 |
| -0.164 | 0.230 | 0.012 | 2.557 | 0.000 | -0.000 |
| -0.712 | 0.998 | 0.050 | -0.001 | 5.903 | -0.000 |
| -0.000 | 0.000 | -0.000 | -0.000 | -0.000 | 8.233 |
| 15.151 | 14.991 | 6.241 | 0.002 | -0.000 | 0.000 |
| 12.657 | 15.236 | 2.258 | -0.003 | -0.000 | 0.000 |
| 6.694 | 1.462 | 24.470 | -0.001 | -0.000 | 0.000 |
| 0.217 | -0.304 | -0.015 | 2.560 | -0.000 | 0.000 |
| 0.712 | -0.998 | -0.050 | 0.001 | 5.903 | 0.000 |
| 0.524 | -0.735 | -0.037 | 0.001 | -0.000 | 5.822 |
| 14.396 | 16.048 | 6.294 | -0.000 | 0.000 | -0.000 |
| 15.854 | 10.756 | 2.033 | -0.000 | 0.000 | 0.000 |
| 5.971 | 2.475 | 24.521 | -0.000 | 0.000 | -0.000 |
| -0.008 | 0.012 | 0.001 | 2.562 | 0.000 | -0.000 |
| -0.071 | 0.100 | 0.005 | -0.000 | 5.903 | -0.000 |
| -0.059 | 0.083 | 0.004 | -0.000 | -0.000 | 5.867 |
| 14.566 | 15.811 | 6.282 | 0.000 | -0.000 | 0.000 |
| 16.010 | 10.537 | 2.022 | 0.000 | -0.000 | 0.000 |
| 6.019 | 2.407 | 24.517 | 0.000 | -0.000 | -0.000 |
| 0.008 | -0.012 | -0.001 | 2.562 | -0.000 | 0.000 |
| 0.071 | -0.100 | -0.005 | 0.000 | 5.903 | -0.000 |
| 0.059 | -0.083 | -0.004 | 0.000 | -0.000 | 5.867 |
| 2.740 | 0.908 | 6.955 | 8.571 | 0.000 | -0.000 |
| 0.908 | 2.740 | 6.955 | -8.571 | -0.000 | -0.000 |
| 6.959 | 6.959 | -3.331 | 0.000 | -0.000 | -0.000 |
| 8.571 | -8.571 | 0.000 | 6.972 | -0.000 | -0.000 |
| -0.000 | 0.000 | 0.000 | 0.000 | 6.972 | 8.571 |
| -0.000 | -0.000 | 0.000 | 0.000 | 8.571 | 0.916 |
| 2.740 | 0.908 | 6.955 | 8.571 | 0.000 | 0.000 |
| 0.908 | 2.740 | 6.955 | -8.571 | -0.000 | 0.000 |
| 6.959 | 6.959 | -3.331 | 0.000 | -0.000 | 0.000 |
| 8.571 | -8.571 | -0.000 | 6.972 | -0.000 | 0.000 |
| 0.000 | -0.000 | -0.000 | -0.000 | 6.972 | 8.571 |
| 0.000 | -0.000 | -0.000 | -0.000 | 8.571 | 0.916 |
| 2.740 | 0.908 | 6.955 | 8.571 | 0.000 | -0.000 |
| 0.908 | 2.740 | 6.955 | -8.571 | 0.000 | -0.000 |
| 6.959 | 6.959 | -3.331 | 0.000 | 0.000 | -0.000 |
| 8.571 | -8.571 | 0.000 | 6.972 | 0.000 | -0.000 |
| 0.000 | 0.000 | 0.000 | 0.000 | 6.972 | 8.571 |
| 0.000 | -0.000 | 0.000 | 0.000 | 8.571 | 0.916 |
| 2.740 | 0.908 | 6.955 | 8.571 | 0.000 | 0.000 |
| 0.908 | 2.740 | 6.955 | -8.571 | 0.000 | 0.000 |
| 6.959 | 6.959 | -3.331 | -0.000 | -0.000 | 0.000 |
| 8.571 | -8.571 | -0.000 | 6.972 | -0.000 | 0.000 |
| -0.000 | -0.000 | -0.000 | -0.000 | 6.972 | 8.571 |
| -0.000 | 0.000 | -0.000 | -0.000 | 8.571 | 0.916 |
| 2.740 | 0.908 | 6.955 | 8.571 | -0.000 | -0.000 |
| 0.908 | 2.740 | 6.955 | -8.571 | 0.000 | -0.000 |
| 6.959 | 6.959 | -3.331 | 0.000 | -0.000 | -0.000 |
| 8.571 | -8.571 | 0.000 | 6.972 | 0.000 | -0.000 |
| 0.000 | 0.000 | 0.000 | 0.000 | 6.972 | 8.571 |
| 0.000 | -0.000 | 0.000 | 0.000 | 8.571 | 0.916 |
| 2.740 | 0.908 | 6.955 | 8.571 | -0.000 | 0.000 |
| 0.908 | 2.740 | 6.955 | -8.571 | -0.000 | 0.000 |
| 6.959 | 6.959 | -3.331 | -0.000 | -0.000 | 0.000 |
| 8.571 | -8.571 | -0.000 | 6.972 | 0.000 | 0.000 |
| -0.000 | -0.000 | -0.000 | -0.000 | 6.972 | 8.571 |
| -0.000 | 0.000 | -0.000 | -0.000 | 8.571 | 0.916 |
| 3.076 | -4.846 | -4.846 | 0.000 | 0.000 | -0.000 |
| -4.846 | 3.076 | -4.846 | 0.000 | 0.000 | -0.000 |
| -4.846 | -4.846 | 3.076 | 0.000 | 0.000 | -0.000 |
| -9.256 | -9.256 | -9.256 | -0.636 | -0.000 | -0.000 |
| -9.256 | -9.256 | -9.256 | -0.000 | -0.636 | -0.000 |
| -9.256 | -9.256 | -9.256 | -0.000 | -0.000 | -0.636 |
| 21.567 | 13.645 | 13.645 | 0.000 | 0.000 | 0.000 |
| 13.645 | 21.567 | 13.645 | 0.000 | -0.000 | 0.000 |
| 13.645 | 13.645 | 21.567 | 0.000 | 0.000 | 0.000 |
| 9.256 | 9.256 | 9.256 | -0.636 | 0.000 | 0.000 |
| 9.256 | 9.256 | 9.256 | 0.000 | -0.636 | 0.000 |
| 9.256 | 9.256 | 9.256 | 0.000 | 0.000 | -0.636 |
| 11.381 | 3.460 | 3.460 | -0.000 | -0.000 | -0.000 |
| 3.460 | 11.381 | 3.460 | -0.000 | -0.000 | -0.000 |
| 3.460 | 3.460 | 11.381 | 0.000 | -0.000 | -0.000 |
| -1.124 | -1.124 | -1.124 | 1.409 | -0.000 | -0.000 |
| -1.124 | -1.124 | -1.124 | 0.000 | 1.409 | -0.000 |
| -1.124 | -1.124 | -1.124 | -0.000 | -0.000 | 1.409 |
| 14.636 | 5.161 | 5.161 | -0.000 | -0.000 | 0.000 |
| 5.161 | 14.636 | 5.161 | -0.000 | 0.000 | 0.000 |
| 5.161 | 5.161 | 14.636 | 0.000 | 0.000 | 0.000 |
| 1.124 | 1.124 | 1.124 | 1.409 | 0.000 | 0.000 |
| 1.124 | 1.124 | 1.124 | 0.000 | 1.409 | 0.000 |
| 1.124 | 1.124 | 1.124 | 0.000 | 0.000 | 1.409 |
| 11.763 | 4.340 | 4.340 | -0.000 | -0.000 | -0.000 |
| 4.340 | 11.763 | 4.340 | -0.000 | -0.000 | -0.000 |
| 4.340 | 4.340 | 11.763 | -0.000 | 0.000 | -0.000 |
| 0.116 | 0.116 | 0.116 | -3.170 | -0.000 | -0.000 |
| 0.116 | 0.116 | 0.116 | -0.000 | -3.170 | -0.000 |
| 0.116 | 0.116 | 0.116 | -0.000 | -0.000 | -3.170 |
| 12.187 | 3.946 | 3.946 | 0.000 | -0.000 | 0.000 |
| 3.946 | 12.187 | 3.946 | 0.000 | 0.000 | 0.000 |
| 3.946 | 3.946 | 12.187 | -0.000 | -0.000 | 0.000 |
| -0.116 | -0.116 | -0.116 | -3.170 | 0.000 | 0.000 |
| -0.116 | -0.116 | -0.116 | 0.000 | -3.170 | 0.000 |
| -0.116 | -0.116 | -0.116 | 0.000 | 0.000 | -3.170 |
| -11.650 | -19.499 | -19.499 | 0.000 | 0.000 | -0.000 |
| -19.499 | -11.650 | -19.499 | 0.000 | 0.000 | -0.000 |
| -19.499 | -19.499 | -11.650 | 0.000 | 0.000 | -0.000 |
| -0.000 | -0.000 | -0.000 | 4.802 | 0.000 | -0.000 |
| -0.000 | -0.000 | -0.000 | 0.000 | 4.802 | -0.000 |
| -0.000 | -0.000 | -0.000 | 0.000 | -0.000 | 4.802 |
| 34.625 | 26.772 | 26.772 | -0.000 | -0.000 | 0.000 |
| 26.772 | 34.625 | 26.772 | 0.000 | 0.000 | 0.000 |
| 26.772 | 26.772 | 34.625 | -0.000 | -0.000 | 0.000 |
| 0.000 | 0.000 | 0.000 | 4.802 | -0.000 | 0.000 |
| 0.000 | 0.000 | 0.000 | -0.000 | 4.802 | 0.000 |
| 0.000 | 0.000 | 0.000 | 0.000 | -0.000 | 4.802 |
| 6.976 | -0.389 | -0.389 | 0.000 | 0.000 | -0.000 |
| -0.389 | 6.976 | -0.389 | 0.000 | 0.000 | -0.000 |
| -0.389 | -0.389 | 6.976 | 0.000 | 0.000 | -0.000 |
| -2.324 | -2.324 | -2.324 | 2.556 | 0.000 | -0.000 |
| -2.324 | -2.324 | -2.324 | 0.000 | 2.556 | -0.000 |
| -2.324 | -2.324 | -2.324 | 0.000 | 0.000 | 2.556 |
| 15.955 | 8.287 | 8.287 | -0.000 | -0.000 | 0.000 |
| 8.287 | 15.955 | 8.287 | -0.000 | -0.000 | 0.000 |
| 8.287 | 8.287 | 15.955 | -0.000 | -0.000 | 0.000 |
| 2.324 | 2.324 | 2.324 | 2.556 | -0.000 | 0.000 |
| 2.324 | 2.324 | 2.324 | -0.000 | 2.556 | 0.000 |
| 2.324 | 2.324 | 2.324 | -0.000 | -0.000 | 2.556 |
| 11.109 | 3.344 | 3.344 | 0.000 | 0.000 | -0.000 |
| 3.344 | 11.109 | 3.344 | 0.000 | 0.000 | -0.000 |
| 3.344 | 3.344 | 11.109 | 0.000 | 0.000 | -0.000 |
| -0.532 | -0.532 | -0.532 | -0.027 | 0.000 | -0.000 |
| -0.532 | -0.532 | -0.532 | 0.000 | -0.027 | -0.000 |
| -0.532 | -0.532 | -0.532 | 0.000 | 0.000 | -0.027 |
| 11.964 | 4.522 | 4.522 | -0.000 | -0.000 | 0.000 |
| 4.522 | 11.964 | 4.522 | -0.000 | -0.000 | 0.000 |
| 4.522 | 4.522 | 11.964 | -0.000 | -0.000 | 0.000 |
| 0.532 | 0.532 | 0.532 | -0.027 | -0.000 | 0.000 |
| 0.532 | 0.532 | 0.532 | -0.000 | -0.027 | 0.000 |
| 0.532 | 0.532 | 0.532 | -0.000 | -0.000 | -0.027 |
| 2.722 | 13.006 | -5.149 | -0.000 | -0.000 | 0.000 |
| 13.006 | 2.722 | -5.149 | 0.000 | -0.000 | 0.000 |
| -5.163 | -5.163 | 21.042 | 0.000 | -0.000 | 0.000 |
| 0.000 | 0.000 | -0.000 | -5.158 | -0.000 | 0.000 |
| 0.000 | -0.000 | -0.000 | -0.000 | -5.158 | 0.000 |
| 0.000 | 0.000 | -0.000 | -0.000 | -0.000 | 13.025 |
| 2.722 | 13.006 | -5.149 | 0.000 | 0.000 | -0.000 |
| 13.006 | 2.722 | -5.149 | 0.000 | 0.000 | -0.000 |
| -5.163 | -5.163 | 21.042 | -0.000 | -0.000 | -0.000 |
| -0.000 | -0.000 | 0.000 | -5.158 | 0.000 | -0.000 |
| -0.000 | 0.000 | 0.000 | 0.000 | -5.158 | -0.000 |
| -0.000 | -0.000 | 0.000 | 0.000 | 0.000 | 13.025 |
| 2.722 | 13.006 | -5.149 | -0.000 | -0.000 | 0.000 |
| 13.006 | 2.722 | -5.149 | -0.000 | -0.000 | 0.000 |
| -5.163 | -5.163 | 21.042 | -0.000 | -0.000 | 0.000 |
| -0.000 | 0.000 | -0.000 | -5.158 | -0.000 | 0.000 |
| 0.000 | -0.000 | -0.000 | -0.000 | -5.158 | 0.000 |
| 0.000 | 0.000 | -0.000 | -0.000 | -0.000 | 13.025 |
| 2.722 | 13.006 | -5.149 | 0.000 | 0.000 | -0.000 |
| 13.006 | 2.722 | -5.149 | 0.000 | 0.000 | -0.000 |
| -5.163 | -5.163 | 21.042 | 0.000 | 0.000 | -0.000 |
| 0.000 | -0.000 | 0.000 | -5.158 | 0.000 | -0.000 |
| -0.000 | 0.000 | 0.000 | 0.000 | -5.158 | -0.000 |
| -0.000 | -0.000 | 0.000 | 0.000 | 0.000 | 13.025 |
| 2.722 | 13.007 | -5.149 | -0.000 | -0.000 | 0.000 |
| 13.007 | 2.722 | -5.149 | -0.000 | -0.000 | 0.000 |
| -5.163 | -5.163 | 21.043 | 0.000 | 0.000 | 0.000 |
| -0.000 | 0.000 | -0.000 | -5.158 | -0.000 | 0.000 |
| 0.000 | -0.000 | -0.000 | -0.000 | -5.158 | 0.000 |
| 0.000 | 0.000 | -0.000 | -0.000 | -0.000 | 13.025 |
| 2.722 | 13.006 | -5.149 | 0.000 | 0.000 | -0.000 |
| 13.006 | 2.722 | -5.149 | -0.000 | 0.000 | -0.000 |
| -5.163 | -5.163 | 21.042 | 0.000 | 0.000 | -0.000 |
| 0.000 | -0.000 | 0.000 | -5.158 | 0.000 | -0.000 |
| -0.000 | 0.000 | 0.000 | 0.000 | -5.158 | -0.000 |
| -0.000 | -0.000 | 0.000 | 0.000 | 0.000 | 13.025 |
| 15.000 | 9.531 | 9.531 | 0.000 | -0.000 | -0.000 |
| 9.410 | 22.586 | 0.129 | 0.000 | -0.000 | -0.000 |
| 9.409 | 0.129 | 22.587 | 0.000 | -0.000 | -0.000 |
| 0.000 | -0.000 | -0.000 | 0.045 | -0.000 | -0.000 |
| 0.000 | 0.000 | 0.000 | 0.000 | 9.447 | -0.000 |
| 0.000 | -0.000 | 0.000 | 0.000 | -0.000 | 9.447 |
| 15.000 | 9.531 | 9.531 | -0.000 | 0.000 | 0.000 |
| 9.410 | 22.586 | 0.129 | -0.000 | 0.000 | 0.000 |
| 9.409 | 0.129 | 22.587 | -0.000 | 0.000 | 0.000 |
| -0.000 | 0.000 | 0.000 | 0.045 | 0.000 | 0.000 |
| -0.000 | -0.000 | -0.000 | -0.000 | 9.447 | 0.000 |
| -0.000 | 0.000 | -0.000 | -0.000 | 0.000 | 9.447 |
| 15.000 | 9.531 | 9.531 | 0.000 | -0.000 | -0.000 |
| 9.410 | 22.586 | 0.129 | 0.000 | -0.000 | -0.000 |
| 9.409 | 0.129 | 22.587 | 0.000 | -0.000 | -0.000 |
| 0.000 | -0.000 | -0.000 | 0.045 | -0.000 | -0.000 |
| 0.000 | 0.000 | 0.000 | 0.000 | 9.447 | -0.000 |
| 0.000 | 0.000 | 0.000 | 0.000 | -0.000 | 9.447 |
| 15.000 | 9.531 | 9.531 | -0.000 | 0.000 | 0.000 |
| 9.410 | 22.586 | 0.129 | -0.000 | 0.000 | 0.000 |
| 9.409 | 0.129 | 22.587 | 0.000 | 0.000 | 0.000 |
| -0.000 | 0.000 | 0.000 | 0.045 | 0.000 | 0.000 |
| -0.000 | -0.000 | -0.000 | 0.000 | 9.447 | 0.000 |
| -0.000 | -0.000 | -0.000 | -0.000 | 0.000 | 9.447 |
| 15.000 | 9.531 | 9.531 | 0.000 | -0.000 | -0.000 |
| 9.410 | 22.586 | 0.129 | 0.000 | 0.000 | -0.000 |
| 9.409 | 0.129 | 22.587 | 0.000 | 0.000 | -0.000 |
| 0.000 | -0.000 | -0.000 | 0.045 | -0.000 | -0.000 |
| 0.000 | 0.000 | 0.000 | 0.000 | 9.447 | -0.000 |
| 0.000 | 0.000 | 0.000 | 0.000 | -0.000 | 9.447 |
| 15.000 | 9.531 | 9.531 | -0.000 | 0.000 | 0.000 |
| 9.410 | 22.586 | 0.129 | -0.000 | 0.000 | 0.000 |
| 9.409 | 0.129 | 22.587 | -0.000 | 0.000 | 0.000 |
| -0.000 | 0.000 | 0.000 | 0.045 | 0.000 | 0.000 |
| -0.000 | -0.000 | -0.000 | -0.000 | 9.447 | 0.000 |
| -0.000 | -0.000 | -0.000 | -0.000 | 0.000 | 9.447 |
| 14.722 | 4.594 | 8.192 | -0.000 | -0.000 | 0.000 |
| 3.169 | 18.055 | 1.123 | -0.000 | 0.000 | 0.000 |
| 8.135 | 2.418 | 12.561 | 0.000 | -0.000 | 0.000 |
| 0.000 | -0.000 | 0.000 | 1.489 | 0.000 | 0.000 |
| -0.332 | 2.081 | -0.311 | -0.000 | 3.448 | 0.000 |
| -0.332 | 2.081 | -0.311 | 0.000 | 0.000 | 2.819 |
| 15.021 | 2.701 | 8.478 | -0.000 | 0.000 | -0.000 |
| 3.781 | 14.459 | 1.692 | 0.000 | -0.000 | -0.000 |
| 8.262 | 0.719 | 13.027 | -0.000 | -0.000 | -0.000 |
| -0.000 | -0.000 | -0.000 | 1.489 | 0.000 | 0.000 |
| 0.332 | -2.081 | 0.311 | -0.000 | 3.448 | -0.000 |
| 0.332 | -2.081 | 0.311 | 0.000 | -0.000 | 2.819 |
| 14.943 | 3.565 | 7.920 | 0.000 | 0.000 | 0.000 |
| 3.245 | 16.214 | 1.534 | 0.000 | 0.000 | 0.000 |
| 7.900 | 1.703 | 12.955 | -0.000 | 0.000 | 0.000 |
| 0.000 | -0.000 | 0.000 | 1.489 | -0.000 | -0.000 |
| 0.000 | 0.000 | 0.000 | 0.000 | 7.464 | 0.000 |
| -0.033 | 0.191 | 0.008 | 0.000 | 0.000 | 0.187 |
| 14.956 | 3.180 | 7.967 | -0.000 | -0.000 | -0.000 |
| 3.274 | 15.854 | 1.606 | 0.000 | -0.000 | -0.000 |
| 7.932 | 1.378 | 13.003 | 0.000 | 0.000 | -0.000 |
| -0.000 | 0.000 | -0.000 | 1.489 | 0.000 | -0.000 |
| -0.000 | -0.000 | -0.000 | -0.000 | 7.464 | -0.000 |
| 0.033 | -0.191 | -0.008 | -0.000 | -0.000 | 0.187 |
| 14.945 | 3.302 | 7.959 | 0.000 | 0.000 | 0.000 |
| 3.230 | 16.044 | 1.509 | 0.000 | 0.000 | 0.000 |
| 7.916 | 1.559 | 12.978 | -0.000 | 0.000 | 0.000 |
| 0.001 | 0.018 | -0.004 | -3.386 | 0.000 | 0.000 |
| 58413.189 | -277703.073 | -463062.765 | 0.000 | -1313723.624 | 0.000 |
| -701863.396 | -17906.751 | -896561.162 | 1.320 | 542677.117 | 2.210 |
| 14.948 | 3.264 | 7.964 | -0.000 | -0.000 | -0.000 |
| 3.233 | 16.006 | 1.514 | -0.000 | -0.000 | -0.000 |
| 7.921 | 1.503 | 12.982 | 0.000 | -0.000 | 0.000 |
| -0.001 | -0.018 | 0.004 | -3.386 | -0.000 | -0.000 |
| -58413.189 | 277703.073 | 463062.765 | 0.000 | -1313723.624 | -0.000 |
| 701863.396 | 17906.751 | 896561.162 | 1.320 | -542677.117 | 2.210 |
| 24.411 | 6.797 | 6.797 | -0.000 | -0.000 | -0.000 |
| 6.797 | 24.411 | 6.797 | -0.000 | -0.000 | -0.000 |
| 6.797 | 6.797 | 24.411 | -0.000 | -0.000 | -0.000 |
| 0.000 | 0.000 | -0.000 | 6.756 | -0.000 | -0.000 |
| 0.000 | -0.000 | -0.000 | -0.000 | 6.756 | -0.000 |
| 0.000 | 0.000 | -0.000 | -0.000 | -0.000 | 6.756 |
| 27.978 | 14.742 | 14.742 | -0.000 | 0.000 | 0.000 |
| 14.742 | 27.978 | 14.742 | 0.000 | 0.000 | 0.000 |
| 14.742 | 14.742 | 27.978 | 0.000 | 0.000 | 0.000 |
| -0.000 | -0.000 | 0.000 | 6.756 | 0.000 | 0.000 |
| -0.000 | -0.000 | 0.000 | 0.000 | 6.756 | 0.000 |
| -0.000 | -0.000 | 0.000 | 0.000 | 0.000 | 6.756 |
| 24.411 | 6.797 | 6.797 | -0.000 | -0.000 | -0.000 |
| 6.797 | 24.411 | 6.797 | -0.000 | -0.000 | -0.000 |
| 6.797 | 6.797 | 24.411 | -0.000 | -0.000 | -0.000 |
| 0.000 | 0.000 | 0.000 | 6.756 | -0.000 | -0.000 |
| 0.000 | 0.000 | 0.000 | -0.000 | 6.756 | -0.000 |
| 0.000 | 0.000 | 0.000 | -0.000 | -0.000 | 6.756 |
| 18.210 | 8.493 | 8.493 | 0.000 | 0.000 | 0.000 |
| 8.493 | 18.210 | 8.493 | 0.000 | 0.000 | 0.000 |
| 8.493 | 8.493 | 18.210 | 0.000 | 0.000 | 0.000 |
| -0.000 | -0.000 | -0.000 | 6.756 | 0.000 | 0.000 |
| -0.000 | -0.000 | -0.000 | 0.000 | 6.756 | 0.000 |
| -0.000 | -0.000 | -0.000 | -0.000 | 0.000 | 6.756 |
| 20.226 | 8.713 | 8.713 | -0.000 | -0.000 | -0.000 |
| 8.713 | 20.226 | 8.713 | -0.000 | -0.000 | -0.000 |
| 8.713 | 8.713 | 20.226 | -0.000 | -0.000 | -0.000 |
| 0.119 | 0.119 | 0.119 | 3.931 | -0.000 | -0.000 |
| 0.000 | 0.000 | 0.000 | -0.000 | 6.756 | -0.000 |
| 0.119 | 0.119 | 0.119 | -0.000 | -0.000 | 3.931 |
| 21.531 | 8.131 | 8.131 | 0.000 | 0.000 | 0.000 |
| 8.131 | 21.531 | 8.131 | 0.000 | 0.000 | 0.000 |
| 8.131 | 8.131 | 21.531 | 0.000 | 0.000 | 0.000 |
| -0.119 | -0.119 | -0.119 | 3.931 | 0.000 | 0.000 |
| -0.000 | -0.000 | -0.000 | 0.000 | 6.756 | 0.000 |
| -0.119 | -0.119 | -0.119 | 0.000 | 0.000 | 3.931 |
| 14.433 | 4.804 | 4.804 | 0.000 | -0.000 | -0.000 |
| 4.804 | 14.433 | 4.804 | -0.000 | 0.000 | -0.000 |
| 4.804 | 4.804 | 14.433 | -0.000 | -0.000 | 0.000 |
| 0.000 | -0.000 | -0.000 | 2.250 | -0.000 | -0.000 |
| -0.000 | -0.000 | -0.000 | -0.000 | 2.250 | -0.000 |
| -0.000 | -0.000 | 0.000 | -0.000 | -0.000 | 2.250 |
| 14.433 | 4.804 | 4.804 | -0.000 | 0.000 | 0.000 |
| 4.804 | 14.433 | 4.804 | 0.000 | 0.000 | 0.000 |
| 4.804 | 4.804 | 14.433 | 0.000 | 0.000 | 0.000 |
| -0.000 | 0.000 | 0.000 | 2.250 | 0.000 | 0.000 |
| 0.000 | 0.000 | 0.000 | 0.000 | 2.250 | 0.000 |
| 0.000 | 0.000 | -0.000 | 0.000 | 0.000 | 2.250 |
| 14.433 | 4.804 | 4.804 | 0.000 | -0.000 | -0.000 |
| 4.804 | 14.433 | 4.804 | -0.000 | 0.000 | -0.000 |
| 4.804 | 4.804 | 14.433 | -0.000 | -0.000 | -0.000 |
| 0.000 | -0.000 | -0.000 | 2.250 | -0.000 | -0.000 |
| -0.000 | 0.000 | -0.000 | -0.000 | 2.250 | -0.000 |
| -0.000 | -0.000 | 0.000 | -0.000 | -0.000 | 2.250 |
| 14.433 | 4.804 | 4.804 | -0.000 | 0.000 | 0.000 |
| 4.804 | 14.433 | 4.804 | -0.000 | 0.000 | 0.000 |
| 4.804 | 4.804 | 14.433 | 0.000 | 0.000 | 0.000 |
| -0.000 | 0.000 | 0.000 | 2.250 | 0.000 | 0.000 |
| 0.000 | -0.000 | 0.000 | 0.000 | 2.250 | 0.000 |
| 0.000 | 0.000 | -0.000 | 0.000 | 0.000 | 2.250 |
| 14.433 | 4.804 | 4.804 | -0.000 | -0.000 | -0.000 |
| 4.804 | 14.433 | 4.804 | 0.000 | -0.000 | -0.000 |
| 4.804 | 4.804 | 14.433 | -0.000 | -0.000 | -0.000 |
| 0.000 | -0.000 | -0.000 | 2.250 | -0.000 | -0.000 |
| -0.000 | 0.000 | -0.000 | -0.000 | 2.250 | -0.000 |
| -0.000 | -0.000 | 0.000 | -0.000 | -0.000 | 2.250 |
| 14.433 | 4.804 | 4.804 | 0.000 | 0.000 | 0.000 |
| 4.804 | 14.433 | 4.804 | 0.000 | 0.000 | 0.000 |
| 4.804 | 4.804 | 14.433 | 0.000 | 0.000 | 0.000 |
| -0.000 | 0.000 | 0.000 | 2.250 | 0.000 | 0.000 |
| 0.000 | -0.000 | 0.000 | 0.000 | 2.250 | 0.000 |
| 0.000 | 0.000 | -0.000 | 0.000 | 0.000 | 2.250 |
| 21.090 | 14.030 | 14.030 | -0.000 | -0.000 | 0.000 |
| 14.030 | 21.090 | 14.030 | 0.000 | -0.000 | 0.000 |
| 14.030 | 14.030 | 21.090 | 0.000 | -0.000 | -0.000 |
| 0.000 | 0.000 | 0.000 | 14.030 | -0.000 | -0.000 |
| 0.000 | 0.000 | -0.000 | -0.000 | 14.030 | 0.000 |
| 0.000 | 0.000 | -0.000 | -0.000 | -0.000 | 14.030 |
| 21.090 | 14.030 | 14.030 | 0.000 | 0.000 | 0.000 |
| 14.030 | 21.090 | 14.030 | 0.000 | 0.000 | -0.000 |
| 14.030 | 14.030 | 21.090 | 0.000 | 0.000 | 0.000 |
| -0.000 | 0.000 | 0.000 | 14.030 | 0.000 | 0.000 |
| -0.000 | -0.000 | -0.000 | -0.000 | 14.030 | -0.000 |
| -0.000 | -0.000 | 0.000 | 0.000 | 0.000 | 14.030 |
| 21.090 | 14.030 | 14.030 | 0.000 | -0.000 | -0.000 |
| 14.030 | 21.090 | 14.030 | -0.000 | -0.000 | 0.000 |
| 14.030 | 14.030 | 21.090 | 0.000 | -0.000 | -0.000 |
| 0.000 | -0.000 | 0.000 | 13.743 | -0.000 | 0.000 |
| -0.000 | 0.000 | 0.000 | -0.000 | 13.743 | 0.000 |
| -0.000 | 0.000 | 0.000 | -0.000 | -0.000 | 13.743 |
| 21.090 | 14.030 | 14.030 | 0.000 | 0.000 | 0.000 |
| 14.030 | 21.090 | 14.030 | 0.000 | 0.000 | -0.000 |
| 14.030 | 14.030 | 21.090 | -0.000 | -0.000 | 0.000 |
| -0.000 | 0.000 | -0.000 | 13.743 | 0.000 | -0.000 |
| 0.000 | -0.000 | -0.000 | 0.000 | 13.743 | -0.000 |
| 0.000 | -0.000 | -0.000 | 0.000 | 0.000 | 13.743 |
| 21.090 | 14.030 | 14.030 | -0.000 | -0.000 | -0.000 |
| 14.030 | 21.090 | 14.030 | -0.000 | -0.000 | -0.000 |
| 14.030 | 14.030 | 21.090 | -0.000 | -0.000 | -0.000 |
| 0.000 | -0.000 | 0.000 | 13.743 | -0.000 | 0.000 |
| -0.000 | 0.000 | 0.000 | -0.000 | 13.743 | -0.000 |
| -0.000 | 0.000 | 0.000 | -0.000 | -0.000 | 13.743 |
| 21.090 | 14.030 | 14.030 | 0.000 | -0.000 | 0.000 |
| 14.030 | 21.090 | 14.030 | -0.000 | 0.000 | 0.000 |
| 14.030 | 14.030 | 21.090 | -0.000 | -0.000 | 0.000 |
| -0.000 | 0.000 | -0.000 | 13.743 | 0.000 | -0.000 |
| 0.000 | -0.000 | -0.000 | 0.000 | 13.743 | -0.000 |
| 0.000 | -0.000 | -0.000 | 0.000 | 0.000 | 13.743 |
| 18.284 | 14.372 | 14.372 | -0.000 | 0.000 | -0.000 |
| 14.372 | 18.284 | 14.372 | 0.000 | -0.000 | -0.000 |
| 14.372 | 14.372 | 18.284 | -0.000 | -0.000 | -0.000 |
| 0.000 | 0.000 | 0.000 | 9.727 | -0.000 | 0.000 |
| 0.000 | 0.000 | 0.000 | 0.000 | 9.727 | -0.000 |
| 0.000 | 0.000 | 0.000 | 0.000 | -0.000 | 9.727 |
| 18.284 | 14.372 | 14.372 | 0.000 | 0.000 | 0.000 |
| 14.372 | 18.284 | 14.372 | 0.000 | 0.000 | 0.000 |
| 14.372 | 14.372 | 18.284 | -0.000 | -0.000 | 0.000 |
| -0.000 | -0.000 | -0.000 | 9.727 | 0.000 | 0.000 |
| -0.000 | -0.000 | -0.000 | -0.000 | 9.727 | 0.000 |
| -0.000 | -0.000 | -0.000 | -0.000 | 0.000 | 9.727 |
| 18.284 | 14.372 | 14.372 | -0.000 | -0.000 | -0.000 |
| 14.372 | 18.284 | 14.372 | -0.000 | 0.000 | -0.000 |
| 14.372 | 14.372 | 18.284 | 0.000 | -0.000 | -0.000 |
| 0.000 | -0.000 | 0.000 | 9.727 | -0.000 | 0.000 |
| -0.000 | 0.000 | 0.000 | 0.000 | 9.727 | -0.000 |
| -0.000 | 0.000 | 0.000 | 0.000 | -0.000 | 9.727 |
| 18.284 | 14.372 | 14.372 | 0.000 | 0.000 | 0.000 |
| 14.372 | 18.284 | 14.372 | -0.000 | -0.000 | 0.000 |
| 14.372 | 14.372 | 18.284 | -0.000 | 0.000 | 0.000 |
| -0.000 | 0.000 | -0.000 | 9.727 | 0.000 | 0.000 |
| 0.000 | -0.000 | -0.000 | 0.000 | 9.727 | 0.000 |
| 0.000 | -0.000 | -0.000 | -0.000 | 0.000 | 9.727 |
| 18.284 | 14.372 | 14.372 | -0.000 | -0.000 | -0.000 |
| 14.372 | 18.284 | 14.372 | -0.000 | -0.000 | -0.000 |
| 14.372 | 14.372 | 18.284 | 0.000 | -0.000 | -0.000 |
| 0.000 | -0.000 | 0.000 | 9.727 | -0.000 | 0.000 |
| -0.000 | 0.000 | 0.000 | 0.000 | 9.727 | -0.000 |
| -0.000 | 0.000 | 0.000 | 0.000 | -0.000 | 9.727 |
| 18.284 | 14.372 | 14.372 | 0.000 | 0.000 | 0.000 |
| 14.372 | 18.284 | 14.372 | 0.000 | 0.000 | 0.000 |
| 14.372 | 14.372 | 18.284 | -0.000 | 0.000 | 0.000 |
| -0.000 | 0.000 | -0.000 | 9.727 | 0.000 | 0.000 |
| 0.000 | -0.000 | -0.000 | 0.000 | 9.727 | 0.000 |
| 0.000 | -0.000 | -0.000 | -0.000 | -0.000 | 9.727 |
| 11.680 | 5.440 | 5.440 | 0.000 | 0.000 | 0.000 |
| 5.440 | 11.680 | 5.440 | 0.000 | -0.000 | 0.000 |
| 5.440 | 5.440 | 11.680 | -0.000 | 0.000 | -0.000 |
| 0.000 | 0.000 | 0.000 | 2.616 | 0.000 | -0.000 |
| 0.000 | 0.000 | 0.000 | -0.000 | 2.616 | -0.000 |
| 0.000 | 0.000 | 0.000 | -0.000 | 0.000 | 2.616 |
| 11.680 | 5.440 | 5.440 | -0.000 | -0.000 | 0.000 |
| 5.440 | 11.680 | 5.440 | 0.000 | 0.000 | 0.000 |
| 5.440 | 5.440 | 11.680 | -0.000 | -0.000 | 0.000 |
| -0.000 | -0.000 | -0.000 | 2.616 | -0.000 | -0.000 |
| -0.000 | -0.000 | -0.000 | -0.000 | 2.616 | -0.000 |
| -0.000 | -0.000 | -0.000 | 0.000 | -0.000 | 2.616 |
| 11.680 | 5.440 | 5.440 | -0.000 | -0.000 | -0.000 |
| 5.440 | 11.680 | 5.440 | -0.000 | -0.000 | -0.000 |
| 5.440 | 5.440 | 11.680 | -0.000 | -0.000 | -0.000 |
| 0.000 | -0.000 | -0.000 | 2.616 | 0.000 | -0.000 |
| -0.000 | 0.000 | -0.000 | -0.000 | 2.616 | 0.000 |
| -0.000 | -0.000 | 0.000 | 0.000 | 0.000 | 2.616 |
| 11.680 | 5.440 | 5.440 | -0.000 | -0.000 | 0.000 |
| 5.440 | 11.680 | 5.440 | -0.000 | 0.000 | 0.000 |
| 5.440 | 5.440 | 11.680 | -0.000 | 0.000 | 0.000 |
| -0.000 | 0.000 | 0.000 | 2.616 | -0.000 | -0.000 |
| 0.000 | -0.000 | 0.000 | -0.000 | 2.616 | -0.000 |
| 0.000 | 0.000 | -0.000 | 0.000 | -0.000 | 2.616 |
| 11.680 | 5.440 | 5.440 | 0.000 | -0.000 | -0.000 |
| 5.440 | 11.680 | 5.440 | -0.000 | 0.000 | -0.000 |
| 5.440 | 5.440 | 11.680 | 0.000 | 0.000 | -0.000 |
| 0.000 | -0.000 | -0.000 | 2.616 | 0.000 | 0.000 |
| -0.000 | 0.000 | -0.000 | 0.000 | 2.616 | 0.000 |
| -0.000 | -0.000 | 0.000 | -0.000 | 0.000 | 2.616 |
| 11.680 | 5.440 | 5.440 | 0.000 | -0.000 | 0.000 |
| 5.440 | 11.680 | 5.440 | -0.000 | 0.000 | -0.000 |
| 5.440 | 5.440 | 11.680 | 0.000 | -0.000 | 0.000 |
| -0.000 | 0.000 | 0.000 | 2.616 | -0.000 | 0.000 |
| 0.000 | -0.000 | 0.000 | -0.000 | 2.616 | -0.000 |
| 0.000 | 0.000 | -0.000 | 0.000 | -0.000 | 2.616 |
| 17.236 | 12.974 | 12.974 | -0.000 | -0.000 | -0.000 |
| 12.974 | 17.236 | 12.974 | -0.000 | -0.000 | -0.000 |
| 12.974 | 12.974 | 17.236 | -0.000 | 0.000 | -0.000 |
| -0.000 | -0.000 | -0.000 | 10.180 | -0.000 | -0.000 |
| -0.000 | -0.000 | -0.000 | -0.000 | 10.180 | -0.000 |
| -0.000 | -0.000 | -0.000 | -0.000 | 0.000 | 10.180 |
| 17.236 | 12.974 | 12.974 | 0.000 | -0.000 | 0.000 |
| 12.974 | 17.236 | 12.974 | 0.000 | -0.000 | 0.000 |
| 12.974 | 12.974 | 17.236 | 0.000 | -0.000 | 0.000 |
| 0.000 | 0.000 | 0.000 | 10.180 | 0.000 | 0.000 |
| 0.000 | 0.000 | 0.000 | 0.000 | 10.180 | 0.000 |
| 0.000 | 0.000 | 0.000 | 0.000 | -0.000 | 10.180 |
| 17.236 | 12.974 | 12.974 | -0.000 | 0.000 | -0.000 |
| 12.974 | 17.236 | 12.974 | -0.000 | -0.000 | -0.000 |
| 12.974 | 12.974 | 17.236 | -0.000 | 0.000 | -0.000 |
| 0.000 | -0.000 | 0.000 | 10.180 | -0.000 | -0.000 |
| -0.000 | 0.000 | 0.000 | -0.000 | 10.180 | -0.000 |
| -0.000 | 0.000 | 0.000 | -0.000 | 0.000 | 10.180 |
| 17.236 | 12.974 | 12.974 | 0.000 | -0.000 | 0.000 |
| 12.974 | 17.236 | 12.974 | 0.000 | 0.000 | 0.000 |
| 12.974 | 12.974 | 17.236 | 0.000 | -0.000 | -0.000 |
| -0.000 | 0.000 | -0.000 | 10.180 | 0.000 | 0.000 |
| 0.000 | -0.000 | -0.000 | 0.000 | 10.180 | 0.000 |
| 0.000 | -0.000 | -0.000 | 0.000 | -0.000 | 10.180 |
| 17.236 | 12.974 | 12.974 | -0.000 | -0.000 | -0.000 |
| 12.974 | 17.236 | 12.974 | -0.000 | -0.000 | -0.000 |
| 12.974 | 12.974 | 17.236 | 0.000 | 0.000 | -0.000 |
| 0.000 | -0.000 | 0.000 | 10.180 | 0.000 | -0.000 |
| -0.000 | 0.000 | 0.000 | -0.000 | 10.180 | -0.000 |
| -0.000 | 0.000 | 0.000 | -0.000 | 0.000 | 10.180 |
| 17.236 | 12.974 | 12.974 | 0.000 | 0.000 | 0.000 |
| 12.974 | 17.236 | 12.974 | 0.000 | 0.000 | 0.000 |
| 12.974 | 12.974 | 17.236 | 0.000 | 0.000 | 0.000 |
| -0.000 | 0.000 | -0.000 | 10.180 | 0.000 | 0.000 |
| 0.000 | -0.000 | -0.000 | 0.000 | 10.180 | 0.000 |
| 0.000 | -0.000 | -0.000 | 0.000 | -0.000 | 10.180 |
| 0.000 | 0.000 | 0.000 | 0.000 | 0.000 | -0.000 |
| 0.000 | 1.467 | 0.000 | 0.000 | 0.000 | 0.000 |
| 0.000 | 0.000 | 0.000 | 0.000 | 0.000 | 0.000 |
| 0.000 | -0.000 | 0.000 | 0.000 | 0.000 | -0.000 |
| 0.000 | 0.000 | 0.000 | 0.000 | 0.000 | 0.000 |
| 0.000 | -0.000 | 0.000 | 0.000 | 0.000 | -0.000 |
| -0.000 | 0.000 | -0.000 | -0.000 | -0.000 | 0.000 |
| -0.000 | 1.467 | -0.000 | -0.000 | -0.000 | 0.000 |
| -0.000 | 0.000 | -0.000 | -0.000 | -0.000 | 0.000 |
| -0.000 | 0.000 | -0.000 | -0.000 | -0.000 | 0.000 |
| -0.000 | -0.000 | -0.000 | -0.000 | -0.000 | 0.000 |
| -0.000 | 0.000 | -0.000 | -0.000 | -0.000 | -0.000 |
| 0.000 | 0.000 | 0.000 | 0.000 | 0.000 | -0.000 |
| 0.000 | 1.466 | 0.000 | 0.000 | 0.000 | -0.000 |
| 0.000 | 0.000 | 0.000 | 0.000 | 0.000 | 0.000 |
| 0.000 | -0.000 | 0.000 | 0.000 | 0.000 | -0.000 |
| 0.000 | 0.000 | 0.000 | 0.000 | 0.000 | -0.000 |
| -0.000 | -0.000 | 0.000 | 0.000 | 0.000 | 0.000 |
| -0.000 | 0.000 | -0.000 | -0.000 | -0.000 | 0.000 |
| -0.000 | 1.466 | -0.000 | -0.000 | -0.000 | 0.000 |
| -0.000 | 0.000 | -0.000 | -0.000 | -0.000 | 0.000 |
| -0.000 | 0.000 | -0.000 | -0.000 | -0.000 | 0.000 |
| -0.000 | -0.000 | -0.000 | -0.000 | -0.000 | 0.000 |
| 0.000 | 0.000 | -0.000 | -0.000 | -0.000 | 0.000 |
| 0.000 | 0.000 | 0.000 | 0.000 | 0.000 | -0.000 |
| 0.000 | 1.466 | 0.000 | 0.000 | 0.000 | -0.000 |
| 0.000 | 0.000 | 0.000 | 0.000 | 0.000 | 0.000 |
| 0.000 | -0.000 | 0.000 | 0.000 | 0.000 | -0.000 |
| 0.000 | 0.000 | 0.000 | 0.000 | 0.000 | -0.000 |
| -0.000 | -0.000 | 0.000 | 0.000 | 0.000 | 0.000 |
| -0.000 | 0.000 | -0.000 | -0.000 | -0.000 | 0.000 |
| -0.000 | 1.466 | -0.000 | -0.000 | -0.000 | 0.000 |
| -0.000 | 0.000 | -0.000 | -0.000 | -0.000 | 0.000 |
| -0.000 | 0.000 | -0.000 | -0.000 | -0.000 | 0.000 |
| -0.000 | -0.000 | -0.000 | -0.000 | -0.000 | 0.000 |
| 0.000 | 0.000 | -0.000 | -0.000 | -0.000 | 0.000 |
| 7.032 | 6.241 | 6.241 | 0.000 | -0.000 | 0.000 |
| 6.241 | 7.032 | 6.241 | 0.000 | 0.000 | 0.000 |
| 6.241 | 6.241 | 7.032 | 0.000 | -0.000 | -0.000 |
| 0.000 | -0.000 | -0.000 | 1.594 | -0.000 | 0.000 |
| -0.000 | 0.000 | -0.000 | 0.000 | 1.594 | 0.000 |
| -0.000 | 0.000 | -0.000 | 0.000 | -0.000 | 1.594 |
| 7.032 | 6.241 | 6.241 | -0.000 | -0.000 | 0.000 |
| 6.241 | 7.032 | 6.241 | -0.000 | -0.000 | -0.000 |
| 6.241 | 6.241 | 7.032 | -0.000 | 0.000 | 0.000 |
| -0.000 | 0.000 | 0.000 | 1.594 | 0.000 | 0.000 |
| 0.000 | 0.000 | 0.000 | -0.000 | 1.594 | -0.000 |
| 0.000 | 0.000 | 0.000 | -0.000 | 0.000 | 1.594 |
| 7.032 | 6.241 | 6.241 | 0.000 | 0.000 | 0.000 |
| 6.241 | 7.032 | 6.241 | 0.000 | 0.000 | -0.000 |
| 6.241 | 6.241 | 7.032 | -0.000 | -0.000 | 0.000 |
| 0.000 | -0.000 | -0.000 | 1.594 | -0.000 | -0.000 |
| -0.000 | 0.000 | -0.000 | 0.000 | 1.594 | 0.000 |
| -0.000 | -0.000 | 0.000 | 0.000 | 0.000 | 1.594 |
| 7.032 | 6.241 | 6.241 | -0.000 | 0.000 | -0.000 |
| 6.241 | 7.032 | 6.241 | -0.000 | -0.000 | -0.000 |
| 6.241 | 6.241 | 7.032 | -0.000 | 0.000 | 0.000 |
| -0.000 | 0.000 | 0.000 | 1.594 | 0.000 | -0.000 |
| 0.000 | -0.000 | 0.000 | -0.000 | 1.594 | -0.000 |
| 0.000 | 0.000 | -0.000 | -0.000 | 0.000 | 1.594 |
| 7.032 | 6.241 | 6.241 | 0.000 | -0.000 | 0.000 |
| 6.241 | 7.032 | 6.241 | 0.000 | -0.000 | 0.000 |
| 6.241 | 6.241 | 7.032 | 0.000 | 0.000 | -0.000 |
| 0.000 | -0.000 | -0.000 | 1.594 | -0.000 | 0.000 |
| -0.000 | 0.000 | -0.000 | 0.000 | 1.594 | 0.000 |
| -0.000 | -0.000 | 0.000 | 0.000 | -0.000 | 1.594 |
| 7.032 | 6.241 | 6.241 | -0.000 | -0.000 | -0.000 |
| 6.241 | 7.032 | 6.241 | -0.000 | -0.000 | 0.000 |
| 6.241 | 6.241 | 7.032 | 0.000 | 0.000 | -0.000 |
| -0.000 | 0.000 | 0.000 | 1.594 | 0.000 | 0.000 |
| 0.000 | -0.000 | 0.000 | -0.000 | 1.594 | 0.000 |
| 0.000 | 0.000 | -0.000 | -0.000 | 0.000 | 1.594 |
| 36.826 | 5.241 | 5.241 | 0.000 | 0.000 | 0.000 |
| 5.241 | 36.826 | 5.241 | 0.000 | 0.000 | 0.000 |
| 5.241 | 5.241 | 36.826 | -0.000 | 0.000 | 0.000 |
| 0.000 | 0.000 | -0.000 | 5.239 | 0.000 | 0.000 |
| -0.000 | 0.000 | 0.000 | -0.000 | 5.239 | 0.000 |
| -0.000 | 0.000 | 0.000 | 0.000 | 0.000 | 5.239 |
| 36.826 | 5.241 | 5.241 | -0.000 | -0.000 | 0.000 |
| 5.241 | 36.826 | 5.241 | -0.000 | -0.000 | -0.000 |
| 5.241 | 5.241 | 36.826 | 0.000 | 0.000 | -0.000 |
| -0.000 | -0.000 | 0.000 | 5.239 | -0.000 | -0.000 |
| 0.000 | -0.000 | -0.000 | 0.000 | 5.239 | -0.000 |
| 0.000 | -0.000 | -0.000 | -0.000 | -0.000 | 5.239 |
| 36.826 | 5.241 | 5.241 | 0.000 | 0.000 | 0.000 |
| 5.241 | 36.826 | 5.241 | 0.000 | 0.000 | 0.000 |
| 5.241 | 5.241 | 36.826 | -0.000 | -0.000 | 0.000 |
| 0.000 | 0.000 | -0.000 | 5.195 | -0.000 | -0.000 |
| 0.000 | 0.000 | -0.000 | -0.000 | 5.195 | 0.000 |
| 0.000 | -0.000 | 0.000 | -0.000 | -0.000 | 5.195 |
| 36.826 | 5.241 | 5.241 | -0.000 | -0.000 | -0.000 |
| 5.241 | 36.826 | 5.241 | -0.000 | -0.000 | -0.000 |
| 5.241 | 5.241 | 36.826 | 0.000 | 0.000 | -0.000 |
| -0.000 | -0.000 | 0.000 | 5.195 | 0.000 | -0.000 |
| -0.000 | -0.000 | 0.000 | 0.000 | 5.195 | -0.000 |
| -0.000 | 0.000 | -0.000 | 0.000 | 0.000 | 5.195 |
| 36.827 | 5.241 | 5.241 | 0.000 | 0.000 | 0.000 |
| 5.241 | 36.827 | 5.241 | 0.000 | 0.000 | 0.000 |
| 5.241 | 5.241 | 36.827 | -0.000 | -0.000 | 0.000 |
| 0.000 | 0.000 | -0.000 | 5.239 | 0.000 | -0.000 |
| 0.000 | 0.000 | -0.000 | 0.000 | 5.239 | 0.000 |
| 0.000 | -0.000 | 0.000 | 0.000 | 0.000 | 5.239 |
| 36.826 | 5.241 | 5.241 | -0.000 | -0.000 | -0.000 |
| 5.241 | 36.826 | 5.241 | -0.000 | -0.000 | -0.000 |
| 5.241 | 5.241 | 36.826 | 0.000 | -0.000 | -0.000 |
| -0.000 | -0.000 | 0.000 | 5.239 | -0.000 | -0.000 |
| -0.000 | -0.000 | 0.000 | 0.000 | 5.239 | -0.000 |
| -0.000 | 0.000 | -0.000 | -0.000 | -0.000 | 5.239 |
| 19.109 | 14.399 | 14.399 | 0.000 | 0.000 | 0.000 |
| 14.399 | 19.109 | 14.399 | 0.000 | 0.000 | 0.000 |
| 14.399 | 14.399 | 19.109 | 0.000 | 0.000 | 0.000 |
| 0.000 | -0.000 | 0.000 | 11.638 | -0.000 | 0.000 |
| -0.000 | 0.000 | 0.000 | 0.000 | 11.638 | 0.000 |
| -0.000 | 0.000 | 0.000 | 0.000 | 0.000 | 11.638 |
| 19.109 | 14.399 | 14.399 | -0.000 | -0.000 | -0.000 |
| 14.399 | 19.109 | 14.399 | -0.000 | -0.000 | -0.000 |
| 14.399 | 14.399 | 19.109 | -0.000 | -0.000 | -0.000 |
| -0.000 | 0.000 | -0.000 | 11.638 | 0.000 | -0.000 |
| -0.000 | -0.000 | -0.000 | -0.000 | 11.638 | -0.000 |
| 0.000 | -0.000 | -0.000 | -0.000 | -0.000 | 11.638 |
| 19.109 | 14.399 | 14.399 | 0.000 | 0.000 | 0.000 |
| 14.399 | 19.109 | 14.399 | 0.000 | 0.000 | 0.000 |
| 14.399 | 14.399 | 19.109 | 0.000 | 0.000 | 0.000 |
| 0.000 | -0.000 | 0.000 | 14.399 | -0.000 | 0.000 |
| -0.000 | 0.000 | 0.000 | -0.000 | 14.399 | 0.000 |
| -0.000 | 0.000 | 0.000 | 0.000 | 0.000 | 14.399 |
| 19.109 | 14.399 | 14.399 | -0.000 | -0.000 | -0.000 |
| 14.399 | 19.109 | 14.399 | -0.000 | -0.000 | -0.000 |
| 14.399 | 14.399 | 19.109 | -0.000 | -0.000 | -0.000 |
| -0.000 | 0.000 | -0.000 | 14.399 | -0.000 | -0.000 |
| 0.000 | -0.000 | -0.000 | 0.000 | 14.399 | -0.000 |
| 0.000 | -0.000 | -0.000 | -0.000 | -0.000 | 14.399 |
| 19.109 | 14.400 | 14.400 | 0.000 | -0.000 | 0.000 |
| 14.400 | 19.109 | 14.400 | 0.000 | 0.000 | 0.000 |
| 14.400 | 14.400 | 19.109 | -0.000 | -0.000 | 0.000 |
| 0.000 | -0.000 | 0.000 | 11.638 | 0.000 | 0.000 |
| -0.000 | 0.000 | 0.000 | 0.000 | 11.638 | 0.000 |
| -0.000 | 0.000 | 0.000 | 0.000 | 0.000 | 11.638 |
| 19.109 | 14.399 | 14.399 | -0.000 | -0.000 | -0.000 |
| 14.399 | 19.109 | 14.399 | -0.000 | -0.000 | -0.000 |
| 14.399 | 14.399 | 19.109 | -0.000 | -0.000 | -0.000 |
| -0.000 | 0.000 | -0.000 | 11.638 | -0.000 | -0.000 |
| 0.000 | -0.000 | -0.000 | -0.000 | 11.638 | -0.000 |
| 0.000 | -0.000 | -0.000 | -0.000 | -0.000 | 11.638 |
| 15.634 | 12.999 | 12.999 | -0.000 | 0.000 | 0.000 |
| 12.999 | 15.634 | 12.999 | -0.000 | 0.000 | 0.000 |
| 12.999 | 12.999 | 15.634 | -0.000 | -0.000 | 0.000 |
| -0.000 | 0.000 | 0.000 | 12.999 | -0.000 | 0.000 |
| 0.000 | -0.000 | 0.000 | -0.000 | 12.999 | -0.000 |
| -0.000 | 0.000 | -0.000 | -0.000 | -0.000 | 12.999 |
| 15.634 | 12.999 | 12.999 | 0.000 | 0.000 | -0.000 |
| 12.999 | 15.634 | 12.999 | 0.000 | 0.000 | -0.000 |
| 12.999 | 12.999 | 15.634 | 0.000 | 0.000 | -0.000 |
| 0.000 | -0.000 | -0.000 | 12.999 | 0.000 | -0.000 |
| -0.000 | 0.000 | -0.000 | 0.000 | 12.999 | -0.000 |
| -0.000 | -0.000 | -0.000 | 0.000 | 0.000 | 12.999 |
| 15.634 | 12.999 | 12.999 | 0.000 | -0.000 | 0.000 |
| 12.999 | 15.634 | 12.999 | -0.000 | -0.000 | 0.000 |
| 12.999 | 12.999 | 15.634 | 0.000 | -0.000 | 0.000 |
| -0.000 | 0.000 | 0.000 | 12.999 | -0.000 | 0.000 |
| 0.000 | -0.000 | 0.000 | -0.000 | 12.999 | 0.000 |
| 0.000 | 0.000 | -0.000 | -0.000 | -0.000 | 12.999 |
| 15.634 | 12.999 | 12.999 | -0.000 | 0.000 | 0.000 |
| 12.999 | 15.634 | 12.999 | 0.000 | -0.000 | -0.000 |
| 12.999 | 12.999 | 15.634 | 0.000 | 0.000 | -0.000 |
| 0.000 | -0.000 | -0.000 | 12.999 | -0.000 | -0.000 |
| -0.000 | 0.000 | -0.000 | -0.000 | 12.999 | -0.000 |
| -0.000 | -0.000 | 0.000 | 0.000 | 0.000 | 12.999 |
| 15.634 | 12.999 | 12.999 | -0.000 | -0.000 | -0.000 |
| 12.999 | 15.634 | 12.999 | -0.000 | -0.000 | -0.000 |
| 12.999 | 12.999 | 15.634 | 0.000 | 0.000 | 0.000 |
| -0.000 | 0.000 | 0.000 | 12.999 | -0.000 | 0.000 |
| 0.000 | -0.000 | 0.000 | -0.000 | 12.999 | 0.000 |
| 0.000 | 0.000 | -0.000 | -0.000 | -0.000 | 12.999 |
| 15.634 | 12.999 | 12.999 | 0.000 | 0.000 | -0.000 |
| 12.999 | 15.634 | 12.999 | 0.000 | 0.000 | -0.000 |
| 12.999 | 12.999 | 15.634 | 0.000 | 0.000 | -0.000 |
| 0.000 | -0.000 | -0.000 | 12.999 | -0.000 | -0.000 |
| -0.000 | 0.000 | -0.000 | -0.000 | 12.999 | -0.000 |
| -0.000 | -0.000 | 0.000 | 0.000 | 0.000 | 12.999 |
| 12.543 | 16.606 | 12.265 | 0.000 | -0.000 | -0.000 |
| 16.606 | 12.543 | 12.265 | 0.000 | 0.000 | -0.000 |
| 12.265 | 12.265 | 17.584 | -0.000 | 0.000 | 0.000 |
| 0.000 | 0.000 | 0.000 | 11.521 | 0.000 | 0.000 |
| 0.000 | 0.000 | 0.000 | 0.000 | 11.521 | 0.000 |
| 0.000 | 0.000 | -0.000 | 0.000 | 0.000 | 14.062 |
| 12.543 | 16.606 | 12.265 | -0.000 | -0.000 | -0.000 |
| 16.606 | 12.543 | 12.265 | -0.000 | -0.000 | -0.000 |
| 12.265 | 12.265 | 17.584 | 0.000 | 0.000 | -0.000 |
| -0.000 | -0.000 | -0.000 | 11.521 | -0.000 | -0.000 |
| -0.000 | -0.000 | 0.000 | 0.000 | 11.521 | -0.000 |
| -0.000 | -0.000 | 0.000 | -0.000 | -0.000 | 14.062 |
| 12.543 | 16.606 | 12.265 | 0.000 | 0.000 | 0.000 |
| 16.606 | 12.543 | 12.265 | 0.000 | 0.000 | -0.000 |
| 12.265 | 12.265 | 17.584 | 0.000 | 0.000 | 0.000 |
| -0.000 | 0.000 | 0.000 | 11.521 | 0.000 | 0.000 |
| 0.000 | -0.000 | 0.000 | -0.000 | 11.521 | 0.000 |
| 0.000 | 0.000 | -0.000 | 0.000 | 0.000 | 14.062 |
| 12.543 | 16.606 | 12.265 | -0.000 | -0.000 | 0.000 |
| 16.606 | 12.543 | 12.265 | 0.000 | -0.000 | -0.000 |
| 12.265 | 12.265 | 17.584 | 0.000 | 0.000 | -0.000 |
| 0.000 | -0.000 | -0.000 | 11.521 | -0.000 | -0.000 |
| -0.000 | 0.000 | -0.000 | -0.000 | 11.521 | -0.000 |
| -0.000 | -0.000 | 0.000 | -0.000 | -0.000 | 14.062 |
| 12.543 | 16.606 | 12.265 | 0.000 | 0.000 | 0.000 |
| 16.606 | 12.543 | 12.265 | 0.000 | 0.000 | 0.000 |
| 12.265 | 12.265 | 17.584 | -0.000 | -0.000 | 0.000 |
| -0.000 | 0.000 | 0.000 | 11.521 | 0.000 | -0.000 |
| 0.000 | -0.000 | 0.000 | 0.000 | 11.521 | -0.000 |
| 0.000 | 0.000 | -0.000 | 0.000 | 0.000 | 14.062 |
| 12.543 | 16.606 | 12.265 | -0.000 | -0.000 | 0.000 |
| 16.606 | 12.543 | 12.265 | -0.000 | -0.000 | 0.000 |
| 12.265 | 12.265 | 17.584 | -0.000 | 0.000 | -0.000 |
| 0.000 | -0.000 | -0.000 | 11.521 | -0.000 | -0.000 |
| -0.000 | 0.000 | -0.000 | 0.000 | 11.521 | 0.000 |
| -0.000 | -0.000 | 0.000 | -0.000 | -0.000 | 14.062 |
| 33.395 | 4.864 | 4.864 | 0.000 | 0.000 | -0.000 |
| 4.864 | 33.395 | 4.864 | 0.000 | 0.000 | 0.000 |
| 4.864 | 4.864 | 33.395 | 0.000 | 0.000 | -0.000 |
| 0.000 | 0.000 | 0.000 | 4.863 | 0.000 | 0.000 |
| 0.000 | 0.000 | 0.000 | -0.000 | 4.863 | 0.000 |
| 0.000 | 0.000 | -0.000 | -0.000 | 0.000 | 4.863 |
| 33.395 | 4.864 | 4.864 | -0.000 | -0.000 | -0.000 |
| 4.864 | 33.395 | 4.864 | -0.000 | -0.000 | -0.000 |
| 4.864 | 4.864 | 33.395 | -0.000 | -0.000 | -0.000 |
| -0.000 | -0.000 | -0.000 | 4.863 | -0.000 | -0.000 |
| -0.000 | -0.000 | -0.000 | 0.000 | 4.863 | -0.000 |
| -0.000 | -0.000 | -0.000 | 0.000 | -0.000 | 4.863 |
| 33.395 | 4.864 | 4.864 | 0.000 | 0.000 | 0.000 |
| 4.864 | 33.395 | 4.864 | 0.000 | 0.000 | 0.000 |
| 4.864 | 4.864 | 33.395 | 0.000 | 0.000 | -0.000 |
| 0.000 | 0.000 | 0.000 | 4.863 | 0.000 | -0.000 |
| 0.000 | 0.000 | -0.000 | 0.000 | 4.863 | 0.000 |
| 0.000 | -0.000 | 0.000 | -0.000 | 0.000 | 4.863 |
| 33.395 | 4.864 | 4.864 | -0.000 | -0.000 | -0.000 |
| 4.864 | 33.395 | 4.864 | -0.000 | -0.000 | -0.000 |
| 4.864 | 4.864 | 33.395 | -0.000 | -0.000 | 0.000 |
| -0.000 | -0.000 | -0.000 | 4.863 | -0.000 | 0.000 |
| -0.000 | -0.000 | 0.000 | 0.000 | 4.863 | -0.000 |
| -0.000 | 0.000 | -0.000 | 0.000 | -0.000 | 4.863 |
| 33.395 | 4.864 | 4.864 | 0.000 | 0.000 | 0.000 |
| 4.864 | 33.395 | 4.864 | 0.000 | 0.000 | 0.000 |
| 4.864 | 4.864 | 33.395 | 0.000 | 0.000 | 0.000 |
| 0.000 | 0.000 | -0.000 | 4.863 | 0.000 | 0.000 |
| 0.000 | 0.000 | -0.000 | 0.000 | 4.863 | 0.000 |
| 0.000 | -0.000 | 0.000 | -0.000 | 0.000 | 4.863 |
| 33.395 | 4.864 | 4.864 | -0.000 | -0.000 | 0.000 |
| 4.864 | 33.395 | 4.864 | -0.000 | -0.000 | -0.000 |
| 4.864 | 4.864 | 33.395 | 0.000 | -0.000 | -0.000 |
| -0.000 | -0.000 | 0.000 | 4.863 | -0.000 | -0.000 |
| -0.000 | -0.000 | 0.000 | -0.000 | 4.863 | -0.000 |
| -0.000 | 0.000 | -0.000 | -0.000 | -0.000 | 4.863 |
| 18.238 | 13.227 | 13.227 | -0.000 | -0.000 | 0.000 |
| 13.227 | 18.238 | 13.227 | -0.000 | -0.000 | 0.000 |
| 13.227 | 13.227 | 18.238 | -0.000 | -0.000 | 0.000 |
| 0.000 | 0.000 | 0.000 | 11.933 | -0.000 | -0.000 |
| 0.000 | 0.000 | 0.000 | -0.000 | 11.933 | -0.000 |
| 0.000 | 0.000 | 0.000 | -0.000 | -0.000 | 11.933 |
| 18.238 | 13.227 | 13.227 | 0.000 | 0.000 | 0.000 |
| 13.227 | 18.238 | 13.227 | 0.000 | 0.000 | 0.000 |
| 13.227 | 13.227 | 18.238 | 0.000 | 0.000 | 0.000 |
| -0.000 | -0.000 | -0.000 | 11.933 | 0.000 | -0.000 |
| -0.000 | -0.000 | -0.000 | 0.000 | 11.933 | 0.000 |
| -0.000 | -0.000 | -0.000 | 0.000 | 0.000 | 11.933 |
| 18.238 | 13.227 | 13.227 | -0.000 | -0.000 | 0.000 |
| 13.227 | 18.238 | 13.227 | -0.000 | -0.000 | 0.000 |
| 13.227 | 13.227 | 18.238 | -0.000 | -0.000 | -0.000 |
| 0.000 | -0.000 | 0.000 | 11.933 | -0.000 | -0.000 |
| -0.000 | 0.000 | 0.000 | -0.000 | 11.933 | -0.000 |
| -0.000 | 0.000 | 0.000 | -0.000 | -0.000 | 11.933 |
| 18.238 | 13.227 | 13.227 | 0.000 | 0.000 | 0.000 |
| 13.227 | 18.238 | 13.227 | 0.000 | 0.000 | 0.000 |
| 13.227 | 13.227 | 18.238 | 0.000 | 0.000 | -0.000 |
| -0.000 | 0.000 | -0.000 | 11.933 | 0.000 | 0.000 |
| 0.000 | -0.000 | -0.000 | 0.000 | 11.933 | -0.000 |
| 0.000 | -0.000 | -0.000 | 0.000 | 0.000 | 11.933 |
| 18.238 | 13.227 | 13.227 | -0.000 | -0.000 | -0.000 |
| 13.227 | 18.238 | 13.227 | -0.000 | -0.000 | -0.000 |
| 13.227 | 13.227 | 18.238 | -0.000 | -0.000 | -0.000 |
| 0.000 | -0.000 | 0.000 | 11.933 | -0.000 | -0.000 |
| -0.000 | 0.000 | 0.000 | -0.000 | 11.933 | -0.000 |
| -0.000 | 0.000 | 0.000 | -0.000 | -0.000 | 11.933 |
| 18.238 | 13.227 | 13.227 | 0.000 | 0.000 | -0.000 |
| 13.227 | 18.238 | 13.227 | 0.000 | 0.000 | -0.000 |
| 13.227 | 13.227 | 18.238 | 0.000 | 0.000 | 0.000 |
| -0.000 | 0.000 | -0.000 | 11.933 | 0.000 | 0.000 |
| 0.000 | -0.000 | -0.000 | 0.000 | 11.933 | 0.000 |
| 0.000 | -0.000 | -0.000 | 0.000 | 0.000 | 11.933 |
| 13.197 | 11.317 | 11.317 | -0.000 | -0.000 | 0.000 |
| 11.317 | 13.197 | 11.317 | 0.000 | 0.000 | 0.000 |
| 11.317 | 11.317 | 13.197 | 0.000 | -0.000 | 0.000 |
| 0.000 | 0.000 | 0.000 | 11.317 | -0.000 | -0.000 |
| 0.000 | -0.000 | 0.000 | -0.000 | 11.317 | -0.000 |
| 0.000 | 0.000 | -0.000 | -0.000 | -0.000 | 11.317 |
| 13.197 | 11.317 | 11.317 | -0.000 | -0.000 | 0.000 |
| 11.317 | 13.197 | 11.317 | 0.000 | 0.000 | 0.000 |
| 11.317 | 11.317 | 13.197 | 0.000 | 0.000 | 0.000 |
| -0.000 | -0.000 | -0.000 | 11.317 | 0.000 | 0.000 |
| -0.000 | 0.000 | -0.000 | 0.000 | 11.317 | 0.000 |
| -0.000 | -0.000 | 0.000 | 0.000 | 0.000 | 11.317 |
| 13.197 | 11.317 | 11.317 | -0.000 | -0.000 | -0.000 |
| 11.317 | 13.197 | 11.317 | 0.000 | 0.000 | -0.000 |
| 11.317 | 11.317 | 13.197 | -0.000 | -0.000 | -0.000 |
| -0.000 | 0.000 | 0.000 | 11.317 | -0.000 | -0.000 |
| 0.000 | -0.000 | 0.000 | -0.000 | 11.317 | -0.000 |
| 0.000 | 0.000 | -0.000 | -0.000 | -0.000 | 11.317 |
| 13.197 | 11.317 | 11.317 | 0.000 | -0.000 | 0.000 |
| 11.317 | 13.197 | 11.317 | 0.000 | 0.000 | 0.000 |
| 11.317 | 11.317 | 13.197 | -0.000 | 0.000 | -0.000 |
| 0.000 | -0.000 | -0.000 | 11.317 | 0.000 | 0.000 |
| -0.000 | 0.000 | -0.000 | -0.000 | 11.317 | 0.000 |
| -0.000 | -0.000 | 0.000 | -0.000 | 0.000 | 11.317 |
| 13.197 | 11.317 | 11.317 | -0.000 | -0.000 | -0.000 |
| 11.317 | 13.197 | 11.317 | -0.000 | -0.000 | -0.000 |
| 11.317 | 11.317 | 13.197 | -0.000 | -0.000 | 0.000 |
| -0.000 | 0.000 | 0.000 | 11.317 | -0.000 | -0.000 |
| 0.000 | -0.000 | 0.000 | -0.000 | 11.317 | -0.000 |
| 0.000 | 0.000 | -0.000 | 0.000 | -0.000 | 11.317 |
| 13.197 | 11.317 | 11.317 | 0.000 | 0.000 | 0.000 |
| 11.317 | 13.197 | 11.317 | 0.000 | 0.000 | 0.000 |
| 11.317 | 11.317 | 13.197 | 0.000 | 0.000 | 0.000 |
| 0.000 | -0.000 | -0.000 | 11.317 | 0.000 | 0.000 |
| -0.000 | 0.000 | -0.000 | -0.000 | 11.317 | 0.000 |
| -0.000 | -0.000 | 0.000 | 0.000 | 0.000 | 11.317 |
| 23.188 | 7.662 | 4.684 | -0.000 | 0.000 | 0.000 |
| 7.662 | 23.188 | 4.684 | -0.000 | -0.000 | 0.000 |
| 4.848 | 4.848 | 26.366 | -0.000 | 0.000 | -0.000 |
| 0.000 | -0.000 | -0.000 | 4.557 | 0.000 | -0.000 |
| 0.055 | 0.055 | -0.112 | -0.000 | 3.579 | -0.000 |
| 0.055 | 0.055 | -0.112 | -0.000 | 0.000 | 4.356 |
| 19.245 | 10.533 | 5.766 | 0.000 | -0.000 | -0.000 |
| 10.533 | 19.245 | 5.766 | 0.000 | -0.000 | 0.000 |
| 4.818 | 4.818 | 26.427 | 0.000 | 0.000 | 0.000 |
| 0.000 | -0.000 | 0.000 | 4.557 | -0.000 | -0.000 |
| -0.055 | -0.055 | 0.112 | 0.000 | 3.579 | -0.000 |
| -0.055 | -0.055 | 0.112 | 0.000 | -0.000 | 4.356 |
| 23.188 | 7.662 | 4.684 | -0.000 | 0.000 | 0.000 |
| 10.594 | 19.306 | 5.643 | -0.000 | -0.000 | -0.000 |
| 4.571 | 4.571 | 26.926 | -0.000 | -0.000 | -0.000 |
| 0.006 | 0.006 | -0.011 | 3.579 | 0.000 | -0.000 |
| -0.000 | -0.000 | 0.000 | -0.000 | 4.557 | 0.000 |
| 0.006 | 0.006 | -0.011 | -0.000 | 0.000 | 4.356 |
| 23.188 | 7.662 | 4.684 | 0.000 | -0.000 | 0.000 |
| 14.040 | 16.734 | 4.761 | 0.000 | -0.000 | -0.000 |
| 4.832 | 4.832 | 26.400 | 0.000 | -0.000 | -0.000 |
| -0.006 | -0.006 | 0.011 | 3.579 | -0.000 | 0.000 |
| 0.000 | 0.000 | -0.000 | 0.000 | 4.557 | 0.000 |
| -0.006 | -0.006 | 0.011 | 0.000 | -0.000 | 4.356 |
| 16.802 | 13.986 | 4.747 | -0.000 | 0.000 | 0.000 |
| 13.986 | 16.802 | 4.747 | -0.000 | 0.000 | 0.000 |
| 4.833 | 4.833 | 26.396 | -0.000 | 0.000 | 0.000 |
| 0.001 | 0.001 | -0.001 | 3.579 | 0.000 | -0.000 |
| -0.001 | -0.001 | 0.002 | -0.000 | 3.282 | 0.000 |
| 0.001 | 0.001 | -0.001 | -0.000 | 0.000 | 4.356 |
| 18.923 | 12.224 | 4.384 | -0.000 | -0.000 | -0.000 |
| 8.393 | 22.216 | 4.927 | -0.000 | -0.000 | -0.000 |
| 4.833 | 4.833 | 26.397 | 0.000 | 0.000 | -0.000 |
| -0.001 | -0.001 | 0.001 | 3.579 | -0.000 | -0.000 |
| 0.001 | 0.001 | -0.002 | 0.000 | 3.282 | -0.000 |
| -0.001 | -0.001 | 0.001 | -0.000 | -0.000 | 4.356 |
| 28.628 | 4.827 | 4.827 | 0.000 | 0.000 | -0.000 |
| 4.827 | 28.628 | 4.827 | 0.000 | 0.000 | -0.000 |
| 4.827 | 4.827 | 28.628 | 0.000 | 0.000 | -0.000 |
| -0.000 | 0.000 | -0.000 | 2.943 | 0.000 | -0.000 |
| -0.000 | 0.000 | -0.000 | 0.000 | 2.943 | -0.000 |
| -0.000 | 0.000 | 0.000 | -0.000 | -0.000 | 2.943 |
| 28.628 | 4.827 | 4.827 | -0.000 | -0.000 | 0.000 |
| 4.827 | 28.628 | 4.827 | -0.000 | 0.000 | 0.000 |
| 4.827 | 4.827 | 28.628 | -0.000 | -0.000 | 0.000 |
| 0.000 | -0.000 | 0.000 | 2.943 | -0.000 | 0.000 |
| 0.000 | -0.000 | -0.000 | 0.000 | 2.943 | 0.000 |
| 0.000 | -0.000 | -0.000 | 0.000 | 0.000 | 2.943 |
| 28.628 | 4.827 | 4.827 | 0.000 | 0.000 | -0.000 |
| 4.827 | 28.628 | 4.827 | 0.000 | -0.000 | -0.000 |
| 4.827 | 4.827 | 28.628 | -0.000 | 0.000 | -0.000 |
| -0.000 | 0.000 | 0.000 | 4.657 | 0.000 | -0.000 |
| 0.000 | -0.000 | 0.000 | -0.000 | 4.657 | -0.000 |
| 0.000 | 0.000 | 0.000 | -0.000 | 0.000 | 4.657 |
| 28.628 | 4.827 | 4.827 | 0.000 | 0.000 | 0.000 |
| 4.827 | 28.628 | 4.827 | -0.000 | -0.000 | 0.000 |
| 4.827 | 4.827 | 28.628 | -0.000 | -0.000 | 0.000 |
| 0.000 | -0.000 | -0.000 | 4.657 | 0.000 | 0.000 |
| -0.000 | 0.000 | -0.000 | 0.000 | 4.657 | 0.000 |
| -0.000 | -0.000 | -0.000 | 0.000 | 0.000 | 4.657 |
| 28.628 | 4.827 | 4.827 | -0.000 | -0.000 | -0.000 |
| 4.827 | 28.628 | 4.827 | -0.000 | 0.000 | -0.000 |
| 4.827 | 4.827 | 28.628 | -0.000 | -0.000 | -0.000 |
| -0.000 | 0.000 | -0.000 | 2.828 | 0.000 | -0.000 |
| 0.000 | 0.000 | -0.000 | -0.000 | 2.943 | -0.000 |
| 0.000 | -0.000 | 0.000 | -0.000 | 0.000 | 2.943 |
| 28.628 | 4.827 | 4.827 | 0.000 | 0.000 | 0.000 |
| 4.827 | 28.628 | 4.827 | -0.000 | 0.000 | 0.000 |
| 4.827 | 4.827 | 28.628 | 0.000 | -0.000 | 0.000 |
| 0.000 | -0.000 | 0.000 | 2.828 | 0.000 | 0.000 |
| -0.000 | -0.000 | 0.000 | 0.000 | 2.943 | 0.000 |
| -0.000 | 0.000 | -0.000 | 0.000 | 0.000 | 2.943 |
| 16.991 | 12.181 | 12.181 | -0.000 | -0.000 | 0.000 |
| 12.181 | 16.991 | 12.181 | -0.000 | -0.000 | -0.000 |
| 12.181 | 12.181 | 16.991 | -0.000 | -0.000 | 0.000 |
| 0.000 | 0.000 | -0.000 | 11.799 | 0.000 | 0.000 |
| -0.000 | 0.000 | -0.000 | 0.000 | 11.799 | 0.000 |
| -0.000 | 0.000 | -0.000 | 0.000 | 0.000 | 11.799 |
| 16.991 | 12.181 | 12.181 | 0.000 | 0.000 | -0.000 |
| 12.181 | 16.991 | 12.181 | -0.000 | 0.000 | -0.000 |
| 12.181 | 12.181 | 16.991 | -0.000 | -0.000 | -0.000 |
| -0.000 | 0.000 | -0.000 | 11.799 | -0.000 | 0.000 |
| 0.000 | -0.000 | -0.000 | -0.000 | 11.799 | -0.000 |
| 0.000 | 0.000 | 0.000 | -0.000 | -0.000 | 11.799 |
| 16.991 | 12.181 | 12.181 | -0.000 | 0.000 | 0.000 |
| 12.181 | 16.991 | 12.181 | -0.000 | 0.000 | 0.000 |
| 12.181 | 12.181 | 16.991 | -0.000 | -0.000 | 0.000 |
| 0.000 | -0.000 | 0.000 | 11.799 | 0.000 | -0.000 |
| -0.000 | 0.000 | 0.000 | 0.000 | 11.799 | 0.000 |
| -0.000 | 0.000 | 0.000 | 0.000 | 0.000 | 11.799 |
| 16.991 | 12.181 | 12.181 | -0.000 | 0.000 | -0.000 |
| 12.181 | 16.991 | 12.181 | 0.000 | 0.000 | -0.000 |
| 12.181 | 12.181 | 16.991 | 0.000 | -0.000 | -0.000 |
| -0.000 | 0.000 | -0.000 | 11.799 | -0.000 | -0.000 |
| 0.000 | -0.000 | -0.000 | -0.000 | 11.799 | -0.000 |
| 0.000 | -0.000 | -0.000 | -0.000 | -0.000 | 11.799 |
| 16.991 | 12.181 | 12.181 | -0.000 | -0.000 | 0.000 |
| 12.181 | 16.991 | 12.181 | 0.000 | 0.000 | 0.000 |
| 12.181 | 12.181 | 16.991 | 0.000 | 0.000 | 0.000 |
| 0.000 | -0.000 | 0.000 | 11.799 | 0.000 | -0.000 |
| -0.000 | 0.000 | 0.000 | 0.000 | 11.799 | -0.000 |
| -0.000 | 0.000 | 0.000 | -0.000 | 0.000 | 11.799 |
| 16.991 | 12.181 | 12.181 | 0.000 | -0.000 | -0.000 |
| 12.181 | 16.991 | 12.181 | -0.000 | -0.000 | 0.000 |
| 12.181 | 12.181 | 16.991 | -0.000 | -0.000 | -0.000 |
| -0.000 | 0.000 | -0.000 | 11.799 | -0.000 | 0.000 |
| 0.000 | -0.000 | -0.000 | -0.000 | 11.799 | -0.000 |
| 0.000 | -0.000 | -0.000 | -0.000 | -0.000 | 11.799 |
| 12.438 | 9.430 | 9.430 | -0.000 | -0.000 | -0.000 |
| 9.430 | 12.438 | 9.430 | -0.000 | -0.000 | 0.000 |
| 9.430 | 9.430 | 12.438 | -0.000 | -0.000 | -0.000 |
| -0.000 | -0.000 | 0.000 | 9.430 | 0.000 | 0.000 |
| -0.000 | -0.000 | 0.000 | -0.000 | 9.430 | -0.000 |
| 0.000 | 0.000 | -0.000 | -0.000 | -0.000 | 9.430 |
| 12.438 | 9.430 | 9.430 | 0.000 | 0.000 | 0.000 |
| 9.430 | 12.438 | 9.430 | 0.000 | 0.000 | -0.000 |
| 9.430 | 9.430 | 12.438 | 0.000 | 0.000 | 0.000 |
| 0.000 | -0.000 | -0.000 | 9.430 | -0.000 | -0.000 |
| 0.000 | 0.000 | -0.000 | -0.000 | 9.430 | -0.000 |
| 0.000 | -0.000 | 0.000 | 0.000 | 0.000 | 9.430 |
| 12.438 | 9.430 | 9.430 | -0.000 | -0.000 | -0.000 |
| 9.430 | 12.438 | 9.430 | -0.000 | 0.000 | -0.000 |
| 9.430 | 9.430 | 12.438 | -0.000 | -0.000 | 0.000 |
| -0.000 | 0.000 | 0.000 | 9.430 | -0.000 | 0.000 |
| 0.000 | -0.000 | 0.000 | -0.000 | 9.430 | -0.000 |
| 0.000 | 0.000 | -0.000 | -0.000 | -0.000 | 9.430 |
| 12.438 | 9.430 | 9.430 | 0.000 | 0.000 | -0.000 |
| 9.430 | 12.438 | 9.430 | -0.000 | -0.000 | 0.000 |
| 9.430 | 9.430 | 12.438 | 0.000 | 0.000 | 0.000 |
| 0.000 | -0.000 | -0.000 | 9.430 | -0.000 | -0.000 |
| -0.000 | 0.000 | -0.000 | 0.000 | 9.430 | 0.000 |
| -0.000 | -0.000 | 0.000 | 0.000 | 0.000 | 9.430 |
| 12.438 | 9.430 | 9.430 | -0.000 | -0.000 | 0.000 |
| 9.430 | 12.438 | 9.430 | -0.000 | -0.000 | 0.000 |
| 9.430 | 9.430 | 12.438 | -0.000 | -0.000 | -0.000 |
| -0.000 | 0.000 | 0.000 | 9.430 | -0.000 | 0.000 |
| 0.000 | -0.000 | 0.000 | -0.000 | 9.430 | -0.000 |
| 0.000 | 0.000 | -0.000 | -0.000 | -0.000 | 9.430 |
| 12.438 | 9.430 | 9.430 | 0.000 | 0.000 | 0.000 |
| 9.430 | 12.438 | 9.430 | 0.000 | 0.000 | -0.000 |
| 9.430 | 9.430 | 12.438 | 0.000 | 0.000 | 0.000 |
| 0.000 | -0.000 | -0.000 | 9.430 | 0.000 | -0.000 |
| -0.000 | 0.000 | -0.000 | 0.000 | 9.430 | 0.000 |
| -0.000 | -0.000 | 0.000 | 0.000 | 0.000 | 9.430 |
| 12.055 | 9.772 | 9.331 | -0.000 | -0.000 | 0.000 |
| 9.772 | 12.055 | 9.331 | -0.000 | -0.000 | 0.000 |
| 9.331 | 9.331 | 12.786 | -0.000 | -0.000 | 0.000 |
| 0.000 | 0.000 | 0.000 | 9.195 | -0.000 | 0.000 |
| 0.000 | -0.000 | 0.000 | 0.000 | 9.195 | 0.000 |
| 0.000 | 0.000 | -0.000 | -0.000 | -0.000 | 9.567 |
| 12.055 | 9.772 | 9.331 | 0.000 | -0.000 | -0.000 |
| 9.772 | 12.055 | 9.331 | -0.000 | 0.000 | -0.000 |
| 9.331 | 9.331 | 12.786 | 0.000 | -0.000 | -0.000 |
| -0.000 | -0.000 | -0.000 | 9.195 | 0.000 | -0.000 |
| -0.000 | 0.000 | -0.000 | 0.000 | 9.195 | -0.000 |
| -0.000 | -0.000 | 0.000 | 0.000 | 0.000 | 9.567 |
| 12.055 | 9.772 | 9.331 | -0.000 | -0.000 | 0.000 |
| 9.772 | 12.055 | 9.331 | 0.000 | -0.000 | 0.000 |
| 9.331 | 9.331 | 12.786 | -0.000 | 0.000 | 0.000 |
| -0.000 | 0.000 | 0.000 | 9.195 | -0.000 | 0.000 |
| 0.000 | -0.000 | 0.000 | -0.000 | 9.195 | 0.000 |
| 0.000 | 0.000 | -0.000 | -0.000 | -0.000 | 9.567 |
| 12.055 | 9.772 | 9.331 | 0.000 | 0.000 | -0.000 |
| 9.772 | 12.055 | 9.331 | 0.000 | 0.000 | -0.000 |
| 9.331 | 9.331 | 12.786 | 0.000 | 0.000 | -0.000 |
| 0.000 | -0.000 | -0.000 | 9.195 | 0.000 | -0.000 |
| -0.000 | 0.000 | -0.000 | 0.000 | 9.195 | -0.000 |
| -0.000 | -0.000 | 0.000 | 0.000 | 0.000 | 9.567 |
| 12.055 | 9.772 | 9.331 | 0.000 | 0.000 | 0.000 |
| 9.772 | 12.055 | 9.331 | -0.000 | -0.000 | 0.000 |
| 9.331 | 9.331 | 12.786 | -0.000 | 0.000 | 0.000 |
| -0.000 | 0.000 | 0.000 | 9.195 | 0.000 | 0.000 |
| 0.000 | -0.000 | 0.000 | -0.000 | 9.195 | 0.000 |
| 0.000 | 0.000 | -0.000 | -0.000 | -0.000 | 9.567 |
| 12.055 | 9.772 | 9.331 | -0.000 | 0.000 | -0.000 |
| 9.772 | 12.055 | 9.331 | -0.000 | 0.000 | -0.000 |
| 9.331 | 9.331 | 12.786 | -0.000 | 0.000 | -0.000 |
| 0.000 | -0.000 | -0.000 | 9.195 | 0.000 | -0.000 |
| -0.000 | 0.000 | -0.000 | -0.000 | 9.195 | -0.000 |
| -0.000 | -0.000 | 0.000 | 0.000 | 0.000 | 9.567 |
| 20.408 | 6.807 | 4.134 | -0.000 | -0.000 | 0.000 |
| 6.807 | 20.408 | 4.134 | -0.000 | 0.000 | 0.000 |
| 4.217 | 4.217 | 22.714 | -0.000 | -0.000 | 0.000 |
| -0.000 | 0.000 | 0.000 | 4.152 | 0.000 | 0.000 |
| -0.000 | 0.000 | 0.000 | 0.000 | 4.152 | 0.000 |
| -0.000 | -0.000 | 0.000 | 0.000 | -0.000 | 4.006 |
| 20.408 | 6.807 | 4.134 | 0.000 | -0.000 | -0.000 |
| 10.771 | 16.415 | 4.167 | -0.000 | 0.000 | -0.000 |
| 4.146 | 4.146 | 22.880 | 0.000 | 0.000 | -0.000 |
| 0.000 | -0.000 | -0.000 | 4.152 | -0.000 | -0.000 |
| 0.000 | -0.000 | -0.000 | 0.000 | 4.152 | 0.000 |
| 0.000 | 0.000 | -0.000 | -0.000 | -0.000 | 4.006 |
| 20.408 | 6.807 | 4.134 | 0.000 | -0.000 | 0.000 |
| 8.613 | 18.467 | 4.290 | -0.000 | 0.000 | 0.000 |
| 4.217 | 4.217 | 22.714 | 0.000 | 0.000 | 0.000 |
| 0.000 | -0.000 | 0.000 | 3.941 | 0.000 | 0.000 |
| -0.000 | 0.000 | 0.000 | 0.000 | 3.941 | 0.000 |
| -0.000 | 0.000 | -0.000 | 0.000 | -0.000 | 4.927 |
| 18.467 | 8.613 | 4.290 | 0.000 | 0.000 | -0.000 |
| 9.614 | 17.626 | 4.103 | 0.000 | -0.000 | -0.000 |
| 4.146 | 4.146 | 22.880 | 0.000 | 0.000 | -0.000 |
| -0.000 | 0.000 | -0.000 | 3.941 | -0.000 | -0.000 |
| 0.000 | -0.000 | -0.000 | 0.000 | 3.941 | -0.000 |
| 0.000 | -0.000 | 0.000 | 0.000 | 0.000 | 4.927 |
| 17.626 | 9.614 | 4.103 | -0.000 | 0.000 | 0.000 |
| 8.613 | 18.467 | 4.290 | -0.000 | -0.000 | 0.000 |
| 4.217 | 4.217 | 22.715 | 0.000 | -0.000 | 0.000 |
| -0.000 | -0.000 | 0.000 | 4.152 | -0.000 | 0.000 |
| -0.000 | 0.000 | 0.000 | 0.000 | 3.970 | 0.000 |
| -0.000 | 0.000 | -0.000 | -0.000 | 0.000 | 4.927 |
| 18.467 | 8.613 | 4.290 | 0.000 | -0.000 | -0.000 |
| 7.710 | 19.437 | 4.212 | 0.000 | 0.000 | -0.000 |
| 4.146 | 4.146 | 22.880 | 0.000 | 0.000 | -0.000 |
| 0.000 | 0.000 | -0.000 | 4.152 | -0.000 | -0.000 |
| 0.000 | -0.000 | -0.000 | 0.000 | 3.970 | -0.000 |
| 0.000 | -0.000 | 0.000 | -0.000 | -0.000 | 4.927 |
| 41.990 | -4.232 | -4.232 | -0.000 | -0.000 | 0.000 |
| -4.232 | 41.990 | -4.232 | -0.000 | 0.000 | 0.000 |
| -4.232 | -4.232 | 41.990 | -0.000 | -0.000 | 0.000 |
| 0.000 | -0.000 | -0.000 | -4.232 | 0.000 | 0.000 |
| 0.000 | 0.000 | -0.000 | -0.000 | -4.232 | 0.000 |
| 0.000 | 0.000 | -0.000 | -0.000 | -0.000 | -4.232 |
| 41.990 | -4.232 | -4.232 | 0.000 | 0.000 | -0.000 |
| -4.232 | 41.990 | -4.232 | 0.000 | -0.000 | -0.000 |
| -4.232 | -4.232 | 41.990 | 0.000 | 0.000 | -0.000 |
| -0.000 | -0.000 | 0.000 | -4.232 | 0.000 | -0.000 |
| -0.000 | -0.000 | 0.000 | 0.000 | -4.232 | -0.000 |
| -0.000 | 0.000 | 0.000 | 0.000 | 0.000 | -4.232 |
| 41.990 | -4.232 | -4.232 | -0.000 | -0.000 | 0.000 |
| -4.232 | 41.990 | -4.232 | -0.000 | -0.000 | 0.000 |
| -4.232 | -4.232 | 41.990 | -0.000 | -0.000 | 0.000 |
| -0.000 | 0.000 | -0.000 | -4.232 | -0.000 | 0.000 |
| 0.000 | -0.000 | -0.000 | 0.000 | -4.232 | 0.000 |
| 0.000 | -0.000 | -0.000 | -0.000 | -0.000 | -4.232 |
| 41.990 | -4.232 | -4.232 | 0.000 | 0.000 | -0.000 |
| -4.232 | 41.990 | -4.232 | 0.000 | 0.000 | -0.000 |
| -4.232 | -4.232 | 41.990 | -0.000 | 0.000 | -0.000 |
| 0.000 | -0.000 | 0.000 | -4.232 | 0.000 | -0.000 |
| -0.000 | 0.000 | 0.000 | -0.000 | -4.232 | -0.000 |
| -0.000 | 0.000 | 0.000 | -0.000 | 0.000 | -4.232 |
| 41.990 | -4.232 | -4.232 | -0.000 | -0.000 | 0.000 |
| -4.232 | 41.990 | -4.232 | 0.000 | -0.000 | 0.000 |
| -4.232 | -4.232 | 41.990 | 0.000 | 0.000 | 0.000 |
| -0.000 | 0.000 | -0.000 | -4.232 | -0.000 | 0.000 |
| 0.000 | -0.000 | -0.000 | 0.000 | -4.232 | 0.000 |
| 0.000 | -0.000 | -0.000 | -0.000 | -0.000 | -4.232 |
| 41.990 | -4.232 | -4.232 | 0.000 | 0.000 | -0.000 |
| -4.232 | 41.990 | -4.232 | 0.000 | 0.000 | -0.000 |
| -4.232 | -4.232 | 41.990 | 0.000 | -0.000 | -0.000 |
| 0.000 | -0.000 | 0.000 | -4.232 | 0.000 | -0.000 |
| -0.000 | 0.000 | 0.000 | -0.000 | -4.232 | -0.000 |
| -0.000 | 0.000 | 0.000 | 0.000 | 0.000 | -4.232 |
| 23.237 | 14.714 | 14.714 | -0.000 | -0.000 | -0.000 |
| 14.714 | 23.237 | 14.714 | -0.000 | -0.000 | -0.000 |
| 14.714 | 14.714 | 23.237 | -0.000 | -0.000 | 0.000 |
| 0.000 | -0.000 | -0.000 | 14.714 | -0.000 | -0.000 |
| -0.000 | 0.000 | -0.000 | -0.000 | 14.714 | -0.000 |
| -0.000 | -0.000 | 0.000 | -0.000 | -0.000 | 14.714 |
| 23.237 | 14.714 | 14.714 | 0.000 | 0.000 | 0.000 |
| 14.714 | 23.237 | 14.714 | 0.000 | 0.000 | 0.000 |
| 14.714 | 14.714 | 23.237 | 0.000 | 0.000 | 0.000 |
| -0.000 | 0.000 | 0.000 | 14.714 | 0.000 | 0.000 |
| 0.000 | -0.000 | -0.000 | 0.000 | 14.714 | 0.000 |
| 0.000 | 0.000 | -0.000 | 0.000 | 0.000 | 14.714 |
| 23.237 | 14.714 | 14.714 | -0.000 | -0.000 | -0.000 |
| 14.714 | 23.237 | 14.714 | -0.000 | -0.000 | -0.000 |
| 14.714 | 14.714 | 23.237 | 0.000 | 0.000 | -0.000 |
| 0.000 | -0.000 | 0.000 | 14.714 | -0.000 | -0.000 |
| -0.000 | 0.000 | 0.000 | -0.000 | 14.714 | -0.000 |
| -0.000 | 0.000 | 0.000 | -0.000 | -0.000 | 14.714 |
| 23.237 | 14.714 | 14.714 | 0.000 | 0.000 | 0.000 |
| 14.714 | 23.237 | 14.714 | 0.000 | 0.000 | 0.000 |
| 14.714 | 14.714 | 23.237 | 0.000 | 0.000 | -0.000 |
| -0.000 | 0.000 | -0.000 | 14.714 | 0.000 | -0.000 |
| 0.000 | -0.000 | -0.000 | 0.000 | 14.714 | 0.000 |
| 0.000 | -0.000 | -0.000 | 0.000 | 0.000 | 14.714 |
| 23.237 | 14.714 | 14.714 | -0.000 | -0.000 | -0.000 |
| 14.714 | 23.237 | 14.714 | -0.000 | -0.000 | -0.000 |
| 14.714 | 14.714 | 23.237 | -0.000 | -0.000 | -0.000 |
| 0.000 | -0.000 | 0.000 | 14.714 | -0.000 | -0.000 |
| -0.000 | 0.000 | 0.000 | -0.000 | 14.714 | -0.000 |
| -0.000 | 0.000 | 0.000 | -0.000 | -0.000 | 14.714 |
| 23.237 | 14.714 | 14.714 | 0.000 | 0.000 | 0.000 |
| 14.714 | 23.237 | 14.714 | 0.000 | 0.000 | 0.000 |
| 14.714 | 14.714 | 23.237 | 0.000 | 0.000 | 0.000 |
| -0.000 | 0.000 | -0.000 | 14.714 | 0.000 | 0.000 |
| 0.000 | -0.000 | -0.000 | 0.000 | 14.714 | 0.000 |
| 0.000 | -0.000 | -0.000 | 0.000 | 0.000 | 14.714 |
| 1.379 | 2.278 | 2.278 | -0.000 | 0.000 | -0.000 |
| 2.278 | 1.379 | 2.278 | 0.000 | -0.000 | 0.000 |
| 2.278 | 2.278 | 1.379 | -0.000 | 0.000 | -0.000 |
| -0.000 | 0.000 | -0.000 | -1.036 | -0.000 | -0.000 |
| -0.000 | 0.000 | -0.000 | -0.000 | -1.036 | -0.000 |
| -0.000 | 0.000 | -0.000 | -0.000 | -0.000 | -1.036 |
| 1.379 | 2.278 | 2.278 | 0.000 | 0.000 | 0.000 |
| 2.278 | 1.379 | 2.278 | 0.000 | 0.000 | 0.000 |
| 2.278 | 2.278 | 1.379 | 0.000 | 0.000 | 0.000 |
| 0.000 | -0.000 | 0.000 | -1.036 | 0.000 | 0.000 |
| 0.000 | -0.000 | 0.000 | 0.000 | -1.036 | 0.000 |
| 0.000 | -0.000 | -0.000 | 0.000 | 0.000 | -1.036 |
| 1.379 | 2.278 | 2.278 | -0.000 | -0.000 | -0.000 |
| 2.278 | 1.379 | 2.278 | -0.000 | -0.000 | -0.000 |
| 2.278 | 2.278 | 1.379 | -0.000 | -0.000 | -0.000 |
| -0.000 | -0.000 | -0.000 | -1.036 | -0.000 | -0.000 |
| -0.000 | -0.000 | -0.000 | -0.000 | -1.036 | -0.000 |
| -0.000 | -0.000 | -0.000 | -0.000 | -0.000 | -1.036 |
| 1.379 | 2.278 | 2.278 | 0.000 | -0.000 | -0.000 |
| 2.278 | 1.379 | 2.278 | 0.000 | 0.000 | -0.000 |
| 2.278 | 2.278 | 1.379 | 0.000 | -0.000 | 0.000 |
| 0.000 | 0.000 | 0.000 | -1.036 | 0.000 | 0.000 |
| 0.000 | 0.000 | 0.000 | 0.000 | -1.036 | 0.000 |
| 0.000 | 0.000 | 0.000 | 0.000 | 0.000 | -1.036 |
| 1.379 | 2.278 | 2.278 | 0.000 | -0.000 | -0.000 |
| 2.278 | 1.379 | 2.278 | -0.000 | 0.000 | 0.000 |
| 2.278 | 2.278 | 1.379 | -0.000 | -0.000 | 0.000 |
| -0.000 | -0.000 | -0.000 | -1.036 | -0.000 | -0.000 |
| -0.000 | -0.000 | -0.000 | -0.000 | -1.036 | -0.000 |
| -0.000 | -0.000 | -0.000 | -0.000 | -0.000 | -1.036 |
| 1.379 | 2.278 | 2.278 | 0.000 | -0.000 | -0.000 |
| 2.278 | 1.379 | 2.278 | -0.000 | 0.000 | 0.000 |
| 2.278 | 2.278 | 1.379 | 0.000 | -0.000 | 0.000 |
| 0.000 | 0.000 | 0.000 | -1.036 | 0.000 | 0.000 |
| 0.000 | 0.000 | 0.000 | 0.000 | -1.036 | 0.000 |
| 0.000 | 0.000 | 0.000 | 0.000 | 0.000 | -1.036 |
| 8.063 | 11.317 | 11.317 | 0.000 | 0.000 | 0.000 |
| 11.317 | 8.063 | 11.317 | -0.000 | 0.000 | 0.000 |
| 11.317 | 11.317 | 8.063 | 0.000 | 0.000 | 0.000 |
| 0.000 | 0.000 | -0.000 | -0.715 | 0.000 | 0.000 |
| 0.000 | 0.000 | -0.000 | 0.000 | -0.715 | 0.000 |
| 0.000 | 0.000 | -0.000 | -0.000 | 0.000 | -0.715 |
| 8.063 | 11.317 | 11.317 | 0.000 | -0.000 | -0.000 |
| 11.317 | 8.063 | 11.317 | 0.000 | -0.000 | -0.000 |
| 11.317 | 11.317 | 8.063 | -0.000 | -0.000 | -0.000 |
| -0.000 | -0.000 | 0.000 | -0.715 | -0.000 | -0.000 |
| -0.000 | -0.000 | 0.000 | 0.000 | -0.715 | -0.000 |
| -0.000 | -0.000 | 0.000 | 0.000 | -0.000 | -0.715 |
| 8.063 | 11.317 | 11.317 | 0.000 | 0.000 | 0.000 |
| 11.317 | 8.063 | 11.317 | 0.000 | 0.000 | 0.000 |
| 11.317 | 11.317 | 8.063 | 0.000 | 0.000 | 0.000 |
| 0.000 | -0.000 | -0.000 | -0.715 | 0.000 | 0.000 |
| -0.000 | 0.000 | -0.000 | 0.000 | -0.715 | 0.000 |
| -0.000 | -0.000 | 0.000 | -0.000 | 0.000 | -0.715 |
| 8.063 | 11.317 | 11.317 | 0.000 | -0.000 | -0.000 |
| 11.317 | 8.063 | 11.317 | 0.000 | -0.000 | -0.000 |
| 11.317 | 11.317 | 8.063 | -0.000 | -0.000 | -0.000 |
| -0.000 | 0.000 | 0.000 | -0.715 | -0.000 | -0.000 |
| 0.000 | -0.000 | 0.000 | -0.000 | -0.715 | -0.000 |
| 0.000 | 0.000 | -0.000 | -0.000 | -0.000 | -0.715 |
| 8.063 | 11.317 | 11.317 | 0.000 | 0.000 | 0.000 |
| 11.317 | 8.063 | 11.317 | -0.000 | 0.000 | -0.000 |
| 11.317 | 11.317 | 8.063 | 0.000 | 0.000 | 0.000 |
| 0.000 | -0.000 | -0.000 | -0.715 | 0.000 | -0.000 |
| -0.000 | 0.000 | -0.000 | 0.000 | -0.715 | 0.000 |
| -0.000 | -0.000 | 0.000 | 0.000 | 0.000 | -0.715 |
| 8.063 | 11.317 | 11.317 | -0.000 | -0.000 | -0.000 |
| 11.317 | 8.063 | 11.317 | 0.000 | -0.000 | 0.000 |
| 11.317 | 11.317 | 8.063 | 0.000 | 0.000 | -0.000 |
| -0.000 | 0.000 | 0.000 | -0.715 | -0.000 | -0.000 |
| 0.000 | -0.000 | 0.000 | -0.000 | -0.715 | -0.000 |
| 0.000 | 0.000 | -0.000 | 0.000 | -0.000 | -0.715 |
| 27.016 | 17.945 | 17.945 | -0.000 | -0.000 | 0.000 |
| 17.945 | 27.016 | 17.945 | -0.000 | -0.000 | 0.000 |
| 17.945 | 17.945 | 27.016 | -0.000 | 0.000 | 0.000 |
| -0.000 | -0.000 | 0.000 | 15.441 | -0.000 | 0.000 |
| 0.000 | -0.000 | 0.000 | -0.000 | 15.441 | 0.000 |
| -0.000 | -0.000 | 0.000 | -0.000 | -0.000 | 15.441 |
| 27.016 | 17.945 | 17.945 | 0.000 | -0.000 | -0.000 |
| 17.945 | 27.016 | 17.945 | 0.000 | 0.000 | -0.000 |
| 17.945 | 17.945 | 27.016 | 0.000 | -0.000 | -0.000 |
| 0.000 | 0.000 | -0.000 | 15.441 | 0.000 | 0.000 |
| 0.000 | 0.000 | -0.000 | 0.000 | 15.441 | -0.000 |
| 0.000 | 0.000 | -0.000 | 0.000 | -0.000 | 15.441 |
| 27.016 | 17.945 | 17.945 | -0.000 | -0.000 | 0.000 |
| 17.945 | 27.016 | 17.945 | -0.000 | -0.000 | 0.000 |
| 17.945 | 17.945 | 27.016 | -0.000 | -0.000 | -0.000 |
| 0.000 | -0.000 | 0.000 | 15.441 | -0.000 | 0.000 |
| -0.000 | 0.000 | 0.000 | -0.000 | 15.441 | 0.000 |
| -0.000 | 0.000 | 0.000 | -0.000 | -0.000 | 15.441 |
| 27.016 | 17.945 | 17.945 | 0.000 | 0.000 | -0.000 |
| 17.945 | 27.016 | 17.945 | 0.000 | 0.000 | -0.000 |
| 17.945 | 17.945 | 27.016 | 0.000 | 0.000 | 0.000 |
| -0.000 | 0.000 | -0.000 | 15.441 | 0.000 | -0.000 |
| 0.000 | -0.000 | -0.000 | 0.000 | 15.441 | -0.000 |
| 0.000 | -0.000 | -0.000 | 0.000 | 0.000 | 15.441 |
| 27.016 | 17.945 | 17.945 | -0.000 | -0.000 | 0.000 |
| 17.945 | 27.016 | 17.945 | -0.000 | -0.000 | 0.000 |
| 17.945 | 17.945 | 27.016 | -0.000 | -0.000 | -0.000 |
| 0.000 | -0.000 | 0.000 | 15.441 | -0.000 | -0.000 |
| -0.000 | 0.000 | 0.000 | -0.000 | 15.441 | 0.000 |
| -0.000 | 0.000 | 0.000 | -0.000 | -0.000 | 15.441 |
| 27.015 | 17.945 | 17.945 | 0.000 | 0.000 | -0.000 |
| 17.945 | 27.015 | 17.945 | 0.000 | 0.000 | -0.000 |
| 17.945 | 17.945 | 27.015 | 0.000 | -0.000 | -0.000 |
| -0.000 | 0.000 | -0.000 | 15.441 | 0.000 | -0.000 |
| 0.000 | -0.000 | -0.000 | 0.000 | 15.441 | -0.000 |
| 0.000 | -0.000 | -0.000 | 0.000 | 0.000 | 15.441 |
| 20.566 | 13.140 | 13.140 | -0.000 | -0.000 | 0.000 |
| 13.140 | 20.566 | 13.140 | -0.000 | -0.000 | 0.000 |
| 13.140 | 13.140 | 20.566 | 0.000 | -0.000 | -0.000 |
| 0.000 | 0.000 | 0.000 | 12.364 | -0.000 | -0.000 |
| 0.000 | 0.000 | 0.000 | -0.000 | 12.364 | -0.000 |
| 0.000 | 0.000 | 0.000 | -0.000 | -0.000 | 12.364 |
| 20.566 | 13.140 | 13.140 | 0.000 | 0.000 | 0.000 |
| 13.140 | 20.566 | 13.140 | 0.000 | 0.000 | -0.000 |
| 13.140 | 13.140 | 20.566 | 0.000 | 0.000 | 0.000 |
