Plots of the potential energy vs interatomic spacing, r, are shown below for all diatom sets associated with the interatomic potential. This calculation provides insights into the functional form of the potential's two-body interactions. A system consisting of only two atoms is created, and the potential energy is evaluated for the atoms separated by 0.02 Å <= r <= 6.0> Å in intervals of 0.02 Å. Two plots are shown: one for the "standard" interaction distance range, and one for small values of r. The small r plot is useful for determining whether the potential is suitable for radiation studies.
The calculation method used is available as the iprPy diatom_scan calculation method.
Clicking on the image of a plot will open an interactive version of it in a new tab. The underlying data for the plots can be downloaded by clicking on the links above each plot.
Notes and Disclaimers:
Version Information:
Plots of potential energy vs interatomic spacing, r, are shown below for a number of crystal structures. The structures are generated based on the ideal atomic positions and b/a and c/a lattice parameter ratios for a given crystal prototype. The size of the system is then uniformly scaled, and the energy calculated without relaxing the system. To obtain these plots, values of r are evaluated every 0.02 Å up to 6 Å.
The calculation method used is available as the iprPy E_vs_r_scan calculation method.
Clicking on the image of a plot will open an interactive version of it in a new tab. The underlying data for the plots can be downloaded by clicking on the links above each plot.
Notes and Disclaimers:
Version Information:
Computed lattice constants and cohesive/potential energies are displayed for a variety of crystal structures. The values displayed here are obtained using the following process.
The calculation methods used are implemented into iprPy as the following calculation styles
Notes and Disclaimers:
Version Information:
Download raw data (including filtered results)
Reference structure matches:
A1--Cu--fcc = oqmd-1214512
A15--beta-W = oqmd-1214957
A2--W--bcc = oqmd-1215135
A3'--alpha-La--double-hcp = oqmd-1215403
A3--Mg--hcp = oqmd-1215313
A4--C--dc = mp-66, oqmd-675640
A5--beta-Sn = oqmd-1215581
A6--In--bct = mp-1181996, oqmd-1215670
A7--alpha-As = oqmd-594528
Ah--alpha-Po--sc = mp-998866, oqmd-636457, oqmd-1214601
| prototype | method | Ecoh (eV/atom) | Epot (eV/atom) | a0 (Å) | b0 (Å) | c0 (Å) | α (degrees) | β (degrees) | γ (degrees) |
|---|---|---|---|---|---|---|---|---|---|
| A7--alpha-As | dynamic | -7.4036 | -7.4036 | 2.4546 | 2.4546 | 11.0545 | 90.0 | 90.0 | 120.0 |
| mp-568806 | dynamic | -7.3959 | -7.3959 | 2.4556 | 2.4556 | 3.6684 | 90.0 | 90.0 | 120.0 |
| oqmd-610551 | box | -7.3958 | -7.3958 | 2.4553 | 2.4553 | 3.6684 | 90.0 | 90.0 | 120.0 |
| A7--alpha-As | box | -7.3902 | -7.3902 | 2.4554 | 2.4554 | 10.9361 | 90.0 | 90.0 | 120.0 |
| oqmd-1214690 | dynamic | -7.3887 | -7.3887 | 2.4574 | 4.2469 | 7.3637 | 90.0 | 90.0 | 90.0 |
| oqmd-683820 | box | -7.3887 | -7.3887 | 2.4568 | 4.248 | 7.3653 | 90.0 | 90.0 | 90.0 |
| oqmd-683819 | box | -7.3887 | -7.3887 | 2.4567 | 4.248 | 7.3655 | 90.0 | 90.0 | 90.0 |
| oqmd-1214690 | box | -7.3886 | -7.3886 | 2.4563 | 4.2487 | 7.3664 | 90.0 | 90.0 | 90.0 |
| mp-937760 | box | -7.3886 | -7.3886 | 2.4572 | 4.2472 | 7.3696 | 90.0 | 90.0 | 90.0 |
| mp-48 | static | -7.3882 | -7.3882 | 2.4554 | 2.4554 | 7.269 | 90.0 | 90.0 | 120.0 |
| oqmd-590101 | box | -7.3882 | -7.3882 | 2.4554 | 2.4554 | 7.269 | 90.0 | 90.0 | 120.0 |
| mp-568286 | box | -7.3881 | -7.3881 | 2.456 | 4.2492 | 7.3852 | 90.0 | 90.0 | 90.0 |
| oqmd-1215937 | box | -7.388 | -7.388 | 2.4554 | 2.4554 | 7.2691 | 90.0 | 90.0 | 120.0 |
| mp-568363 | box | -7.3852 | -7.3852 | 2.4565 | 4.2482 | 7.5068 | 90.0 | 90.0 | 90.0 |
| mp-569416 | dynamic | -7.3781 | -7.3781 | 2.454 | 2.454 | 57.2026 | 90.0 | 90.0 | 120.0 |
| oqmd-589492 | dynamic | -7.3781 | -7.3781 | 2.454 | 2.454 | 54.4389 | 90.0 | 90.0 | 120.0 |
| oqmd-589492 | static | -7.3781 | -7.3781 | 2.454 | 2.454 | 57.8366 | 90.0 | 90.0 | 120.0 |
| mp-569416 | static | -7.3781 | -7.3781 | 2.454 | 2.454 | 57.7642 | 90.0 | 90.0 | 120.0 |
| mp-569416 | box | -7.375 | -7.375 | 2.4545 | 2.4545 | 57.5676 | 90.0 | 90.0 | 120.0 |
| oqmd-589492 | box | -7.375 | -7.375 | 2.4545 | 2.4545 | 57.7433 | 90.0 | 90.0 | 120.0 |
| mp-606949 | box | -7.3706 | -7.3706 | 2.4542 | 2.4542 | 30.9086 | 90.0 | 90.0 | 120.0 |
| oqmd-589493 | box | -7.3706 | -7.3706 | 2.4541 | 2.4541 | 31.3601 | 90.0 | 90.0 | 120.0 |
| A4--C--dc | dynamic | -7.37 | -7.37 | 3.5565 | 3.5565 | 3.5565 | 90.0 | 90.0 | 90.0 |
| mp-569304 | dynamic | -7.3682 | -7.3682 | 2.453 | 2.453 | 34.4928 | 90.0 | 90.0 | 120.0 |
| oqmd-589491 | static | -7.3682 | -7.3682 | 2.453 | 2.453 | 36.3779 | 90.0 | 90.0 | 120.0 |
| oqmd-589491 | dynamic | -7.3682 | -7.3682 | 2.453 | 2.453 | 33.5909 | 90.0 | 90.0 | 120.0 |
| mp-569304 | static | -7.3682 | -7.3682 | 2.453 | 2.453 | 35.5363 | 90.0 | 90.0 | 120.0 |
| oqmd-589491 | box | -7.3627 | -7.3627 | 2.4535 | 2.4535 | 35.9984 | 90.0 | 90.0 | 120.0 |
| mp-569304 | box | -7.3618 | -7.3618 | 2.4536 | 2.4536 | 35.08 | 90.0 | 90.0 | 120.0 |
| oqmd-599492 | dynamic | -7.3595 | -7.3595 | 2.5147 | 2.5147 | 16.4546 | 90.0 | 90.0 | 120.0 |
| mp-569567 | dynamic | -7.3582 | -7.3582 | 2.5146 | 2.5146 | 43.2048 | 90.0 | 90.0 | 120.0 |
| mp-611448 | dynamic | -7.3563 | -7.3563 | 2.5145 | 2.5145 | 12.3486 | 90.0 | 90.0 | 120.0 |
| oqmd-599493 | dynamic | -7.3543 | -7.3543 | 2.5143 | 2.5143 | 30.8852 | 90.0 | 90.0 | 120.0 |
| oqmd-599492 | box | -7.3517 | -7.3517 | 2.5044 | 2.5044 | 16.6112 | 90.0 | 90.0 | 120.0 |
| mp-616440 | box | -7.3514 | -7.3514 | 2.5042 | 2.5042 | 16.6142 | 90.0 | 90.0 | 120.0 |
| mp-611426 | dynamic | -7.3513 | -7.3513 | 2.5141 | 2.5141 | 8.2416 | 90.0 | 90.0 | 120.0 |
| oqmd-599494 | static | -7.3495 | -7.3495 | 2.5035 | 2.5035 | 43.6478 | 90.0 | 90.0 | 120.0 |
| mp-569567 | box | -7.3492 | -7.3492 | 2.5032 | 2.5032 | 43.6638 | 90.0 | 90.0 | 120.0 |
| oqmd-599491 | box | -7.3463 | -7.3463 | 2.5018 | 2.5018 | 12.4935 | 90.0 | 90.0 | 120.0 |
| oqmd-599489 | dynamic | -7.3444 | -7.3444 | 2.5135 | 2.5135 | 4.1264 | 90.0 | 90.0 | 120.0 |
| mp-569517 | box | -7.3426 | -7.3426 | 2.5001 | 2.5001 | 31.2918 | 90.0 | 90.0 | 120.0 |
| oqmd-599493 | box | -7.3418 | -7.3418 | 2.4998 | 2.4998 | 31.3055 | 90.0 | 90.0 | 120.0 |
| mp-611426 | box | -7.3375 | -7.3375 | 2.498 | 2.498 | 8.3647 | 90.0 | 90.0 | 120.0 |
| mp-1018088 | static | -7.3341 | -7.3341 | 4.0031 | 4.0031 | 4.0031 | 90.0 | 90.0 | 90.0 |
| mp-997182 | dynamic | -7.3335 | -7.3335 | 2.4513 | 2.4513 | 12.0458 | 90.0 | 90.0 | 120.0 |
| mp-990448 | dynamic | -7.3335 | -7.3335 | 2.4513 | 2.4513 | 8.5238 | 90.0 | 90.0 | 120.0 |
| mp-1040425 | dynamic | -7.3335 | -7.3335 | 2.4513 | 2.4513 | 19.9983 | 90.0 | 90.0 | 120.0 |
| mp-47 | box | -7.3197 | -7.3197 | 2.4908 | 2.4908 | 4.2157 | 90.0 | 90.0 | 120.0 |
| oqmd-599489 | box | -7.3192 | -7.3192 | 2.4906 | 2.4906 | 4.2167 | 90.0 | 90.0 | 120.0 |
| oqmd-637443 | static | -7.2495 | -7.2495 | 5.1722 | 5.1722 | 5.1722 | 90.0 | 90.0 | 90.0 |
| mp-1096869 | dynamic | -7.2471 | -7.2471 | 25.4572 | 14.7005 | 7.4493 | 90.0 | 90.0 | 90.0 |
| mp-1078845 | dynamic | -7.2222 | -7.2222 | 4.2586 | 8.966 | 2.463 | 90.0 | 90.0 | 90.0 |
| mp-1008374 | box | -7.1418 | -7.1418 | 2.6678 | 7.8119 | 2.5224 | 90.0 | 90.0 | 90.0 |
| oqmd-637443 | box | -7.0941 | -7.0941 | 5.2116 | 5.2116 | 5.2116 | 90.0 | 90.0 | 90.0 |
| mp-1188817 | box | -7.087 | -7.087 | 5.2126 | 5.2126 | 5.2126 | 90.0 | 90.0 | 90.0 |
| mp-1078845 | box | -7.0853 | -7.0853 | 4.3158 | 8.9323 | 2.4829 | 90.0 | 90.0 | 90.0 |
| oqmd-610557 | box | -7.0564 | -7.0564 | 4.7365 | 5.6117 | 4.3375 | 90.0 | 90.0 | 90.0 |
| oqmd-610556 | box | -7.0533 | -7.0533 | 4.7355 | 5.6117 | 4.3397 | 90.0 | 90.0 | 90.0 |
| mp-568410 | box | -7.0497 | -7.0497 | 4.7356 | 5.6133 | 4.341 | 90.0 | 90.0 | 90.0 |
| oqmd-637353 | box | -7.0125 | -7.0125 | 4.4996 | 4.4996 | 2.4535 | 90.0 | 90.0 | 90.0 |
| mp-1008395 | box | -7.0095 | -7.0095 | 4.5004 | 4.5004 | 2.4538 | 90.0 | 90.0 | 90.0 |
| mp-683919 | static | -6.9215 | -6.9215 | 8.8934 | 17.5382 | 17.8324 | 90.0 | 90.0 | 90.0 |
| oqmd-689315 | static | -6.9215 | -6.9215 | 8.8927 | 17.5382 | 17.8332 | 90.0 | 90.0 | 90.0 |
| mp-1196857 | dynamic | -6.8711 | -6.8711 | 7.8828 | 16.3193 | 3.9261 | 90.0 | 90.0 | 90.0 |
| mp-680372 | dynamic | -6.8688 | -6.8688 | 9.1328 | 9.1328 | 24.7083 | 90.0 | 90.0 | 120.0 |
| oqmd-614417 | static | -6.8688 | -6.8688 | 9.1327 | 9.1327 | 24.7057 | 90.0 | 90.0 | 120.0 |
| mp-680372 | static | -6.8688 | -6.8688 | 9.1359 | 9.1359 | 24.812 | 90.0 | 90.0 | 120.0 |
| mp-683919 | box | -6.8684 | -6.8684 | 10.1639 | 17.5242 | 18.0335 | 90.0 | 90.0 | 90.0 |
| oqmd-614417 | dynamic | -6.8677 | -6.8677 | 9.1329 | 9.1329 | 24.6313 | 90.0 | 90.0 | 120.0 |
| oqmd-595714 | static | -6.8529 | -6.8529 | 9.0541 | 9.1263 | 14.823 | 90.0 | 90.0 | 90.0 |
| mp-630227 | static | -6.8529 | -6.8529 | 9.0541 | 9.1263 | 14.8237 | 90.0 | 90.0 | 90.0 |
| mp-1147718 | dynamic | -6.8513 | -6.8513 | 10.3519 | 13.117 | 9.0774 | 90.0 | 90.0 | 90.0 |
| mp-1147718 | static | -6.8513 | -6.8513 | 10.3517 | 13.117 | 9.0773 | 90.0 | 90.0 | 90.0 |
| oqmd-684627 | static | -6.85 | -6.85 | 9.0944 | 9.0944 | 14.5034 | 90.0 | 90.0 | 90.0 |
| oqmd-689315 | box | -6.8468 | -6.8468 | 10.0958 | 17.5905 | 18.0366 | 90.0 | 90.0 | 90.0 |
| oqmd-603085 | static | -6.8367 | -6.8367 | 13.6515 | 13.6515 | 13.6515 | 90.0 | 90.0 | 90.0 |
| mp-568028 | static | -6.8305 | -6.8305 | 8.2366 | 14.0313 | 9.2605 | 90.0 | 90.0 | 90.0 |
| mp-1205283 | static | -6.8295 | -6.8295 | 9.3062 | 13.2773 | 9.0611 | 90.0 | 90.0 | 90.0 |
| oqmd-614417 | box | -6.829 | -6.829 | 9.2421 | 9.2421 | 24.2629 | 90.0 | 90.0 | 120.0 |
| mp-1080826 | box | -6.8285 | -6.8285 | 9.4175 | 2.5749 | 4.2133 | 90.0 | 98.2 | 90.0 |
| oqmd-637352 | box | -6.8269 | -6.8269 | 9.4157 | 2.5753 | 4.2139 | 90.0 | 98.2 | 90.0 |
| oqmd-595714 | box | -6.8265 | -6.8265 | 9.0922 | 9.2116 | 14.6616 | 90.0 | 90.0 | 90.0 |
| mp-680372 | box | -6.8262 | -6.8262 | 9.2674 | 9.2674 | 25.2892 | 90.0 | 90.0 | 120.0 |
| mp-667273 | static | -6.8226 | -6.8226 | 14.2351 | 14.2351 | 14.2351 | 90.0 | 90.0 | 90.0 |
| oqmd-677227 | dynamic | -6.8226 | -6.8226 | 13.9442 | 13.9442 | 13.9442 | 90.0 | 90.0 | 90.0 |
| mp-630227 | box | -6.8127 | -6.8127 | 9.0963 | 9.2025 | 15.6512 | 90.0 | 90.0 | 90.0 |
| oqmd-603085 | box | -6.8083 | -6.8083 | 13.9525 | 13.9525 | 13.9525 | 90.0 | 90.0 | 90.0 |
| mp-1147718 | box | -6.8058 | -6.8058 | 10.2719 | 14.7116 | 9.2256 | 90.0 | 90.0 | 90.0 |
| mp-1190171 | box | -6.805 | -6.805 | 9.3042 | 2.58 | 4.2181 | 90.0 | 90.0 | 90.0 |
| oqmd-637130 | box | -6.8039 | -6.8039 | 9.3024 | 2.5804 | 4.2184 | 90.0 | 90.0 | 90.0 |
| mp-667273 | box | -6.8027 | -6.8027 | 14.4166 | 14.4166 | 14.4166 | 90.0 | 90.0 | 90.0 |
| oqmd-677227 | box | -6.7948 | -6.7948 | 14.1406 | 14.1406 | 14.1406 | 90.0 | 90.0 | 90.0 |
| mp-1244964 | dynamic | -6.7941 | -6.7941 | 9.2134 | 9.8424 | 10.4269 | 98.8 | 93.3 | 92.9 |
| mp-1196583 | box | -6.7937 | -6.7937 | 14.3577 | 14.3577 | 14.3577 | 90.0 | 90.0 | 90.0 |
| oqmd-684627 | box | -6.793 | -6.793 | 9.176 | 9.176 | 15.276 | 90.0 | 90.0 | 90.0 |
| mp-1197903 | dynamic | -6.7496 | -6.7496 | 6.1444 | 6.8935 | 21.0748 | 95.0 | 90.9 | 112.9 |
| mp-1245190 | dynamic | -6.7377 | -6.7377 | 8.9549 | 10.03 | 10.1334 | 92.2 | 96.3 | 99.4 |
| mp-624889 | box | -6.678 | -6.678 | 4.7327 | 5.1652 | 5.668 | 90.0 | 90.0 | 90.0 |
| oqmd-610552 | box | -6.5849 | -6.5849 | 4.7338 | 5.2685 | 6.5227 | 90.0 | 90.0 | 90.0 |
| mp-568028 | box | -6.5807 | -6.5807 | 8.6235 | 14.2731 | 9.6082 | 90.0 | 90.0 | 90.0 |
| mp-579909 | box | -6.5756 | -6.5756 | 4.733 | 5.267 | 6.9465 | 90.0 | 90.0 | 90.0 |
| mp-1192619 | dynamic | -6.5706 | -6.5706 | 7.8231 | 7.8231 | 7.8231 | 90.0 | 90.0 | 90.0 |
| mp-1244964 | static | -6.5364 | -6.5364 | 9.4899 | 9.7792 | 10.8437 | 86.4 | 87.8 | 88.8 |
| mp-1245190 | static | -6.5106 | -6.5106 | 9.5282 | 10.1648 | 10.1653 | 88.8 | 85.7 | 88.3 |
| mp-1182684 | dynamic | -6.5089 | -6.5089 | 9.9307 | 11.6207 | 11.729 | 90.0 | 90.0 | 90.0 |
| mp-1244913 | dynamic | -6.4758 | -6.4758 | 10.2442 | 10.5586 | 13.0251 | 98.5 | 92.4 | 99.8 |
| oqmd-684315 | static | -6.4526 | -6.4526 | 9.2736 | 15.7248 | 8.9251 | 90.0 | 90.0 | 90.0 |
| mp-1244913 | static | -6.3942 | -6.3942 | 9.5308 | 10.2517 | 10.3775 | 82.7 | 82.9 | 88.6 |
| mp-570002 | static | -6.2284 | -6.2284 | 5.0331 | 5.0331 | 5.0331 | 90.0 | 90.0 | 90.0 |
| mp-24 | box | -5.9897 | -5.9897 | 4.689 | 4.689 | 4.689 | 90.0 | 90.0 | 90.0 |
| mp-1196857 | static | -5.7272 | -5.7272 | 6.2622 | 18.2275 | 5.3612 | 90.0 | 90.0 | 90.0 |
| mp-1205283 | box | -5.7105 | -5.7105 | 11.3543 | 13.4589 | 9.3143 | 90.0 | 90.0 | 90.0 |
| mp-1056957 | static | -5.6229 | -5.6229 | 6.5479 | 3.1893 | 2.348 | 90.0 | 90.0 | 90.0 |
| mp-1196857 | box | -5.4553 | -5.4553 | 7.4228 | 19.277 | 6.5715 | 90.0 | 90.0 | 90.0 |
| oqmd-585286 | box | -5.4434 | -5.4434 | 5.3564 | 5.3564 | 5.3564 | 90.0 | 90.0 | 90.0 |
| mp-570002 | box | -5.4423 | -5.4423 | 5.3568 | 5.3568 | 5.3568 | 90.0 | 90.0 | 90.0 |
| mp-1197903 | static | -5.4399 | -5.4399 | 7.3087 | 15.3978 | 20.2 | 76.4 | 88.9 | 77.6 |
| oqmd-684315 | box | -5.3916 | -5.3916 | 10.6359 | 15.6987 | 9.6469 | 90.0 | 90.0 | 90.0 |
| mp-1095633 | dynamic | -4.7619 | -4.7619 | 8.2419 | 8.2419 | 14.8682 | 90.0 | 90.0 | 90.0 |
| mp-1095633 | static | -4.7619 | -4.7619 | 7.9873 | 7.9873 | 14.8291 | 90.0 | 90.0 | 90.0 |
| A7--alpha-As | box | -4.3092 | -4.3092 | 2.8301 | 2.8301 | 7.2453 | 90.0 | 90.0 | 120.0 |
| A3'--alpha-La--double-hcp | box | -3.9973 | -3.9973 | 2.8086 | 2.8086 | 4.9645 | 90.0 | 90.0 | 120.0 |
| A5--beta-Sn | box | -3.953 | -3.953 | 3.8633 | 3.8633 | 2.1405 | 90.0 | 90.0 | 90.0 |
| Ah--alpha-Po--sc | static | -3.8984 | -3.8984 | 2.0684 | 2.0684 | 2.0684 | 90.0 | 90.0 | 90.0 |
| mp-1095534 | box | -3.7946 | -3.7946 | 13.0965 | 13.0965 | 2.6067 | 90.0 | 90.0 | 90.0 |
| A6--In--bct | static | -3.6933 | -3.6933 | 2.0015 | 2.0015 | 6.2095 | 90.0 | 90.0 | 90.0 |
| mp-1205417 | box | -3.5761 | -3.5761 | 17.3176 | 17.3176 | 10.1475 | 90.0 | 90.0 | 90.0 |
| oqmd-1214868 | box | -3.4782 | -3.4782 | 9.4301 | 9.4301 | 9.4301 | 90.0 | 90.0 | 90.0 |
| mp-1192619 | box | -3.4117 | -3.4117 | 13.0917 | 13.0917 | 13.0917 | 90.0 | 90.0 | 90.0 |
| A2--W--bcc | box | -2.9173 | -2.9173 | 2.6077 | 2.6077 | 2.6077 | 90.0 | 90.0 | 90.0 |
| A3--Mg--hcp | box | -2.8568 | -2.8568 | 2.2337 | 2.2337 | 5.7752 | 90.0 | 90.0 | 120.0 |
| mp-1095633 | box | -2.6964 | -2.6964 | 16.8903 | 16.8903 | 3.8226 | 90.0 | 90.0 | 90.0 |
| A3--Mg--hcp | box | -2.529 | -2.529 | 2.3834 | 2.3834 | 3.9133 | 90.0 | 90.0 | 120.0 |
| A3'--alpha-La--double-hcp | box | -2.5271 | -2.5271 | 2.3863 | 2.3863 | 7.8152 | 90.0 | 90.0 | 120.0 |
| A1--Cu--fcc | static | -2.5252 | -2.5252 | 3.3791 | 3.3791 | 3.3791 | 90.0 | 90.0 | 90.0 |
| A15--beta-W | static | -2.4762 | -2.4762 | 4.3042 | 4.3042 | 4.3042 | 90.0 | 90.0 | 90.0 |
Download raw data (including filtered results)
Reference structure matches:
| prototype | method | Ecoh (eV/atom) | Epot (eV/atom) | a0 (Å) | b0 (Å) | c0 (Å) | α (degrees) | β (degrees) | γ (degrees) |
|---|---|---|---|---|---|---|---|---|---|
| C1--CaF2--fluorite | dynamic | -5.8333 | -5.8333 | 4.6898 | 4.6898 | 4.6898 | 90.0 | 90.0 | 90.0 |
| oqmd-1232084 | static | -5.276 | -5.276 | 4.6855 | 4.6855 | 2.8955 | 90.0 | 90.0 | 90.0 |
| oqmd-1232084 | box | -5.2448 | -5.2448 | 4.8063 | 4.8063 | 2.7213 | 90.0 | 90.0 | 90.0 |
| C1--CaF2--fluorite | static | -0.0 | -0.0 | 11.0851 | 11.0851 | 11.0851 | 90.0 | 90.0 | 90.0 |
Download raw data (including filtered results)
Reference structure matches:
| prototype | method | Ecoh (eV/atom) | Epot (eV/atom) | a0 (Å) | b0 (Å) | c0 (Å) | α (degrees) | β (degrees) | γ (degrees) |
|---|---|---|---|---|---|---|---|---|---|
| oqmd-426162 | dynamic | -5.5247 | -5.5247 | 4.9922 | 4.9922 | 12.6618 | 90.0 | 90.0 | 120.0 |
| oqmd-426162 | box | -5.4824 | -5.4824 | 4.9573 | 4.9573 | 12.8779 | 90.0 | 90.0 | 120.0 |
Download raw data (including filtered results)
Reference structure matches:
| prototype | method | Ecoh (eV/atom) | Epot (eV/atom) | a0 (Å) | b0 (Å) | c0 (Å) | α (degrees) | β (degrees) | γ (degrees) |
|---|---|---|---|---|---|---|---|---|---|
| oqmd-7999 | box | -5.1292 | -5.1292 | 11.28 | 4.6261 | 5.0778 | 90.0 | 98.7 | 90.0 |
| mp-645339 | box | -5.129 | -5.129 | 5.082 | 4.627 | 11.6544 | 90.0 | 106.7 | 90.0 |
| oqmd-23087 | box | -5.1288 | -5.1288 | 4.6257 | 5.0781 | 11.2848 | 81.3 | 89.7 | 90.0 |
| mp-2794 | box | -5.1267 | -5.1267 | 11.3031 | 4.6239 | 5.0785 | 90.0 | 98.8 | 90.0 |
Download raw data (including filtered results)
Reference structure matches:
| prototype | method | Ecoh (eV/atom) | Epot (eV/atom) | a0 (Å) | b0 (Å) | c0 (Å) | α (degrees) | β (degrees) | γ (degrees) |
|---|---|---|---|---|---|---|---|---|---|
| L2_1--AlCu2Mn--heusler | static | -5.7168 | -5.7168 | 5.2449 | 5.2449 | 5.2449 | 90.0 | 90.0 | 90.0 |
| L2_1--AlCu2Mn--heusler | box | -0.042 | -0.042 | 11.0526 | 11.0526 | 11.0526 | 90.0 | 90.0 | 90.0 |
Download raw data (including filtered results)
Reference structure matches:
| prototype | method | Ecoh (eV/atom) | Epot (eV/atom) | a0 (Å) | b0 (Å) | c0 (Å) | α (degrees) | β (degrees) | γ (degrees) |
|---|---|---|---|---|---|---|---|---|---|
| C1--CaF2--fluorite | box | -6.2549 | -6.2549 | 5.0836 | 5.0836 | 5.0836 | 90.0 | 90.0 | 90.0 |
| C1--CaF2--fluorite | box | -0.0 | -0.0 | 11.0851 | 11.0851 | 11.0851 | 90.0 | 90.0 | 90.0 |
Download raw data (including filtered results)
Reference structure matches:
| prototype | method | Ecoh (eV/atom) | Epot (eV/atom) | a0 (Å) | b0 (Å) | c0 (Å) | α (degrees) | β (degrees) | γ (degrees) |
|---|---|---|---|---|---|---|---|---|---|
| mp-1094034 | dynamic | -6.1146 | -6.1146 | 3.0182 | 3.0182 | 16.7181 | 90.0 | 90.0 | 120.0 |
| mp-1094034 | box | -5.7105 | -5.7105 | 3.3986 | 3.3986 | 14.1145 | 90.0 | 90.0 | 120.0 |
Download raw data (including filtered results)
Reference structure matches:
D0_3--BiF3 = oqmd-310918
L1_2--AuCu3 = oqmd-344120
| prototype | method | Ecoh (eV/atom) | Epot (eV/atom) | a0 (Å) | b0 (Å) | c0 (Å) | α (degrees) | β (degrees) | γ (degrees) |
|---|---|---|---|---|---|---|---|---|---|
| D0_3--BiF3 | static | -3.9056 | -3.9056 | 5.0946 | 5.0946 | 5.0946 | 90.0 | 90.0 | 90.0 |
| A15--Cr3Si | static | -3.8166 | -3.8166 | 4.1193 | 4.1193 | 4.1193 | 90.0 | 90.0 | 90.0 |
| L1_2--AuCu3 | static | -3.8146 | -3.8146 | 3.2253 | 3.2253 | 3.2253 | 90.0 | 90.0 | 90.0 |
| L1_2--AuCu3 | box | -0.056 | -0.056 | 6.741 | 6.741 | 6.741 | 90.0 | 90.0 | 90.0 |
| A15--Cr3Si | static | -0.0321 | -0.0321 | 8.5845 | 8.5845 | 8.5845 | 90.0 | 90.0 | 90.0 |
| D0_3--BiF3 | box | -0.0 | -0.0 | 11.0851 | 11.0851 | 11.0851 | 90.0 | 90.0 | 90.0 |
Download raw data (including filtered results)
Reference structure matches:
| prototype | method | Ecoh (eV/atom) | Epot (eV/atom) | a0 (Å) | b0 (Å) | c0 (Å) | α (degrees) | β (degrees) | γ (degrees) |
|---|---|---|---|---|---|---|---|---|---|
| mp-21717 | dynamic | -5.2893 | -5.2893 | 4.8407 | 6.6527 | 11.5102 | 90.0 | 90.0 | 90.0 |
| oqmd-42164 | box | -5.2295 | -5.2295 | 4.6542 | 6.825 | 11.4645 | 90.0 | 90.0 | 90.0 |
| mp-21717 | box | -5.2266 | -5.2266 | 4.6481 | 6.8283 | 11.4797 | 90.0 | 90.0 | 90.0 |
| mp-18257 | dynamic | -5.1921 | -5.1921 | 6.6903 | 6.6903 | 4.7941 | 90.0 | 90.0 | 120.0 |
| mp-18257 | box | -5.1612 | -5.1612 | 6.7858 | 6.7858 | 4.6099 | 90.0 | 90.0 | 120.0 |
| oqmd-13852 | box | -5.1607 | -5.1607 | 6.7845 | 6.7845 | 4.609 | 90.0 | 90.0 | 120.0 |
Download raw data (including filtered results)
Reference structure matches:
| prototype | method | Ecoh (eV/atom) | Epot (eV/atom) | a0 (Å) | b0 (Å) | c0 (Å) | α (degrees) | β (degrees) | γ (degrees) |
|---|---|---|---|---|---|---|---|---|---|
| A15--Cr3Si | static | -5.2548 | -5.2548 | 4.3476 | 4.3476 | 4.3476 | 90.0 | 90.0 | 90.0 |
| L1_2--AuCu3 | static | -5.2254 | -5.2254 | 3.4152 | 3.4152 | 3.4152 | 90.0 | 90.0 | 90.0 |
| D0_3--BiF3 | static | -5.1967 | -5.1967 | 5.3705 | 5.3705 | 5.3705 | 90.0 | 90.0 | 90.0 |
| L1_2--AuCu3 | box | -0.2629 | -0.2629 | 6.7321 | 6.7321 | 6.7321 | 90.0 | 90.0 | 90.0 |
| A15--Cr3Si | static | -0.0326 | -0.0326 | 8.5858 | 8.5858 | 8.5858 | 90.0 | 90.0 | 90.0 |
| D0_3--BiF3 | box | -0.0 | -0.0 | 11.0851 | 11.0851 | 11.0851 | 90.0 | 90.0 | 90.0 |
Download raw data (including filtered results)
Reference structure matches:
| prototype | method | Ecoh (eV/atom) | Epot (eV/atom) | a0 (Å) | b0 (Å) | c0 (Å) | α (degrees) | β (degrees) | γ (degrees) |
|---|---|---|---|---|---|---|---|---|---|
| mp-27919 | dynamic | -6.4035 | -6.4035 | 6.0981 | 6.0981 | 15.2455 | 90.0 | 90.0 | 120.0 |
| mp-1217090 | dynamic | -6.3453 | -6.3453 | 3.037 | 3.037 | 61.7455 | 90.0 | 90.0 | 120.0 |
| mp-1217090 | static | -6.3453 | -6.3453 | 3.037 | 3.037 | 61.7471 | 90.0 | 90.0 | 120.0 |
Download raw data (including filtered results)
Reference structure matches:
| prototype | method | Ecoh (eV/atom) | Epot (eV/atom) | a0 (Å) | b0 (Å) | c0 (Å) | α (degrees) | β (degrees) | γ (degrees) |
|---|---|---|---|---|---|---|---|---|---|
| mp-1192884 | dynamic | -4.9779 | -4.9779 | 10.4594 | 10.4594 | 10.4594 | 90.0 | 90.0 | 90.0 |
| mp-1192884 | box | -4.9744 | -4.9744 | 10.4504 | 10.4504 | 10.4504 | 90.0 | 90.0 | 90.0 |
| oqmd-21378 | box | -4.9731 | -4.9731 | 10.4495 | 10.4495 | 10.4495 | 90.0 | 90.0 | 90.0 |
Download raw data (including filtered results)
Reference structure matches:
B1--NaCl--rock-salt = oqmd-1105078, oqmd-1234885
B2--CsCl = oqmd-305893
| prototype | method | Ecoh (eV/atom) | Epot (eV/atom) | a0 (Å) | b0 (Å) | c0 (Å) | α (degrees) | β (degrees) | γ (degrees) |
|---|---|---|---|---|---|---|---|---|---|
| B3--ZnS--cubic-zinc-blende | dynamic | -6.0808 | -6.0808 | 4.2951 | 4.2951 | 4.2951 | 90.0 | 90.0 | 90.0 |
| B4--ZnS--wurtzite | dynamic | -5.9252 | -5.9252 | 2.9801 | 2.9801 | 5.1803 | 90.0 | 90.0 | 120.0 |
| B4--ZnS--wurtzite | box | -5.9074 | -5.9074 | 3.0315 | 3.0315 | 5.0208 | 90.0 | 90.0 | 120.0 |
| oqmd-1225112 | box | -5.9047 | -5.9047 | 3.0771 | 3.0771 | 4.863 | 90.0 | 90.0 | 120.0 |
| oqmd-1228598 | dynamic | -5.6314 | -5.6314 | 2.8607 | 2.8607 | 2.3955 | 90.0 | 90.0 | 120.0 |
| B1--NaCl--rock-salt | static | -5.36 | -5.36 | 4.0861 | 4.0861 | 4.0861 | 90.0 | 90.0 | 90.0 |
| B2--CsCl | dynamic | -5.1045 | -5.1045 | 2.5003 | 2.5003 | 2.5003 | 90.0 | 90.0 | 90.0 |
| B4--ZnS--wurtzite | dynamic | -3.4649 | -3.4649 | 8.1593 | 8.1593 | 10.5592 | 90.0 | 90.0 | 120.0 |
| L1_0--AuCu | static | -0.0339 | -0.0339 | 4.9538 | 4.9538 | 6.5107 | 90.0 | 90.0 | 90.0 |
| L1_0--AuCu | static | -0.0339 | -0.0339 | 4.9536 | 4.9536 | 6.5108 | 90.0 | 90.0 | 90.0 |
| B4--ZnS--wurtzite | static | -0.0 | -0.0 | 7.8425 | 7.8425 | 12.8068 | 90.0 | 90.0 | 120.0 |
| B3--ZnS--cubic-zinc-blende | static | -0.0 | -0.0 | 11.0851 | 11.0851 | 11.0851 | 90.0 | 90.0 | 90.0 |
| B2--CsCl | dynamic | 0.0 | 0.0 | 5.5426 | 5.5426 | 5.5426 | 90.0 | 90.0 | 90.0 |
| B1--NaCl--rock-salt | dynamic | 0.0 | 0.0 | 9.6 | 9.6 | 9.6 | 90.0 | 90.0 | 90.0 |
Download raw data (including filtered results)
Reference structure matches:
| prototype | method | Ecoh (eV/atom) | Epot (eV/atom) | a0 (Å) | b0 (Å) | c0 (Å) | α (degrees) | β (degrees) | γ (degrees) |
|---|---|---|---|---|---|---|---|---|---|
| C1--CaF2--fluorite | dynamic | -5.6241 | -5.6241 | 4.7108 | 4.7108 | 4.7108 | 90.0 | 90.0 | 90.0 |
| oqmd-13851 | box | -5.3803 | -5.3803 | 4.1907 | 4.5745 | 2.9527 | 90.0 | 90.0 | 90.0 |
| mp-1871 | box | -5.3784 | -5.3784 | 4.1893 | 4.5837 | 2.9522 | 90.0 | 90.0 | 90.0 |
| mp-1102779 | dynamic | -5.2186 | -5.2186 | 5.6068 | 2.7318 | 6.8815 | 90.0 | 90.0 | 90.0 |
| mp-1102779 | box | -5.1434 | -5.1434 | 5.8991 | 2.6856 | 6.7962 | 90.0 | 90.0 | 90.0 |
| C1--CaF2--fluorite | box | -0.0 | -0.0 | 11.0851 | 11.0851 | 11.0851 | 90.0 | 90.0 | 90.0 |
Download raw data (including filtered results)
Reference structure matches:
| prototype | method | Ecoh (eV/atom) | Epot (eV/atom) | a0 (Å) | b0 (Å) | c0 (Å) | α (degrees) | β (degrees) | γ (degrees) |
|---|---|---|---|---|---|---|---|---|---|
| L2_1--AlCu2Mn--heusler | static | -4.5573 | -4.5573 | 5.4854 | 5.4854 | 5.4854 | 90.0 | 90.0 | 90.0 |
| L2_1--AlCu2Mn--heusler | box | -0.0513 | -0.0513 | 9.5612 | 9.5612 | 9.5612 | 90.0 | 90.0 | 90.0 |
| L2_1--AlCu2Mn--heusler | static | -0.0 | -0.0 | 11.0851 | 11.0851 | 11.0851 | 90.0 | 90.0 | 90.0 |
| L2_1--AlCu2Mn--heusler | dynamic | 0.0 | 0.0 | 11.0852 | 11.0852 | 11.0852 | 90.0 | 90.0 | 90.0 |
Download raw data (including filtered results)
Reference structure matches:
D0_3--BiF3 = oqmd-309092
L1_2--AuCu3 = oqmd-345946
| prototype | method | Ecoh (eV/atom) | Epot (eV/atom) | a0 (Å) | b0 (Å) | c0 (Å) | α (degrees) | β (degrees) | γ (degrees) |
|---|---|---|---|---|---|---|---|---|---|
| oqmd-7808 | box | -5.0576 | -5.0576 | 4.6639 | 4.6639 | 4.3116 | 90.0 | 90.0 | 120.0 |
| mp-13154 | box | -5.0567 | -5.0567 | 4.6583 | 4.6583 | 4.3013 | 90.0 | 90.0 | 120.0 |
| oqmd-3494 | dynamic | -5.0408 | -5.0408 | 5.1777 | 6.317 | 4.6392 | 90.0 | 90.0 | 90.0 |
| mp-510623 | box | -5.0097 | -5.0097 | 5.1376 | 6.5061 | 4.5966 | 90.0 | 90.0 | 90.0 |
| oqmd-3494 | box | -5.0068 | -5.0068 | 5.1497 | 6.5086 | 4.5814 | 90.0 | 90.0 | 90.0 |
| mp-613523 | box | -4.9875 | -4.9875 | 5.1179 | 7.0051 | 4.658 | 90.0 | 90.0 | 90.0 |
| oqmd-41734 | box | -4.9867 | -4.9867 | 5.1071 | 7.0036 | 4.6673 | 90.0 | 90.0 | 90.0 |
| mp-1205436 | static | -4.9805 | -4.9805 | 8.4605 | 8.4605 | 4.1695 | 90.0 | 90.0 | 90.0 |
| mp-1205436 | box | -4.9743 | -4.9743 | 8.4475 | 8.4475 | 4.1719 | 90.0 | 90.0 | 90.0 |
| mp-1205444 | dynamic | -4.9073 | -4.9073 | 7.9532 | 2.8116 | 14.7015 | 90.0 | 105.0 | 90.0 |
| mp-1205444 | box | -4.8385 | -4.8385 | 8.0345 | 2.8529 | 14.2312 | 90.0 | 102.5 | 90.0 |
| mp-1182630 | box | -4.8337 | -4.8337 | 5.6721 | 10.6772 | 2.8177 | 90.0 | 90.0 | 90.0 |
| oqmd-321460 | static | -4.7299 | -4.7299 | 6.6583 | 6.6583 | 2.4279 | 90.0 | 90.0 | 120.0 |
| A15--Cr3Si | static | -4.2985 | -4.2985 | 4.2237 | 4.2237 | 4.2237 | 90.0 | 90.0 | 90.0 |
| oqmd-321460 | box | -4.2111 | -4.2111 | 4.8079 | 4.8079 | 3.7228 | 90.0 | 90.0 | 120.0 |
| oqmd-298554 | box | -4.1713 | -4.1713 | 3.3278 | 3.3278 | 6.7474 | 90.0 | 90.0 | 90.0 |
| L1_2--AuCu3 | static | -4.1083 | -4.1083 | 3.3433 | 3.3433 | 3.3433 | 90.0 | 90.0 | 90.0 |
| D0_3--BiF3 | box | -4.0707 | -4.0707 | 5.3151 | 5.3151 | 5.3151 | 90.0 | 90.0 | 90.0 |
| mp-1188724 | dynamic | -1.7324 | -1.7324 | 14.2716 | 20.5229 | 11.9664 | 90.0 | 90.0 | 90.0 |
| mp-1188724 | static | -1.7324 | -1.7324 | 14.3249 | 20.5229 | 13.2014 | 90.0 | 90.0 | 90.0 |
Download raw data (including filtered results)
Reference structure matches:
| prototype | method | Ecoh (eV/atom) | Epot (eV/atom) | a0 (Å) | b0 (Å) | c0 (Å) | α (degrees) | β (degrees) | γ (degrees) |
|---|---|---|---|---|---|---|---|---|---|
| mp-1078579 | dynamic | -4.7847 | -4.7847 | 5.7713 | 2.7092 | 6.6813 | 90.0 | 101.1 | 90.0 |
| mp-1078579 | box | -4.741 | -4.741 | 6.0136 | 2.7898 | 6.2469 | 90.0 | 101.5 | 90.0 |
| mp-1070333 | dynamic | -4.6323 | -4.6323 | 6.3874 | 6.3874 | 2.532 | 90.0 | 90.0 | 90.0 |
| mp-1070333 | box | -4.6058 | -4.6058 | 6.3193 | 6.3193 | 2.5408 | 90.0 | 90.0 | 90.0 |
| mp-1246 | box | -4.3771 | -4.3771 | 3.9514 | 3.9514 | 3.9514 | 90.0 | 90.0 | 90.0 |
| oqmd-646134 | box | -4.3768 | -4.3768 | 3.9498 | 3.9498 | 3.9498 | 90.0 | 90.0 | 90.0 |
Download raw data (including filtered results)
Reference structure matches:
| prototype | method | Ecoh (eV/atom) | Epot (eV/atom) | a0 (Å) | b0 (Å) | c0 (Å) | α (degrees) | β (degrees) | γ (degrees) |
|---|---|---|---|---|---|---|---|---|---|
| L2_1--AlCu2Mn--heusler | static | -5.1614 | -5.1614 | 5.7619 | 5.7619 | 5.7619 | 90.0 | 90.0 | 90.0 |
| L2_1--AlCu2Mn--heusler | static | -0.4009 | -0.4009 | 9.5962 | 9.5962 | 9.5962 | 90.0 | 90.0 | 90.0 |
| L2_1--AlCu2Mn--heusler | box | -0.1456 | -0.1456 | 11.0272 | 11.0272 | 11.0272 | 90.0 | 90.0 | 90.0 |
| L2_1--AlCu2Mn--heusler | static | -0.1452 | -0.1452 | 11.0308 | 11.0308 | 11.0308 | 90.0 | 90.0 | 90.0 |
Download raw data (including filtered results)
Reference structure matches:
B1--NaCl--rock-salt = mp-631
| prototype | method | Ecoh (eV/atom) | Epot (eV/atom) | a0 (Å) | b0 (Å) | c0 (Å) | α (degrees) | β (degrees) | γ (degrees) |
|---|---|---|---|---|---|---|---|---|---|
| B1--NaCl--rock-salt | dynamic | -6.9 | -6.9 | 4.42 | 4.42 | 4.42 | 90.0 | 90.0 | 90.0 |
| B4--ZnS--wurtzite | dynamic | -6.3673 | -6.3673 | 2.9753 | 2.9753 | 6.3226 | 90.0 | 90.0 | 120.0 |
| B2--CsCl | dynamic | -6.325 | -6.325 | 2.7756 | 2.7756 | 2.7756 | 90.0 | 90.0 | 90.0 |
| B3--ZnS--cubic-zinc-blende | static | -5.7985 | -5.7985 | 4.5974 | 4.5974 | 4.5974 | 90.0 | 90.0 | 90.0 |
| B4--ZnS--wurtzite | dynamic | -3.1912 | -3.1912 | 8.0152 | 8.0152 | 11.3284 | 90.0 | 90.0 | 120.0 |
| B1--NaCl--rock-salt | box | -0.1709 | -0.1709 | 9.5483 | 9.5483 | 9.5483 | 90.0 | 90.0 | 90.0 |
| B2--CsCl | box | -0.1696 | -0.1696 | 5.5189 | 5.5189 | 5.5189 | 90.0 | 90.0 | 90.0 |
| B4--ZnS--wurtzite | static | -0.0 | -0.0 | 7.8425 | 7.8425 | 12.8068 | 90.0 | 90.0 | 120.0 |
| B3--ZnS--cubic-zinc-blende | static | -0.0 | -0.0 | 11.0851 | 11.0851 | 11.0851 | 90.0 | 90.0 | 90.0 |
Download raw data (including filtered results)
Reference structure matches:
| prototype | method | Ecoh (eV/atom) | Epot (eV/atom) | a0 (Å) | b0 (Å) | c0 (Å) | α (degrees) | β (degrees) | γ (degrees) |
|---|---|---|---|---|---|---|---|---|---|
| mp-1217106 | dynamic | -6.1255 | -6.1255 | 3.0056 | 3.0056 | 15.4033 | 90.0 | 90.0 | 120.0 |
| mp-10721 | dynamic | -6.1 | -6.1 | 8.6357 | 8.6357 | 8.6357 | 90.0 | 90.0 | 90.0 |
| C1--CaF2--fluorite | dynamic | -5.9598 | -5.9598 | 5.3685 | 5.3685 | 5.3685 | 90.0 | 90.0 | 90.0 |
| mp-10721 | box | -5.6594 | -5.6594 | 9.0161 | 9.0161 | 9.0161 | 90.0 | 90.0 | 90.0 |
| C1--CaF2--fluorite | box | -0.1131 | -0.1131 | 11.0378 | 11.0378 | 11.0378 | 90.0 | 90.0 | 90.0 |
Download raw data (including filtered results)
Reference structure matches:
L1_2--AuCu3 = mp-1187454
| prototype | method | Ecoh (eV/atom) | Epot (eV/atom) | a0 (Å) | b0 (Å) | c0 (Å) | α (degrees) | β (degrees) | γ (degrees) |
|---|---|---|---|---|---|---|---|---|---|
| A15--Cr3Si | dynamic | -5.4118 | -5.4118 | 4.7438 | 4.7438 | 4.7438 | 90.0 | 90.0 | 90.0 |
| D0_3--BiF3 | static | -5.2465 | -5.2465 | 5.9821 | 5.9821 | 5.9821 | 90.0 | 90.0 | 90.0 |
| L1_2--AuCu3 | static | -5.0436 | -5.0436 | 3.7645 | 3.7645 | 3.7645 | 90.0 | 90.0 | 90.0 |
| D0_3--BiF3 | static | -0.7007 | -0.7007 | 9.5959 | 9.5959 | 9.5959 | 90.0 | 90.0 | 90.0 |
| L1_2--AuCu3 | box | -0.5006 | -0.5006 | 6.7248 | 6.7248 | 6.7248 | 90.0 | 90.0 | 90.0 |
| A15--Cr3Si | box | -0.3934 | -0.3934 | 8.5566 | 8.5566 | 8.5566 | 90.0 | 90.0 | 90.0 |
| D0_3--BiF3 | box | -0.2308 | -0.2308 | 10.9971 | 10.9971 | 10.9971 | 90.0 | 90.0 | 90.0 |
| D0_3--BiF3 | box | -0.225 | -0.225 | 10.942 | 10.942 | 10.942 | 90.0 | 90.0 | 90.0 |
Download raw data (including filtered results)
Reference structure matches:
A1--Cu--fcc = mp-150, oqmd-7505, oqmd-1214525
A15--beta-W = oqmd-1214970
A2--W--bcc = mp-13, oqmd-8568, oqmd-22514, oqmd-1215148
A3'--alpha-La--double-hcp = oqmd-1215416
A3--Mg--hcp = mp-136, oqmd-30158, oqmd-51781, oqmd-1215326, oqmd-1215391
A4--C--dc = oqmd-1215505
A5--beta-Sn = oqmd-1215594
A6--In--bct = oqmd-1215683
Ah--alpha-Po--sc = mp-568345
| prototype | method | Ecoh (eV/atom) | Epot (eV/atom) | a0 (Å) | b0 (Å) | c0 (Å) | α (degrees) | β (degrees) | γ (degrees) |
|---|---|---|---|---|---|---|---|---|---|
| A2--W--bcc | dynamic | -4.2902 | -4.2902 | 2.8636 | 2.8636 | 2.8636 | 90.0 | 90.0 | 90.0 |
| oqmd-1215950 | static | -4.2889 | -4.2889 | 2.4803 | 4.052 | 4.7452 | 90.0 | 99.9 | 90.0 |
| A15--beta-W | dynamic | -4.2634 | -4.2634 | 4.5738 | 4.5738 | 4.5738 | 90.0 | 90.0 | 90.0 |
| A3--Mg--hcp | dynamic | -4.2607 | -4.2607 | 2.5629 | 2.5629 | 4.1352 | 90.0 | 90.0 | 120.0 |
| oqmd-1216039 | dynamic | -4.2544 | -4.2544 | 2.5596 | 2.5596 | 18.6618 | 90.0 | 90.0 | 120.0 |
| oqmd-1216039 | box | -4.2543 | -4.2543 | 2.5596 | 2.5596 | 18.6624 | 90.0 | 90.0 | 120.0 |
| oqmd-1214792 | dynamic | -4.2529 | -4.2529 | 8.8499 | 8.8499 | 8.8499 | 90.0 | 90.0 | 90.0 |
| A3'--alpha-La--double-hcp | dynamic | -4.2513 | -4.2513 | 2.558 | 2.558 | 8.3058 | 90.0 | 90.0 | 120.0 |
| oqmd-1214792 | box | -4.2508 | -4.2508 | 8.8499 | 8.8499 | 8.8499 | 90.0 | 90.0 | 90.0 |
| A1--Cu--fcc | dynamic | -4.2421 | -4.2421 | 3.6111 | 3.6111 | 3.6111 | 90.0 | 90.0 | 90.0 |
| oqmd-1215237 | box | -4.2349 | -4.2349 | 2.502 | 4.5099 | 4.1864 | 90.0 | 90.0 | 90.0 |
| oqmd-1214881 | static | -4.2319 | -4.2319 | 6.2146 | 6.2146 | 6.2146 | 90.0 | 90.0 | 90.0 |
| oqmd-1214881 | box | -4.2311 | -4.2311 | 6.2139 | 6.2139 | 6.2139 | 90.0 | 90.0 | 90.0 |
| oqmd-21053 | dynamic | -4.1867 | -4.1867 | 8.6147 | 8.6147 | 4.6334 | 90.0 | 90.0 | 90.0 |
| mp-1245108 | dynamic | -4.1817 | -4.1817 | 10.4588 | 10.6099 | 10.9224 | 91.2 | 94.3 | 92.9 |
| oqmd-21053 | box | -4.1784 | -4.1784 | 8.5846 | 8.5846 | 4.6628 | 90.0 | 90.0 | 90.0 |
| mp-1194030 | box | -4.1746 | -4.1746 | 8.5771 | 8.5771 | 4.6732 | 90.0 | 90.0 | 90.0 |
| mp-1245108 | static | -4.159 | -4.159 | 10.3646 | 10.7619 | 10.9046 | 92.1 | 91.4 | 92.6 |
| mp-1245108 | box | -4.1123 | -4.1123 | 10.5652 | 10.6373 | 10.9108 | 91.7 | 90.6 | 91.6 |
| oqmd-1215059 | box | -3.9683 | -3.9683 | 2.6207 | 4.193 | 8.9643 | 90.0 | 90.0 | 90.0 |
| mp-1096950 | box | -3.7167 | -3.7167 | 2.4692 | 2.4692 | 2.4236 | 90.0 | 90.0 | 120.0 |
| A5--beta-Sn | box | -3.6951 | -3.6951 | 4.5708 | 4.5708 | 2.4576 | 90.0 | 90.0 | 90.0 |
| Ah--alpha-Po--sc | static | -3.3067 | -3.3067 | 2.3945 | 2.3945 | 2.3945 | 90.0 | 90.0 | 90.0 |
| oqmd-21731 | box | -3.3066 | -3.3066 | 2.3944 | 2.3944 | 7.1835 | 90.0 | 90.0 | 90.0 |
| oqmd-1215950 | box | -3.2361 | -3.2361 | 3.9719 | 4.4225 | 3.9835 | 90.0 | 119.7 | 90.0 |
| A7--alpha-As | box | -3.0662 | -3.0662 | 3.3395 | 3.3395 | 9.3127 | 90.0 | 90.0 | 120.0 |
| A4--C--dc | static | -2.5502 | -2.5502 | 5.1998 | 5.1998 | 5.1998 | 90.0 | 90.0 | 90.0 |
Download raw data (including filtered results)
Reference structure matches:
| prototype | method | Ecoh (eV/atom) | Epot (eV/atom) | a0 (Å) | b0 (Å) | c0 (Å) | α (degrees) | β (degrees) | γ (degrees) |
|---|---|---|---|---|---|---|---|---|---|
| mp-2454 | dynamic | -4.6354 | -4.6354 | 4.7571 | 4.7571 | 7.6991 | 90.0 | 90.0 | 120.0 |
| mp-2454 | box | -4.6319 | -4.6319 | 4.7515 | 4.7515 | 7.7223 | 90.0 | 90.0 | 120.0 |
| C1--CaF2--fluorite | dynamic | -4.0553 | -4.0553 | 5.6984 | 5.6984 | 5.6984 | 90.0 | 90.0 | 90.0 |
| C1--CaF2--fluorite | static | -0.0 | -0.0 | 11.0851 | 11.0851 | 11.0851 | 90.0 | 90.0 | 90.0 |
Download raw data (including filtered results)
Reference structure matches:
| prototype | method | Ecoh (eV/atom) | Epot (eV/atom) | a0 (Å) | b0 (Å) | c0 (Å) | α (degrees) | β (degrees) | γ (degrees) |
|---|---|---|---|---|---|---|---|---|---|
| A15--Cr3Si | dynamic | -4.6182 | -4.6182 | 4.6414 | 4.6414 | 4.6414 | 90.0 | 90.0 | 90.0 |
| L1_2--AuCu3 | dynamic | -4.5994 | -4.5994 | 3.6675 | 3.6675 | 3.6675 | 90.0 | 90.0 | 90.0 |
| D0_3--BiF3 | dynamic | -4.5317 | -4.5317 | 5.8066 | 5.8066 | 5.8066 | 90.0 | 90.0 | 90.0 |
| A15--Cr3Si | box | -0.0218 | -0.0218 | 8.4759 | 8.4759 | 8.4759 | 90.0 | 90.0 | 90.0 |
Download raw data (including filtered results)
Reference structure matches:
B2--CsCl = mp-305
| prototype | method | Ecoh (eV/atom) | Epot (eV/atom) | a0 (Å) | b0 (Å) | c0 (Å) | α (degrees) | β (degrees) | γ (degrees) |
|---|---|---|---|---|---|---|---|---|---|
| B2--CsCl | dynamic | -4.8 | -4.8 | 2.9791 | 2.9791 | 2.9791 | 90.0 | 90.0 | 90.0 |
| L1_0--AuCu | dynamic | -4.7989 | -4.7989 | 2.819 | 2.819 | 3.3424 | 90.0 | 90.0 | 90.0 |
| B1--NaCl--rock-salt | static | -3.6004 | -3.6004 | 5.0101 | 5.0101 | 5.0101 | 90.0 | 90.0 | 90.0 |
| B4--ZnS--wurtzite | box | -2.7956 | -2.7956 | 3.9168 | 3.9168 | 6.1164 | 90.0 | 90.0 | 120.0 |
| B3--ZnS--cubic-zinc-blende | static | -2.6852 | -2.6852 | 5.4223 | 5.4223 | 5.4223 | 90.0 | 90.0 | 90.0 |
| B4--ZnS--wurtzite | dynamic | -1.302 | -1.302 | 8.4801 | 8.4801 | 10.5424 | 90.0 | 90.0 | 120.0 |
| B4--ZnS--wurtzite | static | -0.0 | -0.0 | 7.8425 | 7.8425 | 12.8068 | 90.0 | 90.0 | 120.0 |
| B3--ZnS--cubic-zinc-blende | static | -0.0 | -0.0 | 11.0851 | 11.0851 | 11.0851 | 90.0 | 90.0 | 90.0 |
Download raw data (including filtered results)
Reference structure matches:
| prototype | method | Ecoh (eV/atom) | Epot (eV/atom) | a0 (Å) | b0 (Å) | c0 (Å) | α (degrees) | β (degrees) | γ (degrees) |
|---|---|---|---|---|---|---|---|---|---|
| mp-1192216 | dynamic | -4.7897 | -4.7897 | 11.2662 | 11.2662 | 11.2662 | 90.0 | 90.0 | 90.0 |
| mp-1192216 | box | -4.7857 | -4.7857 | 11.2666 | 11.2666 | 11.2666 | 90.0 | 90.0 | 90.0 |
| C1--CaF2--fluorite | dynamic | -4.5741 | -4.5741 | 5.8023 | 5.8023 | 5.8023 | 90.0 | 90.0 | 90.0 |
Download raw data (including filtered results)
Reference structure matches:
| prototype | method | Ecoh (eV/atom) | Epot (eV/atom) | a0 (Å) | b0 (Å) | c0 (Å) | α (degrees) | β (degrees) | γ (degrees) |
|---|---|---|---|---|---|---|---|---|---|
| mp-1217177 | dynamic | -4.8026 | -4.8026 | 2.8634 | 2.8634 | 8.8471 | 90.0 | 90.0 | 120.0 |
| A15--Cr3Si | dynamic | -4.7664 | -4.7664 | 4.9339 | 4.9339 | 4.9339 | 90.0 | 90.0 | 90.0 |
| L1_2--AuCu3 | dynamic | -4.7342 | -4.7342 | 3.9162 | 3.9162 | 3.9162 | 90.0 | 90.0 | 90.0 |
| D0_3--BiF3 | static | -4.6975 | -4.6975 | 6.202 | 6.202 | 6.202 | 90.0 | 90.0 | 90.0 |
| A15--Cr3Si | box | -0.333 | -0.333 | 8.5699 | 8.5699 | 8.5699 | 90.0 | 90.0 | 90.0 |
Download raw data (including filtered results)
Reference structure matches:
A1--Cu--fcc = mp-6985, oqmd-676147
A15--beta-W = oqmd-1215024
A2--W--bcc = mp-73, oqmd-8390
A3'--alpha-La--double-hcp = oqmd-1215470
A3--Mg--hcp = mp-46, oqmd-8079, oqmd-755820, oqmd-755821, oqmd-755822, oqmd-755823, oqmd-755827, oqmd-755834, oqmd-755836, oqmd-755845
A4--C--dc = oqmd-1215559
A5--beta-Sn = oqmd-1215648
A6--In--bct = oqmd-1215737
| prototype | method | Ecoh (eV/atom) | Epot (eV/atom) | a0 (Å) | b0 (Å) | c0 (Å) | α (degrees) | β (degrees) | γ (degrees) |
|---|---|---|---|---|---|---|---|---|---|
| A3--Mg--hcp | dynamic | -4.8727 | -4.8727 | 2.9453 | 2.9453 | 4.6874 | 90.0 | 90.0 | 120.0 |
| A3--Mg--hcp | box | -4.8727 | -4.8727 | 2.9453 | 2.9453 | 4.6874 | 90.0 | 90.0 | 120.0 |
| A3--Mg--hcp | box | -4.8727 | -4.8727 | 2.9452 | 2.9452 | 4.6874 | 90.0 | 90.0 | 120.0 |
| oqmd-1215291 | box | -4.871 | -4.871 | 2.9356 | 5.1164 | 4.6896 | 90.0 | 90.0 | 90.0 |
| oqmd-1216096 | dynamic | -4.8561 | -4.8561 | 2.9371 | 2.9371 | 21.2287 | 90.0 | 90.0 | 120.0 |
| A2--W--bcc | dynamic | -4.8489 | -4.8489 | 3.2661 | 3.2661 | 3.2661 | 90.0 | 90.0 | 90.0 |
| A3'--alpha-La--double-hcp | dynamic | -4.8479 | -4.8479 | 2.9331 | 2.9331 | 9.4641 | 90.0 | 90.0 | 120.0 |
| A1--Cu--fcc | dynamic | -4.8245 | -4.8245 | 4.133 | 4.133 | 4.133 | 90.0 | 90.0 | 90.0 |
| oqmd-1215915 | box | -4.8244 | -4.8244 | 2.9225 | 2.9225 | 7.1586 | 90.0 | 90.0 | 120.0 |
| oqmd-1214935 | dynamic | -4.8237 | -4.8237 | 7.085 | 7.085 | 7.085 | 90.0 | 90.0 | 90.0 |
| oqmd-1214846 | dynamic | -4.8015 | -4.8015 | 10.0909 | 10.0909 | 10.0909 | 90.0 | 90.0 | 90.0 |
| A15--beta-W | dynamic | -4.7966 | -4.7966 | 5.2081 | 5.2081 | 5.2081 | 90.0 | 90.0 | 90.0 |
| oqmd-1214846 | box | -4.7858 | -4.7858 | 10.093 | 10.093 | 10.093 | 90.0 | 90.0 | 90.0 |
| oqmd-1214935 | box | -4.7658 | -4.7658 | 7.111 | 7.111 | 7.111 | 90.0 | 90.0 | 90.0 |
| mp-1245320 | dynamic | -4.7453 | -4.7453 | 11.9387 | 12.1109 | 12.486 | 89.7 | 88.5 | 88.5 |
| mp-1245006 | dynamic | -4.7343 | -4.7343 | 12.1353 | 12.1462 | 12.2378 | 93.9 | 90.7 | 91.5 |
| mp-72 | dynamic | -4.7291 | -4.7291 | 4.6611 | 4.6611 | 2.8299 | 90.0 | 90.0 | 120.0 |
| mp-1245170 | dynamic | -4.7277 | -4.7277 | 11.736 | 12.1337 | 12.7783 | 92.3 | 92.0 | 94.7 |
| mp-1245164 | dynamic | -4.7238 | -4.7238 | 12.1656 | 12.221 | 12.5 | 81.6 | 80.4 | 81.9 |
| mp-1245320 | static | -4.7212 | -4.7212 | 11.9945 | 12.0036 | 12.5385 | 88.2 | 89.1 | 89.3 |
| mp-1245164 | static | -4.7204 | -4.7204 | 12.1578 | 12.2303 | 12.4915 | 81.3 | 80.7 | 82.3 |
| mp-1245006 | static | -4.7123 | -4.7123 | 12.0242 | 12.0844 | 12.4365 | 93.5 | 91.0 | 92.0 |
| mp-1244924 | dynamic | -4.7016 | -4.7016 | 11.545 | 12.254 | 12.8814 | 91.3 | 90.4 | 92.9 |
| mp-1245170 | static | -4.6888 | -4.6888 | 11.9229 | 12.1583 | 12.5634 | 92.2 | 92.1 | 93.2 |
| mp-1244924 | static | -4.6875 | -4.6875 | 11.5899 | 12.2812 | 12.8182 | 91.2 | 90.3 | 93.3 |
| mp-1245164 | box | -4.6545 | -4.6545 | 12.1699 | 12.2274 | 12.4954 | 80.5 | 82.5 | 82.9 |
| mp-1245006 | box | -4.6323 | -4.6323 | 11.8865 | 12.1977 | 12.5124 | 92.8 | 91.1 | 92.2 |
| mp-1245320 | box | -4.6304 | -4.6304 | 11.9548 | 12.1117 | 12.5368 | 88.9 | 87.9 | 89.9 |
| mp-1244924 | box | -4.6015 | -4.6015 | 11.666 | 12.3938 | 12.6618 | 91.8 | 91.6 | 93.0 |
| mp-1245170 | box | -4.5999 | -4.5999 | 12.0166 | 12.107 | 12.5636 | 93.1 | 91.3 | 91.5 |
| oqmd-1215113 | dynamic | -4.3306 | -4.3306 | 3.4951 | 4.6584 | 9.5161 | 90.0 | 90.0 | 90.0 |
| oqmd-1214757 | box | -4.3293 | -4.3293 | 3.4908 | 4.6643 | 9.5562 | 90.0 | 90.0 | 90.0 |
| oqmd-1215113 | box | -4.3049 | -4.3049 | 3.1251 | 4.8368 | 9.9446 | 90.0 | 90.0 | 90.0 |
| A5--beta-Sn | static | -4.2463 | -4.2463 | 5.3221 | 5.3221 | 2.7018 | 90.0 | 90.0 | 90.0 |
| Ah--alpha-Po--sc | static | -3.6235 | -3.6235 | 2.7734 | 2.7734 | 2.7734 | 90.0 | 90.0 | 90.0 |
| oqmd-1216004 | box | -3.418 | -3.418 | 4.5232 | 4.5232 | 4.9661 | 90.0 | 90.0 | 120.0 |
| A4--C--dc | static | -2.6084 | -2.6084 | 5.8457 | 5.8457 | 5.8457 | 90.0 | 90.0 | 90.0 |
| A7--alpha-As | dynamic | -2.5078 | -2.5078 | 3.8307 | 3.8307 | 17.433 | 90.0 | 90.0 | 120.0 |
| A15--beta-W | box | -0.3887 | -0.3887 | 8.5644 | 8.5644 | 8.5644 | 90.0 | 90.0 | 90.0 |
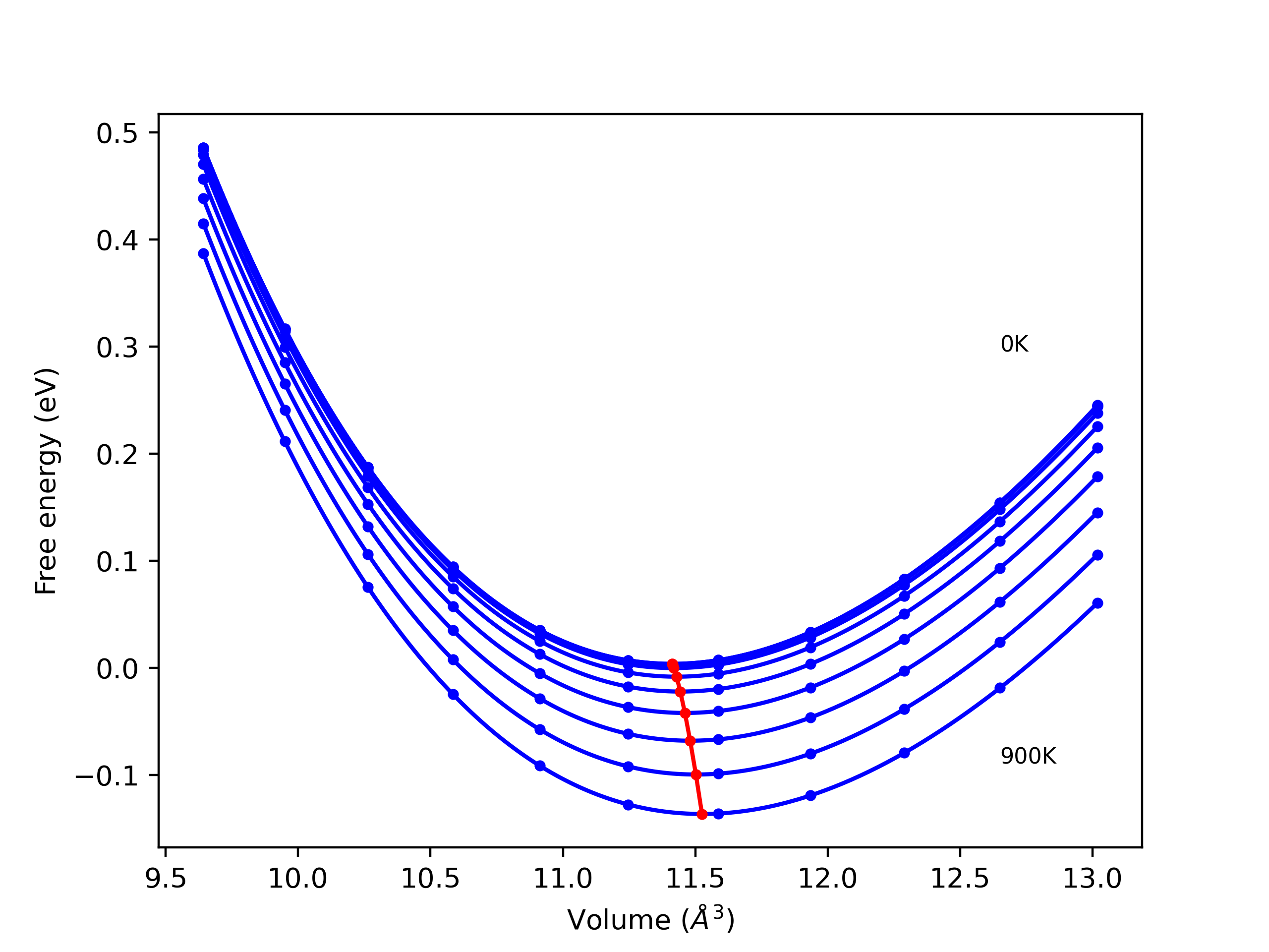
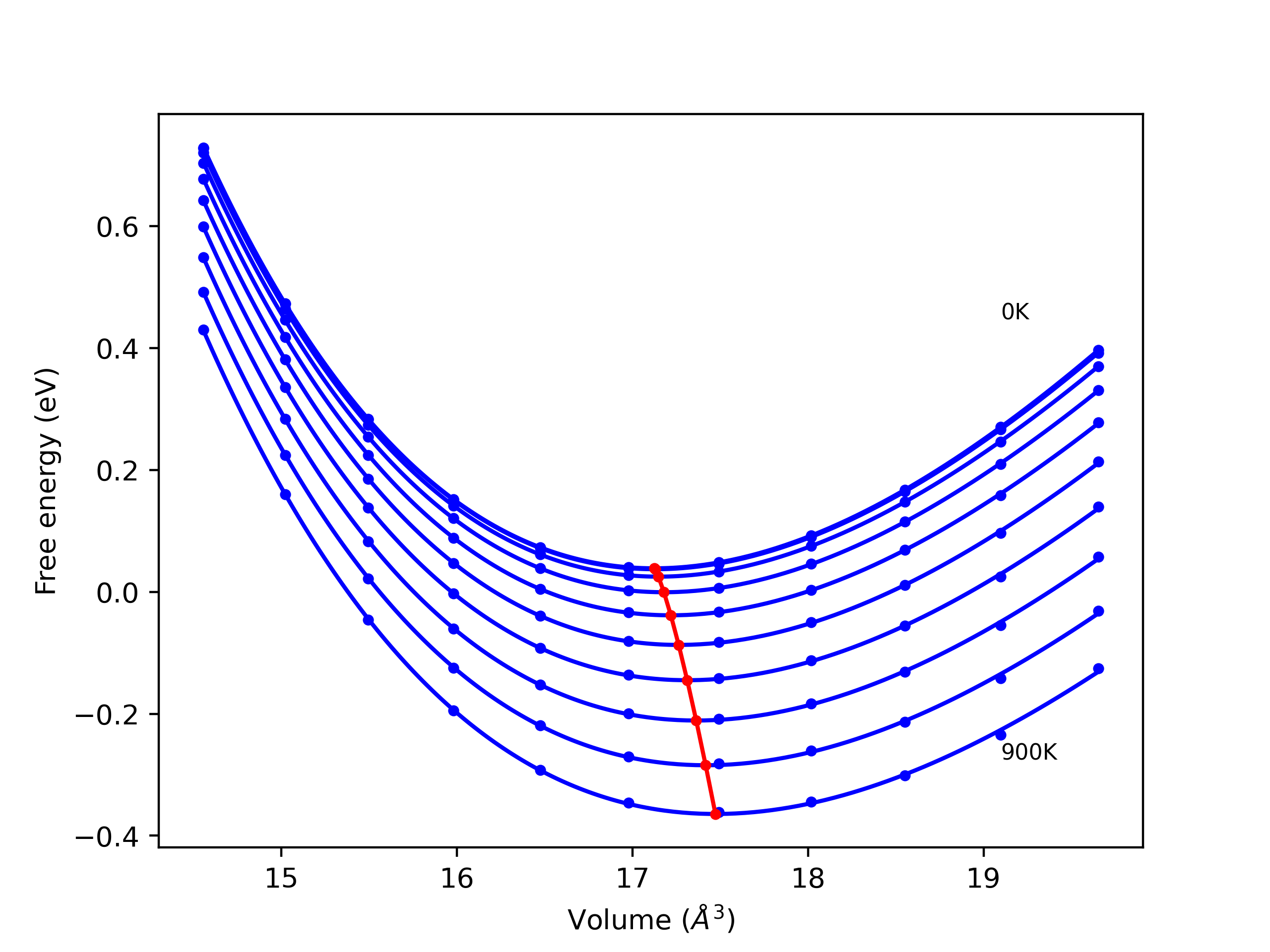
Static elastic constants are displayed for the unique structures identified in Crystal Structure Predictions above. The values displayed here are obtained by measuring the change in virial stresses due to applying small strains to the relaxed crystals. The initial structure and the strained states are all relaxed using force minimization.
The calculation method used is available as the iprPy elastic_constants_static calculation method.
Notes and Disclaimers:
Version Information:
| 215.081 | 274.484 | 274.484 | 0.000 | 0.000 | 0.000 |
| 274.484 | 215.081 | 274.484 | 0.000 | 0.000 | 0.000 |
| 274.484 | 274.484 | 215.081 | 0.000 | 0.000 | 0.000 |
| -0.000 | -0.000 | -0.000 | -79.798 | 0.000 | 0.000 |
| -0.000 | -0.000 | -0.000 | 0.000 | -79.798 | 0.000 |
| -0.000 | -0.000 | -0.000 | 0.000 | 0.000 | -79.798 |
| 215.081 | 274.484 | 274.484 | -0.000 | -0.000 | -0.000 |
| 274.484 | 215.081 | 274.484 | -0.000 | -0.000 | -0.000 |
| 274.484 | 274.484 | 215.081 | -0.000 | -0.000 | -0.000 |
| 0.000 | 0.000 | 0.000 | -79.798 | -0.000 | -0.000 |
| 0.000 | 0.000 | 0.000 | -0.000 | -79.798 | -0.000 |
| 0.000 | 0.000 | 0.000 | -0.000 | -0.000 | -79.798 |
| 215.081 | 274.484 | 274.484 | 0.000 | 0.000 | 0.000 |
| 274.484 | 215.081 | 274.484 | 0.000 | 0.000 | 0.000 |
| 274.484 | 274.484 | 215.081 | 0.000 | 0.000 | 0.000 |
| 0.000 | 0.000 | 0.000 | -79.798 | 0.000 | 0.000 |
| 0.000 | 0.000 | 0.000 | 0.000 | -79.798 | 0.000 |
| 0.000 | 0.000 | 0.000 | 0.000 | 0.000 | -79.798 |
| 215.081 | 274.484 | 274.484 | -0.000 | -0.000 | -0.000 |
| 274.484 | 215.081 | 274.484 | -0.000 | -0.000 | -0.000 |
| 274.484 | 274.484 | 215.081 | -0.000 | -0.000 | -0.000 |
| -0.000 | -0.000 | -0.000 | -79.798 | -0.000 | -0.000 |
| -0.000 | -0.000 | -0.000 | -0.000 | -79.798 | -0.000 |
| -0.000 | -0.000 | -0.000 | -0.000 | -0.000 | -79.798 |
| 215.083 | 274.485 | 274.485 | 0.000 | 0.000 | 0.000 |
| 274.485 | 215.083 | 274.485 | 0.000 | 0.000 | 0.000 |
| 274.485 | 274.485 | 215.083 | 0.000 | 0.000 | 0.000 |
| 0.000 | 0.000 | 0.000 | -79.798 | 0.000 | 0.000 |
| 0.000 | 0.000 | 0.000 | 0.000 | -79.798 | 0.000 |
| 0.000 | 0.000 | 0.000 | 0.000 | 0.000 | -79.798 |
| 215.080 | 274.484 | 274.484 | -0.000 | -0.000 | -0.000 |
| 274.484 | 215.080 | 274.484 | -0.000 | -0.000 | -0.000 |
| 274.484 | 274.484 | 215.080 | -0.000 | -0.000 | -0.000 |
| -0.000 | -0.000 | -0.000 | -79.798 | -0.000 | -0.000 |
| -0.000 | -0.000 | -0.000 | -0.000 | -79.798 | -0.000 |
| -0.000 | -0.000 | -0.000 | -0.000 | -0.000 | -79.798 |
| 59.279 | 312.236 | 312.236 | 0.000 | -0.000 | -0.000 |
| 312.236 | 59.279 | 312.236 | 0.000 | -0.000 | -0.000 |
| 312.236 | 312.236 | 59.279 | 0.000 | 0.000 | -0.000 |
| -1214652760.410 | -1276272241.613 | -1274356010.423 | -164367554.581 | 74805940.010 | -23189880.020 |
| -1460259966.083 | -1377461857.003 | -1437483529.824 | -84536756.231 | -165031761.101 | -44227373.036 |
| -1444755249.062 | -1378896801.992 | -1242083332.586 | 39783090.646 | -8140849.725 | -229746921.534 |
| 59.279 | 312.236 | 312.236 | -0.000 | 0.000 | 0.000 |
| 312.236 | 59.279 | 312.236 | -0.000 | -0.000 | 0.000 |
| 312.236 | 312.236 | 59.279 | -0.000 | 0.000 | 0.000 |
| 1289826745.820 | 1288048063.411 | 1371231253.729 | -161962012.361 | -10677921.418 | 5253083.518 |
| 1485202575.110 | 1336262009.632 | 1405847998.849 | -57069471.282 | -161116156.489 | -10741215.927 |
| 1321285771.881 | 1304691163.121 | 1291754393.639 | -9034056.135 | 19859933.276 | -215898181.066 |
| 57.179 | 313.286 | 313.286 | 0.000 | -0.000 | -0.000 |
| 313.286 | 57.179 | 313.286 | 0.000 | -0.000 | -0.000 |
| 313.286 | 313.286 | 57.179 | 0.000 | 0.000 | -0.000 |
| -136296813.801 | -134640000.524 | -141259031.027 | -18462495.634 | 2506778.667 | -4962610.547 |
| -135413310.984 | -126985021.173 | -139150750.295 | -293794.149 | -22901868.984 | 4302372.010 |
| -142658293.709 | -132813672.407 | -127362325.139 | 1021225.811 | -3119311.538 | -15393593.198 |
| 57.179 | 313.286 | 313.286 | -0.000 | 0.000 | 0.000 |
| 313.286 | 57.179 | 313.286 | -0.000 | 0.000 | -0.000 |
| 313.286 | 313.286 | 57.179 | -0.000 | 0.000 | -0.000 |
| 131170040.567 | 135331272.242 | 139284428.607 | -17892234.936 | -718380.685 | 1770895.681 |
| 137783717.673 | 127262515.785 | 129353627.916 | 724832.495 | -8608452.499 | -1058854.330 |
| 135526347.971 | 145993124.483 | 130041636.456 | 358676.246 | 1457901.029 | -21155036.215 |
| 59.280 | 312.237 | 312.237 | -0.000 | -0.000 | -0.000 |
| 312.237 | 59.280 | 312.237 | 0.000 | -0.000 | 0.000 |
| 312.237 | 312.237 | 59.280 | 0.000 | -0.000 | -0.000 |
| -12951895.067 | -12683888.276 | -13051126.841 | -1090627.603 | -118379.187 | -345051.686 |
| -13445591.713 | -13714792.117 | -13413806.397 | -312822.171 | -1061092.937 | -662947.335 |
| -13168810.536 | -13338638.910 | -13033563.562 | 309729.005 | -344177.392 | -1667596.097 |
| 59.278 | 312.235 | 312.235 | -0.000 | 0.000 | 0.000 |
| 312.235 | 59.278 | 312.235 | -0.000 | 0.000 | 0.000 |
| 312.235 | 312.235 | 59.278 | -0.000 | 0.000 | 0.000 |
| 13462171.117 | 13290922.693 | 13057401.652 | -1686123.932 | 63006.751 | -79808.329 |
| 13930504.532 | 12757656.396 | 13350468.661 | 65954.856 | -1454210.978 | 242986.889 |
| 13237091.257 | 13845383.529 | 12729171.661 | 231900.852 | 425855.648 | -1476084.783 |
| 1369.885 | -242.672 | -242.672 | 0.000 | -0.000 | -0.000 |
| -242.672 | 1369.885 | -242.672 | -0.000 | 0.000 | -0.000 |
| -242.672 | -242.672 | 1369.885 | -0.000 | -0.000 | -0.000 |
| -0.000 | -0.000 | 0.000 | -244.297 | 0.000 | -0.000 |
| -0.000 | -0.000 | 0.000 | 0.000 | -244.297 | -0.000 |
| -0.000 | -0.000 | -0.000 | -0.000 | 0.000 | -244.297 |
| 1369.885 | -242.672 | -242.672 | -0.000 | -0.000 | 0.000 |
| -242.672 | 1369.885 | -242.672 | 0.000 | -0.000 | 0.000 |
| -242.672 | -242.672 | 1369.885 | 0.000 | 0.000 | 0.000 |
| 0.000 | 0.000 | 0.000 | -244.297 | 0.000 | 0.000 |
| -0.000 | 0.000 | -0.000 | 0.000 | -244.297 | 0.000 |
| 0.000 | 0.000 | 0.000 | 0.000 | 0.000 | -244.297 |
| 1369.886 | -242.672 | -242.672 | 0.000 | -0.000 | -0.000 |
| -242.672 | 1369.886 | -242.672 | -0.000 | -0.000 | -0.000 |
| -242.672 | -242.672 | 1369.886 | -0.000 | 0.000 | -0.000 |
| -0.000 | 0.000 | 0.000 | -244.297 | 0.000 | -0.000 |
| 0.000 | -0.000 | 0.000 | 0.000 | -244.297 | -0.000 |
| 0.000 | 0.000 | -0.000 | -0.000 | -0.000 | -244.297 |
| 1369.884 | -242.672 | -242.672 | 0.000 | -0.000 | 0.000 |
| -242.672 | 1369.884 | -242.672 | 0.000 | 0.000 | 0.000 |
| -242.672 | -242.672 | 1369.884 | -0.000 | -0.000 | 0.000 |
| 0.000 | -0.000 | -0.000 | -244.297 | 0.000 | 0.000 |
| -0.000 | 0.000 | -0.000 | 0.000 | -244.297 | 0.000 |
| -0.000 | -0.000 | 0.000 | 0.000 | 0.000 | -244.297 |
| 1369.893 | -242.671 | -242.671 | 0.000 | -0.000 | -0.000 |
| -242.671 | 1369.893 | -242.671 | -0.000 | -0.000 | -0.000 |
| -242.671 | -242.671 | 1369.893 | -0.000 | -0.000 | -0.000 |
| -0.002 | 0.001 | 0.000 | -244.297 | -0.000 | -0.000 |
| 0.001 | -0.002 | 0.000 | -0.000 | -244.297 | -0.000 |
| 0.001 | 0.000 | -0.002 | -0.000 | -0.000 | -244.297 |
| 1369.878 | -242.674 | -242.674 | 0.000 | 0.000 | 0.000 |
| -242.674 | 1369.878 | -242.674 | -0.000 | 0.000 | 0.000 |
| -242.674 | -242.674 | 1369.878 | -0.000 | 0.000 | 0.000 |
| 0.002 | -0.001 | -0.000 | -244.297 | 0.000 | 0.000 |
| -0.001 | 0.002 | -0.000 | 0.000 | -244.297 | 0.000 |
| -0.001 | -0.000 | 0.002 | -0.000 | 0.000 | -244.297 |
| 164.892 | 297.326 | 307.379 | 0.000 | 0.000 | -0.000 |
| 443.657 | 18.561 | 307.379 | -0.000 | -0.000 | -0.000 |
| 307.379 | 307.379 | 139.238 | -0.000 | -0.000 | 0.000 |
| 0.000 | 0.000 | 0.000 | -55.160 | -0.000 | 0.000 |
| 0.000 | 0.000 | -0.000 | -0.000 | -55.160 | -0.000 |
| 0.000 | 0.000 | 0.000 | 0.000 | -0.000 | -66.217 |
| 164.892 | 297.326 | 307.379 | -0.000 | -0.000 | -0.000 |
| 297.326 | 164.892 | 307.379 | 0.000 | -0.000 | -0.000 |
| 307.379 | 307.379 | 139.238 | 0.000 | 0.000 | -0.000 |
| -0.000 | -0.000 | -0.000 | -55.160 | 0.000 | -0.000 |
| -0.000 | -0.000 | 0.000 | 0.000 | -55.160 | -0.000 |
| -0.000 | -0.000 | -0.000 | -0.000 | 0.000 | -66.217 |
| 164.892 | 297.326 | 307.379 | 0.000 | -0.000 | 0.000 |
| 297.326 | 164.892 | 307.379 | -0.000 | 0.000 | 0.000 |
| 307.379 | 307.379 | 139.238 | -0.000 | -0.000 | 0.000 |
| 0.000 | 0.000 | -0.000 | -55.160 | -0.000 | 0.000 |
| 0.000 | 0.000 | -0.000 | 0.000 | -55.160 | -0.000 |
| -168864200.018 | -128249934.964 | -109188358.940 | -2079296.475 | -318248.411 | -2392809.212 |
| 164.892 | 297.326 | 307.379 | -0.000 | 0.000 | 0.000 |
| 316.733 | 145.485 | 307.379 | -0.000 | 0.000 | -0.000 |
| 307.379 | 307.379 | 139.238 | -0.000 | 0.000 | -0.000 |
| -0.000 | -0.000 | 0.000 | -55.160 | 0.000 | -0.000 |
| -0.000 | -0.000 | 0.000 | 0.000 | -55.160 | -0.000 |
| 178627474.736 | 133158277.354 | 110580973.685 | 4540829.641 | -891219.566 | 2668869.156 |
| -14924747.454 | -11673264.261 | -8995608.873 | -225221.581 | -238358.297 | -512786.295 |
| -17912685.394 | -17967140.452 | -10815979.434 | -245742.633 | -194320.690 | 767612.513 |
| 307.380 | 307.380 | 139.239 | -0.000 | -0.000 | 0.000 |
| 0.000 | 0.000 | -0.000 | -55.160 | -0.000 | 0.000 |
| 0.000 | 0.000 | -0.000 | -0.000 | -55.160 | 0.000 |
| -18176127.517 | -16083259.419 | -11117997.904 | -188699.406 | -217524.276 | -548457.026 |
| 164.891 | 297.325 | 307.378 | -0.000 | 0.000 | 0.000 |
| 15261650.460 | 12118976.549 | 9347459.873 | 142416.094 | 222186.848 | -60892.519 |
| 307.378 | 307.378 | 139.237 | -0.000 | 0.000 | -0.000 |
| -0.000 | -0.000 | 0.000 | -55.160 | 0.000 | -0.000 |
| -0.000 | -0.000 | 0.000 | 0.000 | -55.160 | 0.000 |
| 18985870.930 | 14384715.614 | 10831535.481 | 583074.039 | 656590.033 | -205229.221 |
| 532.750 | 429.073 | -0.638 | 0.000 | 0.000 | -0.000 |
| 380.434 | 581.389 | -0.637 | -0.000 | 0.000 | -0.000 |
| -0.637 | -0.637 | 1064.200 | -0.000 | 0.000 | -0.000 |
| 0.000 | 0.000 | -0.000 | -34.025 | 0.000 | -0.000 |
| 0.000 | -0.000 | -0.000 | -0.000 | -34.025 | -0.000 |
| 0.000 | 0.000 | -0.000 | 0.000 | 0.000 | 51.839 |
| 581.389 | 380.434 | -0.637 | 0.000 | 0.000 | 0.000 |
| 429.073 | 532.750 | -0.637 | -0.000 | -0.000 | -0.000 |
| -0.637 | -0.637 | 1064.200 | -0.000 | -0.000 | 0.000 |
| -0.000 | -0.000 | 0.000 | -34.025 | -0.000 | 0.000 |
| -0.000 | -0.000 | 0.000 | 0.000 | -34.025 | -0.000 |
| -0.000 | -0.000 | 0.000 | 0.000 | -0.000 | 51.839 |
| 532.751 | 429.072 | -0.638 | -0.000 | -0.000 | -0.000 |
| 429.073 | 532.751 | -0.638 | 0.000 | 0.000 | -0.000 |
| -0.637 | -0.637 | 1064.201 | 0.000 | 0.000 | -0.000 |
| 0.000 | 0.000 | -0.000 | -34.025 | 0.000 | -0.000 |
| 0.000 | 0.000 | -0.000 | -0.000 | -34.025 | 0.000 |
| 0.000 | 0.000 | -0.000 | 0.000 | 0.000 | 51.839 |
| 532.749 | 429.073 | -0.637 | -0.000 | -0.000 | 0.000 |
| 429.073 | 532.749 | -0.637 | 0.000 | -0.000 | 0.000 |
| -0.637 | -0.637 | 1064.199 | 0.000 | 0.000 | 0.000 |
| -0.000 | -0.000 | 0.000 | -34.025 | -0.000 | 0.000 |
| -0.000 | -0.000 | 0.000 | 0.000 | -34.025 | 0.000 |
| -0.000 | -0.000 | 0.000 | 0.000 | -0.000 | 51.839 |
| 532.761 | 429.069 | -0.638 | -0.000 | 0.000 | 0.000 |
| 429.074 | 532.757 | -0.638 | -0.000 | -0.000 | -0.000 |
| -0.639 | -0.639 | 1064.209 | -0.000 | -0.000 | -0.000 |
| 0.000 | 0.001 | -0.000 | -34.025 | 0.000 | 0.000 |
| 0.001 | 0.000 | -0.000 | 0.000 | -34.025 | -0.000 |
| 0.002 | 0.003 | -0.002 | 0.000 | 0.000 | 51.839 |
| 532.739 | 429.076 | -0.637 | -0.000 | 0.000 | -0.000 |
| 429.072 | 532.743 | -0.637 | -0.000 | -0.000 | 0.000 |
| -0.636 | -0.636 | 1064.191 | -0.000 | -0.000 | 0.000 |
| -0.000 | -0.000 | 0.000 | -34.025 | -0.000 | -0.000 |
| -0.001 | -0.000 | 0.000 | -0.000 | -34.025 | 0.000 |
| -0.002 | -0.003 | 0.002 | -0.000 | 0.000 | 51.839 |
| 241.233 | 364.971 | -110.939 | 0.000 | -0.000 | 0.000 |
| 364.971 | 241.233 | -110.939 | 0.000 | -0.000 | 0.000 |
| -110.938 | -110.938 | 107.854 | 0.000 | -0.000 | 0.000 |
| 0.000 | 0.000 | -0.000 | 134.909 | -0.000 | 0.000 |
| 0.000 | 0.000 | -0.000 | 0.000 | 134.909 | 0.000 |
| 0.000 | 0.000 | -0.000 | 0.000 | -0.000 | -61.869 |
| 241.233 | 364.971 | -110.939 | -0.000 | 0.000 | -0.000 |
| 364.971 | 241.233 | -110.939 | 0.000 | 0.000 | -0.000 |
| -110.938 | -110.938 | 107.854 | -0.000 | -0.000 | -0.000 |
| -0.000 | -0.000 | 0.000 | 134.909 | 0.000 | -0.000 |
| -0.000 | -0.000 | 0.000 | -0.000 | 134.909 | 0.000 |
| -0.000 | -0.000 | 0.000 | -0.000 | 0.000 | -61.869 |
| 241.233 | 364.971 | -110.939 | 0.000 | -0.000 | 0.000 |
| 364.971 | 241.233 | -110.939 | 0.000 | -0.000 | 0.000 |
| -110.938 | -110.938 | 107.854 | 0.000 | 0.000 | 0.000 |
| 0.000 | 0.000 | -0.000 | 134.909 | -0.000 | 0.000 |
| 0.000 | 0.000 | -0.000 | 0.000 | 134.909 | 0.000 |
| 0.000 | 0.000 | -0.000 | 0.000 | -0.000 | -55.516 |
| 241.232 | 364.970 | -110.939 | -0.000 | 0.000 | -0.000 |
| 364.970 | 241.232 | -110.939 | -0.000 | 0.000 | -0.000 |
| -110.938 | -110.938 | 107.854 | -0.000 | -0.000 | 0.000 |
| -0.000 | -0.000 | 0.000 | 134.909 | 0.000 | -0.000 |
| -0.000 | -0.000 | 0.000 | -0.000 | 134.909 | -0.000 |
| -0.000 | -0.000 | 0.000 | -0.000 | -0.000 | -55.516 |
| 241.234 | 364.972 | -110.939 | 0.000 | -0.000 | 0.000 |
| 364.972 | 241.234 | -110.939 | 0.000 | -0.000 | 0.000 |
| -110.938 | -110.938 | 107.854 | 0.000 | 0.000 | 0.000 |
| 0.001 | 0.001 | -0.001 | 134.909 | 0.000 | 0.000 |
| 0.001 | 0.001 | -0.001 | 0.000 | 134.909 | 0.000 |
| 0.000 | 0.000 | -0.000 | 0.000 | -0.000 | -61.869 |
| 247.584 | 358.616 | -110.939 | -0.000 | 0.000 | -0.000 |
| 358.616 | 247.584 | -110.939 | -0.000 | 0.000 | -0.000 |
| -110.938 | -110.938 | 107.854 | -0.000 | 0.000 | 0.000 |
| -0.001 | -0.001 | 0.001 | 134.909 | 0.000 | -0.000 |
| -0.001 | -0.001 | 0.001 | -0.000 | 134.909 | -0.000 |
| -0.000 | -0.000 | 0.000 | -0.000 | 0.000 | -61.869 |
| 164.751 | 303.366 | 306.857 | 0.000 | 0.000 | -0.000 |
| 303.366 | 164.751 | 306.857 | 0.000 | 0.000 | -0.000 |
| 306.857 | 306.857 | 130.410 | 0.000 | 0.000 | 0.000 |
| 0.000 | -0.000 | -0.000 | -63.775 | 0.000 | -0.000 |
| 0.000 | 0.000 | -0.000 | 0.000 | -63.775 | -0.000 |
| -1795363690.371 | -1749153387.003 | -1004294621.209 | 20571383.670 | -15363907.294 | 41599658.402 |
| 164.751 | 303.366 | 306.857 | -0.000 | 0.000 | 0.000 |
| 303.366 | 164.751 | 306.857 | -0.000 | -0.000 | 0.000 |
| 306.857 | 306.857 | 130.410 | -0.000 | -0.000 | -0.000 |
| 0.000 | -0.000 | 0.000 | -63.775 | -0.000 | 0.000 |
| -0.000 | -0.000 | 0.000 | -0.000 | -63.775 | -0.000 |
| 1856916660.727 | 1647589814.260 | 996161856.651 | -9556235.982 | -6240826.212 | -75689346.011 |
| -120887888.527 | -109519558.058 | -84321960.233 | 7339793.880 | 1138516.222 | -6212752.586 |
| 303.366 | 164.751 | 306.857 | 0.000 | 0.000 | -0.000 |
| 306.857 | 306.857 | 130.410 | 0.000 | 0.000 | 0.000 |
| 0.000 | 0.000 | -0.000 | -63.775 | 0.000 | -0.000 |
| -0.000 | 0.000 | -0.000 | 0.000 | -63.775 | 0.000 |
| -173668120.604 | -158718102.909 | -92298541.212 | 2211730.495 | -1246110.219 | 5314342.250 |
| 174284896.156 | 174877760.013 | 105606871.071 | 2744834.497 | -2894147.666 | 1142657.612 |
| 303.366 | 164.751 | 306.857 | -0.000 | -0.000 | 0.000 |
| 306.857 | 306.857 | 130.410 | -0.000 | -0.000 | 0.000 |
| -0.000 | -0.000 | 0.000 | -63.775 | -0.000 | 0.000 |
| 0.000 | -0.000 | 0.000 | -0.000 | -63.775 | 0.000 |
| 190359327.727 | 163428746.831 | 95996384.444 | -333098.608 | 1741651.594 | 1176613.849 |
| -11452941.989 | -10440615.949 | -8376158.016 | 832740.564 | -11389.585 | -726975.496 |
| -16259824.156 | -18528143.361 | -10676536.340 | 348324.585 | 92554.143 | -483998.130 |
| 306.858 | 306.858 | 130.411 | 0.000 | 0.000 | -0.000 |
| 0.000 | -0.000 | -0.000 | -63.775 | 0.000 | 0.000 |
| -0.000 | 0.000 | -0.000 | 0.000 | -63.775 | -0.000 |
| -17882737.912 | -16489407.010 | -9600944.203 | 320466.052 | 59721.128 | -118846.988 |
| 15749896.991 | 17235600.087 | 10625762.825 | -320943.743 | -261265.422 | 138017.006 |
| 12153878.626 | 11651873.135 | 8183164.588 | -253758.856 | 199404.023 | 425326.136 |
| 306.856 | 306.856 | 130.409 | -0.000 | -0.000 | -0.000 |
| -0.000 | 0.000 | 0.000 | -63.775 | -0.000 | -0.000 |
| 0.000 | -0.000 | 0.000 | -0.000 | -63.775 | -0.000 |
| 17896829.687 | 17248737.669 | 9473552.475 | 63440.450 | 239999.936 | -1522980.373 |
| 1079.359 | 127.241 | 127.241 | 0.000 | 0.000 | 0.000 |
| 127.241 | 1079.359 | 127.241 | 0.000 | 0.000 | 0.000 |
| 127.241 | 127.241 | 1079.359 | 0.000 | 0.000 | 0.000 |
| -0.000 | -0.000 | 0.000 | 793.130 | 0.000 | -0.000 |
| -0.000 | -0.000 | 0.000 | 0.000 | 793.130 | -0.000 |
| -0.000 | 0.000 | -0.000 | 0.000 | -0.000 | 793.130 |
| 1079.359 | 127.241 | 127.241 | -0.000 | -0.000 | -0.000 |
| 127.241 | 1079.359 | 127.241 | -0.000 | -0.000 | -0.000 |
| 127.241 | 127.241 | 1079.359 | -0.000 | -0.000 | -0.000 |
| 0.000 | 0.000 | -0.000 | 793.130 | -0.000 | 0.000 |
| 0.000 | 0.000 | -0.000 | -0.000 | 793.130 | 0.000 |
| 0.000 | -0.000 | 0.000 | -0.000 | 0.000 | 793.130 |
| 1079.359 | 127.241 | 127.241 | 0.000 | 0.000 | 0.000 |
| 127.241 | 1079.359 | 127.241 | 0.000 | 0.000 | 0.000 |
| 127.241 | 127.241 | 1079.359 | 0.000 | 0.000 | 0.000 |
| 0.000 | 0.000 | 0.000 | 622.746 | 0.000 | 0.000 |
| 0.000 | 0.000 | 0.000 | 0.000 | 622.746 | 0.000 |
| 0.000 | 0.000 | 0.000 | 0.000 | 0.000 | 622.746 |
| 1079.359 | 127.240 | 127.240 | -0.000 | -0.000 | -0.000 |
| 127.240 | 1079.359 | 127.240 | -0.000 | -0.000 | -0.000 |
| 127.240 | 127.240 | 1079.359 | -0.000 | -0.000 | -0.000 |
| -0.000 | -0.000 | -0.000 | 622.746 | -0.000 | -0.000 |
| -0.000 | -0.000 | -0.000 | -0.000 | 622.746 | -0.000 |
| -0.000 | -0.000 | -0.000 | -0.000 | -0.000 | 622.746 |
| 1079.362 | 127.241 | 127.241 | 0.000 | 0.000 | 0.000 |
| 127.241 | 1079.362 | 127.241 | 0.000 | 0.000 | 0.000 |
| 127.241 | 127.241 | 1079.362 | 0.000 | 0.000 | 0.000 |
| 0.000 | 0.001 | 0.001 | 622.746 | 0.000 | 0.000 |
| 0.001 | 0.000 | 0.001 | 0.000 | 622.746 | 0.000 |
| 0.001 | 0.001 | 0.000 | 0.000 | 0.000 | 622.746 |
| 1079.356 | 127.240 | 127.240 | -0.000 | -0.000 | -0.000 |
| 127.240 | 1079.356 | 127.240 | -0.000 | -0.000 | -0.000 |
| 127.240 | 127.240 | 1079.356 | -0.000 | -0.000 | -0.000 |
| -0.000 | -0.001 | -0.001 | 622.746 | -0.000 | -0.000 |
| -0.001 | -0.000 | -0.001 | -0.000 | 622.746 | -0.000 |
| -0.001 | -0.001 | -0.000 | -0.000 | -0.000 | 622.746 |
| 463.491 | 342.744 | 269.870 | -0.000 | 0.000 | 0.000 |
| 342.744 | 463.492 | 269.870 | -0.000 | 0.000 | -0.000 |
| 269.870 | 269.870 | 496.193 | -0.000 | 0.000 | 0.000 |
| -0.003 | 0.003 | 0.000 | -1963.947 | 0.000 | -0.000 |
| -0.002 | 0.002 | 0.000 | -0.000 | -1963.947 | -0.000 |
| 0.000 | -0.000 | -0.000 | -0.000 | 0.000 | 114.030 |
| 552.028 | 254.207 | 269.870 | -0.000 | 0.000 | 0.000 |
| 254.207 | 552.028 | 269.870 | 0.000 | 0.000 | 0.000 |
| 269.870 | 269.870 | 496.193 | 0.000 | -0.000 | 0.000 |
| 0.003 | -0.003 | -0.000 | -1963.947 | -0.000 | -0.000 |
| 0.002 | -0.002 | -0.000 | 0.000 | -1963.947 | -0.000 |
| -0.000 | 0.000 | 0.000 | 0.000 | -0.000 | 114.030 |
| 463.492 | 342.744 | 269.870 | -0.000 | 0.000 | -0.000 |
| 342.744 | 463.492 | 269.870 | -0.000 | 0.000 | -0.000 |
| 269.868 | 269.872 | 496.193 | -0.000 | -0.000 | -0.000 |
| -0.003 | 0.006 | 0.001 | -1963.947 | 0.000 | -0.000 |
| 0.006 | -0.003 | 0.001 | 0.000 | -1963.947 | -0.000 |
| -0.001 | 0.001 | -0.000 | -0.000 | -0.000 | 114.030 |
| 463.491 | 342.744 | 269.870 | 0.000 | 0.000 | 0.000 |
| 342.744 | 463.491 | 269.870 | 0.000 | -0.000 | -0.000 |
| 269.872 | 269.868 | 496.192 | 0.000 | -0.000 | 0.000 |
| 0.003 | -0.006 | -0.001 | -1963.947 | -0.000 | -0.000 |
| -0.006 | 0.003 | -0.001 | -0.000 | -1963.947 | 0.000 |
| 0.001 | -0.001 | 0.000 | 0.000 | 0.000 | 114.030 |
| 463.495 | 342.745 | 269.871 | 0.000 | 0.000 | -0.000 |
| 342.745 | 463.495 | 269.871 | 0.000 | 0.000 | -0.000 |
| 269.871 | 269.871 | 496.196 | 0.000 | -0.000 | -0.000 |
| -0.029 | 0.058 | 0.008 | -1963.946 | 0.000 | -0.000 |
| 0.058 | -0.029 | 0.008 | 0.000 | -1963.946 | -0.000 |
| -0.000 | 0.000 | -0.000 | 0.000 | 0.000 | 114.030 |
| 463.488 | 342.743 | 269.869 | -0.000 | -0.000 | 0.000 |
| 342.743 | 463.488 | 269.869 | 0.000 | -0.000 | 0.000 |
| 269.869 | 269.869 | 496.189 | -0.000 | -0.000 | 0.000 |
| 0.029 | -0.058 | -0.008 | -1963.946 | -0.000 | -0.000 |
| -0.058 | 0.029 | -0.008 | -0.000 | -1963.946 | 0.000 |
| 0.000 | -0.000 | 0.000 | -0.000 | 0.000 | 114.030 |
| 452.273 | 304.229 | -72.915 | 0.000 | -0.000 | -0.000 |
| 304.229 | 452.273 | -72.915 | -0.000 | -0.000 | -0.000 |
| -72.915 | -72.915 | 126.682 | -0.000 | 0.000 | -0.000 |
| 0.000 | 0.000 | -0.000 | 327.873 | -0.000 | 0.000 |
| 0.000 | 0.000 | -0.000 | -0.000 | 327.873 | 0.000 |
| 0.000 | 0.000 | -0.000 | -0.000 | -0.000 | 97.018 |
| 452.273 | 304.229 | -72.915 | -0.000 | 0.000 | 0.000 |
| 304.229 | 452.273 | -72.915 | 0.000 | 0.000 | -0.000 |
| -72.915 | -72.915 | 126.682 | 0.000 | 0.000 | 0.000 |
| -0.000 | -0.000 | 0.000 | 327.873 | 0.000 | 0.000 |
| -0.000 | -0.000 | 0.000 | 0.000 | 327.873 | -0.000 |
| -0.000 | -0.000 | -0.000 | 0.000 | 0.000 | 97.018 |
| 452.274 | 304.229 | -72.915 | 0.000 | 0.000 | -0.000 |
| 304.229 | 452.274 | -72.915 | -0.000 | -0.000 | 0.000 |
| -72.915 | -72.915 | 126.682 | -0.000 | -0.000 | 0.000 |
| 0.000 | 0.000 | -0.000 | 327.873 | -0.000 | 0.000 |
| 0.000 | 0.000 | -0.000 | -0.000 | 327.873 | -0.000 |
| 0.000 | 0.000 | -0.000 | -0.000 | -0.000 | 97.018 |
| 452.273 | 304.229 | -72.915 | -0.000 | -0.000 | -0.000 |
| 304.229 | 452.273 | -72.915 | -0.000 | 0.000 | -0.000 |
| -72.915 | -72.915 | 126.682 | 0.000 | 0.000 | -0.000 |
| -0.000 | -0.000 | 0.000 | 327.873 | 0.000 | -0.000 |
| -0.000 | -0.000 | 0.000 | 0.000 | 327.873 | 0.000 |
| -0.000 | -0.000 | 0.000 | 0.000 | 0.000 | 97.018 |
| 452.277 | 304.230 | -72.915 | -0.000 | -0.000 | 0.000 |
| 304.230 | 452.277 | -72.915 | -0.000 | 0.000 | -0.000 |
| -72.915 | -72.915 | 126.683 | -0.000 | 0.000 | -0.000 |
| 0.002 | 0.002 | -0.001 | 327.873 | 0.000 | -0.000 |
| 0.002 | 0.002 | -0.001 | -0.000 | 327.873 | 0.000 |
| 0.000 | 0.000 | -0.000 | 0.000 | -0.000 | 97.018 |
| 452.269 | 304.229 | -72.915 | 0.000 | 0.000 | 0.000 |
| 304.229 | 452.269 | -72.915 | 0.000 | -0.000 | -0.000 |
| -72.915 | -72.915 | 126.682 | 0.000 | 0.000 | -0.000 |
| -0.002 | -0.002 | 0.001 | 327.873 | 0.000 | -0.000 |
| -0.002 | -0.002 | 0.001 | 0.000 | 327.873 | -0.000 |
| -0.000 | -0.000 | 0.000 | 0.000 | 0.000 | 97.018 |
| 1052.893 | -58.538 | 11.147 | 20.982 | 0.000 | -0.000 |
| 9.784 | 984.332 | 11.005 | -22.946 | 0.000 | -0.002 |
| 10.380 | 10.380 | 57.124 | 0.000 | 0.000 | -0.000 |
| 22.966 | -22.949 | 0.010 | 279.117 | 0.000 | -0.002 |
| 0.008 | 0.009 | 0.010 | -0.000 | 279.117 | 22.956 |
| 0.008 | 0.008 | 0.010 | 0.000 | 22.944 | 487.351 |
| 1052.892 | -58.538 | 11.147 | 20.982 | 0.000 | 0.000 |
| 9.791 | 984.291 | 10.984 | -22.947 | -0.000 | 0.002 |
| 10.380 | 10.380 | 57.124 | -0.000 | -0.000 | 0.000 |
| 22.949 | -22.966 | -0.010 | 279.117 | -0.000 | 0.002 |
| -0.008 | -0.009 | -0.010 | 0.000 | 279.117 | 22.960 |
| -0.008 | -0.008 | -0.010 | 0.000 | 22.944 | 487.356 |
| 984.062 | 9.394 | 10.608 | 22.944 | 0.000 | -0.000 |
| 9.788 | 984.314 | 10.995 | -22.947 | 0.000 | -0.000 |
| 9.841 | 9.841 | 56.477 | 0.000 | 0.000 | -0.001 |
| 20.982 | -20.982 | 0.000 | 279.174 | 0.000 | -0.000 |
| -0.000 | -0.000 | 0.000 | -0.000 | 279.173 | 20.982 |
| -0.000 | 0.000 | 0.000 | 0.000 | 20.982 | 555.715 |
| 984.309 | 9.788 | 10.993 | 22.947 | -0.000 | 0.000 |
| 9.787 | 984.311 | 10.993 | -22.947 | -0.000 | 0.000 |
| 9.835 | 9.835 | 56.470 | -0.000 | -0.000 | 0.001 |
| 20.982 | -20.982 | -0.000 | 279.173 | -0.000 | 0.000 |
| 0.000 | 0.000 | -0.000 | 0.000 | 279.173 | 20.982 |
| 0.000 | -0.000 | -0.000 | -0.000 | 20.982 | 555.715 |
| 983.496 | 10.604 | 10.993 | 22.970 | 0.000 | -0.000 |
| 9.796 | 984.308 | 10.994 | -22.947 | 0.000 | -0.000 |
| 9.838 | 9.838 | 56.474 | 0.000 | 0.000 | -0.000 |
| 22.944 | -22.944 | 0.000 | 279.120 | 0.000 | -0.000 |
| -0.000 | -0.000 | 0.000 | -0.003 | 279.117 | 22.944 |
| -0.000 | 0.001 | -0.000 | 0.000 | 20.982 | 555.715 |
| 984.301 | 9.795 | 10.994 | 22.947 | -0.000 | 0.000 |
| 10.001 | 984.094 | 10.994 | -22.953 | -0.000 | 0.000 |
| 10.380 | 10.380 | 57.124 | -0.000 | 0.000 | 0.000 |
| 20.983 | -20.982 | -0.000 | 279.171 | 0.000 | 0.000 |
| 0.000 | 0.000 | -0.000 | 0.003 | 279.117 | 22.944 |
| 0.000 | -0.001 | 0.000 | -0.000 | 20.982 | 555.715 |
| 1055.923 | -58.406 | 11.555 | 21.185 | -0.000 | -0.000 |
| 9.954 | 987.305 | 11.409 | -23.089 | 0.000 | -0.001 |
| 10.625 | 10.625 | 58.971 | -0.000 | 0.000 | 0.000 |
| 23.088 | -23.088 | 0.000 | 277.594 | 0.000 | -0.001 |
| 0.001 | -0.001 | 0.000 | -0.000 | 277.594 | 23.086 |
| 0.000 | 0.000 | 0.000 | 0.000 | 21.185 | 557.164 |
| 987.305 | 9.954 | 11.409 | 23.089 | -0.000 | 0.001 |
| 9.952 | 987.308 | 11.409 | -23.089 | -0.000 | 0.001 |
| 10.625 | 10.625 | 58.971 | 0.000 | 0.000 | -0.000 |
| 23.085 | -23.085 | -0.000 | 277.594 | -0.000 | 0.001 |
| -0.001 | 0.001 | -0.000 | 0.000 | 277.594 | 23.087 |
| -0.000 | -0.000 | -0.000 | -0.000 | 21.185 | 557.164 |
| 987.069 | 9.528 | 11.034 | 23.086 | 0.000 | -0.000 |
| 9.867 | 987.394 | 11.409 | -23.086 | 0.000 | -0.000 |
| 10.104 | 10.103 | 58.382 | -0.000 | 0.000 | -0.000 |
| 21.185 | -21.185 | 0.000 | 277.647 | -0.000 | 0.000 |
| 0.000 | -0.000 | -0.000 | -0.000 | 277.594 | 23.086 |
| -0.000 | 0.000 | -0.000 | 0.000 | 21.185 | 557.164 |
| 987.305 | 9.954 | 11.409 | 23.089 | -0.000 | 0.000 |
| 9.616 | 986.980 | 11.034 | -23.089 | -0.000 | 0.000 |
| 10.625 | 10.625 | 58.971 | 0.000 | -0.000 | 0.000 |
| 21.185 | -21.185 | -0.000 | 277.647 | 0.000 | 0.000 |
| -0.000 | 0.000 | 0.000 | 0.000 | 277.594 | 23.086 |
| 0.000 | -0.000 | 0.000 | -0.000 | 21.185 | 557.164 |
| 987.298 | 9.965 | 11.409 | 23.089 | 0.000 | -0.000 |
| 9.961 | 987.302 | 11.409 | -23.089 | 0.000 | -0.000 |
| 10.625 | 10.625 | 58.971 | 0.000 | 0.000 | 0.000 |
| 21.184 | -21.185 | 0.000 | 277.650 | -0.000 | -0.000 |
| -0.000 | -0.000 | -0.000 | -0.003 | 277.594 | 23.086 |
| -0.000 | 0.001 | -0.000 | 0.000 | 23.086 | 488.769 |
| 987.305 | 9.950 | 11.409 | 23.089 | -0.000 | 0.000 |
| 10.166 | 987.089 | 11.409 | -23.095 | -0.000 | 0.000 |
| 10.625 | 10.625 | 58.971 | 0.000 | -0.000 | -0.000 |
| 23.087 | -23.087 | 0.000 | 277.592 | -0.000 | 0.000 |
| 0.000 | 0.000 | 0.000 | 0.003 | 277.594 | 23.086 |
| 0.000 | -0.001 | 0.000 | -0.000 | 23.086 | 488.769 |
| 392.782 | -222.125 | 23.346 | 19.754 | -0.000 | 0.000 |
| -317.636 | 84.552 | 1536.604 | -57.809 | 0.000 | -0.000 |
| -46.001 | -46.002 | 83.045 | -0.000 | -0.000 | 0.000 |
| -51.786 | -314.485 | 1372.818 | 58.605 | -0.000 | 0.000 |
| -183.135 | -183.136 | 1372.818 | -0.000 | 58.605 | 131.350 |
| -155.311 | -155.311 | 1164.238 | -0.000 | 114.394 | 42.950 |
| 392.782 | -222.124 | 23.346 | 19.754 | 0.000 | -0.000 |
| -222.124 | 392.782 | 23.346 | -19.754 | 0.000 | -0.000 |
| 241.497 | 241.497 | -2072.099 | 0.000 | -0.000 | -0.000 |
| 314.485 | 51.786 | -1372.818 | 58.605 | 0.000 | -0.000 |
| 183.135 | 183.136 | -1372.818 | 0.000 | 58.605 | 131.350 |
| 155.311 | 155.311 | -1164.238 | 0.000 | 114.394 | 42.950 |
| 258.249 | -111.994 | 114.807 | 63.525 | -0.000 | 0.000 |
| -147.816 | 254.374 | 263.600 | -57.809 | -0.000 | 0.000 |
| 33.940 | 33.940 | -516.207 | -0.000 | 0.000 | -0.000 |
| 38.940 | -76.678 | 141.445 | 84.918 | -0.000 | 0.000 |
| 0.000 | -0.000 | 0.000 | -0.000 | 98.535 | 19.754 |
| 0.000 | 0.000 | 0.000 | 0.000 | 19.754 | 307.453 |
| 287.775 | -113.334 | 9.163 | 58.002 | -0.000 | -0.000 |
| -113.332 | 287.773 | 9.163 | -58.003 | -0.000 | -0.000 |
| 71.677 | 71.677 | -799.096 | 0.000 | -0.000 | -0.000 |
| 80.040 | -63.042 | -63.707 | 80.005 | -0.000 | -0.000 |
| -0.000 | 0.000 | -0.000 | -0.000 | 98.535 | 19.754 |
| -0.000 | -0.000 | -0.000 | -0.000 | 19.754 | 307.453 |
| 277.523 | -117.188 | 62.046 | 59.148 | -0.000 | 0.000 |
| -130.827 | 271.351 | 136.301 | -57.813 | -0.000 | 0.000 |
| 50.927 | 50.927 | -643.541 | -0.000 | -0.000 | 0.000 |
| 55.919 | -59.693 | 14.145 | 84.920 | -0.000 | 0.000 |
| -1.887 | -1.887 | 14.145 | -0.000 | 84.918 | 57.809 |
| -1.884 | -1.887 | 14.144 | -0.000 | 57.812 | 201.087 |
| 280.581 | -117.546 | 51.903 | 58.535 | 0.000 | -0.000 |
| -117.455 | 280.484 | 51.927 | -58.568 | 0.000 | -0.000 |
| 54.689 | 54.689 | -671.757 | 0.000 | 0.000 | -0.000 |
| 58.613 | -57.358 | -4.703 | 84.855 | 0.000 | -0.000 |
| 1.887 | 1.887 | -14.145 | 0.000 | 84.918 | 57.809 |
| 1.884 | 1.887 | -14.144 | 0.000 | 57.812 | 201.087 |
| 455.330 | 265.111 | 265.111 | 0.000 | 0.000 | 0.000 |
| 265.111 | 455.330 | 265.111 | 0.000 | -0.000 | -0.000 |
| 265.111 | 265.111 | 455.330 | 0.000 | -0.000 | -0.000 |
| 0.000 | 0.000 | 0.000 | 86.073 | 0.000 | 0.000 |
| 0.000 | 0.000 | 0.000 | 0.000 | 86.073 | 0.000 |
| 0.000 | 0.000 | 0.000 | 0.000 | 0.000 | 86.073 |
| 455.330 | 265.111 | 265.111 | -0.000 | 0.000 | -0.000 |
| 265.111 | 455.330 | 265.111 | -0.000 | 0.000 | -0.000 |
| 265.111 | 265.111 | 455.330 | 0.000 | 0.000 | -0.000 |
| -0.000 | -0.000 | -0.000 | 86.073 | -0.000 | -0.000 |
| -0.000 | -0.000 | -0.000 | -0.000 | 86.073 | -0.000 |
| -0.000 | -0.000 | -0.000 | -0.000 | -0.000 | 86.073 |
| 455.331 | 265.111 | 265.111 | 0.000 | -0.000 | 0.000 |
| 265.111 | 455.331 | 265.111 | -0.000 | 0.000 | 0.000 |
| 265.111 | 265.111 | 455.331 | 0.000 | -0.000 | 0.000 |
| -0.000 | -0.000 | 0.000 | 86.073 | -0.000 | 0.000 |
| -0.000 | -0.000 | 0.000 | -0.000 | 86.073 | -0.000 |
| -0.000 | 0.000 | -0.000 | 0.000 | 0.000 | 86.073 |
| 455.330 | 265.111 | 265.111 | -0.000 | 0.000 | -0.000 |
| 265.111 | 455.330 | 265.111 | 0.000 | -0.000 | -0.000 |
| 265.111 | 265.111 | 455.330 | 0.000 | -0.000 | 0.000 |
| 0.000 | 0.000 | -0.000 | 86.073 | 0.000 | 0.000 |
| 0.000 | 0.000 | -0.000 | -0.000 | 86.073 | 0.000 |
| 0.000 | -0.000 | 0.000 | -0.000 | -0.000 | 86.073 |
| 455.334 | 265.112 | 265.112 | -0.000 | -0.000 | -0.000 |
| 265.112 | 455.334 | 265.112 | -0.000 | -0.000 | 0.000 |
| 265.112 | 265.112 | 455.334 | 0.000 | 0.000 | -0.000 |
| -0.000 | -0.000 | 0.000 | 86.073 | 0.000 | 0.000 |
| -0.000 | -0.000 | 0.000 | -0.000 | 86.073 | 0.000 |
| -0.000 | 0.000 | -0.000 | 0.000 | 0.000 | 86.073 |
| 455.326 | 265.110 | 265.110 | -0.000 | 0.000 | 0.000 |
| 265.110 | 455.326 | 265.110 | 0.000 | -0.000 | 0.000 |
| 265.110 | 265.110 | 455.326 | -0.000 | 0.000 | 0.000 |
| 0.000 | 0.000 | -0.000 | 86.073 | -0.000 | 0.000 |
| 0.000 | 0.000 | -0.000 | 0.000 | 86.073 | 0.000 |
| 0.000 | -0.000 | 0.000 | 0.000 | 0.000 | 86.073 |
| 464.602 | 165.171 | 18.418 | 0.000 | 0.000 | 0.000 |
| 158.361 | 997.847 | 79.957 | 0.000 | 0.000 | -0.000 |
| 44.071 | 105.497 | 1114.005 | -0.000 | 0.000 | 0.000 |
| 0.886 | 1.871 | -2.571 | 653.640 | 0.000 | 0.000 |
| 0.970 | 2.402 | -3.007 | -0.000 | 217.138 | 0.000 |
| 5.683 | 14.065 | -17.608 | -0.000 | 0.000 | 123.384 |
| 462.719 | 160.532 | 24.242 | -0.000 | -0.000 | -0.000 |
| 156.470 | 993.687 | 85.533 | -0.000 | -0.000 | -0.000 |
| 42.180 | 101.337 | 1119.581 | 0.000 | -0.000 | -0.000 |
| -0.886 | -1.871 | 2.571 | 653.640 | 0.000 | -0.000 |
| -0.970 | -2.402 | 3.007 | 0.000 | 217.138 | -0.000 |
| -5.683 | -14.065 | 17.608 | -0.000 | -0.000 | 123.384 |
| 463.561 | 159.029 | 23.580 | -0.000 | 0.000 | 0.000 |
| 157.510 | 995.974 | 82.468 | -0.000 | 0.000 | 0.000 |
| 43.134 | 70.135 | 1134.843 | -0.000 | 0.000 | 0.000 |
| 0.089 | 0.187 | -0.257 | 653.645 | 0.000 | 0.000 |
| 0.097 | 0.240 | -0.301 | -0.000 | 217.138 | -0.000 |
| -0.223 | -0.632 | 0.734 | -0.000 | 0.000 | 119.938 |
| 463.372 | 158.613 | 24.137 | 0.000 | -0.000 | 0.000 |
| 157.322 | 995.560 | 83.023 | -0.000 | -0.000 | -0.000 |
| 42.970 | 69.761 | 1135.335 | 0.000 | -0.000 | -0.000 |
| -0.089 | -0.187 | 0.257 | 653.645 | 0.000 | -0.000 |
| -0.097 | -0.240 | 0.301 | 0.000 | 217.138 | -0.000 |
| 0.223 | 0.632 | -0.734 | 0.000 | -0.000 | 119.938 |
| 463.676 | 162.885 | 21.290 | -0.000 | 0.000 | 0.000 |
| 157.422 | 995.777 | 82.732 | -0.000 | 0.000 | 0.000 |
| 43.131 | 103.420 | 1116.786 | -0.000 | 0.000 | 0.000 |
| 0.001 | 0.000 | 0.000 | 702.067 | 0.000 | 0.000 |
| 0.000 | 0.000 | -0.000 | -0.000 | 217.138 | 0.000 |
| 9513642.621 | 837234.487 | -3617702.596 | 0.000 | 0.000 | 1199041.859 |
| 463.652 | 162.840 | 21.347 | 0.000 | 0.000 | 0.000 |
| 157.409 | 995.755 | 82.759 | 0.000 | -0.000 | -0.000 |
| 43.120 | 103.408 | 1116.803 | 0.000 | -0.000 | -0.000 |
| -0.001 | -0.000 | -0.000 | 702.067 | -0.000 | -0.000 |
| -0.000 | -0.000 | 0.000 | 0.000 | 217.138 | -0.000 |
| -9513642.621 | -837234.487 | 3617702.595 | -0.000 | -0.000 | 1199041.859 |
| 475.238 | 719.004 | -168.451 | 0.000 | -0.000 | 0.000 |
| 719.004 | 475.238 | -168.451 | -0.000 | -0.000 | -0.000 |
| -181.667 | -181.667 | 1468.027 | 0.000 | -0.000 | -0.000 |
| 0.000 | 0.000 | 0.000 | 523.771 | -0.000 | -0.000 |
| 0.000 | 0.000 | 0.000 | 0.000 | 523.771 | -0.000 |
| 0.000 | 0.000 | 0.000 | 0.000 | -0.000 | 278.832 |
| 475.234 | 718.998 | -168.444 | 0.000 | 0.000 | 0.000 |
| 718.998 | 475.234 | -168.444 | 0.000 | 0.000 | 0.000 |
| -181.667 | -181.667 | 1468.026 | 0.000 | 0.000 | 0.000 |
| -0.000 | -0.000 | -0.000 | 523.771 | 0.000 | 0.000 |
| -0.000 | -0.000 | -0.000 | 0.000 | 523.771 | -0.000 |
| -0.000 | -0.000 | -0.000 | -0.000 | 0.000 | 278.832 |
| 475.234 | 719.006 | -168.450 | -0.000 | -0.000 | 0.000 |
| 719.006 | 475.234 | -168.450 | -0.000 | -0.000 | -0.000 |
| -181.667 | -181.667 | 1468.027 | 0.000 | -0.000 | -0.000 |
| 0.000 | 0.000 | 0.000 | 523.771 | -0.000 | -0.000 |
| 0.000 | 0.000 | 0.000 | -0.000 | 523.771 | 0.000 |
| -0.000 | 0.000 | 0.000 | 0.000 | 0.000 | 278.832 |
| 475.237 | 718.995 | -168.445 | 0.000 | 0.000 | 0.000 |
| 718.995 | 475.237 | -168.445 | 0.000 | 0.000 | 0.000 |
| -181.667 | -181.667 | 1468.026 | 0.000 | 0.000 | -0.000 |
| -0.000 | -0.000 | -0.000 | 523.771 | 0.000 | 0.000 |
| -0.000 | -0.000 | -0.000 | -0.000 | 523.771 | -0.000 |
| 0.000 | -0.000 | -0.000 | -0.000 | 0.000 | 278.832 |
| 475.220 | 719.052 | -168.469 | 0.000 | -0.000 | -0.000 |
| 719.052 | 475.220 | -168.469 | -0.000 | -0.000 | 0.000 |
| -161.970 | -161.970 | 1437.443 | -0.000 | -0.000 | 0.000 |
| 0.000 | 0.001 | 0.000 | 523.771 | -0.000 | 0.000 |
| 0.001 | 0.000 | 0.000 | -0.000 | 523.771 | -0.000 |
| -0.000 | -0.000 | 0.000 | 0.000 | -0.000 | 165.967 |
| 475.251 | 718.949 | -168.427 | 0.000 | 0.000 | 0.000 |
| 718.949 | 475.251 | -168.427 | 0.000 | 0.000 | 0.000 |
| -161.969 | -161.969 | 1437.430 | 0.000 | 0.000 | -0.000 |
| -0.000 | -0.001 | -0.000 | 523.771 | 0.000 | -0.000 |
| -0.001 | -0.000 | -0.000 | 0.000 | 523.771 | -0.000 |
| 0.000 | 0.000 | -0.000 | -0.000 | 0.000 | 165.967 |
| 553.680 | 119.106 | 119.106 | 0.000 | -0.000 | 0.000 |
| 119.106 | 553.680 | 119.106 | 0.000 | -0.000 | -0.000 |
| 119.106 | 119.106 | 553.680 | -0.000 | 0.000 | -0.000 |
| 0.000 | 0.000 | 0.000 | 334.920 | -0.000 | -0.000 |
| 0.000 | 0.000 | 0.000 | 0.000 | 334.920 | 0.000 |
| 0.000 | 0.000 | 0.000 | 0.000 | 0.000 | 334.920 |
| 544.934 | 123.479 | 123.479 | -0.000 | 0.000 | -0.000 |
| 123.479 | 544.934 | 123.479 | -0.000 | -0.000 | 0.000 |
| 123.479 | 123.479 | 544.934 | -0.000 | -0.000 | 0.000 |
| -0.000 | -0.000 | -0.000 | 334.920 | 0.000 | -0.000 |
| -0.000 | -0.000 | -0.000 | 0.000 | 334.920 | -0.000 |
| -0.000 | -0.000 | -0.000 | 0.000 | -0.000 | 334.920 |
| 544.934 | 123.479 | 123.479 | -0.000 | -0.000 | -0.000 |
| 123.479 | 544.934 | 123.479 | 0.000 | 0.000 | -0.000 |
| 123.479 | 123.479 | 544.934 | 0.000 | -0.000 | -0.000 |
| 0.000 | -0.000 | 0.000 | 334.920 | -0.000 | -0.000 |
| -0.000 | 0.000 | 0.000 | 0.000 | 334.920 | -0.000 |
| -0.000 | 0.000 | 0.000 | 0.000 | 0.000 | 334.920 |
| 544.934 | 123.479 | 123.479 | -0.000 | 0.000 | 0.000 |
| 123.479 | 544.934 | 123.479 | -0.000 | 0.000 | 0.000 |
| 123.479 | 123.479 | 544.934 | 0.000 | 0.000 | 0.000 |
| -0.000 | 0.000 | -0.000 | 334.920 | -0.000 | -0.000 |
| 0.000 | -0.000 | -0.000 | -0.000 | 334.920 | 0.000 |
| 0.000 | -0.000 | -0.000 | -0.000 | -0.000 | 334.920 |
| 544.935 | 123.480 | 123.480 | -0.000 | 0.000 | 0.000 |
| 123.480 | 544.935 | 123.480 | 0.000 | -0.000 | 0.000 |
| 123.480 | 123.480 | 544.935 | 0.000 | 0.000 | -0.000 |
| 0.000 | -0.000 | 0.000 | 337.932 | -0.000 | -0.000 |
| -0.000 | 0.000 | 0.000 | 0.000 | 337.932 | -0.000 |
| -0.000 | 0.000 | 0.000 | 0.000 | -0.000 | 337.932 |
| 544.933 | 123.479 | 123.479 | -0.000 | -0.000 | 0.000 |
| 123.479 | 544.933 | 123.479 | -0.000 | 0.000 | -0.000 |
| 123.479 | 123.479 | 544.933 | -0.000 | 0.000 | 0.000 |
| -0.000 | 0.000 | -0.000 | 337.932 | 0.000 | -0.000 |
| 0.000 | -0.000 | -0.000 | 0.000 | 337.932 | 0.000 |
| 0.000 | -0.000 | -0.000 | -0.000 | -0.000 | 337.932 |
| 2403.766 | 598.470 | -717.509 | 0.000 | 0.000 | 0.000 |
| 2127.472 | 695.139 | -812.604 | 0.000 | 0.000 | 0.000 |
| 1701.159 | 0.392 | 575.885 | 0.000 | 0.000 | 0.000 |
| 1701.592 | 95.455 | -727.933 | 500.470 | 0.000 | 0.000 |
| 1104.889 | 480.420 | -438.900 | 0.000 | 551.546 | 0.000 |
| 1704.208 | 95.953 | -731.103 | 0.000 | 0.000 | 191.075 |
| -202.510 | -163.409 | 376.567 | -0.000 | -0.000 | 0.000 |
| 91.817 | 1024.374 | -36.112 | -0.000 | -0.000 | -0.000 |
| -1143.131 | -584.729 | 1790.034 | -0.000 | -0.000 | 0.000 |
| -1701.592 | -95.455 | 727.933 | 500.470 | -0.000 | -0.000 |
| -1104.889 | -480.420 | 438.900 | -0.000 | 551.546 | -0.000 |
| -1704.208 | -95.953 | 731.103 | -0.000 | -0.000 | 191.075 |
| 893.301 | 447.957 | -70.729 | 0.000 | 0.000 | 0.000 |
| 336.365 | 749.270 | -25.624 | 0.000 | 0.000 | 0.000 |
| 107.535 | -79.480 | 1279.894 | 0.000 | 0.000 | 0.000 |
| 19.121 | -8.416 | 47.229 | 508.619 | 0.000 | 0.000 |
| 161.298 | 9.842 | -73.640 | 0.000 | 502.337 | 0.000 |
| 11.095 | -4.883 | 27.405 | 0.000 | 0.000 | 186.805 |
| 699.940 | 392.407 | 1.357 | -0.000 | 0.000 | -0.000 |
| 296.598 | 600.034 | -30.527 | -0.000 | -0.000 | -0.000 |
| -149.273 | -106.113 | 1374.334 | -0.000 | -0.000 | -0.000 |
| -19.121 | 8.416 | -47.229 | 508.619 | 0.000 | -0.000 |
| -161.298 | -9.842 | 73.640 | -0.000 | 502.337 | -0.000 |
| -11.095 | 4.883 | -27.405 | -0.000 | -0.000 | 186.805 |
| 877.120 | 365.936 | -64.484 | -0.000 | 0.000 | 0.000 |
| 351.457 | 720.564 | -66.576 | 0.000 | 0.000 | 0.000 |
| -149.378 | -39.907 | 1398.286 | 0.000 | 0.000 | 0.000 |
| 13.385 | 5.316 | -5.580 | 497.711 | -0.000 | -0.000 |
| 10.697 | 5.403 | -4.445 | 0.000 | 531.258 | -0.000 |
| 13.055 | 3.721 | -4.519 | 0.000 | 0.000 | 211.337 |
| 856.270 | 372.814 | -64.291 | -0.000 | -0.000 | -0.000 |
| 365.597 | 701.025 | -78.778 | -0.000 | 0.000 | -0.000 |
| -77.332 | -82.898 | 1363.834 | -0.000 | 0.000 | -0.000 |
| -13.385 | -5.316 | 5.580 | 497.711 | -0.000 | 0.000 |
| -10.697 | -5.403 | 4.445 | -0.000 | 531.258 | -0.000 |
| -13.055 | -3.721 | 4.519 | -0.000 | -0.000 | 211.337 |
| 1186.280 | 168.989 | -155.581 | 0.000 | -133.972 | 0.000 |
| 728.490 | 1356.371 | -459.082 | -0.000 | 76.802 | 0.000 |
| 468.618 | 320.497 | 648.123 | 0.000 | 101.728 | 0.000 |
| 290.832 | 399.427 | -470.536 | 621.823 | 195.548 | -121.050 |
| 605.802 | 183.664 | -364.332 | -0.000 | -335.194 | 0.000 |
| 0.000 | 0.000 | 0.000 | -95.288 | 0.000 | 255.112 |
| -109.615 | -78.769 | 317.116 | 0.000 | 15.190 | -0.000 |
| -195.710 | 688.396 | 421.294 | -0.000 | -212.132 | -0.000 |
| -464.662 | -341.350 | 1516.870 | 0.000 | -192.646 | -0.000 |
| -290.832 | -399.427 | 470.536 | 621.823 | -195.548 | -121.050 |
| -293.885 | -402.895 | 369.188 | -0.000 | -39.162 | -0.000 |
| -0.000 | -0.000 | -0.000 | -95.288 | -0.000 | 255.112 |
| 614.256 | 36.034 | 90.579 | -0.000 | 9.458 | 0.000 |
| 79.931 | 1146.171 | -113.817 | 0.000 | -5.597 | 0.000 |
| 214.031 | -33.601 | 1065.276 | -0.000 | -70.353 | 0.000 |
| 65.766 | 23.421 | -37.090 | 638.174 | 1.014 | -115.848 |
| -2.802 | 4.126 | -105.239 | -0.000 | 212.703 | 0.000 |
| 64.056 | 20.194 | -32.870 | -119.903 | -1.152 | 202.913 |
| 536.947 | -51.788 | 195.908 | 0.000 | -41.622 | -0.000 |
| 57.866 | 1046.118 | 0.384 | -0.000 | -39.102 | -0.000 |
| 135.775 | -62.487 | 1099.059 | 0.000 | -107.030 | -0.000 |
| -65.766 | -23.421 | 37.090 | 638.174 | -1.014 | -115.848 |
| -40.192 | -54.512 | -41.244 | 0.000 | 131.117 | -0.000 |
| -64.056 | -20.194 | 32.870 | -119.903 | 1.152 | 202.913 |
| 451.232 | 184.948 | -116.037 | 0.000 | -158.460 | 0.000 |
| 251.381 | 835.010 | 300.343 | 0.000 | 155.667 | 0.000 |
| -22.911 | 259.821 | 639.029 | 0.000 | -310.152 | 0.000 |
| 6.430 | 2.466 | -3.818 | 634.341 | 0.221 | -117.052 |
| -116.300 | 152.781 | -306.310 | 0.000 | -90.660 | 0.000 |
| 3.888 | 5.340 | -6.291 | -142.730 | 2.615 | 213.606 |
| 436.374 | 187.316 | -116.741 | -0.000 | -166.912 | -0.000 |
| 227.235 | 846.358 | 278.937 | 0.000 | 158.437 | -0.000 |
| -42.244 | 264.932 | 634.027 | 0.000 | -319.146 | -0.000 |
| -6.430 | -2.466 | 3.818 | 634.341 | -0.221 | -117.052 |
| -133.972 | 156.411 | -312.284 | -0.000 | -88.953 | -0.000 |
| -3.888 | -5.340 | 6.291 | -142.730 | -2.615 | 213.606 |
| -48.433 | 2.956 | -20.612 | 0.000 | -0.000 | -0.000 |
| 2.956 | -48.433 | -20.612 | 0.000 | -0.000 | 0.000 |
| -2.496 | -2.496 | 104.337 | 0.000 | -0.000 | -0.000 |
| 0.000 | 0.000 | -0.000 | 52.289 | -0.000 | -0.000 |
| 0.000 | 0.000 | 0.000 | 0.000 | 52.289 | -0.000 |
| -0.584 | -0.584 | -0.028 | 0.000 | -0.000 | 11.926 |
| -41.733 | -8.429 | -19.798 | -0.000 | 0.000 | 0.000 |
| -8.429 | -41.733 | -19.798 | -0.000 | 0.000 | 0.000 |
| -2.496 | -2.496 | 104.337 | -0.000 | 0.000 | 0.000 |
| -0.000 | -0.000 | -0.000 | 52.289 | 0.000 | 0.000 |
| -0.000 | -0.000 | -0.000 | -0.000 | 52.289 | 0.000 |
| 0.584 | 0.584 | 0.028 | -0.000 | 0.000 | 11.926 |
| -45.741 | 4.262 | -19.804 | 0.000 | -0.000 | -0.000 |
| 4.262 | -45.741 | -19.804 | 0.000 | -0.000 | -0.000 |
| -1.921 | -1.921 | 97.431 | 0.000 | -0.000 | -0.000 |
| 0.000 | 0.000 | 0.000 | 52.289 | -0.000 | -0.000 |
| 0.000 | 0.000 | 0.000 | 0.000 | 52.289 | -0.000 |
| -0.058 | -0.058 | -0.003 | 0.000 | -0.000 | 11.938 |
| -45.175 | 4.665 | -19.681 | -0.000 | 0.000 | 0.000 |
| 4.665 | -45.175 | -19.681 | -0.000 | 0.000 | -0.000 |
| -1.795 | -1.795 | 97.480 | -0.000 | 0.000 | 0.000 |
| -0.000 | -0.000 | -0.000 | 52.289 | 0.000 | 0.000 |
| -0.000 | -0.000 | -0.000 | -0.000 | 52.289 | -0.000 |
| 0.058 | 0.058 | 0.003 | -0.000 | 0.000 | 11.938 |
| -45.439 | 4.459 | -19.749 | 0.000 | -0.000 | -0.000 |
| 4.459 | -45.439 | -19.749 | 0.000 | -0.000 | 0.000 |
| -20.637 | -20.637 | 76.245 | 0.000 | -0.000 | -0.000 |
| -0.029 | -0.029 | -0.015 | -5.525 | -0.000 | -0.000 |
| -0.029 | -0.029 | -0.015 | 0.000 | -5.525 | -0.000 |
| -0.006 | -0.006 | -0.000 | 0.000 | -0.000 | 11.938 |
| -45.476 | 4.484 | -19.736 | -0.000 | 0.000 | 0.000 |
| 4.484 | -45.476 | -19.736 | -0.000 | 0.000 | 0.000 |
| -20.560 | -20.560 | 76.285 | -0.000 | 0.000 | -0.000 |
| 0.029 | 0.029 | 0.015 | -5.525 | 0.000 | 0.000 |
| 0.029 | 0.029 | 0.015 | -0.000 | -5.525 | 0.000 |
| 0.006 | 0.006 | 0.000 | -0.000 | 0.000 | 11.938 |
| 19.695 | 2.067 | 15.870 | 0.021 | 0.040 | -0.001 |
| 2.065 | 19.695 | 15.871 | -0.132 | 0.009 | -0.001 |
| -5.713 | -5.713 | 3.550 | -0.004 | 0.005 | 0.035 |
| -0.041 | -0.053 | 0.063 | 0.780 | 0.002 | -0.007 |
| 0.013 | 0.011 | -0.008 | -0.008 | 0.790 | 0.002 |
| 0.005 | 0.006 | 0.014 | -0.033 | 0.124 | 3.692 |
| 39.561 | 17.145 | 13.974 | -0.006 | -0.017 | -0.001 |
| 17.145 | 39.560 | 13.974 | 0.082 | 0.002 | -0.001 |
| 14.541 | 14.541 | 36.034 | -0.016 | 0.001 | 0.012 |
| -0.036 | -0.050 | 0.061 | 0.794 | -0.004 | 0.009 |
| 0.017 | 0.014 | -0.009 | 0.005 | 0.786 | 0.018 |
| -0.010 | -0.012 | -0.023 | -0.028 | 0.137 | 3.703 |
| 19.641 | 2.028 | 15.951 | 0.020 | 0.046 | -0.001 |
| 2.024 | 19.638 | 15.952 | -0.135 | 0.015 | -0.001 |
| 0.634 | 0.633 | 1.382 | 0.003 | 0.004 | -0.002 |
| 0.009 | 0.019 | -0.015 | 13.369 | 0.003 | 0.003 |
| 0.009 | 0.011 | 0.019 | -0.000 | 13.373 | 0.003 |
| 0.009 | 0.008 | 0.001 | -0.004 | 0.041 | 14.711 |
| 19.591 | 1.987 | 15.807 | 0.026 | 0.027 | 0.004 |
| 1.982 | 19.586 | 15.808 | -0.128 | -0.006 | 0.004 |
| 0.004 | 0.004 | 0.105 | -0.002 | 0.001 | 0.001 |
| -0.003 | 0.007 | -0.027 | 13.371 | -0.002 | 0.006 |
| -0.003 | -0.001 | -0.010 | 0.001 | 13.368 | 0.006 |
| -0.020 | -0.022 | -0.002 | -0.002 | 0.032 | 14.720 |
| 0.645 | -1.065 | 0.119 | 0.001 | 0.003 | -0.006 |
| -1.587 | 0.976 | 0.356 | -0.001 | 0.006 | -0.007 |
| 0.235 | 0.234 | 1.532 | -0.000 | 0.001 | 0.000 |
| 0.000 | 0.000 | -0.001 | 0.009 | -0.000 | 0.000 |
| 0.003 | 0.003 | 0.005 | -0.001 | -0.023 | -0.002 |
| -0.026 | -0.026 | -0.033 | 0.005 | -0.009 | -0.068 |
| 0.131 | -1.082 | 1.273 | 0.004 | -0.006 | -0.010 |
| -1.083 | 0.134 | 1.267 | 0.027 | -0.001 | -0.011 |
| 0.009 | 0.009 | 0.028 | -0.000 | 0.000 | 0.000 |
| -0.003 | -0.004 | -0.006 | 0.004 | -0.001 | 0.003 |
| 0.000 | 0.000 | -0.000 | 0.000 | 0.001 | -0.000 |
| 0.040 | 0.038 | 0.051 | 0.003 | -0.001 | 0.133 |
| 453.193 | 17.581 | 14.839 | -0.000 | 0.000 | 0.000 |
| 340.515 | -1246.059 | 1672.654 | -0.000 | -0.000 | -0.000 |
| 16.520 | 2.067 | 505.415 | -0.000 | -0.000 | 0.000 |
| 0.000 | -0.000 | 0.000 | 239.760 | -0.000 | 0.000 |
| 276.619 | -1496.815 | 1664.693 | -0.000 | 129.772 | 0.000 |
| 2047.193 | -7257.424 | 5848.528 | -0.000 | -0.000 | -14.974 |
| -47.183 | 1546.387 | -1618.913 | 0.000 | 0.000 | 0.000 |
| 18.740 | 459.315 | 1.545 | 0.000 | -0.000 | -0.000 |
| -368.718 | 3820.311 | -3942.707 | 0.000 | 0.000 | 0.000 |
| -0.000 | 0.000 | -0.000 | 239.760 | 0.000 | -0.000 |
| -276.619 | 1496.815 | -1664.693 | 0.000 | 129.772 | -0.000 |
| -4594.619 | 12271.052 | -7699.473 | 0.000 | 0.000 | 0.963 |
| 258.623 | -1047.318 | 557.331 | -0.000 | -0.000 | -0.000 |
| 86.880 | -361.817 | 437.594 | -0.000 | 0.000 | 0.000 |
| -71.317 | -49.192 | 624.112 | -0.000 | -0.000 | -0.000 |
| 40.990 | -376.645 | 400.571 | 34.030 | 0.000 | -0.000 |
| 40.224 | -377.081 | 401.774 | -0.000 | 33.386 | 0.000 |
| 646.305 | -1219.051 | 455.893 | -0.000 | -0.000 | 29.253 |
| -288.827 | 720.358 | -605.831 | 0.000 | -0.000 | 0.000 |
| -185.377 | 646.714 | -596.625 | 0.000 | 0.000 | 0.000 |
| 14.458 | 175.217 | 124.809 | 0.000 | -0.000 | -0.000 |
| -40.990 | 376.645 | -400.571 | 34.030 | -0.000 | 0.000 |
| -40.224 | 377.081 | -401.774 | 0.000 | 33.386 | 0.000 |
| -535.429 | 1288.918 | -660.769 | 0.000 | 0.000 | 30.118 |
| 453.195 | 17.581 | 14.839 | -0.000 | 0.000 | 0.000 |
| -51.774 | -76.776 | -13.925 | -0.000 | -0.000 | -0.000 |
| 12.082 | -89.345 | 204.717 | -0.000 | -0.000 | -0.000 |
| 3.333 | -28.692 | 30.392 | 82.229 | -0.000 | 0.000 |
| 2.173 | -29.410 | 32.239 | -0.000 | 78.497 | -0.000 |
| -0.000 | 0.000 | 0.000 | -0.000 | -0.000 | 225.597 |
| 96.670 | 66.947 | 2.406 | 0.000 | 0.000 | -0.000 |
| -63.014 | 138.208 | -91.283 | 0.000 | 0.000 | 0.000 |
| -34.595 | 18.591 | 115.479 | 0.000 | 0.000 | 0.000 |
| -3.333 | 28.691 | -30.392 | 82.229 | 0.000 | -0.000 |
| -2.173 | 29.410 | -32.239 | 0.000 | 78.497 | -0.000 |
| 0.000 | -0.000 | -0.000 | 0.000 | 0.000 | 225.597 |
| 230.660 | 62.379 | 60.791 | -0.000 | 0.000 | -0.000 |
| 52.821 | 407.125 | 78.556 | -0.000 | -0.000 | -0.000 |
| 21.002 | 30.889 | 564.976 | 0.000 | -0.000 | -0.000 |
| -0.011 | 0.012 | -0.002 | 128.994 | -0.000 | -0.000 |
| -0.010 | 0.012 | -0.002 | -0.000 | 118.553 | -0.000 |
| -0.002 | 0.009 | -0.007 | -0.000 | 0.000 | 184.032 |
| 230.692 | 62.353 | 60.795 | 0.000 | -0.000 | 0.000 |
| 61.473 | 250.440 | 82.242 | 0.000 | 0.000 | 0.000 |
| 63.712 | 74.679 | 435.546 | 0.000 | 0.000 | 0.000 |
| 0.011 | -0.012 | 0.002 | 128.994 | -0.000 | 0.000 |
| 0.010 | -0.012 | 0.002 | -0.000 | 118.553 | 0.000 |
| 0.002 | -0.009 | 0.007 | 0.000 | 0.000 | 184.032 |
| 530.288 | 18.373 | 21.002 | -0.000 | -0.000 | -0.000 |
| 61.448 | 250.496 | 82.223 | -0.000 | -0.000 | -0.000 |
| 63.687 | 74.667 | 435.606 | -0.000 | -0.000 | -0.000 |
| 0.000 | -0.000 | 0.000 | 266.723 | -0.000 | -0.000 |
| -0.000 | 0.000 | 0.000 | 0.000 | 264.172 | -0.000 |
| -0.000 | 0.001 | -0.001 | 0.000 | -0.000 | 184.032 |
| 401.944 | 53.410 | 68.283 | 0.000 | 0.000 | 0.000 |
| 52.826 | 407.102 | 78.569 | -0.000 | 0.000 | 0.000 |
| 40.471 | 66.252 | 226.377 | 0.000 | 0.000 | 0.000 |
| -0.000 | 0.000 | -0.000 | 266.723 | -0.000 | 0.000 |
| 0.000 | -0.000 | -0.000 | 0.000 | 264.172 | 0.000 |
| 0.000 | -0.001 | 0.001 | 0.000 | 0.000 | 184.032 |
| 165.950 | 44.889 | 35.529 | -0.000 | -0.000 | -0.000 |
| -41.374 | 106.973 | 3.500 | 0.000 | 0.000 | -0.000 |
| -2.371 | 19.574 | 193.583 | -0.000 | -0.000 | -0.000 |
| 0.000 | 0.000 | 0.000 | 196.628 | 0.000 | -0.000 |
| -0.000 | 0.000 | 0.000 | -0.000 | 189.669 | -0.000 |
| -0.000 | 0.000 | 0.000 | -0.000 | -0.000 | 118.850 |
| 75.966 | -35.401 | -16.293 | 0.000 | 0.000 | 0.000 |
| -32.955 | 113.490 | 6.787 | 0.000 | 0.000 | 0.000 |
| 25.961 | 49.375 | 209.198 | 0.000 | 0.000 | 0.000 |
| -0.000 | -0.000 | -0.000 | 196.628 | 0.000 | 0.000 |
| 0.000 | -0.000 | -0.000 | 0.000 | 189.669 | 0.000 |
| 0.000 | -0.000 | -0.000 | 0.000 | 0.000 | 118.850 |
| 316.343 | 0.000 | 0.000 | 0.000 | 0.000 | 0.000 |
| -0.000 | 0.000 | 0.000 | 0.000 | 0.000 | 0.000 |
| 2.560 | 0.000 | 297.342 | 0.000 | -27.590 | 0.000 |
| -0.000 | 0.000 | 0.000 | 0.000 | 0.000 | 0.000 |
| -0.000 | 0.000 | 0.000 | 0.000 | 0.000 | 0.000 |
| -0.000 | 0.000 | 0.000 | 0.000 | 0.000 | 0.000 |
| 316.343 | -0.000 | -0.000 | -0.000 | -0.000 | -0.000 |
| 0.000 | -0.000 | -0.000 | -0.000 | -0.000 | -0.000 |
| 0.000 | -0.000 | -0.000 | -0.000 | -0.000 | -0.000 |
| 0.000 | -0.000 | -0.000 | -0.000 | -0.000 | -0.000 |
| 0.000 | -0.000 | -0.000 | -0.000 | -0.000 | -0.000 |
| 0.000 | -0.000 | -0.000 | -0.000 | -0.000 | -0.000 |
| 316.343 | 0.000 | 0.000 | 0.000 | 0.000 | 0.000 |
| -0.000 | 0.000 | 0.000 | 0.000 | 0.000 | 0.000 |
| 3.389 | 0.000 | 393.832 | -0.000 | -36.543 | 0.000 |
| -0.000 | 0.000 | 0.000 | 0.000 | 0.000 | 0.000 |
| -0.000 | 0.000 | 0.000 | 0.000 | 0.000 | 0.000 |
| -0.000 | 0.000 | 0.000 | 0.000 | 0.000 | 0.000 |
| 316.343 | -0.000 | -0.000 | -0.000 | -0.000 | -0.000 |
| 0.000 | -0.000 | -0.000 | -0.000 | -0.000 | -0.000 |
| 0.000 | -0.000 | -0.000 | -0.000 | -0.000 | -0.000 |
| 0.000 | -0.000 | -0.000 | -0.000 | -0.000 | -0.000 |
| -0.231 | -0.000 | -26.816 | -0.000 | 2.488 | -0.000 |
| 0.000 | -0.000 | -0.000 | -0.000 | -0.000 | -0.000 |
| 316.343 | 0.000 | 0.000 | 0.000 | 0.000 | 0.000 |
| -0.000 | 0.000 | 0.000 | 0.000 | 0.000 | 0.000 |
| 3.460 | 0.000 | 403.416 | 0.000 | -37.432 | 0.000 |
| -0.000 | 0.000 | 0.000 | 0.000 | 0.000 | 0.000 |
| -0.000 | 0.000 | 0.000 | 0.000 | 0.000 | 0.000 |
| -0.000 | 0.000 | 0.000 | 0.000 | 0.000 | 0.000 |
| 316.342 | -0.000 | -0.000 | -0.000 | -0.000 | -0.000 |
| 0.000 | -0.000 | -0.000 | -0.000 | -0.000 | -0.000 |
| 0.000 | -0.000 | -0.000 | -0.000 | -0.000 | -0.000 |
| 0.000 | -0.000 | -0.000 | -0.000 | -0.000 | -0.000 |
| -0.314 | -0.000 | -36.465 | 0.000 | 3.383 | -0.000 |
| 0.000 | -0.000 | -0.000 | -0.000 | -0.000 | -0.000 |
| 157.422 | 181.369 | -102.322 | 0.056 | -48.647 | 0.004 |
| 100.661 | -151.919 | -148.831 | 0.044 | -64.754 | -0.063 |
| 147.042 | 148.349 | -115.765 | 0.053 | -55.951 | 0.032 |
| 160.093 | 185.063 | -97.432 | -2.876 | -48.852 | -0.003 |
| 166.993 | 179.252 | -103.121 | 0.090 | -38.970 | 0.062 |
| 152.360 | 172.838 | -98.542 | -0.005 | -50.290 | 0.015 |
| -88.328 | 94.811 | 156.785 | -0.056 | 27.669 | -0.010 |
| -93.323 | 177.546 | 130.252 | -0.053 | 65.620 | 0.056 |
| -20.867 | -16.078 | 136.758 | -0.017 | 9.183 | 0.001 |
| -154.168 | -133.724 | 105.785 | 2.932 | 51.679 | -0.000 |
| -168.060 | -179.959 | 103.667 | -0.101 | 47.257 | -0.070 |
| -158.157 | -170.072 | 97.854 | -0.042 | 52.302 | 7.517 |
| 15.703 | 16.139 | -10.449 | 0.007 | -4.650 | 0.003 |
| 15.727 | 9.272 | -12.768 | 0.006 | -3.857 | -0.001 |
| 15.389 | 16.408 | -9.788 | 0.008 | -5.372 | 0.004 |
| 14.383 | 15.769 | -10.065 | 1.454 | -5.267 | -0.001 |
| 15.136 | 12.847 | -10.759 | 0.006 | -5.666 | -0.001 |
| 2.608 | 7.956 | -12.022 | 0.010 | -4.914 | 1.239 |
| -17.792 | -15.690 | 10.422 | -0.007 | 4.264 | -0.006 |
| -15.336 | -14.122 | 9.576 | -0.007 | 5.115 | -0.007 |
| -13.980 | -9.629 | 9.542 | 0.001 | 4.440 | -0.001 |
| -14.806 | -15.530 | 10.011 | 1.773 | 5.308 | -0.007 |
| -11.737 | -10.254 | 7.846 | -0.010 | -2.606 | -0.009 |
| -14.175 | -10.909 | 10.204 | 0.003 | 5.613 | 1.586 |
| 1.465 | 1.462 | -1.094 | 0.001 | -0.490 | 0.000 |
| 1.572 | 3.047 | -0.989 | 0.001 | -0.468 | -0.000 |
| 1.648 | 1.307 | -0.780 | -0.000 | -0.501 | 0.001 |
| 1.607 | 1.617 | -0.974 | -0.017 | -0.487 | -0.001 |
| 1.414 | 0.879 | -1.128 | 0.001 | -0.623 | 0.000 |
| 1.004 | -0.601 | -0.929 | 0.002 | -0.812 | -0.037 |
| -2.214 | -3.470 | 0.796 | -0.001 | 0.514 | -0.000 |
| -1.533 | 0.004 | 0.899 | -0.001 | 0.506 | -0.000 |
| -1.666 | -1.927 | 0.931 | -0.001 | 0.499 | -0.001 |
| -1.255 | 0.897 | 1.165 | 0.051 | 0.868 | -0.003 |
| -1.507 | -1.366 | 0.980 | -0.001 | 0.534 | -0.000 |
| -1.613 | -1.855 | 0.969 | -0.001 | 0.500 | -0.009 |
| 697.446 | 96.345 | 96.345 | -0.000 | -0.000 | -0.000 |
| 96.345 | 697.446 | 96.345 | -0.000 | -0.000 | -0.000 |
| 96.345 | 96.345 | 697.446 | -0.000 | -0.000 | -0.000 |
| 0.000 | 0.000 | 0.000 | 393.223 | 0.000 | -0.000 |
| 0.000 | -0.000 | 0.000 | -0.000 | 393.223 | -0.000 |
| 0.000 | 0.000 | 0.000 | 0.000 | 0.000 | 393.223 |
| 744.697 | 77.398 | 77.398 | 0.000 | 0.000 | 0.000 |
| 77.398 | 744.697 | 77.398 | 0.000 | 0.000 | 0.000 |
| 77.398 | 77.398 | 744.697 | 0.000 | -0.000 | 0.000 |
| -0.000 | -0.000 | -0.000 | 393.223 | -0.000 | 0.000 |
| -0.000 | 0.000 | -0.000 | 0.000 | 393.223 | 0.000 |
| -0.000 | -0.000 | -0.000 | 0.000 | 0.000 | 393.223 |
| 715.044 | 89.736 | 89.736 | -0.000 | -0.000 | -0.000 |
| 89.736 | 715.044 | 89.736 | -0.000 | -0.000 | -0.000 |
| 97.734 | 97.734 | 698.623 | -0.000 | -0.000 | -0.000 |
| 0.000 | 0.000 | 0.000 | 393.223 | -0.000 | 0.000 |
| 0.000 | 0.000 | 0.000 | -0.000 | 393.223 | -0.000 |
| 0.000 | 0.000 | 0.000 | -0.000 | -0.000 | 393.223 |
| 743.469 | 76.583 | 76.583 | 0.000 | 0.000 | 0.000 |
| 76.583 | 743.469 | 76.583 | 0.000 | 0.000 | -0.000 |
| 76.583 | 76.583 | 743.469 | 0.000 | 0.000 | 0.000 |
| -0.000 | -0.000 | -0.000 | 393.223 | 0.000 | 0.000 |
| -0.000 | -0.000 | -0.000 | 0.000 | 393.223 | 0.000 |
| -0.000 | -0.000 | -0.000 | 0.000 | 0.000 | 393.223 |
| 698.629 | 98.372 | 98.372 | -0.000 | -0.000 | -0.000 |
| 98.372 | 698.629 | 98.372 | -0.000 | -0.000 | -0.000 |
| 98.372 | 98.372 | 698.629 | -0.000 | -0.000 | -0.000 |
| -0.027 | -0.028 | -0.027 | 330.866 | -0.000 | -0.000 |
| -0.028 | -0.027 | -0.027 | -0.000 | 330.866 | -0.000 |
| -0.028 | -0.027 | -0.027 | -0.000 | -0.000 | 330.866 |
| 715.178 | 89.971 | 89.971 | 0.000 | 0.000 | 0.000 |
| 89.971 | 715.178 | 89.971 | 0.000 | 0.000 | -0.000 |
| 89.971 | 89.971 | 715.178 | 0.000 | -0.000 | 0.000 |
| 0.027 | 0.028 | 0.027 | 330.866 | 0.000 | -0.000 |
| 0.028 | 0.027 | 0.027 | 0.000 | 330.866 | 0.000 |
| 0.028 | 0.027 | 0.027 | 0.000 | 0.000 | 330.866 |
| 1196.398 | -24.812 | -256.221 | -0.000 | -0.000 | 0.000 |
| 100.772 | 1019.638 | -53.595 | -0.000 | 0.000 | 0.000 |
| 74.915 | -70.987 | 1139.344 | 0.000 | 0.000 | -0.000 |
| -1.998 | 0.297 | 1.735 | 603.345 | 0.000 | -0.000 |
| -0.977 | 0.047 | 0.834 | 0.000 | 534.544 | -0.000 |
| -1.406 | 0.276 | 1.260 | 0.000 | 0.000 | 301.250 |
| 754.597 | 32.526 | 28.101 | -0.000 | -0.001 | -0.000 |
| 101.574 | 1018.915 | -55.161 | 0.000 | -0.001 | 0.000 |
| 75.463 | -71.482 | 1137.621 | 0.000 | 0.000 | -0.000 |
| 1.998 | -0.297 | -1.735 | 603.345 | 0.000 | -0.000 |
| 0.977 | -0.047 | -0.834 | -0.000 | 534.544 | 0.000 |
| 1.406 | -0.276 | -1.260 | 0.000 | -0.000 | 301.250 |
| 754.402 | 31.568 | 29.243 | -0.000 | 0.000 | -0.000 |
| 94.754 | 1018.568 | -53.742 | -0.000 | -0.001 | -0.000 |
| 63.466 | -141.301 | 1204.357 | -0.000 | 0.000 | 0.000 |
| -0.056 | 0.018 | 0.108 | 602.569 | 0.000 | -0.000 |
| -0.134 | -0.002 | 0.129 | 0.000 | 483.403 | 0.000 |
| -0.042 | 0.030 | 0.069 | -0.000 | 0.000 | 300.979 |
| 754.453 | 31.498 | 29.072 | -0.000 | -0.000 | -0.000 |
| 94.797 | 1018.507 | -53.860 | 0.000 | 0.000 | -0.000 |
| 63.708 | -141.314 | 1204.152 | 0.000 | -0.000 | -0.000 |
| 0.056 | -0.018 | -0.108 | 602.569 | -0.000 | -0.000 |
| 0.134 | 0.002 | -0.129 | -0.000 | 483.403 | -0.000 |
| 0.042 | -0.030 | -0.069 | -0.000 | -0.000 | 300.979 |
| 754.408 | 31.533 | 29.176 | 0.000 | -0.000 | -0.000 |
| 94.858 | 1018.537 | -53.879 | -0.000 | 0.000 | 0.000 |
| 63.685 | -141.316 | 1204.182 | 0.000 | -0.000 | 0.000 |
| -0.006 | 0.002 | 0.012 | 602.569 | 0.000 | 0.000 |
| -0.005 | 0.001 | 0.012 | -0.000 | 460.695 | -0.000 |
| -0.004 | 0.003 | 0.007 | -0.000 | 0.000 | 300.979 |
| 754.437 | 31.523 | 29.140 | -0.000 | -0.000 | 0.000 |
| 94.864 | 1018.518 | -53.894 | -0.000 | -0.000 | 0.000 |
| 75.230 | -71.170 | 1138.481 | -0.000 | -0.000 | -0.000 |
| 0.006 | -0.002 | -0.012 | 602.569 | 0.000 | 0.000 |
| 0.005 | -0.001 | -0.012 | -0.000 | 460.695 | 0.000 |
| 0.004 | -0.003 | -0.007 | -0.000 | -0.000 | 300.979 |
| -6547.153 | 9011.647 | -18160.451 | -14809.796 | -18927.608 | -13327.041 |
| -16928.159 | 33485.063 | -18491.684 | 200.733 | -11010.085 | 11796.188 |
| 8199.314 | 11776.902 | -2016.446 | 1830.508 | -17872.487 | -3382.951 |
| -14792.349 | 13571.877 | -8479.346 | -16245.426 | -17569.579 | -4386.256 |
| -7886.226 | 6986.028 | -19562.604 | -2495.009 | -25722.490 | 286.657 |
| -18272.386 | -699.493 | -11891.929 | 9790.003 | -16516.453 | -7123.121 |
| 17589.000 | -9549.181 | 15455.391 | 12914.869 | 17967.033 | 10911.187 |
| 1241.952 | -13452.146 | 21943.568 | -11893.394 | 6888.489 | -9020.176 |
| 8075.659 | -11051.766 | 6951.265 | -2257.166 | 19666.055 | -605.733 |
| 16667.774 | -2236.620 | 5975.227 | -2028.524 | 23431.681 | -3624.058 |
| 7314.221 | -14314.756 | -14000.064 | -16119.292 | 26629.622 | 865.716 |
| 1518.936 | -24936.390 | -1441.582 | -6781.857 | 18554.902 | 5399.905 |
| -2106.702 | 3615.457 | -2884.086 | -107.524 | -978.120 | 475.891 |
| -170.964 | 2257.162 | -525.267 | 2497.961 | -1399.798 | 108.283 |
| -1288.633 | 2673.231 | -2057.582 | -1373.507 | -1271.882 | 848.344 |
| -2235.335 | 3340.018 | 271.105 | 1276.942 | -2057.502 | 30.494 |
| -3368.550 | 4191.541 | -2950.434 | -200.144 | -758.970 | 1299.914 |
| -1940.251 | 1681.474 | -1240.658 | 558.886 | -2025.907 | 1016.290 |
| 137.603 | -2979.991 | -245.966 | 551.531 | 1105.786 | -587.322 |
| 1061.100 | -1396.559 | 839.172 | -88.974 | 2214.581 | -41.429 |
| 1956.786 | -840.235 | 842.333 | -501.813 | 1323.930 | 539.276 |
| 1234.127 | -3205.563 | 3319.011 | -1823.087 | 1852.769 | -1605.659 |
| 402.376 | -1939.828 | -397.247 | -209.971 | 1878.248 | 1266.857 |
| 683.887 | -1469.769 | 252.229 | 420.859 | 2762.292 | 953.472 |
| -34.227 | 132.152 | -96.167 | -30.847 | -145.713 | -100.204 |
| -257.685 | 44.332 | -319.337 | 58.489 | -289.324 | 6.784 |
| -176.634 | 116.374 | -114.348 | 41.395 | -168.004 | -93.087 |
| 20.236 | 140.570 | 8.167 | -83.981 | -66.303 | 109.182 |
| -185.905 | 197.803 | -94.322 | 131.714 | -64.174 | 60.899 |
| -362.631 | 89.650 | -192.722 | 77.322 | -264.025 | 34.275 |
| 312.271 | -21.718 | 159.822 | -18.355 | 198.958 | -53.294 |
| 10.634 | -220.484 | 60.693 | -10.941 | 55.842 | -71.440 |
| 222.813 | -230.858 | 71.931 | 10.304 | 110.386 | -50.357 |
| 159.701 | -186.315 | -46.928 | -68.186 | 175.979 | -7.816 |
| 116.550 | -250.242 | 101.969 | -31.633 | 143.855 | -39.782 |
| 77.230 | -118.042 | 164.909 | 86.102 | 106.630 | 46.947 |
| -20.250 | -97.295 | -4.977 | 0.000 | 2.293 | -0.000 |
| 34.484 | 287.520 | 24.698 | -0.000 | -0.898 | 0.000 |
