Plots of the potential energy vs interatomic spacing, r, are shown below for all diatom sets associated with the interatomic potential. This calculation provides insights into the functional form of the potential's two-body interactions. A system consisting of only two atoms is created, and the potential energy is evaluated for the atoms separated by 0.02 Å <= r <= 6.0> Å in intervals of 0.02 Å. Two plots are shown: one for the "standard" interaction distance range, and one for small values of r. The small r plot is useful for determining whether the potential is suitable for radiation studies.
The calculation method used is available as the iprPy diatom_scan calculation method.
Clicking on the image of a plot will open an interactive version of it in a new tab. The underlying data for the plots can be downloaded by clicking on the links above each plot.
Notes and Disclaimers:
Version Information:
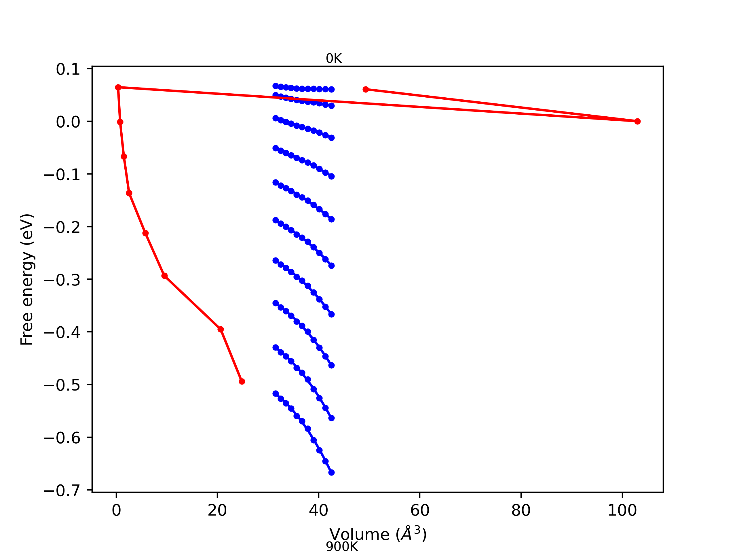
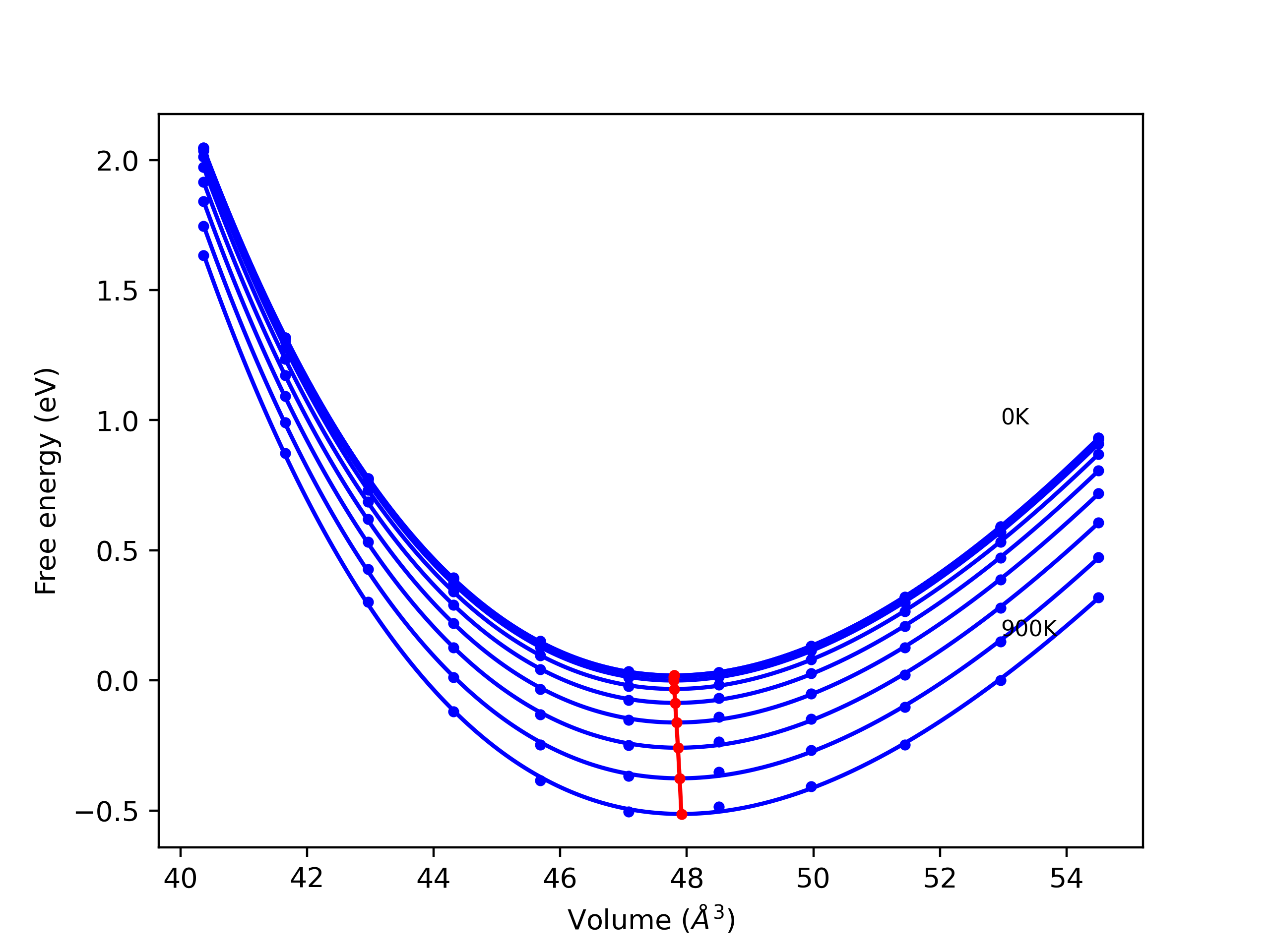
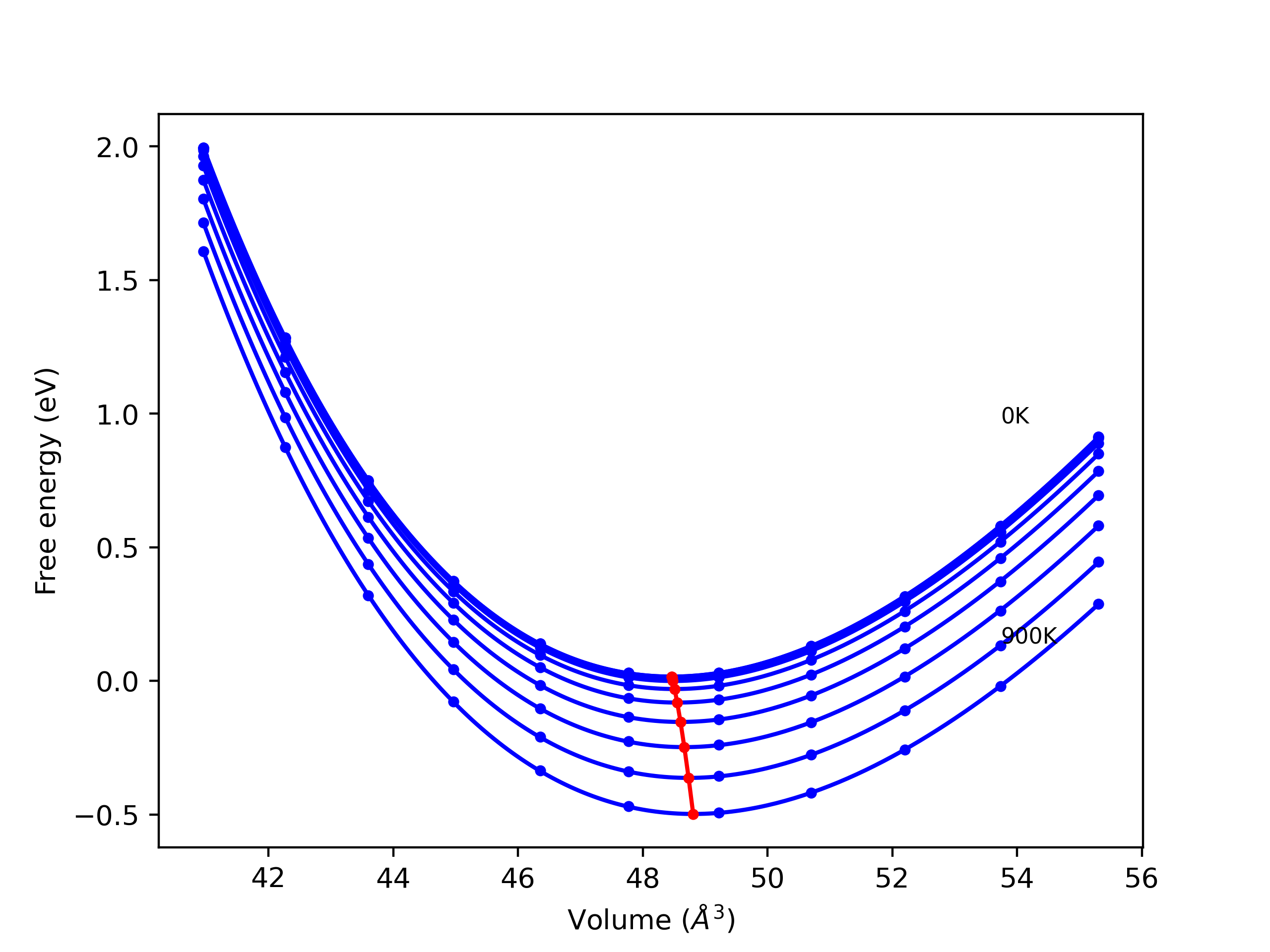
Plots of potential energy vs interatomic spacing, r, are shown below for a number of crystal structures. The structures are generated based on the ideal atomic positions and b/a and c/a lattice parameter ratios for a given crystal prototype. The size of the system is then uniformly scaled, and the energy calculated without relaxing the system. To obtain these plots, values of r are evaluated every 0.02 Å up to 6 Å.
The calculation method used is available as the iprPy E_vs_r_scan calculation method.
Clicking on the image of a plot will open an interactive version of it in a new tab. The underlying data for the plots can be downloaded by clicking on the links above each plot.
Notes and Disclaimers:
Version Information:
Computed lattice constants and cohesive/potential energies are displayed for a variety of crystal structures. The values displayed here are obtained using the following process.
The calculation methods used are implemented into iprPy as the following calculation styles
Notes and Disclaimers:
Version Information:
Download raw data (including filtered results)
Reference structure matches:
A1--Cu--fcc = oqmd-1214512
A15--beta-W = oqmd-1214957
A2--W--bcc = oqmd-1215135
A3'--alpha-La--double-hcp = oqmd-1215403
A3--Mg--hcp = oqmd-1215313
A4--C--dc = mp-66, oqmd-675640
A5--beta-Sn = oqmd-1215581
A6--In--bct = mp-1181996, oqmd-1215670
A7--alpha-As = oqmd-594528
Ah--alpha-Po--sc = mp-998866, oqmd-636457, oqmd-1214601
| prototype | method | Ecoh (eV/atom) | Epot (eV/atom) | a0 (Å) | b0 (Å) | c0 (Å) | α (degrees) | β (degrees) | γ (degrees) | 
|---|---|---|---|---|---|---|---|---|---|
| mp-1018088 | dynamic | -7.4068 | -7.4068 | 4.0114 | 4.0114 | 4.0114 | 90.0 | 90.0 | 90.0 | 
| oqmd-1215937 | dynamic | -7.375 | -7.375 | 2.4585 | 2.4585 | 6.6922 | 90.0 | 90.0 | 120.0 | 
| oqmd-683820 | dynamic | -7.375 | -7.375 | 2.4585 | 4.2579 | 6.6811 | 90.0 | 90.0 | 90.0 | 
| oqmd-683819 | box | -7.375 | -7.375 | 2.4588 | 4.2575 | 6.6813 | 90.0 | 90.0 | 90.0 | 
| oqmd-683820 | box | -7.375 | -7.375 | 2.4587 | 4.2576 | 6.6811 | 90.0 | 90.0 | 90.0 | 
| A7--alpha-As | box | -7.375 | -7.375 | 2.4585 | 2.4585 | 10.0378 | 90.0 | 90.0 | 120.0 | 
| oqmd-1214690 | box | -7.375 | -7.375 | 2.4591 | 4.257 | 6.6812 | 90.0 | 90.0 | 90.0 | 
| mp-937760 | box | -7.3749 | -7.3749 | 2.4584 | 4.2582 | 6.6874 | 90.0 | 90.0 | 90.0 | 
| mp-568286 | box | -7.3746 | -7.3746 | 2.4593 | 4.2566 | 6.7019 | 90.0 | 90.0 | 90.0 | 
| mp-568806 | static | -7.3741 | -7.3741 | 2.4584 | 2.4584 | 3.3644 | 90.0 | 90.0 | 120.0 | 
| oqmd-610551 | box | -7.3741 | -7.3741 | 2.4583 | 2.4583 | 3.3644 | 90.0 | 90.0 | 120.0 | 
| mp-569416 | dynamic | -7.3688 | -7.3688 | 2.4587 | 2.4587 | 53.2351 | 90.0 | 90.0 | 120.0 | 
| oqmd-589492 | dynamic | -7.3688 | -7.3688 | 2.4587 | 2.4587 | 53.4031 | 90.0 | 90.0 | 120.0 | 
| oqmd-589492 | static | -7.3688 | -7.3688 | 2.4587 | 2.4587 | 53.2865 | 90.0 | 90.0 | 120.0 | 
| oqmd-589492 | box | -7.3688 | -7.3688 | 2.4587 | 2.4587 | 53.2755 | 90.0 | 90.0 | 120.0 | 
| mp-569416 | static | -7.3688 | -7.3688 | 2.4587 | 2.4587 | 53.1094 | 90.0 | 90.0 | 120.0 | 
| mp-606949 | box | -7.3667 | -7.3667 | 2.4588 | 2.4588 | 28.5491 | 90.0 | 90.0 | 120.0 | 
| oqmd-589493 | box | -7.3667 | -7.3667 | 2.4588 | 2.4588 | 28.9678 | 90.0 | 90.0 | 120.0 | 
| mp-569304 | dynamic | -7.3625 | -7.3625 | 2.4589 | 2.4589 | 32.6625 | 90.0 | 90.0 | 120.0 | 
| oqmd-589491 | dynamic | -7.3625 | -7.3625 | 2.4589 | 2.4589 | 33.3324 | 90.0 | 90.0 | 120.0 | 
| mp-990424 | static | -7.3625 | -7.3625 | 2.4589 | 2.4589 | 23.7406 | 90.0 | 90.0 | 120.0 | 
| oqmd-589491 | static | -7.3625 | -7.3625 | 2.4589 | 2.4589 | 33.2812 | 90.0 | 90.0 | 120.0 | 
| mp-569304 | static | -7.3625 | -7.3625 | 2.4589 | 2.4589 | 32.5111 | 90.0 | 90.0 | 120.0 | 
| oqmd-589491 | box | -7.3625 | -7.3625 | 2.4589 | 2.4589 | 33.2789 | 90.0 | 90.0 | 120.0 | 
| A4--C--dc | dynamic | -7.3507 | -7.3507 | 3.5652 | 3.5652 | 3.5652 | 90.0 | 90.0 | 90.0 | 
| mp-997182 | dynamic | -7.35 | -7.35 | 2.4593 | 2.4593 | 12.0458 | 90.0 | 90.0 | 120.0 | 
| mp-1040425 | dynamic | -7.35 | -7.35 | 2.4593 | 2.4593 | 19.9983 | 90.0 | 90.0 | 120.0 | 
| mp-990448 | dynamic | -7.35 | -7.35 | 2.4593 | 2.4593 | 8.5238 | 90.0 | 90.0 | 120.0 | 
| oqmd-599492 | dynamic | -7.3475 | -7.3475 | 2.5206 | 2.5206 | 16.4781 | 90.0 | 90.0 | 120.0 | 
| oqmd-599492 | box | -7.3472 | -7.3472 | 2.5207 | 2.5207 | 16.4783 | 90.0 | 90.0 | 120.0 | 
| mp-616440 | box | -7.3471 | -7.3471 | 2.5207 | 2.5207 | 16.479 | 90.0 | 90.0 | 120.0 | 
| mp-569567 | dynamic | -7.3471 | -7.3471 | 2.5206 | 2.5206 | 43.259 | 90.0 | 90.0 | 120.0 | 
| oqmd-599494 | static | -7.3467 | -7.3467 | 2.5206 | 2.5206 | 43.261 | 90.0 | 90.0 | 120.0 | 
| mp-569567 | box | -7.3466 | -7.3466 | 2.5206 | 2.5206 | 43.2628 | 90.0 | 90.0 | 120.0 | 
| oqmd-599491 | dynamic | -7.3465 | -7.3465 | 2.5205 | 2.5205 | 12.3613 | 90.0 | 90.0 | 120.0 | 
| oqmd-599491 | box | -7.346 | -7.346 | 2.5206 | 2.5206 | 12.3621 | 90.0 | 90.0 | 120.0 | 
| mp-611448 | box | -7.346 | -7.346 | 2.5206 | 2.5206 | 12.3624 | 90.0 | 90.0 | 120.0 | 
| oqmd-599493 | dynamic | -7.3457 | -7.3457 | 2.5204 | 2.5204 | 30.9087 | 90.0 | 90.0 | 120.0 | 
| oqmd-599493 | box | -7.3452 | -7.3452 | 2.5204 | 2.5204 | 30.913 | 90.0 | 90.0 | 120.0 | 
| mp-569517 | box | -7.3451 | -7.3451 | 2.5204 | 2.5204 | 30.9121 | 90.0 | 90.0 | 120.0 | 
| mp-611426 | dynamic | -7.3444 | -7.3444 | 2.5203 | 2.5203 | 8.2445 | 90.0 | 90.0 | 120.0 | 
| mp-611426 | box | -7.3438 | -7.3438 | 2.5203 | 2.5203 | 8.2455 | 90.0 | 90.0 | 120.0 | 
| oqmd-599490 | box | -7.3437 | -7.3437 | 2.5202 | 2.5202 | 8.2461 | 90.0 | 90.0 | 120.0 | 
| oqmd-599489 | dynamic | -7.3382 | -7.3382 | 2.5195 | 2.5195 | 4.1276 | 90.0 | 90.0 | 120.0 | 
| mp-47 | box | -7.3382 | -7.3382 | 2.5196 | 2.5196 | 4.1275 | 90.0 | 90.0 | 120.0 | 
| oqmd-599489 | box | -7.3382 | -7.3382 | 2.5195 | 2.5195 | 4.1277 | 90.0 | 90.0 | 120.0 | 
| mp-1096869 | static | -7.2678 | -7.2678 | 23.7298 | 14.7873 | 3.6362 | 90.0 | 96.6 | 90.0 | 
| mp-1096869 | dynamic | -7.2432 | -7.2432 | 25.6134 | 14.7886 | 7.5977 | 90.0 | 90.0 | 90.0 | 
| mp-1190171 | dynamic | -7.0841 | -7.0841 | 9.0999 | 2.5419 | 4.1254 | 90.0 | 90.0 | 90.0 | 
| mp-1080826 | dynamic | -7.0802 | -7.0802 | 9.1523 | 2.5424 | 4.1271 | 90.0 | 95.8 | 90.0 | 
| mp-1078845 | dynamic | -7.0758 | -7.0758 | 4.2482 | 8.7885 | 2.522 | 90.0 | 90.0 | 90.0 | 
| oqmd-637352 | box | -7.0646 | -7.0646 | 9.1876 | 2.5543 | 4.1122 | 90.0 | 95.2 | 90.0 | 
| mp-1080826 | box | -7.0638 | -7.0638 | 9.1883 | 2.5543 | 4.1125 | 90.0 | 95.1 | 90.0 | 
| oqmd-637130 | box | -7.062 | -7.062 | 9.1552 | 2.5502 | 4.1158 | 90.0 | 90.0 | 90.0 | 
| mp-1190171 | box | -7.0607 | -7.0607 | 9.1582 | 2.5501 | 4.1159 | 90.0 | 90.0 | 90.0 | 
| mp-1078845 | box | -7.0317 | -7.0317 | 4.2788 | 8.8738 | 2.5003 | 90.0 | 90.0 | 90.0 | 
| mp-683919 | box | -6.9487 | -6.9487 | 10.196 | 17.4734 | 18.0329 | 90.0 | 90.0 | 90.0 | 
| mp-624889 | dynamic | -6.9463 | -6.9463 | 4.7436 | 5.3635 | 5.4526 | 90.0 | 90.0 | 90.0 | 
| mp-624889 | static | -6.9463 | -6.9463 | 4.7436 | 5.3635 | 5.452 | 90.0 | 90.0 | 90.0 | 
| mp-1196583 | dynamic | -6.9404 | -6.9404 | 14.2027 | 14.2027 | 14.2027 | 90.0 | 90.0 | 90.0 | 
| oqmd-677227 | static | -6.9404 | -6.9404 | 14.2004 | 14.2004 | 14.2004 | 90.0 | 90.0 | 90.0 | 
| mp-1196583 | static | -6.9403 | -6.9403 | 14.2557 | 14.2557 | 14.2557 | 90.0 | 90.0 | 90.0 | 
| mp-1196583 | box | -6.9398 | -6.9398 | 14.3577 | 14.3577 | 14.3577 | 90.0 | 90.0 | 90.0 | 
| mp-667273 | dynamic | -6.9396 | -6.9396 | 14.276 | 14.276 | 14.276 | 90.0 | 90.0 | 90.0 | 
| mp-667273 | static | -6.9394 | -6.9394 | 14.4179 | 14.4179 | 14.4179 | 90.0 | 90.0 | 90.0 | 
| oqmd-603085 | static | -6.9391 | -6.9391 | 14.0819 | 14.0819 | 14.0819 | 90.0 | 90.0 | 90.0 | 
| mp-667273 | box | -6.9389 | -6.9389 | 14.4195 | 14.4195 | 14.4195 | 90.0 | 90.0 | 90.0 | 
| oqmd-603085 | box | -6.9377 | -6.9377 | 13.9491 | 13.9491 | 13.9491 | 90.0 | 90.0 | 90.0 | 
| oqmd-689315 | box | -6.9338 | -6.9338 | 10.1465 | 17.4749 | 18.0624 | 90.0 | 90.0 | 90.0 | 
| oqmd-677227 | box | -6.9297 | -6.9297 | 14.1461 | 14.1461 | 14.1461 | 90.0 | 90.0 | 90.0 | 
| mp-579909 | static | -6.9222 | -6.9222 | 4.7432 | 5.3434 | 5.7669 | 90.0 | 90.0 | 90.0 | 
| oqmd-610552 | static | -6.9222 | -6.9222 | 4.7432 | 5.3434 | 5.7693 | 90.0 | 90.0 | 90.0 | 
| mp-624889 | box | -6.9172 | -6.9172 | 4.7511 | 5.2404 | 5.5173 | 90.0 | 90.0 | 90.0 | 
| mp-1147718 | dynamic | -6.9001 | -6.9001 | 10.1223 | 14.5499 | 9.1548 | 90.0 | 90.0 | 90.0 | 
| mp-1147718 | static | -6.9 | -6.9 | 10.1443 | 14.61 | 9.1547 | 90.0 | 90.0 | 90.0 | 
| mp-1147718 | box | -6.8943 | -6.8943 | 10.2546 | 14.7365 | 9.2268 | 90.0 | 90.0 | 90.0 | 
| mp-1205283 | dynamic | -6.875 | -6.875 | 10.2905 | 13.0825 | 9.6355 | 90.0 | 90.0 | 90.0 | 
| mp-1008374 | dynamic | -6.8692 | -6.8692 | 2.5995 | 7.9183 | 2.5354 | 90.0 | 90.0 | 90.0 | 
| oqmd-610552 | box | -6.8638 | -6.8638 | 4.6344 | 5.5348 | 6.2823 | 90.0 | 90.0 | 90.0 | 
| oqmd-684627 | dynamic | -6.8599 | -6.8599 | 9.1436 | 9.1436 | 15.0227 | 90.0 | 90.0 | 90.0 | 
| oqmd-684627 | static | -6.8599 | -6.8599 | 9.143 | 9.143 | 15.0467 | 90.0 | 90.0 | 90.0 | 
| oqmd-595714 | static | -6.8597 | -6.8597 | 9.1232 | 9.1755 | 14.6936 | 90.0 | 90.0 | 90.0 | 
| mp-630227 | static | -6.8596 | -6.8596 | 9.1123 | 9.1616 | 15.5099 | 90.0 | 90.0 | 90.0 | 
| mp-579909 | box | -6.8557 | -6.8557 | 4.625 | 5.5503 | 6.6979 | 90.0 | 90.0 | 90.0 | 
| oqmd-595714 | box | -6.8518 | -6.8518 | 9.1193 | 9.1897 | 14.6236 | 90.0 | 90.0 | 90.0 | 
| mp-630227 | box | -6.8503 | -6.8503 | 9.1116 | 9.1737 | 15.6957 | 90.0 | 90.0 | 90.0 | 
| mp-1008374 | box | -6.843 | -6.843 | 2.5627 | 8.0294 | 2.5314 | 90.0 | 90.0 | 90.0 | 
| oqmd-637353 | box | -6.8416 | -6.8416 | 4.4524 | 4.4524 | 2.4843 | 90.0 | 90.0 | 90.0 | 
| mp-1008395 | box | -6.8398 | -6.8398 | 4.4532 | 4.4532 | 2.4839 | 90.0 | 90.0 | 90.0 | 
| oqmd-684627 | box | -6.8342 | -6.8342 | 9.151 | 9.151 | 15.3605 | 90.0 | 90.0 | 90.0 | 
| mp-568028 | dynamic | -6.8146 | -6.8146 | 8.1999 | 14.1393 | 9.4719 | 90.0 | 90.0 | 90.0 | 
| mp-568028 | static | -6.8146 | -6.8146 | 8.2002 | 14.1388 | 9.4716 | 90.0 | 90.0 | 90.0 | 
| mp-680372 | dynamic | -6.8102 | -6.8102 | 9.1918 | 9.1918 | 24.6767 | 90.0 | 90.0 | 120.0 | 
| oqmd-614417 | static | -6.8101 | -6.8101 | 9.1937 | 9.1937 | 24.4238 | 90.0 | 90.0 | 120.0 | 
| mp-680372 | static | -6.8097 | -6.8097 | 9.1905 | 9.1905 | 25.3959 | 90.0 | 90.0 | 120.0 | 
| oqmd-614417 | box | -6.7975 | -6.7975 | 9.2142 | 9.2142 | 24.4288 | 90.0 | 90.0 | 120.0 | 
| mp-568028 | box | -6.7688 | -6.7688 | 8.5095 | 14.0462 | 9.6062 | 90.0 | 90.0 | 90.0 | 
| mp-568410 | dynamic | -6.6613 | -6.6613 | 4.8933 | 5.4605 | 4.3683 | 90.0 | 90.0 | 90.0 | 
| oqmd-610557 | box | -6.6231 | -6.6231 | 4.8107 | 5.5081 | 4.4426 | 90.0 | 90.0 | 90.0 | 
| oqmd-610556 | box | -6.622 | -6.622 | 4.8088 | 5.5131 | 4.4428 | 90.0 | 90.0 | 90.0 | 
| mp-568410 | box | -6.6197 | -6.6197 | 4.8059 | 5.516 | 4.4454 | 90.0 | 90.0 | 90.0 | 
| mp-1188817 | static | -6.6071 | -6.6071 | 5.269 | 5.269 | 5.269 | 90.0 | 90.0 | 90.0 | 
| oqmd-637443 | box | -6.5964 | -6.5964 | 5.2694 | 5.2694 | 5.2694 | 90.0 | 90.0 | 90.0 | 
| mp-1188817 | box | -6.5944 | -6.5944 | 5.2691 | 5.2691 | 5.2691 | 90.0 | 90.0 | 90.0 | 
| mp-1205283 | static | -6.5709 | -6.5709 | 10.6607 | 13.0616 | 8.9676 | 90.0 | 90.0 | 90.0 | 
| mp-1244964 | dynamic | -6.57 | -6.57 | 10.0347 | 10.1636 | 10.8319 | 85.8 | 88.1 | 89.3 | 
| oqmd-684315 | dynamic | -6.5282 | -6.5282 | 8.6576 | 17.058 | 9.1247 | 90.0 | 90.0 | 90.0 | 
| mp-24 | dynamic | -6.4322 | -6.4322 | 4.491 | 4.491 | 4.491 | 90.0 | 90.0 | 90.0 | 
| mp-1245190 | dynamic | -6.4299 | -6.4299 | 9.8742 | 10.3925 | 10.7491 | 89.5 | 89.0 | 86.3 | 
| mp-24 | box | -6.361 | -6.361 | 4.5353 | 4.5353 | 4.5353 | 90.0 | 90.0 | 90.0 | 
| mp-1205283 | box | -6.2912 | -6.2912 | 10.2058 | 13.2929 | 9.1292 | 90.0 | 90.0 | 90.0 | 
| oqmd-1215848 | dynamic | -6.1361 | -6.1361 | 3.5385 | 3.5385 | 1.3246 | 90.0 | 90.0 | 120.0 | 
| mp-1182029 | box | -6.1281 | -6.1281 | 1.3247 | 3.4966 | 3.5493 | 90.0 | 99.8 | 90.0 | 
| mp-570002 | static | -6.0589 | -6.0589 | 4.9906 | 4.9906 | 4.9906 | 90.0 | 90.0 | 90.0 | 
| oqmd-585286 | static | -6.0589 | -6.0589 | 4.9905 | 4.9905 | 4.9905 | 90.0 | 90.0 | 90.0 | 
| mp-1197903 | dynamic | -5.9688 | -5.9688 | 7.0206 | 7.9281 | 23.3587 | 98.7 | 90.6 | 97.3 | 
| mp-1197903 | static | -5.9568 | -5.9568 | 8.1508 | 9.7203 | 22.6227 | 99.5 | 93.2 | 113.2 | 
| mp-1245190 | static | -5.9288 | -5.9288 | 10.5076 | 10.7615 | 11.0665 | 91.1 | 90.6 | 92.9 | 
| mp-1182684 | dynamic | -5.8979 | -5.8979 | 7.4529 | 10.6688 | 14.6237 | 90.0 | 90.0 | 90.0 | 
| mp-1182684 | static | -5.8842 | -5.8842 | 10.7588 | 11.2724 | 13.7417 | 90.0 | 90.0 | 90.0 | 
| mp-1095534 | dynamic | -5.8453 | -5.8453 | 9.8067 | 9.8067 | 2.6244 | 90.0 | 90.0 | 90.0 | 
| mp-1095534 | static | -5.8453 | -5.8453 | 9.8068 | 9.8068 | 2.6244 | 90.0 | 90.0 | 90.0 | 
| mp-570002 | box | -5.8398 | -5.8398 | 5.0084 | 5.0084 | 5.0084 | 90.0 | 90.0 | 90.0 | 
| mp-1244964 | static | -5.8249 | -5.8249 | 10.5339 | 10.6317 | 11.4124 | 90.9 | 95.6 | 91.5 | 
| mp-1196857 | dynamic | -5.8187 | -5.8187 | 7.0163 | 18.4447 | 5.6179 | 90.0 | 90.0 | 90.0 | 
| mp-1196857 | static | -5.8184 | -5.8184 | 7.2185 | 18.6765 | 5.4654 | 90.0 | 90.0 | 90.0 | 
| mp-1095534 | box | -5.7726 | -5.7726 | 10.0267 | 10.0267 | 2.6067 | 90.0 | 90.0 | 90.0 | 
| mp-1196857 | box | -5.7553 | -5.7553 | 10.166 | 19.6054 | 5.73 | 90.0 | 90.0 | 90.0 | 
| mp-1244964 | box | -5.7433 | -5.7433 | 10.5849 | 10.7319 | 11.4738 | 91.4 | 96.0 | 91.2 | 
| mp-1095633 | box | -5.7204 | -5.7204 | 6.6059 | 6.6059 | 7.2483 | 90.0 | 90.0 | 90.0 | 
| mp-1244913 | static | -5.6882 | -5.6882 | 10.8121 | 11.195 | 11.2293 | 90.1 | 92.7 | 96.1 | 
| mp-1205417 | dynamic | -5.6406 | -5.6406 | 12.0446 | 12.0446 | 7.0291 | 90.0 | 90.0 | 90.0 | 
| mp-1205417 | static | -5.6406 | -5.6406 | 12.0827 | 12.0827 | 6.9901 | 90.0 | 90.0 | 90.0 | 
| mp-1244913 | box | -5.6231 | -5.6231 | 10.8455 | 11.2434 | 11.3182 | 90.2 | 92.8 | 96.1 | 
| mp-1205417 | box | -5.5469 | -5.5469 | 12.324 | 12.324 | 7.1406 | 90.0 | 90.0 | 90.0 | 
| mp-1182684 | box | -5.2966 | -5.2966 | 7.6912 | 11.7431 | 15.253 | 90.0 | 90.0 | 90.0 | 
| oqmd-684315 | static | -5.2069 | -5.2069 | 11.3041 | 15.4562 | 9.0471 | 90.0 | 90.0 | 90.0 | 
| oqmd-684315 | box | -5.1201 | -5.1201 | 10.9822 | 15.493 | 9.2579 | 90.0 | 90.0 | 90.0 | 
| A7--alpha-As | box | -4.8348 | -4.8348 | 2.3941 | 2.3941 | 6.4675 | 90.0 | 90.0 | 120.0 | 
| A6--In--bct | box | -4.746 | -4.746 | 1.659 | 1.659 | 6.7019 | 90.0 | 90.0 | 90.0 | 
| mp-1056957 | box | -4.746 | -4.746 | 2.346 | 2.346 | 6.6893 | 90.0 | 90.0 | 90.0 | 
| oqmd-1216026 | box | -4.7455 | -4.7455 | 2.3461 | 2.3461 | 10.0695 | 90.0 | 90.7 | 90.0 | 
| Ah--alpha-Po--sc | static | -4.6462 | -4.6462 | 1.7729 | 1.7729 | 1.7729 | 90.0 | 90.0 | 90.0 | 
| mp-1192619 | box | -4.1033 | -4.1033 | 9.8424 | 9.8424 | 9.8424 | 90.0 | 90.0 | 90.0 | 
| oqmd-1214779 | box | -4.0819 | -4.0819 | 9.4464 | 9.4464 | 9.4464 | 90.0 | 90.0 | 90.0 | 
| A3'--alpha-La--double-hcp | static | -3.9295 | -3.9295 | 2.4952 | 2.4952 | 4.333 | 90.0 | 90.0 | 120.0 | 
| oqmd-1215224 | box | -3.8083 | -3.8083 | 2.0479 | 2.4739 | 2.1203 | 90.0 | 118.4 | 90.0 | 
| A1--Cu--fcc | dynamic | -2.104 | -2.104 | 2.6493 | 2.6493 | 2.6493 | 90.0 | 90.0 | 90.0 | 
| A3'--alpha-La--double-hcp | dynamic | -2.1034 | -2.1034 | 1.8731 | 1.8731 | 6.1205 | 90.0 | 90.0 | 120.0 | 
| A3--Mg--hcp | box | -2.1034 | -2.1034 | 1.827 | 1.827 | 6.6892 | 90.0 | 90.0 | 120.0 | 
| A3--Mg--hcp | dynamic | -2.1028 | -2.1028 | 1.8729 | 1.8729 | 3.061 | 90.0 | 90.0 | 120.0 | 
| A2--W--bcc | box | -2.0598 | -2.0598 | 2.1648 | 2.1648 | 2.1648 | 90.0 | 90.0 | 90.0 | 
| oqmd-1214868 | box | -2.059 | -2.059 | 7.8511 | 7.8511 | 7.8511 | 90.0 | 90.0 | 90.0 | 
| A15--beta-W | static | -1.423 | -1.423 | 3.3109 | 3.3109 | 3.3109 | 90.0 | 90.0 | 90.0 | 
| A3'--alpha-La--double-hcp | box | -1.3542 | -1.3542 | 3.2342 | 3.2342 | 2.9649 | 90.0 | 90.0 | 120.0 | 
| A15--beta-W | dynamic | -0.6612 | -0.6612 | 3.8588 | 3.8588 | 3.8588 | 90.0 | 90.0 | 90.0 | 
| A3--Mg--hcp | dynamic | -0.0164 | -0.0164 | 3.7026 | 3.7026 | 6.0463 | 90.0 | 90.0 | 120.0 | 
| A1--Cu--fcc | dynamic | -0.0164 | -0.0164 | 5.2363 | 5.2363 | 5.2363 | 90.0 | 90.0 | 90.0 | 
| A3'--alpha-La--double-hcp | dynamic | -0.0164 | -0.0164 | 3.7026 | 3.7026 | 12.0926 | 90.0 | 90.0 | 120.0 | 
| A2--W--bcc | dynamic | -0.0149 | -0.0149 | 4.1879 | 4.1879 | 4.1879 | 90.0 | 90.0 | 90.0 | 
| A15--beta-W | dynamic | -0.0134 | -0.0134 | 6.7141 | 6.7141 | 6.7141 | 90.0 | 90.0 | 90.0 | 
| A5--beta-Sn | dynamic | -0.0105 | -0.0105 | 6.9913 | 6.9913 | 3.6285 | 90.0 | 90.0 | 90.0 | 
| Ah--alpha-Po--sc | dynamic | -0.0092 | -0.0092 | 3.6601 | 3.6601 | 3.6601 | 90.0 | 90.0 | 90.0 | 
| A7--alpha-As | box | -0.0056 | -0.0056 | 5.1416 | 5.1416 | 16.6803 | 90.0 | 90.0 | 120.0 | 
| A4--C--dc | dynamic | -0.0052 | -0.0052 | 8.5821 | 8.5821 | 8.5821 | 90.0 | 90.0 | 90.0 | 
| A1--Cu--fcc | box | 1.8474 | 1.8474 | 3.0633 | 3.0633 | 3.0633 | 90.0 | 90.0 | 90.0 | 
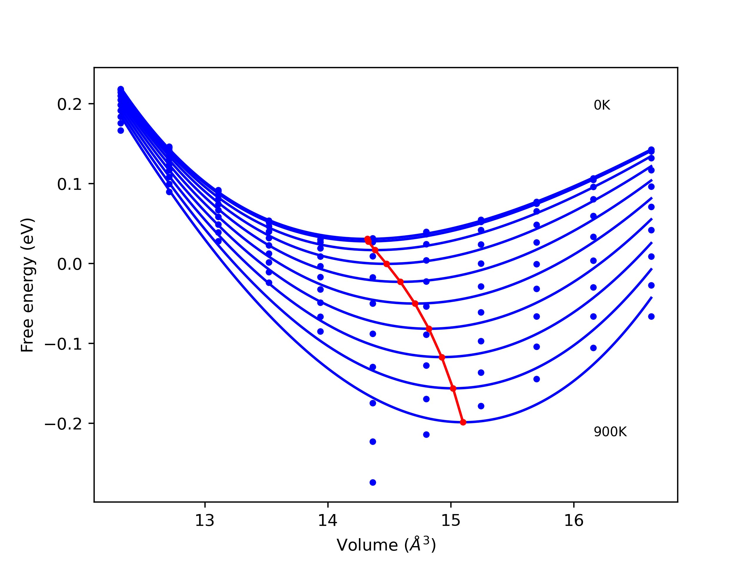
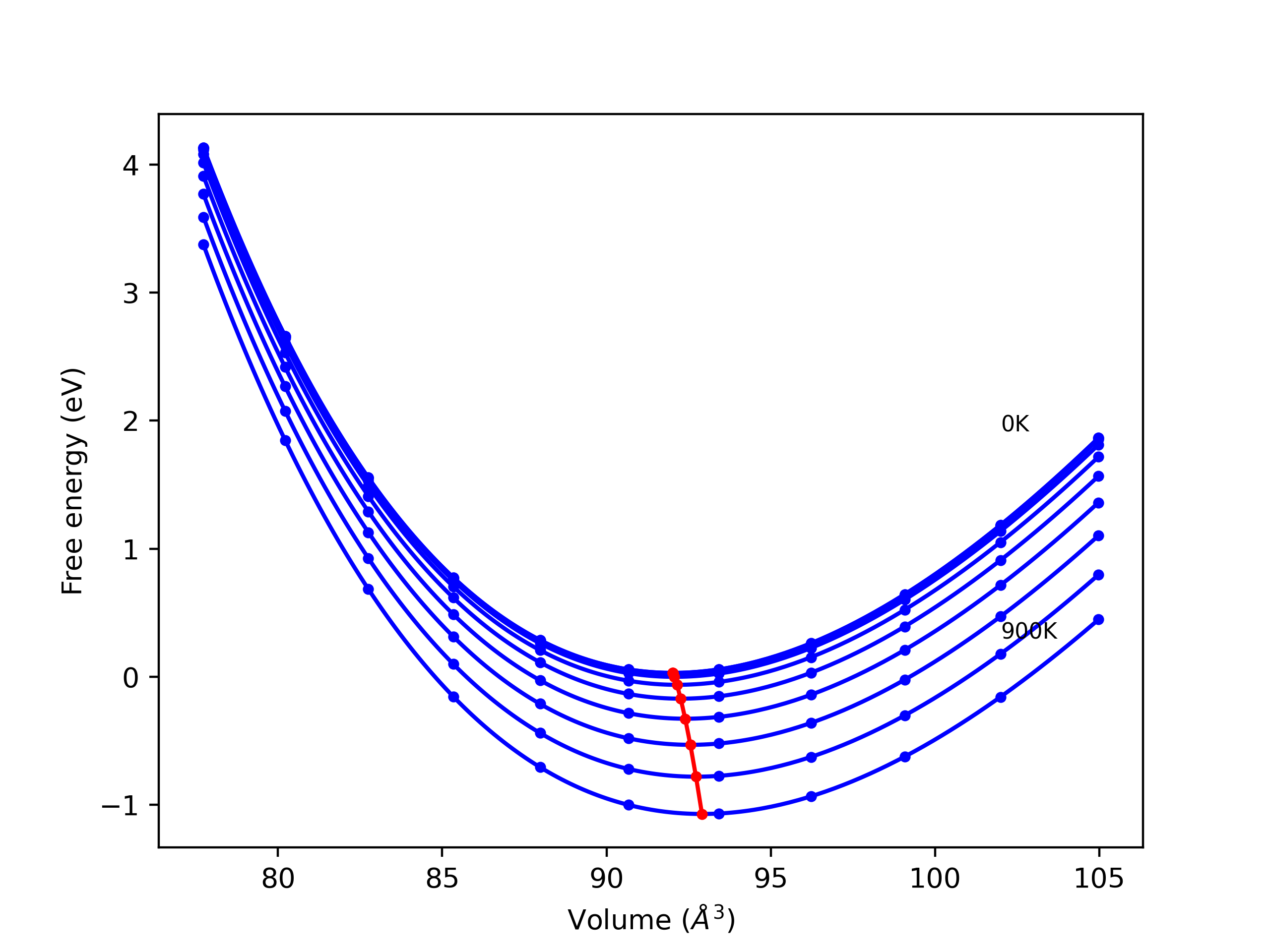
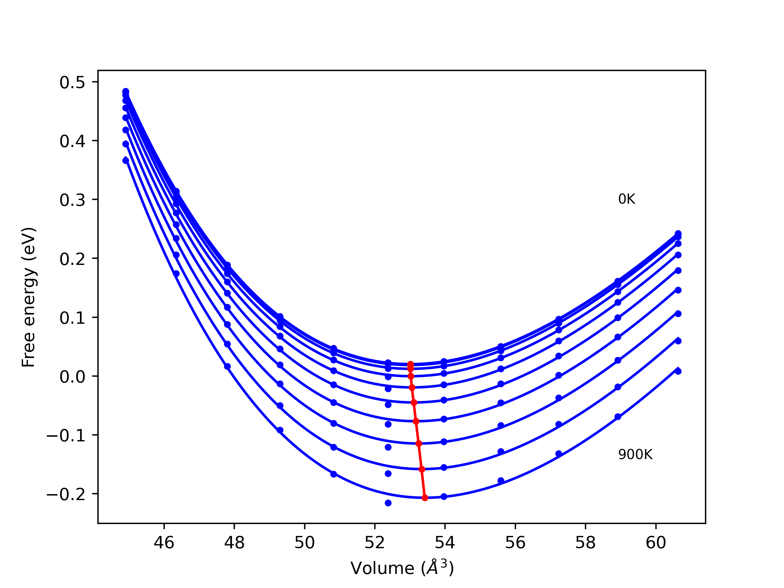
Static elastic constants are displayed for the unique structures identified in Crystal Structure Predictions above. The values displayed here are obtained by measuring the change in virial stresses due to applying small strains to the relaxed crystals. The initial structure and the strained states are all relaxed using force minimization.
The calculation method used is available as the iprPy elastic_constants_static calculation method.
Notes and Disclaimers:
Version Information:
| 1763.650 | 1362.875 | 1362.912 | 0.000 | 0.000 | 0.000 | 
| 1362.917 | 1763.673 | 1362.852 | 0.000 | 0.000 | -0.000 | 
| 1362.850 | 1362.929 | 1763.656 | 0.000 | 0.000 | 0.000 | 
| -32.841 | 16.419 | 16.422 | 682.928 | 0.000 | 0.000 | 
| 16.422 | -32.844 | 16.422 | 0.000 | 682.928 | 0.000 | 
| 16.422 | 16.419 | -32.841 | 0.000 | 0.000 | 682.928 | 
| 1827.099 | 1330.341 | 1330.304 | -0.000 | -0.000 | -0.000 | 
| 1330.300 | 1827.075 | 1330.364 | -0.000 | -0.000 | -0.000 | 
| 1330.366 | 1330.287 | 1827.093 | -0.000 | -0.000 | -0.000 | 
| 32.841 | -16.420 | -16.422 | 682.928 | -0.000 | -0.000 | 
| -16.422 | 32.844 | -16.422 | -0.000 | 682.928 | -0.000 | 
| -16.422 | -16.419 | 32.841 | -0.000 | -0.000 | 682.928 | 
| 1736.006 | 1376.333 | 1376.337 | -0.000 | 0.000 | 0.000 | 
| 1376.337 | 1736.008 | 1376.331 | 0.000 | 0.000 | -0.000 | 
| 1376.331 | 1376.339 | 1736.006 | 0.000 | 0.000 | 0.000 | 
| -32.842 | 16.421 | 16.421 | 682.928 | 0.000 | 0.000 | 
| 16.421 | -32.842 | 16.421 | 0.000 | 682.928 | 0.000 | 
| 16.421 | 16.421 | -32.842 | 0.000 | 0.000 | 682.928 | 
| 1801.465 | 1343.522 | 1343.518 | -0.000 | -0.000 | -0.000 | 
| 1343.517 | 1801.463 | 1343.524 | -0.000 | -0.000 | -0.000 | 
| 1343.524 | 1343.516 | 1801.465 | -0.000 | -0.000 | -0.000 | 
| 32.842 | -16.421 | -16.421 | 682.928 | -0.000 | -0.000 | 
| -16.421 | 32.842 | -16.421 | -0.000 | 682.928 | -0.000 | 
| -16.421 | -16.421 | 32.842 | -0.000 | -0.000 | 682.928 | 
| 1733.244 | 1377.681 | 1377.682 | 0.000 | 0.000 | 0.000 | 
| 1377.682 | 1733.245 | 1377.681 | 0.000 | 0.000 | 0.000 | 
| 1377.681 | 1377.682 | 1733.245 | -0.000 | 0.000 | 0.000 | 
| -32.841 | 16.422 | 16.420 | 682.928 | 0.000 | 0.000 | 
| 16.422 | -32.841 | 16.420 | 0.000 | 682.928 | 0.000 | 
| 16.422 | 16.420 | -32.841 | 0.000 | 0.000 | 682.928 | 
| 1798.897 | 1344.838 | 1344.838 | -0.000 | -0.000 | -0.000 | 
| 1344.838 | 1798.897 | 1344.839 | -0.000 | -0.000 | -0.000 | 
| 1344.839 | 1344.838 | 1798.897 | -0.000 | -0.000 | -0.000 | 
| 32.841 | -16.422 | -16.420 | 682.928 | -0.000 | -0.000 | 
| -16.422 | 32.841 | -16.420 | -0.000 | 682.928 | -0.000 | 
| -16.422 | -16.420 | 32.841 | -0.000 | -0.000 | 682.928 | 
| -144925912.082 | 3475178922.650 | 3366124374.235 | -30424239.166 | 12499900.761 | 40481279.566 | 
| 3338989299.784 | -383321984.241 | 3307118823.396 | -28535669.584 | -10553041.981 | 123945998.419 | 
| 3427470678.750 | 3558170797.892 | -185579851.317 | -32120789.917 | 82053556.110 | 18549719.859 | 
| -0.007 | -0.002 | -0.003 | -8271.264 | 0.000 | 0.000 | 
| 3377008073.155 | 3223081111.567 | 3440579383.544 | 18246651.978 | 79585625.244 | -6099647.459 | 
| -0.002 | -0.003 | -0.007 | 0.000 | 0.000 | -8271.265 | 
| -15954.107 | -7543.921 | -7543.921 | -0.000 | -0.000 | -0.000 | 
| -7543.921 | -15954.107 | -7543.921 | -0.000 | -0.000 | 0.000 | 
| -7543.921 | -7543.921 | -15954.107 | 0.000 | 0.000 | -0.000 | 
| 0.007 | 0.002 | 0.003 | -8271.265 | -0.000 | 0.000 | 
| -3343060747.574 | -3239973797.459 | -3564688273.211 | -71359882.329 | -47477733.486 | 87853822.791 | 
| 0.002 | 0.004 | 0.007 | -0.000 | 0.000 | -8271.265 | 
| 3825221.420 | 324627973.842 | 311710277.052 | -5124167.380 | -2275372.254 | -12851694.323 | 
| 321064379.368 | -14269203.246 | 341613302.327 | -727927.821 | 4643809.583 | 16470410.231 | 
| 327330633.472 | 349744025.866 | 15845266.226 | -632262.069 | 5416455.516 | -2044210.026 | 
| -0.002 | -0.035 | -0.036 | -8271.264 | 0.000 | 0.000 | 
| -0.035 | -0.002 | -0.036 | 0.000 | -8271.264 | 0.000 | 
| -0.035 | -0.036 | -0.002 | 0.000 | 0.000 | -8271.264 | 
| 24006697.690 | -367880906.604 | -355480243.691 | 7888533.267 | -11220431.787 | 4905245.055 | 
| -352176553.259 | -8302498.367 | -324427311.145 | -2796769.736 | 6156189.136 | -11991299.078 | 
| -351973041.382 | -348804116.859 | 37659773.962 | 754314.476 | -7975796.136 | 3076485.233 | 
| 0.002 | 0.035 | 0.036 | -8271.264 | -0.000 | 0.000 | 
| 0.035 | 0.002 | 0.036 | -0.000 | -8271.264 | -0.000 | 
| 0.035 | 0.036 | 0.002 | -0.000 | -0.000 | -8271.264 | 
| 2282356.111 | 33169751.089 | 32975454.224 | 240444.801 | 798444.330 | 1938322.326 | 
| 33720898.887 | 275005.871 | 33033819.884 | 559752.186 | -620009.954 | 390569.949 | 
| 32694574.490 | 32641721.176 | 4464273.546 | 328616.486 | 968411.613 | 49775.073 | 
| 35316796.096 | 34616641.990 | 2742652.970 | 676959.708 | -965283.056 | -1522869.316 | 
| 33477989.902 | 35658441.279 | 4980286.222 | 404656.633 | 301984.633 | -1073810.789 | 
| 33593734.281 | 3142874.047 | 35456360.988 | -803508.773 | -864171.782 | 2198244.812 | 
| 2473980.236 | -34806388.853 | -34477931.649 | 285830.372 | -945724.112 | -88317.902 | 
| -34395713.048 | 1478489.884 | -35332924.718 | 1729797.174 | -1091.956 | -1918202.106 | 
| -33733411.598 | -34312891.921 | 837035.483 | 256352.942 | 1270336.374 | 875407.804 | 
| -35424711.874 | -32817350.471 | -5858750.349 | -60621.360 | 548183.668 | 1046876.871 | 
| -32425036.578 | -34707892.160 | -4230808.859 | 2129511.146 | -705039.240 | 1416514.739 | 
| -32480844.786 | -5400347.622 | -34151815.397 | 163291.146 | 569035.888 | -326645.458 | 
| 1.343 | 0.731 | 0.731 | 0.000 | -0.000 | 0.000 | 
| 0.731 | 1.343 | 0.731 | -0.000 | -0.000 | -0.000 | 
| 0.731 | 0.731 | 1.343 | 0.000 | -0.000 | 0.000 | 
| -0.000 | 0.000 | 0.000 | 0.731 | -0.000 | -0.000 | 
| 0.000 | -0.000 | 0.000 | 0.000 | 0.731 | -0.000 | 
| 0.000 | 0.000 | -0.000 | 0.000 | 0.000 | 0.731 | 
| 1.343 | 0.731 | 0.731 | 0.000 | 0.000 | -0.000 | 
| 0.731 | 1.343 | 0.731 | -0.000 | 0.000 | 0.000 | 
| 0.731 | 0.731 | 1.343 | -0.000 | 0.000 | 0.000 | 
| 0.000 | -0.000 | -0.000 | 0.731 | 0.000 | 0.000 | 
| -0.000 | 0.000 | -0.000 | -0.000 | 0.731 | 0.000 | 
| -0.000 | -0.000 | 0.000 | 0.000 | 0.000 | 0.731 | 
| 1.343 | 0.731 | 0.731 | 0.000 | -0.000 | -0.000 | 
| 0.731 | 1.343 | 0.731 | 0.000 | -0.000 | -0.000 | 
| 0.731 | 0.731 | 1.343 | -0.000 | -0.000 | 0.000 | 
| -0.000 | 0.000 | 0.000 | 0.731 | 0.000 | -0.000 | 
| 0.000 | -0.000 | 0.000 | -0.000 | 0.731 | -0.000 | 
| 0.000 | 0.000 | -0.000 | -0.000 | 0.000 | 0.731 | 
| 1.343 | 0.731 | 0.731 | -0.000 | 0.000 | 0.000 | 
| 0.731 | 1.343 | 0.731 | 0.000 | 0.000 | 0.000 | 
| 0.731 | 0.731 | 1.343 | -0.000 | -0.000 | 0.000 | 
| 0.000 | -0.000 | -0.000 | 0.731 | -0.000 | 0.000 | 
| -0.000 | 0.000 | -0.000 | 0.000 | 0.731 | -0.000 | 
| -0.000 | -0.000 | 0.000 | 0.000 | 0.000 | 0.731 | 
| 1.343 | 0.731 | 0.731 | 0.000 | 0.000 | -0.000 | 
| 0.731 | 1.343 | 0.731 | 0.000 | -0.000 | 0.000 | 
| 0.731 | 0.731 | 1.343 | 0.000 | -0.000 | -0.000 | 
| -0.000 | 0.000 | 0.000 | 0.731 | -0.000 | 0.000 | 
| 0.000 | -0.000 | 0.000 | -0.000 | 0.731 | -0.000 | 
| 0.000 | 0.000 | -0.000 | -0.000 | -0.000 | 0.731 | 
| 1.343 | 0.731 | 0.731 | -0.000 | 0.000 | -0.000 | 
| 0.731 | 1.343 | 0.731 | 0.000 | -0.000 | 0.000 | 
| 0.731 | 0.731 | 1.343 | -0.000 | 0.000 | -0.000 | 
| 0.000 | -0.000 | -0.000 | 0.731 | 0.000 | 0.000 | 
| -0.000 | 0.000 | -0.000 | 0.000 | 0.731 | 0.000 | 
| -0.000 | -0.000 | 0.000 | 0.000 | 0.000 | 0.731 | 
| 1718.644 | 1044.184 | 1044.184 | 0.000 | -0.000 | -0.000 | 
| 1044.183 | 1718.644 | 1044.184 | -0.000 | -0.000 | -0.000 | 
| 1044.184 | 1044.184 | 1718.644 | -0.000 | -0.000 | -0.000 | 
| 0.297 | -0.214 | -0.214 | -107.481 | -0.000 | -0.000 | 
| -0.214 | 0.297 | -0.214 | -0.000 | -107.481 | -0.000 | 
| -0.214 | -0.214 | 0.297 | -0.000 | -0.000 | -107.482 | 
| 1834.321 | 986.737 | 986.737 | 0.000 | 0.000 | -0.000 | 
| 986.738 | 1834.321 | 986.737 | 0.000 | 0.000 | 0.000 | 
| 986.738 | 986.737 | 1834.321 | 0.000 | 0.000 | 0.000 | 
| -0.297 | 0.214 | 0.214 | -107.481 | 0.000 | 0.000 | 
| 0.214 | -0.297 | 0.214 | 0.000 | -107.481 | 0.000 | 
| 0.214 | 0.214 | -0.297 | 0.000 | 0.000 | -107.481 | 
| 1718.894 | 1044.177 | 1044.177 | -0.000 | -0.000 | -0.000 | 
| 1044.177 | 1718.894 | 1044.177 | -0.000 | -0.000 | 0.000 | 
| 1044.177 | 1044.177 | 1718.894 | -0.000 | 0.000 | -0.000 | 
| 0.536 | -0.274 | -0.274 | -398.803 | -0.000 | 0.000 | 
| -0.274 | 0.536 | -0.274 | -0.000 | -398.803 | -0.000 | 
| -0.274 | -0.274 | 0.536 | -0.000 | -0.000 | -398.803 | 
| 1717.517 | 1044.903 | 1044.903 | 0.000 | 0.000 | 0.000 | 
| 1044.913 | 1717.496 | 1044.913 | 0.000 | 0.000 | 0.000 | 
| 1044.903 | 1044.903 | 1717.517 | 0.000 | 0.000 | 0.000 | 
| -0.536 | 0.274 | 0.274 | -398.803 | 0.000 | 0.000 | 
| 0.274 | -0.536 | 0.274 | 0.000 | -398.803 | 0.000 | 
| 0.274 | 0.274 | -0.536 | 0.000 | 0.000 | -398.803 | 
| 1718.934 | 1044.180 | 1044.180 | -0.000 | -0.000 | -0.000 | 
| 1044.180 | 1718.934 | 1044.180 | -0.000 | -0.000 | -0.000 | 
| 1044.180 | 1044.180 | 1718.934 | -0.000 | -0.000 | 0.000 | 
| 0.554 | -0.267 | -0.268 | -398.796 | -0.000 | -0.000 | 
| -0.267 | 0.554 | -0.268 | -0.000 | -398.796 | -0.000 | 
| -0.267 | -0.268 | 0.554 | -0.000 | -0.000 | -398.796 | 
| 1717.654 | 1044.800 | 1044.800 | 0.000 | 0.000 | 0.000 | 
| 1044.800 | 1717.654 | 1044.800 | 0.000 | 0.000 | -0.000 | 
| 1044.800 | 1044.800 | 1717.654 | 0.000 | 0.000 | 0.000 | 
| -0.554 | 0.267 | 0.268 | -398.796 | 0.000 | 0.000 | 
| 0.267 | -0.554 | 0.268 | 0.000 | -398.796 | 0.000 | 
| 0.267 | 0.268 | -0.554 | 0.000 | 0.000 | -398.796 | 
| 5452.249 | 2679.262 | 2679.262 | -0.000 | -0.000 | -0.000 | 
| 2679.262 | 5452.249 | 2679.262 | -0.000 | -0.000 | -0.000 | 
| 2679.262 | 2679.262 | 5452.249 | -0.000 | -0.000 | -0.000 | 
| -0.000 | 0.000 | -0.000 | 318.408 | -0.000 | -0.000 | 
| 0.000 | -0.000 | -0.000 | 0.000 | 318.408 | -0.000 | 
| -0.000 | 0.000 | -0.000 | 0.000 | -0.000 | 318.408 | 
| 5452.250 | 2679.261 | 2679.261 | 0.000 | 0.000 | 0.000 | 
| 2679.261 | 5452.250 | 2679.261 | -0.000 | 0.000 | -0.000 | 
| 2679.261 | 2679.261 | 5452.250 | 0.000 | 0.000 | 0.000 | 
| 0.000 | -0.000 | 0.000 | 318.408 | -0.000 | 0.000 | 
| 0.000 | 0.000 | 0.000 | 0.000 | 318.408 | 0.000 | 
| 0.000 | 0.000 | -0.000 | 0.000 | 0.000 | 318.408 | 
| 6031.792 | 2389.496 | 2389.496 | -0.000 | -0.000 | -0.000 | 
| 2389.496 | 6031.792 | 2389.496 | 0.000 | -0.000 | -0.000 | 
| 2389.496 | 2389.496 | 6031.792 | -0.000 | -0.000 | 0.000 | 
| 0.002 | -0.001 | -0.001 | 860.831 | -0.000 | -0.000 | 
| -0.001 | 0.002 | -0.001 | 0.000 | 860.831 | -0.000 | 
| -0.001 | -0.001 | 0.002 | 0.000 | -0.000 | 860.831 | 
| 5452.219 | 2679.272 | 2679.272 | -0.000 | 0.000 | 0.000 | 
| 2679.272 | 5452.219 | 2679.272 | -0.000 | 0.000 | 0.000 | 
| 2679.272 | 2679.272 | 5452.219 | -0.000 | 0.000 | 0.000 | 
| -0.002 | 0.001 | 0.001 | 860.831 | 0.000 | 0.000 | 
| 0.001 | -0.002 | 0.001 | 0.000 | 860.831 | 0.000 | 
| 0.001 | 0.001 | -0.002 | 0.000 | 0.000 | 860.831 | 
| 5452.205 | 2679.333 | 2679.333 | -0.000 | -0.000 | -0.000 | 
| 2679.333 | 5452.205 | 2679.333 | -0.000 | -0.000 | -0.000 | 
| 2679.333 | 2679.333 | 5452.205 | 0.000 | -0.000 | -0.000 | 
| -0.008 | 0.001 | 0.000 | 318.404 | -0.000 | -0.000 | 
| 0.001 | -0.008 | 0.000 | -0.000 | 318.404 | -0.000 | 
| 0.001 | 0.000 | -0.008 | -0.000 | -0.000 | 318.404 | 
| 5452.292 | 2679.191 | 2679.191 | 0.000 | 0.000 | 0.000 | 
| 2679.191 | 5452.292 | 2679.191 | -0.000 | 0.000 | 0.000 | 
| 2679.191 | 2679.191 | 5452.292 | -0.000 | 0.000 | 0.000 | 
| 0.008 | -0.001 | -0.000 | 318.404 | 0.000 | 0.000 | 
| -0.001 | 0.008 | -0.000 | 0.000 | 318.404 | 0.000 | 
| -0.001 | -0.000 | 0.008 | 0.000 | 0.000 | 318.404 | 
| 1.667 | 0.115 | 0.115 | -0.000 | -0.000 | 0.000 | 
| 0.115 | 1.667 | 0.115 | -0.000 | -0.000 | 0.000 | 
| 0.115 | 0.115 | 1.667 | 0.000 | -0.000 | 0.000 | 
| -0.000 | 0.000 | -0.000 | 0.106 | -0.000 | 0.000 | 
| 0.000 | -0.000 | -0.000 | 0.000 | 0.106 | 0.000 | 
| 0.000 | -0.000 | -0.000 | -0.000 | -0.000 | 0.106 | 
| 1.673 | 0.112 | 0.112 | 0.000 | 0.000 | 0.000 | 
| 0.112 | 1.673 | 0.112 | 0.000 | 0.000 | -0.000 | 
| 0.112 | 0.112 | 1.673 | -0.000 | 0.000 | -0.000 | 
| 0.000 | -0.000 | 0.000 | 0.106 | 0.000 | -0.000 | 
| -0.000 | 0.000 | -0.000 | 0.000 | 0.106 | -0.000 | 
| 0.000 | -0.000 | 0.000 | 0.000 | 0.000 | 0.106 | 
| 1.667 | 0.115 | 0.115 | -0.000 | -0.000 | 0.000 | 
| 0.115 | 1.667 | 0.115 | -0.000 | -0.000 | -0.000 | 
| 0.115 | 0.115 | 1.667 | 0.000 | 0.000 | -0.000 | 
| 0.000 | 0.000 | 0.000 | 0.106 | -0.000 | 0.000 | 
| 0.000 | 0.000 | 0.000 | 0.000 | 0.106 | 0.000 | 
| 0.000 | 0.000 | 0.000 | -0.000 | -0.000 | 0.106 | 
| 1.673 | 0.112 | 0.112 | 0.000 | 0.000 | -0.000 | 
| 0.112 | 1.673 | 0.112 | 0.000 | 0.000 | -0.000 | 
| 0.112 | 0.112 | 1.673 | -0.000 | -0.000 | -0.000 | 
| -0.000 | -0.000 | -0.000 | 0.106 | 0.000 | -0.000 | 
| -0.000 | -0.000 | -0.000 | -0.000 | 0.106 | -0.000 | 
| -0.000 | -0.000 | -0.000 | 0.000 | 0.000 | 0.106 | 
| 1.663 | 0.117 | 0.117 | 0.000 | -0.000 | 0.000 | 
| 0.117 | 1.663 | 0.117 | -0.000 | -0.000 | 0.000 | 
| 0.117 | 0.117 | 1.663 | 0.000 | 0.000 | 0.000 | 
| 0.000 | 0.000 | 0.000 | 0.088 | -0.000 | 0.000 | 
| 0.000 | 0.000 | 0.000 | 0.000 | 0.088 | -0.000 | 
| 0.000 | 0.000 | 0.000 | -0.000 | -0.000 | 0.088 | 
| 1.673 | 0.112 | 0.112 | 0.000 | 0.000 | -0.000 | 
| 0.112 | 1.673 | 0.112 | 0.000 | 0.000 | -0.000 | 
| 0.112 | 0.112 | 1.673 | -0.000 | 0.000 | -0.000 | 
| -0.000 | -0.000 | -0.000 | 0.088 | -0.000 | -0.000 | 
| -0.000 | -0.000 | -0.000 | -0.000 | 0.088 | -0.000 | 
| -0.000 | -0.000 | -0.000 | 0.000 | 0.000 | 0.088 | 
| 4662.144 | 765.599 | 765.599 | -0.000 | -0.000 | -0.000 | 
| 765.599 | 4662.144 | 765.599 | -0.000 | -0.000 | -0.000 | 
| 765.599 | 765.599 | 4662.144 | -0.000 | 0.000 | 0.000 | 
| 2.271 | -1.928 | -1.928 | -66.657 | -0.000 | -0.000 | 
| -1.928 | 2.271 | -1.928 | -0.000 | -66.657 | -0.000 | 
| -1.928 | -1.928 | 2.271 | -0.000 | -0.000 | -66.657 | 
| 4665.308 | 768.768 | 768.768 | 0.000 | 0.000 | 0.000 | 
| 768.768 | 4665.308 | 768.768 | 0.000 | 0.000 | -0.000 | 
| 768.768 | 768.768 | 4665.308 | 0.000 | 0.000 | -0.000 | 
| -2.271 | 1.928 | 1.928 | -66.657 | 0.000 | 0.000 | 
| 1.928 | -2.271 | 1.928 | -0.000 | -66.657 | 0.000 | 
| 1.928 | 1.928 | -2.272 | -0.000 | -0.000 | -66.657 | 
| 4669.105 | 764.981 | 764.981 | -0.000 | -0.000 | 0.000 | 
| 764.981 | 4669.105 | 764.981 | -0.000 | 0.000 | -0.000 | 
| 764.981 | 764.981 | 4669.105 | -0.000 | -0.000 | -0.000 | 
| 0.227 | -0.193 | -0.193 | -61.409 | 0.000 | -0.000 | 
| -0.193 | 0.227 | -0.193 | 0.000 | -61.409 | -0.000 | 
| -0.193 | -0.193 | 0.227 | -0.000 | 0.000 | -61.409 | 
| 4669.377 | 765.297 | 765.297 | 0.000 | -0.000 | 0.000 | 
| 765.297 | 4669.377 | 765.297 | -0.000 | 0.000 | 0.000 | 
| 765.297 | 765.297 | 4669.377 | -0.000 | -0.000 | 0.000 | 
| -0.227 | 0.193 | 0.193 | -61.409 | -0.000 | -0.000 | 
| 0.193 | -0.227 | 0.193 | -0.000 | -61.409 | 0.000 | 
| 0.193 | 0.193 | -0.227 | -0.000 | -0.000 | -61.409 | 
| 4670.001 | 764.920 | 764.920 | -0.000 | 0.000 | 0.000 | 
| 764.920 | 4670.001 | 764.920 | 0.000 | 0.000 | -0.000 | 
| 764.920 | 764.920 | 4670.001 | -0.000 | -0.000 | -0.000 | 
| 0.025 | -0.019 | -0.021 | -60.884 | -0.000 | -0.000 | 
| -0.019 | 0.025 | -0.021 | -0.000 | -60.884 | -0.000 | 
| -0.019 | -0.021 | 0.025 | -0.000 | 0.000 | -60.884 | 
| 4669.583 | 764.949 | 764.949 | 0.000 | 0.000 | 0.000 | 
| 764.949 | 4669.583 | 764.949 | 0.000 | -0.000 | 0.000 | 
| 764.949 | 764.949 | 4669.583 | 0.000 | -0.000 | 0.000 | 
| -0.025 | 0.019 | 0.021 | -60.884 | -0.000 | 0.000 | 
| 0.019 | -0.025 | 0.021 | -0.000 | -60.884 | 0.000 | 
| 0.019 | 0.021 | -0.025 | 0.000 | -0.000 | -60.884 | 
| 0.428 | 0.734 | 0.734 | 0.000 | -0.000 | -0.000 | 
| 0.734 | 0.428 | 0.734 | 0.000 | 0.000 | 0.000 | 
| 0.734 | 0.734 | 0.428 | 0.000 | -0.000 | 0.000 | 
| 0.000 | -0.000 | 0.000 | 0.734 | 0.000 | 0.000 | 
| 0.000 | 0.000 | 0.000 | 0.000 | 0.734 | -0.000 | 
| 0.000 | 0.000 | 0.000 | 0.000 | -0.000 | 0.734 | 
| 0.428 | 0.734 | 0.734 | -0.000 | 0.000 | 0.000 | 
| 0.734 | 0.428 | 0.734 | -0.000 | -0.000 | 0.000 | 
| 0.734 | 0.734 | 0.428 | -0.000 | 0.000 | -0.000 | 
| -0.000 | 0.000 | 0.000 | 0.734 | -0.000 | 0.000 | 
| -0.000 | -0.000 | -0.000 | -0.000 | 0.734 | 0.000 | 
| 0.000 | -0.000 | -0.000 | -0.000 | 0.000 | 0.734 | 
| 0.428 | 0.734 | 0.734 | 0.000 | -0.000 | -0.000 | 
| 0.734 | 0.428 | 0.734 | 0.000 | 0.000 | -0.000 | 
| 0.734 | 0.734 | 0.428 | 0.000 | -0.000 | 0.000 | 
| 0.000 | -0.000 | 0.000 | 0.734 | -0.000 | -0.000 | 
| -0.000 | 0.000 | 0.000 | 0.000 | 0.734 | -0.000 | 
| -0.000 | 0.000 | 0.000 | 0.000 | -0.000 | 0.734 | 
| 0.428 | 0.734 | 0.734 | -0.000 | 0.000 | 0.000 | 
| 0.734 | 0.428 | 0.734 | -0.000 | -0.000 | 0.000 | 
| 0.734 | 0.734 | 0.428 | -0.000 | 0.000 | -0.000 | 
| -0.000 | 0.000 | -0.000 | 0.734 | 0.000 | 0.000 | 
| 0.000 | -0.000 | -0.000 | -0.000 | 0.734 | 0.000 | 
| 0.000 | -0.000 | -0.000 | -0.000 | 0.000 | 0.734 | 
| 0.428 | 0.734 | 0.734 | 0.000 | -0.000 | -0.000 | 
| 0.734 | 0.428 | 0.734 | 0.000 | -0.000 | -0.000 | 
| 0.734 | 0.734 | 0.428 | 0.000 | -0.000 | -0.000 | 
| 0.000 | -0.000 | 0.000 | 0.734 | 0.000 | -0.000 | 
| -0.000 | 0.000 | 0.000 | 0.000 | 0.734 | -0.000 | 
| -0.000 | 0.000 | 0.000 | 0.000 | -0.000 | 0.734 | 
| 0.428 | 0.734 | 0.734 | -0.000 | 0.000 | 0.000 | 
| 0.734 | 0.428 | 0.734 | -0.000 | -0.000 | 0.000 | 
| 0.734 | 0.734 | 0.428 | -0.000 | 0.000 | -0.000 | 
| -0.000 | 0.000 | -0.000 | 0.734 | 0.000 | 0.000 | 
| 0.000 | -0.000 | -0.000 | -0.000 | 0.734 | 0.000 | 
| 0.000 | -0.000 | -0.000 | -0.000 | 0.000 | 0.734 | 
| 2173.261 | 1295.945 | 1016.304 | -0.002 | -0.000 | -0.450 | 
| 1226.344 | 2242.908 | 1016.326 | 0.000 | 0.011 | 0.099 | 
| 1016.504 | 1016.512 | 2457.119 | -0.000 | 0.000 | 0.001 | 
| 6.001 | -6.362 | -0.181 | 320.283 | 0.011 | 0.097 | 
| 5.734 | -6.129 | -0.198 | 0.000 | 323.531 | 0.022 | 
| -25.936 | 25.540 | -0.198 | 0.000 | 0.012 | 535.178 | 
| 2157.616 | 1312.360 | 1016.688 | -0.004 | -0.017 | -0.040 | 
| 1177.402 | 2292.572 | 1016.688 | -0.000 | -0.011 | -0.099 | 
| 1016.510 | 1016.502 | 2457.117 | -0.000 | -0.000 | -0.001 | 
| -6.001 | 6.362 | 0.181 | 320.283 | -0.011 | -0.097 | 
| -5.734 | 6.129 | 0.198 | -0.000 | 323.508 | -0.022 | 
| 25.936 | -25.540 | 0.198 | -0.000 | -0.012 | 535.132 | 
| 2145.147 | 1324.431 | 1016.489 | 0.000 | 0.001 | 0.008 | 
| 1362.329 | 2107.248 | 1016.489 | 0.000 | 0.001 | 0.010 | 
| 1016.507 | 1016.508 | 2457.118 | 0.000 | -0.000 | 0.000 | 
| 0.600 | -0.636 | -0.018 | 301.454 | 0.001 | 0.010 | 
| 0.573 | -0.613 | -0.020 | 0.000 | 301.779 | 0.002 | 
| -31.427 | 31.387 | -0.020 | 0.000 | 0.001 | 391.822 | 
| 2107.284 | 1362.366 | 1016.526 | -0.000 | -0.001 | -0.010 | 
| 1195.675 | 2273.974 | 1016.525 | -0.000 | -0.001 | -0.010 | 
| 1016.507 | 1016.507 | 2457.117 | -0.000 | 0.000 | -0.000 | 
| -0.600 | 0.636 | 0.018 | 301.454 | -0.001 | -0.010 | 
| -0.573 | 0.613 | 0.020 | -0.000 | 301.776 | -0.002 | 
| 31.427 | -31.387 | 0.020 | -0.000 | -0.001 | 391.815 | 
| 2272.115 | 1197.501 | 1016.507 | 0.000 | 0.000 | 0.001 | 
| 1234.675 | 2234.941 | 1016.508 | 0.000 | 0.000 | 0.001 | 
| 1016.509 | 1016.509 | 2457.122 | 0.000 | -0.000 | 0.000 | 
| 0.060 | -0.064 | -0.001 | 299.571 | 0.000 | 0.001 | 
| 0.057 | -0.061 | -0.001 | 0.000 | 299.603 | 0.000 | 
| -32.026 | 32.022 | -0.001 | -0.000 | 0.000 | 518.741 | 
| 2104.732 | 1364.880 | 1016.508 | -0.000 | -0.000 | -0.000 | 
| 1197.500 | 2272.110 | 1016.507 | -0.000 | -0.000 | -0.001 | 
| 1016.505 | 1016.505 | 2457.113 | -0.000 | 0.000 | -0.000 | 
| -0.060 | 0.064 | 0.001 | 299.571 | -0.000 | -0.001 | 
| -0.057 | 0.061 | 0.001 | -0.000 | 299.603 | -0.000 | 
| 32.026 | -32.022 | 0.001 | -0.000 | -0.000 | 518.741 | 
| 131.373 | -1063.036 | 1345.293 | 0.000 | -0.000 | 0.000 | 
| -1063.036 | 131.373 | 1345.293 | 0.000 | 0.000 | 0.000 | 
| 1345.299 | 1345.294 | 429.670 | 0.000 | -0.000 | -0.001 | 
| 0.003 | -0.003 | 0.000 | -772.437 | -0.000 | -0.001 | 
| 0.000 | 0.000 | 0.000 | 0.000 | -772.437 | 0.000 | 
| -0.000 | -0.000 | 0.000 | 0.000 | -0.000 | 597.205 | 
| -321.287 | -610.377 | 1345.293 | 0.000 | -0.000 | -0.000 | 
| -1063.036 | 131.373 | 1345.293 | -0.000 | 0.000 | -0.000 | 
| 1345.297 | 1345.297 | 429.670 | -0.000 | -0.000 | -0.000 | 
| -0.002 | 0.001 | -0.000 | -772.437 | 0.000 | 0.001 | 
| -0.000 | -0.000 | -0.000 | -0.000 | -772.437 | -0.000 | 
| -0.000 | 0.000 | -0.000 | -0.000 | 0.000 | 597.204 | 
| -321.272 | -610.390 | 1345.293 | 0.000 | 0.000 | 0.000 | 
| -1063.035 | 131.373 | 1345.294 | 0.000 | -0.000 | 0.000 | 
| 1345.298 | 1345.297 | 429.669 | 0.000 | -0.000 | -0.000 | 
| 0.000 | 0.001 | 0.000 | -772.437 | 0.000 | 0.000 | 
| 0.001 | 0.000 | 0.000 | 0.000 | -772.437 | 0.000 | 
| -0.000 | -0.000 | 0.000 | 0.000 | -0.000 | 597.204 | 
| -321.286 | -610.379 | 1345.293 | -0.000 | 0.000 | -0.000 | 
| -610.375 | -321.290 | 1345.293 | -0.000 | -0.000 | -0.000 | 
| 1345.296 | 1345.296 | 429.670 | -0.000 | -0.000 | -0.000 | 
| -0.000 | -0.001 | -0.000 | -772.437 | -0.000 | -0.000 | 
| -0.001 | -0.000 | -0.000 | 0.000 | -772.437 | -0.000 | 
| 0.000 | 0.000 | -0.000 | -0.000 | -0.000 | 597.204 | 
| -321.299 | -610.352 | 1345.294 | -0.000 | -0.000 | 0.000 | 
| -1063.029 | 131.373 | 1345.296 | 0.000 | -0.000 | 0.000 | 
| 1345.303 | 1345.303 | 429.668 | 0.000 | -0.000 | -0.000 | 
| 0.003 | 0.005 | 0.001 | -772.437 | 0.000 | 0.000 | 
| 0.006 | 0.002 | 0.001 | 0.000 | -772.437 | 0.000 | 
| 0.001 | -0.000 | -0.001 | 0.000 | 0.000 | 144.545 | 
| -321.275 | -610.402 | 1345.293 | -0.000 | -0.000 | -0.000 | 
| -610.413 | -321.263 | 1345.293 | 0.000 | 0.000 | -0.000 | 
| 1345.291 | 1345.291 | 429.671 | -0.000 | -0.000 | -0.000 | 
| -0.003 | -0.005 | -0.001 | -772.437 | -0.000 | -0.000 | 
| -0.006 | -0.002 | -0.001 | -0.000 | -772.437 | -0.000 | 
| -0.001 | 0.000 | 0.001 | -0.000 | 0.000 | 144.545 | 
| 1.767 | 0.589 | 0.448 | -0.000 | -0.000 | 0.000 | 
| 0.591 | 1.765 | 0.448 | -0.000 | 0.000 | 0.000 | 
| 0.448 | 0.448 | 1.909 | 0.000 | -0.000 | 0.000 | 
| 0.000 | -0.000 | 0.000 | 0.448 | -0.000 | 0.000 | 
| -0.000 | 0.000 | 0.000 | -0.000 | 0.448 | 0.000 | 
| -0.000 | 0.000 | -0.000 | -0.000 | -0.000 | 0.587 | 
| 1.767 | 0.589 | 0.448 | 0.000 | 0.000 | -0.000 | 
| 0.589 | 1.767 | 0.448 | 0.000 | 0.000 | -0.000 | 
| 0.448 | 0.448 | 1.909 | 0.000 | 0.000 | -0.000 | 
| -0.000 | 0.000 | -0.000 | 0.448 | -0.000 | -0.000 | 
| 0.000 | -0.000 | -0.000 | 0.000 | 0.448 | 0.000 | 
| 0.000 | -0.000 | 0.000 | 0.000 | 0.000 | 0.587 | 
| 1.767 | 0.589 | 0.448 | -0.000 | 0.000 | 0.000 | 
| 0.589 | 1.767 | 0.448 | -0.000 | 0.000 | 0.000 | 
| 0.448 | 0.448 | 1.909 | -0.000 | 0.000 | -0.000 | 
| 0.000 | -0.000 | 0.000 | 0.448 | -0.000 | 0.000 | 
| -0.000 | 0.000 | 0.000 | -0.000 | 0.448 | 0.000 | 
| -0.000 | 0.000 | 0.000 | -0.000 | -0.000 | 0.587 | 
| 1.765 | 0.591 | 0.448 | 0.000 | -0.000 | -0.000 | 
| 0.591 | 1.765 | 0.448 | 0.000 | -0.000 | -0.000 | 
| 0.448 | 0.448 | 1.909 | 0.000 | -0.000 | -0.000 | 
| -0.000 | 0.000 | -0.000 | 0.448 | -0.000 | -0.000 | 
| 0.000 | -0.000 | -0.000 | 0.000 | 0.448 | 0.000 | 
| 0.000 | -0.000 | -0.000 | 0.000 | 0.000 | 0.587 | 
| 1.767 | 0.589 | 0.448 | -0.000 | 0.000 | -0.000 | 
| 0.591 | 1.765 | 0.448 | -0.000 | -0.000 | 0.000 | 
| 0.448 | 0.448 | 1.909 | -0.000 | -0.000 | 0.000 | 
| 0.000 | -0.000 | 0.000 | 0.448 | -0.000 | 0.000 | 
| -0.000 | 0.000 | 0.000 | -0.000 | 0.448 | 0.000 | 
| -0.000 | 0.000 | 0.000 | -0.000 | -0.000 | 0.589 | 
| 1.767 | 0.589 | 0.448 | 0.000 | 0.000 | 0.000 | 
| 0.589 | 1.767 | 0.448 | 0.000 | -0.000 | -0.000 | 
| 0.448 | 0.448 | 1.909 | 0.000 | -0.000 | -0.000 | 
| -0.000 | 0.000 | -0.000 | 0.448 | -0.000 | -0.000 | 
| 0.000 | -0.000 | -0.000 | 0.000 | 0.448 | -0.000 | 
| 0.000 | -0.000 | -0.000 | 0.000 | -0.000 | 0.589 | 
| 755.809 | 820.489 | -0.051 | -0.000 | -0.000 | 0.000 | 
| 877.307 | 698.991 | -0.051 | -0.000 | -0.000 | 0.000 | 
| -0.051 | -0.051 | 23.866 | 0.000 | 0.000 | 0.000 | 
| -0.000 | -0.000 | 0.000 | -0.051 | -0.000 | 0.000 | 
| -0.000 | -0.000 | -0.000 | -0.000 | -0.051 | 0.000 | 
| -49.205 | 49.205 | 0.000 | -0.000 | 0.000 | -60.749 | 
| 698.991 | 877.307 | -0.051 | 0.000 | -0.000 | -0.000 | 
| 820.489 | 755.809 | -0.051 | 0.000 | 0.000 | -0.000 | 
| -0.051 | -0.051 | 23.866 | 0.000 | -0.000 | -0.000 | 
| 0.000 | -0.000 | -0.000 | -0.051 | 0.000 | -0.000 | 
| 0.000 | 0.000 | 0.000 | 0.000 | -0.051 | -0.000 | 
| 49.205 | -49.205 | 0.000 | -0.000 | -0.000 | -60.749 | 
| 755.809 | 820.490 | -0.051 | 0.000 | -0.000 | 0.000 | 
| 877.307 | 698.991 | -0.051 | -0.000 | -0.000 | 0.000 | 
| -0.051 | -0.051 | 23.866 | 0.000 | 0.000 | 0.000 | 
| -0.000 | -0.000 | 0.000 | -0.051 | -0.000 | 0.000 | 
| -0.000 | -0.000 | 0.000 | 0.000 | -0.051 | 0.000 | 
| -49.205 | 49.206 | 0.000 | -0.000 | -0.000 | -60.749 | 
| 698.991 | 877.307 | -0.051 | 0.000 | 0.000 | -0.000 | 
| 820.489 | 755.808 | -0.051 | -0.000 | 0.000 | -0.000 | 
| -0.051 | -0.051 | 23.866 | -0.000 | 0.000 | -0.000 | 
| 0.000 | -0.000 | -0.000 | -0.051 | 0.000 | -0.000 | 
| 0.000 | 0.000 | -0.000 | 0.000 | -0.051 | -0.000 | 
| 49.205 | -49.206 | -0.000 | 0.000 | 0.000 | -60.749 | 
| 755.810 | 820.491 | -0.051 | -0.000 | 0.000 | 0.000 | 
| 877.308 | 698.992 | -0.051 | 0.000 | -0.000 | 0.000 | 
| -0.051 | -0.051 | 23.867 | -0.000 | -0.000 | 0.000 | 
| 0.000 | 0.000 | 0.000 | -0.051 | -0.000 | 0.000 | 
| 0.000 | 0.000 | 0.000 | 0.000 | -0.051 | 0.000 | 
| -49.205 | 49.206 | 0.000 | 0.000 | 0.000 | -60.750 | 
| 698.988 | 877.307 | -0.051 | 0.000 | 0.000 | -0.000 | 
| 820.490 | 755.805 | -0.051 | 0.000 | -0.000 | -0.000 | 
| -0.051 | -0.051 | 23.866 | -0.000 | 0.000 | -0.000 | 
| -0.000 | -0.000 | -0.000 | -0.051 | 0.000 | -0.000 | 
| -0.000 | -0.000 | -0.000 | -0.000 | -0.051 | -0.000 | 
| 49.205 | -49.206 | -0.000 | -0.000 | 0.000 | -60.750 | 
| 2283.655 | 1185.821 | 1013.447 | 0.002 | -0.002 | 0.035 | 
| 1225.234 | 2244.242 | 1013.447 | 0.002 | -0.002 | 0.035 | 
| 1013.391 | 1013.391 | 2462.827 | -0.000 | 0.000 | 0.000 | 
| 1.139 | -1.028 | 0.056 | 328.006 | -0.031 | -0.676 | 
| 1.338 | -1.189 | 0.075 | 0.004 | 331.217 | -0.371 | 
| -30.561 | 30.711 | 0.075 | 0.004 | -0.013 | 531.005 | 
| 2129.191 | 1340.054 | 1013.331 | -0.008 | 0.028 | 0.543 | 
| 1185.710 | 2283.544 | 1013.336 | -0.002 | 0.002 | -0.035 | 
| 1013.391 | 1013.391 | 2462.827 | 0.000 | -0.000 | -0.000 | 
| -1.138 | 1.027 | -0.055 | 327.992 | -0.011 | 0.682 | 
| -1.338 | 1.189 | -0.075 | -0.004 | 331.244 | 0.371 | 
| 30.561 | -30.711 | -0.075 | -0.004 | 0.013 | 531.722 | 
| 2270.052 | 1199.324 | 1013.397 | 0.000 | -0.000 | 0.004 | 
| 1236.687 | 2232.689 | 1013.397 | 0.000 | -0.000 | 0.003 | 
| 1013.392 | 1013.392 | 2462.828 | -0.000 | 0.000 | 0.000 | 
| 0.114 | -0.103 | 0.006 | 309.171 | -0.001 | -0.069 | 
| 0.121 | -0.106 | 0.008 | 0.000 | 309.492 | -0.035 | 
| -32.046 | 32.061 | 0.008 | 0.000 | -0.001 | 389.090 | 
| 2232.678 | 1236.676 | 1013.386 | -0.000 | 0.000 | -0.003 | 
| 1199.313 | 2270.040 | 1013.386 | -0.000 | 0.000 | -0.004 | 
| 1013.391 | 1013.391 | 2462.827 | 0.000 | -0.000 | -0.000 | 
| -0.114 | 0.103 | -0.006 | 309.169 | 0.000 | 0.069 | 
| -0.121 | 0.106 | -0.008 | -0.000 | 309.495 | 0.035 | 
| 32.046 | -32.061 | -0.008 | -0.000 | 0.001 | 389.154 | 
| 2268.695 | 1200.677 | 1013.394 | 0.000 | -0.000 | 0.000 | 
| 1237.835 | 2231.537 | 1013.394 | 0.000 | -0.000 | 0.000 | 
| 1013.393 | 1013.393 | 2462.832 | -0.000 | 0.000 | 0.000 | 
| 0.012 | -0.011 | 0.001 | 307.288 | -0.000 | -0.007 | 
| 0.012 | -0.010 | 0.001 | 0.000 | 307.320 | -0.003 | 
| -32.144 | 32.146 | 0.002 | 0.000 | -0.000 | 515.447 | 
| 2231.528 | 1237.830 | 1013.389 | -0.000 | 0.000 | -0.000 | 
| 1200.671 | 2268.686 | 1013.389 | -0.000 | 0.000 | -0.000 | 
| 1013.390 | 1013.390 | 2462.823 | -0.000 | -0.000 | -0.000 | 
| -0.012 | 0.011 | -0.001 | 307.287 | 0.000 | 0.007 | 
| -0.012 | 0.010 | -0.001 | -0.000 | 307.320 | 0.003 | 
| 32.144 | -32.146 | -0.002 | -0.000 | 0.000 | 515.454 | 
| 1.767 | 0.589 | 0.448 | -0.000 | -0.000 | 0.000 | 
| 0.593 | 1.763 | 0.448 | -0.000 | 0.000 | -0.000 | 
| 0.448 | 0.448 | 1.909 | -0.000 | 0.000 | 0.000 | 
| -0.000 | 0.000 | 0.000 | 0.448 | -0.000 | 0.000 | 
| -0.000 | 0.000 | 0.000 | 0.000 | 0.448 | -0.000 | 
| -0.000 | 0.000 | -0.000 | 0.000 | -0.000 | 0.589 | 
| 1.767 | 0.589 | 0.448 | -0.000 | 0.000 | -0.000 | 
| 0.589 | 1.767 | 0.448 | 0.000 | 0.000 | -0.000 | 
| 0.448 | 0.448 | 1.909 | 0.000 | 0.000 | -0.000 | 
| 0.000 | -0.000 | -0.000 | 0.448 | 0.000 | -0.000 | 
| 0.000 | -0.000 | -0.000 | 0.000 | 0.448 | -0.000 | 
| 0.000 | -0.000 | 0.000 | 0.000 | 0.000 | 0.589 | 
| 1.767 | 0.589 | 0.448 | -0.000 | -0.000 | 0.000 | 
| 0.589 | 1.767 | 0.448 | -0.000 | -0.000 | 0.000 | 
| 0.448 | 0.448 | 1.909 | -0.000 | -0.000 | 0.000 | 
| 0.000 | -0.000 | 0.000 | 0.448 | -0.000 | 0.000 | 
| -0.000 | 0.000 | 0.000 | -0.000 | 0.448 | -0.000 | 
| -0.000 | 0.000 | 0.000 | -0.000 | 0.000 | 0.585 | 
| 1.763 | 0.593 | 0.448 | 0.000 | 0.000 | -0.000 | 
| 0.593 | 1.763 | 0.448 | -0.000 | 0.000 | -0.000 | 
| 0.448 | 0.448 | 1.909 | 0.000 | 0.000 | -0.000 | 
| -0.000 | 0.000 | -0.000 | 0.448 | 0.000 | -0.000 | 
| 0.000 | -0.000 | -0.000 | 0.000 | 0.448 | -0.000 | 
| 0.000 | -0.000 | -0.000 | 0.000 | 0.000 | 0.585 | 
| 1.764 | 0.593 | 0.448 | -0.000 | -0.000 | 0.000 | 
| 0.593 | 1.764 | 0.448 | -0.000 | -0.000 | 0.000 | 
| 0.448 | 0.448 | 1.909 | -0.000 | -0.000 | 0.000 | 
| 0.000 | -0.000 | 0.000 | 0.448 | -0.000 | 0.000 | 
| -0.000 | 0.000 | 0.000 | -0.000 | 0.448 | -0.000 | 
| -0.000 | 0.000 | 0.000 | -0.000 | -0.000 | 0.585 | 
| 1.763 | 0.593 | 0.448 | 0.000 | 0.000 | -0.000 | 
| 0.589 | 1.767 | 0.448 | 0.000 | 0.000 | -0.000 | 
| 0.448 | 0.448 | 1.909 | 0.000 | 0.000 | -0.000 | 
| -0.000 | 0.000 | -0.000 | 0.448 | 0.000 | -0.000 | 
| 0.000 | -0.000 | -0.000 | 0.000 | 0.448 | -0.000 | 
| 0.000 | -0.000 | -0.000 | 0.000 | 0.000 | 0.585 | 
| 878.330 | 109.868 | 109.868 | 0.000 | -0.000 | -0.000 | 
| 109.868 | 878.330 | 109.868 | 0.000 | 0.000 | -0.000 | 
| 109.868 | 109.867 | 878.329 | 0.000 | -0.000 | -0.000 | 
| 44.992 | -49.841 | -49.841 | 541.336 | 0.000 | -0.000 | 
| -49.841 | 44.992 | -49.841 | 0.000 | 541.335 | 0.000 | 
| -49.841 | -49.841 | 44.992 | 0.000 | 0.000 | 541.335 | 
| 987.710 | 219.248 | 219.248 | -0.000 | 0.000 | 0.000 | 
| 219.248 | 987.710 | 219.248 | -0.000 | -0.000 | 0.001 | 
| 219.248 | 219.248 | 987.710 | -0.000 | 0.000 | -0.000 | 
| -44.992 | 49.841 | 49.841 | 541.335 | -0.000 | 0.000 | 
| 49.841 | -44.992 | 49.841 | -0.000 | 541.335 | -0.000 | 
| 49.841 | 49.841 | -44.992 | -0.000 | -0.000 | 541.336 | 
| 1057.757 | 118.596 | 118.596 | 0.000 | -0.000 | 0.000 | 
| 118.596 | 1057.757 | 118.596 | 0.000 | 0.000 | -0.000 | 
| 118.596 | 118.596 | 1057.757 | 0.000 | 0.000 | 0.000 | 
| 4.499 | -4.984 | -4.984 | 566.951 | -0.000 | -0.000 | 
| -4.984 | 4.499 | -4.984 | 0.000 | 566.951 | -0.000 | 
| -4.984 | -4.984 | 4.499 | 0.000 | 0.000 | 566.951 | 
| 1068.695 | 129.534 | 129.534 | -0.000 | -0.000 | 0.000 | 
| 129.534 | 1068.695 | 129.534 | -0.000 | -0.000 | 0.000 | 
| 129.534 | 129.534 | 1068.695 | -0.000 | -0.000 | -0.000 | 
| -4.499 | 4.984 | 4.984 | 566.951 | -0.000 | -0.000 | 
| 4.984 | -4.499 | 4.984 | -0.000 | 566.951 | 0.000 | 
| 4.984 | 4.984 | -4.499 | -0.000 | -0.000 | 566.951 | 
| 1075.702 | 119.470 | 119.470 | 0.000 | 0.000 | 0.000 | 
| 119.470 | 1075.702 | 119.470 | 0.000 | 0.000 | 0.000 | 
| 119.470 | 119.470 | 1075.702 | 0.000 | -0.000 | -0.000 | 
| 0.450 | -0.498 | -0.497 | 571.814 | -0.000 | -0.000 | 
| -0.498 | 0.450 | -0.497 | 0.000 | 571.814 | -0.000 | 
| -0.498 | -0.497 | 0.450 | 0.000 | 0.000 | 571.814 | 
| 1076.788 | 120.563 | 120.563 | -0.000 | -0.000 | 0.000 | 
| 120.563 | 1076.788 | 120.563 | -0.000 | -0.000 | -0.000 | 
| 120.563 | 120.563 | 1076.788 | -0.000 | -0.000 | 0.000 | 
| -0.450 | 0.498 | 0.497 | 571.814 | -0.000 | 0.000 | 
| 0.498 | -0.450 | 0.497 | -0.000 | 571.814 | 0.000 | 
| 0.498 | 0.497 | -0.450 | -0.000 | -0.000 | 571.814 | 
| 0.140 | 0.140 | 0.140 | 0.000 | -0.000 | -0.000 | 
| 0.140 | 0.140 | 0.140 | -0.000 | 0.000 | -0.000 | 
| 0.140 | 0.140 | 0.140 | -0.000 | -0.000 | 0.000 | 
| 0.000 | 0.000 | 0.000 | 0.140 | 0.000 | -0.000 | 
| 0.000 | 0.000 | 0.000 | 0.000 | 0.140 | -0.000 | 
| 0.000 | 0.000 | 0.000 | 0.000 | -0.000 | 0.140 | 
| 0.140 | 0.140 | 0.140 | 0.000 | 0.000 | 0.000 | 
| 0.140 | 0.140 | 0.140 | 0.000 | 0.000 | 0.000 | 
| 0.140 | 0.140 | 0.140 | -0.000 | -0.000 | 0.000 | 
| -0.000 | -0.000 | -0.000 | 0.140 | 0.000 | 0.000 | 
| -0.000 | -0.000 | -0.000 | 0.000 | 0.140 | 0.000 | 
| -0.000 | -0.000 | -0.000 | 0.000 | 0.000 | 0.140 | 
| 0.140 | 0.140 | 0.140 | 0.000 | -0.000 | -0.000 | 
| 0.140 | 0.140 | 0.140 | -0.000 | 0.000 | -0.000 | 
| 0.140 | 0.140 | 0.140 | 0.000 | 0.000 | 0.000 | 
| 0.000 | 0.000 | 0.000 | 0.140 | -0.000 | -0.000 | 
| 0.000 | 0.000 | 0.000 | -0.000 | 0.140 | -0.000 | 
| 0.000 | 0.000 | 0.000 | -0.000 | -0.000 | 0.140 | 
| 0.140 | 0.140 | 0.140 | 0.000 | -0.000 | -0.000 | 
| 0.140 | 0.140 | 0.140 | -0.000 | 0.000 | -0.000 | 
| 0.140 | 0.140 | 0.140 | -0.000 | -0.000 | 0.000 | 
| -0.000 | -0.000 | -0.000 | 0.140 | -0.000 | -0.000 | 
| -0.000 | -0.000 | -0.000 | -0.000 | 0.140 | -0.000 | 
| -0.000 | -0.000 | -0.000 | -0.000 | 0.000 | 0.140 | 
| 0.140 | 0.140 | 0.140 | 0.000 | -0.000 | -0.000 | 
| 0.140 | 0.140 | 0.140 | -0.000 | 0.000 | -0.000 | 
| 0.140 | 0.140 | 0.140 | 0.000 | 0.000 | 0.000 | 
| 0.000 | 0.000 | 0.000 | 0.116 | -0.000 | 0.000 | 
| 0.000 | 0.000 | 0.000 | -0.000 | 0.116 | 0.000 | 
| 0.000 | 0.000 | 0.000 | -0.000 | 0.000 | 0.116 | 
| 0.140 | 0.140 | 0.140 | -0.000 | 0.000 | -0.000 | 
| 0.140 | 0.140 | 0.140 | 0.000 | -0.000 | -0.000 | 
| 0.140 | 0.140 | 0.140 | 0.000 | 0.000 | -0.000 | 
| -0.000 | -0.000 | -0.000 | 0.116 | -0.000 | -0.000 | 
| -0.000 | -0.000 | -0.000 | -0.000 | 0.116 | -0.000 | 
| -0.000 | -0.000 | -0.000 | -0.000 | -0.000 | 0.116 | 
| 1.243 | -0.055 | -0.005 | 0.000 | 0.000 | -0.000 | 
| -0.055 | 1.243 | -0.005 | -0.000 | 0.000 | -0.000 | 
| -0.005 | -0.005 | 1.389 | 0.000 | 0.000 | 0.000 | 
| 0.000 | -0.000 | -0.000 | -0.021 | -0.000 | -0.000 | 
| 0.000 | -0.000 | -0.000 | 0.000 | -0.021 | -0.000 | 
| 0.000 | -0.000 | -0.000 | 0.000 | 0.000 | -0.071 | 
| 1.243 | -0.055 | -0.005 | -0.000 | -0.000 | -0.000 | 
| -0.055 | 1.243 | -0.005 | -0.000 | 0.000 | 0.000 | 
| -0.005 | -0.005 | 1.389 | -0.000 | -0.000 | -0.000 | 
| -0.000 | 0.000 | 0.000 | -0.021 | 0.000 | 0.000 | 
| -0.000 | 0.000 | 0.000 | -0.000 | -0.021 | 0.000 | 
| -0.000 | 0.000 | 0.000 | -0.000 | -0.000 | -0.071 | 
| 1.243 | -0.055 | -0.005 | 0.000 | 0.000 | 0.000 | 
| -0.055 | 1.243 | -0.005 | -0.000 | -0.000 | -0.000 | 
| -0.005 | -0.005 | 1.389 | -0.000 | 0.000 | -0.000 | 
| -0.000 | 0.000 | -0.000 | -0.005 | 0.000 | -0.000 | 
| 0.000 | -0.000 | -0.000 | -0.000 | -0.005 | -0.000 | 
| -0.000 | -0.000 | -0.000 | 0.000 | 0.000 | -0.071 | 
| 1.259 | -0.071 | -0.005 | -0.000 | -0.000 | 0.000 | 
| -0.071 | 1.259 | -0.005 | -0.000 | -0.000 | 0.000 | 
| -0.005 | -0.005 | 1.389 | 0.000 | 0.000 | 0.000 | 
| 0.000 | -0.000 | 0.000 | -0.005 | 0.000 | 0.000 | 
| -0.000 | 0.000 | 0.000 | -0.000 | -0.005 | 0.000 | 
| 0.000 | 0.000 | 0.000 | -0.000 | -0.000 | -0.071 | 
| 1.036 | 0.152 | -0.005 | 0.000 | -0.000 | -0.000 | 
| 0.200 | 0.989 | -0.005 | 0.000 | -0.000 | -0.000 | 
| -0.005 | -0.005 | 1.389 | 0.000 | 0.000 | 0.000 | 
| -0.000 | 0.000 | -0.000 | -0.084 | 0.000 | -0.000 | 
| 0.000 | -0.000 | -0.000 | 0.000 | -0.047 | -0.000 | 
| -0.000 | -0.000 | -0.000 | 0.000 | 0.000 | -0.071 | 
| 1.100 | 0.088 | -0.005 | -0.000 | -0.000 | -0.000 | 
| 0.025 | 1.164 | -0.005 | 0.000 | -0.000 | -0.000 | 
| -0.005 | -0.005 | 1.389 | 0.000 | -0.000 | -0.000 | 
| 0.000 | -0.000 | 0.000 | -0.084 | -0.000 | 0.000 | 
| -0.000 | 0.000 | 0.000 | -0.000 | -0.047 | 0.000 | 
| 0.000 | 0.000 | 0.000 | -0.000 | -0.000 | -0.071 | 
| 125.708 | 723.008 | -0.522 | -0.000 | -0.000 | 0.920 | 
| 722.380 | 125.141 | -0.522 | -0.000 | -0.000 | -2.875 | 
| -0.948 | -0.948 | 25.700 | -0.000 | -0.000 | -3.220 | 
| -0.703 | -0.703 | 0.000 | -0.522 | -0.000 | -4.715 | 
| -0.091 | -0.122 | 0.000 | -0.000 | -0.522 | -2.185 | 
| 2.153 | 2.153 | 0.000 | -0.000 | 0.000 | 2012.867 | 
| 125.257 | 722.542 | -0.522 | -0.000 | 0.000 | 4.082 | 
| 722.581 | 125.281 | -0.522 | 0.000 | 0.000 | 2.530 | 
| -0.096 | -0.096 | 25.700 | 0.000 | -0.000 | 3.220 | 
| -0.043 | -0.043 | -0.000 | -0.522 | 0.000 | 2.990 | 
| 0.006 | 0.037 | 0.000 | 0.000 | -0.522 | 1.265 | 
| -2.153 | -2.153 | -0.000 | 0.000 | -0.000 | 1977.221 | 
| 125.281 | 722.576 | -0.522 | -0.000 | -0.000 | -0.305 | 
| 722.478 | 125.185 | -0.522 | -0.000 | -0.000 | -0.552 | 
| -0.565 | -0.565 | 25.700 | -0.000 | -0.000 | -0.322 | 
| -0.028 | -0.028 | -0.000 | -0.522 | 0.000 | -0.379 | 
| -0.016 | -0.020 | -0.000 | -0.000 | -0.522 | -0.132 | 
| 0.215 | 0.216 | -0.000 | -0.000 | -0.000 | 1582.865 | 
| 125.223 | 722.527 | -0.522 | 0.000 | 0.000 | 0.259 | 
| 722.575 | 125.275 | -0.522 | 0.000 | -0.000 | 0.724 | 
| -0.479 | -0.479 | 25.700 | -0.000 | -0.000 | 0.322 | 
| 0.013 | 0.013 | 0.000 | -0.522 | -0.000 | 0.184 | 
| -0.010 | -0.005 | 0.000 | 0.000 | -0.522 | 0.213 | 
| -0.215 | -0.216 | 0.000 | 0.000 | 0.000 | 1579.301 | 
| 125.246 | 722.546 | -0.522 | -0.000 | -0.000 | -0.030 | 
| 722.536 | 125.237 | -0.522 | 0.000 | -0.000 | -0.059 | 
| -0.526 | -0.526 | 25.700 | -0.000 | -0.000 | -0.032 | 
| -0.003 | -0.003 | -0.000 | -0.522 | 0.000 | -0.036 | 
| 0.000 | 0.000 | -0.000 | -0.000 | -0.522 | -0.007 | 
| 0.021 | 0.024 | -0.000 | 0.000 | -0.000 | 1539.862 | 
| 125.234 | 722.534 | -0.522 | 0.000 | 0.000 | 0.018 | 
| 722.531 | 125.231 | -0.522 | -0.000 | 0.000 | 0.039 | 
| -0.518 | -0.518 | 25.700 | -0.000 | -0.000 | 0.032 | 
| 0.003 | 0.003 | 0.000 | -0.522 | -0.000 | 0.034 | 
| 0.001 | 0.002 | 0.000 | -0.000 | -0.522 | 0.018 | 
| -0.021 | -0.024 | 0.000 | 0.000 | 0.000 | 1539.506 | 
| 13153.490 | 12791.295 | 31932.800 | 363.422 | 0.000 | 0.000 | 
| 12791.293 | 13153.490 | 31932.800 | -363.420 | 0.000 | 0.000 | 
| 32007.675 | 32007.676 | 84584.020 | 0.001 | 0.000 | 0.000 | 
| 363.423 | -363.419 | 0.003 | 24.352 | 0.000 | 0.001 | 
| 0.001 | 0.001 | 0.003 | 0.001 | 24.352 | 363.422 | 
| 0.002 | 0.002 | 0.004 | 0.001 | 363.422 | 181.099 | 
| 13153.478 | 12791.279 | 31932.772 | 363.421 | -0.000 | -0.000 | 
| 12791.282 | 13153.478 | 31932.772 | -363.422 | -0.000 | -0.001 | 
| 32007.623 | 32007.622 | 84583.898 | -0.001 | -0.000 | -0.001 | 
| 363.420 | -363.424 | -0.003 | 24.351 | -0.000 | -0.001 | 
| -0.001 | -0.002 | -0.004 | -0.001 | 24.351 | 363.421 | 
| -0.001 | -0.002 | -0.004 | -0.001 | 363.421 | 181.098 | 
| 13153.524 | 12791.330 | 31932.889 | 363.422 | 0.000 | 0.000 | 
| 12791.330 | 13153.524 | 31932.889 | -363.422 | 0.000 | 0.000 | 
| 32007.899 | 32007.899 | 84584.557 | 0.000 | 0.000 | 0.000 | 
| 363.420 | -363.424 | -0.005 | 24.352 | 0.000 | 0.000 | 
| -0.002 | -0.002 | -0.005 | 0.000 | 24.352 | 363.422 | 
| -0.001 | -0.000 | -0.002 | 0.000 | 363.422 | 181.098 | 
| 13153.444 | 12791.245 | 31932.682 | 363.421 | -0.000 | -0.000 | 
| 12791.245 | 13153.444 | 31932.682 | -363.421 | -0.000 | -0.000 | 
| 32007.396 | 32007.396 | 84583.355 | -0.000 | -0.000 | -0.000 | 
| 363.423 | -363.420 | 0.005 | 24.352 | -0.000 | -0.000 | 
| 0.002 | 0.002 | 0.005 | -0.000 | 24.352 | 363.422 | 
| 0.001 | 0.001 | 0.002 | -0.000 | 363.422 | 181.098 | 
| 13153.879 | 12791.710 | 31933.815 | 363.427 | -0.000 | 0.000 | 
| 12791.710 | 13153.879 | 31933.815 | -363.427 | 0.000 | 0.000 | 
| 32010.163 | 32010.163 | 84589.970 | 0.000 | 0.000 | 0.000 | 
| 363.401 | -363.443 | -0.052 | 24.351 | 0.000 | 0.000 | 
| -0.022 | -0.021 | -0.052 | 0.000 | 24.352 | 363.422 | 
| -0.007 | -0.007 | -0.020 | 0.000 | 363.422 | 181.098 | 
| 13153.089 | 12790.865 | 31931.756 | 363.416 | -0.000 | -0.000 | 
| 12790.865 | 13153.089 | 31931.756 | -363.416 | -0.000 | -0.000 | 
| 32005.132 | 32005.132 | 84577.941 | -0.000 | -0.000 | -0.000 | 
| 363.442 | -363.400 | 0.052 | 24.352 | -0.000 | -0.000 | 
| 0.022 | 0.021 | 0.052 | -0.000 | 24.352 | 363.422 | 
| 0.007 | 0.007 | 0.020 | -0.000 | 363.422 | 181.098 | 
| 992.221 | 220.167 | 0.233 | 0.055 | 0.000 | -0.000 | 
| 158.763 | 1053.625 | 0.233 | -0.114 | 0.000 | 0.000 | 
| 0.234 | 0.234 | 29.820 | 0.000 | 0.000 | 0.000 | 
| 0.114 | -0.114 | 0.000 | 0.233 | 0.000 | 0.000 | 
| 0.000 | -0.000 | 0.000 | -0.000 | 0.233 | 0.114 | 
| -0.000 | -0.000 | 0.000 | -0.000 | 0.055 | 386.026 | 
| 992.221 | 220.168 | 0.233 | 0.055 | -0.000 | -0.000 | 
| 158.763 | 1053.625 | 0.233 | -0.114 | 0.000 | -0.000 | 
| 0.234 | 0.234 | 29.820 | -0.000 | 0.000 | -0.000 | 
| 0.056 | -0.055 | -0.000 | 0.233 | -0.000 | 0.000 | 
| 0.000 | 0.000 | -0.000 | 0.000 | 0.233 | 0.114 | 
| 0.000 | -0.000 | -0.000 | 0.000 | 0.055 | 386.027 | 
| 1053.626 | 158.763 | 0.233 | 0.114 | 0.000 | -0.000 | 
| 220.168 | 992.221 | 0.233 | -0.055 | -0.000 | 0.000 | 
| 0.234 | 0.234 | 29.820 | 0.000 | 0.000 | 0.000 | 
| 0.114 | -0.114 | -0.000 | 0.233 | -0.000 | 0.000 | 
| -0.000 | -0.000 | -0.000 | 0.000 | 0.233 | 0.114 | 
| -0.000 | 0.000 | 0.000 | -0.000 | 0.055 | 386.027 | 
| 992.220 | 220.168 | 0.233 | 0.055 | 0.000 | -0.000 | 
| 220.167 | 992.221 | 0.233 | -0.055 | 0.000 | 0.000 | 
| 0.234 | 0.234 | 29.820 | -0.000 | -0.000 | 0.000 | 
| 0.055 | -0.056 | 0.000 | 0.233 | 0.000 | -0.000 | 
| 0.000 | 0.000 | 0.000 | -0.000 | 0.233 | 0.114 | 
| 0.000 | -0.000 | -0.000 | 0.000 | 0.055 | 386.027 | 
| 992.218 | 220.175 | 0.234 | 0.055 | 0.000 | -0.000 | 
| 158.764 | 1053.630 | 0.233 | -0.114 | 0.000 | 0.000 | 
| 0.234 | 0.234 | 29.821 | -0.000 | -0.000 | 0.000 | 
| 0.055 | -0.055 | -0.000 | 0.233 | -0.000 | 0.000 | 
| -0.000 | -0.000 | -0.000 | 0.000 | 0.233 | 0.055 | 
| -0.000 | 0.001 | -0.000 | -0.000 | 0.055 | 386.025 | 
| 992.211 | 220.172 | 0.233 | 0.055 | 0.000 | -0.000 | 
| 158.763 | 1053.620 | 0.233 | -0.114 | 0.000 | -0.000 | 
| 0.233 | 0.233 | 29.821 | 0.000 | 0.000 | -0.000 | 
| 0.114 | -0.114 | 0.000 | 0.233 | 0.000 | 0.000 | 
| 0.000 | 0.000 | 0.000 | -0.000 | 0.233 | 0.055 | 
| 0.000 | -0.001 | 0.000 | 0.000 | 0.055 | 386.025 | 
| 1053.684 | 158.772 | 0.237 | 0.114 | 0.000 | -0.000 | 
| 158.772 | 1053.684 | 0.237 | -0.114 | -0.000 | -0.000 | 
| 0.235 | 0.235 | 29.841 | -0.000 | 0.000 | -0.000 | 
| 0.114 | -0.114 | 0.000 | 0.233 | -0.000 | -0.000 | 
| 0.000 | 0.000 | 0.000 | -0.000 | 0.233 | 0.114 | 
| 0.000 | 0.000 | 0.000 | -0.000 | 0.114 | 447.456 | 
| 1053.683 | 158.772 | 0.237 | 0.114 | -0.000 | 0.000 | 
| 158.772 | 1053.683 | 0.237 | -0.114 | 0.000 | 0.000 | 
| 0.235 | 0.235 | 29.841 | 0.000 | 0.000 | 0.000 | 
| 0.114 | -0.114 | -0.000 | 0.233 | 0.000 | 0.000 | 
| -0.000 | 0.000 | -0.000 | 0.000 | 0.233 | 0.114 | 
| -0.000 | 0.000 | -0.000 | 0.000 | 0.114 | 447.456 | 
| 1053.684 | 158.772 | 0.237 | 0.114 | -0.000 | -0.000 | 
| 158.772 | 1053.684 | 0.237 | -0.114 | -0.000 | -0.000 | 
| 0.235 | 0.235 | 29.841 | -0.000 | -0.000 | -0.000 | 
| -1.640 | -1.473 | 1.446 | 0.233 | -0.000 | -0.000 | 
| -1.556 | -1.556 | 1.446 | 0.000 | 0.233 | -0.084 | 
| 0.000 | 0.000 | -0.000 | -0.000 | 0.114 | 447.456 | 
| 863.186 | 352.156 | -1.105 | -0.069 | 0.000 | 0.000 | 
| 158.772 | 1053.683 | 0.237 | -0.114 | 0.000 | 0.000 | 
| 0.235 | 0.235 | 29.841 | 0.000 | 0.000 | 0.000 | 
| 0.114 | -0.114 | 0.000 | 0.233 | 0.000 | 0.000 | 
| 1.556 | 1.556 | -1.446 | -0.000 | 0.233 | -0.084 | 
| -0.000 | -0.000 | 0.000 | 0.000 | 0.114 | 447.456 | 
| 980.484 | 231.866 | 0.288 | 0.044 | -0.000 | -0.000 | 
| 158.773 | 1053.688 | 0.237 | -0.114 | -0.000 | 0.000 | 
| 0.080 | 0.080 | 29.985 | -0.000 | 0.000 | -0.000 | 
| -0.239 | -0.072 | 0.145 | 0.233 | 0.000 | -0.000 | 
| -0.156 | -0.156 | 0.145 | 0.000 | 0.233 | -0.084 | 
| 0.001 | 0.001 | -0.000 | -0.000 | 0.114 | 447.456 | 
| 1053.679 | 158.771 | 0.237 | 0.114 | 0.000 | 0.000 | 
| 158.771 | 1053.678 | 0.237 | -0.114 | 0.000 | 0.000 | 
| 0.235 | 0.235 | 29.840 | 0.000 | 0.000 | 0.000 | 
| 0.114 | -0.114 | 0.000 | 0.233 | 0.000 | 0.000 | 
| 0.156 | 0.156 | -0.145 | -0.000 | 0.233 | -0.084 | 
| -0.001 | -0.001 | 0.000 | 0.000 | 0.114 | 447.456 | 
| 2060875.667 | 2499626.947 | 2578007.180 | 375393.159 | -3073.943 | -9964.831 | 
| 2060873.960 | 2499625.937 | 2578006.430 | 375391.978 | -3074.470 | -9965.936 | 
| 2060875.373 | 2499626.508 | 2578006.904 | 375392.497 | -3074.491 | -9965.246 | 
| 2060872.211 | 2499624.813 | 2578004.951 | 375391.513 | -3075.462 | -9966.429 | 
| 2060876.183 | 2499627.248 | 2578010.568 | 375392.135 | -3075.363 | -9963.869 | 
| 2060873.769 | 2499625.528 | 2578005.211 | 375392.832 | -3073.065 | -9966.414 | 
| -2060874.272 | -2499625.804 | -2578006.188 | -375392.171 | 3074.665 | 9965.867 | 
| -2060875.935 | -2499626.886 | -2578007.254 | -375393.155 | 3073.816 | 9964.954 | 
| -2060874.936 | -2499626.308 | -2578006.756 | -375392.547 | 3074.158 | 9965.440 | 
| -2060876.924 | -2499627.659 | -2578007.901 | -375393.958 | 3073.212 | 9964.193 | 
| -2060872.935 | -2499625.262 | -2578002.977 | -375393.406 | 3072.170 | 9967.466 | 
| -2060874.898 | -2499626.472 | -2578008.299 | -375392.395 | 3073.968 | 9965.185 | 
| 206088.533 | 249963.198 | 257801.196 | 37539.772 | -306.935 | -996.061 | 
| 206086.679 | 249962.147 | 257800.186 | 37538.717 | -307.875 | -996.955 | 
| -0.049 | -0.049 | 0.011 | 0.000 | 0.000 | -0.000 | 
| 0.009 | -0.009 | 0.000 | 0.023 | 0.000 | 0.000 | 
| 206089.550 | 249963.810 | 257804.593 | 37538.730 | -308.801 | -994.772 | 
| 206086.747 | 249962.139 | 257798.969 | 37539.548 | -306.666 | -997.352 | 
| -206086.630 | -249962.082 | -257800.157 | -37538.762 | 307.887 | 997.004 | 
| -206088.480 | -249963.122 | -257801.188 | -37539.802 | 306.934 | 996.121 | 
| -0.049 | -0.049 | 0.011 | 0.000 | 0.000 | -0.000 | 
| -206090.290 | -249963.991 | -257802.104 | -37540.531 | 306.186 | 995.397 | 
| -206086.003 | -249961.509 | -257796.809 | -37539.974 | 305.720 | 998.344 | 
| -206088.277 | -249963.152 | -257802.446 | -37538.971 | 308.075 | 995.762 | 
| 20610.187 | 24996.765 | 25780.387 | 3754.492 | -29.773 | -99.437 | 
| 20608.020 | 24995.809 | 25779.454 | 3753.453 | -31.201 | -99.954 | 
| 20608.839 | 24996.324 | 25780.062 | 3753.953 | -30.881 | -99.579 | 
| 20607.053 | 24995.061 | 25778.309 | 3753.217 | -31.880 | -100.136 | 
| -0.000 | -0.000 | -0.000 | 0.000 | 0.023 | 0.009 | 
| 20607.981 | 24995.737 | 25778.056 | 3754.398 | -29.987 | -100.388 | 
| -0.068 | -0.066 | -0.055 | 0.009 | 0.000 | -0.000 | 
| -20610.119 | -24996.706 | -25780.417 | -3754.525 | 29.825 | 99.452 | 
| -20608.601 | -24996.171 | -25780.043 | -3753.936 | 30.602 | 99.729 | 
| -20611.578 | -24997.169 | -25780.301 | -3754.987 | 27.578 | 100.027 | 
| 0.000 | 0.000 | 0.000 | -0.000 | 0.023 | 0.009 | 
| -20609.935 | -24996.795 | -25781.769 | -3753.837 | 30.862 | 99.146 | 
| 1006.351 | 518.265 | 518.265 | -0.000 | 0.000 | -0.000 | 
| 518.265 | 1006.351 | 518.265 | -0.000 | -0.000 | -0.000 | 
| 518.265 | 518.265 | 1006.351 | 0.000 | 0.000 | -0.000 | 
| -1.880 | 1.865 | 1.865 | 1362.440 | -0.000 | -0.000 | 
| -4580994387.248 | 2546569996.499 | 4731053342.692 | 466888702.368 | 734576413.869 | 779917246.902 | 
| 0.823 | 0.823 | -0.829 | 0.000 | 0.000 | 1369.924 | 
| 1006.351 | 518.265 | 518.265 | -0.000 | -0.000 | 0.000 | 
| 518.265 | 1006.351 | 518.265 | -0.000 | -0.000 | 0.000 | 
| 518.265 | 518.265 | 1006.351 | 0.000 | -0.000 | 0.000 | 
| 1451621772.758 | -3894003079.004 | 1148208255.349 | 43109360.829 | -75468398.364 | 6686838.909 | 
| -6847348381.876 | -1553916486.466 | 4762273824.942 | 982731977.571 | -861812425.141 | 151316816.034 | 
| -0.658 | -0.658 | 0.663 | 0.000 | -0.000 | 1367.928 | 
| 1006.350 | 518.265 | 518.265 | -0.000 | 0.000 | -0.000 | 
| 518.265 | 1006.350 | 518.265 | 0.000 | -0.000 | -0.000 | 
| 518.265 | 518.265 | 1006.350 | -0.000 | 0.000 | -0.000 | 
| -0.161 | 0.159 | 0.159 | 1099.840 | 0.000 | 0.000 | 
| 0.219 | -0.221 | 0.220 | -0.000 | 1100.662 | -0.000 | 
| 0.066 | 0.066 | -0.067 | -0.000 | 0.000 | 1100.596 | 
| 1006.351 | 518.265 | 518.265 | 0.000 | -0.000 | 0.000 | 
| 518.265 | 1006.351 | 518.265 | 0.000 | -0.000 | 0.000 | 
| 518.265 | 518.265 | 1006.351 | -0.000 | -0.000 | -0.000 | 
| 0.161 | -0.159 | -0.159 | 1101.137 | -0.000 | 0.000 | 
| -0.219 | 0.221 | -0.220 | -0.000 | 1100.315 | -0.000 | 
| -0.066 | -0.066 | 0.067 | -0.000 | 0.000 | 1100.381 | 
| 1006.347 | 518.266 | 518.266 | 0.000 | 0.000 | -0.000 | 
| 518.266 | 1006.347 | 518.266 | 0.000 | -0.000 | -0.000 | 
| 518.266 | 518.266 | 1006.347 | 0.000 | 0.000 | 0.000 | 
| -0.018 | 0.016 | 0.018 | 1073.515 | 0.000 | 0.000 | 
| -46617173.336 | 25521523.760 | 43766227.866 | 4376016.055 | 7245839.150 | 7384169.105 | 
| 0.007 | 0.009 | -0.008 | -0.000 | -0.000 | 1073.590 | 
| 1006.354 | 518.263 | 518.263 | -0.000 | -0.000 | 0.000 | 
| 518.263 | 1006.354 | 518.263 | 0.000 | -0.000 | -0.000 | 
| 518.263 | 518.263 | 1006.354 | 0.000 | -0.000 | 0.000 | 
| 0.018 | -0.016 | -0.018 | 1073.645 | 0.000 | 0.000 | 
| -72905530.765 | -29817880.842 | 19575024.858 | 14243208.844 | -10457141.821 | 1644960.753 | 
| -0.007 | -0.009 | 0.008 | 0.000 | -0.000 | 1073.569 | 
| 1.154 | -0.047 | -0.047 | -0.000 | 0.000 | 0.000 | 
| -0.047 | 1.154 | -0.047 | -0.000 | 0.000 | 0.000 | 
| -0.047 | -0.047 | 1.154 | -0.000 | 0.000 | -0.000 | 
| 0.000 | -0.000 | -0.000 | -0.047 | 0.000 | 0.000 | 
| 0.000 | -0.000 | -0.000 | -0.000 | -0.047 | 0.000 | 
| 0.000 | -0.000 | -0.000 | -0.000 | 0.000 | -0.047 | 
| 1.154 | -0.047 | -0.047 | 0.000 | 0.000 | 0.000 | 
| -0.047 | 1.154 | -0.047 | -0.000 | -0.000 | -0.000 | 
| -0.047 | -0.047 | 1.154 | 0.000 | -0.000 | 0.000 | 
| -0.000 | 0.000 | 0.000 | -0.047 | -0.000 | -0.000 | 
| -0.000 | 0.000 | 0.000 | 0.000 | -0.047 | -0.000 | 
| -0.000 | 0.000 | 0.000 | 0.000 | -0.000 | -0.047 | 
| 1.154 | -0.047 | -0.047 | -0.000 | 0.000 | 0.000 | 
| -0.047 | 1.154 | -0.047 | -0.000 | 0.000 | 0.000 | 
| -0.047 | -0.047 | 1.154 | -0.000 | 0.000 | -0.000 | 
| 0.000 | -0.000 | -0.000 | -0.047 | 0.000 | -0.000 | 
| -0.000 | 0.000 | -0.000 | -0.000 | -0.047 | 0.000 | 
| -0.000 | -0.000 | 0.000 | -0.000 | 0.000 | -0.047 | 
| 1.154 | -0.047 | -0.047 | 0.000 | -0.000 | -0.000 | 
| -0.047 | 1.154 | -0.047 | 0.000 | -0.000 | -0.000 | 
| -0.047 | -0.047 | 1.154 | 0.000 | -0.000 | 0.000 | 
| -0.000 | 0.000 | 0.000 | -0.047 | -0.000 | -0.000 | 
| 0.000 | -0.000 | 0.000 | 0.000 | -0.047 | -0.000 | 
| 0.000 | 0.000 | -0.000 | 0.000 | -0.000 | -0.047 | 
| 1.154 | -0.047 | -0.047 | -0.000 | 0.000 | 0.000 | 
| -0.047 | 1.154 | -0.047 | -0.000 | 0.000 | 0.000 | 
| -0.047 | -0.047 | 1.154 | -0.000 | 0.000 | -0.000 | 
| 0.000 | -0.000 | -0.000 | -0.047 | 0.000 | 0.000 | 
| -0.000 | 0.000 | -0.000 | -0.000 | -0.047 | 0.000 | 
| -0.000 | -0.000 | 0.000 | -0.000 | 0.000 | -0.047 | 
| 1.154 | -0.047 | -0.047 | 0.000 | -0.000 | -0.000 | 
| -0.047 | 1.154 | -0.047 | 0.000 | -0.000 | -0.000 | 
| -0.047 | -0.047 | 1.154 | 0.000 | -0.000 | 0.000 | 
| -0.000 | 0.000 | 0.000 | -0.047 | -0.000 | -0.000 | 
| 0.000 | -0.000 | 0.000 | 0.000 | -0.047 | -0.000 | 
| 0.000 | 0.000 | -0.000 | 0.000 | -0.000 | -0.047 | 
| 705.505 | 87.832 | -143.167 | -0.000 | 0.000 | -0.000 | 
| -10.143 | -4784.831 | 4989.487 | -0.000 | -0.000 | -0.000 | 
| -1007.324 | -5104.256 | 6516.429 | -0.001 | 0.000 | -0.000 | 
| -909.893 | -5188.795 | 5266.895 | 530.314 | 0.000 | -0.000 | 
| -147.875 | -5796.393 | 4905.156 | -0.000 | 176.252 | -0.000 | 
| 0.000 | 0.000 | -0.000 | -0.001 | 0.000 | 322.435 | 
| 705.505 | 87.831 | -143.167 | 0.001 | -0.000 | 0.000 | 
| 107.792 | 1138.667 | 14.151 | 0.001 | -0.000 | 0.000 | 
| 810.601 | 5262.929 | -4006.759 | 0.000 | -0.000 | 0.000 | 
| 909.893 | 5188.795 | -5266.895 | 530.316 | -0.000 | 0.000 | 
| 147.875 | 5796.393 | -4905.156 | 0.000 | 176.252 | 0.000 | 
| -0.000 | -0.000 | 0.000 | 0.001 | -0.000 | 322.435 | 
| 584.070 | -419.599 | 408.462 | -0.000 | 0.000 | -0.000 | 
| 107.792 | 1138.668 | 14.151 | -0.000 | 0.000 | -0.000 | 
| -105.769 | -506.416 | 1742.034 | -0.000 | 0.000 | -0.000 | 
| -91.949 | -524.350 | 532.243 | 529.613 | 0.000 | -0.000 | 
| -90.979 | -518.824 | 526.633 | -0.000 | 176.252 | -0.000 | 
| -0.000 | 0.000 | 0.000 | -0.000 | 0.000 | 322.435 | 
| 705.505 | 87.831 | -143.167 | 0.000 | -0.000 | 0.000 | 
| 198.028 | 1551.849 | -425.282 | 0.000 | -0.000 | 0.000 | 
| -76.194 | 652.863 | 761.003 | 0.000 | -0.000 | 0.000 | 
| 91.949 | 524.350 | -532.243 | 529.613 | -0.000 | 0.000 | 
| 90.979 | 518.824 | -526.633 | 0.000 | 176.252 | 0.000 | 
| 0.000 | -0.000 | -0.000 | 0.000 | -0.000 | 322.435 | 
| 660.631 | 33.217 | -47.965 | -0.000 | 0.000 | -0.000 | 
| 107.792 | 1138.671 | 14.152 | -0.000 | 0.000 | -0.000 | 
| -92.459 | 15.264 | 1300.571 | -0.000 | 0.000 | -0.000 | 
| 2.343 | -51.881 | 39.774 | 450.900 | 0.000 | -0.000 | 
| -1.474 | -57.939 | 49.026 | 0.000 | 176.252 | -0.000 | 
| -0.001 | 0.000 | 0.001 | -0.000 | 0.000 | 322.435 | 
| 705.505 | 87.830 | -143.169 | 0.000 | -0.000 | 0.000 | 
| 139.259 | 1069.335 | 35.376 | 0.000 | -0.000 | 0.000 | 
| -89.502 | 131.188 | 1202.461 | 0.000 | -0.000 | 0.000 | 
| -2.343 | 51.881 | -39.774 | 450.900 | -0.000 | 0.000 | 
| 1.474 | 57.939 | -49.026 | 0.000 | 176.252 | 0.000 | 
| 0.001 | -0.000 | -0.001 | 0.000 | -0.000 | 322.435 | 
| 721.606 | 95.164 | -180.427 | -0.000 | 0.000 | -0.000 | 
| -335.601 | 2287.506 | -316.868 | 0.000 | 0.000 | -0.000 | 
| -300.535 | 1406.330 | 459.960 | 0.000 | 0.000 | 0.000 | 
| -448.559 | 1273.149 | -468.430 | 452.508 | 0.000 | -0.000 | 
| -448.030 | 1273.018 | -468.959 | -0.000 | 140.331 | 0.000 | 
| -0.000 | 0.000 | -0.000 | -0.000 | 0.000 | 315.994 | 
| 721.606 | 95.164 | -180.427 | 0.000 | -0.000 | -0.000 | 
| 274.475 | -268.493 | 970.824 | -0.000 | -0.000 | -0.000 | 
| 320.333 | -1120.927 | 1712.067 | -0.000 | -0.000 | 0.000 | 
| 448.559 | -1273.149 | 468.430 | 452.508 | -0.000 | -0.000 | 
| 448.030 | -1273.018 | 468.959 | 0.000 | 140.331 | 0.000 | 
| -0.000 | -0.000 | -0.000 | 0.000 | -0.000 | 315.994 | 
| 721.606 | 95.164 | -180.427 | -0.000 | 0.000 | -0.000 | 
| 95.164 | 1167.654 | 51.861 | -0.000 | 0.000 | 0.000 | 
| -172.500 | 279.395 | 1196.211 | -0.000 | -0.000 | 0.000 | 
| -22.713 | 151.489 | -92.393 | 477.727 | 0.000 | 0.000 | 
| 0.000 | -0.000 | -0.000 | -0.000 | 140.331 | 0.000 | 
| -0.000 | 0.000 | 0.000 | 0.000 | 0.000 | 315.994 | 
| 721.606 | 95.164 | -180.427 | 0.000 | -0.000 | 0.000 | 
| 95.163 | 1167.653 | 51.861 | 0.000 | -0.000 | 0.000 | 
| -92.960 | 74.731 | 1262.626 | 0.000 | -0.000 | -0.000 | 
| 22.713 | -151.489 | 92.393 | 477.727 | -0.000 | 0.000 | 
| -0.000 | 0.000 | 0.000 | 0.000 | 140.331 | -0.000 | 
| 0.000 | 0.000 | -0.000 | 0.000 | -0.000 | 315.994 | 
| 661.334 | 125.175 | -132.049 | 0.000 | -0.000 | 0.000 | 
| 95.164 | 1167.657 | 51.863 | 0.000 | -0.000 | -0.000 | 
| -180.429 | 51.862 | 1385.254 | 0.000 | 0.000 | 0.000 | 
| -10.237 | -2.092 | 13.890 | 441.817 | 0.000 | 0.000 | 
| 0.000 | -0.000 | -0.000 | -0.000 | 140.331 | 0.000 | 
| -11.226 | -8.687 | 20.276 | -0.000 | 0.000 | 110.184 | 
| 721.605 | 95.163 | -180.429 | 0.000 | -0.000 | -0.000 | 
| 95.163 | 1167.650 | 51.860 | 0.000 | -0.000 | -0.000 | 
| -123.166 | 139.298 | 1247.782 | -0.000 | -0.000 | -0.000 | 
| 10.237 | 2.092 | -13.890 | 441.817 | -0.000 | -0.000 | 
| -0.000 | 0.000 | 0.000 | 0.000 | 140.331 | -0.000 | 
| 11.226 | 8.687 | -20.276 | 0.000 | -0.000 | 110.184 | 
| -308.156 | 623.007 | 414.541 | 0.000 | 0.000 | 11.321 | 
| 622.933 | -308.029 | 414.517 | -0.000 | -0.000 | 11.322 | 
| 186.835 | 186.835 | 1088.774 | 0.000 | 0.000 | -0.000 | 
| 0.000 | 0.000 | 0.000 | 399.938 | -0.000 | -0.000 | 
| -0.000 | 0.000 | -0.000 | -0.000 | 399.938 | -0.000 | 
| 89271382.010 | 100882490.207 | -162192547.071 | 748525.228 | 252008.036 | -409507448.059 | 
| -94999498.475 | -85662197.105 | 117443305.928 | 340811.721 | 692692.507 | -90206865.838 | 
| -83827954.503 | -93999355.825 | 109412708.517 | 422703.533 | 1800548.940 | -83121874.377 | 
| 186.835 | 186.835 | 1088.774 | -0.000 | -0.000 | 0.000 | 
| -0.000 | -0.000 | 0.000 | 399.938 | -0.000 | 0.000 | 
| 0.000 | 0.000 | 0.000 | -0.000 | 399.938 | -0.000 | 
| -89548413.024 | -86517349.450 | 121031626.824 | 183661.117 | 367910.903 | -596164059.730 | 
| 9122627.205 | 10248982.905 | -13693459.466 | -73655.729 | -108982.805 | 10269265.667 | 
| 9573939.568 | 8869808.045 | -12373586.165 | 13538.887 | -44398.732 | 8165631.442 | 
| 186.835 | 186.835 | 1088.775 | 0.000 | 0.000 | -0.000 | 
| -0.000 | 0.000 | 0.000 | 399.938 | 0.000 | -0.000 | 
| 0.000 | -0.000 | 0.000 | 0.000 | 399.938 | 0.000 | 
| -0.068 | -0.068 | 0.020 | 0.000 | 0.000 | 501.061 | 
| -9905358.576 | -8496374.272 | 12603628.508 | 33270.899 | 66940.608 | -11773082.719 | 
| -8717962.964 | -9310175.285 | 12300460.200 | 16221.422 | 50067.618 | -10979131.212 | 
| 186.835 | 186.835 | 1088.774 | 0.000 | -0.000 | -0.000 | 
| 0.000 | -0.000 | -0.000 | 399.938 | 0.000 | -0.000 | 
| -0.000 | 0.000 | -0.000 | -0.000 | 399.938 | -0.000 | 
| 0.068 | 0.068 | -0.020 | -0.000 | 0.000 | 499.852 | 
| 1014036.779 | 983346.632 | -1402177.862 | -5416.171 | -15511.221 | 1036770.251 | 
| 1004859.999 | 1002827.832 | -1416590.627 | 2092.216 | -7545.656 | 1014106.554 | 
| 186.835 | 186.835 | 1088.780 | -0.000 | 0.000 | -0.000 | 
| -0.000 | 0.001 | 0.000 | 399.938 | -0.000 | -0.000 | 
| 0.001 | -0.000 | 0.000 | 0.000 | 399.938 | 0.000 | 
| -0.007 | -0.006 | 0.002 | 0.000 | 0.000 | 488.437 | 
| -941514.260 | -981371.882 | 1351358.319 | 3141.194 | 8448.204 | -1311791.170 | 
| -935625.202 | -929028.039 | 1249138.622 | 8316.582 | 14036.449 | -1207337.991 | 
| 186.835 | 186.835 | 1088.768 | -0.000 | 0.000 | 0.000 | 
| 0.000 | -0.001 | -0.000 | 399.938 | 0.000 | -0.000 | 
| -0.001 | 0.000 | -0.000 | -0.000 | 399.938 | -0.000 | 
| 0.007 | 0.006 | -0.002 | 0.000 | 0.000 | 488.316 | 
| 175.837 | 26.462 | 0.000 | 0.000 | 0.000 | -0.000 | 
| 36.647 | 165.653 | 0.000 | 0.000 | 0.000 | -0.000 | 
| 0.000 | 0.000 | 0.000 | 0.000 | 0.000 | 0.000 | 
| 0.000 | 0.000 | 0.000 | 0.000 | 0.000 | -0.000 | 
| 0.000 | 0.000 | 0.000 | 0.000 | 0.000 | -0.000 | 
| 0.000 | 0.000 | 0.000 | 0.000 | 0.000 | 74.688 | 
| 175.837 | 26.462 | -0.000 | -0.000 | -0.000 | 0.000 | 
| 26.462 | 175.837 | -0.000 | -0.000 | -0.000 | 0.000 | 
| -0.000 | -0.000 | -0.000 | -0.000 | -0.000 | -0.000 | 
| 0.000 | -0.000 | -0.000 | -0.000 | -0.000 | 0.000 | 
| -0.000 | -0.000 | -0.000 | -0.000 | -0.000 | -0.000 | 
| -0.000 | -0.000 | -0.000 | -0.000 | -0.000 | 74.688 | 
| 175.837 | 26.462 | 0.000 | 0.000 | 0.000 | -0.000 | 
| 26.462 | 175.837 | 0.000 | 0.000 | 0.000 | -0.000 | 
| 0.000 | 0.000 | 0.000 | 0.000 | 0.000 | 0.000 | 
| 0.000 | 0.000 | 0.000 | 0.000 | 0.000 | -0.000 | 
| 0.000 | 0.000 | 0.000 | 0.000 | 0.000 | -0.000 | 
| -0.000 | 0.000 | 0.000 | 0.000 | 0.000 | 64.504 | 
| 165.653 | 36.647 | -0.000 | -0.000 | -0.000 | 0.000 | 
| 36.647 | 165.653 | -0.000 | -0.000 | -0.000 | 0.000 | 
| -0.000 | -0.000 | -0.000 | -0.000 | -0.000 | -0.000 | 
| 0.000 | -0.000 | -0.000 | -0.000 | -0.000 | 0.000 | 
| -0.000 | -0.000 | -0.000 | -0.000 | -0.000 | 0.000 | 
| 0.000 | -0.000 | -0.000 | -0.000 | -0.000 | 64.504 | 
| 175.838 | 26.463 | 0.000 | 0.000 | 0.000 | -0.000 | 
| 36.645 | 165.656 | 0.000 | 0.000 | 0.000 | 0.000 | 
| 0.000 | 0.000 | 0.000 | 0.000 | 0.000 | 0.000 | 
| -0.000 | 0.000 | 0.000 | 0.000 | 0.000 | -0.000 | 
| 0.000 | 0.000 | 0.000 | 0.000 | 0.000 | 0.000 | 
| -0.000 | 0.000 | 0.000 | 0.000 | 0.000 | 64.503 | 
| 165.651 | 36.648 | -0.000 | -0.000 | -0.000 | -0.000 | 
| 36.646 | 165.653 | -0.000 | -0.000 | -0.000 | -0.000 | 
| -0.000 | -0.000 | -0.000 | -0.000 | -0.000 | -0.000 | 
| -0.000 | -0.000 | -0.000 | -0.000 | -0.000 | 0.000 | 
| -0.000 | -0.000 | -0.000 | -0.000 | -0.000 | -0.000 | 
| 0.000 | -0.000 | -0.000 | -0.000 | -0.000 | 64.503 | 
| -197762473.712 | -2987254657.777 | 134115312.248 | 6585640.642 | -269498.362 | 2477018.250 | 
| -197845846.448 | -2986948395.400 | 134302751.853 | 6446980.960 | -210153.844 | 2512803.011 | 
| 6998.785 | 2342.868 | 34.038 | -24.577 | 12.350 | -2874.729 | 
| -197854647.413 | -2987441726.517 | 134203342.671 | 6498447.113 | -228985.905 | 2457836.342 | 
| 4498.610 | 2694.883 | 0.224 | -21.410 | -4.690 | -3837.133 | 
| -197820361.628 | -2987392569.674 | 134001786.142 | 6691953.958 | -246619.782 | 2429402.854 | 
| -5034.121 | -1994.158 | 4.814 | 25.576 | -30.755 | 2498.881 | 
| -5172.386 | -185.626 | 9.558 | 23.762 | -17.037 | 1951.820 | 
| -6854.144 | -872.870 | 33.337 | 6.614 | -17.209 | 3558.813 | 
| -6343.929 | -2250.972 | -0.344 | 28.795 | -5.560 | 3227.662 | 
| -6022.817 | -2391.446 | -0.186 | 21.707 | -27.564 | 3214.984 | 
| -5063.736 | -2760.785 | -1.526 | 22.755 | -7.801 | 3476.267 | 
| -19807231.543 | -298903779.859 | 13412894.746 | 654212.270 | -23770.843 | 253635.214 | 
| -19772461.521 | -298748998.956 | 13414224.761 | 654648.321 | -24690.970 | 246275.207 | 
| -19808972.497 | -298591465.760 | 13445138.486 | 632285.882 | 5311.795 | 259147.406 | 
| -19779898.358 | -298703351.664 | 13432322.200 | 649970.847 | -20019.583 | 250973.741 | 
| -19798069.166 | -298654329.152 | 13454744.068 | 631428.549 | -14848.201 | 256415.116 | 
| -19787933.011 | -298681675.375 | 13437779.404 | 641669.744 | -19340.923 | 252733.846 | 
| 19801888.637 | 298644672.604 | -13465051.674 | -627623.732 | 12922.707 | -258480.814 | 
| 19787647.249 | 298698425.138 | -13441152.020 | -637145.633 | 17420.973 | -256866.341 | 
| -270.417 | 112.081 | 33.499 | 0.222 | 1.204 | -35.837 | 
| -666.680 | -132.571 | 0.035 | 13.029 | -1.490 | 347.523 | 
| 19783398.304 | 298682253.765 | -13431635.123 | -646196.773 | 22551.303 | -258863.273 | 
| -415.573 | -226.004 | -1.005 | 2.283 | -1.005 | 681.512 | 
| -1978324.993 | -29864887.020 | 1341243.132 | 66185.757 | -2161.312 | 24854.187 | 
| -1979186.576 | -29877090.409 | 1342822.237 | 64582.014 | -2003.344 | 25461.462 | 
| -1978847.707 | -29869048.427 | 1343545.272 | 64347.804 | -1954.950 | 25088.878 | 
| -1976926.781 | -29900578.774 | 1340545.132 | 65843.480 | -3118.705 | 24545.656 | 
| -1976867.365 | -29879592.333 | 1341077.338 | 65781.855 | -2392.224 | 24268.078 | 
| -1978512.361 | -29869869.378 | 1343306.480 | 64528.454 | -2068.240 | 25723.105 | 
| 709.908 | 21.016 | 5.053 | 0.486 | -0.612 | 25.057 | 
| -74.898 | 1239.450 | 10.021 | 0.716 | 0.718 | -3.651 | 
| 1976211.748 | 29883565.690 | -1340324.381 | -66048.537 | 2602.913 | -24037.213 | 
| 1978315.905 | 29769483.499 | -1343040.058 | -65552.924 | 2898.466 | -23189.546 | 
| -77.356 | -23.567 | -0.014 | -0.162 | 7.645 | 31.605 | 
| -31.139 | -10.091 | -0.959 | -0.233 | 0.270 | 405.070 | 
| 1104.449 | 55.420 | 12.241 | 0.000 | 0.000 | 0.000 | 
| 55.420 | 1241.749 | -97.231 | 0.000 | -0.000 | -0.039 | 
| 12.241 | -97.231 | 1416.044 | 0.000 | 0.000 | 0.000 | 
| 0.000 | 0.000 | -0.000 | 471.289 | -0.000 | -0.000 | 
| 0.000 | -0.000 | -0.000 | 0.000 | 505.896 | -0.000 | 
| 0.338 | 0.290 | -0.094 | 0.000 | -0.000 | 607.131 | 
| 1104.449 | 55.420 | 12.241 | -0.000 | 0.000 | 0.000 | 
| 55.412 | 1241.742 | -97.228 | -0.000 | -0.000 | 0.020 | 
| 12.241 | -97.231 | 1416.044 | -0.000 | 0.000 | -0.000 | 
| -0.008 | -0.007 | 0.002 | 471.288 | 0.000 | 0.019 | 
| -0.000 | 0.000 | 0.000 | -0.000 | 505.896 | -0.000 | 
| -0.338 | -0.290 | 0.094 | -0.000 | -0.000 | 608.188 | 
| 1104.449 | 55.419 | 12.241 | 0.000 | -0.000 | -0.002 | 
| 55.419 | 1241.749 | -97.230 | 0.000 | -0.000 | -0.002 | 
| 12.241 | -97.231 | 1416.044 | 0.000 | 0.000 | 0.000 | 
| -0.001 | -0.001 | 0.000 | 471.289 | 0.000 | 0.002 | 
| 0.000 | -0.000 | 0.000 | 0.000 | 505.896 | 0.000 | 
| 0.034 | 0.029 | -0.009 | 0.000 | -0.000 | 537.429 | 
| 1104.449 | 55.419 | 12.242 | -0.000 | -0.000 | 0.000 | 
| 55.420 | 1241.748 | -97.231 | -0.000 | -0.000 | 0.000 | 
| 12.240 | -97.231 | 1416.043 | -0.000 | 0.000 | -0.000 | 
| -0.000 | 0.000 | -0.000 | 471.289 | -0.000 | 0.000 | 
| -0.000 | 0.000 | -0.000 | -0.000 | 505.896 | -0.000 | 
| -0.034 | -0.029 | 0.009 | -0.000 | 0.000 | 537.534 | 
| 1104.457 | 55.422 | 12.237 | 0.000 | -0.000 | 0.000 | 
| 55.417 | 1241.756 | -97.230 | 0.000 | 0.000 | -0.000 | 
| 12.244 | -97.232 | 1416.048 | 0.000 | -0.000 | -0.000 | 
| 0.001 | -0.001 | 0.001 | 471.289 | -0.000 | -0.000 | 
| 0.001 | -0.000 | 0.000 | 0.000 | 505.896 | 0.000 | 
| 0.004 | 0.002 | 0.000 | 0.000 | 0.000 | 530.459 | 
| 1104.441 | 55.417 | 12.246 | -0.000 | 0.000 | 0.000 | 
| 55.423 | 1241.741 | -97.231 | -0.000 | 0.000 | 0.000 | 
| 12.237 | -97.230 | 1416.040 | -0.000 | 0.000 | -0.000 | 
| -0.001 | 0.001 | -0.001 | 471.289 | 0.000 | 0.000 | 
| -0.001 | 0.000 | -0.000 | -0.000 | 505.896 | -0.000 | 
| -0.004 | -0.002 | -0.000 | -0.000 | 0.000 | 530.470 | 
| 4951.600 | 4137.231 | -5952.613 | -0.000 | -0.000 | -1.355 | 
| 4038.366 | 5052.320 | -5896.224 | -0.000 | 0.000 | -1.367 | 
| 21.779 | -118.685 | 1446.721 | -0.000 | 0.000 | -0.000 | 
| -0.000 | 0.000 | 0.000 | 464.462 | 0.000 | 0.000 | 
| -0.000 | 0.000 | 0.000 | -0.000 | 477.539 | -0.000 | 
| 5503.993 | 1415.848 | -5321.594 | -0.000 | 0.000 | 542.418 | 
| -3675.206 | 9484.200 | -7763.752 | 0.000 | 0.000 | 1.032 | 
| -3860.237 | -2957.880 | 5914.798 | 0.000 | 0.000 | 1.537 | 
| 21.779 | -118.684 | 1446.721 | 0.000 | -0.000 | 0.000 | 
| -0.000 | -0.000 | -0.000 | 464.463 | 0.000 | -0.000 | 
| 0.000 | -0.000 | -0.000 | 0.001 | 477.539 | -0.000 | 
| 57293795.325 | -136493902.686 | 28610802.413 | -40326.705 | 34580.048 | -33862286.247 | 
| 1401.436 | 470.388 | -575.248 | -0.000 | -0.000 | -0.137 | 
| -13.247 | 1258.642 | -98.122 | -0.000 | 0.000 | 0.000 | 
| 470.227 | -931.861 | 2115.998 | -0.000 | 0.000 | -0.122 | 
| -0.000 | -0.000 | 0.000 | 464.462 | 0.000 | -0.000 | 
| 470.677 | -942.634 | 776.313 | -0.000 | 468.925 | -0.107 | 
| -0.010 | -0.009 | 0.003 | -0.000 | 0.000 | 544.423 | 
| 1062.828 | -15.379 | 40.209 | 0.000 | -0.000 | -0.000 | 
| -13.246 | 1258.640 | -98.122 | 0.000 | -0.000 | -0.000 | 
| -416.223 | -338.247 | 1887.575 | 0.000 | 0.000 | 0.054 | 
| 0.000 | 0.000 | -0.000 | 464.462 | -0.000 | 0.000 | 
| -470.677 | 942.634 | -776.313 | 0.000 | 468.925 | 0.107 | 
| 0.010 | 0.009 | -0.003 | 0.000 | -0.000 | 544.665 | 
| 1062.825 | -15.373 | 40.212 | -0.000 | 0.000 | -0.000 | 
| 121.865 | 1040.673 | 5.473 | -0.000 | -0.000 | -0.033 | 
| 15.953 | 45.611 | 1310.661 | -0.000 | -0.000 | -0.015 | 
| 36.561 | 28.014 | -45.222 | 282.359 | -0.000 | -0.006 | 
| 47.745 | -95.621 | 78.749 | -0.000 | 468.801 | -0.011 | 
| 46.388 | -92.902 | 76.511 | -0.000 | 0.000 | 477.333 | 
| 1062.830 | -15.383 | 40.207 | 0.000 | -0.000 | 0.000 | 
| 20.046 | 999.741 | 117.488 | 0.000 | 0.000 | 0.002 | 
| -47.467 | 76.782 | 1285.457 | 0.000 | -0.000 | -0.003 | 
| -36.561 | -28.014 | 45.222 | 282.359 | -0.000 | 0.006 | 
| -47.745 | 95.621 | -78.749 | 0.000 | 468.801 | 0.011 | 
| -46.387 | 92.901 | -76.509 | 0.000 | 0.000 | 477.348 | 
| 1856.048 | 1630.581 | -2222.231 | 0.000 | 2681.373 | 0.000 | 
| -89.530 | 1147.504 | 143.004 | 0.000 | -70.066 | 0.000 | 
| -11.635 | 143.004 | 1116.022 | 0.000 | 28.546 | 0.000 | 
| 688.819 | 1699.534 | -2273.929 | 570.357 | 2508.279 | -75.888 | 
| 804.571 | 1566.580 | -2228.470 | 0.000 | 3147.054 | 0.000 | 
| 0.000 | -0.000 | -0.000 | -69.378 | 0.000 | 422.524 | 
| -848.831 | -49.433 | 2038.881 | -0.000 | -2172.425 | -0.000 | 
| -1084.508 | 501.127 | 1995.100 | -0.000 | -2428.263 | -0.000 | 
| -11.635 | 143.004 | 1116.022 | 0.000 | 28.546 | -0.000 | 
| -688.819 | -1699.534 | 2273.929 | 570.357 | -2508.279 | -75.888 | 
| -574.141 | -1833.661 | 2321.769 | -0.000 | -1871.239 | -0.000 | 
| -0.000 | 0.000 | 0.000 | -69.379 | 0.000 | 422.524 | 
| 1236.823 | 99.797 | -174.953 | 0.000 | 422.443 | 0.000 | 
| 102.318 | 1066.802 | 5.966 | 0.000 | 110.917 | 0.000 | 
| -11.635 | 143.004 | 1116.022 | -0.000 | 28.546 | 0.000 | 
| -0.000 | -0.000 | 0.000 | 592.894 | -0.000 | -69.378 | 
| 200.697 | -70.781 | -124.675 | 0.000 | 868.951 | 0.000 | 
| -0.000 | -0.000 | 0.000 | -69.378 | -0.000 | 422.524 | 
| 1095.001 | -240.893 | 283.592 | -0.000 | -81.298 | -0.000 | 
| -205.665 | 1014.040 | 386.709 | -0.000 | -355.891 | 0.000 | 
| -11.635 | 143.004 | 1116.022 | -0.000 | 28.546 | -0.000 | 
| 0.000 | 0.000 | -0.000 | 592.894 | 0.000 | -69.378 | 
| 91.652 | -70.066 | 28.546 | 0.000 | 731.326 | -0.000 | 
| 0.000 | 0.000 | -0.000 | -69.378 | 0.000 | 422.524 | 
| 1167.783 | -48.768 | 30.224 | 0.000 | 200.991 | 0.000 | 
| -47.629 | 1039.080 | 193.729 | 0.000 | -117.880 | 0.000 | 
| 34.510 | 209.620 | 1011.431 | 0.000 | 70.092 | 0.000 | 
| 19.821 | 0.492 | -20.205 | 560.172 | 23.249 | -82.321 | 
| 91.653 | -70.067 | 28.547 | 0.000 | 731.327 | -0.000 | 
| 10.819 | 26.693 | -35.715 | -79.602 | 39.396 | 368.570 | 
| 1094.672 | -18.409 | 55.782 | 0.000 | 130.298 | -0.000 | 
| -34.205 | 1027.259 | 205.451 | -0.000 | -143.478 | -0.000 | 
| -11.635 | 143.004 | 1116.018 | -0.000 | 28.545 | -0.000 | 
| -19.821 | -0.492 | 20.205 | 560.172 | -23.249 | -82.321 | 
| 101.572 | -142.220 | 71.988 | -0.000 | 625.042 | -0.000 | 
| -10.819 | -26.693 | 35.715 | -79.602 | -39.396 | 368.570 | 
| 8676.364 | -5639.035 | 3053.979 | -0.000 | -9580.088 | -0.000 | 
| 7489.778 | -4551.725 | 3206.317 | -0.000 | -9821.446 | -0.000 | 
| 6020.389 | -2014.358 | 3016.663 | -0.000 | -6019.678 | 0.000 | 
| 7600.839 | -5609.057 | 3029.301 | 573.086 | -9761.161 | -69.296 | 
| 6401.596 | -3138.182 | 3383.878 | -0.000 | -5251.166 | -0.000 | 
| 7549.626 | -5571.265 | 3008.890 | -76.001 | -9695.392 | 403.445 | 
| -5238.844 | 2995.764 | -3305.032 | 0.000 | 5978.679 | 0.000 | 
| -5420.313 | 3227.535 | -2089.428 | 0.000 | 6178.364 | -0.000 | 
| -20.220 | 138.939 | 1098.288 | 0.000 | 13.892 | 0.000 | 
| -7600.839 | 5609.057 | -3029.301 | 573.086 | 9761.161 | -69.296 | 
| -7483.470 | 5455.634 | -2963.185 | 0.000 | 10314.189 | -0.000 | 
| -7549.625 | 5571.265 | -3008.890 | -76.001 | 9695.392 | 403.445 | 
| 1881.377 | -625.089 | 346.536 | -0.000 | -854.753 | -0.000 | 
| -78.386 | 1109.654 | 142.801 | -0.000 | -60.259 | -0.000 | 
| 787.396 | -361.004 | 1297.951 | -0.000 | -917.412 | -0.000 | 
| 760.190 | -560.984 | 302.973 | 573.083 | -976.252 | -69.297 | 
| 821.528 | -671.720 | 346.071 | -0.000 | -349.312 | -0.000 | 
| 565.918 | -242.296 | 224.021 | -83.794 | -635.517 | 354.591 | 
| 458.143 | 273.095 | -303.722 | 0.000 | 705.946 | -0.000 | 
| -818.649 | 1578.433 | -104.334 | 0.000 | 847.831 | 0.000 | 
| -609.913 | 474.537 | 689.884 | 0.000 | 627.974 | 0.000 | 
| -760.190 | 560.984 | -302.973 | 573.083 | 976.252 | -69.297 | 
| -568.055 | 193.416 | -286.919 | 0.000 | 1201.749 | 0.000 | 
| -565.918 | 242.296 | -224.021 | -83.794 | 635.517 | 354.591 | 
| 1146.490 | -52.958 | 62.696 | -0.000 | 54.036 | -0.000 | 
| 34.900 | 988.027 | 213.190 | -0.000 | -176.511 | -0.000 | 
| 81.930 | 156.315 | 1036.536 | -0.000 | -14.079 | -0.000 | 
| 76.561 | -56.498 | 30.515 | 572.951 | -98.321 | -69.342 | 
| 125.411 | -129.472 | 69.486 | -0.000 | 552.483 | -0.000 | 
| 63.069 | -28.388 | 34.088 | -83.219 | -55.968 | 366.292 | 
| 1030.600 | -4.740 | -2.532 | 0.000 | 173.364 | 0.000 | 
| -78.386 | 1109.651 | 142.799 | 0.000 | -60.260 | 0.000 | 
| -43.620 | 207.059 | 988.593 | 0.000 | 107.017 | 0.000 | 
| -76.561 | 56.498 | -30.515 | 572.951 | 98.321 | -69.342 | 
| 67.262 | -53.512 | 13.891 | 0.000 | 709.271 | 0.000 | 
| -63.069 | 28.388 | -34.088 | -83.219 | 55.968 | 366.292 | 
| 298.653 | -278.136 | -54.984 | 0.000 | 0.000 | 0.000 | 
| -278.136 | 298.653 | -54.985 | 0.000 | 0.001 | 0.000 | 
| -32.764 | -32.764 | 302.273 | 0.001 | 0.000 | 0.000 | 
| -244.288 | -244.288 | -37.126 | 88.582 | 0.000 | 0.000 | 
| -244.288 | -244.288 | -37.126 | 0.000 | 88.582 | 0.000 | 
| 0.000 | 0.000 | 0.000 | 0.000 | 0.000 | 106.434 | 
| 590.340 | -24.496 | -17.916 | -0.000 | -0.000 | -0.000 | 
| -24.496 | 590.340 | -17.916 | -0.000 | -0.000 | -0.000 | 
| -32.764 | -32.764 | 302.273 | -0.000 | -0.000 | -0.000 | 
| 244.288 | 244.288 | 37.126 | 88.582 | -0.000 | -0.000 | 
| 244.288 | 244.288 | 37.126 | -0.000 | 88.582 | -0.000 | 
| -0.000 | -0.000 | -0.000 | -0.000 | -0.000 | 106.434 | 
| 590.340 | -24.496 | -17.916 | 0.000 | 0.000 | 0.000 | 
| -24.496 | 590.340 | -17.916 | 0.000 | 0.000 | 0.000 | 
| -53.039 | -53.039 | 287.886 | 0.000 | 0.000 | -0.000 | 
| 0.000 | 0.000 | -0.000 | 94.844 | -0.000 | 0.000 | 
| 0.000 | 0.000 | -0.000 | 0.000 | 94.844 | 0.000 | 
| -31.570 | -31.570 | -4.798 | 0.000 | 0.000 | 74.204 | 
| 571.567 | -7.769 | -13.994 | -0.000 | -0.000 | -0.000 | 
| -7.769 | 571.567 | -13.994 | -0.000 | -0.000 | -0.000 | 
| -32.764 | -32.764 | 302.273 | -0.000 | 0.000 | -0.000 | 
| -0.000 | -0.000 | 0.000 | 94.844 | 0.000 | -0.000 | 
| -0.000 | -0.000 | 0.000 | -0.000 | 94.844 | -0.000 | 
| 31.570 | 31.570 | 4.798 | -0.000 | -0.000 | 74.204 | 
| 512.463 | -69.273 | -0.513 | 0.000 | -0.000 | 0.000 | 
| -69.273 | 512.463 | -0.513 | -0.000 | 0.000 | 0.000 | 
| -34.957 | -34.957 | 287.249 | -0.000 | -0.000 | 0.000 | 
| 0.000 | 0.000 | -0.000 | 94.844 | 0.000 | 0.000 | 
| 0.000 | 0.000 | -0.000 | 0.000 | 94.844 | 0.000 | 
| 0.000 | 0.000 | -0.000 | 0.000 | 0.000 | 106.434 | 
| 590.336 | -24.496 | -17.915 | -0.000 | -0.000 | -0.000 | 
| -24.496 | 590.336 | -17.915 | -0.000 | 0.000 | -0.000 | 
| -17.862 | -17.862 | 282.406 | 0.000 | -0.000 | -0.000 | 
| -0.000 | -0.000 | 0.000 | 94.844 | -0.000 | -0.000 | 
| -0.000 | -0.000 | 0.000 | -0.000 | 94.844 | -0.000 | 
| -0.000 | -0.000 | 0.000 | -0.000 | -0.000 | 106.434 | 
| -52647521.579 | -51513601.403 | -110437784.479 | -677337.177 | 600593.385 | 3619862.666 | 
| -67421023.287 | -66942565.405 | -116013171.406 | -39685.898 | 94859.171 | 2027133.195 | 
| -55607659.203 | -54965502.457 | -113914400.876 | 307028.663 | 901928.025 | 4360804.117 | 
| -67067706.943 | -67359714.088 | -116052056.615 | -34313.774 | 127807.281 | 2241132.938 | 
| -66812700.591 | -66629360.349 | -117479114.861 | 17365.481 | 81254.865 | 1829493.977 | 
| 1399.941 | 1399.941 | 56557.127 | 0.000 | 0.000 | 69.149 | 
| 56447546.243 | 57808714.532 | 115493918.201 | 158075.619 | -737931.100 | -2962522.763 | 
| 53806766.604 | 52632684.040 | 110952913.538 | 768335.572 | -664111.677 | -3642915.399 | 
| 57001383.212 | 57339313.181 | 116227991.148 | -56642.177 | -1076220.790 | -4540637.679 | 
| 67084695.603 | 67350341.801 | 116050909.678 | -2478.127 | -96477.799 | -2243508.046 | 
| 67037436.103 | 67406422.905 | 116052107.601 | 32285.566 | -133560.192 | -2235979.827 | 
| -1399.984 | -1399.984 | -56559.605 | -0.000 | -0.000 | -44.836 | 
| -5292140.959 | -5018601.183 | -10741473.173 | 9870.965 | 5164.675 | 56863.100 | 
| -5262595.259 | -5572505.255 | -11079527.694 | -54836.117 | 3925.493 | 324504.714 | 
| -5285408.862 | -5313220.671 | -11189473.496 | 48899.175 | 107054.577 | 566050.405 | 
| -5241763.692 | -5188627.779 | -11077796.255 | 49234.297 | 96281.651 | 515906.452 | 
| -5593127.833 | -5587872.940 | -11396868.614 | 18790.563 | 123841.812 | 495502.823 | 
| -5683561.879 | -5751703.604 | -10398476.643 | -5437.438 | 47729.446 | -9797921.142 | 
| 4759343.987 | 5044924.078 | 10351712.656 | 17592.988 | -31405.959 | -327706.916 | 
| 5003565.606 | 4690753.359 | 10505696.267 | 2208.904 | -3402.976 | -120738.230 | 
| 5341906.329 | 5418631.509 | 11192411.203 | -46726.199 | -94499.031 | -361336.700 | 
| 5507169.869 | 5377344.916 | 11332052.499 | -12348.237 | -152471.427 | -527369.148 | 
| 5294900.644 | 5335594.361 | 11129162.276 | -52586.636 | -97023.144 | -537909.182 | 
| 5888635.911 | 5877599.747 | 10547564.629 | -12859.461 | -9118.431 | -10350618.921 | 
| -480841.941 | -450516.212 | -1016858.928 | 1540.679 | -236.527 | 2659.803 | 
| -504583.083 | -552459.177 | -1100988.068 | 3707.396 | 2800.108 | 2184.402 | 
| 115.676 | 115.676 | 627.629 | -0.000 | 0.000 | 0.064 | 
| -550275.854 | -550213.102 | -1141174.950 | 7694.520 | 10379.518 | 92006.298 | 
| -535579.877 | -529967.050 | -1117681.208 | 4515.017 | 13713.058 | 87950.956 | 
| -513865.503 | -512145.338 | -1035601.074 | -841.361 | 7753.636 | -551632.286 | 
| 384196.228 | 452942.463 | 944249.112 | 1754.430 | -12290.103 | -12837.601 | 
| 475438.658 | 402932.453 | 985107.232 | -7859.731 | 115.932 | 40932.310 | 
| 538116.757 | 531843.579 | 1107941.409 | -424.343 | -9306.666 | -31470.101 | 
| 537210.047 | 543982.810 | 1120295.509 | -4506.854 | -10046.259 | -84367.235 | 
| 549406.722 | 557990.706 | 1143317.532 | -5753.087 | -7243.083 | -76025.216 | 
| 554717.604 | 559017.010 | 1069500.095 | 5096.899 | -115.144 | -672973.608 | 
| 450.015 | 67.960 | 0.300 | -0.000 | -2.185 | 0.000 | 
| 67.961 | 449.981 | 0.323 | -0.000 | -0.202 | 0.000 | 
| 0.300 | 0.323 | 0.003 | 0.000 | 0.010 | 0.000 | 
| -0.000 | -0.000 | -0.000 | 0.395 | 0.000 | -0.907 | 
| -2.185 | -0.202 | 0.010 | -0.000 | 0.375 | 0.000 | 
| -0.000 | -0.000 | -0.000 | -0.907 | 0.000 | 190.982 | 
| 450.015 | 67.961 | 0.300 | 0.000 | -2.185 | -0.000 | 
| 67.961 | 449.981 | 0.323 | 0.000 | -0.202 | -0.000 | 
| 0.300 | 0.323 | 0.003 | -0.000 | 0.010 | -0.000 | 
| -0.000 | 0.000 | 0.000 | 0.395 | -0.000 | -0.907 | 
| -2.185 | -0.202 | 0.010 | 0.000 | 0.375 | -0.000 | 
| -0.000 | 0.000 | 0.000 | -0.907 | -0.000 | 190.982 | 
| 549.572 | 99.015 | 2.266 | -0.000 | 5.553 | 0.000 | 
| 6107.825 | 5573.042 | 29.952 | 0.000 | 3.007 | -0.007 | 
| 0.300 | 0.323 | 0.003 | -0.000 | 0.010 | 0.000 | 
| -0.000 | -0.000 | -0.000 | 0.395 | 0.000 | -0.907 | 
| -2.185 | -0.202 | 0.010 | 0.000 | 0.375 | 0.000 | 
| 147.984 | -0.113 | 1.939 | -0.435 | 6.218 | 152.614 | 
| 255.252 | 96.429 | -1.621 | 0.000 | -6.907 | 0.000 | 
| -5625.812 | -5033.546 | -26.993 | 0.000 | 0.734 | -0.004 | 
| 0.300 | 0.323 | 0.003 | 0.000 | 0.010 | -0.000 | 
| 0.000 | 0.000 | 0.000 | 0.395 | -0.000 | -0.907 | 
| -2.185 | -0.202 | 0.010 | -0.000 | 0.375 | -0.000 | 
| -147.984 | 0.113 | -1.939 | -0.435 | -6.218 | 152.614 | 
| 450.017 | 67.961 | 0.300 | -0.000 | -2.185 | 0.000 | 
| 67.961 | 449.983 | 0.323 | -0.000 | -0.202 | 0.000 | 
| 0.300 | 0.323 | 0.003 | -0.000 | 0.010 | 0.000 | 
| 14.806 | -0.008 | 0.194 | 0.075 | 0.623 | -0.434 | 
| -2.185 | -0.202 | 0.010 | -0.000 | 0.375 | 0.000 | 
| 0.000 | 0.000 | 0.000 | -0.907 | -0.000 | 190.982 | 
| 386.513 | 63.263 | 0.023 | 0.000 | 0.093 | -0.000 | 
| 67.960 | 449.979 | 0.323 | 0.000 | -0.202 | -0.000 | 
| 0.300 | 0.323 | 0.003 | 0.000 | 0.010 | -0.000 | 
| -14.806 | 0.008 | -0.194 | 0.075 | -0.623 | -0.434 | 
| -15.554 | -0.056 | -0.192 | 0.000 | -0.542 | -0.000 | 
| -0.000 | -0.000 | -0.000 | -0.907 | 0.000 | 190.982 | 
| 427.441 | 68.725 | 79.311 | -0.005 | 0.006 | 0.000 | 
| -9.516 | 8.535 | 239.059 | -43.686 | -20.788 | -24.796 | 
| 79.140 | 81.831 | 487.144 | -0.039 | -0.014 | -0.002 | 
| -68.638 | -83.119 | 161.253 | 83.099 | -16.576 | -47.316 | 
| 0.006 | 0.003 | -0.014 | 0.001 | 205.813 | 0.016 | 
| -69.108 | -106.543 | 191.696 | -43.638 | -20.792 | 4.102 | 
| 283.157 | 167.982 | -72.959 | 24.366 | 16.651 | 47.938 | 
| 68.515 | 422.692 | 81.790 | 0.027 | 0.003 | 0.001 | 
| 79.140 | 81.831 | 487.144 | -0.039 | -0.014 | -0.002 | 
| 69.047 | 83.843 | -162.325 | 130.933 | 16.632 | 47.934 | 
| -132.226 | 482.123 | -282.113 | 34.097 | 18.890 | 33.709 | 
| 0.000 | 0.001 | -0.002 | 0.011 | 0.016 | 173.658 | 
| 302.254 | 91.819 | 118.494 | -0.315 | -0.557 | -6.271 | 
| 76.570 | 200.355 | 106.321 | -2.486 | -1.697 | -4.780 | 
| 104.258 | 99.230 | 378.710 | -0.078 | -0.468 | -6.274 | 
| 12.959 | -47.596 | 28.213 | -15.737 | -2.906 | -3.292 | 
| -6.899 | -10.616 | 19.147 | -4.333 | 61.218 | -2.512 | 
| -3.494 | -6.750 | 10.469 | -0.194 | -0.496 | 97.322 | 
| 309.489 | 105.381 | 97.345 | 0.130 | 0.482 | 6.259 | 
| 101.955 | 312.247 | 95.432 | 0.171 | 0.506 | 6.272 | 
| 111.342 | 112.890 | 357.445 | 0.367 | 0.573 | 6.281 | 
| 0.967 | 22.156 | -24.717 | 18.920 | 2.009 | 3.491 | 
| 6.871 | 10.655 | -19.082 | 4.337 | 65.304 | 2.520 | 
| 0.916 | 21.966 | -24.662 | 5.694 | 1.979 | -16.740 | 
| 18.860 | -49.509 | -24.537 | -0.268 | -0.213 | -0.379 | 
| -49.806 | 18.048 | -22.239 | -0.254 | -0.181 | -0.365 | 
| -5.745 | -9.563 | 158.918 | -0.321 | -0.298 | -0.546 | 
| 1.063 | -3.902 | 2.567 | 18.356 | -0.240 | -0.365 | 
| 1.160 | -5.111 | 2.981 | -0.219 | 7.044 | -0.450 | 
| 1.234 | -5.311 | 3.040 | -0.263 | -0.346 | 0.332 | 
| -11.155 | 12.684 | 11.937 | 0.092 | 0.264 | 0.522 | 
| 11.474 | -0.290 | 23.208 | 0.215 | 0.300 | 0.469 | 
| -22.693 | -14.788 | 147.394 | 0.300 | 0.255 | 0.456 | 
| -1.105 | 5.543 | -2.825 | 5.192 | 0.348 | 0.507 | 
| -1.027 | 4.135 | -2.486 | 0.319 | 15.632 | 0.366 | 
| -1.414 | 6.068 | -2.099 | 0.180 | 0.339 | -11.680 | 
| 243.125 | 201.056 | 341.116 | 112.097 | -63.409 | 24.141 | 
| 77.051 | 370.366 | 338.353 | 112.141 | -63.431 | 24.090 | 
| 146.701 | 267.220 | 617.508 | 112.033 | -63.298 | 24.054 | 
| -226.629 | 248.803 | 328.064 | 163.828 | -120.046 | 32.403 | 
| 243.553 | 366.926 | 439.431 | 112.098 | 22.440 | 24.061 | 
| 160.608 | 452.379 | 552.079 | 84.595 | -36.242 | 18.466 | 
| -243.558 | -532.710 | -537.115 | -112.066 | 63.374 | -24.049 | 
| -290.147 | -510.796 | -614.471 | -84.629 | 36.305 | -0.329 | 
| -224.347 | -513.564 | -518.669 | -84.575 | 36.213 | -0.175 | 
| -85.464 | -88.813 | 52.363 | 116.134 | 7.701 | -9.005 | 
| -243.614 | -366.916 | -439.166 | -112.086 | 149.219 | -24.119 | 
| -243.565 | -366.955 | -439.283 | -112.060 | 63.372 | 66.291 | 
| -9.771 | -69.168 | -47.522 | 13.090 | -6.979 | 5.479 | 
| -64.556 | 26.607 | 6.543 | 16.588 | -9.974 | 5.603 | 
| -48.046 | -16.155 | 91.837 | 8.381 | -3.609 | 0.179 | 
| 2.690 | 58.193 | 32.967 | 46.668 | -2.446 | 3.905 | 
| 37.029 | 38.942 | 6.992 | 13.235 | 38.128 | 5.513 | 
| -1.299 | 31.344 | 28.571 | 21.380 | -18.704 | -8.735 | 
| -67.403 | -170.047 | -116.273 | -8.357 | 3.649 | -0.156 | 
| -140.515 | -99.503 | -114.581 | -8.376 | 3.628 | -0.156 | 
| 131.483 | 57.883 | 69.401 | -20.293 | 15.099 | -4.663 | 
| -15.878 | -45.482 | -55.268 | 23.186 | 3.641 | -0.088 | 
| -24.406 | -39.863 | -35.479 | -15.660 | 59.179 | -2.012 | 
| -24.241 | -37.832 | -44.309 | -11.095 | 6.245 | 80.724 | 
| -11.224 | 8.126 | 9.549 | 1.391 | -0.845 | 0.339 | 
| -42.104 | -0.004 | -4.854 | 1.203 | -0.772 | 0.381 | 
| -0.187 | 5.129 | 150.836 | 0.811 | -0.277 | 0.190 | 
| -0.757 | 2.902 | 2.553 | -25.797 | -1.448 | 0.434 | 
| 0.703 | 3.964 | 1.592 | 0.347 | 62.340 | 0.281 | 
| 2.088 | 5.044 | 5.166 | 1.076 | -0.581 | 21.349 | 
| -10.971 | 25.759 | 3.322 | -1.735 | 1.390 | -0.418 | 
| 4.529 | -14.894 | 6.556 | -1.375 | 0.819 | -0.337 | 
| -7.243 | -9.354 | 151.059 | -1.636 | 1.331 | -0.256 | 
| -2.078 | -4.835 | -5.222 | 30.304 | 0.560 | -0.153 | 
| 0.111 | -3.337 | -2.500 | -1.533 | -3.048 | -0.359 | 
| 1.413 | -3.702 | -1.605 | -1.694 | 1.209 | -22.792 | 
| 544.223 | 192.000 | 192.000 | 0.000 | -0.000 | -0.000 | 
| 192.000 | 544.223 | 192.000 | 0.000 | -0.000 | -0.000 | 
| 192.000 | 192.000 | 544.223 | 0.000 | -0.000 | -0.000 | 
| -0.296 | 0.976 | 0.976 | 356.460 | -0.000 | -0.000 | 
| 0.895 | -0.271 | 0.895 | 0.000 | 356.828 | -0.000 | 
| 1.058 | 1.058 | -0.320 | 0.000 | -0.000 | 356.145 | 
| 544.223 | 192.000 | 192.000 | -0.000 | 0.000 | 0.000 | 
| 192.000 | 544.223 | 192.000 | -0.000 | 0.000 | 0.000 | 
| 192.000 | 192.000 | 544.223 | -0.000 | 0.000 | 0.000 | 
| 0.287 | -0.949 | -0.949 | 357.376 | 0.000 | 0.000 | 
| -0.931 | 0.282 | -0.931 | -0.000 | 354.975 | 0.000 | 
| -1.053 | -1.053 | 0.319 | -0.000 | 0.000 | 356.622 | 
| 544.224 | 192.000 | 192.000 | 0.000 | -0.000 | -0.000 | 
| 192.000 | 544.224 | 192.000 | 0.000 | -0.000 | -0.000 | 
| 192.000 | 192.000 | 544.224 | 0.000 | -0.000 | -0.000 | 
| -0.070 | 0.233 | 0.233 | 326.888 | -0.000 | -0.000 | 
| 0.231 | -0.070 | 0.231 | -0.000 | 327.364 | -0.000 | 
| 0.247 | 0.247 | -0.075 | -0.000 | -0.000 | 327.007 | 
| 544.223 | 192.000 | 192.000 | -0.000 | 0.000 | 0.000 | 
| 192.000 | 544.223 | 192.000 | -0.000 | 0.000 | 0.000 | 
| 192.000 | 192.000 | 544.223 | -0.000 | 0.000 | 0.000 | 
| 0.072 | -0.237 | -0.237 | 326.790 | 0.000 | 0.000 | 
| -0.238 | 0.072 | -0.238 | 0.000 | 326.797 | 0.000 | 
| -0.242 | -0.242 | 0.073 | -0.000 | 0.000 | 327.140 | 
| 544.226 | 192.001 | 192.001 | -0.000 | -0.000 | -0.000 | 
| 192.001 | 544.226 | 192.001 | -0.000 | -0.000 | -0.000 | 
| 192.001 | 192.001 | 544.226 | -0.000 | -0.000 | -0.000 | 
| 649731.325 | 647985.103 | 647429.015 | 288039.862 | -22986.222 | 27538.360 | 
| 649761.631 | 646103.746 | 654992.992 | 27997.150 | 303452.787 | 14469.577 | 
| 644903.821 | 650899.972 | 649514.964 | 22128.438 | -13007.380 | 298232.433 | 
| -646512.583 | -648894.049 | -651037.999 | -28509.222 | 24678.725 | -7435.063 | 
| -651764.095 | -642703.143 | -652336.752 | -22065.550 | 18189.342 | -30000.635 | 
| -651388.062 | -647728.366 | -646791.194 | -17865.349 | 9273.054 | -17256.054 | 
| -650696.010 | -643031.515 | -654599.760 | 248127.361 | 32100.481 | -24766.043 | 
| -657835.570 | -642995.278 | -645809.249 | -32293.708 | 304349.183 | -32743.086 | 
| -652513.255 | -643706.325 | -651758.517 | -27612.401 | 12758.987 | 269934.189 | 
| -4833.835 | 4208.391 | 8794.904 | -0.000 | -0.000 | 0.000 | 
| -77.082 | 1116.029 | 129.897 | -0.000 | -0.000 | 0.000 | 
| -7124.659 | 2099.256 | 10025.322 | -0.000 | -0.000 | 0.000 | 
| -7152.232 | 1899.611 | 9030.215 | 582.880 | -0.000 | -0.000 | 
| -5895.623 | 4225.124 | 8776.182 | 0.000 | 573.533 | 0.000 | 
| 0.000 | 0.000 | 0.000 | -0.000 | -0.000 | 407.766 | 
| 1236.138 | -73.700 | -24.981 | -0.000 | 0.000 | -0.000 | 
| -77.082 | 1116.029 | 129.897 | 0.000 | 0.000 | -0.000 | 
| 7148.563 | -1691.823 | -7995.577 | -0.000 | 0.000 | -0.001 | 
| 7152.232 | -1899.611 | -9030.215 | 582.880 | 0.000 | 0.000 | 
| 5895.623 | -4225.124 | -8776.182 | 0.000 | 573.533 | -0.000 | 
| 0.000 | 0.000 | 0.000 | 0.000 | 0.000 | 407.766 | 
| 643.377 | 322.036 | 900.707 | -0.000 | -0.000 | 0.000 | 
| -787.262 | 1217.239 | 1096.813 | 0.000 | -0.000 | 0.000 | 
| -32.417 | 125.843 | 1120.895 | -0.000 | -0.000 | 0.000 | 
| -713.713 | 189.560 | 901.115 | 582.902 | -0.000 | 0.000 | 
| 0.000 | -0.000 | 0.000 | -0.000 | 697.551 | 0.000 | 
| -645.031 | 717.395 | 663.017 | -0.000 | -0.000 | 354.034 | 
| 1746.578 | -766.932 | -637.396 | -0.000 | 0.000 | -0.000 | 
| -77.082 | 1116.028 | 129.897 | 0.000 | 0.000 | -0.000 | 
| -32.417 | 125.843 | 1120.894 | 0.000 | 0.000 | -0.000 | 
| 713.713 | -189.560 | -901.115 | 582.902 | 0.000 | 0.000 | 
| -0.000 | 0.000 | -0.000 | 0.000 | 697.551 | -0.000 | 
| 645.031 | -717.395 | -663.017 | 0.000 | 0.000 | 354.034 | 
| 1031.603 | 9.625 | 109.338 | -0.000 | -0.000 | -0.000 | 
| -106.517 | 1089.943 | 266.769 | -0.000 | -0.000 | 0.000 | 
| -32.416 | 125.843 | 1120.899 | -0.000 | -0.000 | -0.000 | 
| -64.380 | 71.580 | 66.183 | 574.861 | -0.000 | 0.000 | 
| -60.218 | 41.103 | 87.985 | -0.000 | 575.674 | 0.000 | 
| -64.404 | 74.220 | 65.482 | -0.000 | -0.000 | 352.585 | 
| 1236.134 | -73.700 | -24.982 | 0.000 | 0.000 | -0.000 | 
| -3.699 | 1000.106 | 114.753 | 0.000 | 0.000 | -0.000 | 
| -32.417 | 125.843 | 1120.889 | -0.000 | 0.000 | -0.000 | 
| 64.380 | -71.580 | -66.183 | 574.861 | 0.000 | 0.000 | 
| 60.218 | -41.103 | -87.985 | -0.000 | 575.674 | -0.000 | 
| 64.404 | -74.220 | -65.482 | 0.000 | 0.000 | 352.585 | 
| 5474439.043 | 5633535.529 | 5472834.331 | -126219.856 | 21074.427 | -245709.902 | 
| 5659803.457 | 5687656.781 | 5556337.805 | -91258.857 | 93117.112 | -175795.414 | 
| 5402370.642 | 5561460.857 | 5393430.368 | -91626.754 | 75694.327 | -238303.545 | 
| 5508855.111 | 5597037.069 | 5457122.350 | -4166.617 | 56327.674 | -259475.498 | 
| 5556377.260 | 5586396.925 | 5481742.090 | -152615.418 | 53492.109 | -177221.067 | 
| 5509391.450 | 5599130.092 | 5419668.692 | -155816.208 | 18840.670 | -284972.164 | 
| -5533603.263 | -5645320.649 | -5411239.636 | 125668.030 | 10791.795 | 218745.104 | 
| -5562899.845 | -5729255.615 | -5519778.588 | 151903.846 | -12925.780 | 103231.391 | 
| -5551159.753 | -5652092.944 | -5484631.494 | 162197.687 | -33203.747 | 188005.368 | 
| -5502390.666 | -5619115.988 | -5441266.355 | 197626.123 | -32220.476 | 152003.978 | 
| -5496843.806 | -5592642.515 | -5443975.571 | 65271.739 | 6116.975 | 132921.658 | 
| -5400729.170 | -5578403.863 | -5436273.026 | 65533.759 | -21982.859 | 199066.525 | 
| 536849.436 | 550241.897 | 538970.241 | -4927.276 | 863.309 | -16724.036 | 
| 552891.003 | 568397.907 | 542237.079 | -21429.016 | 2191.865 | -17722.377 | 
| 558210.325 | 561153.946 | 544552.870 | -22292.939 | 2200.560 | -18504.826 | 
| 557314.746 | 565799.013 | 548688.141 | -16771.161 | 3093.533 | -21132.821 | 
| 564443.947 | 567229.607 | 550076.360 | -9664.208 | 8614.352 | -20681.892 | 
| 534993.929 | 554477.271 | 535622.293 | -7924.944 | 3373.183 | -20977.389 | 
| -539506.005 | -549244.662 | -539712.339 | 13898.086 | -4414.991 | 19879.067 | 
| -538530.614 | -554641.160 | -534429.508 | 22482.103 | -8428.176 | 17567.192 | 
| -544168.624 | -547429.838 | -540147.232 | 16916.189 | -470.288 | 19425.862 | 
| -550151.610 | -566074.540 | -552065.874 | 8750.988 | -6319.266 | 12848.709 | 
| -548390.154 | -562460.059 | -538810.265 | 14971.428 | -5905.625 | 18386.040 | 
| -546675.053 | -560308.191 | -542623.462 | 8261.405 | 1679.149 | 11052.117 | 
| 55834.870 | 56981.903 | 54900.673 | -1280.155 | 129.727 | -1175.493 | 
| 55133.706 | 56772.755 | 54928.035 | -847.013 | 287.670 | -2543.754 | 
| 55102.620 | 56298.935 | 54839.766 | -2101.785 | 197.889 | -1458.244 | 
| 54808.974 | 55967.088 | 54156.085 | -685.573 | 227.760 | -1972.927 | 
| 55805.066 | 56118.669 | 55297.960 | -1622.535 | 363.209 | -1680.318 | 
| 54814.251 | 56410.990 | 54778.567 | -948.320 | 460.923 | -1917.673 | 
| -54428.554 | -54994.804 | -53404.542 | 1445.953 | -526.111 | 2376.551 | 
| -54330.355 | -55201.882 | -53319.148 | 1770.724 | -637.801 | 1928.045 | 
| -54710.638 | -55374.679 | -53938.172 | 1384.498 | -1054.365 | 2338.160 | 
| -55228.610 | -56380.993 | -53929.735 | 1359.733 | -668.025 | 2948.982 | 
| -55295.653 | -56486.233 | -54425.951 | 2124.252 | -1072.929 | 1915.277 | 
| -55491.278 | -56151.314 | -54858.377 | 1669.094 | -229.020 | 2118.141 | 
| -1433.424 | 4088.395 | 1525.143 | 0.020 | 3803.760 | 0.015 | 
| 691.575 | 5658.097 | 2817.709 | 0.026 | 3562.344 | 0.021 | 
| -1513.408 | 3986.797 | 1504.681 | 0.020 | 3690.701 | 0.015 | 
| -1542.296 | 3935.358 | 1458.434 | 53.383 | 3700.623 | 6.523 | 
| -1557.527 | 3946.114 | 1451.589 | 0.020 | 3733.821 | 0.015 | 
| -1542.292 | 3935.347 | 1458.430 | 6.492 | 3700.613 | 39.621 | 
| 1699.506 | -3899.849 | -1435.412 | -0.020 | -3708.038 | -0.015 | 
| -3540.637 | -9804.125 | -5855.666 | -0.008 | -4023.443 | -0.004 | 
| 1617.563 | -4002.620 | -1456.572 | -0.020 | -3821.363 | -0.016 | 
| 1542.296 | -3935.358 | -1458.434 | 53.343 | -3700.623 | 6.493 | 
| 1527.045 | -3924.610 | -1465.301 | -0.020 | -3667.398 | -0.015 | 
| 1542.292 | -3935.347 | -1458.430 | 6.452 | -3700.613 | 39.591 | 
| 3.538 | 430.156 | 169.221 | 0.002 | 363.679 | 0.001 | 
| -116.009 | 464.571 | 199.069 | 0.002 | 376.983 | 0.002 | 
| -125.437 | 445.258 | 192.237 | 0.002 | 360.319 | 0.001 | 
| -154.317 | 393.759 | 145.926 | 53.351 | 370.272 | 6.509 | 
| -173.526 | 415.808 | 143.602 | 0.002 | 413.368 | 0.002 | 
| 68.091 | 561.863 | 279.167 | 8.346 | 354.906 | 16.068 | 
| -449.331 | -950.888 | -558.235 | -0.001 | -396.562 | -0.000 | 
| 192.659 | -323.036 | -92.818 | -0.002 | -363.643 | -0.002 | 
| 183.215 | -342.404 | -99.777 | -0.002 | -380.140 | -0.002 | 
| 154.317 | -393.759 | -145.926 | 53.347 | -370.272 | 6.506 | 
| -63.938 | -547.110 | -273.633 | -0.003 | -342.153 | -0.002 | 
| -68.091 | -561.863 | -279.167 | 8.341 | -354.906 | 16.064 | 
| 52.412 | 66.939 | 32.822 | 0.000 | 38.448 | 0.000 | 
| -3.065 | 89.156 | 54.624 | 0.000 | 39.967 | 0.000 | 
| 12.126 | 78.429 | 46.481 | 0.000 | 36.024 | 0.000 | 
| 31.214 | 100.237 | 60.302 | -23.477 | 40.900 | 0.484 | 
| -29.091 | 53.450 | 11.136 | 0.000 | 68.720 | 0.000 | 
| -15.798 | 40.312 | 14.939 | 6.461 | 37.907 | 38.832 | 
| 2.823 | -75.006 | -55.146 | -0.000 | -13.371 | -0.000 | 
| 54.584 | 28.767 | 37.190 | -0.000 | -32.056 | -0.000 | 
| -42.526 | -45.888 | -24.837 | -0.000 | -19.846 | -0.000 | 
| -31.214 | -100.236 | -60.302 | -23.477 | -40.900 | 0.483 | 
| -5.136 | -53.209 | -34.750 | -0.000 | -18.050 | -0.000 | 
| 15.798 | -40.312 | -14.939 | 6.461 | -37.907 | 38.832 | 
| 414.653 | 74.923 | 74.923 | -0.000 | -0.000 | 0.000 | 
| 74.923 | 414.654 | 74.923 | 0.000 | 0.000 | 0.000 | 
| 74.923 | 74.923 | 414.653 | -0.000 | -0.000 | -0.000 | 
| 1245.474 | 1245.474 | 1245.474 | 22.436 | 0.000 | 0.000 | 
| 1245.474 | 1245.474 | 1245.474 | -0.000 | 22.436 | 0.000 | 
| 1245.474 | 1245.474 | 1245.474 | 0.000 | -0.000 | 22.436 | 
| -1125.031 | -1168.910 | -1168.910 | 0.000 | -0.000 | -0.000 | 
| -1168.910 | -1125.031 | -1168.910 | 0.000 | -0.000 | -0.000 | 
| -1168.910 | -1168.910 | -1125.031 | -0.000 | -0.000 | -0.000 | 
| -1245.474 | -1245.474 | -1245.474 | 22.436 | -0.000 | -0.000 | 
| -1245.474 | -1245.474 | -1245.474 | 0.000 | 22.436 | -0.000 | 
| -1245.474 | -1245.474 | -1245.474 | 0.000 | 0.000 | 22.436 | 
| 246.562 | 201.271 | 201.271 | -0.000 | -0.000 | -0.000 | 
| 201.271 | 246.562 | 201.271 | -0.000 | -0.000 | -0.000 | 
| 201.271 | 201.271 | 246.562 | -0.000 | 0.000 | 0.000 | 
| 39.230 | 39.229 | 39.229 | 85.792 | 0.000 | 0.000 | 
| 39.229 | 39.230 | 39.230 | -0.000 | 85.792 | 0.000 | 
| 39.229 | 39.229 | 39.230 | -0.000 | 0.000 | 85.792 | 
| -787.702 | -714.753 | -714.752 | 0.000 | -0.000 | -0.000 | 
| -714.752 | -787.702 | -714.753 | 0.000 | 0.000 | -0.000 | 
| -714.753 | -714.752 | -787.702 | 0.000 | -0.000 | -0.000 | 
| -39.230 | -39.229 | -39.230 | 85.792 | 0.000 | 0.000 | 
| -39.230 | -39.230 | -39.230 | 0.000 | 85.792 | -0.000 | 
| -39.229 | -39.230 | -39.230 | 0.000 | -0.000 | 85.792 | 
| 414.655 | 74.923 | 74.923 | -0.000 | 0.000 | 0.000 | 
| 74.923 | 414.655 | 74.923 | -0.000 | 0.000 | 0.000 | 
| 74.923 | 74.923 | 414.655 | -0.000 | -0.000 | 0.000 | 
| 0.000 | 0.000 | 0.000 | 170.468 | 0.000 | -0.000 | 
| 0.000 | 0.000 | 0.000 | -0.000 | 170.468 | 0.000 | 
| 0.000 | 0.000 | 0.000 | -0.000 | -0.000 | 170.468 | 
| 260.708 | 98.528 | 98.528 | 0.000 | 0.000 | 0.000 | 
| 98.528 | 260.708 | 98.528 | -0.000 | 0.000 | -0.000 | 
| 98.528 | 98.528 | 260.708 | 0.000 | 0.000 | -0.000 | 
| -0.000 | -0.000 | -0.000 | 170.468 | 0.000 | -0.000 | 
| -0.000 | -0.000 | -0.000 | 0.000 | 170.468 | -0.000 | 
| -0.000 | -0.000 | -0.000 | 0.000 | 0.000 | 170.468 | 
| -18948.702 | -18990.154 | -18990.153 | -0.000 | -0.000 | -0.000 | 
| -18990.153 | -18948.702 | -18990.154 | 0.000 | -0.000 | -0.000 | 
| -18990.154 | -18990.153 | -18948.702 | 0.000 | -0.000 | 0.000 | 
| -19043.678 | -19043.678 | -19043.678 | 21.047 | -0.000 | -0.000 | 
| -19043.678 | -19043.678 | -19043.678 | -0.000 | 21.047 | -0.000 | 
| -19043.678 | -19043.678 | -19043.678 | -0.000 | -0.000 | 21.047 | 
| -16898.436 | -17455.911 | -17456.063 | 0.000 | 0.000 | 0.000 | 
| -17456.081 | -16898.455 | -17455.930 | -0.000 | 0.000 | 0.000 | 
| -17455.929 | -17456.080 | -16898.456 | 0.000 | 0.000 | -0.000 | 
| 19043.678 | 19043.678 | 19043.678 | 21.047 | -0.000 | -0.000 | 
| 19043.678 | 19043.678 | 19043.678 | -0.000 | 21.047 | 0.000 | 
| 19043.678 | 19043.678 | 19043.678 | -0.000 | 0.000 | 21.047 | 
| 400.427 | 71.854 | 71.854 | -0.000 | -0.000 | -0.000 | 
| 71.854 | 400.427 | 71.854 | 0.000 | -0.000 | -0.000 | 
| 71.854 | 71.854 | 400.427 | 0.000 | -0.000 | -0.000 | 
| -391.008 | -391.008 | -391.008 | 107.727 | -0.000 | -0.000 | 
| -391.008 | -391.008 | -391.008 | 0.000 | 107.727 | -0.000 | 
| -391.008 | -391.008 | -391.008 | -0.000 | -0.000 | 107.727 | 
| 699.137 | 485.775 | 485.775 | 0.000 | 0.000 | 0.000 | 
| 485.775 | 699.137 | 485.775 | -0.000 | 0.000 | 0.000 | 
| 485.775 | 485.775 | 699.137 | -0.000 | 0.000 | 0.000 | 
| 391.008 | 391.008 | 391.008 | 107.727 | 0.000 | -0.000 | 
| 391.008 | 391.008 | 391.008 | 0.000 | 107.727 | 0.000 | 
| 391.008 | 391.008 | 391.008 | -0.000 | 0.000 | 107.727 | 
| 301.292 | 7.464 | 7.403 | 0.000 | -0.000 | 0.000 | 
| 7.401 | 301.291 | 7.462 | -0.000 | -0.000 | 0.000 | 
| 7.454 | 7.394 | 301.306 | -0.000 | -0.000 | 0.000 | 
| 121.778 | 121.824 | 121.820 | 63.809 | 0.000 | -0.000 | 
| 121.819 | 121.777 | 121.824 | -0.000 | 63.803 | -0.000 | 
| 146.618 | 146.610 | 146.595 | 0.000 | 0.000 | 126.083 | 
| -14.859 | -202.894 | -203.113 | 0.000 | 0.000 | 0.000 | 
| -215.470 | -26.093 | -215.289 | 0.000 | 0.000 | 0.000 | 
| -211.504 | -211.678 | -26.633 | 0.000 | 0.000 | 0.000 | 
| -121.778 | -121.824 | -121.819 | 63.806 | -0.000 | 0.000 | 
| -146.607 | -146.593 | -146.616 | -0.000 | 126.077 | 0.000 | 
| -121.823 | -121.818 | -121.777 | 0.000 | -0.000 | 63.805 | 
| 17.248 | 10.129 | 55.707 | 0.000 | -0.000 | -0.000 | 
| 10.125 | 615.867 | 56.989 | -0.000 | -0.000 | -0.000 | 
| 55.699 | 56.985 | 333.110 | -0.000 | -0.000 | -0.000 | 
| 0.000 | -0.000 | -0.000 | 198.177 | -0.000 | 0.000 | 
| 234.166 | 2372.600 | 1058.580 | -2.594 | -4.266 | -4.365 | 
| 0.000 | -0.000 | -0.000 | -0.000 | -0.000 | 33.040 | 
| -1882.731 | 3592.832 | -328.117 | -0.166 | -0.009 | -4.100 | 
| 10.125 | 615.867 | 56.989 | 0.000 | 0.000 | 0.000 | 
| -248.132 | -2501.751 | -1167.129 | 2.551 | -0.015 | 4.055 | 
| -0.000 | -0.000 | 0.000 | 198.177 | 0.000 | 0.000 | 
| -234.166 | -2372.600 | -1058.580 | 2.594 | -4.297 | 4.365 | 
| -0.000 | 0.000 | 0.000 | 0.000 | 0.000 | 33.041 | 
| 17.248 | 10.129 | 55.707 | -0.000 | -0.000 | -0.000 | 
| -109.452 | -1364.088 | -800.398 | 0.566 | 0.001 | 1.624 | 
| 55.699 | 56.985 | 333.110 | -0.000 | -0.000 | -0.000 | 
| 0.000 | 0.000 | 0.000 | 198.177 | -0.000 | -0.000 | 
| 78.346 | -84.355 | 456.913 | -0.028 | 3.995 | 1.071 | 
| -0.000 | -0.000 | 0.000 | -0.000 | -0.000 | 33.041 | 
| -67.929 | 105.481 | -443.368 | 0.028 | -0.001 | -1.053 | 
| -58.189 | 321.253 | -343.047 | 0.030 | -0.001 | -1.113 | 
| 55.699 | 56.985 | 333.110 | 0.000 | 0.000 | -0.000 | 
| -0.000 | -0.000 | -0.000 | 198.177 | -0.000 | 0.000 | 
| -78.346 | 84.355 | -456.913 | 0.028 | 3.992 | -1.071 | 
| 0.000 | 0.000 | -0.000 | 0.000 | 0.000 | 33.041 | 
| 16.694 | 15.171 | 49.643 | -0.003 | 0.000 | 0.128 | 
| 10.125 | 615.870 | 56.989 | 0.000 | -0.000 | 0.000 | 
| 55.699 | 56.985 | 333.111 | -0.000 | 0.000 | -0.000 | 
| 0.000 | 0.000 | 0.000 | 198.177 | -0.000 | -0.000 | 
| -0.000 | 0.000 | 0.000 | -0.000 | 55.714 | -0.000 | 
| 12.911 | -123.629 | -6.320 | 0.021 | 0.000 | 10.412 | 
| -15.933 | 127.766 | -74.573 | -0.051 | -0.000 | -0.050 | 
| -19.077 | 65.561 | -127.461 | -0.016 | -0.000 | -0.075 | 
| 16.223 | 111.280 | 92.053 | 0.002 | -0.000 | -0.072 | 
| -0.000 | -0.000 | -0.000 | 198.177 | -0.000 | 0.000 | 
| 0.000 | -0.000 | -0.000 | -0.000 | 55.714 | -0.000 | 
| 7.225 | 94.144 | 54.245 | -0.049 | -0.000 | -18.900 | 
| 2635522.633 | -448743.546 | 2517586.537 | -25286.144 | 113774.273 | -22735.413 | 
| 2926783.373 | -340504.981 | 2816077.768 | -38887.100 | 73038.541 | -33634.032 | 
| 2715935.808 | -414189.808 | 2573659.141 | -19839.053 | 120605.034 | -25876.551 | 
| 2649015.095 | -496686.343 | 2534503.811 | -31003.407 | 114048.888 | -27404.572 | 
| 2687479.812 | -431819.589 | 2571714.795 | -19013.909 | 117245.799 | -25099.497 | 
| 2554386.492 | -424680.467 | 2436036.170 | -16156.693 | 94489.488 | -18176.294 | 
| -2729332.771 | 436308.115 | -2631104.778 | 33906.785 | -107589.984 | 21225.716 | 
| -2757701.538 | 417878.432 | -2659424.276 | 28514.429 | -103364.861 | 31051.195 | 
| -2602730.269 | 469805.241 | -2485985.383 | 16563.061 | -104336.856 | 22693.244 | 
| -2753624.797 | 388774.373 | -2660454.533 | 24641.986 | -101631.008 | 32015.147 | 
| -2708226.701 | 420775.914 | -2579208.673 | 21235.163 | -114392.992 | 26519.040 | 
| -2470322.195 | 488245.976 | -2376079.948 | 17435.007 | -86626.929 | 24187.372 | 
| 277499.283 | -40303.476 | 267776.974 | -3245.966 | 10052.500 | -2184.208 | 
| 269255.700 | -43886.329 | 258207.062 | -2713.521 | 11574.430 | -1786.417 | 
| 281065.001 | -39683.170 | 272543.303 | -3638.483 | 8193.671 | -4116.437 | 
| 256678.895 | -43482.822 | 244089.491 | -2606.059 | 11036.639 | -1966.297 | 
| 270118.280 | -43882.838 | 257702.799 | -2650.725 | 12160.843 | -1872.511 | 
| 264412.043 | -38369.611 | 251057.731 | -1956.444 | 10671.232 | -2453.839 | 
| -281232.833 | 39584.450 | -270252.932 | 3051.642 | -10013.381 | 2676.881 | 
| -271202.400 | 42651.602 | -260400.630 | 2658.955 | -11561.300 | 3066.507 | 
| -260249.093 | 45676.302 | -248654.028 | 1213.442 | -10851.338 | 2250.374 | 
| -269535.800 | 42201.324 | -257441.998 | 2456.932 | -11772.570 | 2966.510 | 
| -283149.632 | 38190.761 | -274699.663 | 2370.074 | -8374.147 | 3504.084 | 
| -268404.595 | 43495.213 | -257629.123 | 2442.700 | -11915.306 | 2157.937 | 
| 26264.657 | -4381.517 | 25005.614 | -197.516 | 1103.296 | -235.581 | 
| 27599.028 | -3728.628 | 26655.267 | -300.397 | 1029.644 | -220.849 | 
| 28256.095 | -3890.909 | 27373.208 | -353.199 | 856.530 | -311.304 | 
| 26147.671 | -4510.460 | 24904.047 | -145.910 | 1084.482 | -245.516 | 
| 27558.400 | -4025.072 | 26449.901 | -193.938 | 1088.101 | -311.539 | 
| 28563.474 | -3735.117 | 27602.734 | -326.703 | 821.822 | -282.129 | 
| -24737.673 | 4482.194 | -23912.635 | 162.275 | -1029.454 | 255.325 | 
| -26042.000 | 5229.467 | -25109.972 | 227.290 | -1214.984 | 249.899 | 
| -26533.786 | 4177.214 | -25278.532 | 189.465 | -1121.714 | 228.161 | 
| -27161.697 | 3568.347 | -26144.046 | 213.953 | -1090.367 | 307.073 | 
| -25956.017 | 4652.261 | -24757.869 | 169.530 | -1082.994 | 256.893 | 
| -27651.833 | 4071.488 | -26531.372 | 335.869 | -1036.807 | 227.210 | 
| 4939.627 | 3847.426 | 5349.364 | 4401.635 | 2673.639 | 2390.698 | 
| 4627.298 | 4183.492 | 5327.385 | 4401.633 | 2673.638 | 2390.695 | 
| 4659.798 | 3843.476 | 5780.295 | 4401.633 | 2673.638 | 2390.696 | 
| 4551.811 | 3800.265 | 5279.585 | 4589.045 | 2673.638 | 2390.695 | 
| 5.258 | 5.973 | 10.511 | -0.000 | 235.233 | 0.000 | 
| 0.969 | 1.102 | 1.938 | -0.000 | -0.000 | 178.752 | 
| 387.506 | 46.809 | 69.162 | -0.000 | -0.000 | -0.000 | 
| 75.178 | 382.876 | 47.183 | 0.000 | 0.000 | 0.000 | 
| 107.679 | 42.860 | 500.094 | 0.000 | -0.000 | -0.000 | 
| -0.308 | -0.350 | -0.616 | 187.412 | -0.000 | -0.000 | 
| -4557.377 | -3806.589 | -5290.714 | -4401.632 | -2438.404 | -2390.694 | 
| -4553.088 | -3801.716 | -5282.139 | -4401.633 | -2673.637 | -2211.944 | 
| 7158.109 | 5682.322 | 7874.351 | 3081.147 | 1336.821 | 1195.352 | 
| 530.391 | 762.938 | 575.204 | 440.163 | 267.364 | 239.070 | 
| 562.891 | 422.922 | 1028.114 | 440.164 | 267.364 | 239.070 | 
| 454.904 | 379.712 | 527.405 | 627.575 | 267.364 | 239.070 | 
| 452.062 | 376.483 | 521.723 | 440.163 | -32.131 | -239.070 | 
| 0.970 | 1.102 | 1.939 | 0.000 | 0.000 | 178.751 | 
| 387.506 | 46.809 | 69.163 | -0.000 | 0.000 | -0.000 | 
| 75.178 | 382.877 | 47.184 | 0.000 | 0.000 | 0.000 | 
| 107.679 | 42.860 | 500.094 | -0.000 | 0.000 | -0.000 | 
| -0.308 | -0.350 | -0.615 | 187.412 | 0.000 | 0.000 | 
| -452.695 | -377.202 | -522.988 | -440.164 | -32.131 | -239.070 | 
| -456.181 | -381.163 | -529.958 | -440.163 | -267.364 | -60.318 | 
| 33947.311 | 27959.749 | 38699.812 | 1716.643 | 775.358 | 1410.521 | 
| 120.700 | 420.884 | 99.987 | 44.016 | 26.736 | 23.907 | 
| 784.741 | 606.414 | 1280.617 | 308.116 | 133.682 | 119.535 | 
| 45.214 | 37.657 | 52.187 | 231.429 | 26.736 | 23.907 | 
| 3151.767 | 2620.996 | 3626.744 | -792.294 | -1636.313 | 430.326 | 
| 90.453 | 75.342 | 104.425 | 88.033 | -53.473 | 130.937 | 
| 387.494 | 46.809 | 69.167 | -0.000 | 0.000 | -0.000 | 
| 75.178 | 382.876 | 47.183 | 0.000 | 0.000 | 0.000 | 
| 107.679 | 42.860 | 500.091 | -0.000 | 0.000 | -0.000 | 
| -0.308 | -0.350 | -0.615 | 187.412 | 0.000 | 0.000 | 
| -3556.967 | -2957.950 | -4092.984 | -572.212 | -1876.941 | -310.791 | 
| -180.316 | -150.015 | -207.672 | -176.065 | -106.945 | 83.124 | 
| 267.021 | 97.589 | 146.583 | 0.000 | 0.000 | -0.000 | 
| 78.085 | 445.124 | 75.220 | 0.000 | -0.000 | 0.000 | 
| 159.545 | 75.923 | 347.264 | 0.000 | -0.000 | 0.000 | 
| 0.169 | 0.147 | -0.245 | 128.052 | -0.000 | -0.000 | 
| 0.295 | -0.137 | 0.048 | -0.000 | 116.725 | 0.000 | 
| 0.214 | 0.186 | -0.310 | -0.000 | -0.000 | 87.228 | 
| 266.700 | 97.137 | 147.234 | 0.000 | 0.000 | 0.000 | 
| 78.085 | 445.124 | 75.220 | 0.000 | 0.000 | -0.000 | 
| 141.326 | 92.985 | 408.719 | 0.000 | -0.000 | 0.000 | 
| -0.169 | -0.147 | 0.245 | 128.052 | 0.000 | 0.000 | 
| -0.295 | 0.137 | -0.048 | 0.000 | 116.725 | 0.000 | 
| -0.214 | -0.186 | 0.310 | -0.000 | -0.000 | 87.228 | 
| 390.262 | 78.085 | 103.754 | -0.000 | 0.000 | 0.000 | 
| 40.921 | 257.026 | 58.328 | -0.000 | -0.000 | 0.000 | 
| 141.173 | 93.006 | 409.387 | -0.000 | -0.000 | 0.000 | 
| 0.017 | 0.015 | -0.025 | 128.047 | 0.000 | -0.000 | 
| 0.000 | 0.000 | 0.000 | -0.000 | 208.613 | -0.000 | 
| 0.000 | 0.000 | 0.000 | 0.000 | 0.000 | 162.475 | 
| 390.262 | 78.085 | 103.754 | 0.000 | 0.000 | 0.000 | 
| 85.036 | 300.017 | 76.593 | 0.000 | 0.000 | 0.000 | 
| 141.200 | 93.002 | 409.267 | -0.000 | 0.000 | -0.000 | 
| -0.017 | -0.015 | 0.025 | 128.047 | 0.000 | 0.000 | 
| -0.000 | -0.000 | -0.000 | -0.000 | 208.613 | 0.000 | 
| -0.000 | -0.000 | -0.000 | 0.000 | -0.000 | 162.475 | 
| 390.263 | 78.086 | 103.754 | -0.000 | 0.000 | 0.000 | 
| 78.085 | 445.125 | 75.220 | 0.000 | 0.000 | -0.000 | 
| 143.745 | 65.016 | 298.287 | 0.000 | -0.000 | -0.000 | 
| 0.003 | -0.002 | 0.001 | 97.489 | 0.000 | 0.000 | 
| 0.003 | -0.002 | 0.001 | 0.000 | 116.724 | 0.000 | 
| 0.002 | 0.002 | -0.003 | 0.000 | -0.000 | 87.216 | 
| 390.261 | 78.084 | 103.753 | -0.000 | -0.000 | 0.000 | 
| 78.085 | 445.122 | 75.219 | 0.000 | 0.000 | 0.000 | 
| 141.184 | 93.001 | 409.328 | 0.000 | -0.000 | 0.000 | 
| -0.003 | 0.002 | -0.001 | 97.489 | 0.000 | 0.000 | 
| -0.003 | 0.002 | -0.001 | 0.000 | 116.724 | 0.000 | 
| -0.002 | -0.002 | 0.003 | 0.000 | 0.000 | 87.216 | 
| 71.863 | 35.689 | 68.200 | -0.000 | 0.000 | -0.000 | 
| 35.689 | 71.863 | 68.200 | -0.000 | 0.000 | 0.000 | 
| 29.013 | 29.013 | 140.515 | -0.000 | 0.000 | -0.000 | 
| 0.004 | 0.004 | 0.013 | 40.155 | 0.000 | 0.000 | 
| 0.004 | 0.004 | 0.013 | -0.000 | 40.155 | -0.000 | 
| 0.005 | 0.005 | 0.020 | -0.000 | 0.000 | 20.208 | 
| 178.153 | 9.765 | 28.007 | 0.000 | -0.000 | 0.000 | 
| 9.765 | 178.153 | 28.007 | 0.000 | -0.000 | 0.000 | 
| 29.007 | 29.007 | 140.508 | 0.000 | -0.000 | 0.000 | 
| -0.004 | -0.004 | -0.013 | 40.155 | -0.000 | -0.000 | 
| -0.004 | -0.004 | -0.013 | 0.000 | 40.155 | 0.000 | 
| -0.005 | -0.005 | -0.020 | 0.000 | -0.000 | 20.208 | 
| 178.153 | 9.765 | 28.007 | -0.000 | 0.000 | -0.000 | 
| 9.765 | 178.153 | 28.007 | 0.000 | 0.000 | 0.000 | 
| 28.007 | 28.007 | 159.816 | -0.000 | -0.000 | -0.000 | 
| 0.000 | 0.000 | 0.000 | 51.456 | 0.000 | -0.000 | 
| -0.000 | 0.000 | 0.000 | -0.000 | 51.456 | -0.000 | 
| -0.000 | -0.000 | 0.000 | -0.000 | 0.000 | 32.541 | 
| 154.729 | 12.594 | 28.980 | 0.000 | 0.000 | -0.000 | 
| 12.594 | 154.729 | 28.980 | 0.000 | -0.000 | 0.000 | 
| 28.007 | 28.007 | 159.816 | 0.000 | -0.000 | -0.000 | 
| -0.000 | -0.000 | -0.000 | 51.456 | -0.000 | 0.000 | 
| 0.000 | -0.000 | -0.000 | 0.000 | 51.456 | -0.000 | 
| 0.000 | 0.000 | -0.000 | -0.000 | -0.000 | 32.541 | 
| 102.765 | 33.802 | 58.393 | -0.000 | 0.000 | 0.000 | 
| 33.802 | 102.765 | 58.393 | -0.000 | 0.000 | -0.000 | 
| 56.393 | 56.393 | 99.544 | -0.000 | 0.000 | -0.000 | 
| -0.000 | -0.000 | 0.000 | 14.671 | 0.000 | 0.000 | 
| -0.000 | -0.000 | 0.000 | -0.000 | 14.671 | -0.000 | 
| 0.000 | 0.000 | 0.000 | -0.000 | 0.000 | 20.208 | 
| 154.734 | 12.594 | 28.980 | 0.000 | -0.000 | 0.000 | 
| 12.594 | 154.734 | 28.980 | 0.000 | -0.000 | 0.000 | 
| 28.007 | 28.007 | 159.815 | 0.000 | -0.000 | 0.000 | 
| 0.000 | 0.000 | -0.000 | 14.671 | -0.000 | 0.000 | 
| 0.000 | 0.000 | -0.000 | 0.000 | 14.671 | 0.000 | 
| -0.000 | -0.000 | -0.000 | -0.000 | -0.000 | 20.208 | 
| 61.915 | 5.161 | 130.465 | 0.000 | -0.000 | 0.000 | 
| 5.161 | 61.915 | 130.465 | 0.000 | 0.000 | 0.000 | 
| 17.209 | 17.209 | 122.368 | 0.000 | -0.000 | 0.000 | 
| -201.437 | -201.437 | 200.332 | 39.195 | 0.000 | 0.000 | 
| -201.437 | -201.437 | 200.332 | 0.000 | 39.195 | 0.000 | 
| -14.697 | -14.697 | 88.613 | 0.000 | -0.000 | 13.216 | 
| 327.555 | 207.275 | -185.134 | -0.000 | -0.000 | -0.000 | 
| 207.275 | 327.555 | -185.134 | -0.000 | 0.000 | -0.000 | 
| 175.094 | 175.094 | -142.009 | -0.000 | -0.000 | -0.000 | 
| 201.437 | 201.437 | -200.332 | 39.195 | 0.000 | 0.000 | 
| 201.437 | 201.437 | -200.332 | -0.000 | 39.195 | -0.000 | 
| 14.697 | 14.697 | -88.613 | -0.000 | 0.000 | 13.216 | 
| 143.761 | 3.906 | 16.952 | 0.000 | -0.000 | 0.000 | 
| 3.906 | 143.761 | 16.952 | 0.000 | 0.000 | -0.000 | 
| 17.209 | 17.209 | 122.368 | 0.000 | -0.000 | -0.000 | 
| -20.327 | -20.327 | 20.215 | 39.147 | -0.000 | -0.000 | 
| -20.327 | -20.327 | 20.215 | 0.000 | 39.147 | 0.000 | 
| -20.356 | -20.356 | 20.244 | 0.000 | -0.000 | 23.591 | 
| 145.467 | 26.355 | -5.197 | -0.000 | 0.000 | -0.000 | 
| 26.355 | 145.467 | -5.197 | -0.000 | 0.000 | -0.000 | 
| 17.209 | 17.209 | 122.368 | -0.000 | 0.000 | -0.000 | 
| 20.327 | 20.327 | -20.215 | 39.147 | -0.000 | -0.000 | 
| 20.327 | 20.327 | -20.215 | -0.000 | 39.147 | -0.000 | 
| 20.356 | 20.356 | -20.244 | -0.000 | -0.000 | 23.591 | 
| 71.990 | 16.591 | 40.428 | 0.000 | -0.000 | 0.000 | 
| 16.591 | 71.990 | 40.428 | 0.000 | 0.000 | 0.000 | 
| 13.640 | 13.640 | 108.143 | 0.000 | 0.000 | 0.000 | 
| -2.646 | -2.646 | 2.631 | 37.534 | -0.000 | -0.000 | 
| -2.646 | -2.646 | 2.631 | 0.000 | 37.534 | 0.000 | 
| -1.404 | -1.404 | 2.299 | 0.000 | 0.000 | 14.307 | 
| 143.760 | 3.906 | 16.952 | -0.000 | -0.000 | 0.000 | 
| 3.906 | 143.760 | 16.952 | -0.000 | -0.000 | -0.000 | 
| 36.244 | 36.244 | 76.875 | -0.000 | 0.000 | 0.000 | 
| 2.646 | 2.646 | -2.631 | 37.534 | 0.000 | -0.000 | 
| 2.646 | 2.646 | -2.631 | -0.000 | 37.534 | -0.000 | 
| 1.404 | 1.404 | -2.299 | -0.000 | -0.000 | 14.307 | 
| 5306.732 | -600.614 | -48431.327 | 8579.480 | -30024.418 | 6642.423 | 
| 1458.075 | -5104.475 | -55440.229 | 10360.931 | -27393.359 | 8088.678 | 
| 771.287 | 1253.722 | -53874.031 | 7838.537 | -26106.019 | 5043.356 | 
| 3262.246 | 1391.115 | -49959.049 | 7637.804 | -26821.947 | 5415.978 | 
| 4212.036 | -144.219 | -49649.141 | 8352.778 | -27595.930 | 6442.316 | 
| 1167.477 | -2787.058 | -53349.528 | 9470.712 | -26818.290 | 7243.687 | 
| 10832.283 | 4643.696 | 58211.182 | -10357.586 | 27607.666 | -7594.548 | 
| 8076.127 | 2516.238 | 55495.024 | -9261.214 | 28305.682 | -7429.563 | 
| 12965.513 | 2872.305 | 55979.048 | -9398.366 | 25713.270 | -6788.437 | 
| 9884.776 | 1342.940 | 56180.340 | -9725.504 | 25896.202 | -4506.972 | 
| 11598.653 | 2483.415 | 57230.591 | -9580.330 | 27331.350 | -5910.229 | 
| 12370.209 | 2524.575 | 55636.520 | -8352.814 | 26318.437 | -7011.664 | 
| -14.689 | -216.515 | -5081.376 | 843.461 | -2488.684 | 731.247 | 
| 459.446 | 416.655 | -5162.490 | 803.390 | -2790.409 | 448.920 | 
| 319.658 | 15.118 | -4771.915 | 785.316 | -2847.387 | 679.492 | 
| 336.896 | 51.858 | -5227.184 | 929.918 | -2737.583 | 588.504 | 
| 59.241 | 200.671 | -5440.185 | 812.236 | -2400.300 | 394.940 | 
| 211.836 | 168.234 | -4774.057 | 613.335 | -2799.515 | 814.443 | 
| 1552.536 | 321.251 | 5755.980 | -973.027 | 2643.476 | -727.091 | 
| 951.486 | 489.812 | 5812.901 | -965.238 | 2739.861 | -670.363 | 
| 954.931 | -306.024 | 5427.879 | -600.344 | 2603.105 | -409.192 | 
| 1261.917 | 806.350 | 5555.707 | -925.619 | 2844.059 | -1070.290 | 
| 1116.880 | 297.261 | 5829.846 | -1134.507 | 2644.101 | -567.815 | 
| 1238.316 | 518.968 | 5870.607 | -1089.243 | 2637.952 | -712.910 | 
| 286.934 | -4.705 | -495.616 | 102.592 | -257.552 | 76.448 | 
| 52.843 | 251.105 | -492.517 | 90.906 | -272.830 | 70.533 | 
| 49.207 | 18.141 | -288.736 | 113.869 | -294.027 | 60.387 | 
| -45.106 | -35.716 | -549.944 | 197.870 | -264.008 | 71.280 | 
| -14.594 | -32.255 | -578.664 | 92.967 | -135.084 | 59.810 | 
| -25.932 | -30.653 | -543.041 | 85.083 | -270.163 | 194.781 | 
| 409.654 | 112.609 | 653.260 | -131.315 | 260.966 | -84.218 | 
| 188.794 | 328.239 | 625.599 | -112.033 | 242.185 | -86.393 | 
| 120.694 | 84.698 | 893.414 | -117.307 | 259.569 | -61.870 | 
| 74.523 | -3.899 | 532.486 | 29.742 | 267.212 | -66.744 | 
| 114.007 | 55.705 | 547.255 | -95.375 | 425.906 | -111.384 | 
| 77.551 | 8.348 | 523.500 | -97.100 | 265.292 | 44.853 | 
| 28720.301 | 42733.305 | 50436.406 | 27605.775 | -4791.683 | -1147.164 | 
| 11312.333 | 31581.788 | 39311.018 | 30335.618 | -1302.881 | 6308.438 | 
| 26780.263 | 39430.633 | 48044.519 | 22730.683 | -3079.251 | 3486.572 | 
| 17796.140 | 16795.444 | 49313.319 | 25143.359 | -8069.459 | 16996.383 | 
| 24691.865 | 30018.649 | 47529.124 | 28161.726 | -5141.315 | 8016.593 | 
| 16462.052 | 17194.032 | 38435.240 | 28155.148 | -7418.732 | 14400.468 | 
| -15431.205 | -17199.545 | -37267.304 | -23091.526 | 3722.032 | -13430.071 | 
| -21369.010 | -22860.026 | -44868.373 | -31176.118 | 9732.766 | -10169.753 | 
| -14181.226 | -24484.406 | -39115.130 | -26775.933 | 7521.431 | -9064.914 | 
| -22738.051 | -39480.206 | -42242.508 | -27442.042 | 1290.340 | -1630.961 | 
| -14414.600 | -25430.759 | -44549.331 | -27206.077 | 5295.647 | -8700.436 | 
| -26667.343 | -39187.664 | -45062.707 | -34380.405 | 6465.769 | 1581.579 | 
| 2800.436 | 3519.548 | 5146.925 | 2801.659 | -644.515 | 592.805 | 
| 3544.330 | 4188.437 | 5808.231 | 3186.053 | -843.207 | 129.059 | 
| 2405.280 | 3804.364 | 4729.292 | 2858.058 | -305.320 | -0.171 | 
| 1785.263 | 2318.365 | 4396.838 | 2589.061 | -733.815 | 1037.888 | 
| 2168.747 | 2584.297 | 4309.802 | 3296.831 | -357.563 | 796.372 | 
| 1053.156 | 2163.805 | 5142.810 | 2941.842 | -1023.209 | 1456.355 | 
| -1832.403 | -2816.532 | -4700.542 | -2787.293 | 776.933 | -769.068 | 
| -2081.215 | -2064.217 | -5084.251 | -2785.669 | 1017.507 | -1223.444 | 
| -1797.348 | -2817.251 | -4920.532 | -2933.687 | 1082.272 | -619.884 | 
| -2444.157 | -3594.214 | -4545.876 | -3141.021 | 618.129 | -276.773 | 
| -1061.217 | -2918.820 | -4410.925 | -2556.943 | 822.354 | -888.721 | 
| -2870.479 | -4471.723 | -5021.169 | -3191.608 | 608.583 | 464.800 | 
| 492.035 | 271.250 | 465.275 | 281.646 | -17.217 | 111.090 | 
| 277.445 | 662.420 | 479.110 | 301.084 | -66.750 | -12.633 | 
| 171.259 | 260.062 | 702.516 | 274.286 | -35.057 | 135.830 | 
| 197.181 | 297.572 | 416.387 | 346.988 | -32.493 | 41.019 | 
| 226.981 | 272.786 | 408.824 | 318.109 | 69.818 | 63.819 | 
| 208.748 | 344.146 | 444.569 | 286.731 | -101.945 | 146.834 | 
| 126.691 | -140.556 | -331.221 | -291.536 | 57.734 | -132.571 | 
| -225.572 | -151.829 | -517.298 | -290.926 | 66.875 | 18.586 | 
| -135.444 | -226.717 | -131.675 | -257.292 | 26.887 | -87.512 | 
| -278.391 | -327.706 | -530.813 | -171.820 | 54.256 | -80.239 | 
| -286.629 | -381.774 | -504.992 | -312.997 | 232.457 | 0.702 | 
| -154.402 | -220.524 | -429.532 | -327.755 | 41.309 | 3.631 | 
| 492.227 | 1236.986 | 1072.014 | -1119.057 | 450.619 | -494.262 | 
| -168.091 | -28.237 | -276.470 | 323.569 | 35.448 | -10.402 | 
| 250.839 | -123.559 | 206.399 | 132.939 | -291.071 | 269.931 | 
| -107.495 | 673.660 | 560.535 | -489.139 | 433.559 | -425.700 | 
| 156.567 | -616.708 | -521.464 | 577.373 | -320.967 | 443.777 | 
| -120.598 | -705.107 | -616.391 | 657.447 | -263.687 | 409.672 | 
| 373.616 | 340.696 | 280.341 | -276.582 | 115.091 | -139.615 | 
| -446.394 | -825.562 | -1008.830 | 1086.503 | -111.172 | 167.486 | 
| -204.190 | -1698.747 | -1225.989 | 1633.301 | -665.197 | 697.806 | 
| 36.579 | -1244.330 | -1070.363 | 1283.196 | -635.043 | 650.860 | 
| -558.544 | -1135.114 | -1084.850 | 1115.065 | 53.293 | 133.815 | 
| -475.951 | -2394.333 | -2131.808 | 2256.099 | -781.243 | 973.883 | 
| 352.681 | 93.738 | 63.301 | -44.933 | 11.248 | -31.632 | 
| 86.767 | 388.075 | 124.787 | -83.875 | 17.121 | -17.194 | 
| 10.243 | 24.057 | 294.976 | 14.223 | -6.545 | 3.786 | 
| 1.110 | 56.628 | 46.325 | 76.069 | 35.374 | -30.028 | 
| -4.224 | 66.714 | 42.469 | -46.015 | 157.128 | -27.975 | 
| 37.811 | 144.940 | 143.325 | -145.904 | 16.129 | 108.240 | 
| 328.711 | -72.421 | -83.900 | 111.464 | -49.359 | 32.662 | 
| 19.776 | 61.321 | -168.026 | 225.269 | -84.696 | 93.490 | 
| -21.818 | -126.352 | 160.021 | 156.593 | -52.273 | 53.704 | 
| -21.911 | -25.277 | -28.007 | 154.010 | 15.412 | -7.315 | 
| -74.135 | -133.134 | -141.261 | 145.300 | 120.327 | 16.643 | 
| -54.315 | -194.783 | -164.741 | 177.275 | -70.010 | 205.451 | 
| 342.209 | 56.719 | 29.680 | -9.693 | 2.276 | -21.412 | 
| 47.193 | 303.213 | 45.114 | -1.862 | 10.198 | -6.141 | 
| 26.924 | 45.728 | 316.451 | -7.267 | -10.475 | 6.131 | 
| 2.200 | 0.932 | -1.514 | 127.771 | 7.059 | -1.226 | 
| -13.924 | 19.007 | -0.222 | -0.907 | 142.245 | -11.795 | 
| -22.947 | 7.910 | 15.237 | -13.702 | 2.108 | 128.669 | 
| 339.484 | 39.950 | 14.778 | 6.113 | -3.571 | -15.169 | 
| 50.347 | 308.576 | 50.266 | -7.105 | 10.080 | -6.335 | 
| 20.971 | 27.358 | 299.612 | 10.280 | -14.261 | 10.596 | 
| -4.857 | -3.363 | -6.363 | 132.314 | 11.153 | -4.693 | 
| -16.184 | -5.773 | -21.978 | 22.314 | 132.056 | -1.169 | 
| -29.628 | -29.639 | -18.257 | 21.743 | -10.481 | 142.195 | 
| 11127.539 | 1386.337 | 3733.789 | 2322.770 | -9247.209 | -4469.806 | 
| 16314.029 | 2158.532 | 5404.878 | 3289.519 | -12828.273 | -6325.534 | 
| 29363.052 | 2965.345 | 9336.467 | 5225.575 | -19089.266 | -9910.391 | 
| 23697.612 | 2437.184 | 7324.961 | 4438.320 | -16038.982 | -8240.424 | 
| 9544.563 | 844.782 | 2824.352 | 1560.291 | -5154.504 | -2867.909 | 
| 7895.099 | 1198.555 | 3018.660 | 1988.842 | -8402.255 | -3776.022 | 
| -33388.762 | -3248.773 | -10112.976 | -5844.314 | 21441.348 | 11215.006 | 
| -41698.080 | -3715.566 | -12409.057 | -7109.107 | 25750.097 | 13573.315 | 
| -30015.954 | -2926.831 | -8662.285 | -5225.410 | 19431.540 | 10091.413 | 
| -2255.060 | -655.593 | -1304.871 | -900.641 | 5160.318 | 2167.702 | 
| -25071.752 | -2613.229 | -7763.722 | -4580.853 | 17447.493 | 8843.825 | 
| -47310.510 | -19038.022 | -2320.509 | 3791.392 | 14487.152 | -27150.999 | 
| 969.790 | 148.410 | 287.651 | 185.757 | -743.655 | -318.542 | 
| 2728.153 | 500.617 | 798.836 | 429.529 | -1431.229 | -763.807 | 
| 908.724 | 158.713 | 708.185 | 236.167 | -796.736 | -390.716 | 
| 1212.988 | 159.279 | 456.509 | 414.933 | -1043.098 | -509.595 | 
| 1998.070 | 207.509 | 636.036 | 383.163 | -1249.808 | -709.305 | 
| 488.931 | 102.767 | 194.801 | 136.726 | -593.636 | -136.976 | 
| -2287.940 | -217.921 | -756.660 | -450.237 | 1737.505 | 919.836 | 
| 1247.317 | 375.012 | 384.167 | 201.311 | -647.678 | -332.577 | 
| -345.672 | -12.377 | 250.752 | -56.028 | 402.578 | 178.606 | 
| -1425.799 | -159.835 | -440.564 | -137.836 | 1141.947 | 559.024 | 
| -85.801 | -51.314 | -66.185 | -59.742 | 545.606 | 162.482 | 
| -1903.622 | -190.404 | -610.713 | -367.027 | 1430.317 | 849.250 | 
| 630.464 | 74.615 | 128.662 | 66.959 | -183.285 | -74.031 | 
| 535.243 | 463.679 | 68.294 | -22.485 | -158.467 | 287.860 | 
| 621.044 | 168.729 | 509.346 | 74.817 | -250.892 | 28.398 | 
| 291.032 | 106.891 | 62.893 | 141.966 | -92.389 | 120.334 | 
| 323.353 | 24.334 | 107.467 | 64.041 | -17.017 | -88.986 | 
| -49.230 | 16.159 | -19.316 | -7.959 | 34.036 | 150.528 | 
| -113.033 | -69.057 | -33.671 | -0.436 | 201.915 | -45.838 | 
| -110.643 | 256.864 | -6.058 | -13.663 | 90.629 | 70.205 | 
| -89.153 | 26.455 | 354.158 | 10.412 | 128.655 | 51.464 | 
| -153.649 | -12.341 | -16.643 | 119.377 | 142.783 | 64.610 | 
| -203.564 | -21.709 | -43.305 | -19.460 | 272.087 | 68.330 | 
| -54.278 | 12.376 | -26.755 | -13.986 | 64.137 | 162.396 | 
| 1311.893 | -76.067 | -76.067 | -0.000 | 0.000 | -0.000 | 
| -76.067 | 1311.893 | -76.067 | -0.000 | 0.000 | -0.000 | 
| -76.067 | -76.067 | 1311.893 | -0.000 | 0.000 | -0.000 | 
| -0.000 | -0.000 | 0.000 | 744.040 | -0.000 | -0.000 | 
| -0.000 | 0.000 | 0.000 | -0.000 | 744.040 | -0.000 | 
| -0.000 | -0.000 | -0.000 | 0.000 | -0.000 | 744.040 | 
| 1311.893 | -76.067 | -76.067 | 0.000 | 0.000 | 0.000 | 
| -76.067 | 1311.893 | -76.067 | 0.000 | 0.000 | 0.000 | 
| -76.067 | -76.067 | 1311.893 | -0.000 | -0.000 | -0.000 | 
| 0.000 | 0.000 | -0.000 | 744.040 | 0.000 | 0.000 | 
| 0.000 | -0.000 | -0.000 | -0.000 | 744.040 | 0.000 | 
| 0.000 | -0.000 | -0.000 | 0.000 | 0.000 | 744.040 | 
| 1250.611 | -57.838 | -57.838 | 0.000 | -0.000 | 0.000 | 
| -57.838 | 1250.611 | -57.838 | -0.000 | 0.000 | 0.000 | 
| -57.839 | -57.838 | 1250.611 | 0.000 | -0.000 | -0.000 | 
| -2.697 | -2.697 | -2.697 | 484.490 | -0.000 | -0.000 | 
| -2.697 | -2.697 | -2.697 | 0.000 | 484.490 | -0.000 | 
| -2.697 | -2.697 | -2.697 | 0.000 | -0.000 | 484.490 | 
| 1311.892 | -76.067 | -76.067 | 0.000 | 0.000 | 0.000 | 
| -76.067 | 1311.892 | -76.067 | -0.000 | 0.000 | 0.000 | 
| -76.067 | -76.067 | 1311.892 | 0.000 | 0.000 | -0.000 | 
| 2.697 | 2.697 | 2.697 | 484.490 | 0.000 | -0.000 | 
| 2.697 | 2.697 | 2.697 | -0.000 | 484.490 | 0.000 | 
| 2.697 | 2.697 | 2.697 | 0.000 | 0.000 | 484.490 | 
| 1311.898 | -76.068 | -76.066 | 0.000 | 0.000 | -0.000 | 
| -76.066 | 1311.898 | -76.068 | 0.000 | -0.000 | 0.000 | 
| -76.068 | -76.066 | 1311.898 | 0.000 | -0.000 | -0.000 | 
| -0.248 | -0.248 | -0.247 | 480.629 | -0.000 | 0.000 | 
| -0.269 | -0.270 | -0.270 | -0.000 | 484.425 | 0.000 | 
| -0.248 | -0.247 | -0.248 | 0.000 | -0.000 | 480.629 | 
| 1257.258 | -62.999 | -63.000 | 0.000 | 0.000 | 0.000 | 
| -63.000 | 1257.258 | -62.999 | -0.000 | -0.000 | -0.000 | 
| -62.999 | -63.000 | 1257.258 | 0.000 | -0.000 | 0.000 | 
| 0.248 | 0.248 | 0.247 | 480.629 | -0.000 | 0.000 | 
| 0.269 | 0.270 | 0.270 | -0.000 | 484.425 | -0.000 | 
| 0.248 | 0.247 | 0.248 | 0.000 | 0.000 | 480.629 | 
| 1284.448 | 23.266 | 23.266 | 0.000 | -0.000 | -0.000 | 
| 23.266 | 1284.447 | 23.266 | 0.001 | -0.000 | 0.000 | 
| 23.266 | 23.266 | 1284.447 | 0.000 | -0.001 | -0.000 | 
| 111.399 | 111.399 | 111.399 | 472.701 | -0.000 | 0.000 | 
| 111.399 | 111.399 | 111.399 | 0.001 | 472.700 | -0.000 | 
| 111.399 | 111.399 | 111.399 | 0.001 | -0.000 | 472.700 | 
| 1061.520 | -199.697 | -199.697 | -0.000 | 0.000 | -0.000 | 
| -199.697 | 1061.520 | -199.697 | -0.000 | 0.000 | 0.000 | 
| -199.697 | -199.697 | 1061.520 | -0.000 | 0.001 | 0.000 | 
| -111.399 | -111.399 | -111.399 | 472.700 | 0.001 | -0.000 | 
| -111.399 | -111.399 | -111.399 | -0.001 | 472.700 | -0.000 | 
| -111.399 | -111.399 | -111.399 | -0.000 | 0.000 | 472.700 | 
| 1203.878 | -96.547 | -96.547 | 0.000 | -0.000 | -0.000 | 
| -96.547 | 1203.878 | -96.547 | 0.000 | -0.000 | 0.000 | 
| -96.547 | -96.547 | 1203.878 | 0.000 | -0.000 | -0.000 | 
| 11.664 | 11.664 | 11.664 | 461.644 | -0.000 | 0.000 | 
| 11.664 | 11.664 | 11.664 | 0.000 | 461.644 | 0.000 | 
| 11.664 | 11.664 | 11.664 | 0.000 | -0.000 | 461.644 | 
| 1203.877 | -96.547 | -96.547 | -0.000 | 0.000 | -0.000 | 
| -96.547 | 1203.877 | -96.547 | -0.000 | 0.000 | 0.000 | 
| -96.547 | -96.547 | 1203.877 | -0.000 | 0.000 | 0.000 | 
| -11.664 | -11.664 | -11.664 | 461.644 | 0.000 | -0.000 | 
| -11.664 | -11.664 | -11.664 | -0.000 | 461.644 | 0.000 | 
| -11.664 | -11.664 | -11.664 | -0.000 | 0.000 | 461.644 | 
| 1203.882 | -96.548 | -96.546 | 0.000 | -0.000 | 0.000 | 
| -96.546 | 1203.882 | -96.548 | 0.000 | -0.000 | 0.000 | 
| -96.548 | -96.546 | 1203.882 | 0.000 | 0.000 | -0.000 | 
| 1.173 | 1.173 | 1.174 | 460.246 | -0.000 | 0.000 | 
| 1.173 | 1.173 | 1.173 | 0.000 | 460.246 | -0.000 | 
| 1.173 | 1.174 | 1.173 | 0.000 | -0.000 | 460.246 | 
| 1203.873 | -96.546 | -96.549 | -0.000 | 0.000 | -0.000 | 
| -96.549 | 1203.873 | -96.546 | -0.000 | 0.000 | -0.000 | 
| -96.546 | -96.549 | 1203.873 | -0.000 | 0.000 | 0.000 | 
| -1.173 | -1.173 | -1.174 | 460.246 | 0.000 | 0.000 | 
| -1.173 | -1.173 | -1.173 | -0.000 | 460.246 | -0.000 | 
| -1.173 | -1.174 | -1.173 | -0.000 | 0.000 | 460.246 | 
| 406.757 | 52.193 | 120.799 | 0.000 | 0.000 | 0.000 | 
| 110.362 | 446.565 | 72.597 | -0.000 | -0.000 | 0.000 | 
| 120.799 | 68.082 | 662.677 | 0.000 | 0.000 | 0.000 | 
| -0.000 | 0.000 | 0.000 | 299.361 | -0.000 | 0.000 | 
| -0.000 | 0.000 | -0.000 | -0.000 | 249.529 | 0.000 | 
| -0.007 | 0.002 | 0.005 | 0.000 | -0.000 | 115.892 | 
| 294.730 | 85.647 | 154.532 | 0.000 | 0.000 | 0.000 | 
| 80.689 | 519.651 | 122.605 | -0.000 | 0.000 | 0.000 | 
| 120.799 | 68.082 | 662.677 | 0.000 | 0.000 | -0.000 | 
| -0.000 | -0.000 | 0.000 | 299.361 | -0.000 | -0.000 | 
| -0.000 | -0.000 | 0.000 | -0.000 | 249.529 | -0.000 | 
| 0.007 | -0.002 | -0.005 | -0.000 | -0.000 | 115.892 | 
| 406.757 | 52.193 | 120.799 | -0.000 | -0.000 | -0.000 | 
| 52.193 | 653.180 | 68.082 | -0.000 | 0.000 | 0.000 | 
| 93.199 | 56.161 | 354.777 | 0.000 | 0.000 | 0.000 | 
| -0.001 | 0.001 | 0.001 | 175.655 | -0.000 | 0.000 | 
| -0.001 | 0.000 | 0.001 | -0.000 | 151.751 | -0.000 | 
| -0.001 | 0.000 | 0.000 | -0.000 | -0.000 | 115.892 | 
| 294.677 | 85.663 | 154.551 | 0.000 | 0.000 | 0.000 | 
| 52.193 | 653.180 | 68.082 | -0.000 | 0.000 | -0.000 | 
| 147.726 | 119.188 | 519.908 | -0.000 | -0.000 | 0.000 | 
| 0.001 | -0.001 | -0.001 | 175.655 | -0.000 | -0.000 | 
| 0.001 | -0.000 | -0.001 | 0.000 | 151.751 | 0.000 | 
| 0.001 | -0.000 | -0.000 | -0.000 | 0.000 | 115.892 | 
| 294.706 | 85.655 | 154.544 | 0.000 | -0.000 | -0.000 | 
| 101.642 | 403.870 | 52.489 | -0.000 | 0.000 | -0.000 | 
| 120.800 | 68.082 | 662.680 | 0.000 | 0.000 | 0.000 | 
| 0.000 | 0.000 | 0.000 | 299.361 | -0.000 | 0.000 | 
| 0.000 | -0.000 | 0.001 | -0.000 | 249.529 | 0.000 | 
| -0.000 | -0.000 | 0.000 | 0.000 | -0.000 | 115.892 | 
| 294.288 | 85.778 | 154.667 | 0.000 | 0.000 | -0.000 | 
| 52.193 | 653.178 | 68.081 | 0.000 | 0.000 | -0.000 | 
| 147.722 | 119.181 | 519.925 | 0.000 | 0.000 | 0.000 | 
| -0.000 | -0.000 | -0.000 | 299.361 | 0.000 | -0.000 | 
| -0.000 | 0.000 | -0.001 | -0.000 | 249.529 | -0.000 | 
| 0.000 | 0.000 | -0.000 | -0.000 | 0.000 | 115.892 | 
| 350.341 | 44.562 | 91.902 | 0.000 | -0.000 | 0.000 | 
| 37.418 | 591.911 | 57.385 | 0.000 | -0.000 | -0.000 | 
| 2709.160 | -2161.165 | -236.639 | 0.000 | -0.000 | -0.000 | 
| -0.000 | 0.000 | 0.000 | 270.816 | -0.000 | -0.000 | 
| 2611.074 | -2271.243 | -717.024 | 0.000 | 163.560 | 0.000 | 
| -0.000 | 0.000 | 0.000 | 0.000 | -0.000 | 178.495 | 
| 350.341 | 44.562 | 91.903 | -0.000 | 0.000 | 0.000 | 
| 37.418 | 591.911 | 57.385 | -0.000 | 0.000 | -0.000 | 
| 91.069 | 63.695 | 581.976 | -0.000 | 0.000 | -0.000 | 
| -0.000 | -0.000 | -0.000 | 270.816 | -0.000 | 0.000 | 
| -2611.074 | 2271.243 | 717.024 | -0.000 | 163.560 | -0.000 | 
| -0.000 | 0.000 | 0.000 | 0.000 | 0.000 | 178.494 | 
| 545.925 | -162.453 | 37.255 | -0.000 | -0.000 | 0.000 | 
| 37.418 | 591.911 | 57.385 | -0.000 | -0.000 | -0.000 | 
| 375.073 | -129.624 | 401.978 | 0.000 | 0.000 | -0.000 | 
| 259.111 | -225.387 | -71.154 | 187.342 | 0.000 | -0.000 | 
| 0.000 | -0.000 | 0.000 | 0.000 | 226.953 | 0.000 | 
| 259.744 | -225.939 | -71.328 | 0.000 | 0.000 | 111.764 | 
| 24.850 | 291.386 | 180.362 | -0.000 | -0.000 | -0.000 | 
| -202.335 | 715.930 | 166.744 | -0.000 | -0.000 | -0.000 | 
| -146.318 | 321.532 | 549.666 | -0.000 | 0.000 | 0.000 | 
| -259.111 | 225.387 | 71.154 | 187.342 | 0.000 | 0.000 | 
| -0.000 | -0.000 | -0.000 | -0.000 | 226.953 | -0.000 | 
| -259.744 | 225.939 | 71.328 | -0.000 | -0.000 | 111.764 | 
| 218.360 | 66.360 | 78.355 | 0.000 | 0.000 | -0.000 | 
| 88.771 | 456.606 | 89.949 | 0.000 | 0.000 | -0.000 | 
| 91.069 | 63.695 | 581.978 | 0.000 | 0.000 | -0.000 | 
| 18.698 | -32.507 | -60.355 | 106.602 | 0.000 | -0.000 | 
| 28.539 | -25.333 | -49.960 | 0.000 | 70.749 | -0.000 | 
| 27.414 | -23.846 | -7.528 | 0.000 | -0.000 | 108.066 | 
| 152.325 | 109.295 | 133.626 | -0.000 | -0.000 | 0.000 | 
| 51.826 | 418.444 | 104.665 | 0.000 | 0.000 | 0.000 | 
| 82.397 | 124.168 | 483.849 | -0.000 | 0.000 | 0.000 | 
| -18.698 | 32.507 | 60.355 | 106.602 | 0.000 | -0.000 | 
| -28.539 | 25.333 | 49.960 | -0.000 | 70.749 | -0.000 | 
| -27.414 | 23.846 | 7.528 | -0.000 | -0.000 | 108.066 | 
| 945.766 | 136.400 | 115.079 | 0.000 | -0.000 | -0.000 | 
| 152.449 | 571.844 | -136.319 | 0.000 | -0.000 | -0.000 | 
| 142.759 | -124.689 | 1006.301 | 0.000 | -0.000 | -0.000 | 
| -248.524 | 59.235 | 389.367 | 283.874 | -0.000 | 0.000 | 
| 0.000 | -0.000 | 0.000 | 0.000 | 370.866 | -0.000 | 
| 0.000 | -0.000 | 0.000 | 0.000 | -0.000 | 223.437 | 
| 945.765 | 136.400 | 115.079 | -0.000 | 0.000 | 0.000 | 
| 152.449 | 571.844 | -136.319 | -0.000 | 0.000 | 0.000 | 
| 142.759 | -124.689 | 1006.301 | -0.000 | 0.000 | 0.000 | 
| 248.521 | -59.234 | -389.361 | 284.229 | 0.000 | 0.000 | 
| -0.000 | 0.000 | -0.000 | -0.000 | 370.866 | 0.000 | 
| -0.000 | 0.000 | -0.000 | 0.000 | 0.000 | 223.437 | 
| 945.766 | 136.400 | 115.079 | 0.000 | -0.000 | -0.000 | 
| 152.449 | 571.844 | -136.319 | -0.000 | -0.000 | -0.000 | 
| 142.759 | -124.689 | 1006.301 | 0.000 | -0.000 | -0.000 | 
| -0.015 | 0.058 | 0.066 | 253.574 | -0.000 | -0.000 | 
| 0.000 | 0.000 | 0.000 | 0.000 | 370.866 | -0.000 | 
| 0.000 | 0.000 | 0.000 | 0.000 | -0.000 | 223.437 | 
| 945.765 | 136.400 | 115.078 | 0.000 | 0.000 | 0.000 | 
| 152.449 | 571.844 | -136.319 | 0.000 | 0.000 | 0.000 | 
| 142.759 | -124.689 | 1006.300 | -0.000 | 0.000 | 0.000 | 
| 0.015 | -0.058 | -0.066 | 253.609 | 0.000 | 0.000 | 
| -0.000 | -0.000 | -0.000 | -0.000 | 370.866 | 0.000 | 
| -0.000 | -0.000 | -0.000 | -0.000 | 0.000 | 223.437 | 
| 945.768 | 136.400 | 115.081 | 0.000 | -0.000 | -0.000 | 
| 152.449 | 571.842 | -136.319 | 0.000 | -0.000 | -0.000 | 
| 142.758 | -124.689 | 1006.306 | 0.000 | -0.000 | -0.000 | 
| -0.002 | 0.006 | 0.007 | 248.635 | -0.000 | -0.000 | 
| 0.000 | 0.000 | 0.001 | 0.000 | 370.866 | -0.000 | 
| 0.000 | 0.000 | 0.000 | 0.000 | -0.000 | 223.437 | 
| 945.763 | 136.399 | 115.077 | -0.000 | 0.000 | 0.000 | 
| 152.449 | 571.845 | -136.320 | -0.000 | 0.000 | 0.000 | 
| 142.759 | -124.688 | 1006.295 | 0.000 | 0.000 | 0.000 | 
| 0.002 | -0.006 | -0.007 | 248.638 | 0.000 | 0.000 | 
| -0.000 | -0.000 | -0.001 | 0.000 | 370.866 | 0.000 | 
| -0.000 | -0.000 | -0.000 | -0.000 | 0.000 | 223.437 | 
| 1011.145 | 148.882 | -7.059 | 0.058 | -0.000 | 0.000 | 
| 148.893 | 532.826 | -133.349 | 0.073 | -0.000 | 0.000 | 
| -7.048 | -133.344 | 1249.462 | 0.029 | 0.000 | 0.000 | 
| -15.476 | -6.624 | 21.308 | 273.277 | -0.000 | 0.000 | 
| 0.001 | -0.005 | -0.006 | 0.015 | 401.732 | 0.000 | 
| 0.003 | -0.009 | -0.011 | 0.058 | -0.000 | 239.226 | 
| 1011.140 | 148.900 | -7.037 | -0.058 | 0.000 | -0.000 | 
| 148.892 | 532.831 | -133.344 | -0.029 | 0.000 | -0.000 | 
| 111.497 | 29.402 | 965.569 | 0.943 | 0.000 | -0.000 | 
| 15.494 | 6.632 | -21.333 | 274.326 | 0.000 | 0.000 | 
| -0.001 | 0.005 | 0.006 | -0.073 | 401.732 | -0.000 | 
| 6.350 | 2.644 | -8.764 | 0.887 | 0.000 | 202.460 | 
| 1011.143 | 148.891 | -7.048 | 0.007 | -0.000 | -0.000 | 
| 148.892 | 532.831 | -133.344 | 0.006 | -0.000 | 0.000 | 
| -7.049 | -133.344 | 1249.463 | 0.004 | -0.000 | -0.000 | 
| -0.003 | 0.011 | 0.014 | 258.543 | -0.000 | 0.000 | 
| 0.000 | -0.000 | -0.000 | 0.001 | 401.732 | 0.000 | 
| 0.000 | -0.001 | -0.001 | 0.006 | -0.000 | 239.226 | 
| 1011.142 | 148.892 | -7.047 | -0.006 | 0.000 | 0.000 | 
| 148.892 | 532.830 | -133.344 | 0.001 | 0.000 | -0.000 | 
| -7.048 | -133.344 | 1249.462 | -0.009 | 0.000 | 0.000 | 
| 0.003 | -0.011 | -0.014 | 258.653 | 0.000 | 0.000 | 
| -0.000 | 0.001 | 0.001 | -0.006 | 401.732 | 0.000 | 
| -0.000 | 0.001 | 0.001 | -0.003 | 0.000 | 239.226 | 
| 1011.145 | 148.891 | -7.045 | 0.001 | 0.000 | 0.000 | 
| 92.085 | 385.323 | 52.197 | -0.008 | -0.000 | 0.000 | 
| -7.051 | -133.344 | 1249.470 | 0.001 | -0.000 | 0.000 | 
| -0.138 | -0.059 | 0.190 | 223.944 | -0.000 | 0.000 | 
| -0.000 | 0.000 | 0.001 | 0.000 | 401.732 | 0.000 | 
| -0.000 | 0.000 | 0.001 | 0.000 | -0.000 | 239.226 | 
| 1011.140 | 148.891 | -7.051 | -0.001 | 0.000 | 0.000 | 
| 148.891 | 532.831 | -133.342 | -0.000 | 0.000 | -0.000 | 
| -7.046 | -133.345 | 1249.454 | -0.000 | 0.000 | 0.000 | 
| 0.138 | 0.059 | -0.190 | 223.955 | 0.000 | -0.000 | 
| 0.000 | -0.000 | -0.001 | -0.001 | 401.732 | -0.000 | 
| 0.000 | -0.000 | -0.000 | -0.000 | 0.000 | 239.226 | 
| 641.182 | 96.555 | 0.071 | 0.035 | -0.000 | 0.000 | 
| 96.555 | 641.182 | 0.071 | -0.035 | -0.000 | 0.000 | 
| -14.990 | -16.581 | -2215.986 | 0.000 | -0.000 | -0.765 | 
| 0.035 | -0.035 | -0.000 | 0.071 | -0.000 | 0.000 | 
| 0.000 | 0.000 | -0.000 | 0.000 | 0.071 | 0.035 | 
| -0.000 | 0.000 | -0.000 | 0.000 | 0.035 | 272.314 | 
| 641.182 | 96.555 | 0.071 | 0.035 | 0.000 | -0.000 | 
| 96.555 | 641.182 | 0.071 | -0.035 | 0.000 | -0.000 | 
| 0.071 | 0.071 | 9.081 | -0.000 | 0.000 | -0.000 | 
| 0.035 | -0.035 | 0.000 | 0.071 | 0.000 | -0.000 | 
| -0.000 | -0.000 | 0.000 | -0.000 | 0.071 | 0.035 | 
| -0.000 | -0.000 | 0.000 | -0.000 | 0.035 | 272.313 | 
| 641.182 | 96.555 | 0.071 | 0.035 | 0.000 | 0.000 | 
| 96.555 | 641.182 | 0.071 | -0.035 | 0.000 | 0.000 | 
| 0.258 | 0.257 | 1.390 | 0.000 | -0.000 | -0.001 | 
| 5.275 | -8.326 | -219.888 | 0.074 | 0.000 | 0.044 | 
| 0.000 | 0.000 | -0.000 | 0.000 | 0.071 | 0.035 | 
| 0.105 | 0.104 | -4.205 | 0.000 | -0.020 | 158.015 | 
| 641.182 | 96.555 | 0.071 | 0.035 | 0.000 | -0.000 | 
| 96.555 | 641.182 | 0.071 | -0.035 | 0.000 | -0.000 | 
| 0.071 | 0.071 | 9.081 | -0.000 | 0.000 | -0.000 | 
| 0.035 | -0.035 | 0.000 | 0.071 | 0.000 | -0.000 | 
| -0.000 | -0.000 | 0.000 | -0.000 | 0.071 | 0.035 | 
| -0.105 | -0.104 | 4.205 | -0.000 | -0.020 | 158.015 | 
| 602.429 | 135.318 | -0.072 | 0.016 | -0.000 | -0.000 | 
| 135.245 | 602.502 | -0.071 | -0.016 | -0.000 | -0.000 | 
| 0.071 | 0.071 | 9.081 | 0.000 | -0.000 | 0.000 | 
| 0.035 | -0.035 | -0.000 | 0.071 | -0.000 | 0.000 | 
| -0.000 | 0.000 | -0.000 | 0.000 | 0.071 | 0.035 | 
| 0.000 | 0.000 | -0.000 | -0.000 | 0.035 | 272.313 | 
| 641.179 | 96.554 | 0.071 | 0.035 | 0.000 | -0.000 | 
| 134.111 | 604.053 | 29.990 | -0.017 | 0.000 | 0.000 | 
| 0.117 | 0.141 | 17.634 | -0.000 | 0.000 | 0.012 | 
| 0.035 | -0.035 | 0.000 | 0.071 | 0.000 | -0.000 | 
| -0.000 | -0.000 | 0.000 | -0.000 | 0.071 | 0.035 | 
| -0.000 | -0.000 | 0.000 | 0.000 | 0.035 | 272.313 | 
| 550.319 | 187.362 | -2.823 | -0.009 | -0.000 | 0.000 | 
| 96.553 | 641.173 | 0.071 | -0.035 | -0.000 | 0.000 | 
| 0.071 | 0.071 | 9.080 | 0.000 | 0.000 | -0.000 | 
| 0.035 | -0.035 | 0.000 | 0.071 | -0.000 | 0.000 | 
| -0.000 | 0.000 | 0.000 | -0.000 | 0.071 | 0.035 | 
| -0.023 | -0.023 | -2.894 | 0.000 | -0.009 | 181.497 | 
| 641.173 | 96.553 | 0.071 | 0.035 | -0.000 | -0.000 | 
| 96.553 | 641.173 | 0.071 | -0.035 | 0.000 | 0.000 | 
| 1.001 | 1.002 | 126.537 | -0.000 | 0.000 | 0.000 | 
| -0.818 | 2.716 | 120.102 | 0.070 | -0.000 | 0.000 | 
| 0.000 | -0.000 | -0.000 | 0.000 | 0.071 | 0.035 | 
| 0.023 | 0.023 | 2.894 | -0.000 | -0.009 | 181.497 | 
| 615.573 | 121.948 | -14.907 | 0.023 | 0.000 | 0.000 | 
| 134.345 | 603.380 | -0.049 | -0.017 | 0.000 | -0.000 | 
| 0.071 | 0.071 | 9.080 | -0.000 | 0.000 | -0.000 | 
| 0.035 | -0.035 | 0.000 | 0.071 | -0.000 | 0.000 | 
| -0.000 | 0.000 | 0.000 | 0.000 | 0.071 | 0.035 | 
| -0.096 | -0.098 | -12.269 | 0.000 | 0.017 | 234.679 | 
| 603.385 | 134.343 | 0.191 | 0.017 | 0.000 | 0.000 | 
| 96.553 | 641.173 | 0.071 | -0.035 | 0.000 | 0.000 | 
| 0.147 | 0.147 | 18.445 | -0.000 | 0.000 | 0.000 | 
| 5.699 | -5.505 | 12.359 | 0.074 | -0.000 | -0.000 | 
| 0.000 | -0.000 | 0.000 | -0.000 | 0.071 | 0.035 | 
| 0.096 | 0.098 | 12.269 | -0.000 | 0.017 | 234.679 | 
| 603.910 | 133.797 | -1.158 | 0.017 | 0.000 | -0.000 | 
| 133.815 | 603.914 | 0.059 | -0.017 | -0.000 | -0.000 | 
| 0.043 | 0.043 | 5.234 | 0.000 | -0.000 | -0.000 | 
| 0.035 | -0.035 | -0.000 | 0.071 | -0.000 | 0.000 | 
| -0.000 | 0.000 | -0.000 | 0.000 | 0.071 | 0.035 | 
| -0.001 | -0.015 | -1.055 | 0.000 | 0.015 | 231.452 | 
| 641.170 | 96.553 | 0.071 | 0.035 | 0.000 | -0.000 | 
| 96.553 | 641.170 | 0.071 | -0.035 | 0.000 | 0.000 | 
| 0.062 | 0.062 | 7.636 | -0.000 | 0.000 | 0.000 | 
| 0.035 | -0.035 | 0.000 | 0.071 | 0.000 | 0.000 | 
| 0.000 | -0.000 | 0.000 | -0.000 | 0.071 | 0.035 | 
| 0.857 | -0.828 | 2.060 | 0.000 | 0.017 | 235.168 | 
| 484.635 | 211.608 | -7.903 | -0.024 | 0.000 | -0.000 | 
| 107.359 | 588.870 | -9.330 | -0.026 | 0.000 | -0.000 | 
| 3.478 | 3.477 | -115.648 | 0.000 | 0.000 | 0.000 | 
| 0.032 | -0.032 | -0.000 | 0.066 | 0.000 | 0.000 | 
| 4.323 | 4.323 | -7.976 | 0.000 | 0.066 | -0.024 | 
| 0.000 | 0.000 | 0.000 | 0.000 | 0.032 | 253.809 | 
| 597.612 | 89.993 | 0.066 | 0.032 | -0.000 | -0.000 | 
| 202.970 | 475.997 | 8.035 | 0.024 | 0.000 | 0.000 | 
| 0.066 | 0.066 | 8.463 | -0.000 | -0.000 | -0.000 | 
| 0.032 | -0.033 | 0.000 | 0.066 | 0.000 | -0.000 | 
| -4.323 | -4.323 | 7.976 | -0.000 | 0.066 | -0.024 | 
| -0.000 | -0.000 | -0.000 | -0.000 | 0.032 | 253.809 | 
| 597.612 | 89.993 | 0.066 | 0.032 | 0.000 | 0.000 | 
| 199.026 | 489.380 | -0.672 | 0.019 | -0.000 | 0.000 | 
| 0.390 | 0.390 | -6.222 | 0.000 | 0.000 | 0.000 | 
| 0.408 | 0.456 | -0.798 | 0.066 | 0.000 | 0.000 | 
| 0.432 | 0.432 | -0.798 | 0.000 | 0.066 | -0.024 | 
| 0.431 | 0.431 | -0.910 | 0.000 | 0.016 | 219.305 | 
| 597.612 | 89.993 | 0.066 | 0.032 | -0.000 | 0.000 | 
| 198.229 | 488.576 | 0.804 | 0.019 | -0.000 | -0.000 | 
| 0.066 | 0.066 | 8.463 | -0.000 | -0.000 | -0.000 | 
| 3.644 | -4.330 | 12.158 | 0.068 | -0.000 | -0.000 | 
| -0.432 | -0.432 | 0.798 | -0.000 | 0.066 | -0.024 | 
| -0.431 | -0.431 | 0.910 | -0.000 | 0.016 | 219.305 | 
| 556.491 | 131.147 | 0.038 | 0.013 | 0.000 | 0.000 | 
| 89.994 | 597.615 | 0.066 | -0.032 | 0.000 | -0.000 | 
| 0.081 | 0.081 | 4.707 | 0.000 | 0.000 | 0.000 | 
| 0.032 | -0.032 | -0.000 | 0.066 | 0.000 | -0.000 | 
| 0.036 | 0.036 | -1.054 | 0.000 | 0.068 | 3.417 | 
| 0.043 | 0.043 | -0.091 | 0.000 | 0.016 | 219.089 | 
| 562.843 | 124.673 | 0.157 | 0.016 | 0.000 | -0.000 | 
| 89.993 | 597.609 | 0.066 | -0.032 | -0.000 | 0.000 | 
| 0.066 | 0.066 | 8.463 | -0.000 | -0.000 | -0.000 | 
| 0.032 | -0.032 | 0.000 | 0.066 | -0.000 | -0.000 | 
| -0.036 | -0.036 | 1.054 | -0.000 | 0.068 | 3.417 | 
| -0.043 | -0.043 | 0.091 | -0.000 | 0.016 | 219.089 | 
| 796.831 | 120.032 | 0.132 | 0.022 | 0.000 | -0.000 | 
| 120.032 | 796.831 | 0.132 | -0.022 | 0.000 | -0.000 | 
| 0.132 | 0.132 | 16.921 | 0.000 | 0.000 | -0.000 | 
| 0.022 | -0.022 | -0.000 | 0.132 | 0.000 | -0.000 | 
| -0.000 | -0.000 | 0.000 | 0.000 | 0.132 | 0.021 | 
| 0.000 | -0.000 | -0.000 | 0.000 | 0.022 | 338.400 | 
| 796.831 | 120.032 | 0.132 | 0.022 | -0.000 | 0.000 | 
| 120.032 | 796.831 | 0.132 | -0.022 | -0.000 | 0.000 | 
| 0.132 | 0.132 | 16.921 | -0.000 | -0.000 | 0.000 | 
| 418.054 | -420.921 | 42.566 | 0.238 | -0.005 | -53.305 | 
| -0.000 | 0.000 | 0.000 | -0.000 | 0.132 | 0.022 | 
| -0.000 | 0.000 | 0.000 | -0.000 | 0.022 | 338.400 | 
| 697.037 | 220.113 | -4.123 | -0.003 | 0.001 | 5.328 | 
| 136.265 | 780.884 | -4.125 | -0.018 | 0.001 | 5.331 | 
| -41.677 | 42.228 | 12.643 | -0.011 | 0.001 | 5.331 | 
| -41.797 | 42.084 | -4.257 | 0.122 | 0.001 | 5.331 | 
| -41.805 | 42.091 | -4.257 | -0.011 | 0.133 | 5.338 | 
| -41.798 | 42.085 | -4.256 | -0.011 | 0.008 | 285.702 | 
| 780.597 | 135.978 | 4.389 | 0.018 | -0.001 | -5.331 | 
| 219.826 | 696.749 | 4.387 | 0.003 | -0.001 | -5.328 | 
| 41.932 | -41.955 | 21.157 | 0.011 | -0.001 | -5.330 | 
| 41.812 | -42.099 | 4.257 | 0.143 | -0.001 | -5.331 | 
| 41.805 | -42.091 | 4.257 | 0.011 | 0.132 | -5.323 | 
| 41.795 | -42.082 | 4.256 | 0.011 | 0.007 | 275.047 | 
| 745.271 | 170.646 | -65.928 | 0.009 | 0.000 | 0.438 | 
| 120.032 | 796.835 | 0.132 | -0.022 | 0.000 | -0.000 | 
| -1.618 | 2.084 | 12.468 | -0.000 | 0.000 | 0.235 | 
| -4.470 | 3.525 | -66.180 | 0.131 | 0.000 | 0.509 | 
| -0.000 | -0.000 | -0.000 | 0.000 | 0.132 | 0.022 | 
| 0.000 | 0.001 | -0.000 | -0.000 | 0.022 | 338.400 | 
| 796.827 | 120.031 | 0.132 | 0.022 | -0.000 | -0.000 | 
| 120.031 | 796.827 | 0.132 | -0.022 | -0.000 | -0.000 | 
| 4.587 | -3.428 | 79.843 | 0.001 | -0.000 | -0.509 | 
| 4.188 | -4.217 | 0.426 | 0.133 | -0.000 | -0.533 | 
| 0.000 | 0.000 | 0.000 | -0.000 | 0.132 | 0.022 | 
| -0.000 | -0.001 | 0.000 | 0.000 | 0.022 | 338.400 | 
| 752.837 | 113.404 | 0.125 | 0.020 | -0.000 | -0.000 | 
| 157.664 | 708.554 | -1.656 | -0.010 | -0.000 | -0.001 | 
| 0.022 | 0.040 | 3.857 | 0.000 | 0.000 | 0.013 | 
| 0.934 | -0.959 | -1.545 | 0.125 | 0.000 | 0.000 | 
| -0.013 | -0.013 | -1.545 | -0.000 | 0.125 | 0.946 | 
| 0.000 | 0.000 | -0.000 | 0.000 | 0.020 | 319.716 | 
| 752.837 | 113.404 | 0.125 | 0.020 | -0.000 | 0.000 | 
| 113.404 | 752.837 | 0.125 | -0.020 | 0.000 | -0.000 | 
| 0.125 | 0.125 | 15.987 | -0.000 | -0.000 | 0.000 | 
| -0.674 | 0.698 | 1.940 | 0.124 | 0.000 | 0.000 | 
| 0.013 | 0.013 | 1.545 | -0.000 | 0.125 | 0.946 | 
| -0.000 | -0.000 | 0.000 | -0.000 | 0.020 | 319.717 | 
| 752.837 | 113.404 | 0.125 | 0.020 | -0.000 | 0.000 | 
| 157.212 | 709.029 | 0.123 | -0.010 | 0.000 | 0.000 | 
| 0.075 | 0.061 | 9.838 | -0.000 | -0.000 | -0.011 | 
| -0.582 | 0.580 | -0.084 | 0.125 | 0.000 | -0.000 | 
| -0.001 | -0.001 | -0.084 | -0.000 | 0.125 | -0.581 | 
| -0.000 | 0.000 | -0.001 | 0.000 | 0.010 | 275.909 | 
| 752.837 | 113.404 | 0.125 | 0.020 | -0.000 | 0.000 | 
| 157.211 | 709.029 | 0.126 | -0.010 | -0.000 | -0.000 | 
| 0.125 | 0.125 | 15.987 | 0.000 | 0.000 | -0.000 | 
| 0.013 | -0.008 | 0.319 | 0.125 | -0.000 | 0.000 | 
| 0.001 | 0.001 | 0.084 | 0.000 | 0.125 | -0.581 | 
| 0.000 | -0.000 | 0.001 | -0.000 | 0.010 | 275.909 | 
| 752.840 | 113.405 | 0.125 | 0.020 | -0.000 | 0.000 | 
| 157.217 | 709.028 | 0.123 | -0.010 | 0.000 | -0.000 | 
| 0.019 | 0.024 | 2.798 | 0.000 | 0.000 | 0.004 | 
| 0.020 | -0.020 | -0.000 | 0.125 | -0.000 | -0.000 | 
| -0.000 | -0.000 | -0.000 | 0.000 | 0.125 | 0.020 | 
| -0.000 | 0.000 | -0.000 | -0.000 | 0.010 | 275.964 | 
| 752.834 | 113.403 | 0.125 | 0.020 | -0.000 | 0.000 | 
| 157.218 | 709.020 | 0.125 | -0.010 | 0.000 | 0.000 | 
| 0.080 | 0.081 | 11.463 | 0.000 | 0.000 | 0.001 | 
| -0.000 | 0.000 | 0.000 | 0.125 | -0.000 | 0.000 | 
| 0.000 | 0.000 | 0.000 | -0.000 | 0.125 | 0.020 | 
| 0.000 | -0.000 | 0.000 | 0.000 | 0.010 | 275.964 | 
| 1196.850 | 83.364 | 34.092 | 11.631 | 0.000 | 0.000 | 
| 83.364 | 1196.851 | 34.092 | -11.631 | 0.000 | 0.000 | 
| 34.283 | 34.283 | 1247.209 | 0.000 | 0.000 | 0.000 | 
| 5132.551 | 5115.703 | -10880.415 | 501.019 | 0.000 | 0.000 | 
| 5124.127 | 5124.127 | -10880.415 | 0.000 | 501.019 | 8.424 | 
| 5124.127 | 5124.128 | -10880.416 | 0.000 | 8.424 | 543.801 | 
| -3950.653 | -5038.260 | 10935.859 | 8.425 | -0.000 | -0.000 | 
| -5038.260 | -3950.653 | 10935.858 | -8.425 | -0.000 | -0.000 | 
| -5068.396 | -5068.396 | 12083.714 | -0.000 | -0.000 | -0.000 | 
| -5115.703 | -5132.551 | 10880.416 | 501.019 | -0.000 | -0.000 | 
| -5124.127 | -5124.127 | 10880.415 | -0.000 | 501.019 | 8.424 | 
| -5124.128 | -5124.128 | 10880.416 | -0.000 | 8.424 | 543.801 | 
| 1685.298 | 597.717 | -1031.376 | 8.422 | 0.000 | 0.000 | 
| 598.282 | 1685.835 | -1032.548 | -8.418 | 0.000 | 0.000 | 
| 491.797 | 491.797 | 264.450 | 0.000 | 0.000 | 0.000 | 
| 520.824 | 503.976 | -1088.015 | 501.019 | 0.000 | 0.000 | 
| 491.057 | 491.057 | -1050.704 | 0.000 | 501.525 | 8.624 | 
| 0.000 | -0.000 | 0.000 | -0.000 | 11.631 | 556.743 | 
| 1196.850 | 83.364 | 34.090 | 11.631 | -0.000 | -0.000 | 
| -426.546 | 661.105 | 1143.439 | -8.431 | -0.000 | -0.000 | 
| -357.558 | -357.558 | 2097.225 | -0.000 | -0.000 | -0.000 | 
| -503.976 | -520.825 | 1088.015 | 501.019 | -0.000 | -0.000 | 
| -491.057 | -491.057 | 1050.704 | -0.000 | 501.525 | 8.624 | 
| -0.000 | 0.000 | -0.000 | 0.000 | 11.631 | 556.743 | 
| 1196.854 | 83.365 | 34.091 | 11.631 | 0.000 | 0.000 | 
| 135.882 | 1221.723 | -49.643 | -8.587 | 0.000 | 0.000 | 
| 106.366 | 106.366 | 1095.731 | 0.000 | 0.000 | 0.000 | 
| 11.631 | -11.631 | 0.001 | 514.355 | 0.000 | 0.000 | 
| 0.000 | -0.000 | 0.001 | 0.000 | 514.355 | 11.631 | 
| 49.022 | 49.021 | -104.891 | 0.000 | 8.629 | 543.082 | 
| 1196.847 | 83.362 | 34.089 | 11.631 | -0.000 | -0.000 | 
| 83.363 | 1196.846 | 34.089 | -11.631 | -0.000 | -0.000 | 
| 5.379 | 5.379 | 1310.270 | 0.000 | -0.000 | -0.000 | 
| 11.631 | -11.631 | -0.001 | 514.355 | 0.000 | -0.000 | 
| -0.000 | 0.000 | -0.001 | -0.000 | 514.355 | 11.631 | 
| -49.022 | -49.021 | 104.891 | -0.000 | 8.629 | 543.082 | 
| 1198.081 | 82.149 | 34.964 | 8.293 | 0.000 | 0.000 | 
| 82.149 | 1198.081 | 34.964 | -8.293 | 0.000 | -0.000 | 
| 3960.261 | 3960.261 | -6636.489 | -0.000 | 0.000 | -0.000 | 
| 3909.151 | 3896.904 | -7836.158 | 503.745 | 0.000 | -0.000 | 
| 3900.125 | 3900.125 | -7830.331 | -0.000 | 503.754 | 6.125 | 
| 0.000 | 0.000 | -0.000 | 0.000 | 8.293 | 557.966 | 
| -2730.601 | -3816.717 | 7893.092 | 6.121 | -0.000 | 0.000 | 
| -3805.813 | -2719.612 | 7871.114 | -6.127 | -0.000 | -0.000 | 
| -3845.789 | -3845.789 | 9035.818 | 0.000 | 0.000 | -0.000 | 
| -3896.904 | -3909.150 | 7836.158 | 503.745 | 0.000 | -0.000 | 
| -3900.125 | -3900.125 | 7830.331 | 0.000 | 503.754 | 6.125 | 
| -0.000 | -0.000 | 0.000 | -0.000 | 8.293 | 557.966 | 
| 1562.718 | 476.611 | -726.668 | 6.120 | 0.000 | -0.000 | 
| 476.611 | 1562.718 | -726.668 | -6.120 | 0.000 | 0.000 | 
| 447.516 | 447.516 | 416.094 | 0.000 | 0.000 | 0.000 | 
| 396.424 | 384.178 | -783.612 | 503.745 | 0.000 | 0.000 | 
| 390.301 | 390.301 | -783.612 | -0.000 | 503.745 | 6.123 | 
| 0.000 | 0.000 | 0.000 | -0.000 | 8.293 | 557.966 | 
| 1198.081 | 82.149 | 34.964 | 8.293 | -0.000 | 0.000 | 
| 82.149 | 1198.081 | 34.965 | -8.293 | -0.000 | -0.000 | 
| -333.045 | -333.045 | 1983.235 | -0.000 | -0.000 | -0.000 | 
| -383.085 | -395.344 | 781.431 | 503.779 | -0.000 | -0.000 | 
| -390.301 | -390.301 | 783.612 | 0.000 | 503.745 | 6.123 | 
| -0.000 | -0.000 | -0.000 | 0.000 | 8.293 | 557.966 | 
| 1198.085 | 82.151 | 34.966 | 8.293 | 0.000 | -0.000 | 
| 82.149 | 1198.086 | 34.966 | -8.293 | 0.000 | -0.000 | 
| 126.333 | 126.333 | 1060.989 | -0.000 | 0.000 | -0.000 | 
| 8.293 | -8.293 | 0.001 | 515.919 | 0.000 | 0.000 | 
| 38.982 | 38.981 | -78.262 | 0.000 | 503.760 | 6.126 | 
| 0.001 | -0.000 | 0.001 | -0.000 | 8.293 | 557.966 | 
| 1198.078 | 82.147 | 34.964 | 8.293 | 0.000 | 0.000 | 
| 47.285 | 1133.522 | 135.156 | -6.130 | -0.000 | -0.000 | 
| 35.271 | 35.271 | 1244.583 | -0.000 | -0.000 | 0.000 | 
| -32.886 | -45.136 | 78.322 | 503.751 | -0.000 | -0.000 | 
| -38.982 | -38.981 | 78.262 | -0.000 | 503.760 | 6.126 | 
| -0.001 | 0.000 | -0.001 | 0.000 | 8.293 | 557.966 | 
| 476.524 | -589.340 | 1518.386 | 4.979 | -0.000 | 0.000 | 
| -298.322 | 791.111 | 885.607 | -6.360 | -0.000 | 0.001 | 
| -328.917 | -328.917 | 2037.150 | -0.000 | -0.000 | -0.000 | 
| -676.321 | -686.262 | 1452.447 | 497.010 | -0.000 | -0.001 | 
| -312.010 | -312.010 | 702.791 | -0.000 | 506.810 | 6.691 | 
| -383.930 | -383.930 | 830.573 | -0.000 | 6.361 | 544.718 | 
| 1197.991 | 82.009 | 35.358 | 8.290 | 0.000 | -0.001 | 
| 82.010 | 1197.991 | 35.358 | -8.290 | -0.000 | -0.001 | 
| 747.265 | 747.264 | -267.844 | 0.000 | 0.000 | -0.000 | 
| 8.290 | -8.290 | -0.000 | 516.069 | 0.000 | -0.001 | 
| 312.010 | 312.010 | -702.791 | 0.000 | 506.811 | 6.691 | 
| 383.930 | 383.930 | -830.573 | 0.000 | 6.361 | 544.718 | 
| 1143.196 | 54.547 | 125.860 | 6.622 | -0.000 | 0.000 | 
| 47.205 | 1136.599 | 138.154 | -6.358 | -0.000 | 0.000 | 
| 16.579 | 16.579 | 1289.722 | 0.000 | -0.000 | 0.000 | 
| 8.290 | -8.290 | 0.000 | 516.068 | -0.000 | 0.000 | 
| -31.384 | -31.384 | 70.656 | -0.000 | 506.761 | 6.683 | 
| 0.000 | 0.000 | 0.000 | -0.000 | 8.290 | 557.991 | 
| 1213.469 | 124.017 | -28.078 | 6.362 | 0.000 | 0.000 | 
| 82.010 | 1197.991 | 35.357 | -8.290 | 0.000 | 0.000 | 
| 35.362 | 35.362 | 1246.559 | -0.000 | 0.000 | -0.000 | 
| 8.290 | -8.290 | -0.000 | 516.068 | 0.000 | 0.000 | 
| 31.384 | 31.384 | -70.656 | 0.000 | 506.761 | 6.683 | 
| -0.000 | -0.000 | -0.000 | 0.000 | 8.290 | 557.991 | 
| 1197.994 | 82.011 | 35.358 | 8.290 | -0.000 | 0.000 | 
| 83.045 | 1163.271 | 70.092 | -5.921 | 0.000 | -0.000 | 
| 35.362 | 35.362 | 1246.564 | 0.000 | -0.000 | -0.000 | 
| 8.290 | -8.290 | 0.001 | 516.068 | -0.000 | 0.000 | 
| -3.879 | -3.880 | 8.395 | 0.000 | 505.170 | 6.340 | 
| 0.001 | -0.000 | 0.001 | -0.000 | 8.290 | 557.991 | 
| 1197.988 | 82.008 | 35.356 | 8.290 | 0.000 | 0.000 | 
| 82.009 | 1197.987 | 35.356 | -8.290 | 0.000 | -0.000 | 
| 59.258 | 59.258 | 1197.440 | -0.000 | 0.000 | -0.000 | 
| 8.290 | -8.290 | -0.001 | 516.069 | 0.000 | -0.000 | 
| 3.879 | 3.880 | -8.395 | -0.000 | 505.170 | 6.340 | 
| -0.001 | 0.000 | -0.001 | 0.000 | 8.290 | 557.991 | 
| 449.540 | 222.870 | 222.870 | -0.000 | 0.000 | 0.000 | 
| 222.870 | 449.540 | 222.870 | 0.000 | 0.000 | 0.000 | 
| 222.870 | 222.870 | 449.540 | -0.000 | -0.000 | -0.000 | 
| -0.093 | 0.112 | 0.112 | 378.908 | -0.027 | -0.022 | 
| 0.236 | -0.197 | 0.236 | -0.047 | 380.103 | -0.056 | 
| 0.223 | 0.223 | -0.186 | 0.022 | -0.027 | 379.403 | 
| 449.540 | 222.870 | 222.870 | 0.000 | -0.000 | 0.000 | 
| 222.870 | 449.540 | 222.870 | 0.000 | -0.000 | -0.000 | 
| 222.870 | 222.870 | 449.540 | 0.000 | 0.000 | -0.000 | 
| 0.093 | -0.112 | -0.112 | 379.554 | 0.027 | 0.022 | 
| -0.236 | 0.197 | -0.236 | 0.047 | 378.359 | 0.056 | 
| -0.223 | -0.223 | 0.186 | -0.022 | 0.027 | 379.059 | 
| 449.540 | 222.870 | 222.870 | -0.000 | 0.000 | -0.000 | 
| 222.870 | 449.540 | 222.870 | 0.000 | 0.000 | -0.000 | 
| 222.870 | 222.870 | 449.540 | -0.000 | -0.000 | -0.000 | 
| -0.009 | 0.011 | 0.011 | 311.145 | -0.003 | -0.002 | 
| 0.024 | -0.020 | 0.024 | -0.005 | 311.265 | -0.006 | 
| 0.022 | 0.022 | -0.019 | 0.002 | -0.003 | 311.195 | 
| 449.540 | 222.870 | 222.870 | 0.000 | -0.000 | -0.000 | 
| 222.870 | 449.540 | 222.870 | 0.000 | -0.000 | -0.000 | 
| 222.870 | 222.870 | 449.540 | 0.000 | -0.000 | 0.000 | 
| 0.009 | -0.011 | -0.011 | 311.210 | 0.003 | 0.002 | 
| -0.024 | 0.020 | -0.024 | 0.005 | 311.090 | 0.006 | 
| -0.022 | -0.022 | 0.019 | -0.002 | 0.003 | 311.160 | 
| 449.537 | 222.871 | 222.871 | -0.000 | 0.000 | -0.000 | 
| 222.871 | 449.537 | 222.871 | -0.000 | 0.000 | -0.000 | 
| 222.871 | 222.871 | 449.537 | -0.000 | 0.000 | -0.000 | 
| -0.001 | 0.001 | 0.002 | 304.370 | -0.000 | -0.000 | 
| 0.002 | -0.002 | 0.003 | -0.000 | 304.382 | -0.001 | 
| 0.002 | 0.003 | -0.002 | 0.000 | -0.000 | 304.375 | 
| 449.543 | 222.869 | 222.869 | 0.000 | 0.000 | -0.000 | 
| 222.869 | 449.543 | 222.869 | 0.000 | -0.000 | 0.000 | 
| 222.869 | 222.869 | 449.543 | -0.000 | -0.000 | 0.000 | 
| 0.001 | -0.001 | -0.002 | 304.376 | 0.000 | 0.000 | 
| -0.002 | 0.002 | -0.003 | 0.000 | 304.364 | 0.001 | 
| -0.002 | -0.003 | 0.002 | -0.000 | 0.000 | 304.371 | 
| 449.483 | 194.539 | 194.436 | 3.640 | 11.053 | 7.084 | 
| 194.519 | 449.498 | 194.434 | 3.640 | 11.052 | 7.084 | 
| 194.521 | 194.539 | 449.398 | 3.640 | 11.053 | 7.084 | 
| -0.000 | 0.000 | 0.000 | 373.788 | -0.017 | -0.091 | 
| 0.017 | -0.014 | 0.017 | 0.004 | 377.779 | -0.074 | 
| -0.017 | -0.017 | 0.014 | 0.004 | -0.004 | 375.852 | 
| 468.322 | 212.221 | 212.221 | 0.000 | -0.000 | 0.000 | 
| 212.221 | 468.322 | 212.221 | 0.000 | 0.000 | 0.000 | 
| 212.221 | 212.221 | 468.322 | 0.000 | -0.000 | 0.000 | 
| 390047393.708 | 367064961.081 | 367114373.401 | 133704582.831 | 956805.598 | -2469543.524 | 
| 2.602 | 3.194 | 2.265 | -2.062 | 245.648 | -3.678 | 
| 367752756.968 | 367679715.932 | 390004478.594 | 1845197.909 | -3916418.816 | 135643868.548 | 
| 450.252 | 197.900 | 197.912 | 0.118 | 0.217 | 0.164 | 
| 197.904 | 450.247 | 197.912 | 0.118 | 0.218 | 0.164 | 
| 197.906 | 197.901 | 450.264 | 0.118 | 0.217 | 0.164 | 
| 0.000 | 0.000 | 0.000 | 305.455 | -0.002 | -0.009 | 
| 0.002 | -0.001 | 0.002 | 0.000 | 305.854 | -0.007 | 
| -0.002 | -0.002 | 0.001 | 0.000 | -0.000 | 305.661 | 
| 450.354 | 198.012 | 197.999 | -0.122 | -0.218 | -0.164 | 
| 198.008 | 450.360 | 198.000 | -0.122 | -0.218 | -0.164 | 
| 198.006 | 198.011 | 450.343 | -0.122 | -0.219 | -0.164 | 
| -0.000 | -0.000 | -0.000 | 305.009 | 0.002 | 0.009 | 
| -0.002 | 0.001 | -0.002 | -0.000 | 304.610 | 0.007 | 
| 0.002 | 0.002 | -0.001 | -0.000 | 0.000 | 304.803 | 
| 468.319 | 212.222 | 212.222 | 0.000 | -0.000 | -0.000 | 
| 212.222 | 468.319 | 212.222 | -0.000 | 0.000 | -0.000 | 
| 212.222 | 212.222 | 468.319 | 0.000 | -0.000 | 0.000 | 
| -3896983.713 | -3694018.445 | -3694411.662 | 1371650.206 | -204432.953 | -205488.612 | 
| -3692108.956 | -3900017.450 | -3691897.921 | -152250.650 | 1362603.590 | -151889.665 | 
| -3698045.137 | -3696871.265 | -3896554.018 | -145507.023 | -144707.834 | 1371359.238 | 
| 468.325 | 212.221 | 212.221 | -0.000 | -0.000 | -0.000 | 
| 212.221 | 468.325 | 212.221 | -0.000 | -0.000 | -0.000 | 
| 212.221 | 212.221 | 468.325 | -0.000 | -0.000 | 0.000 | 
| 3904311.602 | 3688677.562 | 3688935.942 | 1376444.251 | 52986.320 | -51363.860 | 
| 3683665.322 | 3904337.960 | 3684235.901 | -26904.077 | 1375193.535 | 27030.392 | 
| 3688272.204 | 3688400.346 | 3905948.774 | -55737.115 | 58118.747 | 1383597.973 | 
| -557.957 | 227.835 | 3102.075 | -0.000 | -0.000 | 0.000 | 
| 519.737 | 474.445 | 4902.001 | -0.000 | -0.000 | 0.000 | 
| -1070.092 | 87.844 | 3406.195 | -0.000 | -0.000 | 0.000 | 
| -1200.213 | 65.156 | 3234.106 | 63.699 | -0.000 | 0.000 | 
| 202.728 | 438.590 | 4910.959 | -0.000 | 44.211 | 0.000 | 
| 0.000 | 0.000 | -0.000 | -0.000 | 0.000 | 250.212 | 
| 264.187 | -49.567 | -4919.639 | 0.000 | -0.000 | -0.000 | 
| 126.531 | 416.803 | 5.445 | 0.000 | 0.000 | -0.000 | 
| 1331.844 | -43.479 | -3066.197 | 0.000 | 0.000 | -0.000 | 
| 1200.213 | -65.156 | -3234.106 | 63.699 | 0.000 | -0.000 | 
| -202.728 | -438.590 | -4910.959 | 0.000 | 44.211 | -0.000 | 
| -0.000 | -0.000 | 0.000 | 0.000 | 0.000 | 250.212 | 
| 781.591 | 104.141 | 10.637 | -0.000 | -0.000 | 0.000 | 
| 221.899 | 287.093 | 421.799 | -0.000 | -0.000 | 0.000 | 
| 23.756 | -3.826 | 454.873 | -0.000 | 0.000 | 0.000 | 
| -123.979 | 6.730 | 334.075 | 62.833 | -0.000 | 0.000 | 
| -127.087 | 6.899 | 342.450 | -0.000 | 159.153 | 0.000 | 
| -103.528 | 5.620 | 278.968 | -0.000 | -0.000 | 171.302 | 
| 531.397 | 220.327 | -358.093 | 0.000 | -0.000 | -0.000 | 
| 323.081 | 289.820 | -304.482 | 0.000 | 0.000 | -0.000 | 
| 251.998 | 13.437 | -156.634 | 0.000 | 0.000 | -0.000 | 
| 123.979 | -6.730 | -334.075 | 62.833 | -0.000 | -0.000 | 
| 127.087 | -6.899 | -342.450 | 0.000 | 159.153 | -0.000 | 
| 103.528 | -5.620 | -278.968 | 0.000 | 0.000 | 171.302 | 
| 618.103 | 146.919 | 106.591 | -0.000 | 0.000 | 0.000 | 
| 126.532 | 416.804 | 5.445 | -0.000 | -0.000 | -0.000 | 
| 121.256 | 18.428 | 195.414 | -0.000 | -0.000 | 0.000 | 
| 9.510 | 2.341 | 37.003 | 37.498 | 0.000 | 0.000 | 
| 13.584 | 5.531 | 49.618 | -0.000 | 3.326 | 0.000 | 
| -7.037 | 0.382 | 18.961 | -0.000 | -0.000 | 196.580 | 
| 596.350 | 176.557 | -26.969 | 0.000 | 0.000 | -0.000 | 
| 176.910 | 293.933 | -50.237 | 0.000 | 0.000 | -0.000 | 
| -8.234 | 22.731 | -44.491 | 0.000 | -0.000 | -0.000 | 
| -9.510 | -2.341 | -37.003 | 37.498 | 0.000 | -0.000 | 
| -13.584 | -5.531 | -49.618 | 0.000 | 3.326 | -0.000 | 
| 7.037 | -0.382 | -18.961 | 0.000 | 0.000 | 196.580 | 
| 919.806 | 94.455 | -5.569 | -0.000 | -0.000 | 0.000 | 
| 94.455 | 530.550 | 29.166 | 0.000 | -0.000 | -0.000 | 
| 81.585 | 63.915 | 194.235 | 0.000 | -0.000 | -0.000 | 
| 0.105 | -0.092 | 0.002 | 56.886 | -0.000 | -0.000 | 
| -0.000 | 0.000 | 0.000 | 0.000 | 286.322 | -0.000 | 
| -0.000 | 0.000 | -0.000 | 0.000 | -0.000 | 289.148 | 
| 835.649 | 112.655 | 44.654 | -0.000 | -0.000 | 0.000 | 
| 125.307 | 399.482 | 63.424 | -0.000 | -0.000 | 0.000 | 
| -5.569 | 29.166 | 536.302 | -0.000 | -0.000 | 0.000 | 
| -0.105 | 0.092 | -0.002 | 56.886 | 0.000 | 0.000 | 
| 0.000 | -0.000 | 0.000 | -0.000 | 286.322 | 0.000 | 
| 0.000 | -0.000 | -0.000 | -0.000 | -0.000 | 289.148 | 
| 835.715 | 112.601 | 44.652 | 0.000 | -0.000 | -0.000 | 
| 125.406 | 399.411 | 63.420 | 0.000 | 0.000 | 0.000 | 
| -5.569 | 29.166 | 536.302 | 0.000 | -0.000 | -0.000 | 
| 0.000 | -0.000 | -0.000 | 113.955 | -0.000 | -0.000 | 
| 0.000 | 0.000 | 0.000 | 0.000 | 286.322 | -0.000 | 
| 0.005 | -0.005 | 0.000 | 0.000 | 0.000 | 253.579 | 
| 919.805 | 94.455 | -5.569 | -0.000 | -0.000 | 0.000 | 
| 108.607 | 390.709 | 15.208 | 0.000 | -0.000 | -0.000 | 
| -5.569 | 29.166 | 536.302 | -0.000 | -0.000 | -0.000 | 
| -0.000 | 0.000 | 0.000 | 113.955 | -0.000 | 0.000 | 
| -0.000 | -0.000 | -0.000 | 0.000 | 286.322 | 0.000 | 
| -0.005 | 0.005 | -0.000 | -0.000 | -0.000 | 253.579 | 
| 919.811 | 94.455 | -5.570 | 0.000 | 0.000 | 0.000 | 
| 125.398 | 399.420 | 63.420 | -0.000 | 0.000 | -0.000 | 
| -10.744 | 48.739 | 32.753 | 0.000 | 0.000 | 0.000 | 
| 0.000 | -0.000 | -0.000 | 113.955 | 0.000 | -0.000 | 
| 0.000 | -0.001 | 0.001 | 0.000 | 141.678 | -0.000 | 
| 0.001 | 0.000 | -0.000 | 0.000 | 0.000 | 289.148 | 
| 832.443 | 123.248 | 12.121 | -0.000 | -0.000 | 0.000 | 
| 94.454 | 530.548 | 29.166 | -0.000 | -0.000 | 0.000 | 
| -11.748 | 48.339 | 36.715 | -0.000 | -0.000 | 0.000 | 
| -0.000 | 0.000 | 0.000 | 113.955 | 0.000 | -0.000 | 
| -0.000 | 0.001 | -0.001 | 0.000 | 141.678 | 0.000 | 
| -0.001 | -0.000 | 0.000 | -0.000 | -0.000 | 289.148 | 
| 1195.940 | 84.514 | 33.249 | -0.000 | 0.000 | -0.001 | 
| 84.515 | 1195.940 | 33.249 | 0.000 | 0.000 | -0.000 | 
| 83.539 | 83.539 | 1154.662 | 0.000 | -0.000 | -0.000 | 
| 17.216 | 17.216 | -26.314 | 500.774 | 0.000 | -0.000 | 
| -0.000 | -0.000 | 0.000 | 0.000 | 512.983 | -0.001 | 
| 24.151 | 24.151 | -40.696 | 0.000 | -0.000 | 543.587 | 
| 1195.939 | 84.515 | 33.249 | -0.000 | -0.000 | 0.001 | 
| 84.514 | 1195.940 | 33.249 | -0.000 | 0.000 | 0.000 | 
| 33.420 | 33.421 | 1249.145 | -0.000 | -0.000 | 0.001 | 
| -17.215 | -17.216 | 26.314 | 500.774 | -0.000 | 0.000 | 
| 0.000 | 0.000 | -0.000 | 0.000 | 512.983 | 0.000 | 
| -24.152 | -24.151 | 40.696 | -0.000 | 0.000 | 543.588 | 
| 1195.940 | 84.515 | 33.249 | 0.000 | -0.000 | -0.000 | 
| 85.852 | 1175.080 | 54.223 | -0.000 | 0.000 | -0.000 | 
| 33.421 | 33.421 | 1249.146 | -0.000 | 0.000 | -0.000 | 
| 1.731 | 1.731 | -2.650 | 500.790 | 0.000 | -0.000 | 
| 0.000 | -0.000 | 0.000 | -0.000 | 512.983 | -0.000 | 
| 0.000 | -0.000 | 0.000 | 0.000 | 0.000 | 555.713 | 
| 1195.940 | 84.514 | 33.248 | -0.000 | 0.000 | 0.000 | 
| 84.515 | 1195.939 | 33.248 | 0.000 | -0.000 | 0.000 | 
| 52.268 | 52.268 | 1209.297 | -0.000 | -0.000 | 0.000 | 
| -1.731 | -1.731 | 2.650 | 500.790 | -0.000 | 0.000 | 
| -0.000 | 0.000 | -0.000 | -0.000 | 512.983 | 0.000 | 
| -0.000 | 0.000 | -0.000 | -0.000 | -0.000 | 555.713 | 
| 1195.943 | 84.516 | 33.249 | -0.000 | 0.000 | -0.000 | 
| 83.937 | 1175.706 | 54.797 | 0.000 | -0.000 | -0.000 | 
| 54.165 | 54.165 | 1206.405 | 0.000 | -0.000 | -0.000 | 
| 0.169 | 0.170 | -0.252 | 500.801 | 0.000 | -0.000 | 
| 0.000 | -0.000 | 0.001 | -0.000 | 512.983 | -0.000 | 
| 0.001 | -0.000 | 0.001 | -0.000 | -0.000 | 555.713 | 
| 1195.937 | 84.513 | 33.247 | -0.000 | -0.000 | 0.000 | 
| 86.083 | 1174.058 | 54.099 | 0.000 | 0.000 | 0.000 | 
| 53.866 | 53.866 | 1206.861 | -0.000 | 0.000 | 0.000 | 
| -0.169 | -0.170 | 0.252 | 500.801 | -0.000 | 0.000 | 
| -0.000 | 0.000 | -0.001 | 0.000 | 512.983 | 0.000 | 
| -0.001 | 0.000 | -0.001 | 0.000 | -0.000 | 555.713 | 
| 1197.366 | 82.537 | 34.755 | -0.000 | 0.001 | 0.000 | 
| 82.538 | 1197.366 | 34.756 | -0.000 | 0.000 | 0.000 | 
| 34.869 | 34.869 | 1246.449 | -0.000 | -0.000 | 0.000 | 
| 0.000 | -0.000 | -0.001 | 515.299 | -0.000 | 0.000 | 
| 122.793 | 122.793 | -258.857 | -0.000 | 502.586 | 0.000 | 
| 0.000 | -0.000 | -0.001 | -0.000 | 0.000 | 557.414 | 
| 1197.366 | 82.538 | 34.755 | 0.000 | 0.000 | -0.000 | 
| -33.371 | 1054.100 | 306.407 | 0.000 | 0.000 | -0.000 | 
| -63.869 | -63.869 | 1455.204 | 0.000 | -0.000 | -0.000 | 
| -0.000 | 0.000 | 0.001 | 515.299 | -0.000 | -0.000 | 
| -122.793 | -122.793 | 258.857 | 0.000 | 502.586 | -0.000 | 
| -0.000 | 0.000 | 0.001 | 0.000 | -0.000 | 557.414 | 
| 1197.367 | 82.538 | 34.755 | 0.000 | 0.000 | 0.000 | 
| 82.538 | 1197.367 | 34.755 | -0.000 | 0.000 | 0.000 | 
| 34.869 | 34.869 | 1246.450 | -0.000 | 0.000 | 0.000 | 
| -0.000 | 0.000 | 0.000 | 515.299 | -0.000 | 0.000 | 
| 0.000 | -0.000 | 0.000 | -0.000 | 515.299 | 0.000 | 
| 11.861 | 11.861 | -24.922 | -0.000 | -0.000 | 543.762 | 
| 1197.366 | 82.537 | 34.755 | 0.000 | -0.000 | -0.000 | 
| 82.537 | 1197.366 | 34.755 | 0.000 | 0.000 | -0.000 | 
| 34.869 | 34.869 | 1246.449 | 0.000 | 0.000 | -0.000 | 
| 0.000 | -0.000 | -0.000 | 515.299 | 0.000 | 0.000 | 
| -0.000 | 0.000 | -0.000 | 0.000 | 515.299 | -0.000 | 
| -11.861 | -11.861 | 24.922 | 0.000 | 0.000 | 543.762 | 
| 1197.370 | 82.539 | 34.756 | -0.000 | -0.000 | 0.000 | 
| 82.538 | 1197.371 | 34.756 | -0.000 | -0.000 | 0.000 | 
| 56.266 | 56.266 | 1202.669 | 0.000 | 0.000 | 0.000 | 
| -0.000 | 0.000 | 0.001 | 515.299 | -0.000 | 0.000 | 
| 0.000 | -0.000 | 0.001 | -0.000 | 515.299 | -0.000 | 
| 1.165 | 1.165 | -2.447 | -0.000 | -0.000 | 544.011 | 
| 1172.000 | 87.000 | 56.189 | -0.000 | -0.000 | -0.000 | 
| 82.537 | 1197.362 | 34.754 | 0.000 | -0.000 | -0.000 | 
| 34.869 | 34.869 | 1246.444 | 0.000 | 0.000 | -0.000 | 
| 0.000 | -0.000 | -0.001 | 515.299 | 0.000 | -0.000 | 
| -0.000 | 0.000 | -0.001 | 0.000 | 515.299 | -0.000 | 
| -1.165 | -1.165 | 2.447 | 0.000 | -0.000 | 544.011 | 
| 1113.990 | 26.379 | 177.074 | -0.000 | 0.000 | -0.000 | 
| 81.620 | 1198.254 | 35.476 | 0.000 | 0.000 | -0.000 | 
| -4.466 | -4.466 | 1326.216 | 0.000 | 0.000 | 0.000 | 
| -59.863 | -59.863 | 121.487 | 505.412 | 0.000 | -0.000 | 
| 0.000 | 0.000 | -0.000 | 0.000 | 516.475 | -0.000 | 
| 0.000 | -0.000 | -0.000 | -0.000 | 0.000 | 558.317 | 
| 1198.254 | 81.620 | 35.476 | -0.000 | -0.000 | 0.000 | 
| 146.375 | 1233.762 | -66.220 | -0.000 | -0.000 | 0.000 | 
| 35.607 | 35.607 | 1244.993 | 0.000 | -0.000 | 0.000 | 
| 59.863 | 59.863 | -121.487 | 505.412 | -0.000 | 0.000 | 
| -0.000 | 0.000 | 0.001 | 0.000 | 516.474 | 0.000 | 
| -0.000 | 0.000 | 0.000 | 0.000 | -0.000 | 558.317 | 
| 1166.599 | 82.518 | 66.670 | -0.000 | 0.000 | -0.000 | 
| 81.620 | 1198.254 | 35.477 | 0.000 | 0.000 | -0.000 | 
| 49.843 | 49.843 | 1215.973 | -0.000 | 0.000 | -0.000 | 
| -0.000 | 0.000 | 0.000 | 516.475 | 0.000 | -0.000 | 
| 0.000 | -0.000 | 0.000 | -0.000 | 516.475 | -0.000 | 
| 0.000 | -0.000 | 0.000 | -0.000 | 0.000 | 558.317 | 
| 1179.232 | 92.376 | 43.904 | -0.000 | -0.000 | -0.000 | 
| 81.620 | 1198.253 | 35.477 | -0.000 | -0.000 | 0.000 | 
| 61.690 | 61.690 | 1191.981 | 0.000 | -0.000 | 0.000 | 
| 0.000 | -0.000 | -0.000 | 516.475 | -0.000 | 0.000 | 
| -0.000 | 0.000 | -0.000 | 0.000 | 516.475 | 0.000 | 
| -0.000 | 0.000 | -0.000 | 0.000 | -0.000 | 558.317 | 
| 1198.257 | 81.622 | 35.478 | -0.000 | 0.000 | -0.000 | 
| 85.576 | 1172.866 | 57.271 | 0.000 | -0.000 | -0.000 | 
| 55.176 | 55.176 | 1205.179 | 0.000 | 0.000 | 0.000 | 
| -0.000 | 0.000 | 0.001 | 516.475 | 0.000 | 0.000 | 
| 0.000 | -0.000 | 0.001 | -0.000 | 516.475 | -0.000 | 
| -0.523 | -0.525 | 1.056 | 0.000 | 0.000 | 542.508 | 
| 1198.250 | 81.619 | 35.476 | -0.000 | -0.000 | -0.000 | 
| 88.784 | 1171.768 | 55.106 | -0.000 | 0.000 | 0.000 | 
| 56.359 | 56.359 | 1202.772 | 0.000 | -0.000 | -0.000 | 
| 0.000 | -0.000 | -0.001 | 516.475 | -0.000 | -0.000 | 
| -0.000 | 0.000 | -0.001 | 0.000 | 516.475 | 0.000 | 
| 0.523 | 0.525 | -1.056 | -0.000 | -0.000 | 542.508 | 
| 468.939 | 149.647 | 456.554 | 0.000 | 0.000 | -0.000 | 
| -291.126 | 447.122 | 435.626 | 0.000 | 0.000 | -0.000 | 
| -0.413 | 33.448 | 552.700 | -0.000 | 0.000 | -0.000 | 
| -417.635 | 27.532 | 408.606 | 82.812 | 0.000 | -0.000 | 
| -0.000 | 0.000 | 0.000 | 0.000 | 306.974 | -0.000 | 
| -417.503 | 27.523 | 408.477 | 0.000 | 0.000 | 279.635 | 
| 1300.528 | 94.865 | -357.159 | -0.000 | 0.000 | 0.000 | 
| 104.721 | 563.928 | 33.449 | 0.000 | -0.000 | 0.000 | 
| -0.413 | 33.448 | 552.700 | -0.000 | -0.000 | 0.000 | 
| 417.635 | -27.532 | -408.606 | 82.812 | -0.000 | 0.000 | 
| -0.000 | -0.000 | -0.000 | -0.000 | 306.974 | 0.000 | 
| 417.503 | -27.523 | -408.477 | 0.000 | 0.000 | 279.636 | 
| 967.825 | 104.720 | -0.412 | 0.000 | 0.000 | -0.000 | 
| 104.721 | 563.928 | 33.449 | -0.000 | 0.000 | -0.000 | 
| 21.434 | 99.357 | 167.665 | -0.000 | 0.000 | -0.000 | 
| -51.199 | 3.375 | 50.092 | 73.769 | 0.000 | -0.000 | 
| 0.000 | 0.000 | 0.000 | 0.000 | 306.974 | -0.000 | 
| -54.363 | 3.584 | 53.188 | 0.000 | 0.000 | 272.326 | 
| 919.584 | 121.691 | 11.118 | 0.000 | -0.000 | 0.000 | 
| 165.866 | 410.924 | 22.075 | 0.000 | -0.000 | 0.000 | 
| -0.413 | 33.448 | 552.700 | -0.000 | -0.000 | 0.000 | 
| 51.199 | -3.375 | -50.092 | 73.769 | -0.000 | 0.000 | 
| -0.000 | -0.000 | -0.000 | 0.000 | 306.974 | 0.000 | 
| 54.363 | -3.584 | -53.188 | 0.000 | -0.000 | 272.326 | 
| 873.102 | 132.883 | 16.558 | -0.000 | 0.000 | -0.000 | 
| 104.722 | 563.930 | 33.449 | -0.000 | 0.000 | -0.000 | 
| -0.411 | 33.448 | 552.701 | -0.000 | 0.000 | -0.000 | 
| -5.866 | 0.387 | 5.739 | 66.621 | -0.000 | -0.000 | 
| -8.648 | 0.570 | 8.461 | -0.000 | 152.120 | -0.000 | 
| -4.111 | 0.382 | 4.333 | 0.000 | 0.000 | 238.668 | 
| 967.820 | 104.720 | -0.411 | 0.000 | 0.000 | 0.000 | 
| 142.570 | 424.202 | 69.819 | -0.000 | -0.000 | 0.000 | 
| -7.074 | 61.258 | 43.836 | 0.000 | -0.000 | 0.000 | 
| 5.866 | -0.387 | -5.739 | 66.621 | 0.000 | 0.000 | 
| 8.648 | -0.570 | -8.461 | 0.000 | 152.120 | 0.000 | 
| 4.111 | -0.382 | -4.333 | 0.000 | 0.000 | 238.668 | 
| 1570.448 | 653.759 | 1451.609 | -0.000 | -0.000 | -0.000 | 
| 119.108 | 603.261 | 37.857 | -0.000 | -0.000 | -0.000 | 
| 670.925 | 186.049 | 370.796 | 0.000 | -0.000 | -0.000 | 
| 0.000 | -0.000 | 0.000 | 125.578 | -0.000 | -0.000 | 
| 679.287 | 499.090 | 1460.490 | 0.000 | 8.003 | -0.000 | 
| 0.000 | -0.000 | -0.000 | -0.000 | -0.000 | 317.489 | 
| 178.484 | 36.464 | 2.391 | 0.000 | 0.000 | 0.000 | 
| 119.108 | 603.261 | 37.857 | 0.000 | 0.000 | 0.000 | 
| 7.620 | 47.437 | 565.979 | -0.000 | 0.000 | 0.000 | 
| -0.000 | 0.000 | -0.000 | 125.578 | 0.000 | -0.000 | 
| -679.287 | -499.090 | -1460.490 | 0.000 | 8.003 | 0.000 | 
| -0.000 | 0.000 | -0.000 | 0.000 | 0.000 | 317.489 | 
| 996.282 | 126.979 | 5.911 | -0.000 | -0.000 | -0.000 | 
| 119.108 | 603.262 | 37.857 | -0.000 | -0.000 | -0.000 | 
| 7.620 | 47.437 | 565.979 | -0.000 | -0.000 | -0.000 | 
| 0.000 | -0.000 | -0.000 | 125.578 | 0.000 | -0.000 | 
| 0.000 | 0.000 | 0.000 | 0.000 | 318.013 | -0.000 | 
| 0.000 | 0.000 | -0.000 | 0.000 | -0.000 | 317.489 | 
| 826.225 | 92.197 | -143.816 | 0.000 | 0.000 | 0.000 | 
| 119.108 | 603.261 | 37.857 | 0.000 | 0.000 | 0.000 | 
| 7.620 | 47.437 | 565.979 | -0.000 | -0.000 | 0.000 | 
| -0.000 | 0.000 | 0.000 | 125.578 | 0.000 | 0.000 | 
| -0.000 | -0.000 | -0.000 | 0.000 | 318.013 | 0.000 | 
| -0.000 | -0.000 | 0.000 | 0.000 | 0.000 | 317.489 | 
| 906.445 | 148.738 | 61.555 | -0.000 | -0.000 | -0.000 | 
| 135.054 | 435.268 | 59.261 | 0.000 | -0.000 | -0.000 | 
| 102.593 | 89.374 | 233.357 | -0.000 | -0.000 | -0.000 | 
| 4.731 | 5.336 | 17.208 | 48.558 | -0.000 | -0.000 | 
| 8.508 | 1.520 | 1.059 | -0.000 | 167.857 | -0.000 | 
| 1.967 | 6.364 | 22.491 | 0.000 | -0.000 | 250.831 | 
| 894.222 | 147.691 | 62.041 | -0.000 | 0.000 | 0.000 | 
| 119.107 | 603.259 | 37.857 | 0.000 | 0.000 | 0.000 | 
| -3.101 | 9.794 | 12.132 | -0.000 | 0.000 | 0.000 | 
| -4.731 | -5.336 | -17.208 | 48.558 | 0.000 | 0.000 | 
| -8.508 | -1.520 | -1.059 | -0.000 | 167.857 | 0.000 | 
| -1.967 | -6.364 | -22.491 | -0.000 | -0.000 | 250.831 | 
| 512.235 | 86.462 | 77.534 | 0.000 | 0.000 | 0.000 | 
| 86.462 | 496.072 | 87.471 | 0.000 | -0.000 | 0.000 | 
| 77.534 | 87.471 | 425.079 | 0.000 | 0.000 | 0.000 | 
| -0.000 | 0.000 | 0.000 | 224.730 | 0.000 | 0.000 | 
| 0.000 | 0.000 | -0.000 | 0.000 | 216.550 | 0.000 | 
| -0.237 | 0.210 | 0.364 | -0.080 | 0.000 | 172.923 | 
| 512.235 | 86.462 | 77.534 | -0.000 | 0.000 | 0.000 | 
| 133.177 | 343.458 | 114.992 | 0.072 | -0.000 | 0.331 | 
| 77.534 | 87.470 | 425.079 | -0.003 | -0.000 | -0.000 | 
| 0.000 | -0.000 | 0.000 | 224.833 | -0.000 | -0.000 | 
| -0.000 | -0.000 | 0.000 | -0.000 | 216.550 | 0.000 | 
| 0.236 | -0.210 | -0.364 | 0.080 | -0.000 | 173.307 | 
| 512.235 | 86.462 | 77.534 | 0.000 | 0.000 | -0.000 | 
| 86.462 | 496.072 | 87.471 | 0.000 | -0.000 | 0.000 | 
| 77.534 | 87.471 | 425.080 | 0.000 | 0.000 | -0.000 | 
| 0.000 | 0.000 | 0.000 | 219.372 | 0.000 | -0.000 | 
| -0.012 | 0.052 | 0.070 | -0.000 | 82.600 | -0.002 | 
| -0.000 | -0.000 | 0.000 | 0.000 | 0.000 | 242.421 | 
| 512.234 | 86.462 | 77.534 | -0.000 | 0.000 | 0.000 | 
| 56.838 | 205.242 | 74.712 | 0.006 | 0.000 | 0.032 | 
| 77.534 | 87.471 | 425.079 | -0.000 | -0.000 | -0.000 | 
| -0.000 | -0.000 | -0.000 | 219.382 | 0.000 | 0.000 | 
| 0.012 | -0.052 | -0.069 | 0.000 | 82.600 | 0.002 | 
| 0.000 | 0.000 | -0.000 | -0.000 | -0.000 | 242.461 | 
| 228.029 | 95.051 | 94.745 | -0.000 | 0.000 | -0.000 | 
| 57.054 | 205.597 | 75.055 | -0.001 | -0.000 | -0.003 | 
| 97.626 | 102.097 | 154.455 | -0.000 | 0.000 | -0.000 | 
| 0.000 | 0.000 | 0.000 | 218.836 | -0.000 | -0.000 | 
| -0.003 | 0.002 | 0.004 | -0.001 | 131.210 | -0.003 | 
| -0.003 | 0.002 | 0.004 | -0.001 | -0.000 | 165.895 | 
| 352.966 | 129.133 | 123.462 | 0.001 | -0.000 | 0.003 | 
| 132.913 | 343.566 | 115.513 | 0.001 | 0.000 | 0.003 | 
| 125.521 | 114.388 | 280.500 | 0.001 | 0.000 | 0.003 | 
| -0.000 | -0.000 | -0.000 | 218.837 | -0.000 | -0.000 | 
| 0.003 | -0.002 | -0.004 | 0.001 | 131.210 | 0.004 | 
| 0.003 | -0.002 | -0.004 | 0.001 | 0.000 | 165.899 | 
| -19055.815 | 22032.655 | 13799.034 | -0.160 | -0.000 | 2.938 | 
| -1991.019 | 8693.282 | -3285.486 | -0.321 | -0.000 | 0.366 | 
| 68.843 | 84.114 | 405.866 | -0.000 | -0.000 | 0.000 | 
| -18595.637 | 30344.509 | 10461.864 | 58.825 | -0.000 | 8.344 | 
| -0.000 | -0.000 | 0.000 | 0.000 | 207.177 | 0.000 | 
| -19277.217 | 21914.740 | 13823.591 | -0.164 | -0.000 | 108.582 | 
| 493.004 | 80.799 | 70.075 | 0.000 | 0.000 | -0.000 | 
| 80.214 | 471.565 | 84.761 | -0.000 | 0.000 | -0.000 | 
| 68.843 | 84.114 | 405.866 | 0.000 | 0.000 | -0.000 | 
| 18595.617 | -30344.532 | -10461.892 | 60.254 | 0.000 | -8.334 | 
| 0.000 | -0.000 | -0.000 | 0.000 | 207.177 | -0.000 | 
| 19277.254 | -21914.769 | -13823.616 | 0.157 | 0.000 | 102.634 | 
| 134.114 | 970.019 | -233.313 | -0.032 | -0.000 | 0.037 | 
| 80.214 | 471.565 | 84.761 | 0.000 | -0.000 | 0.000 | 
| 68.843 | 84.114 | 405.866 | 0.000 | -0.000 | 0.000 | 
| -1832.779 | 2476.225 | 1333.631 | 37.182 | -0.000 | 0.507 | 
| 0.000 | 0.000 | 0.000 | 0.000 | 207.177 | 0.000 | 
| -1839.113 | 2480.162 | 1340.620 | -0.041 | -0.000 | 54.615 | 
| 1194.048 | -1718.714 | 22.475 | 0.028 | 0.000 | -0.130 | 
| 80.214 | 471.564 | 84.761 | -0.000 | 0.000 | -0.000 | 
| 68.843 | 84.114 | 405.866 | 0.000 | 0.000 | -0.000 | 
| 1832.779 | -2476.226 | -1333.631 | 37.213 | 0.000 | -0.508 | 
| -0.000 | -0.000 | -0.000 | -0.000 | 207.177 | -0.000 | 
| 1839.129 | -2480.190 | -1340.637 | 0.041 | 0.000 | 54.602 | 
| 120.497 | 296.987 | 119.868 | -0.003 | -0.000 | 0.014 | 
| 80.214 | 471.567 | 84.761 | -0.000 | -0.000 | 0.000 | 
| 68.843 | 84.115 | 405.867 | 0.000 | -0.000 | 0.000 | 
| -190.116 | 221.701 | 131.741 | 74.768 | -0.000 | 0.029 | 
| 0.000 | 0.000 | 0.000 | 0.000 | 207.177 | 0.000 | 
| -190.098 | 222.121 | 131.377 | -0.002 | -0.000 | 111.785 | 
| 394.337 | -180.943 | -64.227 | 0.002 | 0.000 | -0.028 | 
| 80.213 | 471.563 | 84.761 | -0.000 | 0.000 | -0.000 | 
| 68.843 | 84.114 | 405.864 | -0.000 | 0.000 | -0.000 | 
| 190.116 | -221.700 | -131.742 | 74.766 | 0.000 | -0.029 | 
| -0.000 | -0.000 | -0.000 | -0.000 | 207.177 | -0.000 | 
| 190.102 | -222.125 | -131.382 | 0.002 | 0.000 | 111.837 | 
| -702.224 | -937.094 | -937.094 | 0.000 | -0.000 | 0.000 | 
| -937.095 | -702.223 | -937.094 | 0.000 | -0.000 | 0.000 | 
| -937.094 | -937.094 | -702.224 | 0.000 | -0.000 | 0.000 | 
| -1028.854 | -1028.854 | -1028.854 | 119.122 | -0.000 | 0.000 | 
| -1028.854 | -1028.854 | -1028.854 | -0.000 | 119.122 | 0.000 | 
| -1028.854 | -1028.854 | -1028.854 | -0.000 | 0.000 | 119.122 | 
| 1356.329 | 1120.571 | 1120.571 | 0.000 | -0.000 | -0.000 | 
| 1120.571 | 1356.329 | 1120.571 | 0.000 | -0.000 | -0.000 | 
| 1120.571 | 1120.571 | 1356.329 | -0.000 | -0.000 | -0.000 | 
| 1028.854 | 1028.854 | 1028.854 | 119.122 | -0.000 | -0.000 | 
| 1028.854 | 1028.854 | 1028.854 | -0.000 | 119.122 | -0.000 | 
| 1028.854 | 1028.854 | 1028.854 | -0.000 | -0.000 | 119.122 | 
| -944.685 | -1015.649 | -1015.649 | 0.000 | -0.000 | 0.000 | 
| -1015.649 | -944.685 | -1015.649 | -0.000 | 0.000 | 0.000 | 
| -1015.649 | -1015.649 | -944.685 | 0.000 | -0.000 | 0.000 | 
| 0.000 | 0.000 | 0.000 | 175.665 | -0.000 | 0.000 | 
| -0.000 | 0.000 | 0.000 | -0.000 | 175.665 | 0.000 | 
| -0.000 | 0.000 | 0.000 | 0.000 | -0.000 | 175.665 | 
| 424.753 | 78.489 | 78.489 | 0.000 | -0.000 | -0.000 | 
| 78.489 | 424.753 | 78.489 | 0.000 | 0.000 | -0.000 | 
| 78.489 | 78.489 | 424.753 | 0.000 | -0.000 | -0.000 | 
| 0.000 | -0.000 | -0.000 | 175.665 | 0.000 | -0.000 | 
| 0.000 | -0.000 | -0.000 | 0.000 | 175.665 | -0.000 | 
| 0.000 | -0.000 | -0.000 | 0.000 | 0.000 | 175.665 | 
| 46.908 | 20.056 | 20.056 | -0.000 | -0.000 | 0.000 | 
| 20.056 | 46.908 | 20.056 | -0.000 | 0.000 | 0.000 | 
| 20.056 | 20.056 | 46.908 | -0.000 | -0.000 | 0.000 | 
| -11.974 | -11.974 | -11.974 | 109.858 | -0.000 | 0.000 | 
| -11.974 | -11.974 | -11.974 | 0.000 | 109.858 | 0.000 | 
| -11.974 | -11.974 | -11.974 | 0.000 | 0.000 | 109.858 | 
| 424.751 | 78.488 | 78.488 | -0.000 | 0.000 | -0.000 | 
| 78.488 | 424.751 | 78.488 | -0.000 | 0.000 | -0.000 | 
| 78.488 | 78.488 | 424.751 | -0.000 | 0.000 | -0.000 | 
| 11.974 | 11.974 | 11.974 | 109.858 | 0.000 | -0.000 | 
| 11.974 | 11.974 | 11.974 | 0.000 | 109.858 | -0.000 | 
| 11.974 | 11.974 | 11.974 | -0.000 | -0.000 | 109.858 | 
| 111.287 | 56.407 | 56.407 | -0.000 | 0.000 | -0.000 | 
| 56.407 | 111.286 | 56.407 | -0.000 | 0.000 | -0.000 | 
| 56.407 | 56.407 | 111.286 | 0.000 | 0.000 | 0.000 | 
| -0.001 | -0.001 | -0.001 | 95.613 | 0.000 | 0.000 | 
| -0.001 | -0.001 | -0.001 | 0.000 | 95.613 | -0.000 | 
| -0.001 | -0.001 | -0.001 | 0.000 | 0.000 | 95.613 | 
| 258.851 | 101.527 | 101.528 | -0.000 | -0.000 | 0.000 | 
| 101.527 | 258.851 | 101.528 | -0.000 | 0.000 | 0.000 | 
| 101.527 | 101.528 | 258.851 | -0.000 | -0.000 | 0.000 | 
| 0.001 | 0.001 | 0.001 | 95.613 | -0.000 | 0.000 | 
| 0.001 | 0.001 | 0.001 | -0.000 | 95.613 | -0.000 | 
| 0.001 | 0.001 | 0.001 | -0.000 | -0.000 | 95.613 | 
| 258.846 | 101.527 | 101.527 | -0.000 | 0.000 | -0.000 | 
| 101.527 | 258.846 | 101.527 | -0.000 | 0.000 | -0.000 | 
| 101.527 | 101.527 | 258.846 | 0.000 | -0.000 | -0.000 | 
| -0.001 | -0.001 | -0.001 | 20.736 | -0.000 | -0.000 | 
| -0.001 | -0.001 | -0.001 | 0.000 | 20.736 | -0.000 | 
| -0.001 | -0.001 | -0.001 | -0.000 | 0.000 | 20.736 | 
| 111.300 | 56.411 | 56.411 | 0.000 | -0.000 | 0.000 | 
| 56.411 | 111.300 | 56.411 | -0.000 | -0.000 | -0.000 | 
| 56.411 | 56.411 | 111.300 | -0.000 | -0.000 | 0.000 | 
| 0.001 | 0.001 | 0.001 | 20.736 | -0.000 | 0.000 | 
| 0.001 | 0.001 | 0.001 | 0.000 | 20.736 | 0.000 | 
| 0.001 | 0.001 | 0.001 | 0.000 | -0.000 | 20.736 | 
| 407.627 | 74.208 | 74.208 | 0.000 | 0.000 | -0.000 | 
| 74.208 | 407.627 | 74.208 | 0.000 | -0.000 | -0.000 | 
| 74.208 | 74.208 | 407.627 | 0.000 | 0.000 | -0.000 | 
| 0.000 | 0.000 | 0.000 | 168.273 | 0.000 | -0.000 | 
| 0.000 | 0.000 | 0.000 | 0.000 | 168.273 | -0.000 | 
| 0.000 | 0.000 | 0.000 | -0.000 | 0.000 | 168.273 | 
| 258.868 | 101.522 | 101.523 | -0.000 | -0.000 | 0.000 | 
| 101.523 | 258.868 | 101.522 | -0.000 | -0.000 | 0.000 | 
| 101.522 | 101.523 | 258.868 | -0.000 | -0.000 | 0.000 | 
| -0.000 | -0.000 | -0.000 | 168.273 | -0.000 | -0.000 | 
| -0.000 | -0.000 | -0.000 | 0.000 | 168.273 | 0.000 | 
| -0.000 | -0.000 | -0.000 | -0.000 | -0.000 | 168.273 | 
| 574.625 | 61.774 | 80.405 | 15.572 | -0.043 | -0.115 | 
| 62.843 | 573.542 | 80.405 | -15.087 | -0.041 | -0.109 | 
| 132.997 | 130.322 | 279.916 | 0.896 | -0.008 | 0.002 | 
| 21.583 | -18.465 | -4.001 | 143.478 | 0.006 | 0.057 | 
| 2.761 | -0.806 | -3.955 | 1.359 | 142.539 | 18.652 | 
| 0.464 | -0.607 | 0.005 | 0.171 | 15.914 | 257.427 | 
| 573.400 | 62.701 | 80.414 | 15.091 | 0.039 | 0.105 | 
| 83.530 | 436.931 | 138.837 | -13.004 | 0.006 | -0.022 | 
| 80.343 | 80.345 | 423.962 | -0.031 | 0.017 | 0.045 | 
| 5.334 | -4.570 | 1.533 | 59.075 | 0.029 | 0.003 | 
| -2.866 | 0.931 | 3.958 | -1.405 | 142.575 | 18.733 | 
| -0.464 | 0.607 | -0.004 | -0.171 | 15.939 | 257.496 | 
| 425.222 | 97.501 | 135.029 | 7.286 | -0.001 | 0.002 | 
| 97.792 | 425.012 | 134.992 | -7.077 | 0.000 | 0.004 | 
| 121.268 | 120.807 | 149.537 | 0.123 | -0.004 | -0.010 | 
| 12.537 | -12.520 | -0.001 | 215.827 | -0.005 | -0.012 | 
| 0.046 | -0.061 | 0.000 | 0.017 | 215.861 | 12.629 | 
| 0.165 | -0.073 | -0.205 | 0.024 | 4.145 | 130.466 | 
| 564.788 | 71.430 | 80.410 | 11.820 | 0.004 | 0.010 | 
| 71.323 | 564.896 | 80.410 | -11.869 | 0.004 | 0.012 | 
| 80.402 | 80.403 | 423.958 | -0.003 | 0.002 | 0.005 | 
| 7.600 | -7.906 | 0.393 | 139.054 | -0.000 | -0.004 | 
| -0.046 | 0.061 | -0.000 | -0.017 | 215.863 | 12.635 | 
| -0.165 | 0.073 | 0.205 | -0.024 | 4.150 | 130.476 | 
| 265.895 | 17.840 | 77.446 | 2.284 | -0.001 | -0.001 | 
| 98.571 | 423.985 | 135.336 | -6.700 | -0.000 | 0.000 | 
| 80.411 | 80.411 | 423.959 | 0.000 | -0.000 | -0.000 | 
| 11.566 | -11.564 | 0.000 | 215.456 | -0.000 | -0.001 | 
| 0.026 | -0.009 | -0.031 | 0.010 | 96.412 | 10.742 | 
| 0.005 | -0.005 | 0.000 | 0.002 | 11.502 | 245.833 | 
| 283.692 | 37.297 | 98.586 | 0.764 | 0.000 | -0.000 | 
| 72.293 | 563.937 | 80.410 | -11.499 | 0.000 | 0.001 | 
| 88.107 | 88.113 | 108.960 | 0.008 | 0.000 | 0.000 | 
| 2.933 | -2.937 | 0.014 | 83.042 | 0.000 | -0.000 | 
| -0.026 | 0.009 | 0.031 | -0.010 | 96.413 | 10.743 | 
| -0.005 | 0.005 | -0.000 | -0.002 | 11.502 | 245.833 | 
| -1497.261 | -1207.732 | -2132.663 | 18.717 | -0.113 | 0.110 | 
| -1436.633 | -1213.720 | -2157.100 | 18.951 | -0.117 | 0.110 | 
| -1457.691 | -1253.624 | -1993.184 | 18.942 | -0.116 | 0.110 | 
| -1456.681 | -1221.932 | -2127.479 | 55.206 | -0.116 | 0.110 | 
| -1456.635 | -1221.875 | -2127.432 | 18.868 | 28.225 | 0.110 | 
| -1456.645 | -1221.818 | -2127.405 | 18.863 | -0.116 | -25.788 | 
| 1416.251 | 1236.559 | 2122.733 | -19.017 | 0.118 | -0.110 | 
| 1475.920 | 1229.702 | 2096.964 | -18.782 | 0.114 | -0.110 | 
| 1455.218 | 1189.970 | 2261.348 | -18.799 | 0.115 | -0.110 | 
| 1456.697 | 1221.840 | 2127.432 | 17.485 | 0.116 | -0.110 | 
| 1456.640 | 1221.875 | 2127.433 | -18.868 | 28.457 | -0.110 | 
| 1456.646 | 1221.818 | 2127.405 | -18.863 | 0.116 | -26.007 | 
| -356.037 | -296.198 | -389.563 | -2.115 | -0.036 | 0.005 | 
| -118.732 | -108.944 | -235.762 | 1.991 | -0.014 | 0.011 | 
| -140.692 | -150.742 | -74.301 | 2.021 | -0.013 | 0.011 | 
| -143.631 | -121.944 | -211.629 | 38.017 | -0.012 | 0.011 | 
| 48.021 | -33.375 | -62.401 | 1.272 | 111.553 | 0.004 | 
| -143.208 | -121.238 | -211.111 | 1.885 | -0.012 | -24.752 | 
| 108.361 | 140.663 | 211.206 | -2.059 | 0.015 | -0.011 | 
| 160.826 | 131.638 | 179.538 | -1.837 | 0.011 | -0.011 | 
| 142.250 | 91.440 | 345.360 | -1.884 | 0.012 | -0.011 | 
| 143.646 | 121.850 | 211.582 | 34.316 | 0.012 | -0.011 | 
| 143.140 | 121.790 | 211.383 | -1.927 | 28.281 | -0.011 | 
| 143.208 | 121.238 | 211.111 | -1.885 | 0.012 | -24.774 | 
| -29.650 | -93.861 | -84.968 | 0.146 | -0.002 | 0.001 | 
| -71.096 | 22.692 | -63.265 | -0.109 | -0.003 | 0.001 | 
| 30.582 | -0.468 | 167.050 | 0.294 | -0.003 | 0.001 | 
| -24.734 | -15.663 | -29.512 | 34.326 | -0.003 | 0.001 | 
| -6.900 | -9.790 | -16.290 | 0.230 | 44.538 | 0.001 | 
| -36.969 | 19.087 | -21.274 | -1.143 | -0.006 | -30.749 | 
| 14.082 | -42.528 | -9.884 | 0.132 | 0.003 | -0.000 | 
| -42.389 | 29.233 | -23.034 | 0.104 | 0.004 | -0.000 | 
| 45.405 | 21.960 | 200.101 | -0.238 | 0.003 | -0.001 | 
| 24.549 | 15.584 | 29.383 | 34.566 | 0.003 | -0.001 | 
| 6.901 | 9.790 | 16.290 | -0.230 | 44.543 | -0.001 | 
| 36.965 | -19.084 | 21.269 | 1.143 | 0.006 | -30.728 | 
| 299.625 | 45.120 | 0.033 | 0.016 | -0.000 | 0.000 | 
| 72.143 | 272.593 | -0.500 | -0.003 | -0.000 | -0.000 | 
| 0.033 | 0.033 | 4.243 | -0.000 | -0.000 | 0.000 | 
| 0.016 | -0.016 | 0.000 | 0.033 | -0.000 | 0.000 | 
| -0.000 | 0.000 | 0.000 | -0.000 | 0.033 | 0.016 | 
| 0.000 | 0.000 | 0.000 | -0.000 | 0.016 | 127.252 | 
| 299.625 | 45.120 | 0.033 | 0.016 | 0.000 | -0.000 | 
| 45.120 | 299.625 | 0.033 | -0.016 | 0.000 | -0.000 | 
| 0.300 | 0.304 | 37.742 | -0.000 | 0.000 | 0.000 | 
| 0.016 | -0.016 | -0.000 | 0.033 | 0.000 | 0.000 | 
| 0.000 | -0.000 | -0.000 | 0.000 | 0.033 | 0.016 | 
| -0.000 | -0.000 | -0.000 | 0.000 | 0.016 | 127.252 | 
| 299.625 | 45.120 | 0.033 | 0.016 | -0.000 | 0.000 | 
| 45.120 | 299.625 | 0.033 | -0.016 | -0.000 | -0.000 | 
| -0.003 | -0.004 | -0.466 | 0.000 | -0.000 | -0.000 | 
| 0.016 | -0.016 | 0.000 | 0.033 | -0.000 | 0.000 | 
| -0.000 | 0.000 | 0.000 | 0.000 | 0.033 | 0.016 | 
| -0.000 | -0.000 | -0.035 | -0.000 | 0.008 | 109.748 | 
| 282.176 | 62.623 | 3.541 | 0.008 | 0.000 | 0.000 | 
| 62.623 | 282.176 | 3.541 | -0.008 | 0.000 | 0.000 | 
| 0.033 | 0.033 | 4.243 | 0.000 | 0.000 | -0.000 | 
| 0.016 | -0.016 | -0.000 | 0.033 | 0.000 | -0.000 | 
| 0.000 | -0.000 | -0.000 | -0.000 | 0.033 | 0.016 | 
| 0.000 | 0.000 | 0.035 | 0.000 | 0.008 | 109.748 | 
| 299.626 | 45.120 | 0.033 | 0.016 | -0.000 | -0.000 | 
| 62.502 | 282.226 | -0.962 | -0.008 | -0.000 | -0.000 | 
| 0.018 | 0.019 | 2.538 | -0.000 | 0.000 | 0.000 | 
| 0.016 | -0.016 | -0.000 | 0.033 | -0.000 | -0.000 | 
| -0.000 | -0.000 | -0.000 | 0.000 | 0.033 | 0.016 | 
| -0.000 | 0.000 | -0.003 | -0.000 | 0.008 | 109.843 | 
| 282.213 | 62.530 | 0.037 | 0.008 | 0.000 | -0.000 | 
| 62.528 | 282.215 | 0.037 | -0.008 | -0.000 | 0.000 | 
| 0.025 | 0.025 | 3.252 | 0.000 | -0.000 | -0.000 | 
| 0.016 | -0.016 | 0.000 | 0.033 | 0.000 | -0.000 | 
| 0.000 | -0.000 | 0.000 | -0.000 | 0.033 | 0.016 | 
| 0.000 | -0.000 | 0.003 | 0.000 | 0.008 | 109.843 | 
| 351.678 | 52.925 | 0.000 | 0.000 | 0.000 | 0.000 | 
| 73.295 | 331.308 | 0.000 | 0.000 | 0.000 | -0.000 | 
| 0.000 | -0.000 | 0.000 | 0.000 | 0.000 | 0.000 | 
| 0.000 | 0.000 | 0.000 | 0.000 | 0.000 | 0.000 | 
| -0.000 | -0.000 | 0.000 | 0.000 | 0.000 | -0.000 | 
| 0.000 | 0.000 | 0.000 | 0.000 | 0.000 | 149.376 | 
| 351.678 | 52.925 | -0.000 | -0.000 | -0.000 | 0.000 | 
| 52.925 | 351.678 | -0.000 | -0.000 | -0.000 | 0.000 | 
| -0.000 | 0.000 | -0.000 | -0.000 | -0.000 | -0.000 | 
| 0.000 | 0.000 | -0.000 | -0.000 | -0.000 | -0.000 | 
| 0.000 | 0.000 | -0.000 | -0.000 | -0.000 | -0.000 | 
| -0.000 | -0.000 | -0.000 | -0.000 | -0.000 | 149.376 | 
| 351.678 | 52.925 | 0.000 | 0.000 | 0.000 | 0.000 | 
| 52.925 | 351.678 | 0.000 | 0.000 | 0.000 | -0.000 | 
| 0.000 | -0.000 | 0.000 | 0.000 | 0.000 | 0.000 | 
| 0.000 | -0.000 | 0.000 | 0.000 | 0.000 | 0.000 | 
| -0.000 | -0.000 | 0.000 | 0.000 | 0.000 | 0.000 | 
| -0.000 | 0.000 | 0.000 | 0.000 | 0.000 | 129.009 | 
| 331.308 | 73.295 | -0.000 | -0.000 | -0.000 | 0.000 | 
| 73.295 | 331.308 | -0.000 | -0.000 | -0.000 | 0.000 | 
| -0.000 | 0.000 | -0.000 | -0.000 | -0.000 | -0.000 | 
| -0.000 | -0.000 | -0.000 | -0.000 | -0.000 | -0.000 | 
| 0.000 | 0.000 | -0.000 | -0.000 | -0.000 | -0.000 | 
| 0.000 | -0.000 | -0.000 | -0.000 | -0.000 | 129.009 | 
| 351.679 | 52.926 | 0.000 | 0.000 | 0.000 | -0.000 | 
| 73.290 | 331.315 | 0.000 | 0.000 | 0.000 | 0.000 | 
| 0.000 | -0.000 | 0.000 | 0.000 | 0.000 | 0.000 | 
| 0.000 | -0.000 | 0.000 | 0.000 | 0.000 | 0.000 | 
| -0.000 | -0.000 | 0.000 | 0.000 | 0.000 | -0.000 | 
| -0.000 | 0.000 | 0.000 | 0.000 | 0.000 | 129.006 | 
| 331.305 | 73.296 | -0.000 | -0.000 | -0.000 | -0.000 | 
| 73.293 | 331.308 | -0.000 | -0.000 | -0.000 | 0.000 | 
| -0.000 | 0.000 | -0.000 | -0.000 | -0.000 | -0.000 | 
| 0.000 | -0.000 | -0.000 | -0.000 | -0.000 | -0.000 | 
| 0.000 | 0.000 | -0.000 | -0.000 | -0.000 | -0.000 | 
| 0.000 | -0.000 | -0.000 | -0.000 | -0.000 | 129.006 | 
| 1054.167 | 159.430 | 0.380 | 0.000 | -0.000 | -0.000 | 
| 212.191 | 1004.844 | 0.577 | 0.000 | 0.000 | -0.000 | 
| 0.204 | 0.647 | 29.786 | 0.000 | -0.000 | -0.000 | 
| 0.000 | -0.000 | 0.000 | 0.471 | -0.000 | -0.000 | 
| -8.937 | 9.015 | -0.018 | 0.000 | 0.381 | -0.000 | 
| -8.957 | 9.035 | -0.018 | 0.000 | -0.000 | 386.619 | 
| 1001.587 | 212.467 | 0.275 | -0.000 | -0.000 | 0.000 | 
| 159.077 | 1058.420 | 0.470 | -0.000 | 0.000 | 0.000 | 
| 9.018 | -8.244 | 29.804 | -0.000 | 0.000 | 0.000 | 
| -0.000 | 0.000 | -0.000 | 0.471 | 0.000 | 0.000 | 
| 8.937 | -9.015 | 0.018 | -0.000 | 0.381 | 0.000 | 
| 8.957 | -9.035 | 0.018 | -0.000 | -0.000 | 386.619 | 
| 1054.167 | 159.430 | 0.380 | 0.000 | 0.000 | -0.000 | 
| 220.236 | 996.730 | 0.593 | 0.000 | 0.000 | -0.000 | 
| 0.204 | 0.647 | 29.786 | 0.000 | -0.000 | -0.000 | 
| 0.000 | -0.000 | 0.000 | 0.471 | -0.000 | -0.000 | 
| -0.000 | -0.000 | 0.000 | 0.000 | 0.381 | -0.000 | 
| -0.896 | 0.904 | -0.002 | 0.000 | 0.000 | 386.616 | 
| 993.542 | 220.580 | 0.259 | -0.000 | -0.000 | 0.000 | 
| 159.077 | 1058.419 | 0.470 | -0.000 | 0.000 | 0.000 | 
| 0.204 | 0.647 | 29.786 | -0.000 | 0.000 | 0.000 | 
| 0.000 | 0.000 | -0.000 | 0.471 | 0.000 | 0.000 | 
| -0.000 | 0.000 | -0.000 | -0.000 | 0.381 | 0.000 | 
| 0.896 | -0.904 | 0.002 | -0.000 | 0.000 | 386.616 | 
| 992.570 | 221.567 | 0.257 | 0.000 | -0.000 | -0.000 | 
| 221.047 | 995.916 | 0.595 | 0.000 | -0.000 | -0.000 | 
| 0.204 | 0.647 | 29.787 | 0.000 | 0.000 | -0.000 | 
| -0.089 | 0.090 | -0.000 | 0.470 | 0.000 | -0.000 | 
| -0.000 | 0.000 | 0.000 | 0.000 | 0.381 | -0.000 | 
| -0.090 | 0.091 | -0.000 | 0.000 | -0.000 | 386.616 | 
| 993.024 | 221.099 | 0.258 | -0.000 | 0.000 | 0.000 | 
| 221.288 | 995.663 | 0.595 | -0.000 | 0.000 | 0.000 | 
| 0.204 | 0.647 | 29.786 | -0.000 | -0.000 | 0.000 | 
| 0.089 | -0.090 | 0.000 | 0.470 | -0.000 | 0.000 | 
| 0.000 | -0.000 | -0.000 | -0.000 | 0.381 | 0.000 | 
| 0.090 | -0.091 | 0.000 | -0.000 | -0.000 | 386.616 | 
| -404244.924 | -88105.000 | -417467.975 | -53653.290 | -74533.042 | 1746.166 | 
| -352172.330 | -75002.276 | -394069.602 | -62207.091 | -87354.439 | 3123.994 | 
| -330914.419 | -121302.066 | -381147.106 | -47200.600 | -60544.547 | -55065.730 | 
| -332443.852 | 22576.054 | -356182.306 | -26623.749 | -119806.788 | -7831.236 | 
| -406520.665 | -101195.979 | -441346.279 | -61377.817 | -58318.084 | -10503.863 | 
| -456192.406 | -97446.226 | -444177.562 | -18866.523 | -92955.868 | 30986.560 | 
| 370700.515 | -19933.070 | 307692.637 | 19605.409 | 112302.555 | 29006.110 | 
| 400003.584 | 95155.075 | 420474.748 | 54637.645 | 84885.582 | -11623.978 | 
| 345918.840 | 109889.534 | 391751.720 | 69099.752 | 70563.521 | 35829.475 | 
| 400659.666 | 50377.065 | 371346.690 | 28494.094 | 65806.063 | -49020.022 | 
| 357211.594 | 131148.045 | 426566.166 | 53466.704 | 61278.999 | 46749.182 | 
| 336386.532 | -2730.898 | 322040.733 | 16294.370 | 81252.686 | -22640.068 | 
| -35817.703 | 300.164 | -28333.942 | -2138.418 | -9309.356 | -3227.648 | 
| -42774.156 | -9133.631 | -42202.062 | -2809.237 | -9052.146 | 2991.196 | 
| -40059.915 | -6365.710 | -42523.203 | -7530.537 | -3758.803 | 2016.077 | 
| -36278.376 | -7332.785 | -39714.833 | -6679.422 | -8867.377 | 790.212 | 
| -35725.683 | -5206.262 | -40735.986 | -3854.716 | -4978.655 | -677.671 | 
| -39156.345 | -8704.668 | -42661.335 | -6898.139 | -7172.678 | -814.813 | 
| 33013.397 | -2770.440 | 34462.245 | 757.644 | 11368.315 | 2388.483 | 
| 40207.210 | 10867.549 | 43848.258 | 6896.614 | 8857.546 | -449.983 | 
| 26223.617 | -7499.754 | 25753.232 | 3559.356 | 8063.927 | -387.070 | 
| 36957.478 | 9040.521 | 42743.762 | 6232.052 | 8272.656 | 2561.272 | 
| 38661.588 | 9309.162 | 44309.341 | 6442.940 | 8121.916 | 840.189 | 
| 39047.254 | 2156.048 | 39384.138 | 1416.794 | 9082.777 | -3656.015 | 
| -3601.669 | -1124.865 | -3962.161 | -406.798 | -815.418 | -364.140 | 
| -3949.707 | -964.442 | -4280.328 | -574.427 | -781.898 | 38.126 | 
| -2369.627 | 415.963 | -2715.882 | -525.231 | -775.714 | -231.676 | 
| -3953.050 | -37.268 | -3447.837 | -232.610 | -1221.392 | -275.108 | 
| -4051.768 | -1042.146 | -4520.070 | -639.391 | -625.509 | -21.197 | 
| -3925.149 | -981.273 | -4443.573 | -683.247 | -667.591 | -105.806 | 
| 3666.285 | 869.051 | 4139.808 | 706.458 | 359.335 | 58.704 | 
| 2910.347 | 725.891 | 3854.716 | 703.165 | 306.756 | 81.877 | 
| 2732.353 | -35.085 | 3173.001 | 632.330 | 990.391 | 129.517 | 
| 3373.295 | 511.875 | 3878.332 | 595.195 | 988.296 | -23.552 | 
| 3466.589 | -129.934 | 3587.251 | 186.550 | 1045.067 | -254.970 | 
| 2803.981 | -331.474 | 3281.220 | -19.027 | 950.061 | -79.901 | 
| -742.061 | -3043.674 | -4007.611 | -55.579 | -1889.789 | 2336.197 | 
| -2294.465 | -809.511 | -4896.070 | 43.846 | 110.453 | -3521.837 | 
| -2910.950 | -3964.953 | -695.269 | -2368.475 | 47.591 | -143.216 | 
| -187.060 | -189.245 | -174.320 | -271.142 | -16.255 | 6.288 | 
| -737.809 | -1876.357 | -3699.645 | -1577.378 | -22138.829 | -4549.133 | 
| -1764.570 | -3150.738 | -2192.831 | -3717.338 | -484.875 | -22717.838 | 
| 5557.920 | 995.068 | 1296.989 | -166.701 | 1062.666 | -2862.547 | 
| 1008.582 | 5614.814 | 1548.210 | 12.564 | 224.166 | 3577.620 | 
| 427.167 | 432.945 | -122.645 | -13.853 | 5.782 | -4.610 | 
| 1465.069 | 1147.442 | 2338.973 | -25782.737 | 4019.227 | -2499.600 | 
| 1067.258 | 1632.690 | 3331.350 | -852.379 | -23343.422 | 4375.854 | 
| 645.762 | 2621.333 | 2069.665 | 509.201 | 559.035 | -24444.157 | 
| -74.777 | -19.481 | -18.185 | 0.192 | 0.089 | -0.837 | 
| -230.328 | -93.998 | -527.790 | 19.697 | 13.146 | -94.768 | 
| -282.647 | -438.842 | -83.504 | -122.659 | -32.210 | -13.571 | 
| -160.079 | -108.158 | -214.255 | -2229.500 | -73.574 | 136.253 | 
| -68.005 | -184.593 | -420.514 | -142.477 | -1119.280 | -308.886 | 
| -136.158 | -290.308 | -135.259 | -160.619 | 36.272 | -1733.654 | 
| 550.285 | 92.755 | 131.317 | -19.193 | -22.380 | -167.020 | 
| 95.260 | 555.023 | 173.643 | -57.312 | 19.085 | 146.582 | 
| 91.526 | 135.814 | 552.582 | 94.628 | 17.347 | -19.680 | 
| 152.058 | 91.648 | 234.101 | -2679.772 | 166.037 | -167.450 | 
| 96.797 | 161.725 | 421.853 | -136.799 | -1559.722 | 140.115 | 
| 77.262 | 268.848 | 172.749 | -133.788 | 86.398 | -1425.007 | 
| 1.430 | -13.308 | -13.229 | 0.354 | -0.528 | -0.350 | 
| -13.159 | 1.872 | -13.142 | 0.082 | -0.049 | -0.300 | 
| -13.572 | -13.435 | 2.087 | 0.056 | -0.071 | 0.088 | 
| -16.506 | -10.661 | -21.047 | -247.250 | -19.119 | 14.273 | 
| -4.276 | -22.348 | -37.301 | -15.438 | -160.260 | -29.061 | 
| -10.738 | -28.009 | -12.837 | -20.060 | -6.694 | -239.928 | 
| 67.746 | 65.692 | 65.729 | -0.129 | 0.006 | -0.004 | 
| 65.799 | 67.865 | 65.761 | -0.138 | 0.115 | -0.081 | 
| 65.792 | 65.790 | 67.708 | -0.104 | 0.063 | -0.100 | 
| 15.663 | 10.765 | 22.008 | -222.786 | 10.164 | -14.480 | 
| 7.071 | 14.323 | 33.644 | 5.652 | -240.607 | 13.066 | 
| 7.565 | 26.269 | 17.910 | 0.992 | 10.288 | -273.295 | 
| -22440575.707 | -167584321.374 | -1126107910.751 | 51499089.524 | 235123774.175 | -21697765.519 | 
| -22437796.357 | -167583008.700 | -1126101549.172 | 51499144.778 | 235127132.298 | -21697782.704 | 
| -22442437.104 | -167585816.094 | -1126113025.866 | 51499322.436 | 235121725.381 | -21697853.740 | 
| -22438651.198 | -167586014.118 | -1126102387.203 | 51498341.920 | 235125471.915 | -21697841.101 | 
| -22440595.980 | -167584254.885 | -1126106868.405 | 51499077.292 | 235126085.929 | -21697750.031 | 
| -22438667.232 | -167586064.162 | -1126102614.089 | 51498868.559 | 235125493.657 | -21696743.740 | 
| 22436730.090 | 167587782.434 | 1126097174.039 | -51499114.144 | -235127186.841 | 21697773.681 | 
| 22439509.490 | 167589095.118 | 1126103535.775 | -51499058.896 | -235123828.736 | 21697756.499 | 
| 22434868.758 | 167586287.729 | 1126092059.085 | -51498881.230 | -235129235.663 | 21697685.458 | 
| 22438654.649 | 167586089.699 | 1126102697.739 | -51499861.754 | -235125489.118 | 21697698.101 | 
| 22436709.868 | 167587848.933 | 1126098216.530 | -51499126.381 | -235124875.106 | 21697789.171 | 
| 22438638.616 | 167586039.657 | 1126102470.869 | -51499335.116 | -235125467.379 | 21698795.463 | 
| -2245787.847 | -16756874.607 | -112615621.763 | 5149897.839 | 23510841.625 | -2169772.864 | 
| -2243008.723 | -16755561.976 | -112609260.888 | 5149953.121 | 23514199.825 | -2169790.061 | 
| -2247649.536 | -16758369.389 | -112620737.599 | 5150130.741 | 23508792.957 | -2169861.081 | 
| -2243863.559 | -16758567.390 | -112610098.894 | 5149150.263 | 23512539.437 | -2169848.459 | 
| -2245808.346 | -16756808.159 | -112614580.066 | 5149885.630 | 23513153.462 | -2169757.386 | 
| -2243879.600 | -16758617.442 | -112610325.848 | 5149676.905 | 23512561.189 | -2168751.098 | 
| 2241942.230 | 16760335.667 | 112604885.049 | -5149922.460 | -23514254.291 | 2169781.026 | 
| 2244721.856 | 16761648.394 | 112611247.490 | -5149867.239 | -23510896.263 | 2169763.856 | 
| 2240081.190 | 16758841.024 | 112599770.818 | -5149689.535 | -23516303.239 | 2169692.799 | 
| 2243867.010 | 16758642.971 | 112610409.429 | -5150670.097 | -23512556.640 | 2169705.458 | 
| 2241922.235 | 16760402.207 | 112605928.192 | -5149934.719 | -23511942.638 | 2169796.526 | 
| 2243850.983 | 16758592.937 | 112610182.627 | -5150143.462 | -23512534.911 | 2170802.822 | 
| -226306.795 | -1674129.453 | -11266385.362 | 514978.365 | 2349547.536 | -216973.466 | 
| -223529.932 | -1672817.247 | -11260031.541 | 515033.918 | 2352906.510 | -216990.781 | 
| -228171.393 | -1675624.855 | -11271508.368 | 515211.163 | 2347500.127 | -217061.640 | 
| -224384.727 | -1675822.623 | -11260869.289 | 514231.066 | 2351246.067 | -217049.178 | 
| -226329.566 | -1674063.419 | -11265350.172 | 514966.384 | 2351860.198 | -216958.087 | 
| -224400.829 | -1675872.758 | -11261096.938 | 514757.736 | 2351267.929 | -215951.833 | 
| 222461.191 | 1677590.511 | 11255648.664 | -515002.986 | -2352960.200 | 216981.627 | 
| 225243.065 | 1678903.666 | 11262018.144 | -514948.036 | -2349602.948 | 216964.576 | 
| 220603.080 | 1676096.495 | 11250541.692 | -514769.958 | -2355010.418 | 216893.358 | 
| 224388.179 | 1675898.205 | 11261179.824 | -515750.899 | -2351263.270 | 216906.177 | 
| 222443.454 | 1677657.466 | 11256698.296 | -515015.473 | -2350649.372 | 216997.227 | 
| 224372.212 | 1675848.252 | 11260953.718 | -515224.293 | -2351241.651 | 218003.556 | 
| 10.507 | 3.502 | 0.078 | 0.000 | -0.000 | 0.000 | 
| 3.502 | 10.507 | 0.078 | -0.000 | -0.000 | 0.000 | 
| 0.078 | 0.078 | 1205.410 | 0.000 | -0.000 | -0.000 | 
| 0.000 | 0.000 | 0.000 | 0.078 | -0.000 | 0.000 | 
| 0.000 | 0.000 | 0.000 | 0.000 | 0.078 | -0.000 | 
| 0.000 | 0.000 | 0.000 | 0.000 | -0.000 | 3.502 | 
| 10.507 | 3.502 | 0.078 | -0.000 | 0.000 | 0.000 | 
| 3.502 | 10.507 | 0.078 | -0.000 | 0.000 | 0.000 | 
| 0.078 | 0.078 | 1205.409 | -0.000 | -0.000 | -0.000 | 
| -0.000 | -0.000 | -0.000 | 0.078 | -0.000 | 0.000 | 
| -0.000 | 0.000 | -0.000 | -0.000 | 0.078 | 0.000 | 
| -0.000 | -0.000 | -0.000 | -0.000 | -0.000 | 3.502 | 
| 10.507 | 3.502 | 0.078 | 0.000 | 0.000 | -0.000 | 
| 3.502 | 10.507 | 0.078 | -0.000 | -0.000 | -0.000 | 
| 0.078 | 0.078 | 1205.410 | 0.000 | -0.000 | -0.000 | 
| 0.000 | 0.000 | -0.000 | 0.078 | -0.000 | -0.000 | 
| 0.000 | 0.000 | -0.000 | 0.000 | 0.078 | -0.000 | 
| 0.000 | 0.000 | 0.000 | 0.000 | -0.000 | 3.502 | 
| 10.507 | 3.502 | 0.078 | 0.000 | 0.000 | 0.000 | 
| 3.502 | 10.507 | 0.078 | -0.000 | -0.000 | 0.000 | 
| 0.078 | 0.078 | 1205.409 | 0.000 | 0.000 | -0.000 | 
| -0.000 | -0.000 | 0.000 | 0.078 | 0.000 | -0.000 | 
| -0.000 | -0.000 | 0.000 | -0.000 | 0.078 | 0.000 | 
| -0.000 | -0.000 | -0.000 | -0.000 | 0.000 | 3.502 | 
| 10.507 | 3.502 | 0.078 | -0.000 | -0.000 | 0.000 | 
| 3.502 | 10.507 | 0.078 | 0.000 | -0.000 | -0.000 | 
| 0.078 | 0.078 | 1205.417 | 0.000 | 0.000 | -0.000 | 
| 0.000 | 0.000 | -0.001 | 0.078 | -0.000 | 0.000 | 
| 0.000 | 0.000 | -0.001 | 0.000 | 0.078 | -0.000 | 
| 0.000 | 0.000 | 0.000 | 0.000 | 0.000 | 3.502 | 
| 10.507 | 3.502 | 0.078 | -0.000 | 0.000 | 0.000 | 
| 3.502 | 10.507 | 0.078 | -0.000 | 0.000 | 0.000 | 
| 0.078 | 0.078 | 1205.402 | -0.000 | 0.000 | -0.000 | 
| -0.000 | -0.000 | 0.001 | 0.078 | -0.000 | 0.000 | 
| -0.000 | -0.000 | 0.001 | -0.000 | 0.078 | 0.000 | 
| -0.000 | -0.000 | -0.000 | 0.000 | 0.000 | 3.502 | 
| -1221258564.779 | -985475557.580 | 146106928.461 | 1323106.006 | -1005580.037 | -16704789.343 | 
| -1221990918.044 | -986491443.494 | 145817385.567 | 1588158.219 | -978035.055 | -16330334.273 | 
| -48813.185 | -7401.135 | 73.943 | 678.205 | 319.228 | -30934.579 | 
| -1076561191.826 | -760311412.146 | 119427591.908 | 1613072.947 | -142444.229 | -12869682.462 | 
| -1221189092.105 | -985425647.062 | 146151281.276 | 1127583.369 | -890426.948 | -16800564.526 | 
| -1220990122.735 | -984377975.572 | 146399438.907 | 1678463.685 | -1118348.096 | -17015821.801 | 
| 11611.085 | -28081.715 | -132.437 | 2507.805 | 885.169 | 14336.034 | 
| 1220969918.968 | 985510337.578 | -146322753.814 | -154706.166 | 239519.520 | 16860971.043 | 
| 1221472587.161 | 985678105.753 | -146051011.259 | -1489359.488 | 1127373.679 | 16577291.329 | 
| 1221349830.332 | 985596272.169 | -146014777.818 | -684053.599 | 638433.014 | 16465642.089 | 
| 24992.782 | -73058.595 | -182.479 | 1745.878 | 517.136 | 15306.941 | 
| 26365.479 | -67150.364 | -183.972 | 1801.327 | 549.632 | 17267.193 | 
| -5676.872 | 4692.661 | 22.088 | -174.459 | -50.592 | -4745.468 | 
| -122027697.863 | -98374740.791 | 14661879.257 | 149421.690 | -87569.400 | -1717202.696 | 
| -122147708.657 | -98546832.191 | 14609866.022 | 138009.661 | -86890.286 | -1689447.230 | 
| -2928.268 | 558.379 | 5.668 | 72.223 | 31.681 | -1363.443 | 
| -122126658.893 | -98640199.748 | 14615476.483 | 158893.306 | -103732.781 | -1698572.129 | 
| -107719141.719 | -76201578.694 | 11967299.644 | 151930.831 | -31187.053 | -1318437.297 | 
| 107584943.623 | 76033622.286 | -11942498.146 | -151908.702 | 30813.092 | 1329983.339 | 
| 2920.880 | -4871.550 | -13.133 | 182.731 | 55.521 | 3119.617 | 
| 3423.570 | -3224.535 | 27.961 | 5.605 | -2.630 | 9010.758 | 
| 4590.800 | -730.371 | -3.734 | -59.674 | -34.050 | 5143.451 | 
| 3161.224 | -515.082 | -4.657 | -67.540 | -26.831 | 5501.427 | 
| 122058108.546 | 98242273.838 | -14643536.099 | -89706.826 | 60937.379 | 1804533.062 | 
| -10764842.091 | -7600337.245 | 1195787.785 | 15229.700 | -3693.150 | -134007.979 | 
| -12212171.479 | -9850884.501 | 1459147.476 | 10294.864 | -11630.849 | -169398.130 | 
| -12212847.523 | -9850435.838 | 1462084.770 | 12797.957 | -8846.712 | -168731.040 | 
| -10761253.709 | -7592537.552 | 1199910.058 | 9753.173 | 109.428 | -133186.926 | 
| -296.196 | 79.407 | 0.280 | -1.046 | 3.298 | -429.029 | 
| -52.486 | 384.055 | 1.603 | -17.346 | -4.890 | 498.395 | 
| 676.349 | -1211.530 | 1.685 | 17.610 | 9.698 | 1199.883 | 
| 12212949.297 | 9857922.913 | -1461933.256 | -12920.477 | 9023.266 | 167615.235 | 
| 12211487.280 | 9851866.951 | -1462640.689 | -13937.086 | 10401.435 | 168537.219 | 
| 12211752.560 | 9850221.127 | -1461632.671 | -12258.199 | 8676.737 | 168389.616 | 
| 614.971 | -560.669 | -1.786 | 17.569 | 9.867 | 440.782 | 
| 10758242.887 | 7596479.102 | -1193214.024 | -17635.341 | 5140.151 | 131448.237 | 
| 449.485 | 222.905 | 222.905 | 0.000 | 0.000 | 0.000 | 
| 222.905 | 449.485 | 222.905 | 0.000 | -0.000 | 0.000 | 
| 222.905 | 222.905 | 449.485 | 0.000 | -0.000 | -0.000 | 
| -0.165 | 0.198 | 0.198 | 382.208 | -0.228 | -0.375 | 
| 0.129 | -0.107 | 0.129 | -0.205 | 382.749 | -0.272 | 
| 0.326 | 0.326 | -0.272 | -0.178 | -0.156 | 382.387 | 
| 449.485 | 222.905 | 222.905 | -0.000 | 0.000 | -0.000 | 
| 222.905 | 449.485 | 222.905 | -0.000 | 0.000 | -0.000 | 
| 222.905 | 222.905 | 449.485 | -0.000 | 0.000 | 0.000 | 
| 0.165 | -0.198 | -0.197 | 376.306 | 0.228 | 0.375 | 
| -0.129 | 0.107 | -0.129 | 0.205 | 375.765 | 0.272 | 
| -0.326 | -0.326 | 0.272 | 0.178 | 0.156 | 376.126 | 
| 449.485 | 222.905 | 222.905 | 0.000 | -0.000 | -0.000 | 
| 222.905 | 449.485 | 222.905 | -0.000 | 0.000 | -0.000 | 
| 222.905 | 222.905 | 449.485 | 0.000 | -0.000 | -0.000 | 
| -0.016 | 0.020 | 0.020 | 311.493 | -0.023 | -0.037 | 
| 0.013 | -0.011 | 0.013 | -0.021 | 311.547 | -0.027 | 
| 0.033 | 0.033 | -0.027 | -0.018 | -0.016 | 311.511 | 
| 449.486 | 222.905 | 222.905 | -0.000 | 0.000 | -0.000 | 
| 222.905 | 449.486 | 222.905 | -0.000 | 0.000 | -0.000 | 
| 222.905 | 222.905 | 449.486 | -0.000 | -0.000 | 0.000 | 
| 0.016 | -0.020 | -0.020 | 310.903 | 0.023 | 0.037 | 
| -0.013 | 0.011 | -0.013 | 0.021 | 310.849 | 0.027 | 
| -0.033 | -0.033 | 0.027 | 0.018 | 0.016 | 310.885 | 
| 449.483 | 222.905 | 222.905 | 0.000 | -0.000 | 0.000 | 
| 222.905 | 449.483 | 222.905 | 0.000 | 0.000 | -0.000 | 
| 222.905 | 222.905 | 449.483 | 0.000 | -0.000 | 0.000 | 
| -0.002 | 0.002 | 0.002 | 304.422 | -0.002 | -0.004 | 
| 0.001 | -0.001 | 0.002 | -0.002 | 304.428 | -0.003 | 
| 0.003 | 0.004 | -0.003 | -0.002 | -0.002 | 304.424 | 
| 449.488 | 222.904 | 222.904 | -0.000 | -0.000 | -0.000 | 
| 222.904 | 449.488 | 222.904 | -0.000 | 0.000 | -0.000 | 
| 222.904 | 222.904 | 449.488 | -0.000 | -0.000 | 0.000 | 
| 0.002 | -0.002 | -0.002 | 304.363 | 0.002 | 0.004 | 
| -0.001 | 0.001 | -0.002 | 0.002 | 304.358 | 0.003 | 
| -0.003 | -0.004 | 0.003 | 0.002 | 0.002 | 304.361 | 
| 634.821 | 95.597 | 0.070 | 0.034 | 0.000 | 0.000 | 
| 191.741 | 538.363 | 1.383 | 0.012 | -0.000 | -0.000 | 
| -0.034 | 0.431 | 53.567 | -0.000 | 0.000 | 0.018 | 
| 4.271 | -3.970 | 47.501 | 0.072 | 0.000 | 0.018 | 
| -0.083 | 0.383 | 47.501 | -0.000 | 0.072 | 4.371 | 
| 0.000 | -0.000 | 0.000 | 0.000 | 0.034 | 269.612 | 
| 634.821 | 95.598 | 0.070 | 0.034 | -0.000 | 0.000 | 
| 192.037 | 538.696 | -1.243 | 0.012 | -0.000 | 0.000 | 
| 0.133 | -0.336 | -41.466 | 0.000 | -0.000 | -0.018 | 
| 4.437 | -4.737 | -47.501 | 0.072 | -0.000 | -0.018 | 
| 0.083 | -0.383 | -47.501 | 0.000 | 0.072 | 4.334 | 
| -0.000 | 0.000 | -0.000 | -0.000 | 0.034 | 269.612 | 
| 634.821 | 95.598 | 0.070 | 0.034 | 0.000 | -0.000 | 
| 95.598 | 634.821 | 0.070 | -0.034 | 0.000 | -0.000 | 
| 0.071 | 0.071 | 8.990 | 0.000 | 0.000 | 0.000 | 
| 0.034 | -0.034 | -0.000 | 0.070 | 0.000 | 0.000 | 
| 0.055 | 0.020 | 7.562 | 0.000 | 0.069 | -3.257 | 
| 0.000 | 0.000 | 0.000 | 0.000 | 0.034 | 269.612 | 
| 634.821 | 95.598 | 0.070 | 0.034 | -0.000 | 0.000 | 
| 95.598 | 634.821 | 0.070 | -0.034 | -0.000 | -0.000 | 
| 0.092 | 0.093 | 8.712 | -0.000 | 0.000 | 0.000 | 
| 0.034 | -0.034 | 0.000 | 0.070 | -0.000 | -0.000 | 
| -0.055 | -0.020 | -7.561 | -0.000 | 0.069 | -3.254 | 
| -0.000 | -0.000 | -0.000 | -0.000 | 0.034 | 269.612 | 
| 634.824 | 95.598 | 0.070 | 0.034 | 0.000 | 0.000 | 
| 132.503 | 597.918 | 0.075 | -0.017 | 0.000 | -0.000 | 
| 0.066 | 0.066 | 8.863 | 0.000 | -0.000 | -0.000 | 
| -0.029 | 0.025 | 0.018 | 0.070 | -0.000 | -0.000 | 
| 0.010 | 0.010 | 1.542 | 0.000 | 0.070 | 0.017 | 
| 0.000 | 0.000 | -0.000 | -0.000 | 0.034 | 269.612 | 
| 634.818 | 95.597 | 0.070 | 0.034 | -0.000 | 0.000 | 
| 95.597 | 634.818 | 0.070 | -0.034 | -0.000 | 0.000 | 
| 0.074 | 0.074 | 8.735 | -0.000 | 0.000 | 0.000 | 
| -0.025 | 0.029 | -0.018 | 0.070 | 0.000 | 0.000 | 
| -0.010 | -0.010 | -1.542 | -0.000 | 0.070 | 0.017 | 
| -0.000 | -0.000 | 0.000 | 0.000 | 0.034 | 269.612 | 
| 793.434 | 119.520 | 0.132 | 0.022 | 0.000 | 0.000 | 
| 119.520 | 793.434 | 0.132 | -0.022 | 0.000 | -0.000 | 
| 25.343 | 25.117 | 2946.671 | -0.000 | 0.000 | 0.043 | 
| 0.022 | -0.022 | 0.000 | 0.132 | 0.000 | 0.000 | 
| 0.000 | -0.000 | 0.000 | 0.000 | 0.132 | 0.022 | 
| 0.000 | -0.000 | 0.000 | 0.000 | 0.022 | 336.957 | 
| 793.434 | 119.520 | 0.132 | 0.022 | -0.000 | 0.000 | 
| 119.520 | 793.434 | 0.132 | -0.022 | -0.000 | -0.000 | 
| -23.041 | -23.491 | -2905.499 | -0.000 | 0.000 | 0.088 | 
| 0.022 | -0.022 | -0.000 | 0.132 | -0.000 | -0.000 | 
| -0.000 | 0.000 | -0.000 | -0.000 | 0.132 | 0.022 | 
| -0.000 | -0.000 | -0.000 | -0.000 | 0.022 | 336.957 | 
| 793.435 | 119.520 | 0.132 | 0.022 | 0.000 | 0.000 | 
| 620.726 | 293.687 | 16.095 | 0.096 | 0.000 | 0.000 | 
| 0.954 | 0.954 | 34.700 | 0.000 | 0.000 | 0.000 | 
| 0.022 | -0.022 | -0.000 | 0.132 | 0.000 | 0.000 | 
| 0.000 | -0.000 | -0.000 | 0.000 | 0.132 | 0.022 | 
| 0.000 | 0.000 | 0.000 | 0.000 | 0.022 | 336.957 | 
| 1771.000 | -860.406 | -44.305 | 0.249 | -0.000 | 0.000 | 
| 170.830 | 752.986 | 717.375 | -0.010 | -0.000 | -0.000 | 
| 0.132 | 0.132 | 16.850 | -0.000 | -0.000 | -0.000 | 
| 0.022 | -0.022 | -0.000 | 0.132 | -0.000 | -0.000 | 
| -0.000 | 0.000 | -0.000 | -0.000 | 0.132 | 0.022 | 
| -0.000 | -0.000 | -0.000 | -0.000 | 0.022 | 336.957 | 
| 793.438 | 119.521 | 0.132 | 0.022 | 0.000 | -0.000 | 
| 119.520 | 793.438 | 0.132 | -0.022 | 0.000 | -0.000 | 
| 0.278 | 0.311 | 37.291 | 0.000 | -0.000 | -0.006 | 
| 0.022 | -0.022 | -0.000 | 0.132 | 0.000 | 0.000 | 
| -0.000 | -0.000 | -0.000 | 0.000 | 0.132 | 0.022 | 
| 0.000 | 0.001 | -0.000 | -0.000 | 0.022 | 336.957 | 
| 713.657 | 199.270 | -0.123 | 0.002 | -0.000 | -0.000 | 
| 158.214 | 754.260 | -29.711 | -0.014 | 0.000 | -0.000 | 
| 0.047 | 0.047 | 14.829 | -0.000 | -0.000 | -0.000 | 
| -0.197 | 0.032 | -1.806 | 0.132 | -0.000 | -0.000 | 
| 0.000 | 0.000 | 0.000 | -0.000 | 0.132 | 0.022 | 
| -0.000 | -0.001 | 0.000 | 0.000 | 0.022 | 336.957 | 
| 791.701 | 119.258 | 0.131 | 0.021 | -0.000 | -0.000 | 
| 119.258 | 791.701 | 0.131 | -0.021 | -0.000 | -0.000 | 
| 0.131 | 0.131 | 16.812 | -0.000 | -0.000 | 0.000 | 
| 0.021 | -0.021 | 0.000 | 0.131 | -0.000 | -0.000 | 
| 0.000 | 0.000 | -0.000 | 0.000 | 0.131 | 0.022 | 
| 0.000 | 0.000 | -0.000 | -0.000 | 0.021 | 336.221 | 
| 791.701 | 119.258 | 0.131 | 0.021 | 0.000 | 0.000 | 
| 119.258 | 791.701 | 0.131 | -0.021 | 0.000 | -0.000 | 
| 0.131 | 0.131 | 16.812 | 0.000 | 0.000 | 0.000 | 
| 0.021 | -0.021 | 0.000 | 0.131 | 0.000 | 0.000 | 
| -0.000 | -0.000 | 0.000 | -0.000 | 0.131 | 0.022 | 
| -0.000 | 0.000 | -0.000 | -0.000 | 0.021 | 336.221 | 
| 791.701 | 119.258 | 0.131 | 0.021 | -0.000 | -0.000 | 
| 166.303 | 744.865 | 5.291 | -0.010 | -0.000 | -0.000 | 
| 0.131 | 0.131 | 16.812 | -0.000 | -0.000 | 0.000 | 
| 0.021 | -0.021 | -0.000 | 0.131 | -0.000 | -0.000 | 
| 0.061 | 0.061 | 1.063 | 0.000 | 0.131 | 0.639 | 
| 0.000 | 0.000 | -0.000 | -0.000 | 0.021 | 336.221 | 
| 791.701 | 119.258 | 0.131 | 0.021 | 0.000 | 0.000 | 
| 184.049 | 726.857 | 0.160 | -0.006 | 0.000 | 0.000 | 
| 0.131 | 0.131 | 16.812 | -0.000 | -0.000 | -0.000 | 
| 0.021 | -0.021 | 0.000 | 0.131 | 0.000 | 0.000 | 
| -0.061 | -0.061 | -1.063 | -0.000 | 0.131 | 0.639 | 
| -0.000 | -0.000 | 0.000 | 0.000 | 0.021 | 336.221 | 
| 791.704 | 119.259 | 0.131 | 0.021 | -0.000 | 0.000 | 
| 165.338 | 745.638 | 0.124 | -0.010 | 0.000 | -0.000 | 
| 0.131 | 0.131 | 16.812 | 0.000 | -0.000 | 0.000 | 
| 2.165 | -2.152 | -0.027 | 0.132 | -0.000 | -0.000 | 
| -0.000 | -0.000 | -0.000 | 0.000 | 0.131 | 0.021 | 
| 0.000 | 0.001 | -0.000 | -0.000 | 0.021 | 336.221 | 
| 745.607 | 165.345 | 0.133 | 0.010 | 0.000 | 0.000 | 
| 165.549 | 745.402 | 0.133 | -0.010 | 0.000 | 0.000 | 
| 0.124 | 0.124 | 16.761 | -0.000 | 0.000 | -0.000 | 
| 2.152 | -2.165 | 0.027 | 0.132 | 0.000 | 0.000 | 
| -0.000 | 0.000 | 0.000 | -0.000 | 0.131 | 0.021 | 
| -0.000 | -0.001 | 0.000 | 0.000 | 0.021 | 336.221 | 
| 793.597 | 119.544 | 0.132 | 0.021 | -0.000 | 0.000 | 
| 119.544 | 793.597 | 0.132 | -0.021 | -0.000 | -0.000 | 
| 0.132 | 0.132 | 16.852 | 0.000 | 0.000 | 0.000 | 
| 0.021 | -0.021 | 0.000 | 0.132 | -0.000 | -0.000 | 
| 0.000 | 0.000 | 0.000 | -0.000 | 0.132 | 0.021 | 
| -0.000 | -0.000 | -0.000 | 0.000 | 0.021 | 337.027 | 
| 827.723 | 88.233 | -6.060 | 0.037 | 0.013 | -9.591 | 
| 119.544 | 793.597 | 0.132 | -0.021 | -0.000 | 0.000 | 
| 0.132 | 0.132 | 16.852 | -0.000 | -0.000 | 0.000 | 
| 0.021 | -0.021 | -0.000 | 0.132 | -0.000 | 0.000 | 
| -0.000 | -0.000 | -0.000 | 0.000 | 0.132 | 0.021 | 
| -0.000 | -0.000 | 0.000 | -0.000 | 0.021 | 337.027 | 
| 793.597 | 119.544 | 0.132 | 0.021 | 0.000 | -0.000 | 
| 119.544 | 793.597 | 0.132 | -0.021 | -0.000 | 0.000 | 
| 0.132 | 0.132 | 16.852 | 0.000 | 0.000 | -0.000 | 
| 0.021 | -0.021 | -0.000 | 0.132 | -0.000 | 0.000 | 
| -0.000 | 0.000 | -0.000 | 0.000 | 0.132 | 0.021 | 
| -9.587 | 9.479 | 0.145 | -0.003 | 0.006 | 281.402 | 
| 793.597 | 119.544 | 0.132 | 0.021 | -0.000 | -0.000 | 
| 170.857 | 742.471 | -0.176 | -0.009 | 0.001 | -0.874 | 
| 9.724 | -9.353 | 16.687 | 0.003 | 0.002 | -1.131 | 
| 9.600 | -9.492 | -0.145 | 0.135 | 0.002 | -1.131 | 
| -0.000 | -0.000 | 0.000 | -0.000 | 0.132 | 0.021 | 
| 9.586 | -9.479 | -0.145 | 0.003 | 0.009 | 279.143 | 
| 793.600 | 119.545 | 0.132 | 0.021 | -0.000 | -0.000 | 
| 172.994 | 740.140 | 0.145 | -0.009 | -0.000 | 0.108 | 
| 0.132 | 0.132 | 16.852 | 0.000 | 0.000 | -0.000 | 
| 0.021 | -0.021 | -0.000 | 0.132 | 0.000 | -0.000 | 
| -0.000 | 0.000 | -0.000 | 0.000 | 0.132 | 0.021 | 
| -0.918 | 0.908 | 0.014 | -0.000 | 0.008 | 282.828 | 
| 740.147 | 173.000 | 0.118 | 0.009 | 0.000 | -0.108 | 
| 119.543 | 793.593 | 0.132 | -0.021 | -0.000 | 0.000 | 
| 0.132 | 0.132 | 16.852 | 0.000 | 0.000 | 0.000 | 
| 0.967 | -0.956 | -0.014 | 0.132 | 0.000 | -0.113 | 
| 0.000 | -0.000 | 0.000 | -0.000 | 0.132 | 0.021 | 
| 0.917 | -0.907 | -0.014 | 0.000 | 0.009 | 282.627 | 
| 729.627 | 109.902 | 0.108 | -0.000 | 0.000 | -0.000 | 
| 109.902 | 729.628 | 0.108 | -0.000 | 0.000 | -0.000 | 
| 0.110 | 0.110 | 13.774 | -0.000 | -0.000 | -0.000 | 
| 0.000 | -0.000 | 0.000 | 0.108 | -0.000 | -0.000 | 
| 0.000 | 0.000 | 0.000 | -0.000 | 0.108 | -0.000 | 
| 0.000 | 0.000 | 0.000 | -0.000 | -0.000 | 309.863 | 
| 729.627 | 109.902 | 0.108 | 0.000 | 0.000 | 0.000 | 
| 109.902 | 729.628 | 0.108 | 0.000 | -0.000 | 0.000 | 
| 0.110 | 0.110 | 13.774 | 0.000 | 0.000 | 0.000 | 
| -0.000 | -0.000 | -0.000 | 0.108 | 0.000 | -0.000 | 
| -0.000 | 0.000 | -0.000 | -0.000 | 0.108 | 0.000 | 
| 0.000 | -0.000 | -0.000 | 0.000 | 0.000 | 309.863 | 
| 729.628 | 109.902 | 0.108 | -0.000 | 0.000 | 0.000 | 
| 109.902 | 729.628 | 0.108 | -0.000 | 0.000 | 0.000 | 
| 0.110 | 0.110 | 13.774 | -0.000 | 0.000 | 0.000 | 
| 0.000 | -0.000 | -0.000 | 0.108 | -0.000 | 0.000 | 
| 0.000 | 0.000 | -0.000 | -0.000 | 0.108 | -0.000 | 
| 0.000 | 0.000 | -0.000 | -0.000 | 0.000 | 309.863 | 
| 589.170 | 250.459 | -0.234 | -0.000 | -0.000 | 11.599 | 
| 109.902 | 729.627 | 0.108 | 0.000 | -0.000 | 0.000 | 
| 0.110 | 0.110 | 13.774 | 0.000 | -0.000 | 0.000 | 
| 0.000 | 0.000 | 0.000 | 0.108 | -0.000 | 0.000 | 
| -0.000 | 0.000 | 0.000 | -0.000 | 0.108 | -0.000 | 
| -0.000 | -0.000 | 0.000 | 0.000 | 0.000 | 309.863 | 
| 729.631 | 109.902 | 0.108 | -0.000 | 0.000 | 0.000 | 
| 161.177 | 678.350 | 0.120 | 0.000 | 0.000 | -1.113 | 
| 0.110 | 0.110 | 13.774 | -0.000 | -0.000 | 0.000 | 
| -0.000 | -0.000 | -0.000 | 0.108 | -0.000 | 0.000 | 
| -0.000 | -0.000 | -0.000 | -0.000 | 0.108 | -0.000 | 
| 0.000 | 0.000 | -0.000 | -0.000 | 0.000 | 309.863 | 
| 675.573 | 163.956 | 0.102 | -0.000 | -0.000 | 1.173 | 
| 109.901 | 729.624 | 0.108 | 0.000 | 0.000 | 0.000 | 
| 0.110 | 0.110 | 13.773 | -0.000 | 0.000 | 0.000 | 
| 0.000 | 0.000 | 0.000 | 0.108 | -0.000 | 0.000 | 
| 0.000 | 0.000 | 0.000 | -0.000 | 0.108 | 0.000 | 
| -0.000 | -0.000 | 0.000 | 0.000 | 0.000 | 309.863 | 
| 992.220 | 220.168 | 0.233 | -0.000 | -0.000 | 0.000 | 
| 158.763 | 1053.624 | 0.233 | 0.000 | -0.000 | 0.000 | 
| 0.233 | 0.233 | 29.822 | 0.000 | -0.000 | 0.000 | 
| -0.000 | -0.000 | 0.000 | 0.233 | 0.000 | 0.000 | 
| -0.000 | -0.000 | 0.000 | -0.000 | 0.233 | 0.000 | 
| 0.000 | -0.000 | 0.000 | -0.000 | -0.000 | 386.026 | 
| 1053.624 | 158.763 | 0.233 | -0.000 | 0.000 | -0.000 | 
| 158.763 | 1053.624 | 0.233 | -0.000 | 0.000 | -0.000 | 
| 0.233 | 0.233 | 29.822 | 0.000 | 0.000 | -0.000 | 
| 0.000 | 0.000 | -0.000 | 0.233 | 0.000 | -0.000 | 
| 0.000 | 0.000 | -0.000 | 0.000 | 0.233 | -0.000 | 
| 0.000 | 0.000 | -0.000 | 0.000 | 0.000 | 386.026 | 
| 992.221 | 220.168 | 0.233 | 0.000 | -0.000 | 0.000 | 
| 158.763 | 1053.625 | 0.233 | -0.000 | -0.000 | 0.000 | 
| 0.233 | 0.233 | 29.822 | -0.000 | -0.000 | 0.000 | 
| -0.000 | -0.000 | -0.000 | 0.233 | -0.000 | 0.000 | 
| 0.000 | -0.000 | -0.000 | -0.000 | 0.233 | 0.000 | 
| 0.000 | 0.000 | 0.000 | -0.000 | -0.000 | 447.431 | 
| 992.219 | 220.168 | 0.233 | 0.000 | 0.000 | -0.000 | 
| 220.167 | 992.220 | 0.233 | -0.000 | 0.000 | -0.000 | 
| 0.233 | 0.233 | 29.822 | 0.000 | 0.000 | -0.000 | 
| -0.000 | 0.000 | 0.000 | 0.233 | -0.000 | -0.000 | 
| 0.000 | 0.000 | 0.000 | 0.000 | 0.233 | -0.000 | 
| -0.000 | -0.000 | -0.000 | 0.000 | 0.000 | 447.431 | 
| 992.226 | 220.167 | 0.233 | -0.000 | -0.000 | 0.000 | 
| 158.764 | 1053.629 | 0.233 | 0.000 | 0.000 | 0.000 | 
| 0.233 | 0.233 | 29.822 | -0.000 | -0.000 | 0.000 | 
| -0.000 | -0.000 | -0.000 | 0.233 | -0.000 | 0.000 | 
| -0.000 | -0.000 | -0.000 | -0.000 | 0.233 | 0.000 | 
| -0.000 | 0.001 | -0.000 | -0.000 | 0.000 | 386.024 | 
| 992.210 | 220.172 | 0.233 | 0.000 | 0.000 | -0.000 | 
| 220.164 | 992.219 | 0.233 | 0.000 | 0.000 | -0.000 | 
| 0.233 | 0.233 | 29.822 | 0.000 | 0.000 | -0.000 | 
| -0.000 | 0.000 | 0.000 | 0.233 | 0.000 | -0.000 | 
| 0.000 | 0.000 | 0.000 | 0.000 | 0.233 | -0.000 | 
| 0.000 | -0.001 | 0.000 | 0.000 | 0.000 | 386.024 | 
| 527.731 | 88.019 | 79.935 | 0.000 | 0.000 | -0.000 | 
| 88.339 | 509.152 | 91.789 | -0.000 | -0.000 | -0.000 | 
| 79.685 | 91.218 | 435.649 | 0.000 | -0.000 | 0.000 | 
| -0.026 | 0.108 | 0.127 | 229.926 | -0.000 | 0.000 | 
| 0.000 | -0.000 | 0.000 | -0.000 | 221.429 | 0.000 | 
| 0.124 | 0.144 | -0.030 | 0.000 | -0.000 | 255.109 | 
| 527.731 | 88.018 | 79.935 | -0.000 | -0.000 | 0.000 | 
| 88.339 | 509.152 | 91.789 | -0.000 | 0.000 | -0.000 | 
| 3435.478 | -7472.779 | -605.294 | 0.243 | -0.000 | -0.278 | 
| 0.026 | -0.108 | -0.127 | 230.182 | 0.000 | 0.000 | 
| -0.000 | -0.000 | -0.000 | -0.000 | 221.429 | -0.000 | 
| -0.122 | -0.143 | 0.029 | -0.000 | 0.000 | 254.786 | 
| 527.732 | 88.018 | 79.935 | 0.000 | 0.000 | 0.000 | 
| 88.339 | 509.152 | 91.789 | 0.000 | 0.000 | -0.000 | 
| 79.685 | 91.218 | 435.649 | 0.000 | -0.000 | -0.000 | 
| -0.003 | 0.011 | 0.013 | 224.520 | -0.000 | 0.000 | 
| 0.000 | 0.000 | 0.000 | 0.000 | 221.429 | 0.000 | 
| 0.012 | 0.014 | -0.003 | -0.000 | -0.000 | 249.505 | 
| 678.973 | -624.428 | 43.346 | 0.025 | -0.000 | -0.028 | 
| 88.339 | 509.152 | 91.789 | 0.000 | 0.000 | 0.000 | 
| 79.685 | 91.218 | 435.649 | -0.000 | 0.000 | 0.000 | 
| 0.003 | -0.011 | -0.013 | 224.545 | 0.000 | -0.000 | 
| -0.000 | -0.000 | -0.000 | -0.000 | 221.429 | 0.000 | 
| -0.012 | -0.014 | 0.003 | -0.000 | 0.000 | 249.472 | 
| 527.734 | 88.018 | 79.935 | -0.000 | -0.000 | 0.000 | 
| 88.340 | 509.154 | 91.788 | -0.000 | 0.000 | -0.000 | 
| 79.685 | 91.219 | 435.651 | 0.000 | -0.000 | 0.000 | 
| -39.121 | 125.813 | 5.769 | 103.269 | 0.000 | 0.001 | 
| 0.000 | 0.000 | 0.000 | -0.000 | 221.429 | -0.000 | 
| 0.001 | 0.002 | 0.000 | 0.000 | -0.000 | 248.944 | 
| 380.347 | 60.953 | 123.685 | 0.002 | 0.000 | -0.003 | 
| 176.460 | 261.313 | 110.602 | 0.002 | 0.000 | -0.003 | 
| 79.685 | 91.217 | 435.648 | -0.000 | -0.000 | 0.000 | 
| 39.121 | -125.813 | -5.769 | 103.270 | -0.000 | -0.001 | 
| -0.000 | -0.000 | -0.000 | -0.000 | 221.429 | 0.000 | 
| -0.001 | -0.002 | -0.000 | 0.000 | -0.000 | 248.941 | 
| 1179.145 | 80.469 | 53.518 | 0.000 | 0.000 | 0.000 | 
| 90.224 | 1191.515 | 30.115 | 0.000 | 0.000 | 0.000 | 
| 51.506 | 51.507 | 1212.993 | 0.000 | -0.000 | -0.000 | 
| -0.000 | 0.000 | 0.000 | 506.285 | 0.000 | 0.001 | 
| -0.000 | -0.000 | 0.000 | 0.000 | 506.284 | -0.001 | 
| -0.000 | 0.000 | 0.000 | 0.000 | -0.000 | 550.646 | 
| 1180.035 | 81.370 | 51.623 | -0.000 | 0.000 | 0.000 | 
| 90.224 | 1191.515 | 30.115 | -0.000 | 0.000 | 0.001 | 
| 52.425 | 52.426 | 1211.048 | -0.000 | -0.000 | 0.000 | 
| 0.000 | 0.001 | -0.000 | 506.284 | 0.000 | -0.000 | 
| 0.000 | 0.000 | -0.000 | -0.000 | 506.285 | 0.000 | 
| 0.000 | -0.000 | -0.000 | -0.000 | -0.000 | 550.647 | 
| 1191.516 | 90.224 | 30.115 | 0.000 | -0.000 | 0.000 | 
| 81.600 | 1179.435 | 52.015 | 0.000 | -0.000 | 0.000 | 
| 30.162 | 30.162 | 1258.144 | 0.000 | -0.000 | -0.000 | 
| -0.000 | 0.000 | 0.000 | 506.285 | -0.000 | -0.000 | 
| 0.000 | -0.000 | 0.000 | 0.000 | 506.285 | -0.000 | 
| -0.062 | -0.062 | 0.132 | 0.000 | -0.000 | 548.917 | 
| 1179.635 | 80.964 | 52.475 | -0.000 | 0.000 | -0.000 | 
| 90.224 | 1191.515 | 30.115 | -0.000 | 0.000 | -0.000 | 
| 30.162 | 30.162 | 1258.143 | -0.000 | 0.000 | 0.000 | 
| 0.000 | 0.000 | -0.000 | 506.285 | -0.000 | 0.000 | 
| -0.000 | 0.000 | -0.000 | -0.000 | 506.285 | 0.000 | 
| 0.062 | 0.062 | -0.132 | -0.000 | 0.000 | 548.917 | 
| 1179.468 | 81.633 | 51.951 | 0.000 | -0.000 | 0.000 | 
| 81.642 | 1179.482 | 51.927 | 0.000 | -0.000 | -0.000 | 
| 51.962 | 51.962 | 1212.034 | 0.000 | 0.000 | 0.000 | 
| -0.005 | -0.004 | 0.011 | 491.467 | 0.000 | 0.000 | 
| -0.004 | -0.005 | 0.011 | 0.000 | 491.467 | -0.000 | 
| 0.001 | -0.000 | 0.001 | 0.000 | -0.000 | 550.646 | 
| 1179.480 | 81.649 | 51.909 | -0.000 | 0.000 | 0.000 | 
| 81.650 | 1179.479 | 51.909 | -0.000 | 0.000 | 0.000 | 
| 51.969 | 51.969 | 1212.007 | -0.000 | -0.000 | 0.000 | 
| 0.005 | 0.004 | -0.011 | 491.467 | -0.000 | -0.000 | 
| 0.004 | 0.005 | -0.011 | -0.000 | 491.467 | 0.000 | 
| -0.001 | 0.000 | -0.001 | -0.000 | -0.000 | 550.646 | 
| 1191.423 | 90.178 | 30.163 | -0.000 | 0.000 | 0.001 | 
| 90.177 | 1191.423 | 30.163 | -0.000 | -0.000 | 0.000 | 
| 30.163 | 30.162 | 1258.365 | -0.000 | 0.000 | -0.000 | 
| -0.000 | 0.000 | -0.000 | 491.461 | 0.000 | -0.001 | 
| -0.000 | -0.001 | -0.000 | 0.000 | 491.461 | -0.001 | 
| -0.000 | -0.001 | -0.000 | -0.000 | 0.000 | 550.623 | 
| 1191.423 | 90.177 | 30.163 | 0.000 | -0.000 | 0.001 | 
| 90.177 | 1191.422 | 30.163 | 0.000 | -0.000 | -0.000 | 
| 51.954 | 51.955 | 1212.305 | 0.000 | -0.000 | 0.000 | 
| 0.000 | 0.001 | -0.000 | 491.461 | -0.000 | 0.001 | 
| 0.000 | 0.001 | 0.000 | -0.000 | 491.461 | 0.000 | 
| 0.000 | 0.001 | 0.000 | 0.000 | -0.000 | 550.623 | 
| 1179.378 | 81.604 | 51.954 | -0.000 | 0.000 | -0.000 | 
| 90.177 | 1191.424 | 30.163 | -0.000 | 0.000 | 0.000 | 
| 30.163 | 30.163 | 1258.366 | -0.000 | 0.000 | -0.000 | 
| -0.000 | 0.000 | 0.000 | 506.287 | 0.000 | 0.000 | 
| 0.000 | -0.000 | 0.000 | 0.000 | 506.287 | 0.000 | 
| 0.000 | -0.000 | -0.000 | -0.000 | 0.000 | 548.887 | 
| 1179.489 | 80.874 | 52.608 | 0.000 | -0.000 | -0.000 | 
| 80.874 | 1179.489 | 52.608 | 0.000 | -0.000 | 0.000 | 
| 51.954 | 51.954 | 1212.305 | 0.000 | -0.000 | -0.000 | 
| 0.000 | -0.000 | -0.000 | 506.287 | -0.000 | -0.000 | 
| 0.000 | 0.000 | -0.000 | -0.000 | 506.287 | 0.000 | 
| -0.000 | 0.000 | 0.000 | 0.000 | -0.000 | 548.887 | 
| 1179.380 | 81.603 | 51.959 | -0.000 | 0.000 | -0.000 | 
| 90.178 | 1191.428 | 30.164 | -0.000 | 0.000 | 0.000 | 
| 30.163 | 30.163 | 1258.371 | -0.000 | 0.000 | 0.000 | 
| -0.001 | 0.001 | 0.001 | 491.461 | 0.000 | -0.000 | 
| 0.000 | -0.000 | 0.001 | -0.000 | 506.287 | -0.000 | 
| 0.001 | -0.000 | 0.001 | -0.000 | 0.000 | 550.623 | 
| 1179.484 | 80.872 | 52.608 | 0.000 | -0.000 | 0.000 | 
| 90.177 | 1191.419 | 30.162 | 0.000 | -0.000 | -0.000 | 
| 30.162 | 30.162 | 1258.360 | 0.000 | -0.000 | -0.000 | 
| 0.001 | -0.001 | -0.001 | 491.461 | -0.000 | 0.000 | 
| -0.000 | 0.000 | -0.001 | 0.000 | 506.287 | 0.000 | 
| -0.001 | 0.000 | -0.001 | 0.000 | -0.000 | 550.623 | 
| 1195.939 | 84.536 | 33.162 | 0.000 | -0.000 | -0.000 | 
| 84.535 | 1195.939 | 33.162 | 0.000 | -0.000 | -0.001 | 
| 53.570 | 53.570 | 1207.053 | 0.000 | -0.000 | -0.000 | 
| -0.426 | -0.426 | 0.880 | 500.773 | -0.000 | -0.001 | 
| 0.000 | 0.000 | -0.000 | 0.000 | 512.950 | -0.000 | 
| 0.000 | 0.000 | -0.000 | 0.000 | -0.000 | 555.702 | 
| 1175.992 | 84.198 | 54.107 | 0.000 | 0.000 | 0.001 | 
| 84.535 | 1195.939 | 33.163 | 0.000 | 0.000 | 0.001 | 
| 54.415 | 54.415 | 1205.305 | -0.000 | 0.000 | 0.001 | 
| 0.426 | 0.425 | -0.880 | 500.773 | -0.000 | 0.001 | 
| -0.000 | -0.000 | -0.000 | 0.000 | 512.950 | 0.000 | 
| -0.000 | -0.000 | 0.000 | -0.000 | 0.000 | 555.703 | 
| 1174.612 | 87.698 | 51.932 | 0.000 | -0.000 | -0.000 | 
| 83.707 | 1175.560 | 55.062 | 0.000 | -0.000 | -0.000 | 
| 33.394 | 33.394 | 1248.746 | 0.000 | -0.000 | -0.000 | 
| -0.042 | -0.042 | 0.087 | 500.759 | -0.000 | -0.000 | 
| 0.000 | 0.000 | 0.000 | 0.000 | 512.950 | -0.000 | 
| -0.048 | -0.048 | 0.099 | 0.000 | -0.000 | 545.252 | 
| 1195.939 | 84.535 | 33.162 | -0.000 | 0.000 | 0.000 | 
| 84.535 | 1195.939 | 33.162 | -0.000 | -0.000 | 0.000 | 
| 33.394 | 33.394 | 1248.745 | -0.000 | 0.000 | 0.000 | 
| 0.042 | 0.042 | -0.087 | 500.759 | 0.000 | 0.000 | 
| -0.000 | -0.000 | -0.000 | 0.000 | 512.950 | 0.000 | 
| 0.048 | 0.048 | -0.099 | -0.000 | 0.000 | 545.252 | 
| 1175.601 | 83.748 | 54.983 | 0.000 | 0.000 | -0.000 | 
| 83.748 | 1175.601 | 54.983 | 0.000 | -0.000 | -0.000 | 
| 53.989 | 53.989 | 1206.192 | 0.000 | -0.000 | -0.000 | 
| -0.004 | -0.003 | 0.009 | 500.759 | -0.000 | -0.000 | 
| 0.000 | -0.000 | 0.001 | 0.000 | 512.950 | -0.000 | 
| -0.004 | -0.004 | 0.010 | 0.000 | 0.000 | 545.252 | 
| 1195.936 | 84.534 | 33.161 | -0.000 | 0.000 | 0.000 | 
| 87.745 | 1174.655 | 51.831 | -0.000 | -0.000 | 0.000 | 
| 53.995 | 53.995 | 1206.166 | -0.000 | 0.000 | 0.000 | 
| 0.004 | 0.003 | -0.009 | 500.759 | -0.000 | 0.000 | 
| -0.000 | 0.000 | -0.001 | -0.000 | 512.950 | 0.000 | 
| 0.004 | 0.004 | -0.010 | -0.000 | 0.000 | 545.252 | 
| 1196.162 | 84.530 | 33.549 | -0.000 | 0.000 | 0.001 | 
| 83.796 | 1175.785 | 55.262 | -0.000 | 0.000 | 0.001 | 
| 33.547 | 33.549 | 1250.559 | 0.000 | 0.000 | 0.001 | 
| -0.002 | -0.001 | 0.004 | 500.948 | 0.000 | 0.001 | 
| 0.000 | 0.000 | 0.001 | 0.000 | 513.136 | 0.001 | 
| -0.002 | -0.001 | 0.004 | 0.000 | 0.000 | 545.317 | 
| 1196.165 | 84.529 | 33.549 | -0.000 | -0.000 | -0.001 | 
| 84.532 | 1196.162 | 33.549 | -0.000 | -0.000 | -0.001 | 
| 54.038 | 54.038 | 1208.387 | -0.000 | -0.000 | -0.001 | 
| 0.002 | 0.002 | -0.004 | 500.948 | -0.000 | -0.001 | 
| 0.000 | -0.001 | -0.000 | -0.000 | 513.136 | -0.001 | 
| 0.001 | 0.001 | -0.005 | -0.000 | -0.000 | 545.315 | 
| 1175.787 | 83.798 | 55.258 | 0.000 | 0.000 | 0.000 | 
| 84.530 | 1196.163 | 33.549 | 0.000 | 0.000 | 0.000 | 
| 54.037 | 54.037 | 1208.391 | -0.000 | 0.000 | 0.000 | 
| -0.000 | -0.000 | 0.000 | 500.934 | -0.000 | 0.000 | 
| -0.000 | -0.000 | 0.000 | 0.000 | 500.934 | 0.000 | 
| 0.000 | 0.000 | 0.000 | 0.000 | 0.000 | 555.817 | 
| 1174.407 | 86.367 | 54.041 | 0.000 | -0.000 | -0.000 | 
| 87.785 | 1174.854 | 52.129 | -0.000 | -0.000 | -0.000 | 
| 33.549 | 33.549 | 1250.558 | -0.000 | -0.000 | -0.000 | 
| 0.000 | 0.000 | -0.000 | 500.934 | -0.000 | -0.000 | 
| 0.000 | 0.000 | -0.000 | -0.000 | 500.934 | -0.000 | 
| -0.000 | -0.000 | -0.000 | 0.000 | -0.000 | 555.816 | 
| 1175.755 | 83.798 | 55.297 | 0.000 | 0.000 | 0.000 | 
| 83.798 | 1175.793 | 55.257 | 0.000 | 0.000 | 0.000 | 
| 54.038 | 54.038 | 1208.395 | 0.000 | 0.000 | 0.000 | 
| -0.000 | 0.001 | 0.001 | 500.934 | 0.000 | 0.000 | 
| 0.001 | -0.000 | 0.001 | 0.000 | 500.934 | 0.000 | 
| 0.001 | -0.000 | 0.001 | 0.000 | 0.000 | 555.817 | 
| 1175.780 | 83.797 | 55.259 | -0.000 | -0.000 | -0.000 | 
| 87.784 | 1174.848 | 52.130 | -0.000 | -0.000 | -0.000 | 
| 33.548 | 33.548 | 1250.553 | 0.000 | -0.000 | -0.000 | 
| 0.000 | -0.001 | -0.001 | 500.934 | -0.000 | -0.000 | 
| -0.001 | 0.000 | -0.001 | 0.000 | 500.934 | -0.000 | 
| -0.001 | 0.000 | -0.001 | 0.000 | -0.000 | 555.817 | 
| 1202.817 | 112.372 | -0.536 | 0.000 | -0.000 | 0.000 | 
| 82.566 | 1197.575 | 34.963 | 0.000 | 0.000 | 0.000 | 
| 34.963 | 34.964 | 1247.455 | -0.000 | -0.000 | 0.001 | 
| -0.000 | 0.000 | 0.000 | 515.417 | -0.000 | 0.000 | 
| 27.344 | 27.344 | -55.513 | -0.000 | 504.370 | 0.001 | 
| 0.000 | 0.000 | -0.000 | -0.000 | 0.000 | 557.504 | 
| 1147.519 | 57.576 | 111.221 | -0.000 | 0.000 | -0.000 | 
| 57.849 | 1146.114 | 112.465 | 0.000 | 0.000 | -0.001 | 
| 28.439 | 28.439 | 1260.544 | -0.000 | 0.000 | -0.001 | 
| 0.000 | -0.000 | -0.000 | 515.417 | 0.000 | -0.000 | 
| -27.344 | -27.344 | 55.513 | 0.000 | 504.370 | -0.000 | 
| -0.000 | -0.000 | 0.000 | 0.000 | -0.000 | 557.503 | 
| 1176.982 | 88.332 | 50.097 | 0.000 | 0.000 | 0.000 | 
| 82.566 | 1197.575 | 34.963 | 0.000 | -0.000 | 0.000 | 
| 57.991 | 57.991 | 1200.519 | -0.000 | -0.000 | 0.000 | 
| 2.814 | 2.815 | -5.714 | 504.046 | -0.000 | 0.000 | 
| 2.815 | 2.814 | -5.714 | -0.000 | 504.046 | 0.000 | 
| 0.000 | 0.000 | 0.000 | -0.000 | -0.000 | 557.504 | 
| 1170.316 | 85.486 | 59.795 | 0.000 | 0.000 | -0.000 | 
| 82.566 | 1197.574 | 34.963 | 0.000 | 0.000 | -0.000 | 
| 34.963 | 34.963 | 1247.455 | -0.000 | 0.000 | -0.000 | 
| -2.814 | -2.815 | 5.714 | 504.046 | -0.000 | -0.000 | 
| -2.815 | -2.814 | 5.714 | 0.000 | 504.046 | -0.000 | 
| -0.000 | 0.000 | -0.000 | 0.000 | 0.000 | 557.504 | 
| 1197.577 | 82.568 | 34.964 | -0.000 | -0.000 | 0.000 | 
| 82.566 | 1197.579 | 34.964 | 0.000 | 0.000 | 0.000 | 
| 55.479 | 55.479 | 1205.625 | 0.000 | -0.000 | 0.000 | 
| 0.276 | 0.277 | -0.563 | 503.983 | -0.000 | 0.000 | 
| 0.000 | -0.000 | 0.001 | 0.000 | 515.417 | 0.000 | 
| 0.001 | -0.000 | 0.001 | 0.000 | -0.000 | 557.504 | 
| 1173.971 | 85.105 | 56.422 | -0.000 | 0.000 | -0.000 | 
| 89.021 | 1172.738 | 53.701 | -0.000 | 0.000 | -0.000 | 
| 34.963 | 34.963 | 1247.450 | -0.000 | 0.000 | -0.000 | 
| -0.276 | -0.277 | 0.563 | 503.983 | -0.000 | -0.000 | 
| -0.000 | 0.000 | -0.001 | -0.000 | 515.417 | -0.000 | 
| -0.001 | 0.000 | -0.001 | -0.000 | 0.000 | 557.504 | 
| 1197.202 | 82.460 | 34.803 | 0.000 | 0.000 | -0.000 | 
| 82.461 | 1197.201 | 34.803 | -0.000 | -0.000 | 0.000 | 
| -7828.102 | -7828.103 | 16351.131 | 0.000 | 0.000 | -0.000 | 
| -7887.572 | -7887.572 | 15154.909 | 500.307 | 0.000 | 0.000 | 
| -7887.572 | -7887.572 | 15154.910 | 0.000 | 500.307 | -0.000 | 
| -7887.572 | -7887.573 | 15154.910 | 0.000 | -0.000 | 540.602 | 
| 9055.950 | 7974.753 | -15095.389 | -0.000 | 0.000 | 0.000 | 
| 7973.783 | 9054.986 | -15093.531 | 0.000 | -0.000 | 0.000 | 
| 34.850 | 34.851 | 1246.739 | -0.000 | -0.000 | 0.000 | 
| 7887.572 | 7887.572 | -15154.909 | 500.307 | 0.000 | 0.000 | 
| 7887.572 | 7887.573 | -15154.910 | -0.000 | 500.307 | 0.000 | 
| 7887.572 | 7887.573 | -15154.910 | -0.000 | -0.000 | 540.601 | 
| 379.680 | -701.571 | 1574.946 | 0.000 | 0.000 | -0.000 | 
| -701.571 | 379.680 | 1574.946 | -0.000 | 0.000 | -0.000 | 
| 34.850 | 34.850 | 1246.740 | 0.000 | 0.000 | -0.000 | 
| -692.864 | -692.864 | 1313.050 | 501.972 | 0.000 | -0.000 | 
| -788.747 | -788.747 | 1515.472 | -0.000 | 500.307 | 0.000 | 
| -788.748 | -788.748 | 1515.474 | -0.000 | 0.000 | 540.602 | 
| 1197.201 | 82.460 | 34.803 | 0.000 | -0.000 | -0.000 | 
| 780.057 | 1863.302 | -1255.713 | 0.000 | -0.000 | -0.000 | 
| 848.130 | 848.130 | -319.074 | 0.000 | -0.000 | 0.000 | 
| 692.864 | 692.864 | -1313.050 | 501.972 | 0.000 | 0.000 | 
| 788.747 | 788.747 | -1515.472 | -0.000 | 500.307 | -0.000 | 
| 788.748 | 788.748 | -1515.474 | 0.000 | -0.000 | 540.602 | 
| 1197.204 | 82.462 | 34.804 | 0.000 | 0.000 | -0.000 | 
| 26.851 | 1114.025 | 166.104 | 0.000 | 0.000 | 0.000 | 
| -4.440 | -4.440 | 1316.601 | 0.000 | 0.000 | -0.000 | 
| -69.225 | -69.224 | 131.186 | 501.983 | 0.000 | -0.000 | 
| -59.553 | -59.554 | 111.226 | 0.000 | 503.857 | -0.000 | 
| -59.448 | -59.448 | 111.008 | -0.000 | 0.000 | 543.589 | 
| 1197.198 | 82.459 | 34.802 | -0.000 | -0.000 | 0.000 | 
| 82.460 | 1197.197 | 34.802 | 0.000 | -0.000 | 0.000 | 
| 34.850 | 34.850 | 1246.734 | 0.000 | 0.000 | 0.000 | 
| 69.225 | 69.224 | -131.186 | 501.983 | 0.000 | 0.000 | 
| 59.553 | 59.554 | -111.226 | -0.000 | 503.857 | 0.000 | 
| 59.448 | 59.448 | -111.008 | 0.000 | -0.000 | 543.589 | 
| 1198.290 | 81.584 | 35.659 | 0.000 | 0.000 | -0.000 | 
| -487.238 | 592.938 | 1121.246 | 0.000 | -0.000 | -0.000 | 
| 35.659 | 35.659 | 1245.926 | 0.000 | -0.000 | -0.000 | 
| -0.000 | -0.000 | 0.000 | 516.558 | 0.000 | -0.000 | 
| -0.001 | 0.000 | -0.000 | 0.000 | 516.558 | -0.000 | 
| -0.000 | -0.000 | 0.000 | -0.000 | 0.000 | 558.353 | 
| 1742.431 | 662.284 | -999.803 | 0.000 | 0.000 | 0.000 | 
| 662.285 | 1742.431 | -999.803 | -0.000 | -0.000 | 0.000 | 
| 35.659 | 35.658 | 1245.926 | -0.000 | 0.000 | 0.000 | 
| 0.000 | 0.000 | -0.000 | 516.558 | 0.000 | 0.000 | 
| 0.000 | -0.000 | 0.000 | 0.000 | 516.558 | 0.000 | 
| -0.000 | -0.000 | -0.000 | 0.000 | 0.000 | 558.353 | 
| 1198.290 | 81.584 | 35.659 | 0.000 | 0.000 | -0.000 | 
| 30.063 | 1110.395 | 166.579 | 0.000 | -0.000 | -0.000 | 
| 35.659 | 35.659 | 1245.927 | 0.000 | -0.000 | -0.000 | 
| -57.445 | -57.445 | 105.996 | 502.693 | -0.000 | -0.000 | 
| -46.481 | -46.481 | 84.269 | 0.000 | 504.952 | -0.000 | 
| -0.000 | -0.000 | 0.000 | 0.000 | 0.000 | 558.353 | 
| 1198.290 | 81.584 | 35.659 | 0.000 | 0.000 | 0.000 | 
| 130.197 | 1216.880 | -22.432 | 0.000 | 0.000 | -0.000 | 
| 99.666 | 99.666 | 1126.119 | -0.000 | -0.000 | -0.000 | 
| 57.445 | 57.445 | -105.996 | 502.693 | -0.000 | 0.000 | 
| 46.481 | 46.481 | -84.269 | -0.000 | 504.952 | 0.000 | 
| -0.000 | 0.000 | -0.000 | 0.000 | 0.000 | 558.353 | 
| 1198.293 | 81.586 | 35.660 | 0.000 | -0.000 | 0.000 | 
| 81.554 | 1164.530 | 68.967 | 0.000 | 0.000 | 0.000 | 
| 35.659 | 35.659 | 1245.932 | 0.000 | -0.000 | -0.000 | 
| -4.554 | -4.553 | 8.245 | 505.155 | -0.000 | -0.000 | 
| -4.553 | -4.554 | 8.245 | 0.000 | 505.155 | -0.000 | 
| 0.001 | -0.000 | 0.001 | 0.000 | 0.000 | 558.353 | 
| 1198.287 | 81.583 | 35.658 | 0.000 | 0.000 | 0.000 | 
| 91.326 | 1177.269 | 48.089 | -0.000 | 0.000 | 0.000 | 
| 63.338 | 63.338 | 1190.679 | -0.000 | 0.000 | 0.000 | 
| 4.554 | 4.553 | -8.245 | 505.155 | 0.000 | 0.000 | 
| 4.553 | 4.554 | -8.245 | 0.000 | 505.155 | 0.000 | 
| -0.001 | 0.000 | -0.001 | -0.000 | 0.000 | 558.353 | 
| 5271.170 | 4182.777 | -8017.982 | 0.000 | 0.000 | -0.000 | 
| 4182.777 | 5271.171 | -8017.982 | 0.000 | 0.000 | 0.000 | 
| 4152.123 | 4152.124 | -6867.254 | 0.000 | 0.000 | 0.000 | 
| 4096.949 | 4096.949 | -8073.126 | 505.824 | 0.000 | 0.000 | 
| 4096.949 | 4096.950 | -8073.126 | 0.000 | 505.824 | 0.000 | 
| 4096.949 | 4096.950 | -8073.127 | 0.000 | 0.000 | 544.197 | 
| -2922.729 | -4011.121 | 8128.270 | -0.000 | -0.000 | -0.000 | 
| -4011.121 | -2922.728 | 8128.270 | -0.000 | -0.000 | -0.000 | 
| -4041.776 | -4041.775 | 9279.000 | 0.000 | -0.000 | -0.000 | 
| -4096.949 | -4096.949 | 8073.126 | 505.824 | -0.000 | -0.000 | 
| -4096.949 | -4096.950 | 8073.126 | -0.000 | 505.824 | -0.000 | 
| -4096.949 | -4096.950 | 8073.127 | -0.000 | -0.000 | 544.197 | 
| 1583.919 | 495.524 | -752.172 | 0.000 | 0.000 | 0.000 | 
| 495.524 | 1583.919 | -752.172 | 0.000 | 0.000 | 0.000 | 
| 35.562 | 35.562 | 1245.657 | -0.000 | 0.000 | 0.000 | 
| 519.456 | 519.456 | -1064.351 | 502.311 | 0.000 | 0.000 | 
| 409.695 | 409.695 | -807.314 | 0.000 | 505.824 | 0.000 | 
| 394.955 | 394.955 | -810.044 | 0.000 | 0.000 | 543.242 | 
| 646.617 | -430.744 | 1124.824 | -0.000 | -0.000 | -0.000 | 
| -320.133 | 768.518 | 854.839 | -0.000 | -0.000 | -0.000 | 
| -459.025 | -459.025 | 2259.603 | -0.000 | -0.000 | -0.000 | 
| -519.456 | -519.456 | 1064.351 | 502.311 | -0.000 | -0.000 | 
| -409.695 | -409.695 | 807.314 | -0.000 | 505.824 | -0.000 | 
| -394.956 | -394.955 | 810.044 | -0.000 | -0.000 | 543.242 | 
| 1197.902 | 81.442 | 35.586 | 0.000 | 0.000 | -0.000 | 
| 126.815 | 1215.209 | -25.617 | 0.000 | 0.000 | 0.000 | 
| 111.815 | 111.815 | 1089.941 | 0.000 | 0.000 | 0.000 | 
| 40.974 | 40.975 | -80.740 | 505.823 | 0.000 | 0.000 | 
| 51.432 | 51.431 | -105.414 | 0.000 | 502.446 | 0.000 | 
| 39.507 | 39.506 | -81.027 | 0.000 | 0.000 | 543.237 | 
| 1114.523 | 36.807 | 166.452 | -0.000 | -0.000 | -0.000 | 
| 47.039 | 1133.259 | 136.920 | 0.000 | -0.000 | -0.000 | 
| 14.192 | 14.192 | 1286.625 | -0.000 | -0.000 | -0.000 | 
| -40.974 | -40.975 | 80.740 | 505.823 | -0.000 | -0.000 | 
| -51.432 | -51.431 | 105.414 | 0.000 | 502.446 | -0.000 | 
| -39.504 | -39.503 | 81.021 | -0.000 | -0.000 | 543.239 | 
| 1184.762 | 97.621 | 29.113 | 8.369 | -0.000 | 0.000 | 
| 97.620 | 1184.762 | 29.113 | -8.369 | 0.000 | 0.001 | 
| 34.283 | 34.283 | 1247.327 | -0.000 | 0.000 | 0.000 | 
| 11.630 | -11.630 | 0.001 | 514.358 | 0.000 | 0.000 | 
| 12.722 | 12.721 | -28.817 | -0.000 | 500.804 | 8.370 | 
| 12.723 | 12.723 | -28.820 | -0.000 | 8.370 | 543.575 | 
| 1159.341 | 72.177 | 86.720 | 8.372 | 0.000 | -0.000 | 
| 72.177 | 1159.341 | 86.722 | -8.372 | 0.000 | 0.000 | 
| 34.283 | 34.283 | 1247.326 | 0.000 | 0.000 | -0.000 | 
| -4.352 | -21.092 | 28.816 | 500.804 | 0.000 | -0.000 | 
| -12.722 | -12.722 | 28.817 | 0.000 | 500.804 | 8.369 | 
| -12.723 | -12.723 | 28.820 | 0.000 | 8.370 | 543.574 | 
| 1196.810 | 83.345 | 34.114 | 11.630 | -0.000 | -0.000 | 
| 83.345 | 1196.810 | 34.114 | -11.630 | 0.000 | -0.000 | 
| 34.283 | 34.283 | 1247.328 | 0.000 | -0.000 | 0.000 | 
| 11.630 | -11.630 | 0.000 | 514.358 | -0.000 | 0.000 | 
| 1.252 | 1.252 | -2.836 | 0.000 | 501.019 | 8.422 | 
| 0.000 | -0.000 | 0.000 | -0.000 | 11.630 | 556.732 | 
| 1171.410 | 85.991 | 58.047 | 8.728 | 0.000 | -0.000 | 
| 83.345 | 1196.809 | 34.114 | -11.630 | 0.000 | 0.000 | 
| 55.839 | 55.839 | 1203.330 | 0.000 | 0.000 | -0.000 | 
| 11.630 | -11.630 | -0.000 | 514.358 | 0.000 | -0.000 | 
| -1.252 | -1.252 | 2.836 | -0.000 | 501.019 | 8.422 | 
| -0.000 | 0.000 | -0.000 | -0.000 | 11.630 | 556.732 | 
| 1174.692 | 84.851 | 55.242 | 8.703 | 0.000 | -0.000 | 
| 83.345 | 1196.814 | 34.115 | -11.630 | -0.000 | -0.000 | 
| 54.967 | 54.967 | 1204.794 | -0.000 | -0.000 | -0.000 | 
| 8.894 | -8.671 | -0.251 | 502.520 | -0.000 | -0.000 | 
| 0.000 | -0.000 | 0.001 | 0.000 | 514.358 | 11.630 | 
| 0.001 | -0.000 | 0.001 | -0.000 | 11.630 | 556.732 | 
| 1173.456 | 87.033 | 54.352 | 8.975 | 0.000 | -0.000 | 
| 83.344 | 1196.805 | 34.113 | -11.630 | -0.000 | -0.000 | 
| 54.629 | 54.629 | 1205.586 | 0.000 | 0.000 | -0.000 | 
| 11.630 | -11.630 | -0.001 | 514.358 | 0.000 | -0.000 | 
| -0.000 | 0.000 | -0.001 | -0.000 | 514.358 | 11.630 | 
| -0.001 | 0.000 | -0.001 | 0.000 | 11.630 | 556.732 | 
| 1197.012 | 83.354 | 34.398 | 11.631 | 0.000 | -0.000 | 
| 83.353 | 1197.013 | 34.397 | -11.632 | 0.000 | -0.001 | 
| 75.978 | 75.979 | 1162.711 | -0.000 | 0.000 | -0.001 | 
| 25.947 | 7.338 | -34.821 | 504.837 | 0.000 | 0.000 | 
| -0.000 | 0.000 | 0.001 | -0.000 | 514.504 | 11.631 | 
| 16.703 | 16.703 | -34.948 | -0.000 | 9.296 | 547.384 | 
| 1152.878 | 67.504 | 96.691 | 8.749 | -0.000 | -0.000 | 
| 67.145 | 1161.130 | 88.489 | -9.198 | -0.000 | -0.000 | 
| 34.685 | 34.685 | 1249.034 | 0.000 | -0.000 | 0.000 | 
| -12.673 | -30.032 | 44.584 | 502.063 | -0.000 | 0.001 | 
| 0.000 | -0.000 | -0.000 | 0.000 | 514.504 | 11.632 | 
| -16.703 | -16.703 | 34.948 | 0.000 | 9.296 | 547.386 | 
| 1176.165 | 88.010 | 50.881 | 8.809 | 0.000 | -0.000 | 
| 83.353 | 1197.013 | 34.397 | -11.632 | -0.000 | -0.000 | 
| 34.399 | 34.399 | 1248.685 | -0.000 | -0.000 | -0.000 | 
| 10.849 | -6.916 | -4.113 | 503.085 | 0.000 | -0.000 | 
| 0.000 | 0.000 | 0.000 | -0.000 | 514.504 | 11.631 | 
| 2.087 | 2.087 | -4.366 | -0.000 | 8.714 | 545.030 | 
| 1173.276 | 82.708 | 59.432 | 8.776 | -0.000 | 0.000 | 
| 85.018 | 1171.222 | 59.173 | -8.710 | -0.000 | 0.000 | 
| 52.558 | 52.558 | 1211.601 | 0.000 | -0.000 | 0.000 | 
| 11.632 | -11.632 | -0.000 | 514.504 | -0.000 | 0.000 | 
| -0.000 | -0.000 | -0.000 | 0.000 | 514.504 | 11.632 | 
| -2.087 | -2.087 | 4.366 | 0.000 | 8.714 | 545.030 | 
| 1174.116 | 88.419 | 52.647 | 9.171 | 0.000 | -0.000 | 
| 83.354 | 1197.017 | 34.398 | -11.632 | 0.000 | -0.000 | 
| 54.937 | 54.937 | 1206.639 | -0.000 | 0.000 | 0.000 | 
| 9.098 | -8.696 | -0.417 | 502.764 | 0.000 | -0.000 | 
| 0.201 | 0.200 | -0.417 | 0.000 | 502.764 | 8.898 | 
| 0.217 | 0.217 | -0.453 | -0.000 | 8.607 | 544.600 | 
| 1173.011 | 87.055 | 55.180 | 8.753 | -0.000 | 0.000 | 
| 83.353 | 1197.008 | 34.396 | -11.631 | -0.000 | 0.000 | 
| 54.534 | 54.534 | 1207.470 | 0.000 | -0.000 | 0.000 | 
| 8.658 | -9.059 | 0.421 | 502.761 | -0.000 | -0.000 | 
| -0.201 | -0.200 | 0.417 | -0.000 | 502.764 | 8.898 | 
| -0.217 | -0.217 | 0.453 | 0.000 | 8.607 | 544.600 | 
| -13514.345 | -13562.279 | -13562.278 | 0.000 | 0.000 | -0.000 | 
| -13562.278 | -13514.345 | -13562.279 | 0.000 | 0.000 | 0.000 | 
| -13562.279 | -13562.278 | -13514.345 | 0.000 | 0.000 | -0.000 | 
| -2864.078 | -2864.078 | -2864.078 | 126.777 | 0.000 | 0.000 | 
| -2864.078 | -2864.078 | -2864.078 | -0.000 | 126.777 | 0.000 | 
| -2864.078 | -2864.078 | -2864.078 | 0.000 | 0.000 | 126.777 | 
| 439.853 | 82.627 | 82.627 | 0.000 | -0.000 | -0.000 | 
| 82.627 | 439.853 | 82.627 | -0.000 | -0.000 | -0.000 | 
| 82.627 | 82.627 | 439.853 | 0.000 | -0.000 | -0.000 | 
| 2864.078 | 2864.078 | 2864.078 | 126.777 | -0.000 | -0.000 | 
| 2864.078 | 2864.078 | 2864.078 | -0.000 | 126.777 | -0.000 | 
| 2864.078 | 2864.078 | 2864.078 | -0.000 | -0.000 | 126.777 | 
| -2574.242 | -2664.413 | -2664.413 | 0.000 | 0.000 | 0.000 | 
| -2664.413 | -2574.242 | -2664.413 | 0.000 | 0.000 | 0.000 | 
| -2664.413 | -2664.413 | -2574.242 | -0.000 | 0.000 | 0.000 | 
| 0.000 | 0.000 | 0.000 | 182.277 | 0.000 | 0.000 | 
| 0.000 | 0.000 | 0.000 | -0.000 | 182.277 | 0.000 | 
| 0.000 | 0.000 | 0.000 | -0.000 | 0.000 | 182.277 | 
| 439.853 | 82.627 | 82.627 | -0.000 | -0.000 | -0.000 | 
| 82.627 | 439.853 | 82.627 | -0.000 | -0.000 | 0.000 | 
| 82.627 | 82.627 | 439.853 | 0.000 | -0.000 | -0.000 | 
| -0.000 | -0.000 | -0.000 | 182.277 | -0.000 | -0.000 | 
| -0.000 | -0.000 | -0.000 | -0.000 | 182.277 | 0.000 | 
| -0.000 | -0.000 | -0.000 | -0.000 | -0.000 | 182.277 | 
| -250.825 | -280.744 | -280.744 | -0.000 | 0.000 | 0.000 | 
| -280.744 | -250.825 | -280.744 | -0.000 | -0.000 | 0.000 | 
| -280.744 | -280.744 | -250.825 | 0.000 | 0.000 | 0.000 | 
| 0.000 | 0.000 | 0.000 | 182.277 | 0.000 | -0.000 | 
| 0.000 | 0.000 | 0.000 | 0.000 | 182.277 | 0.000 | 
| 0.000 | 0.000 | 0.000 | 0.000 | 0.000 | 182.277 | 
| 439.851 | 82.627 | 82.627 | -0.000 | -0.000 | -0.000 | 
| 82.627 | 439.851 | 82.627 | 0.000 | -0.000 | -0.000 | 
| 82.627 | 82.627 | 439.851 | -0.000 | -0.000 | -0.000 | 
| -0.000 | -0.000 | -0.000 | 182.277 | -0.000 | -0.000 | 
| -0.000 | -0.000 | -0.000 | -0.000 | 182.277 | 0.000 | 
| -0.000 | -0.000 | -0.000 | -0.000 | -0.000 | 182.277 | 
| 987.234 | 219.428 | -0.786 | 0.000 | -0.000 | 0.000 | 
| 219.429 | 987.234 | -0.786 | 0.000 | -0.000 | 0.000 | 
| -0.730 | -0.730 | 28.439 | 0.000 | -0.000 | -0.000 | 
| 0.000 | -0.000 | -0.000 | -0.786 | -0.000 | -0.000 | 
| -0.000 | -0.000 | -0.000 | 0.000 | -0.786 | -0.000 | 
| 0.000 | -0.000 | -0.000 | 0.000 | -0.000 | 383.903 | 
| 987.234 | 219.429 | -0.786 | -0.000 | 0.000 | 0.000 | 
| 158.112 | 1048.551 | -0.786 | -0.000 | 0.000 | -0.000 | 
| -0.730 | -0.730 | 28.439 | -0.000 | 0.000 | 0.000 | 
| 0.000 | 0.000 | 0.000 | -0.786 | 0.000 | 0.000 | 
| -0.000 | 0.000 | 0.000 | -0.000 | -0.786 | 0.000 | 
| -0.000 | 0.000 | 0.000 | -0.000 | 0.000 | 383.903 | 
| 987.235 | 219.428 | -0.786 | 0.000 | -0.000 | 0.000 | 
| 158.112 | 1048.551 | -0.786 | 0.000 | -0.000 | -0.000 | 
| -0.730 | -0.730 | 28.439 | 0.000 | -0.000 | -0.000 | 
| -0.000 | -0.000 | -0.000 | -0.786 | -0.000 | -0.000 | 
| 0.000 | 0.000 | -0.000 | 0.000 | -0.786 | 0.000 | 
| -0.000 | 0.000 | -0.000 | 0.000 | -0.000 | 383.903 | 
| 1048.550 | 158.112 | -0.786 | -0.000 | 0.000 | -0.000 | 
| 219.428 | 987.234 | -0.786 | -0.000 | 0.000 | -0.000 | 
| -0.730 | -0.730 | 28.439 | -0.000 | 0.000 | 0.000 | 
| 0.000 | 0.000 | 0.000 | -0.786 | 0.000 | 0.000 | 
| 0.000 | -0.000 | 0.000 | -0.000 | -0.786 | -0.000 | 
| 0.000 | -0.000 | 0.000 | -0.000 | 0.000 | 383.903 | 
| 987.240 | 219.428 | -0.786 | 0.000 | -0.000 | 0.000 | 
| 219.436 | 987.231 | -0.786 | 0.000 | -0.000 | 0.000 | 
| -0.730 | -0.730 | 28.439 | 0.000 | -0.000 | -0.000 | 
| -0.000 | -0.000 | -0.000 | -0.786 | -0.000 | -0.000 | 
| -0.000 | -0.000 | -0.000 | 0.000 | -0.786 | -0.000 | 
| -0.000 | 0.001 | -0.000 | 0.000 | -0.000 | 383.901 | 
| 987.224 | 219.433 | -0.786 | -0.000 | 0.000 | 0.000 | 
| 219.556 | 987.102 | -0.786 | -0.000 | 0.000 | 0.000 | 
| -0.730 | -0.730 | 28.439 | -0.000 | 0.000 | 0.000 | 
| 0.000 | 0.000 | 0.000 | -0.786 | 0.000 | 0.000 | 
| 0.000 | 0.000 | 0.000 | -0.000 | -0.786 | 0.000 | 
| 0.000 | -0.001 | 0.000 | -0.000 | 0.000 | 383.901 | 
| 839.358 | 106.495 | 8.055 | -0.000 | -0.000 | -0.000 | 
| 129.241 | 448.064 | 7.554 | -0.000 | 0.000 | -0.000 | 
| -744.552 | 1580.725 | -412.120 | -0.000 | 0.000 | 0.000 | 
| -895.093 | 1562.110 | -562.536 | 68.406 | -0.000 | -0.000 | 
| -768.799 | 1585.101 | -533.307 | -0.000 | 146.924 | -0.000 | 
| 0.000 | 0.000 | 0.000 | -0.000 | -0.000 | 266.432 | 
| 1485.964 | -1395.602 | 698.571 | 0.000 | -0.000 | 0.000 | 
| 129.240 | 448.064 | 7.554 | 0.000 | 0.000 | 0.000 | 
| 21.744 | -1.503 | 486.311 | 0.000 | -0.000 | 0.000 | 
| 895.093 | -1562.110 | 562.536 | 68.406 | 0.000 | 0.000 | 
| 768.799 | -1585.101 | 533.307 | 0.000 | 146.924 | 0.000 | 
| -0.000 | -0.000 | 0.000 | -0.000 | -0.000 | 266.432 | 
| 564.898 | 285.745 | 63.506 | -0.000 | 0.000 | -0.000 | 
| 103.580 | 482.690 | -34.690 | 0.000 | 0.000 | -0.000 | 
| 21.744 | -1.503 | 486.311 | -0.000 | -0.000 | -0.000 | 
| -94.353 | 164.663 | -59.297 | 66.839 | 0.000 | -0.000 | 
| -68.054 | 161.374 | -27.959 | -0.000 | 3.414 | -0.000 | 
| 0.000 | 0.000 | -0.000 | -0.000 | -0.000 | 266.432 | 
| 758.118 | -11.504 | 84.962 | 0.000 | -0.000 | 0.000 | 
| 129.241 | 448.063 | 7.554 | 0.000 | 0.000 | 0.000 | 
| 113.957 | -205.583 | 109.193 | -0.000 | 0.000 | -0.000 | 
| 94.353 | -164.663 | 59.297 | 66.839 | -0.000 | 0.000 | 
| 68.054 | -161.374 | 27.959 | 0.000 | 3.414 | 0.000 | 
| -0.000 | -0.000 | 0.000 | -0.000 | 0.000 | 266.432 | 
| 664.959 | 161.418 | 88.143 | -0.000 | 0.000 | -0.000 | 
| 167.667 | 339.408 | 16.016 | 0.000 | 0.000 | -0.000 | 
| -14.455 | 52.127 | 19.301 | -0.000 | 0.000 | -0.000 | 
| 0.000 | 0.000 | -0.000 | 97.353 | -0.000 | -0.000 | 
| -19.849 | 38.316 | -13.232 | -0.000 | 13.958 | -0.000 | 
| -5.336 | 9.312 | -3.353 | -0.000 | -0.000 | 210.824 | 
| 839.354 | 106.494 | 8.055 | 0.000 | -0.000 | 0.000 | 
| 205.172 | 312.244 | 41.256 | 0.000 | -0.000 | -0.000 | 
| 6.055 | 5.440 | 6.291 | -0.000 | 0.000 | -0.000 | 
| -0.000 | -0.000 | 0.000 | 97.353 | 0.000 | 0.000 | 
| 19.849 | -38.316 | 13.232 | 0.000 | 13.958 | 0.000 | 
| 5.336 | -9.312 | 3.353 | -0.000 | 0.000 | 210.824 | 
| 1053.135 | -245.397 | 326.132 | 0.172 | -0.000 | -0.000 | 
| 367.035 | -57.629 | 309.293 | -0.004 | 0.000 | -0.000 | 
| 138.664 | -123.337 | 1012.147 | 0.000 | 0.000 | -0.000 | 
| -0.000 | 0.030 | 0.000 | 304.847 | 0.000 | -0.000 | 
| -0.000 | 0.030 | 0.000 | 0.000 | 371.554 | -0.000 | 
| 150.105 | -383.818 | 173.326 | 0.172 | -0.000 | 183.172 | 
| 751.410 | 526.063 | -22.228 | -0.172 | 0.000 | -0.000 | 
| 0.322 | 688.551 | -118.709 | -0.173 | -0.000 | 0.000 | 
| 138.664 | -123.397 | 1012.147 | 0.000 | 0.000 | 0.000 | 
| 0.000 | -0.030 | -0.000 | 304.685 | -0.000 | 0.000 | 
| 0.000 | -0.030 | -0.000 | -0.000 | 371.554 | 0.000 | 
| -150.105 | 383.818 | -173.326 | -0.172 | 0.000 | 183.172 | 
| 949.976 | 135.463 | 111.759 | 0.000 | 0.000 | -0.000 | 
| 150.547 | 571.271 | -135.185 | -0.000 | -0.000 | -0.000 | 
| 179.706 | -10.861 | 859.705 | 0.017 | 0.000 | -0.000 | 
| 22.545 | -46.742 | 41.451 | 207.967 | 0.000 | -0.000 | 
| 12.337 | -31.545 | 14.245 | 0.017 | 319.218 | -0.000 | 
| 11.430 | -29.227 | 13.199 | 0.017 | 0.000 | 192.755 | 
| 894.076 | 174.085 | 132.078 | -0.017 | 0.000 | 0.000 | 
| 152.783 | 384.854 | -3.673 | -0.000 | -0.000 | 0.000 | 
| 159.957 | 70.361 | 808.663 | -0.017 | -0.000 | 0.000 | 
| -22.544 | 46.742 | -41.451 | 207.950 | 0.000 | 0.000 | 
| -12.337 | 31.545 | -14.245 | -0.017 | 319.218 | 0.000 | 
| -11.430 | 29.227 | -13.199 | -0.017 | 0.000 | 192.755 | 
| 949.978 | 135.461 | 111.761 | 0.000 | 0.000 | -0.000 | 
| 150.548 | 571.267 | -135.185 | 0.000 | -0.000 | -0.000 | 
| 138.664 | -123.367 | 1012.153 | 0.000 | 0.000 | -0.000 | 
| 2.071 | -4.611 | 3.527 | 190.811 | -0.000 | -0.000 | 
| 1.197 | -3.062 | 1.384 | 0.002 | 320.750 | -0.000 | 
| 0.000 | 0.001 | 0.000 | 0.000 | -0.000 | 223.353 | 
| 902.644 | 168.138 | 108.382 | 0.000 | -0.000 | 0.000 | 
| 153.161 | 357.908 | 14.947 | -0.002 | -0.000 | 0.000 | 
| 138.665 | -123.367 | 1012.141 | -0.000 | -0.000 | 0.000 | 
| -2.071 | 4.611 | -3.527 | 190.809 | 0.000 | 0.000 | 
| -1.197 | 3.062 | -1.384 | -0.002 | 320.750 | 0.000 | 
| -0.000 | -0.001 | -0.000 | -0.000 | 0.000 | 223.353 | 
| 951.963 | 135.199 | 110.309 | 0.000 | 0.000 | 0.000 | 
| 149.819 | 571.097 | -134.749 | -0.000 | -0.000 | -0.000 | 
| 137.007 | -122.672 | 1014.296 | -0.000 | -0.000 | 0.000 | 
| -0.190 | 0.730 | 0.813 | 303.210 | -0.000 | 0.000 | 
| 0.000 | 0.011 | 0.000 | 0.000 | 371.855 | 0.000 | 
| 0.000 | 0.011 | 0.000 | -0.000 | -0.000 | 223.267 | 
| 951.963 | 135.170 | 110.309 | 0.000 | 0.000 | -0.000 | 
| 149.819 | 571.068 | -134.749 | 0.000 | 0.000 | 0.000 | 
| 137.007 | -122.700 | 1014.296 | 0.000 | 0.000 | -0.000 | 
| 0.190 | -0.730 | -0.814 | 307.928 | -0.000 | -0.000 | 
| -0.000 | -0.011 | -0.000 | -0.000 | 371.855 | -0.000 | 
| -0.000 | -0.011 | -0.000 | -0.000 | -0.000 | 223.267 | 
| 951.963 | 135.186 | 110.309 | 0.000 | -0.000 | 0.000 | 
| 149.819 | 571.083 | -134.749 | 0.000 | 0.000 | 0.000 | 
| 137.007 | -122.685 | 1014.296 | -0.000 | -0.000 | -0.000 | 
| -0.019 | 0.073 | 0.081 | 255.523 | 0.000 | 0.000 | 
| 0.000 | 0.001 | 0.000 | -0.000 | 371.855 | -0.000 | 
| 0.000 | 0.001 | 0.000 | -0.000 | 0.000 | 223.267 | 
| 951.963 | 135.183 | 110.309 | -0.000 | 0.000 | 0.000 | 
| 149.819 | 571.081 | -134.749 | -0.000 | 0.000 | 0.000 | 
| 137.007 | -122.687 | 1014.295 | -0.000 | -0.000 | 0.000 | 
| 0.019 | -0.073 | -0.081 | 255.995 | -0.000 | 0.000 | 
| -0.000 | -0.001 | -0.000 | -0.000 | 371.855 | 0.000 | 
| -0.000 | -0.001 | -0.000 | -0.000 | 0.000 | 223.267 | 
| 951.965 | 135.186 | 110.311 | -0.000 | -0.000 | -0.000 | 
| 149.820 | 571.081 | -134.749 | 0.000 | 0.000 | 0.000 | 
| 137.006 | -122.686 | 1014.301 | 0.000 | 0.000 | -0.000 | 
| -0.002 | 0.007 | 0.008 | 250.755 | 0.000 | 0.000 | 
| 0.000 | 0.000 | 0.001 | -0.000 | 371.855 | -0.000 | 
| 0.000 | 0.000 | 0.000 | -0.000 | 0.000 | 223.267 | 
| 951.961 | 135.184 | 110.307 | -0.000 | 0.000 | 0.000 | 
| 149.819 | 571.083 | -134.750 | 0.000 | -0.000 | -0.000 | 
| 137.007 | -122.686 | 1014.290 | 0.000 | -0.000 | -0.000 | 
| 0.002 | -0.007 | -0.008 | 250.803 | -0.000 | 0.000 | 
| -0.000 | -0.000 | -0.001 | -0.000 | 371.855 | -0.000 | 
| -0.000 | -0.000 | -0.000 | -0.000 | -0.000 | 223.267 | 
| 578.224 | 58.888 | 81.499 | 15.737 | -0.012 | -0.022 | 
| 58.572 | 578.489 | 81.501 | -16.040 | 0.038 | 0.076 | 
| 80.872 | 80.872 | 422.243 | -0.000 | -0.000 | 0.000 | 
| 19.271 | -18.814 | -0.015 | 217.342 | -0.003 | -0.016 | 
| 0.182 | 0.172 | -0.012 | 0.025 | 217.322 | 18.824 | 
| 0.328 | 0.568 | -0.030 | -0.028 | 16.117 | 260.381 | 
| 577.695 | 57.778 | 81.553 | 16.040 | -0.038 | -0.076 | 
| 58.042 | 577.379 | 81.555 | -15.737 | 0.013 | 0.022 | 
| 37098.295 | 37096.405 | -60954.945 | 0.511 | 0.149 | 0.430 | 
| 18.916 | -19.303 | 0.013 | 217.467 | -0.013 | -0.001 | 
| -0.209 | -0.131 | 0.011 | -0.024 | 217.328 | 18.868 | 
| -0.451 | -0.509 | 0.032 | 0.006 | 16.154 | 260.507 | 
| 567.992 | 68.391 | 81.523 | 12.075 | 0.004 | 0.011 | 
| 68.451 | 567.935 | 81.523 | -12.080 | 0.018 | 0.046 | 
| 80.872 | 80.872 | 422.243 | -0.000 | -0.000 | 0.000 | 
| -4366.625 | -4384.075 | 7738.538 | 94.802 | -0.002 | -0.015 | 
| -1397.323 | -1393.463 | 8873.292 | -0.861 | 51.959 | -23.190 | 
| -4405.179 | -4404.847 | 11071.852 | -0.067 | -9.186 | 120.728 | 
| 3916.736 | 3648.499 | -5770.950 | 10.083 | -0.003 | 0.011 | 
| 3772.975 | 4038.141 | -5986.855 | -10.115 | -0.027 | -0.049 | 
| 2446.135 | 2444.293 | -10008.857 | 0.404 | 0.155 | 0.372 | 
| 3002.271 | 3022.118 | -10733.385 | 53.335 | 0.150 | 0.343 | 
| 1397.811 | 1393.161 | -8873.396 | 1.023 | 52.524 | -21.839 | 
| 4405.602 | 4404.419 | -11071.841 | 0.251 | -8.941 | 121.280 | 
| -86.725 | -296.561 | 1101.917 | 1.600 | 0.008 | 0.016 | 
| -214.974 | 42.577 | 844.362 | -0.553 | -0.012 | -0.032 | 
| -239.266 | -239.247 | 808.576 | -0.005 | -0.002 | -0.004 | 
| -489.506 | -502.920 | 908.357 | 86.919 | 0.005 | 0.010 | 
| -447.619 | -447.567 | 1118.648 | -0.010 | 62.645 | -6.565 | 
| -498.567 | -498.575 | 913.853 | 0.001 | 6.623 | 142.325 | 
| 508.262 | 308.141 | -1030.618 | 1.131 | 0.020 | 0.046 | 
| 305.807 | 511.938 | -1040.888 | -1.361 | -0.008 | -0.015 | 
| 467.933 | 467.871 | -758.978 | 0.014 | 0.005 | 0.013 | 
| 502.905 | 489.519 | -908.356 | 86.917 | -0.005 | -0.009 | 
| 447.726 | 447.459 | -1118.643 | 0.056 | 62.654 | -6.550 | 
| 498.560 | 498.581 | -913.852 | -0.004 | 6.621 | 142.322 | 
| 23808.159 | -20563.075 | 4267.026 | 0.000 | 0.000 | -0.000 | 
| 10598.112 | -15957.720 | 10117.827 | 0.000 | -0.000 | -0.000 | 
| 10722.002 | -16737.674 | 10852.891 | 0.000 | -0.000 | -0.001 | 
| 10676.325 | -16980.198 | 9879.850 | 580.681 | -0.000 | -0.000 | 
| 22574.182 | -20375.492 | 4156.012 | -0.000 | 587.122 | -0.001 | 
| 22674.530 | -20522.326 | 4236.703 | 0.000 | -0.000 | 327.707 | 
| 1279.041 | -70.272 | -19.856 | -0.000 | 0.000 | 0.001 | 
| -10754.441 | 18002.430 | -9641.706 | -0.000 | 0.000 | 0.001 | 
| -10612.940 | 17194.233 | -8890.091 | -0.000 | 0.000 | 0.000 | 
| -10676.325 | 16980.198 | -9879.850 | 580.681 | 0.000 | 0.000 | 
| -22574.182 | 20375.492 | -4156.012 | -0.000 | 587.122 | 0.000 | 
| -22674.530 | 20522.326 | -4236.703 | -0.000 | 0.000 | 327.708 | 
| 3380.040 | -2070.827 | 445.911 | -0.000 | -0.000 | -0.000 | 
| 988.507 | -673.576 | 1224.676 | 0.000 | 0.000 | -0.000 | 
| 1131.310 | -1480.902 | 1974.402 | 0.000 | 0.000 | -0.000 | 
| 2253.208 | -2034.766 | 415.739 | 575.485 | 0.000 | -0.000 | 
| 2257.279 | -2037.433 | 415.593 | -0.000 | 587.131 | -0.000 | 
| -0.000 | -0.000 | 0.000 | 0.000 | -0.000 | 403.026 | 
| -1097.586 | 2117.585 | -595.888 | -0.000 | -0.000 | 0.000 | 
| -2087.206 | 3162.815 | -418.748 | 0.000 | 0.000 | 0.000 | 
| -2222.875 | 2331.493 | 432.195 | -0.000 | 0.000 | 0.000 | 
| -2253.208 | 2034.766 | -415.739 | 575.485 | -0.000 | -0.000 | 
| -2257.279 | 2037.433 | -415.593 | -0.000 | 587.131 | 0.000 | 
| 0.000 | 0.000 | -0.000 | -0.000 | 0.000 | 403.027 | 
| 1280.795 | -215.711 | 118.079 | -0.000 | 0.000 | -0.000 | 
| 196.501 | 822.732 | 250.980 | 0.000 | 0.000 | -0.000 | 
| 247.296 | -27.108 | 1099.356 | -0.000 | 0.000 | -0.000 | 
| 222.272 | -212.275 | 60.022 | 572.872 | -0.000 | 0.000 | 
| 221.859 | -214.048 | 62.146 | 0.000 | 598.264 | -0.000 | 
| 109.371 | -173.951 | 101.213 | 0.000 | -0.000 | 371.457 | 
| 902.453 | 172.058 | -14.605 | -0.000 | 0.000 | 0.000 | 
| -253.485 | 1253.433 | 126.306 | -0.000 | 0.000 | 0.000 | 
| -199.028 | 404.674 | 973.124 | -0.000 | -0.000 | 0.000 | 
| -222.272 | 212.275 | -60.022 | 572.872 | 0.000 | 0.000 | 
| -221.859 | 214.048 | -62.146 | -0.000 | 598.264 | 0.000 | 
| -109.371 | 173.951 | -101.213 | -0.000 | 0.000 | 371.457 | 
| 292.535 | 112.464 | 1638.186 | 0.000 | -0.000 | -0.000 | 
| 225.855 | 1718.188 | 277.231 | -0.000 | 0.000 | 0.000 | 
| -768.110 | 463.659 | 2534.441 | -0.000 | -0.000 | -0.000 | 
| -812.938 | 195.784 | 1593.168 | 575.019 | -0.000 | -0.000 | 
| 0.000 | -0.000 | -0.000 | 0.000 | 696.458 | -0.001 | 
| 0.000 | -0.000 | 0.000 | -0.000 | -0.000 | 408.095 | 
| 1915.133 | -279.306 | -1546.155 | 0.000 | 0.000 | 0.000 | 
| 730.721 | 762.375 | -1331.734 | 0.000 | 0.000 | 0.000 | 
| 853.600 | 67.492 | -642.790 | -0.000 | 0.000 | 0.000 | 
| 812.938 | -195.784 | -1593.168 | 575.020 | 0.000 | 0.000 | 
| -0.000 | 0.000 | -0.000 | 0.000 | 696.458 | 0.000 | 
| -0.000 | -0.000 | -0.000 | 0.000 | 0.000 | 408.096 | 
| 1036.730 | -62.799 | 197.431 | -0.000 | -0.000 | -0.000 | 
| -157.895 | 991.878 | 397.794 | -0.000 | -0.000 | -0.000 | 
| -33.122 | 125.848 | 1120.975 | -0.000 | -0.000 | -0.000 | 
| -0.000 | -0.000 | 0.000 | 593.641 | -0.000 | -0.000 | 
| 0.000 | -0.000 | 0.000 | -0.000 | 696.458 | -0.000 | 
| 39.794 | 19.784 | 24.728 | -0.000 | -0.000 | 335.786 | 
| 1232.962 | -73.709 | -24.940 | 0.000 | 0.000 | 0.000 | 
| -77.650 | 1115.752 | 130.090 | -0.000 | -0.000 | 0.000 | 
| -33.122 | 125.848 | 1120.974 | 0.000 | 0.000 | 0.000 | 
| 0.000 | 0.000 | -0.000 | 593.641 | 0.000 | 0.000 | 
| -0.000 | 0.000 | -0.000 | -0.000 | 696.458 | 0.000 | 
| -39.794 | -19.784 | -24.728 | -0.000 | 0.000 | 335.786 | 
| 1232.967 | -73.709 | -24.939 | -0.000 | -0.000 | -0.000 | 
| -77.650 | 1115.756 | 130.092 | -0.000 | -0.000 | -0.000 | 
| 7.522 | 194.229 | 1028.233 | 0.000 | -0.000 | -0.000 | 
| 2.800 | 6.537 | 0.738 | 575.302 | 0.000 | -0.000 | 
| -2.455 | 4.942 | 8.567 | -0.000 | 584.122 | -0.000 | 
| -10.394 | 2.503 | 20.370 | 0.000 | -0.000 | 353.561 | 
| 1232.957 | -73.709 | -24.940 | -0.000 | 0.000 | 0.000 | 
| -77.650 | 1115.749 | 130.088 | -0.000 | 0.000 | 0.000 | 
| -33.122 | 125.848 | 1120.970 | -0.000 | 0.000 | -0.000 | 
| -2.800 | -6.537 | -0.738 | 575.302 | 0.000 | 0.000 | 
| 2.455 | -4.942 | -8.567 | 0.000 | 584.122 | 0.000 | 
| 10.394 | -2.503 | -20.370 | 0.000 | -0.000 | 353.561 | 
| 9005.104 | -3810.595 | 2914.402 | 0.000 | -7189.814 | 0.000 | 
| 7290.926 | -1422.072 | 1583.294 | 0.000 | -7135.766 | -0.000 | 
| 8599.590 | -5285.130 | 2984.714 | 0.000 | -10770.416 | -0.000 | 
| 7997.714 | -3832.140 | 2899.630 | 563.473 | -7414.509 | -75.374 | 
| 67.011 | -53.497 | 14.223 | 0.000 | 708.649 | 0.000 | 
| 7912.512 | -3776.773 | 2880.652 | -82.032 | -7305.048 | 371.188 | 
| -7369.487 | 5366.846 | -1925.208 | -0.000 | 10848.873 | -0.000 | 
| -6933.156 | 3690.421 | -1388.400 | -0.000 | 7349.122 | 0.000 | 
| -7886.760 | 3951.832 | -1861.045 | -0.000 | 7348.331 | -0.000 | 
| -7997.714 | 3832.140 | -2899.630 | 563.473 | 7414.509 | -75.374 | 
| -7244.643 | 2324.536 | -1350.664 | 0.000 | 7631.369 | -0.000 | 
| -7912.512 | 3776.773 | -2880.652 | -82.032 | 7305.048 | 371.188 | 
| 1985.262 | -614.637 | 239.969 | 0.000 | -965.231 | -0.000 | 
| 787.738 | 481.475 | 391.886 | 0.000 | -1194.189 | -0.000 | 
| 877.117 | -348.821 | 1199.357 | 0.000 | -1020.184 | -0.000 | 
| 791.235 | -377.662 | 288.066 | 563.640 | -730.474 | -75.320 | 
| 917.148 | -657.234 | 243.262 | -0.000 | -451.249 | 0.000 | 
| 857.491 | -548.225 | 198.375 | -75.524 | -1082.771 | 404.898 | 
| 1229.536 | -81.416 | -13.207 | -0.000 | 117.689 | 0.000 | 
| -911.543 | 1566.736 | -0.484 | -0.000 | 950.909 | -0.000 | 
| -821.325 | 737.410 | 805.991 | -0.000 | 1124.881 | -0.000 | 
| -791.235 | 377.662 | -288.066 | 563.640 | 730.474 | -75.320 | 
| -665.220 | 135.976 | -90.556 | -0.000 | 1314.848 | -0.000 | 
| -857.491 | 548.225 | -198.375 | -75.524 | 1082.771 | 404.898 | 
| 1209.159 | -122.333 | 66.508 | 0.000 | 4.784 | 0.000 | 
| 24.004 | 973.069 | 213.053 | 0.000 | -228.026 | -0.000 | 
| 107.866 | 140.349 | 1043.208 | 0.000 | -27.221 | -0.000 | 
| -0.000 | -0.000 | 0.002 | 592.033 | -0.000 | -62.856 | 
| 67.011 | -53.497 | 14.224 | 0.000 | 708.650 | 0.000 | 
| 88.832 | -56.793 | 20.551 | -75.738 | -112.170 | 403.696 | 
| 1014.964 | 0.496 | 3.831 | -0.000 | 186.107 | 0.000 | 
| -108.234 | 1051.363 | 153.284 | -0.000 | -45.458 | 0.000 | 
| -54.660 | 245.514 | 985.519 | -0.000 | 154.796 | -0.000 | 
| 0.000 | 0.000 | -0.002 | 592.033 | 0.000 | -62.856 | 
| -9.244 | -74.008 | 19.438 | -0.000 | 682.547 | 0.000 | 
| -88.832 | 56.793 | -20.551 | -75.738 | 112.170 | 403.696 | 
| 470.104 | 333.073 | 192.268 | 0.000 | -0.000 | 0.000 | 
| 333.073 | 470.104 | 192.268 | 0.000 | -0.000 | 0.000 | 
| 186.858 | 186.858 | 1088.698 | 0.000 | 0.000 | -0.000 | 
| -0.000 | 0.000 | 0.000 | 399.953 | 0.000 | -0.000 | 
| 0.000 | 0.000 | 0.000 | 0.000 | 399.953 | -0.000 | 
| 93269822.200 | 90446417.575 | -191769256.194 | 361593.841 | 518516.814 | -501127225.724 | 
| 470.104 | 333.073 | 192.267 | -0.000 | -0.000 | -0.000 | 
| 333.073 | 470.104 | 192.267 | 0.000 | 0.000 | -0.000 | 
| 186.858 | 186.858 | 1088.698 | -0.000 | -0.000 | 0.000 | 
| -0.000 | -0.000 | -0.000 | 399.953 | 0.000 | 0.000 | 
| -0.000 | -0.000 | -0.000 | -0.000 | 399.953 | 0.000 | 
| -80117368.497 | -86996270.477 | 159356100.214 | 52215.174 | -245653.453 | -441879262.312 | 
| 470.104 | 333.073 | 192.268 | 0.000 | -0.000 | 0.000 | 
| 333.073 | 470.104 | 192.268 | 0.000 | -0.000 | -0.000 | 
| 186.858 | 186.858 | 1088.699 | -0.000 | -0.000 | 0.000 | 
| -0.000 | 0.000 | 0.000 | 399.953 | 0.000 | 0.000 | 
| 0.000 | -0.000 | 0.000 | -0.000 | 399.953 | 0.000 | 
| 8871468.077 | 8900081.897 | -15376624.244 | -21119.663 | 91468.933 | -56182836.899 | 
| 470.104 | 333.073 | 192.267 | 0.000 | 0.000 | -0.000 | 
| 333.073 | 470.104 | 192.267 | -0.000 | -0.000 | -0.000 | 
| 186.858 | 186.858 | 1088.697 | -0.000 | 0.000 | -0.000 | 
| 0.000 | -0.000 | -0.000 | 399.953 | -0.000 | -0.000 | 
| -0.000 | 0.000 | -0.000 | 0.000 | 399.953 | 0.000 | 
| -8232984.441 | -7671064.137 | 11234925.690 | -20021.793 | -32919.546 | -52103699.335 | 
| 470.105 | 333.074 | 192.269 | -0.000 | 0.000 | 0.000 | 
| 333.074 | 470.105 | 192.269 | -0.000 | 0.000 | -0.000 | 
| 186.858 | 186.858 | 1088.704 | 0.000 | -0.000 | -0.000 | 
| -0.000 | 0.001 | 0.000 | 399.953 | -0.000 | -0.000 | 
| 0.001 | -0.000 | 0.000 | 0.000 | 399.953 | -0.000 | 
| -725.459 | -725.457 | 661.720 | -0.000 | 0.000 | 480.285 | 
| 470.102 | 333.072 | 192.266 | -0.000 | -0.000 | 0.000 | 
| 333.072 | 470.102 | 192.266 | 0.000 | -0.000 | 0.000 | 
| 186.857 | 186.857 | 1088.692 | -0.000 | -0.000 | 0.000 | 
| 0.000 | -0.001 | -0.000 | 399.953 | -0.000 | 0.000 | 
| -0.001 | 0.000 | -0.000 | -0.000 | 399.953 | 0.000 | 
| 725.459 | 725.458 | -661.721 | 0.000 | -0.000 | 480.302 | 
| 217.248 | 325.865 | 325.701 | 6.480 | -9.465 | -9.781 | 
| 325.613 | 218.652 | 324.859 | 6.585 | -9.473 | -9.801 | 
| 325.449 | 324.853 | 218.896 | 6.584 | -9.470 | -9.798 | 
| 0.004 | -0.014 | -0.014 | 350.603 | -0.000 | 0.000 | 
| -0.000 | 0.000 | 0.000 | 0.000 | 344.462 | 0.000 | 
| -0.000 | 0.000 | -0.000 | 0.000 | -0.000 | 344.315 | 
| 544.627 | 192.221 | 192.221 | -0.000 | 0.000 | -0.000 | 
| 192.217 | 544.641 | 192.234 | 0.037 | 0.000 | 0.000 | 
| 192.217 | 192.234 | 544.641 | 0.037 | 0.000 | -0.000 | 
| -0.004 | 0.014 | 0.014 | 345.332 | 0.000 | -0.000 | 
| 0.000 | -0.000 | -0.000 | -0.000 | 351.473 | -0.000 | 
| 0.000 | -0.000 | -0.000 | -0.000 | 0.000 | 351.620 | 
| 6747464.666 | 6363913.793 | 6346474.293 | 3317434.677 | -3310838.576 | -3030323.055 | 
| 6548658.960 | 6412790.367 | 6513322.943 | 3172817.017 | -3641425.597 | -3162843.484 | 
| 6563330.167 | 6518886.392 | 6410592.239 | 3297226.783 | -3387953.581 | -3495170.706 | 
| 0.000 | -0.001 | -0.001 | 326.169 | -0.000 | -0.000 | 
| 0.000 | 0.000 | 0.000 | -0.000 | 325.555 | 0.000 | 
| 0.000 | 0.000 | 0.000 | 0.000 | -0.000 | 325.541 | 
| -6601060.249 | -6455271.193 | -6449518.176 | -3433431.504 | 3643671.928 | 3427576.217 | 
| -6643117.881 | -6369678.915 | -6480993.909 | -3399842.599 | 3609689.170 | 3444613.679 | 
| -6638022.503 | -6489829.914 | -6363285.601 | -3336035.860 | 3657239.278 | 3529211.960 | 
| -0.000 | 0.001 | 0.001 | 325.642 | 0.000 | -0.000 | 
| -0.000 | -0.000 | -0.000 | -0.000 | 326.256 | -0.000 | 
| -0.000 | -0.000 | -0.000 | -0.000 | 0.000 | 326.271 | 
| 674945.045 | 637435.626 | 635186.263 | 370725.244 | -239963.769 | -220591.549 | 
| 651439.990 | 637266.646 | 655274.207 | 264244.323 | -373421.400 | -182110.416 | 
| 647495.065 | 660087.991 | 636007.579 | 229236.167 | -189681.687 | -359585.473 | 
| 0.000 | -0.000 | 0.000 | 323.726 | -0.000 | -0.000 | 
| 0.000 | 0.000 | 0.001 | 0.000 | 323.665 | 0.000 | 
| 0.000 | 0.001 | 0.000 | -0.000 | -0.000 | 323.664 | 
| -659196.863 | -644584.739 | -644257.204 | -323447.044 | 290657.734 | 266453.575 | 
| -660563.415 | -636132.133 | -648664.884 | -326134.869 | 378230.787 | 281928.030 | 
| -658389.099 | -650248.136 | -636197.549 | -324306.919 | 321274.814 | 359781.463 | 
| -0.000 | 0.000 | -0.000 | 323.674 | -0.000 | -0.000 | 
| -0.000 | -0.000 | -0.001 | 0.000 | 323.735 | 0.000 | 
| -0.000 | -0.001 | -0.000 | -0.000 | 0.000 | 323.737 | 
| 544.112 | 191.940 | 191.940 | -0.000 | 0.000 | -0.000 | 
| 191.940 | 544.112 | 191.940 | 0.000 | 0.000 | -0.000 | 
| 191.940 | 191.940 | 544.112 | 0.000 | 0.000 | -0.000 | 
| -0.301 | 0.994 | 0.994 | 362.855 | 0.000 | -0.000 | 
| 0.981 | -0.297 | 0.981 | 0.000 | 361.379 | -0.000 | 
| 1.206 | 1.206 | -0.365 | -0.000 | -0.000 | 361.882 | 
| 544.112 | 191.940 | 191.940 | 0.000 | 0.000 | 0.000 | 
| 191.940 | 544.112 | 191.940 | 0.000 | -0.000 | 0.000 | 
| 191.940 | 191.940 | 544.112 | 0.000 | -0.000 | 0.000 | 
| 0.287 | -0.949 | -0.949 | 363.445 | -0.000 | 0.000 | 
| -1.048 | 0.317 | -1.048 | -0.000 | 361.259 | 0.000 | 
| -1.229 | -1.229 | 0.372 | 0.000 | 0.000 | 362.181 | 
| 544.113 | 191.940 | 191.940 | -0.000 | 0.000 | -0.000 | 
| 191.940 | 544.113 | 191.940 | -0.000 | 0.000 | -0.000 | 
| 191.940 | 191.940 | 544.113 | -0.000 | 0.000 | -0.000 | 
| -0.098 | 0.324 | 0.324 | 330.308 | 0.000 | -0.000 | 
| 0.301 | -0.091 | 0.301 | -0.000 | 329.564 | -0.000 | 
| 0.321 | 0.321 | -0.097 | -0.000 | -0.000 | 329.604 | 
| 544.112 | 191.940 | 191.940 | -0.000 | 0.000 | 0.000 | 
| 191.940 | 544.112 | 191.940 | -0.000 | -0.000 | 0.000 | 
| 191.940 | 191.940 | 544.112 | -0.000 | 0.000 | 0.000 | 
| 0.104 | -0.343 | -0.343 | 328.438 | -0.000 | 0.000 | 
| -0.305 | 0.092 | -0.305 | -0.000 | 328.648 | 0.000 | 
| -0.315 | -0.315 | 0.095 | -0.000 | -0.000 | 328.917 | 
| 651063.850 | 650793.582 | 653312.373 | -20666.365 | 6028.393 | 10718.703 | 
| 647801.631 | 651206.894 | 650956.028 | -18455.867 | 8466.359 | 3362.510 | 
| 647183.376 | 649288.751 | 654942.879 | -17585.612 | -1446.455 | 7678.173 | 
| 647584.765 | 650210.820 | 656894.442 | 150605.309 | -2935.741 | 6613.936 | 
| 649172.015 | 648441.499 | 651094.062 | -33902.598 | 161154.475 | -485.058 | 
| 650379.091 | 647266.032 | 651917.482 | -29323.377 | 6601.882 | 157589.672 | 
| -646966.429 | -651679.593 | -653888.719 | 18656.441 | -722.901 | -12103.947 | 
| -648988.716 | -648130.145 | -653578.795 | 23105.809 | -4180.647 | -14591.151 | 
| -648542.083 | -650642.849 | -650746.656 | 16820.122 | -3699.773 | -11596.122 | 
| -0.049 | -0.080 | -0.079 | 280.609 | -0.002 | -0.012 | 
| -646901.012 | -651948.432 | -649090.772 | 32294.635 | 181052.859 | 477.588 | 
| -647578.820 | -647466.236 | -652621.570 | 26941.966 | -5041.086 | 145936.369 | 
| 403.454 | 248.614 | 248.614 | 0.000 | -0.000 | 0.000 | 
| 248.614 | 403.454 | 248.614 | 0.000 | -0.000 | 0.000 | 
| 248.614 | 248.614 | 403.454 | 0.000 | -0.000 | 0.000 | 
| 0.000 | 0.000 | 0.000 | 291.563 | -0.000 | 0.000 | 
| 0.000 | -0.000 | 0.000 | 0.000 | 291.563 | 0.000 | 
| 0.000 | -0.000 | 0.000 | -0.000 | -0.000 | 291.563 | 
| 526.906 | 186.888 | 186.888 | -0.000 | 0.000 | -0.000 | 
| 186.888 | 526.906 | 186.888 | -0.000 | 0.000 | -0.000 | 
| 186.888 | 186.888 | 526.906 | -0.000 | 0.000 | -0.000 | 
| -0.000 | 0.000 | -0.000 | 291.563 | 0.000 | 0.000 | 
| -0.000 | 0.000 | -0.000 | -0.000 | 291.563 | -0.000 | 
| -0.000 | 0.000 | -0.000 | 0.000 | 0.000 | 291.563 | 
| 526.906 | 186.888 | 186.888 | 0.000 | -0.000 | 0.000 | 
| 186.888 | 526.906 | 186.888 | 0.000 | -0.000 | 0.000 | 
| 186.888 | 186.888 | 526.906 | -0.000 | -0.000 | 0.000 | 
| 0.000 | -0.000 | -0.000 | 195.348 | -0.000 | 0.000 | 
| -0.000 | 0.000 | -0.000 | 0.000 | 195.348 | 0.000 | 
| -0.000 | -0.000 | 0.000 | 0.000 | 0.000 | 195.349 | 
| 526.906 | 186.888 | 186.888 | -0.000 | -0.000 | -0.000 | 
| 186.888 | 526.906 | 186.888 | -0.000 | 0.000 | -0.000 | 
| 186.888 | 186.888 | 526.906 | -0.000 | 0.000 | 0.000 | 
| -0.000 | 0.000 | 0.000 | 195.348 | 0.000 | 0.000 | 
| 0.000 | -0.000 | 0.000 | -0.000 | 195.348 | -0.000 | 
| 0.000 | 0.000 | -0.000 | -0.000 | 0.000 | 195.348 | 
| 526.907 | 186.889 | 186.889 | 0.000 | 0.000 | 0.000 | 
| 186.889 | 526.907 | 186.889 | 0.000 | -0.000 | 0.000 | 
| 186.889 | 186.889 | 526.907 | 0.000 | 0.000 | 0.000 | 
| 0.001 | -0.000 | -0.000 | 195.347 | -0.000 | 0.000 | 
| -0.000 | 0.001 | -0.000 | -0.000 | 195.347 | 0.000 | 
| -0.000 | -0.000 | 0.001 | 0.000 | -0.000 | 195.347 | 
| 403.439 | 248.620 | 248.620 | -0.000 | 0.000 | -0.000 | 
| 248.620 | 403.439 | 248.620 | -0.000 | 0.000 | -0.000 | 
| 248.620 | 248.620 | 403.439 | -0.000 | 0.000 | -0.000 | 
| -0.001 | 0.000 | 0.000 | 195.347 | 0.000 | -0.000 | 
| 0.000 | -0.001 | 0.000 | 0.000 | 195.347 | -0.000 | 
| 0.000 | 0.000 | -0.001 | -0.000 | 0.000 | 195.347 | 
| 2482.940 | 2284.508 | 2284.508 | 0.000 | 0.000 | 0.000 | 
| 2284.508 | 2482.940 | 2284.508 | 0.000 | 0.000 | 0.000 | 
| 2284.508 | 2284.508 | 2482.940 | -0.000 | 0.000 | 0.000 | 
| 2186.987 | 2186.987 | 2186.987 | 99.853 | 0.000 | 0.000 | 
| 2186.987 | 2186.986 | 2186.987 | 0.000 | 99.853 | 0.000 | 
| 2186.987 | 2186.986 | 2186.987 | -0.000 | 0.000 | 99.853 | 
| -1891.218 | -2089.451 | -2089.451 | 0.000 | -0.000 | -0.000 | 
| -2089.451 | -1891.218 | -2089.451 | 0.000 | -0.000 | 0.000 | 
| -2089.451 | -2089.451 | -1891.218 | 0.000 | -0.000 | -0.000 | 
| -2186.987 | -2186.987 | -2186.986 | 99.853 | -0.000 | -0.000 | 
| -2186.987 | -2186.987 | -2186.987 | 0.000 | 99.853 | -0.000 | 
| -2186.987 | -2186.987 | -2186.987 | 0.000 | -0.000 | 99.853 | 
| 515.436 | 316.178 | 316.178 | -0.000 | 0.000 | 0.000 | 
| 316.178 | 515.436 | 316.178 | -0.000 | 0.000 | -0.000 | 
| 316.178 | 316.178 | 515.436 | -0.000 | 0.000 | 0.000 | 
| 3274.304 | 3274.304 | 3274.304 | -51.503 | 0.000 | 0.000 | 
| 3274.304 | 3274.304 | 3274.304 | -0.000 | -51.503 | 0.000 | 
| 3274.304 | 3274.304 | 3274.304 | -0.000 | 0.000 | -51.503 | 
| -1395.509 | -1466.610 | -1466.610 | 0.000 | -0.000 | -0.000 | 
| -1466.610 | -1395.509 | -1466.610 | 0.000 | 0.000 | -0.000 | 
| -1466.610 | -1466.610 | -1395.509 | -0.000 | -0.000 | -0.000 | 
| -3274.304 | -3274.304 | -3274.304 | -51.503 | -0.000 | 0.000 | 
| -3274.304 | -3274.304 | -3274.304 | -0.000 | -51.503 | -0.000 | 
| -3274.304 | -3274.304 | -3274.304 | -0.000 | -0.000 | -51.503 | 
| 321.324 | 119.951 | 119.951 | -0.000 | 0.000 | 0.000 | 
| 119.951 | 321.324 | 119.951 | -0.000 | 0.000 | 0.000 | 
| 119.951 | 119.951 | 321.324 | -0.000 | 0.000 | 0.000 | 
| 21.922 | 21.922 | 21.922 | 99.679 | 0.000 | 0.000 | 
| 21.922 | 21.922 | 21.922 | 0.000 | 99.679 | 0.000 | 
| 21.922 | 21.922 | 21.922 | -0.000 | 0.000 | 99.679 | 
| -351.672 | -345.452 | -345.452 | 0.000 | -0.000 | -0.000 | 
| -8.151 | 14.897 | -8.151 | 0.000 | -0.000 | -0.000 | 
| -8.151 | -8.151 | 14.897 | -0.000 | -0.000 | -0.000 | 
| -21.922 | -21.922 | -21.922 | 99.679 | -0.000 | -0.000 | 
| -21.922 | -21.922 | -21.922 | 0.000 | 99.679 | -0.000 | 
| -21.922 | -21.922 | -21.922 | 0.000 | -0.000 | 99.679 | 
| -234.981 | -444.167 | -444.161 | 0.000 | 0.000 | -0.000 | 
| -444.159 | -234.989 | -444.161 | 0.000 | 0.000 | -0.000 | 
| -444.159 | -444.167 | -234.983 | 0.000 | -0.000 | -0.000 | 
| -4041.331 | -4041.332 | -4041.331 | 19.022 | 0.000 | 0.000 | 
| -4041.331 | -4041.332 | -4041.331 | 0.000 | 19.022 | -0.000 | 
| -4041.331 | -4041.332 | -4041.331 | 0.000 | 0.000 | 19.022 | 
| 843.864 | 634.622 | 634.616 | -0.000 | 0.000 | 0.000 | 
| 634.614 | 843.872 | 634.616 | -0.000 | -0.000 | 0.000 | 
| 634.614 | 634.622 | 843.866 | -0.000 | 0.000 | 0.000 | 
| 4041.331 | 4041.332 | 4041.331 | 19.022 | -0.000 | 0.000 | 
| 4041.331 | 4041.332 | 4041.331 | -0.000 | 19.022 | 0.000 | 
| 4041.331 | 4041.332 | 4041.331 | 0.000 | -0.000 | 19.022 | 
| 58.933 | -76.511 | -76.511 | 0.000 | 0.000 | -0.000 | 
| -76.511 | 58.933 | -76.511 | 0.000 | -0.000 | -0.000 | 
| -76.511 | -76.511 | 58.933 | 0.000 | 0.000 | -0.000 | 
| -53.950 | -53.951 | -53.950 | 105.181 | -0.000 | -0.000 | 
| -53.950 | -53.951 | -53.950 | 0.000 | 105.181 | -0.000 | 
| -53.950 | -53.951 | -53.950 | 0.000 | -0.000 | 105.181 | 
| 358.639 | 149.174 | 149.173 | -0.000 | 0.000 | 0.000 | 
| 149.173 | 358.639 | 149.173 | -0.000 | 0.000 | 0.000 | 
| 149.173 | 149.174 | 358.639 | -0.000 | 0.000 | 0.000 | 
| 53.950 | 53.951 | 53.950 | 105.181 | 0.000 | 0.000 | 
| 53.950 | 53.951 | 53.950 | -0.000 | 105.181 | 0.000 | 
| 53.950 | 53.951 | 53.950 | -0.000 | 0.000 | 105.181 | 
| 164.906 | 55.249 | 55.249 | 0.000 | -0.000 | -0.000 | 
| 55.249 | 164.906 | 55.249 | 0.000 | 0.000 | -0.000 | 
| 55.249 | 55.249 | 164.906 | 0.000 | 0.000 | -0.000 | 
| -35.451 | -35.451 | -35.451 | 29.476 | 0.000 | -0.000 | 
| -35.451 | -35.451 | -35.451 | 0.000 | 29.476 | -0.000 | 
| -35.451 | -35.451 | -35.451 | 0.000 | 0.000 | 29.476 | 
| 305.129 | 101.965 | 101.965 | -0.000 | 0.000 | 0.000 | 
| 101.965 | 305.129 | 101.965 | -0.000 | 0.000 | 0.000 | 
| 101.965 | 101.965 | 305.129 | -0.000 | 0.000 | 0.000 | 
| 35.451 | 35.451 | 35.451 | 29.476 | -0.000 | 0.000 | 
| 35.451 | 35.451 | 35.451 | -0.000 | 29.476 | 0.000 | 
| 35.451 | 35.451 | 35.451 | -0.000 | -0.000 | 29.476 | 
| 1054.713 | 159.262 | 0.379 | -0.000 | -0.000 | 0.000 | 
| 159.113 | 1057.984 | 0.467 | -0.000 | -0.000 | 0.000 | 
| 0.305 | 0.542 | 29.780 | -0.000 | -0.000 | 0.000 | 
| -0.000 | -0.000 | 0.000 | 0.468 | -0.000 | 0.000 | 
| -950.339 | 956.373 | -1.910 | -0.000 | 0.380 | 0.000 | 
| -0.000 | 0.000 | 0.000 | -0.000 | -0.000 | 448.204 | 
| 1943.621 | -735.291 | 2.165 | 0.000 | 0.000 | -0.000 | 
| 159.113 | 1057.984 | 0.467 | 0.000 | 0.000 | -0.000 | 
| 950.521 | -955.707 | 31.689 | 0.000 | 0.000 | -0.000 | 
| -0.000 | -0.000 | -0.000 | 0.468 | 0.000 | -0.000 | 
| 950.339 | -956.373 | 1.910 | 0.000 | 0.380 | -0.000 | 
| 0.000 | -0.000 | -0.000 | 0.000 | 0.000 | 448.204 | 
| 1054.713 | 159.262 | 0.379 | -0.000 | -0.000 | 0.000 | 
| 159.113 | 1057.985 | 0.467 | -0.000 | 0.000 | 0.000 | 
| -94.853 | 96.303 | 29.588 | 0.000 | -0.000 | 0.000 | 
| -0.000 | -0.000 | 0.000 | 0.468 | -0.000 | 0.000 | 
| -0.000 | 0.000 | 0.000 | -0.000 | 0.380 | 0.000 | 
| 0.000 | 0.000 | 0.000 | -0.000 | -0.000 | 448.204 | 
| 1088.361 | 125.399 | 0.446 | 0.000 | 0.000 | -0.000 | 
| 159.112 | 1057.984 | 0.467 | 0.000 | 0.000 | -0.000 | 
| 95.215 | -94.971 | 29.970 | 0.000 | 0.000 | -0.000 | 
| -0.000 | -0.000 | -0.000 | 0.468 | 0.000 | -0.000 | 
| 0.000 | -0.000 | -0.000 | 0.000 | 0.380 | -0.000 | 
| -0.000 | -0.000 | -0.000 | 0.000 | 0.000 | 448.204 | 
| 983.764 | 230.666 | 0.236 | -0.000 | -0.000 | 0.000 | 
| 159.113 | 1057.989 | 0.467 | -0.000 | 0.000 | 0.000 | 
| 0.305 | 0.542 | 29.780 | -0.000 | -0.000 | 0.000 | 
| 0.000 | 0.000 | 0.000 | 0.468 | -0.000 | 0.000 | 
| -0.000 | 0.000 | 0.000 | -0.000 | 0.380 | 0.000 | 
| -9.514 | 9.575 | -0.019 | -0.000 | -0.000 | 386.770 | 
| 1002.742 | 211.557 | 0.274 | 0.000 | 0.000 | -0.000 | 
| 159.112 | 1057.979 | 0.466 | 0.000 | 0.000 | -0.000 | 
| 0.305 | 0.542 | 29.779 | -0.000 | 0.000 | -0.000 | 
| -0.000 | -0.000 | -0.000 | 0.468 | 0.000 | -0.000 | 
| 0.000 | -0.000 | -0.000 | 0.000 | 0.380 | -0.000 | 
| 9.514 | -9.575 | 0.019 | 0.000 | 0.000 | 386.770 | 
| 1055.149 | 159.142 | 0.380 | 0.000 | -0.000 | -0.000 | 
| 220.824 | 995.735 | 0.591 | 0.000 | 0.000 | 0.000 | 
| 0.232 | 0.615 | 29.789 | -0.000 | 0.000 | 0.000 | 
| -0.076 | 0.076 | -0.000 | 0.466 | 0.000 | 0.000 | 
| 0.000 | -0.000 | -0.000 | 0.000 | 0.380 | 0.000 | 
| -0.024 | 0.024 | -0.000 | 0.000 | 0.000 | 386.897 | 
| 1055.149 | 159.142 | 0.380 | -0.000 | 0.000 | -0.000 | 
| 220.873 | 995.687 | 0.591 | 0.000 | 0.000 | 0.000 | 
| 0.281 | 0.566 | 29.789 | 0.000 | -0.000 | -0.000 | 
| 0.076 | -0.076 | 0.000 | 0.466 | -0.000 | -0.000 | 
| -0.000 | 0.000 | 0.000 | 0.000 | 0.380 | -0.000 | 
| 0.024 | -0.024 | 0.000 | -0.000 | -0.000 | 386.897 | 
| 1055.149 | 159.142 | 0.380 | 0.000 | 0.000 | 0.000 | 
| 220.847 | 995.713 | 0.591 | -0.000 | 0.000 | 0.000 | 
| 0.254 | 0.593 | 29.789 | 0.000 | 0.000 | 0.000 | 
| -0.008 | 0.008 | -0.000 | 0.466 | 0.000 | 0.000 | 
| 0.000 | -0.000 | 0.000 | 0.000 | 0.380 | 0.000 | 
| -0.002 | 0.003 | -0.000 | 0.000 | 0.000 | 386.897 | 
| 993.728 | 220.846 | 0.256 | -0.000 | -0.000 | 0.000 | 
| 220.850 | 995.709 | 0.591 | 0.000 | 0.000 | -0.000 | 
| 0.380 | 0.467 | 29.789 | 0.000 | -0.000 | -0.000 | 
| 0.008 | -0.008 | 0.000 | 0.466 | -0.000 | 0.000 | 
| -0.000 | 0.000 | -0.000 | 0.000 | 0.380 | -0.000 | 
| 0.002 | -0.002 | 0.000 | 0.000 | -0.000 | 386.897 | 
| 1055.153 | 159.143 | 0.380 | -0.000 | 0.000 | 0.000 | 
| 220.856 | 995.709 | 0.591 | 0.000 | 0.000 | 0.000 | 
| 0.256 | 0.591 | 29.789 | 0.000 | 0.000 | 0.000 | 
| 0.000 | 0.000 | 0.000 | 0.467 | 0.000 | -0.000 | 
| -0.000 | 0.000 | 0.000 | 0.000 | 0.380 | 0.000 | 
| 0.001 | 0.001 | 0.000 | 0.000 | 0.000 | 448.343 | 
| 993.717 | 220.853 | 0.256 | 0.000 | -0.000 | 0.000 | 
| 159.141 | 1057.699 | 0.467 | -0.000 | -0.000 | -0.000 | 
| 0.380 | 0.467 | 29.789 | 0.000 | -0.000 | -0.000 | 
| -0.000 | -0.000 | -0.000 | 0.467 | -0.000 | -0.000 | 
| 0.000 | -0.000 | -0.000 | 0.000 | 0.380 | -0.000 | 
| -0.001 | -0.001 | -0.000 | 0.000 | -0.000 | 448.343 | 
| 1054.778 | 159.254 | 0.380 | 0.000 | 0.000 | -0.000 | 
| 220.834 | 995.883 | 0.592 | 0.000 | -0.000 | -0.000 | 
| 0.066 | 0.784 | 29.788 | 0.000 | 0.000 | 0.000 | 
| -0.191 | 0.192 | -0.000 | 0.468 | -0.000 | 0.000 | 
| -0.000 | -0.000 | 0.000 | 0.000 | 0.380 | 0.000 | 
| -0.124 | 0.124 | -0.000 | 0.000 | -0.000 | 386.790 | 
| 1054.778 | 159.254 | 0.380 | -0.000 | 0.000 | 0.000 | 
| 221.081 | 995.635 | 0.593 | -0.000 | -0.000 | 0.000 | 
| 0.313 | 0.536 | 29.788 | -0.000 | -0.000 | -0.000 | 
| 0.191 | -0.192 | 0.000 | 0.468 | -0.000 | -0.000 | 
| -0.000 | 0.000 | -0.000 | -0.000 | 0.380 | -0.000 | 
| 0.124 | -0.124 | 0.000 | -0.000 | -0.000 | 386.790 | 
| 993.308 | 221.104 | 0.256 | -0.000 | -0.000 | 0.000 | 
| 220.946 | 995.771 | 0.592 | 0.000 | -0.000 | 0.000 | 
| 0.177 | 0.672 | 29.788 | 0.000 | 0.000 | 0.000 | 
| -0.041 | 0.041 | -0.000 | 0.467 | -0.000 | -0.000 | 
| -0.000 | -0.000 | 0.000 | 0.000 | 0.380 | 0.000 | 
| 0.000 | 0.000 | 0.000 | -0.000 | 0.000 | 448.227 | 
| 1054.777 | 159.254 | 0.380 | -0.000 | 0.000 | -0.000 | 
| 159.119 | 1057.979 | 0.468 | -0.000 | 0.000 | -0.000 | 
| 0.202 | 0.647 | 29.788 | -0.000 | -0.000 | -0.000 | 
| 0.041 | -0.041 | 0.000 | 0.467 | -0.000 | -0.000 | 
| 0.000 | 0.000 | -0.000 | 0.000 | 0.380 | -0.000 | 
| -0.000 | -0.000 | -0.000 | 0.000 | -0.000 | 448.227 | 
| 993.328 | 221.089 | 0.256 | 0.000 | -0.000 | 0.000 | 
| 220.888 | 995.834 | 0.592 | 0.000 | 0.000 | -0.000 | 
| 0.188 | 0.661 | 29.788 | -0.000 | -0.000 | -0.000 | 
| 0.000 | 0.000 | 0.000 | 0.468 | -0.000 | -0.000 | 
| -0.000 | 0.000 | 0.000 | 0.000 | 0.380 | 0.000 | 
| -0.001 | 0.002 | -0.000 | 0.000 | 0.000 | 386.790 | 
| 993.311 | 221.096 | 0.256 | -0.000 | 0.000 | 0.000 | 
| 159.119 | 1057.975 | 0.468 | 0.000 | -0.000 | -0.000 | 
| 0.313 | 0.536 | 29.788 | -0.000 | 0.000 | 0.000 | 
| -0.000 | -0.000 | -0.000 | 0.468 | 0.000 | -0.000 | 
| 0.000 | -0.000 | -0.000 | -0.000 | 0.380 | -0.000 | 
| 0.001 | -0.002 | 0.000 | 0.000 | 0.000 | 386.790 | 
| 643.607 | 386.923 | -1702.469 | 0.000 | 0.000 | 0.000 | 
| 598.777 | 31.293 | -692.400 | -0.000 | 0.000 | 0.000 | 
| 81.769 | 58.328 | 750.086 | -0.000 | 0.000 | 0.000 | 
| 0.000 | -0.000 | 0.000 | 218.222 | 0.000 | 0.000 | 
| 0.000 | -0.000 | -0.000 | 0.000 | 187.640 | 0.000 | 
| 0.000 | 0.000 | 0.000 | 0.000 | 0.000 | 137.728 | 
| 267.354 | 84.176 | 81.769 | -0.000 | -0.000 | -0.000 | 
| 84.176 | 457.298 | 58.328 | -0.000 | -0.000 | -0.000 | 
| -344.881 | 403.527 | 1877.187 | -0.000 | -0.000 | -0.000 | 
| 0.000 | 0.000 | -0.000 | 218.222 | -0.000 | -0.000 | 
| -0.000 | 0.000 | 0.000 | -0.000 | 187.640 | -0.000 | 
| -0.000 | -0.000 | 0.000 | -0.000 | -0.000 | 137.728 | 
| 196.006 | 69.125 | 75.943 | 0.000 | 0.000 | 0.000 | 
| 84.176 | 457.298 | 58.328 | -0.000 | -0.000 | 0.000 | 
| 81.769 | 58.328 | 750.086 | 0.000 | 0.000 | 0.000 | 
| 46.686 | 29.227 | -185.515 | 165.455 | 0.000 | 0.000 | 
| 0.000 | 0.000 | 0.000 | 0.000 | 187.640 | 0.000 | 
| 46.638 | 29.197 | -185.325 | 0.000 | 0.000 | 87.421 | 
| 5.972 | 92.851 | 466.966 | -0.000 | -0.000 | -0.000 | 
| -29.493 | 191.589 | 410.227 | -0.000 | -0.000 | -0.000 | 
| 81.769 | 58.328 | 750.086 | 0.000 | -0.000 | -0.000 | 
| -46.686 | -29.227 | 185.515 | 165.455 | 0.000 | -0.000 | 
| -0.000 | -0.000 | -0.000 | -0.000 | 187.640 | -0.000 | 
| -86.117 | 31.024 | 239.775 | 0.000 | -0.000 | 2.174 | 
| 267.356 | 84.176 | 81.769 | 0.000 | 0.000 | 0.000 | 
| 79.827 | 244.565 | 92.262 | -0.000 | 0.000 | 0.000 | 
| 81.772 | 58.329 | 750.089 | 0.000 | 0.000 | 0.000 | 
| 5.250 | 3.286 | -20.859 | 158.891 | -0.000 | 0.000 | 
| 0.001 | 0.000 | 0.001 | -0.000 | 187.640 | 0.000 | 
| 0.000 | 0.000 | 0.000 | 0.000 | 0.000 | 137.728 | 
| 137.748 | 88.331 | 166.839 | -0.000 | 0.000 | -0.000 | 
| 92.080 | 340.521 | 148.545 | -0.000 | -0.000 | -0.000 | 
| 137.876 | 113.450 | 446.109 | -0.000 | -0.000 | -0.000 | 
| -5.250 | -3.286 | 20.859 | 158.891 | -0.000 | -0.000 | 
| -0.001 | -0.000 | -0.001 | 0.000 | 187.640 | -0.000 | 
| -0.000 | -0.000 | -0.000 | -0.000 | -0.000 | 137.728 | 
| 1461492078.107 | 599216809.028 | 798797662.694 | -19547.452 | -13654.132 | -5581.763 | 
| 1461402076.363 | 599210618.841 | 798826810.173 | -2482.845 | -945.158 | 4078.556 | 
| 1461455746.267 | 599223411.297 | 798781116.587 | -19289.168 | -12394.414 | 2276.843 | 
| 122021.618 | 11103802.348 | 4801359.465 | -7839549.440 | -0.008 | 0.023 | 
| 120305.053 | 11101263.733 | 4801609.023 | -0.077 | 1097774.525 | 0.023 | 
| 1461516982.951 | 599298007.658 | 798833562.440 | -6062.294 | -480.883 | -1052.877 | 
| -373.048 | -903.035 | 170.094 | -0.000 | 0.001 | -0.000 | 
| -1558.688 | -2063.772 | 388.497 | -0.004 | -0.003 | 0.005 | 
| -2845.039 | -4240.447 | 999.201 | 0.010 | -0.008 | 0.005 | 
| -122021.615 | -11103802.344 | -4801359.465 | -7839549.286 | 0.008 | -0.023 | 
| -120305.057 | -11101263.739 | -4801609.023 | 0.077 | 1097774.541 | -0.023 | 
| -1461458739.800 | -599345763.074 | -798820146.002 | 9513.318 | -3115.580 | -2894.527 | 
| 146146377.240 | 59923122.535 | 79878490.545 | 603.676 | 1.759 | 1429.773 | 
| 146145805.577 | 59922527.538 | 79878644.354 | 788.428 | -215.803 | 215.228 | 
| 146142677.168 | 59921469.985 | 79876447.531 | -950.276 | 241.618 | 480.953 | 
| 13807.741 | 1112754.996 | 479902.476 | -783778.289 | -0.001 | 0.002 | 
| 12091.786 | 1110217.072 | 480151.943 | -0.008 | 109880.243 | 0.002 | 
| 146124397.789 | 59955545.770 | 79893961.084 | 1036.344 | 591.586 | -153.371 | 
| -373.245 | -903.355 | 170.130 | 0.001 | -0.001 | 0.001 | 
| -1560.050 | -2065.991 | 388.783 | -0.000 | 0.000 | 0.001 | 
| -2848.989 | -4246.952 | 1000.011 | 0.000 | -0.001 | 0.001 | 
| -13807.740 | -1112754.995 | -479902.476 | -783778.274 | 0.001 | -0.002 | 
| -12091.786 | -1110217.072 | -480151.943 | 0.008 | 109880.245 | -0.002 | 
| -145619215.529 | -60706782.301 | -80003721.866 | -944.242 | 515.209 | -1238.945 | 
| 14615091.934 | 5993134.816 | 7988293.082 | -244.641 | 81.934 | 91.170 | 
| 14614865.082 | 5992666.211 | 7987841.306 | -88.891 | -73.507 | 118.804 | 
| 14615381.051 | 5993806.284 | 7989105.182 | -95.478 | 130.742 | -23.819 | 
| 2992.826 | 113661.817 | 47755.600 | -78201.210 | -0.000 | 0.000 | 
| 1270.432 | 111112.369 | 48006.239 | -0.001 | 11090.813 | 0.000 | 
| 14614831.654 | 5992409.339 | 7988015.291 | -195.335 | -10.913 | -90.487 | 
| -375.751 | -907.335 | 170.678 | 0.000 | -0.000 | 0.000 | 
| -1560.677 | -2068.849 | 388.855 | -0.000 | 0.000 | 0.000 | 
| -2833.765 | -4230.534 | 996.194 | 0.000 | 0.000 | 0.000 | 
| -2992.826 | -113661.816 | -47755.600 | -78201.209 | 0.000 | -0.000 | 
| -1270.432 | -111112.369 | -48006.239 | 0.001 | 11090.813 | -0.000 | 
| -14615175.864 | -5992377.806 | -7988003.256 | -33.409 | 35.562 | -7.781 | 
| 1417641817.040 | -386440335.464 | 303225379.265 | 8.258 | -7.591 | -1.288 | 
| 1417640015.013 | -386434855.686 | 303217281.280 | -5.973 | -1.301 | 0.036 | 
| 1417635373.267 | -386436513.963 | 303224515.103 | 1.088 | -1.250 | -0.968 | 
| 209355.010 | 13615214.057 | 6035448.674 | -9064835.558 | 0.001 | -0.007 | 
| 209355.642 | 13615213.576 | 6035448.143 | -0.063 | -1123960.974 | -0.007 | 
| 209353.941 | 13615218.481 | 34307870.187 | -0.001 | -0.000 | 1688462.189 | 
| 268.131 | 33.913 | 54.334 | 0.001 | 0.000 | -0.000 | 
| 40.575 | 344.408 | 19.078 | 0.001 | 0.000 | 0.000 | 
| 58.147 | 24.316 | 347.716 | 0.001 | 0.000 | 0.001 | 
| -209355.011 | -13615214.057 | -6035448.674 | -9064835.433 | -0.001 | 0.007 | 
| -209355.642 | -13615213.577 | -6035448.143 | 0.063 | -1123960.977 | 0.007 | 
| -209353.940 | -13615218.483 | -34307870.188 | 0.001 | 0.000 | 1688462.188 | 
| 141763596.257 | -38642834.516 | 30322498.319 | 0.024 | 0.190 | 0.052 | 
| 141763599.415 | -38643283.261 | 30322697.179 | 2.872 | 2.465 | -0.107 | 
| 141763415.662 | -38643595.364 | 30323253.610 | 1.979 | 0.783 | 0.058 | 
| 20927.175 | 1361531.200 | 603554.640 | -906363.612 | 0.000 | -0.001 | 
| 20927.809 | 1361530.717 | 603554.106 | -0.006 | -112270.879 | -0.001 | 
| 20926.117 | 1361535.643 | 3430792.781 | -0.000 | 0.000 | 168944.194 | 
| 268.128 | 33.916 | 54.336 | 0.000 | -0.000 | 0.000 | 
| 40.566 | 344.420 | 19.087 | 0.000 | -0.000 | 0.000 | 
| 58.138 | 24.329 | 347.726 | 0.000 | -0.000 | 0.000 | 
| -20927.175 | -1361531.200 | -603554.640 | -906363.600 | -0.000 | 0.001 | 
| -20927.809 | -1361530.717 | -603554.106 | 0.006 | -112270.879 | 0.001 | 
| -20926.117 | -1361535.644 | -3430792.781 | 0.000 | 0.000 | 168944.194 | 
| 14176417.152 | -3864438.399 | 3032249.681 | 0.196 | 0.123 | 0.008 | 
| 14176318.482 | -3864430.622 | 3032288.492 | 0.001 | 0.124 | 0.076 | 
| 14176410.934 | -3864400.099 | 3032364.710 | 0.040 | 0.140 | -0.001 | 
| 2084.391 | 136162.914 | 60365.237 | -90516.419 | 0.000 | -0.000 | 
| 2085.023 | 136162.434 | 60364.706 | -0.001 | -11101.870 | -0.000 | 
| 2083.335 | 136167.360 | 343085.041 | -0.000 | 0.000 | 16992.394 | 
| 268.127 | 33.914 | 54.335 | 0.000 | -0.000 | 0.000 | 
| 40.566 | 344.418 | 19.089 | 0.000 | 0.000 | 0.000 | 
| 58.137 | 24.330 | 347.725 | 0.000 | 0.000 | 0.000 | 
| -2084.391 | -136162.914 | -60365.237 | -90516.417 | -0.000 | 0.000 | 
| -2085.023 | -136162.434 | -60364.706 | 0.001 | -11101.870 | 0.000 | 
| -2083.335 | -136167.360 | -343085.041 | 0.000 | -0.000 | 16992.394 | 
| 502.815 | 87.163 | 82.217 | -0.000 | 0.000 | 0.001 | 
| 87.163 | 502.815 | 82.218 | -0.000 | 0.000 | 0.001 | 
| 82.218 | 82.218 | 424.829 | -0.000 | 0.000 | 0.001 | 
| -0.071 | -0.229 | 0.300 | 137.672 | -0.146 | 0.014 | 
| -0.071 | -0.229 | 0.301 | -0.079 | 137.590 | 0.014 | 
| -0.861 | -1.091 | -0.102 | -0.073 | -0.136 | 75.060 | 
| 502.814 | 87.162 | 82.218 | 0.000 | -0.000 | -0.001 | 
| 87.162 | 502.814 | 82.218 | 0.000 | -0.000 | -0.001 | 
| 82.217 | 82.217 | 424.829 | 0.000 | -0.000 | -0.001 | 
| 0.071 | 0.229 | -0.300 | 137.770 | 0.146 | -0.014 | 
| 0.071 | 0.229 | -0.300 | 0.079 | 137.768 | -0.014 | 
| 0.858 | 1.101 | 0.107 | 0.070 | 0.137 | 75.225 | 
| 348.498 | 130.977 | 119.427 | -0.007 | -0.014 | 0.001 | 
| 130.989 | 348.502 | 119.422 | -0.007 | -0.014 | 0.001 | 
| 82.218 | 82.218 | 424.829 | -0.000 | 0.000 | 0.000 | 
| -0.005 | -0.022 | 0.017 | 63.945 | -0.002 | 0.000 | 
| -0.005 | -0.022 | 0.017 | -0.001 | 63.927 | 0.000 | 
| -0.007 | -0.022 | 0.029 | -0.008 | -0.015 | 166.760 | 
| 348.490 | 131.040 | 119.359 | 0.007 | 0.014 | -0.001 | 
| 131.028 | 348.486 | 119.364 | 0.007 | 0.014 | -0.001 | 
| 119.846 | 119.866 | 280.220 | 0.007 | 0.014 | -0.001 | 
| 0.005 | 0.022 | -0.017 | 63.953 | 0.002 | -0.000 | 
| 0.005 | 0.022 | -0.017 | 0.001 | 63.941 | -0.000 | 
| 0.007 | 0.022 | -0.029 | 0.008 | 0.015 | 166.758 | 
| 348.475 | 131.011 | 119.402 | -0.001 | -0.001 | 0.000 | 
| 131.013 | 348.476 | 119.401 | -0.001 | -0.001 | 0.000 | 
| 82.218 | 82.218 | 424.830 | -0.000 | 0.000 | 0.000 | 
| -0.001 | -0.002 | 0.003 | 134.424 | -0.001 | 0.000 | 
| -0.001 | -0.002 | 0.003 | -0.001 | 134.424 | 0.000 | 
| -0.001 | -0.002 | 0.002 | -0.000 | -0.000 | 121.964 | 
| 502.813 | 87.162 | 82.217 | 0.000 | -0.000 | -0.000 | 
| 87.162 | 502.813 | 82.217 | 0.000 | -0.000 | -0.000 | 
| 62.266 | 62.268 | 93.843 | 0.001 | 0.001 | -0.000 | 
| 0.001 | 0.002 | -0.003 | 134.425 | 0.001 | -0.000 | 
| 0.001 | 0.002 | -0.003 | 0.001 | 134.425 | -0.000 | 
| 0.001 | 0.002 | -0.002 | 0.000 | 0.000 | 121.963 | 
| 488.835 | 84.233 | 79.126 | -0.000 | 0.000 | -0.000 | 
| 84.233 | 488.835 | 79.126 | 0.000 | -0.000 | 0.000 | 
| 3416.112 | 3416.136 | 4686.993 | -0.154 | 0.071 | 0.078 | 
| 0.014 | -0.056 | -0.066 | 214.658 | 0.000 | -0.000 | 
| -0.071 | 0.017 | -0.083 | -0.000 | 214.777 | -0.000 | 
| -0.102 | -0.099 | 0.023 | 0.000 | -0.000 | 241.516 | 
| 488.835 | 84.233 | 79.126 | 0.000 | 0.000 | 0.000 | 
| 84.233 | 488.835 | 79.126 | 0.000 | 0.000 | 0.000 | 
| 79.067 | 79.067 | 413.894 | 0.000 | 0.000 | 0.000 | 
| -0.014 | 0.056 | 0.066 | 214.737 | -0.000 | 0.000 | 
| 0.071 | -0.017 | 0.083 | 0.000 | 214.618 | 0.000 | 
| 0.102 | 0.099 | -0.023 | -0.000 | -0.000 | 241.529 | 
| 444.267 | 357.689 | 463.439 | 0.014 | 0.004 | -0.017 | 
| 357.699 | 444.257 | 463.440 | 0.014 | 0.004 | -0.017 | 
| 79.067 | 79.067 | 413.895 | 0.000 | 0.000 | -0.000 | 
| 0.001 | -0.006 | -0.007 | 212.049 | 0.000 | -0.000 | 
| -0.007 | 0.002 | -0.008 | -0.000 | 212.061 | -0.000 | 
| 105.146 | 105.139 | 305.963 | -0.002 | -0.005 | 122.807 | 
| 488.835 | 84.232 | 79.126 | 0.000 | 0.000 | 0.000 | 
| 84.232 | 488.835 | 79.126 | 0.000 | 0.000 | 0.000 | 
| -3.799 | -3.796 | -134.533 | 0.002 | 0.006 | 0.003 | 
| -0.001 | 0.006 | 0.007 | 212.057 | -0.000 | 0.000 | 
| 0.007 | -0.002 | 0.008 | 0.000 | 212.045 | 0.000 | 
| -105.146 | -105.139 | -305.962 | 0.002 | 0.005 | 122.801 | 
| 253.855 | 101.221 | 130.066 | -0.000 | -0.000 | 0.000 | 
| 101.221 | 253.855 | 130.066 | -0.000 | -0.000 | 0.000 | 
| 79.067 | 79.067 | 413.896 | -0.000 | -0.000 | -0.000 | 
| 0.000 | -0.001 | -0.000 | 211.788 | -0.000 | -0.000 | 
| -0.001 | 0.000 | -0.001 | -0.000 | 211.789 | -0.000 | 
| -0.001 | -0.001 | 0.001 | 0.000 | 0.000 | 235.820 | 
| 488.833 | 84.232 | 79.126 | 0.000 | 0.000 | 0.000 | 
| 84.232 | 488.833 | 79.126 | 0.000 | 0.000 | 0.000 | 
| -22.752 | -22.751 | -12.859 | 0.001 | 0.000 | 0.001 | 
| -0.000 | 0.001 | 0.000 | 211.789 | 0.000 | 0.000 | 
| 0.001 | -0.000 | 0.001 | 0.000 | 211.788 | 0.000 | 
| 0.001 | 0.001 | -0.001 | 0.000 | 0.000 | 235.820 | 
| 803.175 | -263.823 | -202.585 | -10.493 | 0.820 | -0.742 | 
| 217.093 | -788.591 | -266.287 | -25.395 | -0.064 | 0.030 | 
| 106.906 | -944.449 | 36.970 | -49.669 | 0.024 | 0.719 | 
| 734.452 | -357.361 | -289.750 | 11.556 | 0.818 | -0.740 | 
| 734.459 | -357.365 | -289.753 | -10.503 | 23.139 | -0.740 | 
| 734.468 | -357.378 | -289.749 | -10.502 | 0.818 | -5.634 | 
| -665.124 | 450.776 | 376.797 | 10.513 | -0.816 | 0.738 | 
| -639.803 | 465.235 | 344.175 | 10.502 | -0.818 | 0.740 | 
| -384.379 | 682.517 | 199.501 | 25.409 | 0.066 | -0.031 | 
| -734.427 | 357.354 | 289.736 | 32.567 | -0.818 | 0.740 | 
| -734.457 | 357.363 | 289.753 | 10.503 | 21.503 | 0.740 | 
| -734.471 | 357.379 | 289.750 | 10.502 | -0.818 | -4.154 | 
| -105.650 | 12.716 | 155.388 | -4.838 | -0.008 | 0.075 | 
| 221.556 | -193.827 | -32.431 | -13.569 | 0.038 | -0.008 | 
| 135.822 | -25.248 | 136.402 | -4.826 | 0.092 | 0.052 | 
| 31.139 | -75.128 | -18.809 | 21.995 | -0.007 | 0.004 | 
| 72.493 | -35.191 | -28.671 | -1.043 | 24.345 | -0.073 | 
| 72.607 | -35.333 | -28.640 | -1.038 | 0.081 | -2.954 | 
| 6.410 | 245.163 | 159.410 | 4.886 | -0.093 | -0.040 | 
| 22.535 | 50.058 | 58.691 | 3.546 | -0.008 | -0.032 | 
| 30.139 | 200.394 | 184.050 | 7.293 | -0.074 | -0.069 | 
| -72.300 | 35.131 | 28.565 | 25.501 | -0.080 | 0.073 | 
| -37.078 | 42.594 | -2.139 | 2.445 | 26.295 | 0.018 | 
| -45.119 | 34.885 | 6.495 | -0.438 | -0.082 | 91.951 | 
| -12.924 | -21.158 | -9.484 | -0.263 | 0.004 | 0.000 | 
| 27.547 | 66.455 | -9.357 | -0.194 | 0.007 | -0.004 | 
| -6.929 | -29.755 | 143.081 | -0.181 | 0.003 | -0.002 | 
| 1.728 | -6.113 | -3.620 | 36.678 | 0.005 | -0.002 | 
| 0.558 | -8.485 | -1.967 | -0.300 | 17.986 | -0.002 | 
| 6.050 | -4.711 | -2.800 | -0.191 | 0.007 | 17.564 | 
| 15.732 | -30.195 | -17.078 | 0.183 | -0.002 | 0.002 | 
| -59.480 | 36.862 | -44.277 | 0.219 | -0.009 | 0.003 | 
| 39.264 | 19.579 | 199.303 | 0.169 | -0.006 | 0.004 | 
| -7.082 | 28.414 | 4.994 | -20.616 | -0.003 | 0.004 | 
| -5.233 | 2.326 | 2.257 | 0.093 | 64.538 | 0.005 | 
| -1.492 | 7.825 | 4.956 | 0.197 | -0.006 | 13.841 | 
Phonon band structures and crystal properties estimated from quasi-harmonic approximation (QHA) calculations are displayed for select crystals. The calculations were performed using phonopy and LAMMPS. For the phonon calculations, 3x3 supercells of the potential-specific relaxed crystals were used. The QHA calculations were based on 11 strain states ranging from -0.05 to 0.05.
The calculation method used is available as the iprPy phonon calculation method.
Notes and Disclaimers:
Version Information:









































































































Static free surface formation energies are displayed for select crystals. The values displayed here are obtained by taking a perfect periodic bulk crystal, slicing along a crystallographic plane, and using force minimization to statically relax the surfaces. The free surface formation energy is computed by comparing the energy of the defect system to the bulk system and dividing by the total surface area created by the cut.
The calculation method used is available as the iprPy surface_energy_static calculation method.
Notes and Disclaimers:
Version Information:
| Surface | γfs (mJ/m2) | 
|---|---|
| (310) | 702.59 | 
| (100) | 708.32 | 
| (311) | 745.90 | 
| (210) | 772.84 | 
| (211) | 782.91 | 
| (322) | 808.59 | 
| (321) | 817.43 | 
| (111) | 833.13 | 
| (320) | 884.62 | 
| (332) | 890.17 | 
| (221) | 930.96 | 
| (331) | 976.29 | 
| (110) | 1058.96 | 
| Surface | γfs (mJ/m2) | 
|---|---|
| (111) | 5.74 | 
| (332) | 6.30 | 
| (322) | 6.36 | 
| (100) | 6.37 | 
| (221) | 6.54 | 
| (211) | 6.66 | 
| (331) | 6.72 | 
| (311) | 6.83 | 
| (110) | 6.85 | 
| (321) | 6.94 | 
| (310) | 7.09 | 
| (320) | 7.14 | 
| (210) | 7.18 | 
| Surface | γfs (mJ/m2) | 
|---|---|
| (100) | -6.00 | 
| Surface | γfs (mJ/m2) | 
|---|---|
| (211) | -16.73 | 
| (310) | -5.64 | 
| (111) | -1.36 | 
| (110) | 0.55 | 
| (100) | 1.63 | 
| Surface | γfs (mJ/m2) | 
|---|---|
| (2130) | -753.73 | 
| (2131) 2 | -753.06 | 
| (1011) 2 | 561.17 | 
| (1010) | 627.98 | 
| (2021) 2 | 713.76 | 
| (1012) 2 | 743.75 | 
| (1011) 1 | 795.62 | 
| (2112) | 809.06 | 
| (2021) 1 | 827.07 | 
| (0001) | 827.76 | 
| (2132) 2 | 831.24 | 
| (2132) 1 | 842.10 | 
| (2131) 1 | 874.41 | 
| (1121) | 883.91 | 
| (1012) 1 | 888.42 | 
| (2241) | 913.21 | 
| (1120) | 942.21 | 
| Surface | γfs (mJ/m2) | 
|---|---|
| (110) | 4069.43 | 
| (331) 2 | 4724.88 | 
| (111) 2 | 5242.07 | 
| (320) | 5746.05 | 
| (321) | 5952.83 | 
| (210) | 6730.92 | 
| (211) | 6863.20 | 
| (332) | 7236.21 | 
| (311) 1 | 7410.13 | 
| (310) | 7776.69 | 
| (311) 2 | 8211.64 | 
| (221) | 8295.75 | 
| (322) | 8714.62 | 
| (331) 1 | 9334.72 | 
| (100) | 9446.41 | 
| (111) 1 | 17106.70 | 
| Surface | γfs (mJ/m2) | 
|---|---|
| (111) 2 | 0.66 | 
| (331) 2 | 0.78 | 
| (110) | 0.81 | 
| (321) | 0.91 | 
| (211) | 0.93 | 
| (320) | 0.95 | 
| (332) | 0.97 | 
| (210) | 1.02 | 
| (311) 2 | 1.03 | 
| (311) 1 | 1.03 | 
| (310) | 1.08 | 
| (322) | 1.10 | 
| (221) | 1.14 | 
| (100) | 1.14 | 
| (331) 1 | 1.31 | 
| (111) 1 | 1.97 | 
| Surface | γfs (mJ/m2) | 
|---|---|
| (110) | -65.87 | 
| (111) | -56.52 | 
| (100) | -44.86 | 
| (112) | -20.74 | 
| (001) | -18.50 | 
| (101) 2 | -16.27 | 
| Surface | γfs (mJ/m2) | 
|---|---|
| (332) | -124.26 | 
| (321) | -99.45 | 
| (320) | -91.03 | 
| (210) | -58.83 | 
| (100) | 2.13 | 
| (110) | 2.80 | 
| (111) | 3.16 | 
Stacking fault energy plots and maps are displayed for select crystals. The values are computed by
The calculation method used is available as the iprPy stacking_fault_map_2D calculation method.
Notes and Disclaimers:
Version Information:
| E_usf a/2 [0 -1 1] | 1830.33 | 
| τ_ideal a/2 [0 -1 1] | 114.66 | 




| E_isf | 12.28 | 
| E_usf a/2 [0 -1 1] | 893.70 | 
| τ_ideal a/2 [0 -1 1] | 44.76 | 




| E_usf a/2 [0 -1 1] | 5.59 | 
| τ_ideal a/2 [0 -1 1] | 0.06 | 




| E_isf | -0.00 | 
| E_usf a/2 [0 -1 1] | 1.91 | 
| τ_ideal a/2 [0 -1 1] | 0.03 | 




| E_usf a/2 [-1 1 -1] | 4.98 | 
| τ_ideal a/2 [-1 1 -1] | 0.05 | 




| E_usf a/2 [-1 -1 1] | 2.68 | 
| τ_ideal a/2 [-1 -1 1] | 0.42 | 




Static point defect formation energies, Ef, and elastic dipole tensors, pij, are displayed for select crystals. Relaxed defect configurations are obtained by taking a 12x12x12 supercell of a perfect periodic bulk crystal, inserting the point defect, and using force minimization to statically relax the atomic positions while keeping the system dimensions constant. Ef is computed by comparing the energy of the defect system to the same number of atoms in a perfect bulk crystal. pij is estimated as the difference in the system's global pressure with and without the defect multiplied by the system's volume.
Simple structural comparisons of the unrelaxed and relaxed defect configurations are used to help determine if the defect structure has relaxed to a different configuration. Relaxed structures that are identified as no longer consistent with the ideal defect definition are excluded from the table below. The only exception to this is if the lowest energy interstitial configuration does not coincide with a known ideal defect, its energies and pressure tensor are included under the listing "relaxed interstitial". The full list of calculation results including the transformed structures and the structural comparison values is included in the csv file available from the "Download raw data" link.
The calculation method used is available as the iprPy point_defect_static calculation method.
Notes and Disclaimers:
| Point Defect | Ef (eV) | p11 (eV) | p22 (eV) | p33 (eV) | p12 (eV) | p13 (eV) | p23 (eV) | 
|---|---|---|---|---|---|---|---|
| relaxed interstitial | -33.854 | 175.250 | 522.934 | 522.934 | -0.004 | -0.004 | -233.065 | 
| 111 dumbbell | -3.042 | 116.240 | 116.240 | 116.240 | -13.012 | -13.012 | -13.012 | 
| 1nn divacancy | -0.693 | -9.416 | -13.616 | -13.616 | -0.000 | -0.000 | 2.199 | 
| vacancy | -0.457 | -5.967 | -5.967 | -5.967 | -0.000 | -0.000 | -0.000 | 
| Point Defect | Ef (eV) | p11 (eV) | p22 (eV) | p33 (eV) | p12 (eV) | p13 (eV) | p23 (eV) | 
|---|---|---|---|---|---|---|---|
| crowdion interstitial | -12.853 | -0.024 | -0.024 | 0.107 | -0.058 | 0.000 | -0.000 | 
| 110 dumbbell | -12.401 | 0.237 | 0.061 | 0.061 | 0.000 | -0.000 | -0.013 | 
| vacancy | 0.016 | -0.001 | -0.001 | -0.001 | 0.000 | -0.000 | 0.000 | 
| 1nn divacancy | 0.030 | -0.005 | -0.002 | -0.002 | 0.000 | -0.000 | -0.000 | 
| 2nn divacancy | 0.032 | -0.003 | -0.003 | -0.005 | 0.000 | 0.000 | 0.000 | 
| 100 dumbbell | 0.084 | 0.550 | 0.550 | 0.501 | 0.000 | -0.000 | 0.000 | 
| octahedral interstitial | 0.088 | 0.572 | 0.572 | 0.572 | 0.000 | -0.000 | 0.000 | 
| tetrahedral interstitial | 0.102 | 0.568 | 0.568 | 0.568 | 0.000 | 0.000 | 0.000 | 
| Point Defect | Ef (eV) | p11 (eV) | p22 (eV) | p33 (eV) | p12 (eV) | p13 (eV) | p23 (eV) | 
|---|---|---|---|---|---|---|---|
| relaxed interstitial | -16.153 | -6.921 | -8.646 | -8.237 | -9.712 | -9.302 | 11.027 | 
| Point Defect | Ef (eV) | p11 (eV) | p22 (eV) | p33 (eV) | p12 (eV) | p13 (eV) | p23 (eV) | 
|---|---|---|---|---|---|---|---|
| vacancy | 7.175 | 8.320 | 8.320 | 8.320 | 0.000 | 0.000 | -0.000 | 
| 100 dumbbell | 9.799 | 22.004 | 22.004 | 56.380 | -0.000 | 0.000 | -0.000 | 
| 1nn divacancy | 10.650 | 11.635 | 11.635 | 11.635 | -1.891 | -1.891 | -1.891 | 
| bond centered interstitial | 15.153 | 48.744 | 48.744 | 48.744 | 29.642 | 29.642 | 29.642 | 
| Point Defect | Ef (eV) | p11 (eV) | p22 (eV) | p33 (eV) | p12 (eV) | p13 (eV) | p23 (eV) | 
|---|---|---|---|---|---|---|---|
| vacancy | 0.005 | -0.000 | -0.000 | -0.000 | -0.000 | -0.000 | -0.000 | 
| 1nn divacancy | 0.008 | -0.000 | -0.000 | -0.000 | -0.000 | -0.000 | -0.000 | 
Plots of lattice and elastic constants are shown as a function of temperature. The 0K points were taken from the Crystal Structure Predictions and the Elastic Constants Predictions sections above for the unique crystal structures relaxed with the "dynamic" method. Starting from the 0K relaxed crystal unit cells, supercell systems are created by replicating all three dimensions by the same multiplier to achieve at least 4000 atoms. The systems are then relaxed at 50K and zero pressure using 1 million NPT steps. Lattice constants are estimated by averaging the measured box dimensions. Temperatures are iteratively increased by 50 K, with each subsequent relaxation calculation starting from the final atomic configuration at the previous temperature and relaxing for another 1 million steps.
The elastic constants are calculated using the deformation-fluctuation hybrid method. Starting from the final atomic configurations of the dynamic relaxations, the system is allowed to evolve at constant volume with a Langevin thermostat. The Born matrix is computed during this run by evaluating how the atomic forces would vary due to applied linear strain fields. The elastic constants can then be estimated using the averaged Born matrix values and the averaged stresses on the system.
The calculation methods used are available as the iprPy relax_dynamic and elastic_constants_dynamic calculation methods.
Clicking on the image of a plot will open an interactive version of it in a new tab. The underlying data for the plots can be downloaded by clicking on the links above each plot.
Notes and Disclaimers:
Version Information:
Plots of radial distribution functions at different temperatures and the temperature-dependent diffusion and viscosity are shown here for elemental liquids. Melt phases are constructed by starting with a 10x10x10 fcc super cell and relaxing with 50,000 NPT steps at zero pressure and a high melting temperature (3000K for most potentials and elements). Following the melt, liquid structures are relaxed by running NPT for 10,000 steps over which the temperature is dropped by 50 K, then 50,000 NPT at the target temperature to estimate the equilibrium volume, followed by 20,000 NVT steps at the averaged equilibrium volume and target temperature. Structures from the NVT run are sampled to compute the radial distribution function of the liquid at the corresponding temperature.
The final relaxed configurations at each temperature explored are used as the initial configurations for the diffusion and viscosity calculations. For diffusion, the system is integrated for 100 runs of 2,000 NVT steps during which both the mean squared displacement (MSD) and the velocity auto correlation function (VACF) are computed. From these simulations, three estimates of diffusion are computed: one from the MSD of the full 200,000 step run, one in which the MSD is reset for each short run and then averaged, and one from the VACF computed for each short run and averaged. For viscosity, the Green-Kubo method is used which is evaluated during a 1 million step NVT run.
The calculation methods used are available as the iprPy relax_liquid_redo, diffusion_liquid, and viscosity_green_kubo calculation methods.
Clicking on the image of a plot will open an interactive version of it in a new tab. The underlying data for the plots can be downloaded by clicking on the links above each plot.
Notes and Disclaimers:
Version Information:
Plots of internal energy, Gibbs free energy, entropy, heat capacity and volume are shown here as a function of temperature for various crystal structures and liquid phases. The included crystal structures correspond to those in the Solid Structures vs. Temperature section, and the liquid phases to those in the Liquid Properties section. Internal energy and volume are taken from the associated structure relaxations mentioned in those previous sections. Constant pressure heat capacity is estimated using 3-point numerical derivatives of enthalpy versus temperature. Note that since all simulations done here are at 0 pressure, internal energy and enthalpy are equivalent.
The Gibbs energies of the phases are estimated using thermodynamic integration between the interatomic potential in question and a simpler model with known Gibbs free energy values. For solids, the reference model is an Einstein solid, while for liquids it is the Uhlenbeck-Ford potential. Besides a short run at the start of the solid calculations to estimate Einstein model spring constants, the two calculations proceed similarly. Starting with the final relaxation configurations, the systems are stabilized for 25,000 steps. Then, over the next 50,000 steps the potential is swapped out for the reference potential. The system is then stabilized for another 25,000 steps with the reference model before a reverse swap of 50,000 steps is performed. The simulation ends with one final 25,000 step stabilization period. From the simulation, the (ir)reversible work of transformation is estimated and used to compute the absolute Gibbs free energy of the target phase and potential. Entropy is estimated as the difference in enthalpy and Gibbs free energy and divided by temperature.
The calculation methods used are available as the iprPy relax_dynamic, relax_liquid_redo, free_energy, and free_energy_liquid calculation methods.
Clicking on the image of a plot will open an interactive version of it in a new tab. The underlying data for the plots can be downloaded by clicking on the links above each plot.
Notes and Disclaimers:
Version Information:
            
            