| -0.000 | -0.000 | -0.000 | 12.364 | 0.000 | -0.000 |
| -0.000 | -0.000 | -0.000 | 0.000 | 12.364 | 0.000 |
| -0.000 | -0.000 | -0.000 | 0.000 | 0.000 | 12.364 |
| 20.566 | 13.140 | 13.140 | -0.000 | -0.000 | -0.000 |
| 13.140 | 20.566 | 13.140 | -0.000 | -0.000 | -0.000 |
| 13.140 | 13.140 | 20.566 | -0.000 | -0.000 | -0.000 |
| 0.000 | -0.000 | 0.000 | 12.364 | -0.000 | -0.000 |
| -0.000 | 0.000 | 0.000 | -0.000 | 12.364 | -0.000 |
| -0.000 | 0.000 | 0.000 | -0.000 | -0.000 | 12.364 |
| 20.566 | 13.140 | 13.140 | 0.000 | 0.000 | 0.000 |
| 13.140 | 20.566 | 13.140 | 0.000 | 0.000 | 0.000 |
| 13.140 | 13.140 | 20.566 | 0.000 | 0.000 | 0.000 |
| -0.000 | 0.000 | -0.000 | 12.364 | 0.000 | 0.000 |
| 0.000 | -0.000 | -0.000 | 0.000 | 12.364 | 0.000 |
| 0.000 | -0.000 | -0.000 | 0.000 | 0.000 | 12.364 |
| 20.566 | 13.140 | 13.140 | -0.000 | -0.000 | -0.000 |
| 13.140 | 20.566 | 13.140 | -0.000 | -0.000 | -0.000 |
| 13.140 | 13.140 | 20.566 | -0.000 | -0.000 | -0.000 |
| 0.000 | -0.000 | 0.000 | 12.364 | -0.000 | -0.000 |
| -0.000 | 0.000 | 0.000 | -0.000 | 12.364 | -0.000 |
| -0.000 | 0.000 | 0.000 | -0.000 | -0.000 | 12.364 |
| 20.566 | 13.140 | 13.140 | 0.000 | 0.000 | 0.000 |
| 13.140 | 20.566 | 13.140 | 0.000 | 0.000 | 0.000 |
| 13.140 | 13.140 | 20.566 | 0.000 | 0.000 | 0.000 |
| -0.000 | 0.000 | -0.000 | 12.364 | 0.000 | 0.000 |
| 0.000 | -0.000 | -0.000 | 0.000 | 12.364 | 0.000 |
| 0.000 | -0.000 | -0.000 | 0.000 | 0.000 | 12.364 |
| 48.722 | 9.706 | 9.706 | 0.000 | 0.000 | 0.000 |
| 9.706 | 48.722 | 9.706 | 0.000 | 0.000 | 0.000 |
| 9.706 | 9.706 | 48.722 | 0.000 | 0.000 | 0.000 |
| 0.000 | -0.000 | -0.000 | -0.513 | 0.000 | 0.000 |
| -0.000 | -0.000 | -0.000 | 0.000 | -0.513 | 0.000 |
| 0.000 | -0.000 | -0.000 | 0.000 | 0.000 | -0.513 |
| 48.722 | 9.706 | 9.706 | -0.000 | -0.000 | -0.000 |
| 9.706 | 48.722 | 9.706 | -0.000 | -0.000 | -0.000 |
| 9.706 | 9.706 | 48.722 | -0.000 | -0.000 | -0.000 |
| -0.000 | -0.000 | 0.000 | -0.513 | -0.000 | -0.000 |
| -0.000 | 0.000 | 0.000 | -0.000 | -0.513 | -0.000 |
| -0.000 | 0.000 | -0.000 | -0.000 | -0.000 | -0.513 |
| 48.722 | 9.706 | 9.706 | 0.000 | 0.000 | 0.000 |
| 9.706 | 48.722 | 9.706 | 0.000 | 0.000 | 0.000 |
| 9.706 | 9.706 | 48.722 | 0.000 | 0.000 | 0.000 |
| 0.000 | -0.000 | -0.000 | -0.513 | 0.000 | 0.000 |
| -0.000 | 0.000 | -0.000 | 0.000 | -0.513 | 0.000 |
| -0.000 | -0.000 | 0.000 | 0.000 | 0.000 | -0.513 |
| 48.722 | 9.706 | 9.706 | -0.000 | -0.000 | -0.000 |
| 9.706 | 48.722 | 9.706 | -0.000 | -0.000 | -0.000 |
| 9.706 | 9.706 | 48.722 | -0.000 | -0.000 | -0.000 |
| -0.000 | 0.000 | 0.000 | -0.513 | -0.000 | -0.000 |
| 0.000 | -0.000 | 0.000 | -0.000 | -0.513 | -0.000 |
| 0.000 | 0.000 | -0.000 | -0.000 | -0.000 | -0.513 |
| 48.723 | 9.706 | 9.706 | 0.000 | 0.000 | 0.000 |
| 9.706 | 48.723 | 9.706 | 0.000 | 0.000 | 0.000 |
| 9.706 | 9.706 | 48.723 | 0.000 | 0.000 | 0.000 |
| 0.000 | -0.000 | -0.000 | -0.513 | -0.000 | 0.000 |
| -0.000 | 0.000 | -0.000 | 0.000 | -0.513 | 0.000 |
| -0.000 | -0.000 | 0.000 | 0.000 | 0.000 | -0.513 |
| 48.722 | 9.706 | 9.706 | -0.000 | -0.000 | -0.000 |
| 9.706 | 48.722 | 9.706 | -0.000 | -0.000 | -0.000 |
| 9.706 | 9.706 | 48.722 | -0.000 | -0.000 | -0.000 |
| -0.000 | 0.000 | 0.000 | -0.513 | 0.000 | -0.000 |
| 0.000 | -0.000 | 0.000 | -0.000 | -0.513 | -0.000 |
| 0.000 | 0.000 | -0.000 | -0.000 | -0.000 | -0.513 |
| 30.530 | 20.726 | 20.726 | -0.000 | 0.000 | 0.000 |
| 20.726 | 30.530 | 20.726 | 0.000 | 0.000 | 0.000 |
| 20.726 | 20.726 | 30.530 | 0.000 | 0.000 | 0.000 |
| 0.000 | 0.000 | 0.000 | 15.259 | 0.000 | -0.000 |
| 0.000 | 0.000 | -0.000 | 0.000 | 15.259 | -0.000 |
| 0.000 | 0.000 | -0.000 | 0.000 | 0.000 | 15.259 |
| 30.530 | 20.726 | 20.726 | -0.000 | -0.000 | 0.000 |
| 20.726 | 30.530 | 20.726 | -0.000 | -0.000 | 0.000 |
| 20.726 | 20.726 | 30.530 | -0.000 | -0.000 | 0.000 |
| -0.000 | -0.000 | 0.000 | 15.259 | -0.000 | 0.000 |
| -0.000 | 0.000 | 0.000 | 0.000 | 15.259 | 0.000 |
| -0.000 | -0.000 | 0.000 | -0.000 | -0.000 | 15.259 |
| 30.530 | 20.726 | 20.726 | 0.000 | 0.000 | -0.000 |
| 20.726 | 30.530 | 20.726 | 0.000 | 0.000 | -0.000 |
| 20.726 | 20.726 | 30.530 | 0.000 | 0.000 | -0.000 |
| 0.000 | -0.000 | 0.000 | 15.259 | 0.000 | -0.000 |
| -0.000 | 0.000 | 0.000 | -0.000 | 15.259 | -0.000 |
| -0.000 | 0.000 | 0.000 | -0.000 | 0.000 | 15.259 |
| 30.530 | 20.726 | 20.726 | -0.000 | -0.000 | 0.000 |
| 20.726 | 30.530 | 20.726 | -0.000 | -0.000 | 0.000 |
| 20.726 | 20.726 | 30.530 | -0.000 | -0.000 | -0.000 |
| -0.000 | 0.000 | -0.000 | 15.259 | -0.000 | 0.000 |
| 0.000 | -0.000 | -0.000 | -0.000 | 15.259 | 0.000 |
| 0.000 | -0.000 | -0.000 | -0.000 | -0.000 | 15.259 |
| 30.530 | 20.726 | 20.726 | -0.000 | 0.000 | -0.000 |
| 20.726 | 30.530 | 20.726 | -0.000 | 0.000 | -0.000 |
| 20.726 | 20.726 | 30.530 | -0.000 | 0.000 | -0.000 |
| 0.000 | -0.000 | 0.000 | 15.259 | 0.000 | -0.000 |
| -0.000 | 0.000 | 0.000 | 0.000 | 15.259 | -0.000 |
| -0.000 | 0.000 | 0.000 | -0.000 | 0.000 | 15.259 |
| 30.530 | 20.726 | 20.726 | -0.000 | -0.000 | -0.000 |
| 20.726 | 30.530 | 20.726 | -0.000 | -0.000 | 0.000 |
| 20.726 | 20.726 | 30.530 | -0.000 | -0.000 | -0.000 |
| -0.000 | 0.000 | -0.000 | 15.259 | -0.000 | 0.000 |
| 0.000 | -0.000 | -0.000 | 0.000 | 15.259 | 0.000 |
| 0.000 | -0.000 | -0.000 | 0.000 | -0.000 | 15.259 |
| 25.668 | 19.636 | 19.636 | -0.000 | 0.000 | -0.000 |
| 19.636 | 25.668 | 19.636 | 0.000 | 0.000 | -0.000 |
| 19.636 | 19.636 | 25.668 | 0.000 | 0.000 | 0.000 |
| 0.000 | -0.000 | -0.000 | 19.636 | 0.000 | -0.000 |
| 0.000 | -0.000 | 0.000 | -0.000 | 19.636 | -0.000 |
| 0.000 | -0.000 | 0.000 | 0.000 | -0.000 | 19.636 |
| 25.668 | 19.636 | 19.636 | -0.000 | 0.000 | 0.000 |
| 19.636 | 25.668 | 19.636 | 0.000 | -0.000 | -0.000 |
| 19.636 | 19.636 | 25.668 | -0.000 | -0.000 | -0.000 |
| -0.000 | 0.000 | 0.000 | 19.636 | 0.000 | 0.000 |
| 0.000 | 0.000 | 0.000 | 0.000 | 19.636 | -0.000 |
| -0.000 | -0.000 | 0.000 | 0.000 | 0.000 | 19.636 |
| 25.668 | 19.636 | 19.636 | -0.000 | 0.000 | 0.000 |
| 19.636 | 25.668 | 19.636 | -0.000 | -0.000 | -0.000 |
| 19.636 | 19.636 | 25.668 | 0.000 | 0.000 | -0.000 |
| -0.000 | 0.000 | 0.000 | 19.636 | 0.000 | -0.000 |
| 0.000 | -0.000 | 0.000 | 0.000 | 19.636 | -0.000 |
| 0.000 | 0.000 | -0.000 | 0.000 | -0.000 | 19.636 |
| 25.668 | 19.636 | 19.636 | -0.000 | -0.000 | -0.000 |
| 19.636 | 25.668 | 19.636 | -0.000 | -0.000 | 0.000 |
| 19.636 | 19.636 | 25.668 | -0.000 | -0.000 | -0.000 |
| 0.000 | -0.000 | -0.000 | 19.636 | -0.000 | 0.000 |
| -0.000 | 0.000 | -0.000 | -0.000 | 19.636 | 0.000 |
| -0.000 | -0.000 | 0.000 | -0.000 | 0.000 | 19.636 |
| 25.668 | 19.636 | 19.636 | -0.000 | -0.000 | 0.000 |
| 19.636 | 25.668 | 19.636 | -0.000 | -0.000 | 0.000 |
| 19.636 | 19.636 | 25.668 | -0.000 | -0.000 | -0.000 |
| -0.000 | 0.000 | 0.000 | 19.636 | 0.000 | -0.000 |
| 0.000 | -0.000 | 0.000 | 0.000 | 19.636 | 0.000 |
| 0.000 | 0.000 | -0.000 | -0.000 | -0.000 | 19.636 |
| 25.668 | 19.636 | 19.636 | -0.000 | -0.000 | -0.000 |
| 19.636 | 25.668 | 19.636 | -0.000 | -0.000 | 0.000 |
| 19.636 | 19.636 | 25.668 | -0.000 | -0.000 | -0.000 |
| 0.000 | -0.000 | -0.000 | 19.636 | -0.000 | 0.000 |
| -0.000 | 0.000 | -0.000 | 0.000 | 19.636 | 0.000 |
| -0.000 | -0.000 | 0.000 | -0.000 | 0.000 | 19.636 |
| 23.246 | 16.668 | 16.668 | -0.000 | -0.000 | -0.000 |
| 16.668 | 23.246 | 16.668 | -0.000 | -0.000 | -0.000 |
| 16.668 | 16.668 | 23.246 | 0.000 | 0.000 | -0.000 |
| 0.000 | 0.000 | 0.000 | 12.697 | -0.000 | -0.000 |
| 0.000 | 0.000 | 0.000 | 0.000 | 12.697 | -0.000 |
| 0.000 | 0.000 | 0.000 | -0.000 | -0.000 | 12.697 |
| 23.246 | 16.668 | 16.668 | 0.000 | 0.000 | 0.000 |
| 16.668 | 23.246 | 16.668 | 0.000 | 0.000 | 0.000 |
| 16.668 | 16.668 | 23.246 | -0.000 | -0.000 | 0.000 |
| -0.000 | -0.000 | -0.000 | 12.697 | 0.000 | 0.000 |
| -0.000 | -0.000 | -0.000 | 0.000 | 12.697 | 0.000 |
| -0.000 | -0.000 | -0.000 | 0.000 | 0.000 | 12.697 |
| 23.246 | 16.668 | 16.668 | -0.000 | -0.000 | 0.000 |
| 16.668 | 23.246 | 16.668 | -0.000 | -0.000 | 0.000 |
| 16.668 | 16.668 | 23.246 | 0.000 | 0.000 | -0.000 |
| 0.000 | -0.000 | 0.000 | 12.697 | -0.000 | -0.000 |
| -0.000 | 0.000 | 0.000 | 0.000 | 12.697 | -0.000 |
| -0.000 | 0.000 | 0.000 | -0.000 | -0.000 | 12.697 |
| 23.246 | 16.668 | 16.668 | 0.000 | 0.000 | 0.000 |
| 16.668 | 23.246 | 16.668 | 0.000 | 0.000 | 0.000 |
| 16.668 | 16.668 | 23.246 | -0.000 | -0.000 | 0.000 |
| -0.000 | 0.000 | -0.000 | 12.697 | 0.000 | 0.000 |
| 0.000 | -0.000 | -0.000 | 0.000 | 12.697 | 0.000 |
| 0.000 | -0.000 | -0.000 | 0.000 | 0.000 | 12.697 |
| 23.246 | 16.668 | 16.668 | -0.000 | -0.000 | -0.000 |
| 16.668 | 23.246 | 16.668 | -0.000 | -0.000 | 0.000 |
| 16.668 | 16.668 | 23.246 | 0.000 | 0.000 | -0.000 |
| 0.000 | -0.000 | 0.000 | 12.697 | -0.000 | -0.000 |
| -0.000 | 0.000 | 0.000 | -0.000 | 12.697 | -0.000 |
| -0.000 | 0.000 | 0.000 | -0.000 | -0.000 | 12.697 |
| 23.246 | 16.668 | 16.668 | 0.000 | 0.000 | 0.000 |
| 16.668 | 23.246 | 16.668 | 0.000 | 0.000 | 0.000 |
| 16.668 | 16.668 | 23.246 | 0.000 | -0.000 | 0.000 |
| -0.000 | 0.000 | -0.000 | 12.697 | 0.000 | 0.000 |
| 0.000 | -0.000 | -0.000 | 0.000 | 12.697 | 0.000 |
| 0.000 | -0.000 | -0.000 | 0.000 | 0.000 | 12.697 |
| 15.818 | 12.408 | 12.408 | 0.000 | 0.000 | 0.000 |
| 12.408 | 15.818 | 12.408 | 0.000 | 0.000 | 0.000 |
| 12.408 | 12.408 | 15.818 | 0.000 | 0.000 | 0.000 |
| 0.000 | -0.000 | 0.000 | 10.329 | 0.000 | 0.000 |
| -0.000 | 0.000 | 0.000 | 0.000 | 10.329 | 0.000 |
| -0.000 | -0.000 | 0.000 | 0.000 | 0.000 | 10.329 |
| 15.818 | 12.408 | 12.408 | -0.000 | -0.000 | -0.000 |
| 12.408 | 15.818 | 12.408 | -0.000 | -0.000 | -0.000 |
| 12.408 | 12.408 | 15.818 | -0.000 | -0.000 | -0.000 |
| -0.000 | 0.000 | -0.000 | 10.329 | 0.000 | -0.000 |
| 0.000 | -0.000 | -0.000 | -0.000 | 10.329 | -0.000 |
| 0.000 | -0.000 | -0.000 | -0.000 | -0.000 | 10.329 |
| 15.818 | 12.408 | 12.408 | 0.000 | -0.000 | 0.000 |
| 12.408 | 15.818 | 12.408 | 0.000 | 0.000 | 0.000 |
| 12.408 | 12.408 | 15.818 | 0.000 | 0.000 | 0.000 |
| 0.000 | -0.000 | 0.000 | 12.408 | 0.000 | 0.000 |
| -0.000 | 0.000 | 0.000 | 0.000 | 12.408 | 0.000 |
| -0.000 | 0.000 | 0.000 | 0.000 | 0.000 | 12.408 |
| 15.818 | 12.408 | 12.408 | -0.000 | -0.000 | -0.000 |
| 12.408 | 15.818 | 12.408 | -0.000 | -0.000 | -0.000 |
| 12.408 | 12.408 | 15.818 | -0.000 | -0.000 | -0.000 |
| -0.000 | 0.000 | -0.000 | 12.408 | -0.000 | -0.000 |
| 0.000 | -0.000 | -0.000 | -0.000 | 12.408 | -0.000 |
| 0.000 | -0.000 | -0.000 | 0.000 | 0.000 | 12.408 |
| 15.818 | 12.408 | 12.408 | 0.000 | 0.000 | 0.000 |
| 12.408 | 15.818 | 12.408 | 0.000 | 0.000 | 0.000 |
| 12.408 | 12.408 | 15.818 | 0.000 | 0.000 | 0.000 |
| 0.000 | -0.000 | 0.000 | 10.329 | 0.000 | 0.000 |
| -0.000 | 0.000 | 0.000 | 0.000 | 10.329 | 0.000 |
| -0.000 | 0.000 | 0.000 | 0.000 | 0.000 | 10.329 |
| 15.818 | 12.408 | 12.408 | -0.000 | -0.000 | -0.000 |
| 12.408 | 15.818 | 12.408 | -0.000 | -0.000 | -0.000 |
| 12.408 | 12.408 | 15.818 | 0.000 | 0.000 | -0.000 |
| -0.000 | 0.000 | -0.000 | 10.329 | -0.000 | -0.000 |
| 0.000 | -0.000 | -0.000 | -0.000 | 10.329 | -0.000 |
| 0.000 | -0.000 | -0.000 | -0.000 | -0.000 | 10.329 |
| 35.389 | -4.384 | -4.384 | 0.000 | 0.000 | -0.000 |
| -4.384 | 35.389 | -4.384 | 0.000 | 0.000 | -0.000 |
| -4.384 | -4.384 | 35.389 | 0.000 | 0.000 | 0.000 |
| -0.000 | 0.000 | -0.000 | -4.384 | 0.000 | -0.000 |
| 0.000 | -0.000 | -0.000 | 0.000 | -4.384 | -0.000 |
| -0.000 | -0.000 | -0.000 | 0.000 | 0.000 | -4.384 |
| 35.389 | -4.384 | -4.384 | -0.000 | -0.000 | 0.000 |
| -4.384 | 35.389 | -4.384 | -0.000 | -0.000 | 0.000 |
| -4.384 | -4.384 | 35.389 | -0.000 | -0.000 | -0.000 |
| 0.000 | 0.000 | 0.000 | -4.384 | -0.000 | 0.000 |
| 0.000 | 0.000 | 0.000 | -0.000 | -4.384 | 0.000 |
| 0.000 | 0.000 | 0.000 | -0.000 | -0.000 | -4.384 |
| 35.389 | -4.384 | -4.384 | 0.000 | 0.000 | -0.000 |
| -4.384 | 35.389 | -4.384 | 0.000 | 0.000 | -0.000 |
| -4.384 | -4.384 | 35.389 | 0.000 | 0.000 | 0.000 |
| 0.000 | 0.000 | -0.000 | -4.384 | 0.000 | -0.000 |
| 0.000 | 0.000 | -0.000 | 0.000 | -4.384 | -0.000 |
| 0.000 | -0.000 | -0.000 | 0.000 | 0.000 | -4.384 |
| 35.389 | -4.384 | -4.384 | -0.000 | -0.000 | 0.000 |
| -4.384 | 35.389 | -4.384 | -0.000 | -0.000 | 0.000 |
| -4.384 | -4.384 | 35.389 | 0.000 | 0.000 | -0.000 |
| -0.000 | -0.000 | 0.000 | -4.384 | -0.000 | 0.000 |
| -0.000 | -0.000 | 0.000 | -0.000 | -4.384 | 0.000 |
| -0.000 | 0.000 | 0.000 | -0.000 | -0.000 | -4.384 |
| 35.389 | -4.384 | -4.384 | 0.000 | 0.000 | -0.000 |
| -4.384 | 35.389 | -4.384 | 0.000 | 0.000 | -0.000 |
| -4.384 | -4.384 | 35.389 | 0.000 | -0.000 | 0.000 |
| 0.000 | 0.000 | -0.000 | -4.384 | -0.000 | -0.000 |
| 0.000 | 0.000 | -0.000 | 0.000 | -4.384 | -0.000 |
| 0.000 | -0.000 | 0.000 | 0.000 | 0.000 | -4.384 |
| 35.389 | -4.384 | -4.384 | -0.000 | -0.000 | 0.000 |
| -4.384 | 35.389 | -4.384 | -0.000 | -0.000 | 0.000 |
| -4.384 | -4.384 | 35.389 | 0.000 | 0.000 | -0.000 |
| -0.000 | -0.000 | 0.000 | -4.384 | 0.000 | 0.000 |
| -0.000 | -0.000 | 0.000 | -0.000 | -4.384 | 0.000 |
| -0.000 | 0.000 | -0.000 | -0.000 | -0.000 | -4.384 |
| 19.628 | 13.235 | 13.235 | -0.000 | 0.000 | -0.000 |
| 13.235 | 19.628 | 13.235 | 0.000 | 0.000 | -0.000 |
| 13.235 | 13.235 | 19.628 | -0.000 | 0.000 | 0.000 |
| -0.000 | -0.000 | 0.000 | 13.235 | 0.000 | 0.000 |
| -0.000 | -0.000 | 0.000 | 0.000 | 13.235 | 0.000 |
| -0.000 | 0.000 | 0.000 | -0.000 | 0.000 | 13.235 |
| 19.628 | 13.235 | 13.235 | -0.000 | -0.000 | -0.000 |
| 13.235 | 19.628 | 13.235 | -0.000 | -0.000 | -0.000 |
| 13.235 | 13.235 | 19.628 | -0.000 | -0.000 | -0.000 |
| 0.000 | 0.000 | 0.000 | 13.235 | -0.000 | -0.000 |
| 0.000 | 0.000 | -0.000 | -0.000 | 13.235 | -0.000 |
| 0.000 | 0.000 | -0.000 | -0.000 | -0.000 | 13.235 |
| 19.628 | 13.235 | 13.235 | 0.000 | 0.000 | -0.000 |
| 13.235 | 19.628 | 13.235 | 0.000 | 0.000 | -0.000 |
| 13.235 | 13.235 | 19.628 | 0.000 | 0.000 | 0.000 |
| 0.000 | -0.000 | 0.000 | 13.235 | 0.000 | 0.000 |
| -0.000 | 0.000 | 0.000 | -0.000 | 13.235 | -0.000 |
| -0.000 | 0.000 | 0.000 | -0.000 | 0.000 | 13.235 |
| 19.628 | 13.235 | 13.235 | -0.000 | -0.000 | -0.000 |
| 13.235 | 19.628 | 13.235 | -0.000 | -0.000 | -0.000 |
| 13.235 | 13.235 | 19.628 | -0.000 | 0.000 | -0.000 |
| -0.000 | 0.000 | -0.000 | 13.235 | -0.000 | -0.000 |
| 0.000 | -0.000 | -0.000 | -0.000 | 13.235 | -0.000 |
| 0.000 | -0.000 | -0.000 | -0.000 | -0.000 | 13.235 |
| 19.628 | 13.235 | 13.235 | -0.000 | 0.000 | -0.000 |
| 13.235 | 19.628 | 13.235 | 0.000 | 0.000 | 0.000 |
| 13.235 | 13.235 | 19.628 | 0.000 | 0.000 | 0.000 |
| 0.000 | -0.000 | 0.000 | 13.235 | 0.000 | 0.000 |
| -0.000 | 0.000 | 0.000 | 0.000 | 13.235 | 0.000 |
| -0.000 | 0.000 | 0.000 | 0.000 | 0.000 | 13.235 |
| 19.628 | 13.235 | 13.235 | -0.000 | -0.000 | -0.000 |
| 13.235 | 19.628 | 13.235 | -0.000 | -0.000 | -0.000 |
| 13.235 | 13.235 | 19.628 | -0.000 | -0.000 | -0.000 |
| -0.000 | 0.000 | -0.000 | 13.235 | 0.000 | 0.000 |
| 0.000 | -0.000 | -0.000 | 0.000 | 13.235 | -0.000 |
| 0.000 | -0.000 | -0.000 | 0.000 | -0.000 | 13.235 |
| 1.849 | 2.028 | 2.028 | -0.000 | -0.000 | -0.000 |
| 2.028 | 1.849 | 2.028 | -0.000 | -0.000 | -0.000 |
| 2.028 | 2.028 | 1.849 | -0.000 | -0.000 | -0.000 |
| -0.000 | -0.000 | -0.000 | -0.196 | -0.000 | -0.000 |
| -0.000 | -0.000 | -0.000 | -0.000 | -0.196 | -0.000 |
| -0.000 | -0.000 | -0.000 | -0.000 | -0.000 | -0.196 |
| 1.849 | 2.028 | 2.028 | 0.000 | 0.000 | -0.000 |
| 2.028 | 1.849 | 2.028 | 0.000 | 0.000 | 0.000 |
| 2.028 | 2.028 | 1.849 | 0.000 | -0.000 | 0.000 |
| 0.000 | 0.000 | 0.000 | -0.196 | 0.000 | 0.000 |
| 0.000 | 0.000 | 0.000 | 0.000 | -0.196 | 0.000 |
| 0.000 | 0.000 | 0.000 | 0.000 | 0.000 | -0.196 |
| 1.849 | 2.028 | 2.028 | 0.000 | 0.000 | 0.000 |
| 2.028 | 1.849 | 2.028 | -0.000 | -0.000 | 0.000 |
| 2.028 | 2.028 | 1.849 | 0.000 | 0.000 | 0.000 |
| -0.000 | -0.000 | -0.000 | -0.196 | -0.000 | -0.000 |
| -0.000 | -0.000 | -0.000 | -0.000 | -0.196 | -0.000 |
| -0.000 | -0.000 | -0.000 | -0.000 | -0.000 | -0.196 |
| 1.849 | 2.028 | 2.028 | 0.000 | -0.000 | -0.000 |
| 2.028 | 1.849 | 2.028 | -0.000 | 0.000 | -0.000 |
| 2.028 | 2.028 | 1.849 | -0.000 | -0.000 | 0.000 |
| 0.000 | 0.000 | 0.000 | -0.196 | 0.000 | 0.000 |
| 0.000 | 0.000 | 0.000 | 0.000 | -0.196 | 0.000 |
| 0.000 | 0.000 | 0.000 | 0.000 | 0.000 | -0.196 |
| 1.849 | 2.028 | 2.028 | -0.000 | 0.000 | 0.000 |
| 2.028 | 1.849 | 2.028 | -0.000 | -0.000 | 0.000 |
| 2.028 | 2.028 | 1.849 | -0.000 | -0.000 | -0.000 |
| -0.000 | -0.000 | -0.000 | -0.196 | -0.000 | -0.000 |
| -0.000 | -0.000 | -0.000 | -0.000 | -0.196 | -0.000 |
| -0.000 | -0.000 | -0.000 | -0.000 | -0.000 | -0.196 |
| 1.849 | 2.028 | 2.028 | 0.000 | -0.000 | -0.000 |
| 2.028 | 1.849 | 2.028 | 0.000 | 0.000 | -0.000 |
| 2.028 | 2.028 | 1.849 | 0.000 | -0.000 | 0.000 |
| 0.000 | 0.000 | 0.000 | -0.196 | 0.000 | 0.000 |
| 0.000 | 0.000 | 0.000 | 0.000 | -0.196 | 0.000 |
| 0.000 | 0.000 | 0.000 | 0.000 | 0.000 | -0.196 |
| 7.306 | 7.875 | 7.875 | 0.000 | -0.000 | -0.000 |
| 7.875 | 7.306 | 7.875 | -0.000 | 0.000 | -0.000 |
| 7.875 | 7.875 | 7.306 | 0.000 | -0.000 | -0.000 |
| -0.000 | -0.000 | 0.000 | 0.889 | 0.000 | -0.000 |
| -0.000 | 0.000 | 0.000 | 0.000 | 0.889 | -0.000 |
| -0.000 | -0.000 | 0.000 | 0.000 | 0.000 | 0.889 |
| 7.306 | 7.875 | 7.875 | 0.000 | -0.000 | 0.000 |
| 7.875 | 7.306 | 7.875 | 0.000 | -0.000 | 0.000 |
| 7.875 | 7.875 | 7.306 | -0.000 | -0.000 | 0.000 |
| 0.000 | 0.000 | -0.000 | 0.889 | -0.000 | 0.000 |
| 0.000 | 0.000 | -0.000 | -0.000 | 0.889 | 0.000 |
| 0.000 | 0.000 | -0.000 | -0.000 | -0.000 | 0.889 |
| 7.306 | 7.875 | 7.875 | -0.000 | 0.000 | 0.000 |
| 7.875 | 7.306 | 7.875 | 0.000 | 0.000 | 0.000 |
| 7.875 | 7.875 | 7.306 | 0.000 | 0.000 | -0.000 |
| 0.000 | -0.000 | -0.000 | 0.889 | 0.000 | -0.000 |
| -0.000 | 0.000 | -0.000 | 0.000 | 0.889 | -0.000 |
| -0.000 | -0.000 | 0.000 | 0.000 | 0.000 | 0.889 |
| 7.306 | 7.875 | 7.875 | 0.000 | 0.000 | 0.000 |
| 7.875 | 7.306 | 7.875 | 0.000 | -0.000 | 0.000 |
| 7.875 | 7.875 | 7.306 | -0.000 | 0.000 | 0.000 |
| -0.000 | 0.000 | 0.000 | 0.889 | 0.000 | 0.000 |
| 0.000 | -0.000 | 0.000 | -0.000 | 0.889 | 0.000 |
| 0.000 | 0.000 | -0.000 | -0.000 | -0.000 | 0.889 |
| 7.306 | 7.875 | 7.875 | 0.000 | 0.000 | -0.000 |
| 7.875 | 7.306 | 7.875 | -0.000 | 0.000 | -0.000 |
| 7.875 | 7.875 | 7.306 | 0.000 | -0.000 | -0.000 |
| 0.000 | -0.000 | -0.000 | 0.889 | -0.000 | -0.000 |
| -0.000 | 0.000 | -0.000 | 0.000 | 0.889 | -0.000 |
| -0.000 | -0.000 | 0.000 | 0.000 | 0.000 | 0.889 |
| 7.306 | 7.875 | 7.875 | 0.000 | 0.000 | 0.000 |
| 7.875 | 7.306 | 7.875 | -0.000 | -0.000 | 0.000 |
| 7.875 | 7.875 | 7.306 | -0.000 | 0.000 | 0.000 |
| -0.000 | 0.000 | 0.000 | 0.889 | 0.000 | 0.000 |
| 0.000 | -0.000 | 0.000 | -0.000 | 0.889 | 0.000 |
| 0.000 | 0.000 | -0.000 | -0.000 | -0.000 | 0.889 |
| 30.398 | 10.139 | 9.292 | 0.000 | 0.000 | 0.000 |
| 10.139 | 30.398 | 9.292 | 0.000 | 0.000 | 0.000 |
| 9.475 | 9.475 | 29.768 | -0.000 | -0.000 | -0.000 |
| 0.000 | 0.000 | 0.000 | 8.701 | -0.000 | 0.000 |
| 0.000 | -0.000 | 0.000 | -0.000 | 9.408 | -0.000 |
| 0.000 | 0.000 | 0.000 | 0.000 | -0.000 | 10.069 |
| 30.328 | 10.118 | 9.452 | -0.000 | 0.000 | -0.000 |
| 10.139 | 30.398 | 9.292 | -0.000 | -0.000 | -0.000 |
| 9.355 | 9.355 | 30.191 | 0.000 | 0.000 | 0.000 |
| -0.000 | 0.000 | 0.000 | 8.701 | 0.000 | 0.000 |
| -0.000 | 0.000 | 0.000 | 0.000 | 9.408 | 0.000 |
| -0.000 | 0.000 | -0.000 | 0.000 | 0.000 | 10.069 |
| 30.276 | 10.199 | 9.403 | -0.000 | -0.000 | 0.000 |
| 10.118 | 30.328 | 9.452 | 0.000 | -0.000 | -0.000 |
| 9.355 | 9.355 | 30.191 | -0.000 | -0.000 | -0.000 |
| 0.000 | 0.000 | 0.000 | 9.408 | -0.000 | -0.000 |
| 0.000 | 0.000 | 0.000 | -0.000 | 8.701 | -0.000 |
| 0.000 | 0.000 | 0.000 | 0.000 | 0.000 | 10.130 |
| 30.276 | 10.199 | 9.403 | 0.000 | 0.000 | -0.000 |
| 10.139 | 30.398 | 9.292 | -0.000 | -0.000 | -0.000 |
| 9.475 | 9.475 | 29.768 | 0.000 | 0.000 | 0.000 |
| -0.000 | -0.000 | -0.000 | 9.408 | 0.000 | -0.000 |
| -0.000 | -0.000 | -0.000 | -0.000 | 8.701 | -0.000 |
| -0.000 | -0.000 | -0.000 | -0.000 | -0.000 | 10.130 |
| 30.328 | 10.118 | 9.452 | 0.000 | -0.000 | 0.000 |
| 10.139 | 30.398 | 9.292 | 0.000 | 0.000 | 0.000 |
| 9.355 | 9.355 | 30.192 | -0.000 | 0.000 | 0.000 |
| 0.000 | -0.000 | 0.000 | 8.692 | 0.000 | 0.000 |
| 0.000 | 0.000 | 0.000 | 0.000 | 9.408 | -0.000 |
| 0.000 | 0.000 | 0.000 | 0.000 | 0.000 | 10.130 |
| 30.327 | 10.118 | 9.451 | 0.000 | -0.000 | 0.000 |
| 10.139 | 30.398 | 9.292 | -0.000 | -0.000 | -0.000 |
| 9.476 | 9.476 | 29.764 | -0.000 | 0.000 | -0.000 |
| -0.000 | 0.000 | -0.000 | 8.692 | 0.000 | -0.000 |
| -0.000 | -0.000 | -0.000 | 0.000 | 9.408 | -0.000 |
| -0.000 | -0.000 | -0.000 | -0.000 | -0.000 | 10.130 |
| 17.662 | 12.086 | 12.086 | -0.000 | 0.000 | 0.000 |
| 12.086 | 17.662 | 12.086 | -0.000 | -0.000 | 0.000 |
| 12.086 | 12.086 | 17.662 | -0.000 | 0.000 | 0.000 |
| 0.000 | -0.000 | -0.000 | 11.559 | -0.000 | 0.000 |
| 0.000 | -0.000 | -0.000 | -0.000 | 11.559 | -0.000 |
| 0.000 | 0.000 | -0.000 | -0.000 | -0.000 | 11.559 |
| 17.662 | 12.086 | 12.086 | 0.000 | 0.000 | 0.000 |
| 12.086 | 17.662 | 12.086 | 0.000 | -0.000 | 0.000 |
| 12.086 | 12.086 | 17.662 | 0.000 | 0.000 | -0.000 |
| -0.000 | -0.000 | 0.000 | 11.559 | 0.000 | 0.000 |
| -0.000 | -0.000 | 0.000 | 0.000 | 11.559 | 0.000 |
| -0.000 | 0.000 | 0.000 | 0.000 | 0.000 | 11.559 |
| 17.662 | 12.086 | 12.086 | 0.000 | -0.000 | -0.000 |
| 12.086 | 17.662 | 12.086 | -0.000 | 0.000 | -0.000 |
| 12.086 | 12.086 | 17.662 | -0.000 | -0.000 | -0.000 |
| 0.000 | -0.000 | 0.000 | 11.559 | -0.000 | -0.000 |
| -0.000 | 0.000 | 0.000 | -0.000 | 11.559 | -0.000 |
| -0.000 | 0.000 | 0.000 | -0.000 | -0.000 | 11.559 |
| 17.662 | 12.086 | 12.086 | -0.000 | 0.000 | -0.000 |
| 12.086 | 17.662 | 12.086 | -0.000 | -0.000 | 0.000 |
| 12.086 | 12.086 | 17.662 | 0.000 | 0.000 | -0.000 |
| -0.000 | 0.000 | -0.000 | 11.559 | 0.000 | 0.000 |
| 0.000 | -0.000 | -0.000 | 0.000 | 11.559 | 0.000 |
| 0.000 | -0.000 | -0.000 | 0.000 | 0.000 | 11.559 |
| 17.662 | 12.086 | 12.086 | -0.000 | 0.000 | -0.000 |
| 12.086 | 17.662 | 12.086 | -0.000 | 0.000 | -0.000 |
| 12.086 | 12.086 | 17.662 | -0.000 | 0.000 | 0.000 |
| 0.000 | -0.000 | 0.000 | 12.086 | -0.000 | -0.000 |
| -0.000 | 0.000 | 0.000 | -0.000 | 12.086 | -0.000 |
| -0.000 | 0.000 | 0.000 | -0.000 | -0.000 | 12.086 |
| 17.662 | 12.086 | 12.086 | -0.000 | -0.000 | -0.000 |
| 12.086 | 17.662 | 12.086 | 0.000 | 0.000 | -0.000 |
| 12.086 | 12.086 | 17.662 | 0.000 | 0.000 | -0.000 |
| -0.000 | 0.000 | -0.000 | 12.086 | 0.000 | 0.000 |
| 0.000 | -0.000 | -0.000 | 0.000 | 12.086 | 0.000 |
| 0.000 | -0.000 | -0.000 | 0.000 | 0.000 | 12.086 |
| 0.000 | 0.000 | 0.000 | 0.000 | 0.000 | 0.000 |
| 0.000 | 1.631 | 0.000 | 0.000 | 0.000 | -0.000 |
| 0.000 | 0.000 | 0.000 | 0.000 | 0.000 | -0.000 |
| 0.000 | 0.000 | 0.000 | 0.000 | 0.000 | 0.000 |
| 0.000 | 0.000 | 0.000 | 0.000 | 0.000 | 0.000 |
| -0.000 | -0.000 | 0.000 | 0.000 | 0.000 | 0.000 |
| -0.000 | 0.000 | -0.000 | -0.000 | -0.000 | -0.000 |
| -0.000 | 1.631 | -0.000 | -0.000 | -0.000 | 0.000 |
| -0.000 | 0.000 | -0.000 | -0.000 | -0.000 | -0.000 |
| -0.000 | 0.000 | -0.000 | -0.000 | -0.000 | -0.000 |
| -0.000 | -0.000 | -0.000 | -0.000 | -0.000 | 0.000 |
| 0.000 | 0.000 | -0.000 | -0.000 | -0.000 | 0.000 |
| 0.000 | 0.000 | 0.000 | 0.000 | 0.000 | 0.000 |
| 0.000 | 1.631 | 0.000 | 0.000 | 0.000 | -0.000 |
| 0.000 | 0.000 | 0.000 | 0.000 | 0.000 | -0.000 |
| 0.000 | -0.000 | 0.000 | 0.000 | 0.000 | -0.000 |
| 0.000 | 0.000 | 0.000 | 0.000 | 0.000 | -0.000 |
| -0.000 | -0.000 | 0.000 | 0.000 | 0.000 | 0.000 |
| -0.000 | 0.000 | -0.000 | -0.000 | -0.000 | -0.000 |
| -0.000 | 1.631 | -0.000 | -0.000 | -0.000 | 0.000 |
| -0.000 | 0.000 | -0.000 | -0.000 | -0.000 | -0.000 |
| -0.000 | 0.000 | -0.000 | -0.000 | -0.000 | -0.000 |
| -0.000 | -0.000 | -0.000 | -0.000 | -0.000 | -0.000 |
| 0.000 | 0.000 | -0.000 | -0.000 | -0.000 | 0.000 |
| 0.000 | 0.000 | 0.000 | 0.000 | 0.000 | 0.000 |
| 0.000 | 1.630 | 0.000 | 0.000 | 0.000 | -0.000 |
| 0.000 | 0.000 | 0.000 | 0.000 | 0.000 | -0.000 |
| 0.000 | -0.000 | 0.000 | 0.000 | 0.000 | -0.000 |
| 0.000 | 0.000 | 0.000 | 0.000 | 0.000 | -0.000 |
| -0.000 | -0.000 | 0.000 | 0.000 | 0.000 | 0.000 |
| -0.000 | 0.000 | -0.000 | -0.000 | -0.000 | 0.000 |
| -0.000 | 1.630 | -0.000 | -0.000 | -0.000 | 0.000 |
| -0.000 | 0.000 | -0.000 | -0.000 | -0.000 | -0.000 |
| -0.000 | 0.000 | -0.000 | -0.000 | -0.000 | -0.000 |
| -0.000 | -0.000 | -0.000 | -0.000 | -0.000 | -0.000 |
| 0.000 | 0.000 | -0.000 | -0.000 | -0.000 | 0.000 |
| 35.933 | 6.032 | 6.032 | 0.000 | 0.000 | 0.000 |
| 6.032 | 35.933 | 6.032 | 0.000 | 0.000 | 0.000 |
| 6.032 | 6.032 | 35.933 | 0.000 | 0.000 | 0.000 |
| -0.000 | -0.000 | -0.000 | 1.648 | -0.000 | 0.000 |
| -0.000 | -0.000 | -0.000 | 0.000 | 1.648 | 0.000 |
| -0.000 | -0.000 | -0.000 | 0.000 | 0.000 | 1.648 |
| 35.933 | 6.032 | 6.032 | -0.000 | -0.000 | -0.000 |
| 6.032 | 35.933 | 6.032 | -0.000 | 0.000 | -0.000 |
| 6.032 | 6.032 | 35.933 | -0.000 | 0.000 | -0.000 |
| 0.000 | 0.000 | 0.000 | 1.648 | -0.000 | -0.000 |
| -0.000 | -0.000 | 0.000 | -0.000 | 1.648 | -0.000 |
| -0.000 | 0.000 | 0.000 | -0.000 | -0.000 | 1.648 |
| 35.933 | 6.032 | 6.032 | 0.000 | 0.000 | 0.000 |
| 6.032 | 35.933 | 6.032 | 0.000 | 0.000 | 0.000 |
| 6.032 | 6.032 | 35.933 | 0.000 | -0.000 | 0.000 |
| 0.000 | -0.000 | -0.000 | 1.648 | 0.000 | 0.000 |
| -0.000 | 0.000 | -0.000 | 0.000 | 1.648 | 0.000 |
| -0.000 | -0.000 | -0.000 | 0.000 | 0.000 | 1.648 |
| 35.933 | 6.032 | 6.032 | -0.000 | -0.000 | -0.000 |
| 6.032 | 35.933 | 6.032 | -0.000 | -0.000 | -0.000 |
| 6.032 | 6.032 | 35.933 | -0.000 | -0.000 | -0.000 |
| -0.000 | 0.000 | 0.000 | 1.648 | -0.000 | -0.000 |
| 0.000 | -0.000 | 0.000 | -0.000 | 1.648 | -0.000 |
| 0.000 | 0.000 | 0.000 | -0.000 | -0.000 | 1.648 |
| 35.933 | 6.032 | 6.032 | 0.000 | 0.000 | 0.000 |
| 6.032 | 35.933 | 6.032 | 0.000 | -0.000 | 0.000 |
| 6.032 | 6.032 | 35.933 | 0.000 | -0.000 | 0.000 |
| 0.000 | -0.000 | -0.000 | 1.648 | -0.000 | 0.000 |
| -0.000 | 0.000 | -0.000 | 0.000 | 1.648 | 0.000 |
| -0.000 | -0.000 | 0.000 | 0.000 | 0.000 | 1.648 |
| 35.933 | 6.032 | 6.032 | -0.000 | -0.000 | -0.000 |
| 6.032 | 35.933 | 6.032 | -0.000 | -0.000 | -0.000 |
| 6.032 | 6.032 | 35.933 | -0.000 | -0.000 | 0.000 |
| -0.000 | 0.000 | 0.000 | 1.648 | -0.000 | -0.000 |
| 0.000 | -0.000 | 0.000 | -0.000 | 1.648 | -0.000 |
| 0.000 | 0.000 | -0.000 | -0.000 | -0.000 | 1.648 |
| 21.702 | 15.079 | 15.079 | 0.000 | 0.000 | -0.000 |
| 15.079 | 21.702 | 15.079 | 0.000 | 0.000 | 0.000 |
| 15.079 | 15.079 | 21.702 | 0.000 | 0.000 | 0.000 |
| 0.000 | 0.000 | -0.000 | 15.079 | -0.000 | -0.000 |
| 0.000 | -0.000 | -0.000 | 0.000 | 15.079 | 0.000 |
| 0.000 | 0.000 | -0.000 | 0.000 | 0.000 | 15.079 |
| 21.702 | 15.079 | 15.079 | -0.000 | -0.000 | 0.000 |
| 15.079 | 21.702 | 15.079 | -0.000 | -0.000 | -0.000 |
| 15.079 | 15.079 | 21.702 | -0.000 | -0.000 | -0.000 |
| -0.000 | 0.000 | 0.000 | 15.079 | 0.000 | -0.000 |
| -0.000 | 0.000 | 0.000 | 0.000 | 15.079 | 0.000 |
| -0.000 | 0.000 | 0.000 | -0.000 | -0.000 | 15.079 |
| 21.702 | 15.079 | 15.079 | 0.000 | 0.000 | 0.000 |
| 15.079 | 21.702 | 15.079 | 0.000 | 0.000 | 0.000 |
| 15.079 | 15.079 | 21.702 | 0.000 | 0.000 | 0.000 |
| 0.000 | -0.000 | 0.000 | 13.290 | 0.000 | 0.000 |
| -0.000 | 0.000 | 0.000 | 0.000 | 13.290 | 0.000 |
| -0.000 | 0.000 | 0.000 | 0.000 | 0.000 | 13.290 |
| 21.702 | 15.079 | 15.079 | -0.000 | -0.000 | 0.000 |
| 15.079 | 21.702 | 15.079 | -0.000 | -0.000 | 0.000 |
| 15.079 | 15.079 | 21.702 | -0.000 | -0.000 | -0.000 |
| -0.000 | 0.000 | -0.000 | 13.290 | -0.000 | -0.000 |
| 0.000 | -0.000 | -0.000 | -0.000 | 13.290 | 0.000 |
| 0.000 | -0.000 | -0.000 | -0.000 | -0.000 | 13.290 |
| 21.702 | 15.080 | 15.080 | 0.000 | 0.000 | 0.000 |
| 15.080 | 21.702 | 15.080 | 0.000 | 0.000 | -0.000 |
| 15.080 | 15.080 | 21.702 | -0.000 | -0.000 | 0.000 |
| 0.000 | -0.000 | 0.000 | 13.290 | -0.000 | 0.000 |
| -0.000 | 0.000 | 0.000 | 0.000 | 13.290 | -0.000 |
| -0.000 | 0.000 | 0.000 | 0.000 | 0.000 | 13.290 |
| 21.702 | 15.079 | 15.079 | -0.000 | -0.000 | -0.000 |
| 15.079 | 21.702 | 15.079 | -0.000 | -0.000 | -0.000 |
| 15.079 | 15.079 | 21.702 | -0.000 | -0.000 | -0.000 |
| -0.000 | 0.000 | -0.000 | 13.290 | 0.000 | 0.000 |
| 0.000 | -0.000 | -0.000 | -0.000 | 13.290 | 0.000 |
| 0.000 | -0.000 | -0.000 | -0.000 | -0.000 | 13.290 |
| 16.133 | 14.020 | 14.020 | 0.000 | -0.000 | -0.000 |
| 14.020 | 16.133 | 14.020 | -0.000 | 0.000 | -0.000 |
| 14.020 | 14.020 | 16.133 | 0.000 | -0.000 | 0.000 |
| 0.000 | 0.000 | 0.000 | 14.020 | 0.000 | 0.000 |
| 0.000 | 0.000 | 0.000 | 0.000 | 14.020 | -0.000 |
| 0.000 | 0.000 | 0.000 | -0.000 | 0.000 | 14.020 |
| 16.133 | 14.020 | 14.020 | -0.000 | -0.000 | -0.000 |
| 14.020 | 16.133 | 14.020 | -0.000 | -0.000 | -0.000 |
| 14.020 | 14.020 | 16.133 | -0.000 | -0.000 | 0.000 |
| -0.000 | -0.000 | -0.000 | 14.020 | -0.000 | 0.000 |
| -0.000 | -0.000 | -0.000 | -0.000 | 14.020 | 0.000 |
| -0.000 | -0.000 | -0.000 | -0.000 | 0.000 | 14.020 |
| 16.133 | 14.020 | 14.020 | -0.000 | -0.000 | -0.000 |
| 14.020 | 16.133 | 14.020 | 0.000 | -0.000 | -0.000 |
| 14.020 | 14.020 | 16.133 | -0.000 | -0.000 | -0.000 |
| -0.000 | 0.000 | 0.000 | 14.020 | 0.000 | -0.000 |
| 0.000 | -0.000 | 0.000 | 0.000 | 14.020 | 0.000 |
| 0.000 | 0.000 | -0.000 | 0.000 | 0.000 | 14.020 |
| 16.133 | 14.020 | 14.020 | -0.000 | -0.000 | -0.000 |
| 14.020 | 16.133 | 14.020 | -0.000 | -0.000 | -0.000 |
| 14.020 | 14.020 | 16.133 | -0.000 | -0.000 | 0.000 |
| 0.000 | -0.000 | -0.000 | 14.020 | -0.000 | -0.000 |
| -0.000 | 0.000 | -0.000 | -0.000 | 14.020 | 0.000 |
| -0.000 | -0.000 | 0.000 | 0.000 | -0.000 | 14.020 |
| 16.133 | 14.020 | 14.020 | 0.000 | 0.000 | 0.000 |
| 14.020 | 16.133 | 14.020 | 0.000 | 0.000 | 0.000 |
| 14.020 | 14.020 | 16.133 | 0.000 | 0.000 | 0.000 |
| -0.000 | 0.000 | 0.000 | 14.020 | 0.000 | -0.000 |
| 0.000 | -0.000 | 0.000 | 0.000 | 14.020 | -0.000 |
| 0.000 | 0.000 | -0.000 | 0.000 | 0.000 | 14.020 |
| 16.133 | 14.020 | 14.020 | 0.000 | -0.000 | -0.000 |
| 14.020 | 16.133 | 14.020 | -0.000 | 0.000 | -0.000 |
| 14.020 | 14.020 | 16.133 | -0.000 | 0.000 | 0.000 |
| 0.000 | -0.000 | -0.000 | 14.020 | -0.000 | 0.000 |
| -0.000 | 0.000 | -0.000 | -0.000 | 14.020 | -0.000 |
| -0.000 | -0.000 | 0.000 | -0.000 | -0.000 | 14.020 |
| 15.585 | 11.554 | 11.554 | -0.000 | 0.000 | 0.000 |
| 11.554 | 15.585 | 11.554 | 0.000 | 0.000 | 0.000 |
| 11.554 | 11.554 | 15.585 | 0.000 | 0.000 | 0.000 |
| 0.000 | 0.000 | -0.000 | 11.554 | -0.000 | 0.000 |
| 0.000 | 0.000 | -0.000 | -0.000 | 11.554 | 0.000 |
| 0.000 | 0.000 | -0.000 | 0.000 | 0.000 | 11.554 |
| 15.585 | 11.554 | 11.554 | 0.000 | -0.000 | -0.000 |
| 11.554 | 15.585 | 11.554 | -0.000 | -0.000 | -0.000 |
| 11.554 | 11.554 | 15.585 | -0.000 | -0.000 | 0.000 |
| -0.000 | -0.000 | 0.000 | 11.554 | 0.000 | -0.000 |
| -0.000 | -0.000 | 0.000 | 0.000 | 11.554 | -0.000 |
| -0.000 | -0.000 | 0.000 | -0.000 | -0.000 | 11.554 |
| 15.585 | 11.554 | 11.554 | -0.000 | 0.000 | 0.000 |
| 11.554 | 15.585 | 11.554 | -0.000 | -0.000 | 0.000 |
| 11.554 | 11.554 | 15.585 | -0.000 | 0.000 | -0.000 |
| 0.000 | -0.000 | 0.000 | 10.550 | 0.000 | 0.000 |
| -0.000 | 0.000 | 0.000 | -0.000 | 10.550 | 0.000 |
| -0.000 | 0.000 | 0.000 | -0.000 | 0.000 | 10.550 |
| 15.585 | 11.554 | 11.554 | 0.000 | -0.000 | -0.000 |
| 11.554 | 15.585 | 11.554 | -0.000 | 0.000 | -0.000 |
| 11.554 | 11.554 | 15.585 | 0.000 | -0.000 | -0.000 |
| -0.000 | 0.000 | -0.000 | 10.550 | -0.000 | -0.000 |
| 0.000 | -0.000 | -0.000 | -0.000 | 10.550 | -0.000 |
| 0.000 | -0.000 | -0.000 | 0.000 | -0.000 | 10.550 |
| 15.586 | 11.554 | 11.554 | -0.000 | 0.000 | 0.000 |
| 11.554 | 15.586 | 11.554 | 0.000 | 0.000 | 0.000 |
| 11.554 | 11.554 | 15.586 | 0.000 | 0.000 | 0.000 |
| 0.000 | -0.000 | 0.000 | 10.550 | 0.000 | 0.000 |
| -0.000 | 0.000 | 0.000 | -0.000 | 10.550 | 0.000 |
| -0.000 | 0.000 | 0.000 | 0.000 | 0.000 | 10.550 |
| 15.585 | 11.554 | 11.554 | 0.000 | -0.000 | -0.000 |
| 11.554 | 15.585 | 11.554 | 0.000 | -0.000 | -0.000 |
| 11.554 | 11.554 | 15.585 | 0.000 | -0.000 | 0.000 |
| -0.000 | 0.000 | -0.000 | 10.550 | -0.000 | -0.000 |
| 0.000 | -0.000 | -0.000 | -0.000 | 10.550 | -0.000 |
| 0.000 | -0.000 | -0.000 | -0.000 | -0.000 | 10.550 |
| 0.000 | 0.000 | 0.000 | 0.000 | 0.000 | 0.000 |
| 0.000 | 1.515 | 0.000 | 0.000 | 0.000 | 0.000 |
| 0.000 | 0.000 | 0.000 | 0.000 | 0.000 | 0.000 |
| 0.000 | -0.000 | 0.000 | 0.000 | 0.000 | -0.000 |
| 0.000 | 0.000 | 0.000 | 0.000 | 0.000 | -0.000 |
| 0.000 | -0.000 | 0.000 | 0.000 | 0.000 | -0.000 |
| -0.000 | 0.000 | -0.000 | -0.000 | -0.000 | 0.000 |
| -0.000 | 1.515 | -0.000 | -0.000 | -0.000 | -0.000 |
| -0.000 | 0.000 | -0.000 | -0.000 | -0.000 | 0.000 |
| -0.000 | -0.000 | -0.000 | -0.000 | -0.000 | 0.000 |
| -0.000 | -0.000 | -0.000 | -0.000 | -0.000 | 0.000 |
| -0.000 | 0.000 | -0.000 | -0.000 | -0.000 | -0.000 |
| 0.000 | 0.000 | 0.000 | 0.000 | 0.000 | 0.000 |
| 0.000 | 1.515 | 0.000 | 0.000 | 0.000 | -0.000 |
| 0.000 | 0.000 | 0.000 | 0.000 | 0.000 | 0.000 |
| 0.000 | -0.000 | 0.000 | 0.000 | 0.000 | -0.000 |
| 0.000 | 0.000 | 0.000 | 0.000 | 0.000 | -0.000 |
| -0.000 | -0.000 | 0.000 | 0.000 | 0.000 | 0.000 |
| -0.000 | 0.000 | -0.000 | -0.000 | -0.000 | -0.000 |
| -0.000 | 1.515 | -0.000 | -0.000 | -0.000 | -0.000 |
| -0.000 | 0.000 | -0.000 | -0.000 | -0.000 | 0.000 |
| -0.000 | -0.000 | -0.000 | -0.000 | -0.000 | 0.000 |
| -0.000 | -0.000 | -0.000 | -0.000 | -0.000 | 0.000 |
| 0.000 | 0.000 | -0.000 | -0.000 | -0.000 | 0.000 |
| 0.000 | 0.000 | 0.000 | 0.000 | 0.000 | -0.000 |
| 0.000 | 1.515 | 0.000 | 0.000 | 0.000 | 0.000 |
| 0.000 | 0.000 | 0.000 | 0.000 | 0.000 | 0.000 |
| 0.000 | 0.000 | 0.000 | 0.000 | 0.000 | -0.000 |
| 0.000 | 0.000 | 0.000 | 0.000 | 0.000 | 0.000 |
| -0.000 | -0.000 | 0.000 | 0.000 | 0.000 | 0.000 |
| -0.000 | 0.000 | -0.000 | -0.000 | -0.000 | -0.000 |
| -0.000 | 1.515 | -0.000 | -0.000 | -0.000 | 0.000 |
| -0.000 | 0.000 | -0.000 | -0.000 | -0.000 | 0.000 |
| -0.000 | 0.000 | -0.000 | -0.000 | -0.000 | 0.000 |
| -0.000 | -0.000 | -0.000 | -0.000 | -0.000 | 0.000 |
| 0.000 | 0.000 | -0.000 | -0.000 | -0.000 | 0.000 |
| 15.287 | -3.822 | -3.822 | 0.000 | 0.000 | 0.000 |
| -3.822 | 15.287 | -3.822 | 0.000 | 0.000 | 0.000 |
| -3.822 | -3.822 | 15.287 | 0.000 | 0.000 | 0.000 |
| -0.000 | 0.000 | -0.000 | -3.822 | 0.000 | 0.000 |
| -0.000 | 0.000 | -0.000 | 0.000 | -3.822 | 0.000 |
| -0.000 | 0.000 | -0.000 | 0.000 | 0.000 | -3.822 |
| 15.287 | -3.822 | -3.822 | -0.000 | -0.000 | -0.000 |
| -3.822 | 15.287 | -3.822 | -0.000 | -0.000 | -0.000 |
| -3.822 | -3.822 | 15.287 | -0.000 | -0.000 | -0.000 |
| 0.000 | 0.000 | 0.000 | -3.822 | -0.000 | 0.000 |
| 0.000 | 0.000 | 0.000 | -0.000 | -3.822 | 0.000 |
| 0.000 | 0.000 | -0.000 | -0.000 | -0.000 | -3.822 |
| 15.287 | -3.822 | -3.822 | 0.000 | 0.000 | 0.000 |
| -3.822 | 15.287 | -3.822 | 0.000 | 0.000 | -0.000 |
| -3.822 | -3.822 | 15.287 | -0.000 | -0.000 | -0.000 |
| 0.000 | 0.000 | -0.000 | -3.822 | 0.000 | 0.000 |
| -0.000 | 0.000 | -0.000 | 0.000 | -3.822 | 0.000 |
| -0.000 | -0.000 | 0.000 | 0.000 | 0.000 | -3.822 |
| 15.287 | -3.822 | -3.822 | -0.000 | -0.000 | -0.000 |
| -3.822 | 15.287 | -3.822 | -0.000 | -0.000 | -0.000 |
| -3.822 | -3.822 | 15.287 | -0.000 | 0.000 | 0.000 |
| -0.000 | 0.000 | 0.000 | -3.822 | -0.000 | -0.000 |
| 0.000 | -0.000 | 0.000 | -0.000 | -3.822 | -0.000 |
| 0.000 | 0.000 | -0.000 | 0.000 | -0.000 | -3.822 |
| 15.287 | -3.822 | -3.822 | 0.000 | 0.000 | 0.000 |
| -3.822 | 15.287 | -3.822 | 0.000 | 0.000 | -0.000 |
| -3.822 | -3.822 | 15.287 | -0.000 | -0.000 | 0.000 |
| 0.000 | -0.000 | -0.000 | -3.822 | 0.000 | 0.000 |
| -0.000 | 0.000 | -0.000 | 0.000 | -3.822 | 0.000 |
| -0.000 | -0.000 | 0.000 | 0.000 | 0.000 | -3.822 |
| 15.287 | -3.822 | -3.822 | -0.000 | -0.000 | -0.000 |
| -3.822 | 15.287 | -3.822 | -0.000 | -0.000 | 0.000 |
| -3.822 | -3.822 | 15.287 | -0.000 | 0.000 | 0.000 |
| -0.000 | 0.000 | 0.000 | -3.822 | -0.000 | -0.000 |
| 0.000 | -0.000 | 0.000 | -0.000 | -3.822 | -0.000 |
| 0.000 | 0.000 | -0.000 | -0.000 | -0.000 | -3.822 |
| 15.986 | 11.480 | 11.480 | -0.000 | 0.000 | -0.000 |
| 11.480 | 15.986 | 11.480 | -0.000 | 0.000 | -0.000 |
| 11.480 | 11.480 | 15.986 | -0.000 | 0.000 | 0.000 |
| 0.000 | 0.000 | 0.000 | 11.480 | -0.000 | 0.000 |
| 0.000 | 0.000 | 0.000 | -0.000 | 11.480 | -0.000 |
| 0.000 | 0.000 | 0.000 | -0.000 | 0.000 | 11.480 |
| 15.986 | 11.480 | 11.480 | 0.000 | 0.000 | -0.000 |
| 11.480 | 15.986 | 11.480 | 0.000 | 0.000 | -0.000 |
| 11.480 | 11.480 | 15.986 | 0.000 | -0.000 | 0.000 |
| -0.000 | -0.000 | -0.000 | 11.480 | 0.000 | 0.000 |
| -0.000 | -0.000 | -0.000 | 0.000 | 11.480 | -0.000 |
| -0.000 | -0.000 | -0.000 | 0.000 | 0.000 | 11.480 |
| 15.986 | 11.480 | 11.480 | -0.000 | -0.000 | 0.000 |
| 11.480 | 15.986 | 11.480 | -0.000 | -0.000 | -0.000 |
| 11.480 | 11.480 | 15.986 | -0.000 | -0.000 | -0.000 |
| 0.000 | -0.000 | 0.000 | 11.480 | 0.000 | -0.000 |
| -0.000 | 0.000 | 0.000 | -0.000 | 11.480 | 0.000 |
| -0.000 | 0.000 | 0.000 | -0.000 | 0.000 | 11.480 |
| 15.986 | 11.480 | 11.480 | 0.000 | -0.000 | -0.000 |
| 11.480 | 15.986 | 11.480 | 0.000 | -0.000 | 0.000 |
| 11.480 | 11.480 | 15.986 | 0.000 | 0.000 | -0.000 |
| -0.000 | 0.000 | -0.000 | 11.480 | -0.000 | -0.000 |
| 0.000 | -0.000 | -0.000 | 0.000 | 11.480 | -0.000 |
| 0.000 | -0.000 | -0.000 | 0.000 | -0.000 | 11.480 |
| 15.986 | 11.480 | 11.480 | -0.000 | 0.000 | 0.000 |
| 11.480 | 15.986 | 11.480 | -0.000 | 0.000 | 0.000 |
| 11.480 | 11.480 | 15.986 | -0.000 | 0.000 | 0.000 |
| 0.000 | -0.000 | 0.000 | 11.480 | 0.000 | 0.000 |
| -0.000 | 0.000 | 0.000 | -0.000 | 11.480 | -0.000 |
| -0.000 | 0.000 | 0.000 | -0.000 | -0.000 | 11.480 |
| 15.986 | 11.480 | 11.480 | 0.000 | -0.000 | -0.000 |
| 11.480 | 15.986 | 11.480 | -0.000 | -0.000 | 0.000 |
| 11.480 | 11.480 | 15.986 | 0.000 | -0.000 | -0.000 |
| -0.000 | 0.000 | -0.000 | 11.480 | -0.000 | 0.000 |
| 0.000 | -0.000 | -0.000 | 0.000 | 11.480 | 0.000 |
| 0.000 | -0.000 | -0.000 | 0.000 | -0.000 | 11.480 |
| 1.657 | 1.657 | 1.657 | 0.000 | 0.000 | 0.000 |
| 1.657 | 1.657 | 1.657 | 0.000 | 0.000 | 0.000 |
| 1.657 | 1.657 | 1.657 | 0.000 | 0.000 | 0.000 |
| 0.000 | -0.000 | 0.000 | 1.657 | -0.000 | -0.000 |
| -0.000 | 0.000 | 0.000 | -0.000 | 1.657 | -0.000 |
| -0.000 | 0.000 | 0.000 | -0.000 | -0.000 | 1.657 |
| 1.657 | 1.657 | 1.657 | -0.000 | -0.000 | -0.000 |
| 1.657 | 1.657 | 1.657 | -0.000 | -0.000 | -0.000 |
| 1.657 | 1.657 | 1.657 | -0.000 | -0.000 | -0.000 |
| -0.000 | 0.000 | -0.000 | 1.657 | 0.000 | -0.000 |
| 0.000 | -0.000 | -0.000 | 0.000 | 1.657 | -0.000 |
| 0.000 | -0.000 | -0.000 | 0.000 | -0.000 | 1.657 |
| 1.657 | 1.657 | 1.657 | 0.000 | 0.000 | 0.000 |
| 1.657 | 1.657 | 1.657 | 0.000 | 0.000 | 0.000 |
| 1.657 | 1.657 | 1.657 | 0.000 | 0.000 | 0.000 |
| 0.000 | -0.000 | 0.000 | 1.657 | 0.000 | 0.000 |
| -0.000 | 0.000 | 0.000 | 0.000 | 1.657 | 0.000 |
| -0.000 | 0.000 | 0.000 | 0.000 | 0.000 | 1.657 |
| 1.657 | 1.657 | 1.657 | -0.000 | -0.000 | -0.000 |
| 1.657 | 1.657 | 1.657 | -0.000 | -0.000 | -0.000 |
| 1.657 | 1.657 | 1.657 | -0.000 | -0.000 | -0.000 |
| -0.000 | 0.000 | -0.000 | 1.657 | 0.000 | -0.000 |
| 0.000 | -0.000 | -0.000 | 0.000 | 1.657 | -0.000 |
| 0.000 | -0.000 | -0.000 | 0.000 | -0.000 | 1.657 |
| 1.657 | 1.657 | 1.657 | -0.000 | -0.000 | -0.000 |
| 1.657 | 1.657 | 1.657 | -0.000 | -0.000 | -0.000 |
| 1.657 | 1.657 | 1.657 | 0.000 | 0.000 | -0.000 |
| -0.000 | -0.000 | -0.000 | 0.143 | 0.000 | 0.000 |
| -0.000 | -0.000 | -0.000 | 0.000 | 0.143 | 0.000 |
| -0.000 | -0.000 | -0.000 | 0.000 | 0.000 | 0.143 |
| 1.657 | 1.657 | 1.657 | 0.000 | 0.000 | -0.000 |
| 1.657 | 1.657 | 1.657 | 0.000 | 0.000 | -0.000 |
| 1.657 | 1.657 | 1.657 | -0.000 | -0.000 | 0.000 |
| 0.000 | 0.000 | 0.000 | 0.143 | -0.000 | -0.000 |
| 0.000 | 0.000 | 0.000 | -0.000 | 0.143 | -0.000 |
| 0.000 | 0.000 | 0.000 | -0.000 | -0.000 | 0.143 |
| 18.639 | 3.400 | 9.608 | -0.000 | 0.000 | 0.000 |
| 3.400 | 18.639 | 9.608 | 0.000 | -0.000 | 0.000 |
| 9.608 | 9.608 | 8.120 | -0.000 | -0.000 | -0.000 |
| 0.000 | 0.000 | 0.000 | 9.608 | 0.000 | -0.000 |
| -0.000 | 0.000 | 0.000 | 0.000 | 9.608 | -0.000 |
| -0.000 | -0.000 | -0.000 | 0.000 | -0.000 | 3.400 |
| 18.639 | 3.400 | 9.608 | -0.000 | -0.000 | 0.000 |
| 3.400 | 18.639 | 9.608 | -0.000 | 0.000 | -0.000 |
| 9.608 | 9.608 | 8.120 | 0.000 | 0.000 | 0.000 |
| -0.000 | 0.000 | -0.000 | 9.608 | 0.000 | 0.000 |
| 0.000 | -0.000 | -0.000 | -0.000 | 9.608 | 0.000 |
| 0.000 | 0.000 | -0.000 | -0.000 | 0.000 | 3.400 |
| 18.640 | 3.400 | 9.608 | 0.000 | -0.000 | -0.000 |
| 3.400 | 18.640 | 9.608 | 0.000 | 0.000 | -0.000 |
| 9.608 | 9.608 | 8.120 | 0.000 | 0.000 | -0.000 |
| 0.000 | -0.000 | 0.000 | 9.608 | 0.000 | -0.000 |
| -0.000 | 0.000 | 0.000 | 0.000 | 9.608 | -0.000 |
| -0.000 | -0.000 | 0.000 | -0.000 | 0.000 | 3.400 |
| 18.639 | 3.400 | 9.608 | -0.000 | 0.000 | 0.000 |
| 3.400 | 18.639 | 9.608 | -0.000 | 0.000 | 0.000 |
| 9.608 | 9.608 | 8.120 | 0.000 | 0.000 | 0.000 |
| -0.000 | 0.000 | -0.000 | 9.608 | -0.000 | 0.000 |
| 0.000 | -0.000 | -0.000 | -0.000 | 9.608 | 0.000 |
| 0.000 | 0.000 | -0.000 | -0.000 | -0.000 | 3.400 |
| 18.640 | 3.400 | 9.608 | 0.000 | 0.000 | -0.000 |
| 3.400 | 18.640 | 9.608 | 0.000 | 0.000 | -0.000 |
| 9.608 | 9.608 | 8.120 | -0.000 | -0.000 | -0.000 |
| 0.000 | -0.000 | 0.000 | 9.608 | 0.000 | -0.000 |
| -0.000 | 0.000 | 0.000 | 0.000 | 9.608 | -0.000 |
| -0.000 | -0.000 | 0.000 | 0.000 | 0.000 | 3.400 |
| 18.639 | 3.400 | 9.608 | -0.000 | -0.000 | -0.000 |
| 3.400 | 18.639 | 9.608 | -0.000 | -0.000 | -0.000 |
| 9.608 | 9.608 | 8.120 | 0.000 | 0.000 | 0.000 |
| -0.000 | 0.000 | -0.000 | 9.608 | -0.000 | 0.000 |
| 0.000 | -0.000 | -0.000 | -0.000 | 9.608 | 0.000 |
| 0.000 | 0.000 | -0.000 | -0.000 | -0.000 | 3.400 |
| 9.046 | 5.320 | 5.320 | -0.000 | -0.000 | 0.000 |
| 5.320 | 9.046 | 5.320 | -0.000 | -0.000 | 0.000 |
| 5.320 | 5.320 | 9.046 | -0.000 | -0.000 | 0.000 |
| -0.000 | 0.000 | -0.000 | 2.478 | 0.000 | 0.000 |
| -0.000 | 0.000 | -0.000 | 0.000 | 2.478 | 0.000 |
| -0.000 | 0.000 | -0.000 | 0.000 | 0.000 | 2.478 |
| 9.046 | 5.320 | 5.320 | -0.000 | -0.000 | -0.000 |
| 5.320 | 9.046 | 5.320 | -0.000 | -0.000 | -0.000 |
| 5.320 | 5.320 | 9.046 | -0.000 | -0.000 | -0.000 |
| 0.000 | 0.000 | 0.000 | 2.478 | -0.000 | -0.000 |
| 0.000 | -0.000 | 0.000 | 0.000 | 2.478 | -0.000 |
| 0.000 | 0.000 | 0.000 | -0.000 | -0.000 | 2.478 |
| 9.046 | 5.320 | 5.320 | 0.000 | -0.000 | 0.000 |
| 5.320 | 9.046 | 5.320 | -0.000 | -0.000 | 0.000 |
| 5.320 | 5.320 | 9.046 | -0.000 | -0.000 | 0.000 |
| 0.000 | -0.000 | -0.000 | 2.478 | 0.000 | 0.000 |
| -0.000 | 0.000 | -0.000 | -0.000 | 2.478 | 0.000 |
| -0.000 | -0.000 | 0.000 | 0.000 | 0.000 | 2.478 |
| 9.046 | 5.320 | 5.320 | 0.000 | -0.000 | -0.000 |
| 5.320 | 9.046 | 5.320 | -0.000 | 0.000 | 0.000 |
| 5.320 | 5.320 | 9.046 | -0.000 | -0.000 | -0.000 |
| -0.000 | 0.000 | 0.000 | 2.478 | -0.000 | -0.000 |
| 0.000 | -0.000 | 0.000 | 0.000 | 2.478 | -0.000 |
| 0.000 | 0.000 | -0.000 | -0.000 | -0.000 | 2.478 |
| 9.046 | 5.320 | 5.320 | 0.000 | 0.000 | 0.000 |
| 5.320 | 9.046 | 5.320 | -0.000 | 0.000 | 0.000 |
| 5.320 | 5.320 | 9.046 | 0.000 | 0.000 | 0.000 |
| 0.000 | -0.000 | -0.000 | 2.478 | 0.000 | 0.000 |
| -0.000 | 0.000 | -0.000 | 0.000 | 2.478 | 0.000 |
| -0.000 | -0.000 | 0.000 | 0.000 | 0.000 | 2.478 |
| 9.046 | 5.320 | 5.320 | 0.000 | -0.000 | -0.000 |
| 5.320 | 9.046 | 5.320 | 0.000 | 0.000 | -0.000 |
| 5.320 | 5.320 | 9.046 | 0.000 | -0.000 | -0.000 |
| -0.000 | 0.000 | 0.000 | 2.478 | -0.000 | -0.000 |
| 0.000 | -0.000 | 0.000 | -0.000 | 2.478 | -0.000 |
| 0.000 | 0.000 | -0.000 | -0.000 | -0.000 | 2.478 |
| 27.254 | 3.984 | 3.984 | 0.000 | 0.000 | 0.000 |
| 3.984 | 27.254 | 3.984 | 0.000 | 0.000 | -0.000 |
| 3.984 | 3.984 | 27.254 | 0.000 | 0.000 | 0.000 |
| -0.000 | -0.000 | 0.000 | 3.784 | 0.000 | 0.000 |
| -0.000 | -0.000 | 0.000 | 0.000 | 3.784 | -0.000 |
| -0.000 | -0.000 | -0.000 | 0.000 | 0.000 | 3.784 |
| 27.254 | 3.984 | 3.984 | -0.000 | -0.000 | -0.000 |
| 3.984 | 27.254 | 3.984 | -0.000 | -0.000 | -0.000 |
| 3.984 | 3.984 | 27.254 | -0.000 | -0.000 | -0.000 |
| 0.000 | -0.000 | 0.000 | 3.784 | -0.000 | 0.000 |
| 0.000 | 0.000 | -0.000 | -0.000 | 3.784 | 0.000 |
| 0.000 | 0.000 | -0.000 | 0.000 | -0.000 | 3.784 |
| 27.254 | 3.984 | 3.984 | 0.000 | 0.000 | 0.000 |
| 3.984 | 27.254 | 3.984 | 0.000 | 0.000 | -0.000 |
| 3.984 | 3.984 | 27.254 | -0.000 | 0.000 | 0.000 |
| 0.000 | 0.000 | -0.000 | 3.784 | 0.000 | 0.000 |
| 0.000 | 0.000 | -0.000 | 0.000 | 3.784 | 0.000 |
| 0.000 | -0.000 | 0.000 | 0.000 | 0.000 | 3.784 |
| 27.254 | 3.984 | 3.984 | -0.000 | -0.000 | -0.000 |
| 3.984 | 27.254 | 3.984 | -0.000 | -0.000 | -0.000 |
| 3.984 | 3.984 | 27.254 | -0.000 | -0.000 | -0.000 |
| -0.000 | -0.000 | 0.000 | 3.784 | -0.000 | 0.000 |
| -0.000 | -0.000 | 0.000 | -0.000 | 3.784 | 0.000 |
| -0.000 | 0.000 | -0.000 | -0.000 | -0.000 | 3.784 |
| 27.254 | 3.984 | 3.984 | 0.000 | 0.000 | 0.000 |
| 3.984 | 27.254 | 3.984 | 0.000 | 0.000 | 0.000 |
| 3.984 | 3.984 | 27.254 | -0.000 | 0.000 | 0.000 |
| 0.000 | 0.000 | 0.000 | 3.969 | 0.000 | 0.000 |
| 0.000 | 0.000 | 0.000 | 0.000 | 3.969 | 0.000 |
| 0.000 | 0.000 | 0.000 | 0.000 | 0.000 | 3.969 |
| 27.254 | 3.984 | 3.984 | -0.000 | -0.000 | -0.000 |
| 3.984 | 27.254 | 3.984 | -0.000 | -0.000 | -0.000 |
| 3.984 | 3.984 | 27.254 | -0.000 | -0.000 | -0.000 |
| -0.000 | -0.000 | -0.000 | 3.969 | -0.000 | -0.000 |
| -0.000 | -0.000 | -0.000 | -0.000 | 3.969 | -0.000 |
| -0.000 | -0.000 | -0.000 | -0.000 | -0.000 | 3.969 |
| 15.462 | 11.141 | 11.141 | -0.000 | -0.000 | -0.000 |
| 11.141 | 15.462 | 11.141 | -0.000 | -0.000 | -0.000 |
| 11.141 | 11.141 | 15.462 | -0.000 | -0.000 | -0.000 |
| 0.000 | -0.000 | -0.000 | 10.829 | -0.000 | -0.000 |
| -0.000 | 0.000 | -0.000 | -0.000 | 10.829 | -0.000 |
| 0.000 | 0.000 | -0.000 | 0.000 | -0.000 | 10.829 |
| 15.462 | 11.141 | 11.141 | 0.000 | 0.000 | 0.000 |
| 11.141 | 15.462 | 11.141 | 0.000 | 0.000 | 0.000 |
| 11.141 | 11.141 | 15.462 | 0.000 | 0.000 | 0.000 |
| -0.000 | -0.000 | 0.000 | 10.829 | 0.000 | -0.000 |
| -0.000 | -0.000 | 0.000 | 0.000 | 10.829 | 0.000 |
| -0.000 | -0.000 | 0.000 | -0.000 | 0.000 | 10.829 |
| 15.462 | 11.141 | 11.141 | -0.000 | -0.000 | -0.000 |
| 11.141 | 15.462 | 11.141 | -0.000 | -0.000 | -0.000 |
| 11.141 | 11.141 | 15.462 | 0.000 | -0.000 | -0.000 |
| 0.000 | -0.000 | 0.000 | 10.829 | 0.000 | 0.000 |
| -0.000 | 0.000 | 0.000 | -0.000 | 10.829 | -0.000 |
| -0.000 | 0.000 | 0.000 | 0.000 | -0.000 | 10.829 |
| 15.462 | 11.141 | 11.141 | 0.000 | 0.000 | 0.000 |
| 11.141 | 15.462 | 11.141 | 0.000 | 0.000 | 0.000 |
| 11.141 | 11.141 | 15.462 | 0.000 | 0.000 | 0.000 |
| -0.000 | 0.000 | -0.000 | 10.829 | 0.000 | 0.000 |
| 0.000 | -0.000 | -0.000 | 0.000 | 10.829 | 0.000 |
| 0.000 | -0.000 | -0.000 | -0.000 | 0.000 | 10.829 |
| 15.462 | 11.141 | 11.141 | -0.000 | -0.000 | -0.000 |
| 11.141 | 15.462 | 11.141 | -0.000 | -0.000 | -0.000 |
| 11.141 | 11.141 | 15.462 | -0.000 | 0.000 | -0.000 |
| 0.000 | -0.000 | 0.000 | 10.829 | -0.000 | 0.000 |
| -0.000 | 0.000 | 0.000 | -0.000 | 10.829 | -0.000 |
| -0.000 | 0.000 | 0.000 | 0.000 | -0.000 | 10.829 |
| 15.462 | 11.140 | 11.140 | 0.000 | 0.000 | 0.000 |
| 11.140 | 15.462 | 11.140 | 0.000 | -0.000 | 0.000 |
| 11.140 | 11.140 | 15.462 | 0.000 | 0.000 | 0.000 |
| -0.000 | 0.000 | -0.000 | 10.829 | 0.000 | 0.000 |
| 0.000 | -0.000 | -0.000 | 0.000 | 10.829 | 0.000 |
| 0.000 | -0.000 | -0.000 | -0.000 | 0.000 | 10.829 |
| 11.895 | 8.284 | 8.284 | -0.000 | 0.000 | 0.000 |
| 8.284 | 11.895 | 8.284 | -0.000 | -0.000 | 0.000 |
| 8.284 | 8.284 | 11.895 | -0.000 | 0.000 | 0.000 |
| -0.000 | 0.000 | 0.000 | 8.284 | -0.000 | 0.000 |
| 0.000 | -0.000 | 0.000 | 0.000 | 8.284 | 0.000 |
| 0.000 | 0.000 | -0.000 | 0.000 | 0.000 | 8.284 |
| 11.895 | 8.284 | 8.284 | 0.000 | -0.000 | -0.000 |
| 8.284 | 11.895 | 8.284 | -0.000 | 0.000 | -0.000 |
| 8.284 | 8.284 | 11.895 | 0.000 | -0.000 | -0.000 |
| 0.000 | -0.000 | -0.000 | 8.284 | 0.000 | -0.000 |
| -0.000 | 0.000 | -0.000 | -0.000 | 8.284 | -0.000 |
| -0.000 | -0.000 | 0.000 | 0.000 | -0.000 | 8.284 |
| 11.895 | 8.284 | 8.284 | -0.000 | 0.000 | 0.000 |
| 8.284 | 11.895 | 8.284 | 0.000 | -0.000 | 0.000 |
| 8.284 | 8.284 | 11.895 | -0.000 | -0.000 | 0.000 |
| -0.000 | 0.000 | 0.000 | 8.284 | 0.000 | 0.000 |
| 0.000 | -0.000 | 0.000 | 0.000 | 8.284 | 0.000 |
| 0.000 | 0.000 | -0.000 | 0.000 | 0.000 | 8.284 |
| 11.895 | 8.284 | 8.284 | 0.000 | -0.000 | -0.000 |
| 8.284 | 11.895 | 8.284 | 0.000 | 0.000 | -0.000 |
| 8.284 | 8.284 | 11.895 | 0.000 | -0.000 | -0.000 |
| 0.000 | -0.000 | -0.000 | 8.284 | -0.000 | -0.000 |
| -0.000 | 0.000 | -0.000 | -0.000 | 8.284 | -0.000 |
| -0.000 | -0.000 | 0.000 | 0.000 | -0.000 | 8.284 |
| 11.895 | 8.284 | 8.284 | -0.000 | 0.000 | 0.000 |
| 8.284 | 11.895 | 8.284 | 0.000 | -0.000 | 0.000 |
| 8.284 | 8.284 | 11.895 | 0.000 | 0.000 | 0.000 |
| -0.000 | 0.000 | 0.000 | 8.284 | 0.000 | 0.000 |
| 0.000 | -0.000 | 0.000 | -0.000 | 8.284 | 0.000 |
| 0.000 | 0.000 | -0.000 | -0.000 | 0.000 | 8.284 |
| 11.895 | 8.284 | 8.284 | 0.000 | -0.000 | -0.000 |
| 8.284 | 11.895 | 8.284 | -0.000 | 0.000 | -0.000 |
| 8.284 | 8.284 | 11.895 | -0.000 | -0.000 | -0.000 |
| 0.000 | -0.000 | -0.000 | 8.284 | -0.000 | -0.000 |
| -0.000 | 0.000 | -0.000 | 0.000 | 8.284 | -0.000 |
| -0.000 | -0.000 | 0.000 | 0.000 | -0.000 | 8.284 |
| 16.567 | 7.903 | 3.963 | 0.000 | -0.000 | 0.000 |
| 7.326 | 16.966 | 4.150 | -0.000 | -0.000 | 0.000 |
| 3.990 | 3.990 | 20.500 | 0.000 | -0.000 | 0.000 |
| 0.003 | 0.003 | -0.006 | 3.828 | -0.000 | 0.000 |
| 0.003 | 0.003 | -0.006 | 0.000 | 3.828 | 0.000 |
| -0.000 | 0.000 | 0.000 | 0.000 | -0.000 | 6.113 |
| 16.960 | 7.320 | 4.162 | 0.000 | 0.000 | -0.000 |
| 7.928 | 16.537 | 3.968 | -0.000 | 0.000 | -0.000 |
| 3.990 | 3.990 | 20.500 | -0.000 | 0.000 | 0.000 |
| -0.003 | -0.003 | 0.006 | 3.828 | 0.000 | -0.000 |
| -0.003 | -0.003 | 0.006 | -0.000 | 3.828 | -0.000 |
| 0.000 | -0.000 | -0.000 | 0.000 | 0.000 | 6.113 |
| 16.554 | 7.914 | 3.965 | -0.000 | -0.000 | 0.000 |
| 8.709 | 15.671 | 4.056 | 0.000 | -0.000 | 0.000 |
| 3.990 | 3.990 | 20.500 | 0.000 | -0.000 | -0.000 |
| 0.000 | 0.000 | -0.001 | 3.828 | -0.000 | 0.000 |
| -0.000 | -0.000 | 0.000 | -0.000 | 3.778 | 0.000 |
| -0.000 | -0.000 | 0.000 | -0.000 | -0.000 | 4.172 |
| 18.328 | 6.101 | 4.005 | -0.000 | 0.000 | -0.000 |
| 6.101 | 18.328 | 4.005 | -0.000 | 0.000 | -0.000 |
| 4.044 | 4.044 | 20.385 | 0.000 | 0.000 | -0.000 |
| -0.000 | -0.000 | 0.001 | 3.828 | 0.000 | -0.000 |
| 0.000 | 0.000 | -0.000 | 0.000 | 3.778 | -0.000 |
| 0.000 | 0.000 | -0.000 | -0.000 | 0.000 | 4.172 |
| 16.963 | 7.323 | 4.156 | 0.000 | -0.000 | 0.000 |
| 6.712 | 17.646 | 4.081 | 0.000 | -0.000 | 0.000 |
| 3.990 | 3.990 | 20.500 | -0.000 | -0.000 | 0.000 |
| 0.000 | 0.000 | -0.000 | 3.828 | -0.000 | 0.000 |
| 0.000 | 0.000 | -0.000 | 0.000 | 3.828 | -0.000 |
| -0.000 | 0.000 | 0.000 | 0.000 | -0.000 | 4.172 |
| 16.963 | 7.323 | 4.156 | -0.000 | 0.000 | -0.000 |
| 7.915 | 16.552 | 3.965 | -0.000 | 0.000 | -0.000 |
| 3.990 | 3.990 | 20.499 | -0.000 | 0.000 | -0.000 |
| -0.000 | -0.000 | 0.000 | 3.828 | 0.000 | -0.000 |
| -0.000 | -0.000 | 0.000 | -0.000 | 3.828 | 0.000 |
| 0.000 | -0.000 | -0.000 | -0.000 | 0.000 | 4.172 |
| 11.605 | 8.545 | 8.233 | -0.000 | 0.000 | -0.000 |
| 8.545 | 11.605 | 8.233 | 0.000 | 0.000 | -0.000 |
| 8.233 | 8.233 | 12.209 | -0.000 | 0.000 | -0.000 |
| -0.000 | 0.000 | 0.000 | 8.140 | -0.000 | -0.000 |
| 0.000 | -0.000 | 0.000 | -0.000 | 8.140 | -0.000 |
| 0.000 | 0.000 | -0.000 | 0.000 | 0.000 | 8.348 |
| 11.605 | 8.545 | 8.233 | -0.000 | -0.000 | 0.000 |
| 8.545 | 11.605 | 8.233 | 0.000 | -0.000 | 0.000 |
| 8.233 | 8.233 | 12.209 | -0.000 | -0.000 | -0.000 |
| 0.000 | -0.000 | -0.000 | 8.140 | -0.000 | 0.000 |
| -0.000 | 0.000 | -0.000 | -0.000 | 8.140 | 0.000 |
| -0.000 | -0.000 | 0.000 | -0.000 | 0.000 | 8.348 |
| 11.605 | 8.545 | 8.233 | 0.000 | 0.000 | -0.000 |
| 8.545 | 11.605 | 8.233 | 0.000 | 0.000 | -0.000 |
| 8.233 | 8.233 | 12.209 | 0.000 | -0.000 | -0.000 |
| -0.000 | 0.000 | 0.000 | 8.140 | -0.000 | -0.000 |
| 0.000 | -0.000 | 0.000 | -0.000 | 8.140 | -0.000 |
| 0.000 | 0.000 | -0.000 | 0.000 | 0.000 | 8.348 |
| 11.605 | 8.545 | 8.233 | -0.000 | 0.000 | 0.000 |
| 8.545 | 11.605 | 8.233 | -0.000 | -0.000 | 0.000 |
| 8.233 | 8.233 | 12.209 | 0.000 | -0.000 | 0.000 |
| 0.000 | -0.000 | -0.000 | 8.140 | 0.000 | 0.000 |
| -0.000 | 0.000 | -0.000 | 0.000 | 8.140 | 0.000 |
| -0.000 | -0.000 | 0.000 | -0.000 | -0.000 | 8.348 |
| 11.605 | 8.545 | 8.233 | -0.000 | -0.000 | -0.000 |
| 8.545 | 11.605 | 8.233 | 0.000 | -0.000 | -0.000 |
| 8.233 | 8.233 | 12.209 | 0.000 | 0.000 | -0.000 |
| -0.000 | 0.000 | 0.000 | 8.140 | 0.000 | -0.000 |
| 0.000 | -0.000 | 0.000 | -0.000 | 8.140 | -0.000 |
| 0.000 | 0.000 | -0.000 | 0.000 | 0.000 | 8.348 |
| 11.605 | 8.545 | 8.233 | -0.000 | -0.000 | 0.000 |
| 8.545 | 11.605 | 8.233 | -0.000 | -0.000 | 0.000 |
| 8.233 | 8.233 | 12.209 | -0.000 | -0.000 | 0.000 |
| 0.000 | -0.000 | -0.000 | 8.140 | -0.000 | 0.000 |
| -0.000 | 0.000 | -0.000 | -0.000 | 8.140 | 0.000 |
| -0.000 | -0.000 | 0.000 | -0.000 | -0.000 | 8.348 |
| 22.359 | 26.334 | 26.334 | 0.000 | 0.000 | -0.000 |
| 26.334 | 22.359 | 26.334 | 0.000 | 0.000 | -0.000 |
| 26.334 | 26.334 | 22.359 | 0.000 | 0.000 | 0.000 |
| -0.000 | -0.000 | -0.000 | 26.334 | -0.000 | -0.000 |
| -0.000 | -0.000 | -0.000 | -0.000 | 26.334 | 0.000 |
| -0.000 | 0.000 | -0.000 | 0.000 | 0.000 | 26.334 |
| 22.359 | 26.334 | 26.334 | -0.000 | -0.000 | -0.000 |
| 26.334 | 22.359 | 26.334 | -0.000 | -0.000 | 0.000 |
| 26.334 | 26.334 | 22.359 | -0.000 | -0.000 | -0.000 |
| 0.000 | 0.000 | 0.000 | 26.334 | 0.000 | -0.000 |
| 0.000 | 0.000 | 0.000 | -0.000 | 26.334 | -0.000 |
| 0.000 | 0.000 | 0.000 | -0.000 | -0.000 | 26.334 |
| 22.359 | 26.334 | 26.334 | 0.000 | 0.000 | -0.000 |
| 26.334 | 22.359 | 26.334 | 0.000 | -0.000 | -0.000 |
| 26.334 | 26.334 | 22.359 | -0.000 | 0.000 | 0.000 |
| -0.000 | -0.000 | 0.000 | 26.334 | 0.000 | -0.000 |
| -0.000 | -0.000 | 0.000 | 0.000 | 26.334 | 0.000 |
| -0.000 | 0.000 | -0.000 | 0.000 | 0.000 | 26.334 |
| 22.359 | 26.334 | 26.334 | -0.000 | -0.000 | 0.000 |
| 26.334 | 22.359 | 26.334 | -0.000 | -0.000 | 0.000 |
| 26.334 | 26.334 | 22.359 | -0.000 | -0.000 | -0.000 |
| 0.000 | 0.000 | -0.000 | 26.334 | -0.000 | -0.000 |
| 0.000 | 0.000 | -0.000 | -0.000 | 26.334 | -0.000 |
| 0.000 | -0.000 | 0.000 | -0.000 | -0.000 | 26.334 |
| 22.359 | 26.334 | 26.334 | 0.000 | 0.000 | -0.000 |
| 26.334 | 22.359 | 26.334 | 0.000 | -0.000 | 0.000 |
| 26.334 | 26.334 | 22.359 | 0.000 | 0.000 | 0.000 |
| -0.000 | -0.000 | 0.000 | 26.334 | 0.000 | 0.000 |
| -0.000 | -0.000 | 0.000 | 0.000 | 26.334 | 0.000 |
| -0.000 | 0.000 | -0.000 | 0.000 | 0.000 | 26.334 |
| 22.359 | 26.334 | 26.334 | -0.000 | -0.000 | 0.000 |
| 26.334 | 22.359 | 26.334 | -0.000 | -0.000 | 0.000 |
| 26.334 | 26.334 | 22.359 | -0.000 | -0.000 | -0.000 |
| 0.000 | 0.000 | -0.000 | 26.334 | -0.000 | 0.000 |
| 0.000 | 0.000 | -0.000 | 0.000 | 26.334 | -0.000 |
| 0.000 | -0.000 | 0.000 | -0.000 | -0.000 | 26.334 |
| 57.687 | 5.849 | 5.849 | 0.000 | -0.000 | -0.000 |
| 5.849 | 57.687 | 5.849 | 0.000 | 0.000 | -0.000 |
| 5.849 | 5.849 | 57.687 | -0.000 | -0.000 | -0.000 |
| -0.000 | -0.000 | 0.000 | 4.205 | -0.000 | -0.000 |
| -0.000 | -0.000 | -0.000 | 0.000 | 4.205 | -0.000 |
| -0.000 | -0.000 | 0.000 | 0.000 | 0.000 | 4.205 |
| 57.687 | 5.849 | 5.849 | -0.000 | -0.000 | 0.000 |
| 5.849 | 57.687 | 5.849 | -0.000 | -0.000 | 0.000 |
| 5.849 | 5.849 | 57.687 | -0.000 | -0.000 | 0.000 |
| 0.000 | 0.000 | 0.000 | 4.205 | -0.000 | 0.000 |
| 0.000 | 0.000 | 0.000 | -0.000 | 4.205 | 0.000 |
| 0.000 | 0.000 | -0.000 | -0.000 | -0.000 | 4.205 |
| 57.687 | 5.849 | 5.849 | 0.000 | -0.000 | -0.000 |
| 5.849 | 57.687 | 5.849 | 0.000 | 0.000 | -0.000 |
| 5.849 | 5.849 | 57.687 | -0.000 | 0.000 | -0.000 |
| -0.000 | -0.000 | -0.000 | 4.205 | -0.000 | 0.000 |
| -0.000 | -0.000 | -0.000 | 0.000 | 4.205 | -0.000 |
| -0.000 | -0.000 | -0.000 | 0.000 | -0.000 | 4.205 |
| 57.687 | 5.849 | 5.849 | -0.000 | -0.000 | 0.000 |
| 5.849 | 57.687 | 5.849 | -0.000 | -0.000 | 0.000 |
| 5.849 | 5.849 | 57.687 | -0.000 | 0.000 | 0.000 |
| 0.000 | 0.000 | 0.000 | 4.205 | 0.000 | 0.000 |
| 0.000 | 0.000 | 0.000 | -0.000 | 4.205 | 0.000 |
| 0.000 | 0.000 | 0.000 | -0.000 | -0.000 | 4.205 |
| 57.687 | 5.849 | 5.849 | 0.000 | -0.000 | -0.000 |
| 5.849 | 57.687 | 5.849 | 0.000 | 0.000 | -0.000 |
| 5.849 | 5.849 | 57.687 | 0.000 | 0.000 | -0.000 |
| -0.000 | -0.000 | -0.000 | 4.205 | 0.000 | -0.000 |
| -0.000 | -0.000 | -0.000 | 0.000 | 4.205 | -0.000 |
| -0.000 | -0.000 | -0.000 | 0.000 | -0.000 | 4.205 |
| 57.991 | 5.697 | 5.697 | -0.000 | 0.000 | 0.000 |
| 5.697 | 57.991 | 5.697 | -0.000 | 0.000 | 0.000 |
| 5.697 | 5.697 | 57.991 | -0.000 | -0.000 | 0.000 |
| 0.000 | 0.000 | 0.000 | 4.205 | -0.000 | 0.000 |
| 0.000 | 0.000 | 0.000 | -0.000 | 4.205 | 0.000 |
| 0.000 | 0.000 | 0.000 | -0.000 | 0.000 | 4.205 |
| 33.421 | 21.480 | 21.480 | 0.000 | -0.000 | -0.000 |
| 21.480 | 33.421 | 21.480 | -0.000 | 0.000 | -0.000 |
| 21.480 | 21.480 | 33.421 | -0.000 | -0.000 | 0.000 |
| 0.000 | -0.000 | 0.000 | 21.480 | 0.000 | -0.000 |
| -0.000 | 0.000 | 0.000 | 0.000 | 21.480 | -0.000 |
| 0.000 | 0.000 | 0.000 | -0.000 | -0.000 | 21.480 |
| 33.421 | 21.480 | 21.480 | 0.000 | 0.000 | 0.000 |
| 21.480 | 33.421 | 21.480 | 0.000 | -0.000 | -0.000 |
| 21.480 | 21.480 | 33.421 | 0.000 | 0.000 | -0.000 |
| -0.000 | -0.000 | -0.000 | 21.480 | -0.000 | -0.000 |
| 0.000 | -0.000 | -0.000 | -0.000 | 21.480 | -0.000 |
| -0.000 | -0.000 | -0.000 | 0.000 | -0.000 | 21.480 |
| 33.421 | 21.480 | 21.480 | 0.000 | -0.000 | -0.000 |
| 21.480 | 33.421 | 21.480 | -0.000 | -0.000 | -0.000 |
| 21.480 | 21.480 | 33.421 | -0.000 | -0.000 | 0.000 |
| 0.000 | -0.000 | 0.000 | 21.480 | 0.000 | 0.000 |
| -0.000 | 0.000 | 0.000 | 0.000 | 21.480 | 0.000 |
| -0.000 | 0.000 | 0.000 | 0.000 | -0.000 | 21.480 |
| 33.421 | 21.480 | 21.480 | 0.000 | 0.000 | -0.000 |
| 21.480 | 33.421 | 21.480 | 0.000 | -0.000 | -0.000 |
| 21.480 | 21.480 | 33.421 | -0.000 | 0.000 | -0.000 |
| -0.000 | 0.000 | -0.000 | 21.480 | -0.000 | 0.000 |
| 0.000 | -0.000 | -0.000 | 0.000 | 21.480 | 0.000 |
| 0.000 | -0.000 | -0.000 | -0.000 | 0.000 | 21.480 |
| 33.421 | 21.480 | 21.480 | 0.000 | 0.000 | -0.000 |
| 21.480 | 33.421 | 21.480 | 0.000 | 0.000 | -0.000 |
| 21.480 | 21.480 | 33.421 | 0.000 | 0.000 | -0.000 |
| 0.000 | -0.000 | 0.000 | 21.480 | 0.000 | -0.000 |
| -0.000 | 0.000 | 0.000 | -0.000 | 21.480 | 0.000 |
| -0.000 | 0.000 | 0.000 | -0.000 | -0.000 | 21.480 |
| 33.421 | 21.480 | 21.480 | 0.000 | 0.000 | -0.000 |
| 21.480 | 33.421 | 21.480 | 0.000 | 0.000 | -0.000 |
| 21.480 | 21.480 | 33.421 | -0.000 | -0.000 | -0.000 |
| -0.000 | 0.000 | -0.000 | 21.480 | 0.000 | -0.000 |
| 0.000 | -0.000 | -0.000 | 0.000 | 21.480 | -0.000 |
| 0.000 | -0.000 | -0.000 | 0.000 | 0.000 | 21.480 |
| 42.478 | 25.117 | 8.105 | 0.000 | 0.000 | -0.000 |
| 16.899 | 50.696 | 8.105 | -0.000 | 0.000 | -0.000 |
| 8.105 | 8.105 | 58.361 | -0.000 | 0.000 | -0.000 |
| -0.000 | 0.000 | 0.000 | 8.105 | 0.000 | -0.000 |
| 0.000 | 0.000 | 0.000 | -0.000 | 8.105 | -0.000 |
| 0.000 | 0.000 | 0.000 | -0.000 | 0.000 | 16.899 |
| 50.696 | 16.899 | 8.105 | 0.000 | 0.000 | 0.000 |
| 16.899 | 50.696 | 8.105 | 0.000 | -0.000 | 0.000 |
| 8.105 | 8.105 | 58.361 | -0.000 | -0.000 | 0.000 |
| -0.000 | 0.000 | -0.000 | 8.105 | -0.000 | -0.000 |
| -0.000 | -0.000 | -0.000 | 0.000 | 8.105 | 0.000 |
| 0.000 | -0.000 | -0.000 | 0.000 | -0.000 | 16.899 |
| 42.478 | 25.117 | 8.105 | -0.000 | 0.000 | -0.000 |
| 16.899 | 50.696 | 8.105 | -0.000 | 0.000 | 0.000 |
| 8.105 | 8.105 | 58.361 | -0.000 | 0.000 | -0.000 |
| 0.000 | -0.000 | 0.000 | 8.105 | 0.000 | -0.000 |
| -0.000 | 0.000 | 0.000 | -0.000 | 8.105 | 0.000 |
| 0.000 | 0.000 | -0.000 | 0.000 | 0.000 | 8.680 |
| 37.175 | 30.420 | 8.105 | 0.000 | -0.000 | 0.000 |
| 16.899 | 50.696 | 8.105 | -0.000 | -0.000 | 0.000 |
| 8.105 | 8.105 | 58.361 | 0.000 | -0.000 | 0.000 |
| -0.000 | 0.000 | -0.000 | 8.105 | -0.000 | 0.000 |
| 0.000 | -0.000 | -0.000 | 0.000 | 8.105 | 0.000 |
| -0.000 | -0.000 | 0.000 | 0.000 | -0.000 | 8.680 |
| 46.587 | 21.008 | 8.105 | -0.000 | -0.000 | 0.000 |
| 30.420 | 37.175 | 8.105 | -0.000 | 0.000 | -0.000 |
| 8.105 | 8.105 | 58.361 | -0.000 | -0.000 | -0.000 |
| 0.000 | -0.000 | 0.000 | 8.105 | 0.000 | -0.000 |
| -0.000 | 0.000 | 0.000 | -0.000 | 8.105 | -0.000 |
| 0.000 | 0.000 | -0.000 | -0.000 | 0.000 | 8.680 |
| 42.478 | 25.117 | 8.105 | 0.000 | -0.000 | -0.000 |
| 30.420 | 37.175 | 8.105 | 0.000 | 0.000 | -0.000 |
| 8.105 | 8.105 | 58.361 | 0.000 | 0.000 | -0.000 |
| -0.000 | 0.000 | -0.000 | 8.105 | -0.000 | 0.000 |
| 0.000 | -0.000 | -0.000 | -0.000 | 8.105 | 0.000 |
| -0.000 | -0.000 | 0.000 | 0.000 | -0.000 | 8.680 |
| 0.468 | 2.811 | 2.811 | -0.000 | -0.000 | -0.000 |
| 2.811 | 0.468 | 2.811 | -0.000 | -0.000 | -0.000 |
| 2.811 | 2.811 | 0.468 | -0.000 | -0.000 | -0.000 |
| 0.000 | -0.000 | -0.000 | -2.724 | -0.000 | -0.000 |
| -0.000 | -0.000 | -0.000 | -0.000 | -2.724 | -0.000 |
| -0.000 | -0.000 | -0.000 | -0.000 | -0.000 | -2.724 |
| 0.468 | 2.811 | 2.811 | 0.000 | 0.000 | 0.000 |
| 2.811 | 0.468 | 2.811 | 0.000 | 0.000 | 0.000 |
| 2.811 | 2.811 | 0.468 | 0.000 | 0.000 | 0.000 |
| 0.000 | 0.000 | 0.000 | -2.724 | 0.000 | 0.000 |
| 0.000 | 0.000 | 0.000 | 0.000 | -2.724 | 0.000 |
| 0.000 | 0.000 | -0.000 | 0.000 | 0.000 | -2.724 |
| 0.468 | 2.811 | 2.811 | -0.000 | -0.000 | -0.000 |
| 2.811 | 0.468 | 2.811 | -0.000 | -0.000 | -0.000 |
| 2.811 | 2.811 | 0.468 | -0.000 | -0.000 | -0.000 |
| -0.000 | -0.000 | -0.000 | -2.724 | -0.000 | -0.000 |
| -0.000 | -0.000 | -0.000 | -0.000 | -2.724 | -0.000 |
| -0.000 | -0.000 | -0.000 | -0.000 | -0.000 | -2.724 |
| 0.468 | 2.811 | 2.811 | 0.000 | 0.000 | 0.000 |
| 2.811 | 0.468 | 2.811 | 0.000 | 0.000 | 0.000 |
| 2.811 | 2.811 | 0.468 | 0.000 | 0.000 | 0.000 |
| 0.000 | 0.000 | 0.000 | -2.724 | 0.000 | 0.000 |
| 0.000 | 0.000 | 0.000 | 0.000 | -2.724 | 0.000 |
| 0.000 | 0.000 | 0.000 | 0.000 | 0.000 | -2.724 |
| 0.468 | 2.811 | 2.811 | -0.000 | -0.000 | -0.000 |
| 2.811 | 0.468 | 2.811 | -0.000 | -0.000 | -0.000 |
| 2.811 | 2.811 | 0.468 | -0.000 | -0.000 | -0.000 |
| -0.000 | -0.000 | -0.000 | -2.724 | -0.000 | -0.000 |
| -0.000 | -0.000 | -0.000 | -0.000 | -2.724 | -0.000 |
| -0.000 | -0.000 | -0.000 | -0.000 | -0.000 | -2.724 |
| 0.468 | 2.811 | 2.811 | 0.000 | 0.000 | 0.000 |
| 2.811 | 0.468 | 2.811 | 0.000 | 0.000 | 0.000 |
| 2.811 | 2.811 | 0.468 | 0.000 | 0.000 | 0.000 |
| 0.000 | 0.000 | 0.000 | -2.724 | 0.000 | 0.000 |
| 0.000 | 0.000 | 0.000 | 0.000 | -2.724 | 0.000 |
| 0.000 | 0.000 | 0.000 | 0.000 | 0.000 | -2.724 |
| 114.045 | -6.716 | 6.003 | -0.000 | -0.000 | -0.000 |
| -6.716 | 114.045 | 6.003 | -0.000 | -0.000 | 0.000 |
| 6.003 | 6.003 | 82.790 | 0.000 | -0.000 | -0.000 |
| 0.000 | 0.000 | -0.000 | 2.613 | 0.000 | -0.000 |
| 0.000 | -0.000 | 0.000 | -0.000 | 2.613 | -0.000 |
| 0.000 | 0.000 | 0.000 | -0.000 | -0.000 | -6.716 |
| -145.517 | 252.845 | 6.003 | -0.002 | -0.000 | 0.000 |
| 468.092 | -360.763 | 6.003 | -0.009 | -0.050 | 0.000 |
| 6.003 | 6.003 | 82.790 | 0.000 | 0.000 | 0.000 |
| -0.000 | -0.000 | -0.000 | 2.613 | -0.000 | 0.000 |
| -0.000 | 0.000 | 0.000 | -0.000 | 2.613 | 0.000 |
| -0.000 | -0.000 | -0.000 | -0.000 | 0.000 | -6.716 |
| 18492189.648 | 8920353.561 | 10498466.574 | -1171390.796 | -473460.505 | -469630.653 |
| 12017944.338 | 19830163.687 | 7049601.918 | -3689488.636 | -907111.171 | 928388.309 |
| 6.003 | 6.003 | 82.790 | -0.000 | -0.000 | -0.000 |
| 0.000 | 0.000 | -0.000 | 2.613 | 0.000 | 0.000 |
| 0.000 | 0.000 | -0.000 | -0.000 | 2.613 | -0.000 |
| 0.000 | -0.000 | 0.000 | 0.000 | -0.000 | -6.716 |
| -10599029.285 | -20406497.837 | -7780689.281 | 1639902.813 | -1592463.839 | 1701589.326 |
| -18064369.528 | -14942385.988 | -6250020.699 | 1855402.160 | -8673030.262 | 2005399.170 |
| 6.003 | 6.003 | 82.790 | -0.000 | 0.000 | 0.000 |
| -0.000 | -0.000 | 0.000 | 2.613 | -0.000 | 0.000 |
| -0.000 | -0.000 | 0.000 | 0.000 | 2.613 | 0.000 |
| -0.000 | 0.000 | -0.000 | -0.000 | 0.000 | -6.716 |
| 2017051.796 | 597608.780 | 1166001.180 | -14371.166 | 150371.258 | 20918.543 |
| 553547.302 | 2001007.033 | 1421626.697 | -47506.504 | 69220.255 | -64323.958 |
| 6.003 | 6.003 | 82.791 | -0.000 | -0.000 | -0.000 |
| 0.000 | 0.000 | -0.000 | 2.613 | -0.000 | 0.000 |
| 0.000 | 0.000 | -0.000 | -0.000 | 2.613 | 0.000 |
| 0.000 | -0.000 | 0.000 | 0.000 | -0.000 | -6.716 |
| -1602820.105 | -1986637.508 | -521567.971 | -647049.523 | 188806.778 | 190089.512 |
| -1911270.823 | -791195.053 | -1090235.079 | -190076.780 | -284245.634 | -139952.095 |
| 6.003 | 6.003 | 82.790 | 0.000 | 0.000 | 0.000 |
| -0.000 | -0.000 | 0.000 | 2.613 | 0.000 | 0.000 |
| -0.000 | -0.000 | 0.000 | -0.000 | 2.613 | -0.000 |
| -0.000 | 0.000 | -0.000 | -0.000 | -0.000 | -6.716 |
| 61.672 | -4.051 | 22.424 | -0.000 | -0.000 | -0.000 |
| -4.051 | 61.672 | 22.424 | -0.000 | 0.000 | 0.000 |
| 22.424 | 22.424 | 30.060 | -0.000 | -0.000 | 0.000 |
| -0.000 | -0.000 | 0.000 | 22.424 | -0.000 | 0.000 |
| -0.000 | -0.000 | 0.000 | -0.000 | 22.424 | 0.000 |
| 0.000 | 0.000 | 0.000 | -0.000 | -0.000 | -4.051 |
| 61.672 | -4.051 | 22.424 | 0.000 | 0.000 | 0.000 |
| -4.051 | 61.672 | 22.424 | 0.000 | 0.000 | -0.000 |
| 22.424 | 22.424 | 30.060 | 0.000 | 0.000 | -0.000 |
| -0.000 | 0.000 | -0.000 | 22.424 | -0.000 | -0.000 |
| 0.000 | -0.000 | -0.000 | 0.000 | 22.424 | -0.000 |
| -0.000 | 0.000 | -0.000 | 0.000 | 0.000 | -4.051 |
| 61.672 | -4.051 | 22.424 | -0.000 | -0.000 | 0.000 |
| -4.051 | 61.672 | 22.424 | 0.000 | 0.000 | -0.000 |
| 22.424 | 22.424 | 30.060 | 0.000 | -0.000 | 0.000 |
| 0.000 | -0.000 | 0.000 | 22.424 | -0.000 | 0.000 |
| -0.000 | 0.000 | 0.000 | -0.000 | 22.424 | 0.000 |
| 0.000 | -0.000 | 0.000 | -0.000 | -0.000 | -4.051 |
| 61.672 | -4.051 | 22.424 | 0.000 | -0.000 | -0.000 |
| -4.051 | 61.672 | 22.424 | 0.000 | 0.000 | -0.000 |
| 22.424 | 22.424 | 30.060 | 0.000 | 0.000 | -0.000 |
| -0.000 | 0.000 | -0.000 | 22.424 | 0.000 | -0.000 |
| 0.000 | -0.000 | -0.000 | 0.000 | 22.424 | -0.000 |
| -0.000 | 0.000 | -0.000 | -0.000 | 0.000 | -4.051 |
| 61.672 | -4.051 | 22.424 | -0.000 | 0.000 | 0.000 |
| -4.051 | 61.672 | 22.424 | 0.000 | 0.000 | 0.000 |
| 22.424 | 22.424 | 30.060 | 0.000 | 0.000 | 0.000 |
| 0.000 | -0.000 | 0.000 | 22.424 | -0.000 | -0.000 |
| -0.000 | 0.000 | 0.000 | -0.000 | 22.424 | 0.000 |
| 0.000 | -0.000 | 0.000 | 0.000 | -0.000 | -4.051 |
| 61.672 | -4.051 | 22.424 | 0.000 | 0.000 | -0.000 |
| -4.051 | 61.672 | 22.424 | 0.000 | 0.000 | -0.000 |
| 22.424 | 22.424 | 30.060 | -0.000 | -0.000 | -0.000 |
| -0.000 | 0.000 | -0.000 | 22.424 | 0.000 | -0.000 |
| 0.000 | -0.000 | -0.000 | 0.000 | 22.424 | -0.000 |
| -0.000 | 0.000 | -0.000 | -0.000 | -0.000 | -4.051 |
| 19.503 | 0.991 | 17.240 | -24.917 | 0.000 | 0.000 |
| 0.991 | 19.503 | 17.240 | 24.917 | 0.000 | 0.000 |
| 13.179 | 13.179 | -2.657 | 0.000 | -0.000 | 0.000 |
| -24.917 | 24.917 | -0.000 | 17.381 | 0.000 | 0.000 |
| 0.000 | 0.000 | 0.000 | -0.000 | 17.381 | -24.917 |
| 0.000 | 0.000 | 0.000 | -0.000 | -24.917 | 9.256 |
| 19.503 | 0.991 | 17.240 | -24.917 | 0.000 | -0.000 |
| 0.991 | 19.503 | 17.240 | 24.917 | -0.000 | -0.000 |
| 13.179 | 13.179 | -2.657 | 0.000 | 0.000 | -0.000 |
| -24.917 | 24.917 | 0.000 | 17.381 | 0.000 | -0.000 |
| -0.000 | -0.000 | 0.000 | 0.000 | 17.381 | -24.917 |
| -0.000 | -0.000 | 0.000 | 0.000 | -24.917 | 9.256 |
| 19.503 | 0.991 | 17.240 | -24.917 | 0.000 | 0.000 |
| 0.991 | 19.503 | 17.240 | 24.917 | 0.000 | 0.000 |
| 13.179 | 13.179 | -2.657 | -0.000 | 0.000 | 0.000 |
| -24.917 | 24.917 | 0.000 | 17.381 | 0.000 | 0.000 |
| 0.000 | 0.000 | 0.000 | -0.000 | 17.381 | -24.917 |
| 0.000 | 0.000 | 0.000 | -0.000 | -24.917 | 9.256 |
| 19.503 | 0.991 | 17.240 | -24.917 | 0.000 | -0.000 |
| 0.991 | 19.503 | 17.240 | 24.917 | -0.000 | -0.000 |
| 13.179 | 13.179 | -2.657 | 0.000 | -0.000 | -0.000 |
| -24.917 | 24.917 | -0.000 | 17.381 | 0.000 | -0.000 |
| -0.000 | -0.000 | -0.000 | 0.000 | 17.381 | -24.917 |
| -0.000 | -0.000 | -0.000 | 0.000 | -24.917 | 9.256 |
| 19.503 | 0.991 | 17.240 | -24.917 | 0.000 | 0.000 |
| 0.991 | 19.503 | 17.240 | 24.917 | -0.000 | 0.000 |
| 13.179 | 13.179 | -2.657 | -0.000 | -0.000 | 0.000 |
| -24.917 | 24.917 | 0.000 | 17.382 | 0.000 | 0.000 |
| 0.000 | 0.000 | 0.000 | -0.000 | 17.381 | -24.917 |
| -0.000 | 0.000 | 0.000 | -0.000 | -24.917 | 9.256 |
| 19.503 | 0.991 | 17.240 | -24.917 | 0.000 | -0.000 |
| 0.991 | 19.503 | 17.240 | 24.917 | -0.000 | -0.000 |
| 13.179 | 13.179 | -2.657 | -0.000 | 0.000 | -0.000 |
| -24.917 | 24.917 | -0.000 | 17.381 | -0.000 | -0.000 |
| -0.000 | -0.000 | -0.000 | 0.000 | 17.381 | -24.917 |
| 0.000 | -0.000 | -0.000 | 0.000 | -24.917 | 9.256 |
| 122.488 | -12.627 | -12.627 | 0.000 | 0.000 | 0.000 |
| -12.627 | 122.488 | -12.627 | 0.000 | 0.000 | 0.000 |
| -12.627 | -12.627 | 122.488 | 0.000 | 0.000 | 0.000 |
| -0.000 | 0.000 | -0.000 | -12.627 | 0.000 | 0.000 |
| -0.000 | -0.000 | -0.000 | -0.000 | -12.627 | 0.000 |
| 0.000 | -0.000 | -0.000 | 0.000 | 0.000 | -12.627 |
| 122.488 | -12.627 | -12.627 | 0.000 | -0.000 | -0.000 |
| -12.627 | 122.488 | -12.627 | -0.000 | -0.000 | -0.000 |
| -12.627 | -12.627 | 122.488 | -0.000 | -0.000 | -0.000 |
| 0.000 | -0.000 | 0.000 | -12.627 | -0.000 | -0.000 |
| -0.000 | 0.000 | 0.000 | 0.000 | -12.627 | -0.000 |
| -0.000 | 0.000 | 0.000 | -0.000 | -0.000 | -12.627 |
| 122.488 | -12.627 | -12.627 | 0.000 | 0.000 | 0.000 |
| -12.627 | 122.488 | -12.627 | 0.000 | 0.000 | -0.000 |
| -12.627 | -12.627 | 122.488 | -0.000 | 0.000 | 0.000 |
| -0.000 | 0.000 | -0.000 | -12.627 | 0.000 | 0.000 |
| 0.000 | -0.000 | -0.000 | -0.000 | -12.627 | 0.000 |
| 0.000 | -0.000 | -0.000 | 0.000 | 0.000 | -12.627 |
| 122.488 | -12.627 | -12.627 | -0.000 | -0.000 | 0.000 |
| -12.627 | 122.488 | -12.627 | -0.000 | -0.000 | 0.000 |
| -12.627 | -12.627 | 122.488 | -0.000 | -0.000 | -0.000 |
| 0.000 | -0.000 | 0.000 | -12.627 | -0.000 | -0.000 |
| -0.000 | 0.000 | 0.000 | -0.000 | -12.627 | -0.000 |
| -0.000 | 0.000 | 0.000 | -0.000 | -0.000 | -12.627 |
| 122.489 | -12.627 | -12.627 | -0.000 | 0.000 | 0.000 |
| -12.627 | 122.489 | -12.627 | -0.000 | 0.000 | 0.000 |
| -12.627 | -12.627 | 122.489 | 0.000 | 0.000 | 0.000 |
| -0.000 | 0.000 | -0.000 | -12.627 | 0.000 | -0.000 |
| 0.000 | -0.000 | -0.000 | 0.000 | -12.627 | 0.000 |
| 0.000 | -0.000 | -0.000 | 0.000 | 0.000 | -12.627 |
| 122.488 | -12.627 | -12.627 | -0.000 | -0.000 | -0.000 |
| -12.627 | 122.488 | -12.627 | -0.000 | -0.000 | -0.000 |
| -12.627 | -12.627 | 122.488 | -0.000 | -0.000 | -0.000 |
| 0.000 | -0.000 | 0.000 | -12.627 | -0.000 | 0.000 |
| -0.000 | 0.000 | 0.000 | -0.000 | -12.627 | -0.000 |
| -0.000 | 0.000 | 0.000 | -0.000 | -0.000 | -12.627 |
| 50.697 | 16.898 | 8.345 | 4.478 | 0.000 | 0.000 |
| 16.898 | 50.697 | 8.345 | -4.478 | 0.000 | -0.000 |
| 8.375 | 8.375 | 57.719 | -0.000 | -0.000 | 0.000 |
| 4.478 | -4.478 | -0.000 | 8.344 | -0.000 | -0.000 |
| 0.029 | 0.029 | -0.054 | 0.000 | 8.342 | 4.536 |
| 0.098 | 0.098 | -0.184 | -0.000 | 4.674 | 8.938 |
| 50.697 | 16.898 | 8.345 | 4.478 | 0.000 | -0.000 |
| 24.400 | 42.999 | 8.529 | -4.665 | 0.000 | 0.000 |
| 8.318 | 8.318 | 57.827 | -0.000 | -0.000 | -0.000 |
| 4.507 | -4.564 | 0.054 | 8.342 | 0.000 | 0.000 |
| -0.029 | -0.029 | 0.054 | 0.000 | 8.342 | 4.536 |
| -0.098 | -0.098 | 0.184 | -0.000 | 4.674 | 8.938 |
| 50.697 | 16.898 | 8.345 | 4.478 | -0.000 | 0.000 |
| 27.924 | 39.685 | 8.332 | -4.749 | -0.000 | 0.000 |
| 8.349 | 8.349 | 57.767 | 0.000 | 0.000 | -0.000 |
| 4.478 | -4.478 | 0.000 | 8.344 | 0.000 | 0.000 |
| 0.003 | 0.003 | -0.007 | 0.000 | 8.342 | 4.547 |
| 0.014 | 0.014 | -0.025 | -0.000 | 4.749 | 5.880 |
| 50.697 | 16.898 | 8.345 | 4.478 | -0.000 | 0.000 |
| 27.897 | 39.658 | 8.383 | -4.749 | -0.000 | -0.000 |
| 8.344 | 8.344 | 57.778 | -0.000 | 0.000 | -0.000 |
| 4.478 | -4.478 | -0.000 | 8.344 | -0.000 | -0.000 |
| -0.003 | -0.003 | 0.007 | -0.000 | 8.342 | 4.547 |
| -0.014 | -0.014 | 0.025 | 0.000 | 4.749 | 5.880 |
| 39.673 | 27.912 | 8.355 | 4.749 | 0.000 | 0.000 |
| 16.899 | 50.697 | 8.345 | -4.478 | 0.000 | 0.000 |
| 8.344 | 8.344 | 57.778 | 0.000 | -0.000 | 0.000 |
| 4.750 | -4.748 | -0.003 | 8.337 | 0.000 | 0.000 |
| -0.000 | 0.000 | 0.000 | 0.000 | 8.344 | 4.478 |
| 0.001 | 0.001 | -0.003 | -0.000 | 4.749 | 5.880 |
| 34.766 | 32.873 | 8.304 | 4.870 | -0.000 | 0.000 |
| 18.275 | 49.319 | 8.347 | -4.512 | 0.000 | -0.000 |
| 8.344 | 8.344 | 57.777 | -0.000 | 0.000 | -0.000 |
| 4.748 | -4.750 | 0.003 | 8.337 | -0.000 | 0.000 |
| 0.000 | -0.000 | -0.000 | -0.000 | 8.344 | 4.478 |
| -0.001 | -0.001 | 0.003 | 0.000 | 4.749 | 5.880 |
| 53.437 | 20.125 | 7.590 | 0.000 | 0.000 | -0.000 |
| 20.125 | 53.437 | 7.590 | 0.000 | 0.000 | 0.000 |
| 7.590 | 7.590 | 73.304 | 0.000 | 0.000 | 0.000 |
| -0.000 | 0.000 | 0.000 | 7.590 | 0.000 | 0.000 |
| -0.000 | 0.000 | -0.000 | 0.000 | 7.590 | 0.000 |
| -0.000 | 0.000 | 0.000 | 0.000 | 0.000 | 16.656 |
| 53.437 | 20.125 | 7.590 | -0.000 | -0.000 | -0.000 |
| 18.391 | 55.172 | 7.590 | 0.000 | -0.000 | -0.000 |
| 7.590 | 7.590 | 73.304 | -0.000 | -0.000 | -0.000 |
| 0.000 | -0.000 | -0.000 | 7.590 | -0.000 | -0.000 |
| 0.000 | -0.000 | 0.000 | -0.000 | 7.590 | -0.000 |
| 0.000 | -0.000 | -0.000 | -0.000 | -0.000 | 16.656 |
| 53.437 | 20.125 | 7.590 | 0.000 | 0.000 | 0.000 |
| 20.125 | 53.437 | 7.590 | 0.000 | 0.000 | 0.000 |
| 7.590 | 7.590 | 73.304 | 0.000 | 0.000 | 0.000 |
| 0.000 | 0.000 | -0.000 | 7.590 | 0.000 | 0.000 |
| 0.000 | 0.000 | -0.000 | 0.000 | 7.590 | -0.000 |
| 0.000 | -0.000 | 0.000 | -0.000 | -0.000 | 18.391 |
| 55.172 | 18.391 | 7.590 | 0.000 | 0.000 | -0.000 |
| 18.391 | 55.172 | 7.590 | 0.000 | -0.000 | -0.000 |
| 7.590 | 7.590 | 73.304 | 0.000 | -0.000 | -0.000 |
| -0.000 | -0.000 | 0.000 | 7.590 | -0.000 | -0.000 |
| -0.000 | -0.000 | 0.000 | -0.000 | 7.590 | -0.000 |
| -0.000 | 0.000 | -0.000 | 0.000 | -0.000 | 18.391 |
| 55.172 | 18.391 | 7.590 | -0.000 | 0.000 | 0.000 |
| 18.391 | 55.172 | 7.590 | -0.000 | 0.000 | 0.000 |
| 7.590 | 7.590 | 73.305 | 0.000 | 0.000 | 0.000 |
| 0.000 | 0.000 | -0.000 | 7.590 | 0.000 | 0.000 |
| 0.000 | 0.000 | -0.000 | 0.000 | 7.590 | 0.000 |
| 0.000 | -0.000 | 0.000 | -0.000 | 0.000 | 18.391 |
| 53.437 | 20.125 | 7.590 | -0.000 | -0.000 | -0.000 |
| 20.125 | 53.437 | 7.590 | -0.000 | 0.000 | -0.000 |
| 7.590 | 7.590 | 73.304 | -0.000 | -0.000 | -0.000 |
| -0.000 | -0.000 | 0.000 | 7.590 | -0.000 | -0.000 |
| -0.000 | -0.000 | 0.000 | -0.000 | 7.590 | -0.000 |
| -0.000 | 0.000 | -0.000 | 0.000 | 0.000 | 18.391 |
| 28417182.241 | -21012792.267 | 5168241.257 | 2305303.770 | 386248.498 | -4314462.786 |
| 28418060.119 | -21010247.429 | 5162525.332 | 2298785.902 | 381960.131 | -4313425.796 |
| 28401232.451 | -21001867.232 | 5170602.498 | 2296454.760 | 382102.457 | -4308821.383 |
| 28398656.577 | -21001377.434 | 5173182.184 | 2297057.121 | 383003.987 | -4308440.597 |
| 28409936.563 | -21005064.827 | 5164657.054 | 2296253.047 | 381032.541 | -4310853.841 |
| 28410359.895 | -21007592.166 | 5167377.703 | 2299916.810 | 383404.468 | -4312235.891 |
| -28418064.102 | 21010692.103 | -5162562.686 | -2299480.200 | -382103.963 | 4313664.659 |
| -28424080.024 | 21008397.441 | -5152917.816 | -2290030.510 | -375102.966 | 4311636.880 |
| -28410922.718 | 21003577.795 | -5163581.614 | -2295062.569 | -379706.452 | 4310605.682 |
| -28414163.053 | 21007126.317 | -5163201.404 | -2296794.989 | -381029.031 | 4311953.356 |
| -28393170.768 | 20988422.512 | -5159881.263 | -2274408.469 | -369812.965 | 4299961.630 |
| -28429494.369 | 21020010.847 | -5161684.983 | -2306208.975 | -385194.476 | 4317846.095 |
| 2840687.387 | -2100398.555 | 516856.330 | 229823.327 | 38245.696 | -431073.079 |
| 2842808.785 | -2101385.430 | 515684.958 | 229908.746 | 38043.339 | -431514.486 |
| 2841500.185 | -2100066.546 | 515171.168 | 228078.827 | 36944.147 | -430742.170 |
| 2841282.013 | -2100988.281 | 516844.499 | 230312.783 | 38528.145 | -431321.930 |
| 2840578.380 | -2100611.463 | 517321.210 | 230247.972 | 38529.554 | -431073.965 |
| 2842015.616 | -2100603.412 | 515596.546 | 229023.870 | 37617.229 | -431078.150 |
| -2840824.808 | 2100453.661 | -516508.928 | -229581.802 | -38106.527 | 431039.879 |
| -2841041.485 | 2100043.256 | -515839.610 | -228595.809 | -37487.944 | 430791.284 |
| -2842458.149 | 2101031.390 | -515662.705 | -229481.333 | -37935.937 | 431298.147 |
| -2840808.580 | 2100375.380 | -516550.955 | -229574.715 | -38093.555 | 431018.152 |
| -2840965.974 | 2100581.834 | -516541.494 | -229687.152 | -38165.611 | 431105.465 |
| -2840944.017 | 2100547.224 | -516537.010 | -229715.966 | -38147.637 | 431114.695 |
| 284035.619 | -209933.117 | 51676.828 | 22883.375 | 3775.779 | -43055.169 |
| 284158.347 | -210046.178 | 51678.442 | 23001.826 | 3831.854 | -43130.358 |
| 284127.242 | -210053.593 | 51696.363 | 22985.613 | 3825.323 | -43119.088 |
| 284218.360 | -210026.966 | 51444.169 | 22790.153 | 3661.439 | -43092.587 |
| 284211.202 | -210137.081 | 51635.087 | 23040.755 | 3846.431 | -43155.355 |
| 284101.063 | -210018.263 | 51633.615 | 22935.401 | 3794.009 | -43095.240 |
| -283751.955 | 209361.166 | -51060.363 | -21839.017 | -3220.346 | 42681.229 |
| -284070.643 | 210078.533 | -51627.967 | -22949.075 | -3805.828 | 43099.024 |
| -284101.756 | 210068.868 | -51593.610 | -22941.227 | -3799.305 | 43103.539 |
| -284283.566 | 210128.493 | -51535.893 | -22894.661 | -3768.118 | 43122.713 |
| -284236.444 | 210135.136 | -51595.035 | -22997.402 | -3812.421 | 43146.943 |
| -284231.405 | 210087.959 | -51575.208 | -22941.301 | -3789.770 | 43127.866 |
| 33.496 | 21.565 | 21.565 | 0.000 | 0.000 | -0.000 |
| 21.565 | 33.496 | 21.565 | 0.000 | 0.000 | -0.000 |
| 21.565 | 21.565 | 33.496 | 0.000 | -0.000 | -0.000 |
| 0.000 | -0.000 | 0.000 | 21.513 | 0.000 | -0.000 |
| -0.000 | 0.000 | -0.000 | 0.000 | 21.513 | -0.000 |
| -0.000 | 0.000 | 0.000 | 0.000 | 0.000 | 21.513 |
| 33.496 | 21.565 | 21.565 | -0.000 | -0.000 | 0.000 |
| 21.565 | 33.496 | 21.565 | -0.000 | 0.000 | 0.000 |
| 21.565 | 21.565 | 33.496 | -0.000 | 0.000 | 0.000 |
| -0.000 | 0.000 | -0.000 | 21.513 | 0.000 | 0.000 |
| 0.000 | -0.000 | 0.000 | -0.000 | 21.513 | 0.000 |
| 0.000 | -0.000 | -0.000 | -0.000 | 0.000 | 21.513 |
| 33.496 | 21.565 | 21.565 | 0.000 | -0.000 | -0.000 |
| 21.565 | 33.496 | 21.565 | 0.000 | -0.000 | -0.000 |
| 21.565 | 21.565 | 33.496 | 0.000 | -0.000 | -0.000 |
| 0.000 | -0.000 | 0.000 | 21.513 | -0.000 | -0.000 |
| -0.000 | 0.000 | 0.000 | 0.000 | 21.513 | -0.000 |
| -0.000 | 0.000 | 0.000 | 0.000 | 0.000 | 21.513 |
| 33.496 | 21.565 | 21.565 | -0.000 | -0.000 | 0.000 |
| 21.565 | 33.496 | 21.565 | -0.000 | 0.000 | 0.000 |
| 21.565 | 21.565 | 33.496 | -0.000 | 0.000 | 0.000 |
| -0.000 | 0.000 | -0.000 | 21.513 | 0.000 | 0.000 |
| 0.000 | -0.000 | -0.000 | -0.000 | 21.513 | 0.000 |
| 0.000 | -0.000 | -0.000 | -0.000 | -0.000 | 21.513 |
| 33.496 | 21.565 | 21.565 | 0.000 | -0.000 | -0.000 |
| 21.565 | 33.496 | 21.565 | 0.000 | -0.000 | -0.000 |
| 21.565 | 21.565 | 33.496 | 0.000 | -0.000 | -0.000 |
| 0.000 | -0.000 | 0.000 | 21.513 | 0.000 | -0.000 |
| -0.000 | 0.000 | 0.000 | 0.000 | 21.513 | -0.000 |
| -0.000 | 0.000 | 0.000 | 0.000 | 0.000 | 21.513 |
| 33.496 | 21.565 | 21.565 | -0.000 | 0.000 | 0.000 |
| 21.565 | 33.496 | 21.565 | -0.000 | -0.000 | 0.000 |
| 21.565 | 21.565 | 33.496 | -0.000 | 0.000 | 0.000 |
| -0.000 | 0.000 | -0.000 | 21.513 | -0.000 | 0.000 |
| 0.000 | -0.000 | -0.000 | -0.000 | 21.513 | 0.000 |
| 0.000 | -0.000 | -0.000 | -0.000 | 0.000 | 21.513 |
| -24.385 | 47.826 | 47.826 | 0.000 | -0.000 | -0.000 |
| 47.826 | -24.385 | 47.826 | 0.000 | -0.000 | -0.000 |
| 47.826 | 47.826 | -24.385 | 0.000 | -0.000 | -0.000 |
| 0.000 | 0.000 | 0.000 | 7.888 | -0.000 | -0.000 |
| -0.000 | 0.000 | 0.000 | 0.000 | 7.888 | -0.000 |
| -0.000 | 0.000 | -0.000 | 0.000 | -0.000 | 7.888 |
| -24.385 | 47.826 | 47.826 | -0.000 | 0.000 | 0.000 |
| 47.826 | -24.385 | 47.826 | -0.000 | 0.000 | 0.000 |
| 47.826 | 47.826 | -24.385 | -0.000 | 0.000 | 0.000 |
| -0.000 | -0.000 | 0.000 | 7.888 | 0.000 | 0.000 |
| -0.000 | -0.000 | 0.000 | -0.000 | 7.888 | 0.000 |
| -0.000 | -0.000 | -0.000 | -0.000 | 0.000 | 7.888 |
| -24.385 | 47.826 | 47.826 | 0.000 | -0.000 | -0.000 |
| 47.826 | -24.385 | 47.826 | 0.000 | -0.000 | -0.000 |
| 47.826 | 47.826 | -24.385 | 0.000 | -0.000 | -0.000 |
| 0.000 | 0.000 | 0.000 | 7.888 | -0.000 | -0.000 |
| 0.000 | 0.000 | 0.000 | 0.000 | 7.888 | -0.000 |
| 0.000 | 0.000 | 0.000 | 0.000 | -0.000 | 7.888 |
| -24.385 | 47.826 | 47.826 | -0.000 | 0.000 | 0.000 |
| 47.826 | -24.385 | 47.826 | -0.000 | 0.000 | 0.000 |
| 47.826 | 47.826 | -24.385 | -0.000 | 0.000 | 0.000 |
| -0.000 | -0.000 | -0.000 | 7.888 | 0.000 | 0.000 |
| -0.000 | -0.000 | -0.000 | -0.000 | 7.888 | 0.000 |
| -0.000 | -0.000 | -0.000 | -0.000 | 0.000 | 7.888 |
| -24.385 | 47.826 | 47.826 | 0.000 | -0.000 | -0.000 |
| 47.826 | -24.385 | 47.826 | 0.000 | -0.000 | -0.000 |
| 47.826 | 47.826 | -24.385 | 0.000 | -0.000 | -0.000 |
| 0.000 | 0.000 | 0.000 | 7.888 | -0.000 | -0.000 |
| 0.000 | 0.000 | 0.000 | 0.000 | 7.888 | -0.000 |
| 0.000 | 0.000 | 0.000 | 0.000 | -0.000 | 7.888 |
| -24.385 | 47.826 | 47.826 | -0.000 | 0.000 | 0.000 |
| 47.826 | -24.385 | 47.826 | -0.000 | 0.000 | 0.000 |
| 47.826 | 47.826 | -24.385 | -0.000 | 0.000 | 0.000 |
| -0.000 | -0.000 | -0.000 | 7.888 | 0.000 | 0.000 |
| -0.000 | -0.000 | -0.000 | -0.000 | 7.888 | 0.000 |
| -0.000 | -0.000 | -0.000 | -0.000 | 0.000 | 7.888 |
| 51.287 | 8.621 | 8.621 | -0.000 | -0.000 | 0.000 |
| 8.621 | 51.287 | 8.621 | 0.000 | 0.000 | 0.000 |
| 8.621 | 8.621 | 51.287 | 0.000 | 0.000 | 0.000 |
| 0.000 | 0.000 | 0.000 | 8.510 | -0.000 | 0.000 |
| 0.000 | 0.000 | 0.000 | 0.000 | 8.510 | 0.000 |
| 0.000 | 0.000 | 0.000 | 0.000 | 0.000 | 8.510 |
| 41.931 | 2.576 | 2.576 | 0.000 | -0.000 | -0.000 |
| 2.576 | 41.931 | 2.576 | -0.000 | 0.000 | -0.000 |
| 2.576 | 2.576 | 41.931 | -0.000 | -0.000 | -0.000 |
| -0.000 | -0.000 | -0.000 | 8.510 | -0.000 | -0.000 |
| -0.000 | -0.000 | -0.000 | -0.000 | 8.510 | -0.000 |
| -0.000 | -0.000 | -0.000 | -0.000 | -0.000 | 8.510 |
| 51.287 | 8.621 | 8.621 | 0.000 | 0.000 | 0.000 |
| 8.621 | 51.287 | 8.621 | 0.000 | 0.000 | 0.000 |
| 8.621 | 8.621 | 51.287 | -0.000 | 0.000 | 0.000 |
| -0.000 | -0.000 | -0.000 | 8.510 | -0.000 | 0.000 |
| -0.000 | -0.000 | -0.000 | -0.000 | 8.510 | 0.000 |
| -0.000 | -0.000 | -0.000 | 0.000 | 0.000 | 8.510 |
| 46.660 | 11.090 | 11.090 | -0.000 | -0.000 | -0.000 |
| 11.090 | 46.660 | 11.090 | -0.000 | -0.000 | -0.000 |
| 11.090 | 11.090 | 46.660 | 0.000 | -0.000 | -0.000 |
| 0.000 | 0.000 | 0.000 | 8.510 | 0.000 | -0.000 |
| 0.000 | 0.000 | 0.000 | -0.000 | 8.510 | -0.000 |
| 0.000 | 0.000 | 0.000 | -0.000 | -0.000 | 8.510 |
| 47.745 | 10.206 | 10.206 | 0.000 | -0.000 | 0.000 |
| 10.206 | 47.745 | 10.206 | 0.000 | -0.000 | 0.000 |
| 10.206 | 10.206 | 47.745 | -0.000 | 0.000 | 0.000 |
| -0.000 | -0.000 | -0.000 | 8.510 | 0.000 | 0.000 |
| -0.000 | -0.000 | -0.000 | 0.000 | 8.510 | 0.000 |
| -0.000 | -0.000 | -0.000 | 0.000 | 0.000 | 8.510 |
| 47.448 | 10.310 | 10.310 | -0.000 | -0.000 | -0.000 |
| 10.310 | 47.448 | 10.310 | 0.000 | 0.000 | -0.000 |
| 10.310 | 10.310 | 47.448 | -0.000 | -0.000 | -0.000 |
| 0.000 | 0.000 | 0.000 | 8.510 | -0.000 | -0.000 |
| 0.000 | 0.000 | 0.000 | 0.000 | 8.510 | -0.000 |
| 0.000 | 0.000 | 0.000 | -0.000 | -0.000 | 8.510 |
| 50.999 | 8.516 | 8.516 | -0.000 | -0.000 | -0.000 |
| 8.516 | 50.999 | 8.516 | -0.000 | -0.000 | -0.000 |
| 8.516 | 8.516 | 50.999 | 0.000 | 0.000 | -0.000 |
| -0.000 | 0.000 | -0.000 | 8.516 | 0.000 | -0.000 |
| -0.000 | -0.000 | 0.000 | 0.000 | 8.516 | -0.000 |
| -0.000 | -0.000 | 0.000 | -0.000 | 0.000 | 8.516 |
| 50.999 | 8.516 | 8.516 | -0.000 | 0.000 | 0.000 |
| 8.516 | 50.999 | 8.516 | 0.000 | -0.000 | 0.000 |
| 8.516 | 8.516 | 50.999 | 0.000 | 0.000 | 0.000 |
| 0.000 | -0.000 | -0.000 | 8.516 | -0.000 | 0.000 |
| 0.000 | 0.000 | -0.000 | -0.000 | 8.516 | 0.000 |
| 0.000 | -0.000 | -0.000 | -0.000 | -0.000 | 8.516 |
| 50.999 | 8.516 | 8.516 | -0.000 | 0.000 | -0.000 |
| 8.516 | 50.999 | 8.516 | -0.000 | 0.000 | -0.000 |
| 8.516 | 8.516 | 50.999 | -0.000 | 0.000 | -0.000 |
| -0.000 | -0.000 | -0.000 | 8.516 | 0.000 | -0.000 |
| -0.000 | -0.000 | -0.000 | 0.000 | 8.516 | -0.000 |
| -0.000 | -0.000 | -0.000 | -0.000 | -0.000 | 8.516 |
| 47.285 | 10.087 | 10.087 | -0.000 | 0.000 | -0.000 |
| 10.087 | 47.285 | 10.087 | -0.000 | -0.000 | -0.000 |
| 10.087 | 10.087 | 47.285 | 0.000 | -0.000 | -0.000 |
| 0.000 | 0.000 | 0.000 | 8.516 | -0.000 | 0.000 |
| 0.000 | 0.000 | 0.000 | 0.000 | 8.516 | 0.000 |
| 0.000 | 0.000 | 0.000 | -0.000 | -0.000 | 8.516 |
| 50.999 | 8.516 | 8.516 | -0.000 | 0.000 | -0.000 |
| 8.516 | 50.999 | 8.516 | -0.000 | 0.000 | -0.000 |
| 8.516 | 8.516 | 50.999 | 0.000 | 0.000 | -0.000 |
| -0.000 | -0.000 | -0.000 | 5.502 | 0.000 | 0.000 |
| -0.000 | -0.000 | -0.000 | 0.000 | 5.502 | 0.000 |
| -0.000 | -0.000 | -0.000 | -0.000 | 0.000 | 5.502 |
| 47.133 | 10.048 | 10.048 | -0.000 | 0.000 | -0.000 |
| 10.048 | 47.133 | 10.048 | 0.000 | -0.000 | -0.000 |
| 10.048 | 10.048 | 47.133 | 0.000 | -0.000 | -0.000 |
| 0.000 | 0.000 | 0.000 | 5.502 | -0.000 | -0.000 |
| 0.000 | 0.000 | 0.000 | -0.000 | 5.502 | -0.000 |
| 0.000 | 0.000 | 0.000 | -0.000 | -0.000 | 5.502 |
| 34.382 | 16.586 | 16.586 | 0.000 | 0.000 | -0.000 |
| 16.586 | 34.382 | 16.586 | 0.000 | 0.000 | 0.000 |
| 16.586 | 16.586 | 34.382 | 0.000 | 0.000 | 0.000 |
| -0.149 | -0.149 | -0.149 | 14.147 | 0.000 | 0.000 |
| -0.149 | -0.149 | -0.149 | -0.000 | 14.147 | 0.000 |
| -0.149 | -0.149 | -0.149 | -0.000 | 0.000 | 14.147 |
| 32.761 | 17.472 | 17.472 | 0.000 | -0.000 | 0.000 |
| 17.472 | 32.761 | 17.472 | 0.000 | -0.000 | -0.000 |
| 17.472 | 17.472 | 32.761 | 0.000 | -0.000 | -0.000 |
| 0.149 | 0.149 | 0.149 | 14.147 | -0.000 | -0.000 |
| 0.149 | 0.149 | 0.149 | 0.000 | 14.147 | -0.000 |
| 0.149 | 0.149 | 0.149 | 0.000 | -0.000 | 14.147 |
| 32.683 | 17.203 | 17.203 | -0.000 | 0.000 | -0.000 |
| 17.203 | 32.683 | 17.203 | -0.000 | 0.000 | 0.000 |
| 17.203 | 17.203 | 32.683 | -0.000 | -0.000 | 0.000 |
| -0.008 | -0.008 | -0.008 | 13.654 | 0.000 | -0.000 |
| -0.008 | -0.008 | -0.008 | -0.000 | 13.654 | 0.000 |
| -0.008 | -0.008 | -0.008 | -0.000 | -0.000 | 13.654 |
| 34.382 | 16.586 | 16.586 | 0.000 | -0.000 | 0.000 |
| 16.586 | 34.382 | 16.586 | -0.000 | -0.000 | -0.000 |
| 16.586 | 16.586 | 34.382 | 0.000 | 0.000 | -0.000 |
| 0.008 | 0.008 | 0.008 | 13.654 | -0.000 | 0.000 |
| 0.008 | 0.008 | 0.008 | -0.000 | 13.654 | -0.000 |
| 0.008 | 0.008 | 0.008 | 0.000 | -0.000 | 13.654 |
| 32.671 | 17.231 | 17.231 | -0.000 | -0.000 | -0.000 |
| 17.231 | 32.671 | 17.231 | -0.000 | -0.000 | 0.000 |
| 17.231 | 17.231 | 32.671 | -0.000 | 0.000 | 0.000 |
| -0.001 | -0.001 | -0.001 | 13.563 | 0.000 | -0.000 |
| -0.001 | -0.001 | -0.001 | -0.000 | 13.563 | -0.000 |
| -0.001 | -0.001 | -0.001 | -0.000 | 0.000 | 13.563 |
| 32.668 | 17.237 | 17.237 | 0.000 | 0.000 | -0.000 |
| 17.237 | 32.668 | 17.237 | 0.000 | 0.000 | -0.000 |
| 17.237 | 17.237 | 32.668 | 0.000 | 0.000 | 0.000 |
| 0.001 | 0.001 | 0.001 | 13.654 | 0.000 | -0.000 |
| 0.001 | 0.001 | 0.001 | 0.000 | 13.563 | 0.000 |
| 0.001 | 0.001 | 0.001 | 0.000 | 0.000 | 13.563 |
| 43.004 | 29.926 | 9.566 | -0.000 | 0.000 | 0.000 |
| 29.653 | 36.994 | 9.721 | -0.000 | 0.000 | 0.000 |
| 9.402 | 9.830 | 56.026 | -0.000 | 0.000 | 0.000 |
| -0.000 | 0.000 | 0.000 | 12.504 | -0.000 | 0.000 |
| -0.000 | 0.000 | 0.000 | -0.000 | 6.408 | 0.000 |
| 0.000 | -0.000 | 0.000 | -0.000 | 0.000 | 15.945 |
| 43.006 | 29.924 | 9.566 | 0.000 | -0.000 | -0.000 |
| 29.655 | 36.992 | 9.720 | 0.000 | -0.000 | -0.000 |
| 9.404 | 9.828 | 56.026 | 0.000 | -0.000 | -0.000 |
| 0.000 | -0.000 | -0.000 | 12.504 | -0.000 | -0.000 |
| 0.000 | -0.000 | -0.000 | 0.000 | 6.408 | -0.000 |
| -0.000 | 0.000 | -0.000 | 0.000 | -0.000 | 15.945 |
| 43.005 | 29.925 | 9.566 | -0.000 | 0.000 | 0.000 |
| 29.654 | 36.993 | 9.721 | -0.000 | 0.000 | 0.000 |
| 9.403 | 9.829 | 56.026 | -0.000 | 0.000 | 0.000 |
| -0.000 | 0.000 | 0.000 | 12.504 | 0.000 | 0.000 |
| -0.000 | 0.000 | 0.000 | -0.000 | 6.408 | 0.000 |
| -0.000 | 0.000 | 0.000 | -0.000 | 0.000 | 15.945 |
| 43.005 | 29.925 | 9.566 | 0.000 | -0.000 | -0.000 |
| 29.654 | 36.993 | 9.721 | 0.000 | -0.000 | -0.000 |
| 9.403 | 9.829 | 56.026 | 0.000 | -0.000 | -0.000 |
| 0.000 | -0.000 | -0.000 | 12.504 | -0.000 | -0.000 |
| 0.000 | -0.000 | -0.000 | 0.000 | 6.408 | -0.000 |
| 0.000 | -0.000 | -0.000 | 0.000 | -0.000 | 15.945 |
| 43.005 | 29.925 | 9.566 | -0.000 | 0.000 | 0.000 |
| 29.654 | 36.993 | 9.721 | -0.000 | 0.000 | 0.000 |
| 9.403 | 9.829 | 56.026 | -0.000 | 0.000 | 0.000 |
| 0.000 | -0.000 | 0.000 | 12.504 | 0.000 | 0.000 |
| -0.000 | 0.000 | 0.000 | -0.000 | 6.408 | -0.000 |
| 0.000 | 0.000 | 0.000 | 0.000 | 0.000 | -7.490 |
| 43.004 | 29.925 | 9.566 | 0.000 | -0.000 | -0.000 |
| 29.654 | 36.993 | 9.721 | 0.000 | -0.000 | -0.000 |
| 9.403 | 9.829 | 56.026 | 0.000 | -0.000 | -0.000 |
| -0.000 | 0.000 | -0.000 | 12.504 | -0.000 | -0.000 |
| 0.000 | -0.000 | -0.000 | 0.000 | 6.408 | -0.000 |
| -0.000 | -0.000 | -0.000 | -0.000 | -0.000 | -7.490 |
| 48.928 | 16.308 | 11.138 | 7.311 | 0.000 | 0.000 |
| 16.308 | 48.928 | 11.138 | -7.311 | -0.000 | 0.000 |
| 11.138 | 11.138 | 54.099 | -0.000 | -0.000 | 0.000 |
| 7.311 | -7.311 | -0.000 | 11.139 | -0.000 | -0.000 |
| -0.000 | 0.000 | -0.000 | -0.000 | 11.139 | 7.311 |
| 0.000 | -0.000 | -0.000 | -0.000 | 7.311 | 16.310 |
| 48.928 | 16.308 | 11.138 | 7.311 | -0.000 | 0.000 |
| 16.308 | 48.928 | 11.138 | -7.311 | -0.000 | -0.000 |
| 11.138 | 11.138 | 54.099 | 0.000 | 0.000 | -0.000 |
| 7.311 | -7.311 | 0.000 | 11.139 | 0.000 | -0.000 |
| -0.000 | -0.000 | 0.000 | 0.000 | 11.139 | 7.311 |
| -0.000 | 0.000 | 0.000 | 0.000 | 7.311 | 16.310 |
| 48.928 | 16.308 | 11.138 | 7.311 | 0.000 | -0.000 |
| 16.308 | 48.928 | 11.138 | -7.311 | 0.000 | -0.000 |
| 11.138 | 11.138 | 54.099 | -0.000 | 0.000 | -0.000 |
| 7.311 | -7.311 | -0.000 | 11.139 | 0.000 | -0.000 |
| 0.000 | 0.000 | -0.000 | -0.000 | 11.139 | 7.311 |
| 0.000 | -0.000 | 0.000 | 0.000 | 7.311 | 16.310 |
| 48.928 | 16.308 | 11.138 | 7.311 | -0.000 | -0.000 |
| 16.308 | 48.928 | 11.138 | -7.311 | -0.000 | -0.000 |
| 11.138 | 11.138 | 54.099 | 0.000 | -0.000 | 0.000 |
| 7.311 | -7.311 | 0.000 | 11.139 | -0.000 | -0.000 |
| -0.000 | -0.000 | 0.000 | 0.000 | 11.139 | 7.311 |
| -0.000 | 0.000 | -0.000 | -0.000 | 7.311 | 16.310 |
| 48.928 | 16.308 | 11.138 | 7.311 | 0.000 | 0.000 |
| 16.308 | 48.928 | 11.138 | -7.311 | 0.000 | 0.000 |
| 11.138 | 11.138 | 54.099 | -0.000 | -0.000 | 0.000 |
| 7.311 | -7.311 | -0.000 | 11.139 | -0.000 | 0.000 |
| 0.000 | 0.000 | -0.000 | -0.000 | 11.139 | 7.311 |
| 0.000 | -0.000 | 0.000 | 0.000 | 7.311 | 16.310 |
| 48.928 | 16.308 | 11.138 | 7.311 | -0.000 | 0.000 |
| 16.308 | 48.928 | 11.138 | -7.311 | 0.000 | -0.000 |
| 11.138 | 11.138 | 54.099 | 0.000 | -0.000 | 0.000 |
| 7.311 | -7.311 | 0.000 | 11.139 | 0.000 | 0.000 |
| -0.000 | -0.000 | 0.000 | 0.000 | 11.139 | 7.311 |
| -0.000 | 0.000 | -0.000 | -0.000 | 7.311 | 16.310 |
| 34.046 | 11.349 | 2.046 | -0.000 | 0.000 | 0.000 |
| 11.349 | 34.046 | 2.046 | -0.000 | 0.000 | 0.000 |
| 2.046 | 2.046 | 69.694 | -0.000 | 0.000 | 0.000 |
| 0.000 | -0.000 | -0.000 | 2.046 | 0.000 | 0.000 |
| 0.000 | -0.000 | -0.000 | -0.000 | 2.046 | 0.000 |
| 0.000 | -0.000 | 0.000 | -0.000 | 0.000 | 11.349 |
| 34.046 | 11.349 | 2.046 | 0.000 | -0.000 | -0.000 |
| 11.349 | 34.046 | 2.046 | 0.000 | -0.000 | -0.000 |
| 2.046 | 2.046 | 69.694 | 0.000 | -0.000 | -0.000 |
| 0.000 | 0.000 | -0.000 | 2.046 | -0.000 | -0.000 |
| -0.000 | 0.000 | 0.000 | 0.000 | 2.046 | -0.000 |
| -0.000 | 0.000 | -0.000 | 0.000 | -0.000 | 11.349 |
| 5.162 | 40.233 | 2.046 | -0.000 | 0.000 | 0.000 |
| 40.233 | 5.162 | 2.046 | -0.000 | 0.000 | 0.000 |
| 2.046 | 2.046 | 69.694 | -0.000 | 0.000 | 0.000 |
| 0.000 | 0.000 | -0.000 | 2.046 | 0.000 | 0.000 |
| 0.000 | 0.000 | -0.000 | -0.000 | 2.046 | 0.000 |
| 0.000 | -0.000 | -0.000 | -0.000 | 0.000 | -17.536 |
| 34.046 | 11.349 | 2.046 | 0.000 | -0.000 | -0.000 |
| 34.470 | 10.925 | 2.046 | -0.000 | -0.000 | -0.000 |
| 2.046 | 2.046 | 69.694 | 0.000 | -0.000 | -0.000 |
| -0.000 | -0.000 | 0.000 | 2.046 | -0.000 | -0.000 |
| -0.000 | -0.000 | 0.000 | 0.000 | 2.046 | -0.000 |
| -0.000 | 0.000 | 0.000 | 0.000 | -0.000 | -17.536 |
| 4.648 | 40.747 | 2.046 | 0.000 | 0.000 | -0.000 |
| -3070455.512 | -3103966.405 | -2957977.482 | -3618.555 | -1128.788 | -80664.453 |
| 2.046 | 2.046 | 69.694 | 0.000 | 0.000 | 0.000 |
| -0.000 | 0.000 | -0.000 | 2.046 | 0.000 | -0.000 |
| 0.000 | -0.000 | -0.000 | 0.000 | 2.046 | -0.000 |
| -0.000 | -0.000 | -0.000 | 0.000 | 0.000 | -11.773 |
| 3000660.649 | 3100737.211 | 2977506.866 | 271.481 | -3329.549 | -31937.944 |
| 3292342.368 | 3327011.600 | 2957466.592 | -672.991 | -5614.225 | -60167.667 |
| 2.046 | 2.046 | 69.694 | 0.000 | -0.000 | -0.000 |
| 0.000 | -0.000 | 0.000 | 2.046 | -0.000 | -0.000 |
| -0.000 | 0.000 | 0.000 | -0.000 | 2.046 | -0.000 |
| 0.000 | 0.000 | 0.000 | -0.000 | -0.000 | -11.773 |
| 50.700 | 16.900 | 8.343 | 4.478 | 0.000 | 0.000 |
| 16.900 | 50.700 | 8.343 | -4.478 | -0.000 | 0.000 |
| 8.356 | 8.356 | 57.756 | -0.000 | 0.000 | 0.000 |
| 4.546 | -4.526 | -0.019 | 8.342 | 0.000 | 0.000 |
| 0.000 | 0.000 | -0.000 | 0.000 | 8.343 | 4.478 |
| 0.046 | 0.046 | -0.087 | 0.000 | 4.749 | 5.882 |
| 50.700 | 16.900 | 8.343 | 4.478 | -0.000 | -0.000 |
| 16.900 | 50.700 | 8.343 | -4.478 | -0.000 | -0.000 |
| 8.343 | 8.343 | 57.780 | -0.000 | 0.000 | -0.000 |
| 4.478 | -4.478 | -0.000 | 8.343 | 0.000 | -0.000 |
| -0.000 | -0.000 | 0.000 | 0.000 | 8.343 | 4.478 |
| -0.046 | -0.046 | 0.087 | -0.000 | 4.749 | 5.882 |
| 39.680 | 27.916 | 8.347 | 4.749 | 0.000 | 0.000 |
| 16.900 | 50.700 | 8.343 | -4.478 | 0.000 | 0.000 |
| 8.343 | 8.343 | 57.780 | 0.000 | 0.000 | 0.000 |
| 4.623 | -4.618 | -0.005 | 8.340 | 0.000 | 0.000 |
| -0.000 | 0.000 | 0.000 | 0.000 | 8.343 | 4.478 |
| -0.013 | -0.012 | 0.023 | -0.000 | 4.870 | 0.949 |
| 50.700 | 16.900 | 8.343 | 4.478 | -0.000 | -0.000 |
| 27.906 | 39.671 | 8.364 | -4.749 | -0.000 | -0.000 |
| 8.343 | 8.343 | 57.780 | -0.000 | 0.000 | -0.000 |
| 4.618 | -4.623 | 0.005 | 8.340 | -0.000 | -0.000 |
| 0.000 | -0.000 | -0.000 | -0.000 | 8.343 | 4.478 |
| 0.013 | 0.012 | -0.023 | 0.000 | 4.870 | 0.949 |
| 50.700 | 16.900 | 8.343 | 4.478 | -0.000 | 0.000 |
| 31.275 | 36.320 | 8.348 | -4.831 | 0.000 | 0.000 |
| 8.346 | 8.346 | 57.775 | -0.000 | -0.000 | 0.000 |
| 4.478 | -4.478 | 0.000 | 8.343 | 0.000 | 0.000 |
| -0.000 | 0.000 | 0.000 | 0.000 | 8.343 | 4.478 |
| -0.001 | -0.001 | 0.002 | -0.000 | 4.870 | 0.949 |
| 34.768 | 32.870 | 8.307 | 4.870 | -0.000 | -0.000 |
| 27.910 | 39.675 | 8.356 | -4.749 | -0.000 | -0.000 |
| 8.346 | 8.346 | 57.775 | 0.000 | -0.000 | -0.000 |
| 4.478 | -4.478 | -0.000 | 8.343 | -0.000 | -0.000 |
| 0.000 | -0.000 | -0.000 | -0.000 | 8.343 | 4.478 |
| 0.001 | 0.001 | -0.002 | 0.000 | 4.870 | 0.949 |
| 25.093 | 11.219 | 11.219 | -0.000 | -0.000 | -0.000 |
| 11.219 | 25.093 | 11.219 | -0.000 | -0.000 | 0.000 |
| 11.219 | 11.219 | 25.093 | -0.000 | -0.000 | 0.000 |
| 0.000 | -0.000 | 0.000 | 12.337 | -0.000 | 0.000 |
| -0.000 | 0.000 | 0.000 | -0.000 | 12.337 | 0.000 |
| 0.000 | -0.000 | 0.000 | -0.000 | -0.000 | 12.337 |
| 33.099 | 19.271 | 19.271 | 0.000 | 0.000 | 0.000 |
| 19.271 | 33.099 | 19.271 | 0.000 | 0.000 | -0.000 |
| 19.271 | 19.271 | 33.099 | 0.000 | 0.000 | -0.000 |
| -0.000 | 0.000 | -0.000 | 12.337 | 0.000 | 0.000 |
| 0.000 | -0.000 | -0.000 | 0.000 | 12.337 | -0.000 |
| 0.000 | 0.000 | -0.000 | 0.000 | 0.000 | 12.337 |
| 36.233 | 12.337 | 12.337 | -0.000 | 0.000 | 0.000 |
| 12.337 | 36.233 | 12.337 | 0.000 | -0.000 | 0.000 |
| 12.337 | 12.337 | 36.233 | -0.000 | -0.000 | 0.000 |
| -0.507 | -0.507 | -0.507 | 5.779 | -0.000 | 0.000 |
| -0.507 | -0.507 | -0.507 | -0.000 | 5.779 | 0.000 |
| -0.507 | -0.507 | -0.507 | -0.000 | -0.000 | 5.779 |
| 30.829 | 14.982 | 14.982 | 0.000 | 0.000 | -0.000 |
| 14.982 | 30.829 | 14.982 | 0.000 | 0.000 | -0.000 |
| 14.982 | 14.982 | 30.829 | 0.000 | 0.000 | -0.000 |
| 0.507 | 0.507 | 0.507 | 5.779 | 0.000 | -0.000 |
| 0.507 | 0.507 | 0.507 | 0.000 | 5.779 | -0.000 |
| 0.507 | 0.507 | 0.507 | 0.000 | 0.000 | 5.779 |
| 29.549 | 15.398 | 15.398 | -0.000 | -0.000 | 0.000 |
| 15.398 | 29.549 | 15.398 | -0.000 | -0.000 | 0.000 |
| 15.398 | 15.398 | 29.549 | -0.000 | -0.000 | 0.000 |
| 0.000 | -0.000 | 0.000 | 12.337 | -0.000 | -0.000 |
| -0.000 | 0.000 | 0.000 | -0.000 | 12.337 | 0.000 |
| -0.000 | 0.000 | 0.000 | -0.000 | -0.000 | 12.337 |
| 29.549 | 15.577 | 15.577 | 0.000 | 0.000 | -0.000 |
| 15.577 | 29.549 | 15.577 | 0.000 | 0.000 | 0.000 |
| 15.577 | 15.577 | 29.549 | 0.000 | 0.000 | -0.000 |
| -0.000 | 0.000 | -0.000 | 12.337 | 0.000 | -0.000 |
| 0.000 | -0.000 | -0.000 | 0.000 | 12.337 | -0.000 |
| 0.000 | -0.000 | -0.000 | 0.000 | 0.000 | 12.337 |
| 57.156 | 41.440 | 41.440 | 0.000 | 0.000 | -0.000 |
| 41.440 | 57.156 | 41.440 | 0.000 | -0.000 | 0.000 |
| 41.440 | 41.440 | 57.156 | -0.000 | -0.000 | -0.000 |
| -0.000 | -0.000 | 0.000 | 12.321 | 0.000 | 0.000 |
| -0.000 | -0.000 | 0.000 | -0.000 | 12.321 | -0.000 |
| 0.000 | -0.000 | 0.000 | -0.000 | -0.000 | 12.321 |
| 36.134 | 12.284 | 12.284 | -0.000 | 0.000 | 0.000 |
| 12.284 | 36.134 | 12.284 | 0.000 | 0.000 | 0.000 |
| 12.284 | 12.284 | 36.134 | -0.000 | 0.000 | 0.000 |
| -0.000 | 0.000 | -0.000 | 12.321 | -0.000 | 0.000 |
| 0.000 | 0.000 | -0.000 | -0.000 | 12.321 | 0.000 |
| 0.000 | 0.000 | -0.000 | 0.000 | 0.000 | 12.321 |
| 36.134 | 12.284 | 12.284 | -0.000 | -0.000 | -0.000 |
| 12.284 | 36.134 | 12.284 | 0.000 | -0.000 | 0.000 |
| 12.284 | 12.284 | 36.134 | -0.000 | -0.000 | -0.000 |
| 0.000 | -0.000 | 0.000 | 12.321 | 0.000 | -0.000 |
| -0.000 | 0.000 | 0.000 | -0.000 | 12.321 | -0.000 |
| -0.000 | 0.000 | 0.000 | -0.000 | -0.000 | 12.321 |
| 27.649 | 12.152 | 12.152 | -0.000 | 0.000 | 0.000 |
| 12.152 | 27.649 | 12.152 | 0.000 | 0.000 | 0.000 |
| 12.152 | 12.152 | 27.649 | 0.000 | -0.000 | 0.000 |
| -0.000 | 0.000 | -0.000 | 12.321 | 0.000 | 0.000 |
| 0.000 | -0.000 | -0.000 | -0.000 | 12.321 | 0.000 |
| 0.000 | -0.000 | -0.000 | 0.000 | 0.000 | 12.321 |
| 36.134 | 12.284 | 12.284 | -0.000 | -0.000 | -0.000 |
| 12.284 | 36.134 | 12.284 | -0.000 | 0.000 | -0.000 |
| 12.284 | 12.284 | 36.134 | -0.000 | -0.000 | -0.000 |
| 0.486 | 0.486 | 0.486 | 5.292 | 0.000 | -0.000 |
| 0.486 | 0.486 | 0.486 | 0.000 | 5.292 | -0.000 |
| 0.486 | 0.486 | 0.486 | 0.000 | 0.000 | 5.292 |
| 36.134 | 12.284 | 12.284 | 0.000 | 0.000 | 0.000 |
| 12.284 | 36.134 | 12.284 | 0.000 | 0.000 | 0.000 |
| 12.284 | 12.284 | 36.134 | 0.000 | 0.000 | 0.000 |
| -0.486 | -0.486 | -0.486 | 5.292 | 0.000 | 0.000 |
| -0.486 | -0.486 | -0.486 | -0.000 | 5.292 | 0.000 |
| -0.486 | -0.486 | -0.486 | -0.000 | -0.000 | 5.292 |
| 60.341 | 12.211 | 1.089 | -0.000 | -0.000 | -0.000 |
| 9.478 | 78.028 | 3.316 | -0.000 | -0.000 | 0.000 |
| -0.578 | 4.034 | 78.940 | -0.000 | -0.000 | 0.000 |
| 0.000 | 0.000 | -0.000 | 1.302 | -0.000 | 0.000 |
| -0.004 | 0.006 | -0.001 | 0.000 | 1.544 | 0.000 |
| -0.017 | 0.026 | -0.007 | -0.000 | -0.000 | -10.443 |
| 60.344 | 12.205 | 1.090 | 0.000 | 0.000 | 0.000 |
| 9.483 | 78.021 | 3.318 | 0.000 | 0.000 | -0.000 |
| -0.574 | 4.028 | 78.941 | -0.000 | 0.000 | -0.000 |
| 0.017 | -0.026 | 0.007 | -1.711 | 0.000 | -0.000 |
| 0.004 | -0.006 | 0.001 | 0.000 | 1.544 | 0.000 |
| -0.000 | -0.000 | -0.000 | 0.000 | -0.000 | 6.158 |
| 57.381 | 13.624 | -0.125 | -0.000 | -0.000 | -0.000 |
| 9.482 | 78.022 | 3.318 | -0.000 | -0.000 | 0.000 |
| -0.590 | 4.050 | 78.935 | -0.000 | -0.000 | 0.000 |
| 0.000 | 0.000 | -0.000 | 1.302 | -0.000 | 0.000 |
| -0.000 | 0.001 | -0.000 | -0.000 | 1.535 | 0.000 |
| 12919331.474 | -21601626.600 | 23352688.111 | 434489.128 | 205919.580 | -249598.880 |
| 60.337 | 12.215 | 1.087 | 0.000 | 0.000 | 0.000 |
| 11.163 | 77.096 | 4.005 | 0.000 | 0.000 | -0.000 |
| -0.590 | 4.050 | 78.935 | 0.000 | 0.000 | -0.000 |
| 0.002 | -0.003 | 0.001 | -1.711 | 0.000 | -0.000 |
| 0.000 | -0.001 | 0.000 | 0.000 | 1.535 | 0.000 |
| -12016154.546 | 21822057.538 | -24495157.811 | -15347.472 | -121761.536 | 4875054.269 |
| 56.906 | 13.849 | -0.320 | -0.000 | 0.000 | 0.000 |
| 11.711 | 76.799 | 4.229 | -0.000 | -0.000 | 0.000 |
| -0.590 | 4.050 | 78.935 | -0.000 | -0.000 | 0.000 |
| 1289470.148 | -2184939.647 | 2344739.714 | -51005.846 | -38959.578 | 1888.024 |
| -0.000 | 0.000 | -0.000 | -0.000 | 1.535 | -0.000 |
| 1286589.455 | -2198716.970 | 2378454.856 | 1746.185 | 15119.979 | -14828.594 |
| 56.905 | 13.848 | -0.320 | 0.000 | -0.000 | 0.000 |
| 9.482 | 78.021 | 3.318 | 0.000 | 0.000 | -0.000 |
| -1.974 | 4.698 | 78.366 | 0.000 | -0.000 | -0.000 |
| -1285634.025 | 2196912.435 | -2374271.700 | -2819.433 | -3252.977 | 14365.862 |
| 0.000 | -0.000 | 0.000 | 0.000 | 1.535 | 0.000 |
| -1232478.541 | 2107170.984 | -2305201.416 | 17474.827 | 116324.766 | -49220.149 |
| 50.712 | 16.907 | 8.335 | 4.477 | -0.000 | -0.000 |
| 32.630 | 34.927 | 8.393 | -4.864 | 0.000 | 0.000 |
| 8.340 | 8.340 | 57.790 | -0.000 | 0.000 | -0.000 |
| 4.545 | -4.536 | -0.008 | 8.338 | 0.000 | 0.000 |
| 0.004 | 0.004 | -0.008 | 0.000 | 8.338 | 4.541 |
| -0.000 | 0.000 | -0.000 | -0.000 | 4.477 | 16.902 |
| 37.376 | 30.281 | 8.299 | 4.805 | -0.000 | 0.000 |
| 16.907 | 50.712 | 8.335 | -4.477 | -0.000 | -0.000 |
| 8.340 | 8.340 | 57.790 | 0.000 | -0.000 | -0.000 |
| 4.536 | -4.545 | 0.008 | 8.338 | -0.000 | -0.000 |
| -0.004 | -0.004 | 0.008 | 0.000 | 8.338 | 4.541 |
| 0.000 | 0.000 | 0.000 | 0.000 | 4.477 | 16.902 |
| 33.720 | 33.879 | 8.355 | 4.894 | 0.000 | 0.000 |
| 16.907 | 50.712 | 8.335 | -4.477 | 0.000 | 0.000 |
| 8.340 | 8.340 | 57.790 | 0.000 | 0.000 | 0.000 |
| 4.749 | -4.745 | -0.003 | 8.333 | -0.000 | 0.000 |
| -0.000 | -0.000 | 0.000 | 0.000 | 8.340 | 4.477 |
| -0.005 | -0.005 | 0.009 | -0.000 | 4.868 | 0.958 |
| 39.693 | 27.909 | 8.351 | 4.747 | -0.000 | 0.000 |
| 27.909 | 39.693 | 8.351 | -4.747 | 0.000 | -0.000 |
| 8.342 | 8.342 | 57.786 | -0.000 | -0.000 | 0.000 |
| 4.477 | -4.477 | -0.000 | 8.340 | -0.000 | 0.000 |
| 0.000 | 0.000 | -0.000 | -0.000 | 8.340 | 4.477 |
| 0.005 | 0.005 | -0.009 | 0.000 | 4.868 | 0.958 |
| 34.785 | 32.869 | 8.302 | 4.868 | 0.000 | 0.000 |
| 27.912 | 39.695 | 8.347 | -4.747 | 0.000 | -0.000 |
| 8.340 | 8.340 | 57.790 | 0.000 | 0.000 | 0.000 |
| 4.477 | -4.477 | 0.000 | 8.340 | -0.000 | -0.000 |
| 0.000 | 0.000 | -0.000 | 0.000 | 8.329 | 4.917 |
| -0.000 | 0.000 | 0.000 | 0.000 | 4.477 | 16.902 |
| 39.694 | 27.911 | 8.348 | 4.747 | -0.000 | -0.000 |
| 19.658 | 47.957 | 8.338 | -4.544 | -0.000 | 0.000 |
| 8.342 | 8.342 | 57.785 | -0.000 | -0.000 | 0.000 |
| 4.970 | -4.970 | 0.000 | 8.328 | -0.000 | -0.000 |
| -0.000 | -0.000 | 0.000 | -0.000 | 8.329 | 4.917 |
| 0.000 | -0.000 | -0.000 | -0.000 | 4.477 | 16.902 |
| 11.780 | 10.201 | 10.201 | -0.000 | 0.000 | -0.000 |
| 10.201 | 11.780 | 10.201 | -0.000 | -0.000 | -0.000 |
| 10.201 | 10.201 | 11.780 | -0.000 | 0.000 | -0.000 |
| -0.000 | 0.000 | -0.000 | 0.746 | 0.000 | -0.000 |
| -0.000 | 0.000 | -0.000 | -0.000 | 0.746 | -0.000 |
| -0.000 | 0.000 | -0.000 | -0.000 | -0.000 | 0.746 |
| 11.780 | 10.201 | 10.201 | 0.000 | -0.000 | 0.000 |
| 10.201 | 11.780 | 10.201 | 0.000 | -0.000 | 0.000 |
| 10.201 | 10.201 | 11.780 | 0.000 | 0.000 | -0.000 |
| 0.000 | -0.000 | 0.000 | 0.746 | -0.000 | 0.000 |
| 0.000 | -0.000 | 0.000 | 0.000 | 0.746 | 0.000 |
| 0.000 | -0.000 | 0.000 | 0.000 | 0.000 | 0.746 |
| 11.780 | 10.201 | 10.201 | -0.000 | 0.000 | -0.000 |
| 10.201 | 11.780 | 10.201 | -0.000 | -0.000 | 0.000 |
| 10.201 | 10.201 | 11.780 | -0.000 | 0.000 | -0.000 |
| 0.000 | -0.000 | -0.000 | 0.746 | -0.000 | -0.000 |
| -0.000 | 0.000 | -0.000 | -0.000 | 0.746 | -0.000 |
| -0.000 | -0.000 | 0.000 | -0.000 | -0.000 | 0.746 |
| 11.780 | 10.201 | 10.201 | 0.000 | 0.000 | 0.000 |
| 10.201 | 11.780 | 10.201 | 0.000 | -0.000 | 0.000 |
| 10.201 | 10.201 | 11.780 | 0.000 | 0.000 | 0.000 |
| -0.000 | 0.000 | 0.000 | 0.746 | -0.000 | 0.000 |
| 0.000 | -0.000 | 0.000 | 0.000 | 0.746 | 0.000 |
| 0.000 | 0.000 | -0.000 | 0.000 | 0.000 | 0.746 |
| 11.780 | 10.201 | 10.201 | 0.000 | -0.000 | -0.000 |
| 10.201 | 11.780 | 10.201 | -0.000 | -0.000 | -0.000 |
| 10.201 | 10.201 | 11.780 | -0.000 | -0.000 | 0.000 |
| 0.000 | -0.000 | -0.000 | 0.746 | 0.000 | -0.000 |
| -0.000 | 0.000 | -0.000 | -0.000 | 0.746 | -0.000 |
| -0.000 | -0.000 | 0.000 | -0.000 | -0.000 | 0.746 |
| 11.780 | 10.201 | 10.201 | 0.000 | -0.000 | 0.000 |
| 10.201 | 11.780 | 10.201 | 0.000 | -0.000 | 0.000 |
| 10.201 | 10.201 | 11.780 | 0.000 | -0.000 | -0.000 |
| -0.000 | 0.000 | 0.000 | 0.746 | -0.000 | 0.000 |
| 0.000 | -0.000 | 0.000 | 0.000 | 0.746 | 0.000 |
| 0.000 | 0.000 | -0.000 | 0.000 | 0.000 | 0.746 |
| 24.374 | 17.111 | 17.111 | -0.000 | 0.000 | -0.000 |
| 17.111 | 24.374 | 17.111 | -0.000 | 0.000 | 0.000 |
| 17.111 | 17.111 | 24.374 | 0.000 | 0.000 | -0.000 |
| -0.000 | -0.000 | 0.000 | 11.545 | -0.000 | -0.000 |
| -0.000 | -0.000 | 0.000 | 0.000 | 11.545 | 0.000 |
| -0.000 | -0.000 | 0.000 | -0.000 | 0.000 | 11.545 |
| 24.374 | 17.111 | 17.111 | 0.000 | -0.000 | 0.000 |
| 17.111 | 24.374 | 17.111 | 0.000 | -0.000 | 0.000 |
| 17.111 | 17.111 | 24.374 | 0.000 | -0.000 | 0.000 |
| 0.000 | 0.000 | -0.000 | 11.545 | 0.000 | 0.000 |
| 0.000 | 0.000 | -0.000 | 0.000 | 11.545 | 0.000 |
| 0.000 | 0.000 | -0.000 | 0.000 | -0.000 | 11.545 |
| 24.374 | 17.111 | 17.111 | 0.000 | 0.000 | -0.000 |
| 17.111 | 24.374 | 17.111 | 0.000 | 0.000 | -0.000 |
| 17.111 | 17.111 | 24.374 | 0.000 | 0.000 | -0.000 |
| 0.000 | -0.000 | 0.000 | 11.545 | -0.000 | -0.000 |
| -0.000 | 0.000 | 0.000 | 0.000 | 11.545 | -0.000 |
| -0.000 | 0.000 | 0.000 | -0.000 | 0.000 | 11.545 |
| 24.374 | 17.111 | 17.111 | 0.000 | -0.000 | 0.000 |
| 17.111 | 24.374 | 17.111 | 0.000 | 0.000 | 0.000 |
| 17.111 | 17.111 | 24.374 | 0.000 | -0.000 | 0.000 |
| -0.000 | 0.000 | -0.000 | 11.545 | 0.000 | -0.000 |
| 0.000 | -0.000 | -0.000 | -0.000 | 11.545 | -0.000 |
| 0.000 | -0.000 | -0.000 | 0.000 | -0.000 | 11.545 |
| 24.374 | 17.111 | 17.111 | -0.000 | -0.000 | -0.000 |
| 17.111 | 24.374 | 17.111 | 0.000 | -0.000 | -0.000 |
| 17.111 | 17.111 | 24.374 | 0.000 | -0.000 | -0.000 |
| 0.000 | -0.000 | 0.000 | 11.545 | 0.000 | -0.000 |
| -0.000 | 0.000 | 0.000 | -0.000 | 11.545 | 0.000 |
| -0.000 | 0.000 | 0.000 | -0.000 | 0.000 | 11.545 |
| 24.374 | 17.110 | 17.110 | -0.000 | 0.000 | 0.000 |
| 17.110 | 24.374 | 17.110 | -0.000 | -0.000 | 0.000 |
| 17.110 | 17.110 | 24.374 | -0.000 | -0.000 | 0.000 |
| -0.000 | 0.000 | -0.000 | 11.545 | -0.000 | -0.000 |
| 0.000 | -0.000 | -0.000 | 0.000 | 11.545 | 0.000 |
| 0.000 | -0.000 | -0.000 | 0.000 | -0.000 | 11.545 |
| 3.887 | 10.453 | 10.453 | -0.000 | 0.000 | -0.000 |
| 10.453 | 3.887 | 10.453 | -0.000 | -0.000 | -0.000 |
| 10.453 | 10.453 | 3.887 | -0.000 | 0.000 | -0.000 |
| -0.000 | -0.000 | -0.000 | -4.486 | 0.000 | -0.000 |
| -0.000 | -0.000 | -0.000 | -0.000 | -4.486 | -0.000 |
| -0.000 | -0.000 | -0.000 | -0.000 | 0.000 | -4.486 |
| 3.887 | 10.453 | 10.453 | 0.000 | -0.000 | 0.000 |
| 10.453 | 3.887 | 10.453 | 0.000 | -0.000 | -0.000 |
| 10.453 | 10.453 | 3.887 | -0.000 | -0.000 | 0.000 |
| 0.000 | 0.000 | 0.000 | -4.486 | -0.000 | 0.000 |
| 0.000 | 0.000 | 0.000 | 0.000 | -4.486 | 0.000 |
| 0.000 | 0.000 | 0.000 | 0.000 | -0.000 | -4.486 |
| 3.887 | 10.453 | 10.453 | -0.000 | 0.000 | 0.000 |
| 10.453 | 3.887 | 10.453 | -0.000 | 0.000 | -0.000 |
| 10.453 | 10.453 | 3.887 | -0.000 | 0.000 | -0.000 |
| 0.000 | -0.000 | -0.000 | -4.486 | 0.000 | -0.000 |
| -0.000 | 0.000 | -0.000 | 0.000 | -4.486 | -0.000 |
| -0.000 | -0.000 | 0.000 | -0.000 | 0.000 | -4.486 |
| 3.887 | 10.453 | 10.453 | 0.000 | 0.000 | -0.000 |
| 10.453 | 3.887 | 10.453 | 0.000 | 0.000 | 0.000 |
| 10.453 | 10.453 | 3.887 | 0.000 | 0.000 | 0.000 |
| -0.000 | 0.000 | 0.000 | -4.486 | -0.000 | -0.000 |
| 0.000 | -0.000 | 0.000 | 0.000 | -4.486 | 0.000 |
| 0.000 | 0.000 | -0.000 | 0.000 | -0.000 | -4.486 |
| 3.887 | 10.453 | 10.453 | -0.000 | -0.000 | 0.000 |
| 10.453 | 3.887 | 10.453 | -0.000 | -0.000 | 0.000 |
| 10.453 | 10.453 | 3.887 | -0.000 | 0.000 | -0.000 |
| 0.000 | -0.000 | -0.000 | -4.486 | 0.000 | 0.000 |
| -0.000 | 0.000 | -0.000 | -0.000 | -4.486 | -0.000 |
| -0.000 | -0.000 | 0.000 | -0.000 | 0.000 | -4.486 |
| 3.887 | 10.453 | 10.453 | 0.000 | -0.000 | -0.000 |
| 10.453 | 3.887 | 10.453 | 0.000 | -0.000 | 0.000 |
| 10.453 | 10.453 | 3.887 | 0.000 | -0.000 | 0.000 |
| -0.000 | 0.000 | 0.000 | -4.486 | -0.000 | 0.000 |
| 0.000 | -0.000 | 0.000 | 0.000 | -4.486 | 0.000 |
| 0.000 | 0.000 | -0.000 | 0.000 | -0.000 | -4.486 |
| 53.679 | 7.006 | 7.006 | 0.000 | -0.000 | -0.000 |
| 7.006 | 53.679 | 7.006 | 0.000 | -0.000 | -0.000 |
| 7.006 | 7.006 | 53.679 | 0.000 | -0.000 | -0.000 |
| 0.000 | -0.000 | -0.000 | 3.145 | -0.000 | -0.000 |
| 0.000 | -0.000 | -0.000 | 0.000 | 3.145 | -0.000 |
| 0.000 | -0.000 | -0.000 | -0.000 | -0.000 | 3.145 |
| 54.546 | 6.573 | 6.573 | 0.000 | 0.000 | 0.000 |
| 6.573 | 54.546 | 6.573 | -0.000 | 0.000 | 0.000 |
| 6.573 | 6.573 | 54.546 | 0.000 | 0.000 | 0.000 |
| -0.000 | 0.000 | 0.000 | 3.145 | 0.000 | 0.000 |
| -0.000 | 0.000 | 0.000 | 0.000 | 3.145 | 0.000 |
| -0.000 | 0.000 | -0.000 | 0.000 | 0.000 | 3.145 |
| 53.679 | 7.006 | 7.006 | 0.000 | -0.000 | -0.000 |
| 7.006 | 53.679 | 7.006 | 0.000 | -0.000 | -0.000 |
| 7.006 | 7.006 | 53.679 | -0.000 | -0.000 | -0.000 |
| -0.000 | -0.000 | -0.000 | 3.145 | -0.000 | -0.000 |
| -0.000 | -0.000 | -0.000 | 0.000 | 3.145 | -0.000 |
| -0.000 | -0.000 | -0.000 | -0.000 | -0.000 | 3.145 |
| 53.679 | 7.006 | 7.006 | -0.000 | 0.000 | 0.000 |
| 7.006 | 53.679 | 7.006 | 0.000 | 0.000 | 0.000 |
| 7.006 | 7.006 | 53.679 | -0.000 | 0.000 | 0.000 |
| 0.000 | 0.000 | 0.000 | 3.145 | 0.000 | 0.000 |
| 0.000 | 0.000 | 0.000 | 0.000 | 3.145 | 0.000 |
| 0.000 | 0.000 | 0.000 | -0.000 | 0.000 | 3.145 |
| 53.679 | 7.006 | 7.006 | 0.000 | -0.000 | -0.000 |
| 7.006 | 53.679 | 7.006 | 0.000 | -0.000 | -0.000 |
| 7.006 | 7.006 | 53.679 | -0.000 | -0.000 | -0.000 |
| -0.000 | -0.000 | -0.000 | 3.145 | -0.000 | -0.000 |
| -0.000 | -0.000 | -0.000 | 0.000 | 3.145 | -0.000 |
| -0.000 | -0.000 | -0.000 | -0.000 | -0.000 | 3.145 |
| 53.679 | 7.006 | 7.006 | -0.000 | 0.000 | 0.000 |
| 7.006 | 53.679 | 7.006 | 0.000 | 0.000 | 0.000 |
| 7.006 | 7.006 | 53.679 | 0.000 | 0.000 | 0.000 |
| 0.000 | 0.000 | 0.000 | 3.145 | 0.000 | 0.000 |
| 0.000 | 0.000 | 0.000 | 0.000 | 3.145 | 0.000 |
| 0.000 | 0.000 | 0.000 | 0.000 | 0.000 | 3.145 |
| 31.382 | 20.333 | 20.333 | 0.000 | 0.000 | -0.000 |
| 20.333 | 31.382 | 20.333 | 0.000 | 0.000 | -0.000 |
| 20.333 | 20.333 | 31.382 | 0.000 | 0.000 | 0.000 |
| 0.000 | 0.000 | 0.000 | 19.702 | 0.000 | -0.000 |
| 0.000 | 0.000 | 0.000 | 0.000 | 19.702 | 0.000 |
| 0.000 | -0.000 | 0.000 | 0.000 | 0.000 | 19.702 |
| 31.382 | 20.333 | 20.333 | -0.000 | -0.000 | 0.000 |
| 20.333 | 31.382 | 20.333 | -0.000 | -0.000 | 0.000 |
| 20.333 | 20.333 | 31.382 | -0.000 | -0.000 | -0.000 |
| -0.000 | -0.000 | -0.000 | 19.702 | -0.000 | 0.000 |
| -0.000 | -0.000 | -0.000 | -0.000 | 19.702 | 0.000 |
| -0.000 | 0.000 | 0.000 | -0.000 | -0.000 | 19.702 |
| 31.382 | 20.333 | 20.333 | 0.000 | 0.000 | 0.000 |
| 20.333 | 31.382 | 20.333 | 0.000 | 0.000 | 0.000 |
| 20.333 | 20.333 | 31.382 | 0.000 | 0.000 | 0.000 |
| 0.000 | -0.000 | 0.000 | 19.702 | 0.000 | 0.000 |
| -0.000 | 0.000 | 0.000 | 0.000 | 19.702 | 0.000 |
| -0.000 | 0.000 | 0.000 | 0.000 | 0.000 | 19.702 |
| 31.382 | 20.333 | 20.333 | -0.000 | -0.000 | -0.000 |
| 20.333 | 31.382 | 20.333 | -0.000 | -0.000 | -0.000 |
| 20.333 | 20.333 | 31.382 | -0.000 | -0.000 | -0.000 |
| -0.000 | 0.000 | -0.000 | 19.702 | -0.000 | 0.000 |
| 0.000 | -0.000 | -0.000 | -0.000 | 19.702 | 0.000 |
| 0.000 | -0.000 | -0.000 | -0.000 | -0.000 | 19.702 |
| 31.382 | 20.334 | 20.334 | 0.000 | 0.000 | -0.000 |
| 20.334 | 31.382 | 20.334 | 0.000 | 0.000 | -0.000 |
| 20.334 | 20.334 | 31.382 | 0.000 | 0.000 | 0.000 |
| 0.000 | -0.000 | 0.000 | 19.702 | 0.000 | -0.000 |
| -0.000 | 0.000 | 0.000 | 0.000 | 19.702 | 0.000 |
| -0.000 | 0.000 | 0.000 | 0.000 | 0.000 | 19.702 |
| 31.382 | 20.333 | 20.333 | -0.000 | -0.000 | 0.000 |
| 20.333 | 31.382 | 20.333 | -0.000 | -0.000 | 0.000 |
| 20.333 | 20.333 | 31.382 | -0.000 | -0.000 | -0.000 |
| -0.000 | 0.000 | -0.000 | 19.702 | -0.000 | 0.000 |
| 0.000 | -0.000 | -0.000 | -0.000 | 19.702 | -0.000 |
| 0.000 | -0.000 | -0.000 | -0.000 | -0.000 | 19.702 |
| 21.194 | 23.670 | 23.670 | 0.000 | 0.000 | 0.000 |
| 23.670 | 21.194 | 23.670 | -0.000 | 0.000 | 0.000 |
| 23.670 | 23.670 | 21.194 | 0.000 | 0.000 | -0.000 |
| -0.000 | 0.000 | 0.000 | 23.670 | 0.000 | 0.000 |
| -0.000 | -0.000 | 0.000 | -0.000 | 23.670 | -0.000 |
| -0.000 | 0.000 | -0.000 | 0.000 | 0.000 | 23.670 |
| 21.194 | 23.670 | 23.670 | 0.000 | -0.000 | 0.000 |
| 23.670 | 21.194 | 23.670 | 0.000 | 0.000 | -0.000 |
| 23.670 | 23.670 | 21.194 | 0.000 | -0.000 | -0.000 |
| 0.000 | -0.000 | -0.000 | 23.670 | -0.000 | 0.000 |
| 0.000 | 0.000 | -0.000 | 0.000 | 23.670 | 0.000 |
| -0.000 | -0.000 | 0.000 | -0.000 | -0.000 | 23.670 |
| 21.194 | 23.670 | 23.670 | -0.000 | 0.000 | -0.000 |
| 23.670 | 21.194 | 23.670 | 0.000 | 0.000 | -0.000 |
| 23.670 | 23.670 | 21.194 | 0.000 | 0.000 | -0.000 |
| -0.000 | 0.000 | 0.000 | 23.670 | -0.000 | 0.000 |
| 0.000 | -0.000 | 0.000 | -0.000 | 23.670 | -0.000 |
| 0.000 | 0.000 | -0.000 | -0.000 | 0.000 | 23.670 |
| 21.194 | 23.670 | 23.670 | 0.000 | 0.000 | -0.000 |
| 23.670 | 21.194 | 23.670 | -0.000 | -0.000 | -0.000 |
| 23.670 | 23.670 | 21.194 | 0.000 | -0.000 | 0.000 |
| 0.000 | -0.000 | -0.000 | 23.670 | -0.000 | 0.000 |
| -0.000 | 0.000 | -0.000 | -0.000 | 23.670 | 0.000 |
| -0.000 | -0.000 | 0.000 | -0.000 | -0.000 | 23.670 |
| 21.194 | 23.670 | 23.670 | 0.000 | 0.000 | -0.000 |
| 23.670 | 21.194 | 23.670 | -0.000 | 0.000 | -0.000 |
| 23.670 | 23.670 | 21.194 | -0.000 | 0.000 | -0.000 |
| -0.000 | 0.000 | 0.000 | 23.670 | 0.000 | -0.000 |
| 0.000 | -0.000 | 0.000 | -0.000 | 23.670 | -0.000 |
| 0.000 | 0.000 | -0.000 | -0.000 | 0.000 | 23.670 |
| 21.194 | 23.670 | 23.670 | -0.000 | -0.000 | 0.000 |
| 23.670 | 21.194 | 23.670 | 0.000 | -0.000 | 0.000 |
| 23.670 | 23.670 | 21.194 | 0.000 | -0.000 | 0.000 |
| 0.000 | -0.000 | -0.000 | 23.670 | -0.000 | -0.000 |
| -0.000 | 0.000 | -0.000 | 0.000 | 23.670 | 0.000 |
| -0.000 | -0.000 | 0.000 | 0.000 | -0.000 | 23.670 |
| 28.569 | 31.416 | 8.340 | -0.000 | -0.000 | -0.000 |
| 14.897 | 45.216 | 8.242 | -0.000 | -0.000 | 0.000 |
| 8.032 | 8.032 | 48.787 | -0.000 | -0.000 | 0.000 |
| 0.000 | -0.000 | 0.000 | 8.085 | -0.000 | 0.000 |
| 0.039 | 0.039 | -0.060 | -0.000 | 7.556 | -0.000 |
| 0.052 | 0.052 | -0.080 | -0.000 | -0.000 | 1.048 |
| 45.216 | 14.897 | 8.242 | 0.000 | 0.000 | 0.000 |
| 32.186 | 27.723 | 8.398 | 0.000 | 0.000 | 0.000 |
| 8.032 | 8.032 | 48.787 | 0.000 | 0.000 | -0.000 |
| -0.000 | -0.000 | -0.000 | 8.085 | 0.000 | -0.000 |
| -0.039 | -0.039 | 0.060 | 0.000 | 7.556 | -0.000 |
| -0.052 | -0.052 | 0.080 | 0.000 | 0.000 | 1.048 |
| 45.216 | 14.897 | 8.242 | -0.000 | -0.000 | -0.000 |
| 33.434 | 26.549 | 8.342 | -0.000 | -0.000 | 0.000 |
| 8.032 | 8.032 | 48.787 | -0.000 | -0.000 | 0.000 |
| 0.004 | 0.004 | -0.006 | 7.550 | -0.000 | 0.000 |
| -0.000 | -0.000 | 0.000 | -0.000 | 8.085 | -0.000 |
| -0.000 | 0.000 | -0.000 | -0.000 | -0.000 | 15.160 |
| 45.216 | 14.897 | 8.242 | 0.000 | 0.000 | 0.000 |
| 33.441 | 26.532 | 8.349 | 0.000 | 0.000 | 0.000 |
| 8.032 | 8.032 | 48.787 | 0.000 | 0.000 | 0.000 |
| -0.004 | -0.004 | 0.006 | 7.550 | 0.000 | 0.000 |
| 0.000 | -0.000 | -0.000 | 0.000 | 8.085 | -0.000 |
| 0.000 | -0.000 | 0.000 | 0.000 | 0.000 | 15.160 |
| 38.792 | 21.021 | 8.471 | -0.000 | -0.000 | -0.000 |
| 14.897 | 45.216 | 8.242 | -0.000 | -0.000 | 0.000 |
| 8.032 | 8.032 | 48.787 | -0.000 | -0.000 | -0.000 |
| 0.000 | -0.000 | 0.000 | 8.085 | -0.000 | 0.000 |
| -0.000 | 0.000 | 0.000 | -0.000 | 8.085 | 0.000 |
| -0.000 | 0.000 | 0.000 | -0.000 | -0.000 | 15.160 |
| 45.216 | 14.897 | 8.242 | 0.000 | 0.000 | -0.000 |
| 21.652 | 37.860 | 8.701 | 0.000 | 0.000 | -0.000 |
| 8.261 | 8.261 | 48.435 | 0.000 | 0.000 | 0.000 |
| -0.000 | 0.000 | -0.000 | 8.085 | 0.000 | -0.000 |
| 0.000 | -0.000 | -0.000 | 0.000 | 8.085 | 0.000 |
| 0.000 | -0.000 | -0.000 | 0.000 | 0.000 | 15.160 |
| 42.794 | 10.653 | 10.653 | 0.000 | 0.000 | -0.000 |
| 10.653 | 42.794 | 10.653 | 0.000 | -0.000 | -0.000 |
| 10.653 | 10.653 | 42.794 | 0.000 | 0.000 | -0.000 |
| 0.000 | -0.000 | -0.000 | -3.278 | 0.000 | -0.000 |
| 0.000 | -0.000 | -0.000 | 0.000 | -3.278 | -0.000 |
| 0.000 | -0.000 | -0.000 | 0.000 | 0.000 | -3.278 |
| 42.794 | 10.653 | 10.653 | -0.000 | 0.000 | 0.000 |
| 10.653 | 42.794 | 10.653 | 0.000 | -0.000 | -0.000 |
| 10.653 | 10.653 | 42.794 | -0.000 | -0.000 | 0.000 |
| -0.000 | 0.000 | 0.000 | -3.278 | -0.000 | -0.000 |
| -0.000 | 0.000 | 0.000 | -0.000 | -3.278 | 0.000 |
| -0.000 | 0.000 | 0.000 | -0.000 | -0.000 | -3.278 |
| 42.794 | 10.653 | 10.653 | 0.000 | 0.000 | -0.000 |
| 10.653 | 42.794 | 10.653 | 0.000 | 0.000 | -0.000 |
| 10.653 | 10.653 | 42.794 | 0.000 | 0.000 | -0.000 |
| 0.000 | 0.000 | -0.000 | -3.278 | 0.000 | -0.000 |
| 0.000 | 0.000 | -0.000 | 0.000 | -3.278 | -0.000 |
| 0.000 | -0.000 | 0.000 | 0.000 | 0.000 | -3.278 |
| 42.794 | 10.653 | 10.653 | -0.000 | 0.000 | 0.000 |
| 10.653 | 42.794 | 10.653 | -0.000 | -0.000 | -0.000 |
| 10.653 | 10.653 | 42.794 | -0.000 | -0.000 | -0.000 |
| -0.000 | -0.000 | 0.000 | -3.278 | -0.000 | 0.000 |
| -0.000 | -0.000 | 0.000 | -0.000 | -3.278 | 0.000 |
| -0.000 | 0.000 | -0.000 | -0.000 | -0.000 | -3.278 |
| 42.794 | 10.653 | 10.653 | 0.000 | 0.000 | -0.000 |
| 10.653 | 42.794 | 10.653 | -0.000 | 0.000 | 0.000 |
| 10.653 | 10.653 | 42.794 | -0.000 | 0.000 | -0.000 |
| 0.000 | 0.000 | -0.000 | -3.278 | 0.000 | -0.000 |
| 0.000 | 0.000 | -0.000 | 0.000 | -3.278 | -0.000 |
| 0.000 | -0.000 | 0.000 | 0.000 | 0.000 | -3.278 |
| 42.793 | 10.653 | 10.653 | -0.000 | 0.000 | 0.000 |
| 10.653 | 42.793 | 10.653 | -0.000 | 0.000 | 0.000 |
| 10.653 | 10.653 | 42.793 | -0.000 | -0.000 | 0.000 |
| -0.000 | -0.000 | 0.000 | -3.278 | -0.000 | 0.000 |
| -0.000 | -0.000 | 0.000 | -0.000 | -3.278 | 0.000 |
| -0.000 | 0.000 | -0.000 | 0.000 | -0.000 | -3.278 |
| 29.130 | 20.723 | 20.723 | 0.000 | 0.000 | -0.000 |
| 20.723 | 29.130 | 20.723 | 0.000 | -0.000 | -0.000 |
| 20.723 | 20.723 | 29.130 | -0.000 | 0.000 | -0.000 |
| -0.000 | -0.000 | 0.000 | 11.567 | -0.000 | 0.000 |
| -0.000 | -0.000 | 0.000 | -0.000 | 11.567 | -0.000 |
| -0.000 | -0.000 | -0.000 | -0.000 | -0.000 | 11.567 |
| 29.130 | 20.723 | 20.723 | -0.000 | 0.000 | -0.000 |
| 20.723 | 29.130 | 20.723 | -0.000 | 0.000 | 0.000 |
| 20.723 | 20.723 | 29.130 | -0.000 | 0.000 | -0.000 |
| 0.000 | 0.000 | -0.000 | 11.567 | 0.000 | 0.000 |
| 0.000 | 0.000 | -0.000 | 0.000 | 11.567 | 0.000 |
| 0.000 | 0.000 | -0.000 | 0.000 | 0.000 | 11.567 |
| 29.130 | 20.723 | 20.723 | 0.000 | -0.000 | -0.000 |
| 20.723 | 29.130 | 20.723 | 0.000 | -0.000 | -0.000 |
| 20.723 | 20.723 | 29.130 | 0.000 | -0.000 | 0.000 |
| 0.000 | -0.000 | 0.000 | 11.567 | -0.000 | 0.000 |
| -0.000 | 0.000 | 0.000 | -0.000 | 11.567 | -0.000 |
| -0.000 | 0.000 | 0.000 | -0.000 | -0.000 | 11.567 |
| 29.130 | 20.723 | 20.723 | -0.000 | 0.000 | 0.000 |
| 20.723 | 29.130 | 20.723 | -0.000 | 0.000 | 0.000 |
| 20.723 | 20.723 | 29.130 | -0.000 | 0.000 | -0.000 |
| -0.000 | 0.000 | -0.000 | 11.567 | 0.000 | 0.000 |
| 0.000 | -0.000 | -0.000 | 0.000 | 11.567 | 0.000 |
| 0.000 | -0.000 | -0.000 | 0.000 | 0.000 | 11.567 |
| 29.130 | 20.723 | 20.723 | 0.000 | 0.000 | 0.000 |
| 20.723 | 29.130 | 20.723 | 0.000 | -0.000 | 0.000 |
| 20.723 | 20.723 | 29.130 | 0.000 | -0.000 | 0.000 |
| 0.000 | -0.000 | 0.000 | 11.567 | -0.000 | -0.000 |
| -0.000 | 0.000 | 0.000 | -0.000 | 11.567 | -0.000 |
| -0.000 | 0.000 | 0.000 | -0.000 | -0.000 | 11.567 |
| 29.130 | 20.723 | 20.723 | -0.000 | 0.000 | -0.000 |
| 20.723 | 29.130 | 20.723 | -0.000 | 0.000 | -0.000 |
| 20.723 | 20.723 | 29.130 | 0.000 | -0.000 | -0.000 |
| -0.000 | 0.000 | -0.000 | 11.567 | 0.000 | -0.000 |
| 0.000 | -0.000 | -0.000 | 0.000 | 11.567 | 0.000 |
| 0.000 | -0.000 | -0.000 | 0.000 | 0.000 | 11.567 |
| 28.325 | 17.326 | 17.326 | -0.000 | -0.000 | 0.000 |
| 17.326 | 28.325 | 17.326 | -0.000 | -0.000 | 0.000 |
| 17.326 | 17.326 | 28.325 | -0.000 | -0.000 | 0.000 |
| -0.000 | -0.000 | 0.000 | 17.326 | -0.000 | 0.000 |
| 0.000 | -0.000 | 0.000 | -0.000 | 17.326 | 0.000 |
| 0.000 | 0.000 | -0.000 | -0.000 | 0.000 | 17.326 |
| 28.325 | 17.326 | 17.326 | 0.000 | -0.000 | 0.000 |
| 17.326 | 28.325 | 17.326 | 0.000 | 0.000 | 0.000 |
| 17.326 | 17.326 | 28.325 | 0.000 | -0.000 | -0.000 |
| 0.000 | -0.000 | -0.000 | 17.326 | -0.000 | 0.000 |
| 0.000 | 0.000 | -0.000 | 0.000 | 17.326 | 0.000 |
| -0.000 | -0.000 | 0.000 | 0.000 | -0.000 | 17.326 |
| 28.325 | 17.326 | 17.326 | -0.000 | 0.000 | 0.000 |
| 17.326 | 28.325 | 17.326 | 0.000 | 0.000 | 0.000 |
| 17.326 | 17.326 | 28.325 | -0.000 | -0.000 | -0.000 |
| -0.000 | 0.000 | 0.000 | 17.326 | -0.000 | 0.000 |
| 0.000 | -0.000 | 0.000 | -0.000 | 17.326 | 0.000 |
| 0.000 | 0.000 | -0.000 | -0.000 | 0.000 | 17.326 |
| 28.325 | 17.326 | 17.326 | 0.000 | -0.000 | 0.000 |
| 17.326 | 28.325 | 17.326 | 0.000 | -0.000 | 0.000 |
| 17.326 | 17.326 | 28.325 | 0.000 | -0.000 | -0.000 |
| 0.000 | -0.000 | -0.000 | 17.326 | -0.000 | -0.000 |
| -0.000 | 0.000 | -0.000 | 0.000 | 17.326 | 0.000 |
| -0.000 | -0.000 | 0.000 | 0.000 | -0.000 | 17.326 |
| 28.325 | 17.326 | 17.326 | -0.000 | 0.000 | 0.000 |
| 17.326 | 28.325 | 17.326 | -0.000 | 0.000 | -0.000 |
| 17.326 | 17.326 | 28.325 | -0.000 | 0.000 | 0.000 |
| -0.000 | 0.000 | 0.000 | 17.326 | 0.000 | -0.000 |
| 0.000 | -0.000 | 0.000 | -0.000 | 17.326 | 0.000 |
| 0.000 | 0.000 | -0.000 | 0.000 | 0.000 | 17.326 |
| 28.325 | 17.326 | 17.326 | 0.000 | 0.000 | 0.000 |
| 17.326 | 28.325 | 17.326 | 0.000 | -0.000 | 0.000 |
| 17.326 | 17.326 | 28.325 | -0.000 | -0.000 | -0.000 |
| 0.000 | -0.000 | -0.000 | 17.326 | 0.000 | -0.000 |
| -0.000 | 0.000 | -0.000 | 0.000 | 17.326 | 0.000 |
| -0.000 | -0.000 | 0.000 | 0.000 | -0.000 | 17.326 |
| 80.440 | -9.817 | -9.817 | 0.000 | -0.000 | 0.000 |
| -9.817 | 80.440 | -9.817 | 0.000 | -0.000 | 0.000 |
| -9.817 | -9.817 | 80.440 | 0.000 | -0.000 | 0.000 |
| 0.000 | 0.000 | -0.000 | -9.817 | -0.000 | 0.000 |
| 0.000 | 0.000 | -0.000 | -0.000 | -9.817 | 0.000 |
| 0.000 | 0.000 | -0.000 | 0.000 | -0.000 | -9.817 |
| 80.440 | -9.817 | -9.817 | 0.000 | 0.000 | -0.000 |
| -9.817 | 80.440 | -9.817 | 0.000 | 0.000 | -0.000 |
| -9.817 | -9.817 | 80.440 | 0.000 | 0.000 | -0.000 |
| -0.000 | -0.000 | 0.000 | -9.817 | 0.000 | -0.000 |
| -0.000 | -0.000 | 0.000 | 0.000 | -9.817 | -0.000 |
| -0.000 | 0.000 | 0.000 | 0.000 | 0.000 | -9.817 |
| 80.440 | -9.817 | -9.817 | -0.000 | -0.000 | 0.000 |
| -9.817 | 80.440 | -9.817 | -0.000 | -0.000 | 0.000 |
| -9.817 | -9.817 | 80.440 | -0.000 | -0.000 | 0.000 |
| -0.000 | 0.000 | -0.000 | -9.817 | -0.000 | 0.000 |
| 0.000 | -0.000 | -0.000 | -0.000 | -9.817 | 0.000 |
| 0.000 | -0.000 | -0.000 | -0.000 | -0.000 | -9.817 |
| 80.440 | -9.817 | -9.817 | 0.000 | 0.000 | -0.000 |
| -9.817 | 80.440 | -9.817 | 0.000 | 0.000 | -0.000 |
| -9.817 | -9.817 | 80.440 | 0.000 | 0.000 | -0.000 |
| 0.000 | -0.000 | 0.000 | -9.817 | -0.000 | -0.000 |
| -0.000 | 0.000 | 0.000 | -0.000 | -9.817 | -0.000 |
| -0.000 | 0.000 | 0.000 | 0.000 | 0.000 | -9.817 |
| 80.440 | -9.817 | -9.817 | -0.000 | -0.000 | 0.000 |
| -9.817 | 80.440 | -9.817 | -0.000 | -0.000 | 0.000 |
| -9.817 | -9.817 | 80.440 | -0.000 | -0.000 | 0.000 |
| -0.000 | 0.000 | -0.000 | -9.817 | -0.000 | 0.000 |
| 0.000 | -0.000 | -0.000 | -0.000 | -9.817 | 0.000 |
| 0.000 | -0.000 | -0.000 | 0.000 | -0.000 | -9.817 |
| 80.439 | -9.817 | -9.817 | 0.000 | 0.000 | -0.000 |
| -9.817 | 80.439 | -9.817 | 0.000 | 0.000 | -0.000 |
| -9.817 | -9.817 | 80.439 | -0.000 | 0.000 | -0.000 |
| 0.000 | -0.000 | 0.000 | -9.817 | 0.000 | -0.000 |
| -0.000 | 0.000 | 0.000 | 0.000 | -9.817 | -0.000 |
| -0.000 | 0.000 | 0.000 | -0.000 | 0.000 | -9.817 |
| 28.687 | 18.569 | 18.569 | -0.000 | 0.000 | 0.000 |
| 18.569 | 28.687 | 18.569 | 0.000 | -0.000 | 0.000 |
| 18.569 | 18.569 | 28.687 | 0.000 | 0.000 | 0.000 |
| 0.000 | 0.000 | 0.000 | 18.569 | 0.000 | 0.000 |
| 0.000 | 0.000 | 0.000 | -0.000 | 18.569 | 0.000 |
| 0.000 | 0.000 | 0.000 | -0.000 | 0.000 | 18.569 |
| 28.687 | 18.569 | 18.569 | 0.000 | -0.000 | -0.000 |
| 18.569 | 28.687 | 18.569 | -0.000 | 0.000 | -0.000 |
| 18.569 | 18.569 | 28.687 | -0.000 | -0.000 | -0.000 |
| -0.000 | 0.000 | -0.000 | 18.569 | -0.000 | -0.000 |
| -0.000 | -0.000 | -0.000 | 0.000 | 18.569 | -0.000 |
| -0.000 | -0.000 | -0.000 | 0.000 | 0.000 | 18.569 |
| 28.687 | 18.569 | 18.569 | -0.000 | 0.000 | 0.000 |
| 18.569 | 28.687 | 18.569 | -0.000 | 0.000 | 0.000 |
| 18.569 | 18.569 | 28.687 | -0.000 | 0.000 | 0.000 |
| 0.000 | -0.000 | 0.000 | 18.569 | -0.000 | 0.000 |
| -0.000 | 0.000 | 0.000 | -0.000 | 18.569 | 0.000 |
| -0.000 | 0.000 | 0.000 | -0.000 | -0.000 | 18.569 |
| 28.687 | 18.569 | 18.569 | 0.000 | 0.000 | 0.000 |
| 18.569 | 28.687 | 18.569 | -0.000 | -0.000 | 0.000 |
| 18.569 | 18.569 | 28.687 | 0.000 | 0.000 | -0.000 |
| -0.000 | 0.000 | -0.000 | 18.569 | 0.000 | -0.000 |
| 0.000 | -0.000 | -0.000 | 0.000 | 18.569 | -0.000 |
| 0.000 | -0.000 | -0.000 | -0.000 | -0.000 | 18.569 |
| 28.688 | 18.569 | 18.569 | -0.000 | -0.000 | 0.000 |
| 18.569 | 28.688 | 18.569 | 0.000 | -0.000 | 0.000 |
| 18.569 | 18.569 | 28.688 | -0.000 | -0.000 | -0.000 |
| 0.000 | -0.000 | 0.000 | 18.569 | 0.000 | 0.000 |
| -0.000 | 0.000 | 0.000 | 0.000 | 18.569 | 0.000 |
| -0.000 | 0.000 | 0.000 | -0.000 | 0.000 | 18.569 |
| 28.687 | 18.569 | 18.569 | 0.000 | 0.000 | -0.000 |
| 18.569 | 28.687 | 18.569 | -0.000 | 0.000 | -0.000 |
| 18.569 | 18.569 | 28.687 | -0.000 | 0.000 | -0.000 |
| -0.000 | 0.000 | -0.000 | 18.569 | -0.000 | 0.000 |
| 0.000 | -0.000 | -0.000 | 0.000 | 18.569 | -0.000 |
| 0.000 | -0.000 | -0.000 | -0.000 | -0.000 | 18.569 |
| 2.099 | 2.797 | 2.797 | -0.000 | -0.000 | -0.000 |
| 2.797 | 2.099 | 2.797 | -0.000 | -0.000 | -0.000 |
| 2.797 | 2.797 | 2.099 | -0.000 | -0.000 | -0.000 |
| -0.000 | 0.000 | -0.000 | -0.800 | -0.000 | -0.000 |
| -0.000 | 0.000 | -0.000 | -0.000 | -0.800 | -0.000 |
| -0.000 | 0.000 | -0.000 | -0.000 | -0.000 | -0.800 |
| 2.099 | 2.797 | 2.797 | 0.000 | 0.000 | 0.000 |
| 2.797 | 2.099 | 2.797 | 0.000 | 0.000 | 0.000 |
| 2.797 | 2.797 | 2.099 | 0.000 | 0.000 | 0.000 |
| 0.000 | -0.000 | 0.000 | -0.800 | 0.000 | 0.000 |
| 0.000 | -0.000 | 0.000 | 0.000 | -0.800 | 0.000 |
| 0.000 | -0.000 | 0.000 | 0.000 | 0.000 | -0.800 |
| 2.099 | 2.797 | 2.797 | -0.000 | -0.000 | -0.000 |
| 2.797 | 2.099 | 2.797 | -0.000 | -0.000 | -0.000 |
| 2.797 | 2.797 | 2.099 | -0.000 | -0.000 | -0.000 |
| -0.000 | -0.000 | -0.000 | -0.800 | -0.000 | -0.000 |
| -0.000 | -0.000 | -0.000 | -0.000 | -0.800 | -0.000 |
| -0.000 | -0.000 | -0.000 | -0.000 | -0.000 | -0.800 |
| 2.099 | 2.797 | 2.797 | 0.000 | 0.000 | 0.000 |
| 2.797 | 2.099 | 2.797 | 0.000 | 0.000 | 0.000 |
| 2.797 | 2.797 | 2.099 | 0.000 | 0.000 | 0.000 |
| 0.000 | 0.000 | 0.000 | -0.800 | 0.000 | 0.000 |
| 0.000 | 0.000 | 0.000 | 0.000 | -0.800 | 0.000 |
| 0.000 | 0.000 | 0.000 | 0.000 | 0.000 | -0.800 |
| 2.099 | 2.797 | 2.797 | -0.000 | -0.000 | -0.000 |
| 2.797 | 2.099 | 2.797 | -0.000 | -0.000 | -0.000 |
| 2.797 | 2.797 | 2.099 | -0.000 | -0.000 | -0.000 |
| -0.000 | -0.000 | -0.000 | -0.800 | -0.000 | -0.000 |
| -0.000 | -0.000 | -0.000 | -0.000 | -0.800 | -0.000 |
| -0.000 | -0.000 | -0.000 | -0.000 | -0.000 | -0.800 |
| 2.099 | 2.797 | 2.797 | 0.000 | 0.000 | 0.000 |
| 2.797 | 2.099 | 2.797 | 0.000 | 0.000 | 0.000 |
| 2.797 | 2.797 | 2.099 | 0.000 | 0.000 | 0.000 |
| 0.000 | 0.000 | 0.000 | -0.800 | 0.000 | 0.000 |
| 0.000 | 0.000 | 0.000 | 0.000 | -0.800 | 0.000 |
| 0.000 | 0.000 | 0.000 | 0.000 | 0.000 | -0.800 |
| 13.338 | 7.108 | 7.108 | -0.000 | -0.000 | -0.000 |
| 7.108 | 13.338 | 7.108 | -0.000 | -0.000 | -0.000 |
| 7.108 | 7.108 | 13.338 | 0.000 | -0.000 | -0.000 |
| -0.000 | -0.000 | -0.000 | 1.743 | -0.000 | -0.000 |
| -0.000 | -0.000 | -0.000 | -0.000 | 1.743 | -0.000 |
| -0.000 | -0.000 | -0.000 | 0.000 | -0.000 | 1.743 |
| 13.338 | 7.108 | 7.108 | 0.000 | 0.000 | 0.000 |
| 7.108 | 13.338 | 7.108 | 0.000 | 0.000 | 0.000 |
| 7.108 | 7.108 | 13.338 | 0.000 | 0.000 | 0.000 |
| 0.000 | 0.000 | 0.000 | 1.743 | 0.000 | 0.000 |
| 0.000 | 0.000 | 0.000 | 0.000 | 1.743 | 0.000 |
| 0.000 | 0.000 | 0.000 | -0.000 | 0.000 | 1.743 |
| 13.338 | 7.108 | 7.108 | -0.000 | 0.000 | -0.000 |
| 7.108 | 13.338 | 7.108 | -0.000 | 0.000 | -0.000 |
| 7.108 | 7.108 | 13.338 | -0.000 | 0.000 | 0.000 |
| 0.000 | -0.000 | -0.000 | 1.743 | 0.000 | -0.000 |
| -0.000 | 0.000 | -0.000 | -0.000 | 1.743 | -0.000 |
| -0.000 | -0.000 | 0.000 | 0.000 | -0.000 | 1.743 |
| 13.338 | 7.108 | 7.108 | 0.000 | 0.000 | 0.000 |
| 7.108 | 13.338 | 7.108 | -0.000 | 0.000 | 0.000 |
| 7.108 | 7.108 | 13.338 | 0.000 | 0.000 | -0.000 |
| -0.000 | 0.000 | 0.000 | 1.743 | -0.000 | 0.000 |
| 0.000 | -0.000 | 0.000 | -0.000 | 1.743 | 0.000 |
| 0.000 | 0.000 | -0.000 | -0.000 | 0.000 | 1.743 |
| 13.338 | 7.108 | 7.108 | 0.000 | -0.000 | -0.000 |
| 7.108 | 13.338 | 7.108 | -0.000 | 0.000 | -0.000 |
| 7.108 | 7.108 | 13.338 | -0.000 | -0.000 | -0.000 |
| 0.000 | -0.000 | -0.000 | 1.743 | 0.000 | -0.000 |
| -0.000 | 0.000 | -0.000 | 0.000 | 1.743 | -0.000 |
| -0.000 | -0.000 | 0.000 | -0.000 | -0.000 | 1.743 |
| 13.338 | 7.108 | 7.108 | 0.000 | 0.000 | 0.000 |
| 7.108 | 13.338 | 7.108 | -0.000 | 0.000 | 0.000 |
| 7.108 | 7.108 | 13.338 | -0.000 | 0.000 | 0.000 |
| -0.000 | 0.000 | 0.000 | 1.743 | -0.000 | 0.000 |
| 0.000 | -0.000 | 0.000 | -0.000 | 1.743 | 0.000 |
| 0.000 | 0.000 | -0.000 | 0.000 | -0.000 | 1.743 |
| 21.581 | 16.217 | 16.217 | -0.000 | 0.000 | 0.000 |
| 16.217 | 21.581 | 16.217 | -0.000 | 0.000 | 0.000 |
| 16.217 | 16.217 | 21.581 | -0.000 | 0.000 | 0.000 |
| 0.000 | 0.000 | -0.000 | 9.561 | 0.000 | 0.000 |
| 0.000 | 0.000 | -0.000 | -0.000 | 9.561 | 0.000 |
| 0.000 | 0.000 | -0.000 | -0.000 | 0.000 | 9.561 |
| 21.581 | 16.217 | 16.217 | 0.000 | -0.000 | -0.000 |
| 16.217 | 21.581 | 16.217 | 0.000 | -0.000 | -0.000 |
| 16.217 | 16.217 | 21.581 | 0.000 | -0.000 | -0.000 |
| -0.000 | -0.000 | 0.000 | 9.561 | -0.000 | 0.000 |
| -0.000 | -0.000 | 0.000 | 0.000 | 9.561 | -0.000 |
| -0.000 | -0.000 | 0.000 | 0.000 | -0.000 | 9.561 |
| 21.581 | 16.217 | 16.217 | -0.000 | -0.000 | 0.000 |
| 16.217 | 21.581 | 16.217 | -0.000 | 0.000 | 0.000 |
| 16.217 | 16.217 | 21.581 | -0.000 | 0.000 | 0.000 |
| 0.000 | -0.000 | 0.000 | 9.561 | 0.000 | 0.000 |
| -0.000 | 0.000 | 0.000 | -0.000 | 9.561 | 0.000 |
| -0.000 | 0.000 | 0.000 | -0.000 | 0.000 | 9.561 |
| 21.581 | 16.217 | 16.217 | 0.000 | 0.000 | -0.000 |
| 16.217 | 21.581 | 16.217 | 0.000 | -0.000 | -0.000 |
| 16.217 | 16.217 | 21.581 | -0.000 | 0.000 | -0.000 |
| -0.000 | 0.000 | -0.000 | 9.561 | -0.000 | -0.000 |
| 0.000 | -0.000 | -0.000 | 0.000 | 9.561 | -0.000 |
| 0.000 | -0.000 | -0.000 | 0.000 | -0.000 | 9.561 |
| 21.581 | 16.217 | 16.217 | -0.000 | 0.000 | 0.000 |
| 16.217 | 21.581 | 16.217 | -0.000 | 0.000 | 0.000 |
| 16.217 | 16.217 | 21.581 | 0.000 | 0.000 | 0.000 |
| 0.000 | -0.000 | 0.000 | 9.561 | 0.000 | 0.000 |
| -0.000 | 0.000 | 0.000 | -0.000 | 9.561 | 0.000 |
| -0.000 | 0.000 | 0.000 | -0.000 | 0.000 | 9.561 |
| 21.581 | 16.217 | 16.217 | 0.000 | -0.000 | -0.000 |
| 16.217 | 21.581 | 16.217 | 0.000 | 0.000 | -0.000 |
| 16.217 | 16.217 | 21.581 | 0.000 | -0.000 | -0.000 |
| -0.000 | 0.000 | -0.000 | 9.561 | 0.000 | -0.000 |
| 0.000 | -0.000 | -0.000 | 0.000 | 9.561 | -0.000 |
| 0.000 | -0.000 | -0.000 | 0.000 | -0.000 | 9.561 |
| 43.825 | 6.502 | 6.502 | -0.000 | -0.000 | -0.000 |
| 6.502 | 43.825 | 6.502 | -0.000 | -0.000 | 0.000 |
| 6.502 | 6.502 | 43.825 | -0.000 | -0.000 | -0.000 |
| 0.000 | 0.000 | -0.000 | 6.198 | -0.000 | -0.000 |
| 0.000 | 0.000 | -0.000 | -0.000 | 6.198 | 0.000 |
| 0.000 | 0.000 | -0.000 | -0.000 | -0.000 | 6.198 |
| 43.825 | 6.502 | 6.502 | 0.000 | 0.000 | -0.000 |
| 6.502 | 43.825 | 6.502 | 0.000 | 0.000 | -0.000 |
| 6.502 | 6.502 | 43.825 | 0.000 | 0.000 | -0.000 |
| -0.000 | -0.000 | 0.000 | 6.198 | 0.000 | -0.000 |
| -0.000 | -0.000 | 0.000 | 0.000 | 6.198 | -0.000 |
| -0.000 | -0.000 | 0.000 | 0.000 | 0.000 | 6.198 |
| 43.825 | 6.502 | 6.502 | -0.000 | 0.000 | -0.000 |
| 6.502 | 43.825 | 6.502 | -0.000 | -0.000 | 0.000 |
| 6.502 | 6.502 | 43.825 | -0.000 | -0.000 | -0.000 |
| -0.000 | -0.000 | -0.000 | 6.198 | -0.000 | 0.000 |
| -0.000 | 0.000 | -0.000 | -0.000 | 6.198 | -0.000 |
| -0.000 | -0.000 | -0.000 | -0.000 | -0.000 | 6.198 |
| 43.825 | 6.502 | 6.502 | 0.000 | 0.000 | 0.000 |
| 6.502 | 43.825 | 6.502 | 0.000 | 0.000 | -0.000 |
| 6.502 | 6.502 | 43.825 | 0.000 | 0.000 | -0.000 |
| 0.000 | 0.000 | 0.000 | 6.198 | 0.000 | -0.000 |
| 0.000 | -0.000 | 0.000 | 0.000 | 6.198 | -0.000 |
| 0.000 | 0.000 | 0.000 | 0.000 | 0.000 | 6.198 |
| 43.826 | 6.502 | 6.502 | -0.000 | -0.000 | -0.000 |
| 6.502 | 43.826 | 6.502 | -0.000 | -0.000 | 0.000 |
| 6.502 | 6.502 | 43.826 | -0.000 | -0.000 | 0.000 |
| -0.000 | -0.000 | -0.000 | 6.198 | -0.000 | 0.000 |
| -0.000 | -0.000 | -0.000 | -0.000 | 6.198 | -0.000 |
| -0.000 | -0.000 | -0.000 | -0.000 | -0.000 | 6.198 |
| 43.825 | 6.502 | 6.502 | 0.000 | 0.000 | -0.000 |
| 6.502 | 43.825 | 6.502 | -0.000 | -0.000 | -0.000 |
| 6.502 | 6.502 | 43.825 | 0.000 | 0.000 | -0.000 |
| 0.000 | 0.000 | 0.000 | 6.198 | -0.000 | -0.000 |
| 0.000 | 0.000 | 0.000 | 0.000 | 6.198 | -0.000 |
| 0.000 | 0.000 | 0.000 | 0.000 | 0.000 | 6.198 |
| 25.672 | 17.101 | 17.101 | 0.000 | -0.000 | 0.000 |
| 17.101 | 25.672 | 17.101 | -0.000 | 0.000 | 0.000 |
| 17.101 | 17.101 | 25.672 | 0.000 | 0.000 | 0.000 |
| 0.000 | -0.000 | 0.000 | 16.662 | -0.000 | 0.000 |
| 0.000 | 0.000 | 0.000 | -0.000 | 16.662 | 0.000 |
| 0.000 | 0.000 | -0.000 | -0.000 | 0.000 | 16.662 |
| 25.672 | 17.101 | 17.101 | -0.000 | 0.000 | -0.000 |
| 17.101 | 25.672 | 17.101 | -0.000 | -0.000 | -0.000 |
| 17.101 | 17.101 | 25.672 | -0.000 | -0.000 | -0.000 |
| -0.000 | -0.000 | -0.000 | 16.662 | 0.000 | -0.000 |
| -0.000 | -0.000 | -0.000 | 0.000 | 16.662 | -0.000 |
| -0.000 | -0.000 | 0.000 | 0.000 | 0.000 | 16.662 |
| 25.672 | 17.101 | 17.101 | 0.000 | -0.000 | 0.000 |
| 17.101 | 25.672 | 17.101 | -0.000 | 0.000 | 0.000 |
| 17.101 | 17.101 | 25.672 | 0.000 | -0.000 | 0.000 |
| 0.000 | -0.000 | 0.000 | 16.662 | -0.000 | 0.000 |
| -0.000 | 0.000 | 0.000 | -0.000 | 16.662 | 0.000 |
| -0.000 | 0.000 | 0.000 | -0.000 | -0.000 | 16.662 |
| 25.672 | 17.101 | 17.101 | -0.000 | 0.000 | -0.000 |
| 17.101 | 25.672 | 17.101 | 0.000 | -0.000 | -0.000 |
| 17.101 | 17.101 | 25.672 | 0.000 | 0.000 | -0.000 |
| -0.000 | 0.000 | -0.000 | 16.662 | 0.000 | -0.000 |
| 0.000 | -0.000 | -0.000 | 0.000 | 16.662 | -0.000 |
| 0.000 | -0.000 | -0.000 | 0.000 | 0.000 | 16.662 |
| 25.672 | 17.101 | 17.101 | -0.000 | -0.000 | 0.000 |
| 17.101 | 25.672 | 17.101 | 0.000 | 0.000 | 0.000 |
| 17.101 | 17.101 | 25.672 | -0.000 | -0.000 | 0.000 |
| 0.000 | -0.000 | 0.000 | 16.662 | -0.000 | 0.000 |
| -0.000 | 0.000 | 0.000 | -0.000 | 16.662 | 0.000 |
| -0.000 | 0.000 | 0.000 | -0.000 | -0.000 | 16.662 |
| 25.672 | 17.101 | 17.101 | -0.000 | 0.000 | -0.000 |
| 17.101 | 25.672 | 17.101 | -0.000 | -0.000 | -0.000 |
| 17.101 | 17.101 | 25.672 | -0.000 | -0.000 | -0.000 |
| -0.000 | 0.000 | -0.000 | 16.662 | 0.000 | -0.000 |
| 0.000 | -0.000 | -0.000 | 0.000 | 16.662 | -0.000 |
| 0.000 | -0.000 | -0.000 | 0.000 | 0.000 | 16.662 |
| 17.692 | 18.591 | 18.591 | -0.000 | 0.000 | -0.000 |
| 18.591 | 17.692 | 18.591 | -0.000 | -0.000 | 0.000 |
| 18.591 | 18.591 | 17.692 | -0.000 | -0.000 | 0.000 |
| -0.000 | 0.000 | 0.000 | 18.591 | 0.000 | 0.000 |
| -0.000 | 0.000 | 0.000 | 0.000 | 18.591 | 0.000 |
| -0.000 | 0.000 | -0.000 | 0.000 | 0.000 | 18.591 |
| 17.692 | 18.591 | 18.591 | 0.000 | -0.000 | -0.000 |
| 18.591 | 17.692 | 18.591 | 0.000 | 0.000 | -0.000 |
| 18.591 | 18.591 | 17.692 | 0.000 | -0.000 | -0.000 |
| 0.000 | -0.000 | -0.000 | 18.591 | -0.000 | 0.000 |
| 0.000 | -0.000 | -0.000 | -0.000 | 18.591 | -0.000 |
| 0.000 | -0.000 | 0.000 | -0.000 | -0.000 | 18.591 |
| 17.692 | 18.591 | 18.591 | -0.000 | 0.000 | 0.000 |
| 18.591 | 17.692 | 18.591 | 0.000 | 0.000 | 0.000 |
| 18.591 | 18.591 | 17.692 | 0.000 | 0.000 | 0.000 |
| -0.000 | 0.000 | 0.000 | 18.591 | 0.000 | 0.000 |
| 0.000 | -0.000 | 0.000 | 0.000 | 18.591 | 0.000 |
| 0.000 | 0.000 | -0.000 | -0.000 | 0.000 | 18.591 |
| 17.692 | 18.591 | 18.591 | -0.000 | -0.000 | -0.000 |
| 18.591 | 17.692 | 18.591 | -0.000 | -0.000 | -0.000 |
| 18.591 | 18.591 | 17.692 | -0.000 | -0.000 | -0.000 |
| 0.000 | -0.000 | -0.000 | 18.591 | -0.000 | 0.000 |
| -0.000 | 0.000 | -0.000 | -0.000 | 18.591 | -0.000 |
| -0.000 | -0.000 | 0.000 | 0.000 | -0.000 | 18.591 |
| 17.692 | 18.591 | 18.591 | -0.000 | 0.000 | 0.000 |
| 18.591 | 17.692 | 18.591 | 0.000 | 0.000 | 0.000 |
| 18.591 | 18.591 | 17.692 | 0.000 | 0.000 | 0.000 |
| -0.000 | 0.000 | 0.000 | 18.591 | 0.000 | 0.000 |
| 0.000 | -0.000 | 0.000 | 0.000 | 18.591 | 0.000 |
| 0.000 | 0.000 | -0.000 | -0.000 | 0.000 | 18.591 |
| 17.692 | 18.591 | 18.591 | 0.000 | -0.000 | -0.000 |
| 18.591 | 17.692 | 18.591 | -0.000 | -0.000 | -0.000 |
| 18.591 | 18.591 | 17.692 | -0.000 | -0.000 | -0.000 |
| 0.000 | -0.000 | -0.000 | 18.591 | -0.000 | -0.000 |
| -0.000 | 0.000 | -0.000 | -0.000 | 18.591 | -0.000 |
| -0.000 | -0.000 | 0.000 | -0.000 | -0.000 | 18.591 |
| 16.893 | 11.219 | 11.219 | -0.000 | -0.000 | 0.000 |
| 11.219 | 16.893 | 11.219 | -0.000 | -0.000 | -0.000 |
| 11.219 | 11.219 | 16.893 | -0.000 | -0.000 | 0.000 |
| -0.000 | -0.000 | -0.000 | 11.016 | -0.000 | -0.000 |
| -0.000 | -0.000 | -0.000 | -0.000 | 11.016 | 0.000 |
| -0.000 | -0.000 | -0.000 | -0.000 | -0.000 | 11.016 |
| 16.893 | 11.219 | 11.219 | 0.000 | 0.000 | 0.000 |
| 11.219 | 16.893 | 11.219 | 0.000 | 0.000 | -0.000 |
| 11.219 | 11.219 | 16.893 | -0.000 | 0.000 | 0.000 |
| 0.000 | 0.000 | 0.000 | 11.016 | 0.000 | -0.000 |
| 0.000 | 0.000 | 0.000 | 0.000 | 11.016 | -0.000 |
| 0.000 | 0.000 | 0.000 | 0.000 | 0.000 | 11.016 |
| 16.893 | 11.219 | 11.219 | -0.000 | -0.000 | -0.000 |
| 11.219 | 16.893 | 11.219 | -0.000 | -0.000 | -0.000 |
| 11.219 | 11.219 | 16.893 | -0.000 | -0.000 | -0.000 |
| 0.000 | -0.000 | 0.000 | 11.016 | -0.000 | 0.000 |
| -0.000 | 0.000 | 0.000 | -0.000 | 11.016 | 0.000 |
| -0.000 | 0.000 | 0.000 | -0.000 | -0.000 | 11.016 |
| 16.893 | 11.219 | 11.219 | 0.000 | 0.000 | -0.000 |
| 11.219 | 16.893 | 11.219 | 0.000 | 0.000 | -0.000 |
| 11.219 | 11.219 | 16.893 | 0.000 | 0.000 | -0.000 |
| -0.000 | 0.000 | -0.000 | 11.016 | 0.000 | -0.000 |
| 0.000 | -0.000 | -0.000 | 0.000 | 11.016 | -0.000 |
| 0.000 | -0.000 | -0.000 | 0.000 | 0.000 | 11.016 |
| 16.893 | 11.219 | 11.219 | -0.000 | -0.000 | 0.000 |
| 11.219 | 16.893 | 11.219 | -0.000 | -0.000 | 0.000 |
| 11.219 | 11.219 | 16.893 | -0.000 | -0.000 | -0.000 |
| 0.000 | -0.000 | 0.000 | 11.016 | -0.000 | 0.000 |
| -0.000 | 0.000 | 0.000 | -0.000 | 11.016 | 0.000 |
| -0.000 | 0.000 | 0.000 | -0.000 | -0.000 | 11.016 |
| 16.893 | 11.219 | 11.219 | 0.000 | 0.000 | -0.000 |
| 11.219 | 16.893 | 11.219 | 0.000 | 0.000 | -0.000 |
| 11.219 | 11.219 | 16.893 | 0.000 | 0.000 | 0.000 |
| -0.000 | 0.000 | -0.000 | 11.016 | 0.000 | 0.000 |
| 0.000 | -0.000 | -0.000 | 0.000 | 11.016 | -0.000 |
| 0.000 | -0.000 | -0.000 | 0.000 | 0.000 | 11.016 |
| 35.313 | -1.067 | -1.067 | 0.000 | -0.000 | -0.000 |
| -1.067 | 35.313 | -1.067 | 0.000 | -0.000 | -0.000 |
| -1.067 | -1.067 | 35.313 | 0.000 | 0.000 | -0.000 |
| 0.000 | 0.000 | 0.000 | -1.067 | 0.000 | -0.000 |
| 0.000 | -0.000 | 0.000 | 0.000 | -1.067 | -0.000 |
| 0.000 | -0.000 | 0.000 | 0.000 | -0.000 | -1.067 |
| 35.313 | -1.067 | -1.067 | -0.000 | 0.000 | 0.000 |
| -1.067 | 35.313 | -1.067 | -0.000 | -0.000 | 0.000 |
| -1.067 | -1.067 | 35.313 | -0.000 | 0.000 | 0.000 |
| -0.000 | 0.000 | -0.000 | -1.067 | -0.000 | 0.000 |
| -0.000 | 0.000 | -0.000 | -0.000 | -1.067 | 0.000 |
| -0.000 | 0.000 | -0.000 | -0.000 | 0.000 | -1.067 |
| 35.313 | -1.067 | -1.067 | 0.000 | -0.000 | -0.000 |
| -1.067 | 35.313 | -1.067 | 0.000 | -0.000 | -0.000 |
| -1.067 | -1.067 | 35.313 | -0.000 | -0.000 | -0.000 |
| 0.000 | 0.000 | -0.000 | -1.067 | 0.000 | -0.000 |
| 0.000 | -0.000 | -0.000 | 0.000 | -1.067 | -0.000 |
| 0.000 | -0.000 | 0.000 | 0.000 | 0.000 | -1.067 |
| 35.313 | -1.067 | -1.067 | -0.000 | 0.000 | -0.000 |
| -1.067 | 35.313 | -1.067 | -0.000 | -0.000 | 0.000 |
| -1.067 | -1.067 | 35.313 | -0.000 | 0.000 | 0.000 |
| -0.000 | -0.000 | 0.000 | -1.067 | -0.000 | 0.000 |
| -0.000 | 0.000 | 0.000 | -0.000 | -1.067 | 0.000 |
| -0.000 | 0.000 | -0.000 | -0.000 | 0.000 | -1.067 |
| 35.313 | -1.067 | -1.067 | 0.000 | -0.000 | -0.000 |
| -1.067 | 35.313 | -1.067 | 0.000 | 0.000 | -0.000 |
| -1.067 | -1.067 | 35.313 | 0.000 | -0.000 | -0.000 |
| 0.000 | 0.000 | -0.000 | -1.067 | -0.000 | -0.000 |
| 0.000 | 0.000 | -0.000 | 0.000 | -1.067 | -0.000 |
| 0.000 | -0.000 | 0.000 | 0.000 | -0.000 | -1.067 |
| 35.313 | -1.067 | -1.067 | -0.000 | 0.000 | 0.000 |
| -1.067 | 35.313 | -1.067 | -0.000 | -0.000 | 0.000 |
| -1.067 | -1.067 | 35.313 | 0.000 | 0.000 | 0.000 |
| -0.000 | -0.000 | 0.000 | -1.067 | 0.000 | 0.000 |
| -0.000 | -0.000 | 0.000 | -0.000 | -1.067 | 0.000 |
| -0.000 | 0.000 | -0.000 | -0.000 | 0.000 | -1.067 |
| 18.125 | 11.257 | 11.257 | 0.000 | 0.000 | -0.000 |
| 11.257 | 18.125 | 11.257 | 0.000 | -0.000 | -0.000 |
| 11.257 | 11.257 | 18.125 | 0.000 | 0.000 | -0.000 |
| 0.000 | 0.000 | 0.000 | 11.257 | 0.000 | -0.000 |
| -0.000 | 0.000 | 0.000 | 0.000 | 11.257 | 0.000 |
| -0.000 | 0.000 | 0.000 | 0.000 | 0.000 | 11.257 |
| 18.125 | 11.257 | 11.257 | -0.000 | -0.000 | 0.000 |
| 11.257 | 18.125 | 11.257 | -0.000 | 0.000 | -0.000 |
| 11.257 | 11.257 | 18.125 | 0.000 | 0.000 | 0.000 |
| -0.000 | -0.000 | -0.000 | 11.257 | -0.000 | -0.000 |
| 0.000 | -0.000 | -0.000 | 0.000 | 11.257 | 0.000 |
| 0.000 | 0.000 | -0.000 | -0.000 | -0.000 | 11.257 |
| 18.125 | 11.257 | 11.257 | 0.000 | -0.000 | -0.000 |
| 11.257 | 18.125 | 11.257 | 0.000 | 0.000 | -0.000 |
| 11.257 | 11.257 | 18.125 | 0.000 | -0.000 | -0.000 |
| 0.000 | -0.000 | 0.000 | 11.257 | 0.000 | -0.000 |
| -0.000 | 0.000 | 0.000 | 0.000 | 11.257 | 0.000 |
| -0.000 | 0.000 | 0.000 | 0.000 | -0.000 | 11.257 |
| 18.125 | 11.257 | 11.257 | -0.000 | 0.000 | 0.000 |
| 11.257 | 18.125 | 11.257 | 0.000 | 0.000 | 0.000 |
| 11.257 | 11.257 | 18.125 | 0.000 | 0.000 | 0.000 |
| -0.000 | 0.000 | -0.000 | 11.257 | 0.000 | -0.000 |
| 0.000 | -0.000 | -0.000 | 0.000 | 11.257 | -0.000 |
| 0.000 | -0.000 | -0.000 | 0.000 | -0.000 | 11.257 |
| 18.126 | 11.257 | 11.257 | -0.000 | 0.000 | 0.000 |
| 11.257 | 18.126 | 11.257 | 0.000 | 0.000 | 0.000 |
| 11.257 | 11.257 | 18.126 | 0.000 | 0.000 | -0.000 |
| 0.000 | -0.000 | 0.000 | 11.257 | -0.000 | -0.000 |
| -0.000 | 0.000 | 0.000 | 0.000 | 11.257 | -0.000 |
| -0.000 | 0.000 | 0.000 | 0.000 | 0.000 | 11.257 |
| 18.125 | 11.257 | 11.257 | -0.000 | 0.000 | 0.000 |
| 11.257 | 18.125 | 11.257 | -0.000 | -0.000 | -0.000 |
| 11.257 | 11.257 | 18.125 | 0.000 | 0.000 | 0.000 |
| -0.000 | 0.000 | -0.000 | 11.257 | 0.000 | -0.000 |
| 0.000 | -0.000 | -0.000 | -0.000 | 11.257 | 0.000 |
| 0.000 | -0.000 | -0.000 | -0.000 | -0.000 | 11.257 |
| 0.971 | 1.967 | 1.967 | 0.000 | 0.000 | 0.000 |
| 1.967 | 0.971 | 1.967 | 0.000 | 0.000 | 0.000 |
| 1.967 | 1.967 | 0.971 | 0.000 | 0.000 | 0.000 |
| -0.000 | -0.000 | 0.000 | -1.147 | 0.000 | -0.000 |
| -0.000 | -0.000 | 0.000 | -0.000 | -1.147 | 0.000 |
| -0.000 | -0.000 | 0.000 | -0.000 | -0.000 | -1.147 |
| 0.971 | 1.967 | 1.967 | -0.000 | -0.000 | -0.000 |
| 1.967 | 0.971 | 1.967 | -0.000 | -0.000 | -0.000 |
| 1.967 | 1.967 | 0.971 | -0.000 | -0.000 | -0.000 |
| 0.000 | 0.000 | -0.000 | -1.147 | 0.000 | 0.000 |
| 0.000 | -0.000 | -0.000 | 0.000 | -1.147 | 0.000 |
| 0.000 | 0.000 | -0.000 | 0.000 | 0.000 | -1.147 |
| 0.971 | 1.967 | 1.967 | -0.000 | 0.000 | -0.000 |
| 1.967 | 0.971 | 1.967 | 0.000 | -0.000 | -0.000 |
| 1.967 | 1.967 | 0.971 | 0.000 | 0.000 | -0.000 |
| -0.000 | -0.000 | -0.000 | -1.147 | 0.000 | -0.000 |
| -0.000 | -0.000 | -0.000 | 0.000 | -1.147 | -0.000 |
| -0.000 | -0.000 | -0.000 | -0.000 | 0.000 | -1.147 |
| 0.971 | 1.967 | 1.967 | -0.000 | -0.000 | -0.000 |
| 1.967 | 0.971 | 1.967 | -0.000 | -0.000 | -0.000 |
| 1.967 | 1.967 | 0.971 | -0.000 | -0.000 | -0.000 |
| 0.000 | 0.000 | 0.000 | -1.147 | -0.000 | 0.000 |
| 0.000 | 0.000 | 0.000 | 0.000 | -1.147 | 0.000 |
| 0.000 | 0.000 | 0.000 | 0.000 | 0.000 | -1.147 |
| 0.971 | 1.967 | 1.967 | -0.000 | 0.000 | -0.000 |
| 1.967 | 0.971 | 1.967 | 0.000 | -0.000 | -0.000 |
| 1.967 | 1.967 | 0.971 | 0.000 | 0.000 | -0.000 |
| -0.000 | -0.000 | -0.000 | -1.147 | -0.000 | -0.000 |
| -0.000 | -0.000 | -0.000 | -0.000 | -1.147 | -0.000 |
| -0.000 | -0.000 | -0.000 | -0.000 | 0.000 | -1.147 |
| 0.971 | 1.967 | 1.967 | -0.000 | -0.000 | -0.000 |
| 1.967 | 0.971 | 1.967 | -0.000 | -0.000 | -0.000 |
| 1.967 | 1.967 | 0.971 | -0.000 | -0.000 | -0.000 |
| 0.000 | 0.000 | 0.000 | -1.147 | 0.000 | 0.000 |
| 0.000 | 0.000 | 0.000 | 0.000 | -1.147 | 0.000 |
| 0.000 | 0.000 | 0.000 | 0.000 | -0.000 | -1.147 |
| 14.000 | 3.590 | 3.590 | -0.000 | -0.000 | 0.000 |
| 3.590 | 14.000 | 3.590 | -0.000 | -0.000 | -0.000 |
| 3.590 | 3.590 | 14.000 | -0.000 | -0.000 | 0.000 |
| 0.000 | -0.000 | -0.000 | 2.014 | -0.000 | -0.000 |
| -0.000 | 0.000 | -0.000 | -0.000 | 2.014 | -0.000 |
| -0.000 | -0.000 | 0.000 | -0.000 | -0.000 | 2.014 |
| 14.000 | 3.590 | 3.590 | 0.000 | 0.000 | 0.000 |
| 3.590 | 14.000 | 3.590 | 0.000 | 0.000 | -0.000 |
| 3.590 | 3.590 | 14.000 | 0.000 | 0.000 | -0.000 |
| -0.000 | 0.000 | 0.000 | 2.014 | 0.000 | 0.000 |
| 0.000 | -0.000 | 0.000 | 0.000 | 2.014 | 0.000 |
| 0.000 | 0.000 | -0.000 | -0.000 | 0.000 | 2.014 |
| 14.000 | 3.590 | 3.590 | -0.000 | -0.000 | -0.000 |
| 3.590 | 14.000 | 3.590 | -0.000 | -0.000 | -0.000 |
| 3.590 | 3.590 | 14.000 | -0.000 | -0.000 | -0.000 |
| 0.000 | -0.000 | -0.000 | 2.014 | -0.000 | -0.000 |
| -0.000 | 0.000 | -0.000 | -0.000 | 2.014 | -0.000 |
| -0.000 | -0.000 | 0.000 | -0.000 | -0.000 | 2.014 |
| 14.000 | 3.590 | 3.590 | 0.000 | 0.000 | 0.000 |
| 3.590 | 14.000 | 3.590 | 0.000 | 0.000 | 0.000 |
| 3.590 | 3.590 | 14.000 | 0.000 | 0.000 | 0.000 |
| -0.000 | 0.000 | 0.000 | 2.014 | 0.000 | 0.000 |
| 0.000 | -0.000 | 0.000 | 0.000 | 2.014 | 0.000 |
| 0.000 | 0.000 | -0.000 | 0.000 | 0.000 | 2.014 |
| 14.000 | 3.590 | 3.590 | -0.000 | -0.000 | -0.000 |
| 3.590 | 14.000 | 3.590 | -0.000 | -0.000 | -0.000 |
| 3.590 | 3.590 | 14.000 | -0.000 | -0.000 | -0.000 |
| 0.000 | -0.000 | -0.000 | 2.014 | -0.000 | -0.000 |
| -0.000 | 0.000 | -0.000 | -0.000 | 2.014 | -0.000 |
| -0.000 | -0.000 | 0.000 | -0.000 | -0.000 | 2.014 |
| 14.000 | 3.590 | 3.590 | 0.000 | 0.000 | 0.000 |
| 3.590 | 14.000 | 3.590 | 0.000 | 0.000 | 0.000 |
| 3.590 | 3.590 | 14.000 | 0.000 | 0.000 | 0.000 |
| -0.000 | 0.000 | 0.000 | 2.014 | 0.000 | 0.000 |
| 0.000 | -0.000 | 0.000 | 0.000 | 2.014 | 0.000 |
| 0.000 | 0.000 | -0.000 | 0.000 | 0.000 | 2.014 |
| 32.184 | 4.129 | 4.129 | -0.000 | 0.000 | -0.000 |
| 4.129 | 32.184 | 4.129 | -0.000 | 0.000 | -0.000 |
| 4.129 | 4.129 | 32.184 | -0.000 | -0.000 | -0.000 |
| 0.000 | -0.000 | -0.000 | 3.954 | -0.000 | -0.000 |
| 0.000 | 0.000 | 0.000 | -0.000 | 3.954 | -0.000 |
| 0.000 | 0.000 | 0.000 | -0.000 | -0.000 | 3.954 |
| 32.184 | 4.129 | 4.129 | 0.000 | 0.000 | 0.000 |
| 4.129 | 32.184 | 4.129 | 0.000 | 0.000 | 0.000 |
| 4.129 | 4.129 | 32.184 | 0.000 | -0.000 | 0.000 |
| -0.000 | 0.000 | 0.000 | 3.954 | 0.000 | 0.000 |
| -0.000 | -0.000 | -0.000 | 0.000 | 3.954 | 0.000 |
| -0.000 | -0.000 | -0.000 | 0.000 | 0.000 | 3.954 |
| 32.184 | 4.129 | 4.129 | -0.000 | -0.000 | -0.000 |
| 4.129 | 32.184 | 4.129 | -0.000 | -0.000 | -0.000 |
| 4.129 | 4.129 | 32.184 | -0.000 | 0.000 | -0.000 |
| 0.000 | 0.000 | -0.000 | 3.954 | -0.000 | -0.000 |
| 0.000 | 0.000 | -0.000 | -0.000 | 3.954 | -0.000 |
| 0.000 | -0.000 | 0.000 | -0.000 | -0.000 | 3.954 |
| 32.184 | 4.129 | 4.129 | 0.000 | 0.000 | 0.000 |
| 4.129 | 32.184 | 4.129 | 0.000 | 0.000 | 0.000 |
| 4.129 | 4.129 | 32.184 | -0.000 | 0.000 | 0.000 |
| -0.000 | -0.000 | 0.000 | 3.954 | 0.000 | 0.000 |
| -0.000 | -0.000 | 0.000 | 0.000 | 3.954 | 0.000 |
| -0.000 | 0.000 | -0.000 | 0.000 | 0.000 | 3.954 |
| 32.184 | 4.129 | 4.129 | -0.000 | -0.000 | -0.000 |
| 4.129 | 32.184 | 4.129 | -0.000 | -0.000 | -0.000 |
| 4.129 | 4.129 | 32.184 | 0.000 | -0.000 | 0.000 |
| 0.000 | 0.000 | -0.000 | 4.120 | -0.000 | -0.000 |
| 0.000 | 0.000 | -0.000 | -0.000 | 4.120 | -0.000 |
| 0.000 | -0.000 | 0.000 | 0.000 | -0.000 | 4.120 |
| 32.184 | 4.129 | 4.129 | 0.000 | 0.000 | 0.000 |
| 4.129 | 32.184 | 4.129 | 0.000 | 0.000 | 0.000 |
| 4.129 | 4.129 | 32.184 | 0.000 | 0.000 | 0.000 |
| -0.000 | -0.000 | 0.000 | 4.120 | 0.000 | 0.000 |
| -0.000 | -0.000 | 0.000 | 0.000 | 4.120 | 0.000 |
| -0.000 | 0.000 | -0.000 | -0.000 | -0.000 | 4.120 |
| 15.536 | 12.805 | 12.805 | 0.000 | -0.000 | -0.000 |
| 12.805 | 15.536 | 12.805 | 0.000 | 0.000 | -0.000 |
| 12.805 | 12.805 | 15.536 | 0.000 | -0.000 | -0.000 |
| -0.000 | -0.000 | -0.000 | 9.226 | 0.000 | -0.000 |
| -0.000 | -0.000 | 0.000 | 0.000 | 9.226 | -0.000 |
| -0.000 | -0.000 | 0.000 | -0.000 | -0.000 | 9.226 |
| 15.536 | 12.805 | 12.805 | -0.000 | 0.000 | 0.000 |
| 12.805 | 15.536 | 12.805 | -0.000 | -0.000 | 0.000 |
| 12.805 | 12.805 | 15.536 | -0.000 | 0.000 | 0.000 |
| 0.000 | 0.000 | 0.000 | 9.226 | -0.000 | 0.000 |
| 0.000 | 0.000 | 0.000 | 0.000 | 9.226 | 0.000 |
| 0.000 | 0.000 | 0.000 | 0.000 | 0.000 | 9.226 |
| 15.536 | 12.805 | 12.805 | 0.000 | 0.000 | -0.000 |
| 12.805 | 15.536 | 12.805 | 0.000 | 0.000 | -0.000 |
| 12.805 | 12.805 | 15.536 | 0.000 | 0.000 | -0.000 |
| 0.000 | -0.000 | 0.000 | 9.226 | 0.000 | -0.000 |
| -0.000 | 0.000 | 0.000 | 0.000 | 9.226 | -0.000 |
| -0.000 | 0.000 | 0.000 | -0.000 | -0.000 | 9.226 |
| 15.536 | 12.805 | 12.805 | -0.000 | -0.000 | 0.000 |
| 12.805 | 15.536 | 12.805 | -0.000 | -0.000 | 0.000 |
| 12.805 | 12.805 | 15.536 | 0.000 | 0.000 | 0.000 |
| -0.000 | 0.000 | -0.000 | 9.226 | -0.000 | 0.000 |
| 0.000 | -0.000 | -0.000 | -0.000 | 9.226 | 0.000 |
| 0.000 | -0.000 | -0.000 | 0.000 | 0.000 | 9.226 |
| 15.536 | 12.805 | 12.805 | 0.000 | 0.000 | -0.000 |
| 12.805 | 15.536 | 12.805 | 0.000 | 0.000 | -0.000 |
| 12.805 | 12.805 | 15.536 | 0.000 | 0.000 | -0.000 |
| 0.000 | -0.000 | 0.000 | 12.805 | -0.000 | -0.000 |
| -0.000 | 0.000 | 0.000 | -0.000 | 12.805 | -0.000 |
| -0.000 | 0.000 | 0.000 | 0.000 | -0.000 | 12.805 |
| 15.536 | 12.805 | 12.805 | -0.000 | 0.000 | 0.000 |
| 12.805 | 15.536 | 12.805 | 0.000 | 0.000 | 0.000 |
| 12.805 | 12.805 | 15.536 | 0.000 | 0.000 | 0.000 |
| -0.000 | 0.000 | -0.000 | 12.805 | 0.000 | 0.000 |
| 0.000 | -0.000 | -0.000 | 0.000 | 12.805 | 0.000 |
| 0.000 | -0.000 | -0.000 | -0.000 | 0.000 | 12.805 |
| 13.246 | 10.760 | 10.760 | -0.000 | -0.000 | -0.000 |
| 10.760 | 13.246 | 10.760 | -0.000 | -0.000 | -0.000 |
| 10.760 | 10.760 | 13.246 | -0.000 | -0.000 | -0.000 |
| -0.000 | 0.000 | 0.000 | 10.760 | -0.000 | -0.000 |
| 0.000 | -0.000 | 0.000 | -0.000 | 10.760 | -0.000 |
| 0.000 | 0.000 | 0.000 | -0.000 | -0.000 | 10.760 |
| 13.246 | 10.760 | 10.760 | 0.000 | 0.000 | 0.000 |
| 10.760 | 13.246 | 10.760 | 0.000 | 0.000 | -0.000 |
| 10.760 | 10.760 | 13.246 | 0.000 | 0.000 | 0.000 |
| 0.000 | -0.000 | -0.000 | 10.760 | 0.000 | -0.000 |
| -0.000 | 0.000 | -0.000 | 0.000 | 10.760 | 0.000 |
| 0.000 | -0.000 | -0.000 | 0.000 | 0.000 | 10.760 |
| 13.246 | 10.760 | 10.760 | -0.000 | -0.000 | -0.000 |
| 10.760 | 13.246 | 10.760 | -0.000 | -0.000 | -0.000 |
| 10.760 | 10.760 | 13.246 | -0.000 | -0.000 | -0.000 |
| -0.000 | 0.000 | 0.000 | 10.760 | -0.000 | -0.000 |
| 0.000 | -0.000 | 0.000 | -0.000 | 10.760 | -0.000 |
| 0.000 | 0.000 | -0.000 | -0.000 | -0.000 | 10.760 |
| 13.246 | 10.760 | 10.760 | 0.000 | 0.000 | 0.000 |
| 10.760 | 13.246 | 10.760 | 0.000 | 0.000 | 0.000 |
| 10.760 | 10.760 | 13.246 | 0.000 | 0.000 | 0.000 |
| 0.000 | -0.000 | -0.000 | 10.760 | 0.000 | -0.000 |
| -0.000 | 0.000 | -0.000 | 0.000 | 10.760 | 0.000 |
| -0.000 | -0.000 | 0.000 | 0.000 | 0.000 | 10.760 |
| 13.246 | 10.760 | 10.760 | -0.000 | 0.000 | -0.000 |
| 10.760 | 13.246 | 10.760 | -0.000 | -0.000 | 0.000 |
| 10.760 | 10.760 | 13.246 | -0.000 | -0.000 | 0.000 |
| -0.000 | 0.000 | 0.000 | 10.760 | -0.000 | -0.000 |
| 0.000 | -0.000 | 0.000 | -0.000 | 10.760 | 0.000 |
| 0.000 | 0.000 | -0.000 | -0.000 | -0.000 | 10.760 |
| 13.246 | 10.760 | 10.760 | 0.000 | 0.000 | 0.000 |
| 10.760 | 13.246 | 10.760 | 0.000 | 0.000 | 0.000 |
| 10.760 | 10.760 | 13.246 | 0.000 | 0.000 | 0.000 |
| 0.000 | -0.000 | -0.000 | 10.760 | 0.000 | -0.000 |
| -0.000 | 0.000 | -0.000 | 0.000 | 10.760 | 0.000 |
| -0.000 | -0.000 | 0.000 | 0.000 | 0.000 | 10.760 |
| 9.294 | 14.924 | 10.092 | -0.000 | 0.000 | -0.000 |
| 14.924 | 9.294 | 10.092 | 0.000 | 0.000 | 0.000 |
| 10.092 | 10.092 | 16.850 | -0.000 | -0.000 | -0.000 |
| 0.000 | -0.000 | 0.000 | 9.200 | -0.000 | 0.000 |
| 0.000 | 0.000 | 0.000 | -0.000 | 9.200 | -0.000 |
| 0.000 | 0.000 | 0.000 | 0.000 | -0.000 | 11.708 |
| 9.294 | 14.924 | 10.092 | 0.000 | 0.000 | 0.000 |
| 14.924 | 9.294 | 10.092 | 0.000 | 0.000 | 0.000 |
| 10.092 | 10.092 | 16.850 | 0.000 | 0.000 | 0.000 |
| -0.000 | 0.000 | -0.000 | 9.200 | 0.000 | 0.000 |
| -0.000 | -0.000 | -0.000 | 0.000 | 9.200 | 0.000 |
| -0.000 | -0.000 | 0.000 | -0.000 | 0.000 | 11.708 |
| 9.294 | 14.924 | 10.092 | -0.000 | -0.000 | 0.000 |
| 14.924 | 9.294 | 10.092 | -0.000 | -0.000 | -0.000 |
| 10.092 | 10.092 | 16.850 | 0.000 | -0.000 | -0.000 |
| -0.000 | 0.000 | 0.000 | 9.200 | 0.000 | -0.000 |
| 0.000 | -0.000 | 0.000 | 0.000 | 9.200 | -0.000 |
| 0.000 | 0.000 | -0.000 | -0.000 | -0.000 | 11.708 |
| 9.294 | 14.924 | 10.092 | 0.000 | 0.000 | 0.000 |
| 14.924 | 9.294 | 10.092 | 0.000 | 0.000 | -0.000 |
| 10.092 | 10.092 | 16.850 | 0.000 | 0.000 | 0.000 |
| 0.000 | -0.000 | -0.000 | 9.200 | 0.000 | -0.000 |
| -0.000 | 0.000 | -0.000 | 0.000 | 9.200 | 0.000 |
| -0.000 | -0.000 | 0.000 | 0.000 | 0.000 | 11.708 |
| 9.294 | 14.924 | 10.092 | -0.000 | -0.000 | -0.000 |
| 14.924 | 9.294 | 10.092 | -0.000 | -0.000 | -0.000 |
| 10.092 | 10.092 | 16.850 | -0.000 | -0.000 | -0.000 |
| -0.000 | 0.000 | 0.000 | 9.200 | -0.000 | -0.000 |
| 0.000 | -0.000 | 0.000 | 0.000 | 9.200 | -0.000 |
| 0.000 | 0.000 | -0.000 | -0.000 | -0.000 | 11.708 |
| 9.294 | 14.924 | 10.092 | 0.000 | 0.000 | 0.000 |
| 14.924 | 9.294 | 10.092 | -0.000 | 0.000 | 0.000 |
| 10.092 | 10.092 | 16.850 | 0.000 | 0.000 | 0.000 |
| 0.000 | -0.000 | -0.000 | 9.200 | 0.000 | 0.000 |
| -0.000 | 0.000 | -0.000 | 0.000 | 9.200 | 0.000 |
| -0.000 | -0.000 | 0.000 | 0.000 | 0.000 | 11.708 |
| 14.601 | 16.265 | 16.265 | 0.000 | -0.000 | -0.000 |
| 16.265 | 14.601 | 16.265 | -0.000 | -0.000 | -0.000 |
| 16.265 | 16.265 | 14.601 | 0.000 | 0.000 | -0.000 |
| -0.000 | -0.000 | -0.000 | 16.265 | -0.000 | -0.000 |
| -0.000 | -0.000 | -0.000 | 0.000 | 16.265 | -0.000 |
| -0.000 | 0.000 | -0.000 | -0.000 | -0.000 | 16.265 |
| 14.601 | 16.265 | 16.265 | -0.000 | 0.000 | 0.000 |
| 16.265 | 14.601 | 16.265 | 0.000 | 0.000 | 0.000 |
| 16.265 | 16.265 | 14.601 | -0.000 | 0.000 | 0.000 |
| 0.000 | 0.000 | 0.000 | 16.265 | 0.000 | -0.000 |
| 0.000 | 0.000 | 0.000 | 0.000 | 16.265 | 0.000 |
| 0.000 | -0.000 | 0.000 | -0.000 | 0.000 | 16.265 |
| 14.601 | 16.265 | 16.265 | -0.000 | -0.000 | -0.000 |
| 16.265 | 14.601 | 16.265 | 0.000 | -0.000 | 0.000 |
| 16.265 | 16.265 | 14.601 | 0.000 | -0.000 | -0.000 |
| -0.000 | 0.000 | 0.000 | 16.265 | -0.000 | 0.000 |
| 0.000 | -0.000 | 0.000 | 0.000 | 16.265 | -0.000 |
| 0.000 | 0.000 | -0.000 | -0.000 | -0.000 | 16.265 |
| 14.601 | 16.265 | 16.265 | 0.000 | 0.000 | 0.000 |
| 16.265 | 14.601 | 16.265 | 0.000 | 0.000 | 0.000 |
| 16.265 | 16.265 | 14.601 | 0.000 | 0.000 | 0.000 |
| 0.000 | -0.000 | -0.000 | 16.265 | 0.000 | 0.000 |
| -0.000 | 0.000 | -0.000 | -0.000 | 16.265 | 0.000 |
| -0.000 | -0.000 | 0.000 | 0.000 | 0.000 | 16.265 |
| 14.601 | 16.265 | 16.265 | 0.000 | -0.000 | 0.000 |
| 16.265 | 14.601 | 16.265 | 0.000 | -0.000 | 0.000 |
| 16.265 | 16.265 | 14.601 | 0.000 | -0.000 | -0.000 |
| -0.000 | 0.000 | 0.000 | 16.265 | -0.000 | 0.000 |
| 0.000 | -0.000 | 0.000 | 0.000 | 16.265 | -0.000 |
| 0.000 | 0.000 | -0.000 | -0.000 | -0.000 | 16.265 |
| 14.601 | 16.265 | 16.265 | -0.000 | 0.000 | 0.000 |
| 16.265 | 14.601 | 16.265 | -0.000 | 0.000 | 0.000 |
| 16.265 | 16.265 | 14.601 | -0.000 | 0.000 | 0.000 |
| 0.000 | -0.000 | -0.000 | 16.265 | -0.000 | 0.000 |
| -0.000 | 0.000 | -0.000 | -0.000 | 16.265 | -0.000 |
| -0.000 | -0.000 | 0.000 | -0.000 | 0.000 | 16.265 |
| 40.375 | 6.487 | 6.487 | -0.000 | 0.000 | -0.000 |
| 6.487 | 40.375 | 6.487 | -0.000 | -0.000 | -0.000 |
| 6.487 | 6.487 | 40.375 | -0.000 | -0.000 | -0.000 |
| -0.000 | -0.000 | -0.000 | 5.225 | 0.000 | -0.000 |
| -0.000 | -0.000 | -0.000 | 0.000 | 5.225 | -0.000 |
| -0.000 | -0.000 | -0.000 | 0.000 | 0.000 | 5.225 |
| 40.375 | 6.487 | 6.487 | -0.000 | 0.000 | 0.000 |
| 6.487 | 40.375 | 6.487 | 0.000 | -0.000 | 0.000 |
| 6.487 | 6.487 | 40.375 | -0.000 | -0.000 | 0.000 |
| 0.000 | 0.000 | -0.000 | 5.225 | -0.000 | 0.000 |
| 0.000 | 0.000 | -0.000 | -0.000 | 5.225 | 0.000 |
| 0.000 | 0.000 | 0.000 | -0.000 | -0.000 | 5.225 |
| 40.375 | 6.487 | 6.487 | -0.000 | 0.000 | -0.000 |
| 6.487 | 40.375 | 6.487 | 0.000 | -0.000 | -0.000 |
| 6.487 | 6.487 | 40.375 | 0.000 | 0.000 | -0.000 |
| 0.000 | -0.000 | -0.000 | 5.225 | 0.000 | -0.000 |
| -0.000 | 0.000 | -0.000 | 0.000 | 5.225 | -0.000 |
| -0.000 | -0.000 | 0.000 | 0.000 | 0.000 | 5.225 |
| 40.375 | 6.487 | 6.487 | -0.000 | -0.000 | 0.000 |
| 6.487 | 40.375 | 6.487 | 0.000 | 0.000 | 0.000 |
| 6.487 | 6.487 | 40.375 | -0.000 | -0.000 | 0.000 |
| -0.000 | 0.000 | 0.000 | 5.225 | -0.000 | 0.000 |
| 0.000 | -0.000 | 0.000 | -0.000 | 5.225 | 0.000 |
| 0.000 | 0.000 | -0.000 | -0.000 | -0.000 | 5.225 |
| 40.375 | 6.487 | 6.487 | 0.000 | -0.000 | -0.000 |
| 6.487 | 40.375 | 6.487 | 0.000 | 0.000 | 0.000 |
| 6.487 | 6.487 | 40.375 | 0.000 | 0.000 | -0.000 |
| 0.000 | -0.000 | -0.000 | 5.225 | -0.000 | -0.000 |
| -0.000 | 0.000 | -0.000 | 0.000 | 5.225 | -0.000 |
| -0.000 | -0.000 | 0.000 | 0.000 | 0.000 | 5.225 |
| 40.375 | 6.487 | 6.487 | 0.000 | -0.000 | 0.000 |
| 6.487 | 40.375 | 6.487 | -0.000 | -0.000 | 0.000 |
| 6.487 | 6.487 | 40.375 | -0.000 | -0.000 | 0.000 |
| -0.000 | 0.000 | 0.000 | 5.225 | 0.000 | 0.000 |
| 0.000 | -0.000 | 0.000 | -0.000 | 5.225 | 0.000 |
| 0.000 | 0.000 | -0.000 | -0.000 | -0.000 | 5.225 |
| 23.400 | 15.675 | 15.675 | 0.000 | -0.000 | -0.000 |
| 15.675 | 23.400 | 15.675 | 0.000 | 0.000 | -0.000 |
| 15.675 | 15.675 | 23.400 | 0.000 | -0.000 | -0.000 |
| 0.000 | 0.000 | 0.000 | 15.675 | -0.000 | -0.000 |
| 0.000 | 0.000 | 0.000 | 0.000 | 15.675 | -0.000 |
| 0.000 | 0.000 | 0.000 | 0.000 | -0.000 | 15.675 |
| 23.400 | 15.675 | 15.675 | -0.000 | 0.000 | 0.000 |
| 15.675 | 23.400 | 15.675 | -0.000 | -0.000 | 0.000 |
| 15.675 | 15.675 | 23.400 | -0.000 | 0.000 | 0.000 |
| -0.000 | -0.000 | -0.000 | 15.675 | 0.000 | 0.000 |
| -0.000 | -0.000 | -0.000 | 0.000 | 15.675 | 0.000 |
| -0.000 | -0.000 | -0.000 | -0.000 | 0.000 | 15.675 |
| 23.400 | 15.675 | 15.675 | 0.000 | -0.000 | -0.000 |
| 15.675 | 23.400 | 15.675 | 0.000 | -0.000 | -0.000 |
| 15.675 | 15.675 | 23.400 | 0.000 | -0.000 | -0.000 |
| 0.000 | -0.000 | 0.000 | 15.675 | 0.000 | -0.000 |
| -0.000 | 0.000 | 0.000 | 0.000 | 15.675 | -0.000 |
| -0.000 | 0.000 | 0.000 | 0.000 | -0.000 | 15.675 |
| 23.400 | 15.675 | 15.675 | -0.000 | 0.000 | 0.000 |
| 15.675 | 23.400 | 15.675 | -0.000 | -0.000 | 0.000 |
| 15.675 | 15.675 | 23.400 | -0.000 | 0.000 | 0.000 |
| -0.000 | 0.000 | -0.000 | 15.675 | 0.000 | 0.000 |
| 0.000 | -0.000 | -0.000 | 0.000 | 15.675 | 0.000 |
| 0.000 | -0.000 | -0.000 | -0.000 | 0.000 | 15.675 |
| 23.400 | 15.675 | 15.675 | 0.000 | -0.000 | -0.000 |
| 15.675 | 23.400 | 15.675 | 0.000 | -0.000 | -0.000 |
| 15.675 | 15.675 | 23.400 | 0.000 | -0.000 | -0.000 |
| 0.000 | -0.000 | 0.000 | 15.675 | -0.000 | -0.000 |
| -0.000 | 0.000 | 0.000 | 0.000 | 15.675 | -0.000 |
| -0.000 | 0.000 | 0.000 | -0.000 | -0.000 | 15.675 |
| 23.400 | 15.675 | 15.675 | -0.000 | 0.000 | 0.000 |
| 15.675 | 23.400 | 15.675 | 0.000 | -0.000 | 0.000 |
| 15.675 | 15.675 | 23.400 | -0.000 | 0.000 | 0.000 |
| -0.000 | 0.000 | -0.000 | 15.675 | 0.000 | 0.000 |
| 0.000 | -0.000 | -0.000 | 0.000 | 15.675 | 0.000 |
| 0.000 | -0.000 | -0.000 | 0.000 | 0.000 | 15.675 |
| 31.704 | 10.568 | 5.003 | -0.000 | -0.000 | -0.000 |
| 10.568 | 31.704 | 5.003 | -0.000 | -0.000 | 0.000 |
| 5.003 | 5.003 | 35.303 | -0.000 | -0.000 | 0.000 |
| 0.000 | -0.000 | 0.000 | 5.003 | -0.000 | 0.000 |
| -0.000 | 0.000 | 0.000 | -0.000 | 5.003 | 0.000 |
| -0.000 | 0.000 | -0.000 | -0.000 | -0.000 | 3.742 |
| 31.704 | 10.568 | 5.003 | 0.000 | 0.000 | -0.000 |
| 17.394 | 24.877 | 5.003 | 0.000 | 0.000 | -0.000 |
| 5.003 | 5.003 | 35.303 | 0.000 | 0.000 | -0.000 |
| 0.000 | -0.000 | -0.000 | 5.003 | 0.000 | -0.000 |
| 0.000 | -0.000 | -0.000 | 0.000 | 5.003 | 0.000 |
| 0.000 | -0.000 | 0.000 | -0.000 | 0.000 | 3.742 |
| 21.527 | 20.744 | 5.003 | -0.000 | -0.000 | 0.000 |
| 17.394 | 24.877 | 5.003 | -0.000 | -0.000 | 0.000 |
| 5.003 | 5.003 | 35.303 | -0.000 | -0.000 | 0.000 |
| 0.000 | -0.000 | 0.000 | 5.003 | -0.000 | 0.000 |
| -0.000 | 0.000 | 0.000 | -0.000 | 5.003 | 0.000 |
| -0.000 | 0.000 | -0.000 | -0.000 | -0.000 | -1.253 |
| 31.704 | 10.568 | 5.003 | 0.000 | 0.000 | -0.000 |
| 20.744 | 21.527 | 5.003 | -0.000 | -0.000 | -0.000 |
| 5.003 | 5.003 | 35.303 | -0.000 | 0.000 | -0.000 |
| -0.000 | 0.000 | -0.000 | 5.003 | 0.000 | -0.000 |
| 0.000 | -0.000 | -0.000 | 0.000 | 5.003 | -0.000 |
| 0.000 | -0.000 | 0.000 | 0.000 | 0.000 | -1.253 |
| 31.704 | 10.568 | 5.003 | -0.000 | -0.000 | 0.000 |
| 20.745 | 21.527 | 5.003 | -0.000 | -0.000 | 0.000 |
| 5.003 | 5.003 | 35.304 | 0.000 | -0.000 | 0.000 |
| 0.000 | -0.000 | 0.000 | 5.003 | -0.000 | 0.000 |
| -0.000 | 0.000 | 0.000 | 0.000 | 5.003 | 0.000 |
| -0.000 | 0.000 | -0.000 | -0.000 | -0.000 | -1.253 |
| 19.075 | 23.196 | 5.003 | 0.000 | 0.000 | -0.000 |
| 10.568 | 31.703 | 5.003 | 0.000 | 0.000 | -0.000 |
| 5.003 | 5.003 | 35.303 | -0.000 | -0.000 | -0.000 |
| -0.000 | 0.000 | -0.000 | 5.003 | 0.000 | -0.000 |
| 0.000 | -0.000 | -0.000 | 0.000 | 5.003 | -0.000 |
| 0.000 | -0.000 | 0.000 | 0.000 | 0.000 | -1.253 |
| 24.873 | 17.391 | 5.002 | 0.000 | 0.000 | 0.000 |
| 10.566 | 31.699 | 5.002 | -0.000 | -0.000 | 0.000 |
| 5.002 | 5.002 | 35.300 | 0.000 | 0.000 | 0.000 |
| 0.000 | -0.000 | 0.000 | 5.002 | 0.000 | 0.000 |
| 0.000 | -0.000 | 0.000 | 0.000 | 5.002 | 0.000 |
| 0.000 | -0.000 | -0.000 | 0.000 | 0.000 | 10.567 |
| 31.699 | 10.566 | 5.002 | -0.000 | -0.000 | -0.000 |
| 17.391 | 24.873 | 5.002 | -0.000 | -0.000 | -0.000 |
| 5.002 | 5.002 | 35.300 | 0.000 | -0.000 | -0.000 |
| -0.000 | 0.000 | -0.000 | 5.002 | -0.000 | -0.000 |
| -0.000 | 0.000 | -0.000 | -0.000 | 5.002 | 0.000 |
| -0.000 | 0.000 | 0.000 | -0.000 | 0.000 | 10.567 |
| 19.878 | 22.386 | 5.002 | 0.000 | 0.000 | 0.000 |
| 10.566 | 31.699 | 5.002 | -0.000 | 0.000 | 0.000 |
| 5.002 | 5.002 | 35.300 | -0.000 | 0.000 | 0.000 |
| 0.000 | -0.000 | 0.000 | 5.002 | 0.000 | 0.000 |
| -0.000 | 0.000 | 0.000 | 0.000 | 5.002 | 0.000 |
| -0.000 | 0.000 | -0.000 | -0.000 | 0.000 | 10.567 |
| 31.699 | 10.566 | 5.002 | -0.000 | 0.000 | -0.000 |
| 20.742 | 21.523 | 5.002 | -0.000 | -0.000 | -0.000 |
| 5.002 | 5.002 | 35.300 | 0.000 | 0.000 | -0.000 |
| -0.000 | 0.000 | -0.000 | 5.002 | -0.000 | -0.000 |
| 0.000 | -0.000 | -0.000 | -0.000 | 5.002 | -0.000 |
| 0.000 | -0.000 | 0.000 | 0.000 | -0.000 | 10.567 |
| 24.873 | 17.391 | 5.002 | 0.000 | 0.000 | 0.000 |
| 10.566 | 31.699 | 5.002 | -0.000 | 0.000 | 0.000 |
| 5.002 | 5.002 | 35.300 | -0.000 | -0.000 | 0.000 |
| 0.000 | -0.000 | 0.000 | 5.002 | 0.000 | 0.000 |
| -0.000 | 0.000 | 0.000 | 0.000 | 5.002 | 0.000 |
| -0.000 | 0.000 | -0.000 | 0.000 | 0.000 | 0.391 |
| 31.699 | 10.565 | 5.002 | -0.000 | -0.000 | -0.000 |
| 17.391 | 24.873 | 5.002 | -0.000 | -0.000 | -0.000 |
| 5.002 | 5.002 | 35.300 | 0.000 | 0.000 | -0.000 |
| -0.000 | 0.000 | -0.000 | 5.002 | -0.000 | -0.000 |
| 0.000 | -0.000 | -0.000 | -0.000 | 5.002 | -0.000 |
| 0.000 | -0.000 | 0.000 | -0.000 | 0.000 | 0.391 |
| 2.507 | 2.507 | 2.507 | -0.000 | 0.000 | 0.000 |
| 2.507 | 2.507 | 2.507 | 0.000 | -0.000 | 0.000 |
| 2.507 | 2.507 | 2.507 | 0.000 | 0.000 | -0.000 |
| -0.000 | -0.000 | -0.000 | -0.000 | -0.000 | -0.000 |
| -0.000 | -0.000 | -0.000 | -0.000 | -0.000 | -0.000 |
| -0.000 | -0.000 | -0.000 | -0.000 | -0.000 | -0.000 |
| 2.507 | 2.507 | 2.507 | 0.000 | -0.000 | -0.000 |
| 2.507 | 2.507 | 2.507 | -0.000 | 0.000 | -0.000 |
| 2.507 | 2.507 | 2.507 | -0.000 | -0.000 | 0.000 |
| 0.000 | 0.000 | 0.000 | 0.000 | 0.000 | 0.000 |
| 0.000 | 0.000 | 0.000 | 0.000 | 0.000 | 0.000 |
| 0.000 | 0.000 | 0.000 | 0.000 | 0.000 | 0.000 |
| 2.507 | 2.507 | 2.507 | 0.000 | 0.000 | -0.000 |
| 2.507 | 2.507 | 2.507 | 0.000 | 0.000 | -0.000 |
| 2.507 | 2.507 | 2.507 | 0.000 | 0.000 | 0.000 |
| -0.000 | -0.000 | -0.000 | -0.000 | -0.000 | -0.000 |
| -0.000 | -0.000 | -0.000 | -0.000 | -0.000 | -0.000 |
| -0.000 | -0.000 | -0.000 | -0.000 | -0.000 | -0.000 |
| 2.507 | 2.507 | 2.507 | 0.000 | -0.000 | 0.000 |
| 2.507 | 2.507 | 2.507 | -0.000 | 0.000 | 0.000 |
| 2.507 | 2.507 | 2.507 | -0.000 | -0.000 | 0.000 |
| 0.000 | 0.000 | 0.000 | 0.000 | 0.000 | 0.000 |
| 0.000 | 0.000 | 0.000 | 0.000 | 0.000 | 0.000 |
| 0.000 | 0.000 | 0.000 | 0.000 | 0.000 | 0.000 |
| 2.507 | 2.507 | 2.507 | 0.000 | 0.000 | -0.000 |
| 2.507 | 2.507 | 2.507 | 0.000 | 0.000 | -0.000 |
| 2.507 | 2.507 | 2.507 | 0.000 | 0.000 | 0.000 |
| -0.000 | -0.000 | -0.000 | -0.000 | -0.000 | -0.000 |
| -0.000 | -0.000 | -0.000 | -0.000 | -0.000 | -0.000 |
| -0.000 | -0.000 | -0.000 | -0.000 | -0.000 | -0.000 |
| 2.507 | 2.507 | 2.507 | -0.000 | -0.000 | 0.000 |
| 2.507 | 2.507 | 2.507 | -0.000 | -0.000 | 0.000 |
| 2.507 | 2.507 | 2.507 | -0.000 | -0.000 | -0.000 |
| 0.000 | 0.000 | 0.000 | 0.000 | 0.000 | 0.000 |
| 0.000 | 0.000 | 0.000 | 0.000 | 0.000 | 0.000 |
| 0.000 | 0.000 | 0.000 | 0.000 | 0.000 | 0.000 |
| 58.969 | -9.969 | 1.210 | -0.000 | -0.000 | -0.000 |
| -9.969 | 58.969 | 1.210 | 0.000 | -0.000 | -0.000 |
| 1.210 | 1.210 | 43.340 | 0.000 | -0.000 | -0.000 |
| -0.000 | -0.000 | -0.000 | -1.309 | -0.000 | -0.000 |
| -0.000 | -0.000 | -0.000 | 0.000 | -1.309 | -0.000 |
| 0.000 | -0.000 | 0.000 | 0.000 | -0.000 | -9.969 |
| 31.014 | 17.986 | 1.210 | 0.000 | 0.000 | 0.000 |
| 17.986 | 31.014 | 1.210 | 0.000 | 0.000 | -0.000 |
| 1.210 | 1.210 | 43.340 | -0.000 | -0.000 | 0.000 |
| 0.000 | 0.000 | -0.000 | -1.309 | 0.000 | -0.000 |
| 0.000 | 0.000 | 0.000 | -0.000 | -1.309 | 0.000 |
| -0.000 | 0.000 | -0.000 | -0.000 | 0.000 | -9.969 |
| 58.969 | -9.969 | 1.210 | 0.000 | -0.000 | 0.000 |
| -9.969 | 58.969 | 1.210 | 0.000 | -0.000 | -0.000 |
| 1.210 | 1.210 | 43.340 | 0.000 | -0.000 | -0.000 |
| -0.000 | 0.000 | -0.000 | -1.309 | -0.000 | 0.000 |
| 0.000 | -0.000 | -0.000 | 0.000 | -1.309 | -0.000 |
| 0.000 | -0.000 | 0.000 | 0.000 | -0.000 | -9.969 |
| 58.969 | -9.969 | 1.210 | -0.000 | 0.000 | 0.000 |
| -9.969 | 58.969 | 1.210 | 0.000 | 0.000 | 0.000 |
| 1.210 | 1.210 | 43.340 | -0.000 | -0.000 | 0.000 |
| 0.000 | -0.000 | 0.000 | -1.309 | 0.000 | 0.000 |
| -0.000 | 0.000 | 0.000 | -0.000 | -1.309 | 0.000 |
| -0.000 | 0.000 | -0.000 | -0.000 | 0.000 | -9.969 |
| 634412.889 | 64761.178 | 290288.390 | 78626.474 | 143980.119 | 51210.376 |
| -45590.448 | 295127.501 | 659974.396 | 17412.137 | -62130.439 | 57156.242 |
| 1.210 | 1.210 | 43.341 | 0.000 | -0.000 | -0.000 |
| -0.000 | 0.000 | -0.000 | -1.309 | -0.000 | -0.000 |
| 0.000 | -0.000 | -0.000 | 0.000 | -1.309 | -0.000 |
| 0.000 | -0.000 | 0.000 | 0.000 | -0.000 | -9.969 |
| 58709.541 | -438292.661 | -495088.267 | -96085.167 | 33060.603 | -76254.159 |
| -205264.778 | -323784.986 | -298097.971 | 8021.329 | 13232.178 | 6747.895 |
| 1.210 | 1.210 | 43.340 | -0.000 | -0.000 | 0.000 |
| 0.000 | -0.000 | 0.000 | -1.309 | 0.000 | 0.000 |
| -0.000 | 0.000 | 0.000 | -0.000 | -1.309 | -0.000 |
| -0.000 | 0.000 | -0.000 | 0.000 | 0.000 | -9.969 |
| 34.384 | -2.098 | 15.264 | 0.000 | 0.000 | 0.000 |
| -2.098 | 34.384 | 15.264 | 0.000 | 0.000 | 0.000 |
| 15.264 | 15.264 | 17.247 | 0.000 | 0.000 | 0.000 |
| 0.000 | 0.000 | -0.000 | 15.264 | 0.000 | 0.000 |
| 0.000 | 0.000 | 0.000 | 0.000 | 15.264 | 0.000 |
| 0.000 | 0.000 | 0.000 | -0.000 | 0.000 | -2.098 |
| 34.384 | -2.098 | 15.264 | -0.000 | -0.000 | -0.000 |
| -2.098 | 34.384 | 15.264 | -0.000 | -0.000 | -0.000 |
| 15.264 | 15.264 | 17.247 | -0.000 | -0.000 | -0.000 |
| -0.000 | -0.000 | 0.000 | 15.264 | -0.000 | -0.000 |
| -0.000 | -0.000 | -0.000 | -0.000 | 15.264 | -0.000 |
| -0.000 | -0.000 | 0.000 | 0.000 | -0.000 | -2.098 |
| 34.384 | -2.098 | 15.264 | 0.000 | 0.000 | 0.000 |
| -2.098 | 34.384 | 15.264 | 0.000 | 0.000 | 0.000 |
| 15.264 | 15.264 | 17.247 | -0.000 | 0.000 | 0.000 |
| 0.000 | -0.000 | 0.000 | 15.264 | 0.000 | 0.000 |
| -0.000 | 0.000 | 0.000 | 0.000 | 15.264 | 0.000 |
| 0.000 | -0.000 | 0.000 | 0.000 | 0.000 | -2.098 |
| 34.384 | -2.098 | 15.264 | -0.000 | -0.000 | -0.000 |
| -2.098 | 34.384 | 15.264 | -0.000 | -0.000 | -0.000 |
| 15.264 | 15.264 | 17.247 | -0.000 | -0.000 | -0.000 |
| -0.000 | 0.000 | -0.000 | 15.264 | -0.000 | -0.000 |
| 0.000 | -0.000 | -0.000 | -0.000 | 15.264 | -0.000 |
| -0.000 | 0.000 | -0.000 | -0.000 | -0.000 | -2.098 |
| 34.384 | -2.098 | 15.264 | 0.000 | 0.000 | 0.000 |
| -2.098 | 34.384 | 15.264 | 0.000 | 0.000 | 0.000 |
| 15.264 | 15.264 | 17.247 | -0.000 | -0.000 | 0.000 |
| 0.000 | -0.000 | 0.000 | 15.264 | 0.000 | 0.000 |
| -0.000 | 0.000 | 0.000 | 0.000 | 15.264 | 0.000 |
| 0.000 | -0.000 | 0.000 | 0.000 | 0.000 | -2.098 |
| 34.384 | -2.098 | 15.264 | -0.000 | 0.000 | -0.000 |
| -2.098 | 34.384 | 15.264 | -0.000 | -0.000 | -0.000 |
| 15.264 | 15.264 | 17.247 | -0.000 | -0.000 | -0.000 |
| -0.000 | 0.000 | -0.000 | 15.264 | -0.000 | -0.000 |
| 0.000 | -0.000 | -0.000 | -0.000 | 15.264 | -0.000 |
| -0.000 | 0.000 | -0.000 | -0.000 | -0.000 | -2.098 |
| 6.176 | -0.519 | 9.908 | -11.234 | 0.000 | -0.000 |
| -0.519 | 6.176 | 9.908 | 11.234 | 0.000 | -0.000 |
| 7.845 | 7.845 | -3.915 | 0.000 | 0.000 | -0.000 |
| -11.234 | 11.234 | 0.000 | 9.648 | 0.000 | -0.000 |
| 0.000 | 0.000 | 0.000 | 0.000 | 9.648 | -11.234 |
| 0.000 | 0.000 | -0.000 | 0.000 | -11.234 | 3.347 |
| 6.176 | -0.519 | 9.908 | -11.234 | -0.000 | 0.000 |
| -0.519 | 6.176 | 9.908 | 11.234 | -0.000 | 0.000 |
| 7.845 | 7.845 | -3.915 | 0.000 | -0.000 | 0.000 |
| -11.234 | 11.234 | 0.000 | 9.648 | -0.000 | 0.000 |
| -0.000 | -0.000 | -0.000 | -0.000 | 9.648 | -11.234 |
| -0.000 | -0.000 | 0.000 | -0.000 | -11.234 | 3.347 |
| 6.176 | -0.519 | 9.908 | -11.234 | 0.000 | -0.000 |
| -0.519 | 6.176 | 9.908 | 11.234 | -0.000 | -0.000 |
| 7.845 | 7.845 | -3.915 | -0.000 | 0.000 | -0.000 |
| -11.234 | 11.234 | 0.000 | 9.648 | -0.000 | -0.000 |
| 0.000 | 0.000 | 0.000 | -0.000 | 9.648 | -11.234 |
| 0.000 | 0.000 | 0.000 | -0.000 | -11.234 | 3.347 |
| 6.176 | -0.519 | 9.908 | -11.234 | -0.000 | 0.000 |
| -0.519 | 6.176 | 9.908 | 11.234 | 0.000 | 0.000 |
| 7.845 | 7.845 | -3.915 | -0.000 | -0.000 | 0.000 |
| -11.234 | 11.234 | -0.000 | 9.648 | 0.000 | 0.000 |
| -0.000 | -0.000 | -0.000 | 0.000 | 9.648 | -11.234 |
| -0.000 | -0.000 | -0.000 | 0.000 | -11.234 | 3.347 |
| 6.176 | -0.519 | 9.908 | -11.234 | 0.000 | -0.000 |
| -0.519 | 6.176 | 9.908 | 11.234 | -0.000 | -0.000 |
| 7.845 | 7.845 | -3.915 | 0.000 | -0.000 | -0.000 |
| -11.234 | 11.234 | 0.000 | 9.648 | 0.000 | -0.000 |
| 0.000 | 0.000 | 0.000 | -0.000 | 9.648 | -11.234 |
| 0.000 | 0.000 | 0.000 | -0.000 | -11.234 | 3.347 |
| 6.175 | -0.519 | 9.907 | -11.234 | -0.000 | 0.000 |
| -0.519 | 6.175 | 9.907 | 11.234 | -0.000 | 0.000 |
| 7.845 | 7.845 | -3.915 | -0.000 | -0.000 | 0.000 |
| -11.234 | 11.234 | -0.000 | 9.648 | 0.000 | 0.000 |
| -0.000 | -0.000 | -0.000 | 0.000 | 9.648 | -11.234 |
| -0.000 | -0.000 | -0.000 | 0.000 | -11.234 | 3.347 |
| 18.791 | 6.253 | 19.651 | -18.938 | 0.000 | -0.000 |
| 6.253 | 18.791 | 19.651 | 18.938 | 0.000 | -0.000 |
| 19.638 | 19.638 | 5.443 | 0.000 | -0.000 | -0.000 |
| -18.938 | 18.938 | 0.000 | 19.642 | 0.000 | 0.000 |
| -0.000 | -0.000 | 0.000 | -0.000 | 19.642 | -18.938 |
| -0.000 | -0.000 | 0.000 | -0.000 | -18.938 | 6.269 |
| 18.791 | 6.253 | 19.651 | -18.938 | -0.000 | -0.000 |
| 6.253 | 18.791 | 19.651 | 18.938 | -0.000 | -0.000 |
| 19.638 | 19.638 | 5.443 | 0.000 | -0.000 | -0.000 |
| -18.938 | 18.938 | 0.000 | 19.642 | -0.000 | -0.000 |
| 0.000 | -0.000 | -0.000 | 0.000 | 19.642 | -18.938 |
| 0.000 | -0.000 | 0.000 | 0.000 | -18.938 | 6.269 |
| 18.791 | 6.253 | 19.651 | -18.938 | 0.000 | 0.000 |
| 6.253 | 18.791 | 19.651 | 18.938 | -0.000 | 0.000 |
| 19.638 | 19.638 | 5.443 | -0.000 | 0.000 | 0.000 |
| -18.938 | 18.938 | 0.000 | 19.642 | 0.000 | 0.000 |
| 0.000 | 0.000 | 0.000 | -0.000 | 19.642 | -18.938 |
| 0.000 | 0.000 | 0.000 | -0.000 | -18.938 | 6.269 |
| 18.791 | 6.253 | 19.651 | -18.938 | -0.000 | -0.000 |
| 6.253 | 18.791 | 19.651 | 18.938 | -0.000 | -0.000 |
| 19.638 | 19.638 | 5.443 | 0.000 | -0.000 | -0.000 |
| -18.938 | 18.938 | -0.000 | 19.642 | -0.000 | 0.000 |
| -0.000 | -0.000 | -0.000 | 0.000 | 19.642 | -18.938 |
| -0.000 | -0.000 | -0.000 | 0.000 | -18.938 | 6.269 |
| 18.791 | 6.253 | 19.651 | -18.938 | 0.000 | 0.000 |
| 6.253 | 18.791 | 19.651 | 18.938 | 0.000 | 0.000 |
| 19.638 | 19.638 | 5.443 | 0.000 | 0.000 | -0.000 |
| -18.938 | 18.938 | 0.000 | 19.642 | -0.000 | -0.000 |
| 0.000 | 0.000 | 0.000 | -0.000 | 19.642 | -18.938 |
| 0.000 | 0.000 | 0.000 | -0.000 | -18.938 | 6.269 |
| 18.791 | 6.253 | 19.651 | -18.938 | -0.000 | -0.000 |
| 6.253 | 18.791 | 19.651 | 18.938 | -0.000 | 0.000 |
| 19.638 | 19.638 | 5.443 | -0.000 | -0.000 | -0.000 |
| -18.938 | 18.938 | -0.000 | 19.642 | -0.000 | 0.000 |
| -0.000 | -0.000 | -0.000 | 0.000 | 19.642 | -18.938 |
| -0.000 | -0.000 | -0.000 | 0.000 | -18.938 | 6.269 |
| 59.020 | -7.123 | -7.123 | 0.000 | -0.000 | -0.000 |
| -7.123 | 59.020 | -7.123 | 0.000 | 0.000 | -0.000 |
| -7.123 | -7.123 | 59.020 | 0.000 | -0.000 | -0.000 |
| -0.000 | 0.000 | 0.000 | -7.123 | 0.000 | -0.000 |
| 0.000 | 0.000 | 0.000 | 0.000 | -7.123 | -0.000 |
| 0.000 | -0.000 | 0.000 | -0.000 | 0.000 | -7.123 |
| 59.020 | -7.123 | -7.123 | -0.000 | 0.000 | 0.000 |
| -7.123 | 59.020 | -7.123 | -0.000 | 0.000 | 0.000 |
| -7.123 | -7.123 | 59.020 | -0.000 | -0.000 | 0.000 |
| -0.000 | -0.000 | -0.000 | -7.123 | -0.000 | 0.000 |
| 0.000 | -0.000 | -0.000 | -0.000 | -7.123 | 0.000 |
| 0.000 | 0.000 | -0.000 | -0.000 | -0.000 | -7.123 |
| 59.020 | -7.123 | -7.123 | 0.000 | -0.000 | -0.000 |
| -7.123 | 59.020 | -7.123 | 0.000 | -0.000 | -0.000 |
| -7.123 | -7.123 | 59.020 | 0.000 | -0.000 | -0.000 |
| -0.000 | 0.000 | -0.000 | -7.123 | 0.000 | -0.000 |
| 0.000 | -0.000 | -0.000 | 0.000 | -7.123 | -0.000 |
| 0.000 | -0.000 | -0.000 | 0.000 | 0.000 | -7.123 |
| 59.020 | -7.123 | -7.123 | -0.000 | -0.000 | 0.000 |
| -7.123 | 59.020 | -7.123 | -0.000 | -0.000 | 0.000 |
| -7.123 | -7.123 | 59.020 | -0.000 | -0.000 | 0.000 |
| 0.000 | -0.000 | 0.000 | -7.123 | 0.000 | 0.000 |
| -0.000 | 0.000 | 0.000 | -0.000 | -7.123 | 0.000 |
| -0.000 | 0.000 | 0.000 | -0.000 | -0.000 | -7.123 |
| 59.020 | -7.123 | -7.123 | 0.000 | -0.000 | -0.000 |
| -7.123 | 59.020 | -7.123 | 0.000 | 0.000 | -0.000 |
| -7.123 | -7.123 | 59.020 | 0.000 | 0.000 | -0.000 |
| -0.000 | 0.000 | -0.000 | -7.123 | -0.000 | -0.000 |
| 0.000 | -0.000 | -0.000 | 0.000 | -7.123 | -0.000 |
| 0.000 | -0.000 | -0.000 | 0.000 | -0.000 | -7.123 |
| 59.019 | -7.123 | -7.123 | -0.000 | -0.000 | 0.000 |
| -7.123 | 59.019 | -7.123 | -0.000 | 0.000 | 0.000 |
| -7.123 | -7.123 | 59.019 | -0.000 | -0.000 | 0.000 |
| 0.000 | -0.000 | 0.000 | -7.123 | 0.000 | 0.000 |
| -0.000 | 0.000 | 0.000 | -0.000 | -7.123 | 0.000 |
| -0.000 | 0.000 | 0.000 | -0.000 | -0.000 | -7.123 |
| 21.795 | 8.383 | 13.166 | 0.000 | -0.000 | 0.000 |
| 12.226 | 1.859 | 12.982 | 0.000 | -0.000 | -0.000 |
| 11.815 | 6.231 | 12.266 | 0.000 | -0.000 | 0.000 |
| -0.563 | -0.996 | 1.814 | -5.028 | -0.000 | -0.000 |
| -2.160 | -4.050 | 7.221 | -0.000 | -27.544 | -0.000 |
| -1.147 | -0.524 | 1.970 | -0.000 | -0.000 | 10.805 |
| 22.516 | 10.074 | 10.658 | -0.000 | 0.000 | 0.000 |
| 13.429 | 3.172 | 9.888 | -0.000 | 0.000 | 0.000 |
| 13.273 | 6.177 | 10.542 | -0.000 | 0.000 | -0.000 |
| 0.563 | 0.996 | -1.814 | -5.028 | 0.000 | 0.000 |
| 2.160 | 4.050 | -7.221 | -0.000 | -27.543 | 0.000 |
| 1.147 | 0.524 | -1.970 | 0.000 | 0.000 | 10.805 |
| 21.827 | 10.771 | 11.186 | 0.000 | -0.000 | 0.000 |
| 12.881 | 2.230 | 11.328 | 0.000 | -0.000 | -0.000 |
| 11.203 | 9.190 | 10.131 | 0.000 | -0.000 | -0.000 |
| -0.029 | -0.097 | 0.146 | -5.074 | -0.000 | -0.000 |
| 0.000 | 0.000 | 0.000 | 0.000 | 10.090 | 0.000 |
| 0.771 | -0.026 | -0.890 | 0.000 | -0.000 | 8.102 |
| 21.947 | 10.937 | 10.853 | 0.000 | 0.000 | -0.000 |
| 13.000 | 2.397 | 10.999 | -0.000 | 0.000 | -0.000 |
| 11.322 | 9.354 | 9.803 | -0.000 | 0.000 | -0.000 |
| 0.029 | 0.097 | -0.146 | -5.074 | 0.000 | 0.000 |
| -0.000 | -0.000 | -0.000 | -0.000 | 10.090 | -0.000 |
| -0.771 | 0.026 | 0.890 | -0.000 | 0.000 | 8.102 |
| 21.881 | 10.828 | 11.064 | -0.000 | -0.000 | -0.000 |
| 12.934 | 2.305 | 11.180 | 0.000 | -0.000 | 0.000 |
| 11.264 | 9.269 | 9.981 | 0.000 | -0.000 | -0.000 |
| -0.006 | -0.008 | 0.016 | -5.084 | -0.000 | -0.000 |
| 463489.041 | -145945.738 | 137219.610 | -0.000 | -1718852.618 | -0.000 |
| -1999271.128 | 460012.618 | -1648513.756 | -0.000 | 0.000 | 12.950 |
| 21.893 | 10.844 | 11.031 | 0.000 | 0.000 | -0.000 |
| 12.946 | 2.322 | 11.147 | 0.000 | 0.000 | 0.000 |
| 11.276 | 9.285 | 9.948 | -0.000 | 0.000 | 0.000 |
| 0.006 | 0.008 | -0.016 | -5.084 | 0.000 | 0.000 |
| -463489.041 | 145945.738 | -137219.610 | -0.000 | -1718852.618 | 0.000 |
| 1999271.128 | -460012.618 | 1648513.756 | -0.000 | -0.000 | 12.950 |
| 24.071 | 11.545 | 11.545 | -0.000 | -0.000 | -0.000 |
| 11.545 | 24.071 | 11.545 | -0.000 | -0.000 | -0.000 |
| 11.545 | 11.545 | 24.071 | -0.000 | -0.000 | -0.000 |
| -0.000 | -0.000 | -0.000 | 9.536 | -0.000 | -0.000 |
| -0.000 | -0.000 | -0.000 | -0.000 | 9.536 | 0.000 |
| 0.000 | -0.000 | -0.000 | -0.000 | -0.000 | 9.536 |
| 24.071 | 11.545 | 11.545 | 0.000 | 0.000 | 0.000 |
| 11.545 | 24.071 | 11.545 | 0.000 | 0.000 | 0.000 |
| 11.545 | 11.545 | 24.071 | 0.000 | 0.000 | 0.000 |
| 0.000 | 0.000 | -0.000 | 9.536 | 0.000 | 0.000 |
| 0.000 | 0.000 | 0.000 | 0.000 | 9.536 | 0.000 |
| 0.000 | 0.000 | -0.000 | 0.000 | 0.000 | 9.536 |
| 23.212 | 12.033 | 12.033 | -0.000 | -0.000 | -0.000 |
| 12.033 | 23.212 | 12.033 | -0.000 | -0.000 | -0.000 |
| 12.033 | 12.033 | 23.212 | -0.000 | -0.000 | -0.000 |
| 0.000 | 0.000 | 0.000 | 9.229 | -0.000 | -0.000 |
| 0.000 | 0.000 | 0.000 | -0.000 | 9.229 | -0.000 |
| -0.000 | 0.000 | 0.000 | 0.000 | -0.000 | 9.229 |
| 23.340 | 11.866 | 11.866 | 0.000 | 0.000 | 0.000 |
| 11.866 | 23.340 | 11.866 | 0.000 | 0.000 | 0.000 |
| 11.866 | 11.866 | 23.340 | -0.000 | 0.000 | 0.000 |
| -0.000 | -0.000 | -0.000 | 9.229 | 0.000 | 0.000 |
| -0.000 | -0.000 | -0.000 | -0.000 | 9.229 | 0.000 |
| -0.000 | -0.000 | -0.000 | 0.000 | 0.000 | 9.229 |
| 23.187 | 12.010 | 12.010 | -0.000 | -0.000 | -0.000 |
| 12.010 | 23.187 | 12.010 | -0.000 | -0.000 | -0.000 |
| 12.010 | 12.010 | 23.187 | 0.000 | -0.000 | -0.000 |
| 0.000 | 0.000 | 0.000 | 9.135 | -0.000 | -0.000 |
| 0.000 | 0.000 | 0.000 | -0.000 | 9.135 | -0.000 |
| 0.000 | 0.000 | 0.000 | 0.000 | -0.000 | 9.135 |
| 23.212 | 12.033 | 12.033 | 0.000 | 0.000 | 0.000 |
| 12.033 | 23.212 | 12.033 | 0.000 | 0.000 | 0.000 |
| 12.033 | 12.033 | 23.212 | 0.000 | 0.000 | 0.000 |
| -0.000 | -0.000 | -0.000 | 9.135 | 0.000 | 0.000 |
| -0.000 | -0.000 | -0.000 | 0.000 | 9.135 | 0.000 |
| -0.000 | -0.000 | -0.000 | 0.000 | 0.000 | 9.135 |
| 23.952 | 11.452 | 11.452 | 0.000 | 0.000 | -0.000 |
| 11.452 | 23.952 | 11.452 | 0.000 | 0.000 | 0.000 |
| 11.452 | 11.452 | 23.952 | 0.000 | 0.000 | 0.000 |
| -0.003 | -0.003 | -0.003 | 9.505 | 0.000 | 0.000 |
| -0.003 | -0.003 | -0.003 | 0.000 | 9.505 | -0.000 |
| -0.003 | -0.003 | -0.003 | 0.000 | -0.000 | 9.505 |
| 24.828 | 11.207 | 11.207 | 0.000 | -0.000 | -0.000 |
| 11.207 | 24.828 | 11.207 | -0.000 | -0.000 | -0.000 |
| 11.207 | 11.207 | 24.828 | -0.000 | 0.000 | -0.000 |
| 0.003 | 0.003 | 0.003 | 9.505 | -0.000 | -0.000 |
| 0.003 | 0.003 | 0.003 | 0.000 | 9.505 | 0.000 |
| 0.003 | 0.003 | 0.003 | -0.000 | -0.000 | 9.505 |
| 23.953 | 11.455 | 11.455 | 0.000 | 0.000 | 0.000 |
| 11.455 | 23.953 | 11.455 | 0.000 | -0.000 | 0.000 |
| 11.455 | 11.455 | 23.953 | -0.000 | -0.000 | 0.000 |
| -0.000 | -0.000 | -0.000 | 9.112 | -0.000 | 0.000 |
| -0.000 | -0.000 | -0.000 | 0.000 | 9.112 | 0.000 |
| -0.000 | -0.000 | -0.000 | -0.000 | -0.000 | 9.112 |
| 23.084 | 11.906 | 11.906 | -0.000 | 0.000 | 0.000 |
| 11.906 | 23.084 | 11.906 | -0.000 | -0.000 | -0.000 |
| 11.906 | 11.906 | 23.084 | -0.000 | 0.000 | -0.000 |
| 0.000 | 0.000 | 0.000 | 9.112 | 0.000 | -0.000 |
| 0.000 | 0.000 | 0.000 | -0.000 | 9.112 | -0.000 |
| 0.000 | 0.000 | 0.000 | 0.000 | 0.000 | 9.112 |
| 23.081 | 11.914 | 11.914 | -0.000 | -0.000 | 0.000 |
| 11.914 | 23.081 | 11.914 | -0.000 | -0.000 | 0.000 |
| 11.914 | 11.914 | 23.081 | -0.000 | -0.000 | 0.000 |
| -0.000 | -0.000 | -0.000 | 9.103 | 0.000 | 0.000 |
| -0.000 | -0.000 | -0.000 | -0.000 | 9.103 | 0.000 |
| -0.000 | -0.000 | -0.000 | 0.000 | 0.000 | 9.103 |
| 23.081 | 11.913 | 11.913 | -0.000 | -0.000 | -0.000 |
| 11.913 | 23.081 | 11.913 | 0.000 | 0.000 | -0.000 |
| 11.913 | 11.913 | 23.081 | 0.000 | 0.000 | -0.000 |
| 0.000 | 0.000 | 0.000 | 9.103 | 0.000 | -0.000 |
| 0.000 | 0.000 | 0.000 | 0.000 | 9.103 | -0.000 |
| 0.000 | 0.000 | 0.000 | -0.000 | -0.000 | 9.103 |
| 32.912 | 8.343 | 8.343 | -0.000 | -0.000 | 0.000 |
| 8.343 | 32.912 | 8.343 | 0.000 | -0.000 | 0.000 |
| 8.343 | 8.343 | 32.912 | 0.000 | -0.000 | 0.000 |
| 0.000 | 0.000 | 0.000 | 5.526 | -0.000 | 0.000 |
| 0.000 | 0.000 | -0.000 | -0.000 | 5.526 | 0.000 |
| 0.000 | 0.000 | 0.000 | -0.000 | 0.000 | 5.526 |
| 35.089 | 7.338 | 7.338 | 0.000 | 0.000 | -0.000 |
| 7.338 | 35.089 | 7.338 | -0.000 | 0.000 | -0.000 |
| 7.338 | 7.338 | 35.089 | 0.000 | 0.000 | -0.000 |
| -0.000 | -0.000 | -0.000 | 5.526 | 0.000 | -0.000 |
| -0.000 | -0.000 | -0.000 | -0.000 | 5.526 | -0.000 |
| -0.000 | -0.000 | -0.000 | -0.000 | 0.000 | 5.526 |
| 35.089 | 7.338 | 7.338 | 0.000 | 0.000 | 0.000 |
| 7.338 | 35.089 | 7.338 | -0.000 | 0.000 | 0.000 |
| 7.338 | 7.338 | 35.089 | -0.000 | -0.000 | 0.000 |
| -0.000 | 0.000 | 0.000 | 5.012 | -0.000 | 0.000 |
| 0.000 | -0.000 | -0.000 | -0.000 | 5.012 | 0.000 |
| 0.000 | -0.000 | -0.000 | -0.000 | 0.000 | 5.012 |
| 35.089 | 7.338 | 7.338 | 0.000 | 0.000 | -0.000 |
| 7.338 | 35.089 | 7.338 | 0.000 | 0.000 | -0.000 |
| 7.338 | 7.338 | 35.089 | 0.000 | 0.000 | -0.000 |
| 0.000 | -0.000 | -0.000 | 5.012 | -0.000 | -0.000 |
| -0.000 | 0.000 | 0.000 | 0.000 | 5.012 | -0.000 |
| -0.000 | 0.000 | -0.000 | -0.000 | -0.000 | 5.012 |
| 32.912 | 8.343 | 8.343 | 0.000 | -0.000 | 0.000 |
| 8.343 | 32.912 | 8.343 | -0.000 | -0.000 | 0.000 |
| 8.343 | 8.343 | 32.912 | -0.000 | 0.000 | 0.000 |
| -0.000 | 0.000 | 0.000 | 7.338 | -0.000 | 0.000 |
| 0.000 | -0.000 | 0.000 | -0.000 | 7.338 | 0.000 |
| 0.000 | 0.000 | -0.000 | -0.000 | -0.000 | 7.338 |
| 32.534 | 8.451 | 8.451 | -0.000 | -0.000 | -0.000 |
| 8.451 | 32.534 | 8.451 | -0.000 | 0.000 | 0.000 |
| 8.451 | 8.451 | 32.534 | -0.000 | -0.000 | -0.000 |
| 0.000 | -0.000 | -0.000 | 7.338 | 0.000 | -0.000 |
| -0.000 | 0.000 | -0.000 | 0.000 | 7.338 | -0.000 |
| -0.000 | -0.000 | 0.000 | 0.000 | 0.000 | 7.338 |
| 35.031 | 7.316 | 7.316 | 0.000 | 0.000 | 0.000 |
| 7.316 | 35.031 | 7.316 | 0.000 | 0.000 | 0.000 |
| 7.316 | 7.316 | 35.031 | -0.000 | -0.000 | 0.000 |
| -0.000 | 0.000 | 0.000 | 7.334 | 0.000 | 0.000 |
| -0.000 | 0.000 | 0.000 | 0.000 | 7.334 | 0.000 |
| -0.000 | 0.000 | 0.000 | 0.000 | 0.000 | 7.334 |
| 33.084 | 8.139 | 8.139 | -0.000 | 0.000 | -0.000 |
| 8.139 | 33.084 | 8.139 | 0.000 | -0.000 | -0.000 |
| 8.139 | 8.139 | 33.084 | -0.000 | -0.000 | -0.000 |
| 0.000 | -0.000 | -0.000 | 7.334 | -0.000 | -0.000 |
| 0.000 | -0.000 | -0.000 | -0.000 | 7.334 | -0.000 |
| 0.000 | -0.000 | -0.000 | -0.000 | -0.000 | 7.334 |
| 35.031 | 7.316 | 7.316 | 0.000 | 0.000 | 0.000 |
| 7.316 | 35.031 | 7.316 | 0.000 | -0.000 | 0.000 |
| 7.316 | 7.316 | 35.031 | 0.000 | 0.000 | 0.000 |
| -0.000 | 0.000 | 0.000 | 7.334 | 0.000 | 0.000 |
| 0.000 | -0.000 | 0.000 | 0.000 | 7.334 | 0.000 |
| 0.000 | 0.000 | -0.000 | 0.000 | -0.000 | 7.334 |
| 33.058 | 8.219 | 8.219 | -0.000 | -0.000 | -0.000 |
| 8.219 | 33.058 | 8.219 | -0.000 | -0.000 | -0.000 |
| 8.219 | 8.219 | 33.058 | -0.000 | -0.000 | -0.000 |
| 0.000 | -0.000 | -0.000 | 7.334 | 0.000 | -0.000 |
| -0.000 | 0.000 | -0.000 | -0.000 | 7.334 | -0.000 |
| -0.000 | -0.000 | 0.000 | -0.000 | -0.000 | 7.334 |
| 35.031 | 7.316 | 7.316 | 0.000 | 0.000 | 0.000 |
| 7.316 | 35.031 | 7.316 | 0.000 | 0.000 | 0.000 |
| 7.316 | 7.316 | 35.031 | 0.000 | 0.000 | 0.000 |
| 0.001 | 0.001 | 0.001 | 5.524 | 0.000 | 0.000 |
| 0.001 | 0.001 | 0.001 | 0.000 | 5.524 | 0.000 |
| 0.001 | 0.001 | 0.001 | 0.000 | 0.000 | 5.524 |
| 32.879 | 8.308 | 8.308 | -0.000 | 0.000 | -0.000 |
| 8.308 | 32.879 | 8.308 | -0.000 | -0.000 | -0.000 |
| 8.308 | 8.308 | 32.879 | -0.000 | 0.000 | -0.000 |
| -0.001 | -0.001 | -0.001 | 5.524 | 0.000 | -0.000 |
| -0.001 | -0.001 | -0.001 | -0.000 | 5.524 | -0.000 |
| -0.001 | -0.001 | -0.001 | -0.000 | -0.000 | 5.524 |
| 0.630 | 1.049 | 1.049 | 0.000 | 0.000 | 0.000 |
| 1.049 | 0.630 | 1.049 | 0.000 | 0.000 | 0.000 |
| 1.049 | 1.049 | 0.630 | 0.000 | -0.000 | 0.000 |
| 0.000 | 0.000 | 0.000 | -5.400 | -0.000 | -0.000 |
| 0.000 | 0.000 | 0.000 | -0.000 | -5.400 | -0.000 |
| 0.000 | 0.000 | 0.000 | -0.000 | -0.000 | -5.400 |
| 0.630 | 1.049 | 1.049 | -0.000 | 0.000 | -0.000 |
| 1.049 | 0.630 | 1.049 | 0.000 | 0.000 | -0.000 |
| 1.049 | 1.049 | 0.630 | 0.000 | -0.000 | -0.000 |
| -0.000 | -0.000 | -0.000 | -5.400 | 0.000 | 0.000 |
| -0.000 | -0.000 | -0.000 | 0.000 | -5.400 | 0.000 |
| -0.000 | -0.000 | -0.000 | 0.000 | 0.000 | -5.400 |
| 0.630 | 1.049 | 1.049 | -0.000 | -0.000 | 0.000 |
| 1.049 | 0.630 | 1.049 | -0.000 | -0.000 | 0.000 |
| 1.049 | 1.049 | 0.630 | 0.000 | 0.000 | 0.000 |
| 0.000 | -0.000 | 0.000 | 1.220 | 0.000 | 0.000 |
| 0.000 | 0.000 | 0.000 | -0.000 | 1.220 | 0.000 |
| -0.000 | 0.000 | 0.000 | -0.000 | 0.000 | 1.220 |
| 0.521 | 1.228 | 1.228 | 0.000 | 0.000 | 0.000 |
| 1.228 | 0.521 | 1.228 | 0.000 | 0.000 | 0.000 |
| 1.228 | 1.228 | 0.521 | 0.000 | 0.000 | 0.000 |
| -0.000 | 0.000 | -0.000 | 1.220 | 0.000 | -0.000 |
| 0.000 | -0.000 | -0.000 | 0.000 | 1.220 | -0.000 |
| -0.000 | -0.000 | -0.000 | 0.000 | -0.000 | 1.220 |
| 0.317 | 1.262 | 1.262 | -0.000 | -0.000 | -0.000 |
| 1.262 | 0.317 | 1.262 | -0.000 | -0.000 | -0.000 |
| 1.262 | 1.262 | 0.317 | -0.000 | -0.000 | -0.000 |
| -316232.664 | -339781.157 | -342159.916 | -103842.068 | -2878.761 | 5870.775 |
| -346096.970 | -320110.250 | -346206.003 | 756.888 | -105738.542 | 6568.792 |
| -342865.955 | -340760.206 | -315672.231 | -773.012 | 5663.592 | -106228.921 |
| 0.317 | 1.262 | 1.262 | 0.000 | 0.000 | 0.000 |
| 1.262 | 0.317 | 1.262 | 0.000 | 0.000 | 0.000 |
| 1.262 | 1.262 | 0.317 | 0.000 | 0.000 | 0.000 |
| 323301.458 | 336435.738 | 337018.903 | -108270.752 | -1393.808 | -2241.352 |
| 335016.455 | 318636.941 | 333991.126 | -3571.481 | -106864.505 | 767.279 |
| 338103.435 | 339587.182 | 325953.933 | 527.607 | 2831.098 | -106120.339 |
| 23.532 | 15.808 | 15.808 | -0.000 | -0.000 | -0.000 |
| 15.808 | 23.532 | 15.808 | -0.000 | 0.000 | -0.000 |
| 15.808 | 15.808 | 23.532 | -0.000 | 0.000 | -0.000 |
| 0.000 | -0.000 | -0.000 | 15.735 | 0.000 | -0.000 |
| -0.000 | 0.000 | 0.000 | 0.000 | 15.735 | -0.000 |
| -0.000 | 0.000 | -0.000 | 0.000 | -0.000 | 15.735 |
| 23.532 | 15.808 | 15.808 | -0.000 | 0.000 | 0.000 |
| 15.808 | 23.532 | 15.808 | 0.000 | 0.000 | 0.000 |
| 15.808 | 15.808 | 23.532 | 0.000 | -0.000 | 0.000 |
| -0.000 | 0.000 | 0.000 | 15.735 | -0.000 | 0.000 |
| 0.000 | -0.000 | -0.000 | 0.000 | 15.735 | 0.000 |
| 0.000 | -0.000 | 0.000 | -0.000 | 0.000 | 15.735 |
| 23.532 | 15.808 | 15.808 | 0.000 | 0.000 | -0.000 |
| 15.808 | 23.532 | 15.808 | 0.000 | 0.000 | -0.000 |
| 15.808 | 15.808 | 23.532 | 0.000 | 0.000 | -0.000 |
| 0.000 | -0.000 | 0.000 | 15.735 | -0.000 | -0.000 |
| -0.000 | 0.000 | 0.000 | -0.000 | 15.735 | -0.000 |
| -0.000 | 0.000 | 0.000 | 0.000 | 0.000 | 15.735 |
| 23.532 | 15.808 | 15.808 | -0.000 | 0.000 | 0.000 |
| 15.808 | 23.532 | 15.808 | -0.000 | 0.000 | 0.000 |
| 15.808 | 15.808 | 23.532 | 0.000 | 0.000 | 0.000 |
| -0.000 | 0.000 | -0.000 | 15.735 | 0.000 | 0.000 |
| 0.000 | -0.000 | -0.000 | 0.000 | 15.735 | 0.000 |
| 0.000 | -0.000 | -0.000 | -0.000 | 0.000 | 15.735 |
| 23.532 | 15.808 | 15.808 | -0.000 | 0.000 | -0.000 |
| 15.808 | 23.532 | 15.808 | -0.000 | -0.000 | -0.000 |
| 15.808 | 15.808 | 23.532 | 0.000 | 0.000 | -0.000 |
| 0.000 | -0.000 | 0.000 | 15.735 | 0.000 | -0.000 |
| -0.000 | 0.000 | 0.000 | -0.000 | 15.735 | -0.000 |
| -0.000 | 0.000 | 0.000 | -0.000 | -0.000 | 15.735 |
| 23.532 | 15.808 | 15.808 | -0.000 | -0.000 | 0.000 |
| 15.808 | 23.532 | 15.808 | 0.000 | -0.000 | 0.000 |
| 15.808 | 15.808 | 23.532 | 0.000 | -0.000 | 0.000 |
| -0.000 | 0.000 | -0.000 | 15.735 | 0.000 | 0.000 |
| 0.000 | -0.000 | -0.000 | 0.000 | 15.735 | 0.000 |
| 0.000 | -0.000 | -0.000 | 0.000 | 0.000 | 15.735 |
| 12.495 | -10.929 | -10.929 | 0.000 | -0.000 | 0.000 |
| -10.929 | 12.495 | -10.929 | -0.000 | -0.000 | 0.000 |
| -10.929 | -10.929 | 12.495 | -0.000 | -0.000 | 0.000 |
| 0.000 | 0.000 | -0.000 | 7.333 | 0.000 | 0.000 |
| 0.000 | 0.000 | -0.000 | -0.000 | 7.333 | 0.000 |
| 0.000 | 0.000 | -0.000 | -0.000 | -0.000 | 7.333 |
| 35.020 | 7.312 | 7.312 | 0.000 | -0.000 | -0.000 |
| 7.312 | 35.020 | 7.312 | 0.000 | 0.000 | -0.000 |
| 7.312 | 7.312 | 35.020 | 0.000 | 0.000 | -0.000 |
| 0.000 | -0.000 | 0.000 | 7.333 | 0.000 | -0.000 |
| -0.000 | -0.000 | 0.000 | 0.000 | 7.333 | -0.000 |
| -0.000 | 0.000 | 0.000 | -0.000 | -0.000 | 7.333 |
| 29.562 | 9.162 | 9.162 | -0.000 | 0.000 | 0.000 |
| 9.162 | 29.562 | 9.162 | -0.000 | -0.000 | 0.000 |
| 9.162 | 9.162 | 29.562 | -0.000 | -0.000 | 0.000 |
| -0.435 | -0.435 | -0.435 | 3.105 | 0.000 | 0.000 |
| -0.435 | -0.435 | -0.435 | -0.000 | 3.105 | 0.000 |
| -0.435 | -0.435 | -0.435 | 0.000 | -0.000 | 3.105 |
| 30.906 | 9.815 | 9.815 | -0.000 | -0.000 | -0.000 |
| 9.815 | 30.906 | 9.815 | 0.000 | -0.000 | -0.000 |
| 9.815 | 9.815 | 30.906 | -0.000 | -0.000 | -0.000 |
| 0.435 | 0.435 | 0.435 | 3.105 | 0.000 | -0.000 |
| 0.435 | 0.435 | 0.435 | 0.000 | 3.105 | -0.000 |
| 0.435 | 0.435 | 0.435 | 0.000 | -0.000 | 3.105 |
| 32.536 | 8.425 | 8.425 | 0.000 | -0.000 | 0.000 |
| 8.425 | 32.536 | 8.425 | -0.000 | -0.000 | 0.000 |
| 8.425 | 8.425 | 32.536 | -0.000 | 0.000 | 0.000 |
| -0.020 | -0.020 | -0.020 | 5.344 | 0.000 | 0.000 |
| -0.020 | -0.020 | -0.020 | 0.000 | 5.344 | 0.000 |
| -0.020 | -0.020 | -0.020 | -0.000 | -0.000 | 5.344 |
| 32.782 | 8.374 | 8.374 | -0.000 | -0.000 | -0.000 |
| 8.374 | 32.782 | 8.374 | -0.000 | -0.000 | -0.000 |
| 8.374 | 8.374 | 32.782 | 0.000 | -0.000 | -0.000 |
| 0.020 | 0.020 | 0.020 | 5.344 | -0.000 | -0.000 |
| 0.020 | 0.020 | 0.020 | 0.000 | 5.344 | -0.000 |
| 0.020 | 0.020 | 0.020 | 0.000 | 0.000 | 5.344 |
| 23.930 | 11.383 | 11.383 | 0.000 | 0.000 | 0.000 |
| 11.383 | 23.930 | 11.383 | -0.000 | -0.000 | 0.000 |
| 11.383 | 11.383 | 23.930 | 0.000 | -0.000 | 0.000 |
| -0.000 | -0.000 | 0.000 | 11.262 | -0.000 | 0.000 |
| -0.000 | 0.000 | 0.000 | 0.000 | 11.262 | 0.000 |
| -0.000 | -0.000 | 0.000 | 0.000 | -0.000 | 11.262 |
| 24.848 | 11.221 | 11.221 | -0.000 | 0.000 | -0.000 |
| 11.221 | 24.848 | 11.221 | -0.000 | -0.000 | -0.000 |
| 11.221 | 11.221 | 24.848 | -0.000 | -0.000 | -0.000 |
| 0.000 | 0.000 | 0.000 | 11.262 | 0.000 | -0.000 |
| 0.000 | -0.000 | -0.000 | 0.000 | 11.262 | -0.000 |
| 0.000 | 0.000 | 0.000 | 0.000 | 0.000 | 11.262 |
| 23.115 | 11.945 | 11.945 | 0.000 | -0.000 | 0.000 |
| 11.945 | 23.115 | 11.945 | -0.000 | 0.000 | 0.000 |
| 11.945 | 11.945 | 23.115 | 0.000 | -0.000 | 0.000 |
| 0.000 | 0.000 | 0.000 | 11.262 | -0.000 | 0.000 |
| 0.000 | 0.000 | 0.000 | -0.000 | 11.262 | 0.000 |
| 0.000 | 0.000 | 0.000 | 0.000 | -0.000 | 11.262 |
| 23.978 | 11.479 | 11.479 | -0.000 | 0.000 | -0.000 |
| 11.479 | 23.978 | 11.479 | -0.000 | 0.000 | -0.000 |
| 11.479 | 11.479 | 23.978 | -0.000 | 0.000 | -0.000 |
| -0.000 | -0.000 | -0.000 | 11.262 | 0.000 | -0.000 |
| -0.000 | -0.000 | -0.000 | -0.000 | 11.262 | -0.000 |
| -0.000 | -0.000 | -0.000 | 0.000 | 0.000 | 11.262 |
| 23.973 | 11.469 | 11.469 | -0.000 | -0.000 | 0.000 |
| 11.469 | 23.973 | 11.469 | 0.000 | 0.000 | -0.000 |
| 11.469 | 11.469 | 23.973 | 0.000 | -0.000 | 0.000 |
| -0.001 | -0.001 | -0.001 | 9.510 | 0.000 | 0.000 |
| -0.001 | -0.001 | -0.001 | 0.000 | 9.510 | 0.000 |
| -0.001 | -0.001 | -0.001 | -0.000 | 0.000 | 9.510 |
| 24.848 | 11.221 | 11.221 | 0.000 | -0.000 | -0.000 |
| 11.221 | 24.848 | 11.221 | -0.000 | -0.000 | -0.000 |
| 11.221 | 11.221 | 24.848 | 0.000 | 0.000 | -0.000 |
| 0.001 | 0.001 | 0.001 | 9.510 | 0.000 | -0.000 |
| 0.001 | 0.001 | 0.001 | -0.000 | 9.510 | -0.000 |
| 0.001 | 0.001 | 0.001 | 0.000 | 0.000 | 9.510 |
| 40.419 | -3.945 | 13.350 | 0.000 | 0.000 | -0.000 |
| -4.095 | 52.346 | 1.678 | 0.000 | 0.000 | -0.000 |
| 13.478 | 1.957 | 26.978 | 0.000 | 0.000 | 0.000 |
| -0.000 | 0.000 | -0.000 | 0.694 | 0.000 | -0.000 |
| -0.000 | 0.000 | -0.000 | 0.000 | 14.921 | 0.000 |
| -0.000 | 0.000 | -0.000 | 0.000 | 0.000 | -4.600 |
| 40.419 | -3.945 | 13.350 | -0.000 | -0.000 | 0.000 |
| -4.095 | 52.345 | 1.678 | -0.000 | -0.000 | 0.000 |
| 13.479 | 1.956 | 26.978 | -0.000 | -0.000 | 0.000 |
| 0.000 | -0.000 | 0.000 | 0.694 | -0.000 | 0.000 |
| 0.000 | -0.000 | 0.000 | -0.000 | 14.921 | 0.000 |
| 0.000 | -0.000 | 0.000 | -0.000 | -0.000 | -4.600 |
| 40.419 | -3.945 | 13.350 | 0.000 | 0.000 | -0.000 |
| -4.095 | 52.346 | 1.678 | 0.000 | 0.000 | 0.000 |
| 13.479 | 1.956 | 26.978 | 0.000 | 0.000 | 0.000 |
| -0.000 | 0.000 | -0.000 | -13.844 | 0.000 | 0.000 |
| -0.000 | 0.000 | -0.000 | 0.000 | 14.921 | 0.000 |
| -0.000 | 0.000 | -0.001 | 0.000 | 0.000 | -19.047 |
| 40.419 | -3.945 | 13.350 | -0.000 | -0.000 | 0.000 |
| -4.095 | 52.345 | 1.678 | -0.000 | -0.000 | -0.000 |
| 13.479 | 1.956 | 26.978 | -0.000 | -0.000 | 0.000 |
| 0.000 | -0.000 | 0.000 | -13.844 | -0.000 | -0.000 |
| 0.000 | -0.000 | 0.000 | -0.000 | 14.921 | -0.000 |
| 0.000 | -0.000 | 0.001 | -0.000 | -0.000 | -19.047 |
| 40.420 | -3.945 | 13.350 | 0.000 | 0.000 | -0.000 |
| -4.095 | 52.346 | 1.678 | 0.000 | 0.000 | -0.000 |
| 13.479 | 1.956 | 26.978 | 0.000 | 0.000 | 0.000 |
| 0.000 | 0.001 | 0.001 | -114.073 | 0.000 | 0.000 |
| 0.000 | -0.000 | 0.000 | 0.000 | 14.921 | -0.000 |
| 0.000 | -0.000 | -0.000 | 0.000 | 0.000 | -4.600 |
| 40.419 | -3.945 | 13.350 | -0.000 | -0.000 | -0.000 |
| -4.095 | 52.345 | 1.678 | -0.000 | -0.000 | 0.000 |
| 13.479 | 1.956 | 26.978 | -0.000 | -0.000 | 0.000 |
| -0.000 | -0.001 | -0.001 | -114.075 | -0.000 | -0.000 |
| -0.000 | 0.000 | -0.000 | -0.000 | 14.921 | -0.000 |
| -0.000 | 0.000 | 0.000 | -0.000 | -0.000 | -4.600 |
| 303.979 | -189.912 | -33.844 | 0.000 | -0.000 | 0.000 |
| 283.511 | -175.191 | -28.332 | 0.000 | -0.000 | 0.000 |
| 2.326 | 8.843 | 35.926 | -0.000 | -0.000 | -0.000 |
| 287.131 | -216.038 | -38.983 | 9.368 | -0.000 | -0.000 |
| 269.869 | -203.049 | -36.640 | 0.000 | 2.118 | 0.000 |
| 287.139 | -216.043 | -38.984 | -0.000 | -0.000 | -2.575 |
| -253.435 | 229.486 | 41.835 | 0.000 | 0.000 | 0.000 |
| -273.191 | 243.672 | 47.250 | 0.000 | 0.000 | 0.000 |
| -283.896 | 224.196 | 74.786 | 0.000 | -0.000 | -0.000 |
| -287.131 | 216.037 | 38.983 | 9.368 | 0.000 | -0.000 |
| -269.869 | 203.049 | 36.640 | -0.000 | 2.118 | 0.000 |
| -287.139 | 216.043 | 38.984 | 0.000 | 0.000 | -2.575 |
| 40.454 | 8.364 | 1.934 | -0.000 | -0.000 | -0.000 |
| 8.868 | 31.451 | 8.955 | 0.000 | -0.000 | -0.000 |
| 2.326 | 8.843 | 35.926 | -0.000 | -0.000 | 0.000 |
| 28.832 | -21.693 | -3.914 | 9.110 | -0.000 | -0.000 |
| 26.987 | -20.305 | -3.664 | 0.000 | 2.118 | 0.000 |
| 28.714 | -21.604 | -3.898 | -0.000 | -0.000 | -2.575 |
| 7.123 | 33.443 | 6.459 | -0.000 | 0.000 | 0.000 |
| -13.345 | 48.164 | 11.971 | -0.000 | 0.000 | 0.000 |
| 2.326 | 8.843 | 35.926 | -0.000 | 0.000 | 0.000 |
| -28.832 | 21.693 | 3.914 | 9.110 | 0.000 | 0.000 |
| -26.987 | 20.305 | 3.664 | -0.000 | 2.118 | -0.000 |
| -28.714 | 21.604 | 3.898 | 0.000 | 0.000 | -2.575 |
| 36.808 | 11.107 | 2.429 | 0.000 | -0.000 | 0.000 |
| 16.341 | 25.828 | 7.941 | 0.000 | -0.000 | 0.000 |
| 6.114 | 5.993 | 35.412 | -0.000 | -0.000 | -0.000 |
| 2.883 | -2.169 | -0.391 | 9.110 | -0.000 | -0.000 |
| 2.871 | -2.160 | -0.390 | -0.000 | 2.118 | -0.000 |
| 2.883 | -2.169 | -0.391 | -0.001 | -0.000 | -18.447 |
| 30.832 | 15.604 | 3.240 | 0.000 | 0.000 | 0.000 |
| 10.943 | 29.889 | 8.674 | -0.000 | 0.000 | -0.000 |
| 2.326 | 8.843 | 35.926 | -0.000 | 0.000 | 0.000 |
| -2.883 | 2.169 | 0.391 | 9.110 | 0.000 | 0.000 |
| -2.871 | 2.160 | 0.390 | 0.000 | 2.118 | 0.000 |
| -2.883 | 2.169 | 0.391 | -0.003 | 0.000 | -19.037 |
| 18.735 | 6.238 | 19.587 | -18.893 | 0.000 | -0.000 |
| 6.238 | 18.735 | 19.587 | 18.893 | 0.000 | -0.000 |
| 19.607 | 19.607 | 5.308 | 0.000 | -0.000 | -0.000 |
| -18.893 | 18.893 | 0.000 | 19.638 | 0.000 | -0.000 |
| 0.000 | 0.000 | 0.000 | 0.000 | 19.638 | -18.893 |
| 0.000 | 0.000 | 0.000 | -0.000 | -18.893 | 6.249 |
| 18.735 | 6.238 | 19.587 | -18.893 | 0.000 | -0.000 |
| 6.238 | 18.735 | 19.587 | 18.893 | 0.000 | 0.000 |
| 19.607 | 19.607 | 5.308 | 0.000 | 0.000 | -0.000 |
| -18.893 | 18.893 | -0.000 | 19.638 | -0.000 | 0.000 |
| -0.000 | 0.000 | -0.000 | -0.000 | 19.638 | -18.893 |
| -0.000 | 0.000 | -0.000 | 0.000 | -18.893 | 6.249 |
| 18.735 | 6.238 | 19.587 | -18.893 | 0.000 | -0.000 |
| 6.238 | 18.735 | 19.587 | 18.893 | 0.000 | -0.000 |
| 19.607 | 19.607 | 5.308 | -0.000 | 0.000 | -0.000 |
| -18.893 | 18.893 | 0.000 | 19.638 | -0.000 | -0.000 |
| 0.000 | 0.000 | 0.000 | -0.000 | 19.638 | -18.893 |
| 0.000 | 0.000 | 0.000 | -0.000 | -18.893 | 6.249 |
| 18.735 | 6.238 | 19.587 | -18.893 | -0.000 | 0.000 |
| 6.238 | 18.735 | 19.587 | 18.893 | -0.000 | -0.000 |
| 19.607 | 19.607 | 5.308 | -0.000 | -0.000 | 0.000 |
| -18.893 | 18.893 | -0.000 | 19.638 | -0.000 | 0.000 |
| -0.000 | -0.000 | -0.000 | 0.000 | 19.638 | -18.893 |
| -0.000 | -0.000 | -0.000 | 0.000 | -18.893 | 6.249 |
| 18.735 | 6.238 | 19.587 | -18.893 | -0.000 | 0.000 |
| 6.238 | 18.735 | 19.587 | 18.893 | -0.000 | -0.000 |
| 19.607 | 19.607 | 5.308 | -0.000 | -0.000 | 0.000 |
| -18.893 | 18.893 | 0.000 | 19.638 | -0.000 | 0.000 |
| 0.000 | 0.000 | 0.000 | -0.000 | 19.638 | -18.893 |
| 0.000 | 0.000 | 0.000 | -0.000 | -18.893 | 6.249 |
| 18.735 | 6.238 | 19.587 | -18.893 | 0.000 | 0.000 |
| 6.238 | 18.735 | 19.587 | 18.893 | -0.000 | 0.000 |
| 19.607 | 19.607 | 5.308 | 0.000 | 0.000 | 0.000 |
| -18.893 | 18.893 | -0.000 | 19.638 | 0.000 | 0.000 |
| -0.000 | -0.000 | -0.000 | 0.000 | 19.638 | -18.893 |
| -0.000 | -0.000 | -0.000 | 0.000 | -18.893 | 6.249 |
| 22.555 | 7.518 | -1.920 | -0.000 | -0.000 | 0.000 |
| 7.518 | 22.555 | -1.920 | -0.000 | -0.000 | 0.000 |
| -1.920 | -1.920 | 40.138 | 0.000 | 0.000 | 0.000 |
| 0.000 | -0.000 | -0.000 | -1.920 | 0.000 | 0.000 |
| 0.000 | -0.000 | -0.000 | -0.000 | -1.920 | 0.000 |
| 0.000 | -0.000 | 0.000 | -0.000 | 0.000 | -5.702 |
| 22.555 | 7.518 | -1.920 | 0.000 | 0.000 | -0.000 |
| 7.518 | 22.555 | -1.920 | 0.000 | 0.000 | -0.000 |
| -1.920 | -1.920 | 40.138 | -0.000 | -0.000 | -0.000 |
| -0.000 | 0.000 | 0.000 | -1.920 | -0.000 | -0.000 |
| -0.000 | 0.000 | 0.000 | 0.000 | -1.920 | -0.000 |
| -0.000 | 0.000 | 0.000 | -0.000 | -0.000 | -5.702 |
| 22.555 | 7.518 | -1.920 | -0.000 | -0.000 | 0.000 |
| 7.518 | 22.555 | -1.920 | -0.000 | -0.000 | 0.000 |
| -1.920 | -1.920 | 40.138 | -0.000 | -0.000 | 0.000 |
| 0.000 | 0.000 | -0.000 | -1.920 | 0.000 | 0.000 |
| 0.000 | 0.000 | -0.000 | -0.000 | -1.920 | 0.000 |
| 0.000 | -0.000 | 0.000 | -0.000 | -0.000 | 7.518 |
| 9.335 | 20.738 | -1.920 | 0.000 | -0.000 | -0.000 |
| 20.738 | 9.335 | -1.920 | -0.000 | -0.000 | -0.000 |
| -1.920 | -1.920 | 40.138 | 0.000 | -0.000 | -0.000 |
| -0.000 | -0.000 | 0.000 | -1.920 | -0.000 | -0.000 |
| -0.000 | -0.000 | 0.000 | 0.000 | -1.920 | -0.000 |
| -0.000 | 0.000 | -0.000 | 0.000 | 0.000 | 7.518 |
| -1283281.275 | -1434275.353 | -1608663.972 | -488.054 | 1508.716 | 22817.911 |
| -1092689.040 | -1087752.183 | -1636037.207 | -1157.894 | 1565.126 | 116711.212 |
| -1.920 | -1.920 | 40.138 | -0.000 | 0.000 | 0.000 |
| 0.000 | 0.000 | -0.000 | -1.920 | -0.000 | 0.000 |
| 0.000 | 0.000 | -0.000 | -0.000 | -1.920 | 0.000 |
| -1443409.007 | -1444494.336 | -1594740.107 | 457.284 | -766.458 | -65753.850 |
| 1034068.265 | 1054200.003 | 1580378.276 | -3314.822 | -1255.860 | 2293.084 |
| 1441874.844 | 1433178.447 | 1635171.179 | -1467.236 | 454.523 | 5869.403 |
| -1.920 | -1.920 | 40.138 | 0.000 | -0.000 | -0.000 |
| -0.000 | -0.000 | 0.000 | -1.920 | 0.000 | -0.000 |
| -0.000 | -0.000 | 0.000 | 0.000 | -1.920 | -0.000 |
| 1378341.591 | 1348316.616 | 1622393.021 | 1893.851 | -1474.363 | 1612.656 |
| 31.702 | 10.567 | 4.955 | 2.689 | -0.000 | -0.000 |
| 12.621 | 30.633 | -2.526 | -2.696 | -0.000 | 0.000 |
| 4.956 | 4.956 | 36.019 | -0.000 | -0.000 | -0.000 |
| 3.188 | -2.203 | -7.481 | 4.956 | 0.000 | 0.000 |
| 0.000 | -0.000 | 0.000 | -0.000 | 4.956 | 2.689 |
| 0.000 | 0.000 | 0.000 | -0.000 | 2.689 | 10.567 |
| 31.702 | 10.567 | 4.955 | 2.689 | 0.000 | -0.000 |
| 11.636 | 29.648 | 12.438 | -2.696 | -0.000 | -0.000 |
| 4.956 | 4.956 | 36.019 | 0.000 | 0.000 | 0.000 |
| 2.203 | -3.188 | 7.481 | 4.956 | 0.000 | -0.000 |
| -0.000 | 0.000 | -0.000 | 0.000 | 4.956 | 2.689 |
| -0.000 | 0.000 | -0.000 | 0.000 | 2.689 | 10.567 |
| 31.702 | 10.567 | 4.955 | 2.689 | -0.000 | 0.000 |
| 12.201 | 30.168 | 4.197 | -2.696 | -0.000 | -0.000 |
| 4.956 | 4.956 | 36.019 | 0.000 | -0.000 | 0.000 |
| 2.689 | -2.689 | 0.000 | 4.956 | -0.000 | -0.000 |
| -0.000 | -0.000 | 0.000 | 0.000 | 4.956 | 2.689 |
| 0.050 | 0.050 | -0.759 | 0.000 | 2.696 | 8.983 |
| 31.702 | 10.567 | 4.955 | 2.689 | 0.000 | -0.000 |
| 12.101 | 30.068 | 5.715 | -2.696 | 0.000 | -0.000 |
| 4.956 | 4.956 | 36.019 | 0.000 | 0.000 | 0.000 |
| 2.689 | -2.689 | -0.000 | 4.956 | 0.000 | -0.000 |
| 0.000 | 0.000 | -0.000 | -0.000 | 4.956 | 2.689 |
| -0.050 | -0.050 | 0.759 | -0.000 | 2.696 | 8.983 |
| 31.702 | 10.567 | 4.955 | 2.689 | -0.000 | -0.000 |
| 10.567 | 31.702 | 4.955 | -2.689 | 0.000 | 0.000 |
| 4.956 | 4.956 | 36.019 | -0.000 | -0.000 | 0.000 |
| 2.700 | -2.691 | -0.075 | 4.956 | -0.000 | 0.000 |
| -0.000 | 0.000 | 0.000 | 0.000 | 4.956 | 2.689 |
| -0.000 | 0.000 | 0.000 | 0.000 | 2.689 | 10.567 |
| 31.701 | 10.567 | 4.955 | 2.689 | 0.000 | -0.000 |
| 10.567 | 31.702 | 4.955 | -2.689 | 0.000 | -0.000 |
| 4.955 | 4.955 | 36.019 | -0.000 | 0.000 | 0.000 |
| 2.689 | -2.689 | -0.000 | 4.956 | 0.000 | -0.000 |
| 0.000 | -0.000 | -0.000 | -0.000 | 4.956 | 2.689 |
| 0.000 | -0.000 | -0.000 | -0.000 | 2.689 | 10.567 |
| 50.777 | 40.134 | 40.134 | -0.000 | -0.000 | 0.000 |
| 40.134 | 50.777 | 40.134 | -0.000 | -0.000 | 0.000 |
| 40.134 | 40.134 | 50.777 | -0.000 | -0.000 | 0.000 |
| 0.000 | 0.000 | 0.000 | 7.878 | -0.000 | 0.000 |
| -0.000 | 0.000 | 0.000 | -0.000 | 7.878 | 0.000 |
| 0.000 | 0.000 | 0.000 | -0.000 | -0.000 | 7.878 |
| 22.849 | 7.977 | 7.977 | 0.000 | 0.000 | -0.000 |
| 7.977 | 22.849 | 7.977 | 0.000 | 0.000 | -0.000 |
| 7.977 | 7.977 | 22.849 | 0.000 | 0.000 | -0.000 |
| -0.000 | -0.000 | 0.000 | 7.878 | 0.000 | -0.000 |
| -0.000 | -0.000 | -0.000 | 0.000 | 7.878 | -0.000 |
| -0.000 | -0.000 | -0.000 | 0.000 | 0.000 | 7.878 |
| 22.849 | 7.977 | 7.977 | -0.000 | -0.000 | 0.000 |
| 7.977 | 22.849 | 7.977 | -0.000 | 0.000 | 0.000 |
| 7.977 | 7.977 | 22.849 | -0.000 | -0.000 | 0.000 |
| 0.000 | 0.000 | 0.000 | 7.878 | -0.000 | 0.000 |
| 0.000 | 0.000 | 0.000 | -0.000 | 7.878 | 0.000 |
| 0.000 | 0.000 | 0.000 | 0.000 | -0.000 | 7.878 |
| 16.523 | 5.396 | 5.396 | 0.000 | 0.000 | -0.000 |
| 5.396 | 16.523 | 5.396 | 0.000 | 0.000 | -0.000 |
| 5.396 | 5.396 | 16.523 | 0.000 | 0.000 | -0.000 |
| -0.000 | -0.000 | -0.000 | 7.878 | 0.000 | -0.000 |
| -0.000 | -0.000 | -0.000 | 0.000 | 7.878 | -0.000 |
| -0.000 | -0.000 | -0.000 | -0.000 | 0.000 | 7.878 |
| 22.849 | 7.977 | 7.977 | -0.000 | -0.000 | 0.000 |
| 7.977 | 22.849 | 7.977 | -0.000 | -0.000 | 0.000 |
| 7.977 | 7.977 | 22.849 | 0.000 | -0.000 | 0.000 |
| 0.725 | 0.725 | 0.725 | 2.197 | -0.000 | 0.000 |
| 0.725 | 0.725 | 0.725 | -0.000 | 2.197 | 0.000 |
| 0.725 | 0.725 | 0.725 | -0.000 | -0.000 | 2.197 |
| 22.849 | 7.977 | 7.977 | 0.000 | 0.000 | -0.000 |
| 7.977 | 22.849 | 7.977 | 0.000 | 0.000 | -0.000 |
| 7.977 | 7.977 | 22.849 | 0.000 | 0.000 | -0.000 |
| -0.725 | -0.725 | -0.725 | 2.197 | 0.000 | -0.000 |
| -0.725 | -0.725 | -0.725 | 0.000 | 2.197 | -0.000 |
| -0.725 | -0.725 | -0.725 | 0.000 | 0.000 | 2.197 |
| 22.482 | 7.791 | 7.791 | -0.000 | 0.000 | -0.000 |
| 7.791 | 22.482 | 7.791 | 0.000 | 0.000 | -0.000 |
| 7.791 | 7.791 | 22.482 | -0.000 | 0.000 | 0.000 |
| 0.003 | 0.003 | 0.003 | -0.750 | 0.000 | -0.000 |
| 0.003 | 0.003 | 0.003 | -0.000 | -0.750 | 0.000 |
| 0.003 | 0.003 | 0.003 | -0.000 | 0.000 | -0.750 |
| 19.475 | 7.992 | 7.992 | 0.000 | -0.000 | 0.000 |
| 7.992 | 19.475 | 7.992 | -0.000 | 0.000 | 0.000 |
| 7.992 | 7.992 | 19.475 | -0.000 | -0.000 | -0.000 |
| -0.003 | -0.003 | -0.003 | -0.750 | -0.000 | -0.000 |
| -0.003 | -0.003 | -0.003 | 0.000 | -0.750 | 0.000 |
| -0.003 | -0.003 | -0.003 | 0.000 | -0.000 | -0.750 |
| 22.482 | 7.791 | 7.791 | -0.000 | -0.000 | 0.000 |
| 7.791 | 22.482 | 7.791 | -0.000 | 0.000 | 0.000 |
| 7.791 | 7.791 | 22.482 | 0.000 | 0.000 | 0.000 |
| 0.000 | 0.000 | 0.000 | -0.751 | 0.000 | -0.000 |
| 0.000 | 0.000 | 0.000 | -0.000 | -0.751 | 0.000 |
| 0.000 | 0.000 | 0.000 | -0.000 | 0.000 | -0.751 |
| 19.479 | 8.003 | 8.003 | -0.000 | -0.000 | 0.000 |
| 8.003 | 19.479 | 8.003 | 0.000 | -0.000 | 0.000 |
| 8.003 | 8.003 | 19.479 | 0.000 | 0.000 | 0.000 |
| -0.000 | -0.000 | -0.000 | -0.751 | -0.000 | -0.000 |
| -0.000 | -0.000 | -0.000 | 0.000 | -0.751 | 0.000 |
| -0.000 | -0.000 | -0.000 | 0.000 | -0.000 | -0.751 |
| 19.479 | 8.004 | 8.004 | -0.000 | 0.000 | -0.000 |
| 8.004 | 19.479 | 8.004 | 0.000 | 0.000 | -0.000 |
| 8.004 | 8.004 | 19.479 | 0.000 | 0.000 | -0.000 |
| -0.000 | -0.000 | -0.000 | -3.893 | 0.000 | 0.000 |
| -0.000 | -0.000 | -0.000 | -0.000 | -3.893 | 0.000 |
| -0.000 | -0.000 | -0.000 | 0.000 | 0.000 | -3.893 |
| 19.479 | 8.004 | 8.004 | 0.000 | -0.000 | 0.000 |
| 8.004 | 19.479 | 8.004 | -0.000 | -0.000 | -0.000 |
| 8.004 | 8.004 | 19.479 | 0.000 | -0.000 | 0.000 |
| 0.000 | 0.000 | 0.000 | -3.893 | -0.000 | 0.000 |
| 0.000 | 0.000 | 0.000 | 0.000 | -3.893 | 0.000 |
| 0.000 | 0.000 | 0.000 | 0.000 | -0.000 | -3.893 |
| 4.242 | 7.218 | 7.218 | -0.000 | -0.000 | -0.000 |
| 7.218 | 4.242 | 7.218 | -0.000 | 0.000 | -0.000 |
| 7.218 | 7.218 | 4.242 | 0.000 | 0.000 | 0.000 |
| 0.000 | 0.000 | -0.000 | 7.218 | 0.000 | 0.000 |
| 0.000 | 0.000 | -0.000 | -0.000 | 7.218 | 0.000 |
| 0.000 | 0.000 | -0.000 | 0.000 | 0.000 | 7.218 |
| 4.242 | 7.218 | 7.218 | -0.000 | 0.000 | -0.000 |
| 7.218 | 4.242 | 7.218 | -0.000 | -0.000 | -0.000 |
| 7.218 | 7.218 | 4.242 | -0.000 | 0.000 | -0.000 |
| -0.000 | -0.000 | 0.000 | 7.218 | -0.000 | 0.000 |
| -0.000 | -0.000 | 0.000 | 0.000 | 7.218 | -0.000 |
| -0.000 | -0.000 | 0.000 | -0.000 | -0.000 | 7.218 |
| 4.242 | 7.218 | 7.218 | 0.000 | 0.000 | -0.000 |
| 7.218 | 4.242 | 7.218 | 0.000 | 0.000 | -0.000 |
| 7.218 | 7.218 | 4.242 | 0.000 | 0.000 | 0.000 |
| 0.000 | -0.000 | 0.000 | 7.218 | -0.000 | -0.000 |
| -0.000 | 0.000 | 0.000 | -0.000 | 7.218 | -0.000 |
| -0.000 | 0.000 | 0.000 | 0.000 | 0.000 | 7.218 |
| 4.242 | 7.218 | 7.218 | -0.000 | -0.000 | -0.000 |
| 7.218 | 4.242 | 7.218 | -0.000 | -0.000 | -0.000 |
| 7.218 | 7.218 | 4.242 | -0.000 | -0.000 | -0.000 |
| -0.000 | 0.000 | -0.000 | 7.218 | 0.000 | 0.000 |
| 0.000 | -0.000 | -0.000 | 0.000 | 7.218 | -0.000 |
| 0.000 | -0.000 | -0.000 | -0.000 | -0.000 | 7.218 |
| 4.242 | 7.218 | 7.218 | 0.000 | 0.000 | 0.000 |
| 7.218 | 4.242 | 7.218 | 0.000 | -0.000 | 0.000 |
| 7.218 | 7.218 | 4.242 | 0.000 | 0.000 | 0.000 |
| 0.000 | -0.000 | -0.000 | -1.064 | -0.000 | -0.000 |
| -0.000 | 0.000 | -0.000 | 0.000 | -1.064 | 0.000 |
| -0.000 | -0.000 | 0.000 | 0.000 | 0.000 | -1.064 |
| 4.242 | 7.218 | 7.218 | -0.000 | -0.000 | 0.000 |
| 7.218 | 4.242 | 7.218 | -0.000 | -0.000 | 0.000 |
| 7.218 | 7.218 | 4.242 | -0.000 | -0.000 | -0.000 |
| -0.000 | 0.000 | 0.000 | -1.064 | 0.000 | 0.000 |
| 0.000 | -0.000 | 0.000 | -0.000 | -1.064 | 0.000 |
| 0.000 | 0.000 | -0.000 | -0.000 | -0.000 | -1.064 |
| 32.596 | 5.898 | 5.898 | -0.000 | 0.000 | 0.000 |
| 5.898 | 32.596 | 5.898 | 0.000 | -0.000 | -0.000 |
| 5.898 | 5.898 | 32.596 | -0.000 | 0.000 | 0.000 |
| -0.000 | -0.000 | -0.000 | -0.637 | 0.000 | -0.000 |
| 0.000 | -0.000 | -0.000 | 0.000 | -0.637 | -0.000 |
| 0.000 | -0.000 | -0.000 | 0.000 | 0.000 | -0.637 |
| 32.596 | 5.898 | 5.898 | -0.000 | -0.000 | -0.000 |
| 5.898 | 32.596 | 5.898 | -0.000 | 0.000 | -0.000 |
| 5.898 | 5.898 | 32.596 | -0.000 | -0.000 | -0.000 |
| -0.000 | 0.000 | 0.000 | -0.637 | -0.000 | -0.000 |
| -0.000 | 0.000 | 0.000 | -0.000 | -0.637 | -0.000 |
| 0.000 | 0.000 | 0.000 | -0.000 | -0.000 | -0.637 |
| 32.596 | 5.898 | 5.898 | 0.000 | -0.000 | 0.000 |
| 5.898 | 32.596 | 5.898 | -0.000 | 0.000 | 0.000 |
| 5.898 | 5.898 | 32.596 | 0.000 | -0.000 | 0.000 |
| 0.000 | 0.000 | -0.000 | -0.637 | 0.000 | 0.000 |
| 0.000 | 0.000 | -0.000 | 0.000 | -0.637 | 0.000 |
| 0.000 | -0.000 | -0.000 | 0.000 | 0.000 | -0.637 |
| 32.596 | 5.898 | 5.898 | -0.000 | 0.000 | -0.000 |
| 5.898 | 32.596 | 5.898 | 0.000 | -0.000 | -0.000 |
| 5.898 | 5.898 | 32.596 | -0.000 | -0.000 | -0.000 |
| -0.000 | -0.000 | 0.000 | -0.637 | -0.000 | -0.000 |
| -0.000 | -0.000 | 0.000 | -0.000 | -0.637 | -0.000 |
| -0.000 | 0.000 | 0.000 | -0.000 | -0.000 | -0.637 |
| 32.596 | 5.898 | 5.898 | 0.000 | -0.000 | 0.000 |
| 5.898 | 32.596 | 5.898 | -0.000 | -0.000 | 0.000 |
| 5.898 | 5.898 | 32.596 | 0.000 | -0.000 | 0.000 |
| 0.000 | 0.000 | -0.000 | -0.637 | 0.000 | 0.000 |
| 0.000 | 0.000 | -0.000 | 0.000 | -0.637 | -0.000 |
| 0.000 | -0.000 | 0.000 | 0.000 | 0.000 | -0.637 |
| 32.596 | 5.898 | 5.898 | 0.000 | 0.000 | -0.000 |
| 5.898 | 32.596 | 5.898 | -0.000 | -0.000 | -0.000 |
| 5.898 | 5.898 | 32.596 | -0.000 | 0.000 | -0.000 |
| -0.000 | -0.000 | 0.000 | -0.637 | -0.000 | -0.000 |
| -0.000 | -0.000 | 0.000 | -0.000 | -0.637 | -0.000 |
| -0.000 | 0.000 | -0.000 | 0.000 | -0.000 | -0.637 |
| 19.095 | 14.062 | 14.062 | 0.000 | 0.000 | 0.000 |
| 14.062 | 19.095 | 14.062 | 0.000 | 0.000 | -0.000 |
| 14.062 | 14.062 | 19.095 | -0.000 | -0.000 | 0.000 |
| 0.000 | 0.000 | 0.000 | 10.134 | 0.000 | -0.000 |
| 0.000 | 0.000 | 0.000 | 0.000 | 10.134 | -0.000 |
| 0.000 | 0.000 | 0.000 | 0.000 | -0.000 | 10.134 |
| 19.095 | 14.062 | 14.062 | -0.000 | 0.000 | -0.000 |
| 14.062 | 19.095 | 14.062 | -0.000 | -0.000 | 0.000 |
| 14.062 | 14.062 | 19.095 | 0.000 | 0.000 | -0.000 |
| -0.000 | -0.000 | -0.000 | 10.134 | -0.000 | -0.000 |
| -0.000 | -0.000 | -0.000 | -0.000 | 10.134 | -0.000 |
| -0.000 | -0.000 | -0.000 | -0.000 | 0.000 | 10.134 |
| 19.095 | 14.062 | 14.062 | 0.000 | 0.000 | 0.000 |
| 14.062 | 19.095 | 14.062 | 0.000 | 0.000 | 0.000 |
| 14.062 | 14.062 | 19.095 | 0.000 | 0.000 | 0.000 |
| 0.000 | -0.000 | 0.000 | 10.134 | 0.000 | 0.000 |
| -0.000 | 0.000 | 0.000 | 0.000 | 10.134 | 0.000 |
| -0.000 | 0.000 | 0.000 | 0.000 | -0.000 | 10.134 |
| 19.095 | 14.062 | 14.062 | -0.000 | -0.000 | -0.000 |
| 14.062 | 19.095 | 14.062 | -0.000 | -0.000 | -0.000 |
| 14.062 | 14.062 | 19.095 | 0.000 | 0.000 | -0.000 |
| -0.000 | 0.000 | -0.000 | 10.134 | -0.000 | 0.000 |
| 0.000 | -0.000 | -0.000 | -0.000 | 10.134 | 0.000 |
| 0.000 | -0.000 | -0.000 | -0.000 | 0.000 | 10.134 |
| 19.096 | 14.062 | 14.062 | 0.000 | 0.000 | 0.000 |
| 14.062 | 19.096 | 14.062 | 0.000 | 0.000 | -0.000 |
| 14.062 | 14.062 | 19.096 | 0.000 | 0.000 | 0.000 |
| 0.000 | -0.000 | 0.000 | 10.134 | 0.000 | -0.000 |
| -0.000 | 0.000 | 0.000 | 0.000 | 10.134 | 0.000 |
| -0.000 | 0.000 | 0.000 | 0.000 | 0.000 | 10.134 |
| 19.095 | 14.062 | 14.062 | -0.000 | -0.000 | -0.000 |
| 14.062 | 19.095 | 14.062 | -0.000 | -0.000 | 0.000 |
| 14.062 | 14.062 | 19.095 | 0.000 | -0.000 | -0.000 |
| -0.000 | 0.000 | -0.000 | 10.134 | 0.000 | -0.000 |
| 0.000 | -0.000 | -0.000 | -0.000 | 10.134 | -0.000 |
| 0.000 | -0.000 | -0.000 | -0.000 | -0.000 | 10.134 |
| 18.190 | 12.779 | 12.779 | -0.000 | -0.000 | -0.000 |
| 12.779 | 18.190 | 12.779 | -0.000 | -0.000 | -0.000 |
| 12.779 | 12.779 | 18.190 | -0.000 | -0.000 | 0.000 |
| 0.000 | -0.000 | 0.000 | 12.779 | -0.000 | 0.000 |
| 0.000 | -0.000 | 0.000 | -0.000 | 12.779 | -0.000 |
| 0.000 | 0.000 | -0.000 | -0.000 | 0.000 | 12.779 |
| 18.190 | 12.779 | 12.779 | 0.000 | -0.000 | -0.000 |
| 12.779 | 18.190 | 12.779 | -0.000 | 0.000 | 0.000 |
| 12.779 | 12.779 | 18.190 | 0.000 | 0.000 | -0.000 |
| -0.000 | -0.000 | -0.000 | 12.779 | -0.000 | -0.000 |
| -0.000 | 0.000 | -0.000 | 0.000 | 12.779 | 0.000 |
| -0.000 | -0.000 | 0.000 | 0.000 | -0.000 | 12.779 |
| 18.190 | 12.779 | 12.779 | 0.000 | 0.000 | -0.000 |
| 12.779 | 18.190 | 12.779 | 0.000 | 0.000 | -0.000 |
| 12.779 | 12.779 | 18.190 | -0.000 | 0.000 | 0.000 |
| -0.000 | 0.000 | 0.000 | 12.779 | 0.000 | -0.000 |
| 0.000 | -0.000 | 0.000 | -0.000 | 12.779 | -0.000 |
| 0.000 | 0.000 | -0.000 | 0.000 | 0.000 | 12.779 |
| 18.190 | 12.779 | 12.779 | 0.000 | -0.000 | 0.000 |
| 12.779 | 18.190 | 12.779 | -0.000 | 0.000 | -0.000 |
| 12.779 | 12.779 | 18.190 | 0.000 | -0.000 | 0.000 |
| 0.000 | -0.000 | -0.000 | 12.779 | -0.000 | -0.000 |
| -0.000 | 0.000 | -0.000 | 0.000 | 12.779 | -0.000 |
| -0.000 | -0.000 | 0.000 | 0.000 | -0.000 | 12.779 |
| 18.190 | 12.779 | 12.779 | 0.000 | -0.000 | -0.000 |
| 12.779 | 18.190 | 12.779 | 0.000 | 0.000 | -0.000 |
| 12.779 | 12.779 | 18.190 | 0.000 | 0.000 | 0.000 |
| -0.000 | 0.000 | 0.000 | 12.779 | 0.000 | -0.000 |
| 0.000 | -0.000 | 0.000 | -0.000 | 12.779 | -0.000 |
| 0.000 | 0.000 | -0.000 | 0.000 | -0.000 | 12.779 |
| 18.190 | 12.779 | 12.779 | -0.000 | -0.000 | 0.000 |
| 12.779 | 18.190 | 12.779 | -0.000 | -0.000 | 0.000 |
| 12.779 | 12.779 | 18.190 | -0.000 | -0.000 | -0.000 |
| 0.000 | -0.000 | -0.000 | 12.779 | -0.000 | -0.000 |
| -0.000 | 0.000 | -0.000 | 0.000 | 12.779 | -0.000 |
| -0.000 | -0.000 | 0.000 | 0.000 | 0.000 | 12.779 |
| 27.994 | 9.259 | 7.080 | -0.000 | -0.000 | 0.000 |
| 12.687 | 23.399 | 8.531 | -0.000 | -0.000 | 0.000 |
| 7.818 | 7.818 | 25.942 | -0.000 | -0.000 | 0.000 |
| 0.054 | 0.054 | -0.134 | 4.958 | -0.000 | 0.000 |
| 0.054 | 0.054 | -0.134 | -0.000 | 4.958 | 0.000 |
| 0.058 | 0.058 | -0.144 | -0.000 | -0.000 | 5.198 |
| 21.979 | 13.996 | 8.669 | 0.000 | 0.000 | -0.000 |
| 9.259 | 27.994 | 7.080 | 0.000 | 0.000 | -0.000 |
| 7.757 | 7.757 | 26.093 | 0.000 | 0.000 | -0.000 |
| -0.054 | -0.054 | 0.134 | 4.958 | 0.000 | -0.000 |
| -0.054 | -0.054 | 0.134 | 0.000 | 4.958 | 0.000 |
| -0.058 | -0.058 | 0.144 | 0.000 | 0.000 | 5.198 |
| 21.401 | 15.391 | 7.654 | -0.000 | -0.000 | 0.000 |
| 12.580 | 23.427 | 8.630 | -0.000 | -0.000 | 0.000 |
| 6.921 | 6.921 | 28.172 | -0.000 | -0.000 | -0.000 |
| 0.005 | 0.005 | -0.013 | 4.954 | -0.000 | 0.000 |
| 0.005 | 0.005 | -0.013 | -0.000 | 4.954 | 0.000 |
| -0.000 | 0.000 | 0.000 | -0.000 | -0.000 | 9.367 |
| 27.994 | 9.259 | 7.080 | 0.000 | 0.000 | -0.000 |
| 9.259 | 27.994 | 7.080 | 0.000 | 0.000 | 0.000 |
| 7.784 | 7.784 | 26.025 | 0.000 | 0.000 | -0.000 |
| -0.005 | -0.005 | 0.013 | 4.954 | 0.000 | -0.000 |
| -0.005 | -0.005 | 0.013 | 0.000 | 4.954 | -0.000 |
| 0.000 | -0.000 | -0.000 | 0.000 | 0.000 | 9.367 |
| 23.430 | 12.569 | 8.639 | -0.000 | -0.000 | 0.000 |
| 12.569 | 23.430 | 8.639 | -0.000 | -0.000 | 0.000 |
| 7.788 | 7.788 | 26.017 | -0.000 | -0.000 | 0.000 |
| 0.001 | 0.001 | -0.001 | 4.954 | -0.000 | 0.000 |
| 0.001 | 0.001 | -0.001 | -0.000 | 4.954 | -0.000 |
| 0.001 | 0.001 | -0.001 | -0.000 | -0.000 | 3.887 |
| 23.431 | 12.567 | 8.641 | 0.000 | 0.000 | -0.000 |
| 9.259 | 27.994 | 7.080 | 0.000 | 0.000 | -0.000 |
| 7.787 | 7.787 | 26.018 | 0.000 | 0.000 | -0.000 |
| -0.001 | -0.001 | 0.001 | 4.954 | 0.000 | -0.000 |
| -0.001 | -0.001 | 0.001 | 0.000 | 4.954 | -0.000 |
| -0.001 | -0.001 | 0.001 | 0.000 | 0.000 | 3.887 |
| 17.355 | 13.112 | 14.035 | 0.000 | -0.000 | 0.000 |
| 13.112 | 17.355 | 14.035 | 0.000 | -0.000 | 0.000 |
| 14.035 | 14.035 | 10.606 | -0.000 | 0.000 | 0.000 |
| 0.000 | -0.000 | 0.000 | 11.607 | -0.000 | 0.000 |
| 0.000 | -0.000 | 0.000 | 0.000 | 11.607 | 0.000 |
| 0.000 | -0.000 | 0.000 | 0.000 | -0.000 | 10.216 |
| 17.355 | 13.112 | 14.035 | -0.000 | -0.000 | -0.000 |
| 13.112 | 17.355 | 14.035 | -0.000 | 0.000 | -0.000 |
| 14.035 | 14.035 | 10.606 | -0.000 | -0.000 | -0.000 |
| -0.000 | 0.000 | -0.000 | 11.607 | 0.000 | -0.000 |
| -0.000 | 0.000 | -0.000 | -0.000 | 11.607 | -0.000 |
| -0.000 | 0.000 | -0.000 | -0.000 | 0.000 | 10.216 |
| 17.355 | 13.112 | 14.035 | 0.000 | 0.000 | 0.000 |
| 13.112 | 17.355 | 14.035 | 0.000 | -0.000 | 0.000 |
| 14.035 | 14.035 | 10.606 | 0.000 | -0.000 | 0.000 |
| -0.000 | 0.000 | 0.000 | 11.607 | -0.000 | 0.000 |
| 0.000 | -0.000 | 0.000 | 0.000 | 11.607 | 0.000 |
| 0.000 | 0.000 | -0.000 | 0.000 | -0.000 | 10.216 |
| 17.355 | 13.112 | 14.035 | -0.000 | -0.000 | -0.000 |
| 13.112 | 17.355 | 14.035 | -0.000 | 0.000 | -0.000 |
| 14.035 | 14.035 | 10.606 | -0.000 | -0.000 | -0.000 |
| 0.000 | -0.000 | -0.000 | 11.607 | 0.000 | -0.000 |
| -0.000 | 0.000 | -0.000 | -0.000 | 11.607 | -0.000 |
| -0.000 | -0.000 | 0.000 | 0.000 | 0.000 | 10.216 |
| 17.355 | 13.112 | 14.036 | 0.000 | 0.000 | 0.000 |
| 13.112 | 17.355 | 14.036 | -0.000 | 0.000 | 0.000 |
| 14.036 | 14.036 | 10.606 | 0.000 | -0.000 | 0.000 |
| -0.000 | 0.000 | 0.000 | 11.607 | 0.000 | 0.000 |
| 0.000 | -0.000 | 0.000 | 0.000 | 11.607 | 0.000 |
| 0.000 | 0.000 | -0.000 | 0.000 | 0.000 | 10.216 |
| 17.355 | 13.112 | 14.035 | -0.000 | 0.000 | -0.000 |
| 13.112 | 17.355 | 14.035 | -0.000 | -0.000 | -0.000 |
| 14.035 | 14.035 | 10.606 | -0.000 | -0.000 | -0.000 |
| 0.000 | -0.000 | -0.000 | 11.607 | -0.000 | -0.000 |
| -0.000 | 0.000 | -0.000 | -0.000 | 11.607 | -0.000 |
| -0.000 | -0.000 | 0.000 | -0.000 | 0.000 | 10.216 |
| 29.364 | -2.576 | -2.576 | -0.000 | -0.000 | 0.000 |
| -2.576 | 29.364 | -2.576 | -0.000 | 0.000 | 0.000 |
| -2.576 | -2.576 | 29.364 | -0.000 | -0.000 | 0.000 |
| 0.000 | -0.000 | -0.000 | -2.576 | 0.000 | 0.000 |
| 0.000 | -0.000 | -0.000 | -0.000 | -2.576 | 0.000 |
| 0.000 | -0.000 | -0.000 | -0.000 | 0.000 | -2.576 |
| 29.364 | -2.576 | -2.576 | 0.000 | 0.000 | -0.000 |
| -2.576 | 29.364 | -2.576 | 0.000 | -0.000 | -0.000 |
| -2.576 | -2.576 | 29.364 | 0.000 | -0.000 | -0.000 |
| 0.000 | -0.000 | 0.000 | -2.576 | -0.000 | -0.000 |
| -0.000 | 0.000 | 0.000 | 0.000 | -2.576 | -0.000 |
| -0.000 | 0.000 | 0.000 | 0.000 | -0.000 | -2.576 |
| 29.364 | -2.576 | -2.576 | -0.000 | -0.000 | 0.000 |
| -2.576 | 29.364 | -2.576 | -0.000 | 0.000 | 0.000 |
| -2.576 | -2.576 | 29.364 | -0.000 | -0.000 | 0.000 |
| 0.000 | 0.000 | -0.000 | -2.576 | 0.000 | 0.000 |
| 0.000 | 0.000 | -0.000 | -0.000 | -2.576 | 0.000 |
| 0.000 | -0.000 | 0.000 | -0.000 | 0.000 | -2.576 |
| 29.364 | -2.576 | -2.576 | 0.000 | -0.000 | 0.000 |
| -2.576 | 29.364 | -2.576 | 0.000 | -0.000 | -0.000 |
| -2.576 | -2.576 | 29.364 | 0.000 | -0.000 | -0.000 |
| -0.000 | -0.000 | 0.000 | -2.576 | -0.000 | -0.000 |
| -0.000 | -0.000 | 0.000 | 0.000 | -2.576 | -0.000 |
| -0.000 | 0.000 | -0.000 | 0.000 | -0.000 | -2.576 |
| 29.364 | -2.576 | -2.576 | -0.000 | 0.000 | 0.000 |
| -2.576 | 29.364 | -2.576 | -0.000 | 0.000 | 0.000 |
| -2.576 | -2.576 | 29.364 | -0.000 | -0.000 | 0.000 |
| 0.000 | 0.000 | -0.000 | -2.576 | -0.000 | 0.000 |
| 0.000 | 0.000 | -0.000 | -0.000 | -2.576 | 0.000 |
| 0.000 | -0.000 | 0.000 | -0.000 | 0.000 | -2.576 |
| 29.364 | -2.576 | -2.576 | 0.000 | -0.000 | -0.000 |
| -2.576 | 29.364 | -2.576 | -0.000 | -0.000 | -0.000 |
| -2.576 | -2.576 | 29.364 | 0.000 | -0.000 | -0.000 |
| -0.000 | -0.000 | 0.000 | -2.576 | 0.000 | -0.000 |
| -0.000 | -0.000 | 0.000 | 0.000 | -2.576 | -0.000 |
| -0.000 | 0.000 | -0.000 | 0.000 | -0.000 | -2.576 |
| 16.154 | 10.915 | 10.915 | 0.000 | -0.000 | -0.000 |
| 10.915 | 16.154 | 10.915 | 0.000 | -0.000 | -0.000 |
| 10.915 | 10.915 | 16.154 | -0.000 | -0.000 | 0.000 |
| 0.000 | 0.000 | -0.000 | 10.915 | -0.000 | 0.000 |
| -0.000 | 0.000 | -0.000 | 0.000 | 10.915 | 0.000 |
| 0.000 | 0.000 | 0.000 | 0.000 | -0.000 | 10.915 |
| 16.154 | 10.915 | 10.915 | -0.000 | 0.000 | -0.000 |
| 10.915 | 16.154 | 10.915 | 0.000 | 0.000 | -0.000 |
| 10.915 | 10.915 | 16.154 | 0.000 | 0.000 | -0.000 |
| -0.000 | -0.000 | -0.000 | 10.915 | 0.000 | 0.000 |
| -0.000 | -0.000 | -0.000 | -0.000 | 10.915 | 0.000 |
| -0.000 | -0.000 | -0.000 | -0.000 | 0.000 | 10.915 |
| 16.154 | 10.915 | 10.915 | 0.000 | -0.000 | 0.000 |
| 10.915 | 16.154 | 10.915 | -0.000 | 0.000 | 0.000 |
| 10.915 | 10.915 | 16.154 | 0.000 | -0.000 | 0.000 |
| 0.000 | -0.000 | 0.000 | 10.915 | -0.000 | 0.000 |
| -0.000 | 0.000 | 0.000 | 0.000 | 10.915 | 0.000 |
| -0.000 | 0.000 | 0.000 | 0.000 | -0.000 | 10.915 |
| 16.154 | 10.915 | 10.915 | 0.000 | 0.000 | -0.000 |
| 10.915 | 16.154 | 10.915 | -0.000 | 0.000 | -0.000 |
| 10.915 | 10.915 | 16.154 | -0.000 | 0.000 | -0.000 |
| -0.000 | 0.000 | -0.000 | 10.915 | 0.000 | -0.000 |
| 0.000 | -0.000 | -0.000 | 0.000 | 10.915 | -0.000 |
| 0.000 | -0.000 | -0.000 | 0.000 | 0.000 | 10.915 |
| 16.154 | 10.915 | 10.915 | -0.000 | -0.000 | 0.000 |
| 10.915 | 16.154 | 10.915 | 0.000 | -0.000 | 0.000 |
| 10.915 | 10.915 | 16.154 | -0.000 | -0.000 | 0.000 |
| 0.000 | -0.000 | 0.000 | 10.915 | -0.000 | 0.000 |
| -0.000 | 0.000 | 0.000 | 0.000 | 10.915 | -0.000 |
| -0.000 | 0.000 | 0.000 | 0.000 | -0.000 | 10.915 |
| 16.154 | 10.915 | 10.915 | -0.000 | 0.000 | -0.000 |
| 10.915 | 16.154 | 10.915 | 0.000 | 0.000 | 0.000 |
| 10.915 | 10.915 | 16.154 | 0.000 | 0.000 | -0.000 |
| -0.000 | 0.000 | -0.000 | 10.915 | 0.000 | -0.000 |
| 0.000 | -0.000 | -0.000 | -0.000 | 10.915 | -0.000 |
| 0.000 | -0.000 | -0.000 | -0.000 | 0.000 | 10.915 |
| 1.623 | 1.810 | 1.810 | -0.000 | 0.000 | 0.000 |
| 1.810 | 1.623 | 1.810 | 0.000 | -0.000 | 0.000 |
| 1.810 | 1.810 | 1.623 | 0.000 | 0.000 | -0.000 |
| -0.000 | -0.000 | -0.000 | -0.203 | -0.000 | -0.000 |
| -0.000 | -0.000 | -0.000 | -0.000 | -0.203 | -0.000 |
| -0.000 | -0.000 | -0.000 | -0.000 | 0.000 | -0.203 |
| 1.623 | 1.810 | 1.810 | 0.000 | -0.000 | -0.000 |
| 1.810 | 1.623 | 1.810 | -0.000 | 0.000 | -0.000 |
| 1.810 | 1.810 | 1.623 | -0.000 | -0.000 | 0.000 |
| 0.000 | 0.000 | 0.000 | -0.203 | 0.000 | 0.000 |
| 0.000 | 0.000 | 0.000 | 0.000 | -0.203 | 0.000 |
| 0.000 | 0.000 | 0.000 | 0.000 | 0.000 | -0.203 |
| 1.623 | 1.810 | 1.810 | 0.000 | 0.000 | 0.000 |
| 1.810 | 1.623 | 1.810 | 0.000 | 0.000 | 0.000 |
| 1.810 | 1.810 | 1.623 | 0.000 | 0.000 | 0.000 |
| -0.000 | -0.000 | -0.000 | -0.203 | -0.000 | 0.000 |
| -0.000 | -0.000 | -0.000 | -0.000 | -0.203 | 0.000 |
| -0.000 | -0.000 | -0.000 | -0.000 | 0.000 | -0.203 |
| 1.623 | 1.810 | 1.810 | -0.000 | -0.000 | -0.000 |
| 1.810 | 1.623 | 1.810 | -0.000 | -0.000 | -0.000 |
| 1.810 | 1.810 | 1.623 | -0.000 | -0.000 | -0.000 |
| 0.000 | 0.000 | 0.000 | -0.203 | 0.000 | -0.000 |
| 0.000 | 0.000 | 0.000 | 0.000 | -0.203 | -0.000 |
| 0.000 | 0.000 | 0.000 | 0.000 | -0.000 | -0.203 |
| 1.623 | 1.810 | 1.810 | 0.000 | 0.000 | 0.000 |
| 1.810 | 1.623 | 1.810 | 0.000 | 0.000 | 0.000 |
| 1.810 | 1.810 | 1.623 | 0.000 | 0.000 | 0.000 |
| -0.000 | -0.000 | -0.000 | -0.203 | -0.000 | -0.000 |
| -0.000 | -0.000 | -0.000 | -0.000 | -0.203 | -0.000 |
| -0.000 | -0.000 | -0.000 | -0.000 | -0.000 | -0.203 |
| 1.623 | 1.810 | 1.810 | -0.000 | -0.000 | -0.000 |
| 1.810 | 1.623 | 1.810 | -0.000 | -0.000 | -0.000 |
| 1.810 | 1.810 | 1.623 | -0.000 | -0.000 | -0.000 |
| 0.000 | 0.000 | 0.000 | -0.203 | 0.000 | -0.000 |
| 0.000 | 0.000 | 0.000 | 0.000 | -0.203 | -0.000 |
| 0.000 | 0.000 | 0.000 | 0.000 | -0.000 | -0.203 |
| 11.407 | 4.275 | 4.275 | 0.000 | 0.000 | 0.000 |
| 4.275 | 11.407 | 4.275 | -0.000 | 0.000 | 0.000 |
| 4.275 | 4.275 | 11.407 | -0.000 | 0.000 | 0.000 |
| 0.000 | 0.000 | 0.000 | 2.411 | 0.000 | 0.000 |
| 0.000 | 0.000 | 0.000 | 0.000 | 2.411 | 0.000 |
| 0.000 | 0.000 | 0.000 | 0.000 | 0.000 | 2.411 |
| 11.407 | 4.275 | 4.275 | -0.000 | -0.000 | -0.000 |
| 4.275 | 11.407 | 4.275 | -0.000 | -0.000 | -0.000 |
| 4.275 | 4.275 | 11.407 | -0.000 | -0.000 | -0.000 |
| -0.000 | -0.000 | -0.000 | 2.411 | -0.000 | -0.000 |
| -0.000 | -0.000 | -0.000 | 0.000 | 2.411 | -0.000 |
| -0.000 | -0.000 | -0.000 | -0.000 | -0.000 | 2.411 |
| 11.407 | 4.275 | 4.275 | 0.000 | 0.000 | 0.000 |
| 4.275 | 11.407 | 4.275 | 0.000 | 0.000 | 0.000 |
| 4.275 | 4.275 | 11.407 | 0.000 | 0.000 | 0.000 |
| 0.000 | -0.000 | -0.000 | 2.411 | 0.000 | 0.000 |
| -0.000 | 0.000 | -0.000 | -0.000 | 2.411 | 0.000 |
| -0.000 | -0.000 | 0.000 | 0.000 | 0.000 | 2.411 |
| 11.407 | 4.275 | 4.275 | -0.000 | -0.000 | -0.000 |
| 4.275 | 11.407 | 4.275 | -0.000 | -0.000 | -0.000 |
| 4.275 | 4.275 | 11.407 | -0.000 | -0.000 | -0.000 |
| -0.000 | 0.000 | 0.000 | 2.411 | -0.000 | -0.000 |
| 0.000 | -0.000 | 0.000 | -0.000 | 2.411 | -0.000 |
| 0.000 | 0.000 | -0.000 | 0.000 | -0.000 | 2.411 |
| 11.407 | 4.275 | 4.275 | 0.000 | 0.000 | 0.000 |
| 4.275 | 11.407 | 4.275 | 0.000 | 0.000 | 0.000 |
| 4.275 | 4.275 | 11.407 | 0.000 | 0.000 | 0.000 |
| 0.000 | -0.000 | -0.000 | 2.411 | 0.000 | 0.000 |
| -0.000 | 0.000 | -0.000 | 0.000 | 2.411 | 0.000 |
| -0.000 | -0.000 | 0.000 | -0.000 | 0.000 | 2.411 |
| 11.407 | 4.275 | 4.275 | -0.000 | -0.000 | -0.000 |
| 4.275 | 11.407 | 4.275 | -0.000 | -0.000 | -0.000 |
| 4.275 | 4.275 | 11.407 | 0.000 | -0.000 | -0.000 |
| -0.000 | 0.000 | 0.000 | 2.411 | -0.000 | -0.000 |
| 0.000 | -0.000 | 0.000 | 0.000 | 2.411 | -0.000 |
| 0.000 | 0.000 | -0.000 | -0.000 | -0.000 | 2.411 |
| 29.258 | 3.849 | 3.849 | 0.000 | 0.000 | 0.000 |
| 3.849 | 29.258 | 3.849 | 0.000 | -0.000 | 0.000 |
| 3.849 | 3.849 | 29.258 | 0.000 | 0.000 | 0.000 |
| 0.000 | 0.000 | 0.000 | 3.847 | 0.000 | 0.000 |
| 0.000 | 0.000 | 0.000 | -0.000 | 3.847 | 0.000 |
| 0.000 | 0.000 | 0.000 | -0.000 | 0.000 | 3.847 |
| 29.258 | 3.849 | 3.849 | -0.000 | -0.000 | -0.000 |
| 3.849 | 29.258 | 3.849 | -0.000 | -0.000 | -0.000 |
| 3.849 | 3.849 | 29.258 | -0.000 | -0.000 | -0.000 |
| 0.000 | -0.000 | -0.000 | 3.847 | -0.000 | -0.000 |
| -0.000 | 0.000 | -0.000 | 0.000 | 3.847 | -0.000 |
| 0.000 | -0.000 | -0.000 | 0.000 | 0.000 | 3.847 |
| 29.258 | 3.849 | 3.849 | 0.000 | 0.000 | 0.000 |
| 3.849 | 29.258 | 3.849 | 0.000 | 0.000 | -0.000 |
| 3.849 | 3.849 | 29.258 | 0.000 | -0.000 | -0.000 |
| 0.000 | 0.000 | -0.000 | 3.827 | 0.000 | -0.000 |
| 0.000 | 0.000 | -0.000 | 0.000 | 3.827 | -0.000 |
| 0.000 | -0.000 | 0.000 | 0.000 | 0.000 | 3.827 |
| 29.258 | 3.849 | 3.849 | -0.000 | -0.000 | -0.000 |
| 3.849 | 29.258 | 3.849 | -0.000 | -0.000 | 0.000 |
| 3.849 | 3.849 | 29.258 | 0.000 | 0.000 | -0.000 |
| -0.000 | -0.000 | 0.000 | 3.827 | -0.000 | -0.000 |
| -0.000 | -0.000 | 0.000 | -0.000 | 3.827 | 0.000 |
| -0.000 | 0.000 | -0.000 | -0.000 | -0.000 | 3.827 |
| 29.258 | 3.849 | 3.849 | 0.000 | 0.000 | 0.000 |
| 3.849 | 29.258 | 3.849 | 0.000 | 0.000 | 0.000 |
| 3.849 | 3.849 | 29.258 | 0.000 | -0.000 | 0.000 |
| 0.000 | 0.000 | -0.000 | 3.813 | 0.000 | 0.000 |
| 0.000 | 0.000 | -0.000 | 0.000 | 3.813 | 0.000 |
| 0.000 | -0.000 | 0.000 | 0.000 | 0.000 | 3.813 |
| 29.258 | 3.849 | 3.849 | -0.000 | 0.000 | -0.000 |
| 3.849 | 29.258 | 3.849 | -0.000 | -0.000 | 0.000 |
| 3.849 | 3.849 | 29.258 | 0.000 | 0.000 | -0.000 |
| -0.000 | -0.000 | 0.000 | 3.813 | -0.000 | -0.000 |
| -0.000 | -0.000 | 0.000 | -0.000 | 3.813 | -0.000 |
| -0.000 | 0.000 | -0.000 | -0.000 | -0.000 | 3.813 |
| 15.213 | 11.679 | 11.679 | -0.000 | -0.000 | -0.000 |
| 11.679 | 15.213 | 11.679 | -0.000 | 0.000 | -0.000 |
| 11.679 | 11.679 | 15.213 | -0.000 | -0.000 | -0.000 |
| 0.000 | 0.000 | 0.000 | 11.679 | -0.000 | -0.000 |
| 0.000 | 0.000 | 0.000 | -0.000 | 11.679 | -0.000 |
| 0.000 | 0.000 | 0.000 | 0.000 | -0.000 | 11.679 |
| 15.213 | 11.679 | 11.679 | -0.000 | -0.000 | 0.000 |
| 11.679 | 15.213 | 11.679 | 0.000 | 0.000 | 0.000 |
| 11.679 | 11.679 | 15.213 | -0.000 | -0.000 | 0.000 |
| -0.000 | -0.000 | -0.000 | 11.679 | 0.000 | 0.000 |
| -0.000 | -0.000 | -0.000 | 0.000 | 11.679 | 0.000 |
| -0.000 | -0.000 | -0.000 | -0.000 | 0.000 | 11.679 |
| 15.213 | 11.679 | 11.679 | -0.000 | -0.000 | -0.000 |
| 11.679 | 15.213 | 11.679 | -0.000 | -0.000 | -0.000 |
| 11.679 | 11.679 | 15.213 | -0.000 | -0.000 | -0.000 |
| 0.000 | -0.000 | 0.000 | 11.679 | -0.000 | -0.000 |
| -0.000 | 0.000 | 0.000 | -0.000 | 11.679 | -0.000 |
| -0.000 | 0.000 | 0.000 | -0.000 | 0.000 | 11.679 |
| 15.213 | 11.679 | 11.679 | 0.000 | 0.000 | 0.000 |
| 11.679 | 15.213 | 11.679 | 0.000 | 0.000 | 0.000 |
| 11.679 | 11.679 | 15.213 | 0.000 | 0.000 | 0.000 |
| -0.000 | 0.000 | -0.000 | 11.679 | 0.000 | 0.000 |
| 0.000 | -0.000 | -0.000 | 0.000 | 11.679 | 0.000 |
| 0.000 | -0.000 | -0.000 | 0.000 | 0.000 | 11.679 |
| 15.213 | 11.679 | 11.679 | -0.000 | -0.000 | -0.000 |
| 11.679 | 15.213 | 11.679 | -0.000 | 0.000 | -0.000 |
| 11.679 | 11.679 | 15.213 | -0.000 | -0.000 | -0.000 |
| 0.000 | -0.000 | 0.000 | 9.475 | -0.000 | -0.000 |
| -0.000 | 0.000 | 0.000 | -0.000 | 9.475 | -0.000 |
| -0.000 | 0.000 | 0.000 | -0.000 | 0.000 | 9.475 |
| 15.213 | 11.679 | 11.679 | 0.000 | 0.000 | 0.000 |
| 11.679 | 15.213 | 11.679 | -0.000 | -0.000 | 0.000 |
| 11.679 | 11.679 | 15.213 | 0.000 | 0.000 | 0.000 |
| -0.000 | 0.000 | -0.000 | 9.475 | 0.000 | 0.000 |
| 0.000 | -0.000 | -0.000 | 0.000 | 9.475 | 0.000 |
| 0.000 | -0.000 | -0.000 | 0.000 | -0.000 | 9.475 |
| 11.937 | 9.323 | 9.323 | -0.000 | -0.000 | -0.000 |
| 9.323 | 11.937 | 9.323 | -0.000 | -0.000 | -0.000 |
| 9.323 | 9.323 | 11.937 | -0.000 | -0.000 | 0.000 |
| -0.000 | -0.000 | 0.000 | 9.323 | -0.000 | -0.000 |
| -0.000 | -0.000 | 0.000 | -0.000 | 9.323 | -0.000 |
| -0.000 | 0.000 | -0.000 | -0.000 | -0.000 | 9.323 |
| 11.937 | 9.323 | 9.323 | 0.000 | 0.000 | 0.000 |
| 9.323 | 11.937 | 9.323 | 0.000 | 0.000 | 0.000 |
| 9.323 | 9.323 | 11.937 | 0.000 | 0.000 | -0.000 |
| 0.000 | 0.000 | 0.000 | 9.323 | 0.000 | -0.000 |
| 0.000 | 0.000 | 0.000 | 0.000 | 9.323 | 0.000 |
| 0.000 | 0.000 | 0.000 | 0.000 | 0.000 | 9.323 |
| 11.937 | 9.323 | 9.323 | -0.000 | -0.000 | -0.000 |
| 9.323 | 11.937 | 9.323 | -0.000 | -0.000 | -0.000 |
| 9.323 | 9.323 | 11.937 | -0.000 | -0.000 | -0.000 |
| -0.000 | 0.000 | 0.000 | 9.323 | -0.000 | 0.000 |
| 0.000 | -0.000 | 0.000 | -0.000 | 9.323 | -0.000 |
| 0.000 | 0.000 | -0.000 | -0.000 | -0.000 | 9.323 |
| 11.937 | 9.323 | 9.323 | 0.000 | 0.000 | -0.000 |
| 9.323 | 11.937 | 9.323 | 0.000 | 0.000 | -0.000 |
| 9.323 | 9.323 | 11.937 | 0.000 | 0.000 | 0.000 |
| 0.000 | -0.000 | -0.000 | 9.323 | 0.000 | 0.000 |
| -0.000 | 0.000 | -0.000 | 0.000 | 9.323 | 0.000 |
| -0.000 | -0.000 | 0.000 | 0.000 | 0.000 | 9.323 |
| 11.937 | 9.323 | 9.323 | -0.000 | -0.000 | 0.000 |
| 9.323 | 11.937 | 9.323 | -0.000 | -0.000 | -0.000 |
| 9.323 | 9.323 | 11.937 | -0.000 | -0.000 | -0.000 |
| -0.000 | 0.000 | 0.000 | 9.323 | -0.000 | -0.000 |
| 0.000 | -0.000 | 0.000 | -0.000 | 9.323 | -0.000 |
| 0.000 | 0.000 | -0.000 | -0.000 | -0.000 | 9.323 |
| 11.937 | 9.323 | 9.323 | 0.000 | 0.000 | -0.000 |
| 9.323 | 11.937 | 9.323 | 0.000 | 0.000 | -0.000 |
| 9.323 | 9.323 | 11.937 | 0.000 | 0.000 | 0.000 |
| 0.000 | -0.000 | -0.000 | 9.323 | 0.000 | -0.000 |
| -0.000 | 0.000 | -0.000 | 0.000 | 9.323 | 0.000 |
| -0.000 | -0.000 | 0.000 | 0.000 | 0.000 | 9.323 |
| 19.411 | 6.380 | 4.391 | 0.000 | -0.000 | -0.000 |
| 6.380 | 19.411 | 4.391 | 0.000 | -0.000 | 0.000 |
| 4.674 | 4.674 | 21.530 | 0.000 | -0.000 | 0.000 |
| 0.014 | 0.014 | -0.028 | 2.632 | -0.000 | -0.000 |
| 0.000 | 0.000 | -0.000 | 0.000 | 4.211 | 0.000 |
| 0.000 | 0.000 | -0.000 | 0.000 | 0.000 | 6.516 |
| 16.640 | 7.840 | 5.710 | -0.000 | -0.000 | -0.000 |
| 11.740 | 13.610 | 4.835 | -0.000 | 0.000 | -0.000 |
| 4.666 | 4.666 | 21.545 | -0.000 | 0.000 | 0.000 |
| -0.014 | -0.014 | 0.028 | 2.632 | -0.000 | -0.000 |
| -0.000 | -0.000 | 0.000 | -0.000 | 4.211 | -0.000 |
| -0.000 | -0.000 | 0.000 | -0.000 | 0.000 | 6.516 |
| 16.602 | 7.879 | 5.708 | 0.000 | -0.000 | 0.000 |
| 11.744 | 13.614 | 4.827 | 0.000 | 0.000 | 0.000 |
| 4.670 | 4.670 | 21.537 | 0.000 | -0.000 | 0.000 |
| 0.000 | -0.000 | 0.000 | 4.211 | -0.000 | 0.000 |
| -0.000 | -0.000 | 0.000 | 0.000 | 4.211 | 0.000 |
| -0.000 | 0.000 | -0.000 | 0.000 | -0.000 | 6.516 |
| 19.411 | 6.380 | 4.391 | -0.000 | -0.000 | -0.000 |
| 7.872 | 16.609 | 5.709 | -0.000 | -0.000 | -0.000 |
| 4.233 | 4.233 | 22.415 | -0.000 | 0.000 | -0.000 |
| -0.000 | 0.000 | -0.000 | 4.211 | -0.000 | -0.000 |
| 0.000 | 0.000 | -0.000 | -0.000 | 4.211 | -0.000 |
| 0.000 | -0.000 | 0.000 | -0.000 | -0.000 | 6.516 |
| 13.611 | 11.745 | 4.828 | 0.000 | 0.000 | 0.000 |
| 6.380 | 19.411 | 4.391 | 0.000 | -0.000 | -0.000 |
| 4.670 | 4.670 | 21.537 | 0.000 | 0.000 | 0.000 |
| -0.000 | -0.000 | 0.000 | 4.211 | 0.000 | -0.000 |
| -0.000 | -0.000 | 0.000 | 0.000 | 4.211 | 0.000 |
| 0.000 | 0.000 | -0.000 | 0.000 | -0.000 | 3.951 |
| 13.613 | 11.744 | 4.827 | -0.000 | 0.000 | -0.000 |
| 11.744 | 13.614 | 4.827 | -0.000 | 0.000 | -0.000 |
| 4.670 | 4.670 | 21.537 | -0.000 | -0.000 | -0.000 |
| 0.000 | 0.000 | -0.000 | 4.211 | -0.000 | 0.000 |
| 0.000 | 0.000 | -0.000 | -0.000 | 4.211 | 0.000 |
| -0.000 | -0.000 | 0.000 | -0.000 | 0.000 | 3.951 |
| 9.649 | 11.571 | 8.969 | -0.000 | -0.000 | -0.000 |
| 11.571 | 9.649 | 8.969 | -0.000 | -0.000 | -0.000 |
| 8.969 | 8.969 | 13.910 | -0.000 | -0.000 | -0.000 |
| -0.000 | 0.000 | 0.000 | 8.392 | -0.000 | -0.000 |
| 0.000 | 0.000 | -0.000 | 0.000 | 8.392 | -0.000 |
| 0.000 | 0.000 | -0.000 | 0.000 | -0.000 | 9.823 |
| 9.649 | 11.571 | 8.969 | 0.000 | 0.000 | 0.000 |
| 11.571 | 9.649 | 8.969 | 0.000 | 0.000 | 0.000 |
| 8.969 | 8.969 | 13.910 | 0.000 | 0.000 | 0.000 |
| 0.000 | -0.000 | -0.000 | 8.392 | 0.000 | 0.000 |
| 0.000 | -0.000 | -0.000 | 0.000 | 8.392 | 0.000 |
| -0.000 | -0.000 | 0.000 | 0.000 | 0.000 | 9.823 |
| 9.649 | 11.571 | 8.969 | -0.000 | -0.000 | -0.000 |
| 11.571 | 9.649 | 8.969 | -0.000 | -0.000 | -0.000 |
| 8.969 | 8.969 | 13.910 | -0.000 | -0.000 | -0.000 |
| -0.000 | 0.000 | 0.000 | 8.392 | 0.000 | -0.000 |
| 0.000 | -0.000 | 0.000 | -0.000 | 8.392 | -0.000 |
| 0.000 | 0.000 | -0.000 | -0.000 | -0.000 | 9.823 |
| 9.649 | 11.571 | 8.969 | 0.000 | 0.000 | 0.000 |
| 11.571 | 9.649 | 8.969 | 0.000 | 0.000 | 0.000 |
| 8.969 | 8.969 | 13.910 | 0.000 | -0.000 | 0.000 |
| 0.000 | -0.000 | -0.000 | 8.392 | -0.000 | 0.000 |
| -0.000 | 0.000 | -0.000 | -0.000 | 8.392 | 0.000 |
| -0.000 | -0.000 | 0.000 | 0.000 | 0.000 | 9.823 |
| 9.649 | 11.571 | 8.969 | -0.000 | -0.000 | -0.000 |
| 11.571 | 9.649 | 8.969 | -0.000 | -0.000 | -0.000 |
| 8.969 | 8.969 | 13.910 | 0.000 | -0.000 | -0.000 |
| -0.000 | 0.000 | 0.000 | 8.392 | 0.000 | -0.000 |
| 0.000 | -0.000 | 0.000 | 0.000 | 8.392 | -0.000 |
| 0.000 | 0.000 | -0.000 | -0.000 | -0.000 | 9.823 |
| 9.649 | 11.571 | 8.969 | 0.000 | -0.000 | 0.000 |
| 11.571 | 9.649 | 8.969 | 0.000 | 0.000 | 0.000 |
| 8.969 | 8.969 | 13.910 | 0.000 | 0.000 | 0.000 |
| 0.000 | -0.000 | -0.000 | 8.392 | -0.000 | 0.000 |
| -0.000 | 0.000 | -0.000 | -0.000 | 8.392 | 0.000 |
| -0.000 | -0.000 | 0.000 | 0.000 | 0.000 | 9.823 |
| 11.789 | 7.757 | 7.757 | -0.000 | -0.000 | -0.000 |
| 7.757 | 11.789 | 7.757 | -0.000 | -0.000 | -0.000 |
| 7.757 | 7.757 | 11.789 | -0.000 | -0.000 | -0.000 |
| -0.000 | -0.000 | 0.000 | 7.757 | -0.000 | -0.000 |
| -0.000 | -0.000 | 0.000 | -0.000 | 7.757 | -0.000 |
| -0.000 | 0.000 | -0.000 | -0.000 | -0.000 | 7.757 |
| 11.789 | 7.757 | 7.757 | 0.000 | 0.000 | 0.000 |
| 7.757 | 11.789 | 7.757 | 0.000 | 0.000 | 0.000 |
| 7.757 | 7.757 | 11.789 | 0.000 | 0.000 | 0.000 |
| 0.000 | 0.000 | -0.000 | 7.757 | 0.000 | 0.000 |
| 0.000 | 0.000 | -0.000 | 0.000 | 7.757 | 0.000 |
| 0.000 | -0.000 | 0.000 | 0.000 | 0.000 | 7.757 |
| 11.789 | 7.757 | 7.757 | -0.000 | -0.000 | -0.000 |
| 7.757 | 11.789 | 7.757 | -0.000 | -0.000 | -0.000 |
| 7.757 | 7.757 | 11.789 | -0.000 | -0.000 | -0.000 |
| -0.000 | 0.000 | 0.000 | 7.757 | -0.000 | -0.000 |
| 0.000 | -0.000 | 0.000 | -0.000 | 7.757 | -0.000 |
| 0.000 | 0.000 | -0.000 | -0.000 | -0.000 | 7.757 |
| 11.789 | 7.757 | 7.757 | 0.000 | 0.000 | 0.000 |
| 7.757 | 11.789 | 7.757 | 0.000 | 0.000 | 0.000 |
| 7.757 | 7.757 | 11.789 | 0.000 | 0.000 | 0.000 |
| 0.000 | -0.000 | -0.000 | 7.757 | 0.000 | 0.000 |
| -0.000 | 0.000 | -0.000 | 0.000 | 7.757 | 0.000 |
| -0.000 | -0.000 | 0.000 | 0.000 | 0.000 | 7.757 |
| 11.789 | 7.757 | 7.757 | -0.000 | -0.000 | -0.000 |
| 7.757 | 11.789 | 7.757 | -0.000 | -0.000 | -0.000 |
| 7.757 | 7.757 | 11.789 | -0.000 | -0.000 | -0.000 |
| -0.000 | 0.000 | 0.000 | 7.757 | -0.000 | -0.000 |
| 0.000 | -0.000 | 0.000 | -0.000 | 7.757 | -0.000 |
| 0.000 | 0.000 | -0.000 | -0.000 | -0.000 | 7.757 |
| 11.789 | 7.757 | 7.757 | 0.000 | 0.000 | 0.000 |
| 7.757 | 11.789 | 7.757 | 0.000 | 0.000 | 0.000 |
| 7.757 | 7.757 | 11.789 | 0.000 | 0.000 | 0.000 |
| 0.000 | -0.000 | -0.000 | 7.757 | 0.000 | 0.000 |
| -0.000 | 0.000 | -0.000 | 0.000 | 7.757 | 0.000 |
| -0.000 | -0.000 | 0.000 | 0.000 | 0.000 | 7.757 |
| 25.821 | 4.047 | 4.047 | 0.000 | 0.000 | 0.000 |
| 4.047 | 25.821 | 4.047 | 0.000 | 0.000 | -0.000 |
| 4.047 | 4.047 | 25.821 | -0.000 | -0.000 | 0.000 |
| 0.000 | 0.000 | 0.000 | 3.415 | -0.000 | 0.000 |
| 0.000 | 0.000 | 0.000 | -0.000 | 3.415 | 0.000 |
| -0.000 | 0.000 | 0.000 | 0.000 | -0.000 | 3.415 |
| 25.821 | 4.047 | 4.047 | -0.000 | -0.000 | -0.000 |
| 4.047 | 25.821 | 4.047 | -0.000 | 0.000 | -0.000 |
| 4.047 | 4.047 | 25.821 | 0.000 | -0.000 | -0.000 |
| -0.000 | 0.000 | 0.000 | 3.415 | 0.000 | -0.000 |
| 0.000 | -0.000 | 0.000 | -0.000 | 3.415 | -0.000 |
| 0.000 | -0.000 | -0.000 | -0.000 | 0.000 | 3.415 |
| 25.821 | 4.047 | 4.047 | 0.000 | -0.000 | 0.000 |
| 4.047 | 25.821 | 4.047 | -0.000 | -0.000 | -0.000 |
| 4.047 | 4.047 | 25.821 | -0.000 | -0.000 | -0.000 |
| 0.000 | 0.000 | 0.000 | 3.995 | -0.000 | 0.000 |
| 0.000 | 0.000 | 0.000 | -0.000 | 3.995 | -0.000 |
| 0.000 | 0.000 | 0.000 | -0.000 | -0.000 | 3.995 |
| 25.821 | 4.047 | 4.047 | 0.000 | 0.000 | -0.000 |
| 4.047 | 25.821 | 4.047 | -0.000 | 0.000 | -0.000 |
| 4.047 | 4.047 | 25.821 | -0.000 | 0.000 | -0.000 |
| -0.000 | -0.000 | -0.000 | 3.995 | 0.000 | -0.000 |
| -0.000 | -0.000 | -0.000 | -0.000 | 3.995 | -0.000 |
| -0.000 | -0.000 | -0.000 | 0.000 | 0.000 | 3.995 |
| 25.821 | 4.047 | 4.047 | -0.000 | -0.000 | 0.000 |
| 4.047 | 25.821 | 4.047 | 0.000 | -0.000 | -0.000 |
| 4.047 | 4.047 | 25.821 | -0.000 | -0.000 | -0.000 |
| 0.000 | 0.000 | 0.000 | 3.995 | -0.000 | -0.000 |
| 0.000 | 0.000 | 0.000 | -0.000 | 3.995 | 0.000 |
| 0.000 | 0.000 | 0.000 | -0.000 | -0.000 | 3.995 |
| 25.821 | 4.047 | 4.047 | -0.000 | 0.000 | -0.000 |
| 4.047 | 25.821 | 4.047 | -0.000 | 0.000 | -0.000 |
| 4.047 | 4.047 | 25.821 | 0.000 | 0.000 | -0.000 |
| -0.000 | -0.000 | -0.000 | 3.995 | 0.000 | -0.000 |
| -0.000 | -0.000 | -0.000 | -0.000 | 3.995 | -0.000 |
| -0.000 | -0.000 | -0.000 | 0.000 | 0.000 | 3.995 |
| 15.007 | 10.697 | 10.697 | -0.000 | -0.000 | -0.000 |
| 10.697 | 15.007 | 10.697 | -0.000 | -0.000 | 0.000 |
| 10.697 | 10.697 | 15.007 | -0.000 | 0.000 | -0.000 |
| 0.000 | 0.000 | -0.000 | 10.697 | -0.000 | -0.000 |
| 0.000 | 0.000 | -0.000 | -0.000 | 10.697 | -0.000 |
| 0.000 | 0.000 | -0.000 | -0.000 | -0.000 | 10.697 |
| 15.007 | 10.697 | 10.697 | 0.000 | 0.000 | 0.000 |
| 10.697 | 15.007 | 10.697 | 0.000 | 0.000 | 0.000 |
| 10.697 | 10.697 | 15.007 | 0.000 | 0.000 | 0.000 |
| -0.000 | -0.000 | 0.000 | 10.697 | 0.000 | 0.000 |
| 0.000 | -0.000 | 0.000 | 0.000 | 10.697 | 0.000 |
| -0.000 | -0.000 | 0.000 | 0.000 | 0.000 | 10.697 |
| 15.007 | 10.697 | 10.697 | -0.000 | -0.000 | -0.000 |
| 10.697 | 15.007 | 10.697 | -0.000 | -0.000 | -0.000 |
| 10.697 | 10.697 | 15.007 | -0.000 | -0.000 | -0.000 |
| 0.000 | -0.000 | 0.000 | 10.697 | -0.000 | 0.000 |
| -0.000 | 0.000 | 0.000 | -0.000 | 10.697 | -0.000 |
| -0.000 | 0.000 | 0.000 | -0.000 | 0.000 | 10.697 |
| 15.007 | 10.697 | 10.697 | 0.000 | 0.000 | 0.000 |
| 10.697 | 15.007 | 10.697 | 0.000 | 0.000 | 0.000 |
| 10.697 | 10.697 | 15.007 | 0.000 | 0.000 | 0.000 |
| -0.000 | 0.000 | -0.000 | 10.697 | 0.000 | 0.000 |
| 0.000 | -0.000 | -0.000 | 0.000 | 10.697 | 0.000 |
| 0.000 | -0.000 | -0.000 | 0.000 | 0.000 | 10.697 |
| 15.007 | 10.697 | 10.697 | -0.000 | -0.000 | -0.000 |
| 10.697 | 15.007 | 10.697 | -0.000 | -0.000 | -0.000 |
| 10.697 | 10.697 | 15.007 | -0.000 | -0.000 | -0.000 |
| 0.000 | -0.000 | 0.000 | 10.697 | -0.000 | -0.000 |
| -0.000 | 0.000 | 0.000 | -0.000 | 10.697 | -0.000 |
| -0.000 | 0.000 | 0.000 | -0.000 | -0.000 | 10.697 |
| 15.007 | 10.697 | 10.697 | 0.000 | 0.000 | 0.000 |
| 10.697 | 15.007 | 10.697 | 0.000 | 0.000 | 0.000 |
| 10.697 | 10.697 | 15.007 | 0.000 | 0.000 | 0.000 |
| -0.000 | 0.000 | -0.000 | 10.697 | 0.000 | 0.000 |
| 0.000 | -0.000 | -0.000 | 0.000 | 10.697 | 0.000 |
| 0.000 | -0.000 | -0.000 | 0.000 | 0.000 | 10.697 |
| 17.530 | 5.843 | 3.930 | -0.000 | 0.000 | 0.000 |
| 6.322 | 17.051 | 3.930 | 0.000 | -0.000 | -0.000 |
| 3.930 | 3.930 | 19.443 | -0.000 | -0.000 | 0.000 |
| -0.000 | -0.000 | -0.000 | 3.930 | 0.000 | 0.000 |
| -0.000 | 0.000 | -0.000 | 0.000 | 3.930 | 0.000 |
| -0.000 | 0.000 | -0.000 | -0.000 | -0.000 | 5.843 |
| 17.051 | 6.322 | 3.930 | 0.000 | -0.000 | 0.000 |
| 6.322 | 17.051 | 3.930 | -0.000 | 0.000 | 0.000 |
| 3.930 | 3.930 | 19.443 | -0.000 | 0.000 | 0.000 |
| 0.000 | -0.000 | 0.000 | 3.930 | -0.000 | 0.000 |
| 0.000 | -0.000 | 0.000 | -0.000 | 3.930 | 0.000 |
| 0.000 | -0.000 | 0.000 | -0.000 | -0.000 | 5.843 |
| 17.530 | 5.843 | 3.930 | 0.000 | -0.000 | -0.000 |
| 6.322 | 17.051 | 3.930 | 0.000 | -0.000 | -0.000 |
| 3.930 | 3.930 | 19.443 | -0.000 | -0.000 | -0.000 |
| 0.000 | -0.000 | 0.000 | 3.930 | 0.000 | -0.000 |
| -0.000 | 0.000 | 0.000 | 0.000 | 3.930 | -0.000 |
| -0.000 | 0.000 | -0.000 | 0.000 | 0.000 | 5.364 |
| 17.530 | 5.843 | 3.930 | -0.000 | 0.000 | -0.000 |
| 6.322 | 17.051 | 3.930 | -0.000 | -0.000 | -0.000 |
| 3.930 | 3.930 | 19.443 | 0.000 | -0.000 | -0.000 |
| -0.000 | 0.000 | -0.000 | 3.930 | -0.000 | 0.000 |
| 0.000 | -0.000 | -0.000 | -0.000 | 3.930 | 0.000 |
| 0.000 | -0.000 | 0.000 | -0.000 | 0.000 | 5.364 |
| 17.530 | 5.843 | 3.930 | 0.000 | 0.000 | 0.000 |
| 5.843 | 17.530 | 3.930 | 0.000 | 0.000 | 0.000 |
| 3.930 | 3.930 | 19.443 | 0.000 | 0.000 | -0.000 |
| 0.000 | -0.000 | 0.000 | 3.930 | 0.000 | -0.000 |
| -0.000 | -0.000 | 0.000 | 0.000 | 3.930 | 0.000 |
| -0.000 | 0.000 | -0.000 | 0.000 | -0.000 | 5.843 |
| 17.530 | 5.843 | 3.930 | -0.000 | -0.000 | -0.000 |
| 5.843 | 17.530 | 3.930 | -0.000 | 0.000 | 0.000 |
| 3.929 | 3.929 | 19.443 | 0.000 | 0.000 | 0.000 |
| -0.000 | 0.000 | -0.000 | 3.930 | 0.000 | -0.000 |
| 0.000 | 0.000 | -0.000 | -0.000 | 3.930 | 0.000 |
| 0.000 | -0.000 | 0.000 | 0.000 | 0.000 | 5.843 |
| 17.530 | 5.843 | 3.930 | -0.000 | 0.000 | 0.000 |
| 6.801 | 16.572 | 3.930 | 0.000 | -0.000 | 0.000 |
| 3.930 | 3.930 | 19.443 | 0.000 | -0.000 | 0.000 |
| 0.000 | -0.000 | -0.000 | 3.930 | 0.000 | -0.000 |
| -0.000 | -0.000 | -0.000 | -0.000 | 3.930 | 0.000 |
| -0.000 | 0.000 | -0.000 | -0.000 | -0.000 | 5.843 |
| 16.572 | 6.801 | 3.930 | 0.000 | -0.000 | -0.000 |
| 6.801 | 16.572 | 3.930 | 0.000 | 0.000 | 0.000 |
| 3.930 | 3.930 | 19.443 | 0.000 | -0.000 | 0.000 |
| 0.000 | 0.000 | 0.000 | 3.930 | -0.000 | -0.000 |
| 0.000 | 0.000 | 0.000 | -0.000 | 3.930 | -0.000 |
| 0.000 | -0.000 | 0.000 | 0.000 | 0.000 | 5.843 |
| 16.572 | 6.801 | 3.930 | 0.000 | -0.000 | 0.000 |
| 5.843 | 17.530 | 3.930 | 0.000 | -0.000 | -0.000 |
| 3.930 | 3.930 | 19.443 | 0.000 | 0.000 | 0.000 |
| -0.000 | -0.000 | 0.000 | 3.930 | 0.000 | 0.000 |
| -0.000 | -0.000 | 0.000 | -0.000 | 3.930 | 0.000 |
| -0.000 | 0.000 | -0.000 | -0.000 | 0.000 | 5.843 |
| 16.572 | 6.801 | 3.930 | -0.000 | 0.000 | -0.000 |
| 6.801 | 16.572 | 3.930 | -0.000 | 0.000 | 0.000 |
| 3.930 | 3.930 | 19.443 | -0.000 | 0.000 | -0.000 |
| -0.000 | 0.000 | -0.000 | 3.930 | -0.000 | 0.000 |
| 0.000 | 0.000 | -0.000 | 0.000 | 3.930 | 0.000 |
| 0.000 | -0.000 | 0.000 | 0.000 | 0.000 | 5.843 |
| 17.530 | 5.843 | 3.930 | -0.000 | 0.000 | -0.000 |
| 7.267 | 16.106 | 3.930 | -0.000 | 0.000 | 0.000 |
| 3.930 | 3.930 | 19.443 | 0.000 | 0.000 | 0.000 |
| 0.000 | -0.000 | 0.000 | 3.930 | -0.000 | -0.000 |
| -0.000 | -0.000 | 0.000 | -0.000 | 3.930 | 0.000 |
| -0.000 | 0.000 | -0.000 | 0.000 | 0.000 | 5.843 |
| 17.530 | 5.843 | 3.930 | 0.000 | 0.000 | -0.000 |
| 7.267 | 16.106 | 3.930 | 0.000 | 0.000 | -0.000 |
| 3.929 | 3.929 | 19.443 | -0.000 | 0.000 | 0.000 |
| -0.000 | 0.000 | -0.000 | 3.930 | -0.000 | -0.000 |
| 0.000 | 0.000 | -0.000 | 0.000 | 3.930 | 0.000 |
| 0.000 | -0.000 | 0.000 | -0.000 | 0.000 | 5.843 |
| 1.502 | 1.502 | 1.502 | -0.000 | -0.000 | -0.000 |
| 1.502 | 1.502 | 1.502 | -0.000 | -0.000 | -0.000 |
| 1.502 | 1.502 | 1.502 | -0.000 | -0.000 | -0.000 |
| 0.000 | 0.000 | 0.000 | 1.502 | -0.000 | -0.000 |
| 0.000 | 0.000 | 0.000 | -0.000 | 1.502 | -0.000 |
| 0.000 | 0.000 | 0.000 | -0.000 | -0.000 | 1.502 |
| 1.502 | 1.502 | 1.502 | 0.000 | 0.000 | 0.000 |
| 1.502 | 1.502 | 1.502 | 0.000 | 0.000 | 0.000 |
| 1.502 | 1.502 | 1.502 | 0.000 | 0.000 | 0.000 |
| -0.000 | -0.000 | -0.000 | 1.502 | 0.000 | 0.000 |
| -0.000 | -0.000 | -0.000 | 0.000 | 1.502 | 0.000 |
| -0.000 | -0.000 | -0.000 | 0.000 | 0.000 | 1.502 |
| 1.502 | 1.502 | 1.502 | -0.000 | -0.000 | -0.000 |
| 1.502 | 1.502 | 1.502 | -0.000 | -0.000 | -0.000 |
| 1.502 | 1.502 | 1.502 | -0.000 | -0.000 | -0.000 |
| 0.000 | -0.000 | 0.000 | 1.502 | -0.000 | -0.000 |
| -0.000 | 0.000 | 0.000 | -0.000 | 1.502 | -0.000 |
| -0.000 | 0.000 | 0.000 | -0.000 | -0.000 | 1.502 |
| 1.502 | 1.502 | 1.502 | 0.000 | 0.000 | 0.000 |
| 1.502 | 1.502 | 1.502 | 0.000 | 0.000 | 0.000 |
| 1.502 | 1.502 | 1.502 | 0.000 | 0.000 | 0.000 |
| -0.000 | 0.000 | -0.000 | 1.502 | 0.000 | 0.000 |
| 0.000 | -0.000 | -0.000 | 0.000 | 1.502 | 0.000 |
| 0.000 | -0.000 | -0.000 | 0.000 | 0.000 | 1.502 |
| 1.502 | 1.502 | 1.502 | -0.000 | -0.000 | -0.000 |
| 1.502 | 1.502 | 1.502 | -0.000 | -0.000 | -0.000 |
| 1.502 | 1.502 | 1.502 | -0.000 | -0.000 | -0.000 |
| -0.000 | -0.000 | -0.000 | 0.213 | 0.000 | 0.000 |
| -0.000 | -0.000 | -0.000 | 0.000 | 0.213 | 0.000 |
| -0.000 | -0.000 | -0.000 | 0.000 | 0.000 | 0.213 |
| 1.502 | 1.502 | 1.502 | 0.000 | 0.000 | 0.000 |
| 1.502 | 1.502 | 1.502 | 0.000 | 0.000 | 0.000 |
| 1.502 | 1.502 | 1.502 | 0.000 | 0.000 | 0.000 |
| 0.000 | 0.000 | 0.000 | 0.213 | -0.000 | -0.000 |
| 0.000 | 0.000 | 0.000 | -0.000 | 0.213 | -0.000 |
| 0.000 | 0.000 | 0.000 | -0.000 | -0.000 | 0.213 |
| 11.374 | -2.220 | 0.696 | -0.000 | 0.000 | -0.000 |
| -2.220 | 11.374 | 0.696 | -0.000 | 0.000 | -0.000 |
| 0.696 | 0.696 | 13.802 | -0.000 | 0.000 | -0.000 |
| 0.000 | -0.000 | -0.000 | -1.268 | -0.000 | -0.000 |
| 0.000 | -0.000 | -0.000 | -0.000 | -1.268 | -0.000 |
| 0.000 | -0.000 | -0.000 | 0.000 | -0.000 | -3.252 |
| 11.374 | -2.220 | 0.696 | 0.000 | -0.000 | 0.000 |
| -2.220 | 11.374 | 0.696 | 0.000 | 0.000 | 0.000 |
| 0.696 | 0.696 | 13.802 | -0.000 | -0.000 | 0.000 |
| -0.000 | 0.000 | 0.000 | -1.268 | -0.000 | 0.000 |
| -0.000 | 0.000 | 0.000 | 0.000 | -1.268 | 0.000 |
| -0.000 | 0.000 | 0.000 | 0.000 | 0.000 | -3.252 |
| 11.374 | -2.220 | 0.696 | 0.000 | 0.000 | -0.000 |
| -2.220 | 11.374 | 0.696 | -0.000 | 0.000 | -0.000 |
| 0.696 | 0.696 | 13.802 | 0.000 | 0.000 | -0.000 |
| -0.000 | -0.000 | -0.000 | 0.696 | 0.000 | -0.000 |
| -0.000 | -0.000 | -0.000 | -0.000 | 0.696 | -0.000 |
| -0.000 | -0.000 | -0.000 | -0.000 | 0.000 | -3.252 |
| 11.374 | -2.220 | 0.696 | 0.000 | -0.000 | 0.000 |
| -2.220 | 11.374 | 0.696 | 0.000 | 0.000 | 0.000 |
| 0.696 | 0.696 | 13.802 | 0.000 | -0.000 | 0.000 |
| 0.000 | 0.000 | 0.000 | 0.696 | 0.000 | 0.000 |
| 0.000 | 0.000 | 0.000 | 0.000 | 0.696 | 0.000 |
| 0.000 | 0.000 | 0.000 | 0.000 | 0.000 | -3.252 |
| 11.374 | -2.220 | 0.696 | 0.000 | 0.000 | -0.000 |
| -2.220 | 11.374 | 0.696 | -0.000 | -0.000 | -0.000 |
| 0.696 | 0.696 | 13.802 | 0.000 | 0.000 | -0.000 |
| -0.000 | -0.000 | -0.000 | -11.516 | 0.000 | -0.000 |
| -0.000 | -0.000 | -0.000 | -0.000 | -11.516 | -0.000 |
| -0.000 | -0.000 | -0.000 | -0.000 | -0.000 | -3.252 |
| 11.374 | -2.220 | 0.696 | 0.000 | -0.000 | 0.000 |
| -2.220 | 11.374 | 0.696 | 0.000 | -0.000 | 0.000 |
| 0.696 | 0.696 | 13.802 | 0.000 | -0.000 | 0.000 |
| 0.000 | 0.000 | 0.000 | -11.516 | -0.000 | 0.000 |
| 0.000 | 0.000 | 0.000 | 0.000 | -11.516 | 0.000 |
| 0.000 | 0.000 | 0.000 | 0.000 | -0.000 | -3.252 |
| 17.920 | -4.304 | 0.275 | 0.000 | -0.000 | -0.000 |
| -4.304 | 17.920 | 0.275 | 0.000 | 0.000 | -0.000 |
| 0.275 | 0.275 | 21.658 | 0.000 | -0.000 | -0.000 |
| -0.000 | 0.000 | -0.000 | -1.383 | -0.000 | -0.000 |
| -0.000 | 0.000 | -0.000 | 0.000 | -1.383 | -0.000 |
| -0.000 | -0.000 | 0.000 | 0.000 | 0.000 | -4.304 |
| 17.920 | -4.304 | 0.275 | -0.000 | -0.000 | 0.000 |
| -0.103 | 13.719 | 0.275 | -0.000 | -0.000 | 0.000 |
| 0.275 | 0.275 | 21.658 | -0.000 | 0.000 | 0.000 |
| 0.000 | -0.000 | 0.000 | -1.383 | -0.000 | 0.000 |
| 0.000 | -0.000 | 0.000 | -0.000 | -1.383 | 0.000 |
| 0.000 | 0.000 | 0.000 | -0.000 | 0.000 | -4.304 |
| 13.719 | -0.103 | 0.275 | 0.000 | 0.000 | -0.000 |
| -0.103 | 13.719 | 0.275 | 0.000 | 0.000 | -0.000 |
| 0.275 | 0.275 | 21.658 | 0.000 | 0.000 | -0.000 |
| -0.000 | 0.000 | -0.000 | -1.383 | 0.000 | 0.000 |
| 0.000 | -0.000 | -0.000 | 0.000 | -1.383 | -0.000 |
| -0.000 | -0.000 | -0.000 | 0.000 | 0.000 | -4.304 |
| 17.920 | -4.304 | 0.275 | -0.000 | -0.000 | 0.000 |
| -4.304 | 17.920 | 0.275 | -0.000 | -0.000 | 0.000 |
| 0.275 | 0.275 | 21.658 | -0.000 | -0.000 | 0.000 |
| 0.000 | -0.000 | 0.000 | -1.383 | 0.000 | 0.000 |
| -0.000 | 0.000 | 0.000 | -0.000 | -1.383 | 0.000 |
| 0.000 | 0.000 | 0.000 | -0.000 | -0.000 | -4.304 |
| 5.226 | 8.390 | 0.275 | 0.000 | -0.000 | -0.000 |
| 8.390 | 5.226 | 0.275 | -0.000 | 0.000 | -0.000 |
| 0.275 | 0.275 | 21.658 | 0.000 | 0.000 | -0.000 |
| -0.000 | 0.000 | -0.000 | -1.383 | 0.000 | -0.000 |
| 0.000 | -0.000 | -0.000 | 0.000 | -1.383 | -0.000 |
| -0.000 | -0.000 | -0.000 | 0.000 | -0.000 | -4.304 |
| 3.543 | 10.073 | 0.275 | -0.000 | -0.000 | 0.000 |
| 10.073 | 3.543 | 0.275 | -0.000 | -0.000 | 0.000 |
| 0.275 | 0.275 | 21.658 | -0.000 | -0.000 | 0.000 |
| 0.000 | -0.000 | 0.000 | -1.383 | -0.000 | 0.000 |
| -0.000 | 0.000 | 0.000 | -0.000 | -1.383 | 0.000 |
| 0.000 | 0.000 | 0.000 | -0.000 | -0.000 | -4.304 |
| -3.789 | -2.189 | 2.785 | -1.700 | -0.000 | 0.000 |
| -2.189 | -3.789 | 2.785 | 1.700 | -0.000 | -0.000 |
| 2.339 | 2.339 | 5.080 | -0.000 | -0.000 | -0.000 |
| -1.700 | 1.700 | 0.000 | 3.282 | 0.000 | 0.000 |
| 0.000 | -0.000 | 0.000 | -0.000 | 3.282 | -1.700 |
| 0.000 | -0.000 | 0.000 | -0.000 | -1.700 | -0.800 |
| -3.789 | -2.189 | 2.785 | -1.700 | 0.000 | -0.000 |
| -2.189 | -3.789 | 2.785 | 1.700 | 0.000 | -0.000 |
| 2.339 | 2.339 | 5.080 | -0.000 | -0.000 | -0.000 |
| -1.700 | 1.700 | -0.000 | 3.282 | 0.000 | -0.000 |
| -0.000 | 0.000 | -0.000 | 0.000 | 3.282 | -1.700 |
| -0.000 | 0.000 | -0.000 | 0.000 | -1.700 | -0.800 |
| -3.789 | -2.189 | 2.785 | -1.700 | 0.000 | 0.000 |
| -2.189 | -3.789 | 2.785 | 1.700 | -0.000 | 0.000 |
| 2.339 | 2.339 | 5.080 | -0.000 | -0.000 | 0.000 |
| -1.700 | 1.700 | 0.000 | 3.282 | -0.000 | 0.000 |
| 0.000 | -0.000 | 0.000 | -0.000 | 3.282 | -1.700 |
| 0.000 | -0.000 | 0.000 | -0.000 | -1.700 | -0.800 |
| -3.789 | -2.189 | 2.785 | -1.700 | -0.000 | -0.000 |
| -2.189 | -3.789 | 2.785 | 1.700 | 0.000 | 0.000 |
| 2.339 | 2.339 | 5.080 | 0.000 | 0.000 | -0.000 |
| -1.700 | 1.700 | -0.000 | 3.282 | 0.000 | -0.000 |
| -0.000 | 0.000 | -0.000 | 0.000 | 3.282 | -1.700 |
| -0.000 | 0.000 | -0.000 | 0.000 | -1.700 | -0.800 |
| -3.789 | -2.189 | 2.785 | -1.700 | -0.000 | -0.000 |
| -2.189 | -3.789 | 2.785 | 1.700 | -0.000 | -0.000 |
| 2.339 | 2.339 | 5.080 | -0.000 | 0.000 | -0.000 |
| -1.700 | 1.700 | 0.000 | 3.282 | -0.000 | 0.000 |
| 0.000 | 0.000 | 0.000 | -0.000 | 3.282 | -1.700 |
| 0.000 | -0.000 | 0.000 | -0.000 | -1.700 | -0.800 |
| -3.789 | -2.189 | 2.785 | -1.700 | 0.000 | 0.000 |
| -2.189 | -3.789 | 2.785 | 1.700 | 0.000 | -0.000 |
| 2.339 | 2.339 | 5.080 | -0.000 | -0.000 | 0.000 |
| -1.700 | 1.700 | -0.000 | 3.282 | 0.000 | 0.000 |
| -0.000 | -0.000 | -0.000 | 0.000 | 3.282 | -1.700 |
| -0.000 | 0.000 | -0.000 | 0.000 | -1.700 | -0.800 |
| 10.410 | -2.123 | -2.123 | -0.000 | 0.000 | 0.000 |
| -2.123 | 10.410 | -2.123 | -0.000 | -0.000 | 0.000 |
| -2.123 | -2.123 | 10.410 | -0.000 | 0.000 | 0.000 |
| 0.000 | -0.000 | -0.000 | -2.123 | 0.000 | -0.000 |
| -0.000 | 0.000 | -0.000 | -0.000 | -2.123 | -0.000 |
| -0.000 | -0.000 | -0.000 | -0.000 | 0.000 | -2.123 |
| 10.410 | -2.123 | -2.123 | 0.000 | -0.000 | 0.000 |
| -2.123 | 10.410 | -2.123 | -0.000 | -0.000 | 0.000 |
| -2.123 | -2.123 | 10.410 | -0.000 | -0.000 | -0.000 |
| -0.000 | 0.000 | 0.000 | -2.123 | -0.000 | 0.000 |
| 0.000 | -0.000 | 0.000 | -0.000 | -2.123 | 0.000 |
| 0.000 | 0.000 | 0.000 | 0.000 | -0.000 | -2.123 |
| 10.410 | -2.123 | -2.123 | 0.000 | 0.000 | 0.000 |
| -2.123 | 10.410 | -2.123 | -0.000 | 0.000 | 0.000 |
| -2.123 | -2.123 | 10.410 | -0.000 | 0.000 | -0.000 |
| 0.000 | -0.000 | -0.000 | -2.123 | -0.000 | -0.000 |
| -0.000 | 0.000 | -0.000 | -0.000 | -2.123 | -0.000 |
| -0.000 | -0.000 | 0.000 | -0.000 | 0.000 | -2.123 |
| 10.410 | -2.123 | -2.123 | 0.000 | -0.000 | 0.000 |
| -2.123 | 10.410 | -2.123 | -0.000 | -0.000 | 0.000 |
| -2.123 | -2.123 | 10.410 | 0.000 | -0.000 | -0.000 |
| -0.000 | 0.000 | 0.000 | -2.123 | 0.000 | 0.000 |
| 0.000 | -0.000 | 0.000 | 0.000 | -2.123 | 0.000 |
| 0.000 | 0.000 | -0.000 | 0.000 | -0.000 | -2.123 |
| 10.410 | -2.123 | -2.123 | -0.000 | 0.000 | 0.000 |
| -2.123 | 10.410 | -2.123 | -0.000 | 0.000 | 0.000 |
| -2.123 | -2.123 | 10.410 | -0.000 | 0.000 | 0.000 |
| 0.000 | -0.000 | -0.000 | -2.123 | 0.000 | -0.000 |
| -0.000 | 0.000 | -0.000 | 0.000 | -2.123 | -0.000 |
| -0.000 | -0.000 | 0.000 | -0.000 | 0.000 | -2.123 |
| 10.410 | -2.122 | -2.122 | 0.000 | -0.000 | 0.000 |
| -2.122 | 10.410 | -2.122 | -0.000 | 0.000 | -0.000 |
| -2.122 | -2.122 | 10.410 | 0.000 | -0.000 | 0.000 |
| -0.000 | 0.000 | 0.000 | -2.123 | -0.000 | 0.000 |
| 0.000 | -0.000 | 0.000 | 0.000 | -2.123 | 0.000 |
| 0.000 | 0.000 | -0.000 | 0.000 | -0.000 | -2.123 |
| 15.429 | 1.617 | 0.938 | 0.000 | 0.000 | 0.000 |
| 1.533 | 19.886 | -4.478 | 0.000 | -0.000 | 0.000 |
| 0.902 | -4.429 | 15.191 | 0.000 | 0.000 | 0.000 |
| 0.000 | 0.000 | -0.000 | -4.716 | -0.000 | 0.000 |
| 0.000 | 0.000 | -0.000 | 0.000 | 1.325 | 0.000 |
| 0.000 | 0.000 | -0.000 | 0.000 | -0.000 | 1.186 |
| 15.429 | 1.617 | 0.938 | -0.000 | 0.000 | -0.000 |
| 1.533 | 19.886 | -4.478 | -0.000 | -0.000 | -0.000 |
| 0.902 | -4.429 | 15.191 | -0.000 | 0.000 | -0.000 |
| -0.000 | -0.000 | 0.000 | -4.716 | 0.000 | -0.000 |
| -0.000 | -0.000 | 0.000 | -0.000 | 1.325 | -0.000 |
| -0.000 | -0.000 | 0.000 | -0.000 | 0.000 | 1.186 |
| 15.429 | 1.617 | 0.938 | 0.000 | 0.000 | 0.000 |
| 1.533 | 19.887 | -4.478 | 0.000 | 0.000 | 0.000 |
| 0.902 | -4.429 | 15.191 | 0.000 | -0.000 | 0.000 |
| -0.000 | 0.000 | -0.000 | -4.716 | 0.000 | 0.000 |
| 0.000 | 0.000 | -0.000 | 0.000 | -4.660 | 0.000 |
| 0.000 | 0.000 | 0.000 | 0.000 | 0.000 | 0.977 |
| 15.429 | 1.617 | 0.938 | -0.000 | 0.000 | -0.000 |
| 1.533 | 19.886 | -4.478 | -0.000 | 0.000 | -0.000 |
| 1.233 | -4.531 | 15.276 | -0.000 | 0.000 | -0.000 |
| 0.000 | -0.000 | 0.000 | -4.716 | -0.000 | -0.000 |
| -0.000 | -0.000 | 0.000 | -0.000 | -4.660 | -0.000 |
| -0.000 | -0.000 | -0.000 | -0.000 | 0.000 | 0.977 |
| 15.429 | 1.617 | 0.938 | 0.000 | 0.000 | 0.000 |
| 1.533 | 19.887 | -4.478 | 0.000 | -0.000 | 0.000 |
| 0.902 | -4.429 | 15.191 | 0.000 | -0.000 | 0.000 |
| -0.000 | 0.000 | -0.000 | -4.832 | -0.000 | 0.000 |
| 0.000 | 0.000 | -0.000 | 0.000 | -21.758 | 0.000 |
| -118117.585 | -836483.063 | -608979.344 | 444.031 | -17548.982 | 3946.889 |
| 15.429 | 1.617 | 0.938 | -0.000 | 0.000 | -0.000 |
| 1.533 | 19.886 | -4.478 | -0.000 | -0.000 | -0.000 |
| 0.902 | -4.429 | 15.190 | -0.000 | -0.000 | -0.000 |
| 0.000 | -0.000 | 0.000 | -4.832 | -0.000 | -0.000 |
| -0.000 | -0.000 | 0.000 | -0.000 | -21.758 | -0.000 |
| 2612.326 | 758932.579 | 563544.276 | -15463.516 | 8406.542 | -753.316 |
| 13.115 | 1.248 | 1.097 | -0.000 | 0.000 | 0.000 |
| 1.248 | 5.384 | 4.732 | -0.000 | 0.000 | 0.000 |
| 1.097 | 4.732 | 4.158 | 0.000 | 0.000 | -0.000 |
| -0.000 | -0.000 | -0.000 | -0.021 | 0.000 | 0.000 |
| -0.000 | -0.000 | -0.000 | 0.000 | 1.924 | -0.000 |
| -0.000 | -0.000 | -0.000 | 0.000 | 0.000 | 0.392 |
| 13.115 | 1.248 | 1.097 | 0.000 | -0.000 | -0.000 |
| 1.248 | 5.384 | 4.732 | 0.000 | -0.000 | -0.000 |
| 1.097 | 4.732 | 4.158 | 0.000 | -0.000 | -0.000 |
| 0.000 | 0.000 | 0.000 | -0.021 | -0.000 | -0.000 |
| 0.000 | 0.000 | 0.000 | -0.000 | 1.924 | 0.000 |
| 0.000 | -0.000 | 0.000 | -0.000 | -0.000 | 0.392 |
| 13.115 | 1.248 | 1.097 | 0.000 | 0.000 | 0.000 |
| 1.248 | 5.384 | 4.732 | 0.000 | 0.000 | 0.000 |
| 1.097 | 4.732 | 4.158 | -0.000 | 0.000 | -0.000 |
| -0.000 | -0.000 | -0.000 | -0.021 | 0.000 | 0.000 |
| 0.000 | 0.000 | -0.000 | -0.000 | 1.021 | 0.000 |
| 0.000 | 0.000 | 0.000 | 0.000 | 0.000 | 0.392 |
| 13.115 | 1.248 | 1.097 | 0.000 | -0.000 | -0.000 |
| 1.248 | 5.384 | 4.732 | -0.000 | -0.000 | -0.000 |
| 1.097 | 4.732 | 4.158 | 0.000 | -0.000 | -0.000 |
| 0.000 | 0.000 | 0.000 | -0.021 | -0.000 | 0.000 |
| -0.000 | -0.000 | 0.000 | 0.000 | 1.021 | -0.000 |
| -0.000 | -0.000 | -0.000 | -0.000 | -0.000 | 0.392 |
| 13.115 | 1.248 | 1.097 | 0.000 | 0.000 | -0.000 |
| 1.248 | 5.384 | 4.732 | -0.000 | 0.000 | 0.000 |
| 1.097 | 4.732 | 4.158 | -0.000 | 0.000 | -0.000 |
| -0.000 | -0.000 | -0.000 | -0.021 | 0.000 | 0.000 |
| 0.000 | 0.000 | 0.000 | 0.000 | -0.988 | 0.000 |
| 0.000 | 0.000 | 0.000 | 0.000 | 0.000 | -0.352 |
| 13.115 | 1.248 | 1.097 | -0.000 | -0.000 | -0.000 |
| 1.248 | 5.384 | 4.732 | -0.000 | -0.000 | 0.000 |
| 1.097 | 4.732 | 4.158 | -0.000 | -0.000 | -0.000 |
| 0.000 | 0.000 | 0.000 | -0.021 | -0.000 | -0.000 |
| -0.000 | -0.000 | -0.000 | 0.000 | -0.988 | -0.000 |
| -0.000 | -0.000 | -0.000 | -0.000 | -0.000 | -0.352 |
| 23.485 | 1.817 | 10.564 | -0.000 | 3.778 | 0.001 |
| 1.890 | 23.172 | 10.291 | 3.692 | -0.000 | 0.000 |
| 10.550 | 10.205 | 15.078 | -0.001 | -0.000 | -0.000 |
| 0.000 | -0.001 | -0.001 | 10.313 | -0.000 | 0.000 |
| -0.000 | 0.000 | -0.000 | -0.000 | 10.585 | 0.001 |
| 0.000 | 0.000 | -0.000 | 0.000 | 3.792 | 2.012 |
| 23.485 | 1.817 | 10.564 | -0.000 | 3.778 | 0.001 |
| 1.890 | 23.172 | 10.291 | 3.692 | -0.000 | 0.000 |
| 10.550 | 10.205 | 15.078 | -0.001 | -0.000 | -0.000 |
| 0.000 | -0.001 | -0.001 | 10.313 | -0.000 | 0.000 |
| -0.000 | 0.000 | -0.000 | -0.000 | 10.585 | 0.001 |
| 0.000 | 0.000 | -0.000 | 0.000 | 3.792 | 2.012 |
| 23.485 | 1.817 | 10.564 | -0.000 | 3.778 | 0.001 |
| 1.890 | 23.172 | 10.291 | 3.692 | -0.000 | 0.000 |
| 10.550 | 10.205 | 15.078 | -0.001 | -0.000 | -0.000 |
| 0.000 | -0.001 | -0.001 | 10.313 | -0.000 | 0.000 |
| -0.000 | 0.000 | -0.000 | -0.000 | 10.585 | 0.001 |
| 0.000 | 0.000 | -0.000 | 0.000 | 3.792 | 2.012 |
| 23.485 | 1.817 | 10.564 | -0.000 | 3.778 | 0.001 |
| 1.890 | 23.172 | 10.291 | 3.692 | -0.000 | 0.000 |
| 10.550 | 10.205 | 15.078 | -0.001 | -0.000 | -0.000 |
| 0.000 | -0.001 | -0.001 | 10.313 | -0.000 | 0.000 |
| -0.001 | 0.000 | -0.000 | -0.000 | 10.585 | 0.001 |
| 0.000 | 0.000 | -0.000 | 0.000 | 3.792 | 2.012 |
| 23.485 | 1.817 | 10.564 | -0.000 | 3.778 | 0.001 |
| 1.890 | 23.172 | 10.291 | 3.692 | -0.000 | 0.000 |
| 10.550 | 10.205 | 15.078 | -0.001 | -0.000 | -0.000 |
| 0.000 | -0.001 | -0.001 | 10.313 | -0.000 | 0.000 |
| -0.000 | 0.000 | -0.000 | -0.000 | 10.585 | 0.001 |
| 0.000 | 0.000 | -0.000 | 0.000 | 3.792 | 2.012 |
| 23.485 | 1.817 | 10.563 | -0.000 | 3.778 | 0.001 |
| 1.890 | 23.172 | 10.291 | 3.692 | -0.000 | 0.000 |
| 10.550 | 10.205 | 15.078 | -0.001 | -0.000 | -0.000 |
| 0.000 | -0.001 | -0.001 | 10.313 | -0.000 | 0.000 |
| -0.001 | 0.000 | -0.000 | -0.000 | 10.585 | 0.001 |
| 0.000 | 0.000 | -0.000 | 0.000 | 3.792 | 2.012 |
| 15.576 | 3.300 | 1.961 | 0.119 | 1.972 | 0.922 |
| 2.312 | 30.358 | 1.509 | 1.537 | -2.563 | -1.570 |
| 2.595 | 3.628 | 16.786 | -0.865 | -2.694 | 0.695 |
| 0.097 | 0.267 | -0.865 | 2.956 | 0.584 | -2.370 |
| 0.990 | -2.620 | -2.694 | 0.584 | 3.949 | 0.239 |
| 1.092 | -1.702 | -0.832 | -2.313 | 2.316 | 2.077 |
| 15.576 | 3.300 | 1.961 | 0.119 | 1.972 | 0.922 |
| 2.312 | 30.358 | 1.509 | 1.537 | -2.563 | -1.570 |
| 2.595 | 3.628 | 16.786 | -0.865 | -2.694 | 0.695 |
| 0.097 | 0.267 | -0.865 | 2.956 | 0.584 | -2.370 |
| 0.990 | -2.620 | -2.694 | 0.584 | 3.949 | 0.239 |
| 1.092 | -1.702 | -0.832 | -2.313 | 2.316 | 2.077 |
| 15.576 | 3.300 | 1.961 | 0.119 | 1.972 | 0.922 |
| 2.312 | 30.358 | 1.509 | 1.537 | -2.563 | -1.570 |
| 2.595 | 3.628 | 16.786 | -0.865 | -2.694 | 0.695 |
| 0.097 | 0.267 | -0.865 | 2.956 | 0.584 | -2.370 |
| 0.990 | -2.620 | -2.694 | 0.584 | 3.949 | 0.239 |
| 1.092 | -1.702 | -0.832 | -2.313 | 2.316 | 2.077 |
| 15.576 | 3.300 | 1.961 | 0.119 | 1.972 | 0.922 |
| 2.312 | 30.358 | 1.509 | 1.537 | -2.563 | -1.570 |
| 2.595 | 3.628 | 16.786 | -0.865 | -2.694 | 0.695 |
| 0.097 | 0.267 | -0.865 | 2.956 | 0.584 | -2.370 |
| 0.990 | -2.620 | -2.694 | 0.584 | 3.949 | 0.239 |
| 1.092 | -1.702 | -0.832 | -2.313 | 2.316 | 2.077 |
| 15.576 | 3.300 | 1.961 | 0.119 | 1.972 | 0.922 |
| 2.312 | 30.358 | 1.509 | 1.537 | -2.563 | -1.570 |
| 2.595 | 3.628 | 16.786 | -0.865 | -2.694 | 0.695 |
| 0.097 | 0.267 | -0.865 | 2.956 | 0.584 | -2.370 |
| 0.990 | -2.620 | -2.693 | 0.584 | 3.949 | 0.239 |
| 1.092 | -1.702 | -0.832 | -2.313 | 2.316 | 2.077 |
| 15.576 | 3.300 | 1.961 | 0.119 | 1.972 | 0.922 |
| 2.312 | 30.358 | 1.509 | 1.537 | -2.563 | -1.570 |
| 2.595 | 3.628 | 16.786 | -0.865 | -2.693 | 0.695 |
| 0.097 | 0.267 | -0.865 | 2.956 | 0.584 | -2.370 |
| 0.990 | -2.620 | -2.694 | 0.584 | 3.949 | 0.239 |
| 1.092 | -1.702 | -0.832 | -2.313 | 2.316 | 2.077 |
| 0.663 | 0.270 | 0.140 | -0.000 | 0.305 | -0.000 |
| 0.224 | 0.820 | 0.047 | -0.000 | 0.103 | -0.000 |
| 0.116 | 0.047 | 0.025 | -0.000 | 0.053 | -0.000 |
| 0.000 | 0.000 | 0.000 | 0.047 | 0.000 | 0.103 |
| 0.253 | 0.103 | 0.053 | -0.000 | 0.116 | -0.000 |
| 0.000 | 0.000 | 0.000 | 0.103 | 0.000 | 0.224 |
| 0.663 | 0.270 | 0.140 | 0.000 | 0.305 | 0.000 |
| 0.224 | 0.820 | 0.047 | 0.000 | 0.103 | 0.000 |
| 0.116 | 0.047 | 0.025 | 0.000 | 0.053 | 0.000 |
| -0.000 | -0.000 | -0.000 | 0.047 | -0.000 | 0.103 |
| 0.253 | 0.103 | 0.053 | 0.000 | 0.116 | 0.000 |
| -0.000 | -0.000 | -0.000 | 0.103 | -0.000 | 0.224 |
| 0.435 | 0.342 | 0.092 | 0.000 | 0.200 | 0.000 |
| 0.284 | 0.544 | 0.060 | 0.000 | 0.130 | 0.000 |
| 0.116 | 0.047 | 0.025 | -0.000 | 0.053 | -0.000 |
| 0.000 | 0.000 | 0.000 | 0.047 | 0.000 | 0.103 |
| 0.253 | 0.103 | 0.053 | -0.000 | 0.116 | -0.000 |
| 0.000 | 0.000 | 0.000 | 0.103 | 0.000 | 0.224 |
| 0.435 | 0.342 | 0.092 | -0.000 | 0.200 | -0.000 |
| 0.284 | 0.544 | 0.060 | -0.000 | 0.130 | -0.000 |
| 0.116 | 0.047 | 0.025 | 0.000 | 0.053 | 0.000 |
| -0.000 | -0.000 | -0.000 | 0.047 | -0.000 | 0.103 |
| 0.253 | 0.103 | 0.053 | -0.000 | 0.116 | -0.000 |
| -0.000 | -0.000 | -0.000 | 0.103 | -0.000 | 0.224 |
| 0.155 | 0.188 | 0.033 | 0.000 | 0.071 | 0.000 |
| 0.156 | 0.196 | 0.033 | 0.000 | 0.072 | 0.000 |
| 0.056 | 0.056 | 0.012 | 0.000 | 0.026 | 0.000 |
| 0.000 | 0.000 | 0.000 | 0.047 | 0.000 | 0.103 |
| 0.166 | 0.130 | 0.035 | 0.000 | 0.076 | 0.000 |
| -0.000 | -0.000 | -0.000 | 0.037 | -0.000 | 0.080 |
| 0.155 | 0.188 | 0.033 | -0.000 | 0.071 | -0.000 |
| 0.156 | 0.196 | 0.033 | -0.000 | 0.072 | -0.000 |
| 0.056 | 0.056 | 0.012 | -0.000 | 0.026 | -0.000 |
| -0.000 | -0.000 | -0.000 | 0.047 | -0.000 | 0.103 |
| 0.166 | 0.130 | 0.035 | -0.000 | 0.076 | -0.000 |
| 0.000 | 0.000 | 0.000 | 0.037 | 0.000 | 0.080 |
| 3.671 | -3.979 | -3.979 | 0.000 | -0.000 | -0.000 |
| 0.164 | 9.375 | 0.164 | -0.000 | 0.000 | 0.000 |
| 0.164 | 0.164 | 9.375 | -0.000 | 0.000 | 0.000 |
| -11.195 | -11.195 | -11.195 | 5.163 | -0.000 | -0.000 |
| -11.195 | -11.195 | -11.195 | 0.000 | 5.163 | -0.000 |
| -11.195 | -11.195 | -11.195 | 0.000 | -0.000 | 5.163 |
| 24.602 | 18.902 | 18.902 | -0.000 | 0.000 | 0.000 |
| 18.902 | 24.602 | 18.902 | -0.000 | 0.000 | 0.000 |
| 18.902 | 18.902 | 24.602 | -0.000 | 0.000 | 0.000 |
| 11.195 | 11.195 | 11.195 | 5.163 | 0.000 | 0.000 |
| 11.195 | 11.195 | 11.195 | -0.000 | 5.163 | 0.000 |
| 6.521 | 6.521 | 6.521 | 0.000 | -0.000 | 6.682 |
| 13.689 | 6.129 | 6.129 | 0.000 | -0.000 | -0.000 |
| 6.129 | 13.689 | 6.129 | 0.000 | -0.000 | -0.000 |
| 6.129 | 6.129 | 13.689 | 0.000 | -0.000 | -0.000 |
| -1.118 | -1.118 | -1.118 | 5.146 | -0.000 | -0.000 |
| 0.000 | 0.000 | 0.000 | -0.000 | 6.940 | 0.000 |
| -1.118 | -1.118 | -1.118 | 0.000 | -0.000 | 5.146 |
| 15.206 | 8.572 | 8.572 | -0.000 | 0.000 | 0.000 |
| 8.572 | 15.206 | 8.572 | -0.000 | 0.000 | 0.000 |
| 8.572 | 8.572 | 15.206 | -0.000 | 0.000 | 0.000 |
| 1.118 | 1.118 | 1.118 | 5.146 | 0.000 | 0.000 |
| 1.118 | 1.118 | 1.118 | -0.000 | 5.146 | 0.000 |
| -0.000 | -0.000 | -0.000 | 0.000 | 0.000 | 6.940 |
| 14.749 | 7.107 | 7.107 | 0.000 | -0.000 | -0.000 |
| 7.107 | 14.749 | 7.107 | 0.000 | -0.000 | -0.000 |
| 7.107 | 7.107 | 14.749 | 0.000 | -0.000 | -0.000 |
| -0.114 | -0.114 | -0.114 | 5.129 | -0.000 | -0.000 |
| -0.114 | -0.114 | -0.114 | 0.000 | 5.129 | -0.000 |
| -0.114 | -0.114 | -0.114 | 0.000 | -0.000 | 5.129 |
| 15.075 | 7.193 | 7.193 | -0.000 | 0.000 | 0.000 |
| 7.193 | 15.075 | 7.193 | -0.000 | 0.000 | 0.000 |
| 7.193 | 7.193 | 15.075 | -0.000 | 0.000 | 0.000 |
| 0.114 | 0.114 | 0.114 | 5.129 | 0.000 | 0.000 |
| 0.114 | 0.114 | 0.114 | -0.000 | 5.129 | 0.000 |
| 0.114 | 0.114 | 0.114 | -0.000 | 0.000 | 5.129 |
| 15.084 | 7.117 | 7.117 | 0.000 | 0.000 | -0.000 |
| 7.117 | 15.084 | 7.117 | 0.000 | 0.000 | 0.000 |
| 7.117 | 7.117 | 15.084 | -0.000 | 0.000 | -0.000 |
| 0.000 | 0.000 | 0.000 | 5.610 | 0.000 | -0.000 |
| 0.000 | 0.000 | 0.000 | -0.000 | 5.610 | -0.000 |
| 0.000 | 0.000 | 0.000 | -0.000 | 0.000 | 5.610 |
| 15.630 | 6.936 | 6.936 | 0.000 | -0.000 | -0.000 |
| 6.936 | 15.630 | 6.936 | -0.000 | -0.000 | -0.000 |
| 6.936 | 6.936 | 15.630 | 0.000 | -0.000 | 0.000 |
| -0.000 | -0.000 | -0.000 | 5.610 | -0.000 | 0.000 |
| -0.000 | -0.000 | -0.000 | -0.000 | 5.610 | 0.000 |
| -0.000 | -0.000 | -0.000 | 0.000 | -0.000 | 5.610 |
| 14.855 | 7.219 | 7.219 | 0.000 | 0.000 | 0.000 |
| 7.219 | 14.855 | 7.219 | 0.000 | 0.000 | 0.000 |
| 7.219 | 7.219 | 14.855 | -0.000 | 0.000 | 0.000 |
| 0.000 | 0.000 | 0.000 | 6.936 | 0.000 | 0.000 |
| 0.000 | 0.000 | 0.000 | -0.000 | 6.936 | 0.000 |
| 0.000 | 0.000 | 0.000 | -0.000 | 0.000 | 6.936 |
| 14.855 | 7.219 | 7.219 | 0.000 | -0.000 | -0.000 |
| 7.219 | 14.855 | 7.219 | -0.000 | -0.000 | -0.000 |
| 7.219 | 7.219 | 14.855 | 0.000 | -0.000 | 0.000 |
| -0.000 | -0.000 | -0.000 | 6.936 | -0.000 | -0.000 |
| -0.000 | -0.000 | -0.000 | -0.000 | 6.936 | -0.000 |
| -0.000 | -0.000 | -0.000 | -0.000 | -0.000 | 6.936 |
| 14.846 | 7.210 | 7.210 | -0.000 | 0.000 | 0.000 |
| 7.210 | 14.846 | 7.210 | -0.000 | 0.000 | 0.000 |
| 7.210 | 7.210 | 14.846 | -0.000 | 0.000 | -0.000 |
| 0.000 | 0.000 | 0.000 | 5.106 | 0.000 | 0.000 |
| 0.000 | 0.000 | 0.000 | -0.000 | 5.106 | 0.000 |
| 0.000 | 0.000 | 0.000 | -0.000 | 0.000 | 5.106 |
| 15.084 | 7.117 | 7.117 | 0.000 | -0.000 | 0.000 |
| 7.117 | 15.084 | 7.117 | 0.000 | -0.000 | 0.000 |
| 7.117 | 7.117 | 15.084 | -0.000 | -0.000 | 0.000 |
| -0.000 | -0.000 | -0.000 | 5.106 | -0.000 | -0.000 |
| -0.000 | -0.000 | -0.000 | 0.000 | 5.106 | -0.000 |
| -0.000 | -0.000 | -0.000 | 0.000 | -0.000 | 5.106 |
| 17.674 | 4.503 | 4.503 | -0.000 | -0.000 | 0.000 |
| 4.503 | 17.674 | 4.503 | -0.000 | -0.000 | -0.000 |
| 4.503 | 4.503 | 17.674 | -0.000 | -0.000 | 0.000 |
| -1.686 | -1.686 | -1.686 | 3.179 | -0.000 | -0.000 |
| -1.686 | -1.686 | -1.686 | -0.000 | 3.179 | 0.000 |
| -1.686 | -1.686 | -1.686 | -0.000 | 0.000 | 3.179 |
| 21.036 | 7.893 | 7.893 | -0.000 | 0.000 | 0.000 |
| 7.893 | 21.036 | 7.893 | 0.000 | -0.000 | -0.000 |
| 7.893 | 7.893 | 21.036 | 0.000 | 0.000 | 0.000 |
| 1.686 | 1.686 | 1.686 | 3.179 | -0.000 | -0.000 |
| 1.686 | 1.686 | 1.686 | -0.000 | 3.179 | 0.000 |
| 2.918 | 2.918 | 2.918 | -0.000 | -0.000 | 3.632 |
| 21.646 | 5.117 | 5.117 | -0.000 | -0.000 | -0.000 |
| 5.117 | 21.646 | 5.117 | -0.000 | 0.000 | -0.000 |
| 5.117 | 5.117 | 21.646 | 0.000 | -0.000 | -0.000 |
| -0.213 | -0.213 | -0.213 | 3.478 | -0.000 | 0.000 |
| -0.213 | -0.213 | -0.213 | 0.000 | 3.478 | 0.000 |
| -0.213 | -0.213 | -0.213 | -0.000 | 0.000 | 3.478 |
| 21.646 | 5.117 | 5.117 | 0.000 | 0.000 | 0.000 |
| 5.117 | 21.646 | 5.117 | 0.000 | -0.000 | 0.000 |
| 5.117 | 5.117 | 21.646 | 0.000 | 0.000 | 0.000 |
| 0.213 | 0.213 | 0.213 | 3.478 | -0.000 | 0.000 |
| 0.213 | 0.213 | 0.213 | 0.000 | 3.478 | -0.000 |
| 0.213 | 0.213 | 0.213 | -0.000 | -0.000 | 3.478 |
| 21.646 | 5.117 | 5.117 | -0.000 | -0.000 | -0.000 |
| 5.117 | 21.646 | 5.117 | -0.000 | 0.000 | -0.000 |
| 5.117 | 5.117 | 21.646 | -0.000 | -0.000 | 0.000 |
| -0.029 | -0.029 | -0.029 | 3.425 | -0.000 | 0.000 |
| -0.029 | -0.029 | -0.029 | -0.000 | 3.425 | -0.000 |
| -0.029 | -0.029 | -0.029 | -0.000 | 0.000 | 3.425 |
| 19.680 | 6.056 | 6.056 | 0.000 | -0.000 | 0.000 |
| 6.056 | 19.680 | 6.056 | 0.000 | -0.000 | -0.000 |
| 6.056 | 6.056 | 19.680 | -0.000 | 0.000 | -0.000 |
| 0.029 | 0.029 | 0.029 | 3.425 | -0.000 | 0.000 |
| 0.029 | 0.029 | 0.029 | 0.000 | 3.425 | 0.000 |
| 0.029 | 0.029 | 0.029 | 0.000 | 0.000 | 3.425 |
| 11.804 | 7.754 | 7.754 | -0.000 | 0.000 | 0.000 |
| 7.753 | 17.537 | 2.009 | 0.000 | 0.000 | 0.000 |
| 7.753 | 2.009 | 17.537 | -0.000 | 0.000 | 0.000 |
| 0.000 | -0.000 | -0.000 | 2.008 | 0.000 | 0.000 |
| -0.001 | 0.000 | 0.000 | -0.000 | 7.753 | 0.000 |
| -0.001 | 0.000 | 0.000 | -0.000 | -0.000 | 7.753 |
| 11.805 | 7.754 | 7.754 | 0.000 | -0.000 | -0.000 |
| 7.753 | 17.536 | 2.008 | -0.000 | -0.000 | -0.000 |
| 7.753 | 2.008 | 17.536 | 0.000 | -0.000 | -0.000 |
| -0.000 | 0.000 | 0.000 | 2.008 | -0.000 | -0.000 |
| 0.001 | -0.000 | -0.000 | 0.000 | 7.753 | -0.000 |
| 0.001 | -0.000 | -0.000 | -0.000 | -0.000 | 7.753 |
| 11.805 | 7.754 | 7.754 | -0.000 | 0.000 | 0.000 |
| 7.752 | 17.537 | 2.009 | -0.000 | 0.000 | 0.000 |
| 7.752 | 2.009 | 17.537 | -0.000 | 0.000 | 0.000 |
| -0.000 | 0.000 | 0.000 | 2.008 | 0.000 | 0.000 |
| -0.000 | 0.000 | 0.000 | -0.000 | 7.753 | 0.000 |
| -0.000 | 0.000 | 0.000 | 0.000 | -0.000 | 7.753 |
| 11.805 | 7.754 | 7.754 | -0.000 | -0.000 | -0.000 |
| 7.753 | 17.537 | 2.009 | -0.000 | -0.000 | -0.000 |
| 7.753 | 2.009 | 17.537 | 0.000 | -0.000 | -0.000 |
| 0.000 | -0.000 | -0.000 | 2.008 | -0.000 | -0.000 |
| 0.000 | -0.000 | -0.000 | -0.000 | 7.753 | -0.000 |
| 0.000 | -0.000 | -0.000 | -0.000 | -0.000 | 7.753 |
| 11.805 | 7.754 | 7.754 | 0.000 | 0.000 | 0.000 |
| 7.753 | 17.537 | 2.009 | 0.000 | 0.000 | 0.000 |
| 7.753 | 2.009 | 17.537 | -0.000 | 0.000 | 0.000 |
| 0.000 | -0.000 | -0.000 | 2.008 | 0.000 | 0.000 |
| 0.000 | 0.000 | 0.000 | 0.000 | 7.753 | 0.000 |
| 0.000 | 0.000 | 0.000 | -0.000 | 0.000 | 7.753 |
| 11.805 | 7.754 | 7.754 | 0.000 | 0.000 | -0.000 |
| 7.752 | 17.537 | 2.009 | -0.000 | -0.000 | -0.000 |
| 7.753 | 2.009 | 17.536 | 0.000 | -0.000 | -0.000 |
| -0.000 | 0.000 | 0.000 | 2.008 | -0.000 | -0.000 |
| -0.000 | -0.000 | -0.000 | 0.000 | 7.753 | -0.000 |
| -0.000 | -0.000 | -0.000 | 0.000 | -0.000 | 7.753 |
| -2457416.055 | -2402373.821 | -1991017.352 | -43115.861 | -231404.799 | -281053.790 |
| -2457419.270 | -2402375.351 | -1991014.483 | -43121.282 | -231398.557 | -281049.453 |
| -2457428.643 | -2402364.408 | -1991042.131 | -43109.668 | -231402.274 | -281044.324 |
| -2457433.104 | -2402374.080 | -1991039.724 | -43111.114 | -231404.559 | -281047.085 |
| -2457436.638 | -2402365.464 | -1991056.824 | -43107.592 | -231399.244 | -281043.195 |
| -2457437.726 | -2402360.208 | -1991061.131 | -43105.462 | -231400.725 | -281039.018 |
| 2457444.493 | 2402373.557 | 1991076.501 | 43107.252 | 231394.922 | 281035.049 |
| 2457447.277 | 2402373.577 | 1991078.020 | 43103.123 | 231402.478 | 281040.971 |
| 2457443.832 | 2402372.555 | 1991066.559 | 43107.260 | 231401.261 | 281041.177 |
| 2457437.302 | 2402364.162 | 1991066.949 | 43106.599 | 231398.248 | 281038.767 |
| 2457435.876 | 2402371.462 | 1991051.812 | 43109.335 | 231404.266 | 281042.321 |
| 2457434.628 | 2402377.031 | 1991047.210 | 43111.669 | 231402.667 | 281046.592 |
| -245726.908 | -240233.164 | -199081.777 | -4311.596 | -23144.739 | -28109.891 |
| -245730.140 | -240233.364 | -199081.121 | -4316.020 | -23137.944 | -28105.458 |
| -245734.789 | -240234.779 | -199091.780 | -4312.947 | -23140.874 | -28105.533 |
| -245736.809 | -240242.359 | -199091.107 | -4312.701 | -23142.000 | -28106.646 |
| -245743.894 | -240233.903 | -199107.699 | -4310.065 | -23137.604 | -28104.696 |
| -245744.845 | -240229.665 | -199111.886 | -4308.078 | -23139.178 | -28100.555 |
| 245754.853 | 240245.624 | 199128.177 | 4309.126 | 23135.025 | 28096.246 |
| 245754.809 | 240244.957 | 199128.860 | 4305.994 | 23141.212 | 28102.843 |
| 245750.859 | 240241.356 | 199117.662 | 4309.641 | 23139.795 | 28102.528 |
| 245744.618 | 240236.511 | 199117.433 | 4309.258 | 23137.002 | 28100.376 |
| 245742.462 | 240240.839 | 199101.312 | 4312.431 | 23142.360 | 28104.275 |
| 245740.238 | 240246.541 | 199097.353 | 4314.544 | 23140.733 | 28107.334 |
| -24561.668 | -24014.335 | -19890.605 | -428.264 | -2318.722 | -2817.050 |
| -24563.265 | -24016.678 | -19890.920 | -433.651 | -2312.306 | -2809.835 |
| -24564.208 | -24017.701 | -19898.068 | -432.001 | -2313.525 | -2811.132 |
| -24571.751 | -24024.046 | -19900.682 | -429.964 | -2316.354 | -2812.225 |
| -24575.126 | -24021.627 | -19913.154 | -430.365 | -2311.686 | -2810.891 |
| -24578.300 | -24019.461 | -19920.732 | -429.501 | -2314.807 | -2807.198 |
| 24588.757 | 24034.179 | 19937.828 | 432.228 | 2309.921 | 2802.584 |
| 24586.757 | 24031.434 | 19934.700 | 426.766 | 2316.812 | 2809.153 |
| 24582.826 | 24029.075 | 19923.953 | 429.392 | 2314.364 | 2808.551 |
| 24578.828 | 24023.659 | 19924.963 | 430.150 | 2312.821 | 2807.188 |
| 24573.543 | 24026.107 | 19908.180 | 431.682 | 2316.361 | 2809.623 |
| 24572.740 | 24030.116 | 19906.129 | 432.332 | 2314.749 | 2812.188 |
| 13.743 | 5.550 | 8.376 | -0.000 | -0.000 | -0.000 |
| 4.630 | 17.434 | 4.786 | -0.000 | -0.000 | -0.000 |
| 8.151 | 5.676 | 12.832 | -0.000 | -0.000 | -0.000 |
| -0.000 | -0.000 | 0.000 | 3.771 | -0.000 | -0.000 |
| -0.000 | -0.000 | 0.000 | -0.000 | 7.377 | -0.000 |
| -0.000 | -0.000 | 0.000 | -0.000 | -0.000 | 2.853 |
| 13.229 | 6.094 | 8.035 | 0.000 | 0.000 | 0.000 |
| 6.104 | 14.461 | 5.571 | 0.000 | 0.000 | -0.000 |
| 7.874 | 4.786 | 15.068 | 0.000 | 0.000 | -0.000 |
| 0.000 | 0.000 | -0.000 | 3.771 | 0.000 | 0.000 |
| 0.000 | 0.000 | -0.000 | 0.000 | 7.377 | 0.000 |
| 0.000 | 0.000 | -0.000 | 0.000 | 0.000 | 2.853 |
| 13.743 | 5.550 | 8.376 | -0.000 | -0.000 | 0.000 |
| 6.104 | 14.461 | 5.571 | -0.000 | -0.000 | 0.000 |
| 7.874 | 4.786 | 15.068 | -0.000 | -0.000 | 0.000 |
| -0.000 | 0.000 | 0.000 | 4.786 | -0.000 | 0.000 |
| -0.000 | -0.000 | 0.000 | -0.000 | 7.116 | -0.000 |
| -0.000 | 0.000 | 0.000 | -0.000 | -0.000 | 2.853 |
| 13.743 | 5.550 | 8.376 | 0.000 | 0.000 | 0.000 |
| 5.876 | 14.940 | 5.360 | 0.000 | 0.000 | -0.000 |
| 8.433 | 5.259 | 13.555 | 0.000 | 0.000 | 0.000 |
| 0.000 | -0.000 | -0.000 | 4.786 | 0.000 | -0.000 |
| 0.000 | 0.000 | -0.000 | 0.000 | 7.116 | 0.000 |
| 0.000 | -0.000 | -0.000 | 0.000 | 0.000 | 2.853 |
| 13.040 | 6.095 | 7.906 | -0.000 | -0.000 | 0.000 |
| 5.876 | 14.940 | 5.360 | -0.000 | -0.000 | -0.000 |
| 7.804 | 5.974 | 12.687 | -0.000 | -0.000 | 0.000 |
| -0.000 | 0.000 | 0.000 | 4.786 | -0.000 | 0.000 |
| 0.000 | 0.000 | 0.000 | -0.000 | 7.377 | -0.000 |
| 0.000 | 0.000 | -0.000 | -0.000 | -0.000 | 2.667 |
| 13.040 | 6.095 | 7.906 | 0.000 | 0.000 | 0.000 |
| 5.997 | 14.279 | 5.939 | 0.000 | 0.000 | -0.000 |
| 8.433 | 5.259 | 13.555 | 0.000 | 0.000 | 0.000 |
| 0.000 | -0.000 | -0.000 | 4.786 | 0.000 | 0.000 |
| -0.000 | -0.000 | -0.000 | 0.000 | 7.377 | -0.000 |
| -0.000 | -0.000 | 0.000 | 0.000 | 0.000 | 2.667 |
| 9459714.218 | 1536170.256 | 8238500.317 | 489436.765 | -1648237.099 | 1156210.814 |
| 9462482.764 | 1533492.317 | 8242093.266 | 489228.230 | -1647175.704 | 1156602.321 |
| 9457142.089 | 1538103.129 | 8236070.841 | 489513.288 | -1649534.815 | 1156438.933 |
| 9453238.419 | 1541291.997 | 8232363.484 | 489649.551 | -1651400.678 | 1156532.769 |
| 9452368.937 | 1541853.451 | 8231645.243 | 489640.607 | -1651875.161 | 1156600.104 |
| 9465109.779 | 1531455.029 | 8243920.968 | 489040.173 | -1646266.845 | 1156733.551 |
| -9462035.442 | -1533888.665 | -8241566.003 | -489266.544 | 1647306.901 | -1156536.569 |
| -9460050.402 | -1535111.604 | -8239737.035 | -489306.768 | 1648125.721 | -1156774.735 |
| -9448863.753 | -1545204.266 | -8227916.650 | -489965.934 | 1653795.035 | -1155728.617 |
| -9450752.125 | -1543171.731 | -8230131.469 | -489715.141 | 1652630.222 | -1156299.334 |
| -9461425.231 | -1534519.156 | -8240498.237 | -489323.963 | 1647442.844 | -1156387.327 |
| -9454220.967 | -1540630.042 | -8233086.111 | -489645.457 | 1650786.294 | -1156349.212 |
| 945680.595 | 153813.173 | 823578.509 | 48945.937 | -164969.030 | 115665.089 |
| 945869.900 | 153625.156 | 823822.137 | 48935.571 | -164873.128 | 115682.643 |
| 946212.142 | 153356.873 | 824157.269 | 48918.546 | -164705.784 | 115668.963 |
| 945436.952 | 154051.010 | 823323.706 | 48965.584 | -165076.737 | 115633.422 |
| 947165.475 | 152636.764 | 824963.253 | 48864.052 | -164442.839 | 115706.886 |
| 945805.103 | 153719.622 | 823696.670 | 48944.121 | -164905.860 | 115647.171 |
| -946210.400 | -153443.673 | -824103.726 | -48939.040 | 164732.124 | -115603.315 |
| -944613.303 | -154760.195 | -822545.105 | -49013.024 | 165516.889 | -115537.345 |
| -946070.781 | -153467.475 | -824001.804 | -48930.323 | 164761.447 | -115667.012 |
| -945435.724 | -154124.096 | -823311.817 | -48977.011 | 165094.497 | -115584.418 |
| -944591.825 | -154744.340 | -822528.649 | -48999.148 | 165551.011 | -115595.491 |
| -945787.108 | -153717.224 | -823696.676 | -48942.258 | 164922.136 | -115662.865 |
| 94622.164 | 15338.131 | 82416.372 | 4891.266 | -16475.679 | 11571.331 |
| 94621.004 | 15339.275 | 82416.831 | 4890.185 | -16470.215 | 11572.406 |
| 94535.074 | 15411.899 | 82330.583 | 4895.696 | -16512.231 | 11565.564 |
| 94491.708 | 15441.868 | 82284.522 | 4899.795 | -16533.815 | 11563.346 |
| 94657.227 | 15314.294 | 82441.515 | 4890.659 | -16457.711 | 11564.001 |
| 94461.667 | 15479.442 | 82251.264 | 4901.939 | -16548.997 | 11550.774 |
| -94670.269 | -15301.287 | -82459.910 | -4891.088 | 16455.725 | -11561.457 |
| -94632.906 | -15326.871 | -82420.260 | -4893.992 | 16469.351 | -11560.137 |
| -94664.651 | -15306.863 | -82443.871 | -4891.345 | 16457.503 | -11564.114 |
| -94544.320 | -15406.472 | -82333.516 | -4894.359 | 16508.516 | -11563.126 |
| -94457.772 | -15472.970 | -82251.370 | -4900.361 | 16551.026 | -11557.393 |
| -94588.315 | -15364.031 | -82378.457 | -4893.951 | 16485.673 | -11564.455 |
| 15.634 | 2.641 | 3.565 | 0.467 | 2.980 | 1.513 |
| 2.337 | 29.236 | -0.853 | 0.458 | -2.030 | -1.943 |
| 3.513 | 0.968 | 15.617 | -0.404 | -0.155 | 1.199 |
| 0.208 | 0.324 | -0.404 | 0.751 | 0.994 | -2.924 |
| 0.217 | -2.728 | -0.155 | 0.994 | 5.007 | 0.331 |
| 0.991 | -1.844 | 0.916 | -2.226 | 2.861 | 2.276 |
| 15.634 | 2.641 | 3.565 | 0.467 | 2.980 | 1.513 |
| 2.337 | 29.236 | -0.853 | 0.458 | -2.030 | -1.943 |
| 3.513 | 0.968 | 15.617 | -0.404 | -0.155 | 1.199 |
| 0.208 | 0.324 | -0.404 | 0.751 | 0.994 | -2.924 |
| 0.217 | -2.728 | -0.155 | 0.994 | 5.007 | 0.331 |
| 0.991 | -1.844 | 0.916 | -2.226 | 2.861 | 2.276 |
| 15.634 | 2.641 | 3.565 | 0.467 | 2.980 | 1.513 |
| 2.337 | 29.236 | -0.853 | 0.458 | -2.030 | -1.943 |
| 3.513 | 0.968 | 15.617 | -0.404 | -0.155 | 1.199 |
| 0.208 | 0.324 | -0.404 | 0.751 | 0.994 | -2.924 |
| 0.217 | -2.728 | -0.155 | 0.994 | 5.007 | 0.331 |
| 0.991 | -1.844 | 0.916 | -2.226 | 2.861 | 2.276 |
| 15.634 | 2.641 | 3.565 | 0.467 | 2.980 | 1.513 |
| 2.337 | 29.236 | -0.853 | 0.458 | -2.030 | -1.943 |
| 3.513 | 0.968 | 15.617 | -0.404 | -0.155 | 1.199 |
| 0.208 | 0.324 | -0.404 | 0.751 | 0.994 | -2.924 |
| 0.217 | -2.728 | -0.155 | 0.994 | 5.007 | 0.331 |
| 0.991 | -1.844 | 0.916 | -2.226 | 2.861 | 2.276 |
| 15.634 | 2.641 | 3.565 | 0.467 | 2.980 | 1.513 |
| 2.337 | 29.236 | -0.853 | 0.458 | -2.030 | -1.943 |
| 3.513 | 0.968 | 15.617 | -0.404 | -0.155 | 1.199 |
| 0.208 | 0.324 | -0.404 | 0.751 | 0.994 | -2.924 |
| 0.217 | -2.728 | -0.155 | 0.994 | 5.007 | 0.331 |
| 0.991 | -1.844 | 0.916 | -2.226 | 2.861 | 2.276 |
| 15.634 | 2.641 | 3.565 | 0.467 | 2.980 | 1.513 |
| 2.337 | 29.235 | -0.853 | 0.458 | -2.030 | -1.943 |
| 3.513 | 0.968 | 15.617 | -0.404 | -0.155 | 1.199 |
| 0.208 | 0.324 | -0.404 | 0.751 | 0.994 | -2.924 |
| 0.217 | -2.728 | -0.155 | 0.994 | 5.007 | 0.331 |
| 0.991 | -1.844 | 0.916 | -2.226 | 2.861 | 2.276 |
| 16.891 | 6.482 | 3.930 | 0.902 | -0.000 | -0.000 |
| 6.482 | 16.891 | 3.930 | -0.902 | -0.000 | -0.000 |
| 3.930 | 3.930 | 19.443 | 0.000 | -0.000 | -0.000 |
| 0.902 | -0.902 | 0.000 | 3.930 | -0.000 | -0.000 |
| -0.000 | 0.000 | 0.000 | 0.000 | 3.930 | 0.902 |
| -0.000 | 0.000 | 0.000 | 0.000 | 0.902 | 5.205 |
| 16.891 | 6.482 | 3.929 | 0.902 | 0.000 | -0.000 |
| 5.843 | 17.530 | 3.929 | -0.902 | 0.000 | 0.000 |
| 3.930 | 3.930 | 19.443 | 0.000 | 0.000 | 0.000 |
| 0.902 | -0.902 | 0.000 | 3.930 | 0.000 | 0.000 |
| 0.000 | -0.000 | 0.000 | -0.000 | 3.930 | 0.902 |
| 0.000 | -0.000 | -0.000 | -0.000 | 0.902 | 5.205 |
| 16.891 | 6.482 | 3.929 | 0.902 | -0.000 | -0.000 |
| 6.482 | 16.891 | 3.929 | -0.902 | -0.000 | -0.000 |
| 3.930 | 3.930 | 19.443 | 0.000 | -0.000 | 0.000 |
| 0.902 | -0.902 | 0.000 | 3.930 | -0.000 | -0.000 |
| -0.000 | 0.000 | 0.000 | 0.000 | 3.930 | 0.902 |
| -0.000 | 0.000 | -0.000 | 0.000 | 0.902 | 5.843 |
| 16.891 | 6.482 | 3.930 | 0.902 | 0.000 | 0.000 |
| 5.843 | 17.530 | 3.929 | -0.902 | 0.000 | 0.000 |
| 3.930 | 3.930 | 19.443 | -0.000 | -0.000 | 0.000 |
| 0.902 | -0.902 | -0.000 | 3.930 | 0.000 | 0.000 |
| 0.000 | -0.000 | -0.000 | -0.000 | 3.930 | 0.902 |
| 0.000 | -0.000 | 0.000 | -0.000 | 0.902 | 5.843 |
| 17.530 | 5.843 | 3.930 | 0.902 | -0.000 | -0.000 |
| 5.843 | 17.530 | 3.930 | -0.902 | -0.000 | -0.000 |
| 3.930 | 3.930 | 19.443 | 0.000 | -0.000 | -0.000 |
| 0.902 | -0.902 | 0.000 | 3.930 | -0.000 | -0.000 |
| -0.000 | -0.000 | 0.000 | 0.000 | 3.930 | 0.902 |
| -0.000 | 0.000 | -0.000 | 0.000 | 0.902 | 5.205 |
| 17.530 | 5.843 | 3.929 | 0.902 | 0.000 | 0.000 |
| 5.843 | 17.530 | 3.929 | -0.902 | 0.000 | -0.000 |
| 3.929 | 3.929 | 19.443 | -0.000 | 0.000 | 0.000 |
| 0.902 | -0.902 | -0.000 | 3.930 | 0.000 | 0.000 |
| 0.000 | 0.000 | -0.000 | -0.000 | 3.930 | 0.902 |
| 0.000 | -0.000 | 0.000 | -0.000 | 0.902 | 5.205 |
| 44.092 | -17.435 | 4.928 | 0.000 | -0.000 | 0.000 |
| 33.430 | -7.141 | 5.496 | 0.000 | 0.000 | -0.000 |
| 50.977 | -37.793 | 21.721 | -0.000 | -0.000 | 0.000 |
| -0.000 | -0.000 | 0.000 | 4.160 | 0.000 | 0.000 |
| -0.000 | 0.000 | 0.000 | 0.000 | 3.685 | -0.000 |
| -0.000 | 0.000 | 0.000 | 0.000 | 0.000 | 5.618 |
| 18.208 | 5.526 | 3.681 | 0.000 | -0.000 | -0.000 |
| -20.371 | 40.585 | 2.903 | -0.000 | -0.000 | -0.000 |
| 3.738 | 4.112 | 19.445 | 0.000 | -0.000 | -0.000 |
| -44.771 | 39.716 | -2.158 | 4.156 | -0.000 | -0.000 |
| 0.000 | -0.000 | -0.000 | 0.000 | 3.685 | -0.000 |
| 0.000 | -0.000 | 0.000 | 0.000 | -0.000 | 5.618 |
| 18.208 | 5.526 | 3.681 | -0.000 | 0.000 | -0.000 |
| 10.858 | 12.882 | 4.408 | -0.000 | 0.000 | -0.000 |
| 3.738 | 4.112 | 19.445 | 0.000 | -0.000 | 0.000 |
| 2.690 | -2.386 | 0.130 | 4.158 | 0.000 | 0.000 |
| 2.690 | -2.386 | 0.130 | 0.000 | 3.685 | 0.000 |
| 4.732 | -4.198 | 0.228 | -0.000 | -0.000 | 3.660 |
| 12.811 | 10.314 | 3.420 | 0.000 | -0.000 | 0.000 |
| 5.628 | 17.522 | 4.156 | 0.000 | 0.000 | -0.000 |
| 3.738 | 4.112 | 19.445 | -0.000 | -0.000 | -0.000 |
| -2.690 | 2.386 | -0.130 | 4.158 | -0.000 | 0.000 |
| -2.690 | 2.386 | -0.130 | -0.000 | 3.685 | 0.000 |
| -4.732 | 4.198 | -0.228 | 0.000 | -0.000 | 3.660 |
| 17.461 | 6.189 | 3.645 | 0.000 | -0.000 | 0.000 |
| 7.333 | 16.010 | 4.238 | -0.000 | 0.000 | 0.000 |
| 3.738 | 4.112 | 19.445 | 0.000 | 0.000 | 0.000 |
| 0.495 | -0.439 | 0.024 | 4.159 | -0.000 | 0.000 |
| 0.392 | -0.347 | 0.019 | -0.000 | 3.685 | 0.000 |
| 0.392 | -0.347 | 0.019 | -0.000 | 0.000 | 4.074 |
| 16.336 | 7.187 | 3.590 | 0.000 | -0.000 | 0.000 |
| 6.260 | 16.961 | 4.187 | -0.000 | -0.000 | -0.000 |
| 3.275 | 4.523 | 19.422 | 0.000 | -0.000 | 0.000 |
| -0.495 | 0.439 | -0.024 | 4.159 | -0.000 | 0.000 |
| -0.392 | 0.347 | -0.019 | 0.000 | 3.685 | 0.000 |
| -0.392 | 0.347 | -0.019 | 0.000 | -0.000 | 4.074 |
| 17.997 | -2.683 | 6.448 | 0.000 | 0.000 | 0.000 |
| -2.974 | 16.488 | 0.909 | -0.000 | 0.000 | 0.000 |
| 6.151 | 0.902 | 12.205 | 0.000 | -0.000 | 0.000 |
| 0.000 | 0.000 | 0.000 | 2.826 | -0.000 | -0.000 |
| 0.049 | 0.160 | 0.170 | 0.000 | 6.829 | -0.000 |
| 0.000 | 0.000 | 0.000 | 0.000 | 0.000 | -2.335 |
| 17.903 | -2.987 | 6.126 | 0.000 | 0.000 | 0.000 |
| -3.067 | 16.183 | 0.587 | -0.000 | -0.000 | 0.000 |
| 6.057 | 0.598 | 11.883 | -0.000 | -0.000 | 0.000 |
| -0.000 | -0.000 | -0.000 | 2.826 | 0.000 | 0.000 |
| -0.049 | -0.160 | -0.170 | 0.000 | 6.829 | 0.000 |
| -0.000 | 0.000 | -0.000 | -0.000 | -0.000 | -2.335 |
| 17.955 | -2.818 | 6.305 | -0.000 | -0.000 | -0.000 |
| -3.016 | 16.351 | 0.765 | 0.000 | -0.000 | -0.000 |
| 6.109 | 0.766 | 12.060 | -0.000 | 0.000 | -0.000 |
| -0.000 | 0.000 | -0.000 | 2.826 | -0.000 | -0.000 |
| 0.005 | 0.016 | 0.017 | 0.000 | 6.829 | 0.000 |
| 0.000 | -0.000 | -0.000 | 0.000 | -0.000 | -2.335 |
| 17.946 | -2.848 | 6.273 | 0.000 | -0.000 | 0.000 |
| -3.025 | 16.321 | 0.732 | -0.000 | 0.000 | 0.000 |
| 6.100 | 0.735 | 12.028 | -0.000 | -0.000 | 0.000 |
| 0.000 | -0.000 | 0.000 | 2.826 | -0.000 | -0.000 |
| -0.005 | -0.016 | -0.017 | -0.000 | 6.829 | -0.000 |
| -0.000 | 0.000 | 0.000 | -0.000 | -0.000 | -2.335 |
| 17.951 | -2.832 | 6.291 | 0.000 | 0.000 | 0.000 |
| -3.020 | 16.338 | 0.750 | 0.000 | 0.000 | -0.000 |
| 6.105 | 0.752 | 12.046 | 0.000 | -0.000 | -0.000 |
| -0.000 | -0.001 | -0.001 | -5.517 | -0.000 | -0.000 |
| 0.001 | 0.002 | 0.002 | 0.000 | 6.829 | 0.000 |
| 0.000 | -0.000 | -0.000 | 0.000 | -0.000 | -2.335 |
| 17.950 | -2.835 | 6.288 | 0.000 | -0.000 | -0.000 |
| -3.021 | 16.334 | 0.747 | -0.000 | 0.000 | -0.000 |
| 6.104 | 0.749 | 12.043 | -0.000 | -0.000 | -0.000 |
| 0.000 | 0.001 | 0.001 | -5.517 | -0.000 | -0.000 |
| -0.001 | -0.002 | -0.002 | -0.000 | 6.829 | 0.000 |
| -0.000 | 0.000 | 0.000 | -0.000 | 0.000 | -2.335 |
| 21.668 | 5.126 | 5.126 | 0.000 | 0.000 | -0.000 |
| 5.126 | 21.668 | 5.126 | 0.000 | 0.000 | -0.000 |
| 5.126 | 5.126 | 21.668 | 0.000 | -0.000 | -0.000 |
| 0.000 | 0.000 | -0.000 | 3.868 | 0.000 | -0.000 |
| 0.000 | 0.000 | -0.000 | -0.000 | 3.868 | -0.000 |
| 0.000 | 0.000 | 0.000 | 0.000 | 0.000 | 3.868 |
| 21.668 | 5.126 | 5.126 | 0.000 | -0.000 | 0.000 |
| 5.126 | 21.668 | 5.126 | 0.000 | 0.000 | 0.000 |
| 5.126 | 5.126 | 21.668 | -0.000 | -0.000 | 0.000 |
| -0.000 | -0.000 | -0.000 | 3.868 | -0.000 | 0.000 |
| -0.000 | -0.000 | -0.000 | -0.000 | 3.868 | 0.000 |
| -0.000 | -0.000 | -0.000 | -0.000 | -0.000 | 3.868 |
| 21.668 | 5.126 | 5.126 | 0.000 | 0.000 | -0.000 |
| 5.126 | 21.668 | 5.126 | 0.000 | 0.000 | -0.000 |
| 5.126 | 5.126 | 21.668 | 0.000 | 0.000 | -0.000 |
| 0.000 | 0.000 | 0.000 | 5.126 | 0.000 | -0.000 |
| 0.000 | 0.000 | 0.000 | -0.000 | 5.126 | -0.000 |
| 0.000 | 0.000 | 0.000 | 0.000 | -0.000 | 5.126 |
| 19.981 | 5.914 | 5.914 | -0.000 | -0.000 | 0.000 |
| 5.914 | 19.981 | 5.914 | 0.000 | -0.000 | 0.000 |
| 5.914 | 5.914 | 19.981 | 0.000 | -0.000 | 0.000 |
| -0.000 | -0.000 | -0.000 | 5.126 | -0.000 | 0.000 |
| -0.000 | -0.000 | -0.000 | -0.000 | 5.126 | 0.000 |
| -0.000 | -0.000 | -0.000 | 0.000 | -0.000 | 5.126 |
| 19.981 | 5.914 | 5.914 | 0.000 | 0.000 | -0.000 |
| 5.914 | 19.981 | 5.914 | -0.000 | 0.000 | -0.000 |
| 5.914 | 5.914 | 19.981 | 0.000 | 0.000 | -0.000 |
| 0.000 | 0.000 | 0.000 | 5.126 | -0.000 | 0.000 |
| 0.000 | 0.000 | 0.000 | 0.000 | 5.126 | -0.000 |
| 0.000 | 0.000 | 0.000 | 0.000 | -0.000 | 5.126 |
| 19.637 | 6.039 | 6.039 | 0.000 | -0.000 | 0.000 |
| 6.039 | 19.637 | 6.039 | 0.000 | -0.000 | 0.000 |
| 6.039 | 6.039 | 19.637 | -0.000 | -0.000 | 0.000 |
| -0.000 | -0.000 | -0.000 | 5.126 | -0.000 | 0.000 |
| -0.000 | -0.000 | -0.000 | 0.000 | 5.126 | 0.000 |
| -0.000 | -0.000 | -0.000 | -0.000 | 0.000 | 5.126 |
| 52.888 | 39.397 | 39.397 | -0.000 | -0.000 | 0.000 |
| 39.397 | 52.888 | 39.397 | -0.000 | -0.000 | 0.000 |
| 39.397 | 39.397 | 52.888 | -0.000 | -0.000 | -0.000 |
| 0.000 | -0.000 | 0.000 | 5.118 | -0.000 | 0.000 |
| 0.000 | -0.000 | 0.000 | -0.000 | 5.118 | 0.000 |
| 0.000 | -0.000 | 0.000 | 0.000 | -0.000 | 5.118 |
| -21.203 | -35.153 | -35.153 | 0.000 | 0.000 | -0.000 |
| -35.153 | -21.203 | -35.153 | -0.000 | 0.000 | -0.000 |
| -35.153 | -35.153 | -21.203 | -0.000 | 0.000 | -0.000 |
| -0.000 | -0.000 | -0.000 | 5.118 | 0.000 | -0.000 |
| -0.000 | 0.000 | -0.000 | 0.000 | 5.118 | -0.000 |
| -0.000 | 0.000 | 0.000 | -0.000 | 0.000 | 5.118 |
| 23.926 | 9.987 | 9.987 | -0.000 | -0.000 | 0.000 |
| 9.987 | 23.926 | 9.987 | -0.000 | -0.000 | 0.000 |
| 9.987 | 9.987 | 23.926 | 0.000 | -0.000 | 0.000 |
| 3.334 | 3.334 | 3.334 | 3.566 | -0.000 | 0.000 |
| 3.334 | 3.334 | 3.334 | 0.000 | 3.566 | 0.000 |
| 3.334 | 3.334 | 3.334 | 0.000 | -0.000 | 3.566 |
| 21.616 | 5.105 | 5.105 | 0.000 | 0.000 | -0.000 |
| 5.105 | 21.616 | 5.105 | -0.000 | -0.000 | -0.000 |
| 5.105 | 5.105 | 21.616 | 0.000 | 0.000 | -0.000 |
| -3.334 | -3.334 | -3.334 | 3.566 | 0.000 | -0.000 |
| -3.334 | -3.334 | -3.334 | -0.000 | 3.566 | -0.000 |
| -3.334 | -3.334 | -3.334 | 0.000 | 0.000 | 3.566 |
| 20.446 | 6.054 | 6.054 | 0.000 | -0.000 | 0.000 |
| 6.054 | 20.446 | 6.054 | -0.000 | -0.000 | 0.000 |
| 6.054 | 6.054 | 20.446 | -0.000 | -0.000 | 0.000 |
| 0.264 | 0.264 | 0.264 | 3.940 | -0.000 | 0.000 |
| 0.264 | 0.264 | 0.264 | 0.000 | 3.940 | 0.000 |
| 0.264 | 0.264 | 0.264 | -0.000 | 0.000 | 3.940 |
| 19.219 | 5.736 | 5.736 | -0.000 | 0.000 | -0.000 |
| 5.736 | 19.219 | 5.736 | -0.000 | 0.000 | -0.000 |
| 5.736 | 5.736 | 19.219 | -0.000 | -0.000 | -0.000 |
| -0.264 | -0.264 | -0.264 | 3.940 | 0.000 | -0.000 |
| -0.264 | -0.264 | -0.264 | 0.000 | 3.940 | -0.000 |
| -0.264 | -0.264 | -0.264 | -0.000 | 0.000 | 3.940 |
| 15.926 | 9.036 | 9.036 | -0.000 | 0.000 | 0.000 |
| 9.036 | 15.926 | 9.036 | -0.000 | 0.000 | 0.000 |
| 9.036 | 9.036 | 15.926 | -0.000 | 0.000 | 0.000 |
| 0.000 | 0.000 | 0.000 | 6.930 | -0.000 | -0.000 |
| 0.000 | 0.000 | 0.000 | 0.000 | 6.930 | 0.000 |
| 0.000 | -0.000 | -0.000 | -0.000 | -0.000 | 6.930 |
| 0.848 | -6.583 | -6.583 | 0.000 | -0.000 | -0.000 |
| -6.583 | 0.848 | -6.583 | 0.000 | -0.000 | -0.000 |
| -6.583 | -6.583 | 0.848 | 0.000 | -0.000 | -0.000 |
| 0.000 | -0.000 | -0.000 | 6.930 | 0.000 | 0.000 |
| -0.000 | -0.000 | -0.000 | 0.000 | 6.930 | 0.000 |
| -0.000 | -0.000 | -0.000 | -0.000 | -0.000 | 6.930 |
| 16.066 | 8.682 | 8.682 | -0.000 | 0.000 | 0.000 |
| 8.682 | 16.066 | 8.682 | -0.000 | 0.000 | 0.000 |
| 8.682 | 8.682 | 16.066 | -0.000 | 0.000 | 0.000 |
| 1.368 | 1.368 | 1.368 | 5.042 | 0.000 | 0.000 |
| 1.368 | 1.368 | 1.368 | -0.000 | 5.042 | 0.000 |
| 1.368 | 1.368 | 1.368 | -0.000 | 0.000 | 5.042 |
| 14.689 | 7.035 | 7.035 | 0.000 | -0.000 | -0.000 |
| 7.035 | 14.689 | 7.035 | 0.000 | -0.000 | -0.000 |
| 7.035 | 7.035 | 14.689 | 0.000 | -0.000 | -0.000 |
| -1.368 | -1.368 | -1.368 | 5.042 | -0.000 | -0.000 |
| -1.368 | -1.368 | -1.368 | 0.000 | 5.042 | -0.000 |
| -1.368 | -1.368 | -1.368 | 0.000 | -0.000 | 5.042 |
| 14.807 | 7.218 | 7.218 | -0.000 | 0.000 | 0.000 |
| 7.218 | 14.807 | 7.218 | -0.000 | 0.000 | 0.000 |
| 7.218 | 7.218 | 14.807 | -0.000 | 0.000 | 0.000 |
| 0.014 | 0.014 | 0.014 | 5.104 | 0.000 | 0.000 |
| 0.014 | 0.014 | 0.014 | -0.000 | 5.104 | 0.000 |
| 0.014 | 0.014 | 0.014 | -0.000 | 0.000 | 5.104 |
| 14.899 | 7.040 | 7.040 | 0.000 | -0.000 | -0.000 |
| 7.040 | 14.899 | 7.040 | 0.000 | -0.000 | -0.000 |
| 7.040 | 7.040 | 14.899 | 0.000 | -0.000 | -0.000 |
| -0.014 | -0.014 | -0.014 | 5.104 | -0.000 | -0.000 |
| -0.014 | -0.014 | -0.014 | 0.000 | 5.104 | -0.000 |
| -0.014 | -0.014 | -0.014 | 0.000 | -0.000 | 5.104 |
| 19.990 | -3.175 | 7.147 | 0.000 | -0.000 | -0.000 |
| -3.189 | 17.617 | 0.645 | -0.000 | 0.000 | -0.000 |
| 6.967 | 0.478 | 13.493 | -0.000 | 0.000 | -0.000 |
| 0.000 | 0.000 | 0.000 | -3.744 | -0.000 | -0.000 |
| 0.000 | 0.000 | 0.000 | -0.000 | 7.414 | 0.000 |
| 0.000 | 0.000 | 0.000 | 0.000 | -0.000 | -3.314 |
| 19.990 | -3.175 | 7.147 | -0.000 | -0.000 | -0.000 |
| -3.189 | 17.617 | 0.645 | 0.000 | 0.000 | -0.000 |
| 6.967 | 0.478 | 13.493 | 0.000 | 0.000 | -0.000 |
| -0.000 | -0.000 | -0.000 | -3.744 | 0.000 | -0.000 |
| -0.000 | -0.000 | -0.000 | 0.000 | 7.414 | -0.000 |
| -0.000 | -0.000 | -0.000 | 0.000 | 0.000 | -3.314 |
| 19.990 | -3.175 | 7.147 | 0.000 | 0.000 | 0.000 |
| -3.189 | 17.617 | 0.645 | -0.000 | 0.000 | 0.000 |
| 6.967 | 0.478 | 13.493 | 0.000 | -0.000 | -0.000 |
| -0.000 | -0.000 | -0.000 | -3.744 | -0.000 | -0.000 |
| 0.000 | 0.000 | 0.000 | 0.000 | 7.414 | 0.000 |
| 0.000 | -0.000 | -0.000 | 0.000 | -0.000 | -2.658 |
| 19.990 | -3.175 | 7.147 | 0.000 | 0.000 | -0.000 |
| -3.189 | 17.617 | 0.645 | -0.000 | -0.000 | -0.000 |
| 6.967 | 0.478 | 13.493 | 0.000 | 0.000 | 0.000 |
| 0.000 | 0.000 | 0.000 | -3.744 | 0.000 | -0.000 |
| -0.000 | -0.000 | -0.000 | 0.000 | 7.414 | -0.000 |
| -0.000 | 0.000 | 0.000 | 0.000 | 0.000 | -2.658 |
| 19.990 | -3.175 | 7.147 | 0.000 | -0.000 | -0.000 |
| -3.189 | 17.617 | 0.645 | -0.000 | -0.000 | 0.000 |
| 6.967 | 0.478 | 13.493 | -0.000 | -0.000 | 0.000 |
| -0.000 | -0.000 | -0.000 | -9.153 | -0.000 | -0.000 |
| 0.000 | -0.000 | 0.000 | 0.000 | 7.414 | 0.000 |
| 612236.481 | -1000504.562 | -589445.631 | -0.000 | -0.000 | -680974.797 |
| 19.990 | -3.175 | 7.147 | 0.000 | 0.000 | -0.000 |
| -3.189 | 17.617 | 0.645 | -0.000 | -0.000 | -0.000 |
| 6.967 | 0.478 | 13.493 | -0.000 | 0.000 | -0.000 |
| 0.000 | 0.000 | 0.000 | -9.153 | -0.000 | 0.000 |
| -0.000 | 0.000 | -0.000 | -0.000 | 7.414 | -0.000 |
| -612236.481 | 1000504.562 | 589445.631 | 0.000 | -0.000 | -680974.797 |
| 18.212 | 5.524 | 3.679 | -0.000 | 0.000 | -0.000 |
| 5.627 | 17.522 | 4.157 | -0.000 | 0.000 | -0.000 |
| 3.737 | 4.113 | 19.445 | -0.000 | 0.000 | -0.000 |
| 0.000 | -0.000 | 0.000 | 4.161 | 0.000 | -0.000 |
| 27.454 | -24.338 | 1.330 | 0.000 | 3.683 | 0.000 |
| -0.000 | 0.000 | -0.000 | -0.000 | 0.000 | 5.617 |
| -23.243 | 42.275 | 1.671 | 0.000 | -0.000 | 0.000 |
| -20.926 | 41.061 | 2.871 | -0.000 | -0.000 | 0.000 |
| -23.766 | 28.495 | 18.112 | -0.000 | -0.000 | 0.000 |
| 0.000 | -0.000 | -0.000 | 4.161 | -0.000 | 0.000 |
| -27.454 | 24.338 | -1.330 | -0.000 | 3.683 | 0.000 |
| 0.000 | -0.000 | 0.000 | 0.000 | -0.000 | 5.617 |
| 19.941 | 3.992 | 3.763 | 0.000 | 0.000 | -0.000 |
| 5.627 | 17.522 | 4.157 | -0.000 | 0.000 | -0.000 |
| 6.434 | 1.723 | 19.575 | 0.000 | 0.000 | -0.000 |
| 2.745 | -2.434 | 0.133 | 4.159 | 0.000 | -0.000 |
| -0.000 | -0.000 | 0.000 | -0.000 | 3.683 | -0.000 |
| 2.745 | -2.434 | 0.133 | 0.000 | 0.000 | 4.600 |
| 18.212 | 5.524 | 3.679 | 0.000 | -0.000 | 0.000 |
| 5.627 | 17.522 | 4.157 | 0.000 | -0.000 | 0.000 |
| 3.737 | 4.113 | 19.445 | 0.000 | -0.000 | 0.000 |
| -3.997 | 3.544 | -0.194 | 4.163 | -0.000 | -0.000 |
| 0.000 | 0.000 | -0.000 | 0.000 | 3.683 | -0.000 |
| -2.745 | 2.434 | -0.133 | -0.000 | -0.000 | 4.600 |
| 17.132 | 6.483 | 3.627 | -0.000 | 0.000 | -0.000 |
| 6.803 | 16.480 | 4.214 | 0.000 | 0.000 | -0.000 |
| 3.963 | 3.913 | 19.456 | 0.000 | 0.000 | -0.000 |
| 0.505 | -0.447 | 0.024 | 4.160 | 0.000 | -0.000 |
| 0.457 | -0.405 | 0.022 | 0.000 | 3.683 | 0.000 |
| 0.275 | -0.243 | 0.013 | 0.000 | 0.000 | 4.600 |
| 16.921 | 6.669 | 3.617 | -0.000 | -0.000 | -0.000 |
| 5.627 | 17.522 | 4.157 | 0.000 | -0.000 | 0.000 |
| 3.414 | 4.400 | 19.429 | -0.000 | -0.000 | 0.000 |
| -0.505 | 0.447 | -0.024 | 4.160 | -0.000 | -0.000 |
| -0.457 | 0.405 | -0.022 | -0.000 | 3.683 | -0.000 |
| -0.275 | 0.243 | -0.013 | -0.000 | -0.000 | 4.600 |
| 2.084 | 0.684 | 3.379 | 3.870 | 0.000 | -0.000 |
| 0.684 | 2.084 | 3.379 | -3.870 | -0.000 | -0.000 |
| 3.384 | 3.384 | -0.737 | -0.000 | -0.000 | -0.000 |
| 3.870 | -3.870 | 0.000 | 3.406 | -0.000 | -0.000 |
| 0.000 | -0.000 | 0.000 | 0.000 | 3.406 | 3.870 |
| 0.000 | -0.000 | 0.000 | 0.000 | 3.870 | 0.700 |
| 2.084 | 0.684 | 3.379 | 3.870 | 0.000 | 0.000 |
| 0.684 | 2.084 | 3.379 | -3.870 | 0.000 | 0.000 |
| 3.384 | 3.384 | -0.737 | 0.000 | -0.000 | 0.000 |
| 3.870 | -3.870 | -0.000 | 3.406 | 0.000 | 0.000 |
| -0.000 | 0.000 | -0.000 | -0.000 | 3.406 | 3.870 |
| -0.000 | 0.000 | -0.000 | 0.000 | 3.870 | 0.700 |
| 2.084 | 0.684 | 3.379 | 3.870 | -0.000 | -0.000 |
| 0.684 | 2.084 | 3.379 | -3.870 | -0.000 | -0.000 |
| 3.384 | 3.384 | -0.737 | -0.000 | 0.000 | -0.000 |
| 3.870 | -3.870 | 0.000 | 3.406 | -0.000 | -0.000 |
| 0.000 | 0.000 | 0.000 | 0.000 | 3.406 | 3.870 |
| 0.000 | -0.000 | 0.000 | 0.000 | 3.870 | 0.700 |
| 2.084 | 0.684 | 3.379 | 3.870 | -0.000 | 0.000 |
| 0.684 | 2.084 | 3.379 | -3.870 | 0.000 | 0.000 |
| 3.384 | 3.384 | -0.737 | 0.000 | -0.000 | 0.000 |
| 3.870 | -3.870 | -0.000 | 3.406 | 0.000 | 0.000 |
| -0.000 | -0.000 | -0.000 | -0.000 | 3.406 | 3.870 |
| -0.000 | 0.000 | -0.000 | -0.000 | 3.870 | 0.700 |
| 2.084 | 0.684 | 3.379 | 3.870 | -0.000 | -0.000 |
| 0.684 | 2.084 | 3.379 | -3.870 | -0.000 | -0.000 |
| 3.384 | 3.384 | -0.737 | -0.000 | -0.000 | -0.000 |
| 3.870 | -3.870 | 0.000 | 3.406 | -0.000 | -0.000 |
| 0.000 | 0.000 | 0.000 | 0.000 | 3.406 | 3.870 |
| 0.000 | -0.000 | 0.000 | 0.000 | 3.870 | 0.700 |
| 2.084 | 0.684 | 3.379 | 3.870 | -0.000 | 0.000 |
| 0.684 | 2.084 | 3.379 | -3.870 | -0.000 | 0.000 |
| 3.384 | 3.384 | -0.737 | 0.000 | 0.000 | 0.000 |
| 3.870 | -3.870 | -0.000 | 3.406 | 0.000 | 0.000 |
| -0.000 | -0.000 | -0.000 | -0.000 | 3.406 | 3.870 |
| -0.000 | 0.000 | -0.000 | -0.000 | 3.870 | 0.700 |
| 16.497 | 0.904 | 1.569 | 0.000 | 0.000 | 0.000 |
| 0.935 | 15.690 | -4.525 | 0.000 | -0.000 | -0.000 |
| 1.614 | -4.511 | 19.854 | 0.000 | 0.000 | -0.000 |
| -0.000 | 0.000 | 0.000 | -4.596 | -0.000 | 0.000 |
| -0.000 | -0.000 | 0.000 | -0.000 | 1.016 | -0.000 |
| -0.000 | -0.000 | 0.000 | 0.000 | 0.000 | -2.041 |
| 16.497 | 0.904 | 1.569 | 0.000 | -0.000 | 0.000 |
| 0.935 | 15.690 | -4.525 | -0.000 | -0.000 | 0.000 |
| 1.614 | -4.511 | 19.854 | -0.000 | -0.000 | -0.000 |
| -0.000 | -0.000 | 0.000 | -4.596 | 0.000 | -0.000 |
| 0.000 | 0.000 | -0.000 | 0.000 | 1.016 | -0.000 |
| 0.000 | 0.000 | -0.000 | 0.000 | -0.000 | -2.041 |
| 16.497 | 0.904 | 1.569 | 0.000 | 0.000 | -0.000 |
| 0.935 | 15.690 | -4.525 | -0.000 | 0.000 | 0.000 |
| 1.614 | -4.511 | 19.854 | 0.000 | 0.000 | 0.000 |
| -0.000 | 0.000 | -0.000 | -4.903 | 0.000 | 0.000 |
| 0.000 | 0.000 | 0.000 | 0.000 | 1.213 | -0.000 |
| -0.000 | -0.000 | 0.000 | 0.000 | 0.000 | -2.041 |
| 16.497 | 0.904 | 1.569 | -0.000 | 0.000 | 0.000 |
| 0.935 | 15.690 | -4.525 | -0.000 | 0.000 | 0.000 |
| 1.614 | -4.511 | 19.854 | -0.000 | 0.000 | -0.000 |
| 0.000 | -0.000 | 0.000 | -4.903 | -0.000 | 0.000 |
| -0.000 | -0.000 | -0.000 | -0.000 | 1.213 | -0.000 |
| 0.000 | 0.000 | -0.000 | 0.000 | -0.000 | -2.041 |
| 16.497 | 0.904 | 1.569 | 0.000 | 0.000 | -0.000 |
| 0.935 | 15.690 | -4.525 | -0.000 | -0.000 | 0.000 |
| 1.614 | -4.511 | 19.855 | -0.000 | -0.000 | 0.000 |
| -0.000 | 0.000 | -0.000 | -4.891 | 0.000 | 0.000 |
| -581172.399 | -797881.019 | -851620.210 | -8838.739 | 19754.303 | -4083.255 |
| 0.000 | -0.000 | 0.000 | 0.000 | 0.000 | -33.262 |
| 16.497 | 0.904 | 1.569 | -0.000 | -0.000 | 0.000 |
| 0.935 | 15.690 | -4.525 | -0.000 | -0.000 | -0.000 |
| 1.614 | -4.511 | 19.854 | -0.000 | -0.000 | 0.000 |
| 0.000 | -0.000 | 0.000 | -4.891 | -0.000 | -0.000 |
| 403552.343 | 716475.741 | 924749.715 | 8636.382 | 2670.042 | -35572.892 |
| -0.000 | 0.000 | -0.000 | -0.000 | -0.000 | -33.262 |
| 11.424 | 4.119 | 4.119 | 0.000 | 0.000 | 0.000 |
| 4.119 | 11.424 | 4.119 | 0.000 | 0.000 | 0.000 |
| 4.119 | 4.119 | 11.424 | 0.000 | 0.000 | 0.000 |
| -0.013 | -0.013 | -0.013 | -0.234 | 0.000 | 0.000 |
| -0.013 | -0.013 | -0.013 | -0.000 | -0.234 | 0.000 |
| -0.013 | -0.013 | -0.013 | 0.000 | 0.000 | -0.234 |
| 9.436 | 3.205 | 3.205 | -0.000 | -0.000 | -0.000 |
| 3.205 | 9.436 | 3.205 | -0.000 | -0.000 | -0.000 |
| 3.205 | 3.205 | 9.436 | -0.000 | -0.000 | -0.000 |
| 0.013 | 0.013 | 0.013 | -0.234 | -0.000 | -0.000 |
| 0.013 | 0.013 | 0.013 | 0.000 | -0.234 | -0.000 |
| 0.013 | 0.013 | 0.013 | -0.000 | -0.000 | -0.234 |
| 11.424 | 4.119 | 4.119 | 0.000 | 0.000 | 0.000 |
| 4.119 | 11.424 | 4.119 | 0.000 | 0.000 | 0.000 |
| 4.119 | 4.119 | 11.424 | -0.000 | 0.000 | 0.000 |
| 0.000 | 0.000 | 0.000 | 3.877 | 0.000 | 0.000 |
| 0.000 | 0.000 | 0.000 | 0.000 | 3.877 | 0.000 |
| 0.000 | 0.000 | 0.000 | -0.000 | 0.000 | 3.877 |
| 9.578 | 3.027 | 3.027 | 0.000 | -0.000 | -0.000 |
| 3.027 | 9.578 | 3.027 | -0.000 | -0.000 | -0.000 |
| 3.027 | 3.027 | 9.578 | 0.000 | -0.000 | -0.000 |
| -0.000 | -0.000 | -0.000 | 3.877 | -0.000 | -0.000 |
| -0.000 | -0.000 | -0.000 | 0.000 | 3.877 | -0.000 |
| -0.000 | -0.000 | -0.000 | 0.000 | -0.000 | 3.877 |
| 11.424 | 4.119 | 4.119 | -0.000 | 0.000 | 0.000 |
| 4.119 | 11.424 | 4.119 | 0.000 | 0.000 | 0.000 |
| 4.119 | 4.119 | 11.424 | 0.000 | 0.000 | 0.000 |
| 0.000 | 0.000 | 0.000 | 3.877 | 0.000 | 0.000 |
| 0.000 | 0.000 | 0.000 | 0.000 | 3.877 | 0.000 |
| 0.000 | 0.000 | 0.000 | 0.000 | 0.000 | 3.877 |
| 9.429 | 3.194 | 3.194 | -0.000 | -0.000 | -0.000 |
| 3.194 | 9.429 | 3.194 | -0.000 | -0.000 | -0.000 |
| 3.194 | 3.194 | 9.429 | -0.000 | -0.000 | -0.000 |
| -0.000 | -0.000 | -0.000 | 3.877 | -0.000 | -0.000 |
| -0.000 | -0.000 | -0.000 | -0.000 | 3.877 | -0.000 |
| -0.000 | -0.000 | -0.000 | -0.000 | -0.000 | 3.877 |
| -4499161.302 | -5248096.160 | -9981726.481 | 142429.204 | 1030613.220 | 315217.751 |
| -4499170.332 | -5248091.542 | -9981750.768 | 142424.856 | 1030622.768 | 315209.772 |
| -4499159.947 | -5248100.285 | -9981718.558 | 142430.764 | 1030611.282 | 315221.142 |
| -4499171.644 | -5248103.370 | -9981738.335 | 142429.549 | 1030616.092 | 315216.589 |
| -4499169.672 | -5248100.412 | -9981734.448 | 142429.439 | 1030615.593 | 315217.412 |
| -4499170.449 | -5248102.988 | -9981734.574 | 142429.852 | 1030614.083 | 315220.809 |
| 4499179.346 | 5248106.690 | 9981742.435 | -142429.541 | -1030613.436 | -315216.903 |
| 4499170.437 | 5248111.247 | 9981718.533 | -142434.214 | -1030604.042 | -315224.621 |
| 4499180.689 | 5248102.455 | 9981750.117 | -142428.055 | -1030615.334 | -315213.510 |
| 4499168.986 | 5248099.420 | 9981730.432 | -142429.216 | -1030610.529 | -315218.076 |
| 4499170.969 | 5248102.410 | 9981734.394 | -142429.315 | -1030611.046 | -315217.249 |
| 4499170.183 | 5248099.810 | 9981734.281 | -142428.898 | -1030612.534 | -315213.833 |
| -449908.036 | -524804.925 | -998165.592 | 14242.762 | 103061.263 | 31522.133 |
| -449917.358 | -524800.586 | -998191.164 | 14237.593 | 103071.365 | 31513.841 |
| -449906.505 | -524808.104 | -998155.151 | 14244.989 | 103058.952 | 31525.680 |
| -449918.200 | -524811.595 | -998175.973 | 14243.302 | 103063.831 | 31521.128 |
| -449916.329 | -524808.948 | -998172.952 | 14243.075 | 103063.510 | 31521.866 |
| -449917.466 | -524812.659 | -998176.097 | 14243.103 | 103062.636 | 31524.954 |
| 449926.045 | 524815.353 | 998181.292 | -14243.133 | -103061.417 | -31521.312 |
| 449917.617 | 524819.650 | 998156.962 | -14249.365 | -103052.638 | -31528.567 |
| 449927.810 | 524812.182 | 998191.971 | -14241.303 | -103063.945 | -31517.540 |
| 449915.961 | 524808.883 | 998171.524 | -14242.528 | -103058.960 | -31522.229 |
| 449917.756 | 524811.337 | 998173.982 | -14242.805 | -103059.166 | -31521.581 |
| 449916.795 | 524808.173 | 998172.334 | -14242.593 | -103060.391 | -31518.331 |
| -44982.849 | -52475.732 | -99809.516 | 1424.256 | 10306.269 | 3152.503 |
| -44998.428 | -52475.631 | -99852.373 | 1415.667 | 10325.025 | 3142.851 |
| -44981.417 | -52479.170 | -99800.006 | 1426.414 | 10304.333 | 3156.032 |
| -44993.115 | -52482.721 | -99820.487 | 1424.591 | 10308.886 | 3151.462 |
| -44991.255 | -52480.136 | -99817.464 | 1424.370 | 10307.742 | 3152.310 |
| -44992.129 | -52483.935 | -99820.478 | 1424.668 | 10307.918 | 3155.378 |
| 45000.779 | 52486.366 | 99825.689 | -1424.475 | -10306.398 | -3151.648 |
| 44995.302 | 52494.815 | 99811.102 | -1429.938 | -10301.720 | -3157.785 |
| 45003.790 | 52484.086 | 99838.186 | -1421.917 | -10309.706 | -3147.406 |
| 44990.779 | 52479.977 | 99815.933 | -1423.970 | -10303.972 | -3152.536 |
| 44992.261 | 52481.992 | 99817.193 | -1424.278 | -10303.821 | -3152.144 |
| 44991.830 | 52479.866 | 99818.810 | -1423.634 | -10305.720 | -3148.445 |
| 4.360 | 0.591 | -0.856 | -0.000 | -0.000 | 0.000 |
| 0.591 | 4.360 | -0.856 | -0.000 | 0.000 | 0.000 |
| -0.653 | -0.653 | 6.848 | 0.000 | 0.000 | 0.000 |
| 0.000 | -0.000 | -0.000 | -0.853 | 0.000 | 0.000 |
| 0.000 | -0.000 | -0.000 | -0.000 | -0.853 | 0.000 |
| 0.000 | -0.000 | 0.000 | 0.000 | -0.000 | 0.595 |
| 2.872 | 1.634 | -0.732 | -0.000 | 0.000 | 0.000 |
| 1.634 | 2.872 | -0.732 | -0.000 | 0.000 | -0.000 |
| -0.857 | -0.857 | 6.961 | 0.000 | 0.000 | 0.000 |
| -0.000 | 0.000 | 0.000 | -0.853 | -0.000 | -0.000 |
| -0.000 | 0.000 | 0.000 | 0.000 | -0.853 | -0.000 |
| -0.000 | 0.000 | -0.000 | 0.000 | -0.000 | 0.595 |
| 2.524 | 2.385 | -0.844 | 0.000 | 0.000 | -0.000 |
| 2.385 | 2.524 | -0.844 | 0.000 | 0.000 | 0.000 |
| -0.814 | -0.814 | 6.938 | 0.000 | -0.000 | -0.000 |
| -0.000 | -0.000 | -0.000 | -0.853 | -0.000 | 0.000 |
| -0.000 | -0.000 | -0.000 | 0.000 | -0.853 | 0.000 |
| 0.000 | -0.000 | -0.000 | 0.000 | 0.000 | 0.595 |
| 4.360 | 0.591 | -0.856 | -0.000 | 0.000 | -0.000 |
| 0.591 | 4.360 | -0.856 | -0.000 | 0.000 | -0.000 |
| -0.852 | -0.852 | 6.959 | -0.000 | 0.000 | 0.000 |
| 0.000 | 0.000 | 0.000 | -0.853 | 0.000 | -0.000 |
| 0.000 | 0.000 | 0.000 | -0.000 | -0.853 | 0.000 |
| -0.000 | 0.000 | 0.000 | -0.000 | 0.000 | 0.595 |
| 2.647 | 2.238 | -0.837 | 0.000 | -0.000 | -0.000 |
| 2.238 | 2.647 | -0.837 | 0.000 | 0.000 | -0.000 |
| -0.834 | -0.834 | 6.949 | 0.000 | -0.000 | -0.000 |
| -0.000 | -0.000 | -0.000 | -0.853 | 0.000 | -0.000 |
| -0.000 | -0.000 | -0.000 | 0.000 | -0.853 | 0.000 |
| 0.002 | 0.002 | -0.001 | 0.000 | 0.000 | -0.841 |
| 2.644 | 2.235 | -0.836 | -0.000 | -0.000 | 0.000 |
| 2.235 | 2.644 | -0.836 | -0.000 | -0.000 | -0.000 |
| -0.835 | -0.835 | 6.949 | -0.000 | 0.000 | -0.000 |
| 0.000 | 0.000 | 0.000 | -0.853 | -0.000 | 0.000 |
| 0.000 | 0.000 | 0.000 | -0.000 | -0.853 | -0.000 |
| -0.002 | -0.002 | 0.001 | -0.000 | 0.000 | -0.841 |
| 15.946 | 6.673 | 6.673 | -0.000 | -0.000 | -0.000 |
| 6.092 | 21.002 | -0.454 | -0.000 | -0.000 | -0.000 |
| 6.091 | -0.454 | 21.008 | -0.000 | -0.000 | -0.000 |
| 0.000 | 0.000 | 0.000 | -0.851 | -0.000 | -0.000 |
| 0.000 | 0.000 | 0.000 | -0.000 | 6.276 | -0.000 |
| 0.000 | 0.000 | 0.000 | -0.000 | -0.000 | 6.277 |
| 15.946 | 6.673 | 6.673 | 0.000 | 0.000 | 0.000 |
| 6.092 | 21.002 | -0.454 | 0.000 | 0.000 | 0.000 |
| 6.091 | -0.454 | 21.008 | 0.000 | 0.000 | 0.000 |
| -0.000 | -0.000 | -0.000 | -0.851 | 0.000 | 0.000 |
| -0.000 | -0.000 | -0.000 | 0.000 | 6.276 | 0.000 |
| -0.000 | -0.000 | -0.000 | 0.000 | 0.000 | 6.277 |
| 15.946 | 6.673 | 6.673 | -0.000 | -0.000 | -0.000 |
| 6.092 | 21.002 | -0.454 | -0.000 | -0.000 | -0.000 |
| 6.091 | -0.454 | 21.008 | -0.000 | -0.000 | -0.000 |
| 0.000 | -0.000 | -0.000 | -0.851 | -0.000 | -0.000 |
| 0.000 | 0.000 | 0.000 | -0.000 | 6.276 | -0.000 |
| 0.000 | 0.000 | 0.000 | -0.000 | -0.000 | 6.277 |
| 15.946 | 6.673 | 6.673 | 0.000 | 0.000 | 0.000 |
| 6.092 | 21.002 | -0.454 | 0.000 | 0.000 | 0.000 |
| 6.091 | -0.454 | 21.008 | 0.000 | 0.000 | 0.000 |
| -0.000 | 0.000 | 0.000 | -0.851 | 0.000 | 0.000 |
| -0.000 | -0.000 | -0.000 | 0.000 | 6.276 | 0.000 |
| -0.000 | -0.000 | -0.000 | 0.000 | 0.000 | 6.277 |
| 15.946 | 6.673 | 6.673 | -0.000 | -0.000 | -0.000 |
| 6.092 | 21.002 | -0.454 | -0.000 | -0.000 | -0.000 |
| 6.091 | -0.455 | 21.008 | -0.000 | -0.000 | -0.000 |
| 0.000 | -0.000 | -0.000 | -0.851 | -0.000 | -0.000 |
| 0.000 | 0.000 | 0.000 | -0.000 | 6.276 | -0.000 |
| 0.000 | 0.000 | 0.000 | -0.000 | -0.000 | 6.277 |
| 15.946 | 6.673 | 6.673 | 0.000 | 0.000 | 0.000 |
| 6.092 | 21.002 | -0.454 | 0.000 | 0.000 | 0.000 |
| 6.091 | -0.454 | 21.008 | 0.000 | 0.000 | 0.000 |
| -0.000 | 0.000 | 0.000 | -0.851 | 0.000 | 0.000 |
| -0.000 | -0.000 | -0.000 | 0.000 | 6.276 | 0.000 |
| -0.000 | -0.000 | -0.000 | 0.000 | 0.000 | 6.277 |
| 29243682.214 | 5772580.037 | 18043961.669 | -638178.369 | 1174444.894 | 640438.921 |
| 29294287.432 | 5789013.480 | 18059313.219 | -670075.010 | 1150488.016 | 630088.649 |
| 29278345.060 | 5784834.798 | 18054728.192 | -659281.676 | 1157560.756 | 633048.935 |
| 29267663.825 | 5781762.449 | 18051148.576 | -652130.279 | 1162530.154 | 635093.437 |
| 29288230.371 | 5787425.179 | 18057645.902 | -665117.205 | 1152764.322 | 630643.036 |
| 29281843.166 | 5785834.053 | 18055822.765 | -661496.008 | 1155837.814 | 632319.525 |
| -29260308.636 | -5779264.976 | -18049193.782 | 647552.659 | -1165931.411 | -636496.470 |
| -29283099.155 | -5786191.420 | -18056116.295 | 661822.035 | -1155018.493 | -631760.147 |
| -29281130.266 | -5785894.364 | -18055298.178 | 660639.513 | -1156062.787 | -632312.769 |
| -29272603.516 | -5783549.912 | -18052645.998 | 655017.236 | -1160321.113 | -634258.494 |
| -29262179.458 | -5779608.790 | -18049633.817 | 648962.725 | -1165165.172 | -636259.172 |
| -29234174.289 | -5767903.069 | -18040543.151 | 633417.734 | -1178944.066 | -642764.998 |
| 2930089.052 | 578997.663 | 1806180.284 | -67594.410 | 114742.303 | 62860.648 |
| 2929506.881 | 578927.517 | 1805996.320 | -67111.728 | 114990.119 | 62984.161 |
| 2925986.663 | 577872.527 | 1804918.460 | -64781.687 | 116590.912 | 63643.507 |
| 2926046.372 | 577917.884 | 1804896.664 | -64791.950 | 116577.155 | 63641.552 |
| 2924754.093 | 577427.625 | 1804502.941 | -64028.304 | 117246.300 | 63934.545 |
| 2929960.684 | 579039.742 | 1806106.509 | -67374.855 | 114792.900 | 62896.707 |
| -2911625.687 | -562234.025 | -1793591.234 | 56084.716 | -123334.178 | -67717.314 |
| -2923685.797 | -576950.245 | -1804151.927 | 63503.919 | -117800.698 | -64231.625 |
| -2929923.978 | -578969.208 | -1806123.304 | 67471.527 | -114822.769 | -62900.535 |
| -2929402.650 | -578909.046 | -1805927.979 | 66963.304 | -115035.780 | -62999.628 |
| -2925345.309 | -577647.770 | -1804675.586 | 64370.502 | -116942.622 | -63820.175 |
| -2924788.794 | -577443.760 | -1804526.638 | 63998.176 | -117219.827 | -63940.519 |
| 292580.050 | 57783.474 | 180484.987 | -6450.206 | 11682.116 | 6379.533 |
| 292738.483 | 57858.409 | 180531.154 | -6548.808 | 11592.683 | 6340.504 |
| 292932.771 | 57895.759 | 180597.969 | -6672.717 | 11506.973 | 6303.915 |
| 292767.492 | 57843.054 | 180544.119 | -6586.893 | 11576.996 | 6326.596 |
| 292876.629 | 57873.805 | 180574.888 | -6647.475 | 11536.111 | 6312.086 |
| 293079.928 | 57907.298 | 180635.086 | -6825.726 | 11446.169 | 6273.855 |
| -292883.724 | -57873.387 | -180574.509 | 6665.096 | -11525.484 | -6308.095 |
| -292893.223 | -57854.823 | -180578.696 | 6675.271 | -11526.199 | -6306.331 |
| -292958.247 | -57885.140 | -180592.833 | 6729.481 | -11498.320 | -6294.887 |
| -291560.573 | -57038.621 | -179964.138 | 5950.575 | -12203.903 | -6661.620 |
| -292901.949 | -57880.402 | -180579.047 | 6667.010 | -11519.212 | -6305.092 |
| -292671.793 | -57818.059 | -180511.723 | 6512.444 | -11627.792 | -6351.848 |
Phonon band structures and crystal properties estimated from quasi-harmonic approximation (QHA) calculations are displayed for select crystals. The calculations were performed using phonopy and LAMMPS. For the phonon calculations, 3x3 supercells of the potential-specific relaxed crystals were used. The QHA calculations were based on 11 strain states ranging from -0.05 to 0.05.
The calculation method used is available as the iprPy phonon calculation method.
Notes and Disclaimers:
Version Information:













































































































































































































































































































































































































































































































































































































































































































































































































































































































































































































































































































































































































































































































































































































































































































































































































































































































Static free surface formation energies are displayed for select crystals. The values displayed here are obtained by taking a perfect periodic bulk crystal, slicing along a crystallographic plane, and using force minimization to statically relax the surfaces. The free surface formation energy is computed by comparing the energy of the defect system to the bulk system and dividing by the total surface area created by the cut.
The calculation method used is available as the iprPy surface_energy_static calculation method.
Notes and Disclaimers:
Version Information:
| Surface | γfs (mJ/m2) |
|---|---|
| (111) | 244.96 |
| (332) | 271.11 |
| (322) | 274.15 |
| (100) | 281.83 |
| (221) | 282.46 |
| (211) | 288.24 |
| (331) | 291.50 |
| (311) | 297.85 |
| (110) | 299.31 |
| (321) | 301.80 |
| (310) | 312.08 |
| (320) | 312.95 |
| (210) | 315.32 |
| Surface | γfs (mJ/m2) |
|---|---|
| (211) 2 | 239.61 |
| (332) 2 | 251.66 |
| (210) | 254.80 |
| (111) | 257.59 |
| (321) 2 | 257.65 |
| (311) | 257.93 |
| (321) 1 | 258.53 |
| (221) | 259.32 |
| (322) | 260.24 |
| (331) | 265.08 |
| (100) | 268.49 |
| (332) 1 | 268.92 |
| (320) | 271.22 |
| (310) | 271.61 |
| (211) 1 | 275.54 |
| (110) | 276.36 |
| Surface | γfs (mJ/m2) |
|---|---|
| (110) | 280.75 |
| (320) | 296.28 |
| (100) | 300.10 |
| (210) | 302.60 |
| (310) | 306.55 |
| (321) | 309.64 |
| (211) | 313.56 |
| (331) | 315.61 |
| (311) | 316.40 |
| (221) | 326.68 |
| (322) | 331.37 |
| (332) | 333.50 |
| (111) | 340.05 |
| Surface | γfs (mJ/m2) |
|---|---|
| (111) 2 | 30.22 |
| (331) 2 | 36.02 |
| (110) | 37.01 |
| (321) | 41.96 |
| (211) | 42.73 |
| (320) | 43.55 |
| (332) | 44.63 |
| (210) | 46.81 |
| (311) 2 | 47.34 |
| (311) 1 | 47.34 |
| (310) | 49.65 |
| (322) | 50.77 |
| (221) | 52.34 |
| (100) | 52.34 |
| (331) 1 | 60.03 |
| (111) 1 | 90.65 |
| Surface | γfs (mJ/m2) |
|---|---|
| (111) | 261.53 |
| (332) | 289.73 |
| (322) | 292.97 |
| (221) | 301.99 |
| (100) | 301.99 |
| (211) | 308.21 |
| (331) | 311.76 |
| (311) | 318.68 |
| (110) | 320.30 |
| (321) | 322.84 |
| (310) | 334.24 |
| (320) | 335.02 |
| (210) | 337.63 |
| Surface | γfs (mJ/m2) |
|---|---|
| (211) 2 | 293.53 |
| (210) | 304.33 |
| (332) 2 | 307.59 |
| (311) | 311.53 |
| (321) 2 | 312.95 |
| (321) 1 | 313.88 |
| (111) | 314.04 |
| (221) | 315.56 |
| (322) | 316.96 |
| (100) | 317.36 |
| (331) | 321.15 |
| (320) | 325.02 |
| (310) | 325.27 |
| (332) 1 | 326.58 |
| (110) | 329.59 |
| (211) 1 | 331.86 |
| Surface | γfs (mJ/m2) |
|---|---|
| (110) | 319.96 |
| (100) | 337.43 |
| (320) | 338.81 |
| (210) | 345.38 |
| (310) | 348.44 |
| (321) | 355.94 |
| (331) | 360.21 |
| (211) | 360.91 |
| (311) | 362.12 |
| (221) | 373.00 |
| (322) | 378.83 |
| (332) | 381.13 |
| (111) | 387.90 |
| Surface | γfs (mJ/m2) |
|---|---|
| (111) 2 | 32.69 |
| (331) 2 | 38.97 |
| (110) | 40.04 |
| (321) | 45.40 |
| (211) | 46.23 |
| (320) | 47.11 |
| (332) | 48.29 |
| (210) | 50.64 |
| (311) 2 | 51.22 |
| (311) 1 | 51.22 |
| (310) | 53.72 |
| (322) | 54.93 |
| (100) | 56.62 |
| (221) | 56.62 |
| (331) 1 | 64.95 |
| (111) 1 | 98.07 |
| Surface | γfs (mJ/m2) |
|---|---|
| (100) | 75.50 |
| (310) | 95.50 |
| (210) | 101.29 |
| (320) | 104.69 |
| (110) | 106.77 |
| (311) | 113.82 |
| (321) | 121.06 |
| (331) | 121.24 |
| (211) | 123.29 |
| (221) | 125.83 |
| (322) | 128.17 |
| (332) | 128.77 |
| (111) | 130.76 |
| Surface | γfs (mJ/m2) |
|---|---|
| (111) | 198.13 |
| (332) | 219.45 |
| (322) | 221.90 |
| (100) | 228.59 |
| (221) | 228.71 |
| (211) | 233.42 |
| (331) | 236.09 |
| (311) | 241.31 |
| (110) | 242.52 |
| (321) | 244.47 |
| (310) | 253.03 |
| (320) | 253.65 |
| (210) | 255.61 |
| Surface | γfs (mJ/m2) |
|---|---|
| (111) 2 | 24.70 |
| (331) 2 | 29.44 |
| (110) | 30.25 |
| (321) | 34.30 |
| (211) | 34.93 |
| (320) | 35.59 |
| (332) | 36.48 |
| (210) | 38.26 |
| (311) 1 | 38.69 |
| (311) 2 | 38.69 |
| (310) | 40.58 |
| (322) | 41.50 |
| (100) | 42.78 |
| (221) | 42.78 |
| (331) 1 | 49.07 |
| (111) 1 | 74.09 |
| Surface | γfs (mJ/m2) |
|---|---|
| (211) 2 | 278.83 |
| (210) | 287.19 |
| (332) 2 | 292.50 |
| (311) | 295.21 |
| (100) | 296.91 |
| (321) 2 | 297.08 |
| (321) 1 | 297.36 |
| (111) | 298.54 |
| (221) | 298.94 |
| (322) | 300.28 |
| (310) | 301.73 |
| (331) | 302.72 |
| (332) 1 | 305.74 |
| (320) | 305.92 |
| (110) | 308.22 |
| (211) 1 | 314.74 |
| Surface | γfs (mJ/m2) |
|---|---|
| (110) | 295.68 |
| (100) | 313.04 |
| (320) | 314.80 |
| (210) | 321.70 |
| (310) | 324.99 |
| (321) | 330.67 |
| (331) | 333.77 |
| (211) | 335.70 |
| (311) | 337.95 |
| (221) | 345.86 |
| (322) | 351.56 |
| (332) | 353.56 |
| (111) | 359.63 |
| Surface | γfs (mJ/m2) |
|---|---|
| (111) 2 | 29.38 |
| (331) 2 | 35.02 |
| (110) | 35.98 |
| (321) | 40.80 |
| (211) | 41.55 |
| (320) | 42.34 |
| (332) | 43.40 |
| (210) | 45.51 |
| (311) 1 | 46.03 |
| (311) 2 | 46.03 |
| (310) | 48.28 |
| (322) | 49.37 |
| (221) | 50.89 |
| (100) | 50.89 |
| (331) 1 | 58.37 |
| (111) 1 | 88.14 |
| Surface | γfs (mJ/m2) |
|---|---|
| (111) | 190.93 |
| (332) | 211.51 |
| (322) | 213.87 |
| (100) | 220.45 |
| (221) | 220.45 |
| (211) | 224.89 |
| (331) | 227.59 |
| (311) | 232.64 |
| (110) | 233.83 |
| (321) | 235.68 |
| (310) | 244.00 |
| (320) | 244.57 |
| (210) | 246.47 |
| Surface | γfs (mJ/m2) |
|---|---|
| (211) 2 | 179.08 |
| (332) 2 | 188.23 |
| (210) | 192.57 |
| (111) | 192.97 |
| (321) 2 | 193.21 |
| (311) | 193.88 |
| (321) 1 | 194.01 |
| (221) | 194.37 |
| (322) | 194.96 |
| (331) | 199.15 |
| (332) 1 | 201.70 |
| (100) | 204.35 |
| (320) | 204.73 |
| (310) | 205.25 |
| (211) 1 | 207.30 |
| (110) | 209.47 |
| Surface | γfs (mJ/m2) |
|---|---|
| (110) | 217.12 |
| (320) | 228.33 |
| (100) | 232.23 |
| (210) | 233.02 |
| (310) | 236.15 |
| (321) | 238.45 |
| (211) | 241.27 |
| (311) | 243.12 |
| (331) | 243.70 |
| (221) | 252.16 |
| (322) | 255.62 |
| (332) | 257.33 |
| (111) | 262.54 |
| Surface | γfs (mJ/m2) |
|---|---|
| (111) 2 | 23.82 |
| (331) 2 | 28.40 |
| (110) | 29.17 |
| (321) | 33.08 |
| (211) | 33.69 |
| (320) | 34.33 |
| (332) | 35.18 |
| (210) | 36.90 |
| (311) 2 | 37.32 |
| (311) 1 | 37.32 |
| (310) | 39.14 |
| (322) | 40.03 |
| (221) | 41.26 |
| (100) | 41.26 |
| (331) 1 | 47.33 |
| (111) 1 | 71.46 |
| Surface | γfs (mJ/m2) |
|---|---|
| (101) | 190.83 |
| (110) | 220.05 |
| (201) | 220.16 |
| (001) | 220.90 |
| (211) | 232.30 |
| (100) | 233.41 |
| (112) | 233.85 |
| (111) | 246.21 |
| Surface | γfs (mJ/m2) |
|---|---|
| (111) | 207.34 |
| (332) | 228.48 |
| (322) | 231.22 |
| (100) | 235.58 |
| (221) | 237.77 |
| (211) | 242.61 |
| (331) | 245.15 |
| (311) | 250.16 |
| (110) | 251.30 |
| (321) | 253.66 |
| (310) | 261.26 |
| (320) | 262.39 |
| (210) | 264.18 |
| Surface | γfs (mJ/m2) |
|---|---|
| (211) 2 | 195.22 |
| (332) 2 | 205.21 |
| (210) | 208.26 |
| (111) | 210.15 |
| (321) 2 | 210.24 |
| (311) | 210.60 |
| (321) 1 | 210.73 |
| (221) | 211.48 |
| (322) | 212.18 |
| (331) | 216.09 |
| (100) | 219.20 |
| (332) 1 | 219.25 |
| (310) | 221.50 |
| (320) | 221.51 |
| (110) | 224.93 |
| (211) 1 | 225.21 |
| Surface | γfs (mJ/m2) |
|---|---|
| (110) | 230.64 |
| (320) | 243.81 |
| (100) | 247.38 |
| (210) | 249.38 |
| (310) | 252.88 |
| (321) | 254.60 |
| (211) | 257.93 |
| (331) | 259.53 |
| (311) | 261.00 |
| (221) | 268.71 |
| (322) | 272.63 |
| (332) | 274.27 |
| (111) | 279.74 |
| Surface | γfs (mJ/m2) |
|---|---|
| (111) 2 | 24.76 |
| (331) 2 | 29.52 |
| (110) | 30.33 |
| (321) | 34.39 |
| (211) | 35.02 |
| (320) | 35.69 |
| (332) | 36.58 |
| (210) | 38.37 |
| (311) 1 | 38.80 |
| (311) 2 | 38.80 |
| (310) | 40.69 |
| (322) | 41.61 |
| (100) | 42.89 |
| (221) | 42.89 |
| (331) 1 | 49.20 |
| (111) 1 | 74.29 |
| Surface | γfs (mJ/m2) |
|---|---|
| (211) 2 | 636.38 |
| (332) 2 | 661.14 |
| (321) 1 | 663.34 |
| (322) | 669.85 |
| (321) 2 | 671.55 |
| (332) 1 | 674.36 |
| (221) | 676.82 |
| (331) | 679.52 |
| (110) | 679.76 |
| (210) | 682.02 |
| (310) | 682.11 |
| (311) | 687.37 |
| (320) | 687.45 |
| (111) | 695.75 |
| (211) 1 | 698.91 |
| (100) | 714.82 |
| Surface | γfs (mJ/m2) |
|---|---|
| (110) | 728.96 |
| (100) | 752.82 |
| (320) | 763.76 |
| (210) | 775.85 |
| (310) | 780.60 |
| (321) | 809.90 |
| (311) | 812.36 |
| (331) | 817.49 |
| (211) | 820.66 |
| (221) | 844.65 |
| (332) | 855.76 |
| (322) | 856.96 |
| (111) | 874.69 |
| Surface | γfs (mJ/m2) |
|---|---|
| (211) 2 | 338.35 |
| (332) 2 | 356.31 |
| (210) | 357.30 |
| (321) 1 | 360.55 |
| (311) | 363.04 |
| (310) | 363.25 |
| (321) 2 | 363.56 |
| (221) | 364.77 |
| (111) | 365.15 |
| (322) | 365.86 |
| (110) | 366.46 |
| (331) | 367.82 |
| (332) 1 | 370.45 |
| (100) | 373.06 |
| (320) | 379.46 |
| (211) 1 | 388.02 |
| Surface | γfs (mJ/m2) |
|---|---|
| (110) | 382.31 |
| (320) | 403.65 |
| (100) | 404.20 |
| (210) | 411.96 |
| (310) | 416.46 |
| (321) | 424.36 |
| (211) | 430.22 |
| (331) | 430.62 |
| (311) | 431.91 |
| (221) | 445.81 |
| (322) | 452.54 |
| (332) | 454.46 |
| (111) | 463.31 |
| Surface | γfs (mJ/m2) |
|---|---|
| (111) 2 | 38.73 |
| (331) 2 | 46.17 |
| (110) | 47.44 |
| (321) | 53.79 |
| (211) | 54.78 |
| (320) | 55.82 |
| (332) | 57.22 |
| (210) | 60.01 |
| (311) 2 | 60.69 |
| (311) 1 | 60.69 |
| (310) | 63.65 |
| (322) | 65.09 |
| (100) | 67.09 |
| (221) | 67.09 |
| (331) 1 | 76.96 |
| (111) 1 | 116.20 |
| Surface | γfs (mJ/m2) |
|---|---|
| (111) | 159.57 |
| (332) | 176.52 |
| (322) | 178.50 |
| (100) | 183.26 |
| (221) | 183.87 |
| (211) | 187.62 |
| (331) | 189.72 |
| (311) | 193.81 |
| (110) | 194.74 |
| (321) | 196.41 |
| (310) | 202.97 |
| (320) | 203.58 |
| (210) | 205.10 |
| Surface | γfs (mJ/m2) |
|---|---|
| (211) 2 | 146.42 |
| (332) 2 | 153.89 |
| (111) | 157.69 |
| (210) | 157.79 |
| (321) 2 | 158.10 |
| (321) 1 | 158.61 |
| (311) | 158.77 |
| (221) | 158.96 |
| (322) | 159.46 |
| (331) | 162.83 |
| (332) 1 | 165.00 |
| (100) | 167.20 |
| (320) | 167.72 |
| (310) | 168.03 |
| (211) 1 | 169.83 |
| (110) | 170.83 |
| Surface | γfs (mJ/m2) |
|---|---|
| (110) | 179.29 |
| (320) | 189.09 |
| (100) | 192.68 |
| (210) | 193.35 |
| (310) | 196.16 |
| (321) | 197.22 |
| (211) | 199.66 |
| (331) | 201.52 |
| (311) | 202.15 |
| (221) | 208.59 |
| (322) | 211.52 |
| (332) | 212.82 |
| (111) | 217.20 |
| Surface | γfs (mJ/m2) |
|---|---|
| (111) 2 | 19.60 |
| (331) 2 | 23.36 |
| (110) | 24.00 |
| (321) | 27.21 |
| (211) | 27.71 |
| (320) | 28.24 |
| (332) | 28.94 |
| (210) | 30.36 |
| (311) 2 | 30.70 |
| (311) 1 | 30.70 |
| (310) | 32.20 |
| (322) | 32.93 |
| (221) | 33.94 |
| (100) | 33.94 |
| (331) 1 | 38.93 |
| (111) 1 | 58.79 |
Stacking fault energy plots and maps are displayed for select crystals. The values are computed by
The calculation method used is available as the iprPy stacking_fault_map_2D calculation method.
Notes and Disclaimers:
Version Information:
| E_usf a/2 [0 -1 1] | 278.75 |
| τ_ideal a/2 [0 -1 1] | 2.13 |




| E_isf | 0.00 |
| E_usf a/2 [0 -1 1] | 37.26 |
| τ_ideal a/2 [0 -1 1] | 0.44 |




| E_usf a/2 [-1 1 -1] | 165.37 |
| τ_ideal a/2 [-1 1 -1] | 1.05 |




| E_usf a/2 [-1 -1 1] | 194.30 |
| τ_ideal a/2 [-1 -1 1] | 1.46 |




| E_usf a/2 [-1 -1 1] | 190.67 |
| τ_ideal a/2 [-1 -1 1] | 1.43 |




| E_usf a/2 [0 -1 1] | 302.00 |
| τ_ideal a/2 [0 -1 1] | 2.65 |




| E_isf | 0.00 |
| E_usf a/2 [0 -1 1] | 34.14 |
| τ_ideal a/2 [0 -1 1] | 0.46 |




| E_usf a/2 [-1 1 -1] | 201.81 |
| τ_ideal a/2 [-1 1 -1] | 1.15 |




| E_usf a/2 [-1 -1 1] | 234.81 |
| τ_ideal a/2 [-1 -1 1] | 1.78 |




| E_usf a/2 [-1 -1 1] | 230.50 |
| τ_ideal a/2 [-1 -1 1] | 1.72 |




| E_usf a/2 [0 -1 1] | 228.01 |
| τ_ideal a/2 [0 -1 1] | 2.19 |




| E_isf | 0.00 |
| E_usf a/2 [0 -1 1] | 74.12 |
| τ_ideal a/2 [0 -1 1] | 0.92 |




| E_usf a/2 [-1 1 -1] | 122.71 |
| τ_ideal a/2 [-1 1 -1] | 1.10 |




| E_usf a/2 [-1 -1 1] | 141.91 |
| τ_ideal a/2 [-1 -1 1] | 1.29 |




| E_usf a/2 [-1 -1 1] | 139.34 |
| τ_ideal a/2 [-1 -1 1] | 1.27 |




| E_usf a/2 [0 -1 1] | 220.42 |
| τ_ideal a/2 [0 -1 1] | 1.70 |




| E_isf | -0.00 |
| E_usf a/2 [0 -1 1] | 46.47 |
| τ_ideal a/2 [0 -1 1] | 0.49 |




| E_usf a/2 [-1 1 -1] | 140.21 |
| τ_ideal a/2 [-1 1 -1] | 0.84 |




| E_usf a/2 [-1 -1 1] | 165.90 |
| τ_ideal a/2 [-1 -1 1] | 1.09 |




| E_usf a/2 [-1 -1 1] | 162.73 |
| τ_ideal a/2 [-1 -1 1] | 1.07 |




| E_usf a/2 [0 -1 1] | 224.08 |
| τ_ideal a/2 [0 -1 1] | 1.60 |




| E_isf | 0.00 |
| E_usf a/2 [0 -1 1] | 22.17 |
| τ_ideal a/2 [0 -1 1] | 0.27 |




| E_usf a/2 [-1 1 -1] | 119.02 |
| τ_ideal a/2 [-1 1 -1] | 0.85 |




| E_usf a/2 [-1 -1 1] | 139.78 |
| τ_ideal a/2 [-1 -1 1] | 1.09 |




| E_usf a/2 [-1 -1 1] | 137.19 |
| τ_ideal a/2 [-1 -1 1] | 1.08 |




| E_usf a/2 [-1 1 -1] | 204.71 |
| τ_ideal a/2 [-1 1 -1] | 2.01 |




| E_usf a/2 [-1 -1 1] | 232.25 |
| τ_ideal a/2 [-1 -1 1] | 2.25 |




| E_usf a/2 [-1 -1 1] | 229.81 |
| τ_ideal a/2 [-1 -1 1] | 2.24 |




| E_usf a/2 [-1 1 -1] | 149.08 |
| τ_ideal a/2 [-1 1 -1] | 1.31 |




| E_usf a/2 [-1 -1 1] | 172.73 |
| τ_ideal a/2 [-1 -1 1] | 1.54 |




| E_usf a/2 [-1 -1 1] | 169.91 |
| τ_ideal a/2 [-1 -1 1] | 1.52 |




| E_usf a/2 [0 -1 1] | 180.24 |
| τ_ideal a/2 [0 -1 1] | 1.27 |




| E_isf | -0.00 |
| E_usf a/2 [0 -1 1] | 25.45 |
| τ_ideal a/2 [0 -1 1] | 0.28 |




| E_usf a/2 [-1 1 -1] | 103.11 |
| τ_ideal a/2 [-1 1 -1] | 0.65 |




| E_usf a/2 [-1 -1 1] | 121.62 |
| τ_ideal a/2 [-1 -1 1] | 0.88 |




| E_usf a/2 [-1 -1 1] | 119.34 |
| τ_ideal a/2 [-1 -1 1] | 0.86 |




Static point defect formation energies, Ef, and elastic dipole tensors, pij, are displayed for select crystals. Relaxed defect configurations are obtained by taking a 12x12x12 supercell of a perfect periodic bulk crystal, inserting the point defect, and using force minimization to statically relax the atomic positions while keeping the system dimensions constant. Ef is computed by comparing the energy of the defect system to the same number of atoms in a perfect bulk crystal. pij is estimated as the difference in the system's global pressure with and without the defect multiplied by the system's volume.
Simple structural comparisons of the unrelaxed and relaxed defect configurations are used to help determine if the defect structure has relaxed to a different configuration. Relaxed structures that are identified as no longer consistent with the ideal defect definition are excluded from the table below. The only exception to this is if the lowest energy interstitial configuration does not coincide with a known ideal defect, its energies and pressure tensor are included under the listing "relaxed interstitial". The full list of calculation results including the transformed structures and the structural comparison values is included in the csv file available from the "Download raw data" link.
The calculation method used is available as the iprPy point_defect_static calculation method.
Notes and Disclaimers:
| Point Defect | Ef (eV) | p11 (eV) | p22 (eV) | p33 (eV) | p12 (eV) | p13 (eV) | p23 (eV) |
|---|---|---|---|---|---|---|---|
| vacancy | 1.158 | -0.053 | -0.053 | -0.053 | 0.000 | 0.000 | 0.000 |
| 1nn divacancy | 2.124 | -0.201 | -0.081 | -0.081 | 0.000 | 0.000 | -0.012 |
| 2nn divacancy | 2.315 | -0.112 | -0.112 | -0.158 | 0.000 | 0.000 | 0.000 |
| 100 dumbbell | 2.518 | 9.233 | 9.233 | 10.260 | 0.000 | 0.000 | 0.000 |
| 111 dumbbell | 2.709 | 7.585 | 7.585 | 7.585 | 5.084 | 5.084 | 5.084 |
| tetrahedral interstitial | 2.754 | 7.438 | 7.438 | 7.438 | -0.000 | -0.000 | -0.000 |
| crowdion interstitial | 2.785 | 6.998 | 6.998 | 11.297 | 9.116 | -0.000 | -0.000 |
| 110 dumbbell | 2.785 | 11.272 | 7.012 | 7.012 | -0.000 | -0.000 | 9.124 |
| octahedral interstitial | 2.889 | 7.952 | 7.952 | 7.952 | -0.000 | -0.000 | -0.000 |
| Point Defect | Ef (eV) | p11 (eV) | p22 (eV) | p33 (eV) | p12 (eV) | p13 (eV) | p23 (eV) |
|---|---|---|---|---|---|---|---|
| vacancy | 1.058 | -0.774 | -0.774 | -0.774 | -0.000 | 0.000 | 0.000 |
| 2nn divacancy | 1.968 | -1.737 | -1.737 | -3.071 | -0.000 | 0.000 | 0.000 |
| 1nn divacancy | 2.010 | -0.875 | -0.875 | -0.875 | 0.420 | 0.420 | 0.420 |
| 111 dumbbell | 3.119 | 13.097 | 13.097 | 13.097 | 5.231 | 5.231 | 5.231 |
| crowdion interstitial | 3.119 | 13.139 | 13.139 | 13.139 | 5.256 | 5.256 | 5.256 |
| 110 dumbbell | 3.147 | 14.285 | 13.148 | 13.148 | -0.000 | -0.000 | 4.452 |
| Point Defect | Ef (eV) | p11 (eV) | p22 (eV) | p33 (eV) | p12 (eV) | p13 (eV) | p23 (eV) |
|---|---|---|---|---|---|---|---|
| tetragonal interstitial | -1.357 | -2.434 | -2.434 | -2.434 | 0.000 | 0.000 | 0.000 |
| vacancy | 0.385 | -0.000 | -0.000 | -0.000 | 0.000 | 0.000 | 0.000 |
| 1nn divacancy | 0.577 | -0.000 | -0.000 | -0.000 | 0.000 | 0.000 | 0.000 |
| Point Defect | Ef (eV) | p11 (eV) | p22 (eV) | p33 (eV) | p12 (eV) | p13 (eV) | p23 (eV) |
|---|---|---|---|---|---|---|---|
| vacancy | 1.257 | 0.000 | 0.000 | 0.000 | 0.000 | 0.000 | 0.000 |
| 100 dumbbell | 1.919 | 4.636 | 4.636 | 6.488 | 0.000 | -0.000 | -0.000 |
| 111 dumbbell | 1.967 | 1.610 | 1.610 | 1.610 | 4.376 | 4.376 | 4.376 |
| tetrahedral interstitial | 2.072 | 0.558 | 0.558 | 0.558 | 0.000 | 0.000 | 0.000 |
| crowdion interstitial | 2.207 | 0.884 | 0.884 | 5.706 | 6.539 | 0.000 | -0.000 |
| 1nn divacancy | 2.304 | 0.000 | 0.000 | 0.000 | 0.000 | 0.000 | 0.000 |
| octahedral interstitial | 2.367 | 2.025 | 2.025 | 2.025 | -0.000 | -0.000 | -0.000 |
| 2nn divacancy | 2.513 | 0.000 | 0.000 | 0.000 | 0.000 | 0.000 | 0.000 |
| Point Defect | Ef (eV) | p11 (eV) | p22 (eV) | p33 (eV) | p12 (eV) | p13 (eV) | p23 (eV) |
|---|---|---|---|---|---|---|---|
| vacancy | 1.211 | -0.308 | -0.308 | -0.308 | 0.000 | -0.000 | -0.000 |
| 2nn divacancy | 2.251 | -0.795 | -0.795 | -1.968 | 0.000 | -0.000 | 0.000 |
| 1nn divacancy | 2.289 | -0.162 | -0.162 | -0.162 | 0.303 | 0.303 | 0.303 |
| 110 dumbbell | 2.840 | 10.918 | 9.351 | 9.351 | -0.000 | -0.000 | 2.954 |
| crowdion interstitial | 3.010 | 9.137 | 9.137 | 9.137 | 3.836 | 3.836 | 3.836 |
| 111 dumbbell | 3.017 | 9.063 | 9.063 | 9.063 | 3.775 | 3.775 | 3.775 |
| octahedral interstitial | 3.438 | 11.116 | 4.820 | 4.820 | 0.000 | 0.000 | -0.000 |
| Point Defect | Ef (eV) | p11 (eV) | p22 (eV) | p33 (eV) | p12 (eV) | p13 (eV) | p23 (eV) |
|---|---|---|---|---|---|---|---|
| tetragonal interstitial | -1.516 | -2.084 | -2.084 | -2.084 | -0.000 | -0.000 | -0.000 |
| vacancy | 0.419 | 0.000 | 0.000 | 0.000 | -0.000 | -0.000 | -0.000 |
| 1nn divacancy | 0.628 | 0.000 | 0.000 | 0.000 | -0.000 | -0.000 | -0.000 |
| Point Defect | Ef (eV) | p11 (eV) | p22 (eV) | p33 (eV) | p12 (eV) | p13 (eV) | p23 (eV) |
|---|---|---|---|---|---|---|---|
| vacancy | 0.793 | -0.010 | -0.010 | -0.010 | 0.000 | 0.000 | -0.000 |
| 1nn divacancy | 1.455 | -0.034 | -0.013 | -0.013 | 0.000 | -0.000 | -0.001 |
| 2nn divacancy | 1.587 | -0.020 | -0.020 | -0.032 | 0.000 | 0.000 | 0.000 |
| 100 dumbbell | 3.980 | 24.608 | 24.608 | 23.740 | -0.000 | 0.000 | 0.000 |
| crowdion interstitial | 4.421 | 23.238 | 23.238 | 29.142 | 16.161 | 0.000 | 0.000 |
| 110 dumbbell | 4.421 | 29.140 | 23.223 | 23.223 | -0.000 | -0.000 | 16.156 |
| Point Defect | Ef (eV) | p11 (eV) | p22 (eV) | p33 (eV) | p12 (eV) | p13 (eV) | p23 (eV) |
|---|---|---|---|---|---|---|---|
| vacancy | 0.264 | -0.000 | -0.000 | -0.000 | 0.000 | 0.000 | 0.000 |
| 1nn divacancy | 0.396 | -0.000 | -0.000 | -0.000 | 0.000 | 0.000 | 0.000 |
| Point Defect | Ef (eV) | p11 (eV) | p22 (eV) | p33 (eV) | p12 (eV) | p13 (eV) | p23 (eV) |
|---|---|---|---|---|---|---|---|
| vacancy | 0.815 | -0.339 | -0.339 | -0.339 | -0.000 | 0.000 | 0.000 |
| crowdion interstitial | 1.039 | 1.822 | 1.822 | 1.822 | 0.912 | 0.912 | 0.912 |
| 111 dumbbell | 1.039 | 1.854 | 1.854 | 1.854 | 0.934 | 0.934 | 0.934 |
| 110 dumbbell | 1.106 | 2.396 | 2.702 | 2.702 | -0.000 | -0.000 | 1.151 |
| tetrahedral interstitial | 1.154 | 1.686 | 1.977 | 1.686 | 0.000 | 0.000 | -0.000 |
| 100 dumbbell | 1.157 | 0.813 | 0.813 | 2.271 | 0.000 | -0.000 | 0.000 |
| octahedral interstitial | 1.157 | 2.788 | 1.035 | 1.035 | 0.000 | 0.000 | -0.000 |
| 2nn divacancy | 1.513 | -0.790 | -0.790 | -1.310 | -0.000 | 0.000 | 0.000 |
| 1nn divacancy | 1.533 | -0.304 | -0.304 | -0.304 | 0.151 | 0.151 | 0.151 |
| Point Defect | Ef (eV) | p11 (eV) | p22 (eV) | p33 (eV) | p12 (eV) | p13 (eV) | p23 (eV) |
|---|---|---|---|---|---|---|---|
| vacancy | 0.267 | 0.000 | 0.000 | 0.000 | 0.000 | 0.000 | 0.000 |
| 1nn divacancy | 0.400 | 0.000 | 0.000 | 0.000 | 0.000 | 0.000 | 0.000 |
| Point Defect | Ef (eV) | p11 (eV) | p22 (eV) | p33 (eV) | p12 (eV) | p13 (eV) | p23 (eV) |
|---|---|---|---|---|---|---|---|
| vacancy | 1.106 | -0.013 | -0.013 | -0.013 | -0.000 | -0.000 | -0.000 |
| 1nn divacancy | 2.028 | -0.057 | -0.014 | -0.014 | -0.000 | -0.000 | -0.002 |
| 2nn divacancy | 2.212 | -0.026 | -0.026 | -0.043 | -0.000 | 0.000 | -0.000 |
| tetrahedral interstitial | 3.188 | 18.814 | 18.814 | 18.814 | -0.000 | 0.000 | 0.000 |
| Point Defect | Ef (eV) | p11 (eV) | p22 (eV) | p33 (eV) | p12 (eV) | p13 (eV) | p23 (eV) |
|---|---|---|---|---|---|---|---|
| vacancy | 0.978 | -0.782 | -0.782 | -0.782 | -0.000 | -0.000 | -0.000 |
| 2nn divacancy | 1.820 | -1.757 | -1.757 | -3.254 | -0.000 | -0.000 | -0.000 |
| 1nn divacancy | 1.866 | -0.869 | -0.869 | -0.869 | 0.453 | 0.453 | 0.453 |
| crowdion interstitial | 3.448 | 16.563 | 16.563 | 16.563 | 6.229 | 6.229 | 6.229 |
| 111 dumbbell | 3.448 | 16.611 | 16.611 | 16.611 | 6.248 | 6.248 | 6.248 |
| 110 dumbbell | 3.476 | 17.118 | 15.562 | 15.562 | -0.000 | -0.000 | 4.904 |
| Point Defect | Ef (eV) | p11 (eV) | p22 (eV) | p33 (eV) | p12 (eV) | p13 (eV) | p23 (eV) |
|---|---|---|---|---|---|---|---|
| tetragonal interstitial | -1.278 | -2.599 | -2.599 | -2.599 | -0.000 | -0.000 | 0.000 |
| vacancy | 0.369 | -0.000 | -0.000 | -0.000 | -0.000 | -0.000 | -0.000 |
| 1nn divacancy | 0.553 | -0.000 | -0.000 | -0.000 | -0.000 | -0.000 | -0.000 |
| Point Defect | Ef (eV) | p11 (eV) | p22 (eV) | p33 (eV) | p12 (eV) | p13 (eV) | p23 (eV) |
|---|---|---|---|---|---|---|---|
| vacancy | 0.920 | -0.120 | -0.120 | -0.120 | 0.000 | -0.000 | 0.000 |
| 1nn divacancy | 1.687 | -0.541 | -0.204 | -0.204 | -0.000 | -0.000 | -0.047 |
| 2nn divacancy | 1.835 | -0.262 | -0.262 | -0.333 | 0.000 | 0.000 | 0.000 |
| 100 dumbbell | 1.958 | 8.225 | 8.225 | 8.348 | 0.000 | 0.000 | 0.000 |
| 111 dumbbell | 2.061 | 7.508 | 7.508 | 7.508 | 3.813 | 3.813 | 3.813 |
| tetrahedral interstitial | 2.080 | 7.430 | 7.430 | 7.430 | -0.000 | -0.000 | -0.000 |
| 110 dumbbell | 2.105 | 9.449 | 6.906 | 6.906 | -0.000 | -0.000 | 7.207 |
| Point Defect | Ef (eV) | p11 (eV) | p22 (eV) | p33 (eV) | p12 (eV) | p13 (eV) | p23 (eV) |
|---|---|---|---|---|---|---|---|
| vacancy | 0.844 | -0.800 | -0.800 | -0.800 | 0.000 | -0.000 | -0.000 |
| 2nn divacancy | 1.569 | -1.777 | -1.777 | -2.792 | 0.000 | -0.000 | -0.000 |
| 1nn divacancy | 1.604 | -0.947 | -0.947 | -0.947 | 0.344 | 0.344 | 0.344 |
| crowdion interstitial | 2.182 | 9.196 | 9.196 | 9.196 | 3.793 | 3.793 | 3.793 |
| 111 dumbbell | 2.183 | 9.182 | 9.182 | 9.182 | 3.783 | 3.783 | 3.783 |
| 110 dumbbell | 2.275 | 10.264 | 9.653 | 9.653 | -0.000 | -0.000 | 3.382 |
| Point Defect | Ef (eV) | p11 (eV) | p22 (eV) | p33 (eV) | p12 (eV) | p13 (eV) | p23 (eV) |
|---|---|---|---|---|---|---|---|
| vacancy | 0.303 | 0.000 | 0.000 | 0.000 | 0.000 | 0.000 | 0.000 |
| 1nn divacancy | 0.455 | 0.000 | 0.000 | 0.000 | 0.000 | 0.000 | 0.000 |
| Point Defect | Ef (eV) | p11 (eV) | p22 (eV) | p33 (eV) | p12 (eV) | p13 (eV) | p23 (eV) |
|---|---|---|---|---|---|---|---|
| vacancy | 1.431 | -2.263 | -2.263 | -2.263 | 0.000 | 0.000 | 0.000 |
| 111 dumbbell | 1.523 | 4.291 | 4.291 | 4.291 | 1.286 | 1.286 | 1.286 |
| crowdion interstitial | 1.523 | 4.347 | 4.347 | 4.347 | 1.297 | 1.297 | 1.297 |
| 110 dumbbell | 1.714 | 4.299 | 4.765 | 4.765 | 0.000 | 0.000 | 1.626 |
| tetrahedral interstitial | 1.752 | 4.272 | 4.277 | 4.272 | -0.000 | 0.000 | -0.000 |
| 100 dumbbell | 1.838 | 4.085 | 4.085 | 5.229 | -0.000 | 0.000 | -0.000 |
| octahedral interstitial | 1.839 | 5.141 | 4.096 | 4.096 | -0.000 | 0.000 | 0.000 |
| 2nn divacancy | 2.598 | -4.446 | -4.446 | -6.986 | -0.000 | -0.000 | 0.000 |
| 1nn divacancy | 2.828 | -2.793 | -2.793 | -2.793 | 0.654 | 0.654 | 0.654 |
| Point Defect | Ef (eV) | p11 (eV) | p22 (eV) | p33 (eV) | p12 (eV) | p13 (eV) | p23 (eV) |
|---|---|---|---|---|---|---|---|
| vacancy | 1.019 | -1.027 | -1.027 | -1.027 | -0.000 | -0.000 | -0.000 |
| crowdion interstitial | 1.648 | 5.400 | 5.400 | 5.400 | 2.091 | 2.091 | 2.091 |
| 111 dumbbell | 1.649 | 5.399 | 5.399 | 5.399 | 2.102 | 2.102 | 2.102 |
| 110 dumbbell | 1.782 | 5.921 | 6.086 | 6.086 | 0.000 | 0.000 | 2.344 |
| 2nn divacancy | 1.881 | -2.253 | -2.253 | -3.429 | -0.000 | -0.000 | -0.000 |
| tetrahedral interstitial | 1.897 | 5.640 | 5.542 | 5.640 | 0.000 | -0.000 | 0.000 |
| 1nn divacancy | 1.951 | -1.172 | -1.172 | -1.172 | 0.391 | 0.391 | 0.391 |
| octahedral interstitial | 2.040 | 7.130 | 4.785 | 4.785 | -0.000 | -0.000 | 0.000 |
| Point Defect | Ef (eV) | p11 (eV) | p22 (eV) | p33 (eV) | p12 (eV) | p13 (eV) | p23 (eV) |
|---|---|---|---|---|---|---|---|
| relaxed interstitial | -8212.825 | -780.666 | -813.358 | -703.446 | -44.821 | -78.766 | -48.636 |
| vacancy | 0.354 | -0.000 | -0.000 | -0.000 | -0.000 | -0.000 | -0.000 |
| 1nn divacancy | 0.531 | -0.000 | -0.000 | -0.000 | -0.000 | -0.000 | -0.000 |
| Point Defect | Ef (eV) | p11 (eV) | p22 (eV) | p33 (eV) | p12 (eV) | p13 (eV) | p23 (eV) |
|---|---|---|---|---|---|---|---|
| vacancy | 0.837 | -0.048 | -0.048 | -0.048 | 0.000 | 0.000 | 0.000 |
| 1nn divacancy | 1.535 | -0.185 | -0.074 | -0.074 | 0.000 | 0.000 | -0.011 |
| 2nn divacancy | 1.672 | -0.103 | -0.103 | -0.144 | 0.000 | 0.000 | 0.000 |
| 100 dumbbell | 2.054 | 8.615 | 8.615 | 9.201 | 0.000 | -0.000 | 0.000 |
| 111 dumbbell | 2.254 | 7.836 | 7.836 | 7.836 | 3.944 | 3.944 | 3.944 |
| 110 dumbbell | 2.261 | 10.404 | 7.233 | 7.233 | 0.000 | 0.000 | 7.736 |
| crowdion interstitial | 2.262 | 7.238 | 7.238 | 10.367 | 7.743 | 0.000 | 0.000 |
| tetrahedral interstitial | 2.277 | 7.733 | 7.733 | 7.733 | -0.000 | -0.000 | -0.000 |
| Point Defect | Ef (eV) | p11 (eV) | p22 (eV) | p33 (eV) | p12 (eV) | p13 (eV) | p23 (eV) |
|---|---|---|---|---|---|---|---|
| vacancy | 0.753 | -0.713 | -0.713 | -0.713 | -0.000 | -0.000 | -0.000 |
| 2nn divacancy | 1.400 | -1.585 | -1.585 | -2.609 | -0.000 | -0.000 | -0.000 |
| 1nn divacancy | 1.432 | -0.863 | -0.863 | -0.863 | 0.348 | 0.348 | 0.348 |
| 111 dumbbell | 2.361 | 11.150 | 11.150 | 11.150 | 4.497 | 4.497 | 4.497 |
| crowdion interstitial | 2.362 | 11.137 | 11.137 | 11.137 | 4.487 | 4.487 | 4.487 |
| 110 dumbbell | 2.432 | 12.165 | 11.249 | 11.249 | -0.000 | -0.000 | 3.728 |
| Point Defect | Ef (eV) | p11 (eV) | p22 (eV) | p33 (eV) | p12 (eV) | p13 (eV) | p23 (eV) |
|---|---|---|---|---|---|---|---|
| vacancy | 0.278 | -0.000 | -0.000 | -0.000 | 0.000 | 0.000 | 0.000 |
| 1nn divacancy | 0.417 | -0.000 | -0.000 | -0.000 | 0.000 | 0.000 | 0.000 |
Plots of lattice and elastic constants are shown as a function of temperature. The 0K points were taken from the Crystal Structure Predictions and the Elastic Constants Predictions sections above for the unique crystal structures relaxed with the "dynamic" method. Starting from the 0 K relaxed crystal unit cells, supercell systems are created by replicating all three dimensions by the same multiplier to achieve at least 4000 atoms. The systems are then relaxed at 50 K and zero pressure using 1 million NPT steps. Lattice constants are estimated by averaging the measured box dimensions. Temperatures are iteratively increased by 50 K, with each subsequent relaxation calculation starting from the final atomic configuration at the previous temperature and relaxing for another 1 million steps.
The elastic constants are calculated using the deformation–fluctuation hybrid method. Starting from the final atomic configurations of the dynamic relaxations, the system is allowed to evolve at constant volume with a Langevin thermostat. The Born matrix is computed during this run by evaluating how the atomic forces would vary due to applied linear strain fields. The elastic constants can then be estimated using the averaged Born matrix values and the averaged stresses on the system.
The calculation methods used are available as the iprPy relax_dynamic and elastic_constants_dynamic calculation methods.
Clicking on the image of a plot will open an interactive version of it in a new tab. The underlying data for the plots can be downloaded by clicking on the links above each plot.
Notes and Disclaimers:
Version Information:
Plots of internal energy, Gibbs free energy, entropy, heat capacity and volume are shown here as a function of temperature for various crystal structures and liquid phases. The included crystal structures correspond to those in the Solid Structures vs. Temperature section, and the liquid phases to those in the Liquid Properties section. Internal energy and volume are taken from the associated structure relaxations mentioned in those previous sections. Constant pressure heat capacity is estimated using 3-point numerical derivatives of enthalpy versus temperature. Note that since all simulations done here are at 0 pressure, internal energy and enthalpy are equivalent.
The Gibbs energies of the phases are estimated using thermodynamic integration between the interatomic potential in question and a simpler model with known Gibbs free energy values. For solids, the reference model is an Einstein solid, while for liquids it is the Uhlenbeck-Ford potential. Besides a short run at the start of the solid calculations to estimate Einstein model spring constants, the two calculations proceed similarly. Starting with the final relaxation configurations, the systems are stabilized for 25,000 steps. Then, over the next 50,000 steps the potential is swapped out for the reference potential. The system is then stabilized for another 25,000 steps with the reference model before a reverse swap of 50,000 steps is performed. The simulation ends with one final 25,000 step stabilization period. From the simulation, the irreversible work of transformation is estimated and used to compute the absolute Gibbs free energy of the target phase and potential relative to the reference potential. Entropy is estimated as the difference in enthalpy and Gibbs free energy and divided by temperature.
The calculation methods used are available as the iprPy relax_dynamic, relax_liquid_redo, free_energy, and free_energy_liquid calculation methods.
Clicking on the image of a plot will open an interactive version of it in a new tab. The underlying data for the plots can be downloaded by clicking on the links above each plot.
Notes and Disclaimers:
Version Information:




