Plots of the potential energy vs interatomic spacing, r, are shown below for all diatom sets associated with the interatomic potential. This calculation provides insights into the functional form of the potential's two-body interactions. A system consisting of only two atoms is created, and the potential energy is evaluated for the atoms separated by 0.02 Å <= r <= 6.0> Å in intervals of 0.02 Å. Two plots are shown: one for the "standard" interaction distance range, and one for small values of r. The small r plot is useful for determining whether the potential is suitable for radiation studies.
The calculation method used is available as the iprPy diatom_scan calculation method.
Clicking on the image of a plot will open an interactive version of it in a new tab. The underlying data for the plots can be downloaded by clicking on the links above each plot.
Notes and Disclaimers:
Version Information:
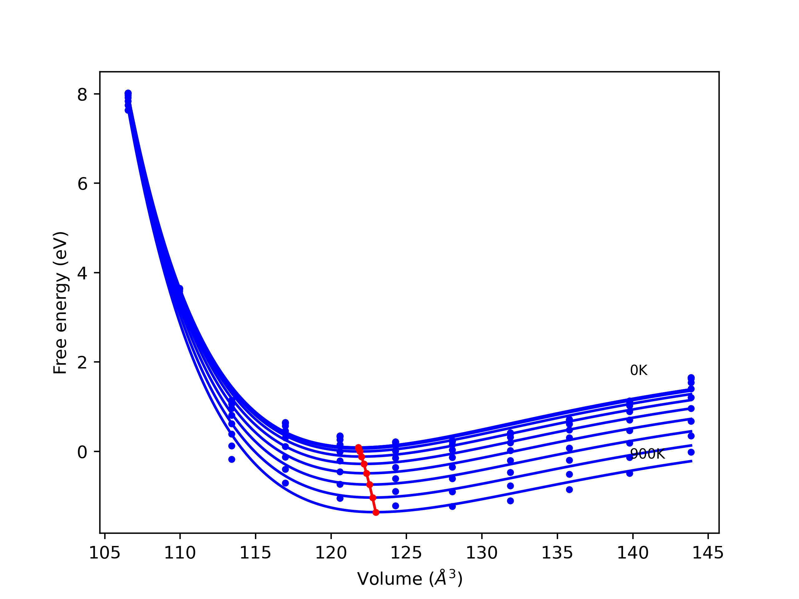
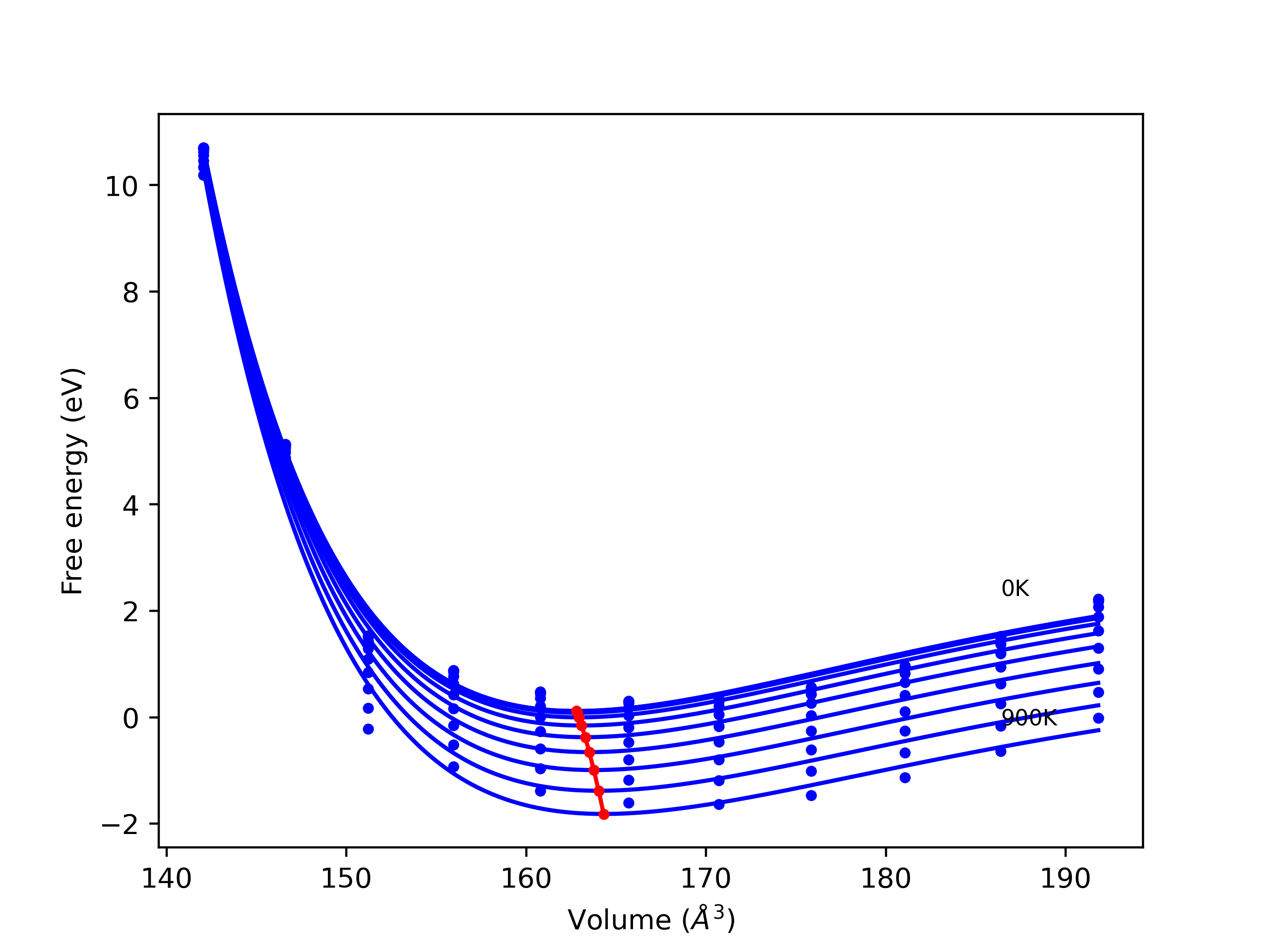
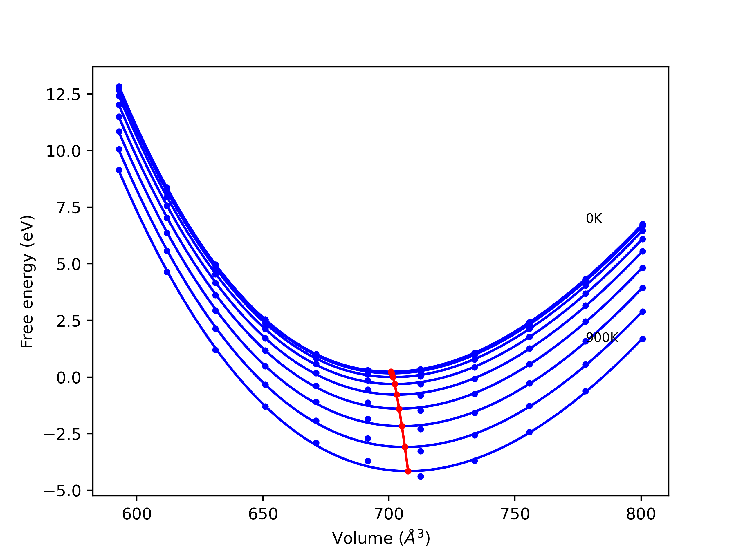
Plots of potential energy vs interatomic spacing, r, are shown below for a number of crystal structures. The structures are generated based on the ideal atomic positions and b/a and c/a lattice parameter ratios for a given crystal prototype. The size of the system is then uniformly scaled, and the energy calculated without relaxing the system. To obtain these plots, values of r are evaluated every 0.02 Å up to 6 Å.
The calculation method used is available as the iprPy E_vs_r_scan calculation method.
Clicking on the image of a plot will open an interactive version of it in a new tab. The underlying data for the plots can be downloaded by clicking on the links above each plot.
Notes and Disclaimers:
Version Information:
Computed lattice constants and cohesive/potential energies are displayed for a variety of crystal structures. The values displayed here are obtained using the following process.
The calculation methods used are implemented into iprPy as the following calculation styles
Notes and Disclaimers:
Version Information:
Download raw data (including filtered results)
Reference structure matches:
A1--Cu--fcc = oqmd-1214512
A15--beta-W = oqmd-1214957
A2--W--bcc = oqmd-1215135
A3'--alpha-La--double-hcp = oqmd-1215403
A3--Mg--hcp = oqmd-1215313
A4--C--dc = mp-66, oqmd-675640
A5--beta-Sn = oqmd-1215581
A6--In--bct = mp-1181996, oqmd-1215670
A7--alpha-As = oqmd-594528
Ah--alpha-Po--sc = mp-998866, oqmd-636457, oqmd-1214601
| prototype | method | Ecoh (eV/atom) | Epot (eV/atom) | a0 (Å) | b0 (Å) | c0 (Å) | α (degrees) | β (degrees) | γ (degrees) | 
|---|---|---|---|---|---|---|---|---|---|
| mp-568806 | dynamic | -7.374 | -7.374 | 2.5552 | 2.5552 | 3.6597 | 90.0 | 90.0 | 120.0 | 
| oqmd-683819 | dynamic | -7.374 | -7.374 | 2.5552 | 4.4257 | 6.6661 | 90.0 | 90.0 | 90.0 | 
| mp-568286 | dynamic | -7.374 | -7.374 | 2.5552 | 4.4257 | 7.0361 | 90.0 | 90.0 | 90.0 | 
| oqmd-589492 | dynamic | -7.374 | -7.374 | 2.5552 | 2.5552 | 53.495 | 90.0 | 90.0 | 120.0 | 
| mp-568363 | dynamic | -7.374 | -7.374 | 2.5552 | 4.4257 | 8.1499 | 90.0 | 90.0 | 90.0 | 
| mp-568806 | static | -7.374 | -7.374 | 2.5552 | 2.5552 | 3.6531 | 90.0 | 90.0 | 120.0 | 
| mp-1018088 | dynamic | -7.374 | -7.374 | 4.1726 | 4.1726 | 4.1726 | 90.0 | 90.0 | 90.0 | 
| oqmd-683820 | dynamic | -7.374 | -7.374 | 2.5552 | 4.4257 | 6.8163 | 90.0 | 90.0 | 90.0 | 
| mp-569304 | dynamic | -7.374 | -7.374 | 2.5552 | 2.5552 | 33.1909 | 90.0 | 90.0 | 120.0 | 
| mp-990424 | static | -7.374 | -7.374 | 2.5552 | 2.5552 | 24.132 | 90.0 | 90.0 | 120.0 | 
| A7--alpha-As | dynamic | -7.374 | -7.374 | 2.5552 | 2.5552 | 7.283 | 90.0 | 90.0 | 120.0 | 
| mp-937760 | dynamic | -7.374 | -7.374 | 2.5552 | 4.4257 | 7.1733 | 90.0 | 90.0 | 90.0 | 
| A7--alpha-As | static | -7.374 | -7.374 | 2.5552 | 2.5552 | 6.4502 | 90.0 | 90.0 | 120.0 | 
| mp-990448 | static | -7.374 | -7.374 | 2.5552 | 2.5552 | 8.5238 | 90.0 | 90.0 | 120.0 | 
| mp-990424 | dynamic | -7.374 | -7.374 | 2.5552 | 2.5552 | 24.1595 | 90.0 | 90.0 | 120.0 | 
| oqmd-610551 | static | -7.374 | -7.374 | 2.5552 | 2.5552 | 3.501 | 90.0 | 90.0 | 120.0 | 
| oqmd-590101 | static | -7.374 | -7.374 | 2.5552 | 2.5552 | 6.796 | 90.0 | 90.0 | 120.0 | 
| oqmd-683820 | static | -7.374 | -7.374 | 2.5552 | 4.4257 | 6.769 | 90.0 | 90.0 | 90.0 | 
| mp-569416 | static | -7.374 | -7.374 | 2.5552 | 2.5552 | 54.6869 | 90.0 | 90.0 | 120.0 | 
| mp-1040425 | dynamic | -7.374 | -7.374 | 2.5552 | 2.5552 | 19.9988 | 90.0 | 90.0 | 120.0 | 
| mp-1040425 | static | -7.374 | -7.374 | 2.5552 | 2.5552 | 19.9983 | 90.0 | 90.0 | 120.0 | 
| oqmd-683819 | static | -7.374 | -7.374 | 2.5552 | 4.4257 | 6.6505 | 90.0 | 90.0 | 90.0 | 
| A7--alpha-As | dynamic | -7.374 | -7.374 | 2.5552 | 2.5552 | 10.2131 | 90.0 | 90.0 | 120.0 | 
| oqmd-1214690 | dynamic | -7.374 | -7.374 | 2.5552 | 4.4257 | 6.6767 | 90.0 | 90.0 | 90.0 | 
| oqmd-590101 | dynamic | -7.374 | -7.374 | 2.5552 | 2.5552 | 6.7965 | 90.0 | 90.0 | 120.0 | 
| mp-169 | static | -7.374 | -7.374 | 4.4257 | 2.5552 | 3.7634 | 90.0 | 111.5 | 90.0 | 
| oqmd-589491 | dynamic | -7.374 | -7.374 | 2.5552 | 2.5552 | 33.3583 | 90.0 | 90.0 | 120.0 | 
| mp-48 | dynamic | -7.374 | -7.374 | 2.5552 | 2.5552 | 7.8031 | 90.0 | 90.0 | 120.0 | 
| mp-997182 | dynamic | -7.374 | -7.374 | 2.5552 | 2.5552 | 12.0459 | 90.0 | 90.0 | 120.0 | 
| mp-632329 | static | -7.374 | -7.374 | 4.4257 | 2.5552 | 3.7376 | 90.0 | 94.2 | 90.0 | 
| oqmd-1215937 | dynamic | -7.374 | -7.374 | 2.5552 | 2.5552 | 7.3725 | 90.0 | 90.0 | 120.0 | 
| mp-632329 | dynamic | -7.374 | -7.374 | 4.4257 | 2.5552 | 3.8703 | 90.0 | 94.1 | 90.0 | 
| mp-169 | dynamic | -7.374 | -7.374 | 4.4257 | 2.5552 | 3.8482 | 90.0 | 111.9 | 90.0 | 
| oqmd-589493 | static | -7.374 | -7.374 | 2.5552 | 2.5552 | 28.9535 | 90.0 | 90.0 | 120.0 | 
| mp-606949 | dynamic | -7.374 | -7.374 | 2.5552 | 2.5552 | 29.4919 | 90.0 | 90.0 | 120.0 | 
| oqmd-589493 | dynamic | -7.374 | -7.374 | 2.5552 | 2.5552 | 28.956 | 90.0 | 90.0 | 120.0 | 
| mp-569416 | dynamic | -7.374 | -7.374 | 2.5552 | 2.5552 | 54.7152 | 90.0 | 90.0 | 120.0 | 
| mp-568286 | static | -7.374 | -7.374 | 2.5552 | 4.4257 | 7.0348 | 90.0 | 90.0 | 90.0 | 
| oqmd-599489 | dynamic | -7.3732 | -7.3732 | 2.5213 | 2.5213 | 4.1173 | 90.0 | 90.0 | 120.0 | 
| A4--C--dc | dynamic | -7.3732 | -7.3732 | 3.5657 | 3.5657 | 3.5657 | 90.0 | 90.0 | 90.0 | 
| mp-611448 | dynamic | -7.3732 | -7.3732 | 2.5213 | 2.5213 | 12.352 | 90.0 | 90.0 | 120.0 | 
| mp-611426 | dynamic | -7.3732 | -7.3732 | 2.5213 | 2.5213 | 8.2347 | 90.0 | 90.0 | 120.0 | 
| oqmd-599493 | dynamic | -7.3732 | -7.3732 | 2.5213 | 2.5213 | 30.88 | 90.0 | 90.0 | 120.0 | 
| oqmd-599492 | dynamic | -7.3732 | -7.3732 | 2.5213 | 2.5213 | 16.4694 | 90.0 | 90.0 | 120.0 | 
| oqmd-599494 | dynamic | -7.3732 | -7.3732 | 2.5213 | 2.5213 | 43.232 | 90.0 | 90.0 | 120.0 | 
| oqmd-599489 | box | -7.3731 | -7.3731 | 2.521 | 2.521 | 4.1186 | 90.0 | 90.0 | 120.0 | 
| mp-47 | box | -7.3731 | -7.3731 | 2.5209 | 2.5209 | 4.1189 | 90.0 | 90.0 | 120.0 | 
| oqmd-599492 | box | -7.3725 | -7.3725 | 2.5212 | 2.5212 | 16.473 | 90.0 | 90.0 | 120.0 | 
| mp-616440 | box | -7.3723 | -7.3723 | 2.5213 | 2.5213 | 16.4725 | 90.0 | 90.0 | 120.0 | 
| oqmd-599491 | box | -7.3723 | -7.3723 | 2.5212 | 2.5212 | 12.355 | 90.0 | 90.0 | 120.0 | 
| mp-569567 | box | -7.3722 | -7.3722 | 2.5213 | 2.5213 | 43.2403 | 90.0 | 90.0 | 120.0 | 
| mp-611448 | box | -7.3721 | -7.3721 | 2.5213 | 2.5213 | 12.3548 | 90.0 | 90.0 | 120.0 | 
| oqmd-599493 | box | -7.3721 | -7.3721 | 2.5213 | 2.5213 | 30.8866 | 90.0 | 90.0 | 120.0 | 
| mp-569517 | box | -7.372 | -7.372 | 2.5212 | 2.5212 | 30.8882 | 90.0 | 90.0 | 120.0 | 
| mp-611426 | box | -7.372 | -7.372 | 2.5212 | 2.5212 | 8.2375 | 90.0 | 90.0 | 120.0 | 
| oqmd-599490 | box | -7.3718 | -7.3718 | 2.5213 | 2.5213 | 8.2369 | 90.0 | 90.0 | 120.0 | 
| mp-1008374 | dynamic | -7.2974 | -7.2974 | 2.5166 | 7.9591 | 2.5595 | 90.0 | 90.0 | 90.0 | 
| mp-1096869 | static | -7.2911 | -7.2911 | 26.553 | 15.335 | 2.1501 | 90.0 | 93.3 | 90.0 | 
| mp-1008374 | box | -7.2086 | -7.2086 | 2.4957 | 8.0838 | 2.5551 | 90.0 | 90.0 | 90.0 | 
| mp-1078845 | dynamic | -7.1049 | -7.1049 | 4.2071 | 8.8067 | 2.541 | 90.0 | 90.0 | 90.0 | 
| mp-1078845 | box | -7.0938 | -7.0938 | 4.2247 | 8.8129 | 2.5351 | 90.0 | 90.0 | 90.0 | 
| mp-1188817 | dynamic | -7.0923 | -7.0923 | 5.2703 | 5.2703 | 5.2703 | 90.0 | 90.0 | 90.0 | 
| oqmd-637443 | box | -7.092 | -7.092 | 5.2697 | 5.2697 | 5.2697 | 90.0 | 90.0 | 90.0 | 
| mp-1188817 | box | -7.0912 | -7.0912 | 5.2688 | 5.2688 | 5.2688 | 90.0 | 90.0 | 90.0 | 
| oqmd-610557 | static | -7.05 | -7.05 | 4.8975 | 5.2856 | 4.4734 | 90.0 | 90.0 | 90.0 | 
| oqmd-610557 | box | -7.0127 | -7.0127 | 4.8769 | 5.3068 | 4.5181 | 90.0 | 90.0 | 90.0 | 
| oqmd-610556 | box | -7.0119 | -7.0119 | 4.8742 | 5.3151 | 4.5182 | 90.0 | 90.0 | 90.0 | 
| mp-568410 | box | -7.0093 | -7.0093 | 4.872 | 5.3205 | 4.5197 | 90.0 | 90.0 | 90.0 | 
| mp-683919 | dynamic | -6.9743 | -6.9743 | 10.252 | 17.5767 | 18.2474 | 90.0 | 90.0 | 90.0 | 
| oqmd-689315 | dynamic | -6.9743 | -6.9743 | 9.9935 | 17.3043 | 18.2474 | 90.0 | 90.0 | 90.0 | 
| mp-683919 | static | -6.9743 | -6.9743 | 10.5317 | 17.6833 | 18.2471 | 90.0 | 90.0 | 90.0 | 
| oqmd-689315 | static | -6.9743 | -6.9743 | 10.5057 | 17.6636 | 18.2451 | 90.0 | 90.0 | 90.0 | 
| mp-683919 | box | -6.9554 | -6.9554 | 10.522 | 18.0501 | 18.618 | 90.0 | 90.0 | 90.0 | 
| oqmd-689315 | box | -6.9272 | -6.9272 | 10.4666 | 18.0792 | 18.6433 | 90.0 | 90.0 | 90.0 | 
| oqmd-637353 | dynamic | -6.9272 | -6.9272 | 4.3887 | 4.3887 | 2.5425 | 90.0 | 90.0 | 90.0 | 
| oqmd-595714 | dynamic | -6.9212 | -6.9212 | 9.1682 | 9.2176 | 14.442 | 90.0 | 90.0 | 90.0 | 
| oqmd-595714 | static | -6.9212 | -6.9212 | 9.1682 | 9.2176 | 15.1582 | 90.0 | 90.0 | 90.0 | 
| mp-630227 | dynamic | -6.9212 | -6.9212 | 9.1682 | 9.2176 | 15.7115 | 90.0 | 90.0 | 90.0 | 
| mp-630227 | static | -6.9212 | -6.9212 | 9.1682 | 9.2176 | 16.2419 | 90.0 | 90.0 | 90.0 | 
| oqmd-684627 | dynamic | -6.9211 | -6.9211 | 9.1931 | 9.1931 | 15.0422 | 90.0 | 90.0 | 90.0 | 
| oqmd-684627 | static | -6.9211 | -6.9211 | 9.1931 | 9.1931 | 15.8137 | 90.0 | 90.0 | 90.0 | 
| oqmd-637130 | dynamic | -6.9196 | -6.9196 | 9.0939 | 2.5588 | 4.1705 | 90.0 | 90.0 | 90.0 | 
| mp-680372 | dynamic | -6.9195 | -6.9195 | 9.223 | 9.223 | 25.4137 | 90.0 | 90.0 | 120.0 | 
| oqmd-614417 | dynamic | -6.9195 | -6.9195 | 9.223 | 9.223 | 23.92 | 90.0 | 90.0 | 120.0 | 
| oqmd-614417 | static | -6.9195 | -6.9195 | 9.223 | 9.223 | 25.3052 | 90.0 | 90.0 | 120.0 | 
| mp-680372 | static | -6.9194 | -6.9194 | 9.2246 | 9.2246 | 26.5338 | 90.0 | 90.0 | 120.0 | 
| mp-1147718 | dynamic | -6.9188 | -6.9188 | 10.3358 | 14.8465 | 9.205 | 90.0 | 90.0 | 90.0 | 
| oqmd-684315 | dynamic | -6.9188 | -6.9188 | 9.9097 | 14.8827 | 9.205 | 90.0 | 90.0 | 90.0 | 
| mp-1147718 | static | -6.9188 | -6.9188 | 10.603 | 15.2468 | 9.2051 | 90.0 | 90.0 | 90.0 | 
| oqmd-677227 | dynamic | -6.917 | -6.917 | 14.0552 | 14.0552 | 14.0552 | 90.0 | 90.0 | 90.0 | 
| oqmd-603085 | static | -6.917 | -6.917 | 14.4223 | 14.4223 | 14.4223 | 90.0 | 90.0 | 90.0 | 
| oqmd-677227 | static | -6.917 | -6.917 | 14.6217 | 14.6217 | 14.6217 | 90.0 | 90.0 | 90.0 | 
| oqmd-603085 | dynamic | -6.917 | -6.917 | 13.8463 | 13.8463 | 13.8463 | 90.0 | 90.0 | 90.0 | 
| mp-667273 | dynamic | -6.917 | -6.917 | 14.4831 | 14.4831 | 14.4831 | 90.0 | 90.0 | 90.0 | 
| mp-1196583 | dynamic | -6.917 | -6.917 | 14.4868 | 14.4868 | 14.4868 | 90.0 | 90.0 | 90.0 | 
| mp-1196583 | static | -6.917 | -6.917 | 14.8518 | 14.8518 | 14.8518 | 90.0 | 90.0 | 90.0 | 
| mp-667273 | static | -6.917 | -6.917 | 14.9155 | 14.9155 | 14.9155 | 90.0 | 90.0 | 90.0 | 
| oqmd-637352 | dynamic | -6.9168 | -6.9168 | 9.1938 | 2.5591 | 4.1702 | 90.0 | 97.9 | 90.0 | 
| mp-1008395 | box | -6.9127 | -6.9127 | 4.3977 | 4.3977 | 2.536 | 90.0 | 90.0 | 90.0 | 
| mp-1196583 | box | -6.9105 | -6.9105 | 14.8547 | 14.8547 | 14.8547 | 90.0 | 90.0 | 90.0 | 
| oqmd-603085 | box | -6.9105 | -6.9105 | 14.4249 | 14.4249 | 14.4249 | 90.0 | 90.0 | 90.0 | 
| mp-667273 | box | -6.9091 | -6.9091 | 14.9192 | 14.9192 | 14.9192 | 90.0 | 90.0 | 90.0 | 
| mp-1080826 | box | -6.905 | -6.905 | 9.196 | 2.5528 | 4.1737 | 90.0 | 97.0 | 90.0 | 
| oqmd-637352 | box | -6.905 | -6.905 | 9.1956 | 2.553 | 4.1729 | 90.0 | 97.0 | 90.0 | 
| mp-568028 | dynamic | -6.9035 | -6.9035 | 8.179 | 14.088 | 9.518 | 90.0 | 90.0 | 90.0 | 
| mp-1190171 | box | -6.9035 | -6.9035 | 9.1055 | 2.5529 | 4.1734 | 90.0 | 90.0 | 90.0 | 
| oqmd-637130 | box | -6.9033 | -6.9033 | 9.1047 | 2.5531 | 4.1728 | 90.0 | 90.0 | 90.0 | 
| oqmd-677227 | box | -6.8968 | -6.8968 | 14.6344 | 14.6344 | 14.6344 | 90.0 | 90.0 | 90.0 | 
| mp-1147718 | box | -6.8941 | -6.8941 | 10.5892 | 15.2127 | 9.5104 | 90.0 | 90.0 | 90.0 | 
| oqmd-595714 | box | -6.8901 | -6.8901 | 9.372 | 9.4499 | 15.0535 | 90.0 | 90.0 | 90.0 | 
| mp-630227 | box | -6.8883 | -6.8883 | 9.3635 | 9.4386 | 16.1649 | 90.0 | 90.0 | 90.0 | 
| mp-624889 | dynamic | -6.8724 | -6.8724 | 4.8573 | 5.2796 | 5.486 | 90.0 | 90.0 | 90.0 | 
| oqmd-610552 | static | -6.8724 | -6.8724 | 4.8573 | 5.2796 | 6.6687 | 90.0 | 90.0 | 90.0 | 
| mp-579909 | static | -6.8724 | -6.8724 | 4.8573 | 5.2796 | 7.1026 | 90.0 | 90.0 | 90.0 | 
| mp-624889 | static | -6.8724 | -6.8724 | 4.8573 | 5.2796 | 5.8484 | 90.0 | 90.0 | 90.0 | 
| oqmd-614417 | box | -6.8689 | -6.8689 | 9.454 | 9.454 | 25.0137 | 90.0 | 90.0 | 120.0 | 
| mp-680372 | box | -6.8634 | -6.8634 | 9.467 | 9.467 | 26.2203 | 90.0 | 90.0 | 120.0 | 
| mp-624889 | box | -6.8538 | -6.8538 | 4.8843 | 5.2963 | 5.8256 | 90.0 | 90.0 | 90.0 | 
| oqmd-684627 | box | -6.8499 | -6.8499 | 9.4231 | 9.4231 | 15.7916 | 90.0 | 90.0 | 90.0 | 
| mp-1205283 | static | -6.7951 | -6.7951 | 10.6345 | 13.2349 | 8.9404 | 90.0 | 90.0 | 90.0 | 
| mp-1205283 | dynamic | -6.7557 | -6.7557 | 9.8395 | 14.2762 | 9.7155 | 90.0 | 90.0 | 90.0 | 
| oqmd-610552 | box | -6.7468 | -6.7468 | 4.797 | 5.641 | 6.5673 | 90.0 | 90.0 | 90.0 | 
| mp-579909 | box | -6.7408 | -6.7408 | 4.7898 | 5.6536 | 6.9983 | 90.0 | 90.0 | 90.0 | 
| mp-568028 | box | -6.7299 | -6.7299 | 8.6544 | 14.5674 | 9.8756 | 90.0 | 90.0 | 90.0 | 
| mp-1245190 | dynamic | -6.6522 | -6.6522 | 9.6978 | 10.3266 | 10.8538 | 90.3 | 93.4 | 90.9 | 
| mp-1244964 | dynamic | -6.606 | -6.606 | 9.7214 | 10.0709 | 10.6897 | 92.5 | 91.2 | 91.2 | 
| mp-24 | dynamic | -6.6009 | -6.6009 | 4.4285 | 4.4285 | 4.4285 | 90.0 | 90.0 | 90.0 | 
| mp-24 | box | -6.5805 | -6.5805 | 4.4545 | 4.4545 | 4.4545 | 90.0 | 90.0 | 90.0 | 
| mp-1244913 | dynamic | -6.5376 | -6.5376 | 9.4915 | 10.0657 | 10.7814 | 91.9 | 95.7 | 90.9 | 
| mp-1245190 | static | -6.419 | -6.419 | 10.1864 | 10.5489 | 10.5993 | 90.5 | 93.7 | 90.4 | 
| oqmd-684315 | static | -6.3786 | -6.3786 | 10.4355 | 15.9967 | 8.9736 | 90.0 | 90.0 | 90.0 | 
| mp-1205283 | box | -6.3093 | -6.3093 | 10.397 | 13.6279 | 9.4179 | 90.0 | 90.0 | 90.0 | 
| mp-1244964 | static | -6.2149 | -6.2149 | 10.1996 | 10.2365 | 11.1687 | 83.1 | 89.2 | 89.2 | 
| mp-1244913 | static | -5.9988 | -5.9988 | 10.4566 | 10.6396 | 10.8518 | 90.2 | 93.8 | 97.0 | 
| mp-1095633 | dynamic | -5.9168 | -5.9168 | 7.5627 | 7.5627 | 4.9903 | 90.0 | 90.0 | 90.0 | 
| mp-1197903 | dynamic | -5.8384 | -5.8384 | 7.7016 | 9.3699 | 22.6635 | 100.2 | 95.3 | 105.5 | 
| mp-1196857 | dynamic | -5.8336 | -5.8336 | 9.227 | 18.9768 | 5.9927 | 90.0 | 90.0 | 90.0 | 
| mp-1182684 | dynamic | -5.7911 | -5.7911 | 9.4163 | 11.1877 | 14.3019 | 90.0 | 90.0 | 90.0 | 
| mp-1182684 | static | -5.7838 | -5.7838 | 12.5993 | 12.7867 | 18.8986 | 90.0 | 90.0 | 90.0 | 
| mp-570002 | dynamic | -5.7478 | -5.7478 | 5.0353 | 5.0353 | 5.0353 | 90.0 | 90.0 | 90.0 | 
| oqmd-585286 | box | -5.735 | -5.735 | 5.0384 | 5.0384 | 5.0384 | 90.0 | 90.0 | 90.0 | 
| mp-570002 | box | -5.7349 | -5.7349 | 5.0384 | 5.0384 | 5.0384 | 90.0 | 90.0 | 90.0 | 
| mp-1245190 | box | -5.6957 | -5.6957 | 10.7818 | 11.2704 | 11.377 | 89.3 | 90.0 | 87.9 | 
| oqmd-684315 | box | -5.5849 | -5.5849 | 10.8261 | 15.7607 | 9.3418 | 90.0 | 90.0 | 90.0 | 
| mp-1197903 | static | -5.5297 | -5.5297 | 7.8477 | 11.0815 | 22.9288 | 96.1 | 96.1 | 108.1 | 
| mp-1244964 | box | -5.4866 | -5.4866 | 10.8765 | 11.0772 | 11.7676 | 90.3 | 94.9 | 92.8 | 
| mp-1244913 | box | -5.1576 | -5.1576 | 11.3978 | 11.4977 | 11.8953 | 90.3 | 96.1 | 92.5 | 
| mp-1182684 | box | -4.8073 | -4.8073 | 12.1466 | 13.3438 | 15.9037 | 90.0 | 90.0 | 90.0 | 
| mp-1095534 | box | -4.7272 | -4.7272 | 10.7629 | 10.7629 | 2.4937 | 90.0 | 90.0 | 90.0 | 
| A7--alpha-As | box | -4.4148 | -4.4148 | 2.8624 | 2.8624 | 6.2728 | 90.0 | 90.0 | 120.0 | 
| oqmd-1215224 | static | -4.3089 | -4.3089 | 1.6902 | 2.9206 | 3.1892 | 90.0 | 104.0 | 90.0 | 
| mp-1205417 | box | -4.2021 | -4.2021 | 13.391 | 13.391 | 7.7822 | 90.0 | 90.0 | 90.0 | 
| A5--beta-Sn | dynamic | -4.0808 | -4.0808 | 3.4249 | 3.4249 | 1.8066 | 90.0 | 90.0 | 90.0 | 
| Ah--alpha-Po--sc | dynamic | -4.0773 | -4.0773 | 1.7825 | 1.7825 | 1.7825 | 90.0 | 90.0 | 90.0 | 
| A3'--alpha-La--double-hcp | dynamic | -4.0726 | -4.0726 | 2.4887 | 2.4887 | 4.2894 | 90.0 | 90.0 | 120.0 | 
| mp-1056957 | static | -3.9997 | -3.9997 | 2.3903 | 2.3903 | 6.5533 | 90.0 | 90.0 | 90.0 | 
| mp-1097832 | static | -3.9997 | -3.9997 | 2.3903 | 2.3903 | 9.8799 | 90.0 | 90.0 | 90.0 | 
| A6--In--bct | static | -3.9997 | -3.9997 | 1.6902 | 1.6902 | 6.5525 | 90.0 | 90.0 | 90.0 | 
| oqmd-1216026 | static | -3.9997 | -3.9997 | 2.3903 | 2.3903 | 9.1654 | 90.0 | 93.2 | 90.0 | 
| A6--In--bct | static | -3.9997 | -3.9997 | 1.6902 | 1.6902 | 6.3803 | 90.0 | 90.0 | 90.0 | 
| A6--In--bct | static | -3.9997 | -3.9997 | 1.6902 | 1.6902 | 3.5744 | 90.0 | 90.0 | 90.0 | 
| mp-1192619 | box | -3.9408 | -3.9408 | 10.1563 | 10.1563 | 10.1563 | 90.0 | 90.0 | 90.0 | 
| oqmd-1214779 | box | -3.9005 | -3.9005 | 9.7404 | 9.7404 | 9.7404 | 90.0 | 90.0 | 90.0 | 
| A2--W--bcc | dynamic | -3.4099 | -3.4099 | 2.16 | 2.16 | 2.16 | 90.0 | 90.0 | 90.0 | 
| A15--beta-W | dynamic | -3.1912 | -3.1912 | 3.4674 | 3.4674 | 3.4674 | 90.0 | 90.0 | 90.0 | 
| A1--Cu--fcc | box | -2.8904 | -2.8904 | 2.739 | 2.739 | 2.739 | 90.0 | 90.0 | 90.0 | 
| A3'--alpha-La--double-hcp | box | -2.8903 | -2.8903 | 1.9367 | 1.9367 | 6.3261 | 90.0 | 90.0 | 120.0 | 
| A3--Mg--hcp | box | -2.8903 | -2.8903 | 1.9366 | 1.9366 | 3.1633 | 90.0 | 90.0 | 120.0 | 
| A3--Mg--hcp | dynamic | -2.8738 | -2.8738 | 1.857 | 1.857 | 4.3092 | 90.0 | 90.0 | 120.0 | 
| oqmd-1214868 | static | -2.8021 | -2.8021 | 7.5623 | 7.5623 | 7.5623 | 90.0 | 90.0 | 90.0 | 
| oqmd-1214868 | dynamic | -2.8021 | -2.8021 | 6.7924 | 6.7924 | 6.7924 | 90.0 | 90.0 | 90.0 | 
| A1--Cu--fcc | dynamic | 0.0 | 0.0 | 3.0645 | 3.0645 | 3.0645 | 90.0 | 90.0 | 90.0 | 
Download raw data (including filtered results)
Reference structure matches:
| prototype | method | Ecoh (eV/atom) | Epot (eV/atom) | a0 (Å) | b0 (Å) | c0 (Å) | α (degrees) | β (degrees) | γ (degrees) | 
|---|---|---|---|---|---|---|---|---|---|
| mp-1019097 | dynamic | -6.4122 | -6.4122 | 3.1572 | 3.1572 | 6.8704 | 90.0 | 90.0 | 90.0 | 
| mp-1019097 | box | -6.3735 | -6.3735 | 3.1181 | 3.1181 | 7.0693 | 90.0 | 90.0 | 90.0 | 
| mp-1102811 | dynamic | -5.7046 | -5.7046 | 4.7161 | 4.7161 | 4.7161 | 90.0 | 90.0 | 90.0 | 
| mp-1102811 | box | -5.5877 | -5.5877 | 4.8035 | 4.8035 | 4.8035 | 90.0 | 90.0 | 90.0 | 
| C1--CaF2--fluorite | dynamic | -5.0107 | -5.0107 | 4.7291 | 4.7291 | 4.7291 | 90.0 | 90.0 | 90.0 | 
Download raw data (including filtered results)
Reference structure matches:
| prototype | method | Ecoh (eV/atom) | Epot (eV/atom) | a0 (Å) | b0 (Å) | c0 (Å) | α (degrees) | β (degrees) | γ (degrees) | 
|---|---|---|---|---|---|---|---|---|---|
| D0_3--BiF3 | static | -3.8192 | -3.8192 | 4.948 | 4.948 | 4.948 | 90.0 | 90.0 | 90.0 | 
| L1_2--AuCu3 | dynamic | -3.6116 | -3.6116 | 3.0888 | 3.0888 | 3.0888 | 90.0 | 90.0 | 90.0 | 
| A15--Cr3Si | box | -3.3796 | -3.3796 | 4.0574 | 4.0574 | 4.0574 | 90.0 | 90.0 | 90.0 | 
| mp-972848 | dynamic | -3.2956 | -3.2956 | 2.672 | 2.672 | 14.1591 | 90.0 | 90.0 | 90.0 | 
Download raw data (including filtered results)
Reference structure matches:
| prototype | method | Ecoh (eV/atom) | Epot (eV/atom) | a0 (Å) | b0 (Å) | c0 (Å) | α (degrees) | β (degrees) | γ (degrees) | 
|---|---|---|---|---|---|---|---|---|---|
| mp-1219306 | dynamic | -5.3135 | -5.3135 | 8.4886 | 8.4886 | 8.5971 | 90.0 | 90.0 | 120.0 | 
| mp-1219306 | static | -5.3135 | -5.3135 | 8.488 | 8.488 | 8.5979 | 90.0 | 90.0 | 120.0 | 
| mp-1219306 | box | -4.8042 | -4.8042 | 8.9726 | 8.9726 | 9.4418 | 90.0 | 90.0 | 120.0 | 
Download raw data (including filtered results)
Reference structure matches:
| prototype | method | Ecoh (eV/atom) | Epot (eV/atom) | a0 (Å) | b0 (Å) | c0 (Å) | α (degrees) | β (degrees) | γ (degrees) | 
|---|---|---|---|---|---|---|---|---|---|
| mp-1202928 | static | -4.7403 | -4.7403 | 5.149 | 11.989 | 12.2724 | 117.2 | 91.2 | 99.1 | 
| mp-1179504 | dynamic | -4.7391 | -4.7391 | 5.2541 | 11.8057 | 12.0319 | 70.2 | 85.8 | 85.5 | 
| mp-1202928 | dynamic | -4.7189 | -4.7189 | 4.9555 | 11.9104 | 12.5774 | 63.6 | 89.5 | 80.0 | 
Download raw data (including filtered results)
Reference structure matches:
B1--NaCl--rock-salt = mp-1002206
B3--ZnS--cubic-zinc-blende = mp-8062
| prototype | method | Ecoh (eV/atom) | Epot (eV/atom) | a0 (Å) | b0 (Å) | c0 (Å) | α (degrees) | β (degrees) | γ (degrees) | 
|---|---|---|---|---|---|---|---|---|---|
| mp-1199063 | dynamic | -6.3392 | -6.3392 | 3.0825 | 3.0825 | 211.4162 | 90.0 | 90.0 | 120.0 | 
| mp-1200848 | dynamic | -6.3392 | -6.3392 | 3.0825 | 3.0825 | 188.7644 | 90.0 | 90.0 | 120.0 | 
| mp-567505 | dynamic | -6.3392 | -6.3392 | 3.0825 | 3.0825 | 20.1349 | 90.0 | 90.0 | 120.0 | 
| mp-624397 | dynamic | -6.3392 | -6.3392 | 3.0825 | 3.0825 | 83.0564 | 90.0 | 90.0 | 120.0 | 
| mp-568619 | dynamic | -6.3392 | -6.3392 | 3.0825 | 3.0825 | 12.5843 | 90.0 | 90.0 | 120.0 | 
| mp-570641 | dynamic | -6.3392 | -6.3392 | 3.0825 | 3.0825 | 60.4046 | 90.0 | 90.0 | 120.0 | 
| mp-1200692 | dynamic | -6.3392 | -6.3392 | 3.0825 | 3.0825 | 128.3598 | 90.0 | 90.0 | 120.0 | 
| mp-11714 | dynamic | -6.3392 | -6.3392 | 3.0825 | 3.0825 | 10.0674 | 90.0 | 90.0 | 120.0 | 
| mp-7140 | dynamic | -6.3392 | -6.3392 | 3.0825 | 3.0825 | 5.0337 | 90.0 | 90.0 | 120.0 | 
| mp-571298 | dynamic | -6.3392 | -6.3392 | 3.0825 | 3.0825 | 98.1575 | 90.0 | 90.0 | 120.0 | 
| mp-1200168 | dynamic | -6.3392 | -6.3392 | 3.0825 | 3.0825 | 218.9667 | 90.0 | 90.0 | 120.0 | 
| mp-568735 | dynamic | -6.3392 | -6.3392 | 3.0825 | 3.0825 | 45.3035 | 90.0 | 90.0 | 120.0 | 
| mp-568656 | dynamic | -6.3392 | -6.3392 | 3.0825 | 3.0825 | 25.1686 | 90.0 | 90.0 | 120.0 | 
| mp-568696 | dynamic | -6.3392 | -6.3392 | 3.0825 | 3.0825 | 35.236 | 90.0 | 90.0 | 120.0 | 
| mp-11713 | dynamic | -6.3392 | -6.3392 | 3.0825 | 3.0825 | 37.7529 | 90.0 | 90.0 | 120.0 | 
| mp-571286 | dynamic | -6.3392 | -6.3392 | 3.0825 | 3.0825 | 90.6069 | 90.0 | 90.0 | 120.0 | 
| mp-570791 | dynamic | -6.3392 | -6.3392 | 3.0825 | 3.0825 | 47.8203 | 90.0 | 90.0 | 120.0 | 
| mp-7631 | dynamic | -6.3392 | -6.3392 | 3.0825 | 3.0825 | 15.1012 | 90.0 | 90.0 | 120.0 | 
| mp-567551 | dynamic | -6.3392 | -6.3392 | 3.0825 | 3.0825 | 40.2697 | 90.0 | 90.0 | 120.0 | 
| mp-1204356 | dynamic | -6.3392 | -6.3392 | 3.0825 | 3.0825 | 143.461 | 90.0 | 90.0 | 120.0 | 
| mp-570985 | dynamic | -6.3392 | -6.3392 | 3.0825 | 3.0825 | 67.9552 | 90.0 | 90.0 | 120.0 | 
| mp-9947 | dynamic | -6.3392 | -6.3392 | 3.0825 | 3.0825 | 52.854 | 90.0 | 90.0 | 120.0 | 
| B3--ZnS--cubic-zinc-blende | dynamic | -6.3392 | -6.3392 | 4.3593 | 4.3593 | 4.3593 | 90.0 | 90.0 | 90.0 | 
| mp-568619 | box | -6.3391 | -6.3391 | 3.0833 | 3.0833 | 12.5783 | 90.0 | 90.0 | 120.0 | 
| mp-567505 | box | -6.3391 | -6.3391 | 3.083 | 3.083 | 20.1293 | 90.0 | 90.0 | 120.0 | 
| mp-582034 | box | -6.3391 | -6.3391 | 3.083 | 3.083 | 52.8374 | 90.0 | 90.0 | 120.0 | 
| mp-9947 | box | -6.3391 | -6.3391 | 3.083 | 3.083 | 52.8364 | 90.0 | 90.0 | 120.0 | 
| mp-568696 | box | -6.3391 | -6.3391 | 3.083 | 3.083 | 35.2244 | 90.0 | 90.0 | 120.0 | 
| mp-7631 | box | -6.3391 | -6.3391 | 3.0831 | 3.0831 | 15.0954 | 90.0 | 90.0 | 120.0 | 
| mp-1204356 | box | -6.3391 | -6.3391 | 3.0831 | 3.0831 | 143.4103 | 90.0 | 90.0 | 120.0 | 
| mp-571286 | box | -6.3391 | -6.3391 | 3.0831 | 3.0831 | 90.5737 | 90.0 | 90.0 | 120.0 | 
| mp-1200692 | box | -6.3391 | -6.3391 | 3.0831 | 3.0831 | 128.3093 | 90.0 | 90.0 | 120.0 | 
| mp-7140 | box | -6.3391 | -6.3391 | 3.0839 | 3.0839 | 5.0291 | 90.0 | 90.0 | 120.0 | 
| mp-570985 | box | -6.3391 | -6.3391 | 3.0832 | 3.0832 | 67.9275 | 90.0 | 90.0 | 120.0 | 
| mp-567551 | box | -6.3391 | -6.3391 | 3.0831 | 3.0831 | 40.2537 | 90.0 | 90.0 | 120.0 | 
| mp-568656 | box | -6.3391 | -6.3391 | 3.0832 | 3.0832 | 25.1575 | 90.0 | 90.0 | 120.0 | 
| mp-11713 | box | -6.3391 | -6.3391 | 3.0832 | 3.0832 | 37.7356 | 90.0 | 90.0 | 120.0 | 
| mp-570791 | box | -6.3391 | -6.3391 | 3.0832 | 3.0832 | 47.7984 | 90.0 | 90.0 | 120.0 | 
| mp-571298 | box | -6.3391 | -6.3391 | 3.0832 | 3.0832 | 98.1144 | 90.0 | 90.0 | 120.0 | 
| mp-568735 | box | -6.3391 | -6.3391 | 3.0833 | 3.0833 | 45.2813 | 90.0 | 90.0 | 120.0 | 
| mp-11714 | box | -6.339 | -6.339 | 3.0834 | 3.0834 | 10.062 | 90.0 | 90.0 | 120.0 | 
| mp-1197730 | box | -6.339 | -6.339 | 3.0833 | 3.0833 | 128.2942 | 90.0 | 90.0 | 120.0 | 
| mp-570804 | box | -6.339 | -6.339 | 3.0839 | 3.0839 | 98.0672 | 90.0 | 90.0 | 120.0 | 
| mp-570641 | box | -6.339 | -6.339 | 3.0841 | 3.0841 | 60.3424 | 90.0 | 90.0 | 120.0 | 
| mp-1200168 | box | -6.339 | -6.339 | 3.0843 | 3.0843 | 218.7124 | 90.0 | 90.0 | 120.0 | 
| mp-624397 | box | -6.3389 | -6.3389 | 3.0844 | 3.0844 | 82.9548 | 90.0 | 90.0 | 120.0 | 
| mp-570690 | box | -6.3389 | -6.3389 | 3.0845 | 3.0845 | 67.8676 | 90.0 | 90.0 | 120.0 | 
| mp-1199063 | box | -6.3388 | -6.3388 | 3.0844 | 3.0844 | 211.1641 | 90.0 | 90.0 | 120.0 | 
| mp-1200848 | box | -6.3387 | -6.3387 | 3.0844 | 3.0844 | 188.536 | 90.0 | 90.0 | 120.0 | 
| B1--NaCl--rock-salt | dynamic | -4.4185 | -4.4185 | 4.2447 | 4.2447 | 4.2447 | 90.0 | 90.0 | 90.0 | 
| B2--CsCl | box | -3.3006 | -3.3006 | 2.6678 | 2.6678 | 2.6678 | 90.0 | 90.0 | 90.0 | 
Download raw data (including filtered results)
Reference structure matches:
| prototype | method | Ecoh (eV/atom) | Epot (eV/atom) | a0 (Å) | b0 (Å) | c0 (Å) | α (degrees) | β (degrees) | γ (degrees) | 
|---|---|---|---|---|---|---|---|---|---|
| C1--CaF2--fluorite | dynamic | -3.7101 | -3.7101 | 5.2378 | 5.2378 | 5.2378 | 90.0 | 90.0 | 90.0 | 
Download raw data (including filtered results)
Reference structure matches:
| prototype | method | Ecoh (eV/atom) | Epot (eV/atom) | a0 (Å) | b0 (Å) | c0 (Å) | α (degrees) | β (degrees) | γ (degrees) | 
|---|---|---|---|---|---|---|---|---|---|
| D0_3--BiF3 | static | -3.1536 | -3.1536 | 5.911 | 5.911 | 5.911 | 90.0 | 90.0 | 90.0 | 
| L1_2--AuCu3 | dynamic | -2.9268 | -2.9268 | 3.7557 | 3.7557 | 3.7557 | 90.0 | 90.0 | 90.0 | 
| A15--Cr3Si | box | -2.536 | -2.536 | 4.4937 | 4.4937 | 4.4937 | 90.0 | 90.0 | 90.0 | 
Download raw data (including filtered results)
Reference structure matches:
A1--Cu--fcc = mp-27, oqmd-9287, oqmd-1214570
A15--beta-W = oqmd-1215015, oqmd-1236371, oqmd-1280410
A2--W--bcc = mp-1014212, oqmd-1215193
A3'--alpha-La--double-hcp = oqmd-1215461
A3--Mg--hcp = mp-10649, oqmd-9288, oqmd-1215371
A4--C--dc = mp-149, oqmd-5714, oqmd-12378, oqmd-1215550
A5--beta-Sn = mp-92, oqmd-18979, oqmd-1215639
A6--In--bct = mp-1056579, oqmd-691768, oqmd-1215728
A7--alpha-As = oqmd-1215817
Ah--alpha-Po--sc = oqmd-1215906
| prototype | method | Ecoh (eV/atom) | Epot (eV/atom) | a0 (Å) | b0 (Å) | c0 (Å) | α (degrees) | β (degrees) | γ (degrees) | 
|---|---|---|---|---|---|---|---|---|---|
| mp-165 | dynamic | -4.6284 | -4.6284 | 3.8388 | 3.8388 | 6.2687 | 90.0 | 90.0 | 120.0 | 
| A4--C--dc | dynamic | -4.6284 | -4.6284 | 5.4289 | 5.4289 | 5.4289 | 90.0 | 90.0 | 90.0 | 
| oqmd-5764 | box | -4.6283 | -4.6283 | 3.835 | 3.835 | 6.2809 | 90.0 | 90.0 | 120.0 | 
| oqmd-22507 | box | -4.6283 | -4.6283 | 3.8408 | 6.6362 | 6.2775 | 90.0 | 90.0 | 90.0 | 
| mp-165 | box | -4.6283 | -4.6283 | 3.8347 | 3.8347 | 6.282 | 90.0 | 90.0 | 120.0 | 
| oqmd-717362 | dynamic | -4.5869 | -4.5869 | 14.6192 | 14.6192 | 14.6192 | 90.0 | 90.0 | 90.0 | 
| oqmd-717362 | box | -4.586 | -4.586 | 14.6129 | 14.6129 | 14.6129 | 90.0 | 90.0 | 90.0 | 
| mp-1203790 | dynamic | -4.5839 | -4.5839 | 10.322 | 10.322 | 16.9324 | 90.0 | 90.0 | 120.0 | 
| mp-1203790 | box | -4.5827 | -4.5827 | 10.319 | 10.319 | 16.9176 | 90.0 | 90.0 | 120.0 | 
| oqmd-717360 | dynamic | -4.5766 | -4.5766 | 10.1442 | 10.1442 | 10.1442 | 90.0 | 90.0 | 90.0 | 
| oqmd-717360 | box | -4.5761 | -4.5761 | 10.1402 | 10.1402 | 10.1402 | 90.0 | 90.0 | 90.0 | 
| mp-971662 | box | -4.5759 | -4.5759 | 10.1396 | 10.1396 | 10.1396 | 90.0 | 90.0 | 90.0 | 
| mp-1196961 | dynamic | -4.5625 | -4.5625 | 10.1581 | 10.1581 | 10.2273 | 90.0 | 90.0 | 120.0 | 
| mp-1196961 | box | -4.5619 | -4.5619 | 10.1484 | 10.1484 | 10.2543 | 90.0 | 90.0 | 120.0 | 
| mp-1204627 | dynamic | -4.5169 | -4.5169 | 16.5532 | 12.8199 | 10.0046 | 90.0 | 90.0 | 90.0 | 
| mp-1204627 | box | -4.515 | -4.515 | 16.6551 | 12.7884 | 9.9688 | 90.0 | 90.0 | 90.0 | 
| mp-1079297 | dynamic | -4.4785 | -4.4785 | 13.8833 | 3.8322 | 6.3484 | 90.0 | 96.1 | 90.0 | 
| mp-1079297 | box | -4.4727 | -4.4727 | 13.8102 | 3.8403 | 6.3875 | 90.0 | 96.3 | 90.0 | 
| oqmd-22408 | box | -4.4726 | -4.4726 | 13.816 | 3.8406 | 6.387 | 90.0 | 96.3 | 90.0 | 
| mp-1199894 | dynamic | -4.4475 | -4.4475 | 25.3949 | 15.0028 | 9.9521 | 90.0 | 94.1 | 90.0 | 
| mp-1199894 | static | -4.4475 | -4.4475 | 25.3944 | 15.0032 | 9.9521 | 90.0 | 94.1 | 90.0 | 
| mp-1201492 | dynamic | -4.4441 | -4.4441 | 17.5563 | 17.5563 | 17.5563 | 90.0 | 90.0 | 90.0 | 
| mp-1201492 | box | -4.441 | -4.441 | 17.5639 | 17.5639 | 17.5639 | 90.0 | 90.0 | 90.0 | 
| mp-1199894 | box | -4.441 | -4.441 | 25.395 | 15.1059 | 9.8905 | 90.0 | 94.3 | 90.0 | 
| mp-1095269 | dynamic | -4.4287 | -4.4287 | 3.8 | 11.0559 | 12.4434 | 90.0 | 90.0 | 90.0 | 
| mp-1200830 | dynamic | -4.4279 | -4.4279 | 12.4323 | 12.4323 | 12.4323 | 90.0 | 90.0 | 90.0 | 
| mp-1200830 | static | -4.4279 | -4.4279 | 12.4336 | 12.4336 | 12.4336 | 90.0 | 90.0 | 90.0 | 
| mp-1200830 | box | -4.4252 | -4.4252 | 12.443 | 12.443 | 12.443 | 90.0 | 90.0 | 90.0 | 
| mp-999200 | dynamic | -4.4229 | -4.4229 | 6.5429 | 6.5429 | 3.9797 | 90.0 | 90.0 | 90.0 | 
| mp-1095269 | box | -4.4227 | -4.4227 | 3.8122 | 10.9399 | 12.5787 | 90.0 | 90.0 | 90.0 | 
| mp-999200 | box | -4.4172 | -4.4172 | 6.609 | 6.609 | 3.9248 | 90.0 | 90.0 | 90.0 | 
| oqmd-22407 | box | -4.4164 | -4.4164 | 6.6129 | 6.6129 | 3.9216 | 90.0 | 90.0 | 90.0 | 
| mp-168 | dynamic | -4.4127 | -4.4127 | 6.649 | 6.649 | 6.649 | 90.0 | 90.0 | 90.0 | 
| mp-1202745 | dynamic | -4.4108 | -4.4108 | 10.0273 | 10.0273 | 15.8765 | 90.0 | 90.0 | 120.0 | 
| mp-1202745 | box | -4.4093 | -4.4093 | 10.0015 | 10.0015 | 15.954 | 90.0 | 90.0 | 120.0 | 
| oqmd-3484 | box | -4.4016 | -4.4016 | 6.6234 | 6.6234 | 6.6234 | 90.0 | 90.0 | 90.0 | 
| mp-168 | box | -4.4008 | -4.4008 | 6.6226 | 6.6226 | 6.6226 | 90.0 | 90.0 | 90.0 | 
| mp-971661 | dynamic | -4.3939 | -4.3939 | 10.0958 | 10.0958 | 10.0958 | 90.0 | 90.0 | 90.0 | 
| mp-971661 | box | -4.3933 | -4.3933 | 10.095 | 10.095 | 10.095 | 90.0 | 90.0 | 90.0 | 
| mp-1204046 | dynamic | -4.3876 | -4.3876 | 10.0942 | 10.0942 | 24.2209 | 90.0 | 90.0 | 90.0 | 
| mp-1204046 | box | -4.3768 | -4.3768 | 10.1391 | 10.1391 | 24.1085 | 90.0 | 90.0 | 90.0 | 
| oqmd-18985 | dynamic | -4.315 | -4.315 | 9.6858 | 9.6858 | 5.3203 | 90.0 | 90.0 | 120.0 | 
| mp-571520 | box | -4.296 | -4.296 | 9.5583 | 9.5583 | 5.5108 | 90.0 | 90.0 | 120.0 | 
| oqmd-18985 | box | -4.292 | -4.292 | 9.5555 | 9.5555 | 5.4821 | 90.0 | 90.0 | 120.0 | 
| oqmd-1214748 | dynamic | -4.2776 | -4.2776 | 4.632 | 7.5363 | 3.8313 | 90.0 | 90.0 | 90.0 | 
| oqmd-1214748 | box | -4.2641 | -4.2641 | 4.691 | 7.4358 | 3.8134 | 90.0 | 90.0 | 90.0 | 
| Ah--alpha-Po--sc | dynamic | -4.2301 | -4.2301 | 2.5256 | 2.5256 | 2.5256 | 90.0 | 90.0 | 90.0 | 
| A7--alpha-As | box | -4.23 | -4.23 | 3.5718 | 3.5718 | 8.749 | 90.0 | 90.0 | 120.0 | 
| A5--beta-Sn | dynamic | -4.2053 | -4.2053 | 4.8729 | 4.8729 | 2.5474 | 90.0 | 90.0 | 90.0 | 
| oqmd-7479 | box | -4.201 | -4.201 | 4.8036 | 4.9297 | 2.5477 | 90.0 | 90.0 | 90.0 | 
| mp-16220 | dynamic | -4.1785 | -4.1785 | 14.6921 | 14.6921 | 14.6921 | 90.0 | 90.0 | 90.0 | 
| mp-1245041 | static | -4.1711 | -4.1711 | 12.9019 | 12.9045 | 12.9499 | 73.9 | 76.4 | 71.7 | 
| mp-1245041 | dynamic | -4.1686 | -4.1686 | 12.8721 | 12.8982 | 12.9097 | 74.0 | 76.7 | 71.8 | 
| oqmd-1214837 | dynamic | -4.1602 | -4.1602 | 10.1336 | 10.1336 | 10.1336 | 90.0 | 90.0 | 90.0 | 
| mp-1244971 | dynamic | -4.1599 | -4.1599 | 11.6612 | 12.7958 | 13.5067 | 97.9 | 97.8 | 99.4 | 
| oqmd-1214837 | static | -4.1591 | -4.1591 | 10.1318 | 10.1318 | 10.1318 | 90.0 | 90.0 | 90.0 | 
| mp-1245242 | dynamic | -4.1554 | -4.1554 | 12.4052 | 12.6942 | 12.7576 | 79.0 | 82.7 | 80.9 | 
| mp-1245242 | static | -4.1554 | -4.1554 | 12.4053 | 12.6931 | 12.7554 | 79.1 | 82.6 | 80.9 | 
| mp-1244933 | dynamic | -4.1548 | -4.1548 | 12.2639 | 12.4869 | 12.6731 | 79.1 | 73.5 | 77.3 | 
| mp-1244971 | static | -4.1545 | -4.1545 | 11.7074 | 12.7755 | 13.4838 | 98.2 | 97.8 | 99.4 | 
| mp-1244933 | static | -4.1518 | -4.1518 | 12.2824 | 12.4651 | 12.6491 | 79.2 | 73.5 | 77.3 | 
| oqmd-1214837 | box | -4.1504 | -4.1504 | 10.119 | 10.119 | 10.119 | 90.0 | 90.0 | 90.0 | 
| oqmd-717361 | dynamic | -4.1443 | -4.1443 | 7.6097 | 7.6097 | 7.6097 | 90.0 | 90.0 | 90.0 | 
| A2--W--bcc | dynamic | -4.1224 | -4.1224 | 3.0441 | 3.0441 | 3.0441 | 90.0 | 90.0 | 90.0 | 
| oqmd-18984 | dynamic | -4.1185 | -4.1185 | 2.6556 | 2.6556 | 2.585 | 90.0 | 90.0 | 120.0 | 
| oqmd-1215104 | box | -4.1182 | -4.1182 | 5.17 | 9.1999 | 2.6556 | 90.0 | 90.0 | 90.0 | 
| mp-1244990 | dynamic | -4.1159 | -4.1159 | 12.1403 | 12.1783 | 12.8652 | 102.0 | 102.8 | 98.4 | 
| mp-1245041 | box | -4.1152 | -4.1152 | 12.8053 | 12.8231 | 12.8988 | 73.8 | 72.0 | 76.4 | 
| mp-1244971 | box | -4.1148 | -4.1148 | 11.7438 | 12.6777 | 13.446 | 97.9 | 97.3 | 99.2 | 
| mp-1244990 | static | -4.1104 | -4.1104 | 12.1168 | 12.1948 | 12.8311 | 102.6 | 101.7 | 98.5 | 
| mp-1245242 | box | -4.1064 | -4.1064 | 12.4088 | 12.6581 | 12.669 | 79.3 | 81.0 | 82.5 | 
| mp-1072544 | dynamic | -4.1046 | -4.1046 | 6.7689 | 6.7689 | 6.7689 | 90.0 | 90.0 | 90.0 | 
| mp-1244933 | box | -4.0908 | -4.0908 | 12.3323 | 12.5149 | 12.5827 | 78.9 | 73.1 | 77.6 | 
| oqmd-78173 | dynamic | -4.0769 | -4.0769 | 4.8941 | 5.2755 | 9.5682 | 90.0 | 90.0 | 90.0 | 
| oqmd-717361 | box | -4.0491 | -4.0491 | 7.631 | 7.631 | 7.631 | 90.0 | 90.0 | 90.0 | 
| mp-1244990 | box | -4.035 | -4.035 | 12.1371 | 12.2544 | 12.7057 | 101.8 | 103.3 | 99.5 | 
| A6--In--bct | dynamic | -4.0339 | -4.0339 | 3.289 | 3.289 | 2.7064 | 90.0 | 90.0 | 90.0 | 
| oqmd-691764 | dynamic | -4.0308 | -4.0308 | 2.6931 | 2.6931 | 6.9884 | 90.0 | 90.0 | 120.0 | 
| mp-1079649 | static | -4.021 | -4.021 | 7.5149 | 5.0321 | 6.6364 | 90.0 | 90.0 | 90.0 | 
| mp-1120747 | dynamic | -4.0195 | -4.0195 | 5.305 | 5.305 | 4.272 | 90.0 | 90.0 | 120.0 | 
| mp-1120747 | box | -4.0132 | -4.0132 | 5.3065 | 5.3065 | 4.301 | 90.0 | 90.0 | 120.0 | 
| oqmd-10215 | box | -4.0059 | -4.0059 | 14.3862 | 14.3862 | 14.3862 | 90.0 | 90.0 | 90.0 | 
| mp-1120447 | dynamic | -4.0025 | -4.0025 | 5.0278 | 5.6313 | 6.8984 | 69.7 | 70.0 | 84.7 | 
| mp-1079649 | dynamic | -3.9963 | -3.9963 | 8.0438 | 5.3511 | 5.353 | 90.0 | 90.0 | 90.0 | 
| oqmd-78173 | box | -3.9861 | -3.9861 | 5.0472 | 5.3904 | 9.1089 | 90.0 | 90.0 | 90.0 | 
| mp-1120447 | box | -3.9828 | -3.9828 | 5.1743 | 5.5928 | 6.7774 | 70.9 | 70.8 | 84.1 | 
| mp-16220 | box | -3.9806 | -3.9806 | 14.3569 | 14.3569 | 14.3569 | 90.0 | 90.0 | 90.0 | 
| oqmd-15748 | dynamic | -3.9791 | -3.9791 | 8.4289 | 5.2684 | 5.271 | 90.0 | 90.0 | 90.0 | 
| A1--Cu--fcc | dynamic | -3.9762 | -3.9762 | 3.8463 | 3.8463 | 3.8463 | 90.0 | 90.0 | 90.0 | 
| mp-644693 | dynamic | -3.9755 | -3.9755 | 3.91 | 5.3256 | 8.8953 | 79.5 | 82.0 | 76.8 | 
| A3'--alpha-La--double-hcp | dynamic | -3.9652 | -3.9652 | 2.7172 | 2.7172 | 8.904 | 90.0 | 90.0 | 120.0 | 
| mp-1094057 | dynamic | -3.9616 | -3.9616 | 2.7163 | 2.7163 | 20.0493 | 90.0 | 90.0 | 120.0 | 
| mp-1094057 | box | -3.9612 | -3.9612 | 2.7163 | 2.7163 | 20.0482 | 90.0 | 90.0 | 120.0 | 
| A3--Mg--hcp | dynamic | -3.9546 | -3.9546 | 2.7147 | 2.7147 | 4.4621 | 90.0 | 90.0 | 120.0 | 
| mp-676011 | static | -3.9021 | -3.9021 | 5.0188 | 5.5675 | 7.1325 | 72.2 | 80.1 | 70.6 | 
| oqmd-15748 | static | -3.8988 | -3.8988 | 9.5306 | 5.069 | 5.069 | 90.0 | 90.0 | 90.0 | 
| A15--beta-W | dynamic | -3.8858 | -3.8858 | 4.8171 | 4.8171 | 4.8171 | 90.0 | 90.0 | 90.0 | 
| A7--alpha-As | dynamic | -3.8797 | -3.8797 | 3.668 | 3.668 | 9.7697 | 90.0 | 90.0 | 120.0 | 
| mp-676011 | dynamic | -3.8644 | -3.8644 | 4.8189 | 5.522 | 7.1913 | 71.9 | 75.1 | 68.8 | 
| A7--alpha-As | box | -3.846 | -3.846 | 3.8271 | 3.8271 | 7.3897 | 90.0 | 90.0 | 120.0 | 
| oqmd-15748 | box | -3.8302 | -3.8302 | 8.7425 | 5.1759 | 5.1925 | 90.0 | 90.0 | 90.0 | 
| oqmd-78174 | box | -3.8301 | -3.8301 | 8.8601 | 5.1556 | 5.1808 | 90.0 | 90.0 | 90.0 | 
| mp-1079649 | box | -3.8154 | -3.8154 | 8.8943 | 5.1331 | 5.1816 | 90.0 | 90.0 | 90.0 | 
| mp-676011 | box | -3.8043 | -3.8043 | 4.8778 | 5.4802 | 7.2007 | 71.1 | 73.0 | 65.8 | 
| mp-644693 | box | -3.7879 | -3.7879 | 4.0037 | 5.6225 | 9.1098 | 107.3 | 91.0 | 109.7 | 
| oqmd-1214926 | box | -3.7626 | -3.7626 | 6.6558 | 6.6558 | 6.6558 | 90.0 | 90.0 | 90.0 | 
| oqmd-1215995 | dynamic | -3.5282 | -3.5282 | 4.0617 | 4.0617 | 7.4613 | 90.0 | 90.0 | 120.0 | 
Static elastic constants are displayed for the unique structures identified in Crystal Structure Predictions above. The values displayed here are obtained by measuring the change in virial stresses due to applying small strains to the relaxed crystals. The initial structure and the strained states are all relaxed using force minimization.
The calculation method used is available as the iprPy elastic_constants_static calculation method.
Notes and Disclaimers:
Version Information:
| 1680.048 | 2020.716 | 2020.716 | -0.000 | -0.000 | 0.000 | 
| 2020.716 | 1680.048 | 2020.716 | -0.000 | -0.000 | 0.000 | 
| 2020.716 | 2020.716 | 1680.048 | -0.000 | -0.000 | -0.000 | 
| 0.000 | -0.000 | -0.000 | 111.867 | -0.000 | 0.000 | 
| 0.000 | -0.000 | -0.000 | -0.000 | 111.867 | -0.000 | 
| 0.000 | -0.000 | -0.000 | -0.000 | -0.000 | 111.867 | 
| 1680.048 | 2020.716 | 2020.716 | 0.000 | 0.000 | -0.000 | 
| 2020.716 | 1680.048 | 2020.716 | 0.000 | 0.000 | 0.000 | 
| 2020.716 | 2020.716 | 1680.048 | 0.000 | 0.000 | 0.000 | 
| -0.000 | 0.000 | 0.000 | 111.867 | 0.000 | -0.000 | 
| -0.000 | 0.000 | 0.000 | 0.000 | 111.867 | 0.000 | 
| -0.000 | 0.000 | 0.000 | 0.000 | 0.000 | 111.867 | 
| 1680.048 | 2020.716 | 2020.716 | -0.000 | -0.000 | 0.000 | 
| 2020.716 | 1680.048 | 2020.716 | -0.000 | -0.000 | 0.000 | 
| 2020.716 | 2020.716 | 1680.048 | -0.000 | -0.000 | -0.000 | 
| -0.000 | 0.000 | 0.000 | 111.867 | -0.000 | -0.000 | 
| 0.000 | -0.000 | 0.000 | -0.000 | 111.867 | 0.000 | 
| 0.000 | 0.000 | -0.000 | -0.000 | -0.000 | 111.867 | 
| 1680.048 | 2020.716 | 2020.716 | 0.000 | 0.000 | -0.000 | 
| 2020.716 | 1680.048 | 2020.716 | 0.000 | 0.000 | -0.000 | 
| 2020.716 | 2020.716 | 1680.048 | 0.000 | 0.000 | -0.000 | 
| 0.000 | -0.000 | -0.000 | 111.867 | 0.000 | -0.000 | 
| -0.000 | 0.000 | -0.000 | 0.000 | 111.867 | -0.000 | 
| -0.000 | -0.000 | 0.000 | 0.000 | 0.000 | 111.867 | 
| 1680.051 | 2020.715 | 2020.715 | -0.000 | -0.000 | 0.000 | 
| 2020.715 | 1680.051 | 2020.715 | -0.000 | -0.000 | 0.000 | 
| 2020.715 | 2020.715 | 1680.051 | 0.000 | -0.000 | -0.000 | 
| -0.002 | 0.004 | 0.004 | 111.867 | -0.000 | 0.000 | 
| 0.004 | -0.002 | 0.004 | -0.000 | 111.867 | 0.000 | 
| 0.004 | 0.004 | -0.002 | -0.000 | -0.000 | 111.867 | 
| 1680.046 | 2020.718 | 2020.718 | 0.000 | 0.000 | -0.000 | 
| 2020.718 | 1680.046 | 2020.718 | 0.000 | 0.000 | 0.000 | 
| 2020.718 | 2020.718 | 1680.046 | 0.000 | 0.000 | 0.000 | 
| 0.002 | -0.004 | -0.004 | 111.867 | 0.000 | 0.000 | 
| -0.004 | 0.002 | -0.004 | 0.000 | 111.867 | -0.000 | 
| -0.004 | -0.004 | 0.002 | 0.000 | 0.000 | 111.867 | 
| 4195.334 | 3023.334 | 3023.334 | 0.000 | 0.000 | -0.000 | 
| 3023.334 | 4195.334 | 3023.334 | 0.000 | -0.000 | -0.000 | 
| 3023.334 | 3023.334 | 4195.334 | 0.000 | -0.000 | 0.000 | 
| 0.000 | 0.000 | 0.000 | 998.184 | 0.000 | -0.000 | 
| 0.000 | 0.000 | 0.000 | 0.000 | 998.184 | -0.000 | 
| 0.000 | 0.000 | 0.000 | 0.000 | 0.000 | 998.184 | 
| 4195.332 | 3023.335 | 3023.335 | -0.000 | 0.000 | 0.000 | 
| 3023.335 | 4195.332 | 3023.335 | -0.000 | 0.000 | 0.000 | 
| 3023.335 | 3023.335 | 4195.332 | -0.000 | 0.000 | 0.000 | 
| -0.000 | -0.000 | -0.000 | 998.184 | -0.000 | 0.000 | 
| -0.000 | -0.000 | -0.000 | -0.000 | 998.184 | 0.000 | 
| -0.000 | -0.000 | -0.000 | -0.000 | -0.000 | 998.184 | 
| 4195.300 | 3023.351 | 3023.351 | 0.000 | -0.000 | 0.000 | 
| 3023.351 | 4195.300 | 3023.351 | 0.000 | 0.000 | -0.000 | 
| 3023.351 | 3023.351 | 4195.300 | 0.000 | -0.000 | -0.000 | 
| -0.000 | 0.000 | 0.000 | 998.184 | 0.000 | -0.000 | 
| 0.000 | -0.000 | 0.000 | 0.000 | 998.184 | -0.000 | 
| 0.000 | 0.000 | -0.000 | 0.000 | 0.000 | 998.184 | 
| 4195.323 | 3023.339 | 3023.339 | -0.000 | 0.000 | 0.000 | 
| 3023.339 | 4195.323 | 3023.339 | -0.000 | 0.000 | 0.000 | 
| 3023.339 | 3023.339 | 4195.323 | -0.000 | 0.000 | 0.000 | 
| 0.000 | -0.000 | -0.000 | 998.184 | 0.000 | 0.000 | 
| -0.000 | 0.000 | -0.000 | -0.000 | 998.184 | 0.000 | 
| -0.000 | -0.000 | 0.000 | -0.000 | -0.000 | 998.184 | 
| 4195.431 | 3023.291 | 3023.291 | 0.000 | -0.000 | -0.000 | 
| 3023.291 | 4195.431 | 3023.291 | 0.000 | 0.000 | -0.000 | 
| 3023.291 | 3023.291 | 4195.431 | 0.000 | 0.000 | 0.000 | 
| -0.003 | 0.002 | 0.003 | 998.184 | 0.000 | 0.000 | 
| 0.002 | -0.003 | 0.003 | 0.000 | 998.184 | -0.000 | 
| 0.002 | 0.003 | -0.003 | 0.000 | 0.000 | 998.184 | 
| 4195.234 | 3023.377 | 3023.377 | -0.000 | 0.000 | 0.000 | 
| 3023.377 | 4195.234 | 3023.377 | -0.000 | -0.000 | 0.000 | 
| 3023.377 | 3023.377 | 4195.234 | -0.000 | -0.000 | 0.000 | 
| 0.003 | -0.002 | -0.003 | 998.184 | 0.000 | -0.000 | 
| -0.002 | 0.003 | -0.003 | -0.000 | 998.184 | 0.000 | 
| -0.002 | -0.003 | 0.003 | -0.000 | 0.000 | 998.184 | 
| 1075.617 | 871.079 | 871.079 | 0.000 | 0.000 | -0.000 | 
| 871.079 | 1075.617 | 871.079 | 0.000 | 0.000 | 0.000 | 
| 871.079 | 871.079 | 1075.617 | 0.000 | 0.000 | -0.000 | 
| -0.000 | -0.000 | 0.000 | 601.992 | 0.000 | -0.000 | 
| -0.000 | -0.000 | 0.000 | 0.000 | 601.992 | -0.000 | 
| -0.000 | 0.000 | 0.000 | 0.000 | 0.000 | 601.992 | 
| 1075.617 | 871.079 | 871.079 | -0.000 | -0.000 | 0.000 | 
| 871.079 | 1075.617 | 871.079 | -0.000 | -0.000 | 0.000 | 
| 871.079 | 871.079 | 1075.617 | -0.000 | -0.000 | -0.000 | 
| -0.000 | -0.000 | -0.000 | 601.992 | -0.000 | 0.000 | 
| -0.000 | 0.000 | -0.000 | -0.000 | 601.992 | 0.000 | 
| -0.000 | 0.000 | -0.000 | -0.000 | -0.000 | 601.992 | 
| 1075.617 | 871.079 | 871.079 | 0.000 | 0.000 | -0.000 | 
| 871.079 | 1075.617 | 871.079 | 0.000 | 0.000 | -0.000 | 
| 871.079 | 871.079 | 1075.617 | 0.000 | 0.000 | 0.000 | 
| 0.000 | 0.000 | 0.000 | 601.992 | 0.000 | -0.000 | 
| 0.000 | 0.000 | 0.000 | 0.000 | 601.992 | -0.000 | 
| 0.000 | 0.000 | 0.000 | 0.000 | 0.000 | 601.992 | 
| 1075.618 | 871.080 | 871.080 | -0.000 | -0.000 | -0.000 | 
| 871.080 | 1075.618 | 871.080 | -0.000 | -0.000 | -0.000 | 
| 871.080 | 871.080 | 1075.617 | -0.000 | -0.000 | 0.000 | 
| -0.000 | -0.000 | -0.000 | 601.992 | -0.000 | 0.000 | 
| -0.000 | -0.000 | -0.000 | -0.000 | 601.992 | 0.000 | 
| -0.000 | -0.000 | -0.000 | -0.000 | -0.000 | 601.992 | 
| 1075.613 | 871.077 | 871.077 | 0.000 | 0.000 | -0.000 | 
| 871.077 | 1075.613 | 871.077 | 0.000 | 0.000 | 0.000 | 
| 871.077 | 871.077 | 1075.613 | 0.000 | 0.000 | -0.000 | 
| 0.001 | 0.000 | 0.001 | 601.992 | 0.000 | -0.000 | 
| 0.000 | 0.001 | 0.001 | 0.000 | 601.992 | -0.000 | 
| 0.000 | 0.001 | 0.001 | 0.000 | 0.000 | 601.992 | 
| 1075.621 | 871.082 | 871.082 | -0.000 | -0.000 | -0.000 | 
| 871.082 | 1075.621 | 871.082 | -0.000 | -0.000 | 0.000 | 
| 871.082 | 871.082 | 1075.621 | -0.000 | -0.000 | 0.000 | 
| -0.001 | -0.000 | -0.001 | 601.992 | -0.000 | 0.000 | 
| -0.000 | -0.001 | -0.001 | -0.000 | 601.992 | -0.000 | 
| -0.000 | -0.001 | -0.001 | -0.000 | -0.000 | 601.992 | 
| 563.912 | 128.297 | 249.919 | 0.000 | 0.000 | -0.000 | 
| 128.298 | 563.912 | 249.919 | -0.000 | -0.000 | -0.000 | 
| 249.919 | 249.919 | 7061.615 | -0.000 | -0.000 | -0.000 | 
| 0.000 | -0.000 | -0.000 | 306.350 | -0.000 | -0.000 | 
| 0.000 | 0.000 | -0.000 | -0.000 | 306.350 | -0.000 | 
| 0.000 | -0.000 | -0.000 | -0.000 | -0.000 | 217.807 | 
| 563.912 | 128.298 | 249.919 | 0.000 | -0.000 | 0.000 | 
| 177.236 | 514.974 | 249.919 | 0.000 | 0.000 | 0.000 | 
| 249.919 | 249.919 | 7061.616 | 0.000 | -0.000 | 0.000 | 
| -0.000 | 0.000 | 0.000 | 306.350 | 0.000 | 0.000 | 
| -0.000 | -0.000 | 0.000 | 0.000 | 306.350 | 0.000 | 
| -0.000 | 0.000 | 0.000 | 0.000 | 0.000 | 217.808 | 
| 514.974 | 177.236 | 249.919 | -0.000 | -0.000 | -0.000 | 
| 128.298 | 563.912 | 249.919 | -0.000 | -0.000 | -0.000 | 
| 249.919 | 249.919 | 7061.614 | -0.000 | -0.000 | -0.000 | 
| 0.000 | 0.000 | -0.000 | 306.350 | 0.000 | -0.000 | 
| 0.000 | 0.000 | -0.000 | -0.000 | 306.350 | -0.000 | 
| -0.000 | -0.000 | -0.000 | -0.000 | -0.000 | 168.869 | 
| 514.974 | 177.236 | 249.919 | 0.000 | 0.000 | 0.000 | 
| 177.236 | 514.974 | 249.919 | 0.000 | 0.000 | 0.000 | 
| 249.918 | 249.918 | 7061.616 | 0.000 | 0.000 | 0.000 | 
| -0.000 | -0.000 | 0.000 | 306.350 | 0.000 | 0.000 | 
| -0.000 | -0.000 | 0.000 | 0.000 | 306.350 | 0.000 | 
| 0.000 | -0.000 | 0.000 | 0.000 | 0.000 | 168.869 | 
| 514.971 | 177.240 | 249.920 | -0.000 | -0.000 | -0.000 | 
| 177.237 | 514.974 | 249.920 | -0.000 | -0.000 | -0.000 | 
| 249.926 | 249.926 | 7061.606 | -0.000 | -0.000 | -0.000 | 
| 0.000 | 0.000 | -0.003 | 306.350 | -0.000 | -0.000 | 
| 0.000 | 0.000 | -0.003 | -0.000 | 306.350 | -0.000 | 
| -0.000 | 0.000 | 0.000 | -0.000 | -0.000 | 168.869 | 
| 514.973 | 177.236 | 249.918 | 0.000 | 0.000 | 0.000 | 
| 177.239 | 514.969 | 249.918 | 0.000 | 0.000 | 0.000 | 
| 249.912 | 249.912 | 7061.624 | 0.000 | 0.000 | 0.000 | 
| -0.000 | -0.000 | 0.003 | 306.350 | 0.000 | 0.000 | 
| -0.000 | -0.000 | 0.003 | 0.000 | 306.350 | 0.000 | 
| 0.000 | -0.000 | -0.000 | 0.000 | 0.000 | 168.869 | 
| 1737.651 | 741.537 | 0.000 | 0.000 | 0.000 | 0.000 | 
| 741.537 | 1737.651 | 0.000 | 0.000 | 0.000 | 0.001 | 
| -0.000 | 0.000 | 0.000 | 0.000 | 0.000 | 0.000 | 
| -0.000 | 0.000 | 0.000 | 0.000 | 0.000 | 0.000 | 
| -0.000 | 0.000 | 0.000 | 0.000 | 0.000 | 0.000 | 
| -0.000 | 0.000 | 0.000 | 0.000 | 0.000 | 498.057 | 
| 1737.651 | 741.537 | -0.000 | -0.000 | -0.000 | -0.000 | 
| 741.537 | 1737.651 | -0.000 | -0.000 | -0.000 | -0.000 | 
| 0.000 | -0.000 | -0.000 | -0.000 | -0.000 | -0.000 | 
| 0.000 | -0.000 | -0.000 | -0.000 | -0.000 | -0.000 | 
| 0.000 | -0.000 | -0.000 | -0.000 | -0.000 | -0.000 | 
| 0.000 | -0.000 | -0.000 | -0.000 | -0.000 | 498.056 | 
| 1737.651 | 741.536 | 0.000 | 0.000 | 0.000 | 0.000 | 
| 741.537 | 1737.650 | 0.000 | 0.000 | 0.000 | 0.000 | 
| -0.000 | 0.000 | 0.000 | 0.000 | 0.000 | 0.000 | 
| -0.000 | 0.000 | 0.000 | 0.000 | 0.000 | 0.000 | 
| -0.000 | 0.000 | 0.000 | 0.000 | 0.000 | 0.000 | 
| -0.000 | 0.000 | 0.000 | 0.000 | 0.000 | 498.057 | 
| 1737.650 | 741.538 | -0.000 | -0.000 | -0.000 | -0.000 | 
| 741.538 | 1737.651 | -0.000 | -0.000 | -0.000 | -0.000 | 
| 0.000 | -0.000 | -0.000 | -0.000 | -0.000 | -0.000 | 
| 0.000 | -0.000 | -0.000 | -0.000 | -0.000 | -0.000 | 
| 0.000 | -0.000 | -0.000 | -0.000 | -0.000 | -0.000 | 
| 0.000 | -0.001 | -0.000 | -0.000 | -0.000 | 498.057 | 
| 1737.654 | 741.526 | 0.000 | 0.000 | 0.000 | -0.000 | 
| 741.532 | 1737.648 | 0.000 | 0.000 | 0.000 | 0.000 | 
| -0.000 | 0.000 | 0.000 | 0.000 | 0.000 | 0.000 | 
| -0.000 | 0.000 | 0.000 | 0.000 | 0.000 | 0.000 | 
| -0.000 | 0.000 | 0.000 | 0.000 | 0.000 | 0.000 | 
| -0.001 | 0.005 | 0.000 | 0.000 | 0.000 | 498.057 | 
| 1737.647 | 741.548 | -0.000 | -0.000 | -0.000 | -0.000 | 
| 741.543 | 1737.653 | -0.000 | -0.000 | -0.000 | -0.000 | 
| 0.000 | -0.000 | -0.000 | -0.000 | -0.000 | -0.000 | 
| 0.000 | -0.000 | -0.000 | -0.000 | -0.000 | -0.000 | 
| 0.000 | -0.000 | -0.000 | -0.000 | -0.000 | -0.000 | 
| 0.001 | -0.005 | -0.000 | -0.000 | -0.000 | 498.057 | 
| 14889483430.476 | 8928493225.879 | 3776511972.127 | 25989622.739 | -33574744.577 | -92831844.057 | 
| 1951.978 | 1940.264 | 1831.378 | 0.000 | -0.000 | 0.000 | 
| 1831.378 | 1831.378 | 2054.670 | 0.000 | -0.000 | 0.000 | 
| -0.000 | 0.000 | -0.000 | -133.873 | -0.000 | 0.000 | 
| -0.000 | 0.000 | -0.000 | 0.000 | -133.874 | 0.000 | 
| 10701507470.515 | 11044661962.010 | 6186318821.924 | -44235876.050 | 72920827.972 | -688585984.247 | 
| -11919139493.080 | -11284918772.773 | -6793174915.220 | 30801070.124 | 13533284.378 | 419984790.718 | 
| 1951.978 | 1940.264 | 1831.378 | -0.000 | 0.000 | -0.000 | 
| 1831.378 | 1831.378 | 2054.670 | -0.000 | 0.001 | -0.000 | 
| -0.000 | -0.000 | 0.000 | -133.874 | 0.000 | -0.000 | 
| 0.000 | -0.000 | 0.000 | -0.000 | -133.873 | -0.000 | 
| -11660178323.158 | -10777273993.251 | -5054349746.402 | -54674268.381 | 57066070.428 | 58056643.537 | 
| 1555172085.048 | 1010469828.225 | 256486490.949 | -2841323.222 | -1672929.318 | 67211980.731 | 
| 1173060148.964 | 1090212710.344 | 686262360.789 | 2912381.134 | 830837.102 | -33001287.637 | 
| 1831.377 | 1831.377 | 2054.670 | -0.000 | -0.000 | 0.000 | 
| 0.000 | 0.000 | 0.000 | -133.874 | -0.000 | 0.000 | 
| 0.000 | 0.000 | 0.000 | 0.000 | -133.874 | 0.000 | 
| 1032602355.360 | 1104253489.890 | 632167060.780 | -403779.207 | -1812234.844 | -55094691.687 | 
| 1940.263 | 1951.978 | 1831.378 | -0.000 | 0.000 | -0.000 | 
| 1951.978 | 1940.264 | 1831.378 | -0.000 | 0.000 | -0.000 | 
| 1831.378 | 1831.378 | 2054.670 | -0.000 | 0.000 | -0.000 | 
| -0.000 | -0.000 | -0.000 | -133.874 | 0.000 | -0.000 | 
| -0.000 | -0.000 | -0.000 | -0.000 | -133.874 | -0.000 | 
| -1106912094.577 | -1071578258.086 | -595770371.511 | -11610458.773 | -10431342.877 | -22832219.148 | 
| 155264371.131 | 98786425.483 | 12278654.124 | 100712.965 | -96272.544 | 6300924.742 | 
| 116809268.719 | 108694430.209 | 71327858.092 | 263382.246 | 775132.778 | -5496840.214 | 
| 1831.376 | 1831.376 | 2054.673 | 0.000 | -0.000 | 0.000 | 
| 0.011 | -0.009 | 0.005 | -133.874 | -0.000 | 0.000 | 
| -0.009 | 0.011 | 0.005 | 0.000 | -133.874 | -0.000 | 
| 104150493.918 | 100064381.701 | 52043045.326 | 191316.697 | -700430.688 | -5757384.362 | 
| -115232812.643 | -112632981.185 | -58654180.703 | 347342.364 | -780315.701 | 3636909.658 | 
| -156456215.085 | -102062006.690 | -18791496.695 | -475452.277 | -385138.235 | -3293403.855 | 
| 1831.379 | 1831.379 | 2054.667 | -0.000 | 0.000 | -0.000 | 
| -0.011 | 0.009 | -0.005 | -133.874 | 0.000 | -0.000 | 
| 0.009 | -0.011 | -0.005 | -0.000 | -133.874 | -0.000 | 
| -112601921.639 | -103816465.221 | -51116100.405 | 553988.583 | 826480.947 | -2099056.906 | 
| 1088.319 | 125.012 | 125.012 | 0.000 | -0.000 | -0.000 | 
| 125.013 | 1088.319 | 125.012 | 0.000 | -0.000 | -0.000 | 
| 125.013 | 125.012 | 1088.319 | -0.000 | -0.000 | -0.000 | 
| -0.000 | -0.001 | -0.000 | 641.275 | 0.000 | -0.000 | 
| -0.000 | -0.001 | -0.000 | 0.000 | 641.275 | -0.000 | 
| -0.000 | -0.000 | -0.000 | 0.000 | 0.000 | 641.275 | 
| 1088.319 | 125.013 | 125.012 | -0.000 | 0.000 | 0.000 | 
| 125.012 | 1088.320 | 125.012 | -0.000 | 0.000 | 0.000 | 
| 125.012 | 125.013 | 1088.319 | -0.000 | 0.000 | 0.000 | 
| -0.000 | 0.000 | 0.000 | 641.275 | -0.000 | 0.000 | 
| -0.000 | 0.001 | 0.000 | -0.000 | 641.275 | 0.000 | 
| -0.000 | 0.000 | 0.000 | -0.000 | 0.000 | 641.275 | 
| 1088.319 | 125.012 | 125.013 | 0.000 | -0.000 | -0.000 | 
| 125.013 | 1088.319 | 125.013 | 0.000 | -0.000 | -0.000 | 
| 125.013 | 125.012 | 1088.319 | 0.000 | -0.000 | -0.000 | 
| 0.000 | -0.000 | 0.000 | 641.275 | 0.000 | -0.000 | 
| -0.000 | 0.000 | 0.000 | 0.000 | 641.275 | -0.000 | 
| -0.000 | 0.000 | 0.000 | 0.000 | 0.000 | 641.275 | 
| 1088.319 | 125.012 | 125.012 | -0.000 | 0.000 | 0.000 | 
| 125.012 | 1088.319 | 125.012 | 0.000 | 0.000 | 0.000 | 
| 125.012 | 125.012 | 1088.319 | -0.000 | 0.000 | 0.000 | 
| -0.000 | 0.000 | -0.000 | 641.275 | -0.000 | 0.000 | 
| 0.000 | 0.000 | -0.000 | -0.000 | 641.275 | 0.000 | 
| 0.000 | -0.000 | -0.000 | -0.000 | -0.000 | 641.275 | 
| 1088.321 | 125.013 | 125.013 | -0.000 | -0.000 | -0.000 | 
| 125.013 | 1088.321 | 125.013 | -0.000 | -0.000 | -0.000 | 
| 125.013 | 125.013 | 1088.321 | 0.000 | 0.000 | -0.000 | 
| 0.000 | -0.000 | 0.001 | 641.275 | 0.000 | -0.000 | 
| -0.000 | 0.000 | 0.001 | 0.000 | 641.275 | -0.000 | 
| -0.000 | 0.001 | 0.000 | -0.000 | -0.000 | 641.275 | 
| 1088.318 | 125.011 | 125.011 | -0.000 | 0.000 | 0.000 | 
| 125.011 | 1088.318 | 125.011 | -0.000 | 0.000 | 0.000 | 
| 125.011 | 125.011 | 1088.318 | -0.000 | 0.000 | 0.000 | 
| -0.000 | 0.000 | -0.001 | 641.275 | -0.000 | 0.000 | 
| 0.000 | -0.000 | -0.001 | -0.000 | 641.275 | 0.000 | 
| 0.000 | -0.001 | -0.000 | -0.000 | -0.000 | 641.275 | 
| 805.469 | 131.392 | 85.307 | 0.000 | 0.000 | 0.000 | 
| 131.392 | 805.469 | 85.307 | 0.000 | 0.000 | 0.000 | 
| 85.307 | 85.307 | 950.579 | 0.000 | 0.000 | 0.000 | 
| -0.000 | -0.000 | -0.000 | 150.070 | 0.000 | 0.000 | 
| -0.000 | -0.000 | -0.000 | 0.000 | 150.070 | 0.000 | 
| -0.000 | -0.000 | -0.000 | 0.000 | 0.000 | 137.226 | 
| 805.469 | 131.392 | 85.307 | -0.000 | -0.000 | -0.000 | 
| 131.392 | 805.469 | 85.307 | -0.000 | -0.000 | -0.000 | 
| 85.307 | 85.307 | 950.579 | -0.000 | -0.000 | -0.000 | 
| 0.000 | 0.000 | 0.000 | 150.069 | -0.000 | 0.000 | 
| 0.000 | 0.000 | 0.000 | -0.000 | 150.070 | -0.000 | 
| 0.000 | 0.000 | 0.000 | -0.000 | -0.000 | 137.226 | 
| 805.469 | 131.392 | 85.307 | 0.000 | 0.000 | 0.000 | 
| 131.392 | 805.469 | 85.307 | 0.000 | 0.000 | 0.000 | 
| 85.307 | 85.307 | 950.580 | 0.000 | 0.000 | 0.000 | 
| 0.000 | -0.000 | -0.000 | 150.070 | 0.000 | 0.000 | 
| -0.000 | -0.000 | -0.000 | 0.000 | 150.070 | -0.000 | 
| -0.000 | -0.000 | -0.000 | 0.000 | -0.000 | 137.226 | 
| 805.469 | 131.392 | 85.307 | -0.000 | 0.000 | 0.000 | 
| 131.392 | 805.469 | 85.307 | -0.000 | 0.000 | -0.000 | 
| 85.307 | 85.307 | 950.579 | -0.000 | -0.000 | -0.000 | 
| -0.000 | 0.000 | 0.000 | 150.070 | -0.000 | 0.000 | 
| 0.000 | 0.000 | 0.000 | -0.000 | 150.070 | -0.000 | 
| 0.000 | 0.000 | 0.000 | -0.000 | -0.000 | 137.226 | 
| 805.471 | 131.393 | 85.307 | 0.000 | -0.000 | 0.000 | 
| 131.393 | 805.471 | 85.307 | 0.000 | 0.000 | 0.000 | 
| 85.307 | 85.307 | 950.585 | 0.000 | 0.000 | 0.000 | 
| 0.000 | -0.000 | -0.000 | 150.070 | 0.000 | 0.000 | 
| -0.000 | 0.000 | -0.000 | 0.000 | 150.070 | 0.000 | 
| -0.000 | -0.000 | -0.000 | 0.000 | 0.000 | 137.226 | 
| 805.467 | 131.391 | 85.307 | -0.000 | 0.000 | 0.000 | 
| 131.391 | 805.467 | 85.307 | -0.000 | 0.000 | 0.000 | 
| 85.307 | 85.307 | 950.574 | -0.000 | -0.000 | 0.000 | 
| -0.000 | 0.000 | 0.000 | 150.070 | -0.000 | 0.000 | 
| 0.000 | -0.000 | 0.000 | -0.000 | 150.070 | -0.000 | 
| 0.000 | 0.000 | 0.000 | -0.000 | 0.000 | 137.226 | 
| 811.477 | -0.000 | 0.000 | 0.000 | 0.000 | -0.000 | 
| -0.000 | 811.477 | 0.000 | 0.000 | 0.000 | -0.000 | 
| 0.000 | 0.000 | 0.000 | 0.000 | 0.000 | -0.000 | 
| -0.000 | -0.000 | 0.000 | 0.000 | 0.000 | -0.000 | 
| -0.000 | 0.000 | 0.000 | 0.000 | 0.000 | -0.000 | 
| 0.000 | 0.000 | 0.000 | 0.000 | 0.000 | 181.837 | 
| 811.477 | -0.000 | -0.000 | -0.000 | -0.000 | 0.000 | 
| 0.000 | 811.477 | -0.000 | -0.000 | -0.000 | 0.000 | 
| -0.000 | -0.000 | -0.000 | -0.000 | -0.000 | 0.000 | 
| 0.000 | 0.000 | -0.000 | -0.000 | -0.000 | 0.000 | 
| 0.000 | -0.000 | -0.000 | -0.000 | -0.000 | 0.000 | 
| 0.000 | -0.000 | -0.000 | -0.000 | -0.000 | 181.837 | 
| 811.477 | 0.000 | 0.000 | 0.000 | 0.000 | -0.000 | 
| -0.000 | 811.477 | 0.000 | 0.000 | 0.000 | 0.000 | 
| 0.000 | 0.000 | 0.000 | 0.000 | 0.000 | -0.000 | 
| -0.000 | -0.000 | 0.000 | 0.000 | 0.000 | 0.000 | 
| -0.000 | -0.000 | 0.000 | 0.000 | 0.000 | -0.000 | 
| -0.000 | -0.000 | 0.000 | 0.000 | 0.000 | 181.837 | 
| 811.477 | 0.000 | -0.000 | -0.000 | -0.000 | 0.000 | 
| 0.000 | 811.477 | -0.000 | -0.000 | -0.000 | 0.000 | 
| -0.000 | -0.000 | -0.000 | -0.000 | -0.000 | 0.000 | 
| 0.000 | 0.000 | -0.000 | -0.000 | -0.000 | 0.000 | 
| 0.000 | 0.000 | -0.000 | -0.000 | -0.000 | 0.000 | 
| 0.000 | 0.000 | -0.000 | -0.000 | -0.000 | 181.837 | 
| 811.481 | -0.000 | 0.000 | 0.000 | 0.000 | -0.000 | 
| -0.000 | 811.481 | 0.000 | 0.000 | 0.000 | -0.000 | 
| 0.000 | 0.000 | 0.000 | 0.000 | 0.000 | -0.000 | 
| -0.000 | -0.000 | 0.000 | 0.000 | 0.000 | -0.000 | 
| -0.000 | 0.000 | 0.000 | 0.000 | 0.000 | -0.000 | 
| -0.000 | -0.000 | 0.000 | 0.000 | 0.000 | 181.837 | 
| 811.473 | 0.000 | -0.000 | -0.000 | -0.000 | 0.000 | 
| 0.000 | 811.473 | -0.000 | -0.000 | -0.000 | 0.000 | 
| -0.000 | -0.000 | -0.000 | -0.000 | -0.000 | 0.000 | 
| 0.000 | -0.000 | -0.000 | -0.000 | -0.000 | 0.000 | 
| 0.000 | 0.000 | -0.000 | -0.000 | -0.000 | 0.000 | 
| 0.000 | 0.000 | -0.000 | -0.000 | -0.000 | 181.837 | 
| 829.297 | -0.000 | 0.000 | 0.000 | 0.000 | 0.000 | 
| -0.000 | 829.297 | 0.000 | 0.000 | 0.000 | 0.000 | 
| -0.000 | -0.000 | 0.000 | 0.000 | 0.000 | 0.000 | 
| -0.000 | -0.000 | 0.000 | 0.000 | 0.000 | 0.000 | 
| -0.000 | -0.000 | 0.000 | 0.000 | 0.000 | 0.000 | 
| -0.000 | -0.000 | 0.000 | 0.000 | 0.000 | 185.830 | 
| 1448.474 | -0.000 | 0.000 | 0.000 | 0.000 | 0.000 | 
| -0.000 | 1448.474 | 0.000 | 0.000 | 0.000 | 0.000 | 
| -0.000 | -0.000 | 0.000 | 0.000 | 0.000 | 0.000 | 
| -0.000 | -0.000 | 0.000 | 0.000 | 0.000 | 0.000 | 
| -0.000 | -0.000 | 0.000 | 0.000 | 0.000 | 0.000 | 
| -0.000 | -0.000 | 0.000 | 0.000 | 0.000 | 324.577 | 
| 829.297 | 0.000 | -0.000 | -0.000 | -0.000 | -0.000 | 
| 0.000 | 829.297 | -0.000 | -0.000 | -0.000 | -0.000 | 
| 0.000 | 0.000 | -0.000 | -0.000 | -0.000 | -0.000 | 
| 0.000 | 0.000 | -0.000 | -0.000 | -0.000 | -0.000 | 
| 0.000 | 0.000 | -0.000 | -0.000 | -0.000 | -0.000 | 
| 0.000 | 0.000 | -0.000 | -0.000 | -0.000 | 185.830 | 
| 1448.475 | 0.000 | -0.000 | -0.000 | -0.000 | -0.000 | 
| 0.000 | 1448.474 | -0.000 | -0.000 | -0.000 | -0.000 | 
| 0.000 | 0.000 | -0.000 | -0.000 | -0.000 | -0.000 | 
| 0.000 | 0.000 | -0.000 | -0.000 | -0.000 | -0.000 | 
| 0.000 | 0.000 | -0.000 | -0.000 | -0.000 | -0.000 | 
| 0.000 | 0.000 | -0.000 | -0.000 | -0.000 | 324.577 | 
| 829.298 | -0.000 | 0.000 | 0.000 | 0.000 | 0.000 | 
| -0.000 | 829.298 | 0.000 | 0.000 | 0.000 | 0.000 | 
| -0.000 | -0.000 | 0.000 | 0.000 | 0.000 | 0.000 | 
| -0.000 | -0.000 | 0.000 | 0.000 | 0.000 | 0.000 | 
| -0.000 | -0.000 | 0.000 | 0.000 | 0.000 | 0.000 | 
| -0.000 | -0.000 | 0.000 | 0.000 | 0.000 | 185.830 | 
| 1448.475 | -0.000 | 0.000 | 0.000 | 0.000 | 0.000 | 
| -0.000 | 1448.475 | 0.000 | 0.000 | 0.000 | 0.000 | 
| -0.000 | -0.000 | 0.000 | 0.000 | 0.000 | 0.000 | 
| -0.000 | -0.000 | 0.000 | 0.000 | 0.000 | 0.000 | 
| -0.000 | -0.000 | 0.000 | 0.000 | 0.000 | 0.000 | 
| -0.000 | -0.000 | 0.000 | 0.000 | 0.000 | 324.577 | 
| 829.297 | 0.000 | -0.000 | -0.000 | -0.000 | -0.000 | 
| 0.000 | 829.297 | -0.000 | -0.000 | -0.000 | -0.000 | 
| 0.000 | 0.000 | -0.000 | -0.000 | -0.000 | -0.000 | 
| 0.000 | 0.000 | -0.000 | -0.000 | -0.000 | -0.000 | 
| 0.000 | 0.000 | -0.000 | -0.000 | -0.000 | -0.000 | 
| 0.000 | 0.000 | -0.000 | -0.000 | -0.000 | 185.830 | 
| 1448.474 | 0.000 | -0.000 | -0.000 | -0.000 | -0.000 | 
| 0.000 | 1448.474 | -0.000 | -0.000 | -0.000 | -0.000 | 
| 0.000 | 0.000 | -0.000 | -0.000 | -0.000 | -0.000 | 
| 0.000 | 0.000 | -0.000 | -0.000 | -0.000 | -0.000 | 
| 0.000 | 0.000 | -0.000 | -0.000 | -0.000 | -0.000 | 
| 0.000 | 0.000 | -0.000 | -0.000 | -0.000 | 324.577 | 
| 829.301 | -0.000 | 0.000 | 0.000 | 0.000 | 0.000 | 
| -0.000 | 829.301 | 0.000 | 0.000 | 0.000 | 0.000 | 
| -0.000 | -0.000 | 0.000 | 0.000 | 0.000 | 0.000 | 
| -0.000 | -0.000 | 0.000 | 0.000 | 0.000 | 0.000 | 
| -0.000 | -0.000 | 0.000 | 0.000 | 0.000 | 0.000 | 
| -0.000 | -0.000 | 0.000 | 0.000 | 0.000 | 185.830 | 
| 1448.482 | -0.000 | 0.000 | 0.000 | 0.000 | 0.000 | 
| -0.000 | 1448.482 | 0.000 | 0.000 | 0.000 | 0.000 | 
| 1737.060 | 1737.060 | 7769.029 | -0.000 | -0.000 | 0.000 | 
| -0.000 | -0.000 | 0.000 | 0.000 | 0.000 | 0.000 | 
| -0.000 | -0.000 | 0.000 | 0.000 | 0.000 | 0.000 | 
| -0.000 | -0.000 | 0.000 | 0.000 | 0.000 | 324.577 | 
| 829.293 | 0.000 | -0.000 | -0.000 | -0.000 | -0.000 | 
| 0.000 | 829.293 | -0.000 | -0.000 | -0.000 | -0.000 | 
| 0.000 | 0.000 | -0.000 | -0.000 | -0.000 | -0.000 | 
| 0.000 | 0.000 | -0.000 | -0.000 | -0.000 | -0.000 | 
| 0.000 | 0.000 | -0.000 | -0.000 | -0.000 | -0.000 | 
| 0.000 | 0.000 | -0.000 | -0.000 | -0.000 | 185.830 | 
| 1448.467 | 0.000 | -0.000 | -0.000 | -0.000 | -0.000 | 
| 0.000 | 1448.467 | -0.000 | -0.000 | -0.000 | -0.000 | 
| 0.000 | 0.000 | -0.000 | -0.000 | -0.000 | -0.000 | 
| 0.000 | 0.000 | -0.000 | -0.000 | -0.000 | -0.000 | 
| 0.000 | 0.000 | -0.000 | -0.000 | -0.000 | -0.000 | 
| 0.000 | 0.000 | -0.000 | -0.000 | -0.000 | 324.577 | 
| 1088.812 | -9.606 | -0.000 | -0.000 | -0.000 | 0.000 | 
| -9.606 | 1088.812 | -0.000 | 0.000 | -0.000 | 0.000 | 
| 0.000 | 0.000 | -0.000 | 0.000 | 0.000 | 0.000 | 
| -0.000 | 0.000 | -0.000 | -0.000 | -0.000 | -0.000 | 
| -0.000 | -0.000 | -0.000 | -0.000 | -0.000 | -0.000 | 
| -0.000 | 0.000 | -0.000 | -0.000 | -0.000 | 549.209 | 
| 1088.270 | -9.064 | -0.000 | -0.000 | 0.000 | 0.001 | 
| -9.064 | 1088.270 | 0.000 | -0.000 | 0.000 | -0.000 | 
| 0.000 | 0.000 | 0.000 | -0.000 | 0.000 | 0.000 | 
| 0.000 | -0.000 | -0.000 | -0.000 | -0.000 | 0.000 | 
| 0.000 | 0.000 | -0.000 | -0.000 | 0.000 | 0.000 | 
| 0.000 | 0.000 | 0.000 | 0.000 | -0.000 | 549.209 | 
| 1088.812 | -9.606 | 0.000 | -0.000 | 0.000 | 0.000 | 
| -9.064 | 1088.270 | 0.000 | 0.000 | -0.000 | 0.000 | 
| 0.000 | 0.000 | 0.000 | 0.000 | 0.000 | 0.000 | 
| -0.000 | -0.000 | 0.000 | 0.000 | -0.000 | -0.000 | 
| -0.000 | -0.000 | -0.000 | 0.000 | 0.000 | 0.000 | 
| 0.000 | 0.000 | -0.000 | -0.000 | -0.000 | 549.209 | 
| 1088.269 | -9.064 | -0.000 | -0.000 | 0.000 | 0.000 | 
| -9.606 | 1088.812 | 0.000 | 0.000 | -0.000 | -0.000 | 
| 0.000 | 0.000 | 0.000 | 0.000 | 0.000 | 0.000 | 
| 0.000 | 0.000 | 0.000 | 0.000 | -0.000 | 0.000 | 
| 0.000 | 0.000 | 0.000 | -0.000 | 0.000 | 0.000 | 
| -0.000 | -0.000 | 0.000 | 0.000 | -0.000 | 549.209 | 
| 1088.273 | -9.063 | -0.000 | 0.000 | -0.000 | -0.000 | 
| -9.063 | 1088.273 | 0.000 | 0.000 | -0.000 | -0.000 | 
| 0.000 | 0.000 | 0.000 | 0.000 | 0.000 | 0.000 | 
| -0.000 | 0.000 | 0.000 | 0.000 | -0.000 | -0.000 | 
| 0.000 | -0.000 | 0.000 | 0.000 | -0.000 | -0.000 | 
| 0.000 | 0.001 | 0.000 | 0.000 | 0.000 | 548.667 | 
| 1088.266 | -9.064 | -0.000 | 0.000 | 0.000 | 0.000 | 
| -9.064 | 1088.266 | 0.000 | 0.000 | 0.000 | -0.000 | 
| 0.000 | 0.000 | 0.000 | -0.000 | -0.000 | 0.000 | 
| 0.000 | 0.000 | -0.000 | 0.000 | 0.000 | 0.000 | 
| 0.000 | 0.000 | 0.000 | -0.000 | 0.000 | 0.000 | 
| -0.000 | -0.001 | -0.000 | -0.000 | 0.000 | 548.667 | 
| 592.418 | -222.139 | 16.276 | 2.447 | -0.000 | 0.000 | 
| -277.996 | 648.394 | 47.394 | -9.670 | -0.000 | 0.000 | 
| -78.691 | -78.692 | 16744.864 | 0.000 | -0.000 | 0.000 | 
| 2.446 | -2.451 | -1.270 | -15.379 | -0.000 | 0.000 | 
| -0.002 | -0.003 | -1.270 | 0.000 | -15.379 | 2.448 | 
| -0.002 | -0.003 | -1.271 | 0.000 | 2.447 | 407.278 | 
| 594.612 | -225.032 | -166.784 | 2.776 | 0.000 | -0.000 | 
| -277.997 | 648.395 | 47.390 | -9.670 | 0.000 | -0.000 | 
| -78.692 | -78.691 | 16744.862 | -0.000 | 0.000 | -0.000 | 
| 2.450 | -2.445 | 1.270 | -15.379 | 0.000 | -0.000 | 
| 0.002 | 0.003 | 1.270 | -0.000 | -15.379 | 2.448 | 
| 0.002 | 0.003 | 1.271 | -0.000 | 2.447 | 407.278 | 
| 594.640 | -225.066 | -167.996 | 2.780 | -0.000 | 0.000 | 
| -225.066 | 594.640 | -167.996 | -2.780 | -0.000 | 0.000 | 
| -109.618 | -109.618 | 579.519 | 0.000 | -0.000 | 0.000 | 
| 2.447 | -2.447 | -0.122 | -15.379 | -0.000 | 0.000 | 
| -0.000 | -0.000 | -0.122 | 0.000 | -15.379 | 2.447 | 
| 0.000 | 0.000 | 0.000 | -0.000 | 9.670 | 463.196 | 
| 594.634 | -225.060 | -167.776 | 2.779 | 0.000 | -0.000 | 
| -225.063 | 594.637 | -167.764 | -2.779 | 0.000 | -0.000 | 
| -109.653 | -109.653 | 561.437 | -0.000 | 0.000 | -0.000 | 
| 2.447 | -2.447 | 0.122 | -15.379 | 0.000 | -0.000 | 
| 0.000 | 0.000 | 0.122 | -0.000 | -15.379 | 2.447 | 
| -0.000 | -0.000 | -0.000 | 0.000 | 9.670 | 463.196 | 
| 592.433 | -222.154 | 15.523 | 2.449 | -0.000 | 0.000 | 
| -222.140 | 592.423 | 16.461 | -2.447 | -0.000 | 0.000 | 
| -109.636 | -109.636 | 570.503 | 0.000 | -0.000 | 0.000 | 
| 2.447 | -2.447 | 0.038 | -15.379 | -0.000 | 0.000 | 
| 0.000 | -0.000 | -0.008 | 0.000 | -14.446 | 9.670 | 
| 0.000 | 0.001 | -0.000 | -0.000 | 9.670 | 463.196 | 
| 592.414 | -222.138 | 16.436 | 2.447 | 0.000 | -0.000 | 
| -222.123 | 592.402 | 17.377 | -2.446 | 0.000 | -0.000 | 
| -109.635 | -109.635 | 570.499 | -0.000 | 0.000 | -0.000 | 
| 2.447 | -2.447 | -0.038 | -15.379 | 0.000 | -0.000 | 
| -0.000 | 0.000 | 0.008 | -0.000 | -14.446 | 9.670 | 
| -0.000 | -0.001 | 0.000 | 0.000 | 9.670 | 463.196 | 
| 986.993 | 0.000 | -0.000 | -0.000 | -0.000 | -0.000 | 
| 0.000 | 986.993 | -0.000 | -0.000 | -0.000 | -0.000 | 
| 0.000 | 0.000 | 986.993 | -0.000 | -0.000 | -0.000 | 
| 0.000 | 0.000 | -0.000 | 131.176 | -0.000 | -0.000 | 
| -0.000 | 0.000 | -0.000 | -0.000 | 131.176 | -0.000 | 
| -0.000 | 0.000 | -0.000 | -0.000 | -0.000 | 131.176 | 
| 986.993 | -0.000 | 0.000 | 0.000 | 0.000 | 0.000 | 
| -0.000 | 986.992 | 0.000 | 0.000 | 0.000 | 0.000 | 
| -0.000 | -0.000 | 986.992 | 0.000 | 0.000 | 0.000 | 
| -0.000 | -0.000 | -0.000 | 131.176 | 0.000 | 0.000 | 
| 0.000 | -0.000 | 0.000 | 0.000 | 131.176 | 0.000 | 
| 0.000 | 0.000 | 0.000 | 0.000 | 0.000 | 131.176 | 
| 986.993 | 0.000 | -0.000 | -0.000 | -0.000 | -0.000 | 
| 0.000 | 986.993 | -0.000 | -0.000 | -0.000 | -0.000 | 
| 0.000 | 0.000 | 986.993 | -0.000 | -0.000 | -0.000 | 
| 0.000 | 0.000 | -0.000 | 131.176 | -0.000 | -0.000 | 
| -0.000 | 0.000 | -0.000 | -0.000 | 131.176 | -0.000 | 
| -0.000 | -0.000 | -0.000 | -0.000 | -0.000 | 131.176 | 
| 986.992 | -0.000 | 0.000 | 0.000 | 0.000 | 0.000 | 
| -0.000 | 986.992 | 0.000 | 0.000 | 0.000 | 0.000 | 
| -0.000 | -0.000 | 986.992 | -0.000 | 0.000 | 0.000 | 
| -0.000 | 0.000 | 0.000 | 131.176 | 0.000 | 0.000 | 
| 0.000 | -0.000 | 0.000 | 0.000 | 131.176 | 0.000 | 
| 0.000 | 0.000 | 0.000 | 0.000 | 0.000 | 131.176 | 
| 986.998 | 0.000 | -0.000 | -0.000 | -0.000 | -0.000 | 
| 0.000 | 986.998 | -0.000 | -0.000 | -0.000 | -0.000 | 
| 0.000 | 0.000 | 986.998 | 0.000 | -0.000 | -0.000 | 
| 0.000 | -0.000 | -0.000 | 131.176 | -0.000 | -0.000 | 
| -0.000 | 0.000 | -0.000 | -0.000 | 131.176 | -0.000 | 
| -0.000 | -0.000 | -0.000 | -0.000 | -0.000 | 131.176 | 
| 986.987 | -0.000 | 0.000 | 0.000 | 0.000 | 0.000 | 
| -0.000 | 986.987 | 0.000 | 0.000 | 0.000 | -0.000 | 
| -0.000 | -0.000 | 986.987 | 0.000 | 0.000 | 0.000 | 
| -0.000 | 0.000 | 0.000 | 131.176 | 0.000 | 0.000 | 
| 0.000 | -0.000 | 0.000 | 0.000 | 131.176 | 0.000 | 
| 0.000 | 0.000 | 0.000 | 0.000 | 0.000 | 131.176 | 
| 509.461 | 68.466 | -30.371 | -0.000 | 0.000 | -0.000 | 
| 89.161 | 1170.886 | 48.530 | -0.000 | 0.000 | -0.000 | 
| -29.529 | 30.356 | 1372.853 | 0.000 | 0.000 | -0.000 | 
| -0.240 | -0.012 | 0.289 | 657.716 | 0.000 | -0.000 | 
| -0.247 | -0.013 | 0.296 | -0.000 | 218.844 | -0.000 | 
| 0.000 | 0.000 | -0.001 | -0.000 | -0.000 | 295.045 | 
| 509.816 | 68.663 | -30.954 | 0.000 | -0.000 | 0.000 | 
| 89.015 | 1171.036 | 48.568 | 0.000 | -0.000 | 0.000 | 
| -33.797 | 31.301 | 1376.951 | -0.000 | -0.000 | 0.000 | 
| 0.240 | 0.012 | -0.289 | 657.717 | -0.000 | 0.000 | 
| 0.247 | 0.013 | -0.296 | 0.000 | 218.844 | 0.000 | 
| -0.000 | -0.000 | 0.001 | 0.001 | 0.000 | 295.045 | 
| 512.662 | 62.126 | -28.512 | -0.000 | 0.000 | -0.000 | 
| 69.036 | 1195.703 | 50.022 | -0.000 | -0.000 | -0.000 | 
| -29.311 | 30.368 | 1372.591 | -0.000 | -0.000 | -0.000 | 
| -0.024 | -0.001 | 0.029 | 657.717 | 0.000 | -0.000 | 
| -0.025 | -0.001 | 0.030 | -0.000 | 218.844 | -0.000 | 
| 0.000 | -0.000 | -0.000 | -0.000 | -0.000 | 295.045 | 
| 528.724 | 48.763 | -35.349 | 0.000 | 0.000 | 0.000 | 
| 88.855 | 1170.947 | 48.830 | 0.000 | -0.000 | 0.000 | 
| -33.797 | 31.301 | 1376.951 | -0.000 | -0.000 | 0.000 | 
| 0.024 | 0.001 | -0.029 | 657.717 | -0.000 | 0.000 | 
| 0.025 | 0.001 | -0.030 | 0.000 | 218.844 | 0.000 | 
| -0.000 | 0.000 | 0.000 | 0.000 | 0.000 | 295.045 | 
| 509.637 | 68.564 | -30.660 | 0.000 | 0.000 | -0.000 | 
| 88.835 | 1170.940 | 48.863 | -0.000 | 0.000 | -0.000 | 
| -29.112 | 30.139 | 1372.567 | 0.000 | 0.000 | -0.000 | 
| 0.000 | 0.000 | 0.001 | 669.645 | 0.000 | -0.000 | 
| -0.003 | 0.000 | 0.003 | -0.000 | 218.844 | -0.000 | 
| -0.001 | -0.003 | 0.003 | -0.000 | 0.000 | 65.086 | 
| 509.639 | 68.565 | -30.666 | 0.000 | -0.000 | 0.000 | 
| 89.506 | 1171.188 | 47.863 | 0.000 | -0.000 | 0.000 | 
| -29.109 | 30.139 | 1372.552 | 0.000 | -0.000 | 0.000 | 
| -0.000 | -0.000 | -0.001 | 669.645 | -0.000 | 0.000 | 
| 0.003 | -0.000 | -0.003 | 0.000 | 218.844 | 0.000 | 
| 0.001 | 0.003 | -0.003 | 0.000 | -0.000 | 65.086 | 
| 903.360 | 131.366 | 42.656 | -0.000 | -0.000 | -0.000 | 
| 131.366 | 903.360 | 42.656 | 0.000 | -0.000 | -0.000 | 
| 32.417 | 32.417 | 1314.654 | -0.000 | -0.000 | 0.000 | 
| 0.000 | 0.000 | -0.000 | 499.514 | -0.000 | -0.000 | 
| 0.000 | 0.000 | -0.000 | -0.000 | 499.514 | -0.000 | 
| 0.000 | -0.000 | -0.000 | 0.000 | 0.000 | 138.222 | 
| 901.870 | 136.566 | 37.510 | -0.000 | -0.000 | 0.000 | 
| 136.566 | 901.870 | 37.510 | -0.000 | -0.000 | 0.000 | 
| 32.417 | 32.417 | 1314.654 | 0.000 | -0.000 | -0.000 | 
| -0.000 | 0.000 | 0.000 | 499.514 | 0.000 | 0.000 | 
| -0.000 | -0.000 | 0.000 | 0.000 | 499.514 | 0.000 | 
| 0.000 | 0.000 | 0.000 | -0.000 | -0.000 | 138.222 | 
| 903.360 | 131.366 | 42.657 | 0.000 | -0.000 | -0.000 | 
| 131.366 | 903.360 | 42.657 | 0.000 | -0.000 | -0.000 | 
| 25.363 | 25.363 | 1334.224 | 0.000 | 0.000 | -0.000 | 
| 0.000 | -0.000 | 0.000 | 475.507 | 0.000 | -0.000 | 
| -0.000 | 0.000 | 0.000 | 0.000 | 475.507 | -0.000 | 
| -0.000 | -0.000 | 0.000 | 0.000 | -0.000 | 261.875 | 
| 986.466 | 57.055 | 30.456 | -0.000 | -0.000 | 0.000 | 
| 57.055 | 986.466 | 30.456 | -0.000 | 0.000 | 0.000 | 
| 32.417 | 32.417 | 1314.653 | -0.000 | -0.000 | -0.000 | 
| -0.000 | 0.000 | -0.000 | 475.507 | -0.000 | 0.000 | 
| 0.000 | -0.000 | -0.000 | -0.000 | 475.507 | 0.000 | 
| 0.000 | 0.000 | -0.000 | -0.000 | -0.000 | 261.875 | 
| 903.360 | 131.369 | 42.658 | 0.000 | 0.000 | -0.000 | 
| 131.369 | 903.360 | 42.658 | 0.000 | 0.000 | -0.000 | 
| 32.416 | 32.416 | 1314.662 | 0.000 | 0.000 | -0.000 | 
| 0.000 | -0.000 | 0.001 | 499.514 | -0.000 | -0.000 | 
| -0.000 | 0.000 | 0.001 | 0.000 | 499.514 | -0.000 | 
| -0.000 | -0.000 | 0.000 | 0.000 | 0.000 | 138.222 | 
| 901.843 | 136.588 | 37.513 | -0.000 | -0.000 | 0.000 | 
| 136.588 | 901.843 | 37.513 | -0.000 | -0.000 | 0.000 | 
| 32.417 | 32.417 | 1314.650 | 0.000 | 0.000 | 0.000 | 
| -0.000 | 0.000 | -0.001 | 499.514 | 0.000 | 0.000 | 
| 0.000 | -0.000 | -0.001 | -0.000 | 499.514 | 0.000 | 
| 0.000 | 0.000 | -0.000 | -0.000 | -0.000 | 138.222 | 
| 185.259 | -1.543 | 0.000 | 0.000 | 0.000 | 0.000 | 
| -1.635 | 185.351 | 0.000 | 0.000 | 0.000 | 0.000 | 
| 0.000 | 0.000 | 0.000 | 0.000 | 0.000 | 0.000 | 
| -0.000 | 0.000 | 0.000 | 0.000 | 0.000 | 0.000 | 
| -0.000 | 0.000 | 0.000 | 0.000 | 0.000 | 0.000 | 
| 0.000 | 0.000 | 0.000 | 0.000 | 0.000 | 93.401 | 
| 185.351 | -1.635 | -0.000 | -0.000 | -0.000 | -0.000 | 
| -1.543 | 185.259 | -0.000 | -0.000 | -0.000 | -0.000 | 
| -0.000 | -0.000 | -0.000 | -0.000 | -0.000 | -0.000 | 
| 0.000 | -0.000 | -0.000 | -0.000 | -0.000 | -0.000 | 
| 0.000 | -0.000 | -0.000 | -0.000 | -0.000 | -0.000 | 
| -0.000 | -0.000 | -0.000 | -0.000 | -0.000 | 93.401 | 
| 185.351 | -1.635 | 0.000 | 0.000 | 0.000 | 0.000 | 
| -1.543 | 185.259 | 0.000 | 0.000 | 0.000 | 0.000 | 
| 0.000 | 0.000 | 0.000 | 0.000 | 0.000 | 0.000 | 
| -0.000 | 0.000 | 0.000 | 0.000 | 0.000 | 0.000 | 
| -0.000 | 0.000 | 0.000 | 0.000 | 0.000 | 0.000 | 
| 0.000 | 0.000 | 0.000 | 0.000 | 0.000 | 93.401 | 
| 185.351 | -1.635 | -0.000 | -0.000 | -0.000 | -0.000 | 
| -1.543 | 185.259 | -0.000 | -0.000 | -0.000 | -0.000 | 
| -0.000 | -0.000 | -0.000 | -0.000 | -0.000 | -0.000 | 
| 0.000 | -0.000 | -0.000 | -0.000 | -0.000 | -0.000 | 
| 0.000 | -0.000 | -0.000 | -0.000 | -0.000 | -0.000 | 
| -0.000 | -0.000 | -0.000 | -0.000 | -0.000 | 93.401 | 
| 185.260 | -1.543 | 0.000 | 0.000 | 0.000 | 0.000 | 
| -1.543 | 185.260 | 0.000 | 0.000 | 0.000 | 0.000 | 
| 0.000 | 0.000 | 0.000 | 0.000 | 0.000 | 0.000 | 
| -0.000 | 0.000 | 0.000 | 0.000 | 0.000 | 0.000 | 
| -0.000 | 0.000 | 0.000 | 0.000 | 0.000 | 0.000 | 
| 0.000 | 0.000 | 0.000 | 0.000 | 0.000 | 93.493 | 
| 185.258 | -1.543 | -0.000 | -0.000 | -0.000 | -0.000 | 
| -1.543 | 185.258 | -0.000 | -0.000 | -0.000 | -0.000 | 
| -0.000 | -0.000 | -0.000 | -0.000 | -0.000 | -0.000 | 
| 0.000 | -0.000 | -0.000 | -0.000 | -0.000 | -0.000 | 
| 0.000 | -0.000 | -0.000 | -0.000 | -0.000 | -0.000 | 
| -0.000 | -0.000 | -0.000 | -0.000 | -0.000 | 93.493 | 
| 585.858 | 223.247 | 0.000 | 0.000 | 0.000 | 0.000 | 
| 223.247 | 585.858 | 0.000 | 0.000 | 0.000 | 0.000 | 
| -0.000 | 0.000 | 0.000 | 0.000 | 0.000 | 0.000 | 
| -0.000 | 0.000 | 0.000 | 0.000 | 0.000 | 0.000 | 
| 0.000 | 0.000 | 0.000 | 0.000 | 0.000 | 0.000 | 
| 0.000 | 0.000 | 0.000 | 0.000 | 0.000 | 404.552 | 
| 585.858 | 223.247 | -0.000 | -0.000 | -0.000 | -0.000 | 
| 223.247 | 585.858 | -0.000 | -0.000 | -0.000 | -0.000 | 
| 0.000 | -0.000 | -0.000 | -0.000 | -0.000 | -0.000 | 
| 0.000 | -0.000 | -0.000 | -0.000 | -0.000 | -0.000 | 
| -0.000 | -0.000 | -0.000 | -0.000 | -0.000 | -0.000 | 
| 0.000 | -0.000 | -0.000 | -0.000 | -0.000 | 404.552 | 
| 585.858 | 223.247 | 0.000 | 0.000 | 0.000 | 0.000 | 
| 223.247 | 585.858 | 0.000 | 0.000 | 0.000 | 0.000 | 
| -0.000 | 0.000 | 0.000 | 0.000 | 0.000 | 0.000 | 
| -0.000 | 0.000 | 0.000 | 0.000 | 0.000 | 0.000 | 
| 0.000 | 0.000 | 0.000 | 0.000 | 0.000 | 0.000 | 
| 0.000 | 0.000 | 0.000 | 0.000 | 0.000 | 404.552 | 
| 585.858 | 223.247 | -0.000 | -0.000 | -0.000 | 0.000 | 
| 223.247 | 585.858 | -0.000 | -0.000 | -0.000 | 0.000 | 
| 0.000 | -0.000 | -0.000 | -0.000 | -0.000 | -0.000 | 
| 0.000 | -0.000 | -0.000 | -0.000 | -0.000 | -0.000 | 
| -0.000 | -0.000 | -0.000 | -0.000 | -0.000 | -0.000 | 
| -0.000 | -0.000 | -0.000 | -0.000 | -0.000 | 404.552 | 
| 585.859 | 223.248 | 0.000 | 0.000 | 0.000 | 0.000 | 
| 223.248 | 585.859 | 0.000 | 0.000 | 0.000 | 0.000 | 
| -0.000 | 0.000 | 0.000 | 0.000 | 0.000 | 0.000 | 
| -0.000 | 0.000 | 0.000 | 0.000 | 0.000 | 0.000 | 
| 0.000 | 0.000 | 0.000 | 0.000 | 0.000 | 0.000 | 
| 0.000 | 0.001 | 0.000 | 0.000 | 0.000 | 404.552 | 
| 585.856 | 223.246 | -0.000 | -0.000 | -0.000 | -0.000 | 
| 223.246 | 585.856 | -0.000 | -0.000 | -0.000 | -0.000 | 
| 0.000 | -0.000 | -0.000 | -0.000 | -0.000 | -0.000 | 
| 0.000 | -0.000 | -0.000 | -0.000 | -0.000 | -0.000 | 
| 0.000 | -0.000 | -0.000 | -0.000 | -0.000 | -0.000 | 
| -0.000 | -0.001 | -0.000 | -0.000 | -0.000 | 404.552 | 
| 1301.692 | 75.234 | -98.923 | 0.001 | 0.000 | 0.000 | 
| 318.040 | 1055.306 | -45.413 | 0.000 | 0.000 | 0.000 | 
| 263.866 | 68.923 | 1165.197 | -0.001 | 0.000 | 0.000 | 
| 214.610 | 37.449 | -180.333 | 501.976 | 0.000 | 0.000 | 
| 252.939 | -4.145 | -119.302 | -0.001 | 498.602 | 0.000 | 
| -0.000 | -0.000 | 0.000 | -0.000 | 0.000 | 376.282 | 
| 1128.560 | 27.084 | 10.119 | 0.001 | -0.000 | -0.000 | 
| 23.683 | 1104.485 | 61.885 | -0.000 | -0.000 | -0.000 | 
| 2.803 | 57.970 | 1313.247 | 0.000 | 0.000 | -0.000 | 
| -214.610 | -37.450 | 180.333 | 501.977 | 0.000 | -0.000 | 
| -252.939 | 4.145 | 119.302 | 0.000 | 498.602 | -0.000 | 
| 0.000 | 0.000 | -0.000 | 0.000 | -0.000 | 376.282 | 
| 1128.560 | 27.083 | 10.119 | -0.000 | 0.000 | 0.000 | 
| 95.827 | 1048.773 | 59.786 | -0.000 | 0.000 | 0.000 | 
| 2.803 | 57.970 | 1313.247 | -0.000 | 0.000 | 0.000 | 
| 0.000 | 0.000 | 0.000 | 551.742 | 0.000 | 0.000 | 
| 17.399 | 3.036 | -14.620 | -0.000 | 495.504 | 0.000 | 
| 36.473 | -4.785 | -16.164 | -0.000 | 0.000 | 239.298 | 
| 1035.272 | 71.768 | 44.313 | 0.000 | -0.000 | -0.000 | 
| 48.758 | 1050.781 | 86.777 | 0.000 | 0.000 | -0.000 | 
| 2.442 | 67.499 | 1291.117 | -0.000 | -0.000 | -0.000 | 
| -0.000 | 0.000 | -0.000 | 551.742 | -0.000 | -0.000 | 
| -17.399 | -3.036 | 14.620 | 0.000 | 495.504 | -0.000 | 
| -36.473 | 4.785 | 16.164 | 0.000 | -0.000 | 239.298 | 
| 1054.668 | 79.693 | 16.650 | -0.000 | -0.000 | 0.000 | 
| 72.186 | 1051.446 | 73.829 | 0.000 | 0.000 | 0.000 | 
| 17.121 | 67.984 | 1283.646 | -0.000 | 0.000 | 0.000 | 
| 1.580 | 0.276 | -1.328 | 515.102 | 0.000 | 0.000 | 
| -0.000 | 0.000 | 0.000 | 0.000 | 512.427 | 0.000 | 
| 2.141 | 0.374 | -1.799 | -0.000 | 0.000 | 307.796 | 
| 1049.015 | 80.340 | 18.932 | 0.000 | -0.000 | -0.000 | 
| 67.866 | 1051.593 | 76.680 | 0.000 | 0.000 | -0.000 | 
| 10.868 | 70.932 | 1285.780 | -0.000 | -0.000 | -0.000 | 
| -1.580 | -0.276 | 1.328 | 515.102 | -0.000 | -0.000 | 
| 0.000 | -0.000 | -0.000 | -0.000 | 512.427 | -0.000 | 
| -2.141 | -0.374 | 1.799 | 0.000 | -0.000 | 307.796 | 
| 1063.669 | -492.013 | 521.780 | -0.000 | 578.210 | -0.000 | 
| 101.438 | 550.705 | 528.119 | -0.000 | 637.411 | 0.000 | 
| 180.262 | -470.127 | 1470.256 | 0.000 | 727.933 | -0.000 | 
| -0.000 | -0.000 | -0.000 | 541.070 | 0.000 | -61.025 | 
| 94.514 | -606.961 | 495.841 | -0.000 | 1025.914 | -0.000 | 
| 65.826 | -553.433 | 448.333 | -29.552 | 685.849 | 380.935 | 
| 986.846 | 13.648 | 95.611 | -0.000 | 77.731 | 0.000 | 
| 19.808 | 1152.625 | 63.315 | -0.000 | -84.360 | 0.000 | 
| 47.895 | 637.393 | 574.067 | -0.000 | -644.707 | 0.000 | 
| 0.000 | 0.000 | 0.000 | 541.070 | -0.001 | -61.025 | 
| -114.384 | 493.029 | -370.498 | -0.000 | -187.753 | 0.000 | 
| -65.826 | 553.433 | -448.333 | -29.552 | -685.849 | 380.936 | 
| 940.567 | -10.504 | 154.590 | -0.000 | 107.891 | 0.000 | 
| 19.808 | 1152.626 | 63.315 | 0.000 | -84.359 | -0.000 | 
| 124.882 | 29.390 | 1059.221 | -0.000 | 109.741 | -0.000 | 
| 0.000 | 0.000 | 0.000 | 541.070 | -0.000 | -61.025 | 
| 31.622 | -95.383 | 86.018 | -0.000 | 379.590 | -0.000 | 
| 12.601 | -53.030 | 40.876 | -31.058 | 51.893 | 381.918 | 
| 934.141 | 95.594 | 67.963 | -0.000 | -18.711 | 0.000 | 
| 19.808 | 1152.625 | 63.315 | -0.000 | -84.359 | 0.000 | 
| 105.640 | 141.361 | 977.883 | -0.000 | -30.254 | 0.000 | 
| 0.000 | -0.000 | -0.000 | 541.070 | 0.000 | -61.025 | 
| 22.601 | 6.390 | -3.373 | 0.000 | 272.088 | 0.000 | 
| -12.601 | 53.030 | -40.876 | -31.058 | -51.893 | 381.918 | 
| 936.204 | 33.254 | 123.294 | -0.000 | 59.183 | -0.000 | 
| 36.227 | 1095.475 | 87.751 | 0.000 | -36.697 | -0.000 | 
| 113.213 | 84.992 | 1022.179 | -0.000 | 39.784 | -0.000 | 
| 0.611 | -5.132 | 4.158 | 504.319 | 6.360 | -26.862 | 
| 25.434 | -48.369 | 44.625 | -0.000 | 337.537 | -0.000 | 
| 1.112 | -4.944 | 3.740 | -30.818 | 4.993 | 381.538 | 
| 924.694 | 47.117 | 110.893 | -0.000 | 53.396 | 0.000 | 
| 41.043 | 1102.997 | 76.788 | -0.000 | -55.091 | -0.000 | 
| 111.979 | 92.888 | 1011.465 | 0.000 | 35.536 | 0.000 | 
| -0.611 | 5.132 | -4.158 | 504.319 | -6.360 | -26.862 | 
| 24.175 | -38.167 | 35.893 | -0.000 | 327.175 | 0.000 | 
| -1.112 | 4.944 | -3.740 | -30.818 | -4.993 | 381.538 | 
| 492.474 | 77.854 | -15.057 | 0.000 | -0.000 | -0.000 | 
| 77.854 | 492.474 | -15.057 | 0.000 | -0.000 | 0.000 | 
| -14.742 | -14.742 | 180.057 | 0.000 | -0.000 | 0.000 | 
| 45.747 | 45.747 | -37.598 | 37.346 | 0.000 | 0.000 | 
| 45.747 | 45.747 | -37.598 | 0.000 | 37.346 | 0.000 | 
| 0.000 | 0.000 | 0.000 | 0.000 | -0.000 | 102.767 | 
| 334.629 | -71.764 | 55.830 | -0.000 | -0.000 | -0.000 | 
| -71.764 | 334.629 | 55.830 | -0.000 | 0.000 | -0.000 | 
| -14.742 | -14.742 | 180.057 | 0.000 | 0.000 | 0.000 | 
| -45.747 | -45.747 | 37.598 | 37.346 | 0.000 | -0.000 | 
| -45.747 | -45.747 | 37.598 | -0.000 | 37.346 | -0.000 | 
| -0.000 | -0.000 | -0.000 | 0.000 | 0.000 | 102.767 | 
| 399.173 | -15.946 | 5.641 | 0.000 | -0.000 | 0.000 | 
| -15.946 | 399.173 | 5.641 | 0.000 | -0.000 | 0.000 | 
| -14.742 | -14.742 | 180.057 | 0.000 | -0.000 | 0.000 | 
| 2.069 | 2.069 | -1.700 | 59.683 | -0.000 | 0.000 | 
| 2.069 | 2.069 | -1.700 | -0.000 | 59.683 | 0.000 | 
| -246192561.710 | -246633909.402 | -7186802.490 | 140365.099 | -137258.203 | -20273483.079 | 
| 374.474 | -40.688 | 10.627 | -0.000 | 0.000 | -0.000 | 
| -40.688 | 374.474 | 10.627 | 0.000 | -0.000 | 0.000 | 
| -14.742 | -14.742 | 180.057 | -0.000 | 0.000 | 0.000 | 
| -2.069 | -2.069 | 1.700 | 59.683 | 0.000 | -0.000 | 
| -2.069 | -2.069 | 1.700 | 0.000 | 59.683 | -0.000 | 
| 243965608.288 | 243950820.391 | 7033229.198 | -219845.978 | 620382.029 | -22216641.546 | 
| 389.340 | -24.980 | 9.131 | 0.000 | 0.000 | -0.000 | 
| -24.980 | 389.340 | 9.131 | 0.000 | 0.000 | 0.000 | 
| -13.038 | -13.038 | 172.979 | 0.000 | -0.000 | 0.000 | 
| -25610580.993 | -25772709.751 | -1497102.993 | -186822.178 | 25051.880 | -28731.631 | 
| -25782259.833 | -25640775.189 | -1463941.251 | 30982.396 | -260664.264 | 14902.052 | 
| -24682584.836 | -24755818.387 | -750480.575 | -4283.655 | -29683.219 | -1871827.891 | 
| 383.820 | -31.313 | 8.563 | -0.000 | 0.000 | -0.000 | 
| -31.313 | 383.820 | 8.563 | 0.000 | -0.000 | -0.000 | 
| -13.389 | -13.389 | 173.348 | -0.000 | -0.000 | -0.000 | 
| 25644267.554 | 25833708.153 | 1486306.714 | -132241.347 | -16081.108 | 23297.953 | 
| 25803229.758 | 25661872.706 | 1440754.186 | 2790.637 | -198124.702 | 11138.279 | 
| 24599368.769 | 24611088.223 | 756145.598 | -45876.466 | 3782.174 | -1942754.156 | 
| 379.451 | 144.593 | 0.000 | 0.000 | 0.000 | -0.000 | 
| 144.593 | 379.451 | 0.000 | 0.000 | 0.000 | 0.000 | 
| 0.000 | 0.000 | 0.000 | 0.000 | 0.000 | 0.000 | 
| 0.000 | -0.000 | 0.000 | 0.000 | 0.000 | 0.000 | 
| 0.000 | 0.000 | 0.000 | 0.000 | 0.000 | 0.000 | 
| 0.000 | 0.000 | 0.000 | 0.000 | 0.000 | 262.022 | 
| 379.451 | 144.593 | -0.000 | -0.000 | -0.000 | -0.000 | 
| 144.593 | 379.451 | -0.000 | -0.000 | -0.000 | -0.000 | 
| -0.000 | -0.000 | -0.000 | -0.000 | -0.000 | -0.000 | 
| -0.000 | -0.000 | -0.000 | -0.000 | -0.000 | -0.000 | 
| -0.000 | -0.000 | -0.000 | -0.000 | -0.000 | -0.000 | 
| -0.000 | -0.000 | -0.000 | -0.000 | -0.000 | 262.022 | 
| 379.451 | 144.593 | 0.000 | 0.000 | 0.000 | 0.000 | 
| 144.593 | 379.451 | 0.000 | 0.000 | 0.000 | 0.000 | 
| 0.000 | 0.000 | 0.000 | 0.000 | 0.000 | 0.000 | 
| 0.000 | -0.000 | 0.000 | 0.000 | 0.000 | 0.000 | 
| 0.000 | 0.000 | 0.000 | 0.000 | 0.000 | 0.000 | 
| 0.000 | 0.000 | 0.000 | 0.000 | 0.000 | 262.022 | 
| 379.450 | 144.593 | -0.000 | -0.000 | -0.000 | -0.000 | 
| 144.593 | 379.450 | -0.000 | -0.000 | -0.000 | -0.000 | 
| -0.000 | -0.000 | -0.000 | -0.000 | -0.000 | -0.000 | 
| -0.000 | 0.000 | -0.000 | -0.000 | -0.000 | -0.000 | 
| -0.000 | -0.000 | -0.000 | -0.000 | -0.000 | -0.000 | 
| -0.000 | -0.000 | -0.000 | -0.000 | -0.000 | 262.022 | 
| 379.451 | 144.594 | 0.000 | 0.000 | 0.000 | 0.000 | 
| 144.594 | 379.451 | 0.000 | 0.000 | 0.000 | 0.000 | 
| 0.000 | 0.000 | 0.000 | 0.000 | 0.000 | 0.000 | 
| 0.000 | 0.000 | 0.000 | 0.000 | 0.000 | 0.000 | 
| 0.000 | 0.000 | 0.000 | 0.000 | 0.000 | 0.000 | 
| 0.000 | 0.001 | 0.000 | 0.000 | 0.000 | 262.022 | 
| 379.450 | 144.593 | -0.000 | -0.000 | -0.000 | -0.000 | 
| 144.593 | 379.450 | -0.000 | -0.000 | -0.000 | -0.000 | 
| -0.000 | -0.000 | -0.000 | -0.000 | -0.000 | -0.000 | 
| -0.000 | -0.000 | -0.000 | -0.000 | -0.000 | -0.000 | 
| -0.000 | -0.000 | -0.000 | -0.000 | -0.000 | -0.000 | 
| -0.000 | -0.001 | -0.000 | -0.000 | -0.000 | 262.022 | 
| 446.891 | 58.549 | 56.033 | 0.000 | -0.000 | -0.000 | 
| 58.549 | 447.444 | 56.037 | 0.000 | 0.000 | -0.000 | 
| 46.607 | 47.447 | 207.644 | 0.000 | 0.000 | -0.000 | 
| -0.001 | -0.003 | 0.003 | 140.574 | -0.000 | -0.000 | 
| 0.000 | -0.000 | 0.000 | 0.000 | 217.373 | -0.000 | 
| -0.000 | 0.000 | -0.000 | 0.000 | 0.000 | 194.959 | 
| 96.839 | 46.123 | 33.908 | 0.000 | -0.000 | 0.000 | 
| 80.773 | 252.722 | 79.598 | 0.000 | -0.000 | 0.000 | 
| 76.208 | 77.075 | 322.862 | -0.000 | -0.000 | -0.000 | 
| 0.001 | 0.003 | -0.003 | 140.574 | -0.000 | 0.000 | 
| -0.000 | 0.000 | -0.000 | -0.000 | 217.372 | 0.000 | 
| -0.000 | -0.000 | -0.000 | -0.000 | -0.000 | 194.959 | 
| 156.148 | 78.341 | 67.579 | 0.000 | 0.000 | -0.000 | 
| 58.549 | 447.444 | 56.037 | -0.000 | 0.000 | -0.000 | 
| 76.207 | 77.071 | 322.870 | 0.000 | 0.000 | 0.000 | 
| 0.000 | 0.000 | 0.000 | 218.216 | 0.000 | -0.000 | 
| -0.000 | -0.000 | 0.000 | 0.000 | 138.100 | -0.000 | 
| -0.000 | -0.000 | 0.000 | 0.000 | 0.000 | 111.999 | 
| 96.805 | 46.117 | 33.913 | -0.000 | -0.000 | 0.000 | 
| 58.549 | 447.444 | 56.037 | -0.000 | -0.000 | 0.000 | 
| 56.033 | 56.037 | 504.856 | 0.000 | -0.000 | 0.000 | 
| -0.000 | -0.000 | -0.000 | 218.216 | 0.000 | 0.000 | 
| 0.000 | 0.000 | -0.000 | -0.000 | 138.100 | 0.000 | 
| 0.000 | 0.000 | -0.000 | -0.000 | -0.000 | 111.999 | 
| 251.437 | 80.960 | 78.826 | 0.000 | 0.000 | -0.000 | 
| 45.385 | 97.837 | 34.312 | 0.000 | 0.000 | -0.000 | 
| 46.612 | 47.454 | 207.626 | 0.000 | 0.000 | -0.000 | 
| 0.000 | -0.000 | -0.000 | 82.168 | 0.000 | -0.000 | 
| -0.000 | 0.000 | -0.000 | 0.000 | 138.100 | -0.000 | 
| -0.000 | -0.000 | 0.000 | 0.000 | 0.000 | 111.999 | 
| 251.297 | 80.976 | 78.841 | -0.000 | -0.000 | 0.000 | 
| 80.770 | 252.730 | 79.600 | -0.000 | -0.000 | 0.000 | 
| 23.989 | 24.575 | 194.374 | -0.000 | -0.000 | 0.000 | 
| -0.000 | 0.000 | 0.000 | 82.168 | -0.000 | 0.000 | 
| 0.000 | -0.000 | 0.000 | -0.000 | 138.100 | 0.000 | 
| 0.000 | 0.000 | -0.000 | -0.000 | -0.000 | 111.999 | 
| 393.061 | 54.611 | 41.378 | -0.000 | 0.000 | 0.000 | 
| 82.117 | 539.031 | -373.435 | -0.000 | 0.000 | 0.000 | 
| -408.024 | 55.306 | -314.223 | -0.000 | 0.000 | -0.000 | 
| -457.968 | 4.693 | -608.673 | 123.393 | 0.000 | -0.000 | 
| 0.000 | 0.000 | -0.000 | 0.000 | 197.831 | 0.000 | 
| 19.887 | 206.018 | -418.132 | 0.000 | 0.000 | 133.868 | 
| 313.302 | -142.950 | 461.770 | -0.000 | -0.000 | -0.000 | 
| 597.188 | 342.028 | 860.110 | 0.000 | -0.000 | -0.000 | 
| 31.017 | -154.765 | 805.524 | 0.000 | -0.000 | 0.000 | 
| 457.968 | -4.693 | 608.673 | 123.394 | 0.000 | 0.000 | 
| -0.000 | -0.000 | 0.000 | 0.000 | 197.830 | -0.000 | 
| -19.887 | -206.017 | 418.132 | 0.000 | -0.000 | 133.868 | 
| 393.061 | 54.611 | 41.377 | -0.000 | 0.000 | -0.000 | 
| -85.217 | -124.258 | -114.985 | -0.000 | 0.000 | 0.000 | 
| 53.031 | 72.529 | 343.291 | -0.000 | 0.000 | 0.000 | 
| -67.273 | -66.901 | -91.356 | 71.340 | 0.000 | 0.000 | 
| -46.538 | 0.282 | -61.432 | 0.000 | 120.851 | 0.000 | 
| -46.485 | 0.294 | -61.388 | -0.000 | 0.000 | 84.138 | 
| 331.961 | 41.773 | 86.594 | 0.000 | -0.000 | -0.000 | 
| 114.304 | 238.239 | 105.568 | 0.000 | -0.000 | -0.000 | 
| 97.351 | 61.412 | 318.150 | 0.000 | -0.000 | 0.000 | 
| 67.273 | 66.901 | 91.356 | 71.340 | -0.000 | -0.000 | 
| 46.538 | -0.282 | 61.432 | 0.000 | 120.851 | -0.000 | 
| 46.485 | -0.294 | 61.388 | -0.000 | -0.000 | 84.138 | 
| 15.948 | -64.674 | -30.225 | -0.000 | 0.000 | 0.000 | 
| 35.376 | 55.966 | 8.405 | -0.000 | 0.000 | 0.000 | 
| 0.344 | -5.065 | 152.720 | -0.000 | 0.000 | 0.000 | 
| -6.284 | -3.029 | -9.249 | 81.845 | 0.000 | 0.000 | 
| -6.316 | -3.006 | -9.181 | -0.000 | 79.732 | 0.000 | 
| -5.836 | -2.503 | -8.817 | -0.000 | 0.000 | 49.047 | 
| 154.485 | 79.157 | 54.558 | 0.000 | -0.000 | 0.000 | 
| -29.190 | 50.655 | -9.647 | 0.000 | -0.000 | -0.000 | 
| 36.984 | 37.700 | 184.972 | 0.000 | -0.000 | -0.000 | 
| 6.284 | 3.029 | 9.249 | 81.845 | -0.000 | -0.000 | 
| 6.316 | 3.006 | 9.181 | -0.000 | 79.732 | -0.000 | 
| 5.836 | 2.503 | 8.817 | 0.000 | -0.000 | 49.047 | 
| 683.637 | 0.000 | 0.000 | 0.000 | 0.000 | 0.000 | 
| -0.000 | 0.000 | 0.000 | 0.000 | 0.000 | 0.000 | 
| -0.000 | 0.000 | 0.000 | 0.000 | 0.000 | 0.000 | 
| 0.000 | 0.000 | 0.000 | 0.000 | 0.000 | 0.000 | 
| 0.000 | 0.000 | 0.000 | 0.000 | 0.000 | 0.000 | 
| -0.000 | 0.000 | 0.000 | 0.000 | 0.000 | 0.000 | 
| 683.637 | 0.000 | 0.000 | 0.000 | 0.000 | 0.000 | 
| 0.000 | 0.000 | 0.000 | 0.000 | 0.000 | 0.000 | 
| 0.000 | 0.000 | 0.000 | 0.000 | 0.000 | 0.000 | 
| 0.000 | 0.000 | 0.000 | 0.000 | 0.000 | 0.000 | 
| -0.000 | 0.000 | 0.000 | 0.000 | 0.000 | 0.000 | 
| -0.000 | 0.000 | 0.000 | 0.000 | 0.000 | 0.000 | 
| 683.637 | -0.000 | -0.000 | -0.000 | -0.000 | -0.000 | 
| -0.000 | -0.000 | -0.000 | -0.000 | -0.000 | -0.000 | 
| -0.000 | -0.000 | -0.000 | -0.000 | -0.000 | -0.000 | 
| -0.000 | -0.000 | -0.000 | -0.000 | -0.000 | -0.000 | 
| 0.000 | -0.000 | -0.000 | -0.000 | -0.000 | -0.000 | 
| -0.000 | -0.000 | -0.000 | -0.000 | -0.000 | -0.000 | 
| 683.637 | -0.000 | -0.000 | -0.000 | -0.000 | -0.000 | 
| -0.000 | -0.000 | -0.000 | -0.000 | -0.000 | -0.000 | 
| -0.000 | -0.000 | -0.000 | -0.000 | -0.000 | -0.000 | 
| -0.000 | -0.000 | -0.000 | -0.000 | -0.000 | -0.000 | 
| -0.000 | -0.000 | -0.000 | -0.000 | -0.000 | -0.000 | 
| -0.000 | -0.000 | -0.000 | -0.000 | -0.000 | -0.000 | 
| 683.637 | 0.000 | 0.000 | 0.000 | 0.000 | 0.000 | 
| -0.000 | 0.000 | 0.000 | 0.000 | 0.000 | 0.000 | 
| -0.000 | 0.000 | 0.000 | 0.000 | 0.000 | 0.000 | 
| 0.000 | 0.000 | 0.000 | 0.000 | 0.000 | 0.000 | 
| -0.000 | 0.000 | 0.000 | 0.000 | 0.000 | 0.000 | 
| 0.000 | 0.000 | 0.000 | 0.000 | 0.000 | 0.000 | 
| 683.637 | 0.000 | 0.000 | 0.000 | 0.000 | 0.000 | 
| 0.000 | 0.000 | 0.000 | 0.000 | 0.000 | 0.000 | 
| -0.000 | 0.000 | 0.000 | 0.000 | 0.000 | 0.000 | 
| 0.000 | 0.000 | 0.000 | 0.000 | 0.000 | 0.000 | 
| -0.000 | 0.000 | 0.000 | 0.000 | 0.000 | 0.000 | 
| -0.000 | 0.000 | 0.000 | 0.000 | 0.000 | 0.000 | 
| 683.637 | -0.000 | -0.000 | -0.000 | -0.000 | -0.000 | 
| 0.000 | -0.000 | -0.000 | -0.000 | -0.000 | -0.000 | 
| 0.000 | -0.000 | -0.000 | -0.000 | -0.000 | -0.000 | 
| -0.000 | -0.000 | -0.000 | -0.000 | -0.000 | -0.000 | 
| -0.000 | -0.000 | -0.000 | -0.000 | -0.000 | -0.000 | 
| 0.000 | -0.000 | -0.000 | -0.000 | -0.000 | -0.000 | 
| 683.637 | -0.000 | -0.000 | -0.000 | -0.000 | -0.000 | 
| -0.000 | -0.000 | -0.000 | -0.000 | -0.000 | -0.000 | 
| 0.000 | -0.000 | -0.000 | -0.000 | -0.000 | -0.000 | 
| -0.000 | -0.000 | -0.000 | -0.000 | -0.000 | -0.000 | 
| 0.000 | -0.000 | -0.000 | -0.000 | -0.000 | -0.000 | 
| 0.000 | -0.000 | -0.000 | -0.000 | -0.000 | -0.000 | 
| 683.640 | 0.000 | 0.000 | 0.000 | 0.000 | 0.000 | 
| 0.000 | 0.000 | 0.000 | 0.000 | 0.000 | 0.000 | 
| -0.000 | 0.000 | 0.000 | 0.000 | 0.000 | 0.000 | 
| 0.000 | 0.000 | 0.000 | 0.000 | 0.000 | 0.000 | 
| -0.000 | 0.000 | 0.000 | 0.000 | 0.000 | 0.000 | 
| 0.000 | 0.000 | 0.000 | 0.000 | 0.000 | 0.000 | 
| 683.640 | 0.000 | 0.000 | 0.000 | 0.000 | 0.000 | 
| -0.000 | 0.000 | 0.000 | 0.000 | 0.000 | 0.000 | 
| -0.000 | 0.000 | 0.000 | 0.000 | 0.000 | 0.000 | 
| -0.000 | 0.000 | 0.000 | 0.000 | 0.000 | 0.000 | 
| -0.000 | 0.000 | 0.000 | 0.000 | 0.000 | 0.000 | 
| -0.000 | 0.000 | 0.000 | 0.000 | 0.000 | 0.000 | 
| 683.634 | -0.000 | -0.000 | -0.000 | -0.000 | -0.000 | 
| -0.000 | -0.000 | -0.000 | -0.000 | -0.000 | -0.000 | 
| 0.000 | -0.000 | -0.000 | -0.000 | -0.000 | -0.000 | 
| -0.000 | -0.000 | -0.000 | -0.000 | -0.000 | -0.000 | 
| -0.000 | -0.000 | -0.000 | -0.000 | -0.000 | -0.000 | 
| 0.000 | -0.000 | -0.000 | -0.000 | -0.000 | -0.000 | 
| 683.634 | -0.000 | -0.000 | -0.000 | -0.000 | -0.000 | 
| 0.000 | -0.000 | -0.000 | -0.000 | -0.000 | -0.000 | 
| 0.000 | -0.000 | -0.000 | -0.000 | -0.000 | -0.000 | 
| 0.000 | -0.000 | -0.000 | -0.000 | -0.000 | -0.000 | 
| 0.000 | -0.000 | -0.000 | -0.000 | -0.000 | -0.000 | 
| 0.000 | -0.000 | -0.000 | -0.000 | -0.000 | -0.000 | 
| 1004.544 | 1.864 | 104.847 | 0.000 | -0.000 | 0.000 | 
| 219.451 | 1010.750 | 127.747 | 0.000 | -0.000 | -0.000 | 
| 450.028 | -44.410 | 1102.736 | 0.000 | -0.000 | 0.000 | 
| -0.000 | -0.000 | -0.000 | 554.992 | -0.000 | -0.000 | 
| -0.000 | 0.000 | -0.000 | -0.000 | 420.606 | 0.000 | 
| -0.000 | -0.000 | 0.000 | 0.000 | -0.000 | 406.582 | 
| 737.996 | 125.133 | 100.251 | 0.000 | 0.000 | 0.000 | 
| -172.471 | 1186.757 | 65.691 | 0.000 | -0.000 | 0.000 | 
| 104.432 | 87.447 | 1052.344 | -0.000 | 0.000 | -0.000 | 
| -0.000 | -0.000 | 0.000 | 554.992 | 0.000 | -0.000 | 
| 0.000 | -0.000 | 0.000 | -0.000 | 420.606 | 0.000 | 
| 0.000 | 0.000 | 0.000 | -0.000 | 0.000 | 406.582 | 
| 1004.544 | 1.864 | 104.847 | 0.000 | 0.000 | 0.000 | 
| 42.565 | 1095.287 | 98.791 | 0.000 | -0.000 | -0.000 | 
| 158.614 | 87.291 | 1003.140 | -0.000 | -0.000 | 0.000 | 
| 26.101 | -7.160 | 0.891 | 507.957 | 0.000 | -0.000 | 
| -0.000 | 0.000 | 0.000 | 0.000 | 420.606 | 0.000 | 
| 18.430 | -8.388 | 2.939 | -0.000 | 0.000 | 375.767 | 
| 913.573 | 45.371 | 131.243 | 0.000 | 0.000 | 0.000 | 
| 8.514 | 1108.145 | 93.852 | -0.000 | 0.000 | 0.000 | 
| 110.820 | 106.824 | 999.733 | -0.000 | 0.000 | 0.000 | 
| -26.101 | 7.160 | -0.891 | 507.957 | -0.000 | -0.000 | 
| -0.000 | -0.000 | -0.000 | -0.000 | 420.606 | -0.000 | 
| -18.430 | 8.388 | -2.939 | -0.000 | 0.000 | 375.767 | 
| 926.435 | 30.653 | 134.284 | 0.000 | -0.000 | 0.000 | 
| 31.827 | 1098.966 | 93.641 | 0.000 | 0.000 | 0.000 | 
| 137.384 | 94.444 | 998.320 | 0.000 | -0.000 | 0.000 | 
| 4.643 | -2.160 | 1.628 | 509.471 | -0.000 | -0.000 | 
| 2.731 | -1.057 | 0.570 | -0.000 | 344.384 | 0.000 | 
| 2.271 | -0.698 | 0.130 | 0.000 | 0.000 | 376.074 | 
| 921.009 | 32.188 | 134.560 | 0.000 | 0.000 | -0.000 | 
| 26.488 | 1101.234 | 93.433 | 0.000 | 0.000 | -0.000 | 
| 129.266 | 103.830 | 987.813 | -0.000 | 0.000 | -0.000 | 
| -4.643 | 2.160 | -1.628 | 509.471 | -0.000 | -0.000 | 
| -2.731 | 1.057 | -0.570 | -0.000 | 344.384 | -0.000 | 
| -2.271 | 0.698 | -0.130 | -0.000 | 0.000 | 376.074 | 
| 1028119.569 | 1281447.779 | 135567.527 | 442300.258 | -73314.627 | 620653.315 | 
| 995605.416 | 1518951.917 | 398104.469 | 392966.684 | -120857.976 | 558988.768 | 
| 729245.775 | 1045935.022 | 223064.405 | 446252.311 | 74747.480 | 708512.817 | 
| 785701.261 | 1289526.347 | 130953.306 | 584864.412 | -121604.631 | 679324.937 | 
| 920280.128 | 1390881.147 | 278126.499 | 492133.661 | -244126.642 | 780031.730 | 
| 914003.099 | 977667.962 | 150637.785 | 462520.138 | -34764.481 | 846888.131 | 
| -311076.749 | -856713.490 | 340916.318 | -514847.897 | 200004.720 | -726479.923 | 
| -306978.913 | -572871.296 | 251786.053 | -240884.609 | -20930.296 | -892591.355 | 
| -1037524.585 | -1398168.036 | -639553.906 | -514239.066 | 2595.078 | -728465.933 | 
| -692730.597 | -877977.322 | 1432.340 | -455407.860 | 11664.606 | -816604.198 | 
| -572187.656 | -1067112.753 | 78185.083 | -550463.815 | 85186.163 | -687963.014 | 
| -642704.674 | -1038297.735 | -11956.143 | -474957.314 | 171297.622 | -676050.808 | 
| 40163.954 | 79560.614 | -20936.187 | 52110.445 | -25491.981 | 67845.611 | 
| 87614.976 | 125444.226 | 43724.599 | 49510.834 | -445.621 | 72411.075 | 
| 99032.104 | 148950.058 | 43079.010 | 35831.694 | -17590.106 | 62956.407 | 
| 108080.704 | 150741.149 | 51593.117 | 48111.143 | -18288.234 | 72753.751 | 
| 76981.606 | 116338.480 | 7794.446 | 57042.672 | -22518.095 | 70784.957 | 
| 49743.329 | 107826.362 | -16295.051 | 60148.567 | -10724.075 | 67829.513 | 
| -64038.324 | -96679.342 | -8716.158 | -42686.561 | -3688.137 | -70550.415 | 
| -95560.967 | -99047.160 | -16159.135 | -49499.669 | 7323.248 | -87421.300 | 
| -57298.245 | -95068.389 | -10614.924 | -52116.223 | 2614.510 | -79327.267 | 
| -65810.234 | -97444.371 | -15208.668 | -51483.881 | 2905.743 | -80596.812 | 
| -64203.693 | -156280.279 | -5588.489 | -34353.684 | -2612.711 | -77016.555 | 
| -62727.724 | -102919.502 | -13382.975 | -46107.730 | -13598.591 | -64689.691 | 
| 8343.387 | 10739.192 | 1403.202 | 4310.677 | 452.322 | 7969.746 | 
| 5702.629 | 8746.476 | -6.767 | 5237.890 | -1252.009 | 8170.679 | 
| 6419.269 | 9618.875 | 1236.133 | 5123.289 | -332.955 | 7960.847 | 
| 3056.688 | 7063.561 | -4403.511 | 5293.639 | -1490.161 | 7916.620 | 
| 3060.351 | 7181.355 | -3647.263 | 5137.764 | -2733.616 | 8225.945 | 
| 5769.377 | 11040.272 | 616.393 | 5112.555 | -2147.335 | 6939.079 | 
| -10276.109 | -15597.194 | -3900.587 | -7021.473 | 519.991 | -7072.376 | 
| -8378.266 | -10325.157 | -1072.773 | -4203.789 | 236.301 | -7069.537 | 
| -8925.385 | -10013.218 | -750.064 | -4707.873 | 58.933 | -8361.230 | 
| -6372.385 | -10091.896 | 248.630 | -5245.418 | 583.507 | -6641.668 | 
| -7894.146 | -10746.085 | -1172.865 | -4710.289 | 1397.271 | -7223.336 | 
| -6321.793 | -9467.984 | -1356.257 | -4789.737 | 232.746 | -8824.510 | 
| 236.516 | 68.353 | 68.353 | 0.000 | -0.001 | -0.000 | 
| 68.353 | 236.516 | 68.353 | 0.000 | -0.000 | -0.000 | 
| 68.353 | 68.353 | 236.516 | 0.000 | -0.000 | -0.000 | 
| -0.000 | -0.001 | -0.001 | 106.703 | -0.000 | -0.000 | 
| -0.000 | -0.001 | -0.001 | 0.000 | 106.702 | -0.000 | 
| -0.000 | -0.001 | -0.001 | 0.000 | -0.001 | 106.702 | 
| 440.343 | 51.257 | 51.257 | 0.000 | 0.000 | 0.000 | 
| 51.257 | 440.343 | 51.257 | 0.000 | 0.001 | 0.000 | 
| 51.257 | 51.257 | 440.343 | -0.000 | 0.000 | 0.000 | 
| 0.000 | 0.001 | 0.001 | 106.703 | 0.000 | 0.000 | 
| 0.000 | 0.001 | 0.001 | 0.000 | 106.703 | 0.000 | 
| 0.000 | 0.001 | 0.001 | -0.000 | 0.000 | 106.702 | 
| 236.516 | 68.354 | 68.354 | 0.000 | -0.000 | -0.000 | 
| 68.354 | 236.516 | 68.354 | 0.000 | -0.000 | -0.000 | 
| 68.354 | 68.354 | 236.516 | 0.000 | -0.000 | -0.000 | 
| 0.000 | -0.000 | 0.000 | 194.543 | -0.000 | -0.000 | 
| 0.000 | 0.000 | 0.000 | 0.000 | 194.543 | -0.000 | 
| 0.000 | 0.000 | -0.000 | -0.000 | -0.000 | 194.543 | 
| 236.518 | 68.354 | 68.354 | -0.000 | 0.000 | 0.000 | 
| 68.354 | 236.518 | 68.354 | -0.000 | 0.000 | 0.000 | 
| 68.354 | 68.354 | 236.518 | -0.000 | 0.000 | 0.000 | 
| -0.000 | -0.000 | -0.000 | 194.543 | 0.000 | 0.000 | 
| -0.000 | -0.000 | -0.000 | 0.000 | 194.543 | 0.000 | 
| -0.000 | -0.000 | -0.000 | -0.000 | 0.000 | 194.543 | 
| 236.692 | 68.339 | 68.339 | 0.000 | -0.000 | -0.000 | 
| -42.252 | 32.599 | -42.252 | 0.000 | -0.000 | -0.000 | 
| 68.339 | 68.339 | 236.692 | -0.000 | -0.000 | -0.000 | 
| 0.000 | -0.000 | -0.000 | 65.643 | -0.000 | -0.000 | 
| -0.000 | 0.000 | -0.000 | 0.000 | 65.643 | -0.000 | 
| -0.000 | -0.000 | 0.000 | 0.000 | -0.000 | 65.643 | 
| 134.915 | 58.836 | 58.836 | -0.000 | 0.000 | 0.000 | 
| 58.836 | 134.915 | 58.836 | -0.000 | 0.000 | 0.000 | 
| 58.836 | 58.836 | 134.915 | -0.000 | 0.000 | 0.000 | 
| -0.000 | 0.000 | 0.000 | 65.643 | 0.000 | 0.000 | 
| 0.000 | -0.000 | 0.000 | -0.000 | 65.643 | 0.000 | 
| 0.000 | 0.000 | -0.000 | 0.000 | 0.000 | 65.643 | 
| 393.923 | 45.854 | 45.854 | -0.000 | 0.001 | 0.000 | 
| 45.854 | 393.923 | 45.854 | -0.000 | 0.001 | 0.000 | 
| 45.854 | 45.854 | 393.923 | -0.000 | 0.002 | 0.000 | 
| 0.001 | -0.000 | -0.000 | 174.034 | 0.002 | 0.000 | 
| 0.000 | 0.000 | -0.000 | -0.000 | 174.036 | 0.000 | 
| 0.000 | -0.000 | -0.000 | -0.000 | 0.001 | 174.035 | 
| 332.481 | 62.393 | 62.393 | -0.000 | -0.002 | -0.000 | 
| 62.392 | 332.481 | 62.393 | -0.000 | -0.002 | -0.000 | 
| 62.393 | 62.393 | 332.481 | -0.000 | -0.002 | 0.000 | 
| -0.000 | 0.000 | 0.000 | 174.034 | -0.002 | -0.000 | 
| -0.001 | -0.000 | 0.000 | -0.000 | 174.033 | -0.000 | 
| -0.000 | -0.000 | 0.000 | -0.000 | -0.002 | 174.034 | 
| 113.945 | 47.799 | 47.799 | -0.000 | 0.000 | 0.000 | 
| 47.799 | 113.945 | 47.799 | -0.000 | 0.000 | 0.000 | 
| 47.799 | 47.799 | 113.945 | -0.000 | 0.000 | 0.000 | 
| 0.000 | 0.000 | 0.000 | 174.034 | 0.000 | 0.000 | 
| 0.000 | 0.000 | 0.000 | -0.000 | 174.035 | 0.000 | 
| 0.000 | 0.000 | -0.000 | -0.000 | 0.000 | 174.034 | 
| 94.377 | 34.003 | 34.003 | 0.000 | -0.000 | 0.000 | 
| 34.003 | 94.378 | 34.003 | 0.000 | -0.000 | -0.000 | 
| 34.003 | 34.003 | 94.378 | 0.000 | -0.000 | -0.000 | 
| -0.000 | 0.000 | -0.000 | 174.035 | -0.000 | -0.000 | 
| -0.000 | -0.000 | 0.000 | -0.000 | 174.034 | -0.000 | 
| -0.000 | -0.000 | 0.000 | -0.000 | -0.000 | 174.034 | 
| 28.894 | -38.739 | -38.739 | -0.000 | 0.000 | 0.000 | 
| -38.739 | 28.894 | -38.739 | -0.000 | 0.000 | 0.000 | 
| -38.739 | -38.739 | 28.894 | 0.000 | 0.000 | 0.000 | 
| -0.561 | -0.561 | -0.561 | 48.120 | 0.000 | 0.000 | 
| -0.561 | -0.561 | -0.561 | 0.000 | 48.120 | 0.000 | 
| -0.561 | -0.561 | -0.561 | 0.000 | 0.000 | 48.120 | 
| 30.537 | -36.516 | -36.516 | 0.000 | -0.000 | -0.000 | 
| -36.516 | 30.537 | -36.516 | -0.000 | -0.000 | 0.000 | 
| -36.516 | -36.516 | 30.537 | 0.000 | -0.000 | 0.000 | 
| 0.561 | 0.561 | 0.561 | 48.120 | -0.000 | -0.000 | 
| 0.561 | 0.561 | 0.561 | 0.000 | 48.120 | -0.000 | 
| 0.561 | 0.561 | 0.561 | 0.000 | -0.000 | 48.120 | 
| 393.697 | 45.827 | 45.828 | -0.000 | 0.000 | -0.000 | 
| 45.827 | 393.697 | 45.828 | -0.000 | 0.001 | -0.000 | 
| 45.827 | 45.827 | 393.697 | -0.000 | 0.001 | -0.000 | 
| 803.050 | 803.050 | 803.051 | 56.389 | 0.001 | -0.000 | 
| 803.050 | 803.050 | 803.050 | 0.000 | 56.390 | -0.000 | 
| 803.050 | 803.050 | 803.051 | -0.000 | 0.001 | 56.389 | 
| -640.045 | -752.389 | -752.389 | 0.000 | -0.001 | 0.000 | 
| -752.388 | -640.045 | -752.389 | -0.000 | -0.000 | 0.000 | 
| -752.388 | -752.388 | -640.045 | 0.000 | -0.001 | 0.000 | 
| -803.050 | -803.050 | -803.051 | 56.389 | -0.000 | 0.000 | 
| -803.050 | -803.050 | -803.050 | -0.000 | 56.389 | 0.000 | 
| -803.050 | -803.050 | -803.051 | 0.000 | -0.000 | 56.389 | 
| 393.697 | 45.827 | 45.827 | -0.000 | 0.000 | -0.000 | 
| 45.827 | 393.697 | 45.827 | 0.000 | 0.000 | -0.000 | 
| 45.827 | 45.827 | 393.697 | 0.000 | 0.000 | -0.000 | 
| 80.274 | 80.274 | 80.274 | 56.432 | 0.000 | -0.000 | 
| 80.274 | 80.274 | 80.274 | 0.000 | 56.432 | -0.000 | 
| 80.274 | 80.274 | 80.274 | 0.000 | 0.000 | 56.432 | 
| 323.644 | 34.867 | 34.867 | 0.000 | -0.000 | 0.000 | 
| 34.867 | 323.644 | 34.867 | -0.000 | -0.000 | 0.000 | 
| 34.867 | 34.867 | 323.644 | -0.000 | -0.000 | 0.000 | 
| -80.274 | -80.274 | -80.274 | 56.432 | -0.000 | 0.000 | 
| -80.274 | -80.274 | -80.274 | 0.000 | 56.432 | 0.000 | 
| -80.274 | -80.274 | -80.274 | 0.000 | -0.000 | 56.432 | 
| 4.423 | -39.198 | -39.198 | -0.000 | 0.000 | -0.000 | 
| -39.198 | 4.423 | -39.198 | 0.000 | 0.000 | -0.000 | 
| -39.198 | -39.198 | 4.423 | -0.000 | 0.000 | -0.000 | 
| 12.491 | 12.491 | 12.491 | 24.137 | 0.000 | -0.000 | 
| 12.491 | 12.491 | 12.491 | -0.000 | 24.137 | -0.000 | 
| 12.491 | 12.491 | 12.491 | -0.000 | 0.000 | 24.137 | 
| 42.405 | 20.793 | 20.793 | 0.000 | -0.000 | 0.000 | 
| 20.793 | 42.405 | 20.793 | -0.000 | -0.000 | 0.000 | 
| 20.793 | 20.793 | 42.405 | 0.000 | -0.000 | 0.000 | 
| -28.787 | -28.787 | -28.787 | 1.739 | -0.000 | 0.000 | 
| -12.491 | -12.491 | -12.491 | 0.000 | 24.137 | 0.000 | 
| -12.491 | -12.491 | -12.491 | 0.000 | -0.000 | 24.137 | 
| 575.671 | 159.263 | 64.746 | 0.000 | -0.000 | -0.000 | 
| 74.688 | 431.810 | 74.964 | 0.000 | -0.000 | 0.000 | 
| 64.746 | 65.110 | 603.624 | 0.000 | -0.000 | -0.000 | 
| -0.151 | -0.132 | 0.006 | 109.623 | -0.000 | -0.000 | 
| -0.000 | -0.000 | -0.000 | 0.000 | 250.707 | -0.000 | 
| 0.000 | -0.000 | -0.000 | 0.000 | -0.000 | 283.904 | 
| 442.867 | 85.052 | 74.644 | -0.000 | 0.000 | 0.000 | 
| 113.433 | 241.289 | 101.432 | -0.000 | 0.000 | -0.000 | 
| 113.476 | 107.675 | 456.394 | -0.000 | 0.000 | -0.000 | 
| 0.151 | 0.132 | -0.006 | 109.622 | 0.000 | 0.000 | 
| 0.000 | 0.000 | 0.000 | -0.000 | 250.708 | 0.000 | 
| 0.000 | 0.000 | -0.000 | -0.000 | 0.000 | 283.904 | 
| 164.761 | 107.047 | 80.494 | 0.000 | -0.000 | -0.000 | 
| 73.908 | 430.864 | 75.052 | 0.000 | -0.000 | -0.000 | 
| 63.605 | 62.092 | 314.551 | 0.000 | -0.000 | -0.000 | 
| 0.000 | 0.000 | 0.000 | 253.086 | -0.000 | -0.000 | 
| -0.015 | -0.013 | 0.001 | -0.000 | 103.696 | -0.000 | 
| -0.000 | 0.000 | 0.000 | 0.000 | -0.000 | 283.904 | 
| 443.323 | 85.309 | 74.611 | -0.000 | 0.000 | 0.000 | 
| 99.896 | 147.635 | 78.633 | -0.000 | 0.000 | 0.000 | 
| 86.664 | 82.166 | 330.072 | -0.000 | 0.000 | -0.000 | 
| -0.000 | 0.000 | -0.000 | 253.086 | 0.000 | 0.000 | 
| 0.015 | 0.013 | -0.001 | -0.000 | 103.696 | 0.000 | 
| 0.000 | -0.000 | -0.000 | -0.000 | 0.000 | 283.904 | 
| 43.319 | -7.682 | 15.310 | 0.000 | -0.000 | 0.000 | 
| 72.782 | 429.485 | 75.184 | 0.000 | -0.000 | -0.000 | 
| 58.176 | 62.974 | 366.889 | 0.000 | -0.000 | -0.000 | 
| 0.001 | 0.000 | -0.000 | 168.973 | -0.000 | 0.000 | 
| -0.002 | -0.001 | -0.000 | 0.000 | 103.696 | -0.000 | 
| 0.000 | 0.000 | 0.000 | 0.000 | -0.000 | 193.242 | 
| 150.607 | 100.519 | 81.097 | -0.000 | 0.000 | 0.000 | 
| 65.405 | 98.987 | 46.608 | -0.000 | 0.000 | -0.000 | 
| 86.646 | 82.151 | 330.047 | -0.000 | 0.000 | -0.000 | 
| -0.001 | -0.000 | 0.000 | 168.973 | 0.000 | -0.000 | 
| 0.002 | 0.001 | 0.000 | -0.000 | 103.696 | 0.000 | 
| -0.000 | -0.000 | -0.000 | -0.000 | 0.000 | 193.242 | 
| -182.411 | -1536.613 | 998.481 | -0.014 | 0.025 | -4.171 | 
| -296.632 | -1398.313 | 997.319 | -0.047 | 0.022 | -3.775 | 
| -34.088 | -109.041 | 200.326 | -0.125 | 0.039 | -1.097 | 
| -80.594 | -77.018 | 43.307 | 144.767 | 0.031 | -1.491 | 
| -21.382 | -18.275 | 4.328 | 0.045 | 182.886 | -1.409 | 
| -80.543 | -76.968 | 43.274 | -0.063 | 0.031 | 89.665 | 
| 309.818 | 71.700 | 79.506 | -0.045 | -0.013 | 1.405 | 
| 354.593 | 1757.008 | -938.468 | 0.170 | -0.040 | 2.199 | 
| 110.682 | 55.623 | 219.636 | -0.042 | -0.012 | 1.330 | 
| 206.373 | 334.133 | -114.546 | 43.111 | -0.034 | 0.951 | 
| 0.000 | -0.000 | -0.000 | 0.000 | 212.332 | 0.000 | 
| 21.385 | 18.278 | -4.329 | -0.045 | -0.013 | 138.624 | 
| 274.542 | 53.496 | 87.134 | 0.005 | 0.001 | -0.166 | 
| -3.142 | 158.479 | 34.815 | -0.009 | 0.003 | -0.104 | 
| -13.434 | -76.866 | 200.602 | 0.008 | -0.000 | -0.073 | 
| -11.356 | -138.810 | 92.017 | 46.762 | 0.002 | -0.375 | 
| -32.504 | -137.195 | 74.319 | -0.009 | -24.068 | -0.258 | 
| -41.650 | -141.167 | 68.285 | -0.017 | 0.004 | -21.589 | 
| 119.563 | 33.918 | 38.126 | 0.007 | -0.003 | 0.093 | 
| 48.967 | 269.858 | 26.407 | 0.010 | -0.003 | 0.097 | 
| 82.712 | 54.203 | 237.481 | 0.008 | -0.003 | 0.097 | 
| 17.692 | 28.513 | -9.834 | 67.463 | -0.003 | 0.098 | 
| 40.391 | 134.182 | -65.562 | 0.019 | -19.200 | 0.197 | 
| 25.156 | 48.300 | -16.302 | -0.005 | 0.000 | -7.410 | 
| 71.946 | -33.794 | 37.740 | -0.000 | 0.000 | -0.020 | 
| -14.215 | 186.293 | 26.318 | -0.001 | 0.000 | -0.020 | 
| 11.160 | 13.268 | 234.297 | 0.001 | 0.000 | -0.026 | 
| 2.410 | -8.885 | 10.329 | 70.142 | 0.000 | -0.033 | 
| -2.148 | -7.069 | 3.522 | -0.000 | 57.750 | -0.018 | 
| -0.085 | -7.861 | 6.404 | -0.001 | 0.000 | 36.567 | 
| 64.804 | 3.405 | 19.939 | 0.000 | -0.000 | 0.021 | 
| -8.459 | 207.383 | 6.303 | 0.001 | -0.000 | 0.015 | 
| 16.431 | 24.735 | 218.180 | 0.001 | -0.000 | 0.022 | 
| 1.866 | 4.634 | -1.952 | 80.451 | -0.000 | 0.013 | 
| 1.342 | 7.214 | -4.358 | -0.000 | 54.609 | 0.021 | 
| 0.084 | 7.859 | -6.402 | 0.001 | -0.000 | 36.615 | 
| -420395.338 | 141378.474 | -403165.231 | 10258.488 | 89420.090 | -58750.994 | 
| -553980.286 | 177069.678 | -436971.223 | 25342.496 | 108892.650 | -61451.958 | 
| -485152.064 | 125382.985 | -436102.826 | 11754.423 | 110365.742 | -45197.164 | 
| -460454.015 | 114224.539 | -456793.958 | 21243.492 | 119176.752 | -57084.346 | 
| -38335.470 | -31439.795 | -9970.521 | 3238.736 | 23422.643 | 5748.007 | 
| -533517.828 | 151974.742 | -428289.781 | 36253.349 | 110524.132 | -50321.374 | 
| 311577.732 | -145850.160 | 305881.871 | 25415.966 | -53859.995 | 35689.835 | 
| 230875.161 | -125012.356 | 295555.242 | -3049.613 | -84425.678 | 20766.274 | 
| 456608.781 | -135651.345 | 426808.916 | -2268.708 | -88884.637 | 47208.802 | 
| 469117.568 | -130012.562 | 440947.337 | -7084.797 | -112831.351 | 47638.753 | 
| 403456.241 | -147673.741 | 390413.329 | 14222.294 | -65786.020 | 73931.144 | 
| 431993.362 | -131600.391 | 424245.239 | -4552.190 | -86211.750 | 58899.971 | 
| -52989.818 | 11444.429 | -44469.655 | 2105.146 | 12385.748 | -5722.982 | 
| -39872.508 | 14788.657 | -35821.935 | -1920.864 | 6639.287 | -7275.075 | 
| -4920.502 | -3525.093 | -1644.359 | 782.452 | 2345.342 | 651.890 | 
| -4822.565 | -3471.906 | -1669.348 | 816.396 | 2516.521 | 713.844 | 
| -55564.475 | 17411.749 | -43872.198 | 2419.046 | 11719.990 | -6947.385 | 
| -3600.170 | -2959.356 | -830.722 | 243.501 | 2276.471 | 544.610 | 
| 51160.858 | -13217.076 | 43290.311 | -1901.772 | -11570.765 | 4377.323 | 
| 16931.147 | -10360.789 | 26589.539 | -3423.457 | -10096.564 | 2558.345 | 
| 4213.199 | 3243.979 | 1326.806 | -532.206 | -2229.903 | -614.679 | 
| 49018.826 | -12598.238 | 43047.643 | -1287.160 | -11056.446 | 4271.025 | 
| 49087.109 | -13121.836 | 44126.400 | -1661.459 | -9849.706 | 4624.533 | 
| 43498.448 | -13559.551 | 39541.199 | 458.975 | -9284.397 | 5066.600 | 
| -318.396 | -302.420 | -89.289 | 15.137 | 228.107 | 52.666 | 
| -5142.579 | 939.072 | -5200.765 | 461.479 | 984.891 | -536.179 | 
| -425.991 | -336.276 | -102.624 | 43.781 | 234.603 | 66.759 | 
| -4000.122 | 1499.210 | -3545.595 | -278.768 | 629.088 | -739.456 | 
| -375.009 | -305.478 | -86.950 | 17.125 | 245.813 | 56.721 | 
| -406.255 | -321.134 | -104.339 | 31.705 | 224.479 | 69.419 | 
| 4361.590 | -1397.369 | 4074.606 | -98.161 | -935.621 | 503.339 | 
| 4509.086 | -1300.323 | 4215.207 | 72.118 | -1082.069 | 503.895 | 
| 4910.484 | -1353.632 | 4418.585 | -197.847 | -1195.028 | 472.162 | 
| 2100.438 | -1208.329 | 2736.370 | -123.362 | -1020.835 | 171.142 | 
| 4339.180 | -1364.074 | 4007.644 | -45.861 | -1004.843 | 507.896 | 
| 727.360 | 387.463 | 246.589 | -79.663 | -331.944 | -75.275 | 
| -4222.477 | -828.878 | -890.026 | -150.748 | 1367.868 | -1811.863 | 
| 108.281 | 491.820 | 59.210 | 10.869 | -9.246 | -22.646 | 
| -2095.992 | -406.334 | -411.746 | -395.216 | 613.442 | -915.552 | 
| 2089.978 | 1151.566 | 8832.830 | 3755.996 | -37.098 | 7125.767 | 
| 560.070 | -1077.052 | 8087.135 | 3218.573 | 1704.796 | 4781.852 | 
| 739.571 | -163.189 | 3686.529 | 2270.165 | -228.593 | 422.143 | 
| -1735.230 | -459.767 | -5524.925 | -2254.519 | -109.356 | -5343.412 | 
| 108.281 | 491.820 | 59.210 | 10.869 | -9.246 | -22.646 | 
| 1536.380 | -2602.663 | -7122.000 | -4291.323 | -1129.558 | -5196.690 | 
| 1645.004 | -402.446 | -4013.964 | -2165.749 | -1226.808 | -2706.709 | 
| 4137.895 | 805.437 | 460.259 | -329.217 | -1119.396 | 1729.502 | 
| 90.790 | -139.742 | -6748.440 | -3125.468 | -957.240 | -5369.788 | 
| 135.436 | -37.952 | 916.886 | 421.929 | 195.179 | 586.064 | 
| -13.603 | 159.993 | 802.211 | 379.630 | 191.178 | 763.392 | 
| -68.295 | -44.030 | 630.132 | 45.499 | 102.949 | 257.936 | 
| -276.572 | -60.207 | -102.837 | 63.009 | 86.136 | -98.700 | 
| -439.154 | -77.374 | -62.195 | 27.768 | 324.720 | -167.254 | 
| 75.908 | 39.634 | 742.515 | 350.993 | 68.709 | 520.584 | 
| -174.850 | 65.069 | -1010.579 | -342.976 | -131.970 | -732.507 | 
| 306.236 | -266.330 | -681.108 | -407.505 | -178.130 | -471.644 | 
| 113.718 | 59.483 | 533.899 | -5.357 | -36.989 | 0.674 | 
| 97.687 | 18.356 | 39.668 | 136.174 | -17.702 | 64.961 | 
| 306.314 | 67.694 | 19.555 | -33.343 | 99.445 | 150.442 | 
| 404.685 | 53.597 | 54.269 | -38.475 | -120.545 | 354.666 | 
| 90.193 | 20.843 | 92.318 | 40.842 | -5.684 | 37.810 | 
| 59.894 | 261.512 | 68.192 | 2.468 | 11.584 | -29.676 | 
| -18.298 | 43.596 | 451.192 | -8.599 | 24.008 | -27.888 | 
| 29.619 | -4.695 | 86.675 | 61.295 | -0.149 | 62.750 | 
| -35.793 | 0.662 | -16.769 | -4.239 | 199.285 | 1.517 | 
| -13.008 | -20.753 | 43.252 | 27.586 | 9.044 | 102.487 | 
| 142.967 | 42.563 | -38.141 | -22.201 | -47.688 | -52.541 | 
| 59.192 | 84.787 | 18.791 | 5.095 | -3.070 | -74.102 | 
| 59.380 | 51.261 | 332.532 | -14.273 | -23.614 | -10.603 | 
| 18.638 | 13.669 | -75.147 | 34.702 | -36.963 | -43.492 | 
| -26.269 | 5.236 | -13.976 | -1.276 | 182.047 | 6.902 | 
| -4.609 | -9.402 | -64.534 | -16.613 | -27.891 | 16.113 | 
| -217968.525 | 454644.806 | 203901.427 | -117815.714 | -252275.867 | -192246.400 | 
| -218036.959 | 454736.739 | 203899.206 | -117814.454 | -252277.536 | -192242.833 | 
| -218038.399 | 454639.591 | 203982.136 | -117818.537 | -252291.872 | -192249.644 | 
| -218050.098 | 454632.564 | 203892.519 | -117772.838 | -252276.673 | -192259.914 | 
| -218050.913 | 454637.951 | 203885.609 | -117810.250 | -252226.103 | -192259.818 | 
| -218041.078 | 454650.114 | 203902.290 | -117815.811 | -252283.331 | -192202.829 | 
| 218118.225 | -454635.659 | -203899.657 | 117805.352 | 252278.043 | 192259.324 | 
| 218049.792 | -454543.730 | -203901.878 | 117806.613 | 252276.376 | 192262.892 | 
| 218048.349 | -454640.869 | -203818.949 | 117802.527 | 252262.036 | 192256.078 | 
| 218036.651 | -454647.897 | -203908.566 | 117848.227 | 252277.236 | 192245.809 | 
| 218035.835 | -454642.510 | -203915.475 | 117810.814 | 252327.806 | 192245.905 | 
| 218045.672 | -454630.352 | -203898.794 | 117805.256 | 252270.580 | 192302.895 | 
| -21729.498 | 45468.625 | 20390.935 | -11786.243 | -25226.615 | -19218.835 | 
| -21797.937 | 45560.573 | 20388.711 | -11784.987 | -25228.287 | -19215.273 | 
| -21799.363 | 45463.385 | 20471.648 | -11789.058 | -25242.614 | -19222.069 | 
| -21811.063 | 45456.362 | 20382.030 | -11743.360 | -25227.415 | -19232.341 | 
| -21811.878 | 45461.747 | 20375.121 | -11780.773 | -25176.845 | -19232.244 | 
| -21802.052 | 45473.938 | 20391.797 | -11786.341 | -25234.080 | -19175.265 | 
| 21879.197 | -45459.478 | -20389.164 | 11775.881 | 25228.791 | 19231.758 | 
| 21810.770 | -45367.564 | -20391.383 | 11777.146 | 25227.127 | 19235.332 | 
| 21809.312 | -45464.662 | -20308.460 | 11773.048 | 25212.778 | 19228.504 | 
| 21797.616 | -45471.695 | -20398.077 | 11818.749 | 25227.979 | 19218.236 | 
| 21796.800 | -45466.306 | -20404.987 | 11781.336 | 25278.548 | 19218.331 | 
| 21806.646 | -45454.176 | -20388.300 | 11775.785 | 25221.329 | 19275.331 | 
| -2105.687 | 4551.260 | 2039.842 | -1183.369 | -2521.754 | -1916.173 | 
| -2174.182 | 4643.356 | 2037.592 | -1182.155 | -2523.465 | -1912.668 | 
| -2175.461 | 4545.770 | 2120.599 | -1186.112 | -2537.689 | -1919.313 | 
| -2187.178 | 4538.793 | 2030.972 | -1140.427 | -2522.502 | -1929.602 | 
| -2187.986 | 4544.160 | 2024.066 | -1177.834 | -2471.927 | -1929.499 | 
| -2178.258 | 4556.618 | 2040.697 | -1183.479 | -2529.231 | -1872.621 | 
| 2255.385 | -4542.114 | -2038.072 | 1173.007 | 2523.931 | 1929.095 | 
| 2187.010 | -4450.350 | -2040.265 | 1174.316 | 2522.305 | 1932.722 | 
| 2185.410 | -4547.048 | -1957.411 | 1170.102 | 2507.853 | 1925.748 | 
| 2173.730 | -4554.126 | -2047.019 | 1215.816 | 2523.066 | 1915.497 | 
| 2172.908 | -4548.719 | -2053.932 | 1178.398 | 2573.631 | 1915.585 | 
| 2182.850 | -4536.857 | -2037.200 | 1172.925 | 2516.480 | 1972.684 | 
| -1773.030 | 623.324 | 1269.045 | 424.144 | 473.927 | -311.572 | 
| -2281.378 | 405.844 | 260.984 | -379.124 | 10.548 | -1296.890 | 
| 1296.394 | 1807.035 | 1585.780 | -86.201 | 820.447 | -1748.474 | 
| -2657.120 | 112.727 | 1276.038 | 656.326 | -163.318 | -224.729 | 
| 1215.647 | 1729.545 | 1153.072 | -74.452 | 1001.284 | -1737.640 | 
| -357.126 | 869.857 | 1550.600 | 430.661 | 124.511 | -1073.089 | 
| -1090.634 | -1634.362 | -959.361 | 150.835 | -771.868 | 1780.849 | 
| 838.934 | -558.351 | -1802.978 | -899.257 | 327.193 | 1406.932 | 
| 1916.514 | -705.264 | -876.994 | -393.565 | -539.593 | 550.493 | 
| 660.451 | -760.522 | -1546.186 | -412.506 | -107.470 | 1042.109 | 
| -545.980 | -1492.052 | -1160.772 | 119.753 | -194.352 | 2600.444 | 
| -336.359 | -216.829 | -714.963 | 83.248 | -298.738 | 899.198 | 
| 266.484 | 76.698 | 129.056 | 41.843 | 19.401 | 40.484 | 
| -69.001 | 517.018 | 208.028 | 40.664 | 62.754 | -68.833 | 
| -61.504 | 153.287 | 385.024 | 89.701 | 7.672 | -179.390 | 
| -163.593 | 97.487 | 124.571 | 184.367 | 66.779 | -62.038 | 
| 88.799 | 168.930 | 140.315 | 10.153 | 269.843 | -164.630 | 
| 209.114 | 161.479 | 75.893 | -9.048 | 63.050 | 32.459 | 
| 274.960 | -0.504 | -108.264 | -20.288 | -0.998 | 131.785 | 
| -28.969 | -25.650 | -50.275 | 17.572 | -26.782 | 252.796 | 
| 248.932 | -1.982 | 295.669 | -41.372 | -43.352 | 46.861 | 
| 246.449 | -19.463 | -110.261 | 103.244 | -30.422 | 17.333 | 
| -137.069 | -172.224 | -91.044 | 23.283 | 115.546 | 176.131 | 
| 446.956 | 12.860 | -90.231 | -23.522 | 20.394 | 103.455 | 
| 223.058 | 53.084 | 42.797 | 15.897 | -4.866 | 8.538 | 
| 81.517 | 190.009 | 87.665 | 5.959 | 1.809 | -24.921 | 
| 14.794 | 72.342 | 258.677 | 12.353 | 7.851 | 0.307 | 
| 14.045 | 13.870 | 21.407 | 108.299 | -4.268 | 2.636 | 
| 12.880 | 12.204 | 26.410 | 0.559 | 77.303 | -18.639 | 
| 9.314 | 12.222 | 15.039 | 16.699 | 3.220 | 77.148 | 
| 374.443 | 76.564 | 46.211 | 4.268 | 6.636 | 29.114 | 
| 44.705 | 148.031 | 62.098 | -6.892 | 1.357 | 14.363 | 
| 33.103 | 62.028 | 282.403 | -6.845 | 14.229 | -2.921 | 
| 49.178 | 8.620 | -8.433 | 72.043 | -5.432 | 4.809 | 
| 17.073 | -8.504 | -13.962 | -25.215 | 28.550 | 22.131 | 
| 15.017 | -0.876 | -15.596 | 11.876 | -1.210 | 122.134 | 
| -3297.748 | -3084.630 | -5099.918 | 3649.955 | 4179.115 | -3483.245 | 
| -3564.637 | -2843.128 | -5083.650 | 3647.018 | 4189.503 | -3486.393 | 
| -3551.768 | -3057.972 | -4799.860 | 3617.267 | 4143.549 | -3463.609 | 
| -37.826 | -42.219 | -67.834 | 173.861 | 46.655 | -47.355 | 
| -58.695 | -33.857 | -78.672 | 46.642 | 179.957 | -45.452 | 
| -3588.740 | -3104.183 | -5108.334 | 3639.153 | 4177.893 | -3361.426 | 
| 313.377 | 47.542 | 56.556 | -34.384 | -42.273 | 31.167 | 
| 46.280 | 289.023 | 72.666 | -37.192 | -31.725 | 27.894 | 
| 59.765 | 74.632 | 357.365 | -67.576 | -78.394 | 51.231 | 
| 3573.309 | 3090.033 | 5088.774 | -3510.621 | -4174.817 | 3467.127 | 
| 3552.617 | 3098.528 | 5078.149 | -3637.942 | -4041.761 | 3469.191 | 
| 3631.313 | 3158.453 | 5201.760 | -3727.444 | -4262.469 | 3665.521 | 
| -48.712 | -266.436 | -460.361 | 334.976 | 380.939 | -321.111 | 
| -315.604 | -24.935 | -444.095 | 332.041 | 391.329 | -324.260 | 
| -302.724 | -239.770 | -160.291 | 302.280 | 345.363 | -301.468 | 
| -397.706 | -354.407 | -581.760 | 540.994 | 467.366 | -397.685 | 
| -58.682 | -33.847 | -78.655 | 46.630 | 179.943 | -45.441 | 
| -339.706 | -285.990 | -468.778 | 324.175 | 379.718 | -199.293 | 
| 313.368 | 47.536 | 56.545 | -34.376 | -42.263 | 31.159 | 
| 406.384 | 601.314 | 586.891 | -404.603 | -452.687 | 378.423 | 
| 59.748 | 74.617 | 357.341 | -67.558 | -78.374 | 51.216 | 
| 324.273 | 271.838 | 449.215 | -195.640 | -376.640 | 304.992 | 
| 303.578 | 280.330 | 438.587 | -322.960 | -243.580 | 307.054 | 
| 382.279 | 340.259 | 562.205 | -412.466 | -464.294 | 503.388 | 
| 276.272 | 15.445 | 3.697 | 3.403 | 1.034 | -4.830 | 
| 9.355 | 256.938 | 19.939 | 0.487 | 11.447 | -7.997 | 
| 22.338 | 42.184 | 303.895 | -29.381 | -34.640 | 14.888 | 
| -37.749 | -42.155 | -67.727 | 173.777 | 46.566 | -47.288 | 
| 221258.437 | -231870.197 | 51509.059 | 472392.781 | 846.316 | -421183.925 | 
| -14.736 | -4.115 | -4.732 | -7.390 | -0.177 | 116.983 | 
| 313.303 | 47.488 | 56.466 | -34.317 | -42.195 | 31.108 | 
| 81.425 | 319.442 | 122.857 | -73.048 | -72.805 | 62.160 | 
| -220914.258 | 231755.497 | -51149.089 | -472150.365 | -1228.434 | 421306.722 | 
| -0.717 | -10.054 | -14.862 | 135.951 | 3.279 | -11.299 | 
| -21.441 | -1.585 | -25.528 | 8.654 | 136.377 | -9.264 | 
| 22.194 | 27.892 | 47.968 | -45.062 | -43.354 | 152.909 | 
| -4031.958 | 2978.188 | -1694.682 | -1051.896 | -4943.019 | -139.207 | 
| -5659.848 | 3923.561 | -2630.184 | 1019.281 | -2666.228 | -2625.165 | 
| -5904.252 | 3801.278 | -2418.253 | 935.058 | -3007.208 | -2599.014 | 
| -6538.200 | 5834.968 | -608.423 | 4467.977 | -4263.747 | 3606.779 | 
| -3733.562 | 5063.849 | 454.075 | 84.030 | -2345.667 | 901.159 | 
| -749.152 | 7883.533 | 1342.002 | -465.676 | -3012.731 | -244.141 | 
| 6467.992 | -3311.713 | 2926.960 | -950.501 | 2984.152 | 2449.484 | 
| 3534.883 | -786.908 | 1380.001 | 841.043 | 3122.163 | 1124.533 | 
| 1194.348 | -7865.534 | -899.798 | -25.528 | 2572.877 | 876.935 | 
| -46.001 | 11.877 | -2.648 | 361.485 | 102.716 | -29.764 | 
| 5732.670 | -3636.686 | 2659.885 | -1057.706 | 2943.412 | 2538.057 | 
| 1102.007 | -7872.302 | -1117.792 | 125.298 | 2675.223 | 1004.905 | 
| 41.147 | 640.439 | -55.447 | 200.492 | -82.233 | -287.852 | 
| -473.803 | 496.723 | -173.143 | -93.435 | -447.147 | -68.046 | 
| -574.983 | 200.891 | -256.194 | -50.440 | -400.001 | -96.244 | 
| -610.317 | 441.166 | -116.379 | 119.714 | -300.046 | -47.062 | 
| -333.276 | 396.316 | 132.516 | 96.808 | -141.619 | 107.378 | 
| -207.659 | 661.082 | 48.492 | -96.284 | -423.189 | 113.759 | 
| 457.152 | -701.980 | -18.100 | -50.531 | 152.168 | 61.980 | 
| 404.929 | 231.637 | 159.198 | 163.012 | 542.361 | -96.704 | 
| 451.291 | -432.931 | 276.943 | 126.135 | 428.516 | -65.238 | 
| 220.613 | -727.172 | -108.018 | 228.269 | 375.973 | 60.806 | 
| 328.536 | -485.173 | 162.535 | 10.529 | 487.187 | -74.673 | 
| 725.058 | -561.102 | 261.864 | -162.959 | 304.143 | 147.644 | 
| 130.937 | 72.096 | 39.528 | 9.482 | -13.488 | -22.837 | 
| -20.737 | 287.979 | 28.917 | -9.760 | 0.061 | -40.859 | 
| 16.267 | 82.227 | 145.096 | -25.009 | -31.618 | 3.402 | 
| 3.616 | 54.521 | 33.000 | 229.168 | -24.193 | 29.649 | 
| -58.706 | 17.395 | -22.786 | 9.188 | 188.112 | -44.324 | 
| -35.330 | 28.414 | -0.357 | -20.045 | -61.579 | 101.363 | 
| 286.578 | -17.823 | 59.461 | 11.201 | 53.498 | -19.386 | 
| 75.838 | 130.337 | 54.785 | -26.152 | 47.150 | 1.975 | 
| 120.417 | 3.724 | 184.923 | -22.498 | 18.052 | 10.770 | 
| 77.181 | -66.606 | 24.851 | 27.238 | 36.216 | -5.993 | 
| 61.432 | -45.032 | 32.248 | 1.319 | 124.632 | 1.735 | 
| 24.519 | -72.051 | 31.312 | -8.647 | 2.514 | 94.800 | 
| 1288229.805 | -1369886.106 | 875149.595 | 8158.814 | -939584.924 | 1053986.744 | 
| 1192634.650 | -1333411.576 | 810127.875 | 23321.727 | -826030.853 | 1016848.385 | 
| 1371320.234 | -1402692.059 | 933164.511 | -6178.393 | -1043965.867 | 1083927.058 | 
| 1371349.789 | -1403050.693 | 933062.054 | -6283.286 | -1043925.171 | 1084046.129 | 
| 1372291.935 | -1401608.834 | 934537.224 | -6019.918 | -1042897.131 | 1084266.841 | 
| 1375890.120 | -1404713.772 | 936332.274 | -7032.225 | -1049592.659 | 1085658.530 | 
| -1371114.713 | 1402979.781 | -932702.473 | 6358.675 | 1044280.092 | -1084290.584 | 
| 24.745 | 417.633 | 83.543 | 84.515 | -14.732 | -22.327 | 
| -1118890.131 | 1304865.945 | -752040.111 | -38165.363 | 724768.933 | -984492.603 | 
| -1371425.707 | 1402811.332 | -933222.300 | 6281.135 | 1043858.523 | -1084052.339 | 
| -1256609.019 | 1358799.882 | -853738.077 | -12944.614 | 901789.639 | -1043181.522 | 
| -1371199.697 | 1402614.217 | -933080.170 | 6132.435 | 1043647.231 | -1083820.538 | 
| 125702.735 | -135831.201 | 85338.344 | 1303.754 | -90130.059 | 104235.166 | 
| 136870.533 | -140113.166 | 92972.599 | -668.232 | -104476.482 | 108256.784 | 
| 39883.715 | -84684.545 | 28515.639 | 15014.719 | -7153.678 | 51838.096 | 
| 117642.781 | -132833.462 | 80010.809 | 2563.732 | -80912.824 | 101086.140 | 
| 129909.995 | -137655.257 | 88307.809 | 446.503 | -95215.279 | 106002.490 | 
| 137045.787 | -140349.058 | 93258.789 | -650.790 | -104311.889 | 108457.649 | 
| -127112.425 | 137098.528 | -85996.748 | -754.341 | 91456.679 | -105192.131 | 
| -137037.123 | 140420.895 | -92927.575 | 737.800 | 104352.053 | -108478.522 | 
| -125144.101 | 135713.656 | -84935.347 | -1367.225 | 89596.980 | -104120.784 | 
| -137069.885 | 140264.571 | -93271.288 | 668.890 | 104297.694 | -108375.663 | 
| -101431.542 | 125637.300 | -64591.143 | -4719.208 | 65838.331 | -92160.768 | 
| -136680.486 | 140144.822 | -93057.920 | 563.616 | 103686.757 | -108204.787 | 
| 12045.430 | -13322.350 | 8099.982 | 235.439 | -8255.359 | 10146.482 | 
| 13714.440 | -13943.812 | 9349.321 | -64.182 | -10436.537 | 10832.205 | 
| 13706.701 | -14008.631 | 9429.792 | -61.625 | -10427.913 | 10836.132 | 
| 13041.465 | -13786.728 | 8869.582 | 99.452 | -9608.168 | 10625.686 | 
| 13731.062 | -14025.563 | 9341.268 | -65.905 | -10379.808 | 10846.764 | 
| 13695.762 | -14036.557 | 9327.076 | -59.435 | -10433.152 | 10883.629 | 
| 308.661 | 39.352 | 29.295 | 1.603 | 7.427 | -26.173 | 
| -13559.987 | 14068.079 | -9209.759 | 41.697 | 10239.895 | -10796.881 | 
| -66.834 | -2.731 | 369.120 | -18.151 | 44.121 | -39.007 | 
| 2.550 | 89.144 | 38.773 | 197.300 | -8.888 | -3.924 | 
| -18.818 | -44.796 | 196.967 | -4.815 | 213.488 | 1.182 | 
| -13730.429 | 14018.487 | -9337.358 | 63.664 | 10443.298 | -10795.909 | 
| 939.718 | 75.342 | 75.341 | -0.000 | 0.000 | -0.000 | 
| 75.342 | 939.718 | 75.341 | 0.000 | -0.000 | -0.000 | 
| 75.342 | 75.342 | 939.718 | 0.000 | 0.000 | 0.000 | 
| 0.000 | -0.000 | 0.000 | 378.910 | 0.000 | -0.000 | 
| 0.000 | -0.000 | -0.000 | 0.000 | 378.910 | 0.000 | 
| 0.000 | 0.000 | 0.000 | -0.000 | 0.000 | 378.910 | 
| 1005.614 | 103.070 | 103.070 | 0.000 | -0.000 | -0.000 | 
| 75.341 | 939.718 | 75.341 | 0.000 | -0.000 | -0.000 | 
| 103.070 | 103.070 | 1005.614 | -0.000 | -0.000 | 0.000 | 
| -0.000 | -0.000 | -0.000 | 378.910 | -0.000 | -0.000 | 
| -0.000 | -0.000 | -0.000 | -0.000 | 378.910 | -0.000 | 
| -0.000 | -0.000 | -0.000 | 0.000 | -0.000 | 378.910 | 
| 939.718 | 75.341 | 75.341 | 0.000 | -0.000 | -0.000 | 
| 75.341 | 939.718 | 75.341 | -0.000 | 0.000 | -0.000 | 
| 75.341 | 75.341 | 939.718 | -0.000 | 0.000 | 0.000 | 
| 0.000 | -0.000 | 0.000 | 378.910 | 0.000 | -0.000 | 
| 0.000 | 0.000 | 0.000 | -0.000 | 378.910 | 0.000 | 
| -0.000 | 0.000 | 0.000 | 0.000 | 0.000 | 378.910 | 
| 939.718 | 75.341 | 75.342 | 0.000 | -0.000 | 0.000 | 
| 75.341 | 939.718 | 75.341 | -0.000 | -0.000 | 0.000 | 
| 75.341 | 75.342 | 939.718 | -0.000 | -0.000 | 0.000 | 
| -0.000 | -0.000 | -0.000 | 378.910 | -0.000 | -0.000 | 
| -0.000 | -0.000 | -0.000 | 0.000 | 378.910 | -0.000 | 
| 0.000 | -0.000 | -0.000 | 0.000 | -0.000 | 378.910 | 
| 939.718 | 75.341 | 75.341 | -0.000 | 0.000 | 0.000 | 
| 75.341 | 939.718 | 75.341 | 0.000 | -0.000 | 0.000 | 
| 75.342 | 75.341 | 939.718 | -0.000 | 0.000 | -0.000 | 
| 0.000 | -0.000 | 0.000 | 378.910 | 0.000 | -0.000 | 
| 0.000 | 0.000 | 0.000 | -0.000 | 368.456 | 0.000 | 
| -0.000 | 0.000 | 0.000 | 0.000 | 0.000 | 378.910 | 
| 939.719 | 75.341 | 75.342 | 0.000 | -0.000 | -0.000 | 
| 75.342 | 939.719 | 75.341 | -0.000 | 0.000 | -0.000 | 
| 75.341 | 75.342 | 939.719 | 0.000 | -0.000 | -0.000 | 
| -0.000 | 0.000 | -0.000 | 378.910 | -0.000 | 0.000 | 
| -0.000 | -0.000 | -0.000 | -0.000 | 368.456 | 0.000 | 
| 0.000 | -0.000 | -0.000 | -0.000 | -0.000 | 378.910 | 
| 150.692 | -1019.315 | 2191.909 | -0.000 | -0.000 | 0.000 | 
| -1012.593 | 144.065 | 2191.813 | 0.000 | -0.000 | 0.000 | 
| -1076.125 | -1076.124 | 3473.669 | 0.001 | -0.000 | 0.000 | 
| -1094.737 | -1094.737 | 2173.825 | 535.277 | 0.000 | 0.000 | 
| 0.000 | -0.000 | -0.001 | -0.000 | 546.061 | 0.000 | 
| -1094.740 | -1094.740 | 2173.829 | 0.000 | 0.000 | 578.329 | 
| 2341.057 | 1171.084 | -2157.543 | -0.000 | 0.000 | -0.000 | 
| 1170.472 | 2340.469 | -2156.352 | 0.000 | 0.000 | -0.000 | 
| 1113.349 | 1113.348 | -873.980 | -0.000 | 0.000 | -0.000 | 
| 1094.737 | 1094.737 | -2173.825 | 535.277 | 0.000 | -0.000 | 
| -0.000 | 0.000 | 0.001 | 0.000 | 546.061 | -0.000 | 
| 1094.740 | 1094.740 | -2173.829 | 0.000 | -0.000 | 578.329 | 
| 1129.332 | -27.326 | 235.367 | -0.000 | 0.000 | 0.000 | 
| -34.371 | 1135.449 | 236.287 | -0.000 | 0.000 | -0.000 | 
| -90.915 | -90.915 | 1517.333 | -0.000 | 0.000 | -0.000 | 
| -109.472 | -109.472 | 217.380 | 535.277 | -0.000 | 0.000 | 
| -0.000 | 0.000 | -0.000 | 0.000 | 546.061 | 0.000 | 
| -109.999 | -109.999 | 218.425 | -0.000 | -0.000 | 584.887 | 
| 1355.374 | 185.643 | -200.508 | 0.000 | 0.000 | 0.000 | 
| 185.643 | 1355.375 | -200.508 | -0.000 | -0.000 | 0.000 | 
| 128.116 | 128.116 | 1082.402 | 0.000 | -0.000 | -0.000 | 
| 109.472 | 109.472 | -217.380 | 535.277 | -0.000 | -0.000 | 
| 0.000 | -0.000 | -0.000 | -0.000 | 546.061 | -0.000 | 
| 109.999 | 109.999 | -218.425 | 0.000 | -0.000 | 584.887 | 
| 1230.689 | 64.766 | 43.304 | -0.000 | -0.000 | 0.000 | 
| 71.200 | 1227.874 | 39.711 | 0.000 | -0.000 | 0.000 | 
| 7.666 | 7.666 | 1321.586 | -0.000 | -0.000 | 0.000 | 
| 0.000 | -0.000 | 0.000 | 546.061 | 0.000 | 0.000 | 
| -10.940 | -10.940 | 21.724 | 0.000 | 535.284 | 0.000 | 
| -10.946 | -10.946 | 21.736 | -0.000 | 0.000 | 578.331 | 
| 1249.753 | 93.089 | -3.754 | 0.000 | 0.000 | -0.000 | 
| 61.619 | 1280.789 | -3.322 | -0.000 | 0.000 | 0.000 | 
| 29.558 | 29.558 | 1278.104 | -0.000 | 0.000 | 0.000 | 
| -0.000 | 0.000 | -0.000 | 546.061 | 0.000 | -0.000 | 
| 10.940 | 10.940 | -21.724 | -0.000 | 535.284 | -0.000 | 
| 10.946 | 10.946 | -21.736 | 0.000 | 0.000 | 578.331 | 
| 471.416 | 80.060 | 128.872 | 0.000 | 0.000 | 0.000 | 
| 141.177 | 610.666 | 55.389 | -0.000 | 0.000 | 0.000 | 
| 90.745 | 77.886 | 638.741 | 0.000 | 0.000 | 0.001 | 
| 0.000 | -0.000 | -0.000 | 294.198 | 0.000 | 0.000 | 
| 0.018 | 0.000 | 0.002 | 0.000 | 283.225 | 0.000 | 
| -0.000 | -0.000 | -0.000 | 0.000 | 0.000 | 532.769 | 
| 654.194 | -6.680 | 169.593 | -0.000 | 0.000 | 0.000 | 
| 141.149 | 610.655 | 55.390 | 0.000 | -0.000 | -0.000 | 
| 71.315 | 9.741 | 688.389 | -0.000 | -0.000 | 0.000 | 
| -0.000 | 0.000 | 0.000 | 294.198 | 0.000 | -0.000 | 
| -0.018 | -0.000 | -0.002 | -0.000 | 283.225 | -0.000 | 
| 0.000 | -0.000 | 0.000 | 0.000 | -0.000 | 532.769 | 
| 336.479 | -60.273 | 146.131 | 0.000 | 0.000 | 0.000 | 
| -62.766 | 670.649 | 18.706 | -0.000 | 0.000 | -0.000 | 
| 85.199 | 77.164 | 638.164 | 0.000 | -0.000 | 0.000 | 
| 0.025 | 0.001 | 0.002 | 235.860 | 0.000 | -0.000 | 
| 0.002 | 0.000 | 0.000 | -0.000 | 283.225 | 0.000 | 
| 0.007 | 0.001 | 0.000 | 0.000 | -0.000 | 176.766 | 
| 1005.408 | 52.559 | 195.528 | -0.000 | 0.000 | 0.000 | 
| -58.282 | 671.793 | 18.945 | 0.000 | -0.000 | -0.000 | 
| 123.463 | 69.922 | 545.329 | -0.000 | 0.000 | -0.000 | 
| -0.025 | -0.001 | -0.002 | 235.860 | -0.000 | 0.000 | 
| -0.002 | -0.000 | -0.000 | -0.000 | 283.225 | -0.000 | 
| -0.007 | -0.001 | -0.000 | -0.000 | 0.000 | 176.766 | 
| 465.450 | 100.083 | 125.275 | 0.000 | 0.000 | 0.000 | 
| 93.762 | 420.951 | 36.107 | 0.000 | -0.000 | -0.000 | 
| 71.250 | 9.731 | 688.384 | -0.000 | 0.000 | 0.000 | 
| -0.000 | 0.000 | 0.000 | 294.198 | 0.000 | 0.000 | 
| 0.001 | 0.000 | 0.000 | 0.000 | 283.220 | -0.000 | 
| -0.002 | -0.000 | 0.000 | -0.000 | 0.000 | 241.170 | 
| 502.046 | 85.274 | 131.123 | 0.000 | -0.000 | -0.000 | 
| -63.075 | 670.568 | 18.689 | -0.000 | 0.000 | -0.000 | 
| 80.767 | 69.395 | 537.958 | -0.000 | 0.000 | -0.000 | 
| 0.000 | -0.000 | -0.000 | 294.198 | 0.000 | -0.000 | 
| -0.001 | -0.000 | -0.000 | 0.000 | 283.220 | -0.000 | 
| 0.002 | 0.000 | -0.000 | -0.000 | -0.000 | 241.170 | 
| -2698.309 | 659.241 | -3127.853 | 0.450 | -0.003 | 0.000 | 
| -891.179 | 203.583 | -223.727 | -1.343 | 0.010 | 0.000 | 
| -2960.262 | -320.269 | 477.258 | -0.785 | 0.006 | 0.001 | 
| 0.000 | 0.000 | 0.000 | 251.636 | -0.000 | -0.000 | 
| 0.000 | 0.000 | 0.000 | 0.000 | 214.484 | 0.000 | 
| 0.000 | 0.000 | 0.000 | -0.000 | -0.000 | 223.581 | 
| 631.829 | 247.687 | 361.339 | 1.304 | -0.010 | 0.000 | 
| 3060.164 | 834.263 | 54.988 | 0.798 | -0.006 | -0.001 | 
| 3021.607 | 354.159 | 555.098 | 0.760 | -0.006 | -0.001 | 
| 0.000 | -0.000 | 0.000 | 251.636 | 0.000 | 0.000 | 
| -0.000 | -0.000 | -0.000 | -0.000 | 214.484 | -0.000 | 
| -0.000 | 0.000 | -0.000 | 0.000 | 0.000 | 223.581 | 
| 167.912 | 31.878 | 42.932 | -0.139 | 0.001 | 0.000 | 
| -246.955 | 467.479 | 11.094 | -0.062 | 0.000 | 0.000 | 
| 48.463 | 17.920 | 544.028 | 0.000 | 0.000 | -0.000 | 
| -308.881 | -34.827 | -3.973 | 236.230 | 0.001 | 0.000 | 
| -0.000 | 0.000 | 0.000 | 0.000 | 214.484 | 0.000 | 
| -324.606 | 10.447 | -271.201 | 0.019 | -0.000 | -14.156 | 
| 374.375 | 67.596 | 59.478 | 0.027 | -0.000 | -0.000 | 
| 374.591 | 516.867 | 23.685 | 0.121 | -0.001 | -0.000 | 
| 48.463 | 17.920 | 544.028 | -0.000 | 0.000 | -0.000 | 
| 308.902 | 34.829 | 3.973 | 236.389 | -0.001 | -0.000 | 
| 0.000 | -0.000 | -0.000 | 0.000 | 214.484 | 0.000 | 
| 301.155 | -30.879 | 300.879 | 0.186 | -0.001 | 34.593 | 
| 163.224 | 46.692 | 14.731 | -0.001 | 0.000 | 0.000 | 
| -4.901 | 264.322 | -48.950 | 0.002 | -0.000 | -0.000 | 
| -21.431 | -9.272 | 288.493 | 0.012 | -0.000 | 0.000 | 
| -22.795 | -0.326 | -19.546 | 129.002 | 0.000 | 0.000 | 
| -20.039 | 1.424 | -20.701 | 0.006 | 89.509 | -0.000 | 
| -28.396 | 5.168 | -29.029 | 0.006 | -0.000 | 47.899 | 
| 197.631 | 21.081 | 49.614 | 0.030 | -0.000 | -0.000 | 
| -5.029 | 173.410 | 14.868 | -0.010 | -0.000 | 0.000 | 
| 68.824 | -7.953 | 357.201 | 0.001 | -0.000 | 0.000 | 
| 11.769 | -4.562 | 26.326 | 122.045 | -0.000 | 0.000 | 
| 31.508 | -7.967 | 35.976 | 0.019 | 70.856 | -0.000 | 
| 24.870 | -14.875 | 30.752 | 0.006 | -0.000 | 42.021 | 
| 922.947 | -7.687 | 0.000 | 0.000 | 0.000 | 0.000 | 
| -8.147 | 923.408 | 0.000 | 0.000 | 0.000 | 0.000 | 
| 0.000 | 0.000 | 0.000 | 0.000 | 0.000 | -0.000 | 
| 0.000 | 0.000 | 0.000 | 0.000 | 0.000 | -0.000 | 
| 0.000 | 0.000 | 0.000 | 0.000 | 0.000 | -0.000 | 
| 0.000 | 0.000 | 0.000 | 0.000 | 0.000 | 465.317 | 
| 923.407 | -8.148 | -0.000 | -0.000 | -0.000 | -0.000 | 
| -7.687 | 922.947 | -0.000 | -0.000 | -0.000 | 0.000 | 
| -0.000 | -0.000 | -0.000 | -0.000 | -0.000 | 0.000 | 
| -0.000 | -0.000 | -0.000 | -0.000 | -0.000 | 0.000 | 
| -0.000 | -0.000 | -0.000 | -0.000 | -0.000 | 0.000 | 
| -0.000 | -0.000 | -0.000 | -0.000 | -0.000 | 465.317 | 
| 923.408 | -8.147 | 0.000 | 0.000 | 0.000 | -0.000 | 
| -7.687 | 922.948 | 0.000 | 0.000 | 0.000 | -0.000 | 
| 0.000 | 0.000 | 0.000 | 0.000 | 0.000 | -0.000 | 
| 0.000 | 0.000 | 0.000 | 0.000 | 0.000 | -0.000 | 
| 0.000 | 0.000 | 0.000 | 0.000 | 0.000 | -0.000 | 
| 0.000 | 0.000 | 0.000 | 0.000 | 0.000 | 465.317 | 
| 923.407 | -8.147 | -0.000 | -0.000 | -0.000 | -0.000 | 
| -7.687 | 922.947 | -0.000 | -0.000 | -0.000 | -0.000 | 
| -0.000 | -0.000 | -0.000 | -0.000 | -0.000 | 0.000 | 
| -0.000 | -0.000 | -0.000 | -0.000 | -0.000 | 0.000 | 
| -0.000 | -0.000 | -0.000 | -0.000 | -0.000 | 0.000 | 
| -0.000 | -0.000 | -0.000 | -0.000 | -0.000 | 465.317 | 
| 922.950 | -7.687 | 0.000 | 0.000 | 0.000 | -0.000 | 
| -7.687 | 922.950 | 0.000 | 0.000 | 0.000 | 0.000 | 
| 0.000 | 0.000 | 0.000 | 0.000 | 0.000 | -0.000 | 
| 0.000 | 0.000 | 0.000 | 0.000 | 0.000 | -0.000 | 
| 0.000 | 0.000 | 0.000 | 0.000 | 0.000 | -0.000 | 
| 0.000 | 0.001 | 0.000 | 0.000 | 0.000 | 465.777 | 
| 922.944 | -7.687 | -0.000 | -0.000 | -0.000 | -0.000 | 
| -7.687 | 922.944 | -0.000 | -0.000 | -0.000 | -0.000 | 
| -0.000 | -0.000 | -0.000 | -0.000 | -0.000 | 0.000 | 
| -0.000 | -0.000 | -0.000 | -0.000 | -0.000 | 0.000 | 
| -0.000 | -0.000 | -0.000 | -0.000 | -0.000 | 0.000 | 
| -0.000 | -0.001 | -0.000 | -0.000 | -0.000 | 465.777 | 
| 909.632 | -8.025 | 0.000 | 0.000 | 0.000 | -0.000 | 
| -8.025 | 909.633 | 0.000 | 0.000 | 0.000 | 0.000 | 
| -0.000 | -0.000 | 0.000 | 0.000 | 0.000 | -0.000 | 
| -0.000 | -0.000 | 0.000 | 0.000 | 0.000 | -0.000 | 
| 0.000 | -0.000 | 0.000 | 0.000 | 0.000 | -0.000 | 
| 0.000 | 0.000 | 0.000 | 0.000 | 0.000 | 458.376 | 
| 909.179 | -7.572 | -0.000 | -0.000 | -0.000 | 0.000 | 
| -8.026 | 909.632 | -0.000 | -0.000 | -0.000 | -0.000 | 
| 0.000 | 0.000 | -0.000 | -0.000 | -0.000 | 0.000 | 
| 0.000 | 0.000 | -0.000 | -0.000 | -0.000 | 0.000 | 
| -0.000 | 0.000 | -0.000 | -0.000 | -0.000 | 0.000 | 
| -0.000 | -0.000 | -0.000 | -0.000 | -0.000 | 458.376 | 
| 909.180 | -7.572 | 0.000 | 0.000 | 0.000 | 0.000 | 
| -8.025 | 909.633 | 0.000 | 0.000 | 0.000 | -0.000 | 
| -0.000 | -0.000 | 0.000 | 0.000 | 0.000 | -0.000 | 
| -0.000 | -0.000 | 0.000 | 0.000 | 0.000 | 0.000 | 
| 0.000 | -0.000 | 0.000 | 0.000 | 0.000 | -0.000 | 
| 0.000 | 0.000 | 0.000 | 0.000 | 0.000 | 458.376 | 
| 909.179 | -7.572 | -0.000 | -0.000 | -0.000 | 0.000 | 
| -8.026 | 909.632 | -0.000 | -0.000 | -0.000 | 0.000 | 
| 0.000 | 0.000 | -0.000 | -0.000 | -0.000 | 0.000 | 
| 0.000 | 0.000 | -0.000 | -0.000 | -0.000 | 0.000 | 
| -0.000 | 0.000 | -0.000 | -0.000 | -0.000 | 0.000 | 
| -0.000 | -0.000 | -0.000 | -0.000 | -0.000 | 458.376 | 
| 909.182 | -7.572 | 0.000 | 0.000 | 0.000 | 0.000 | 
| -7.572 | 909.183 | 0.000 | 0.000 | 0.000 | -0.000 | 
| -0.000 | -0.000 | 0.000 | 0.000 | 0.000 | -0.000 | 
| -0.000 | -0.000 | 0.000 | 0.000 | 0.000 | -0.000 | 
| 0.000 | -0.000 | 0.000 | 0.000 | 0.000 | -0.000 | 
| 0.000 | 0.001 | 0.000 | 0.000 | 0.000 | 458.376 | 
| 909.176 | -7.573 | -0.000 | -0.000 | -0.000 | -0.000 | 
| -7.573 | 909.176 | -0.000 | -0.000 | -0.000 | -0.000 | 
| 0.000 | 0.000 | -0.000 | -0.000 | -0.000 | 0.000 | 
| 0.000 | 0.000 | -0.000 | -0.000 | -0.000 | 0.000 | 
| -0.000 | 0.000 | -0.000 | -0.000 | -0.000 | 0.000 | 
| -0.000 | -0.001 | -0.000 | -0.000 | -0.000 | 458.376 | 
| 909.179 | -7.572 | 0.000 | 0.000 | 0.000 | 0.000 | 
| -8.025 | 909.633 | 0.000 | 0.000 | 0.000 | 0.000 | 
| -0.000 | 0.000 | 0.000 | 0.000 | 0.000 | 0.000 | 
| 0.000 | 0.000 | 0.000 | 0.000 | 0.000 | 0.000 | 
| 0.000 | 0.000 | 0.000 | 0.000 | 0.000 | 0.000 | 
| 0.000 | 0.000 | 0.000 | 0.000 | 0.000 | 458.376 | 
| 909.632 | -8.025 | -0.000 | -0.000 | -0.000 | -0.000 | 
| -7.572 | 909.179 | -0.000 | -0.000 | -0.000 | -0.000 | 
| 0.000 | -0.000 | -0.000 | -0.000 | -0.000 | -0.000 | 
| -0.000 | -0.000 | -0.000 | -0.000 | -0.000 | -0.000 | 
| -0.000 | -0.000 | -0.000 | -0.000 | -0.000 | -0.000 | 
| -0.000 | -0.000 | -0.000 | -0.000 | -0.000 | 458.376 | 
| 909.633 | -8.025 | 0.000 | 0.000 | 0.000 | 0.000 | 
| -7.572 | 909.180 | 0.000 | 0.000 | 0.000 | 0.000 | 
| -0.000 | 0.000 | 0.000 | 0.000 | 0.000 | 0.000 | 
| 0.000 | 0.000 | 0.000 | 0.000 | 0.000 | 0.000 | 
| 0.000 | 0.000 | 0.000 | 0.000 | 0.000 | 0.000 | 
| 0.000 | 0.000 | 0.000 | 0.000 | 0.000 | 458.376 | 
| 909.632 | -8.025 | -0.000 | -0.000 | -0.000 | -0.000 | 
| -7.572 | 909.179 | -0.000 | -0.000 | -0.000 | -0.000 | 
| 0.000 | -0.000 | -0.000 | -0.000 | -0.000 | -0.000 | 
| 0.000 | -0.000 | -0.000 | -0.000 | -0.000 | -0.000 | 
| -0.000 | -0.000 | -0.000 | -0.000 | -0.000 | -0.000 | 
| -0.000 | -0.000 | -0.000 | -0.000 | -0.000 | 458.376 | 
| 909.183 | -7.572 | 0.000 | 0.000 | 0.000 | 0.000 | 
| -7.572 | 909.182 | 0.000 | 0.000 | 0.000 | 0.000 | 
| -0.000 | 0.000 | 0.000 | 0.000 | 0.000 | 0.000 | 
| 0.000 | 0.000 | 0.000 | 0.000 | 0.000 | 0.000 | 
| 0.000 | 0.000 | 0.000 | 0.000 | 0.000 | 0.000 | 
| 0.000 | 0.001 | 0.000 | 0.000 | 0.000 | 458.829 | 
| 909.176 | -7.573 | -0.000 | -0.000 | -0.000 | -0.000 | 
| -7.573 | 909.176 | -0.000 | -0.000 | -0.000 | -0.000 | 
| 0.000 | -0.000 | -0.000 | -0.000 | -0.000 | -0.000 | 
| -0.000 | -0.000 | -0.000 | -0.000 | -0.000 | -0.000 | 
| -0.000 | -0.000 | -0.000 | -0.000 | -0.000 | -0.000 | 
| -0.000 | -0.001 | -0.000 | -0.000 | -0.000 | 458.829 | 
| 1032.166 | 96.650 | 17.429 | 0.000 | 0.000 | 0.000 | 
| 103.212 | 399.176 | 11.110 | 0.000 | 0.000 | 0.000 | 
| 37.904 | 37.644 | 1032.571 | 0.000 | 0.000 | 0.000 | 
| -0.000 | -0.000 | -0.000 | 175.268 | 0.000 | 0.000 | 
| 4.136 | 1.643 | -4.684 | 0.000 | 499.111 | 0.000 | 
| 0.000 | 0.000 | -0.000 | 0.000 | 0.000 | 275.063 | 
| 957.064 | 171.513 | 8.393 | -0.000 | -0.000 | -0.000 | 
| 166.094 | 304.177 | 44.145 | -0.000 | -0.000 | 0.000 | 
| 32.604 | 19.723 | 1071.488 | -0.000 | -0.000 | 0.000 | 
| 0.000 | -0.000 | 0.000 | 175.268 | -0.000 | -0.000 | 
| -4.136 | -1.643 | 4.684 | -0.000 | 499.110 | -0.000 | 
| -0.000 | -0.000 | 0.000 | -0.000 | -0.000 | 275.063 | 
| 958.860 | 173.146 | 5.277 | 0.000 | 0.000 | 0.000 | 
| 179.789 | 300.068 | 35.712 | 0.000 | 0.000 | 0.000 | 
| 32.604 | 19.723 | 1071.488 | 0.000 | 0.000 | 0.000 | 
| 0.821 | 0.326 | -0.930 | 105.050 | 0.000 | 0.000 | 
| 0.433 | 0.172 | -0.490 | 0.000 | 498.089 | 0.000 | 
| 0.000 | 0.000 | 0.000 | 0.000 | 0.000 | 275.063 | 
| 1032.165 | 96.650 | 17.429 | -0.000 | -0.000 | -0.000 | 
| 174.430 | 301.092 | 40.263 | -0.000 | -0.000 | 0.000 | 
| 21.141 | 44.453 | 1023.102 | -0.000 | -0.000 | -0.000 | 
| -0.821 | -0.326 | 0.930 | 105.050 | -0.000 | -0.000 | 
| -0.433 | -0.172 | 0.490 | -0.000 | 498.089 | -0.000 | 
| -0.000 | -0.000 | -0.000 | -0.000 | -0.000 | 275.063 | 
| 958.717 | 173.012 | 5.532 | 0.000 | 0.000 | 0.000 | 
| 175.360 | 300.897 | 39.700 | 0.000 | 0.000 | 0.000 | 
| 21.322 | 44.622 | 1022.783 | 0.000 | 0.000 | 0.000 | 
| 0.046 | 0.019 | -0.053 | 104.733 | 0.000 | 0.000 | 
| 0.017 | 0.023 | -0.038 | 0.000 | 478.423 | 0.000 | 
| 0.036 | 0.014 | -0.041 | 0.000 | 0.000 | 244.635 | 
| 958.707 | 172.949 | 5.595 | -0.000 | -0.000 | -0.000 | 
| 179.696 | 299.935 | 36.821 | -0.000 | -0.000 | -0.000 | 
| 20.365 | 45.875 | 1022.695 | -0.000 | -0.000 | -0.000 | 
| -0.046 | -0.019 | 0.053 | 104.733 | -0.000 | -0.000 | 
| -0.017 | -0.023 | 0.038 | -0.000 | 478.423 | -0.000 | 
| -0.036 | -0.014 | 0.041 | -0.000 | -0.000 | 244.635 | 
| 967.319 | -8.056 | 0.000 | 0.000 | 0.000 | 0.000 | 
| -8.538 | 967.801 | 0.000 | 0.000 | 0.000 | 0.000 | 
| 0.000 | 0.000 | 0.000 | 0.000 | 0.000 | 0.000 | 
| 0.000 | 0.000 | 0.000 | 0.000 | 0.000 | 0.000 | 
| 0.000 | 0.000 | 0.000 | 0.000 | 0.000 | 0.000 | 
| 0.000 | 0.000 | 0.000 | 0.000 | 0.000 | 487.687 | 
| 967.801 | -8.539 | -0.000 | -0.000 | -0.000 | -0.000 | 
| -8.057 | 967.318 | -0.000 | -0.000 | -0.000 | -0.000 | 
| -0.000 | -0.000 | -0.000 | -0.000 | -0.000 | -0.000 | 
| -0.000 | -0.000 | -0.000 | -0.000 | -0.000 | -0.000 | 
| -0.000 | -0.000 | -0.000 | -0.000 | -0.000 | -0.000 | 
| -0.000 | -0.000 | -0.000 | -0.000 | -0.000 | 487.687 | 
| 967.801 | -8.539 | 0.000 | 0.000 | 0.000 | 0.000 | 
| -8.056 | 967.319 | 0.000 | 0.000 | 0.000 | 0.000 | 
| 0.000 | 0.000 | 0.000 | 0.000 | 0.000 | 0.000 | 
| 0.000 | 0.000 | 0.000 | 0.000 | 0.000 | 0.000 | 
| 0.000 | 0.000 | 0.000 | 0.000 | 0.000 | 0.000 | 
| 0.000 | 0.000 | 0.000 | 0.000 | 0.000 | 487.688 | 
| 967.800 | -8.539 | -0.000 | -0.000 | -0.000 | -0.000 | 
| -8.056 | 967.318 | -0.000 | -0.000 | -0.000 | 0.000 | 
| -0.000 | -0.000 | -0.000 | -0.000 | -0.000 | -0.000 | 
| -0.000 | -0.000 | -0.000 | -0.000 | -0.000 | -0.000 | 
| -0.000 | -0.000 | -0.000 | -0.000 | -0.000 | -0.000 | 
| -0.000 | -0.000 | -0.000 | -0.000 | -0.000 | 487.688 | 
| 967.322 | -8.056 | 0.000 | 0.000 | 0.000 | 0.000 | 
| -8.056 | 967.322 | 0.000 | 0.000 | 0.000 | 0.000 | 
| 0.000 | 0.000 | 0.000 | 0.000 | 0.000 | 0.000 | 
| 0.000 | 0.000 | 0.000 | 0.000 | 0.000 | 0.000 | 
| 0.000 | 0.000 | 0.000 | 0.000 | 0.000 | 0.000 | 
| 0.000 | 0.001 | 0.000 | 0.000 | 0.000 | 487.688 | 
| 967.315 | -8.057 | -0.000 | -0.000 | -0.000 | -0.000 | 
| -8.057 | 967.315 | -0.000 | -0.000 | -0.000 | -0.000 | 
| -0.000 | -0.000 | -0.000 | -0.000 | -0.000 | -0.000 | 
| -0.000 | -0.000 | -0.000 | -0.000 | -0.000 | -0.000 | 
| -0.000 | -0.000 | -0.000 | -0.000 | -0.000 | -0.000 | 
| -0.000 | -0.001 | -0.000 | -0.000 | -0.000 | 487.688 | 
| 1245.914 | 82.603 | 9.151 | 14.367 | -0.000 | -0.000 | 
| 82.535 | 1250.261 | 4.883 | -15.658 | -0.000 | -0.000 | 
| -2.939 | -2.939 | 1342.711 | 0.000 | -0.000 | 0.000 | 
| 21.271 | -7.477 | -13.756 | 532.538 | -0.000 | -0.000 | 
| 6.896 | 6.897 | -13.756 | 0.000 | 532.538 | 14.374 | 
| -0.000 | -0.000 | 0.001 | 0.000 | 18.078 | 609.353 | 
| 1235.720 | 68.198 | 33.681 | 14.649 | 0.000 | -0.000 | 
| 68.197 | 1235.720 | 33.682 | -14.649 | 0.000 | -0.001 | 
| -2.939 | -2.938 | 1342.709 | -0.000 | 0.000 | -0.000 | 
| 18.078 | -18.078 | -0.001 | 545.625 | 0.000 | 0.000 | 
| -6.896 | -6.897 | 13.756 | -0.000 | 532.538 | 14.374 | 
| 0.000 | 0.000 | -0.001 | -0.000 | 18.079 | 609.353 | 
| 1279.790 | 61.083 | -3.173 | 18.078 | -0.000 | -0.000 | 
| 74.496 | 1244.643 | 18.503 | -14.825 | -0.000 | -0.000 | 
| 19.006 | 19.006 | 1298.938 | 0.000 | -0.000 | 0.000 | 
| 15.605 | -14.474 | -1.128 | 534.888 | -0.000 | 0.000 | 
| 0.568 | 0.568 | -1.133 | 0.000 | 534.846 | 15.027 | 
| 0.000 | 0.000 | 0.000 | 0.000 | 18.078 | 609.353 | 
| 1279.789 | 61.083 | -3.173 | 18.078 | 0.000 | 0.000 | 
| 61.083 | 1279.789 | -3.173 | -18.078 | 0.000 | 0.000 | 
| 17.896 | 17.896 | 1301.150 | -0.000 | 0.000 | 0.000 | 
| 14.459 | -15.595 | 1.133 | 534.846 | 0.000 | 0.000 | 
| -0.568 | -0.568 | 1.133 | -0.000 | 534.846 | 15.027 | 
| 0.000 | -0.000 | -0.000 | -0.000 | 18.078 | 609.353 | 
| 1242.428 | 80.369 | 14.858 | 15.508 | -0.000 | -0.000 | 
| 61.083 | 1279.793 | -3.173 | -18.079 | -0.000 | -0.000 | 
| 18.463 | 18.463 | 1300.024 | 0.000 | -0.000 | -0.000 | 
| 18.079 | -18.079 | 0.000 | 545.625 | -0.000 | -0.000 | 
| -0.000 | 0.000 | 0.000 | 0.000 | 545.625 | 18.078 | 
| 0.000 | 0.001 | 0.000 | 0.000 | 18.078 | 609.353 | 
| 1279.785 | 61.082 | -3.173 | 18.078 | -0.000 | -0.000 | 
| 80.261 | 1242.289 | 15.096 | -15.501 | 0.000 | 0.000 | 
| 18.382 | 18.382 | 1300.177 | -0.000 | 0.000 | -0.000 | 
| 14.984 | -15.097 | 0.113 | 534.893 | 0.000 | 0.000 | 
| 0.000 | -0.000 | -0.000 | -0.000 | 545.625 | 18.078 | 
| -0.000 | -0.001 | -0.000 | -0.000 | 18.078 | 609.353 | 
| 1239.986 | 67.161 | 31.200 | 10.670 | -0.000 | -0.000 | 
| 61.062 | 1280.172 | -2.890 | -12.920 | 0.000 | -0.000 | 
| -2.889 | -2.889 | 1344.124 | -0.000 | 0.000 | 0.000 | 
| 12.920 | -12.920 | -0.001 | 545.604 | -0.000 | -0.000 | 
| -0.001 | -0.000 | 0.000 | 0.000 | 545.604 | 12.920 | 
| -0.001 | 0.000 | -0.000 | 0.000 | 12.920 | 609.555 | 
| 1280.173 | 61.062 | -2.890 | 12.920 | 0.000 | 0.001 | 
| 61.062 | 1280.172 | -2.890 | -12.920 | 0.000 | -0.000 | 
| 24.268 | 24.267 | 1289.809 | -0.000 | -0.000 | -0.000 | 
| 12.920 | -12.920 | 0.000 | 545.604 | 0.000 | -0.000 | 
| 0.001 | 0.000 | 0.000 | -0.000 | 545.605 | 12.920 | 
| 0.001 | 0.000 | 0.000 | -0.000 | 12.920 | 609.555 | 
| 1280.173 | 61.062 | -2.889 | 12.920 | -0.000 | -0.000 | 
| 61.062 | 1280.173 | -2.890 | -12.920 | -0.000 | 0.000 | 
| -2.889 | -2.889 | 1344.124 | 0.000 | -0.000 | 0.000 | 
| 12.920 | -12.920 | -0.000 | 545.604 | -0.000 | -0.000 | 
| -0.000 | 0.000 | 0.000 | 0.000 | 545.604 | 12.920 | 
| -0.000 | 0.000 | 0.000 | 0.000 | 12.920 | 609.555 | 
| 1246.069 | 73.813 | 18.462 | 10.642 | 0.000 | -0.000 | 
| 73.813 | 1246.068 | 18.462 | -10.642 | 0.000 | -0.000 | 
| 19.169 | 19.169 | 1300.006 | -0.000 | 0.000 | -0.000 | 
| 12.920 | -12.920 | 0.000 | 545.604 | 0.000 | -0.000 | 
| 0.000 | -0.000 | -0.000 | -0.000 | 545.604 | 12.920 | 
| 0.000 | -0.000 | 0.000 | -0.000 | 12.920 | 609.555 | 
| 1245.491 | 73.130 | 19.728 | 10.647 | -0.000 | -0.000 | 
| 73.134 | 1245.478 | 19.736 | -10.647 | -0.000 | 0.000 | 
| 18.542 | 18.542 | 1301.265 | -0.000 | 0.000 | 0.000 | 
| 10.693 | -10.807 | 0.114 | 534.861 | -0.000 | 0.000 | 
| -0.000 | 0.000 | 0.000 | 0.000 | 545.604 | 12.920 | 
| -0.061 | -0.061 | 0.123 | 0.000 | 10.593 | 585.620 | 
| 1244.395 | 77.307 | 16.638 | 10.937 | 0.000 | 0.000 | 
| 61.061 | 1280.168 | -2.890 | -12.920 | 0.000 | -0.000 | 
| -2.890 | -2.890 | 1344.118 | -0.000 | 0.000 | 0.000 | 
| 12.920 | -12.920 | -0.000 | 545.604 | 0.000 | -0.000 | 
| 0.000 | -0.000 | -0.000 | -0.000 | 545.604 | 12.920 | 
| 0.061 | 0.061 | -0.123 | -0.000 | 10.593 | 585.620 | 
| 1279.471 | 60.762 | -2.894 | 12.905 | 0.000 | -0.000 | 
| 660.620 | 1779.876 | -1105.055 | -8.068 | 0.000 | -0.000 | 
| 187.334 | 187.335 | 962.497 | 0.000 | 0.000 | -0.000 | 
| -44.508 | -71.275 | 115.923 | 547.732 | -0.000 | -0.000 | 
| -0.000 | 0.000 | -0.026 | 0.000 | 545.361 | 12.904 | 
| -0.001 | 0.000 | -0.026 | 0.001 | 12.905 | 609.355 | 
| 633.822 | -485.767 | 1191.342 | 8.084 | -0.000 | 0.000 | 
| -93.721 | 1074.950 | 356.790 | -11.447 | 0.000 | 0.000 | 
| -529.989 | -529.990 | 2399.679 | 0.000 | -0.001 | 0.000 | 
| -565.104 | -581.256 | 1148.347 | 521.449 | -0.000 | 0.000 | 
| -0.000 | -0.000 | 0.028 | -0.001 | 545.360 | 12.905 | 
| 0.001 | -0.000 | 0.027 | -0.000 | 12.904 | 609.355 | 
| 1263.088 | 144.370 | -70.236 | 8.042 | 0.000 | -0.000 | 
| 60.761 | 1279.472 | -2.893 | -12.905 | 0.000 | -0.000 | 
| -3.046 | -3.046 | 1343.980 | 0.000 | 0.000 | -0.000 | 
| 73.914 | 59.300 | -133.447 | 517.644 | -0.000 | -0.000 | 
| 57.120 | 57.120 | -114.434 | 0.000 | 521.532 | 8.093 | 
| 0.000 | 0.000 | -0.002 | 0.000 | 12.905 | 609.355 | 
| 1279.471 | 60.761 | -2.898 | 12.905 | 0.000 | 0.000 | 
| 60.761 | 1279.471 | -2.897 | -12.905 | -0.000 | 0.000 | 
| -12.593 | -12.593 | 1363.111 | -0.000 | -0.000 | 0.000 | 
| 12.905 | -12.905 | 0.002 | 545.361 | -0.000 | 0.000 | 
| -57.120 | -57.120 | 114.434 | -0.000 | 521.532 | 8.093 | 
| -0.000 | -0.000 | 0.002 | -0.000 | 12.905 | 609.355 | 
| 1233.411 | 82.104 | 21.868 | 9.627 | 0.000 | -0.000 | 
| 60.762 | 1279.476 | -2.896 | -12.905 | -0.000 | -0.000 | 
| 16.165 | 16.165 | 1305.498 | 0.000 | -0.000 | -0.000 | 
| 12.905 | -12.905 | 0.001 | 545.361 | 0.000 | -0.000 | 
| 3.588 | 3.589 | -7.190 | 0.000 | 530.424 | 9.888 | 
| 0.000 | 0.001 | -0.000 | 0.000 | 12.905 | 609.355 | 
| 1229.133 | 73.436 | 34.827 | 9.840 | -0.000 | 0.000 | 
| 81.617 | 1244.770 | 10.969 | -11.771 | 0.000 | 0.000 | 
| 23.789 | 23.789 | 1290.215 | 0.000 | 0.000 | 0.000 | 
| 11.037 | -13.056 | 2.022 | 541.112 | -0.000 | 0.000 | 
| -3.588 | -3.589 | 7.190 | -0.000 | 530.424 | 9.888 | 
| -0.000 | -0.001 | 0.000 | -0.000 | 12.905 | 609.355 | 
| 498.640 | 142.736 | 142.736 | 0.000 | -0.000 | -0.000 | 
| 142.736 | 498.640 | 142.736 | -0.000 | 0.000 | -0.000 | 
| 142.736 | 142.736 | 498.639 | 0.000 | 0.000 | -0.000 | 
| -0.000 | -0.000 | -0.000 | 161.676 | 0.000 | -0.000 | 
| 0.000 | -0.000 | -0.000 | 0.000 | 161.676 | -0.000 | 
| -0.000 | -0.000 | -0.000 | 0.000 | 0.000 | 161.676 | 
| 639.117 | 71.575 | 71.575 | -0.000 | 0.000 | 0.000 | 
| 71.575 | 639.117 | 71.575 | 0.000 | -0.000 | 0.000 | 
| 71.575 | 71.575 | 639.117 | -0.000 | 0.000 | 0.000 | 
| 0.000 | 0.000 | 0.000 | 161.676 | 0.000 | 0.000 | 
| -0.000 | 0.000 | 0.000 | -0.000 | 161.676 | 0.000 | 
| 0.000 | 0.000 | 0.000 | -0.000 | -0.000 | 161.676 | 
| 498.065 | 142.134 | 142.134 | 0.000 | 0.000 | -0.000 | 
| 142.134 | 498.065 | 142.134 | 0.000 | 0.000 | -0.000 | 
| 142.134 | 142.134 | 498.065 | -0.000 | 0.000 | -0.000 | 
| 0.100 | 0.100 | 0.100 | 106.602 | 0.000 | -0.000 | 
| 0.100 | 0.100 | 0.100 | 0.000 | 106.602 | -0.000 | 
| 0.100 | 0.100 | 0.100 | 0.000 | 0.000 | 106.602 | 
| 497.892 | 142.002 | 142.002 | -0.000 | -0.000 | 0.000 | 
| 142.002 | 497.892 | 142.002 | -0.000 | -0.000 | 0.000 | 
| 141.997 | 141.997 | 497.902 | 0.000 | 0.000 | 0.000 | 
| -0.100 | -0.100 | -0.100 | 106.602 | -0.000 | 0.000 | 
| -0.100 | -0.100 | -0.100 | -0.000 | 106.602 | 0.000 | 
| -0.100 | -0.100 | -0.100 | 0.000 | -0.000 | 106.602 | 
| 498.014 | 141.974 | 141.974 | -0.000 | 0.000 | -0.000 | 
| 141.974 | 498.014 | 141.974 | 0.000 | 0.000 | -0.000 | 
| 141.974 | 141.974 | 498.014 | 0.000 | -0.000 | -0.000 | 
| 0.010 | 0.010 | 0.010 | 106.545 | 0.000 | -0.000 | 
| 0.010 | 0.010 | 0.010 | 0.000 | 106.545 | -0.000 | 
| 0.010 | 0.010 | 0.010 | 0.000 | 0.000 | 106.545 | 
| 498.052 | 141.911 | 141.911 | -0.000 | 0.000 | 0.000 | 
| 141.911 | 498.052 | 141.911 | -0.000 | -0.000 | 0.000 | 
| 141.911 | 141.911 | 498.052 | -0.000 | -0.000 | 0.000 | 
| -0.010 | -0.010 | -0.010 | 106.545 | -0.000 | 0.000 | 
| -0.010 | -0.010 | -0.010 | -0.000 | 106.545 | 0.000 | 
| -0.010 | -0.010 | -0.010 | -0.000 | -0.000 | 106.545 | 
| 195.513 | 1235.244 | 300.043 | 0.000 | -0.000 | -0.000 | 
| -232.012 | 1425.096 | 279.566 | -0.000 | 0.000 | 0.000 | 
| -249.359 | 1114.367 | 474.183 | -0.000 | -0.000 | 0.000 | 
| -318.827 | 1167.766 | 249.977 | 60.639 | -0.000 | 0.000 | 
| -377.332 | 1212.660 | 1316.619 | -0.000 | 126.839 | 0.000 | 
| -318.454 | 1166.403 | 249.685 | -0.000 | -0.000 | 212.697 | 
| 831.337 | -1093.344 | -198.420 | 0.000 | 0.000 | -0.000 | 
| 462.567 | -953.534 | -1333.943 | 0.000 | 0.000 | 0.000 | 
| 49.374 | -3.787 | 421.909 | -0.000 | -0.000 | -0.000 | 
| 318.827 | -1167.767 | -249.977 | 60.639 | 0.000 | -0.000 | 
| 377.332 | -1212.660 | -1316.619 | 0.000 | 126.839 | 0.000 | 
| 318.454 | -1166.403 | -249.685 | 0.000 | 0.000 | 212.697 | 
| 516.958 | 182.134 | 88.746 | -0.000 | -0.000 | 0.000 | 
| 57.449 | 314.424 | 13.183 | 0.000 | -0.000 | 0.000 | 
| 49.374 | -3.787 | 421.909 | -0.000 | -0.000 | 0.000 | 
| -11.617 | 114.818 | 168.896 | 30.129 | 0.000 | 0.000 | 
| -42.583 | 143.744 | 107.046 | 0.000 | 123.421 | -0.000 | 
| -30.083 | 110.186 | 23.587 | -0.000 | -0.000 | 213.664 | 
| 582.987 | -72.049 | -92.543 | -0.000 | 0.000 | 0.000 | 
| 118.017 | 140.255 | 2.944 | -0.000 | 0.000 | -0.000 | 
| 16.595 | -133.946 | -167.066 | 0.000 | -0.000 | -0.000 | 
| 37.797 | -120.637 | -136.911 | 36.226 | 0.000 | -0.000 | 
| 42.583 | -143.744 | -107.046 | -0.000 | 123.421 | 0.000 | 
| 30.083 | -110.186 | -23.587 | 0.000 | 0.000 | 213.664 | 
| 539.619 | 78.231 | 32.371 | -0.000 | -0.000 | -0.000 | 
| 80.912 | 265.179 | 16.708 | -0.000 | 0.000 | 0.000 | 
| 0.217 | -5.274 | 16.709 | -0.000 | 0.000 | 0.000 | 
| 0.061 | 12.576 | 29.254 | 1.128 | 0.000 | 0.000 | 
| 1.810 | 5.466 | 26.945 | -0.000 | 5.636 | 0.000 | 
| -1.494 | 11.881 | 16.462 | 0.000 | -0.000 | 220.531 | 
| 540.578 | 61.655 | 2.139 | -0.000 | 0.000 | 0.000 | 
| 88.210 | 241.608 | -13.198 | 0.000 | -0.000 | 0.000 | 
| 3.201 | -28.679 | -16.702 | 0.000 | 0.000 | -0.000 | 
| -0.061 | -12.576 | -29.254 | 1.128 | 0.000 | -0.000 | 
| -1.810 | -5.466 | -26.945 | 0.000 | 5.636 | -0.000 | 
| 1.494 | -11.881 | -16.462 | -0.000 | -0.000 | 220.531 | 
| 1243.771 | 75.088 | 18.901 | -0.000 | -0.000 | 0.000 | 
| 61.233 | 1279.932 | -3.307 | 0.000 | 0.000 | 0.001 | 
| -2.890 | -2.890 | 1342.104 | 0.000 | -0.000 | 0.000 | 
| 0.000 | 0.001 | -0.000 | 545.747 | -0.000 | 0.000 | 
| 0.000 | 0.000 | -0.000 | 0.000 | 545.747 | 0.000 | 
| -0.001 | 0.000 | -0.000 | 0.000 | 0.000 | 609.350 | 
| 1237.166 | 81.672 | 18.916 | 0.000 | 0.000 | -0.000 | 
| 74.061 | 1242.965 | 20.718 | -0.000 | -0.000 | -0.000 | 
| -2.890 | -2.890 | 1342.103 | 0.000 | 0.000 | -0.000 | 
| -0.000 | -0.001 | 0.000 | 545.747 | -0.000 | -0.000 | 
| -0.000 | -0.000 | -0.000 | 0.000 | 545.747 | -0.000 | 
| -0.000 | -0.000 | 0.000 | -0.000 | -0.000 | 609.350 | 
| 1243.411 | 74.623 | 19.717 | -0.000 | -0.000 | 0.000 | 
| 74.624 | 1243.409 | 19.718 | 0.000 | -0.000 | 0.000 | 
| 18.476 | 18.476 | 1299.574 | 0.000 | -0.000 | 0.000 | 
| 0.000 | 0.000 | 0.000 | 545.747 | -0.000 | 0.000 | 
| 0.000 | 0.000 | 0.000 | 0.000 | 545.747 | 0.000 | 
| -0.000 | 0.000 | 0.000 | -0.000 | -0.000 | 609.350 | 
| 1279.932 | 61.232 | -3.304 | 0.000 | 0.000 | -0.000 | 
| 61.232 | 1279.931 | -3.304 | 0.000 | -0.000 | -0.000 | 
| -2.890 | -2.890 | 1342.103 | -0.000 | 0.000 | -0.000 | 
| -0.000 | -0.000 | -0.000 | 545.747 | -0.000 | -0.000 | 
| -0.000 | -0.000 | -0.000 | -0.000 | 545.747 | -0.000 | 
| 0.000 | -0.000 | -0.000 | -0.000 | 0.000 | 609.350 | 
| 1243.397 | 74.571 | 19.787 | 0.000 | -0.000 | 0.000 | 
| 74.559 | 1243.428 | 19.767 | 0.000 | -0.000 | 0.000 | 
| 18.436 | 18.436 | 1299.658 | -0.000 | 0.000 | 0.000 | 
| 0.000 | -0.000 | 0.000 | 545.747 | -0.000 | 0.000 | 
| 0.004 | 0.005 | -0.009 | -0.000 | 535.010 | 0.000 | 
| 0.000 | 0.001 | 0.000 | 0.000 | 0.000 | 609.350 | 
| 1279.928 | 61.231 | -3.305 | -0.000 | -0.000 | -0.000 | 
| 82.142 | 1237.586 | 18.026 | -0.000 | 0.000 | -0.000 | 
| 18.458 | 18.458 | 1299.606 | 0.000 | -0.000 | -0.000 | 
| -0.000 | 0.000 | -0.000 | 545.747 | 0.000 | -0.000 | 
| -0.004 | -0.005 | 0.009 | -0.000 | 535.010 | -0.000 | 
| -0.000 | -0.001 | -0.000 | -0.000 | -0.000 | 609.350 | 
| 1279.923 | 61.125 | -3.149 | -0.000 | -0.000 | 0.000 | 
| 61.125 | 1279.923 | -3.149 | 0.000 | -0.001 | 0.000 | 
| 133.508 | 133.508 | 1070.739 | -0.001 | -0.000 | 0.000 | 
| 0.000 | 0.000 | -0.001 | 545.659 | -0.000 | 0.000 | 
| 91.860 | 91.860 | -183.224 | -0.000 | 535.564 | 0.000 | 
| 112.312 | 112.312 | -224.022 | -0.001 | -0.000 | 583.530 | 
| 1279.923 | 61.124 | -3.149 | 0.000 | 0.000 | -0.000 | 
| 61.125 | 1279.923 | -3.149 | 0.001 | 0.000 | -0.000 | 
| -90.906 | -90.906 | 1518.364 | 0.000 | 0.000 | -0.000 | 
| -0.000 | -0.000 | 0.001 | 545.659 | 0.000 | -0.000 | 
| -91.860 | -91.860 | 183.224 | 0.000 | 535.564 | -0.000 | 
| -112.312 | -112.312 | 224.022 | 0.001 | 0.001 | 583.530 | 
| 1279.923 | 61.125 | -3.148 | 0.000 | 0.000 | 0.000 | 
| 61.125 | 1279.924 | -3.148 | -0.000 | -0.000 | 0.000 | 
| 31.278 | 31.278 | 1274.653 | -0.000 | -0.000 | -0.000 | 
| 11.135 | 11.135 | -22.210 | 533.411 | -0.000 | 0.000 | 
| 0.000 | 0.000 | -0.000 | -0.000 | 545.658 | 0.000 | 
| 0.000 | 0.000 | -0.000 | -0.000 | -0.000 | 609.399 | 
| 1231.742 | 63.375 | 42.659 | -0.000 | 0.000 | -0.000 | 
| 63.375 | 1231.744 | 42.657 | 0.000 | 0.000 | -0.000 | 
| 10.409 | 10.409 | 1316.277 | 0.000 | 0.000 | 0.000 | 
| -11.135 | -11.135 | 22.210 | 533.411 | 0.000 | -0.000 | 
| -0.000 | -0.000 | 0.000 | 0.000 | 545.659 | -0.000 | 
| -0.000 | -0.000 | 0.000 | 0.000 | 0.000 | 609.399 | 
| 1244.974 | 78.854 | 14.029 | -0.000 | -0.000 | 0.000 | 
| 61.125 | 1279.927 | -3.148 | -0.000 | -0.000 | 0.000 | 
| 19.556 | 19.556 | 1298.038 | 0.000 | -0.000 | 0.000 | 
| 0.000 | -0.000 | 0.000 | 545.658 | -0.000 | 0.000 | 
| 0.976 | 0.977 | -1.947 | -0.000 | 534.929 | 0.000 | 
| 0.000 | 0.001 | 0.000 | -0.000 | -0.000 | 609.399 | 
| 1236.997 | 78.267 | 22.563 | 0.000 | 0.000 | -0.000 | 
| 72.530 | 1243.798 | 21.501 | 0.000 | 0.000 | -0.000 | 
| 17.611 | 17.611 | 1301.909 | 0.000 | 0.000 | 0.000 | 
| -0.000 | 0.000 | -0.000 | 545.658 | 0.000 | -0.000 | 
| -0.976 | -0.977 | 1.947 | 0.000 | 534.929 | -0.000 | 
| -0.000 | -0.001 | -0.000 | 0.000 | 0.000 | 609.399 | 
| 1242.080 | 67.596 | 28.239 | 0.000 | 0.000 | -0.000 | 
| 61.025 | 1279.916 | -3.001 | 0.000 | 0.000 | 0.000 | 
| 8.127 | 8.127 | 1321.446 | 0.000 | 0.000 | 0.000 | 
| -13.056 | -13.056 | 26.093 | 532.078 | 0.000 | -0.000 | 
| -7.601 | -7.601 | 15.190 | 0.000 | 537.725 | -0.000 | 
| -13.047 | -13.047 | 26.073 | 0.000 | 0.000 | 581.535 | 
| 1251.530 | 88.542 | -2.134 | -0.000 | -0.000 | 0.000 | 
| 82.755 | 1257.683 | -2.500 | 0.000 | -0.000 | 0.000 | 
| 21.016 | 21.016 | 1295.688 | -0.000 | -0.000 | 0.000 | 
| 13.056 | 13.056 | -26.094 | 532.078 | 0.000 | 0.000 | 
| 7.601 | 7.601 | -15.190 | -0.000 | 537.725 | 0.000 | 
| 13.047 | 13.047 | -26.073 | -0.000 | -0.000 | 581.535 | 
| 1242.421 | 72.552 | 22.947 | 0.000 | 0.000 | 0.000 | 
| 61.025 | 1279.917 | -3.002 | 0.000 | -0.000 | 0.000 | 
| 18.873 | 18.873 | 1299.971 | 0.000 | 0.000 | -0.000 | 
| -0.912 | -0.912 | 1.823 | 536.153 | -0.000 | 0.000 | 
| -0.000 | 0.000 | 0.000 | 0.000 | 545.576 | -0.000 | 
| 0.000 | 0.000 | 0.000 | 0.000 | 0.000 | 609.446 | 
| 1279.916 | 61.025 | -3.002 | -0.000 | -0.000 | 0.000 | 
| 61.025 | 1279.916 | -3.002 | -0.000 | -0.000 | -0.000 | 
| 20.882 | 20.882 | 1295.955 | -0.000 | -0.000 | 0.000 | 
| 0.912 | 0.912 | -1.823 | 536.153 | -0.000 | 0.000 | 
| 0.000 | -0.000 | -0.000 | -0.000 | 545.576 | 0.000 | 
| -0.000 | -0.000 | -0.000 | -0.000 | -0.000 | 609.446 | 
| 1244.480 | 76.334 | 17.114 | 0.000 | 0.000 | -0.000 | 
| 72.887 | 1245.477 | 19.562 | 0.000 | 0.000 | -0.000 | 
| 18.427 | 18.427 | 1300.866 | 0.000 | 0.000 | -0.000 | 
| -0.103 | -0.104 | 0.207 | 534.865 | -0.000 | -0.000 | 
| -0.104 | -0.104 | 0.208 | -0.000 | 534.805 | -0.000 | 
| 0.000 | 0.001 | 0.000 | 0.000 | 0.000 | 609.446 | 
| 1245.661 | 73.111 | 19.145 | -0.000 | -0.000 | -0.000 | 
| 73.112 | 1245.660 | 19.146 | -0.000 | -0.000 | 0.000 | 
| 18.617 | 18.617 | 1300.477 | -0.000 | 0.000 | -0.000 | 
| 0.103 | 0.104 | -0.207 | 534.865 | -0.000 | 0.000 | 
| 0.104 | 0.104 | -0.208 | 0.000 | 534.805 | 0.000 | 
| -0.000 | -0.001 | -0.000 | -0.000 | -0.000 | 609.446 | 
| 813.108 | 906.169 | -615.573 | -0.000 | -0.000 | -0.000 | 
| -6.269 | 1302.506 | -745.053 | 0.000 | -0.000 | -0.000 | 
| -123.702 | 1069.728 | -554.475 | 0.000 | -0.000 | 0.000 | 
| 0.000 | 0.000 | 0.000 | 113.870 | -0.000 | -0.000 | 
| 0.000 | 0.000 | 0.000 | -0.000 | 312.672 | -0.000 | 
| 0.000 | -0.000 | 0.000 | -0.000 | -0.000 | 275.422 | 
| 843.503 | -865.547 | 796.117 | 0.000 | 0.000 | 0.000 | 
| 200.612 | -649.421 | 803.710 | 0.000 | 0.000 | 0.000 | 
| 107.542 | -909.128 | 1049.406 | -0.000 | 0.000 | 0.000 | 
| -0.000 | -0.000 | -0.000 | 113.870 | 0.000 | 0.000 | 
| -0.000 | 0.000 | -0.000 | -0.000 | 312.672 | 0.000 | 
| -0.000 | 0.000 | -0.000 | -0.000 | 0.000 | 275.422 | 
| 730.079 | 192.434 | -107.304 | 0.000 | 0.000 | -0.000 | 
| 54.693 | 456.901 | 23.099 | 0.000 | -0.000 | -0.000 | 
| 45.809 | 21.517 | 545.812 | 0.000 | -0.000 | -0.000 | 
| 0.000 | -0.000 | -0.000 | 113.870 | -0.000 | -0.000 | 
| 9.088 | 92.486 | -75.944 | 0.000 | 222.670 | -0.000 | 
| 7.993 | 81.338 | -66.789 | 0.000 | -0.000 | 264.763 | 
| 742.506 | 32.127 | 94.444 | 0.000 | 0.000 | 0.000 | 
| 54.693 | 456.901 | 23.099 | -0.000 | -0.000 | 0.000 | 
| 45.809 | 21.517 | 545.812 | -0.000 | 0.000 | 0.000 | 
| -0.000 | 0.000 | -0.000 | 113.870 | 0.000 | 0.000 | 
| -9.088 | -92.486 | 75.944 | -0.000 | 222.670 | 0.000 | 
| -7.993 | -81.338 | 66.789 | -0.000 | 0.000 | 264.763 | 
| 740.347 | 111.061 | -10.731 | 0.000 | -0.000 | -0.000 | 
| 98.884 | 322.754 | 27.672 | 0.000 | -0.000 | -0.000 | 
| -5.626 | 7.465 | -10.724 | -0.000 | -0.000 | 0.000 | 
| -1.485 | 7.328 | -14.617 | 2.756 | -0.000 | -0.000 | 
| -1.144 | 9.048 | -10.731 | 0.000 | -0.005 | -0.000 | 
| -1.076 | 9.068 | -10.158 | 0.000 | -0.000 | 248.860 | 
| 747.426 | 86.635 | 49.904 | -0.000 | 0.000 | 0.000 | 
| 107.211 | 307.153 | 54.581 | -0.000 | 0.000 | 0.000 | 
| -3.349 | -10.629 | 10.801 | -0.000 | 0.000 | -0.000 | 
| 1.486 | -7.329 | 14.616 | 2.757 | 0.000 | 0.000 | 
| 1.144 | -9.048 | 10.731 | -0.000 | -0.005 | 0.000 | 
| 1.076 | -9.068 | 10.158 | -0.000 | 0.000 | 248.860 | 
| 260.721 | 79.996 | 86.118 | 0.000 | -0.000 | -0.000 | 
| 61.902 | 519.225 | 63.730 | 0.000 | 0.000 | -0.000 | 
| 92.021 | 86.277 | 298.767 | 0.000 | 0.000 | 0.000 | 
| 0.008 | -0.005 | -0.006 | 75.437 | 0.000 | 0.000 | 
| 0.006 | 0.000 | -0.003 | 0.000 | 145.197 | 0.000 | 
| 0.008 | -0.004 | -0.006 | 0.000 | 0.000 | 117.154 | 
| 260.715 | 79.987 | 86.143 | -0.000 | 0.000 | -0.000 | 
| 61.902 | 519.225 | 63.730 | -0.000 | 0.000 | -0.000 | 
| 63.711 | 54.885 | 105.146 | 0.000 | 0.000 | -0.000 | 
| -0.008 | 0.005 | 0.006 | 75.437 | 0.000 | -0.000 | 
| -0.006 | -0.000 | 0.003 | 0.000 | 145.197 | 0.000 | 
| -0.008 | 0.004 | 0.006 | -0.000 | -0.000 | 117.154 | 
| 260.722 | 79.993 | 86.130 | -0.000 | 0.000 | -0.000 | 
| 61.902 | 519.225 | 63.730 | 0.000 | 0.000 | 0.000 | 
| 15.263 | 14.809 | 61.459 | 0.000 | 0.000 | -0.000 | 
| 0.001 | 0.001 | -0.001 | 90.428 | -0.000 | 0.000 | 
| 0.001 | 0.000 | -0.000 | 0.000 | 145.197 | 0.000 | 
| 0.000 | 0.000 | 0.000 | 0.000 | 0.000 | 245.862 | 
| 260.719 | 79.991 | 86.132 | -0.000 | 0.000 | 0.000 | 
| 87.072 | 352.927 | 86.315 | -0.000 | 0.000 | -0.000 | 
| 89.110 | 86.321 | 171.203 | -0.000 | -0.000 | 0.000 | 
| -0.001 | -0.001 | 0.001 | 90.428 | -0.000 | 0.000 | 
| -0.001 | -0.000 | 0.000 | -0.000 | 145.197 | 0.000 | 
| -0.000 | -0.000 | -0.000 | -0.000 | -0.000 | 245.862 | 
| 261.066 | 79.953 | 86.086 | 0.000 | 0.000 | -0.000 | 
| 58.246 | 225.329 | 63.826 | 0.000 | 0.000 | 0.000 | 
| 89.112 | 86.324 | 171.185 | 0.000 | 0.000 | -0.000 | 
| 0.000 | -0.000 | -0.000 | 128.352 | -0.000 | -0.000 | 
| 0.000 | 0.000 | 0.000 | 0.000 | 223.573 | 0.000 | 
| 0.000 | 0.000 | 0.000 | 0.000 | -0.000 | 245.862 | 
| 222.914 | 58.042 | 70.056 | -0.000 | -0.000 | -0.000 | 
| 87.071 | 352.935 | 86.313 | 0.000 | 0.000 | -0.000 | 
| 63.737 | 54.897 | 105.092 | -0.000 | 0.000 | -0.000 | 
| -0.000 | 0.000 | 0.000 | 128.352 | -0.000 | 0.000 | 
| -0.000 | -0.000 | -0.000 | -0.000 | 223.573 | 0.000 | 
| -0.000 | -0.000 | -0.000 | -0.000 | 0.000 | 245.862 | 
| 453.514 | -61.179 | -510.272 | -0.000 | -0.000 | -0.000 | 
| 86.042 | 305.951 | -507.928 | 0.000 | 0.000 | 0.000 | 
| 100.543 | -47.950 | -219.904 | 0.000 | -0.000 | 0.000 | 
| -1282.471 | -479.806 | -852.292 | 73.749 | 0.000 | 0.000 | 
| 41.038 | -105.614 | -570.604 | 0.000 | 171.948 | 0.000 | 
| -2152.170 | -852.732 | -1308.477 | 0.000 | 0.000 | 88.151 | 
| 925.169 | 250.779 | 638.956 | -0.000 | -0.000 | 0.000 | 
| 1295.021 | 721.361 | 909.556 | -0.000 | -0.000 | -0.000 | 
| 18.560 | 163.189 | 920.383 | 0.000 | 0.000 | -0.000 | 
| 1282.471 | 479.806 | 852.292 | 73.749 | -0.000 | -0.000 | 
| -41.038 | 105.614 | 570.604 | -0.000 | 171.948 | -0.000 | 
| 2152.170 | 852.732 | 1308.477 | 0.000 | -0.000 | 88.151 | 
| 411.222 | 33.756 | 1.537 | 0.000 | 0.000 | 0.000 | 
| -31.749 | 292.396 | 9.915 | 0.000 | 0.000 | 0.000 | 
| -177.224 | -44.513 | -60.781 | 0.000 | 0.000 | 0.000 | 
| 4.191 | -10.787 | -58.280 | 163.311 | 0.000 | 0.000 | 
| 4.184 | -10.768 | -58.176 | 0.000 | 171.510 | 0.000 | 
| 4.174 | -10.743 | -58.040 | 0.000 | 0.000 | 200.061 | 
| 410.362 | 55.322 | 119.586 | 0.000 | -0.000 | -0.000 | 
| 40.885 | 421.142 | 121.379 | 0.000 | -0.000 | 0.000 | 
| 51.671 | 51.599 | 395.632 | 0.000 | -0.000 | -0.000 | 
| -4.191 | 10.787 | 58.280 | 163.311 | -0.000 | 0.000 | 
| -4.184 | 10.768 | 58.176 | 0.000 | 171.510 | -0.000 | 
| -4.174 | 10.743 | 58.040 | -0.000 | -0.000 | 200.061 | 
| 288.856 | 50.040 | 65.923 | 0.000 | -0.000 | 0.000 | 
| -1.386 | 163.946 | 25.352 | 0.000 | 0.000 | 0.000 | 
| 51.671 | 51.600 | 395.633 | 0.000 | 0.000 | 0.000 | 
| 0.863 | -2.220 | -11.993 | 135.972 | 0.000 | 0.000 | 
| -24.962 | -10.952 | -16.611 | -0.000 | 65.191 | 0.000 | 
| -11.736 | -3.314 | -7.247 | 0.000 | 0.000 | 129.577 | 
| 252.330 | 48.661 | 85.549 | -0.000 | 0.000 | -0.000 | 
| 42.132 | 201.425 | 55.081 | -0.000 | 0.000 | -0.000 | 
| 45.730 | 28.790 | 73.553 | -0.000 | -0.000 | -0.000 | 
| -0.863 | 2.220 | 11.993 | 135.972 | -0.000 | -0.000 | 
| 24.962 | 10.952 | 16.611 | -0.000 | 65.191 | -0.000 | 
| 11.736 | 3.314 | 7.247 | -0.000 | 0.000 | 129.577 | 
| 1174.757 | -9.784 | 0.000 | 0.000 | 0.000 | 0.000 | 
| -9.784 | 1174.757 | 0.000 | 0.000 | 0.000 | 0.000 | 
| -0.000 | -0.000 | 0.000 | 0.000 | 0.000 | 0.000 | 
| -0.000 | 0.000 | 0.000 | 0.000 | 0.000 | 0.000 | 
| -0.000 | -0.000 | 0.000 | 0.000 | 0.000 | 0.000 | 
| 0.000 | 0.000 | 0.000 | 0.000 | 0.000 | 592.270 | 
| 1174.757 | -9.784 | -0.000 | -0.000 | -0.000 | -0.000 | 
| -9.784 | 1174.757 | -0.000 | -0.000 | -0.000 | -0.000 | 
| 0.000 | 0.000 | -0.000 | -0.000 | -0.000 | -0.000 | 
| 0.000 | 0.000 | -0.000 | -0.000 | -0.000 | -0.000 | 
| 0.000 | 0.000 | -0.000 | -0.000 | -0.000 | -0.000 | 
| -0.000 | -0.000 | -0.000 | -0.000 | -0.000 | 592.270 | 
| 1174.757 | -9.784 | 0.000 | 0.000 | 0.000 | 0.000 | 
| -9.784 | 1174.757 | 0.000 | 0.000 | 0.000 | 0.000 | 
| -0.000 | -0.000 | 0.000 | 0.000 | 0.000 | 0.000 | 
| -0.000 | -0.000 | 0.000 | 0.000 | 0.000 | 0.000 | 
| -0.000 | -0.000 | 0.000 | 0.000 | 0.000 | 0.000 | 
| 0.000 | 0.000 | 0.000 | 0.000 | 0.000 | 592.270 | 
| 1174.756 | -9.784 | -0.000 | -0.000 | -0.000 | -0.000 | 
| -9.784 | 1174.756 | -0.000 | -0.000 | -0.000 | -0.000 | 
| 0.000 | 0.000 | -0.000 | -0.000 | -0.000 | -0.000 | 
| 0.000 | 0.000 | -0.000 | -0.000 | -0.000 | -0.000 | 
| 0.000 | 0.000 | -0.000 | -0.000 | -0.000 | -0.000 | 
| -0.000 | -0.000 | -0.000 | -0.000 | -0.000 | 592.270 | 
| 1174.761 | -9.784 | 0.000 | 0.000 | 0.000 | 0.000 | 
| -9.784 | 1174.761 | 0.000 | 0.000 | 0.000 | 0.000 | 
| -0.000 | -0.000 | 0.000 | 0.000 | 0.000 | 0.000 | 
| -0.000 | 0.000 | 0.000 | 0.000 | 0.000 | 0.000 | 
| -0.000 | -0.000 | 0.000 | 0.000 | 0.000 | 0.000 | 
| 0.000 | 0.001 | 0.000 | 0.000 | 0.000 | 592.270 | 
| 1174.753 | -9.785 | -0.000 | -0.000 | -0.000 | -0.000 | 
| -9.784 | 1174.753 | -0.000 | -0.000 | -0.000 | -0.000 | 
| 0.000 | 0.000 | -0.000 | -0.000 | -0.000 | -0.000 | 
| 0.000 | 0.000 | -0.000 | -0.000 | -0.000 | -0.000 | 
| 0.000 | 0.000 | -0.000 | -0.000 | -0.000 | -0.000 | 
| -0.000 | -0.001 | -0.000 | -0.000 | -0.000 | 592.270 | 
| 466.485 | 54.300 | 54.300 | 0.000 | 0.000 | 0.000 | 
| 54.300 | 466.486 | 54.300 | 0.000 | -0.000 | 0.000 | 
| 54.300 | 54.300 | 466.486 | 0.000 | 0.000 | 0.000 | 
| -0.000 | -0.000 | -0.000 | 113.037 | -0.000 | 0.000 | 
| -0.000 | -0.000 | -0.000 | 0.000 | 113.037 | 0.000 | 
| -0.000 | -0.000 | -0.000 | 0.000 | -0.000 | 113.037 | 
| 143.315 | 62.370 | 62.370 | -0.000 | 0.000 | -0.000 | 
| 62.370 | 143.315 | 62.370 | -0.000 | 0.000 | -0.000 | 
| 62.370 | 62.370 | 143.316 | -0.000 | 0.000 | -0.000 | 
| 0.000 | 0.000 | 0.000 | 113.037 | 0.000 | -0.000 | 
| 0.000 | 0.000 | 0.000 | -0.000 | 113.038 | -0.000 | 
| 0.000 | 0.000 | 0.000 | -0.000 | 0.000 | 113.037 | 
| 466.486 | 54.300 | 54.300 | 0.000 | -0.000 | 0.000 | 
| 54.300 | 466.486 | 54.300 | 0.000 | -0.000 | 0.000 | 
| 54.300 | 54.300 | 466.486 | -0.000 | -0.000 | 0.000 | 
| 0.000 | 0.000 | 0.000 | 206.093 | -0.000 | 0.000 | 
| -0.000 | 0.000 | -0.000 | -0.000 | 206.093 | 0.000 | 
| -0.000 | 0.000 | -0.000 | 0.000 | -0.000 | 206.093 | 
| 143.276 | 62.366 | 62.366 | -0.000 | 0.000 | -0.000 | 
| 62.366 | 143.276 | 62.366 | -0.000 | 0.000 | -0.000 | 
| 62.366 | 62.366 | 143.276 | -0.000 | 0.000 | -0.000 | 
| 0.000 | -0.000 | -0.000 | 206.093 | 0.000 | -0.000 | 
| -0.000 | -0.000 | -0.000 | -0.000 | 206.093 | -0.000 | 
| -0.000 | -0.000 | 0.000 | -0.000 | 0.000 | 206.093 | 
| 466.487 | 54.300 | 54.300 | 0.000 | -0.000 | 0.000 | 
| 54.300 | 466.487 | 54.300 | 0.000 | -0.000 | 0.000 | 
| 54.300 | 54.300 | 466.487 | 0.000 | -0.000 | 0.000 | 
| 0.000 | -0.000 | -0.000 | 113.037 | -0.000 | 0.000 | 
| -0.000 | 0.000 | -0.000 | 0.000 | 113.037 | 0.000 | 
| -0.000 | -0.000 | 0.000 | 0.000 | -0.000 | 113.037 | 
| 143.236 | 62.358 | 62.358 | -0.000 | -0.000 | -0.000 | 
| 62.358 | 143.236 | 62.358 | -0.000 | 0.000 | -0.000 | 
| 62.358 | 62.358 | 143.236 | 0.000 | 0.000 | -0.000 | 
| -0.000 | 0.000 | 0.000 | 113.037 | 0.000 | -0.000 | 
| 0.000 | -0.000 | 0.000 | -0.000 | 113.037 | -0.000 | 
| 0.000 | 0.000 | -0.000 | -0.000 | 0.000 | 113.037 | 
| 181.698 | 24.068 | 24.066 | 0.000 | -0.000 | -0.000 | 
| 24.066 | 181.701 | 24.066 | 0.000 | -0.000 | -0.000 | 
| 24.066 | 24.067 | 181.698 | 0.000 | -0.000 | 0.000 | 
| -0.451 | -0.450 | -0.450 | 94.908 | -0.000 | -0.000 | 
| -0.451 | -0.450 | -0.450 | 0.000 | 94.908 | -0.000 | 
| -0.451 | -0.450 | -0.450 | 0.000 | -0.000 | 94.908 | 
| 242.573 | 52.750 | 52.751 | -0.000 | 0.000 | 0.000 | 
| 52.751 | 242.573 | 52.751 | -0.000 | 0.000 | 0.000 | 
| 52.751 | 52.750 | 242.573 | -0.000 | 0.000 | -0.000 | 
| 0.451 | 0.450 | 0.450 | 94.908 | 0.000 | -0.000 | 
| 0.451 | 0.450 | 0.450 | -0.000 | 94.908 | 0.000 | 
| 0.451 | 0.450 | 0.450 | -0.000 | 0.000 | 94.908 | 
| 195.347 | 43.169 | 43.169 | 0.000 | -0.000 | -0.000 | 
| 43.169 | 195.347 | 43.169 | 0.000 | -0.000 | 0.000 | 
| 43.169 | 43.169 | 195.347 | 0.000 | -0.000 | 0.000 | 
| 5.089 | 5.090 | 5.090 | 125.642 | -0.000 | -0.000 | 
| 5.089 | 5.090 | 5.090 | 0.000 | 125.642 | 0.000 | 
| 5.089 | 5.090 | 5.090 | 0.000 | -0.000 | 125.642 | 
| 239.564 | 52.386 | 52.386 | 0.000 | 0.000 | -0.000 | 
| 52.386 | 239.564 | 52.386 | 0.000 | 0.000 | -0.000 | 
| 52.386 | 52.386 | 239.564 | -0.000 | 0.000 | 0.000 | 
| -5.090 | -5.090 | -5.090 | 125.642 | 0.000 | 0.000 | 
| -5.089 | -5.090 | -5.090 | 0.000 | 125.642 | -0.000 | 
| -5.089 | -5.090 | -5.090 | -0.000 | 0.000 | 125.642 | 
| 18.794 | -37.860 | -37.860 | 0.000 | 0.000 | -0.000 | 
| -37.860 | 18.794 | -37.860 | 0.000 | -0.000 | 0.000 | 
| -28.873 | -28.873 | 12.634 | 0.000 | -0.000 | 0.000 | 
| 0.046 | 0.046 | 0.046 | 75.849 | -0.000 | 0.000 | 
| 0.627 | 0.627 | 0.627 | 0.000 | 112.075 | 0.000 | 
| 0.046 | 0.046 | 0.046 | 0.000 | -0.000 | 75.849 | 
| 162.285 | 53.949 | 53.949 | -0.000 | 0.000 | -0.000 | 
| 53.949 | 162.285 | 53.949 | -0.000 | 0.000 | -0.000 | 
| 53.949 | 53.949 | 162.285 | -0.000 | 0.000 | 0.000 | 
| -0.046 | -0.046 | -0.046 | 75.849 | 0.000 | 0.000 | 
| -0.627 | -0.627 | -0.627 | -0.000 | 112.075 | 0.000 | 
| -0.046 | -0.046 | -0.046 | -0.000 | 0.000 | 75.849 | 
| 416.295 | 48.458 | 48.458 | 0.000 | 0.000 | 0.000 | 
| 48.458 | 416.295 | 48.458 | -0.000 | -0.000 | 0.000 | 
| 48.458 | 48.458 | 416.295 | 0.000 | -0.000 | 0.000 | 
| 0.000 | 0.000 | -0.000 | 183.918 | 0.000 | 0.000 | 
| 0.000 | 0.000 | -0.000 | 0.000 | 183.918 | 0.000 | 
| -0.000 | 0.000 | -0.000 | 0.000 | -0.000 | 183.919 | 
| -357.375 | -573.680 | -573.680 | 0.000 | 0.000 | -0.000 | 
| -573.680 | -357.375 | -573.680 | -0.000 | 0.000 | -0.000 | 
| -573.680 | -573.680 | -357.375 | -0.000 | 0.000 | -0.000 | 
| -0.000 | -0.000 | 0.000 | 183.918 | -0.000 | -0.000 | 
| -0.000 | -0.000 | 0.000 | 0.000 | 183.918 | -0.000 | 
| -0.000 | -0.000 | -0.000 | -0.000 | 0.000 | 183.918 | 
| 364.312 | 86.556 | 86.556 | -0.000 | -0.000 | 0.000 | 
| 86.556 | 364.312 | 86.556 | -0.000 | -0.000 | 0.000 | 
| 86.556 | 86.556 | 364.312 | 0.000 | 0.000 | 0.000 | 
| 0.000 | 0.000 | 0.000 | 183.918 | 0.000 | 0.000 | 
| 0.000 | 0.000 | 0.000 | -0.000 | 183.918 | 0.000 | 
| -0.000 | 0.000 | 0.000 | -0.000 | -0.000 | 183.918 | 
| 172.586 | -21.749 | -21.749 | 0.000 | 0.000 | -0.000 | 
| -21.749 | 172.586 | -21.749 | -0.000 | 0.000 | -0.000 | 
| -21.749 | -21.749 | 172.586 | -0.000 | -0.000 | -0.000 | 
| -0.000 | -0.000 | -0.000 | 183.918 | 0.000 | -0.000 | 
| 0.000 | -0.000 | -0.000 | -0.000 | 183.918 | -0.000 | 
| -0.000 | -0.000 | -0.000 | -0.000 | -0.000 | 183.918 | 
| 41.754 | -21.621 | -21.621 | -0.000 | 0.000 | 0.000 | 
| -21.621 | 41.754 | -21.621 | 0.000 | 0.000 | 0.000 | 
| -21.608 | -21.608 | 41.585 | 0.000 | -0.000 | 0.000 | 
| 0.000 | 0.000 | 0.000 | 183.918 | -0.000 | 0.000 | 
| 4.990 | 4.990 | 4.990 | 0.000 | 111.715 | 0.000 | 
| 0.000 | 0.000 | 0.000 | 0.000 | 0.000 | 183.918 | 
| 25.261 | -32.940 | -32.940 | -0.000 | -0.000 | -0.000 | 
| 14.779 | 61.871 | 14.779 | 0.000 | -0.000 | -0.000 | 
| 14.779 | 14.779 | 61.871 | -0.000 | 0.000 | -0.000 | 
| -0.000 | -0.000 | -0.000 | 183.918 | 0.000 | -0.000 | 
| -4.990 | -4.990 | -4.990 | 0.000 | 111.715 | -0.000 | 
| -0.000 | -0.000 | -0.000 | -0.000 | 0.000 | 183.918 | 
| 6947.730 | 6964.052 | 24758.845 | -26.369 | -0.000 | 0.000 | 
| 6963.503 | 6947.213 | 24763.915 | 26.371 | -0.000 | 0.000 | 
| 7015.466 | 7015.469 | 24479.286 | -0.000 | -0.000 | 0.000 | 
| -3.242 | 3.242 | -0.000 | 204.569 | -0.000 | -0.000 | 
| -0.000 | 0.000 | 0.000 | 0.000 | 204.569 | -3.242 | 
| 6751.483 | 6751.482 | 30778.468 | 0.000 | -20.963 | 44.464 | 
| 458.375 | 59.045 | -4788.920 | -6.027 | 0.000 | -0.000 | 
| 31.984 | 499.669 | 66.566 | 3.242 | 0.000 | 0.000 | 
| -6862.842 | -6862.845 | -24797.415 | 0.000 | 0.000 | -0.000 | 
| -3.242 | 3.242 | -0.000 | 204.569 | 0.000 | -0.000 | 
| -0.000 | -0.000 | -0.000 | -0.000 | 204.570 | -3.242 | 
| -6751.483 | -6751.482 | -30778.468 | -0.000 | -20.963 | 44.464 | 
| 634.334 | 512.964 | 1518.801 | -17.805 | -0.000 | -0.000 | 
| 33.559 | 433.482 | 562.356 | 6.003 | -0.000 | 0.000 | 
| 60.215 | 60.215 | 382.824 | -0.000 | -0.000 | 0.000 | 
| -8.342 | 3.711 | 486.774 | 171.977 | -0.000 | 0.000 | 
| 676.747 | 676.747 | 3081.538 | 0.000 | 18.775 | -20.986 | 
| 692.312 | 692.312 | 2458.717 | -0.000 | -26.298 | -7.383 | 
| 436.640 | 38.294 | -413.860 | -6.067 | 0.000 | -0.000 | 
| 31.984 | 499.669 | 66.566 | 3.242 | -0.000 | -0.000 | 
| 60.215 | 60.215 | 382.824 | -0.000 | 0.000 | -0.000 | 
| -3.711 | 8.341 | -486.713 | 171.981 | 0.000 | -0.000 | 
| -676.747 | -676.747 | -3081.538 | -0.000 | 18.775 | -20.986 | 
| -692.312 | -692.312 | -2458.717 | 0.000 | -26.298 | -7.383 | 
| 499.671 | 31.985 | 66.567 | -3.242 | -0.000 | 0.000 | 
| 73.827 | 164.089 | 290.731 | 21.302 | -0.000 | 0.000 | 
| 123.294 | 123.294 | 243.754 | -0.000 | -0.000 | 0.000 | 
| 25.822 | 57.825 | 124.702 | 55.901 | -0.000 | -0.000 | 
| 57.658 | 57.658 | 212.144 | -0.000 | 7.819 | -22.844 | 
| 64.310 | 64.310 | 410.115 | -0.000 | -5.180 | 112.841 | 
| 165.353 | -11.802 | -12.246 | -15.455 | 0.000 | -0.000 | 
| -11.841 | 166.176 | -11.815 | 15.420 | -0.000 | 0.000 | 
| 26.937 | 26.937 | -323.802 | 0.000 | -0.000 | -0.000 | 
| -57.810 | -25.796 | -124.831 | 55.844 | 0.000 | 0.000 | 
| -57.658 | -57.658 | -212.144 | 0.000 | 7.820 | -22.844 | 
| -64.310 | -64.310 | -410.115 | 0.000 | -5.180 | 112.841 | 
| 433.987 | 65.254 | 47.786 | 0.000 | 0.000 | 0.000 | 
| 59.976 | 127.491 | 44.566 | -0.000 | 0.000 | -0.000 | 
| 47.786 | 43.602 | 554.763 | 0.000 | -0.000 | 0.000 | 
| -0.000 | 0.000 | 0.001 | 215.020 | -0.000 | 0.000 | 
| 0.000 | 0.000 | 0.000 | -0.000 | 216.889 | 0.000 | 
| -0.000 | 0.000 | 0.000 | -0.000 | -0.000 | 189.000 | 
| 258.374 | 90.714 | 68.217 | 0.000 | -0.000 | -0.000 | 
| 65.254 | 448.896 | 43.602 | -0.000 | 0.000 | -0.000 | 
| 66.383 | 57.463 | 271.378 | -0.000 | -0.000 | -0.000 | 
| 0.000 | -0.000 | -0.000 | 215.020 | 0.000 | -0.000 | 
| -0.000 | -0.000 | -0.000 | -0.000 | 216.889 | -0.000 | 
| 0.000 | -0.000 | -0.000 | -0.000 | 0.000 | 189.000 | 
| 258.372 | 90.715 | 68.215 | -0.000 | 0.000 | 0.000 | 
| 65.254 | 448.896 | 43.602 | 0.000 | -0.000 | 0.000 | 
| 26.654 | 23.909 | 184.856 | 0.000 | 0.000 | 0.000 | 
| 0.000 | 0.000 | 0.000 | 215.020 | 0.000 | -0.000 | 
| -0.000 | 0.000 | -0.000 | 0.000 | 150.725 | 0.000 | 
| 0.000 | 0.000 | 0.000 | -0.000 | 0.000 | 189.000 | 
| 258.374 | 90.714 | 68.215 | -0.000 | 0.000 | 0.000 | 
| 92.030 | 268.090 | 58.901 | -0.000 | -0.000 | -0.000 | 
| 66.381 | 57.462 | 271.356 | -0.000 | 0.000 | -0.000 | 
| -0.000 | -0.000 | -0.000 | 215.020 | 0.000 | -0.000 | 
| 0.000 | -0.000 | 0.000 | -0.000 | 150.725 | -0.000 | 
| -0.000 | -0.000 | -0.000 | -0.000 | 0.000 | 189.000 | 
| 68.334 | 23.606 | 17.163 | -0.000 | -0.000 | 0.000 | 
| 60.007 | 127.294 | 44.580 | -0.000 | 0.000 | 0.000 | 
| 66.383 | 57.463 | 271.366 | 0.000 | -0.000 | -0.000 | 
| 0.000 | -0.000 | -0.000 | 145.094 | 0.000 | 0.000 | 
| -0.000 | 0.000 | -0.000 | -0.000 | 105.543 | 0.000 | 
| -0.000 | -0.000 | 0.000 | -0.000 | -0.000 | 103.020 | 
| 26.104 | -41.597 | -19.233 | -0.000 | -0.000 | -0.000 | 
| 59.979 | 127.504 | 44.565 | -0.000 | -0.000 | -0.000 | 
| 68.624 | 58.440 | 396.421 | -0.000 | 0.000 | -0.000 | 
| -0.000 | 0.000 | 0.000 | 145.094 | 0.000 | -0.000 | 
| 0.000 | -0.000 | 0.000 | -0.000 | 105.543 | -0.000 | 
| 0.000 | 0.000 | -0.000 | 0.000 | 0.000 | 103.020 | 
| 390.248 | 59.691 | 40.061 | 0.000 | -0.000 | -0.000 | 
| 452.468 | -29.283 | -1831.607 | 0.000 | 0.000 | 0.000 | 
| 270.394 | -313.451 | -139.171 | -0.000 | -0.000 | -0.000 | 
| 380.751 | -280.095 | -1876.633 | 125.173 | -0.000 | 0.000 | 
| 219.105 | -353.769 | -577.938 | 0.000 | 168.066 | -0.000 | 
| 219.110 | -353.777 | -577.950 | 0.000 | -0.000 | 134.297 | 
| 105.628 | 423.025 | 625.607 | -0.000 | 0.000 | 0.000 | 
| -150.420 | 696.181 | 619.651 | -0.000 | 0.000 | 0.000 | 
| -327.159 | 323.631 | 2224.844 | 0.000 | 0.000 | 0.000 | 
| -380.751 | 280.095 | 1876.633 | 125.173 | -0.000 | 0.000 | 
| -219.105 | 353.769 | 577.938 | 0.000 | 168.067 | 0.000 | 
| -219.110 | 353.777 | 577.950 | -0.000 | 0.000 | 134.297 | 
| 194.614 | 21.636 | -282.603 | 0.000 | -0.000 | -0.000 | 
| 129.728 | 59.211 | -394.821 | 0.000 | -0.000 | -0.000 | 
| 127.649 | -4.883 | -84.821 | -0.000 | -0.000 | -0.000 | 
| 22.080 | -35.650 | -58.240 | 164.629 | -0.000 | -0.000 | 
| 22.074 | -35.640 | -58.224 | 0.000 | 167.847 | -0.000 | 
| 22.123 | -35.720 | -58.354 | -0.000 | -0.000 | 133.952 | 
| 301.139 | 105.413 | 106.576 | -0.000 | 0.000 | 0.000 | 
| 46.697 | 376.004 | 100.875 | -0.000 | 0.000 | -0.000 | 
| 28.534 | 76.061 | 500.901 | 0.000 | 0.000 | 0.000 | 
| -22.083 | 35.656 | 58.250 | 164.623 | 0.000 | -0.000 | 
| -22.074 | 35.640 | 58.224 | -0.000 | 167.847 | 0.000 | 
| -22.123 | 35.720 | 58.354 | -0.000 | 0.000 | 133.952 | 
| 273.814 | 70.536 | 43.016 | 0.000 | -0.000 | 0.000 | 
| 78.453 | 296.408 | 34.371 | -0.000 | -0.000 | 0.000 | 
| 63.499 | 41.233 | 362.923 | 0.000 | -0.000 | 0.000 | 
| 4.826 | -3.225 | -24.636 | 104.556 | -0.000 | 0.000 | 
| -0.000 | 0.000 | 0.000 | 0.000 | 197.531 | -0.000 | 
| 6.900 | -4.273 | -29.351 | 0.000 | -0.000 | 48.215 | 
| 272.673 | 82.238 | 62.955 | -0.000 | 0.000 | 0.000 | 
| 16.526 | 82.988 | 55.052 | -0.000 | 0.000 | 0.000 | 
| 19.718 | 25.374 | 212.128 | -0.000 | 0.000 | 0.000 | 
| -4.826 | 3.225 | 24.636 | 104.556 | 0.000 | 0.000 | 
| 0.000 | -0.000 | -0.000 | -0.000 | 197.531 | 0.000 | 
| -6.900 | 4.273 | 29.351 | -0.000 | 0.000 | 48.215 | 
| 928.996 | -8.196 | 0.000 | 0.000 | 0.000 | 0.000 | 
| -8.196 | 928.996 | 0.000 | 0.000 | 0.000 | -0.000 | 
| 0.000 | 0.000 | 0.000 | 0.000 | 0.000 | 0.000 | 
| 0.000 | 0.000 | 0.000 | 0.000 | 0.000 | 0.000 | 
| -0.000 | 0.000 | 0.000 | 0.000 | 0.000 | 0.000 | 
| -0.000 | 0.000 | 0.000 | 0.000 | 0.000 | 468.133 | 
| 928.533 | -7.734 | -0.000 | -0.000 | -0.000 | 0.000 | 
| -8.196 | 928.996 | -0.000 | -0.000 | -0.000 | -0.000 | 
| -0.000 | -0.000 | -0.000 | -0.000 | -0.000 | -0.000 | 
| -0.000 | -0.000 | -0.000 | -0.000 | -0.000 | -0.000 | 
| -0.000 | -0.000 | -0.000 | -0.000 | -0.000 | -0.000 | 
| 0.000 | -0.000 | -0.000 | -0.000 | -0.000 | 468.133 | 
| 928.534 | -7.733 | 0.000 | 0.000 | 0.000 | 0.000 | 
| -8.196 | 928.997 | 0.000 | 0.000 | 0.000 | -0.000 | 
| 0.000 | 0.000 | 0.000 | 0.000 | 0.000 | 0.000 | 
| 0.000 | 0.000 | 0.000 | 0.000 | 0.000 | 0.000 | 
| 0.000 | 0.000 | 0.000 | 0.000 | 0.000 | 0.000 | 
| 0.000 | 0.000 | 0.000 | 0.000 | 0.000 | 468.133 | 
| 928.533 | -7.733 | -0.000 | -0.000 | -0.000 | -0.000 | 
| -8.196 | 928.996 | -0.000 | -0.000 | -0.000 | -0.000 | 
| -0.000 | -0.000 | -0.000 | -0.000 | -0.000 | -0.000 | 
| -0.000 | -0.000 | -0.000 | -0.000 | -0.000 | -0.000 | 
| 0.000 | -0.000 | -0.000 | -0.000 | -0.000 | 0.000 | 
| -0.000 | -0.000 | -0.000 | -0.000 | -0.000 | 468.133 | 
| 928.537 | -7.733 | 0.000 | 0.000 | 0.000 | 0.000 | 
| -7.733 | 928.537 | 0.000 | 0.000 | 0.000 | 0.000 | 
| 0.000 | 0.000 | 0.000 | 0.000 | 0.000 | 0.000 | 
| 0.000 | 0.000 | 0.000 | 0.000 | 0.000 | 0.000 | 
| -0.000 | 0.000 | 0.000 | 0.000 | 0.000 | 0.000 | 
| 0.000 | 0.001 | 0.000 | 0.000 | 0.000 | 468.133 | 
| 928.530 | -7.734 | -0.000 | -0.000 | -0.000 | 0.000 | 
| -7.734 | 928.530 | -0.000 | -0.000 | -0.000 | 0.000 | 
| -0.000 | -0.000 | -0.000 | -0.000 | -0.000 | -0.000 | 
| -0.000 | -0.000 | -0.000 | -0.000 | -0.000 | -0.000 | 
| 0.000 | -0.000 | -0.000 | -0.000 | -0.000 | -0.000 | 
| -0.000 | -0.001 | -0.000 | -0.000 | -0.000 | 468.133 | 
| 1110.338 | -9.796 | 0.000 | 0.000 | 0.000 | 0.000 | 
| -9.243 | 1109.785 | 0.000 | 0.000 | 0.000 | 0.000 | 
| 0.000 | 0.000 | 0.000 | 0.000 | 0.000 | 0.000 | 
| 0.000 | 0.000 | 0.000 | 0.000 | 0.000 | 0.000 | 
| 0.000 | 0.000 | 0.000 | 0.000 | 0.000 | 0.000 | 
| 0.000 | 0.000 | 0.000 | 0.000 | 0.000 | 559.514 | 
| 1109.785 | -9.243 | -0.000 | -0.000 | -0.000 | 0.000 | 
| -9.796 | 1110.338 | -0.000 | -0.000 | -0.000 | -0.000 | 
| -0.000 | -0.000 | -0.000 | -0.000 | -0.000 | -0.000 | 
| -0.000 | -0.000 | -0.000 | -0.000 | -0.000 | 0.000 | 
| -0.000 | -0.000 | -0.000 | -0.000 | -0.000 | -0.000 | 
| -0.000 | -0.000 | -0.000 | -0.000 | -0.000 | 559.514 | 
| 1109.785 | -9.243 | 0.000 | 0.000 | 0.000 | -0.000 | 
| -9.796 | 1110.339 | 0.000 | 0.000 | 0.000 | -0.000 | 
| 0.000 | 0.000 | 0.000 | 0.000 | 0.000 | 0.000 | 
| 0.000 | 0.000 | 0.000 | 0.000 | 0.000 | -0.000 | 
| 0.000 | 0.000 | 0.000 | 0.000 | 0.000 | 0.000 | 
| 0.000 | 0.000 | 0.000 | 0.000 | 0.000 | 559.514 | 
| 1109.785 | -9.243 | -0.000 | -0.000 | -0.000 | 0.000 | 
| -9.796 | 1110.338 | -0.000 | -0.000 | -0.000 | -0.000 | 
| -0.000 | -0.000 | -0.000 | -0.000 | -0.000 | -0.000 | 
| -0.000 | -0.000 | -0.000 | -0.000 | -0.000 | 0.000 | 
| -0.000 | -0.000 | -0.000 | -0.000 | -0.000 | -0.000 | 
| -0.000 | -0.000 | -0.000 | -0.000 | -0.000 | 559.514 | 
| 1109.789 | -9.243 | 0.000 | 0.000 | 0.000 | 0.000 | 
| -9.243 | 1109.789 | 0.000 | 0.000 | 0.000 | -0.000 | 
| 0.000 | 0.000 | 0.000 | 0.000 | 0.000 | 0.000 | 
| 0.000 | 0.000 | 0.000 | 0.000 | 0.000 | 0.000 | 
| 0.000 | 0.000 | 0.000 | 0.000 | 0.000 | 0.000 | 
| 0.000 | 0.001 | 0.000 | 0.000 | 0.000 | 559.514 | 
| 1109.781 | -9.243 | -0.000 | -0.000 | -0.000 | 0.000 | 
| -9.243 | 1109.781 | -0.000 | -0.000 | -0.000 | -0.000 | 
| -0.000 | -0.000 | -0.000 | -0.000 | -0.000 | -0.000 | 
| -0.000 | -0.000 | -0.000 | -0.000 | -0.000 | 0.000 | 
| -0.000 | -0.000 | -0.000 | -0.000 | -0.000 | -0.000 | 
| -0.000 | -0.001 | -0.000 | -0.000 | -0.000 | 559.514 | 
| 950060.509 | 721148.001 | 708190.072 | -434223.889 | -305187.653 | -437494.160 | 
| 1314619.054 | 841610.693 | 1542378.657 | -227811.725 | -537368.521 | -145332.036 | 
| 1300271.570 | 734474.632 | 1340110.178 | -339916.498 | -416660.418 | -295705.576 | 
| 1542725.302 | 828856.438 | 1223642.448 | -382641.508 | -450218.871 | -298948.782 | 
| 966636.881 | 928403.705 | 917986.934 | -456820.107 | -320090.612 | -460368.751 | 
| 1092478.456 | 594476.356 | 851827.082 | -379069.178 | -343074.761 | -357170.920 | 
| -782311.441 | -892875.621 | -983137.803 | 386951.779 | 517595.525 | 434924.024 | 
| -1132966.323 | -662487.954 | -1095279.028 | 333309.020 | 399974.025 | 328250.187 | 
| -990387.439 | -698883.934 | -831861.234 | 500497.902 | 354588.255 | 433501.258 | 
| -1426502.004 | -1105475.759 | -1446693.864 | 419081.309 | 354224.478 | 411194.632 | 
| -654212.039 | -843856.253 | -841393.012 | 383042.994 | 536527.720 | 389272.144 | 
| -1533763.743 | -1521765.191 | -1589472.243 | 448206.753 | 346855.512 | 441257.951 | 
| 114999.273 | 56886.977 | 107353.414 | -34732.850 | -44648.958 | -28965.975 | 
| 28413.183 | 26097.001 | 45466.478 | -41140.987 | -41867.737 | -18613.575 | 
| 108970.455 | 124783.638 | 123921.199 | -51389.635 | -50555.502 | -31483.423 | 
| 89073.476 | 36240.087 | 96877.948 | -30272.520 | -42362.478 | -14580.717 | 
| 87011.130 | 84760.383 | 106652.763 | -43123.139 | -36925.948 | -45363.966 | 
| 82518.856 | 70848.558 | 80032.590 | -38880.423 | -39637.947 | -45217.139 | 
| -87513.267 | -99439.587 | -97328.014 | 52686.075 | 45929.552 | 35561.760 | 
| -108332.533 | -117001.829 | -89215.184 | 42930.721 | 66732.547 | 27510.054 | 
| -85399.551 | -76568.905 | -81043.500 | 41770.874 | 34120.842 | 48351.018 | 
| -116326.239 | -72740.283 | -114082.553 | 34034.672 | 40729.019 | 33791.600 | 
| -114664.804 | -89959.327 | -119982.984 | 18345.927 | 55843.737 | 1666.086 | 
| -105431.700 | -77840.167 | -98104.311 | 54487.976 | 35453.566 | 43950.201 | 
| 7726.421 | 8452.564 | 9421.024 | -3918.975 | -4904.052 | -4065.820 | 
| 7188.987 | 5263.489 | 7826.256 | -5036.978 | -4205.075 | -4336.907 | 
| 11794.545 | 9328.143 | 11796.492 | -5468.423 | -3936.839 | -4725.854 | 
| 1374.661 | 2173.963 | 2329.419 | -3840.232 | -6331.709 | -3886.914 | 
| 10429.055 | 11877.883 | 11414.273 | -4848.079 | -3677.141 | -3755.225 | 
| 19473.909 | 19488.165 | 21265.528 | -3754.986 | -6641.949 | -3670.982 | 
| -13518.463 | -12922.466 | -12125.034 | 3947.262 | 3765.903 | 3034.298 | 
| -3635.242 | -6066.662 | -6179.727 | 4041.702 | 4889.396 | 4406.536 | 
| -6478.647 | -5507.085 | -5546.013 | 3588.881 | 3062.151 | 3951.305 | 
| -11746.945 | -5482.262 | -11056.564 | 3396.072 | 3989.005 | 2752.434 | 
| -15412.229 | -7998.423 | -11247.361 | 4104.577 | 4624.523 | 2867.629 | 
| -16934.551 | -5177.661 | -13355.734 | 2595.250 | 6683.601 | 2185.146 | 
| 968.380 | 0.000 | -0.000 | 0.001 | -0.000 | 0.000 | 
| 0.000 | 438.646 | -0.000 | 0.000 | -0.000 | -0.000 | 
| 0.000 | -0.000 | -0.000 | 0.000 | -0.000 | -0.000 | 
| 0.000 | 0.000 | 0.000 | 0.000 | -0.000 | -0.000 | 
| 0.000 | -0.000 | -0.000 | 0.001 | -0.000 | 0.000 | 
| 0.000 | 0.000 | -0.000 | 0.000 | -0.000 | 198.140 | 
| 968.380 | 0.000 | 0.000 | -0.001 | 0.000 | 0.000 | 
| -0.000 | 438.646 | 0.000 | -0.000 | 0.000 | 0.000 | 
| -0.000 | 0.000 | 0.000 | -0.000 | 0.000 | 0.000 | 
| -0.000 | -0.000 | 0.000 | -0.000 | 0.000 | 0.000 | 
| -0.000 | 0.000 | 0.000 | -0.001 | 0.000 | 0.000 | 
| -0.000 | 0.000 | 0.000 | -0.000 | 0.000 | 198.140 | 
| 968.381 | 0.000 | -0.000 | 0.000 | -0.000 | -0.000 | 
| 0.000 | 438.646 | -0.000 | 0.000 | -0.000 | -0.000 | 
| 0.000 | -0.000 | -0.000 | 0.000 | -0.000 | -0.000 | 
| 0.000 | -0.000 | -0.000 | 0.000 | -0.000 | -0.000 | 
| 0.000 | 0.000 | 0.000 | 0.000 | -0.000 | 0.000 | 
| -0.000 | -0.000 | -0.000 | 0.000 | -0.000 | 198.140 | 
| 968.380 | -0.000 | 0.000 | -0.000 | 0.000 | 0.000 | 
| -0.000 | 438.647 | 0.000 | -0.000 | 0.000 | 0.000 | 
| -0.000 | 0.000 | 0.000 | -0.000 | 0.000 | 0.000 | 
| -0.000 | 0.000 | 0.000 | -0.000 | 0.000 | 0.000 | 
| -0.000 | -0.000 | -0.000 | -0.000 | 0.000 | 0.000 | 
| 0.000 | 0.000 | 0.000 | -0.000 | 0.000 | 198.140 | 
| 968.385 | 0.000 | 0.000 | 0.000 | -0.000 | 0.000 | 
| 0.000 | 438.644 | -0.002 | 0.000 | -0.000 | -0.000 | 
| 0.000 | -0.001 | -0.001 | 0.000 | -0.000 | -0.000 | 
| 0.000 | -0.000 | -0.000 | 0.000 | -0.000 | -0.000 | 
| 0.000 | 0.000 | 0.000 | 0.000 | -0.000 | -0.000 | 
| -0.000 | -0.000 | 0.000 | 0.000 | -0.000 | 198.140 | 
| 968.375 | -0.000 | -0.000 | -0.000 | 0.000 | 0.000 | 
| -0.000 | 438.649 | 0.002 | -0.000 | 0.000 | 0.000 | 
| -0.000 | 0.001 | 0.001 | -0.000 | 0.000 | 0.000 | 
| -0.000 | 0.000 | 0.000 | -0.000 | 0.000 | 0.000 | 
| -0.000 | -0.000 | -0.000 | -0.000 | 0.000 | 0.000 | 
| 0.000 | 0.000 | -0.000 | -0.000 | 0.000 | 198.140 | 
| 614.480 | 234.154 | 0.000 | 0.000 | 0.000 | -0.000 | 
| 234.154 | 614.480 | 0.000 | 0.000 | 0.000 | -0.000 | 
| 0.000 | -0.000 | 0.000 | 0.000 | 0.000 | -0.000 | 
| 0.000 | 0.000 | 0.000 | 0.000 | 0.000 | -0.000 | 
| -0.000 | 0.000 | 0.000 | 0.000 | 0.000 | -0.000 | 
| 0.000 | 0.000 | 0.000 | 0.000 | 0.000 | 424.317 | 
| 614.480 | 234.154 | -0.000 | -0.000 | -0.000 | 0.000 | 
| 234.154 | 614.480 | -0.000 | -0.000 | -0.000 | 0.000 | 
| 0.000 | -0.000 | -0.000 | -0.000 | -0.000 | 0.000 | 
| -0.000 | -0.000 | -0.000 | -0.000 | -0.000 | 0.000 | 
| 0.000 | -0.000 | -0.000 | -0.000 | -0.000 | 0.000 | 
| -0.000 | -0.000 | -0.000 | -0.000 | -0.000 | 424.317 | 
| 614.480 | 234.154 | 0.000 | 0.000 | 0.000 | -0.000 | 
| 234.154 | 614.480 | 0.000 | 0.000 | 0.000 | -0.000 | 
| 0.000 | -0.000 | 0.000 | 0.000 | 0.000 | -0.000 | 
| 0.000 | 0.000 | 0.000 | 0.000 | 0.000 | 0.000 | 
| 0.000 | 0.000 | 0.000 | 0.000 | 0.000 | -0.000 | 
| 0.000 | 0.000 | 0.000 | 0.000 | 0.000 | 424.317 | 
| 614.480 | 234.154 | -0.000 | -0.000 | -0.000 | 0.000 | 
| 234.154 | 614.480 | -0.000 | -0.000 | -0.000 | 0.000 | 
| -0.000 | -0.000 | -0.000 | -0.000 | -0.000 | 0.000 | 
| -0.000 | -0.000 | -0.000 | -0.000 | -0.000 | 0.000 | 
| 0.000 | -0.000 | -0.000 | -0.000 | -0.000 | 0.000 | 
| -0.000 | -0.000 | -0.000 | -0.000 | -0.000 | 424.317 | 
| 614.482 | 234.155 | 0.000 | 0.000 | 0.000 | -0.000 | 
| 234.155 | 614.482 | 0.000 | 0.000 | 0.000 | -0.000 | 
| 0.000 | 0.000 | 0.000 | 0.000 | 0.000 | -0.000 | 
| 0.000 | 0.000 | 0.000 | 0.000 | 0.000 | -0.000 | 
| 0.000 | 0.000 | 0.000 | 0.000 | 0.000 | -0.000 | 
| 0.000 | 0.001 | 0.000 | 0.000 | 0.000 | 424.317 | 
| 614.479 | 234.152 | -0.000 | -0.000 | -0.000 | 0.000 | 
| 234.152 | 614.479 | -0.000 | -0.000 | -0.000 | 0.000 | 
| -0.000 | 0.000 | -0.000 | -0.000 | -0.000 | 0.000 | 
| -0.000 | -0.000 | -0.000 | -0.000 | -0.000 | 0.000 | 
| 0.000 | -0.000 | -0.000 | -0.000 | -0.000 | 0.000 | 
| -0.000 | -0.001 | -0.000 | -0.000 | -0.000 | 424.317 | 
| 639.374 | 71.639 | 71.639 | -0.000 | -0.000 | -0.000 | 
| 71.639 | 639.374 | 71.639 | -0.000 | -0.000 | -0.000 | 
| 71.639 | 71.639 | 639.373 | -0.000 | -0.000 | -0.000 | 
| 1.924 | 1.924 | 1.924 | 118.472 | -0.000 | 0.000 | 
| 1.924 | 1.924 | 1.924 | -0.000 | 118.472 | 0.000 | 
| 1.924 | 1.924 | 1.924 | -0.000 | -0.000 | 118.472 | 
| 496.467 | 140.533 | 140.533 | 0.000 | 0.000 | 0.000 | 
| 140.533 | 496.467 | 140.533 | 0.000 | 0.000 | 0.000 | 
| 140.533 | 140.533 | 496.467 | 0.000 | 0.000 | 0.000 | 
| -1.924 | -1.924 | -1.924 | 118.472 | 0.000 | 0.000 | 
| -1.924 | -1.924 | -1.924 | 0.000 | 118.472 | 0.000 | 
| -1.924 | -1.924 | -1.924 | 0.000 | 0.000 | 118.472 | 
| 498.286 | 142.346 | 142.346 | -0.000 | -0.000 | -0.000 | 
| 142.346 | 498.286 | 142.346 | -0.000 | -0.000 | -0.000 | 
| 142.346 | 142.346 | 498.286 | -0.000 | -0.000 | -0.000 | 
| 0.123 | 0.123 | 0.123 | 92.347 | -0.000 | 0.000 | 
| 0.123 | 0.123 | 0.123 | -0.000 | 92.347 | -0.000 | 
| 0.123 | 0.123 | 0.123 | -0.000 | -0.000 | 92.347 | 
| 497.952 | 142.018 | 142.018 | 0.000 | 0.000 | 0.000 | 
| 142.018 | 497.952 | 142.018 | 0.000 | 0.000 | 0.000 | 
| 142.018 | 142.018 | 497.952 | 0.000 | 0.000 | 0.000 | 
| -0.123 | -0.123 | -0.123 | 92.347 | 0.000 | 0.000 | 
| -0.123 | -0.123 | -0.123 | 0.000 | 92.347 | 0.000 | 
| -0.123 | -0.123 | -0.123 | 0.000 | 0.000 | 92.347 | 
| 498.273 | 142.067 | 142.067 | -0.000 | -0.000 | -0.000 | 
| 142.067 | 498.273 | 142.067 | -0.000 | -0.000 | -0.000 | 
| 142.067 | 142.067 | 498.273 | -0.000 | -0.000 | -0.000 | 
| 0.016 | 0.016 | 0.016 | 92.438 | -0.000 | -0.000 | 
| 0.016 | 0.016 | 0.016 | -0.000 | 92.438 | 0.000 | 
| 0.016 | 0.016 | 0.016 | -0.000 | -0.000 | 92.438 | 
| 498.232 | 141.984 | 141.984 | 0.000 | 0.000 | 0.000 | 
| 141.984 | 498.232 | 141.984 | 0.000 | 0.000 | 0.000 | 
| 141.984 | 141.984 | 498.232 | 0.000 | 0.000 | 0.000 | 
| -0.016 | -0.016 | -0.016 | 92.438 | 0.000 | 0.000 | 
| -0.016 | -0.016 | -0.016 | 0.000 | 92.438 | 0.000 | 
| -0.016 | -0.016 | -0.016 | 0.000 | 0.000 | 92.438 | 
| 1090.772 | -9.623 | 0.000 | 0.000 | 0.000 | -0.000 | 
| -9.624 | 1090.772 | 0.000 | 0.000 | 0.000 | 0.000 | 
| 0.000 | 0.000 | 0.000 | 0.000 | 0.000 | 0.000 | 
| -0.000 | -0.000 | 0.000 | 0.000 | 0.000 | 0.000 | 
| 0.000 | -0.000 | 0.000 | 0.000 | 0.000 | -0.000 | 
| 0.000 | -0.000 | 0.000 | 0.000 | 0.000 | 550.198 | 
| 1090.229 | -9.080 | -0.000 | -0.000 | -0.000 | 0.000 | 
| -9.080 | 1090.229 | -0.000 | -0.000 | -0.000 | 0.000 | 
| 0.000 | 0.000 | -0.000 | -0.000 | -0.000 | 0.000 | 
| 0.000 | 0.000 | -0.000 | -0.000 | -0.000 | -0.000 | 
| -0.000 | 0.000 | -0.000 | -0.000 | -0.000 | -0.000 | 
| 0.000 | 0.000 | -0.000 | -0.000 | -0.000 | 550.198 | 
| 1090.772 | -9.624 | 0.000 | 0.000 | 0.000 | -0.000 | 
| -9.080 | 1090.229 | 0.000 | 0.000 | 0.000 | 0.000 | 
| 0.000 | 0.000 | 0.000 | 0.000 | 0.000 | 0.000 | 
| -0.000 | -0.000 | 0.000 | 0.000 | 0.000 | -0.000 | 
| 0.000 | -0.000 | 0.000 | 0.000 | 0.000 | -0.000 | 
| 0.000 | 0.000 | 0.000 | 0.000 | 0.000 | 550.198 | 
| 1090.228 | -9.080 | -0.000 | -0.000 | -0.000 | -0.000 | 
| -9.624 | 1090.772 | -0.000 | -0.000 | -0.000 | -0.000 | 
| 0.000 | 0.000 | -0.000 | -0.000 | -0.000 | 0.000 | 
| 0.000 | 0.000 | -0.000 | -0.000 | -0.000 | -0.000 | 
| -0.000 | 0.000 | -0.000 | -0.000 | -0.000 | 0.000 | 
| -0.000 | -0.000 | -0.000 | -0.000 | -0.000 | 550.198 | 
| 1090.232 | -9.080 | 0.000 | 0.000 | 0.000 | -0.000 | 
| -9.623 | 1090.776 | 0.000 | 0.000 | 0.000 | 0.000 | 
| 0.000 | 0.000 | 0.000 | 0.000 | 0.000 | 0.000 | 
| -0.000 | 0.000 | 0.000 | 0.000 | 0.000 | -0.000 | 
| 0.000 | -0.000 | 0.000 | 0.000 | 0.000 | -0.000 | 
| 0.000 | 0.001 | 0.000 | 0.000 | 0.000 | 549.654 | 
| 1090.225 | -9.080 | -0.000 | -0.000 | -0.000 | -0.000 | 
| -9.081 | 1090.225 | -0.000 | -0.000 | -0.000 | -0.000 | 
| 0.000 | 0.000 | -0.000 | -0.000 | -0.000 | 0.000 | 
| 0.000 | 0.000 | -0.000 | -0.000 | -0.000 | 0.000 | 
| -0.000 | 0.000 | -0.000 | -0.000 | -0.000 | 0.000 | 
| -0.000 | -0.001 | -0.000 | -0.000 | -0.000 | 549.654 | 
| 48.858 | -25.173 | 118.398 | -0.000 | 0.000 | 0.000 | 
| -80.890 | 235.731 | 144.797 | -0.000 | -0.000 | 0.000 | 
| 20.209 | 81.789 | 425.641 | -0.000 | 0.000 | 0.000 | 
| -61.177 | 4.616 | 15.240 | 187.134 | 0.000 | 0.000 | 
| -128.285 | -35.905 | 42.910 | -0.000 | 140.331 | 0.000 | 
| -59.693 | 4.504 | 14.870 | -0.000 | 0.000 | 221.756 | 
| 483.953 | 114.100 | 44.913 | 0.000 | -0.000 | -0.000 | 
| 188.618 | 410.794 | 45.704 | 0.000 | 0.000 | -0.000 | 
| 155.379 | 73.990 | 376.955 | 0.000 | 0.000 | -0.000 | 
| 61.177 | -4.616 | -15.240 | 187.134 | -0.000 | -0.000 | 
| 128.285 | 35.905 | -42.910 | 0.000 | 140.331 | -0.000 | 
| 59.693 | -4.504 | -14.870 | 0.000 | -0.000 | 221.756 | 
| 262.177 | 78.552 | 96.764 | -0.000 | 0.000 | 0.000 | 
| 80.006 | 340.643 | 99.211 | -0.000 | 0.000 | 0.000 | 
| 67.287 | 67.040 | 483.983 | -0.000 | 0.000 | 0.000 | 
| -15.941 | -5.092 | 5.483 | 95.992 | 0.000 | 0.000 | 
| -12.452 | 0.939 | 3.102 | -0.000 | 157.325 | 0.000 | 
| -11.323 | 0.854 | 2.821 | -0.000 | 0.000 | 188.682 | 
| 288.192 | 90.169 | 83.930 | 0.000 | -0.000 | -0.000 | 
| 65.117 | 546.190 | 67.040 | 0.000 | -0.000 | -0.000 | 
| 88.484 | 70.296 | 121.898 | 0.000 | -0.000 | -0.000 | 
| 15.941 | 5.092 | -5.483 | 95.992 | -0.000 | 0.000 | 
| 12.452 | -0.939 | -3.102 | 0.000 | 157.325 | -0.000 | 
| 11.323 | -0.854 | -2.821 | 0.000 | -0.000 | 188.682 | 
| 201.522 | 22.147 | -1.650 | -0.000 | 0.000 | 0.000 | 
| 43.411 | 222.869 | 44.554 | -0.000 | 0.000 | 0.000 | 
| 64.884 | 56.543 | 109.529 | -0.000 | 0.000 | 0.000 | 
| -1.709 | -0.984 | 0.222 | 79.358 | 0.000 | 0.000 | 
| -1.550 | -0.513 | 0.537 | -0.000 | 118.038 | 0.000 | 
| -1.681 | -0.495 | 0.568 | -0.000 | 0.000 | 138.969 | 
| 550.077 | 65.116 | 67.286 | 0.000 | -0.000 | -0.000 | 
| 82.862 | 285.248 | 84.969 | 0.000 | 0.000 | -0.000 | 
| 95.505 | 91.355 | 181.591 | 0.000 | -0.000 | -0.000 | 
| 1.709 | 0.984 | -0.222 | 79.358 | -0.000 | -0.000 | 
| 1.550 | 0.513 | -0.537 | 0.000 | 118.038 | -0.000 | 
| 1.681 | 0.495 | -0.568 | 0.000 | -0.000 | 138.969 | 
| 1814.269 | 369.000 | 807.679 | 0.000 | 0.000 | -0.000 | 
| 8381.450 | 3559.122 | 4026.178 | 0.000 | 0.000 | -0.000 | 
| 3557.227 | 1113.600 | 860.987 | 0.000 | 0.000 | 0.000 | 
| 0.000 | -0.000 | 0.000 | 202.003 | 0.000 | 0.000 | 
| 3511.376 | 1054.234 | 593.739 | 0.000 | 129.068 | -0.000 | 
| 0.000 | 0.000 | 0.000 | 0.000 | 0.000 | 236.523 | 
| -3222.422 | -1018.905 | -518.347 | -0.000 | -0.000 | -0.000 | 
| 47.279 | 484.089 | 59.836 | -0.000 | -0.000 | 0.000 | 
| -8350.715 | -3788.351 | -5277.744 | -0.000 | -0.000 | 0.000 | 
| -0.000 | -0.000 | -0.000 | 202.003 | -0.000 | 0.000 | 
| -3511.377 | -1054.234 | -593.739 | -0.000 | 129.068 | 0.000 | 
| -0.000 | -0.000 | -0.000 | -0.000 | -0.000 | 236.523 | 
| 542.707 | 81.682 | 141.572 | 0.000 | 0.000 | -0.000 | 
| 47.279 | 484.089 | 59.836 | 0.000 | 0.000 | 0.000 | 
| 221.177 | 98.553 | 413.244 | 0.000 | 0.000 | 0.000 | 
| 0.000 | 0.000 | 0.000 | 202.003 | 0.000 | -0.000 | 
| 0.000 | 0.000 | 0.000 | 0.000 | 207.257 | -0.000 | 
| 0.000 | 0.000 | 0.000 | -0.000 | 0.000 | 236.523 | 
| -496.380 | -213.686 | -168.799 | -0.000 | -0.000 | 0.000 | 
| 47.279 | 484.089 | 59.836 | -0.000 | -0.000 | 0.000 | 
| -313.038 | -47.769 | 191.730 | -0.000 | -0.000 | -0.000 | 
| -0.000 | -0.000 | -0.000 | 202.003 | -0.000 | 0.000 | 
| -0.000 | -0.000 | -0.000 | -0.000 | 207.256 | 0.000 | 
| -0.000 | -0.000 | -0.000 | -0.000 | -0.000 | 236.523 | 
| 322.111 | 65.305 | 90.075 | 0.000 | 0.000 | -0.000 | 
| 47.279 | 484.090 | 59.837 | 0.000 | 0.000 | 0.000 | 
| 103.127 | 62.609 | 147.477 | 0.000 | 0.000 | -0.000 | 
| 57.301 | 21.309 | 19.665 | 65.718 | 0.000 | -0.000 | 
| 43.795 | 13.326 | 6.586 | 0.000 | 111.134 | 0.000 | 
| 60.302 | 22.280 | 18.795 | 0.000 | 0.000 | 112.746 | 
| 125.365 | 8.842 | 42.384 | -0.000 | -0.000 | -0.000 | 
| -31.792 | 166.420 | 37.397 | -0.000 | -0.000 | -0.000 | 
| 57.238 | 63.218 | 307.873 | -0.000 | -0.000 | -0.000 | 
| -57.301 | -21.309 | -19.665 | 65.718 | -0.000 | -0.000 | 
| -43.795 | -13.326 | -6.586 | -0.000 | 111.134 | -0.000 | 
| -60.302 | -22.280 | -18.795 | -0.000 | -0.000 | 112.746 | 
| 1238.777 | 82.089 | 18.055 | -0.000 | 0.000 | -0.000 | 
| 61.583 | 1280.766 | -3.285 | 0.000 | 0.000 | -0.000 | 
| 18.607 | 18.607 | 1299.980 | 0.000 | 0.000 | -0.000 | 
| -0.000 | -0.000 | -0.000 | 546.031 | 0.000 | -0.000 | 
| -0.000 | -0.000 | -0.000 | 0.000 | 546.031 | 0.000 | 
| -0.000 | -0.000 | -0.000 | 0.000 | 0.000 | 609.591 | 
| 1238.796 | 82.109 | 18.016 | -0.000 | -0.000 | -0.000 | 
| 77.854 | 1239.303 | 21.740 | 0.000 | -0.000 | 0.000 | 
| 18.626 | 18.626 | 1299.942 | -0.000 | -0.000 | 0.000 | 
| 0.000 | 0.000 | 0.000 | 546.031 | -0.000 | 0.000 | 
| 0.000 | 0.000 | 0.000 | -0.000 | 546.031 | -0.000 | 
| 0.000 | 0.000 | 0.000 | -0.000 | -0.000 | 609.591 | 
| 1238.791 | 82.096 | 18.035 | -0.000 | 0.000 | 0.000 | 
| 61.583 | 1280.766 | -3.286 | 0.000 | 0.000 | 0.000 | 
| -2.705 | -2.705 | 1342.323 | -0.000 | 0.000 | -0.000 | 
| 0.000 | -0.000 | 0.000 | 546.031 | 0.000 | -0.000 | 
| -0.001 | -0.001 | 0.002 | -0.000 | 535.263 | 0.000 | 
| 0.000 | 0.000 | 0.000 | -0.000 | 0.000 | 609.591 | 
| 1238.787 | 82.100 | 18.034 | 0.000 | -0.000 | 0.000 | 
| 82.100 | 1238.787 | 18.034 | -0.000 | -0.000 | 0.000 | 
| 18.618 | 18.618 | 1299.959 | 0.000 | -0.000 | 0.000 | 
| -0.000 | 0.000 | -0.000 | 546.031 | -0.000 | 0.000 | 
| 0.001 | 0.001 | -0.002 | 0.000 | 535.263 | 0.000 | 
| -0.000 | -0.000 | -0.000 | -0.000 | -0.000 | 609.591 | 
| 1238.792 | 82.099 | 18.035 | -0.000 | 0.000 | -0.000 | 
| 77.842 | 1239.297 | 21.762 | -0.000 | 0.000 | 0.000 | 
| 18.618 | 18.618 | 1299.964 | 0.000 | 0.000 | -0.000 | 
| 0.000 | -0.000 | 0.000 | 535.263 | 0.000 | -0.000 | 
| -0.000 | 0.000 | 0.000 | -0.000 | 546.031 | -0.000 | 
| -0.000 | 0.000 | 0.001 | 0.000 | 0.000 | 578.344 | 
| 1238.784 | 82.098 | 18.035 | -0.000 | -0.000 | 0.000 | 
| 82.098 | 1238.785 | 18.034 | -0.000 | -0.000 | -0.000 | 
| 18.616 | 18.616 | 1299.958 | -0.000 | -0.000 | 0.000 | 
| -0.000 | 0.000 | -0.000 | 535.263 | -0.000 | 0.000 | 
| 0.000 | -0.000 | -0.000 | -0.000 | 546.031 | 0.000 | 
| 0.000 | -0.000 | -0.001 | -0.000 | -0.000 | 578.344 | 
| 1243.225 | 74.480 | 19.833 | -0.000 | 0.000 | 0.001 | 
| 84.043 | 1240.698 | 12.829 | -0.000 | 0.000 | 0.001 | 
| 18.382 | 18.383 | 1299.632 | 0.000 | 0.000 | 0.001 | 
| -0.001 | -0.000 | 0.000 | 545.697 | 0.000 | 0.001 | 
| 0.000 | -0.000 | 0.000 | 0.000 | 545.697 | 0.001 | 
| -0.000 | -0.000 | 0.000 | 0.000 | 0.000 | 609.306 | 
| 1237.481 | 82.083 | 17.983 | -0.000 | -0.000 | -0.001 | 
| 84.077 | 1240.731 | 12.763 | 0.000 | -0.000 | -0.001 | 
| 18.415 | 18.412 | 1299.575 | -0.000 | 0.000 | -0.001 | 
| 0.001 | 0.000 | -0.001 | 545.697 | -0.000 | -0.001 | 
| -0.000 | 0.000 | -0.000 | -0.000 | 545.697 | -0.001 | 
| 0.000 | 0.000 | -0.000 | -0.000 | -0.000 | 609.305 | 
| 1279.781 | 61.170 | -3.309 | 0.000 | 0.000 | 0.000 | 
| 74.495 | 1243.237 | 19.807 | -0.000 | 0.000 | 0.000 | 
| -2.923 | -2.923 | 1342.058 | 0.000 | 0.000 | 0.000 | 
| -0.000 | -0.000 | 0.000 | 545.697 | 0.000 | 0.000 | 
| -0.000 | 0.000 | 0.000 | 0.000 | 545.697 | 0.000 | 
| 0.000 | 0.000 | 0.000 | -0.000 | -0.000 | 609.306 | 
| 1279.781 | 61.170 | -3.309 | 0.000 | 0.000 | -0.000 | 
| 61.170 | 1279.781 | -3.309 | 0.000 | 0.000 | -0.000 | 
| 18.403 | 18.402 | 1299.594 | -0.000 | -0.000 | -0.000 | 
| -0.000 | 0.000 | -0.000 | 545.697 | 0.000 | -0.000 | 
| 0.000 | -0.000 | -0.000 | -0.000 | 545.697 | -0.000 | 
| -0.000 | -0.000 | -0.000 | 0.000 | 0.000 | 609.306 | 
| 1243.241 | 74.497 | 19.805 | -0.000 | 0.000 | 0.000 | 
| 61.170 | 1279.785 | -3.309 | 0.000 | -0.000 | 0.000 | 
| 18.399 | 18.399 | 1299.607 | 0.000 | 0.000 | 0.000 | 
| 0.000 | -0.000 | 0.001 | 534.965 | 0.000 | 0.000 | 
| -0.000 | 0.000 | 0.001 | -0.000 | 534.965 | 0.000 | 
| -0.000 | 0.000 | 0.001 | -0.000 | -0.000 | 583.355 | 
| 1279.777 | 61.169 | -3.309 | 0.000 | -0.000 | -0.000 | 
| 82.069 | 1237.462 | 18.012 | -0.000 | -0.000 | -0.000 | 
| 18.399 | 18.399 | 1299.596 | 0.000 | 0.000 | -0.000 | 
| -0.000 | 0.000 | -0.001 | 534.965 | 0.000 | -0.000 | 
| 0.000 | -0.000 | -0.001 | 0.000 | 534.965 | -0.000 | 
| 0.000 | -0.000 | -0.001 | 0.000 | -0.000 | 583.355 | 
| 2548.617 | 1387.572 | -2587.230 | 0.000 | 0.000 | 0.001 | 
| 946.161 | 2115.322 | -1716.214 | -0.000 | 0.000 | -0.000 | 
| -2.875 | -2.875 | 1342.405 | 0.000 | 0.000 | 0.001 | 
| 871.144 | 871.144 | -1734.953 | 536.625 | 0.000 | 0.000 | 
| -0.000 | 0.000 | -0.000 | 0.000 | 545.751 | 0.001 | 
| 1308.848 | 1308.848 | -2606.667 | 0.000 | 0.000 | 580.574 | 
| 1280.035 | 61.238 | -3.244 | 0.000 | 0.000 | 0.000 | 
| 61.238 | 1280.034 | -3.244 | -0.000 | -0.000 | -0.001 | 
| -1004.434 | -1004.434 | 3337.089 | -0.000 | -0.000 | -0.000 | 
| -871.144 | -871.144 | 1734.953 | 536.625 | -0.000 | 0.000 | 
| 0.000 | -0.000 | 0.000 | -0.000 | 545.751 | 0.000 | 
| -1308.848 | -1308.848 | 2606.667 | -0.000 | -0.000 | 580.574 | 
| 1369.872 | 209.695 | -240.536 | 0.000 | 0.000 | 0.000 | 
| 184.108 | 1339.809 | -185.121 | 0.000 | 0.000 | 0.000 | 
| 120.768 | 120.768 | 1096.162 | 0.000 | 0.000 | 0.000 | 
| 102.299 | 102.299 | -203.737 | 535.007 | 0.000 | 0.000 | 
| -0.000 | 0.000 | -0.000 | 0.000 | 545.751 | 0.000 | 
| 87.124 | 87.124 | -173.514 | 0.000 | 0.000 | 584.543 | 
| 1156.713 | -11.762 | 192.249 | -0.000 | -0.000 | -0.000 | 
| -52.411 | 1109.794 | 279.447 | -0.000 | -0.000 | -0.000 | 
| -110.322 | -110.322 | 1556.393 | -0.000 | -0.000 | 0.000 | 
| -102.299 | -102.299 | 203.737 | 535.007 | -0.000 | -0.000 | 
| -0.000 | -0.000 | -0.000 | -0.000 | 545.751 | -0.000 | 
| -87.124 | -87.124 | 173.514 | -0.000 | -0.000 | 584.542 | 
| 1255.701 | 84.807 | -2.480 | 0.000 | 0.000 | 0.000 | 
| 84.807 | 1255.700 | -2.480 | 0.000 | 0.000 | 0.000 | 
| 30.735 | 30.735 | 1275.473 | -0.000 | 0.000 | 0.000 | 
| 10.229 | 10.228 | -20.370 | 535.008 | 0.000 | 0.000 | 
| 12.228 | 12.228 | -24.353 | 0.000 | 532.901 | -0.000 | 
| 10.753 | 10.753 | -21.415 | 0.000 | 0.000 | 583.903 | 
| 1233.548 | 65.070 | 39.224 | -0.000 | -0.000 | -0.000 | 
| 68.135 | 1234.289 | 35.435 | -0.000 | -0.000 | -0.000 | 
| -2.875 | -2.875 | 1342.400 | -0.000 | -0.000 | -0.000 | 
| -10.229 | -10.228 | 20.370 | 535.008 | -0.000 | -0.000 | 
| -12.228 | -12.228 | 24.353 | -0.000 | 532.901 | -0.000 | 
| -10.753 | -10.753 | 21.415 | 0.000 | -0.000 | 583.903 | 
| 791.242 | -376.325 | 919.487 | -0.000 | -0.000 | 0.000 | 
| -376.440 | 791.114 | 919.730 | -0.000 | -0.000 | -0.000 | 
| -366.542 | -366.543 | 2066.972 | -0.000 | -0.000 | 0.000 | 
| -454.073 | -454.073 | 904.425 | 533.309 | -0.000 | 0.000 | 
| -454.073 | -454.073 | 904.425 | 0.000 | 533.309 | 0.000 | 
| -0.000 | -0.001 | -0.001 | -0.000 | -0.000 | 609.441 | 
| 1280.147 | 61.266 | -3.212 | -0.000 | 0.000 | -0.000 | 
| 531.948 | 1698.801 | -888.905 | 0.000 | 0.000 | -0.001 | 
| 404.236 | 404.237 | 531.730 | 0.000 | 0.000 | -0.000 | 
| 454.073 | 454.073 | -904.425 | 533.309 | 0.000 | 0.000 | 
| 454.072 | 454.073 | -904.425 | -0.000 | 533.309 | -0.000 | 
| 0.000 | 0.001 | 0.001 | 0.000 | 0.000 | 609.442 | 
| 1280.148 | 61.266 | -3.213 | 0.000 | -0.000 | 0.000 | 
| 32.742 | 1207.932 | 97.113 | 0.000 | -0.000 | 0.000 | 
| -31.404 | -31.404 | 1399.442 | -0.000 | -0.000 | 0.000 | 
| -38.596 | -38.596 | 76.875 | 535.212 | -0.000 | 0.000 | 
| -44.988 | -44.988 | 89.607 | 0.000 | 533.424 | 0.000 | 
| 0.000 | -0.000 | -0.000 | -0.000 | -0.000 | 609.441 | 
| 1280.147 | 61.266 | -3.213 | -0.000 | 0.000 | -0.000 | 
| 114.667 | 1280.832 | -57.078 | 0.000 | 0.000 | 0.000 | 
| 61.880 | 61.880 | 1213.639 | 0.000 | 0.000 | -0.000 | 
| 38.596 | 38.596 | -76.875 | 535.212 | 0.000 | -0.000 | 
| 44.988 | 44.988 | -89.607 | 0.000 | 533.424 | -0.000 | 
| -0.000 | -0.000 | 0.000 | -0.000 | 0.000 | 609.441 | 
| 1241.839 | 69.204 | 27.037 | -0.000 | -0.000 | 0.000 | 
| 69.204 | 1241.839 | 27.037 | -0.000 | -0.000 | 0.000 | 
| 14.715 | 14.715 | 1307.586 | 0.000 | -0.000 | 0.000 | 
| -3.992 | -3.993 | 7.953 | 534.814 | -0.000 | 0.000 | 
| -3.917 | -3.916 | 7.802 | -0.000 | 535.055 | 0.000 | 
| 0.000 | 0.001 | 0.000 | 0.000 | -0.000 | 609.441 | 
| 1249.276 | 77.695 | 11.166 | -0.000 | 0.000 | -0.000 | 
| 77.698 | 1249.270 | 11.168 | -0.000 | 0.000 | -0.000 | 
| 22.410 | 22.410 | 1292.250 | 0.000 | 0.000 | -0.000 | 
| 3.992 | 3.993 | -7.953 | 534.814 | 0.000 | -0.000 | 
| 3.917 | 3.916 | -7.802 | 0.000 | 535.055 | -0.000 | 
| -0.000 | -0.001 | -0.000 | 0.000 | 0.000 | 609.441 | 
| 1280.172 | 61.061 | -2.889 | -0.000 | 0.000 | -0.001 | 
| 61.061 | 1280.172 | -2.890 | -0.000 | 0.000 | 0.000 | 
| 18.591 | 18.590 | 1301.163 | 0.000 | 0.000 | 0.001 | 
| 0.000 | 0.000 | 0.001 | 545.604 | 0.000 | 0.000 | 
| 0.000 | -0.000 | 0.001 | -0.000 | 545.604 | -0.000 | 
| -0.008 | -0.008 | 0.017 | 0.000 | 0.000 | 585.940 | 
| 1280.172 | 61.062 | -2.891 | 0.000 | -0.000 | 0.000 | 
| 76.461 | 1244.820 | 17.064 | -0.000 | -0.000 | 0.002 | 
| -2.889 | -2.889 | 1344.122 | -0.000 | 0.000 | -0.000 | 
| -0.000 | -0.000 | -0.001 | 545.605 | 0.000 | -0.000 | 
| 0.000 | 0.000 | -0.001 | 0.000 | 545.604 | -0.000 | 
| 0.008 | 0.008 | -0.017 | -0.000 | -0.000 | 585.936 | 
| 1280.173 | 61.061 | -2.890 | 0.000 | -0.000 | -0.000 | 
| 61.062 | 1280.173 | -2.889 | 0.000 | -0.000 | -0.000 | 
| -2.889 | -2.890 | 1344.124 | 0.000 | 0.000 | -0.000 | 
| 0.000 | -0.000 | 0.000 | 545.604 | -0.000 | -0.000 | 
| -0.001 | -0.001 | 0.002 | 0.000 | 534.861 | 0.000 | 
| -0.001 | -0.001 | 0.001 | 0.000 | -0.000 | 584.837 | 
| 1280.172 | 61.061 | -2.890 | -0.000 | -0.000 | 0.000 | 
| 61.061 | 1280.172 | -2.890 | -0.000 | 0.000 | 0.000 | 
| -2.890 | -2.889 | 1344.123 | 0.000 | 0.000 | 0.000 | 
| -0.000 | 0.000 | -0.000 | 545.604 | -0.000 | 0.000 | 
| 0.001 | 0.001 | -0.002 | 0.000 | 534.861 | -0.000 | 
| 0.001 | 0.001 | -0.001 | -0.000 | -0.000 | 584.837 | 
| 1244.814 | 76.455 | 17.079 | -0.000 | 0.000 | -0.000 | 
| 73.016 | 1245.842 | 19.490 | 0.000 | -0.000 | -0.000 | 
| 18.599 | 18.599 | 1301.151 | 0.000 | 0.000 | 0.000 | 
| 0.000 | -0.000 | 0.000 | 545.604 | -0.000 | -0.000 | 
| -0.000 | 0.000 | 0.000 | 0.000 | 545.604 | -0.000 | 
| 0.000 | 0.001 | 0.000 | -0.000 | -0.000 | 609.555 | 
| 1245.836 | 73.015 | 19.489 | -0.000 | 0.000 | 0.000 | 
| 73.015 | 1245.837 | 19.488 | -0.000 | -0.000 | -0.000 | 
| 18.599 | 18.599 | 1301.141 | -0.000 | 0.000 | -0.000 | 
| -0.000 | 0.000 | -0.000 | 545.604 | -0.000 | 0.000 | 
| 0.000 | -0.000 | -0.000 | -0.000 | 545.604 | 0.000 | 
| -0.000 | -0.001 | -0.000 | 0.000 | -0.000 | 609.555 | 
| 1152.132 | 39.469 | 145.678 | 10.976 | -0.000 | 0.000 | 
| 39.470 | 1152.131 | 145.678 | -10.976 | -0.000 | -0.000 | 
| -2.693 | -2.693 | 1342.056 | 0.000 | 0.000 | 0.001 | 
| 1.863 | -30.253 | 28.291 | 538.530 | 0.000 | 0.000 | 
| 0.000 | -0.001 | -0.000 | -0.000 | 545.678 | 18.081 | 
| -50.224 | -50.225 | 100.100 | 0.000 | 10.897 | 555.745 | 
| 1265.439 | 88.787 | -16.383 | 16.184 | 0.000 | -0.000 | 
| 88.776 | 1265.443 | -16.376 | -16.185 | 0.000 | 0.000 | 
| 95.560 | 95.561 | 1146.228 | -0.000 | 0.000 | -0.000 | 
| 61.201 | 39.434 | -100.285 | 520.259 | -0.000 | -0.000 | 
| -0.000 | 0.000 | 0.000 | 0.000 | 545.678 | 18.081 | 
| 50.224 | 50.225 | -100.100 | -0.000 | 10.897 | 555.743 | 
| 1241.768 | 75.962 | 19.986 | 15.329 | -0.000 | -0.000 | 
| 75.961 | 1241.773 | 19.983 | -15.330 | -0.000 | 0.000 | 
| 15.797 | 15.797 | 1305.203 | 0.000 | 0.000 | 0.000 | 
| 18.081 | -18.081 | 0.000 | 545.678 | -0.000 | 0.000 | 
| -4.221 | -4.221 | 8.412 | 0.000 | 524.356 | 12.044 | 
| 0.000 | 0.000 | -0.000 | 0.000 | 18.081 | 609.360 | 
| 1225.792 | 85.535 | 26.366 | 12.825 | 0.000 | 0.000 | 
| 85.534 | 1225.795 | 26.364 | -12.825 | -0.000 | -0.000 | 
| 20.144 | 20.144 | 1296.539 | 0.000 | -0.000 | 0.000 | 
| 16.265 | -7.824 | -8.412 | 524.357 | 0.000 | 0.000 | 
| 4.221 | 4.221 | -8.412 | -0.000 | 524.356 | 12.044 | 
| -0.000 | -0.000 | 0.000 | -0.000 | 18.081 | 609.360 | 
| 1242.621 | 79.139 | 15.975 | 15.408 | -0.000 | 0.000 | 
| 76.144 | 1241.220 | 20.355 | -14.785 | -0.000 | 0.000 | 
| 18.419 | 18.419 | 1299.983 | 0.000 | -0.000 | -0.000 | 
| 18.082 | -18.081 | 0.000 | 545.678 | 0.000 | 0.000 | 
| -0.000 | 0.000 | 0.000 | 0.000 | 545.678 | 18.081 | 
| -0.279 | -0.278 | 0.556 | 0.000 | 14.080 | 581.286 | 
| 1279.864 | 61.148 | -3.220 | 18.081 | 0.000 | -0.000 | 
| 74.310 | 1244.033 | 19.370 | -14.799 | -0.000 | 0.000 | 
| 18.648 | 18.648 | 1299.517 | 0.000 | 0.000 | -0.000 | 
| 18.081 | -18.081 | -0.000 | 545.678 | 0.000 | -0.000 | 
| 0.000 | -0.000 | -0.000 | -0.000 | 545.678 | 18.081 | 
| 0.279 | 0.279 | -0.556 | -0.000 | 14.080 | 581.286 | 
| 1280.172 | 61.062 | -2.889 | 18.088 | 0.000 | 0.001 | 
| 61.061 | 1280.172 | -2.889 | -18.088 | 0.000 | -0.000 | 
| -2.890 | -2.889 | 1344.123 | -0.000 | 0.000 | 0.000 | 
| 18.088 | -18.088 | 0.001 | 545.604 | 0.000 | -0.000 | 
| -0.000 | 0.000 | 0.001 | -0.000 | 545.605 | 18.088 | 
| 0.007 | 0.007 | -0.013 | -0.000 | 14.739 | 584.578 | 
| 1280.172 | 61.062 | -2.890 | 18.088 | -0.000 | -0.001 | 
| 61.062 | 1280.173 | -2.890 | -18.088 | -0.000 | -0.001 | 
| -2.889 | -2.890 | 1344.124 | 0.000 | -0.000 | -0.000 | 
| 18.088 | -18.088 | -0.002 | 545.604 | -0.000 | -0.000 | 
| 0.000 | -0.000 | -0.000 | 0.000 | 545.604 | 18.088 | 
| -0.007 | -0.007 | 0.013 | 0.000 | 14.739 | 584.577 | 
| 1280.173 | 61.062 | -2.889 | 18.088 | 0.000 | -0.000 | 
| 61.062 | 1280.173 | -2.889 | -18.088 | 0.000 | -0.000 | 
| -2.889 | -2.889 | 1344.124 | -0.000 | 0.000 | 0.000 | 
| 18.088 | -18.088 | 0.000 | 545.604 | 0.000 | 0.000 | 
| 0.001 | 0.001 | -0.001 | -0.000 | 534.861 | 15.049 | 
| 0.001 | 0.001 | -0.001 | -0.000 | 14.739 | 584.578 | 
| 1280.172 | 61.062 | -2.889 | 18.088 | -0.000 | -0.000 | 
| 73.779 | 1244.523 | 20.041 | -14.845 | -0.000 | 0.000 | 
| -2.889 | -2.889 | 1344.123 | 0.000 | -0.000 | -0.000 | 
| 18.088 | -18.088 | 0.000 | 545.604 | -0.000 | -0.000 | 
| -0.001 | -0.001 | 0.001 | 0.000 | 534.861 | 15.049 | 
| -0.001 | -0.001 | 0.001 | 0.000 | 14.739 | 584.577 | 
| 1244.544 | 73.775 | 20.030 | 14.847 | 0.000 | -0.000 | 
| 73.781 | 1244.527 | 20.041 | -14.845 | 0.000 | 0.000 | 
| 18.598 | 18.598 | 1301.152 | -0.000 | 0.000 | 0.000 | 
| 15.050 | -15.049 | 0.000 | 534.861 | 0.000 | -0.000 | 
| -0.000 | 0.000 | 0.000 | 0.000 | 534.861 | 15.049 | 
| -0.000 | 0.001 | 0.000 | 0.000 | 14.739 | 584.578 | 
| 1244.521 | 73.779 | 20.040 | 14.845 | -0.000 | 0.000 | 
| 73.779 | 1244.522 | 20.039 | -14.845 | -0.000 | -0.000 | 
| 18.597 | 18.597 | 1301.145 | 0.000 | -0.000 | 0.000 | 
| 15.049 | -15.049 | -0.000 | 534.861 | -0.000 | -0.000 | 
| 0.000 | -0.000 | -0.000 | -0.000 | 534.861 | 15.049 | 
| 0.000 | -0.001 | -0.000 | -0.000 | 14.739 | 584.577 | 
| 5172.806 | 5056.958 | 5056.958 | -0.000 | 0.000 | 0.000 | 
| 5056.958 | 5172.806 | 5056.958 | -0.000 | 0.000 | 0.000 | 
| 5056.957 | 5056.958 | 5172.806 | 0.000 | 0.000 | -0.000 | 
| 708.983 | 708.983 | 708.983 | 156.636 | 0.000 | -0.000 | 
| 708.983 | 708.983 | 708.983 | 0.000 | 156.636 | 0.000 | 
| 708.983 | 708.983 | 708.983 | 0.000 | 0.000 | 156.636 | 
| -4924.588 | -5040.915 | -5040.915 | 0.000 | -0.000 | -0.000 | 
| -5040.915 | -4924.588 | -5040.915 | 0.000 | -0.000 | -0.000 | 
| -5040.915 | -5040.915 | -4924.588 | 0.000 | -0.000 | 0.000 | 
| -708.983 | -708.983 | -708.983 | 156.636 | -0.000 | 0.000 | 
| -708.983 | -708.983 | -708.983 | 0.000 | 156.636 | 0.000 | 
| -708.983 | -708.983 | -708.983 | 0.000 | -0.000 | 156.636 | 
| 493.999 | 332.795 | 332.795 | -0.000 | 0.000 | -0.000 | 
| 332.795 | 493.999 | 332.795 | -0.000 | 0.000 | 0.000 | 
| 332.795 | 332.795 | 493.999 | -0.000 | 0.000 | 0.000 | 
| 504.714 | 504.714 | 504.714 | 58.248 | 0.000 | -0.000 | 
| 567.936 | 567.936 | 567.936 | -0.000 | 46.417 | 0.000 | 
| 731.999 | 732.000 | 731.999 | -0.000 | 0.000 | 38.259 | 
| -159.797 | -296.007 | -296.007 | -0.000 | -0.000 | 0.000 | 
| -296.007 | -159.797 | -296.007 | -0.000 | -0.000 | 0.000 | 
| -296.007 | -296.007 | -159.797 | 0.000 | -0.000 | 0.000 | 
| -567.936 | -567.936 | -567.936 | 46.417 | -0.000 | 0.000 | 
| -567.936 | -567.936 | -567.936 | -0.000 | 46.417 | 0.000 | 
| -731.999 | -731.999 | -731.999 | 0.000 | -0.000 | 38.259 | 
| 210.268 | 82.626 | 82.626 | 0.000 | 0.000 | -0.000 | 
| 61.764 | 165.536 | 61.764 | -0.000 | 0.000 | -0.000 | 
| 61.764 | 61.764 | 165.536 | 0.000 | 0.000 | -0.000 | 
| 28.582 | 28.582 | 28.582 | 77.241 | 0.000 | 0.000 | 
| 28.582 | 28.582 | 28.582 | -0.000 | 77.241 | -0.000 | 
| 28.582 | 28.582 | 28.582 | 0.000 | 0.000 | 77.241 | 
| 20.259 | -69.042 | -69.042 | 0.000 | -0.000 | 0.000 | 
| -69.042 | 20.259 | -69.042 | 0.000 | -0.000 | -0.000 | 
| -69.042 | -69.042 | 20.259 | 0.000 | -0.000 | -0.000 | 
| -28.582 | -28.582 | -28.582 | 77.241 | 0.000 | 0.000 | 
| -28.582 | -28.582 | -28.582 | -0.000 | 77.241 | -0.000 | 
| -28.582 | -28.582 | -28.582 | 0.000 | -0.000 | 77.241 | 
| 2246.742 | 1912.266 | 8105.367 | 0.000 | -0.000 | -0.000 | 
| 1758.391 | 2112.549 | 8100.999 | -0.000 | -0.000 | 0.000 | 
| 1672.516 | 1825.256 | 8100.872 | 0.000 | -0.000 | 0.000 | 
| 1164.171 | 2412.889 | 7194.448 | 27.413 | -0.000 | 0.000 | 
| 1164.706 | 2413.037 | 7193.868 | 0.000 | 105.174 | 0.000 | 
| 1670.898 | 1842.867 | 8101.779 | 0.000 | -0.000 | 234.171 | 
| -1062.113 | -1213.672 | -1583.532 | -0.000 | 0.000 | -0.000 | 
| -1555.650 | -1040.576 | -1638.148 | -0.000 | 0.000 | -0.000 | 
| -1175.093 | -2428.976 | -7249.145 | -0.000 | -0.000 | -0.000 | 
| -1164.171 | -2412.889 | -7194.448 | 27.413 | 0.000 | 0.000 | 
| -1164.706 | -2413.037 | -7193.868 | -0.000 | 105.175 | 0.000 | 
| -1670.898 | -1842.867 | -8101.779 | 0.000 | 0.000 | 234.171 | 
| 742.840 | 252.641 | 810.085 | 0.000 | -0.000 | -0.000 | 
| 254.537 | 454.081 | 810.086 | 0.000 | 0.000 | 0.000 | 
| 168.774 | 166.879 | 810.100 | -0.000 | -0.000 | -0.000 | 
| 168.841 | 181.429 | 811.765 | 32.091 | -0.000 | 0.000 | 
| 119.439 | 246.529 | 733.981 | 0.000 | 102.090 | 0.000 | 
| 167.074 | 184.291 | 810.106 | 0.000 | 0.000 | 234.176 | 
| 421.998 | -44.472 | -91.800 | 0.000 | 0.000 | -0.000 | 
| 1.647 | 15.693 | -640.821 | -0.000 | -0.000 | -0.000 | 
| -129.733 | -249.517 | -765.782 | -0.000 | 0.000 | -0.000 | 
| -168.841 | -181.429 | -811.765 | 32.091 | 0.000 | 0.000 | 
| -119.439 | -246.529 | -733.981 | -0.000 | 102.090 | 0.000 | 
| -167.074 | -184.291 | -810.106 | 0.000 | -0.000 | 234.176 | 
| 592.458 | 86.809 | 81.012 | 0.000 | -0.000 | 0.000 | 
| 100.424 | 283.958 | 59.314 | -0.000 | 0.000 | 0.000 | 
| 18.400 | 1.037 | 81.031 | -0.000 | 0.000 | 0.000 | 
| 19.095 | 17.531 | 92.736 | 3.936 | -0.000 | 0.000 | 
| 16.321 | 18.199 | 78.292 | 0.000 | -0.559 | 0.000 | 
| 17.161 | 18.947 | 79.812 | 0.000 | -0.000 | 234.431 | 
| 559.047 | 49.948 | -81.006 | -0.000 | 0.000 | -0.000 | 
| 70.747 | 251.384 | -81.010 | -0.000 | 0.000 | 0.000 | 
| -15.004 | -35.827 | -80.980 | -0.000 | 0.000 | -0.000 | 
| -26.983 | -9.073 | -109.873 | 32.726 | 0.000 | 0.000 | 
| -16.321 | -18.199 | -78.292 | -0.000 | -0.559 | -0.000 | 
| -17.161 | -18.947 | -79.812 | -0.000 | 0.000 | 234.431 | 
| 1074.110 | 153.189 | -307.019 | -0.000 | 0.000 | 0.000 | 
| 282.742 | 352.281 | -206.045 | -0.000 | 0.000 | 0.000 | 
| 171.810 | 41.206 | 814.702 | -0.000 | -0.000 | 0.000 | 
| 0.000 | 0.000 | 0.003 | 174.757 | 0.000 | 0.000 | 
| 0.000 | 0.000 | 0.003 | -0.000 | 523.260 | 0.000 | 
| 113.429 | -26.640 | -311.669 | -0.000 | 0.000 | 240.317 | 
| 1037.240 | 96.635 | 16.939 | 0.000 | -0.000 | -0.000 | 
| 3.803 | 345.506 | 251.606 | -0.001 | 0.000 | -0.000 | 
| 31.163 | 21.085 | 1076.513 | 0.000 | 0.000 | -0.000 | 
| -0.000 | -0.000 | -0.003 | 174.757 | 0.000 | -0.000 | 
| -0.000 | -0.000 | -0.003 | 0.000 | 523.260 | -0.000 | 
| -113.429 | 26.640 | 311.669 | -0.000 | 0.000 | 240.317 | 
| 1037.241 | 96.635 | 16.938 | -0.000 | 0.000 | 0.000 | 
| 191.642 | 295.515 | 7.986 | 0.000 | 0.000 | 0.000 | 
| 31.164 | 21.085 | 1076.515 | -0.000 | 0.000 | 0.000 | 
| 11.257 | -3.242 | -35.186 | 107.971 | -0.000 | 0.000 | 
| 11.826 | -3.093 | -30.604 | 0.000 | 480.075 | 0.000 | 
| 0.000 | 0.000 | 0.000 | 0.000 | -0.000 | 273.611 | 
| 975.649 | 135.714 | 41.695 | 0.000 | 0.000 | -0.000 | 
| 101.444 | 403.455 | 11.669 | 0.000 | 0.000 | -0.000 | 
| 8.039 | 49.921 | 1058.888 | -0.000 | 0.000 | -0.000 | 
| -11.257 | 3.242 | 35.186 | 107.971 | -0.000 | -0.000 | 
| -11.826 | 3.093 | 30.604 | -0.000 | 480.075 | -0.000 | 
| -0.000 | -0.000 | -0.000 | -0.000 | 0.000 | 273.611 | 
| 965.904 | 174.209 | 1.819 | 0.000 | -0.000 | 0.000 | 
| 178.904 | 299.004 | 37.142 | -0.000 | 0.000 | 0.000 | 
| 19.675 | 47.935 | 1024.761 | -0.000 | 0.000 | 0.000 | 
| 1.176 | -0.321 | -3.105 | 104.304 | 0.000 | 0.000 | 
| 0.000 | 0.000 | 0.001 | 0.000 | 523.260 | 0.000 | 
| 1.704 | 0.055 | -2.814 | 0.000 | 0.000 | 243.637 | 
| 963.536 | 174.836 | 7.852 | 0.000 | -0.000 | -0.000 | 
| 178.221 | 299.584 | 40.563 | 0.000 | -0.000 | -0.000 | 
| 31.163 | 21.085 | 1076.510 | -0.000 | -0.000 | -0.000 | 
| -1.176 | 0.321 | 3.105 | 104.304 | -0.000 | -0.000 | 
| -0.000 | -0.000 | -0.001 | -0.000 | 523.260 | -0.000 | 
| -1.704 | -0.055 | 2.814 | 0.000 | 0.000 | 243.637 | 
| 979.384 | 147.598 | 18.324 | -0.000 | 0.000 | -0.000 | 
| 176.796 | 299.442 | 41.305 | -0.000 | 0.000 | 0.000 | 
| 30.651 | 21.583 | 1078.401 | -0.000 | 0.000 | 0.000 | 
| -0.000 | -0.000 | -0.000 | 174.562 | 0.000 | -0.000 | 
| 0.685 | -0.168 | 0.147 | -0.000 | 481.761 | 0.000 | 
| 0.000 | 0.000 | 0.000 | -0.000 | -0.000 | 273.075 | 
| 979.667 | 146.120 | 18.954 | -0.000 | -0.000 | -0.000 | 
| 178.938 | 299.083 | 38.844 | -0.000 | -0.000 | -0.000 | 
| 31.781 | 41.390 | 1038.592 | -0.000 | -0.000 | -0.000 | 
| 0.000 | -0.000 | 0.000 | 174.562 | -0.000 | 0.000 | 
| -0.685 | 0.168 | -0.147 | 0.000 | 481.761 | -0.000 | 
| -0.000 | -0.000 | -0.000 | 0.000 | 0.000 | 273.075 | 
| 966.962 | 175.099 | 4.583 | -0.000 | 0.000 | -0.000 | 
| 100.812 | 405.028 | 11.876 | -0.000 | -0.000 | 0.000 | 
| 30.651 | 21.583 | 1078.401 | -0.000 | 0.000 | 0.000 | 
| -0.070 | -0.030 | 0.111 | 104.279 | 0.000 | 0.000 | 
| 0.085 | 0.001 | -0.040 | 0.000 | 501.349 | 0.000 | 
| 0.070 | 0.001 | -0.033 | 0.000 | -0.000 | 243.180 | 
| 979.548 | 146.770 | 18.675 | 0.000 | -0.000 | 0.000 | 
| 179.384 | 299.021 | 38.841 | 0.000 | -0.000 | -0.000 | 
| 32.389 | 40.993 | 1039.105 | 0.000 | -0.000 | -0.000 | 
| 0.070 | 0.030 | -0.111 | 104.279 | -0.000 | -0.000 | 
| -0.085 | -0.001 | 0.040 | 0.000 | 501.349 | 0.000 | 
| -0.070 | -0.001 | 0.033 | 0.000 | -0.000 | 243.180 | 
| 979.537 | 146.850 | 18.641 | 0.000 | 0.000 | -0.000 | 
| 179.356 | 298.966 | 38.010 | 0.000 | 0.000 | -0.000 | 
| 17.983 | 49.107 | 1029.543 | -0.000 | 0.000 | 0.000 | 
| 0.016 | -0.000 | -0.008 | 104.463 | 0.000 | 0.000 | 
| 0.008 | 0.000 | -0.003 | -0.000 | 501.348 | -0.000 | 
| 0.003 | -0.001 | 0.002 | -0.000 | 0.000 | 240.327 | 
| 966.915 | 175.096 | 4.583 | 0.000 | -0.000 | -0.000 | 
| 179.422 | 299.024 | 38.838 | -0.000 | -0.000 | -0.000 | 
| 17.997 | 49.176 | 1029.390 | -0.000 | -0.000 | -0.000 | 
| -0.016 | 0.000 | 0.008 | 104.463 | -0.000 | -0.000 | 
| -0.008 | -0.000 | 0.003 | -0.000 | 501.348 | -0.000 | 
| -0.003 | 0.001 | -0.002 | 0.000 | -0.000 | 240.327 | 
| 588.611 | 57.592 | 75.371 | -3.660 | 0.000 | 0.000 | 
| 57.593 | 588.612 | 75.371 | 3.660 | -0.000 | -0.000 | 
| 75.371 | 75.372 | 474.884 | 0.000 | -0.000 | -0.000 | 
| -3.660 | 3.660 | -0.000 | 244.788 | 0.000 | -0.000 | 
| 258.978 | 258.977 | -605.448 | 0.000 | 204.087 | -6.743 | 
| 0.000 | 0.000 | -0.000 | 0.000 | -3.660 | 265.508 | 
| 588.611 | 57.594 | 75.371 | -3.660 | 0.000 | -0.000 | 
| -195.070 | 238.676 | 709.124 | 6.794 | 0.000 | -0.000 | 
| -156.437 | -156.437 | 978.074 | -0.000 | 0.000 | 0.001 | 
| -3.660 | 3.660 | 0.000 | 244.788 | -0.000 | 0.000 | 
| -258.978 | -258.977 | 605.448 | -0.000 | 204.087 | -6.743 | 
| 0.000 | 0.000 | 0.000 | -0.000 | -3.660 | 265.509 | 
| 588.611 | 57.593 | 75.371 | -3.660 | -0.000 | -0.000 | 
| 57.593 | 588.611 | 75.371 | 3.660 | 0.000 | 0.000 | 
| 75.371 | 75.371 | 474.884 | 0.000 | -0.000 | 0.000 | 
| -3.660 | 3.660 | 0.000 | 244.788 | -0.000 | -0.000 | 
| 0.000 | 0.000 | 0.000 | 0.000 | 244.788 | -3.660 | 
| 30.689 | 30.689 | -71.747 | 0.000 | -7.315 | 208.779 | 
| 588.611 | 57.593 | 75.371 | -3.660 | -0.000 | 0.000 | 
| 14.833 | 307.030 | 239.050 | 13.153 | 0.000 | -0.000 | 
| 63.649 | 63.649 | 439.808 | -0.000 | 0.000 | 0.000 | 
| -3.660 | 3.660 | -0.000 | 244.788 | 0.000 | -0.000 | 
| -0.000 | -0.000 | -0.000 | -0.000 | 244.788 | -3.660 | 
| -30.689 | -30.689 | 71.747 | -0.000 | -7.315 | 208.779 | 
| 345.193 | 77.000 | 94.968 | -14.239 | -0.000 | -0.000 | 
| 57.594 | 588.613 | 75.371 | 3.660 | 0.000 | 0.000 | 
| 75.371 | 75.371 | 474.886 | 0.000 | 0.000 | 0.000 | 
| -4.508 | 13.383 | -10.375 | 175.045 | -0.000 | 0.000 | 
| 0.000 | 0.000 | 0.000 | 0.000 | 244.788 | -3.660 | 
| 5.841 | 5.841 | -14.567 | -0.000 | -15.547 | 132.624 | 
| 588.609 | 57.593 | 75.371 | -3.660 | 0.000 | -0.000 | 
| 71.978 | 423.938 | 121.017 | 9.429 | -0.000 | -0.000 | 
| 79.112 | 79.112 | 136.319 | -0.000 | -0.000 | 0.000 | 
| -13.383 | 4.508 | 10.374 | 175.049 | -0.000 | 0.000 | 
| -0.000 | -0.000 | -0.000 | -0.000 | 244.788 | -3.660 | 
| -5.841 | -5.841 | 14.567 | 0.000 | -15.547 | 132.624 | 
| 1869.641 | 1511.577 | 4093.361 | -8.402 | 0.000 | 0.000 | 
| 34.186 | 517.495 | 68.756 | 3.352 | 0.001 | 0.001 | 
| 5184.686 | 5184.686 | 6546.311 | 0.000 | 0.000 | 0.001 | 
| 5080.984 | 5109.946 | 6415.824 | 84.201 | 0.000 | 0.001 | 
| 1472.277 | 1472.277 | 4006.884 | 0.000 | 152.674 | -8.410 | 
| 1472.303 | 1472.304 | 4006.957 | 0.000 | -8.410 | 178.928 | 
| -6247.959 | -6367.266 | -11628.687 | -21.632 | -0.000 | -0.001 | 
| 34.186 | 517.494 | 68.756 | 3.351 | -0.001 | -0.000 | 
| 62.570 | 62.570 | 397.852 | 0.000 | -0.001 | -0.001 | 
| -3.352 | 3.352 | 0.000 | 212.089 | -0.000 | -0.000 | 
| -1472.277 | -1472.277 | -4006.884 | -0.000 | 152.673 | -8.411 | 
| -1472.304 | -1472.304 | -4006.957 | -0.000 | -8.411 | 178.927 | 
| 753.870 | 529.636 | 740.677 | -14.423 | 0.000 | 0.000 | 
| 34.186 | 517.495 | 68.756 | 3.352 | 0.000 | 0.000 | 
| 236.458 | 236.459 | 681.264 | -0.000 | 0.000 | 0.000 | 
| 138.868 | 155.693 | 400.833 | 152.653 | 0.000 | 0.000 | 
| 147.278 | 147.278 | 400.826 | 0.000 | 152.654 | -8.412 | 
| 147.253 | 147.253 | 400.758 | 0.000 | -8.411 | 178.918 | 
| -263.634 | -486.900 | -540.584 | -14.482 | -0.000 | -0.000 | 
| -486.924 | -263.667 | -540.598 | 14.482 | -0.000 | -0.000 | 
| 62.570 | 62.570 | 397.852 | -0.000 | -0.000 | -0.000 | 
| -155.706 | -138.880 | -400.867 | 152.647 | -0.000 | -0.000 | 
| -147.278 | -147.278 | -400.826 | -0.000 | 152.653 | -8.412 | 
| -147.253 | -147.253 | -400.758 | -0.000 | -8.411 | 178.918 | 
| 517.496 | 34.186 | 68.757 | -3.352 | 0.000 | 0.000 | 
| 34.186 | 517.496 | 68.757 | 3.352 | 0.000 | 0.000 | 
| 127.429 | 127.429 | 246.933 | 0.000 | 0.000 | 0.000 | 
| 30.661 | 57.330 | 59.761 | 97.113 | 0.000 | 0.000 | 
| 70.264 | 70.264 | 223.507 | -0.000 | 72.999 | -11.349 | 
| 42.827 | 42.827 | 59.593 | -0.000 | -13.191 | 125.694 | 
| 153.024 | -30.605 | -6.139 | -18.201 | -0.000 | -0.000 | 
| -30.605 | 153.029 | -6.141 | 18.200 | -0.000 | -0.000 | 
| -39.689 | -39.689 | -182.729 | -0.000 | -0.000 | -0.000 | 
| -23.684 | -6.581 | -41.184 | 151.021 | -0.000 | -0.000 | 
| -70.264 | -70.264 | -223.507 | 0.000 | 72.999 | -11.349 | 
| -42.827 | -42.827 | -59.593 | 0.000 | -13.191 | 125.694 | 
| 1003.821 | 1.799 | 104.776 | 0.000 | -0.000 | -0.000 | 
| 354.065 | 1046.042 | 113.627 | -0.000 | 0.001 | -0.000 | 
| 439.356 | 19.850 | 1031.638 | 0.000 | -0.000 | -0.000 | 
| 227.548 | -53.610 | -82.175 | 503.839 | 0.000 | -0.000 | 
| 181.962 | -167.663 | 35.383 | 0.000 | 270.768 | -0.000 | 
| 184.253 | -169.774 | 35.828 | 0.000 | -0.001 | 354.683 | 
| 1003.821 | 1.799 | 104.776 | -0.000 | 0.001 | 0.000 | 
| -144.649 | 1236.193 | 68.710 | -0.000 | 0.001 | 0.000 | 
| 104.155 | 87.497 | 1052.149 | -0.000 | -0.000 | 0.000 | 
| -227.548 | 53.610 | 82.175 | 503.839 | -0.000 | 0.000 | 
| -181.962 | 167.663 | -35.383 | -0.000 | 270.768 | 0.000 | 
| -184.253 | 169.774 | -35.828 | 0.000 | 0.000 | 354.683 | 
| 945.527 | 27.781 | 124.515 | 0.000 | 0.000 | -0.000 | 
| 55.272 | 1087.169 | 86.352 | 0.000 | -0.000 | -0.000 | 
| 104.155 | 87.497 | 1052.150 | 0.000 | 0.000 | -0.000 | 
| 13.289 | -12.245 | 2.584 | 496.540 | 0.000 | -0.000 | 
| 11.228 | -10.346 | 2.183 | 0.000 | 328.058 | -0.000 | 
| 21.991 | -4.252 | -8.694 | 0.000 | 0.000 | 373.032 | 
| 895.406 | 40.661 | 129.562 | -0.000 | -0.000 | 0.000 | 
| 6.722 | 1107.282 | 99.499 | -0.000 | 0.000 | 0.000 | 
| 119.619 | 111.810 | 992.103 | -0.000 | 0.000 | 0.000 | 
| -13.289 | 12.245 | -2.584 | 496.540 | -0.000 | 0.000 | 
| -11.228 | 10.346 | -2.183 | 0.000 | 328.058 | 0.000 | 
| -21.991 | 4.252 | 8.694 | -0.000 | -0.000 | 373.032 | 
| 936.108 | 34.165 | 134.881 | 0.000 | -0.000 | -0.000 | 
| 34.160 | 1097.442 | 96.020 | 0.000 | 0.000 | -0.000 | 
| 129.794 | 98.457 | 1000.590 | 0.000 | -0.000 | -0.000 | 
| 3.718 | -0.924 | -0.311 | 509.800 | 0.000 | -0.000 | 
| 1.548 | -0.721 | -0.270 | 0.000 | 344.300 | -0.000 | 
| 1.069 | -0.985 | 0.208 | 0.000 | -0.000 | 376.455 | 
| 931.952 | 37.327 | 135.027 | -0.000 | 0.000 | 0.000 | 
| 27.158 | 1100.567 | 93.976 | -0.000 | 0.000 | 0.000 | 
| 126.780 | 99.946 | 1002.102 | -0.000 | -0.000 | 0.000 | 
| -3.718 | 0.924 | 0.311 | 509.800 | -0.000 | 0.000 | 
| -1.548 | 0.721 | 0.270 | 0.000 | 344.300 | 0.000 | 
| -1.069 | 0.985 | -0.208 | -0.000 | -0.000 | 376.455 | 
| 981.557 | -422.062 | 488.475 | 0.000 | 765.918 | 0.000 | 
| 56.615 | 689.505 | 477.766 | 0.000 | 504.836 | 0.000 | 
| 149.845 | -329.415 | 1391.061 | 0.000 | 611.411 | 0.000 | 
| 37.227 | -454.385 | 371.938 | 502.151 | 705.732 | -25.046 | 
| 65.321 | -506.686 | 418.364 | -0.000 | 1050.282 | -0.000 | 
| 37.235 | -454.485 | 372.019 | -30.372 | 705.886 | 381.954 | 
| 907.418 | 487.670 | -256.538 | 0.000 | -647.150 | -0.000 | 
| -1.815 | 1559.849 | -292.686 | 0.000 | -757.829 | 0.000 | 
| 91.604 | 69.920 | 1071.904 | 0.000 | 54.077 | 0.000 | 
| -37.227 | 454.386 | -371.938 | 502.151 | -705.732 | -25.046 | 
| -8.757 | 403.594 | -327.663 | 0.000 | -362.008 | -0.000 | 
| -37.235 | 454.485 | -372.020 | -30.372 | -705.886 | 381.953 | 
| 928.861 | 1.581 | 155.467 | 0.000 | 109.435 | 0.000 | 
| 38.369 | 1059.263 | 118.675 | -0.000 | 22.513 | 0.000 | 
| 91.604 | 69.920 | 1071.904 | 0.000 | 54.077 | 0.000 | 
| 0.000 | 0.000 | 0.000 | 540.984 | -0.000 | -61.082 | 
| 26.278 | -85.904 | 81.265 | -0.000 | 389.649 | 0.000 | 
| 3.709 | -45.275 | 37.060 | -30.510 | 70.320 | 382.105 | 
| 926.072 | 83.402 | 73.594 | 0.000 | 0.995 | -0.000 | 
| 35.313 | 1142.577 | 43.173 | 0.000 | -119.874 | -0.000 | 
| 91.604 | 69.920 | 1071.904 | 0.000 | 54.077 | -0.000 | 
| -0.000 | -0.000 | -0.000 | 540.984 | 0.000 | -61.082 | 
| 20.918 | -1.873 | 4.213 | 0.000 | 273.710 | -0.000 | 
| -3.709 | 45.275 | -37.060 | -30.510 | -70.320 | 382.105 | 
| 926.875 | 39.652 | 116.708 | -0.000 | 59.770 | 0.000 | 
| 35.520 | 1096.807 | 87.507 | -0.000 | -36.575 | 0.000 | 
| 112.903 | 83.663 | 1020.237 | 0.000 | 46.864 | 0.000 | 
| 0.342 | -3.991 | 3.520 | 503.597 | 5.642 | -25.380 | 
| 24.755 | -47.214 | 44.318 | -0.000 | 337.598 | 0.000 | 
| 0.335 | -3.884 | 3.476 | -30.854 | 5.378 | 381.688 | 
| 936.042 | 44.415 | 113.135 | 0.000 | 43.475 | -0.000 | 
| 44.338 | 1101.232 | 78.699 | 0.000 | -54.804 | -0.000 | 
| 111.144 | 92.720 | 1011.712 | 0.000 | 34.706 | -0.000 | 
| -0.342 | 3.991 | -3.520 | 503.597 | -5.642 | -25.380 | 
| 25.077 | -39.137 | 36.192 | -0.000 | 326.801 | -0.000 | 
| -0.335 | 3.884 | -3.476 | -30.854 | -5.378 | 381.688 | 
| 998.241 | 59.220 | 26.648 | -0.000 | -0.000 | -0.000 | 
| 59.220 | 998.241 | 26.648 | -0.000 | -0.000 | -0.000 | 
| 34.385 | 34.385 | 1306.256 | -0.001 | -0.000 | -0.000 | 
| -0.000 | -0.000 | -0.000 | 479.750 | 0.000 | 0.000 | 
| -0.000 | -0.000 | -0.000 | -0.000 | 479.750 | -0.000 | 
| 0.000 | 0.000 | -0.000 | -0.000 | -0.000 | 136.325 | 
| 998.241 | 59.220 | 26.648 | 0.001 | 0.000 | 0.000 | 
| 59.220 | 998.241 | 26.649 | 0.001 | 0.000 | 0.000 | 
| 34.386 | 34.386 | 1306.256 | 0.001 | 0.000 | 0.000 | 
| 0.000 | 0.000 | 0.000 | 479.751 | 0.000 | -0.000 | 
| 0.000 | 0.000 | 0.000 | 0.000 | 479.751 | 0.000 | 
| -0.000 | -0.000 | 0.000 | 0.000 | 0.000 | 136.325 | 
| 910.505 | 136.272 | 39.950 | -0.000 | -0.000 | -0.000 | 
| 136.272 | 910.505 | 39.950 | -0.000 | -0.000 | -0.000 | 
| 26.648 | 26.648 | 1325.522 | -0.000 | 0.000 | -0.000 | 
| 0.000 | -0.000 | 0.000 | 502.792 | 0.000 | -0.000 | 
| -0.000 | 0.000 | 0.000 | 0.000 | 502.792 | -0.000 | 
| -0.000 | -0.000 | -0.000 | 0.000 | 0.000 | 136.325 | 
| 998.241 | 59.220 | 26.648 | 0.000 | 0.000 | 0.000 | 
| 59.220 | 998.241 | 26.648 | 0.000 | 0.000 | 0.000 | 
| 26.648 | 26.648 | 1325.522 | 0.000 | 0.000 | 0.000 | 
| -0.000 | 0.000 | -0.000 | 502.792 | 0.000 | 0.000 | 
| 0.000 | -0.000 | -0.000 | 0.000 | 502.792 | 0.000 | 
| 0.000 | 0.000 | 0.000 | 0.000 | 0.000 | 136.325 | 
| 910.504 | 136.275 | 39.951 | -0.000 | 0.000 | -0.000 | 
| 136.275 | 910.504 | 39.951 | 0.000 | 0.000 | -0.000 | 
| 34.386 | 34.386 | 1306.260 | -0.000 | -0.000 | 0.000 | 
| 0.000 | -0.000 | 0.001 | 502.792 | -0.000 | -0.000 | 
| -0.000 | 0.000 | 0.001 | -0.000 | 502.792 | -0.000 | 
| -0.000 | -0.000 | 0.000 | -0.000 | -0.000 | 136.325 | 
| 910.496 | 136.277 | 39.951 | 0.000 | 0.000 | 0.000 | 
| 136.277 | 910.496 | 39.951 | 0.000 | 0.000 | 0.000 | 
| 34.385 | 34.385 | 1306.252 | -0.000 | 0.000 | 0.000 | 
| -0.000 | 0.000 | -0.001 | 502.792 | 0.000 | 0.000 | 
| 0.000 | -0.000 | -0.001 | 0.000 | 502.792 | 0.000 | 
| 0.000 | 0.000 | -0.000 | 0.000 | 0.000 | 136.325 | 
| 815.039 | 78.830 | 78.830 | -0.000 | 0.000 | 0.000 | 
| 78.831 | 815.039 | 78.830 | -0.000 | -0.000 | 0.000 | 
| 78.831 | 78.830 | 815.039 | -0.000 | 0.000 | 0.000 | 
| -0.000 | -0.000 | -0.000 | 372.065 | 0.000 | 0.000 | 
| -0.000 | -0.000 | -0.000 | -0.000 | 372.065 | 0.000 | 
| -0.000 | -0.000 | -0.000 | -0.000 | -0.000 | 372.065 | 
| 815.039 | 78.831 | 78.831 | 0.000 | -0.000 | -0.000 | 
| 78.831 | 815.039 | 78.831 | 0.000 | 0.000 | -0.000 | 
| 78.831 | 78.831 | 815.039 | 0.000 | -0.000 | -0.000 | 
| 0.000 | 0.000 | 0.000 | 372.065 | 0.000 | -0.000 | 
| 0.000 | 0.000 | 0.000 | 0.000 | 372.065 | -0.000 | 
| 0.000 | 0.000 | 0.000 | 0.000 | 0.000 | 372.065 | 
| 815.039 | 78.831 | 78.831 | -0.000 | -0.000 | 0.000 | 
| 78.831 | 815.039 | 78.831 | -0.000 | 0.000 | 0.000 | 
| 78.831 | 78.831 | 815.039 | -0.000 | 0.000 | 0.000 | 
| 0.000 | -0.000 | 0.000 | 372.065 | -0.000 | 0.000 | 
| -0.000 | 0.000 | 0.000 | -0.000 | 372.065 | 0.000 | 
| -0.000 | 0.000 | 0.000 | -0.000 | 0.000 | 372.065 | 
| 815.039 | 78.831 | 78.831 | 0.000 | 0.000 | -0.000 | 
| 78.831 | 815.039 | 78.831 | 0.000 | -0.000 | -0.000 | 
| 78.831 | 78.831 | 815.039 | 0.000 | -0.000 | -0.000 | 
| -0.000 | 0.000 | -0.000 | 372.065 | -0.000 | -0.000 | 
| 0.000 | -0.000 | -0.000 | 0.000 | 372.065 | -0.000 | 
| 0.000 | -0.000 | -0.000 | 0.000 | -0.000 | 372.065 | 
| 760.114 | 105.102 | 105.102 | -0.000 | 0.000 | 0.000 | 
| 105.102 | 760.114 | 105.102 | -0.000 | 0.000 | 0.000 | 
| 105.102 | 105.102 | 760.114 | -0.000 | -0.000 | 0.000 | 
| -0.003 | -0.003 | -0.003 | 344.364 | 0.000 | 0.000 | 
| -0.003 | -0.003 | -0.003 | -0.000 | 344.364 | -0.000 | 
| -0.003 | -0.003 | -0.003 | -0.000 | 0.000 | 344.364 | 
| 754.286 | 106.757 | 106.757 | 0.000 | -0.000 | -0.000 | 
| 106.757 | 754.286 | 106.757 | 0.000 | -0.000 | -0.000 | 
| 106.757 | 106.757 | 754.286 | 0.000 | -0.000 | -0.000 | 
| 0.003 | 0.003 | 0.003 | 344.364 | 0.000 | -0.000 | 
| 0.003 | 0.003 | 0.003 | 0.000 | 344.364 | -0.000 | 
| 0.003 | 0.003 | 0.003 | 0.000 | -0.000 | 344.364 | 
| 451.594 | 155.477 | 155.477 | 0.000 | 0.000 | 0.000 | 
| 155.477 | 451.594 | 155.478 | -0.000 | -0.000 | 0.000 | 
| 155.477 | 155.477 | 451.594 | 0.000 | 0.000 | 0.000 | 
| 0.000 | -0.000 | 0.000 | 305.188 | -0.000 | 0.000 | 
| -0.000 | -0.000 | 0.000 | 0.000 | 305.188 | -0.000 | 
| -0.000 | -0.000 | 0.000 | 0.000 | -0.000 | 305.188 | 
| 451.594 | 155.478 | 155.478 | -0.000 | -0.000 | -0.000 | 
| 155.478 | 451.594 | 155.478 | 0.000 | 0.000 | -0.000 | 
| 155.478 | 155.478 | 451.594 | -0.000 | -0.000 | -0.000 | 
| -0.000 | 0.000 | -0.000 | 305.188 | -0.000 | -0.000 | 
| 0.000 | -0.000 | -0.000 | 0.000 | 305.188 | -0.000 | 
| 0.000 | 0.000 | 0.000 | -0.000 | 0.000 | 305.188 | 
| 451.595 | 155.477 | 155.477 | 0.000 | -0.000 | 0.000 | 
| 155.477 | 451.595 | 155.477 | -0.000 | -0.000 | 0.000 | 
| 155.477 | 155.477 | 451.595 | -0.000 | 0.000 | 0.000 | 
| 0.000 | -0.000 | 0.000 | 305.188 | -0.000 | -0.000 | 
| -0.000 | 0.000 | 0.000 | -0.000 | 305.188 | -0.000 | 
| -0.000 | 0.000 | 0.000 | 0.000 | 0.000 | 305.188 | 
| 512.891 | 124.829 | 124.829 | 0.000 | 0.000 | -0.000 | 
| 124.829 | 512.891 | 124.829 | 0.000 | 0.000 | -0.000 | 
| 124.829 | 124.829 | 512.891 | -0.000 | 0.000 | -0.000 | 
| -0.000 | 0.000 | -0.000 | 305.188 | -0.000 | -0.000 | 
| 0.000 | -0.000 | -0.000 | -0.000 | 305.188 | -0.000 | 
| 0.000 | -0.000 | -0.000 | -0.000 | -0.000 | 305.188 | 
| 451.595 | 155.478 | 155.478 | 0.000 | -0.000 | 0.000 | 
| 155.478 | 451.595 | 155.478 | -0.000 | -0.000 | 0.000 | 
| 155.478 | 155.478 | 451.595 | -0.000 | -0.000 | 0.000 | 
| 0.000 | -0.000 | 0.000 | 305.188 | 0.000 | -0.000 | 
| 0.000 | 0.000 | 0.000 | -0.000 | 322.254 | 0.000 | 
| -0.000 | 0.000 | 0.000 | -0.000 | -0.000 | 305.188 | 
| 451.817 | 155.365 | 155.365 | 0.000 | 0.000 | -0.000 | 
| 155.365 | 451.817 | 155.365 | 0.000 | 0.000 | -0.000 | 
| 155.365 | 155.365 | 451.817 | 0.000 | -0.000 | 0.000 | 
| -0.000 | -0.000 | -0.000 | 322.254 | -0.000 | -0.000 | 
| -0.000 | -0.000 | -0.000 | 0.000 | 322.254 | -0.000 | 
| -0.000 | -0.000 | -0.000 | -0.000 | 0.000 | 322.254 | 
| 464.770 | 54.100 | 54.101 | -0.000 | 0.000 | -0.000 | 
| 54.100 | 464.769 | 54.101 | -0.000 | 0.000 | 0.000 | 
| 54.100 | 54.100 | 464.770 | -0.000 | 0.000 | 0.000 | 
| -0.000 | -0.000 | -0.000 | 56.768 | 0.000 | -0.000 | 
| -0.001 | -0.001 | -0.000 | -0.000 | 56.768 | -0.000 | 
| -0.001 | -0.000 | -0.000 | -0.000 | 0.000 | 56.768 | 
| 464.770 | 54.101 | 54.101 | -0.000 | -0.000 | 0.000 | 
| 54.100 | 464.770 | 54.100 | 0.000 | -0.001 | 0.000 | 
| 54.101 | 54.101 | 464.769 | 0.000 | -0.000 | -0.000 | 
| 0.000 | 0.000 | 0.000 | 56.768 | -0.000 | 0.000 | 
| 0.001 | 0.001 | 0.000 | -0.000 | 56.768 | 0.000 | 
| 0.000 | 0.000 | 0.000 | 0.000 | -0.000 | 56.768 | 
| 142.784 | 62.140 | 62.140 | 0.000 | 0.000 | -0.000 | 
| 62.140 | 142.784 | 62.140 | 0.000 | 0.000 | -0.000 | 
| 62.140 | 62.140 | 142.784 | 0.000 | 0.000 | 0.000 | 
| -0.000 | -0.000 | -0.000 | 112.621 | 0.000 | -0.000 | 
| -0.000 | -0.000 | -0.000 | 0.000 | 112.622 | 0.000 | 
| -0.000 | -0.000 | 0.000 | 0.000 | 0.000 | 112.621 | 
| 249.638 | 72.145 | 72.145 | 0.000 | -0.000 | 0.000 | 
| 72.145 | 249.638 | 72.145 | -0.000 | -0.000 | 0.000 | 
| 72.145 | 72.145 | 249.638 | -0.000 | -0.000 | 0.000 | 
| 0.000 | 0.000 | 0.000 | 112.622 | -0.000 | -0.000 | 
| 0.000 | 0.000 | 0.000 | 0.000 | 112.621 | 0.000 | 
| 0.000 | 0.000 | -0.000 | -0.000 | -0.000 | 112.621 | 
| 23.738 | -53.330 | -53.330 | -0.000 | 0.000 | -0.000 | 
| -53.330 | 23.738 | -53.330 | 0.000 | 0.000 | 0.000 | 
| -53.330 | -53.330 | 23.738 | -0.000 | 0.000 | -0.000 | 
| 0.000 | -0.000 | -0.000 | 112.621 | 0.000 | 0.000 | 
| -0.000 | 0.000 | -0.000 | -0.000 | 112.621 | -0.000 | 
| -0.000 | -0.000 | 0.000 | 0.000 | 0.000 | 112.621 | 
| 249.649 | 72.144 | 72.144 | 0.000 | -0.000 | -0.000 | 
| 72.144 | 249.649 | 72.144 | 0.000 | -0.000 | -0.000 | 
| 72.144 | 72.144 | 249.649 | -0.000 | -0.000 | -0.000 | 
| -0.000 | 0.000 | 0.000 | 112.621 | -0.000 | 0.000 | 
| 0.000 | -0.000 | 0.000 | -0.000 | 112.621 | 0.000 | 
| 0.000 | 0.000 | -0.000 | 0.000 | -0.000 | 112.621 | 
| 338.780 | 60.107 | 60.107 | -0.000 | -0.001 | -0.000 | 
| 60.107 | 338.780 | 60.107 | 0.000 | -0.001 | 0.000 | 
| 60.107 | 60.107 | 338.780 | -0.000 | -0.000 | 0.000 | 
| 5.392 | 5.391 | 5.392 | 139.344 | -0.000 | 0.000 | 
| 5.392 | 5.391 | 5.391 | -0.000 | 139.345 | -0.000 | 
| 5.392 | 5.391 | 5.392 | -0.000 | -0.000 | 139.345 | 
| -245.930 | 6.830 | 6.830 | 0.000 | 0.000 | 0.000 | 
| 6.830 | -245.929 | 6.830 | 0.000 | 0.000 | 0.000 | 
| 6.830 | 6.830 | -245.930 | 0.000 | 0.000 | 0.000 | 
| -5.392 | -5.391 | -5.392 | 139.345 | 0.000 | 0.000 | 
| -5.392 | -5.391 | -5.391 | 0.000 | 139.345 | 0.000 | 
| -5.392 | -5.391 | -5.392 | 0.000 | -0.000 | 139.345 | 
| 328.048 | 55.790 | 55.790 | -0.000 | 0.000 | 0.000 | 
| 55.790 | 328.048 | 55.790 | -0.000 | -0.000 | -0.000 | 
| 55.790 | 55.790 | 328.048 | 0.000 | -0.000 | -0.000 | 
| 4.972 | 4.972 | 4.972 | -87.563 | -0.000 | -0.000 | 
| 4.972 | 4.972 | 4.972 | -0.000 | -87.563 | -0.000 | 
| 4.972 | 4.972 | 4.972 | -0.000 | -0.000 | -87.563 | 
| -142.022 | -10.286 | -10.286 | -0.000 | 0.000 | 0.000 | 
| -10.286 | -142.022 | -10.286 | 0.000 | 0.000 | -0.000 | 
| -10.286 | -10.286 | -142.022 | 0.000 | 0.000 | 0.000 | 
| -4.972 | -4.972 | -4.972 | -87.563 | 0.000 | -0.000 | 
| -4.972 | -4.972 | -4.972 | -0.000 | -87.563 | 0.000 | 
| -4.972 | -4.972 | -4.972 | 0.000 | 0.000 | -87.563 | 
| 14.788 | -51.082 | -51.082 | -0.000 | -0.000 | -0.000 | 
| -51.082 | 14.788 | -51.082 | -0.000 | -0.000 | 0.000 | 
| -51.082 | -51.082 | 14.788 | -0.000 | -0.000 | -0.000 | 
| 0.000 | 0.000 | 0.000 | 182.380 | -0.000 | -0.000 | 
| 0.000 | 0.000 | 0.000 | -0.000 | 182.380 | -0.000 | 
| 0.000 | 0.000 | 0.000 | -0.000 | -0.000 | 182.380 | 
| 118.915 | 55.476 | 55.476 | 0.000 | 0.000 | 0.000 | 
| 55.476 | 118.915 | 55.476 | 0.000 | 0.000 | 0.000 | 
| 55.476 | 55.476 | 118.915 | 0.000 | 0.000 | 0.000 | 
| -0.000 | -0.000 | -0.000 | 182.380 | 0.000 | 0.000 | 
| -0.000 | -0.000 | -0.000 | -0.000 | 182.380 | 0.000 | 
| -0.000 | -0.000 | -0.000 | 0.000 | 0.000 | 182.380 | 
| 603.963 | 307.579 | 307.579 | -0.000 | -0.000 | -0.000 | 
| 307.579 | 603.963 | 307.579 | -0.000 | -0.000 | 0.000 | 
| 307.579 | 307.579 | 603.963 | -0.000 | -0.000 | 0.000 | 
| 490.966 | 490.966 | 490.966 | 108.126 | -0.000 | 0.000 | 
| 490.966 | 490.966 | 490.966 | 0.000 | 108.126 | -0.000 | 
| 490.966 | 490.966 | 490.966 | -0.000 | -0.000 | 108.126 | 
| 94.898 | -201.444 | -201.444 | 0.000 | 0.000 | 0.000 | 
| -201.444 | 94.897 | -201.444 | 0.000 | 0.000 | -0.000 | 
| -201.444 | -201.444 | 94.898 | -0.000 | 0.001 | -0.000 | 
| -490.966 | -490.966 | -490.966 | 108.126 | 0.000 | -0.000 | 
| -490.966 | -490.966 | -490.966 | 0.000 | 108.127 | 0.000 | 
| -490.966 | -490.966 | -490.966 | 0.000 | 0.000 | 108.126 | 
| 253.139 | 123.431 | 123.431 | -0.000 | -0.000 | 0.000 | 
| 123.431 | 253.139 | 123.431 | 0.000 | -0.000 | -0.000 | 
| 123.431 | 123.431 | 253.139 | -0.000 | -0.000 | -0.000 | 
| 25.550 | 25.550 | 25.550 | 148.051 | -0.000 | -0.000 | 
| 25.550 | 25.550 | 25.550 | -0.000 | 148.051 | 0.000 | 
| 25.550 | 25.550 | 25.550 | 0.000 | -0.000 | 148.051 | 
| 323.240 | 27.508 | 27.508 | 0.000 | 0.000 | -0.000 | 
| 27.508 | 323.240 | 27.508 | 0.000 | 0.000 | -0.000 | 
| 27.508 | 27.508 | 323.240 | -0.000 | 0.000 | -0.000 | 
| -25.550 | -25.550 | -25.550 | 148.051 | 0.000 | 0.000 | 
| -25.550 | -25.550 | -25.550 | -0.000 | 148.051 | -0.000 | 
| -25.550 | -25.550 | -25.550 | 0.000 | 0.000 | 148.051 | 
| 80.949 | 27.643 | 27.643 | -0.000 | -0.000 | -0.000 | 
| 27.643 | 80.949 | 27.643 | -0.000 | -0.000 | 0.000 | 
| 27.643 | 27.643 | 80.949 | -0.000 | -0.000 | -0.000 | 
| 6.104 | 6.104 | 6.104 | 89.211 | -0.000 | 0.000 | 
| 8.398 | 8.398 | 8.398 | -0.000 | 56.485 | -0.000 | 
| 8.398 | 8.398 | 8.398 | -0.000 | -0.000 | 56.485 | 
| -5.778 | -51.817 | -51.817 | -0.000 | 0.000 | 0.000 | 
| -35.863 | 16.049 | -35.863 | 0.000 | 0.000 | 0.000 | 
| -35.863 | -35.863 | 16.049 | 0.000 | 0.000 | -0.000 | 
| -11.719 | -11.719 | -11.719 | 38.894 | 0.000 | -0.000 | 
| -8.398 | -8.398 | -8.398 | -0.000 | 56.485 | 0.000 | 
| -8.398 | -8.398 | -8.398 | -0.000 | 0.000 | 56.485 | 
| 456.088 | 59.104 | 56.949 | 0.000 | 0.000 | 0.000 | 
| 81.710 | 262.507 | 77.544 | 0.000 | 0.000 | 0.000 | 
| 56.949 | 56.927 | 512.990 | 0.000 | 0.000 | -0.000 | 
| -0.000 | 0.000 | -0.000 | 219.278 | 0.000 | -0.000 | 
| -0.007 | 0.000 | 0.003 | 0.000 | 88.100 | -0.000 | 
| -0.000 | 0.000 | 0.000 | 0.000 | 0.000 | 197.711 | 
| 456.088 | 59.103 | 56.949 | 0.000 | -0.000 | -0.000 | 
| 59.104 | 453.434 | 56.927 | -0.000 | 0.000 | -0.000 | 
| 68.585 | 67.253 | 246.414 | -0.000 | -0.000 | 0.000 | 
| 0.000 | -0.000 | -0.000 | 219.278 | 0.000 | 0.000 | 
| 0.007 | -0.000 | -0.003 | 0.000 | 88.100 | 0.000 | 
| 0.000 | -0.000 | 0.000 | 0.000 | -0.000 | 197.711 | 
| 151.813 | 78.341 | 72.050 | 0.000 | 0.000 | -0.000 | 
| 59.104 | 453.434 | 56.927 | 0.000 | 0.000 | -0.000 | 
| 79.948 | 75.799 | 328.072 | -0.000 | -0.000 | -0.000 | 
| -0.001 | 0.000 | 0.000 | 76.259 | -0.000 | -0.000 | 
| -0.001 | 0.000 | 0.000 | -0.000 | 104.878 | -0.000 | 
| -0.000 | 0.000 | 0.000 | -0.000 | 0.000 | 197.711 | 
| 151.778 | 78.340 | 72.047 | -0.000 | 0.000 | 0.000 | 
| 59.103 | 453.434 | 56.927 | -0.000 | -0.000 | 0.000 | 
| 79.949 | 75.799 | 328.072 | -0.000 | 0.000 | -0.000 | 
| 0.001 | -0.000 | -0.000 | 76.259 | -0.000 | 0.000 | 
| 0.001 | -0.000 | -0.000 | -0.000 | 104.878 | 0.000 | 
| 0.000 | -0.000 | -0.000 | 0.000 | -0.000 | 197.711 | 
| 100.817 | 45.787 | 36.641 | 0.000 | 0.000 | -0.000 | 
| -13.027 | 51.638 | -6.363 | 0.000 | 0.000 | 0.000 | 
| 26.098 | 23.284 | 197.481 | 0.000 | 0.000 | -0.000 | 
| 0.000 | -0.000 | 0.000 | 219.278 | -0.000 | -0.000 | 
| -0.000 | 0.000 | -0.000 | -0.000 | 147.506 | -0.000 | 
| -0.000 | -0.000 | 0.000 | 0.000 | 0.000 | 107.713 | 
| 151.466 | 78.331 | 72.019 | -0.000 | 0.000 | 0.000 | 
| 48.968 | 98.862 | 34.498 | 0.000 | -0.000 | 0.000 | 
| -5.891 | -5.922 | 184.294 | -0.000 | -0.000 | -0.000 | 
| -0.000 | 0.000 | -0.000 | 219.278 | -0.000 | 0.000 | 
| 0.000 | -0.000 | 0.000 | -0.000 | 147.506 | 0.000 | 
| 0.000 | 0.000 | -0.000 | 0.000 | -0.000 | 107.713 | 
| 305.847 | 48.594 | 66.066 | 0.000 | 0.000 | -0.000 | 
| 48.594 | 679.801 | 15.494 | 0.001 | 0.000 | -0.001 | 
| 144.607 | -2165.387 | 958.864 | -3.811 | 0.412 | 2.991 | 
| 0.000 | 0.000 | -0.000 | 165.423 | 0.000 | -0.000 | 
| -84.334 | 417.475 | 16.831 | -0.314 | 132.594 | -1.584 | 
| 151.708 | -1883.340 | 548.206 | -6.188 | -0.155 | -400.060 | 
| 339.825 | -354.073 | 51.629 | 0.314 | -0.902 | 1.584 | 
| 28.183 | 231.341 | -271.639 | 2.255 | -1.633 | 1.173 | 
| -16.883 | 5772.027 | -151.718 | 2.753 | -1.472 | -1.772 | 
| 94.614 | -468.376 | -18.883 | 137.935 | -1.011 | 1.776 | 
| 121.760 | -47.614 | -45.104 | 0.410 | 96.948 | 2.318 | 
| 171.030 | -62.650 | -78.577 | 0.597 | -2.292 | 28.520 | 
| -3.460 | -649.685 | -28.980 | -0.202 | 0.092 | 0.009 | 
| -53.710 | 211.522 | 5.577 | -0.258 | 0.163 | -0.021 | 
| 7.856 | -275.132 | 218.517 | -0.286 | 0.144 | 0.222 | 
| -1.643 | -37.023 | 11.368 | 32.008 | 0.084 | -0.022 | 
| -24.467 | -505.338 | -10.152 | 0.003 | 55.726 | 0.189 | 
| -3.637 | -29.126 | 24.603 | -0.206 | 0.126 | 71.612 | 
| -98.980 | 70.800 | -52.378 | 0.196 | -0.027 | -0.111 | 
| -96.447 | 180.503 | -39.324 | 0.291 | -0.140 | -0.078 | 
| 88.228 | 18.945 | 190.804 | 0.053 | -0.211 | 0.293 | 
| 18.222 | 1.412 | -8.821 | 65.640 | -0.250 | 0.310 | 
| -0.366 | 16.740 | -8.267 | 0.104 | 77.887 | -0.037 | 
| 8.051 | 414.768 | -16.257 | 0.229 | -0.138 | -18.182 | 
| 94.927 | 6.940 | 44.722 | -0.009 | 0.010 | -0.011 | 
| -9.471 | 126.945 | -7.267 | -0.020 | 0.014 | 0.002 | 
| -0.168 | -3.399 | 85.461 | -0.024 | 0.020 | -0.007 | 
| 0.582 | -6.755 | 3.476 | 9.124 | 0.014 | -0.001 | 
| 0.278 | -31.766 | 2.735 | -0.026 | -0.346 | 0.010 | 
| -1.376 | -88.448 | 0.352 | -0.026 | 0.019 | -2.284 | 
| 7.650 | 19.815 | -6.798 | 0.021 | -0.014 | -0.007 | 
| -3.845 | 144.986 | -3.329 | 0.020 | -0.007 | 0.001 | 
| 2.146 | 16.835 | 82.932 | 0.022 | -0.016 | 0.001 | 
| -1.939 | 29.292 | -3.857 | -5.603 | -0.016 | -0.003 | 
| -1.042 | 11.840 | -3.467 | 0.023 | 6.179 | 0.003 | 
| -1.305 | 19.179 | -3.589 | 0.026 | -0.013 | -2.838 | 
| 526.326 | 62.481 | 64.477 | 0.000 | 0.000 | 0.000 | 
| 79.379 | 268.025 | 84.370 | -0.000 | 0.000 | 0.000 | 
| 64.477 | 64.477 | 464.558 | -0.000 | -0.000 | 0.000 | 
| 0.000 | 0.000 | -0.000 | 222.858 | 0.000 | -0.000 | 
| -0.000 | 0.000 | -0.000 | -0.000 | 222.858 | 0.000 | 
| 0.000 | -0.000 | -0.000 | -0.000 | -0.000 | 248.315 | 
| 526.326 | 62.481 | 64.477 | -0.000 | 0.000 | -0.000 | 
| 62.481 | 526.326 | 64.477 | -0.000 | 0.000 | -0.000 | 
| 89.974 | 89.974 | 302.634 | 0.000 | 0.000 | 0.000 | 
| -0.000 | 0.000 | 0.000 | 222.858 | 0.000 | 0.000 | 
| 0.000 | 0.000 | 0.000 | 0.000 | 222.858 | -0.000 | 
| 0.000 | 0.000 | 0.000 | 0.000 | 0.000 | 248.315 | 
| 357.973 | 87.314 | 89.888 | -0.000 | 0.000 | 0.000 | 
| 87.314 | 357.973 | 89.888 | -0.000 | 0.000 | 0.000 | 
| 89.970 | 89.970 | 302.649 | 0.000 | -0.000 | 0.000 | 
| -0.000 | -0.000 | -0.001 | 102.222 | 0.000 | 0.000 | 
| -0.000 | -0.000 | -0.001 | -0.000 | 102.222 | 0.000 | 
| 0.000 | 0.000 | -0.000 | -0.000 | 0.000 | 248.316 | 
| 268.029 | 79.378 | 84.376 | 0.000 | 0.000 | -0.000 | 
| 79.378 | 268.029 | 84.376 | -0.000 | 0.000 | -0.000 | 
| 88.686 | 88.686 | 172.873 | 0.000 | -0.000 | -0.000 | 
| 0.000 | 0.000 | 0.001 | 102.222 | -0.000 | 0.000 | 
| 0.000 | 0.000 | 0.001 | 0.000 | 102.222 | -0.000 | 
| -0.000 | -0.000 | 0.000 | -0.000 | -0.000 | 248.316 | 
| 526.328 | 62.481 | 64.477 | -0.000 | -0.000 | -0.000 | 
| 62.481 | 526.328 | 64.477 | 0.000 | 0.000 | 0.000 | 
| 60.019 | 60.019 | 107.267 | -0.000 | 0.000 | -0.000 | 
| 0.000 | -0.000 | -0.000 | 137.736 | 0.000 | 0.000 | 
| -0.000 | 0.000 | -0.000 | 0.000 | 137.736 | 0.000 | 
| -0.000 | 0.000 | 0.000 | 0.000 | 0.000 | 178.524 | 
| 201.052 | 29.012 | 6.701 | -0.000 | -0.000 | -0.000 | 
| 29.012 | 201.052 | 6.701 | -0.000 | -0.000 | -0.000 | 
| 14.587 | 14.587 | 61.539 | -0.000 | 0.000 | -0.000 | 
| -0.000 | 0.000 | 0.000 | 137.736 | 0.000 | -0.000 | 
| 0.000 | -0.000 | 0.000 | -0.000 | 137.736 | -0.000 | 
| 0.000 | -0.000 | -0.000 | -0.000 | -0.000 | 178.524 | 
| 184.554 | -2.340 | -143.085 | -0.000 | 0.000 | 0.000 | 
| -2.340 | 184.554 | -143.085 | -0.000 | -0.000 | -0.000 | 
| 25.005 | 25.005 | -32.188 | 0.000 | -0.000 | 0.000 | 
| -46.497 | -46.497 | -212.505 | 78.282 | -0.000 | 0.000 | 
| -46.497 | -46.497 | -212.505 | -0.000 | 78.282 | 0.000 | 
| 4.188 | 4.188 | -112.024 | -0.000 | 0.000 | 196.851 | 
| 402.633 | 44.104 | 177.355 | -0.000 | -0.000 | 0.000 | 
| 44.104 | 402.633 | 177.355 | 0.000 | -0.000 | 0.000 | 
| 57.100 | 57.101 | 455.444 | -0.000 | -0.000 | 0.000 | 
| 46.497 | 46.497 | 212.505 | 78.282 | -0.000 | 0.000 | 
| 46.497 | 46.497 | 212.505 | 0.000 | 78.282 | -0.000 | 
| -4.188 | -4.188 | 112.025 | -0.000 | -0.000 | 196.851 | 
| 204.923 | 41.177 | 54.767 | 0.000 | 0.000 | 0.000 | 
| 41.178 | 204.923 | 54.767 | -0.000 | 0.000 | 0.000 | 
| 52.698 | 52.698 | 400.903 | -0.000 | -0.000 | 0.000 | 
| 0.608 | 0.608 | -16.252 | 151.205 | -0.000 | 0.000 | 
| 0.608 | 0.608 | -16.252 | -0.000 | 151.205 | 0.000 | 
| -4.365 | -4.364 | -21.672 | 0.000 | -0.000 | 125.061 | 
| 253.592 | 51.894 | 97.181 | -0.000 | 0.000 | -0.000 | 
| 51.894 | 253.592 | 97.181 | 0.000 | -0.000 | -0.000 | 
| 52.698 | 52.698 | 400.902 | -0.000 | -0.000 | -0.000 | 
| -0.608 | -0.608 | 16.252 | 151.205 | -0.000 | 0.000 | 
| -0.608 | -0.608 | 16.252 | 0.000 | 151.205 | -0.000 | 
| -0.562 | -0.562 | 15.026 | 0.000 | 0.000 | 187.363 | 
| 191.829 | 31.536 | 55.873 | -0.000 | -0.000 | -0.000 | 
| 31.536 | 191.829 | 55.873 | -0.000 | -0.000 | 0.000 | 
| -31.685 | -31.685 | 22.458 | 0.000 | 0.000 | -0.000 | 
| -0.416 | -0.416 | -2.016 | 87.012 | -0.000 | 0.000 | 
| -0.416 | -0.416 | -2.016 | -0.000 | 87.012 | 0.000 | 
| -0.390 | -0.390 | -2.379 | -0.000 | -0.000 | 123.249 | 
| 196.574 | 33.773 | 61.197 | -0.000 | -0.000 | 0.000 | 
| 33.777 | 196.585 | 61.203 | 0.000 | 0.000 | -0.000 | 
| 48.521 | 48.521 | 91.175 | 0.000 | -0.000 | -0.000 | 
| 0.416 | 0.416 | 2.016 | 87.012 | -0.000 | -0.000 | 
| 0.416 | 0.416 | 2.016 | 0.000 | 87.012 | 0.000 | 
| 0.390 | 0.390 | 2.379 | -0.000 | 0.000 | 123.249 | 
| 442.045 | 66.465 | 48.673 | -0.000 | 0.000 | 0.000 | 
| 93.746 | 273.060 | 59.992 | 0.000 | 0.000 | 0.000 | 
| 48.673 | 44.411 | 565.063 | -0.000 | -0.000 | 0.000 | 
| 0.000 | -0.000 | -0.000 | 219.013 | 0.000 | 0.000 | 
| -0.000 | -0.000 | -0.000 | 0.000 | 220.916 | -0.000 | 
| -0.000 | -0.000 | -0.000 | 0.000 | -0.000 | 192.509 | 
| 139.530 | 88.477 | 65.901 | 0.000 | 0.000 | -0.000 | 
| 93.733 | 273.073 | 59.997 | -0.000 | -0.000 | 0.000 | 
| 67.605 | 58.526 | 276.433 | -0.000 | -0.000 | -0.000 | 
| -0.000 | -0.000 | 0.000 | 219.012 | 0.000 | -0.000 | 
| 0.000 | 0.000 | 0.000 | -0.000 | 220.916 | -0.000 | 
| 0.000 | -0.000 | 0.000 | -0.000 | 0.000 | 192.509 | 
| 263.174 | 92.399 | 69.481 | 0.000 | 0.000 | 0.000 | 
| 66.466 | 457.230 | 44.411 | -0.000 | -0.000 | -0.000 | 
| 69.898 | 59.525 | 403.786 | 0.000 | -0.000 | 0.000 | 
| -0.000 | -0.000 | 0.000 | 219.013 | 0.000 | 0.000 | 
| 0.000 | 0.000 | -0.000 | 0.000 | 107.502 | 0.000 | 
| 0.000 | 0.000 | 0.000 | -0.000 | 0.000 | 192.509 | 
| 139.533 | 88.478 | 65.898 | 0.000 | 0.000 | -0.000 | 
| 93.739 | 273.068 | 59.995 | -0.000 | -0.000 | -0.000 | 
| 67.613 | 58.529 | 276.425 | 0.000 | 0.000 | -0.000 | 
| -0.000 | 0.000 | -0.000 | 219.013 | -0.000 | -0.000 | 
| -0.000 | -0.000 | 0.000 | 0.000 | 107.502 | 0.000 | 
| 0.000 | -0.000 | -0.000 | -0.000 | 0.000 | 192.509 | 
| 442.046 | 66.466 | 48.674 | 0.000 | -0.000 | 0.000 | 
| 61.121 | 129.657 | 45.408 | 0.000 | -0.000 | 0.000 | 
| 67.621 | 58.533 | 276.690 | 0.000 | -0.000 | 0.000 | 
| 0.000 | -0.000 | -0.000 | 103.164 | 0.000 | 0.000 | 
| -0.000 | 0.000 | -0.000 | 0.000 | 107.502 | 0.000 | 
| -0.000 | -0.000 | 0.000 | -0.000 | 0.000 | 104.933 | 
| 105.191 | 63.688 | 50.541 | 0.000 | 0.000 | -0.000 | 
| 24.916 | 95.948 | 18.086 | -0.000 | -0.000 | -0.000 | 
| 69.898 | 59.525 | 403.781 | -0.000 | -0.000 | -0.000 | 
| -0.000 | 0.000 | 0.000 | 103.164 | 0.000 | -0.000 | 
| 0.000 | -0.000 | 0.000 | -0.000 | 107.502 | 0.000 | 
| 0.000 | 0.000 | -0.000 | -0.000 | -0.000 | 104.933 | 
| 113.295 | 284.319 | 1269.435 | -0.000 | -0.000 | 0.000 | 
| -133.596 | 548.523 | 1261.522 | -0.000 | -0.000 | 0.000 | 
| -153.393 | 257.053 | 1657.757 | -0.000 | -0.000 | 0.000 | 
| -947.516 | 1854.257 | 3333.880 | 33.205 | -0.000 | 0.000 | 
| -313.541 | 496.220 | 2028.906 | -0.000 | 134.903 | 0.000 | 
| -1175.535 | 4728.956 | 4472.266 | -0.000 | -0.000 | -162.499 | 
| 390.844 | 59.854 | 39.921 | 0.000 | 0.000 | -0.000 | 
| 59.854 | 407.184 | 35.100 | 0.000 | 0.000 | -0.000 | 
| 254.876 | -170.706 | -784.814 | 0.000 | 0.000 | -0.000 | 
| 947.516 | -1854.258 | -3333.880 | 33.205 | 0.000 | -0.000 | 
| 313.541 | -496.220 | -2028.906 | 0.000 | 134.903 | -0.000 | 
| 1175.535 | -4728.956 | -4472.266 | 0.000 | 0.000 | -162.499 | 
| 296.508 | 91.995 | 171.010 | -0.000 | -0.000 | 0.000 | 
| 50.018 | 356.077 | 163.082 | -0.000 | -0.000 | 0.000 | 
| 30.228 | 64.620 | 559.236 | -0.000 | -0.000 | 0.000 | 
| -20.451 | 21.429 | 122.355 | 161.600 | -0.000 | 0.000 | 
| -20.451 | 21.428 | 122.352 | -0.000 | 164.947 | 0.000 | 
| -20.463 | 21.440 | 122.421 | -0.000 | 0.000 | 130.093 | 
| 276.259 | 20.518 | -156.651 | 0.000 | 0.000 | -0.000 | 
| 91.139 | 312.442 | -82.314 | 0.000 | 0.000 | -0.000 | 
| 142.461 | -145.036 | -174.356 | 0.000 | 0.000 | -0.000 | 
| 20.451 | -21.429 | -122.355 | 161.600 | 0.000 | -0.000 | 
| 20.450 | -21.428 | -122.349 | 0.000 | 164.948 | -0.000 | 
| 20.463 | -21.440 | -122.421 | 0.000 | 0.000 | 130.093 | 
| 390.845 | 59.855 | 39.921 | -0.000 | -0.000 | 0.000 | 
| 54.456 | 127.037 | 65.102 | -0.000 | -0.000 | 0.000 | 
| -3.416 | 28.683 | 145.445 | -0.000 | -0.000 | 0.000 | 
| -75.202 | 202.504 | 167.612 | 0.489 | -0.000 | 0.000 | 
| -0.000 | 0.000 | 0.000 | -0.000 | 198.004 | 0.000 | 
| -6.990 | 13.376 | 26.616 | -0.000 | -0.000 | 31.277 | 
| 98.744 | 48.821 | 17.523 | 0.000 | 0.000 | -0.000 | 
| 68.387 | 74.270 | 7.978 | 0.000 | 0.000 | -0.000 | 
| 56.022 | 42.381 | 400.648 | 0.000 | 0.000 | -0.000 | 
| 70.336 | -202.880 | -169.312 | 3.189 | 0.000 | -0.000 | 
| 0.000 | -0.000 | -0.000 | 0.000 | 198.004 | -0.000 | 
| 6.990 | -13.376 | -26.616 | 0.000 | 0.000 | 31.277 | 
| 374.760 | 180.171 | 180.171 | -0.000 | 0.000 | 0.000 | 
| 180.171 | 374.760 | 180.171 | -0.000 | -0.000 | 0.000 | 
| 180.171 | 180.171 | 374.760 | 0.000 | 0.000 | -0.000 | 
| -0.018 | -0.019 | -0.019 | 163.868 | -0.000 | 0.000 | 
| -0.018 | -0.019 | -0.019 | -0.000 | 163.868 | 0.000 | 
| -0.018 | -0.019 | -0.019 | -0.000 | 0.000 | 163.868 | 
| 374.771 | 180.183 | 180.183 | 0.000 | 0.000 | -0.000 | 
| 180.183 | 374.772 | 180.183 | 0.000 | 0.000 | -0.000 | 
| 180.183 | 180.183 | 374.772 | 0.000 | -0.000 | -0.000 | 
| 0.018 | 0.019 | 0.019 | 163.868 | 0.000 | 0.000 | 
| 0.018 | 0.019 | 0.019 | 0.000 | 163.868 | 0.000 | 
| 0.018 | 0.019 | 0.019 | 0.000 | -0.000 | 163.868 | 
| 374.763 | 180.174 | 180.174 | -0.000 | 0.000 | -0.000 | 
| 180.174 | 374.763 | 180.174 | -0.000 | 0.000 | -0.000 | 
| 180.174 | 180.174 | 374.763 | -0.000 | -0.000 | -0.000 | 
| -0.002 | -0.002 | -0.002 | 163.862 | -0.000 | 0.000 | 
| -0.002 | -0.002 | -0.002 | -0.000 | 163.862 | 0.000 | 
| -0.002 | -0.002 | -0.002 | -0.000 | -0.000 | 163.862 | 
| 374.774 | 180.185 | 180.185 | 0.000 | -0.000 | -0.000 | 
| 180.185 | 374.774 | 180.185 | 0.000 | -0.000 | 0.000 | 
| 180.185 | 180.185 | 374.774 | 0.000 | -0.000 | 0.000 | 
| 0.002 | 0.002 | 0.002 | 163.862 | -0.000 | 0.000 | 
| 0.002 | 0.002 | 0.002 | 0.000 | 163.862 | 0.000 | 
| 0.002 | 0.002 | 0.002 | 0.000 | 0.000 | 163.862 | 
| 374.766 | 180.177 | 180.177 | 0.000 | 0.000 | -0.000 | 
| 180.177 | 374.766 | 180.177 | -0.000 | 0.000 | -0.000 | 
| 180.177 | 180.177 | 374.766 | -0.000 | 0.000 | -0.000 | 
| -0.000 | -0.000 | -0.000 | 163.863 | 0.000 | -0.000 | 
| -0.000 | -0.000 | -0.000 | -0.000 | 163.863 | -0.000 | 
| -0.000 | -0.000 | -0.000 | -0.000 | -0.000 | 163.863 | 
| 374.766 | 180.177 | 180.177 | 0.000 | -0.000 | 0.000 | 
| 180.177 | 374.766 | 180.177 | 0.000 | -0.000 | -0.000 | 
| 180.177 | 180.177 | 374.766 | -0.000 | -0.000 | 0.000 | 
| 0.000 | 0.000 | 0.000 | 163.863 | -0.000 | -0.000 | 
| 0.000 | 0.000 | 0.000 | 0.000 | 163.862 | 0.000 | 
| 0.000 | 0.000 | 0.000 | 0.000 | -0.000 | 163.862 | 
| 394.199 | -12.966 | 53.197 | -0.000 | -0.000 | 0.000 | 
| -12.966 | 394.199 | 53.197 | 0.000 | -0.000 | -0.000 | 
| 96.125 | 96.125 | 490.137 | -0.000 | -0.000 | 0.000 | 
| -0.011 | -0.011 | 0.048 | 170.742 | -0.000 | 0.000 | 
| -0.010 | -0.011 | 0.048 | -0.000 | 170.742 | 0.000 | 
| -0.021 | -0.021 | 0.010 | -0.000 | -0.000 | 37.981 | 
| 394.168 | -12.968 | 53.146 | -0.000 | -0.000 | -0.000 | 
| -12.968 | 394.168 | 53.145 | 0.000 | 0.000 | 0.000 | 
| 96.095 | 96.095 | 490.097 | -0.000 | 0.000 | -0.000 | 
| 0.011 | 0.011 | -0.048 | 170.742 | -0.000 | -0.000 | 
| 0.010 | 0.011 | -0.048 | 0.000 | 170.742 | -0.000 | 
| 0.021 | 0.021 | -0.010 | 0.000 | 0.000 | 37.981 | 
| 366.306 | 2.347 | 84.943 | 0.000 | 0.000 | 0.000 | 
| 2.347 | 366.306 | 84.943 | 0.000 | 0.000 | 0.000 | 
| 96.111 | 96.111 | 490.159 | -0.000 | -0.000 | 0.000 | 
| -0.001 | -0.001 | 0.004 | 170.741 | -0.000 | 0.000 | 
| -0.001 | -0.001 | 0.004 | 0.000 | 170.741 | 0.000 | 
| -0.000 | -0.000 | 0.002 | -0.000 | -0.000 | 37.981 | 
| 394.184 | -12.967 | 53.181 | -0.000 | 0.000 | -0.000 | 
| -12.967 | 394.184 | 53.181 | 0.000 | 0.000 | 0.000 | 
| 96.116 | 96.116 | 490.119 | -0.000 | 0.000 | -0.000 | 
| 0.001 | 0.001 | -0.004 | 170.741 | -0.000 | -0.000 | 
| 0.001 | 0.001 | -0.004 | -0.000 | 170.741 | -0.000 | 
| 0.000 | 0.000 | -0.002 | -0.000 | 0.000 | 37.981 | 
| 373.223 | -5.521 | 87.352 | -0.000 | -0.000 | 0.000 | 
| -5.521 | 373.223 | 87.352 | -0.000 | -0.000 | 0.000 | 
| 96.124 | 96.124 | 490.092 | -0.000 | -0.000 | 0.000 | 
| 0.000 | -0.000 | -0.001 | 83.920 | -0.000 | -0.000 | 
| -0.000 | 0.000 | -0.001 | -0.000 | 83.920 | 0.000 | 
| -0.000 | -0.000 | 0.000 | 0.000 | -0.000 | 37.981 | 
| 373.228 | -5.524 | 87.339 | -0.000 | 0.000 | -0.000 | 
| -5.524 | 373.228 | 87.339 | -0.000 | 0.000 | 0.000 | 
| 96.111 | 96.111 | 490.148 | 0.000 | 0.000 | -0.000 | 
| -0.000 | 0.000 | 0.001 | 83.920 | 0.000 | -0.000 | 
| 0.000 | -0.000 | 0.001 | -0.000 | 83.920 | -0.000 | 
| 0.000 | 0.000 | -0.000 | -0.000 | -0.000 | 37.981 | 
| 387.410 | -4.876 | 85.386 | -0.000 | -0.000 | -0.000 | 
| -4.876 | 387.411 | 85.386 | -0.000 | -0.000 | 0.000 | 
| 105.330 | 105.330 | 480.424 | -0.000 | -0.000 | 0.000 | 
| -0.018 | -0.019 | -0.026 | 202.367 | -0.000 | 0.000 | 
| -0.019 | -0.018 | -0.026 | -0.000 | 202.367 | -0.000 | 
| -0.018 | -0.018 | -0.010 | -0.000 | -0.000 | 42.567 | 
| 381.049 | -14.090 | 125.397 | 0.000 | 0.000 | -0.000 | 
| -14.090 | 381.049 | 125.397 | 0.000 | -0.000 | -0.000 | 
| 97.896 | 97.896 | 518.809 | 0.000 | 0.000 | -0.000 | 
| 0.018 | 0.019 | 0.026 | 202.367 | 0.000 | -0.000 | 
| 0.019 | 0.018 | 0.026 | 0.000 | 202.367 | 0.000 | 
| 0.018 | 0.018 | 0.010 | 0.000 | 0.000 | 42.567 | 
| 377.681 | -1.694 | 102.222 | -0.000 | -0.000 | 0.000 | 
| -1.694 | 377.681 | 102.222 | -0.000 | -0.000 | 0.000 | 
| 101.987 | 101.987 | 497.712 | -0.000 | 0.000 | -0.000 | 
| -0.004 | -0.004 | -0.002 | 202.367 | -0.000 | 0.000 | 
| -0.004 | -0.004 | -0.002 | -0.000 | 202.367 | -0.000 | 
| -0.004 | -0.004 | -0.002 | -0.000 | -0.000 | 42.567 | 
| 406.092 | -16.607 | 67.804 | 0.000 | 0.000 | 0.000 | 
| -16.607 | 406.092 | 67.804 | 0.000 | 0.000 | -0.000 | 
| 101.241 | 101.241 | 501.559 | 0.000 | 0.000 | 0.000 | 
| 0.004 | 0.003 | 0.002 | 202.367 | 0.000 | -0.000 | 
| 0.004 | 0.004 | 0.002 | 0.000 | 202.367 | -0.000 | 
| 0.004 | 0.004 | 0.002 | 0.000 | 0.000 | 42.567 | 
| 384.187 | -9.685 | 106.048 | -0.000 | -0.000 | -0.000 | 
| -9.685 | 384.187 | 106.048 | -0.000 | 0.000 | 0.000 | 
| 101.255 | 101.255 | 501.474 | -0.000 | -0.000 | -0.000 | 
| 0.083 | 0.082 | -0.424 | 162.314 | -0.000 | 0.000 | 
| 0.082 | 0.083 | -0.424 | -0.000 | 162.314 | 0.000 | 
| -0.000 | -0.000 | -0.000 | -0.000 | -0.000 | 42.567 | 
| 377.307 | -2.152 | 104.375 | 0.000 | 0.000 | -0.000 | 
| -2.152 | 377.307 | 104.375 | 0.000 | 0.000 | -0.000 | 
| 101.570 | 101.570 | 499.865 | 0.000 | 0.000 | 0.000 | 
| -0.083 | -0.082 | 0.424 | 162.314 | 0.000 | -0.000 | 
| -0.082 | -0.083 | 0.424 | 0.000 | 162.314 | -0.000 | 
| 0.000 | 0.000 | 0.000 | 0.000 | 0.000 | 42.567 | 
| 685.684 | 38.710 | 38.710 | 0.000 | -0.000 | 0.000 | 
| 38.710 | 685.684 | 38.710 | 0.000 | -0.000 | -0.000 | 
| 38.710 | 38.710 | 685.684 | 0.000 | -0.000 | 0.000 | 
| 0.129 | 0.129 | 0.117 | 131.911 | 0.000 | 0.000 | 
| 0.117 | 0.130 | 0.129 | 0.000 | 131.911 | 0.000 | 
| 0.129 | 0.117 | 0.130 | 0.000 | 0.000 | 131.911 | 
| 662.144 | 17.310 | 17.305 | -0.000 | 0.000 | -0.000 | 
| 17.306 | 662.144 | 17.309 | -0.000 | 0.000 | -0.000 | 
| 17.310 | 17.306 | 662.144 | -0.000 | -0.000 | -0.000 | 
| -0.129 | -0.129 | -0.117 | 131.911 | -0.000 | 0.000 | 
| -0.117 | -0.129 | -0.129 | -0.000 | 131.911 | 0.000 | 
| -0.129 | -0.117 | -0.130 | -0.000 | 0.000 | 131.911 | 
| 662.294 | 17.457 | 17.457 | 0.000 | -0.000 | 0.000 | 
| 17.457 | 662.294 | 17.457 | 0.000 | 0.000 | 0.000 | 
| 17.457 | 17.457 | 662.294 | 0.000 | 0.000 | -0.000 | 
| -0.002 | -0.002 | -0.002 | 201.546 | -0.000 | 0.000 | 
| -0.002 | -0.002 | -0.002 | 0.000 | 201.546 | -0.000 | 
| -0.002 | -0.002 | -0.002 | 0.000 | -0.000 | 201.546 | 
| 685.725 | 38.745 | 38.745 | -0.000 | -0.000 | 0.000 | 
| 38.745 | 685.725 | 38.745 | -0.000 | -0.000 | -0.000 | 
| 38.745 | 38.745 | 685.725 | -0.000 | 0.000 | 0.000 | 
| 0.002 | 0.002 | 0.002 | 201.546 | -0.000 | 0.000 | 
| 0.002 | 0.002 | 0.002 | -0.000 | 201.546 | -0.000 | 
| 0.002 | 0.002 | 0.002 | -0.000 | 0.000 | 201.546 | 
| 660.743 | 19.503 | 19.503 | 0.000 | -0.000 | 0.000 | 
| 19.503 | 660.743 | 19.503 | 0.000 | -0.000 | -0.000 | 
| 19.503 | 19.503 | 660.743 | 0.000 | -0.000 | -0.000 | 
| 0.001 | 0.001 | 0.001 | 126.588 | -0.000 | -0.000 | 
| 0.002 | 0.002 | 0.002 | -0.000 | 126.588 | -0.000 | 
| 0.001 | 0.001 | 0.001 | 0.000 | 0.000 | 126.588 | 
| 662.272 | 17.438 | 17.438 | -0.000 | 0.000 | -0.000 | 
| 17.438 | 662.272 | 17.438 | -0.000 | -0.000 | -0.000 | 
| 17.438 | 17.438 | 662.272 | -0.000 | 0.000 | -0.000 | 
| -0.001 | -0.001 | -0.001 | 126.588 | 0.000 | -0.000 | 
| -0.002 | -0.002 | -0.002 | -0.000 | 126.588 | 0.000 | 
| -0.001 | -0.001 | -0.001 | -0.000 | 0.000 | 126.588 | 
| 548.954 | -4.475 | -4.477 | 0.000 | -0.000 | -0.000 | 
| -4.477 | 548.954 | -4.475 | 0.000 | -0.000 | 0.000 | 
| -4.475 | -4.477 | 548.955 | 0.000 | -0.000 | -0.000 | 
| 0.032 | 0.036 | 0.036 | 126.841 | -0.000 | 0.000 | 
| 0.036 | 0.032 | 0.036 | 0.000 | 126.841 | -0.000 | 
| 0.036 | 0.035 | 0.032 | 0.000 | -0.000 | 126.841 | 
| 548.899 | -4.524 | -4.525 | -0.000 | 0.000 | 0.000 | 
| -4.525 | 548.898 | -4.524 | -0.000 | -0.000 | 0.000 | 
| -4.523 | -4.526 | 548.898 | -0.000 | -0.000 | 0.000 | 
| -0.032 | -0.036 | -0.036 | 126.841 | -0.000 | 0.000 | 
| -0.036 | -0.032 | -0.036 | -0.000 | 126.841 | 0.000 | 
| -0.036 | -0.036 | -0.033 | -0.000 | 0.000 | 126.841 | 
| 548.902 | -4.463 | -4.462 | 0.000 | -0.000 | -0.000 | 
| -4.462 | 548.902 | -4.463 | 0.000 | -0.000 | -0.000 | 
| -4.463 | -4.462 | 548.902 | 0.000 | -0.000 | -0.000 | 
| -0.001 | -0.001 | -0.001 | 186.188 | -0.000 | -0.000 | 
| -0.001 | -0.001 | -0.001 | 0.000 | 186.188 | -0.000 | 
| -0.001 | -0.001 | -0.001 | 0.000 | -0.000 | 186.188 | 
| 570.755 | 17.289 | 17.289 | -0.000 | 0.000 | 0.000 | 
| 17.289 | 570.756 | 17.289 | -0.000 | 0.000 | 0.000 | 
| 17.289 | 17.289 | 570.755 | -0.000 | 0.000 | 0.000 | 
| 0.001 | 0.001 | 0.001 | 186.188 | 0.000 | 0.000 | 
| 0.001 | 0.001 | 0.001 | -0.000 | 186.188 | 0.000 | 
| 0.001 | 0.001 | 0.001 | -0.000 | -0.000 | 186.188 | 
| 548.929 | -4.504 | -4.504 | 0.000 | 0.000 | -0.000 | 
| -4.504 | 548.929 | -4.504 | 0.000 | 0.000 | -0.000 | 
| -4.504 | -4.504 | 548.929 | 0.000 | 0.000 | -0.000 | 
| 0.000 | 0.000 | 0.000 | 122.733 | 0.000 | -0.000 | 
| 0.000 | 0.000 | 0.000 | 0.000 | 122.733 | -0.000 | 
| 0.000 | 0.000 | 0.000 | 0.000 | 0.000 | 122.733 | 
| 570.753 | 17.288 | 17.288 | -0.000 | -0.000 | 0.000 | 
| 17.288 | 570.753 | 17.288 | -0.000 | -0.000 | -0.000 | 
| 17.288 | 17.288 | 570.753 | -0.000 | 0.000 | 0.000 | 
| -0.000 | -0.000 | -0.000 | 122.733 | -0.000 | -0.000 | 
| -0.000 | -0.000 | -0.000 | -0.000 | 122.733 | 0.000 | 
| -0.000 | -0.000 | -0.000 | -0.000 | 0.000 | 122.733 | 
| -1220165668.842 | 874532180.651 | 1173096687.880 | 972243.291 | 15076921.394 | -42759961.056 | 
| 1080695502.774 | -1199081775.262 | 949953929.104 | -67514692.642 | -7965000.826 | -30040326.497 | 
| 907791720.588 | 1030273716.398 | -1271624548.740 | -36954901.051 | -43239371.383 | 9918645.781 | 
| 93890567.400 | 65342798.129 | 75736276.675 | 117809344.449 | 63371709.303 | -37430174.629 | 
| 112631391.685 | 97918255.861 | 81615644.920 | -38379107.949 | 158449283.631 | 42415777.918 | 
| 43850032.159 | 95110901.830 | 34394126.599 | 762117.998 | 756791.719 | 134063547.716 | 
| -966622121.186 | 381891194.197 | 98035185.043 | 4104753.329 | -56643528.056 | -70440002.111 | 
| 223917691.708 | -982560456.924 | 480708483.678 | -63142561.022 | 16110261.290 | 4014284.142 | 
| 528675356.208 | 214377470.823 | -985085796.404 | 29528823.679 | -70155672.131 | -36363172.731 | 
| -138170506.787 | -158675681.136 | -46571111.336 | 171251516.615 | 20041256.594 | 15172041.877 | 
| -33762787.137 | -164545000.525 | -117987612.075 | -12626835.744 | 171140160.602 | -13689122.216 | 
| -152093413.636 | -89346579.824 | -144956308.028 | -2984282.167 | 11359936.457 | 146896697.248 | 
| -118983560.603 | 110261749.505 | 109417864.859 | 2020105.661 | 5564573.363 | -170664.969 | 
| 106868011.828 | -125092802.989 | 105964241.678 | -8768117.777 | 5485116.163 | 5450827.774 | 
| 109927705.334 | 109242298.019 | -119623015.019 | 2754888.932 | -5288970.577 | 2905523.146 | 
| -0.001 | 0.001 | 0.001 | 244.693 | -0.000 | 0.000 | 
| 0.001 | -0.001 | 0.001 | 0.000 | 244.693 | -0.000 | 
| 0.001 | 0.001 | -0.001 | -0.000 | 0.000 | 244.693 | 
| -97816049.476 | 39385227.572 | 10421432.752 | 2283017.231 | 4810050.585 | 2275473.155 | 
| 8893891.841 | -100813327.793 | 42256163.653 | 2707196.050 | -4426124.430 | 4342972.558 | 
| 42378050.579 | 15029605.800 | -95367154.581 | -1736492.423 | 6475219.545 | 2882530.594 | 
| 0.001 | -0.001 | -0.001 | 244.693 | -0.000 | -0.000 | 
| -0.001 | 0.001 | -0.001 | -0.000 | 244.693 | 0.000 | 
| -0.001 | -0.001 | 0.001 | 0.000 | -0.000 | 244.693 | 
| -11812088.227 | 11549548.061 | 11062641.075 | -374253.326 | -505020.415 | -421262.706 | 
| 10122075.527 | -12538505.832 | 11119822.402 | -336612.766 | 138740.557 | 250923.886 | 
| 11274909.997 | 10562910.808 | -12247515.775 | -459018.145 | -76045.085 | -236550.340 | 
| 369663.020 | 172277.198 | 4989577.236 | -139227.107 | 281146.002 | -160423.772 | 
| 4378781.455 | -1692481.378 | 3065910.536 | -279770.397 | -239585.217 | 78694.551 | 
| 4462.173 | 5415194.942 | 373661.182 | 435479.171 | 172860.198 | 399540.743 | 
| -9905777.481 | 4240799.305 | 1442326.569 | -545615.124 | 782632.934 | -60881.866 | 
| 1368461.926 | -9411907.245 | 4247467.381 | 538436.851 | -173605.603 | 663811.472 | 
| 3599744.124 | 2042693.483 | -8874005.221 | 534068.054 | 394517.185 | 250356.151 | 
| 130912.699 | 327228.544 | -4601311.820 | -278078.097 | -376531.329 | -669727.631 | 
| -4487007.032 | 1167386.845 | -2926544.385 | -21610.944 | 560281.470 | -209113.405 | 
| -130039.954 | -4612850.769 | -259470.924 | -467503.924 | -129077.300 | 661265.646 | 
| 4868.592 | 6407.854 | 6407.854 | -0.000 | -0.000 | -0.000 | 
| 6407.854 | 4868.592 | 6407.854 | -0.000 | -0.000 | -0.000 | 
| 6407.854 | 6407.854 | 4868.592 | 0.000 | 0.000 | -0.000 | 
| 0.037 | 0.053 | 0.053 | 499.501 | -0.000 | -0.000 | 
| 0.053 | 0.037 | 0.053 | -0.000 | 499.501 | -0.000 | 
| 0.053 | 0.053 | 0.037 | 0.000 | -0.000 | 499.501 | 
| 4868.528 | 6407.790 | 6407.790 | 0.000 | 0.000 | 0.000 | 
| 6407.790 | 4868.528 | 6407.790 | 0.000 | 0.000 | 0.000 | 
| 6407.790 | 6407.790 | 4868.528 | 0.000 | 0.000 | 0.000 | 
| -0.037 | -0.053 | -0.053 | 499.502 | 0.000 | 0.000 | 
| -0.053 | -0.037 | -0.053 | 0.000 | 499.502 | 0.000 | 
| -0.053 | -0.053 | -0.037 | -0.000 | -0.000 | 499.501 | 
| 4868.550 | 6407.820 | 6407.820 | -0.000 | -0.000 | -0.000 | 
| 6407.820 | 4868.550 | 6407.820 | -0.000 | -0.000 | 0.000 | 
| 6407.820 | 6407.820 | 4868.550 | 0.000 | -0.000 | -0.000 | 
| 0.002 | 0.004 | 0.004 | 499.496 | -0.000 | 0.000 | 
| 0.004 | 0.002 | 0.004 | -0.000 | 499.496 | -0.000 | 
| 0.004 | 0.004 | 0.002 | 0.000 | 0.000 | 499.496 | 
| 4868.541 | 6407.809 | 6407.809 | -0.000 | 0.000 | 0.000 | 
| 6407.809 | 4868.541 | 6407.809 | -0.000 | 0.000 | 0.000 | 
| 6407.809 | 6407.809 | 4868.541 | 0.000 | 0.000 | 0.000 | 
| -0.002 | -0.004 | -0.004 | 499.496 | -0.000 | 0.000 | 
| -0.004 | -0.002 | -0.004 | -0.000 | 499.496 | -0.000 | 
| -0.004 | -0.004 | -0.002 | -0.000 | -0.000 | 499.496 | 
| 4868.549 | 6407.827 | 6407.827 | -0.000 | -0.000 | 0.000 | 
| 6407.827 | 4868.549 | 6407.827 | 0.000 | 0.000 | -0.000 | 
| 6407.827 | 6407.827 | 4868.549 | -0.000 | -0.000 | 0.000 | 
| -0.004 | -0.005 | -0.003 | 499.418 | 0.000 | -0.000 | 
| -0.005 | -0.004 | -0.003 | -0.000 | 499.418 | -0.000 | 
| -0.005 | -0.003 | -0.004 | -0.000 | -0.000 | 499.418 | 
| 4868.548 | 6407.803 | 6407.803 | 0.000 | 0.000 | 0.000 | 
| 6407.803 | 4868.548 | 6407.803 | 0.000 | 0.000 | 0.000 | 
| 6407.803 | 6407.803 | 4868.548 | 0.000 | -0.000 | 0.000 | 
| 0.004 | 0.005 | 0.003 | 499.418 | 0.000 | 0.000 | 
| 0.005 | 0.004 | 0.003 | 0.000 | 499.418 | 0.000 | 
| 0.005 | 0.003 | 0.004 | -0.000 | -0.000 | 499.418 | 
| 430.668 | 145.230 | 145.230 | 0.000 | -0.000 | 0.000 | 
| 145.230 | 430.668 | 145.230 | 0.000 | 0.000 | 0.000 | 
| 145.230 | 145.230 | 430.668 | 0.000 | -0.000 | 0.000 | 
| -0.003 | -0.001 | -0.001 | 174.808 | 0.000 | 0.000 | 
| -0.001 | -0.003 | -0.001 | 0.000 | 174.808 | 0.000 | 
| -0.001 | -0.001 | -0.003 | 0.000 | -0.000 | 174.808 | 
| 430.674 | 145.233 | 145.233 | -0.000 | 0.000 | -0.000 | 
| 145.233 | 430.674 | 145.233 | -0.000 | 0.000 | -0.000 | 
| 145.233 | 145.233 | 430.674 | -0.000 | 0.000 | -0.000 | 
| 0.003 | 0.001 | 0.001 | 174.808 | 0.000 | 0.000 | 
| 0.001 | 0.003 | 0.001 | -0.000 | 174.808 | -0.000 | 
| 0.001 | 0.001 | 0.003 | -0.000 | 0.000 | 174.808 | 
| 430.665 | 145.224 | 145.224 | 0.000 | -0.000 | 0.000 | 
| 145.224 | 430.665 | 145.224 | -0.000 | -0.000 | 0.000 | 
| 145.224 | 145.224 | 430.665 | 0.000 | -0.000 | 0.000 | 
| -0.000 | -0.000 | -0.000 | 174.812 | -0.000 | -0.000 | 
| -0.000 | -0.000 | -0.000 | 0.000 | 174.812 | 0.000 | 
| -0.000 | -0.000 | -0.000 | 0.000 | -0.000 | 174.812 | 
| 430.666 | 145.225 | 145.225 | -0.000 | 0.000 | 0.000 | 
| 145.225 | 430.666 | 145.225 | -0.000 | -0.000 | -0.000 | 
| 145.225 | 145.225 | 430.666 | -0.000 | 0.000 | 0.000 | 
| 0.000 | 0.000 | 0.000 | 174.812 | 0.000 | -0.000 | 
| 0.000 | 0.000 | 0.000 | -0.000 | 174.812 | -0.000 | 
| 0.000 | 0.000 | 0.000 | 0.000 | 0.000 | 174.812 | 
| 430.666 | 145.225 | 145.225 | 0.000 | -0.000 | 0.000 | 
| 145.225 | 430.666 | 145.225 | 0.000 | 0.000 | 0.000 | 
| 145.225 | 145.225 | 430.666 | 0.000 | -0.000 | 0.000 | 
| -0.000 | 0.000 | 0.000 | 174.812 | -0.000 | -0.000 | 
| 0.000 | -0.000 | 0.000 | 0.000 | 174.812 | 0.000 | 
| 0.000 | 0.000 | -0.000 | 0.000 | -0.000 | 174.812 | 
| 430.664 | 145.224 | 145.224 | -0.000 | 0.000 | -0.000 | 
| 145.224 | 430.664 | 145.224 | -0.000 | -0.000 | -0.000 | 
| 145.224 | 145.224 | 430.664 | -0.000 | 0.000 | -0.000 | 
| 0.000 | -0.000 | -0.000 | 174.812 | 0.000 | -0.000 | 
| -0.000 | 0.000 | -0.000 | -0.000 | 174.812 | -0.000 | 
| -0.000 | -0.000 | 0.000 | -0.000 | 0.000 | 174.812 | 
| 1186.914 | 880.042 | 0.000 | 0.000 | 0.000 | 0.000 | 
| 880.042 | 1186.914 | 0.000 | 0.000 | 0.000 | 0.000 | 
| -0.000 | 0.000 | 0.000 | 0.000 | 0.000 | -0.000 | 
| -0.000 | 0.000 | 0.000 | 0.000 | 0.000 | 0.000 | 
| -0.000 | 0.000 | 0.000 | 0.000 | 0.000 | 0.000 | 
| 0.000 | 0.000 | 0.000 | 0.000 | 0.000 | 715.657 | 
| 1186.914 | 880.042 | -0.000 | -0.000 | -0.000 | -0.000 | 
| 880.042 | 1186.914 | -0.000 | -0.000 | -0.000 | -0.000 | 
| 0.000 | -0.000 | -0.000 | -0.000 | -0.000 | 0.000 | 
| 0.000 | 0.000 | -0.000 | -0.000 | -0.000 | -0.000 | 
| 0.000 | -0.000 | -0.000 | -0.000 | -0.000 | -0.000 | 
| -0.000 | -0.000 | -0.000 | -0.000 | -0.000 | 715.657 | 
| 1186.915 | 880.042 | 0.000 | 0.000 | 0.000 | -0.000 | 
| 880.042 | 1186.915 | 0.000 | 0.000 | 0.000 | 0.000 | 
| -0.000 | 0.000 | 0.000 | 0.000 | 0.000 | -0.000 | 
| -0.000 | -0.000 | 0.000 | 0.000 | 0.000 | 0.000 | 
| -0.000 | 0.000 | 0.000 | 0.000 | 0.000 | 0.000 | 
| 0.000 | 0.000 | 0.000 | 0.000 | 0.000 | 715.657 | 
| 1186.915 | 880.042 | -0.000 | -0.000 | -0.000 | 0.000 | 
| 880.042 | 1186.915 | -0.000 | -0.000 | -0.000 | -0.000 | 
| 0.000 | -0.000 | -0.000 | -0.000 | -0.000 | 0.000 | 
| 0.000 | 0.000 | -0.000 | -0.000 | -0.000 | -0.000 | 
| 0.000 | -0.000 | -0.000 | -0.000 | -0.000 | -0.000 | 
| -0.000 | -0.000 | -0.000 | -0.000 | -0.000 | 715.657 | 
| 1186.916 | 880.044 | 0.000 | 0.000 | 0.000 | 0.000 | 
| 880.044 | 1186.916 | 0.000 | 0.000 | 0.000 | 0.000 | 
| -0.000 | 0.000 | 0.000 | 0.000 | 0.000 | -0.000 | 
| -0.000 | 0.000 | 0.000 | 0.000 | 0.000 | 0.000 | 
| -0.000 | 0.000 | 0.000 | 0.000 | 0.000 | 0.000 | 
| 0.003 | 0.005 | 0.000 | 0.000 | 0.000 | 715.657 | 
| 1186.914 | 880.040 | -0.000 | -0.000 | -0.000 | 0.000 | 
| 880.040 | 1186.914 | -0.000 | -0.000 | -0.000 | -0.000 | 
| 0.000 | -0.000 | -0.000 | -0.000 | -0.000 | 0.000 | 
| 0.000 | -0.000 | -0.000 | -0.000 | -0.000 | -0.000 | 
| 0.000 | -0.000 | -0.000 | -0.000 | -0.000 | -0.000 | 
| -0.003 | -0.005 | -0.000 | -0.000 | -0.000 | 715.657 | 
| -39.876 | -78.554 | 911.633 | 10.550 | -1.960 | -0.009 | 
| 9.999 | 95.762 | 1.109 | -4.953 | 0.313 | 0.000 | 
| 4.522 | 4.522 | 134.382 | 0.000 | 0.000 | 0.000 | 
| 46.303 | 18.831 | 1484.900 | 24.376 | -0.003 | -5.799 | 
| -0.311 | 0.313 | 0.003 | 0.001 | 46.046 | 4.954 | 
| 0.000 | 0.001 | 0.002 | 0.312 | 4.954 | 42.882 | 
| 95.761 | 9.998 | 1.105 | 4.954 | -0.313 | 0.000 | 
| -16.031 | 17.501 | -1468.940 | -13.672 | -5.747 | 0.003 | 
| 4.525 | 4.524 | 134.385 | -0.000 | -0.000 | 0.000 | 
| 4.954 | -4.955 | -0.002 | 46.046 | -0.000 | 0.312 | 
| -0.310 | 0.313 | 0.001 | 0.001 | 46.047 | 4.954 | 
| 99.586 | 99.561 | -918.252 | 1.974 | 10.663 | 18.906 | 
| 95.761 | 9.998 | 1.105 | 4.954 | -0.312 | 0.000 | 
| 9.998 | 95.762 | 1.105 | -4.954 | 0.312 | -0.000 | 
| 11.446 | 11.446 | 214.375 | 0.000 | -0.000 | -0.000 | 
| 1.293 | -17.356 | 153.864 | 37.153 | -0.000 | 0.457 | 
| -11.266 | -7.494 | 86.496 | 0.001 | 28.355 | 10.321 | 
| -0.000 | 0.000 | 0.000 | 0.312 | 4.954 | 42.882 | 
| 52.048 | 11.532 | -127.811 | 12.672 | 5.467 | 0.000 | 
| 9.998 | 95.761 | 1.105 | -4.954 | 0.312 | -0.000 | 
| 4.723 | 4.722 | -74.038 | -0.000 | 0.000 | 0.000 | 
| 4.954 | -4.954 | -0.000 | 46.046 | -0.000 | 0.312 | 
| 2.259 | -9.295 | -144.071 | -0.000 | 25.179 | 13.472 | 
| 0.000 | 0.000 | -0.000 | 0.313 | 4.954 | 42.882 | 
| 76.646 | 13.995 | 10.319 | 7.700 | -1.117 | -0.000 | 
| 13.995 | 76.647 | 10.319 | -7.699 | 1.117 | -0.000 | 
| 9.618 | 9.618 | 112.683 | 0.000 | -0.000 | -0.000 | 
| 7.360 | -8.379 | 4.698 | 36.439 | -0.000 | 1.166 | 
| -1.676 | 0.657 | 4.698 | 0.000 | 36.439 | 7.869 | 
| -0.486 | -0.486 | 4.479 | 1.127 | 7.733 | 31.183 | 
| 75.706 | 15.473 | 1.510 | 7.987 | -1.201 | 0.000 | 
| 15.473 | 75.706 | 1.510 | -7.987 | 1.201 | 0.000 | 
| 7.177 | 7.176 | 63.891 | -0.000 | 0.000 | 0.000 | 
| 8.379 | -7.360 | -4.697 | 36.439 | 0.000 | 1.166 | 
| 2.379 | 1.059 | -14.618 | -0.000 | 32.238 | 11.085 | 
| 0.486 | 0.486 | -4.479 | 1.127 | 7.734 | 31.183 | 
| 641.981 | -0.000 | -0.000 | -0.001 | -0.000 | -0.000 | 
| -0.000 | 641.981 | -0.000 | -0.001 | -0.000 | -0.000 | 
| -0.000 | -0.000 | 641.981 | -0.000 | -0.000 | -0.000 | 
| -0.000 | -0.000 | -0.000 | 67.111 | -0.000 | -0.000 | 
| -0.000 | -0.000 | -0.000 | -0.001 | 67.111 | -0.000 | 
| -0.000 | -0.000 | -0.000 | -0.000 | -0.000 | 67.112 | 
| 641.981 | 0.000 | 0.000 | 0.001 | 0.000 | 0.000 | 
| 0.000 | 641.981 | 0.000 | 0.000 | 0.000 | 0.000 | 
| 0.000 | 0.000 | 641.981 | 0.000 | 0.000 | 0.000 | 
| 0.000 | 0.000 | 0.000 | 67.112 | 0.000 | 0.000 | 
| 0.000 | 0.000 | 0.000 | 0.000 | 67.112 | 0.000 | 
| 0.000 | 0.000 | 0.000 | 0.000 | 0.000 | 67.112 | 
| 641.981 | -0.000 | -0.000 | -0.000 | -0.000 | -0.000 | 
| -0.000 | 641.981 | -0.000 | -0.000 | -0.000 | -0.000 | 
| -0.000 | -0.000 | 641.981 | -0.000 | -0.000 | -0.000 | 
| -0.000 | -0.000 | -0.000 | 67.111 | -0.000 | -0.000 | 
| -0.000 | -0.000 | -0.000 | -0.000 | 67.111 | -0.000 | 
| -0.000 | -0.000 | -0.000 | -0.000 | -0.000 | 67.111 | 
| 641.981 | 0.000 | 0.000 | 0.000 | 0.000 | 0.000 | 
| 0.000 | 641.981 | 0.000 | 0.000 | 0.000 | 0.000 | 
| 0.000 | 0.000 | 641.981 | 0.000 | 0.000 | 0.000 | 
| 0.000 | 0.000 | 0.000 | 67.112 | 0.000 | 0.000 | 
| 0.000 | -0.000 | 0.000 | 0.000 | 67.112 | 0.000 | 
| 0.000 | 0.000 | 0.000 | 0.000 | 0.000 | 67.112 | 
| 641.984 | -0.000 | -0.000 | -0.000 | -0.000 | -0.000 | 
| -0.000 | 641.984 | -0.000 | -0.000 | -0.000 | -0.000 | 
| -0.000 | -0.000 | 641.984 | -0.000 | -0.000 | -0.000 | 
| -0.000 | -0.000 | -0.000 | 67.112 | -0.000 | -0.000 | 
| -0.000 | -0.000 | -0.000 | -0.000 | 67.112 | -0.000 | 
| -0.000 | -0.000 | -0.000 | -0.000 | -0.000 | 67.112 | 
| 641.978 | 0.000 | 0.000 | 0.000 | 0.000 | 0.000 | 
| 0.000 | 641.978 | 0.000 | 0.000 | 0.000 | 0.000 | 
| 0.000 | 0.000 | 641.978 | 0.000 | 0.000 | 0.000 | 
| 0.000 | 0.000 | 0.000 | 67.112 | 0.000 | 0.000 | 
| 0.000 | 0.000 | 0.000 | 0.000 | 67.112 | 0.000 | 
| 0.000 | 0.000 | 0.000 | 0.000 | 0.000 | 67.112 | 
| 1050.864 | 661.242 | 661.242 | -0.000 | 0.000 | -0.000 | 
| 661.242 | 1050.864 | 661.242 | -0.000 | 0.000 | -0.000 | 
| 661.242 | 661.242 | 1050.864 | -0.000 | 0.000 | -0.000 | 
| -0.005 | -0.005 | -0.005 | -138.370 | 0.000 | 0.000 | 
| -0.005 | -0.005 | -0.005 | 0.000 | -138.370 | 0.000 | 
| -0.005 | -0.005 | -0.005 | 0.000 | 0.000 | -138.370 | 
| 1050.898 | 661.276 | 661.276 | -0.000 | -0.000 | 0.000 | 
| 661.276 | 1050.898 | 661.276 | -0.000 | -0.000 | 0.000 | 
| 661.276 | 661.276 | 1050.898 | 0.000 | -0.000 | 0.000 | 
| 0.005 | 0.005 | 0.005 | -138.370 | -0.000 | -0.000 | 
| 0.005 | 0.005 | 0.005 | -0.000 | -138.370 | 0.000 | 
| 0.005 | 0.005 | 0.005 | -0.000 | -0.000 | -138.370 | 
| 1050.878 | 661.258 | 661.258 | -0.000 | -0.000 | -0.000 | 
| 661.258 | 1050.878 | 661.258 | -0.000 | -0.000 | 0.000 | 
| 661.258 | 661.258 | 1050.878 | 0.000 | 0.000 | -0.000 | 
| -0.001 | -0.001 | -0.001 | -138.378 | -0.000 | -0.000 | 
| -0.001 | -0.001 | -0.001 | -0.000 | -138.378 | -0.000 | 
| -0.001 | -0.001 | -0.001 | -0.000 | -0.000 | -138.378 | 
| 1050.884 | 661.264 | 661.264 | 0.000 | 0.000 | 0.000 | 
| 661.264 | 1050.884 | 661.264 | 0.000 | 0.000 | 0.000 | 
| 661.264 | 661.264 | 1050.884 | 0.000 | -0.000 | 0.000 | 
| 0.001 | 0.001 | 0.001 | -138.378 | 0.000 | 0.000 | 
| 0.001 | 0.001 | 0.001 | 0.000 | -138.378 | 0.000 | 
| 0.001 | 0.001 | 0.001 | 0.000 | 0.000 | -138.378 | 
| 1050.878 | 661.257 | 661.257 | -0.000 | 0.000 | -0.000 | 
| 661.257 | 1050.878 | 661.257 | -0.000 | 0.000 | 0.000 | 
| 661.257 | 661.257 | 1050.878 | 0.000 | 0.000 | 0.000 | 
| 0.002 | 0.002 | 0.001 | -138.381 | -0.000 | -0.000 | 
| 0.002 | 0.002 | 0.001 | -0.000 | -138.381 | -0.000 | 
| 0.002 | 0.001 | 0.002 | -0.000 | -0.000 | -138.381 | 
| 1050.877 | 661.257 | 661.257 | 0.000 | 0.000 | 0.000 | 
| 661.257 | 1050.877 | 661.257 | 0.000 | 0.000 | 0.000 | 
| 661.257 | 661.257 | 1050.877 | 0.000 | 0.000 | 0.000 | 
| -0.002 | -0.002 | -0.001 | -138.381 | -0.000 | 0.000 | 
| -0.002 | -0.002 | -0.001 | -0.000 | -138.381 | 0.000 | 
| -0.002 | -0.001 | -0.002 | 0.000 | 0.000 | -138.381 | 
| 383.780 | 144.414 | 144.414 | -0.000 | -0.000 | 0.000 | 
| 144.414 | 383.780 | 144.414 | -0.000 | -0.000 | 0.000 | 
| 144.414 | 144.414 | 383.780 | -0.000 | 0.000 | 0.000 | 
| -0.024 | -0.025 | -0.024 | 239.741 | -0.000 | -0.000 | 
| -0.025 | -0.025 | -0.024 | -0.000 | 239.741 | 0.000 | 
| -0.025 | -0.025 | -0.024 | 0.000 | 0.000 | 239.741 | 
| 383.780 | 144.414 | 144.414 | 0.000 | 0.000 | -0.000 | 
| 144.414 | 383.780 | 144.414 | 0.000 | 0.000 | -0.000 | 
| 144.414 | 144.414 | 383.780 | 0.000 | -0.000 | -0.000 | 
| 0.024 | 0.025 | 0.024 | 239.741 | 0.000 | -0.000 | 
| 0.024 | 0.025 | 0.024 | 0.000 | 239.742 | -0.000 | 
| 0.025 | 0.025 | 0.025 | 0.000 | 0.000 | 239.741 | 
| 383.775 | 144.409 | 144.409 | -0.000 | -0.000 | 0.000 | 
| 144.409 | 383.775 | 144.409 | -0.000 | -0.000 | 0.000 | 
| 144.409 | 144.409 | 383.775 | -0.000 | -0.000 | -0.000 | 
| -0.002 | -0.003 | -0.002 | 239.745 | -0.000 | -0.000 | 
| -0.002 | -0.002 | -0.002 | -0.000 | 239.745 | 0.000 | 
| -0.002 | -0.003 | -0.002 | -0.000 | 0.000 | 239.745 | 
| 383.789 | 144.423 | 144.423 | 0.000 | -0.000 | -0.000 | 
| 144.423 | 383.789 | 144.423 | -0.000 | 0.000 | 0.000 | 
| 144.423 | 144.423 | 383.789 | 0.000 | 0.000 | -0.000 | 
| 0.002 | 0.003 | 0.002 | 239.745 | 0.000 | -0.000 | 
| 0.002 | 0.002 | 0.002 | 0.000 | 239.745 | -0.000 | 
| 0.002 | 0.003 | 0.002 | 0.000 | -0.000 | 239.745 | 
| 383.780 | 144.414 | 144.414 | -0.000 | -0.000 | 0.000 | 
| 144.414 | 383.780 | 144.414 | -0.000 | -0.000 | 0.000 | 
| 144.414 | 144.414 | 383.780 | 0.000 | -0.000 | -0.000 | 
| -0.000 | -0.001 | -0.000 | 239.747 | -0.000 | 0.000 | 
| -0.001 | -0.000 | -0.000 | -0.000 | 239.747 | -0.000 | 
| -0.001 | -0.000 | -0.000 | -0.000 | -0.000 | 239.747 | 
| 383.780 | 144.414 | 144.414 | 0.000 | 0.000 | -0.000 | 
| 144.414 | 383.780 | 144.414 | 0.000 | 0.000 | -0.000 | 
| 144.414 | 144.414 | 383.780 | 0.000 | 0.000 | 0.000 | 
| 0.000 | 0.001 | 0.000 | 239.747 | 0.000 | -0.000 | 
| 0.001 | 0.000 | 0.000 | 0.000 | 239.747 | -0.000 | 
| 0.001 | 0.000 | 0.000 | 0.000 | -0.000 | 239.747 | 
| 568.849 | 82.723 | 21.034 | 17.448 | 0.000 | 0.000 | 
| 82.711 | 568.838 | 21.059 | -17.449 | -0.000 | 0.001 | 
| 20.953 | 20.953 | 630.480 | 0.000 | -0.000 | 0.000 | 
| 11.256 | -11.373 | -0.001 | 159.708 | -0.000 | 0.001 | 
| -0.017 | -0.003 | 0.019 | -0.001 | 159.694 | 11.318 | 
| -0.024 | -0.012 | 0.017 | 0.000 | 10.941 | 193.193 | 
| 497.385 | 109.096 | 66.156 | 11.063 | -0.000 | -0.002 | 
| 109.100 | 497.379 | 66.215 | -11.065 | -0.000 | -0.001 | 
| 21.045 | 21.045 | 630.517 | -0.000 | 0.000 | -0.000 | 
| 11.381 | -11.277 | -0.002 | 159.711 | -0.000 | -0.001 | 
| 0.017 | 0.002 | -0.019 | 0.001 | 159.695 | 11.317 | 
| 0.024 | 0.012 | -0.018 | 0.000 | 10.940 | 193.192 | 
| 497.359 | 109.061 | 66.173 | 11.065 | 0.000 | 0.000 | 
| 109.059 | 497.359 | 66.173 | -11.065 | 0.000 | 0.000 | 
| 21.034 | 21.034 | 630.539 | 0.000 | -0.000 | 0.000 | 
| 11.312 | -11.327 | -0.003 | 159.703 | -0.000 | 0.000 | 
| -0.001 | -0.001 | -0.000 | 0.000 | 181.372 | 17.449 | 
| -0.002 | -0.004 | -0.001 | 0.000 | 17.448 | 243.060 | 
| 497.366 | 109.069 | 66.173 | 11.065 | 0.000 | -0.000 | 
| 109.069 | 497.370 | 66.174 | -11.065 | -0.000 | -0.000 | 
| 64.377 | 64.377 | 543.874 | 0.000 | 0.000 | -0.000 | 
| 11.327 | -11.311 | 0.003 | 159.703 | -0.000 | -0.000 | 
| 0.001 | 0.001 | 0.000 | -0.000 | 181.372 | 17.449 | 
| 0.002 | 0.004 | 0.001 | -0.000 | 17.448 | 243.060 | 
| 568.848 | 82.724 | 21.036 | 17.448 | 0.000 | 0.000 | 
| 109.062 | 497.381 | 66.163 | -11.066 | 0.000 | 0.000 | 
| 64.373 | 64.373 | 543.862 | -0.000 | -0.000 | 0.000 | 
| 11.320 | -11.320 | 0.000 | 159.704 | -0.000 | -0.000 | 
| -0.001 | -0.000 | -0.000 | 0.000 | 159.704 | 11.320 | 
| -0.000 | -0.000 | -0.000 | 0.000 | 17.448 | 243.061 | 
| 497.356 | 109.071 | 66.178 | 11.064 | -0.000 | -0.000 | 
| 109.068 | 497.365 | 66.173 | -11.065 | 0.000 | -0.000 | 
| 64.369 | 64.369 | 543.867 | 0.000 | 0.000 | -0.000 | 
| 11.320 | -11.319 | -0.000 | 159.704 | 0.000 | -0.000 | 
| 0.001 | 0.000 | 0.000 | -0.000 | 159.704 | 11.320 | 
| 0.000 | 0.000 | 0.000 | -0.000 | 17.448 | 243.061 | 
| 568.595 | 82.406 | 21.237 | 17.425 | -0.000 | 0.000 | 
| 124.954 | 509.972 | 37.423 | -13.202 | 0.000 | -0.000 | 
| 20.854 | 20.853 | 631.618 | 0.000 | 0.000 | -0.000 | 
| 17.417 | -17.432 | -0.012 | 180.996 | -0.000 | -0.000 | 
| 0.005 | 0.002 | 0.008 | 0.001 | 180.999 | 17.428 | 
| -0.004 | -0.012 | 0.002 | 0.001 | 17.429 | 243.095 | 
| 469.345 | 101.907 | 101.422 | 9.668 | -0.000 | 0.000 | 
| 100.017 | 485.034 | 87.514 | -11.035 | -0.000 | 0.000 | 
| 51.527 | 51.528 | 569.850 | -0.000 | 0.000 | 0.000 | 
| -8.914 | -23.470 | 32.502 | 145.095 | -0.000 | 0.000 | 
| -0.005 | -0.002 | -0.008 | -0.001 | 180.999 | 17.428 | 
| 0.006 | 0.012 | -0.001 | -0.001 | 17.429 | 243.095 | 
| 495.113 | 121.880 | 55.416 | 12.326 | 0.000 | -0.000 | 
| 109.689 | 497.985 | 64.790 | -11.035 | 0.000 | -0.000 | 
| 65.306 | 65.306 | 542.196 | -0.000 | -0.000 | -0.000 | 
| 17.427 | -17.426 | 0.000 | 180.999 | -0.000 | -0.000 | 
| 0.000 | 0.001 | 0.000 | -0.000 | 180.999 | 17.426 | 
| 0.604 | 0.610 | -1.224 | 0.001 | 13.510 | 189.291 | 
| 568.589 | 82.392 | 21.242 | 17.426 | -0.000 | 0.000 | 
| 120.132 | 492.909 | 59.389 | -12.221 | 0.000 | 0.000 | 
| 20.848 | 20.848 | 631.609 | 0.000 | -0.000 | 0.000 | 
| 17.427 | -17.425 | 0.000 | 180.998 | -0.000 | 0.000 | 
| -0.000 | -0.001 | -0.000 | 0.000 | 180.999 | 17.426 | 
| -0.604 | -0.610 | 1.224 | -0.001 | 13.510 | 189.291 | 
| 494.114 | 120.996 | 57.311 | 12.263 | 0.000 | -0.000 | 
| 108.649 | 497.398 | 66.425 | -11.065 | 0.000 | -0.000 | 
| 64.458 | 64.458 | 543.902 | -0.000 | -0.000 | -0.000 | 
| 11.411 | -11.216 | -0.196 | 159.365 | -0.000 | -0.000 | 
| 0.097 | 0.098 | -0.196 | 0.000 | 159.366 | 11.314 | 
| 0.107 | 0.108 | -0.216 | -0.000 | 10.713 | 182.647 | 
| 497.199 | 108.443 | 66.828 | 11.065 | -0.000 | 0.000 | 
| 108.445 | 497.192 | 66.833 | -11.065 | 0.000 | 0.000 | 
| 64.262 | 64.262 | 544.291 | 0.000 | -0.000 | 0.000 | 
| 11.218 | -11.411 | 0.194 | 159.368 | 0.000 | 0.000 | 
| -0.097 | -0.098 | 0.196 | -0.000 | 159.366 | 11.314 | 
| -0.107 | -0.108 | 0.216 | 0.000 | 10.713 | 182.647 | 
| 502.308 | 139.581 | 30.720 | -0.000 | 0.000 | -0.000 | 
| 82.712 | 568.838 | 21.058 | 0.000 | -0.000 | 0.000 | 
| 74.939 | 74.939 | 522.730 | -0.000 | 0.000 | 0.000 | 
| 0.028 | 0.004 | 0.078 | 181.376 | 0.000 | 0.000 | 
| 0.025 | 0.012 | 0.038 | 0.000 | 181.369 | -0.000 | 
| 0.025 | 0.012 | 0.038 | 0.000 | -0.000 | 243.059 | 
| 485.810 | 98.956 | 87.877 | 0.000 | 0.000 | -0.000 | 
| 116.481 | 479.150 | 76.940 | 0.000 | 0.001 | -0.000 | 
| 53.790 | 53.790 | 565.026 | 0.000 | -0.000 | 0.000 | 
| -0.028 | -0.004 | -0.081 | 181.376 | -0.000 | 0.000 | 
| -0.025 | -0.012 | -0.037 | -0.000 | 181.370 | -0.000 | 
| -0.025 | -0.012 | -0.038 | -0.000 | -0.000 | 243.059 | 
| 496.709 | 111.439 | 64.463 | -0.000 | -0.000 | -0.000 | 
| 111.440 | 496.713 | 64.459 | 0.000 | 0.000 | 0.000 | 
| 65.427 | 65.427 | 541.754 | 0.000 | -0.000 | 0.000 | 
| 1.058 | 1.059 | -2.113 | 159.705 | 0.000 | -0.000 | 
| 0.000 | 0.000 | -0.000 | 0.000 | 181.373 | -0.000 | 
| 0.021 | 0.017 | -0.031 | -0.000 | 0.000 | 181.350 | 
| 489.740 | 127.055 | 55.806 | -0.000 | 0.000 | -0.000 | 
| 127.060 | 489.739 | 55.804 | 0.000 | -0.000 | 0.000 | 
| 63.314 | 63.314 | 545.979 | 0.000 | -0.000 | -0.000 | 
| -1.058 | -1.059 | 2.113 | 159.705 | 0.000 | -0.000 | 
| -0.000 | -0.000 | 0.000 | -0.000 | 181.373 | -0.000 | 
| -0.021 | -0.017 | 0.031 | 0.000 | -0.000 | 181.350 | 
| 491.048 | 128.367 | 53.194 | -0.000 | -0.000 | 0.000 | 
| 110.398 | 495.809 | 66.402 | 0.000 | -0.000 | 0.000 | 
| 64.477 | 64.477 | 543.655 | 0.000 | -0.000 | 0.000 | 
| 0.106 | 0.106 | -0.211 | 159.705 | 0.000 | -0.000 | 
| 0.000 | -0.000 | 0.000 | -0.000 | 181.372 | -0.000 | 
| 0.114 | 0.114 | -0.227 | 0.000 | -0.000 | 191.507 | 
| 495.611 | 110.164 | 66.830 | -0.000 | -0.000 | -0.000 | 
| 110.164 | 495.613 | 66.828 | -0.000 | -0.000 | -0.000 | 
| 64.268 | 64.268 | 544.070 | 0.000 | -0.000 | 0.000 | 
| -0.106 | -0.106 | 0.211 | 159.705 | 0.000 | -0.000 | 
| -0.000 | 0.000 | -0.000 | 0.000 | 181.372 | -0.000 | 
| -0.114 | -0.114 | 0.227 | -0.000 | 0.000 | 191.507 | 
| 568.552 | 82.369 | 21.214 | 0.000 | -0.001 | -0.000 | 
| 81.006 | 444.300 | 147.615 | 0.000 | -0.000 | -0.000 | 
| 46.277 | 46.277 | 580.330 | 0.001 | -0.001 | -0.000 | 
| -38.530 | -38.518 | 77.443 | 150.264 | -0.000 | -0.000 | 
| -38.513 | -38.497 | 77.424 | 0.001 | 150.264 | -0.000 | 
| -37.723 | -37.694 | 75.854 | 0.000 | 0.000 | 176.684 | 
| 506.694 | 160.136 | 5.323 | -0.001 | -0.001 | 0.000 | 
| 138.246 | 522.898 | 11.136 | -0.001 | 0.000 | -0.000 | 
| 106.961 | 106.961 | 458.510 | -0.000 | 0.001 | 0.000 | 
| 38.530 | 38.518 | -77.446 | 150.263 | 0.000 | 0.000 | 
| 38.513 | 38.497 | -77.424 | -0.001 | 150.265 | 0.000 | 
| 37.723 | 37.694 | -75.854 | -0.000 | 0.000 | 176.684 | 
| 568.576 | 82.375 | 21.246 | 0.000 | -0.000 | -0.000 | 
| 116.009 | 491.224 | 65.210 | 0.000 | -0.000 | -0.000 | 
| 61.653 | 61.653 | 549.550 | 0.000 | -0.000 | -0.000 | 
| -2.704 | -2.700 | 5.427 | 159.355 | -0.000 | -0.000 | 
| -0.002 | -0.002 | -0.003 | 0.000 | 180.985 | -0.000 | 
| -2.959 | -2.958 | 5.949 | 0.000 | -0.000 | 191.017 | 
| 497.424 | 113.049 | 61.969 | -0.000 | 0.000 | 0.000 | 
| 113.053 | 497.418 | 61.976 | -0.000 | 0.000 | 0.000 | 
| 67.438 | 67.438 | 537.918 | -0.000 | 0.000 | 0.000 | 
| 2.704 | 2.700 | -5.427 | 159.355 | 0.000 | 0.000 | 
| 0.002 | 0.002 | 0.003 | -0.000 | 180.986 | 0.000 | 
| 2.959 | 2.958 | -5.949 | -0.000 | 0.000 | 191.017 | 
| 568.579 | 82.379 | 21.248 | 0.000 | 0.000 | -0.000 | 
| 126.965 | 490.787 | 54.643 | 0.000 | -0.000 | -0.000 | 
| 64.092 | 64.092 | 544.643 | 0.000 | -0.000 | -0.000 | 
| -0.000 | -0.000 | -0.000 | 180.985 | -0.000 | -0.000 | 
| -0.271 | -0.271 | 0.545 | 0.000 | 159.348 | -0.000 | 
| 0.000 | 0.000 | -0.000 | 0.000 | -0.000 | 243.100 | 
| 495.883 | 110.040 | 66.540 | -0.000 | 0.000 | 0.000 | 
| 122.323 | 485.745 | 64.382 | -0.000 | 0.000 | 0.000 | 
| 64.630 | 64.630 | 543.560 | -0.000 | 0.000 | 0.000 | 
| 0.000 | 0.000 | 0.000 | 180.985 | 0.000 | 0.000 | 
| 0.271 | 0.271 | -0.545 | -0.000 | 159.348 | 0.000 | 
| -0.000 | -0.000 | 0.000 | -0.000 | 0.000 | 243.100 | 
| 568.890 | 82.744 | 21.116 | 5.134 | 0.001 | -0.001 | 
| 82.712 | 568.838 | 21.076 | -5.132 | -0.000 | -0.000 | 
| 64.322 | 64.322 | 543.954 | 0.001 | 0.001 | -0.000 | 
| 3.315 | -3.327 | 0.139 | 159.710 | 0.000 | -0.000 | 
| -0.036 | -0.009 | 0.118 | 0.000 | 159.706 | 3.329 | 
| 0.020 | 0.010 | 0.020 | 0.001 | 5.133 | 243.057 | 
| 568.804 | 82.700 | 20.958 | 5.131 | -0.000 | 0.000 | 
| 109.982 | 496.242 | 66.382 | -3.241 | -0.000 | 0.000 | 
| 64.420 | 64.420 | 543.746 | 0.000 | 0.001 | 0.000 | 
| 3.356 | -3.323 | -0.105 | 159.712 | 0.000 | 0.000 | 
| 0.036 | 0.009 | -0.118 | -0.000 | 159.706 | 3.330 | 
| -0.020 | -0.010 | -0.020 | -0.001 | 5.133 | 243.056 | 
| 568.846 | 82.722 | 21.038 | 5.132 | -0.000 | -0.000 | 
| 82.722 | 568.844 | 21.034 | -5.132 | -0.000 | -0.000 | 
| 21.035 | 21.035 | 630.539 | 0.000 | 0.000 | 0.000 | 
| 5.132 | -5.133 | 0.001 | 181.372 | 0.000 | -0.000 | 
| -0.000 | -0.000 | 0.002 | 0.000 | 181.372 | 5.132 | 
| 0.002 | 0.001 | 0.000 | 0.000 | 5.132 | 243.062 | 
| 491.889 | 125.995 | 54.719 | 3.730 | 0.000 | 0.000 | 
| 121.912 | 485.957 | 64.732 | -3.314 | -0.000 | 0.000 | 
| 64.375 | 64.375 | 543.855 | -0.000 | 0.000 | 0.000 | 
| 5.132 | -5.130 | -0.001 | 181.372 | -0.000 | 0.000 | 
| 0.000 | 0.000 | -0.002 | -0.000 | 181.372 | 5.132 | 
| -0.002 | -0.001 | -0.001 | -0.000 | 5.132 | 243.062 | 
| 491.886 | 125.989 | 54.734 | 3.730 | -0.000 | -0.000 | 
| 82.725 | 568.849 | 21.036 | -5.132 | -0.000 | -0.000 | 
| 64.373 | 64.373 | 543.863 | 0.000 | 0.000 | -0.000 | 
| 3.329 | -3.330 | 0.001 | 159.704 | -0.000 | -0.000 | 
| -0.001 | -0.000 | 0.001 | 0.000 | 159.704 | 3.329 | 
| -0.001 | -0.000 | 0.001 | -0.000 | 3.198 | 192.005 | 
| 568.845 | 82.724 | 21.034 | 5.132 | -0.000 | 0.000 | 
| 82.724 | 568.845 | 21.035 | -5.132 | 0.000 | 0.000 | 
| 21.035 | 21.035 | 630.534 | 0.000 | 0.000 | 0.000 | 
| 3.329 | -3.329 | -0.002 | 159.704 | -0.000 | 0.000 | 
| 0.001 | 0.000 | -0.001 | -0.000 | 159.704 | 3.329 | 
| 0.001 | 0.000 | -0.001 | 0.000 | 3.198 | 192.005 | 
| 1028.456 | 556.870 | -918.794 | 5.681 | -0.000 | -0.000 | 
| -2365.542 | -2005.924 | 5072.641 | -2.041 | -0.000 | -0.000 | 
| 20.843 | 20.843 | 631.652 | -0.000 | 0.000 | 0.000 | 
| -2486.412 | -2490.464 | 5005.618 | 143.703 | 0.000 | 0.000 | 
| -3471.813 | -3471.817 | 6983.972 | 0.002 | 128.205 | 0.736 | 
| 0.007 | 0.006 | 0.025 | -0.000 | 5.123 | 243.096 | 
| 3876.821 | 3622.525 | -6866.944 | 0.729 | -0.000 | 0.000 | 
| 2611.792 | 2969.855 | -4937.964 | -2.017 | -0.000 | 0.000 | 
| 2554.444 | 2554.444 | -4464.844 | 0.000 | -0.000 | 0.000 | 
| 865.191 | 857.257 | -1732.194 | 167.194 | 0.000 | -0.000 | 
| 3471.813 | 3471.817 | -6983.972 | -0.003 | 128.205 | 0.736 | 
| -0.007 | -0.006 | -0.022 | 0.001 | 5.124 | 243.096 | 
| 238.273 | -127.972 | 564.995 | 2.205 | -0.000 | -0.000 | 
| -196.583 | 62.449 | 810.868 | -0.822 | 0.000 | -0.000 | 
| 78.848 | 78.848 | 514.912 | 0.000 | -0.000 | 0.000 | 
| -346.015 | -347.505 | 697.549 | 128.274 | -0.000 | -0.000 | 
| -346.835 | -346.835 | 697.695 | 0.000 | 128.263 | 0.745 | 
| -248.465 | -248.464 | 499.798 | -0.000 | 2.032 | 179.536 | 
| 749.328 | 497.589 | -578.205 | 0.684 | -0.000 | 0.000 | 
| 209.911 | 566.867 | -105.309 | -4.126 | 0.000 | 0.000 | 
| 20.832 | 20.832 | 631.635 | -0.000 | -0.000 | -0.000 | 
| -40.839 | -52.204 | 93.607 | 187.706 | -0.000 | -0.000 | 
| -46.531 | -46.531 | 93.625 | 0.000 | 187.708 | 5.684 | 
| -46.016 | -46.016 | 92.590 | -0.000 | 5.676 | 235.785 | 
| 478.671 | 91.221 | 102.750 | 3.136 | -0.000 | -0.000 | 
| 83.364 | 474.110 | 115.241 | -2.822 | -0.000 | -0.000 | 
| 83.040 | 83.040 | 506.500 | 0.000 | -0.000 | -0.000 | 
| -30.068 | -32.425 | 62.856 | 133.487 | -0.000 | -0.000 | 
| 0.000 | 0.000 | -0.000 | 0.000 | 180.979 | 5.125 | 
| -28.983 | -28.983 | 58.303 | 0.000 | 1.464 | 146.455 | 
| 492.314 | 132.562 | 47.449 | 2.029 | -0.000 | 0.000 | 
| 132.581 | 492.288 | 47.456 | -2.028 | 0.000 | 0.000 | 
| 65.129 | 65.129 | 542.531 | 0.000 | -0.000 | 0.000 | 
| 22.240 | 16.852 | -39.317 | 151.730 | 0.000 | 0.000 | 
| -0.000 | -0.000 | 0.000 | -0.000 | 180.979 | 5.125 | 
| 28.983 | 28.983 | -58.303 | -0.000 | 1.464 | 146.455 | 
| 511.095 | 122.937 | 38.655 | -3.928 | -0.000 | -0.000 | 
| 82.718 | 568.839 | 21.034 | 6.233 | 0.000 | 0.000 | 
| 21.023 | 21.023 | 630.536 | -0.000 | 0.000 | 0.000 | 
| 9.251 | 17.326 | -26.590 | 159.703 | -0.000 | 0.000 | 
| -0.007 | -0.005 | -0.007 | -0.001 | 181.371 | -6.230 | 
| 13.931 | 13.927 | -27.852 | 0.001 | -3.941 | 194.309 | 
| 568.856 | 82.720 | 21.048 | -6.230 | -0.000 | -0.000 | 
| 94.587 | 485.309 | 92.634 | 3.990 | -0.000 | -0.000 | 
| 21.043 | 21.043 | 630.546 | -0.000 | -0.000 | 0.000 | 
| -17.340 | -9.248 | 26.583 | 159.705 | -0.000 | 0.000 | 
| 0.007 | 0.005 | 0.006 | 0.001 | 181.371 | -6.231 | 
| -13.931 | -13.927 | 27.851 | -0.001 | -3.942 | 194.311 | 
| 568.848 | 82.725 | 21.037 | -6.232 | 0.000 | -0.000 | 
| 82.723 | 568.845 | 21.034 | 6.232 | 0.000 | -0.000 | 
| 65.700 | 65.700 | 541.201 | 0.000 | -0.000 | -0.000 | 
| -2.710 | 5.372 | -2.656 | 159.704 | 0.000 | -0.000 | 
| 0.000 | 0.000 | 0.000 | 0.000 | 181.372 | -6.231 | 
| 1.403 | 1.403 | -2.808 | 0.000 | -3.922 | 193.911 | 
| 568.848 | 82.727 | 21.035 | -6.231 | -0.000 | -0.000 | 
| 107.140 | 496.792 | 68.673 | 3.965 | 0.000 | 0.000 | 
| 21.035 | 21.035 | 630.536 | -0.000 | -0.000 | -0.000 | 
| -5.375 | 2.714 | 2.657 | 159.704 | -0.000 | -0.000 | 
| -0.000 | -0.000 | -0.000 | -0.000 | 181.372 | -6.231 | 
| -1.403 | -1.403 | 2.808 | -0.000 | -3.922 | 193.911 | 
| 495.344 | 119.075 | 58.190 | -4.343 | 0.000 | 0.000 | 
| 82.725 | 568.849 | 21.036 | 6.232 | -0.000 | -0.000 | 
| 64.502 | 64.502 | 543.605 | 0.000 | 0.000 | -0.000 | 
| -3.909 | 4.175 | -0.266 | 159.701 | -0.000 | -0.000 | 
| 0.133 | 0.133 | -0.266 | 0.000 | 159.704 | -4.043 | 
| 0.140 | 0.140 | -0.281 | -0.000 | -3.921 | 193.908 | 
| 497.942 | 108.412 | 66.251 | -3.962 | -0.000 | -0.000 | 
| 108.412 | 497.944 | 66.250 | 3.962 | -0.000 | 0.000 | 
| 64.238 | 64.238 | 544.129 | -0.000 | 0.000 | -0.000 | 
| -4.175 | 3.910 | 0.266 | 159.701 | 0.000 | -0.000 | 
| -0.133 | -0.133 | 0.266 | -0.000 | 159.704 | -4.043 | 
| -0.140 | -0.140 | 0.281 | 0.000 | -3.921 | 193.908 | 
| 568.821 | 82.710 | 20.988 | 3.009 | 0.000 | -0.000 | 
| 82.706 | 568.818 | 20.927 | -3.008 | 0.000 | 0.000 | 
| 64.310 | 64.309 | 544.071 | 0.000 | 0.000 | -0.000 | 
| 1.839 | -2.077 | 0.094 | 159.695 | 0.000 | -0.000 | 
| -0.078 | -0.092 | 0.120 | 0.001 | 159.698 | 1.949 | 
| -0.028 | -0.162 | 0.160 | 0.004 | 1.797 | 181.421 | 
| 498.356 | 108.499 | 65.799 | 1.915 | -0.000 | 0.000 | 
| 108.505 | 498.348 | 65.784 | -1.913 | -0.000 | 0.000 | 
| 64.500 | 64.502 | 543.733 | -0.000 | -0.000 | 0.000 | 
| 2.059 | -1.827 | -0.103 | 159.695 | -0.000 | 0.000 | 
| 0.077 | 0.092 | -0.121 | -0.001 | 159.697 | 1.950 | 
| 0.028 | 0.162 | -0.160 | -0.004 | 1.797 | 181.422 | 
| 568.843 | 82.721 | 21.030 | 3.008 | 0.000 | -0.000 | 
| 82.719 | 568.843 | 21.031 | -3.008 | 0.000 | -0.000 | 
| 21.032 | 21.032 | 630.530 | 0.000 | 0.000 | -0.000 | 
| 1.940 | -1.963 | 0.009 | 159.704 | 0.000 | -0.000 | 
| -0.006 | -0.009 | 0.015 | 0.000 | 159.704 | 1.952 | 
| -0.009 | -0.011 | 0.011 | 0.000 | 1.895 | 194.112 | 
| 498.281 | 108.421 | 65.911 | 1.914 | -0.000 | 0.000 | 
| 82.725 | 568.846 | 21.041 | -3.008 | -0.000 | 0.000 | 
| 64.378 | 64.378 | 543.850 | -0.000 | -0.000 | 0.000 | 
| 1.964 | -1.939 | -0.010 | 159.704 | -0.000 | 0.000 | 
| 0.006 | 0.009 | -0.015 | -0.000 | 159.704 | 1.952 | 
| 0.009 | 0.011 | -0.011 | -0.000 | 1.895 | 194.112 | 
| 495.518 | 118.309 | 58.781 | 2.088 | 0.000 | -0.000 | 
| 108.408 | 498.270 | 65.930 | -1.914 | 0.000 | -0.000 | 
| 21.035 | 21.035 | 630.538 | -0.000 | 0.000 | -0.000 | 
| 1.951 | -1.953 | 0.001 | 159.705 | 0.000 | -0.000 | 
| -0.001 | -0.001 | 0.001 | 0.000 | 159.704 | 1.952 | 
| -0.002 | -0.001 | 0.001 | -0.000 | 2.216 | 181.280 | 
| 568.846 | 82.724 | 21.036 | 3.008 | -0.000 | 0.000 | 
| 82.724 | 568.845 | 21.035 | -3.008 | -0.000 | 0.000 | 
| 64.366 | 64.366 | 543.876 | 0.000 | -0.000 | 0.000 | 
| 1.952 | -1.951 | -0.001 | 159.700 | -0.000 | 0.000 | 
| 0.001 | 0.001 | -0.001 | -0.000 | 159.704 | 1.952 | 
| 0.002 | 0.001 | -0.001 | 0.000 | 2.216 | 181.280 | 
| -1605.833 | -1904.009 | 4229.617 | 1.563 | -0.000 | -0.000 | 
| 365.764 | 798.842 | -499.093 | -3.047 | 0.000 | 0.000 | 
| 20.643 | 20.643 | 632.865 | -0.000 | 0.000 | -0.000 | 
| 275.596 | 269.476 | -551.730 | 181.890 | -0.001 | -0.000 | 
| -3982.625 | -3982.635 | 8059.400 | 0.000 | 145.112 | 1.265 | 
| -2020.822 | -2020.821 | 4088.181 | 0.016 | 1.562 | 149.053 | 
| 5113.161 | 4817.241 | -9368.626 | 0.832 | -0.000 | 0.000 | 
| 4817.236 | 5113.163 | -9368.624 | -0.836 | -0.001 | 0.000 | 
| 20.632 | 20.633 | 632.838 | 0.000 | -0.000 | 0.000 | 
| 4668.947 | 4667.267 | -9446.929 | 136.203 | -0.000 | 0.000 | 
| 3982.625 | 3982.634 | -8059.384 | -0.001 | 145.111 | 1.265 | 
| 2020.820 | 2020.819 | -4088.159 | -0.016 | 1.560 | 149.054 | 
| 568.309 | 82.019 | 21.474 | 3.000 | -0.000 | -0.000 | 
| -222.504 | 205.525 | 696.581 | -2.152 | 0.000 | -0.000 | 
| 93.089 | 93.089 | 486.194 | 0.000 | 0.000 | -0.000 | 
| -200.904 | -204.055 | 409.624 | 151.271 | 0.000 | -0.000 | 
| -466.332 | -466.332 | 943.724 | -0.000 | 136.251 | 0.843 | 
| -318.970 | -318.970 | 645.388 | 0.002 | 2.089 | 213.475 | 
| 906.427 | 616.052 | -861.012 | 0.770 | -0.000 | -0.000 | 
| 286.729 | 455.405 | -71.320 | -2.180 | -0.000 | 0.000 | 
| 450.170 | 450.170 | -236.385 | -0.000 | -0.000 | -0.000 | 
| 466.878 | 465.189 | -943.116 | 136.280 | -0.000 | -0.000 | 
| 466.332 | 466.332 | -943.724 | 0.000 | 136.251 | 0.843 | 
| 318.970 | 318.970 | -645.389 | -0.002 | 2.090 | 213.475 | 
| 445.263 | 99.479 | 128.304 | 2.043 | 0.000 | -0.000 | 
| 155.540 | 444.239 | 72.622 | -2.223 | 0.000 | -0.000 | 
| 20.638 | 20.638 | 632.837 | 0.000 | -0.000 | -0.000 | 
| -39.657 | -41.886 | 82.509 | 141.823 | 0.000 | -0.000 | 
| 0.000 | 0.000 | -0.000 | 0.000 | 180.579 | 3.000 | 
| 0.000 | 0.000 | -0.000 | 0.000 | 3.000 | 243.145 | 
| 543.430 | 106.554 | 21.825 | 3.115 | 0.000 | -0.000 | 
| 82.018 | 568.307 | 21.477 | -3.000 | -0.000 | -0.000 | 
| 20.638 | 20.638 | 632.832 | 0.000 | -0.000 | -0.000 | 
| 18.833 | 15.365 | -34.590 | 154.553 | 0.000 | 0.000 | 
| -0.000 | -0.000 | 0.000 | -0.000 | 180.579 | 3.000 | 
| -0.000 | -0.000 | 0.000 | -0.000 | 3.000 | 243.145 | 
| 568.866 | 82.755 | 21.018 | 3.491 | 0.000 | 0.000 | 
| -755.406 | -363.222 | 1791.207 | -2.265 | -0.000 | -0.000 | 
| 21.030 | 21.030 | 630.507 | 0.000 | 0.000 | 0.000 | 
| -861.104 | -865.642 | 1726.709 | 159.704 | -0.000 | -0.000 | 
| -863.554 | -863.570 | 1727.083 | -0.001 | 159.698 | 2.265 | 
| -863.191 | -863.207 | 1726.402 | -0.002 | 2.264 | 184.947 | 
| 1363.760 | 971.602 | -1662.875 | 2.263 | 0.000 | -0.000 | 
| 82.727 | 568.848 | 21.078 | -3.490 | -0.000 | -0.000 | 
| 927.736 | 927.736 | -1182.794 | -0.000 | -0.000 | -0.000 | 
| 865.626 | 861.104 | -1726.717 | 159.705 | 0.000 | 0.000 | 
| 863.554 | 863.570 | -1727.085 | 0.001 | 159.697 | 2.265 | 
| 863.191 | 863.207 | -1726.403 | 0.002 | 2.264 | 184.947 | 
| 403.966 | 33.909 | 234.727 | 2.277 | -0.000 | 0.000 | 
| 21.395 | 413.154 | 238.057 | -2.258 | 0.000 | 0.000 | 
| -21.960 | -21.960 | 716.535 | 0.000 | -0.000 | 0.000 | 
| -84.070 | -88.599 | 172.672 | 159.705 | 0.000 | -0.000 | 
| -0.000 | -0.000 | -0.001 | -0.000 | 181.372 | 3.490 | 
| -84.914 | -84.907 | 169.818 | -0.000 | 2.285 | 185.077 | 
| 568.846 | 82.724 | 21.037 | 3.490 | -0.000 | 0.000 | 
| 203.431 | 573.785 | -104.609 | -2.299 | -0.000 | 0.000 | 
| 150.707 | 150.707 | 371.200 | -0.000 | 0.000 | -0.000 | 
| 88.598 | 84.070 | -172.672 | 159.705 | -0.000 | -0.000 | 
| 0.000 | 0.000 | 0.001 | 0.000 | 181.372 | 3.490 | 
| 84.914 | 84.907 | -169.818 | 0.000 | 2.285 | 185.077 | 
| 489.138 | 99.912 | 83.559 | 2.225 | 0.000 | -0.000 | 
| 112.833 | 484.460 | 75.316 | -2.392 | 0.000 | 0.000 | 
| 55.707 | 55.707 | 561.195 | 0.000 | 0.000 | 0.000 | 
| -6.367 | -10.896 | 17.263 | 159.709 | 0.000 | 0.000 | 
| -8.634 | -8.634 | 17.267 | -0.000 | 159.704 | 2.264 | 
| -9.130 | -9.129 | 18.259 | 0.000 | 2.194 | 193.403 | 
| 505.695 | 118.436 | 48.475 | 2.199 | -0.000 | -0.000 | 
| 118.434 | 505.697 | 48.474 | -2.199 | -0.000 | -0.000 | 
| 73.002 | 73.002 | 526.601 | -0.000 | 0.000 | -0.000 | 
| 10.895 | 6.367 | -17.263 | 159.710 | 0.000 | 0.000 | 
| 8.634 | 8.634 | -17.267 | 0.000 | 159.704 | 2.264 | 
| 9.130 | 9.129 | -18.259 | -0.000 | 2.194 | 193.403 | 
| 2609.281 | 2283.455 | -4273.930 | 1.383 | 0.001 | -0.000 | 
| 2284.373 | 2610.139 | -4275.742 | -1.383 | -0.000 | -0.000 | 
| 2242.380 | 2242.380 | -3866.073 | 0.000 | 0.001 | -0.000 | 
| 90.918 | 84.217 | -177.380 | 178.126 | -0.000 | 0.000 | 
| 0.003 | 0.003 | 0.023 | 0.000 | 180.528 | 3.480 | 
| 0.004 | 0.003 | 0.026 | 0.000 | 3.479 | 243.131 | 
| -1699.868 | -2026.270 | 4452.374 | 1.389 | 0.001 | 0.000 | 
| -2026.266 | -1699.872 | 4452.378 | -1.392 | -0.000 | 0.000 | 
| 20.604 | 20.604 | 632.878 | 0.000 | 0.000 | -0.000 | 
| -2153.818 | -2156.586 | 4364.104 | 143.459 | 0.001 | 0.000 | 
| -0.003 | -0.003 | -0.024 | -0.000 | 180.529 | 3.480 | 
| -0.004 | -0.003 | -0.029 | -0.000 | 3.480 | 243.131 | 
| 667.902 | 344.299 | -345.036 | 1.355 | -0.000 | -0.000 | 
| 106.706 | 543.191 | 21.775 | -3.431 | -0.000 | -0.000 | 
| 299.110 | 299.110 | 68.937 | -0.000 | -0.000 | -0.000 | 
| 216.561 | 213.780 | -435.706 | 143.518 | 0.000 | -0.000 | 
| 9.576 | 9.576 | -19.398 | -0.001 | 177.988 | 3.336 | 
| 0.000 | 0.000 | 0.002 | -0.000 | 3.480 | 243.132 | 
| 243.122 | -86.705 | 521.416 | 1.436 | 0.000 | 0.000 | 
| 81.961 | 568.226 | 21.486 | -3.480 | -0.000 | -0.000 | 
| -124.481 | -124.481 | 926.677 | 0.000 | -0.000 | 0.000 | 
| 3.479 | -3.480 | -0.001 | 180.529 | 0.000 | 0.000 | 
| -9.576 | -9.576 | 19.398 | 0.001 | 177.988 | 3.336 | 
| -0.000 | -0.000 | -0.003 | 0.000 | 3.480 | 243.132 | 
| 488.040 | 135.835 | 48.130 | 1.728 | 0.000 | -0.000 | 
| 118.605 | 524.889 | 28.266 | -2.987 | 0.000 | -0.000 | 
| 20.606 | 20.606 | 632.892 | -0.000 | -0.000 | -0.000 | 
| 8.515 | 2.739 | -11.395 | 170.048 | -0.000 | -0.000 | 
| 19.790 | 19.790 | -40.075 | 0.000 | 148.237 | 1.656 | 
| 17.842 | 17.843 | -36.129 | -0.000 | 1.747 | 176.827 | 
| 474.384 | 85.917 | 112.495 | 2.103 | -0.000 | 0.000 | 
| 110.700 | 494.543 | 66.991 | -2.638 | 0.000 | 0.000 | 
| 20.605 | 20.605 | 632.886 | -0.000 | -0.000 | 0.000 | 
| -17.327 | -20.603 | 38.403 | 147.908 | 0.000 | 0.000 | 
| -19.790 | -19.791 | 40.075 | -0.000 | 148.237 | 1.656 | 
| -17.842 | -17.843 | 36.129 | 0.000 | 1.747 | 176.827 | 
| 289.122 | -104.540 | 488.083 | 2.977 | 0.000 | -0.001 | 
| -104.546 | 289.092 | 488.112 | -2.978 | -0.000 | -0.001 | 
| -147.292 | -147.291 | 967.150 | 0.000 | -0.000 | -0.000 | 
| 4.628 | -4.560 | 0.002 | 181.372 | -0.000 | -0.000 | 
| -0.009 | 0.010 | -0.029 | -0.000 | 181.377 | 4.591 | 
| -211.853 | -211.859 | 423.729 | 0.000 | 2.978 | 196.820 | 
| 568.789 | 82.662 | 21.020 | 4.591 | 0.000 | 0.001 | 
| 82.728 | 568.855 | 21.066 | -4.592 | 0.000 | 0.001 | 
| 21.001 | 21.001 | 630.540 | -0.000 | 0.000 | 0.000 | 
| 4.553 | -4.625 | -0.005 | 181.373 | 0.000 | 0.001 | 
| 0.009 | -0.010 | 0.029 | 0.000 | 181.377 | 4.593 | 
| 211.853 | 211.859 | -423.729 | -0.000 | 2.978 | 196.820 | 
| 568.849 | 82.728 | 21.035 | 4.592 | -0.000 | -0.000 | 
| 82.727 | 568.849 | 21.034 | -4.592 | -0.000 | -0.000 | 
| 43.211 | 43.211 | 586.203 | 0.000 | -0.000 | -0.000 | 
| 4.593 | -4.590 | -0.003 | 181.372 | -0.000 | -0.000 | 
| -0.000 | 0.002 | -0.002 | -0.000 | 181.372 | 4.592 | 
| -21.870 | -21.873 | 43.745 | 0.000 | 2.925 | 195.320 | 
| 568.845 | 82.721 | 21.037 | 4.592 | 0.000 | 0.000 | 
| 82.724 | 568.847 | 21.039 | -4.592 | 0.000 | 0.000 | 
| 21.036 | 21.036 | 630.538 | 0.000 | 0.000 | 0.000 | 
| 4.590 | -4.593 | 0.003 | 181.372 | 0.000 | 0.000 | 
| 0.000 | -0.002 | 0.002 | 0.000 | 181.372 | 4.592 | 
| 21.870 | 21.873 | -43.745 | -0.000 | 2.925 | 195.320 | 
| 568.849 | 82.726 | 21.036 | 4.592 | -0.000 | -0.000 | 
| 105.830 | 496.706 | 70.072 | -2.929 | -0.000 | -0.000 | 
| 62.257 | 62.257 | 548.096 | 0.000 | -0.000 | -0.000 | 
| 0.863 | -5.095 | 4.233 | 159.706 | -0.000 | -0.000 | 
| 0.000 | 0.001 | -0.000 | 0.000 | 181.372 | 4.592 | 
| -2.378 | -2.377 | 4.755 | -0.000 | 2.780 | 181.844 | 
| 500.787 | 110.307 | 61.512 | 2.922 | 0.000 | 0.000 | 
| 118.745 | 498.589 | 55.272 | -3.180 | 0.000 | 0.000 | 
| 66.488 | 66.488 | 539.631 | 0.000 | 0.000 | 0.000 | 
| 5.095 | -0.863 | -4.233 | 159.706 | 0.000 | 0.000 | 
| -0.000 | -0.001 | 0.000 | -0.000 | 181.372 | 4.592 | 
| 2.378 | 2.377 | -4.755 | 0.000 | 2.780 | 181.844 | 
| 568.685 | 82.516 | 21.156 | 4.587 | -0.000 | -0.000 | 
| 82.521 | 568.689 | 21.163 | -4.588 | -0.000 | -0.000 | 
| 20.925 | 20.925 | 631.195 | -0.000 | -0.000 | -0.000 | 
| -788.011 | -794.328 | 1587.792 | 161.915 | 0.000 | -0.000 | 
| -1194.317 | -1194.321 | 2396.854 | 0.001 | 152.256 | 2.441 | 
| -1194.255 | -1194.262 | 2396.742 | 0.001 | 2.441 | 181.561 | 
| 568.695 | 82.521 | 21.154 | 4.590 | 0.000 | 0.000 | 
| 900.882 | 1291.750 | -1525.552 | -3.154 | 0.000 | 0.000 | 
| 1267.635 | 1267.635 | -1870.742 | -0.000 | 0.001 | 0.000 | 
| 1196.857 | 1191.973 | -2397.055 | 152.252 | 0.001 | -0.000 | 
| 1194.317 | 1194.321 | -2396.860 | -0.001 | 152.255 | 2.441 | 
| 1194.255 | 1194.262 | -2396.751 | -0.001 | 2.440 | 181.561 | 
| 364.370 | -2.009 | 311.003 | 2.496 | -0.000 | -0.000 | 
| 30.917 | 420.425 | 221.713 | -3.134 | -0.000 | -0.000 | 
| -18.453 | -18.453 | 710.215 | 0.000 | -0.000 | 0.000 | 
| -76.114 | -82.424 | 159.081 | 161.876 | -0.000 | -0.000 | 
| -119.112 | -119.112 | 239.042 | 0.000 | 152.333 | 2.445 | 
| -79.188 | -79.190 | 158.923 | 0.000 | 3.157 | 195.334 | 
| 568.686 | 82.517 | 21.161 | 4.588 | 0.000 | 0.000 | 
| 236.971 | 598.125 | -163.363 | -2.405 | 0.000 | 0.000 | 
| 156.743 | 156.743 | 358.617 | -0.000 | -0.000 | 0.000 | 
| 82.439 | 76.130 | -159.117 | 161.872 | -0.000 | 0.000 | 
| 119.112 | 119.112 | -239.042 | -0.000 | 152.333 | 2.445 | 
| 79.188 | 79.190 | -158.922 | -0.000 | 3.157 | 195.334 | 
| 485.423 | 99.315 | 87.861 | 2.841 | -0.000 | -0.000 | 
| 99.315 | 485.421 | 87.862 | -2.841 | 0.000 | -0.000 | 
| 54.536 | 54.536 | 563.737 | -0.000 | 0.000 | -0.000 | 
| -7.673 | -13.110 | 20.854 | 156.009 | -0.000 | -0.000 | 
| -10.391 | -10.391 | 20.854 | 0.000 | 156.010 | 2.719 | 
| -10.191 | -10.191 | 20.452 | 0.000 | 2.755 | 190.585 | 
| 568.686 | 82.517 | 21.163 | 4.588 | 0.000 | 0.000 | 
| 120.264 | 502.153 | 50.049 | -2.767 | 0.000 | 0.000 | 
| 75.766 | 75.766 | 521.126 | -0.000 | 0.000 | 0.000 | 
| 13.109 | 7.672 | -20.852 | 156.012 | 0.000 | 0.000 | 
| 10.391 | 10.391 | -20.854 | -0.000 | 156.010 | 2.719 | 
| 10.191 | 10.191 | -20.452 | -0.000 | 2.755 | 190.585 | 
| 497.898 | 105.241 | 69.578 | 0.000 | -0.000 | -0.000 | 
| 82.712 | 568.838 | 21.059 | -0.000 | 0.000 | -0.000 | 
| 62.368 | 62.368 | 547.873 | -0.000 | 0.000 | -0.000 | 
| -1.996 | -1.986 | 4.010 | 159.708 | -0.000 | -0.000 | 
| -1.990 | -1.988 | 4.052 | 0.000 | 159.707 | -0.000 | 
| -2.049 | -2.039 | 4.199 | -0.000 | 0.000 | 195.695 | 
| 568.801 | 82.699 | 20.960 | -0.000 | -0.000 | 0.000 | 
| 109.370 | 501.756 | 61.423 | -0.000 | -0.000 | 0.000 | 
| 21.046 | 21.046 | 630.514 | -0.000 | -0.000 | 0.000 | 
| 1.996 | 1.986 | -4.011 | 159.708 | -0.000 | 0.000 | 
| 1.990 | 1.988 | -4.052 | -0.000 | 159.706 | 0.000 | 
| 2.049 | 2.039 | -4.199 | 0.000 | 0.000 | 195.695 | 
| 568.847 | 82.723 | 21.038 | 0.000 | 0.000 | -0.000 | 
| 107.074 | 499.626 | 65.910 | 0.000 | 0.000 | 0.000 | 
| 21.035 | 21.035 | 630.536 | 0.000 | 0.000 | -0.000 | 
| -0.201 | -0.200 | 0.402 | 159.705 | 0.000 | 0.000 | 
| -0.202 | -0.202 | 0.403 | -0.000 | 159.704 | -0.000 | 
| -0.206 | -0.205 | 0.419 | -0.000 | 0.000 | 195.680 | 
| 500.017 | 107.492 | 65.095 | -0.000 | -0.000 | 0.000 | 
| 82.723 | 568.844 | 21.029 | -0.000 | 0.000 | 0.000 | 
| 64.575 | 64.575 | 543.458 | -0.000 | 0.000 | 0.000 | 
| 0.201 | 0.200 | -0.402 | 159.705 | -0.000 | 0.000 | 
| 0.202 | 0.202 | -0.403 | 0.000 | 159.704 | -0.000 | 
| 0.206 | 0.205 | -0.419 | -0.000 | -0.000 | 195.680 | 
| 499.802 | 107.263 | 65.544 | 0.000 | 0.000 | -0.000 | 
| 107.259 | 499.817 | 65.535 | -0.000 | -0.000 | -0.000 | 
| 64.303 | 64.303 | 544.003 | 0.000 | 0.000 | -0.000 | 
| -0.000 | -0.000 | 0.000 | 181.373 | -0.000 | -0.000 | 
| -0.020 | -0.020 | 0.040 | -0.000 | 159.705 | -0.000 | 
| -0.021 | -0.020 | 0.042 | 0.000 | 0.000 | 195.681 | 
| 499.840 | 107.304 | 65.461 | 0.000 | -0.000 | 0.000 | 
| 82.725 | 568.845 | 21.035 | -0.000 | -0.000 | 0.000 | 
| 64.389 | 64.389 | 543.826 | -0.000 | -0.000 | 0.000 | 
| 0.000 | 0.000 | -0.000 | 181.373 | 0.000 | 0.000 | 
| 0.020 | 0.020 | -0.040 | 0.000 | 159.705 | -0.000 | 
| 0.021 | 0.020 | -0.042 | -0.000 | -0.000 | 195.681 | 
| 966.404 | 614.381 | -911.035 | -0.000 | 0.000 | -0.000 | 
| 82.566 | 568.725 | 21.153 | 0.000 | 0.000 | -0.000 | 
| 387.734 | 387.734 | -104.618 | -0.000 | 0.000 | -0.000 | 
| 0.012 | 0.006 | 0.005 | 181.181 | 0.000 | -0.000 | 
| 492.664 | 492.670 | -988.140 | -0.000 | 149.543 | 0.000 | 
| 492.554 | 492.547 | -987.879 | -0.000 | -0.000 | 176.571 | 
| -16.996 | -371.260 | 1063.626 | 0.000 | -0.000 | 0.000 | 
| -371.301 | -17.030 | 1063.665 | -0.000 | -0.000 | 0.000 | 
| -255.604 | -255.603 | 1185.767 | 0.000 | -0.000 | -0.000 | 
| -0.011 | -0.005 | -0.005 | 181.181 | -0.000 | 0.000 | 
| -492.664 | -492.670 | 988.140 | -0.000 | 149.542 | 0.001 | 
| -492.554 | -492.547 | 987.879 | 0.000 | -0.000 | 176.572 | 
| 568.714 | 82.554 | 21.141 | 0.000 | 0.000 | -0.000 | 
| 82.554 | 568.715 | 21.142 | 0.000 | -0.000 | -0.000 | 
| 117.027 | 117.027 | 438.362 | -0.000 | -0.000 | 0.000 | 
| -0.001 | -0.001 | -0.001 | 181.181 | 0.000 | -0.000 | 
| 0.001 | 0.000 | 0.001 | -0.000 | 181.181 | -0.000 | 
| -0.001 | -0.001 | -0.001 | 0.000 | 0.000 | 243.080 | 
| 466.913 | 75.887 | 129.920 | 0.000 | 0.000 | 0.000 | 
| 69.658 | 436.857 | 166.298 | 0.000 | -0.000 | 0.000 | 
| 36.271 | 36.271 | 600.339 | 0.000 | -0.000 | 0.000 | 
| 0.001 | 0.001 | 0.001 | 181.181 | -0.000 | 0.000 | 
| -0.001 | -0.000 | -0.001 | -0.000 | 181.181 | -0.000 | 
| 0.001 | 0.001 | 0.001 | -0.000 | 0.000 | 243.080 | 
| 502.977 | 113.089 | 56.444 | -0.000 | 0.000 | -0.000 | 
| 113.063 | 503.036 | 56.409 | -0.000 | 0.000 | -0.000 | 
| 67.722 | 67.722 | 537.252 | -0.000 | 0.000 | -0.000 | 
| 3.362 | 3.362 | -6.743 | 159.553 | 0.000 | -0.000 | 
| 0.000 | 0.000 | -0.000 | -0.000 | 181.181 | 0.000 | 
| 0.000 | 0.000 | -0.000 | 0.000 | 0.000 | 243.080 | 
| 495.455 | 103.808 | 73.291 | 0.000 | -0.000 | 0.000 | 
| 106.687 | 496.008 | 69.848 | -0.000 | -0.000 | 0.000 | 
| 61.609 | 61.609 | 549.509 | 0.000 | -0.000 | -0.000 | 
| -3.362 | -3.362 | 6.743 | 159.553 | -0.000 | 0.000 | 
| -0.000 | -0.000 | 0.000 | 0.000 | 181.181 | 0.000 | 
| -0.000 | -0.000 | 0.000 | -0.000 | 0.000 | 243.080 | 
| 568.899 | 82.748 | 21.107 | 0.000 | -0.000 | 0.000 | 
| 82.711 | 568.837 | 21.058 | 0.000 | -0.000 | -0.000 | 
| 58.843 | 58.843 | 555.141 | 0.000 | -0.000 | -0.000 | 
| 0.065 | 0.060 | 0.098 | 181.373 | -0.000 | 0.000 | 
| 0.024 | 0.012 | 0.036 | 0.000 | 181.368 | 0.000 | 
| 0.025 | 0.012 | 0.036 | 0.000 | -0.000 | 243.059 | 
| 568.801 | 82.698 | 20.961 | -0.000 | 0.000 | -0.000 | 
| 114.745 | 503.113 | 54.582 | -0.000 | 0.000 | 0.000 | 
| 21.024 | 21.024 | 630.509 | -0.000 | 0.000 | 0.000 | 
| -0.065 | -0.060 | -0.098 | 181.373 | 0.000 | -0.000 | 
| -0.024 | -0.012 | -0.036 | -0.000 | 181.369 | -0.000 | 
| -0.025 | -0.012 | -0.035 | -0.000 | 0.000 | 243.059 | 
| 497.245 | 108.172 | 67.204 | 0.000 | -0.000 | -0.000 | 
| 82.727 | 568.852 | 21.040 | 0.000 | -0.000 | 0.000 | 
| 21.034 | 21.034 | 630.540 | 0.000 | -0.000 | -0.000 | 
| 0.007 | 0.007 | 0.007 | 181.371 | -0.000 | 0.000 | 
| 0.000 | 0.000 | 0.000 | 0.000 | 181.371 | -0.000 | 
| 0.002 | 0.001 | 0.004 | 0.000 | -0.000 | 243.062 | 
| 568.841 | 82.719 | 21.032 | -0.000 | 0.000 | 0.000 | 
| 120.770 | 486.956 | 64.868 | -0.000 | 0.000 | -0.000 | 
| 64.923 | 64.923 | 542.736 | -0.000 | 0.000 | 0.000 | 
| -0.007 | -0.007 | -0.007 | 181.371 | 0.000 | -0.000 | 
| -0.000 | -0.000 | -0.000 | -0.000 | 181.372 | 0.000 | 
| -0.002 | -0.001 | -0.004 | -0.000 | 0.000 | 243.062 | 
| 497.724 | 108.709 | 66.177 | 0.000 | -0.000 | 0.000 | 
| 108.710 | 497.722 | 66.179 | 0.000 | -0.000 | 0.000 | 
| 21.036 | 21.036 | 630.542 | 0.000 | -0.000 | -0.000 | 
| -0.056 | -0.056 | 0.112 | 159.702 | -0.000 | 0.000 | 
| 0.000 | 0.000 | 0.000 | 0.000 | 181.371 | -0.000 | 
| 0.001 | 0.001 | 0.001 | 0.000 | -0.000 | 243.061 | 
| 568.845 | 82.724 | 21.035 | -0.000 | 0.000 | -0.000 | 
| 82.723 | 568.844 | 21.035 | -0.000 | 0.000 | 0.000 | 
| 64.429 | 64.429 | 543.747 | -0.000 | 0.000 | 0.000 | 
| 0.056 | 0.056 | -0.112 | 159.702 | 0.000 | -0.000 | 
| -0.000 | -0.000 | -0.000 | -0.000 | 181.371 | 0.000 | 
| -0.001 | -0.001 | -0.001 | -0.000 | 0.000 | 243.061 | 
| 568.681 | 82.520 | 21.146 | -0.000 | 0.000 | 0.000 | 
| 82.524 | 568.689 | 21.158 | -0.000 | -0.000 | 0.000 | 
| 20.911 | 20.911 | 631.179 | -0.000 | 0.000 | 0.000 | 
| 0.004 | 0.005 | -0.010 | 181.135 | -0.000 | 0.000 | 
| -0.009 | 0.000 | -0.017 | -0.000 | 181.134 | -0.000 | 
| -0.001 | 0.008 | -0.011 | -0.000 | -0.000 | 243.084 | 
| 568.673 | 82.496 | 21.179 | -0.000 | -0.000 | -0.000 | 
| 82.505 | 568.682 | 21.180 | -0.000 | 0.000 | -0.000 | 
| 324.925 | 324.925 | 21.095 | -0.000 | 0.000 | -0.000 | 
| -0.005 | -0.006 | 0.010 | 181.135 | 0.000 | -0.000 | 
| 0.009 | 0.000 | 0.017 | 0.000 | 181.134 | -0.000 | 
| 0.001 | -0.008 | 0.011 | 0.000 | -0.000 | 243.083 | 
| 474.232 | 93.091 | 105.329 | -0.000 | -0.000 | -0.000 | 
| 86.002 | 472.864 | 113.819 | 0.000 | -0.000 | 0.000 | 
| 20.914 | 20.914 | 631.209 | -0.000 | -0.000 | -0.000 | 
| -24.458 | -24.457 | 49.085 | 156.725 | 0.000 | 0.000 | 
| -0.000 | 0.001 | -0.001 | -0.000 | 181.135 | -0.000 | 
| -24.365 | -24.366 | 48.902 | 0.000 | 0.000 | 190.679 | 
| 513.811 | 137.405 | 21.148 | -0.000 | 0.000 | -0.000 | 
| 132.162 | 519.050 | 21.153 | -0.000 | 0.000 | -0.000 | 
| 20.917 | 20.917 | 631.215 | 0.000 | -0.000 | 0.000 | 
| 24.458 | 24.457 | -49.086 | 156.725 | 0.000 | -0.000 | 
| 0.000 | -0.001 | 0.001 | 0.000 | 181.135 | -0.000 | 
| 24.365 | 24.366 | -48.902 | -0.000 | 0.000 | 190.679 | 
| 495.604 | 106.144 | 70.784 | 0.000 | -0.000 | 0.000 | 
| 106.124 | 495.666 | 70.742 | -0.000 | 0.000 | 0.000 | 
| 62.213 | 62.213 | 548.327 | 0.000 | -0.000 | 0.000 | 
| -2.175 | -2.175 | 4.365 | 159.427 | -0.000 | 0.000 | 
| -2.175 | -2.175 | 4.365 | 0.000 | 159.427 | 0.000 | 
| -1.511 | -1.512 | 3.033 | 0.000 | 0.000 | 190.230 | 
| 568.678 | 82.511 | 21.165 | 0.000 | 0.000 | -0.000 | 
| 110.785 | 499.746 | 61.968 | 0.000 | -0.000 | -0.000 | 
| 66.522 | 66.522 | 539.676 | -0.000 | -0.000 | -0.000 | 
| 2.175 | 2.175 | -4.365 | 159.427 | 0.000 | -0.000 | 
| 2.175 | 2.175 | -4.365 | -0.000 | 159.427 | 0.000 | 
| 1.511 | 1.512 | -3.033 | -0.000 | 0.000 | 190.230 | 
| 495.784 | 107.213 | 69.714 | 33.251 | 0.000 | -0.000 | 
| 107.234 | 495.759 | 69.732 | -33.239 | 0.000 | 0.000 | 
| 62.644 | 62.644 | 547.320 | 0.000 | -0.000 | -0.000 | 
| 52.412 | -52.289 | 0.026 | 181.374 | 0.000 | -0.000 | 
| -1.692 | -1.719 | 3.484 | 0.006 | 159.688 | 33.945 | 
| 0.025 | 0.037 | 0.012 | -0.003 | 52.344 | 243.059 | 
| 498.203 | 115.481 | 58.879 | 34.889 | -0.000 | 0.000 | 
| 82.712 | 568.838 | 21.058 | -52.346 | 0.000 | 0.000 | 
| 66.044 | 66.044 | 540.299 | 0.000 | -0.000 | 0.000 | 
| 35.719 | -32.229 | -3.474 | 159.712 | 0.000 | -0.000 | 
| 1.692 | 1.719 | -3.484 | -0.006 | 159.688 | 33.945 | 
| -0.025 | -0.037 | -0.013 | 0.003 | 52.344 | 243.059 | 
| 497.241 | 108.868 | 66.501 | 33.210 | -0.000 | 0.000 | 
| 108.867 | 497.249 | 66.496 | -33.212 | 0.000 | 0.000 | 
| 21.035 | 21.035 | 630.537 | 0.000 | -0.000 | -0.000 | 
| 33.786 | -34.134 | 0.350 | 159.705 | 0.000 | -0.000 | 
| -0.172 | -0.174 | 0.346 | 0.001 | 159.706 | 33.961 | 
| 0.000 | 0.000 | 0.000 | -0.000 | 52.345 | 243.061 | 
| 497.573 | 109.237 | 65.794 | 33.203 | 0.000 | -0.000 | 
| 109.238 | 497.570 | 65.793 | -33.202 | 0.000 | 0.000 | 
| 21.035 | 21.035 | 630.536 | -0.000 | -0.000 | -0.000 | 
| 34.131 | -33.788 | -0.348 | 159.705 | 0.000 | 0.000 | 
| 0.172 | 0.174 | -0.346 | -0.001 | 159.706 | 33.961 | 
| -0.000 | -0.000 | -0.000 | 0.000 | 52.345 | 243.061 | 
| 497.391 | 109.037 | 66.183 | 33.206 | 0.000 | -0.000 | 
| 113.833 | 496.387 | 62.391 | -34.814 | -0.000 | 0.000 | 
| 64.306 | 64.306 | 543.998 | -0.000 | -0.000 | -0.000 | 
| 33.938 | -33.972 | 0.035 | 159.700 | 0.000 | 0.000 | 
| -0.017 | -0.017 | 0.035 | 0.000 | 159.705 | 33.959 | 
| -0.018 | -0.018 | 0.037 | 0.000 | 32.837 | 193.234 | 
| 497.422 | 109.072 | 66.110 | 33.205 | -0.000 | 0.000 | 
| 82.724 | 568.845 | 21.035 | -52.345 | 0.000 | 0.000 | 
| 64.387 | 64.387 | 543.833 | -0.000 | -0.000 | -0.000 | 
| 33.976 | -33.942 | -0.035 | 159.704 | 0.000 | 0.000 | 
| 0.017 | 0.017 | -0.035 | -0.000 | 159.705 | 33.959 | 
| 0.018 | 0.018 | -0.037 | -0.000 | 32.837 | 193.234 | 
| 568.750 | 82.600 | 21.120 | 52.321 | -0.000 | -0.000 | 
| 91.413 | 473.096 | 108.176 | -34.272 | -0.000 | 0.000 | 
| 41.891 | 41.891 | 589.004 | -0.000 | -0.000 | 0.000 | 
| 11.270 | -56.567 | 45.433 | 159.535 | -0.000 | 0.000 | 
| -22.668 | -22.660 | 45.430 | -0.001 | 159.532 | 33.915 | 
| 0.007 | 0.004 | 0.010 | -0.000 | 52.321 | 243.079 | 
| 568.753 | 82.601 | 21.103 | 52.322 | 0.000 | 0.000 | 
| 82.606 | 568.747 | 21.093 | -52.321 | 0.000 | -0.000 | 
| 87.015 | 87.015 | 498.573 | -0.000 | 0.000 | 0.000 | 
| 52.328 | -52.321 | -0.022 | 181.234 | 0.000 | 0.000 | 
| 22.668 | 22.661 | -45.430 | 0.001 | 159.532 | 33.915 | 
| -0.007 | -0.003 | -0.010 | 0.000 | 52.321 | 243.079 | 
| 494.032 | 111.529 | 67.006 | 34.708 | -0.000 | -0.000 | 
| 111.527 | 494.033 | 67.009 | -34.709 | -0.000 | -0.000 | 
| 62.106 | 62.106 | 548.492 | -0.000 | 0.000 | -0.000 | 
| 31.691 | -36.213 | 4.535 | 159.579 | 0.000 | -0.000 | 
| -2.260 | -2.258 | 4.534 | -0.000 | 159.579 | 33.953 | 
| 0.000 | -0.000 | 0.001 | -0.000 | 52.320 | 243.076 | 
| 499.543 | 111.292 | 61.708 | 33.154 | 0.000 | -0.000 | 
| 115.848 | 498.741 | 57.950 | -34.888 | 0.000 | 0.000 | 
| 66.626 | 66.627 | 539.424 | 0.000 | 0.000 | 0.000 | 
| 36.211 | -31.691 | -4.537 | 159.579 | 0.000 | 0.000 | 
| 2.260 | 2.258 | -4.534 | 0.000 | 159.579 | 33.953 | 
| -0.000 | 0.000 | -0.001 | 0.000 | 52.320 | 243.076 | 
| 496.153 | 113.481 | 62.921 | 34.785 | -0.000 | -0.000 | 
| 108.613 | 497.186 | 66.764 | -33.216 | -0.000 | -0.000 | 
| 64.143 | 64.143 | 544.406 | -0.000 | -0.000 | -0.000 | 
| 33.727 | -34.180 | 0.453 | 159.580 | -0.000 | -0.000 | 
| 0.000 | 0.000 | 0.000 | 0.000 | 181.234 | 52.321 | 
| -0.205 | -0.205 | 0.410 | 0.000 | 35.648 | 192.268 | 
| 568.752 | 82.601 | 21.112 | 52.320 | 0.000 | 0.000 | 
| 109.101 | 497.603 | 65.853 | -33.202 | 0.000 | 0.000 | 
| 64.591 | 64.591 | 543.505 | -0.000 | 0.000 | -0.000 | 
| 34.179 | -33.727 | -0.454 | 159.580 | 0.000 | 0.000 | 
| -0.000 | -0.000 | -0.000 | -0.000 | 181.234 | 52.321 | 
| 0.205 | 0.205 | -0.410 | -0.000 | 35.648 | 192.268 | 
| 568.850 | 82.724 | 21.035 | 0.000 | -0.000 | 0.000 | 
| 109.883 | 498.076 | 64.664 | -0.000 | -0.000 | 0.000 | 
| 21.101 | 21.102 | 630.626 | -0.000 | -0.000 | 0.001 | 
| 0.020 | 0.010 | 0.031 | 181.371 | -0.000 | 0.000 | 
| 0.025 | 0.013 | 0.038 | -0.000 | 181.369 | 0.000 | 
| -0.000 | 0.000 | 0.001 | -0.000 | -0.000 | 243.049 | 
| 568.838 | 82.718 | 21.029 | -0.001 | 0.000 | -0.000 | 
| 82.705 | 568.807 | 21.021 | -0.000 | 0.000 | -0.000 | 
| 63.604 | 63.604 | 545.399 | -0.000 | 0.000 | -0.000 | 
| -0.024 | -0.012 | -0.037 | 181.372 | 0.000 | -0.000 | 
| -0.025 | -0.013 | -0.038 | 0.000 | 181.370 | -0.000 | 
| 0.000 | -0.000 | -0.001 | 0.000 | 0.000 | 243.047 | 
| 568.846 | 82.723 | 21.038 | -0.000 | -0.000 | 0.000 | 
| 121.434 | 494.095 | 57.086 | 0.000 | -0.000 | 0.000 | 
| 64.446 | 64.446 | 543.716 | -0.000 | -0.000 | 0.000 | 
| 0.076 | 0.075 | -0.147 | 159.704 | -0.000 | 0.000 | 
| 0.076 | 0.073 | -0.149 | -0.000 | 159.704 | 0.000 | 
| 0.002 | 0.001 | 0.004 | 0.000 | -0.000 | 243.062 | 
| 493.915 | 121.286 | 57.397 | -0.000 | 0.000 | -0.000 | 
| 82.717 | 568.841 | 21.027 | 0.000 | 0.000 | -0.000 | 
| 21.035 | 21.035 | 630.537 | -0.000 | 0.000 | -0.000 | 
| -0.076 | -0.075 | 0.148 | 159.704 | 0.000 | -0.000 | 
| -0.076 | -0.073 | 0.149 | 0.000 | 159.704 | -0.000 | 
| -0.002 | -0.001 | -0.004 | -0.000 | 0.000 | 243.062 | 
| 497.375 | 109.077 | 66.157 | -0.000 | -0.000 | 0.000 | 
| 121.369 | 494.006 | 57.234 | 0.000 | -0.000 | 0.000 | 
| 64.330 | 64.330 | 543.948 | -0.000 | -0.000 | 0.000 | 
| 0.000 | 0.000 | 0.000 | 181.372 | -0.000 | 0.000 | 
| 0.000 | 0.000 | 0.000 | -0.000 | 181.372 | 0.000 | 
| 0.008 | 0.008 | -0.016 | -0.000 | -0.000 | 193.192 | 
| 568.845 | 82.724 | 21.035 | 0.000 | 0.000 | -0.000 | 
| 109.059 | 497.360 | 66.186 | -0.000 | 0.000 | -0.000 | 
| 64.364 | 64.364 | 543.877 | 0.000 | 0.000 | 0.000 | 
| -0.000 | -0.000 | -0.000 | 181.372 | 0.000 | -0.000 | 
| -0.000 | -0.000 | -0.000 | 0.000 | 181.372 | -0.000 | 
| -0.008 | -0.008 | 0.016 | 0.000 | 0.000 | 193.192 | 
| 568.679 | 82.503 | 21.183 | 0.002 | 0.000 | 0.000 | 
| 82.505 | 568.671 | 21.183 | 0.001 | 0.000 | 0.000 | 
| 20.911 | 20.912 | 631.256 | 0.000 | 0.000 | 0.000 | 
| 0.006 | 0.004 | 0.008 | 181.120 | -0.000 | -0.000 | 
| -38.498 | -38.463 | 77.236 | -0.024 | 157.904 | 0.009 | 
| -46.392 | -46.386 | 93.178 | -0.001 | -0.003 | 181.838 | 
| 568.662 | 82.494 | 21.170 | -0.004 | -0.000 | 0.000 | 
| 82.491 | 568.663 | 21.171 | 0.001 | -0.000 | -0.000 | 
| 97.648 | 97.648 | 477.206 | -0.000 | 0.000 | -0.000 | 
| 0.000 | -0.003 | -0.010 | 181.117 | -0.000 | -0.000 | 
| 38.498 | 38.463 | -77.236 | 0.024 | 157.904 | 0.009 | 
| 46.392 | 46.386 | -93.178 | 0.002 | -0.003 | 181.838 | 
| 568.666 | 82.495 | 21.175 | -0.000 | 0.000 | 0.000 | 
| 105.084 | 493.388 | 74.064 | -0.001 | 0.000 | 0.000 | 
| 20.905 | 20.905 | 631.259 | 0.000 | 0.000 | -0.000 | 
| -3.643 | -3.643 | 7.318 | 158.905 | -0.000 | -0.000 | 
| -3.645 | -3.645 | 7.317 | -0.000 | 158.905 | 0.000 | 
| -0.000 | -0.000 | -0.000 | 0.000 | 0.000 | 243.086 | 
| 568.666 | 82.495 | 21.174 | -0.000 | 0.000 | 0.000 | 
| 112.810 | 500.105 | 59.567 | 0.000 | -0.000 | -0.000 | 
| 68.193 | 68.193 | 536.330 | 0.000 | -0.000 | 0.000 | 
| 3.645 | 3.645 | -7.315 | 158.905 | -0.000 | -0.000 | 
| 3.645 | 3.645 | -7.317 | 0.000 | 158.905 | 0.000 | 
| 0.000 | 0.000 | 0.000 | -0.000 | 0.000 | 243.086 | 
| 493.630 | 120.638 | 58.208 | 0.000 | 0.000 | 0.000 | 
| 120.639 | 493.628 | 58.210 | -0.000 | -0.000 | 0.000 | 
| 64.007 | 64.007 | 544.734 | -0.000 | 0.000 | 0.000 | 
| -0.355 | -0.355 | 0.713 | 159.469 | 0.000 | -0.000 | 
| -0.355 | -0.355 | 0.713 | 0.000 | 159.469 | -0.000 | 
| 0.000 | 0.000 | 0.000 | 0.000 | 0.000 | 243.085 | 
| 497.651 | 109.092 | 65.758 | 0.000 | -0.000 | 0.000 | 
| 121.344 | 494.348 | 56.775 | 0.000 | -0.000 | -0.000 | 
| 64.715 | 64.715 | 543.307 | -0.000 | -0.000 | -0.000 | 
| 0.355 | 0.355 | -0.713 | 159.469 | 0.000 | 0.000 | 
| 0.355 | 0.355 | -0.713 | -0.000 | 159.469 | -0.000 | 
| -0.000 | -0.000 | -0.000 | -0.000 | 0.000 | 243.085 | 
| 512.706 | 122.281 | 37.611 | 0.000 | 0.000 | -0.000 | 
| 127.024 | 511.377 | 34.313 | 0.000 | 0.000 | 0.000 | 
| 21.044 | 21.044 | 630.519 | -0.000 | -0.000 | 0.000 | 
| 0.023 | 0.035 | 0.015 | 181.371 | -0.000 | 0.000 | 
| 0.033 | 0.039 | 0.026 | -0.000 | 181.372 | -0.001 | 
| 0.049 | 0.048 | 0.045 | 0.000 | 0.000 | 243.069 | 
| 568.851 | 82.726 | 21.038 | 0.000 | -0.000 | -0.000 | 
| 82.701 | 568.833 | 21.037 | -0.001 | 0.000 | -0.000 | 
| 50.670 | 50.670 | 571.274 | 0.000 | -0.000 | -0.000 | 
| -0.023 | -0.035 | -0.016 | 181.371 | 0.000 | -0.000 | 
| -0.033 | -0.039 | -0.026 | 0.000 | 181.371 | -0.001 | 
| -0.049 | -0.048 | -0.046 | -0.000 | -0.000 | 243.069 | 
| 568.850 | 82.729 | 21.036 | 0.000 | -0.000 | 0.000 | 
| 82.731 | 568.852 | 21.038 | 0.000 | -0.000 | 0.000 | 
| 65.748 | 65.748 | 541.133 | -0.000 | -0.000 | 0.000 | 
| 1.373 | 1.372 | -2.738 | 159.704 | 0.000 | -0.000 | 
| 0.001 | 0.001 | -0.000 | 0.000 | 181.372 | 0.000 | 
| 0.001 | 0.003 | -0.002 | 0.000 | -0.000 | 243.061 | 
| 497.909 | 106.262 | 68.423 | 0.000 | 0.000 | -0.000 | 
| 82.722 | 568.843 | 21.035 | -0.000 | -0.000 | -0.000 | 
| 21.035 | 21.035 | 630.538 | 0.000 | -0.000 | -0.000 | 
| -1.373 | -1.372 | 2.738 | 159.704 | 0.000 | 0.000 | 
| -0.001 | -0.001 | 0.000 | -0.000 | 181.372 | -0.000 | 
| -0.001 | -0.003 | 0.002 | -0.000 | -0.000 | 243.061 | 
| 568.849 | 82.725 | 21.036 | -0.000 | -0.000 | 0.000 | 
| 107.850 | 499.371 | 65.389 | 0.000 | 0.000 | 0.000 | 
| 64.506 | 64.506 | 543.597 | -0.000 | 0.000 | 0.000 | 
| 0.001 | 0.000 | 0.000 | 181.372 | -0.000 | 0.000 | 
| 0.000 | 0.000 | 0.000 | 0.000 | 181.372 | -0.000 | 
| 0.076 | 0.078 | -0.153 | 0.000 | 0.000 | 182.414 | 
| 499.099 | 107.561 | 65.943 | -0.000 | 0.000 | 0.000 | 
| 107.581 | 499.045 | 65.978 | -0.000 | 0.000 | -0.000 | 
| 64.232 | 64.232 | 544.141 | 0.000 | -0.000 | -0.000 | 
| -0.001 | -0.000 | -0.000 | 181.372 | -0.000 | -0.000 | 
| -0.000 | -0.000 | -0.000 | -0.000 | 181.372 | -0.000 | 
| -0.076 | -0.078 | 0.153 | -0.000 | 0.000 | 182.414 | 
| 1420.842 | 1094.093 | -1848.815 | 0.003 | 0.000 | 0.000 | 
| 82.514 | 568.681 | 21.164 | 0.001 | 0.000 | 0.000 | 
| 1040.736 | 1040.736 | -1415.285 | -0.000 | 0.000 | 0.000 | 
| -0.004 | -0.001 | 0.009 | 181.147 | 0.000 | 0.000 | 
| 961.928 | 961.936 | -1930.326 | 0.004 | 143.803 | 0.005 | 
| 961.772 | 961.779 | -1930.009 | 0.002 | -0.001 | 164.012 | 
| -500.779 | -830.095 | 2009.881 | -0.001 | -0.000 | -0.000 | 
| -368.608 | 23.223 | 1021.105 | -0.004 | -0.000 | 0.000 | 
| 20.929 | 20.929 | 631.178 | 0.000 | -0.000 | -0.000 | 
| -477.253 | -477.241 | 957.738 | 162.505 | -0.000 | -0.000 | 
| -961.928 | -961.936 | 1930.326 | -0.004 | 143.802 | 0.005 | 
| -0.003 | 0.003 | -0.008 | 0.001 | 0.000 | 243.085 | 
| 547.614 | 225.742 | -101.393 | -0.000 | 0.000 | 0.000 | 
| 155.943 | 551.170 | -34.928 | 0.001 | 0.000 | 0.000 | 
| 20.922 | 20.922 | 631.181 | 0.000 | 0.000 | 0.000 | 
| 94.743 | 94.742 | -190.120 | 144.364 | 0.000 | 0.000 | 
| -0.000 | -0.001 | 0.000 | -0.000 | 181.148 | -0.000 | 
| -0.000 | -0.000 | 0.000 | -0.000 | -0.000 | 243.084 | 
| 450.756 | 61.882 | 160.202 | 0.000 | -0.000 | -0.000 | 
| 61.908 | 450.861 | 160.067 | -0.000 | -0.000 | -0.000 | 
| 4.735 | 4.735 | 663.668 | -0.000 | -0.000 | -0.000 | 
| -94.734 | -94.733 | 190.103 | 144.367 | -0.000 | -0.000 | 
| 0.000 | 0.001 | -0.000 | 0.000 | 181.148 | -0.000 | 
| 0.000 | 0.000 | -0.000 | 0.000 | -0.000 | 243.084 | 
| 500.464 | 115.277 | 56.753 | 0.000 | 0.000 | 0.000 | 
| 115.278 | 500.462 | 56.754 | -0.000 | 0.000 | 0.000 | 
| 71.710 | 71.710 | 529.266 | -0.000 | 0.000 | 0.000 | 
| 6.425 | 6.425 | -12.893 | 156.203 | 0.000 | 0.000 | 
| 6.425 | 6.425 | -12.893 | 0.000 | 156.203 | -0.000 | 
| 6.263 | 6.263 | -12.569 | 0.000 | -0.000 | 191.592 | 
| 490.217 | 102.475 | 79.877 | 0.000 | -0.000 | -0.000 | 
| 101.221 | 492.398 | 78.947 | 0.000 | -0.000 | 0.000 | 
| 58.976 | 58.976 | 554.816 | 0.000 | -0.000 | -0.000 | 
| -0.000 | -0.000 | 0.000 | 181.148 | -0.000 | -0.000 | 
| -6.425 | -6.425 | 12.893 | -0.000 | 156.203 | -0.000 | 
| -6.263 | -6.263 | 12.569 | -0.000 | -0.000 | 191.592 | 
| 568.852 | 82.725 | 21.036 | 0.001 | -0.000 | -0.000 | 
| 82.702 | 568.832 | 21.032 | -0.001 | 0.000 | -0.000 | 
| 21.060 | 21.060 | 630.544 | 0.000 | 0.000 | -0.000 | 
| 0.016 | 0.016 | 0.010 | 181.368 | 0.000 | -0.000 | 
| 0.013 | 0.006 | 0.018 | -0.000 | 181.373 | 0.001 | 
| 0.004 | 0.005 | 0.003 | 0.001 | -0.000 | 243.050 | 
| -410.773 | -777.626 | 1860.962 | -0.002 | -0.000 | 0.000 | 
| -789.517 | -398.159 | 1860.251 | -0.000 | -0.000 | 0.000 | 
| -833.434 | -833.435 | 2339.477 | -0.000 | -0.000 | 0.000 | 
| -0.013 | -0.020 | -0.007 | 181.369 | -0.000 | 0.000 | 
| -0.013 | -0.006 | -0.018 | 0.000 | 181.373 | 0.001 | 
| -0.004 | -0.005 | -0.003 | -0.001 | -0.000 | 243.050 | 
| 589.847 | 199.566 | -116.806 | 0.000 | -0.000 | -0.000 | 
| 199.569 | 589.849 | -116.802 | -0.000 | -0.000 | -0.000 | 
| 154.158 | 154.158 | 364.291 | 0.000 | 0.000 | -0.000 | 
| 89.786 | 89.788 | -179.571 | 159.704 | -0.000 | -0.000 | 
| 89.786 | 89.785 | -179.570 | -0.000 | 159.704 | -0.000 | 
| 88.258 | 88.243 | -176.499 | -0.000 | -0.000 | 183.420 | 
| 409.252 | 18.317 | 245.026 | 0.000 | -0.000 | 0.000 | 
| 32.190 | 398.968 | 241.447 | -0.000 | -0.000 | 0.000 | 
| 21.035 | 21.035 | 630.537 | -0.000 | 0.000 | 0.000 | 
| -89.787 | -89.788 | 179.571 | 159.704 | -0.000 | 0.000 | 
| -89.786 | -89.785 | 179.570 | 0.000 | 159.704 | -0.000 | 
| -88.258 | -88.243 | 176.498 | 0.000 | -0.000 | 183.420 | 
| 505.262 | 119.439 | 47.908 | -0.000 | -0.000 | -0.000 | 
| 119.440 | 505.261 | 47.908 | 0.000 | -0.000 | -0.000 | 
| 73.353 | 73.353 | 525.904 | -0.000 | 0.000 | 0.000 | 
| 8.979 | 8.978 | -17.957 | 159.704 | -0.000 | -0.000 | 
| 0.000 | 0.000 | 0.000 | 0.000 | 181.372 | 0.000 | 
| 0.000 | 0.000 | 0.000 | -0.000 | -0.000 | 243.061 | 
| 488.128 | 100.021 | 84.455 | 0.000 | -0.000 | 0.000 | 
| 82.724 | 568.845 | 21.035 | 0.000 | -0.000 | 0.000 | 
| 55.399 | 55.399 | 561.806 | -0.000 | 0.000 | 0.000 | 
| -8.979 | -8.978 | 17.957 | 159.704 | 0.000 | 0.000 | 
| -0.000 | -0.000 | -0.000 | -0.000 | 181.372 | 0.000 | 
| -0.000 | -0.000 | -0.000 | 0.000 | -0.000 | 243.061 | 
| 988.192 | 627.256 | -947.384 | -0.000 | -0.000 | -0.000 | 
| 448.006 | 829.920 | -608.381 | 0.005 | -0.000 | -0.000 | 
| 393.385 | 393.386 | -116.915 | 0.001 | -0.000 | -0.000 | 
| -0.007 | -0.009 | -0.005 | 181.079 | -0.000 | -0.000 | 
| 509.447 | 509.448 | -1023.371 | -0.000 | 152.484 | -0.001 | 
| 406.794 | 406.791 | -817.153 | -0.005 | 0.003 | 192.046 | 
| -30.066 | -391.749 | 1098.816 | 0.002 | 0.000 | 0.000 | 
| -391.746 | -30.065 | 1098.812 | -0.003 | 0.000 | 0.000 | 
| 20.897 | 20.897 | 631.383 | 0.000 | 0.000 | 0.000 | 
| -509.291 | -509.292 | 1023.049 | 152.491 | 0.000 | 0.000 | 
| -509.447 | -509.448 | 1023.370 | 0.000 | 152.484 | -0.001 | 
| -406.786 | -406.784 | 817.149 | 0.006 | 0.002 | 192.048 | 
| 568.639 | 82.460 | 21.196 | 0.000 | -0.000 | -0.000 | 
| 148.242 | 531.386 | -7.459 | -0.000 | -0.000 | -0.000 | 
| 122.021 | 122.022 | 428.216 | 0.000 | 0.000 | -0.000 | 
| 50.543 | 50.543 | -101.527 | 152.709 | -0.000 | -0.000 | 
| 50.542 | 50.542 | -101.528 | 0.000 | 152.709 | -0.000 | 
| 50.303 | 50.303 | -101.046 | 0.000 | -0.000 | 181.437 | 
| 454.569 | 80.161 | 138.076 | -0.001 | 0.000 | 0.000 | 
| 70.214 | 454.786 | 147.846 | 0.000 | 0.000 | 0.000 | 
| 20.886 | 20.886 | 631.374 | -0.000 | 0.000 | 0.000 | 
| -50.542 | -50.542 | 101.528 | 152.708 | 0.000 | 0.000 | 
| -50.542 | -50.542 | 101.528 | -0.000 | 152.709 | -0.000 | 
| -50.303 | -50.303 | 101.046 | -0.000 | -0.000 | 181.437 | 
| 568.640 | 82.460 | 21.196 | -0.000 | -0.000 | -0.000 | 
| 121.371 | 499.049 | 52.010 | -0.000 | -0.000 | -0.000 | 
| 69.100 | 69.100 | 534.526 | 0.000 | -0.000 | -0.000 | 
| 4.137 | 4.137 | -8.311 | 157.855 | -0.000 | -0.000 | 
| 3.824 | 3.824 | -7.682 | 0.000 | 159.523 | 0.000 | 
| 4.625 | 4.626 | -9.292 | -0.000 | -0.000 | 189.317 | 
| 491.281 | 105.538 | 75.712 | -0.000 | 0.000 | 0.000 | 
| 114.856 | 490.520 | 67.118 | 0.000 | 0.000 | 0.000 | 
| 61.551 | 61.551 | 549.686 | -0.000 | 0.000 | 0.000 | 
| -3.742 | -3.742 | 7.517 | 159.943 | 0.000 | 0.000 | 
| -3.824 | -3.824 | 7.682 | -0.000 | 159.523 | 0.000 | 
| -3.084 | -3.084 | 6.195 | -0.000 | -0.000 | 190.596 | 
| 568.856 | 82.728 | 21.093 | -21.811 | 0.000 | 0.000 | 
| 106.151 | 498.741 | 67.770 | 13.954 | -0.000 | -0.000 | 
| 63.347 | 63.347 | 546.140 | -0.000 | 0.000 | 0.000 | 
| -21.783 | 21.814 | 0.079 | 181.373 | -0.000 | 0.001 | 
| -0.000 | -0.024 | 0.027 | -0.002 | 181.377 | -21.812 | 
| 0.024 | 0.013 | 0.036 | -0.001 | -21.810 | 243.059 | 
| 500.891 | 108.435 | 63.233 | -13.943 | -0.000 | -0.001 | 
| 108.413 | 500.863 | 63.235 | 13.940 | 0.000 | -0.000 | 
| 65.482 | 65.482 | 541.637 | 0.000 | 0.000 | -0.001 | 
| -21.837 | 21.810 | -0.080 | 181.378 | 0.000 | -0.001 | 
| 0.000 | 0.024 | -0.027 | 0.002 | 181.377 | -21.812 | 
| -0.024 | -0.013 | -0.040 | 0.001 | -21.810 | 243.059 | 
| 568.846 | 82.723 | 21.038 | -21.811 | -0.000 | 0.000 | 
| 107.171 | 499.717 | 65.730 | 13.950 | 0.000 | 0.000 | 
| 64.259 | 64.259 | 544.089 | -0.000 | -0.000 | 0.000 | 
| -14.259 | 14.040 | 0.223 | 159.704 | 0.000 | 0.000 | 
| -0.000 | -0.002 | 0.002 | -0.000 | 181.373 | -21.810 | 
| -0.000 | -0.002 | 0.002 | -0.000 | -21.810 | 243.061 | 
| 489.879 | 116.962 | 65.755 | -13.865 | 0.000 | -0.000 | 
| 82.726 | 568.849 | 21.031 | 21.811 | -0.000 | -0.000 | 
| 64.474 | 64.474 | 543.637 | -0.000 | 0.000 | 0.000 | 
| -14.040 | 14.259 | -0.223 | 159.704 | 0.000 | -0.000 | 
| 0.000 | 0.002 | -0.002 | 0.000 | 181.373 | -21.810 | 
| 0.000 | 0.002 | -0.002 | 0.000 | -21.810 | 243.061 | 
| 497.978 | 113.702 | 60.930 | -14.762 | -0.000 | 0.000 | 
| 113.702 | 497.976 | 60.932 | 14.762 | -0.000 | -0.000 | 
| 64.359 | 64.359 | 543.890 | -0.000 | -0.000 | -0.000 | 
| -14.161 | 14.139 | 0.022 | 159.704 | -0.000 | 0.000 | 
| 0.000 | -0.000 | 0.000 | -0.000 | 181.372 | -21.810 | 
| -0.012 | -0.011 | 0.024 | 0.000 | -13.851 | 195.681 | 
| 499.831 | 107.294 | 65.479 | -13.950 | 0.000 | -0.000 | 
| 113.720 | 498.003 | 60.882 | 14.762 | 0.000 | -0.000 | 
| 64.393 | 64.393 | 543.817 | 0.000 | 0.000 | -0.000 | 
| -14.138 | 14.161 | -0.022 | 159.704 | 0.000 | -0.000 | 
| -0.000 | 0.000 | -0.000 | 0.000 | 181.372 | -21.810 | 
| 0.011 | 0.011 | -0.024 | -0.000 | -13.851 | 195.681 | 
| 568.388 | 82.112 | 21.435 | -21.761 | -0.000 | 0.000 | 
| 82.114 | 568.385 | 21.434 | 21.761 | 0.000 | -0.000 | 
| 1037.047 | 1037.047 | -1421.574 | 0.000 | 0.000 | 0.000 | 
| 961.336 | 991.372 | -1973.285 | 161.581 | 0.000 | 0.000 | 
| 1663.258 | 1663.243 | -3361.502 | -0.002 | 148.703 | -10.484 | 
| 1663.381 | 1663.382 | -3361.769 | 0.002 | -10.478 | 176.059 | 
| -473.913 | -867.967 | 2034.753 | -15.015 | 0.000 | -0.000 | 
| -1543.450 | -1191.084 | 3442.012 | 10.502 | 0.000 | -0.000 | 
| -915.878 | -915.878 | 2525.365 | -0.001 | -0.000 | -0.000 | 
| -991.433 | -961.398 | 1973.335 | 161.581 | -0.000 | -0.000 | 
| -1663.258 | -1663.243 | 3361.503 | 0.002 | 148.703 | -10.484 | 
| -1663.381 | -1663.383 | 3361.771 | -0.002 | -10.478 | 176.058 | 
| 636.222 | 285.509 | -252.692 | -10.359 | -0.000 | 0.000 | 
| 285.545 | 636.233 | -252.742 | 10.357 | -0.000 | 0.000 | 
| 186.333 | 186.333 | 297.781 | 0.000 | 0.000 | -0.000 | 
| 82.620 | 112.665 | -197.341 | 161.579 | -0.000 | 0.000 | 
| 120.398 | 120.396 | -243.328 | -0.000 | 157.734 | -13.665 | 
| 97.692 | 97.692 | -197.440 | 0.000 | -15.019 | 197.035 | 
| 404.287 | 10.897 | 259.186 | -14.957 | -0.000 | -0.000 | 
| 10.890 | 404.275 | 259.200 | 14.957 | -0.000 | -0.000 | 
| -83.288 | -83.288 | 842.706 | -0.000 | 0.000 | -0.000 | 
| -112.735 | -82.701 | 197.492 | 161.565 | 0.000 | -0.000 | 
| -120.398 | -120.396 | 243.328 | 0.000 | 157.734 | -13.665 | 
| -97.692 | -97.692 | 197.440 | -0.000 | -15.019 | 197.035 | 
| 496.922 | 126.748 | 48.506 | -11.996 | -0.000 | 0.000 | 
| 126.729 | 496.952 | 48.494 | 12.000 | -0.000 | 0.000 | 
| 20.683 | 20.683 | 632.575 | -0.000 | -0.000 | -0.000 | 
| -3.314 | 25.183 | -22.098 | 159.386 | -0.000 | 0.000 | 
| 15.043 | 15.044 | -30.404 | -0.000 | 151.756 | -11.556 | 
| 14.364 | 14.364 | -29.031 | -0.000 | -12.017 | 185.213 | 
| 568.365 | 82.097 | 21.427 | -21.759 | 0.000 | 0.000 | 
| 97.218 | 484.741 | 90.652 | 13.952 | -0.000 | -0.000 | 
| 61.747 | 61.747 | 549.579 | -0.000 | -0.000 | -0.000 | 
| -24.948 | 4.434 | 20.729 | 160.640 | -0.000 | -0.000 | 
| -15.043 | -15.044 | 30.404 | 0.000 | 151.756 | -11.556 | 
| -14.364 | -14.364 | 29.031 | 0.000 | -12.017 | 185.213 | 
| 492.634 | 104.385 | 75.559 | 8.753 | 0.000 | 0.000 | 
| 104.390 | 492.670 | 75.545 | -8.755 | 0.000 | 0.000 | 
| 59.764 | 59.764 | 553.080 | 0.000 | 0.000 | 0.000 | 
| 13.779 | -13.769 | 0.003 | 181.367 | 0.000 | 0.000 | 
| -0.000 | 0.000 | 0.001 | 0.000 | 181.361 | 13.773 | 
| -0.024 | -0.012 | -0.036 | -0.001 | 13.775 | 243.059 | 
| 501.504 | 114.380 | 56.943 | 8.695 | -0.000 | -0.000 | 
| 82.711 | 568.837 | 21.057 | -13.775 | -0.000 | -0.000 | 
| 68.978 | 68.977 | 534.650 | -0.000 | -0.000 | -0.000 | 
| 13.779 | -13.769 | 0.001 | 181.366 | -0.000 | -0.000 | 
| -0.000 | -0.000 | -0.001 | -0.000 | 181.361 | 13.772 | 
| 0.024 | 0.012 | 0.035 | 0.001 | 13.775 | 243.059 | 
| 568.841 | 82.720 | 21.032 | 13.775 | 0.000 | 0.000 | 
| 82.716 | 568.840 | 21.028 | -13.775 | 0.000 | 0.000 | 
| 63.905 | 63.905 | 544.775 | 0.000 | 0.000 | 0.000 | 
| 8.476 | -9.400 | 0.920 | 159.704 | 0.000 | 0.000 | 
| -0.464 | -0.464 | 0.920 | 0.000 | 159.703 | 8.937 | 
| -0.002 | -0.001 | -0.004 | -0.000 | 13.775 | 243.062 | 
| 568.851 | 82.729 | 21.041 | 13.775 | -0.000 | -0.000 | 
| 82.726 | 568.850 | 21.038 | -13.775 | -0.000 | -0.000 | 
| 64.832 | 64.832 | 542.942 | -0.000 | -0.000 | -0.000 | 
| 9.397 | -8.473 | -0.920 | 159.703 | -0.000 | -0.000 | 
| 0.464 | 0.464 | -0.920 | -0.000 | 159.703 | 8.937 | 
| 0.002 | 0.001 | 0.004 | 0.000 | 13.775 | 243.062 | 
| 496.975 | 109.272 | 66.361 | 8.725 | 0.000 | -0.000 | 
| 120.809 | 486.283 | 65.516 | -8.819 | 0.000 | 0.000 | 
| 21.035 | 21.035 | 630.540 | 0.000 | 0.000 | 0.000 | 
| 8.891 | -8.983 | 0.092 | 159.704 | 0.000 | 0.000 | 
| -0.047 | -0.046 | 0.092 | -0.000 | 159.703 | 8.937 | 
| -0.000 | -0.000 | -0.000 | 0.000 | 13.775 | 243.061 | 
| 486.535 | 120.821 | 65.250 | 8.828 | -0.000 | -0.000 | 
| 109.370 | 497.064 | 66.172 | -8.725 | -0.000 | -0.000 | 
| 64.429 | 64.429 | 543.749 | -0.000 | -0.000 | -0.000 | 
| 8.983 | -8.890 | -0.092 | 159.704 | -0.000 | -0.000 | 
| 0.047 | 0.046 | -0.092 | 0.000 | 159.703 | 8.937 | 
| 0.000 | 0.000 | 0.000 | -0.000 | 13.775 | 243.061 | 
| 568.605 | 82.417 | 21.234 | -13.759 | -0.000 | 0.000 | 
| 82.405 | 568.597 | 21.221 | 13.759 | 0.000 | -0.000 | 
| 112.533 | 112.534 | 447.194 | 0.000 | -0.000 | -0.000 | 
| 39.643 | 60.401 | -100.588 | 165.859 | 0.000 | 0.000 | 
| -0.003 | -0.004 | -0.003 | -0.000 | 181.021 | -13.758 | 
| -0.001 | -0.002 | -0.001 | -0.001 | -13.757 | 243.096 | 
| 568.608 | 82.415 | 21.232 | -13.758 | 0.000 | -0.000 | 
| 82.411 | 568.600 | 21.235 | 13.757 | -0.000 | 0.000 | 
| -35.814 | -35.814 | 745.486 | -0.000 | -0.000 | -0.000 | 
| -13.752 | 13.765 | 0.012 | 181.022 | -0.000 | -0.000 | 
| 0.003 | 0.004 | 0.002 | 0.000 | 181.021 | -13.758 | 
| 0.001 | 0.002 | 0.001 | 0.001 | -13.757 | 243.096 | 
| 568.602 | 82.409 | 21.228 | -13.759 | 0.000 | -0.000 | 
| 82.410 | 568.602 | 21.228 | 13.759 | -0.000 | 0.000 | 
| 20.859 | 20.859 | 631.541 | -0.000 | 0.000 | 0.000 | 
| -13.759 | 13.758 | 0.001 | 181.022 | -0.000 | -0.000 | 
| -0.000 | -0.000 | -0.000 | -0.000 | 181.022 | -13.758 | 
| 0.000 | -0.000 | 0.000 | -0.000 | -13.758 | 243.096 | 
| 568.602 | 82.410 | 21.228 | -13.759 | -0.000 | 0.000 | 
| 105.080 | 473.678 | 93.862 | 7.723 | -0.000 | 0.000 | 
| 20.860 | 20.860 | 631.540 | 0.000 | 0.000 | 0.000 | 
| -13.758 | 13.760 | 0.001 | 181.022 | -0.000 | -0.000 | 
| 0.000 | 0.000 | 0.001 | 0.000 | 181.022 | -13.758 | 
| -0.000 | 0.000 | -0.000 | 0.000 | -13.758 | 243.096 | 
| 495.186 | 120.025 | 57.219 | -9.585 | 0.000 | 0.000 | 
| 109.675 | 497.469 | 65.328 | 8.708 | 0.000 | -0.000 | 
| 65.143 | 65.143 | 542.510 | 0.000 | 0.000 | -0.000 | 
| -8.151 | 9.608 | -1.465 | 159.153 | 0.000 | 0.000 | 
| 0.725 | 0.726 | -1.458 | 0.000 | 159.375 | -8.930 | 
| 0.000 | 0.000 | 0.000 | -0.000 | -13.759 | 243.096 | 
| 493.579 | 118.715 | 60.148 | -9.537 | -0.000 | 0.000 | 
| 82.410 | 568.601 | 21.228 | 13.758 | 0.000 | -0.000 | 
| 63.650 | 63.650 | 545.508 | 0.000 | -0.000 | 0.000 | 
| -9.654 | 8.222 | 1.440 | 159.411 | -0.000 | -0.000 | 
| -0.725 | -0.726 | 1.458 | -0.000 | 159.375 | -8.930 | 
| -0.000 | -0.000 | -0.000 | 0.000 | -13.759 | 243.096 | 
| 568.410 | 82.156 | 21.380 | 6.699 | -0.000 | -0.000 | 
| -216.379 | 179.687 | 715.045 | -4.770 | -0.000 | -0.000 | 
| 20.701 | 20.701 | 632.324 | 0.000 | -0.000 | -0.000 | 
| -826.840 | -830.602 | 1672.933 | 136.319 | -0.000 | -0.000 | 
| -828.704 | -828.708 | 1672.936 | -0.000 | 136.319 | 1.877 | 
| -0.005 | -0.003 | -0.008 | -0.000 | 6.695 | 243.126 | 
| 568.432 | 82.176 | 21.398 | 6.697 | 0.000 | 0.000 | 
| 422.177 | 820.957 | -576.693 | -4.843 | 0.000 | 0.000 | 
| 20.742 | 20.742 | 632.390 | -0.000 | 0.000 | 0.000 | 
| 830.588 | 826.852 | -1672.949 | 136.315 | 0.000 | 0.000 | 
| 828.704 | 828.708 | -1672.936 | 0.000 | 136.319 | 1.877 | 
| 0.005 | 0.003 | 0.008 | 0.000 | 6.695 | 243.126 | 
| 457.734 | 62.808 | 152.638 | 4.264 | -0.000 | 0.000 | 
| 82.160 | 568.413 | 21.381 | -6.697 | -0.000 | -0.000 | 
| 20.717 | 20.717 | 632.349 | 0.000 | -0.000 | -0.000 | 
| 6.695 | -6.699 | -0.001 | 180.743 | -0.000 | -0.000 | 
| -79.381 | -79.381 | 160.253 | 0.000 | 138.188 | 2.075 | 
| -0.001 | -0.001 | -0.001 | 0.000 | 6.696 | 243.126 | 
| 510.076 | 220.147 | -59.004 | 1.675 | 0.000 | 0.000 | 
| 220.150 | 510.077 | -59.002 | -1.676 | 0.000 | 0.000 | 
| 147.995 | 147.995 | 375.416 | -0.000 | 0.000 | 0.000 | 
| 6.698 | -6.695 | 0.001 | 180.743 | 0.000 | 0.000 | 
| 79.381 | 79.381 | -160.253 | -0.000 | 138.188 | 2.075 | 
| 0.001 | 0.001 | 0.001 | -0.000 | 6.696 | 243.126 | 
| 492.576 | 103.506 | 76.395 | 4.211 | -0.000 | -0.000 | 
| 109.109 | 493.413 | 69.894 | -4.473 | -0.000 | -0.000 | 
| 60.227 | 60.227 | 552.597 | -0.000 | -0.000 | -0.000 | 
| -0.353 | -8.559 | 8.994 | 156.858 | -0.000 | -0.000 | 
| -3.946 | -3.946 | 7.965 | -0.000 | 159.327 | 4.371 | 
| -3.559 | -3.560 | 7.185 | 0.000 | 4.591 | 194.019 | 
| 501.988 | 116.276 | 54.003 | 4.518 | 0.000 | 0.000 | 
| 112.524 | 500.029 | 59.766 | -4.171 | 0.000 | 0.000 | 
| 69.495 | 69.495 | 533.883 | -0.000 | 0.000 | 0.000 | 
| 6.697 | -6.697 | 0.000 | 180.743 | 0.000 | 0.000 | 
| 3.946 | 3.946 | -7.965 | 0.000 | 159.327 | 4.371 | 
| 3.559 | 3.560 | -7.185 | -0.000 | 4.591 | 194.019 | 
| 497.842 | 108.717 | 66.021 | -6.157 | -0.000 | -0.000 | 
| 82.789 | 568.909 | 21.088 | 9.695 | -0.000 | 0.000 | 
| 21.101 | 21.102 | 630.625 | -0.000 | -0.000 | -0.000 | 
| -6.259 | 6.303 | 0.021 | 159.701 | 0.000 | -0.000 | 
| 0.008 | -0.005 | -0.001 | -0.001 | 159.714 | -6.290 | 
| 0.014 | 0.067 | -0.038 | 0.001 | -5.904 | 182.140 | 
| 568.850 | 82.724 | 21.033 | -9.694 | 0.000 | -0.000 | 
| 108.668 | 497.804 | 66.006 | 6.159 | 0.000 | 0.000 | 
| 21.046 | 21.046 | 630.515 | -0.000 | -0.000 | 0.000 | 
| -6.324 | 6.267 | -0.028 | 159.702 | -0.000 | 0.000 | 
| -0.008 | 0.005 | 0.001 | 0.001 | 159.714 | -6.290 | 
| -0.015 | -0.067 | 0.038 | -0.001 | -5.904 | 182.140 | 
| 568.851 | 82.724 | 21.040 | -9.694 | -0.000 | 0.000 | 
| 108.712 | 497.856 | 66.039 | 6.158 | 0.000 | -0.000 | 
| 64.374 | 64.374 | 543.858 | 0.000 | -0.000 | -0.000 | 
| -6.283 | 6.292 | 0.003 | 159.704 | 0.000 | 0.000 | 
| -0.000 | 0.000 | 0.000 | -0.000 | 181.372 | -9.694 | 
| 0.002 | 0.003 | -0.002 | 0.000 | -6.093 | 193.687 | 
| 568.841 | 82.720 | 21.031 | -9.693 | 0.000 | 0.000 | 
| 108.709 | 497.852 | 66.035 | 6.158 | 0.000 | -0.000 | 
| 21.035 | 21.035 | 630.537 | -0.000 | 0.000 | 0.000 | 
| -6.294 | 6.286 | -0.002 | 159.704 | 0.000 | -0.000 | 
| 0.000 | -0.000 | -0.000 | 0.000 | 181.372 | -9.694 | 
| -0.002 | -0.003 | 0.002 | -0.000 | -6.093 | 193.687 | 
| 497.854 | 108.714 | 66.042 | -6.158 | -0.000 | -0.000 | 
| 119.673 | 494.827 | 58.110 | 6.781 | -0.000 | -0.000 | 
| 64.373 | 64.373 | 543.862 | -0.000 | -0.000 | -0.000 | 
| -6.289 | 6.289 | 0.000 | 159.705 | -0.000 | -0.000 | 
| 0.000 | 0.000 | -0.000 | -0.000 | 159.704 | -6.289 | 
| 0.000 | 0.000 | 0.000 | -0.000 | -9.694 | 243.061 | 
| 568.845 | 82.724 | 21.035 | -9.693 | 0.000 | 0.000 | 
| 108.711 | 497.854 | 66.039 | 6.158 | -0.000 | -0.000 | 
| 64.369 | 64.369 | 543.867 | 0.000 | -0.000 | 0.000 | 
| -6.289 | 6.288 | -0.000 | 159.704 | 0.000 | 0.000 | 
| -0.000 | -0.000 | 0.000 | 0.000 | 159.704 | -6.289 | 
| -0.000 | -0.000 | -0.000 | 0.000 | -9.694 | 243.061 | 
| 427.688 | 143.234 | 101.740 | 2.332 | 0.000 | 0.000 | 
| 143.228 | 427.698 | 101.740 | -2.327 | 0.000 | 0.000 | 
| 120.891 | 120.891 | 430.534 | 0.000 | 0.000 | 0.000 | 
| 9.689 | -9.679 | 0.013 | 181.093 | 0.000 | -0.000 | 
| 6.893 | 6.893 | -13.830 | 0.000 | 133.798 | 2.258 | 
| 0.003 | 0.001 | 0.006 | -0.000 | 9.685 | 243.087 | 
| 414.528 | 129.408 | 128.811 | 2.350 | -0.000 | -0.000 | 
| 129.406 | 414.525 | 128.812 | -2.352 | -0.000 | -0.000 | 
| 107.921 | 107.921 | 456.524 | -0.000 | -0.000 | -0.000 | 
| 9.682 | -9.687 | -0.011 | 181.096 | -0.000 | -0.000 | 
| -6.893 | -6.893 | 13.830 | -0.000 | 133.797 | 2.258 | 
| -0.003 | -0.001 | -0.006 | 0.000 | 9.685 | 243.087 | 
| 568.653 | 82.476 | 21.188 | 9.684 | 0.000 | -0.000 | 
| 82.476 | 568.653 | 21.188 | -9.684 | 0.000 | -0.000 | 
| 20.895 | 20.895 | 631.331 | 0.000 | 0.000 | 0.000 | 
| 4.819 | -3.824 | -1.000 | 146.939 | 0.000 | 0.000 | 
| -0.000 | -0.001 | 0.000 | 0.000 | 181.094 | 9.684 | 
| 0.000 | -0.000 | 0.000 | 0.000 | 9.684 | 243.089 | 
| 478.945 | 114.639 | 78.967 | 5.239 | -0.000 | -0.000 | 
| 82.475 | 568.652 | 21.187 | -9.684 | -0.000 | 0.000 | 
| 20.895 | 20.895 | 631.329 | -0.000 | -0.000 | -0.000 | 
| 9.685 | -9.684 | -0.001 | 181.094 | -0.000 | -0.000 | 
| 0.000 | 0.001 | -0.000 | -0.000 | 181.094 | 9.684 | 
| -0.000 | 0.000 | -0.000 | -0.000 | 9.684 | 243.089 | 
| 497.601 | 108.442 | 66.460 | 6.146 | 0.000 | 0.000 | 
| 108.439 | 497.608 | 66.456 | -6.146 | 0.000 | 0.000 | 
| 64.463 | 64.463 | 543.836 | 0.000 | 0.000 | 0.000 | 
| 6.281 | -6.217 | -0.064 | 159.215 | 0.000 | 0.000 | 
| 0.032 | 0.032 | -0.064 | -0.000 | 159.215 | 6.249 | 
| 0.000 | 0.000 | 0.000 | 0.000 | 9.684 | 243.088 | 
| 568.651 | 82.475 | 21.187 | 9.684 | -0.000 | -0.000 | 
| 117.806 | 495.306 | 59.358 | -6.680 | -0.000 | 0.000 | 
| 64.449 | 64.449 | 543.859 | -0.000 | -0.000 | 0.000 | 
| 9.684 | -9.684 | -0.000 | 181.094 | -0.000 | 0.000 | 
| -0.032 | -0.032 | 0.064 | 0.000 | 159.215 | 6.249 | 
| -0.000 | -0.000 | -0.000 | -0.000 | 9.684 | 243.088 | 
| 568.850 | 82.722 | 21.035 | 0.000 | -0.000 | -0.000 | 
| 82.758 | 568.906 | 21.029 | -0.000 | -0.000 | -0.001 | 
| 21.046 | 21.046 | 630.517 | -0.000 | -0.000 | 0.000 | 
| 0.025 | 0.036 | 0.013 | 181.371 | -0.000 | -0.000 | 
| 0.000 | 0.024 | -0.023 | -0.000 | 181.376 | -0.001 | 
| 1.566 | 1.570 | -3.111 | 0.000 | -0.000 | 194.313 | 
| 497.014 | 106.662 | 68.831 | -0.000 | 0.000 | 0.000 | 
| 82.712 | 568.840 | 21.057 | -0.000 | 0.000 | 0.000 | 
| 62.882 | 62.882 | 546.841 | 0.000 | 0.000 | 0.000 | 
| -0.025 | -0.036 | -0.013 | 181.371 | 0.000 | 0.000 | 
| -0.000 | -0.024 | 0.023 | -0.000 | 181.377 | 0.001 | 
| -1.566 | -1.570 | 3.112 | -0.000 | 0.000 | 194.314 | 
| 568.851 | 82.730 | 21.036 | -0.000 | -0.000 | -0.000 | 
| 108.429 | 498.606 | 65.581 | -0.000 | -0.000 | -0.000 | 
| 21.042 | 21.042 | 630.538 | 0.000 | -0.000 | -0.000 | 
| 0.152 | 0.153 | -0.294 | 159.704 | 0.000 | -0.000 | 
| 0.002 | 0.003 | 0.001 | 0.000 | 181.373 | -0.000 | 
| 0.158 | 0.158 | -0.310 | 0.000 | -0.000 | 194.306 | 
| 498.317 | 108.112 | 66.175 | 0.000 | 0.000 | -0.000 | 
| 108.112 | 498.317 | 66.175 | -0.000 | 0.000 | -0.000 | 
| 64.223 | 64.223 | 544.160 | 0.000 | 0.000 | 0.000 | 
| -0.007 | -0.006 | -0.005 | 181.372 | 0.000 | 0.000 | 
| -0.002 | -0.003 | -0.001 | -0.000 | 181.373 | 0.000 | 
| -0.158 | -0.158 | 0.310 | -0.000 | 0.000 | 194.306 | 
| 495.847 | 117.717 | 59.045 | -0.000 | 0.000 | -0.000 | 
| 108.288 | 498.474 | 65.848 | -0.000 | -0.000 | -0.000 | 
| 64.338 | 64.338 | 543.933 | 0.000 | -0.000 | -0.000 | 
| 0.015 | 0.015 | -0.029 | 159.704 | -0.000 | 0.000 | 
| 0.000 | 0.000 | -0.000 | -0.000 | 181.372 | -0.000 | 
| 0.016 | 0.017 | -0.032 | -0.000 | -0.000 | 181.846 | 
| 498.446 | 108.253 | 65.905 | -0.000 | 0.000 | 0.000 | 
| 108.253 | 498.448 | 65.904 | -0.000 | 0.000 | 0.000 | 
| 64.354 | 64.354 | 543.897 | -0.000 | 0.000 | 0.000 | 
| -0.015 | -0.015 | 0.029 | 159.704 | 0.000 | 0.000 | 
| -0.000 | -0.000 | 0.000 | 0.000 | 181.372 | 0.000 | 
| -0.016 | -0.017 | 0.032 | 0.000 | -0.000 | 181.847 | 
| 1372.460 | 1073.752 | -1781.275 | -0.002 | -0.001 | -0.001 | 
| 1073.747 | 1372.465 | -1781.274 | -0.003 | -0.001 | -0.000 | 
| 1038.259 | 1038.263 | -1411.772 | -0.002 | -0.001 | -0.000 | 
| 69.436 | 69.435 | -139.460 | 177.579 | 0.000 | -0.000 | 
| 937.861 | 937.868 | -1883.446 | -0.003 | 137.404 | -0.001 | 
| -0.001 | -0.001 | -0.001 | 0.000 | 0.000 | 243.089 | 
| 568.656 | 82.479 | 21.186 | -0.000 | -0.000 | 0.000 | 
| -802.097 | -501.895 | 1984.355 | 0.001 | 0.001 | 0.001 | 
| -835.760 | -835.764 | 2351.692 | 0.002 | 0.001 | 0.001 | 
| -69.434 | -69.432 | 139.466 | 177.580 | 0.000 | -0.000 | 
| -937.861 | -937.867 | 1883.445 | 0.002 | 137.405 | -0.000 | 
| 0.001 | 0.001 | 0.001 | -0.000 | -0.000 | 243.089 | 
| 524.729 | 227.754 | -80.581 | -0.000 | -0.000 | -0.000 | 
| 107.727 | 547.790 | 16.783 | -0.000 | -0.000 | -0.000 | 
| 185.161 | 185.161 | 301.447 | -0.000 | -0.000 | -0.000 | 
| 92.927 | 92.927 | -186.619 | 137.805 | -0.000 | -0.000 | 
| 8.179 | 8.179 | -16.428 | 0.000 | 177.006 | 0.000 | 
| 92.174 | 92.174 | -185.106 | -0.000 | -0.000 | 151.322 | 
| 568.655 | 82.478 | 21.187 | -0.000 | -0.000 | -0.000 | 
| 93.948 | 516.398 | 62.144 | 0.000 | -0.000 | 0.000 | 
| 14.734 | 14.733 | 643.703 | 0.000 | 0.000 | 0.000 | 
| -8.176 | -8.176 | 16.421 | 177.007 | -0.000 | 0.000 | 
| -8.179 | -8.179 | 16.428 | -0.000 | 177.006 | 0.000 | 
| -92.174 | -92.174 | 185.106 | 0.000 | 0.000 | 151.322 | 
| 492.160 | 117.792 | 62.538 | -0.000 | -0.000 | -0.000 | 
| 117.793 | 492.158 | 62.539 | -0.000 | -0.000 | -0.000 | 
| 73.892 | 73.892 | 524.901 | -0.000 | -0.000 | -0.000 | 
| 6.311 | 6.311 | -12.674 | 151.696 | -0.000 | -0.000 | 
| 0.000 | 0.000 | -0.000 | 0.000 | 181.097 | -0.000 | 
| 0.000 | 0.000 | 0.000 | 0.000 | -0.000 | 243.089 | 
| 484.205 | 105.661 | 82.704 | 0.000 | 0.000 | 0.000 | 
| 114.325 | 494.218 | 63.950 | 0.000 | 0.000 | 0.000 | 
| 56.872 | 56.872 | 559.078 | 0.000 | 0.000 | 0.000 | 
| -6.311 | -6.311 | 12.674 | 151.696 | 0.000 | 0.000 | 
| -0.000 | -0.000 | 0.000 | -0.000 | 181.097 | -0.000 | 
| -0.000 | -0.000 | -0.000 | -0.000 | -0.000 | 243.089 | 
| 568.758 | 82.631 | 21.006 | 6.711 | 0.000 | -0.000 | 
| 82.711 | 568.837 | 21.065 | -6.711 | -0.000 | 0.000 | 
| 20.954 | 20.954 | 630.475 | 0.000 | 0.000 | -0.000 | 
| 6.644 | -6.766 | -0.018 | 181.371 | -0.000 | -0.000 | 
| -0.026 | -0.038 | -0.022 | 0.000 | 181.370 | 6.711 | 
| -0.049 | -0.049 | -0.054 | -0.000 | 6.711 | 243.069 | 
| 568.898 | 82.795 | 21.054 | 6.710 | 0.000 | -0.000 | 
| 82.803 | 568.931 | 21.089 | -6.711 | -0.000 | -0.001 | 
| 21.045 | 21.045 | 630.503 | 0.000 | 0.000 | -0.000 | 
| 6.778 | -6.655 | 0.019 | 181.372 | -0.000 | 0.000 | 
| 0.026 | 0.038 | 0.023 | -0.000 | 181.370 | 6.710 | 
| 0.049 | 0.049 | 0.054 | 0.000 | 6.711 | 243.069 | 
| 497.232 | 109.215 | 66.139 | 4.254 | -0.000 | 0.000 | 
| 119.043 | 494.713 | 58.839 | -4.650 | 0.000 | -0.000 | 
| 64.404 | 64.404 | 543.798 | -0.000 | -0.000 | -0.000 | 
| 4.384 | -4.325 | -0.071 | 159.704 | 0.000 | 0.000 | 
| 0.030 | 0.030 | -0.066 | -0.000 | 159.704 | 4.354 | 
| -0.005 | -0.005 | -0.005 | -0.000 | 6.711 | 243.061 | 
| 497.182 | 109.163 | 66.285 | 4.254 | 0.000 | 0.000 | 
| 109.157 | 497.180 | 66.285 | -4.254 | -0.000 | 0.000 | 
| 21.035 | 21.035 | 630.538 | 0.000 | -0.000 | -0.000 | 
| 4.323 | -4.382 | 0.071 | 159.704 | -0.000 | -0.000 | 
| -0.030 | -0.030 | 0.066 | 0.000 | 159.704 | 4.354 | 
| 0.005 | 0.005 | 0.005 | 0.000 | 6.711 | 243.061 | 
| 497.211 | 109.192 | 66.205 | 4.254 | 0.000 | -0.000 | 
| 109.186 | 497.226 | 66.195 | -4.254 | 0.000 | 0.000 | 
| 21.035 | 21.035 | 630.538 | -0.000 | -0.000 | 0.000 | 
| 4.357 | -4.351 | -0.007 | 159.704 | -0.000 | 0.000 | 
| 0.002 | 0.003 | -0.007 | -0.000 | 159.704 | 4.354 | 
| -0.001 | -0.001 | -0.001 | 0.000 | 6.711 | 243.061 | 
| 497.204 | 109.185 | 66.218 | 4.254 | -0.000 | 0.000 | 
| 109.184 | 497.206 | 66.217 | -4.254 | 0.000 | 0.000 | 
| 64.371 | 64.371 | 543.865 | -0.000 | 0.000 | 0.000 | 
| 4.351 | -4.356 | 0.007 | 159.704 | -0.000 | 0.000 | 
| -0.002 | -0.003 | 0.007 | 0.000 | 159.704 | 4.354 | 
| 0.001 | 0.001 | 0.001 | -0.000 | 6.711 | 243.061 | 
| 568.628 | 82.444 | 21.205 | -6.703 | -0.000 | 0.000 | 
| 1023.471 | 1364.096 | -1723.569 | 4.672 | 0.000 | -0.000 | 
| 20.873 | 20.873 | 631.426 | -0.000 | 0.000 | 0.000 | 
| 163.889 | 176.519 | -342.079 | 177.448 | 0.000 | 0.000 | 
| 1862.163 | 1862.154 | -3741.740 | -0.003 | 145.852 | -2.876 | 
| -0.001 | -0.000 | -0.002 | 0.000 | -6.704 | 243.092 | 
| -1718.063 | -2024.333 | 4435.131 | -2.198 | -0.000 | 0.000 | 
| -68.910 | 354.411 | 388.561 | 6.291 | 0.000 | -0.000 | 
| -2067.361 | -2067.362 | 4827.358 | -0.002 | -0.000 | 0.000 | 
| -1865.036 | -1859.300 | 3741.760 | 145.851 | -0.001 | 0.000 | 
| -1862.163 | -1862.153 | 3741.740 | 0.004 | 145.852 | -2.877 | 
| 0.001 | 0.001 | 0.002 | -0.000 | -6.704 | 243.092 | 
| 568.631 | 82.446 | 21.207 | -6.704 | -0.000 | 0.000 | 
| 187.104 | 523.917 | -39.033 | 5.810 | -0.000 | -0.000 | 
| 20.878 | 20.878 | 631.431 | 0.000 | 0.000 | 0.000 | 
| 43.005 | 54.155 | -97.627 | 170.673 | 0.000 | -0.000 | 
| 17.850 | 17.851 | -35.875 | 0.000 | 177.290 | -6.294 | 
| 186.222 | 186.223 | -374.188 | 0.000 | -2.878 | 190.242 | 
| 568.631 | 82.446 | 21.207 | -6.704 | 0.000 | -0.000 | 
| 93.762 | 422.160 | 157.004 | 5.409 | 0.000 | 0.000 | 
| -117.780 | -117.780 | 910.040 | -0.000 | -0.000 | 0.000 | 
| -54.154 | -43.004 | 97.624 | 170.672 | 0.000 | 0.000 | 
| -17.850 | -17.851 | 35.875 | -0.000 | 177.290 | -6.294 | 
| -182.744 | -182.745 | 367.205 | -0.000 | -3.075 | 210.209 | 
| 519.485 | 121.887 | 30.957 | -5.576 | 0.000 | -0.000 | 
| 147.733 | 492.469 | 32.131 | 5.342 | 0.000 | -0.000 | 
| 87.436 | 87.436 | 497.697 | 0.000 | 0.000 | -0.000 | 
| 4.791 | 13.971 | -18.850 | 161.615 | 0.000 | -0.000 | 
| 14.807 | 14.808 | -29.754 | -0.000 | 153.128 | -3.668 | 
| 0.000 | 0.000 | 0.000 | -0.000 | -6.704 | 243.092 | 
| 481.708 | 83.417 | 107.557 | -3.687 | 0.000 | -0.000 | 
| 83.416 | 481.702 | 107.564 | 3.687 | 0.000 | -0.000 | 
| 67.791 | 67.791 | 537.166 | -0.000 | -0.000 | 0.000 | 
| -11.564 | -0.811 | 12.433 | 168.849 | -0.000 | 0.000 | 
| -14.807 | -14.808 | 29.754 | 0.000 | 153.128 | -3.668 | 
| -0.000 | -0.000 | -0.000 | 0.000 | -6.704 | 243.092 | 
| 477.762 | 97.140 | 97.710 | -9.809 | -0.000 | 0.000 | 
| 48.123 | 372.082 | 252.944 | 4.718 | -0.000 | 0.000 | 
| 20.759 | 20.759 | 631.488 | 0.000 | -0.000 | -0.000 | 
| -12.457 | 12.452 | -0.003 | 181.141 | -0.000 | 0.000 | 
| -78.892 | -78.897 | 158.314 | -0.003 | 141.964 | -4.546 | 
| -0.006 | -0.007 | -0.007 | 0.001 | -12.454 | 243.085 | 
| 568.686 | 82.515 | 21.170 | -12.454 | 0.000 | 0.000 | 
| 82.524 | 568.696 | 21.174 | 12.454 | 0.000 | -0.000 | 
| 20.920 | 20.921 | 631.205 | 0.000 | 0.000 | -0.000 | 
| -12.449 | 12.455 | 0.013 | 181.142 | 0.000 | -0.000 | 
| 78.892 | 78.897 | -158.313 | 0.003 | 141.964 | -4.546 | 
| 0.006 | 0.007 | 0.007 | -0.001 | -12.454 | 243.086 | 
| 480.916 | 106.692 | 84.973 | -7.116 | -0.000 | 0.000 | 
| 102.660 | 484.069 | 85.855 | 7.105 | -0.000 | 0.000 | 
| 20.918 | 20.918 | 631.198 | 0.000 | -0.000 | -0.000 | 
| -12.366 | 10.161 | 2.210 | 175.249 | -0.000 | -0.000 | 
| -6.246 | -6.247 | 12.533 | -0.000 | 150.125 | -6.191 | 
| -0.000 | 0.000 | -0.000 | -0.000 | -12.453 | 243.084 | 
| 488.545 | 118.701 | 65.272 | -6.907 | 0.000 | -0.000 | 
| 118.703 | 488.543 | 65.273 | 6.907 | 0.000 | -0.000 | 
| 67.701 | 67.701 | 537.309 | -0.000 | 0.000 | -0.000 | 
| -12.453 | 12.454 | 0.001 | 181.140 | 0.000 | 0.000 | 
| 6.246 | 6.247 | -12.533 | 0.000 | 150.125 | -6.191 | 
| 0.000 | -0.000 | 0.000 | 0.000 | -12.453 | 243.084 | 
| 498.583 | 106.989 | 66.951 | -7.944 | -0.000 | 0.000 | 
| 106.984 | 498.597 | 66.942 | 7.945 | -0.000 | -0.000 | 
| 63.979 | 63.979 | 544.782 | 0.000 | -0.000 | -0.000 | 
| -8.483 | 7.603 | 0.882 | 159.299 | -0.000 | 0.000 | 
| -0.440 | -0.440 | 0.883 | -0.000 | 159.299 | -8.043 | 
| -0.457 | -0.457 | 0.917 | -0.000 | -7.870 | 195.019 | 
| 499.421 | 107.909 | 65.184 | -7.940 | 0.000 | -0.000 | 
| 107.908 | 499.423 | 65.182 | 7.940 | 0.000 | -0.000 | 
| 64.893 | 64.893 | 542.944 | -0.000 | 0.000 | -0.000 | 
| -7.603 | 8.483 | -0.883 | 159.299 | 0.000 | -0.000 | 
| 0.440 | 0.440 | -0.883 | 0.000 | 159.299 | -8.043 | 
| 0.457 | 0.457 | -0.917 | 0.000 | -7.870 | 195.019 | 
| 5084.564 | 4691.587 | -9103.519 | 5.149 | -0.000 | -0.000 | 
| 4691.606 | 5084.576 | -9103.507 | -5.148 | -0.000 | -0.000 | 
| 4653.922 | 4653.922 | -8635.202 | -0.000 | -0.000 | -0.000 | 
| 4594.210 | 4583.912 | -9178.110 | 159.707 | 0.000 | 0.000 | 
| 4589.538 | 4589.552 | -9179.078 | -0.001 | 159.713 | 5.146 | 
| 0.005 | 0.006 | 0.002 | 0.000 | 7.930 | 243.050 | 
| 568.849 | 82.724 | 21.034 | 7.931 | 0.000 | 0.000 | 
| -4479.985 | -4093.495 | 9246.089 | -5.144 | -0.000 | -0.000 | 
| -4519.668 | -4519.668 | 9711.822 | 0.000 | 0.000 | 0.000 | 
| -4583.942 | -4594.216 | 9178.089 | 159.708 | -0.000 | -0.000 | 
| -4589.538 | -4589.552 | 9179.078 | 0.001 | 159.713 | 5.146 | 
| -0.005 | -0.006 | -0.002 | -0.000 | 7.930 | 243.050 | 
| 950.730 | 577.492 | -855.602 | 5.139 | 0.000 | 0.000 | 
| 579.420 | 946.615 | -853.420 | -5.145 | -0.000 | -0.000 | 
| 523.306 | 523.306 | -374.004 | 0.000 | 0.000 | -0.000 | 
| 464.102 | 453.811 | -917.901 | 159.703 | 0.000 | 0.000 | 
| 458.956 | 458.955 | -917.902 | 0.000 | 159.704 | 5.145 | 
| 459.025 | 459.028 | -918.042 | -0.000 | 5.145 | 196.421 | 
| 568.841 | 82.720 | 21.031 | 7.931 | 0.000 | -0.000 | 
| -351.369 | 41.465 | 982.502 | -5.145 | 0.000 | 0.000 | 
| -394.541 | -394.541 | 1461.688 | 0.000 | 0.000 | 0.000 | 
| -453.812 | -464.101 | 917.901 | 159.703 | 0.000 | 0.000 | 
| -458.956 | -458.955 | 917.902 | -0.000 | 159.704 | 5.145 | 
| -459.025 | -459.028 | 918.042 | 0.000 | 5.145 | 196.421 | 
| 545.658 | 156.063 | -29.111 | 5.048 | -0.000 | 0.000 | 
| 156.060 | 545.659 | -29.109 | -5.048 | -0.000 | 0.000 | 
| 110.248 | 110.248 | 452.116 | -0.000 | 0.000 | -0.000 | 
| 51.040 | 40.749 | -91.789 | 159.704 | -0.000 | -0.000 | 
| 0.000 | 0.000 | 0.000 | 0.000 | 181.372 | 7.931 | 
| 46.696 | 46.697 | -93.393 | 0.000 | 5.097 | 195.614 | 
| 446.343 | 73.310 | 152.951 | 5.211 | -0.000 | 0.000 | 
| 82.724 | 568.845 | 21.035 | -7.931 | -0.000 | 0.000 | 
| 21.035 | 21.035 | 630.534 | -0.000 | 0.000 | -0.000 | 
| -40.750 | -51.040 | 91.789 | 159.704 | 0.000 | -0.000 | 
| -0.000 | -0.000 | -0.000 | -0.000 | 181.372 | 7.931 | 
| -46.696 | -46.697 | 93.393 | -0.000 | 5.097 | 195.614 | 
| 568.290 | 81.995 | 21.501 | 7.907 | -0.000 | 0.000 | 
| 582.355 | 902.786 | -823.767 | -2.951 | 0.000 | 0.000 | 
| 20.627 | 20.627 | 632.950 | 0.000 | -0.000 | 0.000 | 
| 274.503 | 264.515 | -545.735 | 157.746 | 0.000 | 0.000 | 
| 0.004 | 0.010 | -0.003 | -0.002 | 180.537 | 7.909 | 
| 0.005 | 0.011 | -0.002 | -0.001 | 7.908 | 243.150 | 
| 568.269 | 81.973 | 21.499 | 7.911 | -0.000 | -0.000 | 
| -133.402 | 244.915 | 566.972 | -5.162 | -0.000 | -0.000 | 
| 20.590 | 20.591 | 632.948 | -0.000 | -0.000 | -0.000 | 
| -447.121 | -453.151 | 911.491 | 142.395 | -0.000 | -0.000 | 
| -0.004 | -0.010 | 0.003 | 0.002 | 180.537 | 7.909 | 
| -0.005 | -0.011 | 0.002 | 0.001 | 7.908 | 243.150 | 
| 568.278 | 81.982 | 21.499 | 7.909 | -0.000 | 0.000 | 
| 81.982 | 568.278 | 21.500 | -7.909 | 0.000 | 0.000 | 
| 113.558 | 113.558 | 444.753 | 0.000 | 0.000 | 0.000 | 
| 45.917 | 39.371 | -86.352 | 144.403 | 0.000 | 0.000 | 
| 0.001 | 0.001 | 0.000 | -0.000 | 180.537 | 7.909 | 
| 0.001 | 0.001 | -0.000 | -0.000 | 7.909 | 243.148 | 
| 433.180 | 80.713 | 159.563 | 3.907 | -0.000 | -0.000 | 
| 81.980 | 568.276 | 21.501 | -7.909 | -0.000 | -0.000 | 
| 20.616 | 20.616 | 632.950 | -0.000 | -0.000 | -0.000 | 
| -21.363 | -31.449 | 53.469 | 158.195 | -0.000 | -0.000 | 
| -0.001 | -0.001 | -0.000 | 0.000 | 180.537 | 7.909 | 
| -0.001 | -0.001 | 0.000 | 0.000 | 7.909 | 243.148 | 
| 499.055 | 110.689 | 62.521 | 4.981 | 0.000 | 0.000 | 
| 110.688 | 499.059 | 62.519 | -4.981 | 0.000 | 0.000 | 
| 66.892 | 66.892 | 539.249 | 0.000 | -0.000 | 0.000 | 
| 7.676 | -2.319 | -5.423 | 157.842 | 0.000 | 0.000 | 
| 2.678 | 2.678 | -5.423 | 0.000 | 157.843 | 4.998 | 
| 2.058 | 2.058 | -4.168 | -0.000 | 5.605 | 192.704 | 
| 568.275 | 81.980 | 21.499 | 7.909 | -0.000 | -0.000 | 
| 113.180 | 493.448 | 65.671 | -5.360 | -0.000 | -0.000 | 
| 62.424 | 62.424 | 548.290 | -0.000 | -0.000 | -0.000 | 
| 7.909 | -7.909 | -0.000 | 180.537 | -0.000 | -0.000 | 
| -2.678 | -2.678 | 5.423 | -0.000 | 157.843 | 4.998 | 
| -2.058 | -2.058 | 4.168 | 0.000 | 5.605 | 192.704 | 
| 487.433 | 116.498 | 68.675 | -0.000 | -0.000 | 0.000 | 
| 82.712 | 568.838 | 21.058 | 0.000 | -0.000 | 0.000 | 
| 21.009 | 21.009 | 630.588 | 0.000 | -0.000 | -0.000 | 
| 0.006 | 0.020 | 0.011 | 159.701 | -0.000 | 0.000 | 
| -0.035 | -0.034 | -0.005 | 0.000 | 159.706 | 0.000 | 
| 0.013 | 0.016 | 0.044 | 0.000 | -0.000 | 183.042 | 
| 568.801 | 82.699 | 20.961 | 0.000 | 0.000 | -0.000 | 
| 116.488 | 487.430 | 68.615 | -0.000 | 0.000 | -0.000 | 
| 21.046 | 21.046 | 630.515 | -0.000 | 0.000 | 0.000 | 
| -0.005 | -0.020 | -0.011 | 159.701 | 0.000 | -0.000 | 
| 0.035 | 0.034 | 0.005 | 0.000 | 159.706 | -0.000 | 
| -0.013 | -0.016 | -0.044 | 0.000 | 0.000 | 183.041 | 
| 568.846 | 82.723 | 21.038 | -0.000 | -0.000 | 0.000 | 
| 82.722 | 568.843 | 21.035 | -0.000 | -0.000 | 0.000 | 
| 64.369 | 64.369 | 543.869 | -0.000 | -0.000 | -0.000 | 
| -0.002 | -0.002 | 0.004 | 181.372 | -0.000 | 0.000 | 
| -0.001 | -0.004 | 0.005 | -0.000 | 159.704 | 0.000 | 
| 0.001 | 0.002 | 0.004 | 0.000 | -0.000 | 183.032 | 
| 568.846 | 82.727 | 21.034 | 0.000 | 0.000 | -0.000 | 
| 121.086 | 487.151 | 64.370 | 0.000 | 0.000 | -0.000 | 
| 21.035 | 21.035 | 630.537 | 0.000 | 0.000 | 0.000 | 
| 0.002 | 0.002 | -0.004 | 181.372 | 0.000 | -0.000 | 
| 0.001 | 0.004 | -0.005 | 0.000 | 159.704 | -0.000 | 
| -0.001 | -0.002 | -0.004 | -0.000 | 0.000 | 183.032 | 
| 487.151 | 121.084 | 64.372 | -0.000 | -0.000 | 0.000 | 
| 121.085 | 487.149 | 64.374 | -0.000 | -0.000 | 0.000 | 
| 64.360 | 64.360 | 543.888 | -0.000 | -0.000 | -0.000 | 
| 0.000 | -0.000 | 0.001 | 159.704 | -0.000 | 0.000 | 
| 0.000 | -0.000 | 0.000 | -0.000 | 181.372 | -0.000 | 
| 0.000 | 0.000 | 0.000 | -0.000 | -0.000 | 243.061 | 
| 487.440 | 116.499 | 68.666 | 0.000 | 0.000 | 0.000 | 
| 116.488 | 487.466 | 68.650 | 0.000 | 0.000 | 0.000 | 
| 64.369 | 64.369 | 543.867 | 0.000 | 0.000 | 0.000 | 
| -0.000 | 0.000 | -0.001 | 159.704 | 0.000 | -0.000 | 
| -0.000 | 0.000 | -0.000 | -0.000 | 181.372 | 0.000 | 
| -0.000 | -0.000 | -0.000 | -0.000 | 0.000 | 243.061 | 
| -1186.950 | -1553.755 | 3445.656 | -0.000 | -0.000 | 0.000 | 
| -1561.551 | -1179.294 | 3445.798 | -0.000 | -0.000 | 0.000 | 
| -1609.646 | -1609.646 | 3924.893 | -0.000 | -0.000 | 0.000 | 
| -1674.752 | -1674.740 | 3382.091 | 159.187 | -0.000 | 0.000 | 
| 0.025 | 0.037 | 0.012 | 0.000 | 180.737 | 0.000 | 
| 0.049 | 0.049 | 0.049 | -0.000 | 0.000 | 243.133 | 
| 568.387 | 82.146 | 21.396 | -0.000 | 0.000 | 0.000 | 
| 1794.338 | 2161.129 | -3315.551 | -0.000 | 0.000 | -0.000 | 
| 20.703 | 20.703 | 632.380 | 0.000 | 0.000 | -0.000 | 
| 1674.752 | 1674.740 | -3382.091 | 159.187 | -0.000 | -0.000 | 
| -0.025 | -0.037 | -0.013 | -0.000 | 180.737 | -0.000 | 
| -0.049 | -0.049 | -0.049 | 0.000 | -0.000 | 243.133 | 
| 326.352 | -55.483 | 404.789 | 0.000 | -0.000 | -0.000 | 
| -47.184 | 319.548 | 403.278 | -0.000 | -0.000 | 0.000 | 
| -103.057 | -103.057 | 882.376 | -0.000 | -0.000 | -0.000 | 
| -167.483 | -167.484 | 338.227 | 159.195 | -0.000 | 0.000 | 
| 0.005 | 0.005 | 0.005 | 0.000 | 180.727 | 0.000 | 
| 0.005 | 0.005 | 0.005 | 0.000 | -0.000 | 243.133 | 
| 568.415 | 82.147 | 21.396 | -0.000 | 0.000 | -0.000 | 
| 281.221 | 662.839 | -274.950 | 0.000 | 0.000 | 0.000 | 
| 231.878 | 231.878 | 206.001 | 0.000 | 0.000 | 0.000 | 
| 167.483 | 167.484 | -338.227 | 159.195 | 0.000 | -0.000 | 
| -0.005 | -0.005 | -0.005 | -0.000 | 180.727 | -0.000 | 
| -0.005 | -0.005 | -0.005 | -0.000 | 0.000 | 243.133 | 
| 472.709 | 96.595 | 103.454 | -0.000 | -0.000 | 0.000 | 
| 103.544 | 470.320 | 98.850 | -0.000 | -0.000 | 0.000 | 
| 47.618 | 47.618 | 578.097 | -0.000 | -0.000 | -0.000 | 
| -16.781 | -16.781 | 33.888 | 159.152 | -0.000 | 0.000 | 
| -16.781 | -16.781 | 33.888 | 0.000 | 159.152 | 0.000 | 
| -16.741 | -16.741 | 33.807 | -0.000 | -0.000 | 183.388 | 
| 568.416 | 82.152 | 21.398 | 0.000 | 0.000 | -0.000 | 
| 137.020 | 503.804 | 31.235 | 0.000 | 0.000 | 0.000 | 
| 81.095 | 81.095 | 510.491 | 0.000 | 0.000 | 0.000 | 
| 16.781 | 16.781 | -33.888 | 159.152 | 0.000 | -0.000 | 
| 16.781 | 16.781 | -33.888 | -0.000 | 159.152 | 0.000 | 
| 16.741 | 16.741 | -33.807 | 0.000 | 0.000 | 183.388 | 
| 498.434 | 108.278 | 65.920 | -0.000 | -0.000 | 0.000 | 
| 82.693 | 568.819 | 21.022 | -0.000 | -0.000 | 0.000 | 
| 20.991 | 20.991 | 630.551 | -0.000 | -0.000 | 0.000 | 
| -0.041 | -0.045 | -0.038 | 181.374 | -0.000 | 0.000 | 
| -0.000 | -0.008 | 0.007 | -0.000 | 181.372 | 0.001 | 
| -0.037 | -0.038 | 0.000 | -0.000 | -0.000 | 194.306 | 
| 568.866 | 82.732 | 21.058 | -0.000 | -0.000 | -0.000 | 
| 108.306 | 498.523 | 65.854 | -0.000 | 0.000 | -0.000 | 
| 64.404 | 64.404 | 543.872 | 0.000 | 0.000 | -0.000 | 
| 0.041 | 0.045 | 0.036 | 181.374 | -0.000 | -0.000 | 
| 0.000 | 0.008 | -0.007 | 0.000 | 181.372 | -0.001 | 
| 0.037 | 0.038 | -0.000 | 0.000 | 0.000 | 194.305 | 
| 485.093 | 120.610 | 66.899 | -0.000 | 0.000 | 0.000 | 
| 82.720 | 568.843 | 21.033 | -0.000 | -0.000 | 0.000 | 
| 21.035 | 21.035 | 630.537 | -0.000 | -0.000 | 0.000 | 
| -0.002 | -0.004 | 0.002 | 159.705 | -0.000 | -0.000 | 
| -0.000 | -0.000 | 0.000 | 0.000 | 181.372 | -0.000 | 
| -0.003 | -0.004 | 0.002 | -0.000 | 0.000 | 194.303 | 
| 498.465 | 108.271 | 65.875 | 0.000 | 0.000 | -0.000 | 
| 82.723 | 568.849 | 21.033 | -0.000 | 0.000 | -0.000 | 
| 64.376 | 64.376 | 543.862 | 0.000 | 0.000 | -0.000 | 
| 0.002 | 0.004 | -0.002 | 159.705 | 0.000 | -0.000 | 
| 0.000 | -0.000 | -0.000 | -0.000 | 181.372 | 0.000 | 
| 0.003 | 0.004 | -0.002 | 0.000 | 0.000 | 194.303 | 
| 498.461 | 108.271 | 65.877 | 0.000 | -0.000 | 0.000 | 
| 108.270 | 498.465 | 65.874 | -0.000 | -0.000 | 0.000 | 
| 64.369 | 64.369 | 543.870 | -0.000 | 0.000 | -0.000 | 
| -0.000 | -0.000 | 0.000 | 159.704 | 0.000 | 0.000 | 
| -0.000 | -0.000 | 0.000 | -0.000 | 159.704 | -0.000 | 
| -0.001 | -0.000 | 0.000 | -0.000 | -0.000 | 194.304 | 
| 568.845 | 82.724 | 21.035 | -0.000 | -0.000 | -0.000 | 
| 108.269 | 498.462 | 65.874 | -0.000 | 0.000 | -0.000 | 
| 64.369 | 64.369 | 543.867 | -0.000 | 0.000 | -0.000 | 
| 0.000 | 0.000 | -0.000 | 159.704 | 0.000 | -0.000 | 
| 0.000 | 0.000 | -0.000 | 0.000 | 159.704 | -0.000 | 
| 0.001 | 0.000 | -0.000 | 0.000 | -0.000 | 194.304 | 
| 568.632 | 82.459 | 21.167 | -0.000 | 0.000 | 0.000 | 
| 82.468 | 568.657 | 21.184 | 0.001 | 0.000 | 0.001 | 
| 20.878 | 20.878 | 631.282 | 0.000 | -0.000 | 0.001 | 
| -4.273 | -4.261 | 8.538 | 159.464 | 0.000 | 0.001 | 
| -4.715 | -4.695 | 9.406 | 0.000 | 157.284 | 0.001 | 
| -4.701 | -4.689 | 9.433 | 0.000 | 0.000 | 192.143 | 
| 568.709 | 82.544 | 21.202 | 0.001 | 0.000 | -0.001 | 
| 117.139 | 501.753 | 53.643 | -0.000 | -0.001 | -0.001 | 
| 69.739 | 69.739 | 533.384 | -0.001 | 0.000 | -0.000 | 
| 0.029 | 0.033 | -0.000 | 181.109 | -0.001 | -0.001 | 
| 4.715 | 4.695 | -9.406 | -0.000 | 157.284 | -0.000 | 
| 4.701 | 4.689 | -9.433 | 0.000 | -0.000 | 192.142 | 
| 568.658 | 82.484 | 21.177 | 0.000 | 0.000 | 0.000 | 
| 107.453 | 497.979 | 67.070 | 0.000 | -0.000 | 0.000 | 
| 63.948 | 63.948 | 544.863 | 0.000 | 0.000 | 0.000 | 
| -0.001 | -0.001 | 0.000 | 181.109 | 0.000 | 0.000 | 
| -0.428 | -0.427 | 0.856 | 0.000 | 159.443 | 0.000 | 
| -0.497 | -0.503 | 0.997 | 0.000 | 0.000 | 182.949 | 
| 498.802 | 108.362 | 65.342 | -0.000 | -0.000 | -0.000 | 
| 108.361 | 498.800 | 65.344 | 0.000 | -0.000 | -0.000 | 
| 64.801 | 64.801 | 543.153 | -0.000 | -0.000 | -0.000 | 
| 0.001 | 0.001 | -0.000 | 181.109 | -0.000 | -0.000 | 
| 0.428 | 0.427 | -0.856 | -0.000 | 159.443 | -0.000 | 
| 0.497 | 0.503 | -0.997 | -0.000 | -0.000 | 182.949 | 
| 498.374 | 107.854 | 66.279 | -0.000 | 0.000 | 0.000 | 
| 107.854 | 498.374 | 66.278 | 0.000 | 0.000 | 0.000 | 
| 64.320 | 64.320 | 544.113 | -0.000 | 0.000 | 0.000 | 
| -0.000 | -0.000 | -0.000 | 181.109 | 0.000 | 0.000 | 
| -0.043 | -0.043 | 0.086 | 0.000 | 159.467 | 0.000 | 
| -0.050 | -0.049 | 0.099 | -0.000 | 0.000 | 180.947 | 
| 498.455 | 107.944 | 66.105 | 0.000 | -0.000 | -0.000 | 
| 107.943 | 498.457 | 66.103 | 0.000 | 0.000 | -0.000 | 
| 64.401 | 64.401 | 543.947 | -0.000 | -0.000 | -0.000 | 
| 0.000 | 0.000 | 0.000 | 181.109 | -0.000 | -0.000 | 
| 0.043 | 0.043 | -0.086 | -0.000 | 159.467 | -0.000 | 
| 0.050 | 0.049 | -0.099 | 0.000 | -0.000 | 180.947 | 
| -8874.630 | -9268.929 | 18816.295 | 8.089 | -0.000 | 0.000 | 
| -9268.921 | -8874.648 | 18816.294 | -8.086 | 0.000 | 0.000 | 
| -9311.563 | -9311.564 | 19295.778 | -0.000 | 0.000 | 0.000 | 
| -9391.399 | -9407.543 | 18799.042 | 159.655 | 0.000 | 0.000 | 
| -9399.450 | -9399.464 | 18799.029 | 0.001 | 159.662 | 8.077 | 
| -9399.702 | -9399.621 | 18799.409 | 0.004 | 8.077 | 190.055 | 
| 9877.180 | 9482.917 | -18687.574 | 8.084 | 0.000 | -0.000 | 
| 9492.926 | 9871.111 | -18691.536 | -8.076 | 0.000 | -0.000 | 
| 9441.145 | 9441.145 | -18209.728 | 0.000 | -0.000 | -0.000 | 
| 9407.557 | 9391.395 | -18799.042 | 159.653 | 0.000 | -0.000 | 
| 9399.450 | 9399.464 | -18799.029 | -0.001 | 159.662 | 8.077 | 
| 9399.702 | 9399.621 | -18799.409 | -0.004 | 8.077 | 190.054 | 
| -447.849 | -818.977 | 1939.438 | 8.090 | -0.000 | 0.000 | 
| -830.653 | -436.374 | 1939.643 | -8.086 | 0.000 | 0.000 | 
| 21.044 | 21.044 | 630.539 | 0.000 | -0.000 | -0.000 | 
| -929.585 | -945.759 | 1875.356 | 159.705 | 0.000 | 0.000 | 
| -939.942 | -939.943 | 1879.897 | 0.000 | 159.651 | 8.075 | 
| -937.633 | -937.634 | 1875.282 | 0.000 | 8.086 | 197.139 | 
| 1439.456 | 1045.239 | -1812.099 | 8.083 | 0.000 | -0.000 | 
| 1046.973 | 1441.025 | -1815.404 | -8.075 | 0.000 | -0.000 | 
| 1001.956 | 1001.956 | -1331.309 | -0.000 | 0.000 | -0.000 | 
| 945.677 | 929.503 | -1875.188 | 159.706 | 0.000 | -0.000 | 
| 939.942 | 939.943 | -1879.897 | -0.000 | 159.651 | 8.075 | 
| 937.633 | 937.634 | -1875.282 | -0.000 | 8.086 | 197.139 | 
| 407.023 | 13.014 | 252.572 | 8.073 | 0.000 | 0.000 | 
| 12.969 | 406.917 | 252.723 | -8.070 | 0.000 | 0.000 | 
| -29.395 | -29.395 | 731.401 | 0.000 | 0.000 | -0.000 | 
| -85.674 | -101.846 | 187.521 | 159.705 | 0.000 | 0.000 | 
| -93.760 | -93.760 | 187.521 | 0.000 | 159.706 | 8.086 | 
| -92.826 | -92.826 | 185.653 | 0.000 | 8.129 | 189.290 | 
| 595.196 | 201.542 | -124.134 | 8.056 | -0.000 | -0.000 | 
| 201.556 | 595.200 | -124.152 | -8.055 | 0.000 | -0.000 | 
| 158.121 | 158.121 | 356.363 | -0.000 | 0.000 | -0.000 | 
| 101.846 | 85.674 | -187.521 | 159.705 | -0.000 | -0.000 | 
| 93.760 | 93.760 | -187.521 | -0.000 | 159.706 | 8.086 | 
| 92.826 | 92.826 | -185.653 | -0.000 | 8.129 | 189.290 | 
| 568.679 | 82.497 | 21.218 | 12.450 | -0.000 | -0.000 | 
| 271.604 | 632.319 | -232.633 | -6.470 | -0.000 | -0.000 | 
| 236.336 | 236.336 | 198.729 | -0.000 | 0.000 | -0.000 | 
| 12.476 | -12.420 | 0.030 | 181.086 | -0.000 | -0.000 | 
| 0.016 | 0.016 | 0.011 | -0.002 | 181.085 | 12.453 | 
| 0.023 | 0.025 | 0.018 | -0.003 | 12.448 | 243.087 | 
| 320.289 | -40.516 | 394.026 | 6.472 | 0.000 | 0.000 | 
| -40.464 | 320.352 | 393.960 | -6.473 | -0.000 | 0.000 | 
| -75.620 | -75.620 | 825.144 | -0.000 | 0.000 | 0.000 | 
| -149.565 | -162.506 | 313.356 | 151.465 | -0.000 | 0.000 | 
| -0.016 | -0.016 | -0.011 | 0.002 | 181.085 | 12.453 | 
| -0.023 | -0.025 | -0.018 | 0.003 | 12.448 | 243.088 | 
| 516.207 | 117.508 | 38.676 | 8.735 | 0.000 | -0.000 | 
| 130.773 | 492.383 | 49.279 | -6.511 | 0.000 | -0.000 | 
| 94.346 | 94.346 | 483.829 | -0.000 | -0.000 | -0.000 | 
| 22.034 | 9.045 | -31.209 | 151.581 | -0.000 | -0.000 | 
| 15.540 | 15.541 | -31.209 | 0.001 | 151.581 | 6.495 | 
| 0.002 | 0.002 | 0.001 | -0.000 | 12.451 | 243.090 | 
| 496.165 | 98.283 | 78.098 | 8.691 | 0.000 | 0.000 | 
| 82.465 | 568.645 | 21.191 | -12.451 | -0.000 | 0.000 | 
| 64.896 | 64.896 | 542.965 | 0.000 | 0.000 | 0.000 | 
| 12.448 | -12.454 | -0.003 | 181.086 | 0.000 | 0.000 | 
| -15.540 | -15.541 | 31.209 | -0.001 | 151.581 | 6.495 | 
| -0.002 | -0.002 | -0.001 | 0.000 | 12.451 | 243.090 | 
| 496.205 | 110.061 | 66.239 | 7.681 | -0.000 | -0.000 | 
| 110.061 | 496.205 | 66.239 | -7.681 | 0.000 | -0.000 | 
| 65.463 | 65.463 | 541.837 | -0.000 | -0.000 | -0.000 | 
| 12.451 | -12.451 | 0.000 | 181.086 | 0.000 | -0.000 | 
| 0.000 | 0.000 | 0.000 | 0.000 | 181.086 | 12.451 | 
| 1.055 | 1.055 | -2.118 | 0.000 | 8.389 | 195.648 | 
| 498.433 | 109.201 | 64.860 | 8.271 | -0.000 | 0.000 | 
| 82.468 | 568.647 | 21.193 | -12.451 | 0.000 | 0.000 | 
| 65.515 | 65.515 | 541.728 | 0.000 | -0.000 | 0.000 | 
| 6.142 | -8.753 | 2.622 | 156.301 | -0.000 | 0.000 | 
| -0.000 | -0.000 | -0.000 | -0.000 | 181.086 | 12.451 | 
| -1.055 | -1.055 | 2.118 | -0.000 | 8.389 | 195.648 | 
| 717.266 | 320.687 | 320.687 | -0.000 | -0.000 | -0.000 | 
| 320.687 | 717.266 | 320.687 | -0.000 | -0.000 | -0.000 | 
| 320.687 | 320.687 | 717.266 | -0.000 | -0.000 | -0.000 | 
| 0.005 | 0.005 | 0.005 | 71.905 | -0.000 | 0.000 | 
| 0.005 | 0.005 | 0.005 | -0.000 | 71.905 | -0.000 | 
| 0.005 | 0.005 | 0.005 | -0.000 | -0.000 | 71.905 | 
| 717.262 | 320.683 | 320.683 | 0.000 | 0.000 | 0.000 | 
| 320.683 | 717.262 | 320.683 | 0.000 | 0.000 | 0.000 | 
| 320.683 | 320.683 | 717.262 | 0.000 | 0.000 | 0.000 | 
| -0.005 | -0.005 | -0.005 | 71.906 | 0.000 | 0.000 | 
| -0.005 | -0.005 | -0.005 | 0.000 | 71.906 | 0.000 | 
| -0.005 | -0.005 | -0.005 | -0.000 | 0.000 | 71.906 | 
| 717.260 | 320.682 | 320.682 | -0.000 | -0.000 | -0.000 | 
| 320.682 | 717.260 | 320.682 | -0.000 | -0.000 | -0.000 | 
| 320.682 | 320.682 | 717.260 | -0.000 | -0.000 | -0.000 | 
| -0.000 | -0.000 | -0.000 | 109.107 | -0.000 | -0.000 | 
| -0.000 | -0.000 | -0.000 | -0.000 | 109.107 | -0.000 | 
| -0.000 | -0.000 | -0.000 | 0.000 | -0.000 | 109.107 | 
| 717.264 | 320.687 | 320.687 | 0.000 | 0.000 | 0.000 | 
| 320.687 | 717.264 | 320.687 | 0.000 | 0.000 | 0.000 | 
| 320.687 | 320.687 | 717.264 | 0.000 | 0.000 | 0.000 | 
| 0.000 | 0.000 | 0.000 | 109.107 | 0.000 | 0.000 | 
| 0.000 | 0.000 | 0.000 | 0.000 | 109.107 | 0.000 | 
| 0.000 | 0.000 | 0.000 | 0.000 | 0.000 | 109.107 | 
| 717.262 | 320.682 | 320.682 | -0.000 | -0.000 | -0.000 | 
| 320.682 | 717.262 | 320.682 | -0.000 | -0.000 | -0.000 | 
| 320.682 | 320.682 | 717.262 | -0.000 | -0.000 | -0.000 | 
| 0.001 | 0.000 | 0.000 | 71.907 | -0.000 | -0.000 | 
| 0.000 | 0.001 | 0.000 | -0.000 | 71.907 | -0.000 | 
| 0.000 | 0.000 | 0.001 | -0.000 | -0.000 | 71.907 | 
| 717.259 | 320.682 | 320.682 | 0.000 | 0.000 | 0.000 | 
| 320.682 | 717.259 | 320.682 | 0.000 | 0.000 | 0.000 | 
| 320.682 | 320.682 | 717.259 | 0.000 | 0.000 | 0.000 | 
| -0.001 | -0.000 | -0.000 | 71.907 | 0.000 | 0.000 | 
| -0.000 | -0.001 | -0.000 | 0.000 | 71.907 | 0.000 | 
| -0.000 | -0.000 | -0.001 | 0.000 | 0.000 | 71.907 | 
| 1007.340 | 1351.074 | 1351.074 | -0.000 | 0.000 | 0.000 | 
| 1351.074 | 1007.340 | 1351.074 | -0.000 | 0.000 | -0.000 | 
| 1351.074 | 1351.074 | 1007.340 | 0.000 | -0.000 | -0.000 | 
| -0.005 | 0.005 | 0.005 | -220.282 | -0.000 | -0.000 | 
| 0.005 | -0.005 | 0.005 | -0.000 | -220.282 | 0.000 | 
| 0.005 | 0.005 | -0.005 | -0.000 | 0.000 | -220.282 | 
| 1007.331 | 1351.063 | 1351.063 | 0.000 | 0.000 | -0.000 | 
| 1351.063 | 1007.331 | 1351.063 | 0.000 | 0.000 | -0.000 | 
| 1351.063 | 1351.063 | 1007.331 | 0.000 | 0.000 | -0.000 | 
| 0.005 | -0.005 | -0.005 | -220.282 | 0.000 | -0.000 | 
| -0.005 | 0.005 | -0.005 | 0.000 | -220.282 | 0.000 | 
| 0.001 | 0.002 | 0.021 | 0.000 | 0.000 | -2570.368 | 
| 1007.344 | 1351.063 | 1351.063 | -0.000 | -0.000 | 0.000 | 
| 1351.063 | 1007.344 | 1351.063 | -0.000 | 0.000 | -0.000 | 
| 1351.063 | 1351.063 | 1007.344 | -0.000 | -0.000 | 0.000 | 
| 0.016 | -0.003 | -0.003 | -2570.388 | 0.000 | 0.000 | 
| -0.003 | 0.016 | -0.003 | -0.000 | -2570.388 | -0.000 | 
| -0.003 | -0.003 | 0.016 | -0.000 | 0.000 | -2570.388 | 
| 1007.343 | 1351.063 | 1351.063 | 0.000 | -0.000 | -0.000 | 
| 1351.063 | 1007.343 | 1351.063 | -0.000 | -0.000 | 0.000 | 
| 1351.063 | 1351.063 | 1007.343 | 0.000 | 0.000 | 0.000 | 
| -0.016 | 0.003 | 0.003 | -2570.388 | -0.000 | -0.000 | 
| 0.003 | -0.016 | 0.003 | -0.000 | -2570.388 | -0.000 | 
| 0.003 | 0.003 | -0.016 | 0.000 | -0.000 | -2570.388 | 
| 1007.342 | 1351.066 | 1351.066 | 0.000 | -0.000 | 0.000 | 
| 1351.066 | 1007.342 | 1351.066 | 0.000 | 0.000 | 0.000 | 
| 1351.066 | 1351.066 | 1007.342 | -0.000 | 0.000 | -0.000 | 
| 0.171 | -0.020 | -0.024 | -2570.387 | -0.000 | 0.000 | 
| -0.020 | 0.171 | -0.024 | 0.000 | -2570.387 | 0.000 | 
| -0.020 | -0.024 | 0.171 | -0.000 | 0.000 | -2570.387 | 
| 1007.345 | 1351.059 | 1351.059 | 0.000 | -0.000 | -0.000 | 
| 1351.059 | 1007.345 | 1351.059 | 0.000 | -0.000 | 0.000 | 
| 1351.059 | 1351.059 | 1007.345 | -0.000 | -0.000 | -0.000 | 
| -0.171 | 0.020 | 0.024 | -2570.387 | -0.000 | -0.000 | 
| 0.020 | -0.171 | 0.024 | 0.000 | -2570.387 | -0.000 | 
| 0.020 | 0.024 | -0.171 | -0.000 | -0.000 | -2570.387 | 
| 2574.725 | 152.456 | 152.456 | 0.000 | 0.000 | -0.000 | 
| 152.456 | 2574.725 | 152.456 | 0.000 | 0.000 | -0.000 | 
| 152.456 | 152.456 | 2574.725 | -0.000 | -0.000 | -0.000 | 
| -0.004 | -0.004 | -0.005 | 2.607 | 0.000 | -0.000 | 
| -0.004 | -0.004 | -0.005 | 0.000 | 2.607 | -0.000 | 
| -0.004 | -0.004 | -0.005 | -0.000 | -0.000 | 2.607 | 
| 2574.743 | 152.474 | 152.474 | -0.000 | -0.000 | 0.000 | 
| 152.474 | 2574.743 | 152.474 | -0.000 | -0.000 | 0.000 | 
| 152.474 | 152.474 | 2574.744 | -0.000 | 0.000 | 0.000 | 
| 0.004 | 0.004 | 0.005 | 2.607 | -0.000 | 0.000 | 
| 0.004 | 0.004 | 0.005 | -0.000 | 2.607 | 0.000 | 
| 0.004 | 0.004 | 0.005 | 0.000 | 0.000 | 2.607 | 
| 2574.732 | 152.465 | 152.465 | 0.000 | 0.000 | -0.000 | 
| 152.465 | 2574.732 | 152.465 | 0.000 | 0.000 | -0.000 | 
| 152.465 | 152.465 | 2574.732 | 0.000 | -0.000 | -0.000 | 
| -0.000 | -0.000 | -0.000 | 9.918 | 0.000 | -0.000 | 
| -0.000 | -0.000 | -0.000 | -0.000 | 9.918 | -0.000 | 
| -0.000 | -0.000 | -0.000 | -0.000 | -0.000 | 9.918 | 
| 2574.739 | 152.466 | 152.466 | 0.000 | -0.000 | 0.000 | 
| 152.466 | 2574.739 | 152.466 | 0.000 | 0.000 | 0.000 | 
| 152.466 | 152.466 | 2574.739 | -0.000 | -0.000 | 0.000 | 
| 0.000 | 0.000 | 0.000 | 9.918 | 0.000 | 0.000 | 
| 0.000 | 0.000 | 0.000 | -0.000 | 9.918 | 0.000 | 
| 0.000 | 0.000 | 0.000 | 0.000 | -0.000 | 9.918 | 
| 2574.700 | 152.461 | 152.461 | 0.000 | 0.000 | -0.000 | 
| 152.461 | 2574.700 | 152.461 | 0.000 | -0.000 | -0.000 | 
| 152.461 | 152.461 | 2574.700 | -0.000 | -0.000 | -0.000 | 
| -0.003 | -0.003 | -0.004 | 9.917 | -0.000 | -0.000 | 
| -0.003 | -0.003 | -0.004 | 0.000 | 9.917 | -0.000 | 
| -0.003 | -0.004 | -0.003 | 0.000 | -0.000 | 2.610 | 
| 2574.769 | 152.469 | 152.469 | -0.000 | -0.000 | 0.000 | 
| 152.469 | 2574.769 | 152.469 | -0.000 | -0.000 | 0.000 | 
| 152.469 | 152.469 | 2574.769 | -0.000 | -0.000 | 0.000 | 
| 0.003 | 0.003 | 0.004 | 9.917 | 0.000 | 0.000 | 
| 0.003 | 0.003 | 0.004 | 0.000 | 9.917 | 0.000 | 
| 0.003 | 0.004 | 0.003 | 0.000 | 0.000 | 9.917 | 
| 190.218 | 86.259 | 86.259 | -0.000 | -0.000 | -0.000 | 
| 86.259 | 190.218 | 86.259 | -0.000 | -0.000 | -0.000 | 
| 86.259 | 86.259 | 190.218 | -0.000 | 0.000 | -0.000 | 
| -0.000 | -0.000 | 0.000 | 82.843 | -0.000 | 0.000 | 
| -0.000 | -0.000 | 0.000 | -0.000 | 82.843 | 0.000 | 
| -0.000 | -0.000 | -0.000 | -0.000 | -0.000 | 82.844 | 
| 190.218 | 86.259 | 86.259 | 0.000 | 0.000 | 0.000 | 
| 86.259 | 190.218 | 86.259 | 0.000 | 0.000 | 0.000 | 
| 86.259 | 86.259 | 190.218 | 0.000 | 0.000 | 0.000 | 
| 0.000 | 0.000 | 0.000 | 82.843 | 0.000 | 0.000 | 
| 0.000 | 0.000 | -0.000 | 0.000 | 82.843 | 0.000 | 
| -0.000 | 0.000 | 0.000 | 0.000 | 0.000 | 82.843 | 
| 190.218 | 86.259 | 86.259 | -0.000 | -0.000 | -0.000 | 
| 86.259 | 190.218 | 86.259 | -0.000 | -0.000 | -0.000 | 
| 86.259 | 86.259 | 190.218 | -0.000 | -0.000 | -0.000 | 
| -0.000 | 0.000 | 0.000 | 82.843 | -0.000 | 0.000 | 
| 0.000 | -0.000 | 0.000 | -0.000 | 82.843 | -0.000 | 
| 0.000 | 0.000 | -0.000 | -0.000 | -0.000 | 82.843 | 
| 190.218 | 86.259 | 86.259 | 0.000 | 0.000 | -0.000 | 
| 86.259 | 190.218 | 86.259 | 0.000 | 0.000 | 0.000 | 
| 86.259 | 86.259 | 190.218 | -0.000 | 0.000 | -0.000 | 
| 0.000 | -0.000 | -0.000 | 82.843 | -0.000 | 0.000 | 
| -0.000 | 0.000 | -0.000 | -0.000 | 82.843 | 0.000 | 
| -0.000 | -0.000 | 0.000 | 0.000 | 0.000 | 82.843 | 
| 190.218 | 86.259 | 86.259 | 0.000 | -0.000 | -0.000 | 
| 86.259 | 190.218 | 86.259 | -0.000 | -0.000 | -0.000 | 
| 86.259 | 86.259 | 190.218 | 0.000 | -0.000 | -0.000 | 
| -0.000 | 0.000 | 0.000 | 82.843 | 0.000 | -0.000 | 
| 0.000 | -0.000 | 0.000 | 0.000 | 82.843 | -0.000 | 
| 0.000 | 0.000 | -0.000 | -0.000 | -0.000 | 82.843 | 
| 190.217 | 86.258 | 86.258 | -0.000 | -0.000 | 0.000 | 
| 86.258 | 190.217 | 86.258 | 0.000 | 0.000 | -0.000 | 
| 86.258 | 86.258 | 190.217 | 0.000 | 0.000 | 0.000 | 
| 0.000 | -0.000 | -0.000 | 82.843 | 0.000 | 0.000 | 
| -0.000 | 0.000 | -0.000 | 0.000 | 82.843 | 0.000 | 
| -0.000 | -0.000 | 0.000 | 0.000 | 0.000 | 82.843 | 
| 1053.316 | 850.535 | 850.535 | -0.000 | -0.000 | 0.000 | 
| 850.535 | 1053.316 | 850.535 | -0.000 | -0.000 | 0.000 | 
| 850.535 | 850.535 | 1053.316 | -0.000 | -0.000 | -0.000 | 
| -0.000 | -0.000 | 0.000 | 299.763 | -0.000 | -0.000 | 
| -0.000 | -0.000 | -0.000 | -0.000 | 299.763 | 0.000 | 
| -0.000 | -0.000 | -0.000 | 0.000 | 0.000 | 299.763 | 
| 1053.316 | 850.535 | 850.535 | -0.000 | 0.000 | -0.000 | 
| 850.535 | 1053.316 | 850.535 | 0.000 | 0.000 | -0.000 | 
| 850.535 | 850.535 | 1053.316 | -0.000 | -0.000 | 0.000 | 
| 0.000 | -0.000 | 0.000 | 299.763 | 0.000 | -0.000 | 
| 0.000 | 0.000 | 0.000 | 0.000 | 299.763 | 0.000 | 
| 0.000 | 0.000 | 0.000 | -0.000 | -0.000 | 299.763 | 
| 1053.315 | 850.534 | 850.534 | 0.000 | 0.000 | -0.000 | 
| 850.534 | 1053.315 | 850.534 | -0.000 | -0.000 | 0.000 | 
| 850.534 | 850.534 | 1053.315 | -0.000 | -0.000 | -0.000 | 
| -0.000 | -0.000 | -0.000 | 299.763 | 0.000 | 0.000 | 
| -0.000 | -0.000 | -0.000 | 0.000 | 299.763 | -0.000 | 
| -0.000 | -0.000 | -0.000 | -0.000 | -0.000 | 299.763 | 
| 1053.317 | 850.536 | 850.536 | -0.000 | -0.000 | -0.000 | 
| 850.536 | 1053.317 | 850.536 | 0.000 | 0.000 | -0.000 | 
| 850.536 | 850.536 | 1053.317 | -0.000 | -0.000 | 0.000 | 
| 0.000 | 0.000 | 0.000 | 299.763 | -0.000 | 0.000 | 
| 0.000 | 0.000 | 0.000 | -0.000 | 299.763 | -0.000 | 
| 0.000 | 0.000 | 0.000 | 0.000 | 0.000 | 299.763 | 
| 1053.306 | 850.528 | 850.528 | -0.000 | 0.000 | 0.000 | 
| 850.528 | 1053.306 | 850.528 | -0.000 | -0.000 | 0.000 | 
| 850.528 | 850.528 | 1053.306 | -0.000 | 0.000 | -0.000 | 
| -0.004 | -0.001 | -0.001 | 299.763 | -0.000 | 0.000 | 
| -0.001 | -0.004 | -0.001 | -0.000 | 299.763 | 0.000 | 
| -0.001 | -0.001 | -0.004 | 0.000 | 0.000 | 299.763 | 
| 1053.326 | 850.543 | 850.543 | -0.000 | -0.000 | 0.000 | 
| 850.543 | 1053.326 | 850.543 | -0.000 | 0.000 | -0.000 | 
| 850.543 | 850.543 | 1053.326 | -0.000 | 0.000 | 0.000 | 
| 0.004 | 0.001 | 0.001 | 299.763 | -0.000 | -0.000 | 
| 0.001 | 0.004 | 0.001 | 0.000 | 299.763 | -0.000 | 
| 0.001 | 0.001 | 0.004 | 0.000 | -0.000 | 299.763 | 
| 2856.619 | 1008.321 | 1008.321 | 0.000 | 0.000 | 0.000 | 
| 1008.321 | 2856.619 | 1008.321 | 0.000 | -0.000 | 0.000 | 
| 1008.321 | 1008.321 | 2856.619 | 0.000 | -0.000 | -0.000 | 
| 0.000 | -0.000 | 0.000 | 856.722 | -0.000 | 0.000 | 
| -0.000 | 0.000 | 0.000 | 0.000 | 856.722 | -0.000 | 
| -0.000 | -0.000 | 0.000 | 0.000 | -0.000 | 856.671 | 
| 2856.619 | 1008.321 | 1008.321 | -0.000 | 0.000 | -0.000 | 
| 1008.321 | 2856.619 | 1008.321 | -0.000 | 0.000 | -0.000 | 
| 1008.321 | 1008.321 | 2856.619 | -0.000 | -0.000 | 0.000 | 
| 0.000 | 0.000 | -0.000 | 856.671 | 0.000 | 0.000 | 
| 0.000 | 0.000 | -0.000 | -0.000 | 856.671 | 0.000 | 
| 0.000 | -0.000 | -0.000 | -0.000 | -0.000 | 856.671 | 
| 2856.619 | 1008.321 | 1008.321 | 0.000 | 0.000 | -0.000 | 
| 1008.321 | 2856.619 | 1008.321 | 0.000 | -0.000 | -0.000 | 
| 1008.321 | 1008.321 | 2856.619 | 0.000 | 0.000 | -0.000 | 
| -0.000 | -0.000 | -0.000 | 856.671 | 0.000 | -0.000 | 
| -0.000 | -0.000 | -0.000 | 0.000 | 856.671 | 0.000 | 
| -0.000 | -0.000 | -0.000 | 0.000 | -0.000 | 856.671 | 
| 2856.619 | 1008.321 | 1008.321 | -0.000 | 0.000 | 0.000 | 
| 1008.321 | 2856.619 | 1008.321 | -0.000 | -0.000 | -0.000 | 
| 1008.321 | 1008.321 | 2856.619 | -0.000 | -0.000 | 0.000 | 
| 0.000 | 0.000 | 0.000 | 856.671 | -0.000 | 0.000 | 
| 0.000 | 0.000 | 0.000 | -0.000 | 856.671 | -0.000 | 
| 0.000 | 0.000 | 0.000 | -0.000 | -0.000 | 856.671 | 
| 2856.899 | 1008.180 | 1008.180 | -0.000 | -0.000 | -0.000 | 
| 1008.180 | 2856.899 | 1008.180 | 0.000 | 0.000 | -0.000 | 
| 1008.180 | 1008.180 | 2856.899 | 0.000 | -0.000 | 0.000 | 
| -0.001 | -0.002 | -0.001 | 856.671 | -0.000 | 0.000 | 
| -0.002 | -0.001 | -0.001 | 0.000 | 856.671 | 0.000 | 
| -0.002 | -0.001 | -0.001 | 0.000 | -0.000 | 856.671 | 
| 2856.903 | 1008.180 | 1008.180 | -0.000 | 0.000 | -0.000 | 
| 1008.180 | 2856.903 | 1008.180 | -0.000 | -0.000 | 0.000 | 
| 1008.180 | 1008.180 | 2856.903 | -0.000 | 0.000 | -0.000 | 
| 0.001 | 0.002 | 0.001 | 856.671 | 0.000 | -0.000 | 
| 0.002 | 0.001 | 0.001 | -0.000 | 856.671 | -0.000 | 
| 0.002 | 0.001 | 0.001 | -0.000 | 0.000 | 856.671 | 
| 192.573 | 140.090 | 140.090 | -0.000 | -0.000 | 0.000 | 
| 140.090 | 192.573 | 140.090 | 0.000 | -0.000 | -0.000 | 
| 140.090 | 140.090 | 192.573 | 0.000 | -0.000 | -0.000 | 
| 0.000 | 0.000 | -0.000 | 144.199 | -0.000 | -0.000 | 
| 0.000 | 0.000 | -0.000 | -0.000 | 144.199 | 0.000 | 
| 0.000 | 0.000 | -0.000 | -0.000 | -0.000 | 144.199 | 
| 192.573 | 140.090 | 140.090 | 0.000 | 0.000 | -0.000 | 
| 140.090 | 192.573 | 140.090 | -0.000 | 0.000 | 0.000 | 
| 140.090 | 140.090 | 192.573 | -0.000 | 0.000 | 0.000 | 
| -0.000 | -0.000 | 0.000 | 144.199 | 0.000 | 0.000 | 
| 0.000 | -0.000 | 0.000 | 0.000 | 144.199 | 0.000 | 
| -0.000 | -0.000 | 0.000 | -0.000 | 0.000 | 144.199 | 
| 192.573 | 140.090 | 140.090 | 0.000 | -0.000 | -0.000 | 
| 140.090 | 192.573 | 140.090 | 0.000 | -0.000 | -0.000 | 
| 140.090 | 140.090 | 192.573 | 0.000 | -0.000 | -0.000 | 
| 0.000 | 0.000 | 0.000 | 144.199 | -0.000 | -0.000 | 
| 0.000 | 0.000 | 0.000 | -0.000 | 144.199 | -0.000 | 
| 0.000 | 0.000 | 0.000 | -0.000 | -0.000 | 144.199 | 
| 192.573 | 140.090 | 140.090 | 0.000 | 0.000 | 0.000 | 
| 140.090 | 192.573 | 140.090 | -0.000 | 0.000 | 0.000 | 
| 140.090 | 140.090 | 192.573 | -0.000 | 0.000 | 0.000 | 
| -0.000 | -0.000 | -0.000 | 144.199 | 0.000 | 0.000 | 
| -0.000 | -0.000 | -0.000 | 0.000 | 144.199 | -0.000 | 
| -0.000 | -0.000 | -0.000 | 0.000 | 0.000 | 144.199 | 
| 192.573 | 140.090 | 140.090 | -0.000 | -0.000 | -0.000 | 
| 140.090 | 192.573 | 140.090 | 0.000 | -0.000 | -0.000 | 
| 140.090 | 140.090 | 192.573 | -0.000 | -0.000 | -0.000 | 
| 0.000 | 0.000 | 0.000 | 144.199 | -0.000 | -0.000 | 
| 0.000 | 0.000 | 0.000 | 0.000 | 144.199 | -0.000 | 
| 0.000 | 0.000 | 0.000 | 0.000 | -0.000 | 144.199 | 
| 192.573 | 140.090 | 140.090 | -0.000 | 0.000 | 0.000 | 
| 140.090 | 192.573 | 140.090 | -0.000 | 0.000 | 0.000 | 
| 140.090 | 140.090 | 192.573 | -0.000 | -0.000 | 0.000 | 
| -0.000 | -0.000 | -0.000 | 144.199 | 0.000 | 0.000 | 
| -0.000 | -0.000 | -0.000 | -0.000 | 144.199 | 0.000 | 
| -0.000 | -0.000 | -0.000 | -0.000 | 0.000 | 144.199 | 
| 1255.979 | 779.690 | 718.018 | 0.000 | -0.000 | 0.000 | 
| 825.288 | 1210.382 | 718.018 | -0.000 | -0.000 | 0.000 | 
| 718.018 | 718.018 | 1351.422 | -0.000 | -0.000 | 0.000 | 
| 0.000 | 0.000 | 0.000 | 148.766 | -0.000 | 0.000 | 
| -0.000 | 0.000 | 0.000 | -0.000 | 148.766 | 0.000 | 
| 0.000 | 0.000 | 0.000 | -0.000 | -0.000 | 192.547 | 
| 1210.382 | 825.288 | 718.018 | 0.000 | 0.000 | -0.000 | 
| 825.288 | 1210.382 | 718.018 | 0.000 | 0.000 | -0.000 | 
| 718.018 | 718.018 | 1351.422 | -0.000 | 0.000 | -0.000 | 
| -0.000 | -0.000 | -0.000 | 148.767 | 0.000 | -0.000 | 
| 0.000 | -0.000 | -0.000 | 0.000 | 148.766 | -0.000 | 
| -0.000 | -0.000 | -0.000 | 0.000 | 0.000 | 192.547 | 
| 1255.979 | 779.689 | 718.017 | 0.000 | -0.000 | 0.000 | 
| 779.689 | 1255.978 | 718.017 | -0.000 | -0.000 | 0.000 | 
| 718.017 | 718.017 | 1351.420 | -0.000 | -0.000 | 0.000 | 
| -0.000 | -0.000 | 0.000 | 148.766 | -0.000 | 0.000 | 
| -0.000 | -0.000 | 0.000 | -0.000 | 148.766 | 0.000 | 
| -0.000 | 0.000 | -0.000 | 0.000 | -0.000 | 238.145 | 
| 1210.382 | 825.289 | 718.019 | 0.000 | 0.000 | -0.000 | 
| 779.691 | 1255.981 | 718.019 | 0.000 | 0.000 | 0.000 | 
| 718.019 | 718.019 | 1351.423 | 0.000 | 0.000 | -0.000 | 
| 0.000 | 0.000 | -0.000 | 148.766 | 0.000 | -0.000 | 
| 0.000 | 0.000 | -0.000 | 0.000 | 148.766 | -0.000 | 
| 0.000 | -0.000 | 0.000 | 0.000 | 0.000 | 238.145 | 
| 1210.375 | 825.275 | 718.009 | -0.000 | -0.000 | 0.000 | 
| 825.281 | 1210.369 | 718.009 | -0.000 | -0.000 | 0.000 | 
| 718.010 | 718.010 | 1351.406 | -0.000 | -0.000 | -0.000 | 
| -0.001 | -0.002 | 0.001 | 148.766 | -0.000 | 0.000 | 
| -0.001 | -0.001 | 0.001 | -0.000 | 148.766 | 0.000 | 
| -0.002 | 0.002 | -0.002 | -0.000 | -0.000 | 192.547 | 
| 1210.390 | 825.299 | 718.027 | 0.000 | 0.000 | 0.000 | 
| 825.295 | 1210.394 | 718.027 | 0.000 | 0.000 | -0.000 | 
| 718.026 | 718.026 | 1351.437 | 0.000 | 0.000 | 0.000 | 
| 0.001 | 0.002 | -0.001 | 148.766 | 0.000 | -0.000 | 
| 0.001 | 0.001 | -0.001 | 0.000 | 148.766 | -0.000 | 
| 0.002 | -0.002 | 0.002 | 0.000 | 0.000 | 192.547 | 
| 1258.321 | 776.473 | 717.527 | -0.000 | -0.000 | -0.000 | 
| 814.326 | 1220.468 | 717.527 | -0.000 | -0.000 | 0.000 | 
| 717.527 | 717.527 | 1387.593 | -0.000 | -0.000 | 0.000 | 
| 0.000 | 0.000 | 0.000 | 130.752 | -0.000 | 0.000 | 
| -0.000 | -0.000 | 0.000 | -0.000 | 130.751 | 0.000 | 
| -0.000 | -0.000 | 0.000 | -0.000 | -0.000 | 203.071 | 
| 1220.468 | 814.326 | 717.527 | 0.000 | 0.000 | -0.000 | 
| 814.326 | 1220.468 | 717.527 | 0.000 | 0.000 | -0.000 | 
| 717.527 | 717.527 | 1387.593 | 0.000 | 0.000 | 0.000 | 
| -0.000 | -0.000 | 0.000 | 130.752 | 0.000 | -0.000 | 
| -0.000 | 0.000 | 0.000 | 0.000 | 130.752 | 0.000 | 
| 0.000 | -0.000 | -0.000 | 0.000 | 0.000 | 203.071 | 
| 1220.468 | 814.324 | 717.526 | -0.000 | -0.000 | 0.000 | 
| 814.325 | 1220.467 | 717.526 | -0.000 | -0.000 | 0.000 | 
| 717.527 | 717.527 | 1387.592 | -0.000 | -0.000 | -0.000 | 
| -0.000 | -0.000 | 0.000 | 130.751 | -0.000 | -0.000 | 
| -0.000 | -0.000 | 0.000 | 0.000 | 130.751 | 0.000 | 
| -0.000 | 0.000 | -0.000 | -0.000 | 0.000 | 240.924 | 
| 1220.469 | 814.327 | 717.528 | 0.000 | 0.000 | 0.000 | 
| 814.326 | 1220.470 | 717.528 | 0.000 | 0.000 | -0.000 | 
| 717.528 | 717.528 | 1387.595 | -0.000 | 0.000 | 0.000 | 
| 0.000 | 0.000 | -0.000 | 130.751 | 0.000 | -0.000 | 
| 0.000 | 0.000 | -0.000 | 0.000 | 130.751 | 0.000 | 
| 0.000 | -0.000 | 0.000 | 0.000 | 0.000 | 240.924 | 
| 1220.463 | 814.312 | 717.519 | -0.000 | -0.000 | -0.000 | 
| 814.310 | 1220.464 | 717.519 | -0.000 | -0.000 | 0.000 | 
| 717.520 | 717.520 | 1387.577 | 0.000 | -0.000 | 0.000 | 
| -0.000 | -0.002 | 0.001 | 130.751 | -0.000 | 0.000 | 
| -0.002 | -0.000 | 0.001 | -0.000 | 130.751 | -0.000 | 
| -0.002 | 0.002 | -0.002 | -0.000 | -0.000 | 203.071 | 
| 1220.474 | 814.340 | 717.536 | 0.000 | 0.000 | 0.000 | 
| 814.331 | 1220.482 | 717.536 | 0.000 | 0.000 | 0.000 | 
| 717.535 | 717.535 | 1387.609 | 0.000 | 0.000 | -0.000 | 
| 0.000 | 0.002 | -0.001 | 130.751 | 0.000 | -0.000 | 
| 0.002 | 0.000 | -0.001 | 0.000 | 130.751 | 0.000 | 
| 0.002 | -0.002 | 0.002 | 0.000 | 0.000 | 203.071 | 
| 169.336 | 64.143 | 64.143 | 0.000 | 0.000 | 0.000 | 
| 64.143 | 169.336 | 64.143 | 0.000 | 0.000 | 0.000 | 
| 64.143 | 64.143 | 169.336 | 0.000 | 0.000 | 0.000 | 
| -0.000 | 0.000 | -0.000 | 60.411 | 0.000 | 0.000 | 
| -0.000 | 0.000 | -0.000 | 0.000 | 60.411 | 0.000 | 
| -0.000 | -0.000 | -0.000 | 0.000 | 0.000 | 60.411 | 
| 169.336 | 64.143 | 64.143 | -0.000 | -0.000 | -0.000 | 
| 64.143 | 169.336 | 64.143 | -0.000 | -0.000 | -0.000 | 
| 64.143 | 64.143 | 169.336 | -0.000 | -0.000 | -0.000 | 
| -0.000 | 0.000 | 0.000 | 60.411 | -0.000 | -0.000 | 
| 0.000 | 0.000 | 0.000 | -0.000 | 60.411 | -0.000 | 
| 0.000 | -0.000 | 0.000 | -0.000 | -0.000 | 60.411 | 
| 169.336 | 64.143 | 64.143 | 0.000 | 0.000 | 0.000 | 
| 64.143 | 169.336 | 64.143 | 0.000 | -0.000 | 0.000 | 
| 64.143 | 64.143 | 169.336 | 0.000 | 0.000 | 0.000 | 
| -0.000 | 0.000 | 0.000 | 60.411 | 0.000 | -0.000 | 
| -0.000 | -0.000 | 0.000 | 0.000 | 60.411 | 0.000 | 
| -0.000 | -0.000 | -0.000 | 0.000 | 0.000 | 60.411 | 
| 169.336 | 64.143 | 64.143 | -0.000 | -0.000 | -0.000 | 
| 64.143 | 169.336 | 64.143 | -0.000 | -0.000 | 0.000 | 
| 64.143 | 64.143 | 169.336 | -0.000 | -0.000 | -0.000 | 
| 0.000 | 0.000 | -0.000 | 60.411 | -0.000 | -0.000 | 
| 0.000 | -0.000 | -0.000 | -0.000 | 60.411 | -0.000 | 
| 0.000 | -0.000 | 0.000 | -0.000 | -0.000 | 60.411 | 
| 169.336 | 64.143 | 64.143 | 0.000 | 0.000 | 0.000 | 
| 64.143 | 169.336 | 64.143 | 0.000 | 0.000 | 0.000 | 
| 64.143 | 64.143 | 169.336 | 0.000 | 0.000 | 0.000 | 
| -0.000 | -0.000 | 0.000 | 60.411 | 0.000 | 0.000 | 
| -0.000 | -0.000 | 0.000 | 0.000 | 60.411 | 0.000 | 
| -0.000 | 0.000 | -0.000 | 0.000 | -0.000 | 60.411 | 
| 169.336 | 64.143 | 64.143 | -0.000 | -0.000 | -0.000 | 
| 64.143 | 169.336 | 64.143 | -0.000 | -0.000 | -0.000 | 
| 64.143 | 64.143 | 169.336 | -0.000 | -0.000 | -0.000 | 
| 0.000 | 0.000 | -0.000 | 60.411 | -0.000 | -0.000 | 
| 0.000 | 0.000 | -0.000 | -0.000 | 60.411 | -0.000 | 
| 0.000 | -0.000 | 0.000 | 0.000 | 0.000 | 60.411 | 
| 259.772 | 104.332 | 30.682 | -0.000 | 0.000 | -0.000 | 
| 104.332 | 259.772 | 30.682 | -0.000 | 0.000 | -0.000 | 
| 30.682 | 30.682 | 389.390 | -0.000 | 0.000 | -0.000 | 
| 0.000 | -0.000 | -0.000 | 34.006 | 0.000 | -0.000 | 
| -0.000 | -0.000 | -0.000 | -0.000 | 34.006 | -0.000 | 
| 0.000 | -0.000 | -0.000 | -0.000 | 0.000 | 40.892 | 
| 259.772 | 104.332 | 30.682 | 0.000 | -0.000 | 0.000 | 
| 104.332 | 259.772 | 30.682 | 0.000 | -0.000 | 0.000 | 
| 30.682 | 30.682 | 389.390 | -0.000 | -0.000 | 0.000 | 
| -0.000 | 0.000 | 0.000 | 34.006 | -0.000 | 0.000 | 
| 0.000 | 0.000 | 0.000 | 0.000 | 34.006 | 0.000 | 
| -0.000 | 0.000 | 0.000 | 0.000 | -0.000 | 40.892 | 
| 259.772 | 104.332 | 30.682 | -0.000 | 0.000 | -0.000 | 
| 104.332 | 259.772 | 30.682 | 0.000 | 0.000 | -0.000 | 
| 30.682 | 30.682 | 389.391 | -0.000 | 0.000 | -0.000 | 
| 0.000 | -0.000 | -0.000 | 34.006 | 0.000 | -0.000 | 
| 0.000 | -0.000 | -0.000 | -0.000 | 34.006 | -0.000 | 
| -0.000 | -0.000 | -0.000 | -0.000 | 0.000 | 40.892 | 
| 259.772 | 104.332 | 30.682 | 0.000 | -0.000 | 0.000 | 
| 104.332 | 259.772 | 30.682 | 0.000 | -0.000 | 0.000 | 
| 30.682 | 30.682 | 389.390 | 0.000 | -0.000 | 0.000 | 
| -0.000 | 0.000 | 0.000 | 34.006 | -0.000 | 0.000 | 
| -0.000 | 0.000 | 0.000 | 0.000 | 34.006 | 0.000 | 
| -0.000 | 0.000 | 0.000 | 0.000 | -0.000 | 40.892 | 
| 259.772 | 104.333 | 30.682 | -0.000 | 0.000 | -0.000 | 
| 104.333 | 259.772 | 30.682 | 0.000 | 0.000 | -0.000 | 
| 30.682 | 30.682 | 389.393 | -0.000 | 0.000 | -0.000 | 
| 0.000 | -0.000 | -0.000 | 34.006 | 0.000 | -0.000 | 
| -0.000 | -0.000 | -0.000 | -0.000 | 34.006 | -0.000 | 
| -0.000 | -0.000 | -0.000 | -0.000 | 0.000 | 40.892 | 
| 259.772 | 104.331 | 30.682 | 0.000 | -0.000 | 0.000 | 
| 104.331 | 259.772 | 30.682 | 0.000 | -0.000 | 0.000 | 
| 30.682 | 30.682 | 389.388 | -0.000 | -0.000 | 0.000 | 
| -0.000 | 0.000 | 0.000 | 34.006 | -0.000 | 0.000 | 
| 0.000 | 0.000 | 0.000 | 0.000 | 34.006 | 0.000 | 
| 0.000 | 0.000 | 0.000 | 0.000 | -0.000 | 40.892 | 
| 785.229 | 734.086 | 612.940 | 0.000 | -0.000 | -0.000 | 
| 734.086 | 785.229 | 612.940 | 0.000 | 0.000 | 0.000 | 
| 612.940 | 612.940 | 711.692 | 0.000 | 0.000 | 0.000 | 
| 0.000 | 0.000 | -0.000 | 434.087 | 0.000 | 0.000 | 
| 0.000 | 0.000 | -0.000 | 0.000 | 434.087 | 0.000 | 
| -0.000 | 0.000 | -0.000 | 0.000 | -0.000 | 695.816 | 
| 785.229 | 734.086 | 612.940 | 0.000 | -0.000 | 0.000 | 
| 734.086 | 785.229 | 612.940 | -0.000 | -0.000 | -0.000 | 
| 612.940 | 612.940 | 711.692 | -0.000 | -0.000 | -0.000 | 
| -0.000 | 0.000 | 0.000 | 434.087 | 0.000 | -0.000 | 
| -0.000 | -0.000 | 0.000 | 0.000 | 434.087 | -0.000 | 
| 0.000 | 0.000 | 0.000 | -0.000 | 0.000 | 695.816 | 
| 785.229 | 734.086 | 612.940 | 0.000 | 0.000 | 0.000 | 
| 734.086 | 785.229 | 612.940 | 0.000 | 0.000 | 0.000 | 
| 612.940 | 612.940 | 711.691 | 0.000 | 0.000 | 0.000 | 
| 0.000 | -0.000 | -0.000 | 434.087 | -0.000 | 0.000 | 
| -0.000 | 0.000 | -0.000 | -0.000 | 434.087 | 0.000 | 
| -0.000 | -0.000 | -0.000 | 0.000 | 0.000 | 695.816 | 
| 785.229 | 734.087 | 612.941 | -0.000 | -0.000 | 0.000 | 
| 734.087 | 785.229 | 612.941 | 0.000 | 0.000 | -0.000 | 
| 612.941 | 612.941 | 711.693 | -0.000 | -0.000 | -0.000 | 
| -0.000 | 0.000 | 0.000 | 434.087 | -0.000 | -0.000 | 
| 0.000 | -0.000 | 0.000 | 0.000 | 434.087 | 0.000 | 
| 0.000 | 0.000 | 0.000 | 0.000 | -0.000 | 695.816 | 
| 785.225 | 734.083 | 612.937 | 0.000 | -0.000 | -0.000 | 
| 734.083 | 785.225 | 612.937 | -0.000 | 0.000 | -0.000 | 
| 612.933 | 612.933 | 711.683 | 0.000 | 0.000 | 0.000 | 
| 0.000 | -0.000 | -0.001 | 434.087 | -0.000 | -0.000 | 
| -0.000 | 0.000 | -0.001 | -0.000 | 434.087 | 0.000 | 
| -0.002 | -0.001 | -0.002 | -0.000 | -0.000 | 695.816 | 
| 785.233 | 734.090 | 612.944 | -0.000 | 0.000 | 0.000 | 
| 734.090 | 785.233 | 612.944 | -0.000 | 0.000 | -0.000 | 
| 612.948 | 612.948 | 711.701 | -0.000 | -0.000 | -0.000 | 
| -0.000 | 0.000 | 0.001 | 434.087 | 0.000 | -0.000 | 
| 0.000 | -0.000 | 0.001 | 0.000 | 434.087 | -0.000 | 
| 0.002 | 0.001 | 0.002 | 0.000 | -0.000 | 695.816 | 
| 226.120 | 54.547 | 109.096 | -77.144 | 0.000 | 0.000 | 
| 54.547 | 226.120 | 109.096 | 77.144 | 0.000 | 0.000 | 
| 109.095 | 109.095 | 171.562 | -0.000 | -0.000 | 0.000 | 
| -77.144 | 77.144 | 0.000 | 140.332 | 0.000 | -0.000 | 
| 0.000 | -0.001 | -0.000 | -0.000 | 140.332 | -77.145 | 
| 0.000 | -0.000 | 0.000 | -0.000 | -77.144 | 85.787 | 
| 226.120 | 54.546 | 109.096 | -77.144 | -0.000 | -0.000 | 
| 54.547 | 226.120 | 109.096 | 77.144 | -0.000 | -0.000 | 
| 109.095 | 109.095 | 171.562 | 0.000 | -0.000 | -0.000 | 
| -77.144 | 77.144 | 0.000 | 140.332 | -0.000 | 0.000 | 
| -0.000 | 0.001 | 0.000 | 0.000 | 140.332 | -77.143 | 
| -0.000 | 0.000 | 0.000 | 0.000 | -77.144 | 85.787 | 
| 226.120 | 54.547 | 109.096 | -77.144 | 0.000 | 0.000 | 
| 54.547 | 226.120 | 109.096 | 77.144 | 0.000 | 0.000 | 
| 109.095 | 109.095 | 171.562 | -0.000 | 0.000 | 0.000 | 
| -77.144 | 77.144 | 0.000 | 140.332 | 0.000 | 0.000 | 
| 0.000 | -0.000 | 0.000 | -0.000 | 140.332 | -77.144 | 
| 0.000 | -0.000 | 0.000 | -0.000 | -77.144 | 85.787 | 
| 226.120 | 54.547 | 109.096 | -77.144 | -0.000 | -0.000 | 
| 54.547 | 226.120 | 109.096 | 77.144 | -0.000 | -0.000 | 
| 109.095 | 109.095 | 171.562 | 0.000 | -0.000 | 0.000 | 
| -77.144 | 77.144 | -0.000 | 140.332 | -0.000 | -0.000 | 
| -0.000 | 0.000 | -0.000 | 0.000 | 140.332 | -77.144 | 
| -0.000 | 0.000 | -0.000 | 0.000 | -77.144 | 85.787 | 
| 226.121 | 54.547 | 109.097 | -77.144 | 0.000 | 0.000 | 
| 54.547 | 226.121 | 109.097 | 77.144 | 0.000 | 0.000 | 
| 109.095 | 109.095 | 171.563 | -0.000 | 0.000 | -0.000 | 
| -77.144 | 77.144 | 0.000 | 140.333 | 0.000 | 0.000 | 
| 0.000 | 0.000 | 0.000 | -0.000 | 140.332 | -77.144 | 
| 0.000 | 0.000 | 0.000 | -0.000 | -77.144 | 85.787 | 
| 226.120 | 54.546 | 109.096 | -77.144 | 0.000 | 0.000 | 
| 54.546 | 226.120 | 109.096 | 77.143 | -0.000 | -0.000 | 
| 109.094 | 109.094 | 171.562 | 0.000 | 0.000 | -0.000 | 
| -77.144 | 77.144 | -0.000 | 140.332 | -0.000 | -0.000 | 
| -0.000 | -0.000 | -0.000 | 0.000 | 140.332 | -77.144 | 
| -0.000 | -0.000 | -0.000 | 0.000 | -77.144 | 85.787 | 
| 268.317 | 62.517 | 115.372 | -80.506 | -0.000 | -0.000 | 
| 62.517 | 268.317 | 115.372 | 80.506 | 0.000 | -0.000 | 
| 104.766 | 104.766 | 105.466 | 0.000 | -0.000 | -0.000 | 
| -80.506 | 80.506 | 0.000 | 120.613 | -0.000 | -0.000 | 
| -0.000 | 0.000 | 0.000 | 0.000 | 120.613 | -80.507 | 
| -0.000 | 0.000 | 0.000 | 0.000 | -80.506 | 102.900 | 
| 268.317 | 62.517 | 115.372 | -80.507 | 0.000 | 0.000 | 
| 62.517 | 268.317 | 115.372 | 80.506 | 0.000 | 0.000 | 
| 104.766 | 104.766 | 105.465 | -0.000 | 0.000 | 0.000 | 
| -80.507 | 80.506 | -0.000 | 120.613 | 0.000 | 0.000 | 
| -0.000 | -0.000 | -0.000 | -0.000 | 120.613 | -80.506 | 
| 0.000 | -0.000 | -0.000 | -0.000 | -80.506 | 102.900 | 
| 268.317 | 62.517 | 115.372 | -80.506 | -0.000 | -0.000 | 
| 62.517 | 268.317 | 115.372 | 80.507 | -0.000 | -0.000 | 
| 104.766 | 104.766 | 105.465 | 0.000 | -0.000 | -0.000 | 
| -80.506 | 80.506 | 0.000 | 120.613 | -0.000 | -0.000 | 
| 0.000 | 0.000 | 0.000 | -0.000 | 120.613 | -80.506 | 
| 0.000 | 0.000 | 0.000 | -0.000 | -80.506 | 102.900 | 
| 268.317 | 62.517 | 115.372 | -80.506 | 0.000 | 0.000 | 
| 62.517 | 268.317 | 115.372 | 80.506 | 0.000 | 0.000 | 
| 104.766 | 104.766 | 105.465 | -0.000 | 0.000 | 0.000 | 
| -80.506 | 80.506 | -0.000 | 120.613 | 0.000 | 0.000 | 
| -0.000 | -0.000 | -0.000 | 0.000 | 120.613 | -80.506 | 
| -0.000 | -0.000 | -0.000 | 0.000 | -80.506 | 102.900 | 
| 268.318 | 62.518 | 115.372 | -80.507 | -0.000 | -0.000 | 
| 62.517 | 268.318 | 115.372 | 80.507 | -0.000 | -0.000 | 
| 104.767 | 104.767 | 105.465 | 0.000 | -0.000 | -0.000 | 
| -80.506 | 80.507 | 0.000 | 120.614 | -0.000 | -0.000 | 
| 0.000 | 0.000 | 0.000 | -0.000 | 120.613 | -80.506 | 
| 0.000 | 0.000 | 0.000 | -0.000 | -80.506 | 102.900 | 
| 268.316 | 62.517 | 115.371 | -80.506 | 0.000 | 0.000 | 
| 62.517 | 268.316 | 115.371 | 80.506 | 0.000 | 0.000 | 
| 104.766 | 104.766 | 105.465 | -0.000 | 0.000 | 0.000 | 
| -80.507 | 80.506 | -0.000 | 120.613 | 0.000 | 0.000 | 
| -0.000 | -0.000 | -0.000 | 0.000 | 120.613 | -80.506 | 
| -0.000 | -0.000 | -0.000 | 0.000 | -80.506 | 102.900 | 
| 389.790 | 0.000 | -0.000 | -0.000 | 0.000 | 0.000 | 
| -0.000 | 389.790 | -0.000 | -0.000 | 0.000 | 0.000 | 
| -0.000 | 0.000 | 389.790 | -0.000 | -0.000 | 0.000 | 
| -0.000 | 0.000 | -0.000 | 31.235 | 0.000 | 0.000 | 
| -0.000 | 0.000 | 0.000 | -0.000 | 31.235 | 0.000 | 
| -0.000 | 0.000 | -0.000 | -0.000 | -0.000 | 31.235 | 
| 389.790 | -0.000 | 0.000 | 0.000 | -0.000 | -0.000 | 
| 0.000 | 389.790 | 0.000 | -0.000 | -0.000 | 0.000 | 
| 0.000 | -0.000 | 389.790 | 0.000 | 0.000 | -0.000 | 
| 0.000 | -0.000 | 0.000 | 31.235 | -0.000 | -0.000 | 
| -0.000 | -0.000 | -0.000 | 0.000 | 31.235 | -0.000 | 
| 0.000 | -0.000 | 0.000 | 0.000 | 0.000 | 31.235 | 
| 389.790 | 0.000 | -0.000 | -0.000 | 0.000 | 0.000 | 
| -0.000 | 389.790 | -0.000 | 0.000 | 0.000 | 0.000 | 
| -0.000 | 0.000 | 389.790 | 0.000 | 0.000 | 0.000 | 
| -0.000 | 0.000 | -0.000 | 31.235 | -0.000 | 0.000 | 
| 0.000 | 0.000 | -0.000 | -0.000 | 31.235 | 0.000 | 
| -0.000 | -0.000 | -0.000 | -0.000 | 0.000 | 31.235 | 
| 389.790 | -0.000 | 0.000 | 0.000 | 0.000 | -0.000 | 
| 0.000 | 389.790 | 0.000 | 0.000 | -0.000 | -0.000 | 
| 0.000 | -0.000 | 389.790 | -0.000 | -0.000 | -0.000 | 
| 0.000 | -0.000 | 0.000 | 31.235 | 0.000 | 0.000 | 
| -0.000 | -0.000 | 0.000 | 0.000 | 31.235 | -0.000 | 
| 0.000 | 0.000 | 0.000 | 0.000 | -0.000 | 31.235 | 
| 389.792 | 0.000 | -0.000 | -0.000 | 0.000 | 0.000 | 
| -0.000 | 389.792 | 0.000 | 0.000 | 0.000 | 0.000 | 
| -0.000 | 0.000 | 389.792 | 0.000 | 0.000 | -0.000 | 
| -0.000 | -0.000 | -0.000 | 31.235 | -0.000 | -0.000 | 
| -0.000 | 0.000 | -0.000 | -0.000 | 31.235 | 0.000 | 
| -0.000 | -0.000 | -0.000 | -0.000 | 0.000 | 31.235 | 
| 389.788 | -0.000 | -0.000 | 0.000 | 0.000 | -0.000 | 
| 0.000 | 389.788 | -0.000 | 0.000 | 0.000 | -0.000 | 
| 0.000 | -0.000 | 389.788 | -0.000 | 0.000 | -0.000 | 
| 0.000 | 0.000 | 0.000 | 31.235 | 0.000 | 0.000 | 
| 0.000 | -0.000 | 0.000 | 0.000 | 31.235 | -0.000 | 
| 0.000 | 0.000 | 0.000 | 0.000 | -0.000 | 31.235 | 
| 111.089 | 50.300 | 50.300 | -0.000 | -0.000 | 0.000 | 
| 50.300 | 111.089 | 50.300 | 0.000 | -0.000 | 0.000 | 
| 50.300 | 50.300 | 111.089 | 0.000 | 0.000 | 0.000 | 
| 0.000 | 0.000 | -0.000 | 13.069 | 0.000 | -0.000 | 
| -0.000 | 0.000 | 0.000 | -0.000 | 13.069 | -0.000 | 
| -0.000 | 0.000 | 0.000 | 0.000 | 0.000 | 13.069 | 
| 86.851 | 62.419 | 62.419 | -0.000 | -0.000 | -0.000 | 
| 62.419 | 86.851 | 62.419 | -0.000 | -0.000 | -0.000 | 
| 62.419 | 62.419 | 86.851 | 0.000 | -0.000 | -0.000 | 
| -0.000 | -0.000 | -0.000 | 13.069 | 0.000 | -0.000 | 
| -0.000 | -0.000 | 0.000 | -0.000 | 13.069 | 0.000 | 
| -0.000 | -0.000 | -0.000 | -0.000 | -0.000 | 13.069 | 
| 111.089 | 50.300 | 50.300 | 0.000 | -0.000 | 0.000 | 
| 50.300 | 111.089 | 50.300 | 0.000 | -0.000 | 0.000 | 
| 50.300 | 50.300 | 111.089 | 0.000 | -0.000 | 0.000 | 
| 0.000 | 0.000 | 0.000 | 52.052 | -0.000 | 0.000 | 
| 0.000 | 0.000 | 0.000 | -0.000 | 52.052 | 0.000 | 
| 0.000 | 0.000 | -0.000 | 0.000 | -0.000 | 52.052 | 
| 86.851 | 62.419 | 62.419 | -0.000 | -0.000 | 0.000 | 
| 62.419 | 86.851 | 62.419 | -0.000 | -0.000 | 0.000 | 
| 62.419 | 62.419 | 86.851 | -0.000 | -0.000 | -0.000 | 
| -0.000 | -0.000 | -0.000 | 52.052 | 0.000 | -0.000 | 
| -0.000 | -0.000 | -0.000 | -0.000 | 52.052 | -0.000 | 
| -0.000 | -0.000 | 0.000 | -0.000 | 0.000 | 52.052 | 
| 86.850 | 62.420 | 62.420 | 0.000 | 0.000 | -0.000 | 
| 62.420 | 86.850 | 62.420 | 0.000 | -0.000 | -0.000 | 
| 62.420 | 62.420 | 86.850 | 0.000 | -0.000 | 0.000 | 
| 0.000 | -0.000 | -0.000 | 13.069 | -0.000 | 0.000 | 
| -0.000 | 0.000 | -0.000 | -0.000 | 13.069 | -0.000 | 
| -0.000 | -0.000 | 0.000 | -0.000 | 0.000 | 13.069 | 
| 86.850 | 62.419 | 62.419 | -0.000 | 0.000 | 0.000 | 
| 62.419 | 86.850 | 62.419 | 0.000 | -0.000 | -0.000 | 
| 62.419 | 62.419 | 86.850 | -0.000 | 0.000 | 0.000 | 
| -0.000 | 0.000 | 0.000 | 13.069 | 0.000 | 0.000 | 
| 0.000 | -0.000 | 0.000 | -0.000 | 13.069 | -0.000 | 
| 0.000 | 0.000 | -0.000 | 0.000 | -0.000 | 13.069 | 
| 195.620 | 21.758 | 46.381 | -0.000 | 14.396 | 0.000 | 
| 57.971 | 175.708 | 47.736 | -0.000 | 99.151 | 0.000 | 
| 60.345 | 115.403 | 126.186 | -0.000 | 88.336 | 0.000 | 
| -12.325 | 46.463 | -14.175 | 24.121 | 83.435 | 13.353 | 
| 5.815 | -19.739 | 22.867 | -0.000 | 73.921 | 0.000 | 
| 110.567 | 8.311 | -97.899 | -1.444 | 55.032 | 41.229 | 
| 18.438 | 33.114 | 174.727 | 0.000 | -20.287 | -0.000 | 
| 24.685 | 202.175 | 45.567 | -0.000 | -19.542 | -0.000 | 
| 44.753 | 45.730 | 192.811 | 0.000 | 22.867 | -0.000 | 
| 12.325 | -46.463 | 14.175 | 24.121 | -83.435 | 13.353 | 
| 5.815 | -19.739 | 22.867 | -0.000 | 73.921 | -0.000 | 
| -110.567 | -8.311 | 97.899 | -1.444 | -55.032 | 41.229 | 
| 148.928 | 51.990 | 59.335 | -0.000 | 14.532 | 0.000 | 
| 58.114 | 162.146 | 45.044 | -0.000 | 5.949 | 0.000 | 
| 72.169 | 57.961 | 149.944 | 0.000 | 8.108 | 0.000 | 
| 7.218 | 2.118 | -7.266 | 48.192 | 5.357 | 1.050 | 
| 5.815 | -19.739 | 22.867 | -0.000 | 73.921 | 0.000 | 
| -0.864 | 3.258 | -0.994 | 5.049 | 5.851 | 39.258 | 
| 133.444 | 55.853 | 66.449 | 0.000 | 1.220 | -0.000 | 
| 52.597 | 155.076 | 56.469 | 0.000 | -6.546 | -0.000 | 
| 60.840 | 52.488 | 166.942 | 0.000 | 3.704 | -0.000 | 
| -7.218 | -2.118 | 7.266 | 48.192 | -5.357 | 1.050 | 
| 5.815 | -19.739 | 22.867 | 0.000 | 73.921 | -0.000 | 
| 0.864 | -3.258 | 0.994 | 5.049 | -5.851 | 39.258 | 
| 136.807 | 49.780 | 62.479 | -0.000 | 7.551 | 0.000 | 
| 49.764 | 160.274 | 54.359 | -0.000 | 0.014 | 0.000 | 
| 61.591 | 56.449 | 163.335 | -0.000 | 7.665 | 0.000 | 
| 1.077 | 0.127 | -0.993 | 49.130 | 0.473 | 0.707 | 
| 4.176 | -0.884 | 7.290 | -0.000 | 42.288 | 0.000 | 
| 1.086 | 0.183 | -1.025 | 0.896 | 0.470 | 38.185 | 
| 134.813 | 48.586 | 65.180 | -0.000 | 6.638 | -0.000 | 
| 49.023 | 159.971 | 55.064 | 0.000 | -1.989 | -0.000 | 
| 60.955 | 55.380 | 164.885 | 0.000 | 7.354 | -0.000 | 
| -1.077 | -0.127 | 0.993 | 49.130 | -0.473 | 0.707 | 
| 1.280 | -1.557 | 5.910 | -0.000 | 40.501 | -0.000 | 
| -1.086 | -0.183 | 1.025 | 0.896 | -0.470 | 38.185 | 
| -2725.121 | 57.075 | -166.118 | 0.020 | 0.000 | 0.001 | 
| 201.206 | 660.868 | 225.021 | 0.002 | 0.000 | 0.000 | 
| 99.703 | 345.782 | 693.368 | -0.004 | 0.000 | 0.000 | 
| 385.412 | 212.339 | 95.978 | 57.497 | 0.000 | 0.002 | 
| 0.000 | 0.000 | -0.000 | -0.000 | 178.161 | -0.000 | 
| 1920010899.110 | 153991622.405 | 399055447.689 | -0.007 | -0.194 | -449716337.491 | 
| -3463.933 | -362.389 | -351.032 | -0.025 | -0.000 | -0.001 | 
| -538.501 | 240.421 | 40.181 | -0.023 | -0.000 | -0.001 | 
| -641.038 | -73.538 | 507.937 | -0.023 | -0.000 | -0.001 | 
| -385.412 | -212.339 | -95.978 | 57.496 | -0.000 | -0.002 | 
| -393.289 | -214.088 | -97.604 | 0.012 | -720.839 | -0.005 | 
| -1920010899.209 | -153991622.362 | -399055447.655 | 0.009 | -0.198 | -449716337.433 | 
| -3059.568 | -132.242 | -249.707 | 0.003 | 0.000 | 0.000 | 
| -136.883 | 470.015 | 140.896 | 0.002 | 0.000 | 0.000 | 
| -239.190 | 156.050 | 608.714 | 0.002 | 0.000 | 0.000 | 
| 38.595 | 21.244 | 9.609 | 57.124 | 0.000 | 0.000 | 
| 39.340 | 21.411 | 9.763 | -0.001 | -721.412 | 0.001 | 
| 0.000 | 0.000 | -0.000 | 0.000 | 0.000 | 181.985 | 
| -3133.461 | -174.123 | -268.206 | -0.003 | -0.000 | -0.000 | 
| -210.688 | 428.110 | 122.412 | -0.003 | -0.000 | -0.000 | 
| -312.955 | 114.180 | 590.233 | -0.002 | -0.000 | -0.000 | 
| -38.595 | -21.244 | -9.609 | 57.124 | -0.000 | -0.000 | 
| -39.340 | -21.411 | -9.763 | 0.001 | -721.412 | -0.001 | 
| -0.000 | -0.000 | 0.000 | 0.000 | -0.000 | 181.985 | 
| -3092.816 | -151.097 | -258.030 | 0.000 | 0.000 | 0.000 | 
| -170.144 | 451.144 | 132.566 | 0.000 | 0.000 | 0.000 | 
| -272.455 | 137.209 | 600.381 | 0.000 | 0.000 | 0.000 | 
| 3.862 | 2.125 | 0.961 | 57.120 | 0.000 | 0.000 | 
| 3.904 | 2.136 | 0.970 | -0.000 | -721.418 | 0.000 | 
| 19200288.600 | 1540057.917 | 3990620.510 | -0.000 | 0.000 | -4496973.957 | 
| -3100.209 | -155.288 | -259.884 | -0.000 | -0.000 | -0.000 | 
| -177.577 | 446.938 | 130.707 | -0.000 | -0.000 | -0.000 | 
| -279.845 | 133.021 | 598.528 | -0.000 | -0.000 | -0.000 | 
| -3.862 | -2.125 | -0.961 | 57.120 | -0.000 | -0.000 | 
| -3.904 | -2.136 | -0.970 | 0.000 | -721.418 | -0.000 | 
| -19200288.600 | -1540057.917 | -3990620.510 | 0.000 | 0.000 | -4496973.957 | 
| 426.678 | 34.725 | 1.238 | -0.001 | 0.000 | 0.000 | 
| 49.365 | 591.192 | 308.165 | -0.000 | 0.000 | 0.000 | 
| 6.116 | 306.064 | 350.506 | -0.001 | 0.000 | 0.000 | 
| -0.000 | 0.000 | 0.000 | 132.270 | 0.000 | 0.000 | 
| -0.000 | 0.000 | 0.000 | 0.000 | 31.685 | 0.000 | 
| 0.006 | 0.028 | 0.009 | -0.001 | 0.000 | 37.449 | 
| 427.373 | 34.970 | 3.114 | 0.000 | -0.000 | -0.000 | 
| 63.334 | 750.557 | 304.197 | -0.000 | -0.000 | -0.000 | 
| 6.577 | 296.287 | 354.434 | -0.000 | -0.000 | -0.000 | 
| -0.000 | -0.000 | -0.000 | 132.270 | -0.000 | -0.000 | 
| 0.000 | -0.000 | -0.000 | -0.000 | 31.685 | 0.000 | 
| -0.006 | -0.028 | -0.009 | 0.001 | -0.000 | 37.449 | 
| 429.122 | 52.199 | 3.352 | 0.000 | 0.000 | -0.000 | 
| 45.830 | 581.004 | 301.034 | -0.000 | 0.000 | 0.000 | 
| 6.577 | 296.287 | 354.434 | 0.000 | 0.000 | 0.000 | 
| -0.000 | -0.000 | 0.000 | 132.270 | 0.000 | 0.000 | 
| 0.000 | -0.000 | -0.000 | 0.000 | 31.685 | -0.000 | 
| -0.000 | -0.000 | -0.000 | 0.000 | 0.000 | 37.940 | 
| 426.669 | 34.690 | 1.223 | 0.000 | -0.000 | -0.000 | 
| 45.827 | 580.982 | 301.032 | 0.000 | -0.000 | -0.000 | 
| 6.577 | 296.287 | 354.433 | -0.000 | -0.000 | 0.000 | 
| -0.000 | -0.000 | -0.000 | 132.270 | -0.000 | -0.000 | 
| 0.000 | 0.000 | 0.000 | -0.000 | 31.685 | 0.000 | 
| 0.000 | 0.000 | 0.000 | -0.000 | -0.000 | 37.940 | 
| 429.124 | 52.199 | 3.352 | 0.000 | 0.000 | -0.000 | 
| 49.367 | 591.243 | 308.160 | -0.000 | 0.000 | 0.000 | 
| 4.449 | 293.123 | 349.341 | -0.000 | 0.000 | -0.000 | 
| -2700574.308 | 11383325.798 | -3527925.988 | -678146.814 | 0.000 | 0.000 | 
| 0.000 | -0.000 | -0.000 | 0.000 | 31.685 | 0.000 | 
| -0.000 | -0.000 | -0.000 | 0.000 | 0.000 | 37.940 | 
| 426.670 | 34.713 | 1.224 | 0.000 | -0.000 | -0.000 | 
| 45.829 | 580.981 | 301.033 | 0.000 | -0.000 | -0.000 | 
| 6.577 | 296.286 | 354.432 | -0.000 | -0.000 | -0.000 | 
| 2700574.309 | -11383325.798 | 3527925.988 | -678146.814 | 0.000 | -0.000 | 
| -0.000 | 0.000 | 0.000 | -0.000 | 31.685 | -0.000 | 
| 0.000 | 0.000 | 0.000 | -0.000 | -0.000 | 37.940 | 
| 1256.400 | 778.273 | 717.531 | 30.601 | -0.000 | 0.000 | 
| 775.664 | 1244.949 | 705.515 | -30.013 | 0.000 | 0.000 | 
| 710.491 | 710.491 | 1350.783 | 0.000 | 0.000 | 0.000 | 
| 23.007 | -37.020 | -11.977 | 142.585 | -0.000 | -0.000 | 
| -7.006 | -7.006 | -11.976 | -0.000 | 142.585 | 30.014 | 
| -7.006 | -7.006 | -11.977 | 0.000 | 25.484 | 200.616 | 
| 1224.943 | 823.712 | 729.483 | 25.484 | -0.000 | -0.000 | 
| 778.273 | 1256.400 | 717.532 | -30.601 | -0.000 | 0.000 | 
| 717.523 | 717.523 | 1362.804 | -0.000 | 0.000 | 0.000 | 
| 30.602 | -30.601 | 0.000 | 142.663 | -0.000 | 0.000 | 
| 7.006 | 7.006 | 11.976 | 0.000 | 142.585 | 30.014 | 
| 7.006 | 7.006 | 11.977 | -0.000 | 25.484 | 200.616 | 
| 1250.692 | 782.387 | 716.170 | 29.948 | -0.000 | -0.000 | 
| 778.272 | 1256.399 | 717.531 | -30.601 | -0.000 | -0.000 | 
| 717.522 | 717.522 | 1362.802 | -0.000 | 0.000 | -0.000 | 
| 29.310 | -30.715 | -1.200 | 142.585 | -0.000 | -0.000 | 
| -0.702 | -0.702 | -1.200 | 0.000 | 142.585 | 30.012 | 
| -0.000 | 0.000 | -0.000 | 0.000 | 30.601 | 239.064 | 
| 1218.638 | 817.408 | 718.705 | 25.484 | -0.000 | 0.000 | 
| 783.997 | 1252.216 | 718.848 | -29.942 | -0.000 | 0.000 | 
| 718.199 | 718.199 | 1363.959 | -0.000 | -0.000 | 0.000 | 
| 30.602 | -30.601 | -0.000 | 142.663 | -0.000 | 0.000 | 
| 0.702 | 0.702 | 1.200 | -0.000 | 142.585 | 30.012 | 
| 0.000 | -0.000 | 0.000 | -0.000 | 30.601 | 239.064 | 
| 1256.390 | 778.262 | 717.523 | 30.601 | -0.000 | -0.000 | 
| 816.629 | 1217.854 | 717.377 | -25.483 | 0.000 | -0.000 | 
| 717.515 | 717.515 | 1362.788 | -0.000 | -0.000 | 0.000 | 
| 29.808 | -29.979 | -0.143 | 142.569 | -0.000 | -0.000 | 
| -0.001 | -0.001 | 0.001 | 0.000 | 142.663 | 30.601 | 
| -0.072 | -0.069 | -0.122 | -0.000 | 25.484 | 200.620 | 
| 1218.023 | 816.779 | 717.634 | 25.485 | -0.000 | -0.000 | 
| 807.322 | 1228.088 | 718.153 | -26.784 | -0.000 | 0.000 | 
| 717.575 | 717.575 | 1362.896 | -0.000 | 0.000 | -0.000 | 
| 29.979 | -29.808 | 0.144 | 142.569 | 0.000 | 0.000 | 
| 0.001 | 0.001 | -0.001 | -0.000 | 142.663 | 30.601 | 
| 0.072 | 0.069 | 0.122 | 0.000 | 25.484 | 200.620 | 
| 122.945 | 195.320 | -36.815 | -0.000 | 0.000 | 0.000 | 
| 32.290 | 218.929 | 35.237 | -0.000 | 0.000 | 0.000 | 
| 14.651 | 205.853 | 30.041 | -0.000 | 0.000 | 0.000 | 
| -83.191 | 210.278 | -149.365 | 33.771 | 0.000 | 0.000 | 
| -83.117 | 210.090 | -149.232 | -0.000 | 40.611 | 0.000 | 
| -83.020 | 209.846 | -149.058 | -0.000 | 0.000 | 31.736 | 
| 192.518 | 33.967 | 34.699 | 0.000 | -0.000 | -0.000 | 
| 138.123 | -23.590 | 206.926 | 0.000 | -0.000 | -0.000 | 
| 35.074 | 37.289 | 170.100 | 0.000 | -0.000 | -0.000 | 
| 83.191 | -210.278 | 149.365 | 33.771 | -0.000 | -0.000 | 
| 83.117 | -210.090 | 149.232 | 0.000 | 40.611 | -0.000 | 
| 83.020 | -209.846 | 149.058 | 0.000 | -0.000 | 31.736 | 
| 192.518 | 33.967 | 34.699 | 0.000 | 0.000 | 0.000 | 
| 53.046 | 195.898 | 50.916 | -0.000 | 0.000 | 0.000 | 
| 35.074 | 37.289 | 170.100 | -0.000 | 0.000 | 0.000 | 
| -4.918 | 14.043 | -4.809 | 29.591 | 0.000 | 0.000 | 
| -7.609 | 19.233 | -13.662 | -0.000 | 43.362 | 0.000 | 
| -7.174 | 18.133 | -12.880 | -0.000 | 0.000 | 36.234 | 
| 192.518 | 33.967 | 34.699 | 0.000 | -0.000 | -0.000 | 
| 60.613 | 168.365 | 70.668 | 0.000 | -0.000 | -0.000 | 
| 35.074 | 37.289 | 170.100 | 0.000 | -0.000 | -0.000 | 
| 4.918 | -14.043 | 4.809 | 29.591 | -0.000 | -0.000 | 
| 7.609 | -19.233 | 13.662 | 0.000 | 43.362 | -0.000 | 
| 7.174 | -18.133 | 12.880 | 0.000 | -0.000 | 36.234 | 
| 150.470 | 54.968 | 35.471 | -0.000 | 0.000 | 0.000 | 
| 52.398 | 188.333 | 56.503 | -0.000 | 0.000 | 0.000 | 
| 38.837 | 61.267 | 121.050 | -0.000 | 0.000 | 0.000 | 
| 0.794 | 0.774 | -0.060 | 26.540 | 0.000 | 0.000 | 
| -0.047 | 1.129 | -0.074 | -0.000 | 41.651 | 0.000 | 
| -0.287 | 1.467 | -0.912 | -0.000 | 0.000 | 40.609 | 
| 152.072 | 52.322 | 37.151 | 0.000 | -0.000 | -0.000 | 
| 32.290 | 218.928 | 35.237 | -0.000 | -0.000 | -0.000 | 
| 36.920 | 56.524 | 120.891 | 0.000 | -0.000 | -0.000 | 
| -0.794 | -0.774 | 0.060 | 26.540 | -0.000 | -0.000 | 
| 0.047 | -1.129 | 0.074 | 0.000 | 41.651 | -0.000 | 
| 0.287 | -1.467 | 0.912 | 0.000 | -0.000 | 40.609 | 
| 106.042 | 73.734 | 48.634 | -5.022 | 12.624 | 4.941 | 
| 72.500 | 93.053 | 59.201 | 2.658 | -3.970 | 1.472 | 
| 39.590 | 62.445 | 121.533 | 6.000 | -22.497 | -8.591 | 
| -5.325 | 7.931 | 6.369 | 18.330 | -9.748 | 1.665 | 
| 30.041 | -8.571 | -23.409 | -9.248 | 52.632 | 14.506 | 
| 1.503 | 3.483 | -1.995 | 3.433 | -4.169 | 7.017 | 
| 105.243 | 75.411 | 49.153 | -4.976 | 13.006 | 4.514 | 
| 70.252 | 87.569 | 61.644 | 2.495 | -5.674 | -0.538 | 
| 37.984 | 62.103 | 124.540 | 5.116 | -23.131 | -11.296 | 
| -6.861 | 7.868 | 7.213 | 20.328 | -9.900 | 1.140 | 
| 25.906 | -9.066 | -21.007 | -9.155 | 49.468 | 10.732 | 
| -0.161 | 5.050 | -3.765 | 7.035 | -3.911 | 8.719 | 
| 103.522 | 75.062 | 48.062 | -2.631 | 11.202 | 5.269 | 
| 73.901 | 86.579 | 63.599 | 2.193 | -3.977 | -2.125 | 
| 35.880 | 66.134 | 118.163 | 7.548 | -22.651 | -5.712 | 
| -6.486 | 7.597 | 7.692 | 18.968 | -10.097 | 0.554 | 
| 25.204 | -7.843 | -22.702 | -9.881 | 49.139 | 11.742 | 
| 1.065 | 2.240 | 0.335 | 4.645 | -5.016 | 5.668 | 
| 99.195 | 76.479 | 45.999 | -2.931 | 9.288 | 6.672 | 
| 73.575 | 86.512 | 63.603 | 2.351 | -4.122 | -2.162 | 
| 35.570 | 66.091 | 118.159 | 7.709 | -22.778 | -5.733 | 
| -6.728 | 7.494 | 7.756 | 19.143 | -10.176 | 0.470 | 
| 24.906 | -7.915 | -22.684 | -9.676 | 49.011 | 11.676 | 
| 2.657 | 0.792 | 1.133 | 4.493 | -4.191 | 5.386 | 
| 99.370 | 76.622 | 45.977 | -3.096 | 9.388 | 6.731 | 
| 73.819 | 86.584 | 63.461 | 2.417 | -3.943 | -1.867 | 
| 35.819 | 65.968 | 118.146 | 7.635 | -22.680 | -5.813 | 
| -6.113 | 7.927 | 6.800 | 19.442 | -9.818 | 1.455 | 
| 30.256 | -4.664 | -25.825 | -9.383 | 54.111 | 9.782 | 
| 1.094 | 2.538 | -0.451 | 3.264 | -4.551 | 6.591 | 
| 99.336 | 76.615 | 45.977 | -3.078 | 9.375 | 6.727 | 
| 73.786 | 86.580 | 63.458 | 2.434 | -3.958 | -1.870 | 
| 35.790 | 65.954 | 118.157 | 7.660 | -22.688 | -5.814 | 
| -6.668 | 7.584 | 7.711 | 19.062 | -10.134 | 0.456 | 
| 27.044 | -8.477 | -21.962 | -10.162 | 50.066 | 11.121 | 
| 2.945 | 0.833 | 1.152 | 4.572 | -3.962 | 5.439 | 
| 252.823 | 92.718 | 58.304 | 0.000 | 0.000 | 0.000 | 
| 92.718 | 252.823 | 58.304 | 0.000 | 0.000 | -0.000 | 
| 60.902 | 60.902 | 220.880 | 0.000 | 0.000 | -0.000 | 
| -0.000 | 0.000 | 0.000 | 66.306 | 0.000 | 0.000 | 
| 0.000 | -0.000 | 0.000 | 0.000 | 66.306 | 0.000 | 
| -0.000 | 0.000 | -0.000 | -0.000 | -0.000 | 82.623 | 
| 260.125 | 94.879 | 70.358 | 0.000 | -0.000 | 0.000 | 
| 94.879 | 260.125 | 70.358 | -0.000 | 0.000 | -0.000 | 
| 60.901 | 60.901 | 220.878 | -0.000 | -0.000 | 0.000 | 
| 0.000 | 0.000 | -0.000 | 66.306 | -0.000 | -0.000 | 
| 0.000 | 0.000 | -0.000 | -0.000 | 66.306 | -0.000 | 
| 0.000 | -0.000 | 0.000 | 0.000 | 0.000 | 82.623 | 
| 252.823 | 92.718 | 58.303 | 0.000 | 0.000 | 0.000 | 
| 97.323 | 250.565 | 61.295 | 0.000 | 0.000 | 0.000 | 
| 60.901 | 60.901 | 220.879 | 0.000 | 0.000 | 0.000 | 
| 0.000 | 0.000 | 0.000 | 66.306 | 0.000 | 0.000 | 
| -0.000 | 0.000 | 0.000 | 0.000 | 66.306 | 0.000 | 
| -0.000 | 0.000 | -0.000 | -0.000 | -0.000 | 82.623 | 
| 249.890 | 97.690 | 60.901 | -0.000 | -0.000 | -0.000 | 
| 94.879 | 260.125 | 70.358 | -0.000 | -0.000 | -0.000 | 
| 70.358 | 70.358 | 244.973 | 0.000 | 0.000 | -0.000 | 
| -0.000 | -0.000 | -0.000 | 66.306 | -0.000 | -0.000 | 
| 0.000 | 0.000 | -0.000 | -0.000 | 66.306 | -0.000 | 
| 0.000 | -0.000 | 0.000 | 0.000 | -0.000 | 82.623 | 
| 252.823 | 92.717 | 58.303 | 0.000 | 0.000 | 0.000 | 
| 97.323 | 250.565 | 61.294 | 0.000 | 0.000 | 0.000 | 
| 70.359 | 70.359 | 244.973 | 0.000 | -0.000 | 0.000 | 
| -0.000 | -0.000 | -0.000 | 24.823 | 0.000 | 0.000 | 
| -0.000 | -0.000 | -0.000 | 0.000 | 24.823 | 0.000 | 
| -0.000 | 0.000 | -0.000 | -0.000 | -0.000 | 82.623 | 
| 260.126 | 94.880 | 70.359 | 0.000 | -0.000 | -0.000 | 
| 94.880 | 260.126 | 70.359 | 0.000 | 0.000 | -0.000 | 
| 60.901 | 60.901 | 220.879 | -0.000 | -0.000 | 0.000 | 
| 0.000 | 0.000 | 0.000 | 24.823 | -0.000 | -0.000 | 
| 0.000 | 0.000 | 0.000 | -0.000 | 24.823 | -0.000 | 
| 0.000 | -0.000 | 0.000 | 0.000 | 0.000 | 82.623 | 
| 274.195 | 94.259 | 58.668 | 0.000 | 0.000 | 0.000 | 
| 94.259 | 274.195 | 58.668 | 0.000 | 0.000 | -0.000 | 
| 48.132 | 48.132 | 214.426 | 0.000 | 0.000 | -0.000 | 
| 0.000 | -0.000 | 0.000 | 27.286 | 0.000 | -0.000 | 
| -0.000 | -0.000 | -0.000 | 0.000 | 27.285 | -0.000 | 
| 0.000 | -0.000 | 0.000 | 0.000 | 0.000 | 89.968 | 
| 274.195 | 94.259 | 58.668 | -0.000 | -0.000 | 0.000 | 
| 92.933 | 258.054 | 46.682 | -0.000 | -0.000 | 0.000 | 
| 60.280 | 60.280 | 231.095 | 0.000 | -0.000 | 0.000 | 
| -0.000 | -0.000 | -0.000 | 27.285 | -0.000 | 0.000 | 
| -0.000 | 0.000 | 0.000 | 0.000 | 27.285 | 0.000 | 
| 0.000 | 0.000 | -0.000 | -0.000 | -0.000 | 89.968 | 
| 274.195 | 94.259 | 58.668 | 0.000 | 0.000 | -0.000 | 
| 87.704 | 260.083 | 44.487 | 0.000 | 0.000 | -0.000 | 
| 48.132 | 48.132 | 214.426 | -0.000 | 0.000 | -0.000 | 
| 0.000 | -0.000 | 0.000 | 63.459 | 0.000 | -0.000 | 
| -0.000 | -0.000 | 0.000 | 0.000 | 63.459 | -0.000 | 
| -0.000 | -0.000 | -0.000 | 0.000 | 0.000 | 83.000 | 
| 258.054 | 92.933 | 46.682 | -0.000 | -0.000 | 0.000 | 
| 94.259 | 274.195 | 58.668 | -0.000 | -0.000 | 0.000 | 
| 48.132 | 48.132 | 214.426 | -0.000 | -0.000 | 0.000 | 
| -0.000 | -0.000 | -0.000 | 63.459 | -0.000 | 0.000 | 
| -0.000 | -0.000 | -0.000 | 0.000 | 63.459 | 0.000 | 
| 0.000 | -0.000 | 0.000 | 0.000 | -0.000 | 83.000 | 
| 258.053 | 92.932 | 46.682 | 0.000 | 0.000 | -0.000 | 
| 87.704 | 260.083 | 44.488 | -0.000 | 0.000 | -0.000 | 
| 60.280 | 60.280 | 231.096 | 0.000 | 0.000 | 0.000 | 
| -0.000 | -0.000 | -0.000 | 27.285 | 0.000 | -0.000 | 
| -0.000 | -0.000 | -0.000 | 0.000 | 27.285 | -0.000 | 
| -0.000 | 0.000 | -0.000 | 0.000 | 0.000 | 89.968 | 
| 260.083 | 87.705 | 44.488 | 0.000 | -0.000 | 0.000 | 
| 92.933 | 258.054 | 46.683 | -0.000 | -0.000 | 0.000 | 
| 48.132 | 48.132 | 214.425 | 0.000 | -0.000 | 0.000 | 
| 0.000 | 0.000 | 0.000 | 27.285 | -0.000 | 0.000 | 
| 0.000 | 0.000 | 0.000 | 0.000 | 27.285 | 0.000 | 
| 0.000 | -0.000 | 0.000 | -0.000 | -0.000 | 89.968 | 
| -98.032 | 230.228 | 113.884 | -0.000 | 0.000 | -0.000 | 
| -155.517 | 260.605 | 36.233 | 0.000 | -0.000 | -0.000 | 
| -188.060 | 243.447 | 198.996 | -0.000 | 0.000 | 0.000 | 
| -239.648 | 179.335 | 60.944 | 37.913 | -0.000 | -0.000 | 
| -239.639 | 179.327 | 60.942 | 0.000 | 37.489 | -0.000 | 
| -239.640 | 179.328 | 60.942 | 0.000 | -0.000 | 37.440 | 
| 172.196 | 40.939 | 40.884 | 0.000 | 0.000 | 0.000 | 
| 288.959 | -37.484 | 1.697 | 0.000 | 0.000 | 0.000 | 
| 290.864 | -115.670 | 78.008 | -0.000 | 0.000 | 0.000 | 
| 239.648 | -179.335 | -60.944 | 37.913 | 0.000 | -0.000 | 
| 239.639 | -179.327 | -60.942 | 0.000 | 37.489 | 0.000 | 
| 239.640 | -179.328 | -60.942 | 0.000 | 0.000 | 37.440 | 
| 122.016 | 67.379 | 57.322 | 0.000 | -0.000 | -0.000 | 
| 40.582 | 179.391 | 37.628 | 0.000 | -0.000 | -0.000 | 
| 24.112 | 69.296 | 143.517 | 0.000 | -0.000 | -0.000 | 
| -22.114 | 15.300 | -5.893 | 46.870 | -0.000 | -0.000 | 
| -21.283 | 11.332 | -0.455 | -0.000 | 50.081 | -0.000 | 
| -0.000 | 0.000 | 0.000 | -0.000 | 0.000 | 75.679 | 
| 159.900 | 36.098 | 48.659 | 0.000 | 0.000 | 0.000 | 
| 40.582 | 179.391 | 37.628 | 0.000 | -0.000 | -0.000 | 
| 40.556 | 37.657 | 179.361 | -0.000 | 0.000 | -0.000 | 
| 22.114 | -15.300 | 5.893 | 46.870 | -0.000 | 0.000 | 
| 21.283 | -11.332 | 0.455 | -0.000 | 50.081 | 0.000 | 
| 0.000 | -0.000 | -0.000 | 0.000 | -0.000 | 75.679 | 
| 140.461 | 49.389 | 48.282 | 0.000 | 0.000 | 0.000 | 
| 47.621 | 153.906 | 53.594 | 0.000 | 0.000 | 0.000 | 
| 47.641 | 54.510 | 152.984 | -0.000 | -0.000 | -0.000 | 
| -2.046 | 1.296 | 0.220 | 48.895 | 0.000 | -0.000 | 
| -1.589 | 1.189 | 0.404 | 0.000 | 50.360 | 0.000 | 
| -1.589 | 1.189 | 0.404 | 0.000 | 0.000 | 50.325 | 
| 144.726 | 47.050 | 48.051 | -0.000 | -0.000 | 0.000 | 
| 50.711 | 151.547 | 52.848 | -0.000 | 0.000 | 0.000 | 
| 40.556 | 37.657 | 179.361 | 0.000 | -0.000 | -0.000 | 
| 2.046 | -1.296 | -0.220 | 48.895 | -0.000 | -0.000 | 
| 1.589 | -1.189 | -0.404 | -0.000 | 50.360 | 0.000 | 
| 1.589 | -1.189 | -0.404 | 0.000 | -0.000 | 50.325 | 
| 110.517 | -127.942 | 307.129 | -0.000 | -655.749 | -0.000 | 
| 51.175 | -78.859 | 308.795 | -0.000 | -657.866 | -0.000 | 
| 46.010 | -132.611 | 381.664 | -0.000 | -662.309 | -0.000 | 
| 283.075 | 54.407 | 115.558 | 25.015 | -232.042 | 2.730 | 
| 285.185 | 50.230 | 116.627 | -0.000 | -197.581 | 0.000 | 
| 283.087 | 54.407 | 115.566 | 2.783 | -232.058 | 31.130 | 
| -227.327 | -15.797 | 28.141 | 0.000 | 377.608 | 0.000 | 
| 75.494 | 303.446 | -189.916 | 0.000 | 663.239 | 0.000 | 
| 70.010 | 250.000 | -116.918 | 0.000 | 658.830 | 0.000 | 
| -283.075 | -54.407 | -115.558 | 25.015 | 232.042 | 2.730 | 
| 2.537 | -0.111 | 0.685 | 0.000 | 71.671 | 0.000 | 
| -283.087 | -54.407 | -115.566 | 2.783 | 232.058 | 31.130 | 
| 171.213 | 36.575 | 44.181 | -0.000 | 7.836 | 0.000 | 
| 92.374 | 124.002 | 61.018 | -0.000 | -36.132 | -0.000 | 
| 43.522 | 44.393 | 168.955 | -0.000 | 0.685 | -0.000 | 
| -1.181 | -18.746 | 24.434 | 23.689 | -64.712 | 0.525 | 
| 30.198 | 1.595 | 12.340 | -0.000 | 9.925 | -0.000 | 
| 42.556 | 18.410 | 14.481 | -2.394 | -42.870 | 45.009 | 
| 122.781 | 82.651 | 33.597 | 0.000 | 69.320 | -0.000 | 
| 37.071 | 160.390 | 45.491 | 0.000 | -0.058 | -0.000 | 
| 58.512 | 76.889 | 109.509 | 0.000 | 63.521 | -0.000 | 
| -0.000 | -0.000 | -0.000 | 69.426 | 0.000 | 0.987 | 
| 1.722 | 20.619 | -26.405 | -0.000 | 89.664 | 0.000 | 
| -42.556 | -18.410 | -14.481 | -2.394 | 42.870 | 45.009 | 
| 134.331 | 56.444 | 53.704 | -0.000 | 3.283 | -0.000 | 
| 57.930 | 123.220 | 55.794 | -0.000 | -4.998 | 0.000 | 
| 53.088 | 56.400 | 143.307 | -0.000 | -1.977 | -0.000 | 
| 1.828 | 0.088 | 1.100 | 33.981 | -2.432 | 2.057 | 
| 1.256 | -1.276 | 2.164 | -0.000 | 37.147 | -0.000 | 
| 3.750 | 1.150 | 1.735 | -1.069 | -4.735 | 36.447 | 
| 130.258 | 56.543 | 51.017 | 0.000 | 8.690 | -0.000 | 
| 50.713 | 121.679 | 52.206 | 0.000 | 5.049 | -0.000 | 
| 50.280 | 56.051 | 139.813 | 0.000 | 2.331 | 0.000 | 
| -1.828 | -0.088 | -1.100 | 33.981 | 2.432 | 2.057 | 
| -2.991 | -1.510 | 0.221 | 0.000 | 44.013 | 0.000 | 
| -3.750 | -1.150 | -1.735 | -1.069 | 4.735 | 36.447 | 
| 163.276 | 33.262 | 45.431 | -0.000 | 3.418 | -0.000 | 
| 42.367 | 164.914 | 47.587 | 0.000 | -8.295 | 0.000 | 
| 51.111 | 55.099 | 146.088 | -0.000 | 1.479 | 0.000 | 
| 0.543 | 6.760 | -0.471 | 40.694 | 1.959 | 2.289 | 
| -0.671 | -1.741 | -0.320 | -0.000 | 45.572 | 0.000 | 
| 0.079 | 0.989 | -0.069 | 4.678 | 0.287 | 60.887 | 
| 190.538 | 90.745 | 43.391 | 0.000 | 8.974 | -0.000 | 
| 90.463 | 311.832 | 45.192 | -0.000 | 3.970 | -0.000 | 
| 43.342 | 45.192 | 169.259 | 0.000 | 0.683 | 0.000 | 
| -0.543 | -6.760 | 0.471 | 40.694 | -1.959 | 2.288 | 
| 3.830 | 3.969 | 0.683 | -0.000 | 72.383 | -0.000 | 
| -0.079 | -0.989 | 0.069 | 4.678 | -0.287 | 60.886 | 
| 139.438 | 59.631 | 53.038 | -0.000 | 3.749 | 0.000 | 
| 42.260 | 163.937 | 47.649 | -0.000 | -8.554 | 0.000 | 
| 43.343 | 45.192 | 169.260 | -0.000 | 0.683 | 0.000 | 
| 0.055 | 0.681 | -0.047 | 40.491 | 0.197 | 2.270 | 
| 3.830 | 3.970 | 0.683 | 0.000 | 72.383 | 0.000 | 
| 0.008 | 0.099 | -0.007 | 4.679 | 0.029 | 60.909 | 
| 190.538 | 90.745 | 43.391 | 0.000 | 8.974 | -0.000 | 
| 90.463 | 311.832 | 45.192 | -0.000 | 3.970 | -0.000 | 
| 43.343 | 45.192 | 169.259 | 0.000 | 0.683 | -0.000 | 
| -0.055 | -0.681 | 0.047 | 40.491 | -0.197 | 2.269 | 
| 3.830 | 3.970 | 0.683 | -0.000 | 72.383 | -0.000 | 
| -0.008 | -0.099 | 0.007 | 4.679 | -0.029 | 60.909 | 
| 139.596 | 59.506 | 53.071 | 0.000 | 3.616 | 0.000 | 
| 60.187 | 134.261 | 55.042 | -0.000 | -3.238 | 0.000 | 
| 43.343 | 45.192 | 169.260 | -0.000 | 0.683 | -0.000 | 
| -0.012 | 0.027 | -0.005 | 38.333 | 0.016 | 3.325 | 
| -8.870 | -30.960 | 0.727 | -0.000 | 57.876 | 0.000 | 
| -0.011 | 0.018 | -0.004 | 3.464 | 0.014 | 31.642 | 
| 139.663 | 59.552 | 53.076 | -0.000 | 3.594 | -0.000 | 
| 56.169 | 125.563 | 54.246 | 0.000 | -2.525 | -0.000 | 
| 55.181 | 61.577 | 147.194 | 0.000 | 0.775 | -0.000 | 
| 0.012 | -0.027 | 0.005 | 38.333 | -0.016 | 3.325 | 
| 0.594 | -3.368 | 0.099 | 0.000 | 44.069 | -0.000 | 
| 0.011 | -0.018 | 0.004 | 3.464 | -0.014 | 31.642 | 
| 131.167 | 55.226 | 55.226 | 0.000 | 0.000 | 0.000 | 
| 55.226 | 131.167 | 55.226 | 0.000 | -0.000 | -0.000 | 
| 55.226 | 55.226 | 131.167 | -0.000 | 0.000 | -0.000 | 
| -0.000 | 0.000 | -0.000 | 66.047 | -0.000 | -0.000 | 
| -0.000 | -0.000 | -0.000 | 0.000 | 66.047 | 0.000 | 
| -0.000 | 0.000 | -0.000 | 0.000 | 0.000 | 66.047 | 
| 161.827 | 42.176 | 42.176 | -0.000 | -0.000 | 0.000 | 
| 42.176 | 161.827 | 42.176 | 0.000 | 0.000 | -0.000 | 
| 42.176 | 42.176 | 161.827 | 0.000 | 0.000 | 0.000 | 
| 0.000 | -0.000 | -0.000 | 66.047 | -0.000 | -0.000 | 
| 0.000 | -0.000 | 0.000 | -0.000 | 66.047 | 0.000 | 
| 0.000 | -0.000 | -0.000 | -0.000 | -0.000 | 66.047 | 
| 133.027 | 55.149 | 55.149 | 0.000 | -0.000 | -0.000 | 
| 55.149 | 133.027 | 55.149 | 0.000 | 0.000 | -0.000 | 
| 55.149 | 55.149 | 133.027 | 0.000 | 0.000 | -0.000 | 
| -0.000 | 0.000 | 0.000 | 66.047 | 0.000 | 0.000 | 
| -0.000 | 0.000 | 0.000 | 0.000 | 66.047 | -0.000 | 
| -0.000 | 0.000 | -0.000 | -0.000 | 0.000 | 66.047 | 
| 129.252 | 55.774 | 55.774 | 0.000 | -0.000 | 0.000 | 
| 55.774 | 129.252 | 55.774 | -0.000 | -0.000 | 0.000 | 
| 55.774 | 55.774 | 129.252 | -0.000 | -0.000 | 0.000 | 
| 0.000 | -0.000 | -0.000 | 66.047 | -0.000 | 0.000 | 
| 0.000 | -0.000 | -0.000 | 0.000 | 66.047 | 0.000 | 
| 0.000 | -0.000 | -0.000 | -0.000 | -0.000 | 66.047 | 
| 133.144 | 55.170 | 55.170 | -0.000 | 0.000 | -0.000 | 
| 55.170 | 133.144 | 55.170 | -0.000 | 0.000 | -0.000 | 
| 55.170 | 55.170 | 133.144 | -0.000 | -0.000 | -0.000 | 
| -0.006 | -0.006 | -0.006 | 40.447 | 0.000 | -0.000 | 
| -0.006 | -0.006 | -0.006 | -0.000 | 40.447 | -0.000 | 
| -0.006 | -0.006 | -0.006 | -0.000 | 0.000 | 40.447 | 
| 133.168 | 55.174 | 55.174 | -0.000 | 0.000 | 0.000 | 
| 55.174 | 133.168 | 55.174 | -0.000 | 0.000 | 0.000 | 
| 55.174 | 55.174 | 133.168 | -0.000 | -0.000 | 0.000 | 
| 0.006 | 0.006 | 0.006 | 40.447 | -0.000 | 0.000 | 
| 0.006 | 0.006 | 0.006 | 0.000 | 40.447 | 0.000 | 
| 0.006 | 0.006 | 0.006 | -0.000 | -0.000 | 40.447 | 
| 118.014 | 37.548 | 37.548 | -0.000 | -0.000 | -0.000 | 
| 37.548 | 118.014 | 37.548 | -0.000 | -0.000 | -0.000 | 
| 37.548 | 37.548 | 118.014 | 0.000 | -0.000 | -0.000 | 
| -15.885 | -15.885 | -15.885 | 43.795 | -0.000 | -0.000 | 
| -15.885 | -15.885 | -15.885 | 0.000 | 43.795 | -0.000 | 
| -15.885 | -15.885 | -15.885 | 0.000 | -0.000 | 43.795 | 
| 120.638 | 57.414 | 57.414 | -0.000 | 0.000 | -0.000 | 
| 57.414 | 120.638 | 57.414 | -0.000 | -0.000 | -0.000 | 
| 57.414 | 57.414 | 120.638 | -0.000 | 0.000 | 0.000 | 
| 15.885 | 15.885 | 15.885 | 43.795 | -0.000 | 0.000 | 
| 15.885 | 15.885 | 15.885 | -0.000 | 43.795 | -0.000 | 
| 15.885 | 15.885 | 15.885 | -0.000 | -0.000 | 43.795 | 
| 132.282 | 51.849 | 51.849 | -0.000 | -0.000 | -0.000 | 
| 51.849 | 132.282 | 51.849 | -0.000 | -0.000 | -0.000 | 
| 51.849 | 51.849 | 132.282 | -0.000 | 0.000 | -0.000 | 
| 0.000 | 0.000 | 0.000 | 65.574 | -0.000 | -0.000 | 
| 0.000 | 0.000 | 0.000 | 0.000 | 65.574 | -0.000 | 
| 0.000 | 0.000 | 0.000 | 0.000 | -0.000 | 65.574 | 
| 135.313 | 55.108 | 55.108 | -0.000 | 0.000 | 0.000 | 
| 55.108 | 135.313 | 55.108 | 0.000 | 0.000 | 0.000 | 
| 55.108 | 55.108 | 135.313 | -0.000 | -0.000 | 0.000 | 
| -0.000 | -0.000 | -0.000 | 65.574 | 0.000 | 0.000 | 
| 0.000 | -0.000 | -0.000 | 0.000 | 65.574 | 0.000 | 
| -0.000 | -0.000 | 0.000 | -0.000 | 0.000 | 65.574 | 
| 126.976 | 55.372 | 55.372 | -0.000 | -0.000 | -0.000 | 
| 55.372 | 126.976 | 55.372 | 0.000 | 0.000 | 0.000 | 
| 55.372 | 55.372 | 126.976 | 0.000 | -0.000 | -0.000 | 
| -0.021 | -0.021 | -0.021 | 37.339 | -0.000 | -0.000 | 
| -0.021 | -0.021 | -0.021 | 0.000 | 37.339 | -0.000 | 
| -0.021 | -0.021 | -0.021 | 0.000 | 0.000 | 37.339 | 
| 160.385 | 41.435 | 41.435 | -0.000 | -0.000 | 0.000 | 
| 41.435 | 160.385 | 41.435 | -0.000 | 0.000 | 0.000 | 
| 41.435 | 41.435 | 160.385 | -0.000 | -0.000 | 0.000 | 
| 0.021 | 0.021 | 0.021 | 37.339 | 0.000 | 0.000 | 
| 0.021 | 0.021 | 0.021 | -0.000 | 37.339 | -0.000 | 
| 0.021 | 0.021 | 0.021 | -0.000 | 0.000 | 37.339 | 
| 175.187 | 36.333 | 36.333 | 0.000 | 0.000 | -0.000 | 
| 36.333 | 175.187 | 36.333 | -0.000 | 0.000 | -0.000 | 
| 36.333 | 36.333 | 175.187 | 0.000 | 0.000 | -0.000 | 
| 0.174 | 0.174 | 0.174 | 39.164 | 0.000 | -0.000 | 
| 0.174 | 0.174 | 0.174 | -0.000 | 39.164 | -0.000 | 
| 0.174 | 0.174 | 0.174 | -0.000 | 0.000 | 39.164 | 
| 133.947 | 54.468 | 54.468 | -0.000 | -0.000 | -0.000 | 
| 54.468 | 133.947 | 54.468 | -0.000 | -0.000 | -0.000 | 
| 54.468 | 54.468 | 133.947 | -0.000 | -0.000 | -0.000 | 
| -0.174 | -0.174 | -0.174 | 39.164 | -0.000 | -0.000 | 
| -0.174 | -0.174 | -0.174 | -0.000 | 39.164 | -0.000 | 
| -0.174 | -0.174 | -0.174 | -0.000 | -0.000 | 39.164 | 
| 134.140 | 54.610 | 54.610 | -0.000 | 0.000 | -0.000 | 
| 54.610 | 134.140 | 54.610 | 0.000 | -0.000 | 0.000 | 
| 54.610 | 54.610 | 134.140 | -0.000 | 0.000 | -0.000 | 
| 0.014 | 0.014 | 0.014 | 40.466 | 0.000 | 0.000 | 
| 0.014 | 0.014 | 0.014 | -0.000 | 40.466 | -0.000 | 
| 0.014 | 0.014 | 0.014 | -0.000 | 0.000 | 40.466 | 
| 131.733 | 54.933 | 54.933 | -0.000 | -0.000 | 0.000 | 
| 54.933 | 131.733 | 54.933 | 0.000 | -0.000 | 0.000 | 
| 54.933 | 54.933 | 131.733 | -0.000 | -0.000 | -0.000 | 
| -0.014 | -0.014 | -0.014 | 40.466 | -0.000 | -0.000 | 
| -0.014 | -0.014 | -0.014 | -0.000 | 40.466 | -0.000 | 
| -0.014 | -0.014 | -0.014 | 0.000 | -0.000 | 40.466 | 
| 131.751 | 54.952 | 54.952 | -0.000 | 0.000 | 0.000 | 
| 54.952 | 131.751 | 54.952 | 0.000 | 0.000 | 0.000 | 
| 54.952 | 54.952 | 131.751 | -0.000 | 0.000 | -0.000 | 
| 0.002 | 0.002 | 0.002 | 39.167 | 0.000 | 0.000 | 
| 0.002 | 0.002 | 0.002 | -0.000 | 39.167 | 0.000 | 
| 0.002 | 0.002 | 0.002 | 0.000 | 0.000 | 39.167 | 
| 134.122 | 54.595 | 54.595 | 0.000 | -0.000 | -0.000 | 
| 54.595 | 134.122 | 54.595 | -0.000 | -0.000 | -0.000 | 
| 54.595 | 54.595 | 134.122 | 0.000 | -0.000 | -0.000 | 
| -0.002 | -0.002 | -0.002 | 39.167 | -0.000 | -0.000 | 
| -0.002 | -0.002 | -0.002 | 0.000 | 39.167 | 0.000 | 
| -0.002 | -0.002 | -0.002 | -0.000 | -0.000 | 39.167 | 
| 180.405 | 76.163 | 76.196 | 0.075 | 0.037 | -0.072 | 
| 36.045 | 174.402 | 36.045 | -0.000 | -0.000 | 0.000 | 
| 63.427 | 63.405 | 115.927 | 0.077 | 0.038 | -0.074 | 
| 32.669 | 32.648 | 32.680 | 49.574 | 0.036 | -0.070 | 
| -11.338 | -11.397 | -11.310 | 0.197 | 33.960 | -0.189 | 
| 12.903 | 12.941 | 12.885 | -0.126 | -0.060 | 32.123 | 
| 133.841 | 70.624 | 70.537 | -0.198 | -0.098 | 0.191 | 
| 70.566 | 133.899 | 70.538 | -0.198 | -0.098 | 0.191 | 
| 40.991 | 41.058 | 107.224 | -0.226 | -0.111 | 0.217 | 
| 11.336 | 11.395 | 11.309 | 33.671 | -0.097 | 0.189 | 
| 11.337 | 11.396 | 11.309 | -0.197 | 33.769 | 0.189 | 
| -32.669 | -32.648 | -32.680 | -0.072 | -0.036 | 49.571 | 
| 126.048 | 56.703 | 56.705 | 0.006 | 0.003 | -0.006 | 
| 55.824 | 126.277 | 55.824 | 0.003 | 0.002 | -0.003 | 
| 36.045 | 36.045 | 174.402 | -0.000 | -0.000 | -0.000 | 
| 1.875 | 1.870 | 1.877 | 35.030 | 0.008 | -0.016 | 
| 0.000 | 0.000 | 0.000 | -0.000 | 61.843 | -0.000 | 
| 1.314 | 1.313 | 1.315 | 0.003 | 0.002 | 33.359 | 
| 125.205 | 52.031 | 52.024 | -0.015 | -0.008 | 0.015 | 
| 57.052 | 130.361 | 57.049 | -0.017 | -0.008 | 0.017 | 
| 56.594 | 56.595 | 125.077 | -0.006 | -0.003 | 0.006 | 
| -0.000 | -0.000 | -0.000 | 61.843 | 0.000 | 0.000 | 
| -0.000 | -0.000 | -0.000 | 0.000 | 61.843 | -0.000 | 
| -0.200 | -0.198 | -0.200 | -0.006 | -0.003 | 35.140 | 
| 128.784 | 53.989 | 53.990 | 0.001 | 0.001 | -0.001 | 
| 54.211 | 127.677 | 54.211 | 0.001 | 0.001 | -0.001 | 
| 54.196 | 54.195 | 129.751 | 0.001 | 0.001 | -0.001 | 
| 0.031 | 0.031 | 0.031 | 35.598 | 0.001 | -0.001 | 
| 0.158 | 0.157 | 0.158 | 0.001 | 36.656 | -0.001 | 
| 0.158 | 0.158 | 0.158 | 0.001 | 0.001 | 37.518 | 
| 133.580 | 54.320 | 54.320 | -0.002 | -0.001 | 0.001 | 
| 53.779 | 128.816 | 53.779 | -0.001 | -0.001 | 0.001 | 
| 54.574 | 54.574 | 131.137 | -0.001 | -0.000 | 0.001 | 
| -0.031 | -0.031 | -0.031 | 35.596 | -0.001 | 0.001 | 
| -0.158 | -0.157 | -0.158 | -0.001 | 36.654 | 0.001 | 
| -0.158 | -0.158 | -0.158 | -0.001 | -0.001 | 37.520 | 
| 144.136 | 119.821 | -7.471 | -1.377 | 0.000 | -0.000 | 
| 39.904 | 163.921 | 39.403 | -3.398 | 0.000 | -0.000 | 
| 39.969 | 39.969 | 158.264 | -0.000 | -0.000 | -0.000 | 
| 3.398 | -3.398 | -0.000 | 64.745 | -0.000 | -0.000 | 
| -0.000 | -0.000 | -0.000 | -0.000 | 64.745 | 3.398 | 
| 42.482 | 42.482 | -67.027 | -0.000 | -1.279 | 13.177 | 
| 163.921 | 39.903 | 39.404 | 3.398 | 0.000 | 0.000 | 
| 33.443 | 63.018 | 124.634 | 1.125 | 0.000 | 0.000 | 
| 15.266 | 15.266 | 171.811 | 0.000 | 0.000 | 0.000 | 
| -43.636 | -41.103 | 66.849 | 8.693 | 0.000 | 0.000 | 
| 0.000 | 0.000 | 0.000 | 0.000 | 64.745 | 3.398 | 
| -42.482 | -42.482 | 67.027 | 0.000 | -1.279 | 13.177 | 
| 163.921 | 39.904 | 39.404 | 3.398 | -0.000 | -0.000 | 
| 39.904 | 163.921 | 39.404 | -3.398 | -0.000 | -0.000 | 
| 39.969 | 39.969 | 158.265 | -0.000 | -0.000 | -0.000 | 
| 3.398 | -3.398 | -0.000 | 64.745 | -0.000 | -0.000 | 
| 2.275 | 2.275 | -3.589 | -0.000 | 34.651 | 0.894 | 
| 2.242 | 2.242 | -3.538 | -0.000 | 0.929 | 36.232 | 
| 128.976 | 56.582 | 54.105 | 0.926 | 0.000 | 0.000 | 
| 39.904 | 163.921 | 39.404 | -3.398 | 0.000 | 0.000 | 
| 39.969 | 39.969 | 158.265 | 0.000 | -0.000 | 0.000 | 
| 3.398 | -3.398 | 0.000 | 64.745 | 0.000 | 0.000 | 
| -2.275 | -2.275 | 3.589 | 0.000 | 34.651 | 0.894 | 
| -2.242 | -2.242 | 3.538 | 0.000 | 0.929 | 36.232 | 
| 132.469 | 57.734 | 50.090 | -0.949 | -0.000 | -0.000 | 
| 57.735 | 132.467 | 50.091 | 0.950 | -0.000 | -0.000 | 
| 39.969 | 39.969 | 158.265 | -0.000 | 0.000 | 0.000 | 
| 1.405 | -1.007 | -0.314 | 38.408 | -0.000 | -0.000 | 
| 0.199 | 0.199 | -0.314 | -0.000 | 38.409 | 1.206 | 
| 0.192 | 0.192 | -0.303 | -0.000 | 1.282 | 39.913 | 
| 131.791 | 57.131 | 50.641 | -0.998 | -0.000 | 0.000 | 
| 56.157 | 135.303 | 49.410 | -1.249 | 0.000 | 0.000 | 
| 50.024 | 50.024 | 122.327 | 0.000 | 0.000 | 0.000 | 
| -1.781 | 1.125 | 0.232 | 35.466 | -0.000 | 0.000 | 
| -0.199 | -0.199 | 0.314 | 0.000 | 38.409 | 1.206 | 
| -0.192 | -0.192 | 0.303 | 0.000 | 1.282 | 39.913 | 
| 362.259 | 278.532 | -1250.308 | -0.000 | -0.000 | -0.000 | 
| -733.639 | -627.211 | 24.507 | -0.000 | -0.000 | 0.000 | 
| 39.240 | 39.240 | 180.905 | 0.000 | 0.000 | -0.000 | 
| -147.883 | -147.883 | -1130.579 | 51.426 | -0.000 | -0.000 | 
| 0.000 | -0.000 | 0.000 | 0.000 | 73.140 | 0.000 | 
| 221.011 | 221.011 | -1306.917 | -0.000 | -0.000 | 41.878 | 
| 300.975 | 198.355 | 1181.017 | -0.000 | -0.000 | 0.000 | 
| -163.522 | -79.739 | 1363.592 | 0.000 | 0.000 | -0.000 | 
| 197.917 | 197.917 | 1287.319 | -0.000 | -0.000 | -0.000 | 
| 147.883 | 147.883 | 1130.580 | 51.425 | 0.000 | -0.000 | 
| -0.000 | 0.000 | -0.000 | -0.000 | 73.140 | -0.000 | 
| -221.011 | -221.011 | 1306.917 | 0.000 | 0.000 | 41.878 | 
| 138.153 | 35.759 | -62.548 | 0.000 | -0.000 | 0.000 | 
| -30.426 | 76.350 | 47.549 | 0.000 | -0.000 | -0.000 | 
| 79.164 | 79.164 | 13.096 | -0.000 | -0.000 | -0.000 | 
| 0.000 | 0.000 | -0.000 | 73.140 | -0.000 | -0.000 | 
| 0.000 | 0.000 | 0.000 | 0.000 | 73.140 | 0.000 | 
| -14.767 | -14.767 | -113.149 | 0.000 | -0.000 | 51.278 | 
| 119.314 | 35.310 | 187.332 | 0.000 | 0.000 | 0.000 | 
| 65.179 | 167.972 | 163.456 | 0.000 | 0.000 | 0.000 | 
| 39.240 | 39.240 | 180.904 | -0.000 | -0.000 | -0.000 | 
| -0.000 | -0.000 | -0.000 | 73.140 | 0.000 | -0.000 | 
| -0.000 | -0.000 | -0.000 | -0.000 | 73.140 | -0.000 | 
| 14.767 | 14.767 | 113.149 | 0.000 | 0.000 | 51.278 | 
| 146.901 | 40.670 | 48.984 | -0.000 | 0.000 | -0.000 | 
| 58.750 | 144.869 | 43.994 | 0.000 | -0.000 | -0.000 | 
| 57.747 | 57.747 | 134.285 | 0.000 | -0.000 | -0.000 | 
| 2.087 | 2.087 | -12.343 | 43.720 | -0.000 | 0.000 | 
| 2.087 | 2.087 | -12.343 | 0.000 | 43.720 | 0.000 | 
| -1.409 | -1.409 | -11.475 | -0.000 | -0.000 | 50.848 | 
| 154.492 | 51.734 | 62.040 | -0.000 | 0.000 | 0.000 | 
| 51.734 | 154.492 | 62.040 | 0.000 | 0.000 | 0.000 | 
| 53.530 | 53.530 | 163.797 | -0.000 | -0.000 | 0.000 | 
| -2.087 | -2.087 | 12.343 | 43.720 | 0.000 | 0.000 | 
| -2.087 | -2.087 | 12.343 | -0.000 | 43.720 | -0.000 | 
| 1.409 | 1.409 | 11.475 | 0.000 | 0.000 | 50.848 | 
| 150.191 | 50.902 | 53.636 | -0.000 | -0.000 | -0.000 | 
| 50.902 | 150.191 | 53.636 | -0.000 | -0.000 | -0.000 | 
| 50.978 | 50.978 | 154.333 | -0.000 | -0.000 | 0.000 | 
| 0.000 | -0.000 | 0.000 | 72.931 | -0.000 | -0.000 | 
| -0.928 | -0.928 | 1.587 | -0.000 | 50.467 | -0.000 | 
| -0.000 | -0.000 | 0.000 | -0.000 | -0.000 | 71.438 | 
| 180.467 | 37.592 | 38.890 | -0.000 | -0.000 | -0.000 | 
| 37.592 | 180.467 | 38.890 | -0.000 | -0.000 | 0.000 | 
| 52.960 | 52.960 | 150.665 | 0.000 | 0.000 | -0.000 | 
| -0.000 | -0.000 | -0.000 | 72.931 | 0.000 | 0.000 | 
| 0.929 | 0.928 | -1.587 | 0.000 | 50.468 | -0.000 | 
| 0.000 | 0.000 | -0.000 | 0.000 | 0.000 | 71.438 | 
| 180.467 | 37.592 | 38.890 | -0.000 | -0.000 | 0.000 | 
| 50.877 | 149.192 | 51.539 | -0.000 | -0.000 | 0.000 | 
| 38.890 | 38.890 | 180.089 | -0.000 | -0.000 | 0.000 | 
| -0.092 | -0.092 | 0.157 | 50.661 | -0.000 | -0.000 | 
| 0.000 | 0.000 | 0.000 | -0.000 | 72.931 | 0.000 | 
| 0.000 | 0.000 | 0.000 | 0.000 | 0.000 | 71.438 | 
| 180.467 | 37.592 | 38.890 | 0.000 | -0.000 | -0.000 | 
| 51.683 | 151.745 | 51.636 | 0.000 | 0.000 | 0.000 | 
| 38.890 | 38.890 | 180.089 | 0.000 | 0.000 | 0.000 | 
| 0.092 | 0.092 | -0.157 | 50.661 | 0.000 | -0.000 | 
| 0.000 | -0.000 | -0.000 | 0.000 | 72.931 | -0.000 | 
| -0.000 | -0.000 | -0.000 | -0.000 | -0.000 | 71.438 | 
| 151.610 | 51.598 | 51.826 | -0.000 | -0.000 | -0.000 | 
| 50.987 | 149.368 | 51.411 | -0.000 | -0.000 | 0.000 | 
| 51.632 | 51.632 | 153.322 | -0.000 | -0.000 | 0.000 | 
| 0.000 | 0.000 | 0.000 | 72.931 | -0.000 | 0.000 | 
| -0.019 | -0.019 | 0.008 | -0.000 | 48.381 | 0.000 | 
| -0.031 | -0.031 | 0.020 | -0.000 | -0.000 | 47.205 | 
| 151.634 | 51.613 | 51.791 | 0.000 | 0.000 | -0.000 | 
| 51.617 | 151.626 | 51.795 | 0.000 | 0.000 | 0.000 | 
| 51.647 | 51.647 | 153.297 | 0.000 | 0.000 | -0.000 | 
| -0.000 | -0.000 | -0.000 | 72.931 | 0.000 | -0.000 | 
| 0.019 | 0.019 | -0.008 | 0.000 | 48.381 | 0.000 | 
| 0.031 | 0.031 | -0.020 | 0.000 | 0.000 | 47.205 | 
| 160.861 | 39.622 | 42.003 | 0.000 | 0.000 | -0.000 | 
| 39.622 | 160.861 | 42.002 | 0.000 | -0.000 | -0.000 | 
| 48.877 | 48.877 | 135.122 | 0.000 | 0.000 | -0.000 | 
| 0.010 | 0.010 | -0.008 | 37.973 | -0.000 | 0.000 | 
| 0.010 | 0.010 | -0.008 | 0.000 | 37.973 | -0.000 | 
| 0.037 | 0.037 | -0.009 | 0.000 | -0.000 | 29.651 | 
| 160.861 | 39.622 | 42.003 | -0.000 | -0.000 | 0.000 | 
| 39.622 | 160.861 | 42.002 | -0.000 | 0.000 | 0.000 | 
| 51.132 | 51.132 | 139.395 | -0.000 | -0.000 | 0.000 | 
| -0.010 | -0.010 | 0.008 | 37.973 | 0.000 | 0.000 | 
| -0.010 | -0.010 | 0.008 | -0.000 | 37.973 | 0.000 | 
| -0.037 | -0.037 | 0.009 | -0.000 | 0.000 | 29.651 | 
| 128.919 | 51.029 | 52.237 | 0.000 | -0.000 | -0.000 | 
| 51.029 | 128.919 | 52.237 | 0.000 | 0.000 | -0.000 | 
| 51.144 | 51.144 | 139.387 | 0.000 | -0.000 | 0.000 | 
| 0.000 | 0.000 | 0.000 | 67.563 | -0.000 | -0.000 | 
| 0.000 | 0.000 | 0.000 | 0.000 | 67.563 | -0.000 | 
| 0.002 | 0.002 | -0.001 | 0.000 | 0.000 | 31.541 | 
| 128.915 | 51.027 | 52.239 | -0.000 | 0.000 | 0.000 | 
| 51.027 | 128.915 | 52.239 | -0.000 | -0.000 | 0.000 | 
| 42.002 | 42.002 | 168.624 | 0.000 | 0.000 | 0.000 | 
| 0.000 | -0.000 | -0.000 | 67.563 | 0.000 | -0.000 | 
| 0.000 | -0.000 | -0.000 | -0.000 | 67.563 | 0.000 | 
| -0.002 | -0.002 | 0.001 | -0.000 | -0.000 | 31.541 | 
| 128.917 | 51.029 | 52.238 | 0.000 | -0.000 | 0.000 | 
| 51.029 | 128.917 | 52.238 | 0.000 | -0.000 | -0.000 | 
| 51.143 | 51.143 | 139.387 | 0.000 | -0.000 | 0.000 | 
| 0.000 | 0.000 | -0.000 | 37.973 | -0.000 | 0.000 | 
| 0.000 | 0.000 | -0.000 | 0.000 | 37.973 | -0.000 | 
| 0.000 | 0.000 | -0.000 | -0.000 | 0.000 | 34.412 | 
| 128.917 | 51.028 | 52.238 | 0.000 | 0.000 | 0.000 | 
| 51.028 | 128.917 | 52.238 | -0.000 | 0.000 | 0.000 | 
| 51.142 | 51.142 | 139.387 | -0.000 | -0.000 | 0.000 | 
| -0.000 | -0.000 | 0.000 | 37.973 | 0.000 | 0.000 | 
| -0.000 | -0.000 | 0.000 | -0.000 | 37.973 | 0.000 | 
| -0.000 | -0.000 | 0.000 | -0.000 | -0.000 | 34.412 | 
| 99.520 | 16.686 | -1753.061 | -0.000 | 0.000 | -0.000 | 
| 16.686 | 99.520 | -1753.061 | -0.000 | 0.000 | -0.000 | 
| 67.663 | 67.663 | -1252.826 | -0.000 | 0.000 | -0.000 | 
| 400.206 | 400.206 | -1487.177 | 19.854 | 0.000 | -0.000 | 
| 400.206 | 400.206 | -1487.177 | -0.000 | 19.854 | -0.000 | 
| 400.239 | 400.239 | -1487.301 | -0.000 | 0.000 | 21.277 | 
| 87.597 | 30.809 | 1423.125 | 0.000 | -0.000 | 0.000 | 
| 30.809 | 87.597 | 1423.125 | 0.000 | -0.000 | 0.000 | 
| -348.610 | -348.610 | 1617.002 | 0.000 | -0.000 | 0.000 | 
| -400.206 | -400.206 | 1487.177 | 19.854 | -0.000 | -0.000 | 
| -400.206 | -400.206 | 1487.177 | 0.000 | 19.854 | 0.000 | 
| -400.239 | -400.239 | 1487.301 | 0.000 | -0.000 | 21.277 | 
| 115.508 | 40.116 | -139.973 | -0.000 | 0.000 | -0.000 | 
| 40.116 | 115.508 | -139.973 | -0.000 | 0.000 | -0.000 | 
| 40.683 | 40.683 | 165.761 | -0.000 | 0.000 | -0.000 | 
| 2.296 | 2.296 | -137.708 | 31.549 | 0.000 | -0.000 | 
| 2.296 | 2.296 | -137.708 | -0.000 | 31.549 | -0.000 | 
| 39.706 | 39.706 | -147.549 | -0.000 | 0.000 | 21.593 | 
| 123.027 | 47.611 | 240.110 | 0.000 | -0.000 | -0.000 | 
| 47.611 | 123.027 | 240.110 | 0.000 | -0.000 | 0.000 | 
| 40.683 | 40.683 | 165.761 | 0.000 | -0.000 | 0.000 | 
| -2.296 | -2.296 | 137.708 | 31.549 | -0.000 | -0.000 | 
| -2.296 | -2.296 | 137.708 | 0.000 | 31.549 | 0.000 | 
| -39.706 | -39.706 | 147.549 | 0.000 | -0.000 | 21.593 | 
| 120.030 | 44.187 | 28.648 | -0.000 | 0.000 | -0.000 | 
| 54.510 | 124.100 | 39.963 | -0.000 | 0.000 | -0.000 | 
| 47.229 | 47.229 | 113.918 | -0.000 | 0.000 | -0.000 | 
| 2.879 | 2.879 | -10.698 | 32.920 | 0.000 | -0.000 | 
| 2.879 | 2.879 | -10.698 | -0.000 | 32.920 | -0.000 | 
| 0.000 | 0.000 | 0.000 | -0.000 | 0.000 | 61.106 | 
| 119.042 | 43.956 | 66.683 | 0.000 | -0.000 | 0.000 | 
| 43.956 | 119.042 | 66.683 | 0.000 | -0.000 | 0.000 | 
| 45.567 | 45.567 | 145.434 | 0.000 | -0.000 | 0.000 | 
| -2.879 | -2.879 | 10.698 | 32.920 | -0.000 | -0.000 | 
| -2.879 | -2.879 | 10.698 | 0.000 | 32.920 | 0.000 | 
| -0.000 | -0.000 | -0.000 | 0.000 | -0.000 | 61.106 | 
| 136.468 | 55.144 | 53.175 | 0.000 | 0.000 | 0.000 | 
| 55.112 | 145.975 | 48.914 | 0.000 | -0.000 | -0.000 | 
| 43.368 | 38.521 | 173.260 | 0.000 | -0.000 | -0.000 | 
| -0.000 | 0.000 | 0.000 | 71.507 | -0.000 | 0.000 | 
| -0.008 | 0.013 | -0.020 | -0.000 | 44.974 | -0.000 | 
| -0.000 | -0.000 | 0.000 | 0.000 | -0.000 | 66.290 | 
| 169.942 | 37.485 | 43.368 | -0.000 | 0.000 | -0.000 | 
| 54.538 | 147.724 | 49.609 | -0.000 | 0.000 | 0.000 | 
| 43.368 | 38.521 | 173.260 | -0.000 | 0.000 | -0.000 | 
| 0.000 | 0.000 | 0.000 | 71.507 | 0.000 | 0.000 | 
| 0.008 | -0.013 | 0.020 | -0.000 | 44.974 | 0.000 | 
| 0.000 | -0.000 | 0.000 | -0.000 | -0.000 | 66.290 | 
| 136.486 | 55.126 | 53.188 | 0.000 | 0.000 | -0.000 | 
| 54.537 | 147.725 | 49.594 | 0.000 | 0.000 | -0.000 | 
| 43.368 | 38.521 | 173.260 | -0.000 | -0.000 | 0.000 | 
| -0.001 | 0.001 | -0.002 | 47.232 | -0.000 | -0.000 | 
| -0.000 | 0.000 | 0.000 | 0.000 | 72.727 | -0.000 | 
| -0.002 | -0.000 | -0.003 | 0.000 | 0.000 | 44.450 | 
| 169.941 | 37.485 | 43.368 | -0.000 | -0.000 | -0.000 | 
| 54.537 | 147.725 | 49.597 | -0.000 | -0.000 | 0.000 | 
| 53.012 | 49.767 | 147.903 | 0.000 | 0.000 | 0.000 | 
| 0.001 | -0.001 | 0.002 | 47.232 | -0.000 | 0.000 | 
| 0.000 | -0.000 | -0.000 | -0.000 | 72.727 | 0.000 | 
| 0.002 | -0.000 | 0.003 | -0.000 | 0.000 | 44.450 | 
| 136.488 | 55.125 | 53.190 | 0.000 | 0.000 | -0.000 | 
| 54.488 | 145.333 | 48.638 | 0.000 | -0.000 | -0.000 | 
| 53.012 | 49.769 | 147.900 | 0.000 | 0.000 | -0.000 | 
| -0.000 | 0.000 | -0.000 | 47.232 | 0.000 | 0.000 | 
| 0.000 | 0.000 | 0.000 | 0.000 | 72.727 | -0.000 | 
| -0.000 | 0.000 | -0.000 | 0.000 | 0.000 | 46.419 | 
| 136.489 | 55.124 | 53.190 | -0.000 | -0.000 | 0.000 | 
| 55.135 | 145.981 | 48.942 | -0.000 | -0.000 | 0.000 | 
| 53.013 | 49.771 | 147.895 | 0.000 | 0.000 | 0.000 | 
| 0.000 | -0.000 | 0.000 | 47.232 | -0.000 | 0.000 | 
| -0.000 | -0.000 | -0.000 | -0.000 | 72.727 | -0.000 | 
| 0.000 | -0.000 | 0.000 | -0.000 | -0.000 | 46.419 | 
| 536.104 | -155.734 | -140.899 | -0.000 | -0.000 | -0.000 | 
| 482.485 | -100.783 | -134.519 | 0.000 | -0.000 | 0.000 | 
| 475.694 | -158.292 | -73.688 | -0.000 | -0.000 | 0.000 | 
| -0.000 | 0.000 | -0.000 | 71.094 | -0.000 | 0.000 | 
| 0.000 | -0.000 | -0.000 | -0.000 | 72.261 | -0.000 | 
| -0.000 | 0.000 | -0.000 | -0.000 | -0.000 | 66.139 | 
| 169.445 | 37.530 | 43.541 | 0.000 | 0.000 | -0.000 | 
| 36.975 | 177.736 | 38.975 | 0.000 | 0.000 | 0.000 | 
| 42.822 | 38.810 | 173.083 | 0.000 | -0.000 | 0.000 | 
| 0.000 | -0.000 | 0.000 | 71.094 | 0.000 | 0.000 | 
| -0.000 | 0.000 | 0.000 | -0.000 | 72.261 | 0.000 | 
| -0.000 | -0.000 | 0.000 | 0.000 | 0.000 | 66.139 | 
| 191.269 | 29.992 | 28.744 | -0.000 | -0.000 | -0.000 | 
| 117.662 | 116.867 | 25.173 | -0.000 | -0.000 | -0.000 | 
| 42.822 | 38.811 | 173.083 | -0.000 | -0.000 | -0.000 | 
| 0.000 | 0.000 | 0.000 | 71.094 | -0.000 | 0.000 | 
| 0.000 | 0.000 | 0.000 | -0.000 | 72.261 | -0.000 | 
| 36.795 | -19.475 | -17.438 | -0.000 | -0.000 | 33.684 | 
| 89.809 | 80.273 | 73.336 | 0.000 | -0.000 | 0.000 | 
| 29.712 | 143.269 | 76.175 | 0.000 | 0.000 | 0.000 | 
| -6.475 | 61.277 | 172.518 | -0.000 | -0.000 | -0.000 | 
| -0.000 | -0.000 | -0.000 | 71.094 | 0.000 | 0.000 | 
| 0.000 | -0.000 | -0.000 | 0.000 | 72.261 | -0.000 | 
| -36.796 | 19.475 | 17.439 | 0.000 | 0.000 | 33.684 | 
| 139.794 | 53.621 | 52.282 | -0.000 | 0.000 | -0.000 | 
| 56.383 | 145.212 | 49.385 | -0.000 | -0.000 | -0.000 | 
| 54.998 | 49.320 | 145.265 | -0.000 | -0.000 | -0.000 | 
| 3.630 | -1.629 | -1.559 | 44.268 | 0.000 | 0.000 | 
| 2.290 | -1.212 | -1.085 | -0.000 | 44.228 | -0.000 | 
| 2.304 | -1.220 | -1.092 | -0.000 | -0.000 | 45.813 | 
| 133.740 | 56.845 | 54.874 | 0.000 | -0.000 | 0.000 | 
| 51.849 | 147.961 | 51.225 | -0.000 | 0.000 | 0.000 | 
| 50.452 | 51.379 | 147.869 | 0.000 | 0.000 | 0.000 | 
| -3.630 | 1.629 | 1.559 | 44.268 | 0.000 | 0.000 | 
| -2.290 | 1.212 | 1.085 | 0.000 | 44.228 | 0.000 | 
| -2.304 | 1.220 | 1.092 | 0.000 | 0.000 | 45.813 | 
| 1055.800 | -499.373 | -501.570 | 965.116 | 214.140 | -494.328 | 
| 117.233 | 380.201 | 131.550 | -41.785 | -22.918 | -3.048 | 
| 131.329 | 214.948 | -55.173 | 582.486 | 59.424 | -787.298 | 
| 592.472 | -925.194 | -1721.456 | 861.179 | -512.531 | -710.279 | 
| 681.844 | -72.284 | -268.971 | 373.804 | 6.674 | -350.621 | 
| 25.507 | 104.695 | -304.363 | 589.808 | 70.172 | -731.173 | 
| 433.081 | 127.000 | 118.894 | 21.022 | -79.602 | -41.082 | 
| -358.217 | 488.279 | 697.431 | -1083.481 | 210.397 | 588.317 | 
| 107.883 | 130.887 | 390.516 | -4.737 | -37.959 | -3.761 | 
| -712.299 | 77.230 | 268.907 | -335.294 | 36.272 | 321.146 | 
| -315.803 | 431.540 | 361.412 | -902.166 | -243.186 | 641.362 | 
| -330.925 | 418.678 | 345.228 | -892.694 | -314.557 | 710.089 | 
| 235.435 | 31.894 | -1.790 | 91.038 | 27.480 | -89.917 | 
| 111.743 | 223.325 | 39.099 | 49.732 | 24.288 | -61.528 | 
| 102.248 | 95.395 | 214.577 | 48.415 | -1.789 | -65.808 | 
| 14.315 | -20.764 | -4.737 | 150.198 | -4.158 | -24.527 | 
| -42.538 | -23.501 | -37.959 | -4.158 | 126.885 | 13.730 | 
| 26.677 | -51.257 | -43.269 | 93.640 | 27.602 | 15.582 | 
| 433.081 | 127.000 | 118.894 | 21.022 | -79.602 | -41.082 | 
| -42.025 | 218.446 | 199.401 | -113.909 | 27.108 | 51.687 | 
| 92.390 | 89.517 | 245.644 | -71.380 | -9.492 | 63.806 | 
| 14.315 | -20.764 | -4.737 | 150.198 | -4.158 | -24.527 | 
| -20.120 | 48.624 | 46.225 | -95.182 | 33.356 | 72.971 | 
| -119.143 | -16.306 | 69.027 | -71.033 | 106.459 | 84.786 | 
| 216.282 | 81.064 | 72.042 | 5.686 | -23.723 | -19.463 | 
| 91.113 | 184.689 | 67.784 | -10.233 | -3.535 | -13.805 | 
| 63.284 | 58.703 | 138.822 | 3.189 | -7.285 | -7.999 | 
| -0.939 | -13.018 | -6.795 | 56.166 | 3.483 | -5.198 | 
| 3.940 | -5.946 | -9.195 | 7.636 | 42.211 | -5.835 | 
| 4.492 | -3.526 | -7.093 | -0.565 | -9.670 | 62.558 | 
| 145.642 | 75.694 | 68.391 | -10.344 | -10.939 | -5.336 | 
| 62.796 | 188.280 | 62.934 | -27.251 | -2.236 | 4.791 | 
| 58.079 | 61.183 | 151.155 | -12.225 | -0.790 | 4.472 | 
| -6.412 | -11.285 | 1.921 | 60.182 | 0.485 | -2.597 | 
| -9.200 | -1.084 | 1.372 | -4.851 | 41.025 | 2.267 | 
| -4.119 | 0.878 | 3.320 | -10.874 | -7.845 | 51.996 | 
| 467.694 | 224.254 | 244.234 | -266.129 | -260.791 | 271.285 | 
| 359.229 | 285.983 | 275.796 | -254.918 | -223.237 | 227.977 | 
| 110.707 | -191.970 | 172.426 | -149.513 | -148.315 | 21.494 | 
| 280.621 | 75.085 | 194.244 | -156.935 | -211.946 | 208.382 | 
| 236.911 | 149.263 | 186.163 | -259.954 | -154.259 | 305.413 | 
| 236.634 | 142.179 | 181.717 | -266.071 | -241.217 | 385.893 | 
| -9.681 | -68.329 | -132.720 | 261.698 | 205.212 | -325.451 | 
| -159.684 | 92.191 | -134.359 | 232.737 | 231.850 | -298.930 | 
| -590.849 | -235.457 | -463.915 | 415.714 | 177.122 | -571.809 | 
| -261.644 | -94.781 | -183.580 | 311.754 | 197.747 | -238.903 | 
| -244.310 | -144.473 | -192.095 | 267.315 | 312.671 | -291.588 | 
| -245.253 | -151.020 | -197.731 | 259.194 | 227.874 | -207.156 | 
| 207.537 | 84.271 | 103.370 | -18.720 | -50.696 | 12.408 | 
| 93.179 | 222.213 | 56.368 | -49.243 | -17.101 | 20.470 | 
| 118.606 | 136.272 | 449.480 | -1.701 | -57.026 | -6.321 | 
| 26.358 | -2.051 | 18.646 | 57.888 | -21.788 | 26.633 | 
| 6.026 | -5.288 | 1.740 | -28.158 | 33.209 | 19.257 | 
| 33.903 | 13.305 | 20.398 | -33.830 | -33.402 | 81.069 | 
| 158.138 | 74.655 | 66.328 | 30.196 | -7.455 | -30.567 | 
| 55.557 | 180.177 | 52.283 | 5.161 | 9.986 | -17.631 | 
| 27.810 | 32.870 | 166.421 | 15.020 | 25.306 | -8.459 | 
| -33.287 | -20.482 | -30.835 | 65.446 | 21.992 | -11.264 | 
| -18.868 | -7.026 | -13.447 | 30.642 | 93.441 | -23.141 | 
| -21.546 | 6.015 | -21.040 | 23.657 | 5.321 | 33.422 | 
| 156.763 | 81.420 | 74.866 | -5.505 | -18.794 | -11.175 | 
| 81.678 | 155.952 | 61.833 | -18.591 | -5.453 | -0.115 | 
| 66.703 | 56.982 | 156.382 | -5.749 | -9.714 | -0.567 | 
| -5.258 | -10.376 | 1.932 | 37.267 | -2.184 | 0.955 | 
| -9.357 | -4.227 | -4.042 | -1.106 | 47.520 | 1.779 | 
| 1.257 | -0.765 | 2.493 | -2.100 | -9.754 | 46.672 | 
| 154.868 | 78.770 | 68.598 | -4.332 | -16.215 | -13.120 | 
| 83.464 | 169.405 | 62.545 | -16.423 | -1.926 | -6.240 | 
| 60.981 | 55.626 | 149.211 | -1.597 | -6.839 | -5.432 | 
| 1.207 | -7.778 | 4.207 | 54.019 | -1.121 | -3.932 | 
| -13.700 | -5.023 | -7.726 | 3.442 | 50.836 | -2.252 | 
| -1.668 | 3.528 | -6.837 | -0.333 | -4.571 | 46.159 | 
| -1161.109 | 22.407 | -518.599 | 273.251 | 559.588 | -342.225 | 
| -1235.475 | 89.587 | -581.973 | 352.415 | 368.518 | -104.092 | 
| -1318.392 | 173.471 | -36.694 | 103.417 | 166.941 | -190.354 | 
| -1344.484 | 149.835 | -762.938 | 114.313 | 437.547 | -20.293 | 
| -1339.419 | 137.396 | -153.323 | 88.086 | 180.481 | -164.900 | 
| -1393.071 | -29.034 | -574.289 | 283.310 | 550.877 | -275.318 | 
| 1511.616 | -85.745 | 208.772 | -90.234 | -142.329 | 180.428 | 
| 1432.831 | 219.170 | 624.304 | -261.648 | -536.025 | 339.298 | 
| 1454.658 | 78.666 | 749.448 | -282.703 | -552.006 | 343.577 | 
| -16.005 | 15.601 | -5.803 | 87.821 | 1.936 | 4.928 | 
| 1361.378 | -120.673 | 169.953 | -101.992 | -120.797 | 191.829 | 
| 1511.876 | -15.861 | 570.982 | -607.317 | -75.065 | -144.715 | 
| 80.099 | 46.784 | -6.023 | 23.721 | 74.159 | -36.245 | 
| -85.798 | 158.257 | 36.081 | 19.100 | 17.244 | -18.981 | 
| -76.037 | 51.018 | 121.821 | 25.451 | 45.761 | -34.805 | 
| -16.005 | 15.601 | -5.803 | 87.821 | 1.936 | 4.928 | 
| -140.633 | 4.861 | -60.925 | 26.006 | 123.254 | -37.688 | 
| -7.274 | 2.306 | -2.992 | 5.249 | 2.855 | 81.297 | 
| 215.092 | 64.740 | 146.671 | -15.933 | -60.450 | 18.378 | 
| 191.307 | 145.018 | 124.424 | -10.339 | -47.215 | 2.622 | 
| 181.420 | 39.772 | 148.784 | -6.885 | -24.412 | 12.365 | 
| 130.816 | 8.954 | 55.493 | 40.780 | -56.626 | 39.293 | 
| 137.845 | 9.700 | 48.798 | -29.546 | 21.021 | 29.181 | 
| 137.019 | -11.009 | 78.609 | -14.917 | -38.545 | 5.510 | 
| 124.286 | 54.096 | 44.611 | 3.071 | 6.336 | 3.415 | 
| 46.210 | 122.130 | 43.799 | 12.634 | 5.713 | -1.112 | 
| 38.437 | 53.470 | 112.103 | 2.852 | 0.393 | -4.676 | 
| -13.740 | 3.042 | -4.390 | 38.279 | 1.108 | 1.473 | 
| -10.559 | 4.071 | -6.236 | -0.461 | 42.316 | -1.202 | 
| -18.177 | -3.548 | -7.836 | 5.350 | 9.406 | 38.295 | 
| 146.263 | 50.111 | 55.149 | -4.475 | -1.394 | 3.367 | 
| 71.953 | 129.195 | 60.105 | 6.753 | -1.956 | -0.600 | 
| 65.010 | 45.691 | 119.225 | -1.526 | -6.979 | -1.342 | 
| 11.149 | 5.121 | 6.706 | 34.022 | -6.895 | 5.953 | 
| 12.144 | 3.064 | 3.777 | -4.598 | 34.756 | 1.634 | 
| 2.771 | -6.885 | -2.785 | 0.493 | 4.969 | 39.299 | 
| 311.108 | 79.399 | 84.076 | -15.188 | -12.283 | 23.056 | 
| -162.732 | 169.435 | 233.414 | 41.755 | -61.289 | -229.307 | 
| 89.127 | 69.876 | 229.804 | -7.597 | -43.461 | 9.425 | 
| -110.096 | 118.338 | 231.682 | 100.923 | -60.993 | -113.442 | 
| -26.351 | -1.142 | -43.461 | 8.966 | 109.037 | -14.763 | 
| -423.748 | -231.474 | -18.160 | 200.797 | -40.486 | -213.596 | 
| 361.140 | 29.006 | -106.132 | -30.894 | 59.728 | 241.849 | 
| 163.834 | 93.910 | -178.569 | -13.984 | 66.110 | 123.295 | 
| 599.161 | -66.559 | 272.668 | -191.008 | -291.904 | 338.175 | 
| -16.256 | 11.457 | -7.597 | 89.940 | 8.966 | -0.875 | 
| 552.195 | -105.066 | 148.416 | -181.113 | -250.283 | 335.044 | 
| 228.703 | -31.934 | -163.386 | -32.968 | 63.479 | 271.189 | 
| 110.932 | 61.389 | 39.175 | 14.235 | 28.826 | -24.176 | 
| 1.737 | 130.492 | 17.481 | 16.945 | 23.731 | -11.955 | 
| 52.125 | 68.853 | 147.329 | 3.163 | -17.915 | -19.378 | 
| -18.036 | 8.485 | 18.459 | 31.163 | -5.151 | -20.774 | 
| -26.351 | -1.142 | -43.461 | 8.966 | 109.037 | -14.763 | 
| -39.023 | -11.479 | -7.475 | 17.036 | 0.906 | 9.856 | 
| 112.682 | 57.180 | 55.602 | -7.761 | 2.688 | 9.581 | 
| 126.524 | 139.402 | 82.450 | -12.254 | -10.361 | 29.904 | 
| 81.450 | 38.336 | 127.554 | 0.023 | -8.914 | 24.757 | 
| 55.331 | -7.737 | 12.585 | 20.123 | -26.890 | 35.460 | 
| 20.842 | -4.608 | -29.336 | -6.294 | 73.160 | 14.487 | 
| 26.022 | 1.761 | -11.203 | -3.471 | 8.578 | 58.490 | 
| 134.936 | 55.355 | 54.029 | 3.298 | 0.055 | 3.139 | 
| 55.203 | 118.040 | 44.437 | 10.591 | -1.684 | 0.952 | 
| 49.213 | 47.190 | 102.471 | 3.927 | -5.780 | -0.410 | 
| -3.766 | 7.104 | 1.295 | 41.219 | 2.765 | -1.503 | 
| -3.410 | 2.287 | -3.214 | 0.065 | 31.623 | 1.443 | 
| -3.775 | 5.529 | 2.987 | 1.834 | 4.353 | 45.288 | 
| 138.262 | 58.229 | 52.570 | 1.257 | 0.594 | 9.337 | 
| 55.778 | 119.970 | 49.677 | 9.559 | 0.025 | 4.816 | 
| 62.262 | 56.132 | 122.162 | -1.705 | -3.660 | 0.077 | 
| 1.687 | 0.495 | 0.364 | 33.698 | -0.987 | 2.908 | 
| -3.827 | 0.321 | -2.843 | -1.692 | 35.419 | 4.762 | 
| 3.917 | 3.215 | -1.349 | -0.033 | 9.351 | 39.806 | 
| 389.385 | 112.651 | 129.064 | 14.700 | 67.683 | 48.979 | 
| -512.414 | 96.612 | -302.829 | 189.659 | 76.273 | -94.551 | 
| -512.761 | -96.152 | -115.954 | 165.517 | 81.437 | -76.285 | 
| -589.430 | -149.377 | -362.896 | 241.124 | 83.954 | -85.154 | 
| 26.492 | 3.540 | 32.809 | 16.097 | 128.457 | 11.512 | 
| -586.625 | -166.576 | -354.035 | 162.569 | 100.450 | 3.217 | 
| 389.385 | 112.651 | 129.064 | 14.700 | 67.683 | 48.979 | 
| 287.051 | 306.730 | 465.425 | -166.077 | -24.255 | -115.725 | 
| 293.323 | 198.549 | 558.070 | -178.117 | -35.315 | -121.398 | 
| 407.240 | 244.135 | 126.100 | -100.661 | -124.115 | 75.486 | 
| 26.492 | 3.540 | 32.809 | 16.097 | 128.457 | 11.512 | 
| 216.975 | 160.918 | 412.375 | -185.793 | -12.851 | -67.081 | 
| 157.667 | 55.600 | 25.030 | 18.865 | 18.821 | 27.023 | 
| 17.223 | 237.685 | 23.463 | 40.147 | 5.945 | -23.100 | 
| 11.653 | 44.524 | 144.895 | 45.221 | 10.081 | 6.772 | 
| -21.534 | -4.525 | -23.335 | 73.321 | 9.135 | 13.192 | 
| -56.696 | -20.733 | -35.134 | 21.792 | 83.042 | -5.988 | 
| -54.148 | -29.881 | -26.753 | 13.686 | 32.184 | 80.275 | 
| 258.240 | 80.796 | 103.940 | -16.042 | 17.892 | 12.911 | 
| 133.059 | 194.462 | 96.443 | -13.602 | -10.840 | -21.921 | 
| 126.125 | 69.262 | 272.697 | -15.802 | -4.854 | 10.248 | 
| 44.988 | 29.283 | 22.515 | 33.362 | -12.675 | 8.690 | 
| 61.759 | 10.420 | 39.230 | -10.131 | 72.500 | 10.677 | 
| 53.760 | 2.309 | 39.436 | -20.725 | 12.649 | 86.478 | 
| 149.267 | 69.598 | 66.023 | 0.461 | 9.308 | 4.467 | 
| 80.720 | 191.182 | 70.499 | 15.311 | 1.227 | -11.674 | 
| 62.039 | 66.092 | 166.079 | 5.204 | 1.398 | -1.932 | 
| -6.031 | 0.628 | 1.440 | 43.292 | 0.046 | 0.472 | 
| -11.450 | -5.056 | -4.436 | 2.466 | 38.477 | -1.618 | 
| -11.926 | -11.218 | -7.207 | 2.463 | 7.631 | 48.401 | 
| 172.641 | 82.138 | 83.795 | 1.044 | 14.139 | 10.629 | 
| 80.241 | 178.768 | 72.685 | 12.699 | -1.058 | -9.378 | 
| 78.725 | 72.482 | 184.215 | 4.775 | -1.129 | -0.899 | 
| 6.634 | 8.119 | 7.551 | 42.932 | 0.036 | -1.454 | 
| 2.440 | 2.143 | -0.563 | -1.368 | 40.139 | -1.907 | 
| 4.276 | -11.010 | -0.363 | -2.836 | 9.557 | 59.397 | 
| 450.016 | -188.645 | -368.660 | -172.538 | -134.358 | -153.424 | 
| -764.845 | -160.170 | -192.651 | -197.497 | 241.333 | -306.247 | 
| 133.545 | -571.512 | 247.718 | -212.998 | -79.838 | -27.356 | 
| 92.141 | -567.700 | 216.831 | -190.751 | -98.928 | -30.427 | 
| 506.464 | -83.302 | -345.040 | -74.164 | -19.084 | -94.144 | 
| 538.258 | -124.995 | -331.138 | -38.307 | -59.093 | -162.253 | 
| 322.211 | 85.218 | 72.404 | -4.972 | -57.632 | -2.871 | 
| 186.854 | 613.705 | 692.271 | 123.880 | 8.162 | 214.782 | 
| 162.318 | 634.548 | 813.602 | -103.629 | -100.901 | 321.457 | 
| -69.248 | 58.604 | 257.563 | 107.362 | 40.264 | 278.450 | 
| 149.762 | 520.840 | 616.207 | 126.151 | 17.403 | 232.271 | 
| 74.158 | 549.296 | 671.236 | -105.099 | -92.455 | 354.988 | 
| 121.694 | 18.271 | -0.583 | -17.690 | -7.916 | -22.072 | 
| 116.779 | 87.617 | 22.780 | -9.287 | -15.095 | -17.432 | 
| 46.514 | 24.613 | 84.307 | 28.773 | 2.671 | -43.805 | 
| 19.805 | -21.060 | -31.590 | 27.739 | -9.583 | -30.052 | 
| 2.431 | -34.696 | -42.212 | -7.553 | 34.892 | -38.111 | 
| 54.235 | -13.288 | -33.088 | -5.285 | -13.773 | 11.360 | 
| 73.788 | 72.808 | 87.564 | 3.652 | -4.687 | 14.603 | 
| 32.787 | 154.262 | 102.423 | -9.998 | -1.677 | 20.439 | 
| 77.086 | 126.156 | 134.409 | 33.572 | 14.745 | 7.864 | 
| -57.817 | 14.820 | 32.684 | 33.742 | 6.016 | 16.258 | 
| -47.784 | 7.322 | 31.166 | -3.305 | 28.001 | 19.348 | 
| -13.237 | 25.822 | 29.518 | 0.349 | -8.928 | 48.058 | 
| 129.630 | 54.347 | 49.735 | 0.957 | -7.569 | -10.490 | 
| 58.739 | 119.398 | 50.453 | -8.574 | -1.272 | -0.855 | 
| 55.888 | 53.725 | 131.048 | 1.956 | -2.643 | -6.204 | 
| -1.429 | -3.896 | -4.086 | 35.095 | 1.830 | -2.861 | 
| 1.411 | -2.099 | -5.740 | 1.283 | 31.092 | -3.792 | 
| -6.266 | -3.060 | -5.984 | -0.722 | -7.446 | 32.393 | 
| 118.588 | 56.866 | 55.421 | 0.719 | -6.997 | -5.666 | 
| 49.928 | 118.830 | 54.228 | -6.911 | -1.961 | 1.364 | 
| 51.932 | 56.081 | 131.387 | 1.502 | -0.151 | 2.413 | 
| -5.045 | 1.028 | 4.006 | 34.364 | 0.565 | 0.913 | 
| 3.122 | 5.056 | 2.411 | 1.710 | 32.391 | 1.520 | 
| -3.179 | 1.404 | 2.301 | -1.316 | -7.288 | 35.145 | 
| 83.796 | -553.177 | -418.970 | -359.242 | 606.694 | -121.560 | 
| -425.514 | -215.799 | -589.702 | -484.295 | 547.315 | 236.693 | 
| 14.878 | -557.111 | -360.191 | -360.930 | 612.689 | -107.438 | 
| -36.445 | -638.303 | -476.354 | -324.774 | 603.548 | -99.412 | 
| -0.118 | -405.472 | -769.696 | -429.654 | 536.004 | 69.708 | 
| 7.172 | -408.914 | -771.336 | -424.726 | 453.869 | 131.407 | 
| 212.213 | 455.136 | 825.430 | 430.095 | -485.224 | -89.645 | 
| 255.500 | 99.852 | 262.698 | 459.257 | -499.294 | -283.651 | 
| 517.215 | 336.727 | 723.036 | 480.499 | -523.023 | -175.467 | 
| -3.556 | -12.259 | 4.516 | 90.005 | -14.802 | 5.711 | 
| 497.769 | 54.365 | 428.142 | 395.906 | -262.737 | -360.513 | 
| -7.476 | 399.848 | 760.830 | 427.853 | -474.753 | 1.928 | 
| 47.236 | 52.096 | 38.999 | -22.669 | 8.154 | 8.624 | 
| 65.000 | 83.053 | 17.452 | -52.625 | 56.676 | -15.352 | 
| 78.415 | 56.858 | -20.478 | -67.874 | 59.603 | 24.213 | 
| -3.555 | -12.259 | 4.516 | 90.005 | -14.802 | 5.711 | 
| -7.918 | -43.036 | -82.544 | -46.719 | 118.082 | 12.024 | 
| 1.073 | -44.837 | -81.693 | -41.179 | 36.254 | 72.827 | 
| 155.695 | 121.321 | 112.029 | 38.670 | -63.884 | -16.378 | 
| 159.887 | 82.823 | 155.032 | 63.949 | -10.739 | -34.158 | 
| 83.562 | 67.001 | 255.375 | 4.516 | -1.238 | -15.178 | 
| 3.418 | 37.004 | 87.743 | 107.066 | -50.558 | -5.276 | 
| -7.822 | 39.787 | 73.692 | 39.490 | 25.233 | -1.695 | 
| -52.416 | 0.584 | 53.353 | 44.448 | -63.485 | -22.992 | 
| 156.963 | 62.542 | 65.099 | -2.008 | -5.574 | -13.686 | 
| 50.393 | 126.497 | 44.268 | -13.026 | 3.222 | 0.989 | 
| 55.225 | 53.374 | 118.166 | -4.959 | 0.883 | 0.555 | 
| -0.257 | -12.713 | -3.806 | 40.478 | 2.327 | 1.524 | 
| -4.934 | -3.573 | -5.260 | -5.241 | 40.343 | 1.015 | 
| -4.956 | -5.108 | -7.868 | -7.071 | -5.918 | 39.199 | 
| 160.112 | 68.615 | 73.345 | 3.389 | -11.646 | -14.000 | 
| 57.829 | 125.095 | 55.327 | -4.868 | -3.794 | -2.421 | 
| 60.063 | 58.087 | 132.138 | 2.203 | -8.450 | -1.750 | 
| 4.062 | 3.066 | 3.952 | 44.409 | -2.998 | -1.212 | 
| 2.676 | 3.172 | 6.563 | 3.970 | 37.075 | -2.099 | 
| -3.597 | -0.553 | 3.199 | 4.215 | -16.471 | 36.471 | 
| 73.837 | 221.900 | 2595.078 | 169.791 | 104.487 | 691.638 | 
| 936.414 | 309.973 | 2944.766 | 671.170 | 434.205 | 509.939 | 
| 25.521 | -283.928 | 2491.188 | 125.253 | 1399.263 | 835.083 | 
| 904.549 | 73.253 | 3025.802 | 47.746 | 767.951 | 726.119 | 
| 32.383 | -308.131 | 2436.572 | 111.740 | 1421.445 | 826.971 | 
| -105.995 | 106.486 | 2295.032 | 845.758 | 236.342 | 1483.561 | 
| 263.567 | 70.698 | 78.329 | 5.507 | -1.769 | -16.857 | 
| -260.421 | -1070.789 | -2750.590 | -369.033 | -278.860 | -1236.817 | 
| -850.194 | -8.414 | -2829.138 | 1.981 | -759.022 | -725.778 | 
| -113.487 | 1162.789 | -1397.919 | 150.559 | -139.671 | -932.673 | 
| -651.126 | -535.134 | -2831.826 | -712.761 | -496.327 | -1133.316 | 
| -934.212 | -294.372 | -2934.182 | -642.966 | -443.832 | -389.451 | 
| 158.047 | -58.961 | 326.216 | 117.187 | 49.532 | 64.375 | 
| 33.439 | 172.876 | 267.030 | 64.941 | 71.224 | 114.077 | 
| 70.832 | -60.567 | 365.364 | 3.615 | 18.028 | 86.248 | 
| 45.917 | 108.690 | 225.012 | 101.563 | 48.498 | 119.950 | 
| 37.274 | 92.874 | 223.820 | 80.624 | 85.164 | 130.493 | 
| 46.039 | 39.747 | 270.506 | 96.919 | 86.633 | 154.860 | 
| 2.588 | 69.132 | -211.943 | -25.081 | -122.051 | -78.889 | 
| 69.740 | 278.235 | 69.966 | -43.764 | 0.349 | -0.155 | 
| -36.794 | 54.831 | -111.966 | 4.986 | -73.151 | -72.765 | 
| -10.683 | -23.335 | -244.650 | -46.968 | -73.009 | -121.146 | 
| -4.902 | -24.111 | -265.608 | -13.193 | -7.754 | -69.636 | 
| -91.814 | -13.419 | -303.323 | 0.988 | -84.505 | -28.090 | 
| 115.533 | 45.951 | 72.031 | 9.352 | -6.604 | 0.508 | 
| 49.134 | 118.601 | 80.438 | 0.728 | 6.774 | 12.461 | 
| 47.682 | 52.432 | 151.772 | 6.460 | 0.902 | 11.086 | 
| 6.357 | -6.182 | 30.945 | 44.037 | 12.074 | 5.401 | 
| -3.570 | 0.753 | 18.706 | 7.119 | 33.420 | 9.403 | 
| 3.555 | -0.457 | 13.677 | -5.006 | -3.593 | 33.528 | 
| 109.301 | 39.792 | 21.216 | -4.686 | -13.739 | -18.962 | 
| 40.045 | 112.593 | 24.057 | -13.132 | -7.362 | -10.363 | 
| 60.244 | 65.958 | 120.399 | 2.400 | -3.932 | -11.020 | 
| 2.841 | -3.964 | -27.560 | 24.830 | -0.281 | -6.852 | 
| -11.255 | 0.872 | -30.419 | -6.034 | 27.099 | -11.267 | 
| 0.649 | -0.216 | -32.271 | -8.404 | -11.363 | 24.818 | 
| -122.535 | 42.266 | -48.709 | 33.678 | 84.406 | -50.046 | 
| -244.985 | 136.077 | -71.268 | 36.712 | 73.588 | -35.203 | 
| -118.973 | 12.161 | -72.824 | 20.414 | 36.989 | -125.376 | 
| -242.289 | -118.128 | -205.640 | 123.024 | 63.546 | -23.425 | 
| -225.375 | -97.725 | -140.998 | 41.965 | 67.082 | -131.946 | 
| -221.901 | -109.745 | -89.842 | 56.497 | -0.284 | -94.538 | 
| 377.167 | 186.242 | 235.185 | -68.842 | -65.173 | 44.232 | 
| 347.576 | 240.806 | 176.484 | 2.768 | -103.833 | 20.006 | 
| 262.998 | 161.279 | 223.870 | -35.833 | -30.297 | 111.608 | 
| 235.383 | 98.496 | 219.531 | -63.110 | -33.487 | 34.985 | 
| 216.747 | 90.500 | 88.410 | -34.598 | 25.726 | 77.182 | 
| 240.987 | 10.109 | 86.389 | -28.635 | -89.319 | 77.199 | 
| 105.235 | 57.320 | 47.778 | 4.672 | -0.982 | -19.901 | 
| 24.064 | 125.248 | 43.270 | -4.847 | 6.299 | -6.605 | 
| 16.488 | 36.557 | 113.533 | 0.798 | 5.960 | -3.143 | 
| -29.556 | -14.705 | -22.506 | 51.469 | 0.616 | -8.790 | 
| -21.511 | -14.679 | 1.356 | 7.334 | 65.658 | -5.216 | 
| -28.892 | -2.814 | -10.695 | 4.862 | 7.676 | 27.658 | 
| 164.098 | 70.852 | 74.756 | -0.126 | -6.727 | -2.472 | 
| 75.108 | 216.143 | 51.222 | -5.484 | -10.214 | 8.639 | 
| 73.833 | 59.420 | 138.520 | -7.005 | -7.144 | 3.570 | 
| 23.183 | 14.310 | 10.735 | 54.971 | 0.072 | 6.111 | 
| 18.711 | 4.775 | 13.301 | -7.253 | 25.834 | 9.044 | 
| 19.050 | 2.293 | 16.356 | -7.353 | -8.667 | 36.054 | 
| 115.981 | 50.006 | 46.297 | 2.646 | -4.392 | -9.891 | 
| 49.652 | 133.835 | 53.554 | -7.624 | -2.382 | -2.887 | 
| 44.793 | 52.042 | 124.222 | -2.391 | -0.651 | -3.358 | 
| -0.611 | -0.855 | -5.542 | 38.969 | 0.384 | -0.178 | 
| -3.305 | -3.415 | -2.182 | -0.523 | 34.629 | -0.038 | 
| -6.786 | -3.752 | -2.692 | 0.961 | -4.149 | 32.931 | 
| 124.437 | 49.592 | 49.281 | 2.145 | -6.994 | -8.195 | 
| 50.687 | 128.461 | 53.832 | -9.707 | -3.857 | -3.273 | 
| 50.099 | 53.389 | 127.283 | -3.056 | -2.639 | -2.048 | 
| 4.781 | -4.333 | -2.991 | 34.569 | -1.922 | 0.410 | 
| 1.462 | -4.706 | -1.025 | -1.484 | 30.018 | 1.684 | 
| -2.007 | -2.816 | -0.742 | -0.285 | -6.114 | 34.346 | 
| 271.973 | 105.499 | 0.000 | -0.000 | 0.000 | -0.000 | 
| 115.009 | 231.195 | -0.000 | 0.000 | 0.000 | -0.000 | 
| 0.000 | 0.000 | 337.132 | 0.000 | 0.000 | -0.000 | 
| -0.001 | -0.000 | -0.000 | 24.536 | 0.000 | 0.000 | 
| -0.001 | -0.000 | -0.000 | -0.000 | 24.536 | 0.000 | 
| -0.000 | -0.000 | -0.000 | 0.000 | 0.000 | 62.790 | 
| 271.973 | 105.499 | 0.000 | 0.000 | -0.000 | 0.000 | 
| 105.499 | 271.973 | 0.000 | 0.000 | 0.000 | 0.000 | 
| -0.000 | -0.000 | 337.132 | 0.000 | 0.000 | 0.000 | 
| 0.001 | 0.000 | 0.000 | 24.536 | 0.001 | -0.000 | 
| 0.001 | 0.000 | 0.000 | -0.000 | 24.536 | -0.000 | 
| 0.000 | 0.000 | 0.000 | -0.000 | 0.000 | 62.790 | 
| 240.286 | 98.650 | -0.000 | -0.000 | -0.000 | 0.000 | 
| 98.650 | 240.286 | -0.000 | 0.000 | -0.000 | 0.000 | 
| 0.000 | 0.000 | 337.132 | -0.000 | -0.000 | -0.000 | 
| -0.000 | -0.000 | -0.000 | 24.536 | -0.000 | 0.000 | 
| -0.000 | -0.000 | -0.000 | -0.000 | 24.536 | 0.000 | 
| 0.000 | 0.000 | -0.000 | 0.000 | 0.000 | 62.790 | 
| 271.973 | 105.499 | 0.000 | 0.000 | -0.000 | -0.000 | 
| 112.849 | 231.513 | 0.000 | 0.000 | 0.000 | 0.000 | 
| -0.000 | -0.000 | 337.132 | 0.000 | 0.000 | 0.000 | 
| 0.000 | 0.000 | 0.000 | 24.536 | -0.000 | -0.000 | 
| 0.000 | 0.000 | 0.000 | 0.000 | 24.536 | -0.000 | 
| 0.000 | -0.000 | 0.000 | -0.000 | 0.000 | 62.790 | 
| 240.287 | 98.650 | -0.000 | -0.000 | -0.000 | 0.000 | 
| 98.650 | 240.288 | -0.000 | -0.000 | -0.000 | 0.000 | 
| 0.000 | 0.000 | 337.134 | 0.000 | 0.000 | -0.000 | 
| -0.000 | -0.000 | -0.000 | 24.536 | -0.000 | -0.000 | 
| -0.000 | 0.000 | -0.000 | 0.000 | 24.536 | 0.000 | 
| -0.000 | 0.000 | -0.000 | -0.000 | -0.000 | 58.029 | 
| 231.186 | 115.128 | 0.000 | -0.000 | -0.000 | -0.000 | 
| 115.009 | 231.194 | 0.000 | -0.000 | -0.000 | -0.000 | 
| -0.000 | -0.000 | 337.130 | 0.000 | 0.000 | 0.000 | 
| 0.000 | 0.000 | 0.000 | 24.536 | 0.000 | 0.000 | 
| 0.000 | -0.000 | 0.000 | -0.000 | 24.536 | -0.000 | 
| -0.000 | -0.000 | 0.000 | 0.000 | 0.000 | 83.237 | 
| 269.540 | 104.251 | 0.000 | -0.000 | -0.001 | 0.000 | 
| 104.251 | 269.540 | 0.000 | -0.000 | -0.001 | 0.000 | 
| -0.293 | -0.293 | 336.559 | -0.000 | -0.001 | 0.000 | 
| -0.000 | 0.000 | -0.000 | 26.196 | -0.001 | 0.000 | 
| -0.000 | 0.000 | -0.000 | -0.000 | 26.194 | 0.000 | 
| -0.502 | -0.502 | 0.000 | 0.000 | -0.001 | 62.466 | 
| 238.202 | 97.374 | -0.000 | 0.000 | 0.000 | -0.000 | 
| 104.251 | 269.540 | -0.000 | 0.000 | 0.001 | -0.000 | 
| -0.293 | -0.293 | 336.560 | 0.000 | 0.001 | -0.000 | 
| 0.000 | -0.000 | 0.000 | 26.197 | 0.000 | -0.000 | 
| 0.000 | -0.000 | 0.000 | 0.001 | 26.196 | -0.000 | 
| 0.000 | -0.000 | -0.000 | 0.000 | 0.001 | 82.645 | 
| 229.085 | 113.340 | 0.000 | 0.000 | -0.000 | -0.000 | 
| 111.147 | 229.398 | 0.000 | -0.000 | -0.000 | -0.000 | 
| -0.293 | -0.293 | 336.559 | -0.000 | -0.000 | 0.000 | 
| 0.000 | 0.000 | -0.000 | 26.196 | -0.000 | 0.000 | 
| -0.000 | 0.000 | -0.000 | 0.000 | 26.196 | 0.000 | 
| -0.033 | -0.033 | 0.000 | 0.000 | -0.000 | 57.872 | 
| 238.061 | 97.130 | -0.000 | 0.000 | 0.000 | 0.000 | 
| 111.197 | 229.444 | -0.000 | 0.000 | 0.000 | 0.000 | 
| -0.293 | -0.293 | 336.559 | 0.000 | 0.000 | -0.000 | 
| -0.000 | -0.000 | 0.000 | 26.196 | 0.000 | -0.000 | 
| 0.000 | -0.000 | 0.000 | 0.000 | 26.196 | -0.000 | 
| 0.050 | 0.050 | -0.000 | 0.000 | 0.000 | 62.457 | 
| 229.419 | 111.170 | 0.000 | -0.000 | -0.000 | -0.000 | 
| 113.244 | 229.117 | 0.000 | -0.000 | -0.000 | -0.000 | 
| -0.293 | -0.293 | 336.561 | -0.000 | -0.000 | 0.000 | 
| 0.000 | -0.000 | -0.000 | 26.196 | -0.000 | 0.000 | 
| -0.000 | 0.000 | -0.000 | -0.000 | 26.196 | 0.000 | 
| -0.005 | -0.005 | 0.000 | -0.000 | -0.000 | 62.457 | 
| 229.423 | 111.174 | -0.000 | 0.000 | 0.000 | 0.000 | 
| 111.174 | 229.423 | -0.000 | 0.000 | 0.000 | 0.000 | 
| -0.293 | -0.293 | 336.557 | 0.000 | 0.000 | -0.000 | 
| -0.000 | 0.000 | 0.000 | 26.196 | 0.000 | -0.000 | 
| 0.000 | -0.000 | 0.000 | -0.000 | 26.196 | -0.000 | 
| 0.003 | 0.003 | -0.000 | 0.000 | 0.000 | 57.872 | 
| 210.831 | 159.552 | 159.552 | 0.000 | 0.000 | 0.000 | 
| 159.552 | 210.831 | 159.552 | 0.000 | -0.000 | -0.000 | 
| 159.552 | 159.552 | 210.831 | -0.000 | -0.000 | -0.000 | 
| -0.000 | -0.000 | 0.000 | 91.866 | -0.000 | 0.000 | 
| -0.000 | 0.000 | 0.000 | 0.000 | 91.866 | -0.000 | 
| -0.000 | -0.000 | 0.000 | -0.000 | -0.000 | 91.866 | 
| 149.697 | 79.023 | 79.024 | -0.000 | 0.000 | 0.000 | 
| 79.023 | 149.697 | 79.024 | -0.000 | -0.000 | 0.000 | 
| 79.023 | 79.023 | 149.697 | 0.000 | 0.000 | -0.000 | 
| 0.000 | 0.000 | 0.000 | 91.866 | 0.000 | -0.000 | 
| 0.000 | -0.000 | -0.000 | -0.000 | 91.866 | 0.000 | 
| 0.000 | 0.000 | 0.000 | -0.000 | -0.000 | 91.866 | 
| 139.146 | 81.371 | 81.371 | -0.000 | -0.000 | -0.000 | 
| 81.371 | 139.146 | 81.371 | 0.000 | -0.000 | -0.000 | 
| 81.371 | 81.371 | 139.147 | -0.000 | -0.000 | -0.000 | 
| 12.368 | 12.368 | 12.368 | 32.263 | -0.000 | -0.000 | 
| 12.368 | 12.368 | 12.368 | -0.000 | 32.263 | 0.000 | 
| 12.368 | 12.368 | 12.368 | -0.000 | -0.000 | 32.263 | 
| 149.697 | 79.023 | 79.023 | -0.000 | -0.000 | 0.000 | 
| 79.024 | 149.697 | 79.023 | -0.000 | 0.000 | 0.000 | 
| 79.024 | 79.023 | 149.697 | -0.000 | 0.000 | 0.000 | 
| -12.368 | -12.368 | -12.368 | 32.263 | 0.000 | 0.000 | 
| -12.368 | -12.368 | -12.368 | -0.000 | 32.263 | 0.000 | 
| -12.368 | -12.368 | -12.368 | -0.000 | 0.000 | 32.263 | 
| 138.736 | 77.084 | 77.084 | -0.000 | -0.000 | -0.000 | 
| 77.084 | 138.736 | 77.084 | 0.000 | -0.000 | 0.000 | 
| 77.084 | 77.084 | 138.736 | -0.000 | -0.000 | -0.000 | 
| 0.947 | 0.947 | 0.947 | 32.411 | -0.000 | -0.000 | 
| 0.947 | 0.947 | 0.947 | 0.000 | 32.411 | -0.000 | 
| 0.947 | 0.947 | 0.947 | 0.000 | -0.000 | 32.411 | 
| 136.485 | 75.949 | 75.949 | -0.000 | -0.000 | 0.000 | 
| 75.949 | 136.485 | 75.949 | 0.000 | 0.000 | 0.000 | 
| 75.949 | 75.949 | 136.485 | -0.000 | -0.000 | 0.000 | 
| -0.947 | -0.947 | -0.947 | 32.411 | 0.000 | 0.000 | 
| -0.947 | -0.947 | -0.947 | 0.000 | 32.411 | 0.000 | 
| -0.947 | -0.947 | -0.947 | -0.000 | 0.000 | 32.411 | 
| 124.406 | 56.206 | 56.206 | -0.000 | 0.000 | -0.000 | 
| 56.206 | 124.406 | 56.206 | 0.000 | 0.000 | -0.000 | 
| 56.206 | 56.206 | 124.406 | -0.000 | 0.000 | -0.000 | 
| -0.000 | 0.000 | -0.000 | 36.729 | 0.000 | -0.000 | 
| -0.000 | 0.000 | -0.000 | 0.000 | 36.729 | 0.000 | 
| -0.000 | 0.000 | 0.000 | 0.000 | 0.000 | 36.729 | 
| 124.406 | 56.206 | 56.206 | 0.000 | 0.000 | -0.000 | 
| 56.206 | 124.406 | 56.206 | 0.000 | -0.000 | 0.000 | 
| 56.206 | 56.206 | 124.406 | -0.000 | -0.000 | 0.000 | 
| -0.000 | -0.000 | -0.000 | 36.729 | 0.000 | -0.000 | 
| 0.000 | 0.000 | -0.000 | 0.000 | 36.729 | 0.000 | 
| 0.000 | -0.000 | 0.000 | -0.000 | -0.000 | 36.729 | 
| 113.317 | 52.243 | 52.243 | 0.000 | 0.000 | 0.000 | 
| 52.243 | 113.317 | 52.243 | -0.000 | -0.000 | 0.000 | 
| 52.243 | 52.243 | 113.317 | 0.000 | 0.000 | -0.000 | 
| -0.000 | -0.000 | 0.000 | 77.198 | -0.000 | -0.000 | 
| -0.000 | 0.000 | 0.000 | 0.000 | 77.198 | -0.000 | 
| -0.000 | 0.000 | 0.000 | -0.000 | -0.000 | 77.198 | 
| 113.317 | 52.243 | 52.243 | 0.000 | -0.000 | 0.000 | 
| 52.243 | 113.317 | 52.243 | -0.000 | 0.000 | 0.000 | 
| 52.243 | 52.243 | 113.317 | 0.000 | 0.000 | 0.000 | 
| -0.000 | 0.000 | -0.000 | 77.198 | -0.000 | 0.000 | 
| -0.000 | 0.000 | -0.000 | 0.000 | 77.198 | 0.000 | 
| 0.000 | -0.000 | -0.000 | 0.000 | 0.000 | 77.198 | 
| 113.317 | 52.243 | 52.243 | 0.000 | -0.000 | -0.000 | 
| 52.243 | 113.317 | 52.243 | 0.000 | 0.000 | 0.000 | 
| 52.243 | 52.243 | 113.317 | -0.000 | 0.000 | -0.000 | 
| 0.000 | 0.000 | 0.000 | 77.198 | -0.000 | 0.000 | 
| 0.000 | 0.000 | 0.000 | 0.000 | 77.198 | -0.000 | 
| 0.000 | 0.000 | 0.000 | -0.000 | 0.000 | 77.198 | 
| 113.317 | 52.243 | 52.243 | -0.000 | -0.000 | 0.000 | 
| 52.243 | 113.317 | 52.243 | 0.000 | -0.000 | 0.000 | 
| 52.243 | 52.243 | 113.317 | -0.000 | -0.000 | 0.000 | 
| -0.000 | -0.000 | -0.000 | 77.198 | -0.000 | 0.000 | 
| -0.000 | -0.000 | -0.000 | 0.000 | 77.198 | -0.000 | 
| -0.000 | -0.000 | -0.000 | -0.000 | -0.000 | 77.198 | 
| 221.577 | 46.886 | 29.509 | 0.000 | -0.000 | -0.000 | 
| 46.886 | 221.576 | 29.509 | 0.000 | -0.000 | -0.000 | 
| 58.875 | 58.875 | 180.030 | 0.000 | 0.000 | 0.000 | 
| -0.021 | -0.021 | 0.041 | 55.178 | 0.000 | 0.000 | 
| -0.021 | -0.021 | 0.041 | 0.000 | 55.178 | -0.000 | 
| -0.025 | -0.024 | 0.048 | 0.000 | 0.000 | 58.799 | 
| 221.577 | 46.886 | 29.509 | -0.000 | -0.000 | 0.000 | 
| 46.886 | 221.577 | 29.509 | -0.000 | -0.000 | 0.000 | 
| 29.851 | 29.851 | 237.226 | -0.000 | 0.000 | -0.000 | 
| 0.021 | 0.021 | -0.041 | 55.178 | -0.000 | -0.000 | 
| 0.021 | 0.021 | -0.041 | -0.000 | 55.178 | 0.000 | 
| 0.025 | 0.024 | -0.048 | -0.000 | -0.000 | 58.799 | 
| 178.538 | 57.518 | 61.440 | 0.000 | 0.000 | -0.000 | 
| 57.518 | 178.538 | 61.440 | 0.000 | -0.000 | -0.000 | 
| 58.894 | 58.894 | 179.993 | -0.000 | -0.000 | -0.000 | 
| -0.002 | -0.002 | 0.004 | 55.178 | 0.000 | 0.000 | 
| -0.002 | -0.002 | 0.004 | 0.000 | 55.178 | 0.000 | 
| -0.002 | -0.002 | 0.005 | -0.000 | -0.000 | 58.799 | 
| 221.577 | 46.886 | 29.509 | -0.000 | -0.000 | -0.000 | 
| 57.523 | 178.540 | 61.433 | -0.000 | 0.000 | -0.000 | 
| 58.899 | 58.899 | 179.983 | 0.000 | -0.000 | -0.000 | 
| 0.002 | 0.002 | -0.004 | 55.178 | 0.000 | -0.000 | 
| 0.002 | 0.002 | -0.004 | -0.000 | 55.178 | -0.000 | 
| 0.002 | 0.002 | -0.005 | 0.000 | 0.000 | 58.799 | 
| 221.577 | 46.886 | 29.509 | 0.000 | -0.000 | -0.000 | 
| 60.689 | 178.311 | 58.540 | -0.000 | -0.000 | -0.000 | 
| 58.898 | 58.898 | 179.987 | -0.000 | 0.000 | -0.000 | 
| -0.000 | -0.000 | 0.000 | 55.178 | -0.000 | -0.000 | 
| 0.000 | 0.000 | -0.000 | 0.000 | 70.190 | -0.000 | 
| 0.000 | 0.000 | 0.000 | 0.000 | -0.000 | 87.345 | 
| 178.292 | 60.693 | 58.553 | -0.000 | 0.000 | 0.000 | 
| 57.520 | 178.541 | 61.434 | 0.000 | 0.000 | -0.000 | 
| 58.895 | 58.895 | 179.991 | -0.000 | 0.000 | -0.000 | 
| 0.000 | 0.000 | -0.000 | 55.178 | -0.000 | 0.000 | 
| -0.000 | -0.000 | 0.000 | -0.000 | 70.190 | 0.000 | 
| -0.000 | -0.000 | -0.000 | -0.000 | 0.000 | 87.345 | 
| 205.660 | 61.360 | 61.360 | -0.000 | -0.000 | 0.000 | 
| 61.360 | 205.660 | 61.360 | -0.000 | -0.000 | -0.000 | 
| 61.360 | 61.360 | 205.660 | -0.000 | -0.000 | -0.000 | 
| 76.877 | 76.877 | 76.877 | 39.881 | -0.000 | -0.000 | 
| 76.877 | 76.877 | 76.876 | -0.000 | 39.881 | -0.000 | 
| 76.877 | 76.877 | 76.877 | 0.000 | -0.000 | 39.881 | 
| 205.660 | 61.360 | 61.360 | 0.000 | 0.000 | 0.000 | 
| 61.360 | 205.660 | 61.360 | -0.000 | 0.000 | -0.000 | 
| 61.360 | 61.360 | 205.660 | -0.000 | 0.000 | 0.000 | 
| -76.876 | -76.877 | -76.877 | 39.881 | 0.000 | 0.000 | 
| -76.876 | -76.877 | -76.876 | -0.000 | 39.881 | -0.000 | 
| -76.877 | -76.877 | -76.877 | -0.000 | 0.000 | 39.881 | 
| 187.696 | 68.568 | 68.568 | 0.000 | -0.000 | -0.000 | 
| 68.568 | 187.696 | 68.568 | 0.000 | -0.000 | -0.000 | 
| 68.568 | 68.568 | 187.696 | 0.000 | -0.000 | -0.000 | 
| 8.521 | 8.521 | 8.521 | 39.883 | -0.000 | -0.000 | 
| 8.521 | 8.521 | 8.521 | 0.000 | 39.883 | -0.000 | 
| 8.521 | 8.521 | 8.521 | 0.000 | -0.000 | 39.883 | 
| 172.222 | 53.278 | 53.278 | -0.000 | 0.000 | 0.000 | 
| 53.278 | 172.222 | 53.278 | 0.000 | 0.000 | 0.000 | 
| 53.278 | 53.278 | 172.222 | -0.000 | 0.000 | 0.000 | 
| -8.521 | -8.521 | -8.521 | 39.883 | 0.000 | -0.000 | 
| -8.521 | -8.521 | -8.521 | -0.000 | 39.883 | 0.000 | 
| -8.521 | -8.521 | -8.521 | 0.000 | 0.000 | 39.883 | 
| 180.752 | 61.621 | 61.621 | 0.000 | -0.000 | -0.000 | 
| 61.621 | 180.752 | 61.621 | 0.000 | -0.000 | 0.000 | 
| 61.621 | 61.621 | 180.752 | -0.000 | -0.000 | -0.000 | 
| 0.751 | 0.751 | 0.751 | 41.143 | -0.000 | -0.000 | 
| 0.751 | 0.751 | 0.751 | 0.000 | 41.143 | -0.000 | 
| 0.751 | 0.751 | 0.751 | 0.000 | -0.000 | 41.143 | 
| 179.211 | 60.080 | 60.080 | -0.000 | 0.000 | -0.000 | 
| 60.080 | 179.211 | 60.080 | 0.000 | 0.000 | 0.000 | 
| 60.080 | 60.080 | 179.211 | -0.000 | 0.000 | 0.000 | 
| -0.751 | -0.751 | -0.751 | 41.143 | 0.000 | -0.000 | 
| -0.751 | -0.751 | -0.751 | 0.000 | 41.143 | 0.000 | 
| -0.751 | -0.751 | -0.751 | 0.000 | 0.000 | 41.143 | 
| 174.458 | 55.729 | 55.728 | 0.000 | -0.000 | -0.000 | 
| 55.729 | 174.458 | 55.728 | -0.000 | -0.000 | -0.000 | 
| 55.729 | 55.729 | 174.458 | 0.000 | -0.000 | -0.000 | 
| -0.000 | -0.000 | -0.000 | 41.373 | 0.000 | -0.000 | 
| -0.000 | -0.000 | -0.000 | 0.000 | 41.373 | 0.000 | 
| -0.000 | -0.000 | -0.000 | 0.000 | 0.000 | 41.373 | 
| 174.458 | 55.729 | 55.729 | -0.000 | 0.000 | -0.000 | 
| 55.729 | 174.458 | 55.729 | 0.000 | -0.000 | -0.000 | 
| 55.729 | 55.729 | 174.458 | -0.000 | -0.000 | 0.000 | 
| 0.000 | 0.000 | 0.000 | 41.373 | -0.000 | -0.000 | 
| 0.000 | 0.000 | 0.000 | 0.000 | 41.373 | 0.000 | 
| 0.000 | 0.000 | 0.000 | 0.000 | 0.000 | 41.373 | 
| 198.342 | 57.097 | 57.097 | 0.000 | 0.000 | 0.000 | 
| 57.097 | 198.342 | 57.097 | 0.000 | -0.000 | 0.000 | 
| 57.097 | 57.097 | 198.342 | 0.000 | -0.000 | -0.000 | 
| -0.000 | -0.000 | -0.000 | 41.373 | 0.000 | -0.000 | 
| -0.000 | -0.000 | -0.000 | 0.000 | 41.373 | 0.000 | 
| -0.000 | -0.000 | -0.000 | 0.000 | 0.000 | 41.373 | 
| 174.458 | 55.729 | 55.729 | 0.000 | 0.000 | 0.000 | 
| 55.729 | 174.458 | 55.729 | 0.000 | 0.000 | -0.000 | 
| 55.729 | 55.729 | 174.458 | -0.000 | 0.000 | -0.000 | 
| 0.000 | 0.000 | 0.000 | 41.373 | -0.000 | -0.000 | 
| 0.000 | 0.000 | 0.000 | 0.000 | 41.373 | -0.000 | 
| 0.000 | 0.000 | 0.000 | 0.000 | 0.000 | 41.373 | 
| 174.458 | 55.729 | 55.729 | 0.000 | -0.000 | 0.000 | 
| 55.729 | 174.458 | 55.729 | 0.000 | -0.000 | 0.000 | 
| 55.729 | 55.729 | 174.458 | 0.000 | 0.000 | -0.000 | 
| 0.000 | -0.000 | -0.000 | 41.373 | -0.000 | 0.000 | 
| -0.000 | 0.000 | -0.000 | 0.000 | 41.373 | -0.000 | 
| -0.000 | -0.000 | 0.000 | 0.000 | -0.000 | 41.373 | 
| 174.456 | 55.728 | 55.728 | -0.000 | 0.000 | -0.000 | 
| 55.728 | 174.456 | 55.728 | -0.000 | 0.000 | -0.000 | 
| 55.728 | 55.728 | 174.456 | -0.000 | -0.000 | 0.000 | 
| -0.000 | 0.000 | 0.000 | 41.373 | 0.000 | -0.000 | 
| 0.000 | -0.000 | 0.000 | 0.000 | 41.373 | -0.000 | 
| 0.000 | 0.000 | -0.000 | -0.000 | 0.000 | 41.373 | 
| 235.456 | 57.760 | 41.175 | 18.739 | 15.377 | -0.000 | 
| 57.761 | 235.456 | 41.175 | -18.739 | -15.377 | -0.000 | 
| 67.724 | 67.724 | 139.382 | 0.000 | 0.000 | 0.000 | 
| 7.863 | 18.871 | 3.915 | 37.501 | 0.000 | -0.070 | 
| 15.377 | -15.377 | -0.000 | 0.000 | 77.028 | 18.739 | 
| 0.000 | 0.000 | -0.000 | -15.377 | 18.739 | 88.848 | 
| 235.456 | 57.760 | 41.175 | 18.739 | 15.377 | -0.000 | 
| 67.977 | 156.291 | 51.059 | 2.055 | -2.248 | 0.000 | 
| 48.895 | 48.894 | 39.108 | 0.000 | -0.000 | 0.000 | 
| -18.871 | -7.863 | -3.915 | 37.501 | -0.001 | -0.070 | 
| 15.377 | -15.377 | 0.000 | -0.000 | 77.028 | 18.739 | 
| 0.000 | 0.000 | 0.000 | -15.377 | 18.739 | 88.848 | 
| 235.456 | 57.760 | 41.175 | 18.739 | 15.377 | 0.000 | 
| 76.924 | 179.587 | 52.573 | -1.284 | -4.355 | -0.000 | 
| 44.934 | 44.934 | 199.609 | -0.000 | -0.000 | 0.000 | 
| 1.976 | -0.019 | 0.286 | 48.101 | -0.000 | -4.175 | 
| 5.153 | -3.197 | 0.287 | -0.000 | 48.101 | 0.998 | 
| 0.954 | 0.954 | 0.279 | -4.458 | 1.446 | 51.680 | 
| 177.289 | 75.110 | 52.079 | 1.171 | 4.284 | 0.000 | 
| 72.522 | 176.417 | 48.053 | -1.387 | -1.622 | 0.000 | 
| 59.824 | 59.824 | 114.686 | 0.000 | 0.000 | -0.000 | 
| 18.739 | -18.739 | -0.000 | 77.028 | 0.000 | -15.377 | 
| -2.339 | -0.519 | -4.681 | -0.000 | 43.944 | -0.231 | 
| -0.000 | -0.000 | -0.000 | -15.377 | 18.739 | 88.848 | 
| 178.240 | 74.686 | 51.794 | 1.380 | 2.724 | -0.000 | 
| 76.069 | 178.687 | 52.326 | -1.273 | -4.349 | -0.000 | 
| 53.373 | 53.373 | 72.499 | 0.000 | -0.000 | -0.000 | 
| 1.179 | -0.985 | 0.028 | 48.239 | 0.000 | -4.228 | 
| 4.325 | -4.131 | 0.028 | -0.000 | 48.238 | 1.082 | 
| 0.000 | 0.000 | 0.000 | -15.377 | 18.739 | 88.848 | 
| 178.430 | 75.896 | 52.282 | 1.253 | 4.336 | 0.000 | 
| 74.349 | 177.955 | 51.322 | -1.382 | -2.579 | 0.000 | 
| 51.403 | 51.403 | 70.848 | -0.000 | -0.000 | 0.000 | 
| 2.717 | -3.030 | -0.718 | 42.357 | -0.000 | -3.413 | 
| 4.129 | -4.324 | -0.028 | 0.000 | 48.233 | 1.079 | 
| -0.147 | -0.147 | -0.636 | -3.478 | 2.687 | 51.358 | 
| 179.089 | 40.899 | 53.127 | -10.368 | 18.651 | -6.112 | 
| 61.207 | 88.443 | 33.171 | -18.894 | 13.929 | 26.442 | 
| 61.394 | 29.495 | 74.292 | -11.706 | 14.091 | 11.163 | 
| -10.369 | -16.708 | -13.316 | 13.044 | -0.681 | 0.197 | 
| 25.597 | 16.018 | 14.831 | 0.067 | 9.716 | 7.430 | 
| 1.524 | 24.947 | 8.187 | -1.187 | 4.807 | 31.231 | 
| 178.223 | 40.664 | 53.212 | -9.603 | 19.872 | -6.424 | 
| 61.091 | 88.621 | 33.248 | -17.914 | 14.542 | 25.597 | 
| 61.046 | 30.076 | 74.909 | -10.557 | 14.791 | 10.236 | 
| -11.126 | -15.719 | -12.799 | 14.544 | 0.103 | -0.594 | 
| 25.273 | 15.754 | 15.009 | 0.914 | 10.297 | 7.061 | 
| 0.939 | 25.516 | 8.591 | -0.035 | 5.586 | 30.517 | 
| 176.332 | 43.465 | 54.534 | -10.324 | 21.306 | -5.984 | 
| 61.050 | 86.697 | 31.503 | -19.584 | 11.633 | 26.727 | 
| 62.642 | 28.284 | 74.101 | -12.627 | 14.468 | 9.472 | 
| -9.998 | -15.011 | -12.440 | 13.335 | -0.569 | -0.056 | 
| 27.899 | 13.169 | 14.000 | -0.312 | 8.171 | 5.525 | 
| 5.218 | 23.424 | 7.034 | -1.615 | 3.369 | 29.981 | 
| 176.442 | 43.503 | 54.621 | -10.156 | 21.358 | -6.130 | 
| 61.307 | 86.745 | 31.493 | -19.246 | 11.839 | 26.578 | 
| 62.710 | 28.317 | 74.141 | -12.513 | 14.505 | 9.367 | 
| -9.996 | -14.999 | -12.414 | 13.472 | -0.510 | -0.139 | 
| 27.922 | 13.176 | 14.038 | -0.178 | 8.218 | 5.448 | 
| 4.895 | 23.445 | 7.063 | -1.492 | 3.536 | 29.958 | 
| 176.398 | 43.454 | 54.730 | -10.468 | 21.140 | -6.104 | 
| 61.723 | 86.731 | 31.540 | -19.319 | 11.679 | 26.658 | 
| 62.960 | 28.101 | 74.105 | -12.647 | 14.287 | 9.450 | 
| -10.661 | -14.983 | -12.653 | 13.387 | -0.121 | -0.064 | 
| 28.253 | 13.130 | 14.264 | -0.158 | 8.151 | 5.437 | 
| 4.398 | 23.434 | 7.053 | -1.554 | 3.479 | 29.974 | 
| 176.398 | 43.454 | 54.732 | -10.455 | 21.147 | -6.111 | 
| 61.750 | 86.737 | 31.555 | -19.298 | 11.681 | 26.633 | 
| 62.976 | 28.107 | 74.110 | -12.631 | 14.285 | 9.436 | 
| -10.650 | -14.978 | -12.649 | 13.402 | -0.122 | -0.075 | 
| 28.270 | 13.137 | 14.279 | -0.139 | 8.157 | 5.415 | 
| 4.427 | 23.446 | 7.062 | -1.534 | 3.473 | 29.953 | 
| 251.809 | 103.739 | 32.045 | -0.000 | 0.000 | -0.000 | 
| 104.827 | 267.484 | 29.409 | -0.000 | 0.000 | -0.000 | 
| 32.605 | 28.880 | 389.450 | -0.000 | 0.000 | 0.000 | 
| -0.001 | 0.001 | -0.000 | 34.512 | 0.000 | -0.000 | 
| -0.001 | 0.001 | -0.000 | -0.000 | 33.478 | -0.000 | 
| -0.001 | 0.001 | -0.000 | -0.000 | 0.000 | 41.416 | 
| 251.815 | 103.734 | 32.046 | 0.000 | -0.000 | -0.000 | 
| 104.832 | 267.479 | 29.409 | 0.000 | -0.000 | 0.000 | 
| 32.610 | 28.875 | 389.450 | 0.000 | 0.000 | 0.000 | 
| 0.001 | -0.001 | 0.000 | 34.512 | -0.000 | -0.000 | 
| 0.001 | -0.001 | 0.000 | 0.000 | 33.478 | 0.000 | 
| 0.001 | -0.001 | 0.000 | 0.000 | -0.000 | 41.416 | 
| 251.812 | 103.737 | 32.046 | -0.000 | 0.000 | -0.000 | 
| 104.830 | 267.482 | 29.409 | -0.000 | 0.000 | 0.000 | 
| 32.607 | 28.878 | 389.450 | 0.000 | 0.000 | -0.000 | 
| -0.000 | 0.000 | -0.000 | 34.512 | 0.000 | -0.000 | 
| -0.000 | 0.000 | -0.000 | -0.000 | 33.478 | -0.000 | 
| -0.000 | 0.000 | -0.000 | -0.000 | 0.000 | 41.416 | 
| 251.812 | 103.736 | 32.045 | 0.000 | -0.000 | 0.000 | 
| 104.830 | 267.481 | 29.409 | 0.000 | -0.000 | -0.000 | 
| 32.608 | 28.877 | 389.450 | 0.000 | -0.000 | 0.000 | 
| 0.000 | -0.000 | 0.000 | 34.512 | 0.000 | -0.000 | 
| 0.000 | -0.000 | 0.000 | 0.000 | 33.478 | 0.000 | 
| 0.000 | -0.000 | 0.000 | 0.000 | -0.000 | 41.416 | 
| 251.812 | 103.737 | 32.046 | -0.000 | 0.000 | -0.000 | 
| 104.831 | 267.481 | 29.409 | -0.000 | 0.000 | -0.000 | 
| 32.608 | 28.878 | 389.452 | -0.000 | 0.000 | -0.000 | 
| -0.000 | -0.000 | -0.000 | 34.512 | -0.000 | 0.000 | 
| -0.000 | 0.000 | -0.000 | -0.000 | 33.478 | -0.000 | 
| -0.000 | -0.000 | -0.000 | -0.000 | 0.000 | 41.416 | 
| 251.812 | 103.736 | 32.045 | 0.000 | -0.000 | -0.000 | 
| 104.829 | 267.482 | 29.408 | 0.000 | -0.000 | 0.000 | 
| 32.607 | 28.877 | 389.448 | 0.000 | -0.000 | 0.000 | 
| 0.000 | 0.000 | 0.000 | 34.512 | 0.000 | 0.000 | 
| 0.000 | -0.000 | 0.000 | 0.000 | 33.478 | 0.000 | 
| 0.000 | 0.000 | 0.000 | 0.000 | -0.000 | 41.416 | 
| 153.974 | 51.271 | 51.271 | 0.000 | -0.000 | -0.000 | 
| 51.271 | 153.974 | 51.271 | -0.000 | 0.000 | -0.000 | 
| 51.271 | 51.271 | 153.974 | 0.000 | 0.000 | -0.000 | 
| -0.000 | -0.000 | -0.000 | 73.718 | -0.000 | -0.000 | 
| -0.000 | -0.000 | -0.000 | 0.000 | 73.718 | -0.000 | 
| -0.000 | -0.000 | -0.000 | -0.000 | -0.000 | 73.718 | 
| 115.998 | 73.740 | 73.740 | 0.000 | -0.000 | 0.000 | 
| 73.740 | 115.998 | 73.740 | 0.000 | -0.000 | 0.000 | 
| 73.740 | 73.740 | 115.998 | 0.000 | 0.000 | 0.000 | 
| 0.000 | 0.000 | 0.000 | 73.718 | -0.000 | 0.000 | 
| 0.000 | 0.000 | 0.000 | -0.000 | 73.718 | 0.000 | 
| 0.000 | 0.000 | 0.000 | 0.000 | 0.000 | 73.718 | 
| 153.974 | 51.271 | 51.271 | 0.000 | -0.000 | -0.000 | 
| 51.271 | 153.974 | 51.271 | 0.000 | -0.000 | -0.000 | 
| 51.271 | 51.271 | 153.974 | -0.000 | -0.000 | -0.000 | 
| -0.194 | -0.194 | -0.194 | 39.436 | -0.000 | -0.000 | 
| -0.194 | -0.194 | -0.194 | -0.000 | 39.436 | -0.000 | 
| -0.194 | -0.194 | -0.194 | -0.000 | -0.000 | 39.436 | 
| 129.733 | 62.871 | 62.871 | 0.000 | 0.000 | 0.000 | 
| 62.871 | 129.733 | 62.871 | 0.000 | 0.000 | 0.000 | 
| 62.871 | 62.871 | 129.733 | 0.000 | -0.000 | 0.000 | 
| 0.194 | 0.194 | 0.194 | 39.436 | 0.000 | 0.000 | 
| 0.194 | 0.194 | 0.194 | 0.000 | 39.436 | 0.000 | 
| 0.194 | 0.194 | 0.194 | -0.000 | 0.000 | 39.436 | 
| 130.332 | 62.284 | 62.284 | -0.000 | -0.000 | -0.000 | 
| 62.284 | 130.332 | 62.284 | -0.000 | -0.000 | -0.000 | 
| 62.284 | 62.284 | 130.332 | -0.000 | 0.000 | -0.000 | 
| -0.019 | -0.019 | -0.019 | 40.591 | -0.000 | -0.000 | 
| -0.019 | -0.019 | -0.019 | 0.000 | 40.591 | -0.000 | 
| -0.019 | -0.019 | -0.019 | -0.000 | -0.000 | 40.591 | 
| 130.429 | 62.292 | 62.292 | 0.000 | 0.000 | -0.000 | 
| 62.292 | 130.429 | 62.292 | 0.000 | -0.000 | 0.000 | 
| 62.292 | 62.292 | 130.429 | 0.000 | -0.000 | 0.000 | 
| 0.019 | 0.019 | 0.019 | 40.591 | 0.000 | 0.000 | 
| 0.019 | 0.019 | 0.019 | -0.000 | 40.591 | 0.000 | 
| 0.019 | 0.019 | 0.019 | 0.000 | -0.000 | 40.591 | 
| 177.542 | 42.038 | 42.038 | -0.000 | 0.000 | -0.000 | 
| 42.038 | 177.542 | 42.038 | 0.000 | 0.000 | 0.000 | 
| 42.038 | 42.038 | 177.542 | 0.000 | 0.000 | -0.000 | 
| -0.299 | -0.299 | -0.299 | 50.228 | 0.000 | 0.000 | 
| -0.299 | -0.299 | -0.299 | 0.000 | 50.228 | 0.000 | 
| -0.299 | -0.299 | -0.299 | 0.000 | 0.000 | 50.228 | 
| 177.542 | 42.038 | 42.038 | -0.000 | -0.000 | 0.000 | 
| 42.038 | 177.542 | 42.038 | -0.000 | -0.000 | -0.000 | 
| 42.038 | 42.038 | 177.542 | -0.000 | -0.000 | -0.000 | 
| 0.299 | 0.299 | 0.299 | 50.228 | -0.000 | -0.000 | 
| 0.299 | 0.299 | 0.299 | -0.000 | 50.228 | -0.000 | 
| 0.299 | 0.299 | 0.299 | -0.000 | -0.000 | 50.228 | 
| 177.542 | 42.038 | 42.038 | 0.000 | 0.000 | 0.000 | 
| 42.038 | 177.542 | 42.038 | 0.000 | 0.000 | 0.000 | 
| 42.038 | 42.038 | 177.542 | -0.000 | 0.000 | 0.000 | 
| 0.000 | 0.000 | 0.000 | 76.817 | 0.000 | 0.000 | 
| 0.000 | -0.000 | 0.000 | 0.000 | 76.817 | 0.000 | 
| 0.000 | 0.000 | 0.000 | 0.000 | 0.000 | 76.817 | 
| 177.542 | 42.038 | 42.038 | -0.000 | -0.000 | -0.000 | 
| 42.038 | 177.542 | 42.038 | -0.000 | -0.000 | -0.000 | 
| 42.038 | 42.038 | 177.542 | -0.000 | -0.000 | -0.000 | 
| -0.000 | -0.000 | -0.000 | 76.817 | -0.000 | -0.000 | 
| -0.000 | 0.000 | -0.000 | -0.000 | 76.817 | -0.000 | 
| -0.000 | -0.000 | -0.000 | -0.000 | -0.000 | 76.817 | 
| 152.553 | 51.294 | 51.294 | 0.000 | 0.000 | 0.000 | 
| 51.294 | 152.553 | 51.294 | 0.000 | 0.000 | 0.000 | 
| 51.294 | 51.294 | 152.553 | 0.000 | 0.000 | 0.000 | 
| -0.010 | -0.010 | -0.010 | 48.558 | 0.000 | 0.000 | 
| -0.003 | -0.003 | -0.003 | 0.000 | 47.687 | 0.000 | 
| -0.010 | -0.010 | -0.010 | 0.000 | 0.000 | 48.558 | 
| 155.224 | 51.621 | 51.621 | -0.000 | -0.000 | -0.000 | 
| 51.621 | 155.224 | 51.621 | -0.000 | -0.000 | -0.000 | 
| 51.621 | 51.621 | 155.224 | -0.000 | -0.000 | -0.000 | 
| 0.003 | 0.003 | 0.003 | 47.687 | -0.000 | -0.000 | 
| 0.010 | 0.010 | 0.010 | -0.000 | 48.558 | -0.000 | 
| 0.003 | 0.003 | 0.003 | -0.000 | -0.000 | 47.687 | 
| 112.469 | 69.344 | 64.713 | -0.000 | -0.000 | -0.000 | 
| 69.345 | 112.469 | 64.713 | -0.000 | -0.000 | 0.000 | 
| 64.713 | 64.713 | 180.379 | -0.000 | -0.000 | -0.000 | 
| -0.000 | -0.000 | 0.000 | 45.564 | -0.000 | 0.000 | 
| -0.000 | -0.000 | 0.000 | -0.000 | 45.564 | 0.000 | 
| -0.000 | -0.000 | 0.000 | -0.000 | -0.000 | 21.936 | 
| 112.470 | 69.345 | 64.713 | 0.000 | 0.000 | -0.000 | 
| 69.345 | 112.470 | 64.713 | -0.000 | 0.000 | 0.000 | 
| 37.139 | 37.139 | 216.982 | 0.000 | 0.000 | 0.000 | 
| 0.000 | 0.000 | -0.000 | 45.564 | 0.000 | 0.000 | 
| 0.000 | 0.000 | -0.000 | 0.000 | 45.564 | 0.000 | 
| 0.000 | 0.000 | -0.000 | 0.000 | 0.000 | 21.936 | 
| 117.401 | 49.013 | 74.934 | 0.000 | -0.000 | -0.000 | 
| 49.013 | 117.401 | 74.934 | -0.000 | -0.000 | -0.000 | 
| 37.139 | 37.139 | 216.982 | -0.000 | -0.000 | -0.000 | 
| -0.000 | -0.000 | 0.000 | 45.564 | -0.000 | 0.000 | 
| -0.000 | -0.000 | 0.000 | -0.000 | 45.564 | 0.000 | 
| -0.000 | -0.000 | 0.000 | -0.000 | -0.000 | 21.936 | 
| 112.470 | 69.344 | 64.712 | -0.000 | 0.000 | 0.000 | 
| 69.344 | 112.470 | 64.712 | 0.000 | 0.000 | 0.000 | 
| 64.713 | 64.713 | 180.378 | 0.000 | 0.000 | 0.000 | 
| 0.000 | 0.000 | 0.000 | 45.564 | 0.000 | -0.000 | 
| 0.000 | 0.000 | -0.000 | 0.000 | 45.564 | 0.000 | 
| 0.000 | 0.000 | -0.000 | 0.000 | 0.000 | 21.936 | 
| 112.464 | 69.347 | 64.715 | -0.000 | -0.000 | -0.000 | 
| 69.347 | 112.464 | 64.715 | -0.000 | -0.000 | -0.000 | 
| 64.712 | 64.712 | 180.379 | 0.000 | -0.000 | 0.000 | 
| 0.000 | 0.000 | -0.000 | 45.564 | -0.000 | -0.000 | 
| 0.000 | 0.000 | -0.000 | -0.000 | 45.564 | 0.000 | 
| -0.000 | 0.000 | -0.000 | -0.000 | -0.000 | 21.936 | 
| 112.475 | 69.342 | 64.710 | 0.000 | 0.000 | 0.000 | 
| 69.342 | 112.475 | 64.710 | 0.000 | 0.000 | -0.000 | 
| 64.713 | 64.713 | 180.377 | 0.000 | 0.000 | -0.000 | 
| -0.000 | -0.000 | 0.000 | 45.564 | 0.000 | 0.000 | 
| -0.000 | -0.000 | 0.000 | 0.000 | 45.564 | 0.000 | 
| 0.000 | -0.000 | 0.000 | 0.000 | 0.000 | 21.936 | 
| 113.771 | 70.345 | 61.696 | -0.000 | -0.000 | -0.000 | 
| 70.345 | 113.771 | 61.696 | -0.000 | -0.000 | -0.000 | 
| 60.478 | 60.478 | 181.613 | -0.000 | -0.000 | 0.000 | 
| 0.512 | 0.512 | -0.734 | 41.520 | -0.000 | -0.000 | 
| 0.512 | 0.512 | -0.734 | -0.000 | 41.520 | -0.000 | 
| 0.936 | 0.936 | -1.343 | -0.000 | -0.000 | 22.480 | 
| 112.830 | 69.403 | 63.047 | 0.000 | 0.000 | 0.000 | 
| 69.403 | 112.830 | 63.047 | 0.000 | 0.000 | 0.000 | 
| 59.536 | 59.536 | 182.965 | 0.000 | 0.000 | -0.000 | 
| -0.512 | -0.512 | 0.734 | 41.520 | 0.000 | 0.000 | 
| -0.512 | -0.512 | 0.734 | 0.000 | 41.520 | 0.000 | 
| -0.936 | -0.936 | 1.343 | 0.000 | 0.000 | 22.480 | 
| 202.688 | 13.763 | 38.490 | -0.000 | -0.000 | -0.000 | 
| 13.763 | 202.688 | 38.490 | -0.000 | -0.000 | -0.000 | 
| 60.054 | 60.054 | 182.221 | -0.000 | -0.000 | -0.000 | 
| 0.000 | 0.000 | 0.000 | 59.466 | -0.000 | 0.000 | 
| -0.000 | -0.000 | 0.000 | -0.000 | 59.466 | 0.000 | 
| 0.094 | 0.094 | -0.135 | -0.000 | -0.000 | 22.454 | 
| 118.151 | 50.953 | 72.469 | 0.000 | 0.000 | 0.000 | 
| 50.953 | 118.151 | 72.469 | 0.000 | 0.000 | 0.000 | 
| 36.126 | 36.126 | 216.565 | 0.000 | 0.000 | 0.000 | 
| -0.000 | -0.000 | -0.000 | 59.466 | 0.000 | 0.000 | 
| 0.000 | 0.000 | -0.000 | 0.000 | 59.466 | 0.000 | 
| -0.094 | -0.094 | 0.135 | 0.000 | 0.000 | 22.454 | 
| 113.301 | 69.881 | 62.367 | -0.000 | -0.000 | -0.000 | 
| 69.881 | 113.301 | 62.367 | -0.000 | -0.000 | -0.000 | 
| 60.012 | 60.012 | 182.283 | -0.000 | -0.000 | 0.000 | 
| 0.005 | 0.005 | -0.007 | 41.519 | -0.000 | 0.000 | 
| 0.005 | 0.005 | -0.007 | -0.000 | 41.519 | 0.000 | 
| 0.009 | 0.009 | -0.014 | -0.000 | -0.000 | 22.454 | 
| 113.301 | 69.867 | 62.376 | 0.000 | 0.000 | 0.000 | 
| 69.867 | 113.301 | 62.376 | 0.000 | 0.000 | 0.000 | 
| 60.002 | 60.002 | 182.295 | 0.000 | 0.000 | 0.000 | 
| -0.005 | -0.005 | 0.007 | 41.519 | 0.000 | -0.000 | 
| -0.005 | -0.005 | 0.007 | 0.000 | 41.519 | -0.000 | 
| -0.009 | -0.009 | 0.014 | 0.000 | 0.000 | 22.454 | 
| 148.870 | 78.259 | 78.259 | -0.000 | 0.000 | -0.000 | 
| 78.259 | 148.870 | 78.259 | 0.000 | 0.000 | -0.000 | 
| 78.259 | 78.259 | 148.870 | -0.000 | 0.000 | 0.000 | 
| -151.321 | -151.321 | -151.321 | 34.865 | 0.000 | -0.000 | 
| -151.321 | -151.321 | -151.321 | -0.000 | 34.865 | -0.000 | 
| -151.321 | -151.321 | -151.321 | 0.000 | 0.000 | 34.865 | 
| 148.870 | 78.259 | 78.259 | 0.000 | -0.000 | 0.000 | 
| 78.259 | 148.870 | 78.259 | -0.000 | -0.000 | 0.000 | 
| 78.259 | 78.259 | 148.870 | 0.000 | -0.000 | -0.000 | 
| 151.321 | 151.321 | 151.321 | 34.865 | -0.000 | 0.000 | 
| 151.321 | 151.321 | 151.321 | 0.000 | 34.865 | 0.000 | 
| 151.321 | 151.321 | 151.321 | 0.000 | -0.000 | 34.865 | 
| 122.764 | 60.991 | 60.991 | -0.000 | 0.000 | 0.000 | 
| 60.991 | 122.764 | 60.991 | -0.000 | 0.000 | 0.000 | 
| 60.991 | 60.991 | 122.764 | 0.000 | 0.000 | 0.000 | 
| 0.000 | 0.000 | 0.000 | 91.388 | 0.000 | -0.000 | 
| 0.000 | 0.000 | 0.000 | 0.000 | 91.388 | 0.000 | 
| -14.988 | -14.988 | -14.988 | 0.000 | 0.000 | 35.403 | 
| 153.047 | 91.716 | 91.716 | 0.000 | -0.000 | 0.000 | 
| 91.716 | 153.047 | 91.716 | 0.000 | -0.000 | -0.000 | 
| 91.716 | 91.716 | 153.047 | 0.000 | -0.000 | 0.000 | 
| -0.000 | -0.000 | -0.000 | 91.388 | -0.000 | 0.000 | 
| -0.000 | -0.000 | -0.000 | 0.000 | 91.388 | 0.000 | 
| 14.988 | 14.988 | 14.988 | 0.000 | 0.000 | 35.403 | 
| 135.839 | 74.291 | 74.291 | 0.000 | 0.000 | -0.000 | 
| 74.291 | 135.839 | 74.291 | -0.000 | 0.000 | -0.000 | 
| 74.291 | 74.291 | 135.839 | 0.000 | 0.000 | 0.000 | 
| 0.000 | 0.000 | 0.000 | 91.388 | 0.000 | 0.000 | 
| 0.000 | 0.000 | 0.000 | 0.000 | 91.388 | -0.000 | 
| 0.000 | 0.000 | 0.000 | -0.000 | 0.000 | 91.388 | 
| 138.133 | 77.330 | 77.330 | -0.000 | -0.000 | 0.000 | 
| 77.330 | 138.133 | 77.330 | -0.000 | -0.000 | 0.000 | 
| 77.330 | 77.330 | 138.133 | -0.000 | -0.000 | 0.000 | 
| -0.000 | -0.000 | -0.000 | 91.388 | -0.000 | 0.000 | 
| -0.000 | -0.000 | -0.000 | -0.000 | 91.388 | 0.000 | 
| -0.000 | -0.000 | -0.000 | -0.000 | -0.000 | 91.388 | 
| 126.315 | 83.414 | 83.666 | -0.000 | -0.000 | -0.000 | 
| -0.776 | 263.278 | 104.151 | -0.000 | 0.000 | -0.000 | 
| 32.473 | 111.680 | 209.674 | 0.000 | 0.000 | -0.000 | 
| -8.581 | 4.885 | -0.879 | 77.600 | 0.000 | -0.000 | 
| -7.683 | 4.374 | -0.787 | 0.000 | 33.965 | -0.000 | 
| -24.491 | 12.274 | 5.646 | 0.000 | -0.000 | 38.834 | 
| 282.516 | 6.066 | 43.070 | -0.000 | -0.000 | 0.000 | 
| -0.776 | 263.278 | 104.151 | -0.000 | -0.000 | 0.000 | 
| 47.124 | 104.851 | 203.787 | -0.000 | 0.000 | -0.000 | 
| 8.581 | -4.885 | 0.879 | 77.600 | -0.000 | 0.000 | 
| 7.683 | -4.374 | 0.787 | -0.000 | 33.965 | -0.000 | 
| 24.491 | -12.274 | -5.646 | -0.000 | 0.000 | 38.834 | 
| 147.632 | 72.709 | 78.855 | -0.000 | 0.000 | -0.000 | 
| 31.744 | 244.114 | 110.657 | 0.000 | 0.000 | -0.000 | 
| 37.942 | 108.960 | 208.314 | 0.000 | 0.000 | 0.000 | 
| -1.409 | 0.720 | 0.258 | 71.745 | -0.000 | 0.000 | 
| 0.000 | -0.000 | -0.000 | 0.000 | 52.759 | 0.000 | 
| -3.811 | 2.170 | -0.390 | 0.000 | 0.000 | 38.761 | 
| 152.369 | 70.331 | 77.786 | -0.000 | -0.000 | -0.000 | 
| -0.776 | 263.278 | 104.151 | 0.000 | -0.000 | 0.000 | 
| 74.601 | 90.767 | 198.981 | -0.000 | 0.000 | -0.000 | 
| 1.409 | -0.720 | -0.258 | 71.745 | -0.000 | 0.000 | 
| -0.000 | 0.000 | 0.000 | -0.000 | 52.759 | 0.000 | 
| 3.811 | -2.170 | 0.390 | -0.000 | -0.000 | 38.761 | 
| 149.765 | 71.638 | 78.373 | 0.000 | 0.000 | 0.000 | 
| 32.985 | 243.405 | 110.801 | -0.000 | -0.000 | -0.000 | 
| 36.983 | 104.906 | 230.696 | -0.000 | 0.000 | -0.000 | 
| -0.141 | 0.072 | 0.026 | 71.755 | -0.000 | -0.000 | 
| -0.074 | 0.042 | -0.008 | 0.000 | 34.625 | -0.000 | 
| -0.000 | -0.000 | -0.000 | 0.000 | 0.000 | 39.176 | 
| 150.236 | 71.401 | 78.267 | -0.000 | -0.000 | 0.000 | 
| 64.917 | 229.914 | 91.148 | 0.000 | -0.000 | 0.000 | 
| 72.469 | 91.837 | 199.462 | -0.000 | 0.000 | -0.000 | 
| 0.141 | -0.072 | -0.026 | 71.755 | 0.000 | -0.000 | 
| 0.074 | -0.042 | 0.008 | -0.000 | 34.625 | 0.000 | 
| 0.000 | 0.000 | 0.000 | -0.000 | -0.000 | 39.176 | 
| 404.384 | 162.098 | 162.098 | 0.000 | -0.000 | 0.000 | 
| 162.098 | 404.384 | 162.098 | 0.000 | -0.000 | -0.000 | 
| 162.098 | 162.098 | 404.384 | 0.000 | -0.000 | -0.000 | 
| 136.326 | 136.326 | 136.326 | 28.690 | 0.000 | 0.000 | 
| 136.326 | 136.326 | 136.326 | -0.000 | 28.690 | 0.000 | 
| 136.326 | 136.326 | 136.326 | -0.000 | -0.000 | 28.690 | 
| 131.775 | -110.670 | -110.670 | -0.000 | 0.000 | -0.000 | 
| -110.670 | 131.775 | -110.670 | -0.000 | 0.000 | -0.000 | 
| -110.670 | -110.670 | 131.775 | -0.000 | 0.000 | 0.000 | 
| -136.326 | -136.326 | -136.326 | 28.690 | 0.000 | 0.000 | 
| -136.326 | -136.326 | -136.326 | -0.000 | 28.690 | 0.000 | 
| -136.326 | -136.326 | -136.326 | 0.000 | 0.000 | 28.690 | 
| 320.088 | 8.725 | 8.725 | 0.000 | -0.000 | -0.000 | 
| 8.725 | 320.088 | 8.725 | -0.000 | -0.000 | -0.000 | 
| 8.725 | 8.725 | 320.088 | -0.000 | 0.000 | -0.000 | 
| 9.099 | 9.099 | 9.099 | 34.361 | 0.000 | -0.000 | 
| 9.099 | 9.099 | 9.099 | -0.000 | 34.361 | -0.000 | 
| 9.099 | 9.099 | 9.099 | 0.000 | -0.000 | 34.361 | 
| 253.607 | 11.953 | 11.953 | -0.000 | 0.000 | 0.000 | 
| 11.953 | 253.607 | 11.953 | -0.000 | 0.000 | 0.000 | 
| 11.953 | 11.953 | 253.607 | 0.000 | -0.000 | 0.000 | 
| -9.099 | -9.099 | -9.099 | 34.361 | 0.000 | -0.000 | 
| -9.099 | -9.099 | -9.099 | -0.000 | 34.361 | -0.000 | 
| -9.099 | -9.099 | -9.099 | -0.000 | 0.000 | 34.361 | 
| 230.958 | 33.810 | 33.810 | -0.000 | 0.000 | 0.000 | 
| 33.810 | 230.958 | 33.810 | -0.000 | -0.000 | -0.000 | 
| 33.810 | 33.810 | 230.958 | 0.000 | -0.000 | 0.000 | 
| 1.057 | 1.057 | 1.057 | 30.296 | -0.000 | -0.000 | 
| 1.057 | 1.057 | 1.057 | 0.000 | 30.296 | -0.000 | 
| 1.057 | 1.057 | 1.057 | 0.000 | -0.000 | 30.296 | 
| 238.404 | 32.594 | 32.594 | -0.000 | -0.000 | 0.000 | 
| 32.594 | 238.404 | 32.594 | -0.000 | 0.000 | 0.000 | 
| 32.594 | 32.594 | 238.404 | 0.000 | -0.000 | 0.000 | 
| -1.057 | -1.057 | -1.057 | 30.296 | -0.000 | -0.000 | 
| -1.057 | -1.057 | -1.057 | -0.000 | 30.296 | 0.000 | 
| -1.057 | -1.057 | -1.057 | 0.000 | 0.000 | 30.296 | 
| 378.573 | 316.003 | 316.003 | 0.000 | 0.000 | -0.000 | 
| 316.003 | 378.573 | 316.003 | -0.000 | -0.000 | -0.000 | 
| 316.003 | 316.003 | 378.573 | -0.000 | 0.000 | -0.000 | 
| 48.495 | 48.496 | 48.496 | 18.661 | -0.001 | -0.000 | 
| 48.497 | 48.497 | 48.497 | 0.000 | 18.657 | -0.000 | 
| 48.497 | 48.497 | 48.497 | 0.000 | -0.001 | 18.658 | 
| -1526938888.561 | -1383461878.473 | -1383461878.090 | -0.017 | 0.014 | 0.030 | 
| -1383461877.042 | -1526938887.828 | -1383461877.974 | -0.080 | 0.034 | 0.113 | 
| -1383461877.150 | -1383461876.269 | -1526938889.111 | 0.030 | -0.004 | 0.006 | 
| -48.497 | -48.497 | -48.497 | 18.658 | 0.001 | 0.000 | 
| -48.495 | -48.495 | -48.495 | -0.000 | 18.662 | 0.000 | 
| -48.495 | -48.496 | -48.496 | -0.000 | 0.001 | 18.661 | 
| 77754036.069 | 204885844.540 | 204885844.955 | -0.013 | -0.004 | -0.004 | 
| 204885844.978 | 77754036.084 | 204885844.542 | 0.011 | 0.019 | -0.013 | 
| 204885844.475 | 204885845.045 | 77754036.095 | 0.005 | -0.025 | 0.014 | 
| 0.000 | 0.000 | 0.000 | 92.062 | 0.000 | -0.000 | 
| 0.000 | 0.000 | 0.000 | 0.000 | 92.062 | -0.000 | 
| 0.000 | 0.000 | 0.000 | 0.000 | 0.000 | 92.062 | 
| -152693603.932 | -138346084.652 | -138346084.624 | 0.003 | 0.004 | 0.005 | 
| -138346084.853 | -152693603.160 | -138346084.723 | -0.001 | -0.000 | 0.001 | 
| -138346084.651 | -138346084.796 | -152693603.547 | 0.006 | -0.010 | -0.002 | 
| -164892971.223 | -164037981.803 | -165403253.782 | 31602100.942 | 96216.707 | 244534.043 | 
| -0.000 | -0.000 | -0.000 | -0.000 | 92.062 | 0.000 | 
| -0.000 | -0.000 | -0.000 | -0.000 | 0.000 | 92.062 | 
| 7775720.117 | 20488790.739 | 20488790.712 | 0.001 | 0.000 | 0.000 | 
| 20488790.710 | 7775720.116 | 20488790.740 | -0.000 | -0.001 | -0.000 | 
| 20488790.740 | 20488790.711 | 7775720.112 | -0.000 | -0.000 | -0.001 | 
| 16526919.549 | 16531452.677 | 16477121.609 | 3052110.731 | -4509.949 | 12559.465 | 
| 16735881.436 | 16478213.257 | 16229063.534 | 1137.645 | 3069483.344 | -2234.075 | 
| 16535290.375 | 16363380.193 | 16468596.008 | -17811.663 | 5656.399 | 3000735.801 | 
| -15269074.794 | -13834505.730 | -13834505.707 | -0.000 | 0.001 | 0.000 | 
| -13834505.710 | -15269074.794 | -13834505.732 | -0.000 | 0.000 | 0.000 | 
| -13834505.730 | -13834505.709 | -15269074.795 | -0.000 | 0.000 | 0.000 | 
| -16474993.473 | -16426958.720 | -16480643.473 | 3016081.311 | 15507.250 | 24487.145 | 
| -16597848.552 | -16498364.606 | -16426072.855 | 22111.465 | 3020697.548 | -5823.382 | 
| -16452824.680 | -16518766.797 | -16480024.523 | 8085.417 | -11192.064 | 3025955.387 | 
| 352.195 | -0.014 | 0.003 | 0.000 | -0.000 | 0.000 | 
| 0.006 | 327.026 | 129.243 | 0.000 | 0.000 | 0.000 | 
| 0.006 | 129.226 | 327.162 | 0.000 | 0.000 | -0.000 | 
| -0.000 | 0.000 | -0.000 | 98.858 | -0.000 | 0.000 | 
| 0.000 | 0.000 | -0.000 | 0.000 | 29.130 | 0.000 | 
| -0.000 | 0.000 | -0.000 | 0.000 | -0.000 | 29.147 | 
| 352.195 | -0.014 | 0.003 | -0.000 | 0.000 | 0.000 | 
| 0.006 | 327.026 | 129.243 | -0.000 | 0.000 | -0.000 | 
| 0.006 | 129.226 | 327.162 | -0.000 | 0.000 | -0.000 | 
| 0.000 | -0.000 | 0.000 | 98.858 | 0.000 | 0.000 | 
| -0.000 | -0.000 | 0.000 | -0.000 | 29.130 | 0.000 | 
| -0.000 | -0.000 | 0.000 | -0.000 | 0.000 | 29.147 | 
| 352.195 | -0.014 | 0.003 | 0.000 | -0.000 | 0.000 | 
| 0.006 | 327.026 | 129.243 | 0.000 | -0.000 | 0.000 | 
| 0.006 | 129.226 | 327.162 | 0.000 | -0.000 | -0.000 | 
| -0.000 | 0.000 | 0.000 | 98.858 | -0.000 | -0.000 | 
| 0.000 | -0.000 | -0.000 | 0.000 | 29.130 | 0.000 | 
| 0.000 | -0.000 | -0.000 | 0.000 | -0.000 | 29.147 | 
| 352.195 | -0.014 | 0.003 | -0.000 | 0.000 | -0.000 | 
| 0.006 | 327.026 | 129.242 | -0.000 | -0.000 | 0.000 | 
| 0.006 | 129.226 | 327.162 | -0.000 | 0.000 | -0.000 | 
| 0.000 | -0.000 | -0.000 | 98.858 | 0.000 | 0.000 | 
| -0.000 | 0.000 | 0.000 | -0.000 | 29.130 | 0.000 | 
| -0.000 | 0.000 | 0.000 | -0.000 | 0.000 | 29.147 | 
| 352.197 | -0.014 | 0.003 | 0.000 | -0.000 | 0.000 | 
| 0.006 | 327.027 | 129.243 | -0.000 | 0.000 | -0.000 | 
| 0.006 | 129.226 | 327.164 | 0.000 | -0.000 | 0.000 | 
| -0.000 | 0.000 | 0.000 | 98.858 | -0.000 | -0.000 | 
| 0.000 | -0.000 | -0.000 | -0.000 | 29.130 | 0.000 | 
| 0.000 | -0.000 | -0.000 | 0.000 | -0.000 | 29.147 | 
| 352.193 | -0.014 | 0.003 | -0.000 | -0.000 | 0.000 | 
| 0.006 | 327.024 | 129.242 | -0.000 | -0.000 | 0.000 | 
| 0.006 | 129.226 | 327.160 | 0.000 | 0.000 | -0.000 | 
| 0.000 | -0.000 | -0.000 | 98.858 | 0.000 | -0.000 | 
| -0.000 | 0.000 | 0.000 | 0.000 | 29.130 | 0.000 | 
| -0.000 | 0.000 | 0.000 | -0.000 | -0.000 | 29.147 | 
| 150.540 | 103.608 | 0.000 | 0.000 | 0.000 | -0.000 | 
| 65.588 | 188.560 | 0.000 | 0.000 | 0.000 | 0.000 | 
| -0.000 | -0.000 | 0.000 | 0.000 | 0.000 | -0.000 | 
| -0.000 | -0.000 | 0.000 | 0.000 | 0.000 | -0.000 | 
| -0.000 | -0.000 | 0.000 | 0.000 | 0.000 | -0.000 | 
| -0.000 | -0.000 | 0.000 | 0.000 | 0.000 | 61.486 | 
| 150.540 | 103.608 | -0.000 | -0.000 | -0.000 | 0.000 | 
| 103.608 | 150.540 | -0.000 | -0.000 | -0.000 | 0.000 | 
| 0.000 | 0.000 | -0.000 | -0.000 | -0.000 | 0.000 | 
| 0.000 | 0.000 | -0.000 | -0.000 | -0.000 | 0.000 | 
| 0.000 | 0.000 | -0.000 | -0.000 | -0.000 | 0.000 | 
| 0.000 | 0.000 | -0.000 | -0.000 | -0.000 | 61.486 | 
| 150.540 | 103.608 | 0.000 | 0.000 | 0.000 | -0.000 | 
| 103.608 | 150.540 | 0.000 | 0.000 | 0.000 | -0.000 | 
| -0.000 | -0.000 | 0.000 | 0.000 | 0.000 | -0.000 | 
| -0.000 | -0.000 | 0.000 | 0.000 | 0.000 | -0.000 | 
| -0.000 | -0.000 | 0.000 | 0.000 | 0.000 | -0.000 | 
| -0.000 | 0.000 | 0.000 | 0.000 | 0.000 | 23.466 | 
| 150.543 | 103.605 | -0.000 | -0.000 | -0.000 | 0.000 | 
| 103.608 | 150.540 | -0.000 | -0.000 | -0.000 | 0.000 | 
| 0.000 | 0.000 | -0.000 | -0.000 | -0.000 | 0.000 | 
| 0.000 | 0.000 | -0.000 | -0.000 | -0.000 | 0.000 | 
| 0.000 | 0.000 | -0.000 | -0.000 | -0.000 | 0.000 | 
| 0.000 | -0.000 | -0.000 | -0.000 | -0.000 | 23.466 | 
| 150.542 | 103.607 | 0.000 | 0.000 | 0.000 | 0.000 | 
| 103.610 | 150.539 | 0.000 | 0.000 | 0.000 | -0.000 | 
| -0.000 | -0.000 | 0.000 | 0.000 | 0.000 | -0.000 | 
| -0.000 | -0.000 | 0.000 | 0.000 | 0.000 | -0.000 | 
| -0.000 | -0.000 | 0.000 | 0.000 | 0.000 | -0.000 | 
| -0.000 | 0.000 | 0.000 | 0.000 | 0.000 | 23.466 | 
| 150.538 | 103.609 | -0.000 | -0.000 | -0.000 | 0.000 | 
| 103.606 | 150.541 | -0.000 | -0.000 | -0.000 | 0.000 | 
| 0.000 | 0.000 | -0.000 | -0.000 | -0.000 | 0.000 | 
| -0.000 | 0.000 | -0.000 | -0.000 | -0.000 | 0.000 | 
| 0.000 | 0.000 | -0.000 | -0.000 | -0.000 | 0.000 | 
| 0.000 | -0.000 | -0.000 | -0.000 | -0.000 | 23.466 | 
| 1116.785 | 556.924 | 551.429 | -0.006 | -0.000 | 0.000 | 
| 525.857 | 812.868 | 331.210 | -0.003 | -0.000 | 0.000 | 
| 527.778 | 333.669 | 818.571 | -0.004 | -0.000 | -0.000 | 
| -0.189 | 0.526 | -0.358 | 98.882 | -0.000 | -0.000 | 
| -0.167 | 0.459 | -0.320 | -0.003 | 137.393 | -0.000 | 
| -0.218 | 1.550 | -1.193 | -0.007 | 0.000 | 143.770 | 
| 1116.787 | 555.227 | 552.561 | 0.006 | 0.000 | 0.000 | 
| 526.236 | 810.942 | 332.631 | 0.003 | 0.000 | 0.000 | 
| 528.561 | 332.072 | 819.918 | 0.004 | 0.000 | 0.000 | 
| 0.189 | -0.526 | 0.358 | 98.896 | 0.000 | -0.000 | 
| 0.167 | -0.459 | 0.320 | 0.003 | 137.393 | -0.000 | 
| 0.218 | -1.550 | 1.193 | 0.007 | 0.000 | 143.770 | 
| 1116.292 | 553.042 | 553.714 | -0.001 | -0.000 | -0.000 | 
| 528.084 | 811.936 | 332.821 | -0.001 | -0.000 | 0.000 | 
| 530.110 | 334.175 | 819.122 | -0.001 | -0.000 | 0.000 | 
| -0.020 | 0.057 | -0.041 | 98.894 | -0.000 | 0.000 | 
| -0.024 | 0.086 | -0.066 | -0.001 | 137.288 | 0.000 | 
| -0.022 | 0.155 | -0.120 | -0.001 | -0.000 | 143.708 | 
| 1116.314 | 552.858 | 553.844 | 0.001 | 0.000 | 0.000 | 
| 528.109 | 811.753 | 332.952 | 0.001 | 0.000 | 0.000 | 
| 530.134 | 333.991 | 819.253 | 0.001 | 0.000 | -0.000 | 
| 0.019 | -0.052 | 0.036 | 98.905 | -0.000 | 0.000 | 
| 0.024 | -0.086 | 0.066 | 0.001 | 137.288 | 0.000 | 
| 0.022 | -0.155 | 0.120 | 0.001 | 0.000 | 143.708 | 
| 1116.310 | 552.960 | 553.772 | -0.000 | -0.000 | -0.000 | 
| 528.093 | 811.849 | 332.878 | -0.000 | -0.000 | -0.000 | 
| 530.120 | 334.091 | 819.179 | -0.000 | -0.000 | -0.000 | 
| -0.002 | 0.005 | -0.004 | 98.895 | -0.000 | -0.000 | 
| -0.001 | 0.008 | -0.006 | -0.000 | 137.288 | 0.000 | 
| -0.003 | 0.016 | -0.014 | -0.000 | -0.000 | 143.707 | 
| 1116.295 | 552.939 | 553.786 | 0.000 | 0.000 | 0.000 | 
| 528.101 | 811.839 | 332.895 | 0.000 | 0.000 | 0.000 | 
| 530.124 | 334.075 | 819.197 | 0.000 | -0.000 | 0.000 | 
| 0.002 | -0.005 | 0.004 | 98.895 | 0.000 | 0.000 | 
| 0.001 | -0.008 | 0.006 | 0.000 | 137.288 | 0.000 | 
| 0.003 | -0.016 | 0.014 | 0.000 | 0.000 | 143.707 | 
| 327.104 | 129.288 | -0.000 | -0.000 | 0.000 | 0.000 | 
| 129.288 | 327.104 | -0.000 | -0.000 | -0.000 | -0.000 | 
| -0.000 | 0.000 | 352.140 | -0.000 | 0.000 | -0.000 | 
| -0.000 | -0.000 | -0.000 | 29.132 | -0.000 | -0.000 | 
| -0.000 | -0.000 | -0.000 | -0.000 | 29.133 | 0.000 | 
| -0.000 | 0.000 | -0.000 | -0.000 | 0.000 | 98.908 | 
| 327.104 | 129.288 | 0.000 | 0.000 | -0.000 | 0.000 | 
| 129.288 | 327.104 | 0.000 | 0.000 | 0.000 | 0.000 | 
| 0.000 | 0.000 | 352.140 | 0.000 | 0.000 | 0.000 | 
| 0.000 | -0.000 | -0.000 | 29.133 | -0.000 | -0.000 | 
| 0.000 | -0.000 | 0.000 | 0.000 | 29.133 | 0.000 | 
| 0.000 | -0.000 | 0.000 | 0.000 | -0.000 | 98.908 | 
| 327.104 | 129.288 | -0.000 | -0.000 | -0.000 | -0.000 | 
| 129.288 | 327.104 | -0.000 | -0.000 | -0.000 | 0.000 | 
| -0.000 | -0.000 | 352.140 | -0.000 | 0.000 | -0.000 | 
| -0.000 | -0.000 | -0.000 | 29.133 | -0.000 | -0.000 | 
| -0.000 | 0.000 | -0.000 | -0.000 | 29.133 | -0.000 | 
| -0.000 | 0.000 | -0.000 | -0.000 | -0.000 | 98.908 | 
| 327.103 | 129.288 | -0.000 | 0.000 | 0.000 | -0.000 | 
| 129.288 | 327.103 | -0.000 | 0.000 | 0.000 | -0.000 | 
| 0.000 | -0.000 | 352.140 | 0.000 | 0.000 | 0.000 | 
| 0.000 | 0.000 | 0.000 | 29.133 | 0.000 | 0.000 | 
| 0.000 | -0.000 | 0.000 | 0.000 | 29.133 | -0.000 | 
| 0.000 | -0.000 | 0.000 | 0.000 | -0.000 | 98.908 | 
| 327.105 | 129.289 | 0.000 | -0.000 | 0.000 | 0.000 | 
| 129.289 | 327.105 | 0.000 | -0.000 | -0.000 | -0.000 | 
| -0.000 | 0.000 | 352.142 | -0.000 | 0.000 | -0.000 | 
| 0.000 | -0.000 | -0.000 | 29.133 | 0.000 | -0.000 | 
| -0.000 | 0.000 | -0.000 | -0.000 | 29.133 | -0.000 | 
| -0.000 | 0.000 | -0.000 | -0.000 | 0.000 | 98.908 | 
| 327.102 | 129.288 | 0.000 | 0.000 | -0.000 | 0.000 | 
| 129.288 | 327.102 | -0.000 | 0.000 | 0.000 | 0.000 | 
| 0.000 | -0.000 | 352.138 | 0.000 | -0.000 | -0.000 | 
| -0.000 | 0.000 | 0.000 | 29.133 | 0.000 | 0.000 | 
| 0.000 | -0.000 | 0.000 | 0.000 | 29.133 | -0.000 | 
| 0.000 | -0.000 | 0.000 | 0.000 | -0.000 | 98.908 | 
| 119.093 | 8.047 | -163.184 | 2.901 | -2.905 | -0.001 | 
| 8.043 | 119.086 | -163.187 | -2.900 | 2.905 | 0.001 | 
| 45.529 | 45.529 | 200.605 | -0.000 | -0.000 | 0.000 | 
| -148.015 | -132.165 | -139.670 | 33.432 | -0.000 | -1.622 | 
| -138.463 | -141.707 | -139.666 | -0.000 | 33.433 | -7.924 | 
| -0.000 | -0.000 | 0.000 | 15.682 | 18.871 | 89.392 | 
| 292.910 | 232.727 | 203.867 | -8.911 | 2.259 | -0.000 | 
| 129.848 | 245.724 | 267.885 | -4.024 | 3.442 | -0.000 | 
| 111.510 | 111.510 | 339.326 | 0.000 | 0.000 | 0.000 | 
| 59.479 | 53.101 | 52.240 | 36.641 | 0.000 | 8.463 | 
| 59.085 | 65.324 | 215.776 | -0.000 | 50.825 | 3.358 | 
| 0.000 | -0.000 | -0.000 | 15.682 | 18.872 | 89.392 | 
| 164.821 | 68.412 | 43.763 | -0.425 | -3.221 | 0.000 | 
| 69.907 | 173.302 | 35.151 | -2.463 | 4.606 | -0.000 | 
| 45.529 | 45.529 | 200.605 | -0.000 | -0.000 | 0.000 | 
| 18.871 | -18.871 | 0.000 | 77.648 | -0.000 | 15.682 | 
| -13.019 | -9.626 | -11.288 | -0.000 | 41.912 | -2.786 | 
| -7.447 | -7.447 | -20.840 | 2.226 | 1.472 | 52.452 | 
| 178.656 | 92.319 | 66.564 | -2.784 | -1.698 | -0.000 | 
| 58.067 | 236.851 | 41.908 | -18.871 | 15.682 | -0.000 | 
| 56.412 | 56.412 | 84.313 | 0.000 | 0.000 | -0.000 | 
| 8.730 | 5.916 | 22.006 | 47.658 | 0.000 | 1.970 | 
| -15.682 | 15.682 | -0.000 | -0.000 | 77.648 | 18.871 | 
| 0.000 | -0.000 | -0.000 | 15.682 | 18.871 | 89.392 | 
| 236.852 | 58.068 | 41.908 | 18.872 | -15.682 | -0.000 | 
| 58.068 | 236.852 | 41.908 | -18.872 | 15.682 | -0.000 | 
| 59.562 | 59.562 | 117.601 | 0.000 | -0.000 | 0.000 | 
| 0.085 | -1.952 | -0.931 | 48.189 | -0.000 | 4.153 | 
| -5.084 | 3.217 | -0.931 | -0.000 | 48.183 | 1.015 | 
| -0.797 | -0.797 | -1.795 | 2.659 | 1.267 | 51.964 | 
| 180.823 | 77.782 | 53.786 | 1.129 | -4.224 | -0.000 | 
| 58.067 | 236.850 | 41.908 | -18.871 | 15.682 | 0.000 | 
| 61.611 | 61.611 | 122.836 | -0.000 | 0.000 | 0.000 | 
| 1.955 | -0.088 | 0.930 | 48.194 | 0.000 | 4.155 | 
| -15.682 | 15.682 | -0.000 | -0.000 | 77.648 | 18.871 | 
| 0.912 | 0.912 | 0.910 | 4.412 | 1.419 | 52.139 | 
| 202.761 | 13.760 | 38.478 | 0.000 | 0.000 | -0.000 | 
| 13.760 | 202.761 | 38.478 | -0.000 | 0.000 | 0.000 | 
| 60.050 | 60.050 | 182.275 | 0.000 | 0.000 | 0.000 | 
| 0.000 | -0.000 | -0.000 | 41.557 | 0.000 | -0.000 | 
| -0.000 | -0.000 | -0.000 | 0.000 | 41.557 | 0.000 | 
| 0.000 | 0.000 | -0.000 | -0.000 | 0.000 | 22.449 | 
| 113.298 | 69.875 | 62.392 | 0.000 | -0.000 | -0.000 | 
| 69.875 | 113.298 | 62.391 | 0.000 | -0.000 | -0.000 | 
| 60.050 | 60.050 | 182.275 | -0.000 | -0.000 | -0.000 | 
| -0.000 | 0.000 | 0.000 | 41.557 | -0.000 | -0.000 | 
| -0.000 | 0.000 | 0.000 | 0.000 | 41.557 | -0.000 | 
| -0.000 | -0.000 | 0.000 | 0.000 | -0.000 | 22.449 | 
| 118.166 | 51.028 | 72.416 | -0.000 | 0.000 | -0.000 | 
| 51.028 | 118.166 | 72.416 | -0.000 | 0.000 | 0.000 | 
| 60.050 | 60.050 | 182.275 | -0.000 | 0.000 | -0.000 | 
| 0.000 | 0.000 | -0.000 | 41.557 | -0.000 | 0.000 | 
| 0.000 | 0.000 | -0.000 | -0.000 | 41.557 | -0.000 | 
| -0.000 | 0.000 | -0.000 | -0.000 | 0.000 | 22.449 | 
| 113.299 | 69.875 | 62.391 | -0.000 | -0.000 | -0.000 | 
| 69.875 | 113.299 | 62.391 | 0.000 | -0.000 | -0.000 | 
| 36.136 | 36.136 | 216.571 | 0.000 | -0.000 | -0.000 | 
| -0.000 | 0.000 | 0.000 | 41.557 | -0.000 | 0.000 | 
| -0.000 | 0.000 | 0.000 | 0.000 | 41.557 | 0.000 | 
| 0.000 | -0.000 | 0.000 | 0.000 | -0.000 | 22.449 | 
| 113.294 | 69.877 | 62.394 | -0.000 | 0.000 | 0.000 | 
| 69.877 | 113.294 | 62.394 | -0.000 | 0.000 | -0.000 | 
| 60.050 | 60.050 | 182.276 | 0.000 | 0.000 | 0.000 | 
| 0.000 | 0.000 | -0.000 | 41.557 | 0.000 | -0.000 | 
| 0.000 | 0.000 | -0.000 | -0.000 | 41.557 | 0.000 | 
| -0.000 | -0.000 | -0.000 | -0.000 | 0.000 | 22.449 | 
| 113.303 | 69.873 | 62.389 | 0.000 | -0.000 | -0.000 | 
| 69.873 | 113.303 | 62.389 | 0.000 | -0.000 | -0.000 | 
| 60.050 | 60.050 | 182.274 | -0.000 | -0.000 | -0.000 | 
| -0.000 | -0.000 | 0.000 | 41.557 | -0.000 | 0.000 | 
| -0.000 | -0.000 | 0.000 | 0.000 | 41.557 | 0.000 | 
| 0.000 | 0.000 | 0.000 | 0.000 | -0.000 | 22.449 | 
| 650.372 | -240.153 | -82.074 | -0.000 | 52.768 | -0.000 | 
| 487.056 | -141.260 | -92.463 | -0.000 | 19.277 | 0.000 | 
| 496.223 | -241.498 | 14.838 | 0.000 | 26.968 | -0.000 | 
| -0.000 | -0.000 | 0.000 | 83.355 | -0.000 | -15.167 | 
| 469.965 | -298.995 | -122.369 | 0.000 | 75.281 | 0.000 | 
| 438.759 | -300.686 | -150.036 | 3.645 | 20.113 | 40.390 | 
| -333.691 | 351.775 | 188.544 | -0.000 | -32.121 | 0.000 | 
| -464.719 | 449.925 | 199.750 | -0.000 | -47.426 | 0.000 | 
| -402.412 | 353.597 | 284.929 | -0.000 | -34.702 | -0.000 | 
| 0.000 | -0.000 | -0.000 | 83.355 | -0.000 | -15.167 | 
| -435.946 | 301.121 | 157.366 | -0.000 | 20.538 | 0.000 | 
| -438.759 | 300.686 | 150.036 | 3.645 | -20.113 | 40.390 | 
| 195.622 | 21.876 | 46.367 | 0.000 | 14.331 | 0.000 | 
| 92.167 | 130.938 | 41.396 | 0.000 | 0.137 | -0.000 | 
| 111.797 | 24.749 | 145.764 | 0.000 | 6.871 | -0.000 | 
| -0.000 | 0.000 | 0.000 | 83.355 | -0.000 | -15.167 | 
| 47.022 | -28.617 | -7.315 | -0.000 | 42.741 | -0.000 | 
| -0.000 | 0.000 | 0.000 | -14.983 | 0.000 | 56.699 | 
| 84.111 | 78.422 | 78.093 | -0.000 | 2.463 | 0.000 | 
| 9.386 | 185.778 | 71.113 | 0.000 | -2.412 | -0.000 | 
| 15.598 | 90.159 | 176.745 | -0.000 | 3.221 | -0.000 | 
| 0.000 | -0.000 | -0.000 | 83.355 | 0.000 | -15.167 | 
| -49.292 | 27.235 | 19.949 | -0.000 | 36.485 | 0.000 | 
| 0.000 | -0.000 | -0.000 | -14.983 | -0.000 | 56.699 | 
| 150.214 | 48.748 | 59.911 | 0.000 | 9.470 | -0.000 | 
| 54.813 | 157.436 | 52.475 | 0.000 | -1.525 | -0.000 | 
| 69.802 | 51.002 | 157.056 | -0.000 | 6.205 | -0.000 | 
| 4.787 | -2.843 | -1.403 | 49.118 | 0.400 | 1.251 | 
| 8.520 | -4.219 | 6.055 | 0.000 | 42.268 | 0.000 | 
| 3.900 | -2.673 | -1.334 | 1.576 | 0.179 | 42.201 | 
| 130.817 | 51.833 | 65.654 | -0.000 | 6.580 | 0.000 | 
| 45.126 | 163.178 | 55.244 | -0.000 | -2.007 | 0.000 | 
| 57.257 | 59.029 | 165.267 | -0.000 | 7.072 | 0.000 | 
| -4.787 | 2.843 | 1.403 | 49.118 | -0.400 | 1.251 | 
| -3.011 | 1.176 | 6.978 | -0.000 | 40.579 | -0.000 | 
| -3.900 | 2.673 | 1.334 | 1.576 | -0.179 | 42.201 | 
| 148.370 | 52.903 | 63.161 | -0.000 | 9.397 | -0.000 | 
| 49.972 | 161.947 | 56.310 | -0.000 | -1.051 | -0.000 | 
| 62.105 | 57.023 | 164.946 | 0.000 | 7.763 | 0.000 | 
| 0.005 | -0.002 | -0.001 | 49.647 | 0.001 | 1.213 | 
| 2.793 | -1.587 | 5.450 | 0.000 | 40.792 | -0.000 | 
| 0.005 | -0.002 | -0.001 | 1.425 | 0.001 | 42.282 | 
| 148.355 | 52.911 | 63.165 | 0.000 | 9.394 | 0.000 | 
| 24.917 | 205.300 | 47.330 | 0.000 | -20.232 | -0.000 | 
| 45.230 | 47.330 | 194.503 | -0.000 | 23.553 | 0.000 | 
| -0.005 | 0.002 | 0.001 | 49.647 | -0.001 | 1.213 | 
| 2.776 | -1.583 | 5.448 | -0.000 | 40.787 | 0.000 | 
| -0.005 | 0.002 | 0.001 | 1.425 | -0.001 | 42.282 | 
| 139.068 | 50.617 | 64.409 | 0.000 | 6.531 | -0.000 | 
| 50.743 | 162.512 | 56.366 | -0.000 | -2.935 | 0.000 | 
| 45.230 | 47.330 | 194.503 | 0.000 | 23.553 | -0.000 | 
| 0.001 | -0.000 | -0.000 | 49.010 | 0.000 | 1.342 | 
| 4.936 | -1.361 | 7.495 | -0.000 | 41.709 | 0.000 | 
| 0.001 | -0.000 | -0.000 | 1.718 | 0.000 | 40.958 | 
| 196.997 | 22.757 | 47.745 | 0.000 | 13.664 | -0.000 | 
| 24.917 | 205.300 | 47.330 | 0.000 | -20.232 | -0.000 | 
| 45.230 | 47.330 | 194.503 | -0.000 | 23.553 | -0.000 | 
| -0.001 | 0.000 | 0.000 | 49.010 | -0.000 | 1.342 | 
| 5.756 | -20.232 | 23.553 | 0.000 | 74.058 | -0.000 | 
| -0.001 | 0.000 | 0.000 | 1.718 | -0.000 | 40.958 | 
| 139.066 | 50.618 | 64.409 | -0.000 | 6.531 | 0.000 | 
| 50.743 | 162.512 | 56.367 | 0.000 | -2.935 | 0.000 | 
| 64.558 | 55.186 | 159.393 | -0.000 | 5.814 | -0.000 | 
| 0.000 | -0.000 | 0.000 | 49.026 | 0.000 | 1.109 | 
| 3.053 | -2.046 | 5.368 | -0.000 | 40.766 | -0.000 | 
| 0.000 | -0.000 | 0.000 | 0.851 | 0.000 | 38.384 | 
| 139.069 | 50.616 | 64.408 | 0.000 | 6.531 | -0.000 | 
| 50.572 | 161.870 | 55.530 | 0.000 | -2.078 | 0.000 | 
| 64.551 | 55.182 | 159.404 | -0.000 | 5.821 | 0.000 | 
| -0.000 | 0.000 | -0.000 | 49.026 | -0.000 | 1.109 | 
| 4.936 | -1.361 | 7.495 | -0.000 | 41.709 | 0.000 | 
| -0.000 | 0.000 | -0.000 | 0.851 | -0.000 | 38.384 | 
| 178.196 | 57.806 | 61.665 | 0.000 | 0.000 | -0.000 | 
| 57.646 | 178.287 | 61.447 | -0.000 | -0.000 | 0.000 | 
| 58.912 | 58.898 | 179.926 | 0.000 | 0.000 | 0.000 | 
| 0.062 | -0.063 | 0.000 | 55.110 | -0.000 | -0.000 | 
| 0.062 | -0.063 | 0.000 | 0.000 | 55.258 | -0.000 | 
| 0.072 | -0.074 | 0.000 | 0.000 | 0.000 | 58.857 | 
| 178.044 | 57.948 | 61.676 | -0.000 | -0.000 | -0.000 | 
| 57.506 | 178.441 | 61.435 | -0.000 | -0.000 | 0.000 | 
| 58.788 | 59.023 | 179.927 | -0.000 | -0.000 | 0.000 | 
| -0.062 | 0.063 | -0.000 | 55.110 | -0.000 | 0.000 | 
| -0.062 | 0.063 | -0.000 | 0.000 | 55.258 | -0.000 | 
| -0.072 | 0.074 | -0.000 | -0.000 | -0.000 | 58.857 | 
| 177.881 | 61.047 | 58.791 | -0.000 | -0.000 | -0.000 | 
| 60.774 | 178.106 | 58.511 | -0.000 | 0.000 | -0.000 | 
| 29.648 | 29.885 | 237.572 | -0.000 | 0.000 | -0.000 | 
| 0.006 | -0.006 | 0.000 | 55.110 | 0.000 | -0.000 | 
| 0.006 | -0.006 | 0.000 | -0.000 | 55.258 | -0.000 | 
| 0.007 | -0.007 | 0.000 | 0.000 | 0.000 | 58.857 | 
| 221.241 | 46.913 | 29.537 | 0.000 | -0.000 | 0.000 | 
| 46.626 | 221.949 | 29.487 | -0.000 | -0.000 | -0.000 | 
| 58.844 | 58.967 | 179.927 | 0.000 | -0.000 | -0.000 | 
| -0.006 | 0.006 | -0.000 | 55.110 | 0.000 | 0.000 | 
| -0.006 | 0.006 | -0.000 | 0.000 | 55.258 | -0.000 | 
| -0.007 | 0.007 | -0.000 | 0.000 | -0.000 | 58.857 | 
| 177.875 | 61.054 | 58.791 | 0.000 | 0.000 | 0.000 | 
| 60.763 | 178.132 | 58.497 | -0.000 | -0.000 | 0.000 | 
| 58.852 | 58.962 | 179.924 | 0.000 | 0.000 | -0.000 | 
| 0.001 | -0.001 | 0.000 | 55.110 | -0.000 | -0.000 | 
| 0.001 | -0.001 | 0.000 | 0.000 | 55.258 | -0.000 | 
| 0.001 | -0.001 | 0.000 | -0.000 | 0.000 | 58.857 | 
| 178.119 | 57.877 | 61.670 | -0.000 | -0.000 | 0.000 | 
| 60.766 | 178.115 | 58.510 | -0.000 | -0.000 | 0.000 | 
| 58.900 | 58.910 | 179.926 | 0.000 | -0.000 | 0.000 | 
| -0.001 | 0.001 | -0.000 | 55.110 | -0.000 | 0.000 | 
| -0.001 | 0.001 | -0.000 | 0.000 | 55.258 | 0.000 | 
| -0.001 | 0.001 | -0.000 | 0.000 | -0.000 | 58.857 | 
| 179.809 | 60.785 | 60.785 | -0.000 | -0.000 | -0.000 | 
| 60.785 | 179.809 | 60.785 | -0.000 | -0.000 | 0.000 | 
| 60.785 | 60.785 | 179.809 | -0.000 | -0.000 | -0.000 | 
| 0.000 | 0.000 | 0.000 | 41.152 | 0.000 | -0.000 | 
| 0.000 | 0.000 | 0.000 | -0.000 | 41.152 | 0.000 | 
| 0.000 | 0.000 | 0.000 | -0.000 | 0.000 | 41.152 | 
| 205.429 | 61.225 | 61.225 | 0.000 | 0.000 | 0.000 | 
| 61.225 | 205.429 | 61.225 | 0.000 | 0.000 | -0.000 | 
| 61.225 | 61.225 | 205.429 | 0.000 | 0.000 | -0.000 | 
| -0.000 | -0.000 | -0.000 | 41.152 | -0.000 | 0.000 | 
| -0.000 | -0.000 | -0.000 | 0.000 | 41.152 | 0.000 | 
| -0.000 | -0.000 | -0.000 | 0.000 | -0.000 | 41.152 | 
| 179.809 | 60.785 | 60.785 | -0.000 | -0.000 | -0.000 | 
| 60.785 | 179.809 | 60.785 | -0.000 | -0.000 | -0.000 | 
| 60.785 | 60.785 | 179.809 | -0.000 | -0.000 | -0.000 | 
| 0.000 | 0.000 | 0.000 | 93.467 | -0.000 | -0.000 | 
| 0.000 | 0.000 | 0.000 | -0.000 | 93.467 | -0.000 | 
| 0.000 | 0.000 | 0.000 | -0.000 | 0.000 | 93.467 | 
| 205.429 | 61.225 | 61.225 | 0.000 | -0.000 | 0.000 | 
| 61.225 | 205.429 | 61.225 | 0.000 | 0.000 | 0.000 | 
| 61.225 | 61.225 | 205.429 | 0.000 | -0.000 | 0.000 | 
| -0.000 | -0.000 | -0.000 | 93.467 | 0.000 | 0.000 | 
| -0.000 | -0.000 | -0.000 | 0.000 | 93.467 | 0.000 | 
| 0.000 | -0.000 | -0.000 | 0.000 | 0.000 | 93.467 | 
| 179.809 | 60.692 | 60.692 | -0.000 | -0.000 | 0.000 | 
| 60.692 | 179.808 | 60.692 | -0.000 | -0.000 | -0.000 | 
| 60.692 | 60.692 | 179.808 | -0.000 | -0.000 | -0.000 | 
| -0.000 | 0.000 | 0.000 | 39.100 | -0.000 | 0.000 | 
| 0.000 | -0.000 | 0.000 | -0.000 | 39.100 | -0.000 | 
| 0.000 | 0.000 | -0.000 | -0.000 | -0.000 | 39.100 | 
| 179.809 | 60.785 | 60.785 | 0.000 | -0.000 | -0.000 | 
| 60.785 | 179.809 | 60.785 | 0.000 | 0.000 | 0.000 | 
| 60.785 | 60.785 | 179.809 | 0.000 | -0.000 | 0.000 | 
| 0.000 | -0.000 | -0.000 | 39.100 | 0.000 | -0.000 | 
| -0.000 | 0.000 | -0.000 | 0.000 | 39.100 | 0.000 | 
| -0.000 | -0.000 | 0.000 | 0.000 | 0.000 | 39.100 | 
| 1128.988 | 509.187 | 318.114 | 0.000 | 0.000 | 0.000 | 
| 488.948 | 1149.227 | 318.114 | -0.000 | 0.000 | -0.000 | 
| 318.114 | 318.114 | 1423.606 | 0.000 | 0.000 | 0.000 | 
| -0.000 | 0.000 | -0.000 | 34.256 | 0.000 | 0.000 | 
| 0.000 | 0.000 | -0.000 | 0.000 | 34.256 | 0.000 | 
| 0.000 | 0.000 | 0.000 | 0.000 | 0.000 | 309.900 | 
| 1149.227 | 488.948 | 318.114 | 0.000 | -0.000 | 0.000 | 
| 509.187 | 1128.988 | 318.114 | -0.000 | -0.000 | -0.000 | 
| 318.114 | 318.114 | 1423.606 | -0.000 | 0.000 | -0.000 | 
| 0.000 | -0.000 | -0.000 | 34.256 | -0.000 | -0.000 | 
| 0.000 | -0.000 | -0.000 | 0.000 | 34.256 | -0.000 | 
| 0.000 | -0.000 | -0.000 | -0.000 | -0.000 | 309.900 | 
| 1128.987 | 509.187 | 318.114 | 0.000 | -0.000 | 0.000 | 
| 509.187 | 1128.987 | 318.114 | 0.000 | 0.000 | 0.000 | 
| 318.114 | 318.114 | 1423.605 | 0.000 | 0.000 | -0.000 | 
| 0.000 | -0.000 | -0.000 | 34.256 | 0.000 | 0.000 | 
| -0.000 | -0.000 | 0.000 | 0.000 | 217.227 | 0.000 | 
| -0.000 | 0.000 | -0.000 | -0.000 | -0.000 | 330.140 | 
| 1149.228 | 488.949 | 318.115 | 0.000 | 0.000 | -0.000 | 
| 509.188 | 1128.989 | 318.115 | -0.000 | -0.000 | -0.000 | 
| 318.115 | 318.115 | 1423.607 | -0.000 | -0.000 | -0.000 | 
| -0.000 | 0.000 | 0.000 | 34.256 | -0.000 | -0.000 | 
| 0.000 | 0.000 | -0.000 | -0.000 | 217.227 | 0.000 | 
| 0.000 | -0.000 | 0.000 | -0.000 | 0.000 | 330.140 | 
| 1128.982 | 509.179 | 318.110 | 0.000 | 0.000 | 0.000 | 
| 509.182 | 1128.980 | 318.110 | 0.000 | 0.000 | 0.000 | 
| 318.110 | 318.110 | 1423.599 | -0.000 | -0.000 | 0.000 | 
| 0.001 | -0.001 | -0.001 | 34.256 | 0.000 | 0.000 | 
| -0.001 | 0.001 | -0.001 | 0.000 | 34.256 | 0.000 | 
| -0.002 | 0.001 | -0.001 | -0.000 | 0.000 | 330.140 | 
| 1149.234 | 488.956 | 318.119 | 0.000 | -0.000 | 0.000 | 
| 509.193 | 1128.996 | 318.119 | -0.000 | -0.000 | -0.000 | 
| 318.118 | 318.118 | 1423.613 | 0.000 | 0.000 | -0.000 | 
| -0.001 | 0.001 | 0.001 | 34.256 | -0.000 | -0.000 | 
| 0.001 | -0.001 | 0.001 | -0.000 | 34.256 | -0.000 | 
| 0.002 | -0.001 | 0.001 | -0.000 | -0.000 | 330.140 | 
| 177.493 | 42.014 | 42.014 | -0.000 | 0.000 | -0.000 | 
| 42.014 | 177.493 | 42.014 | 0.000 | 0.000 | 0.000 | 
| 42.014 | 42.014 | 177.494 | 0.000 | 0.000 | 0.000 | 
| -0.000 | 0.000 | 0.000 | 76.801 | 0.000 | -0.000 | 
| 0.000 | 0.000 | -0.000 | 0.000 | 76.801 | 0.000 | 
| 0.000 | 0.000 | -0.000 | 0.000 | 0.000 | 76.801 | 
| 177.493 | 42.014 | 42.014 | -0.000 | -0.000 | 0.000 | 
| 42.014 | 177.493 | 42.014 | -0.000 | -0.000 | -0.000 | 
| 42.014 | 42.014 | 177.493 | -0.000 | -0.000 | 0.000 | 
| 0.000 | -0.000 | 0.000 | 76.801 | -0.000 | 0.000 | 
| 0.000 | -0.000 | 0.000 | -0.000 | 76.801 | 0.000 | 
| -0.000 | -0.000 | 0.000 | -0.000 | -0.000 | 76.801 | 
| 177.493 | 42.014 | 42.014 | 0.000 | 0.000 | -0.000 | 
| 42.014 | 177.493 | 42.014 | 0.000 | 0.000 | -0.000 | 
| 42.014 | 42.014 | 177.493 | 0.000 | 0.000 | -0.000 | 
| -0.116 | -0.116 | -0.116 | 47.873 | 0.000 | -0.000 | 
| -0.116 | -0.116 | -0.116 | -0.000 | 47.873 | -0.000 | 
| -0.116 | -0.116 | -0.116 | -0.000 | 0.000 | 47.873 | 
| 177.493 | 42.014 | 42.014 | -0.000 | -0.000 | 0.000 | 
| 42.014 | 177.493 | 42.014 | -0.000 | -0.000 | -0.000 | 
| 42.014 | 42.014 | 177.493 | -0.000 | -0.000 | 0.000 | 
| 0.116 | 0.116 | 0.116 | 47.873 | 0.000 | 0.000 | 
| 0.116 | 0.116 | 0.116 | 0.000 | 47.873 | 0.000 | 
| 0.116 | 0.116 | 0.116 | -0.000 | 0.000 | 47.873 | 
| 155.184 | 51.533 | 51.533 | 0.000 | -0.000 | -0.000 | 
| 51.533 | 155.184 | 51.533 | 0.000 | 0.000 | -0.000 | 
| 51.533 | 51.533 | 155.184 | 0.000 | 0.000 | -0.000 | 
| -0.036 | -0.036 | -0.036 | 50.494 | 0.000 | -0.000 | 
| -0.036 | -0.036 | -0.036 | 0.000 | 50.494 | -0.000 | 
| -0.036 | -0.036 | -0.036 | 0.000 | 0.000 | 50.494 | 
| 153.463 | 50.351 | 50.351 | 0.000 | -0.000 | 0.000 | 
| 50.351 | 153.463 | 50.351 | 0.000 | -0.000 | -0.000 | 
| 50.351 | 50.351 | 153.463 | 0.000 | 0.000 | 0.000 | 
| 0.036 | 0.036 | 0.036 | 50.494 | -0.000 | 0.000 | 
| 0.036 | 0.036 | 0.036 | -0.000 | 50.494 | 0.000 | 
| 0.036 | 0.036 | 0.036 | -0.000 | -0.000 | 50.494 | 
| 176.792 | 41.680 | 41.680 | -0.000 | -0.000 | 0.000 | 
| 41.680 | 176.792 | 41.680 | 0.000 | -0.000 | 0.000 | 
| 41.680 | 41.680 | 176.792 | -0.000 | -0.000 | 0.000 | 
| -0.000 | 0.000 | -0.000 | 76.579 | -0.000 | 0.000 | 
| -0.000 | 0.000 | -0.000 | 0.000 | 76.579 | 0.000 | 
| -0.000 | 0.000 | 0.000 | 0.000 | -0.000 | 76.579 | 
| 176.792 | 41.680 | 41.680 | -0.000 | 0.000 | -0.000 | 
| 41.680 | 176.792 | 41.680 | 0.000 | 0.000 | -0.000 | 
| 41.680 | 41.680 | 176.792 | 0.000 | 0.000 | -0.000 | 
| 0.000 | 0.000 | -0.000 | 76.579 | 0.000 | 0.000 | 
| 0.000 | -0.000 | 0.000 | 0.000 | 76.579 | -0.000 | 
| -0.000 | -0.000 | -0.000 | 0.000 | 0.000 | 76.579 | 
| 154.653 | 51.168 | 51.168 | -0.000 | -0.000 | 0.000 | 
| 51.168 | 154.653 | 51.168 | -0.000 | -0.000 | -0.000 | 
| 51.168 | 51.168 | 154.653 | -0.000 | -0.000 | 0.000 | 
| 0.000 | 0.000 | 0.000 | 76.579 | -0.000 | 0.000 | 
| 0.000 | 0.000 | 0.000 | -0.000 | 76.579 | 0.000 | 
| -0.000 | 0.000 | 0.000 | -0.000 | -0.000 | 76.579 | 
| 154.652 | 51.168 | 51.168 | 0.000 | 0.000 | -0.000 | 
| 51.168 | 154.652 | 51.168 | 0.000 | 0.000 | -0.000 | 
| 51.168 | 51.168 | 154.652 | 0.000 | 0.000 | 0.000 | 
| -0.000 | -0.000 | -0.000 | 76.579 | 0.000 | -0.000 | 
| -0.000 | -0.000 | -0.000 | 0.000 | 76.579 | -0.000 | 
| -0.000 | -0.000 | -0.000 | -0.000 | 0.000 | 76.579 | 
| 154.653 | 51.168 | 51.168 | -0.000 | -0.000 | -0.000 | 
| 51.168 | 154.653 | 51.168 | -0.000 | -0.000 | -0.000 | 
| 51.168 | 51.168 | 154.653 | 0.000 | -0.000 | 0.000 | 
| 0.000 | -0.000 | 0.000 | 50.451 | -0.000 | -0.000 | 
| -0.000 | 0.000 | 0.000 | 0.000 | 50.451 | 0.000 | 
| -0.000 | 0.000 | 0.000 | 0.000 | -0.000 | 50.451 | 
| 154.650 | 51.168 | 51.168 | 0.000 | 0.000 | 0.000 | 
| 51.168 | 154.650 | 51.168 | 0.000 | 0.000 | 0.000 | 
| 51.168 | 51.168 | 154.650 | 0.000 | 0.000 | 0.000 | 
| -0.000 | 0.000 | -0.000 | 50.451 | 0.000 | -0.000 | 
| 0.000 | -0.000 | -0.000 | 0.000 | 50.451 | -0.000 | 
| 0.000 | -0.000 | -0.000 | 0.000 | 0.000 | 50.451 | 
| 164.792 | 42.292 | 42.292 | 0.000 | -0.000 | -0.000 | 
| 42.292 | 164.792 | 42.292 | 0.000 | -0.000 | -0.000 | 
| 42.292 | 42.292 | 164.792 | 0.000 | -0.000 | -0.000 | 
| -0.000 | -0.000 | -0.000 | 35.815 | -0.000 | -0.000 | 
| -0.000 | -0.000 | -0.000 | 0.000 | 35.815 | -0.000 | 
| -0.000 | -0.000 | -0.000 | -0.000 | -0.000 | 35.815 | 
| 119.453 | 54.649 | 54.649 | 0.000 | 0.000 | 0.000 | 
| 54.649 | 119.453 | 54.649 | -0.000 | 0.000 | 0.000 | 
| 54.649 | 54.649 | 119.453 | -0.000 | 0.000 | 0.000 | 
| 0.000 | 0.000 | 0.000 | 35.815 | -0.000 | 0.000 | 
| 0.000 | 0.000 | 0.000 | -0.000 | 35.815 | 0.000 | 
| 0.000 | 0.000 | 0.000 | -0.000 | 0.000 | 35.815 | 
| 114.086 | 50.311 | 50.311 | 0.000 | -0.000 | -0.000 | 
| 50.311 | 114.086 | 50.311 | -0.000 | -0.000 | -0.000 | 
| 50.311 | 50.311 | 114.086 | 0.000 | -0.000 | -0.000 | 
| -0.000 | -0.000 | -0.000 | 34.102 | -0.000 | -0.000 | 
| -0.000 | -0.000 | -0.000 | 0.000 | 34.102 | -0.000 | 
| -0.000 | -0.000 | -0.000 | 0.000 | -0.000 | 34.102 | 
| 164.792 | 42.292 | 42.292 | 0.000 | 0.000 | 0.000 | 
| 42.292 | 164.792 | 42.292 | 0.000 | 0.000 | 0.000 | 
| 42.292 | 42.292 | 164.792 | 0.000 | 0.000 | 0.000 | 
| 0.000 | 0.000 | 0.000 | 34.102 | 0.000 | 0.000 | 
| 0.000 | 0.000 | 0.000 | -0.000 | 34.102 | 0.000 | 
| 0.000 | 0.000 | 0.000 | -0.000 | 0.000 | 34.102 | 
| 112.106 | 48.085 | 48.086 | 0.000 | -0.000 | -0.000 | 
| 48.086 | 112.106 | 48.085 | 0.000 | -0.000 | -0.000 | 
| 48.085 | 48.086 | 112.106 | -0.000 | -0.000 | -0.000 | 
| 0.000 | -0.000 | -0.000 | 38.134 | -0.000 | -0.000 | 
| -0.000 | -0.000 | 0.000 | -0.000 | 35.815 | -0.000 | 
| -0.000 | -0.000 | -0.000 | 0.000 | -0.000 | 34.337 | 
| 112.106 | 48.085 | 48.085 | 0.000 | 0.000 | 0.000 | 
| 48.085 | 112.106 | 48.085 | -0.000 | 0.000 | 0.000 | 
| 48.085 | 48.085 | 112.106 | -0.000 | -0.000 | 0.000 | 
| -0.000 | 0.000 | 0.000 | 38.134 | -0.000 | 0.000 | 
| 0.000 | 0.000 | -0.000 | 0.000 | 35.815 | 0.000 | 
| 0.000 | 0.000 | 0.000 | 0.000 | 0.000 | 34.337 | 
| 111.055 | 47.032 | 47.032 | -0.003 | 0.005 | -0.001 | 
| 47.032 | 111.055 | 47.032 | -0.003 | 0.005 | -0.001 | 
| 47.032 | 47.032 | 111.055 | -0.003 | 0.005 | -0.001 | 
| -0.020 | -0.020 | -0.020 | 38.051 | -0.002 | 0.000 | 
| -0.020 | -0.020 | -0.020 | 0.001 | 38.048 | 0.000 | 
| -0.020 | -0.020 | -0.020 | 0.001 | -0.002 | 38.050 | 
| 160.736 | 40.330 | 40.330 | 0.000 | 0.000 | 0.000 | 
| 47.288 | 111.318 | 47.288 | 0.003 | -0.005 | 0.001 | 
| 47.288 | 47.288 | 111.318 | 0.003 | -0.005 | 0.001 | 
| 0.020 | 0.020 | 0.020 | 38.049 | 0.002 | -0.000 | 
| 0.020 | 0.020 | 0.020 | -0.001 | 38.052 | -0.000 | 
| 0.020 | 0.020 | 0.020 | -0.001 | 0.002 | 38.049 | 
| 110.522 | 45.110 | 45.110 | 0.003 | -0.005 | 0.001 | 
| 45.110 | 110.522 | 45.110 | 0.003 | -0.005 | 0.001 | 
| 45.110 | 45.110 | 110.522 | 0.003 | -0.005 | 0.001 | 
| -0.002 | -0.002 | -0.002 | 38.050 | -0.000 | 0.000 | 
| -0.002 | -0.002 | -0.002 | 0.000 | 38.050 | 0.000 | 
| -0.002 | -0.002 | -0.002 | 0.000 | -0.000 | 38.050 | 
| 110.548 | 45.136 | 45.136 | -0.003 | 0.005 | -0.001 | 
| 45.136 | 110.548 | 45.136 | -0.003 | 0.005 | -0.001 | 
| 45.136 | 45.136 | 110.548 | -0.003 | 0.005 | -0.001 | 
| 0.002 | 0.002 | 0.002 | 38.050 | 0.000 | -0.000 | 
| 0.009 | 0.009 | 0.009 | -0.000 | 34.338 | -0.000 | 
| 0.002 | 0.002 | 0.002 | -0.000 | 0.000 | 38.050 | 
| 110.534 | 45.098 | 45.098 | 0.000 | -0.000 | 0.000 | 
| 45.098 | 110.534 | 45.098 | 0.000 | -0.000 | 0.000 | 
| 45.098 | 45.098 | 110.534 | 0.000 | -0.000 | 0.000 | 
| -0.001 | -0.001 | -0.001 | 34.709 | -0.000 | 0.000 | 
| -0.000 | -0.000 | -0.000 | 0.000 | 35.826 | 0.000 | 
| -0.001 | -0.001 | -0.001 | 0.000 | -0.000 | 34.709 | 
| 110.536 | 45.100 | 45.100 | -0.000 | 0.000 | -0.000 | 
| 45.100 | 110.536 | 45.100 | -0.000 | 0.000 | -0.000 | 
| 45.100 | 45.100 | 110.536 | -0.000 | 0.000 | -0.000 | 
| 0.001 | 0.001 | 0.001 | 34.709 | 0.000 | -0.000 | 
| 0.000 | 0.000 | 0.000 | -0.000 | 35.826 | -0.000 | 
| 0.001 | 0.001 | 0.001 | -0.000 | 0.000 | 34.709 | 
| 184.970 | 36.943 | 36.943 | -0.000 | -0.000 | 0.000 | 
| 36.943 | 184.970 | 36.943 | -0.000 | 0.000 | 0.000 | 
| 36.943 | 36.943 | 184.970 | -0.000 | 0.000 | -0.000 | 
| 0.023 | 0.023 | 0.023 | 49.139 | 0.000 | 0.000 | 
| 0.023 | 0.023 | 0.023 | -0.000 | 49.139 | -0.000 | 
| 0.023 | 0.023 | 0.023 | -0.000 | -0.000 | 49.140 | 
| 184.970 | 36.944 | 36.943 | -0.000 | 0.000 | 0.000 | 
| 36.943 | 184.970 | 36.943 | -0.000 | 0.000 | -0.000 | 
| 36.943 | 36.944 | 184.970 | 0.000 | -0.000 | -0.000 | 
| -0.023 | -0.023 | -0.023 | 49.139 | -0.000 | -0.000 | 
| -0.023 | -0.023 | -0.023 | -0.000 | 49.139 | -0.000 | 
| -0.023 | -0.023 | -0.023 | -0.000 | -0.000 | 49.139 | 
| 184.970 | 36.943 | 36.943 | -0.000 | 0.000 | 0.000 | 
| 36.943 | 184.970 | 36.943 | 0.000 | -0.000 | 0.000 | 
| 36.943 | 36.943 | 184.970 | 0.000 | 0.000 | 0.000 | 
| -0.000 | -0.000 | 0.000 | 70.863 | 0.000 | -0.000 | 
| -0.000 | -0.000 | 0.000 | -0.000 | 70.863 | 0.000 | 
| -0.000 | -0.000 | -0.000 | 0.000 | 0.000 | 70.863 | 
| 184.970 | 36.943 | 36.943 | -0.000 | -0.000 | 0.000 | 
| 36.943 | 184.970 | 36.943 | 0.000 | -0.000 | -0.000 | 
| 36.943 | 36.943 | 184.970 | -0.000 | -0.000 | -0.000 | 
| 0.000 | 0.000 | -0.000 | 70.863 | 0.000 | -0.000 | 
| 0.000 | 0.000 | -0.000 | -0.000 | 70.863 | 0.000 | 
| 0.000 | 0.000 | -0.000 | 0.000 | 0.000 | 70.863 | 
| 150.173 | 51.189 | 51.189 | 0.000 | 0.000 | 0.000 | 
| 51.189 | 150.173 | 51.189 | -0.000 | 0.000 | -0.000 | 
| 51.189 | 51.189 | 150.173 | 0.000 | 0.000 | 0.000 | 
| 0.000 | 0.000 | 0.000 | 70.863 | 0.000 | 0.000 | 
| 0.000 | 0.000 | 0.000 | 0.000 | 70.863 | 0.000 | 
| 0.000 | 0.000 | 0.000 | 0.000 | 0.000 | 70.863 | 
| 184.969 | 36.943 | 36.943 | 0.000 | 0.000 | -0.000 | 
| 36.943 | 184.969 | 36.943 | -0.000 | -0.000 | 0.000 | 
| 36.943 | 36.943 | 184.969 | -0.000 | -0.000 | 0.000 | 
| -0.000 | -0.000 | -0.000 | 70.863 | -0.000 | -0.000 | 
| -0.000 | -0.000 | -0.000 | 0.000 | 70.863 | -0.000 | 
| -0.000 | -0.000 | -0.000 | -0.000 | 0.000 | 70.863 | 
| 228.607 | 101.760 | 36.068 | 0.000 | -0.000 | 0.000 | 
| 105.336 | 287.615 | 26.469 | 0.000 | -0.000 | 0.000 | 
| 38.033 | 24.857 | 390.209 | 0.000 | -0.000 | -0.000 | 
| -0.051 | 0.038 | -0.001 | 35.794 | -0.000 | -0.000 | 
| -0.047 | 0.035 | -0.001 | -0.000 | 31.911 | -0.000 | 
| -0.223 | 0.165 | -0.005 | 0.000 | -0.000 | 42.567 | 
| 229.057 | 101.427 | 36.078 | -0.000 | 0.000 | 0.000 | 
| 105.786 | 287.281 | 26.479 | -0.000 | 0.000 | 0.000 | 
| 38.483 | 24.523 | 390.219 | -0.000 | 0.000 | -0.000 | 
| 0.051 | -0.038 | 0.001 | 35.794 | 0.000 | 0.000 | 
| 0.047 | -0.035 | 0.001 | 0.000 | 31.911 | 0.000 | 
| 0.223 | -0.165 | 0.005 | -0.000 | 0.000 | 42.567 | 
| 228.810 | 101.610 | 36.073 | 0.000 | -0.000 | -0.000 | 
| 105.539 | 287.465 | 26.473 | 0.000 | -0.000 | 0.000 | 
| 38.235 | 24.707 | 390.214 | 0.000 | -0.000 | -0.000 | 
| -0.005 | 0.004 | -0.000 | 35.794 | -0.000 | -0.000 | 
| -0.005 | 0.003 | -0.000 | -0.000 | 31.911 | -0.000 | 
| -0.022 | 0.017 | -0.001 | 0.000 | -0.000 | 42.567 | 
| 228.855 | 101.577 | 36.074 | -0.000 | 0.000 | 0.000 | 
| 105.583 | 287.431 | 26.474 | -0.000 | 0.000 | 0.000 | 
| 38.280 | 24.673 | 390.214 | -0.000 | 0.000 | 0.000 | 
| 0.005 | -0.004 | 0.000 | 35.794 | 0.000 | 0.000 | 
| 0.005 | -0.003 | 0.000 | 0.000 | 31.911 | 0.000 | 
| 0.022 | -0.017 | 0.001 | -0.000 | 0.000 | 42.567 | 
| 228.830 | 101.596 | 36.073 | 0.000 | -0.000 | -0.000 | 
| 105.560 | 287.450 | 26.474 | 0.000 | -0.000 | 0.000 | 
| 38.255 | 24.692 | 390.216 | 0.000 | -0.000 | -0.000 | 
| -0.001 | 0.000 | -0.000 | 35.794 | 0.000 | 0.000 | 
| -0.001 | 0.000 | -0.000 | -0.000 | 31.911 | -0.000 | 
| -0.002 | 0.002 | -0.000 | 0.000 | -0.000 | 42.567 | 
| 228.835 | 101.591 | 36.073 | -0.000 | 0.000 | 0.000 | 
| 105.562 | 287.446 | 26.473 | -0.000 | 0.000 | -0.000 | 
| 38.260 | 24.688 | 390.212 | -0.000 | 0.000 | 0.000 | 
| 0.001 | -0.000 | 0.000 | 35.794 | 0.000 | 0.000 | 
| 0.001 | -0.000 | 0.000 | 0.000 | 31.911 | -0.000 | 
| 0.002 | -0.002 | 0.000 | -0.000 | 0.000 | 42.567 | 
| 336.583 | 234.696 | -56.850 | -0.001 | -0.000 | -0.000 | 
| 50.860 | 794.591 | 211.211 | -0.000 | -0.000 | 0.000 | 
| 6.996 | 218.295 | 319.780 | 0.000 | -0.000 | 0.000 | 
| 0.000 | 0.000 | -0.000 | 107.438 | -0.000 | -0.000 | 
| -71.822 | 155.148 | -41.939 | -0.001 | 35.507 | 0.000 | 
| 0.000 | -0.000 | -0.000 | -0.000 | -0.000 | 28.860 | 
| 496.596 | -104.088 | 44.618 | -0.005 | 0.000 | -0.000 | 
| 205.664 | 489.944 | 336.394 | -0.005 | 0.000 | 0.000 | 
| 6.996 | 218.295 | 319.780 | -0.000 | 0.000 | -0.000 | 
| -0.000 | -0.000 | 0.000 | 107.438 | 0.000 | 0.000 | 
| 71.822 | -155.148 | 41.939 | 0.001 | 35.507 | -0.000 | 
| -0.000 | 0.000 | 0.000 | -0.000 | -0.000 | 28.860 | 
| 384.897 | 122.268 | -38.065 | 0.001 | -0.000 | -0.000 | 
| 85.395 | 728.082 | 240.843 | -0.000 | -0.000 | 0.000 | 
| -19.922 | 271.506 | 298.289 | -0.000 | -0.000 | 0.000 | 
| -0.000 | -0.000 | 0.000 | 107.438 | -0.000 | -0.000 | 
| 0.000 | -0.000 | -0.000 | 0.000 | 35.659 | -0.000 | 
| -7.170 | 15.489 | -4.187 | -0.000 | -0.000 | 28.485 | 
| 405.214 | 81.096 | -23.024 | -0.000 | 0.000 | -0.000 | 
| 92.118 | 710.932 | 241.690 | 0.000 | 0.000 | 0.000 | 
| -0.366 | 227.604 | 307.770 | 0.000 | -0.000 | -0.000 | 
| 0.000 | 0.000 | -0.000 | 107.438 | 0.000 | 0.000 | 
| 0.000 | 0.000 | 0.000 | 0.000 | 35.659 | -0.000 | 
| 7.170 | -15.489 | 4.187 | 0.000 | -0.000 | 28.485 | 
| 394.052 | 103.718 | -31.287 | 0.000 | -0.000 | -0.000 | 
| 103.111 | 697.737 | 260.481 | -0.000 | -0.000 | 0.000 | 
| -22.059 | 270.314 | 290.255 | 0.000 | -0.000 | 0.000 | 
| -0.297 | 0.642 | -0.173 | 107.161 | -0.000 | -0.000 | 
| 0.000 | -0.000 | -0.000 | 0.000 | 35.659 | 0.000 | 
| -0.000 | -0.000 | -0.000 | 0.000 | -0.000 | 28.860 | 
| 396.055 | 99.655 | -29.805 | -0.000 | 0.000 | 0.000 | 
| 105.056 | 693.837 | 261.905 | -0.000 | 0.000 | -0.000 | 
| -19.984 | 267.783 | 293.739 | 0.000 | 0.000 | -0.000 | 
| 0.297 | -0.642 | 0.173 | 107.161 | 0.000 | -0.000 | 
| -0.000 | 0.000 | 0.000 | -0.000 | 35.659 | -0.000 | 
| 0.000 | 0.000 | 0.000 | -0.000 | 0.000 | 28.860 | 
| -1317.572 | 113.055 | 93.617 | -0.023 | 0.000 | -0.000 | 
| 92.971 | 497.284 | 200.004 | -0.016 | -0.000 | -0.000 | 
| 74.878 | 202.525 | 721.913 | -0.015 | -0.000 | -0.000 | 
| 10.065 | 3.327 | 2.609 | 74.862 | -0.000 | -0.000 | 
| 19.265 | 6.195 | 4.895 | -0.030 | -341.089 | -0.000 | 
| 2788861789.661 | 278033721.872 | 530877756.794 | 0.008 | 0.116 | -445211782.699 | 
| -1335.476 | 107.346 | 89.076 | 0.022 | 0.000 | 0.000 | 
| 75.779 | 491.756 | 195.646 | 0.016 | -0.000 | 0.000 | 
| 57.130 | 196.845 | 717.411 | 0.015 | 0.000 | 0.000 | 
| -10.065 | -3.327 | -2.609 | 74.880 | 0.000 | 0.000 | 
| -19.265 | -6.195 | -4.895 | 0.030 | -341.089 | 0.000 | 
| -2788861794.920 | -278033721.585 | -530877757.926 | 0.007 | 0.016 | -445211782.961 | 
| -1325.773 | 108.819 | 91.245 | 0.001 | -0.000 | -0.000 | 
| 82.224 | 494.765 | 197.402 | 0.001 | -0.000 | -0.000 | 
| 66.880 | 199.962 | 719.884 | -0.003 | -0.000 | -0.000 | 
| 1.007 | 0.333 | 0.261 | 74.848 | -0.000 | -0.000 | 
| 1.634 | 0.512 | 0.409 | 0.000 | -341.366 | -0.000 | 
| 278886338.026 | 27803498.733 | 53087834.989 | -0.006 | 0.015 | -44521004.221 | 
| -1327.602 | 108.253 | 90.785 | -0.001 | 0.000 | 0.000 | 
| 80.451 | 494.207 | 196.954 | -0.001 | 0.000 | 0.000 | 
| 65.105 | 199.395 | 719.434 | 0.003 | 0.000 | 0.000 | 
| -1.007 | -0.333 | -0.261 | 74.850 | 0.000 | 0.000 | 
| -1.634 | -0.512 | -0.409 | -0.000 | -341.365 | 0.000 | 
| -278886337.477 | -27803498.743 | -53087834.895 | 0.003 | 0.008 | -44521004.271 | 
| -1326.317 | 108.606 | 91.095 | 0.000 | 0.000 | -0.000 | 
| 81.421 | 494.516 | 197.199 | 0.000 | -0.000 | -0.000 | 
| 66.228 | 199.524 | 719.681 | 0.000 | 0.000 | -0.000 | 
| 0.101 | 0.033 | 0.025 | 74.848 | -0.000 | -0.000 | 
| 0.250 | 0.064 | 0.055 | 0.000 | -341.367 | -0.000 | 
| 27888792.044 | 2780476.349 | 5308842.583 | -0.000 | -0.001 | -4451926.380 | 
| -1327.058 | 108.463 | 90.934 | -0.000 | -0.000 | 0.000 | 
| 81.233 | 494.455 | 197.151 | -0.000 | 0.000 | 0.000 | 
| 66.024 | 199.465 | 719.631 | -0.000 | 0.000 | 0.000 | 
| -0.101 | -0.033 | -0.025 | 74.849 | 0.000 | 0.000 | 
| -0.250 | -0.064 | -0.055 | -0.000 | -341.367 | 0.000 | 
| -27888792.044 | -2780476.349 | -5308842.584 | 0.000 | -0.001 | -4451926.380 | 
Phonon band structures and crystal properties estimated from quasi-harmonic approximation (QHA) calculations are displayed for select crystals. The calculations were performed using phonopy and LAMMPS. For the phonon calculations, 3x3 supercells of the potential-specific relaxed crystals were used. The QHA calculations were based on 11 strain states ranging from -0.05 to 0.05.
The calculation method used is available as the iprPy phonon calculation method.
Notes and Disclaimers:
Version Information:
































































































































































Static free surface formation energies are displayed for select crystals. The values displayed here are obtained by taking a perfect periodic bulk crystal, slicing along a crystallographic plane, and using force minimization to statically relax the surfaces. The free surface formation energy is computed by comparing the energy of the defect system to the bulk system and dividing by the total surface area created by the cut.
The calculation method used is available as the iprPy surface_energy_static calculation method.
Notes and Disclaimers:
Version Information:
| Surface | γfs (mJ/m2) | 
|---|---|
| (221) | -251681.14 | 
| (321) | -240665.49 | 
| (210) | -184563.94 | 
| (211) | -184444.48 | 
| (100) | -73546.27 | 
| (320) | -64787.82 | 
| (310) | -6896.05 | 
| (110) | 1002.83 | 
| Surface | γfs (mJ/m2) | 
|---|---|
| (111) | -54305.74 | 
| (112) | -50103.63 | 
| (211) 1 | -42470.16 | 
| (201) | -28591.60 | 
| (001) | -11308.71 | 
| (101) 2 | -6425.13 | 
| (101) 1 | -103.82 | 
| (100) | 947.77 | 
| (110) | 1713.92 | 
| Surface | γfs (mJ/m2) | 
|---|---|
| (321) | -180241.55 | 
| (111) | -114748.54 | 
| (322) | -32571.58 | 
| (221) | -18688.68 | 
| (211) | -4549.80 | 
| (210) | 352.22 | 
| (310) | 368.39 | 
| (320) | 512.98 | 
| (100) | 523.40 | 
| (110) | 677.36 | 
| Surface | γfs (mJ/m2) | 
|---|---|
| (111) | 575.28 | 
| (332) | 609.82 | 
| (322) | 620.44 | 
| (221) | 631.53 | 
| (211) | 646.09 | 
| (331) | 651.68 | 
| (321) | 653.99 | 
| (100) | 666.05 | 
| (311) | 666.20 | 
| (110) | 674.97 | 
| (320) | 676.47 | 
| (210) | 677.24 | 
| (310) | 679.22 | 
| Surface | γfs (mJ/m2) | 
|---|---|
| (110) | 831.25 | 
| (111) | 842.77 | 
| (211) | 847.90 | 
| (332) | 855.70 | 
| (321) | 858.07 | 
| (221) | 859.15 | 
| (331) | 860.27 | 
| (322) | 864.67 | 
| (320) | 987.77 | 
| (311) | 1019.28 | 
| (210) | 1087.25 | 
| (310) | 1193.03 | 
| (100) | 1423.83 | 
| Surface | γfs (mJ/m2) | 
|---|---|
| (2021) 1 | -536.09 | 
| (1011) 1 | -430.53 | 
| (2131) 1 | -206.27 | 
| (1010) 1 | 45.19 | 
| (0001) | 505.58 | 
| (2130) 1 | 598.38 | 
| (1120) | 599.48 | 
| (1011) 2 | 620.18 | 
| (1012) 1 | 624.09 | 
| (1012) 2 | 632.75 | 
| (2241) | 653.12 | 
| (2131) 2 | 656.51 | 
| (2112) | 660.82 | 
| (2130) 2 | 673.56 | 
| (2132) 1 | 674.29 | 
| (2132) 2 | 677.62 | 
| (1121) | 694.88 | 
| (2021) 2 | 709.13 | 
| (1010) 2 | 799.22 | 
| Surface | γfs (mJ/m2) | 
|---|---|
| (111) 2 | 999.19 | 
| (331) 2 | 1189.99 | 
| (110) | 1225.33 | 
| (321) | 1441.68 | 
| (320) | 1497.80 | 
| (211) | 1497.98 | 
| (332) | 1622.50 | 
| (210) | 1641.95 | 
| (311) 1 | 1693.19 | 
| (311) 2 | 1694.10 | 
| (310) | 1775.44 | 
| (322) | 1896.98 | 
| (100) | 1952.52 | 
| (221) | 1961.45 | 
| (331) 1 | 2305.13 | 
| (111) 1 | 3803.29 | 
| Surface | γfs (mJ/m2) | 
|---|---|
| (100) | 739.57 | 
| (112) | 805.91 | 
| (101) 1 | 813.74 | 
| (201) | 854.04 | 
| (211) 1 | 960.17 | 
| (111) | 1047.07 | 
| (110) | 1120.37 | 
| (211) 2 | 1162.85 | 
| (001) | 1248.31 | 
| (101) 2 | 2269.19 | 
| Surface | γfs (mJ/m2) | 
|---|---|
| (100) | 610.04 | 
| (310) | 754.88 | 
| (210) | 807.11 | 
| (311) | 826.34 | 
| (320) | 841.74 | 
| (110) | 872.31 | 
| (331) | 883.58 | 
| (211) | 893.44 | 
| (321) | 894.05 | 
| (221) | 896.34 | 
| (332) | 912.58 | 
| (322) | 917.39 | 
| (111) | 922.39 | 
Stacking fault energy plots and maps are displayed for select crystals. The values are computed by
The calculation method used is available as the iprPy stacking_fault_map_2D calculation method.
Notes and Disclaimers:
Version Information:
| E_usf a/2 [-1 -1 1] | 433.32 | 
| τ_ideal a/2 [-1 -1 1] | 49.83 | 




| E_usf a/2 [0 -1 1] | 176.18 | 
| τ_ideal a/2 [0 -1 1] | 14.12 | 




| E_isf | 110.44 | 
| E_usf a/2 [0 -1 1] | 125.47 | 
| τ_ideal a/2 [0 -1 1] | 7.26 | 




| E_usf a/2 [-1 1 -1] | 505.52 | 
| τ_ideal a/2 [-1 1 -1] | 28.37 | 




| E_usf a/2 [-1 -1 1] | 589.20 | 
| τ_ideal a/2 [-1 -1 1] | 27.14 | 




| E_usf a/2 [-1 -1 1] | 574.49 | 
| τ_ideal a/2 [-1 -1 1] | 26.88 | 




| E_isf | -106.03 | 
| E_usf a/3 [-2 1 1 0] | 13.50 | 
| τ_ideal a/3 [-2 1 1 0] | 7.43 | 




| E_usf a/3 [-1 2 -1 0] | 8.42 | 
| τ_ideal a/3 [-1 2 -1 0] | 116.11 | 




| E_usf a/3 [-1 2 -1 0] | 143.17 | 
| τ_ideal a/3 [-1 2 -1 0] | 12.48 | 




| E_usf a/3 [-1 2 -1 0] | 210.11 | 
| E_usf a/3 [-2 1 1 3] | 1142.85 | 
| τ_ideal a/3 [-1 2 -1 0] | 7.60 | 
| τ_ideal a/3 [-2 1 1 3] | 39.92 | 





| E_usf a/3 [-1 2 -1 0] | 105.42 | 
| E_usf a/3 [-2 1 1 3] | 277.85 | 
| τ_ideal a/3 [-1 2 -1 0] | 8.64 | 
| τ_ideal a/3 [-2 1 1 3] | 18.98 | 





| E_usf a/3 [-2 1 1 3] | 1007.74 | 
| τ_ideal a/3 [-2 1 1 3] | 23.58 | 




Static point defect formation energies, Ef, and elastic dipole tensors, pij, are displayed for select crystals. Relaxed defect configurations are obtained by taking a 12x12x12 supercell of a perfect periodic bulk crystal, inserting the point defect, and using force minimization to statically relax the atomic positions while keeping the system dimensions constant. Ef is computed by comparing the energy of the defect system to the same number of atoms in a perfect bulk crystal. pij is estimated as the difference in the system's global pressure with and without the defect multiplied by the system's volume.
Simple structural comparisons of the unrelaxed and relaxed defect configurations are used to help determine if the defect structure has relaxed to a different configuration. Relaxed structures that are identified as no longer consistent with the ideal defect definition are excluded from the table below. The only exception to this is if the lowest energy interstitial configuration does not coincide with a known ideal defect, its energies and pressure tensor are included under the listing "relaxed interstitial". The full list of calculation results including the transformed structures and the structural comparison values is included in the csv file available from the "Download raw data" link.
The calculation method used is available as the iprPy point_defect_static calculation method.
Notes and Disclaimers:
| Point Defect | Ef (eV) | p11 (eV) | p22 (eV) | p33 (eV) | p12 (eV) | p13 (eV) | p23 (eV) | 
|---|---|---|---|---|---|---|---|
| relaxed interstitial | -6870.621 | 16601.503 | 15839.567 | 16324.892 | 242.347 | 367.765 | 27.587 | 
| vacancy | -0.427 | 4.754 | 4.754 | 4.754 | -0.000 | -0.000 | -0.000 | 
| 2nn divacancy | -0.016 | 9.861 | 9.861 | 6.031 | -0.000 | 0.000 | -0.000 | 
| Point Defect | Ef (eV) | p11 (eV) | p22 (eV) | p33 (eV) | p12 (eV) | p13 (eV) | p23 (eV) | 
|---|---|---|---|---|---|---|---|
| vacancy | 0.068 | -14.539 | -14.539 | -14.539 | 0.000 | 0.000 | 0.000 | 
| 2nn divacancy | 0.096 | -29.385 | -29.385 | -29.715 | 0.000 | 0.000 | 0.000 | 
| 1nn divacancy | 0.358 | -25.252 | -27.204 | -27.204 | 0.000 | 0.000 | 0.474 | 
| crowdion interstitial | 3.283 | 70.204 | 67.683 | 69.618 | -21.290 | 0.000 | 0.000 | 
| 110 dumbbell | 3.378 | 75.944 | 73.523 | 73.523 | 0.000 | 0.000 | -25.717 | 
| 100 dumbbell | 4.647 | 57.327 | 57.327 | 55.879 | 0.000 | -0.000 | -0.000 | 
| octahedral interstitial | 4.960 | 55.836 | 55.836 | 55.836 | 0.000 | 0.000 | 0.000 | 
| 111 dumbbell | 5.403 | 46.189 | 46.189 | 46.189 | -5.610 | -5.610 | -5.610 | 
| Point Defect | Ef (eV) | p11 (eV) | p22 (eV) | p33 (eV) | p12 (eV) | p13 (eV) | p23 (eV) | 
|---|---|---|---|---|---|---|---|
| vacancy | 0.754 | -3.106 | -3.106 | -3.106 | -0.000 | -0.000 | 0.000 | 
| 1nn divacancy | 1.348 | -6.058 | -6.058 | -6.058 | -0.344 | -0.344 | -0.344 | 
| 2nn divacancy | 1.947 | -4.780 | -4.780 | -4.349 | -0.000 | 0.000 | 0.000 | 
| 100 dumbbell | 3.888 | 30.297 | 30.297 | 44.698 | 0.000 | 0.000 | -0.000 | 
| octahedral interstitial | 4.059 | 31.770 | 29.006 | 29.006 | 0.000 | 0.000 | -0.000 | 
| crowdion interstitial | 4.503 | 33.349 | 33.349 | 33.349 | 7.515 | 7.515 | 7.515 | 
| 111 dumbbell | 4.893 | 31.082 | 31.082 | 31.082 | 8.910 | 8.910 | 8.910 | 
| 110 dumbbell | 5.076 | 51.582 | 22.923 | 22.923 | 0.000 | -0.000 | -2.825 | 
| tetrahedral interstitial | 5.948 | 32.415 | 36.350 | 32.415 | -0.000 | 0.000 | 0.000 | 
| Point Defect | Ef (eV) | p11 (eV) | p22 (eV) | p33 (eV) | p12 (eV) | p13 (eV) | p23 (eV) | 
|---|---|---|---|---|---|---|---|
| relaxed interstitial | -100.955 | 1673.449 | -836.526 | 3403.015 | -58.794 | -0.537 | 5.084 | 
| vacancy | 0.064 | -14.457 | -14.457 | -15.012 | 0.000 | 0.000 | 0.000 | 
| Point Defect | Ef (eV) | p11 (eV) | p22 (eV) | p33 (eV) | p12 (eV) | p13 (eV) | p23 (eV) | 
|---|---|---|---|---|---|---|---|
| vacancy | 3.135 | -3.872 | -3.872 | -3.872 | 0.000 | 0.000 | 0.000 | 
| tetragonal interstitial | 3.406 | 20.144 | 20.144 | 20.144 | -0.000 | -0.000 | -0.000 | 
| 1nn divacancy | 4.705 | -5.957 | -5.957 | -5.957 | -0.445 | -0.445 | -0.445 | 
Plots of the atomic structure of dislocation cores are shown here. The dislocations were constructed using dislocation monopole configurations in which a straight dislocation is created in the center of the system using anisotropic elasticity and the elastic constants computed above. A cylindrical region centered around the dislocation is allowed to relax while the remaining atoms are held fixed. The relaxation consists of 1 million NVT steps at 10 K followed by an energy/force minimization. The final plots show the atomic configuration near the center of the monopole system, and display differential displacement arrows and Nye tensor color maps that are both taken with respect to the Burgers vector direction.
These plots show a wide range of final structures, some corresponding to expected dislocation structures and others not. While the characterizations are dislocation-type dependent, some general classification guidelines are listed here.
The calculation method used is available as the iprPy dislocation_monopole calculation method.
Links are provided above the images allowing for users to download the final defect configuration and a corresponding defect-free configuration if they wish to further analyze the structures or use them for subsequent simulations.
Notes and Disclaimers:
Version Information:
Plots of lattice and elastic constants are shown as a function of temperature. The 0K points were taken from the Crystal Structure Predictions and the Elastic Constants Predictions sections above for the unique crystal structures relaxed with the "dynamic" method. Starting from the 0 K relaxed crystal unit cells, supercell systems are created by replicating all three dimensions by the same multiplier to achieve at least 4000 atoms. The systems are then relaxed at 50 K and zero pressure using 1 million NPT steps. Lattice constants are estimated by averaging the measured box dimensions. Temperatures are iteratively increased by 50 K, with each subsequent relaxation calculation starting from the final atomic configuration at the previous temperature and relaxing for another 1 million steps.
The elastic constants are calculated using the deformation–fluctuation hybrid method. Starting from the final atomic configurations of the dynamic relaxations, the system is allowed to evolve at constant volume with a Langevin thermostat. The Born matrix is computed during this run by evaluating how the atomic forces would vary due to applied linear strain fields. The elastic constants can then be estimated using the averaged Born matrix values and the averaged stresses on the system.
The calculation methods used are available as the iprPy relax_dynamic and elastic_constants_dynamic calculation methods.
Clicking on the image of a plot will open an interactive version of it in a new tab. The underlying data for the plots can be downloaded by clicking on the links above each plot.
Notes and Disclaimers:
Version Information:
Plots of radial distribution functions at different temperatures and the temperature-dependent diffusion and viscosity are shown here for elemental liquids. Melt phases are constructed by starting with a 10x10x10 fcc super cell and relaxing with 50,000 NPT steps at zero pressure and a high melting temperature (3000 K for most potentials and elements). Following the melt, liquid structures are relaxed by running NPT for 10,000 steps over which the temperature is dropped by 50 K, then 50,000 NPT at the target temperature to estimate the equilibrium volume, followed by 20,000 NVT steps at the averaged equilibrium volume and target temperature. Structures from the NVT run are sampled to compute the radial distribution function of the liquid at the corresponding temperature.
The final relaxed configurations at each temperature explored are used as the initial configurations for the diffusion and viscosity calculations. For diffusion, the system is integrated for 100 runs of 2,000 NVT steps during which both the mean squared displacement (MSD) and the velocity auto correlation function (VACF) are computed. From these simulations, three estimates of diffusion are computed: one from the MSD of the full 200,000 step run, one in which the MSD is reset for each short run and then averaged, and one from the VACF computed for each short run and averaged. For viscosity, the Green-Kubo method is used which is evaluated during a 1 million step NVT run.
The calculation methods used are available as the iprPy relax_liquid_redo, diffusion_liquid, and viscosity_green_kubo calculation methods.
Clicking on the image of a plot will open an interactive version of it in a new tab. The underlying data for the plots can be downloaded by clicking on the links above each plot.
Notes and Disclaimers:
Version Information:
Plots of internal energy, Gibbs free energy, entropy, heat capacity and volume are shown here as a function of temperature for various crystal structures and liquid phases. The included crystal structures correspond to those in the Solid Structures vs. Temperature section, and the liquid phases to those in the Liquid Properties section. Internal energy and volume are taken from the associated structure relaxations mentioned in those previous sections. Constant pressure heat capacity is estimated using 3-point numerical derivatives of enthalpy versus temperature. Note that since all simulations done here are at 0 pressure, internal energy and enthalpy are equivalent.
The Gibbs energies of the phases are estimated using thermodynamic integration between the interatomic potential in question and a simpler model with known Gibbs free energy values. For solids, the reference model is an Einstein solid, while for liquids it is the Uhlenbeck-Ford potential. Besides a short run at the start of the solid calculations to estimate Einstein model spring constants, the two calculations proceed similarly. Starting with the final relaxation configurations, the systems are stabilized for 25,000 steps. Then, over the next 50,000 steps the potential is swapped out for the reference potential. The system is then stabilized for another 25,000 steps with the reference model before a reverse swap of 50,000 steps is performed. The simulation ends with one final 25,000 step stabilization period. From the simulation, the irreversible work of transformation is estimated and used to compute the absolute Gibbs free energy of the target phase and potential relative to the reference potential. Entropy is estimated as the difference in enthalpy and Gibbs free energy and divided by temperature.
The calculation methods used are available as the iprPy relax_dynamic, relax_liquid_redo, free_energy, and free_energy_liquid calculation methods.
Clicking on the image of a plot will open an interactive version of it in a new tab. The underlying data for the plots can be downloaded by clicking on the links above each plot.
Notes and Disclaimers:
Version Information:
            
            