| -23.807 | -86.647 | 40.610 | 0.000 | 11.610 | -0.000 |
| -23.494 | -31.821 | -14.862 | -13.135 | -9.965 | -9.791 |
| -28.723 | -33.469 | -31.509 | 0.000 | 1.091 | -0.000 |
| -7.823 | -31.983 | 8.527 | 7.288 | -1.367 | 27.412 |
| 42.658 | -1.679 | -10.506 | -0.000 | 6.901 | 0.000 |
| 34.484 | 287.520 | 24.698 | 0.000 | -0.898 | -0.000 |
| 25.498 | 0.570 | -48.698 | -0.000 | 4.709 | 0.000 |
| 23.494 | 31.821 | 14.862 | -13.135 | 9.965 | -9.791 |
| 35.500 | -28.381 | -9.579 | -0.000 | 13.156 | 0.000 |
| 7.823 | 31.983 | -8.527 | 7.288 | 1.367 | 27.412 |
| 23.803 | 11.344 | 17.917 | 0.000 | 16.796 | -0.000 |
| -7.204 | 8.102 | 4.770 | 0.000 | -0.511 | -0.000 |
| -6.217 | -14.908 | 21.935 | 0.000 | 7.205 | -0.000 |
| 0.000 | -0.000 | 0.000 | 191.234 | -0.000 | 10.393 |
| 6.106 | -3.398 | 20.884 | 0.000 | 26.580 | -0.000 |
| -0.978 | -3.558 | 0.408 | 0.058 | -0.358 | 11.139 |
| 15.193 | -0.731 | -1.541 | -0.000 | 12.599 | 0.000 |
| -4.723 | 26.264 | -11.448 | -0.000 | -0.050 | 0.000 |
| -4.398 | -15.651 | 62.886 | -0.000 | 15.895 | 0.000 |
| -0.000 | 0.000 | -0.000 | 191.234 | 0.000 | 10.393 |
| 8.282 | 5.198 | 18.794 | -0.000 | 27.305 | 0.000 |
| 0.978 | 3.558 | -0.408 | 0.058 | 0.358 | 11.139 |
| 8.000 | -5.205 | -4.056 | 0.000 | 3.961 | -0.000 |
| -6.764 | 7.411 | -2.616 | 0.000 | -1.958 | -0.000 |
| -1.169 | -4.523 | 3.707 | -0.000 | 3.609 | -0.000 |
| -0.161 | -0.275 | 0.310 | 11.387 | 0.202 | 0.137 |
| 7.495 | -2.146 | 23.043 | 0.000 | 31.135 | -0.000 |
| -0.211 | -0.261 | 0.016 | -3.630 | -0.031 | 5.665 |
| 13.951 | -4.737 | -1.778 | -0.000 | 11.621 | 0.000 |
| -6.883 | 6.520 | -1.900 | -0.000 | -2.538 | 0.000 |
| -3.591 | -3.491 | 18.375 | -0.000 | 2.868 | 0.000 |
| 0.146 | 0.268 | -0.407 | 11.412 | -0.192 | 0.236 |
| 2.652 | -4.582 | -3.170 | -0.000 | 11.833 | 0.000 |
| 0.211 | 0.261 | -0.016 | -3.630 | 0.031 | 5.665 |
| 252.527 | -8.765 | -8.767 | -0.000 | 0.000 | 0.000 |
| -8.765 | 252.526 | -8.767 | -0.000 | 0.000 | 0.000 |
| -8.765 | -8.765 | 252.525 | -0.000 | 0.000 | 0.000 |
| -46.332 | -46.332 | -46.334 | 138.475 | 0.000 | 0.000 |
| -46.332 | -46.332 | -46.334 | -0.000 | 138.475 | 0.000 |
| -46.332 | -46.332 | -46.334 | -0.000 | 0.000 | 138.475 |
| 346.964 | 183.701 | 183.702 | 0.000 | -0.000 | -0.000 |
| 83.957 | 345.311 | 83.959 | 0.000 | -0.000 | -0.000 |
| 183.701 | 183.701 | 346.965 | 0.000 | -0.000 | -0.000 |
| 46.332 | 46.332 | 46.334 | 138.475 | -0.000 | -0.000 |
| -2.891 | -2.891 | -2.888 | 0.000 | 155.093 | -0.000 |
| 46.332 | 46.332 | 46.334 | 0.000 | -0.000 | 138.475 |
| 446.984 | 11.183 | 11.183 | -0.000 | 0.000 | 0.000 |
| 11.183 | 446.984 | 11.183 | 0.000 | -0.000 | 0.000 |
| 11.183 | 11.183 | 446.984 | 0.000 | 0.000 | 0.000 |
| -46.898 | -46.898 | -46.898 | -70.056 | 0.000 | 0.000 |
| -46.898 | -46.898 | -46.898 | -0.000 | -70.056 | 0.000 |
| -46.898 | -46.898 | -46.898 | -0.000 | 0.000 | -70.056 |
| 343.508 | 44.007 | 44.007 | 0.000 | -0.000 | -0.000 |
| 44.007 | 343.508 | 44.007 | 0.000 | -0.000 | -0.000 |
| 44.007 | 44.007 | 343.508 | 0.000 | -0.000 | -0.000 |
| 46.898 | 46.898 | 46.898 | -70.056 | -0.000 | -0.000 |
| 46.898 | 46.898 | 46.898 | 0.000 | -70.056 | -0.000 |
| 46.898 | 46.898 | 46.898 | 0.000 | -0.000 | -70.056 |
| 132.367 | 19.461 | 19.461 | -0.000 | 0.000 | 0.000 |
| -67.172 | 3.433 | -67.172 | -0.000 | 0.000 | 0.000 |
| -67.172 | -67.172 | 3.433 | -0.000 | 0.000 | 0.000 |
| -6.959 | -6.959 | -6.959 | -14.071 | 0.000 | 0.000 |
| -1.621 | -1.621 | -1.621 | -0.000 | 86.213 | 0.000 |
| -5.798 | -5.798 | -5.799 | -0.000 | 0.000 | 5.138 |
| 446.982 | 11.183 | 11.183 | -0.000 | 0.000 | -0.000 |
| 11.183 | 446.982 | 11.183 | -0.000 | 0.000 | -0.000 |
| 11.183 | 11.183 | 446.982 | -0.000 | -0.000 | -0.000 |
| 5.799 | 5.798 | 5.798 | 5.138 | -0.000 | -0.000 |
| 1.621 | 1.621 | 1.621 | 0.000 | 86.213 | -0.000 |
| 5.798 | 5.798 | 5.799 | 0.000 | -0.000 | 5.138 |
| 56.938 | 16.830 | 0.542 | 0.000 | -0.000 | 0.000 |
| 9.166 | 864.460 | -1.630 | 0.000 | 0.000 | -0.000 |
| 11.896 | -1.630 | 865.297 | 0.000 | 0.000 | -0.000 |
| 0.000 | -0.000 | 0.000 | 430.574 | 0.000 | -0.000 |
| 0.000 | -0.000 | -0.000 | -0.000 | 140.017 | -0.000 |
| 0.001 | -0.007 | 0.005 | 0.000 | -0.000 | 240.209 |
| 59.273 | 9.166 | 11.896 | -0.000 | -0.000 | 0.000 |
| 9.431 | 670.343 | 63.748 | -0.000 | 0.000 | -0.000 |
| 6.212 | 73.547 | 773.161 | -0.000 | 0.000 | -0.000 |
| -0.000 | 0.000 | -0.000 | 430.574 | -0.000 | 0.000 |
| 0.000 | 0.000 | -0.000 | -0.000 | 140.017 | 0.000 |
| -0.001 | 0.007 | -0.005 | -0.000 | 0.000 | 240.209 |
| 56.938 | 16.833 | 0.540 | 0.000 | -0.000 | 0.000 |
| 9.166 | 864.460 | -1.630 | 0.000 | 0.000 | 0.000 |
| 5.475 | 60.330 | 752.658 | 0.000 | -0.000 | 0.000 |
| -0.000 | -0.000 | 0.000 | 430.574 | 0.000 | -0.000 |
| 0.000 | -0.000 | 0.000 | 0.000 | 47.877 | 0.000 |
| -0.000 | -0.000 | -0.000 | 0.000 | 0.000 | 261.022 |
| 56.938 | 16.834 | 0.539 | -0.000 | 0.000 | -0.000 |
| 13.089 | 759.532 | 75.214 | -0.000 | -0.000 | -0.000 |
| 5.461 | 60.515 | 752.431 | -0.000 | 0.000 | -0.000 |
| 0.000 | 0.000 | -0.000 | 430.574 | -0.000 | -0.000 |
| -0.000 | 0.000 | -0.000 | -0.000 | 47.877 | -0.000 |
| 0.000 | 0.000 | 0.000 | -0.000 | -0.000 | 261.022 |
| 59.273 | 9.167 | 11.896 | 0.000 | -0.000 | -0.000 |
| 13.089 | 759.537 | 75.214 | 0.000 | 0.000 | 0.000 |
| 6.230 | 67.859 | 747.623 | 0.000 | -0.000 | 0.000 |
| -0.000 | 0.000 | 0.000 | 304.129 | -0.000 | 0.000 |
| -0.000 | -0.000 | -0.000 | 0.000 | 47.877 | 0.000 |
| -0.001 | -0.000 | 0.000 | 0.000 | -0.000 | 240.209 |
| 59.273 | 9.166 | 11.896 | -0.000 | -0.000 | 0.000 |
| 10.511 | 655.211 | 74.992 | -0.000 | 0.000 | -0.000 |
| 6.228 | 67.898 | 747.594 | -0.000 | 0.000 | -0.000 |
| 0.000 | -0.000 | -0.000 | 304.129 | 0.000 | -0.000 |
| 0.000 | 0.000 | 0.000 | -0.000 | 47.877 | -0.000 |
| 0.001 | 0.000 | -0.000 | -0.000 | 0.000 | 240.209 |
| -17441631.169 | 141070710.620 | 69103984.861 | -8579246.736 | 1807650.091 | 2236096.109 |
| -17446547.041 | 141067441.059 | 69098288.715 | -8572045.352 | 1814306.868 | 2247493.678 |
| -17436825.226 | 141075790.236 | 69112804.305 | -8565207.922 | 1793593.704 | 2269035.565 |
| -17435746.533 | 141083214.866 | 69112053.819 | -8568799.374 | 1795350.664 | 2266666.445 |
| -17435316.799 | 141081458.789 | 69113526.818 | -8566350.289 | 1793788.310 | 2266949.492 |
| -17435471.017 | 141080598.712 | 69114173.280 | -8565638.005 | 1793718.528 | 2266625.209 |
| 17435556.091 | -141082426.678 | -69111256.277 | 8568777.844 | -1794998.622 | -2266219.449 |
| 17447933.261 | -141016096.677 | -69052242.004 | 8597319.327 | -1786765.619 | -2257867.314 |
| 17462200.168 | -141006721.450 | -69032471.199 | 8625101.639 | -1793492.357 | -2232840.320 |
| 17441365.638 | -141070713.750 | -69103313.347 | 8578167.288 | -1807969.598 | -2234524.397 |
| 17435205.206 | -141079986.132 | -69115280.867 | 8563288.346 | -1792568.710 | -2267542.524 |
| 17441253.749 | -141076470.873 | -69099070.638 | 8577488.266 | -1810768.446 | -2230297.384 |
| -1744087.877 | 14088533.021 | 6901336.469 | -849274.810 | 198719.061 | 219690.507 |
| -1745636.872 | 14103313.705 | 6909687.548 | -856887.666 | 180307.263 | 226169.192 |
| -1762089.268 | 14140564.891 | 6889837.493 | -879408.280 | 153619.556 | 200146.678 |
| -1755295.031 | 14090824.384 | 6903757.126 | -857510.021 | 184400.009 | 229496.410 |
| -1758042.131 | 14081632.433 | 6901511.224 | -856682.832 | 191137.542 | 227333.418 |
| -1755793.145 | 14087996.988 | 6904883.580 | -855165.231 | 183685.226 | 229559.502 |
| 1756457.240 | -14088766.380 | -6895420.003 | 855539.605 | -178428.544 | -225073.206 |
| 1756848.679 | -14082283.567 | -6903845.704 | 854773.326 | -188219.406 | -229707.730 |
| 1752219.855 | -14075258.720 | -6897214.368 | 846346.437 | -211264.659 | -225030.678 |
| 1747176.172 | -14097911.497 | -6918349.099 | 857226.819 | -175621.861 | -219885.074 |
| 1743697.059 | -14105763.510 | -6912494.474 | 855802.118 | -177785.258 | -225866.888 |
| 1745192.444 | -14102458.701 | -6903217.629 | 855225.442 | -175416.066 | -218001.871 |
| -173242.456 | 1410339.622 | 685463.097 | -83622.035 | 20757.014 | 21909.161 |
| -173394.962 | 1412736.787 | 688022.646 | -84623.105 | 21219.649 | 20915.736 |
| -173993.134 | 1408693.150 | 688508.556 | -86504.207 | 16578.833 | 21973.560 |
| -176270.906 | 1414987.523 | 685084.209 | -89203.820 | 18202.541 | 22605.170 |
| -176489.346 | 1407240.882 | 689228.527 | -87729.679 | 19871.002 | 22737.834 |
| -176738.254 | 1403836.488 | 684380.145 | -88592.425 | 19082.620 | 21133.395 |
| 176882.138 | -1414258.030 | -684966.262 | 89978.018 | -18471.681 | -21253.269 |
| 177308.148 | -1412513.564 | -687830.887 | 89286.316 | -18657.716 | -22465.647 |
| 171213.205 | -1410816.074 | -686786.974 | 86801.094 | -23298.239 | -25863.963 |
| 172434.757 | -1410791.778 | -689273.119 | 84029.665 | -19259.554 | -21942.628 |
| 173867.969 | -1408956.821 | -687294.043 | 85056.031 | -18042.735 | -21701.157 |
| 172607.009 | -1414222.328 | -692858.205 | 86680.905 | -21565.496 | -23317.744 |
| 501.954 | 41.930 | 61.857 | -0.000 | 0.000 | -0.000 |
| 50.033 | 569.399 | 39.515 | 0.000 | 0.000 | 0.000 |
| 92.961 | 36.963 | 519.445 | -0.000 | 0.000 | 0.000 |
| 0.000 | 0.000 | 0.000 | 273.084 | 0.000 | -0.000 |
| 0.001 | 0.002 | -0.001 | -0.000 | 194.550 | 0.000 |
| 0.001 | 0.002 | -0.000 | 0.000 | 0.000 | 182.899 |
| 501.954 | 41.930 | 61.857 | 0.000 | -0.000 | 0.000 |
| 50.031 | 569.399 | 39.515 | 0.000 | -0.000 | -0.000 |
| 61.857 | 14.246 | 598.058 | -0.000 | -0.000 | 0.000 |
| -0.000 | -0.000 | -0.000 | 273.084 | 0.000 | 0.000 |
| -0.001 | -0.002 | 0.001 | 0.000 | 194.550 | -0.000 |
| -0.001 | -0.002 | 0.000 | 0.000 | -0.000 | 182.899 |
| 401.562 | 49.159 | 92.729 | 0.000 | -0.000 | 0.000 |
| 61.422 | 508.225 | 36.392 | -0.000 | 0.000 | 0.000 |
| 102.222 | 37.074 | 456.241 | 0.000 | 0.000 | 0.000 |
| 0.000 | 0.000 | -0.000 | 185.847 | -0.000 | 0.000 |
| 0.000 | 0.000 | 0.000 | -0.000 | 159.474 | 0.000 |
| -0.000 | 0.000 | 0.000 | -0.000 | 0.000 | 249.721 |
| 354.691 | 56.639 | 94.867 | 0.000 | -0.000 | -0.000 |
| 50.032 | 569.397 | 39.516 | -0.000 | 0.000 | -0.000 |
| 102.227 | 37.077 | 456.229 | 0.000 | -0.000 | -0.000 |
| -0.000 | -0.000 | 0.000 | 185.847 | -0.000 | -0.000 |
| -0.000 | -0.000 | -0.000 | 0.000 | 159.474 | -0.000 |
| 0.000 | -0.000 | -0.000 | 0.000 | -0.000 | 249.721 |
| 297.023 | 43.224 | 120.694 | -0.000 | -0.000 | 0.000 |
| 48.817 | 466.268 | 37.770 | -0.000 | 0.000 | 0.000 |
| 92.959 | 36.961 | 519.451 | -0.000 | 0.000 | 0.000 |
| 0.000 | 0.000 | 0.000 | 273.084 | 0.000 | -0.000 |
| 0.000 | 0.000 | 0.000 | 0.000 | 159.474 | 0.000 |
| -0.000 | 0.000 | 0.000 | 0.000 | 0.000 | 182.899 |
| 323.358 | 48.321 | 110.292 | 0.000 | -0.000 | -0.000 |
| 41.387 | 445.770 | 38.081 | -0.000 | -0.000 | -0.000 |
| 102.221 | 37.073 | 456.240 | -0.000 | -0.000 | -0.000 |
| -0.000 | -0.000 | -0.000 | 273.084 | 0.000 | 0.000 |
| -0.000 | -0.000 | -0.000 | 0.000 | 159.474 | -0.000 |
| 0.000 | -0.000 | -0.000 | 0.000 | -0.000 | 182.899 |
| 1900.418 | -2102.250 | -601.176 | 0.000 | -0.000 | 0.000 |
| 66.913 | 208.011 | -78.417 | 0.000 | -0.000 | 0.000 |
| -12405.966 | 855.337 | 12234.771 | 0.000 | -0.000 | 0.000 |
| -11907.920 | 165.301 | 6501.024 | 4.334 | -0.000 | 0.000 |
| -12155.121 | 237.018 | 8927.099 | 0.000 | -192.512 | 0.000 |
| -13282.241 | 1002.188 | 10701.606 | -0.000 | -0.000 | -46.706 |
| 12738.293 | -331.302 | -11850.935 | 0.000 | 0.000 | 0.000 |
| 13699.642 | -729.337 | -10684.550 | -0.000 | -0.000 | 0.000 |
| 43.092 | 170.468 | 472.626 | -0.000 | 0.000 | -0.000 |
| 11907.920 | -165.301 | -6501.024 | 4.334 | 0.000 | -0.000 |
| 12155.121 | -237.018 | -8927.099 | -0.000 | -192.512 | -0.000 |
| 13282.241 | -1002.188 | -10701.606 | -0.000 | 0.000 | -46.706 |
| -1134.694 | 502.018 | 1159.902 | -0.000 | 0.000 | -0.000 |
| -974.047 | 214.194 | 961.814 | 0.000 | -0.000 | -0.000 |
| -1075.943 | 245.861 | 1097.464 | -0.000 | -0.000 | 0.000 |
| -1241.957 | 38.428 | 924.868 | -103.667 | -0.000 | 0.000 |
| -1330.279 | 97.598 | 1078.977 | -0.000 | -98.173 | 0.000 |
| -1224.837 | 27.960 | 902.892 | 0.000 | -0.000 | -69.381 |
| 1247.232 | 126.311 | -469.687 | -0.000 | 0.000 | -0.000 |
| 1735.205 | 127.949 | -960.220 | -0.000 | 0.000 | 0.000 |
| 19.541 | 10.150 | 474.512 | -0.000 | 0.000 | -0.000 |
| 1241.957 | -38.428 | -924.868 | -103.667 | 0.000 | -0.000 |
| 1330.279 | -97.598 | -1078.977 | -0.000 | -98.173 | 0.000 |
| 1224.837 | -27.960 | -902.892 | -0.000 | 0.000 | -69.381 |
| -86.493 | -29.319 | 35.383 | -0.000 | -0.000 | 0.000 |
| -121.830 | 21.815 | 27.808 | -0.000 | 0.000 | 0.000 |
| -74.581 | -11.560 | 79.183 | 0.000 | -0.000 | 0.000 |
| -108.377 | -20.063 | 61.728 | -10.654 | -0.000 | 0.000 |
| -104.258 | -19.162 | 10.785 | 0.000 | 9.405 | 0.000 |
| 15.573 | -20.355 | -6.272 | 0.000 | -0.000 | 81.590 |
| 99.608 | 46.466 | -56.373 | -0.000 | -0.000 | 0.000 |
| 181.313 | 24.767 | -43.499 | 0.000 | 0.000 | 0.000 |
| -70.140 | -56.553 | 82.517 | -0.000 | -0.000 | -0.000 |
| 108.377 | 20.063 | -61.728 | -10.654 | 0.000 | -0.000 |
| 104.258 | 19.162 | -10.785 | -0.000 | 9.405 | -0.000 |
| -15.573 | 20.355 | 6.272 | -0.000 | 0.000 | 81.590 |
| -2.116 | -2.486 | -68.888 | -1.138 | 2.851 | -4.266 |
| -2.237 | -2.444 | -70.088 | -1.177 | 2.176 | -4.114 |
| -2.410 | -3.106 | -69.832 | -1.019 | 2.335 | -4.114 |
| -2.266 | -2.679 | -70.255 | -0.910 | 2.497 | -4.015 |
| -1.566 | -2.469 | -64.086 | -1.033 | 2.530 | -4.159 |
| -2.240 | -2.809 | -69.657 | -1.171 | 2.560 | -4.003 |
| 2.021 | 2.503 | 66.053 | 1.009 | -2.329 | 3.685 |
| 1.865 | 2.322 | 69.446 | 1.085 | -2.529 | 3.974 |
| 1.897 | 2.773 | 66.710 | 1.033 | -2.657 | 4.086 |
| 2.173 | 2.609 | 68.745 | 1.189 | -2.570 | 3.985 |
| 2.035 | 2.483 | 69.733 | 1.076 | -2.611 | 3.995 |
| 2.355 | 2.721 | 70.766 | 1.184 | -2.643 | 4.061 |
| -0.236 | -0.249 | -6.958 | -0.114 | 0.257 | -0.404 |
| -0.185 | -0.255 | -6.866 | -0.102 | 0.268 | -0.401 |
| -0.229 | -0.282 | -7.148 | -0.132 | 0.257 | -0.406 |
| -0.239 | -0.277 | -7.144 | -0.106 | 0.260 | -0.408 |
| -0.215 | -0.280 | -7.121 | -0.114 | 0.263 | -0.401 |
| -0.173 | -0.252 | -6.698 | -0.142 | 0.298 | -0.404 |
| 0.228 | 0.278 | 7.102 | 0.117 | -0.253 | 0.412 |
| 0.194 | 0.243 | 6.700 | 0.119 | -0.264 | 0.386 |
| 0.252 | 0.297 | 7.117 | 0.129 | -0.266 | 0.413 |
| 0.200 | 0.279 | 7.108 | 0.148 | -0.263 | 0.408 |
| 0.213 | 0.255 | 7.069 | 0.118 | -0.275 | 0.409 |
| 0.248 | 0.250 | 6.925 | 0.116 | -0.266 | 0.380 |
| -0.027 | -0.025 | -0.712 | -0.012 | 0.027 | -0.040 |
| -0.018 | -0.023 | -0.695 | -0.013 | 0.024 | -0.040 |
| -0.022 | -0.026 | -0.721 | -0.012 | 0.026 | -0.040 |
| -0.023 | -0.027 | -0.713 | -0.010 | 0.027 | -0.040 |
| -0.021 | -0.027 | -0.708 | -0.011 | 0.020 | -0.039 |
| -0.024 | -0.027 | -0.678 | -0.013 | 0.027 | -0.039 |
| 0.020 | 0.029 | 0.629 | 0.010 | -0.025 | 0.039 |
| 0.020 | 0.030 | 0.704 | 0.012 | -0.027 | 0.039 |
| 0.021 | 0.027 | 0.708 | 0.012 | -0.026 | 0.041 |
| 0.021 | 0.027 | 0.714 | 0.013 | -0.026 | 0.040 |
| 0.021 | 0.027 | 0.704 | 0.012 | -0.025 | 0.040 |
| 0.021 | 0.030 | 0.691 | 0.011 | -0.026 | 0.039 |
| 587.785 | 19.669 | 46.732 | 9.372 | -13.416 | -7.858 |
| 15.942 | 663.452 | 44.489 | -36.798 | -15.151 | -9.076 |
| 52.781 | 70.642 | 428.484 | 9.371 | 45.333 | 27.763 |
| 3.005 | -3.129 | 19.062 | 211.287 | 48.942 | 24.055 |
| 22.417 | -4.899 | 2.877 | 2.626 | 231.413 | 24.547 |
| -8.177 | -7.373 | 8.909 | 5.025 | -16.405 | 288.118 |
| 359.960 | 34.102 | 39.914 | -17.066 | -103.658 | -47.872 |
| 15.942 | 663.452 | 44.489 | -36.798 | -15.151 | -9.076 |
| 51.404 | 62.386 | 408.912 | 10.418 | -61.598 | -12.835 |
| 7.656 | -20.349 | -5.307 | 180.530 | -71.022 | -28.691 |
| 31.666 | -15.273 | 5.256 | -1.447 | 236.834 | 3.583 |
| -8.177 | -7.373 | 8.909 | 5.025 | -16.405 | 288.118 |
| 493.502 | 51.781 | 54.224 | 1.503 | -8.300 | -0.813 |
| 44.026 | 585.204 | 60.824 | -25.662 | -5.355 | -5.619 |
| 52.854 | 75.488 | 306.274 | 15.158 | -2.099 | 5.005 |
| 2.596 | -5.656 | 9.427 | 211.937 | 7.805 | 8.526 |
| 31.666 | -15.273 | 5.256 | -1.447 | 236.834 | 3.583 |
| -8.177 | -7.373 | 8.909 | 5.025 | -16.405 | 288.118 |
| 494.017 | 50.990 | 51.956 | 1.711 | -17.806 | -4.435 |
| 44.210 | 583.982 | 59.107 | -25.426 | -13.241 | -8.598 |
| 52.170 | 66.826 | 414.134 | 10.384 | -16.245 | 4.514 |
| 2.374 | -6.052 | 7.435 | 211.079 | -1.342 | 5.075 |
| 24.450 | -8.856 | -14.516 | 4.646 | 150.247 | 2.226 |
| -8.177 | -7.373 | 8.909 | 5.025 | -16.405 | 288.118 |
| 342.997 | 47.714 | 58.548 | -14.770 | -8.687 | -10.465 |
| 53.399 | 447.440 | 71.414 | -17.206 | 4.080 | -20.857 |
| 62.732 | 71.289 | 273.271 | 16.252 | -9.249 | -6.902 |
| 6.818 | -12.617 | 11.332 | 181.347 | 6.221 | 1.480 |
| 21.853 | -7.721 | -8.297 | 3.459 | 183.778 | 6.801 |
| -8.743 | -10.869 | 8.701 | 1.081 | -7.063 | 202.948 |
| 358.493 | 47.392 | 55.257 | -10.631 | -6.267 | -8.629 |
| 46.220 | 481.237 | 71.442 | -19.989 | -6.791 | -16.992 |
| 62.710 | 71.047 | 272.785 | 16.115 | -11.366 | -7.802 |
| 6.832 | -12.772 | 11.003 | 181.268 | 4.647 | 0.862 |
| 21.667 | -7.644 | -10.981 | 2.549 | 141.941 | 3.981 |
| -8.496 | -19.022 | -5.605 | 4.431 | -3.682 | 156.846 |
| -10585932823.504 | 4136070912.027 | 3206201018.723 | -0.000 | -0.000 | -0.000 |
| 3206201019.648 | -10585932821.972 | 4136070909.818 | -0.000 | 0.000 | 0.000 |
| 4136070911.375 | 3206201019.747 | -10585932823.714 | -0.000 | -0.000 | -0.001 |
| -2612327343.719 | -2167526868.339 | 3901271446.148 | -2959960140.859 | -0.033 | 0.083 |
| 3901268639.715 | -2612333414.070 | -2167521869.750 | -0.011 | -2959964611.082 | 0.013 |
| -2167521810.498 | 3901268580.581 | -2612333414.416 | 0.007 | 0.012 | -2959964672.305 |
| -4136070450.267 | -3206201089.629 | 10585933430.657 | 0.000 | 0.000 | 0.010 |
| 10585933432.302 | -4136070450.844 | -3206201090.740 | 0.049 | 0.000 | 0.000 |
| -3206201090.762 | 10585933432.362 | -4136070450.866 | 0.000 | -0.038 | -0.000 |
| 2612327343.384 | 2167526868.074 | -3901271445.189 | -2959960140.819 | 0.008 | -0.207 |
| -3901268638.519 | 2612333414.818 | 2167521869.068 | -0.045 | -2959964611.842 | 0.056 |
| 2167521810.710 | -3901268580.203 | 2612333414.130 | 0.051 | -0.950 | -2959964672.181 |
| -1058592728.707 | 413607216.514 | 320620094.029 | 0.034 | -0.000 | 0.000 |
| 320620093.993 | -1058592728.685 | 413607216.538 | 0.000 | -0.035 | -0.000 |
| 413607216.523 | 320620093.902 | -1058592728.541 | 0.000 | -0.000 | -0.004 |
| -261232626.369 | -216752528.859 | 390126937.000 | -295995783.596 | 0.008 | -0.005 |
| 390126709.822 | -261233233.426 | -216752082.368 | -0.005 | -295996176.062 | -0.001 |
| -216752023.109 | 390126650.474 | -261233233.402 | 0.001 | -0.000 | -295996236.703 |
| -413606755.982 | -320620163.240 | 1058593336.149 | 0.000 | 0.000 | 0.033 |
| 1058593336.174 | -413606755.957 | -320620163.298 | 0.074 | -0.000 | 0.000 |
| -320620163.294 | 1058593336.157 | -413606755.935 | -0.000 | 0.057 | 0.000 |
| 261232626.331 | 216752528.911 | -390126937.070 | -295995783.579 | 0.001 | 0.033 |
| -390126709.823 | 261233233.382 | 216752082.394 | 0.001 | -295996176.022 | 0.001 |
| 216752023.137 | -390126650.415 | 261233233.357 | -0.001 | -0.001 | -295996236.690 |
| -105858719.052 | 41360847.085 | 32062001.233 | 0.005 | -0.000 | -0.000 |
| 32062001.241 | -105858719.060 | 41360847.081 | 0.000 | -0.002 | -0.000 |
| 41360847.082 | 32062001.244 | -105858719.063 | 0.000 | -0.000 | -0.001 |
| -26123154.589 | -21675094.995 | 39012486.211 | -29599347.854 | -0.001 | -0.005 |
| 39012516.750 | -26123215.301 | -21675103.613 | -0.000 | -29599332.488 | 0.000 |
| -21675044.422 | 39012457.569 | -26123215.300 | -0.000 | 0.000 | -29599393.173 |
| -41360386.315 | -32062070.627 | 105859326.530 | 0.000 | -0.000 | 0.006 |
| 105859326.530 | -41360386.329 | -32062070.621 | -0.004 | -0.000 | 0.000 |
| -32062070.621 | 105859326.523 | -41360386.316 | -0.000 | 0.004 | 0.000 |
| 26123154.585 | 21675095.003 | -39012486.215 | -29599347.857 | 0.001 | -0.003 |
| -39012516.746 | 26123215.296 | 21675103.615 | 0.000 | -29599332.487 | -0.000 |
| 21675044.412 | -39012457.557 | 26123215.306 | 0.000 | 0.000 | -29599393.178 |
| 1344.973 | 30.076 | 3.914 | -0.000 | -0.000 | -0.000 |
| 30.076 | 1344.973 | 3.914 | -0.000 | -0.000 | -0.000 |
| -554.991 | -554.991 | 2347.070 | -0.000 | 0.000 | -0.000 |
| 0.000 | 0.000 | -0.000 | 468.011 | -0.000 | -0.000 |
| 0.000 | 0.000 | -0.000 | -0.000 | 468.011 | 0.000 |
| 0.000 | 0.000 | -0.000 | -0.000 | -0.000 | 661.457 |
| 1635.027 | 312.112 | -597.934 | 0.000 | 0.000 | 0.000 |
| 67.493 | 1314.651 | -3.551 | 0.000 | 0.000 | 0.000 |
| -554.991 | -554.991 | 2347.069 | -0.000 | 0.000 | 0.000 |
| -0.000 | -0.000 | 0.000 | 468.011 | 0.000 | -0.000 |
| -0.000 | -0.000 | 0.000 | 0.000 | 468.011 | 0.000 |
| -0.000 | -0.000 | 0.000 | 0.000 | 0.000 | 661.458 |
| 1345.007 | 30.110 | 3.842 | 0.000 | -0.000 | -0.000 |
| 30.110 | 1345.007 | 3.843 | 0.000 | 0.000 | -0.000 |
| 39.399 | 39.399 | 1096.456 | -0.000 | -0.000 | -0.000 |
| -0.003 | -0.003 | 0.007 | 370.647 | -0.000 | -0.000 |
| 0.000 | 0.000 | -0.000 | -0.000 | 468.011 | -0.000 |
| -0.006 | -0.006 | 0.013 | -0.000 | -0.000 | 623.579 |
| 1345.003 | 30.107 | 3.849 | 0.000 | 0.000 | 0.000 |
| 30.050 | 1344.945 | 3.970 | -0.000 | 0.000 | 0.000 |
| 39.265 | 39.265 | 1096.737 | 0.000 | -0.000 | 0.000 |
| 0.003 | 0.003 | -0.007 | 370.647 | -0.000 | 0.000 |
| -0.000 | -0.000 | 0.000 | 0.000 | 468.011 | 0.000 |
| 0.006 | 0.006 | -0.013 | -0.000 | 0.000 | 623.579 |
| 1314.654 | 67.488 | -3.543 | -0.000 | -0.000 | -0.000 |
| 67.820 | 1314.999 | -4.255 | -0.000 | -0.000 | -0.000 |
| 40.757 | 40.757 | 1093.604 | -0.000 | -0.000 | -0.000 |
| -0.006 | -0.004 | 0.012 | 370.647 | -0.000 | -0.000 |
| -0.004 | -0.006 | 0.012 | 0.000 | 370.647 | 0.000 |
| 0.000 | 0.002 | -0.001 | -0.000 | -0.000 | 661.458 |
| 1314.637 | 67.495 | -3.544 | 0.000 | 0.000 | 0.000 |
| 67.153 | 1314.289 | -2.818 | 0.000 | -0.000 | -0.000 |
| 39.402 | 39.402 | 1096.443 | 0.000 | 0.000 | 0.000 |
| 0.006 | 0.004 | -0.012 | 370.647 | 0.000 | 0.000 |
| 0.004 | 0.006 | -0.012 | 0.000 | 370.647 | 0.000 |
| -0.000 | -0.002 | 0.001 | 0.000 | 0.000 | 661.458 |
| 1027.754 | -28.947 | 8.823 | -0.000 | -0.000 | 0.000 |
| 31.573 | 967.234 | 8.823 | -0.000 | -0.000 | -0.000 |
| 8.823 | 8.823 | 37.813 | -0.000 | -0.000 | -0.000 |
| 0.000 | -0.000 | 0.000 | 158.631 | -0.000 | -0.000 |
| 0.000 | -0.000 | 0.000 | -0.000 | 158.631 | -0.000 |
| 0.000 | -0.000 | 0.000 | -0.000 | -0.000 | 439.423 |
| 1027.754 | -28.947 | 8.823 | 0.000 | 0.000 | 0.000 |
| -28.947 | 1027.754 | 8.823 | 0.000 | 0.000 | 0.000 |
| 8.823 | 8.823 | 37.813 | 0.000 | 0.000 | 0.000 |
| -0.000 | 0.000 | -0.000 | 158.631 | 0.000 | 0.000 |
| -0.000 | 0.000 | -0.000 | 0.000 | 158.631 | 0.000 |
| -0.000 | 0.000 | -0.000 | 0.000 | 0.000 | 439.423 |
| 938.827 | 59.979 | 8.823 | -0.000 | -0.000 | 0.000 |
| -28.947 | 1027.754 | 8.823 | -0.000 | -0.000 | 0.000 |
| 8.823 | 8.823 | 37.813 | -0.000 | -0.000 | -0.000 |
| -0.000 | -0.000 | 0.000 | 158.631 | -0.000 | -0.000 |
| 0.000 | -0.000 | 0.000 | -0.000 | 158.631 | -0.000 |
| -0.000 | 0.000 | -0.000 | -0.000 | -0.000 | 467.831 |
| 1027.753 | -28.947 | 8.823 | 0.000 | 0.000 | -0.000 |
| 59.979 | 938.827 | 8.823 | 0.000 | 0.000 | 0.000 |
| 8.823 | 8.823 | 37.813 | 0.000 | 0.000 | 0.000 |
| 0.000 | 0.000 | -0.000 | 158.631 | 0.000 | 0.000 |
| -0.000 | 0.000 | -0.000 | 0.000 | 158.631 | 0.000 |
| 0.000 | -0.000 | 0.000 | 0.000 | 0.000 | 467.831 |
| 938.839 | 59.971 | 8.823 | -0.000 | -0.000 | 0.000 |
| 59.991 | 938.819 | 8.823 | -0.000 | -0.000 | -0.000 |
| 8.823 | 8.823 | 37.813 | -0.000 | -0.000 | -0.000 |
| -0.000 | -0.000 | 0.000 | 158.631 | -0.000 | -0.000 |
| -0.000 | -0.000 | 0.000 | -0.000 | 158.631 | -0.000 |
| -0.000 | 0.001 | -0.000 | -0.000 | -0.000 | 528.351 |
| 938.812 | 59.990 | 8.823 | 0.000 | 0.000 | 0.000 |
| 31.574 | 967.228 | 8.823 | 0.000 | 0.000 | 0.000 |
| 8.823 | 8.823 | 37.812 | 0.000 | 0.000 | 0.000 |
| 0.000 | 0.000 | -0.000 | 158.631 | 0.000 | 0.000 |
| 0.000 | 0.000 | -0.000 | 0.000 | 158.631 | 0.000 |
| 0.000 | -0.001 | 0.000 | 0.000 | 0.000 | 528.351 |
| 311.756 | 69.848 | 122.509 | 0.000 | 0.000 | 0.000 |
| 67.957 | 589.654 | 41.580 | 0.000 | 0.000 | 0.000 |
| 98.007 | 41.411 | 520.831 | -0.000 | 0.000 | 0.000 |
| 0.005 | -0.006 | -0.001 | 241.611 | -0.000 | 0.000 |
| 0.007 | -0.008 | -0.001 | 0.000 | 204.540 | 0.000 |
| -0.000 | -0.000 | -0.000 | 0.000 | -0.000 | 301.520 |
| 492.358 | 55.042 | 69.209 | -0.000 | -0.000 | -0.000 |
| 81.700 | 502.657 | 30.463 | -0.000 | -0.000 | 0.000 |
| 98.008 | 41.440 | 520.791 | -0.000 | 0.000 | -0.000 |
| -0.005 | 0.006 | 0.001 | 241.611 | -0.000 | -0.000 |
| -0.007 | 0.008 | 0.001 | -0.000 | 204.540 | -0.000 |
| -0.000 | 0.000 | -0.000 | -0.000 | -0.000 | 301.520 |
| 492.358 | 55.042 | 69.209 | 0.000 | -0.000 | 0.000 |
| 71.389 | 463.027 | 31.054 | 0.000 | 0.000 | 0.000 |
| 121.436 | 28.309 | 442.407 | 0.000 | 0.000 | 0.000 |
| 0.000 | -0.000 | 0.000 | 289.431 | 0.000 | -0.000 |
| -0.000 | 0.000 | 0.000 | 0.000 | 259.358 | -0.000 |
| 0.001 | -0.001 | -0.000 | -0.000 | 0.000 | 217.145 |
| 492.358 | 55.042 | 69.209 | 0.000 | -0.000 | 0.000 |
| 71.392 | 463.039 | 31.046 | -0.000 | -0.000 | -0.000 |
| 98.008 | 41.428 | 520.806 | -0.000 | -0.000 | -0.000 |
| -0.000 | 0.000 | -0.000 | 289.431 | 0.000 | 0.000 |
| 0.000 | -0.000 | -0.000 | -0.000 | 259.358 | 0.000 |
| -0.001 | 0.001 | 0.000 | -0.000 | -0.000 | 217.145 |
| 341.486 | 75.468 | 124.516 | 0.000 | -0.000 | -0.000 |
| 63.108 | 435.739 | 14.990 | 0.000 | 0.000 | -0.000 |
| 116.384 | 15.096 | 423.402 | 0.000 | -0.000 | 0.000 |
| 0.000 | -0.000 | 0.000 | 289.431 | -0.000 | -0.000 |
| -0.000 | 0.000 | 0.000 | 0.000 | 259.358 | -0.000 |
| -0.000 | -0.000 | 0.000 | 0.000 | -0.000 | 166.778 |
| 391.207 | 76.805 | 117.973 | -0.000 | -0.000 | -0.000 |
| 70.736 | 446.241 | 16.775 | -0.000 | -0.000 | -0.000 |
| 121.442 | 28.312 | 442.373 | -0.000 | -0.000 | -0.000 |
| -0.000 | 0.000 | -0.000 | 289.431 | 0.000 | -0.000 |
| 0.000 | -0.000 | -0.000 | -0.000 | 259.358 | 0.000 |
| 0.000 | 0.000 | -0.000 | -0.000 | 0.000 | 166.778 |
| 116.078 | 223.966 | -111.130 | -1.328 | 0.218 | 0.010 |
| 252.380 | -14.490 | -148.372 | -1.488 | 0.256 | 0.011 |
| 123.674 | -36.349 | 481.923 | -2.157 | 0.046 | 0.008 |
| 264.351 | 43.126 | -118.806 | -80.052 | -0.007 | 0.006 |
| 424.894 | 210.174 | -8.744 | -1.447 | 42.800 | 0.007 |
| -0.000 | 0.000 | 0.000 | 0.000 | -0.000 | 282.760 |
| 583.523 | 43.586 | 26.140 | -0.000 | -0.000 | 0.000 |
| 49.357 | 512.789 | -13.753 | 2.207 | -0.047 | -0.009 |
| -338.940 | -309.775 | -61.863 | 1.813 | 0.064 | -0.005 |
| -64.408 | 3.517 | 26.197 | 126.413 | -0.217 | -0.010 |
| -262.201 | -40.621 | 116.370 | 1.809 | -89.985 | -0.006 |
| -95.928 | -4.193 | 6.758 | 1.074 | 0.051 | 67.632 |
| 230.190 | 62.055 | 22.782 | -0.105 | 0.014 | 0.001 |
| 94.470 | 144.115 | 27.374 | -0.151 | -0.001 | 0.001 |
| -22.433 | 8.277 | 49.142 | -0.187 | -0.005 | 0.001 |
| 0.000 | -0.000 | 0.000 | 245.856 | -0.000 | 0.000 |
| 11.888 | 10.410 | -2.192 | -0.144 | 63.200 | 0.001 |
| 0.000 | 0.000 | 0.000 | -0.000 | -0.000 | 282.760 |
| 276.765 | 121.988 | 75.106 | 0.070 | -0.028 | -0.001 |
| -52.345 | 20.570 | -7.131 | 0.120 | -0.009 | -0.001 |
| -94.677 | -69.360 | -0.248 | 0.073 | -0.020 | -0.001 |
| -33.186 | -19.352 | 2.910 | 38.310 | -0.012 | -0.001 |
| -34.876 | -17.915 | 2.551 | 0.147 | 40.229 | -0.001 |
| -17.865 | -0.232 | 6.467 | 0.168 | -0.003 | 79.393 |
| 181.770 | -14.232 | -32.000 | -0.011 | 0.002 | 0.000 |
| -4.212 | 55.671 | -8.253 | -0.011 | 0.000 | 0.000 |
| -32.060 | -12.509 | -105.469 | -0.021 | -0.003 | 0.000 |
| 3.939 | 2.360 | -0.837 | 41.272 | 0.001 | 0.000 |
| 3.414 | 1.672 | -0.210 | -0.016 | 48.003 | 0.000 |
| 4.636 | 2.446 | -0.277 | -0.004 | 0.004 | -58.168 |
| 172.828 | -20.375 | -31.724 | 0.016 | 0.000 | -0.000 |
| -11.742 | 50.385 | -12.846 | 0.013 | -0.000 | -0.000 |
| -30.962 | 5.129 | -105.273 | 0.013 | -0.001 | -0.000 |
| -2.441 | -0.907 | -0.237 | 51.869 | -0.000 | -0.000 |
| -3.055 | -1.437 | -0.147 | 0.016 | 48.601 | -0.000 |
| -4.636 | -2.446 | 0.277 | 0.004 | -0.004 | -58.168 |
| 948.263 | 28.140 | 14.739 | -0.000 | -0.000 | 0.011 |
| 26.287 | 960.015 | -0.015 | -0.000 | -0.000 | 0.011 |
| 13.700 | 1.375 | 29.321 | -0.000 | -0.000 | 0.030 |
| -0.262 | 0.262 | 0.003 | 4.157 | -0.000 | 0.003 |
| -1.804 | 1.802 | 0.020 | -0.000 | 6.237 | 0.022 |
| -0.862 | 0.861 | 0.010 | -0.000 | -0.000 | 463.828 |
| 949.988 | 26.417 | 14.719 | 0.000 | 0.000 | -0.011 |
| 28.013 | 958.292 | -0.035 | 0.000 | 0.000 | -0.011 |
| 16.601 | -1.523 | 29.289 | 0.000 | 0.000 | -0.017 |
| 0.262 | -0.262 | -0.003 | 4.157 | 0.000 | -0.003 |
| 1.804 | -1.802 | -0.020 | 0.000 | 6.237 | -0.022 |
| 0.862 | -0.861 | -0.010 | 0.000 | 0.000 | 463.806 |
| 949.072 | 27.332 | 14.730 | -0.000 | -0.000 | 0.001 |
| 27.033 | 959.271 | -0.024 | -0.000 | -0.000 | 0.001 |
| 14.796 | 0.280 | 29.309 | -0.000 | -0.000 | 0.001 |
| -0.115 | 0.115 | 0.001 | 4.030 | -0.000 | 0.001 |
| -0.180 | 0.180 | 0.002 | -0.000 | 6.237 | 0.002 |
| -0.086 | 0.086 | 0.001 | -0.000 | -0.000 | 463.850 |
| 949.242 | 27.161 | 14.728 | 0.000 | 0.000 | -0.001 |
| 27.204 | 959.099 | -0.026 | 0.000 | 0.000 | -0.001 |
| 14.962 | 0.114 | 29.307 | 0.000 | 0.000 | -0.001 |
| 0.115 | -0.115 | -0.001 | 4.030 | 0.000 | -0.001 |
| 0.180 | -0.180 | -0.002 | 0.000 | 6.237 | -0.002 |
| 0.086 | -0.086 | -0.001 | 0.000 | 0.000 | 463.848 |
| 949.159 | 27.248 | 14.729 | -0.000 | -0.000 | 0.000 |
| 27.117 | 959.190 | -0.025 | -0.000 | -0.000 | 0.000 |
| 14.842 | 0.234 | 29.309 | -0.000 | -0.000 | 0.000 |
| -0.012 | 0.011 | 0.000 | 4.029 | -0.000 | 0.000 |
| -0.018 | 0.018 | 0.000 | -0.000 | 6.237 | 0.000 |
| -0.009 | 0.009 | 0.000 | -0.000 | -0.000 | 463.849 |
| 949.155 | 27.245 | 14.729 | 0.000 | 0.000 | -0.000 |
| 27.119 | 959.181 | -0.025 | 0.000 | 0.000 | -0.000 |
| 14.859 | 0.217 | 29.308 | 0.000 | 0.000 | -0.000 |
| 0.012 | -0.011 | -0.000 | 4.029 | 0.000 | -0.000 |
| 0.018 | -0.018 | -0.000 | 0.000 | 6.237 | -0.000 |
| 0.009 | -0.009 | -0.000 | 0.000 | 0.000 | 463.849 |
| 940.115 | 25.884 | 13.170 | 0.000 | 0.000 | 0.000 |
| 27.510 | 946.049 | -0.298 | 0.000 | -0.000 | 0.000 |
| 15.210 | -1.444 | 25.827 | 0.000 | -0.000 | 0.000 |
| -0.355 | 0.355 | 0.003 | 4.123 | -0.000 | -0.000 |
| 1.362 | -1.362 | -0.013 | 0.000 | 6.182 | 0.000 |
| 0.651 | -0.651 | -0.006 | 0.000 | -0.000 | 458.439 |
| 938.812 | 27.187 | 13.182 | -0.000 | -0.000 | -0.000 |
| 26.208 | 947.352 | -0.286 | -0.000 | -0.000 | -0.000 |
| 13.066 | 0.700 | 25.848 | -0.000 | -0.000 | -0.000 |
| 0.355 | -0.355 | -0.003 | 4.123 | -0.000 | 0.000 |
| -1.362 | 1.362 | 0.013 | -0.000 | 6.182 | -0.000 |
| -0.651 | 0.651 | 0.006 | -0.000 | 0.000 | 458.439 |
| 939.556 | 26.444 | 13.175 | 0.000 | 0.000 | 0.000 |
| 26.898 | 946.662 | -0.292 | 0.000 | -0.000 | 0.000 |
| 13.868 | -0.102 | 25.840 | 0.000 | 0.000 | 0.000 |
| 0.105 | -0.105 | -0.001 | 4.064 | -0.000 | 0.000 |
| 0.136 | -0.136 | -0.001 | 0.000 | 6.182 | 0.000 |
| 0.065 | -0.065 | -0.001 | 0.000 | 0.000 | 458.465 |
| 939.424 | 26.575 | 13.176 | -0.000 | 0.000 | -0.000 |
| 26.767 | 946.793 | -0.291 | -0.000 | -0.000 | -0.000 |
| 13.743 | 0.023 | 25.842 | -0.000 | -0.000 | -0.000 |
| -0.105 | 0.105 | 0.001 | 4.064 | 0.000 | -0.000 |
| -0.136 | 0.136 | 0.001 | -0.000 | 6.182 | -0.000 |
| -0.065 | 0.065 | 0.001 | -0.000 | 0.000 | 458.465 |
| 939.507 | 26.496 | 13.176 | 0.000 | -0.000 | 0.000 |
| 26.846 | 946.717 | -0.292 | 0.000 | 0.000 | 0.000 |
| 13.785 | -0.019 | 25.841 | 0.000 | 0.000 | 0.000 |
| 0.010 | -0.011 | -0.000 | 4.065 | -0.000 | 0.000 |
| 0.014 | -0.014 | -0.000 | 0.000 | 6.182 | 0.000 |
| 0.006 | -0.006 | -0.000 | 0.000 | -0.000 | 458.466 |
| 939.473 | 26.523 | 13.176 | -0.000 | -0.000 | -0.000 |
| 26.818 | 946.738 | -0.292 | -0.000 | 0.000 | -0.000 |
| 13.772 | -0.006 | 25.841 | -0.000 | 0.000 | -0.000 |
| -0.010 | 0.011 | 0.000 | 4.065 | 0.000 | -0.000 |
| -0.014 | 0.014 | 0.000 | -0.000 | 6.182 | -0.000 |
| -0.006 | 0.006 | 0.000 | -0.000 | -0.000 | 458.466 |
| 1267.918 | 7.674 | -177.475 | 0.000 | -0.000 | -0.000 |
| -1441.690 | -1325.484 | 740.678 | -0.001 | -0.000 | 0.000 |
| -1149.056 | -1203.744 | 1597.187 | -0.001 | -0.000 | 0.000 |
| -0.000 | 0.000 | 0.000 | 81.188 | -0.000 | -0.000 |
| -1132.604 | -1438.329 | 542.705 | 0.001 | 49.977 | 0.000 |
| -347.556 | -220.016 | 356.000 | 0.001 | 0.000 | -115.866 |
| 1573.066 | 473.833 | -437.925 | -0.001 | -0.000 | 0.000 |
| 0.907 | 511.100 | 82.138 | -0.000 | 0.000 | 0.000 |
| 1116.029 | 1672.769 | 511.806 | 0.001 | 0.000 | -0.000 |
| 0.000 | -0.000 | -0.000 | 81.188 | 0.000 | 0.000 |
| 1132.604 | 1438.329 | -542.705 | -0.001 | 49.976 | -0.000 |
| 347.556 | 220.016 | -356.000 | -0.001 | -0.000 | -115.866 |
| 1153.334 | -52.150 | -67.581 | 0.000 | 0.000 | -0.000 |
| -422.388 | -31.035 | 252.252 | -0.000 | -0.000 | 0.000 |
| -129.796 | 90.662 | 1108.791 | 0.000 | 0.000 | 0.000 |
| 0.000 | -0.000 | -0.000 | 81.188 | -0.000 | -0.000 |
| -26.523 | -16.790 | 27.168 | 0.000 | 497.479 | -0.000 |
| -35.405 | -42.970 | 28.103 | 0.000 | 0.000 | -232.159 |
| 1100.800 | -158.552 | -100.544 | 0.000 | 0.000 | -0.000 |
| -195.892 | 256.599 | 143.719 | 0.000 | 0.000 | -0.000 |
| 96.742 | 378.337 | 1000.224 | 0.000 | 0.000 | -0.000 |
| -0.000 | 0.000 | 0.000 | 81.188 | 0.000 | 0.000 |
| 26.523 | 16.790 | -27.168 | -0.000 | 497.479 | 0.000 |
| 35.405 | 42.970 | -28.103 | -0.000 | -0.000 | -232.159 |
| 976.268 | -316.720 | -40.856 | 0.000 | 0.000 | 0.000 |
| -320.463 | 98.401 | 203.417 | -0.000 | -0.000 | -0.000 |
| -27.844 | 220.125 | 1059.933 | 0.000 | 0.000 | 0.000 |
| -3.630 | -5.111 | 2.601 | -41.736 | 0.000 | -0.000 |
| -11.223 | -14.337 | 5.406 | 0.000 | 49.993 | 0.000 |
| -0.929 | -3.460 | -0.186 | -0.000 | -0.000 | -224.125 |
| 998.827 | -288.031 | -51.691 | -0.000 | -0.000 | -0.000 |
| -297.825 | 127.146 | 192.560 | 0.000 | 0.000 | 0.000 |
| -5.195 | 248.892 | 1049.071 | -0.000 | -0.000 | -0.000 |
| 3.630 | 5.111 | -2.601 | -41.736 | -0.000 | 0.000 |
| 11.223 | 14.337 | -5.406 | -0.000 | 49.993 | -0.000 |
| 0.929 | 3.460 | 0.186 | 0.000 | 0.000 | -224.125 |
| 1026.616 | -36.923 | 9.827 | -0.000 | 0.000 | 0.000 |
| 25.364 | 964.329 | 9.827 | 0.000 | 0.000 | 0.000 |
| 9.827 | 9.827 | 36.390 | -0.000 | -0.000 | 0.000 |
| 0.000 | -0.000 | -0.000 | 7.326 | -0.000 | 0.000 |
| -0.000 | 0.000 | -0.000 | -0.000 | 7.326 | 0.000 |
| 0.000 | 0.000 | 0.000 | 0.000 | 0.000 | 469.483 |
| 964.329 | 25.364 | 9.827 | 0.000 | -0.000 | -0.000 |
| 25.363 | 964.329 | 9.827 | -0.000 | 0.000 | -0.000 |
| 9.827 | 9.827 | 36.390 | -0.000 | -0.000 | -0.000 |
| -0.000 | 0.000 | 0.000 | 7.326 | -0.000 | -0.000 |
| 0.000 | -0.000 | 0.000 | -0.000 | 7.326 | -0.000 |
| -0.000 | -0.000 | -0.000 | -0.000 | -0.000 | 469.483 |
| 964.330 | 25.363 | 9.827 | -0.000 | -0.000 | 0.000 |
| 25.364 | 964.329 | 9.827 | 0.000 | 0.000 | 0.000 |
| 9.827 | 9.827 | 36.390 | -0.000 | 0.000 | 0.000 |
| -0.000 | -0.000 | 0.000 | 7.326 | -0.000 | 0.000 |
| -0.000 | -0.000 | 0.000 | -0.000 | 7.326 | 0.000 |
| -0.000 | 0.000 | 0.000 | -0.000 | 0.000 | 469.483 |
| 1026.615 | -36.923 | 9.827 | 0.000 | 0.000 | -0.000 |
| 25.363 | 964.329 | 9.827 | 0.000 | 0.000 | -0.000 |
| 9.827 | 9.827 | 36.390 | -0.000 | 0.000 | -0.000 |
| 0.000 | 0.000 | -0.000 | 7.326 | 0.000 | -0.000 |
| 0.000 | 0.000 | -0.000 | -0.000 | 7.326 | -0.000 |
| 0.000 | -0.000 | -0.000 | 0.000 | -0.000 | 469.483 |
| 964.339 | 25.357 | 9.827 | 0.000 | -0.000 | 0.000 |
| 25.371 | 964.325 | 9.827 | -0.000 | 0.000 | 0.000 |
| 9.827 | 9.827 | 36.391 | -0.000 | -0.000 | 0.000 |
| -0.000 | -0.000 | 0.000 | 7.326 | 0.000 | 0.000 |
| -0.000 | -0.000 | 0.000 | -0.000 | 7.326 | 0.000 |
| -0.000 | 0.001 | 0.000 | -0.000 | 0.000 | 469.483 |
| 964.319 | 25.370 | 9.827 | 0.000 | -0.000 | -0.000 |
| 25.356 | 964.333 | 9.827 | -0.000 | 0.000 | -0.000 |
| 9.827 | 9.827 | 36.390 | 0.000 | -0.000 | -0.000 |
| 0.000 | 0.000 | -0.000 | 7.326 | -0.000 | -0.000 |
| 0.000 | 0.000 | -0.000 | -0.000 | 7.326 | -0.000 |
| 0.000 | -0.001 | -0.000 | 0.000 | -0.000 | 469.483 |
| 749.848 | 139.771 | 644.672 | 18.301 | 0.520 | 0.599 |
| 157.070 | 742.455 | 660.834 | 33.398 | 0.327 | 0.686 |
| 140.007 | 130.926 | 632.186 | 44.007 | 0.605 | 1.610 |
| 27.469 | 13.350 | 75.521 | 40.844 | 0.090 | -0.712 |
| 50.702 | 45.696 | 228.610 | 26.245 | -107.315 | -7.611 |
| 146.619 | 142.128 | 661.569 | 21.862 | -6.913 | 295.897 |
| 465.260 | -129.216 | -643.291 | -61.407 | -0.520 | -0.594 |
| -108.628 | 533.296 | -439.395 | -19.907 | -0.584 | -0.367 |
| -147.696 | -141.959 | -660.239 | -28.225 | -0.372 | -0.536 |
| -6.305 | -15.434 | -32.212 | 70.219 | -0.105 | -1.725 |
| -146.487 | -141.513 | -656.581 | -24.466 | -93.604 | -9.305 |
| -146.199 | -142.693 | -661.924 | -16.936 | -3.460 | 294.635 |
| 601.864 | 12.161 | 3.667 | 10.315 | 0.003 | 0.069 |
| 12.184 | 601.842 | 3.667 | -10.278 | 0.003 | 0.069 |
| 3.467 | 3.439 | 15.878 | 0.032 | 0.004 | 0.121 |
| 11.956 | -11.956 | -0.000 | 104.942 | -0.000 | 0.000 |
| 14.553 | 14.282 | 65.967 | 1.305 | -0.815 | 0.203 |
| 1.064 | 0.982 | 2.974 | 0.350 | 7.638 | 295.510 |
| 586.161 | -2.920 | -65.761 | -9.328 | -0.030 | -0.069 |
| 12.245 | 601.503 | 3.350 | -10.307 | -0.003 | -0.069 |
| -14.416 | -13.334 | -61.190 | -5.267 | -0.071 | -0.161 |
| -14.866 | -14.128 | -66.107 | -1.816 | -0.019 | -0.076 |
| -0.000 | 0.000 | -0.000 | 0.000 | 104.942 | 11.956 |
| -13.530 | -12.688 | -61.441 | -4.155 | -23.245 | 292.937 |
| 603.394 | 10.515 | 3.526 | 10.356 | 0.000 | 0.007 |
| 11.932 | 602.853 | 6.620 | 0.131 | 0.002 | 0.007 |
| 3.418 | 3.418 | 15.699 | -0.000 | -0.000 | -0.000 |
| 0.080 | 0.430 | 1.093 | -0.009 | 0.002 | 0.008 |
| 1.455 | 1.428 | 6.596 | 0.129 | -0.007 | 0.010 |
| 1.453 | 1.432 | 6.617 | 0.130 | -0.007 | 295.481 |
| 600.945 | 11.328 | 0.814 | -5.671 | -0.003 | -0.007 |
| 9.007 | 599.994 | -6.619 | -0.116 | -0.002 | -0.007 |
| 3.418 | 3.418 | 15.699 | -0.000 | -0.000 | -0.000 |
| -0.386 | -0.132 | -1.190 | -0.476 | -0.002 | -0.007 |
| -1.455 | -1.428 | -6.596 | -0.129 | -0.011 | -0.003 |
| -1.456 | -1.436 | -6.618 | -0.130 | -0.020 | 295.466 |
| 686.947 | 50.651 | 5.460 | 3.739 | -0.001 | 0.011 |
| 49.783 | 687.812 | 5.460 | -3.882 | -0.001 | 0.011 |
| 5.491 | 5.491 | 24.045 | -0.000 | -0.000 | 0.000 |
| -61.016 | -58.318 | 6.692 | 104.460 | 0.017 | 0.012 |
| 839.616 | 843.788 | 4039.219 | -4.413 | 29.114 | -5.826 |
| -32.420 | -32.040 | 0.975 | -0.500 | 1.357 | 398.616 |
| 707.411 | 68.668 | 5.619 | 3.880 | 0.001 | -0.011 |
| -34.873 | 792.196 | 5.642 | -3.467 | -0.000 | 0.000 |
| 65.333 | 64.166 | 16.784 | 1.050 | -0.017 | -0.012 |
| -826.002 | -695.468 | -3804.385 | -236.292 | -0.313 | -0.052 |
| 60.229 | 59.065 | -6.691 | 1.046 | 105.497 | -0.777 |
| 32.420 | 32.040 | -0.975 | 0.500 | 1.339 | 398.606 |
| 744.466 | 5.330 | 5.403 | 1.730 | 0.001 | 0.001 |
| 11.135 | 720.437 | 11.468 | 13.487 | 0.007 | 0.001 |
| -0.842 | -0.730 | 24.162 | -0.099 | 0.002 | 0.001 |
| -25.170 | 108.504 | 231.376 | -223.955 | 0.030 | 0.005 |
| 83.214 | 83.389 | 400.841 | -0.599 | -4.745 | -17.193 |
| 75.400 | 76.093 | 379.347 | -1.635 | -64.442 | 319.999 |
| 623.675 | -32.072 | -394.568 | -33.206 | -0.018 | -0.004 |
| -29.500 | 625.469 | -388.815 | 44.343 | -0.022 | -0.006 |
| -80.427 | -80.866 | -388.409 | 0.741 | -0.014 | -0.006 |
| -101.704 | -44.914 | -369.972 | -58.240 | -0.015 | -0.001 |
| 1.051 | 0.959 | 0.008 | 0.008 | 126.778 | 3.824 |
| 3.028 | 2.967 | -0.078 | 0.044 | 1.823 | 369.348 |
| 729.663 | 25.845 | 7.751 | -36.660 | 0.002 | 0.000 |
| 25.303 | 729.947 | 7.490 | 35.206 | 0.002 | 0.000 |
| 4.754 | 4.848 | 24.595 | -0.187 | 0.003 | 0.001 |
| -22.083 | 20.485 | 1.405 | 5.158 | 0.001 | 0.000 |
| -0.272 | -0.246 | 1.726 | -0.059 | 3.990 | -22.369 |
| 10.157 | 10.188 | 48.402 | -0.065 | -12.488 | 325.813 |
| 689.912 | 43.794 | -46.824 | -6.151 | -0.001 | -0.000 |
| 26.590 | 728.049 | 0.995 | 41.289 | -0.002 | -0.000 |
| -8.135 | -8.076 | -39.608 | -0.157 | 0.003 | 0.000 |
| -23.005 | 22.403 | -2.250 | 3.416 | -0.001 | -0.000 |
| -8.222 | -8.261 | -40.277 | 0.073 | 3.963 | -14.571 |
| 0.411 | 0.403 | -0.011 | 0.006 | 1.144 | 361.950 |
| 1526.331 | 192.517 | -378.453 | 27.638 | -0.000 | 0.000 |
| 192.517 | 1526.331 | -378.453 | -27.638 | 0.000 | 0.000 |
| -352.282 | -352.282 | 1986.074 | -0.000 | -0.000 | 0.000 |
| -755.862 | -793.863 | 1638.196 | 449.766 | -0.000 | 0.000 |
| -774.863 | -774.863 | 1638.196 | -0.000 | 449.766 | 19.001 |
| -774.160 | -774.160 | 1636.711 | -0.000 | 19.009 | 627.971 |
| 1762.089 | 561.413 | -1028.912 | 13.376 | 0.000 | -0.000 |
| 561.413 | 1762.089 | -1028.912 | -13.376 | 0.000 | 0.000 |
| -352.282 | -352.282 | 1986.074 | 0.000 | 0.000 | -0.000 |
| 793.863 | 755.862 | -1638.196 | 449.766 | -0.000 | -0.000 |
| 774.863 | 774.863 | -1638.196 | 0.000 | 449.766 | 19.001 |
| 774.160 | 774.160 | -1636.711 | 0.000 | 19.009 | 627.971 |
| 1221.155 | 35.694 | 108.801 | 12.363 | -0.000 | 0.000 |
| 35.780 | 1211.773 | 118.542 | -11.819 | -0.000 | 0.000 |
| -23.644 | -23.644 | 1296.791 | 0.000 | -0.000 | 0.000 |
| -80.009 | -113.694 | 204.762 | 435.343 | 0.000 | 0.000 |
| -49.924 | -49.924 | 106.426 | 0.000 | 409.655 | 13.090 |
| -94.748 | -94.748 | 200.314 | 0.000 | 17.077 | 619.253 |
| 1344.175 | 61.317 | -49.754 | 21.992 | 0.000 | -0.000 |
| 61.317 | 1344.175 | -49.754 | -21.992 | 0.000 | -0.000 |
| 44.818 | 44.818 | 1150.874 | 0.000 | 0.000 | -0.000 |
| 63.004 | 36.828 | -106.408 | 409.641 | 0.000 | 0.000 |
| 49.924 | 49.924 | -106.426 | -0.000 | 409.655 | 13.090 |
| 94.748 | 94.748 | -200.314 | -0.000 | 17.077 | 619.253 |
| 1264.591 | 82.037 | 12.970 | 12.080 | -0.000 | 0.000 |
| 59.640 | 1272.696 | 27.553 | -14.674 | 0.000 | 0.000 |
| 21.742 | 21.742 | 1200.009 | -0.000 | -0.000 | 0.000 |
| -0.087 | -26.136 | 27.721 | 409.839 | -0.000 | 0.000 |
| 1.193 | 1.192 | -2.363 | 0.000 | 407.728 | 12.874 |
| 1.574 | 1.575 | -3.156 | 0.000 | 11.914 | 591.568 |
| 1327.928 | 38.509 | -8.147 | 22.719 | 0.000 | -0.000 |
| 38.508 | 1327.928 | -8.146 | -22.719 | 0.000 | -0.000 |
| 32.717 | 32.717 | 1176.652 | 0.000 | 0.000 | -0.000 |
| 26.138 | 0.086 | -27.722 | 409.838 | -0.000 | -0.000 |
| -1.193 | -1.192 | 2.363 | -0.000 | 407.728 | 12.874 |
| -1.574 | -1.575 | 3.156 | -0.000 | 11.914 | 591.568 |
| 1496.273 | 150.784 | -307.277 | 20.122 | 0.000 | 0.000 |
| 8303.440 | 9391.734 | -17041.132 | -6.122 | -0.000 | 0.000 |
| 5027.357 | 5027.357 | -9154.049 | -0.000 | 0.000 | 0.000 |
| 20.122 | -20.122 | -0.000 | 523.678 | -0.000 | -0.000 |
| 0.000 | 0.000 | -0.000 | -0.000 | 523.678 | 20.122 |
| 0.000 | 0.000 | -0.000 | -0.000 | 20.122 | 672.744 |
| -7849.183 | -9128.112 | 19336.460 | 16.092 | -0.000 | -0.000 |
| -3920.247 | -2732.927 | 8398.117 | -10.889 | 0.000 | -0.000 |
| -3845.798 | -3845.798 | 9329.218 | 0.000 | -0.000 | -0.000 |
| -3947.413 | -3969.174 | 8302.982 | 436.306 | 0.000 | -0.000 |
| -0.000 | -0.000 | 0.000 | -0.000 | 523.678 | 20.122 |
| -0.000 | -0.000 | 0.000 | 0.000 | 20.122 | 672.744 |
| 1496.273 | 150.784 | -307.277 | 20.122 | 0.000 | 0.000 |
| 150.784 | 1496.273 | -307.277 | -20.122 | 0.000 | 0.000 |
| 498.465 | 498.465 | 216.907 | -0.000 | -0.000 | -0.000 |
| 934.805 | 902.671 | -1938.185 | 486.258 | 0.000 | 0.000 |
| 918.665 | 918.665 | -1938.032 | 0.000 | 486.261 | 16.067 |
| 635.238 | 635.238 | -1314.693 | 0.000 | 11.764 | 590.176 |
| 834.122 | -354.081 | 916.630 | 10.933 | -0.000 | -0.000 |
| -863.856 | 417.998 | 1899.011 | -16.269 | -0.000 | 0.000 |
| -560.493 | -560.493 | 2421.970 | 0.000 | -0.000 | -0.000 |
| -902.671 | -934.805 | 1938.185 | 486.258 | -0.000 | -0.000 |
| -918.665 | -918.665 | 1938.032 | -0.000 | 486.261 | 16.067 |
| -509.993 | -509.993 | 1056.735 | -0.000 | 14.941 | 602.420 |
| 1284.097 | 164.351 | -98.584 | 7.807 | 0.000 | 0.000 |
| 164.395 | 1284.069 | -98.601 | -7.803 | -0.000 | 0.000 |
| 102.364 | 102.364 | 1048.134 | -0.000 | 0.000 | -0.000 |
| 87.483 | 71.682 | -166.224 | 402.900 | -0.000 | 0.000 |
| 0.001 | 0.001 | -0.000 | 0.000 | 523.678 | 20.122 |
| 99.583 | 99.584 | -210.081 | 0.000 | 15.727 | 636.448 |
| 1147.269 | 10.822 | 204.622 | 8.754 | -0.000 | -0.000 |
| 14.475 | 1205.275 | 140.524 | -11.061 | -0.000 | -0.000 |
| -37.810 | -37.810 | 1341.113 | 0.000 | 0.000 | -0.000 |
| -44.880 | -69.579 | 118.690 | 433.939 | -0.000 | -0.000 |
| -0.001 | -0.001 | 0.000 | -0.000 | 523.678 | 20.122 |
| -99.583 | -99.584 | 210.081 | -0.000 | 15.727 | 636.448 |
| 157.243 | 69.742 | 69.742 | 0.000 | -0.000 | 0.000 |
| 69.742 | 157.243 | 69.742 | 0.000 | -0.000 | 0.000 |
| 69.742 | 69.742 | 157.243 | 0.000 | -0.000 | 0.000 |
| 0.000 | -0.000 | 0.000 | 174.200 | -0.000 | -0.000 |
| 0.000 | 0.000 | 0.000 | 0.000 | 174.199 | -0.000 |
| 0.000 | 0.000 | 0.000 | 0.000 | -0.000 | 174.199 |
| 157.243 | 69.742 | 69.742 | -0.000 | 0.000 | -0.000 |
| 69.742 | 157.243 | 69.742 | -0.000 | 0.000 | -0.000 |
| 69.742 | 69.742 | 157.243 | -0.000 | 0.000 | -0.000 |
| -0.000 | -0.000 | -0.000 | 174.199 | 0.000 | -0.000 |
| -0.000 | -0.000 | -0.000 | -0.000 | 174.200 | 0.000 |
| -0.000 | -0.000 | -0.000 | -0.000 | 0.000 | 174.199 |
| 157.244 | 69.742 | 69.742 | 0.000 | -0.000 | 0.000 |
| 69.742 | 157.244 | 69.742 | 0.000 | 0.000 | 0.000 |
| 69.742 | 69.742 | 157.244 | 0.000 | -0.000 | 0.000 |
| 0.000 | 0.000 | 0.000 | 174.200 | 0.000 | 0.000 |
| 0.000 | 0.000 | 0.000 | 0.000 | 174.200 | -0.000 |
| 0.000 | 0.000 | 0.000 | 0.000 | 0.000 | 174.200 |
| 157.243 | 69.742 | 69.742 | -0.000 | 0.000 | -0.000 |
| 69.742 | 157.243 | 69.742 | -0.000 | 0.000 | -0.000 |
| 69.742 | 69.742 | 157.243 | -0.000 | -0.000 | -0.000 |
| -0.000 | 0.000 | -0.000 | 174.199 | 0.000 | -0.000 |
| -0.000 | -0.000 | -0.000 | -0.000 | 174.200 | -0.000 |
| -0.000 | -0.000 | -0.000 | -0.000 | 0.000 | 174.200 |
| 131.474 | 80.348 | 80.348 | 0.000 | -0.000 | -0.000 |
| 80.348 | 131.474 | 80.348 | 0.000 | -0.000 | -0.000 |
| 80.348 | 80.348 | 131.474 | 0.000 | -0.000 | -0.000 |
| 0.000 | -0.000 | 0.000 | 174.200 | -0.000 | -0.000 |
| -0.000 | 0.000 | 0.000 | 0.000 | 174.200 | -0.000 |
| -0.000 | 0.000 | 0.000 | 0.000 | -0.000 | 174.200 |
| 133.894 | 76.654 | 76.654 | -0.000 | 0.000 | -0.000 |
| 76.654 | 133.894 | 76.654 | -0.000 | 0.000 | -0.000 |
| 76.654 | 76.654 | 133.894 | -0.000 | 0.000 | 0.000 |
| -0.000 | 0.000 | -0.000 | 174.200 | 0.000 | -0.000 |
| 0.000 | -0.000 | -0.000 | -0.000 | 174.200 | -0.000 |
| 0.000 | -0.000 | -0.000 | -0.000 | 0.000 | 174.200 |
| 744.533 | -83.068 | -52.130 | -0.000 | 0.000 | 0.000 |
| -62.206 | 407.567 | 19.810 | -0.000 | 0.000 | 0.000 |
| 3.252 | 14.334 | 440.959 | 0.000 | 0.000 | 0.000 |
| 0.000 | 0.000 | 0.000 | 113.905 | 0.000 | -0.000 |
| 8.844 | -16.047 | -52.762 | -0.000 | 142.700 | 0.000 |
| 0.000 | 0.000 | 0.000 | -0.000 | 0.000 | 300.597 |
| 728.042 | -45.484 | 78.360 | 0.000 | 0.000 | -0.000 |
| -62.206 | 407.567 | 19.810 | -0.000 | -0.000 | 0.000 |
| -11.363 | 29.288 | 104.159 | 0.000 | 0.000 | -0.000 |
| -0.000 | -0.000 | -0.000 | 113.905 | -0.000 | 0.000 |
| -8.844 | 16.047 | 52.762 | -0.000 | 142.700 | -0.000 |
| -0.000 | -0.000 | -0.000 | 0.000 | -0.000 | 300.597 |
| 738.346 | -60.359 | -8.320 | -0.000 | 0.000 | 0.000 |
| -62.206 | 407.567 | 19.810 | 0.000 | 0.000 | 0.000 |
| 2.576 | -8.982 | -31.899 | -0.000 | -0.000 | 0.000 |
| 2.798 | -8.886 | -29.690 | 20.381 | 0.000 | -0.000 |
| 0.922 | -2.888 | -13.108 | -0.000 | 6.110 | 0.000 |
| 0.738 | -1.338 | -4.400 | -0.000 | 0.000 | 223.498 |
| 740.324 | -64.471 | 18.911 | 0.000 | -0.000 | 0.000 |
| -62.205 | 407.567 | 19.810 | 0.000 | -0.000 | -0.000 |
| 1.827 | -5.732 | -9.134 | 0.000 | -0.000 | -0.000 |
| -2.798 | 8.886 | 29.690 | 20.381 | 0.000 | -0.000 |
| -0.922 | 2.888 | 13.108 | 0.000 | 6.110 | -0.000 |
| -0.738 | 1.338 | 4.400 | 0.000 | -0.000 | 223.498 |
| 737.531 | -58.636 | -4.246 | -0.000 | 0.000 | 0.000 |
| -48.110 | 381.644 | -1.087 | 0.000 | -0.000 | 0.000 |
| 1.639 | -6.335 | -21.705 | -0.000 | -0.000 | 0.000 |
| 0.037 | -0.221 | -1.602 | 6.208 | -0.000 | 0.000 |
| 0.157 | -0.588 | -1.648 | -0.000 | 6.285 | 0.000 |
| 0.000 | 0.000 | 0.000 | -0.000 | 0.000 | 300.597 |
| 741.149 | -65.716 | 15.050 | -0.000 | 0.000 | -0.000 |
| -62.205 | 407.564 | 19.810 | 0.000 | -0.000 | 0.000 |
| 1.444 | -5.756 | -19.513 | -0.000 | -0.000 | -0.000 |
| -0.037 | 0.221 | 1.602 | 6.208 | 0.000 | 0.000 |
| -0.157 | 0.588 | 1.648 | -0.000 | 6.285 | -0.000 |
| -0.000 | -0.000 | -0.000 | 0.000 | -0.000 | 300.597 |
| 687.094 | 16.922 | 4.473 | 0.047 | 0.045 | -0.127 |
| 17.280 | 686.601 | 4.596 | 0.021 | 0.020 | -0.161 |
| 8.331 | 1.067 | 19.959 | 0.005 | 0.005 | -0.389 |
| 0.000 | -0.000 | -0.000 | 114.542 | 0.000 | -0.000 |
| 0.000 | -0.000 | 0.000 | -0.000 | 114.542 | 0.000 |
| 2.056 | -1.929 | 0.003 | 0.003 | 0.003 | 332.668 |
| 734.987 | -31.416 | 4.671 | -0.000 | 0.000 | 0.000 |
| -31.416 | 734.987 | 4.671 | -0.000 | 0.000 | 0.000 |
| 0.840 | 8.093 | 19.949 | -0.005 | -0.005 | 0.388 |
| 0.000 | -0.000 | 0.000 | 114.542 | 0.000 | 0.000 |
| -0.000 | 0.000 | -0.000 | -0.000 | 114.542 | -0.000 |
| -2.059 | 1.931 | -0.003 | -0.003 | -0.003 | 333.030 |
| 687.478 | 16.033 | 4.661 | 0.000 | 0.000 | -0.020 |
| 18.430 | 684.119 | 4.407 | 0.009 | 0.008 | -0.006 |
| 4.387 | 4.673 | 19.718 | 0.004 | 0.004 | 0.021 |
| -0.047 | -0.150 | -0.229 | 2.699 | 0.051 | 0.059 |
| 0.143 | 0.778 | 0.001 | 0.025 | 61.762 | 0.069 |
| 0.191 | -0.029 | -0.045 | 0.016 | 0.015 | 330.855 |
| 685.805 | 16.828 | 4.538 | -0.004 | -0.003 | 0.014 |
| -31.417 | 734.987 | 4.671 | 0.000 | 0.000 | 0.000 |
| 4.502 | 4.350 | 19.768 | -0.003 | -0.003 | -0.013 |
| 0.000 | -0.000 | -0.000 | 114.542 | 0.000 | -0.000 |
| -0.143 | -0.779 | -0.001 | -0.025 | 61.665 | -0.069 |
| 0.000 | -0.000 | 0.000 | 0.000 | 0.000 | 383.202 |
| 680.450 | 20.663 | 0.087 | 0.016 | 0.015 | 0.001 |
| 21.750 | 681.321 | 4.304 | 0.002 | 0.002 | 0.001 |
| 0.416 | 0.333 | 1.819 | 0.027 | 0.026 | 0.027 |
| 0.004 | -0.007 | -0.032 | 0.001 | 0.005 | 0.002 |
| 0.000 | -0.000 | 0.000 | -0.000 | 114.542 | -0.000 |
| 0.009 | -0.010 | -0.008 | 0.002 | 0.002 | 329.866 |
| 681.328 | 21.738 | 4.334 | -0.002 | -0.002 | -0.001 |
| 17.024 | 685.391 | 4.483 | -0.000 | -0.000 | 0.001 |
| -0.027 | 0.028 | 0.301 | -0.025 | -0.024 | -0.016 |
| -0.001 | 0.006 | 0.025 | -0.007 | -0.005 | -0.004 |
| 0.008 | -0.009 | 0.023 | -0.005 | -0.001 | -0.006 |
| -0.009 | 0.010 | 0.008 | -0.002 | -0.002 | 329.863 |
| 1549.920 | 225.963 | -435.169 | -0.000 | 0.000 | 0.000 |
| 225.963 | 1549.920 | -435.169 | -0.000 | 0.000 | 0.000 |
| 12.965 | 12.965 | 1208.375 | -0.000 | -0.000 | 0.000 |
| -0.776 | -0.776 | 1.660 | 389.648 | 0.000 | 0.000 |
| 0.000 | 0.000 | 0.000 | 0.000 | 495.407 | 0.000 |
| 0.000 | 0.000 | 0.000 | -0.000 | 0.000 | 661.979 |
| 1549.920 | 225.963 | -435.169 | 0.000 | 0.000 | -0.000 |
| 33.600 | 1319.293 | 9.001 | 0.000 | -0.000 | -0.000 |
| -405.325 | -405.325 | 2086.884 | -0.000 | -0.000 | -0.000 |
| 0.776 | 0.776 | -1.660 | 389.648 | -0.000 | -0.000 |
| -0.000 | -0.000 | -0.000 | 0.000 | 495.407 | 0.000 |
| -0.000 | -0.000 | 0.000 | 0.000 | -0.000 | 661.979 |
| 1318.866 | 33.194 | 9.887 | -0.000 | 0.000 | 0.000 |
| 33.194 | 1318.866 | 9.887 | -0.000 | 0.000 | 0.000 |
| -405.326 | -405.326 | 2086.886 | 0.000 | -0.000 | 0.000 |
| 0.000 | 0.000 | -0.000 | 495.407 | 0.000 | 0.000 |
| -0.078 | -0.078 | 0.167 | -0.000 | 389.646 | 0.000 |
| -0.091 | -0.091 | 0.195 | -0.000 | 0.000 | 596.399 |
| 1549.919 | 225.963 | -435.169 | -0.000 | -0.000 | -0.000 |
| 33.248 | 1318.919 | 9.773 | -0.000 | 0.000 | -0.000 |
| -405.325 | -405.325 | 2086.882 | -0.000 | 0.000 | -0.000 |
| -0.000 | -0.000 | 0.000 | 495.407 | -0.000 | -0.000 |
| 0.078 | 0.078 | -0.167 | -0.000 | 389.646 | 0.000 |
| 0.091 | 0.091 | -0.195 | 0.000 | -0.000 | 596.399 |
| 1280.280 | 84.265 | -2.452 | 0.000 | 0.000 | 0.000 |
| 84.287 | 1280.263 | -2.458 | -0.000 | -0.000 | 0.000 |
| 24.660 | 24.660 | 1182.451 | 0.000 | 0.000 | 0.000 |
| 0.016 | 0.017 | -0.034 | 389.132 | -0.000 | -0.000 |
| 0.001 | 0.001 | -0.001 | -0.000 | 495.407 | 0.000 |
| -0.008 | -0.006 | 0.017 | 0.000 | -0.000 | 596.399 |
| 1318.753 | 33.111 | 10.086 | -0.000 | -0.000 | -0.000 |
| 93.223 | 1279.282 | -11.105 | -0.000 | -0.000 | -0.000 |
| 24.108 | 24.108 | 1183.598 | 0.000 | -0.000 | -0.000 |
| -0.016 | -0.017 | 0.034 | 389.132 | 0.000 | -0.000 |
| -0.001 | -0.001 | 0.001 | 0.000 | 495.407 | 0.000 |
| 0.008 | 0.006 | -0.017 | 0.000 | -0.000 | 596.399 |
| 1508.630 | 170.987 | -340.324 | -0.000 | 0.000 | 0.000 |
| 2733.110 | 3962.477 | -5603.645 | -0.000 | -0.000 | -0.000 |
| 2354.516 | 2354.516 | -3699.301 | -0.000 | 0.000 | -0.000 |
| 2382.648 | 2382.648 | -5014.683 | 490.396 | -0.000 | 0.000 |
| -0.000 | -0.000 | 0.000 | -0.000 | 516.319 | -0.000 |
| -0.000 | -0.000 | 0.000 | -0.000 | -0.000 | 668.822 |
| -1030.685 | -2328.084 | 4961.502 | -0.000 | -0.000 | 0.000 |
| 170.987 | 1508.630 | -340.324 | 0.000 | 0.000 | 0.000 |
| -2411.010 | -2411.011 | 6330.545 | 0.000 | -0.000 | -0.000 |
| -2382.648 | -2382.648 | 5014.683 | 490.396 | 0.000 | -0.000 |
| 0.000 | 0.000 | -0.000 | 0.000 | 516.319 | -0.000 |
| 0.000 | 0.000 | -0.000 | -0.000 | -0.000 | 668.822 |
| 1605.009 | 313.082 | -591.549 | -0.000 | -0.000 | -0.000 |
| 313.440 | 1605.251 | -592.182 | -0.000 | -0.000 | 0.000 |
| 207.559 | 207.559 | 819.334 | 0.000 | 0.000 | 0.000 |
| 248.044 | 248.044 | -522.051 | 489.332 | -0.000 | -0.000 |
| 273.629 | 273.629 | -573.907 | -0.000 | 438.600 | -0.000 |
| 246.007 | 246.007 | -517.763 | -0.000 | 0.000 | 648.072 |
| 1104.942 | -191.286 | 465.476 | 0.000 | -0.000 | 0.000 |
| -191.397 | 1104.819 | 465.723 | 0.000 | 0.000 | 0.000 |
| -317.334 | -317.334 | 1923.584 | 0.000 | -0.000 | 0.000 |
| -248.044 | -248.044 | 522.051 | 489.332 | 0.000 | -0.000 |
| -273.629 | -273.629 | 573.907 | 0.000 | 438.600 | -0.000 |
| -246.007 | -246.007 | 517.763 | 0.000 | -0.000 | 648.072 |
| 1294.285 | 90.040 | -31.097 | -0.000 | -0.000 | -0.000 |
| 120.665 | 1287.490 | -55.617 | -0.000 | 0.000 | 0.000 |
| 50.250 | 50.250 | 1152.785 | -0.000 | -0.000 | 0.000 |
| 62.851 | 62.852 | -132.280 | 447.935 | 0.000 | 0.000 |
| 0.001 | 0.001 | -0.000 | 0.000 | 516.319 | -0.000 |
| 28.546 | 28.547 | -59.783 | -0.000 | -0.000 | 588.102 |
| 1255.565 | 40.986 | 60.975 | 0.000 | -0.000 | -0.000 |
| 68.039 | 1234.578 | 55.088 | -0.000 | 0.000 | 0.000 |
| -2.357 | -2.357 | 1263.221 | -0.000 | -0.000 | 0.000 |
| -62.851 | -62.852 | 132.280 | 447.935 | 0.000 | 0.000 |
| -0.001 | -0.001 | 0.000 | 0.000 | 516.319 | -0.000 |
| -28.546 | -28.547 | 59.783 | 0.000 | 0.000 | 588.102 |
| 1484.942 | 136.115 | -281.951 | -0.000 | -0.000 | 0.000 |
| 36.997 | 1226.066 | 91.847 | -0.000 | -0.000 | -0.000 |
| -263.181 | -263.181 | 1821.258 | -0.000 | -0.000 | 0.000 |
| -23.250 | -23.250 | 47.589 | 443.062 | -0.000 | 0.000 |
| -23.250 | -23.250 | 47.589 | 0.000 | 443.062 | -0.000 |
| -0.000 | 0.000 | 0.000 | -0.000 | -0.000 | 674.413 |
| 1280.361 | 116.549 | -47.664 | 0.000 | 0.000 | 0.000 |
| 38.245 | 1329.354 | -15.489 | 0.000 | 0.000 | 0.000 |
| -263.181 | -263.181 | 1821.258 | -0.000 | 0.000 | -0.000 |
| 23.250 | 23.250 | -47.589 | 443.062 | 0.000 | -0.000 |
| 23.250 | 23.250 | -47.589 | -0.000 | 443.062 | 0.000 |
| 0.000 | -0.000 | -0.000 | 0.000 | 0.000 | 674.413 |
| 1321.117 | 29.858 | 1.506 | -0.000 | 0.000 | 0.000 |
| 64.815 | 1257.833 | 30.037 | -0.000 | -0.000 | -0.000 |
| -25.472 | -25.472 | 1322.158 | -0.000 | -0.000 | -0.000 |
| -12.477 | -12.477 | 26.380 | 438.158 | -0.000 | 0.000 |
| 0.000 | 0.000 | -0.000 | -0.000 | 530.059 | -0.000 |
| -2.361 | -2.360 | 4.832 | -0.000 | -0.000 | 587.886 |
| 1484.941 | 136.115 | -281.951 | 0.000 | 0.000 | 0.000 |
| 34.212 | 1326.999 | -9.158 | 0.000 | 0.000 | -0.000 |
| -18.803 | -18.803 | 1308.227 | -0.000 | 0.000 | -0.000 |
| 12.477 | 12.477 | -26.380 | 438.158 | 0.000 | 0.000 |
| -0.000 | -0.000 | 0.000 | -0.000 | 530.059 | -0.000 |
| 2.361 | 2.360 | -4.832 | 0.000 | -0.000 | 587.886 |
| 1259.639 | 67.899 | 24.963 | -0.000 | 0.000 | 0.000 |
| 93.174 | 1252.743 | 6.049 | -0.000 | -0.000 | 0.000 |
| -38.944 | -38.944 | 1350.479 | 0.000 | 0.000 | 0.000 |
| 0.001 | 0.000 | 0.000 | 530.059 | -0.000 | -0.000 |
| 0.000 | 0.001 | 0.000 | -0.000 | 530.059 | -0.000 |
| -0.235 | -0.234 | 0.481 | -0.000 | -0.000 | 587.882 |
| 1259.705 | 68.427 | 24.339 | 0.000 | 0.000 | -0.000 |
| 72.279 | 1265.764 | 13.936 | 0.000 | 0.000 | -0.000 |
| -263.179 | -263.179 | 1821.246 | 0.000 | 0.000 | 0.000 |
| -0.001 | -0.000 | -0.000 | 530.059 | 0.000 | 0.000 |
| -0.000 | -0.001 | -0.000 | 0.000 | 530.059 | -0.000 |
| 0.235 | 0.234 | -0.481 | -0.000 | 0.000 | 587.882 |
| 983.025 | -150.257 | 6.307 | -0.000 | -0.000 | -0.000 |
| -149.273 | 682.942 | -8.138 | -0.000 | -0.000 | -0.000 |
| 23.441 | 8.212 | 299.244 | -0.000 | -0.000 | -0.000 |
| 0.000 | 0.000 | -0.000 | 141.135 | -0.000 | -0.000 |
| -0.000 | 0.000 | 0.000 | -0.000 | 338.895 | -0.000 |
| 1.328 | -0.135 | 2.578 | -0.000 | -0.000 | 273.704 |
| 981.012 | -150.241 | 5.662 | 0.000 | -0.000 | 0.000 |
| -151.710 | 680.397 | -3.772 | 0.000 | 0.000 | 0.000 |
| 23.602 | 9.210 | 261.175 | 0.000 | 0.000 | 0.000 |
| -0.000 | -0.000 | 0.000 | 141.135 | 0.000 | 0.000 |
| 0.000 | -0.000 | -0.000 | 0.000 | 338.895 | 0.000 |
| -1.328 | 0.135 | -2.578 | 0.000 | 0.000 | 273.704 |
| 984.983 | -149.404 | -8.056 | -0.000 | -0.000 | -0.000 |
| -149.274 | 682.942 | -8.138 | 0.000 | -0.000 | -0.000 |
| 23.494 | 8.628 | 283.402 | -0.000 | 0.000 | -0.000 |
| 0.215 | -0.022 | 0.417 | 109.735 | 0.000 | -0.000 |
| 0.193 | -0.020 | 0.375 | -0.000 | 199.311 | -0.000 |
| 0.132 | -0.013 | 0.257 | -0.000 | -0.000 | 273.962 |
| 984.982 | -149.404 | -8.056 | 0.000 | -0.000 | 0.000 |
| -150.986 | 679.692 | -0.311 | 0.000 | 0.000 | 0.000 |
| 23.522 | 8.731 | 279.439 | 0.000 | 0.000 | 0.000 |
| -0.215 | 0.022 | -0.417 | 109.735 | -0.000 | 0.000 |
| -0.193 | 0.020 | -0.375 | 0.000 | 199.311 | 0.000 |
| -0.132 | 0.013 | -0.257 | 0.000 | -0.000 | 273.962 |
| 981.817 | -149.287 | -4.295 | -0.000 | -0.000 | -0.000 |
| -149.323 | 678.197 | -11.206 | -0.000 | -0.000 | -0.000 |
| 2.520 | -6.447 | -58.848 | -0.000 | -0.000 | -0.000 |
| 0.162 | 0.066 | -0.357 | 15.236 | -0.000 | -0.000 |
| 0.069 | 0.015 | 0.016 | -0.000 | 34.125 | -0.000 |
| 0.015 | -0.005 | 0.141 | -0.000 | -0.000 | 273.467 |
| 981.778 | -149.266 | -4.700 | 0.000 | 0.000 | 0.000 |
| -149.489 | 678.163 | -15.604 | 0.000 | 0.000 | 0.000 |
| 2.072 | -5.101 | -59.702 | 0.000 | -0.000 | 0.000 |
| -0.020 | -0.000 | -0.385 | 13.914 | 0.000 | 0.000 |
| -0.069 | -0.015 | -0.016 | 0.000 | 34.125 | 0.000 |
| -0.015 | 0.005 | -0.141 | 0.000 | 0.000 | 273.467 |
| -1109.881 | -807.840 | -1856.116 | -0.000 | 0.000 | 0.000 |
| 14.806 | 504.098 | 29.964 | -0.000 | 0.000 | 0.000 |
| -4.104 | 30.179 | 479.683 | -0.000 | 0.000 | -0.000 |
| -457.770 | 444.201 | -1102.861 | 176.452 | 0.000 | 0.000 |
| -3073.032 | -4546.016 | -3795.588 | -0.000 | 54.348 | -0.000 |
| -1434.252 | -867.977 | -1887.785 | -0.000 | 0.000 | 144.125 |
| 556.055 | 15.298 | -3.827 | 0.000 | 0.000 | 0.000 |
| 1488.096 | 1152.597 | 1943.204 | 0.000 | -0.000 | -0.000 |
| 1930.741 | 2109.796 | 3571.323 | 0.000 | 0.000 | -0.000 |
| 457.770 | -444.201 | 1102.861 | 176.452 | -0.000 | -0.000 |
| 3073.032 | 4546.016 | 3795.588 | 0.000 | 54.348 | 0.000 |
| 1434.252 | 867.977 | 1887.785 | 0.000 | 0.000 | 144.125 |
| 401.871 | 107.376 | -92.536 | -0.000 | 0.000 | 0.000 |
| -90.099 | 183.900 | -133.262 | -0.000 | 0.000 | 0.000 |
| -213.809 | -197.989 | -100.636 | 0.000 | 0.000 | 0.000 |
| -143.467 | -87.188 | -188.580 | 102.422 | 0.000 | 0.000 |
| -193.468 | -206.334 | -331.287 | -0.000 | 123.500 | 0.000 |
| 0.000 | 0.000 | 0.000 | -0.000 | -0.000 | 263.023 |
| 471.500 | 147.616 | 220.399 | 0.000 | -0.000 | -0.000 |
| 197.677 | 381.576 | 244.069 | -0.000 | -0.000 | -0.000 |
| 281.253 | 492.298 | 482.742 | 0.000 | -0.000 | 0.000 |
| 143.467 | 87.188 | 188.580 | 102.422 | -0.000 | -0.000 |
| 193.468 | 206.334 | 331.287 | 0.000 | 123.500 | -0.000 |
| -0.000 | -0.000 | -0.000 | 0.000 | -0.000 | 263.023 |
| 226.051 | 14.806 | -34.803 | -0.000 | 0.000 | 0.000 |
| 32.377 | 219.736 | 38.178 | 0.000 | 0.000 | -0.000 |
| -84.769 | -32.803 | 62.830 | -0.000 | 0.000 | 0.000 |
| -18.226 | -15.370 | -29.953 | 92.282 | 0.000 | 0.000 |
| -4.814 | 4.671 | -11.597 | 0.000 | 181.009 | 0.000 |
| -18.188 | -16.023 | -28.472 | -0.000 | 0.000 | 126.610 |
| 309.702 | 52.699 | 36.235 | 0.000 | -0.000 | -0.000 |
| 51.259 | 237.957 | 78.166 | -0.000 | 0.000 | -0.000 |
| 47.833 | 70.732 | 279.516 | 0.000 | -0.000 | 0.000 |
| 18.226 | 15.370 | 29.953 | 92.282 | -0.000 | -0.000 |
| 4.814 | -4.671 | 11.597 | 0.000 | 181.009 | -0.000 |
| 18.188 | 16.023 | 28.472 | -0.000 | -0.000 | 126.610 |
| 459.445 | 15.476 | 15.476 | 0.000 | -0.000 | -0.000 |
| 15.476 | 459.445 | 15.476 | -0.000 | 0.000 | -0.000 |
| 15.476 | 15.476 | 459.445 | -0.000 | 0.000 | -0.000 |
| -365.745 | -365.745 | -365.745 | 152.322 | 0.000 | -0.000 |
| -365.745 | -365.745 | -365.745 | -0.000 | 152.322 | -0.000 |
| -365.745 | -365.745 | -365.745 | -0.000 | 0.000 | 152.322 |
| 720.184 | 414.697 | 414.697 | -0.000 | 0.000 | 0.000 |
| 414.697 | 720.184 | 414.697 | -0.000 | 0.000 | 0.000 |
| 414.697 | 414.697 | 720.184 | 0.000 | -0.000 | 0.000 |
| 365.745 | 365.745 | 365.745 | 152.322 | -0.000 | 0.000 |
| 365.745 | 365.745 | 365.745 | -0.000 | 152.322 | 0.000 |
| 365.745 | 365.745 | 365.745 | 0.000 | 0.000 | 152.322 |
| 313.060 | 12.755 | 12.755 | -0.000 | -0.000 | -0.000 |
| 12.755 | 313.060 | 12.755 | 0.000 | -0.000 | -0.000 |
| 12.755 | 12.755 | 313.060 | 0.000 | -0.000 | -0.000 |
| 0.000 | 0.000 | 0.000 | 216.806 | -0.000 | -0.000 |
| -0.000 | 0.000 | 0.000 | -0.000 | 216.806 | -0.000 |
| 0.000 | 0.000 | 0.000 | 0.000 | -0.000 | 216.806 |
| 392.720 | 84.551 | 84.551 | 0.000 | 0.000 | 0.000 |
| 84.551 | 392.720 | 84.551 | 0.000 | -0.000 | 0.000 |
| 84.551 | 84.551 | 392.720 | -0.000 | 0.000 | 0.000 |
| -0.000 | -0.000 | -0.000 | 216.806 | 0.000 | 0.000 |
| 0.000 | -0.000 | -0.000 | 0.000 | 216.806 | 0.000 |
| -0.000 | -0.000 | -0.000 | 0.000 | 0.000 | 216.806 |
| -13.826 | -66.579 | -66.578 | -0.000 | 0.000 | -0.000 |
| -66.578 | -13.826 | -66.579 | 0.000 | -0.000 | -0.000 |
| -66.579 | -66.578 | -13.826 | 0.000 | -0.000 | -0.000 |
| -17.404 | -17.404 | -17.404 | 87.996 | 0.000 | -0.000 |
| -17.404 | -17.404 | -17.404 | -0.000 | 87.996 | -0.000 |
| -17.404 | -17.404 | -17.404 | -0.000 | 0.000 | 87.996 |
| 210.562 | 67.540 | 67.539 | -0.000 | 0.000 | -0.000 |
| 67.539 | 210.562 | 67.540 | 0.000 | -0.000 | 0.000 |
| 67.540 | 67.539 | 210.562 | -0.000 | -0.000 | 0.000 |
| 17.404 | 17.404 | 17.404 | 87.996 | -0.000 | 0.000 |
| 17.404 | 17.404 | 17.404 | 0.000 | 87.996 | 0.000 |
| 17.404 | 17.404 | 17.404 | -0.000 | 0.000 | 87.996 |
| 599.521 | 33.333 | 19.485 | 1.962 | 0.000 | 0.000 |
| 89.210 | 483.783 | 46.838 | -4.045 | -0.000 | 0.000 |
| 59.016 | 59.016 | 382.949 | -0.000 | -0.000 | 0.000 |
| 1.962 | -1.962 | -0.000 | 265.356 | 0.000 | 0.000 |
| 0.000 | -0.000 | -0.000 | 0.000 | 265.356 | 1.962 |
| -0.003 | -0.003 | 0.005 | -0.000 | 3.763 | 208.916 |
| 599.521 | 33.333 | 19.485 | 1.962 | -0.000 | -0.000 |
| 33.333 | 599.521 | 19.485 | -1.962 | -0.000 | -0.000 |
| 19.485 | 19.485 | 521.966 | -0.000 | -0.000 | -0.000 |
| 1.962 | -1.962 | 0.000 | 265.356 | -0.000 | -0.000 |
| -0.000 | -0.000 | 0.000 | -0.000 | 265.356 | 1.962 |
| 0.003 | 0.003 | -0.005 | 0.000 | 3.763 | 208.916 |
| 483.785 | 89.214 | 46.832 | 4.045 | -0.000 | 0.000 |
| 89.214 | 483.786 | 46.832 | -4.045 | -0.000 | 0.000 |
| 19.485 | 19.485 | 521.966 | 0.000 | 0.000 | 0.000 |
| 1.962 | -1.962 | 0.000 | 265.356 | 0.000 | 0.000 |
| -0.000 | -0.000 | 0.001 | -0.000 | 195.802 | 4.065 |
| -0.000 | -0.000 | 0.001 | -0.000 | 3.763 | 208.916 |
| 599.521 | 33.333 | 19.485 | 1.962 | -0.000 | -0.000 |
| 33.333 | 599.521 | 19.485 | -1.962 | -0.000 | -0.000 |
| 19.485 | 19.485 | 521.966 | -0.000 | -0.000 | -0.000 |
| 1.962 | -1.962 | -0.000 | 265.356 | -0.000 | -0.000 |
| 0.000 | 0.000 | -0.001 | 0.000 | 195.802 | 4.065 |
| 0.000 | 0.000 | -0.001 | 0.000 | 3.763 | 208.916 |
| 362.057 | 75.886 | 69.300 | -10.490 | -0.000 | 0.000 |
| 76.466 | 360.754 | 69.603 | 10.478 | 0.000 | 0.000 |
| 19.485 | 19.485 | 521.967 | 0.000 | 0.000 | 0.000 |
| -8.114 | 8.113 | 0.000 | 143.853 | -0.000 | 0.000 |
| -0.000 | 0.000 | 0.000 | 0.000 | 195.802 | 4.065 |
| 0.000 | 0.000 | 0.000 | 0.000 | 1.962 | 283.094 |
| 308.905 | 62.807 | 29.779 | -8.860 | 0.000 | -0.000 |
| 68.077 | 326.696 | 51.601 | 10.035 | 0.000 | -0.000 |
| 19.485 | 19.485 | 521.965 | -0.000 | -0.000 | 0.000 |
| 1.961 | -1.962 | -0.000 | 265.356 | -0.000 | -0.000 |
| 0.000 | -0.000 | -0.000 | -0.000 | 195.802 | 4.065 |
| -0.000 | -0.000 | -0.000 | -0.000 | 1.962 | 283.094 |
| 2577.466 | 2267.308 | -4328.839 | 11.306 | -0.713 | -1.053 |
| 2283.352 | 2561.302 | -4328.717 | -0.411 | -0.713 | -1.053 |
| 2237.284 | 2221.135 | -4033.148 | 5.462 | -0.715 | -1.056 |
| 2190.803 | 2162.952 | -4386.162 | 154.013 | -0.714 | -1.054 |
| 2184.916 | 2168.792 | -4386.114 | 5.453 | 147.848 | 4.809 |
| 2184.859 | 2168.735 | -4385.999 | 5.453 | 5.150 | 145.843 |
| -1792.620 | -2070.014 | 4443.281 | 0.409 | 0.714 | 1.055 |
| -2086.214 | -1776.546 | 4443.406 | -11.327 | 0.714 | 1.055 |
| -2132.764 | -2116.663 | 4739.690 | -5.445 | 0.713 | 1.052 |
| -2179.035 | -2174.637 | 4386.078 | 143.109 | 0.714 | 1.054 |
| -2184.922 | -2168.797 | 4386.125 | -5.453 | 149.275 | 6.917 |
| -2184.867 | -2168.743 | 4386.015 | -5.453 | 6.577 | 147.950 |
| 827.009 | 528.162 | -834.172 | -5.002 | -0.014 | -0.021 |
| 743.215 | 1041.375 | -1184.067 | 13.784 | -0.028 | -0.041 |
| 271.155 | 269.519 | -87.008 | 0.553 | -0.072 | -0.107 |
| 1.115 | -1.115 | 0.000 | 249.671 | -0.000 | 0.000 |
| 0.000 | 0.000 | 0.000 | -0.000 | 249.671 | 1.115 |
| 217.333 | 215.729 | -436.286 | 0.542 | 5.767 | 147.451 |
| 174.126 | -116.705 | 493.836 | 5.340 | 0.072 | 0.106 |
| -419.352 | -123.539 | 964.483 | 5.194 | 0.014 | 0.021 |
| 13.251 | 13.251 | 491.572 | -0.000 | -0.000 | -0.000 |
| -212.020 | -222.112 | 437.364 | 148.305 | 0.071 | 0.105 |
| -0.000 | -0.000 | -0.000 | 0.000 | 249.671 | 1.115 |
| -217.341 | -215.737 | 436.302 | -0.542 | 5.909 | 147.656 |
| 311.030 | 111.478 | -126.818 | -6.072 | -0.003 | -0.004 |
| 17.865 | 561.489 | 16.923 | -1.115 | 0.000 | 0.000 |
| 102.780 | 102.758 | 160.628 | 0.008 | -0.001 | -0.001 |
| 41.024 | 51.910 | -88.048 | 126.939 | -0.001 | -0.002 |
| 46.477 | 46.452 | -88.046 | 0.008 | 126.914 | -5.453 |
| 82.808 | 82.768 | -128.456 | 0.014 | -6.322 | 98.209 |
| 561.485 | 17.864 | 16.923 | 1.114 | 0.000 | -0.000 |
| 17.864 | 561.485 | 16.923 | -1.114 | 0.000 | -0.000 |
| 4.944 | 4.966 | 349.322 | -0.008 | 0.001 | 0.001 |
| 1.114 | -1.115 | -0.000 | 249.670 | 0.000 | -0.000 |
| -46.478 | -46.453 | 88.047 | -0.008 | 126.919 | -5.451 |
| -82.808 | -82.768 | 128.456 | -0.014 | -6.318 | 98.216 |
| 433.138 | 36.199 | 13.473 | -0.000 | 0.000 | 0.000 |
| 35.248 | 448.322 | 12.666 | -0.000 | -0.000 | 0.000 |
| 13.449 | 13.593 | 543.138 | -0.000 | 0.000 | 0.000 |
| 1391.765 | -2215.661 | 1476.745 | 150.100 | 0.000 | 0.000 |
| 0.000 | 0.000 | 0.000 | 0.000 | 231.811 | 0.000 |
| 1682.259 | -2079.954 | 730.868 | -0.000 | -0.000 | 125.695 |
| -1373.468 | 2144.625 | -668.172 | 0.000 | 0.000 | -0.000 |
| -1618.566 | 2411.524 | -672.321 | 0.000 | 0.000 | -0.000 |
| 13.449 | 13.593 | 543.138 | 0.000 | 0.000 | -0.000 |
| -1391.765 | 2215.661 | -1476.745 | 150.100 | -0.000 | -0.000 |
| -0.000 | -0.000 | -0.000 | -0.000 | 231.811 | -0.000 |
| -1682.259 | 2079.954 | -730.868 | 0.000 | 0.000 | 125.695 |
| 433.138 | 36.199 | 13.473 | -0.000 | -0.000 | 0.000 |
| 204.140 | 63.996 | 180.537 | -0.000 | 0.000 | -0.000 |
| 13.449 | 13.593 | 543.138 | 0.000 | 0.000 | 0.000 |
| 167.646 | -207.279 | 72.835 | 142.360 | 0.000 | 0.000 |
| 0.000 | 0.000 | 0.000 | -0.000 | 231.811 | -0.000 |
| 0.000 | 0.000 | 0.000 | 0.000 | 0.000 | 202.844 |
| -406.200 | 522.630 | -104.738 | 0.000 | 0.000 | -0.000 |
| -102.850 | 536.678 | -13.477 | 0.000 | 0.000 | -0.000 |
| -107.020 | 269.698 | 344.665 | 0.000 | 0.000 | -0.000 |
| -167.646 | 207.279 | -72.835 | 142.360 | -0.000 | -0.000 |
| -0.000 | -0.000 | -0.000 | -0.000 | 231.811 | -0.000 |
| -0.000 | -0.000 | -0.000 | 0.000 | 0.000 | 202.844 |
| 243.043 | 42.229 | 63.329 | -0.000 | 0.000 | 0.000 |
| 88.629 | 86.055 | 77.697 | -0.000 | 0.000 | 0.000 |
| 69.030 | 36.217 | 442.716 | 0.000 | -0.000 | 0.000 |
| 14.390 | -17.791 | 6.252 | 154.647 | -0.000 | 0.000 |
| 14.604 | -18.057 | 6.345 | -0.000 | 159.944 | -0.000 |
| 17.534 | -26.530 | 16.166 | -0.000 | 0.000 | 95.652 |
| 60.078 | 95.543 | 47.709 | 0.000 | -0.000 | -0.000 |
| 5.069 | 127.970 | 14.842 | 0.000 | 0.000 | -0.000 |
| -22.577 | 74.536 | 49.525 | 0.000 | 0.000 | -0.000 |
| -14.390 | 17.791 | -6.252 | 154.647 | 0.000 | -0.000 |
| -14.604 | 18.057 | -6.345 | 0.000 | 159.944 | -0.000 |
| -17.534 | 26.530 | -16.166 | 0.000 | -0.000 | 95.652 |
| 1008.383 | -24.069 | 15.184 | -0.000 | 0.000 | -0.000 |
| 78.563 | 914.945 | -0.480 | -0.000 | 0.000 | 0.000 |
| 15.180 | 0.785 | 31.693 | -0.000 | 0.000 | 0.000 |
| 51.245 | -51.189 | -0.630 | 4.431 | 0.000 | 0.000 |
| 0.000 | -0.000 | 0.000 | -0.000 | 6.256 | 0.000 |
| 0.000 | -0.000 | -0.000 | -0.000 | -0.000 | 532.726 |
| 905.982 | 78.221 | 16.443 | -0.000 | 0.000 | 0.000 |
| -23.838 | 1017.235 | 0.779 | -0.000 | 0.000 | 0.000 |
| -35.242 | 51.153 | 32.313 | 0.000 | 0.000 | 0.000 |
| -51.245 | 51.189 | 0.630 | 4.431 | -0.000 | -0.000 |
| -0.000 | 0.000 | -0.000 | 0.000 | 6.256 | -0.000 |
| -0.000 | 0.000 | 0.000 | 0.000 | 0.000 | 532.726 |
| 962.237 | 22.028 | 15.751 | -0.000 | -0.000 | -0.000 |
| 32.484 | 960.975 | 0.087 | 0.000 | -0.000 | 0.000 |
| 21.078 | -5.107 | 31.620 | -0.000 | -0.000 | -0.000 |
| 5.120 | -5.115 | -0.063 | 3.976 | 0.000 | -0.000 |
| -0.000 | -0.000 | 0.000 | -0.000 | 6.256 | 0.000 |
| 5.111 | -5.105 | -0.063 | -0.000 | -0.000 | 467.371 |
| 1020.462 | -36.135 | 15.035 | 0.000 | 0.000 | -0.000 |
| 22.242 | 971.205 | 0.213 | -0.000 | 0.000 | 0.000 |
| 15.180 | 0.785 | 31.693 | 0.000 | -0.000 | -0.000 |
| -5.120 | 5.115 | 0.063 | 3.976 | 0.000 | 0.000 |
| 0.000 | 0.000 | -0.000 | 0.000 | 6.256 | -0.000 |
| -5.111 | 5.105 | 0.063 | 0.000 | 0.000 | 467.371 |
| 957.705 | 26.558 | 15.807 | -0.000 | 0.000 | -0.000 |
| 27.883 | 965.575 | 0.143 | 0.000 | -0.000 | 0.000 |
| 16.470 | -0.504 | 31.677 | 0.000 | 0.000 | 0.000 |
| 0.512 | -0.511 | -0.006 | 3.976 | 0.000 | -0.000 |
| -0.000 | -0.000 | 0.000 | -0.000 | 6.256 | 0.000 |
| 0.511 | -0.510 | -0.006 | 0.000 | 0.000 | 467.392 |
| 956.660 | 27.594 | 15.820 | -0.000 | 0.000 | 0.000 |
| 26.843 | 966.606 | 0.156 | 0.000 | -0.000 | -0.000 |
| 15.446 | 0.519 | 31.690 | -0.000 | -0.000 | 0.000 |
| -0.512 | 0.511 | 0.006 | 3.976 | 0.000 | 0.000 |
| 0.000 | 0.000 | -0.000 | 0.000 | 6.256 | -0.000 |
| -0.511 | 0.510 | 0.006 | -0.000 | 0.000 | 467.392 |
| 281.039 | 5.034 | 1.341 | 0.001 | 0.001 | 0.010 |
| 5.279 | 280.794 | 1.341 | 0.229 | 0.001 | 0.010 |
| 0.165 | -0.124 | 0.469 | 0.264 | 0.003 | 0.012 |
| 0.115 | -0.084 | 0.040 | 0.148 | 0.001 | 0.010 |
| 0.133 | -0.102 | 0.040 | 0.114 | 0.035 | -0.015 |
| 0.136 | -0.109 | 0.037 | 0.107 | -0.265 | 137.905 |
| 280.700 | 5.351 | 1.183 | 0.595 | -0.001 | -0.010 |
| 5.104 | 280.949 | 1.187 | -0.798 | -0.001 | -0.010 |
| -0.184 | 0.105 | 0.055 | -0.265 | -0.003 | -0.012 |
| -0.169 | 0.138 | -0.040 | -0.079 | -0.001 | -0.009 |
| -0.133 | 0.102 | -0.040 | -0.114 | 0.033 | -0.035 |
| -0.136 | 0.109 | -0.037 | -0.107 | -0.267 | 137.885 |
| 280.647 | 4.872 | 0.028 | 0.012 | 0.000 | 0.001 |
| 4.911 | 280.607 | 0.028 | 0.010 | 0.000 | 0.001 |
| -0.047 | -0.076 | 0.023 | 0.027 | 0.000 | 0.001 |
| 0.014 | -0.010 | 0.004 | 0.013 | 0.000 | 0.001 |
| 0.014 | -0.011 | 0.004 | 0.011 | 0.000 | 0.001 |
| 0.014 | -0.011 | 0.004 | 0.011 | -0.003 | 137.869 |
| 280.601 | 4.906 | -0.012 | -0.010 | -0.000 | -0.001 |
| 4.866 | 280.641 | -0.012 | -0.012 | -0.000 | -0.001 |
| -0.082 | -0.052 | -0.017 | -0.027 | -0.000 | -0.001 |
| -0.014 | 0.011 | -0.004 | -0.012 | -0.000 | -0.001 |
| -0.014 | 0.011 | -0.004 | -0.011 | 0.000 | -0.001 |
| -0.014 | 0.011 | -0.004 | -0.011 | -0.003 | 137.867 |
| 280.625 | 4.885 | 0.002 | -0.001 | 0.000 | 0.000 |
| 4.889 | 280.623 | 0.002 | -0.002 | 0.000 | 0.000 |
| -0.063 | -0.066 | 0.002 | 0.003 | 0.000 | 0.000 |
| -0.001 | 0.001 | 0.000 | 0.007 | 0.000 | 0.000 |
| 0.001 | -0.001 | 0.000 | 0.001 | -0.000 | 0.000 |
| 0.003 | -0.002 | 0.000 | 0.001 | -0.000 | 137.868 |
| 280.620 | 4.888 | -0.002 | 0.002 | -0.000 | -0.000 |
| 4.884 | 280.623 | -0.002 | 0.001 | -0.000 | -0.000 |
| -0.066 | -0.064 | -0.002 | -0.003 | -0.000 | -0.000 |
| 0.001 | -0.001 | -0.000 | -0.011 | -0.000 | -0.000 |
| -0.001 | 0.001 | -0.000 | -0.001 | -0.000 | -0.000 |
| -0.003 | 0.002 | -0.000 | -0.001 | -0.000 | 137.868 |
| 958.219 | 26.597 | 15.792 | -0.000 | -0.000 | -0.000 |
| 27.386 | 965.023 | 0.133 | 0.000 | 0.000 | 0.000 |
| 16.185 | -0.262 | 31.643 | 0.000 | -0.000 | -0.000 |
| -0.000 | 0.000 | 0.000 | 3.965 | -0.000 | -0.000 |
| -0.000 | 0.000 | 0.000 | 0.000 | 6.253 | -0.000 |
| 0.000 | 0.000 | -0.000 | 0.000 | 0.000 | 532.322 |
| 958.219 | 26.597 | 15.792 | -0.000 | -0.000 | 0.000 |
| 27.385 | 965.024 | 0.133 | -0.000 | -0.000 | -0.000 |
| 16.185 | -0.262 | 31.643 | -0.000 | -0.000 | -0.000 |
| 0.000 | -0.000 | -0.000 | 3.965 | -0.000 | 0.000 |
| 0.000 | -0.000 | -0.000 | -0.000 | 6.253 | 0.000 |
| -0.000 | -0.000 | 0.000 | -0.000 | 0.000 | 532.322 |
| 958.140 | 26.676 | 15.793 | 0.000 | -0.000 | -0.000 |
| -36.141 | 1028.522 | 0.918 | -0.000 | -0.000 | -0.000 |
| 16.185 | -0.262 | 31.643 | 0.000 | -0.000 | 0.000 |
| -0.000 | 0.000 | 0.000 | 3.965 | -0.000 | -0.000 |
| -0.000 | 0.000 | 0.000 | 0.000 | 6.253 | -0.000 |
| -0.000 | 0.000 | -0.000 | 0.000 | -0.000 | 532.322 |
| 958.218 | 26.598 | 15.792 | 0.000 | -0.000 | -0.000 |
| 27.385 | 965.024 | 0.133 | -0.000 | -0.000 | 0.000 |
| 16.185 | -0.262 | 31.643 | -0.000 | -0.000 | -0.000 |
| 0.000 | -0.000 | -0.000 | 3.965 | -0.000 | 0.000 |
| 0.000 | -0.000 | -0.000 | -0.000 | 6.253 | 0.000 |
| 0.000 | -0.000 | 0.000 | -0.000 | 0.000 | 532.322 |
| 958.229 | 26.590 | 15.792 | -0.000 | 0.000 | 0.000 |
| 26.594 | 965.818 | 0.143 | -0.000 | 0.000 | 0.000 |
| 16.185 | -0.262 | 31.644 | 0.000 | 0.000 | 0.000 |
| -0.000 | 0.000 | -0.000 | 3.965 | 0.000 | -0.000 |
| -0.000 | -0.000 | 0.000 | -0.000 | 6.253 | -0.000 |
| -0.000 | 0.001 | 0.000 | 0.000 | -0.000 | 467.326 |
| 958.411 | 26.401 | 15.789 | 0.000 | 0.000 | -0.000 |
| 27.378 | 965.028 | 0.133 | -0.000 | 0.000 | -0.000 |
| 16.185 | -0.262 | 31.643 | 0.000 | -0.000 | -0.000 |
| 0.000 | -0.000 | 0.000 | 3.965 | -0.000 | 0.000 |
| 0.000 | 0.000 | -0.000 | 0.000 | 6.253 | 0.000 |
| 0.000 | -0.001 | -0.000 | -0.000 | -0.000 | 467.326 |
| -6.607 | 6.810 | 6.810 | -0.000 | -0.000 | 0.000 |
| 6.810 | -6.607 | 6.810 | -0.000 | -0.000 | -0.000 |
| 6.810 | 6.810 | -6.607 | 0.000 | 0.000 | -0.000 |
| 0.186 | 0.186 | 0.186 | -19.457 | 0.000 | 0.000 |
| 0.186 | 0.186 | 0.186 | -0.000 | -19.457 | 0.000 |
| 0.571 | 0.571 | 0.571 | 0.000 | 0.000 | -4.072 |
| -38.461 | 22.444 | 22.444 | 0.000 | -0.000 | -0.000 |
| 22.444 | -38.461 | 22.444 | 0.000 | 0.000 | -0.000 |
| 22.444 | 22.444 | -38.461 | 0.000 | -0.000 | -0.000 |
| -0.186 | -0.186 | -0.186 | -19.457 | -0.000 | -0.000 |
| -0.186 | -0.186 | -0.186 | 0.000 | -19.457 | -0.000 |
| -0.571 | -0.571 | -0.571 | -0.000 | 0.000 | -4.072 |
| 46.442 | 47.247 | 47.247 | 0.000 | -0.000 | 0.000 |
| 47.247 | 46.442 | 47.247 | -0.000 | -0.000 | 0.000 |
| 47.247 | 47.247 | 46.442 | -0.000 | -0.000 | 0.000 |
| 0.118 | 0.118 | 0.118 | -2.585 | -0.000 | 0.000 |
| 0.118 | 0.118 | 0.118 | 0.000 | -2.585 | 0.000 |
| 0.118 | 0.118 | 0.118 | -0.000 | -0.000 | -2.585 |
| -3.008 | 2.199 | 2.199 | -0.000 | 0.000 | -0.000 |
| 2.199 | -3.008 | 2.199 | -0.000 | 0.000 | -0.000 |
| 2.199 | 2.199 | -3.008 | 0.000 | -0.000 | -0.000 |
| -0.118 | -0.118 | -0.118 | -2.585 | -0.000 | -0.000 |
| -0.118 | -0.118 | -0.118 | 0.000 | -2.585 | 0.000 |
| -0.118 | -0.118 | -0.118 | 0.000 | -0.000 | -2.585 |
| -281508.088 | -320537.319 | -351853.131 | 1912.977 | 688.002 | -17117.147 |
| -172527.904 | -92525.788 | -153132.483 | -5029.844 | -489.987 | -729.730 |
| -253248.582 | -279971.803 | -182235.916 | -17384.825 | -4648.454 | 5483.636 |
| -653048.449 | -454907.400 | -457749.474 | 31112.027 | -7637.653 | 204.433 |
| -455910.477 | -640357.491 | -455785.058 | 5256.201 | 30144.617 | -2772.999 |
| -454477.480 | -455104.508 | -650775.883 | -2932.896 | -8923.526 | 23719.833 |
| 553136.895 | 409281.569 | 410106.453 | -1051.468 | -877.595 | 1054.688 |
| 411351.764 | 555711.506 | 412135.841 | 58.645 | 2345.388 | -4874.036 |
| 408611.364 | 409153.619 | 549771.516 | 4821.669 | 194.503 | 522.537 |
| 622086.642 | 457201.574 | 456569.408 | 30160.195 | 2367.576 | 5359.691 |
| 460225.606 | 648687.304 | 458916.147 | 1077.394 | 31198.640 | -3899.140 |
| 461118.759 | 454601.775 | 657179.257 | -1094.397 | -14555.883 | 24758.245 |
| 967.157 | 31.548 | 8.822 | 0.000 | -0.000 | -0.000 |
| -28.969 | 1027.674 | 8.822 | 0.000 | 0.000 | 0.000 |
| 8.813 | 8.813 | 37.809 | 0.000 | 0.000 | -0.000 |
| -0.000 | 0.000 | -0.000 | 158.632 | 0.000 | 0.000 |
| -0.000 | 0.000 | -0.000 | 0.000 | 158.632 | -0.000 |
| 0.000 | 0.000 | -0.000 | 0.000 | 0.000 | 467.805 |
| 1027.674 | -28.969 | 8.822 | -0.000 | -0.000 | -0.000 |
| -28.969 | 1027.674 | 8.822 | -0.000 | -0.000 | -0.000 |
| 8.813 | 8.813 | 37.809 | 0.000 | -0.000 | 0.000 |
| 0.000 | -0.000 | -0.000 | 158.632 | -0.000 | 0.000 |
| 0.000 | -0.000 | 0.000 | 0.000 | 158.632 | -0.000 |
| -0.000 | -0.000 | 0.000 | -0.000 | -0.000 | 467.805 |
| 967.158 | 31.547 | 8.822 | 0.000 | 0.000 | 0.000 |
| 31.549 | 967.157 | 8.822 | -0.000 | -0.000 | -0.000 |
| 8.813 | 8.813 | 37.809 | 0.000 | 0.000 | -0.000 |
| -0.000 | -0.000 | 0.000 | 158.632 | -0.000 | -0.000 |
| -0.000 | -0.000 | 0.000 | 0.000 | 158.632 | -0.000 |
| 0.000 | -0.000 | -0.000 | -0.000 | -0.000 | 439.398 |
| 967.156 | 31.549 | 8.822 | -0.000 | -0.000 | -0.000 |
| 59.954 | 938.751 | 8.822 | 0.000 | -0.000 | -0.000 |
| 8.813 | 8.813 | 37.809 | -0.000 | 0.000 | -0.000 |
| 0.000 | 0.000 | -0.000 | 158.632 | 0.000 | 0.000 |
| 0.000 | 0.000 | -0.000 | 0.000 | 158.632 | 0.000 |
| -0.000 | 0.000 | 0.000 | 0.000 | -0.000 | 439.398 |
| 936.984 | 61.724 | 8.822 | -0.000 | 0.000 | -0.000 |
| 31.555 | 967.153 | 8.822 | 0.000 | 0.000 | 0.000 |
| 8.813 | 8.813 | 37.809 | 0.000 | 0.000 | 0.000 |
| -0.000 | -0.000 | 0.000 | 158.632 | -0.000 | 0.000 |
| -0.000 | -0.000 | 0.000 | 0.000 | 158.632 | 0.000 |
| -0.000 | 0.001 | -0.000 | 0.000 | 0.000 | 528.321 |
| 967.147 | 31.554 | 8.822 | -0.000 | -0.000 | 0.000 |
| 31.541 | 967.161 | 8.822 | 0.000 | -0.000 | 0.000 |
| 8.813 | 8.813 | 37.808 | -0.000 | -0.000 | 0.000 |
| 0.000 | 0.000 | -0.000 | 158.632 | -0.000 | -0.000 |
| 0.000 | 0.000 | -0.000 | 0.000 | 158.632 | -0.000 |
| 0.000 | -0.001 | 0.000 | -0.000 | -0.000 | 528.321 |
| 133.703 | 81.023 | 81.023 | -0.000 | 0.000 | 0.000 |
| 81.023 | 133.703 | 81.023 | -0.000 | 0.000 | 0.000 |
| 81.023 | 81.023 | 133.703 | -0.000 | 0.000 | 0.000 |
| 0.000 | 0.000 | 0.000 | 174.614 | 0.000 | 0.000 |
| 0.000 | 0.000 | 0.000 | -0.000 | 174.614 | 0.000 |
| 0.000 | 0.000 | 0.000 | -0.000 | 0.000 | 174.614 |
| 131.626 | 79.549 | 79.549 | 0.000 | -0.000 | -0.000 |
| 79.549 | 131.626 | 79.549 | 0.000 | -0.000 | 0.000 |
| 79.549 | 79.549 | 131.626 | 0.000 | -0.000 | -0.000 |
| -0.000 | -0.000 | -0.000 | 174.614 | -0.000 | -0.000 |
| -0.000 | -0.000 | -0.000 | 0.000 | 174.614 | -0.000 |
| -0.000 | -0.000 | -0.000 | 0.000 | -0.000 | 174.614 |
| 132.879 | 80.802 | 80.802 | -0.000 | 0.000 | 0.000 |
| 80.802 | 132.879 | 80.802 | -0.000 | 0.000 | 0.000 |
| 80.802 | 80.802 | 132.879 | -0.000 | 0.000 | 0.000 |
| 0.292 | 0.292 | 0.292 | 128.678 | 0.000 | 0.000 |
| 0.292 | 0.292 | 0.292 | -0.000 | 128.678 | 0.000 |
| 0.292 | 0.292 | 0.292 | -0.000 | 0.000 | 128.678 |
| 135.452 | 76.635 | 76.635 | 0.000 | -0.000 | -0.000 |
| 76.635 | 135.452 | 76.635 | 0.000 | -0.000 | -0.000 |
| 76.635 | 76.635 | 135.452 | 0.000 | -0.000 | -0.000 |
| -0.292 | -0.292 | -0.292 | 128.678 | -0.000 | -0.000 |
| -0.292 | -0.292 | -0.292 | 0.000 | 128.678 | -0.000 |
| -0.292 | -0.292 | -0.292 | 0.000 | -0.000 | 128.678 |
| 132.777 | 80.700 | 80.700 | -0.000 | 0.000 | 0.000 |
| 80.700 | 132.777 | 80.700 | -0.000 | 0.000 | 0.000 |
| 80.700 | 80.700 | 132.777 | -0.000 | 0.000 | 0.000 |
| 0.004 | 0.004 | 0.004 | 128.127 | 0.000 | 0.000 |
| 0.004 | 0.004 | 0.004 | -0.000 | 128.127 | 0.000 |
| 0.004 | 0.004 | 0.004 | -0.000 | 0.000 | 128.127 |
| 135.215 | 76.970 | 76.970 | 0.000 | -0.000 | -0.000 |
| 76.970 | 135.215 | 76.970 | 0.000 | -0.000 | -0.000 |
| 76.970 | 76.970 | 135.215 | 0.000 | -0.000 | -0.000 |
| -0.004 | -0.004 | -0.004 | 128.127 | -0.000 | -0.000 |
| -0.004 | -0.004 | -0.004 | 0.000 | 128.127 | -0.000 |
| -0.004 | -0.004 | -0.004 | 0.000 | -0.000 | 128.127 |
| 634.488 | 162.566 | 369.868 | -70.994 | 4.680 | -0.390 |
| 48.974 | 744.853 | 362.063 | -79.421 | 5.866 | -0.253 |
| 2.628 | 109.395 | 181.177 | -80.102 | 5.512 | -0.251 |
| -20.180 | 96.904 | 99.275 | -64.726 | 3.969 | -0.522 |
| -5.520 | 48.135 | 15.680 | -5.276 | 95.266 | 9.727 |
| 29.553 | 142.497 | 321.434 | -98.067 | -1.481 | 292.270 |
| 626.851 | -59.028 | -32.152 | 32.358 | -1.756 | 0.617 |
| 48.183 | 514.520 | -39.440 | 27.137 | -2.074 | 0.718 |
| 28.883 | -96.696 | -15.310 | 12.850 | -0.726 | 1.015 |
| 18.714 | -95.541 | -99.488 | 52.134 | -3.977 | 0.522 |
| 20.261 | -78.347 | -55.575 | 37.745 | 30.902 | 3.991 |
| 14.675 | -104.246 | -134.283 | 70.919 | -7.981 | 288.288 |
| 596.090 | 25.637 | 34.221 | -15.489 | 0.614 | -0.024 |
| 11.599 | 605.867 | 24.041 | -2.443 | 0.608 | -0.024 |
| 0.826 | 10.981 | 19.497 | -4.047 | 0.272 | -0.055 |
| -0.315 | 7.774 | 8.193 | 2.806 | 0.346 | -0.044 |
| 0.141 | 4.574 | 1.737 | -0.562 | 94.052 | 10.171 |
| -3.153 | 7.350 | 4.239 | -3.151 | 4.762 | 291.225 |
| 598.282 | 2.838 | -0.472 | 8.173 | -0.175 | 0.067 |
| 13.190 | 587.942 | -0.483 | -2.756 | -0.176 | 0.068 |
| 3.805 | -8.439 | -2.314 | 7.277 | -0.497 | 0.046 |
| 9.946 | -18.277 | -3.429 | 80.840 | -0.084 | 0.107 |
| 7.782 | -9.238 | -0.511 | 0.405 | 101.021 | 9.197 |
| 5.430 | -6.446 | -0.357 | 0.283 | 9.875 | 283.257 |
| 594.185 | 10.854 | 3.339 | 7.664 | 0.009 | -0.008 |
| 10.002 | 595.623 | 3.492 | -10.233 | 0.000 | -0.009 |
| 3.376 | 3.376 | 15.484 | 0.000 | -0.000 | 0.000 |
| 0.340 | 1.358 | 3.142 | -0.676 | 0.037 | -0.005 |
| 0.321 | 1.377 | 3.142 | -0.552 | -0.091 | 0.025 |
| -0.097 | 0.997 | 1.294 | -0.623 | -1.344 | 291.301 |
| 594.068 | 9.916 | 1.849 | 0.662 | -0.037 | 0.005 |
| 11.410 | 592.271 | 1.051 | 3.473 | -0.048 | 0.004 |
| -0.508 | -1.646 | -3.594 | 1.082 | -0.075 | 0.001 |
| 0.193 | -0.927 | -0.957 | 0.460 | -0.037 | 0.005 |
| -0.048 | -1.104 | -1.901 | 0.553 | -0.295 | 0.020 |
| 0.163 | -0.908 | -0.815 | 0.508 | 0.800 | 291.537 |
| 695.082 | 59.641 | 6.590 | -0.718 | -0.254 | 0.355 |
| 33.695 | 725.761 | 17.570 | -54.733 | -3.347 | -0.355 |
| 5.468 | 5.468 | 23.941 | -0.000 | 0.000 | 0.000 |
| 3.033 | -1.726 | 1.239 | 120.731 | -0.293 | 0.410 |
| 0.000 | -0.000 | -0.000 | -0.000 | 129.610 | 3.452 |
| -2.269 | 6.902 | 4.973 | -21.624 | -0.491 | 391.993 |
| 788.752 | -34.720 | 5.617 | 3.452 | 0.000 | -0.000 |
| -34.720 | 788.752 | 5.617 | -3.452 | 0.000 | -0.000 |
| 7.333 | -2.063 | 18.431 | 22.446 | 1.280 | 0.263 |
| 2.809 | -7.474 | -5.032 | 136.904 | 1.249 | 0.248 |
| 0.795 | -2.083 | -1.221 | 5.128 | 126.276 | 3.430 |
| 0.000 | -0.000 | 0.000 | 0.000 | 3.452 | 411.736 |
| 735.738 | 18.108 | 5.622 | 3.386 | -0.014 | 0.020 |
| 19.177 | 735.273 | 10.037 | 4.747 | -1.309 | -0.251 |
| 4.822 | 5.721 | 24.094 | -2.141 | -0.122 | -0.023 |
| -11.873 | 13.564 | 2.352 | 46.881 | -0.613 | -0.070 |
| -2.980 | 4.850 | 4.106 | -18.638 | 4.168 | -21.230 |
| -0.000 | 0.000 | -0.000 | -0.000 | 3.452 | 411.736 |
| 735.977 | 17.740 | 5.500 | 3.898 | 0.014 | -0.020 |
| 18.143 | 735.573 | 5.499 | -3.386 | 0.014 | -0.020 |
| 5.241 | 4.250 | 23.019 | 2.377 | 0.136 | 0.030 |
| -1.264 | 0.519 | -0.809 | 109.668 | 0.201 | 0.057 |
| 2.109 | -3.835 | -3.025 | 14.187 | 35.795 | -15.245 |
| 0.000 | -0.000 | 0.000 | 0.000 | 3.452 | 411.736 |
| 728.689 | 23.417 | 5.214 | -28.545 | -0.126 | -0.024 |
| 22.595 | 729.480 | 5.215 | 24.852 | -0.129 | -0.025 |
| 5.468 | 5.468 | 23.941 | -0.000 | -0.000 | 0.000 |
| -21.817 | 22.127 | 0.519 | 4.422 | -0.105 | -0.020 |
| -0.217 | 0.561 | 0.658 | -1.853 | 6.021 | -21.357 |
| -0.336 | 0.601 | 0.537 | -2.234 | -26.791 | 352.991 |
| 728.832 | 22.647 | 4.089 | -26.173 | 0.135 | 0.026 |
| 15.749 | 735.147 | 4.841 | 1.065 | 0.020 | 0.002 |
| 4.563 | 2.085 | 16.243 | 5.935 | 0.338 | 0.070 |
| -20.606 | 20.422 | -0.406 | 8.364 | 0.105 | 0.020 |
| 0.296 | -0.478 | -0.393 | 1.844 | 6.824 | -21.836 |
| 0.170 | -0.416 | -0.309 | 1.389 | -15.190 | 356.260 |
| 638.950 | 56.838 | 3.959 | 0.042 | -0.034 | 0.688 |
| 30.471 | 665.337 | -0.796 | 0.370 | -0.220 | 0.715 |
| -42.506 | 31.660 | -26.336 | 2.738 | -1.570 | 1.995 |
| -83.230 | -21.177 | -226.637 | -65.972 | -5.157 | 1.471 |
| -84.776 | -5.779 | -199.737 | 8.539 | -70.015 | 2.105 |
| -1.052 | 1.520 | -0.638 | 0.042 | -0.034 | 292.979 |
| 716.269 | -6.095 | 39.284 | -2.212 | 1.270 | -1.402 |
| 115.455 | 651.501 | 166.966 | -7.727 | 4.421 | -2.281 |
| 48.906 | -22.507 | 60.384 | -2.631 | 1.509 | -1.928 |
| 0.000 | -0.000 | -0.000 | 113.213 | 0.000 | 0.000 |
| 38.190 | -22.899 | 35.444 | -2.237 | 67.676 | -1.389 |
| 66.037 | -31.729 | 80.738 | -4.627 | 2.647 | 334.288 |
| 670.821 | 23.051 | 1.404 | 0.186 | -0.107 | 0.148 |
| 12.881 | 670.094 | -22.207 | 0.964 | -0.551 | 0.155 |
| -0.481 | 6.811 | 13.642 | 0.270 | -0.155 | 0.157 |
| -5.633 | 3.237 | -5.263 | 44.498 | -0.189 | 0.182 |
| -0.322 | 0.484 | -0.344 | 0.025 | 107.962 | 0.011 |
| -0.000 | 0.000 | -0.000 | 0.000 | -0.000 | 378.767 |
| 677.509 | 17.841 | 4.642 | -0.002 | 0.002 | -0.039 |
| 17.950 | 676.768 | 5.055 | -0.039 | 0.023 | -0.058 |
| 4.648 | 4.368 | 19.791 | -0.005 | 0.004 | -0.075 |
| 5.880 | 5.182 | 24.814 | -20.566 | 0.365 | -0.024 |
| 0.321 | -0.483 | 0.343 | -0.025 | 108.002 | -0.011 |
| 0.000 | -0.000 | 0.000 | 0.000 | -0.000 | 378.767 |
| 671.546 | 19.838 | -3.416 | 0.126 | -0.072 | 0.015 |
| 20.957 | 673.842 | 3.981 | 0.019 | -0.011 | 0.014 |
| -1.255 | -0.939 | -4.486 | 0.093 | -0.053 | 0.010 |
| -0.689 | 0.212 | -1.047 | -0.047 | -0.031 | 0.021 |
| -0.974 | 0.581 | -0.836 | 0.053 | 2.022 | 0.038 |
| -0.354 | 0.228 | -0.309 | 0.020 | -0.011 | 326.134 |
| 673.913 | 21.181 | 4.585 | -0.022 | 0.012 | -0.015 |
| 21.793 | 673.287 | 4.598 | -0.056 | 0.032 | -0.015 |
| 1.189 | 1.117 | 5.454 | -0.128 | 0.073 | -0.012 |
| 0.757 | -0.320 | 0.981 | -0.039 | 0.031 | -0.026 |
| 0.640 | -0.156 | 1.090 | -0.054 | -0.110 | -0.019 |
| 0.282 | -0.234 | 0.248 | -0.017 | 0.010 | 326.801 |
| 1027.895 | -28.908 | 8.825 | -0.000 | -0.000 | -0.000 |
| 31.618 | 967.369 | 8.825 | -0.000 | -0.000 | 0.000 |
| 8.842 | 8.842 | 37.816 | -0.000 | -0.000 | 0.000 |
| -0.000 | 0.000 | -0.000 | 158.627 | -0.000 | 0.000 |
| -0.000 | 0.000 | -0.000 | -0.000 | 158.627 | -0.000 |
| -0.000 | 0.000 | 0.000 | 0.000 | -0.000 | 528.402 |
| 967.369 | 31.618 | 8.825 | 0.000 | 0.000 | -0.000 |
| 31.618 | 967.369 | 8.825 | 0.000 | 0.000 | -0.000 |
| 8.842 | 8.842 | 37.816 | 0.000 | 0.000 | -0.000 |
| 0.000 | -0.000 | 0.000 | 158.627 | 0.000 | -0.000 |
| 0.000 | -0.000 | 0.000 | 0.000 | 158.627 | -0.000 |
| 0.000 | -0.000 | -0.000 | -0.000 | 0.000 | 528.402 |
| 1027.896 | -28.908 | 8.825 | -0.000 | -0.000 | -0.000 |
| 31.619 | 967.369 | 8.825 | -0.000 | -0.000 | 0.000 |
| 8.842 | 8.842 | 37.816 | 0.000 | -0.000 | 0.000 |
| -0.000 | -0.000 | 0.000 | 158.627 | -0.000 | 0.000 |
| -0.000 | -0.000 | 0.000 | 0.000 | 158.627 | -0.000 |
| 0.001 | -0.000 | -0.000 | -0.000 | -0.000 | 439.465 |
| 938.957 | 60.029 | 8.825 | 0.000 | 0.000 | -0.000 |
| -28.908 | 1027.895 | 8.825 | -0.000 | 0.000 | 0.000 |
| 8.842 | 8.842 | 37.816 | -0.000 | 0.000 | -0.000 |
| 0.000 | 0.000 | -0.000 | 158.627 | 0.000 | -0.000 |
| 0.000 | 0.000 | -0.000 | -0.000 | 158.627 | -0.000 |
| -0.001 | 0.000 | 0.000 | 0.000 | 0.000 | 439.465 |
| 938.972 | 60.018 | 8.825 | -0.000 | -0.000 | -0.000 |
| 60.039 | 938.952 | 8.825 | 0.000 | -0.000 | 0.000 |
| 8.842 | 8.842 | 37.817 | 0.000 | -0.000 | 0.000 |
| -0.000 | -0.000 | 0.000 | 158.627 | -0.000 | 0.000 |
| -0.000 | -0.000 | 0.000 | -0.000 | 158.627 | 0.000 |
| -0.000 | 0.001 | -0.000 | -0.000 | -0.000 | 467.876 |
| 968.107 | 30.876 | 8.825 | 0.000 | 0.000 | -0.000 |
| 60.018 | 938.966 | 8.825 | -0.000 | 0.000 | 0.000 |
| 8.842 | 8.842 | 37.816 | -0.000 | 0.000 | -0.000 |
| 0.000 | 0.000 | -0.000 | 158.627 | 0.000 | -0.000 |
| 0.000 | 0.000 | -0.000 | 0.000 | 158.627 | -0.000 |
| 0.000 | -0.001 | 0.000 | 0.000 | 0.000 | 467.876 |
| -597.054 | -6082.582 | -1148.032 | 0.000 | 0.000 | 0.001 |
| 835.486 | -3074.799 | -600.205 | -0.000 | -0.000 | -0.000 |
| -1156.926 | 650.078 | -356.323 | -0.000 | 0.000 | 0.000 |
| -69.541 | -16219.579 | -5711.459 | 5.564 | 0.000 | 0.001 |
| -1123.787 | -9988.804 | -5377.604 | -0.000 | 44.425 | -0.000 |
| -1140.525 | -16556.814 | -7544.874 | -0.000 | 0.000 | 72.724 |
| 1153.252 | 6194.210 | 1199.059 | -0.000 | -0.000 | -0.001 |
| 1317.381 | -222.026 | 797.141 | -0.000 | -0.000 | -0.000 |
| 1147.295 | 10022.456 | 5412.410 | 0.000 | 0.000 | 0.000 |
| 69.541 | 16219.579 | 5711.459 | 5.564 | 0.000 | -0.001 |
| 1123.787 | 9988.804 | 5377.604 | 0.000 | 44.425 | 0.000 |
| 1140.525 | 16556.813 | 7544.874 | 0.000 | -0.000 | 72.723 |
| 16.198 | -1649.140 | -763.942 | 0.000 | -0.000 | -0.000 |
| -106.552 | -1523.105 | -703.131 | -0.000 | -0.000 | -0.000 |
| -69.359 | -1575.154 | -540.559 | -0.000 | -0.000 | 0.000 |
| -8.677 | -1614.179 | -570.596 | 5.661 | 0.000 | 0.000 |
| -111.915 | -995.929 | -534.797 | -0.000 | 45.003 | -0.000 |
| -85.378 | -614.707 | -116.965 | 0.000 | 0.000 | 108.320 |
| 576.136 | 29.141 | 15.505 | 0.000 | -0.000 | 0.000 |
| 135.824 | 1073.127 | 585.264 | 0.000 | 0.000 | 0.000 |
| -40.122 | 380.572 | 415.575 | 0.000 | 0.000 | 0.000 |
| 8.677 | 1614.179 | 570.596 | 5.661 | -0.000 | -0.000 |
| 111.915 | 995.929 | 534.797 | 0.000 | 45.003 | 0.000 |
| 85.378 | 614.707 | 116.965 | -0.000 | -0.000 | 108.320 |
| 188.307 | -42.974 | -42.518 | -0.000 | -0.000 | -0.000 |
| -7.506 | -10.023 | -72.136 | -0.000 | 0.000 | 0.000 |
| -55.073 | -150.740 | 5.970 | -0.000 | 0.000 | 0.000 |
| -13.621 | -176.464 | -79.153 | 32.338 | -0.000 | 0.000 |
| -2.958 | -140.770 | -55.571 | -0.000 | 64.876 | 0.000 |
| -9.580 | 4.364 | -5.533 | 0.000 | 0.000 | 179.958 |
| 232.884 | 129.275 | 45.823 | 0.000 | 0.000 | 0.000 |
| 70.811 | 364.995 | 81.703 | 0.000 | -0.000 | -0.000 |
| -16.364 | 142.751 | 138.946 | -0.000 | -0.000 | 0.000 |
| 13.621 | 176.464 | 79.153 | 32.338 | -0.000 | -0.000 |
| 2.958 | 140.770 | 55.571 | 0.000 | 64.876 | -0.000 |
| 9.580 | -4.364 | 5.533 | 0.000 | -0.000 | 179.958 |
| 1346.699 | 31.392 | 0.938 | 0.000 | -0.000 | -0.000 |
| 68.829 | 1316.395 | -6.568 | 0.000 | -0.000 | -0.000 |
| 41.564 | 41.564 | 1091.043 | 0.000 | -0.000 | -0.000 |
| 6.095 | 6.095 | -12.825 | 370.871 | -0.000 | -0.000 |
| 0.000 | 0.000 | 0.000 | 0.000 | 467.826 | -0.000 |
| 0.000 | 0.000 | 0.000 | 0.000 | -0.000 | 661.670 |
| 1343.493 | 28.184 | 7.686 | -0.000 | 0.000 | 0.000 |
| 312.015 | 1635.356 | -598.039 | -0.000 | 0.000 | 0.000 |
| -554.959 | -554.959 | 2346.325 | -0.000 | 0.000 | 0.000 |
| -6.095 | -6.095 | 12.825 | 370.871 | 0.000 | 0.000 |
| -0.000 | -0.000 | -0.000 | -0.000 | 467.826 | 0.000 |
| -0.000 | -0.000 | -0.000 | -0.000 | -0.000 | 661.670 |
| 1314.969 | 67.401 | -3.563 | 0.000 | -0.000 | -0.000 |
| 27.959 | 1343.211 | 8.221 | 0.000 | -0.000 | -0.000 |
| 40.228 | 40.228 | 1093.855 | 0.000 | -0.000 | -0.000 |
| 0.610 | 0.610 | -1.283 | 370.776 | -0.000 | -0.000 |
| 0.000 | 0.000 | -0.000 | 0.000 | 467.826 | -0.000 |
| 1.548 | 1.548 | -3.257 | 0.000 | -0.000 | 623.791 |
| 1344.905 | 29.598 | 4.714 | -0.000 | 0.000 | 0.000 |
| 69.113 | 1316.739 | -7.228 | -0.000 | 0.000 | 0.000 |
| 39.632 | 39.632 | 1095.107 | -0.000 | 0.000 | 0.000 |
| -0.610 | -0.610 | 1.283 | 370.776 | 0.000 | 0.000 |
| -0.000 | -0.000 | 0.000 | -0.000 | 467.826 | 0.000 |
| -1.548 | -1.548 | 3.257 | -0.000 | 0.000 | 623.791 |
| 1315.138 | 67.554 | -3.897 | 0.000 | -0.000 | -0.000 |
| 67.222 | 1314.793 | -3.184 | 0.000 | -0.000 | -0.000 |
| 39.944 | 39.944 | 1094.458 | 0.000 | -0.000 | -0.000 |
| 0.001 | 0.001 | -0.002 | 467.826 | 0.000 | -0.000 |
| 0.001 | 0.001 | -0.002 | 0.000 | 467.826 | -0.000 |
| 0.000 | 0.002 | -0.001 | 0.000 | -0.000 | 661.670 |
| 1314.748 | 67.191 | -3.117 | -0.000 | 0.000 | 0.000 |
| 66.848 | 1314.399 | -2.389 | -0.000 | 0.000 | 0.000 |
| 39.916 | 39.916 | 1094.505 | -0.000 | 0.000 | 0.000 |
| -0.001 | -0.001 | 0.002 | 467.826 | 0.000 | 0.000 |
| -0.001 | -0.001 | 0.002 | -0.000 | 467.826 | 0.000 |
| -0.000 | -0.002 | 0.001 | -0.000 | -0.000 | 661.670 |
| 1287.529 | 95.963 | -83.283 | 0.000 | -0.000 | 0.000 |
| 339.508 | 1537.723 | -590.992 | 0.000 | 0.000 | 0.000 |
| -590.992 | -590.992 | 2591.889 | 0.000 | -0.000 | 0.000 |
| -0.000 | 0.000 | 0.000 | 492.938 | 0.000 | 0.000 |
| -0.000 | -0.000 | 0.000 | 0.000 | 492.938 | 0.000 |
| -0.000 | -0.000 | 0.000 | -0.000 | -0.000 | 599.108 |
| 1287.524 | 95.959 | -83.274 | -0.000 | 0.000 | -0.000 |
| 150.596 | 1239.055 | -89.617 | -0.000 | 0.000 | 0.000 |
| -590.991 | -590.991 | 2591.888 | -0.000 | -0.000 | -0.000 |
| -0.000 | 0.000 | -0.000 | 492.938 | 0.000 | -0.000 |
| 0.000 | 0.000 | -0.000 | 0.000 | 492.938 | -0.000 |
| 0.000 | 0.000 | -0.000 | 0.000 | 0.000 | 599.108 |
| 1287.550 | 95.983 | -83.325 | 0.000 | -0.000 | 0.000 |
| 339.508 | 1537.724 | -590.991 | -0.000 | 0.000 | 0.000 |
| -89.529 | -89.529 | 1560.588 | 0.000 | -0.000 | 0.000 |
| 0.000 | 0.000 | -0.000 | 492.938 | 0.000 | 0.000 |
| 0.000 | 0.000 | -0.000 | -0.000 | 492.938 | -0.000 |
| 0.000 | 0.000 | -0.000 | -0.000 | -0.000 | 599.108 |
| 1240.793 | 152.286 | -93.143 | 0.000 | -0.000 | 0.000 |
| 96.340 | 1287.916 | -84.070 | -0.000 | 0.000 | -0.000 |
| -89.622 | -89.622 | 1560.779 | 0.000 | 0.000 | -0.000 |
| -0.000 | -0.000 | 0.000 | 492.938 | -0.000 | -0.000 |
| -0.000 | -0.000 | 0.000 | 0.000 | 492.938 | 0.000 |
| -0.000 | -0.000 | 0.000 | -0.000 | 0.000 | 599.108 |
| 1239.062 | 150.601 | -89.623 | -0.000 | -0.000 | -0.000 |
| 150.598 | 1239.065 | -89.623 | -0.000 | 0.000 | -0.000 |
| -89.624 | -89.624 | 1560.790 | -0.000 | -0.000 | 0.000 |
| -0.005 | -0.003 | 0.010 | 313.587 | 0.000 | 0.000 |
| -0.003 | -0.005 | 0.010 | -0.000 | 313.587 | 0.000 |
| 0.000 | 0.002 | -0.001 | -0.000 | 0.000 | 599.108 |
| 1238.780 | 150.328 | -89.065 | 0.000 | 0.000 | 0.000 |
| 150.602 | 1239.048 | -89.621 | 0.000 | -0.000 | 0.000 |
| -89.620 | -89.620 | 1560.770 | 0.000 | 0.000 | -0.000 |
| 0.005 | 0.003 | -0.010 | 313.587 | -0.000 | -0.000 |
| 0.003 | 0.005 | -0.010 | -0.000 | 313.587 | -0.000 |
| -0.000 | -0.002 | 0.001 | -0.000 | 0.000 | 599.108 |
| 1507.631 | 171.235 | -340.071 | -0.000 | -0.000 | 0.000 |
| 171.235 | 1507.631 | -340.071 | 0.000 | 0.000 | -0.000 |
| 286.558 | 286.558 | 663.604 | -0.000 | 0.000 | 0.000 |
| 304.227 | 304.227 | -635.794 | 470.760 | 0.000 | -0.000 |
| -0.000 | -0.000 | 0.000 | -0.000 | 516.730 | -0.000 |
| -0.000 | -0.000 | 0.000 | -0.000 | 0.000 | 668.198 |
| 1507.631 | 171.235 | -340.071 | -0.000 | -0.000 | -0.000 |
| 171.235 | 1507.631 | -340.071 | 0.000 | -0.000 | 0.000 |
| -317.496 | -317.496 | 1925.813 | 0.000 | -0.000 | 0.000 |
| -304.227 | -304.227 | 635.794 | 470.760 | -0.000 | 0.000 |
| 0.000 | 0.000 | -0.000 | 0.000 | 516.730 | -0.000 |
| 0.000 | 0.000 | -0.000 | 0.000 | -0.000 | 668.198 |
| 1349.346 | 59.713 | -56.284 | 0.000 | 0.000 | -0.000 |
| 59.637 | 1349.238 | -56.091 | 0.000 | 0.000 | 0.000 |
| 50.380 | 50.380 | 1155.069 | 0.000 | -0.000 | -0.000 |
| 27.553 | 27.553 | -57.139 | 421.134 | 0.000 | 0.000 |
| 0.000 | 0.000 | -0.000 | -0.000 | 516.730 | 0.000 |
| -0.000 | 0.000 | -0.000 | 0.000 | 0.000 | 668.198 |
| 1301.391 | 13.569 | 42.113 | -0.000 | -0.000 | -0.000 |
| 33.705 | 1248.667 | 74.687 | -0.000 | -0.000 | -0.000 |
| -3.391 | -3.391 | 1267.256 | -0.000 | 0.000 | -0.000 |
| -27.553 | -27.553 | 57.139 | 421.134 | -0.000 | -0.000 |
| -0.000 | -0.000 | 0.000 | 0.000 | 516.730 | -0.000 |
| 0.000 | -0.000 | 0.000 | -0.000 | -0.000 | 668.198 |
| 1323.346 | 35.797 | -4.036 | 0.000 | 0.000 | 0.000 |
| 65.733 | 1272.360 | 16.698 | 0.000 | 0.000 | -0.000 |
| 25.340 | 25.340 | 1207.220 | 0.000 | 0.000 | -0.000 |
| 0.001 | 0.001 | -0.000 | 516.730 | -0.000 | 0.000 |
| 0.001 | 0.001 | -0.000 | 0.000 | 516.730 | 0.000 |
| 6.830 | 6.832 | -14.274 | -0.000 | 0.000 | 588.894 |
| 1255.555 | 89.709 | 9.516 | 0.000 | -0.000 | -0.000 |
| 59.550 | 1267.916 | 27.749 | 0.000 | -0.000 | 0.000 |
| 21.354 | 21.354 | 1215.702 | -0.000 | 0.000 | 0.000 |
| -0.001 | -0.001 | 0.000 | 516.730 | 0.000 | -0.000 |
| -0.001 | -0.001 | 0.000 | -0.000 | 516.730 | 0.000 |
| -6.830 | -6.832 | 14.274 | 0.000 | -0.000 | 588.894 |
| 633.248 | -488.736 | 1284.860 | -0.000 | -0.000 | 0.000 |
| -488.524 | 633.455 | 1284.420 | 0.000 | -0.000 | -0.000 |
| -1104.302 | -1104.302 | 3600.961 | 0.000 | 0.000 | 0.000 |
| -1018.261 | -1018.261 | 2146.669 | 505.098 | -0.000 | -0.000 |
| -1017.369 | -1017.369 | 2144.790 | -0.000 | 505.120 | 0.000 |
| 0.000 | 0.000 | 0.000 | -0.000 | -0.000 | 673.185 |
| 2389.995 | 1094.845 | -2248.929 | -0.000 | 0.000 | 0.000 |
| 770.029 | 1931.424 | -1439.969 | 0.000 | 0.000 | 0.000 |
| 698.570 | 698.570 | -213.191 | 0.000 | 0.000 | 0.000 |
| 1018.261 | 1018.261 | -2146.669 | 505.098 | 0.000 | 0.000 |
| 1017.370 | 1017.369 | -2144.790 | 0.000 | 505.120 | -0.000 |
| -0.000 | -0.000 | -0.000 | 0.000 | 0.000 | 673.185 |
| 1253.876 | -45.539 | 150.809 | 0.000 | -0.000 | -0.000 |
| 8.619 | 1169.804 | 181.395 | -0.000 | 0.000 | -0.000 |
| -41.956 | -41.956 | 1365.127 | 0.000 | -0.000 | -0.000 |
| 0.000 | 0.000 | 0.000 | 530.860 | 0.000 | -0.000 |
| -112.731 | -112.731 | 237.657 | -0.000 | 502.339 | -0.000 |
| -112.402 | -112.402 | 236.963 | -0.000 | -0.000 | 645.816 |
| 1370.842 | 169.762 | -201.917 | 0.000 | 0.000 | 0.000 |
| 128.462 | 1301.391 | -85.754 | 0.000 | 0.000 | 0.000 |
| -263.475 | -263.475 | 1825.540 | -0.000 | 0.000 | 0.000 |
| -0.000 | -0.000 | -0.000 | 530.860 | -0.000 | 0.000 |
| 112.731 | 112.731 | -237.657 | 0.000 | 502.339 | -0.000 |
| 112.402 | 112.402 | -236.963 | -0.000 | -0.000 | 645.816 |
| 1482.951 | 136.575 | -281.425 | 0.000 | 0.000 | -0.000 |
| 27.325 | 1319.891 | 4.250 | -0.000 | 0.000 | -0.000 |
| 23.842 | 23.842 | 1225.284 | 0.000 | -0.000 | -0.000 |
| -30.246 | -30.245 | 63.764 | 454.341 | -0.000 | -0.000 |
| -30.245 | -30.246 | 63.764 | 0.000 | 454.341 | -0.000 |
| -0.000 | 0.002 | -0.000 | 0.000 | -0.000 | 673.185 |
| 1327.604 | 40.537 | -17.956 | 0.000 | -0.000 | 0.000 |
| 97.904 | 1256.092 | -4.308 | 0.000 | 0.000 | -0.000 |
| 32.166 | 32.166 | 1207.525 | 0.000 | 0.000 | 0.000 |
| 30.246 | 30.245 | -63.764 | 454.341 | 0.000 | 0.000 |
| 30.245 | 30.246 | -63.764 | 0.000 | 454.341 | 0.000 |
| 0.000 | -0.002 | 0.000 | -0.000 | 0.000 | 673.185 |
| -4332.432 | -5594.317 | 11858.664 | 19.648 | -0.000 | 0.000 |
| -5590.198 | -4328.261 | 11849.953 | -19.654 | 0.000 | 0.000 |
| -5877.809 | -5877.809 | 13597.376 | 0.000 | -0.000 | 0.000 |
| 27.628 | -27.628 | 0.000 | 507.369 | -0.000 | 0.000 |
| -0.000 | -0.000 | 0.000 | 0.000 | 507.369 | 27.628 |
| -0.000 | -0.000 | 0.000 | 0.000 | 27.628 | 667.005 |
| 1526.450 | 192.440 | -378.488 | 27.628 | -0.000 | -0.000 |
| 5871.417 | 7127.732 | -12231.376 | -19.032 | 0.000 | -0.000 |
| 5575.464 | 5575.464 | -10472.279 | -0.000 | 0.000 | -0.000 |
| 27.628 | -27.628 | -0.000 | 507.369 | 0.000 | -0.000 |
| 0.000 | 0.000 | -0.000 | -0.000 | 507.369 | 27.628 |
| 0.000 | 0.000 | -0.000 | -0.000 | 27.628 | 667.005 |
| 1526.451 | 192.439 | -378.489 | 27.628 | -0.000 | 0.000 |
| -464.995 | 810.504 | 1064.761 | -21.154 | -0.000 | 0.000 |
| -523.796 | -523.796 | 2348.652 | 0.000 | -0.000 | 0.000 |
| 27.628 | -27.628 | -0.000 | 507.369 | -0.000 | 0.000 |
| 0.000 | 0.000 | 0.000 | 0.000 | 507.369 | 27.628 |
| -578.659 | -578.659 | 1216.086 | 0.000 | 19.277 | 629.265 |
| 1526.449 | 192.440 | -378.489 | 27.628 | 0.000 | -0.000 |
| 487.419 | 1622.898 | -791.923 | -6.811 | 0.000 | -0.000 |
| 449.723 | 449.723 | 293.907 | -0.000 | -0.000 | -0.000 |
| 27.628 | -27.628 | 0.000 | 507.369 | 0.000 | -0.000 |
| -0.000 | -0.000 | -0.000 | -0.000 | 507.369 | 27.628 |
| 578.659 | 578.659 | -1216.086 | -0.000 | 19.277 | 629.265 |
| 1221.594 | 46.173 | 96.202 | 11.587 | -0.000 | 0.000 |
| -3.723 | 1285.054 | 81.395 | -22.623 | -0.000 | 0.000 |
| -11.312 | -11.312 | 1269.332 | 0.000 | 0.000 | 0.000 |
| 27.629 | -27.628 | -0.001 | 507.369 | 0.000 | -0.000 |
| 0.001 | 0.001 | -0.001 | 0.000 | 507.369 | 27.628 |
| -41.838 | -41.837 | 87.994 | 0.000 | 11.126 | 589.472 |
| 1526.444 | 192.440 | -378.489 | 27.628 | -0.000 | -0.000 |
| 112.363 | 1304.174 | -61.149 | -12.420 | -0.000 | -0.000 |
| 34.723 | 34.723 | 1172.052 | -0.000 | 0.000 | -0.000 |
| 51.089 | 28.417 | -84.072 | 404.523 | -0.000 | -0.000 |
| -0.001 | -0.001 | 0.001 | -0.000 | 507.369 | 27.628 |
| 41.838 | 41.837 | -87.994 | -0.000 | 11.126 | 589.472 |
| 233.114 | 10.078 | 10.078 | 0.000 | -0.000 | -0.000 |
| 10.078 | 233.114 | 10.078 | 0.000 | -0.000 | -0.000 |
| 10.078 | 10.078 | 233.114 | 0.000 | -0.000 | -0.000 |
| -0.000 | 0.000 | 0.000 | 222.990 | 0.000 | 0.000 |
| -0.000 | 0.000 | 0.000 | 0.000 | 222.990 | 0.000 |
| -0.000 | 0.000 | -0.000 | 0.000 | -0.000 | 222.990 |
| 684.654 | 349.354 | 349.354 | 0.000 | -0.000 | -0.000 |
| 349.354 | 684.654 | 349.354 | 0.000 | -0.000 | -0.000 |
| 349.354 | 349.354 | 684.654 | 0.000 | -0.000 | -0.000 |
| -0.000 | -0.000 | -0.000 | 222.990 | -0.000 | -0.000 |
| 0.000 | -0.000 | -0.000 | -0.000 | 222.990 | -0.000 |
| 0.000 | -0.000 | 0.000 | 0.000 | 0.000 | 222.990 |
| 292.466 | 66.625 | 66.625 | 0.000 | -0.000 | -0.000 |
| 66.625 | 292.466 | 66.625 | 0.000 | -0.000 | -0.000 |
| 66.625 | 66.625 | 292.466 | 0.000 | -0.000 | -0.000 |
| -6.217 | -6.217 | -6.217 | 117.199 | -0.000 | -0.000 |
| -6.217 | -6.217 | -6.217 | 0.000 | 117.199 | -0.000 |
| -6.217 | -6.217 | -6.217 | 0.000 | -0.000 | 117.199 |
| 474.096 | 16.018 | 16.018 | -0.000 | 0.000 | -0.000 |
| 16.018 | 474.096 | 16.018 | -0.000 | 0.000 | -0.000 |
| 16.018 | 16.018 | 474.096 | -0.000 | 0.000 | -0.000 |
| 6.217 | 6.217 | 6.217 | 117.199 | 0.000 | 0.000 |
| 6.217 | 6.217 | 6.217 | -0.000 | 117.199 | 0.000 |
| 6.217 | 6.217 | 6.217 | -0.000 | 0.000 | 117.199 |
| 474.098 | 16.018 | 16.018 | 0.000 | -0.000 | 0.000 |
| 16.018 | 474.098 | 16.018 | 0.000 | 0.000 | 0.000 |
| 16.018 | 16.018 | 474.098 | -0.000 | -0.000 | 0.000 |
| -3.168 | -3.168 | -3.168 | 95.716 | -0.000 | 0.000 |
| -3.169 | -3.168 | -3.169 | 0.000 | 95.617 | 0.000 |
| -3.168 | -3.168 | -3.168 | 0.000 | -0.000 | 95.716 |
| 199.880 | 55.351 | 55.351 | -0.000 | 0.000 | -0.000 |
| 55.351 | 199.880 | 55.351 | -0.000 | 0.000 | -0.000 |
| 55.351 | 55.351 | 199.880 | -0.000 | -0.000 | -0.000 |
| 3.168 | 3.168 | 3.168 | 95.716 | -0.000 | -0.000 |
| 3.169 | 3.168 | 3.169 | -0.000 | 95.617 | -0.000 |
| 3.168 | 3.168 | 3.168 | -0.000 | 0.000 | 95.716 |
| 965.137 | 25.631 | 9.834 | 0.000 | 0.000 | -0.000 |
| -36.692 | 1027.461 | 9.834 | -0.000 | 0.000 | 0.000 |
| 9.941 | 9.940 | 36.413 | -0.000 | 0.000 | -0.000 |
| 0.000 | -0.000 | -0.000 | 7.325 | -0.000 | -0.000 |
| 0.000 | -0.000 | -0.000 | -0.000 | 7.325 | -0.000 |
| 0.000 | -0.000 | 0.000 | -0.000 | -0.000 | 469.753 |
| 1027.461 | -36.692 | 9.834 | 0.000 | -0.000 | 0.000 |
| 25.631 | 965.137 | 9.834 | 0.000 | -0.000 | 0.000 |
| 9.940 | 9.941 | 36.413 | -0.000 | 0.000 | 0.000 |
| -0.000 | 0.000 | 0.000 | 7.325 | 0.000 | 0.000 |
| -0.000 | 0.000 | 0.000 | 0.000 | 7.325 | 0.000 |
| -0.000 | 0.000 | -0.000 | 0.000 | -0.000 | 469.753 |
| 965.062 | 25.707 | 9.834 | 0.000 | 0.000 | -0.000 |
| 25.556 | 965.213 | 9.834 | -0.000 | 0.000 | -0.000 |
| 9.940 | 9.940 | 36.413 | -0.000 | -0.000 | -0.000 |
| 0.000 | -0.000 | 0.000 | 7.325 | -0.000 | -0.000 |
| 0.000 | -0.000 | 0.000 | 0.000 | 7.325 | -0.000 |
| -0.000 | 0.000 | 0.000 | -0.000 | 0.000 | 469.753 |
| 965.213 | 25.556 | 9.834 | 0.000 | -0.000 | 0.000 |
| 25.707 | 965.061 | 9.834 | 0.000 | -0.000 | 0.000 |
| 9.940 | 9.940 | 36.413 | 0.000 | 0.000 | 0.000 |
| -0.000 | 0.000 | -0.000 | 7.325 | 0.000 | 0.000 |
| -0.000 | 0.000 | -0.000 | 0.000 | 7.325 | 0.000 |
| 0.000 | -0.000 | -0.000 | -0.000 | -0.000 | 469.753 |
| 965.148 | 25.625 | 9.834 | -0.000 | 0.000 | -0.000 |
| 25.639 | 965.133 | 9.834 | 0.000 | 0.000 | -0.000 |
| 9.941 | 9.941 | 36.413 | 0.000 | -0.000 | -0.000 |
| -0.000 | -0.000 | 0.000 | 7.325 | 0.000 | -0.000 |
| -0.000 | -0.000 | 0.000 | -0.000 | 7.325 | -0.000 |
| -0.000 | 0.001 | 0.000 | 0.000 | 0.000 | 469.753 |
| 965.127 | 25.638 | 9.834 | 0.000 | -0.000 | 0.000 |
| 25.624 | 965.141 | 9.834 | 0.000 | -0.000 | 0.000 |
| 9.940 | 9.940 | 36.413 | 0.000 | -0.000 | 0.000 |
| 0.000 | 0.000 | -0.000 | 7.325 | 0.000 | 0.000 |
| 0.000 | 0.000 | -0.000 | 0.000 | 7.325 | 0.000 |
| 0.000 | -0.001 | -0.000 | 0.000 | -0.000 | 469.753 |
| 786.093 | -63.143 | 0.095 | -0.000 | 0.000 | -0.000 |
| -67.611 | 436.289 | 19.999 | 0.000 | 0.000 | -0.000 |
| 25.693 | -3.941 | 230.833 | -0.000 | 0.000 | -0.000 |
| -0.005 | 0.012 | 0.038 | 68.933 | -0.000 | -0.000 |
| 0.000 | 0.000 | -0.000 | -0.000 | 273.936 | -0.000 |
| -0.005 | 0.007 | 0.027 | -0.000 | 0.000 | 238.188 |
| 797.327 | -78.112 | -4.965 | 0.000 | 0.000 | -0.000 |
| -53.417 | 416.453 | -10.990 | 0.000 | 0.000 | 0.000 |
| 1.303 | 15.765 | 468.684 | -0.000 | 0.000 | 0.000 |
| 0.005 | -0.012 | -0.038 | 68.933 | 0.000 | 0.000 |
| -0.000 | -0.000 | 0.000 | 0.000 | 273.936 | 0.000 |
| 0.005 | -0.007 | -0.027 | 0.000 | -0.000 | 238.188 |
| 786.098 | -63.155 | 0.046 | -0.000 | 0.000 | -0.000 |
| -53.425 | 416.466 | -10.943 | -0.000 | 0.000 | -0.000 |
| 2.657 | -7.943 | -28.701 | -0.000 | -0.000 | -0.000 |
| -0.000 | 0.001 | 0.002 | 80.090 | 0.000 | -0.000 |
| -0.002 | 0.003 | 0.014 | -0.000 | 11.009 | 0.000 |
| 0.000 | 0.000 | 0.000 | -0.000 | 0.000 | 316.976 |
| 797.326 | -78.112 | -4.965 | 0.000 | -0.000 | 0.000 |
| -67.611 | 436.288 | 19.999 | 0.000 | -0.000 | 0.000 |
| 1.303 | 15.765 | 468.684 | 0.000 | -0.000 | 0.000 |
| 0.000 | -0.001 | -0.002 | 80.090 | 0.000 | 0.000 |
| 0.002 | -0.003 | -0.014 | 0.000 | 11.009 | -0.000 |
| -0.000 | -0.000 | -0.000 | 0.000 | -0.000 | 316.976 |
| 790.028 | -71.550 | 12.748 | -0.000 | -0.000 | 0.000 |
| -53.077 | 410.082 | -0.112 | -0.000 | 0.000 | -0.000 |
| 0.747 | -4.322 | -29.160 | -0.000 | 0.000 | -0.000 |
| 0.000 | 0.000 | 0.000 | 80.090 | -0.000 | -0.000 |
| -0.000 | 0.000 | 0.000 | 0.000 | 11.409 | -0.000 |
| 0.000 | 0.000 | 0.000 | -0.000 | 0.000 | 238.140 |
| 790.023 | -71.551 | 12.747 | 0.000 | -0.000 | 0.000 |
| -53.072 | 410.073 | -0.102 | 0.000 | -0.000 | -0.000 |
| 2.656 | -7.940 | -28.625 | 0.000 | -0.000 | 0.000 |
| -0.000 | -0.000 | -0.000 | 80.090 | 0.000 | 0.000 |
| 0.000 | -0.000 | -0.000 | -0.000 | 11.409 | 0.000 |
| -0.000 | -0.000 | -0.000 | 0.000 | 0.000 | 238.140 |
| 1263.995 | 10.932 | -174.888 | -0.000 | -0.000 | 0.000 |
| -338.989 | 82.810 | 202.142 | 0.004 | -0.005 | 0.000 |
| -76.719 | 147.702 | 1081.675 | -0.002 | 0.002 | -0.000 |
| 4.011 | -0.571 | -5.711 | 10.484 | 0.003 | -0.000 |
| -22.190 | -32.330 | 3.756 | -0.001 | -131.059 | -0.001 |
| 10.599 | -1.509 | -15.092 | -0.007 | 0.009 | -224.747 |
| 1177.613 | -28.932 | -93.403 | 0.002 | -0.003 | 0.000 |
| -294.729 | 147.265 | 194.686 | 0.004 | -0.006 | 0.000 |
| -80.131 | 149.192 | 1087.192 | 0.002 | -0.002 | 0.000 |
| -4.011 | 0.571 | 5.711 | 10.485 | -0.003 | 0.000 |
| 22.190 | 32.330 | -3.756 | 0.001 | -131.063 | 0.001 |
| -10.599 | 1.509 | 15.092 | 0.007 | -0.009 | -224.748 |
| 1176.466 | -31.528 | -93.965 | -0.000 | 0.000 | -0.000 |
| -319.383 | 111.813 | 198.636 | 0.000 | -0.001 | 0.000 |
| -17.981 | 230.566 | 1065.210 | 0.000 | -0.001 | 0.000 |
| 0.401 | -0.057 | -0.571 | 10.488 | 0.000 | -0.000 |
| -0.000 | -0.000 | 0.000 | -0.000 | 596.094 | 0.000 |
| -0.367 | -0.924 | -0.195 | -0.000 | 0.000 | -231.891 |
| 1176.757 | -31.000 | -93.928 | 0.000 | -0.000 | 0.000 |
| -315.054 | 118.209 | 197.879 | -0.000 | 0.001 | -0.000 |
| -78.794 | 148.423 | 1084.908 | 0.000 | -0.000 | 0.000 |
| -0.401 | 0.057 | 0.571 | 10.488 | -0.000 | 0.000 |
| 0.000 | 0.000 | -0.000 | -0.000 | 596.094 | -0.000 |
| 0.367 | 0.924 | 0.195 | 0.000 | -0.000 | -231.891 |
| 965.728 | -309.531 | -43.329 | -0.000 | 0.000 | 0.000 |
| -317.431 | 114.697 | 198.298 | -0.000 | 0.000 | -0.000 |
| -16.010 | 233.467 | 1064.863 | -0.000 | 0.000 | 0.000 |
| 0.000 | -0.001 | -0.000 | 78.834 | 0.000 | 0.000 |
| -0.040 | -0.241 | 0.007 | -0.000 | -131.073 | -0.000 |
| -0.035 | -0.095 | -0.020 | -0.000 | 0.000 | -231.886 |
| 966.093 | -308.966 | -43.425 | -0.000 | 0.000 | -0.000 |
| -317.012 | 115.321 | 198.216 | -0.000 | -0.000 | 0.000 |
| -15.575 | 234.113 | 1064.776 | 0.000 | -0.000 | -0.000 |
| -0.000 | 0.001 | 0.000 | 78.834 | 0.000 | -0.000 |
| 0.040 | 0.241 | -0.007 | 0.000 | -131.073 | 0.000 |
| 0.035 | 0.095 | 0.020 | 0.000 | -0.000 | -231.886 |
| 1176.050 | -29.294 | -94.917 | 0.000 | 0.000 | 0.000 |
| -318.248 | 115.189 | 196.043 | 0.001 | 0.000 | 0.001 |
| -76.715 | 149.497 | 1085.826 | 0.000 | 0.000 | 0.000 |
| 0.000 | 0.000 | 0.000 | 77.848 | -0.000 | -0.000 |
| 0.000 | 0.000 | 0.000 | 0.000 | 596.975 | -0.000 |
| -1.467 | -0.373 | 1.116 | -0.000 | -0.000 | -234.772 |
| 1262.580 | 12.433 | -173.949 | -0.000 | 0.000 | 0.000 |
| 4.072 | 508.521 | 86.735 | -0.000 | 0.000 | 0.000 |
| -17.476 | 232.310 | 1071.353 | 0.001 | 0.000 | 0.000 |
| -0.000 | -0.000 | -0.000 | 77.848 | 0.000 | 0.000 |
| -0.000 | -0.000 | -0.000 | -0.000 | 596.975 | -0.000 |
| 1.467 | 0.374 | -1.116 | 0.000 | 0.000 | -234.773 |
| 1174.883 | -29.569 | -93.331 | 0.000 | 0.000 | 0.000 |
| -321.161 | 114.392 | 197.806 | -0.000 | -0.000 | -0.000 |
| -78.606 | 148.826 | 1087.988 | 0.000 | 0.000 | 0.000 |
| 0.000 | -0.000 | -0.000 | 77.848 | -0.000 | -0.000 |
| -0.000 | -0.000 | 0.000 | -0.000 | 596.975 | 0.000 |
| -0.323 | -0.098 | 0.304 | -0.000 | -0.000 | -234.938 |
| 1174.613 | -29.635 | -92.972 | -0.000 | -0.000 | -0.000 |
| -321.582 | 114.193 | 198.318 | 0.000 | 0.000 | 0.000 |
| -78.982 | 148.695 | 1088.421 | -0.000 | -0.000 | -0.000 |
| -0.000 | 0.000 | 0.000 | 77.848 | 0.000 | 0.000 |
| 0.000 | 0.000 | -0.000 | 0.000 | 596.975 | 0.000 |
| 0.323 | 0.098 | -0.304 | 0.000 | 0.000 | -234.938 |
| 955.687 | -312.959 | -42.260 | 0.000 | 0.000 | -0.000 |
| -321.345 | 114.310 | 198.039 | -0.000 | -0.000 | 0.000 |
| -15.399 | 233.234 | 1068.827 | 0.000 | 0.000 | -0.000 |
| 0.033 | 0.011 | -0.038 | 8.908 | 0.000 | 0.000 |
| 0.131 | -0.055 | -0.025 | 0.000 | -255.707 | -0.000 |
| 0.020 | 0.005 | -0.026 | 0.000 | 0.000 | -234.941 |
| 955.533 | -313.070 | -42.187 | -0.000 | -0.000 | 0.000 |
| -321.404 | 114.273 | 198.083 | 0.000 | 0.000 | -0.000 |
| -78.843 | 148.742 | 1088.254 | -0.000 | -0.000 | -0.000 |
| -0.033 | -0.011 | 0.038 | 8.908 | -0.000 | -0.000 |
| -0.131 | 0.055 | 0.025 | -0.000 | -255.707 | 0.000 |
| -0.020 | -0.005 | 0.026 | -0.000 | -0.000 | -234.941 |
| 1788.322 | 1370.467 | -2302.432 | 4.578 | -0.008 | -0.011 |
| 21.001 | 565.933 | 36.428 | -3.581 | 0.000 | -0.000 |
| 1360.295 | 1360.246 | -1955.854 | 0.016 | -0.008 | -0.011 |
| 3599.682 | 3614.015 | -3781.440 | 114.637 | -0.009 | -0.013 |
| 0.000 | 0.000 | -0.000 | -0.000 | 253.764 | 3.581 |
| -0.000 | 0.000 | -0.000 | -0.000 | 3.581 | 272.466 |
| -3302.403 | -3564.472 | 3861.252 | -7.273 | 0.009 | 0.013 |
| -3570.451 | -3308.861 | 3871.324 | 7.237 | 0.009 | 0.013 |
| -1255.909 | -1255.861 | 2761.809 | -0.016 | 0.008 | 0.011 |
| 3.581 | -3.581 | 0.000 | 253.764 | 0.000 | 0.000 |
| -0.000 | -0.000 | 0.000 | 0.000 | 253.764 | 3.581 |
| -0.000 | -0.000 | 0.000 | 0.000 | 3.581 | 272.466 |
| 609.858 | 192.149 | -177.433 | 4.564 | -0.001 | -0.001 |
| 21.001 | 565.933 | 36.428 | -3.581 | -0.000 | -0.000 |
| 31.473 | 31.473 | 479.153 | -0.000 | 0.000 | -0.000 |
| 538.687 | 535.824 | -246.177 | 70.890 | 0.001 | 0.001 |
| 131.278 | 131.273 | -236.732 | 0.002 | 199.187 | 4.563 |
| 0.000 | 0.000 | 0.000 | 0.000 | 3.581 | 272.466 |
| 345.795 | -70.760 | 297.537 | 4.570 | 0.001 | 0.001 |
| 21.001 | 565.933 | 36.428 | -3.581 | -0.000 | -0.000 |
| 31.473 | 31.473 | 479.153 | 0.000 | 0.000 | 0.000 |
| 3.581 | -3.581 | -0.000 | 253.764 | -0.000 | 0.000 |
| -131.278 | -131.273 | 236.732 | -0.002 | 199.188 | 4.565 |
| -0.000 | -0.000 | -0.000 | -0.000 | 3.581 | 272.466 |
| 565.935 | 21.002 | 36.428 | 3.581 | -0.000 | 0.000 |
| 21.002 | 565.935 | 36.428 | -3.581 | 0.000 | -0.000 |
| 111.441 | 111.440 | 160.930 | 0.000 | -0.000 | -0.000 |
| 3.581 | -3.581 | 0.000 | 253.764 | 0.000 | -0.000 |
| 0.000 | 0.000 | 0.000 | -0.000 | 253.764 | 3.581 |
| 0.000 | 0.000 | 0.000 | 0.000 | 3.581 | 272.466 |
| 565.931 | 21.001 | 36.428 | 3.581 | -0.000 | -0.000 |
| 52.715 | 448.192 | 90.572 | -4.734 | 0.000 | 0.000 |
| 14.011 | 14.016 | 80.644 | -0.002 | 0.001 | 0.001 |
| 3.580 | -3.581 | -0.000 | 253.764 | 0.000 | 0.000 |
| -0.000 | -0.000 | -0.000 | 0.000 | 253.764 | 3.581 |
| -0.000 | -0.000 | -0.000 | -0.000 | 3.581 | 272.466 |
| 614.873 | 0.819 | 128.486 | 0.000 | 8.475 | -0.000 |
| 80.047 | 1145.808 | -114.075 | 0.000 | -5.445 | -0.000 |
| 186.269 | -151.352 | 1203.691 | -0.000 | -105.227 | -0.000 |
| 0.000 | 0.000 | 0.000 | 735.886 | 0.000 | -85.553 |
| -2.867 | 4.227 | -105.227 | -0.000 | 212.151 | -0.000 |
| 0.000 | 0.000 | -0.000 | -95.224 | 0.000 | 254.804 |
| 614.873 | 0.819 | 128.486 | -0.000 | 8.475 | 0.000 |
| 10.573 | 855.682 | 154.418 | 0.000 | -84.868 | -0.000 |
| 107.545 | -217.020 | 1205.494 | -0.000 | -133.843 | 0.000 |
| -0.000 | -0.000 | -0.000 | 735.886 | -0.000 | -85.553 |
| -2.867 | 4.227 | -105.227 | -0.000 | 212.151 | 0.000 |
| -0.000 | -0.000 | -0.000 | -95.224 | -0.000 | 254.804 |
| 559.221 | 33.817 | 110.551 | 0.000 | -26.090 | -0.000 |
| 88.741 | 1074.866 | -29.803 | -0.000 | -23.379 | -0.000 |
| 193.717 | -44.073 | 1082.047 | -0.000 | -81.721 | -0.000 |
| 50.981 | -72.796 | 118.156 | 632.132 | 25.045 | -117.422 |
| -39.575 | 23.386 | -120.517 | -0.000 | 24.035 | 0.000 |
| 7.397 | 18.313 | -14.764 | -144.872 | 5.188 | 211.369 |
| 554.391 | -21.626 | 153.782 | -0.000 | -28.819 | 0.000 |
| 163.887 | 934.989 | 141.082 | -0.000 | 95.461 | 0.000 |
| -88.306 | 349.500 | 496.097 | -0.000 | -362.123 | 0.000 |
| -50.981 | 72.796 | -118.156 | 632.132 | -25.045 | -117.422 |
| -57.657 | 23.365 | -152.084 | -0.000 | 31.446 | 0.000 |
| -7.397 | -18.313 | 14.764 | -144.872 | -5.188 | 211.369 |
| 449.564 | 177.372 | -105.243 | 0.000 | -151.956 | -0.000 |
| 245.047 | 833.333 | 299.975 | -0.000 | 159.451 | -0.000 |
| -18.200 | 251.669 | 650.363 | -0.000 | -326.971 | -0.000 |
| 1.318 | -0.234 | 1.765 | 634.198 | 0.662 | -117.051 |
| -72.130 | 94.136 | -227.546 | 0.000 | -65.636 | -0.000 |
| 1.372 | -1.057 | 2.460 | -126.550 | 0.265 | 201.969 |
| 439.325 | 191.806 | -125.346 | -0.000 | -174.790 | 0.000 |
| 233.184 | 849.309 | 276.075 | -0.000 | 148.410 | 0.000 |
| -38.715 | 271.240 | 618.280 | -0.000 | -316.420 | 0.000 |
| -1.318 | 0.234 | -1.765 | 634.198 | -0.662 | -117.051 |
| -114.452 | 133.731 | -278.778 | -0.000 | -91.200 | 0.000 |
| -1.372 | 1.057 | -2.460 | -126.550 | -0.265 | 201.969 |
| 739.116 | 398.671 | -124.499 | -0.000 | 0.000 | -0.000 |
| 398.671 | 739.116 | -124.499 | -0.000 | 0.000 | -0.000 |
| -161.972 | -161.972 | 1437.518 | -0.000 | -0.000 | 0.000 |
| -0.000 | 0.000 | 0.000 | 523.810 | 0.000 | -0.000 |
| 0.000 | 0.000 | 0.000 | -0.000 | 523.810 | -0.000 |
| 0.002 | 0.002 | -0.003 | -0.000 | -0.000 | 165.966 |
| 913.352 | 306.404 | -188.153 | 0.000 | 0.000 | 0.000 |
| 306.404 | 913.352 | -188.153 | 0.000 | 0.000 | -0.000 |
| -161.976 | -161.976 | 1437.524 | -0.000 | -0.000 | 0.000 |
| -0.000 | -0.000 | -0.000 | 523.810 | 0.000 | 0.000 |
| -0.000 | -0.000 | -0.000 | -0.000 | 523.810 | -0.000 |
| -0.002 | -0.002 | 0.003 | 0.000 | -0.000 | 165.966 |
| 475.418 | 718.982 | -168.462 | -0.000 | 0.000 | 0.000 |
| 718.982 | 475.418 | -168.462 | 0.000 | -0.000 | -0.000 |
| -161.974 | -161.974 | 1437.522 | 0.000 | 0.000 | 0.000 |
| 0.000 | 0.000 | 0.000 | 523.810 | 0.000 | -0.000 |
| 0.000 | 0.000 | 0.000 | 0.000 | 523.810 | -0.000 |
| 0.000 | 0.000 | -0.000 | -0.000 | -0.000 | 165.966 |
| 913.352 | 306.404 | -188.153 | 0.000 | 0.000 | -0.000 |
| 306.404 | 913.352 | -188.153 | 0.000 | -0.000 | 0.000 |
| -181.667 | -181.667 | 1468.106 | -0.000 | 0.000 | 0.000 |
| -0.000 | -0.000 | -0.000 | 523.810 | -0.000 | 0.000 |
| -0.000 | -0.000 | -0.000 | 0.000 | 523.810 | 0.000 |
| -0.000 | -0.000 | 0.000 | 0.000 | 0.000 | 165.966 |
| 475.404 | 719.028 | -168.481 | -0.000 | 0.000 | -0.000 |
| 719.028 | 475.404 | -168.481 | 0.000 | 0.000 | 0.000 |
| -181.668 | -181.668 | 1468.112 | -0.000 | 0.000 | 0.000 |
| 0.000 | 0.001 | 0.000 | 523.810 | 0.000 | -0.000 |
| 0.001 | 0.000 | 0.000 | -0.000 | 523.810 | -0.000 |
| -0.000 | -0.000 | 0.000 | -0.000 | -0.000 | 165.966 |
| 475.435 | 718.926 | -168.439 | 0.000 | -0.000 | 0.000 |
| 718.926 | 475.435 | -168.439 | 0.000 | -0.000 | 0.000 |
| -161.973 | -161.973 | 1437.514 | 0.000 | -0.000 | 0.000 |
| -0.000 | -0.001 | -0.000 | 523.810 | -0.000 | 0.000 |
| -0.001 | -0.000 | -0.000 | -0.000 | 523.810 | 0.000 |
| 0.000 | 0.000 | -0.000 | 0.000 | -0.000 | 165.966 |
| 755.046 | 46.273 | 46.273 | -0.000 | 0.000 | 0.000 |
| 46.273 | 755.046 | 46.273 | 0.000 | 0.000 | 0.000 |
| 46.273 | 46.273 | 755.046 | 0.000 | 0.000 | 0.000 |
| 0.000 | 0.000 | 0.000 | 393.363 | 0.000 | -0.000 |
| 0.000 | 0.000 | 0.000 | -0.000 | 393.363 | -0.000 |
| 0.000 | 0.000 | 0.000 | -0.000 | 0.000 | 393.363 |
| 788.475 | 79.377 | 79.377 | -0.000 | -0.000 | -0.000 |
| 79.377 | 788.475 | 79.377 | -0.000 | -0.000 | -0.000 |
| 79.377 | 79.377 | 788.475 | -0.000 | -0.000 | 0.000 |
| -0.000 | -0.000 | -0.000 | 393.363 | -0.000 | -0.000 |
| -0.000 | -0.000 | -0.000 | -0.000 | 393.363 | 0.000 |
| -0.000 | -0.000 | -0.000 | -0.000 | -0.000 | 393.363 |
| 761.187 | 65.191 | 65.191 | 0.000 | 0.000 | -0.000 |
| 65.191 | 761.187 | 65.191 | 0.000 | -0.000 | -0.000 |
| 65.191 | 65.191 | 761.187 | -0.000 | 0.000 | -0.000 |
| -1.761 | -1.761 | -1.761 | 384.319 | 0.000 | 0.000 |
| -1.761 | -1.761 | -1.761 | -0.000 | 384.319 | 0.000 |
| -1.761 | -1.761 | -1.761 | 0.000 | 0.000 | 384.319 |
| 827.169 | 35.733 | 35.733 | 0.000 | -0.000 | 0.000 |
| 35.733 | 827.169 | 35.733 | -0.000 | -0.000 | 0.000 |
| 35.733 | 35.733 | 827.169 | -0.000 | -0.000 | 0.000 |
| 1.761 | 1.761 | 1.761 | 384.319 | -0.000 | 0.000 |
| 1.761 | 1.761 | 1.761 | -0.000 | 384.319 | 0.000 |
| 1.761 | 1.761 | 1.761 | -0.000 | -0.000 | 384.319 |
| 698.847 | 97.544 | 97.544 | -0.000 | -0.000 | 0.000 |
| 97.544 | 698.847 | 97.544 | 0.000 | 0.000 | -0.000 |
| 97.544 | 97.544 | 698.847 | 0.000 | 0.000 | 0.000 |
| -0.443 | -0.443 | -0.443 | 330.953 | 0.000 | 0.000 |
| -0.640 | -0.640 | -0.639 | -0.000 | 331.233 | -0.000 |
| -0.640 | -0.639 | -0.640 | 0.000 | 0.000 | 331.233 |
| 716.027 | 90.466 | 90.466 | 0.000 | -0.000 | 0.000 |
| 90.466 | 716.027 | 90.466 | 0.000 | -0.000 | 0.000 |
| 90.466 | 90.466 | 716.027 | -0.000 | -0.000 | -0.000 |
| 0.443 | 0.443 | 0.443 | 330.953 | -0.000 | 0.000 |
| 0.640 | 0.640 | 0.639 | -0.000 | 331.233 | -0.000 |
| 0.640 | 0.639 | 0.640 | -0.000 | -0.000 | 331.233 |
| 489.198 | 17.250 | 17.250 | 0.000 | -0.000 | 0.000 |
| 17.250 | 489.198 | 17.250 | 0.000 | -0.000 | 0.000 |
| 17.250 | 17.250 | 489.198 | 0.000 | -0.000 | 0.000 |
| 0.000 | 0.000 | 0.000 | 167.710 | -0.000 | 0.000 |
| 0.000 | 0.000 | 0.000 | -0.000 | 167.710 | 0.000 |
| 0.000 | 0.000 | 0.000 | 0.000 | -0.000 | 167.710 |
| 489.198 | 17.250 | 17.250 | -0.000 | -0.000 | -0.000 |
| 17.250 | 489.198 | 17.250 | -0.000 | 0.000 | -0.000 |
| 17.250 | 17.250 | 489.198 | -0.000 | -0.000 | -0.000 |
| -0.000 | -0.000 | -0.000 | 167.710 | 0.000 | -0.000 |
| -0.000 | -0.000 | -0.000 | 0.000 | 167.710 | -0.000 |
| -0.000 | -0.000 | -0.000 | 0.000 | 0.000 | 167.710 |
| 183.583 | 51.201 | 51.201 | -0.000 | -0.000 | 0.000 |
| 51.201 | 183.583 | 51.201 | -0.000 | -0.000 | 0.000 |
| 51.201 | 51.201 | 183.583 | -0.000 | -0.000 | 0.000 |
| 0.000 | -0.000 | 0.000 | 239.110 | 0.000 | 0.000 |
| 0.000 | -0.000 | 0.000 | 0.000 | 239.110 | 0.000 |
| 0.000 | 0.000 | 0.000 | 0.000 | -0.000 | 239.110 |
| 183.590 | 51.199 | 51.199 | 0.000 | 0.000 | -0.000 |
| 51.199 | 183.590 | 51.199 | 0.000 | 0.000 | -0.000 |
| 51.199 | 51.199 | 183.590 | 0.000 | 0.000 | -0.000 |
| -0.000 | 0.000 | -0.000 | 239.110 | -0.000 | -0.000 |
| -0.000 | 0.000 | -0.000 | -0.000 | 239.110 | -0.000 |
| -0.000 | -0.000 | -0.000 | -0.000 | -0.000 | 239.110 |
| 141.506 | 32.349 | 32.349 | -0.000 | -0.000 | -0.000 |
| 32.349 | 141.506 | 32.349 | -0.000 | -0.000 | -0.000 |
| 32.349 | 32.349 | 141.506 | -0.000 | -0.000 | -0.000 |
| 0.000 | -0.000 | 0.000 | 167.710 | -0.000 | 0.000 |
| -0.000 | 0.000 | 0.000 | 0.000 | 167.710 | 0.000 |
| -0.000 | 0.000 | 0.000 | -0.000 | 0.000 | 167.710 |
| 98.721 | -0.893 | -0.893 | 0.000 | 0.000 | 0.000 |
| -0.893 | 98.721 | -0.893 | 0.000 | 0.000 | 0.000 |
| -0.893 | -0.893 | 98.721 | 0.000 | 0.000 | 0.000 |
| -0.000 | 0.000 | -0.000 | 167.710 | 0.000 | -0.000 |
| 0.000 | -0.000 | -0.000 | 0.000 | 167.710 | -0.000 |
| 0.000 | -0.000 | -0.000 | 0.000 | 0.000 | 167.710 |
| 3557.704 | 3942.896 | 3942.897 | -0.000 | -0.000 | -0.000 |
| 3942.895 | 3557.704 | 3942.897 | -0.000 | -0.000 | -0.000 |
| 5678.072 | 5678.070 | 5176.097 | -0.000 | -0.000 | -0.000 |
| 80.928 | 80.928 | 80.929 | 171.347 | -0.000 | -0.000 |
| 80.928 | 80.928 | 80.929 | -0.000 | 171.347 | -0.000 |
| 80.928 | 80.928 | 80.929 | -0.000 | -0.000 | 171.347 |
| 5.175 | -258.987 | -258.988 | 0.000 | 0.000 | 0.000 |
| -258.987 | 5.175 | -258.988 | 0.000 | 0.000 | 0.000 |
| -259.002 | -259.002 | 5.155 | 0.000 | 0.000 | 0.000 |
| -80.928 | -80.928 | -80.929 | 171.347 | 0.000 | 0.000 |
| -80.928 | -80.928 | -80.929 | 0.000 | 171.347 | 0.000 |
| -80.928 | -80.928 | -80.929 | 0.000 | 0.000 | 171.347 |
| 384.407 | 51.450 | 51.450 | -0.000 | -0.000 | -0.000 |
| 51.450 | 384.407 | 51.450 | -0.000 | -0.000 | -0.000 |
| 51.450 | 51.450 | 384.407 | -0.000 | -0.000 | -0.000 |
| 30.345 | 30.345 | 30.345 | 138.609 | -0.000 | -0.000 |
| 30.345 | 30.345 | 30.345 | -0.000 | 138.609 | -0.000 |
| 30.345 | 30.345 | 30.345 | -0.000 | -0.000 | 138.609 |
| 367.819 | 35.243 | 35.243 | 0.000 | 0.000 | 0.000 |
| 35.243 | 367.819 | 35.243 | 0.000 | 0.000 | 0.000 |
| 35.243 | 35.243 | 367.819 | 0.000 | 0.000 | 0.000 |
| -30.345 | -30.345 | -30.345 | 138.609 | 0.000 | 0.000 |
| -30.345 | -30.345 | -30.345 | 0.000 | 138.609 | 0.000 |
| -30.345 | -30.345 | -30.345 | 0.000 | 0.000 | 138.609 |
| -66.201 | -100.895 | -100.895 | -0.000 | -0.000 | -0.000 |
| -100.895 | -66.201 | -100.895 | -0.000 | -0.000 | -0.000 |
| -100.895 | -100.895 | -66.201 | -0.000 | -0.000 | -0.000 |
| -10.996 | -10.996 | -10.996 | -7.687 | -0.000 | -0.000 |
| -4.341 | -4.342 | -4.341 | -0.000 | 21.734 | -0.000 |
| -10.996 | -10.996 | -10.996 | -0.000 | -0.000 | -7.687 |
| -57.627 | -95.283 | -95.283 | 0.000 | 0.000 | 0.000 |
| 3.997 | 17.284 | 3.997 | 0.000 | 0.000 | 0.000 |
| -95.283 | -95.283 | -57.627 | 0.000 | 0.000 | 0.000 |
| -0.000 | -0.000 | -0.000 | 232.269 | -0.000 | 0.000 |
| 4.341 | 4.342 | 4.341 | 0.000 | 21.734 | 0.000 |
| 10.996 | 10.996 | 10.996 | -0.000 | 0.000 | -7.687 |
| 957.314 | 27.160 | 15.805 | 0.000 | 0.000 | 0.000 |
| 27.137 | 965.898 | 0.146 | 0.000 | -0.000 | 0.000 |
| 16.303 | -0.353 | 31.659 | 0.000 | -0.000 | 0.000 |
| -1.038 | 1.037 | 0.013 | 4.305 | -0.000 | 0.000 |
| -0.558 | 0.558 | 0.007 | 0.000 | 6.255 | 0.000 |
| -0.253 | 0.253 | 0.003 | 0.000 | -0.000 | 467.344 |
| 957.821 | 26.653 | 15.799 | -0.000 | 0.000 | -0.000 |
| 27.644 | 965.392 | 0.140 | -0.000 | 0.000 | -0.000 |
| 16.881 | -0.931 | 31.652 | -0.000 | -0.000 | -0.000 |
| 1.038 | -1.037 | -0.013 | 4.305 | 0.000 | -0.000 |
| 0.558 | -0.558 | -0.007 | -0.000 | 6.255 | -0.000 |
| 0.253 | -0.253 | -0.003 | -0.000 | 0.000 | 467.344 |
| 957.560 | 26.914 | 15.802 | 0.000 | -0.000 | 0.000 |
| 27.350 | 965.686 | 0.143 | 0.000 | 0.000 | 0.000 |
| 16.035 | -0.086 | 31.662 | 0.000 | -0.000 | 0.000 |
| 0.065 | -0.065 | -0.001 | 3.975 | -0.000 | -0.000 |
| -0.056 | 0.056 | 0.001 | 0.000 | 6.255 | 0.000 |
| -0.025 | 0.025 | 0.000 | 0.000 | -0.000 | 467.360 |
| 957.609 | 26.865 | 15.802 | -0.000 | -0.000 | -0.000 |
| 27.399 | 965.637 | 0.143 | -0.000 | 0.000 | -0.000 |
| 16.085 | -0.136 | 31.661 | 0.000 | 0.000 | -0.000 |
| -0.065 | 0.065 | 0.001 | 3.975 | 0.000 | 0.000 |
| 0.056 | -0.056 | -0.001 | -0.000 | 6.255 | -0.000 |
| 0.025 | -0.025 | -0.000 | -0.000 | -0.000 | 467.360 |
| 957.592 | 26.885 | 15.802 | 0.000 | -0.000 | 0.000 |
| 27.379 | 965.660 | 0.143 | 0.000 | -0.000 | 0.000 |
| 16.044 | -0.095 | 31.662 | 0.000 | -0.000 | 0.000 |
| 0.007 | -0.007 | -0.000 | 3.972 | -0.000 | -0.000 |
| -0.006 | 0.006 | 0.000 | 0.000 | 6.255 | 0.000 |
| -0.003 | 0.003 | 0.000 | 0.000 | 0.000 | 467.360 |
| 957.576 | 26.894 | 15.802 | -0.000 | 0.000 | -0.000 |
| 27.369 | 965.663 | 0.143 | -0.000 | -0.000 | -0.000 |
| 16.049 | -0.100 | 31.662 | -0.000 | -0.000 | -0.000 |
| -0.007 | 0.007 | 0.000 | 3.972 | 0.000 | 0.000 |
| 0.006 | -0.006 | -0.000 | -0.000 | 6.255 | -0.000 |
| 0.003 | -0.003 | -0.000 | -0.000 | -0.000 | 467.360 |
| 957.559 | 26.910 | 15.806 | 0.000 | 0.000 | -0.000 |
| -35.948 | 1028.994 | 0.924 | 0.000 | -0.000 | -0.000 |
| 16.040 | -0.086 | 31.669 | 0.000 | -0.000 | -0.000 |
| -0.000 | 0.000 | 0.000 | 3.972 | 0.000 | -0.000 |
| -0.000 | 0.000 | 0.000 | 0.000 | 6.255 | -0.000 |
| 0.000 | -0.000 | -0.000 | 0.000 | -0.000 | 467.372 |
| 957.559 | 26.911 | 15.806 | 0.000 | 0.000 | 0.000 |
| 27.374 | 965.726 | 0.144 | 0.000 | 0.000 | 0.000 |
| 16.040 | -0.086 | 31.669 | 0.000 | 0.000 | 0.000 |
| 0.000 | -0.000 | -0.000 | 3.972 | -0.000 | 0.000 |
| 0.000 | -0.000 | -0.000 | -0.000 | 6.255 | 0.000 |
| -0.000 | 0.000 | 0.000 | -0.000 | 0.000 | 467.372 |
| 957.560 | 26.910 | 15.806 | 0.000 | -0.000 | -0.000 |
| 27.375 | 965.725 | 0.144 | 0.000 | 0.000 | -0.000 |
| 16.040 | -0.086 | 31.669 | -0.000 | -0.000 | -0.000 |
| -0.000 | 0.000 | 0.000 | 3.972 | -0.000 | -0.000 |
| -0.000 | 0.000 | 0.000 | 0.000 | 6.255 | -0.000 |
| -0.000 | 0.000 | 0.000 | 0.000 | -0.000 | 467.372 |
| 957.558 | 26.911 | 15.806 | -0.000 | 0.000 | 0.000 |
| 27.453 | 965.647 | 0.143 | 0.000 | 0.000 | 0.000 |
| 16.040 | -0.086 | 31.669 | -0.000 | 0.000 | 0.000 |
| 0.000 | -0.000 | -0.000 | 3.972 | 0.000 | 0.000 |
| 0.000 | -0.000 | -0.000 | -0.000 | 6.255 | 0.000 |
| 0.000 | -0.000 | -0.000 | -0.000 | 0.000 | 467.372 |
| 957.570 | 26.904 | 15.806 | 0.000 | -0.000 | -0.000 |
| 27.382 | 965.722 | 0.144 | 0.000 | -0.000 | -0.000 |
| 16.040 | -0.086 | 31.669 | -0.000 | 0.000 | -0.000 |
| -0.000 | 0.000 | -0.000 | 3.972 | 0.000 | -0.000 |
| -0.000 | -0.000 | 0.000 | -0.000 | 6.255 | -0.000 |
| -0.000 | 0.001 | 0.000 | 0.000 | -0.000 | 467.372 |
| 957.548 | 26.917 | 15.806 | 0.000 | 0.000 | 0.000 |
| 27.367 | 965.730 | 0.144 | 0.000 | 0.000 | -0.000 |
| 16.040 | -0.086 | 31.669 | 0.000 | 0.000 | 0.000 |
| 0.000 | -0.000 | 0.000 | 3.972 | 0.000 | 0.000 |
| 0.000 | 0.000 | -0.000 | 0.000 | 6.255 | 0.000 |
| 0.000 | -0.001 | -0.000 | -0.000 | 0.000 | 467.372 |
| 322.420 | -727.877 | 746.724 | -0.848 | -0.115 | 0.005 |
| 21.109 | 410.243 | 9.358 | 0.000 | 0.000 | 0.000 |
| 127.825 | -742.276 | 975.073 | -0.848 | -0.115 | 0.005 |
| 0.000 | -0.000 | 0.000 | 184.020 | 0.000 | -0.000 |
| -1099.787 | -308.861 | 932.765 | -0.789 | -7.870 | 0.001 |
| -1100.269 | -308.886 | 932.671 | -0.790 | -0.033 | 48.124 |
| 920.077 | 49.269 | -706.912 | 0.453 | 0.078 | -0.004 |
| 21.109 | 410.243 | 9.358 | -0.000 | -0.000 | -0.000 |
| -21.010 | 797.754 | -404.253 | 0.841 | 0.114 | -0.005 |
| -0.000 | 0.000 | -0.000 | 184.020 | -0.000 | 0.000 |
| 1099.785 | 308.859 | -932.764 | 0.789 | -7.804 | -0.001 |
| -0.000 | -0.000 | 0.000 | -0.000 | -0.000 | 181.624 |
| 179.905 | -6.744 | 149.654 | -0.044 | -0.000 | 0.000 |
| 25.934 | 195.315 | 102.110 | -0.036 | 0.001 | 0.000 |
| -32.458 | 4.818 | 195.022 | -0.043 | -0.009 | 0.000 |
| 7.411 | -76.785 | 68.801 | 117.812 | -0.011 | 0.000 |
| -78.252 | 0.311 | 77.497 | -0.045 | 55.194 | 0.000 |
| -77.184 | 2.920 | 75.971 | -0.040 | -0.006 | 78.775 |
| 221.203 | 72.235 | -17.641 | 0.028 | -0.002 | 0.000 |
| 143.836 | 112.091 | -80.274 | 0.024 | 0.006 | -0.000 |
| 45.571 | 107.567 | 214.275 | 0.084 | 0.011 | -0.000 |
| -7.414 | 76.811 | -68.824 | 117.958 | 0.011 | -0.000 |
| 78.256 | -0.310 | -77.499 | 0.045 | 55.209 | -0.000 |
| 77.183 | -2.920 | -75.971 | 0.040 | 0.006 | 78.775 |
| -4.996 | -11.913 | -17.210 | -0.004 | 0.000 | 0.000 |
| 22.298 | 79.366 | 1.750 | -0.006 | -0.000 | 0.000 |
| -32.552 | -19.509 | 14.098 | -0.007 | 0.001 | 0.000 |
| -9.799 | 0.604 | 7.639 | 24.171 | -0.001 | 0.000 |
| -8.838 | 1.656 | 6.417 | -0.002 | 24.045 | 0.000 |
| -6.398 | 4.198 | 1.363 | -0.004 | -0.002 | 25.061 |
| 27.442 | -7.093 | 10.214 | 0.008 | 0.000 | -0.000 |
| 24.243 | -75.278 | -10.493 | 0.001 | 0.000 | 0.000 |
| -7.516 | -30.457 | 16.800 | 0.007 | -0.000 | -0.000 |
| 8.540 | 2.293 | -7.870 | 30.168 | 0.000 | -0.000 |
| 8.838 | -1.655 | -6.418 | 0.002 | 24.046 | -0.000 |
| 6.398 | -4.198 | -1.363 | 0.004 | 0.002 | 25.061 |
| -4652.539 | -4713.737 | 11557.246 | 0.000 | 0.000 | 0.000 |
| -4713.737 | -4652.539 | 11557.246 | -0.000 | -0.000 | 0.000 |
| -4725.779 | -4725.779 | 11493.504 | 0.000 | -0.000 | 0.000 |
| 0.000 | 0.000 | 0.000 | 244.251 | -0.000 | 0.000 |
| 0.000 | 0.000 | 0.000 | 0.000 | 244.251 | 0.000 |
| 0.000 | 0.000 | 0.000 | 0.000 | -0.000 | 260.296 |
| 1738.090 | 1385.535 | -2539.584 | -0.000 | 0.000 | -0.000 |
| 1385.535 | 1738.090 | -2539.584 | -0.000 | -0.000 | -0.000 |
| 1383.063 | 1383.063 | -2233.838 | -0.000 | 0.000 | -0.000 |
| -0.000 | -0.000 | -0.000 | 244.251 | 0.000 | -0.000 |
| -0.000 | -0.000 | 0.000 | 0.000 | 244.251 | -0.000 |
| -0.000 | -0.000 | -0.000 | -0.000 | 0.000 | 260.296 |
| 531.333 | 5.166 | 29.053 | 0.000 | -0.000 | 0.000 |
| 5.166 | 531.333 | 29.053 | 0.000 | 0.000 | 0.000 |
| -76.434 | -76.434 | 620.467 | -0.000 | -0.000 | 0.000 |
| 0.000 | 0.000 | 0.000 | 244.251 | -0.000 | 0.000 |
| 0.000 | 0.000 | 0.000 | 0.000 | 244.251 | 0.000 |
| 0.000 | 0.000 | 0.000 | -0.000 | -0.000 | 260.296 |
| 542.219 | 194.039 | -204.120 | -0.000 | -0.000 | -0.000 |
| 194.039 | 542.219 | -204.120 | -0.000 | 0.000 | -0.000 |
| 29.488 | 29.488 | 452.773 | -0.000 | 0.000 | -0.000 |
| -0.000 | -0.000 | -0.000 | 244.251 | 0.000 | -0.000 |
| -0.000 | -0.000 | -0.000 | 0.000 | 244.251 | -0.000 |
| -0.000 | -0.000 | -0.000 | 0.000 | 0.000 | 260.296 |
| 187.165 | 8.859 | 113.850 | 0.000 | -0.000 | 0.000 |
| -29.054 | 157.834 | 110.434 | 0.000 | 0.000 | -0.000 |
| 58.903 | 58.903 | 338.354 | -0.000 | 0.000 | 0.000 |
| -19.054 | -19.054 | 40.207 | 109.426 | -0.000 | 0.000 |
| -19.054 | -19.054 | 40.207 | 0.000 | 109.426 | 0.000 |
| -21.571 | -21.571 | 45.407 | 0.000 | -0.000 | 126.241 |
| 244.323 | 49.828 | 5.006 | 0.000 | 0.000 | -0.000 |
| 25.839 | 197.667 | -86.503 | -0.000 | -0.000 | 0.000 |
| 19.126 | 19.126 | -111.750 | -0.000 | 0.000 | -0.000 |
| 19.054 | 19.054 | -40.207 | 109.426 | 0.000 | -0.000 |
| 19.054 | 19.054 | -40.207 | -0.000 | 109.426 | -0.000 |
| 21.571 | 21.571 | -45.407 | -0.000 | -0.000 | 126.241 |
| 238.629 | 294.284 | -110.505 | -0.000 | 0.000 | -0.000 |
| -30.239 | 581.870 | -112.139 | -0.000 | 0.000 | 0.000 |
| 547.739 | 397.458 | -501.438 | -0.000 | -0.000 | -0.000 |
| 0.000 | -0.000 | 0.000 | 230.096 | -0.000 | 0.000 |
| -92.258 | 232.283 | -163.003 | -0.000 | 163.794 | 0.000 |
| -92.265 | 232.302 | -163.016 | -0.000 | 0.000 | 140.076 |
| -3020.791 | 125.624 | 2516.062 | -0.000 | -0.000 | 0.000 |
| 154.364 | 117.084 | 214.020 | 0.000 | -0.000 | -0.000 |
| -463.989 | -358.368 | 1262.221 | 0.000 | -0.000 | -0.000 |
| -0.000 | -0.000 | -0.000 | 230.096 | 0.000 | 0.000 |
| 92.258 | -232.283 | 163.003 | 0.000 | 163.794 | -0.000 |
| 92.265 | -232.302 | 163.016 | 0.000 | -0.000 | 140.076 |
| 323.595 | 85.000 | 35.225 | -0.000 | 0.000 | -0.000 |
| 100.796 | 321.176 | -51.070 | -0.000 | 0.000 | -0.000 |
| 72.060 | 54.128 | 304.637 | 0.000 | 0.000 | -0.000 |
| 199.701 | 0.642 | -190.888 | -65.197 | 0.000 | 0.000 |
| -9.179 | 23.111 | -16.218 | -0.000 | 164.140 | 0.000 |
| -9.247 | 23.283 | -16.338 | -0.000 | 0.000 | 139.931 |
| 435.618 | 36.399 | 12.305 | -0.000 | 0.000 | 0.000 |
| 71.710 | 324.794 | 67.894 | 0.000 | -0.000 | -0.000 |
| -102.120 | 62.598 | 144.438 | 0.000 | -0.000 | 0.000 |
| -0.000 | -0.000 | -0.000 | 230.096 | 0.000 | -0.000 |
| 9.179 | -23.111 | 16.218 | -0.000 | 164.140 | -0.000 |
| 9.247 | -23.283 | 16.338 | 0.000 | -0.000 | 139.931 |
| 124.867 | 63.701 | 50.455 | -0.000 | 0.000 | 0.000 |
| 68.020 | 144.415 | 40.367 | -0.000 | 0.000 | 0.000 |
| 41.497 | 38.244 | 150.200 | -0.000 | 0.000 | 0.000 |
| -0.848 | 2.134 | -1.498 | 163.652 | 0.000 | 0.000 |
| 7.450 | 1.300 | -8.487 | -0.000 | 86.479 | -0.000 |
| 3.251 | 4.680 | -8.056 | -0.000 | 0.000 | 81.057 |
| 18.086 | -0.948 | 24.262 | 0.000 | -0.000 | 0.000 |
| 32.397 | 107.299 | 40.252 | 0.000 | -0.000 | 0.000 |
| 46.367 | 44.172 | 221.830 | -0.000 | 0.000 | -0.000 |
| 0.848 | -2.134 | 1.498 | 163.652 | -0.000 | 0.000 |
| -7.450 | -1.300 | 8.487 | 0.000 | 86.479 | 0.000 |
| -3.251 | -4.680 | 8.056 | 0.000 | -0.000 | 81.057 |
| 687.889 | 348.196 | 348.196 | 0.000 | 0.000 | -0.000 |
| 348.196 | 687.889 | 348.196 | 0.000 | 0.000 | 0.000 |
| 348.196 | 348.196 | 687.889 | -0.000 | -0.000 | -0.000 |
| 0.000 | 0.000 | 0.000 | 165.831 | -0.000 | 0.000 |
| 0.000 | 0.000 | 0.000 | 0.000 | 165.831 | 0.000 |
| 0.000 | 0.000 | 0.000 | 0.000 | 0.000 | 165.831 |
| 687.889 | 348.196 | 348.196 | -0.000 | -0.000 | -0.000 |
| 348.196 | 687.889 | 348.196 | -0.000 | -0.000 | 0.000 |
| 348.196 | 348.196 | 687.889 | 0.000 | -0.000 | 0.000 |
| -0.000 | -0.000 | -0.000 | 165.831 | 0.000 | -0.000 |
| -0.000 | -0.000 | -0.000 | -0.000 | 165.831 | -0.000 |
| -0.000 | -0.000 | -0.000 | -0.000 | -0.000 | 165.831 |
| 687.889 | 348.196 | 348.196 | 0.000 | 0.000 | -0.000 |
| 348.196 | 687.889 | 348.196 | 0.000 | 0.000 | 0.000 |
| 348.196 | 348.196 | 687.889 | 0.000 | -0.000 | -0.000 |
| 0.000 | 0.000 | 0.000 | 122.400 | -0.000 | 0.000 |
| 0.000 | 0.000 | 0.000 | 0.000 | 122.400 | 0.000 |
| 0.000 | 0.000 | 0.000 | 0.000 | -0.000 | 122.400 |
| 687.888 | 348.196 | 348.196 | -0.000 | -0.000 | 0.000 |
| 348.196 | 687.888 | 348.196 | -0.000 | 0.000 | 0.000 |
| 348.196 | 348.196 | 687.888 | 0.000 | -0.000 | -0.000 |
| -0.000 | -0.000 | -0.000 | 122.400 | 0.000 | 0.000 |
| -0.000 | -0.000 | -0.000 | -0.000 | 122.400 | -0.000 |
| -0.000 | -0.000 | -0.000 | -0.000 | 0.000 | 122.400 |
| 687.891 | 348.197 | 348.197 | 0.000 | 0.000 | 0.000 |
| 348.197 | 687.891 | 348.197 | 0.000 | -0.000 | -0.000 |
| 348.197 | 348.197 | 687.891 | 0.000 | 0.000 | 0.000 |
| 0.000 | 0.000 | 0.000 | 122.400 | 0.000 | -0.000 |
| 0.000 | 0.000 | 0.000 | 0.000 | 122.400 | -0.000 |
| 0.000 | 0.000 | 0.000 | 0.000 | 0.000 | 122.400 |
| 687.887 | 348.195 | 348.195 | -0.000 | -0.000 | -0.000 |
| 348.195 | 687.887 | 348.195 | -0.000 | -0.000 | -0.000 |
| 348.195 | 348.195 | 687.887 | -0.000 | -0.000 | -0.000 |
| -0.000 | -0.000 | -0.000 | 122.400 | 0.000 | -0.000 |
| -0.000 | -0.000 | -0.000 | -0.000 | 122.400 | 0.000 |
| -0.000 | -0.000 | -0.000 | -0.000 | -0.000 | 122.400 |
| -132035.874 | -226038.932 | -242356.231 | -88625.753 | 39381.106 | 19931.029 |
| -116659.849 | -64460.872 | -102029.724 | 7594.197 | -16220.333 | -23162.349 |
| -112911.529 | -139898.076 | -79594.370 | -43846.213 | -18959.541 | 33630.648 |
| 0.012 | 0.001 | 0.001 | 0.001 | -0.003 | -0.003 |
| 0.009 | 0.007 | 0.009 | 0.004 | 0.009 | 0.004 |
| -0.004 | -0.004 | -0.012 | 0.002 | 0.002 | -0.004 |
| -0.000 | -0.000 | -0.000 | -0.000 | -0.000 | -0.000 |
| -0.000 | -0.000 | -0.000 | -0.000 | -0.000 | -0.000 |
| -0.000 | -0.000 | -0.000 | -0.000 | -0.000 | -0.000 |
| -0.014 | -0.001 | -0.001 | 0.001 | -0.001 | 0.001 |
| -0.007 | -0.015 | -0.007 | -0.002 | 0.007 | 0.002 |
| 42424077.164 | 42424078.012 | 0.038 | 0.002 | -0.002 | -42424077.588 |
| -28718.320 | -23198.565 | -31362.327 | -2244.309 | -6993.971 | -1562.532 |
| -21329.897 | -10622.980 | -32998.420 | -2265.655 | 7482.579 | -1035.140 |
| -43138.381 | -49319.901 | -30514.665 | -3374.129 | -9499.480 | 22610.590 |
| -0.005 | -4242408.773 | -4242409.621 | -4242409.197 | -0.000 | -0.000 |
| -4242408.773 | -0.005 | -4242409.621 | -0.000 | -4242409.197 | -0.000 |
| -4242408.773 | -4242409.621 | -0.005 | -0.000 | -0.000 | -4242409.197 |
| -0.000 | -0.000 | -0.000 | -0.000 | -0.000 | -0.000 |
| -0.000 | -0.000 | -0.000 | -0.000 | -0.000 | -0.000 |
| -0.000 | -0.000 | -0.000 | -0.000 | -0.000 | -0.000 |
| 0.005 | 4242408.773 | 4242409.621 | -4242409.197 | 0.000 | -0.000 |
| 4242408.773 | 0.005 | 4242409.621 | 0.000 | -4242409.197 | -0.000 |
| 4242408.773 | 4242409.621 | 0.005 | 0.000 | -0.000 | -4242409.197 |
| -1710.286 | 302.615 | -372.220 | -460.445 | 295.361 | 119.554 |
| -258.979 | -1612.976 | -1399.722 | 454.493 | -890.789 | -277.859 |
| -228.188 | 388.001 | -1772.838 | -149.591 | -515.792 | -160.106 |
| -0.012 | -424241.929 | -424242.777 | -424242.353 | -0.000 | -0.000 |
| -424241.929 | -0.012 | -424242.777 | -0.000 | -424242.353 | -0.000 |
| -424241.929 | -424242.777 | -0.012 | -0.000 | -0.000 | -424242.353 |
| -0.000 | -0.000 | -0.000 | -0.000 | -0.000 | -0.000 |
| -0.000 | -0.000 | -0.000 | -0.000 | -0.000 | -0.000 |
| -0.000 | -0.000 | -0.000 | -0.000 | -0.000 | -0.000 |
| 0.012 | 424241.929 | 424242.777 | -424242.353 | 0.000 | -0.000 |
| 424241.929 | 0.012 | 424242.777 | 0.000 | -424242.353 | -0.000 |
| 424241.929 | 424242.777 | 0.012 | 0.000 | -0.000 | -424242.353 |
| 342.228 | 275.270 | 254.767 | 0.000 | -0.000 | 0.000 |
| 275.270 | 342.228 | 254.767 | -0.000 | 0.000 | 0.000 |
| 248.419 | 248.419 | 291.887 | -0.000 | 0.000 | 0.000 |
| -0.047 | -0.047 | -0.242 | 100.368 | -0.000 | 0.000 |
| -0.047 | -0.047 | -0.242 | -0.000 | 100.368 | 0.000 |
| -0.019 | -0.019 | -0.098 | 0.000 | 0.000 | 198.741 |
| 347.071 | 280.102 | 279.575 | -0.000 | -0.000 | -0.000 |
| 280.102 | 347.071 | 279.575 | -0.000 | -0.000 | -0.000 |
| 248.473 | 248.473 | 292.164 | 0.000 | -0.000 | -0.000 |
| 0.047 | 0.047 | 0.242 | 100.368 | -0.000 | -0.000 |
| 0.047 | 0.047 | 0.242 | -0.000 | 100.368 | -0.000 |
| 0.019 | 0.019 | 0.098 | 0.000 | -0.000 | 198.741 |
| 342.252 | 275.295 | 254.892 | -0.000 | -0.000 | 0.000 |
| 275.295 | 342.252 | 254.892 | -0.000 | 0.000 | 0.000 |
| 273.088 | 273.088 | 418.399 | -0.000 | -0.000 | 0.000 |
| -0.005 | -0.005 | -0.024 | 100.368 | 0.000 | 0.000 |
| -0.005 | -0.005 | -0.024 | -0.000 | 100.368 | 0.000 |
| 0.000 | 0.000 | 0.000 | -0.000 | 0.000 | 198.741 |
| 347.071 | 280.102 | 279.575 | 0.000 | 0.000 | -0.000 |
| 280.102 | 347.071 | 279.575 | 0.000 | -0.000 | -0.000 |
| 248.449 | 248.449 | 292.039 | 0.000 | -0.000 | -0.000 |
| 0.005 | 0.005 | 0.024 | 100.368 | -0.000 | -0.000 |
| 0.005 | 0.005 | 0.024 | 0.000 | 100.368 | -0.000 |
| -0.000 | -0.000 | -0.000 | 0.000 | -0.000 | 198.741 |
| 342.255 | 275.298 | 254.905 | 0.000 | 0.000 | 0.000 |
| 275.298 | 342.255 | 254.905 | -0.000 | 0.000 | 0.000 |
| 248.446 | 248.446 | 292.025 | -0.000 | 0.000 | 0.000 |
| -0.001 | -0.001 | -0.003 | 100.368 | 0.000 | 0.000 |
| -0.001 | -0.001 | -0.003 | -0.000 | 100.368 | 0.000 |
| 0.000 | 0.000 | -0.000 | -0.000 | 0.000 | 198.741 |
| 347.070 | 280.101 | 279.575 | 0.000 | -0.000 | -0.000 |
| 280.101 | 347.070 | 279.575 | -0.000 | 0.000 | -0.000 |
| 248.446 | 248.446 | 292.026 | 0.000 | -0.000 | -0.000 |
| 0.001 | 0.001 | 0.003 | 100.368 | -0.000 | -0.000 |
| 0.001 | 0.001 | 0.003 | 0.000 | 100.368 | -0.000 |
| -0.000 | -0.000 | 0.000 | 0.000 | -0.000 | 198.741 |
| 541.312 | 289.920 | 285.193 | 24.378 | 0.000 | -0.001 |
| 230.649 | 608.469 | 257.902 | -8.678 | 0.000 | -0.000 |
| 261.375 | 261.375 | 398.419 | -0.000 | -0.000 | -0.000 |
| 25.815 | -32.509 | 26.811 | 121.272 | 0.000 | -0.001 |
| -3.350 | -3.344 | 26.810 | 0.001 | 121.272 | 29.164 |
| -0.000 | -0.000 | -0.000 | -0.000 | 8.678 | 188.910 |
| 546.753 | 294.725 | 244.173 | 24.298 | -0.000 | 0.000 |
| 321.427 | 518.802 | 234.985 | -4.559 | -0.000 | 0.000 |
| 271.280 | 271.275 | 321.432 | -0.001 | -0.000 | 0.001 |
| 8.678 | -8.678 | 0.000 | 156.806 | 0.000 | 0.000 |
| 3.350 | 3.344 | -26.810 | -0.001 | 121.272 | 29.165 |
| 0.000 | 0.000 | 0.000 | 0.000 | 8.678 | 188.910 |
| 608.469 | 230.649 | 257.902 | 8.678 | -0.000 | 0.000 |
| 318.713 | 512.390 | 273.033 | -4.389 | 0.000 | -0.000 |
| 268.527 | 268.527 | 345.444 | -0.000 | -0.000 | 0.000 |
| 8.678 | -8.678 | 0.000 | 156.806 | -0.000 | -0.000 |
| -0.355 | -0.355 | 2.976 | 0.000 | 102.153 | 7.496 |
| -0.252 | -0.252 | 2.018 | 0.000 | 24.101 | 126.809 |
| 608.469 | 230.649 | 257.902 | 8.678 | 0.000 | -0.000 |
| 230.648 | 608.469 | 257.902 | -8.678 | 0.000 | -0.000 |
| 268.994 | 268.995 | 341.082 | 0.000 | 0.000 | -0.000 |
| 7.851 | -7.142 | -2.976 | 102.153 | -0.000 | 0.000 |
| 0.355 | 0.355 | -2.976 | -0.000 | 102.153 | 7.496 |
| 0.252 | 0.252 | -2.018 | -0.000 | 24.101 | 126.809 |
| 544.526 | 291.815 | 264.784 | 24.214 | 0.000 | -0.000 |
| 291.827 | 544.514 | 264.785 | -24.217 | 0.000 | -0.000 |
| 261.376 | 261.376 | 398.420 | -0.000 | -0.000 | -0.000 |
| 15.982 | -16.064 | 0.355 | 99.572 | 0.000 | -0.000 |
| -0.036 | -0.036 | 0.288 | 0.000 | 118.700 | 30.647 |
| -0.025 | -0.025 | 0.202 | -0.000 | 24.099 | 126.815 |
| 544.567 | 291.871 | 264.375 | 24.215 | -0.000 | 0.000 |
| 230.648 | 608.467 | 257.901 | -8.678 | 0.000 | 0.000 |
| 268.577 | 268.577 | 343.062 | -0.000 | -0.000 | 0.000 |
| 8.678 | -8.678 | -0.000 | 156.806 | 0.000 | 0.000 |
| 0.036 | 0.036 | -0.288 | -0.000 | 118.700 | 30.647 |
| 0.025 | 0.025 | -0.202 | 0.000 | 24.099 | 126.815 |
| 609.092 | 225.373 | 262.315 | 10.108 | 0.000 | 0.000 |
| 309.259 | 533.023 | 228.008 | -7.964 | 0.000 | -0.000 |
| 262.315 | 262.315 | 405.086 | 0.000 | 0.000 | 0.000 |
| 11.655 | -2.917 | -34.851 | 107.626 | 0.000 | 0.000 |
| 4.369 | 4.369 | -34.851 | 0.000 | 107.626 | 7.286 |
| 3.244 | 3.244 | -27.337 | 0.000 | 24.715 | 133.476 |
| 528.672 | 293.153 | 310.096 | 8.410 | -0.000 | -0.000 |
| 293.153 | 528.672 | 310.096 | -8.410 | 0.000 | 0.000 |
| 262.315 | 262.315 | 405.086 | 0.000 | 0.000 | 0.000 |
| 24.626 | -32.916 | 34.927 | 124.024 | -0.000 | -0.000 |
| -4.369 | -4.369 | 34.851 | 0.000 | 107.626 | 7.286 |
| -3.244 | -3.244 | 27.337 | -0.000 | 24.715 | 133.476 |
| 609.092 | 225.373 | 262.315 | 10.108 | -0.000 | 0.000 |
| 225.373 | 609.092 | 262.315 | -10.108 | 0.000 | 0.000 |
| 268.695 | 268.695 | 347.872 | -0.000 | 0.000 | 0.000 |
| 10.108 | -10.108 | 0.000 | 156.695 | 0.000 | 0.000 |
| 0.493 | 0.493 | -3.955 | -0.000 | 103.274 | 9.850 |
| 0.000 | 0.000 | 0.000 | -0.000 | 10.108 | 191.859 |
| 609.091 | 225.373 | 262.315 | 10.108 | -0.000 | -0.000 |
| 281.966 | 550.332 | 270.628 | -24.539 | 0.000 | 0.000 |
| 268.015 | 268.015 | 353.602 | 0.000 | -0.000 | -0.000 |
| 10.108 | -10.108 | -0.000 | 156.695 | -0.000 | 0.000 |
| -0.493 | -0.493 | 3.955 | 0.000 | 103.274 | 9.850 |
| -0.000 | -0.000 | -0.000 | 0.000 | 10.108 | 191.859 |
| 550.771 | 282.237 | 267.650 | 24.518 | 0.000 | 0.000 |
| 282.246 | 550.762 | 267.651 | -24.520 | -0.000 | 0.000 |
| 267.715 | 267.715 | 349.743 | 0.000 | 0.000 | 0.000 |
| 10.108 | -10.107 | 0.000 | 156.695 | -0.000 | -0.000 |
| 0.047 | 0.047 | -0.395 | -0.000 | 119.741 | 31.218 |
| 0.059 | 0.060 | -0.474 | -0.000 | 7.103 | 103.936 |
| 609.089 | 225.372 | 262.314 | 10.108 | -0.000 | 0.000 |
| 225.372 | 609.089 | 262.314 | -10.108 | 0.000 | -0.000 |
| 262.314 | 262.314 | 405.085 | -0.000 | -0.000 | 0.000 |
| 10.108 | -10.108 | -0.000 | 156.695 | -0.000 | -0.000 |
| -0.047 | -0.047 | 0.395 | 0.000 | 119.741 | 31.218 |
| -0.059 | -0.060 | 0.474 | 0.000 | 7.103 | 103.936 |
| 594.342 | -776.186 | 1114.853 | -0.000 | -391.804 | 0.000 |
| 894.571 | -390.108 | 1213.798 | -0.000 | -289.407 | 0.000 |
| 219.678 | 283.919 | 456.489 | -0.000 | -41.215 | -0.000 |
| -0.000 | 0.000 | 0.000 | 178.212 | -0.000 | 17.195 |
| 136.721 | -999.777 | 893.643 | -0.000 | -294.843 | 0.000 |
| 137.495 | -989.715 | 918.475 | 12.336 | -406.733 | 42.889 |
| 503.078 | 206.027 | 209.346 | 0.000 | 9.124 | -0.000 |
| 65.611 | 1425.941 | -633.290 | 0.000 | 394.549 | -0.000 |
| -525.850 | 1086.063 | -537.879 | 0.000 | 250.273 | -0.000 |
| -0.000 | -0.000 | -0.000 | 178.212 | 0.000 | 17.195 |
| -7.274 | 1.276 | -41.215 | 0.000 | 128.199 | -0.000 |
| -137.495 | 989.715 | -918.475 | 12.336 | 406.733 | 42.889 |
| 503.078 | 206.027 | 209.346 | -0.000 | 9.124 | 0.000 |
| 248.029 | 325.522 | 382.632 | -0.000 | -50.874 | 0.000 |
| 221.529 | 198.443 | 509.079 | -0.000 | -64.531 | 0.000 |
| 0.000 | 0.000 | 0.000 | 178.212 | 0.000 | 17.195 |
| -7.274 | 1.276 | -41.215 | -0.000 | 128.199 | 0.000 |
| 0.000 | 0.000 | 0.000 | 15.507 | 0.000 | 79.243 |
| 439.704 | 314.868 | 101.927 | 0.000 | 56.759 | -0.000 |
| 189.439 | 533.323 | 193.082 | 0.000 | 28.360 | -0.000 |
| 219.678 | 283.919 | 456.489 | 0.000 | -41.215 | -0.000 |
| -0.000 | -0.000 | -0.000 | 178.212 | -0.000 | 17.195 |
| -14.437 | 89.209 | -116.805 | 0.000 | 152.384 | -0.000 |
| -0.000 | -0.000 | -0.000 | 15.507 | -0.000 | 79.243 |
| 111.897 | 25.568 | 214.260 | -0.000 | -2.085 | 0.000 |
| 197.272 | 398.372 | 300.954 | -0.000 | -24.422 | 0.000 |
| 208.696 | 301.050 | 316.049 | -0.000 | -5.265 | -0.000 |
| 1.563 | -11.247 | 10.438 | 162.432 | -4.622 | 13.591 |
| -7.274 | 1.276 | -41.215 | -0.000 | 128.199 | -0.000 |
| 128.202 | 53.854 | -31.706 | -126.889 | 10.673 | -437.119 |
| -80.209 | -54.123 | 259.024 | 0.000 | -19.552 | -0.000 |
| 157.977 | 379.845 | 284.675 | 0.000 | -30.994 | -0.000 |
| 186.128 | 306.411 | 375.814 | 0.000 | -10.965 | -0.000 |
| -1.563 | 11.247 | -10.438 | 162.432 | 4.622 | 13.591 |
| 1.651 | -4.051 | -26.529 | 0.000 | 106.648 | -0.000 |
| -119.037 | -54.774 | 30.510 | -125.824 | -12.079 | -446.821 |
| 395.762 | 94.394 | 182.384 | -75.818 | 284.465 | 75.539 |
| 265.991 | 237.259 | 183.953 | -68.169 | 298.517 | 68.586 |
| 171.111 | 4.516 | 446.409 | -59.425 | 285.631 | 77.827 |
| -13.476 | 32.579 | 19.235 | 119.638 | 2.458 | 5.585 |
| -0.235 | 10.242 | 4.875 | 2.458 | 97.915 | -28.603 |
| -3.351 | -8.082 | -1.867 | 8.383 | -43.729 | 174.376 |
| 508.062 | 268.393 | 197.485 | -11.774 | 5.177 | -4.138 |
| 281.361 | 479.307 | 207.610 | 17.577 | 13.040 | -7.363 |
| 240.398 | 389.707 | 477.854 | 86.427 | -281.593 | -74.194 |
| 752.486 | -63.090 | 1217.428 | 318.639 | -1598.976 | -149.039 |
| 26.556 | 208.556 | 15.115 | 79.998 | -224.502 | -105.036 |
| 35.127 | 183.270 | 16.953 | 78.673 | -320.676 | 83.701 |
| 508.062 | 268.393 | 197.485 | -11.774 | 5.177 | -4.138 |
| 214.757 | 312.873 | 36.088 | -32.201 | 141.441 | 16.504 |
| 142.066 | 134.494 | 343.236 | -20.100 | 84.383 | 23.102 |
| -13.476 | 32.579 | 19.235 | 119.638 | 2.458 | 5.585 |
| -0.235 | 10.242 | 4.875 | 2.458 | 97.915 | -28.603 |
| -2.858 | -28.586 | 0.142 | -1.607 | -8.349 | 166.785 |
| 441.401 | 304.988 | 199.332 | 3.733 | -28.016 | -8.634 |
| 281.361 | 479.306 | 207.610 | 17.577 | 13.040 | -7.363 |
| 166.697 | 155.525 | 360.881 | 13.142 | -110.152 | -2.464 |
| -13.476 | 32.579 | 19.235 | 119.638 | 2.458 | 5.585 |
| -0.235 | 10.241 | 4.875 | 2.458 | 97.915 | -28.603 |
| 4.057 | 10.564 | 3.157 | 13.284 | -66.194 | 151.824 |
| 321.322 | 295.038 | 33.836 | -8.280 | 10.561 | 7.655 |
| 284.893 | 359.124 | 156.798 | -4.674 | 15.069 | -0.577 |
| 96.093 | 146.364 | 254.336 | -9.228 | 18.884 | 12.573 |
| -1.167 | 3.802 | 3.386 | 89.569 | 19.177 | 2.915 |
| -32.143 | 3.555 | -4.517 | 23.162 | -44.443 | -26.560 |
| -3.351 | -8.082 | -1.867 | 8.383 | -43.729 | 174.376 |
| 350.956 | 279.819 | 90.986 | 5.352 | -32.871 | 9.100 |
| 299.223 | 382.851 | 181.546 | -2.686 | 2.066 | -3.890 |
| 157.812 | 162.967 | 334.018 | -2.600 | -11.477 | 5.036 |
| 2.678 | 11.346 | 11.248 | 99.764 | 3.698 | 1.409 |
| -19.572 | 16.469 | 35.648 | 55.531 | -154.257 | 1.080 |
| -3.351 | -8.082 | -1.867 | 8.383 | -43.729 | 174.376 |
| 868.562 | 583.302 | 913.543 | 78.630 | 152.029 | -45.850 |
| 459.386 | 670.370 | 548.781 | 193.564 | -20.214 | -17.480 |
| 722.075 | 832.452 | 1131.586 | -141.049 | 396.241 | -833.723 |
| 322.599 | 398.630 | 696.343 | 151.313 | 134.528 | -50.209 |
| 237.417 | 253.100 | 312.531 | 178.001 | 42.093 | -13.852 |
| 3.697 | -0.481 | 12.942 | 6.361 | -16.075 | 171.284 |
| 257.689 | -175.852 | -421.533 | -38.058 | -125.998 | 37.051 |
| -75.909 | 14.471 | -441.175 | -47.493 | -112.271 | 41.366 |
| -65.905 | -189.113 | -111.558 | -25.557 | -144.830 | 61.973 |
| -479.167 | -645.435 | -685.456 | 207.217 | -410.056 | 837.467 |
| 12.237 | 8.273 | 8.402 | 12.448 | 141.947 | 5.698 |
| -537.131 | -660.466 | -683.267 | 144.852 | -398.004 | 932.197 |
| 619.034 | 209.771 | 256.954 | 21.458 | 19.286 | 9.944 |
| 253.250 | 453.696 | 269.935 | 31.184 | 15.702 | -1.063 |
| 246.587 | 217.625 | 672.557 | 29.183 | 8.402 | 16.460 |
| 47.109 | 54.826 | 87.621 | 101.937 | 2.702 | -12.496 |
| 30.688 | 35.861 | 33.128 | 16.198 | 84.240 | 2.772 |
| 23.667 | 34.471 | 69.514 | 12.685 | 10.767 | 118.349 |
| 567.411 | 180.085 | 225.080 | -4.981 | 21.394 | 4.482 |
| 234.111 | 463.613 | 250.438 | 9.431 | 10.207 | 0.110 |
| 246.587 | 217.624 | 672.556 | 29.183 | 8.402 | 16.460 |
| 16.797 | 20.722 | 29.183 | 135.155 | 12.448 | 4.426 |
| 12.237 | 8.273 | 8.402 | 12.448 | 141.947 | 5.698 |
| -40.040 | -44.137 | -51.791 | -2.788 | -10.245 | 142.622 |
| 567.242 | 208.039 | 249.477 | 18.054 | 13.845 | -6.082 |
| 232.686 | 400.042 | 238.253 | 9.867 | 21.423 | -0.390 |
| 241.054 | 205.680 | 572.785 | 22.804 | 2.734 | 5.741 |
| 12.497 | 19.181 | 32.475 | 102.676 | 2.625 | 1.362 |
| 5.553 | 19.215 | 2.019 | -2.305 | 70.913 | 3.756 |
| 3.697 | -0.480 | 12.942 | 6.361 | -16.074 | 171.284 |
| 582.858 | 200.234 | 252.177 | 9.548 | 17.609 | 1.683 |
| 224.982 | 415.237 | 229.834 | 10.860 | 23.197 | 1.291 |
| 243.333 | 203.623 | 599.112 | 29.055 | 5.760 | 4.373 |
| 9.538 | 16.005 | 28.230 | 101.126 | 3.421 | 1.690 |
| 8.414 | 12.372 | 3.026 | -1.129 | 89.319 | 4.578 |
| -3.258 | -3.061 | 1.581 | 3.410 | -9.871 | 140.206 |
| 504.954 | 204.837 | 211.265 | 0.000 | 8.646 | 0.000 |
| 199.849 | 907.742 | 398.813 | 0.000 | -86.591 | 0.000 |
| 221.226 | 283.955 | 460.245 | 0.000 | -41.422 | 0.000 |
| -1.532 | 458.364 | 111.922 | 165.567 | -76.107 | 14.499 |
| -7.702 | 1.764 | -41.422 | 0.000 | 129.476 | 0.000 |
| 3844.948 | 2916.832 | -1481.418 | -78.479 | 356.726 | -445.541 |
| 504.954 | 204.837 | 211.265 | -0.000 | 8.646 | -0.000 |
| 202.882 | -9.474 | 174.634 | -0.000 | 65.858 | -0.000 |
| 221.226 | 283.955 | 460.245 | -0.000 | -41.422 | -0.000 |
| 1.532 | -458.364 | -111.922 | 165.567 | 76.107 | 14.499 |
| -7.702 | 1.764 | -41.422 | -0.000 | 129.476 | -0.000 |
| -3844.948 | -2916.832 | 1481.418 | -78.479 | -356.726 | -445.541 |
| 466.801 | 255.694 | 215.629 | 0.000 | 4.057 | 0.000 |
| 197.056 | 504.654 | 272.843 | 0.000 | -0.002 | -0.000 |
| 221.226 | 283.955 | 460.246 | 0.000 | -41.422 | 0.000 |
| -0.158 | 47.310 | 11.552 | 165.200 | -7.855 | 14.421 |
| 28.376 | 35.628 | 13.878 | 0.000 | 80.183 | 0.000 |
| 0.000 | 0.000 | 0.000 | 15.160 | 0.000 | 79.006 |
| 454.878 | 145.189 | 186.040 | -0.000 | 23.653 | -0.000 |
| 197.055 | 504.653 | 272.843 | -0.000 | -0.002 | -0.000 |
| 221.226 | 283.955 | 460.245 | -0.000 | -41.422 | -0.000 |
| 0.158 | -47.310 | -11.552 | 165.200 | 7.855 | 14.421 |
| -2.334 | -54.353 | -38.481 | -0.000 | 124.247 | -0.000 |
| -0.000 | -0.000 | -0.000 | 15.160 | -0.000 | 79.006 |
| 50.424 | 22.916 | 187.080 | 0.000 | -7.709 | 0.000 |
| 203.228 | 428.979 | 293.735 | 0.000 | -15.537 | 0.000 |
| 193.450 | 304.362 | 370.612 | 0.000 | -10.217 | 0.000 |
| 8.283 | 12.130 | -2.718 | 143.533 | 0.339 | 1.638 |
| 1.849 | -8.326 | -13.311 | 0.000 | 104.428 | 0.000 |
| 56.366 | 37.217 | -17.826 | -143.412 | 5.018 | -519.250 |
| -107.653 | -79.110 | 277.874 | -0.000 | -25.758 | 0.000 |
| 183.757 | 388.763 | 292.166 | -0.000 | -20.600 | -0.000 |
| 175.815 | 291.050 | 366.080 | -0.000 | -11.870 | 0.000 |
| -8.283 | -12.130 | 2.718 | 143.533 | -0.339 | 1.638 |
| -26.218 | -39.697 | -9.638 | -0.000 | 92.287 | -0.000 |
| -56.366 | -37.217 | 17.826 | -143.412 | -5.018 | -519.250 |
| 502.823 | 265.574 | 265.574 | 0.000 | -0.000 | -0.000 |
| 265.574 | 502.823 | 265.574 | 0.000 | -0.000 | 0.000 |
| 265.574 | 265.574 | 502.824 | 0.000 | -0.000 | -0.000 |
| 0.000 | 0.000 | 0.000 | -51.633 | -0.000 | -0.000 |
| 0.000 | 0.000 | 0.000 | -0.000 | -51.633 | -0.000 |
| 0.000 | 0.000 | 0.000 | -0.000 | -0.000 | -51.633 |
| 502.823 | 265.574 | 265.573 | -0.000 | -0.000 | -0.000 |
| 265.574 | 502.823 | 265.573 | -0.000 | 0.000 | -0.000 |
| 265.574 | 265.574 | 502.823 | -0.000 | -0.000 | 0.000 |
| -0.000 | -0.000 | -0.000 | -51.633 | 0.000 | -0.000 |
| -0.000 | -0.000 | -0.000 | -0.000 | -51.633 | 0.000 |
| -0.000 | -0.000 | -0.000 | 0.000 | 0.000 | -51.633 |
| 502.824 | 265.574 | 265.574 | 0.000 | 0.000 | -0.000 |
| 265.574 | 502.824 | 265.574 | 0.000 | -0.000 | 0.000 |
| 265.574 | 265.574 | 502.824 | 0.000 | -0.000 | -0.000 |
| 0.000 | 0.000 | 0.000 | -51.633 | -0.000 | -0.000 |
| 0.000 | 0.000 | 0.000 | -0.000 | -51.633 | -0.000 |
| 0.000 | 0.000 | 0.000 | -0.000 | -0.000 | -51.633 |
| 502.823 | 265.573 | 265.573 | -0.000 | 0.000 | -0.000 |
| 265.573 | 502.823 | 265.573 | -0.000 | 0.000 | -0.000 |
| 265.573 | 265.573 | 502.823 | 0.000 | 0.000 | 0.000 |
| -0.000 | -0.000 | -0.000 | -51.633 | 0.000 | -0.000 |
| -0.000 | -0.000 | -0.000 | 0.000 | -51.633 | 0.000 |
| -0.000 | -0.000 | -0.000 | -0.000 | 0.000 | -51.633 |
| 502.825 | 265.575 | 265.575 | 0.000 | -0.000 | -0.000 |
| 265.575 | 502.825 | 265.575 | 0.000 | 0.000 | -0.000 |
| 265.575 | 265.575 | 502.825 | -0.000 | -0.000 | -0.000 |
| 0.000 | 0.001 | 0.000 | -51.633 | -0.000 | -0.000 |
| 0.001 | 0.000 | 0.000 | -0.000 | -51.633 | -0.000 |
| 0.001 | 0.000 | 0.000 | -0.000 | -0.000 | -51.633 |
| 502.822 | 265.573 | 265.573 | -0.000 | 0.000 | 0.000 |
| 265.573 | 502.822 | 265.573 | -0.000 | 0.000 | 0.000 |
| 265.573 | 265.573 | 502.822 | 0.000 | 0.000 | 0.000 |
| -0.000 | -0.001 | -0.000 | -51.633 | 0.000 | 0.000 |
| -0.001 | -0.000 | -0.000 | 0.000 | -51.633 | 0.000 |
| -0.001 | -0.000 | -0.000 | 0.000 | 0.000 | -51.633 |
| 3046736.082 | 2418607.252 | 3043462.823 | 588271.318 | -593912.951 | -120102.838 |
| 3050926.522 | 2474748.796 | 3122848.876 | 570994.198 | -608082.220 | -125363.263 |
| 3080121.231 | 2470554.221 | 3080793.028 | 639572.787 | -533674.558 | -68179.942 |
| 3115852.560 | 2462071.837 | 3215199.357 | 569489.034 | -573601.281 | -126710.012 |
| 3038677.918 | 2443395.425 | 3081601.063 | 622204.242 | -575532.517 | -106404.629 |
| 3095954.421 | 2449425.629 | 3183699.819 | 655120.136 | -546304.880 | -87340.271 |
| -3082824.448 | -2450777.427 | -3152116.975 | -624731.668 | 537020.753 | 97839.677 |
| -3056905.464 | -2471828.155 | -3104411.243 | -641095.124 | 568001.025 | 101403.195 |
| -3088164.275 | -2472477.472 | -3145733.320 | -537057.251 | 568190.797 | 115171.128 |
| -3110619.173 | -2460656.605 | -3105666.768 | -564643.573 | 621844.345 | 128905.731 |
| -3091016.877 | -2604746.228 | -3205242.265 | -681537.143 | 614959.928 | 65899.274 |
| -3074786.361 | -2455619.147 | -3048058.896 | -598282.765 | 577411.731 | 114582.946 |
| 306477.957 | 261417.327 | 314291.669 | 64510.157 | -53487.801 | -9792.242 |
| 300982.706 | 244249.453 | 305368.740 | 61339.606 | -56647.916 | -10968.153 |
| 304305.662 | 241905.998 | 304857.550 | 60707.651 | -56296.675 | -10474.487 |
| 302024.115 | 241044.650 | 305495.328 | 60531.265 | -59296.664 | -10445.206 |
| 300580.184 | 240107.397 | 301347.847 | 59710.189 | -58739.231 | -11152.154 |
| 309259.601 | 245975.198 | 310321.784 | 62492.805 | -57815.265 | -11620.028 |
| -303851.743 | -244150.414 | -308526.850 | -59514.262 | 58062.153 | 12844.114 |
| -306442.763 | -244772.898 | -309287.568 | -57077.949 | 61368.757 | 9791.916 |
| -309254.927 | -246447.157 | -311616.915 | -66313.370 | 53296.808 | 6348.956 |
| -303542.318 | -243677.099 | -306815.007 | -60548.724 | 60281.153 | 11919.802 |
| -302388.558 | -242444.815 | -304990.203 | -58213.848 | 59210.706 | 9545.792 |
| -307966.295 | -244685.199 | -304587.837 | -59510.368 | 58275.051 | 14157.418 |
| 30480.280 | 25446.937 | 31469.578 | 7114.240 | -5363.195 | -1047.620 |
| 30971.759 | 24965.782 | 31875.032 | 5859.487 | -5586.082 | -1089.444 |
| 30794.313 | 24900.151 | 31686.680 | 6262.950 | -6061.472 | -1039.811 |
| 30725.535 | 24238.697 | 30955.599 | 6171.863 | -5833.478 | -811.774 |
| 30837.374 | 24215.027 | 30588.990 | 5801.774 | -5468.642 | -1261.268 |
| 30277.240 | 24450.540 | 30632.877 | 6158.533 | -5701.395 | -1189.617 |
| -30703.647 | -24240.252 | -31133.578 | -5919.207 | 6037.773 | 1011.615 |
| -30660.991 | -24216.058 | -31048.098 | -5949.275 | 5535.770 | 1123.784 |
| -30500.301 | -24133.151 | -30449.559 | -6138.451 | 6008.585 | 1093.506 |
| -30450.070 | -24289.959 | -31516.792 | -6401.337 | 5606.411 | 915.821 |
| -30647.754 | -24192.099 | -31190.964 | -6016.838 | 6174.925 | 907.555 |
| -30684.445 | -24232.973 | -30799.898 | -5901.497 | 5221.950 | 1064.935 |
| 210.791 | 233.774 | 233.774 | 0.000 | 0.000 | 0.000 |
| 233.774 | 210.791 | 233.774 | 0.000 | 0.000 | 0.000 |
| 233.774 | 233.774 | 210.791 | 0.000 | 0.000 | 0.000 |
| 0.000 | 0.000 | 0.000 | 74.968 | 0.000 | 0.000 |
| 0.000 | 0.000 | 0.000 | 0.000 | 74.968 | 0.000 |
| 0.000 | 0.000 | 0.000 | 0.000 | 0.000 | 74.968 |
| 210.791 | 233.774 | 233.774 | -0.000 | 0.000 | -0.000 |
| 233.774 | 210.791 | 233.774 | -0.000 | -0.000 | -0.000 |
| 233.774 | 233.774 | 210.791 | -0.000 | -0.000 | -0.000 |
| -0.000 | -0.000 | 0.000 | 74.968 | -0.000 | -0.000 |
| -0.000 | -0.000 | 0.000 | -0.000 | 74.968 | -0.000 |
| -0.000 | -0.000 | -0.000 | -0.000 | -0.000 | 74.968 |
| 210.791 | 233.774 | 233.774 | 0.000 | 0.000 | 0.000 |
| 233.774 | 210.791 | 233.774 | 0.000 | 0.000 | 0.000 |
| 233.774 | 233.774 | 210.791 | -0.000 | 0.000 | 0.000 |
| 0.000 | -0.000 | 0.000 | 74.968 | 0.000 | 0.000 |
| -0.000 | 0.000 | 0.000 | 0.000 | 74.968 | 0.000 |
| -0.000 | 0.000 | 0.000 | 0.000 | 0.000 | 74.968 |
| 210.791 | 233.774 | 233.774 | -0.000 | -0.000 | -0.000 |
| 233.774 | 210.791 | 233.774 | -0.000 | -0.000 | -0.000 |
| 233.774 | 233.774 | 210.791 | -0.000 | -0.000 | -0.000 |
| -0.000 | 0.000 | -0.000 | 74.968 | -0.000 | -0.000 |
| 0.000 | -0.000 | -0.000 | -0.000 | 74.968 | -0.000 |
| 0.000 | -0.000 | -0.000 | -0.000 | -0.000 | 74.968 |
| 210.791 | 233.775 | 233.775 | 0.000 | 0.000 | 0.000 |
| 233.775 | 210.791 | 233.775 | 0.000 | 0.000 | 0.000 |
| 233.775 | 233.775 | 210.791 | 0.000 | 0.000 | 0.000 |
| -0.001 | 0.000 | 0.000 | -34.694 | 0.000 | -0.000 |
| 0.000 | -0.001 | 0.000 | 0.000 | -34.694 | 0.000 |
| 0.000 | 0.000 | -0.001 | 0.000 | 0.000 | -34.694 |
| 210.791 | 233.774 | 233.774 | -0.000 | -0.000 | -0.000 |
| 233.774 | 210.791 | 233.774 | -0.000 | -0.000 | -0.000 |
| 233.774 | 233.774 | 210.791 | -0.000 | -0.000 | -0.000 |
| 0.001 | -0.000 | -0.000 | -34.694 | -0.000 | -0.000 |
| -0.000 | 0.001 | -0.000 | -0.000 | -34.694 | -0.000 |
| -0.000 | -0.000 | 0.001 | -0.000 | -0.000 | -34.694 |
| -98939.720 | -211083.778 | -212523.136 | 90354.579 | -2413.898 | 7061.850 |
| -84970.088 | 18895.173 | -73853.861 | -4687.108 | 7083.483 | 2322.996 |
| -160496.792 | -162834.146 | -177518.275 | 5665.725 | 15456.064 | 63944.903 |
| 1.251 | 1.667 | 1.224 | 0.426 | -0.140 | -0.952 |
| 0.004 | -0.001 | -0.005 | -0.001 | -0.002 | -0.006 |
| 1.322 | 0.025 | 2.139 | -0.791 | 0.170 | 1.188 |
| -0.000 | -0.000 | -0.000 | 0.000 | 0.000 | 0.000 |
| -0.000 | -0.000 | -0.000 | 0.000 | 0.000 | 0.000 |
| -0.000 | -0.000 | -0.000 | 0.000 | 0.000 | 0.000 |
| -1.203 | -0.844 | -0.219 | 0.027 | -0.324 | 1.032 |
| 1.008 | 2.026 | 1.670 | -1.892 | -1.675 | 0.819 |
| -0.053 | -0.010 | -0.054 | -0.012 | -0.027 | -0.000 |
| -4474.844 | -13372.415 | -13668.210 | -4764.622 | 2634.936 | 2828.582 |
| -7672.366 | 3877.310 | -9165.529 | -1162.372 | 1792.222 | 1855.508 |
| -16232.915 | -15524.112 | -12384.324 | 10135.601 | 9623.302 | -5364.689 |
| -0.615 | -0.173 | 0.234 | -0.318 | -0.418 | 0.180 |
| 1.412 | 0.211 | 0.062 | 0.061 | -0.200 | -0.134 |
| -0.638 | -0.925 | -0.425 | 0.162 | -0.121 | 0.486 |
| -0.000 | -0.000 | -0.000 | 0.000 | 0.000 | 0.000 |
| -0.000 | -0.000 | -0.000 | 0.000 | 0.000 | 0.000 |
| -0.000 | -0.000 | -0.000 | 0.000 | 0.000 | 0.000 |
| -0.000 | -0.001 | 0.000 | -0.000 | -0.000 | -0.001 |
| 0.005 | -0.077 | -0.115 | -0.017 | -0.010 | -0.123 |
| -0.010 | -0.004 | -0.003 | 0.002 | -0.003 | 0.003 |
| 202.827 | -620.862 | -193.043 | 244.514 | 167.420 | -0.906 |
| -443.746 | 278.317 | -416.308 | 75.526 | 141.478 | 83.117 |
| -968.506 | -907.610 | -77.646 | -353.831 | -341.260 | -512.671 |
| -0.000 | -0.000 | 0.000 | -0.000 | -0.000 | 0.000 |
| -0.000 | 0.000 | 0.000 | -0.000 | -0.000 | 0.000 |
| 0.000 | 0.000 | 0.000 | -0.000 | 0.000 | 0.000 |
| -0.000 | -0.000 | -0.000 | 0.000 | 0.000 | 0.000 |
| -0.000 | -0.000 | -0.000 | 0.000 | 0.000 | 0.000 |
| -0.000 | -0.000 | -0.000 | 0.000 | 0.000 | 0.000 |
| -0.001 | -0.000 | -0.000 | -0.000 | -0.000 | -0.000 |
| -0.000 | -0.000 | 0.000 | 0.000 | -0.000 | -0.000 |
| -0.000 | -0.000 | -0.000 | -0.000 | -0.000 | -0.000 |
| 321.635 | 379.709 | 379.709 | -0.000 | -0.000 | -0.000 |
| 379.709 | 321.635 | 379.709 | -0.000 | -0.000 | -0.000 |
| 379.709 | 379.709 | 321.635 | -0.000 | -0.000 | -0.000 |
| -0.000 | -0.000 | -0.000 | -296.933 | -0.000 | -0.000 |
| -0.000 | 0.000 | -0.000 | -0.000 | -296.933 | -0.000 |
| -0.000 | -0.000 | -0.000 | -0.000 | -0.000 | -296.933 |
| 321.635 | 379.709 | 379.709 | 0.000 | 0.000 | 0.000 |
| 379.709 | 321.635 | 379.709 | 0.000 | 0.000 | 0.000 |
| 379.709 | 379.709 | 321.635 | 0.000 | 0.000 | 0.000 |
| 0.000 | 0.000 | 0.000 | -296.933 | 0.000 | 0.000 |
| 0.000 | -0.000 | 0.000 | 0.000 | -296.933 | 0.000 |
| 0.000 | 0.000 | 0.000 | 0.000 | 0.000 | -296.933 |
| 321.635 | 379.709 | 379.709 | -0.000 | -0.000 | -0.000 |
| 379.709 | 321.635 | 379.709 | -0.000 | -0.000 | -0.000 |
| 379.709 | 379.709 | 321.635 | -0.000 | -0.000 | -0.000 |
| 106890243.549 | 100876844.517 | 99574984.160 | -6088726.231 | -5596653.550 | 1664263.436 |
| 109461579.278 | 117070094.726 | 108547203.848 | 3658694.895 | -4676875.894 | -7828263.753 |
| 102940562.379 | 112805415.289 | 101383633.082 | -1224181.064 | -989354.673 | -7679036.081 |
| 321.635 | 379.709 | 379.709 | 0.000 | 0.000 | 0.000 |
| 379.709 | 321.635 | 379.709 | 0.000 | 0.000 | 0.000 |
| 379.709 | 379.709 | 321.635 | 0.000 | 0.000 | 0.000 |
| -106479428.007 | -108105421.043 | -105831470.473 | -4676142.506 | -5619473.684 | 3210878.495 |
| -113478776.877 | -114163700.697 | -108356815.740 | -1020221.552 | -6060289.253 | 1026057.870 |
| -106208770.466 | -105824428.253 | -108915002.260 | -950504.221 | 966667.063 | -4966385.746 |
| 321.637 | 379.710 | 379.710 | -0.000 | -0.000 | -0.000 |
| 379.710 | 321.637 | 379.710 | -0.000 | -0.000 | -0.000 |
| 379.710 | 379.710 | 321.637 | -0.000 | -0.000 | -0.000 |
| 10588511.011 | 11153611.650 | 10958966.902 | -169437.193 | -304668.832 | 448962.852 |
| 10914578.809 | 11080288.031 | 10468060.694 | 76211.837 | -855197.892 | 179624.737 |
| 10773757.553 | 11076251.262 | 10648075.175 | 32285.414 | 21685.253 | -350544.220 |
| 321.633 | 379.707 | 379.707 | 0.000 | 0.000 | 0.000 |
| 379.707 | 321.633 | 379.707 | 0.000 | 0.000 | 0.000 |
| 379.707 | 379.707 | 321.633 | 0.000 | 0.000 | 0.000 |
| -11012491.927 | -9902762.276 | -11199132.966 | 179839.264 | 41171.115 | 84736.577 |
| -10926683.027 | -11484402.987 | -10576600.202 | -404251.085 | -519807.165 | -210782.335 |
| -10544444.829 | -10735314.331 | -11116638.299 | -413306.195 | 132390.153 | -419164.094 |
| 6194535.676 | 2070863.550 | 1756463.067 | -3313708.481 | -1239940.408 | -3314062.663 |
| 2073348.568 | 6009487.187 | 1836495.453 | -1161297.882 | -1908088.919 | -2858322.465 |
| 1781000.624 | 1835452.245 | 3223071.743 | -1165322.107 | -1417136.649 | -2540363.749 |
| -3460546.296 | -1195006.063 | -1192289.031 | 2179697.819 | 1105457.484 | 1733355.455 |
| -1277983.854 | -1954757.103 | -1453516.714 | 1102084.211 | 1208921.438 | 1443847.412 |
| -3417013.652 | -2892058.777 | -2599319.902 | 1729296.028 | 1447295.350 | 2832512.939 |
| 6555889.701 | 2118257.123 | 1837416.884 | -3506048.433 | -1300152.906 | -3459247.222 |
| 2115385.407 | 6153399.027 | 1866255.589 | -1203044.952 | -1968923.981 | -2899927.342 |
| 1811313.143 | 1867493.986 | 3344720.275 | -1193091.604 | -1467210.174 | -2610705.615 |
| -3355756.724 | -1168807.546 | -1165931.908 | 2119313.340 | 1080453.536 | 1689506.379 |
| -1260749.752 | -1921514.036 | -1430028.788 | 1083696.431 | 1185422.470 | 1426045.660 |
| -3353291.372 | -2865853.730 | -2550929.890 | 1693372.397 | 1422703.230 | 2786657.170 |
| 4922671.864 | 1893414.433 | 1468377.430 | -2636964.853 | -1024205.873 | -2801970.929 |
| 1903360.934 | 5444100.129 | 1713591.612 | -1002144.200 | -1674289.538 | -2688247.079 |
| 1657814.871 | 1711599.850 | 2768182.574 | -1056790.612 | -1228904.642 | -2274349.074 |
| -4008689.402 | -1326034.902 | -1328046.293 | 2493850.411 | 1232810.530 | 1961745.361 |
| -1360900.592 | -2119946.775 | -1568231.083 | 1192365.399 | 1325202.388 | 1530681.379 |
| -3736430.746 | -3018577.601 | -2841988.424 | 1910018.270 | 1570174.141 | 3061267.870 |
| 8751331.344 | 2388590.617 | 2324125.622 | -4674895.436 | -1659681.948 | -4339352.590 |
| 2330343.263 | 6913129.294 | 2014432.157 | -1431116.040 | -2298174.317 | -3109358.470 |
| 1965258.663 | 2040482.258 | 4023936.997 | -1340798.661 | -1745286.837 | -2998804.609 |
| -2943941.821 | -1061659.652 | -1060785.350 | 1880837.696 | 979795.395 | 1516478.936 |
| -1187837.390 | -1785035.003 | -1332140.818 | 1007359.069 | 1088600.262 | 1351749.888 |
| -3093697.530 | -2755273.942 | -2353870.243 | 1547540.234 | 1322207.587 | 2598970.090 |
| 1184538.584 | 1058544.448 | 523739.894 | -665505.687 | -276195.709 | -1286948.508 |
| 918454.104 | 2720217.913 | 947912.980 | -336939.882 | -669105.508 | -1714590.989 |
| 955336.126 | 1128667.177 | 1123418.310 | -545638.031 | -519787.513 | -1237377.767 |
| 2199113.297 | 1450104.213 | 683511.362 | -890266.556 | -437055.535 | -1265905.997 |
| -1633654.785 | 3795627.112 | -1934829.690 | 872132.861 | -2261747.561 | -623901.877 |
| 4343673.357 | 6474146.583 | 3056886.816 | -1841677.386 | -2099467.627 | -3529151.780 |
| 940950.981 | 2313509.972 | 819274.612 | -550222.209 | -706651.742 | -1346380.957 |
| -666939.650 | -4849431.262 | 247404.213 | 89181.122 | 2269432.316 | 1720050.688 |
| 3814111.854 | 2754279.061 | 5758158.794 | -2442648.831 | -2571764.358 | -4425385.738 |
| -1160515.790 | -478946.955 | -550849.377 | 816534.105 | 475262.306 | 747789.105 |
| -706401.307 | -1039658.692 | -756854.559 | 562774.143 | 552921.076 | 910208.832 |
| -1749527.368 | -2027740.686 | -1333732.920 | 813194.012 | 788504.273 | 1590443.822 |
| 585.790 | 263.040 | 263.040 | -0.000 | 0.000 | -0.000 |
| 263.040 | 585.790 | 263.040 | 0.000 | 0.000 | 0.000 |
| 263.040 | 263.040 | 585.790 | -0.000 | 0.000 | -0.000 |
| -0.000 | 0.000 | 0.000 | -13.729 | 0.000 | -0.000 |
| 0.000 | -0.000 | 0.000 | 0.000 | -13.729 | -0.000 |
| 0.000 | 0.000 | 0.000 | 0.000 | 0.000 | -13.729 |
| 585.790 | 263.040 | 263.040 | 0.000 | -0.000 | 0.000 |
| 263.040 | 585.790 | 263.040 | 0.000 | 0.000 | 0.000 |
| 263.040 | 263.040 | 585.790 | 0.000 | 0.000 | 0.000 |
| -0.000 | -0.000 | -0.000 | -13.729 | 0.000 | 0.000 |
| -0.000 | -0.000 | -0.000 | -0.000 | -13.729 | -0.000 |
| -0.000 | -0.000 | 0.000 | -0.000 | -0.000 | -13.729 |
| 585.790 | 263.041 | 263.041 | -0.000 | -0.000 | -0.000 |
| 263.041 | 585.790 | 263.041 | -0.000 | -0.000 | -0.000 |
| 263.041 | 263.041 | 585.790 | -0.000 | 0.000 | -0.000 |
| -0.000 | 0.000 | 0.000 | -13.729 | -0.000 | 0.000 |
| 0.000 | -0.000 | 0.000 | -0.000 | -13.729 | 0.000 |
| 0.000 | 0.000 | -0.000 | 0.000 | 0.000 | -13.729 |
| 585.790 | 263.040 | 263.040 | 0.000 | 0.000 | 0.000 |
| 263.040 | 585.790 | 263.040 | 0.000 | -0.000 | 0.000 |
| 263.040 | 263.040 | 585.790 | 0.000 | 0.000 | 0.000 |
| 0.000 | -0.000 | -0.000 | -13.729 | -0.000 | -0.000 |
| -0.000 | 0.000 | -0.000 | -0.000 | -13.729 | -0.000 |
| -0.000 | -0.000 | 0.000 | 0.000 | 0.000 | -13.729 |
| 585.790 | 263.043 | 263.043 | -0.000 | -0.000 | -0.000 |
| 263.043 | 585.790 | 263.043 | -0.000 | 0.000 | -0.000 |
| 263.043 | 263.043 | 585.790 | -0.000 | 0.000 | -0.000 |
| -0.002 | 0.002 | 0.001 | -59.243 | -0.000 | 0.000 |
| 0.002 | -0.002 | 0.001 | -0.000 | -59.243 | 0.000 |
| 0.002 | 0.001 | -0.002 | -0.000 | -0.000 | -59.243 |
| 585.790 | 263.038 | 263.038 | 0.000 | 0.000 | -0.000 |
| 263.038 | 585.790 | 263.038 | 0.000 | -0.000 | 0.000 |
| 263.038 | 263.038 | 585.790 | -0.000 | 0.000 | -0.000 |
| 0.002 | -0.002 | -0.001 | -59.243 | -0.000 | 0.000 |
| -0.002 | 0.002 | -0.001 | -0.000 | -59.243 | -0.000 |
| -0.002 | -0.001 | 0.002 | 0.000 | 0.000 | -59.243 |
| -1227568.803 | -658773.952 | -786154.985 | 112739.117 | -62850.362 | 34791.380 |
| -1103371.887 | -1448200.512 | -807896.115 | 26319.644 | -25953.366 | 230679.765 |
| -1219967.077 | -967830.605 | -1389795.180 | -295905.776 | -459354.322 | 263639.655 |
| 180934.453 | 55514.076 | 82389.325 | 265483.878 | 11117.257 | -4332.233 |
| -20009.728 | 160273.030 | -10700.051 | -10430.739 | 297177.865 | -2388.582 |
| 3154.606 | -21619.795 | 182043.568 | -3819.744 | -15605.072 | 242677.021 |
| -0.000 | -0.000 | -0.000 | 0.000 | 0.000 | 0.000 |
| -0.000 | -0.000 | -0.000 | 0.000 | 0.000 | 0.000 |
| -0.000 | -0.000 | -0.000 | 0.000 | 0.000 | 0.000 |
| -383668.884 | 44011.248 | 73203.051 | 786475.215 | -9065.387 | 8245.796 |
| 259209.258 | -145369.742 | 339834.611 | -9730.302 | 625837.551 | 7105.499 |
| 385704.677 | 295271.161 | -233532.979 | 15906.771 | 16726.113 | 739473.683 |
| -227245.758 | -117345.928 | -154681.662 | 7584.512 | -710.464 | 34871.908 |
| -96013.095 | -220101.670 | -159175.519 | -52183.994 | 11770.464 | 47187.987 |
| -130845.901 | -128350.522 | -178573.559 | 2142.909 | 12755.569 | 2202.823 |
| 10220.653 | -708.250 | 2943.792 | 11182.141 | -394.804 | -66.026 |
| 1240.665 | 8123.739 | 2529.282 | 154.886 | 375.530 | 41.578 |
| -7428.073 | -5799.748 | 19484.332 | -1482.631 | 386.527 | 27013.248 |
| -0.000 | -0.000 | -0.000 | 0.000 | 0.000 | 0.000 |
| -0.000 | -0.000 | -0.000 | 0.000 | 0.000 | 0.000 |
| -0.000 | -0.000 | -0.000 | 0.000 | 0.000 | 0.000 |
| -12886.445 | -1700.395 | -3510.036 | 7135.420 | 205.423 | -470.049 |
| -885.890 | -17230.584 | -1690.729 | -2000.948 | 17525.226 | 737.537 |
| 4886.864 | 7631.396 | -18359.547 | 1744.603 | 1936.147 | 19839.565 |
| -11622.782 | -9773.807 | -7861.535 | 1909.233 | 1576.875 | 1951.495 |
| -10623.098 | -7476.855 | -10747.529 | 2423.031 | 205.785 | 2077.637 |
| -7004.576 | -7715.766 | -10267.003 | -899.088 | 317.832 | 1726.849 |
| 252.994 | 242.658 | 231.461 | 591.180 | -27.604 | 40.417 |
| 959.437 | 487.095 | 778.382 | -9.005 | 647.186 | -16.547 |
| 617.698 | -100.446 | 424.796 | 4.748 | -58.089 | 1317.943 |
| -0.000 | -0.000 | -0.000 | 0.000 | 0.000 | 0.000 |
| -0.000 | -0.000 | -0.000 | 0.000 | 0.000 | 0.000 |
| -0.000 | -0.000 | -0.000 | 0.000 | 0.000 | 0.000 |
| -2884.598 | 1944.069 | 2060.172 | 6925.748 | 20.308 | 39.047 |
| 1546.571 | -3138.342 | 336.729 | -55.396 | 4860.169 | -16.071 |
| -897.278 | -1366.166 | -3515.610 | 218.216 | -117.069 | 5722.897 |
| 395.807 | 358.107 | 358.107 | 0.000 | 0.000 | -0.000 |
| 358.107 | 395.807 | 358.107 | 0.000 | 0.000 | 0.000 |
| 358.107 | 358.107 | 395.807 | 0.000 | -0.000 | -0.000 |
| 0.000 | -0.000 | 0.000 | 22.098 | -0.000 | 0.000 |
| 0.000 | -0.000 | 0.000 | -0.000 | 22.098 | -0.000 |
| 0.000 | 0.000 | -0.000 | -0.000 | -0.000 | 22.098 |
| 395.807 | 358.107 | 358.107 | -0.000 | 0.000 | 0.000 |
| 358.107 | 395.807 | 358.107 | 0.000 | 0.000 | -0.000 |
| 358.107 | 358.107 | 395.807 | 0.000 | 0.000 | 0.000 |
| -0.000 | 0.000 | -0.000 | 22.098 | -0.000 | 0.000 |
| 0.000 | 0.000 | -0.000 | -0.000 | 22.098 | 0.000 |
| 0.000 | 0.000 | 0.000 | 0.000 | 0.000 | 22.098 |
| 395.807 | 358.107 | 358.107 | 0.000 | -0.000 | -0.000 |
| 358.107 | 395.807 | 358.107 | 0.000 | 0.000 | -0.000 |
| 358.107 | 358.107 | 395.807 | -0.000 | -0.000 | -0.000 |
| 0.000 | 0.000 | 0.000 | 22.098 | 0.000 | 0.000 |
| 0.000 | 0.000 | 0.000 | 0.000 | 22.098 | 0.000 |
| 0.000 | 0.000 | 0.000 | -0.000 | -0.000 | 22.098 |
| 395.806 | 358.107 | 358.107 | -0.000 | 0.000 | 0.000 |
| 358.107 | 395.806 | 358.107 | 0.000 | 0.000 | -0.000 |
| 358.107 | 358.107 | 395.806 | 0.000 | 0.000 | 0.000 |
| -0.000 | -0.000 | -0.000 | 22.098 | -0.000 | -0.000 |
| -0.000 | -0.000 | -0.000 | -0.000 | 22.098 | -0.000 |
| -0.000 | -0.000 | -0.000 | 0.000 | 0.000 | 22.098 |
| 395.808 | 358.108 | 358.108 | 0.000 | 0.000 | -0.000 |
| 358.108 | 395.808 | 358.108 | 0.000 | 0.000 | -0.000 |
| 358.108 | 358.108 | 395.808 | 0.000 | 0.000 | -0.000 |
| 0.000 | 0.000 | 0.000 | 22.098 | 0.000 | -0.000 |
| 0.000 | 0.000 | 0.000 | 0.000 | 22.098 | 0.000 |
| 0.000 | 0.000 | 0.000 | -0.000 | -0.000 | 22.098 |
| 395.805 | 358.106 | 358.106 | 0.000 | 0.000 | 0.000 |
| 358.106 | 395.805 | 358.106 | 0.000 | 0.000 | 0.000 |
| 358.106 | 358.106 | 395.805 | -0.000 | 0.000 | 0.000 |
| -0.000 | -0.000 | -0.000 | 22.098 | 0.000 | -0.000 |
| -0.000 | -0.000 | -0.000 | -0.000 | 22.098 | 0.000 |
| -0.000 | -0.000 | -0.000 | 0.000 | 0.000 | 22.098 |
| -614707.991 | -729784.962 | -790818.551 | 26905.942 | -1428.951 | 55129.196 |
| -622211.354 | -789819.116 | -781099.688 | 20175.780 | -7010.028 | 54465.893 |
| -619689.328 | -738764.107 | -767903.103 | 30321.046 | 5010.315 | 64517.087 |
| -686111.783 | -732184.936 | -717940.552 | 17010.507 | 6775.892 | 38165.660 |
| -613206.352 | -720627.941 | -675495.475 | 8407.337 | 18631.745 | 40975.612 |
| -575139.016 | -710781.842 | -650649.179 | 45860.227 | 31877.315 | 61798.515 |
| 637806.247 | 780936.719 | 756263.307 | -23774.266 | -13739.813 | -58067.496 |
| 661930.151 | 738517.382 | 742224.944 | -18848.084 | -10563.561 | -58959.437 |
| 624396.198 | 750727.080 | 690736.991 | -31769.341 | -22583.935 | -51197.565 |
| 601707.787 | 719040.899 | 732936.603 | -26989.964 | -5780.422 | -68224.691 |
| 659202.317 | 781690.544 | 765920.874 | -15761.939 | -10140.248 | -39064.814 |
| 637014.989 | 743823.801 | 738573.639 | -28980.427 | -2869.717 | -54886.851 |
| -63214.121 | -72861.949 | -80139.812 | 1002.785 | 908.740 | 6151.019 |
| -64572.056 | -74003.548 | -74377.340 | 1984.316 | 1271.449 | 5515.574 |
| -60592.599 | -73184.803 | -64703.217 | 2028.158 | 1447.346 | 4545.398 |
| -56789.943 | -74462.171 | -72155.635 | 1607.684 | 830.822 | 6149.415 |
| -65986.855 | -74865.857 | -74095.352 | 2804.753 | -1370.078 | 5332.017 |
| -68012.797 | -70013.771 | -69364.712 | -611.968 | 2907.554 | 3559.571 |
| 67111.416 | 74377.638 | 73496.272 | -1406.761 | -667.801 | -4515.936 |
| 63542.788 | 74957.028 | 76037.487 | -834.262 | -1342.714 | -7242.826 |
| 63532.619 | 71482.112 | 72095.721 | -2475.712 | -212.731 | -4104.603 |
| 62662.069 | 75625.703 | 77278.709 | -2412.294 | -1841.763 | -6965.971 |
| 63235.015 | 76859.675 | 76235.767 | -1839.150 | -114.553 | -5516.125 |
| 62961.147 | 80941.180 | 72091.475 | -434.469 | 425.064 | -5399.898 |
| -6289.936 | -7756.519 | -7183.577 | 111.039 | -43.795 | 544.447 |
| -6357.008 | -7589.774 | -7630.161 | 144.264 | 16.952 | 500.368 |
| -6452.975 | -7348.600 | -7367.166 | 183.004 | 56.109 | 535.714 |
| -6276.824 | -7472.396 | -7226.464 | 247.882 | -7.152 | 637.327 |
| -6469.002 | -7308.865 | -7478.334 | -40.635 | 79.234 | 504.104 |
| -5760.976 | -7452.569 | -7050.317 | 343.494 | -2.538 | 544.087 |
| 5932.831 | 7297.699 | 6970.896 | -304.492 | -136.601 | -507.482 |
| 6265.893 | 7252.558 | 7254.033 | -235.085 | -0.627 | -507.563 |
| 5676.624 | 7389.035 | 6994.824 | -372.942 | -76.510 | -663.180 |
| 6212.157 | 7617.113 | 7620.687 | -130.614 | -65.601 | -583.864 |
| 6179.609 | 7967.205 | 7539.876 | -165.882 | -6.956 | -562.805 |
| 6099.178 | 7728.468 | 7850.380 | -160.622 | -40.125 | -510.237 |
| 417.121 | 206.263 | 166.149 | -0.000 | -0.000 | -0.000 |
| 229.176 | 473.750 | 233.962 | -0.000 | -0.000 | -0.000 |
| 197.209 | 197.209 | 540.326 | -0.000 | -0.000 | -0.000 |
| 0.000 | 0.000 | 0.000 | 61.161 | -0.000 | -0.000 |
| 0.000 | -0.000 | -0.000 | -0.000 | 121.959 | -0.000 |
| 0.000 | 0.000 | -0.000 | 0.000 | -0.000 | 125.096 |
| 537.777 | 238.613 | 197.209 | 0.000 | 0.000 | 0.000 |
| 229.176 | 473.750 | 233.962 | 0.000 | 0.000 | 0.000 |
| 197.209 | 197.209 | 540.326 | -0.000 | 0.000 | 0.000 |
| -0.000 | -0.000 | -0.000 | 61.161 | 0.000 | 0.000 |
| 0.000 | 0.000 | 0.000 | -0.000 | 121.959 | 0.000 |
| -0.000 | 0.000 | 0.000 | -0.000 | 0.000 | 125.096 |
| 537.777 | 238.613 | 197.209 | 0.000 | -0.000 | -0.000 |
| 238.613 | 537.777 | 197.209 | -0.000 | -0.000 | -0.000 |
| 197.209 | 197.209 | 540.326 | 0.000 | -0.000 | -0.000 |
| 0.000 | 0.000 | 0.000 | 78.914 | -0.000 | -0.000 |
| 0.000 | 0.000 | 0.000 | 0.000 | 121.959 | -0.000 |
| 0.000 | 0.000 | 0.000 | -0.000 | -0.000 | 94.813 |
| 417.123 | 206.263 | 166.148 | -0.000 | 0.000 | 0.000 |
| 206.263 | 417.121 | 166.149 | -0.000 | 0.000 | 0.000 |
| 197.209 | 197.209 | 540.325 | 0.000 | 0.000 | 0.000 |
| -0.000 | -0.000 | -0.000 | 78.914 | 0.000 | 0.000 |
| -0.000 | -0.000 | -0.000 | 0.000 | 121.959 | 0.000 |
| -0.000 | -0.000 | -0.000 | 0.000 | 0.000 | 94.813 |
| 377.037 | 218.136 | 164.130 | -0.000 | -0.000 | -0.000 |
| 238.613 | 537.780 | 197.210 | 0.000 | -0.000 | -0.000 |
| 165.815 | 165.815 | 370.783 | -0.000 | -0.000 | -0.000 |
| 0.000 | 0.000 | 0.000 | 121.959 | -0.000 | -0.000 |
| 0.000 | 0.000 | 0.000 | -0.000 | 78.914 | -0.000 |
| 0.000 | 0.000 | 0.000 | 0.000 | -0.000 | 149.582 |
| 473.748 | 229.175 | 233.962 | -0.000 | 0.000 | 0.000 |
| 238.612 | 537.775 | 197.209 | -0.000 | 0.000 | 0.000 |
| 197.208 | 197.208 | 540.323 | 0.000 | 0.000 | 0.000 |
| -0.000 | -0.000 | -0.000 | 121.959 | 0.000 | 0.000 |
| -0.000 | -0.000 | -0.000 | -0.000 | 78.914 | 0.000 |
| -0.000 | -0.000 | -0.000 | 0.000 | 0.000 | 149.582 |
| 523.610 | 231.766 | 238.235 | -0.000 | 0.000 | 0.000 |
| 1862.102 | 2062.416 | 3460.868 | -0.000 | -0.000 | 0.000 |
| 228.055 | 228.055 | 556.477 | -0.000 | -0.000 | 0.000 |
| 0.000 | 0.000 | 0.000 | 122.162 | 0.000 | 0.000 |
| -0.000 | 0.000 | 0.000 | -0.000 | 122.162 | 0.000 |
| 0.000 | 0.000 | 0.000 | -0.000 | 0.000 | 145.922 |
| -2462.467 | -2698.605 | -2175.716 | 0.000 | 0.000 | -0.000 |
| -1503.270 | -1304.754 | -2862.760 | 0.000 | -0.000 | -0.000 |
| -1334.374 | -1334.374 | -2954.218 | 0.000 | -0.000 | -0.000 |
| -0.000 | -0.000 | -0.000 | 122.162 | 0.000 | -0.000 |
| -0.000 | -0.000 | -0.000 | 0.000 | 122.162 | -0.000 |
| -0.000 | -0.000 | -0.000 | 0.000 | -0.000 | 145.922 |
| 523.610 | 231.766 | 238.235 | -0.000 | -0.000 | 0.000 |
| 468.693 | 693.549 | 479.084 | -0.000 | 0.000 | 0.000 |
| 462.375 | 462.375 | 470.490 | -0.000 | -0.000 | 0.000 |
| 282.349 | 282.349 | 246.018 | 57.894 | -0.000 | 0.000 |
| 0.000 | 0.000 | 0.000 | -0.000 | 122.162 | 0.000 |
| 165.764 | 165.764 | 311.628 | -0.000 | -0.000 | 100.386 |
| 523.610 | 231.766 | 238.235 | 0.000 | -0.000 | -0.000 |
| -100.904 | 143.837 | -71.593 | 0.000 | -0.000 | -0.000 |
| 169.126 | 169.126 | -3.174 | 0.000 | 0.000 | -0.000 |
| -165.308 | -165.308 | -310.770 | 44.566 | -0.000 | -0.000 |
| -0.000 | -0.000 | -0.000 | 0.000 | 122.162 | -0.000 |
| -165.764 | -165.764 | -311.628 | 0.000 | 0.000 | 100.386 |
| 401.499 | 240.433 | 244.481 | -0.000 | -0.000 | 0.000 |
| 224.933 | 419.648 | 248.291 | -0.000 | -0.000 | 0.000 |
| 269.182 | 269.182 | 412.333 | -0.000 | -0.000 | 0.000 |
| 24.928 | 24.928 | 26.985 | 52.801 | -0.000 | 0.000 |
| 11.624 | 11.624 | 21.853 | -0.000 | 67.597 | 0.000 |
| 36.623 | 36.623 | 42.552 | -0.000 | 0.000 | 100.260 |
| 381.296 | 168.864 | 179.842 | 0.000 | 0.000 | -0.000 |
| 164.037 | 352.464 | 178.372 | 0.000 | -0.000 | -0.000 |
| 259.406 | 259.406 | 370.611 | 0.000 | -0.000 | -0.000 |
| -24.928 | -24.928 | -26.985 | 52.801 | 0.000 | -0.000 |
| -11.624 | -11.624 | -21.853 | 0.000 | 67.597 | -0.000 |
| -36.623 | -36.623 | -42.552 | 0.000 | 0.000 | 100.260 |
| 583.692 | 238.389 | 246.740 | -0.000 | 0.000 | -0.000 |
| 253.293 | 538.096 | 224.960 | -0.000 | 0.000 | -0.000 |
| 255.652 | 218.967 | 563.463 | -0.000 | 0.000 | 0.000 |
| 0.000 | 0.000 | 0.000 | 139.692 | 0.000 | 0.000 |
| 103.646 | 960.833 | -1678.416 | -0.000 | 82.851 | 0.000 |
| 105.095 | 960.696 | -1679.187 | -0.000 | 0.000 | 40.841 |
| 2963.376 | -604.583 | -60.815 | 0.000 | 0.000 | -0.000 |
| 253.293 | 538.096 | 224.960 | 0.000 | -0.000 | -0.000 |
| 2739.007 | -609.022 | 182.662 | 0.000 | 0.000 | -0.000 |
| -0.000 | -0.000 | -0.000 | 139.692 | -0.000 | 0.000 |
| -103.646 | -960.833 | 1678.416 | 0.000 | 82.851 | -0.000 |
| -105.095 | -960.696 | 1679.187 | 0.000 | -0.000 | 40.841 |
| 227.617 | 338.426 | 268.502 | -0.000 | -0.000 | 0.000 |
| 253.293 | 538.096 | 224.960 | -0.000 | 0.000 | -0.000 |
| -31.131 | 341.717 | 496.446 | -0.000 | -0.000 | 0.000 |
| -65.442 | 203.964 | -276.717 | 94.924 | -0.000 | 0.000 |
| -0.776 | 96.268 | -160.463 | -0.000 | 82.622 | 0.000 |
| -250.229 | 85.596 | 29.510 | -0.000 | -0.000 | 81.924 |
| 549.595 | 8.837 | 457.767 | 0.000 | 0.000 | -0.000 |
| 253.293 | 538.096 | 224.960 | 0.000 | -0.000 | -0.000 |
| 210.080 | 120.909 | 617.881 | 0.000 | -0.000 | -0.000 |
| 65.442 | -203.964 | 276.717 | 94.924 | 0.000 | -0.000 |
| 0.778 | -96.268 | 160.462 | 0.000 | 82.622 | -0.000 |
| 250.229 | -85.596 | -29.510 | 0.000 | 0.000 | 81.924 |
| 399.339 | 256.318 | 164.124 | -0.000 | -0.000 | 0.000 |
| 241.780 | 473.987 | 223.960 | -0.000 | 0.000 | 0.000 |
| 255.653 | 218.968 | 563.466 | -0.000 | 0.000 | 0.000 |
| 3.271 | 8.554 | -16.562 | 99.595 | 0.000 | 0.000 |
| -1.781 | 14.976 | -22.508 | -0.000 | 85.939 | 0.000 |
| -20.524 | 27.871 | -29.446 | -0.000 | -0.000 | 50.580 |
| 445.913 | 232.548 | 241.029 | 0.000 | -0.000 | -0.000 |
| 256.049 | 439.088 | 240.386 | 0.000 | -0.000 | -0.000 |
| 270.243 | 227.452 | 506.607 | 0.000 | 0.000 | -0.000 |
| -3.271 | -8.554 | 16.562 | 99.595 | -0.000 | -0.000 |
| 1.781 | -14.976 | 22.508 | 0.000 | 85.939 | -0.000 |
| 20.524 | -27.871 | 29.446 | 0.000 | 0.000 | 50.580 |
| 4378.823 | 4160.685 | -774.941 | 0.000 | 0.000 | -0.000 |
| 232.452 | 524.860 | 238.880 | 0.000 | -0.000 | -0.000 |
| 228.704 | 228.704 | 557.497 | 0.000 | -0.000 | -0.000 |
| 4968.803 | 4968.803 | -156.419 | 46.780 | -0.000 | -0.000 |
| 3451.175 | 3451.175 | -5009.867 | 0.000 | 68.320 | -0.000 |
| 3451.567 | 3451.567 | -5010.437 | 0.000 | -0.000 | 114.498 |
| 524.860 | 232.452 | 238.880 | -0.000 | -0.000 | 0.000 |
| -4775.841 | -4562.035 | 379.234 | -0.001 | -0.000 | 0.000 |
| -4766.284 | -4766.284 | 505.241 | -0.000 | -0.000 | 0.000 |
| -4968.803 | -4968.803 | 156.419 | 46.779 | 0.000 | 0.000 |
| -3451.175 | -3451.175 | 5009.867 | -0.000 | 68.320 | 0.000 |
| -3451.567 | -3451.567 | 5010.436 | -0.000 | 0.000 | 114.498 |
| 524.861 | 232.452 | 238.880 | 0.000 | -0.000 | -0.000 |
| 570.025 | 795.674 | -222.369 | 0.000 | 0.000 | -0.000 |
| 615.581 | 615.581 | 246.494 | 0.000 | 0.000 | -0.000 |
| 0.000 | 0.000 | 0.000 | 122.384 | -0.000 | -0.000 |
| 396.383 | 396.383 | -100.742 | 0.000 | 48.867 | -0.000 |
| 396.804 | 396.803 | -99.248 | 0.000 | -0.000 | 108.967 |
| 13.463 | -202.833 | 325.245 | -0.000 | 0.000 | 0.000 |
| -121.277 | 110.452 | 778.531 | -0.000 | 0.000 | 0.000 |
| -333.996 | -333.996 | 324.078 | -0.000 | 0.000 | 0.000 |
| -0.000 | -0.000 | -0.000 | 122.384 | 0.000 | 0.000 |
| -396.383 | -396.383 | 100.742 | -0.000 | 48.867 | 0.000 |
| -396.804 | -396.803 | 99.248 | -0.000 | 0.000 | 108.967 |
| 449.891 | 243.069 | 213.985 | 0.000 | 0.000 | -0.000 |
| 232.453 | 524.863 | 238.881 | 0.000 | 0.000 | -0.000 |
| 283.344 | 283.344 | 371.386 | 0.000 | 0.000 | -0.000 |
| 45.938 | 45.938 | -3.821 | 48.700 | -0.000 | -0.000 |
| 32.893 | 32.893 | -47.749 | 0.000 | 70.856 | -0.000 |
| 53.504 | 53.504 | -0.988 | 0.000 | 0.000 | 101.938 |
| 331.655 | 141.689 | 211.918 | -0.000 | -0.000 | 0.000 |
| 139.274 | 344.847 | 216.882 | -0.000 | 0.000 | 0.000 |
| 160.356 | 160.356 | 359.932 | -0.000 | -0.000 | 0.000 |
| -45.938 | -45.938 | 3.821 | 48.700 | 0.000 | 0.000 |
| -32.893 | -32.893 | 47.749 | -0.000 | 70.856 | 0.000 |
| -53.504 | -53.504 | 0.988 | -0.000 | 0.000 | 101.938 |
| 181.392 | 379.416 | 286.111 | -0.000 | -0.000 | 0.000 |
| 253.305 | 537.610 | 224.823 | -0.000 | -0.000 | 0.000 |
| 193.805 | 343.065 | 611.987 | -0.000 | -0.000 | 0.000 |
| 0.000 | 0.000 | 0.000 | 139.591 | -0.000 | 0.000 |
| 0.000 | 0.000 | 0.000 | -0.000 | 153.335 | -0.000 |
| 0.000 | 0.000 | 0.000 | -0.000 | -0.000 | 149.458 |
| 472.483 | 165.395 | 104.325 | 0.000 | 0.000 | -0.000 |
| 253.305 | 537.610 | 224.823 | 0.000 | 0.000 | -0.000 |
| 255.706 | 218.792 | 563.436 | 0.000 | 0.000 | -0.000 |
| -0.000 | -0.000 | -0.000 | 139.591 | 0.000 | 0.000 |
| -0.000 | -0.000 | -0.000 | 0.000 | 153.335 | -0.000 |
| -0.000 | -0.000 | -0.000 | 0.000 | 0.000 | 149.458 |
| 463.043 | 268.102 | 249.368 | 0.000 | -0.000 | 0.000 |
| 253.305 | 537.610 | 224.823 | -0.000 | -0.000 | 0.000 |
| 223.506 | 245.326 | 513.030 | 0.000 | -0.000 | 0.000 |
| 0.000 | 0.000 | 0.000 | 139.591 | -0.000 | 0.000 |
| 0.000 | 0.000 | 0.000 | -0.000 | 153.335 | 0.000 |
| 0.000 | 0.000 | 0.000 | -0.000 | -0.000 | 149.458 |
| 446.655 | 218.941 | 216.688 | 0.000 | 0.000 | -0.000 |
| 253.305 | 537.610 | 224.823 | 0.000 | 0.000 | -0.000 |
| 289.344 | 219.844 | 497.560 | 0.000 | 0.000 | 0.000 |
| -0.000 | -0.000 | -0.000 | 139.591 | 0.000 | 0.000 |
| -0.000 | -0.000 | -0.000 | 0.000 | 153.335 | -0.000 |
| -0.000 | -0.000 | -0.000 | 0.000 | 0.000 | 149.458 |
| 419.466 | 232.753 | 204.985 | -0.000 | -0.000 | 0.000 |
| 251.225 | 464.161 | 232.340 | -0.000 | -0.000 | -0.000 |
| 217.940 | 226.157 | 452.460 | -0.000 | -0.000 | -0.000 |
| 0.000 | 0.000 | 0.000 | 139.591 | -0.000 | 0.000 |
| -1.300 | 0.838 | 0.937 | -0.000 | 98.931 | 0.000 |
| 0.000 | 0.000 | 0.000 | -0.000 | -0.000 | 149.458 |
| 429.447 | 233.762 | 213.558 | 0.000 | 0.000 | -0.000 |
| 250.134 | 452.610 | 226.189 | 0.000 | 0.000 | 0.000 |
| 233.813 | 217.530 | 462.341 | 0.000 | 0.000 | -0.000 |
| -0.000 | -0.000 | -0.000 | 139.591 | 0.000 | -0.000 |
| 1.300 | -0.838 | -0.937 | -0.000 | 98.931 | -0.000 |
| -0.000 | -0.000 | -0.000 | 0.000 | 0.000 | 149.458 |
| 318.877 | 249.614 | 249.614 | -0.000 | -0.000 | -0.000 |
| 249.614 | 318.877 | 249.614 | -0.000 | -0.000 | 0.000 |
| 249.614 | 249.614 | 318.877 | -0.000 | -0.000 | 0.000 |
| -1148972723.736 | -1137443561.018 | -1053522647.876 | 13265927.930 | -29449512.107 | 8597339.749 |
| -1096732472.691 | -1154881515.525 | -1141089339.024 | -19044026.989 | -6488479.244 | -16944467.721 |
| -1101944963.817 | -1115070255.786 | -1170874280.910 | 1690762.234 | 9138297.541 | 13121726.086 |
| 318.877 | 249.614 | 249.614 | 0.000 | 0.000 | -0.000 |
| 249.614 | 318.877 | 249.614 | 0.000 | 0.000 | -0.000 |
| 249.614 | 249.614 | 318.877 | 0.000 | 0.000 | -0.000 |
| 1141857174.749 | 1102517099.296 | 1113379638.140 | 49864897.190 | 5170159.745 | 7139228.589 |
| 1148174412.668 | 1164768057.864 | 1072122505.138 | -22797752.062 | 20012567.600 | 11139411.991 |
| 1141165703.663 | 1126816816.195 | 1160259799.939 | -11614276.363 | 5037872.047 | -780792.325 |
| 318.877 | 249.614 | 249.614 | -0.000 | -0.000 | 0.000 |
| 249.614 | 318.877 | 249.614 | -0.000 | -0.000 | -0.000 |
| 249.614 | 249.614 | 318.877 | -0.000 | -0.000 | 0.000 |
| -108762478.092 | -112028178.885 | -109070145.057 | 573277.481 | 123987.253 | 188356.032 |
| -113871759.140 | -113532617.778 | -114257072.002 | 3042765.515 | -3379734.143 | -1873221.019 |
| -108685947.719 | -116635046.851 | -114253148.182 | -503243.388 | -1326737.785 | -886274.598 |
| 318.876 | 249.614 | 249.614 | 0.000 | 0.000 | -0.000 |
| 249.614 | 318.876 | 249.614 | 0.000 | 0.000 | 0.000 |
| 249.614 | 249.614 | 318.876 | 0.000 | 0.000 | 0.000 |
| 116714458.786 | 113148426.933 | 108914141.875 | 2845172.973 | 2534082.682 | 930369.879 |
| 118387836.766 | 112903189.023 | 112166010.768 | -1559434.777 | 696121.702 | -1864332.926 |
| 108000659.905 | 114689587.866 | 113808019.814 | 319706.569 | -788115.643 | -1133746.386 |
| 318.879 | 249.614 | 249.614 | -0.000 | -0.000 | 0.000 |
| 249.614 | 318.879 | 249.614 | -0.000 | -0.000 | 0.000 |
| 249.614 | 249.614 | 318.879 | -0.000 | -0.000 | 0.000 |
| -11844056.152 | -10848523.346 | -11269801.164 | 40712.065 | -273819.362 | 75885.185 |
| -11267333.707 | -11228008.003 | -10650167.448 | 163997.911 | 20579.792 | -118202.500 |
| -10994288.394 | -11538664.965 | -11319931.602 | -160624.551 | 58282.076 | -55983.653 |
| 318.875 | 249.613 | 249.613 | 0.000 | 0.000 | -0.000 |
| 249.613 | 318.875 | 249.613 | 0.000 | 0.000 | -0.000 |
| 249.613 | 249.613 | 318.875 | 0.000 | 0.000 | -0.000 |
| 11591063.949 | 10706581.940 | 11504465.069 | 7770.186 | -165395.515 | 58281.133 |
| 10851154.826 | 11640754.653 | 10979478.004 | -169230.245 | -84166.110 | -103303.810 |
| 11077636.174 | 11619446.463 | 11377565.441 | 44318.930 | 278908.540 | 213945.996 |
| 65328425.015 | 2365396.580 | 14268224.743 | -747180.541 | -27013014.573 | -8324271.136 |
| 5716649.127 | -43399952762.600 | -10767148403.909 | 1492586947.708 | 17675700.165 | -7311679.123 |
| 19026261.246 | -8973476751.310 | -2099388586.730 | 310040013.671 | -39479764.026 | -15396479.346 |
| -780013.704 | 1169672397.480 | 291136851.207 | -40409882.137 | -943210.543 | -481695.106 |
| -26892771.568 | 11882450.680 | -40895145.662 | -945897.421 | 32348588.303 | 9856161.220 |
| -8381690.857 | -6387583.930 | -15598601.366 | -476165.955 | 9782407.996 | 4215293.704 |
| 65556314.629 | 5604762.790 | 18716791.093 | -805051.438 | -26629344.695 | -8371972.318 |
| 1997449.659 | -28052312236.019 | -6929756185.655 | 965143512.723 | 9303915.842 | -5594545.117 |
| 13080337.149 | -8034521364.380 | -1844715328.108 | 278105014.635 | -39374162.852 | -15487708.201 |
| -774363.788 | 1187312897.360 | 295541317.032 | -41026283.216 | -954324.774 | -477082.324 |
| -26712011.273 | 13000413.270 | -38460946.201 | -951838.722 | 31721796.953 | 9637335.676 |
| -8299792.608 | -6295233.970 | -15378227.701 | -482610.808 | 9707026.817 | 4203770.893 |
| 79118827.207 | -32811564.534 | -34905147.138 | -219490.382 | -35368244.952 | -9668552.799 |
| 12245111.676 | -49683093685.184 | -12351552170.277 | 1707997087.240 | 19339832.963 | -8290691.673 |
| 23735633.183 | -17057071548.806 | -4158939165.490 | 587251654.622 | -28999234.723 | -13843139.584 |
| -805923.684 | 1095759925.060 | 272680944.663 | -37827020.076 | -896673.691 | -502239.141 |
| -28547087.889 | 7211144.264 | -51949347.834 | -930116.833 | 35948172.749 | 11069517.237 |
| -8763868.696 | -6803934.787 | -16609785.047 | -448674.992 | 10141927.635 | 4276536.697 |
| 71776971.337 | 15488876.659 | 31762947.577 | -1007786.141 | -26703185.406 | -9144703.577 |
| 72183215711.844 | 1073357335.246 | 35165534712.279 | 846987586.862 | 20577636233.845 | 15158289539.859 |
| 2271953610.767 | -11810176662.966 | 1392483251.990 | 370194039.919 | 2533641990.124 | -659445017.087 |
| -749278.802 | 1272889968.336 | 316906834.108 | -44016395.404 | -1008485.947 | -456083.172 |
| -27047225.635 | 19065884.766 | -26532805.748 | -997116.770 | 29748999.956 | 8883859.127 |
| -7944300.359 | -5877050.798 | -14401081.824 | -513292.365 | 9387181.806 | 4161205.249 |
| 17190006.511 | 10015867.090 | 22329915.342 | -430957.937 | -9803827.555 | -2678700.886 |
| 10266829.416 | -133348754515.810 | -34085404280.221 | 4871296475.527 | -108250692.728 | 14026152.787 |
| 41610459.152 | 1220422084.966 | 348491057.720 | -41473281.247 | -15480886.560 | -3644465.180 |
| -1120903.582 | 655370068.663 | 162619456.674 | -22421089.689 | -627738.948 | -715246.733 |
| 42191587.570 | 1223411775.766 | 348494456.779 | -41565571.374 | -15449341.986 | -1851830.126 |
| -14432230.062 | -12021255.302 | -30877344.506 | -272736.751 | 16399517.591 | 5949040.245 |
| 196181518.513 | 84763387.850 | 209395389.131 | -7030786.677 | -115524930.660 | -20655092.258 |
| 623918265.480 | -946362358.797 | 912347146.624 | 41236533.445 | 15768143.270 | -50733591.623 |
| -40827753.528 | -1219070310.394 | -307245632.285 | 47785598.651 | 11022019.621 | 3019340.860 |
| -512426.160 | 3528114961.998 | 879699115.575 | -122855269.379 | -2461629.329 | -139946.587 |
| -8273416.220 | 14742934.303 | -17773587.859 | -791908.610 | 11420115.110 | 3507462.517 |
| -5869625.857 | 461018.074 | -2776568.788 | -1079771.231 | 8005954.354 | 4734411.177 |
| 314.138 | 244.846 | 244.846 | -0.000 | -0.000 | 0.000 |
| 244.846 | 314.138 | 244.846 | -0.000 | -0.000 | -0.000 |
| 244.846 | 244.846 | 314.138 | 0.000 | -0.000 | 0.000 |
| -0.000 | -0.000 | -0.000 | 59.544 | -0.000 | -0.000 |
| 0.000 | -0.000 | -0.000 | 0.000 | 59.544 | -0.000 |
| 0.000 | -0.000 | -0.000 | 0.000 | -0.000 | 59.544 |
| 314.138 | 244.846 | 244.846 | 0.000 | 0.000 | -0.000 |
| 244.846 | 314.138 | 244.846 | 0.000 | 0.000 | 0.000 |
| 244.846 | 244.846 | 314.138 | -0.000 | 0.000 | 0.000 |
| 0.000 | 0.000 | 0.000 | 59.544 | 0.000 | 0.000 |
| -0.000 | 0.000 | 0.000 | -0.000 | 59.544 | 0.000 |
| 0.000 | 0.000 | 0.000 | -0.000 | 0.000 | 59.544 |
| 314.138 | 244.846 | 244.846 | 0.000 | 0.000 | -0.000 |
| 244.846 | 314.138 | 244.846 | 0.000 | 0.000 | -0.000 |
| 244.846 | 244.846 | 314.138 | 0.000 | 0.000 | 0.000 |
| -0.000 | 0.000 | 0.000 | 59.544 | -0.000 | -0.000 |
| 0.000 | -0.000 | 0.000 | -0.000 | 59.544 | -0.000 |
| 0.000 | 0.000 | -0.000 | 0.000 | 0.000 | 59.544 |
| 314.138 | 244.846 | 244.846 | -0.000 | 0.000 | 0.000 |
| 244.846 | 314.138 | 244.846 | -0.000 | 0.000 | 0.000 |
| 244.846 | 244.846 | 314.138 | -0.000 | 0.000 | 0.000 |
| 0.000 | -0.000 | -0.000 | 59.544 | 0.000 | -0.000 |
| -0.000 | 0.000 | -0.000 | 0.000 | 59.544 | 0.000 |
| -0.000 | -0.000 | 0.000 | -0.000 | -0.000 | 59.544 |
| 314.139 | 244.847 | 244.847 | -0.000 | -0.000 | -0.000 |
| 244.847 | 314.139 | 244.847 | 0.000 | -0.000 | -0.000 |
| 244.847 | 244.847 | 314.139 | 0.000 | -0.000 | -0.000 |
| -0.000 | 0.000 | 0.000 | 63.609 | -0.000 | 0.000 |
| 0.000 | -0.000 | 0.000 | -0.000 | 63.609 | -0.000 |
| 0.000 | 0.000 | -0.000 | 0.000 | -0.000 | 63.609 |
| 314.136 | 244.845 | 244.845 | -0.000 | -0.000 | 0.000 |
| 244.845 | 314.136 | 244.845 | -0.000 | 0.000 | -0.000 |
| 244.845 | 244.845 | 314.136 | -0.000 | -0.000 | -0.000 |
| 0.000 | -0.000 | -0.000 | 63.609 | 0.000 | 0.000 |
| -0.000 | 0.000 | -0.000 | 0.000 | 63.609 | 0.000 |
| -0.000 | -0.000 | 0.000 | -0.000 | 0.000 | 63.609 |
| -1635417.093 | -1469380.178 | -1633474.332 | 14259.726 | 84898.457 | 8438.523 |
| -1653270.606 | -1401753.200 | -1722411.005 | 247930.347 | 12405.300 | 85504.814 |
| -1502098.404 | -1560476.490 | -1437615.953 | -22510.596 | -143876.358 | 22856.744 |
| -762936.686 | -392344.841 | -527538.001 | 189908.101 | -31052.654 | -14347.415 |
| -356772.718 | -683880.781 | -587176.792 | -26401.222 | 257117.155 | -17457.348 |
| -617485.840 | -835087.121 | -376936.119 | 17978.689 | 29340.022 | 138377.827 |
| -0.000 | -0.000 | -0.000 | 0.000 | 0.000 | 0.000 |
| -0.000 | -0.000 | -0.000 | 0.000 | 0.000 | 0.000 |
| -0.000 | -0.000 | -0.000 | 0.000 | 0.000 | 0.000 |
| 1299676.879 | 639473.884 | 701824.036 | 88538.823 | -11515.609 | 37533.776 |
| 827645.980 | 666651.804 | 1023047.094 | 37564.945 | 234185.929 | 23804.301 |
| 499485.231 | 243577.976 | 1028806.659 | -42589.295 | 38544.202 | 139507.063 |
| -177340.609 | -148475.489 | -147087.963 | -2407.625 | -26282.582 | 23729.577 |
| -153074.186 | -147124.120 | -133479.049 | -38224.833 | 1717.023 | 20696.439 |
| -109875.482 | -146382.138 | -166105.834 | 9427.345 | 18703.763 | 15428.152 |
| -104514.781 | -17010.048 | -35018.798 | 14610.809 | -555.373 | -1620.339 |
| -14726.199 | -136974.024 | 13113.861 | 49.144 | 18398.769 | -3472.575 |
| 4912.639 | 15895.239 | -106072.789 | -1045.444 | -1789.386 | 18073.212 |
| -0.000 | -0.000 | -0.000 | 0.000 | 0.000 | 0.000 |
| -0.000 | -0.000 | -0.000 | 0.000 | 0.000 | 0.000 |
| -0.000 | -0.000 | -0.000 | 0.000 | 0.000 | 0.000 |
| 122684.919 | 42912.867 | 42212.037 | 22091.459 | -240.824 | 138.428 |
| 48919.100 | 126467.924 | 22425.102 | -1562.061 | 7416.199 | 1285.731 |
| 32457.351 | 37591.115 | 104907.914 | -1543.113 | 1225.695 | 21307.830 |
| -15334.199 | -10098.896 | -13632.884 | 1297.429 | -520.553 | -16.605 |
| -11845.620 | -17719.439 | -14121.701 | -597.488 | -952.975 | 1725.899 |
| -9052.043 | -9040.769 | -17151.918 | 942.075 | 430.172 | -121.771 |
| -11515.176 | 876.841 | 2094.032 | -180.812 | -200.586 | -341.773 |
| 553.316 | -7354.707 | 3400.516 | -361.104 | 338.422 | -279.355 |
| -2359.971 | 2159.211 | -6563.181 | -107.598 | -86.727 | 1.406 |
| -0.000 | -0.000 | -0.000 | 0.000 | 0.000 | 0.000 |
| -0.000 | -0.000 | -0.000 | 0.000 | 0.000 | 0.000 |
| -0.000 | -0.000 | -0.000 | 0.000 | 0.000 | 0.000 |
| 10798.115 | 1644.542 | 2578.485 | 927.322 | -278.507 | 90.260 |
| 2379.936 | 14186.556 | 4107.897 | 227.740 | 296.759 | -330.054 |
| 3270.189 | 1358.422 | 12227.786 | 248.373 | -224.959 | 1317.950 |
| 263.339 | 262.315 | 262.315 | -0.000 | 0.000 | 0.000 |
| 262.315 | 263.339 | 262.315 | 0.000 | 0.000 | 0.000 |
| 262.315 | 262.315 | 263.339 | -0.000 | -0.000 | 0.000 |
| 0.000 | 0.000 | 0.000 | 61.282 | -0.000 | 0.000 |
| 0.000 | 0.000 | 0.000 | -0.000 | 61.282 | 0.000 |
| 0.000 | -0.000 | 0.000 | -0.000 | -0.000 | 61.282 |
| 263.339 | 262.315 | 262.315 | 0.000 | 0.000 | -0.000 |
| 262.315 | 263.339 | 262.315 | 0.000 | 0.000 | -0.000 |
| 262.315 | 262.315 | 263.339 | -0.000 | -0.000 | -0.000 |
| -0.000 | 0.000 | 0.000 | 61.282 | 0.000 | -0.000 |
| -0.000 | -0.000 | -0.000 | 0.000 | 61.282 | -0.000 |
| -0.000 | 0.000 | -0.000 | 0.000 | 0.000 | 61.282 |
| 263.339 | 262.315 | 262.315 | 0.000 | 0.000 | 0.000 |
| 262.315 | 263.339 | 262.315 | 0.000 | 0.000 | 0.000 |
| 262.315 | 262.315 | 263.339 | -0.000 | -0.000 | 0.000 |
| 0.000 | 0.000 | 0.000 | 61.282 | 0.000 | -0.000 |
| 0.000 | 0.000 | 0.000 | 0.000 | 61.282 | 0.000 |
| 0.000 | 0.000 | 0.000 | -0.000 | 0.000 | 61.282 |
| 263.339 | 262.315 | 262.315 | -0.000 | -0.000 | -0.000 |
| 262.315 | 263.339 | 262.315 | 0.000 | -0.000 | -0.000 |
| 262.315 | 262.315 | 263.339 | -0.000 | -0.000 | -0.000 |
| -0.000 | -0.000 | -0.000 | 61.282 | -0.000 | 0.000 |
| -0.000 | -0.000 | -0.000 | 0.000 | 61.282 | -0.000 |
| -0.000 | -0.000 | -0.000 | 0.000 | -0.000 | 61.282 |
| 263.340 | 262.315 | 262.315 | -0.000 | -0.000 | 0.000 |
| 262.315 | 263.340 | 262.315 | -0.000 | -0.000 | 0.000 |
| 262.315 | 262.315 | 263.340 | 0.000 | 0.000 | 0.000 |
| 0.000 | 0.000 | 0.000 | 61.282 | 0.000 | 0.000 |
| 0.000 | 0.000 | 0.000 | 0.000 | 61.282 | 0.000 |
| 0.000 | 0.000 | 0.000 | 0.000 | 0.000 | 61.282 |
| 263.338 | 262.314 | 262.314 | -0.000 | -0.000 | -0.000 |
| 262.314 | 263.338 | 262.314 | -0.000 | -0.000 | -0.000 |
| 262.314 | 262.314 | 263.338 | 0.000 | 0.000 | -0.000 |
| -0.000 | -0.000 | -0.000 | 61.282 | -0.000 | -0.000 |
| -0.000 | -0.000 | -0.000 | -0.000 | 61.282 | -0.000 |
| -0.000 | -0.000 | -0.000 | -0.000 | -0.000 | 61.282 |
| -1613653.505 | -1645466.537 | -1571136.677 | -70081.524 | -52208.556 | 6976.380 |
| -1607699.354 | -1718443.882 | -1620837.485 | -122532.590 | -79212.672 | -17501.074 |
| -1552144.124 | -1492935.986 | -1510098.917 | 20439.901 | -55196.211 | 24409.853 |
| -1662034.309 | -1517352.482 | -1531382.429 | 16011.208 | -63482.292 | 10400.587 |
| -1666343.211 | -1524889.446 | -1514217.626 | 11299.276 | -49770.084 | 18512.017 |
| -1649033.992 | -1488970.628 | -1457970.114 | 39198.628 | -41865.338 | 20619.495 |
| 1640280.202 | 1496213.063 | 1464378.386 | -22708.787 | 51202.972 | -32.467 |
| 1663206.064 | 1531177.237 | 1532268.868 | -11709.828 | 61467.959 | -10855.695 |
| 1644996.174 | 1502783.262 | 1482842.965 | -24290.092 | 41395.009 | -1125.709 |
| 1639940.817 | 1528824.473 | 1521126.317 | -18716.738 | 59142.584 | -14636.367 |
| 1629265.825 | 1497438.094 | 1470937.154 | -32521.539 | 34270.324 | -16148.865 |
| 1637862.371 | 1529163.630 | 1421908.591 | -13551.171 | 29025.747 | 25992.567 |
| -165823.911 | -152112.128 | -151455.035 | 1464.202 | -6788.610 | 1032.677 |
| -166122.206 | -152003.645 | -152567.808 | 1865.374 | -6087.026 | 799.604 |
| -167148.397 | -151840.899 | -150870.753 | 1129.483 | -5567.237 | 1825.539 |
| -166429.755 | -160631.875 | -156214.167 | -1604.011 | -13472.700 | -4501.732 |
| -164025.113 | -152167.519 | -151135.143 | 1589.284 | -6131.982 | 1119.220 |
| -163557.513 | -147588.656 | -146544.150 | 3557.187 | -7771.608 | 2374.464 |
| 166175.536 | 151864.687 | 152508.129 | -3966.057 | 4407.978 | -1756.425 |
| 163017.132 | 149472.630 | 151107.909 | -1886.899 | 5752.037 | -696.839 |
| 166446.654 | 152846.794 | 153505.840 | -1775.381 | 6504.122 | -917.996 |
| 159090.146 | 146615.558 | 136094.714 | -1258.449 | 8729.477 | -1009.893 |
| 165770.795 | 151223.960 | 142837.086 | -4505.817 | 4969.322 | -1943.073 |
| 164395.652 | 151289.295 | 150282.675 | -2551.247 | 5352.742 | -748.549 |
| -16601.388 | -15245.727 | -15325.894 | 217.699 | -661.397 | 106.482 |
| -16252.868 | -16027.688 | -15526.281 | -350.249 | -502.362 | 65.690 |
| -16568.581 | -15128.263 | -15142.837 | 151.630 | -626.553 | 79.992 |
| -16509.655 | -15198.452 | -14913.770 | 165.501 | -565.858 | 125.690 |
| -16750.028 | -15368.185 | -15459.841 | 194.197 | -648.395 | 99.194 |
| -16659.721 | -15313.179 | -15384.661 | 211.597 | -622.156 | 84.833 |
| 16641.652 | 15324.765 | 15237.067 | -150.220 | 681.053 | -101.656 |
| 16582.226 | 14780.495 | 15371.817 | -160.431 | 628.633 | -168.092 |
| 16645.303 | 15301.990 | 15410.492 | -195.251 | 644.668 | -90.829 |
| 16873.113 | 15590.074 | 15449.434 | -22.228 | 944.297 | 369.569 |
| 15962.980 | 17211.032 | 16236.912 | 1308.258 | 668.763 | -26.904 |
| 16524.008 | 15213.131 | 15269.504 | -256.731 | 591.710 | -136.129 |
| 361.272 | 104.489 | 96.869 | -15.071 | 0.000 | -0.000 |
| 100.494 | 363.701 | 95.179 | 21.632 | -0.000 | -0.000 |
| 101.088 | 101.088 | 423.579 | -0.000 | 0.000 | 0.000 |
| -20.457 | 20.461 | 0.001 | 127.434 | 0.000 | 0.000 |
| 0.002 | 0.002 | 0.001 | -0.000 | 127.434 | -20.459 |
| -0.000 | -0.000 | 0.000 | 0.000 | -22.357 | 136.275 |
| 363.700 | 100.493 | 95.179 | -21.632 | 0.000 | 0.000 |
| 101.547 | 374.097 | 101.088 | 22.357 | -0.000 | 0.000 |
| 96.399 | 96.399 | 349.771 | 0.000 | -0.000 | -0.000 |
| -22.357 | 22.357 | -0.000 | 143.779 | -0.000 | 0.000 |
| -0.002 | -0.002 | -0.001 | 0.000 | 127.434 | -20.459 |
| -0.000 | -0.000 | 0.000 | -0.000 | -22.357 | 136.275 |
| 374.097 | 101.547 | 101.088 | -22.357 | 0.000 | -0.000 |
| 100.493 | 363.701 | 95.179 | 21.632 | 0.000 | 0.000 |
| 101.088 | 101.088 | 423.579 | -0.000 | 0.000 | -0.000 |
| -22.357 | 22.357 | 0.000 | 143.779 | -0.000 | 0.000 |
| 0.000 | 0.000 | 0.000 | 0.000 | 127.434 | -20.459 |
| -0.000 | 0.000 | 0.000 | -0.000 | -22.357 | 136.275 |
| 374.097 | 101.547 | 101.088 | -22.357 | -0.000 | 0.000 |
| 101.547 | 374.097 | 101.088 | 22.357 | 0.000 | 0.000 |
| 101.088 | 101.088 | 423.579 | -0.000 | -0.000 | 0.000 |
| -20.459 | 20.459 | -0.000 | 127.434 | -0.000 | -0.000 |
| -0.000 | -0.000 | -0.000 | -0.000 | 127.434 | -20.459 |
| 0.000 | -0.000 | -0.000 | 0.000 | -22.357 | 136.275 |
| 374.098 | 101.547 | 101.088 | -22.357 | 0.000 | 0.000 |
| 100.494 | 363.703 | 95.180 | 21.632 | 0.000 | -0.000 |
| 98.330 | 98.330 | 347.946 | 0.000 | 0.000 | 0.000 |
| -20.459 | 20.459 | 0.000 | 127.434 | 0.000 | 0.000 |
| -0.000 | -0.000 | 0.000 | 0.000 | 127.434 | -20.459 |
| -0.000 | 0.000 | 0.000 | -0.000 | -22.357 | 136.275 |
| 363.699 | 100.493 | 95.179 | -21.632 | 0.000 | -0.000 |
| 104.488 | 361.270 | 96.868 | 15.071 | -0.000 | -0.000 |
| 96.400 | 96.400 | 349.773 | 0.000 | -0.000 | 0.000 |
| -22.357 | 22.357 | -0.000 | 143.779 | -0.000 | -0.000 |
| 0.000 | 0.000 | -0.000 | -0.000 | 127.434 | -20.459 |
| 0.000 | -0.000 | -0.000 | 0.000 | -22.357 | 136.275 |
| 443.179 | 204.677 | 204.677 | -0.000 | -0.000 | 0.000 |
| 204.677 | 443.179 | 204.677 | -0.000 | -0.000 | -0.000 |
| 204.677 | 204.677 | 443.179 | -0.000 | 0.000 | 0.000 |
| -0.000 | 0.000 | 0.000 | 138.956 | -0.000 | 0.000 |
| -0.000 | 0.000 | -0.000 | -0.000 | 138.956 | 0.000 |
| -0.000 | 0.000 | -0.000 | -0.000 | -0.000 | 138.956 |
| 412.442 | 193.075 | 193.076 | 0.000 | 0.000 | -0.000 |
| 193.075 | 412.442 | 193.076 | 0.000 | -0.000 | 0.000 |
| 193.075 | 193.075 | 412.442 | 0.000 | -0.000 | -0.000 |
| 0.000 | -0.000 | -0.000 | 138.956 | 0.000 | -0.000 |
| 0.000 | -0.000 | 0.000 | 0.000 | 138.956 | -0.000 |
| 0.000 | -0.000 | 0.000 | 0.000 | 0.000 | 138.956 |
| 443.179 | 204.677 | 204.677 | -0.000 | 0.000 | -0.000 |
| 204.677 | 443.179 | 204.677 | -0.000 | 0.000 | -0.000 |
| 204.677 | 204.677 | 443.179 | 0.000 | 0.000 | -0.000 |
| 0.000 | 0.000 | 0.000 | 138.956 | 0.000 | 0.000 |
| 0.000 | 0.000 | 0.000 | -0.000 | 138.956 | 0.000 |
| 0.000 | 0.000 | 0.000 | -0.000 | -0.000 | 138.956 |
| 412.442 | 193.075 | 193.075 | 0.000 | 0.000 | -0.000 |
| 193.075 | 412.442 | 193.075 | 0.000 | 0.000 | 0.000 |
| 193.075 | 193.075 | 412.442 | 0.000 | -0.000 | -0.000 |
| -0.000 | -0.000 | -0.000 | 138.956 | 0.000 | -0.000 |
| -0.000 | -0.000 | -0.000 | 0.000 | 138.956 | -0.000 |
| -0.000 | -0.000 | -0.000 | 0.000 | 0.000 | 138.956 |
| 412.447 | 193.078 | 193.078 | -0.000 | -0.000 | 0.000 |
| 193.078 | 412.447 | 193.078 | -0.000 | -0.000 | -0.000 |
| 193.078 | 193.078 | 412.447 | -0.000 | -0.000 | -0.000 |
| 0.000 | 0.000 | 0.000 | 122.760 | -0.000 | -0.000 |
| 0.000 | 0.000 | 0.000 | -0.000 | 122.760 | 0.000 |
| 0.000 | 0.000 | 0.000 | -0.000 | -0.000 | 122.760 |
| 412.440 | 193.074 | 193.074 | 0.000 | 0.000 | -0.000 |
| 193.074 | 412.440 | 193.074 | 0.000 | 0.000 | -0.000 |
| 193.074 | 193.074 | 412.440 | 0.000 | 0.000 | 0.000 |
| -0.000 | -0.000 | -0.000 | 122.760 | 0.000 | -0.000 |
| -0.000 | -0.000 | -0.000 | 0.000 | 122.760 | -0.000 |
| -0.000 | -0.000 | -0.000 | 0.000 | 0.000 | 122.760 |
| 200.860 | -18.575 | -18.575 | 0.000 | 0.000 | 0.000 |
| -18.575 | 200.860 | -18.575 | 0.000 | 0.000 | -0.000 |
| -18.575 | -18.575 | 200.860 | 0.000 | 0.000 | -0.000 |
| -222.307 | -222.307 | -222.307 | 121.376 | 0.000 | -0.000 |
| -222.307 | -222.307 | -222.307 | 0.000 | 121.376 | 0.000 |
| -0.000 | 0.000 | 0.000 | 0.000 | 0.000 | 137.487 |
| 619.244 | 399.773 | 399.773 | -0.000 | 0.000 | 0.000 |
| 399.773 | 619.244 | 399.773 | -0.000 | -0.000 | 0.000 |
| 399.773 | 399.773 | 619.244 | -0.000 | -0.000 | 0.000 |
| 222.307 | 222.307 | 222.307 | 121.376 | -0.000 | -0.000 |
| 222.307 | 222.307 | 222.307 | -0.000 | 121.376 | -0.000 |
| 0.000 | -0.000 | -0.000 | -0.000 | -0.000 | 137.487 |
| 438.625 | 201.614 | 201.614 | 0.000 | 0.000 | -0.000 |
| 201.614 | 438.625 | 201.614 | 0.000 | 0.000 | -0.000 |
| 201.614 | 201.614 | 438.625 | 0.000 | 0.000 | -0.000 |
| -20.603 | -20.603 | -20.603 | 121.966 | 0.000 | -0.000 |
| -20.603 | -20.603 | -20.603 | 0.000 | 121.966 | -0.000 |
| -20.603 | -20.603 | -20.603 | 0.000 | 0.000 | 121.966 |
| 438.624 | 201.614 | 201.614 | -0.000 | 0.000 | 0.000 |
| 201.614 | 438.624 | 201.614 | -0.000 | -0.000 | 0.000 |
| 201.614 | 201.614 | 438.624 | -0.000 | -0.000 | 0.000 |
| 20.603 | 20.603 | 20.603 | 121.966 | -0.000 | 0.000 |
| 20.603 | 20.603 | 20.603 | -0.000 | 121.966 | 0.000 |
| 20.603 | 20.603 | 20.603 | -0.000 | -0.000 | 121.966 |
| 438.626 | 201.615 | 201.615 | 0.000 | 0.000 | -0.000 |
| 201.615 | 438.626 | 201.615 | 0.000 | -0.000 | -0.000 |
| 201.615 | 201.615 | 438.626 | 0.000 | -0.000 | -0.000 |
| -1.883 | -1.883 | -1.882 | 123.304 | 0.000 | -0.000 |
| -1.883 | -1.883 | -1.882 | 0.000 | 123.304 | -0.000 |
| 0.000 | 0.000 | 0.000 | 0.000 | 0.000 | 137.487 |
| 409.753 | 192.041 | 192.041 | -0.000 | -0.000 | 0.000 |
| 192.041 | 409.753 | 192.041 | 0.000 | -0.000 | 0.000 |
| 192.041 | 192.041 | 409.753 | -0.000 | 0.000 | 0.000 |
| 1.883 | 1.883 | 1.882 | 123.304 | -0.000 | -0.000 |
| 1.883 | 1.883 | 1.882 | -0.000 | 123.304 | 0.000 |
| -0.000 | -0.000 | -0.000 | -0.000 | -0.000 | 137.487 |
| 443.623 | 204.975 | 204.975 | 0.000 | 0.000 | 0.000 |
| 204.975 | 443.623 | 204.975 | 0.000 | -0.000 | -0.000 |
| 204.975 | 204.975 | 443.623 | 0.000 | -0.000 | 0.000 |
| 0.000 | -0.000 | -0.000 | 139.099 | -0.000 | 0.000 |
| 0.000 | -0.000 | 0.000 | -0.000 | 139.099 | 0.000 |
| 0.000 | -0.000 | 0.000 | -0.000 | -0.000 | 139.099 |
| 430.343 | 215.944 | 215.943 | -0.000 | -0.000 | 0.000 |
| 215.943 | 430.343 | 215.943 | 0.000 | 0.000 | -0.000 |
| 215.943 | 215.943 | 430.343 | 0.000 | 0.000 | 0.000 |
| -0.000 | 0.000 | 0.000 | 139.099 | 0.000 | -0.000 |
| -0.000 | 0.000 | 0.000 | 0.000 | 139.099 | -0.000 |
| -0.000 | 0.000 | -0.000 | 0.000 | 0.000 | 139.099 |
| 443.623 | 204.975 | 204.975 | 0.000 | 0.000 | 0.000 |
| 204.975 | 443.623 | 204.975 | 0.000 | -0.000 | 0.000 |
| 204.975 | 204.975 | 443.623 | -0.000 | -0.000 | 0.000 |
| 0.000 | 0.000 | 0.000 | 139.099 | 0.000 | 0.000 |
| 0.000 | 0.000 | 0.000 | -0.000 | 139.099 | 0.000 |
| 0.000 | 0.000 | 0.000 | -0.000 | -0.000 | 139.099 |
| 414.229 | 195.467 | 195.467 | -0.000 | -0.000 | -0.000 |
| 195.467 | 414.229 | 195.467 | -0.000 | 0.000 | 0.000 |
| 195.467 | 195.467 | 414.229 | -0.000 | 0.000 | -0.000 |
| -0.000 | -0.000 | -0.000 | 139.099 | 0.000 | 0.000 |
| -0.000 | -0.000 | -0.000 | 0.000 | 139.099 | -0.000 |
| -0.000 | -0.000 | -0.000 | 0.000 | -0.000 | 139.099 |
| 412.775 | 193.192 | 193.192 | -0.000 | -0.000 | -0.000 |
| 193.192 | 412.775 | 193.192 | 0.000 | -0.000 | 0.000 |
| 193.192 | 193.192 | 412.775 | -0.000 | 0.000 | 0.000 |
| 0.000 | 0.000 | 0.000 | 139.099 | -0.000 | -0.000 |
| 0.000 | 0.000 | 0.000 | 0.000 | 139.099 | 0.000 |
| 0.000 | 0.000 | 0.000 | -0.000 | -0.000 | 139.099 |
| 413.036 | 193.593 | 193.593 | -0.000 | -0.000 | -0.000 |
| 193.593 | 413.036 | 193.593 | -0.000 | 0.000 | 0.000 |
| 193.593 | 193.593 | 413.036 | -0.000 | -0.000 | -0.000 |
| -0.000 | -0.000 | -0.000 | 139.099 | 0.000 | -0.000 |
| -0.000 | -0.000 | -0.000 | -0.000 | 139.099 | -0.000 |
| -0.000 | -0.000 | -0.000 | 0.000 | -0.000 | 139.099 |
| 747.179 | 255.506 | 255.506 | 0.000 | -0.000 | -0.000 |
| 255.506 | 747.179 | 255.506 | 0.000 | -0.000 | -0.000 |
| 255.506 | 255.506 | 747.179 | 0.000 | -0.000 | -0.000 |
| 0.000 | 0.000 | 0.000 | 37.447 | -0.000 | -0.000 |
| 0.000 | 0.000 | 0.000 | 0.000 | 37.447 | -0.000 |
| 0.000 | 0.000 | 0.000 | -0.000 | -0.000 | 37.447 |
| 747.179 | 255.506 | 255.506 | -0.000 | 0.000 | 0.000 |
| 255.506 | 747.179 | 255.506 | -0.000 | 0.000 | 0.000 |
| 255.506 | 255.506 | 747.179 | 0.000 | 0.000 | 0.000 |
| -0.000 | -0.000 | -0.000 | 37.447 | 0.000 | 0.000 |
| -0.000 | -0.000 | 0.000 | -0.000 | 37.447 | 0.000 |
| -0.000 | -0.000 | -0.000 | -0.000 | 0.000 | 37.447 |
| 747.180 | 255.506 | 255.506 | 0.000 | -0.000 | -0.000 |
| 255.506 | 747.180 | 255.506 | 0.000 | -0.000 | -0.000 |
| 255.506 | 255.506 | 747.180 | -0.000 | -0.000 | -0.000 |
| 0.000 | -0.000 | -0.000 | 37.447 | -0.000 | -0.000 |
| -0.000 | 0.000 | -0.000 | -0.000 | 37.447 | -0.000 |
| -0.000 | -0.000 | 0.000 | -0.000 | -0.000 | 37.447 |
| 747.179 | 255.506 | 255.506 | 0.000 | 0.000 | 0.000 |
| 255.506 | 747.179 | 255.506 | -0.000 | -0.000 | 0.000 |
| 255.506 | 255.506 | 747.179 | 0.000 | 0.000 | 0.000 |
| -0.000 | 0.000 | 0.000 | 37.447 | 0.000 | 0.000 |
| 0.000 | -0.000 | 0.000 | -0.000 | 37.447 | 0.000 |
| 0.000 | 0.000 | -0.000 | -0.000 | 0.000 | 37.447 |
| 747.185 | 255.507 | 255.507 | -0.000 | -0.000 | -0.000 |
| 255.507 | 747.185 | 255.507 | 0.000 | -0.000 | -0.000 |
| 255.507 | 255.507 | 747.185 | 0.000 | -0.000 | -0.000 |
| 0.000 | -0.000 | -0.000 | 37.447 | -0.000 | -0.000 |
| -0.000 | 0.000 | -0.000 | 0.000 | 37.447 | -0.000 |
| -0.000 | -0.000 | 0.000 | 0.000 | -0.000 | 37.447 |
| 747.173 | 255.506 | 255.506 | -0.000 | -0.000 | 0.000 |
| 255.506 | 747.173 | 255.506 | -0.000 | 0.000 | 0.000 |
| 255.506 | 255.506 | 747.173 | -0.000 | 0.000 | 0.000 |
| -0.000 | 0.000 | 0.000 | 37.447 | 0.000 | 0.000 |
| 0.000 | -0.000 | 0.000 | -0.000 | 37.447 | 0.000 |
| 0.000 | 0.000 | -0.000 | -0.000 | 0.000 | 37.447 |
| -0.691 | 0.000 | 0.000 | 0.000 | 0.000 | 0.000 |
| 0.000 | -0.691 | 0.000 | 0.000 | 0.000 | 0.000 |
| 0.000 | 0.000 | -0.691 | 0.000 | -0.000 | 0.000 |
| 0.000 | 0.000 | 0.000 | 0.000 | 0.000 | 0.000 |
| 0.000 | 0.000 | 0.000 | 0.000 | 0.000 | 0.000 |
| 0.000 | 0.000 | 0.000 | 0.000 | 0.000 | 0.000 |
| -0.000 | -0.000 | -0.000 | -0.000 | -0.000 | -0.000 |
| -0.000 | -0.000 | -0.000 | -0.000 | -0.000 | -0.000 |
| -0.000 | -0.000 | -0.000 | -0.000 | -0.000 | -0.000 |
| -0.000 | -0.000 | -0.000 | -0.000 | -0.000 | -0.000 |
| -0.000 | -0.000 | -0.000 | -0.000 | -0.000 | -0.000 |
| -0.000 | -0.000 | -0.000 | -0.000 | -0.000 | -0.000 |
| -0.030 | 0.000 | 0.000 | 0.000 | 0.000 | 0.000 |
| 0.000 | -0.030 | 0.000 | 0.000 | 0.000 | 0.000 |
| 0.000 | 0.000 | -0.030 | 0.000 | -0.000 | 0.000 |
| 0.000 | 0.000 | 0.000 | 0.000 | 0.000 | 0.000 |
| 0.000 | 0.000 | 0.000 | 0.000 | 0.000 | 0.000 |
| 0.000 | 0.000 | 0.000 | 0.000 | 0.000 | 0.000 |
| -0.000 | -0.000 | -0.000 | -0.000 | -0.000 | -0.000 |
| -0.000 | -0.000 | -0.000 | -0.000 | -0.000 | -0.000 |
| -0.000 | -0.000 | -0.000 | -0.000 | -0.000 | -0.000 |
| -0.000 | -0.000 | -0.000 | -0.000 | -0.000 | -0.000 |
| -0.000 | -0.000 | -0.000 | -0.000 | -0.000 | -0.000 |
| -0.000 | -0.000 | -0.000 | -0.000 | -0.000 | -0.000 |
| -0.003 | 0.000 | 0.000 | 0.000 | 0.000 | 0.000 |
| 0.000 | -0.003 | 0.000 | 0.000 | 0.000 | 0.000 |
| 0.000 | 0.000 | -0.003 | -0.000 | 0.000 | 0.000 |
| 0.000 | 0.000 | 0.000 | 0.000 | 0.000 | 0.000 |
| 0.000 | 0.000 | 0.000 | 0.000 | 0.000 | 0.000 |
| 0.000 | 0.000 | 0.000 | 0.000 | 0.000 | 0.000 |
| -0.000 | -0.000 | -0.000 | -0.000 | -0.000 | -0.000 |
| -0.000 | -0.000 | -0.000 | -0.000 | -0.000 | -0.000 |
| -0.000 | -0.000 | -0.000 | -0.000 | -0.000 | -0.000 |
| -0.000 | -0.000 | -0.000 | -0.000 | -0.000 | -0.000 |
| -0.000 | -0.000 | -0.000 | -0.000 | -0.000 | -0.000 |
| -0.000 | -0.000 | -0.000 | -0.000 | -0.000 | -0.000 |
| 824.426 | 298.742 | 298.742 | 0.000 | -0.000 | 0.000 |
| 298.742 | 824.426 | 298.742 | 0.000 | 0.000 | 0.000 |
| 298.742 | 298.742 | 824.426 | -0.000 | -0.000 | 0.000 |
| -0.000 | 0.000 | -0.000 | 77.571 | 0.000 | -0.000 |
| 0.000 | -0.000 | 0.000 | 0.000 | 77.571 | -0.000 |
| 0.000 | -0.000 | 0.000 | -0.000 | -0.000 | 77.571 |
| 824.426 | 298.742 | 298.742 | -0.000 | 0.000 | -0.000 |
| 298.742 | 824.426 | 298.742 | -0.000 | -0.000 | -0.000 |
| 298.742 | 298.742 | 824.426 | -0.000 | -0.000 | -0.000 |
| -0.000 | 0.000 | 0.000 | 77.571 | 0.000 | 0.000 |
| 0.000 | -0.000 | 0.000 | 0.000 | 77.571 | -0.000 |
| 0.000 | 0.000 | -0.000 | -0.000 | -0.000 | 77.571 |
| 824.426 | 298.742 | 298.742 | 0.000 | -0.000 | 0.000 |
| 298.742 | 824.426 | 298.742 | 0.000 | 0.000 | -0.000 |
| 298.742 | 298.742 | 824.426 | -0.000 | -0.000 | 0.000 |
| 0.000 | 0.000 | 0.000 | 77.571 | 0.000 | 0.000 |
| 0.000 | 0.000 | 0.000 | 0.000 | 77.571 | 0.000 |
| 0.000 | 0.000 | 0.000 | 0.000 | 0.000 | 77.571 |
| 824.425 | 298.742 | 298.742 | 0.000 | 0.000 | -0.000 |
| 298.742 | 824.425 | 298.742 | 0.000 | 0.000 | -0.000 |
| 298.742 | 298.742 | 824.425 | -0.000 | -0.000 | -0.000 |
| -0.000 | -0.000 | -0.000 | 77.571 | -0.000 | -0.000 |
| -0.000 | -0.000 | -0.000 | -0.000 | 77.571 | -0.000 |
| -0.000 | -0.000 | -0.000 | -0.000 | -0.000 | 77.571 |
| 824.428 | 298.743 | 298.743 | -0.000 | -0.000 | 0.000 |
| 298.743 | 824.428 | 298.743 | -0.000 | -0.000 | 0.000 |
| 298.743 | 298.743 | 824.428 | -0.000 | -0.000 | 0.000 |
| 0.000 | 0.000 | 0.000 | 77.571 | 0.000 | 0.000 |
| 0.000 | 0.000 | 0.000 | -0.000 | 77.571 | 0.000 |
| 0.000 | 0.000 | 0.000 | 0.000 | -0.000 | 77.571 |
| 824.423 | 298.741 | 298.741 | -0.000 | -0.000 | -0.000 |
| 298.741 | 824.423 | 298.741 | -0.000 | 0.000 | -0.000 |
| 298.741 | 298.741 | 824.423 | -0.000 | -0.000 | -0.000 |
| -0.000 | -0.000 | -0.000 | 77.571 | -0.000 | -0.000 |
| -0.000 | -0.000 | -0.000 | -0.000 | 77.571 | -0.000 |
| -0.000 | -0.000 | -0.000 | -0.000 | 0.000 | 77.571 |
| -82063.524 | -99367.054 | -114764.830 | 48330.865 | 50394.806 | -29084.250 |
| -140045.193 | -141532.990 | -178509.733 | 44285.850 | 30182.045 | -31784.968 |
| -125314.307 | -180852.318 | -169041.527 | -37386.489 | 4601.537 | 3334.791 |
| -19647.371 | -40827.918 | -24395.270 | -6327.946 | -5768.994 | 7430.042 |
| -56504.594 | -47248.757 | 15609.423 | 3645.719 | -689.320 | -13263.880 |
| -275899.104 | -156938.849 | -392434.338 | -14057.740 | 13425.795 | 103873.320 |
| -0.000 | -0.000 | -0.000 | -0.000 | -0.000 | -0.000 |
| -0.000 | -0.000 | -0.000 | -0.000 | -0.000 | -0.000 |
| -0.000 | -0.000 | -0.000 | -0.000 | -0.000 | -0.000 |
| -15696.386 | 44663.156 | 37762.941 | 33398.073 | 1829.942 | 944.263 |
| 33419.079 | -97925.992 | 3051.716 | -12399.716 | 12286.692 | -8206.472 |
| 17241.047 | 16494.037 | 85790.935 | -6664.278 | -6826.874 | 9497.875 |
| -23611.564 | 805.726 | -18202.657 | -3078.718 | -5115.100 | -2897.110 |
| 2233.706 | -22985.987 | -10542.221 | 125.339 | -408.576 | 1483.313 |
| -10985.258 | -12605.904 | -2000.448 | -2921.848 | 679.176 | -2775.302 |
| -1380.916 | -1539.097 | -576.036 | -662.007 | 303.651 | -1292.596 |
| -1722.874 | -3429.990 | -3732.396 | 2123.419 | 1277.847 | -304.766 |
| -163.681 | -536.270 | -1273.690 | 264.758 | 191.294 | 813.225 |
| -0.000 | -0.000 | -0.000 | -0.000 | -0.000 | -0.000 |
| -0.000 | -0.000 | -0.000 | -0.000 | -0.000 | -0.000 |
| -0.000 | -0.000 | -0.000 | -0.000 | -0.000 | -0.000 |
| -8938.075 | 5343.350 | -2226.533 | 1718.561 | -998.364 | 915.395 |
| 7170.482 | 5788.976 | 1771.410 | -253.509 | 79.595 | 1321.739 |
| 1310.681 | 1477.857 | 5866.452 | 1165.608 | -73.011 | -422.125 |
| 561.560 | 211.001 | 211.001 | 0.000 | -0.000 | 0.000 |
| 211.001 | 561.560 | 211.001 | 0.000 | 0.000 | 0.000 |
| 211.001 | 211.001 | 561.560 | 0.000 | 0.000 | 0.000 |
| 0.000 | -0.000 | 0.000 | 219.436 | -0.000 | -0.000 |
| -0.000 | 0.000 | 0.000 | 0.000 | 219.436 | -0.000 |
| -0.000 | 0.000 | 0.000 | 0.000 | 0.000 | 219.436 |
| 561.560 | 211.001 | 211.001 | -0.000 | -0.000 | -0.000 |
| 211.001 | 561.560 | 211.001 | -0.000 | -0.000 | 0.000 |
| 211.001 | 211.001 | 561.560 | -0.000 | -0.000 | -0.000 |
| -0.000 | -0.000 | 0.000 | 219.436 | -0.000 | 0.000 |
| 0.000 | -0.000 | 0.000 | -0.000 | 219.436 | -0.000 |
| 0.000 | -0.000 | -0.000 | 0.000 | 0.000 | 219.436 |
| 561.560 | 211.001 | 211.001 | 0.000 | -0.000 | 0.000 |
| 211.001 | 561.560 | 211.001 | 0.000 | -0.000 | 0.000 |
| 211.001 | 211.001 | 561.560 | 0.000 | 0.000 | 0.000 |
| 0.000 | -0.000 | 0.000 | 219.436 | -0.000 | 0.000 |
| -0.000 | 0.000 | 0.000 | 0.000 | 219.436 | -0.000 |
| -0.000 | 0.000 | 0.000 | 0.000 | -0.000 | 219.436 |
| 561.560 | 211.001 | 211.001 | -0.000 | -0.000 | -0.000 |
| 211.001 | 561.560 | 211.001 | -0.000 | -0.000 | -0.000 |
| 211.001 | 211.001 | 561.560 | -0.000 | 0.000 | 0.000 |
| -0.000 | 0.000 | -0.000 | 219.436 | 0.000 | 0.000 |
| 0.000 | -0.000 | -0.000 | -0.000 | 219.436 | -0.000 |
| 0.000 | -0.000 | -0.000 | -0.000 | 0.000 | 219.436 |
| 561.561 | 211.001 | 211.001 | 0.000 | 0.000 | 0.000 |
| 211.001 | 561.561 | 211.001 | 0.000 | -0.000 | 0.000 |
| 211.001 | 211.001 | 561.561 | 0.000 | -0.000 | -0.000 |
| 0.000 | -0.000 | 0.000 | 219.436 | -0.000 | -0.000 |
| -0.000 | 0.000 | 0.000 | 0.000 | 219.436 | -0.000 |
| -0.000 | 0.000 | 0.000 | 0.000 | -0.000 | 219.436 |
| 561.558 | 211.000 | 211.000 | -0.000 | -0.000 | -0.000 |
| 211.000 | 561.558 | 211.000 | -0.000 | 0.000 | -0.000 |
| 211.000 | 211.000 | 561.558 | -0.000 | 0.000 | 0.000 |
| -0.000 | 0.000 | -0.000 | 219.436 | -0.000 | 0.000 |
| 0.000 | -0.000 | -0.000 | -0.000 | 219.436 | -0.000 |
| 0.000 | -0.000 | -0.000 | -0.000 | -0.000 | 219.436 |
| 0.029 | 0.030 | 0.033 | 0.006 | -0.001 | 0.000 |
| -0.016 | -0.021 | -0.018 | 0.002 | -0.000 | -0.009 |
| 0.002 | -0.002 | 0.008 | -0.001 | 0.006 | 0.016 |
| 0.699 | -21394701.236 | -21394701.664 | -21394701.450 | -0.157 | -0.157 |
| -21394701.236 | 0.699 | -21394701.664 | -0.157 | -21394701.450 | -0.157 |
| -21394701.235 | -21394701.663 | 0.698 | -0.154 | -0.154 | -21394701.449 |
| -0.000 | -0.000 | -0.000 | -0.000 | -0.000 | -0.000 |
| -0.000 | -0.000 | -0.000 | -0.000 | -0.000 | -0.000 |
| -0.000 | -0.000 | -0.000 | -0.000 | -0.000 | -0.000 |
| -0.696 | 21394701.235 | 21394701.662 | -21394701.449 | 0.086 | -0.086 |
| 21394701.235 | -0.696 | 21394701.662 | 0.086 | -21394701.449 | -0.086 |
| 21394701.235 | 21394701.663 | -0.698 | 0.088 | -0.088 | -21394701.449 |
| -0.000 | -0.002 | -0.001 | -0.001 | 0.000 | 0.000 |
| -0.001 | -0.000 | -0.001 | 0.000 | 0.001 | 0.000 |
| -0.000 | -0.001 | 0.000 | -0.000 | -0.000 | -0.001 |
| 0.000 | -2139470.631 | -2139471.059 | -2139470.845 | -0.003 | -0.003 |
| -2139470.631 | 0.000 | -2139471.059 | -0.003 | -2139470.845 | -0.003 |
| -2139470.631 | -2139471.059 | 0.000 | -0.003 | -0.003 | -2139470.845 |
| -0.000 | -0.000 | -0.000 | -0.000 | -0.000 | -0.000 |
| -0.000 | -0.000 | -0.000 | -0.000 | -0.000 | -0.000 |
| -0.000 | -0.000 | -0.000 | -0.000 | -0.000 | -0.000 |
| -0.000 | 2139470.631 | 2139471.058 | -2139470.845 | -0.000 | 0.000 |
| 2139470.631 | -0.000 | 2139471.058 | -0.000 | -2139470.845 | 0.000 |
| 2139470.631 | 2139471.058 | -0.000 | -0.000 | 0.000 | -2139470.845 |
| -0.000 | -0.000 | -0.000 | 0.000 | 0.000 | 0.000 |
| -0.000 | -0.000 | -0.000 | 0.000 | 0.000 | -0.000 |
| -0.000 | -0.000 | 0.000 | -0.000 | -0.000 | 0.000 |
| 0.000 | -213947.599 | -213948.027 | -213947.813 | -0.000 | -0.000 |
| -213947.599 | 0.000 | -213948.027 | -0.000 | -213947.813 | -0.000 |
| -213947.599 | -213948.027 | 0.000 | -0.000 | -0.000 | -213947.813 |
| -0.000 | -0.000 | -0.000 | -0.000 | -0.000 | -0.000 |
| -0.000 | -0.000 | -0.000 | -0.000 | -0.000 | -0.000 |
| -0.000 | -0.000 | -0.000 | -0.000 | -0.000 | -0.000 |
| -0.000 | 213947.599 | 213948.027 | -213947.813 | 0.000 | -0.000 |
| 213947.599 | -0.000 | 213948.027 | 0.000 | -213947.813 | -0.000 |
| 213947.599 | 213948.027 | -0.000 | 0.000 | -0.000 | -213947.813 |
| 720.824 | 720.779 | 1245.142 | 0.000 | 0.000 | 0.000 |
| 720.779 | 720.824 | 1245.142 | 0.000 | 0.000 | 0.000 |
| 1245.158 | 1245.158 | 2151.110 | 0.000 | 0.000 | -0.000 |
| 0.000 | 0.000 | 0.000 | -87.051 | -0.000 | -0.000 |
| 0.000 | 0.000 | 0.000 | 0.000 | -87.051 | 0.000 |
| 0.000 | 0.000 | 0.000 | 0.000 | -0.000 | -49.470 |
| 720.825 | 720.779 | 1245.143 | -0.000 | -0.000 | -0.000 |
| 720.779 | 720.825 | 1245.143 | -0.000 | -0.000 | -0.000 |
| 1245.160 | 1245.160 | 2151.114 | -0.000 | -0.000 | -0.000 |
| -0.000 | -0.000 | -0.000 | -87.051 | 0.000 | -0.000 |
| -0.000 | -0.000 | -0.000 | -0.000 | -87.051 | -0.000 |
| -0.000 | -0.000 | -0.000 | -0.000 | 0.000 | -49.470 |
| 720.822 | 720.776 | 1245.137 | 0.000 | 0.000 | -0.000 |
| 720.776 | 720.822 | 1245.137 | 0.000 | 0.000 | 0.000 |
| 1245.150 | 1245.150 | 2151.096 | 0.000 | 0.000 | -0.000 |
| 0.000 | 0.000 | 0.001 | -87.051 | 0.000 | 0.000 |
| 0.000 | 0.000 | 0.001 | 0.000 | -87.051 | -0.000 |
| 0.000 | 0.000 | 0.000 | 0.000 | -0.000 | -49.470 |
| 720.828 | 720.782 | 1245.148 | -0.000 | -0.000 | -0.000 |
| 720.782 | 720.828 | 1245.148 | 0.000 | -0.000 | 0.000 |
| 1245.168 | 1245.168 | 2151.128 | -0.000 | -0.000 | -0.000 |
| -0.000 | -0.000 | -0.001 | -87.051 | -0.000 | -0.000 |
| -0.000 | -0.000 | -0.001 | -0.000 | -87.051 | -0.000 |
| -0.000 | -0.000 | -0.000 | -0.000 | 0.000 | -49.470 |
| 720.793 | 720.748 | 1245.089 | 0.000 | 0.000 | -0.000 |
| 720.748 | 720.793 | 1245.089 | 0.000 | 0.000 | -0.000 |
| 1245.067 | 1245.067 | 2150.949 | 0.000 | 0.000 | 0.000 |
| 0.004 | 0.004 | 0.006 | -87.051 | 0.000 | 0.000 |
| 0.004 | 0.004 | 0.006 | 0.000 | -87.051 | 0.000 |
| 0.002 | 0.002 | 0.004 | 0.000 | 0.000 | -49.470 |
| 720.857 | 720.810 | 1245.195 | -0.000 | -0.000 | -0.000 |
| 720.810 | 720.857 | 1245.195 | -0.000 | -0.000 | -0.000 |
| 1245.251 | 1245.251 | 2151.275 | 0.000 | 0.000 | -0.000 |
| -0.004 | -0.004 | -0.006 | -87.051 | -0.000 | 0.000 |
| -0.004 | -0.004 | -0.006 | -0.000 | -87.051 | 0.000 |
| -0.002 | -0.002 | -0.004 | -0.000 | 0.000 | -49.470 |
| 723.652 | 723.542 | 1249.829 | 0.000 | -0.000 | 0.000 |
| 723.542 | 723.652 | 1249.829 | 0.000 | 0.000 | 0.000 |
| 1249.869 | 1249.869 | 2159.209 | -0.000 | -0.000 | -0.000 |
| 0.000 | 0.000 | 0.000 | -87.413 | 0.000 | 0.000 |
| 0.000 | 0.000 | 0.000 | 0.000 | -87.413 | 0.000 |
| 0.000 | 0.000 | 0.000 | -0.000 | -0.000 | -49.676 |
| 723.653 | 723.543 | 1249.830 | -0.000 | -0.000 | 0.000 |
| 723.543 | 723.653 | 1249.830 | -0.000 | 0.000 | -0.000 |
| 1249.871 | 1249.871 | 2159.212 | -0.000 | -0.000 | 0.000 |
| -0.000 | -0.000 | -0.000 | -87.413 | 0.000 | 0.000 |
| -0.000 | -0.000 | -0.000 | -0.000 | -87.413 | 0.000 |
| -0.000 | -0.000 | -0.000 | -0.000 | -0.000 | -49.676 |
| 723.649 | 723.540 | 1249.825 | -0.000 | -0.000 | 0.000 |
| 723.540 | 723.649 | 1249.825 | 0.000 | 0.000 | 0.000 |
| 1249.861 | 1249.861 | 2159.195 | 0.000 | 0.000 | -0.000 |
| 0.000 | 0.000 | 0.001 | -87.413 | 0.000 | -0.000 |
| 0.000 | 0.000 | 0.001 | 0.000 | -87.413 | -0.000 |
| 0.000 | 0.000 | 0.000 | 0.000 | -0.000 | -49.676 |
| 723.656 | 723.546 | 1249.835 | -0.000 | -0.000 | -0.000 |
| 723.546 | 723.656 | 1249.835 | -0.000 | 0.000 | -0.000 |
| 1249.879 | 1249.879 | 2159.227 | -0.000 | -0.000 | 0.000 |
| -0.000 | -0.000 | -0.001 | -87.413 | -0.000 | -0.000 |
| -0.000 | -0.000 | -0.001 | -0.000 | -87.413 | -0.000 |
| -0.000 | -0.000 | -0.000 | -0.000 | -0.000 | -49.676 |
| 723.620 | 723.512 | 1249.777 | 0.000 | 0.000 | -0.000 |
| 723.512 | 723.620 | 1249.777 | 0.000 | -0.000 | -0.000 |
| 1249.778 | 1249.778 | 2159.048 | 0.000 | 0.000 | -0.000 |
| 0.004 | 0.004 | 0.007 | -87.413 | -0.000 | 0.000 |
| 0.004 | 0.004 | 0.007 | -0.000 | -87.413 | 0.000 |
| 0.002 | 0.002 | 0.004 | 0.000 | -0.000 | -49.676 |
| 723.685 | 723.573 | 1249.883 | -0.000 | 0.000 | -0.000 |
| 723.573 | 723.685 | 1249.883 | -0.000 | -0.000 | 0.000 |
| 1249.962 | 1249.962 | 2159.374 | -0.000 | -0.000 | -0.000 |
| -0.004 | -0.004 | -0.007 | -87.413 | 0.000 | 0.000 |
| -0.004 | -0.004 | -0.007 | 0.000 | -87.413 | 0.000 |
| -0.002 | -0.002 | -0.004 | -0.000 | 0.000 | -49.676 |
| 489.770 | 181.568 | 332.994 | -0.000 | -0.000 | -0.000 |
| 177.562 | 640.904 | 180.912 | -0.000 | -0.000 | 0.000 |
| 188.598 | 188.598 | 473.539 | -0.000 | -0.000 | 0.000 |
| 0.249 | 0.249 | -0.515 | 89.070 | -0.000 | -0.000 |
| 0.249 | 0.249 | -0.515 | -0.000 | 89.070 | -0.000 |
| 0.280 | 0.280 | -0.580 | -0.000 | -0.000 | 171.675 |
| 640.904 | 177.562 | 180.912 | 0.000 | 0.000 | -0.000 |
| 177.562 | 640.904 | 180.912 | 0.000 | 0.000 | 0.000 |
| 409.700 | 409.700 | 16.444 | 0.000 | 0.000 | 0.000 |
| -0.249 | -0.249 | 0.515 | 89.070 | 0.000 | -0.000 |
| -0.249 | -0.249 | 0.515 | 0.000 | 89.070 | 0.000 |
| -0.280 | -0.280 | 0.580 | 0.000 | 0.000 | 171.675 |
| 489.241 | 181.247 | 333.874 | -0.000 | -0.000 | -0.000 |
| 127.790 | 470.731 | 408.265 | -0.000 | -0.000 | -0.000 |
| 188.598 | 188.598 | 473.539 | -0.000 | -0.000 | 0.000 |
| 0.025 | 0.025 | -0.051 | 89.071 | -0.000 | -0.000 |
| 0.025 | 0.025 | -0.051 | -0.000 | 89.071 | -0.000 |
| 0.000 | 0.000 | 0.000 | -0.000 | -0.000 | 231.671 |
| 489.124 | 181.175 | 334.068 | 0.000 | 0.000 | 0.000 |
| 177.562 | 640.903 | 180.912 | 0.000 | 0.000 | 0.000 |
| 410.172 | 410.172 | 15.469 | 0.000 | 0.000 | 0.000 |
| -0.025 | -0.025 | 0.051 | 89.071 | 0.000 | 0.000 |
| -0.025 | -0.025 | 0.051 | 0.000 | 89.071 | 0.000 |
| -0.000 | -0.000 | -0.000 | 0.000 | 0.000 | 231.671 |
| 489.183 | 181.215 | 333.969 | -0.000 | -0.000 | -0.000 |
| 140.742 | 463.455 | 402.399 | -0.000 | -0.000 | -0.000 |
| 410.253 | 410.253 | 15.303 | -0.000 | -0.000 | -0.000 |
| 0.002 | 0.002 | -0.005 | 89.071 | -0.000 | -0.000 |
| 0.002 | 0.002 | -0.005 | -0.000 | 89.071 | -0.000 |
| 0.003 | 0.003 | -0.005 | -0.000 | -0.000 | 171.676 |
| 470.569 | 127.737 | 408.484 | 0.000 | 0.000 | 0.000 |
| 181.208 | 489.122 | 334.034 | 0.000 | 0.000 | 0.000 |
| 410.200 | 410.200 | 15.410 | 0.000 | 0.000 | 0.000 |
| -0.002 | -0.002 | 0.005 | 89.071 | 0.000 | 0.000 |
| -0.002 | -0.002 | 0.005 | 0.000 | 89.071 | 0.000 |
| -0.003 | -0.003 | 0.005 | 0.000 | 0.000 | 171.676 |
| 614.328 | 234.066 | 342.296 | -0.000 | -0.000 | -0.000 |
| 234.066 | 614.328 | 342.296 | 0.000 | 0.000 | 0.000 |
| 342.296 | 342.296 | 779.761 | -0.000 | -0.000 | -0.000 |
| 0.000 | -0.000 | 0.000 | 103.130 | 0.000 | -0.000 |
| 0.000 | -0.000 | -0.000 | 0.000 | 103.130 | -0.000 |
| 0.000 | -0.000 | -0.000 | 0.000 | 0.000 | 190.131 |
| 614.327 | 234.066 | 342.296 | -0.000 | 0.000 | 0.000 |
| 234.066 | 614.327 | 342.296 | -0.000 | 0.000 | -0.000 |
| 342.296 | 342.296 | 779.761 | 0.000 | 0.000 | 0.000 |
| -0.000 | 0.000 | 0.000 | 103.130 | 0.000 | 0.000 |
| -0.000 | 0.000 | 0.000 | 0.000 | 103.130 | 0.000 |
| -0.000 | 0.000 | 0.000 | 0.000 | 0.000 | 190.131 |
| 622.410 | 225.983 | 342.296 | 0.000 | -0.000 | -0.000 |
| 225.983 | 622.410 | 342.296 | -0.000 | 0.000 | 0.000 |
| 342.296 | 342.296 | 779.761 | -0.000 | -0.000 | -0.000 |
| 0.000 | 0.000 | 0.000 | 103.130 | -0.000 | 0.000 |
| 0.000 | 0.000 | 0.000 | 0.000 | 103.130 | 0.000 |
| 0.000 | -0.000 | 0.000 | -0.000 | -0.000 | 190.131 |
| 622.410 | 225.983 | 342.295 | -0.000 | 0.000 | -0.000 |
| 234.065 | 614.327 | 342.295 | 0.000 | 0.000 | -0.000 |
| 342.295 | 342.295 | 779.761 | 0.000 | 0.000 | 0.000 |
| -0.000 | -0.000 | -0.000 | 103.130 | 0.000 | -0.000 |
| -0.000 | -0.000 | -0.000 | -0.000 | 103.130 | 0.000 |
| -0.000 | 0.000 | -0.000 | -0.000 | 0.000 | 190.131 |
| 614.329 | 234.067 | 342.297 | 0.000 | 0.000 | 0.000 |
| 234.065 | 614.330 | 342.297 | -0.000 | -0.000 | 0.000 |
| 342.296 | 342.296 | 779.764 | -0.000 | -0.000 | -0.000 |
| 0.000 | 0.001 | 0.000 | 103.130 | -0.000 | 0.000 |
| 0.000 | 0.000 | 0.000 | 0.000 | 103.130 | 0.000 |
| 0.000 | -0.000 | 0.000 | 0.000 | -0.000 | 190.131 |
| 614.326 | 234.064 | 342.294 | 0.000 | 0.000 | -0.000 |
| 234.066 | 614.325 | 342.294 | 0.000 | 0.000 | -0.000 |
| 342.295 | 342.295 | 779.758 | -0.000 | 0.000 | 0.000 |
| -0.000 | -0.001 | -0.000 | 103.130 | 0.000 | -0.000 |
| -0.000 | -0.000 | -0.000 | 0.000 | 103.130 | -0.000 |
| -0.000 | 0.000 | -0.000 | 0.000 | 0.000 | 190.131 |
| 755.708 | 191.065 | 191.065 | -0.000 | 0.000 | -0.000 |
| 191.065 | 755.708 | 191.065 | 0.000 | 0.000 | -0.000 |
| 191.065 | 191.065 | 755.708 | 0.000 | 0.000 | -0.000 |
| 0.000 | 0.000 | -0.000 | 152.965 | 0.000 | -0.000 |
| 0.000 | 0.000 | -0.000 | 0.000 | 152.965 | -0.000 |
| 0.000 | 0.000 | -0.000 | 0.000 | 0.000 | 152.965 |
| 755.707 | 191.065 | 191.065 | 0.000 | 0.000 | 0.000 |
| 191.065 | 755.707 | 191.065 | 0.000 | 0.000 | 0.000 |
| 191.065 | 191.065 | 755.707 | 0.000 | -0.000 | 0.000 |
| -0.000 | -0.000 | -0.000 | 152.965 | -0.000 | 0.000 |
| -0.000 | -0.000 | 0.000 | -0.000 | 152.965 | 0.000 |
| -0.000 | -0.000 | 0.000 | -0.000 | -0.000 | 152.965 |
| 755.708 | 191.065 | 191.065 | 0.000 | 0.000 | -0.000 |
| 191.065 | 755.708 | 191.065 | 0.000 | -0.000 | -0.000 |
| 191.065 | 191.065 | 755.708 | 0.000 | 0.000 | -0.000 |
| 0.000 | 0.000 | 0.000 | 147.111 | 0.000 | -0.000 |
| 0.000 | 0.000 | 0.000 | 0.000 | 147.111 | -0.000 |
| 0.000 | 0.000 | 0.000 | 0.000 | 0.000 | 147.111 |
| 755.707 | 191.065 | 191.065 | -0.000 | 0.000 | 0.000 |
| 191.065 | 755.707 | 191.065 | -0.000 | 0.000 | 0.000 |
| 191.065 | 191.065 | 755.707 | -0.000 | -0.000 | 0.000 |
| -0.000 | -0.000 | -0.000 | 147.111 | 0.000 | 0.000 |
| -0.000 | -0.000 | -0.000 | -0.000 | 147.111 | 0.000 |
| -0.000 | -0.000 | -0.000 | -0.000 | -0.000 | 147.111 |
| 755.710 | 191.065 | 191.065 | -0.000 | 0.000 | -0.000 |
| 191.065 | 755.710 | 191.065 | -0.000 | -0.000 | -0.000 |
| 191.065 | 191.065 | 755.710 | 0.000 | 0.000 | -0.000 |
| 0.000 | 0.000 | 0.000 | 152.965 | 0.000 | -0.000 |
| 0.000 | 0.000 | 0.000 | 0.000 | 152.965 | -0.000 |
| 0.000 | 0.000 | 0.000 | 0.000 | 0.000 | 152.965 |
| 755.705 | 191.064 | 191.064 | -0.000 | 0.000 | 0.000 |
| 191.064 | 755.705 | 191.064 | 0.000 | 0.000 | 0.000 |
| 191.064 | 191.064 | 755.705 | -0.000 | 0.000 | 0.000 |
| -0.000 | -0.000 | -0.000 | 152.965 | -0.000 | 0.000 |
| -0.000 | -0.000 | -0.000 | -0.000 | 152.965 | 0.000 |
| -0.000 | -0.000 | -0.000 | -0.000 | -0.000 | 152.965 |
| 15826.291 | -64663.364 | -53366.752 | 37256.748 | -14380.787 | 3857.303 |
| -97342.170 | 24223.793 | -77302.876 | -15277.099 | 15611.695 | 13560.390 |
| -7977.239 | 1720.522 | -841.090 | 2027.005 | 1632.614 | 3881.179 |
| 192.834 | 74.327 | 215.243 | -28.374 | -121.825 | 48.193 |
| -5.304 | -30.396 | -43.922 | -7.021 | -21.790 | 1.326 |
| -98.522 | 291.294 | 102.131 | -103.850 | -34.442 | 27.510 |
| -0.000 | -0.000 | -0.000 | 0.000 | 0.000 | 0.000 |
| -0.000 | -0.000 | -0.000 | 0.000 | 0.000 | 0.000 |
| -0.000 | -0.000 | -0.000 | 0.000 | 0.000 | 0.000 |
| -0.006 | -0.007 | -0.004 | 0.000 | 0.001 | -0.003 |
| -0.002 | -0.005 | 0.001 | 0.004 | -0.001 | -0.002 |
| 0.000 | -0.006 | -0.012 | 0.003 | 0.000 | 0.003 |
| -8099.020 | -16212.734 | -14311.165 | -1022.824 | 565.849 | 219.105 |
| -12206.998 | -7947.519 | -11540.103 | 474.787 | 109.348 | 3279.814 |
| -7586.560 | -7632.903 | -8612.658 | -1722.528 | -1126.204 | 4480.442 |
| 0.000 | -0.000 | -0.001 | -0.000 | 0.001 | 0.000 |
| 0.000 | -0.001 | -0.001 | -0.000 | -0.000 | -0.000 |
| -0.000 | -0.000 | 0.000 | 0.000 | 0.000 | -0.000 |
| -0.000 | -0.000 | -0.000 | 0.000 | 0.000 | 0.000 |
| -0.000 | -0.000 | -0.000 | 0.000 | 0.000 | 0.000 |
| -0.000 | -0.000 | -0.000 | 0.000 | 0.000 | 0.000 |
| 0.001 | -0.001 | -0.000 | -0.001 | -0.000 | -0.000 |
| 0.001 | -0.001 | 0.001 | -0.000 | -0.001 | -0.000 |
| -0.001 | -0.000 | 0.001 | 0.001 | -0.000 | -0.000 |
| -1241.326 | -1384.984 | -1158.716 | -196.381 | 51.341 | -333.281 |
| -1231.355 | -1127.315 | -1190.408 | -69.266 | -257.128 | -283.470 |
| -570.461 | -552.238 | -1280.885 | -351.516 | -334.230 | 579.418 |
| 0.000 | -0.000 | -0.000 | -0.000 | -0.000 | -0.000 |
| -0.000 | -0.000 | -0.000 | 0.000 | 0.000 | -0.000 |
| -0.000 | 0.000 | -0.000 | 0.000 | -0.000 | 0.000 |
| -0.000 | -0.000 | -0.000 | 0.000 | 0.000 | 0.000 |
| -0.000 | -0.000 | -0.000 | 0.000 | 0.000 | 0.000 |
| -0.000 | -0.000 | -0.000 | 0.000 | 0.000 | 0.000 |
| -0.006 | 0.003 | -0.004 | 0.000 | -0.001 | -0.001 |
| -0.000 | 0.000 | -0.000 | -0.000 | 0.000 | -0.000 |
| 0.000 | 0.000 | 0.000 | -0.000 | 0.000 | -0.000 |
| 510.820 | 280.699 | 231.540 | -0.000 | 0.000 | 0.000 |
| 280.222 | 518.696 | 330.450 | 0.000 | 0.000 | 0.000 |
| 232.381 | 288.814 | 431.202 | 0.000 | 0.000 | 0.000 |
| -0.000 | 0.000 | 0.000 | 184.985 | -0.000 | 0.000 |
| 0.000 | -0.000 | 0.000 | 0.000 | 150.313 | -0.000 |
| 0.001 | 0.000 | 0.001 | 0.000 | 0.000 | 108.405 |
| 510.819 | 280.700 | 231.541 | -0.000 | -0.000 | -0.000 |
| 280.222 | 518.696 | 330.450 | -0.000 | 0.000 | 0.000 |
| 232.380 | 288.815 | 431.204 | 0.000 | -0.000 | -0.000 |
| 0.000 | -0.000 | -0.000 | 184.985 | -0.000 | 0.000 |
| 0.000 | -0.000 | -0.000 | 0.000 | 150.313 | 0.000 |
| -0.002 | -0.000 | -0.001 | 0.000 | -0.000 | 108.405 |
| 510.820 | 280.699 | 231.540 | -0.000 | 0.000 | 0.000 |
| 289.853 | 436.005 | 299.623 | 0.000 | 0.000 | 0.000 |
| 230.056 | 295.413 | 410.922 | -0.000 | -0.000 | 0.000 |
| 0.000 | -0.000 | -0.000 | 121.962 | 0.000 | -0.000 |
| 0.000 | 0.000 | 0.000 | -0.000 | 115.894 | 0.000 |
| 0.000 | 0.000 | -0.000 | 0.000 | 0.000 | 116.868 |
| 539.876 | 280.222 | 242.171 | 0.000 | 0.000 | -0.000 |
| 289.853 | 436.004 | 299.623 | 0.000 | 0.000 | 0.000 |
| 211.380 | 305.144 | 402.788 | 0.000 | -0.000 | -0.000 |
| -0.000 | 0.000 | 0.000 | 121.962 | -0.000 | -0.000 |
| -0.000 | -0.000 | -0.000 | -0.000 | 115.894 | -0.000 |
| -0.000 | -0.000 | 0.000 | -0.000 | -0.000 | 116.868 |
| 497.966 | 291.924 | 228.079 | -0.000 | -0.000 | 0.000 |
| 280.491 | 460.140 | 305.082 | -0.000 | 0.000 | 0.000 |
| 230.057 | 295.416 | 410.925 | 0.000 | 0.000 | 0.000 |
| 0.000 | 0.000 | 0.000 | 119.110 | 0.000 | -0.000 |
| 0.000 | 0.000 | 0.000 | -0.000 | 122.632 | 0.000 |
| 0.000 | 0.000 | -0.000 | 0.000 | 0.000 | 108.405 |
| 494.684 | 290.436 | 211.012 | 0.000 | -0.000 | -0.000 |
| 289.288 | 439.699 | 295.162 | -0.000 | -0.000 | -0.000 |
| 232.380 | 288.814 | 431.202 | 0.000 | -0.000 | 0.000 |
| -0.000 | -0.000 | -0.000 | 119.110 | -0.000 | -0.000 |
| -0.000 | -0.000 | -0.000 | -0.000 | 122.632 | -0.000 |
| -0.000 | -0.000 | 0.000 | -0.000 | -0.000 | 108.405 |
| 519.588 | 221.349 | 262.835 | -0.000 | -0.000 | 0.000 |
| 211.681 | 526.773 | 310.008 | -0.000 | -0.000 | -0.000 |
| 1097.489 | 47.017 | 1188.509 | -0.000 | -0.000 | 0.000 |
| 966.872 | -170.637 | 663.655 | 117.031 | -0.000 | -0.000 |
| 118.835 | -7.457 | 34.994 | -0.000 | 121.363 | 0.000 |
| 0.000 | -0.000 | -0.000 | -0.000 | -0.000 | 105.743 |
| 281.252 | 236.385 | 192.823 | 0.000 | 0.000 | -0.000 |
| 97.403 | 477.772 | 253.144 | 0.000 | 0.000 | 0.000 |
| 93.744 | 293.716 | 436.377 | 0.000 | 0.000 | 0.000 |
| -966.872 | 170.637 | -663.655 | 117.031 | 0.000 | -0.000 |
| -118.835 | 7.457 | -34.994 | 0.000 | 121.363 | -0.000 |
| -0.000 | 0.000 | 0.000 | 0.000 | 0.000 | 105.743 |
| 420.960 | 225.119 | 228.599 | -0.000 | -0.000 | 0.000 |
| 228.661 | 463.703 | 289.387 | -0.000 | -0.000 | -0.000 |
| 225.125 | 286.531 | 476.506 | -0.000 | 0.000 | -0.000 |
| 102.554 | -42.835 | 51.511 | 124.172 | -0.000 | -0.000 |
| 87.636 | -36.097 | 43.721 | -0.000 | 93.765 | -0.000 |
| 12.213 | -0.766 | 3.596 | -0.000 | -0.000 | 88.245 |
| 272.370 | 259.794 | 175.435 | 0.000 | 0.000 | -0.000 |
| 211.681 | 526.773 | 310.008 | 0.000 | 0.000 | 0.000 |
| 213.884 | 308.731 | 502.451 | 0.000 | 0.000 | 0.000 |
| -103.189 | 15.194 | -73.522 | 111.701 | -0.000 | 0.000 |
| -87.636 | 36.097 | -43.721 | 0.000 | 93.765 | 0.000 |
| -12.213 | 0.766 | -3.596 | 0.000 | 0.000 | 88.245 |
| 397.528 | 229.900 | 228.804 | -0.000 | -0.000 | 0.000 |
| 217.374 | 459.436 | 284.006 | -0.000 | -0.000 | 0.000 |
| 215.267 | 271.821 | 439.787 | -0.000 | -0.000 | -0.000 |
| 18.143 | -7.879 | 9.289 | 85.090 | -0.000 | 0.000 |
| 9.242 | -2.229 | 7.116 | -0.000 | 106.889 | -0.000 |
| 0.000 | 0.000 | 0.000 | -0.000 | -0.000 | 105.743 |
| 357.790 | 223.456 | 207.262 | 0.000 | 0.000 | 0.000 |
| 199.958 | 451.370 | 272.391 | 0.000 | 0.000 | 0.000 |
| 198.472 | 275.312 | 422.786 | 0.000 | 0.000 | 0.000 |
| -18.143 | 7.879 | -9.289 | 85.090 | 0.000 | -0.000 |
| -9.242 | 2.229 | -7.116 | 0.000 | 106.889 | -0.000 |
| -0.000 | -0.000 | -0.000 | 0.000 | 0.000 | 105.743 |
| 354.006 | 272.099 | 187.527 | 0.000 | -0.000 | 0.000 |
| 278.275 | 330.558 | 186.322 | 0.000 | -0.000 | 0.000 |
| 184.521 | 177.141 | 548.493 | 0.000 | -0.000 | 0.000 |
| 0.002 | -0.003 | 0.004 | 54.277 | -0.000 | 0.000 |
| 0.002 | -0.003 | 0.004 | 0.000 | 98.140 | 0.000 |
| 0.002 | -0.003 | 0.005 | 0.000 | -0.000 | 74.689 |
| 354.004 | 272.103 | 187.522 | -0.000 | 0.000 | -0.000 |
| 278.272 | 330.561 | 186.317 | -0.000 | -0.000 | -0.000 |
| 184.519 | 177.145 | 548.488 | -0.000 | -0.000 | -0.000 |
| -0.002 | 0.003 | -0.004 | 54.277 | 0.000 | -0.000 |
| -0.002 | 0.003 | -0.004 | -0.000 | 98.140 | -0.000 |
| -0.002 | 0.003 | -0.005 | -0.000 | -0.000 | 74.689 |
| 361.147 | 293.807 | 191.798 | 0.000 | -0.000 | 0.000 |
| 278.274 | 330.559 | 186.320 | 0.000 | 0.000 | 0.000 |
| 241.066 | 138.896 | 649.554 | 0.000 | -0.000 | 0.000 |
| 0.000 | 0.000 | 0.000 | 90.683 | -0.000 | 0.000 |
| 0.000 | -0.000 | 0.000 | 0.000 | 98.140 | 0.000 |
| 0.000 | -0.000 | 0.000 | 0.000 | -0.000 | 74.689 |
| 354.005 | 272.101 | 187.524 | -0.000 | 0.000 | -0.000 |
| 302.306 | 357.203 | 215.546 | -0.000 | 0.000 | -0.000 |
| 192.615 | 196.507 | 555.010 | -0.000 | 0.000 | -0.000 |
| -0.000 | -0.000 | -0.000 | 90.683 | 0.000 | -0.000 |
| -0.000 | 0.000 | -0.000 | -0.000 | 98.140 | -0.000 |
| -0.000 | 0.000 | -0.000 | -0.000 | 0.000 | 74.689 |
| 354.006 | 272.102 | 187.524 | 0.000 | -0.000 | 0.000 |
| 278.275 | 330.560 | 186.321 | 0.000 | 0.000 | 0.000 |
| 184.520 | 177.144 | 548.490 | 0.000 | -0.000 | 0.000 |
| 0.000 | 0.000 | 0.000 | 54.277 | 0.000 | 0.000 |
| -0.000 | 0.000 | -0.000 | 0.000 | 98.140 | 0.000 |
| 0.000 | 0.001 | -0.000 | 0.000 | -0.000 | 74.689 |
| 354.004 | 272.099 | 187.524 | -0.000 | 0.000 | -0.000 |
| 302.304 | 357.203 | 215.545 | -0.000 | 0.000 | -0.000 |
| 184.520 | 177.141 | 548.491 | -0.000 | 0.000 | -0.000 |
| -0.000 | -0.000 | -0.000 | 54.277 | 0.000 | -0.000 |
| 0.000 | -0.000 | 0.000 | -0.000 | 98.140 | -0.000 |
| -0.000 | -0.001 | 0.000 | 0.000 | 0.000 | 74.689 |
| 392.133 | 269.118 | 245.134 | 0.000 | 0.000 | 0.000 |
| 260.184 | 291.594 | 168.519 | 0.000 | 0.000 | 0.000 |
| 242.320 | 140.200 | 652.325 | 0.000 | 0.000 | 0.000 |
| -20.752 | -41.364 | -19.192 | 54.746 | 0.000 | 0.000 |
| -20.771 | -41.339 | -19.229 | 0.000 | 98.751 | 0.000 |
| -13.620 | -25.700 | -13.055 | -0.000 | 0.000 | 108.466 |
| 371.045 | 305.581 | 200.717 | 0.000 | -0.000 | -0.000 |
| 305.709 | 379.958 | 211.375 | -0.000 | -0.000 | -0.000 |
| 199.361 | 207.847 | 563.949 | 0.000 | -0.000 | -0.000 |
| 20.752 | 41.364 | 19.192 | 54.746 | -0.000 | -0.000 |
| 20.771 | 41.339 | 19.229 | -0.000 | 98.751 | -0.000 |
| 13.620 | 25.700 | 13.055 | 0.000 | -0.000 | 108.466 |
| 362.603 | 296.556 | 190.435 | -0.000 | 0.000 | 0.000 |
| 305.387 | 356.388 | 218.354 | 0.000 | 0.000 | 0.000 |
| 183.591 | 175.242 | 549.737 | 0.000 | 0.000 | 0.000 |
| -2.075 | -4.136 | -1.919 | 54.750 | 0.000 | 0.000 |
| -2.077 | -4.134 | -1.923 | -0.000 | 98.755 | 0.000 |
| -2.266 | -4.396 | -2.134 | -0.000 | 0.000 | 76.324 |
| 365.388 | 297.124 | 194.592 | -0.000 | -0.000 | -0.000 |
| 283.282 | 336.728 | 190.167 | -0.000 | -0.000 | -0.000 |
| 194.480 | 198.999 | 559.156 | 0.000 | -0.000 | -0.000 |
| 2.075 | 4.136 | 1.919 | 54.750 | -0.000 | -0.000 |
| 2.077 | 4.134 | 1.923 | 0.000 | 98.755 | -0.000 |
| 2.266 | 4.396 | 2.134 | -0.000 | -0.000 | 76.324 |
| 356.791 | 274.733 | 188.308 | -0.000 | 0.000 | 0.000 |
| 280.974 | 332.216 | 188.005 | -0.000 | 0.000 | 0.000 |
| 185.481 | 178.937 | 551.508 | 0.000 | 0.000 | 0.000 |
| -0.207 | -0.414 | -0.191 | 54.750 | 0.000 | 0.000 |
| -0.207 | -0.414 | -0.191 | -0.000 | 98.755 | 0.000 |
| -0.226 | -0.439 | -0.214 | -0.000 | 0.000 | 76.297 |
| 357.205 | 275.554 | 188.694 | -0.000 | -0.000 | -0.000 |
| 281.390 | 333.035 | 188.394 | -0.000 | -0.000 | -0.000 |
| 193.697 | 198.461 | 558.107 | 0.000 | -0.000 | -0.000 |
| 0.207 | 0.414 | 0.191 | 54.750 | -0.000 | -0.000 |
| 0.207 | 0.414 | 0.191 | 0.000 | 98.755 | -0.000 |
| 0.226 | 0.439 | 0.214 | -0.000 | -0.000 | 76.297 |
| 214.435 | 282.843 | 282.843 | -0.000 | -0.000 | -0.000 |
| 282.843 | 214.435 | 282.843 | -0.000 | -0.000 | -0.000 |
| 282.843 | 282.843 | 214.435 | -0.000 | -0.000 | -0.000 |
| 0.000 | 0.000 | 0.000 | 182.142 | -0.000 | -0.000 |
| 0.000 | 0.000 | 0.000 | -0.000 | 182.142 | -0.000 |
| 0.000 | 0.000 | 0.000 | -0.000 | -0.000 | 182.142 |
| 214.435 | 282.843 | 282.843 | 0.000 | 0.000 | 0.000 |
| 282.843 | 214.435 | 282.843 | 0.000 | 0.000 | 0.000 |
| 282.843 | 282.843 | 214.435 | 0.000 | 0.000 | 0.000 |
| -0.000 | 0.000 | -0.000 | 182.142 | 0.000 | 0.000 |
| 0.000 | -0.000 | -0.000 | 0.000 | 182.142 | 0.000 |
| -0.000 | -0.000 | -0.000 | 0.000 | 0.000 | 182.142 |
| 214.435 | 282.843 | 282.843 | -0.000 | -0.000 | -0.000 |
| 282.843 | 214.435 | 282.843 | -0.000 | -0.000 | 0.000 |
| 282.843 | 282.843 | 214.435 | -0.000 | -0.000 | -0.000 |
| 0.000 | -0.000 | -0.000 | 36.397 | -0.000 | -0.000 |
| -0.000 | 0.000 | -0.000 | -0.000 | 36.397 | -0.000 |
| -0.000 | -0.000 | 0.000 | -0.000 | -0.000 | 36.397 |
| 214.434 | 282.843 | 282.843 | 0.000 | 0.000 | 0.000 |
| 282.843 | 214.434 | 282.843 | 0.000 | 0.000 | 0.000 |
| 282.843 | 282.843 | 214.434 | 0.000 | 0.000 | 0.000 |
| -0.000 | 0.000 | 0.000 | 36.397 | 0.000 | 0.000 |
| 0.000 | -0.000 | 0.000 | 0.000 | 36.397 | 0.000 |
| 0.000 | 0.000 | -0.000 | 0.000 | 0.000 | 36.397 |
| 214.436 | 282.843 | 282.843 | -0.000 | -0.000 | -0.000 |
| 282.843 | 214.436 | 282.843 | -0.000 | -0.000 | -0.000 |
| 282.843 | 282.843 | 214.436 | -0.000 | -0.000 | -0.000 |
| 0.002 | -0.000 | -0.000 | 36.397 | -0.000 | -0.000 |
| -0.000 | 0.002 | -0.000 | -0.000 | 36.397 | -0.000 |
| -0.000 | -0.000 | 0.002 | -0.000 | -0.000 | 36.397 |
| 214.433 | 282.842 | 282.842 | 0.000 | 0.000 | 0.000 |
| 282.842 | 214.433 | 282.842 | 0.000 | 0.000 | -0.000 |
| 282.842 | 282.842 | 214.433 | 0.000 | 0.000 | 0.000 |
| -0.002 | 0.000 | 0.000 | 36.397 | 0.000 | 0.000 |
| 0.000 | -0.002 | 0.000 | 0.000 | 36.397 | 0.000 |
| 0.000 | 0.000 | -0.002 | 0.000 | 0.000 | 36.397 |
| 5112889.522 | 5292466.403 | 6500135.669 | -887861.348 | -831136.508 | 344452.580 |
| 4858990.382 | 5376180.356 | 6738762.758 | -817615.266 | -888795.314 | 293255.293 |
| 4978553.732 | 5496610.601 | 6560756.698 | -818727.769 | -925344.285 | 324328.347 |
| 5207962.215 | 5328559.395 | 6522039.576 | -881087.872 | -727118.659 | 183619.913 |
| 5019420.776 | 5154203.673 | 6457718.969 | -682903.122 | -759837.031 | 35773.459 |
| 4901348.424 | 5178430.222 | 6480016.449 | -895255.914 | -926754.742 | 124058.725 |
| -4768877.577 | -5279988.719 | -6442347.246 | 793497.005 | 837575.446 | -298194.999 |
| -4971521.270 | -5227743.924 | -6593844.100 | 812848.040 | 885111.550 | -437599.157 |
| -4655565.757 | -4938278.696 | -6207965.388 | 838338.870 | 861204.344 | -251034.562 |
| -4609335.158 | -4987130.796 | -6365831.168 | 1047541.086 | 825677.673 | -150993.246 |
| -4739253.920 | -5071234.331 | -6619954.755 | 851217.545 | 857853.318 | -163100.706 |
| -4940838.843 | -5189768.083 | -6333853.627 | 876630.605 | 759371.861 | -246186.557 |
| 466335.258 | 501639.350 | 617147.935 | -91514.885 | -92817.162 | 22048.323 |
| 490750.015 | 501605.105 | 625600.960 | -85199.839 | -84658.754 | 24743.202 |
| 513291.449 | 531388.468 | 640769.329 | -95915.554 | -85619.415 | 26743.972 |
| 483945.331 | 534427.295 | 615342.197 | -70423.224 | -73854.696 | 10989.394 |
| 539986.444 | 568163.789 | 664514.582 | -76002.114 | -76598.993 | 14574.076 |
| 499840.569 | 533689.268 | 627187.322 | -93301.233 | -79050.471 | 28949.778 |
| -482101.960 | -526685.557 | -645190.392 | 85248.827 | 102615.232 | -18756.928 |
| -467629.006 | -523118.271 | -605537.988 | 82666.413 | 73792.735 | -17357.227 |
| -607603.106 | -663564.341 | -835579.305 | 80770.378 | 48567.517 | -48728.500 |
| -463669.250 | -504143.882 | -647313.179 | 76189.406 | 81398.936 | -21805.009 |
| -482230.899 | -527328.773 | -643321.690 | 80967.321 | 84878.151 | -17589.148 |
| -502899.438 | -502295.787 | -638509.929 | 82535.358 | 82635.432 | -30040.836 |
| 47128.834 | 51956.647 | 63905.224 | -7859.275 | -8130.708 | 1254.768 |
| 45168.695 | 48520.931 | 64144.378 | -8455.667 | -8530.707 | 2606.441 |
| 48749.425 | 50817.330 | 65299.977 | -8492.522 | -8691.906 | 2634.611 |
| 45877.941 | 46588.365 | 63051.733 | -9243.671 | -8905.715 | 985.666 |
| 47470.442 | 55911.526 | 69564.277 | -8113.137 | -7569.884 | 3641.821 |
| 54416.404 | 52126.372 | 65254.178 | -7662.060 | -7203.460 | 2525.180 |
| -47816.833 | -52051.650 | -66373.260 | 8766.671 | 8227.567 | -2652.037 |
| -46519.816 | -49024.967 | -64425.242 | 8274.047 | 8872.345 | -2776.384 |
| -49914.668 | -56202.125 | -65570.830 | 8303.848 | 8518.898 | -1781.477 |
| -47288.076 | -51445.595 | -65714.700 | 7723.669 | 7822.992 | -235.904 |
| -51255.189 | -56063.739 | -64337.641 | 7038.351 | 7136.270 | -2106.859 |
| -51221.802 | -54140.999 | -65608.840 | 9941.778 | 9722.692 | -2606.246 |
| -7764757.369 | -10193682.030 | -9710690.969 | 16415.914 | 61548.320 | -251814.901 |
| -10626632.979 | -7926743.652 | -10849306.751 | 254059.259 | -271449.341 | 92048.786 |
| -9328024.033 | -9373703.351 | -6132752.804 | 200147.060 | 223517.393 | 511174.797 |
| -6325649.233 | -2501478.266 | -4285167.727 | 923761.450 | -159878.752 | 11604.355 |
| -2703028.562 | -5987564.612 | -3956082.380 | -108397.192 | 660971.714 | -151258.623 |
| -3046836.483 | -4688155.977 | -7385310.928 | 208486.961 | 127280.960 | 802708.459 |
| -0.000 | -0.000 | -0.000 | 0.000 | 0.000 | 0.000 |
| -0.000 | -0.000 | -0.000 | 0.000 | 0.000 | 0.000 |
| -0.000 | -0.000 | -0.000 | 0.000 | 0.000 | 0.000 |
| 8526292.531 | 3704924.784 | 4171485.518 | 995893.426 | -181121.871 | -83626.729 |
| 4219992.348 | 9001031.547 | 4548992.587 | -61544.896 | 1026167.483 | 449043.535 |
| 4066859.615 | 4333930.478 | 8098415.782 | -68945.646 | 219744.461 | 865482.626 |
| -642471.479 | -916215.614 | -854510.480 | 23558.949 | -52943.065 | -20079.155 |
| -885251.396 | -574359.375 | -890392.589 | 3782.601 | 21535.693 | -28858.184 |
| -756157.013 | -825180.616 | -528875.547 | -6252.826 | -19940.659 | 11989.079 |
| -1008257.888 | -468322.172 | -437540.117 | 182771.881 | -22494.905 | -13564.382 |
| -551258.931 | -983496.876 | -550399.698 | 6992.813 | 119274.431 | -21009.035 |
| -459993.096 | -539703.232 | -870034.473 | -17412.058 | 24342.185 | 114338.425 |
| -0.000 | -0.000 | -0.000 | 0.000 | 0.000 | 0.000 |
| -0.000 | -0.000 | -0.000 | 0.000 | 0.000 | 0.000 |
| -0.000 | -0.000 | -0.000 | 0.000 | 0.000 | 0.000 |
| 958536.199 | 553130.364 | 723967.282 | 118491.405 | 1748.764 | 1094.674 |
| 449209.287 | 859676.369 | 533853.124 | 3634.716 | 127777.147 | -12291.802 |
| 442204.674 | 564955.724 | 766832.927 | -4750.024 | -14570.341 | 131245.085 |
| -67901.824 | -89341.023 | -83416.099 | 6841.273 | 1327.535 | -507.226 |
| -101972.486 | -74069.683 | -92058.542 | 34.971 | 3082.712 | 1697.342 |
| -87085.104 | -85388.277 | -69753.524 | -306.317 | 939.757 | 7837.381 |
| -98481.045 | -56279.298 | -50055.279 | 22462.528 | -5330.393 | -4285.520 |
| -43428.976 | -83117.423 | -43279.553 | -700.584 | 14415.836 | -248.921 |
| -45630.291 | -50749.080 | -87391.651 | 1121.482 | -118.805 | 18456.596 |
| -0.000 | -0.000 | -0.000 | 0.000 | 0.000 | 0.000 |
| -0.000 | -0.000 | -0.000 | 0.000 | 0.000 | 0.000 |
| -0.000 | -0.000 | -0.000 | 0.000 | 0.000 | 0.000 |
| 128372.450 | 73277.540 | 70773.670 | 17982.735 | 867.705 | -2050.014 |
| 53429.983 | 95510.910 | 56676.466 | 1179.057 | 15958.572 | -4918.393 |
| 64831.954 | 69664.823 | 110607.420 | -156.879 | -3066.286 | 15183.276 |
| 452.923 | 171.164 | 171.164 | -0.000 | 0.000 | 0.000 |
| 171.164 | 452.923 | 171.164 | -0.000 | 0.000 | -0.000 |
| 171.164 | 171.164 | 452.923 | 0.000 | 0.000 | -0.000 |
| -0.000 | 0.000 | 0.000 | -87.700 | 0.000 | 0.000 |
| -0.000 | -0.000 | 0.000 | -0.000 | -87.700 | -0.000 |
| -0.000 | -0.000 | -0.000 | -0.000 | -0.000 | -87.700 |
| 452.923 | 171.164 | 171.164 | -0.000 | -0.000 | 0.000 |
| 171.164 | 452.923 | 171.164 | 0.000 | -0.000 | -0.000 |
| 171.164 | 171.164 | 452.923 | -0.000 | -0.000 | -0.000 |
| -0.000 | -0.000 | -0.000 | -87.700 | -0.000 | -0.000 |
| -0.000 | -0.000 | 0.000 | -0.000 | -87.700 | 0.000 |
| 0.000 | 0.000 | -0.000 | 0.000 | 0.000 | -87.700 |
| 452.924 | 171.164 | 171.164 | -0.000 | 0.000 | 0.000 |
| 171.164 | 452.924 | 171.164 | -0.000 | 0.000 | 0.000 |
| 171.164 | 171.164 | 452.924 | -0.000 | 0.000 | 0.000 |
| 0.000 | 0.000 | 0.000 | 91.689 | 0.000 | 0.000 |
| 0.000 | 0.000 | 0.000 | 0.000 | 91.689 | 0.000 |
| 0.000 | 0.000 | 0.000 | 0.000 | 0.000 | 91.689 |
| 452.923 | 171.164 | 171.164 | 0.000 | -0.000 | -0.000 |
| 171.164 | 452.923 | 171.164 | -0.000 | -0.000 | -0.000 |
| 171.164 | 171.164 | 452.923 | -0.000 | -0.000 | -0.000 |
| -0.000 | -0.000 | -0.000 | -87.700 | -0.000 | 0.000 |
| -0.000 | -0.000 | -0.000 | -0.000 | 91.689 | -0.000 |
| -0.000 | -0.000 | -0.000 | -0.000 | -0.000 | 91.689 |
| 452.926 | 171.164 | 171.164 | -0.000 | 0.000 | 0.000 |
| 171.164 | 452.926 | 171.164 | -0.000 | 0.000 | 0.000 |
| 171.164 | 171.164 | 452.926 | 0.000 | 0.000 | 0.000 |
| 0.001 | 0.001 | 0.000 | -87.700 | 0.000 | 0.000 |
| 0.001 | 0.001 | 0.000 | 0.000 | -87.700 | 0.000 |
| 0.001 | 0.000 | 0.001 | 0.000 | -0.000 | -87.700 |
| 458.852 | 168.198 | 168.198 | -0.000 | 0.000 | -0.000 |
| 168.198 | 458.852 | 168.198 | -0.000 | -0.000 | -0.000 |
| 168.198 | 168.198 | 458.852 | -0.000 | -0.000 | 0.000 |
| -0.001 | -0.001 | -0.000 | -87.700 | 0.000 | -0.000 |
| -0.001 | -0.001 | -0.000 | 0.000 | -87.700 | -0.000 |
| -0.001 | -0.000 | -0.001 | 0.000 | -0.000 | -87.700 |
| 207.520 | 277.315 | 277.315 | -0.000 | -0.000 | -0.000 |
| 277.315 | 207.520 | 277.315 | -0.000 | -0.000 | -0.000 |
| 277.315 | 277.315 | 207.520 | 0.000 | -0.000 | -0.000 |
| 0.000 | -0.000 | -0.000 | 123.425 | 0.000 | -0.000 |
| 0.000 | 0.000 | 0.000 | 0.000 | 123.425 | -0.000 |
| 0.000 | -0.000 | 0.000 | -0.000 | -0.000 | 123.425 |
| 207.520 | 277.315 | 277.315 | -0.000 | 0.000 | 0.000 |
| 277.315 | 207.520 | 277.315 | 0.000 | 0.000 | 0.000 |
| 277.315 | 277.315 | 207.520 | 0.000 | 0.000 | 0.000 |
| -0.000 | 0.000 | 0.000 | 123.425 | -0.000 | 0.000 |
| -0.000 | -0.000 | -0.000 | -0.000 | 123.425 | 0.000 |
| -0.000 | -0.000 | 0.000 | 0.000 | 0.000 | 123.425 |
| 207.520 | 277.315 | 277.315 | -0.000 | -0.000 | -0.000 |
| 277.315 | 207.520 | 277.315 | -0.000 | -0.000 | -0.000 |
| 277.315 | 277.315 | 207.520 | 0.000 | -0.000 | -0.000 |
| 0.000 | 0.000 | 0.000 | 8.021 | 0.000 | -0.000 |
| 0.000 | 0.000 | 0.000 | 0.000 | 8.021 | -0.000 |
| 0.000 | 0.000 | 0.000 | 0.000 | -0.000 | 8.021 |
| 207.520 | 277.314 | 277.314 | 0.000 | 0.000 | 0.000 |
| 277.314 | 207.520 | 277.314 | 0.000 | 0.000 | 0.000 |
| 277.314 | 277.314 | 207.520 | -0.000 | 0.000 | 0.000 |
| -0.000 | -0.000 | -0.000 | 8.021 | -0.000 | -0.000 |
| -0.000 | -0.000 | -0.000 | -0.000 | 8.021 | 0.000 |
| -0.000 | -0.000 | -0.000 | -0.000 | -0.000 | 8.021 |
| 207.521 | 277.315 | 277.315 | -0.000 | -0.000 | -0.000 |
| 277.315 | 207.521 | 277.315 | 0.000 | -0.000 | -0.000 |
| 277.315 | 277.315 | 207.521 | -0.000 | -0.000 | -0.000 |
| 0.000 | 0.000 | 0.000 | 123.425 | -0.000 | -0.000 |
| 0.000 | 0.000 | 0.000 | -0.000 | 123.425 | -0.000 |
| 0.000 | 0.000 | 0.000 | 0.000 | -0.000 | 123.425 |
| 207.519 | 277.314 | 277.314 | 0.000 | 0.000 | 0.000 |
| 277.314 | 207.519 | 277.314 | 0.000 | 0.000 | -0.000 |
| 277.314 | 277.314 | 207.519 | 0.000 | 0.000 | 0.000 |
| -0.000 | -0.000 | -0.000 | 123.425 | -0.000 | 0.000 |
| -0.000 | -0.000 | -0.000 | 0.000 | 123.425 | 0.000 |
| -0.000 | -0.000 | -0.000 | -0.000 | 0.000 | 123.425 |
| 296.522 | 248.112 | 248.112 | 0.000 | 0.000 | -0.000 |
| 248.112 | 296.522 | 248.112 | 0.000 | 0.000 | -0.000 |
| 248.112 | 248.112 | 296.522 | 0.000 | 0.000 | -0.000 |
| -0.000 | 0.000 | 0.000 | 85.745 | 0.000 | 0.000 |
| 0.000 | 0.000 | 0.000 | 0.000 | 85.745 | 0.000 |
| 0.000 | 0.000 | 0.000 | 0.000 | 0.000 | 85.745 |
| 296.522 | 248.112 | 248.112 | -0.000 | -0.000 | 0.000 |
| 248.112 | 296.522 | 248.112 | -0.000 | -0.000 | 0.000 |
| 248.112 | 248.112 | 296.522 | -0.000 | -0.000 | 0.000 |
| -0.000 | -0.000 | -0.000 | 85.745 | -0.000 | 0.000 |
| -0.000 | -0.000 | -0.000 | 0.000 | 85.745 | 0.000 |
| -0.000 | -0.000 | -0.000 | -0.000 | -0.000 | 85.745 |
| 296.522 | 248.112 | 248.112 | 0.000 | 0.000 | -0.000 |
| 248.112 | 296.522 | 248.112 | 0.000 | 0.000 | -0.000 |
| 248.112 | 248.112 | 296.522 | 0.000 | 0.000 | -0.000 |
| -0.000 | 0.000 | 0.000 | 85.745 | 0.000 | 0.000 |
| 0.000 | 0.000 | 0.000 | 0.000 | 85.745 | 0.000 |
| 0.000 | 0.000 | 0.000 | 0.000 | 0.000 | 85.745 |
| 296.522 | 248.112 | 248.112 | -0.000 | -0.000 | 0.000 |
| 248.112 | 296.522 | 248.112 | -0.000 | -0.000 | 0.000 |
| 248.112 | 248.112 | 296.522 | -0.000 | -0.000 | -0.000 |
| 0.000 | -0.000 | -0.000 | 85.745 | -0.000 | -0.000 |
| -0.000 | 0.000 | -0.000 | -0.000 | 85.745 | 0.000 |
| -0.000 | -0.000 | 0.000 | -0.000 | -0.000 | 85.745 |
| 296.522 | 248.113 | 248.113 | 0.000 | 0.000 | 0.000 |
| 248.113 | 296.522 | 248.113 | 0.000 | 0.000 | 0.000 |
| 248.113 | 248.113 | 296.522 | 0.000 | 0.000 | 0.000 |
| -0.000 | 0.000 | 0.000 | 85.745 | 0.000 | -0.000 |
| 0.000 | -0.000 | 0.000 | 0.000 | 85.745 | -0.000 |
| 0.000 | 0.000 | -0.000 | 0.000 | 0.000 | 85.745 |
| 296.521 | 248.111 | 248.111 | -0.000 | -0.000 | 0.000 |
| 248.111 | 296.521 | 248.111 | -0.000 | -0.000 | -0.000 |
| 248.111 | 248.111 | 296.521 | -0.000 | -0.000 | -0.000 |
| 0.000 | -0.000 | -0.000 | 85.745 | -0.000 | -0.000 |
| -0.000 | 0.000 | -0.000 | -0.000 | 85.745 | 0.000 |
| -0.000 | -0.000 | 0.000 | -0.000 | -0.000 | 85.745 |
| 289.680 | 152.402 | 193.153 | -11.248 | 3.090 | 3.923 |
| 143.233 | 369.358 | 143.148 | -9.235 | 2.529 | 3.520 |
| 187.882 | 146.753 | 287.383 | -8.137 | 4.213 | 2.998 |
| -3.368 | 1.473 | 4.960 | 18.667 | 7.087 | 3.204 |
| -3.973 | -2.386 | 1.267 | -8.208 | 93.149 | 4.973 |
| -2.177 | 0.033 | 1.953 | -10.891 | 6.840 | 28.497 |
| 294.305 | 152.332 | 188.594 | 9.984 | -7.280 | -3.135 |
| 148.037 | 369.262 | 138.368 | 11.921 | -7.701 | -3.800 |
| 192.560 | 147.129 | 283.470 | 12.870 | -5.782 | -4.316 |
| 1.494 | 0.934 | -0.162 | 39.509 | -3.525 | -3.076 |
| 0.635 | -2.979 | -3.436 | 12.666 | 83.590 | -2.470 |
| 2.599 | -0.133 | -2.804 | 10.227 | -3.624 | 21.521 |
| 292.655 | 152.472 | 190.324 | -1.833 | -0.879 | 0.398 |
| 145.516 | 369.854 | 141.566 | 0.108 | -2.068 | 0.011 |
| 189.215 | 147.625 | 287.328 | 0.706 | -0.874 | -0.170 |
| -1.025 | 1.006 | 2.260 | 27.926 | 2.162 | 0.410 |
| -1.526 | -2.587 | -1.173 | 0.595 | 90.292 | 1.902 |
| -0.026 | -0.294 | -0.365 | -1.078 | 2.064 | 25.250 |
| 292.863 | 152.484 | 190.161 | 0.167 | -1.888 | -0.190 |
| 145.822 | 369.825 | 141.232 | 1.886 | -3.011 | -0.599 |
| 189.485 | 147.560 | 286.996 | 2.657 | -1.855 | -0.789 |
| -0.536 | 0.773 | 1.458 | 30.328 | 1.071 | -0.324 |
| -1.229 | -2.588 | -1.485 | 2.656 | 89.102 | 1.181 |
| 0.308 | -0.260 | -0.676 | 1.025 | 0.942 | 24.630 |
| 292.840 | 152.432 | 190.104 | -0.856 | -1.165 | 0.182 |
| 145.644 | 369.975 | 141.604 | 0.649 | -2.420 | -0.188 |
| 189.352 | 147.668 | 287.267 | 1.547 | -1.351 | -0.439 |
| -0.783 | 0.802 | 1.738 | 28.985 | 1.650 | -0.049 |
| -1.249 | -2.504 | -1.377 | 1.460 | 89.818 | 1.605 |
| 0.136 | -0.217 | -0.457 | -0.173 | 1.617 | 25.000 |
| 292.871 | 152.427 | 190.066 | -0.630 | -1.286 | 0.115 |
| 145.668 | 369.972 | 141.579 | 0.863 | -2.535 | -0.251 |
| 189.382 | 147.667 | 287.237 | 1.788 | -1.476 | -0.508 |
| -0.750 | 0.794 | 1.700 | 29.231 | 1.527 | -0.121 |
| -1.212 | -2.498 | -1.413 | 1.696 | 89.689 | 1.535 |
| 0.167 | -0.218 | -0.487 | 0.043 | 1.507 | 24.933 |
| -0.000 | 0.000 | -0.000 | -0.000 | -0.000 | 0.000 |
| 0.000 | 0.000 | 0.000 | -0.000 | -0.000 | 0.000 |
| -0.000 | 0.000 | -0.000 | -0.000 | -0.000 | 0.000 |
| 0.000 | 0.000 | 0.000 | -0.000 | -0.000 | 0.000 |
| -0.000 | 0.000 | -0.000 | -0.000 | 0.000 | 0.000 |
| 0.000 | 0.000 | 0.000 | 0.000 | -0.000 | 0.000 |
| 0.000 | -0.000 | 0.000 | 0.000 | 0.000 | -0.000 |
| -0.000 | -0.000 | -0.000 | -0.000 | 0.000 | -0.000 |
| 0.000 | -0.000 | 0.000 | 0.000 | -0.000 | -0.000 |
| -0.000 | -0.000 | -0.000 | -0.000 | 0.000 | 0.000 |
| -0.000 | -0.000 | -0.000 | 0.000 | 0.000 | -0.000 |
| -0.000 | -0.000 | -0.000 | 0.000 | 0.000 | -0.000 |
| -0.000 | 0.000 | -0.000 | -0.000 | -0.000 | 0.000 |
| 0.000 | 0.000 | 0.000 | -0.000 | -0.000 | 0.000 |
| -0.000 | 0.000 | -0.000 | 0.000 | 0.000 | 0.000 |
| -0.000 | -0.000 | -0.000 | 0.000 | -0.000 | 0.000 |
| -0.000 | 0.000 | -0.000 | 0.000 | 0.000 | 0.000 |
| 0.000 | 0.000 | 0.000 | -0.000 | -0.000 | 0.000 |
| 0.000 | -0.000 | 0.000 | -0.000 | 0.000 | -0.000 |
| -0.000 | -0.000 | -0.000 | 0.000 | 0.000 | -0.000 |
| 0.000 | -0.000 | 0.000 | -0.000 | -0.000 | -0.000 |
| 0.000 | 0.000 | 0.000 | 0.000 | 0.000 | 0.000 |
| 0.000 | -0.000 | 0.000 | -0.000 | 0.000 | -0.000 |
| -0.000 | -0.000 | -0.000 | 0.000 | 0.000 | -0.000 |
| -0.000 | 0.000 | -0.000 | 0.000 | -0.000 | 0.000 |
| 0.000 | 0.000 | 0.000 | 0.000 | -0.000 | 0.000 |
| -0.000 | 0.000 | -0.000 | 0.000 | -0.000 | 0.000 |
| -0.000 | -0.000 | -0.000 | 0.000 | 0.000 | -0.000 |
| -0.000 | 0.000 | -0.000 | -0.000 | -0.000 | 0.000 |
| 0.000 | 0.000 | 0.000 | -0.000 | -0.000 | 0.000 |
| 0.000 | -0.000 | 0.000 | -0.000 | 0.000 | -0.000 |
| -0.000 | -0.000 | -0.000 | 0.000 | 0.000 | -0.000 |
| 0.000 | -0.000 | 0.000 | 0.000 | 0.000 | -0.000 |
| 0.000 | 0.000 | 0.000 | 0.000 | -0.000 | -0.000 |
| 0.000 | -0.000 | 0.000 | -0.000 | -0.000 | -0.000 |
| -0.000 | -0.000 | -0.000 | 0.000 | 0.000 | -0.000 |
| 0.000 | 0.000 | 0.000 | -0.000 | 0.000 | 0.000 |
| -0.000 | 0.000 | -0.000 | 0.000 | -0.000 | 0.000 |
| -0.000 | 0.000 | -0.000 | -0.000 | 0.000 | 0.000 |
| -0.000 | -0.000 | -0.000 | 0.000 | -0.000 | 0.000 |
| 0.000 | 0.000 | 0.000 | -0.000 | 0.000 | 0.000 |
| -0.000 | 0.000 | -0.000 | -0.000 | -0.000 | 0.000 |
| 0.000 | -0.000 | 0.000 | -0.000 | -0.000 | -0.000 |
| 0.000 | -0.000 | 0.000 | 0.000 | 0.000 | -0.000 |
| 0.000 | -0.000 | 0.000 | 0.000 | -0.000 | -0.000 |
| 0.000 | 0.000 | 0.000 | 0.000 | 0.000 | 0.000 |
| -0.000 | -0.000 | -0.000 | 0.000 | -0.000 | -0.000 |
| 0.000 | -0.000 | 0.000 | 0.000 | 0.000 | -0.000 |
| -0.000 | 0.000 | -0.000 | -0.000 | 0.000 | 0.000 |
| -0.000 | 0.000 | -0.000 | -0.000 | -0.000 | 0.000 |
| -0.000 | 0.000 | -0.000 | -0.000 | 0.000 | 0.000 |
| -0.000 | -0.000 | -0.000 | 0.000 | -0.000 | 0.000 |
| -0.000 | 0.000 | -0.000 | 0.000 | 0.000 | 0.000 |
| 0.000 | 0.000 | 0.000 | -0.000 | -0.000 | 0.000 |
| 0.000 | -0.000 | 0.000 | -0.000 | -0.000 | -0.000 |
| 0.000 | -0.000 | 0.000 | -0.000 | 0.000 | -0.000 |
| 0.000 | -0.000 | 0.000 | -0.000 | -0.000 | -0.000 |
| 0.000 | 0.000 | 0.000 | 0.000 | 0.000 | 0.000 |
| 0.000 | -0.000 | 0.000 | -0.000 | -0.000 | -0.000 |
| -0.000 | -0.000 | -0.000 | 0.000 | 0.000 | -0.000 |
| -0.000 | 0.000 | -0.000 | -0.000 | 0.000 | 0.000 |
| -0.000 | 0.000 | -0.000 | -0.000 | -0.000 | 0.000 |
| 0.000 | 0.000 | 0.000 | -0.000 | 0.000 | 0.000 |
| -0.000 | -0.000 | -0.000 | 0.000 | 0.000 | 0.000 |
| -0.000 | 0.000 | -0.000 | 0.000 | -0.000 | 0.000 |
| 0.000 | 0.000 | 0.000 | -0.000 | -0.000 | 0.000 |
| 0.000 | -0.000 | 0.000 | -0.000 | -0.000 | -0.000 |
| 0.000 | -0.000 | 0.000 | 0.000 | 0.000 | -0.000 |
| -0.000 | -0.000 | -0.000 | 0.000 | 0.000 | -0.000 |
| 0.000 | 0.000 | 0.000 | 0.000 | -0.000 | 0.000 |
| 0.000 | -0.000 | 0.000 | 0.000 | -0.000 | -0.000 |
| 0.000 | -0.000 | 0.000 | 0.000 | 0.000 | -0.000 |
| 456.724 | 275.247 | 173.094 | 0.000 | 0.000 | 9.614 |
| 275.247 | 456.724 | 173.094 | 0.000 | 0.000 | -9.614 |
| 212.714 | 212.714 | 321.619 | 0.000 | -0.000 | 0.000 |
| -9.029 | -9.029 | -69.090 | 120.014 | 0.000 | 0.000 |
| -9.029 | -9.029 | -69.090 | -0.000 | 120.014 | 0.000 |
| -0.156 | -14.810 | -68.431 | 0.000 | 0.000 | 125.347 |
| 467.529 | 212.840 | 224.395 | -0.000 | -0.000 | -0.500 |
| 212.840 | 467.529 | 224.395 | -0.000 | 0.000 | 0.500 |
| 178.661 | 178.661 | 415.957 | -0.000 | -0.000 | 0.000 |
| 9.029 | 9.029 | 69.090 | 120.014 | -0.000 | -0.000 |
| 9.029 | 9.029 | 69.090 | 0.000 | 120.014 | 0.000 |
| 14.810 | 0.156 | 68.431 | -0.000 | -0.000 | 125.347 |
| 422.163 | 239.507 | 212.936 | 0.000 | 0.000 | 9.452 |
| 239.507 | 422.163 | 212.936 | 0.000 | 0.000 | -9.452 |
| 223.338 | 223.338 | 439.528 | 0.000 | 0.000 | 0.000 |
| 0.000 | 0.000 | 0.000 | 140.081 | 0.000 | -0.000 |
| 0.000 | 0.000 | 0.000 | 0.000 | 140.081 | -0.000 |
| 12.411 | -5.195 | -4.053 | 0.000 | 0.000 | 125.032 |
| 467.529 | 212.840 | 224.395 | -0.000 | -0.000 | -0.500 |
| 212.840 | 467.529 | 224.395 | -0.000 | -0.000 | 0.500 |
| 223.337 | 223.337 | 439.528 | -0.000 | -0.000 | -0.000 |
| -0.000 | -0.000 | -0.000 | 140.081 | -0.000 | -0.000 |
| -0.000 | -0.000 | -0.000 | 0.000 | 140.081 | 0.000 |
| 5.195 | -12.411 | 4.053 | 0.000 | -0.000 | 125.032 |
| 413.068 | 250.211 | 225.139 | 0.000 | -0.000 | 7.922 |
| 250.211 | 413.068 | 225.139 | -0.000 | 0.000 | -7.922 |
| 219.179 | 219.179 | 397.620 | 0.000 | 0.000 | 0.000 |
| 0.000 | 0.000 | 0.000 | 140.081 | 0.000 | 0.000 |
| 0.000 | 0.000 | 0.000 | -0.000 | 140.081 | -0.000 |
| 7.618 | -7.769 | -0.744 | -0.000 | 0.000 | 125.482 |
| 408.604 | 253.385 | 222.648 | -0.000 | -0.000 | 7.770 |
| 230.657 | 428.103 | 219.077 | 0.000 | -0.000 | -7.408 |
| 221.513 | 221.513 | 394.390 | -0.000 | -0.000 | -0.000 |
| -0.000 | -0.000 | -0.000 | 140.081 | -0.000 | -0.000 |
| -0.000 | -0.000 | -0.000 | -0.000 | 140.081 | 0.000 |
| -0.500 | 0.500 | -0.000 | 0.000 | -0.000 | 138.857 |
| 53.170 | 602.810 | 1563.386 | -0.000 | -1502.399 | -0.000 |
| 176.832 | 1114.131 | 2075.501 | 0.000 | -1584.945 | -0.000 |
| 149.798 | 996.685 | 2117.629 | -0.000 | -1564.698 | -0.000 |
| -43.548 | 889.754 | 1853.335 | 46.438 | -1574.860 | -6.145 |
| -160.967 | 453.350 | 1507.850 | 0.000 | -1435.692 | -0.000 |
| 14.596 | 812.389 | 1905.908 | -6.645 | -1618.095 | 62.354 |
| -347.472 | -1135.437 | -768.618 | 0.000 | 669.950 | 0.000 |
| 267.064 | -776.125 | -1736.018 | 0.000 | 1695.511 | 0.000 |
| 213.907 | -839.972 | -1714.302 | 0.000 | 1746.818 | 0.000 |
| 43.548 | -889.754 | -1853.335 | 46.438 | 1574.860 | -6.145 |
| -175.702 | -455.210 | -190.985 | 0.000 | 164.533 | 0.000 |
| -14.596 | -812.389 | -1905.908 | -6.645 | 1618.095 | 62.354 |
| 234.386 | 294.616 | 198.301 | -0.000 | -70.587 | -0.000 |
| 227.067 | 292.059 | 282.942 | 0.000 | -125.310 | -0.000 |
| 99.467 | 221.368 | 309.491 | 0.000 | -74.864 | -0.000 |
| -14.238 | 43.214 | 140.172 | 27.761 | -147.222 | -6.293 |
| -17.262 | 125.016 | 244.855 | 0.000 | -85.861 | -0.000 |
| 50.893 | 122.286 | 83.257 | -4.401 | -63.258 | 23.275 |
| 169.369 | 57.783 | 51.201 | 0.000 | 58.986 | 0.000 |
| 205.977 | 395.178 | 281.672 | -0.000 | -4.564 | 0.000 |
| 49.531 | 16.438 | 101.446 | 0.000 | 111.910 | 0.000 |
| 14.238 | -43.214 | -140.172 | 27.761 | 147.222 | -6.293 |
| -9.681 | -0.964 | 1.365 | 0.000 | 116.387 | 0.000 |
| -50.893 | -122.286 | -83.257 | -4.401 | 63.258 | 23.275 |
| 241.596 | 191.825 | 164.642 | 0.000 | -13.732 | -0.000 |
| 185.032 | 242.756 | 213.553 | 0.000 | -6.638 | -0.000 |
| 128.838 | 201.269 | 240.360 | -0.000 | 34.287 | -0.000 |
| 0.408 | 6.761 | 17.338 | 52.619 | -15.134 | -4.881 |
| -3.091 | 12.269 | 63.951 | -0.000 | 66.563 | -0.000 |
| 0.435 | 4.838 | 10.247 | -5.627 | -10.757 | 56.676 |
| 240.057 | 184.199 | 132.091 | -0.000 | 13.992 | 0.000 |
| 185.225 | 227.456 | 188.663 | 0.000 | 6.797 | 0.000 |
| 134.497 | 179.434 | 196.095 | -0.000 | 70.645 | 0.000 |
| 0.556 | -8.612 | -17.814 | 53.221 | 15.548 | -3.699 |
| -7.796 | -2.593 | 33.227 | 0.000 | 90.226 | 0.000 |
| -0.435 | -4.838 | -10.247 | -5.627 | 10.757 | 56.676 |
| 311.617 | 205.615 | 212.029 | 0.000 | 0.000 | 0.000 |
| 176.959 | 283.865 | 181.230 | 0.000 | 0.000 | 0.000 |
| 184.447 | 184.447 | 281.678 | 0.000 | 0.000 | 0.000 |
| 0.000 | 0.000 | 0.000 | 145.354 | 0.000 | 0.000 |
| 0.014 | 0.014 | 0.015 | 0.000 | 86.371 | 0.000 |
| 0.009 | 0.009 | 0.010 | 0.000 | 0.000 | 61.559 |
| 375.953 | 177.232 | 231.660 | 0.000 | 0.000 | 0.000 |
| 205.604 | 311.569 | 211.997 | -0.000 | -0.000 | -0.000 |
| 184.394 | 184.394 | 281.619 | -0.000 | -0.000 | -0.000 |
| -0.000 | -0.000 | 0.000 | 145.354 | -0.000 | -0.000 |
| -0.014 | -0.014 | -0.015 | 0.000 | 86.371 | -0.000 |
| -0.009 | -0.009 | -0.010 | -0.000 | -0.000 | 61.559 |
| 311.595 | 205.610 | 212.015 | 0.000 | -0.000 | 0.000 |
| 177.232 | 375.953 | 231.660 | 0.000 | 0.000 | 0.000 |
| 184.423 | 184.423 | 281.652 | -0.000 | 0.000 | 0.000 |
| 0.001 | 0.001 | 0.002 | 86.371 | 0.000 | 0.000 |
| 0.002 | 0.002 | 0.003 | 0.000 | 62.764 | 0.000 |
| 0.000 | 0.000 | 0.000 | 0.000 | 0.000 | 99.360 |
| 311.590 | 205.609 | 212.012 | -0.000 | -0.000 | -0.000 |
| 177.232 | 375.953 | 231.660 | -0.000 | -0.000 | -0.000 |
| 231.660 | 231.660 | 333.234 | -0.000 | -0.000 | -0.000 |
| -0.001 | -0.001 | -0.002 | 86.371 | -0.000 | -0.000 |
| -0.002 | -0.002 | -0.003 | -0.000 | 62.764 | -0.000 |
| -0.000 | -0.000 | -0.000 | -0.000 | -0.000 | 99.360 |
| 286.144 | 187.074 | 187.998 | -0.000 | -0.000 | 0.000 |
| 205.611 | 311.592 | 212.014 | 0.000 | 0.000 | 0.000 |
| 184.422 | 184.422 | 281.651 | 0.000 | 0.000 | 0.000 |
| 0.000 | 0.000 | 0.000 | 86.371 | -0.000 | 0.000 |
| 0.000 | 0.000 | 0.000 | 0.000 | 86.371 | 0.000 |
| 0.000 | 0.000 | 0.000 | 0.000 | 0.000 | 99.360 |
| 311.592 | 205.609 | 212.012 | -0.000 | -0.000 | -0.000 |
| 177.231 | 375.951 | 231.659 | -0.000 | -0.000 | -0.000 |
| 184.419 | 184.419 | 281.646 | -0.000 | -0.000 | -0.000 |
| -0.000 | -0.000 | -0.000 | 86.371 | -0.000 | -0.000 |
| -0.000 | -0.000 | -0.000 | -0.000 | 86.371 | -0.000 |
| -0.000 | -0.000 | -0.000 | -0.000 | -0.000 | 99.360 |
| 308.197 | 203.730 | 209.792 | -0.000 | 0.001 | 0.000 |
| 203.729 | 308.197 | 209.791 | -0.000 | 0.001 | -0.000 |
| 181.608 | 181.611 | 277.670 | -0.001 | 0.002 | -0.000 |
| 0.000 | -0.000 | 0.000 | 144.425 | 0.000 | 0.000 |
| -0.001 | 0.001 | -0.000 | -0.000 | 85.490 | 0.000 |
| -0.001 | 0.001 | -0.000 | -0.000 | 0.001 | 60.951 |
| 308.197 | 203.729 | 209.791 | 0.000 | -0.001 | -0.000 |
| 175.694 | 372.914 | 229.782 | -0.000 | 0.000 | -0.000 |
| 181.611 | 181.608 | 277.670 | 0.001 | -0.002 | 0.000 |
| -0.000 | -0.000 | -0.000 | 144.425 | 0.000 | -0.000 |
| 0.001 | -0.001 | 0.000 | 0.000 | 85.492 | 0.000 |
| 0.001 | -0.000 | 0.000 | 0.000 | -0.000 | 60.951 |
| 372.914 | 175.694 | 229.782 | 0.000 | -0.000 | -0.000 |
| 175.694 | 372.914 | 229.782 | 0.000 | -0.000 | -0.000 |
| 229.815 | 229.815 | 330.212 | 0.000 | -0.000 | -0.000 |
| 0.000 | 0.000 | 0.000 | 144.425 | -0.000 | -0.000 |
| 0.000 | 0.000 | 0.000 | 0.000 | 144.425 | 0.000 |
| 0.000 | 0.000 | 0.000 | 0.000 | -0.000 | 98.610 |
| 372.914 | 175.694 | 229.782 | -0.000 | 0.000 | 0.000 |
| 175.694 | 372.914 | 229.782 | -0.000 | 0.000 | -0.000 |
| 181.609 | 181.609 | 277.670 | 0.000 | -0.000 | 0.000 |
| -0.000 | -0.000 | -0.000 | 144.425 | 0.000 | 0.000 |
| -0.000 | -0.000 | -0.000 | -0.000 | 144.425 | 0.000 |
| -0.000 | -0.000 | -0.000 | -0.000 | 0.000 | 98.610 |
| 280.111 | 174.449 | 178.528 | -0.000 | 0.000 | 0.000 |
| 184.671 | 282.370 | 185.330 | -0.000 | 0.000 | -0.000 |
| 181.608 | 181.608 | 277.669 | -0.000 | 0.000 | -0.000 |
| 0.000 | 0.000 | 0.000 | 144.425 | -0.000 | 0.000 |
| -0.000 | 0.000 | 0.000 | -0.000 | 85.491 | -0.000 |
| 0.000 | 0.000 | 0.000 | 0.000 | -0.000 | 98.610 |
| 280.106 | 174.448 | 178.525 | 0.000 | -0.000 | -0.000 |
| 203.739 | 308.172 | 209.783 | 0.000 | -0.000 | 0.000 |
| 181.610 | 181.610 | 277.670 | 0.000 | -0.000 | 0.000 |
| -0.000 | -0.000 | -0.000 | 144.425 | -0.000 | 0.000 |
| 0.000 | -0.000 | -0.000 | 0.000 | 85.491 | -0.000 |
| -0.000 | -0.000 | -0.000 | -0.000 | 0.000 | 98.610 |
| 838.924 | -508.243 | -1281.467 | -0.000 | 0.000 | 0.000 |
| 206.425 | 411.702 | 174.092 | -0.000 | 0.000 | 0.000 |
| 789.162 | 30.083 | -717.839 | -0.000 | 0.000 | 0.000 |
| 371.575 | -607.505 | -1529.896 | 19.226 | 0.000 | 0.000 |
| -0.000 | 0.000 | 0.000 | -0.000 | 136.027 | 0.000 |
| 371.416 | -607.739 | -1530.063 | -0.000 | 0.000 | 108.198 |
| -76.542 | 329.689 | 1343.652 | 0.000 | 0.000 | -0.000 |
| -293.660 | 490.153 | 1240.280 | 0.000 | 0.000 | -0.000 |
| 257.157 | 165.610 | 436.450 | 0.000 | -0.000 | -0.000 |
| -371.575 | 607.505 | 1529.896 | 19.226 | -0.000 | -0.000 |
| 0.000 | -0.000 | 0.000 | 0.000 | 136.027 | -0.000 |
| -371.416 | 607.739 | 1530.063 | 0.000 | 0.000 | 108.198 |
| 468.911 | 187.936 | 137.161 | -0.000 | 0.000 | 0.000 |
| 206.425 | 411.702 | 174.092 | -0.000 | -0.000 | 0.000 |
| 331.982 | 145.029 | 254.038 | -0.000 | 0.000 | 0.000 |
| 53.582 | -13.475 | -113.945 | 53.891 | -0.000 | 0.000 |
| 0.000 | 0.000 | 0.000 | -0.000 | 136.027 | 0.000 |
| 0.000 | 0.000 | 0.000 | -0.000 | 0.000 | 133.868 |
| 379.354 | 215.612 | 379.978 | 0.000 | 0.000 | -0.000 |
| 165.490 | 354.002 | 287.904 | 0.000 | -0.000 | -0.000 |
| 257.156 | 165.610 | 436.450 | 0.000 | 0.000 | -0.000 |
| -53.582 | 13.475 | 113.945 | 53.891 | 0.000 | 0.000 |
| -0.000 | -0.000 | -0.000 | 0.000 | 136.027 | -0.000 |
| -0.000 | -0.000 | -0.000 | 0.000 | -0.000 | 133.868 |
| 411.699 | 203.798 | 273.795 | 0.000 | 0.000 | 0.000 |
| 175.672 | 275.906 | 114.641 | -0.000 | 0.000 | 0.000 |
| 279.264 | 117.547 | 322.384 | -0.000 | -0.000 | 0.000 |
| 3.983 | -6.292 | -15.540 | 18.211 | 0.000 | 0.000 |
| 3.442 | -6.305 | -14.834 | -0.000 | 106.702 | 0.000 |
| 3.190 | -6.003 | -23.729 | 0.000 | 0.000 | 108.423 |
| 381.558 | 197.487 | 290.102 | 0.000 | -0.000 | -0.000 |
| 175.837 | 288.057 | 133.566 | 0.000 | -0.000 | -0.000 |
| 270.043 | 131.508 | 353.242 | 0.000 | -0.000 | -0.000 |
| -3.983 | 6.292 | 15.540 | 18.211 | -0.000 | 0.000 |
| -3.442 | 6.305 | 14.834 | 0.000 | 106.702 | -0.000 |
| -3.190 | 6.003 | 23.729 | 0.000 | -0.000 | 108.423 |
| 377.669 | 13.038 | 176.184 | -0.001 | -0.001 | -0.000 |
| 831.805 | -1189.388 | 18.931 | -0.004 | -0.006 | -0.003 |
| 193.319 | 186.767 | 360.518 | 0.000 | -0.000 | 0.000 |
| 1620.037 | -1718.861 | 103.800 | 210.322 | -0.002 | -0.001 |
| 685.685 | -1426.703 | -191.184 | -0.004 | -86.510 | -0.003 |
| 677.244 | -1409.023 | -188.789 | -0.004 | -0.007 | -123.660 |
| 431.002 | 148.861 | 189.091 | -0.000 | 0.000 | -0.000 |
| 108.786 | 508.711 | 212.095 | 0.001 | 0.001 | 0.000 |
| -1598.415 | 1864.924 | 347.439 | -0.004 | 0.001 | 0.001 |
| -1620.039 | 1718.859 | -103.802 | 210.319 | 0.002 | 0.001 |
| -685.688 | 1426.710 | 191.185 | 0.004 | -86.497 | 0.003 |
| -677.245 | 1409.026 | 188.790 | 0.004 | 0.007 | -123.655 |
| 304.543 | 140.438 | 202.376 | -0.000 | -0.000 | -0.000 |
| 179.853 | 292.325 | 180.896 | -0.000 | -0.000 | -0.000 |
| 193.319 | 186.767 | 360.518 | 0.000 | -0.000 | -0.000 |
| 0.000 | 0.000 | 0.000 | 111.015 | -0.000 | 0.000 |
| 144.205 | -140.257 | 1.362 | -0.000 | 43.038 | -0.000 |
| 152.125 | -144.709 | 4.855 | -0.000 | -0.000 | 20.668 |
| 27.340 | 383.759 | 172.100 | 0.000 | 0.000 | 0.000 |
| 165.847 | 296.461 | 194.104 | 0.000 | 0.000 | 0.000 |
| 56.716 | 288.354 | 218.925 | -0.000 | 0.000 | 0.000 |
| -0.000 | -0.000 | -0.000 | 111.015 | 0.000 | 0.000 |
| -144.205 | 140.257 | -1.363 | 0.000 | 43.038 | 0.000 |
| -152.125 | 144.709 | -4.855 | 0.000 | 0.000 | 20.668 |
| 218.619 | 228.415 | 183.968 | -0.000 | -0.000 | -0.000 |
| 264.610 | 208.358 | 193.663 | -0.000 | -0.000 | -0.000 |
| 213.956 | 184.018 | 253.817 | -0.000 | -0.000 | -0.000 |
| 14.162 | -13.776 | 0.409 | 35.504 | -0.000 | -0.000 |
| 14.691 | -13.859 | 0.679 | -0.000 | 45.300 | -0.000 |
| 15.212 | -14.471 | 0.486 | -0.000 | -0.000 | 20.603 |
| 165.273 | 259.290 | 176.367 | 0.000 | 0.000 | 0.000 |
| 215.969 | 256.369 | 190.606 | -0.000 | 0.000 | 0.000 |
| 170.059 | 204.778 | 246.663 | -0.000 | 0.000 | 0.000 |
| -14.162 | 13.776 | -0.409 | 35.504 | 0.000 | 0.000 |
| -14.691 | 13.859 | -0.679 | 0.000 | 45.300 | 0.000 |
| -15.212 | 14.471 | -0.486 | 0.000 | 0.000 | 20.603 |
| 45.787 | 535.251 | 223.410 | 0.000 | 0.000 | 0.000 |
| 535.251 | 45.787 | 223.410 | 0.000 | 0.000 | 0.000 |
| 223.410 | 223.410 | 329.244 | -0.000 | -0.000 | 0.000 |
| 0.000 | 0.000 | 0.000 | 41.524 | 0.000 | 0.000 |
| 0.000 | 0.000 | 0.000 | 0.000 | 41.524 | 0.000 |
| 0.000 | 0.000 | 0.000 | 0.000 | 0.000 | 94.840 |
| 45.787 | 535.251 | 223.410 | -0.000 | -0.000 | -0.000 |
| 535.251 | 45.787 | 223.410 | 0.000 | -0.000 | -0.000 |
| 223.410 | 223.410 | 329.244 | -0.000 | -0.000 | -0.000 |
| -0.000 | 0.000 | -0.000 | 41.524 | -0.000 | 0.000 |
| -0.000 | -0.000 | -0.000 | 0.000 | 41.524 | -0.000 |
| -0.000 | -0.000 | -0.000 | -0.000 | -0.000 | 94.840 |
| 45.788 | 535.251 | 223.410 | -0.000 | -0.000 | 0.000 |
| 535.251 | 45.788 | 223.410 | 0.000 | 0.000 | -0.000 |
| 223.410 | 223.410 | 329.244 | 0.000 | 0.000 | 0.000 |
| -0.000 | 0.000 | 0.000 | 85.656 | 0.000 | 0.000 |
| 0.000 | -0.000 | 0.000 | -0.000 | 85.656 | 0.000 |
| 0.000 | 0.000 | 0.000 | 0.000 | 0.000 | 94.840 |
| 313.657 | 267.381 | 223.410 | -0.000 | -0.000 | -0.000 |
| 267.381 | 313.657 | 223.410 | -0.000 | -0.000 | 0.000 |
| 223.410 | 223.410 | 329.244 | -0.000 | -0.000 | 0.000 |
| 0.000 | -0.000 | -0.000 | 85.656 | 0.000 | 0.000 |
| -0.000 | 0.000 | -0.000 | 0.000 | 85.656 | 0.000 |
| -0.000 | -0.000 | -0.000 | -0.000 | -0.000 | 94.840 |
| 45.790 | 535.251 | 223.412 | 0.000 | 0.000 | 0.000 |
| 535.251 | 45.790 | 223.412 | 0.000 | 0.000 | 0.000 |
| 223.411 | 223.411 | 329.245 | 0.000 | 0.000 | 0.000 |
| 0.000 | 0.000 | 0.000 | 41.524 | 0.000 | -0.000 |
| 0.000 | 0.000 | 0.000 | -0.000 | 41.524 | 0.000 |
| 0.000 | 0.001 | 0.000 | 0.000 | 0.000 | 94.840 |
| 45.785 | 535.250 | 223.408 | -0.000 | -0.000 | -0.000 |
| 535.250 | 45.785 | 223.408 | -0.000 | -0.000 | -0.000 |
| 223.409 | 223.409 | 329.243 | -0.000 | -0.000 | -0.000 |
| -0.000 | -0.000 | -0.000 | 41.524 | -0.000 | -0.000 |
| -0.000 | -0.000 | -0.000 | -0.000 | 41.524 | -0.000 |
| -0.000 | -0.001 | -0.000 | -0.000 | -0.000 | 94.840 |
| 343.456 | 227.976 | 225.537 | -0.000 | -0.000 | -0.000 |
| 207.004 | 295.034 | 262.311 | 0.000 | 0.000 | -0.000 |
| 232.136 | 232.136 | 408.329 | 0.000 | 0.000 | 0.000 |
| 0.000 | 0.000 | 0.000 | 73.108 | -0.000 | 0.000 |
| 0.033 | 0.033 | -0.035 | -0.000 | -217.906 | 0.000 |
| 0.018 | 0.018 | -0.019 | -0.000 | 0.000 | -14.106 |
| 295.032 | 206.999 | 262.315 | -0.000 | -0.000 | -0.000 |
| 227.976 | 343.456 | 225.537 | 0.000 | 0.000 | -0.000 |
| 259.994 | 259.994 | 378.803 | -0.000 | 0.000 | -0.000 |
| -0.000 | -0.000 | -0.000 | 73.108 | -0.000 | 0.000 |
| -0.033 | -0.033 | 0.035 | -0.000 | -217.906 | -0.000 |
| -0.018 | -0.018 | 0.019 | 0.000 | -0.000 | -14.106 |
| 343.456 | 227.976 | 225.537 | -0.000 | -0.000 | 0.000 |
| 207.002 | 295.033 | 262.313 | -0.000 | 0.000 | 0.000 |
| 259.998 | 259.998 | 378.800 | -0.000 | -0.000 | 0.000 |
| 0.003 | 0.003 | -0.003 | -217.906 | -0.000 | 0.000 |
| 0.003 | 0.003 | -0.003 | 0.000 | -217.906 | 0.000 |
| 0.000 | 0.000 | 0.000 | -0.000 | 0.000 | 57.740 |
| 295.033 | 207.001 | 262.313 | 0.000 | 0.000 | -0.000 |
| 207.001 | 295.033 | 262.313 | -0.000 | -0.000 | 0.000 |
| 232.136 | 232.136 | 408.329 | 0.000 | -0.000 | -0.000 |
| -0.003 | -0.003 | 0.003 | -217.906 | -0.000 | 0.000 |
| -0.003 | -0.003 | 0.003 | -0.000 | -217.906 | -0.000 |
| -0.000 | -0.000 | -0.000 | -0.000 | -0.000 | 57.740 |
| 343.458 | 227.977 | 225.538 | -0.000 | 0.000 | 0.000 |
| 20225729.957 | 19407379.820 | 31087689.711 | -117086.667 | 46451.611 | 76696.402 |
| 259.997 | 259.997 | 378.803 | -0.000 | 0.000 | 0.000 |
| 0.001 | 0.000 | 0.003 | -217.906 | -0.000 | 0.000 |
| 0.000 | 0.001 | 0.003 | -0.000 | -217.906 | -0.000 |
| -0.000 | 0.000 | -0.000 | -0.000 | -0.000 | -14.106 |
| 343.454 | 227.976 | 225.537 | -0.000 | -0.000 | -0.000 |
| 878.294 | -333.442 | 239.482 | 0.000 | 0.000 | -0.000 |
| 232.135 | 232.135 | 408.327 | 0.000 | 0.000 | -0.000 |
| -0.001 | -0.000 | -0.003 | -217.906 | -0.000 | -0.000 |
| -0.000 | -0.001 | -0.003 | 0.000 | -217.906 | -0.000 |
| 0.000 | -0.000 | 0.000 | 0.000 | 0.000 | -14.106 |
| 2812.443 | -567.391 | 2407.087 | 0.000 | -0.000 | 0.000 |
| 2807.952 | -771.912 | 1764.780 | 0.000 | -0.000 | 0.000 |
| 2635.539 | -612.418 | 2535.038 | 0.000 | -0.000 | 0.000 |
| 2505.107 | -792.477 | 1932.562 | 20.458 | -0.000 | 0.000 |
| 1859.704 | -1264.414 | 2515.204 | -0.000 | 119.827 | 0.000 |
| 1859.895 | -1264.544 | 2515.463 | 0.000 | -0.000 | 128.007 |
| -1963.815 | 942.463 | -1920.461 | -0.000 | 0.000 | -0.000 |
| -1654.742 | 1611.389 | -2357.511 | -0.000 | 0.000 | -0.000 |
| -1562.025 | 1418.591 | -2171.842 | -0.000 | -0.000 | -0.000 |
| -2505.107 | 792.477 | -1932.562 | 20.458 | 0.000 | -0.000 |
| -1859.704 | 1264.414 | -2515.204 | -0.000 | 119.827 | -0.000 |
| -1859.895 | 1264.544 | -2515.463 | -0.000 | 0.000 | 128.007 |
| 620.029 | 101.652 | 479.578 | 0.000 | -0.000 | 0.000 |
| 431.344 | 244.140 | 376.679 | 0.000 | -0.000 | 0.000 |
| 483.353 | 28.376 | 589.492 | 0.000 | 0.000 | 0.000 |
| 186.825 | -127.022 | 252.676 | 48.206 | -0.000 | -0.000 |
| 186.386 | -126.724 | 252.083 | 0.000 | 119.792 | 0.000 |
| 262.979 | -82.701 | 184.938 | 0.000 | -0.000 | 96.657 |
| 207.724 | 333.093 | 38.809 | -0.000 | 0.000 | -0.000 |
| 17.630 | 471.450 | -96.465 | -0.000 | 0.000 | -0.000 |
| 33.144 | 237.006 | 133.145 | -0.000 | 0.000 | -0.000 |
| -186.825 | 127.022 | -252.676 | 48.206 | 0.000 | -0.000 |
| -186.386 | 126.724 | -252.083 | -0.000 | 119.792 | -0.000 |
| -262.979 | 82.701 | -184.938 | -0.000 | 0.000 | 96.657 |
| 393.719 | 169.338 | 289.135 | 0.000 | 0.000 | 0.000 |
| 192.994 | 270.835 | 152.725 | 0.000 | -0.000 | 0.000 |
| 299.092 | 113.872 | 355.073 | -0.000 | -0.000 | 0.000 |
| 21.876 | -10.733 | 19.715 | 19.477 | -0.000 | 0.000 |
| 24.800 | -7.290 | 21.808 | 0.000 | 109.779 | 0.000 |
| 22.246 | -15.125 | 30.087 | 0.000 | -0.000 | 126.790 |
| 343.813 | 175.089 | 267.126 | -0.000 | 0.000 | -0.000 |
| 156.264 | 317.881 | 123.108 | -0.000 | -0.000 | -0.000 |
| 251.824 | 142.608 | 315.966 | -0.000 | 0.000 | -0.000 |
| -21.876 | 10.733 | -19.715 | 19.477 | 0.000 | -0.000 |
| -24.800 | 7.290 | -21.808 | -0.000 | 109.779 | -0.000 |
| -22.246 | 15.125 | -30.087 | -0.000 | 0.000 | 126.790 |
| 387.523 | 215.866 | 264.464 | -0.000 | 0.000 | 0.000 |
| 229.696 | 432.058 | 161.962 | -0.000 | 0.000 | 0.000 |
| 250.474 | 178.788 | 440.049 | -0.000 | 0.000 | -0.000 |
| -1.057 | -2.711 | -1.881 | 42.783 | -0.000 | 0.000 |
| -1.625 | -2.052 | -1.109 | -0.000 | 102.922 | 0.000 |
| -1.931 | -1.674 | -0.343 | -0.000 | -0.000 | 105.520 |
| 489.586 | 217.309 | 250.474 | 0.000 | -0.000 | 0.000 |
| 217.309 | 485.461 | 178.788 | 0.000 | -0.000 | 0.000 |
| 266.015 | 164.738 | 373.163 | 0.000 | -0.000 | -0.000 |
| 1.057 | 2.711 | 1.881 | 42.783 | 0.000 | -0.000 |
| 1.625 | 2.052 | 1.109 | 0.000 | 102.922 | -0.000 |
| 1.931 | 1.674 | 0.343 | 0.000 | 0.000 | 105.520 |
| 489.586 | 217.309 | 250.474 | -0.000 | 0.000 | 0.000 |
| 230.313 | 433.274 | 162.921 | -0.000 | 0.000 | 0.000 |
| 272.395 | 168.080 | 380.816 | -0.000 | 0.000 | 0.000 |
| -0.106 | -0.103 | -0.116 | 49.724 | -0.000 | 0.000 |
| -0.102 | -0.099 | -0.111 | -0.000 | 110.568 | 0.000 |
| -0.193 | -0.167 | -0.033 | -0.000 | -0.000 | 105.508 |
| 389.105 | 217.191 | 265.694 | 0.000 | -0.000 | -0.000 |
| 230.448 | 433.543 | 163.132 | 0.000 | -0.000 | -0.000 |
| 272.476 | 168.201 | 381.013 | -0.000 | 0.000 | -0.000 |
| 0.106 | 0.103 | 0.116 | 49.724 | -0.000 | 0.000 |
| 0.102 | 0.099 | 0.111 | 0.000 | 110.568 | -0.000 |
| 0.193 | 0.167 | 0.033 | 0.000 | 0.000 | 105.508 |
| 380.808 | 197.993 | 269.160 | -0.000 | -0.000 | 0.000 |
| 230.375 | 433.397 | 163.016 | -0.000 | 0.000 | 0.000 |
| 264.967 | 163.726 | 372.074 | -0.000 | 0.000 | 0.000 |
| -0.011 | -0.010 | -0.011 | 49.724 | 0.000 | 0.000 |
| -0.015 | -0.014 | -0.010 | -0.000 | 105.536 | 0.000 |
| -0.020 | -0.019 | -0.021 | -0.000 | 0.000 | 113.948 |
| 413.359 | 227.217 | 275.108 | 0.000 | 0.000 | -0.000 |
| 230.387 | 433.420 | 163.037 | 0.000 | -0.000 | -0.000 |
| 267.846 | 150.444 | 369.547 | 0.000 | -0.000 | -0.000 |
| 0.011 | 0.010 | 0.011 | 49.724 | -0.000 | 0.000 |
| 0.015 | 0.014 | 0.010 | 0.000 | 105.536 | -0.000 |
| 0.020 | 0.019 | 0.021 | -0.000 | -0.000 | 113.948 |
| 781.458 | -133.550 | 148.871 | -0.000 | 0.000 | 0.000 |
| 572.233 | 105.059 | -6.422 | -0.000 | 0.001 | -0.000 |
| 417.647 | 150.715 | 68.645 | -0.000 | 0.000 | -0.000 |
| 611.077 | -387.424 | -25.657 | 34.303 | 0.000 | 0.000 |
| 441.052 | -171.702 | -122.694 | -0.000 | -73.525 | 0.000 |
| 78.646 | -6.243 | -50.006 | -0.000 | 0.000 | 40.147 |
| 431.202 | 149.339 | 188.839 | -0.000 | -0.000 | 0.000 |
| -204.628 | 504.368 | 206.693 | 0.000 | -0.000 | -0.000 |
| 193.209 | 186.741 | 360.557 | -0.000 | 0.000 | -0.000 |
| -611.077 | 387.424 | 25.657 | 34.303 | -0.000 | -0.000 |
| -441.051 | 171.701 | 122.694 | 0.000 | -73.526 | -0.000 |
| -78.646 | 6.243 | 50.006 | 0.000 | -0.000 | 40.147 |
| 243.470 | 206.820 | 177.095 | -0.000 | 0.000 | 0.000 |
| 221.297 | 233.403 | 171.595 | -0.000 | 0.000 | 0.000 |
| 212.304 | 183.729 | 240.590 | -0.000 | 0.000 | -0.000 |
| 60.019 | -36.071 | -4.154 | 35.489 | 0.000 | 0.000 |
| 15.618 | -7.265 | -2.989 | -0.000 | 41.134 | 0.000 |
| 57.555 | -35.815 | -2.859 | -0.000 | 0.000 | 18.719 |
| 431.201 | 149.339 | 188.839 | -0.000 | -0.000 | -0.000 |
| 153.760 | 414.853 | 186.791 | -0.000 | -0.000 | 0.000 |
| 150.845 | 193.389 | 248.705 | 0.000 | -0.000 | -0.000 |
| -32.201 | 18.260 | 2.630 | 32.612 | -0.000 | -0.000 |
| -15.618 | 7.265 | 2.989 | 0.000 | 41.134 | -0.000 |
| -48.697 | 30.196 | 2.086 | 0.000 | -0.000 | 17.676 |
| 175.454 | 248.996 | 175.234 | -0.000 | 0.000 | -0.000 |
| 209.853 | 248.432 | 186.146 | 0.000 | 0.000 | 0.000 |
| 185.285 | 186.487 | 246.654 | -0.000 | 0.000 | 0.000 |
| 1.895 | -0.705 | -0.573 | 35.452 | 0.000 | 0.000 |
| 1.322 | -0.798 | -0.043 | 0.000 | 46.068 | 0.000 |
| 1.730 | -0.553 | -0.621 | -0.000 | 0.000 | 19.650 |
| 163.963 | 250.780 | 176.524 | 0.000 | -0.000 | -0.000 |
| 203.051 | 252.145 | 186.487 | -0.000 | -0.000 | -0.000 |
| 173.740 | 197.132 | 246.904 | 0.000 | -0.000 | -0.000 |
| -1.895 | 0.705 | 0.573 | 35.452 | -0.000 | -0.000 |
| -1.322 | 0.798 | 0.043 | -0.000 | 46.068 | -0.000 |
| -1.730 | 0.553 | 0.621 | 0.000 | -0.000 | 19.650 |
| 375.353 | 176.929 | 231.287 | 0.000 | -0.000 | 0.000 |
| 205.240 | 310.925 | 211.574 | -0.000 | 0.001 | -0.000 |
| 183.867 | 183.868 | 280.860 | -0.001 | 0.002 | -0.000 |
| -0.000 | 0.000 | -0.000 | 86.197 | 0.001 | -0.000 |
| -0.000 | 0.000 | 0.000 | -0.000 | 62.574 | -0.000 |
| -0.000 | 0.000 | -0.000 | -0.001 | 0.004 | 46.866 |
| 310.925 | 205.240 | 211.574 | 0.000 | -0.001 | 0.000 |
| 186.603 | 285.403 | 187.471 | 0.000 | -0.000 | -0.000 |
| 231.295 | 231.295 | 332.633 | -0.000 | 0.000 | -0.000 |
| -0.000 | 0.000 | -0.000 | 145.170 | 0.000 | -0.000 |
| 0.000 | -0.000 | 0.000 | 0.000 | 62.573 | 0.000 |
| 0.000 | -0.000 | 0.000 | 0.001 | -0.004 | 46.866 |
| 375.354 | 176.929 | 231.287 | 0.000 | -0.000 | 0.000 |
| 176.929 | 375.354 | 231.287 | 0.000 | -0.000 | 0.000 |
| 183.868 | 183.868 | 280.860 | -0.000 | 0.000 | -0.000 |
| 0.000 | 0.000 | 0.000 | 145.170 | -0.000 | 0.000 |
| -0.000 | 0.000 | 0.000 | -0.000 | 62.574 | -0.000 |
| 0.000 | 0.000 | 0.000 | 0.000 | -0.000 | 99.212 |
| 375.353 | 176.929 | 231.287 | -0.000 | 0.000 | -0.000 |
| 176.449 | 283.107 | 180.675 | 0.000 | -0.000 | 0.000 |
| 183.868 | 183.868 | 280.860 | 0.000 | -0.000 | 0.000 |
| -0.000 | -0.000 | -0.000 | 145.170 | 0.000 | -0.000 |
| 0.000 | -0.000 | -0.000 | 0.000 | 62.574 | 0.000 |
| -0.000 | -0.000 | -0.000 | -0.000 | 0.000 | 99.212 |
| 285.405 | 186.603 | 187.472 | -0.000 | 0.000 | 0.000 |
| 186.605 | 285.401 | 187.471 | -0.000 | 0.000 | 0.000 |
| 183.869 | 183.869 | 280.862 | -0.000 | 0.000 | -0.000 |
| 0.000 | -0.000 | 0.000 | 86.196 | 0.000 | -0.000 |
| -0.000 | 0.000 | 0.000 | -0.000 | 86.196 | -0.000 |
| 0.000 | 0.000 | 0.000 | -0.000 | 0.000 | 52.140 |
| 310.924 | 205.239 | 211.573 | 0.000 | -0.000 | 0.000 |
| 176.407 | 283.205 | 180.706 | 0.000 | -0.000 | 0.000 |
| 183.867 | 183.867 | 280.858 | 0.000 | -0.000 | 0.000 |
| -0.000 | 0.000 | -0.000 | 86.196 | -0.000 | 0.000 |
| 0.000 | -0.000 | -0.000 | 0.000 | 86.196 | 0.000 |
| -0.000 | -0.000 | -0.000 | 0.000 | -0.000 | 52.140 |
| 282.187 | 160.779 | 150.864 | -0.000 | -0.000 | 1.559 |
| 160.779 | 282.187 | 150.864 | 0.000 | 0.000 | -1.559 |
| 159.259 | 159.259 | 480.015 | -0.000 | -0.000 | 0.000 |
| 9.577 | 9.577 | 4.098 | 66.461 | 0.000 | -0.000 |
| 9.577 | 9.577 | 4.098 | -0.000 | 66.461 | 0.000 |
| 7.039 | 0.144 | 1.537 | -0.000 | -0.000 | 122.251 |
| 387.500 | 220.172 | 183.936 | 0.000 | 0.000 | -9.111 |
| 220.172 | 387.500 | 183.936 | -0.000 | -0.000 | 9.111 |
| 186.620 | 186.620 | 491.012 | 0.000 | 0.000 | -0.000 |
| -9.577 | -9.577 | -4.098 | 66.461 | 0.000 | 0.000 |
| -9.577 | -9.577 | -4.098 | -0.000 | 66.461 | -0.000 |
| -0.144 | -7.039 | -1.537 | 0.000 | 0.000 | 122.251 |
| 245.713 | 212.338 | 153.549 | 0.000 | -0.000 | 9.524 |
| 212.338 | 245.713 | 153.549 | 0.000 | 0.000 | -9.524 |
| 156.632 | 156.632 | 478.897 | -0.000 | -0.000 | 0.000 |
| 0.000 | 0.000 | 0.000 | 68.471 | -0.000 | -0.000 |
| 0.000 | 0.000 | 0.000 | 0.000 | 68.471 | 0.000 |
| 9.555 | -9.492 | 0.044 | -0.000 | -0.000 | 121.554 |
| 279.587 | 157.859 | 149.668 | -0.000 | 0.000 | 1.485 |
| 157.859 | 279.587 | 149.668 | 0.000 | 0.000 | -1.485 |
| 155.836 | 155.836 | 478.288 | -0.000 | -0.000 | -0.000 |
| -0.000 | -0.000 | -0.000 | 68.471 | -0.000 | 0.000 |
| -0.000 | -0.000 | -0.000 | 0.000 | 68.471 | -0.000 |
| 9.493 | -9.555 | -0.044 | 0.000 | 0.000 | 121.554 |
| 245.447 | 212.051 | 153.411 | -0.000 | -0.000 | 9.521 |
| 212.051 | 245.447 | 153.411 | 0.000 | 0.000 | -9.521 |
| 156.171 | 156.171 | 478.455 | 0.000 | -0.000 | 0.000 |
| 0.156 | 0.156 | 0.067 | 65.195 | 0.000 | -0.000 |
| 0.156 | 0.156 | 0.067 | 0.000 | 65.195 | 0.000 |
| 3.422 | -3.351 | 0.015 | -0.000 | -0.000 | 122.298 |
| 248.381 | 214.491 | 154.504 | -0.000 | -0.000 | 13.323 |
| 214.491 | 248.381 | 154.504 | -0.000 | -0.000 | -13.323 |
| 156.293 | 156.293 | 478.751 | 0.000 | 0.000 | -0.000 |
| -0.156 | -0.156 | -0.067 | 65.195 | -0.000 | 0.000 |
| -0.156 | -0.156 | -0.067 | 0.000 | 65.195 | -0.000 |
| 3.351 | -3.423 | -0.015 | 0.000 | 0.000 | 122.298 |
| 213.276 | 199.500 | 135.303 | -0.000 | -0.000 | -13.415 |
| 199.500 | 213.276 | 135.303 | 0.000 | -0.000 | 13.415 |
| 134.125 | 134.125 | 465.616 | -0.000 | -0.000 | -0.000 |
| 0.000 | 0.000 | -0.000 | 60.079 | -0.000 | -0.000 |
| 0.000 | 0.000 | 0.000 | -0.000 | 60.079 | -0.000 |
| 11.799 | -11.799 | -0.000 | -0.000 | -0.000 | 127.586 |
| 209.691 | 197.625 | 134.110 | -0.000 | 0.000 | -8.806 |
| 197.625 | 209.691 | 134.110 | 0.000 | 0.000 | 8.806 |
| 134.126 | 134.126 | 465.616 | 0.000 | 0.000 | 0.000 |
| -0.000 | -0.000 | -0.000 | 60.079 | 0.000 | 0.000 |
| -0.000 | -0.000 | 0.000 | 0.000 | 60.079 | 0.000 |
| 11.799 | -11.799 | 0.000 | 0.000 | 0.000 | 127.586 |
| 362.303 | 204.036 | 168.746 | -0.000 | -0.000 | 11.799 |
| 204.036 | 362.303 | 168.746 | -0.000 | -0.000 | -11.799 |
| 168.746 | 168.746 | 480.692 | 0.000 | -0.000 | -0.000 |
| -0.000 | -0.000 | -0.000 | 58.082 | -0.000 | 0.000 |
| -0.000 | -0.000 | -0.000 | -0.000 | 58.082 | -0.000 |
| 11.799 | -11.799 | 0.000 | -0.000 | -0.000 | 127.586 |
| 247.676 | 137.348 | 129.405 | -0.000 | 0.000 | 0.319 |
| 137.348 | 247.676 | 129.405 | -0.000 | 0.000 | -0.319 |
| 134.131 | 134.131 | 465.413 | 0.000 | 0.000 | 0.000 |
| 0.000 | 0.000 | 0.000 | 58.082 | 0.000 | -0.000 |
| 0.000 | 0.000 | 0.000 | 0.000 | 58.082 | 0.000 |
| 11.799 | -11.799 | -0.000 | -0.000 | 0.000 | 127.586 |
| 247.674 | 137.347 | 129.405 | -0.000 | -0.000 | 0.319 |
| 137.347 | 247.674 | 129.405 | -0.000 | -0.000 | -0.319 |
| 134.131 | 134.131 | 465.415 | -0.000 | -0.000 | 0.000 |
| 0.000 | -0.000 | 0.000 | 58.082 | -0.000 | 0.000 |
| -0.000 | 0.000 | 0.000 | -0.000 | 58.082 | -0.000 |
| -2.173 | 2.173 | 0.000 | 0.000 | 0.000 | 115.798 |
| 209.692 | 197.653 | 134.132 | 0.000 | 0.000 | -8.808 |
| 197.653 | 209.692 | 134.132 | -0.000 | 0.000 | 8.808 |
| 134.126 | 134.126 | 465.614 | 0.000 | 0.000 | 0.000 |
| -0.000 | 0.000 | -0.000 | 58.082 | 0.000 | -0.000 |
| 0.000 | -0.000 | -0.000 | 0.000 | 58.082 | 0.000 |
| -8.809 | 8.808 | -0.000 | -0.000 | 0.000 | 115.020 |
| 393.799 | 197.305 | 178.350 | 0.000 | 53.082 | 0.000 |
| 159.923 | 289.509 | 192.547 | 0.000 | 1.410 | -0.000 |
| 178.595 | 238.805 | 349.776 | -0.000 | -1.252 | 0.000 |
| 0.000 | 0.000 | -0.000 | 57.552 | 0.000 | 12.054 |
| 32.721 | -0.673 | -1.252 | -0.000 | 104.156 | 0.000 |
| -0.000 | -0.000 | -0.000 | 23.538 | 0.000 | 56.089 |
| 393.799 | 197.305 | 178.350 | -0.000 | 53.082 | 0.000 |
| 159.922 | 289.510 | 192.548 | 0.000 | 1.410 | 0.000 |
| 143.656 | 169.399 | 280.206 | -0.000 | 1.933 | 0.000 |
| -0.000 | -0.000 | 0.000 | 57.552 | -0.000 | 12.054 |
| 25.120 | 4.384 | 5.542 | -0.000 | 91.047 | 0.000 |
| 0.000 | 0.000 | 0.000 | 23.538 | -0.000 | 56.089 |
| 393.799 | 197.305 | 178.350 | -0.000 | 53.082 | 0.000 |
| 197.436 | 381.524 | 238.805 | 0.000 | -0.673 | 0.000 |
| 143.656 | 169.399 | 280.206 | 0.000 | 1.933 | -0.000 |
| 0.000 | -0.000 | -0.000 | 65.597 | 0.000 | 24.296 |
| 17.963 | 2.770 | 2.256 | 0.000 | 94.211 | -0.000 |
| 0.000 | -0.000 | -0.000 | 14.633 | 0.000 | 53.063 |
| 310.565 | 169.103 | 154.887 | -0.000 | 45.200 | 0.000 |
| 168.388 | 273.783 | 177.630 | -0.000 | 1.882 | 0.000 |
| 154.114 | 177.164 | 269.271 | -0.000 | 4.902 | 0.000 |
| -0.000 | 0.000 | 0.000 | 65.597 | -0.000 | 24.296 |
| 17.963 | 2.770 | 2.256 | -0.000 | 94.211 | 0.000 |
| -0.000 | 0.000 | 0.000 | 14.633 | -0.000 | 53.063 |
| 311.994 | 167.677 | 153.575 | 0.000 | 43.586 | -0.000 |
| 168.389 | 273.785 | 177.631 | 0.000 | 1.882 | -0.000 |
| 143.656 | 169.399 | 280.206 | 0.000 | 1.933 | -0.000 |
| 0.000 | 0.000 | 0.000 | 65.597 | -0.000 | 24.296 |
| 25.120 | 4.384 | 5.542 | 0.000 | 91.047 | -0.000 |
| -0.003 | -0.003 | -0.001 | 11.813 | -0.000 | 52.650 |
| 322.061 | 160.202 | 155.481 | -0.000 | 42.978 | 0.000 |
| 166.098 | 274.621 | 174.318 | -0.000 | 3.076 | 0.000 |
| 143.655 | 169.399 | 280.206 | -0.000 | 1.933 | 0.000 |
| -0.000 | -0.000 | -0.000 | 65.597 | 0.000 | 24.296 |
| 25.120 | 4.384 | 5.542 | -0.000 | 91.047 | 0.000 |
| 0.003 | 0.003 | 0.001 | 11.813 | 0.000 | 52.650 |
| 96.372 | 128.642 | 128.642 | -0.001 | -0.000 | -0.001 |
| 128.642 | 96.372 | 128.642 | -0.000 | -0.001 | -0.001 |
| 128.642 | 128.642 | 96.372 | -0.000 | -0.000 | -0.001 |
| 0.088 | 0.088 | 0.088 | 14.667 | 0.000 | 0.000 |
| 0.088 | 0.088 | 0.088 | 0.000 | 14.667 | 0.000 |
| 0.088 | 0.088 | 0.088 | 0.000 | 0.000 | 14.667 |
| 96.082 | 128.326 | 128.326 | 0.000 | 0.000 | 0.001 |
| 128.326 | 96.082 | 128.326 | 0.000 | 0.000 | 0.001 |
| 128.326 | 128.326 | 96.082 | 0.000 | 0.000 | 0.000 |
| -0.088 | -0.088 | -0.088 | 14.667 | -0.000 | -0.000 |
| -0.088 | -0.088 | -0.088 | -0.000 | 14.667 | -0.000 |
| -0.088 | -0.088 | -0.088 | -0.000 | 0.000 | 14.667 |
| 143.025 | 110.112 | 110.112 | 0.000 | 0.000 | 0.000 |
| 110.112 | 143.025 | 110.112 | 0.000 | 0.000 | 0.000 |
| -71825611.180 | -71195251.573 | -65743911.624 | -141917.992 | 324419.009 | -1595707.204 |
| 0.042 | 0.042 | 0.042 | 14.572 | 0.000 | 0.000 |
| 0.042 | 0.042 | 0.042 | 0.000 | 14.572 | 0.000 |
| 0.042 | 0.042 | 0.042 | 0.000 | 0.000 | 14.572 |
| -123074868.110 | -10924837.723 | -10924837.723 | 0.019 | -0.038 | -0.063 |
| 70610507.422 | 76429069.563 | 72115174.059 | 1319374.238 | -93813.096 | -363559.053 |
| -10924837.750 | -10924837.750 | -123074868.169 | -0.047 | -0.043 | 0.034 |
| -0.042 | -0.042 | -0.042 | 14.572 | -0.000 | -0.000 |
| -0.042 | -0.042 | -0.042 | 0.000 | 14.572 | -0.000 |
| -0.042 | -0.042 | -0.042 | 0.000 | 0.000 | 14.572 |
| -6677366.362 | -7332194.954 | -7095777.438 | -154760.298 | -63410.402 | -131241.957 |
| 2955608.851 | -66005.621 | 2955608.853 | 0.004 | -0.002 | 0.005 |
| -7497290.011 | -7263275.725 | -6962978.736 | 14550.954 | -2472.351 | -25494.523 |
| 0.005 | 0.005 | 0.005 | 14.572 | 0.000 | 0.000 |
| 0.005 | 0.005 | 0.005 | 0.000 | 14.572 | 0.000 |
| 0.005 | 0.005 | 0.005 | 0.000 | -0.000 | 14.572 |
| 7875199.270 | 7350642.099 | 7166137.336 | -48128.150 | -6021.440 | -39010.982 |
| -1092395.215 | -12307485.939 | -1092395.215 | 0.001 | 0.009 | 0.002 |
| 7221543.577 | 7452377.064 | 7504023.669 | 81891.289 | 16369.005 | 34340.313 |
| -0.005 | -0.005 | -0.005 | 14.572 | -0.000 | 0.000 |
| -0.005 | -0.005 | -0.005 | -0.000 | 14.572 | -0.000 |
| -0.005 | -0.005 | -0.005 | -0.000 | -0.000 | 14.572 |
| 144.089 | 111.384 | 111.384 | 0.000 | 0.000 | 0.000 |
| 111.384 | 144.089 | 111.384 | 0.000 | 0.000 | 0.000 |
| 111.384 | 111.384 | 144.089 | 0.000 | 0.000 | 0.000 |
| 0.077 | 0.077 | 0.077 | 14.794 | 0.000 | 0.000 |
| 0.077 | 0.077 | 0.077 | 0.000 | 14.794 | 0.000 |
| 0.077 | 0.077 | 0.077 | 0.000 | 0.000 | 14.794 |
| 143.802 | 111.096 | 111.096 | -0.000 | -0.000 | -0.000 |
| 111.096 | 143.802 | 111.096 | -0.000 | -0.000 | -0.000 |
| 111.096 | 111.096 | 143.802 | -0.000 | -0.000 | -0.000 |
| -0.077 | -0.077 | -0.077 | 14.794 | -0.000 | -0.000 |
| -0.077 | -0.077 | -0.077 | -0.000 | 14.794 | -0.000 |
| -0.077 | -0.077 | -0.077 | -0.000 | -0.000 | 14.794 |
| -70988861.281 | -75491783.477 | -79701592.852 | -490309.506 | 625726.189 | -494749.181 |
| -75966450.976 | -74618606.609 | -74454428.853 | 278345.211 | -15251.612 | -1241966.548 |
| -76434110.872 | -75694326.431 | -69929110.316 | -2514320.410 | -530699.644 | 622059.784 |
| 0.037 | 0.037 | 0.037 | 14.672 | 0.000 | 0.000 |
| 0.037 | 0.037 | 0.037 | 0.000 | 14.672 | 0.000 |
| 0.037 | 0.037 | 0.037 | 0.000 | 0.000 | 14.672 |
| 143.931 | 111.226 | 111.226 | -0.000 | -0.000 | -0.000 |
| 111.226 | 143.931 | 111.226 | -0.000 | -0.000 | -0.000 |
| 111.226 | 111.226 | 143.931 | -0.000 | -0.000 | -0.000 |
| -0.037 | -0.037 | -0.037 | 14.672 | -0.000 | -0.000 |
| -0.037 | -0.037 | -0.037 | -0.000 | 14.672 | -0.000 |
| -0.037 | -0.037 | -0.037 | -0.000 | -0.000 | 14.672 |
| -7365030.761 | -7643602.229 | -7543732.608 | 71807.815 | 37554.808 | -88222.018 |
| -7455069.584 | -7029952.140 | -7352867.708 | 64123.002 | -54617.973 | 17597.896 |
| -7624594.659 | -7374165.841 | -6947362.407 | 19807.009 | 101130.332 | 156400.242 |
| 0.004 | 0.004 | 0.004 | 14.672 | 0.000 | 0.000 |
| 0.004 | 0.004 | 0.004 | 0.000 | 14.672 | 0.000 |
| 0.004 | 0.004 | 0.004 | 0.000 | 0.000 | 14.672 |
| 8885976.065 | 6988948.644 | 6801985.093 | 186120.944 | -39920.842 | -101749.376 |
| 6309611.824 | 8692033.119 | 6862606.321 | -99949.265 | 2558.368 | 280783.862 |
| -1077064.577 | -1077064.577 | -12247715.944 | -0.065 | -0.065 | -0.057 |
| -0.004 | -0.004 | -0.004 | 14.672 | -0.000 | -0.000 |
| -0.004 | -0.004 | -0.004 | -0.000 | 14.672 | -0.000 |
| -0.004 | -0.004 | -0.004 | -0.000 | -0.000 | 14.672 |
| 208.152 | 226.472 | 226.472 | 0.000 | 0.000 | -0.000 |
| 226.472 | 208.152 | 226.472 | -0.000 | -0.000 | 0.000 |
| 226.472 | 226.472 | 208.152 | -0.000 | 0.000 | -0.000 |
| -0.000 | -0.000 | 0.000 | 140.432 | 0.000 | -0.000 |
| -0.000 | -0.000 | 0.000 | 0.000 | 140.432 | -0.000 |
| -0.000 | -0.000 | 0.000 | 0.000 | 0.000 | 140.432 |
| 208.152 | 226.472 | 226.472 | 0.000 | -0.000 | 0.000 |
| 226.472 | 208.152 | 226.472 | -0.000 | -0.000 | 0.000 |
| 226.472 | 226.472 | 208.152 | -0.000 | -0.000 | 0.000 |
| 0.000 | 0.000 | -0.000 | 140.432 | -0.000 | -0.000 |
| 0.000 | 0.000 | -0.000 | -0.000 | 140.432 | 0.000 |
| 0.000 | 0.000 | -0.000 | -0.000 | -0.000 | 140.432 |
| 208.152 | 226.472 | 226.472 | -0.000 | -0.000 | -0.000 |
| 226.472 | 208.152 | 226.472 | 0.000 | 0.000 | -0.000 |
| 226.472 | 226.472 | 208.152 | 0.000 | 0.000 | -0.000 |
| 0.000 | -0.000 | 0.000 | 140.432 | -0.000 | -0.000 |
| -0.000 | 0.000 | 0.000 | 0.000 | 140.432 | -0.000 |
| -0.000 | 0.000 | 0.000 | 0.000 | -0.000 | 140.432 |
| 208.152 | 226.472 | 226.472 | -0.000 | -0.000 | 0.000 |
| 226.472 | 208.152 | 226.472 | 0.000 | 0.000 | -0.000 |
| 226.472 | 226.472 | 208.152 | -0.000 | 0.000 | -0.000 |
| -0.000 | 0.000 | -0.000 | 140.432 | -0.000 | -0.000 |
| 0.000 | -0.000 | -0.000 | -0.000 | 140.432 | 0.000 |
| 0.000 | -0.000 | -0.000 | 0.000 | -0.000 | 140.432 |
| 208.152 | 226.473 | 226.473 | 0.000 | -0.000 | 0.000 |
| 226.473 | 208.152 | 226.473 | 0.000 | 0.000 | 0.000 |
| 226.473 | 226.473 | 208.152 | -0.000 | 0.000 | 0.000 |
| 0.000 | 0.000 | 0.000 | 140.432 | -0.000 | -0.000 |
| 0.000 | 0.000 | 0.000 | 0.000 | 140.432 | 0.000 |
| 0.000 | 0.000 | 0.000 | 0.000 | 0.000 | 140.432 |
| 208.152 | 226.471 | 226.471 | 0.000 | -0.000 | -0.000 |
| 226.471 | 208.152 | 226.471 | 0.000 | -0.000 | -0.000 |
| 226.471 | 226.471 | 208.152 | -0.000 | -0.000 | 0.000 |
| -0.000 | -0.000 | -0.000 | 140.432 | 0.000 | 0.000 |
| -0.000 | -0.000 | -0.000 | -0.000 | 140.432 | -0.000 |
| -0.000 | -0.000 | -0.000 | -0.000 | -0.000 | 140.432 |
| -21852723.578 | -25802153.963 | -25222876.612 | 1513040.397 | 623335.351 | 938395.953 |
| -25940582.024 | -21381401.853 | -25493543.672 | 785796.734 | 1896796.135 | 1356879.923 |
| -22887629.575 | -23494510.818 | -19137051.454 | 977979.651 | 340978.124 | 787599.528 |
| 1108666.509 | -282138.372 | -471521.203 | 1553034.499 | 102681.405 | 248370.141 |
| -483550.883 | 627174.978 | -481122.945 | 99489.060 | 1030391.859 | 67392.654 |
| -651059.294 | -872077.613 | -452647.044 | 37122.916 | -101927.124 | 384997.795 |
| 1689.465 | 1689.719 | 1689.719 | -0.000 | -0.000 | 0.000 |
| 1689.719 | 1689.465 | 1689.719 | -0.000 | -0.000 | 0.000 |
| 1689.719 | 1689.719 | 1689.465 | -0.000 | -0.000 | -0.000 |
| -596907.457 | 612016.013 | 449943.198 | 1081615.601 | 12.257 | 64292.081 |
| 850989.390 | -520810.179 | 420064.087 | -166852.720 | 1337557.160 | 79832.832 |
| 484483.123 | 526580.111 | -616278.268 | 51333.879 | -53176.686 | 1245892.357 |
| -2479314.031 | -2899608.803 | -2995519.973 | 136414.719 | -55144.528 | 21513.866 |
| -2666898.931 | -2218760.313 | -2849878.776 | -7269.245 | 183462.372 | 25557.550 |
| -3160670.721 | -3155490.400 | -2602571.064 | -16143.504 | 100046.508 | 202735.003 |
| 87623.241 | -32380.995 | -34304.537 | 107955.644 | -10069.420 | -2979.063 |
| -59555.858 | 69897.742 | -55467.743 | -855.406 | 121995.333 | 782.200 |
| -49361.446 | -45785.776 | 59531.902 | 14986.150 | 6919.287 | 118249.776 |
| 2720234.397 | 3499208.254 | 3554852.340 | -200661.625 | -68136.028 | -150310.822 |
| 2837435.426 | 2308236.789 | 2955200.378 | -68216.551 | -154379.041 | -94985.785 |
| 2613017.047 | 2640622.343 | 2061649.554 | -65014.136 | -104371.390 | -184101.242 |
| 180256.612 | 143473.367 | 137095.440 | 10156.448 | -3068.607 | 1417.485 |
| 99202.909 | -57886.950 | 109820.443 | 17387.015 | 131205.389 | -18233.874 |
| 77777.429 | 71673.167 | 123267.790 | 4836.408 | -7180.553 | -18199.217 |
| -182382.272 | -173187.946 | -177377.495 | 9693.712 | 11946.103 | 10985.890 |
| -203294.791 | -218236.230 | -216964.935 | 13428.445 | 16137.495 | 18051.218 |
| -199167.542 | -193198.660 | -203914.338 | 6769.570 | 11080.332 | 13539.251 |
| 957.762 | -4779.104 | -7042.906 | 5853.848 | 609.925 | 176.864 |
| -2228.171 | 5304.890 | -2874.216 | 92.272 | 8162.860 | 25.933 |
| -9983.225 | -8358.835 | 2445.813 | 203.300 | 376.969 | 10735.341 |
| 208367.098 | 223923.278 | 225069.500 | -16851.102 | -12432.634 | -5261.008 |
| 218215.634 | 196998.781 | 230473.662 | -8645.712 | -13782.048 | -6442.164 |
| 233904.700 | 237576.895 | 212391.037 | -14681.501 | -17572.718 | -16820.062 |
| 541.456 | 10442.494 | 7577.591 | 9416.218 | -312.548 | -627.639 |
| 2393.473 | -5898.648 | 2224.472 | 261.602 | 7812.924 | 107.708 |
| 7010.053 | 6115.083 | 1442.930 | 651.408 | 387.145 | 5865.425 |
| 1951.089 | 1947.773 | 1947.773 | 0.000 | 0.000 | 0.000 |
| 1947.773 | 1951.089 | 1947.773 | 0.000 | 0.000 | 0.000 |
| 1947.773 | 1947.773 | 1951.089 | 0.000 | -0.000 | 0.000 |
| 177928969.724 | 177566323.958 | 177629810.862 | 237842.933 | -60499.743 | -77934.157 |
| 177643052.591 | 178715635.122 | 177771413.458 | -871.016 | 905554.769 | -45275.019 |
| 177665505.350 | 177849784.776 | 178918871.735 | -93028.997 | 18560.905 | 1119478.915 |
| -152256539.664 | -152415149.704 | -150211957.806 | -1402591.929 | 288097.279 | -28503.645 |
| -151803275.439 | -151967798.568 | -150207186.134 | 181823.117 | -1587563.211 | 327448.611 |
| -152406093.423 | -152619868.241 | -152409149.265 | 286445.363 | -967536.155 | -1772280.320 |
| -178541528.604 | -177442444.259 | -177660284.721 | 994865.213 | 41591.916 | -43792.005 |
| -177243078.216 | -178426650.009 | -177385424.805 | 68342.045 | 1086589.143 | -114751.260 |
| -177457499.194 | -177819849.307 | -178978108.299 | -3181.716 | 54255.162 | 1366973.749 |
| 1951.077 | 1947.761 | 1947.761 | 0.000 | -0.000 | -0.000 |
| 1947.761 | 1951.077 | 1947.761 | -0.000 | 0.000 | -0.000 |
| 1947.761 | 1947.761 | 1951.077 | 0.000 | 0.000 | 0.000 |
| 17681462.001 | 17693373.139 | 17684348.194 | 41143.852 | -1454.742 | -7867.391 |
| 17735447.099 | 17772771.207 | 17732912.642 | -9023.679 | 80754.997 | -6673.497 |
| 17747985.311 | 17756955.865 | 17893316.955 | -6196.585 | -607.478 | 131584.768 |
| -15812771.853 | -15597730.501 | -15491947.422 | -48749.022 | -97746.508 | -79941.363 |
| -15756602.869 | -16027340.871 | -15856626.220 | -83706.499 | -26422.439 | -86654.144 |
| -15527999.056 | -15565707.922 | -15851652.621 | -55040.392 | -12717.660 | -56679.310 |
| -17839639.554 | -17696292.220 | -17688854.750 | 138160.676 | -10455.311 | 18345.084 |
| -17699281.633 | -17823873.943 | -17686251.670 | 2050.996 | 152259.127 | -3684.378 |
| -17722521.217 | -17726248.377 | -17900656.079 | 15673.642 | -44353.631 | 164389.668 |
| 1950.954 | 1947.641 | 1947.641 | 0.000 | 0.000 | -0.000 |
| 1947.641 | 1950.954 | 1947.641 | 0.000 | 0.000 | 0.000 |
| 1947.641 | 1947.641 | 1950.954 | -0.000 | 0.000 | 0.000 |
| 1786599.280 | 1776544.518 | 1774436.489 | 11927.218 | -39.440 | 183.082 |
| 1769286.391 | 1778387.414 | 1769122.998 | -906.804 | 10528.103 | -630.170 |
| 1776831.910 | 1773635.245 | 1792704.004 | 131.569 | 207.323 | 14810.065 |
| 1951.228 | 1947.908 | 1947.908 | -0.000 | -0.000 | -0.000 |
| 1947.908 | 1951.228 | 1947.908 | -0.000 | -0.000 | -0.000 |
| 1947.908 | 1947.908 | 1951.228 | 0.000 | 0.000 | -0.000 |
| -1781405.766 | -1768684.662 | -1768012.448 | 13013.619 | -135.463 | 605.157 |
| -1772578.325 | -1790167.640 | -1771493.852 | 975.317 | 19241.053 | -972.201 |
| -1773645.069 | -1771434.472 | -1784729.312 | -696.773 | 421.410 | 13332.334 |
| 522.452 | 101.668 | 101.668 | 0.000 | 0.000 | 0.000 |
| 101.668 | 522.452 | 101.668 | 0.000 | 0.000 | -0.000 |
| 101.668 | 101.668 | 522.452 | 0.000 | 0.000 | -0.000 |
| -0.000 | 0.000 | 0.000 | 129.287 | 0.000 | -0.000 |
| 0.000 | 0.000 | 0.000 | 0.000 | 129.287 | 0.000 |
| 0.000 | 0.000 | 0.000 | 0.000 | 0.000 | 129.287 |
| 522.452 | 101.668 | 101.668 | -0.000 | -0.000 | 0.000 |
| 101.668 | 522.452 | 101.668 | -0.000 | -0.000 | 0.000 |
| 101.668 | 101.668 | 522.452 | -0.000 | -0.000 | 0.000 |
| 0.000 | -0.000 | -0.000 | 129.287 | -0.000 | 0.000 |
| -0.000 | -0.000 | -0.000 | -0.000 | 129.287 | 0.000 |
| -0.000 | -0.000 | -0.000 | -0.000 | -0.000 | 129.287 |
| 522.453 | 101.668 | 101.668 | 0.000 | 0.000 | -0.000 |
| 101.668 | 522.453 | 101.668 | 0.000 | 0.000 | -0.000 |
| 101.668 | 101.668 | 522.453 | 0.000 | 0.000 | -0.000 |
| -0.000 | 0.000 | 0.000 | 129.287 | 0.000 | -0.000 |
| 0.000 | -0.000 | 0.000 | 0.000 | 129.287 | -0.000 |
| 0.000 | 0.000 | -0.000 | 0.000 | 0.000 | 129.287 |
| 522.452 | 101.668 | 101.668 | -0.000 | -0.000 | -0.000 |
| 101.668 | 522.452 | 101.668 | -0.000 | -0.000 | 0.000 |
| 101.668 | 101.668 | 522.452 | 0.000 | 0.000 | 0.000 |
| 0.000 | -0.000 | -0.000 | 129.287 | -0.000 | 0.000 |
| -0.000 | 0.000 | -0.000 | -0.000 | 129.287 | 0.000 |
| -0.000 | -0.000 | 0.000 | -0.000 | -0.000 | 129.287 |
| 522.455 | 101.668 | 101.668 | 0.000 | 0.000 | -0.000 |
| 101.668 | 522.455 | 101.668 | 0.000 | 0.000 | -0.000 |
| 101.668 | 101.668 | 522.455 | 0.000 | 0.000 | -0.000 |
| -0.000 | 0.000 | 0.000 | 129.287 | 0.000 | -0.000 |
| 0.000 | -0.000 | 0.000 | 0.000 | 129.287 | -0.000 |
| 0.000 | 0.000 | -0.000 | 0.000 | 0.000 | 129.287 |
| 522.450 | 101.668 | 101.668 | -0.000 | -0.000 | -0.000 |
| 101.668 | 522.450 | 101.668 | -0.000 | -0.000 | 0.000 |
| 101.668 | 101.668 | 522.450 | 0.000 | 0.000 | 0.000 |
| 0.000 | -0.000 | -0.000 | 129.287 | -0.000 | 0.000 |
| -0.000 | 0.000 | -0.000 | -0.000 | 129.287 | -0.000 |
| -0.000 | -0.000 | 0.000 | -0.000 | -0.000 | 129.287 |
| 347224.550 | -171533.365 | -171533.364 | 0.000 | -0.000 | 0.000 |
| -171533.365 | 347224.550 | -171533.364 | 0.000 | 0.000 | -0.000 |
| -171533.364 | -171533.364 | 347224.550 | -0.000 | 0.000 | -0.000 |
| 0.001 | 0.000 | -0.001 | 19.696 | -0.000 | 0.000 |
| 0.000 | 0.001 | -0.001 | -0.000 | 19.696 | 0.000 |
| 0.000 | -0.002 | 0.002 | -0.000 | 0.000 | 19.696 |
| 347226.179 | -171533.475 | -171533.477 | 0.000 | 0.000 | -0.000 |
| -171533.475 | 347226.179 | -171533.477 | 0.000 | 0.000 | -0.000 |
| -171533.476 | -171533.476 | 347226.179 | 0.000 | -0.000 | -0.000 |
| -0.000 | -0.001 | 0.002 | 19.696 | 0.000 | 0.000 |
| -0.001 | -0.000 | 0.002 | 0.000 | 19.696 | -0.000 |
| -0.001 | 0.002 | -0.000 | -0.000 | 0.000 | 19.696 |
| 347217.262 | -171532.881 | -171532.881 | 0.000 | -0.000 | 0.000 |
| -171532.881 | 347217.262 | -171532.881 | -0.000 | 0.000 | 0.000 |
| -171532.881 | -171532.881 | 347217.262 | -0.000 | 0.000 | 0.000 |
| 0.008 | 0.009 | -0.017 | 19.696 | 0.000 | -0.000 |
| 0.009 | 0.008 | -0.017 | -0.000 | 19.696 | 0.000 |
| 0.009 | -0.017 | 0.008 | 0.000 | 0.000 | 19.696 |
| 347233.518 | -171533.984 | -171533.984 | 0.000 | -0.000 | -0.000 |
| -171533.984 | 347233.518 | -171533.984 | 0.000 | 0.000 | 0.000 |
| -171533.984 | -171533.984 | 347233.518 | 0.000 | -0.000 | 0.000 |
| -0.009 | -0.009 | 0.017 | 19.696 | -0.000 | -0.000 |
| -0.009 | -0.009 | 0.017 | 0.000 | 19.696 | -0.000 |
| -0.009 | 0.017 | -0.009 | 0.000 | -0.000 | 19.696 |
| 347146.382 | -171529.053 | -171529.053 | 0.000 | -0.000 | 0.000 |
| -171529.053 | 347146.382 | -171529.053 | -0.000 | 0.000 | -0.000 |
| -171529.053 | -171529.053 | 347146.382 | 0.000 | 0.000 | 0.000 |
| 0.085 | 0.087 | -0.172 | 19.696 | -0.000 | 0.000 |
| 0.087 | 0.085 | -0.172 | 0.000 | 19.696 | 0.000 |
| 0.087 | -0.172 | 0.085 | -0.000 | 0.000 | 19.696 |
| 347308.944 | -171540.079 | -171540.079 | 0.000 | -0.000 | -0.000 |
| -171540.079 | 347308.944 | -171540.079 | 0.000 | -0.000 | 0.000 |
| -171540.079 | -171540.079 | 347308.944 | -0.000 | 0.000 | 0.000 |
| -0.085 | -0.087 | 0.172 | 19.696 | 0.000 | 0.000 |
| -0.087 | -0.085 | 0.172 | 0.000 | 19.696 | -0.000 |
| -0.087 | 0.172 | -0.085 | 0.000 | 0.000 | 19.696 |
| 401.817 | 189.989 | 189.989 | -0.000 | 0.000 | 0.000 |
| 189.989 | 401.817 | 189.989 | 0.000 | -0.000 | 0.000 |
| 189.989 | 189.989 | 401.817 | 0.000 | 0.000 | -0.000 |
| 0.000 | 0.000 | 0.000 | 56.162 | 0.000 | 0.000 |
| 0.000 | 0.000 | 0.000 | 0.000 | 56.162 | -0.000 |
| 0.000 | 0.000 | 0.000 | -0.000 | 0.000 | 56.162 |
| 401.817 | 189.989 | 189.989 | -0.000 | -0.000 | 0.000 |
| 189.989 | 401.817 | 189.989 | -0.000 | -0.000 | -0.000 |
| 189.989 | 189.989 | 401.817 | 0.000 | 0.000 | -0.000 |
| -0.000 | -0.000 | -0.000 | 56.162 | -0.000 | 0.000 |
| -0.000 | -0.000 | -0.000 | -0.000 | 56.162 | 0.000 |
| -0.000 | -0.000 | -0.000 | -0.000 | -0.000 | 56.162 |
| 401.817 | 189.989 | 189.989 | 0.000 | -0.000 | 0.000 |
| 189.989 | 401.817 | 189.989 | -0.000 | 0.000 | -0.000 |
| 189.989 | 189.989 | 401.817 | 0.000 | 0.000 | -0.000 |
| 0.000 | 0.000 | 0.000 | 56.162 | -0.000 | -0.000 |
| 0.000 | 0.000 | 0.000 | 0.000 | 56.162 | 0.000 |
| 0.000 | 0.000 | 0.000 | 0.000 | 0.000 | 56.162 |
| 401.817 | 189.989 | 189.989 | -0.000 | 0.000 | 0.000 |
| 189.989 | 401.817 | 189.989 | -0.000 | 0.000 | -0.000 |
| 189.989 | 189.989 | 401.817 | -0.000 | -0.000 | 0.000 |
| -0.000 | -0.000 | -0.000 | 56.162 | -0.000 | -0.000 |
| -0.000 | -0.000 | -0.000 | -0.000 | 56.162 | 0.000 |
| -0.000 | -0.000 | -0.000 | -0.000 | 0.000 | 56.162 |
| 401.818 | 189.990 | 189.990 | 0.000 | -0.000 | 0.000 |
| 189.990 | 401.818 | 189.990 | -0.000 | 0.000 | -0.000 |
| 189.990 | 189.990 | 401.818 | -0.000 | 0.000 | 0.000 |
| 0.000 | 0.000 | 0.000 | 56.162 | 0.000 | 0.000 |
| 0.000 | 0.000 | 0.000 | 0.000 | 56.162 | 0.000 |
| 0.000 | 0.000 | 0.000 | 0.000 | 0.000 | 56.162 |
| 401.816 | 189.989 | 189.989 | 0.000 | 0.000 | 0.000 |
| 189.989 | 401.816 | 189.989 | -0.000 | 0.000 | -0.000 |
| 189.989 | 189.989 | 401.816 | -0.000 | -0.000 | -0.000 |
| -0.000 | -0.000 | -0.000 | 56.162 | -0.000 | 0.000 |
| -0.000 | -0.000 | -0.000 | -0.000 | 56.162 | 0.000 |
| -0.000 | -0.000 | -0.000 | -0.000 | 0.000 | 56.162 |
| -73201.544 | -55612.374 | -34798.986 | 3183.908 | 16303.881 | 1054.574 |
| -62458.493 | -54153.414 | -33189.471 | 4207.180 | 20577.722 | 3427.672 |
| -78342.791 | -55713.775 | -35002.999 | 3758.825 | 15756.654 | 3057.934 |
| -73532.804 | -55199.600 | -34711.749 | 4066.612 | 17604.763 | 3624.034 |
| -74476.250 | -55220.165 | -34616.737 | 3984.690 | 17364.654 | 3270.903 |
| -74601.360 | -54740.093 | -34888.179 | 3942.331 | 16283.932 | 2919.823 |
| 57353.340 | 53318.666 | 32035.612 | -4382.229 | -21852.205 | -3507.376 |
| 71851.289 | 54849.332 | 34146.705 | -5945.026 | -16820.460 | -8003.999 |
| 74245.643 | 55555.606 | 34942.161 | -3562.750 | -15733.441 | -2720.379 |
| 72491.346 | 53503.020 | 33936.241 | -4037.703 | -16383.725 | -2923.577 |
| 57016.568 | 52237.464 | 31574.287 | -3774.811 | -23545.232 | -3100.399 |
| 72127.120 | 54736.019 | 34359.695 | -3411.588 | -17666.201 | -1271.775 |
| -7369.788 | -5516.150 | -3452.954 | 523.569 | 1699.094 | 637.609 |
| -7602.446 | -5478.258 | -3309.680 | 307.373 | 1418.989 | 124.292 |
| -6333.258 | -5412.922 | -3292.627 | 416.152 | 2124.863 | 381.950 |
| -7411.618 | -5554.413 | -3480.666 | 390.727 | 1711.901 | 294.434 |
| -6778.004 | -5085.443 | -3012.345 | 432.582 | 1627.847 | 133.608 |
| -7484.895 | -5550.898 | -3253.240 | 269.624 | 1434.306 | -109.546 |
| 7735.618 | 5581.949 | 3391.214 | -352.137 | -1610.013 | -222.661 |
| 8210.226 | 5578.938 | 3479.845 | -489.502 | -1537.057 | -522.658 |
| 6458.661 | 5465.104 | 3167.708 | -469.069 | -2148.898 | -430.352 |
| 5752.920 | 5307.520 | 3264.019 | -428.695 | -2150.878 | -313.248 |
| 7722.742 | 5397.198 | 3390.891 | -421.165 | -1680.889 | -331.552 |
| 7247.089 | 5519.310 | 3371.751 | -350.568 | -1511.218 | -236.035 |
| -720.767 | -543.496 | -339.628 | 50.796 | 174.177 | 55.869 |
| -873.597 | -562.208 | -371.269 | 37.394 | 98.162 | 31.304 |
| -666.875 | -546.783 | -325.130 | 47.238 | 186.975 | 51.480 |
| -676.021 | -551.058 | -282.117 | 40.826 | 199.754 | 30.243 |
| -705.341 | -544.905 | -312.819 | 25.473 | 107.101 | -6.824 |
| 51.775 | -502.723 | -128.318 | -46.656 | 400.529 | -172.684 |
| 746.791 | 556.324 | 345.044 | -30.267 | -158.479 | -10.703 |
| 627.336 | 386.362 | 282.399 | -46.695 | -157.493 | -23.003 |
| 707.250 | 521.490 | 314.837 | -25.600 | -138.626 | -7.259 |
| 810.674 | 537.962 | 340.143 | -44.018 | -142.166 | -27.513 |
| -753.000 | 413.147 | 44.727 | 32.343 | 137.835 | -66.695 |
| 666.919 | 543.616 | 333.389 | -51.720 | -204.055 | -62.149 |
| 134.033 | 105.036 | 105.036 | 0.000 | 0.000 | 0.000 |
| 105.036 | 134.033 | 105.036 | 0.000 | 0.000 | 0.000 |
| 105.036 | 105.036 | 134.033 | 0.000 | 0.000 | 0.000 |
| -0.000 | 0.000 | -0.000 | -18.096 | 0.000 | 0.000 |
| 0.000 | -0.000 | -0.000 | 0.000 | -18.096 | 0.000 |
| 0.000 | -0.000 | -0.000 | 0.000 | 0.000 | -18.096 |
| 134.033 | 105.036 | 105.036 | -0.000 | -0.000 | -0.000 |
| 105.036 | 134.033 | 105.036 | -0.000 | -0.000 | -0.000 |
| 105.036 | 105.036 | 134.033 | -0.000 | -0.000 | -0.000 |
| -0.000 | -0.000 | -0.000 | -18.096 | -0.000 | -0.000 |
| -0.000 | -0.000 | -0.000 | -0.000 | -18.096 | -0.000 |
| -0.000 | -0.000 | -0.000 | -0.000 | -0.000 | -18.096 |
| 134.033 | 105.036 | 105.036 | 0.000 | 0.000 | 0.000 |
| 105.036 | 134.033 | 105.036 | 0.000 | 0.000 | 0.000 |
| 105.036 | 105.036 | 134.033 | 0.000 | 0.000 | 0.000 |
| 0.000 | 0.000 | 0.000 | 45.740 | 0.000 | 0.000 |
| 0.000 | 0.000 | 0.000 | 0.000 | 45.740 | 0.000 |
| 0.000 | 0.000 | 0.000 | 0.000 | 0.000 | 45.740 |
| 134.033 | 105.036 | 105.036 | -0.000 | -0.000 | -0.000 |
| 105.036 | 134.033 | 105.036 | -0.000 | -0.000 | -0.000 |
| 105.036 | 105.036 | 134.033 | -0.000 | -0.000 | -0.000 |
| -0.000 | -0.000 | -0.000 | 45.740 | -0.000 | -0.000 |
| -0.000 | -0.000 | -0.000 | -0.000 | 45.740 | -0.000 |
| -0.000 | -0.000 | -0.000 | -0.000 | -0.000 | 45.740 |
| 134.033 | 105.036 | 105.036 | 0.000 | 0.000 | 0.000 |
| 105.036 | 134.033 | 105.036 | 0.000 | 0.000 | 0.000 |
| 105.036 | 105.036 | 134.033 | 0.000 | 0.000 | 0.000 |
| -0.000 | -0.000 | -0.000 | -18.096 | 0.000 | 0.000 |
| -0.000 | -0.000 | -0.000 | 0.000 | -18.096 | 0.000 |
| -0.000 | -0.000 | -0.000 | 0.000 | 0.000 | -18.096 |
| 134.033 | 105.035 | 105.035 | -0.000 | -0.000 | -0.000 |
| 105.035 | 134.033 | 105.035 | -0.000 | -0.000 | -0.000 |
| 105.035 | 105.035 | 134.033 | -0.000 | -0.000 | -0.000 |
| 0.000 | 0.000 | 0.000 | -18.096 | -0.000 | -0.000 |
| 0.000 | 0.000 | 0.000 | -0.000 | -18.096 | -0.000 |
| 0.000 | 0.000 | 0.000 | -0.000 | -0.000 | -18.096 |
| -0.024 | -0.057 | -0.055 | 0.013 | -0.008 | 0.000 |
| 0.031 | 0.029 | 0.032 | -0.003 | -0.005 | 0.008 |
| 0.010 | 0.011 | 0.004 | 0.004 | 0.003 | -0.004 |
| 0.005 | 0.021 | 0.021 | 0.021 | 0.000 | 0.000 |
| -0.008 | 0.005 | -0.008 | -0.000 | -0.008 | -0.000 |
| -0.008 | -0.008 | 0.017 | 0.001 | 0.001 | -0.008 |
| -0.000 | -0.000 | -0.000 | -0.000 | -0.000 | -0.000 |
| -0.000 | -0.000 | -0.000 | -0.000 | -0.000 | -0.000 |
| -0.000 | -0.000 | -0.000 | -0.000 | -0.000 | -0.000 |
| 0.000 | -0.000 | -0.000 | 0.000 | -0.000 | 0.000 |
| 0.062 | 0.001 | 0.062 | -0.001 | -0.062 | 0.001 |
| -0.001 | -0.001 | 0.001 | -0.000 | 0.000 | 0.001 |
| 0.002 | 0.002 | 0.002 | -0.000 | -0.000 | 0.000 |
| -0.001 | -0.001 | -0.001 | 0.000 | -0.001 | 0.000 |
| -0.001 | -0.001 | -0.002 | -0.001 | -0.001 | -0.000 |
| 0.001 | -0.012 | -0.012 | -0.012 | -0.000 | -0.000 |
| 0.005 | 0.001 | 0.005 | -0.000 | 0.005 | -0.000 |
| 0.000 | 0.000 | 0.000 | -0.000 | -0.000 | 0.000 |
| -0.000 | -0.000 | -0.000 | -0.000 | -0.000 | -0.000 |
| -0.000 | -0.000 | -0.000 | -0.000 | -0.000 | -0.000 |
| -0.000 | -0.000 | -0.000 | -0.000 | -0.000 | -0.000 |
| 0.000 | 0.000 | 0.000 | -0.000 | 0.000 | -0.000 |
| -0.002 | 0.000 | -0.002 | 0.000 | 0.002 | 0.000 |
| -0.002 | -0.002 | 0.001 | 0.000 | -0.000 | 0.002 |
| 4076.028 | 4076.036 | 4076.036 | -0.001 | -0.002 | -0.002 |
| 4076.036 | 4076.028 | 4076.036 | -0.002 | -0.001 | -0.002 |
| 4076.036 | 4076.036 | 4076.028 | -0.002 | -0.002 | -0.001 |
| -0.000 | 0.000 | 0.000 | 0.000 | 0.000 | 0.000 |
| 0.000 | 0.000 | 0.000 | 0.000 | 0.000 | 0.000 |
| 0.000 | 0.000 | 0.000 | -0.000 | -0.000 | 0.000 |
| -0.000 | -0.000 | -0.000 | -0.000 | -0.000 | -0.000 |
| -0.000 | -0.000 | -0.000 | -0.000 | -0.000 | -0.000 |
| -0.000 | -0.000 | -0.000 | -0.000 | -0.000 | -0.000 |
| 0.000 | -0.000 | -0.000 | 0.000 | -0.000 | 0.000 |
| -0.000 | -0.000 | -0.000 | 0.000 | 0.000 | -0.000 |
| 0.001 | 0.001 | -0.000 | 0.000 | -0.000 | -0.001 |
| 333.209 | 81.849 | 81.849 | 0.000 | -0.000 | 0.000 |
| 81.849 | 333.209 | 81.849 | 0.000 | -0.000 | 0.000 |
| 81.849 | 81.849 | 333.209 | -0.000 | -0.000 | 0.000 |
| 0.000 | -0.000 | -0.000 | 77.982 | -0.000 | -0.000 |
| -0.000 | 0.000 | 0.000 | 0.000 | 77.982 | -0.000 |
| -0.000 | 0.000 | -0.000 | -0.000 | -0.000 | 77.982 |
| 333.209 | 81.849 | 81.849 | -0.000 | 0.000 | -0.000 |
| 81.849 | 333.209 | 81.849 | -0.000 | 0.000 | 0.000 |
| 81.849 | 81.849 | 333.209 | -0.000 | 0.000 | -0.000 |
| 0.000 | -0.000 | 0.000 | 77.982 | 0.000 | 0.000 |
| -0.000 | 0.000 | 0.000 | 0.000 | 77.982 | 0.000 |
| 0.000 | 0.000 | 0.000 | 0.000 | 0.000 | 77.982 |
| 333.209 | 81.849 | 81.849 | 0.000 | 0.000 | 0.000 |
| 81.849 | 333.209 | 81.849 | 0.000 | 0.000 | -0.000 |
| 81.849 | 81.849 | 333.209 | -0.000 | -0.000 | 0.000 |
| 0.000 | -0.000 | -0.000 | 77.982 | -0.000 | 0.000 |
| -0.000 | 0.000 | -0.000 | 0.000 | 77.982 | -0.000 |
| -0.000 | -0.000 | 0.000 | -0.000 | -0.000 | 77.982 |
| 333.209 | 81.849 | 81.849 | -0.000 | 0.000 | -0.000 |
| 81.849 | 333.209 | 81.849 | -0.000 | 0.000 | -0.000 |
| 81.849 | 81.849 | 333.209 | 0.000 | 0.000 | -0.000 |
| -0.000 | 0.000 | 0.000 | 77.982 | 0.000 | 0.000 |
| 0.000 | -0.000 | 0.000 | -0.000 | 77.982 | 0.000 |
| 0.000 | 0.000 | -0.000 | 0.000 | 0.000 | 77.982 |
| 333.210 | 81.849 | 81.849 | 0.000 | -0.000 | 0.000 |
| 81.849 | 333.210 | 81.849 | 0.000 | -0.000 | -0.000 |
| 81.849 | 81.849 | 333.210 | -0.000 | -0.000 | 0.000 |
| 0.000 | -0.000 | 0.000 | 77.982 | -0.000 | -0.000 |
| -0.000 | 0.000 | 0.000 | 0.000 | 77.982 | -0.000 |
| -0.000 | 0.000 | 0.000 | -0.000 | -0.000 | 77.982 |
| 333.208 | 81.848 | 81.848 | -0.000 | 0.000 | -0.000 |
| 81.848 | 333.208 | 81.848 | -0.000 | -0.000 | 0.000 |
| 81.848 | 81.848 | 333.208 | 0.000 | 0.000 | -0.000 |
| -0.000 | 0.000 | -0.000 | 77.982 | 0.000 | -0.000 |
| 0.000 | -0.000 | -0.000 | -0.000 | 77.982 | 0.000 |
| 0.000 | -0.000 | -0.000 | 0.000 | 0.000 | 77.982 |
| 1866.705 | 1838.976 | 1838.976 | 0.000 | -0.000 | 0.000 |
| 1838.976 | 1866.705 | 1838.976 | -0.000 | 0.000 | 0.000 |
| 1838.976 | 1838.976 | 1866.705 | 0.000 | 0.000 | 0.000 |
| -0.000 | -0.000 | -0.000 | -12.603 | -0.000 | 0.000 |
| -0.000 | -0.000 | -0.000 | -0.000 | -12.603 | 0.000 |
| -0.000 | -0.000 | -0.000 | 0.000 | -0.000 | -12.603 |
| 1866.708 | 1838.978 | 1838.978 | -0.000 | 0.000 | 0.000 |
| 1838.978 | 1866.708 | 1838.978 | 0.000 | -0.000 | 0.000 |
| 1838.978 | 1838.978 | 1866.708 | -0.000 | -0.000 | -0.000 |
| 0.000 | 0.000 | 0.000 | -12.603 | 0.000 | 0.000 |
| 0.000 | 0.000 | 0.000 | 0.000 | -12.603 | 0.000 |
| 0.000 | 0.000 | 0.000 | 0.000 | -0.000 | -12.603 |
| 1866.695 | 1838.966 | 1838.966 | 0.000 | -0.000 | 0.000 |
| 1838.966 | 1866.695 | 1838.966 | -0.000 | 0.000 | 0.000 |
| 1838.966 | 1838.966 | 1866.695 | 0.000 | 0.000 | 0.000 |
| -0.000 | -0.000 | -0.000 | -11.878 | -0.000 | -0.000 |
| -0.000 | -0.000 | -0.000 | -0.000 | -11.878 | 0.000 |
| -0.000 | -0.000 | -0.000 | -0.000 | 0.000 | -11.878 |
| 1866.718 | 1838.989 | 1838.989 | -0.000 | -0.000 | -0.000 |
| 1838.989 | 1866.718 | 1838.989 | -0.000 | -0.000 | -0.000 |
| 1838.989 | 1838.989 | 1866.718 | -0.000 | -0.000 | -0.000 |
| 0.000 | 0.000 | 0.000 | -11.878 | 0.000 | -0.000 |
| 0.000 | 0.000 | 0.000 | 0.000 | -11.878 | -0.000 |
| 0.000 | 0.000 | 0.000 | 0.000 | 0.000 | -11.878 |
| 1866.590 | 1838.862 | 1838.862 | 0.000 | -0.000 | -0.000 |
| 1838.862 | 1866.590 | 1838.862 | -0.000 | 0.000 | 0.000 |
| 1838.862 | 1838.862 | 1866.590 | 0.000 | 0.000 | -0.000 |
| -0.000 | -0.000 | -0.000 | -0.000 | 0.000 | -0.000 |
| -0.000 | 0.000 | -0.000 | 0.000 | 0.000 | -0.000 |
| -0.000 | -0.000 | -0.000 | -0.000 | 0.000 | -0.000 |
| 1866.823 | 1839.092 | 1839.092 | -0.000 | 0.000 | -0.000 |
| 1839.092 | 1866.823 | 1839.092 | 0.000 | -0.000 | -0.000 |
| 1839.092 | 1839.092 | 1866.823 | -0.000 | -0.000 | -0.000 |
| -0.000 | 0.000 | -0.000 | 0.000 | 0.000 | 0.000 |
| -0.000 | 0.000 | 0.000 | -0.000 | -0.000 | 0.000 |
| 0.620 | 0.762 | -16.473 | -4.122 | 2.669 | -0.620 |
| 364.512 | 86.848 | 86.848 | -0.000 | -0.000 | -0.000 |
| 86.848 | 364.512 | 86.848 | -0.000 | 0.000 | -0.000 |
| 86.848 | 86.848 | 364.512 | -0.000 | 0.000 | -0.000 |
| 0.000 | 0.000 | 0.000 | 108.437 | 0.000 | -0.000 |
| 0.000 | 0.000 | 0.000 | -0.000 | 108.437 | -0.000 |
| 0.000 | 0.000 | 0.000 | -0.000 | 0.000 | 108.437 |
| 323.161 | 77.434 | 77.434 | 0.000 | 0.000 | 0.000 |
| 77.434 | 323.161 | 77.434 | 0.000 | -0.000 | 0.000 |
| 77.434 | 77.434 | 323.161 | 0.000 | 0.000 | 0.000 |
| -0.000 | -0.000 | -0.000 | 108.437 | 0.000 | 0.000 |
| -0.000 | -0.000 | -0.000 | 0.000 | 108.437 | 0.000 |
| -0.000 | -0.000 | -0.000 | 0.000 | -0.000 | 108.437 |
| 306.722 | 96.434 | 96.434 | -0.000 | -0.000 | -0.000 |
| 96.434 | 306.722 | 96.434 | -0.000 | -0.000 | -0.000 |
| 96.434 | 96.434 | 306.722 | 0.000 | -0.000 | 0.000 |
| -0.000 | 0.000 | 0.000 | 120.884 | 0.000 | -0.000 |
| 0.000 | -0.000 | 0.000 | -0.000 | 120.884 | -0.000 |
| 0.000 | 0.000 | -0.000 | -0.000 | -0.000 | 120.884 |
| 306.722 | 96.433 | 96.433 | 0.000 | -0.000 | 0.000 |
| 96.433 | 306.722 | 96.433 | 0.000 | 0.000 | -0.000 |
| 96.433 | 96.433 | 306.722 | 0.000 | -0.000 | 0.000 |
| 0.000 | -0.000 | -0.000 | 120.884 | 0.000 | 0.000 |
| -0.000 | 0.000 | -0.000 | 0.000 | 120.884 | 0.000 |
| -0.000 | -0.000 | 0.000 | 0.000 | 0.000 | 120.884 |
| 364.513 | 86.848 | 86.848 | -0.000 | 0.000 | 0.000 |
| 86.848 | 364.513 | 86.848 | 0.000 | 0.000 | -0.000 |
| 86.848 | 86.848 | 364.513 | -0.000 | 0.000 | -0.000 |
| -0.000 | 0.000 | 0.000 | 108.437 | 0.000 | -0.000 |
| 0.000 | -0.000 | 0.000 | -0.000 | 108.437 | -0.000 |
| 0.000 | 0.000 | -0.000 | -0.000 | 0.000 | 108.437 |
| 364.511 | 86.847 | 86.847 | 0.000 | -0.000 | 0.000 |
| 86.847 | 364.511 | 86.847 | 0.000 | 0.000 | 0.000 |
| 86.847 | 86.847 | 364.511 | 0.000 | 0.000 | 0.000 |
| 0.000 | -0.000 | -0.000 | 108.437 | -0.000 | 0.000 |
| -0.000 | 0.000 | -0.000 | 0.000 | 108.437 | 0.000 |
| -0.000 | -0.000 | 0.000 | 0.000 | -0.000 | 108.437 |
| 238.768 | 37.597 | 37.597 | -0.000 | 0.000 | 0.000 |
| 37.597 | 238.768 | 37.597 | -0.000 | 0.000 | 0.000 |
| 37.597 | 37.597 | 238.768 | 0.000 | 0.000 | 0.000 |
| 0.000 | 0.000 | 0.000 | 84.921 | 0.000 | 0.000 |
| 0.000 | 0.000 | 0.000 | -0.000 | 84.921 | 0.000 |
| 0.000 | 0.000 | 0.000 | -0.000 | 0.000 | 84.921 |
| 202.985 | 21.781 | 21.781 | 0.000 | 0.000 | -0.000 |
| 21.781 | 202.985 | 21.781 | -0.000 | 0.000 | -0.000 |
| 21.781 | 21.781 | 202.985 | -0.000 | -0.000 | -0.000 |
| -0.000 | -0.000 | -0.000 | 84.921 | 0.000 | -0.000 |
| -0.000 | -0.000 | -0.000 | -0.000 | 84.921 | -0.000 |
| -0.000 | -0.000 | -0.000 | 0.000 | 0.000 | 84.921 |
| 202.980 | 21.767 | 21.767 | 0.000 | -0.000 | 0.000 |
| 21.767 | 202.980 | 21.767 | 0.000 | 0.000 | 0.000 |
| 21.767 | 21.767 | 202.980 | 0.000 | 0.000 | 0.000 |
| -0.002 | -0.002 | -0.002 | 71.535 | 0.000 | 0.000 |
| -0.002 | -0.002 | -0.002 | -0.000 | 71.535 | 0.000 |
| 0.000 | 0.000 | 0.000 | -0.000 | -0.000 | 84.921 |
| 202.981 | 21.769 | 21.769 | 0.000 | -0.000 | -0.000 |
| 21.769 | 202.981 | 21.769 | -0.000 | 0.000 | -0.000 |
| 21.769 | 21.770 | 202.981 | -0.000 | 0.000 | -0.000 |
| 0.002 | 0.002 | 0.002 | 71.535 | -0.000 | -0.000 |
| 0.002 | 0.002 | 0.002 | -0.000 | 71.535 | -0.000 |
| 0.002 | 0.002 | 0.002 | -0.000 | -0.000 | 71.535 |
| 187.810 | 38.341 | 38.341 | 0.000 | 0.000 | 0.000 |
| 38.341 | 187.810 | 38.341 | 0.000 | -0.000 | 0.000 |
| 38.341 | 38.341 | 187.810 | 0.000 | 0.000 | 0.000 |
| -0.000 | 0.000 | 0.000 | 71.349 | -0.000 | 0.000 |
| 0.000 | -0.000 | 0.000 | 0.000 | 71.349 | 0.000 |
| 0.000 | 0.000 | -0.000 | -0.000 | 0.000 | 71.349 |
| 187.810 | 38.341 | 38.341 | -0.000 | -0.000 | -0.000 |
| 38.341 | 187.810 | 38.341 | -0.000 | -0.000 | -0.000 |
| 38.341 | 38.341 | 187.810 | -0.000 | -0.000 | -0.000 |
| 0.000 | -0.000 | -0.000 | 71.349 | -0.000 | -0.000 |
| -0.000 | 0.000 | -0.000 | -0.000 | 71.349 | -0.000 |
| -0.000 | -0.000 | 0.000 | -0.000 | -0.000 | 71.349 |
| 299.180 | 91.347 | 102.262 | -16.600 | 0.000 | -0.000 |
| 91.347 | 299.180 | 102.262 | 16.600 | -0.000 | -0.000 |
| 99.873 | 99.873 | 301.561 | 0.000 | -0.000 | -0.000 |
| -16.600 | 16.600 | -0.000 | 111.505 | 0.000 | -0.000 |
| 0.000 | -0.000 | -0.000 | 0.000 | 111.505 | -16.600 |
| -2.218 | -2.218 | 4.722 | 0.000 | -23.661 | 94.923 |
| 299.180 | 91.347 | 102.262 | -16.600 | 0.000 | 0.000 |
| 97.052 | 286.910 | 109.251 | 23.657 | 0.000 | 0.000 |
| 113.713 | 113.713 | 272.097 | -0.000 | 0.000 | -0.000 |
| -21.442 | 25.876 | -4.720 | 105.962 | 0.000 | 0.000 |
| -0.000 | 0.000 | 0.000 | -0.000 | 111.505 | -16.600 |
| 2.218 | 2.218 | -4.722 | -0.000 | -23.661 | 94.923 |
| 284.496 | 94.609 | 114.422 | -23.645 | -0.000 | -0.000 |
| 91.347 | 299.180 | 102.262 | 16.600 | -0.000 | -0.000 |
| 111.289 | 111.289 | 277.257 | 0.000 | -0.000 | -0.000 |
| -23.888 | 23.444 | 0.472 | 105.957 | -0.000 | -0.000 |
| 0.000 | 0.000 | 0.000 | -0.000 | 111.505 | -16.600 |
| 0.000 | 0.000 | 0.000 | 0.000 | -16.600 | 103.917 |
| 284.934 | 95.052 | 113.482 | -23.647 | -0.000 | 0.000 |
| 91.347 | 299.180 | 102.262 | 16.600 | -0.000 | 0.000 |
| 111.730 | 111.730 | 276.318 | -0.000 | -0.000 | 0.000 |
| -23.444 | 23.888 | -0.472 | 105.957 | 0.000 | 0.000 |
| -0.000 | -0.000 | -0.000 | 0.000 | 111.505 | -16.600 |
| -0.000 | -0.000 | -0.000 | -0.000 | -16.600 | 103.917 |
| 299.181 | 91.348 | 102.263 | -16.600 | -0.000 | -0.000 |
| 91.347 | 299.181 | 102.263 | 16.600 | 0.000 | -0.000 |
| 99.873 | 99.873 | 301.562 | 0.000 | 0.000 | -0.000 |
| -23.688 | 23.644 | 0.047 | 105.957 | -0.000 | -0.000 |
| 0.000 | 0.000 | 0.000 | -0.000 | 111.505 | -16.600 |
| -0.022 | -0.022 | 0.047 | -0.000 | -23.666 | 94.917 |
| 299.180 | 91.347 | 102.262 | -16.600 | 0.000 | 0.000 |
| 91.347 | 299.179 | 102.262 | 16.600 | 0.000 | 0.000 |
| 111.532 | 111.532 | 276.740 | -0.000 | 0.000 | 0.000 |
| -16.600 | 16.600 | -0.000 | 111.505 | 0.000 | 0.000 |
| -0.000 | -0.000 | -0.000 | 0.000 | 111.505 | -16.600 |
| 0.022 | 0.022 | -0.047 | 0.000 | -23.666 | 94.917 |
| 343.753 | 100.388 | 100.388 | 0.000 | -0.000 | 0.000 |
| 100.388 | 343.753 | 100.388 | 0.000 | -0.000 | 0.000 |
| 100.388 | 100.388 | 343.753 | -0.000 | 0.000 | 0.000 |
| -0.000 | 0.000 | 0.000 | 37.647 | -0.000 | 0.000 |
| -0.000 | 0.000 | 0.000 | -0.000 | 37.647 | -0.000 |
| -0.000 | 0.000 | 0.000 | -0.000 | -0.000 | 37.647 |
| 343.528 | 100.500 | 100.500 | 0.000 | 0.000 | 0.000 |
| 100.500 | 343.528 | 100.500 | 0.000 | -0.000 | 0.000 |
| 100.500 | 100.500 | 343.528 | 0.000 | 0.000 | 0.000 |
| 0.000 | 0.000 | -0.000 | 37.647 | 0.000 | 0.000 |
| 0.000 | -0.000 | -0.000 | 0.000 | 37.647 | 0.000 |
| 0.000 | 0.000 | -0.000 | 0.000 | 0.000 | 37.647 |
| 343.753 | 100.388 | 100.388 | 0.000 | -0.000 | 0.000 |
| 100.388 | 343.754 | 100.388 | 0.000 | -0.000 | 0.000 |
| 100.388 | 100.388 | 343.754 | -0.000 | -0.000 | 0.000 |
| 0.000 | 0.000 | 0.000 | 37.647 | -0.000 | -0.000 |
| 0.000 | 0.000 | 0.000 | -0.000 | 37.647 | -0.000 |
| 0.000 | 0.000 | 0.000 | -0.000 | -0.000 | 37.647 |
| 343.528 | 100.500 | 100.500 | 0.000 | 0.000 | 0.000 |
| 100.500 | 343.528 | 100.500 | 0.000 | 0.000 | 0.000 |
| 100.500 | 100.500 | 343.528 | 0.000 | 0.000 | 0.000 |
| -0.000 | -0.000 | -0.000 | 37.647 | 0.000 | -0.000 |
| -0.000 | -0.000 | -0.000 | 0.000 | 37.647 | 0.000 |
| -0.000 | -0.000 | -0.000 | 0.000 | 0.000 | 37.647 |
| 343.530 | 100.501 | 100.501 | -0.000 | -0.000 | -0.000 |
| 100.501 | 343.530 | 100.501 | -0.000 | -0.000 | 0.000 |
| 100.501 | 100.501 | 343.530 | -0.000 | 0.000 | -0.000 |
| 0.000 | 0.000 | 0.000 | 37.647 | -0.000 | -0.000 |
| 0.000 | 0.000 | 0.000 | -0.000 | 37.647 | -0.000 |
| 0.000 | 0.000 | 0.000 | -0.000 | -0.000 | 37.647 |
| 343.527 | 100.500 | 100.500 | 0.000 | 0.000 | -0.000 |
| 100.500 | 343.527 | 100.500 | 0.000 | 0.000 | 0.000 |
| 100.500 | 100.500 | 343.527 | 0.000 | 0.000 | 0.000 |
| -0.000 | -0.000 | -0.000 | 37.647 | 0.000 | -0.000 |
| -0.000 | -0.000 | -0.000 | 0.000 | 37.647 | 0.000 |
| -0.000 | -0.000 | -0.000 | 0.000 | 0.000 | 37.647 |
| 10690713.270 | 10826996.830 | 9949539.731 | 512424.971 | 94688.725 | -42883.086 |
| 10469934.373 | 10571649.282 | 9922739.417 | 105879.810 | 141656.912 | 113074.166 |
| 10449211.399 | 10400689.271 | 9834051.991 | 300450.844 | 185685.213 | 173599.602 |
| 10610232.368 | 10538410.849 | 9859344.975 | 95724.486 | 158382.449 | 194472.824 |
| 10550468.943 | 10534584.319 | 9884801.834 | 183487.085 | 241330.024 | 50700.134 |
| 10595351.236 | 10654899.688 | 9884786.044 | 401324.106 | 339300.323 | -104139.179 |
| -10496236.324 | -10487598.967 | -9774767.414 | -219424.656 | -217313.146 | -152361.823 |
| -10368664.133 | -10470788.040 | -9722982.548 | -174784.958 | -197246.381 | -124991.574 |
| -10450234.473 | -10323857.324 | -9833703.242 | -159223.154 | -240574.519 | -133272.798 |
| -10479942.454 | -10407046.569 | -9713481.198 | -244658.122 | -132533.697 | -163877.513 |
| -10390506.605 | -10510055.639 | -9888897.935 | -204293.719 | -138464.380 | -86337.326 |
| -10593602.782 | -10549914.730 | -9868561.571 | -275660.081 | -249187.101 | -123978.366 |
| 1036876.917 | 1030491.776 | 961879.038 | 19720.741 | 20018.253 | 14923.039 |
| 1037371.731 | 1040471.453 | 967696.658 | 23276.198 | 19255.311 | 10042.438 |
| 1058455.132 | 1047252.019 | 986119.430 | 24962.388 | 23575.187 | 19596.722 |
| 1045943.179 | 1048690.036 | 987940.246 | 18161.558 | 23204.401 | 14369.767 |
| 1023155.172 | 1052610.005 | 973706.293 | 21024.999 | 17707.721 | 15142.055 |
| 1044365.244 | 1048229.081 | 974906.235 | 31488.485 | 15016.227 | 10106.910 |
| -1035930.997 | -1050008.470 | -985577.471 | -16409.796 | -18431.025 | -20227.889 |
| -1089626.245 | -1085196.116 | -1042526.085 | -21389.332 | -28003.969 | -17571.955 |
| -1036802.371 | -1062921.028 | -992424.276 | -22840.335 | -26011.255 | -15679.314 |
| -1039862.419 | -1053373.944 | -977755.981 | -13642.829 | -17189.995 | -14625.147 |
| -1030558.360 | -1042771.899 | -970326.359 | -20464.830 | -18131.283 | -9763.910 |
| -1038182.156 | -1053497.408 | -987296.909 | -24674.424 | -21547.024 | -12518.582 |
| 103627.128 | 105281.207 | 96569.376 | 1281.977 | 1936.096 | 2277.703 |
| 102941.512 | 103480.098 | 96770.889 | 2823.375 | 1867.376 | 894.333 |
| 105344.690 | 105417.672 | 100571.139 | 2434.426 | 1390.217 | 1060.100 |
| 104543.475 | 103813.107 | 96620.073 | 1608.033 | 1880.552 | 1832.311 |
| 103842.406 | 103913.481 | 98466.857 | 2349.708 | 2059.581 | 1936.245 |
| 104413.471 | 104433.948 | 97647.990 | 1731.965 | 1946.158 | 1726.340 |
| -105548.514 | -104468.508 | -98208.487 | -3146.946 | -1729.215 | -274.224 |
| -105685.686 | -104463.603 | -96342.401 | -1264.511 | -2031.750 | -1667.018 |
| -105828.104 | -105465.834 | -98771.540 | -2282.215 | -2965.878 | -2338.860 |
| -104661.922 | -105216.083 | -100577.444 | -2185.692 | -1538.304 | -1379.773 |
| -104389.348 | -104806.073 | -97297.816 | -1752.135 | -2164.579 | -1882.302 |
| -103277.271 | -104423.317 | -96465.658 | -2605.603 | -1981.160 | -191.913 |
| 25.119 | 241.465 | 241.465 | 0.000 | 0.000 | -0.000 |
| 241.465 | 25.119 | 241.465 | 0.000 | 0.000 | -0.000 |
| 241.465 | 241.465 | 25.119 | 0.000 | 0.000 | -0.000 |
| 0.000 | -0.000 | 0.000 | 41.345 | -0.000 | -0.000 |
| 0.000 | 0.000 | 0.000 | 0.000 | 41.345 | -0.000 |
| 0.000 | 0.000 | 0.000 | 0.000 | -0.000 | 41.345 |
| 25.119 | 241.465 | 241.465 | -0.000 | -0.000 | 0.000 |
| 241.465 | 25.119 | 241.465 | -0.000 | -0.000 | 0.000 |
| 241.465 | 241.465 | 25.119 | -0.000 | 0.000 | 0.000 |
| -0.000 | 0.000 | -0.000 | 41.345 | -0.000 | 0.000 |
| 0.000 | -0.000 | -0.000 | -0.000 | 41.345 | 0.000 |
| 0.000 | -0.000 | -0.000 | -0.000 | -0.000 | 41.345 |
| 25.119 | 241.465 | 241.465 | 0.000 | -0.000 | -0.000 |
| 241.465 | 25.119 | 241.465 | -0.000 | 0.000 | -0.000 |
| 241.465 | 241.465 | 25.119 | 0.000 | -0.000 | -0.000 |
| 0.000 | -0.000 | 0.000 | 72.171 | -0.000 | -0.000 |
| -0.000 | 0.000 | 0.000 | 0.000 | 72.171 | -0.000 |
| -0.000 | 0.000 | 0.000 | 0.000 | 0.000 | 72.171 |
| 25.119 | 241.465 | 241.465 | -0.000 | -0.000 | 0.000 |
| 241.465 | 25.119 | 241.465 | -0.000 | 0.000 | 0.000 |
| 241.465 | 241.465 | 25.119 | -0.000 | -0.000 | 0.000 |
| -0.000 | 0.000 | -0.000 | 72.171 | 0.000 | 0.000 |
| 0.000 | -0.000 | -0.000 | -0.000 | 72.171 | 0.000 |
| 0.000 | -0.000 | -0.000 | -0.000 | 0.000 | 72.171 |
| 25.118 | 241.466 | 241.466 | -0.000 | -0.000 | -0.000 |
| 241.466 | 25.118 | 241.466 | -0.000 | -0.000 | -0.000 |
| 241.466 | 241.466 | 25.118 | 0.000 | -0.000 | -0.000 |
| 0.000 | -0.000 | 0.000 | 41.345 | 0.000 | -0.000 |
| -0.000 | 0.000 | 0.000 | 0.000 | 41.345 | -0.000 |
| -0.000 | 0.000 | 0.000 | 0.000 | 0.000 | 41.345 |
| 25.119 | 241.464 | 241.464 | -0.000 | -0.000 | 0.000 |
| 241.464 | 25.119 | 241.464 | -0.000 | 0.000 | 0.000 |
| 241.464 | 241.464 | 25.119 | -0.000 | -0.000 | 0.000 |
| -0.000 | 0.000 | -0.000 | 41.345 | 0.000 | 0.000 |
| 0.000 | -0.000 | -0.000 | -0.000 | 41.345 | 0.000 |
| 0.000 | -0.000 | -0.000 | -0.000 | -0.000 | 41.345 |
| -167.351 | -167.231 | -167.231 | 0.000 | -0.000 | 0.000 |
| -167.231 | -167.351 | -167.231 | -0.000 | 0.000 | 0.000 |
| -167.231 | -167.231 | -167.351 | 0.000 | 0.000 | 0.000 |
| -26071988.173 | -37524898.686 | -37768721.906 | 5997172.813 | -71222.189 | -306336.904 |
| -35709849.563 | -25519405.438 | -37111099.868 | 288241.045 | 6790455.999 | -267130.636 |
| -41099401.074 | -39496955.785 | -29175583.793 | -912.908 | -59765.623 | 6574205.028 |
| -167.351 | -167.231 | -167.231 | -0.000 | -0.000 | -0.000 |
| -167.231 | -167.351 | -167.231 | -0.000 | -0.000 | -0.000 |
| -167.231 | -167.231 | -167.351 | -0.000 | -0.000 | 0.000 |
| 28035787.374 | 43545602.166 | 40939551.756 | 6598536.090 | -7654.672 | -165784.875 |
| 41902421.720 | 28105055.364 | 39355846.602 | 985222.996 | 6288792.453 | 994102.247 |
| 34219613.983 | 33852995.537 | 23346783.730 | 170032.621 | 225731.580 | 5035113.656 |
| -167.350 | -167.231 | -167.231 | -0.000 | -0.000 | 0.000 |
| -167.231 | -167.350 | -167.231 | -0.000 | -0.000 | 0.000 |
| -167.231 | -167.231 | -167.350 | -0.000 | 0.000 | -0.000 |
| -2121341.241 | -4062993.723 | -3331397.842 | 761092.160 | -14097.596 | 55873.218 |
| -4015558.083 | -2039361.201 | -3505059.741 | -33765.944 | 712403.943 | 54853.061 |
| -3636111.377 | -3169262.996 | -1818960.635 | -19073.124 | 5402.905 | 706658.773 |
| -167.351 | -167.231 | -167.231 | -0.000 | -0.000 | 0.000 |
| -167.231 | -167.351 | -167.231 | -0.000 | -0.000 | 0.000 |
| -167.231 | -167.231 | -167.351 | -0.000 | -0.000 | 0.000 |
| 1778868.523 | 3085449.258 | 2562185.902 | 449953.637 | 23480.690 | 86.074 |
| 2948383.348 | 1846927.416 | 2686889.577 | 27245.762 | 502059.463 | 12060.926 |
| 2686998.833 | 2258241.590 | 1743734.830 | 3507.956 | 66964.282 | 618478.679 |
| -167.349 | -167.230 | -167.230 | 0.000 | -0.000 | 0.000 |
| -167.230 | -167.349 | -167.230 | -0.000 | 0.000 | 0.000 |
| -167.230 | -167.230 | -167.349 | 0.000 | 0.000 | -0.000 |
| -76434.920 | -159534.604 | -150374.812 | 10241.307 | -692.574 | 3735.190 |
| -156487.934 | -91557.119 | -184085.161 | -743.790 | 13656.021 | -2817.281 |
| -160679.451 | -185130.048 | -82213.323 | -875.792 | 5753.641 | 12018.334 |
| -167.352 | -167.233 | -167.233 | 0.000 | -0.000 | -0.000 |
| -167.233 | -167.352 | -167.233 | 0.000 | 0.000 | -0.000 |
| -167.233 | -167.233 | -167.352 | -0.000 | -0.000 | -0.000 |
| 101191.335 | 145049.595 | 145436.873 | 10028.320 | 1246.745 | -468.178 |
| 125675.128 | 72109.669 | 143473.931 | -3582.056 | 6761.346 | -1693.972 |
| 126979.530 | 127401.276 | 89329.231 | 107.430 | 1502.076 | 2150.760 |
| -39575204.157 | -39448274.790 | -39592187.443 | 792155.855 | -216770.637 | -492065.151 |
| -37651875.136 | -39581693.442 | -40759790.574 | -9696.066 | 861937.683 | -417342.961 |
| -39293967.219 | -42365905.696 | -41871663.612 | -233059.536 | -42727.554 | 1118916.551 |
| -12340859.881 | -15732773.363 | -15034694.717 | 5339773.218 | -6282.794 | -375518.963 |
| -16188328.577 | -11456437.713 | -15631643.473 | -237828.197 | 5560890.409 | 314662.748 |
| -13909606.788 | -15516811.377 | -10978890.644 | -164571.818 | -4232.025 | 4980667.569 |
| 476.501 | 476.607 | 476.607 | -0.000 | -0.000 | -0.000 |
| 476.607 | 476.501 | 476.607 | -0.000 | -0.000 | -0.000 |
| 476.607 | 476.607 | 476.501 | -0.000 | -0.000 | -0.000 |
| 12873465.127 | 19826892.173 | 19350518.788 | 6831728.905 | 121476.214 | -126686.759 |
| 14618582.085 | 10211370.688 | 14893492.637 | -140530.752 | 5291702.391 | -143479.851 |
| 15033368.707 | 14981935.547 | 10512289.232 | 76175.872 | -116317.423 | 5013657.575 |
| -3872737.088 | -4116887.730 | -4112991.905 | -10896.891 | -56915.650 | 289885.390 |
| -4103063.995 | -4272981.439 | -4034531.982 | 70585.411 | 59426.214 | 132319.135 |
| -3650335.827 | -3510176.705 | -3697198.595 | 132330.872 | 225496.729 | 101315.232 |
| -1552212.512 | -1459655.079 | -1424253.705 | 482872.311 | -236.602 | -13100.199 |
| -1582631.240 | -1646226.052 | -1478670.925 | 56427.985 | 484699.995 | -17590.223 |
| -1563043.771 | -1549430.108 | -1459248.138 | -19818.155 | -49977.995 | 467996.784 |
| 4232611.741 | 4085070.972 | 4127972.220 | -252120.330 | -56736.712 | -79883.497 |
| 4238456.290 | 4632803.011 | 4245138.185 | 15677.394 | -211897.504 | 6530.437 |
| 4306185.281 | 4222923.295 | 4552670.839 | -170169.517 | -52388.159 | -247858.266 |
| 1590325.039 | 1994013.541 | 2166878.741 | 672178.676 | -45737.670 | -58852.548 |
| 1879947.138 | 1629004.621 | 2209224.260 | -15244.050 | 710302.263 | -78180.974 |
| 1229977.843 | 1888839.248 | 1250817.977 | -84973.408 | -236873.971 | 536882.034 |
| 476.439 | 476.546 | 476.546 | 0.000 | 0.000 | 0.000 |
| 476.546 | 476.439 | 476.546 | 0.000 | 0.000 | 0.000 |
| 476.546 | 476.546 | 476.439 | 0.000 | 0.000 | 0.000 |
| -15097.655 | -45650.346 | -40264.579 | 38564.997 | -409.208 | 1986.457 |
| -33726.117 | -17612.451 | -33838.635 | 484.683 | 30835.068 | 1541.833 |
| -37906.232 | -29963.411 | -12197.681 | 1516.907 | 1041.499 | 31035.455 |
| 415579.276 | 383788.813 | 409788.564 | -18022.663 | 550.375 | -5650.317 |
| 399559.531 | 425494.700 | 419240.380 | -750.248 | -13539.594 | -1450.555 |
| 425347.933 | 428665.635 | 430490.631 | -6093.724 | 11541.710 | -20092.385 |
| 4037.223 | 32038.295 | 28751.009 | 30691.164 | 2264.799 | 165.483 |
| 31231.100 | 3205.532 | 30757.521 | -107.209 | 30666.708 | -901.079 |
| 24730.152 | 27590.821 | 3790.115 | -497.751 | 1245.638 | 25619.393 |
| 216.577 | 131.730 | 131.730 | 0.000 | -0.000 | -0.000 |
| 131.730 | 216.577 | 131.730 | 0.000 | 0.000 | 0.000 |
| 131.730 | 131.730 | 216.577 | 0.000 | 0.000 | 0.000 |
| 0.000 | 0.000 | 0.000 | 83.541 | 0.000 | 0.000 |
| 0.000 | 0.000 | -0.000 | 0.000 | 83.541 | -0.000 |
| 0.000 | 0.000 | -0.000 | -0.000 | -0.000 | 83.541 |
| 216.577 | 131.730 | 131.730 | 0.000 | -0.000 | 0.000 |
| 131.730 | 216.577 | 131.730 | -0.000 | 0.000 | -0.000 |
| 131.730 | 131.730 | 216.577 | 0.000 | 0.000 | 0.000 |
| -0.000 | -0.000 | 0.000 | 83.541 | 0.000 | 0.000 |
| 0.000 | -0.000 | -0.000 | 0.000 | 83.541 | -0.000 |
| -0.000 | -0.000 | -0.000 | -0.000 | 0.000 | 83.541 |
| 216.577 | 131.730 | 131.730 | -0.000 | 0.000 | 0.000 |
| 131.730 | 216.577 | 131.730 | 0.000 | 0.000 | 0.000 |
| 131.730 | 131.730 | 216.577 | 0.000 | -0.000 | -0.000 |
| -0.000 | 0.000 | 0.000 | 83.541 | -0.000 | -0.000 |
| 0.000 | -0.000 | 0.000 | -0.000 | 83.541 | -0.000 |
| 0.000 | 0.000 | -0.000 | 0.000 | 0.000 | 83.541 |
| 216.577 | 131.730 | 131.730 | -0.000 | -0.000 | -0.000 |
| 131.730 | 216.577 | 131.730 | 0.000 | -0.000 | -0.000 |
| 131.730 | 131.730 | 216.577 | -0.000 | -0.000 | 0.000 |
| 0.000 | -0.000 | -0.000 | 83.541 | 0.000 | -0.000 |
| -0.000 | 0.000 | -0.000 | 0.000 | 83.541 | 0.000 |
| -0.000 | -0.000 | 0.000 | 0.000 | 0.000 | 83.541 |
| 216.577 | 131.730 | 131.730 | 0.000 | -0.000 | -0.000 |
| 131.730 | 216.577 | 131.730 | -0.000 | -0.000 | -0.000 |
| 131.730 | 131.730 | 216.577 | 0.000 | 0.000 | -0.000 |
| -0.000 | 0.000 | 0.000 | 83.541 | -0.000 | 0.000 |
| 0.000 | -0.000 | 0.000 | 0.000 | 83.541 | -0.000 |
| 0.000 | 0.000 | -0.000 | -0.000 | 0.000 | 83.541 |
| 216.577 | 131.730 | 131.730 | -0.000 | -0.000 | 0.000 |
| 131.730 | 216.577 | 131.730 | 0.000 | -0.000 | 0.000 |
| 131.730 | 131.730 | 216.577 | 0.000 | 0.000 | 0.000 |
| 0.000 | -0.000 | -0.000 | 83.541 | 0.000 | 0.000 |
| -0.000 | 0.000 | -0.000 | 0.000 | 83.541 | -0.000 |
| -0.000 | -0.000 | 0.000 | -0.000 | -0.000 | 83.541 |
| 8349682.072 | 8583981.787 | 6723635.600 | 34535.777 | -235088.845 | 517857.458 |
| 8815080.652 | 9158525.404 | 6384294.257 | 402816.058 | -349842.810 | -92083.013 |
| 8209892.133 | 8065123.116 | 6490666.933 | 234679.802 | -361929.912 | 446545.144 |
| 8166098.370 | 8444086.195 | 6022433.473 | 326078.568 | -34376.790 | 256932.713 |
| 8731156.714 | 8430159.056 | 6304691.940 | 71580.381 | -504770.853 | 532918.966 |
| 8983004.932 | 8771335.512 | 6133807.226 | 677125.831 | -504345.120 | 374452.437 |
| -7729463.502 | -7801263.284 | -5418886.200 | -400232.923 | 100192.019 | -615181.644 |
| -8549634.428 | -8412396.893 | -6066785.207 | -207507.861 | 234612.265 | -511460.092 |
| -9883052.142 | -9063874.073 | -7131440.998 | -126759.061 | 583259.432 | -216836.881 |
| -8034760.736 | -7915040.134 | -5031035.481 | -273406.070 | 258847.457 | -305219.672 |
| -7995010.997 | -8348299.337 | -5986208.953 | 82158.465 | 99555.410 | -210563.603 |
| -8327987.326 | -8856580.464 | -6321507.629 | -11990.091 | 341360.804 | -211712.845 |
| 841661.092 | 824733.692 | 555938.400 | 25092.427 | -8935.723 | 30056.937 |
| 844575.848 | 844577.085 | 544676.092 | 29301.394 | -28494.305 | 34299.511 |
| 814990.388 | 824193.881 | 539720.109 | 19684.384 | -7037.299 | 29667.207 |
| 789467.629 | 801775.345 | 504330.778 | 26505.950 | -11816.611 | 44729.528 |
| 818456.831 | 826961.341 | 588474.967 | 34524.576 | -34511.980 | 53403.392 |
| 763535.452 | 886269.897 | 589522.274 | 24206.702 | -51777.873 | 35242.362 |
| -866366.716 | -838027.672 | -618882.024 | -248.459 | 3585.487 | -79462.293 |
| -959430.219 | -902684.738 | -662288.549 | -8605.903 | 19074.046 | -85619.060 |
| -770172.481 | -803333.343 | -561305.724 | -13779.809 | 5345.005 | -29598.318 |
| -814775.944 | -852886.294 | -575354.309 | -22109.051 | 11943.351 | -23719.442 |
| -830390.038 | -838294.025 | -605525.349 | -22518.605 | 10347.387 | -56628.093 |
| -787497.566 | -844480.360 | -587114.833 | -8026.488 | 25104.240 | -58854.252 |
| 80493.507 | 85478.011 | 59609.599 | 1696.084 | -2986.023 | 5910.124 |
| 84654.062 | 84757.707 | 55731.307 | 3234.694 | -81.526 | 7824.242 |
| 86292.354 | 93761.243 | 62444.227 | 4177.420 | -5291.203 | 3275.112 |
| 81349.780 | 89316.810 | 61937.636 | -237.278 | -3743.492 | 5554.045 |
| 82483.398 | 83113.409 | 61794.209 | 1550.604 | -2463.450 | 4119.367 |
| 79258.278 | 82717.545 | 52441.455 | 1405.474 | 642.799 | 819.535 |
| -86586.671 | -86300.259 | -70148.414 | -3072.169 | 6100.627 | -2165.401 |
| -94316.135 | -94597.305 | -68901.605 | -2941.646 | 5979.772 | -6098.913 |
| -77558.782 | -82634.815 | -55785.324 | -2084.254 | 1973.315 | -2685.632 |
| -78178.417 | -75753.601 | -49534.762 | -2415.928 | 60.026 | -5542.675 |
| -76698.952 | -83590.050 | -56503.218 | -1775.869 | 1121.737 | -3855.990 |
| -95952.680 | -89377.656 | -74529.665 | -550.662 | 6294.145 | -3767.574 |
| 193.485 | 161.429 | 161.429 | -0.000 | -0.000 | -0.000 |
| 161.429 | 193.485 | 161.429 | -0.000 | -0.000 | -0.000 |
| 161.429 | 161.429 | 193.485 | -0.000 | -0.000 | -0.000 |
| -0.000 | -0.000 | -0.000 | 81.649 | -0.000 | -0.000 |
| -0.000 | -0.000 | -0.000 | -0.000 | 81.649 | -0.000 |
| -0.000 | -0.000 | -0.000 | -0.000 | -0.000 | 81.649 |
| 193.485 | 161.429 | 161.429 | 0.000 | -0.000 | -0.000 |
| 161.429 | 193.485 | 161.429 | 0.000 | 0.000 | 0.000 |
| 161.429 | 161.429 | 193.485 | 0.000 | 0.000 | 0.000 |
| 0.000 | 0.000 | 0.000 | 81.649 | 0.000 | 0.000 |
| 0.000 | 0.000 | 0.000 | 0.000 | 81.649 | 0.000 |
| 0.000 | 0.000 | 0.000 | 0.000 | 0.000 | 81.649 |
| 193.485 | 161.429 | 161.429 | -0.000 | -0.000 | -0.000 |
| 161.429 | 193.485 | 161.429 | -0.000 | -0.000 | -0.000 |
| 161.429 | 161.429 | 193.485 | -0.000 | -0.000 | -0.000 |
| -0.000 | 0.000 | 0.000 | 81.649 | -0.000 | -0.000 |
| 0.000 | -0.000 | 0.000 | -0.000 | 81.649 | -0.000 |
| 0.000 | 0.000 | -0.000 | -0.000 | -0.000 | 81.649 |
| 193.485 | 161.429 | 161.429 | 0.000 | 0.000 | 0.000 |
| 161.429 | 193.485 | 161.429 | 0.000 | 0.000 | 0.000 |
| 161.429 | 161.429 | 193.485 | 0.000 | 0.000 | 0.000 |
| 0.000 | -0.000 | -0.000 | 81.649 | 0.000 | 0.000 |
| -0.000 | 0.000 | -0.000 | 0.000 | 81.649 | 0.000 |
| -0.000 | -0.000 | 0.000 | 0.000 | 0.000 | 81.649 |
| 193.485 | 161.429 | 161.429 | -0.000 | -0.000 | -0.000 |
| 161.429 | 193.485 | 161.429 | -0.000 | -0.000 | -0.000 |
| 161.429 | 161.429 | 193.485 | -0.000 | -0.000 | -0.000 |
| -0.000 | 0.000 | 0.000 | 81.649 | -0.000 | -0.000 |
| 0.000 | -0.000 | 0.000 | -0.000 | 81.649 | -0.000 |
| 0.000 | 0.000 | -0.000 | -0.000 | -0.000 | 81.649 |
| 193.484 | 161.428 | 161.428 | 0.000 | 0.000 | 0.000 |
| 161.428 | 193.484 | 161.428 | 0.000 | 0.000 | 0.000 |
| 161.428 | 161.428 | 193.484 | 0.000 | 0.000 | 0.000 |
| 0.000 | -0.000 | -0.000 | 81.649 | 0.000 | 0.000 |
| -0.000 | 0.000 | -0.000 | 0.000 | 81.649 | 0.000 |
| -0.000 | -0.000 | 0.000 | 0.000 | 0.000 | 81.649 |
| 315.237 | 94.559 | 94.559 | -0.000 | 0.000 | 0.000 |
| 94.559 | 315.237 | 94.559 | -0.000 | 0.000 | 0.000 |
| 94.559 | 94.559 | 315.237 | -0.000 | 0.000 | 0.000 |
| 0.000 | 0.000 | 0.000 | 59.929 | 0.000 | 0.000 |
| 0.000 | 0.000 | 0.000 | 0.000 | 59.929 | -0.000 |
| 0.000 | 0.000 | 0.000 | -0.000 | 0.000 | 59.929 |
| 316.570 | 93.892 | 93.892 | -0.000 | -0.000 | -0.000 |
| 93.892 | 316.570 | 93.892 | -0.000 | -0.000 | -0.000 |
| 93.892 | 93.892 | 316.570 | -0.000 | -0.000 | -0.000 |
| -0.000 | -0.000 | -0.000 | 59.929 | -0.000 | -0.000 |
| -0.000 | -0.000 | -0.000 | -0.000 | 59.929 | -0.000 |
| -0.000 | -0.000 | -0.000 | -0.000 | -0.000 | 59.929 |
| 315.237 | 94.559 | 94.559 | -0.000 | 0.000 | 0.000 |
| 94.559 | 315.237 | 94.559 | 0.000 | 0.000 | 0.000 |
| 94.559 | 94.559 | 315.237 | 0.000 | 0.000 | 0.000 |
| 0.000 | 0.000 | 0.000 | 59.929 | 0.000 | 0.000 |
| 0.000 | 0.000 | 0.000 | 0.000 | 59.929 | 0.000 |
| 0.000 | 0.000 | 0.000 | 0.000 | 0.000 | 59.929 |
| 316.570 | 93.892 | 93.892 | -0.000 | -0.000 | -0.000 |
| 93.892 | 316.570 | 93.892 | -0.000 | -0.000 | -0.000 |
| 93.892 | 93.892 | 316.570 | -0.000 | -0.000 | -0.000 |
| -0.000 | -0.000 | -0.000 | 59.929 | -0.000 | -0.000 |
| -0.000 | -0.000 | -0.000 | -0.000 | 59.929 | -0.000 |
| -0.000 | -0.000 | -0.000 | -0.000 | -0.000 | 59.929 |
| 315.238 | 94.559 | 94.559 | -0.000 | 0.000 | 0.000 |
| 94.559 | 315.238 | 94.559 | 0.000 | 0.000 | -0.000 |
| 94.559 | 94.559 | 315.238 | 0.000 | 0.000 | -0.000 |
| 0.000 | 0.000 | 0.000 | 59.929 | 0.000 | 0.000 |
| 0.000 | 0.000 | 0.000 | 0.000 | 59.929 | 0.000 |
| 0.000 | 0.000 | 0.000 | 0.000 | 0.000 | 59.929 |
| 316.569 | 93.891 | 93.891 | -0.000 | -0.000 | -0.000 |
| 93.891 | 316.569 | 93.891 | -0.000 | -0.000 | -0.000 |
| 93.891 | 93.891 | 316.569 | -0.000 | -0.000 | 0.000 |
| -0.000 | -0.000 | -0.000 | 59.929 | -0.000 | 0.000 |
| -0.000 | -0.000 | -0.000 | -0.000 | 59.929 | -0.000 |
| -0.000 | -0.000 | -0.000 | -0.000 | -0.000 | 59.929 |
| 242.172 | 138.414 | 138.414 | -0.000 | -0.000 | 0.000 |
| 138.414 | 242.172 | 138.414 | -0.000 | 0.000 | -0.000 |
| 138.414 | 138.414 | 242.172 | -0.000 | -0.000 | -0.000 |
| -0.000 | -0.000 | 0.000 | 121.467 | 0.000 | 0.000 |
| -0.000 | -0.000 | 0.000 | -0.000 | 121.467 | -0.000 |
| -0.000 | -0.000 | -0.000 | -0.000 | -0.000 | 121.467 |
| 242.172 | 138.414 | 138.414 | 0.000 | -0.000 | -0.000 |
| 138.414 | 242.172 | 138.414 | 0.000 | -0.000 | 0.000 |
| 138.414 | 138.414 | 242.172 | 0.000 | -0.000 | -0.000 |
| 0.000 | 0.000 | 0.000 | 121.467 | 0.000 | -0.000 |
| 0.000 | 0.000 | -0.000 | 0.000 | 121.467 | 0.000 |
| 0.000 | 0.000 | 0.000 | 0.000 | -0.000 | 121.467 |
| 242.172 | 138.414 | 138.414 | -0.000 | 0.000 | 0.000 |
| 138.414 | 242.172 | 138.414 | -0.000 | -0.000 | -0.000 |
| 138.414 | 138.414 | 242.172 | -0.000 | 0.000 | 0.000 |
| 0.000 | 0.000 | 0.000 | 121.467 | 0.000 | 0.000 |
| 0.000 | 0.000 | 0.000 | -0.000 | 121.467 | 0.000 |
| 0.000 | 0.000 | 0.000 | -0.000 | -0.000 | 121.467 |
| 242.172 | 138.414 | 138.414 | 0.000 | -0.000 | -0.000 |
| 138.414 | 242.172 | 138.414 | 0.000 | -0.000 | 0.000 |
| 138.414 | 138.414 | 242.172 | 0.000 | 0.000 | -0.000 |
| -0.000 | -0.000 | -0.000 | 121.467 | -0.000 | -0.000 |
| -0.000 | -0.000 | -0.000 | 0.000 | 121.467 | -0.000 |
| -0.000 | -0.000 | -0.000 | 0.000 | -0.000 | 121.467 |
| 242.173 | 138.414 | 138.414 | -0.000 | 0.000 | -0.000 |
| 138.414 | 242.173 | 138.414 | -0.000 | 0.000 | 0.000 |
| 138.414 | 138.414 | 242.173 | -0.000 | 0.000 | 0.000 |
| 0.000 | 0.000 | 0.000 | 121.467 | 0.000 | 0.000 |
| 0.000 | 0.000 | 0.000 | -0.000 | 121.467 | 0.000 |
| 0.000 | 0.000 | 0.000 | -0.000 | 0.000 | 121.467 |
| 242.171 | 138.413 | 138.413 | 0.000 | -0.000 | 0.000 |
| 138.413 | 242.171 | 138.413 | 0.000 | -0.000 | 0.000 |
| 138.413 | 138.413 | 242.171 | 0.000 | -0.000 | 0.000 |
| -0.000 | -0.000 | -0.000 | 121.467 | -0.000 | 0.000 |
| -0.000 | -0.000 | -0.000 | 0.000 | 121.467 | -0.000 |
| -0.000 | -0.000 | -0.000 | 0.000 | 0.000 | 121.467 |
| 256.062 | 138.778 | 120.868 | 0.000 | 0.000 | -0.000 |
| 138.778 | 256.062 | 120.868 | 0.000 | 0.000 | 0.000 |
| 120.868 | 120.868 | 281.083 | 0.000 | -0.000 | -0.000 |
| 0.000 | -0.000 | 0.000 | 40.980 | -0.000 | 0.000 |
| -0.000 | -0.000 | 0.000 | 0.000 | 40.980 | 0.000 |
| 0.000 | -0.000 | 0.000 | 0.000 | -0.000 | 36.460 |
| 233.880 | 160.960 | 120.868 | -0.000 | 0.000 | 0.000 |
| 160.960 | 233.880 | 120.868 | -0.000 | 0.000 | 0.000 |
| 120.868 | 120.868 | 281.083 | -0.000 | 0.000 | 0.000 |
| -0.000 | 0.000 | -0.000 | 40.980 | 0.000 | 0.000 |
| 0.000 | 0.000 | -0.000 | -0.000 | 40.980 | 0.000 |
| -0.000 | 0.000 | -0.000 | -0.000 | 0.000 | 36.460 |
| 256.062 | 138.778 | 120.868 | 0.000 | 0.000 | -0.000 |
| 160.960 | 233.880 | 120.868 | 0.000 | -0.000 | -0.000 |
| 120.868 | 120.868 | 281.083 | -0.000 | -0.000 | -0.000 |
| 0.000 | -0.000 | 0.000 | 40.980 | -0.000 | -0.000 |
| -0.000 | 0.000 | 0.000 | -0.000 | 40.980 | -0.000 |
| -0.000 | 0.000 | -0.000 | 0.000 | -0.000 | 36.460 |
| 256.062 | 138.778 | 120.868 | -0.000 | 0.000 | 0.000 |
| 138.778 | 256.062 | 120.868 | -0.000 | 0.000 | -0.000 |
| 120.868 | 120.868 | 281.083 | -0.000 | 0.000 | 0.000 |
| -0.000 | 0.000 | -0.000 | 40.980 | 0.000 | 0.000 |
| 0.000 | -0.000 | -0.000 | -0.000 | 40.980 | -0.000 |
| 0.000 | -0.000 | 0.000 | -0.000 | 0.000 | 36.460 |
| 233.882 | 160.960 | 120.868 | 0.000 | -0.000 | -0.000 |
| 160.961 | 233.881 | 120.868 | 0.000 | -0.000 | -0.000 |
| 120.868 | 120.868 | 281.084 | -0.000 | -0.000 | -0.000 |
| 0.000 | -0.000 | 0.000 | 40.980 | -0.000 | -0.000 |
| -0.000 | 0.000 | 0.000 | 0.000 | 40.980 | 0.000 |
| -0.000 | 0.000 | -0.000 | -0.000 | -0.000 | 36.460 |
| 256.061 | 138.778 | 120.867 | -0.000 | 0.000 | 0.000 |
| 160.959 | 233.880 | 120.868 | -0.000 | 0.000 | 0.000 |
| 120.867 | 120.867 | 281.082 | -0.000 | 0.000 | 0.000 |
| -0.000 | 0.000 | -0.000 | 40.980 | 0.000 | 0.000 |
| 0.000 | -0.000 | -0.000 | -0.000 | 40.980 | 0.000 |
| 0.000 | -0.000 | 0.000 | -0.000 | 0.000 | 36.460 |
| 233.262 | 157.495 | 124.220 | 0.000 | 0.000 | -0.000 |
| 137.939 | 252.818 | 124.220 | -0.000 | 0.000 | 0.000 |
| 124.220 | 124.220 | 281.088 | 0.000 | 0.000 | -0.000 |
| -0.000 | 0.000 | 0.000 | 44.191 | 0.000 | -0.000 |
| -0.000 | 0.000 | 0.000 | 0.000 | 44.191 | 0.000 |
| 0.000 | 0.000 | -0.000 | -0.000 | -0.000 | 57.440 |
| 233.262 | 157.495 | 124.220 | -0.000 | -0.000 | 0.000 |
| 157.495 | 233.262 | 124.220 | 0.000 | 0.000 | 0.000 |
| 124.220 | 124.220 | 281.088 | -0.000 | 0.000 | 0.000 |
| 0.000 | -0.000 | -0.000 | 44.191 | -0.000 | -0.000 |
| 0.000 | -0.000 | -0.000 | -0.000 | 44.191 | 0.000 |
| 0.000 | -0.000 | 0.000 | 0.000 | 0.000 | 57.440 |
| 252.818 | 137.939 | 124.220 | -0.000 | -0.000 | 0.000 |
| 157.495 | 233.262 | 124.220 | 0.000 | 0.000 | -0.000 |
| 124.220 | 124.221 | 281.088 | 0.000 | -0.000 | -0.000 |
| 0.000 | -0.000 | 0.000 | 44.191 | 0.000 | -0.000 |
| -0.000 | 0.000 | 0.000 | 0.000 | 44.191 | -0.000 |
| -0.000 | 0.000 | -0.000 | 0.000 | 0.000 | 37.884 |
| 252.818 | 137.939 | 124.220 | 0.000 | 0.000 | -0.000 |
| 157.495 | 233.262 | 124.220 | 0.000 | -0.000 | 0.000 |
| 124.220 | 124.220 | 281.088 | 0.000 | -0.000 | 0.000 |
| -0.000 | 0.000 | -0.000 | 44.191 | -0.000 | 0.000 |
| 0.000 | -0.000 | -0.000 | -0.000 | 44.191 | 0.000 |
| 0.000 | -0.000 | 0.000 | -0.000 | 0.000 | 37.884 |
| 233.263 | 157.495 | 124.221 | -0.000 | 0.000 | -0.000 |
| 157.496 | 233.262 | 124.221 | 0.000 | 0.000 | -0.000 |
| 124.221 | 124.221 | 281.089 | 0.000 | 0.000 | -0.000 |
| 0.000 | -0.000 | 0.000 | 44.191 | -0.000 | 0.000 |
| -0.000 | 0.000 | 0.000 | 0.000 | 44.191 | -0.000 |
| -0.000 | 0.000 | -0.000 | 0.000 | 0.000 | 37.884 |
| 233.260 | 157.494 | 124.220 | -0.000 | -0.000 | 0.000 |
| 157.494 | 233.261 | 124.220 | 0.000 | 0.000 | 0.000 |
| 124.220 | 124.220 | 281.087 | -0.000 | -0.000 | 0.000 |
| -0.000 | 0.000 | -0.000 | 44.191 | 0.000 | -0.000 |
| 0.000 | -0.000 | -0.000 | -0.000 | 44.191 | 0.000 |
| 0.000 | -0.000 | 0.000 | -0.000 | -0.000 | 37.884 |
| 37.626 | 125.450 | 125.450 | -0.000 | -0.000 | -0.000 |
| 125.450 | 37.626 | 125.450 | -0.000 | -0.000 | -0.000 |
| 125.450 | 125.450 | 37.626 | -0.000 | -0.000 | -0.000 |
| -0.000 | 0.000 | 0.000 | -133.499 | -0.000 | 0.000 |
| 0.000 | 0.000 | 0.000 | -0.000 | -133.499 | 0.000 |
| 0.000 | 0.000 | -0.000 | -0.000 | -0.000 | -133.499 |
| 37.626 | 125.450 | 125.450 | 0.000 | 0.000 | 0.000 |
| 125.450 | 37.626 | 125.450 | 0.000 | 0.000 | 0.000 |
| 125.450 | 125.450 | 37.626 | 0.000 | 0.000 | 0.000 |
| 0.000 | -0.000 | -0.000 | -133.499 | 0.000 | -0.000 |
| 0.000 | 0.000 | -0.000 | 0.000 | -133.499 | -0.000 |
| 0.000 | -0.000 | -0.000 | 0.000 | 0.000 | 40.554 |
| 37.626 | 125.450 | 125.450 | -0.000 | -0.000 | -0.000 |
| 125.450 | 37.626 | 125.450 | -0.000 | -0.000 | -0.000 |
| 125.450 | 125.450 | 37.626 | -0.000 | -0.000 | -0.000 |
| -0.000 | 0.000 | 0.000 | -133.499 | -0.000 | -0.000 |
| 0.000 | -0.000 | 0.000 | -0.000 | -133.499 | -0.000 |
| -0.000 | 0.000 | 0.000 | 0.000 | -0.000 | 40.554 |
| 37.626 | 125.450 | 125.450 | 0.000 | 0.000 | 0.000 |
| 125.450 | 37.626 | 125.450 | 0.000 | 0.000 | 0.000 |
| 125.450 | 125.450 | 37.626 | 0.000 | 0.000 | 0.000 |
| 0.000 | -0.000 | -0.000 | -133.499 | 0.000 | -0.000 |
| -0.000 | 0.000 | -0.000 | 0.000 | -133.499 | -0.000 |
| -0.000 | -0.000 | 0.000 | 0.000 | 0.000 | -133.499 |
| 37.626 | 125.451 | 125.451 | -0.000 | -0.000 | -0.000 |
| 125.451 | 37.626 | 125.451 | -0.000 | -0.000 | -0.000 |
| 125.451 | 125.451 | 37.626 | -0.000 | -0.000 | -0.000 |
| -0.000 | 0.000 | 0.000 | -133.499 | -0.000 | 0.000 |
| 0.000 | -0.000 | 0.000 | 0.000 | -133.499 | 0.000 |
| 0.000 | 0.000 | -0.000 | -0.000 | -0.000 | -133.499 |
| 37.626 | 125.450 | 125.450 | 0.000 | 0.000 | 0.000 |
| 125.450 | 37.626 | 125.450 | 0.000 | 0.000 | 0.000 |
| 125.450 | 125.450 | 37.626 | 0.000 | 0.000 | 0.000 |
| 0.000 | -0.000 | -0.000 | -133.499 | 0.000 | -0.000 |
| -0.000 | 0.000 | -0.000 | 0.000 | -133.499 | -0.000 |
| -0.000 | -0.000 | 0.000 | 0.000 | 0.000 | -133.499 |
| 110.056 | 222.927 | 64.043 | -0.000 | -0.000 | 0.000 |
| 222.927 | 110.056 | 64.043 | -0.000 | -0.000 | 0.000 |
| 64.043 | 64.043 | 263.612 | -0.000 | -0.000 | 0.000 |
| 0.000 | 0.000 | 0.000 | -31.405 | 0.000 | 0.000 |
| 0.000 | 0.000 | 0.000 | 0.000 | -31.405 | 0.000 |
| -0.000 | -0.000 | -0.000 | 0.000 | -0.000 | -110.767 |
| 110.056 | 222.927 | 64.043 | 0.000 | 0.000 | -0.000 |
| 222.927 | 110.056 | 64.043 | -0.000 | 0.000 | -0.000 |
| 64.043 | 64.043 | 263.611 | 0.000 | 0.000 | -0.000 |
| 0.000 | -0.000 | -0.000 | -31.405 | -0.000 | 0.000 |
| -0.000 | -0.000 | 0.000 | -0.000 | -31.405 | -0.000 |
| 0.000 | 0.000 | 0.000 | 0.000 | 0.000 | -110.767 |
| 110.057 | 222.927 | 64.043 | -0.000 | -0.000 | 0.000 |
| 222.927 | 110.057 | 64.043 | -0.000 | -0.000 | 0.000 |
| 64.043 | 64.043 | 263.612 | -0.000 | -0.000 | 0.000 |
| -0.000 | 0.000 | -0.000 | -31.405 | 0.000 | 0.000 |
| 0.000 | -0.000 | -0.000 | -0.000 | -31.405 | 0.000 |
| 0.000 | -0.000 | -0.000 | 0.000 | -0.000 | -110.767 |
| 110.056 | 222.927 | 64.043 | 0.000 | 0.000 | -0.000 |
| 222.927 | 110.056 | 64.043 | 0.000 | 0.000 | -0.000 |
| 64.043 | 64.043 | 263.611 | 0.000 | 0.000 | -0.000 |
| 0.000 | -0.000 | 0.000 | -31.405 | 0.000 | 0.000 |
| -0.000 | 0.000 | 0.000 | 0.000 | -31.405 | -0.000 |
| -0.000 | 0.000 | 0.000 | 0.000 | -0.000 | -110.767 |
| 110.057 | 222.928 | 64.043 | -0.000 | -0.000 | 0.000 |
| 222.928 | 110.057 | 64.043 | -0.000 | -0.000 | 0.000 |
| 64.043 | 64.043 | 263.613 | -0.000 | -0.000 | 0.000 |
| -0.000 | 0.000 | -0.000 | -31.405 | -0.000 | 0.000 |
| 0.000 | -0.000 | -0.000 | 0.000 | -31.405 | 0.000 |
| -0.000 | -0.000 | -0.000 | -0.000 | 0.000 | -110.767 |
| 110.056 | 222.927 | 64.043 | 0.000 | 0.000 | -0.000 |
| 222.927 | 110.056 | 64.043 | -0.000 | 0.000 | -0.000 |
| 64.043 | 64.043 | 263.610 | 0.000 | 0.000 | -0.000 |
| 0.000 | -0.000 | 0.000 | -31.405 | -0.000 | -0.000 |
| -0.000 | 0.000 | 0.000 | -0.000 | -31.405 | -0.000 |
| 0.000 | 0.000 | 0.000 | 0.000 | 0.000 | -110.767 |
| 2.858 | 43.451 | 125.065 | -55.213 | -0.000 | 0.000 |
| 43.451 | 2.858 | 125.065 | 55.213 | -0.000 | -0.000 |
| 109.158 | 109.158 | 38.343 | -0.000 | -0.000 | -0.000 |
| -55.213 | 55.213 | 0.000 | 32.666 | -0.000 | 0.000 |
| 0.000 | 0.000 | 0.000 | -0.000 | 32.666 | -55.213 |
| -0.000 | 0.000 | 0.000 | -0.000 | -55.213 | -20.296 |
| 2.858 | 43.451 | 125.065 | -55.213 | 0.000 | -0.000 |
| 43.453 | 2.861 | 125.065 | 55.213 | 0.000 | 0.000 |
| 109.163 | 109.163 | 38.343 | 0.000 | 0.000 | -0.000 |
| -55.211 | 55.216 | -0.000 | 32.666 | -0.000 | -0.000 |
| -0.000 | -0.000 | -0.000 | -0.000 | 32.666 | -55.213 |
| -0.000 | -0.000 | -0.000 | 0.000 | -55.213 | -20.296 |
| 2.858 | 43.451 | 125.065 | -55.213 | -0.000 | 0.000 |
| 43.451 | 2.858 | 125.065 | 55.213 | -0.000 | 0.000 |
| 109.160 | 109.160 | 38.343 | -0.000 | -0.000 | 0.000 |
| -55.214 | 55.213 | 0.000 | 32.666 | -0.000 | 0.000 |
| 0.000 | 0.000 | 0.000 | -0.000 | 32.666 | -55.213 |
| 0.000 | 0.000 | 0.000 | -0.000 | -55.213 | -20.296 |
| 2.858 | 43.451 | 125.065 | -55.213 | -0.000 | -0.000 |
| 43.451 | 2.858 | 125.065 | 55.213 | 0.000 | 0.000 |
| 109.161 | 109.161 | 38.343 | -0.000 | 0.000 | -0.000 |
| -55.213 | 55.214 | -0.000 | 32.666 | 0.000 | -0.000 |
| -0.000 | -0.000 | -0.000 | 0.000 | 32.666 | -55.213 |
| -0.000 | -0.000 | -0.000 | 0.000 | -55.213 | -20.296 |
| 2.858 | 43.451 | 125.066 | -55.214 | 0.000 | 0.000 |
| 43.451 | 2.858 | 125.066 | 55.214 | -0.000 | 0.000 |
| 109.161 | 109.161 | 38.343 | 0.000 | -0.000 | 0.000 |
| -55.213 | 55.213 | 0.000 | 32.666 | 0.000 | 0.000 |
| 0.000 | 0.000 | 0.000 | -0.000 | 32.666 | -55.213 |
| 0.000 | -0.000 | 0.000 | -0.000 | -55.213 | -20.296 |
| 2.858 | 43.451 | 125.065 | -55.213 | -0.000 | -0.000 |
| 43.451 | 2.858 | 125.065 | 55.213 | 0.000 | 0.000 |
| 109.160 | 109.160 | 38.343 | 0.000 | 0.000 | -0.000 |
| -55.214 | 55.213 | -0.000 | 32.666 | 0.000 | 0.000 |
| -0.000 | -0.000 | -0.000 | 0.000 | 32.666 | -55.213 |
| -0.000 | 0.000 | -0.000 | 0.000 | -55.213 | -20.296 |
| 264.840 | 31.104 | 31.104 | 0.000 | -0.000 | -0.000 |
| 31.104 | 264.840 | 31.104 | -0.000 | -0.000 | -0.000 |
| 31.104 | 31.104 | 264.840 | -0.000 | -0.000 | -0.000 |
| -0.000 | -0.000 | -0.000 | -78.556 | -0.000 | 0.000 |
| -0.000 | -0.000 | -0.000 | 0.000 | -78.556 | -0.000 |
| -0.000 | -0.000 | -0.000 | -0.000 | -0.000 | -78.556 |
| 264.840 | 31.104 | 31.104 | 0.000 | 0.000 | -0.000 |
| 31.104 | 264.840 | 31.104 | 0.000 | -0.000 | 0.000 |
| 31.104 | 31.104 | 264.840 | 0.000 | 0.000 | -0.000 |
| 0.000 | 0.000 | 0.000 | -78.556 | 0.000 | 0.000 |
| 0.000 | 0.000 | 0.000 | -0.000 | -78.556 | -0.000 |
| 0.000 | 0.000 | 0.000 | 0.000 | 0.000 | -78.556 |
| 264.840 | 31.104 | 31.104 | -0.000 | -0.000 | 0.000 |
| 31.104 | 264.840 | 31.104 | -0.000 | -0.000 | -0.000 |
| 31.104 | 31.104 | 264.840 | -0.000 | -0.000 | 0.000 |
| 0.000 | 0.000 | -0.000 | -78.556 | 0.000 | -0.000 |
| 0.000 | 0.000 | -0.000 | -0.000 | -78.556 | 0.000 |
| 0.000 | -0.000 | 0.000 | 0.000 | -0.000 | -78.556 |
| 264.839 | 31.104 | 31.104 | 0.000 | 0.000 | 0.000 |
| 31.104 | 264.839 | 31.104 | -0.000 | 0.000 | 0.000 |
| 31.104 | 31.104 | 264.839 | 0.000 | 0.000 | 0.000 |
| -0.000 | -0.000 | 0.000 | -78.556 | 0.000 | 0.000 |
| -0.000 | -0.000 | 0.000 | 0.000 | -78.556 | -0.000 |
| -0.000 | 0.000 | -0.000 | 0.000 | 0.000 | -78.556 |
| 264.841 | 31.104 | 31.104 | 0.000 | -0.000 | 0.000 |
| 31.104 | 264.841 | 31.104 | 0.000 | -0.000 | -0.000 |
| 31.104 | 31.104 | 264.841 | -0.000 | -0.000 | 0.000 |
| 0.000 | 0.000 | -0.000 | -78.556 | -0.000 | 0.000 |
| 0.000 | 0.000 | -0.000 | -0.000 | -78.556 | 0.000 |
| 0.000 | -0.000 | 0.000 | -0.000 | -0.000 | -78.556 |
| 264.838 | 31.104 | 31.104 | 0.000 | 0.000 | 0.000 |
| 31.104 | 264.838 | 31.104 | -0.000 | 0.000 | 0.000 |
| 31.104 | 31.104 | 264.838 | -0.000 | 0.000 | 0.000 |
| -0.000 | -0.000 | 0.000 | -78.556 | 0.000 | -0.000 |
| -0.000 | -0.000 | 0.000 | -0.000 | -78.556 | 0.000 |
| -0.000 | 0.000 | -0.000 | -0.000 | -0.000 | -78.556 |
| 284.962 | 117.049 | 35.847 | -0.000 | -0.000 | 0.000 |
| 117.049 | 284.962 | 35.847 | -0.000 | -0.000 | 0.000 |
| 35.847 | 35.847 | 263.192 | 0.000 | -0.000 | 0.000 |
| -0.000 | 0.000 | 0.000 | -85.682 | -0.000 | 0.000 |
| 0.000 | -0.000 | 0.000 | -0.000 | -85.682 | 0.000 |
| 0.000 | 0.000 | 0.000 | -0.000 | 0.000 | 83.957 |
| 284.962 | 117.049 | 35.847 | 0.000 | -0.000 | -0.000 |
| 117.049 | 284.962 | 35.847 | 0.000 | 0.000 | -0.000 |
| 35.847 | 35.847 | 263.192 | -0.000 | -0.000 | -0.000 |
| 0.000 | -0.000 | -0.000 | -85.682 | -0.000 | -0.000 |
| -0.000 | 0.000 | -0.000 | 0.000 | -85.682 | -0.000 |
| -0.000 | -0.000 | -0.000 | 0.000 | -0.000 | 83.957 |
| 284.962 | 117.049 | 35.847 | -0.000 | -0.000 | 0.000 |
| 117.049 | 284.962 | 35.847 | -0.000 | -0.000 | 0.000 |
| 35.847 | 35.847 | 263.192 | -0.000 | -0.000 | 0.000 |
| -0.000 | 0.000 | -0.000 | -85.682 | 0.000 | 0.000 |
| 0.000 | -0.000 | -0.000 | -0.000 | -85.682 | 0.000 |
| -0.000 | 0.000 | 0.000 | -0.000 | 0.000 | 83.957 |
| 284.962 | 117.048 | 35.847 | 0.000 | 0.000 | -0.000 |
| 117.048 | 284.962 | 35.847 | 0.000 | 0.000 | -0.000 |
| 35.847 | 35.847 | 263.192 | 0.000 | -0.000 | -0.000 |
| 0.000 | -0.000 | 0.000 | -85.682 | 0.000 | -0.000 |
| -0.000 | 0.000 | 0.000 | 0.000 | -85.682 | -0.000 |
| -0.000 | -0.000 | -0.000 | 0.000 | -0.000 | 83.957 |
| 284.963 | 117.049 | 35.847 | -0.000 | -0.000 | 0.000 |
| 117.049 | 284.963 | 35.847 | -0.000 | -0.000 | 0.000 |
| 35.847 | 35.847 | 263.194 | 0.000 | 0.000 | 0.000 |
| -0.000 | 0.000 | -0.000 | -85.682 | 0.000 | 0.000 |
| 0.000 | -0.000 | -0.000 | -0.000 | -85.682 | 0.000 |
| -0.000 | 0.000 | 0.000 | -0.000 | 0.000 | 83.957 |
| 284.960 | 117.048 | 35.847 | 0.000 | 0.000 | -0.000 |
| 117.048 | 284.961 | 35.847 | 0.000 | 0.000 | -0.000 |
| 35.847 | 35.847 | 263.190 | 0.000 | 0.000 | -0.000 |
| 0.000 | -0.000 | 0.000 | -85.682 | 0.000 | -0.000 |
| -0.000 | 0.000 | 0.000 | 0.000 | -85.682 | -0.000 |
| 0.000 | -0.000 | -0.000 | 0.000 | -0.000 | 83.957 |
| 1494.056 | 1476.142 | -1643.781 | 0.000 | 0.000 | 0.000 |
| 1476.142 | 1494.056 | -1643.781 | 0.000 | 0.000 | 0.000 |
| 1403.518 | 1403.518 | -1462.492 | 0.000 | 0.000 | 0.000 |
| -0.000 | -0.000 | 0.000 | 60.874 | 0.000 | 0.000 |
| -0.000 | -0.000 | 0.000 | 0.000 | 60.874 | 0.000 |
| 0.000 | -0.000 | -0.000 | -0.000 | 0.000 | 72.222 |
| 280.810 | 114.367 | 93.636 | 0.000 | -0.000 | -0.000 |
| 114.367 | 280.810 | 93.636 | -0.000 | -0.000 | -0.000 |
| 95.978 | 95.978 | 280.146 | -0.000 | -0.000 | -0.000 |
| -0.000 | 0.000 | -0.000 | 60.874 | -0.000 | -0.000 |
| -0.000 | 0.000 | -0.000 | -0.000 | 60.874 | -0.000 |
| 0.000 | -0.000 | -0.000 | 0.000 | -0.000 | 72.222 |
| 301.631 | 189.617 | -12.958 | 0.000 | 0.000 | 0.000 |
| 189.617 | 301.631 | -12.958 | 0.000 | 0.000 | 0.000 |
| 95.978 | 95.978 | 280.146 | 0.000 | 0.000 | 0.000 |
| 0.000 | 0.000 | 0.000 | 60.874 | 0.000 | 0.000 |
| 0.000 | 0.000 | 0.000 | 0.000 | 60.874 | 0.000 |
| 127.923 | 127.923 | -169.150 | 0.000 | 0.000 | 32.208 |
| 280.810 | 114.367 | 93.636 | -0.000 | -0.000 | -0.000 |
| 114.367 | 280.810 | 93.636 | -0.000 | -0.000 | -0.000 |
| -36.574 | -36.574 | 470.949 | -0.000 | -0.000 | -0.000 |
| -0.000 | -0.000 | -0.000 | 60.874 | -0.000 | -0.000 |
| -0.000 | -0.000 | -0.000 | -0.000 | 60.874 | -0.000 |
| -127.923 | -127.923 | 169.150 | -0.000 | -0.000 | 32.208 |
| 250.048 | 138.185 | 86.733 | 0.000 | 0.000 | 0.000 |
| 138.185 | 250.048 | 86.733 | 0.000 | 0.000 | 0.000 |
| 95.978 | 95.978 | 280.147 | -0.000 | 0.000 | 0.000 |
| 5.211 | 5.211 | -9.522 | 54.940 | 0.000 | 0.000 |
| 5.211 | 5.211 | -9.522 | 0.000 | 54.940 | 0.000 |
| 2.558 | 2.558 | -4.674 | -0.000 | 0.000 | 58.486 |
| 255.227 | 119.975 | 101.097 | 0.000 | -0.000 | -0.000 |
| 119.975 | 255.227 | 101.097 | -0.000 | -0.000 | -0.000 |
| 95.978 | 95.978 | 280.145 | -0.000 | -0.000 | -0.000 |
| -5.211 | -5.211 | 9.522 | 54.940 | -0.000 | -0.000 |
| -5.211 | -5.211 | 9.522 | -0.000 | 54.940 | -0.000 |
| -2.558 | -2.558 | 4.674 | 0.000 | -0.000 | 58.486 |
| 446.720 | 240.946 | -69.356 | 179.701 | 169.747 | 412.712 |
| 121.972 | 254.002 | 114.922 | 0.562 | -1.276 | -0.790 |
| 130.258 | 102.331 | 263.910 | 53.433 | 9.279 | -8.824 |
| 0.613 | -1.307 | 1.316 | 67.838 | 3.239 | 0.168 |
| 221.734 | 99.400 | -190.572 | 178.186 | 201.263 | 415.794 |
| -3.373 | -0.833 | 4.247 | 0.257 | 1.642 | 74.037 |
| 256.485 | 121.793 | 115.846 | 0.964 | 8.898 | -2.005 |
| 121.972 | 254.002 | 114.922 | 0.562 | -1.276 | -0.790 |
| 115.705 | 114.886 | 257.622 | 1.316 | 0.551 | 4.232 |
| 0.613 | -1.307 | 1.316 | 67.838 | 3.239 | 0.168 |
| -215.250 | -119.219 | 201.486 | -174.031 | -122.734 | -417.706 |
| -229.401 | -118.761 | 215.970 | -194.588 | -180.122 | -380.719 |
| 246.420 | 123.576 | 121.749 | 6.508 | 9.186 | -2.857 |
| 121.972 | 254.002 | 114.922 | 0.562 | -1.276 | -0.790 |
| 120.838 | 117.732 | 245.709 | 6.345 | 2.464 | 2.048 |
| 2.040 | -4.426 | 2.909 | 62.982 | 3.797 | 0.311 |
| 1.601 | -1.365 | 0.551 | 3.239 | 67.994 | -0.232 |
| -3.373 | -0.833 | 4.247 | 0.257 | 1.642 | 74.037 |
| 224.988 | 126.563 | 130.961 | -11.818 | -6.034 | 4.233 |
| 124.764 | 244.585 | 117.442 | -6.565 | -4.665 | 0.417 |
| 107.526 | 116.982 | 242.502 | -14.596 | -8.482 | -21.195 |
| -5.576 | -7.967 | 7.069 | 33.392 | -10.705 | 8.723 |
| 1.601 | -1.365 | 0.551 | 3.239 | 67.994 | -0.232 |
| -3.979 | 0.714 | 1.419 | -3.599 | 1.357 | 66.782 |
| 243.718 | 125.610 | 120.656 | 2.002 | 8.448 | -1.745 |
| 121.973 | 254.003 | 114.922 | 0.562 | -1.276 | -0.791 |
| 126.534 | 125.766 | 227.225 | 2.920 | 6.194 | 7.062 |
| 2.727 | -4.937 | 0.216 | 49.555 | 3.841 | 1.572 |
| 2.402 | -4.266 | 1.927 | 3.586 | 56.847 | 0.455 |
| -2.691 | -1.212 | 3.423 | 2.553 | 2.316 | 63.456 |
| 256.484 | 121.793 | 115.846 | 0.964 | 8.898 | -2.005 |
| 126.901 | 239.642 | 120.600 | -2.452 | -4.790 | -0.671 |
| 124.408 | 124.741 | 228.572 | -0.044 | 3.179 | -0.646 |
| 0.613 | -1.307 | 1.316 | 67.838 | 3.239 | 0.168 |
| 1.285 | -10.377 | 6.939 | 0.750 | 39.040 | -3.209 |
| -2.984 | -0.799 | 3.041 | 1.191 | 2.091 | 64.560 |
| 302.873 | 99.727 | 63.431 | 70.342 | -36.706 | 50.350 |
| 320.941 | 283.453 | -91.223 | -29.390 | -21.885 | 175.719 |
| 318.889 | 202.604 | -14.556 | -26.018 | -10.549 | 173.704 |
| 79.846 | -24.696 | -52.272 | 130.231 | -31.966 | 48.391 |
| 214.716 | 104.441 | -227.020 | -70.532 | -19.518 | 359.298 |
| 79.255 | -15.452 | -48.395 | 70.395 | -29.119 | 108.153 |
| 234.319 | 113.768 | 108.276 | -0.613 | -3.843 | 1.774 |
| 112.566 | 243.756 | 108.429 | -7.615 | -4.220 | 2.222 |
| 32.568 | 131.421 | 273.775 | -74.831 | 28.829 | -46.725 |
| 0.534 | -7.485 | -2.065 | 66.685 | 1.302 | -1.097 |
| -81.801 | 12.663 | 45.413 | -71.265 | 89.347 | -46.456 |
| -1.369 | 2.174 | 1.972 | -2.640 | 3.615 | 67.983 |
| 230.375 | 115.871 | 108.025 | 5.218 | -6.955 | 6.651 |
| 124.305 | 229.946 | 107.399 | 0.011 | -10.044 | 7.381 |
| 108.230 | 109.620 | 236.454 | -2.065 | -6.060 | 2.727 |
| 7.397 | -8.556 | -7.739 | 64.724 | -2.214 | 4.714 |
| 6.783 | -7.024 | -9.130 | 8.431 | 53.021 | 7.026 |
| -1.369 | 2.174 | 1.972 | -2.640 | 3.615 | 67.983 |
| 234.319 | 113.768 | 108.276 | -0.613 | -3.843 | 1.774 |
| 112.566 | 243.756 | 108.429 | -7.615 | -4.220 | 2.222 |
| 108.230 | 109.620 | 236.454 | -2.065 | -6.060 | 2.727 |
| -24.597 | -18.226 | 20.205 | 36.486 | 6.010 | -38.914 |
| -9.395 | -3.494 | 0.885 | -6.133 | 59.427 | -2.731 |
| -9.319 | 4.261 | 6.110 | -9.281 | 7.294 | 54.545 |
| 234.320 | 113.768 | 108.276 | -0.613 | -3.843 | 1.774 |
| 125.527 | 212.292 | 118.258 | -8.017 | -10.459 | 4.072 |
| 120.394 | 119.302 | 209.198 | -3.244 | -2.278 | 2.875 |
| -0.457 | -6.634 | -3.459 | 54.553 | 0.748 | 0.609 |
| -1.517 | -2.676 | -6.060 | 1.302 | 65.121 | 1.619 |
| -0.013 | 2.748 | -0.408 | -2.700 | 3.282 | 52.274 |
| 234.318 | 113.767 | 108.275 | -0.613 | -3.843 | 1.774 |
| 120.686 | 215.328 | 119.153 | -6.477 | -9.191 | 0.976 |
| 119.774 | 120.755 | 205.201 | -1.174 | -1.519 | 0.114 |
| -1.823 | -6.513 | -2.038 | 56.583 | 1.588 | -0.884 |
| -1.517 | -2.676 | -6.060 | 1.302 | 65.121 | 1.619 |
| -1.369 | 2.173 | 1.971 | -2.640 | 3.615 | 67.983 |
| 250.748 | 148.298 | 121.595 | -0.000 | 0.000 | 0.000 |
| 149.793 | 234.084 | 125.453 | -0.000 | 0.000 | 0.000 |
| 122.566 | 124.928 | 279.949 | -0.000 | 0.000 | 0.000 |
| 0.000 | 0.000 | 0.000 | 47.714 | 0.000 | -0.000 |
| -0.000 | 0.000 | 0.000 | 0.000 | 39.953 | 0.000 |
| -0.000 | 0.000 | 0.000 | -0.000 | 0.000 | 29.212 |
| 250.748 | 148.298 | 121.595 | 0.000 | -0.000 | -0.000 |
| 149.793 | 234.084 | 125.453 | 0.000 | -0.000 | -0.000 |
| 122.566 | 124.928 | 279.949 | 0.000 | -0.000 | 0.000 |
| -0.000 | -0.000 | -0.000 | 47.714 | -0.000 | -0.000 |
| 0.000 | -0.000 | -0.000 | 0.000 | 39.953 | 0.000 |
| 0.000 | -0.000 | -0.000 | 0.000 | -0.000 | 29.212 |
| 250.748 | 148.298 | 121.595 | -0.000 | 0.000 | -0.000 |
| 149.793 | 234.084 | 125.453 | -0.000 | 0.000 | 0.000 |
| 122.566 | 124.928 | 279.949 | -0.000 | 0.000 | 0.000 |
| 0.000 | -0.000 | 0.000 | 47.714 | -0.000 | 0.000 |
| -0.000 | 0.000 | 0.000 | -0.000 | 39.953 | 0.000 |
| -0.000 | 0.000 | -0.000 | -0.000 | 0.000 | 29.212 |
| 250.748 | 148.298 | 121.595 | 0.000 | -0.000 | -0.000 |
| 149.793 | 234.084 | 125.453 | 0.000 | -0.000 | -0.000 |
| 122.566 | 124.928 | 279.949 | 0.000 | -0.000 | -0.000 |
| -0.000 | 0.000 | -0.000 | 47.714 | -0.000 | -0.000 |
| 0.000 | -0.000 | -0.000 | 0.000 | 39.953 | 0.000 |
| 0.000 | -0.000 | 0.000 | 0.000 | -0.000 | 29.212 |
| 250.749 | 148.298 | 121.595 | -0.000 | 0.000 | -0.000 |
| 149.794 | 234.085 | 125.453 | -0.000 | 0.000 | 0.000 |
| 122.566 | 124.928 | 279.950 | -0.000 | 0.000 | 0.000 |
| 0.000 | -0.000 | 0.000 | 47.714 | 0.000 | -0.000 |
| -0.000 | 0.000 | 0.000 | -0.000 | 39.953 | -0.000 |
| -0.000 | 0.000 | -0.000 | -0.000 | 0.000 | 29.212 |
| 250.747 | 148.297 | 121.595 | 0.000 | -0.000 | -0.000 |
| 149.792 | 234.083 | 125.452 | 0.000 | -0.000 | -0.000 |
| 122.565 | 124.927 | 279.948 | 0.000 | -0.000 | -0.000 |
| -0.000 | 0.000 | -0.000 | 47.714 | -0.000 | -0.000 |
| 0.000 | -0.000 | -0.000 | 0.000 | 39.953 | -0.000 |
| 0.000 | -0.000 | 0.000 | 0.000 | -0.000 | 29.212 |
| 452.138 | 325.329 | 325.329 | 0.000 | -0.000 | 0.000 |
| 325.329 | 452.138 | 325.329 | 0.000 | 0.000 | 0.000 |
| 325.329 | 325.329 | 452.138 | -0.000 | 0.000 | 0.000 |
| 0.000 | -0.000 | -0.000 | 64.671 | 0.000 | 0.000 |
| -0.000 | -0.000 | 0.000 | 0.000 | 64.671 | 0.000 |
| 0.000 | -0.000 | 0.000 | 0.000 | 0.000 | 64.671 |
| 280.023 | 112.572 | 112.572 | -0.000 | -0.000 | 0.000 |
| 112.572 | 280.023 | 112.572 | -0.000 | 0.000 | 0.000 |
| 112.572 | 112.572 | 280.023 | -0.000 | -0.000 | -0.000 |
| 0.000 | 0.000 | -0.000 | 64.671 | -0.000 | 0.000 |
| -0.000 | 0.000 | -0.000 | -0.000 | 64.671 | 0.000 |
| -0.000 | 0.000 | 0.000 | -0.000 | 0.000 | 64.671 |
| 280.023 | 112.572 | 112.572 | 0.000 | 0.000 | -0.000 |
| 112.572 | 280.023 | 112.572 | 0.000 | -0.000 | 0.000 |
| 112.572 | 112.572 | 280.023 | 0.000 | -0.000 | 0.000 |
| 0.000 | 0.000 | 0.000 | 64.671 | -0.000 | -0.000 |
| 0.000 | 0.000 | 0.000 | 0.000 | 64.671 | -0.000 |
| 0.000 | 0.000 | 0.000 | 0.000 | 0.000 | 64.671 |
| 233.260 | 104.427 | 104.427 | -0.000 | 0.000 | 0.000 |
| 104.427 | 233.260 | 104.427 | -0.000 | 0.000 | 0.000 |
| 104.427 | 104.427 | 233.260 | -0.000 | 0.000 | -0.000 |
| -0.000 | -0.000 | -0.000 | 64.671 | 0.000 | 0.000 |
| -0.000 | -0.000 | -0.000 | -0.000 | 64.671 | 0.000 |
| -0.000 | -0.000 | -0.000 | -0.000 | 0.000 | 64.671 |
| 263.987 | 120.482 | 120.482 | 0.000 | 0.000 | 0.000 |
| 120.482 | 263.987 | 120.482 | 0.000 | -0.000 | -0.000 |
| 120.482 | 120.482 | 263.987 | 0.000 | 0.000 | 0.000 |
| 0.000 | 0.000 | 0.000 | 64.671 | 0.000 | -0.000 |
| 0.000 | 0.000 | 0.000 | 0.000 | 64.671 | -0.000 |
| 0.000 | 0.000 | 0.000 | 0.000 | 0.000 | 64.671 |
| 256.700 | 120.247 | 120.247 | -0.000 | -0.000 | -0.000 |
| 120.247 | 256.700 | 120.247 | -0.000 | 0.000 | -0.000 |
| 120.247 | 120.247 | 256.700 | -0.000 | 0.000 | 0.000 |
| -0.000 | -0.000 | -0.000 | 64.671 | -0.000 | 0.000 |
| -0.000 | -0.000 | -0.000 | -0.000 | 64.671 | 0.000 |
| -0.000 | -0.000 | -0.000 | -0.000 | 0.000 | 64.671 |
| 280.017 | 112.569 | 112.569 | 0.000 | -0.000 | -0.000 |
| 112.569 | 280.017 | 112.569 | 0.000 | 0.000 | -0.000 |
| 112.569 | 112.569 | 280.017 | 0.000 | 0.000 | -0.000 |
| 467.104 | 467.104 | 467.104 | 33.120 | -0.000 | -0.000 |
| 467.104 | 467.104 | 467.104 | -0.000 | 33.120 | -0.000 |
| 467.104 | 467.104 | 467.104 | 0.000 | -0.000 | 33.120 |
| -225.683 | -338.378 | -338.378 | 0.000 | 0.000 | 0.000 |
| -338.378 | -225.683 | -338.378 | 0.000 | -0.000 | 0.000 |
| -338.378 | -338.378 | -225.683 | -0.000 | 0.000 | 0.000 |
| -467.104 | -467.104 | -467.104 | 33.120 | -0.000 | 0.000 |
| -467.104 | -467.104 | -467.104 | -0.000 | 33.120 | 0.000 |
| -467.104 | -467.104 | -467.104 | -0.000 | 0.000 | 33.120 |
| 280.017 | 112.569 | 112.569 | 0.000 | 0.000 | -0.000 |
| 112.569 | 280.017 | 112.569 | 0.000 | 0.000 | -0.000 |
| 112.569 | 112.569 | 280.017 | 0.000 | 0.000 | -0.000 |
| 0.000 | 0.000 | 0.000 | 64.670 | 0.000 | -0.000 |
| 0.000 | 0.000 | 0.000 | 0.000 | 64.670 | -0.000 |
| 0.000 | 0.000 | 0.000 | -0.000 | 0.000 | 64.670 |
| 280.017 | 112.569 | 112.569 | -0.000 | -0.000 | 0.000 |
| 112.569 | 280.017 | 112.569 | -0.000 | -0.000 | 0.000 |
| 112.569 | 112.569 | 280.017 | -0.000 | -0.000 | 0.000 |
| -0.000 | -0.000 | -0.000 | 64.670 | -0.000 | 0.000 |
| -0.000 | -0.000 | -0.000 | -0.000 | 64.670 | 0.000 |
| -0.000 | -0.000 | -0.000 | -0.000 | -0.000 | 64.670 |
| 280.018 | 112.569 | 112.569 | -0.000 | 0.000 | -0.000 |
| 112.569 | 280.018 | 112.569 | 0.000 | 0.000 | -0.000 |
| 112.569 | 112.569 | 280.018 | 0.000 | 0.000 | -0.000 |
| 6.695 | 6.695 | 6.695 | 48.267 | -0.000 | -0.000 |
| 6.695 | 6.695 | 6.695 | -0.000 | 48.267 | -0.000 |
| 6.695 | 6.695 | 6.695 | 0.000 | 0.000 | 48.267 |
| 253.211 | 120.028 | 120.028 | -0.000 | -0.000 | 0.000 |
| 120.028 | 253.211 | 120.028 | -0.000 | -0.000 | 0.000 |
| 120.028 | 120.028 | 253.211 | -0.000 | 0.000 | 0.000 |
| -6.695 | -6.695 | -6.695 | 48.267 | -0.000 | 0.000 |
| -6.695 | -6.695 | -6.695 | -0.000 | 48.267 | 0.000 |
| -6.695 | -6.695 | -6.695 | -0.000 | 0.000 | 48.267 |
| 222.874 | 135.419 | 135.419 | -0.000 | 0.000 | -0.000 |
| 135.419 | 222.874 | 135.419 | -0.000 | 0.000 | -0.000 |
| 135.419 | 135.419 | 222.874 | -0.000 | 0.000 | -0.000 |
| -0.174 | -0.174 | -0.174 | 56.945 | 0.000 | -0.000 |
| -0.174 | -0.174 | -0.174 | -0.000 | 56.945 | -0.000 |
| -0.174 | -0.174 | -0.174 | -0.000 | 0.000 | 56.945 |
| 234.320 | 134.360 | 134.360 | -0.000 | 0.000 | 0.000 |
| 134.360 | 234.320 | 134.360 | -0.000 | 0.000 | 0.000 |
| 134.360 | 134.360 | 234.320 | -0.000 | -0.000 | 0.000 |
| 0.174 | 0.174 | 0.174 | 56.945 | -0.000 | 0.000 |
| 0.174 | 0.174 | 0.174 | 0.000 | 56.945 | 0.000 |
| 0.174 | 0.174 | 0.174 | 0.000 | -0.000 | 56.945 |
| 227.598 | 136.019 | 136.019 | -0.000 | 0.000 | -0.000 |
| 136.019 | 227.598 | 136.019 | -0.000 | 0.000 | -0.000 |
| 136.019 | 136.019 | 227.598 | -0.000 | 0.000 | -0.000 |
| -0.015 | -0.015 | -0.015 | 58.727 | 0.000 | -0.000 |
| -0.015 | -0.015 | -0.015 | -0.000 | 58.727 | -0.000 |
| -0.015 | -0.015 | -0.015 | -0.000 | 0.000 | 58.727 |
| 227.685 | 136.033 | 136.033 | 0.000 | -0.000 | 0.000 |
| 136.033 | 227.685 | 136.033 | 0.000 | -0.000 | 0.000 |
| 136.033 | 136.033 | 227.685 | 0.000 | -0.000 | 0.000 |
| 0.015 | 0.015 | 0.015 | 58.727 | -0.000 | 0.000 |
| 0.015 | 0.015 | 0.015 | 0.000 | 58.727 | 0.000 |
| 0.015 | 0.015 | 0.015 | 0.000 | -0.000 | 58.727 |
| 223.528 | 137.633 | 137.633 | -0.000 | 0.000 | -0.000 |
| 137.633 | 223.528 | 137.633 | -0.000 | 0.000 | -0.000 |
| 137.633 | 137.633 | 223.528 | -0.000 | 0.000 | -0.000 |
| 0.000 | 0.000 | 0.000 | 71.216 | -0.000 | -0.000 |
| 0.000 | 0.000 | 0.000 | 0.000 | 71.216 | -0.000 |
| 0.000 | 0.000 | 0.000 | 0.000 | -0.000 | 71.216 |
| 234.319 | 134.359 | 134.359 | -0.000 | -0.000 | 0.000 |
| 134.359 | 234.319 | 134.359 | -0.000 | 0.000 | 0.000 |
| 134.359 | 134.359 | 234.319 | -0.000 | -0.000 | 0.000 |
| -0.000 | -0.000 | -0.000 | 71.216 | 0.000 | 0.000 |
| -0.000 | -0.000 | -0.000 | -0.000 | 71.216 | 0.000 |
| -0.000 | -0.000 | -0.000 | -0.000 | 0.000 | 71.216 |
| 206.969 | 125.293 | 93.017 | -0.000 | -0.000 | 0.000 |
| 127.241 | 292.214 | 46.561 | -0.000 | -0.000 | 0.000 |
| 95.336 | 46.932 | 280.049 | 0.000 | -0.000 | 0.000 |
| -0.000 | -0.000 | -0.000 | -46.082 | -0.000 | 0.000 |
| 0.000 | -0.000 | 0.000 | -0.000 | -376.166 | 0.000 |
| -0.000 | 0.000 | 0.000 | 0.000 | -0.000 | 97.194 |
| 206.969 | 125.293 | 93.016 | -0.000 | 0.000 | -0.000 |
| 133.943 | 293.865 | 50.121 | -0.000 | 0.000 | -0.000 |
| 109.781 | 50.492 | 287.721 | -0.000 | 0.000 | -0.000 |
| 0.000 | 0.000 | -0.000 | -46.082 | 0.000 | -0.000 |
| -0.000 | 0.000 | -0.000 | 0.000 | -376.166 | -0.000 |
| 0.000 | -0.000 | -0.000 | -0.000 | 0.000 | 97.194 |
| 234.167 | 131.995 | 107.462 | 0.000 | -0.000 | 0.000 |
| 127.241 | 292.214 | 46.561 | 0.000 | -0.000 | 0.000 |
| 95.336 | 46.932 | 280.049 | 0.000 | -0.000 | 0.000 |
| -0.000 | 0.000 | -0.000 | -46.082 | -0.000 | 0.000 |
| 0.000 | -0.000 | -0.000 | -0.000 | -376.166 | 0.000 |
| -0.000 | 0.000 | -0.000 | -0.000 | -0.000 | 97.194 |
| 206.969 | 125.293 | 93.017 | -0.000 | 0.000 | -0.000 |
| 127.241 | 292.213 | 46.561 | -0.000 | 0.000 | -0.000 |
| 95.336 | 46.932 | 280.049 | -0.000 | 0.000 | -0.000 |
| 0.000 | -0.000 | 0.000 | -46.082 | 0.000 | -0.000 |
| -0.000 | 0.000 | 0.000 | -0.000 | -376.166 | -0.000 |
| 0.000 | -0.000 | 0.000 | 0.000 | 0.000 | 97.194 |
| 206.970 | 125.293 | 93.017 | 0.000 | 0.000 | 0.000 |
| 127.242 | 292.215 | 46.561 | 0.000 | -0.000 | 0.000 |
| 95.336 | 46.932 | 280.051 | 0.000 | -0.000 | 0.000 |
| -10459956.548 | 7069755.134 | -10173082.827 | -9413765.572 | 0.000 | 0.000 |
| 0.000 | -0.001 | -0.001 | 0.000 | -376.166 | 0.000 |
| -0.000 | 0.000 | 0.000 | 0.000 | -0.000 | 97.194 |
| 206.969 | 125.292 | 93.016 | 0.000 | 0.000 | -0.000 |
| 133.943 | 293.864 | 50.121 | -0.000 | 0.000 | -0.000 |
| 95.336 | 46.932 | 280.047 | 0.000 | 0.000 | -0.000 |
| 10459956.548 | -7069755.134 | 10173082.827 | -9413765.572 | -0.000 | -0.000 |
| -0.000 | 0.001 | 0.001 | -0.000 | -376.166 | -0.000 |
| 0.000 | -0.000 | -0.000 | -0.000 | 0.000 | 97.194 |
| 279.942 | 138.342 | 111.125 | -0.000 | -0.000 | 0.000 |
| 142.357 | 237.138 | 118.780 | 0.000 | -0.000 | 0.000 |
| 115.913 | 119.554 | 265.839 | -0.000 | -0.000 | 0.000 |
| 0.000 | 0.000 | 0.000 | 48.136 | -0.000 | 0.000 |
| 0.000 | 0.000 | 0.000 | -0.000 | 32.225 | -0.000 |
| -0.000 | 0.000 | 0.000 | -0.000 | -0.000 | 19.358 |
| 279.942 | 138.342 | 111.125 | 0.000 | 0.000 | -0.000 |
| 142.357 | 237.138 | 118.780 | 0.000 | -0.000 | -0.000 |
| 115.913 | 119.554 | 265.839 | 0.000 | 0.000 | -0.000 |
| -0.000 | -0.000 | -0.000 | 48.136 | 0.000 | -0.000 |
| -0.000 | -0.000 | -0.000 | -0.000 | 32.225 | -0.000 |
| 0.000 | -0.000 | -0.000 | -0.000 | 0.000 | 19.358 |
| 279.942 | 138.342 | 111.125 | 0.000 | -0.000 | 0.000 |
| 142.357 | 237.138 | 118.780 | 0.000 | -0.000 | 0.000 |
| 115.913 | 119.554 | 265.839 | -0.000 | -0.000 | 0.000 |
| 0.000 | -0.000 | 0.000 | 48.136 | -0.000 | 0.000 |
| -0.000 | 0.000 | 0.000 | -0.000 | 32.225 | 0.000 |
| -0.000 | 0.000 | -0.000 | 0.000 | -0.000 | 19.358 |
| 279.942 | 138.342 | 111.125 | -0.000 | 0.000 | -0.000 |
| 142.357 | 237.138 | 118.780 | 0.000 | 0.000 | -0.000 |
| 115.913 | 119.554 | 265.839 | 0.000 | 0.000 | -0.000 |
| -0.000 | 0.000 | -0.000 | 48.136 | 0.000 | -0.000 |
| 0.000 | -0.000 | -0.000 | 0.000 | 32.225 | 0.000 |
| 0.000 | -0.000 | 0.000 | -0.000 | 0.000 | 19.358 |
| 279.943 | 138.342 | 111.125 | 0.000 | -0.000 | 0.000 |
| 142.358 | 237.139 | 118.780 | -0.000 | -0.000 | 0.000 |
| 115.914 | 119.554 | 265.840 | 0.000 | -0.000 | 0.000 |
| 0.000 | -0.000 | 0.000 | 48.136 | -0.000 | 0.000 |
| -0.000 | 0.000 | 0.000 | -0.000 | 32.225 | 0.000 |
| -0.000 | 0.000 | -0.000 | 0.000 | -0.000 | 19.358 |
| 279.940 | 138.342 | 111.124 | 0.000 | 0.000 | -0.000 |
| 142.357 | 237.137 | 118.780 | 0.000 | 0.000 | -0.000 |
| 115.913 | 119.553 | 265.838 | 0.000 | 0.000 | -0.000 |
| -0.000 | 0.000 | -0.000 | 48.136 | 0.000 | -0.000 |
| 0.000 | -0.000 | -0.000 | 0.000 | 32.225 | -0.000 |
| 0.000 | -0.000 | 0.000 | -0.000 | 0.000 | 19.358 |
| -4438406.926 | 44769913.246 | -3531176.558 | 5863274.198 | -5727855.857 | -1184376.888 |
| -5095185.483 | 42899313.832 | 1116032.327 | 4542272.884 | -8125379.098 | 2265255.668 |
| 3587564.168 | 47678698.276 | 63222.450 | 1922834.829 | -6270948.329 | 2095511.172 |
| 3587537.687 | 47678682.100 | 63127.621 | 1922858.561 | -6270945.993 | 2095503.852 |
| 3587538.173 | 47678682.099 | 63124.160 | 1922834.915 | -6270916.074 | 2095508.538 |
| -5936515.075 | 45374821.764 | -10061237.603 | 7209597.811 | -4365356.856 | -1588620.006 |
| -3587470.323 | -47678657.697 | -63097.151 | -1922831.040 | 6270965.479 | -2095508.689 |
| -3587504.695 | -47678575.507 | -63105.811 | -1922836.423 | 6270945.369 | -2095512.341 |
| -3587505.756 | -47678668.357 | -63030.364 | -1922834.405 | 6270945.025 | -2095507.023 |
| -3587536.519 | -47678685.307 | -63126.477 | -1922808.904 | 6270947.123 | -2095510.543 |
| -3587534.475 | -47678684.542 | -63128.787 | -1922832.105 | 6270976.852 | -2095506.936 |
| 5420193.857 | -46656611.770 | 6508914.043 | -6702097.396 | 4582264.460 | 1628842.393 |
| 358821.377 | 4767895.379 | 6341.433 | 192284.436 | -627074.128 | 209551.781 |
| -715703.434 | 3879788.985 | -284082.285 | 585838.347 | -960332.644 | 247270.242 |
| 358783.495 | 4767884.056 | 6409.333 | 192283.586 | -627096.252 | 209552.158 |
| 358754.008 | 4767866.391 | 6312.471 | 192308.343 | -627094.081 | 209548.154 |
| -611590.838 | 4525736.613 | -1037543.824 | 726486.885 | -446464.680 | -157630.256 |
| 358754.625 | 4767868.045 | 6313.524 | 192280.287 | -627094.942 | 209582.362 |
| -358685.876 | -4767841.388 | -6284.134 | -192282.399 | 627115.179 | -209549.782 |
| -358725.894 | -4767763.595 | -6297.199 | -192285.050 | 627093.913 | -209551.318 |
| -358722.993 | -4767852.132 | -6215.311 | -192283.348 | 627093.052 | -209550.085 |
| 516061.179 | -4281810.913 | -101836.861 | -463025.473 | 808249.760 | -216734.906 |
| -358750.050 | -4767868.788 | -6314.279 | -192283.038 | 627125.377 | -209551.087 |
| -358752.415 | -4767868.559 | -6311.643 | -192286.658 | 627094.362 | -209519.457 |
| 26795.069 | 482289.132 | -3678.240 | 22324.927 | -59033.878 | 23921.740 |
| 31272.721 | 488443.726 | 1938.254 | 23039.308 | -56128.365 | 24375.823 |
| -97182.889 | 304538.544 | -42382.776 | 77328.500 | -77519.803 | -7471.105 |
| 35876.024 | 476785.092 | 631.403 | 19253.280 | -62709.047 | 20952.166 |
| -80577.491 | 377515.406 | -27433.943 | 59570.703 | -104377.416 | 28120.088 |
| -51604.811 | 428181.206 | 10183.759 | 46301.997 | -80825.326 | 21704.342 |
| -35807.595 | -476759.837 | -602.642 | -19227.363 | 62730.006 | -20954.133 |
| 50857.038 | -468570.707 | 61006.240 | -66160.435 | 45168.253 | 16981.997 |
| 71598.806 | -387954.957 | 28500.196 | -58584.499 | 96030.739 | -24725.990 |
| 108775.717 | -308588.424 | 22871.255 | -76028.411 | 73130.226 | 529.941 |
| -35871.828 | -476787.316 | -632.883 | -19227.929 | 62740.196 | -20955.380 |
| -26726.987 | -482262.285 | 3706.748 | -22326.866 | 59054.230 | -23889.148 |
| 255.011 | 138.509 | 121.958 | 10.299 | 0.000 | -0.000 |
| 138.509 | 255.010 | 121.958 | -10.299 | 0.000 | 0.000 |
| 121.965 | 121.965 | 281.065 | 0.000 | 0.000 | -0.000 |
| 10.299 | -10.299 | 0.000 | 42.036 | 0.000 | -0.000 |
| 0.000 | 0.000 | 0.000 | 0.000 | 41.988 | 11.233 |
| 0.000 | 0.000 | 0.000 | 0.000 | 11.233 | 39.946 |
| 255.010 | 138.509 | 121.958 | 10.299 | -0.000 | 0.000 |
| 138.509 | 255.010 | 121.958 | -10.299 | -0.000 | -0.000 |
| 121.959 | 121.959 | 281.062 | -0.000 | -0.000 | 0.000 |
| 10.299 | -10.299 | -0.000 | 42.036 | -0.000 | 0.000 |
| -0.000 | -0.000 | -0.000 | -0.000 | 41.988 | 11.233 |
| -0.000 | -0.000 | -0.000 | -0.000 | 11.233 | 39.946 |
| 255.011 | 138.509 | 121.958 | 10.299 | 0.000 | -0.000 |
| 138.509 | 255.011 | 121.958 | -10.299 | 0.000 | -0.000 |
| 121.959 | 121.959 | 281.063 | 0.000 | 0.000 | -0.000 |
| 10.299 | -10.299 | 0.000 | 42.036 | 0.000 | -0.000 |
| -0.000 | 0.000 | 0.000 | 0.000 | 42.036 | 10.299 |
| -0.000 | 0.000 | 0.000 | 0.000 | 10.299 | 58.251 |
| 255.010 | 138.509 | 121.958 | 10.299 | -0.000 | 0.000 |
| 138.509 | 255.010 | 121.958 | -10.299 | -0.000 | 0.000 |
| 121.965 | 121.965 | 281.065 | -0.000 | -0.000 | -0.000 |
| 10.299 | -10.299 | -0.000 | 42.036 | -0.000 | 0.000 |
| 0.000 | -0.000 | -0.000 | -0.000 | 42.036 | 10.299 |
| 0.000 | -0.000 | -0.000 | -0.000 | 10.299 | 58.251 |
| 255.012 | 138.510 | 121.958 | 10.299 | 0.000 | 0.000 |
| 156.485 | 236.897 | 121.929 | -11.219 | 0.000 | -0.000 |
| 121.959 | 121.959 | 281.064 | 0.000 | 0.000 | -0.000 |
| 10.299 | -10.299 | 0.000 | 42.036 | 0.000 | 0.000 |
| -0.000 | 0.000 | 0.000 | 0.000 | 42.036 | 10.299 |
| -0.000 | 0.000 | 0.000 | 0.000 | 10.299 | 58.251 |
| 236.690 | 156.799 | 121.952 | 11.233 | -0.000 | -0.000 |
| 156.798 | 236.690 | 121.952 | -11.233 | -0.000 | -0.000 |
| 121.958 | 121.958 | 281.061 | -0.000 | -0.000 | -0.000 |
| 11.233 | -11.233 | -0.000 | 41.989 | -0.000 | -0.000 |
| 0.000 | -0.000 | -0.000 | -0.000 | 42.036 | 10.299 |
| 0.000 | -0.000 | -0.000 | -0.000 | 10.299 | 58.251 |
| 236.869 | 156.475 | 121.947 | 11.221 | -0.000 | 0.000 |
| 156.475 | 236.869 | 121.947 | -11.221 | 0.000 | 0.000 |
| 121.975 | 121.975 | 281.091 | 0.000 | 0.000 | 0.000 |
| 10.301 | -10.301 | 0.000 | 42.044 | 0.000 | -0.000 |
| -0.000 | 0.000 | 0.000 | 0.000 | 41.996 | 11.234 |
| -0.000 | 0.000 | 0.000 | -0.000 | 10.301 | 58.243 |
| 254.985 | 138.498 | 121.975 | 10.301 | -0.000 | 0.000 |
| 138.498 | 254.985 | 121.975 | -10.301 | -0.000 | -0.000 |
| 121.969 | 121.969 | 281.088 | 0.000 | -0.000 | -0.000 |
| 11.234 | -11.234 | -0.000 | 41.996 | -0.000 | 0.000 |
| 0.000 | -0.000 | -0.000 | -0.000 | 41.996 | 11.234 |
| 0.000 | -0.000 | -0.000 | -0.000 | 10.301 | 58.243 |
| 236.869 | 156.475 | 121.947 | 11.221 | 0.000 | 0.000 |
| 156.475 | 236.869 | 121.947 | -11.221 | 0.000 | 0.000 |
| 121.975 | 121.975 | 281.091 | -0.000 | 0.000 | 0.000 |
| 11.234 | -11.234 | 0.000 | 41.996 | 0.000 | 0.000 |
| -0.000 | 0.000 | 0.000 | 0.000 | 41.996 | 11.234 |
| -0.000 | 0.000 | 0.000 | 0.000 | 10.301 | 58.243 |
| 254.985 | 138.498 | 121.975 | 10.301 | -0.000 | -0.000 |
| 156.475 | 236.869 | 121.947 | -11.221 | -0.000 | -0.000 |
| 121.975 | 121.975 | 281.091 | -0.000 | -0.000 | -0.000 |
| 11.234 | -11.234 | -0.000 | 41.996 | -0.000 | -0.000 |
| 0.000 | -0.000 | -0.000 | -0.000 | 41.996 | 11.234 |
| 0.000 | -0.000 | -0.000 | -0.000 | 10.301 | 58.243 |
| 254.986 | 138.499 | 121.976 | 10.301 | -0.000 | 0.000 |
| 138.499 | 254.986 | 121.976 | -10.301 | 0.000 | -0.000 |
| 121.970 | 121.970 | 281.089 | -0.000 | 0.000 | -0.000 |
| 11.235 | -11.235 | 0.000 | 41.996 | 0.000 | -0.000 |
| -0.000 | 0.000 | 0.000 | 0.000 | 41.996 | 11.234 |
| -0.000 | 0.000 | -0.000 | 0.000 | 11.234 | 39.937 |
| 236.662 | 156.790 | 121.969 | 11.234 | 0.000 | -0.000 |
| 156.475 | 236.868 | 121.946 | -11.221 | -0.000 | -0.000 |
| 121.975 | 121.975 | 281.090 | 0.000 | -0.000 | -0.000 |
| 11.234 | -11.234 | -0.000 | 41.996 | -0.000 | 0.000 |
| 0.000 | -0.000 | -0.000 | -0.000 | 41.996 | 11.234 |
| 0.000 | -0.000 | 0.000 | -0.000 | 11.234 | 39.937 |
| 280.162 | 114.041 | 94.234 | 0.000 | 0.000 | -0.000 |
| 114.041 | 280.162 | 94.234 | 0.000 | 0.000 | 0.000 |
| 96.027 | 96.027 | 284.090 | -0.000 | -0.000 | 0.000 |
| 24.165 | 24.165 | -44.302 | 58.749 | 0.000 | 0.000 |
| 24.165 | 24.165 | -44.302 | -0.000 | 58.749 | 0.000 |
| 24.165 | 24.165 | -44.302 | 0.000 | 0.000 | 63.276 |
| 280.162 | 114.041 | 94.234 | -0.000 | -0.000 | -0.000 |
| 114.041 | 280.162 | 94.234 | -0.000 | -0.000 | -0.000 |
| 72.383 | 72.383 | 323.040 | 0.000 | 0.000 | -0.000 |
| -24.165 | -24.165 | 44.302 | 58.749 | 0.000 | -0.000 |
| -24.165 | -24.165 | 44.302 | 0.000 | 58.749 | -0.000 |
| -24.165 | -24.165 | 44.302 | -0.000 | -0.000 | 63.276 |
| 259.256 | 199.734 | 58.916 | -0.000 | -0.000 | -0.000 |
| 199.734 | 259.256 | 58.916 | -0.000 | -0.000 | 0.000 |
| 98.935 | 98.935 | 274.544 | -0.000 | 0.000 | 0.000 |
| 0.000 | 0.000 | 0.000 | 60.703 | 0.000 | 0.000 |
| 0.000 | 0.000 | 0.000 | -0.000 | 60.703 | 0.000 |
| 0.000 | 0.000 | 0.000 | 0.000 | 0.000 | 72.175 |
| 280.162 | 114.041 | 94.234 | -0.000 | -0.000 | -0.000 |
| 114.041 | 280.162 | 94.234 | -0.000 | -0.000 | -0.000 |
| 57.947 | 57.947 | 323.683 | 0.000 | 0.000 | -0.000 |
| -0.000 | -0.000 | -0.000 | 60.703 | -0.000 | -0.000 |
| -0.000 | -0.000 | -0.000 | 0.000 | 60.703 | -0.000 |
| -0.000 | -0.000 | -0.000 | -0.000 | -0.000 | 72.175 |
| 280.163 | 114.041 | 94.234 | 0.000 | 0.000 | 0.000 |
| 114.041 | 280.163 | 94.234 | 0.000 | 0.000 | 0.000 |
| 96.757 | 96.757 | 278.984 | 0.000 | 0.000 | -0.000 |
| 1.501 | 1.501 | -0.265 | 54.604 | 0.000 | -0.000 |
| 1.501 | 1.501 | -0.265 | -0.000 | 54.604 | 0.000 |
| 0.000 | 0.000 | 0.000 | 0.000 | 0.000 | 72.175 |
| 280.161 | 114.040 | 94.234 | -0.000 | -0.000 | -0.000 |
| 114.040 | 280.161 | 94.234 | -0.000 | -0.000 | -0.000 |
| 96.368 | 96.368 | 279.356 | -0.000 | -0.000 | -0.000 |
| -1.501 | -1.501 | 0.265 | 54.604 | 0.000 | -0.000 |
| -1.501 | -1.501 | 0.265 | 0.000 | 54.604 | -0.000 |
| -0.000 | -0.000 | -0.000 | -0.000 | -0.000 | 72.175 |
| 249.209 | 125.313 | 94.226 | 0.000 | 0.000 | -0.000 |
| 125.313 | 249.209 | 94.226 | -0.000 | 0.000 | -0.000 |
| 95.044 | 95.044 | 294.112 | 0.000 | 0.000 | -0.000 |
| -0.001 | -0.001 | 0.002 | 54.929 | 0.000 | -0.000 |
| -0.001 | -0.001 | 0.002 | 0.000 | 54.929 | -0.000 |
| -0.000 | -0.000 | 0.001 | 0.000 | 0.000 | 60.827 |
| 249.210 | 125.312 | 94.222 | 0.000 | 0.000 | 0.000 |
| 125.312 | 249.210 | 94.222 | 0.000 | 0.000 | 0.000 |
| 95.289 | 95.289 | 288.403 | -0.000 | -0.000 | 0.000 |
| 0.001 | 0.001 | -0.002 | 54.929 | -0.000 | 0.000 |
| 0.001 | 0.001 | -0.002 | 0.000 | 54.929 | 0.000 |
| 0.000 | 0.000 | -0.001 | -0.000 | -0.000 | 60.827 |
| 275.543 | 111.635 | 95.044 | -0.000 | -0.000 | -0.000 |
| 111.635 | 275.543 | 95.044 | -0.000 | 0.000 | -0.000 |
| 95.044 | 95.044 | 294.112 | -0.000 | -0.000 | -0.000 |
| 0.000 | 0.000 | 0.000 | 59.828 | 0.000 | -0.000 |
| 0.000 | 0.000 | 0.000 | 0.000 | 59.828 | -0.000 |
| 0.000 | 0.000 | 0.000 | 0.000 | 0.000 | 71.523 |
| 256.911 | 118.828 | 96.099 | -0.000 | -0.000 | 0.000 |
| 118.828 | 256.911 | 96.099 | -0.000 | -0.000 | 0.000 |
| 95.044 | 95.044 | 294.111 | -0.000 | -0.000 | 0.000 |
| -0.000 | -0.000 | -0.000 | 59.828 | -0.000 | 0.000 |
| -0.000 | -0.000 | -0.000 | -0.000 | 59.828 | 0.000 |
| -0.000 | -0.000 | -0.000 | 0.000 | -0.000 | 71.523 |
| 256.913 | 118.829 | 96.100 | 0.000 | 0.000 | -0.000 |
| 118.829 | 256.913 | 96.100 | 0.000 | 0.000 | -0.000 |
| 95.045 | 95.045 | 294.113 | 0.000 | 0.000 | -0.000 |
| 0.000 | 0.000 | 0.000 | 54.929 | 0.000 | -0.000 |
| 0.000 | 0.000 | 0.000 | 0.000 | 54.929 | -0.000 |
| 0.000 | 0.000 | 0.000 | -0.000 | 0.000 | 62.017 |
| 275.542 | 111.635 | 95.044 | -0.000 | -0.000 | 0.000 |
| 111.635 | 275.542 | 95.044 | 0.000 | -0.000 | 0.000 |
| 95.289 | 95.289 | 288.402 | 0.000 | 0.000 | 0.000 |
| -0.000 | -0.000 | -0.000 | 54.929 | -0.000 | 0.000 |
| -0.000 | -0.000 | -0.000 | -0.000 | 54.929 | 0.000 |
| -0.000 | -0.000 | -0.000 | -0.000 | -0.000 | 62.017 |
| 264.836 | 31.104 | 31.096 | -0.000 | 0.000 | 0.000 |
| 31.104 | 264.836 | 31.096 | -0.000 | -0.000 | 0.000 |
| 31.102 | 31.102 | 264.775 | 0.000 | -0.000 | 0.000 |
| -0.000 | -0.000 | 0.000 | -78.547 | -0.000 | 0.000 |
| -0.000 | 0.000 | 0.000 | -0.000 | -78.547 | 0.000 |
| -0.000 | -0.000 | 0.000 | -0.000 | -0.000 | -78.555 |
| 264.836 | 31.104 | 31.096 | 0.000 | -0.000 | 0.000 |
| 31.104 | 264.836 | 31.096 | 0.000 | 0.000 | -0.000 |
| 31.102 | 31.102 | 264.775 | 0.000 | 0.000 | -0.000 |
| 0.000 | 0.000 | -0.000 | -78.547 | 0.000 | 0.000 |
| 0.000 | -0.000 | -0.000 | 0.000 | -78.547 | 0.000 |
| 0.000 | 0.000 | -0.000 | -0.000 | 0.000 | -78.555 |
| 264.836 | 31.104 | 31.096 | -0.000 | -0.000 | -0.000 |
| 31.104 | 264.836 | 31.096 | -0.000 | -0.000 | 0.000 |
| 31.102 | 31.102 | 264.775 | -0.000 | -0.000 | -0.000 |
| 0.000 | 0.000 | -0.000 | -78.547 | 0.000 | 0.000 |
| 0.000 | 0.000 | -0.000 | -0.000 | -78.547 | 0.000 |
| 0.000 | -0.000 | 0.000 | 0.000 | -0.000 | -78.555 |
| 264.836 | 31.104 | 31.096 | 0.000 | 0.000 | 0.000 |
| 31.104 | 264.836 | 31.096 | 0.000 | 0.000 | 0.000 |
| 31.102 | 31.102 | 264.775 | 0.000 | 0.000 | 0.000 |
| -0.000 | -0.000 | 0.000 | -78.547 | -0.000 | 0.000 |
| -0.000 | -0.000 | 0.000 | 0.000 | -78.547 | -0.000 |
| -0.000 | 0.000 | -0.000 | 0.000 | -0.000 | -78.555 |
| 264.838 | 31.104 | 31.096 | -0.000 | -0.000 | -0.000 |
| 31.104 | 264.838 | 31.096 | -0.000 | 0.000 | 0.000 |
| 31.102 | 31.102 | 264.777 | 0.000 | -0.000 | -0.000 |
| 0.000 | 0.000 | -0.000 | -78.547 | 0.000 | 0.000 |
| 0.000 | 0.000 | -0.000 | -0.000 | -78.547 | 0.000 |
| 0.000 | -0.000 | 0.000 | -0.000 | 0.000 | -78.555 |
| 264.835 | 31.104 | 31.096 | 0.000 | 0.000 | -0.000 |
| 31.104 | 264.835 | 31.096 | 0.000 | 0.000 | -0.000 |
| 31.102 | 31.102 | 264.773 | 0.000 | -0.000 | -0.000 |
| -0.000 | -0.000 | 0.000 | -78.547 | 0.000 | -0.000 |
| -0.000 | -0.000 | 0.000 | 0.000 | -78.547 | 0.000 |
| -0.000 | 0.000 | -0.000 | 0.000 | -0.000 | -78.555 |
| 202.074 | 104.854 | 104.854 | -0.000 | -0.000 | 0.000 |
| 104.854 | 202.074 | 104.854 | -0.000 | -0.000 | 0.000 |
| 104.854 | 104.854 | 202.074 | 0.000 | 0.000 | -0.000 |
| 0.000 | -0.000 | -0.000 | 87.949 | 0.000 | -0.000 |
| -0.000 | 0.000 | -0.000 | -0.000 | 87.949 | 0.000 |
| -0.000 | -0.000 | -0.000 | -0.000 | -0.000 | 87.949 |
| 202.074 | 104.854 | 104.854 | 0.000 | 0.000 | 0.000 |
| 104.854 | 202.074 | 104.854 | 0.000 | -0.000 | 0.000 |
| 104.854 | 104.854 | 202.074 | -0.000 | -0.000 | 0.000 |
| -0.000 | 0.000 | 0.000 | 87.949 | -0.000 | -0.000 |
| 0.000 | -0.000 | 0.000 | 0.000 | 87.949 | -0.000 |
| 0.000 | 0.000 | 0.000 | -0.000 | 0.000 | 87.949 |
| 202.074 | 104.854 | 104.854 | -0.000 | -0.000 | -0.000 |
| 104.854 | 202.074 | 104.854 | -0.000 | -0.000 | -0.000 |
| 104.854 | 104.854 | 202.074 | -0.000 | -0.000 | 0.000 |
| 0.000 | -0.000 | 0.000 | 123.799 | 0.000 | -0.000 |
| -0.000 | 0.000 | 0.000 | 0.000 | 123.799 | -0.000 |
| -0.000 | 0.000 | 0.000 | 0.000 | 0.000 | 123.799 |
| 202.074 | 104.854 | 104.854 | -0.000 | -0.000 | 0.000 |
| 104.854 | 202.074 | 104.854 | -0.000 | -0.000 | 0.000 |
| 104.854 | 104.854 | 202.074 | -0.000 | -0.000 | 0.000 |
| -0.000 | 0.000 | -0.000 | 123.799 | -0.000 | -0.000 |
| 0.000 | -0.000 | -0.000 | -0.000 | 123.799 | 0.000 |
| 0.000 | -0.000 | -0.000 | -0.000 | -0.000 | 123.799 |
| 202.075 | 104.854 | 104.854 | 0.000 | 0.000 | 0.000 |
| 104.854 | 202.075 | 104.854 | 0.000 | 0.000 | -0.000 |
| 104.854 | 104.854 | 202.075 | -0.000 | -0.000 | -0.000 |
| 0.000 | -0.000 | 0.000 | 123.799 | 0.000 | 0.000 |
| -0.000 | 0.000 | 0.000 | 0.000 | 123.799 | 0.000 |
| -0.000 | 0.000 | 0.000 | 0.000 | 0.000 | 123.799 |
| 202.073 | 104.854 | 104.854 | 0.000 | 0.000 | -0.000 |
| 104.854 | 202.073 | 104.854 | 0.000 | 0.000 | 0.000 |
| 104.854 | 104.854 | 202.073 | 0.000 | 0.000 | -0.000 |
| -0.000 | 0.000 | -0.000 | 123.799 | -0.000 | -0.000 |
| 0.000 | -0.000 | -0.000 | -0.000 | 123.799 | -0.000 |
| 0.000 | -0.000 | -0.000 | -0.000 | -0.000 | 123.799 |
| -411276.226 | -574643.769 | -523633.579 | 89907.390 | 23573.853 | 30766.655 |
| -474209.569 | -321976.815 | -442373.983 | -2193.351 | 29292.459 | 13113.255 |
| -560130.669 | -543196.400 | -454266.542 | 36414.138 | 19507.697 | -11989.325 |
| 4.188 | 4.188 | 4.188 | -4.188 | -0.000 | 0.000 |
| 4.188 | 4.188 | 4.188 | -0.000 | -4.188 | 0.000 |
| 4.188 | 4.188 | 4.188 | 0.000 | -0.000 | -4.188 |
| -0.000 | -0.000 | -0.000 | 0.000 | 0.000 | 0.000 |
| -0.000 | -0.000 | -0.000 | 0.000 | 0.000 | 0.000 |
| -0.000 | -0.000 | -0.000 | 0.000 | 0.000 | 0.000 |
| -4.188 | -4.188 | -4.188 | -4.188 | 0.000 | 0.000 |
| -4.188 | -4.188 | -4.188 | 0.000 | -4.188 | 0.000 |
| -4.188 | -4.188 | -4.188 | -0.000 | -0.000 | -4.188 |
| -59292.611 | -88853.662 | -88490.935 | 7964.576 | 1720.128 | -1377.245 |
| -83293.931 | -55453.806 | -87052.867 | 2316.733 | 16553.836 | 2581.338 |
| -77191.009 | -70241.122 | -29122.669 | 2310.582 | 1299.418 | 4968.084 |
| 11.553 | 11.553 | 11.553 | 11.553 | -0.000 | -0.000 |
| 11.553 | 11.553 | 11.553 | -0.000 | 11.553 | -0.000 |
| 11.553 | 11.553 | 11.553 | -0.000 | -0.000 | 11.553 |
| -0.000 | -0.000 | -0.000 | 0.000 | 0.000 | 0.000 |
| -0.000 | -0.000 | -0.000 | 0.000 | 0.000 | 0.000 |
| -0.000 | -0.000 | -0.000 | 0.000 | 0.000 | 0.000 |
| -11.553 | -11.553 | -11.553 | 11.553 | 0.000 | -0.000 |
| -11.553 | -11.553 | -11.553 | 0.000 | 11.553 | -0.000 |
| -11.553 | -11.553 | -11.553 | 0.000 | -0.000 | 11.553 |
| -7777.939 | -8775.447 | -9294.331 | 2006.565 | 836.493 | 213.469 |
| -9371.112 | -6919.404 | -9736.359 | 765.542 | 2390.976 | 850.283 |
| -6088.202 | -6228.329 | -4935.171 | 588.498 | 687.865 | 1445.615 |
| 0.050 | 0.050 | 0.050 | -0.050 | -0.000 | 0.000 |
| 0.050 | 0.050 | 0.050 | -0.000 | -0.050 | 0.000 |
| 0.050 | 0.050 | 0.050 | -0.000 | 0.000 | -0.050 |
| -0.000 | -0.000 | -0.000 | 0.000 | 0.000 | 0.000 |
| -0.000 | -0.000 | -0.000 | 0.000 | 0.000 | 0.000 |
| -0.000 | -0.000 | -0.000 | 0.000 | 0.000 | 0.000 |
| -0.050 | -0.050 | -0.050 | -0.050 | -0.000 | -0.000 |
| -0.050 | -0.050 | -0.050 | -0.000 | -0.050 | -0.000 |
| -0.050 | -0.050 | -0.050 | 0.000 | 0.000 | -0.050 |
| 328.387 | 130.430 | 124.075 | -0.000 | -0.000 | -0.000 |
| 127.717 | 330.543 | 124.861 | -0.000 | -0.000 | -0.000 |
| 124.555 | 124.555 | 328.703 | -0.000 | -0.000 | -0.000 |
| -0.088 | -0.088 | 0.114 | 87.439 | -0.000 | -0.000 |
| 0.000 | -0.000 | -0.000 | -0.000 | 93.854 | -0.000 |
| -0.066 | -0.066 | 0.085 | 0.000 | -0.000 | 100.124 |
| 329.218 | 130.147 | 123.674 | 0.000 | 0.000 | 0.000 |
| 129.480 | 334.730 | 119.426 | 0.000 | 0.000 | 0.000 |
| 124.627 | 124.627 | 328.599 | 0.000 | 0.000 | 0.000 |
| 0.088 | 0.088 | -0.114 | 87.439 | 0.000 | 0.000 |
| -0.000 | 0.000 | 0.000 | 0.000 | 93.854 | 0.000 |
| 0.066 | 0.066 | -0.085 | -0.000 | 0.000 | 100.124 |
| 334.730 | 129.480 | 119.426 | -0.000 | -0.000 | -0.000 |
| 130.059 | 329.173 | 123.749 | -0.000 | -0.000 | -0.000 |
| 120.265 | 120.265 | 336.675 | -0.000 | -0.000 | -0.000 |
| 0.000 | 0.000 | 0.000 | 93.854 | -0.000 | -0.000 |
| -0.009 | -0.009 | 0.011 | -0.000 | 87.436 | -0.000 |
| -0.002 | -0.002 | -0.002 | -0.000 | -0.000 | 98.920 |
| 330.597 | 127.760 | 124.791 | 0.000 | 0.000 | 0.000 |
| 127.760 | 330.597 | 124.791 | 0.000 | 0.000 | 0.000 |
| 124.594 | 124.594 | 328.647 | 0.000 | 0.000 | 0.000 |
| -0.000 | -0.000 | -0.000 | 93.854 | 0.000 | 0.000 |
| 0.009 | 0.009 | -0.011 | 0.000 | 87.436 | 0.000 |
| 0.002 | 0.002 | 0.002 | 0.000 | 0.000 | 98.920 |
| 328.420 | 130.520 | 124.008 | -0.000 | -0.000 | -0.000 |
| 129.480 | 334.732 | 119.426 | -0.000 | -0.000 | -0.000 |
| 120.265 | 120.265 | 336.676 | -0.000 | -0.000 | -0.000 |
| -0.001 | -0.001 | 0.001 | 87.436 | -0.000 | -0.000 |
| -0.001 | -0.001 | 0.001 | -0.000 | 87.436 | -0.000 |
| -0.001 | -0.000 | 0.001 | 0.000 | -0.000 | 100.124 |
| 330.591 | 127.756 | 124.797 | 0.000 | 0.000 | 0.000 |
| 129.479 | 334.729 | 119.426 | 0.000 | 0.000 | 0.000 |
| 124.742 | 124.742 | 328.537 | 0.000 | 0.000 | 0.000 |
| 0.001 | 0.001 | -0.001 | 87.436 | 0.000 | 0.000 |
| 0.001 | 0.001 | -0.001 | 0.000 | 87.436 | 0.000 |
| 0.001 | 0.000 | -0.001 | 0.000 | 0.000 | 100.124 |
| 382.231 | 93.697 | 93.697 | 0.000 | -0.000 | 0.000 |
| 93.697 | 382.231 | 93.697 | -0.000 | 0.000 | 0.000 |
| 93.697 | 93.697 | 382.231 | 0.000 | 0.000 | -0.000 |
| 0.000 | 0.000 | 0.000 | 121.470 | 0.000 | 0.000 |
| 0.000 | 0.000 | 0.000 | 0.000 | 121.470 | 0.000 |
| 0.000 | 0.000 | 0.000 | 0.000 | 0.000 | 121.470 |
| 382.231 | 93.697 | 93.697 | -0.000 | 0.000 | -0.000 |
| 93.697 | 382.231 | 93.697 | -0.000 | 0.000 | -0.000 |
| 93.697 | 93.697 | 382.231 | 0.000 | -0.000 | -0.000 |
| -0.000 | -0.000 | 0.000 | 121.470 | -0.000 | -0.000 |
| -0.000 | -0.000 | -0.000 | -0.000 | 121.470 | -0.000 |
| -0.000 | -0.000 | 0.000 | -0.000 | -0.000 | 121.470 |
| 382.231 | 93.697 | 93.697 | 0.000 | -0.000 | 0.000 |
| 93.697 | 382.231 | 93.697 | -0.000 | -0.000 | 0.000 |
| 93.697 | 93.697 | 382.231 | 0.000 | 0.000 | -0.000 |
| 0.000 | -0.000 | 0.000 | 121.470 | 0.000 | 0.000 |
| -0.000 | 0.000 | 0.000 | 0.000 | 121.470 | 0.000 |
| -0.000 | 0.000 | 0.000 | 0.000 | 0.000 | 121.470 |
| 382.230 | 93.697 | 93.697 | 0.000 | 0.000 | -0.000 |
| 93.697 | 382.230 | 93.697 | 0.000 | -0.000 | -0.000 |
| 93.697 | 93.697 | 382.230 | -0.000 | -0.000 | -0.000 |
| -0.000 | 0.000 | -0.000 | 121.470 | -0.000 | -0.000 |
| 0.000 | -0.000 | -0.000 | -0.000 | 121.470 | -0.000 |
| 0.000 | -0.000 | -0.000 | 0.000 | -0.000 | 121.470 |
| 382.232 | 93.698 | 93.698 | 0.000 | -0.000 | 0.000 |
| 93.698 | 382.232 | 93.698 | -0.000 | 0.000 | 0.000 |
| 93.698 | 93.698 | 382.232 | 0.000 | 0.000 | 0.000 |
| 0.000 | -0.000 | 0.000 | 121.470 | 0.000 | 0.000 |
| -0.000 | 0.000 | 0.000 | 0.000 | 121.470 | 0.000 |
| -0.000 | 0.000 | 0.000 | 0.000 | 0.000 | 121.470 |
| 382.229 | 93.697 | 93.697 | -0.000 | -0.000 | 0.000 |
| 93.697 | 382.229 | 93.697 | -0.000 | -0.000 | -0.000 |
| 93.697 | 93.697 | 382.229 | 0.000 | -0.000 | -0.000 |
| -0.000 | 0.000 | -0.000 | 121.470 | -0.000 | -0.000 |
| 0.000 | -0.000 | -0.000 | -0.000 | 121.470 | -0.000 |
| 0.000 | -0.000 | -0.000 | -0.000 | -0.000 | 121.470 |
| -2192744.958 | 141840.334 | -1132004.510 | -912002.899 | 14398.642 | 985339.092 |
| -2198266.132 | -27754.476 | -962081.022 | -837418.001 | 2845.259 | 1054132.376 |
| -2418731.473 | 68512.031 | -992574.666 | -900843.209 | -109887.297 | 943572.501 |
| -2180883.475 | -20934.116 | -1098084.789 | -785594.694 | 1657.355 | 983969.304 |
| -2375531.415 | -20198.736 | -957389.252 | -914040.661 | -129245.182 | 905488.505 |
| -2441595.626 | -26317.866 | -952207.339 | -922436.470 | -113911.766 | 911135.340 |
| 2350285.870 | -131756.838 | 972354.808 | 902718.765 | 115757.986 | -935883.897 |
| 2220316.596 | -128433.649 | 1136491.963 | 912571.414 | -20333.170 | -974844.778 |
| 2298225.210 | 95363.157 | 1095541.231 | 813369.587 | -27759.204 | -1001514.386 |
| 2402506.138 | -126805.677 | 977939.396 | 901475.453 | 114967.446 | -937549.458 |
| 2177818.335 | -42779.245 | 1098463.644 | 912070.634 | 9616.756 | -974333.112 |
| 2185628.321 | -29393.293 | 1216013.285 | 876790.065 | 1398.278 | -930837.381 |
| -222231.319 | 7928.071 | -122494.737 | -87560.842 | -1882.063 | 97915.674 |
| -240953.210 | 2420.883 | -95076.707 | -89423.018 | -14774.298 | 92059.875 |
| -218939.884 | 11829.849 | -121092.123 | -87544.315 | 668.552 | 96114.314 |
| -221158.961 | 10296.990 | -117234.074 | -90517.596 | -1837.333 | 98604.553 |
| -239246.501 | 4983.126 | -95698.909 | -89518.572 | -13185.817 | 90798.426 |
| -239093.255 | 4512.140 | -97305.468 | -89843.200 | -10979.725 | 90901.057 |
| 240751.062 | 3186.954 | 93983.686 | 90134.171 | 13437.787 | -92279.668 |
| 219173.416 | -7851.517 | 114509.895 | 88773.530 | 1754.975 | -98805.346 |
| 238285.387 | 1869.705 | 91854.896 | 91673.068 | 10980.862 | -90700.193 |
| 246885.238 | -9196.272 | 97181.244 | 91662.022 | 10997.228 | -95861.459 |
| 240589.503 | 5095.209 | 84419.341 | 79890.468 | 12715.951 | -96155.627 |
| 239377.749 | 10148.815 | 96910.683 | 90252.600 | 4210.752 | -95475.525 |
| -23805.046 | 1140.898 | -9636.344 | -9244.581 | -975.335 | 9191.289 |
| -21467.139 | 972.751 | -11078.881 | -9391.086 | 107.667 | 9872.341 |
| -21584.352 | 1242.334 | -10600.365 | -9388.549 | -182.304 | 9706.589 |
| -24312.705 | 142.648 | -12747.992 | -8780.110 | 527.440 | 9684.599 |
| -21980.326 | 1167.021 | -11654.448 | -9065.568 | -99.765 | 9779.987 |
| -23626.961 | 528.284 | -9262.387 | -9222.380 | -1255.162 | 9032.569 |
| 24957.690 | -1217.392 | 9942.362 | 8866.170 | 1321.934 | -9517.015 |
| 24218.665 | 739.799 | 8788.642 | 8239.040 | 1198.007 | -9648.889 |
| 24853.926 | -1355.185 | 9631.254 | 9123.016 | 1517.400 | -9508.934 |
| 24297.287 | -928.005 | 8864.296 | 9071.945 | 1330.992 | -9478.586 |
| 21725.145 | -554.714 | 10055.464 | 8350.913 | -86.583 | -10530.363 |
| 22630.725 | -1521.054 | 11736.252 | 8904.286 | 31.874 | -10076.086 |
| 267.351 | 154.399 | 154.399 | 0.000 | 0.000 | 0.000 |
| 154.399 | 267.351 | 154.399 | 0.000 | 0.000 | 0.000 |
| 154.399 | 154.399 | 267.351 | 0.000 | -0.000 | 0.000 |
| -0.000 | -0.000 | -0.000 | 158.421 | 0.000 | 0.000 |
| -0.000 | 0.000 | -0.000 | 0.000 | 158.421 | 0.000 |
| -0.000 | -0.000 | -0.000 | 0.000 | 0.000 | 158.421 |
| 267.351 | 154.399 | 154.399 | -0.000 | -0.000 | -0.000 |
| 154.399 | 267.351 | 154.399 | -0.000 | -0.000 | -0.000 |
| 154.399 | 154.399 | 267.351 | -0.000 | -0.000 | -0.000 |
| 0.000 | 0.000 | 0.000 | 158.421 | -0.000 | -0.000 |
| 0.000 | -0.000 | 0.000 | -0.000 | 158.421 | -0.000 |
| 0.000 | 0.000 | 0.000 | -0.000 | -0.000 | 158.421 |
| 267.352 | 154.399 | 154.399 | 0.000 | 0.000 | 0.000 |
| 154.399 | 267.352 | 154.399 | 0.000 | 0.000 | 0.000 |
| 154.399 | 154.399 | 267.352 | 0.000 | 0.000 | 0.000 |
| 0.000 | -0.000 | 0.000 | 163.926 | 0.000 | 0.000 |
| -0.000 | 0.000 | 0.000 | 0.000 | 163.926 | 0.000 |
| -0.000 | 0.000 | 0.000 | 0.000 | 0.000 | 163.926 |
| 267.351 | 154.399 | 154.399 | -0.000 | -0.000 | -0.000 |
| 154.399 | 267.351 | 154.399 | -0.000 | -0.000 | -0.000 |
| 154.399 | 154.399 | 267.351 | -0.000 | -0.000 | -0.000 |
| -0.000 | 0.000 | -0.000 | 163.926 | -0.000 | -0.000 |
| 0.000 | -0.000 | -0.000 | -0.000 | 163.926 | -0.000 |
| 0.000 | -0.000 | -0.000 | -0.000 | -0.000 | 163.926 |
| 267.353 | 154.399 | 154.399 | -0.000 | 0.000 | 0.000 |
| 154.399 | 267.353 | 154.399 | 0.000 | 0.000 | 0.000 |
| 154.399 | 154.399 | 267.353 | 0.000 | -0.000 | 0.000 |
| 0.000 | -0.000 | 0.000 | 163.926 | 0.000 | 0.000 |
| -0.000 | 0.000 | 0.000 | 0.000 | 163.926 | 0.000 |
| -0.000 | 0.000 | 0.000 | 0.000 | 0.000 | 163.926 |
| 267.350 | 154.399 | 154.399 | -0.000 | -0.000 | -0.000 |
| 154.399 | 267.350 | 154.399 | -0.000 | -0.000 | -0.000 |
| 154.399 | 154.399 | 267.350 | -0.000 | -0.000 | -0.000 |
| -0.000 | 0.000 | -0.000 | 163.926 | -0.000 | -0.000 |
| 0.000 | -0.000 | -0.000 | -0.000 | 163.926 | -0.000 |
| 0.000 | -0.000 | -0.000 | -0.000 | -0.000 | 163.926 |
| 258.356 | 162.121 | 162.121 | 0.000 | -0.000 | -0.000 |
| 162.121 | 258.356 | 162.121 | -0.000 | 0.000 | -0.000 |
| 162.121 | 162.121 | 258.356 | 0.000 | 0.000 | -0.000 |
| -0.000 | 0.000 | 0.000 | 106.930 | 0.000 | -0.000 |
| 0.000 | -0.000 | 0.000 | 0.000 | 106.930 | -0.000 |
| 0.000 | 0.000 | -0.000 | 0.000 | -0.000 | 106.930 |
| 258.356 | 162.121 | 162.121 | -0.000 | -0.000 | 0.000 |
| 162.121 | 258.356 | 162.121 | -0.000 | -0.000 | 0.000 |
| 162.121 | 162.121 | 258.356 | -0.000 | -0.000 | 0.000 |
| 0.000 | -0.000 | -0.000 | 106.930 | -0.000 | 0.000 |
| -0.000 | 0.000 | -0.000 | -0.000 | 106.930 | 0.000 |
| -0.000 | -0.000 | 0.000 | -0.000 | 0.000 | 106.930 |
| 258.356 | 162.121 | 162.121 | 0.000 | 0.000 | -0.000 |
| 162.121 | 258.356 | 162.121 | 0.000 | 0.000 | -0.000 |
| 162.121 | 162.121 | 258.356 | 0.000 | 0.000 | -0.000 |
| -0.000 | 0.000 | 0.000 | 106.930 | 0.000 | -0.000 |
| 0.000 | -0.000 | 0.000 | 0.000 | 106.930 | -0.000 |
| 0.000 | 0.000 | -0.000 | 0.000 | -0.000 | 106.930 |
| 258.356 | 162.121 | 162.121 | -0.000 | 0.000 | 0.000 |
| 162.121 | 258.356 | 162.121 | 0.000 | -0.000 | 0.000 |
| 162.121 | 162.121 | 258.356 | -0.000 | -0.000 | 0.000 |
| 0.000 | -0.000 | -0.000 | 106.930 | -0.000 | 0.000 |
| -0.000 | 0.000 | -0.000 | -0.000 | 106.930 | 0.000 |
| -0.000 | -0.000 | 0.000 | -0.000 | -0.000 | 106.930 |
| 258.357 | 162.121 | 162.121 | 0.000 | 0.000 | -0.000 |
| 162.121 | 258.357 | 162.121 | 0.000 | 0.000 | -0.000 |
| 162.121 | 162.121 | 258.357 | 0.000 | 0.000 | -0.000 |
| -0.000 | 0.000 | 0.000 | 106.930 | 0.000 | -0.000 |
| 0.000 | -0.000 | 0.000 | 0.000 | 106.930 | -0.000 |
| 0.000 | 0.000 | -0.000 | 0.000 | -0.000 | 106.930 |
| 258.356 | 162.120 | 162.120 | -0.000 | 0.000 | 0.000 |
| 162.120 | 258.356 | 162.120 | 0.000 | -0.000 | 0.000 |
| 162.120 | 162.120 | 258.356 | -0.000 | -0.000 | 0.000 |
| 0.000 | -0.000 | -0.000 | 106.930 | -0.000 | 0.000 |
| -0.000 | 0.000 | -0.000 | -0.000 | 106.930 | 0.000 |
| -0.000 | -0.000 | 0.000 | -0.000 | 0.000 | 106.930 |
| 279.185 | 120.653 | 148.313 | 0.000 | -0.000 | -0.000 |
| 120.653 | 279.185 | 148.313 | 0.000 | -0.000 | -0.000 |
| 148.759 | 148.759 | 232.233 | -0.000 | -0.000 | 0.000 |
| 0.000 | -0.000 | 0.000 | 146.570 | -0.000 | 0.000 |
| -0.000 | 0.000 | 0.000 | -0.000 | 146.570 | 0.000 |
| -0.005 | -0.005 | 0.006 | 0.000 | -0.000 | 138.756 |
| 279.197 | 120.665 | 148.293 | -0.000 | 0.000 | -0.000 |
| 120.665 | 279.197 | 148.293 | -0.000 | 0.000 | -0.000 |
| 147.959 | 147.959 | 232.532 | -0.000 | 0.000 | -0.000 |
| 0.000 | 0.000 | -0.000 | 146.570 | 0.000 | -0.000 |
| 0.000 | -0.000 | -0.000 | 0.000 | 146.570 | 0.000 |
| 0.005 | 0.005 | -0.006 | -0.000 | 0.000 | 138.756 |
| 281.991 | 123.460 | 147.409 | -0.000 | -0.000 | 0.000 |
| 123.460 | 281.991 | 147.409 | -0.000 | -0.000 | 0.000 |
| 147.959 | 147.959 | 232.532 | 0.000 | -0.000 | 0.000 |
| 0.000 | 0.000 | 0.000 | 146.570 | -0.000 | -0.000 |
| 0.000 | 0.000 | 0.000 | -0.000 | 146.570 | 0.000 |
| -0.001 | -0.000 | 0.001 | 0.000 | -0.000 | 138.756 |
| 279.191 | 120.659 | 148.302 | 0.000 | 0.000 | -0.000 |
| 120.659 | 279.191 | 148.302 | 0.000 | 0.000 | 0.000 |
| 148.746 | 148.746 | 232.230 | -0.000 | 0.000 | 0.000 |
| -0.000 | -0.000 | -0.000 | 146.570 | 0.000 | -0.000 |
| -0.000 | -0.000 | -0.000 | 0.000 | 146.570 | 0.000 |
| 0.001 | 0.001 | -0.001 | -0.000 | 0.000 | 138.756 |
| 281.993 | 123.460 | 147.409 | -0.000 | -0.000 | -0.000 |
| 123.460 | 281.993 | 147.409 | 0.000 | -0.000 | 0.000 |
| 147.959 | 147.959 | 232.533 | -0.000 | -0.000 | -0.000 |
| 0.000 | 0.000 | 0.000 | 146.570 | -0.000 | 0.000 |
| 0.000 | 0.000 | 0.000 | -0.000 | 146.570 | -0.000 |
| 0.000 | 0.000 | 0.000 | 0.000 | -0.000 | 138.756 |
| 281.990 | 123.459 | 147.409 | -0.000 | 0.000 | -0.000 |
| 123.459 | 281.990 | 147.409 | 0.000 | 0.000 | -0.000 |
| 148.848 | 148.848 | 232.215 | -0.000 | 0.000 | 0.000 |
| -0.000 | -0.000 | -0.000 | 146.570 | 0.000 | 0.000 |
| -0.000 | -0.000 | -0.000 | 0.000 | 146.570 | -0.000 |
| -0.000 | -0.000 | -0.000 | 0.000 | 0.000 | 138.756 |
| 275.650 | 125.188 | 145.881 | 0.000 | 0.000 | 0.000 |
| 125.188 | 275.650 | 145.881 | -0.000 | -0.000 | 0.000 |
| 145.795 | 145.795 | 238.632 | 0.000 | 0.000 | 0.000 |
| -0.000 | -0.000 | 0.000 | 136.151 | 0.000 | -0.000 |
| -0.000 | -0.000 | 0.000 | 0.000 | 136.151 | 0.000 |
| -0.000 | -0.000 | 0.000 | -0.000 | 0.000 | 139.555 |
| 275.650 | 125.188 | 145.881 | -0.000 | -0.000 | -0.000 |
| 125.188 | 275.650 | 145.881 | 0.000 | -0.000 | -0.000 |
| 145.795 | 145.795 | 238.632 | 0.000 | -0.000 | -0.000 |
| 0.000 | 0.000 | -0.000 | 136.151 | -0.000 | -0.000 |
| 0.000 | 0.000 | -0.000 | -0.000 | 136.151 | -0.000 |
| 0.000 | 0.000 | -0.000 | -0.000 | -0.000 | 139.555 |
| 278.064 | 127.602 | 145.505 | -0.000 | -0.000 | 0.000 |
| 127.602 | 278.064 | 145.505 | 0.000 | 0.000 | 0.000 |
| 145.505 | 145.505 | 238.708 | -0.000 | 0.000 | 0.000 |
| -0.000 | -0.000 | 0.000 | 136.151 | -0.000 | 0.000 |
| -0.000 | -0.000 | 0.000 | -0.000 | 136.151 | 0.000 |
| -0.000 | 0.000 | 0.000 | -0.000 | 0.000 | 139.555 |
| 275.650 | 125.188 | 145.881 | -0.000 | -0.000 | -0.000 |
| 125.188 | 275.650 | 145.881 | -0.000 | -0.000 | -0.000 |
| 145.795 | 145.795 | 238.632 | 0.000 | -0.000 | 0.000 |
| 0.000 | 0.000 | -0.000 | 136.151 | 0.000 | 0.000 |
| 0.000 | 0.000 | -0.000 | 0.000 | 136.151 | -0.000 |
| 0.000 | -0.000 | -0.000 | 0.000 | -0.000 | 139.555 |
| 275.651 | 125.188 | 145.881 | -0.000 | -0.000 | 0.000 |
| 125.188 | 275.651 | 145.881 | 0.000 | -0.000 | 0.000 |
| 145.877 | 145.877 | 238.628 | 0.000 | 0.000 | 0.000 |
| 0.000 | 0.000 | 0.000 | 136.151 | -0.000 | 0.000 |
| 0.000 | 0.000 | 0.000 | 0.000 | 136.151 | -0.000 |
| 0.000 | 0.000 | 0.000 | -0.000 | 0.000 | 139.555 |
| 275.648 | 125.187 | 145.876 | 0.000 | -0.000 | -0.000 |
| 125.187 | 275.648 | 145.876 | 0.000 | 0.000 | -0.000 |
| 145.794 | 145.794 | 238.631 | 0.000 | 0.000 | 0.000 |
| -0.000 | -0.000 | -0.000 | 136.151 | 0.000 | -0.000 |
| -0.000 | -0.000 | -0.000 | -0.000 | 136.151 | -0.000 |
| -0.000 | -0.000 | -0.000 | -0.000 | -0.000 | 139.555 |
| 316.491 | 17.802 | 17.802 | 0.000 | -0.000 | -0.000 |
| 17.802 | 316.491 | 17.802 | 0.000 | -0.000 | -0.000 |
| 17.802 | 17.802 | 316.491 | 0.000 | -0.000 | -0.000 |
| 0.000 | 0.000 | -0.000 | -48.016 | 0.000 | -0.000 |
| 0.000 | 0.000 | -0.000 | 0.000 | -48.016 | -0.000 |
| 0.000 | -0.000 | 0.000 | 0.000 | -0.000 | -48.016 |
| 316.491 | 17.802 | 17.802 | -0.000 | 0.000 | 0.000 |
| 17.802 | 316.491 | 17.802 | -0.000 | 0.000 | 0.000 |
| 17.802 | 17.802 | 316.491 | 0.000 | 0.000 | 0.000 |
| -0.000 | -0.000 | 0.000 | -48.016 | 0.000 | 0.000 |
| -0.000 | -0.000 | 0.000 | -0.000 | -48.016 | 0.000 |
| -0.000 | 0.000 | -0.000 | -0.000 | 0.000 | -48.016 |
| 316.491 | 17.802 | 17.802 | 0.000 | -0.000 | -0.000 |
| 17.802 | 316.491 | 17.802 | 0.000 | -0.000 | -0.000 |
| 17.802 | 17.802 | 316.491 | -0.000 | -0.000 | -0.000 |
| 0.000 | 0.000 | -0.000 | -48.016 | 0.000 | -0.000 |
| 0.000 | 0.000 | -0.000 | 0.000 | -48.016 | -0.000 |
| 0.000 | -0.000 | 0.000 | 0.000 | -0.000 | -48.016 |
| 316.491 | 17.802 | 17.802 | -0.000 | 0.000 | 0.000 |
| 17.802 | 316.491 | 17.802 | -0.000 | 0.000 | 0.000 |
| 17.802 | 17.802 | 316.491 | 0.000 | 0.000 | 0.000 |
| -0.000 | -0.000 | 0.000 | -48.016 | -0.000 | 0.000 |
| -0.000 | -0.000 | 0.000 | -0.000 | -48.016 | 0.000 |
| -0.000 | 0.000 | -0.000 | -0.000 | 0.000 | -48.016 |
| 316.493 | 17.802 | 17.802 | 0.000 | 0.000 | -0.000 |
| 17.802 | 316.493 | 17.802 | 0.000 | 0.000 | -0.000 |
| 17.802 | 17.802 | 316.493 | 0.000 | -0.000 | -0.000 |
| 0.000 | 0.000 | -0.000 | -48.016 | -0.000 | -0.000 |
| 0.000 | 0.000 | -0.000 | 0.000 | -48.016 | 0.000 |
| 0.000 | -0.000 | 0.000 | 0.000 | -0.000 | -48.016 |
| 316.489 | 17.802 | 17.802 | -0.000 | -0.000 | 0.000 |
| 17.802 | 316.489 | 17.802 | -0.000 | 0.000 | -0.000 |
| 17.802 | 17.802 | 316.489 | -0.000 | 0.000 | 0.000 |
| -0.000 | -0.000 | 0.000 | -48.016 | 0.000 | 0.000 |
| -0.000 | -0.000 | 0.000 | -0.000 | -48.016 | 0.000 |
| -0.000 | 0.000 | -0.000 | -0.000 | 0.000 | -48.016 |
| 274.177 | 146.500 | 146.500 | 0.000 | -0.000 | 0.000 |
| 146.500 | 274.177 | 146.500 | -0.000 | 0.000 | 0.000 |
| 146.500 | 146.500 | 274.177 | 0.000 | 0.000 | 0.000 |
| 0.000 | 0.000 | 0.000 | 169.309 | 0.000 | -0.000 |
| -0.000 | 0.000 | 0.000 | 0.000 | 169.309 | 0.000 |
| 0.000 | 0.000 | 0.000 | 0.000 | 0.000 | 169.309 |
| 274.177 | 146.500 | 146.500 | 0.000 | -0.000 | -0.000 |
| 146.500 | 274.177 | 146.500 | -0.000 | -0.000 | -0.000 |
| 146.500 | 146.500 | 274.177 | -0.000 | -0.000 | -0.000 |
| -0.000 | 0.000 | -0.000 | 169.309 | -0.000 | -0.000 |
| -0.000 | -0.000 | -0.000 | -0.000 | 169.309 | -0.000 |
| 0.000 | -0.000 | -0.000 | 0.000 | -0.000 | 169.309 |
| 274.178 | 146.500 | 146.500 | -0.000 | 0.000 | 0.000 |
| 146.500 | 274.178 | 146.500 | 0.000 | 0.000 | 0.000 |
| 146.500 | 146.500 | 274.178 | 0.000 | 0.000 | 0.000 |
| 0.000 | -0.000 | 0.000 | 169.309 | 0.000 | 0.000 |
| -0.000 | 0.000 | 0.000 | 0.000 | 169.309 | 0.000 |
| -0.000 | 0.000 | 0.000 | -0.000 | -0.000 | 169.309 |
| 274.177 | 146.500 | 146.500 | 0.000 | 0.000 | -0.000 |
| 146.500 | 274.177 | 146.500 | 0.000 | -0.000 | -0.000 |
| 146.500 | 146.500 | 274.177 | -0.000 | -0.000 | -0.000 |
| -0.000 | 0.000 | -0.000 | 169.309 | -0.000 | -0.000 |
| 0.000 | -0.000 | -0.000 | 0.000 | 169.309 | -0.000 |
| 0.000 | -0.000 | -0.000 | -0.000 | -0.000 | 169.309 |
| 274.179 | 146.500 | 146.500 | -0.000 | 0.000 | 0.000 |
| 146.500 | 274.179 | 146.500 | 0.000 | 0.000 | 0.000 |
| 146.500 | 146.500 | 274.179 | 0.000 | 0.000 | 0.000 |
| 0.000 | -0.000 | 0.000 | 169.309 | -0.000 | 0.000 |
| -0.000 | 0.000 | 0.000 | 0.000 | 169.309 | 0.000 |
| -0.000 | 0.000 | 0.000 | 0.000 | 0.000 | 169.309 |
| 274.175 | 146.500 | 146.500 | -0.000 | -0.000 | -0.000 |
| 146.500 | 274.175 | 146.500 | -0.000 | -0.000 | -0.000 |
| 146.500 | 146.500 | 274.175 | -0.000 | 0.000 | -0.000 |
| -0.000 | 0.000 | -0.000 | 169.309 | -0.000 | -0.000 |
| 0.000 | -0.000 | -0.000 | -0.000 | 169.309 | -0.000 |
| 0.000 | -0.000 | -0.000 | -0.000 | 0.000 | 169.309 |
| 85.573 | 105.701 | 105.701 | -0.000 | -0.000 | -0.000 |
| 105.701 | 85.573 | 105.701 | -0.000 | -0.000 | -0.000 |
| 105.701 | 105.701 | 85.573 | -0.000 | -0.000 | -0.000 |
| -0.000 | 0.000 | -0.000 | -23.757 | -0.000 | -0.000 |
| 0.000 | -0.000 | -0.000 | -0.000 | -23.757 | -0.000 |
| 0.000 | -0.000 | -0.000 | -0.000 | -0.000 | -23.757 |
| 85.573 | 105.701 | 105.701 | 0.000 | 0.000 | 0.000 |
| 105.701 | 85.573 | 105.701 | 0.000 | 0.000 | 0.000 |
| 105.701 | 105.701 | 85.573 | 0.000 | 0.000 | 0.000 |
| 0.000 | -0.000 | 0.000 | -23.757 | 0.000 | 0.000 |
| -0.000 | 0.000 | 0.000 | 0.000 | -23.757 | 0.000 |
| -0.000 | 0.000 | 0.000 | 0.000 | 0.000 | -23.757 |
| 85.573 | 105.701 | 105.701 | -0.000 | -0.000 | -0.000 |
| 105.701 | 85.573 | 105.701 | -0.000 | -0.000 | -0.000 |
| 105.701 | 105.701 | 85.573 | -0.000 | -0.000 | -0.000 |
| -0.000 | -0.000 | -0.000 | -23.757 | -0.000 | -0.000 |
| -0.000 | -0.000 | -0.000 | -0.000 | -23.757 | -0.000 |
| -0.000 | -0.000 | -0.000 | -0.000 | -0.000 | -23.757 |
| 85.573 | 105.701 | 105.701 | 0.000 | 0.000 | 0.000 |
| 105.701 | 85.573 | 105.701 | 0.000 | 0.000 | 0.000 |
| 105.701 | 105.701 | 85.573 | 0.000 | 0.000 | 0.000 |
| 0.000 | 0.000 | 0.000 | -23.757 | 0.000 | 0.000 |
| 0.000 | 0.000 | 0.000 | 0.000 | -23.757 | 0.000 |
| 0.000 | 0.000 | 0.000 | 0.000 | 0.000 | -23.757 |
| 85.573 | 105.701 | 105.701 | -0.000 | -0.000 | -0.000 |
| 105.701 | 85.573 | 105.701 | -0.000 | -0.000 | -0.000 |
| 105.701 | 105.701 | 85.573 | -0.000 | -0.000 | -0.000 |
| -0.000 | -0.000 | -0.000 | -23.757 | -0.000 | -0.000 |
| -0.000 | -0.000 | -0.000 | -0.000 | -23.757 | -0.000 |
| -0.000 | -0.000 | -0.000 | -0.000 | -0.000 | -23.757 |
| 85.573 | 105.701 | 105.701 | 0.000 | 0.000 | 0.000 |
| 105.701 | 85.573 | 105.701 | 0.000 | 0.000 | 0.000 |
| 105.701 | 105.701 | 85.573 | 0.000 | 0.000 | 0.000 |
| 0.000 | 0.000 | 0.000 | -23.757 | 0.000 | 0.000 |
| 0.000 | 0.000 | 0.000 | 0.000 | -23.757 | 0.000 |
| 0.000 | 0.000 | 0.000 | 0.000 | 0.000 | -23.757 |
| 632.627 | 632.627 | 632.627 | -0.000 | -0.000 | -0.000 |
| 632.627 | 632.627 | 632.627 | -0.000 | -0.000 | -0.000 |
| 632.627 | 632.627 | 632.627 | -0.000 | -0.000 | -0.000 |
| 2.434 | 2.434 | 2.434 | -2.434 | -0.000 | 0.000 |
| 2.434 | 2.434 | 2.434 | -0.000 | -2.434 | 0.000 |
| 2.434 | 2.434 | 2.434 | -0.000 | 0.000 | -2.434 |
| -0.000 | -0.000 | -0.000 | -0.000 | -0.000 | -0.000 |
| -0.000 | -0.000 | -0.000 | -0.000 | -0.000 | -0.000 |
| -0.000 | -0.000 | -0.000 | -0.000 | -0.000 | -0.000 |
| -2.434 | -2.434 | -2.434 | -2.434 | -0.000 | -0.000 |
| -2.434 | -2.434 | -2.434 | -0.000 | -2.434 | -0.000 |
| -2.434 | -2.434 | -2.434 | -0.000 | -0.000 | -2.434 |
| 632.626 | 632.626 | 632.626 | -0.000 | -0.000 | -0.000 |
| 632.626 | 632.626 | 632.626 | -0.000 | -0.000 | -0.000 |
| 632.626 | 632.626 | 632.626 | -0.000 | -0.000 | -0.000 |
| 0.249 | 0.249 | 0.249 | -0.249 | 0.000 | -0.000 |
| 0.249 | 0.249 | 0.249 | 0.000 | -0.249 | -0.000 |
| 0.249 | 0.249 | 0.249 | 0.000 | -0.000 | -0.249 |
| -0.000 | -0.000 | -0.000 | -0.000 | -0.000 | -0.000 |
| -0.000 | -0.000 | -0.000 | -0.000 | -0.000 | -0.000 |
| -0.000 | -0.000 | -0.000 | -0.000 | -0.000 | -0.000 |
| -0.249 | -0.249 | -0.249 | -0.249 | -0.000 | -0.000 |
| -0.249 | -0.249 | -0.249 | -0.000 | -0.249 | -0.000 |
| -0.249 | -0.249 | -0.249 | -0.000 | -0.000 | -0.249 |
| 632.586 | 632.588 | 632.588 | -0.000 | -0.000 | -0.000 |
| 632.588 | 632.586 | 632.588 | -0.000 | -0.000 | -0.000 |
| 632.588 | 632.588 | 632.586 | -0.000 | -0.000 | -0.000 |
| 1.656 | 1.656 | 1.656 | 1.656 | -0.000 | -0.000 |
| 1.656 | 1.656 | 1.656 | -0.000 | 1.656 | -0.000 |
| 1.656 | 1.656 | 1.656 | -0.000 | -0.000 | 1.656 |
| -0.000 | -0.000 | -0.000 | -0.000 | -0.000 | -0.000 |
| -0.000 | -0.000 | -0.000 | -0.000 | -0.000 | -0.000 |
| -0.000 | -0.000 | -0.000 | -0.000 | -0.000 | -0.000 |
| -1.656 | -1.656 | -1.656 | 1.656 | -0.000 | 0.000 |
| -1.656 | -1.656 | -1.656 | -0.000 | 1.656 | 0.000 |
| -1.656 | -1.656 | -1.656 | -0.000 | 0.000 | 1.656 |
| 360.118 | 47.337 | 158.851 | 0.000 | -0.000 | 0.000 |
| 47.337 | 360.118 | 158.851 | -0.000 | -0.000 | 0.000 |
| 158.851 | 158.851 | 219.709 | 0.000 | -0.000 | 0.000 |
| 0.000 | 0.000 | 0.000 | 150.959 | 0.000 | 0.000 |
| 0.000 | 0.000 | 0.000 | 0.000 | 150.959 | 0.000 |
| 0.000 | 0.000 | 0.000 | -0.000 | 0.000 | 89.645 |
| 360.118 | 47.337 | 158.851 | 0.000 | -0.000 | -0.000 |
| 47.337 | 360.118 | 158.851 | -0.000 | -0.000 | -0.000 |
| 158.851 | 158.851 | 219.709 | -0.000 | -0.000 | -0.000 |
| -0.000 | -0.000 | -0.000 | 150.959 | 0.000 | -0.000 |
| -0.000 | -0.000 | -0.000 | 0.000 | 150.959 | -0.000 |
| -0.000 | -0.000 | -0.000 | -0.000 | -0.000 | 89.645 |
| 360.118 | 47.337 | 158.851 | -0.000 | -0.000 | 0.000 |
| 47.337 | 360.118 | 158.851 | -0.000 | -0.000 | 0.000 |
| 158.851 | 158.851 | 219.709 | 0.000 | 0.000 | 0.000 |
| -0.000 | 0.000 | 0.000 | 150.959 | 0.000 | 0.000 |
| 0.000 | -0.000 | 0.000 | 0.000 | 150.959 | 0.000 |
| 0.000 | 0.000 | 0.000 | 0.000 | 0.000 | 89.645 |
| 360.118 | 47.337 | 158.851 | 0.000 | -0.000 | -0.000 |
| 47.337 | 360.118 | 158.851 | -0.000 | -0.000 | -0.000 |
| 158.851 | 158.851 | 219.709 | -0.000 | 0.000 | -0.000 |
| 0.000 | -0.000 | -0.000 | 150.959 | -0.000 | -0.000 |
| -0.000 | 0.000 | -0.000 | -0.000 | 150.959 | -0.000 |
| -0.000 | -0.000 | -0.000 | -0.000 | 0.000 | 89.645 |
| 360.118 | 47.337 | 158.852 | 0.000 | -0.000 | 0.000 |
| 47.337 | 360.118 | 158.852 | 0.000 | -0.000 | 0.000 |
| 158.852 | 158.852 | 219.709 | -0.000 | -0.000 | 0.000 |
| -0.000 | 0.000 | 0.000 | 150.959 | -0.000 | 0.000 |
| 0.000 | -0.000 | 0.000 | 0.000 | 150.959 | 0.000 |
| 0.000 | 0.000 | 0.000 | 0.000 | 0.000 | 89.645 |
| 360.117 | 47.336 | 158.850 | 0.000 | -0.000 | -0.000 |
| 47.336 | 360.117 | 158.850 | -0.000 | -0.000 | -0.000 |
| 158.850 | 158.850 | 219.708 | -0.000 | 0.000 | -0.000 |
| 0.000 | -0.000 | -0.000 | 150.959 | -0.000 | -0.000 |
| -0.000 | 0.000 | -0.000 | 0.000 | 150.959 | -0.000 |
| -0.000 | -0.000 | -0.000 | 0.000 | 0.000 | 89.645 |
| 280.196 | 77.454 | 77.454 | 0.000 | 0.000 | -0.000 |
| 77.454 | 280.196 | 77.454 | 0.000 | 0.000 | -0.000 |
| 77.454 | 77.454 | 280.196 | 0.000 | 0.000 | 0.000 |
| 0.000 | 0.000 | 0.000 | 88.547 | 0.000 | 0.000 |
| 0.000 | 0.000 | -0.000 | 0.000 | 88.547 | 0.000 |
| 0.000 | 0.000 | 0.000 | 0.000 | 0.000 | 88.547 |
| 280.196 | 77.454 | 77.454 | -0.000 | -0.000 | -0.000 |
| 77.454 | 280.196 | 77.454 | -0.000 | -0.000 | 0.000 |
| 77.454 | 77.454 | 280.196 | 0.000 | -0.000 | -0.000 |
| -0.000 | -0.000 | -0.000 | 88.547 | -0.000 | -0.000 |
| -0.000 | -0.000 | -0.000 | -0.000 | 88.547 | -0.000 |
| -0.000 | 0.000 | -0.000 | -0.000 | -0.000 | 88.547 |
| 280.196 | 77.454 | 77.454 | 0.000 | 0.000 | -0.000 |
| 77.454 | 280.196 | 77.454 | 0.000 | 0.000 | 0.000 |
| 77.454 | 77.454 | 280.196 | -0.000 | 0.000 | 0.000 |
| 0.000 | 0.000 | 0.000 | 99.847 | 0.000 | -0.000 |
| 0.000 | 0.000 | 0.000 | 0.000 | 99.847 | -0.000 |
| -0.000 | 0.000 | 0.000 | 0.000 | 0.000 | 99.847 |
| 280.196 | 77.454 | 77.454 | -0.000 | -0.000 | 0.000 |
| 77.454 | 280.196 | 77.454 | -0.000 | -0.000 | -0.000 |
| 77.454 | 77.454 | 280.196 | -0.000 | -0.000 | 0.000 |
| -0.000 | -0.000 | -0.000 | 99.847 | -0.000 | -0.000 |
| -0.000 | -0.000 | -0.000 | -0.000 | 99.847 | 0.000 |
| -0.000 | -0.000 | -0.000 | -0.000 | -0.000 | 99.847 |
| 280.197 | 77.454 | 77.454 | 0.000 | 0.000 | -0.000 |
| 77.454 | 280.197 | 77.454 | 0.000 | 0.000 | 0.000 |
| 77.454 | 77.454 | 280.197 | 0.000 | 0.000 | 0.000 |
| 0.000 | -0.000 | -0.000 | 88.547 | 0.000 | 0.000 |
| -0.000 | 0.000 | -0.000 | 0.000 | 88.547 | 0.000 |
| -0.000 | -0.000 | 0.000 | 0.000 | 0.000 | 88.547 |
| 280.196 | 77.454 | 77.454 | -0.000 | -0.000 | 0.000 |
| 77.454 | 280.196 | 77.454 | -0.000 | -0.000 | -0.000 |
| 77.454 | 77.454 | 280.196 | -0.000 | -0.000 | -0.000 |
| -0.000 | 0.000 | 0.000 | 88.547 | -0.000 | -0.000 |
| 0.000 | -0.000 | 0.000 | -0.000 | 88.547 | -0.000 |
| 0.000 | 0.000 | -0.000 | -0.000 | -0.000 | 88.547 |
| 294.326 | 86.197 | 86.197 | 0.000 | 0.000 | -0.000 |
| 86.197 | 294.326 | 86.197 | 0.000 | 0.000 | -0.000 |
| 86.197 | 86.197 | 294.326 | -0.000 | -0.000 | -0.000 |
| -0.000 | 0.000 | -0.000 | 89.988 | 0.000 | -0.000 |
| -0.000 | 0.000 | -0.000 | -0.000 | 89.988 | -0.000 |
| -0.000 | 0.000 | -0.000 | -0.000 | -0.000 | 89.988 |
| 275.549 | 94.077 | 94.077 | 0.000 | -0.000 | -0.000 |
| 94.077 | 275.549 | 94.077 | -0.000 | 0.000 | 0.000 |
| 94.077 | 94.077 | 275.549 | 0.000 | -0.000 | 0.000 |
| 0.000 | -0.000 | 0.000 | 89.988 | 0.000 | 0.000 |
| 0.000 | -0.000 | 0.000 | 0.000 | 89.988 | 0.000 |
| 0.000 | -0.000 | 0.000 | 0.000 | 0.000 | 89.988 |
| 271.845 | 94.811 | 94.811 | 0.000 | 0.000 | -0.000 |
| 94.811 | 271.845 | 94.811 | 0.000 | -0.000 | -0.000 |
| 94.811 | 94.811 | 271.845 | 0.000 | 0.000 | -0.000 |
| -0.000 | 0.000 | 0.000 | 89.988 | -0.000 | -0.000 |
| 0.000 | 0.000 | 0.000 | -0.000 | 89.988 | -0.000 |
| 0.000 | 0.000 | -0.000 | 0.000 | -0.000 | 89.988 |
| 294.326 | 86.197 | 86.197 | 0.000 | 0.000 | 0.000 |
| 86.197 | 294.326 | 86.197 | 0.000 | 0.000 | 0.000 |
| 86.197 | 86.197 | 294.326 | 0.000 | 0.000 | 0.000 |
| 0.000 | -0.000 | -0.000 | 89.988 | 0.000 | 0.000 |
| -0.000 | -0.000 | -0.000 | 0.000 | 89.988 | 0.000 |
| -0.000 | -0.000 | 0.000 | 0.000 | 0.000 | 89.988 |
| 270.957 | 95.220 | 95.220 | 0.000 | 0.000 | -0.000 |
| 95.220 | 270.957 | 95.220 | 0.000 | 0.000 | -0.000 |
| 95.220 | 95.220 | 270.957 | 0.000 | 0.000 | -0.000 |
| -0.005 | -0.005 | -0.004 | 81.381 | 0.000 | -0.000 |
| -0.005 | -0.005 | -0.004 | -0.000 | 81.381 | -0.000 |
| -0.005 | -0.004 | -0.005 | -0.000 | -0.000 | 81.381 |
| 294.325 | 86.196 | 86.196 | 0.000 | 0.000 | 0.000 |
| 86.196 | 294.325 | 86.196 | 0.000 | 0.000 | 0.000 |
| 86.196 | 86.196 | 294.325 | 0.000 | 0.000 | 0.000 |
| 0.005 | 0.005 | 0.004 | 81.381 | 0.000 | 0.000 |
| 0.005 | 0.005 | 0.004 | 0.000 | 81.381 | 0.000 |
| 0.005 | 0.004 | 0.005 | -0.000 | -0.000 | 81.381 |
| 294.200 | 86.137 | 86.137 | -0.000 | 0.000 | 0.000 |
| 86.137 | 294.200 | 86.137 | 0.000 | -0.000 | 0.000 |
| 86.137 | 86.137 | 294.200 | 0.000 | -0.000 | 0.000 |
| 0.000 | 0.000 | -0.000 | 89.966 | 0.000 | 0.000 |
| 0.000 | 0.000 | -0.000 | 0.000 | 89.966 | 0.000 |
| 0.000 | 0.000 | -0.000 | 0.000 | 0.000 | 89.966 |
| 270.780 | 95.187 | 95.187 | -0.000 | -0.000 | -0.000 |
| 95.187 | 270.780 | 95.187 | -0.000 | 0.000 | -0.000 |
| 95.187 | 95.187 | 270.780 | -0.000 | -0.000 | -0.000 |
| -0.000 | -0.000 | 0.000 | 89.966 | 0.000 | -0.000 |
| -0.000 | -0.000 | 0.000 | 0.000 | 89.966 | -0.000 |
| -0.000 | -0.000 | 0.000 | -0.000 | -0.000 | 89.966 |
| 270.770 | 95.190 | 95.190 | 0.000 | 0.000 | 0.000 |
| 95.190 | 270.770 | 95.190 | 0.000 | 0.000 | 0.000 |
| 95.190 | 95.190 | 270.770 | 0.000 | -0.000 | 0.000 |
| -0.000 | 0.000 | 0.000 | 89.966 | 0.000 | 0.000 |
| 0.000 | 0.000 | 0.000 | 0.000 | 89.966 | 0.000 |
| 0.000 | 0.000 | -0.000 | 0.000 | -0.000 | 89.966 |
| 294.200 | 86.137 | 86.137 | -0.000 | -0.000 | -0.000 |
| 86.137 | 294.200 | 86.137 | -0.000 | -0.000 | -0.000 |
| 86.137 | 86.137 | 294.200 | -0.000 | -0.000 | 0.000 |
| -0.000 | -0.000 | -0.000 | 89.966 | 0.000 | -0.000 |
| -0.000 | -0.000 | -0.000 | -0.000 | 89.966 | -0.000 |
| -0.000 | -0.000 | 0.000 | -0.000 | 0.000 | 89.966 |
| 270.771 | 95.190 | 95.190 | 0.000 | -0.000 | 0.000 |
| 95.190 | 270.771 | 95.190 | 0.000 | -0.000 | 0.000 |
| 95.190 | 95.190 | 270.771 | 0.000 | 0.000 | 0.000 |
| -0.000 | 0.000 | 0.000 | 81.361 | -0.000 | 0.000 |
| 0.000 | -0.000 | 0.000 | 0.000 | 81.361 | 0.000 |
| 0.000 | 0.000 | -0.000 | 0.000 | -0.000 | 81.361 |
| 270.770 | 95.189 | 95.189 | -0.000 | 0.000 | -0.000 |
| 95.189 | 270.770 | 95.189 | -0.000 | 0.000 | -0.000 |
| 95.189 | 95.189 | 270.770 | -0.000 | 0.000 | -0.000 |
| 0.000 | -0.000 | -0.000 | 81.361 | 0.000 | -0.000 |
| -0.000 | 0.000 | -0.000 | -0.000 | 81.361 | -0.000 |
| -0.000 | -0.000 | 0.000 | -0.000 | 0.000 | 81.361 |
| 288.819 | 72.083 | 72.083 | -0.000 | -0.000 | 0.000 |
| 72.083 | 288.819 | 72.083 | 0.000 | 0.000 | 0.000 |
| 72.083 | 72.083 | 288.819 | -0.000 | 0.000 | 0.000 |
| -0.000 | -0.000 | -0.000 | 69.872 | -0.000 | 0.000 |
| -0.000 | -0.000 | -0.000 | -0.000 | 69.872 | 0.000 |
| 0.000 | -0.000 | -0.000 | -0.000 | 0.000 | 69.872 |
| 288.819 | 72.083 | 72.083 | 0.000 | -0.000 | -0.000 |
| 72.083 | 288.819 | 72.083 | 0.000 | 0.000 | -0.000 |
| 72.083 | 72.083 | 288.819 | 0.000 | 0.000 | -0.000 |
| 0.000 | 0.000 | 0.000 | 69.872 | 0.000 | -0.000 |
| -0.000 | 0.000 | 0.000 | 0.000 | 69.872 | -0.000 |
| 0.000 | 0.000 | 0.000 | -0.000 | -0.000 | 69.872 |
| 288.819 | 72.084 | 72.084 | 0.000 | 0.000 | 0.000 |
| 72.084 | 288.819 | 72.084 | -0.000 | -0.000 | 0.000 |
| 72.084 | 72.084 | 288.819 | -0.000 | 0.000 | 0.000 |
| 0.000 | 0.000 | 0.000 | 69.872 | 0.000 | 0.000 |
| 0.000 | 0.000 | 0.000 | -0.000 | 69.872 | 0.000 |
| 0.000 | 0.000 | 0.000 | 0.000 | 0.000 | 69.872 |
| 288.819 | 72.083 | 72.083 | -0.000 | -0.000 | -0.000 |
| 72.083 | 288.819 | 72.083 | 0.000 | -0.000 | -0.000 |
| 72.083 | 72.083 | 288.819 | 0.000 | 0.000 | -0.000 |
| -0.000 | -0.000 | -0.000 | 69.872 | -0.000 | -0.000 |
| -0.000 | -0.000 | -0.000 | 0.000 | 69.872 | -0.000 |
| -0.000 | -0.000 | -0.000 | -0.000 | -0.000 | 69.872 |
| 288.820 | 72.084 | 72.084 | -0.000 | 0.000 | 0.000 |
| 72.084 | 288.820 | 72.084 | 0.000 | -0.000 | 0.000 |
| 72.084 | 72.084 | 288.820 | -0.000 | 0.000 | 0.000 |
| 0.000 | 0.000 | 0.000 | 69.872 | -0.000 | 0.000 |
| 0.000 | 0.000 | 0.000 | -0.000 | 69.872 | 0.000 |
| 0.000 | 0.000 | 0.000 | 0.000 | 0.000 | 69.872 |
| 288.865 | 72.060 | 72.060 | -0.000 | -0.000 | -0.000 |
| 72.060 | 288.865 | 72.060 | -0.000 | -0.000 | -0.000 |
| 72.060 | 72.060 | 288.865 | 0.000 | 0.000 | -0.000 |
| -0.000 | -0.000 | -0.000 | 69.872 | 0.000 | -0.000 |
| -0.000 | -0.000 | -0.000 | 0.000 | 69.872 | -0.000 |
| -0.000 | -0.000 | -0.000 | -0.000 | -0.000 | 69.872 |
| 7402199.796 | 5326960.600 | 10959587.550 | -673.080 | -489472.883 | 853921.109 |
| 7272273.198 | 5295722.670 | 10942122.098 | -7198.175 | -477073.561 | 840163.005 |
| 7579762.013 | 5510312.329 | 10772038.034 | 28186.268 | -431620.982 | 858545.353 |
| 7414059.855 | 5370711.275 | 10698231.459 | -14355.318 | -476228.486 | 851646.718 |
| 7412951.873 | 5401674.947 | 11016454.417 | 42269.630 | -504653.753 | 843192.513 |
| 7430037.299 | 5320371.468 | 10933227.047 | 6644.972 | -503789.354 | 854928.402 |
| -7562268.856 | -5531075.960 | -10752047.829 | -21817.959 | 437123.902 | -866503.085 |
| -7376897.388 | -5367306.190 | -10727811.839 | 11744.305 | 478348.845 | -844402.713 |
| -7521023.517 | -5346133.208 | -10724098.377 | 13156.993 | 445248.541 | -846077.242 |
| -7433921.008 | -5396207.581 | -10772329.654 | -3814.704 | 480119.956 | -841235.377 |
| -7417379.922 | -5474190.132 | -10732564.100 | 1254.909 | 473059.097 | -866881.488 |
| -7419618.904 | -5456164.133 | -10699364.125 | 21654.037 | 440181.930 | -856428.623 |
| 743311.753 | 533370.198 | 1090954.948 | 1885.510 | -49894.383 | 85111.483 |
| 733706.652 | 545191.719 | 1096954.506 | 4178.664 | -49258.124 | 85323.457 |
| 753983.432 | 544245.730 | 1070198.068 | -658.320 | -41892.183 | 86679.372 |
| 741881.530 | 535574.648 | 1095520.897 | 2276.502 | -50322.772 | 85333.786 |
| 733142.033 | 546127.268 | 1097220.431 | 3848.547 | -49135.426 | 86294.818 |
| 755391.737 | 532173.767 | 1095568.800 | 1500.077 | -46609.598 | 85399.913 |
| -740861.323 | -533315.781 | -1097636.756 | -811.351 | 48417.334 | -83975.554 |
| -748406.671 | -539681.800 | -1073921.683 | -766.559 | 45654.455 | -86154.353 |
| -742212.783 | -531751.647 | -1091054.087 | -898.914 | 50726.050 | -84309.623 |
| -752196.302 | -538048.645 | -1074613.513 | -44.047 | 43812.477 | -84494.555 |
| -739275.003 | -535159.198 | -1095037.604 | -2427.757 | 50263.385 | -85943.075 |
| -741421.239 | -532505.605 | -1094660.761 | -219.376 | 49075.565 | -85611.293 |
| 74474.350 | 52669.571 | 109181.717 | 85.700 | -5005.171 | 8487.275 |
| 74217.230 | 53178.552 | 106953.000 | -233.213 | -4776.285 | 8520.646 |
| 74593.971 | 53448.785 | 106977.186 | -136.494 | -4544.404 | 8767.606 |
| 74244.298 | 53915.847 | 106526.848 | -196.996 | -4324.472 | 8499.387 |
| 74389.541 | 53811.038 | 107544.227 | -31.293 | -4817.988 | 8441.896 |
| 75040.612 | 53379.502 | 109457.945 | 194.002 | -4833.774 | 8660.358 |
| -74574.479 | -52656.437 | -108767.026 | -59.271 | 5067.737 | -8332.552 |
| -74682.067 | -53131.228 | -106811.347 | 192.864 | 4214.570 | -8380.307 |
| -75071.477 | -53206.963 | -107040.475 | 184.799 | 4461.340 | -8499.291 |
| -74249.997 | -53560.131 | -109484.729 | -192.523 | 5013.266 | -8677.948 |
| -75232.321 | -53733.761 | -109697.152 | -273.075 | 4534.738 | -8383.742 |
| -75278.028 | -54899.966 | -107017.334 | -74.186 | 4480.917 | -8708.341 |
| 168.308 | 126.845 | 126.845 | 0.000 | 0.000 | 0.000 |
| 126.845 | 168.308 | 126.845 | 0.000 | 0.000 | 0.000 |
| 126.845 | 126.845 | 168.308 | 0.000 | 0.000 | 0.000 |
| 0.000 | 0.000 | -0.000 | 112.247 | 0.000 | 0.000 |
| 0.000 | 0.000 | -0.000 | 0.000 | 112.247 | 0.000 |
| 0.000 | 0.000 | 0.000 | 0.000 | 0.000 | 112.247 |
| 168.308 | 126.845 | 126.845 | -0.000 | -0.000 | -0.000 |
| 126.845 | 168.308 | 126.845 | -0.000 | -0.000 | -0.000 |
| 126.845 | 126.845 | 168.308 | -0.000 | -0.000 | -0.000 |
| -0.000 | -0.000 | -0.000 | 112.247 | -0.000 | -0.000 |
| -0.000 | -0.000 | -0.000 | -0.000 | 112.247 | -0.000 |
| -0.000 | -0.000 | -0.000 | -0.000 | -0.000 | 112.247 |
| 168.308 | 126.845 | 126.845 | 0.000 | 0.000 | 0.000 |
| 126.845 | 168.308 | 126.845 | 0.000 | 0.000 | 0.000 |
| 126.845 | 126.845 | 168.308 | 0.000 | 0.000 | 0.000 |
| 0.000 | 0.000 | 0.000 | 105.159 | 0.000 | 0.000 |
| 0.000 | 0.000 | 0.000 | 0.000 | 105.159 | 0.000 |
| 0.000 | 0.000 | 0.000 | 0.000 | 0.000 | 105.159 |
| 168.308 | 126.845 | 126.845 | -0.000 | -0.000 | -0.000 |
| 126.845 | 168.308 | 126.845 | -0.000 | -0.000 | -0.000 |
| 126.845 | 126.845 | 168.308 | -0.000 | -0.000 | -0.000 |
| -0.000 | -0.000 | -0.000 | 105.159 | -0.000 | -0.000 |
| -0.000 | -0.000 | -0.000 | -0.000 | 105.159 | -0.000 |
| -0.000 | -0.000 | -0.000 | -0.000 | -0.000 | 105.159 |
| 168.309 | 126.846 | 126.846 | 0.000 | 0.000 | 0.000 |
| 126.846 | 168.309 | 126.846 | 0.000 | 0.000 | 0.000 |
| 126.846 | 126.846 | 168.309 | 0.000 | 0.000 | 0.000 |
| 0.000 | -0.000 | 0.000 | 105.159 | 0.000 | 0.000 |
| -0.000 | 0.000 | 0.000 | 0.000 | 105.159 | 0.000 |
| -0.000 | 0.000 | 0.000 | 0.000 | 0.000 | 105.159 |
| 168.307 | 126.845 | 126.845 | -0.000 | -0.000 | -0.000 |
| 126.845 | 168.307 | 126.845 | -0.000 | -0.000 | -0.000 |
| 126.845 | 126.845 | 168.307 | -0.000 | -0.000 | -0.000 |
| -0.000 | 0.000 | -0.000 | 105.159 | -0.000 | -0.000 |
| 0.000 | -0.000 | -0.000 | -0.000 | 105.159 | -0.000 |
| 0.000 | -0.000 | -0.000 | -0.000 | -0.000 | 105.159 |
| 189.560 | 113.416 | 113.416 | -0.000 | -0.000 | 0.000 |
| 113.416 | 189.560 | 113.416 | -0.000 | -0.000 | -0.000 |
| 113.416 | 113.416 | 189.560 | -0.000 | -0.000 | 0.000 |
| -0.000 | -0.000 | 0.000 | 80.077 | -0.000 | -0.000 |
| 0.000 | -0.000 | 0.000 | -0.000 | 80.077 | 0.000 |
| 0.000 | 0.000 | -0.000 | -0.000 | 0.000 | 80.077 |
| 189.560 | 113.416 | 113.416 | 0.000 | 0.000 | -0.000 |
| 113.416 | 189.560 | 113.416 | 0.000 | 0.000 | 0.000 |
| 113.416 | 113.416 | 189.560 | 0.000 | 0.000 | -0.000 |
| 0.000 | -0.000 | -0.000 | 80.077 | 0.000 | -0.000 |
| -0.000 | 0.000 | -0.000 | 0.000 | 80.077 | -0.000 |
| -0.000 | -0.000 | 0.000 | 0.000 | 0.000 | 80.077 |
| 189.560 | 113.416 | 113.416 | -0.000 | -0.000 | 0.000 |
| 113.416 | 189.560 | 113.416 | 0.000 | -0.000 | 0.000 |
| 113.416 | 113.416 | 189.560 | -0.000 | -0.000 | 0.000 |
| -0.000 | 0.000 | 0.000 | 80.077 | -0.000 | -0.000 |
| 0.000 | -0.000 | 0.000 | -0.000 | 80.077 | 0.000 |
| 0.000 | 0.000 | -0.000 | -0.000 | -0.000 | 80.077 |
| 189.560 | 113.416 | 113.416 | 0.000 | 0.000 | -0.000 |
| 113.416 | 189.560 | 113.416 | 0.000 | 0.000 | -0.000 |
| 113.416 | 113.416 | 189.560 | 0.000 | 0.000 | -0.000 |
| 0.000 | -0.000 | -0.000 | 80.077 | 0.000 | -0.000 |
| -0.000 | 0.000 | -0.000 | 0.000 | 80.077 | -0.000 |
| -0.000 | -0.000 | 0.000 | 0.000 | 0.000 | 80.077 |
| 189.560 | 113.417 | 113.417 | -0.000 | 0.000 | 0.000 |
| 113.417 | 189.560 | 113.417 | -0.000 | -0.000 | -0.000 |
| 113.417 | 113.417 | 189.560 | -0.000 | -0.000 | 0.000 |
| -0.000 | 0.000 | 0.000 | 80.077 | -0.000 | 0.000 |
| 0.000 | -0.000 | 0.000 | -0.000 | 80.077 | 0.000 |
| 0.000 | 0.000 | -0.000 | -0.000 | -0.000 | 80.077 |
| 189.560 | 113.416 | 113.416 | 0.000 | 0.000 | -0.000 |
| 113.416 | 189.560 | 113.416 | 0.000 | 0.000 | -0.000 |
| 113.416 | 113.416 | 189.560 | 0.000 | 0.000 | -0.000 |
| 0.000 | -0.000 | -0.000 | 80.077 | 0.000 | -0.000 |
| -0.000 | 0.000 | -0.000 | 0.000 | 80.077 | -0.000 |
| -0.000 | -0.000 | 0.000 | 0.000 | 0.000 | 80.077 |
| 148.386 | 88.652 | 88.652 | -0.000 | -0.000 | -0.000 |
| 88.652 | 148.386 | 88.652 | -0.000 | -0.000 | -0.000 |
| 88.652 | 88.652 | 148.386 | -0.000 | -0.000 | -0.000 |
| 0.000 | 0.000 | 0.000 | 62.625 | -0.000 | -0.000 |
| 0.000 | -0.000 | 0.000 | -0.000 | 62.625 | 0.000 |
| 0.000 | 0.000 | -0.000 | -0.000 | 0.000 | 62.625 |
| 148.386 | 88.652 | 88.652 | 0.000 | 0.000 | 0.000 |
| 88.652 | 148.386 | 88.652 | 0.000 | 0.000 | 0.000 |
| 88.652 | 88.652 | 148.386 | 0.000 | 0.000 | 0.000 |
| 0.000 | -0.000 | -0.000 | 62.625 | 0.000 | 0.000 |
| -0.000 | 0.000 | -0.000 | 0.000 | 62.625 | -0.000 |
| -0.000 | -0.000 | 0.000 | 0.000 | -0.000 | 62.625 |
| 148.386 | 88.652 | 88.652 | -0.000 | -0.000 | -0.000 |
| 88.652 | 148.386 | 88.652 | -0.000 | -0.000 | -0.000 |
| 88.652 | 88.652 | 148.386 | -0.000 | -0.000 | -0.000 |
| -0.000 | 0.000 | 0.000 | 62.625 | -0.000 | -0.000 |
| 0.000 | -0.000 | 0.000 | -0.000 | 62.625 | 0.000 |
| 0.000 | 0.000 | -0.000 | -0.000 | 0.000 | 62.625 |
| 148.386 | 88.652 | 88.652 | 0.000 | -0.000 | -0.000 |
| 88.652 | 148.386 | 88.652 | -0.000 | 0.000 | 0.000 |
| 88.652 | 88.652 | 148.386 | 0.000 | 0.000 | 0.000 |
| 0.000 | -0.000 | -0.000 | 62.625 | 0.000 | 0.000 |
| -0.000 | 0.000 | -0.000 | 0.000 | 62.625 | -0.000 |
| -0.000 | -0.000 | 0.000 | 0.000 | -0.000 | 62.625 |
| 148.386 | 88.653 | 88.653 | -0.000 | 0.000 | 0.000 |
| 88.653 | 148.386 | 88.653 | 0.000 | -0.000 | -0.000 |
| 88.653 | 88.653 | 148.386 | -0.000 | -0.000 | -0.000 |
| -0.000 | 0.000 | 0.000 | 62.625 | -0.000 | 0.000 |
| 0.000 | -0.000 | 0.000 | -0.000 | 62.625 | 0.000 |
| 0.000 | 0.000 | -0.000 | -0.000 | 0.000 | 62.625 |
| 148.385 | 88.652 | 88.652 | 0.000 | -0.000 | -0.000 |
| 88.652 | 148.385 | 88.652 | -0.000 | 0.000 | 0.000 |
| 88.652 | 88.652 | 148.385 | 0.000 | 0.000 | 0.000 |
| 0.000 | -0.000 | -0.000 | 62.625 | 0.000 | 0.000 |
| -0.000 | 0.000 | -0.000 | 0.000 | 62.625 | -0.000 |
| -0.000 | -0.000 | 0.000 | 0.000 | -0.000 | 62.625 |
| 212.288 | 59.092 | 59.092 | 0.000 | 0.000 | -0.000 |
| 59.092 | 212.288 | 59.092 | 0.000 | 0.000 | -0.000 |
| 59.092 | 59.092 | 212.288 | 0.000 | 0.000 | -0.000 |
| -0.000 | -0.000 | 0.000 | 31.869 | -0.000 | -0.000 |
| 0.000 | -0.000 | 0.000 | 0.000 | 31.869 | -0.000 |
| -0.000 | 0.000 | 0.000 | 0.000 | -0.000 | 31.869 |
| 212.288 | 59.092 | 59.092 | -0.000 | 0.000 | 0.000 |
| 59.092 | 212.288 | 59.092 | -0.000 | 0.000 | 0.000 |
| 59.092 | 59.092 | 212.288 | -0.000 | -0.000 | 0.000 |
| 0.000 | 0.000 | -0.000 | 31.869 | 0.000 | 0.000 |
| -0.000 | 0.000 | -0.000 | -0.000 | 31.869 | 0.000 |
| 0.000 | 0.000 | 0.000 | -0.000 | -0.000 | 31.869 |
| 212.288 | 59.092 | 59.092 | 0.000 | -0.000 | -0.000 |
| 59.092 | 212.288 | 59.092 | 0.000 | 0.000 | -0.000 |
| 59.092 | 59.092 | 212.288 | 0.000 | 0.000 | -0.000 |
| 0.000 | 0.000 | 0.000 | 18.125 | 0.000 | -0.000 |
| 0.000 | 0.000 | 0.000 | 0.000 | 18.125 | -0.000 |
| 0.000 | 0.000 | 0.000 | 0.000 | 0.000 | 18.125 |
| 210.812 | 59.830 | 59.830 | -0.000 | -0.000 | 0.000 |
| 59.830 | 210.812 | 59.830 | -0.000 | -0.000 | 0.000 |
| 59.830 | 59.830 | 210.812 | -0.000 | 0.000 | 0.000 |
| -0.000 | -0.000 | -0.000 | 18.125 | -0.000 | 0.000 |
| -0.000 | -0.000 | -0.000 | -0.000 | 18.125 | 0.000 |
| -0.000 | -0.000 | -0.000 | -0.000 | -0.000 | 18.125 |
| 212.288 | 59.092 | 59.092 | 0.000 | 0.000 | -0.000 |
| 59.092 | 212.288 | 59.092 | 0.000 | -0.000 | -0.000 |
| 59.092 | 59.092 | 212.288 | 0.000 | -0.000 | -0.000 |
| 0.000 | 0.000 | 0.000 | 18.125 | 0.000 | -0.000 |
| 0.000 | 0.000 | 0.000 | 0.000 | 18.125 | -0.000 |
| 0.000 | 0.000 | 0.000 | 0.000 | 0.000 | 18.125 |
| 212.287 | 59.092 | 59.092 | -0.000 | -0.000 | 0.000 |
| 59.092 | 212.287 | 59.092 | -0.000 | 0.000 | 0.000 |
| 59.092 | 59.092 | 212.287 | -0.000 | 0.000 | 0.000 |
| -0.000 | -0.000 | -0.000 | 18.125 | -0.000 | -0.000 |
| -0.000 | -0.000 | -0.000 | -0.000 | 18.125 | 0.000 |
| -0.000 | -0.000 | -0.000 | -0.000 | -0.000 | 18.125 |
| -16389846.934 | -39228767.355 | -46936552.143 | 1181009.604 | 293083.225 | 148193.728 |
| -49263252.109 | -16215711.888 | -45087364.789 | 31676.048 | 783629.145 | 577760.232 |
| -42568304.238 | -46278544.748 | -17640740.221 | 188488.339 | -311734.647 | 883925.482 |
| -32189558.065 | -37456376.674 | -40281769.344 | 37920.542 | -309562.924 | -191134.054 |
| -34042534.072 | -36608049.591 | -33647542.282 | -734207.867 | -884572.564 | -1662170.808 |
| -35645981.409 | -39784349.061 | -30738939.701 | -392199.389 | 492965.302 | -531147.758 |
| 56648382.419 | 18195769.967 | 18648872.284 | -44518.542 | 279045.403 | 252102.975 |
| 18676031.897 | 58116106.896 | 21360253.854 | -757615.416 | -774862.046 | 557982.998 |
| 16214442.794 | 16144481.151 | 53132799.742 | -336842.291 | -1336569.505 | 225941.743 |
| 28361653.735 | 35164396.685 | 34225658.543 | -822290.504 | -319487.940 | 878794.262 |
| 35143803.651 | 28853024.870 | 33134370.890 | -819336.010 | -1945349.535 | -348124.168 |
| 33107406.591 | 35206771.506 | 27471800.334 | 307907.159 | 428147.321 | 737231.465 |
| -1423912.353 | -4740546.797 | -4587605.797 | -24397.302 | 5188.936 | -71226.463 |
| -3783444.057 | -1633693.994 | -4753149.811 | -120703.507 | 10839.419 | -35826.967 |
| -4439080.571 | -3692556.971 | -1550005.503 | 13153.954 | -74444.645 | 58299.543 |
| -3091229.219 | -3379962.658 | -3541657.312 | -88194.033 | 123262.373 | 2714.190 |
| -3349760.465 | -3530651.909 | -3125467.549 | -61370.923 | -132456.301 | 13189.966 |
| -3420789.337 | -3438008.292 | -3201317.554 | 18814.203 | -21567.895 | -68581.583 |
| 6452713.071 | 1856796.275 | 1383870.200 | 36025.989 | -2310.351 | -108218.698 |
| 1385071.178 | 6611786.131 | 2020551.305 | 12345.595 | -61784.640 | -20478.541 |
| 1790396.236 | 1381598.380 | 6203170.207 | -89623.847 | 29885.936 | -28075.385 |
| 3341607.814 | 3341344.955 | 3705893.712 | -123321.131 | -78167.558 | -6238.435 |
| 3487084.578 | 2880508.998 | 3228868.680 | -27050.392 | -17811.640 | 38277.132 |
| 3667983.914 | 4029994.081 | 3318846.292 | 8044.112 | -68857.748 | -124832.802 |
| -115052.606 | -469255.273 | -404962.746 | 11485.321 | 1251.240 | 8561.220 |
| -435673.851 | -140127.200 | -500687.024 | -3209.680 | 10852.939 | -764.703 |
| -423854.825 | -388938.557 | -133512.593 | 1211.270 | -2322.752 | 3063.261 |
| -326051.105 | -339499.856 | -366722.708 | -19321.231 | 9010.690 | 12265.067 |
| -297054.053 | -315773.443 | -322622.336 | -6635.289 | -5399.654 | 4272.387 |
| -350480.224 | -337831.979 | -288411.332 | 834.291 | 1371.244 | -22780.655 |
| 719932.916 | 262868.126 | 252106.100 | 16102.694 | 1929.064 | 8329.117 |
| 231581.469 | 735160.089 | 264094.933 | -19987.071 | 17003.164 | -8075.750 |
| 258213.658 | 232528.454 | 692111.510 | 1009.462 | -3746.303 | 6686.910 |
| 318783.810 | 305716.040 | 332317.437 | -11889.363 | -15352.717 | 2233.209 |
| 329127.932 | 342566.141 | 373063.728 | 12795.439 | -15663.062 | 2224.994 |
| 361358.227 | 346524.763 | 348410.523 | 2237.504 | 4567.910 | -5052.357 |
| 129.728 | 105.916 | 105.916 | -0.000 | 0.000 | -0.000 |
| 105.916 | 129.728 | 105.916 | -0.000 | -0.000 | -0.000 |
| 105.916 | 105.916 | 129.728 | -0.000 | -0.000 | -0.000 |
| 0.000 | 0.000 | 0.000 | 78.125 | -0.000 | -0.000 |
| 0.000 | 0.000 | 0.000 | -0.000 | 78.125 | -0.000 |
| 0.000 | 0.000 | 0.000 | -0.000 | -0.000 | 78.125 |
| 129.728 | 105.916 | 105.916 | 0.000 | 0.000 | 0.000 |
| 105.916 | 129.728 | 105.916 | 0.000 | -0.000 | 0.000 |
| 105.916 | 105.916 | 129.728 | 0.000 | -0.000 | 0.000 |
| -0.000 | -0.000 | -0.000 | 78.125 | 0.000 | -0.000 |
| 0.000 | -0.000 | -0.000 | 0.000 | 78.125 | 0.000 |
| -0.000 | -0.000 | -0.000 | 0.000 | -0.000 | 78.125 |
| 129.728 | 105.916 | 105.916 | -0.000 | -0.000 | -0.000 |
| 105.916 | 129.728 | 105.916 | -0.000 | 0.000 | 0.000 |
| 105.916 | 105.916 | 129.728 | 0.000 | -0.000 | -0.000 |
| 0.000 | -0.000 | 0.000 | 78.125 | -0.000 | -0.000 |
| -0.000 | 0.000 | 0.000 | -0.000 | 78.125 | -0.000 |
| -0.000 | 0.000 | 0.000 | -0.000 | -0.000 | 78.125 |
| 129.727 | 105.916 | 105.916 | 0.000 | 0.000 | 0.000 |
| 105.916 | 129.727 | 105.916 | 0.000 | 0.000 | 0.000 |
| 105.916 | 105.916 | 129.727 | 0.000 | 0.000 | 0.000 |
| -0.000 | 0.000 | -0.000 | 78.125 | 0.000 | 0.000 |
| 0.000 | -0.000 | -0.000 | 0.000 | 78.125 | 0.000 |
| 0.000 | -0.000 | -0.000 | 0.000 | -0.000 | 78.125 |
| 129.728 | 105.916 | 105.916 | -0.000 | -0.000 | -0.000 |
| 105.916 | 129.728 | 105.916 | -0.000 | -0.000 | -0.000 |
| 105.916 | 105.916 | 129.728 | -0.000 | -0.000 | -0.000 |
| 0.000 | -0.000 | 0.000 | 78.125 | 0.000 | -0.000 |
| -0.000 | 0.000 | 0.000 | 0.000 | 78.125 | -0.000 |
| -0.000 | 0.000 | 0.000 | -0.000 | -0.000 | 78.125 |
| 129.727 | 105.916 | 105.916 | 0.000 | 0.000 | 0.000 |
| 105.916 | 129.727 | 105.916 | -0.000 | 0.000 | 0.000 |
| 105.916 | 105.916 | 129.727 | -0.000 | 0.000 | 0.000 |
| -0.000 | 0.000 | -0.000 | 78.125 | 0.000 | -0.000 |
| 0.000 | -0.000 | -0.000 | 0.000 | 78.125 | 0.000 |
| 0.000 | -0.000 | -0.000 | 0.000 | -0.000 | 78.125 |
| 177.388 | 77.538 | 70.613 | -0.000 | -0.000 | 0.000 |
| 77.538 | 177.388 | 70.613 | -0.000 | -0.000 | -0.000 |
| 70.613 | 70.613 | 189.814 | -0.000 | -0.000 | -0.000 |
| -0.000 | 0.000 | 0.000 | 41.352 | -0.000 | -0.000 |
| -0.000 | 0.000 | 0.000 | -0.000 | 41.352 | -0.000 |
| -0.000 | 0.000 | -0.000 | -0.000 | -0.000 | 45.630 |
| 177.388 | 77.538 | 70.613 | 0.000 | 0.000 | 0.000 |
| 81.833 | 173.093 | 70.613 | 0.000 | 0.000 | 0.000 |
| 70.613 | 70.613 | 189.814 | 0.000 | 0.000 | -0.000 |
| 0.000 | 0.000 | -0.000 | 41.352 | 0.000 | 0.000 |
| 0.000 | -0.000 | -0.000 | 0.000 | 41.352 | 0.000 |
| 0.000 | -0.000 | 0.000 | 0.000 | 0.000 | 45.630 |
| 173.093 | 81.833 | 70.613 | -0.000 | -0.000 | 0.000 |
| 81.833 | 173.093 | 70.613 | -0.000 | -0.000 | -0.000 |
| 70.613 | 70.613 | 189.814 | -0.000 | -0.000 | 0.000 |
| 0.000 | -0.000 | 0.000 | 41.352 | -0.000 | -0.000 |
| -0.000 | 0.000 | 0.000 | -0.000 | 41.352 | -0.000 |
| -0.000 | 0.000 | -0.000 | -0.000 | -0.000 | 45.630 |
| 173.093 | 81.833 | 70.613 | 0.000 | 0.000 | -0.000 |
| 81.833 | 173.093 | 70.613 | 0.000 | 0.000 | 0.000 |
| 70.613 | 70.613 | 189.813 | 0.000 | 0.000 | 0.000 |
| -0.000 | 0.000 | -0.000 | 41.352 | 0.000 | 0.000 |
| 0.000 | -0.000 | -0.000 | 0.000 | 41.352 | -0.000 |
| 0.000 | -0.000 | 0.000 | 0.000 | 0.000 | 45.630 |
| 177.389 | 77.539 | 70.613 | -0.000 | -0.000 | 0.000 |
| 77.539 | 177.389 | 70.613 | -0.000 | -0.000 | 0.000 |
| 70.614 | 70.614 | 189.814 | -0.000 | -0.000 | 0.000 |
| 0.000 | -0.000 | 0.000 | 41.352 | -0.000 | 0.000 |
| -0.000 | 0.000 | 0.000 | -0.000 | 41.352 | 0.000 |
| -0.000 | 0.000 | -0.000 | -0.000 | -0.000 | 45.630 |
| 173.092 | 81.833 | 70.613 | 0.000 | 0.000 | 0.000 |
| 81.833 | 173.093 | 70.613 | 0.000 | 0.000 | -0.000 |
| 70.613 | 70.613 | 189.813 | 0.000 | 0.000 | -0.000 |
| -0.000 | 0.000 | -0.000 | 41.352 | 0.000 | 0.000 |
| 0.000 | -0.000 | -0.000 | 0.000 | 41.352 | -0.000 |
| 0.000 | -0.000 | 0.000 | 0.000 | 0.000 | 45.630 |
| 173.299 | 77.256 | 74.803 | 0.000 | 0.000 | 0.000 |
| 80.451 | 170.104 | 74.803 | 0.000 | -0.000 | 0.000 |
| 74.807 | 74.807 | 187.133 | 0.000 | -0.000 | 0.000 |
| 0.000 | -0.000 | 0.000 | 42.086 | 0.000 | -0.000 |
| 0.000 | -0.000 | 0.000 | 0.000 | 42.086 | 0.000 |
| -0.000 | 0.000 | 0.000 | 0.000 | 0.000 | 48.022 |
| 170.104 | 80.451 | 74.803 | -0.000 | -0.000 | -0.000 |
| 77.256 | 173.299 | 74.803 | -0.000 | -0.000 | -0.000 |
| 74.807 | 74.807 | 187.133 | -0.000 | 0.000 | 0.000 |
| -0.000 | 0.000 | -0.000 | 42.086 | -0.000 | -0.000 |
| -0.000 | 0.000 | -0.000 | -0.000 | 42.086 | 0.000 |
| 0.000 | -0.000 | -0.000 | -0.000 | 0.000 | 48.022 |
| 170.104 | 80.451 | 74.803 | 0.000 | 0.000 | -0.000 |
| 80.451 | 170.104 | 74.803 | 0.000 | -0.000 | 0.000 |
| 74.807 | 74.807 | 187.133 | 0.000 | -0.000 | 0.000 |
| 0.000 | -0.000 | 0.000 | 42.086 | -0.000 | -0.000 |
| -0.000 | 0.000 | 0.000 | 0.000 | 42.086 | -0.000 |
| -0.000 | 0.000 | -0.000 | 0.000 | 0.000 | 48.022 |
| 170.104 | 80.451 | 74.803 | -0.000 | -0.000 | 0.000 |
| 80.451 | 170.104 | 74.803 | -0.000 | 0.000 | 0.000 |
| 74.807 | 74.807 | 187.133 | -0.000 | 0.000 | -0.000 |
| -0.000 | 0.000 | -0.000 | 42.086 | 0.000 | -0.000 |
| 0.000 | -0.000 | -0.000 | -0.000 | 42.086 | -0.000 |
| 0.000 | -0.000 | 0.000 | -0.000 | -0.000 | 48.022 |
| 173.300 | 77.256 | 74.803 | 0.000 | -0.000 | -0.000 |
| 77.256 | 173.300 | 74.803 | 0.000 | 0.000 | -0.000 |
| 74.807 | 74.807 | 187.133 | 0.000 | -0.000 | -0.000 |
| 0.000 | -0.000 | 0.000 | 42.086 | -0.000 | -0.000 |
| -0.000 | 0.000 | 0.000 | 0.000 | 42.086 | 0.000 |
| -0.000 | 0.000 | -0.000 | 0.000 | -0.000 | 44.827 |
| 170.104 | 80.450 | 74.803 | -0.000 | -0.000 | 0.000 |
| 77.256 | 173.298 | 74.803 | -0.000 | -0.000 | 0.000 |
| 74.807 | 74.807 | 187.132 | -0.000 | 0.000 | -0.000 |
| -0.000 | 0.000 | -0.000 | 42.086 | 0.000 | 0.000 |
| 0.000 | -0.000 | -0.000 | -0.000 | 42.086 | -0.000 |
| 0.000 | -0.000 | 0.000 | -0.000 | -0.000 | 44.827 |
| 170.083 | 80.438 | 74.797 | 0.000 | 0.000 | 0.000 |
| 77.243 | 173.277 | 74.797 | -0.000 | 0.000 | 0.000 |
| 74.799 | 74.799 | 187.116 | -0.000 | 0.000 | 0.000 |
| 0.000 | -0.000 | 0.000 | 42.085 | 0.000 | 0.000 |
| 0.000 | -0.000 | 0.000 | -0.000 | 42.085 | 0.000 |
| 0.000 | 0.000 | 0.000 | -0.000 | 0.000 | 44.823 |
| 173.277 | 77.243 | 74.797 | 0.000 | -0.000 | -0.000 |
| 80.438 | 170.083 | 74.797 | -0.000 | -0.000 | -0.000 |
| 74.799 | 74.799 | 187.116 | 0.000 | -0.000 | -0.000 |
| -0.000 | 0.000 | -0.000 | 42.085 | -0.000 | -0.000 |
| -0.000 | 0.000 | -0.000 | 0.000 | 42.085 | -0.000 |
| -0.000 | -0.000 | -0.000 | 0.000 | -0.000 | 44.823 |
| 173.277 | 77.243 | 74.797 | -0.000 | 0.000 | 0.000 |
| 80.438 | 170.083 | 74.797 | 0.000 | 0.000 | 0.000 |
| 74.799 | 74.799 | 187.116 | -0.000 | 0.000 | 0.000 |
| 0.000 | -0.000 | 0.000 | 42.085 | 0.000 | 0.000 |
| -0.000 | 0.000 | 0.000 | 0.000 | 42.085 | 0.000 |
| -0.000 | 0.000 | -0.000 | -0.000 | 0.000 | 44.823 |
| 170.083 | 80.438 | 74.797 | 0.000 | -0.000 | -0.000 |
| 80.438 | 170.083 | 74.797 | -0.000 | -0.000 | -0.000 |
| 74.799 | 74.799 | 187.116 | 0.000 | -0.000 | -0.000 |
| -0.000 | 0.000 | -0.000 | 42.085 | -0.000 | -0.000 |
| 0.000 | -0.000 | -0.000 | -0.000 | 42.085 | -0.000 |
| 0.000 | -0.000 | 0.000 | 0.000 | -0.000 | 44.823 |
| 170.083 | 80.438 | 74.797 | 0.000 | 0.000 | 0.000 |
| 77.244 | 173.278 | 74.797 | 0.000 | 0.000 | 0.000 |
| 74.799 | 74.799 | 187.117 | -0.000 | 0.000 | 0.000 |
| 0.000 | -0.000 | 0.000 | 42.085 | 0.000 | 0.000 |
| -0.000 | 0.000 | 0.000 | -0.000 | 42.085 | 0.000 |
| -0.000 | 0.000 | -0.000 | -0.000 | 0.000 | 48.017 |
| 173.276 | 77.243 | 74.796 | 0.000 | -0.000 | -0.000 |
| 80.437 | 170.082 | 74.796 | -0.000 | -0.000 | 0.000 |
| 74.799 | 74.799 | 187.116 | 0.000 | -0.000 | -0.000 |
| -0.000 | 0.000 | -0.000 | 42.085 | -0.000 | -0.000 |
| 0.000 | -0.000 | -0.000 | 0.000 | 42.085 | -0.000 |
| 0.000 | -0.000 | 0.000 | -0.000 | -0.000 | 48.017 |
| 173.239 | 77.222 | 74.785 | -0.000 | -0.000 | 0.000 |
| 80.415 | 170.046 | 74.785 | 0.000 | 0.000 | -0.000 |
| 74.785 | 74.785 | 187.088 | 0.000 | 0.000 | -0.000 |
| 0.000 | -0.000 | 0.000 | 42.082 | 0.000 | -0.000 |
| 0.000 | 0.000 | 0.000 | 0.000 | 42.082 | -0.000 |
| -0.000 | 0.000 | -0.000 | -0.000 | 0.000 | 48.009 |
| 170.046 | 80.415 | 74.785 | 0.000 | -0.000 | 0.000 |
| 77.222 | 173.239 | 74.785 | 0.000 | -0.000 | 0.000 |
| 74.785 | 74.785 | 187.088 | -0.000 | -0.000 | 0.000 |
| -0.000 | 0.000 | -0.000 | 42.082 | -0.000 | 0.000 |
| -0.000 | -0.000 | -0.000 | -0.000 | 42.082 | 0.000 |
| 0.000 | -0.000 | 0.000 | 0.000 | -0.000 | 48.009 |
| 170.046 | 80.415 | 74.785 | -0.000 | 0.000 | -0.000 |
| 80.415 | 170.046 | 74.785 | 0.000 | 0.000 | 0.000 |
| 74.785 | 74.785 | 187.088 | -0.000 | 0.000 | -0.000 |
| 0.000 | -0.000 | 0.000 | 42.082 | 0.000 | -0.000 |
| -0.000 | 0.000 | 0.000 | 0.000 | 42.082 | 0.000 |
| -0.000 | 0.000 | -0.000 | 0.000 | 0.000 | 44.815 |
| 170.046 | 80.415 | 74.785 | -0.000 | -0.000 | 0.000 |
| 80.415 | 170.046 | 74.785 | 0.000 | -0.000 | 0.000 |
| 74.785 | 74.785 | 187.088 | -0.000 | 0.000 | 0.000 |
| -0.000 | 0.000 | -0.000 | 42.082 | -0.000 | 0.000 |
| 0.000 | -0.000 | -0.000 | -0.000 | 42.082 | 0.000 |
| 0.000 | -0.000 | 0.000 | -0.000 | -0.000 | 44.815 |
| 170.046 | 80.415 | 74.785 | 0.000 | 0.000 | 0.000 |
| 80.416 | 170.046 | 74.785 | 0.000 | 0.000 | -0.000 |
| 74.785 | 74.785 | 187.088 | -0.000 | 0.000 | -0.000 |
| -0.000 | -0.000 | 0.000 | 42.082 | 0.000 | -0.000 |
| -0.000 | -0.000 | 0.000 | -0.000 | 42.082 | 0.000 |
| -0.000 | 0.000 | -0.000 | -0.000 | 0.000 | 44.815 |
| 170.045 | 80.415 | 74.785 | 0.000 | -0.000 | -0.000 |
| 80.415 | 170.045 | 74.785 | 0.000 | -0.000 | 0.000 |
| 74.785 | 74.785 | 187.087 | 0.000 | -0.000 | 0.000 |
| 0.000 | 0.000 | -0.000 | 42.082 | -0.000 | 0.000 |
| 0.000 | 0.000 | -0.000 | -0.000 | 42.082 | -0.000 |
| 0.000 | -0.000 | 0.000 | 0.000 | -0.000 | 44.815 |
| 43.460 | 54.851 | 54.851 | -0.000 | -0.000 | -0.000 |
| 54.851 | 43.460 | 54.851 | -0.000 | -0.000 | -0.000 |
| 54.851 | 54.851 | 43.460 | -0.000 | -0.000 | -0.000 |
| -0.000 | 0.000 | 0.000 | -26.882 | -0.000 | -0.000 |
| 0.000 | -0.000 | 0.000 | -0.000 | -26.882 | -0.000 |
| 0.000 | 0.000 | -0.000 | -0.000 | -0.000 | -26.882 |
| 43.460 | 54.851 | 54.851 | 0.000 | 0.000 | 0.000 |
| 54.851 | 43.460 | 54.851 | 0.000 | 0.000 | 0.000 |
| 54.851 | 54.851 | 43.460 | 0.000 | 0.000 | 0.000 |
| 0.000 | -0.000 | -0.000 | -26.882 | 0.000 | 0.000 |
| -0.000 | 0.000 | -0.000 | 0.000 | -26.882 | 0.000 |
| -0.000 | -0.000 | 0.000 | 0.000 | 0.000 | -26.882 |
| 43.460 | 54.851 | 54.851 | -0.000 | -0.000 | -0.000 |
| 54.851 | 43.460 | 54.851 | -0.000 | -0.000 | -0.000 |
| 54.851 | 54.851 | 43.460 | -0.000 | -0.000 | -0.000 |
| -0.000 | 0.000 | -0.000 | -26.882 | -0.000 | -0.000 |
| 0.000 | -0.000 | -0.000 | -0.000 | -26.882 | -0.000 |
| 0.000 | -0.000 | -0.000 | -0.000 | -0.000 | -26.882 |
| 43.460 | 54.851 | 54.851 | 0.000 | 0.000 | 0.000 |
| 54.851 | 43.460 | 54.851 | 0.000 | 0.000 | 0.000 |
| 54.851 | 54.851 | 43.460 | 0.000 | 0.000 | 0.000 |
| 0.000 | -0.000 | 0.000 | -26.882 | 0.000 | 0.000 |
| -0.000 | 0.000 | 0.000 | 0.000 | -26.882 | 0.000 |
| -0.000 | 0.000 | 0.000 | 0.000 | 0.000 | -26.882 |
| 43.460 | 54.851 | 54.851 | -0.000 | -0.000 | -0.000 |
| 54.851 | 43.460 | 54.851 | -0.000 | -0.000 | -0.000 |
| 54.851 | 54.851 | 43.460 | -0.000 | -0.000 | -0.000 |
| -0.000 | 0.000 | -0.000 | -26.882 | -0.000 | -0.000 |
| 0.000 | -0.000 | -0.000 | -0.000 | -26.882 | -0.000 |
| 0.000 | -0.000 | -0.000 | -0.000 | -0.000 | -26.882 |
| 43.460 | 54.851 | 54.851 | 0.000 | 0.000 | 0.000 |
| 54.851 | 43.460 | 54.851 | 0.000 | 0.000 | 0.000 |
| 54.851 | 54.851 | 43.460 | 0.000 | 0.000 | 0.000 |
| 0.000 | -0.000 | 0.000 | -26.882 | 0.000 | 0.000 |
| -0.000 | 0.000 | 0.000 | 0.000 | -26.882 | 0.000 |
| -0.000 | 0.000 | 0.000 | 0.000 | 0.000 | -26.882 |
| 109.128 | 88.672 | 30.353 | -0.000 | -0.000 | -0.000 |
| 88.671 | 109.128 | 30.353 | -0.000 | -0.000 | -0.000 |
| 30.353 | 30.353 | 217.913 | 0.000 | -0.000 | 0.000 |
| -0.000 | 0.000 | 0.000 | -15.053 | -0.000 | 0.000 |
| 0.000 | 0.000 | 0.000 | -0.000 | -15.053 | 0.000 |
| -0.000 | 0.000 | 0.000 | -0.000 | -0.000 | -6.570 |
| 109.128 | 88.671 | 30.353 | -0.000 | 0.000 | -0.000 |
| 88.671 | 109.128 | 30.353 | 0.000 | 0.000 | 0.000 |
| 30.353 | 30.353 | 217.913 | 0.000 | -0.000 | -0.000 |
| 0.000 | -0.000 | -0.000 | -15.053 | -0.000 | -0.000 |
| -0.000 | -0.000 | -0.000 | -0.000 | -15.053 | -0.000 |
| 0.000 | -0.000 | -0.000 | 0.000 | 0.000 | -6.570 |
| 109.128 | 88.672 | 30.353 | 0.000 | -0.000 | 0.000 |
| 88.672 | 109.128 | 30.353 | -0.000 | -0.000 | 0.000 |
| 30.353 | 30.353 | 217.913 | 0.000 | -0.000 | 0.000 |
| -0.000 | 0.000 | -0.000 | -15.053 | -0.000 | 0.000 |
| 0.000 | -0.000 | -0.000 | 0.000 | -15.053 | -0.000 |
| -0.000 | -0.000 | -0.000 | -0.000 | -0.000 | -6.570 |
| 109.128 | 88.671 | 30.353 | 0.000 | 0.000 | -0.000 |
| 88.671 | 109.128 | 30.353 | 0.000 | 0.000 | 0.000 |
| 30.353 | 30.353 | 217.913 | -0.000 | 0.000 | -0.000 |
| 0.000 | -0.000 | 0.000 | -15.053 | 0.000 | 0.000 |
| -0.000 | 0.000 | 0.000 | 0.000 | -15.053 | -0.000 |
| 0.000 | 0.000 | 0.000 | -0.000 | 0.000 | -6.570 |
| 109.128 | 88.672 | 30.354 | -0.000 | -0.000 | -0.000 |
| 88.672 | 109.128 | 30.354 | 0.000 | -0.000 | -0.000 |
| 30.353 | 30.353 | 217.914 | 0.000 | -0.000 | 0.000 |
| -0.000 | 0.000 | -0.000 | -15.053 | -0.000 | 0.000 |
| 0.000 | -0.000 | -0.000 | 0.000 | -15.053 | -0.000 |
| -0.000 | -0.000 | -0.000 | -0.000 | -0.000 | -6.570 |
| 109.128 | 88.671 | 30.353 | 0.000 | 0.000 | 0.000 |
| 88.671 | 109.128 | 30.353 | 0.000 | 0.000 | 0.000 |
| 30.353 | 30.353 | 217.912 | -0.000 | 0.000 | -0.000 |
| 0.000 | -0.000 | 0.000 | -15.053 | 0.000 | 0.000 |
| -0.000 | 0.000 | 0.000 | 0.000 | -15.053 | -0.000 |
| 0.000 | 0.000 | 0.000 | -0.000 | -0.000 | -6.570 |
| 142.142 | 14.207 | 14.207 | 0.000 | 0.000 | 0.000 |
| 14.207 | 142.142 | 14.207 | -0.000 | 0.000 | 0.000 |
| 14.207 | 14.207 | 142.142 | 0.000 | 0.000 | 0.000 |
| -0.000 | -0.000 | -0.000 | -2.930 | -0.000 | 0.000 |
| -0.000 | -0.000 | -0.000 | 0.000 | -2.930 | 0.000 |
| -0.000 | -0.000 | -0.000 | -0.000 | -0.000 | -2.930 |
| 142.142 | 14.207 | 14.207 | 0.000 | -0.000 | -0.000 |
| 14.207 | 142.142 | 14.207 | -0.000 | 0.000 | -0.000 |
| 14.207 | 14.207 | 142.142 | 0.000 | -0.000 | 0.000 |
| 0.000 | 0.000 | 0.000 | -2.930 | -0.000 | 0.000 |
| 0.000 | 0.000 | 0.000 | 0.000 | -2.930 | -0.000 |
| 0.000 | 0.000 | 0.000 | -0.000 | 0.000 | -2.930 |
| 142.142 | 14.207 | 14.207 | -0.000 | 0.000 | 0.000 |
| 14.207 | 142.142 | 14.207 | 0.000 | -0.000 | -0.000 |
| 14.207 | 14.207 | 142.142 | -0.000 | -0.000 | -0.000 |
| -0.000 | -0.000 | -0.000 | -2.930 | 0.000 | -0.000 |
| -0.000 | -0.000 | -0.000 | 0.000 | -2.930 | 0.000 |
| -0.000 | -0.000 | -0.000 | 0.000 | 0.000 | -2.930 |
| 142.141 | 14.207 | 14.207 | 0.000 | -0.000 | -0.000 |
| 14.207 | 142.141 | 14.207 | -0.000 | -0.000 | 0.000 |
| 14.207 | 14.207 | 142.141 | -0.000 | 0.000 | -0.000 |
| 0.000 | 0.000 | 0.000 | -2.930 | -0.000 | 0.000 |
| 0.000 | 0.000 | 0.000 | -0.000 | -2.930 | -0.000 |
| 0.000 | 0.000 | 0.000 | -0.000 | -0.000 | -2.930 |
| 142.142 | 14.207 | 14.207 | 0.000 | -0.000 | -0.000 |
| 14.207 | 142.142 | 14.207 | -0.000 | -0.000 | 0.000 |
| 14.207 | 14.207 | 142.142 | 0.000 | 0.000 | -0.000 |
| -0.000 | -0.000 | -0.000 | -2.930 | 0.000 | -0.000 |
| -0.000 | -0.000 | -0.000 | 0.000 | -2.930 | -0.000 |
| -0.000 | -0.000 | -0.000 | 0.000 | -0.000 | -2.930 |
| 142.141 | 14.207 | 14.207 | -0.000 | -0.000 | -0.000 |
| 14.207 | 142.141 | 14.207 | -0.000 | -0.000 | -0.000 |
| 14.207 | 14.207 | 142.141 | -0.000 | -0.000 | 0.000 |
| 0.000 | 0.000 | 0.000 | -2.930 | 0.000 | -0.000 |
| 0.000 | 0.000 | 0.000 | 0.000 | -2.930 | 0.000 |
| 0.000 | 0.000 | 0.000 | -0.000 | 0.000 | -2.930 |
| 260.620 | 10.794 | -3.908 | -21.588 | 157.724 | -6.594 |
| 68.327 | 193.430 | 44.387 | 3.257 | -2.160 | 7.852 |
| 178.811 | 7.780 | 80.646 | -24.052 | 152.973 | -13.031 |
| -5.083 | -290.339 | 224.555 | 80.179 | 134.683 | -71.492 |
| -2.928 | -296.249 | 227.366 | 33.924 | 184.023 | -74.449 |
| 3.627 | 7.678 | -10.421 | 2.924 | 2.784 | 59.940 |
| 191.759 | 68.761 | 46.720 | 1.006 | 5.641 | 7.081 |
| 68.327 | 193.430 | 44.387 | 3.257 | -2.160 | 7.852 |
| -32.655 | 128.814 | 234.906 | 23.497 | -157.963 | 8.744 |
| 0.832 | 1.072 | -1.769 | 63.839 | -2.350 | 3.003 |
| -3.979 | 290.338 | -254.015 | -203.668 | -215.443 | 141.006 |
| -71.204 | 180.644 | -18.221 | 118.759 | -235.348 | 32.778 |
| 160.051 | 37.276 | 90.495 | -15.245 | 10.823 | -1.605 |
| 68.327 | 193.430 | 44.387 | 3.257 | -2.160 | 7.852 |
| 47.354 | 44.448 | 210.772 | -1.769 | -1.686 | -10.363 |
| 12.471 | -6.773 | -7.900 | 32.988 | 11.257 | -2.498 |
| 11.955 | -6.468 | -8.471 | -5.356 | 58.333 | -0.794 |
| 1.830 | -27.285 | 23.152 | 18.980 | 27.410 | 35.018 |
| 153.302 | 107.548 | 43.029 | 14.922 | -9.872 | 10.786 |
| 66.698 | 198.632 | 41.562 | -18.248 | -28.979 | 14.969 |
| 64.036 | 74.724 | 163.597 | 2.605 | -16.830 | -0.910 |
| 0.832 | 1.072 | -1.769 | 63.839 | -2.350 | 3.003 |
| 0.685 | 27.120 | -23.552 | -21.199 | 25.249 | 13.557 |
| 0.631 | 30.482 | -27.190 | -21.889 | -25.921 | 62.219 |
| 171.027 | 65.391 | 68.034 | 3.301 | 4.158 | 3.754 |
| 72.760 | 156.555 | 66.510 | 0.356 | -1.244 | 2.195 |
| 68.001 | 59.773 | 172.144 | 1.083 | 1.636 | -5.252 |
| 2.083 | -3.535 | 1.809 | 43.127 | -1.440 | -1.424 |
| 1.337 | -2.889 | 2.617 | -0.436 | 53.104 | -0.942 |
| 2.950 | -0.094 | -3.333 | -0.582 | 4.437 | 41.025 |
| 161.405 | 72.264 | 67.464 | 1.558 | 1.086 | 5.370 |
| 71.823 | 165.244 | 61.893 | 2.555 | -4.015 | 2.851 |
| 68.480 | 63.591 | 168.488 | 0.144 | -1.265 | -3.684 |
| 1.669 | 4.100 | -4.879 | 48.398 | -4.234 | 1.522 |
| 2.002 | 1.564 | -1.942 | -3.771 | 51.592 | 1.410 |
| 1.988 | 4.087 | -5.494 | -1.323 | 0.560 | 45.499 |
| 184.754 | 57.312 | 56.692 | -5.608 | 4.800 | 2.385 |
| -19.552 | 231.534 | 7.778 | 71.114 | 77.239 | -45.756 |
| 55.124 | 50.402 | 197.639 | -1.473 | 1.663 | -3.965 |
| -6.382 | 9.601 | -1.473 | 65.780 | 1.718 | 1.681 |
| -93.251 | 83.286 | -57.636 | 70.103 | 118.691 | -51.624 |
| 74.443 | 111.698 | -214.193 | 322.893 | 94.776 | 81.065 |
| 139.711 | 72.684 | 84.466 | -176.289 | -216.417 | 135.764 |
| -14.544 | 54.313 | 281.898 | -313.011 | -89.533 | -38.063 |
| -10.318 | -44.921 | 380.759 | -322.738 | -96.066 | -37.116 |
| -78.613 | -106.014 | 213.727 | -274.598 | -90.529 | -38.764 |
| 1.617 | -0.002 | 1.663 | 1.718 | 69.728 | -2.795 |
| -0.026 | 3.307 | -3.629 | 2.391 | -0.439 | 58.546 |
| 171.622 | 72.436 | 46.202 | 29.723 | 15.055 | 3.479 |
| 50.058 | 189.387 | 39.597 | 42.201 | 17.348 | 6.882 |
| 67.728 | 60.767 | 172.470 | 19.319 | 21.004 | -11.771 |
| 4.430 | 14.966 | -21.046 | 77.025 | 11.568 | 2.026 |
| 6.310 | 0.197 | -3.913 | 14.644 | 70.105 | -13.146 |
| 7.502 | 11.030 | -21.432 | 33.103 | 10.517 | 47.483 |
| 145.346 | 68.507 | 79.699 | -2.006 | -0.528 | 4.501 |
| 56.424 | 190.411 | 51.570 | 13.025 | 0.708 | 3.364 |
| 62.912 | 60.775 | 177.720 | -16.381 | -23.044 | 14.552 |
| -6.382 | 9.601 | -1.473 | 65.780 | 1.718 | 1.681 |
| 2.045 | 0.973 | -0.085 | -20.294 | 28.085 | 13.269 |
| -0.026 | 3.307 | -3.629 | 2.391 | -0.439 | 58.546 |
| 184.754 | 57.312 | 56.693 | -5.607 | 4.800 | 2.385 |
| 66.004 | 160.989 | 64.024 | 6.744 | 2.321 | 0.447 |
| 64.267 | 68.335 | 161.449 | 2.001 | -0.275 | -0.995 |
| -0.432 | 2.039 | -0.054 | 51.484 | -0.534 | -1.147 |
| 3.843 | 0.474 | -1.475 | -1.390 | 53.303 | -0.929 |
| 0.685 | 0.945 | -2.177 | 3.842 | 1.450 | 45.729 |
| 151.922 | 65.182 | 71.970 | -2.489 | 4.453 | 0.325 |
| 63.467 | 165.188 | 66.149 | 2.896 | 0.070 | 0.552 |
| 63.720 | 62.817 | 172.824 | -3.466 | -1.720 | -0.611 |
| -2.267 | 3.199 | 0.366 | 44.166 | -2.662 | 0.826 |
| 3.293 | 0.482 | -0.864 | -3.680 | 51.865 | 0.853 |
| 0.049 | 0.559 | -0.728 | -1.059 | -2.616 | 46.291 |
| 197.142 | 43.999 | 58.693 | 4.460 | -19.425 | -31.178 |
| 92.501 | 138.334 | 52.403 | 20.642 | -4.847 | -13.948 |
| 59.813 | 63.613 | 181.284 | -2.926 | -3.974 | -2.477 |
| 1.596 | -21.313 | 8.960 | 44.016 | -25.475 | -20.121 |
| 43.507 | -49.081 | 3.562 | 16.954 | 20.817 | -16.050 |
| 47.664 | -47.840 | -0.045 | 16.971 | -22.614 | 34.233 |
| 122.105 | 113.898 | 70.404 | -19.655 | 16.884 | 15.071 |
| 18.549 | 215.243 | 73.188 | -16.429 | 21.143 | 14.688 |
| 35.165 | 100.830 | 160.111 | -1.558 | 15.563 | 32.628 |
| -50.509 | 47.978 | 3.285 | 27.719 | 21.150 | 12.746 |
| -51.407 | 48.496 | 5.934 | -16.056 | 62.315 | 9.072 |
| -29.578 | 26.140 | 12.675 | -4.585 | 15.005 | 71.243 |
| 161.733 | 67.175 | 68.492 | -0.232 | -2.577 | 1.723 |
| 73.155 | 152.811 | 72.223 | 0.929 | 0.399 | 1.178 |
| 71.524 | 71.482 | 150.795 | 0.993 | 1.440 | -2.821 |
| 0.069 | -2.562 | -0.707 | 38.627 | -2.716 | -0.592 |
| 0.879 | -1.809 | 1.341 | 0.051 | 38.362 | -4.981 |
| 2.029 | -0.313 | -0.742 | 1.013 | -1.624 | 42.235 |
| 160.844 | 72.274 | 68.162 | -2.500 | 1.314 | 5.285 |
| 61.277 | 180.990 | 63.304 | 2.865 | 6.594 | 3.382 |
| 67.123 | 74.889 | 156.572 | -1.504 | 2.599 | 0.901 |
| -6.991 | 4.034 | 1.249 | 44.937 | 2.056 | 1.497 |
| -5.081 | 4.347 | 1.718 | -0.067 | 44.235 | -0.326 |
| 1.633 | 3.664 | -3.284 | 0.945 | 2.436 | 55.581 |
| 161.367 | 68.494 | 69.202 | -1.725 | -2.265 | 3.041 |
| 68.742 | 161.323 | 71.759 | 1.250 | 1.908 | 2.324 |
| 69.975 | 71.959 | 154.579 | 0.042 | 2.038 | -0.979 |
| -1.213 | -0.567 | -0.591 | 39.801 | -0.191 | 0.190 |
| -2.305 | 0.782 | 1.705 | 0.827 | 44.113 | -2.348 |
| 0.563 | 2.127 | -0.749 | 0.508 | -0.289 | 42.337 |
| 161.054 | 69.083 | 69.350 | -1.903 | -1.753 | 3.812 |
| 69.583 | 158.439 | 72.426 | 0.650 | 1.708 | 2.842 |
| 69.650 | 73.989 | 152.720 | -0.349 | 2.291 | 0.009 |
| -1.811 | -0.098 | -0.365 | 39.533 | 0.197 | 0.750 |
| -3.306 | 1.899 | 1.982 | -0.548 | 42.697 | -2.001 |
| 0.056 | 2.632 | -0.631 | 0.357 | 0.203 | 42.333 |
| -72.568 | 260.843 | -49.355 | 119.644 | -18.508 | -258.758 |
| 62.782 | 186.691 | 64.825 | 4.434 | 4.053 | -0.340 |
| -157.109 | 270.063 | 32.633 | 118.731 | -15.903 | -263.753 |
| -259.651 | 54.024 | -297.653 | 57.566 | 173.908 | -78.831 |
| -263.931 | 58.824 | -297.912 | 21.185 | 213.293 | -85.668 |
| -227.126 | 188.797 | -126.141 | 119.681 | -16.911 | -221.234 |
| 406.106 | 18.820 | 377.451 | -20.392 | -176.598 | 86.204 |
| 302.635 | -30.462 | 201.950 | -115.445 | 18.328 | 260.353 |
| 322.737 | 706.888 | 0.391 | 187.501 | -655.835 | -377.909 |
| -259.532 | -217.251 | 464.099 | -237.825 | 42.222 | 80.587 |
| -262.084 | -215.979 | 466.385 | -286.090 | 91.915 | 77.084 |
| 1.870 | -0.108 | -2.105 | 0.897 | 2.316 | 57.716 |
| 119.556 | 79.677 | 47.712 | 3.228 | 14.861 | -4.462 |
| 47.393 | 89.953 | 97.303 | -18.205 | 69.538 | 36.723 |
| 47.526 | 19.748 | 170.504 | -17.483 | 63.399 | 33.776 |
| -21.391 | 17.517 | -11.251 | 52.153 | -0.997 | -25.414 |
| -22.385 | -42.939 | 8.154 | -11.739 | 101.361 | 21.298 |
| 27.541 | 20.402 | -47.226 | 30.362 | -2.977 | 39.622 |
| 142.090 | 48.704 | 116.366 | -28.927 | 1.107 | 10.540 |
| 62.782 | 186.691 | 64.825 | 4.434 | 4.053 | -0.340 |
| 46.343 | 53.087 | 212.365 | -28.385 | 7.049 | 7.975 |
| -27.070 | -20.361 | 46.654 | 20.422 | 4.775 | 9.027 |
| -29.715 | -19.046 | 48.992 | -28.096 | 54.370 | 5.532 |
| 6.878 | 21.816 | 12.582 | -15.326 | -14.995 | 58.259 |
| 152.069 | 64.066 | 76.119 | -1.199 | 5.818 | 8.606 |
| 71.393 | 150.682 | 80.040 | 1.161 | 4.085 | 0.817 |
| 71.189 | 77.985 | 154.727 | 1.551 | 7.432 | -1.281 |
| 1.863 | 0.208 | -1.612 | 57.531 | 2.478 | 0.715 |
| -2.264 | -0.922 | 0.575 | 1.491 | 46.056 | -2.646 |
| 2.609 | -1.140 | -4.226 | 3.072 | 2.115 | 40.153 |
| 156.127 | 75.393 | 73.168 | 2.343 | -6.781 | 2.814 |
| 66.300 | 168.372 | 77.978 | 1.941 | 3.495 | -0.894 |
| 71.031 | 73.985 | 168.061 | -0.917 | 3.027 | 0.336 |
| -3.768 | -1.119 | 5.271 | 46.933 | 1.318 | 1.928 |
| -2.326 | 3.853 | 3.854 | -2.329 | 40.825 | -0.222 |
| 7.147 | 7.492 | -6.194 | 4.337 | -6.534 | 35.458 |
| 32.354 | 344.692 | -73.139 | -101.074 | -132.524 | -23.564 |
| -66.523 | 442.459 | -75.744 | -111.266 | -124.296 | -28.905 |
| 65.335 | 67.520 | 177.211 | 1.343 | 1.739 | 2.192 |
| -130.147 | 276.803 | -146.228 | -58.365 | -124.345 | -24.531 |
| -134.551 | 278.201 | -144.586 | -102.707 | -75.824 | -24.290 |
| -153.931 | 213.819 | -54.743 | -100.019 | -72.155 | 10.899 |
| 319.054 | -147.760 | 127.617 | 101.206 | 60.275 | 30.694 |
| 199.439 | -112.227 | 215.335 | 96.472 | 126.436 | 20.001 |
| 205.549 | -209.358 | 313.638 | 103.563 | 126.575 | 23.514 |
| 1.015 | -1.667 | 1.343 | 54.474 | 1.666 | 1.007 |
| 131.450 | -276.536 | 146.487 | 105.044 | 174.880 | 24.601 |
| 140.055 | -282.313 | 144.410 | 103.909 | 118.038 | 72.983 |
| 152.409 | 94.804 | 57.779 | -7.568 | -19.624 | -1.661 |
| 53.345 | 192.610 | 55.161 | -17.724 | -11.531 | -7.025 |
| 58.613 | 96.237 | 153.768 | -10.804 | -11.530 | -3.250 |
| -15.719 | 22.489 | -3.820 | 27.542 | -4.927 | -1.372 |
| -14.956 | 28.763 | -13.698 | -9.289 | 37.000 | -2.323 |
| 2.254 | -3.390 | 1.747 | 0.911 | -8.443 | 54.520 |
| 178.636 | 62.631 | 65.346 | 0.831 | -7.121 | -4.383 |
| 79.703 | 137.409 | 84.453 | 2.997 | 13.694 | -1.924 |
| 86.996 | 59.187 | 157.983 | -6.253 | 3.921 | 7.607 |
| 16.227 | -28.324 | 13.835 | 55.676 | 13.562 | 2.332 |
| 11.836 | -27.039 | 15.565 | 11.603 | 61.974 | 2.639 |
| 21.847 | -24.288 | 4.204 | 7.412 | 2.964 | 36.759 |
| 160.147 | 71.899 | 71.103 | -0.844 | -6.986 | -1.064 |
| 69.526 | 160.019 | 70.636 | -5.755 | 1.831 | -5.330 |
| 70.386 | 75.684 | 159.662 | -0.763 | -0.873 | 0.321 |
| 1.400 | 2.273 | -0.970 | 35.397 | 1.370 | -0.136 |
| -3.401 | 4.680 | -1.065 | -0.271 | 47.836 | -0.192 |
| 2.254 | -3.390 | 1.747 | 0.911 | -8.443 | 54.520 |
| 158.639 | 68.401 | 74.998 | 2.440 | -3.993 | 0.239 |
| 68.240 | 161.270 | 71.994 | -5.931 | 2.961 | -3.982 |
| 73.856 | 70.854 | 160.642 | 1.675 | 0.867 | 1.186 |
| 1.985 | 0.163 | 0.671 | 31.936 | 2.202 | 1.995 |
| 0.001 | -1.366 | 1.875 | 1.905 | 46.974 | 0.986 |
| 8.374 | -7.473 | 0.105 | 0.943 | -6.172 | 48.605 |
| 219.412 | 168.339 | -82.498 | -127.666 | 127.901 | -127.891 |
| 127.534 | 254.817 | -75.766 | -134.873 | 138.541 | -110.454 |
| 69.266 | 222.328 | 63.051 | -154.063 | 84.655 | -62.287 |
| 55.770 | 96.371 | -153.487 | -80.993 | 133.745 | -118.425 |
| -0.191 | -1.244 | 1.131 | -1.215 | 53.694 | 0.698 |
| -39.498 | 10.559 | 36.484 | -217.489 | 215.190 | -4.485 |
| 161.953 | -82.088 | 174.069 | 160.578 | -92.762 | 65.437 |
| 18.122 | 61.044 | 230.325 | 122.487 | -129.099 | 125.176 |
| 68.015 | 65.032 | 180.274 | 0.092 | 1.131 | 3.153 |
| 35.561 | -4.770 | -38.639 | 255.707 | -220.432 | 40.154 |
| 10.285 | -158.534 | 102.087 | 166.549 | -54.107 | 82.002 |
| 29.854 | 3.009 | -39.114 | 215.767 | -228.272 | 77.208 |
| 157.856 | 72.361 | 76.824 | -10.818 | 8.368 | -5.323 |
| 70.919 | 159.707 | 74.129 | -26.760 | 22.365 | -2.668 |
| 68.015 | 65.032 | 180.274 | 0.092 | 1.131 | 3.153 |
| 0.180 | 15.014 | -10.671 | 23.420 | 9.740 | -8.015 |
| -0.191 | -1.244 | 1.131 | -1.215 | 53.694 | 0.698 |
| -8.176 | 5.081 | 4.237 | -22.436 | 16.678 | 33.730 |
| 156.760 | 73.265 | 71.574 | 22.356 | -27.824 | -5.654 |
| 68.280 | 178.359 | 65.022 | -6.828 | -1.111 | 1.526 |
| 64.533 | 68.302 | 177.165 | 12.625 | -17.088 | 9.033 |
| 2.107 | -16.352 | 9.216 | 55.565 | -7.654 | 7.161 |
| -4.436 | -6.751 | 5.912 | 13.232 | 26.875 | 0.894 |
| -4.313 | 10.130 | -7.832 | 16.778 | -26.187 | 37.254 |
| 173.353 | 68.341 | 67.453 | 1.141 | -7.004 | -11.258 |
| 73.792 | 161.545 | 71.672 | -7.041 | 2.645 | 2.969 |
| 74.073 | 73.863 | 157.827 | -2.805 | 1.021 | 0.742 |
| 1.501 | -1.434 | 0.307 | 41.068 | 2.600 | -0.024 |
| -0.472 | 3.668 | -3.261 | -1.091 | 45.558 | -1.714 |
| -2.856 | 3.131 | 0.570 | -2.017 | -2.298 | 45.041 |
| 173.352 | 68.341 | 67.452 | 1.141 | -7.004 | -11.258 |
| 72.302 | 161.263 | 73.580 | -4.333 | -0.518 | 4.616 |
| 71.993 | 72.453 | 162.646 | 1.085 | -1.825 | 1.379 |
| 0.514 | -1.524 | 1.088 | 47.020 | -1.067 | 0.361 |
| -1.483 | -0.964 | 2.118 | 1.977 | 40.132 | 1.657 |
| -3.972 | 2.185 | 2.291 | 0.636 | -5.346 | 44.925 |
| 147.155 | 243.073 | -96.894 | -39.336 | 174.872 | 47.273 |
| 61.701 | 198.139 | 48.589 | -5.815 | -6.308 | 0.518 |
| 64.575 | 48.373 | 192.777 | 5.515 | -1.019 | 4.214 |
| 43.656 | 346.269 | -378.834 | -106.345 | 94.603 | 45.142 |
| 44.750 | 344.480 | -378.926 | -151.241 | 145.297 | 45.319 |
| -162.701 | 402.555 | -240.273 | -71.963 | 25.602 | 68.700 |
| 180.956 | 61.195 | 64.720 | 2.736 | 10.799 | -0.601 |
| 61.701 | 198.139 | 48.589 | -5.815 | -6.308 | 0.518 |
| 28.431 | -284.039 | 549.989 | 151.300 | -96.519 | -41.213 |
| -38.665 | -347.390 | 375.134 | 200.654 | -91.352 | -42.622 |
| 14.492 | -172.814 | 167.737 | 45.319 | -125.490 | -45.434 |
| 200.875 | -459.341 | 219.354 | 58.443 | -65.878 | -4.424 |
| 173.295 | 102.397 | 31.366 | -12.853 | 16.708 | 4.751 |
| 55.109 | 201.657 | 40.480 | -9.921 | 2.047 | 4.520 |
| 73.130 | 96.240 | 137.180 | -16.908 | 6.240 | 7.320 |
| -11.434 | 36.400 | -26.180 | 29.375 | 4.231 | 2.511 |
| -12.840 | 38.039 | -25.591 | -5.601 | 39.824 | 3.898 |
| -3.065 | 17.604 | -15.571 | -4.239 | 19.917 | 46.874 |
| 151.639 | 43.399 | 100.800 | 8.111 | -13.876 | 1.265 |
| 85.824 | 121.740 | 89.823 | 4.493 | -2.906 | -2.075 |
| 66.253 | 30.514 | 207.474 | 11.801 | -13.164 | -1.938 |
| 2.615 | -8.230 | 5.515 | 61.827 | 0.098 | 2.269 |
| 4.572 | -16.957 | 13.038 | 6.252 | 27.303 | -3.177 |
| -6.462 | -35.261 | 40.909 | 16.994 | -5.770 | 46.573 |
| 159.253 | 68.798 | 74.584 | 4.373 | 7.937 | 0.447 |
| 68.660 | 173.676 | 60.565 | -0.863 | -1.129 | 0.824 |
| 68.969 | 65.227 | 171.487 | -2.970 | -1.141 | 3.890 |
| 3.101 | 3.160 | -6.048 | 47.301 | 2.707 | 2.046 |
| 4.084 | 1.057 | -5.746 | 0.716 | 53.711 | 1.914 |
| -2.563 | 1.192 | 1.346 | 0.129 | 4.671 | 43.636 |
| 154.419 | 65.876 | 78.107 | 3.027 | 4.184 | -0.762 |
| 69.697 | 162.144 | 67.978 | -0.339 | -2.189 | 0.377 |
| 69.071 | 62.311 | 174.099 | -1.870 | -2.790 | 3.062 |
| 2.363 | -1.448 | -0.860 | 47.247 | 1.374 | 1.095 |
| 3.965 | -5.750 | 1.184 | 3.039 | 40.478 | 0.303 |
| -3.471 | 0.183 | 4.174 | 2.273 | 4.739 | 58.581 |
| 532.318 | -124.542 | -112.066 | -151.249 | -63.505 | 151.977 |
| 58.956 | 171.107 | 65.916 | 6.818 | 0.850 | -9.920 |
| 46.392 | 64.651 | 191.675 | -2.754 | -0.102 | 0.093 |
| 18.819 | -174.035 | 114.435 | -17.320 | -80.218 | 124.633 |
| 221.116 | -103.071 | -133.393 | 10.741 | -211.626 | 68.162 |
| 21.705 | -180.381 | 117.832 | -59.855 | -83.295 | 167.845 |
| -203.082 | 248.363 | 254.286 | 147.745 | 66.020 | -145.124 |
| 58.956 | 171.107 | 65.916 | 6.818 | 0.850 | -9.920 |
| 54.310 | 244.888 | 36.420 | 53.880 | 85.026 | -122.924 |
| -234.666 | 107.948 | 134.358 | 38.768 | 255.962 | -73.991 |
| -366.205 | 187.340 | 178.773 | 148.686 | 104.078 | -149.488 |
| -366.264 | 179.921 | 185.166 | 149.120 | 65.938 | -98.456 |
| 192.807 | 45.320 | 58.662 | -15.080 | -4.145 | 16.547 |
| 69.141 | 132.509 | 86.823 | -2.526 | -8.209 | 6.743 |
| 100.866 | 53.949 | 145.761 | -16.903 | -9.665 | 13.875 |
| 0.632 | -16.356 | 9.077 | 36.653 | -4.980 | 12.039 |
| 3.888 | -17.881 | 7.524 | -4.564 | 31.773 | 11.742 |
| 6.763 | -9.762 | 0.888 | -2.029 | 2.382 | 62.472 |
| 134.430 | 79.555 | 84.526 | 12.421 | 7.020 | -10.532 |
| 66.081 | 166.796 | 63.127 | 8.982 | 8.469 | -17.930 |
| 46.392 | 64.651 | 191.675 | -2.754 | -0.102 | 0.093 |
| -36.848 | 19.945 | 14.660 | 61.722 | 5.896 | -15.060 |
| -2.249 | 16.872 | -13.906 | 8.475 | 50.566 | -13.397 |
| -34.566 | 11.939 | 19.818 | 14.468 | 7.636 | 35.731 |
| 174.538 | 61.768 | 62.774 | -1.811 | 0.442 | 3.747 |
| 71.079 | 146.194 | 72.472 | 3.152 | -2.271 | -5.321 |
| 68.159 | 71.723 | 154.466 | -3.000 | -2.020 | 2.036 |
| -2.765 | -0.007 | -0.609 | 46.752 | 1.540 | 0.432 |
| -0.860 | -1.094 | -0.949 | 0.710 | 43.049 | -0.093 |
| 6.806 | -8.628 | 0.016 | -2.466 | -1.249 | 44.322 |
| 159.150 | 68.253 | 67.216 | -2.387 | 1.471 | 1.649 |
| 63.570 | 157.539 | 73.864 | 3.815 | 0.976 | -7.214 |
| 61.864 | 69.536 | 169.831 | -3.033 | -2.807 | 0.160 |
| -2.641 | 3.307 | -3.983 | 42.969 | 1.455 | -2.283 |
| -1.852 | 2.102 | -2.138 | 0.116 | 49.435 | -1.939 |
| 0.806 | -5.507 | 2.733 | -1.410 | 2.861 | 42.099 |
| -21.844 | 228.409 | 255.606 | -313.296 | -71.456 | 221.102 |
| 64.004 | 182.377 | 63.854 | -4.699 | -2.824 | -4.432 |
| -112.548 | 225.019 | 347.839 | -309.804 | -81.675 | 216.629 |
| -355.039 | 138.753 | 281.384 | 105.139 | -247.545 | 256.510 |
| -122.177 | 137.113 | 233.424 | -173.233 | 170.249 | 543.574 |
| -354.771 | 141.427 | 279.166 | 67.456 | -251.468 | 299.850 |
| 184.469 | 64.168 | 65.413 | -2.211 | 3.772 | -2.945 |
| 64.004 | 182.377 | 63.854 | -4.699 | -2.824 | -4.432 |
| 65.504 | 63.914 | 183.147 | 6.778 | -3.585 | 6.657 |
| -2.165 | -4.141 | 6.778 | 62.790 | -1.212 | 2.824 |
| 387.370 | -66.692 | -573.895 | 98.687 | 126.680 | -561.187 |
| 351.056 | -133.261 | -283.928 | -69.403 | 241.603 | -212.927 |
| 142.159 | 88.085 | 92.445 | -31.141 | -4.925 | 22.776 |
| 33.836 | 181.498 | 99.321 | 7.389 | -27.184 | 29.611 |
| 47.761 | 84.954 | 183.429 | 5.247 | -20.746 | 22.642 |
| -23.968 | 13.698 | 25.447 | 15.887 | -13.640 | 14.980 |
| -20.319 | 27.039 | 7.246 | -36.071 | 50.692 | 23.627 |
| -16.447 | 16.444 | 16.090 | -38.210 | -6.110 | 69.699 |
| 184.469 | 64.168 | 65.413 | -2.211 | 3.772 | -2.945 |
| 104.098 | 154.508 | 42.945 | -6.411 | 21.988 | -21.786 |
| 118.122 | 61.577 | 99.574 | 17.928 | 11.446 | -42.329 |
| 15.888 | -16.969 | -14.626 | 71.460 | 4.251 | -30.195 |
| 32.556 | -16.533 | -24.709 | -6.868 | 74.251 | -30.423 |
| -1.294 | -4.382 | 6.689 | 2.834 | -1.692 | 65.531 |
| 153.285 | 74.210 | 81.217 | -3.905 | 0.170 | 2.432 |
| 68.897 | 163.076 | 72.196 | -2.801 | -4.320 | 4.511 |
| 73.937 | 72.507 | 161.297 | 1.434 | -3.718 | -0.607 |
| -2.165 | -4.141 | 6.778 | 62.790 | -1.212 | 2.824 |
| -0.607 | -1.346 | 0.906 | -3.834 | 49.811 | 0.491 |
| -3.222 | 2.035 | 1.685 | 0.516 | -4.995 | 51.483 |
| 169.228 | 66.820 | 75.791 | -1.405 | -0.462 | -3.802 |
| 72.856 | 160.866 | 67.659 | 0.723 | -2.217 | -0.567 |
| 65.504 | 63.914 | 183.146 | 6.778 | -3.585 | 6.657 |
| -0.088 | -2.179 | -0.281 | 39.016 | -1.700 | -4.035 |
| 2.444 | -4.877 | -2.998 | 0.296 | 45.288 | -7.738 |
| 1.543 | 0.013 | -1.923 | -0.328 | -1.609 | 48.479 |
| 270.982 | -10.698 | 11.387 | 56.321 | -20.823 | -161.446 |
| 67.650 | 153.844 | 158.560 | 2.030 | 98.683 | -164.513 |
| 60.095 | 62.361 | 182.954 | -5.057 | -0.000 | 2.771 |
| 117.265 | -79.953 | -63.921 | 103.577 | -12.581 | -167.389 |
| -7.264 | -122.809 | 121.365 | 187.885 | 196.975 | -146.208 |
| -1.436 | -119.555 | 120.766 | 183.125 | 153.582 | -99.531 |
| 170.746 | 191.660 | -52.532 | -187.252 | -160.040 | 150.074 |
| 77.722 | 273.109 | -47.080 | -183.686 | -158.968 | 145.348 |
| 45.609 | 94.716 | 166.459 | -151.841 | -30.070 | 213.750 |
| -123.334 | 91.931 | 55.349 | -11.131 | 17.716 | 165.519 |
| -5.013 | 2.671 | -0.000 | 4.101 | 63.884 | 3.357 |
| -20.906 | 27.457 | 3.860 | -154.829 | -27.470 | 266.481 |
| 177.329 | 63.243 | 67.705 | 12.841 | -0.502 | -16.940 |
| 62.246 | 178.179 | 63.172 | 8.680 | 1.813 | 3.581 |
| 60.095 | 62.361 | 182.954 | -5.057 | -0.000 | 2.771 |
| 8.701 | -2.356 | -10.126 | 52.422 | 1.103 | -18.013 |
| -5.013 | 2.671 | -0.000 | 4.101 | 63.884 | 3.357 |
| 2.506 | -9.812 | 11.865 | 16.181 | 13.762 | 30.580 |
| 173.207 | 67.844 | 68.289 | -17.328 | -5.877 | 25.452 |
| 65.651 | 149.665 | 81.160 | -0.817 | -0.577 | 17.840 |
| 66.983 | 73.272 | 161.607 | -15.798 | -6.931 | 22.028 |
| -3.631 | 9.285 | -5.057 | 69.969 | 4.101 | -6.012 |
| -2.172 | 2.423 | -3.789 | -13.956 | 45.104 | 21.444 |
| 9.523 | 3.347 | -14.209 | -3.040 | -14.438 | 54.369 |
| 189.777 | 60.134 | 58.865 | -3.391 | -8.875 | 1.888 |
| 72.433 | 151.182 | 73.941 | 4.930 | -0.019 | 1.180 |
| 70.483 | 72.599 | 152.090 | -1.114 | 0.309 | -1.533 |
| -2.674 | 3.604 | -0.668 | 57.352 | 2.167 | -4.331 |
| -0.606 | -1.198 | -1.279 | 2.067 | 41.225 | -1.415 |
| 2.575 | 0.793 | 1.668 | -0.719 | 0.721 | 46.494 |
| 168.469 | 70.939 | 66.500 | -3.756 | -6.520 | 6.405 |
| 72.737 | 150.997 | 72.694 | 3.095 | -2.329 | 4.504 |
| 67.830 | 69.755 | 164.376 | -2.238 | -3.861 | 2.301 |
| -3.131 | 4.217 | -0.716 | 54.978 | 1.754 | -0.493 |
| -2.847 | 0.486 | -1.005 | 1.159 | 41.003 | 0.845 |
| 0.143 | 3.412 | 1.748 | -6.871 | 2.112 | 64.539 |
| 138.055 | 73.622 | 18.681 | 0.000 | 0.000 | 0.000 |
| 73.816 | 146.386 | 20.846 | -0.000 | 0.000 | 0.000 |
| 19.507 | 21.478 | 187.716 | -0.000 | 0.000 | 0.000 |
| 0.002 | 0.003 | 0.011 | 11.261 | 0.000 | 0.000 |
| 0.001 | 0.001 | 0.003 | 0.000 | 17.004 | 0.000 |
| 0.000 | 0.000 | 0.001 | 0.000 | 0.000 | 44.431 |
| 138.055 | 73.621 | 18.678 | 0.000 | -0.000 | -0.000 |
| 73.816 | 146.385 | 20.844 | -0.000 | -0.000 | -0.000 |
| 19.507 | 21.477 | 187.713 | -0.000 | -0.000 | -0.000 |
| -0.002 | -0.003 | -0.011 | 11.261 | -0.000 | -0.000 |
| -0.001 | -0.001 | -0.003 | -0.000 | 17.004 | -0.000 |
| -0.000 | -0.000 | -0.001 | -0.000 | -0.000 | 44.431 |
| 138.055 | 73.621 | 18.680 | 0.000 | 0.000 | 0.000 |
| 73.816 | 146.386 | 20.845 | -0.000 | 0.000 | 0.000 |
| 19.507 | 21.478 | 187.714 | 0.000 | 0.000 | 0.000 |
| 0.000 | 0.000 | 0.001 | 11.261 | 0.000 | 0.000 |
| 0.000 | 0.000 | 0.000 | -0.000 | 17.004 | 0.000 |
| 0.000 | 0.000 | 0.000 | 0.000 | 0.000 | 44.431 |
| 138.055 | 73.621 | 18.679 | -0.000 | -0.000 | -0.000 |
| 73.816 | 146.386 | 20.845 | 0.000 | -0.000 | -0.000 |
| 19.507 | 21.478 | 187.714 | -0.000 | -0.000 | -0.000 |
| -0.000 | -0.000 | -0.001 | 11.261 | -0.000 | -0.000 |
| -0.000 | -0.000 | -0.000 | -0.000 | 17.004 | -0.000 |
| -0.000 | -0.000 | -0.000 | -0.000 | -0.000 | 44.431 |
| 138.054 | 73.621 | 18.680 | 0.000 | 0.000 | 0.000 |
| 73.816 | 146.386 | 20.845 | 0.000 | 0.000 | 0.000 |
| 19.506 | 21.477 | 187.714 | -0.000 | 0.000 | 0.000 |
| 0.000 | 0.000 | 0.000 | 11.261 | 0.000 | 0.000 |
| -0.000 | -0.000 | -0.000 | 0.000 | 17.004 | 0.000 |
| 0.000 | 0.000 | 0.000 | 0.000 | 0.000 | 44.431 |
| 138.056 | 73.621 | 18.679 | -0.000 | -0.000 | -0.000 |
| 73.816 | 146.385 | 20.845 | 0.000 | -0.000 | -0.000 |
| 19.508 | 21.478 | 187.715 | -0.000 | -0.000 | -0.000 |
| -0.000 | -0.000 | -0.000 | 11.261 | -0.000 | -0.000 |
| 0.000 | 0.000 | 0.000 | 0.000 | 17.004 | -0.000 |
| -0.000 | -0.000 | -0.000 | -0.000 | -0.000 | 44.431 |
| 171.710 | 76.864 | 76.864 | 0.000 | 0.000 | 0.000 |
| 76.864 | 171.710 | 76.864 | 0.000 | 0.000 | 0.000 |
| 76.864 | 76.864 | 171.710 | 0.000 | 0.000 | 0.000 |
| -0.135 | -0.135 | -0.135 | 31.611 | 0.000 | 0.000 |
| -0.000 | 0.000 | 0.000 | -0.000 | 44.751 | -0.000 |
| -0.135 | -0.135 | -0.135 | 0.000 | 0.000 | 31.611 |
| 171.787 | 77.292 | 77.292 | -0.000 | -0.000 | -0.000 |
| 77.292 | 171.787 | 77.292 | -0.000 | -0.000 | -0.000 |
| 77.292 | 77.292 | 171.787 | -0.000 | -0.000 | -0.000 |
| 0.135 | 0.135 | 0.135 | 31.611 | -0.000 | -0.000 |
| 0.135 | 0.135 | 0.135 | -0.000 | 31.611 | -0.000 |
| 0.135 | 0.135 | 0.135 | -0.000 | -0.000 | 31.611 |
| 171.702 | 77.075 | 77.075 | 0.000 | 0.000 | 0.000 |
| 77.075 | 171.702 | 77.075 | 0.000 | 0.000 | 0.000 |
| 77.075 | 77.075 | 171.702 | 0.000 | 0.000 | 0.000 |
| 0.000 | -0.000 | 0.000 | 44.751 | -0.000 | -0.000 |
| -0.000 | 0.000 | 0.000 | -0.000 | 44.751 | -0.000 |
| -0.000 | 0.000 | 0.000 | 0.000 | -0.000 | 44.751 |
| 188.630 | 69.338 | 69.338 | 0.000 | 0.000 | 0.000 |
| 69.338 | 188.630 | 69.338 | 0.000 | 0.000 | 0.000 |
| 69.338 | 69.338 | 188.630 | 0.000 | 0.000 | 0.000 |
| -0.000 | 0.000 | -0.000 | 44.751 | 0.000 | 0.000 |
| 0.000 | -0.000 | -0.000 | 0.000 | 44.751 | 0.000 |
| 0.000 | -0.000 | -0.000 | 0.000 | 0.000 | 44.751 |
| 188.631 | 69.339 | 69.339 | -0.000 | -0.000 | -0.000 |
| 69.339 | 188.631 | 69.339 | -0.000 | -0.000 | -0.000 |
| 69.339 | 69.339 | 188.631 | -0.000 | -0.000 | -0.000 |
| 0.000 | -0.000 | 0.000 | 44.751 | -0.000 | -0.000 |
| -0.000 | 0.000 | 0.000 | 0.000 | 44.751 | -0.000 |
| -0.000 | 0.000 | 0.000 | -0.000 | -0.000 | 44.751 |
| 171.705 | 77.099 | 77.099 | -0.000 | -0.000 | -0.000 |
| 77.099 | 171.705 | 77.099 | -0.000 | -0.000 | -0.000 |
| 77.099 | 77.099 | 171.705 | -0.000 | -0.000 | -0.000 |
| -0.000 | 0.000 | -0.000 | 44.751 | 0.000 | 0.000 |
| 0.000 | -0.000 | -0.000 | 0.000 | 44.751 | 0.000 |
| 0.000 | -0.000 | -0.000 | 0.000 | 0.000 | 44.751 |
| 188.204 | 69.114 | 69.114 | 0.000 | 0.000 | -0.000 |
| 69.114 | 188.204 | 69.114 | 0.000 | 0.000 | -0.000 |
| 69.114 | 69.114 | 188.204 | 0.000 | -0.000 | -0.000 |
| 2.286 | 2.286 | 2.286 | 31.114 | -0.000 | -0.000 |
| 2.286 | 2.286 | 2.286 | -0.000 | 31.114 | -0.000 |
| 2.286 | 2.286 | 2.286 | 0.000 | -0.000 | 31.114 |
| 170.914 | 73.671 | 73.671 | -0.000 | 0.000 | 0.000 |
| 73.671 | 170.914 | 73.671 | -0.000 | 0.000 | 0.000 |
| 73.671 | 73.671 | 170.914 | 0.000 | 0.000 | 0.000 |
| -2.286 | -2.286 | -2.286 | 31.114 | 0.000 | 0.000 |
| -2.286 | -2.286 | -2.286 | 0.000 | 31.114 | 0.000 |
| -2.286 | -2.286 | -2.286 | 0.000 | -0.000 | 31.114 |
| 188.204 | 69.114 | 69.114 | 0.000 | -0.000 | -0.000 |
| 69.114 | 188.204 | 69.114 | -0.000 | 0.000 | -0.000 |
| 69.114 | 69.114 | 188.204 | 0.000 | -0.000 | -0.000 |
| 0.223 | 0.223 | 0.223 | 31.469 | 0.000 | -0.000 |
| 0.223 | 0.223 | 0.223 | 0.000 | 31.469 | -0.000 |
| 0.223 | 0.223 | 0.223 | -0.000 | -0.000 | 31.469 |
| 188.204 | 69.114 | 69.114 | -0.000 | 0.000 | 0.000 |
| 69.114 | 188.204 | 69.114 | -0.000 | -0.000 | 0.000 |
| 69.114 | 69.114 | 188.204 | -0.000 | -0.000 | 0.000 |
| -0.223 | -0.223 | -0.223 | 31.469 | 0.000 | 0.000 |
| -0.223 | -0.223 | -0.223 | 0.000 | 31.469 | 0.000 |
| -0.223 | -0.223 | -0.223 | 0.000 | -0.000 | 31.469 |
| 168.642 | 78.125 | 78.125 | 0.000 | -0.000 | -0.000 |
| 78.125 | 168.642 | 78.125 | -0.000 | -0.000 | -0.000 |
| 78.125 | 78.125 | 168.642 | -0.000 | -0.000 | -0.000 |
| 0.044 | 0.044 | 0.044 | 26.586 | 0.000 | -0.000 |
| 0.044 | 0.044 | 0.044 | -0.000 | 26.586 | -0.000 |
| 0.044 | 0.044 | 0.044 | -0.000 | -0.000 | 26.586 |
| 188.203 | 69.114 | 69.114 | -0.000 | 0.000 | 0.000 |
| 69.114 | 188.203 | 69.114 | -0.000 | 0.000 | 0.000 |
| 69.114 | 69.114 | 188.203 | 0.000 | 0.000 | 0.000 |
| -0.044 | -0.044 | -0.044 | 26.586 | 0.000 | 0.000 |
| -0.044 | -0.044 | -0.044 | 0.000 | 26.586 | 0.000 |
| -0.044 | -0.044 | -0.044 | -0.000 | 0.000 | 26.586 |
| 162.050 | 82.639 | 82.639 | 0.000 | -0.000 | -0.000 |
| 82.639 | 162.050 | 82.639 | -0.000 | -0.000 | -0.000 |
| 82.639 | 82.639 | 162.050 | -0.000 | -0.000 | 0.000 |
| -0.000 | 0.000 | 0.000 | 55.307 | -0.000 | 0.000 |
| 0.000 | 0.000 | -0.000 | -0.000 | 55.307 | -0.000 |
| 0.000 | 0.000 | -0.000 | -0.000 | -0.000 | 55.307 |
| 158.620 | 83.512 | 83.512 | 0.000 | 0.000 | -0.000 |
| 83.512 | 158.620 | 83.512 | 0.000 | 0.000 | -0.000 |
| 83.512 | 83.512 | 158.620 | 0.000 | -0.000 | -0.000 |
| -0.000 | -0.000 | 0.000 | 55.307 | 0.000 | -0.000 |
| -0.000 | -0.000 | 0.000 | 0.000 | 55.307 | -0.000 |
| -0.000 | -0.000 | -0.000 | 0.000 | 0.000 | 55.307 |
| 162.050 | 82.639 | 82.639 | -0.000 | 0.000 | 0.000 |
| 82.639 | 162.050 | 82.639 | -0.000 | -0.000 | 0.000 |
| 82.639 | 82.639 | 162.050 | 0.000 | -0.000 | 0.000 |
| 0.000 | 0.000 | 0.000 | 47.935 | -0.000 | 0.000 |
| 0.000 | 0.000 | 0.000 | -0.000 | 47.935 | 0.000 |
| 0.000 | 0.000 | 0.000 | -0.000 | -0.000 | 47.935 |
| 162.050 | 82.639 | 82.639 | 0.000 | 0.000 | -0.000 |
| 82.639 | 162.050 | 82.639 | 0.000 | 0.000 | -0.000 |
| 82.639 | 82.639 | 162.050 | -0.000 | -0.000 | -0.000 |
| -0.000 | -0.000 | -0.000 | 47.935 | 0.000 | -0.000 |
| -0.000 | -0.000 | -0.000 | 0.000 | 47.935 | -0.000 |
| -0.000 | -0.000 | -0.000 | 0.000 | 0.000 | 47.935 |
| 162.051 | 82.639 | 82.639 | 0.000 | 0.000 | 0.000 |
| 82.639 | 162.051 | 82.639 | 0.000 | -0.000 | -0.000 |
| 82.639 | 82.639 | 162.051 | 0.000 | -0.000 | 0.000 |
| 0.000 | 0.000 | 0.000 | 46.992 | -0.000 | 0.000 |
| 0.000 | 0.000 | 0.000 | 0.000 | 46.992 | 0.000 |
| 0.000 | 0.000 | 0.000 | -0.000 | -0.000 | 46.992 |
| 158.619 | 83.512 | 83.512 | 0.000 | 0.000 | -0.000 |
| 83.512 | 158.619 | 83.512 | 0.000 | 0.000 | -0.000 |
| 83.512 | 83.512 | 158.619 | -0.000 | 0.000 | -0.000 |
| -0.000 | -0.000 | -0.000 | 46.992 | -0.000 | -0.000 |
| -0.000 | -0.000 | -0.000 | 0.000 | 46.992 | -0.000 |
| -0.000 | -0.000 | -0.000 | -0.000 | 0.000 | 46.992 |
| 155.812 | 78.379 | 78.379 | -0.000 | 0.000 | -0.000 |
| 78.379 | 155.812 | 78.379 | -0.000 | 0.000 | -0.000 |
| 78.379 | 78.379 | 155.812 | -0.000 | 0.000 | 0.000 |
| 0.000 | 0.000 | 0.000 | 53.751 | -0.000 | 0.000 |
| 0.000 | 0.000 | 0.000 | -0.000 | 53.751 | -0.000 |
| 0.000 | 0.000 | 0.000 | -0.000 | 0.000 | 53.751 |
| 155.812 | 78.379 | 78.379 | 0.000 | -0.000 | -0.000 |
| 78.379 | 155.812 | 78.379 | 0.000 | 0.000 | -0.000 |
| 78.379 | 78.379 | 155.812 | 0.000 | 0.000 | -0.000 |
| -0.000 | -0.000 | -0.000 | 53.751 | -0.000 | 0.000 |
| -0.000 | -0.000 | -0.000 | 0.000 | 53.751 | -0.000 |
| -0.000 | -0.000 | -0.000 | 0.000 | -0.000 | 53.751 |
| 151.624 | 79.067 | 79.067 | -0.000 | 0.000 | 0.000 |
| 79.067 | 151.624 | 79.067 | -0.000 | -0.000 | -0.000 |
| 79.067 | 79.067 | 151.624 | -0.000 | 0.000 | 0.000 |
| 0.000 | 0.000 | 0.000 | 53.751 | -0.000 | 0.000 |
| 0.000 | 0.000 | 0.000 | -0.000 | 53.751 | 0.000 |
| 0.000 | 0.000 | 0.000 | -0.000 | 0.000 | 53.751 |
| 152.459 | 79.211 | 79.211 | -0.000 | -0.000 | 0.000 |
| 79.211 | 152.459 | 79.211 | 0.000 | 0.000 | -0.000 |
| 79.211 | 79.211 | 152.459 | 0.000 | 0.000 | 0.000 |
| -0.000 | -0.000 | -0.000 | 53.751 | 0.000 | 0.000 |
| -0.000 | -0.000 | -0.000 | 0.000 | 53.751 | -0.000 |
| -0.000 | -0.000 | -0.000 | 0.000 | -0.000 | 53.751 |
| 155.813 | 78.379 | 78.379 | -0.000 | -0.000 | 0.000 |
| 78.379 | 155.813 | 78.379 | -0.000 | 0.000 | -0.000 |
| 78.379 | 78.379 | 155.813 | -0.000 | 0.000 | 0.000 |
| 0.000 | 0.000 | 0.000 | 53.751 | -0.000 | -0.000 |
| 0.000 | 0.000 | 0.000 | -0.000 | 53.751 | -0.000 |
| 0.000 | 0.000 | 0.000 | -0.000 | 0.000 | 53.751 |
| 152.428 | 79.195 | 79.195 | 0.000 | 0.000 | -0.000 |
| 79.195 | 152.428 | 79.195 | 0.000 | -0.000 | -0.000 |
| 79.195 | 79.195 | 152.428 | 0.000 | -0.000 | -0.000 |
| -0.000 | -0.000 | -0.000 | 53.751 | -0.000 | -0.000 |
| -0.000 | -0.000 | -0.000 | 0.000 | 53.751 | 0.000 |
| -0.000 | -0.000 | -0.000 | 0.000 | -0.000 | 53.751 |
| 84.196 | 67.417 | 77.207 | 0.000 | 0.000 | -0.000 |
| 68.974 | 167.408 | 25.533 | 0.000 | 0.000 | -0.000 |
| 79.253 | 26.022 | 164.419 | 0.000 | 0.000 | -0.000 |
| 0.000 | -0.000 | -0.000 | -0.038 | 0.000 | -0.000 |
| -0.023 | -0.005 | -0.002 | -0.000 | 8.914 | 0.000 |
| -0.011 | -0.002 | -0.001 | 0.000 | 0.000 | 48.156 |
| 84.218 | 67.421 | 77.209 | -0.000 | -0.000 | -0.000 |
| 68.996 | 167.412 | 25.535 | -0.000 | -0.000 | 0.000 |
| 79.275 | 26.026 | 164.421 | -0.000 | -0.000 | -0.000 |
| -0.000 | 0.000 | -0.000 | -0.038 | -0.000 | -0.000 |
| 0.023 | 0.005 | 0.002 | 0.000 | 8.914 | 0.000 |
| 0.011 | 0.002 | 0.001 | -0.000 | -0.000 | 48.156 |
| 84.206 | 67.419 | 77.208 | 0.000 | 0.000 | -0.000 |
| 68.984 | 167.410 | 25.534 | 0.000 | 0.000 | 0.000 |
| 79.263 | 26.023 | 164.420 | 0.000 | 0.000 | -0.000 |
| -0.014 | -0.003 | -0.001 | -3.100 | 0.000 | -0.000 |
| -0.002 | -0.000 | -0.000 | -0.000 | 8.914 | -0.000 |
| -0.001 | -0.000 | -0.000 | 0.000 | 0.000 | 48.156 |
| 84.208 | 67.419 | 77.208 | -0.000 | -0.000 | -0.000 |
| 68.986 | 167.410 | 25.534 | -0.000 | -0.000 | 0.000 |
| 82.477 | 26.643 | 164.727 | -0.000 | -0.000 | 0.000 |
| 0.014 | 0.003 | 0.001 | -3.100 | -0.000 | -0.000 |
| 0.002 | 0.000 | 0.000 | -0.000 | 8.914 | 0.000 |
| 0.001 | 0.000 | 0.000 | -0.000 | -0.000 | 48.156 |
| 84.208 | 67.419 | 77.208 | 0.000 | 0.000 | -0.000 |
| 68.985 | 167.410 | 25.534 | 0.000 | 0.000 | -0.000 |
| 79.264 | 26.024 | 164.420 | 0.000 | 0.000 | -0.000 |
| -0.000 | 0.000 | -0.000 | -0.038 | 0.000 | -0.000 |
| -0.000 | -0.000 | -0.000 | 0.000 | 8.914 | -0.000 |
| -0.000 | 0.000 | -0.000 | 0.000 | 0.000 | 48.156 |
| 84.207 | 67.419 | 77.208 | -0.000 | -0.000 | 0.000 |
| 68.985 | 167.410 | 25.534 | -0.000 | -0.000 | -0.000 |
| 82.477 | 26.643 | 164.727 | -0.000 | -0.000 | 0.000 |
| 0.000 | -0.000 | 0.000 | -0.038 | -0.000 | 0.000 |
| 0.000 | 0.000 | 0.000 | -0.000 | 8.914 | -0.000 |
| 0.000 | -0.000 | 0.000 | -0.000 | -0.000 | 48.156 |
| 147.692 | 75.889 | 14.347 | -0.000 | -0.000 | -0.000 |
| 75.889 | 147.777 | 21.457 | -0.000 | 0.000 | -0.000 |
| 15.614 | 28.640 | 225.675 | -0.000 | -0.000 | -0.000 |
| -0.000 | -0.000 | -0.000 | 10.721 | -0.000 | -0.000 |
| -0.000 | -0.000 | -0.000 | -0.000 | 16.109 | -0.000 |
| -0.000 | -0.000 | -0.000 | -0.000 | 0.000 | 44.740 |
| 147.692 | 75.889 | 14.347 | 0.000 | -0.000 | 0.000 |
| 75.889 | 147.777 | 21.457 | 0.000 | 0.000 | -0.000 |
| 14.347 | 21.457 | 198.000 | 0.000 | 0.000 | -0.000 |
| 0.000 | 0.000 | 0.000 | 10.721 | -0.000 | 0.000 |
| 0.000 | 0.000 | 0.000 | 0.000 | 16.109 | 0.000 |
| 0.000 | 0.000 | 0.000 | 0.000 | 0.000 | 44.740 |
| 147.692 | 75.889 | 14.347 | -0.000 | -0.000 | 0.000 |
| 76.218 | 149.642 | 28.640 | -0.000 | -0.000 | 0.000 |
| 15.614 | 28.640 | 225.675 | 0.000 | -0.000 | -0.000 |
| -0.000 | -0.000 | -0.000 | 10.721 | -0.000 | -0.000 |
| -0.000 | -0.000 | -0.000 | -0.000 | 16.109 | -0.000 |
| -0.000 | 0.000 | -0.000 | -0.000 | 0.000 | 44.740 |
| 147.692 | 75.889 | 14.347 | -0.000 | 0.000 | 0.000 |
| 75.889 | 147.777 | 21.457 | -0.000 | -0.000 | 0.000 |
| 14.347 | 21.457 | 198.000 | 0.000 | 0.000 | -0.000 |
| 0.000 | 0.000 | 0.000 | 10.721 | -0.000 | 0.000 |
| 0.000 | 0.000 | 0.000 | 0.000 | 16.109 | -0.000 |
| 0.000 | -0.000 | 0.000 | 0.000 | 0.000 | 44.740 |
| 147.692 | 75.889 | 14.348 | -0.000 | -0.000 | -0.000 |
| 75.889 | 147.778 | 21.457 | 0.000 | 0.000 | 0.000 |
| 14.346 | 21.456 | 197.999 | 0.000 | -0.000 | -0.000 |
| -0.000 | 0.000 | -0.000 | 10.721 | -0.000 | -0.000 |
| -0.000 | -0.000 | -0.000 | 0.000 | 16.109 | 0.000 |
| 0.000 | 0.000 | -0.000 | -0.000 | 0.000 | 44.740 |
| 147.751 | 76.218 | 15.613 | -0.000 | -0.000 | -0.000 |
| 75.889 | 147.777 | 21.455 | 0.000 | -0.000 | 0.000 |
| 14.347 | 21.457 | 198.001 | 0.000 | 0.000 | 0.000 |
| 0.000 | -0.000 | 0.000 | 10.721 | 0.000 | 0.000 |
| 0.000 | 0.000 | 0.000 | -0.000 | 16.109 | 0.000 |
| -0.000 | -0.000 | 0.000 | 0.000 | 0.000 | 44.740 |
| 169.526 | 82.370 | 74.235 | 0.000 | -0.000 | 0.000 |
| 76.517 | 172.752 | 74.798 | 0.000 | -0.000 | 0.000 |
| 71.412 | 77.828 | 186.836 | 0.000 | -0.000 | 0.000 |
| -3.254 | 3.147 | -0.081 | 42.184 | -0.000 | 0.000 |
| -3.262 | 3.155 | -0.081 | -0.000 | 41.853 | 0.000 |
| -3.274 | 3.167 | -0.081 | 0.000 | -0.000 | 44.196 |
| 176.051 | 76.059 | 74.397 | -0.000 | 0.000 | -0.000 |
| 83.042 | 166.441 | 74.960 | 0.000 | 0.000 | -0.000 |
| 77.937 | 71.517 | 186.998 | -0.000 | 0.000 | -0.000 |
| 3.254 | -3.147 | 0.081 | 42.184 | 0.000 | -0.000 |
| 3.262 | -3.155 | 0.081 | -0.000 | 41.853 | -0.000 |
| 3.274 | -3.167 | 0.081 | -0.000 | 0.000 | 44.196 |
| 172.462 | 79.530 | 74.308 | 0.000 | -0.000 | 0.000 |
| 79.453 | 169.912 | 74.871 | 0.000 | -0.000 | 0.000 |
| 74.348 | 74.988 | 186.909 | 0.000 | -0.000 | 0.000 |
| -0.267 | 0.258 | -0.007 | 42.185 | -0.000 | 0.000 |
| -0.326 | 0.316 | -0.008 | 0.000 | 41.853 | 0.000 |
| -0.329 | 0.318 | -0.008 | 0.000 | -0.000 | 44.185 |
| 173.114 | 78.899 | 74.324 | -0.000 | 0.000 | -0.000 |
| 80.106 | 169.281 | 74.887 | -0.000 | 0.000 | -0.000 |
| 75.000 | 74.357 | 186.925 | -0.000 | 0.000 | -0.000 |
| 0.267 | -0.258 | 0.007 | 42.185 | 0.000 | -0.000 |
| 0.326 | -0.316 | 0.008 | 0.000 | 41.853 | -0.000 |
| 0.329 | -0.318 | 0.008 | -0.000 | 0.000 | 44.185 |
| 172.756 | 79.246 | 74.315 | 0.000 | -0.000 | 0.000 |
| 79.747 | 169.629 | 74.879 | 0.000 | -0.000 | 0.000 |
| 74.642 | 74.704 | 186.917 | -0.000 | -0.000 | 0.000 |
| -0.015 | 0.014 | -0.000 | 42.188 | -0.000 | 0.000 |
| -0.033 | 0.032 | -0.001 | 0.000 | 41.853 | 0.000 |
| -0.033 | 0.032 | -0.001 | 0.000 | -0.000 | 44.184 |
| 172.820 | 79.183 | 74.317 | -0.000 | 0.000 | -0.000 |
| 79.812 | 169.564 | 74.880 | -0.000 | 0.000 | -0.000 |
| 74.707 | 74.641 | 186.917 | -0.000 | 0.000 | -0.000 |
| 0.015 | -0.014 | 0.000 | 42.188 | 0.000 | -0.000 |
| 0.033 | -0.032 | 0.001 | -0.000 | 41.853 | -0.000 |
| 0.033 | -0.032 | 0.001 | -0.000 | -0.000 | 44.184 |
| 181.145 | 77.733 | 66.811 | -15.442 | 0.000 | 0.000 |
| 77.733 | 181.145 | 66.811 | 15.442 | 0.000 | 0.000 |
| 66.812 | 66.812 | 192.061 | -0.000 | 0.000 | -0.000 |
| -15.442 | 15.442 | 0.000 | 40.785 | 0.000 | -0.000 |
| -0.000 | 0.000 | 0.000 | -0.000 | 40.785 | -15.442 |
| -0.000 | 0.000 | -0.000 | -0.000 | -15.442 | 51.706 |
| 181.145 | 77.733 | 66.811 | -15.442 | -0.000 | 0.000 |
| 77.733 | 181.145 | 66.811 | 15.442 | 0.000 | 0.000 |
| 66.812 | 66.812 | 192.061 | 0.000 | -0.000 | 0.000 |
| -15.442 | 15.442 | -0.000 | 40.785 | -0.000 | 0.000 |
| 0.000 | -0.000 | -0.000 | 0.000 | 40.785 | -15.442 |
| 0.000 | -0.000 | 0.000 | 0.000 | -15.442 | 51.706 |
| 181.145 | 77.733 | 66.811 | -15.442 | 0.000 | 0.000 |
| 77.733 | 181.145 | 66.811 | 15.442 | 0.000 | -0.000 |
| 66.812 | 66.812 | 192.061 | -0.000 | 0.000 | -0.000 |
| -15.442 | 15.442 | 0.000 | 40.785 | 0.000 | 0.000 |
| -0.000 | -0.000 | 0.000 | -0.000 | 40.785 | -15.442 |
| -0.000 | 0.000 | -0.000 | -0.000 | -15.442 | 51.706 |
| 181.145 | 77.733 | 66.811 | -15.442 | -0.000 | -0.000 |
| 77.733 | 181.145 | 66.811 | 15.442 | -0.000 | 0.000 |
| 66.812 | 66.812 | 192.061 | 0.000 | -0.000 | -0.000 |
| -15.442 | 15.442 | -0.000 | 40.785 | -0.000 | 0.000 |
| 0.000 | 0.000 | -0.000 | 0.000 | 40.785 | -15.442 |
| 0.000 | -0.000 | 0.000 | 0.000 | -15.442 | 51.706 |
| 181.146 | 77.733 | 66.812 | -15.442 | 0.000 | -0.000 |
| 77.734 | 181.146 | 66.812 | 15.442 | 0.000 | -0.000 |
| 66.812 | 66.812 | 192.061 | -0.000 | 0.000 | 0.000 |
| -15.442 | 15.442 | 0.000 | 40.786 | 0.000 | -0.000 |
| -0.000 | -0.000 | 0.000 | -0.000 | 40.785 | -15.442 |
| -0.000 | 0.000 | -0.000 | -0.000 | -15.442 | 51.706 |
| 181.144 | 77.733 | 66.811 | -15.442 | -0.000 | 0.000 |
| 77.733 | 181.144 | 66.811 | 15.442 | -0.000 | 0.000 |
| 66.812 | 66.812 | 192.060 | 0.000 | -0.000 | 0.000 |
| -15.442 | 15.442 | -0.000 | 40.785 | -0.000 | -0.000 |
| 0.000 | 0.000 | -0.000 | 0.000 | 40.785 | -15.442 |
| 0.000 | -0.000 | 0.000 | 0.000 | -15.442 | 51.706 |
| 117.000 | 48.983 | 8.370 | -0.000 | 0.000 | 0.000 |
| 145009565.548 | 745138387.543 | -821860124.729 | -0.024 | -0.000 | 0.494 |
| 8.370 | 8.370 | 139.272 | 0.000 | 0.000 | 0.000 |
| -16742543.658 | 772760355.075 | -801214410.806 | -4369280.641 | -247108.772 | -420118.513 |
| -79977689.961 | 354748776.534 | -1246730771.599 | -0.001 | 0.838 | 0.001 |
| -0.000 | 0.000 | -0.000 | 0.000 | 0.000 | 34.008 |
| -145009371.919 | -745138207.039 | 821860164.754 | 0.025 | 0.000 | -0.451 |
| 79977751.984 | -354748667.478 | 1246730795.213 | 0.009 | -0.000 | -0.006 |
| 8.370 | 8.370 | 139.272 | -0.000 | -0.000 | -0.000 |
| 18749227.113 | -778360513.717 | 798783997.729 | -54740.874 | -1204540.820 | 111905.657 |
| 79977690.185 | -354748776.672 | 1246730771.709 | -0.000 | 0.838 | -0.000 |
| 0.000 | -0.000 | 0.000 | -0.000 | 0.000 | 34.008 |
| -7997638.991 | 35474947.523 | -124673079.882 | 0.000 | -0.000 | 0.000 |
| 14501064.064 | 74513888.313 | -82185995.608 | -0.000 | -0.000 | 0.006 |
| 8.370 | 8.370 | 139.272 | 0.000 | 0.000 | 0.000 |
| 14500944.621 | 74513833.230 | -82186014.355 | -37.962 | -0.000 | 0.067 |
| -7997768.760 | 35474877.508 | -124673077.045 | 0.000 | 0.838 | 0.000 |
| 63732945.606 | 17351789.113 | -76143921.464 | -156.429 | -270.769 | 40272289.886 |
| -14500870.441 | -74513707.797 | 82186035.641 | 0.000 | -0.000 | -0.005 |
| 7997834.429 | -35474770.697 | 124673102.435 | -0.000 | -0.000 | -0.000 |
| 8.370 | 8.370 | 139.272 | -0.000 | -0.000 | -0.000 |
| -14500944.621 | -74513833.230 | 82186014.355 | -37.962 | -0.000 | -0.067 |
| 7997768.760 | -35474877.508 | 124673077.045 | 0.000 | 0.838 | -0.000 |
| -63566091.876 | -16651239.805 | 75133197.259 | -33611.438 | -31013.333 | 40643340.579 |
| -799645.190 | 3547556.586 | -12467309.607 | 0.000 | 0.000 | 0.000 |
| 1450213.578 | 7451439.067 | -8218582.228 | -0.000 | 0.000 | 0.000 |
| 8.370 | 8.370 | 139.273 | 0.000 | 0.000 | 0.000 |
| 1450094.452 | 7451383.335 | -8218601.431 | -37.896 | -0.000 | 0.001 |
| -799776.876 | 3547487.751 | -12467307.704 | -0.000 | 0.838 | 0.000 |
| 6260454.468 | 1784553.178 | -7700434.060 | 701.065 | 1273.663 | 4011942.347 |
| -1450020.293 | -7451257.869 | 8218622.735 | 0.000 | -0.000 | -0.000 |
| 799842.541 | -3547380.938 | 12467333.093 | 0.000 | -0.000 | -0.000 |
| 8.370 | 8.370 | 139.272 | -0.000 | -0.000 | -0.000 |
| -1450094.452 | -7451383.335 | 8218601.431 | -37.896 | -0.000 | -0.001 |
| 799776.876 | -3547487.751 | 12467307.704 | 0.000 | 0.838 | -0.000 |
| -6371321.301 | -1737942.367 | 7614521.740 | 70.845 | -123.474 | 4028888.680 |
| 186.601 | 82.296 | 52.754 | -0.000 | 0.000 | -0.000 |
| 95.174 | 173.723 | 52.754 | -0.000 | 0.000 | -0.000 |
| 52.754 | 52.754 | 197.321 | 0.000 | 0.000 | 0.000 |
| 0.000 | -0.000 | 0.000 | 19.935 | 0.000 | -0.000 |
| 0.000 | -0.000 | 0.000 | -0.000 | 19.935 | -0.000 |
| 0.000 | -0.000 | -0.000 | -0.000 | 0.000 | 39.275 |
| 173.723 | 95.174 | 52.754 | 0.000 | -0.000 | 0.000 |
| 82.296 | 186.601 | 52.754 | 0.000 | -0.000 | -0.000 |
| 52.754 | 52.754 | 197.321 | 0.000 | -0.000 | 0.000 |
| -0.000 | 0.000 | -0.000 | 19.935 | -0.000 | 0.000 |
| -0.000 | 0.000 | -0.000 | 0.000 | 19.935 | 0.000 |
| -0.000 | 0.000 | 0.000 | 0.000 | -0.000 | 39.275 |
| 186.601 | 82.296 | 52.754 | -0.000 | 0.000 | 0.000 |
| 82.296 | 186.601 | 52.754 | -0.000 | 0.000 | 0.000 |
| 52.754 | 52.754 | 197.321 | 0.000 | 0.000 | -0.000 |
| -0.000 | 0.000 | -0.000 | 19.935 | 0.000 | 0.000 |
| 0.000 | -0.000 | -0.000 | -0.000 | 19.935 | -0.000 |
| 0.000 | -0.000 | 0.000 | -0.000 | -0.000 | 39.275 |
| 186.601 | 82.296 | 52.754 | 0.000 | -0.000 | 0.000 |
| 82.296 | 186.601 | 52.754 | 0.000 | -0.000 | 0.000 |
| 52.754 | 52.754 | 197.321 | 0.000 | 0.000 | 0.000 |
| 0.000 | -0.000 | 0.000 | 19.935 | -0.000 | -0.000 |
| -0.000 | 0.000 | 0.000 | 0.000 | 19.935 | 0.000 |
| -0.000 | 0.000 | -0.000 | 0.000 | 0.000 | 39.275 |
| 173.724 | 95.174 | 52.754 | -0.000 | 0.000 | -0.000 |
| 95.174 | 173.724 | 52.754 | -0.000 | 0.000 | 0.000 |
| 52.754 | 52.754 | 197.322 | -0.000 | 0.000 | 0.000 |
| 0.000 | 0.000 | -0.000 | 19.935 | -0.000 | -0.000 |
| 0.000 | 0.000 | -0.000 | -0.000 | 19.935 | -0.000 |
| 0.000 | -0.000 | 0.000 | -0.000 | 0.000 | 39.275 |
| 186.601 | 82.296 | 52.754 | 0.000 | -0.000 | -0.000 |
| 82.296 | 186.600 | 52.754 | 0.000 | -0.000 | 0.000 |
| 52.754 | 52.754 | 197.320 | 0.000 | 0.000 | 0.000 |
| -0.000 | -0.000 | 0.000 | 19.935 | 0.000 | 0.000 |
| -0.000 | -0.000 | 0.000 | 0.000 | 19.935 | 0.000 |
| -0.000 | 0.000 | -0.000 | 0.000 | -0.000 | 39.275 |
Phonon band structures and crystal properties estimated from quasi-harmonic approximation (QHA) calculations are displayed for select crystals. The calculations were performed using phonopy and LAMMPS. For the phonon calculations, 3x3 supercells of the potential-specific relaxed crystals were used. The QHA calculations were based on 11 strain states ranging from -0.05 to 0.05.
The calculation method used is available as the iprPy phonon calculation method.
Notes and Disclaimers:
Version Information:

























































































































































































Static free surface formation energies are displayed for select crystals. The values displayed here are obtained by taking a perfect periodic bulk crystal, slicing along a crystallographic plane, and using force minimization to statically relax the surfaces. The free surface formation energy is computed by comparing the energy of the defect system to the bulk system and dividing by the total surface area created by the cut.
The calculation method used is available as the iprPy surface_energy_static calculation method.
Notes and Disclaimers:
Version Information:
| Surface | γfs (mJ/m2) |
|---|---|
| (111) | 2087.02 |
| (332) | 2240.76 |
| (322) | 2267.46 |
| (221) | 2300.07 |
| (331) | 2339.10 |
| (211) | 2343.55 |
| (100) | 2351.39 |
| (110) | 2352.28 |
| (311) | 2377.46 |
| (321) | 2388.64 |
| (320) | 2437.63 |
| (210) | 2445.85 |
| (310) | 2468.46 |
| Surface | γfs (mJ/m2) |
|---|---|
| (211) 2 | 2264.07 |
| (210) | 2292.80 |
| (100) | 2321.14 |
| (321) 2 | 2329.98 |
| (332) 2 | 2334.51 |
| (111) | 2343.79 |
| (311) | 2353.53 |
| (221) | 2358.13 |
| (322) | 2362.51 |
| (321) 1 | 2368.34 |
| (320) | 2380.08 |
| (310) | 2382.97 |
| (331) | 2384.16 |
| (332) 1 | 2397.34 |
| (211) 1 | 2423.93 |
| (110) | 2425.16 |
| Surface | γfs (mJ/m2) |
|---|---|
| (110) | 2350.28 |
| (211) | 2460.99 |
| (320) | 2471.38 |
| (321) | 2485.09 |
| (100) | 2505.72 |
| (210) | 2506.57 |
| (310) | 2509.15 |
| (331) | 2509.58 |
| (311) | 2526.90 |
| (322) | 2543.29 |
| (221) | 2543.82 |
| (332) | 2555.42 |
| (111) | 2566.55 |
| Surface | γfs (mJ/m2) |
|---|---|
| (111) | 2049.89 |
| (332) | 2168.68 |
| (322) | 2201.77 |
| (221) | 2217.03 |
| (331) | 2253.84 |
| (211) | 2264.28 |
| (321) | 2270.56 |
| (110) | 2271.59 |
| (311) | 2293.57 |
| (320) | 2346.98 |
| (210) | 2351.00 |
| (310) | 2440.48 |
| (100) | 2482.27 |
| Surface | γfs (mJ/m2) |
|---|---|
| (100) | 2310.63 |
| (210) | 2357.80 |
| (211) 2 | 2370.44 |
| (310) | 2373.50 |
| (111) | 2374.22 |
| (211) 1 | 2374.25 |
| (321) 2 | 2376.57 |
| (320) | 2376.81 |
| (110) | 2380.60 |
| (332) 1 | 2388.73 |
| (322) | 2389.98 |
| (331) | 2396.91 |
| (221) | 2396.92 |
| (332) 2 | 2406.98 |
| (311) | 2407.28 |
| (321) 1 | 2414.86 |
| Surface | γfs (mJ/m2) |
|---|---|
| (211) | 2568.62 |
| (310) | 2588.12 |
| (311) | 2594.22 |
| (110) | 2607.03 |
| (100) | 2612.75 |
| (332) | 2617.44 |
| (111) | 2617.80 |
| (322) | 2620.19 |
| (221) | 2643.76 |
| (321) | 2645.13 |
| (210) | 2654.12 |
| (331) | 2660.02 |
| (320) | 2667.71 |
| Surface | γfs (mJ/m2) |
|---|---|
| (0001) | 2144.13 |
| (1010) 1 | 2145.76 |
| (2021) 1 | 2331.68 |
| (2130) 1 | 2340.55 |
| (1120) | 2352.16 |
| (1011) 2 | 2364.10 |
| (2112) | 2373.51 |
| (2131) 1 | 2385.69 |
| (1121) | 2388.28 |
| (2241) | 2394.40 |
| (2131) 2 | 2409.77 |
| (2132) 1 | 2415.49 |
| (1012) 2 | 2421.12 |
| (2130) 2 | 2447.65 |
| (2132) 2 | 2450.74 |
| (1012) 1 | 2451.18 |
| (1011) 1 | 2461.36 |
| (2021) 2 | 2597.25 |
| (1010) 2 | 2709.45 |
Stacking fault energy plots and maps are displayed for select crystals. The values are computed by
The calculation method used is available as the iprPy stacking_fault_map_2D calculation method.
Notes and Disclaimers:
Version Information:
| E_usf a/2 [0 -1 1] | 1182.82 |
| τ_ideal a/2 [0 -1 1] | 15.22 |




| E_isf | -103.73 |
| E_usf a/2 [0 -1 1] | 95.45 |
| τ_ideal a/2 [0 -1 1] | 3.62 |




| E_usf a/2 [-1 1 -1] | 678.40 |
| τ_ideal a/2 [-1 1 -1] | 7.73 |




| E_usf a/2 [-1 -1 1] | 795.89 |
| τ_ideal a/2 [-1 -1 1] | 9.79 |




| E_usf a/2 [-1 -1 1] | 780.75 |
| τ_ideal a/2 [-1 -1 1] | 9.65 |




| E_usf a/2 [0 -1 1] | 887.62 |
| τ_ideal a/2 [0 -1 1] | 10.26 |




| E_isf | -201.98 |
| E_usf a/2 [0 -1 1] | 78.49 |
| τ_ideal a/2 [0 -1 1] | 8.64 |




| E_usf a/2 [-1 1 -1] | 409.24 |
| τ_ideal a/2 [-1 1 -1] | 6.05 |




| E_usf a/2 [-1 -1 1] | 592.67 |
| τ_ideal a/2 [-1 -1 1] | 9.23 |




| E_usf a/2 [-1 -1 1] | 545.87 |
| τ_ideal a/2 [-1 -1 1] | 9.00 |




| E_isf | 213.18 |
| E_usf a/3 [-2 1 1 0] | 295.40 |
| τ_ideal a/3 [-2 1 1 0] | 9.11 |




| E_usf a/3 [-1 2 -1 0] | 522.35 |
| τ_ideal a/3 [-1 2 -1 0] | 10.04 |




| E_usf a/3 [-1 2 -1 0] | 799.86 |
| E_usf a/3 [-2 1 1 3] | 4658.08 |
| τ_ideal a/3 [-1 2 -1 0] | 11.06 |
| τ_ideal a/3 [-2 1 1 3] | 168.16 |





| E_usf a/3 [-1 2 -1 0] | 704.31 |
| E_usf a/3 [-2 1 1 3] | 1036.41 |
| τ_ideal a/3 [-1 2 -1 0] | 8.78 |
| τ_ideal a/3 [-2 1 1 3] | 11.26 |





Static point defect formation energies, Ef, and elastic dipole tensors, pij, are displayed for select crystals. Relaxed defect configurations are obtained by taking a 12x12x12 supercell of a perfect periodic bulk crystal, inserting the point defect, and using force minimization to statically relax the atomic positions while keeping the system dimensions constant. Ef is computed by comparing the energy of the defect system to the same number of atoms in a perfect bulk crystal. pij is estimated as the difference in the system's global pressure with and without the defect multiplied by the system's volume.
Simple structural comparisons of the unrelaxed and relaxed defect configurations are used to help determine if the defect structure has relaxed to a different configuration. Relaxed structures that are identified as no longer consistent with the ideal defect definition are excluded from the table below. The only exception to this is if the lowest energy interstitial configuration does not coincide with a known ideal defect, its energies and pressure tensor are included under the listing "relaxed interstitial". The full list of calculation results including the transformed structures and the structural comparison values is included in the csv file available from the "Download raw data" link.
The calculation method used is available as the iprPy point_defect_static calculation method.
Notes and Disclaimers:
| Point Defect | Ef (eV) | p11 (eV) | p22 (eV) | p33 (eV) | p12 (eV) | p13 (eV) | p23 (eV) |
|---|---|---|---|---|---|---|---|
| vacancy | 1.920 | -3.968 | -3.968 | -3.968 | -0.000 | -0.000 | -0.000 |
| 100 dumbbell | 3.074 | 21.871 | 21.871 | 21.796 | -0.000 | 0.000 | 0.000 |
| tetrahedral interstitial | 3.239 | 22.457 | 22.457 | 22.457 | -0.000 | -0.000 | -0.000 |
| 111 dumbbell | 3.297 | 22.478 | 22.478 | 22.478 | 8.249 | 8.249 | 8.249 |
| 1nn divacancy | 3.615 | -15.374 | -6.371 | -6.371 | -0.000 | -0.000 | -0.790 |
| 2nn divacancy | 3.794 | -8.879 | -8.879 | -7.126 | 0.000 | -0.000 | -0.000 |
| Point Defect | Ef (eV) | p11 (eV) | p22 (eV) | p33 (eV) | p12 (eV) | p13 (eV) | p23 (eV) |
|---|---|---|---|---|---|---|---|
| vacancy | 1.694 | -5.421 | -5.421 | -5.421 | 0.000 | -0.000 | 0.000 |
| 2nn divacancy | 3.277 | -10.707 | -10.707 | -13.320 | 0.000 | -0.000 | 0.000 |
| 1nn divacancy | 3.520 | -9.370 | -9.370 | -9.370 | 0.814 | 0.814 | 0.814 |
| 110 dumbbell | 4.189 | 22.191 | 21.327 | 21.327 | 0.000 | 0.000 | 7.330 |
| 111 dumbbell | 4.311 | 21.071 | 21.071 | 21.071 | 8.000 | 8.000 | 8.000 |
| crowdion interstitial | 4.311 | 21.071 | 21.071 | 21.071 | 7.996 | 7.996 | 7.996 |
| Point Defect | Ef (eV) | p11 (eV) | p22 (eV) | p33 (eV) | p12 (eV) | p13 (eV) | p23 (eV) |
|---|---|---|---|---|---|---|---|
| vacancy | 1.692 | -2.554 | -2.554 | -2.554 | -0.000 | -0.000 | 0.000 |
| 100 dumbbell | 3.105 | 15.783 | 15.783 | 19.717 | 0.000 | -0.000 | -0.000 |
| 110 dumbbell | 3.334 | 24.444 | 13.305 | 13.305 | -0.000 | -0.000 | 13.759 |
| 2nn divacancy | 3.583 | -6.278 | -6.278 | -4.006 | 0.000 | 0.000 | 0.000 |
| 1nn divacancy | 3.671 | -3.628 | -3.946 | -3.946 | -0.000 | -0.000 | -0.190 |
| tetrahedral interstitial | 3.805 | 15.808 | 15.808 | 15.808 | -0.000 | 0.000 | -0.000 |
| 111 dumbbell | 4.131 | 17.036 | 17.036 | 17.036 | 2.945 | 2.945 | 2.945 |
| Point Defect | Ef (eV) | p11 (eV) | p22 (eV) | p33 (eV) | p12 (eV) | p13 (eV) | p23 (eV) |
|---|---|---|---|---|---|---|---|
| vacancy | 1.439 | -4.244 | -4.244 | -4.244 | -0.000 | -0.000 | -0.000 |
| 2nn divacancy | 3.293 | -8.512 | -8.512 | -8.236 | -0.000 | -0.000 | -0.000 |
| 1nn divacancy | 3.454 | -7.022 | -7.022 | -7.022 | 0.019 | 0.019 | 0.019 |
| relaxed interstitial | 3.525 | 18.213 | 17.930 | 19.825 | -5.978 | 1.814 | -2.750 |
| 110 dumbbell | 3.541 | 19.447 | 17.777 | 17.777 | 0.000 | 0.000 | 6.174 |
| crowdion interstitial | 3.615 | 18.827 | 18.827 | 18.827 | 7.042 | 7.042 | 7.042 |
| tetrahedral interstitial | 4.185 | 21.052 | 16.523 | 21.052 | -0.000 | -0.000 | -0.000 |
| 100 dumbbell | 4.674 | 16.210 | 16.210 | 28.092 | 0.000 | -0.000 | -0.000 |
| Point Defect | Ef (eV) | p11 (eV) | p22 (eV) | p33 (eV) | p12 (eV) | p13 (eV) | p23 (eV) |
|---|---|---|---|---|---|---|---|
| vacancy | 1.790 | -2.978 | -2.978 | -2.781 | -0.000 | 0.000 | -0.000 |
| relaxed interstitial | 3.683 | 15.898 | 16.080 | 20.702 | 0.158 | 0.273 | -0.158 |
| 0001 dumbbell | 4.334 | 8.536 | 8.536 | 35.056 | 0.000 | 0.000 | -0.000 |
Plots of the atomic structure of dislocation cores are shown here. The dislocations were constructed using dislocation monopole configurations in which a straight dislocation is created in the center of the system using anisotropic elasticity and the elastic constants computed above. A cylindrical region centered around the dislocation is allowed to relax while the remaining atoms are held fixed. The relaxation consists of 1 million NVT steps at 10 K followed by an energy/force minimization. The final plots show the atomic configuration near the center of the monopole system, and display differential displacement arrows and Nye tensor color maps that are both taken with respect to the Burgers vector direction.
These plots show a wide range of final structures, some corresponding to expected dislocation structures and others not. While the characterizations are dislocation-type dependent, some general classification guidelines are listed here.
The calculation method used is available as the iprPy dislocation_monopole calculation method.
Links are provided above the images allowing for users to download the final defect configuration and a corresponding defect-free configuration if they wish to further analyze the structures or use them for subsequent simulations.
Notes and Disclaimers:
Version Information:
Plots of lattice and elastic constants are shown as a function of temperature. The 0K points were taken from the Crystal Structure Predictions and the Elastic Constants Predictions sections above for the unique crystal structures relaxed with the "dynamic" method. Starting from the 0 K relaxed crystal unit cells, supercell systems are created by replicating all three dimensions by the same multiplier to achieve at least 4000 atoms. The systems are then relaxed at 50 K and zero pressure using 1 million NPT steps. Lattice constants are estimated by averaging the measured box dimensions. Temperatures are iteratively increased by 50 K, with each subsequent relaxation calculation starting from the final atomic configuration at the previous temperature and relaxing for another 1 million steps.
The elastic constants are calculated using the deformation–fluctuation hybrid method. Starting from the final atomic configurations of the dynamic relaxations, the system is allowed to evolve at constant volume with a Langevin thermostat. The Born matrix is computed during this run by evaluating how the atomic forces would vary due to applied linear strain fields. The elastic constants can then be estimated using the averaged Born matrix values and the averaged stresses on the system.
The calculation methods used are available as the iprPy relax_dynamic and elastic_constants_dynamic calculation methods.
Clicking on the image of a plot will open an interactive version of it in a new tab. The underlying data for the plots can be downloaded by clicking on the links above each plot.
Notes and Disclaimers:
Version Information:
Plots of radial distribution functions at different temperatures and the temperature-dependent diffusion and viscosity are shown here for elemental liquids. Melt phases are constructed by starting with a 10x10x10 fcc super cell and relaxing with 50,000 NPT steps at zero pressure and a high melting temperature (3000 K for most potentials and elements). Following the melt, liquid structures are relaxed by running NPT for 10,000 steps over which the temperature is dropped by 50 K, then 50,000 NPT at the target temperature to estimate the equilibrium volume, followed by 20,000 NVT steps at the averaged equilibrium volume and target temperature. Structures from the NVT run are sampled to compute the radial distribution function of the liquid at the corresponding temperature.
The final relaxed configurations at each temperature explored are used as the initial configurations for the diffusion and viscosity calculations. For diffusion, the system is integrated for 100 runs of 2,000 NVT steps during which both the mean squared displacement (MSD) and the velocity auto correlation function (VACF) are computed. From these simulations, three estimates of diffusion are computed: one from the MSD of the full 200,000 step run, one in which the MSD is reset for each short run and then averaged, and one from the VACF computed for each short run and averaged. For viscosity, the Green-Kubo method is used which is evaluated during a 1 million step NVT run.
The calculation methods used are available as the iprPy relax_liquid_redo, diffusion_liquid, and viscosity_green_kubo calculation methods.
Clicking on the image of a plot will open an interactive version of it in a new tab. The underlying data for the plots can be downloaded by clicking on the links above each plot.
Notes and Disclaimers:
Version Information:
Plots of internal energy, Gibbs free energy, entropy, heat capacity and volume are shown here as a function of temperature for various crystal structures and liquid phases. The included crystal structures correspond to those in the Solid Structures vs. Temperature section, and the liquid phases to those in the Liquid Properties section. Internal energy and volume are taken from the associated structure relaxations mentioned in those previous sections. Constant pressure heat capacity is estimated using 3-point numerical derivatives of enthalpy versus temperature. Note that since all simulations done here are at 0 pressure, internal energy and enthalpy are equivalent.
The Gibbs energies of the phases are estimated using thermodynamic integration between the interatomic potential in question and a simpler model with known Gibbs free energy values. For solids, the reference model is an Einstein solid, while for liquids it is the Uhlenbeck-Ford potential. Besides a short run at the start of the solid calculations to estimate Einstein model spring constants, the two calculations proceed similarly. Starting with the final relaxation configurations, the systems are stabilized for 25,000 steps. Then, over the next 50,000 steps the potential is swapped out for the reference potential. The system is then stabilized for another 25,000 steps with the reference model before a reverse swap of 50,000 steps is performed. The simulation ends with one final 25,000 step stabilization period. From the simulation, the irreversible work of transformation is estimated and used to compute the absolute Gibbs free energy of the target phase and potential relative to the reference potential. Entropy is estimated as the difference in enthalpy and Gibbs free energy and divided by temperature.
The calculation methods used are available as the iprPy relax_dynamic, relax_liquid_redo, free_energy, and free_energy_liquid calculation methods.
Clicking on the image of a plot will open an interactive version of it in a new tab. The underlying data for the plots can be downloaded by clicking on the links above each plot.
Notes and Disclaimers:
Version Information:






