Plots of the potential energy vs interatomic spacing, r, are shown below for all diatom sets associated with the interatomic potential. This calculation provides insights into the functional form of the potential's two-body interactions. A system consisting of only two atoms is created, and the potential energy is evaluated for the atoms separated by 0.02 Å <= r <= 6.0> Å in intervals of 0.02 Å. Two plots are shown: one for the "standard" interaction distance range, and one for small values of r. The small r plot is useful for determining whether the potential is suitable for radiation studies.
The calculation method used is available as the iprPy diatom_scan calculation method.
Clicking on the image of a plot will open an interactive version of it in a new tab. The underlying data for the plots can be downloaded by clicking on the links above each plot.
Notes and Disclaimers:
Version Information:
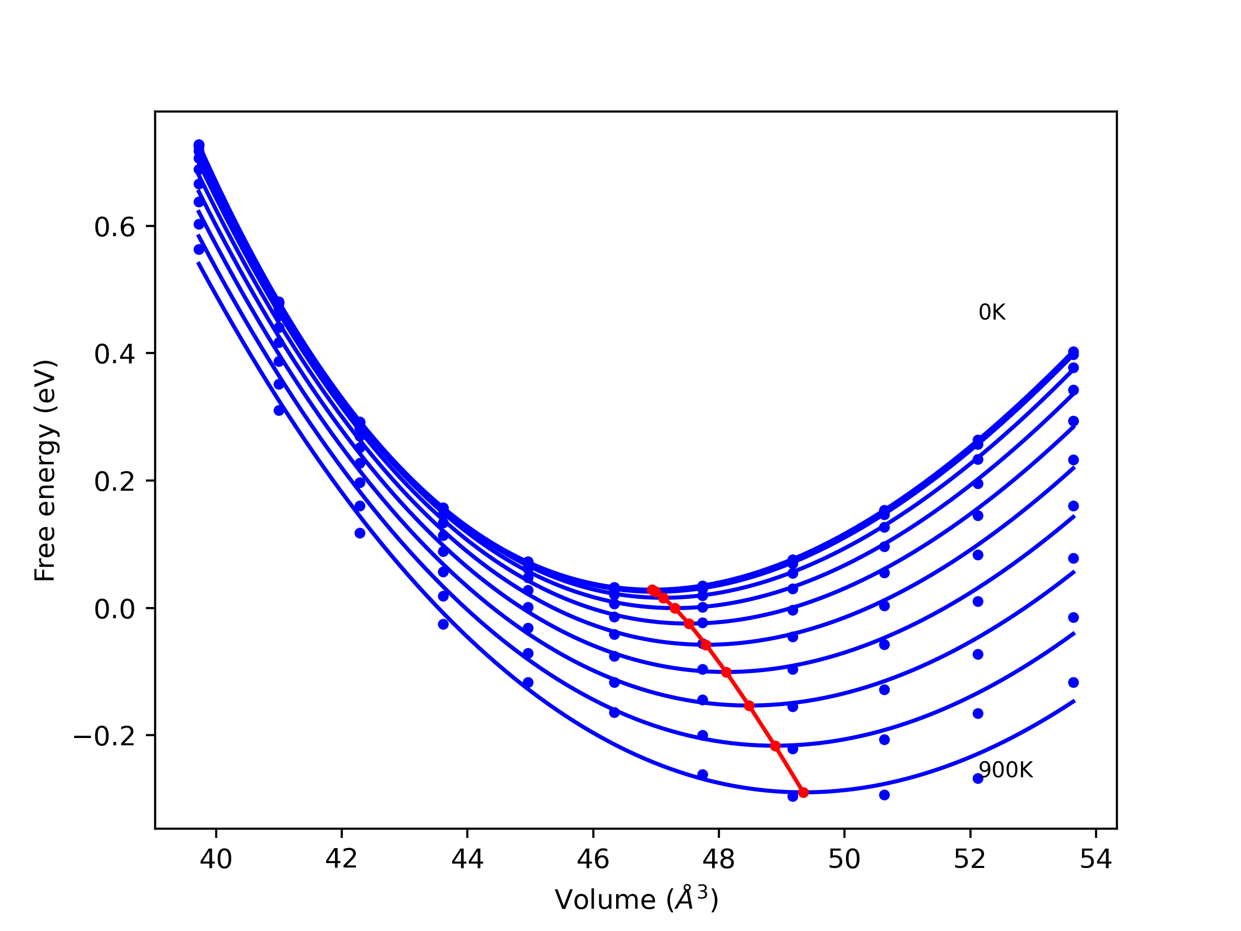
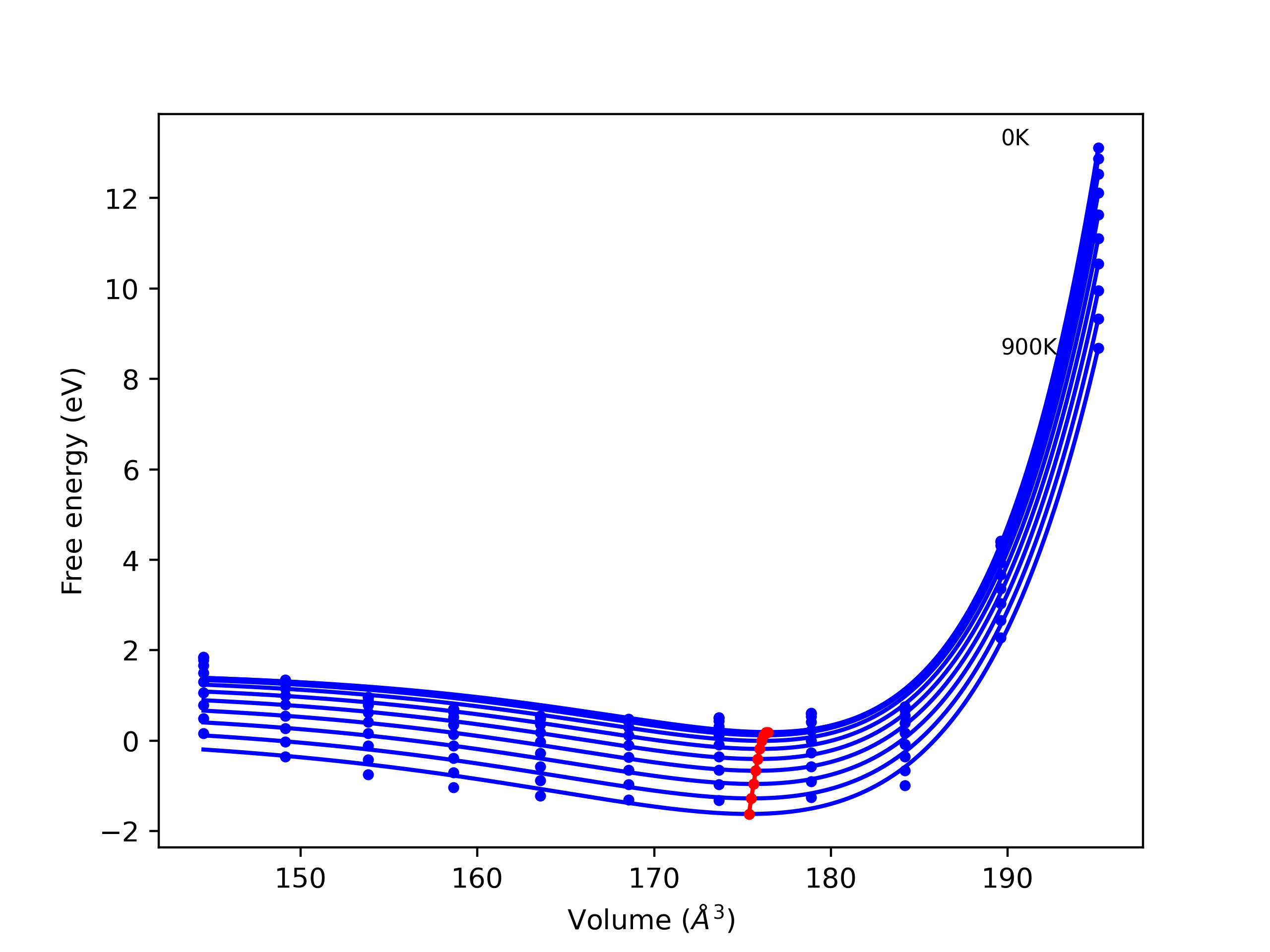
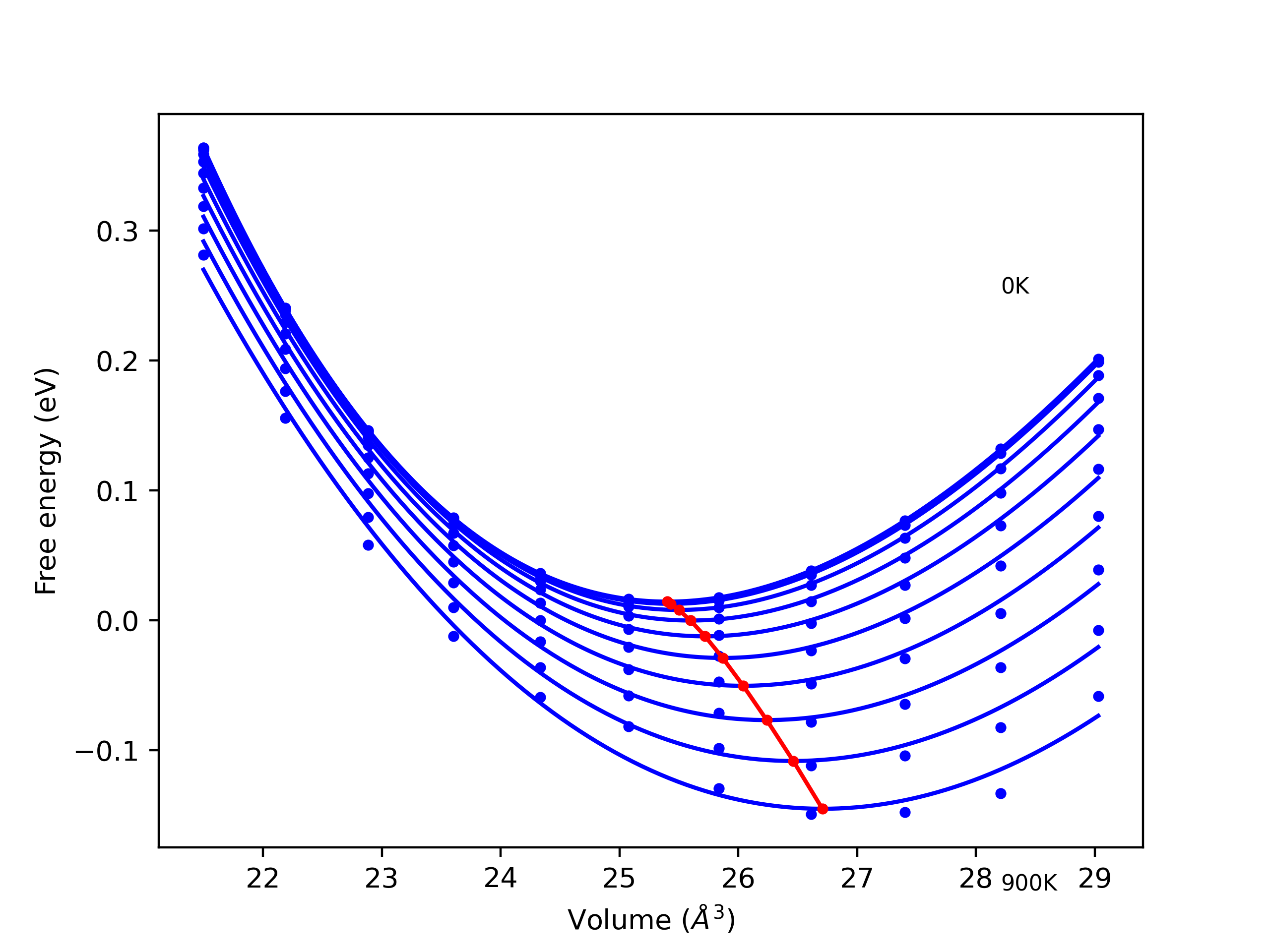
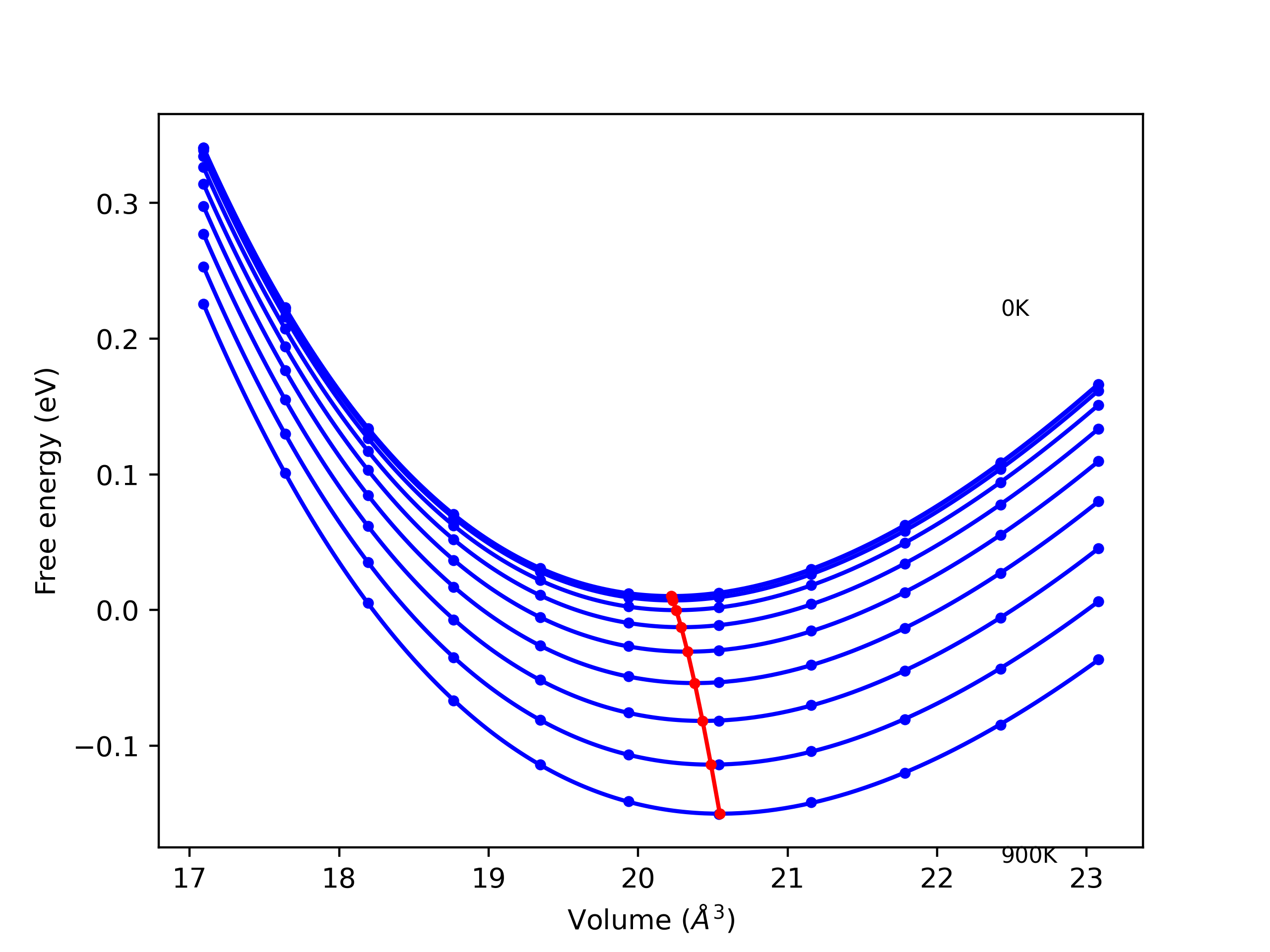
Plots of potential energy vs interatomic spacing, r, are shown below for a number of crystal structures. The structures are generated based on the ideal atomic positions and b/a and c/a lattice parameter ratios for a given crystal prototype. The size of the system is then uniformly scaled, and the energy calculated without relaxing the system. To obtain these plots, values of r are evaluated every 0.02 Å up to 6 Å.
The calculation method used is available as the iprPy E_vs_r_scan calculation method.
Clicking on the image of a plot will open an interactive version of it in a new tab. The underlying data for the plots can be downloaded by clicking on the links above each plot.
Notes and Disclaimers:
Version Information:
Computed lattice constants and cohesive/potential energies are displayed for a variety of crystal structures. The values displayed here are obtained using the following process.
The calculation methods used are implemented into iprPy as the following calculation styles
Notes and Disclaimers:
Version Information:
Download raw data (including filtered results)
Reference structure matches:
A1--Cu--fcc = oqmd-1214512
A15--beta-W = oqmd-1214957
A2--W--bcc = oqmd-1215135
A3'--alpha-La--double-hcp = oqmd-1215403
A3--Mg--hcp = oqmd-1215313
A4--C--dc = mp-66, oqmd-675640
A5--beta-Sn = oqmd-1215581
A6--In--bct = mp-1181996, oqmd-1215670
A7--alpha-As = oqmd-594528
Ah--alpha-Po--sc = mp-998866, oqmd-636457, oqmd-1214601
| prototype | method | Ecoh (eV/atom) | Epot (eV/atom) | a0 (Å) | b0 (Å) | c0 (Å) | α (degrees) | β (degrees) | γ (degrees) |
|---|---|---|---|---|---|---|---|---|---|
| oqmd-599493 | dynamic | -7.473 | -7.473 | 2.5147 | 2.5147 | 30.7984 | 90.0 | 90.0 | 120.0 |
| oqmd-599490 | dynamic | -7.473 | -7.473 | 2.5147 | 2.5147 | 8.2129 | 90.0 | 90.0 | 120.0 |
| mp-611448 | dynamic | -7.473 | -7.473 | 2.5147 | 2.5147 | 12.3194 | 90.0 | 90.0 | 120.0 |
| oqmd-599492 | dynamic | -7.473 | -7.473 | 2.5147 | 2.5147 | 16.4258 | 90.0 | 90.0 | 120.0 |
| mp-47 | dynamic | -7.473 | -7.473 | 2.5147 | 2.5147 | 4.1065 | 90.0 | 90.0 | 120.0 |
| A4--C--dc | dynamic | -7.473 | -7.473 | 3.5563 | 3.5563 | 3.5563 | 90.0 | 90.0 | 90.0 |
| mp-569567 | dynamic | -7.473 | -7.473 | 2.5147 | 2.5147 | 43.1178 | 90.0 | 90.0 | 120.0 |
| oqmd-599489 | box | -7.4729 | -7.4729 | 2.5139 | 2.5139 | 4.1091 | 90.0 | 90.0 | 120.0 |
| mp-47 | box | -7.4729 | -7.4729 | 2.5137 | 2.5137 | 4.1096 | 90.0 | 90.0 | 120.0 |
| oqmd-599492 | box | -7.4723 | -7.4723 | 2.5143 | 2.5143 | 16.4317 | 90.0 | 90.0 | 120.0 |
| mp-616440 | box | -7.4722 | -7.4722 | 2.5145 | 2.5145 | 16.4301 | 90.0 | 90.0 | 120.0 |
| oqmd-599491 | box | -7.4721 | -7.4721 | 2.5144 | 2.5144 | 12.3237 | 90.0 | 90.0 | 120.0 |
| mp-569567 | box | -7.472 | -7.472 | 2.5146 | 2.5146 | 43.1281 | 90.0 | 90.0 | 120.0 |
| mp-611448 | box | -7.472 | -7.472 | 2.5145 | 2.5145 | 12.3231 | 90.0 | 90.0 | 120.0 |
| oqmd-599493 | box | -7.4719 | -7.4719 | 2.5145 | 2.5145 | 30.8067 | 90.0 | 90.0 | 120.0 |
| mp-569517 | box | -7.4719 | -7.4719 | 2.5144 | 2.5144 | 30.8097 | 90.0 | 90.0 | 120.0 |
| mp-611426 | box | -7.4718 | -7.4718 | 2.5143 | 2.5143 | 8.2171 | 90.0 | 90.0 | 120.0 |
| oqmd-599494 | static | -7.4716 | -7.4716 | 2.5143 | 2.5143 | 43.3603 | 90.0 | 90.0 | 120.0 |
| oqmd-599490 | box | -7.4716 | -7.4716 | 2.5145 | 2.5145 | 8.2157 | 90.0 | 90.0 | 120.0 |
| mp-1078845 | box | -6.2114 | -6.2114 | 4.3692 | 9.1482 | 2.5597 | 90.0 | 90.0 | 90.0 |
| oqmd-637130 | static | -5.9066 | -5.9066 | 9.6693 | 2.6736 | 4.4195 | 90.0 | 90.0 | 90.0 |
| mp-1080826 | static | -5.8921 | -5.8921 | 9.762 | 2.6894 | 4.4104 | 90.0 | 95.1 | 90.0 |
| oqmd-637352 | static | -5.8639 | -5.8639 | 9.7645 | 2.6897 | 4.4114 | 90.0 | 95.1 | 90.0 |
| oqmd-589492 | dynamic | -5.6055 | -5.6055 | 2.5205 | 2.5205 | 53.4866 | 90.0 | 90.0 | 120.0 |
| mp-606949 | dynamic | -5.6055 | -5.6055 | 2.5205 | 2.5205 | 29.5537 | 90.0 | 90.0 | 120.0 |
| mp-569304 | dynamic | -5.6055 | -5.6055 | 2.5205 | 2.5205 | 33.2221 | 90.0 | 90.0 | 120.0 |
| mp-990424 | static | -5.6055 | -5.6055 | 2.5205 | 2.5205 | 412.681 | 90.0 | 90.0 | 120.0 |
| mp-606949 | static | -5.6055 | -5.6055 | 2.5205 | 2.5205 | 878.8083 | 90.0 | 90.0 | 120.0 |
| oqmd-589492 | static | -5.6055 | -5.6055 | 2.5205 | 2.5205 | 1305.6897 | 90.0 | 90.0 | 120.0 |
| mp-990424 | dynamic | -5.6055 | -5.6055 | 2.5205 | 2.5205 | 24.1573 | 90.0 | 90.0 | 120.0 |
| mp-569416 | static | -5.6055 | -5.6055 | 2.5205 | 2.5205 | 1658.1612 | 90.0 | 90.0 | 120.0 |
| mp-569304 | static | -5.6055 | -5.6055 | 2.5205 | 2.5205 | 702.5233 | 90.0 | 90.0 | 120.0 |
| oqmd-589491 | static | -5.6055 | -5.6055 | 2.5205 | 2.5205 | 401.4859 | 90.0 | 90.0 | 120.0 |
| A7--alpha-As | dynamic | -5.6055 | -5.6055 | 2.5205 | 2.5205 | 10.21 | 90.0 | 90.0 | 120.0 |
| mp-169 | static | -5.6055 | -5.6055 | 4.3656 | 2.5205 | 42.0577 | 90.0 | 91.8 | 90.0 |
| oqmd-589491 | dynamic | -5.6055 | -5.6055 | 2.5205 | 2.5205 | 33.348 | 90.0 | 90.0 | 120.0 |
| mp-569416 | dynamic | -5.6055 | -5.6055 | 2.5205 | 2.5205 | 54.7709 | 90.0 | 90.0 | 120.0 |
| mp-632329 | static | -5.6055 | -5.6055 | 4.3656 | 2.5205 | 44.8605 | 90.0 | 90.3 | 90.0 |
| mp-632329 | dynamic | -5.6055 | -5.6055 | 4.3656 | 2.5205 | 3.7422 | 90.0 | 94.1 | 90.0 |
| mp-169 | dynamic | -5.6055 | -5.6055 | 4.3656 | 2.5205 | 3.7796 | 90.0 | 112.0 | 90.0 |
| mp-570002 | static | -5.5456 | -5.5456 | 5.4341 | 5.4341 | 5.4341 | 90.0 | 90.0 | 90.0 |
| mp-570002 | dynamic | -5.4904 | -5.4904 | 5.4655 | 5.4655 | 5.4655 | 90.0 | 90.0 | 90.0 |
| Ah--alpha-Po--sc | dynamic | -5.4618 | -5.4618 | 1.7678 | 1.7678 | 1.7678 | 90.0 | 90.0 | 90.0 |
| Ah--alpha-Po--sc | static | -5.4615 | -5.4615 | 1.7681 | 1.7681 | 1.7681 | 90.0 | 90.0 | 90.0 |
| mp-624889 | static | -5.455 | -5.455 | 5.0184 | 5.079 | 6.3606 | 90.0 | 90.0 | 90.0 |
| mp-1196583 | static | -5.4046 | -5.4046 | 15.4547 | 15.4547 | 15.4547 | 90.0 | 90.0 | 90.0 |
| oqmd-603085 | static | -5.4046 | -5.4046 | 15.0078 | 15.0078 | 15.0078 | 90.0 | 90.0 | 90.0 |
| mp-667273 | static | -5.4046 | -5.4046 | 15.521 | 15.521 | 15.521 | 90.0 | 90.0 | 90.0 |
| oqmd-677227 | static | -5.4033 | -5.4033 | 15.2137 | 15.2137 | 15.2137 | 90.0 | 90.0 | 90.0 |
| mp-683919 | static | -5.3984 | -5.3984 | 11.0011 | 18.8199 | 19.38 | 90.0 | 90.0 | 90.0 |
| mp-624889 | box | -5.3885 | -5.3885 | 5.0896 | 5.4104 | 6.1271 | 90.0 | 90.0 | 90.0 |
| oqmd-603085 | box | -5.3845 | -5.3845 | 15.0082 | 15.0082 | 15.0082 | 90.0 | 90.0 | 90.0 |
| mp-1196583 | box | -5.3843 | -5.3843 | 15.4554 | 15.4554 | 15.4554 | 90.0 | 90.0 | 90.0 |
| mp-667273 | box | -5.382 | -5.382 | 15.5229 | 15.5229 | 15.5229 | 90.0 | 90.0 | 90.0 |
| oqmd-677227 | box | -5.3706 | -5.3706 | 15.2265 | 15.2265 | 15.2265 | 90.0 | 90.0 | 90.0 |
| mp-1147718 | static | -5.3543 | -5.3543 | 11.0439 | 15.8709 | 9.8749 | 90.0 | 90.0 | 90.0 |
| mp-683919 | box | -5.3388 | -5.3388 | 11.0021 | 18.8346 | 19.4033 | 90.0 | 90.0 | 90.0 |
| mp-1188817 | dynamic | -5.3339 | -5.3339 | 5.5472 | 5.5472 | 5.5472 | 90.0 | 90.0 | 90.0 |
| mp-1147718 | box | -5.3336 | -5.3336 | 11.0491 | 15.8769 | 9.8915 | 90.0 | 90.0 | 90.0 |
| mp-630227 | static | -5.3254 | -5.3254 | 9.7543 | 9.8135 | 16.9189 | 90.0 | 90.0 | 90.0 |
| mp-568363 | dynamic | -5.3137 | -5.3137 | 2.6939 | 4.6659 | 8.1499 | 90.0 | 90.0 | 90.0 |
| mp-937760 | dynamic | -5.3137 | -5.3137 | 2.6939 | 4.6659 | 7.1733 | 90.0 | 90.0 | 90.0 |
| mp-997182 | dynamic | -5.3137 | -5.3137 | 2.6939 | 2.6939 | 12.0458 | 90.0 | 90.0 | 120.0 |
| mp-48 | dynamic | -5.3137 | -5.3137 | 2.6939 | 2.6939 | 7.8031 | 90.0 | 90.0 | 120.0 |
| oqmd-1215937 | dynamic | -5.3137 | -5.3137 | 2.6939 | 2.6939 | 7.3725 | 90.0 | 90.0 | 120.0 |
| mp-1040425 | dynamic | -5.3137 | -5.3137 | 2.6939 | 2.6939 | 19.9983 | 90.0 | 90.0 | 120.0 |
| oqmd-637444 | box | -5.3137 | -5.3137 | 4.3991 | 4.3991 | 4.3991 | 90.0 | 90.0 | 90.0 |
| oqmd-595714 | static | -5.3135 | -5.3135 | 9.7704 | 9.8413 | 15.7471 | 90.0 | 90.0 | 90.0 |
| mp-630227 | box | -5.2915 | -5.2915 | 9.7738 | 9.836 | 16.9236 | 90.0 | 90.0 | 90.0 |
| oqmd-614417 | static | -5.2862 | -5.2862 | 9.8295 | 9.8295 | 26.3586 | 90.0 | 90.0 | 120.0 |
| oqmd-610552 | static | -5.2813 | -5.2813 | 5.0 | 5.8971 | 6.7206 | 90.0 | 90.0 | 90.0 |
| oqmd-684627 | static | -5.279 | -5.279 | 9.8093 | 9.8093 | 16.5558 | 90.0 | 90.0 | 90.0 |
| mp-1188817 | box | -5.2784 | -5.2784 | 5.5545 | 5.5545 | 5.5545 | 90.0 | 90.0 | 90.0 |
| mp-579909 | static | -5.276 | -5.276 | 5.0 | 5.9045 | 7.1388 | 90.0 | 90.0 | 90.0 |
| oqmd-637443 | box | -5.2754 | -5.2754 | 5.5561 | 5.5561 | 5.5561 | 90.0 | 90.0 | 90.0 |
| oqmd-614417 | box | -5.2403 | -5.2403 | 9.8546 | 9.8546 | 26.389 | 90.0 | 90.0 | 120.0 |
| mp-680372 | box | -5.2332 | -5.2332 | 9.8681 | 9.8681 | 27.6687 | 90.0 | 90.0 | 120.0 |
| oqmd-610557 | box | -5.2061 | -5.2061 | 5.0663 | 5.6717 | 4.7913 | 90.0 | 90.0 | 90.0 |
| oqmd-610556 | box | -5.2043 | -5.2043 | 5.0638 | 5.682 | 4.7908 | 90.0 | 90.0 | 90.0 |
| mp-568410 | box | -5.2011 | -5.2011 | 5.0608 | 5.6884 | 4.7928 | 90.0 | 90.0 | 90.0 |
| oqmd-637353 | box | -5.2009 | -5.2009 | 4.7208 | 4.7208 | 2.6026 | 90.0 | 90.0 | 90.0 |
| mp-1008395 | box | -5.1986 | -5.1986 | 4.7216 | 4.7216 | 2.6022 | 90.0 | 90.0 | 90.0 |
| oqmd-689315 | static | -5.1505 | -5.1505 | 10.9268 | 18.9116 | 19.6598 | 90.0 | 90.0 | 90.0 |
| mp-1205283 | static | -4.9646 | -4.9646 | 10.7472 | 14.2635 | 9.7638 | 90.0 | 90.0 | 90.0 |
| mp-1205283 | box | -4.943 | -4.943 | 10.978 | 14.1077 | 9.6109 | 90.0 | 90.0 | 90.0 |
| mp-568028 | box | -4.8624 | -4.8624 | 9.0614 | 15.1649 | 10.4611 | 90.0 | 90.0 | 90.0 |
| oqmd-1215224 | static | -4.8382 | -4.8382 | 1.8298 | 2.9286 | 3.7378 | 90.0 | 101.3 | 90.0 |
| A3'--alpha-La--double-hcp | static | -4.7172 | -4.7172 | 2.6146 | 2.6146 | 3.9857 | 90.0 | 90.0 | 120.0 |
| A7--alpha-As | static | -4.6485 | -4.6485 | 2.5029 | 2.5029 | 6.9065 | 90.0 | 90.0 | 120.0 |
| oqmd-689315 | box | -4.6293 | -4.6293 | 10.9534 | 19.3718 | 19.8883 | 90.0 | 90.0 | 90.0 |
| A5--beta-Sn | static | -4.3501 | -4.3501 | 3.8579 | 3.8579 | 2.1204 | 90.0 | 90.0 | 90.0 |
| mp-1245190 | static | -4.2588 | -4.2588 | 11.4207 | 11.5951 | 11.7555 | 91.9 | 90.5 | 92.0 |
| mp-1245190 | box | -4.2272 | -4.2272 | 11.456 | 11.5883 | 11.7594 | 92.2 | 90.6 | 91.8 |
| A6--In--bct | dynamic | -4.1888 | -4.1888 | 1.7678 | 1.7678 | 6.3803 | 90.0 | 90.0 | 90.0 |
| mp-1097832 | dynamic | -4.1888 | -4.1888 | 2.5 | 2.5 | 9.8799 | 90.0 | 90.0 | 90.0 |
| mp-1056957 | dynamic | -4.1888 | -4.1888 | 2.5 | 2.5 | 6.5533 | 90.0 | 90.0 | 90.0 |
| A6--In--bct | dynamic | -4.1888 | -4.1888 | 1.7678 | 1.7678 | 6.5525 | 90.0 | 90.0 | 90.0 |
| mp-1196857 | static | -4.073 | -4.073 | 17.2266 | 20.8954 | 2.5 | 90.0 | 90.0 | 90.0 |
| mp-1244964 | static | -4.0444 | -4.0444 | 11.3214 | 11.6896 | 12.447 | 90.6 | 94.6 | 93.2 |
| mp-1244964 | box | -4.0124 | -4.0124 | 11.3458 | 11.7247 | 12.4729 | 90.6 | 94.6 | 93.2 |
| oqmd-684315 | dynamic | -3.9887 | -3.9887 | 9.2876 | 12.608 | 8.5951 | 90.0 | 90.0 | 90.0 |
| mp-1205417 | static | -3.9524 | -3.9524 | 13.9873 | 13.9873 | 5.1417 | 90.0 | 90.0 | 90.0 |
| mp-1190171 | dynamic | -3.9455 | -3.9455 | 6.9989 | 2.7711 | 5.7373 | 90.0 | 90.0 | 90.0 |
| mp-1205283 | dynamic | -3.9199 | -3.9199 | 7.3849 | 13.6279 | 8.837 | 90.0 | 90.0 | 90.0 |
| oqmd-689315 | dynamic | -3.8523 | -3.8523 | 9.2216 | 17.2322 | 16.9143 | 90.0 | 90.0 | 90.0 |
| oqmd-603085 | dynamic | -3.8412 | -3.8412 | 12.1657 | 12.1657 | 12.1657 | 90.0 | 90.0 | 90.0 |
| oqmd-684627 | dynamic | -3.8362 | -3.8362 | 8.465 | 8.465 | 13.8558 | 90.0 | 90.0 | 90.0 |
| oqmd-684315 | box | -3.8164 | -3.8164 | 11.2031 | 16.8861 | 9.8962 | 90.0 | 90.0 | 90.0 |
| mp-1244913 | box | -3.7983 | -3.7983 | 12.0082 | 12.0923 | 12.5554 | 92.3 | 96.3 | 92.5 |
| mp-568028 | dynamic | -3.7712 | -3.7712 | 9.1035 | 13.3728 | 6.9406 | 90.0 | 90.0 | 90.0 |
| mp-1095633 | static | -3.7491 | -3.7491 | 6.2665 | 6.2665 | 8.1899 | 90.0 | 90.0 | 90.0 |
| mp-1182684 | static | -3.733 | -3.733 | 12.3624 | 13.716 | 25.0947 | 90.0 | 90.0 | 90.0 |
| mp-683919 | dynamic | -3.6988 | -3.6988 | 8.6489 | 15.3903 | 16.8905 | 90.0 | 90.0 | 90.0 |
| oqmd-677227 | dynamic | -3.6928 | -3.6928 | 13.0861 | 13.0861 | 13.0861 | 90.0 | 90.0 | 90.0 |
| A2--W--bcc | static | -3.6827 | -3.6827 | 2.5 | 2.5 | 2.5 | 90.0 | 90.0 | 90.0 |
| mp-1095534 | static | -3.682 | -3.682 | 11.2955 | 11.2955 | 2.5 | 90.0 | 90.0 | 90.0 |
| mp-1196583 | dynamic | -3.642 | -3.642 | 11.6329 | 11.6329 | 11.6329 | 90.0 | 90.0 | 90.0 |
| oqmd-1215224 | dynamic | -3.6195 | -3.6195 | 1.8492 | 2.7759 | 3.5988 | 90.0 | 103.8 | 90.0 |
| mp-1080826 | dynamic | -3.5873 | -3.5873 | 9.0484 | 3.2 | 3.891 | 90.0 | 97.5 | 90.0 |
| mp-1244964 | dynamic | -3.5715 | -3.5715 | 8.3117 | 8.8247 | 9.0534 | 91.2 | 94.7 | 91.8 |
| mp-1245190 | dynamic | -3.5667 | -3.5667 | 8.2759 | 8.3981 | 9.6531 | 89.4 | 84.4 | 80.6 |
| A1--Cu--fcc | dynamic | -3.5579 | -3.5579 | 2.929 | 2.929 | 2.929 | 90.0 | 90.0 | 90.0 |
| A3'--alpha-La--double-hcp | dynamic | -3.5576 | -3.5576 | 2.071 | 2.071 | 6.7651 | 90.0 | 90.0 | 120.0 |
| A3--Mg--hcp | dynamic | -3.5572 | -3.5572 | 2.0709 | 2.0709 | 3.383 | 90.0 | 90.0 | 120.0 |
| mp-1244913 | dynamic | -3.5484 | -3.5484 | 8.4226 | 8.6499 | 8.9737 | 94.0 | 91.0 | 93.0 |
| mp-1182684 | dynamic | -3.4959 | -3.4959 | 7.0397 | 7.7572 | 10.6297 | 90.0 | 90.0 | 90.0 |
| mp-1197903 | dynamic | -3.4942 | -3.4942 | 6.5105 | 6.5756 | 17.5482 | 95.1 | 98.1 | 106.8 |
| A5--beta-Sn | static | -3.4657 | -3.4657 | 3.6657 | 3.6657 | 1.9302 | 90.0 | 90.0 | 90.0 |
| mp-1192619 | dynamic | -3.4243 | -3.4243 | 8.3749 | 8.3749 | 8.3749 | 90.0 | 90.0 | 90.0 |
| mp-1096869 | dynamic | -3.3604 | -3.3604 | 16.9108 | 10.6057 | 8.0381 | 90.0 | 91.1 | 90.0 |
| mp-1182684 | box | -3.3251 | -3.3251 | 12.5675 | 15.1435 | 17.0692 | 90.0 | 90.0 | 90.0 |
| mp-1097832 | static | -3.2557 | -3.2557 | 3.2852 | 1.8967 | 9.8799 | 90.0 | 90.0 | 90.0 |
| mp-1056957 | static | -3.2557 | -3.2557 | 1.8967 | 3.2852 | 6.5533 | 90.0 | 90.0 | 90.0 |
| oqmd-1216026 | dynamic | -3.2557 | -3.2557 | 1.8967 | 3.2852 | 9.1611 | 90.0 | 92.6 | 90.0 |
| mp-1197903 | static | -3.1664 | -3.1664 | 9.0985 | 10.8668 | 28.2738 | 95.9 | 95.8 | 106.7 |
| A15--beta-W | dynamic | -3.0989 | -3.0989 | 3.769 | 3.769 | 3.769 | 90.0 | 90.0 | 90.0 |
| A2--W--bcc | dynamic | -3.0007 | -3.0007 | 2.3773 | 2.3773 | 2.3773 | 90.0 | 90.0 | 90.0 |
| mp-1205417 | box | -2.996 | -2.996 | 14.1527 | 14.1527 | 8.2388 | 90.0 | 90.0 | 90.0 |
| A15--beta-W | static | -2.9742 | -2.9742 | 4.0825 | 4.0825 | 4.0825 | 90.0 | 90.0 | 90.0 |
| mp-1192619 | box | -2.8839 | -2.8839 | 10.7435 | 10.7435 | 10.7435 | 90.0 | 90.0 | 90.0 |
| mp-1196857 | dynamic | -2.7985 | -2.7985 | 9.3013 | 18.6984 | 6.1035 | 90.0 | 90.0 | 90.0 |
| oqmd-1214868 | dynamic | -2.277 | -2.277 | 6.7657 | 6.7657 | 6.7657 | 90.0 | 90.0 | 90.0 |
| oqmd-1214868 | static | -1.9662 | -1.9662 | 8.2713 | 8.2713 | 8.2713 | 90.0 | 90.0 | 90.0 |
| oqmd-1214868 | box | -1.7786 | -1.7786 | 8.2238 | 8.2238 | 8.2238 | 90.0 | 90.0 | 90.0 |
| oqmd-684315 | static | -0.9277 | -0.9277 | 10.1439 | 15.1932 | 9.389 | 90.0 | 90.0 | 90.0 |
| mp-568028 | static | -0.7044 | -0.7044 | 8.3678 | 14.392 | 9.8588 | 90.0 | 90.0 | 90.0 |
Download raw data (including filtered results)
Reference structure matches:
| prototype | method | Ecoh (eV/atom) | Epot (eV/atom) | a0 (Å) | b0 (Å) | c0 (Å) | α (degrees) | β (degrees) | γ (degrees) |
|---|---|---|---|---|---|---|---|---|---|
| mp-1102811 | dynamic | -6.2355 | -6.2355 | 4.5625 | 4.5625 | 4.5625 | 90.0 | 90.0 | 90.0 |
| mp-1102811 | box | -5.8364 | -5.8364 | 4.6982 | 4.6982 | 4.6982 | 90.0 | 90.0 | 90.0 |
| C1--CaF2--fluorite | static | -5.2566 | -5.2566 | 5.0 | 5.0 | 5.0 | 90.0 | 90.0 | 90.0 |
| mp-1019097 | box | -5.0367 | -5.0367 | 3.0969 | 3.0969 | 7.4707 | 90.0 | 90.0 | 90.0 |
Download raw data (including filtered results)
Reference structure matches:
| prototype | method | Ecoh (eV/atom) | Epot (eV/atom) | a0 (Å) | b0 (Å) | c0 (Å) | α (degrees) | β (degrees) | γ (degrees) |
|---|---|---|---|---|---|---|---|---|---|
| A15--Cr3Si | dynamic | -4.4581 | -4.4581 | 4.0825 | 4.0825 | 4.0825 | 90.0 | 90.0 | 90.0 |
| D0_3--BiF3 | dynamic | -4.079 | -4.079 | 5.0 | 5.0 | 5.0 | 90.0 | 90.0 | 90.0 |
| D0_3--BiF3 | static | -4.0546 | -4.0546 | 5.0 | 5.0 | 5.0 | 90.0 | 90.0 | 90.0 |
| mp-972848 | static | -3.8609 | -3.8609 | 2.6749 | 2.6749 | 14.1591 | 90.0 | 90.0 | 90.0 |
| A15--Cr3Si | static | -3.7682 | -3.7682 | 4.0825 | 4.0825 | 4.0825 | 90.0 | 90.0 | 90.0 |
| L1_2--AuCu3 | dynamic | -3.5103 | -3.5103 | 3.22 | 3.22 | 3.22 | 90.0 | 90.0 | 90.0 |
Download raw data (including filtered results)
Reference structure matches:
| prototype | method | Ecoh (eV/atom) | Epot (eV/atom) | a0 (Å) | b0 (Å) | c0 (Å) | α (degrees) | β (degrees) | γ (degrees) |
|---|---|---|---|---|---|---|---|---|---|
| mp-1219306 | dynamic | -4.5455 | -4.5455 | 8.3989 | 8.3989 | 8.0336 | 90.0 | 90.0 | 120.0 |
| mp-1219306 | static | -4.5455 | -4.5455 | 8.3988 | 8.3988 | 8.0339 | 90.0 | 90.0 | 120.0 |
| mp-1219306 | box | -4.2716 | -4.2716 | 8.6662 | 8.6662 | 8.6331 | 90.0 | 90.0 | 120.0 |
Download raw data (including filtered results)
Reference structure matches:
| prototype | method | Ecoh (eV/atom) | Epot (eV/atom) | a0 (Å) | b0 (Å) | c0 (Å) | α (degrees) | β (degrees) | γ (degrees) |
|---|---|---|---|---|---|---|---|---|---|
| mp-1202928 | static | -4.4825 | -4.4825 | 4.9786 | 11.6983 | 12.2151 | 64.6 | 89.8 | 81.4 |
| mp-1179504 | box | -4.4593 | -4.4593 | 5.2795 | 11.5918 | 11.9194 | 69.1 | 88.0 | 88.0 |
| mp-1202928 | box | -4.3423 | -4.3423 | 4.9402 | 12.0825 | 12.2208 | 118.2 | 90.5 | 98.8 |
| mp-1179504 | dynamic | -4.1615 | -4.1615 | 5.5541 | 11.4712 | 11.9585 | 84.1 | 77.8 | 85.2 |
| mp-1202928 | dynamic | -4.0936 | -4.0936 | 5.357 | 11.7889 | 13.4806 | 108.4 | 94.1 | 100.2 |
Download raw data (including filtered results)
Reference structure matches:
B1--NaCl--rock-salt = mp-1002206
B3--ZnS--cubic-zinc-blende = mp-8062
| prototype | method | Ecoh (eV/atom) | Epot (eV/atom) | a0 (Å) | b0 (Å) | c0 (Å) | α (degrees) | β (degrees) | γ (degrees) |
|---|---|---|---|---|---|---|---|---|---|
| mp-570690 | dynamic | -6.2098 | -6.2098 | 3.0456 | 3.0456 | 67.1415 | 90.0 | 90.0 | 120.0 |
| mp-570791 | dynamic | -6.2098 | -6.2098 | 3.0456 | 3.0456 | 47.2477 | 90.0 | 90.0 | 120.0 |
| mp-11713 | dynamic | -6.2098 | -6.2098 | 3.0456 | 3.0456 | 37.3008 | 90.0 | 90.0 | 120.0 |
| mp-567551 | dynamic | -6.2098 | -6.2098 | 3.0456 | 3.0456 | 39.7876 | 90.0 | 90.0 | 120.0 |
| mp-1197730 | dynamic | -6.2098 | -6.2098 | 3.0456 | 3.0456 | 126.8229 | 90.0 | 90.0 | 120.0 |
| mp-571298 | dynamic | -6.2098 | -6.2098 | 3.0456 | 3.0456 | 96.9822 | 90.0 | 90.0 | 120.0 |
| mp-1204356 | dynamic | -6.2098 | -6.2098 | 3.0456 | 3.0456 | 141.7432 | 90.0 | 90.0 | 120.0 |
| mp-567505 | dynamic | -6.2098 | -6.2098 | 3.0456 | 3.0456 | 19.8938 | 90.0 | 90.0 | 120.0 |
| mp-568619 | dynamic | -6.2098 | -6.2098 | 3.0456 | 3.0456 | 12.4336 | 90.0 | 90.0 | 120.0 |
| mp-568735 | dynamic | -6.2098 | -6.2098 | 3.0456 | 3.0456 | 44.761 | 90.0 | 90.0 | 120.0 |
| mp-624397 | dynamic | -6.2098 | -6.2098 | 3.0456 | 3.0456 | 82.0619 | 90.0 | 90.0 | 120.0 |
| mp-571286 | dynamic | -6.2098 | -6.2098 | 3.0456 | 3.0456 | 89.522 | 90.0 | 90.0 | 120.0 |
| mp-568656 | dynamic | -6.2098 | -6.2098 | 3.0456 | 3.0456 | 24.8672 | 90.0 | 90.0 | 120.0 |
| B4--ZnS--wurtzite | dynamic | -6.2098 | -6.2098 | 3.0456 | 3.0456 | 4.9734 | 90.0 | 90.0 | 120.0 |
| mp-568696 | dynamic | -6.2098 | -6.2098 | 3.0456 | 3.0456 | 34.8141 | 90.0 | 90.0 | 120.0 |
| B3--ZnS--cubic-zinc-blende | dynamic | -6.2098 | -6.2098 | 4.3071 | 4.3071 | 4.3071 | 90.0 | 90.0 | 90.0 |
| mp-11714 | dynamic | -6.2098 | -6.2098 | 3.0456 | 3.0456 | 9.9469 | 90.0 | 90.0 | 120.0 |
| mp-7631 | dynamic | -6.2098 | -6.2098 | 3.0456 | 3.0456 | 14.9203 | 90.0 | 90.0 | 120.0 |
| mp-582034 | dynamic | -6.2098 | -6.2098 | 3.0456 | 3.0456 | 52.2212 | 90.0 | 90.0 | 120.0 |
| mp-570641 | dynamic | -6.2098 | -6.2098 | 3.0456 | 3.0456 | 59.6813 | 90.0 | 90.0 | 120.0 |
| mp-1200168 | dynamic | -6.2098 | -6.2098 | 3.0456 | 3.0456 | 216.3449 | 90.0 | 90.0 | 120.0 |
| mp-1200848 | dynamic | -6.2098 | -6.2098 | 3.0456 | 3.0456 | 186.5042 | 90.0 | 90.0 | 120.0 |
| mp-1199063 | dynamic | -6.2098 | -6.2098 | 3.0456 | 3.0456 | 208.8847 | 90.0 | 90.0 | 120.0 |
| B4--ZnS--wurtzite | box | -6.2098 | -6.2098 | 3.0452 | 3.0452 | 4.9749 | 90.0 | 90.0 | 120.0 |
| mp-568619 | box | -6.2097 | -6.2097 | 3.0465 | 3.0465 | 12.426 | 90.0 | 90.0 | 120.0 |
| mp-567505 | box | -6.2097 | -6.2097 | 3.0462 | 3.0462 | 19.8867 | 90.0 | 90.0 | 120.0 |
| mp-582034 | box | -6.2097 | -6.2097 | 3.0462 | 3.0462 | 52.2002 | 90.0 | 90.0 | 120.0 |
| mp-9947 | box | -6.2097 | -6.2097 | 3.0463 | 3.0463 | 52.1989 | 90.0 | 90.0 | 120.0 |
| mp-568696 | box | -6.2097 | -6.2097 | 3.0463 | 3.0463 | 34.7994 | 90.0 | 90.0 | 120.0 |
| mp-1204356 | box | -6.2097 | -6.2097 | 3.0463 | 3.0463 | 141.6791 | 90.0 | 90.0 | 120.0 |
| mp-7631 | box | -6.2097 | -6.2097 | 3.0464 | 3.0464 | 14.9131 | 90.0 | 90.0 | 120.0 |
| mp-571286 | box | -6.2097 | -6.2097 | 3.0463 | 3.0463 | 89.48 | 90.0 | 90.0 | 120.0 |
| mp-1200692 | box | -6.2097 | -6.2097 | 3.0464 | 3.0464 | 126.7591 | 90.0 | 90.0 | 120.0 |
| mp-570985 | box | -6.2097 | -6.2097 | 3.0464 | 3.0464 | 67.1066 | 90.0 | 90.0 | 120.0 |
| mp-567551 | box | -6.2097 | -6.2097 | 3.0464 | 3.0464 | 39.7672 | 90.0 | 90.0 | 120.0 |
| mp-7140 | box | -6.2097 | -6.2097 | 3.0474 | 3.0474 | 4.9676 | 90.0 | 90.0 | 120.0 |
| mp-568656 | box | -6.2097 | -6.2097 | 3.0465 | 3.0465 | 24.8532 | 90.0 | 90.0 | 120.0 |
| mp-11713 | box | -6.2097 | -6.2097 | 3.0465 | 3.0465 | 37.279 | 90.0 | 90.0 | 120.0 |
| mp-571298 | box | -6.2097 | -6.2097 | 3.0465 | 3.0465 | 96.9277 | 90.0 | 90.0 | 120.0 |
| mp-570791 | box | -6.2097 | -6.2097 | 3.0465 | 3.0465 | 47.22 | 90.0 | 90.0 | 120.0 |
| mp-568735 | box | -6.2097 | -6.2097 | 3.0466 | 3.0466 | 44.733 | 90.0 | 90.0 | 120.0 |
| mp-11714 | box | -6.2096 | -6.2096 | 3.0467 | 3.0467 | 9.94 | 90.0 | 90.0 | 120.0 |
| mp-1197730 | box | -6.2096 | -6.2096 | 3.0466 | 3.0466 | 126.7398 | 90.0 | 90.0 | 120.0 |
| mp-570804 | box | -6.2096 | -6.2096 | 3.0474 | 3.0474 | 96.868 | 90.0 | 90.0 | 120.0 |
| mp-570641 | box | -6.2096 | -6.2096 | 3.0476 | 3.0476 | 59.6027 | 90.0 | 90.0 | 120.0 |
| mp-1200168 | box | -6.2095 | -6.2095 | 3.0479 | 3.0479 | 216.0235 | 90.0 | 90.0 | 120.0 |
| mp-624397 | box | -6.2095 | -6.2095 | 3.048 | 3.048 | 81.9335 | 90.0 | 90.0 | 120.0 |
| mp-570690 | box | -6.2094 | -6.2094 | 3.0481 | 3.0481 | 67.0307 | 90.0 | 90.0 | 120.0 |
| mp-1199063 | box | -6.2094 | -6.2094 | 3.048 | 3.048 | 208.5655 | 90.0 | 90.0 | 120.0 |
| mp-1200848 | box | -6.2093 | -6.2093 | 3.048 | 3.048 | 186.214 | 90.0 | 90.0 | 120.0 |
| B1--NaCl--rock-salt | dynamic | -5.1237 | -5.1237 | 4.1322 | 4.1322 | 4.1322 | 90.0 | 90.0 | 90.0 |
| B2--CsCl | dynamic | -4.6176 | -4.6176 | 2.5379 | 2.5379 | 2.5379 | 90.0 | 90.0 | 90.0 |
| L1_0--AuCu | static | -4.0491 | -4.0491 | 2.5 | 2.5 | 3.2369 | 90.0 | 90.0 | 90.0 |
Download raw data (including filtered results)
Reference structure matches:
| prototype | method | Ecoh (eV/atom) | Epot (eV/atom) | a0 (Å) | b0 (Å) | c0 (Å) | α (degrees) | β (degrees) | γ (degrees) |
|---|---|---|---|---|---|---|---|---|---|
| C1--CaF2--fluorite | dynamic | -4.531 | -4.531 | 5.0 | 5.0 | 5.0 | 90.0 | 90.0 | 90.0 |
| C1--CaF2--fluorite | static | -4.4964 | -4.4964 | 5.0 | 5.0 | 5.0 | 90.0 | 90.0 | 90.0 |
Download raw data (including filtered results)
Reference structure matches:
| prototype | method | Ecoh (eV/atom) | Epot (eV/atom) | a0 (Å) | b0 (Å) | c0 (Å) | α (degrees) | β (degrees) | γ (degrees) |
|---|---|---|---|---|---|---|---|---|---|
| D0_3--BiF3 | static | -3.8491 | -3.8491 | 5.7731 | 5.7731 | 5.7731 | 90.0 | 90.0 | 90.0 |
| A15--Cr3Si | static | -3.0876 | -3.0876 | 4.4721 | 4.4721 | 4.4721 | 90.0 | 90.0 | 90.0 |
| L1_2--AuCu3 | static | -3.0309 | -3.0309 | 3.5353 | 3.5353 | 3.5353 | 90.0 | 90.0 | 90.0 |
| A15--Cr3Si | static | -1.7818 | -1.7818 | 4.6833 | 4.6833 | 4.6833 | 90.0 | 90.0 | 90.0 |
| L1_2--AuCu3 | dynamic | 0.0 | 0.0 | 3.5998 | 3.5998 | 3.5998 | 90.0 | 90.0 | 90.0 |
| D0_3--BiF3 | dynamic | 0.0 | 0.0 | 5.8128 | 5.8128 | 5.8128 | 90.0 | 90.0 | 90.0 |
Download raw data (including filtered results)
Reference structure matches:
A1--Cu--fcc = mp-27, oqmd-9287, oqmd-1214570
A15--beta-W = oqmd-1215015, oqmd-1236371, oqmd-1280410
A2--W--bcc = mp-1014212, oqmd-1215193
A3'--alpha-La--double-hcp = oqmd-1215461
A3--Mg--hcp = mp-10649, oqmd-9288, oqmd-1215371
A4--C--dc = mp-149, oqmd-5714, oqmd-12378, oqmd-1215550
A5--beta-Sn = mp-92, oqmd-18979, oqmd-1215639
A6--In--bct = mp-1056579, oqmd-691768, oqmd-1215728
A7--alpha-As = oqmd-1215817
Ah--alpha-Po--sc = oqmd-1215906
| prototype | method | Ecoh (eV/atom) | Epot (eV/atom) | a0 (Å) | b0 (Å) | c0 (Å) | α (degrees) | β (degrees) | γ (degrees) |
|---|---|---|---|---|---|---|---|---|---|
| A4--C--dc | dynamic | -4.6296 | -4.6296 | 5.432 | 5.432 | 5.432 | 90.0 | 90.0 | 90.0 |
| oqmd-5764 | dynamic | -4.6296 | -4.6296 | 3.841 | 3.841 | 6.2723 | 90.0 | 90.0 | 120.0 |
| oqmd-5764 | box | -4.6295 | -4.6295 | 3.838 | 3.838 | 6.2821 | 90.0 | 90.0 | 120.0 |
| oqmd-22507 | box | -4.6295 | -4.6295 | 3.8436 | 6.6409 | 6.2794 | 90.0 | 90.0 | 90.0 |
| mp-165 | box | -4.6295 | -4.6295 | 3.8378 | 3.8378 | 6.283 | 90.0 | 90.0 | 120.0 |
| oqmd-717362 | dynamic | -4.5907 | -4.5907 | 14.6214 | 14.6214 | 14.6214 | 90.0 | 90.0 | 90.0 |
| oqmd-717362 | box | -4.5906 | -4.5906 | 14.6222 | 14.6222 | 14.6222 | 90.0 | 90.0 | 90.0 |
| mp-1203790 | dynamic | -4.5877 | -4.5877 | 10.3317 | 10.3317 | 16.9075 | 90.0 | 90.0 | 120.0 |
| mp-1203790 | box | -4.5876 | -4.5876 | 10.3312 | 10.3312 | 16.9098 | 90.0 | 90.0 | 120.0 |
| oqmd-717360 | dynamic | -4.5721 | -4.5721 | 10.1514 | 10.1514 | 10.1514 | 90.0 | 90.0 | 90.0 |
| oqmd-717360 | box | -4.572 | -4.572 | 10.15 | 10.15 | 10.15 | 90.0 | 90.0 | 90.0 |
| mp-971662 | box | -4.572 | -4.572 | 10.1494 | 10.1494 | 10.1494 | 90.0 | 90.0 | 90.0 |
| mp-1196961 | dynamic | -4.5574 | -4.5574 | 10.1199 | 10.1199 | 10.3374 | 90.0 | 90.0 | 120.0 |
| mp-1196961 | box | -4.5573 | -4.5573 | 10.1258 | 10.1258 | 10.3289 | 90.0 | 90.0 | 120.0 |
| mp-1204627 | dynamic | -4.5338 | -4.5338 | 16.7187 | 12.7666 | 9.9443 | 90.0 | 90.0 | 90.0 |
| mp-1204627 | box | -4.5326 | -4.5326 | 16.7281 | 12.7774 | 9.9439 | 90.0 | 90.0 | 90.0 |
| oqmd-22407 | dynamic | -4.4996 | -4.4996 | 6.6201 | 6.6201 | 3.8861 | 90.0 | 90.0 | 90.0 |
| mp-1079297 | dynamic | -4.4982 | -4.4982 | 13.8171 | 3.8852 | 6.3242 | 90.0 | 96.8 | 90.0 |
| mp-999200 | box | -4.4956 | -4.4956 | 6.6669 | 6.6669 | 3.8451 | 90.0 | 90.0 | 90.0 |
| mp-1079297 | box | -4.4952 | -4.4952 | 13.8244 | 3.8634 | 6.3558 | 90.0 | 96.5 | 90.0 |
| oqmd-22407 | box | -4.495 | -4.495 | 6.6703 | 6.6703 | 3.8422 | 90.0 | 90.0 | 90.0 |
| oqmd-22408 | box | -4.4949 | -4.4949 | 13.8295 | 3.8641 | 6.3551 | 90.0 | 96.5 | 90.0 |
| mp-1199894 | dynamic | -4.4888 | -4.4888 | 25.3844 | 15.0784 | 9.8838 | 90.0 | 93.9 | 90.0 |
| mp-1200830 | dynamic | -4.4874 | -4.4874 | 12.4268 | 12.4268 | 12.4268 | 90.0 | 90.0 | 90.0 |
| mp-1201492 | dynamic | -4.4872 | -4.4872 | 17.5455 | 17.5455 | 17.5455 | 90.0 | 90.0 | 90.0 |
| mp-1199894 | box | -4.4857 | -4.4857 | 25.3913 | 15.1321 | 9.8656 | 90.0 | 94.2 | 90.0 |
| mp-1201492 | box | -4.4853 | -4.4853 | 17.5588 | 17.5588 | 17.5588 | 90.0 | 90.0 | 90.0 |
| mp-1200830 | box | -4.4849 | -4.4849 | 12.4339 | 12.4339 | 12.4339 | 90.0 | 90.0 | 90.0 |
| mp-971661 | dynamic | -4.4651 | -4.4651 | 10.0825 | 10.0825 | 10.0825 | 90.0 | 90.0 | 90.0 |
| mp-971661 | box | -4.4636 | -4.4636 | 10.0854 | 10.0854 | 10.0854 | 90.0 | 90.0 | 90.0 |
| mp-1202745 | dynamic | -4.4579 | -4.4579 | 9.9437 | 9.9437 | 16.1015 | 90.0 | 90.0 | 120.0 |
| mp-1202745 | box | -4.4566 | -4.4566 | 9.9519 | 9.9519 | 16.0916 | 90.0 | 90.0 | 120.0 |
| mp-1095269 | dynamic | -4.4326 | -4.4326 | 3.9004 | 10.649 | 12.7025 | 90.0 | 90.0 | 90.0 |
| mp-1095269 | box | -4.4285 | -4.4285 | 3.8654 | 10.7684 | 12.6701 | 90.0 | 90.0 | 90.0 |
| mp-1204046 | dynamic | -4.3902 | -4.3902 | 10.2673 | 10.2673 | 24.3345 | 90.0 | 90.0 | 90.0 |
| oqmd-3484 | dynamic | -4.3843 | -4.3843 | 6.6444 | 6.6444 | 6.6444 | 90.0 | 90.0 | 90.0 |
| oqmd-3484 | box | -4.3836 | -4.3836 | 6.6379 | 6.6379 | 6.6379 | 90.0 | 90.0 | 90.0 |
| mp-168 | box | -4.3834 | -4.3834 | 6.637 | 6.637 | 6.637 | 90.0 | 90.0 | 90.0 |
| mp-1204046 | box | -4.3341 | -4.3341 | 10.1233 | 10.1233 | 24.2879 | 90.0 | 90.0 | 90.0 |
| oqmd-1214748 | static | -4.3292 | -4.3292 | 4.5339 | 7.4667 | 3.9294 | 90.0 | 90.0 | 90.0 |
| Ah--alpha-Po--sc | static | -4.2915 | -4.2915 | 2.4998 | 2.4998 | 2.4998 | 90.0 | 90.0 | 90.0 |
| mp-1072544 | dynamic | -4.2824 | -4.2824 | 6.7417 | 6.7417 | 6.7417 | 90.0 | 90.0 | 90.0 |
| oqmd-18985 | static | -4.2668 | -4.2668 | 9.5886 | 9.5886 | 5.4812 | 90.0 | 90.0 | 120.0 |
| mp-571520 | box | -4.2592 | -4.2592 | 9.5345 | 9.5345 | 5.5988 | 90.0 | 90.0 | 120.0 |
| oqmd-18985 | box | -4.2591 | -4.2591 | 9.522 | 9.522 | 5.579 | 90.0 | 90.0 | 120.0 |
| oqmd-717361 | static | -4.2076 | -4.2076 | 7.6038 | 7.6038 | 7.6038 | 90.0 | 90.0 | 90.0 |
| oqmd-717361 | box | -4.149 | -4.149 | 7.6261 | 7.6261 | 7.6261 | 90.0 | 90.0 | 90.0 |
| mp-16220 | dynamic | -4.1086 | -4.1086 | 14.689 | 14.689 | 14.689 | 90.0 | 90.0 | 90.0 |
| mp-16220 | static | -4.107 | -4.107 | 14.7246 | 14.7246 | 14.7246 | 90.0 | 90.0 | 90.0 |
| oqmd-10215 | static | -4.0874 | -4.0874 | 14.81 | 14.81 | 14.81 | 90.0 | 90.0 | 90.0 |
| A5--beta-Sn | static | -4.0749 | -4.0749 | 4.5745 | 4.5745 | 2.5 | 90.0 | 90.0 | 90.0 |
| mp-644693 | static | -4.0583 | -4.0583 | 4.0607 | 5.5341 | 8.2561 | 89.6 | 87.5 | 70.2 |
| mp-1245041 | static | -3.9924 | -3.9924 | 12.8562 | 12.9374 | 12.9656 | 71.0 | 73.7 | 76.5 |
| mp-109 | box | -3.9858 | -3.9858 | 4.8127 | 5.3414 | 9.1507 | 90.0 | 90.0 | 90.0 |
| mp-1245041 | box | -3.9647 | -3.9647 | 12.8019 | 12.8726 | 12.9337 | 71.2 | 73.8 | 76.4 |
| mp-1244971 | static | -3.935 | -3.935 | 11.7319 | 12.657 | 13.4494 | 97.6 | 97.1 | 99.6 |
| mp-1244971 | box | -3.9212 | -3.9212 | 11.7128 | 12.646 | 13.4349 | 97.7 | 97.1 | 99.6 |
| mp-1245242 | static | -3.9142 | -3.9142 | 12.3399 | 12.5864 | 12.7189 | 78.9 | 81.1 | 82.3 |
| A7--alpha-As | dynamic | -3.9114 | -3.9114 | 3.9908 | 3.9908 | 8.8609 | 90.0 | 90.0 | 120.0 |
| A7--alpha-As | dynamic | -3.9114 | -3.9114 | 3.9908 | 3.9908 | 9.8495 | 90.0 | 90.0 | 120.0 |
| oqmd-1215995 | dynamic | -3.9114 | -3.9114 | 3.9908 | 3.9908 | 7.4613 | 90.0 | 90.0 | 120.0 |
| mp-1245242 | box | -3.9061 | -3.9061 | 12.3316 | 12.5807 | 12.7059 | 79.0 | 81.1 | 82.3 |
| mp-1245041 | dynamic | -3.9009 | -3.9009 | 13.7394 | 13.7969 | 14.3767 | 70.6 | 77.7 | 74.7 |
| mp-1244971 | dynamic | -3.8845 | -3.8845 | 12.5261 | 13.4265 | 15.1333 | 97.8 | 94.6 | 95.8 |
| mp-644693 | box | -3.8641 | -3.8641 | 3.9991 | 5.5352 | 9.0684 | 72.4 | 79.1 | 69.7 |
| mp-16220 | box | -3.8626 | -3.8626 | 14.9102 | 14.9102 | 14.9102 | 90.0 | 90.0 | 90.0 |
| mp-1245242 | dynamic | -3.8609 | -3.8609 | 13.6031 | 13.6031 | 13.8883 | 77.1 | 78.1 | 80.3 |
| A2--W--bcc | static | -3.8589 | -3.8589 | 2.8866 | 2.8866 | 2.8866 | 90.0 | 90.0 | 90.0 |
| oqmd-10215 | box | -3.8568 | -3.8568 | 14.8999 | 14.8999 | 14.8999 | 90.0 | 90.0 | 90.0 |
| mp-676011 | dynamic | -3.8411 | -3.8411 | 5.4759 | 6.6378 | 7.5366 | 105.3 | 110.4 | 96.3 |
| mp-1244933 | static | -3.8273 | -3.8273 | 12.2971 | 12.4264 | 12.6772 | 78.4 | 75.8 | 73.7 |
| mp-1244933 | box | -3.7822 | -3.7822 | 12.2345 | 12.4224 | 12.5427 | 78.3 | 76.4 | 73.5 |
| mp-1244933 | dynamic | -3.7772 | -3.7772 | 13.0941 | 14.3954 | 14.6351 | 80.5 | 81.6 | 72.8 |
| mp-1120447 | static | -3.7296 | -3.7296 | 5.0714 | 5.5102 | 6.8174 | 104.4 | 111.5 | 96.7 |
| mp-1120447 | dynamic | -3.7283 | -3.7283 | 5.3478 | 5.9004 | 6.844 | 114.2 | 109.0 | 91.2 |
| mp-1244990 | dynamic | -3.7146 | -3.7146 | 13.5563 | 14.864 | 15.8862 | 105.7 | 105.5 | 95.6 |
| mp-1244990 | static | -3.6878 | -3.6878 | 12.0429 | 12.1402 | 12.5927 | 104.0 | 100.7 | 99.8 |
| mp-1268191 | static | -3.6439 | -3.6439 | 6.5929 | 6.5929 | 2.4593 | 90.0 | 90.0 | 120.0 |
| mp-1244990 | box | -3.6417 | -3.6417 | 12.0725 | 12.1274 | 12.5827 | 104.0 | 100.6 | 100.0 |
| A6--In--bct | dynamic | -3.5491 | -3.5491 | 2.4593 | 2.4593 | 3.69 | 90.0 | 90.0 | 90.0 |
| oqmd-717361 | dynamic | -3.4462 | -3.4462 | 8.244 | 8.244 | 8.244 | 90.0 | 90.0 | 90.0 |
| mp-1120447 | box | -3.4225 | -3.4225 | 4.8029 | 5.6255 | 7.0386 | 69.0 | 79.7 | 88.6 |
| mp-676011 | static | -3.4136 | -3.4136 | 5.0352 | 5.3231 | 7.1016 | 92.6 | 110.1 | 113.9 |
| oqmd-1214837 | dynamic | -3.3939 | -3.3939 | 10.5069 | 10.5069 | 10.5069 | 90.0 | 90.0 | 90.0 |
| oqmd-78173 | static | -3.285 | -3.285 | 4.0564 | 6.88 | 20.8739 | 90.0 | 90.0 | 90.0 |
| mp-109 | static | -3.285 | -3.285 | 4.0564 | 6.88 | 17.3559 | 90.0 | 90.0 | 90.0 |
| mp-109 | dynamic | -3.285 | -3.285 | 4.0564 | 6.88 | 9.3154 | 90.0 | 90.0 | 90.0 |
| oqmd-78173 | dynamic | -3.285 | -3.285 | 4.0564 | 6.88 | 9.2782 | 90.0 | 90.0 | 90.0 |
| A15--beta-W | static | -3.0533 | -3.0533 | 4.4721 | 4.4721 | 4.4721 | 90.0 | 90.0 | 90.0 |
| oqmd-7479 | static | -2.6659 | -2.6659 | 4.1035 | 4.7476 | 5.125 | 90.0 | 90.0 | 90.0 |
| oqmd-18984 | static | -2.3758 | -2.3758 | 2.6505 | 2.6505 | 2.3416 | 90.0 | 90.0 | 120.0 |
| oqmd-51152 | static | -2.3758 | -2.3758 | 2.6478 | 2.6478 | 2.3416 | 90.0 | 90.0 | 120.0 |
| mp-34 | static | -2.3758 | -2.3758 | 2.6205 | 2.6205 | 2.3416 | 90.0 | 90.0 | 120.0 |
| A1--Cu--fcc | static | -2.2699 | -2.2699 | 3.5355 | 3.5355 | 3.5355 | 90.0 | 90.0 | 90.0 |
| A15--beta-W | static | -1.7818 | -1.7818 | 4.6833 | 4.6833 | 4.6833 | 90.0 | 90.0 | 90.0 |
| mp-1079649 | static | -0.6665 | -0.6665 | 8.7504 | 4.9312 | 4.9002 | 90.0 | 90.0 | 90.0 |
| oqmd-78174 | static | -0.6665 | -0.6665 | 8.8261 | 4.8932 | 4.8791 | 90.0 | 90.0 | 90.0 |
| oqmd-78174 | dynamic | -0.6665 | -0.6665 | 8.8262 | 5.1226 | 5.1402 | 90.0 | 90.0 | 90.0 |
| Ah--alpha-Po--sc | dynamic | 0.0 | 0.0 | 2.5297 | 2.5297 | 2.5297 | 90.0 | 90.0 | 90.0 |
| A1--Cu--fcc | dynamic | 0.0 | 0.0 | 3.8217 | 3.8217 | 3.8217 | 90.0 | 90.0 | 90.0 |
| A7--alpha-As | dynamic | 0.0 | 0.0 | 3.5708 | 3.5708 | 8.7924 | 90.0 | 90.0 | 120.0 |
| A2--W--bcc | dynamic | 0.0 | 0.0 | 3.0782 | 3.0782 | 3.0782 | 90.0 | 90.0 | 90.0 |
| oqmd-1214926 | dynamic | 0.0 | 0.0 | 6.8012 | 6.8012 | 6.8012 | 90.0 | 90.0 | 90.0 |
| Ah--alpha-Po--sc | dynamic | 0.0 | 0.0 | 2.7608 | 2.7608 | 2.7608 | 90.0 | 90.0 | 90.0 |
| A2--W--bcc | dynamic | 0.0 | 0.0 | 2.9677 | 2.9677 | 2.9677 | 90.0 | 90.0 | 90.0 |
| A3--Mg--hcp | dynamic | 0.0 | 0.0 | 2.6876 | 2.6876 | 4.5802 | 90.0 | 90.0 | 120.0 |
| A3--Mg--hcp | dynamic | 0.0 | 0.0 | 2.6656 | 2.6656 | 4.5063 | 90.0 | 90.0 | 120.0 |
| mp-1120747 | dynamic | 0.0 | 0.0 | 5.0872 | 5.0872 | 4.2538 | 90.0 | 90.0 | 120.0 |
| mp-1094057 | dynamic | 0.0 | 0.0 | 2.7156 | 2.7156 | 19.6308 | 90.0 | 90.0 | 120.0 |
| A6--In--bct | dynamic | 0.0 | 0.0 | 3.2538 | 3.2538 | 2.6407 | 90.0 | 90.0 | 90.0 |
| A6--In--bct | dynamic | 0.0 | 0.0 | 2.6593 | 2.6593 | 4.0871 | 90.0 | 90.0 | 90.0 |
| oqmd-1214659 | dynamic | 0.0 | 0.0 | 3.5591 | 3.5591 | 4.4447 | 90.0 | 90.0 | 120.0 |
| A1--Cu--fcc | dynamic | 0.0 | 0.0 | 3.865 | 3.865 | 3.865 | 90.0 | 90.0 | 90.0 |
| A3--Mg--hcp | dynamic | 0.0 | 0.0 | 2.6959 | 2.6959 | 4.557 | 90.0 | 90.0 | 120.0 |
| mp-1001113 | dynamic | 0.0 | 0.0 | 3.2624 | 9.4333 | 3.9918 | 90.0 | 90.0 | 90.0 |
| oqmd-691764 | dynamic | 0.0 | 0.0 | 2.67 | 2.67 | 7.0705 | 90.0 | 90.0 | 120.0 |
| A3'--alpha-La--double-hcp | dynamic | 0.0 | 0.0 | 2.7598 | 2.7598 | 8.7152 | 90.0 | 90.0 | 120.0 |
| A1--Cu--fcc | box | 0.0 | 0.0 | 3.5355 | 3.5355 | 3.5355 | 90.0 | 90.0 | 90.0 |
| A2--W--bcc | dynamic | 0.0 | 0.0 | 3.0267 | 3.0267 | 3.0267 | 90.0 | 90.0 | 90.0 |
| A1--Cu--fcc | dynamic | 0.0 | 0.0 | 3.8649 | 3.8649 | 3.8649 | 90.0 | 90.0 | 90.0 |
| oqmd-1216087 | dynamic | 0.0 | 0.0 | 2.6942 | 2.6942 | 20.5604 | 90.0 | 90.0 | 120.0 |
Static elastic constants are displayed for the unique structures identified in Crystal Structure Predictions above. The values displayed here are obtained by measuring the change in virial stresses due to applying small strains to the relaxed crystals. The initial structure and the strained states are all relaxed using force minimization.
The calculation method used is available as the iprPy elastic_constants_static calculation method.
Notes and Disclaimers:
Version Information:
| 524.255 | 256.368 | 256.368 | -0.000 | -0.000 | 0.000 |
| 256.368 | 524.255 | 256.368 | -0.000 | -0.000 | 0.000 |
| 256.368 | 256.368 | 524.255 | 0.000 | 0.000 | 0.000 |
| 0.000 | 0.000 | 0.000 | 199.219 | 0.000 | 0.000 |
| 0.000 | 0.000 | 0.000 | -0.000 | 199.219 | 0.000 |
| 0.000 | 0.000 | 0.000 | 0.000 | 0.000 | 199.219 |
| 524.255 | 256.368 | 256.368 | -0.000 | -0.000 | -0.000 |
| 256.368 | 524.255 | 256.368 | 0.000 | 0.000 | -0.000 |
| 256.368 | 256.368 | 524.255 | -0.000 | -0.000 | -0.000 |
| -0.000 | -0.000 | -0.000 | 199.219 | 0.000 | -0.000 |
| -0.000 | -0.000 | -0.000 | 0.000 | 199.219 | -0.000 |
| -0.000 | -0.000 | -0.000 | -0.000 | -0.000 | 199.219 |
| 524.255 | 256.368 | 256.368 | 0.000 | 0.000 | 0.000 |
| 256.368 | 524.255 | 256.368 | 0.000 | 0.000 | 0.000 |
| 256.368 | 256.368 | 524.255 | 0.000 | 0.000 | -0.000 |
| -0.000 | 0.000 | 0.000 | 199.219 | 0.000 | -0.000 |
| 0.000 | -0.000 | 0.000 | -0.000 | 199.219 | 0.000 |
| 0.000 | 0.000 | -0.000 | 0.000 | 0.000 | 199.219 |
| 524.255 | 256.368 | 256.368 | -0.000 | -0.000 | -0.000 |
| 256.368 | 524.255 | 256.368 | -0.000 | -0.000 | -0.000 |
| 256.368 | 256.368 | 524.255 | -0.000 | -0.000 | 0.000 |
| 0.000 | -0.000 | -0.000 | 199.219 | 0.000 | -0.000 |
| -0.000 | 0.000 | -0.000 | -0.000 | 199.219 | -0.000 |
| -0.000 | -0.000 | 0.000 | -0.000 | -0.000 | 199.219 |
| 524.257 | 256.369 | 256.369 | -0.000 | -0.000 | -0.000 |
| 256.369 | 524.257 | 256.369 | 0.000 | 0.000 | 0.000 |
| 256.369 | 256.369 | 524.257 | 0.000 | 0.000 | -0.000 |
| -0.000 | 0.000 | 0.001 | 199.219 | 0.000 | 0.000 |
| 0.000 | -0.000 | 0.001 | -0.000 | 199.219 | 0.000 |
| 0.000 | 0.001 | -0.000 | 0.000 | 0.000 | 199.219 |
| 524.254 | 256.367 | 256.367 | -0.000 | -0.000 | -0.000 |
| 256.367 | 524.254 | 256.367 | -0.000 | -0.000 | -0.000 |
| 256.367 | 256.367 | 524.254 | -0.000 | -0.000 | -0.000 |
| 0.000 | -0.000 | -0.001 | 199.219 | -0.000 | 0.000 |
| -0.000 | 0.000 | -0.001 | 0.000 | 199.219 | -0.000 |
| -0.000 | -0.001 | 0.000 | -0.000 | -0.000 | 199.219 |
| 577.099 | 153.402 | 153.402 | -0.000 | 0.000 | -0.000 |
| 153.402 | 577.099 | 153.402 | -0.000 | 0.000 | -0.000 |
| 153.402 | 153.402 | 577.099 | 0.000 | -0.000 | -0.000 |
| 0.000 | 0.000 | 0.000 | 94.972 | -0.000 | -0.000 |
| 0.000 | 0.000 | -0.000 | -0.000 | 94.972 | 0.000 |
| 0.000 | -0.000 | 0.000 | 0.000 | 0.000 | 94.972 |
| 580.339 | 151.782 | 151.782 | 0.000 | -0.000 | 0.000 |
| 151.782 | 580.339 | 151.782 | 0.000 | 0.000 | 0.000 |
| 151.782 | 151.782 | 580.339 | -0.000 | 0.000 | 0.000 |
| -0.000 | -0.000 | -0.000 | 94.972 | 0.000 | -0.000 |
| -0.000 | -0.000 | -0.000 | 0.000 | 94.972 | 0.000 |
| -0.000 | 0.000 | -0.000 | -0.000 | -0.000 | 94.972 |
| 580.340 | 151.782 | 151.782 | -0.000 | 0.000 | -0.000 |
| 151.782 | 580.340 | 151.782 | 0.000 | -0.000 | 0.000 |
| 151.782 | 151.782 | 580.340 | -0.000 | 0.000 | -0.000 |
| 0.000 | 0.000 | 0.000 | 94.972 | -0.000 | -0.000 |
| 0.000 | 0.000 | 0.000 | 0.000 | 94.972 | -0.000 |
| 0.000 | 0.000 | 0.000 | 0.000 | 0.000 | 94.972 |
| 580.339 | 151.782 | 151.782 | -0.000 | -0.000 | 0.000 |
| 151.782 | 580.339 | 151.782 | 0.000 | -0.000 | 0.000 |
| 151.782 | 151.782 | 580.339 | -0.000 | -0.000 | 0.000 |
| -0.000 | -0.000 | -0.000 | 94.972 | 0.000 | 0.000 |
| -0.000 | -0.000 | -0.000 | 0.000 | 94.972 | 0.000 |
| -0.000 | -0.000 | -0.000 | 0.000 | -0.000 | 94.972 |
| 577.102 | 153.403 | 153.403 | -0.000 | 0.000 | -0.000 |
| 153.403 | 577.102 | 153.403 | 0.000 | 0.000 | -0.000 |
| 153.403 | 153.403 | 577.102 | -0.000 | 0.000 | 0.000 |
| 0.000 | 0.000 | 0.000 | 75.633 | 0.000 | 0.000 |
| 0.000 | 0.000 | 0.000 | 0.000 | 75.633 | 0.000 |
| 0.000 | 0.000 | 0.000 | -0.000 | 0.000 | 75.633 |
| 577.097 | 153.401 | 153.401 | 0.000 | 0.000 | 0.000 |
| 153.401 | 577.097 | 153.401 | 0.000 | -0.000 | 0.000 |
| 153.401 | 153.401 | 577.097 | -0.000 | -0.000 | 0.000 |
| -0.000 | -0.000 | -0.000 | 75.633 | -0.000 | 0.000 |
| -0.000 | -0.000 | -0.000 | -0.000 | 75.633 | 0.000 |
| -0.000 | -0.000 | -0.000 | 0.000 | 0.000 | 75.633 |
| -149830850.278 | 1473820757.276 | 1473820757.894 | 0.027 | -0.110 | 0.107 |
| 1473820757.897 | -149830850.279 | 1473820757.276 | 0.135 | -0.012 | 0.010 |
| 1473820757.279 | 1473820757.892 | -149830850.279 | 0.022 | 0.057 | 0.026 |
| 1394999080.584 | 1439234047.035 | 1439234008.602 | -1921637703.461 | -0.000 | 0.000 |
| 1439234047.035 | 1394999080.584 | 1439234008.602 | -0.000 | -1921637703.461 | -0.000 |
| 1439234047.035 | 1439234008.602 | 1394999080.584 | -0.000 | -0.000 | -1921637703.461 |
| 27.000 | -67.014 | -67.014 | 0.000 | 0.000 | -0.000 |
| -67.014 | 27.000 | -67.014 | 0.000 | -0.000 | -0.000 |
| -67.014 | -67.014 | 27.000 | -0.000 | 0.000 | -0.000 |
| -1394999080.584 | -1439234047.035 | -1439234008.602 | -1921637703.461 | 0.000 | -0.000 |
| -1439234047.035 | -1394999080.584 | -1439234008.602 | 0.000 | -1921637703.461 | 0.000 |
| -1439234047.035 | -1439234008.602 | -1394999080.584 | 0.000 | 0.000 | -1921637703.461 |
| -14983044.145 | 147382050.392 | 147382050.389 | 0.001 | -0.001 | 0.001 |
| 147382050.389 | -14983044.145 | 147382050.392 | 0.001 | 0.000 | 0.001 |
| 147382050.392 | 147382050.389 | -14983044.145 | 0.000 | 0.001 | 0.001 |
| 139499899.061 | 143923405.447 | 143923367.014 | -192163738.493 | -0.000 | 0.000 |
| 143923405.447 | 139499899.061 | 143923367.014 | -0.000 | -192163738.493 | 0.000 |
| 143923405.447 | 143923367.014 | 139499899.061 | 0.000 | -0.000 | -192163738.493 |
| 26.999 | -67.014 | -67.014 | 0.000 | 0.000 | -0.000 |
| -67.014 | 26.999 | -67.014 | 0.000 | 0.000 | -0.000 |
| -67.014 | -67.014 | 26.999 | 0.000 | 0.000 | -0.000 |
| -139499899.061 | -143923405.447 | -143923367.014 | -192163738.493 | 0.000 | -0.000 |
| -143923405.447 | -139499899.061 | -143923367.014 | 0.000 | -192163738.493 | 0.000 |
| -143923405.447 | -143923367.014 | -139499899.061 | 0.000 | 0.000 | -192163738.493 |
| -1498263.563 | 14738179.715 | 14738179.715 | 0.000 | -0.000 | 0.000 |
| 14738179.715 | -1498263.563 | 14738179.715 | 0.000 | 0.000 | -0.000 |
| 14738179.715 | 14738179.715 | -1498263.563 | -0.000 | 0.000 | 0.000 |
| 13949980.908 | 14392341.289 | 14392302.856 | -19216341.996 | -0.000 | -0.000 |
| 14392341.289 | 13949980.908 | 14392302.856 | -0.000 | -19216341.996 | 0.000 |
| 14392341.289 | 14392302.856 | 13949980.908 | 0.000 | -0.000 | -19216341.996 |
| 26.999 | -67.014 | -67.014 | 0.000 | 0.000 | -0.000 |
| -67.014 | 26.999 | -67.014 | -0.000 | -0.000 | -0.000 |
| -67.014 | -67.014 | 26.999 | 0.000 | -0.000 | -0.000 |
| -13949980.908 | -14392341.289 | -14392302.856 | -19216341.996 | 0.000 | -0.000 |
| -14392341.289 | -13949980.908 | -14392302.856 | 0.000 | -19216341.996 | -0.000 |
| -14392341.289 | -14392302.856 | -13949980.908 | 0.000 | 0.000 | -19216341.996 |
| 320.500 | 274.253 | 274.253 | 0.000 | 0.000 | -0.000 |
| 274.253 | 320.500 | 274.253 | 0.000 | 0.000 | 0.000 |
| 274.253 | 274.253 | 320.500 | 0.000 | 0.000 | -0.000 |
| 0.000 | -0.000 | -0.000 | 212.541 | -0.000 | -0.000 |
| 0.000 | -0.000 | 0.000 | 0.000 | 212.541 | 0.000 |
| 0.000 | -0.000 | 0.000 | 0.000 | 0.000 | 212.541 |
| 320.500 | 274.253 | 274.253 | -0.000 | 0.000 | 0.000 |
| 274.253 | 320.500 | 274.253 | -0.000 | 0.000 | 0.000 |
| 274.253 | 274.253 | 320.500 | -0.000 | -0.000 | 0.000 |
| -0.000 | 0.000 | -0.000 | 212.540 | -0.000 | 0.000 |
| 0.000 | 0.000 | -0.000 | -0.000 | 212.541 | 0.000 |
| -0.000 | 0.000 | -0.000 | -0.000 | 0.000 | 212.541 |
| 320.500 | 274.253 | 274.253 | 0.000 | -0.000 | -0.000 |
| 274.253 | 320.500 | 274.253 | 0.000 | -0.000 | 0.000 |
| 274.253 | 274.253 | 320.500 | 0.000 | 0.000 | 0.000 |
| 0.000 | -0.000 | 0.000 | 212.541 | -0.000 | 0.000 |
| -0.000 | 0.000 | 0.000 | 0.000 | 212.541 | 0.000 |
| -0.000 | 0.000 | 0.000 | 0.000 | -0.000 | 212.541 |
| 320.500 | 274.253 | 274.253 | -0.000 | 0.000 | -0.000 |
| 274.253 | 320.500 | 274.253 | -0.000 | 0.000 | 0.000 |
| 274.253 | 274.253 | 320.500 | -0.000 | -0.000 | 0.000 |
| -0.000 | 0.000 | -0.000 | 212.541 | 0.000 | 0.000 |
| 0.000 | -0.000 | -0.000 | -0.000 | 212.541 | -0.000 |
| 0.000 | -0.000 | -0.000 | -0.000 | -0.000 | 212.541 |
| 320.501 | 274.253 | 274.253 | 0.000 | 0.000 | 0.000 |
| 274.253 | 320.501 | 274.253 | 0.000 | 0.000 | -0.000 |
| 274.253 | 274.253 | 320.501 | 0.000 | 0.000 | -0.000 |
| 0.000 | 0.000 | 0.000 | 212.541 | 0.000 | 0.000 |
| 0.000 | 0.000 | 0.000 | 0.000 | 212.541 | 0.000 |
| 0.000 | 0.000 | 0.000 | 0.000 | 0.000 | 212.541 |
| 320.499 | 274.252 | 274.252 | -0.000 | -0.000 | -0.000 |
| 274.252 | 320.499 | 274.252 | -0.000 | -0.000 | 0.000 |
| 274.252 | 274.252 | 320.499 | -0.000 | -0.000 | -0.000 |
| -0.000 | -0.000 | -0.000 | 212.541 | 0.000 | -0.000 |
| -0.000 | -0.000 | -0.000 | -0.000 | 212.541 | -0.000 |
| -0.000 | -0.000 | -0.000 | -0.000 | -0.000 | 212.541 |
| -1770338458.622 | 3615592023.646 | 3615592023.646 | -0.000 | -0.000 | -0.000 |
| 3615592023.646 | -1770338458.622 | 3615592023.646 | -0.000 | -0.000 | -0.000 |
| 3615592023.646 | 3615592023.646 | -1770338458.622 | -0.000 | -0.000 | -0.000 |
| 0.000 | 0.000 | 0.000 | 40.859 | -0.000 | 0.000 |
| 0.000 | 0.000 | 0.000 | -0.000 | 40.859 | 0.000 |
| 0.000 | 0.000 | 0.000 | -0.000 | -0.000 | 40.859 |
| 182.197 | -106.903 | -106.903 | 0.000 | 0.000 | -0.000 |
| -106.903 | 182.197 | -106.903 | 0.000 | 0.000 | 0.000 |
| -106.903 | -106.903 | 182.197 | 0.000 | 0.000 | -0.000 |
| -0.000 | -0.000 | -0.000 | 40.859 | 0.000 | 0.000 |
| -0.000 | -0.000 | -0.000 | 0.000 | 40.859 | -0.000 |
| -0.000 | -0.000 | -0.000 | 0.000 | 0.000 | 40.859 |
| -177033800.390 | 361559201.105 | 361559201.105 | -0.000 | -0.000 | -0.000 |
| 361559201.105 | -177033800.390 | 361559201.105 | -0.000 | -0.000 | -0.000 |
| 361559201.105 | 361559201.105 | -177033800.390 | -0.000 | -0.000 | -0.000 |
| 0.000 | 0.000 | 0.000 | 40.859 | -0.000 | 0.000 |
| 0.000 | 0.000 | 0.000 | -0.000 | 40.859 | -0.000 |
| 0.000 | 0.000 | 0.000 | -0.000 | -0.000 | 40.859 |
| 182.197 | -106.903 | -106.903 | 0.000 | 0.000 | -0.000 |
| -106.903 | 182.197 | -106.903 | 0.000 | 0.000 | 0.000 |
| -106.903 | -106.903 | 182.197 | 0.000 | 0.000 | -0.000 |
| -0.000 | -0.000 | -0.000 | 40.859 | 0.000 | 0.000 |
| -0.000 | -0.000 | -0.000 | 0.000 | 40.859 | -0.000 |
| -0.000 | -0.000 | -0.000 | 0.000 | 0.000 | 40.859 |
| -17703334.566 | 36155918.851 | 36155918.851 | -0.000 | -0.000 | -0.000 |
| 36155918.851 | -17703334.566 | 36155918.851 | -0.000 | -0.000 | -0.000 |
| 36155918.851 | 36155918.851 | -17703334.566 | -0.000 | -0.000 | -0.000 |
| 0.000 | 0.000 | 0.000 | 40.859 | -0.000 | 0.000 |
| 0.000 | 0.000 | 0.000 | -0.000 | 40.859 | 0.000 |
| 0.000 | 0.000 | 0.000 | -0.000 | -0.000 | 40.859 |
| 182.196 | -106.903 | -106.903 | 0.000 | 0.000 | -0.000 |
| -106.903 | 182.196 | -106.903 | 0.000 | 0.000 | -0.000 |
| -106.903 | -106.903 | 182.196 | 0.000 | 0.000 | -0.000 |
| -0.000 | -0.000 | -0.000 | 40.859 | 0.000 | -0.000 |
| -0.000 | -0.000 | -0.000 | 0.000 | 40.859 | -0.000 |
| -0.000 | -0.000 | -0.000 | 0.000 | 0.000 | 40.859 |
| 586.593 | 237.641 | 212.711 | 0.000 | 0.000 | -0.000 |
| 245.351 | 578.883 | 212.712 | 0.000 | 0.000 | -0.000 |
| 212.711 | 212.712 | 611.278 | 0.000 | 0.000 | 0.000 |
| -0.000 | 0.000 | -0.000 | 151.750 | 0.000 | 0.000 |
| -0.000 | 0.000 | -0.000 | 0.000 | 151.750 | 0.000 |
| -0.000 | 0.000 | -0.001 | 0.000 | -0.000 | 174.476 |
| 578.883 | 245.351 | 212.711 | -0.000 | -0.000 | 0.000 |
| 237.641 | 586.593 | 212.712 | -0.000 | 0.000 | 0.000 |
| 212.712 | 212.711 | 611.278 | -0.000 | -0.000 | 0.000 |
| 0.000 | -0.000 | -0.000 | 151.750 | -0.000 | -0.000 |
| -0.000 | -0.000 | 0.000 | -0.000 | 151.749 | -0.000 |
| -0.000 | -0.000 | 0.001 | -0.000 | 0.000 | 174.476 |
| 578.883 | 245.351 | 212.712 | 0.000 | 0.000 | -0.000 |
| 245.351 | 578.883 | 212.712 | 0.000 | 0.000 | -0.000 |
| 212.712 | 212.712 | 611.278 | -0.000 | -0.000 | 0.000 |
| -0.000 | 0.000 | 0.000 | 151.750 | 0.000 | 0.000 |
| -0.000 | 0.000 | 0.000 | 0.000 | 151.750 | 0.000 |
| -0.000 | 0.000 | -0.000 | 0.000 | -0.000 | 174.476 |
| 578.883 | 245.351 | 212.711 | -0.000 | -0.000 | 0.000 |
| 237.641 | 586.593 | 212.712 | -0.000 | 0.000 | 0.000 |
| 212.711 | 212.711 | 611.278 | -0.000 | -0.000 | 0.000 |
| 0.000 | -0.000 | -0.000 | 151.750 | -0.000 | -0.000 |
| 0.000 | -0.000 | -0.000 | -0.000 | 151.750 | -0.000 |
| -0.000 | -0.000 | 0.000 | -0.000 | -0.000 | 174.476 |
| 578.886 | 245.352 | 212.712 | 0.000 | 0.000 | -0.000 |
| 237.642 | 586.595 | 212.712 | 0.000 | -0.000 | -0.000 |
| 212.712 | 212.712 | 611.280 | 0.000 | 0.000 | -0.000 |
| 0.000 | -0.000 | 0.000 | 151.750 | 0.000 | -0.000 |
| -0.000 | 0.000 | 0.000 | 0.000 | 151.750 | -0.000 |
| -0.000 | 0.001 | -0.000 | 0.000 | 0.000 | 166.766 |
| 586.590 | 237.640 | 212.711 | -0.000 | 0.000 | 0.000 |
| 237.640 | 586.590 | 212.711 | -0.000 | -0.000 | 0.000 |
| 212.711 | 212.711 | 611.276 | 0.000 | -0.000 | -0.000 |
| -0.000 | 0.000 | -0.000 | 151.750 | 0.000 | 0.000 |
| 0.000 | -0.000 | -0.000 | -0.000 | 151.750 | 0.000 |
| 0.000 | -0.001 | 0.000 | -0.000 | -0.000 | 166.766 |
| 663.218 | 241.391 | 231.300 | 0.000 | -0.000 | -0.000 |
| 183.443 | 721.165 | 231.300 | 0.000 | 0.000 | -0.000 |
| 251.977 | 251.977 | 733.218 | 0.000 | -0.000 | 0.000 |
| 0.000 | 0.000 | -0.000 | 277.298 | -0.000 | -0.000 |
| 0.000 | -0.000 | 0.000 | -0.000 | 277.298 | 0.000 |
| 0.000 | 0.000 | 0.000 | 0.000 | -0.001 | 210.913 |
| 663.218 | 241.391 | 231.300 | -0.000 | 0.000 | 0.000 |
| 183.443 | 721.165 | 231.300 | -0.000 | 0.000 | 0.000 |
| 251.977 | 251.977 | 733.219 | 0.000 | 0.000 | 0.000 |
| -0.000 | -0.000 | 0.000 | 277.298 | 0.002 | 0.000 |
| 0.000 | 0.000 | 0.000 | 0.000 | 277.298 | 0.000 |
| -0.000 | -0.000 | 0.000 | 0.000 | 0.000 | 210.913 |
| 663.218 | 241.391 | 231.300 | -0.000 | -0.000 | -0.000 |
| 183.443 | 721.166 | 231.300 | -0.000 | 0.000 | -0.000 |
| 251.977 | 251.977 | 733.219 | -0.000 | -0.000 | -0.000 |
| 0.000 | 0.000 | 0.000 | 277.298 | 0.000 | 0.000 |
| 0.000 | 0.000 | 0.000 | 0.000 | 277.298 | -0.000 |
| 0.000 | 0.000 | 0.000 | 0.000 | 0.000 | 268.861 |
| 721.165 | 183.443 | 231.300 | -0.000 | -0.000 | 0.000 |
| 183.443 | 721.165 | 231.300 | -0.000 | 0.000 | -0.000 |
| 251.977 | 251.977 | 733.218 | 0.000 | 0.000 | 0.000 |
| -0.000 | -0.000 | -0.000 | 277.298 | 0.000 | 0.000 |
| -0.000 | -0.000 | -0.000 | 0.000 | 277.298 | -0.000 |
| -0.000 | -0.000 | -0.000 | -0.000 | 0.000 | 268.861 |
| 663.220 | 241.391 | 231.301 | 0.000 | -0.000 | -0.000 |
| 241.390 | 663.221 | 231.301 | 0.000 | -0.000 | -0.000 |
| 251.978 | 251.978 | 733.221 | -0.000 | -0.000 | -0.000 |
| 0.000 | 0.000 | 0.000 | 277.298 | 0.000 | -0.000 |
| 0.000 | 0.000 | 0.000 | 0.000 | 277.298 | 0.000 |
| -0.000 | 0.000 | 0.000 | -0.000 | -0.000 | 210.913 |
| 663.216 | 241.390 | 231.299 | 0.000 | 0.000 | 0.000 |
| 241.389 | 663.217 | 231.299 | 0.000 | 0.000 | 0.000 |
| 251.976 | 251.976 | 733.216 | -0.000 | 0.000 | 0.000 |
| -0.000 | -0.000 | -0.000 | 277.298 | 0.000 | 0.000 |
| -0.000 | -0.000 | -0.000 | -0.000 | 277.298 | -0.000 |
| 0.000 | -0.000 | -0.000 | 0.000 | 0.000 | 210.913 |
| 1007.742 | 168.831 | 168.831 | -0.000 | -0.000 | -0.000 |
| 168.831 | 1007.742 | 168.831 | -0.000 | -0.000 | 0.000 |
| 168.831 | 168.831 | 1007.741 | -0.000 | -0.000 | -0.000 |
| -0.000 | 0.000 | 0.000 | 462.450 | -0.000 | 0.000 |
| -0.000 | 0.000 | -0.000 | -0.000 | 462.450 | 0.000 |
| -0.000 | -0.000 | -0.000 | -0.000 | -0.000 | 462.450 |
| 1007.741 | 168.831 | 168.831 | 0.000 | 0.000 | 0.000 |
| 168.831 | 1007.742 | 168.831 | 0.000 | 0.000 | -0.000 |
| 168.831 | 168.832 | 1007.742 | 0.000 | 0.000 | 0.000 |
| -0.000 | -0.001 | 0.000 | 462.450 | 0.000 | -0.000 |
| 0.000 | 0.000 | 0.000 | 0.000 | 462.450 | 0.000 |
| 0.000 | -0.000 | 0.000 | 0.000 | 0.000 | 462.450 |
| 1007.742 | 168.831 | 168.831 | -0.000 | -0.000 | -0.000 |
| 168.831 | 1007.742 | 168.831 | -0.000 | -0.000 | -0.000 |
| 168.831 | 168.831 | 1007.742 | -0.000 | -0.000 | -0.000 |
| -0.000 | 0.000 | 0.000 | 462.450 | -0.000 | 0.000 |
| -0.000 | 0.000 | 0.000 | -0.000 | 462.450 | -0.000 |
| -0.000 | 0.000 | -0.000 | -0.000 | -0.000 | 462.450 |
| 1007.741 | 168.831 | 168.831 | 0.000 | 0.000 | 0.000 |
| 168.831 | 1007.741 | 168.831 | 0.000 | 0.000 | 0.000 |
| 168.831 | 168.831 | 1007.741 | 0.000 | 0.000 | 0.000 |
| 0.000 | 0.000 | -0.000 | 462.450 | 0.000 | 0.000 |
| 0.000 | -0.000 | -0.000 | 0.000 | 462.450 | 0.000 |
| 0.000 | -0.000 | 0.000 | 0.000 | 0.000 | 462.450 |
| 1007.743 | 168.832 | 168.832 | -0.000 | -0.000 | -0.000 |
| 168.832 | 1007.743 | 168.832 | -0.000 | -0.000 | 0.000 |
| 168.832 | 168.832 | 1007.743 | -0.000 | -0.000 | -0.000 |
| 0.000 | -0.000 | 0.000 | 462.450 | -0.000 | 0.000 |
| -0.000 | 0.000 | 0.000 | -0.000 | 462.450 | -0.000 |
| -0.000 | 0.000 | 0.000 | -0.000 | -0.000 | 462.450 |
| 1007.740 | 168.830 | 168.830 | 0.000 | 0.000 | 0.000 |
| 168.830 | 1007.740 | 168.830 | 0.000 | 0.000 | -0.000 |
| 168.830 | 168.830 | 1007.740 | 0.000 | 0.000 | 0.000 |
| -0.000 | 0.000 | -0.000 | 462.450 | 0.000 | -0.000 |
| 0.000 | -0.000 | -0.000 | 0.000 | 462.450 | 0.000 |
| 0.000 | -0.000 | -0.000 | 0.000 | 0.000 | 462.450 |
| 119.385 | 637.001 | 99.436 | -0.000 | 0.000 | 0.000 |
| 637.000 | 119.385 | 99.436 | 0.000 | 0.000 | -0.000 |
| 99.435 | 99.435 | 767.264 | -0.000 | 0.000 | -0.000 |
| 0.000 | 0.000 | -0.000 | -2.165 | 0.000 | 0.000 |
| 0.000 | -0.000 | 0.000 | 0.000 | -2.165 | -0.000 |
| -0.000 | -0.000 | 0.000 | 0.000 | 0.000 | 130.023 |
| 119.385 | 637.000 | 99.435 | 0.000 | -0.000 | 0.000 |
| 637.000 | 119.385 | 99.435 | -0.000 | -0.001 | 0.000 |
| 99.435 | 99.435 | 767.264 | -0.001 | -0.000 | 0.000 |
| -0.000 | -0.000 | -0.000 | -2.165 | -0.000 | 0.000 |
| -0.000 | 0.000 | 0.000 | -0.000 | -2.165 | 0.000 |
| 0.000 | -0.000 | -0.000 | -0.000 | -0.000 | 130.023 |
| 119.385 | 637.001 | 99.436 | 0.000 | 0.000 | -0.000 |
| 637.001 | 119.385 | 99.436 | 0.000 | 0.000 | -0.000 |
| 99.435 | 99.435 | 767.265 | 0.000 | 0.000 | -0.000 |
| -0.000 | 0.000 | -0.000 | -2.165 | -0.000 | -0.000 |
| 0.000 | -0.000 | -0.000 | 0.000 | -2.165 | -0.000 |
| -0.000 | -0.000 | 0.000 | 0.000 | 0.000 | 130.023 |
| 119.386 | 637.000 | 99.435 | -0.000 | -0.000 | 0.000 |
| 637.000 | 119.386 | 99.435 | -0.000 | -0.000 | 0.000 |
| 99.435 | 99.435 | 767.264 | 0.000 | -0.000 | 0.000 |
| 0.000 | -0.000 | 0.000 | -2.165 | -0.000 | 0.000 |
| -0.000 | 0.000 | 0.000 | -0.000 | -2.165 | 0.000 |
| 0.000 | 0.000 | -0.000 | -0.000 | -0.000 | 130.023 |
| 119.381 | 637.004 | 99.438 | 0.000 | 0.000 | -0.000 |
| 637.004 | 119.381 | 99.438 | 0.000 | 0.000 | -0.000 |
| 99.436 | 99.436 | 767.268 | -0.000 | 0.000 | -0.000 |
| -0.000 | 0.000 | -0.000 | -2.165 | 0.000 | -0.000 |
| 0.000 | -0.000 | -0.000 | 0.000 | -2.165 | -0.000 |
| -0.000 | 0.000 | 0.000 | -0.000 | 0.000 | 130.023 |
| 119.389 | 636.997 | 99.433 | -0.000 | -0.000 | -0.000 |
| 636.997 | 119.389 | 99.433 | -0.000 | -0.000 | 0.000 |
| 99.435 | 99.435 | 767.260 | -0.000 | -0.000 | 0.000 |
| 0.000 | -0.000 | 0.000 | -2.165 | -0.000 | -0.000 |
| -0.000 | 0.000 | 0.000 | -0.000 | -2.165 | 0.000 |
| 0.000 | -0.000 | -0.000 | -0.000 | -0.000 | 130.023 |
| 843258019.286 | 2693065442.171 | 1903497786.714 | -0.000 | -0.000 | -0.000 |
| 2693065442.171 | 843258019.286 | 1903497786.714 | 0.000 | -0.000 | -0.000 |
| 4345380590.209 | 4345380590.209 | 3268172684.195 | -0.000 | -0.000 | -0.000 |
| 1599341173.875 | 1621271040.169 | 1175638538.080 | -2275622771.434 | 0.000 | -0.000 |
| 1621271040.169 | 1599341173.875 | 1175638538.081 | 0.000 | -2275622771.434 | -0.000 |
| 0.000 | 0.000 | 0.000 | 0.000 | -0.000 | 170.208 |
| 107.132 | -83.490 | -59.154 | -0.000 | 0.000 | 0.000 |
| -83.490 | 107.132 | -59.154 | -0.000 | 0.000 | 0.000 |
| -53.707 | -53.708 | 7.976 | -0.000 | 0.000 | 0.000 |
| -1599341173.875 | -1621271040.169 | -1175638538.081 | -2275622771.433 | -0.000 | 0.000 |
| -1621271040.169 | -1599341173.875 | -1175638538.080 | -0.000 | -2275622771.433 | 0.000 |
| -0.000 | -0.000 | -0.000 | -0.000 | -0.000 | 170.208 |
| 84325861.117 | 269306502.037 | 190349776.812 | -0.000 | -0.000 | -0.000 |
| 269306502.037 | 84325861.117 | 190349776.812 | 0.000 | -0.000 | -0.000 |
| 434538061.186 | 434538061.186 | 326817465.455 | 0.000 | -0.000 | -0.000 |
| 159933966.610 | 162126898.060 | 117563878.563 | -227562168.719 | -0.000 | -0.000 |
| 162126898.060 | 159933966.610 | 117563878.563 | 0.000 | -227562168.719 | -0.000 |
| 0.000 | 0.000 | 0.000 | 0.000 | -0.000 | 170.208 |
| 107.132 | -83.490 | -59.154 | -0.000 | 0.000 | 0.000 |
| -83.490 | 107.132 | -59.154 | -0.000 | 0.000 | 0.000 |
| -53.707 | -53.707 | 7.975 | -0.000 | 0.000 | 0.000 |
| -159933966.610 | -162126898.060 | -117563878.563 | -227562168.719 | 0.000 | 0.000 |
| -162126898.060 | -159933966.610 | -117563878.563 | 0.000 | -227562168.719 | 0.000 |
| 0.000 | -0.000 | -0.000 | 0.000 | 0.000 | 170.208 |
| 8432645.301 | 26930608.023 | 19034975.822 | -0.000 | -0.000 | -0.000 |
| 26930608.023 | 8432645.301 | 19034975.822 | 0.000 | -0.000 | -0.000 |
| 43453808.283 | 43453808.283 | 32681943.582 | -0.000 | -0.000 | -0.000 |
| 15993245.884 | 16212483.853 | 11756412.612 | -22756108.446 | -0.000 | -0.000 |
| 16212483.853 | 15993245.884 | 11756412.612 | 0.000 | -22756108.446 | -0.000 |
| -0.000 | 0.000 | 0.000 | -0.000 | -0.000 | 170.208 |
| 107.131 | -83.490 | -59.155 | -0.000 | 0.000 | 0.000 |
| -83.490 | 107.131 | -59.155 | -0.000 | -0.000 | 0.000 |
| -53.707 | -53.707 | 7.974 | -0.000 | 0.000 | 0.000 |
| -15993245.884 | -16212483.853 | -11756412.612 | -22756108.446 | 0.000 | -0.000 |
| -16212483.853 | -15993245.884 | -11756412.612 | -0.000 | -22756108.446 | 0.000 |
| 0.000 | -0.000 | -0.000 | 0.000 | 0.000 | 170.208 |
| 8772860809.459 | 8772860013.245 | 0.000 | 0.000 | 0.000 | 0.000 |
| 8772860013.245 | 8772860809.458 | 0.000 | 0.000 | 0.000 | -0.000 |
| -26.644 | -26.644 | 0.000 | 0.000 | 0.000 | 0.000 |
| 0.000 | 0.000 | 0.000 | 0.000 | 0.000 | 0.000 |
| 0.000 | 0.000 | 0.000 | 0.000 | 0.000 | 0.000 |
| 5892358848.700 | 5892358772.668 | 0.000 | 0.000 | 0.000 | -3801573846.333 |
| 587.308 | -26.644 | -0.000 | -0.000 | -0.000 | 0.000 |
| -26.644 | 587.308 | -0.000 | -0.000 | -0.000 | 0.000 |
| -26.643 | -26.643 | -0.000 | -0.000 | -0.000 | 0.000 |
| -0.000 | -0.000 | -0.000 | -0.000 | -0.000 | -0.000 |
| -0.000 | -0.000 | -0.000 | -0.000 | -0.000 | -0.000 |
| -5892358848.700 | -5892358772.668 | -0.000 | -0.000 | -0.000 | -3801573846.332 |
| 877286920.532 | 877286124.318 | 0.000 | 0.000 | 0.000 | 0.000 |
| 877286124.318 | 877286920.532 | 0.000 | 0.000 | 0.000 | 0.000 |
| -26.644 | -26.644 | 0.000 | 0.000 | 0.000 | 0.000 |
| 0.000 | 0.000 | 0.000 | 0.000 | 0.000 | 0.000 |
| 0.000 | 0.000 | 0.000 | 0.000 | 0.000 | -0.000 |
| 589235867.573 | 589235791.542 | 0.000 | 0.000 | 0.000 | -380157381.019 |
| 587.308 | -26.644 | -0.000 | -0.000 | -0.000 | 0.000 |
| -26.644 | 587.308 | -0.000 | -0.000 | -0.000 | 0.000 |
| -26.644 | -26.644 | -0.000 | -0.000 | -0.000 | 0.000 |
| -0.000 | -0.000 | -0.000 | -0.000 | -0.000 | -0.000 |
| -0.000 | -0.000 | -0.000 | -0.000 | -0.000 | 0.000 |
| -589235867.573 | -589235791.542 | -0.000 | -0.000 | -0.000 | -380157381.019 |
| 87729531.643 | 87728735.425 | 0.000 | 0.000 | 0.000 | 0.000 |
| 87728735.425 | 87729531.643 | 0.000 | 0.000 | 0.000 | 0.000 |
| -26.644 | -26.644 | 0.000 | 0.000 | 0.000 | 0.000 |
| 0.000 | 0.000 | 0.000 | 0.000 | 0.000 | -0.000 |
| 0.000 | 0.000 | 0.000 | 0.000 | 0.000 | 0.000 |
| 58923569.461 | 58923493.429 | 0.000 | 0.000 | 0.000 | -38015734.487 |
| 587.305 | -26.644 | -0.000 | -0.000 | -0.000 | 0.000 |
| -26.644 | 587.305 | -0.000 | -0.000 | -0.000 | 0.000 |
| -26.644 | -26.644 | -0.000 | -0.000 | -0.000 | 0.000 |
| -0.000 | -0.000 | -0.000 | -0.000 | -0.000 | 0.000 |
| -0.000 | -0.000 | -0.000 | -0.000 | -0.000 | 0.000 |
| -58923569.461 | -58923493.429 | -0.000 | -0.000 | -0.000 | -38015734.487 |
| 8584346079.188 | 8584345300.083 | 0.000 | 0.000 | 0.000 | -0.000 |
| 8584345300.083 | 8584346079.188 | 0.000 | 0.000 | 0.000 | -0.000 |
| -26.071 | -26.071 | 0.000 | 0.000 | 0.000 | 0.000 |
| 0.000 | 0.000 | 0.000 | 0.000 | 0.000 | 0.000 |
| 0.000 | 0.000 | 0.000 | 0.000 | 0.000 | 0.000 |
| 5765741492.840 | 5765741418.442 | 0.000 | 0.000 | 0.000 | -3719884112.072 |
| 574.688 | -26.071 | -0.000 | -0.000 | -0.000 | -0.000 |
| -26.071 | 574.688 | -0.000 | -0.000 | -0.000 | -0.000 |
| -26.071 | -26.071 | -0.000 | -0.000 | -0.000 | -0.000 |
| -0.000 | -0.000 | -0.000 | -0.000 | -0.000 | 0.000 |
| -0.000 | -0.000 | -0.000 | -0.000 | -0.000 | -0.000 |
| -5765741492.840 | -5765741418.442 | -0.000 | -0.000 | -0.000 | -3719884112.072 |
| 858435429.464 | 858434650.359 | 0.000 | 0.000 | 0.000 | 0.000 |
| 858434650.359 | 858435429.464 | 0.000 | 0.000 | 0.000 | 0.000 |
| -26.071 | -26.071 | 0.000 | 0.000 | 0.000 | 0.000 |
| 0.000 | 0.000 | 0.000 | 0.000 | 0.000 | -0.000 |
| 0.000 | 0.000 | 0.000 | 0.000 | 0.000 | 0.000 |
| 576574132.359 | 576574057.961 | 0.000 | 0.000 | 0.000 | -371988407.670 |
| 574.687 | -26.071 | -0.000 | -0.000 | -0.000 | -0.000 |
| -26.071 | 574.687 | -0.000 | -0.000 | -0.000 | -0.000 |
| -26.071 | -26.071 | -0.000 | -0.000 | -0.000 | -0.000 |
| -0.000 | 0.000 | -0.000 | -0.000 | -0.000 | 0.000 |
| 0.000 | -0.000 | -0.000 | -0.000 | -0.000 | -0.000 |
| -576574132.359 | -576574057.961 | -0.000 | -0.000 | -0.000 | -371988407.670 |
| 85844364.495 | 85843585.387 | 0.000 | 0.000 | 0.000 | 0.000 |
| 85843585.387 | 85844364.495 | 0.000 | 0.000 | 0.000 | 0.000 |
| -26.071 | -26.071 | 0.000 | 0.000 | 0.000 | 0.000 |
| 0.000 | -0.000 | 0.000 | 0.000 | 0.000 | -0.000 |
| -0.000 | 0.000 | 0.000 | 0.000 | 0.000 | 0.000 |
| 57657396.311 | 57657321.913 | 0.000 | 0.000 | 0.000 | -37198837.230 |
| 574.684 | -26.071 | -0.000 | -0.000 | -0.000 | -0.000 |
| -26.071 | 574.684 | -0.000 | -0.000 | -0.000 | 0.000 |
| -26.071 | -26.071 | -0.000 | -0.000 | -0.000 | -0.000 |
| -0.000 | -0.000 | -0.000 | -0.000 | -0.000 | -0.000 |
| -0.000 | -0.000 | -0.000 | -0.000 | -0.000 | -0.000 |
| -57657396.311 | -57657321.913 | -0.000 | -0.000 | -0.000 | -37198837.230 |
| 8772860809.357 | 8772860013.143 | 0.000 | 0.000 | 0.000 | 0.000 |
| 8772860013.143 | 8772860809.357 | 0.000 | 0.000 | 0.000 | 0.000 |
| -26.644 | -26.644 | 0.000 | 0.000 | 0.000 | -0.000 |
| 0.000 | 0.000 | 0.000 | 0.000 | 0.000 | 0.000 |
| 0.000 | 0.000 | 0.000 | 0.000 | 0.000 | -0.000 |
| 5892358848.634 | 5892358772.602 | 0.000 | 0.000 | 0.000 | -3801573846.294 |
| 587.308 | -26.644 | -0.000 | -0.000 | -0.000 | 0.000 |
| -26.644 | 587.308 | -0.000 | -0.000 | -0.000 | 0.000 |
| -26.644 | -26.643 | -0.000 | -0.000 | -0.000 | 0.000 |
| -0.000 | 0.000 | -0.000 | -0.000 | -0.000 | 0.000 |
| 0.000 | -0.000 | -0.000 | -0.000 | -0.000 | 0.000 |
| -5892358848.634 | -5892358772.602 | -0.000 | -0.000 | -0.000 | -3801573846.294 |
| 877286920.522 | 877286124.308 | 0.000 | 0.000 | 0.000 | -0.000 |
| 877286124.308 | 877286920.522 | 0.000 | 0.000 | 0.000 | -0.000 |
| -26.644 | -26.644 | 0.000 | 0.000 | 0.000 | -0.000 |
| 0.000 | -0.000 | 0.000 | 0.000 | 0.000 | 0.000 |
| 0.000 | 0.000 | 0.000 | 0.000 | 0.000 | -0.000 |
| 589235867.567 | 589235791.535 | 0.000 | 0.000 | 0.000 | -380157381.015 |
| 587.308 | -26.644 | -0.000 | -0.000 | -0.000 | -0.000 |
| -26.644 | 587.308 | -0.000 | -0.000 | -0.000 | 0.000 |
| -26.644 | -26.644 | -0.000 | -0.000 | -0.000 | 0.000 |
| -0.000 | 0.000 | -0.000 | -0.000 | -0.000 | -0.000 |
| -0.000 | -0.000 | -0.000 | -0.000 | -0.000 | 0.000 |
| -589235867.567 | -589235791.535 | -0.000 | -0.000 | -0.000 | -380157381.015 |
| 87729531.642 | 87728735.424 | 0.000 | 0.000 | 0.000 | 0.000 |
| 87728735.424 | 87729531.642 | 0.000 | 0.000 | 0.000 | 0.000 |
| -26.644 | -26.644 | 0.000 | 0.000 | 0.000 | -0.000 |
| 0.000 | -0.000 | 0.000 | 0.000 | 0.000 | 0.000 |
| 0.000 | 0.000 | 0.000 | 0.000 | 0.000 | -0.000 |
| 58923569.460 | 58923493.428 | 0.000 | 0.000 | 0.000 | -38015734.487 |
| 587.305 | -26.644 | -0.000 | -0.000 | -0.000 | -0.000 |
| -26.644 | 587.305 | -0.000 | -0.000 | -0.000 | -0.000 |
| -26.644 | -26.644 | -0.000 | -0.000 | -0.000 | 0.000 |
| -0.000 | 0.000 | -0.000 | -0.000 | -0.000 | 0.000 |
| 0.000 | -0.000 | -0.000 | -0.000 | -0.000 | 0.000 |
| -58923569.460 | -58923493.428 | -0.000 | -0.000 | -0.000 | -38015734.487 |
| 565.623 | 51.269 | -17.619 | -79.239 | -0.000 | -0.000 |
| 51.269 | 565.622 | -17.619 | 79.238 | 0.000 | -0.000 |
| 42.678 | 42.678 | 491.599 | -0.000 | -0.000 | -0.000 |
| -79.238 | 79.238 | 0.000 | 342.775 | -0.000 | -0.000 |
| 0.000 | -0.000 | 0.000 | -0.000 | 342.775 | -79.239 |
| 0.000 | -0.000 | 0.000 | -0.000 | -79.238 | 257.177 |
| 565.622 | 51.269 | -17.619 | -79.238 | -0.000 | 0.000 |
| 51.269 | 565.623 | -17.619 | 79.239 | 0.000 | 0.000 |
| 42.678 | 42.678 | 491.598 | 0.001 | 0.000 | 0.000 |
| -79.238 | 79.238 | 0.000 | 342.776 | 0.000 | 0.001 |
| -0.000 | 0.000 | -0.000 | 0.000 | 342.775 | -79.238 |
| -0.000 | 0.000 | -0.000 | 0.000 | -79.238 | 257.178 |
| 565.623 | 51.269 | -17.619 | -79.238 | -0.000 | -0.000 |
| 51.269 | 565.623 | -17.619 | 79.238 | -0.000 | -0.000 |
| 42.678 | 42.678 | 491.599 | 0.000 | -0.000 | -0.000 |
| -79.238 | 79.238 | 0.000 | 342.775 | -0.000 | -0.000 |
| 0.000 | -0.000 | 0.000 | -0.000 | 342.775 | -79.238 |
| 0.000 | 0.000 | 0.000 | -0.000 | -79.238 | 257.177 |
| 565.622 | 51.268 | -17.619 | -79.238 | 0.000 | 0.000 |
| 51.269 | 565.622 | -17.620 | 79.238 | 0.000 | 0.000 |
| 42.678 | 42.678 | 491.599 | 0.000 | -0.000 | 0.000 |
| -79.238 | 79.238 | -0.000 | 342.775 | -0.000 | 0.000 |
| -0.000 | -0.000 | -0.000 | 0.000 | 342.775 | -79.238 |
| -0.000 | -0.000 | -0.000 | 0.000 | -79.238 | 257.177 |
| 565.624 | 51.269 | -17.619 | -79.239 | -0.000 | -0.000 |
| 51.269 | 565.624 | -17.619 | 79.239 | -0.000 | -0.000 |
| 42.679 | 42.679 | 491.600 | -0.000 | 0.000 | -0.000 |
| -79.238 | 79.238 | 0.001 | 342.776 | -0.000 | -0.000 |
| 0.000 | 0.000 | 0.001 | -0.000 | 342.775 | -79.238 |
| -0.000 | 0.000 | 0.000 | -0.000 | -79.238 | 257.177 |
| 565.621 | 51.268 | -17.620 | -79.238 | -0.000 | -0.000 |
| 51.268 | 565.621 | -17.620 | 79.237 | 0.000 | 0.000 |
| 42.678 | 42.678 | 491.598 | 0.000 | -0.000 | 0.000 |
| -79.238 | 79.238 | -0.001 | 342.775 | 0.000 | 0.000 |
| -0.000 | -0.000 | -0.001 | 0.000 | 342.775 | -79.238 |
| 0.000 | -0.000 | -0.000 | 0.000 | -79.238 | 257.177 |
| 672.166 | 70.637 | 68.983 | -58.707 | 0.000 | -0.000 |
| 55.293 | 575.704 | 23.172 | -27.042 | 0.000 | -0.000 |
| 0.145 | 0.146 | 0.119 | 0.000 | 0.000 | -0.001 |
| 0.066 | 0.066 | 0.054 | 0.000 | 0.000 | -0.000 |
| -0.000 | -0.001 | 0.000 | 0.000 | 124.120 | -58.708 |
| 0.066 | 0.066 | 0.054 | 0.000 | 0.000 | 272.997 |
| 672.166 | 70.637 | 68.983 | -58.708 | -0.000 | -0.000 |
| 14.080 | 560.074 | -0.119 | -0.000 | -0.000 | 0.000 |
| 68.983 | 68.984 | 56.531 | -0.000 | -0.000 | 0.001 |
| -58.707 | 58.707 | -0.000 | 124.120 | -0.000 | 0.000 |
| 0.000 | 0.001 | -0.000 | -0.000 | 124.120 | -58.707 |
| -0.066 | -0.066 | -0.054 | -0.000 | -0.000 | 272.997 |
| 575.564 | 55.197 | 23.075 | 27.090 | 0.000 | -0.000 |
| 70.637 | 672.167 | 68.983 | 58.708 | 0.000 | -0.000 |
| 68.983 | 68.983 | 56.531 | 0.000 | 0.000 | 0.000 |
| 0.003 | 0.011 | 0.005 | 0.008 | 0.000 | -0.000 |
| 0.007 | 0.007 | 0.005 | 0.000 | 0.000 | 0.000 |
| 0.000 | 0.000 | 0.000 | -0.000 | -58.707 | 300.765 |
| 575.512 | 55.173 | 23.044 | 27.119 | -0.000 | -0.000 |
| 55.175 | 575.528 | 23.052 | -27.104 | -0.000 | -0.000 |
| 68.983 | 68.983 | 56.530 | -0.000 | -0.000 | 0.000 |
| -0.007 | -0.006 | -0.005 | 0.001 | -0.000 | 0.000 |
| -0.007 | -0.007 | -0.005 | -0.000 | -0.000 | -0.000 |
| -0.000 | -0.000 | -0.000 | 0.000 | -58.707 | 300.765 |
| 560.225 | 14.249 | 0.012 | 0.019 | 0.000 | 0.000 |
| 14.227 | 560.221 | 0.001 | 0.000 | 0.000 | 0.000 |
| 0.003 | 0.003 | 0.003 | 0.000 | 0.000 | -0.000 |
| 0.004 | -0.002 | 0.001 | -0.006 | 0.000 | 0.000 |
| 0.001 | 0.001 | 0.001 | 0.000 | 0.001 | -0.000 |
| 0.000 | 0.000 | 0.000 | -0.000 | -58.707 | 300.765 |
| 672.164 | 70.637 | 68.983 | -58.707 | -0.000 | 0.000 |
| 55.185 | 575.548 | 23.064 | -27.093 | -0.000 | -0.000 |
| -0.003 | -0.003 | -0.003 | 0.000 | -0.000 | 0.000 |
| 0.009 | -0.010 | -0.001 | -0.020 | -0.000 | -0.000 |
| -0.001 | -0.001 | -0.001 | -0.000 | 0.001 | -0.000 |
| -0.000 | -0.000 | -0.000 | 0.000 | -58.707 | 300.765 |
| 20115277635.388 | 16775457453.407 | 16775457453.407 | -0.000 | -0.000 | -0.000 |
| 16775457453.407 | 20115277635.388 | 16775457453.407 | 0.000 | 0.000 | -0.000 |
| 16775457453.407 | 16775457453.407 | 20115277635.389 | 0.000 | -0.000 | -0.000 |
| 2791774180.857 | 9009169037.537 | 9009168913.991 | -6177307033.833 | 0.000 | -0.000 |
| 9009169037.537 | 2791774180.857 | 9009168913.991 | -0.000 | -6177307033.833 | -0.000 |
| 9009169037.537 | 9009168913.991 | 2791774180.857 | 0.000 | 0.000 | -6177307033.833 |
| 1169.112 | -14.670 | -14.670 | -0.000 | -0.000 | 0.000 |
| -14.670 | 1169.112 | -14.670 | -0.000 | -0.000 | 0.000 |
| -14.670 | -14.670 | 1169.112 | 0.000 | 0.000 | 0.000 |
| -2791774180.857 | -9009169037.537 | -9009168913.991 | -6177307033.833 | -0.000 | 0.000 |
| -9009169037.537 | -2791774180.857 | -9009168913.991 | 0.000 | -6177307033.833 | -0.000 |
| -9009169037.537 | -9009168913.991 | -2791774180.857 | -0.000 | -0.000 | -6177307033.833 |
| 2011529578.797 | 1677545990.259 | 1677545990.259 | 0.000 | 0.000 | 0.000 |
| 1677545990.259 | 2011529578.797 | 1677545990.259 | -0.000 | -0.000 | 0.000 |
| 1677545990.259 | 1677545990.259 | 2011529578.797 | -0.000 | 0.000 | -0.000 |
| 279177418.086 | 900916878.951 | 900916755.405 | -617730717.364 | 0.000 | -0.000 |
| 900916878.951 | 279177418.086 | 900916755.405 | 0.000 | -617730717.364 | -0.000 |
| 900916878.951 | 900916755.405 | 279177418.086 | 0.000 | 0.000 | -617730717.364 |
| 1169.112 | -14.670 | -14.670 | 0.000 | 0.000 | 0.000 |
| -14.670 | 1169.112 | -14.670 | 0.000 | 0.000 | 0.000 |
| -14.670 | -14.670 | 1169.112 | 0.000 | -0.000 | 0.000 |
| -279177418.086 | -900916878.951 | -900916755.405 | -617730717.364 | 0.000 | -0.000 |
| -900916878.951 | -279177418.086 | -900916755.405 | -0.000 | -617730717.364 | 0.000 |
| -900916878.951 | -900916755.405 | -279177418.086 | 0.000 | -0.000 | -617730717.364 |
| 201154773.145 | 167754843.944 | 167754843.944 | -0.000 | 0.000 | -0.000 |
| 167754843.944 | 201154773.145 | 167754843.944 | 0.000 | 0.000 | 0.000 |
| 167754843.944 | 167754843.944 | 201154773.145 | -0.000 | -0.000 | 0.000 |
| 27917741.809 | 90091663.093 | 90091539.546 | -61773085.717 | -0.000 | -0.000 |
| 90091663.093 | 27917741.809 | 90091539.546 | -0.000 | -61773085.717 | -0.000 |
| 90091663.093 | 90091539.546 | 27917741.809 | 0.000 | 0.000 | -61773085.717 |
| 1169.106 | -14.670 | -14.670 | 0.000 | 0.000 | -0.000 |
| -14.670 | 1169.106 | -14.670 | 0.000 | 0.000 | -0.000 |
| -14.670 | -14.670 | 1169.106 | 0.000 | -0.000 | 0.000 |
| -27917741.809 | -90091663.093 | -90091539.546 | -61773085.717 | 0.000 | -0.000 |
| -90091663.093 | -27917741.809 | -90091539.546 | -0.000 | -61773085.717 | 0.000 |
| -90091663.093 | -90091539.546 | -27917741.809 | -0.000 | -0.000 | -61773085.717 |
| 1166.410 | -14.898 | -14.898 | -0.000 | 0.000 | -0.000 |
| -14.898 | 1166.409 | -14.898 | -0.000 | -0.000 | -0.000 |
| -14.898 | -14.898 | 1166.409 | -0.000 | -0.000 | -0.000 |
| 0.000 | -0.000 | -0.000 | 266.559 | -0.000 | 0.000 |
| 0.000 | -0.000 | -0.000 | -0.000 | 266.559 | -0.000 |
| 0.000 | -0.000 | -0.000 | -0.000 | -0.000 | 266.559 |
| 1166.409 | -14.898 | -14.898 | 0.000 | 0.000 | 0.000 |
| -14.898 | 1166.410 | -14.898 | 0.000 | 0.000 | 0.000 |
| -14.898 | -14.898 | 1166.409 | 0.000 | 0.000 | 0.000 |
| -0.000 | -0.000 | 0.000 | 266.559 | -0.000 | 0.000 |
| -0.000 | 0.000 | 0.000 | 0.000 | 266.559 | 0.000 |
| -0.000 | 0.000 | 0.000 | 0.000 | 0.000 | 266.559 |
| 1166.410 | -14.898 | -14.898 | -0.000 | -0.000 | -0.000 |
| -14.898 | 1166.410 | -14.898 | -0.000 | -0.000 | -0.000 |
| -14.898 | -14.898 | 1166.410 | -0.000 | -0.000 | -0.000 |
| 0.000 | -0.000 | -0.000 | 266.559 | -0.000 | -0.000 |
| -0.000 | -0.000 | -0.000 | -0.000 | 266.559 | -0.000 |
| -0.000 | -0.000 | -0.000 | -0.000 | -0.000 | 266.559 |
| 1166.409 | -14.898 | -14.898 | 0.000 | 0.000 | 0.000 |
| -14.898 | 1166.409 | -14.898 | -0.000 | 0.000 | 0.000 |
| -14.898 | -14.898 | 1166.409 | 0.000 | 0.000 | 0.000 |
| -0.000 | 0.000 | 0.000 | 266.559 | 0.000 | -0.000 |
| 0.000 | 0.000 | 0.000 | 0.000 | 266.559 | 0.000 |
| -0.000 | 0.000 | 0.000 | 0.000 | 0.000 | 266.559 |
| 1166.416 | -14.898 | -14.898 | -0.000 | 0.000 | -0.000 |
| -14.898 | 1166.416 | -14.898 | -0.000 | -0.000 | -0.000 |
| -14.898 | -14.898 | 1166.416 | -0.000 | -0.000 | -0.000 |
| 0.000 | -0.000 | -0.000 | 266.559 | -0.000 | -0.000 |
| -0.000 | -0.000 | -0.000 | -0.000 | 266.559 | -0.000 |
| -0.000 | -0.000 | -0.000 | -0.000 | 0.000 | 266.559 |
| 1166.403 | -14.898 | -14.898 | 0.000 | 0.000 | 0.000 |
| -14.898 | 1166.403 | -14.898 | 0.000 | 0.000 | 0.000 |
| -14.898 | -14.898 | 1166.403 | 0.000 | -0.000 | 0.000 |
| -0.000 | 0.000 | 0.000 | 266.559 | 0.000 | 0.000 |
| 0.000 | 0.000 | 0.000 | 0.000 | 266.559 | 0.000 |
| 0.000 | 0.000 | 0.000 | 0.000 | 0.000 | 266.559 |
| -4978087722.924 | 10480073725.632 | 7637599514.863 | 0.001 | 0.000 | -0.000 |
| 55.958 | 832.839 | 208.444 | 0.001 | 0.000 | 0.000 |
| 48.258 | 196.597 | 867.082 | 0.001 | 0.000 | -0.000 |
| 0.073 | 0.043 | -0.115 | 307.178 | -0.000 | -0.000 |
| -0.000 | -0.001 | -0.000 | -0.001 | 168.828 | -0.000 |
| 0.103 | 0.061 | -0.162 | 0.000 | 0.000 | 137.415 |
| 451.303 | 56.890 | 12.923 | 0.001 | -0.000 | 0.000 |
| 55.818 | 832.757 | 208.663 | -0.001 | -0.000 | 0.000 |
| 48.118 | 196.515 | 867.302 | 0.000 | -0.000 | -0.000 |
| -0.073 | -0.043 | 0.114 | 307.179 | -0.000 | 0.000 |
| 0.000 | 0.001 | 0.000 | 0.001 | 168.828 | 0.000 |
| -0.103 | -0.061 | 0.162 | -0.000 | -0.000 | 137.415 |
| -497808908.439 | 1048007632.585 | 763760145.250 | 0.000 | 0.000 | -0.000 |
| 55.529 | 832.795 | 208.571 | 0.000 | 0.000 | 0.000 |
| 48.199 | 196.563 | 867.174 | 0.000 | 0.000 | -0.000 |
| 0.007 | 0.004 | -0.011 | 307.178 | 0.000 | -0.000 |
| -0.000 | -0.000 | -0.000 | -0.000 | 168.828 | -0.000 |
| 0.010 | 0.006 | -0.016 | 0.000 | 0.000 | 137.415 |
| 451.303 | 56.890 | 12.923 | 0.000 | -0.000 | 0.000 |
| 55.513 | 832.786 | 208.593 | 0.000 | -0.000 | 0.000 |
| 49.373 | 196.572 | 867.121 | 0.000 | -0.000 | 0.000 |
| -0.007 | -0.004 | 0.011 | 307.178 | 0.000 | 0.000 |
| 0.000 | 0.000 | 0.000 | 0.000 | 168.828 | 0.000 |
| -0.010 | -0.006 | 0.016 | -0.000 | -0.000 | 137.415 |
| -49781026.991 | 104801023.281 | 76376208.289 | 0.000 | 0.000 | -0.000 |
| 55.522 | 832.793 | 208.583 | 0.000 | 0.000 | -0.000 |
| 48.191 | 196.559 | 867.189 | 0.000 | 0.000 | -0.000 |
| 0.001 | 0.000 | -0.001 | 279.998 | -0.000 | -0.000 |
| 0.001 | 0.001 | -0.001 | -0.000 | 168.828 | -0.000 |
| -0.053 | -0.411 | -0.163 | -0.000 | 0.000 | -2585.211 |
| 413.552 | 43.306 | 49.172 | 0.000 | -0.000 | -0.000 |
| 55.887 | 832.795 | 208.553 | -0.000 | -0.000 | 0.000 |
| 48.188 | 196.555 | 867.189 | -0.000 | -0.000 | 0.000 |
| -0.001 | -0.000 | 0.001 | 279.998 | 0.000 | 0.000 |
| -0.001 | -0.001 | 0.001 | 0.000 | 168.828 | 0.000 |
| 9.477 | 9.013 | -14.987 | -5.646 | 0.001 | -7471.918 |
| 545.059 | 204.561 | 200.087 | -0.001 | 0.000 | 0.000 |
| 173.835 | 543.825 | 151.466 | -0.000 | 0.000 | 0.000 |
| 224.972 | 151.466 | 648.240 | -0.001 | 0.000 | 0.000 |
| 0.002 | -0.005 | 0.001 | 135.003 | 0.000 | 0.000 |
| 0.000 | -0.001 | 0.000 | -0.000 | 139.956 | -0.000 |
| 0.000 | -0.002 | 0.000 | 0.000 | 0.000 | 144.309 |
| 545.058 | 204.562 | 200.087 | 0.000 | 0.000 | -0.000 |
| 173.835 | 543.825 | 151.467 | -0.000 | -0.000 | 0.000 |
| 200.366 | 176.694 | 630.554 | 0.000 | -0.000 | -0.000 |
| -0.002 | 0.005 | -0.001 | 135.004 | -0.000 | -0.000 |
| -0.000 | 0.001 | -0.000 | -0.001 | 139.956 | -0.000 |
| -0.000 | 0.002 | -0.000 | -0.001 | -0.000 | 144.309 |
| 544.517 | 196.755 | 200.273 | -0.000 | -0.000 | 0.000 |
| 217.737 | 427.618 | 187.919 | -0.000 | -0.000 | 0.000 |
| 224.972 | 151.467 | 648.240 | -0.000 | -0.000 | 0.000 |
| 0.000 | -0.000 | 0.000 | 135.003 | 0.000 | 0.000 |
| 0.000 | -0.000 | 0.000 | 0.000 | 139.956 | -0.000 |
| 0.000 | -0.000 | 0.000 | -0.000 | -0.000 | 156.489 |
| 544.516 | 196.755 | 200.273 | 0.000 | -0.000 | -0.000 |
| 196.754 | 404.551 | 175.904 | 0.000 | -0.000 | -0.000 |
| 200.366 | 176.693 | 630.554 | -0.000 | -0.000 | -0.000 |
| -0.000 | 0.000 | -0.000 | 135.003 | -0.000 | -0.000 |
| -0.000 | 0.000 | -0.000 | -0.000 | 139.956 | -0.000 |
| -0.000 | 0.000 | -0.000 | 0.000 | 0.000 | 156.489 |
| 545.034 | 204.585 | 200.069 | -0.000 | -0.000 | 0.000 |
| 196.758 | 404.543 | 175.907 | -0.000 | 0.000 | -0.000 |
| 200.274 | 175.904 | 630.552 | -0.000 | -0.000 | 0.000 |
| 0.000 | 0.000 | 0.000 | 134.689 | 0.000 | 0.000 |
| 0.000 | 0.000 | 0.000 | -0.000 | 139.956 | 0.000 |
| 0.000 | 0.000 | 0.000 | -0.000 | 0.000 | 169.984 |
| 545.056 | 204.561 | 200.086 | 0.000 | -0.000 | -0.000 |
| 196.791 | 404.453 | 175.934 | 0.000 | 0.000 | -0.000 |
| 200.272 | 175.905 | 630.545 | -0.000 | -0.000 | -0.000 |
| -0.000 | -0.000 | -0.000 | 134.689 | -0.000 | -0.000 |
| -0.000 | -0.000 | -0.000 | 0.000 | 139.956 | -0.000 |
| -0.000 | -0.000 | -0.000 | 0.000 | -0.000 | 169.984 |
| 308.963 | 146.113 | 344.642 | -0.000 | 0.000 | -0.000 |
| 146.113 | 308.963 | 344.642 | 0.000 | 0.000 | -0.000 |
| 36.876 | 36.876 | 869.968 | 0.000 | -0.000 | -0.000 |
| -0.000 | 0.000 | 0.000 | 291.368 | 0.000 | 0.000 |
| -0.000 | -0.000 | 0.000 | 0.001 | 291.367 | -0.000 |
| 2469909034.988 | 2469909020.710 | 1026318316.405 | -0.000 | 0.000 | -713894670.913 |
| 382.691 | 72.367 | 344.608 | -0.000 | 0.000 | 0.000 |
| 72.367 | 382.691 | 344.608 | 0.000 | 0.000 | -0.000 |
| 36.876 | 36.875 | 869.967 | -0.000 | -0.000 | 0.000 |
| 0.000 | -0.000 | -0.000 | 291.367 | -0.000 | 0.000 |
| 0.000 | 0.000 | -0.000 | -0.000 | 291.367 | 0.000 |
| -2469909034.988 | -2469909020.710 | -1026318316.405 | 0.000 | -0.000 | -713894670.914 |
| 308.959 | 146.110 | 344.629 | 0.000 | 0.000 | -0.000 |
| 146.110 | 308.959 | 344.629 | 0.000 | 0.000 | -0.000 |
| 36.876 | 36.876 | 869.968 | -0.000 | 0.000 | -0.000 |
| 0.000 | -0.000 | 0.000 | 291.368 | 0.000 | -0.000 |
| -0.000 | 0.000 | 0.000 | 0.000 | 291.368 | -0.000 |
| 246990888.304 | 246990874.026 | 102631618.316 | -0.000 | 0.000 | -71389306.575 |
| 382.694 | 72.371 | 344.621 | -0.000 | 0.000 | 0.000 |
| 72.371 | 382.694 | 344.621 | 0.000 | -0.000 | 0.000 |
| 36.876 | 36.876 | 869.967 | -0.000 | -0.000 | 0.000 |
| -0.000 | -0.000 | -0.000 | 291.368 | -0.000 | 0.000 |
| 0.000 | -0.000 | -0.000 | -0.000 | 291.368 | 0.000 |
| -246990888.304 | -246990874.026 | -102631618.316 | 0.000 | -0.000 | -71389306.575 |
| 308.960 | 146.108 | 344.628 | 0.000 | 0.000 | -0.000 |
| 146.108 | 308.960 | 344.628 | 0.000 | 0.000 | -0.000 |
| 36.876 | 36.876 | 869.970 | 0.000 | -0.000 | 0.000 |
| 0.000 | -0.000 | 0.000 | 291.368 | 0.000 | 0.000 |
| -0.000 | 0.000 | 0.000 | 0.000 | 291.368 | -0.000 |
| 24699073.636 | 24699059.358 | 10262948.506 | -0.000 | 0.000 | -7138770.142 |
| 382.695 | 72.371 | 344.622 | -0.000 | -0.000 | 0.000 |
| 72.371 | 382.695 | 344.622 | 0.000 | 0.000 | 0.000 |
| 36.875 | 36.875 | 869.965 | -0.000 | -0.000 | -0.000 |
| -0.000 | 0.000 | -0.000 | 291.368 | -0.000 | 0.000 |
| 0.000 | -0.000 | -0.000 | -0.000 | 291.368 | 0.000 |
| -24699073.636 | -24699059.358 | -10262948.506 | 0.000 | -0.000 | -7138770.142 |
| 105.553 | 25.406 | 0.000 | 0.000 | 0.000 | -0.000 |
| 32.734 | 98.225 | 0.000 | 0.000 | 0.000 | 0.000 |
| 0.000 | -0.000 | 0.000 | 0.000 | 0.000 | -0.000 |
| 0.000 | 0.000 | 0.000 | 0.000 | 0.000 | 0.000 |
| -0.000 | 0.000 | 0.000 | 0.000 | 0.000 | -0.000 |
| -0.000 | -0.000 | 0.000 | 0.000 | 0.000 | 40.074 |
| 98.225 | 32.734 | -0.000 | -0.000 | -0.000 | 0.000 |
| 25.406 | 105.553 | -0.000 | -0.000 | -0.000 | -0.000 |
| -0.000 | 0.000 | -0.000 | -0.000 | -0.000 | 0.000 |
| -0.000 | -0.000 | -0.000 | -0.000 | -0.000 | -0.000 |
| 0.000 | -0.000 | -0.000 | -0.000 | -0.000 | 0.000 |
| -0.000 | 0.000 | -0.000 | -0.000 | -0.000 | 40.074 |
| 105.553 | 25.406 | 0.000 | 0.000 | 0.000 | -0.000 |
| 25.406 | 105.553 | 0.000 | 0.000 | 0.000 | 0.000 |
| 0.000 | -0.000 | 0.000 | 0.000 | 0.000 | -0.000 |
| 0.000 | -0.000 | 0.000 | 0.000 | 0.000 | -0.000 |
| 0.000 | 0.000 | 0.000 | 0.000 | 0.000 | -0.000 |
| -0.000 | 0.000 | 0.000 | 0.000 | 0.000 | 32.746 |
| 98.225 | 32.734 | -0.000 | -0.000 | -0.000 | -0.000 |
| 32.734 | 98.225 | -0.000 | -0.000 | -0.000 | -0.000 |
| -0.000 | 0.000 | -0.000 | -0.000 | -0.000 | 0.000 |
| -0.000 | -0.000 | -0.000 | -0.000 | -0.000 | -0.000 |
| -0.000 | 0.000 | -0.000 | -0.000 | -0.000 | 0.000 |
| 0.000 | -0.000 | -0.000 | -0.000 | -0.000 | 32.746 |
| 98.226 | 32.733 | 0.000 | 0.000 | 0.000 | 0.000 |
| 32.734 | 98.225 | 0.000 | 0.000 | 0.000 | 0.000 |
| 0.000 | -0.000 | 0.000 | 0.000 | 0.000 | -0.000 |
| -0.000 | 0.000 | 0.000 | 0.000 | 0.000 | -0.000 |
| -0.000 | 0.000 | 0.000 | 0.000 | 0.000 | -0.000 |
| 0.000 | 0.000 | 0.000 | 0.000 | 0.000 | 40.074 |
| 98.225 | 32.734 | -0.000 | -0.000 | -0.000 | 0.000 |
| 32.752 | 98.206 | -0.000 | -0.000 | -0.000 | -0.000 |
| -0.000 | 0.000 | -0.000 | -0.000 | -0.000 | 0.000 |
| -0.000 | -0.000 | -0.000 | -0.000 | -0.000 | -0.000 |
| 0.000 | -0.000 | -0.000 | -0.000 | -0.000 | 0.000 |
| -0.000 | -0.000 | -0.000 | -0.000 | -0.000 | 40.074 |
| 511.343 | 240.956 | 0.000 | 0.000 | 0.000 | 0.000 |
| 240.956 | 511.343 | 0.000 | 0.000 | 0.000 | -0.000 |
| -0.000 | -0.000 | 0.000 | 0.000 | 0.000 | 0.000 |
| -0.000 | -0.000 | 0.000 | 0.000 | 0.000 | 0.000 |
| -0.000 | -0.000 | 0.000 | 0.000 | 0.000 | -0.000 |
| -0.000 | -0.000 | 0.000 | 0.000 | 0.000 | 135.193 |
| 511.343 | 240.956 | -0.000 | -0.000 | -0.000 | 0.000 |
| 240.956 | 511.343 | -0.000 | -0.000 | -0.000 | 0.000 |
| 0.000 | 0.000 | -0.000 | -0.000 | -0.000 | -0.000 |
| 0.000 | 0.000 | -0.000 | -0.000 | -0.000 | -0.000 |
| 0.000 | 0.000 | -0.000 | -0.000 | -0.000 | -0.000 |
| 0.000 | 0.000 | -0.000 | -0.000 | -0.000 | 135.193 |
| 511.343 | 240.956 | 0.000 | 0.000 | 0.000 | 0.000 |
| 240.956 | 511.343 | 0.000 | 0.000 | 0.000 | 0.000 |
| -0.000 | -0.000 | 0.000 | 0.000 | 0.000 | 0.000 |
| -0.000 | 0.000 | 0.000 | 0.000 | 0.000 | 0.000 |
| -0.000 | -0.000 | 0.000 | 0.000 | 0.000 | -0.000 |
| -0.000 | 0.000 | 0.000 | 0.000 | 0.000 | 135.193 |
| 511.342 | 240.956 | -0.000 | -0.000 | -0.000 | 0.000 |
| 240.956 | 511.342 | -0.000 | -0.000 | -0.000 | -0.000 |
| 0.000 | 0.000 | -0.000 | -0.000 | -0.000 | -0.000 |
| 0.000 | 0.000 | -0.000 | -0.000 | -0.000 | -0.000 |
| 0.000 | 0.000 | -0.000 | -0.000 | -0.000 | 0.000 |
| 0.000 | -0.000 | -0.000 | -0.000 | -0.000 | 135.193 |
| 511.345 | 240.957 | 0.000 | 0.000 | 0.000 | -0.000 |
| 240.957 | 511.345 | 0.000 | 0.000 | 0.000 | 0.000 |
| -0.000 | -0.000 | 0.000 | 0.000 | 0.000 | 0.000 |
| -0.000 | -0.000 | 0.000 | 0.000 | 0.000 | 0.000 |
| -0.000 | -0.000 | 0.000 | 0.000 | 0.000 | -0.000 |
| -0.000 | 0.000 | 0.000 | 0.000 | 0.000 | 135.193 |
| 511.340 | 240.956 | -0.000 | -0.000 | -0.000 | 0.000 |
| 240.955 | 511.341 | -0.000 | -0.000 | -0.000 | 0.000 |
| 0.000 | 0.000 | -0.000 | -0.000 | -0.000 | -0.000 |
| 0.000 | 0.000 | -0.000 | -0.000 | -0.000 | -0.000 |
| 0.000 | 0.000 | -0.000 | -0.000 | -0.000 | 0.000 |
| 0.000 | -0.000 | -0.000 | -0.000 | -0.000 | 135.193 |
| -3284503391.852 | -4534102217.956 | 334683347.699 | 0.000 | 0.000 | 0.000 |
| -3284504072.542 | -4534101272.096 | 334683083.985 | 0.000 | 0.000 | 0.000 |
| -3284504089.195 | -4534101124.750 | 334682882.018 | 0.000 | 0.000 | 0.000 |
| -1437144903.365 | -1651401805.540 | 169686330.682 | 27678689.868 | 0.000 | 0.000 |
| -1443497674.597 | -1696614605.795 | 210370590.014 | 0.000 | 307830.894 | 0.000 |
| 2453289797.195 | 1237734255.680 | 4194850081.709 | 0.000 | 0.000 | -1342914357.946 |
| 932.597 | 1260.998 | -543.286 | -0.000 | -0.000 | -0.000 |
| 42.740 | 1040.282 | -56.218 | -0.000 | -0.000 | -0.000 |
| 101.623 | 911.567 | 217.317 | -0.000 | -0.000 | -0.000 |
| 1437144903.365 | 1651401805.540 | -169686330.682 | 27678689.867 | -0.000 | -0.000 |
| 1443497674.596 | 1696614605.796 | -210370590.014 | -0.000 | 307830.894 | -0.000 |
| -2453289797.195 | -1237734255.681 | -4194850081.709 | -0.000 | -0.000 | -1342914357.946 |
| -328450043.735 | -453402670.833 | 33459772.043 | 0.000 | 0.000 | 0.000 |
| -328450724.497 | -453401722.119 | 33459505.264 | 0.000 | 0.000 | 0.000 |
| -328450451.783 | -453410202.063 | 33468972.084 | 0.000 | 0.000 | -0.000 |
| -143714625.293 | -165140851.420 | 16969138.296 | 2767715.522 | 0.000 | -0.000 |
| -144349668.509 | -169661164.880 | 21036893.795 | 0.000 | 31023.373 | 0.000 |
| 245328894.797 | 123772895.769 | 419485144.740 | 0.000 | 0.000 | -134291274.161 |
| 932.604 | 1261.046 | -543.307 | -0.000 | -0.000 | -0.000 |
| 42.740 | 1040.276 | -56.217 | -0.000 | -0.000 | 0.000 |
| 101.629 | 911.605 | 217.301 | -0.000 | -0.000 | -0.000 |
| 143714625.293 | 165140851.420 | -16969138.296 | 2767715.522 | -0.000 | -0.000 |
| 144349668.509 | 169661164.880 | -21036893.795 | -0.000 | 31023.373 | -0.000 |
| -245328894.797 | -123772895.769 | -419485144.740 | -0.000 | -0.000 | -134291274.161 |
| -32844426.953 | -45341123.067 | 3346836.286 | 0.000 | 0.000 | 0.000 |
| -32845100.314 | -45340395.553 | 3346817.324 | 0.000 | 0.000 | 0.000 |
| -32845116.951 | -45340248.062 | 3346615.281 | 0.000 | 0.000 | 0.000 |
| -14371716.604 | -16515339.979 | 1697849.602 | 276352.148 | 0.000 | 0.000 |
| -14434867.899 | -16965820.783 | 2103524.174 | 0.000 | 3342.621 | 0.000 |
| 24532804.575 | 12376759.913 | 41948650.981 | 0.000 | 0.000 | -13428965.792 |
| 932.599 | 1261.021 | -543.319 | -0.000 | -0.000 | -0.000 |
| 42.739 | 1040.270 | -56.217 | -0.000 | -0.000 | -0.000 |
| 101.629 | 911.596 | 217.296 | -0.000 | -0.000 | -0.000 |
| 14371716.604 | 16515339.979 | -1697849.602 | 276352.148 | -0.000 | -0.000 |
| 14434867.899 | 16965820.783 | -2103524.174 | -0.000 | 3342.621 | -0.000 |
| -24532804.575 | -12376759.913 | -41948650.981 | -0.000 | -0.000 | -13428965.792 |
| 177020548.759 | -144262159.040 | -49743548.931 | -0.002 | -0.000 | -0.000 |
| 177020700.055 | -144262178.342 | -49743704.589 | -0.003 | -0.000 | -0.000 |
| 177020264.002 | -144262405.725 | -49742776.761 | -0.000 | 0.000 | -0.000 |
| 191788192.377 | -174141193.221 | -27036068.579 | -142039981.316 | -0.000 | 0.000 |
| 214761157.481 | -191294963.373 | -31754611.443 | -0.002 | 130145695.331 | -0.000 |
| 117582303.316 | -97189925.828 | -49883143.501 | -0.000 | 0.000 | 29065889.890 |
| 714.626 | 90.393 | 81.580 | 0.002 | -0.000 | 0.000 |
| 167.666 | 590.480 | 157.105 | 0.001 | -0.000 | 0.000 |
| 90.133 | 54.149 | 1053.612 | 0.002 | -0.000 | 0.000 |
| -191788192.377 | 174141193.221 | 27036068.579 | -142039981.311 | 0.001 | 0.000 |
| -214761157.481 | 191294963.373 | 31754611.443 | 0.002 | 130145695.332 | 0.000 |
| -117582303.316 | 97189925.828 | 49883143.500 | 0.000 | -0.000 | 29065889.890 |
| 17702610.405 | -14426059.179 | -4974253.191 | -0.000 | -0.000 | -0.000 |
| 17702761.191 | -14426078.036 | -4974408.690 | -0.000 | 0.000 | -0.000 |
| 17702325.720 | -14426305.927 | -4973481.043 | -0.000 | 0.000 | -0.000 |
| 19179140.590 | -17414391.893 | -2703670.535 | -14203988.446 | -0.000 | 0.000 |
| 21476129.036 | -19129506.399 | -3175452.962 | -0.000 | 13014858.828 | -0.000 |
| 11758216.536 | -9718982.911 | -4988305.921 | -0.000 | 0.000 | 2906773.729 |
| 714.627 | 90.389 | 81.582 | 0.000 | -0.000 | -0.000 |
| 167.740 | 590.320 | 157.125 | 0.000 | 0.000 | 0.000 |
| 90.133 | 54.149 | 1053.610 | 0.000 | -0.000 | 0.000 |
| -19179140.590 | 17414391.893 | 2703670.535 | -14203988.445 | 0.000 | -0.000 |
| -21476129.036 | 19129506.399 | 3175452.962 | 0.000 | 13014858.828 | 0.000 |
| -11758216.536 | 9718982.911 | 4988305.921 | 0.000 | -0.000 | 2906773.729 |
| 1770816.573 | -1442449.195 | -497323.616 | -0.000 | 0.000 | -0.000 |
| 1770967.502 | -1442468.115 | -497479.200 | -0.000 | 0.000 | -0.000 |
| 1770531.942 | -1442695.961 | -496551.509 | 0.000 | -0.000 | -0.000 |
| 1918235.328 | -1741711.727 | -270430.682 | -1420389.015 | -0.000 | -0.000 |
| 2147626.194 | -1912960.704 | -317537.114 | -0.000 | 1301775.179 | -0.000 |
| 1175807.856 | -971888.618 | -498822.162 | -0.000 | 0.000 | 290862.113 |
| 714.623 | 90.392 | 81.581 | -0.000 | -0.000 | 0.000 |
| 167.744 | 590.305 | 157.130 | 0.000 | -0.000 | 0.000 |
| 90.134 | 54.153 | 1053.597 | 0.000 | -0.000 | 0.000 |
| -1918235.328 | 1741711.727 | 270430.682 | -1420389.015 | 0.000 | -0.000 |
| -2147626.194 | 1912960.704 | 317537.114 | 0.000 | 1301775.179 | 0.000 |
| -1175807.856 | 971888.618 | 498822.162 | 0.000 | -0.000 | 290862.113 |
| 279.330 | 158.680 | 71.074 | 0.000 | -409.016 | 0.000 |
| -3.100 | 601.915 | 123.794 | 0.000 | -294.276 | 0.000 |
| 45.890 | 84.792 | 609.902 | 0.000 | -6.144 | 0.000 |
| -88.427 | 44.636 | -3.119 | 183.650 | -311.005 | 22.133 |
| -428.847 | 164.120 | -112.950 | -0.000 | -250.966 | 0.000 |
| 0.000 | 0.000 | -0.000 | -48.817 | -0.000 | 230.025 |
| 772.767 | -29.842 | 291.638 | -0.000 | 327.104 | -0.000 |
| 180.053 | 496.957 | 134.182 | -0.000 | 333.301 | 0.000 |
| 146.794 | 79.699 | 492.037 | -0.000 | 243.205 | 0.000 |
| 88.427 | -44.636 | 3.119 | 183.650 | 311.005 | 22.133 |
| 373.188 | -228.531 | 84.916 | 0.000 | 531.895 | -0.000 |
| -0.000 | -0.000 | 0.000 | -48.817 | 0.000 | 230.026 |
| 381.043 | 104.527 | 73.128 | 0.000 | -86.269 | 0.000 |
| 49.352 | 622.536 | 110.857 | 0.000 | -47.333 | 0.000 |
| 50.946 | 119.146 | 512.321 | 0.000 | -73.328 | 0.000 |
| -0.000 | 0.000 | 0.000 | 301.667 | -0.000 | -34.088 |
| -62.550 | 0.791 | -37.276 | 0.000 | 86.588 | 0.000 |
| -0.000 | 0.000 | 0.000 | -48.817 | 0.000 | 230.026 |
| 438.663 | 63.682 | 68.748 | -0.000 | -29.941 | -0.000 |
| 67.026 | 600.855 | 115.487 | -0.000 | -2.096 | -0.000 |
| 83.454 | 74.620 | 515.965 | -0.000 | -1.484 | -0.000 |
| -0.000 | -0.000 | -0.000 | 301.667 | 0.000 | -34.088 |
| -24.762 | -19.257 | -34.850 | -0.000 | 151.890 | -0.000 |
| 0.000 | -0.000 | -0.000 | -48.817 | -0.000 | 230.026 |
| 418.811 | 77.560 | 70.151 | 0.000 | -51.773 | 0.000 |
| 55.143 | 615.709 | 95.864 | -0.000 | -32.428 | -0.000 |
| 40.255 | 89.847 | 479.938 | 0.000 | -49.773 | 0.000 |
| -4.434 | 1.652 | -2.068 | 236.582 | -4.272 | -7.304 |
| -43.791 | -12.560 | -48.029 | 0.000 | 117.071 | -0.000 |
| -0.435 | 0.219 | -0.015 | -21.166 | -1.530 | 213.299 |
| 485.480 | 26.124 | 62.805 | -0.000 | -38.552 | 0.000 |
| 58.848 | 613.448 | 96.402 | -0.000 | -26.859 | 0.000 |
| 41.930 | 88.358 | 483.431 | -0.000 | -42.246 | 0.000 |
| 4.434 | -1.652 | 2.068 | 236.582 | 4.272 | -7.304 |
| -29.915 | -13.520 | -33.300 | 0.000 | 127.509 | -0.000 |
| 0.435 | -0.219 | 0.015 | -21.166 | 1.530 | 213.299 |
| -35903183.693 | -35903330.185 | -34650546.089 | 0.000 | 0.000 | -0.000 |
| -35903330.185 | -35903183.693 | -34650546.089 | 0.000 | 0.000 | 0.000 |
| -35903353.175 | -35903353.175 | -34650332.198 | 0.001 | 0.001 | -0.000 |
| -120398150.097 | -117231511.103 | -5525930.345 | -33558206.783 | 0.001 | 0.000 |
| -117231511.103 | -120398150.097 | -5525930.345 | 0.001 | -33558206.783 | 0.000 |
| -77163668.984 | -77163668.122 | -22291243.073 | -0.000 | 0.000 | 43102690.799 |
| 220.865 | 23.775 | 65.069 | -0.000 | -0.000 | 0.000 |
| 23.775 | 220.865 | 65.069 | -0.000 | -0.000 | 0.000 |
| -33.129 | -33.129 | 290.456 | 0.000 | -0.000 | -0.000 |
| 120398150.097 | 117231511.103 | 5525930.345 | -33558206.783 | -0.000 | -0.000 |
| 117231511.103 | 120398150.097 | 5525930.345 | -0.001 | -33558206.783 | -0.000 |
| 77163668.984 | 77163668.122 | 22291243.073 | 0.000 | -0.000 | 43102690.799 |
| -3590221.577 | -3590368.070 | -3465013.857 | 0.000 | 0.000 | 0.000 |
| -3590368.070 | -3590221.577 | -3465013.857 | 0.000 | 0.000 | -0.000 |
| -3590391.014 | -3590391.014 | -3464799.966 | 0.000 | 0.000 | 0.000 |
| -12039899.354 | -11723231.523 | -552570.971 | -3355762.844 | 0.000 | -0.000 |
| -11723231.523 | -12039899.354 | -552570.971 | 0.000 | -3355762.844 | 0.000 |
| -7716447.226 | -7716446.364 | -2229116.171 | -0.000 | 0.000 | 4310368.662 |
| 220.872 | 23.782 | 65.068 | -0.000 | -0.000 | -0.000 |
| 23.782 | 220.872 | 65.068 | -0.000 | -0.000 | 0.000 |
| -33.125 | -33.125 | 290.455 | 0.000 | -0.000 | -0.000 |
| 12039899.354 | 11723231.523 | 552570.971 | -3355762.844 | -0.000 | -0.000 |
| 11723231.523 | 12039899.354 | 552570.971 | -0.000 | -3355762.844 | -0.000 |
| 7716447.226 | 7716446.364 | 2229116.171 | 0.000 | -0.000 | 4310368.662 |
| -358925.361 | -359071.857 | -346460.630 | 0.000 | 0.000 | -0.000 |
| -359071.857 | -358925.361 | -346460.630 | 0.000 | 0.000 | 0.000 |
| -359094.799 | -359094.799 | -346246.740 | -0.000 | 0.000 | 0.000 |
| -1204074.273 | -1172403.557 | -55235.028 | -335518.450 | -0.000 | -0.000 |
| -1172403.557 | -1204074.273 | -55235.028 | 0.000 | -335518.450 | 0.000 |
| -771725.044 | -771724.182 | -222903.482 | -0.000 | 0.000 | 431136.449 |
| 220.870 | 23.782 | 65.067 | 0.000 | -0.000 | -0.000 |
| 23.782 | 220.870 | 65.067 | 0.000 | -0.000 | -0.000 |
| -33.125 | -33.125 | 290.452 | -0.000 | -0.000 | -0.000 |
| 1204074.273 | 1172403.557 | 55235.028 | -335518.450 | -0.000 | 0.000 |
| 1172403.557 | 1204074.273 | 55235.028 | -0.000 | -335518.450 | -0.000 |
| 771725.044 | 771724.182 | 222903.482 | 0.000 | -0.000 | 431136.449 |
| 1748.841 | 1481.426 | 12.026 | 0.000 | 0.000 | -0.000 |
| 1484.610 | 1745.655 | 12.033 | 0.000 | 0.000 | 0.000 |
| 2269894202.658 | 2269894202.652 | -3711542560.164 | 0.000 | 0.000 | -0.003 |
| 1486.890 | 1486.890 | 4.631 | 4.046 | 0.000 | -0.000 |
| 1486.890 | 1486.890 | 4.631 | 0.000 | 4.046 | 0.000 |
| 1385.159 | 1385.159 | 202.059 | 0.000 | 0.000 | 20.310 |
| -1224.584 | -1491.999 | 3.982 | -0.000 | 0.000 | 0.000 |
| -1491.999 | -1224.583 | 3.982 | -0.000 | -0.000 | 0.000 |
| -313.779 | -313.779 | 762.777 | -0.000 | 0.000 | 0.000 |
| -1486.890 | -1486.890 | -4.631 | 4.045 | -0.000 | 0.000 |
| -1486.890 | -1486.890 | -4.631 | -0.000 | 4.046 | 0.000 |
| -1385.159 | -1385.159 | -202.059 | -0.000 | 0.000 | 20.310 |
| 295.951 | 37.048 | -48.750 | 0.000 | -0.000 | 0.000 |
| 37.048 | 295.951 | -48.750 | 0.000 | 0.000 | -0.000 |
| 226989566.358 | 226989566.358 | -371154388.709 | 0.000 | 0.000 | -0.000 |
| 150.560 | 150.560 | 5.485 | 6.135 | -0.000 | 0.000 |
| 150.560 | 150.560 | 5.485 | 0.000 | 6.135 | -0.000 |
| 150.640 | 150.640 | -0.034 | 0.000 | -0.000 | 13.373 |
| 113.009 | -153.643 | 7.871 | -0.000 | 0.000 | -0.000 |
| -153.980 | 113.330 | 7.912 | -0.000 | -0.000 | -0.000 |
| -2.541 | -2.541 | 145.488 | -0.000 | -0.000 | -0.000 |
| -150.911 | -150.911 | -0.060 | 19.438 | -0.000 | -0.000 |
| -150.911 | -150.911 | -0.060 | -0.000 | 19.438 | 0.000 |
| -150.640 | -150.640 | 0.034 | -0.000 | 0.000 | 13.373 |
| 271.063 | 8.052 | 7.021 | 0.000 | 0.000 | -0.000 |
| 8.052 | 271.063 | 7.021 | 0.000 | -0.000 | -0.000 |
| 22698960.833 | 22698960.833 | -37115556.755 | 0.000 | 0.000 | -0.000 |
| 145.801 | 932.511 | -2079.673 | -1760.716 | -0.016 | 75.866 |
| 7132.222 | 832.430 | -20946.082 | 0.024 | -2059.731 | -0.000 |
| 11.845 | 11.844 | -2.433 | 0.000 | 0.000 | -195.719 |
| 245.714 | -18.982 | 9.372 | -0.000 | 0.000 | -0.000 |
| -18.982 | 245.714 | 9.372 | -0.000 | -0.000 | -0.000 |
| -20.795 | -20.795 | 133.235 | -0.000 | -0.000 | -0.000 |
| 62.394 | 62.624 | 181.182 | -967.422 | -0.000 | -0.000 |
| -4028.529 | -879.412 | 12664.948 | 0.021 | -2302.059 | 0.000 |
| -17.859 | -17.859 | -0.296 | -0.000 | -0.000 | -201.938 |
| -131184487.020 | -131184521.112 | -455773355.879 | 0.000 | 0.000 | -0.000 |
| -131184521.112 | -131184487.020 | -455773355.879 | 0.000 | 0.000 | -0.000 |
| 63.881 | 63.881 | 289.756 | 0.000 | 0.000 | -0.000 |
| -0.000 | 0.000 | 0.000 | 74.705 | 0.000 | -0.000 |
| 0.000 | 0.000 | 0.000 | 0.000 | 74.705 | -0.000 |
| 177617561.463 | 177617559.669 | -479066014.882 | 0.000 | 0.000 | -89683280.402 |
| 275.693 | 243.437 | 902.089 | 0.000 | -0.000 | 0.000 |
| 243.437 | 275.693 | 902.089 | 0.000 | -0.000 | -0.000 |
| 63.882 | 63.882 | 289.760 | -0.000 | -0.000 | 0.000 |
| -0.000 | -0.000 | -0.000 | 74.705 | -0.000 | 0.000 |
| 0.000 | -0.000 | -0.000 | -0.000 | 74.705 | 0.000 |
| -177617561.463 | -177617559.669 | 479066014.882 | -0.000 | -0.000 | -89683280.402 |
| -13118307.882 | -13118341.974 | -45576916.380 | 0.000 | 0.000 | -0.000 |
| -13118341.974 | -13118307.882 | -45576916.380 | 0.000 | 0.000 | -0.000 |
| 63.882 | 63.882 | 289.758 | 0.000 | 0.000 | -0.000 |
| 0.000 | -0.000 | 0.000 | 74.705 | 0.000 | 0.000 |
| -0.000 | 0.000 | 0.000 | 0.000 | 74.705 | -0.000 |
| 17761114.838 | 17761113.044 | -47908796.776 | 0.000 | 0.000 | -8968308.460 |
| 275.693 | 243.436 | 902.087 | -0.000 | -0.000 | -0.000 |
| 243.436 | 275.693 | 902.087 | -0.000 | -0.000 | 0.000 |
| 63.882 | 63.882 | 289.758 | 0.000 | -0.000 | 0.000 |
| -0.000 | 0.000 | -0.000 | 74.705 | -0.000 | 0.000 |
| 0.000 | -0.000 | -0.000 | -0.000 | 74.705 | 0.000 |
| -17761114.838 | -17761113.044 | 47908796.776 | -0.000 | -0.000 | -8968308.460 |
| -1311689.916 | -1311724.008 | -4557272.257 | 0.000 | 0.000 | -0.000 |
| -1311724.008 | -1311689.916 | -4557272.257 | 0.000 | 0.000 | -0.000 |
| 63.882 | 63.882 | 289.759 | 0.000 | 0.000 | -0.000 |
| 0.000 | -0.000 | 0.000 | 74.705 | 0.000 | 0.000 |
| -0.000 | 0.000 | 0.000 | 0.000 | 74.705 | -0.000 |
| 1775469.924 | 1775468.130 | -4793075.742 | 0.000 | 0.000 | -896811.272 |
| 275.688 | 243.431 | 902.067 | -0.000 | -0.000 | 0.000 |
| 243.431 | 275.688 | 902.067 | -0.000 | -0.000 | -0.000 |
| 63.881 | 63.881 | 289.757 | 0.000 | -0.000 | -0.000 |
| -0.000 | 0.000 | -0.000 | 74.705 | -0.000 | -0.000 |
| 0.000 | -0.000 | -0.000 | -0.000 | 74.705 | 0.000 |
| -1775469.924 | -1775468.130 | 4793075.742 | -0.000 | -0.000 | -896811.272 |
| 77739775.244 | 64950467.511 | 37896800.894 | -0.000 | -43383432.430 | -0.000 |
| 77739652.733 | 64950618.147 | 37896785.132 | -0.000 | -43383427.871 | 0.000 |
| 77739666.972 | 64950469.465 | 37896893.719 | -0.000 | -43383423.666 | -0.000 |
| 20271722.388 | 54165271.481 | 19715524.227 | -26904607.478 | 17808203.233 | -25262279.971 |
| 77739583.516 | 64950405.907 | 37896718.045 | -0.000 | -43383360.204 | 0.000 |
| 20271718.554 | 54165265.447 | 19715524.020 | -26904662.056 | 17808205.132 | -25262221.577 |
| 183.606 | 57.261 | 79.662 | 0.000 | -3.064 | 0.000 |
| 60.295 | 200.806 | 65.619 | 0.000 | 0.008 | 0.000 |
| 75.775 | 56.608 | 176.443 | 0.000 | -0.347 | -0.000 |
| -20271722.388 | -54165271.481 | -19715524.227 | -26904607.478 | -17808203.233 | -25262279.971 |
| -5.885 | -6.594 | 0.683 | 0.000 | 62.607 | -0.000 |
| -20271718.554 | -54165265.447 | -19715524.020 | -26904662.056 | -17808205.132 | -25262221.577 |
| 7774146.178 | 6495101.503 | 3789754.285 | -0.000 | -4338351.919 | -0.000 |
| 7774023.668 | 6495252.151 | 3789738.512 | -0.000 | -4338347.347 | 0.000 |
| 7774037.910 | 6495103.484 | 3789847.087 | -0.000 | -4338343.124 | -0.000 |
| 2027163.614 | 5416515.684 | 1971551.963 | -2690413.810 | 1780823.262 | -2526229.971 |
| 7773954.451 | 6495039.906 | 3789671.430 | -0.000 | -4338279.686 | 0.000 |
| 2027159.794 | 5416509.670 | 1971551.756 | -2690468.388 | 1780825.155 | -2526171.576 |
| 183.630 | 57.324 | 79.652 | 0.000 | -3.065 | 0.000 |
| 60.283 | 200.774 | 65.625 | 0.000 | 0.008 | 0.000 |
| 75.714 | 56.454 | 176.468 | 0.000 | -0.345 | 0.000 |
| -2027163.614 | -5416515.684 | -1971551.963 | -2690413.810 | -1780823.262 | -2526229.971 |
| -5.867 | -6.547 | 0.675 | 0.000 | 62.606 | -0.000 |
| -2027159.794 | -5416509.670 | -1971551.756 | -2690468.388 | -1780825.155 | -2526171.576 |
| 777583.273 | 649564.906 | 379049.622 | -0.000 | -433843.865 | -0.000 |
| 777460.762 | 649715.553 | 379033.851 | -0.000 | -433839.295 | -0.000 |
| 777475.004 | 649566.885 | 379142.425 | -0.000 | -433835.071 | -0.000 |
| 202707.739 | 541640.108 | 197154.737 | -268994.443 | 178085.264 | -252624.971 |
| 777391.544 | 649503.307 | 378966.767 | -0.000 | -433771.633 | 0.000 |
| 202703.917 | 541634.090 | 197154.530 | -269049.021 | 178087.158 | -252566.575 |
| 183.630 | 57.325 | 79.651 | 0.000 | -3.065 | 0.000 |
| 60.282 | 200.771 | 65.624 | 0.000 | 0.008 | 0.000 |
| 75.716 | 56.459 | 176.466 | 0.000 | -0.345 | -0.000 |
| -202707.739 | -541640.108 | -197154.737 | -268994.443 | -178085.264 | -252624.971 |
| -5.868 | -6.550 | 0.676 | 0.000 | 62.606 | -0.000 |
| -202703.917 | -541634.090 | -197154.530 | -269049.021 | -178087.158 | -252566.575 |
| 331.188 | 156.063 | 0.000 | 0.000 | 0.000 | 0.000 |
| 156.064 | 331.188 | 0.000 | 0.000 | 0.000 | 0.000 |
| 0.000 | -0.000 | 0.000 | 0.000 | 0.000 | 0.000 |
| 0.000 | -0.000 | 0.000 | 0.000 | 0.000 | 0.000 |
| 0.000 | -0.000 | 0.000 | 0.000 | 0.000 | -0.000 |
| 0.000 | -0.000 | 0.000 | 0.000 | 0.000 | 87.562 |
| 331.188 | 156.064 | -0.000 | -0.000 | -0.000 | 0.000 |
| 156.063 | 331.188 | -0.000 | -0.000 | -0.000 | 0.000 |
| -0.000 | 0.000 | -0.000 | -0.000 | -0.000 | -0.000 |
| -0.000 | 0.000 | -0.000 | -0.000 | -0.000 | -0.000 |
| -0.000 | 0.000 | -0.000 | -0.000 | -0.000 | -0.000 |
| -0.000 | 0.000 | -0.000 | -0.000 | -0.000 | 87.562 |
| 331.188 | 156.064 | 0.000 | 0.000 | 0.000 | 0.000 |
| 156.064 | 331.188 | 0.000 | 0.000 | 0.000 | -0.000 |
| 0.000 | -0.000 | 0.000 | 0.000 | 0.000 | 0.000 |
| 0.000 | -0.000 | 0.000 | 0.000 | 0.000 | 0.000 |
| 0.000 | -0.000 | 0.000 | 0.000 | 0.000 | -0.000 |
| 0.000 | 0.000 | 0.000 | 0.000 | 0.000 | 87.562 |
| 331.188 | 156.063 | -0.000 | -0.000 | -0.000 | -0.000 |
| 156.063 | 331.188 | -0.000 | -0.000 | -0.000 | -0.000 |
| -0.000 | 0.000 | -0.000 | -0.000 | -0.000 | -0.000 |
| -0.000 | 0.000 | -0.000 | -0.000 | -0.000 | 0.000 |
| -0.000 | 0.000 | -0.000 | -0.000 | -0.000 | 0.000 |
| -0.000 | 0.000 | -0.000 | -0.000 | -0.000 | 87.562 |
| 331.190 | 156.064 | 0.000 | 0.000 | 0.000 | 0.000 |
| 156.064 | 331.190 | 0.000 | 0.000 | 0.000 | -0.000 |
| 0.000 | -0.000 | 0.000 | 0.000 | 0.000 | 0.000 |
| 0.000 | -0.000 | 0.000 | 0.000 | 0.000 | 0.000 |
| 0.000 | -0.000 | 0.000 | 0.000 | 0.000 | 0.000 |
| 0.000 | 0.000 | 0.000 | 0.000 | 0.000 | 87.562 |
| 331.187 | 156.063 | -0.000 | -0.000 | -0.000 | -0.000 |
| 156.063 | 331.187 | -0.000 | -0.000 | -0.000 | -0.000 |
| -0.000 | 0.000 | -0.000 | -0.000 | -0.000 | -0.000 |
| -0.000 | 0.000 | -0.000 | -0.000 | -0.000 | -0.000 |
| -0.000 | 0.000 | -0.000 | -0.000 | -0.000 | 0.000 |
| -0.000 | -0.000 | -0.000 | -0.000 | -0.000 | 87.562 |
| 938529.500 | 1098282.316 | 1571118.803 | -0.000 | -0.000 | -0.000 |
| 938234.870 | 1098500.102 | 1571151.718 | -0.000 | -0.000 | -0.000 |
| 938182.564 | 1098244.570 | 1571423.738 | -0.000 | -0.000 | 0.000 |
| 181608806.762 | 153852.910 | 223662001.642 | -20475754.392 | -0.000 | 0.000 |
| 181608661.997 | 153845.546 | 223662072.811 | -0.000 | -119233416.925 | 0.000 |
| 184064.339 | -756764.669 | 2519832.035 | -0.000 | -0.000 | -428310.552 |
| 498.475 | 242.022 | 79.042 | 0.000 | 0.000 | -0.000 |
| 187.922 | 428.864 | 141.441 | 0.000 | -0.000 | 0.000 |
| 141.443 | 199.341 | 395.934 | 0.000 | 0.000 | -0.000 |
| -181608806.762 | -153852.910 | -223662001.642 | -20475754.392 | 0.000 | -0.000 |
| -181608661.998 | -153845.546 | -223662072.811 | -0.000 | -119233416.925 | 0.000 |
| -184064.339 | 756764.669 | -2519832.035 | -0.000 | -0.000 | -428310.552 |
| 94285.913 | 110015.112 | 157209.839 | -0.000 | -0.000 | 0.000 |
| 93991.300 | 110232.947 | 157242.714 | -0.000 | -0.000 | 0.000 |
| 93938.994 | 109977.414 | 157514.734 | -0.000 | -0.000 | -0.000 |
| 18160880.917 | 15386.316 | 22366198.238 | -2047450.828 | 0.000 | -0.000 |
| 18160864.628 | 15383.013 | 22366207.427 | -0.000 | -11923238.671 | -0.000 |
| 18404.021 | -75683.527 | 251989.329 | 0.000 | 0.000 | -42710.466 |
| 498.572 | 242.300 | 78.815 | 0.000 | -0.000 | 0.000 |
| 187.980 | 429.030 | 141.305 | 0.000 | -0.000 | -0.000 |
| 141.549 | 199.642 | 395.686 | 0.000 | -0.000 | 0.000 |
| -18160880.917 | -15386.316 | -22366198.238 | -2047450.828 | -0.000 | 0.000 |
| -18160864.628 | -15383.013 | -22366207.427 | 0.000 | -11923238.671 | 0.000 |
| -18404.021 | 75683.527 | -251989.329 | 0.000 | 0.000 | -42710.466 |
| 9861.553 | 11188.397 | 15818.938 | -0.000 | 0.000 | 0.000 |
| 9566.944 | 11406.234 | 15851.813 | -0.000 | 0.000 | 0.000 |
| 9514.631 | 11150.699 | 16123.836 | -0.000 | 0.000 | 0.000 |
| 1816088.334 | 1539.657 | 2236617.896 | -204620.471 | -0.000 | -0.000 |
| 1816084.891 | 1536.761 | 2236620.889 | 0.000 | -1192220.848 | 0.000 |
| 1837.991 | -7575.408 | 25205.055 | -0.000 | 0.000 | -4150.458 |
| 498.567 | 242.302 | 78.812 | 0.000 | -0.000 | -0.000 |
| 187.993 | 429.066 | 141.273 | 0.000 | 0.000 | 0.000 |
| 141.592 | 199.761 | 395.582 | 0.000 | 0.000 | -0.000 |
| -1816088.334 | -1539.657 | -2236617.896 | -204620.471 | -0.000 | 0.000 |
| -1816084.892 | -1536.761 | -2236620.889 | 0.000 | -1192220.846 | 0.000 |
| -1837.991 | 7575.408 | -25205.055 | 0.000 | 0.000 | -4150.458 |
| 242.846 | 60.895 | 65.335 | -0.000 | 0.000 | 0.000 |
| 60.891 | 243.116 | 64.950 | -0.000 | 0.000 | -0.000 |
| 165749377.969 | -20076988.287 | -54450427.903 | -0.000 | 0.000 | -0.000 |
| -0.005 | -0.004 | -0.021 | 102.821 | -0.000 | 0.000 |
| -0.003 | -0.002 | -0.013 | -0.000 | 102.723 | 0.000 |
| -0.005 | -0.004 | -0.023 | -0.000 | -0.000 | 90.906 |
| 242.847 | 60.897 | 65.344 | -0.000 | -0.000 | -0.000 |
| 60.899 | 243.122 | 64.985 | 0.000 | 0.000 | 0.000 |
| 94.453 | 87.343 | 415.501 | -0.000 | -0.001 | -0.000 |
| 0.005 | 0.004 | 0.021 | 102.821 | 0.000 | 0.000 |
| 0.003 | 0.002 | 0.013 | 0.000 | 102.723 | 0.000 |
| 0.005 | 0.004 | 0.023 | 0.000 | 0.000 | 90.906 |
| 242.845 | 60.895 | 65.335 | -0.000 | 0.000 | 0.000 |
| 60.894 | 243.118 | 64.963 | -0.000 | 0.000 | 0.000 |
| 16575079.015 | -2007664.263 | -5444537.706 | -0.000 | -0.000 | 0.000 |
| -0.000 | -0.000 | -0.001 | 102.821 | -0.000 | -0.000 |
| -0.000 | -0.000 | -0.001 | -0.000 | 102.723 | -0.000 |
| -0.000 | 0.000 | -0.000 | -0.000 | 0.000 | 90.906 |
| 242.846 | 60.895 | 65.336 | 0.000 | -0.000 | -0.000 |
| 60.895 | 243.119 | 64.966 | 0.000 | 0.000 | -0.000 |
| 94.449 | 87.339 | 415.483 | 0.000 | -0.000 | -0.000 |
| 0.000 | 0.000 | 0.001 | 102.821 | 0.000 | 0.000 |
| 0.000 | 0.000 | 0.001 | -0.000 | 102.723 | 0.000 |
| 0.000 | 0.000 | 0.000 | 0.000 | -0.000 | 90.906 |
| 242.846 | 60.895 | 65.336 | -0.000 | -0.000 | 0.000 |
| 60.894 | 243.119 | 64.965 | -0.000 | -0.000 | -0.000 |
| 1657644.139 | -200734.290 | -543954.250 | -0.000 | -0.000 | -0.000 |
| 0.000 | -0.000 | -0.000 | 102.821 | -0.000 | 0.000 |
| -0.000 | 0.000 | -0.000 | -0.000 | 102.723 | -0.000 |
| -0.000 | 0.000 | -0.000 | -0.000 | -0.000 | 90.906 |
| 242.845 | 60.895 | 65.335 | 0.000 | 0.000 | 0.000 |
| 60.894 | 243.118 | 64.964 | 0.000 | 0.000 | 0.000 |
| 94.443 | 87.333 | 415.472 | 0.000 | -0.000 | -0.000 |
| -0.000 | 0.000 | 0.000 | 102.821 | -0.000 | -0.000 |
| 0.000 | -0.000 | 0.000 | 0.000 | 102.723 | 0.000 |
| 0.000 | -0.000 | 0.000 | 0.000 | -0.000 | 90.906 |
| -379230.539 | -279438.641 | -4804911.832 | -0.000 | -0.000 | -0.000 |
| -379410.768 | -279256.204 | -4804909.829 | -0.000 | 0.000 | 0.000 |
| -379365.479 | -279392.801 | -4804583.695 | -0.000 | -0.000 | -0.000 |
| -656825.567 | -638580.687 | -2587770.220 | -98866.104 | -0.000 | 0.000 |
| -656824.590 | -638579.686 | -2587767.327 | 0.000 | -116873.336 | -0.000 |
| 65783715.504 | 56920894.418 | 81923933.116 | -0.000 | -0.000 | -26349636.114 |
| 245.946 | 60.671 | 76.160 | 0.000 | 0.000 | 0.000 |
| 58.904 | 245.427 | 71.831 | 0.000 | 0.000 | -0.000 |
| 71.740 | 71.806 | 301.330 | 0.000 | 0.000 | 0.000 |
| 656825.567 | 638580.687 | 2587770.220 | -98866.104 | 0.000 | -0.000 |
| 656824.591 | 638579.686 | 2587767.327 | 0.000 | -116873.336 | 0.000 |
| -65783715.504 | -56920894.417 | -81923933.116 | 0.000 | 0.000 | -26349636.114 |
| -37710.417 | -27893.882 | -480436.300 | -0.000 | -0.000 | -0.000 |
| -37890.646 | -27711.446 | -480434.299 | -0.000 | -0.000 | -0.000 |
| -37845.558 | -27848.180 | -480109.020 | -0.000 | -0.000 | 0.000 |
| -65677.582 | -63853.113 | -258762.499 | -9791.960 | -0.000 | 0.000 |
| -65676.610 | -63852.117 | -258759.622 | -0.000 | -11592.492 | 0.000 |
| 6578371.060 | 5692089.077 | 8192392.762 | -0.000 | -0.000 | -2634884.395 |
| 245.949 | 60.674 | 76.169 | 0.000 | 0.000 | -0.000 |
| 58.904 | 245.428 | 71.833 | 0.000 | 0.000 | -0.000 |
| 71.738 | 71.804 | 301.324 | 0.000 | -0.000 | -0.000 |
| 65677.582 | 63853.113 | 258762.499 | -9791.960 | 0.000 | 0.000 |
| 65676.610 | 63852.117 | 258759.622 | 0.000 | -11592.492 | 0.000 |
| -6578371.060 | -5692089.077 | -8192392.762 | 0.000 | 0.000 | -2634884.396 |
| -3558.404 | -2739.405 | -47988.743 | -0.000 | -0.000 | 0.000 |
| -3738.634 | -2556.969 | -47986.744 | -0.000 | -0.000 | -0.000 |
| -3693.363 | -2693.576 | -47660.704 | -0.000 | -0.000 | 0.000 |
| -6562.784 | -6380.357 | -25861.731 | -884.545 | -0.000 | -0.000 |
| -6561.812 | -6379.360 | -25858.851 | -0.000 | -1064.407 | -0.000 |
| 657836.616 | 569208.543 | 819238.727 | -0.000 | 0.000 | -263409.224 |
| 245.947 | 60.673 | 76.168 | 0.000 | 0.000 | -0.000 |
| 58.906 | 245.428 | 71.836 | 0.000 | -0.000 | 0.000 |
| 71.738 | 71.804 | 301.324 | 0.000 | 0.000 | 0.000 |
| 6562.784 | 6380.357 | 25861.731 | -884.545 | -0.000 | 0.000 |
| 6561.812 | 6379.360 | 25858.851 | -0.000 | -1064.407 | -0.000 |
| -657836.616 | -569208.543 | -819238.727 | 0.000 | 0.000 | -263409.224 |
| 470.484 | 0.000 | 0.000 | 0.000 | 0.000 | 0.000 |
| -0.000 | 0.000 | 0.000 | 0.000 | 0.000 | 0.000 |
| -0.000 | 0.000 | 0.000 | 0.000 | 0.000 | 0.000 |
| -0.000 | 0.000 | 0.000 | 0.000 | 0.000 | 0.000 |
| -0.000 | 0.000 | 0.000 | 0.000 | 0.000 | 0.000 |
| -0.000 | 0.000 | 0.000 | 0.000 | 0.000 | 0.000 |
| 470.484 | -0.000 | -0.000 | -0.000 | -0.000 | -0.000 |
| 0.000 | -0.000 | -0.000 | -0.000 | -0.000 | -0.000 |
| 0.000 | -0.000 | -0.000 | -0.000 | -0.000 | -0.000 |
| 0.000 | -0.000 | -0.000 | -0.000 | -0.000 | -0.000 |
| -0.000 | -0.000 | -0.000 | -0.000 | -0.000 | -0.000 |
| 0.000 | -0.000 | -0.000 | -0.000 | -0.000 | -0.000 |
| 470.484 | 0.000 | 0.000 | 0.000 | 0.000 | 0.000 |
| -0.000 | 0.000 | 0.000 | 0.000 | 0.000 | 0.000 |
| -0.000 | 0.000 | 0.000 | 0.000 | 0.000 | 0.000 |
| -0.000 | 0.000 | 0.000 | 0.000 | 0.000 | 0.000 |
| 0.000 | 0.000 | 0.000 | 0.000 | 0.000 | 0.000 |
| -0.000 | 0.000 | 0.000 | 0.000 | 0.000 | 0.000 |
| 470.484 | -0.000 | -0.000 | -0.000 | -0.000 | -0.000 |
| 0.000 | -0.000 | -0.000 | -0.000 | -0.000 | -0.000 |
| 0.000 | -0.000 | -0.000 | -0.000 | -0.000 | -0.000 |
| 0.000 | -0.000 | -0.000 | -0.000 | -0.000 | -0.000 |
| 0.000 | -0.000 | -0.000 | -0.000 | -0.000 | -0.000 |
| 0.000 | -0.000 | -0.000 | -0.000 | -0.000 | -0.000 |
| 470.486 | 0.000 | 0.000 | 0.000 | 0.000 | 0.000 |
| -0.000 | 0.000 | 0.000 | 0.000 | 0.000 | 0.000 |
| -0.000 | 0.000 | 0.000 | 0.000 | 0.000 | 0.000 |
| -0.000 | 0.000 | 0.000 | 0.000 | 0.000 | 0.000 |
| -0.000 | 0.000 | 0.000 | 0.000 | 0.000 | 0.000 |
| -0.000 | 0.000 | 0.000 | 0.000 | 0.000 | 0.000 |
| 470.482 | -0.000 | -0.000 | -0.000 | -0.000 | -0.000 |
| 0.000 | -0.000 | -0.000 | -0.000 | -0.000 | -0.000 |
| 0.000 | -0.000 | -0.000 | -0.000 | -0.000 | -0.000 |
| 0.000 | -0.000 | -0.000 | -0.000 | -0.000 | -0.000 |
| -0.000 | -0.000 | -0.000 | -0.000 | -0.000 | -0.000 |
| 0.000 | -0.000 | -0.000 | -0.000 | -0.000 | -0.000 |
| 470.484 | 0.000 | 0.000 | 0.000 | 0.000 | 0.000 |
| -0.000 | 0.000 | 0.000 | 0.000 | 0.000 | 0.000 |
| -0.000 | 0.000 | 0.000 | 0.000 | 0.000 | 0.000 |
| -0.000 | 0.000 | 0.000 | 0.000 | 0.000 | 0.000 |
| -0.000 | 0.000 | 0.000 | 0.000 | 0.000 | 0.000 |
| -0.000 | 0.000 | 0.000 | 0.000 | 0.000 | 0.000 |
| 470.484 | -0.000 | -0.000 | -0.000 | -0.000 | -0.000 |
| 0.000 | -0.000 | -0.000 | -0.000 | -0.000 | -0.000 |
| 0.000 | -0.000 | -0.000 | -0.000 | -0.000 | -0.000 |
| 0.000 | -0.000 | -0.000 | -0.000 | -0.000 | -0.000 |
| 0.000 | -0.000 | -0.000 | -0.000 | -0.000 | -0.000 |
| 0.000 | -0.000 | -0.000 | -0.000 | -0.000 | -0.000 |
| 470.484 | 0.000 | 0.000 | 0.000 | 0.000 | 0.000 |
| -0.000 | 0.000 | 0.000 | 0.000 | 0.000 | 0.000 |
| -0.000 | 0.000 | 0.000 | 0.000 | 0.000 | 0.000 |
| -0.000 | 0.000 | 0.000 | 0.000 | 0.000 | 0.000 |
| -0.000 | 0.000 | 0.000 | 0.000 | 0.000 | 0.000 |
| -0.000 | 0.000 | 0.000 | 0.000 | 0.000 | 0.000 |
| 470.484 | -0.000 | -0.000 | -0.000 | -0.000 | -0.000 |
| 0.000 | -0.000 | -0.000 | -0.000 | -0.000 | -0.000 |
| 0.000 | -0.000 | -0.000 | -0.000 | -0.000 | -0.000 |
| 0.000 | -0.000 | -0.000 | -0.000 | -0.000 | -0.000 |
| 0.000 | -0.000 | -0.000 | -0.000 | -0.000 | -0.000 |
| 0.000 | -0.000 | -0.000 | -0.000 | -0.000 | -0.000 |
| 470.486 | 0.000 | 0.000 | 0.000 | 0.000 | 0.000 |
| -0.000 | 0.000 | 0.000 | 0.000 | 0.000 | 0.000 |
| -0.000 | 0.000 | 0.000 | 0.000 | 0.000 | 0.000 |
| -0.000 | 0.000 | 0.000 | 0.000 | 0.000 | 0.000 |
| -0.000 | 0.000 | 0.000 | 0.000 | 0.000 | 0.000 |
| -0.000 | 0.000 | 0.000 | 0.000 | 0.000 | 0.000 |
| 470.482 | -0.000 | -0.000 | -0.000 | -0.000 | -0.000 |
| 0.000 | -0.000 | -0.000 | -0.000 | -0.000 | -0.000 |
| 0.000 | -0.000 | -0.000 | -0.000 | -0.000 | -0.000 |
| 0.000 | -0.000 | -0.000 | -0.000 | -0.000 | -0.000 |
| 0.000 | -0.000 | -0.000 | -0.000 | -0.000 | -0.000 |
| 0.000 | -0.000 | -0.000 | -0.000 | -0.000 | -0.000 |
| -2955437.233 | -3464395.002 | 1205903.016 | -0.000 | 2252237.606 | -0.000 |
| -2955479.039 | -3464509.167 | 1205813.323 | -0.000 | 2252289.431 | 0.000 |
| -2955441.121 | -3464395.113 | 1205952.314 | -0.000 | 2252239.488 | -0.000 |
| -2646323.598 | -2984171.926 | 1330519.852 | 3507.867 | 2050377.021 | -33399.805 |
| -0.147 | 0.104 | 0.020 | -0.000 | 19.961 | -0.000 |
| -2635301.231 | -2963751.829 | 1334283.019 | -3511.113 | 2040491.175 | 33864.154 |
| 16.705 | 9.219 | 7.024 | 0.000 | -0.083 | 0.000 |
| 17.176 | -13.670 | -79.144 | 0.000 | 4.029 | -0.000 |
| 12.007 | 12.833 | 67.330 | 0.000 | -0.010 | -0.000 |
| 2646323.597 | 2984171.921 | -1330519.855 | 3507.867 | -2050377.019 | -33399.805 |
| 2955451.573 | 3464411.927 | -1205891.806 | -0.000 | -2252225.997 | -0.000 |
| 2635301.231 | 2963751.829 | -1334283.019 | -3511.113 | -2040491.175 | 33864.155 |
| -295532.538 | -346432.146 | 120595.265 | -0.000 | 225223.144 | -0.000 |
| -295573.300 | -346543.175 | 120504.732 | -0.000 | 225272.713 | -0.000 |
| -295536.427 | -346432.258 | 120644.563 | -0.000 | 225225.026 | -0.000 |
| -262742.351 | -295531.967 | 135085.162 | 298.291 | 203963.487 | -2450.630 |
| -0.146 | 0.103 | 0.020 | -0.000 | 19.961 | -0.000 |
| -279552.695 | -326738.041 | 129462.306 | -235.171 | 219263.834 | 1751.198 |
| 16.705 | 9.219 | 7.025 | 0.000 | -0.083 | 0.000 |
| 17.174 | -13.670 | -79.139 | 0.000 | 4.028 | 0.000 |
| 12.008 | 12.832 | 67.328 | 0.000 | -0.009 | 0.000 |
| 262742.351 | 295531.967 | -135085.162 | 298.291 | -203963.487 | -2450.630 |
| 295546.877 | 346449.069 | -120584.057 | 0.000 | -225211.534 | -0.000 |
| 279552.695 | 326738.041 | -129462.306 | -235.171 | -219263.834 | 1751.198 |
| -29542.069 | -34635.860 | 12064.490 | -0.000 | 22521.698 | -0.000 |
| -29621.375 | -34864.213 | 12003.381 | -0.000 | 22657.928 | -0.000 |
| -29545.969 | -34636.006 | 12113.799 | -0.000 | 22523.605 | 0.000 |
| -36405.291 | -48257.703 | 10246.688 | 16.076 | 29819.265 | 219.141 |
| -0.146 | 0.103 | 0.019 | -0.000 | 19.961 | -0.000 |
| -26361.364 | -29654.387 | 13338.564 | -35.003 | 20412.716 | 346.560 |
| 16.705 | 9.219 | 7.025 | 0.000 | -0.083 | 0.000 |
| 17.162 | -13.672 | -79.095 | -0.000 | 4.026 | 0.000 |
| 12.008 | 12.832 | 67.328 | -0.000 | -0.009 | 0.000 |
| 36405.291 | 48257.703 | -10246.688 | 16.076 | -29819.265 | 219.141 |
| 29556.419 | 34652.818 | -12053.292 | 0.000 | -22510.112 | 0.000 |
| 26361.364 | 29654.387 | -13338.564 | -35.003 | -20412.716 | 346.560 |
| 27108672.198 | 4910455.872 | -62164854.013 | -390438.255 | -22976994.114 | -13945301.738 |
| 27108612.978 | 4910468.048 | -62164850.424 | -390441.758 | -22976988.536 | -13945284.649 |
| 27108640.737 | 4910456.358 | -62164789.688 | -390431.671 | -22976988.936 | -13945292.990 |
| 3.128 | -2.076 | 6.435 | 8.702 | -3.968 | -2.051 |
| -1.770 | -2.120 | -1.107 | -3.376 | 25.996 | 2.335 |
| 27108596.970 | 4910450.031 | -62164871.504 | -390442.313 | -22976989.830 | -13945276.843 |
| 79.255 | 10.925 | 41.401 | 5.740 | -1.259 | -14.416 |
| 18.223 | 30.008 | 65.272 | 3.662 | 7.724 | 2.339 |
| 32.897 | 8.011 | 112.347 | 13.890 | 3.678 | -4.619 |
| -27108600.637 | -4910450.618 | 62164883.087 | 390450.220 | 22976987.721 | 13945285.098 |
| -27108606.135 | -4910450.387 | 62164880.013 | 390440.614 | 22977010.485 | 13945289.072 |
| -3.160 | 5.607 | 33.259 | 2.499 | 4.193 | 13.942 |
| 2710927.174 | 491053.375 | -6216450.606 | -39038.432 | -2297700.905 | -1394541.451 |
| 2710867.954 | 491065.551 | -6216447.027 | -39041.935 | -2297695.329 | -1394524.363 |
| 2710895.713 | 491053.858 | -6216386.301 | -39031.850 | -2297695.730 | -1394532.706 |
| 3.130 | -2.074 | 6.445 | 8.703 | -3.967 | -2.051 |
| -1.769 | -2.119 | -1.100 | -3.375 | 25.997 | 2.335 |
| 2710851.946 | 491047.534 | -6216468.100 | -39042.489 | -2297696.621 | -1394516.557 |
| 79.255 | 10.925 | 41.401 | 5.740 | -1.260 | -14.416 |
| 18.221 | 30.007 | 65.264 | 3.661 | 7.723 | 2.339 |
| 32.897 | 8.011 | 112.348 | 13.890 | 3.678 | -4.619 |
| -2710855.613 | -491048.121 | 6216479.680 | 39050.397 | 2297694.512 | 1394524.811 |
| -2710861.111 | -491047.890 | 6216476.608 | 39040.791 | 2297717.276 | 1394528.786 |
| -3.162 | 5.606 | 33.251 | 2.498 | 4.192 | 13.941 |
| 271152.671 | 49113.125 | -621610.267 | -3898.450 | -229771.584 | -139465.423 |
| 271093.452 | 49125.301 | -621606.684 | -3901.952 | -229766.008 | -139448.335 |
| 271121.211 | 49113.608 | -621545.960 | -3891.867 | -229766.409 | -139456.677 |
| 3.130 | -2.074 | 6.445 | 8.703 | -3.967 | -2.051 |
| -1.769 | -2.119 | -1.100 | -3.375 | 25.997 | 2.335 |
| 271077.444 | 49107.284 | -621627.760 | -3902.507 | -229767.301 | -139440.528 |
| 79.255 | 10.925 | 41.400 | 5.740 | -1.260 | -14.416 |
| 18.220 | 30.006 | 65.262 | 3.661 | 7.723 | 2.339 |
| 32.897 | 8.011 | 112.348 | 13.890 | 3.678 | -4.619 |
| -271081.111 | -49107.872 | 621639.341 | 3910.414 | 229765.191 | 139448.783 |
| -271086.609 | -49107.641 | 621636.268 | 3900.809 | 229787.955 | 139452.757 |
| -3.161 | 5.606 | 33.253 | 2.498 | 4.192 | 13.941 |
| 482.950 | 95.590 | 95.590 | 0.000 | 0.000 | -0.000 |
| 95.590 | 482.950 | 95.590 | 0.000 | 0.000 | -0.000 |
| 95.590 | 95.590 | 482.950 | 0.000 | -0.000 | 0.000 |
| -0.000 | -0.000 | 0.000 | 167.140 | 0.000 | -0.000 |
| 0.000 | -0.000 | 0.000 | 0.000 | 167.140 | -0.000 |
| 0.000 | -0.000 | -0.000 | 0.000 | 0.000 | 167.140 |
| 384.754 | 138.197 | 138.198 | -0.000 | -0.000 | 0.000 |
| 138.198 | 384.754 | 138.198 | -0.000 | 0.000 | 0.000 |
| 138.198 | 138.197 | 384.754 | -0.000 | 0.000 | 0.000 |
| 0.000 | 0.000 | -0.000 | 167.140 | -0.000 | 0.000 |
| -0.000 | 0.000 | -0.000 | -0.000 | 167.140 | 0.000 |
| -0.000 | 0.000 | -0.000 | -0.000 | -0.000 | 167.140 |
| 385.083 | 133.451 | 133.451 | 0.000 | 0.000 | -0.000 |
| 133.451 | 385.083 | 133.451 | 0.000 | 0.000 | -0.000 |
| 133.451 | 133.451 | 385.083 | 0.000 | -0.000 | 0.000 |
| 0.000 | -0.000 | 0.000 | 167.140 | -0.000 | -0.000 |
| 0.000 | 0.000 | 0.000 | 0.000 | 167.140 | -0.000 |
| 0.000 | 0.000 | 0.000 | 0.000 | 0.000 | 167.140 |
| 390.520 | 138.093 | 138.093 | -0.000 | 0.000 | 0.000 |
| 138.093 | 390.520 | 138.093 | -0.000 | 0.000 | 0.000 |
| 129.906 | 129.906 | 381.651 | -0.000 | 0.000 | 0.000 |
| -0.000 | 0.000 | -0.000 | 167.140 | 0.000 | 0.000 |
| -0.000 | 0.000 | -0.000 | -0.000 | 167.140 | 0.000 |
| -0.000 | -0.000 | -0.000 | -0.000 | 0.000 | 167.140 |
| 382.795 | 131.003 | 131.003 | 0.000 | -0.000 | -0.000 |
| 131.003 | 382.795 | 131.003 | 0.000 | -0.000 | -0.000 |
| 131.003 | 131.003 | 382.795 | 0.000 | -0.000 | -0.000 |
| 0.164 | 0.164 | 0.164 | 126.641 | -0.000 | -0.000 |
| 0.164 | 0.164 | 0.164 | 0.000 | 126.641 | -0.000 |
| 0.164 | 0.164 | 0.164 | 0.000 | -0.000 | 126.641 |
| 382.498 | 130.066 | 130.066 | -0.000 | 0.000 | 0.000 |
| 130.066 | 382.498 | 130.066 | -0.000 | -0.000 | 0.000 |
| 130.066 | 130.066 | 382.498 | -0.000 | -0.000 | 0.000 |
| -0.164 | -0.164 | -0.164 | 126.641 | 0.000 | 0.000 |
| -0.164 | -0.164 | -0.164 | -0.000 | 126.641 | 0.000 |
| -0.164 | -0.164 | -0.164 | -0.000 | 0.000 | 126.641 |
| 23238526.997 | 978079341.126 | 978079341.127 | 0.000 | 0.000 | -0.000 |
| 978079341.127 | 23238526.997 | 978079341.127 | 0.000 | 0.000 | -0.000 |
| 978079341.127 | 978079341.127 | 23238526.997 | 0.000 | -0.000 | 0.000 |
| 46870354.910 | 479163926.532 | 479163927.772 | 61981162.998 | -0.000 | -0.000 |
| 479163926.533 | 46870354.909 | 479163927.772 | -0.000 | 61981162.998 | 0.000 |
| 479163926.533 | 479163927.772 | 46870354.910 | 0.000 | -0.000 | 61981162.998 |
| 252.084 | 105.403 | 105.403 | -0.000 | -0.000 | -0.000 |
| 105.403 | 252.084 | 105.403 | -0.000 | 0.000 | 0.000 |
| 105.403 | 105.403 | 252.084 | 0.000 | 0.000 | -0.000 |
| -46870354.910 | -479163926.532 | -479163927.772 | 61981162.998 | 0.000 | 0.000 |
| -479163926.533 | -46870354.909 | -479163927.772 | 0.000 | 61981162.998 | 0.000 |
| -479163926.533 | -479163927.771 | -46870354.910 | -0.000 | 0.000 | 61981162.998 |
| 2324068.416 | 97808079.702 | 97808079.702 | 0.000 | -0.000 | -0.000 |
| 97808079.702 | 2324068.416 | 97808079.702 | 0.000 | 0.000 | -0.000 |
| 97808079.702 | 97808079.702 | 2324068.416 | 0.000 | 0.000 | -0.000 |
| 4687037.351 | 47916392.857 | 47916394.097 | 6198230.222 | 0.000 | 0.000 |
| 47916392.857 | 4687037.351 | 47916394.097 | 0.000 | 6198230.222 | -0.000 |
| 47916392.857 | 47916394.097 | 4687037.351 | 0.000 | -0.000 | 6198230.222 |
| 252.081 | 105.400 | 105.400 | -0.000 | 0.000 | 0.000 |
| 105.400 | 252.081 | 105.400 | -0.000 | 0.000 | -0.000 |
| 105.400 | 105.400 | 252.081 | -0.000 | -0.000 | 0.000 |
| -4687037.351 | -47916392.857 | -47916394.097 | 6198230.222 | 0.000 | 0.000 |
| -47916392.857 | -4687037.351 | -47916394.097 | 0.000 | 6198230.222 | -0.000 |
| -47916392.857 | -47916394.097 | -4687037.351 | -0.000 | 0.000 | 6198230.222 |
| 232622.559 | 9780953.559 | 9780953.559 | -0.000 | 0.000 | -0.000 |
| 9780953.559 | 232622.559 | 9780953.559 | 0.000 | 0.000 | -0.000 |
| 9780953.559 | 9780953.559 | 232622.559 | -0.000 | -0.000 | 0.000 |
| 468705.595 | 4791639.490 | 4791640.729 | 619936.944 | -0.000 | -0.000 |
| 4791639.490 | 468705.595 | 4791640.729 | -0.000 | 619936.944 | 0.000 |
| 4791639.490 | 4791640.729 | 468705.595 | -0.000 | 0.000 | 619936.944 |
| 252.080 | 105.400 | 105.400 | 0.000 | -0.000 | -0.000 |
| 105.400 | 252.080 | 105.400 | -0.000 | 0.000 | 0.000 |
| 105.400 | 105.400 | 252.080 | -0.000 | 0.000 | 0.000 |
| -468705.595 | -4791639.490 | -4791640.729 | 619936.944 | 0.000 | 0.000 |
| -4791639.490 | -468705.595 | -4791640.729 | 0.000 | 619936.944 | 0.000 |
| -4791639.490 | -4791640.729 | -468705.595 | -0.000 | 0.000 | 619936.944 |
| -1213.524 | -107.420 | -2060.524 | -0.000 | 0.000 | -0.001 |
| -690.170 | 1611.091 | -2247.321 | 0.000 | 0.000 | -0.000 |
| -2252.408 | 524.089 | -1626.651 | 0.000 | 0.000 | 0.000 |
| -1576.310 | -181.990 | -2159.787 | 231.142 | 0.000 | -0.002 |
| -1576.519 | -181.825 | -2160.315 | -0.000 | 117.906 | -0.000 |
| -1576.556 | -181.950 | -2160.210 | -0.000 | 0.000 | 197.391 |
| 2726.824 | -438.229 | 2432.517 | -0.000 | -0.000 | 0.000 |
| 1639.317 | 796.557 | 2266.440 | 0.000 | -0.000 | 0.000 |
| 2433.146 | -415.924 | 2875.995 | -0.000 | -0.000 | 0.000 |
| 1576.311 | 181.990 | 2159.787 | 231.142 | -0.000 | -0.001 |
| 1576.519 | 181.825 | 2160.315 | -0.000 | 117.905 | 0.000 |
| 1576.556 | 181.950 | 2160.210 | -0.000 | -0.000 | 197.391 |
| 329.610 | 167.311 | -149.836 | 0.000 | 0.000 | -0.000 |
| -187.238 | 683.082 | -134.619 | -0.000 | 0.000 | -0.000 |
| -157.316 | 145.743 | 312.944 | -0.000 | 0.000 | -0.000 |
| -0.000 | 0.000 | 0.000 | 311.584 | 0.000 | 0.000 |
| -72.214 | 96.783 | -233.651 | -0.000 | 128.529 | -0.000 |
| -0.000 | -0.000 | 0.000 | -0.000 | 0.000 | 213.199 |
| 604.492 | 19.008 | 331.059 | -0.000 | -0.000 | 0.000 |
| 283.328 | 579.946 | 331.654 | -0.000 | -0.000 | 0.000 |
| 313.317 | 42.660 | 778.310 | 0.000 | -0.000 | 0.000 |
| 0.000 | -0.000 | -0.000 | 311.584 | -0.000 | 0.000 |
| 72.214 | -96.783 | 233.651 | 0.000 | 128.529 | 0.000 |
| 0.000 | -0.000 | -0.000 | 0.000 | -0.000 | 213.199 |
| 349.173 | 71.510 | 75.989 | -0.000 | 0.000 | -0.000 |
| 32.424 | 640.848 | 79.709 | -0.000 | 0.000 | 0.000 |
| 49.391 | 105.206 | 527.043 | 0.000 | 0.000 | -0.000 |
| -5.922 | 7.937 | -19.160 | 241.084 | 0.000 | -0.000 |
| -21.492 | 4.164 | -23.539 | 0.000 | 118.235 | -0.000 |
| -6.168 | 8.267 | -19.957 | 0.000 | 0.000 | 196.874 |
| 397.676 | 70.237 | 120.891 | -0.000 | -0.000 | 0.000 |
| 66.280 | 632.764 | 125.647 | 0.000 | -0.000 | 0.000 |
| 96.463 | 94.659 | 571.941 | -0.000 | -0.000 | 0.000 |
| 5.922 | -7.937 | 19.160 | 241.084 | -0.000 | -0.000 |
| 21.492 | -4.164 | 23.539 | -0.000 | 118.235 | -0.000 |
| 6.168 | -8.267 | 19.957 | -0.000 | -0.000 | 196.874 |
| 512.918 | 189.523 | 189.524 | 0.000 | 0.000 | -0.000 |
| 189.524 | 512.918 | 189.524 | 0.000 | 0.000 | -0.000 |
| 189.524 | 189.524 | 512.918 | 0.000 | -0.000 | -0.000 |
| -0.000 | -0.000 | -0.000 | 120.520 | -0.000 | -0.000 |
| -0.000 | -0.000 | -0.000 | -0.000 | 120.520 | 0.000 |
| -0.000 | -0.000 | -0.000 | 0.000 | 0.000 | 120.520 |
| 512.918 | 189.524 | 189.524 | -0.000 | -0.000 | 0.000 |
| 189.524 | 512.918 | 189.524 | -0.000 | 0.000 | -0.000 |
| 189.524 | 189.524 | 512.918 | -0.000 | -0.000 | -0.000 |
| 0.000 | 0.000 | 0.000 | 120.520 | -0.000 | 0.000 |
| 0.000 | 0.000 | 0.000 | -0.000 | 120.520 | 0.000 |
| 0.000 | 0.000 | 0.000 | -0.000 | -0.000 | 120.520 |
| 477.458 | 194.171 | 194.171 | 0.000 | -0.000 | 0.000 |
| 194.171 | 477.458 | 194.171 | 0.000 | -0.000 | -0.000 |
| 194.171 | 194.171 | 477.458 | -0.000 | -0.000 | -0.000 |
| -0.000 | -0.000 | -0.000 | 120.520 | -0.000 | -0.000 |
| -0.000 | -0.000 | -0.000 | -0.000 | 120.520 | -0.000 |
| -0.000 | -0.000 | -0.000 | 0.000 | -0.000 | 120.520 |
| 512.918 | 189.523 | 189.523 | -0.000 | 0.000 | -0.000 |
| 189.523 | 512.918 | 189.523 | 0.000 | 0.000 | 0.000 |
| 189.523 | 189.523 | 512.918 | -0.000 | -0.000 | 0.000 |
| 0.000 | 0.000 | 0.000 | 120.520 | 0.000 | 0.000 |
| 0.000 | 0.000 | 0.000 | 0.000 | 120.520 | 0.000 |
| 0.000 | 0.000 | 0.000 | 0.000 | 0.000 | 120.520 |
| 457.504 | 203.344 | 203.344 | -0.000 | -0.000 | -0.000 |
| 203.344 | 457.504 | 203.344 | 0.000 | -0.000 | -0.000 |
| 203.344 | 203.344 | 457.504 | -0.000 | -0.000 | 0.000 |
| 0.000 | 0.000 | 0.000 | 106.586 | 0.000 | 0.000 |
| 0.000 | 0.000 | 0.000 | -0.000 | 106.586 | -0.000 |
| 0.000 | 0.000 | 0.000 | 0.000 | -0.000 | 106.586 |
| 457.503 | 203.342 | 203.342 | 0.000 | 0.000 | 0.000 |
| 203.342 | 457.503 | 203.342 | 0.000 | -0.000 | -0.000 |
| 203.342 | 203.342 | 457.503 | 0.000 | 0.000 | 0.000 |
| -0.000 | -0.000 | -0.000 | 106.586 | 0.000 | 0.000 |
| -0.000 | -0.000 | -0.000 | -0.000 | 106.586 | -0.000 |
| -0.000 | -0.000 | -0.000 | 0.000 | 0.000 | 106.586 |
| -14949.751 | -15004.063 | 67039.575 | 0.001 | 0.000 | -74221.317 |
| -15007.885 | -14953.574 | 67035.753 | 0.001 | 0.000 | -74221.317 |
| 38.613 | 38.613 | 92.924 | 0.000 | 0.000 | 0.000 |
| 0.000 | 0.000 | 0.000 | 48.521 | -0.000 | 0.000 |
| 0.000 | 0.000 | 0.000 | 0.000 | 48.521 | 0.000 |
| -15042.675 | -15042.677 | 67000.959 | 0.001 | 0.000 | -74172.795 |
| 84.451 | 30.140 | 30.140 | -0.000 | -0.000 | -0.000 |
| 30.140 | 84.451 | 30.140 | -0.000 | 0.000 | -0.000 |
| 38.613 | 38.613 | 92.924 | -0.000 | 0.000 | -0.000 |
| -0.000 | -0.000 | -0.000 | 48.521 | 0.000 | -0.000 |
| -0.000 | 0.000 | -0.000 | -0.000 | 48.521 | -0.000 |
| -8.473 | -8.473 | -8.473 | -0.000 | -0.000 | 48.521 |
| -11202.069 | 17458.891 | 21561.073 | -6673.096 | -15581.929 | -21517.356 |
| 24157.248 | -12708.077 | 20055.067 | -15581.929 | -11121.822 | -21517.359 |
| 24909.765 | 16705.398 | -11955.567 | -13357.565 | -17806.290 | -13346.187 |
| 20094.903 | -4518.183 | -4518.187 | -22217.873 | -0.005 | -0.005 |
| -3765.150 | 16745.753 | -3765.158 | 2224.359 | -18506.808 | -2224.365 |
| -4517.294 | -4517.298 | 20095.793 | -0.005 | -0.005 | -22217.874 |
| 90.664 | 36.353 | 36.353 | -0.000 | 0.000 | -0.000 |
| 34.717 | 89.027 | 34.717 | -0.000 | 0.000 | -0.000 |
| 38.613 | 38.613 | 92.924 | -0.000 | 0.000 | -0.000 |
| -10047.451 | 2259.090 | 2259.094 | -11084.676 | 6673.085 | 6673.088 |
| 1506.060 | -6698.301 | 1506.062 | 4448.724 | -7373.610 | 4448.725 |
| 1505.280 | 1505.281 | -6699.082 | 4448.724 | 4448.724 | -7373.610 |
| -221943.464 | 387492.574 | 383800.608 | 600.592 | -74270.499 | -78425.305 |
| 387466.866 | -221949.591 | 383774.899 | -72077.086 | 1072.390 | -79759.922 |
| 386750.573 | 386750.575 | -222636.507 | -74833.189 | -75073.381 | -2695.571 |
| 282332.835 | -63480.291 | -63480.918 | -312794.293 | 1112.183 | -1112.176 |
| -63630.897 | 283002.664 | -63631.523 | -222.432 | -313536.507 | 222.440 |
| -63555.593 | -63556.220 | 282667.751 | 444.878 | -444.866 | -313165.401 |
| 92.698 | 38.387 | 38.387 | 0.000 | 0.000 | -0.000 |
| 38.224 | 92.534 | 38.224 | -0.000 | 0.000 | -0.000 |
| 38.613 | 38.613 | 92.924 | 0.000 | 0.000 | 0.000 |
| -214010.282 | 48118.509 | 48118.982 | -237088.541 | 667.308 | 667.308 |
| 47967.903 | -213340.454 | 47968.376 | 667.307 | -236346.328 | 667.309 |
| 47365.480 | 47365.948 | -210661.140 | -1557.051 | -1557.051 | -233377.476 |
| 226.797 | 118.581 | 118.581 | -0.000 | -0.000 | 0.000 |
| 118.581 | 226.797 | 118.581 | -0.000 | -0.000 | 0.000 |
| 118.581 | 118.581 | 226.797 | -0.000 | -0.000 | -0.000 |
| 0.003 | 0.003 | 0.003 | 57.959 | -0.000 | 0.000 |
| 0.002 | 0.003 | 0.003 | -0.000 | 57.959 | 0.000 |
| 0.003 | 0.003 | 0.003 | -0.000 | -0.000 | 57.959 |
| 323.255 | 134.669 | 134.669 | 0.000 | 0.000 | 0.000 |
| 134.669 | 323.255 | 134.669 | 0.000 | 0.000 | 0.000 |
| 134.669 | 134.669 | 323.255 | 0.000 | 0.000 | 0.000 |
| -0.003 | -0.003 | -0.003 | 57.959 | 0.000 | 0.000 |
| -0.003 | -0.003 | -0.003 | 0.000 | 57.959 | 0.000 |
| -0.003 | -0.003 | -0.003 | 0.000 | 0.000 | 57.959 |
| 323.255 | 134.669 | 134.669 | -0.000 | 0.000 | 0.000 |
| 134.669 | 323.255 | 134.669 | -0.000 | -0.000 | 0.000 |
| 134.669 | 134.669 | 323.255 | -0.000 | -0.000 | 0.000 |
| 0.000 | -0.000 | 0.000 | 101.326 | -0.000 | -0.000 |
| 0.000 | 0.000 | 0.000 | -0.000 | 101.326 | -0.000 |
| 0.000 | 0.000 | 0.000 | -0.000 | -0.000 | 101.326 |
| 226.795 | 118.580 | 118.580 | 0.000 | -0.000 | -0.000 |
| 118.580 | 226.795 | 118.580 | 0.000 | 0.000 | -0.000 |
| 118.580 | 118.580 | 226.795 | 0.000 | 0.000 | 0.000 |
| -0.000 | -0.000 | -0.000 | 101.326 | 0.000 | -0.000 |
| -0.000 | -0.000 | -0.000 | 0.000 | 101.326 | 0.000 |
| -0.000 | -0.000 | -0.000 | 0.000 | 0.000 | 101.326 |
| 226.794 | 118.580 | 118.580 | -0.000 | -0.000 | 0.000 |
| 118.580 | 226.794 | 118.580 | -0.000 | -0.000 | -0.000 |
| 118.580 | 118.580 | 226.794 | -0.000 | -0.000 | -0.000 |
| 0.000 | 0.000 | 0.000 | 101.326 | -0.000 | 0.000 |
| 0.000 | 0.000 | 0.000 | -0.000 | 101.326 | 0.000 |
| 0.000 | 0.000 | 0.000 | -0.000 | -0.000 | 101.326 |
| 226.797 | 118.580 | 118.580 | 0.000 | 0.000 | -0.000 |
| 118.580 | 226.797 | 118.580 | 0.000 | 0.000 | 0.000 |
| 118.580 | 118.580 | 226.797 | 0.000 | 0.000 | -0.000 |
| -0.000 | -0.000 | -0.000 | 101.326 | 0.000 | -0.000 |
| -0.000 | -0.000 | -0.000 | 0.000 | 101.326 | -0.000 |
| -0.000 | -0.000 | -0.000 | 0.000 | 0.000 | 101.326 |
| 244.337 | 58.097 | 58.097 | -0.000 | 0.001 | 0.000 |
| 58.097 | 244.338 | 58.098 | -0.000 | 0.000 | 0.000 |
| 58.097 | 58.097 | 244.338 | -0.000 | 0.001 | 0.000 |
| -0.001 | -0.000 | 0.000 | 93.120 | 0.001 | 0.000 |
| -0.000 | -0.000 | 0.000 | 0.000 | 93.121 | 0.000 |
| -0.001 | -0.000 | -0.000 | -0.000 | 0.000 | 93.120 |
| 213.898 | 104.156 | 104.156 | 0.000 | -0.001 | 0.000 |
| 104.157 | 213.898 | 104.156 | 0.001 | 0.001 | -0.000 |
| 104.158 | 104.156 | 213.897 | 0.000 | 0.001 | -0.000 |
| 0.001 | 0.000 | 0.000 | 93.121 | -0.001 | -0.000 |
| 0.000 | 0.000 | -0.000 | 0.001 | 93.121 | -0.000 |
| 0.001 | 0.000 | 0.000 | 0.001 | 0.000 | 93.120 |
| 59.404 | 24.340 | 24.340 | -0.000 | 0.000 | 0.000 |
| 24.340 | 59.404 | 24.340 | -0.000 | -0.000 | 0.000 |
| 24.340 | 24.340 | 59.404 | -0.000 | -0.000 | 0.000 |
| -2.810 | -2.810 | -2.810 | 60.149 | 0.000 | 0.000 |
| -2.810 | -2.810 | -2.810 | -0.000 | 60.149 | 0.000 |
| -2.810 | -2.810 | -2.810 | -0.000 | 0.000 | 60.149 |
| 186.414 | 70.720 | 70.720 | 0.000 | 0.000 | -0.000 |
| 70.720 | 186.414 | 70.720 | 0.000 | -0.000 | -0.000 |
| 70.720 | 70.720 | 186.414 | 0.000 | -0.000 | -0.000 |
| 2.810 | 2.810 | 2.810 | 60.149 | -0.000 | -0.000 |
| 2.810 | 2.810 | 2.810 | 0.000 | 60.149 | -0.000 |
| 2.810 | 2.810 | 2.810 | 0.000 | 0.000 | 60.149 |
| 19.425 | -23.810 | -23.810 | -0.000 | 0.000 | 0.000 |
| -23.810 | 19.425 | -23.810 | -0.000 | -0.000 | 0.000 |
| -23.810 | -23.810 | 19.425 | -0.000 | -0.000 | 0.000 |
| 0.000 | 0.000 | 0.000 | 93.120 | 0.000 | 0.000 |
| -0.798 | -0.798 | -0.798 | -0.000 | 34.041 | -0.000 |
| 0.000 | 0.000 | 0.000 | -0.000 | 0.000 | 93.120 |
| 80.594 | 43.242 | 43.242 | 0.000 | -0.000 | -0.000 |
| 43.242 | 80.594 | 43.242 | 0.000 | 0.000 | -0.000 |
| 43.242 | 43.242 | 80.594 | 0.000 | -0.000 | -0.000 |
| -0.000 | -0.000 | -0.000 | 93.120 | -0.000 | -0.000 |
| 0.798 | 0.798 | 0.798 | 0.000 | 34.041 | -0.000 |
| -0.000 | -0.000 | -0.000 | 0.000 | -0.000 | 93.120 |
| 230.087 | 137.546 | 137.545 | -0.000 | -0.001 | 0.000 |
| 137.545 | 230.087 | 137.545 | -0.000 | -0.000 | 0.000 |
| 137.545 | 137.545 | 230.087 | -0.000 | -0.001 | 0.000 |
| 62.549 | 62.549 | 62.549 | -48.816 | -0.000 | 0.000 |
| -13.347 | -13.347 | -13.347 | -0.000 | -68.894 | 0.000 |
| -13.347 | -13.347 | -13.347 | -0.000 | -0.000 | -68.893 |
| 97.603 | 4.496 | 4.496 | 0.000 | 0.000 | -0.000 |
| 4.496 | 97.603 | 4.496 | -0.000 | 0.001 | -0.000 |
| 4.496 | 4.496 | 97.603 | 0.000 | 0.001 | -0.000 |
| -62.549 | -62.549 | -62.549 | -48.815 | -0.000 | -0.000 |
| 13.347 | 13.347 | 13.347 | 0.000 | -68.893 | -0.000 |
| 13.348 | 13.347 | 13.347 | 0.000 | 0.001 | -68.894 |
| -112.289 | -53.850 | -53.851 | -0.000 | -0.000 | -0.000 |
| -53.851 | -112.289 | -53.850 | -0.000 | -0.000 | 0.000 |
| -53.851 | -53.850 | -112.289 | -0.000 | -0.000 | -0.000 |
| 6.243 | 6.243 | 6.243 | 49.262 | -0.000 | 0.000 |
| 6.243 | 6.243 | 6.243 | -0.000 | 49.262 | 0.000 |
| 6.243 | 6.243 | 6.243 | -0.000 | -0.000 | 49.262 |
| 162.937 | 63.757 | 63.757 | 0.000 | 0.000 | -0.000 |
| 63.757 | 162.937 | 63.757 | 0.000 | 0.000 | -0.000 |
| 63.757 | 63.757 | 162.937 | -0.000 | -0.000 | -0.000 |
| -6.243 | -6.243 | -6.243 | 49.262 | 0.000 | -0.000 |
| -6.243 | -6.243 | -6.243 | 0.000 | 49.262 | -0.000 |
| -6.243 | -6.243 | -6.243 | 0.000 | 0.000 | 49.262 |
| 9.662 | -34.034 | -34.034 | -0.000 | -0.000 | 0.000 |
| -34.034 | 9.662 | -34.034 | -0.000 | -0.000 | 0.000 |
| -34.034 | -34.034 | 9.662 | -0.000 | 0.000 | 0.000 |
| 0.226 | 0.227 | 0.227 | 3.434 | -0.000 | 0.000 |
| -0.022 | -0.021 | -0.022 | -0.000 | 22.548 | 0.000 |
| 1.022 | 1.022 | 1.022 | -0.000 | -0.000 | 17.641 |
| 26.620 | -8.813 | -8.813 | 0.000 | 0.000 | -0.000 |
| -8.813 | 26.620 | -8.813 | 0.000 | 0.000 | -0.000 |
| -8.813 | -8.813 | 26.620 | 0.000 | 0.000 | -0.000 |
| -0.226 | -0.227 | -0.227 | 3.434 | 0.000 | 0.000 |
| 0.022 | 0.021 | 0.022 | -0.000 | 22.548 | -0.000 |
| -1.022 | -1.022 | -1.022 | 0.000 | 0.000 | 17.641 |
| -9437168.587 | 639257.070 | 5686947.401 | 0.000 | -0.000 | 0.000 |
| -9437412.647 | 639533.329 | 5686976.466 | 0.000 | -0.000 | 0.000 |
| -9437424.025 | 639252.217 | 5687236.575 | 0.000 | -0.000 | 0.000 |
| 159634381.839 | 26200517.442 | 396138208.976 | -45734271.177 | -0.000 | 0.000 |
| 160104361.873 | 26525110.693 | 398185857.561 | -0.000 | -82904978.898 | 0.000 |
| -8674598.857 | 1299887.694 | 4362933.979 | 0.000 | -0.000 | 175120.026 |
| 425.624 | 174.912 | 118.666 | 0.000 | -0.000 | -0.000 |
| 160.687 | 468.649 | 142.862 | -0.000 | 0.000 | -0.000 |
| 146.852 | 158.572 | 430.417 | 0.000 | -0.000 | 0.000 |
| -159634381.839 | -26200517.442 | -396138208.976 | -45734271.177 | 0.000 | -0.000 |
| -160104361.873 | -26525110.693 | -398185857.561 | 0.000 | -82904978.898 | -0.000 |
| 8674598.858 | -1299887.694 | -4362933.979 | 0.000 | 0.000 | 175120.026 |
| -943354.324 | 64080.786 | 568804.603 | 0.000 | -0.000 | 0.000 |
| -943598.387 | 64357.040 | 568833.674 | -0.000 | -0.000 | 0.000 |
| -943609.800 | 64075.869 | 569093.856 | -0.000 | 0.000 | -0.000 |
| 15963435.066 | 2620051.996 | 39613819.675 | -4573337.674 | 0.000 | 0.000 |
| 16010436.393 | 2652509.476 | 39818584.490 | 0.000 | -8290423.106 | 0.000 |
| -867457.855 | 129988.162 | 436292.427 | 0.000 | -0.000 | 17612.763 |
| 425.623 | 174.912 | 118.667 | 0.000 | 0.000 | 0.000 |
| 160.670 | 468.627 | 142.888 | -0.000 | -0.000 | -0.000 |
| 146.853 | 158.574 | 430.415 | 0.000 | 0.000 | 0.000 |
| -15963435.066 | -2620051.996 | -39613819.675 | -4573337.674 | 0.000 | 0.000 |
| -16010436.393 | -2652509.476 | -39818584.490 | 0.000 | -8290423.106 | 0.000 |
| 867457.855 | -129988.162 | -436292.427 | 0.000 | 0.000 | 17612.763 |
| -93972.898 | 6563.154 | 56990.330 | 0.000 | -0.000 | 0.000 |
| -94216.961 | 6839.412 | 57019.396 | -0.000 | -0.000 | -0.000 |
| -94228.383 | 6558.225 | 57279.596 | -0.000 | -0.000 | 0.000 |
| 1596340.396 | 262005.450 | 3961380.746 | -457244.317 | -0.000 | 0.000 |
| 1601043.837 | 265249.356 | 3981857.183 | 0.000 | -828967.519 | -0.000 |
| -86744.371 | 12997.946 | 43628.918 | -0.000 | -0.000 | 1861.928 |
| 425.622 | 174.913 | 118.664 | -0.000 | 0.000 | 0.000 |
| 160.685 | 468.645 | 142.864 | -0.000 | 0.000 | -0.000 |
| 146.853 | 158.575 | 430.411 | -0.000 | 0.000 | -0.000 |
| -1596340.396 | -262005.450 | -3961380.746 | -457244.317 | 0.000 | -0.000 |
| -1601043.837 | -265249.356 | -3981857.183 | 0.000 | -828967.519 | -0.000 |
| 86744.371 | -12997.946 | -43628.918 | -0.000 | 0.000 | 1861.928 |
| -191926990.011 | -77792821.895 | -94949038.889 | 0.000 | -0.000 | 0.000 |
| -191927021.503 | -77792602.450 | -94949015.791 | -0.000 | -0.000 | 0.000 |
| -191926850.157 | -77792743.267 | -94948754.954 | 0.000 | -0.000 | 0.000 |
| -160724372.392 | 238406815.094 | 158760226.831 | -107324435.657 | -0.000 | 0.000 |
| -160724394.947 | 238406796.970 | 158760187.898 | 0.000 | 10736770.669 | 0.000 |
| -192490907.673 | -78763784.178 | -97514676.389 | -0.000 | -0.000 | 788225.535 |
| 251.071 | 65.282 | 92.296 | 0.000 | 0.000 | -0.000 |
| 289.367 | 353.190 | 155.837 | -0.000 | 0.000 | 0.000 |
| 528.393 | 230.131 | 461.499 | -0.000 | -0.000 | -0.000 |
| 160724372.391 | -238406815.094 | -158760226.830 | -107324435.657 | 0.000 | -0.000 |
| 160724394.947 | -238406796.970 | -158760187.898 | 0.000 | 10736770.669 | -0.000 |
| 192490907.673 | 78763784.178 | 97514676.389 | 0.000 | 0.000 | 788225.534 |
| -19192481.034 | -7779216.008 | -9494817.896 | 0.000 | -0.000 | 0.000 |
| -19192512.505 | -7778996.556 | -9494794.790 | -0.000 | -0.000 | 0.000 |
| -19192341.181 | -7779137.379 | -9494533.961 | -0.000 | -0.000 | 0.000 |
| -16072426.302 | 23840685.992 | 15876026.668 | -10732358.986 | -0.000 | 0.000 |
| -16072477.713 | 23840662.133 | 15875991.905 | -0.000 | 1073769.174 | 0.000 |
| -19249082.315 | -7876375.912 | -9751464.495 | -0.000 | -0.000 | 78891.612 |
| 251.098 | 65.292 | 92.307 | -0.000 | 0.000 | -0.000 |
| 289.408 | 353.205 | 155.853 | 0.000 | -0.000 | -0.000 |
| 528.428 | 230.143 | 461.512 | -0.000 | -0.000 | -0.000 |
| 16072426.302 | -23840685.992 | -15876026.668 | -10732358.986 | 0.000 | -0.000 |
| 16072477.713 | -23840662.133 | -15875991.905 | -0.000 | 1073769.174 | -0.000 |
| 19249082.315 | 7876375.912 | 9751464.496 | 0.000 | 0.000 | 78891.612 |
| -1919030.133 | -777855.418 | -949395.795 | -0.000 | -0.000 | 0.000 |
| -1919061.607 | -777635.965 | -949372.691 | -0.000 | -0.000 | 0.000 |
| -1918890.306 | -777776.791 | -949111.871 | 0.000 | -0.000 | 0.000 |
| -1607231.693 | 2384073.082 | 1587606.652 | -1073151.318 | -0.000 | 0.000 |
| -1607285.989 | 2384048.649 | 1587572.306 | -0.000 | 107469.025 | 0.000 |
| -1924899.777 | -787635.085 | -975143.305 | -0.000 | -0.000 | 7958.220 |
| 251.097 | 65.292 | 92.306 | -0.000 | 0.000 | -0.000 |
| 289.407 | 353.201 | 155.852 | -0.000 | -0.000 | -0.000 |
| 528.417 | 230.137 | 461.505 | -0.000 | 0.000 | -0.000 |
| 1607231.693 | -2384073.082 | -1587606.652 | -1073151.318 | 0.000 | -0.000 |
| 1607285.989 | -2384048.649 | -1587572.306 | -0.000 | 107469.025 | -0.000 |
| 1924899.777 | 787635.085 | 975143.305 | -0.000 | 0.000 | 7958.220 |
| 38.153 | 2.996 | -3.906 | -0.013 | -0.025 | -0.079 |
| 2.995 | 38.169 | -3.892 | 0.001 | -0.024 | 0.090 |
| 1299456.478 | 1265936.731 | 3321304.687 | -214198.668 | 156498.869 | -48418.059 |
| 0.003 | 0.033 | -0.034 | 14.336 | 0.002 | -0.005 |
| 1299464.572 | 1265944.841 | 3321296.840 | -214198.612 | 156507.621 | -48418.058 |
| -0.081 | 0.090 | 0.001 | -0.008 | 0.009 | 21.384 |
| 38.153 | 2.996 | -3.907 | -0.013 | -0.025 | -0.079 |
| 2.995 | 38.169 | -3.892 | 0.001 | -0.024 | 0.090 |
| -4.592 | -4.572 | 24.234 | 0.029 | -0.057 | 0.023 |
| -1299464.896 | -1265945.094 | -3321297.726 | 214207.437 | -156498.859 | 48418.096 |
| -0.029 | -0.030 | -0.050 | 0.005 | 14.322 | 0.010 |
| -0.081 | 0.090 | 0.001 | -0.008 | 0.009 | 21.384 |
| 129964.256 | 126585.987 | 332120.783 | -21419.859 | 15649.829 | -4841.524 |
| 2.995 | 38.169 | -3.892 | 0.001 | -0.024 | 0.090 |
| 129938.374 | 126586.398 | 332137.590 | -21419.905 | 15649.918 | -4841.798 |
| 0.003 | 0.033 | -0.034 | 14.336 | 0.002 | -0.005 |
| 129946.468 | 126594.509 | 332129.742 | -21419.849 | 15658.670 | -4841.797 |
| -0.081 | 0.090 | 0.001 | -0.008 | 0.009 | 21.384 |
| 38.152 | 2.996 | -3.907 | -0.013 | -0.025 | -0.079 |
| 2.995 | 38.169 | -3.892 | 0.001 | -0.024 | 0.090 |
| -4.592 | -4.572 | 24.234 | 0.029 | -0.057 | 0.023 |
| -129946.793 | -126594.762 | -332130.628 | 21428.674 | -15649.908 | 4841.835 |
| -0.029 | -0.030 | -0.050 | 0.005 | 14.322 | 0.010 |
| -0.081 | 0.090 | 0.001 | -0.008 | 0.009 | 21.384 |
| 13012.446 | 12650.953 | 33204.064 | -2141.983 | 1564.932 | -483.897 |
| 2.995 | 38.169 | -3.892 | 0.001 | -0.024 | 0.090 |
| 369.716 | 331.434 | 886.703 | -85.292 | 82.096 | 14.595 |
| 0.003 | 0.032 | -0.034 | 14.336 | 0.002 | -0.005 |
| 12994.658 | 12659.475 | 33213.033 | -2141.973 | 1573.775 | -484.171 |
| -0.081 | 0.090 | 0.001 | -0.008 | 0.009 | 21.384 |
| 38.152 | 2.996 | -3.907 | -0.013 | -0.025 | -0.079 |
| 2.995 | 38.169 | -3.892 | 0.001 | -0.024 | 0.090 |
| -4.593 | -4.573 | 24.233 | 0.029 | -0.057 | 0.023 |
| -12994.982 | -12659.729 | -33213.919 | 2150.798 | -1565.013 | 484.209 |
| -0.029 | -0.030 | -0.050 | 0.005 | 14.322 | 0.010 |
| -12993.076 | -12658.340 | -33209.182 | 2141.877 | -1564.821 | 496.871 |
| 344.645 | 14.467 | 8.498 | -174.536 | 41.457 | -25.317 |
| 194.118 | 200.420 | 22.638 | -169.592 | 30.884 | -31.605 |
| -114.155 | -1265.490 | -615.671 | 456.706 | -216.829 | 572.490 |
| -61.903 | -292.676 | -763.378 | 200.978 | 109.605 | 558.835 |
| 62.286 | -119.584 | -113.206 | -178.408 | 104.104 | -28.806 |
| -151.830 | -1329.080 | -757.979 | 473.626 | -223.579 | 633.470 |
| 229.520 | 258.149 | 229.935 | 181.666 | -15.884 | 30.239 |
| 78.880 | 444.117 | 244.042 | 186.610 | -26.461 | 23.948 |
| 140.360 | 148.188 | 373.301 | -3.114 | -3.454 | 0.752 |
| 58.667 | 305.112 | 757.476 | -68.029 | -112.878 | -552.169 |
| 149.415 | 1328.096 | 758.079 | -468.375 | 263.538 | -578.534 |
| -59.998 | 118.483 | 118.283 | 179.343 | -28.045 | 110.311 |
| 292.378 | 124.104 | 108.038 | -14.180 | 15.634 | -0.324 |
| 143.591 | 389.302 | 148.114 | 11.809 | -0.824 | 0.906 |
| 124.365 | 120.271 | 276.134 | -20.780 | 0.466 | 4.565 |
| -1.205 | 9.051 | -3.114 | 116.823 | 2.222 | 0.688 |
| 3.522 | -0.875 | -3.454 | 2.222 | 106.007 | 0.593 |
| -22.447 | -84.358 | -103.375 | 39.969 | 3.335 | 130.726 |
| 214.513 | 140.796 | 142.591 | -42.133 | 13.125 | -62.484 |
| 99.233 | 299.299 | 160.572 | -5.285 | -6.671 | -57.502 |
| 46.793 | 186.076 | 210.647 | -59.295 | 27.074 | -61.277 |
| -2.069 | 18.916 | 9.052 | 106.212 | -3.382 | 3.447 |
| -1.087 | 14.420 | 8.549 | 17.473 | 72.517 | 1.741 |
| -8.120 | 8.655 | 18.816 | 18.992 | -2.302 | 84.295 |
| 229.032 | 82.529 | 62.128 | -1.888 | 13.326 | 6.418 |
| 98.046 | 281.914 | 86.952 | 9.393 | 4.460 | 1.664 |
| 65.921 | 67.195 | 183.123 | -7.319 | -0.600 | 9.485 |
| -9.103 | -12.486 | -18.114 | 63.745 | -1.219 | 9.628 |
| 3.522 | -0.875 | -3.454 | 2.222 | 106.007 | 0.593 |
| -3.124 | -9.113 | -3.652 | 6.137 | 2.536 | 73.281 |
| 229.003 | 92.227 | 74.450 | -5.170 | 12.915 | -1.837 |
| 87.899 | 281.739 | 87.493 | 2.197 | 3.654 | -7.367 |
| 60.432 | 85.282 | 192.652 | -11.801 | 3.388 | -4.545 |
| -1.877 | 9.101 | 2.655 | 73.048 | -1.862 | -0.908 |
| 4.075 | 3.203 | -1.539 | 1.465 | 76.791 | -0.689 |
| -2.739 | -2.560 | 8.244 | 2.361 | 0.460 | 82.891 |
| -1000918529.997 | -937810612.165 | -1107837244.213 | 110661795.759 | 113075930.394 | -35787791.492 |
| -1000918675.963 | -937810638.385 | -1107837341.689 | 110661794.020 | 113075936.785 | -35787777.169 |
| -1000918673.449 | -937810692.805 | -1107837297.387 | 110661792.844 | 113075933.220 | -35787777.660 |
| -1000918659.924 | -937810681.970 | -1107837326.059 | 110661820.047 | 113075934.496 | -35787781.960 |
| -45.850 | -45.332 | -51.416 | 8.329 | 63.491 | -7.244 |
| -34.388 | -46.210 | -44.557 | 6.943 | 2.410 | 48.472 |
| 224.094 | 133.083 | 140.887 | -32.144 | -15.588 | 8.563 |
| 57.929 | 163.058 | 54.021 | -6.622 | -7.507 | -3.654 |
| 64.427 | 53.257 | 168.911 | -9.782 | -12.843 | -1.001 |
| 8.018 | 12.192 | 11.547 | 37.701 | -4.994 | -3.968 |
| 1000918667.652 | 937810687.303 | 1107837335.801 | -110661794.768 | -113075911.103 | 35787775.505 |
| 1000918675.839 | 937810693.615 | 1107837342.342 | -110661795.627 | -113075937.488 | 35787800.848 |
| -100091736.581 | -93781000.912 | -110783650.709 | 11066180.467 | 11307588.595 | -3578790.602 |
| -100091882.561 | -93781027.143 | -110783748.198 | 11066178.727 | 11307594.986 | -3578776.278 |
| -100091880.043 | -93781081.559 | -110783703.892 | 11066177.552 | 11307591.421 | -3578776.770 |
| -100091866.511 | -93781070.719 | -110783732.557 | 11066204.755 | 11307592.697 | -3578781.070 |
| -45.848 | -45.329 | -51.413 | 8.328 | 63.490 | -7.244 |
| -34.387 | -46.209 | -44.556 | 6.943 | 2.410 | 48.472 |
| 224.105 | 133.096 | 140.900 | -32.148 | -15.590 | 8.564 |
| 57.930 | 163.059 | 54.021 | -6.622 | -7.507 | -3.654 |
| 64.425 | 53.255 | 168.909 | -9.782 | -12.843 | -1.001 |
| 8.015 | 12.189 | 11.543 | 37.702 | -4.993 | -3.968 |
| 100091874.260 | 93781076.069 | 110783742.319 | -11066179.475 | -11307569.305 | 3578774.613 |
| 100091882.434 | 93781082.371 | 110783748.848 | -11066180.334 | -11307595.689 | 3578799.957 |
| -10009057.229 | -9378039.777 | -11078291.347 | 1106618.938 | 1130754.415 | -357890.514 |
| -10009203.220 | -9378066.018 | -11078388.848 | 1106617.198 | 1130760.806 | -357876.189 |
| -10009200.701 | -9378120.433 | -11078344.540 | 1106616.022 | 1130757.241 | -357876.681 |
| -10009187.170 | -9378109.594 | -11078373.207 | 1106643.225 | 1130758.517 | -357880.982 |
| -45.848 | -45.329 | -51.413 | 8.328 | 63.490 | -7.243 |
| -34.387 | -46.209 | -44.556 | 6.943 | 2.410 | 48.471 |
| 224.102 | 133.094 | 140.899 | -32.148 | -15.590 | 8.564 |
| 57.930 | 163.059 | 54.021 | -6.623 | -7.507 | -3.654 |
| 64.425 | 53.255 | 168.908 | -9.782 | -12.843 | -1.001 |
| 8.016 | 12.190 | 11.544 | 37.702 | -4.994 | -3.968 |
| 10009194.917 | 9378114.943 | 11078382.967 | -1106617.946 | -1130735.125 | 357874.524 |
| 10009203.093 | 9378121.245 | 11078389.497 | -1106618.804 | -1130761.509 | 357899.868 |
| -186388152.053 | -184648221.652 | -162473469.803 | 70307317.295 | 59086558.202 | -12075125.011 |
| -186388214.752 | -184648148.707 | -162473466.300 | 70307318.643 | 59086555.915 | -12075128.878 |
| -186388309.497 | -184648326.212 | -162473554.708 | 70307338.859 | 59086577.716 | -12075130.055 |
| -186388377.015 | -184648388.045 | -162473702.286 | 70307378.111 | 59086587.205 | -12075132.275 |
| -39.408 | -36.854 | -43.408 | 6.517 | 60.935 | -6.476 |
| -28.690 | -37.777 | -36.920 | 5.121 | 2.860 | 46.938 |
| 202.041 | 109.681 | 118.782 | -26.746 | -15.485 | 6.810 |
| 50.221 | 149.494 | 45.890 | -4.689 | -7.190 | -3.888 |
| 56.182 | 45.025 | 155.630 | -7.973 | -12.172 | -1.165 |
| 6.237 | 9.023 | 9.451 | 37.228 | -4.846 | -4.049 |
| 186388301.586 | 184648310.676 | 162473590.060 | -70307333.825 | -59086534.867 | 12075124.150 |
| 186388495.625 | 184648516.587 | 162473898.798 | -70307379.418 | -59086619.500 | 12075168.807 |
| -18638629.417 | -18464690.382 | -16247162.149 | 7030708.375 | 5908631.154 | -1207509.844 |
| -18638692.119 | -18464617.440 | -16247158.649 | 7030709.724 | 5908628.867 | -1207513.712 |
| -18638786.861 | -18464794.941 | -16247247.053 | 7030729.939 | 5908650.668 | -1207514.889 |
| -18638854.386 | -18464856.783 | -16247394.643 | 7030769.194 | 5908660.158 | -1207517.109 |
| -39.411 | -36.858 | -43.412 | 6.519 | 60.936 | -6.476 |
| -28.688 | -37.775 | -36.918 | 5.120 | 2.859 | 46.938 |
| 202.040 | 109.681 | 118.782 | -26.745 | -15.485 | 6.810 |
| 50.221 | 149.493 | 45.889 | -4.688 | -7.190 | -3.888 |
| 56.183 | 45.025 | 155.631 | -7.973 | -12.172 | -1.165 |
| 6.238 | 9.024 | 9.452 | 37.228 | -4.846 | -4.049 |
| 18638778.956 | 18464779.413 | 16247282.416 | -7030724.907 | -5908607.820 | 1207508.983 |
| 18638972.962 | 18464985.289 | 16247591.103 | -7030770.493 | -5908692.446 | 1207553.639 |
| -1863677.194 | -1846337.299 | -1624531.448 | 703047.492 | 590838.459 | -120748.330 |
| -1863739.896 | -1846264.355 | -1624527.948 | 703048.840 | 590836.172 | -120752.198 |
| -1863834.599 | -1846441.815 | -1624616.289 | 703069.047 | 590857.963 | -120753.372 |
| -1863902.120 | -1846503.653 | -1624763.873 | 703108.301 | 590867.453 | -120755.592 |
| -39.411 | -36.858 | -43.412 | 6.519 | 60.936 | -6.476 |
| -28.689 | -37.776 | -36.919 | 5.120 | 2.860 | 46.938 |
| 202.038 | 109.679 | 118.780 | -26.745 | -15.485 | 6.810 |
| 50.221 | 149.493 | 45.889 | -4.689 | -7.190 | -3.888 |
| 56.183 | 45.025 | 155.630 | -7.973 | -12.172 | -1.165 |
| 6.238 | 9.023 | 9.452 | 37.228 | -4.846 | -4.049 |
| 1863826.710 | 1846426.304 | 1624651.677 | -703064.018 | -590815.119 | 120747.467 |
| 1864020.711 | 1846632.176 | 1624960.358 | -703109.603 | -590899.744 | 120792.123 |
| 429.329 | 165.577 | 163.728 | -6.980 | -3.162 | 0.650 |
| -123.974 | 376.920 | 63.887 | -152.859 | -389.299 | -142.560 |
| 39.648 | -538.937 | -513.790 | -3066.584 | -131.586 | -632.215 |
| -290.887 | -14.817 | -109.182 | -45.397 | -391.406 | -146.031 |
| -289.036 | -2.499 | -99.140 | -147.565 | -286.408 | -148.745 |
| -283.417 | -0.521 | -95.711 | -147.218 | -388.572 | -47.152 |
| 389.799 | 761.817 | 904.602 | 3755.720 | 249.451 | 631.149 |
| 441.314 | 386.855 | 256.110 | 142.906 | 393.113 | 150.806 |
| 165.914 | 744.554 | 1032.368 | 3043.708 | 115.253 | 628.944 |
| 274.357 | -5.009 | 83.006 | 250.388 | 390.955 | 147.313 |
| -7.000 | 5.074 | -1.660 | -1.952 | 132.493 | -1.381 |
| 109.541 | 292.949 | 459.222 | 475.804 | 395.224 | 585.589 |
| 274.997 | 47.925 | 26.688 | -395.333 | -46.760 | -72.724 |
| 122.746 | 276.174 | 84.878 | -57.844 | -39.075 | -49.231 |
| 132.419 | 160.125 | 357.012 | -27.998 | -42.949 | -14.231 |
| -26.002 | -65.102 | -95.399 | -319.950 | -39.691 | -80.392 |
| -34.678 | 1.946 | -12.635 | -14.505 | 66.002 | -16.729 |
| -7.142 | -61.868 | -79.427 | -304.005 | -14.399 | 14.662 |
| 310.106 | 163.333 | 183.250 | 40.591 | 34.066 | 53.268 |
| 124.323 | 352.530 | 191.158 | 379.083 | 33.776 | 74.333 |
| 148.870 | 161.098 | 339.583 | 36.010 | 31.845 | 50.812 |
| 6.838 | 51.582 | 69.957 | 442.606 | 28.502 | 61.455 |
| -7.000 | 5.074 | -1.660 | -1.952 | 132.493 | -1.381 |
| 27.435 | 4.904 | 9.959 | 15.451 | 41.736 | 114.426 |
| 288.553 | 110.769 | 105.913 | -37.988 | -7.634 | -4.939 |
| 119.573 | 296.860 | 113.065 | -33.087 | -2.021 | -1.764 |
| 114.887 | 111.625 | 280.883 | -35.907 | -8.745 | -6.396 |
| -7.558 | -17.544 | -16.059 | 25.956 | -2.158 | -11.822 |
| -8.446 | -10.194 | -16.790 | -34.811 | 71.900 | -11.708 |
| -3.415 | 4.215 | -0.416 | -0.824 | -1.208 | 97.184 |
| 293.816 | 123.045 | 120.952 | 25.429 | -2.489 | 5.972 |
| 123.109 | 307.714 | 125.623 | 12.595 | 1.628 | 7.763 |
| 119.212 | 122.961 | 295.097 | 11.852 | -5.166 | 3.685 |
| -6.142 | -9.905 | -10.213 | 101.268 | 3.055 | 4.030 |
| -3.675 | 2.189 | -2.268 | 1.930 | 105.777 | -0.750 |
| -0.456 | 7.435 | 5.041 | 30.943 | 1.250 | 85.310 |
| -255920639.691 | -221308103.005 | -189304664.725 | 23878378.196 | -835098.699 | 46927527.940 |
| -255920456.433 | -221307745.289 | -189304380.550 | 23878354.995 | -835092.107 | 46927489.335 |
| -255920736.973 | -221308114.415 | -189304596.396 | 23878378.083 | -835099.001 | 46927528.939 |
| -255920825.178 | -221308220.585 | -189304772.135 | 23878421.240 | -835095.268 | 46927535.881 |
| -255920802.861 | -221308185.220 | -189304744.867 | 23878384.110 | -835059.153 | 46927533.288 |
| -255920733.515 | -221308114.011 | -189304673.256 | 23878374.395 | -835096.712 | 46927564.352 |
| 174.648 | 46.570 | 41.450 | -0.416 | -4.775 | -5.017 |
| 90.789 | 198.286 | 89.504 | -12.550 | -1.813 | -15.632 |
| 37.286 | 43.427 | 159.595 | -6.809 | -2.064 | -0.667 |
| 16.006 | 9.028 | 9.061 | 55.006 | 2.618 | -5.601 |
| -3.654 | 2.550 | 3.553 | 1.297 | 53.985 | -2.484 |
| 12.225 | 11.974 | 18.916 | -6.326 | -0.342 | 55.557 |
| -25591948.758 | -22130764.533 | -18930424.661 | 2387836.487 | -83511.787 | 4692750.671 |
| -25591765.486 | -22130406.802 | -18930140.471 | 2387813.285 | -83505.195 | 4692712.065 |
| -25592046.046 | -22130775.950 | -18930356.338 | 2387836.374 | -83512.088 | 4692751.671 |
| -25592134.242 | -22130882.110 | -18930532.068 | 2387879.530 | -83508.356 | 4692758.612 |
| -25592111.918 | -22130846.737 | -18930504.792 | 2387842.400 | -83472.240 | 4692756.018 |
| -25592042.577 | -22130775.534 | -18930433.186 | 2387832.685 | -83509.800 | 4692787.083 |
| 174.648 | 46.569 | 41.449 | -0.416 | -4.775 | -5.017 |
| 90.788 | 198.285 | 89.503 | -12.550 | -1.813 | -15.632 |
| 37.286 | 43.427 | 159.595 | -6.809 | -2.064 | -0.666 |
| 16.005 | 9.028 | 9.060 | 55.006 | 2.618 | -5.601 |
| -3.653 | 2.551 | 3.554 | 1.296 | 53.985 | -2.484 |
| 12.225 | 11.974 | 18.916 | -6.326 | -0.342 | 55.557 |
| -2559079.663 | -2213030.685 | -1893000.653 | 238782.316 | -8353.095 | 469272.944 |
| -2558897.553 | -2212674.193 | -1892717.646 | 238759.117 | -8346.510 | 469234.492 |
| -2559176.951 | -2213042.101 | -1892932.330 | 238782.203 | -8353.397 | 469273.944 |
| -2559265.150 | -2213148.264 | -1893108.062 | 238825.359 | -8349.665 | 469280.886 |
| -2559242.824 | -2213112.889 | -1893080.785 | 238788.229 | -8313.549 | 469278.291 |
| -2559173.483 | -2213041.686 | -1893009.179 | 238778.514 | -8351.109 | 469309.356 |
| 174.647 | 46.569 | 41.449 | -0.416 | -4.775 | -5.017 |
| 90.790 | 198.285 | 89.505 | -12.550 | -1.813 | -15.632 |
| 37.286 | 43.427 | 159.594 | -6.809 | -2.064 | -0.667 |
| 16.005 | 9.028 | 9.060 | 55.006 | 2.618 | -5.601 |
| -3.653 | 2.551 | 3.554 | 1.296 | 53.985 | -2.484 |
| 12.225 | 11.974 | 18.916 | -6.326 | -0.342 | 55.556 |
| -306276752.728 | -281302517.391 | -247097303.321 | 25151708.150 | -3153955.454 | 52121138.300 |
| -306276552.609 | -281302138.284 | -247097001.812 | 25151690.969 | -3153949.147 | 52121100.688 |
| -306276844.962 | -281302528.719 | -247097239.782 | 25151708.519 | -3153956.298 | 52121138.626 |
| -306276935.525 | -281302640.562 | -247097413.592 | 25151748.065 | -3153952.743 | 52121145.824 |
| -306276909.825 | -281302600.557 | -247097384.143 | 25151713.400 | -3153917.779 | 52121142.818 |
| -306276832.416 | -281302516.549 | -247097302.791 | 25151705.020 | -3153954.401 | 52121171.915 |
| 170.480 | 44.615 | 39.777 | -0.361 | -4.492 | -4.643 |
| 89.328 | 195.348 | 88.566 | -12.413 | -1.172 | -15.216 |
| 35.453 | 41.317 | 155.562 | -6.404 | -1.920 | -0.586 |
| 16.235 | 9.408 | 9.865 | 53.959 | 2.761 | -5.554 |
| -3.372 | 2.746 | 3.804 | 1.273 | 53.267 | -2.520 |
| 12.784 | 12.676 | 19.410 | -6.284 | -0.194 | 54.662 |
| -30627569.825 | -28130211.568 | -24709693.625 | 2515169.665 | -315396.909 | 5212112.562 |
| -30627369.701 | -28129832.455 | -24709392.111 | 2515152.483 | -315390.602 | 5212074.949 |
| -30627662.066 | -28130222.905 | -24709630.095 | 2515170.034 | -315397.753 | 5212112.889 |
| -30627752.622 | -28130334.739 | -24709803.897 | 2515209.579 | -315394.199 | 5212120.086 |
| -30627726.920 | -28130294.733 | -24709774.447 | 2515174.915 | -315359.234 | 5212117.080 |
| -30627649.567 | -28130210.786 | -24709693.153 | 2515166.538 | -315395.857 | 5212146.185 |
| 170.480 | 44.615 | 39.777 | -0.361 | -4.492 | -4.643 |
| 89.341 | 195.358 | 88.578 | -12.416 | -1.172 | -15.219 |
| 35.453 | 41.317 | 155.561 | -6.404 | -1.920 | -0.586 |
| 16.237 | 9.409 | 9.867 | 53.959 | 2.761 | -5.554 |
| -3.372 | 2.746 | 3.804 | 1.273 | 53.267 | -2.520 |
| 12.783 | 12.676 | 19.409 | -6.284 | -0.194 | 54.662 |
| -3062651.534 | -2812980.986 | -2470932.655 | 251515.816 | -31541.055 | 521209.988 |
| -3062451.419 | -2812601.884 | -2470631.151 | 251498.634 | -31534.747 | 521172.376 |
| -3062743.776 | -2812992.323 | -2470869.125 | 251516.185 | -31541.899 | 521210.315 |
| -3062834.321 | -2813104.145 | -2471042.916 | 251555.731 | -31538.344 | 521217.512 |
| -3062808.617 | -2813064.137 | -2471013.465 | 251521.067 | -31503.379 | 521214.505 |
| -3062731.277 | -2812980.205 | -2470932.184 | 251512.689 | -31540.002 | 521243.611 |
| 170.479 | 44.615 | 39.776 | -0.361 | -4.492 | -4.643 |
| 89.342 | 195.356 | 88.579 | -12.416 | -1.172 | -15.220 |
| 35.453 | 41.317 | 155.561 | -6.404 | -1.920 | -0.586 |
| 16.237 | 9.409 | 9.867 | 53.959 | 2.761 | -5.554 |
| -3.372 | 2.746 | 3.804 | 1.273 | 53.266 | -2.520 |
| 12.783 | 12.676 | 19.409 | -6.284 | -0.194 | 54.662 |
| 330.939 | -361.816 | 188.320 | -53.662 | -29.900 | 28.351 |
| 16.975 | -542.258 | 45.817 | 65.427 | -69.681 | -182.478 |
| -53.171 | -928.946 | 261.492 | 88.089 | 140.114 | -138.289 |
| 22.853 | -484.856 | 68.824 | 24.046 | -34.028 | 43.157 |
| 6.565 | -1010.913 | 477.840 | 407.615 | 140.077 | -3.792 |
| 8.760 | -504.368 | 48.217 | -56.177 | -27.510 | 119.620 |
| 295.159 | 637.407 | 84.671 | 63.052 | 39.871 | -53.423 |
| 120.286 | 805.234 | 88.460 | 72.093 | 35.801 | -44.404 |
| 150.832 | 141.638 | 378.013 | 12.097 | 3.283 | 0.476 |
| -13.104 | 514.234 | -34.830 | 140.636 | 35.740 | -38.629 |
| 89.515 | 776.268 | 71.271 | -51.947 | 136.769 | 183.130 |
| -2.404 | -6.394 | 0.473 | 4.153 | 3.729 | 117.687 |
| 233.131 | 23.698 | 91.723 | 8.516 | -4.597 | -27.043 |
| 140.212 | 256.593 | 145.524 | 7.900 | -2.495 | 0.555 |
| 150.832 | 141.638 | 378.013 | 12.097 | 3.283 | 0.476 |
| -5.258 | -78.795 | 21.936 | 72.982 | 11.961 | -12.844 |
| 13.757 | -48.820 | 13.517 | -5.003 | 83.513 | 11.704 |
| -2.404 | -6.394 | 0.473 | 4.153 | 3.729 | 117.687 |
| 384.526 | 148.541 | 150.561 | 9.336 | 0.594 | -6.839 |
| 72.494 | 301.998 | 64.448 | 11.762 | -8.698 | 5.649 |
| 150.832 | 141.638 | 378.013 | 12.097 | 3.283 | 0.476 |
| 12.057 | 94.032 | 22.442 | 58.129 | 4.793 | 19.571 |
| 10.180 | 50.576 | 3.200 | 6.607 | 90.485 | 3.565 |
| 0.876 | 73.555 | -0.972 | -4.128 | 11.644 | 78.916 |
| 244.617 | 80.165 | 85.070 | 5.591 | 7.945 | -11.333 |
| 86.652 | 231.674 | 96.473 | 17.686 | 3.811 | -7.109 |
| 73.935 | 85.588 | 186.902 | 19.482 | 14.254 | -8.351 |
| 4.250 | 9.414 | 15.299 | 75.811 | -1.178 | 0.619 |
| 11.913 | -2.792 | 8.273 | 0.478 | 90.230 | 7.605 |
| -8.263 | -8.194 | -2.788 | 2.040 | 6.708 | 83.756 |
| 261.240 | 110.994 | 103.922 | 4.071 | 2.046 | -6.980 |
| 83.875 | 240.009 | 93.345 | 17.332 | 1.898 | -2.523 |
| 73.879 | 101.535 | 183.461 | 13.042 | 10.931 | -5.505 |
| 3.001 | 30.048 | 13.209 | 60.797 | -1.474 | 4.699 |
| 9.354 | 6.487 | 9.656 | -1.209 | 77.099 | 6.562 |
| -6.595 | 1.616 | -5.054 | 1.272 | 5.754 | 72.894 |
| -142550281.427 | -63101167.962 | -43960558.446 | 20601365.699 | -33634283.911 | 4290535.922 |
| -142551719.476 | -63101796.042 | -43961451.460 | 20601460.360 | -33634422.730 | 4290579.083 |
| -142551443.984 | -63101742.194 | -43961136.575 | 20601439.811 | -33634395.186 | 4290562.527 |
| -43.133 | -32.119 | -33.949 | 69.864 | 1.402 | -1.664 |
| -142552390.508 | -63102287.118 | -43961925.414 | 20601521.331 | -33634422.423 | 4290588.847 |
| -43.944 | -19.932 | -34.239 | -0.455 | -5.629 | 69.222 |
| 272.247 | 94.920 | 105.702 | -8.434 | 1.652 | 12.441 |
| 96.356 | 180.173 | 80.151 | -11.753 | 0.195 | 8.784 |
| 89.275 | 70.395 | 216.860 | -10.198 | -2.088 | 1.924 |
| 142551908.746 | 63102011.810 | 43961590.664 | -20601418.575 | 33634438.679 | -4290577.192 |
| 44.831 | 23.289 | 28.091 | 2.660 | 72.744 | -4.576 |
| 142551564.930 | 63101834.724 | 43961359.088 | -20601456.834 | 33634394.894 | -4290500.185 |
| -14253683.332 | -6309416.147 | -4395203.029 | 2060042.923 | -3363306.823 | 429023.765 |
| -14255107.694 | -6310036.072 | -4396086.305 | 2060136.310 | -3363444.313 | 429066.670 |
| -14254832.209 | -6309982.229 | -4395771.425 | 2060115.762 | -3363416.770 | 429050.114 |
| -43.124 | -32.114 | -33.943 | 69.864 | 1.403 | -1.665 |
| -14255778.856 | -6310527.225 | -4396560.351 | 2060197.294 | -3363444.020 | 429076.437 |
| -43.940 | -19.930 | -34.236 | -0.455 | -5.629 | 69.222 |
| 272.261 | 94.927 | 105.711 | -8.434 | 1.653 | 12.441 |
| 96.349 | 180.169 | 80.147 | -11.753 | 0.194 | 8.784 |
| 89.269 | 70.392 | 216.857 | -10.198 | -2.089 | 1.924 |
| 14255296.954 | 6310251.834 | 4396225.503 | -2060094.524 | 3363460.262 | -429064.778 |
| 44.821 | 23.284 | 28.085 | 2.660 | 72.743 | -4.576 |
| 14254953.158 | 6310074.759 | 4395993.939 | -2060132.785 | 3363416.479 | -428987.772 |
| -1424011.094 | -630233.547 | -438658.637 | 205909.490 | -336207.914 | 42872.318 |
| -1425446.517 | -630860.075 | -439549.790 | 206003.906 | -336346.472 | 42915.429 |
| -1425172.428 | -630807.063 | -439235.900 | 205983.488 | -336319.064 | 42898.899 |
| -43.124 | -32.114 | -33.943 | 69.863 | 1.403 | -1.665 |
| -1426117.694 | -631351.234 | -440023.845 | 206064.891 | -336346.182 | 42925.196 |
| -43.940 | -19.930 | -34.236 | -0.455 | -5.629 | 69.222 |
| 272.259 | 94.926 | 105.710 | -8.434 | 1.653 | 12.440 |
| 96.348 | 180.168 | 80.146 | -11.753 | 0.194 | 8.784 |
| 89.268 | 70.391 | 216.855 | -10.198 | -2.089 | 1.924 |
| 1425635.790 | 631075.845 | 439688.997 | -205962.121 | 336362.422 | -42913.537 |
| 44.820 | 23.283 | 28.084 | 2.660 | 72.743 | -4.576 |
| 1425293.371 | 630899.591 | 439458.413 | -206000.510 | 336318.773 | -42836.556 |
| -21222596.894 | -8834545.723 | -18386357.563 | 10007418.865 | -13671264.526 | -19179173.367 |
| -21222808.424 | -8834507.903 | -18386437.842 | 10007429.438 | -13671268.544 | -19179179.433 |
| -21222774.181 | -8834586.210 | -18386281.123 | 10007423.262 | -13671267.938 | -19179185.569 |
| -32.056 | -28.844 | -30.274 | 70.752 | 2.334 | -3.060 |
| -21222909.668 | -8834694.490 | -18386534.206 | 10007449.882 | -13671206.516 | -19179191.583 |
| 7.476 | 7.124 | -1.138 | -2.827 | -0.033 | 65.797 |
| 183.200 | 49.547 | 52.402 | -3.143 | -6.970 | 14.564 |
| 62.782 | 168.427 | 60.030 | -9.400 | -2.694 | 10.149 |
| 94.484 | 76.160 | 224.030 | -13.464 | -1.788 | 2.649 |
| 21222844.866 | 8834641.412 | 18386472.180 | -10007374.441 | 13671268.234 | 19179185.872 |
| 1.165 | 1.035 | 0.109 | 4.133 | 67.661 | -2.135 |
| 21222868.728 | 8834667.393 | 18386490.521 | -10007440.600 | 13671264.706 | 19179248.510 |
| -2122029.572 | -883356.254 | -1838521.886 | 1000726.029 | -1367127.179 | -1917903.329 |
| -2122241.099 | -883318.432 | -1838602.162 | 1000736.602 | -1367131.197 | -1917909.395 |
| -2122206.853 | -883396.737 | -1838445.441 | 1000730.425 | -1367130.590 | -1917915.531 |
| -32.057 | -28.844 | -30.274 | 70.752 | 2.334 | -3.060 |
| -2122342.340 | -883505.017 | -1838698.522 | 1000757.044 | -1367069.169 | -1917921.545 |
| 7.476 | 7.124 | -1.138 | -2.827 | -0.033 | 65.797 |
| 183.206 | 49.551 | 52.406 | -3.144 | -6.970 | 14.564 |
| 62.797 | 168.436 | 60.042 | -9.402 | -2.692 | 10.149 |
| 94.484 | 76.160 | 224.030 | -13.464 | -1.788 | 2.649 |
| 2122277.539 | 883451.940 | 1838636.498 | -1000681.604 | 1367130.886 | 1917915.834 |
| 1.166 | 1.035 | 0.109 | 4.132 | 67.661 | -2.135 |
| 2122301.398 | 883477.919 | 1838654.836 | -1000747.763 | 1367127.358 | 1917978.473 |
| -211972.837 | -88237.308 | -183738.318 | 100056.745 | -136713.444 | -191776.326 |
| -212184.366 | -88199.485 | -183818.594 | 100067.318 | -136717.462 | -191782.392 |
| -212150.120 | -88277.790 | -183661.872 | 100061.141 | -136716.856 | -191788.527 |
| -32.057 | -28.845 | -30.274 | 70.752 | 2.334 | -3.060 |
| -212285.589 | -88386.035 | -183914.923 | 100087.754 | -136655.440 | -191794.532 |
| 7.476 | 7.124 | -1.138 | -2.827 | -0.033 | 65.797 |
| 183.205 | 49.551 | 52.406 | -3.144 | -6.970 | 14.564 |
| 62.797 | 168.436 | 60.042 | -9.402 | -2.692 | 10.149 |
| 94.484 | 76.160 | 224.028 | -13.464 | -1.788 | 2.649 |
| 212220.807 | 88332.993 | 183852.930 | -100012.320 | 136717.152 | 191788.831 |
| 1.166 | 1.035 | 0.109 | 4.132 | 67.661 | -2.135 |
| 212244.667 | 88358.972 | 183871.269 | -100078.479 | 136713.624 | 191851.469 |
| 606.543 | -4.062 | -4.063 | 0.000 | -0.000 | 0.000 |
| -4.062 | 606.542 | -4.063 | -0.000 | -0.000 | 0.000 |
| -4.062 | -4.062 | 606.543 | -0.000 | -0.000 | 0.000 |
| -0.051 | -0.051 | -0.051 | 246.405 | 0.000 | 0.000 |
| -0.051 | -0.051 | -0.051 | -0.000 | 246.406 | 0.000 |
| -0.051 | -0.051 | -0.051 | -0.000 | 0.000 | 246.406 |
| 606.543 | -4.063 | -4.062 | 0.000 | -0.000 | -0.000 |
| -4.062 | 606.542 | -4.062 | 0.000 | -0.000 | -0.000 |
| -4.062 | -4.062 | 606.543 | -0.000 | -0.000 | -0.000 |
| 0.051 | 0.051 | 0.051 | 246.405 | -0.000 | -0.000 |
| 0.051 | 0.051 | 0.051 | 0.000 | 246.405 | -0.000 |
| 0.051 | 0.051 | 0.051 | -0.000 | -0.000 | 246.405 |
| 606.543 | -4.062 | -4.062 | -0.000 | -0.000 | 0.000 |
| -4.062 | 606.543 | -4.062 | 0.000 | 0.000 | -0.000 |
| -4.062 | -4.062 | 606.543 | 0.000 | 0.000 | 0.000 |
| -0.005 | -0.005 | -0.005 | 246.405 | 0.000 | 0.000 |
| -0.005 | -0.005 | -0.005 | 0.000 | 246.405 | 0.000 |
| -0.005 | -0.005 | -0.005 | 0.000 | 0.000 | 246.405 |
| 606.543 | -4.062 | -4.062 | 0.000 | -0.000 | 0.000 |
| -4.062 | 606.543 | -4.062 | 0.000 | 0.000 | -0.000 |
| -4.062 | -4.062 | 606.543 | 0.000 | 0.000 | -0.000 |
| 0.005 | 0.005 | 0.005 | 246.405 | -0.000 | 0.000 |
| 0.005 | 0.005 | 0.005 | 0.000 | 246.405 | 0.000 |
| 0.005 | 0.005 | 0.005 | 0.000 | -0.000 | 246.405 |
| 572.513 | -29.765 | -29.766 | 0.000 | 0.000 | 0.000 |
| -29.766 | 572.513 | -29.765 | -0.000 | 0.000 | -0.000 |
| -29.765 | -29.766 | 572.513 | -0.000 | -0.000 | 0.000 |
| -0.000 | -0.001 | -0.000 | 246.405 | 0.000 | -0.000 |
| -0.000 | -0.000 | -0.000 | -0.000 | 246.752 | 0.000 |
| -0.001 | -0.000 | -0.000 | -0.000 | 0.000 | 246.405 |
| 572.457 | -29.809 | -29.808 | -0.000 | -0.000 | -0.000 |
| -29.808 | 572.457 | -29.809 | 0.000 | -0.000 | -0.000 |
| -29.809 | -29.808 | 572.457 | -0.000 | -0.000 | -0.000 |
| 0.000 | 0.001 | 0.000 | 246.405 | 0.000 | 0.000 |
| 0.000 | 0.000 | 0.000 | 0.000 | 246.752 | -0.000 |
| 0.001 | 0.000 | 0.000 | -0.000 | -0.000 | 246.405 |
| 1134.320 | 127.628 | 84.556 | -0.001 | -0.000 | -0.000 |
| 127.629 | 1134.320 | 84.556 | -0.000 | 0.000 | -0.000 |
| 85.513 | 85.512 | 1172.129 | 0.001 | -0.000 | -0.000 |
| 0.000 | -0.000 | 0.000 | 462.042 | -0.000 | 0.000 |
| 0.000 | -0.000 | 0.000 | -0.000 | 462.043 | 0.000 |
| -0.000 | -0.000 | -0.000 | -0.001 | -0.000 | 503.346 |
| 1027.842 | 127.885 | 190.032 | -0.000 | -0.001 | -0.001 |
| 127.885 | 1027.842 | 190.033 | -0.000 | 0.000 | -0.000 |
| 85.512 | 85.512 | 1172.127 | -0.001 | 0.000 | 0.000 |
| -0.000 | 0.000 | 0.000 | 462.042 | 0.001 | -0.000 |
| -0.000 | 0.000 | -0.001 | 0.000 | 462.043 | -0.000 |
| 0.000 | 0.000 | -0.000 | 0.000 | 0.000 | 503.345 |
| 1056.002 | 156.042 | 134.112 | -0.000 | 0.000 | -0.000 |
| 156.043 | 1055.999 | 134.114 | 0.000 | 0.000 | 0.000 |
| 142.714 | 142.714 | 1058.525 | -0.000 | -0.000 | -0.000 |
| 2.556 | 2.556 | -5.076 | 434.370 | -0.000 | -0.000 |
| 0.000 | 0.000 | -0.000 | -0.000 | 462.042 | 0.000 |
| 0.000 | -0.000 | -0.000 | -0.000 | -0.000 | 503.346 |
| 1052.441 | 141.267 | 152.319 | -0.000 | 0.000 | -0.000 |
| 141.270 | 1052.420 | 152.336 | 0.000 | -0.000 | 0.000 |
| 137.594 | 137.594 | 1068.693 | -0.000 | 0.000 | 0.000 |
| -2.556 | -2.556 | 5.076 | 434.370 | -0.000 | 0.000 |
| -0.000 | -0.000 | 0.000 | 0.000 | 462.042 | -0.000 |
| -0.000 | 0.000 | 0.000 | 0.000 | 0.000 | 503.346 |
| 1053.696 | 153.740 | 138.691 | 0.000 | 0.000 | -0.000 |
| 153.739 | 1053.699 | 138.689 | 0.000 | 0.000 | -0.000 |
| 140.414 | 140.414 | 1063.096 | 0.000 | 0.000 | -0.000 |
| 0.256 | 0.255 | -0.507 | 434.371 | 0.000 | -0.000 |
| 0.255 | 0.256 | -0.507 | -0.000 | 434.370 | -0.000 |
| 0.256 | 0.256 | -0.508 | 0.000 | 0.000 | 449.979 |
| 1054.211 | 144.052 | 147.791 | -0.000 | -0.000 | -0.000 |
| 153.228 | 1053.168 | 139.715 | -0.000 | -0.000 | 0.000 |
| 139.894 | 139.894 | 1064.122 | 0.000 | 0.000 | 0.000 |
| -0.256 | -0.255 | 0.507 | 434.371 | 0.000 | -0.000 |
| -0.255 | -0.256 | 0.507 | 0.000 | 434.370 | 0.000 |
| -0.256 | -0.256 | 0.508 | -0.000 | -0.000 | 449.978 |
| 541.040 | 130.223 | 0.000 | 0.000 | 0.000 | -0.000 |
| 130.223 | 541.040 | 0.000 | 0.000 | 0.000 | -0.000 |
| -0.000 | 0.000 | 0.000 | 0.000 | 0.000 | -0.000 |
| 0.000 | 0.000 | 0.000 | 0.000 | 0.000 | 0.000 |
| -0.000 | 0.000 | 0.000 | 0.000 | 0.000 | -0.000 |
| -0.000 | -0.000 | 0.000 | 0.000 | 0.000 | 205.409 |
| 503.478 | 167.784 | -0.000 | -0.000 | -0.000 | -0.000 |
| 130.223 | 541.040 | -0.000 | -0.000 | -0.000 | -0.000 |
| -0.000 | 0.000 | -0.000 | -0.000 | -0.000 | -0.000 |
| -0.000 | -0.000 | -0.000 | -0.000 | -0.000 | -0.000 |
| 0.000 | 0.000 | -0.000 | -0.000 | -0.000 | 0.000 |
| 0.000 | -0.000 | -0.000 | -0.000 | -0.000 | 205.409 |
| 503.469 | 167.794 | 0.000 | 0.000 | 0.000 | -0.000 |
| 167.785 | 503.478 | 0.000 | 0.000 | 0.000 | -0.000 |
| -0.000 | 0.000 | 0.000 | 0.000 | 0.000 | -0.000 |
| 0.000 | -0.000 | 0.000 | 0.000 | 0.000 | 0.000 |
| -0.000 | -0.000 | 0.000 | 0.000 | 0.000 | -0.000 |
| -0.000 | 0.000 | 0.000 | 0.000 | 0.000 | 167.847 |
| 503.478 | 167.784 | -0.000 | -0.000 | -0.000 | 0.000 |
| 130.223 | 541.040 | -0.000 | -0.000 | -0.000 | -0.000 |
| -0.000 | 0.000 | -0.000 | -0.000 | -0.000 | -0.000 |
| -0.000 | 0.000 | -0.000 | -0.000 | -0.000 | -0.000 |
| 0.000 | 0.000 | -0.000 | -0.000 | -0.000 | -0.000 |
| 0.000 | -0.000 | -0.000 | -0.000 | -0.000 | 167.847 |
| 503.481 | 167.783 | 0.000 | 0.000 | 0.000 | 0.000 |
| 167.787 | 503.478 | 0.000 | 0.000 | 0.000 | 0.000 |
| -0.000 | 0.000 | 0.000 | 0.000 | 0.000 | -0.000 |
| 0.000 | -0.000 | 0.000 | 0.000 | 0.000 | 0.000 |
| -0.000 | 0.000 | 0.000 | 0.000 | 0.000 | -0.000 |
| -0.000 | 0.000 | 0.000 | 0.000 | 0.000 | 167.847 |
| 503.475 | 167.785 | -0.000 | -0.000 | -0.000 | -0.000 |
| 167.782 | 503.479 | -0.000 | -0.000 | -0.000 | 0.000 |
| -0.000 | 0.000 | -0.000 | -0.000 | -0.000 | -0.000 |
| -0.000 | 0.000 | -0.000 | -0.000 | -0.000 | -0.000 |
| 0.000 | 0.000 | -0.000 | -0.000 | -0.000 | 0.000 |
| 0.000 | -0.000 | -0.000 | -0.000 | -0.000 | 167.847 |
| 2208144.883 | 3511697.716 | -6071064.179 | 0.000 | -0.000 | 0.000 |
| 2207913.767 | 3511965.431 | -6071113.006 | -0.000 | -0.000 | 0.000 |
| 2207889.754 | 3511653.584 | -6070825.422 | 0.000 | -0.000 | -0.000 |
| 5997145.147 | 2944556.577 | -14332043.019 | -152958.522 | -0.000 | 0.000 |
| 6006699.447 | 2944135.550 | -14353209.520 | -0.000 | 1672760.799 | 0.000 |
| 0.443 | 0.269 | -0.944 | 0.000 | -0.000 | 153.046 |
| 484.829 | 212.839 | 160.304 | -0.000 | 0.000 | -0.000 |
| 212.859 | 516.283 | 139.500 | 0.000 | 0.000 | -0.000 |
| 166.640 | 131.588 | 503.055 | -0.000 | 0.000 | -0.000 |
| -5997145.147 | -2944556.577 | 14332043.019 | -152958.522 | 0.000 | -0.000 |
| -6006699.447 | -2944135.550 | 14353209.520 | -0.000 | 1672760.799 | -0.000 |
| -0.443 | -0.269 | 0.944 | 0.000 | 0.000 | 153.046 |
| 221216.564 | 351352.082 | -606946.755 | 0.000 | -0.000 | 0.000 |
| 220987.791 | 351618.905 | -607001.953 | 0.000 | -0.000 | 0.000 |
| 220960.810 | 351308.189 | -606706.296 | 0.000 | -0.000 | 0.000 |
| 599732.148 | 294454.013 | -1433243.436 | -15172.975 | -0.000 | -0.000 |
| 600670.322 | 294413.454 | -1435321.927 | 0.000 | 167402.276 | 0.000 |
| 0.354 | 0.216 | -0.755 | -0.000 | -0.000 | 153.096 |
| 484.829 | 212.839 | 160.304 | 0.000 | 0.000 | -0.000 |
| 221.147 | 505.927 | 117.263 | -0.000 | 0.000 | 0.000 |
| 160.315 | 139.490 | 520.024 | -0.000 | 0.000 | 0.000 |
| -599732.148 | -294454.013 | 1433243.436 | -15172.975 | 0.000 | 0.000 |
| -600670.322 | -294413.454 | 1435321.927 | -0.000 | 167402.276 | -0.000 |
| -0.354 | -0.215 | 0.755 | -0.000 | 0.000 | 153.096 |
| 22523.672 | 35317.544 | -60534.842 | 0.000 | -0.000 | 0.000 |
| 22296.465 | 35583.779 | -60594.301 | 0.000 | -0.000 | 0.000 |
| 22283.124 | 35267.845 | -60335.741 | 0.000 | -0.000 | -0.000 |
| 59993.635 | 29443.520 | -143369.610 | -1394.663 | -0.000 | -0.000 |
| 60067.410 | 29441.245 | -143533.167 | 0.000 | 16866.424 | 0.000 |
| 0.468 | 0.300 | -0.994 | 0.000 | -0.000 | 153.027 |
| 484.827 | 212.838 | 160.304 | 0.000 | 0.000 | -0.000 |
| 221.146 | 505.910 | 117.263 | -0.000 | 0.000 | -0.000 |
| 166.876 | 131.309 | 502.417 | -0.000 | 0.000 | -0.000 |
| -59993.635 | -29443.520 | 143369.610 | -1394.663 | 0.000 | -0.000 |
| -60067.410 | -29441.245 | 143533.167 | -0.000 | 16866.424 | -0.000 |
| -0.468 | -0.300 | 0.994 | -0.000 | 0.000 | 153.027 |
| -114779662.295 | 1977760.035 | -102643310.576 | -0.000 | -0.000 | -0.000 |
| -114779791.449 | 1978017.551 | -102643326.726 | 0.000 | -0.000 | 0.000 |
| -114779450.056 | 1977774.141 | -102642854.387 | -0.000 | -0.000 | 0.000 |
| -35711741.946 | 354101285.295 | 207900729.520 | -107690907.423 | -0.000 | -0.000 |
| -35711742.162 | 354101284.785 | 207900731.870 | 0.000 | -14332549.286 | 0.000 |
| -17534285.167 | 355037369.524 | 225334765.413 | 0.000 | -0.000 | -57429413.441 |
| 198.737 | 74.160 | 103.691 | -0.000 | 0.000 | 0.000 |
| 152.008 | 341.086 | 148.375 | -0.000 | 0.000 | -0.000 |
| 273.423 | 78.495 | 495.792 | -0.000 | 0.000 | -0.000 |
| 35711741.946 | -354101285.295 | -207900729.520 | -107690907.423 | 0.000 | 0.000 |
| 35711742.162 | -354101284.785 | -207900731.870 | -0.000 | -14332549.286 | 0.000 |
| 17534285.167 | -355037369.524 | -225334765.413 | -0.000 | 0.000 | -57429413.441 |
| -11477801.224 | 197845.433 | -10264238.502 | 0.000 | -0.000 | 0.000 |
| -11477930.425 | 198102.952 | -10264254.684 | 0.000 | -0.000 | 0.000 |
| -11477589.054 | 197859.541 | -10263782.359 | 0.000 | -0.000 | 0.000 |
| -3571173.122 | 35410128.469 | 20790070.494 | -10768993.218 | -0.000 | 0.000 |
| -3571173.459 | 35410127.969 | 20790072.760 | 0.000 | -1433172.911 | 0.000 |
| -1753424.083 | 35503734.985 | 22533478.363 | 0.000 | -0.000 | -5742888.061 |
| 198.709 | 74.163 | 103.672 | -0.000 | 0.000 | 0.000 |
| 151.978 | 341.088 | 148.354 | -0.000 | 0.000 | -0.000 |
| 273.476 | 78.491 | 495.828 | -0.000 | 0.000 | 0.000 |
| 3571173.122 | -35410128.469 | -20790070.494 | -10768993.218 | -0.000 | 0.000 |
| 3571173.459 | -35410127.969 | -20790072.760 | -0.000 | -1433172.911 | 0.000 |
| 1753424.083 | -35503734.985 | -22533478.363 | -0.000 | 0.000 | -5742888.061 |
| -1147615.122 | 19853.973 | -1026331.298 | 0.000 | -0.000 | -0.000 |
| -1147744.320 | 20111.492 | -1026347.477 | 0.000 | -0.000 | -0.000 |
| -1147402.955 | 19868.079 | -1025875.155 | 0.000 | -0.000 | 0.000 |
| -357116.243 | 3541012.787 | 2079004.589 | -1076801.798 | 0.000 | -0.000 |
| -357116.587 | 3541012.288 | 2079006.851 | 0.000 | -143235.273 | -0.000 |
| -175337.976 | 3550371.531 | 2253349.658 | 0.000 | -0.000 | -574235.523 |
| 198.705 | 74.163 | 103.670 | -0.000 | 0.000 | -0.000 |
| 151.971 | 341.087 | 148.350 | -0.000 | 0.000 | -0.000 |
| 273.468 | 78.492 | 495.820 | -0.000 | 0.000 | 0.000 |
| 357116.243 | -3541012.787 | -2079004.589 | -1076801.798 | 0.000 | 0.000 |
| 357116.587 | -3541012.288 | -2079006.851 | -0.000 | -143235.273 | 0.000 |
| 175337.976 | -3550371.531 | -2253349.658 | -0.000 | 0.000 | -574235.523 |
| -118697886.247 | -535736.055 | -150486634.739 | -0.000 | -0.000 | 0.000 |
| -118697956.643 | -535499.644 | -150486594.936 | -0.000 | -0.000 | 0.000 |
| -118697877.830 | -535711.818 | -150486297.483 | 0.000 | 0.000 | -0.000 |
| -68434379.544 | 329749516.814 | 103438669.947 | -119790516.741 | -0.000 | -0.000 |
| -68434328.220 | 329749534.620 | 103438743.769 | -0.000 | -18574771.030 | 0.000 |
| -127527487.843 | -2313633.605 | -164168230.575 | -0.000 | -0.000 | 1312094.066 |
| 183.840 | 49.381 | 66.189 | -0.000 | 0.000 | 0.000 |
| 115.534 | 300.342 | 132.283 | -0.000 | 0.000 | -0.000 |
| 211.778 | 43.047 | 490.355 | 0.000 | 0.000 | -0.000 |
| 68434379.545 | -329749516.814 | -103438669.946 | -119790516.741 | 0.000 | -0.000 |
| 68434328.220 | -329749534.620 | -103438743.769 | 0.000 | -18574771.030 | -0.000 |
| 127527487.867 | 2313633.607 | 164168230.595 | 0.000 | 0.000 | 1312094.065 |
| -11869643.469 | -53524.666 | -15048609.561 | -0.000 | -0.000 | -0.000 |
| -11869713.819 | -53288.253 | -15048569.717 | 0.000 | 0.000 | 0.000 |
| -11869635.015 | -53500.429 | -15048272.272 | -0.000 | -0.000 | 0.000 |
| -6843402.544 | 32974963.008 | 10343916.747 | -11978954.810 | -0.000 | 0.000 |
| -6843467.210 | 32974941.460 | 10343821.682 | 0.000 | -1857399.264 | 0.000 |
| -12752752.084 | -231363.512 | -16416825.002 | -0.000 | -0.000 | 131263.620 |
| 183.842 | 49.381 | 66.192 | 0.000 | 0.000 | -0.000 |
| 115.537 | 300.342 | 132.286 | 0.000 | 0.000 | -0.000 |
| 211.788 | 43.046 | 490.366 | 0.000 | 0.000 | -0.000 |
| 6843402.544 | -32974963.008 | -10343916.747 | -11978954.810 | -0.000 | -0.000 |
| 6843467.210 | -32974941.460 | -10343821.682 | 0.000 | -1857399.264 | -0.000 |
| 12752752.084 | 231363.512 | 16416825.002 | 0.000 | 0.000 | 131263.620 |
| -1186819.188 | -5303.527 | -1504807.040 | -0.000 | 0.000 | 0.000 |
| -1186889.540 | -5067.114 | -1504767.198 | 0.000 | 0.000 | 0.000 |
| -1186810.735 | -5279.294 | -1504469.749 | -0.000 | -0.000 | -0.000 |
| -684304.837 | 3297507.628 | 1034441.437 | -1197798.615 | 0.000 | -0.000 |
| -684381.114 | 3297482.135 | 1034329.465 | -0.000 | -185662.088 | 0.000 |
| -1275278.498 | -23136.502 | -1641684.436 | 0.000 | -0.000 | 13180.575 |
| 183.841 | 49.381 | 66.192 | 0.000 | -0.000 | -0.000 |
| 115.537 | 300.340 | 132.286 | 0.000 | 0.000 | -0.000 |
| 211.787 | 43.047 | 490.360 | 0.000 | 0.000 | 0.000 |
| 684304.838 | -3297507.628 | -1034441.436 | -1197798.615 | 0.000 | -0.000 |
| 684381.114 | -3297482.135 | -1034329.465 | -0.000 | -185662.088 | -0.000 |
| 1275278.498 | 23136.502 | 1641684.436 | -0.000 | -0.000 | 13180.575 |
| 525.860 | 126.569 | 0.000 | 0.000 | 0.000 | 0.000 |
| 163.077 | 489.352 | 0.000 | 0.000 | 0.000 | 0.000 |
| -0.000 | 0.000 | 0.000 | 0.000 | 0.000 | -0.000 |
| -0.000 | 0.000 | 0.000 | 0.000 | 0.000 | -0.000 |
| -0.000 | 0.000 | 0.000 | 0.000 | 0.000 | 0.000 |
| -0.000 | -0.000 | 0.000 | 0.000 | 0.000 | 199.645 |
| 489.352 | 163.077 | -0.000 | -0.000 | -0.000 | -0.000 |
| 163.077 | 489.352 | -0.000 | -0.000 | -0.000 | -0.000 |
| 0.000 | -0.000 | -0.000 | -0.000 | -0.000 | 0.000 |
| 0.000 | -0.000 | -0.000 | -0.000 | -0.000 | 0.000 |
| 0.000 | -0.000 | -0.000 | -0.000 | -0.000 | -0.000 |
| 0.000 | -0.000 | -0.000 | -0.000 | -0.000 | 199.645 |
| 525.860 | 126.569 | 0.000 | 0.000 | 0.000 | 0.000 |
| 163.077 | 489.352 | 0.000 | 0.000 | 0.000 | 0.000 |
| -0.000 | 0.000 | 0.000 | 0.000 | 0.000 | -0.000 |
| -0.000 | 0.000 | 0.000 | 0.000 | 0.000 | -0.000 |
| -0.000 | 0.000 | 0.000 | 0.000 | 0.000 | 0.000 |
| -0.000 | 0.000 | 0.000 | 0.000 | 0.000 | 163.138 |
| 489.352 | 163.077 | -0.000 | -0.000 | -0.000 | -0.000 |
| 163.076 | 489.352 | -0.000 | -0.000 | -0.000 | -0.000 |
| 0.000 | -0.000 | -0.000 | -0.000 | -0.000 | 0.000 |
| 0.000 | -0.000 | -0.000 | -0.000 | -0.000 | 0.000 |
| 0.000 | -0.000 | -0.000 | -0.000 | -0.000 | -0.000 |
| 0.000 | -0.000 | -0.000 | -0.000 | -0.000 | 163.138 |
| 489.355 | 163.076 | 0.000 | 0.000 | 0.000 | 0.000 |
| 163.079 | 489.352 | 0.000 | 0.000 | 0.000 | 0.000 |
| -0.000 | 0.000 | 0.000 | 0.000 | 0.000 | -0.000 |
| -0.000 | 0.000 | 0.000 | 0.000 | 0.000 | -0.000 |
| -0.000 | 0.000 | 0.000 | 0.000 | 0.000 | 0.000 |
| -0.000 | 0.000 | 0.000 | 0.000 | 0.000 | 163.138 |
| 489.349 | 163.078 | -0.000 | -0.000 | -0.000 | -0.000 |
| 163.074 | 489.352 | -0.000 | -0.000 | -0.000 | -0.000 |
| 0.000 | -0.000 | -0.000 | -0.000 | -0.000 | 0.000 |
| 0.000 | -0.000 | -0.000 | -0.000 | -0.000 | 0.000 |
| 0.000 | -0.000 | -0.000 | -0.000 | -0.000 | -0.000 |
| 0.000 | -0.000 | -0.000 | -0.000 | -0.000 | 163.138 |
| 489.352 | 163.077 | 0.000 | 0.000 | 0.000 | -0.000 |
| 126.569 | 525.860 | 0.000 | 0.000 | 0.000 | -0.000 |
| 0.000 | 0.000 | 0.000 | 0.000 | 0.000 | -0.000 |
| -0.000 | 0.000 | 0.000 | 0.000 | 0.000 | -0.000 |
| -0.000 | 0.000 | 0.000 | 0.000 | 0.000 | -0.000 |
| 0.000 | 0.000 | 0.000 | 0.000 | 0.000 | 199.645 |
| 489.352 | 163.076 | -0.000 | -0.000 | -0.000 | 0.000 |
| 163.077 | 489.352 | -0.000 | -0.000 | -0.000 | 0.000 |
| -0.000 | -0.000 | -0.000 | -0.000 | -0.000 | 0.000 |
| 0.000 | -0.000 | -0.000 | -0.000 | -0.000 | 0.000 |
| -0.000 | -0.000 | -0.000 | -0.000 | -0.000 | 0.000 |
| -0.000 | -0.000 | -0.000 | -0.000 | -0.000 | 199.645 |
| 489.352 | 163.077 | 0.000 | 0.000 | 0.000 | -0.000 |
| 126.569 | 525.860 | 0.000 | 0.000 | 0.000 | -0.000 |
| 0.000 | 0.000 | 0.000 | 0.000 | 0.000 | -0.000 |
| -0.000 | 0.000 | 0.000 | 0.000 | 0.000 | -0.000 |
| 0.000 | 0.000 | 0.000 | 0.000 | 0.000 | -0.000 |
| -0.000 | -0.000 | 0.000 | 0.000 | 0.000 | 163.138 |
| 489.352 | 163.076 | -0.000 | -0.000 | -0.000 | 0.000 |
| 163.077 | 489.352 | -0.000 | -0.000 | -0.000 | 0.000 |
| -0.000 | -0.000 | -0.000 | -0.000 | -0.000 | 0.000 |
| 0.000 | -0.000 | -0.000 | -0.000 | -0.000 | 0.000 |
| 0.000 | -0.000 | -0.000 | -0.000 | -0.000 | 0.000 |
| -0.000 | -0.000 | -0.000 | -0.000 | -0.000 | 163.138 |
| 489.352 | 163.079 | 0.000 | 0.000 | 0.000 | -0.000 |
| 163.076 | 489.355 | 0.000 | 0.000 | 0.000 | -0.000 |
| 0.000 | 0.000 | 0.000 | 0.000 | 0.000 | -0.000 |
| -0.000 | 0.000 | 0.000 | 0.000 | 0.000 | -0.000 |
| -0.000 | 0.000 | 0.000 | 0.000 | 0.000 | -0.000 |
| 0.000 | -0.000 | 0.000 | 0.000 | 0.000 | 163.138 |
| 489.352 | 163.074 | -0.000 | -0.000 | -0.000 | 0.000 |
| 163.078 | 489.349 | -0.000 | -0.000 | -0.000 | 0.000 |
| -0.000 | -0.000 | -0.000 | -0.000 | -0.000 | 0.000 |
| -0.000 | -0.000 | -0.000 | -0.000 | -0.000 | 0.000 |
| 0.000 | -0.000 | -0.000 | -0.000 | -0.000 | 0.000 |
| -0.000 | 0.000 | -0.000 | -0.000 | -0.000 | 163.138 |
| 518.015 | 124.681 | 0.000 | 0.000 | 0.000 | -0.000 |
| 160.644 | 482.052 | 0.000 | 0.000 | 0.000 | -0.000 |
| -0.000 | 0.000 | 0.000 | 0.000 | 0.000 | -0.000 |
| -0.000 | 0.000 | 0.000 | 0.000 | 0.000 | -0.000 |
| -0.000 | 0.000 | 0.000 | 0.000 | 0.000 | -0.000 |
| -0.000 | 0.000 | 0.000 | 0.000 | 0.000 | 196.667 |
| 482.052 | 160.644 | -0.000 | -0.000 | -0.000 | 0.000 |
| 160.644 | 482.052 | -0.000 | -0.000 | -0.000 | 0.000 |
| 0.000 | -0.000 | -0.000 | -0.000 | -0.000 | 0.000 |
| 0.000 | -0.000 | -0.000 | -0.000 | -0.000 | 0.000 |
| 0.000 | -0.000 | -0.000 | -0.000 | -0.000 | 0.000 |
| -0.000 | -0.000 | -0.000 | -0.000 | -0.000 | 196.667 |
| 518.016 | 124.681 | 0.000 | 0.000 | 0.000 | -0.000 |
| 160.644 | 482.052 | 0.000 | 0.000 | 0.000 | -0.000 |
| -0.000 | 0.000 | 0.000 | 0.000 | 0.000 | -0.000 |
| -0.000 | 0.000 | 0.000 | 0.000 | 0.000 | -0.000 |
| 0.000 | 0.000 | 0.000 | 0.000 | 0.000 | -0.000 |
| 0.000 | 0.000 | 0.000 | 0.000 | 0.000 | 196.667 |
| 482.052 | 160.644 | -0.000 | -0.000 | -0.000 | 0.000 |
| 160.644 | 482.052 | -0.000 | -0.000 | -0.000 | 0.000 |
| 0.000 | -0.000 | -0.000 | -0.000 | -0.000 | 0.000 |
| 0.000 | -0.000 | -0.000 | -0.000 | -0.000 | 0.000 |
| 0.000 | -0.000 | -0.000 | -0.000 | -0.000 | 0.000 |
| -0.000 | -0.000 | -0.000 | -0.000 | -0.000 | 196.667 |
| 482.055 | 160.643 | 0.000 | 0.000 | 0.000 | -0.000 |
| 160.646 | 482.052 | 0.000 | 0.000 | 0.000 | -0.000 |
| -0.000 | 0.000 | 0.000 | 0.000 | 0.000 | -0.000 |
| -0.000 | 0.000 | 0.000 | 0.000 | 0.000 | -0.000 |
| -0.000 | 0.000 | 0.000 | 0.000 | 0.000 | -0.000 |
| -0.000 | 0.000 | 0.000 | 0.000 | 0.000 | 160.704 |
| 482.049 | 160.645 | -0.000 | -0.000 | -0.000 | 0.000 |
| 160.642 | 482.052 | -0.000 | -0.000 | -0.000 | 0.000 |
| 0.000 | -0.000 | -0.000 | -0.000 | -0.000 | 0.000 |
| 0.000 | -0.000 | -0.000 | -0.000 | -0.000 | 0.000 |
| -0.000 | -0.000 | -0.000 | -0.000 | -0.000 | 0.000 |
| 0.000 | -0.000 | -0.000 | -0.000 | -0.000 | 160.704 |
| 482.052 | 160.644 | 0.000 | 0.000 | 0.000 | 0.000 |
| 124.681 | 518.015 | 0.000 | 0.000 | 0.000 | 0.000 |
| -0.000 | -0.000 | 0.000 | 0.000 | 0.000 | 0.000 |
| -0.000 | -0.000 | 0.000 | 0.000 | 0.000 | 0.000 |
| -0.000 | -0.000 | 0.000 | 0.000 | 0.000 | 0.000 |
| -0.000 | -0.000 | 0.000 | 0.000 | 0.000 | 196.668 |
| 482.053 | 160.644 | -0.000 | -0.000 | -0.000 | -0.000 |
| 160.644 | 482.052 | -0.000 | -0.000 | -0.000 | -0.000 |
| 0.000 | 0.000 | -0.000 | -0.000 | -0.000 | -0.000 |
| 0.000 | 0.000 | -0.000 | -0.000 | -0.000 | -0.000 |
| 0.000 | 0.000 | -0.000 | -0.000 | -0.000 | -0.000 |
| 0.000 | 0.000 | -0.000 | -0.000 | -0.000 | 196.667 |
| 482.052 | 160.644 | 0.000 | 0.000 | 0.000 | 0.000 |
| 124.681 | 518.015 | 0.000 | 0.000 | 0.000 | 0.000 |
| -0.000 | -0.000 | 0.000 | 0.000 | 0.000 | 0.000 |
| -0.000 | -0.000 | 0.000 | 0.000 | 0.000 | 0.000 |
| -0.000 | -0.000 | 0.000 | 0.000 | 0.000 | 0.000 |
| -0.000 | 0.000 | 0.000 | 0.000 | 0.000 | 160.704 |
| 482.052 | 160.644 | -0.000 | -0.000 | -0.000 | 0.000 |
| 160.644 | 482.052 | -0.000 | -0.000 | -0.000 | -0.000 |
| 0.000 | 0.000 | -0.000 | -0.000 | -0.000 | -0.000 |
| 0.000 | 0.000 | -0.000 | -0.000 | -0.000 | -0.000 |
| 0.000 | 0.000 | -0.000 | -0.000 | -0.000 | -0.000 |
| 0.000 | -0.000 | -0.000 | -0.000 | -0.000 | 160.704 |
| 482.052 | 160.646 | 0.000 | 0.000 | 0.000 | 0.000 |
| 160.643 | 482.055 | 0.000 | 0.000 | 0.000 | -0.000 |
| -0.000 | -0.000 | 0.000 | 0.000 | 0.000 | 0.000 |
| -0.000 | -0.000 | 0.000 | 0.000 | 0.000 | 0.000 |
| -0.000 | -0.000 | 0.000 | 0.000 | 0.000 | 0.000 |
| 0.000 | -0.000 | 0.000 | 0.000 | 0.000 | 160.704 |
| 482.052 | 160.642 | -0.000 | -0.000 | -0.000 | -0.000 |
| 160.645 | 482.049 | -0.000 | -0.000 | -0.000 | 0.000 |
| 0.000 | 0.000 | -0.000 | -0.000 | -0.000 | -0.000 |
| 0.000 | 0.000 | -0.000 | -0.000 | -0.000 | -0.000 |
| 0.000 | 0.000 | -0.000 | -0.000 | -0.000 | -0.000 |
| -0.000 | 0.000 | -0.000 | -0.000 | -0.000 | 160.704 |
| 638.002 | 52.002 | 94.586 | 0.000 | -0.000 | -0.000 |
| -5006099.440 | -36982415.213 | 16305234.905 | 0.000 | -0.000 | -0.000 |
| -5005991.145 | -36982501.782 | 16305635.562 | -0.000 | -0.000 | -0.000 |
| 470626617.324 | 1065508369.687 | 1033181871.173 | -279071666.382 | 0.000 | 0.000 |
| -0.096 | 0.010 | -0.035 | -0.000 | 266.453 | -0.000 |
| -0.096 | 0.010 | -0.035 | 0.000 | 0.000 | 183.671 |
| 638.162 | 51.986 | 94.645 | -0.000 | 0.000 | 0.000 |
| 202.892 | 125.573 | 55.379 | -0.000 | -0.000 | -0.000 |
| 251.267 | 0.816 | 545.011 | 0.000 | -0.000 | -0.000 |
| -470626617.324 | -1065508369.687 | -1033181871.173 | -279071666.383 | -0.000 | -0.000 |
| 0.096 | -0.010 | 0.035 | -0.000 | 266.453 | 0.000 |
| 0.096 | -0.010 | 0.035 | -0.000 | -0.000 | 183.671 |
| 638.089 | 51.994 | 94.618 | 0.000 | -0.000 | 0.000 |
| -500439.431 | -3698145.147 | 1630591.143 | 0.000 | 0.000 | -0.000 |
| -500331.136 | -3698231.715 | 1630991.800 | 0.000 | -0.000 | -0.000 |
| 47062531.313 | 106550864.383 | 103318159.158 | -27907083.538 | -0.000 | 0.000 |
| -0.010 | 0.001 | -0.003 | -0.000 | 266.453 | -0.000 |
| 0.000 | 0.000 | 0.000 | -0.000 | -0.000 | 183.671 |
| 638.108 | 51.992 | 94.625 | 0.000 | -0.000 | 0.000 |
| 202.852 | 125.577 | 55.365 | -0.000 | -0.000 | 0.000 |
| 251.177 | 0.825 | 544.978 | 0.000 | 0.000 | -0.000 |
| -47062531.313 | -106550864.383 | -103318159.158 | -27907083.538 | -0.000 | -0.000 |
| 0.010 | -0.001 | 0.003 | -0.000 | 266.453 | 0.000 |
| -0.000 | -0.000 | -0.000 | 0.000 | 0.000 | 183.671 |
| 638.099 | 51.993 | 94.622 | 0.000 | -0.000 | 0.000 |
| -49873.425 | -369718.140 | 163126.768 | 0.000 | 0.000 | 0.000 |
| -49765.128 | -369804.708 | 163527.424 | 0.000 | 0.000 | -0.000 |
| 4706122.717 | 10655113.852 | 10331787.957 | -2790625.254 | -0.000 | -0.000 |
| -0.001 | 0.000 | -0.000 | -0.000 | 266.453 | -0.000 |
| -0.001 | 0.000 | -0.000 | 0.000 | 0.000 | 183.671 |
| 638.097 | 51.992 | 94.621 | -0.000 | -0.000 | -0.000 |
| 202.842 | 125.577 | 55.361 | -0.000 | -0.000 | 0.000 |
| 251.171 | 0.825 | 544.974 | -0.000 | -0.000 | 0.000 |
| -4706122.717 | -10655113.852 | -10331787.957 | -2790625.254 | -0.000 | 0.000 |
| 0.001 | -0.000 | 0.000 | -0.000 | 266.453 | 0.000 |
| 0.001 | -0.000 | 0.000 | -0.000 | 0.000 | 183.671 |
| 551.141 | 132.654 | 0.000 | 0.000 | 0.000 | -0.000 |
| 170.917 | 512.878 | 0.000 | 0.000 | 0.000 | -0.000 |
| -0.000 | 0.000 | 0.000 | 0.000 | 0.000 | -0.000 |
| -0.000 | 0.000 | 0.000 | 0.000 | 0.000 | -0.000 |
| -0.000 | -0.000 | 0.000 | 0.000 | 0.000 | -0.000 |
| -0.000 | -0.000 | 0.000 | 0.000 | 0.000 | 209.243 |
| 512.878 | 170.917 | -0.000 | -0.000 | -0.000 | 0.000 |
| 132.654 | 551.141 | -0.000 | -0.000 | -0.000 | 0.000 |
| 0.000 | -0.000 | -0.000 | -0.000 | -0.000 | 0.000 |
| 0.000 | -0.000 | -0.000 | -0.000 | -0.000 | 0.000 |
| 0.000 | 0.000 | -0.000 | -0.000 | -0.000 | 0.000 |
| 0.000 | 0.000 | -0.000 | -0.000 | -0.000 | 209.244 |
| 551.141 | 132.654 | 0.000 | 0.000 | 0.000 | -0.000 |
| 132.654 | 551.141 | 0.000 | 0.000 | 0.000 | -0.000 |
| -0.000 | 0.000 | 0.000 | 0.000 | 0.000 | -0.000 |
| -0.000 | -0.000 | 0.000 | 0.000 | 0.000 | -0.000 |
| -0.000 | -0.000 | 0.000 | 0.000 | 0.000 | -0.000 |
| -0.000 | 0.000 | 0.000 | 0.000 | 0.000 | 170.981 |
| 512.878 | 170.917 | -0.000 | -0.000 | -0.000 | 0.000 |
| 170.917 | 512.878 | -0.000 | -0.000 | -0.000 | 0.000 |
| 0.000 | -0.000 | -0.000 | -0.000 | -0.000 | 0.000 |
| 0.000 | 0.000 | -0.000 | -0.000 | -0.000 | 0.000 |
| 0.000 | 0.000 | -0.000 | -0.000 | -0.000 | 0.000 |
| 0.000 | -0.000 | -0.000 | -0.000 | -0.000 | 170.981 |
| 512.881 | 170.916 | 0.000 | 0.000 | 0.000 | -0.000 |
| 170.919 | 512.878 | 0.000 | 0.000 | 0.000 | -0.000 |
| -0.000 | 0.000 | 0.000 | 0.000 | 0.000 | -0.000 |
| -0.000 | 0.000 | 0.000 | 0.000 | 0.000 | -0.000 |
| -0.000 | -0.000 | 0.000 | 0.000 | 0.000 | -0.000 |
| 0.000 | 0.000 | 0.000 | 0.000 | 0.000 | 209.243 |
| 512.875 | 170.918 | -0.000 | -0.000 | -0.000 | 0.000 |
| 170.914 | 512.878 | -0.000 | -0.000 | -0.000 | 0.000 |
| 0.000 | -0.000 | -0.000 | -0.000 | -0.000 | 0.000 |
| 0.000 | 0.000 | -0.000 | -0.000 | -0.000 | 0.000 |
| 0.000 | 0.000 | -0.000 | -0.000 | -0.000 | 0.000 |
| -0.000 | -0.000 | -0.000 | -0.000 | -0.000 | 209.243 |
| 3348.973 | 2480.114 | -4477.837 | 1.096 | 0.000 | 0.001 |
| 2482.237 | 3350.973 | -4481.954 | -1.086 | 0.000 | -0.000 |
| 2466.482 | 2466.482 | -3582.115 | 0.000 | 0.000 | 0.000 |
| 2317.425 | 2315.176 | -4626.060 | 423.479 | -0.000 | -0.000 |
| 1488.945 | 1488.945 | -2973.701 | -0.000 | 437.063 | 4.968 |
| 2318.376 | 2318.376 | -4630.204 | -0.000 | 1.115 | 434.552 |
| -1285.324 | -2154.788 | 4778.276 | 1.143 | -0.000 | -0.000 |
| -930.749 | -22.912 | 2295.346 | -6.813 | 0.000 | -0.000 |
| 85.020 | 85.021 | 1174.084 | 0.000 | 0.000 | -0.000 |
| -1071.655 | -1085.379 | 2153.998 | 443.760 | 0.000 | -0.000 |
| -1488.945 | -1488.945 | 2973.702 | -0.000 | 437.063 | 4.967 |
| -2318.376 | -2318.376 | 4630.202 | 0.000 | 1.115 | 434.551 |
| 1252.065 | 348.685 | -255.470 | 2.411 | 0.000 | 0.000 |
| 348.695 | 1252.073 | -255.488 | -2.410 | -0.000 | -0.000 |
| 377.025 | 377.025 | 590.898 | 0.000 | -0.000 | 0.000 |
| 11.842 | -11.842 | 0.000 | 461.364 | -0.000 | 0.000 |
| 0.000 | 0.000 | 0.000 | 0.000 | 461.364 | 11.842 |
| 0.000 | 0.000 | 0.000 | 0.000 | 11.842 | 503.083 |
| 1133.069 | 126.904 | 84.827 | 11.842 | 0.000 | -0.000 |
| 126.904 | 1133.068 | 84.827 | -11.842 | 0.000 | -0.000 |
| -58.875 | -58.875 | 1461.468 | 0.000 | 0.000 | -0.000 |
| -192.736 | -198.311 | 390.495 | 429.357 | -0.000 | -0.000 |
| -0.000 | -0.000 | -0.000 | -0.000 | 461.364 | 11.842 |
| -0.000 | -0.000 | 0.000 | -0.000 | 11.842 | 503.083 |
| 1133.072 | 126.905 | 84.828 | 11.842 | 0.000 | 0.000 |
| 126.904 | 1133.073 | 84.828 | -11.842 | -0.000 | -0.000 |
| 161.220 | 161.220 | 1021.901 | 0.000 | -0.000 | 0.000 |
| 22.791 | 17.962 | -40.695 | 428.037 | 0.000 | 0.000 |
| -0.000 | 0.000 | 0.000 | 0.000 | 461.364 | 11.842 |
| 12.398 | 12.398 | -24.761 | 0.000 | 6.115 | 450.490 |
| 1035.839 | 145.522 | 163.324 | 4.944 | 0.000 | -0.000 |
| 145.524 | 1035.842 | 163.319 | -4.944 | -0.000 | -0.000 |
| 85.020 | 85.020 | 1174.077 | -0.000 | -0.000 | -0.000 |
| -17.963 | -22.790 | 40.695 | 428.037 | 0.000 | 0.000 |
| 0.000 | -0.000 | -0.000 | -0.000 | 461.364 | 11.842 |
| -12.398 | -12.398 | 24.761 | -0.000 | 6.115 | 450.490 |
| 1133.397 | 126.948 | 85.064 | 11.847 | -0.000 | 0.000 |
| 154.169 | 1051.823 | 139.418 | -4.138 | -0.000 | 0.001 |
| 85.064 | 85.061 | 1175.283 | 0.000 | 0.000 | 0.001 |
| 11.848 | -11.847 | 0.003 | 461.340 | 0.000 | 0.001 |
| 0.078 | 0.076 | -0.150 | 0.001 | 433.787 | 4.054 |
| 0.084 | 0.082 | -0.163 | 0.001 | 3.407 | 449.314 |
| 1051.666 | 154.015 | 139.720 | 4.137 | 0.000 | -0.001 |
| 126.945 | 1133.394 | 85.059 | -11.847 | 0.000 | 0.000 |
| 140.090 | 140.092 | 1065.217 | -0.001 | -0.000 | -0.001 |
| 3.975 | -4.130 | 0.150 | 433.786 | -0.000 | -0.000 |
| -0.078 | -0.076 | 0.149 | -0.001 | 433.787 | 4.053 |
| -0.084 | -0.083 | 0.163 | -0.001 | 3.407 | 449.313 |
| 1052.057 | 150.337 | 143.010 | 3.649 | -0.000 | 0.000 |
| 150.337 | 1052.057 | 143.010 | -3.649 | 0.000 | 0.000 |
| 140.176 | 140.176 | 1065.052 | 0.000 | -0.000 | 0.000 |
| 4.061 | -4.046 | -0.015 | 433.787 | -0.000 | 0.000 |
| 0.008 | 0.008 | -0.015 | 0.000 | 433.787 | 4.054 |
| 0.008 | 0.008 | -0.016 | 0.000 | 3.407 | 449.313 |
| 1052.038 | 150.321 | 143.043 | 3.649 | 0.000 | -0.000 |
| 154.082 | 1051.738 | 139.583 | -4.138 | 0.000 | -0.000 |
| 85.062 | 85.062 | 1175.279 | -0.000 | -0.000 | -0.000 |
| 4.046 | -4.061 | 0.015 | 433.787 | 0.000 | 0.000 |
| -0.008 | -0.008 | 0.015 | -0.000 | 433.787 | 4.053 |
| -0.008 | -0.008 | 0.016 | -0.000 | 3.407 | 449.313 |
| 1052.052 | 150.330 | 143.025 | 3.649 | -0.000 | 0.000 |
| 154.093 | 1051.745 | 139.570 | -4.138 | -0.000 | 0.000 |
| 140.173 | 140.173 | 1065.062 | 0.000 | 0.000 | 0.000 |
| 4.055 | -4.053 | -0.001 | 433.787 | 0.000 | 0.000 |
| 0.000 | 0.001 | -0.001 | 0.000 | 433.787 | 4.054 |
| 0.001 | 0.001 | -0.001 | 0.000 | 3.407 | 449.313 |
| 1051.742 | 154.088 | 139.569 | 4.138 | 0.000 | -0.000 |
| 154.092 | 1051.728 | 139.580 | -4.137 | 0.000 | -0.000 |
| 140.163 | 140.163 | 1065.074 | -0.000 | 0.000 | -0.000 |
| 4.055 | -4.057 | 0.001 | 433.796 | 0.000 | -0.000 |
| -0.000 | -0.001 | 0.001 | -0.000 | 433.787 | 4.054 |
| -0.001 | -0.001 | 0.001 | -0.000 | 3.407 | 449.313 |
| 1133.397 | 126.946 | 85.058 | 8.462 | -0.000 | 0.001 |
| 126.947 | 1133.397 | 85.058 | -8.462 | -0.000 | 0.004 |
| 140.167 | 140.168 | 1065.056 | 0.000 | -0.000 | 0.001 |
| 8.462 | -8.465 | -0.004 | 461.340 | 0.001 | 0.002 |
| 0.000 | -0.000 | -0.003 | -0.000 | 461.340 | 8.463 |
| -0.001 | -0.000 | -0.004 | -0.000 | 8.462 | 503.226 |
| 1133.394 | 126.946 | 85.074 | 8.462 | 0.000 | -0.003 |
| 126.946 | 1133.394 | 85.073 | -8.462 | -0.000 | -0.004 |
| 140.169 | 140.168 | 1065.090 | -0.001 | 0.001 | -0.000 |
| 8.462 | -8.459 | 0.008 | 461.340 | -0.000 | -0.002 |
| -0.000 | 0.000 | 0.003 | 0.000 | 461.340 | 8.462 |
| 0.001 | -0.000 | 0.003 | -0.000 | 8.462 | 503.224 |
| 1051.222 | 151.974 | 142.207 | 2.689 | -0.000 | 0.000 |
| 126.947 | 1133.395 | 85.060 | -8.462 | -0.000 | 0.000 |
| 140.168 | 140.168 | 1065.067 | -0.000 | -0.000 | 0.000 |
| 8.462 | -8.462 | 0.000 | 461.340 | 0.000 | 0.000 |
| -0.000 | 0.000 | -0.000 | -0.000 | 461.340 | 8.462 |
| -0.000 | 0.000 | -0.001 | -0.000 | 2.583 | 449.045 |
| 1133.395 | 126.946 | 85.063 | 8.462 | 0.000 | -0.000 |
| 126.946 | 1133.395 | 85.063 | -8.462 | 0.000 | -0.000 |
| 140.194 | 140.194 | 1065.016 | 0.000 | 0.000 | -0.000 |
| 8.462 | -8.462 | 0.000 | 461.340 | -0.000 | -0.000 |
| 0.000 | -0.000 | 0.000 | -0.000 | 461.340 | 8.462 |
| 0.000 | -0.000 | 0.000 | 0.000 | 2.583 | 449.045 |
| 1051.720 | 151.547 | 142.140 | 2.696 | -0.000 | 0.000 |
| 151.548 | 1051.717 | 142.142 | -2.696 | -0.000 | 0.000 |
| 140.172 | 140.172 | 1065.063 | 0.000 | -0.000 | 0.000 |
| 8.462 | -8.462 | 0.000 | 461.340 | -0.000 | 0.000 |
| -0.000 | 0.000 | 0.000 | 0.000 | 433.787 | 2.895 |
| -0.000 | 0.000 | 0.000 | 0.000 | 2.583 | 449.045 |
| 1051.449 | 154.190 | 139.761 | 2.936 | -0.000 | -0.000 |
| 151.545 | 1051.719 | 142.136 | -2.697 | -0.000 | -0.000 |
| 140.164 | 140.164 | 1065.072 | -0.000 | -0.000 | -0.000 |
| 2.895 | -2.895 | -0.000 | 433.787 | 0.000 | -0.000 |
| 0.000 | -0.000 | -0.000 | -0.000 | 433.787 | 2.895 |
| 0.000 | -0.000 | -0.000 | -0.000 | 2.583 | 449.045 |
| 1084.291 | 24.209 | 236.137 | 13.790 | 0.000 | -0.000 |
| 511.659 | 1212.153 | -380.826 | 8.140 | 0.000 | -0.000 |
| 356.949 | 356.949 | 630.161 | -0.000 | 0.000 | 0.000 |
| -84.199 | -111.336 | 196.042 | 486.337 | 0.000 | 0.000 |
| 0.000 | -0.000 | -0.006 | -0.000 | 460.955 | 8.442 |
| 191.304 | 191.304 | -383.656 | -0.000 | -1.618 | 424.535 |
| 586.800 | -115.928 | 875.510 | -8.019 | -0.000 | -0.001 |
| -115.853 | 586.970 | 875.265 | 8.014 | -0.000 | 0.000 |
| -65.270 | -65.269 | 1476.899 | 0.000 | -0.000 | -0.000 |
| 8.444 | -8.442 | 0.006 | 460.955 | -0.000 | -0.000 |
| -0.000 | 0.000 | 0.007 | 0.000 | 460.954 | 8.442 |
| -191.304 | -191.305 | 383.656 | 0.000 | -1.618 | 424.534 |
| 1132.579 | 126.529 | 85.142 | 8.442 | 0.000 | -0.000 |
| 126.529 | 1132.579 | 85.142 | -8.442 | 0.000 | -0.000 |
| 104.966 | 104.966 | 1135.498 | -0.000 | 0.000 | 0.000 |
| 8.442 | -8.442 | -0.001 | 460.954 | 0.000 | 0.000 |
| -0.000 | -0.000 | -0.000 | -0.000 | 460.954 | 8.442 |
| -0.000 | -0.000 | -0.001 | -0.000 | 8.442 | 503.025 |
| 1132.578 | 126.529 | 85.143 | 8.442 | -0.000 | -0.000 |
| 134.381 | 1027.872 | 182.259 | -1.399 | -0.000 | -0.000 |
| 81.544 | 81.544 | 1182.470 | 0.000 | -0.000 | -0.000 |
| 15.886 | -6.105 | -9.805 | 473.600 | -0.000 | 0.000 |
| 0.000 | 0.000 | 0.000 | 0.000 | 460.954 | 8.442 |
| -0.000 | 0.000 | 0.001 | 0.000 | 8.442 | 503.025 |
| 1044.775 | 154.386 | 145.254 | 2.165 | 0.000 | 0.000 |
| 152.381 | 1051.065 | 140.958 | -2.624 | 0.000 | -0.000 |
| 144.605 | 144.605 | 1056.012 | -0.000 | 0.000 | -0.000 |
| 2.870 | -0.260 | -2.617 | 426.903 | 0.000 | 0.000 |
| 1.305 | 1.305 | -2.617 | 0.000 | 426.909 | 1.566 |
| 1.258 | 1.259 | -2.524 | -0.000 | 1.809 | 441.914 |
| 1132.576 | 126.529 | 85.142 | 8.442 | -0.000 | 0.000 |
| 151.908 | 1042.723 | 149.789 | -2.188 | -0.000 | -0.000 |
| 142.618 | 142.618 | 1059.988 | 0.000 | -0.000 | -0.000 |
| 1.933 | -3.981 | 2.054 | 433.799 | -0.000 | 0.000 |
| -1.305 | -1.305 | 2.617 | -0.000 | 426.909 | 1.566 |
| -1.258 | -1.259 | 2.524 | 0.000 | 1.809 | 441.914 |
| 1456969891.283 | 3774327279.371 | 3774327279.370 | -0.000 | -0.000 | 0.000 |
| 3774327279.370 | 1456969891.283 | 3774327279.371 | 0.000 | 0.000 | -0.000 |
| 3774327279.370 | 3774327279.371 | 1456969891.283 | 0.000 | -0.000 | 0.000 |
| 745412496.153 | 1872945279.823 | 1872945277.683 | -106967545.368 | -0.000 | -0.000 |
| 1872945279.822 | 745412496.153 | 1872945277.683 | -0.000 | -106967545.368 | -0.000 |
| 1872945279.823 | 1872945277.683 | 745412496.153 | 0.000 | -0.000 | -106967545.368 |
| 245.186 | 10.829 | 10.829 | 0.000 | 0.000 | -0.000 |
| 10.830 | 245.186 | 10.829 | 0.000 | -0.000 | -0.000 |
| 10.829 | 10.829 | 245.186 | -0.000 | 0.000 | -0.000 |
| -745412496.153 | -1872945279.823 | -1872945277.683 | -106967545.368 | -0.000 | 0.000 |
| -1872945279.823 | -745412496.153 | -1872945277.683 | 0.000 | -106967545.368 | 0.000 |
| -1872945279.823 | -1872945277.683 | -745412496.153 | -0.000 | 0.000 | -106967545.368 |
| 145697024.798 | 377432939.204 | 377432939.204 | -0.000 | -0.000 | 0.000 |
| 377432939.204 | 145697024.798 | 377432939.204 | -0.000 | 0.000 | -0.000 |
| 377432939.204 | 377432939.204 | 145697024.798 | -0.000 | 0.000 | 0.000 |
| 74541257.768 | 187294525.810 | 187294523.671 | -10696689.136 | 0.000 | 0.000 |
| 187294525.810 | 74541257.768 | 187294523.671 | 0.000 | -10696689.136 | 0.000 |
| 187294525.810 | 187294523.671 | 74541257.768 | -0.000 | -0.000 | -10696689.136 |
| 245.185 | 10.829 | 10.829 | 0.000 | 0.000 | -0.000 |
| 10.829 | 245.185 | 10.829 | 0.000 | 0.000 | -0.000 |
| 10.829 | 10.829 | 245.185 | -0.000 | 0.000 | -0.000 |
| -74541257.768 | -187294525.810 | -187294523.671 | -10696689.136 | 0.000 | -0.000 |
| -187294525.810 | -74541257.768 | -187294523.671 | 0.000 | -10696689.136 | -0.000 |
| -187294525.810 | -187294523.671 | -74541257.768 | -0.000 | 0.000 | -10696689.136 |
| 14569738.212 | 37743505.136 | 37743505.136 | -0.000 | 0.000 | -0.000 |
| 37743505.136 | 14569738.212 | 37743505.136 | -0.000 | 0.000 | 0.000 |
| 37743505.136 | 37743505.136 | 14569738.212 | -0.000 | -0.000 | 0.000 |
| 7454133.930 | 18729450.409 | 18729448.269 | -1069603.513 | 0.000 | -0.000 |
| 18729450.409 | 7454133.930 | 18729448.269 | 0.000 | -1069603.513 | 0.000 |
| 18729450.409 | 18729448.269 | 7454133.930 | -0.000 | -0.000 | -1069603.513 |
| 245.184 | 10.829 | 10.829 | 0.000 | -0.000 | -0.000 |
| 10.829 | 245.184 | 10.829 | -0.000 | 0.000 | -0.000 |
| 10.829 | 10.829 | 245.184 | -0.000 | 0.000 | -0.000 |
| -7454133.930 | -18729450.409 | -18729448.269 | -1069603.513 | -0.000 | 0.000 |
| -18729450.409 | -7454133.930 | -18729448.269 | 0.000 | -1069603.513 | -0.000 |
| -18729450.409 | -18729448.269 | -7454133.930 | 0.000 | 0.000 | -1069603.513 |
| -137595400.631 | 59418508.489 | 59418508.489 | 0.000 | -0.000 | -0.000 |
| 59418508.489 | -137595400.631 | 59418508.489 | -0.000 | 0.000 | 0.000 |
| 59418508.489 | 59418508.489 | -137595400.630 | 0.000 | 0.000 | 0.000 |
| 692744567.379 | 1819806341.836 | 1819806339.512 | -116244671.944 | -0.000 | 0.000 |
| 1819806341.836 | 692744567.379 | 1819806339.512 | 0.000 | -116244671.944 | -0.000 |
| 1819806341.836 | 1819806339.512 | 692744567.379 | -0.000 | -0.000 | -116244671.944 |
| 232.773 | -0.836 | -0.837 | 0.000 | -0.000 | -0.000 |
| -0.836 | 232.773 | -0.837 | 0.000 | -0.000 | 0.000 |
| -0.836 | -0.836 | 232.772 | -0.000 | 0.000 | -0.000 |
| -692744567.379 | -1819806341.836 | -1819806339.512 | -116244671.944 | -0.000 | -0.000 |
| -1819806341.836 | -692744567.379 | -1819806339.512 | -0.000 | -116244671.944 | 0.000 |
| -1819806341.836 | -1819806339.512 | -692744567.379 | 0.000 | 0.000 | -116244671.944 |
| -13759358.334 | 5941855.025 | 5941855.025 | -0.000 | -0.000 | 0.000 |
| 5941855.025 | -13759358.334 | 5941855.025 | 0.000 | -0.000 | 0.000 |
| 5941855.025 | 5941855.025 | -13759358.334 | 0.000 | 0.000 | 0.000 |
| 69274464.254 | 181980632.339 | 181980630.014 | -11624408.574 | -0.000 | -0.000 |
| 181980632.339 | 69274464.254 | 181980630.014 | 0.000 | -11624408.574 | 0.000 |
| 181980632.339 | 181980630.014 | 69274464.254 | -0.000 | -0.000 | -11624408.574 |
| 232.773 | -0.836 | -0.836 | 0.000 | 0.000 | -0.000 |
| -0.836 | 232.773 | -0.836 | -0.000 | 0.000 | 0.000 |
| -0.836 | -0.836 | 232.773 | 0.000 | 0.000 | -0.000 |
| -69274464.254 | -181980632.339 | -181980630.015 | -11624408.574 | -0.000 | -0.000 |
| -181980632.339 | -69274464.254 | -181980630.014 | -0.000 | -11624408.574 | 0.000 |
| -181980632.339 | -181980630.014 | -69274464.254 | 0.000 | 0.000 | -11624408.574 |
| -1375754.103 | 594189.679 | 594189.679 | 0.000 | -0.000 | 0.000 |
| 594189.679 | -1375754.103 | 594189.679 | 0.000 | -0.000 | -0.000 |
| 594189.679 | 594189.679 | -1375754.103 | 0.000 | 0.000 | 0.000 |
| 6927453.942 | 18198061.390 | 18198059.065 | -1162382.237 | -0.000 | -0.000 |
| 18198061.390 | 6927453.942 | 18198059.065 | -0.000 | -1162382.237 | 0.000 |
| 18198061.390 | 18198059.065 | 6927453.942 | 0.000 | -0.000 | -1162382.237 |
| 232.771 | -0.836 | -0.836 | -0.000 | 0.000 | -0.000 |
| -0.836 | 232.771 | -0.836 | 0.000 | 0.000 | -0.000 |
| -0.836 | -0.836 | 232.771 | 0.000 | 0.000 | -0.000 |
| -6927453.942 | -18198061.390 | -18198059.065 | -1162382.237 | 0.000 | -0.000 |
| -18198061.390 | -6927453.942 | -18198059.065 | 0.000 | -1162382.237 | 0.000 |
| -18198061.390 | -18198059.065 | -6927453.942 | -0.000 | 0.000 | -1162382.237 |
| -362193789.616 | 1309008278.251 | -2.139 | 0.000 | 0.000 | 0.000 |
| 49.359 | 108.094 | 12.356 | -0.000 | 0.000 | 0.000 |
| 66.604 | 12.949 | 268.291 | -0.000 | 0.000 | 0.000 |
| -0.000 | -0.000 | 0.000 | 46.589 | 0.000 | -0.000 |
| 0.516 | 0.532 | -0.459 | 0.000 | 103.137 | 0.000 |
| 1.176 | 1.311 | -0.967 | -0.000 | 0.000 | 108.827 |
| 309.672 | 37.675 | 83.068 | -0.000 | -0.000 | -0.000 |
| 49.398 | 112.685 | 59.033 | -0.000 | -0.000 | -0.000 |
| -6.351 | 27.111 | 25.689 | -0.000 | -0.000 | -0.000 |
| 0.000 | -0.000 | -0.000 | 46.589 | -0.000 | -0.000 |
| -2.421 | -9.015 | -3.173 | 0.000 | -2.254 | -0.000 |
| -0.134 | -0.138 | 0.120 | -0.000 | -0.000 | 119.094 |
| -36219290.134 | 130900852.014 | -0.214 | -0.000 | 0.000 | 0.000 |
| 46.583 | 179.265 | 28.846 | -0.000 | 0.000 | -0.000 |
| 66.604 | 12.949 | 268.291 | -0.000 | 0.000 | 0.000 |
| 0.000 | -0.000 | 0.000 | 46.589 | 0.000 | 0.000 |
| 0.243 | 0.908 | 0.320 | -0.000 | -2.950 | 0.000 |
| 0.115 | 0.216 | -0.022 | 0.000 | 0.000 | 108.493 |
| 290.311 | 43.389 | 12.175 | 0.000 | -0.000 | -0.000 |
| 51.240 | 114.432 | 57.466 | 0.000 | -0.000 | -0.000 |
| 66.604 | 12.949 | 268.291 | -0.000 | -0.000 | -0.000 |
| -0.000 | 0.000 | -0.000 | 46.589 | -0.000 | -0.000 |
| -0.240 | -0.904 | -0.323 | 0.000 | -1.840 | -0.000 |
| -0.115 | -0.216 | 0.022 | 0.000 | -0.000 | 108.493 |
| -3621840.186 | 13090109.390 | -0.021 | -0.000 | 0.000 | 0.000 |
| 32.689 | 101.654 | 0.024 | 0.000 | 0.000 | 0.000 |
| -5.335 | -15.875 | 0.050 | 0.000 | 0.000 | 0.000 |
| 0.000 | -0.000 | -0.000 | 46.589 | 0.000 | 0.000 |
| 0.025 | 0.090 | 0.032 | -0.000 | -2.959 | 0.000 |
| 0.012 | 0.012 | -0.010 | -0.000 | 0.000 | 108.983 |
| 284.525 | 22.094 | -0.024 | 0.000 | -0.000 | -0.000 |
| 32.642 | 101.596 | -0.024 | 0.000 | -0.000 | 0.000 |
| -5.391 | -15.972 | -0.082 | 0.000 | -0.000 | -0.000 |
| -0.000 | 0.000 | 0.000 | 46.589 | -0.000 | -0.000 |
| -0.025 | -0.090 | -0.032 | 0.000 | -2.959 | -0.000 |
| -0.012 | -0.012 | 0.010 | 0.000 | -0.000 | 108.983 |
| 1133.288 | 127.080 | 84.682 | 0.000 | 0.000 | -0.001 |
| 127.079 | 1133.293 | 84.682 | -0.000 | 0.000 | 0.000 |
| 85.133 | 85.137 | 1173.180 | 0.000 | 0.001 | -0.000 |
| -0.001 | -0.001 | -0.001 | 461.552 | 0.000 | -0.000 |
| 0.001 | 0.001 | 0.000 | 0.000 | 461.553 | 0.001 |
| 22.955 | 22.955 | -45.755 | 0.000 | -0.000 | 449.456 |
| 1133.292 | 127.081 | 84.673 | 0.000 | 0.000 | -0.000 |
| 127.082 | 1133.293 | 84.673 | -0.000 | 0.000 | 0.000 |
| 117.245 | 117.245 | 1109.174 | -0.001 | -0.000 | 0.001 |
| 0.001 | 0.001 | 0.000 | 461.552 | 0.000 | 0.000 |
| -0.001 | -0.001 | -0.001 | 0.000 | 461.551 | -0.000 |
| -22.953 | -22.955 | 45.755 | -0.000 | 0.000 | 449.456 |
| 1054.252 | 152.071 | 138.549 | 0.000 | -0.000 | -0.000 |
| 156.671 | 1054.166 | 134.051 | 0.000 | 0.000 | -0.000 |
| 142.235 | 142.236 | 1059.362 | 0.000 | 0.000 | 0.000 |
| -0.000 | -0.000 | 0.000 | 461.552 | 0.000 | -0.000 |
| 2.273 | 2.273 | -4.531 | 0.000 | 433.974 | -0.000 |
| -0.000 | -0.000 | 0.000 | 0.000 | 0.000 | 503.106 |
| 1049.549 | 152.063 | 143.244 | -0.000 | -0.000 | 0.000 |
| 127.080 | 1133.293 | 84.679 | -0.000 | 0.000 | -0.000 |
| 137.709 | 137.708 | 1068.385 | -0.000 | -0.000 | 0.000 |
| 0.000 | 0.000 | -0.000 | 461.552 | -0.000 | 0.000 |
| -2.273 | -2.274 | 4.531 | -0.000 | 433.974 | 0.000 |
| -0.000 | 0.000 | -0.000 | -0.000 | 0.000 | 503.107 |
| 1052.427 | 149.781 | 142.654 | 0.000 | -0.000 | -0.000 |
| 149.778 | 1052.436 | 142.647 | 0.000 | -0.000 | -0.000 |
| 140.187 | 140.187 | 1063.448 | 0.000 | 0.000 | -0.000 |
| 0.000 | -0.000 | 0.000 | 461.552 | 0.000 | -0.000 |
| -0.000 | 0.000 | 0.000 | 0.000 | 461.552 | -0.000 |
| 0.000 | 0.000 | 0.000 | 0.000 | -0.000 | 503.106 |
| 1133.290 | 127.080 | 84.679 | -0.000 | -0.000 | 0.000 |
| 153.970 | 1050.988 | 139.906 | -0.000 | -0.000 | 0.000 |
| 139.725 | 139.725 | 1064.362 | -0.000 | 0.000 | 0.000 |
| -0.228 | -0.227 | 0.453 | 433.973 | -0.000 | 0.000 |
| 0.000 | -0.000 | -0.000 | -0.000 | 461.552 | 0.000 |
| -0.000 | -0.000 | -0.000 | 0.000 | -0.000 | 503.106 |
| 1133.220 | 126.972 | 84.827 | -0.000 | 0.001 | 0.000 |
| 126.971 | 1133.220 | 84.825 | -0.001 | 0.001 | 0.001 |
| -1767.924 | -1767.924 | 4873.731 | -0.001 | -0.000 | 0.000 |
| -1906.777 | -1906.777 | 3807.071 | 433.661 | -0.000 | 0.000 |
| -1907.593 | -1907.593 | 3808.676 | 0.000 | 433.650 | 0.000 |
| -0.000 | 0.000 | -0.016 | 0.000 | -0.000 | 503.125 |
| 2961.635 | 2057.540 | -3667.741 | 0.001 | 0.000 | -0.001 |
| 2049.824 | 2933.979 | -3632.419 | -0.000 | 0.000 | -0.001 |
| 2049.808 | 2049.808 | -2748.708 | -0.000 | 0.000 | -0.000 |
| 1906.777 | 1906.777 | -3807.074 | 433.662 | -0.000 | -0.000 |
| 1907.593 | 1907.593 | -3808.675 | -0.000 | 433.650 | -0.000 |
| -0.000 | -0.000 | 0.017 | 0.000 | 0.000 | 503.124 |
| 863.764 | -40.352 | 520.870 | 0.000 | -0.000 | 0.000 |
| -40.352 | 863.764 | 520.869 | -0.000 | -0.000 | 0.000 |
| -51.187 | -51.187 | 1446.117 | -0.000 | 0.000 | 0.000 |
| -190.672 | -190.672 | 380.693 | 433.663 | 0.000 | 0.000 |
| -190.954 | -190.954 | 381.255 | 0.000 | 433.622 | 0.000 |
| -0.000 | -0.000 | -0.001 | -0.000 | 0.000 | 503.124 |
| 1133.220 | 126.971 | 84.835 | -0.000 | -0.000 | -0.000 |
| 126.971 | 1133.220 | 84.835 | -0.000 | 0.000 | -0.000 |
| 330.923 | 330.923 | 683.201 | 0.000 | -0.000 | -0.000 |
| 190.672 | 190.672 | -380.693 | 433.663 | 0.000 | -0.000 |
| 190.954 | 190.954 | -381.255 | -0.000 | 433.622 | -0.000 |
| -0.000 | 0.000 | 0.001 | 0.000 | -0.000 | 503.124 |
| 1032.144 | 135.841 | 176.888 | 0.000 | 0.000 | 0.000 |
| 126.972 | 1133.224 | 84.835 | -0.000 | -0.000 | 0.000 |
| 121.076 | 121.076 | 1102.184 | -0.000 | -0.000 | 0.000 |
| -18.975 | -18.976 | 37.886 | 433.797 | -0.000 | 0.000 |
| -18.935 | -18.934 | 37.805 | 0.000 | 433.888 | 0.000 |
| -19.954 | -19.953 | 39.839 | 0.000 | -0.000 | 449.687 |
| 1133.217 | 126.970 | 84.834 | 0.000 | 0.000 | -0.000 |
| 171.826 | 1070.088 | 103.076 | -0.000 | -0.000 | -0.000 |
| 85.068 | 85.068 | 1174.068 | 0.000 | -0.000 | -0.000 |
| 18.975 | 18.976 | -37.886 | 433.797 | -0.000 | -0.000 |
| 18.935 | 18.934 | -37.805 | -0.000 | 433.888 | -0.000 |
| 19.954 | 19.953 | -39.839 | -0.000 | -0.000 | 449.687 |
| 1133.149 | 126.871 | 84.977 | 0.000 | 0.000 | 0.000 |
| 126.868 | 1133.151 | 84.976 | -0.001 | 0.000 | 0.001 |
| 379.873 | 379.873 | 585.271 | -0.000 | 0.000 | 0.000 |
| 369.673 | 369.675 | -739.220 | 421.873 | 0.000 | 0.000 |
| 369.674 | 369.674 | -739.220 | 0.000 | 421.873 | 0.000 |
| 369.109 | 369.109 | -738.089 | 0.000 | 0.000 | 429.166 |
| 671.683 | -193.082 | 866.264 | 0.001 | -0.000 | -0.000 |
| -193.081 | 671.681 | 866.264 | -0.001 | -0.000 | -0.000 |
| 85.007 | 85.005 | 1174.909 | 0.000 | -0.000 | -0.000 |
| -369.673 | -369.675 | 739.218 | 421.873 | -0.000 | -0.000 |
| -369.674 | -369.674 | 739.220 | -0.000 | 421.873 | -0.000 |
| -369.109 | -369.109 | 738.089 | -0.000 | -0.000 | 429.166 |
| 1078.368 | 178.830 | 87.802 | -0.000 | 0.000 | 0.000 |
| 178.830 | 1078.368 | 87.802 | -0.000 | 0.000 | 0.000 |
| 165.143 | 165.143 | 1014.658 | -0.000 | 0.000 | 0.000 |
| 24.776 | 24.776 | -49.544 | 434.879 | 0.000 | 0.000 |
| 24.775 | 24.775 | -49.542 | -0.000 | 434.880 | 0.000 |
| 30.975 | 30.975 | -61.939 | -0.000 | 0.000 | 441.063 |
| 1017.430 | 125.105 | 202.446 | 0.000 | -0.000 | -0.000 |
| 135.323 | 1023.492 | 186.168 | 0.000 | -0.000 | -0.000 |
| 124.708 | 124.708 | 1095.513 | 0.000 | -0.000 | 0.000 |
| -24.776 | -24.776 | 49.544 | 434.879 | -0.000 | -0.000 |
| -24.775 | -24.775 | 49.542 | 0.000 | 434.879 | -0.000 |
| -30.975 | -30.975 | 61.939 | 0.000 | -0.000 | 441.063 |
| 1053.631 | 157.400 | 133.965 | -0.000 | 0.000 | 0.000 |
| 154.614 | 1053.757 | 136.625 | -0.000 | 0.000 | 0.000 |
| 85.005 | 85.005 | 1174.910 | -0.000 | 0.000 | 0.000 |
| 2.596 | 2.595 | -5.189 | 433.619 | 0.000 | 0.000 |
| 2.581 | 2.581 | -5.161 | 0.000 | 433.777 | 0.000 |
| 2.713 | 2.714 | -5.426 | 0.000 | 0.000 | 448.759 |
| 1133.148 | 126.870 | 84.979 | 0.000 | -0.000 | -0.000 |
| 149.186 | 1048.710 | 147.090 | 0.000 | -0.000 | -0.000 |
| 85.005 | 85.005 | 1174.901 | 0.000 | -0.000 | 0.000 |
| -2.596 | -2.595 | 5.189 | 433.619 | -0.000 | -0.000 |
| -2.581 | -2.581 | 5.161 | -0.000 | 433.777 | -0.000 |
| -2.713 | -2.714 | 5.426 | -0.000 | -0.000 | 448.759 |
| 296.662 | 73.087 | 67.979 | -0.000 | -0.000 | -0.000 |
| 401167653.725 | 66951807.843 | 151050390.528 | -0.000 | -0.000 | -0.000 |
| 67.963 | 70.637 | 237.844 | -0.000 | -0.000 | 0.000 |
| -0.054 | -0.050 | -0.020 | 101.220 | 0.000 | -0.000 |
| -0.036 | -0.033 | -0.014 | 0.000 | 102.747 | -0.000 |
| -0.027 | -0.025 | -0.010 | -0.000 | -0.000 | 115.151 |
| 296.739 | 73.157 | 68.007 | 0.000 | 0.000 | 0.000 |
| 269.848 | 466.932 | 140.429 | 0.000 | 0.001 | 0.000 |
| 68.045 | 70.712 | 237.873 | 0.000 | -0.000 | 0.000 |
| 0.054 | 0.050 | 0.020 | 101.220 | -0.000 | 0.000 |
| 0.036 | 0.033 | 0.013 | -0.000 | 102.747 | 0.000 |
| 0.027 | 0.025 | 0.009 | 0.000 | 0.000 | 115.152 |
| 296.708 | 73.129 | 67.996 | -0.000 | -0.000 | -0.000 |
| 40116860.490 | 6695438.323 | 15105109.501 | -0.000 | -0.000 | 0.000 |
| 67.988 | 70.660 | 237.853 | -0.000 | -0.000 | 0.000 |
| -0.001 | -0.001 | -0.000 | 101.220 | 0.000 | -0.000 |
| -0.006 | -0.005 | -0.002 | -0.000 | 102.747 | -0.000 |
| -0.004 | -0.003 | -0.001 | -0.000 | -0.000 | 115.151 |
| 296.716 | 73.136 | 67.999 | 0.000 | 0.000 | -0.000 |
| 269.874 | 466.956 | 140.438 | 0.000 | 0.000 | -0.000 |
| 67.997 | 70.669 | 237.856 | 0.000 | 0.000 | 0.000 |
| 0.001 | 0.001 | 0.000 | 101.220 | -0.000 | 0.000 |
| 0.006 | 0.005 | 0.002 | 0.000 | 102.747 | 0.000 |
| 0.004 | 0.003 | 0.001 | 0.000 | 0.000 | 115.151 |
| 296.713 | 73.133 | 67.997 | -0.000 | -0.000 | -0.000 |
| 4011781.166 | 669801.371 | 1510581.399 | -0.000 | -0.000 | -0.000 |
| 67.992 | 70.664 | 237.855 | -0.000 | -0.000 | -0.000 |
| -0.001 | -0.001 | -0.000 | 101.220 | -0.000 | -0.000 |
| 0.000 | 0.000 | 0.000 | 0.000 | 102.747 | 0.000 |
| -0.001 | -0.000 | -0.000 | -0.000 | -0.000 | 115.151 |
| 296.712 | 73.133 | 67.997 | 0.000 | 0.000 | 0.000 |
| 269.861 | 466.939 | 140.423 | 0.000 | 0.000 | 0.000 |
| 67.993 | 70.665 | 237.854 | 0.000 | 0.000 | 0.000 |
| 0.001 | 0.001 | 0.000 | 101.220 | -0.000 | -0.000 |
| -0.000 | -0.000 | -0.000 | 0.000 | 102.747 | 0.000 |
| 0.001 | 0.000 | 0.000 | 0.000 | 0.000 | 115.151 |
| -14361320.168 | -14361463.186 | -14361463.098 | 0.000 | 0.000 | 0.000 |
| -14361463.088 | -14361320.158 | -14361463.177 | -0.000 | 0.000 | -0.000 |
| -14361463.186 | -14361463.098 | -14361320.167 | 0.000 | 0.000 | -0.000 |
| -24466066.462 | -22862383.006 | -23489914.916 | -5386579.533 | -0.000 | -0.000 |
| -23489914.809 | -24466066.462 | -22862383.115 | -0.000 | -5386579.539 | -0.000 |
| -22862383.007 | -23489914.916 | -24466066.463 | -0.000 | 0.000 | -5386579.533 |
| 291.483 | 113.352 | 113.352 | -0.000 | -0.000 | 0.000 |
| 113.353 | 291.483 | 113.352 | 0.000 | -0.000 | -0.000 |
| 113.352 | 113.352 | 291.484 | 0.000 | 0.000 | 0.000 |
| 24466066.462 | 22862383.007 | 23489914.916 | -5386579.533 | 0.000 | 0.000 |
| 23489914.809 | 24466066.462 | 22862383.115 | 0.000 | -5386579.539 | 0.000 |
| 22862383.007 | 23489914.916 | 24466066.463 | 0.000 | -0.000 | -5386579.533 |
| -1435923.594 | -1436066.613 | -1436066.525 | -0.000 | -0.000 | -0.000 |
| -1436066.525 | -1435923.594 | -1436066.613 | -0.000 | 0.000 | -0.000 |
| -1436066.613 | -1436066.525 | -1435923.594 | -0.000 | -0.000 | -0.000 |
| -2446629.452 | -2286260.932 | -2349014.539 | -538583.037 | -0.000 | -0.000 |
| -2349014.432 | -2446629.452 | -2286261.040 | -0.000 | -538583.043 | -0.000 |
| -2286260.932 | -2349014.539 | -2446629.452 | -0.000 | 0.000 | -538583.037 |
| 291.476 | 113.346 | 113.346 | 0.000 | -0.000 | 0.000 |
| 113.346 | 291.476 | 113.346 | -0.000 | -0.000 | 0.000 |
| 113.346 | 113.346 | 291.476 | 0.000 | -0.000 | 0.000 |
| 2446629.452 | 2286260.932 | 2349014.539 | -538583.036 | -0.000 | 0.000 |
| 2349014.432 | 2446629.452 | 2286261.040 | 0.000 | -538583.043 | 0.000 |
| 2286260.932 | 2349014.539 | 2446629.452 | -0.000 | -0.000 | -538583.036 |
| -143383.907 | -143526.927 | -143526.839 | -0.000 | -0.000 | -0.000 |
| -143526.839 | -143383.907 | -143526.927 | 0.000 | -0.000 | 0.000 |
| -143526.927 | -143526.839 | -143383.907 | -0.000 | 0.000 | -0.000 |
| -244685.702 | -228648.676 | -234924.452 | -53783.379 | 0.000 | -0.000 |
| -234924.345 | -244685.702 | -228648.784 | -0.000 | -53783.386 | -0.000 |
| -228648.676 | -234924.452 | -244685.702 | 0.000 | 0.000 | -53783.379 |
| 291.479 | 113.350 | 113.350 | -0.000 | -0.000 | 0.000 |
| 113.350 | 291.479 | 113.350 | -0.000 | -0.000 | 0.000 |
| 113.350 | 113.350 | 291.479 | -0.000 | -0.000 | 0.000 |
| 244685.702 | 228648.676 | 234924.452 | -53783.379 | -0.000 | 0.000 |
| 234924.345 | 244685.702 | 228648.784 | 0.000 | -53783.386 | 0.000 |
| 228648.676 | 234924.452 | 244685.702 | 0.000 | -0.000 | -53783.379 |
| 258.436 | 61.450 | 61.450 | -0.000 | -0.000 | 0.000 |
| 61.449 | 258.437 | 61.450 | -0.000 | -0.000 | -0.000 |
| 61.449 | 61.450 | 258.436 | -0.000 | -0.000 | -0.000 |
| -0.000 | 0.001 | -0.000 | 98.493 | -0.000 | 0.000 |
| -0.000 | 0.001 | -0.000 | -0.000 | 98.493 | -0.000 |
| -0.000 | 0.000 | -0.000 | -0.000 | -0.000 | 98.494 |
| 258.437 | 61.449 | 61.449 | 0.000 | 0.000 | 0.000 |
| 61.450 | 258.436 | 61.449 | 0.000 | 0.000 | -0.000 |
| 61.450 | 61.449 | 258.436 | 0.000 | 0.000 | 0.000 |
| 0.000 | -0.001 | -0.000 | 98.493 | 0.000 | 0.000 |
| 0.000 | -0.001 | 0.000 | 0.000 | 98.493 | 0.000 |
| 0.000 | -0.001 | 0.000 | 0.000 | 0.000 | 98.494 |
| 258.436 | 61.450 | 61.450 | -0.000 | -0.000 | 0.000 |
| 61.450 | 258.436 | 61.450 | -0.000 | -0.000 | -0.000 |
| 61.450 | 61.450 | 258.436 | -0.000 | -0.000 | -0.000 |
| -0.025 | -0.025 | -0.025 | 67.687 | -0.000 | -0.000 |
| -0.025 | -0.025 | -0.025 | -0.000 | 67.687 | -0.000 |
| -0.025 | -0.025 | -0.025 | -0.000 | -0.000 | 67.687 |
| 258.436 | 61.449 | 61.450 | 0.000 | 0.000 | 0.000 |
| 61.450 | 258.436 | 61.450 | 0.000 | 0.000 | 0.000 |
| 61.450 | 61.449 | 258.436 | 0.000 | 0.000 | 0.000 |
| 0.025 | 0.025 | 0.025 | 67.687 | 0.000 | -0.000 |
| 0.025 | 0.025 | 0.025 | 0.000 | 67.687 | 0.000 |
| 0.025 | 0.025 | 0.025 | 0.000 | 0.000 | 67.687 |
| 82.376 | 44.332 | 44.332 | -0.000 | -0.000 | 0.000 |
| 44.332 | 82.376 | 44.332 | -0.000 | -0.000 | 0.000 |
| 44.332 | 44.332 | 82.376 | -0.000 | -0.000 | 0.000 |
| 0.000 | 0.000 | 0.000 | 98.493 | -0.000 | -0.000 |
| -0.000 | 0.000 | 0.000 | -0.000 | 98.493 | -0.000 |
| 0.000 | 0.000 | 0.000 | -0.000 | -0.000 | 98.493 |
| 53.798 | 24.676 | 24.676 | 0.000 | 0.000 | 0.000 |
| 71.862 | 192.478 | 71.862 | 0.000 | 0.000 | 0.000 |
| 71.862 | 71.862 | 192.478 | 0.000 | 0.000 | -0.000 |
| -0.000 | -0.000 | -0.000 | 98.493 | 0.000 | 0.000 |
| 0.000 | -0.000 | -0.000 | 0.000 | 98.493 | 0.000 |
| -0.000 | -0.000 | -0.000 | 0.000 | 0.000 | 98.493 |
| 198.570 | -166.796 | -166.800 | 0.003 | 0.003 | -0.001 |
| -150.105 | 102.154 | -150.111 | 0.001 | 0.001 | -0.000 |
| 176.858 | 176.860 | -289.302 | -0.000 | -0.000 | 0.000 |
| -0.556 | -0.587 | -0.592 | 190.538 | 0.003 | -0.001 |
| 0.000 | 0.000 | 0.000 | 0.000 | 98.445 | -0.000 |
| -32.403 | -32.410 | -32.411 | 0.001 | 0.001 | 133.718 |
| 258.310 | 61.419 | 61.420 | -0.000 | -0.000 | 0.000 |
| 61.419 | 258.310 | 61.420 | -0.000 | 0.000 | 0.000 |
| -42.208 | -42.219 | 13.048 | 0.001 | 0.001 | -0.000 |
| 32.313 | 32.321 | 32.322 | 133.819 | -0.001 | 0.000 |
| 0.000 | -0.000 | -0.000 | -0.000 | 98.445 | 0.000 |
| 43.218 | 43.164 | 43.156 | 0.005 | 0.006 | -26.603 |
| 258.310 | 61.420 | 61.420 | 0.000 | -0.000 | -0.000 |
| 61.420 | 258.310 | 61.420 | -0.000 | 0.000 | -0.000 |
| 7.453 | 7.454 | -62.669 | -0.000 | -0.000 | 0.000 |
| -2.698 | -2.697 | -2.697 | -41.374 | -0.000 | 0.000 |
| -2.698 | -2.697 | -2.697 | -0.000 | -41.374 | 0.000 |
| -0.908 | -0.908 | -0.908 | -0.000 | -0.000 | 25.987 |
| 171.872 | 69.577 | 69.577 | 0.000 | 0.000 | -0.000 |
| 69.574 | 171.909 | 69.573 | 0.000 | 0.000 | -0.000 |
| 69.574 | 69.574 | 171.909 | 0.000 | 0.000 | -0.000 |
| 2.698 | 2.697 | 2.697 | -41.374 | 0.000 | -0.000 |
| 2.698 | 2.697 | 2.697 | 0.000 | -41.374 | -0.000 |
| -4.785 | -4.786 | -4.786 | 0.000 | 0.000 | 50.654 |
| 49.922 | 23.424 | 23.424 | -0.000 | -0.000 | 0.000 |
| 44.253 | 80.190 | 44.253 | -0.000 | -0.000 | -0.000 |
| -9.014 | -9.014 | 30.855 | -0.000 | -0.000 | 0.000 |
| 0.399 | 0.399 | 0.399 | 33.930 | -0.000 | 0.000 |
| 0.399 | 0.399 | 0.399 | -0.000 | 33.930 | -0.000 |
| 0.399 | 0.399 | 0.399 | -0.000 | -0.000 | 33.930 |
| 83.045 | 43.388 | 43.388 | 0.000 | 0.000 | -0.000 |
| -7.106 | 32.441 | -7.105 | 0.000 | 0.000 | -0.000 |
| 43.388 | 43.388 | 83.045 | 0.000 | 0.000 | -0.000 |
| -0.399 | -0.399 | -0.399 | 33.930 | 0.000 | -0.000 |
| -0.399 | -0.399 | -0.399 | 0.000 | 33.930 | -0.000 |
| -0.399 | -0.399 | -0.399 | 0.000 | 0.000 | 33.930 |
| -54495221.892 | 522856807.725 | 255008074.374 | 299729047.010 | -0.000 | 0.000 |
| -690432891.611 | -690432677.606 | -286082353.136 | -3.213 | -0.000 | -0.000 |
| -690432939.085 | -690432939.086 | -286082227.048 | -0.000 | -0.000 | -0.000 |
| -11342896.194 | -290144814.780 | -34174621.811 | 52029127.812 | -0.001 | -0.000 |
| 520817564.270 | 357821486.892 | 258780172.922 | -101430527.067 | -183075846.037 | 161176033.241 |
| 68916552.711 | -69238832.507 | 125316160.742 | -175127247.873 | 3874831.263 | -223569006.689 |
| 315.237 | 77.603 | 72.983 | 0.186 | 0.000 | 0.000 |
| 128.256 | 365.890 | 80.441 | -0.185 | 0.000 | -0.000 |
| 102.006 | 102.006 | 247.407 | 0.001 | 0.000 | 0.000 |
| 54495581.799 | -522856599.928 | -255007858.947 | -299728968.024 | 0.000 | 0.000 |
| -520817564.270 | -357821486.892 | -258780172.923 | 101430527.067 | -183075846.036 | 161176033.241 |
| -68916552.711 | 69238832.507 | -125316160.742 | 175127247.873 | 3874831.264 | -223569006.689 |
| -5449246.852 | 52285806.540 | 25500925.917 | 29972905.304 | -0.000 | -0.000 |
| -69043180.959 | -69042966.954 | -28608140.736 | -3.213 | -0.000 | -0.000 |
| -69043229.205 | -69043229.205 | -28608015.139 | -0.000 | -0.000 | -0.000 |
| -1134279.251 | -29014466.679 | -3417456.796 | 5203004.824 | -0.000 | -0.000 |
| 52081811.737 | 35782219.688 | 25878005.608 | -10143053.098 | -18307506.221 | 16117605.612 |
| 6891661.283 | -6923881.854 | 12531612.422 | -17512723.716 | 387484.953 | -22356808.625 |
| 315.237 | 77.604 | 72.981 | 0.185 | 0.000 | -0.000 |
| 128.214 | 365.848 | 80.434 | -0.185 | 0.000 | 0.000 |
| 102.062 | 102.062 | 247.414 | 0.000 | 0.000 | 0.000 |
| 5449606.726 | -52285598.794 | -25500710.547 | -29972826.309 | 0.000 | 0.000 |
| -52081811.737 | -35782219.688 | -25878005.608 | 10143053.098 | -18307506.221 | 16117605.612 |
| -6891661.283 | 6923881.854 | -12531612.422 | 17512723.716 | 387484.953 | -22356808.625 |
| -6903998.841 | -6904212.848 | -2860720.283 | 3.213 | -0.000 | -0.000 |
| -6904209.901 | -6903995.894 | -2860719.504 | -3.213 | -0.000 | 0.000 |
| -6904258.239 | -6904258.239 | -2860593.961 | -0.000 | -0.000 | -0.000 |
| -113417.660 | -2901432.203 | -341740.379 | 520392.430 | -0.000 | 0.000 |
| 5208236.440 | 3578292.958 | 2587788.880 | -1014305.691 | -1830672.229 | 1611762.840 |
| 689172.141 | -692386.788 | 1253157.591 | -1751271.301 | 38750.322 | -2235588.818 |
| 315.238 | 77.604 | 72.981 | 0.185 | 0.000 | 0.000 |
| 128.231 | 365.862 | 80.435 | -0.185 | 0.000 | -0.000 |
| 102.063 | 102.063 | 247.413 | 0.000 | -0.000 | 0.000 |
| 545009.249 | -5228498.635 | -2549995.655 | -2997212.147 | 0.000 | 0.000 |
| -5208236.440 | -3578292.958 | -2587788.880 | 1014305.691 | -1830672.229 | 1611762.840 |
| -689172.141 | 692386.788 | -1253157.591 | 1751271.301 | 38750.322 | -2235588.818 |
| -633142355.484 | -594826449.775 | -286375229.577 | 16304108.275 | -0.000 | 0.000 |
| -644067822.087 | -644067604.073 | -285212387.075 | -2.992 | -0.001 | 0.000 |
| -644067737.838 | -644067737.838 | -285212181.929 | 0.000 | 0.000 | -0.000 |
| -610460589.537 | -626390601.564 | -294504881.669 | -2776637.769 | -0.000 | 0.000 |
| -612124463.819 | -611326059.071 | -285290335.848 | -86751.227 | -6024140.331 | 16044629.815 |
| -619621276.396 | -623318775.354 | -290434248.813 | -3336859.362 | 18162979.631 | -15781069.171 |
| 306.736 | 72.862 | 70.769 | -0.202 | 0.000 | -0.000 |
| 133.572 | 367.446 | 49.481 | 0.203 | 0.001 | -0.000 |
| 104.684 | 104.684 | 229.220 | 0.000 | -0.000 | -0.000 |
| 633142812.140 | 594826836.159 | 286375443.686 | -16303969.176 | 0.000 | -0.000 |
| 612124463.819 | 611326059.071 | 285290335.848 | 86751.227 | -6024140.331 | 16044629.815 |
| 619621276.396 | 623318775.354 | 290434248.813 | 3336859.362 | 18162979.632 | -15781069.170 |
| -63313766.160 | -59482173.873 | -28637275.298 | 1630455.761 | -0.000 | 0.000 |
| -64406716.052 | -64406498.037 | -28521172.584 | -2.992 | 0.000 | -0.000 |
| -64406631.795 | -64406631.795 | -28520967.432 | 0.000 | -0.000 | -0.000 |
| -61046035.175 | -62639051.599 | -29450475.192 | -277572.645 | -0.000 | -0.000 |
| -61212309.562 | -61132465.152 | -28528948.903 | -8675.542 | -602339.387 | 1604513.722 |
| -61962119.905 | -62331871.388 | -29043422.606 | -333685.658 | 1816299.312 | -1578006.841 |
| 306.705 | 72.832 | 70.777 | -0.202 | 0.000 | 0.000 |
| 133.565 | 367.438 | 49.481 | 0.202 | 0.000 | -0.000 |
| 104.744 | 104.744 | 229.193 | 0.000 | 0.000 | 0.000 |
| 63314223.040 | 59482560.705 | 28637489.614 | -1630316.615 | 0.000 | 0.000 |
| 61212309.562 | 61132465.152 | 28528948.903 | 8675.542 | -602339.387 | 1604513.722 |
| 61962119.905 | 62331871.388 | 29043422.606 | 333685.658 | 1816299.312 | -1578006.841 |
| -6440387.352 | -6440605.368 | -2852051.062 | 2.992 | -0.000 | -0.000 |
| -6440605.447 | -6440387.431 | -2852051.134 | -2.992 | -0.000 | -0.000 |
| -6440521.192 | -6440521.192 | -2851845.978 | -0.000 | 0.000 | -0.000 |
| -6104579.726 | -6263896.595 | -2945034.538 | -27666.134 | -0.000 | 0.000 |
| -6121094.120 | -6113105.741 | -2852810.182 | -867.974 | -60159.297 | 160502.131 |
| -6196204.257 | -6233180.992 | -2904339.985 | -33368.287 | 181631.280 | -157700.608 |
| 306.705 | 72.832 | 70.776 | -0.202 | 0.000 | -0.000 |
| 133.568 | 367.437 | 49.479 | 0.202 | 0.000 | 0.000 |
| 104.740 | 104.740 | 229.192 | 0.000 | 0.000 | -0.000 |
| 6331364.204 | 5948133.229 | 2863694.218 | -162951.357 | 0.000 | 0.000 |
| 6121094.120 | 6113105.741 | 2852810.182 | 867.974 | -60159.297 | 160502.131 |
| 6196204.257 | 6233180.992 | 2904339.985 | 33368.287 | 181631.280 | -157700.608 |
| -2955385.263 | 1200018.866 | 2325514.840 | -0.000 | -0.000 | 0.000 |
| -2955593.313 | 1200283.715 | 2325552.125 | -0.000 | 0.000 | 0.000 |
| 100.455 | 155.501 | 378.278 | -0.000 | -0.000 | 0.000 |
| 0.019 | -0.006 | -0.007 | 107.114 | 0.000 | 0.000 |
| 0.019 | -0.006 | -0.007 | -0.000 | 110.328 | 0.000 |
| 142549546.751 | 33575175.316 | 12335853.633 | -0.000 | -0.000 | -53468626.382 |
| 310.487 | 114.861 | 115.355 | 0.000 | -0.000 | -0.000 |
| 54.241 | 398.978 | 172.500 | 0.000 | 0.000 | -0.000 |
| 100.424 | 155.510 | 378.289 | 0.000 | 0.000 | -0.000 |
| -0.019 | 0.006 | 0.007 | 107.114 | 0.000 | -0.000 |
| -0.019 | 0.006 | 0.007 | 0.000 | 110.328 | -0.000 |
| -142549546.751 | -33575175.316 | -12335853.633 | 0.000 | -0.000 | -53468626.383 |
| -295267.137 | 120106.201 | 232658.768 | 0.000 | -0.000 | 0.000 |
| -295476.286 | 120371.381 | 232696.510 | 0.000 | -0.000 | 0.000 |
| 100.442 | 155.505 | 378.282 | 0.000 | -0.000 | 0.000 |
| 0.000 | -0.000 | -0.000 | 107.114 | 0.000 | 0.000 |
| 0.000 | -0.000 | -0.000 | -0.000 | 110.328 | 0.000 |
| 14254951.661 | 3357517.643 | 1233586.169 | -0.000 | 0.000 | -5346775.946 |
| 309.680 | 115.075 | 115.634 | 0.000 | -0.000 | -0.000 |
| 54.372 | 398.942 | 172.455 | 0.000 | -0.000 | -0.000 |
| 100.438 | 155.506 | 378.283 | 0.000 | 0.000 | -0.000 |
| -0.000 | 0.000 | 0.000 | 107.114 | -0.000 | -0.000 |
| -0.000 | 0.000 | 0.000 | 0.000 | 110.328 | -0.000 |
| -14254951.661 | -3357517.643 | -1233586.169 | 0.000 | 0.000 | -5346775.946 |
| -29255.518 | 12114.994 | 23373.242 | -0.000 | 0.000 | 0.000 |
| -29464.685 | 12380.180 | 23410.991 | -0.000 | -0.000 | 0.000 |
| 100.441 | 155.506 | 378.284 | 0.000 | 0.000 | 0.000 |
| 0.000 | -0.000 | 0.000 | 107.114 | -0.000 | 0.000 |
| 0.000 | 0.000 | 0.000 | 0.000 | 110.328 | 0.000 |
| 1425492.160 | 335751.873 | 123359.420 | 0.000 | 0.000 | -534590.903 |
| 309.640 | 115.084 | 115.647 | 0.000 | 0.000 | -0.000 |
| 54.276 | 398.964 | 172.487 | 0.000 | -0.000 | -0.000 |
| 100.440 | 155.505 | 378.281 | 0.000 | 0.000 | -0.000 |
| -0.000 | 0.000 | -0.000 | 107.114 | -0.000 | -0.000 |
| -0.000 | -0.000 | -0.000 | 0.000 | 110.328 | -0.000 |
| -1425492.160 | -335751.873 | -123359.420 | -0.000 | -0.000 | -534590.903 |
| 251530250.251 | 230551035.832 | 457299850.287 | 0.000 | 0.000 | 0.000 |
| 251530214.644 | 230551253.269 | 457299914.872 | 0.001 | 0.000 | 0.000 |
| 61.978 | 59.205 | 301.465 | 0.001 | 0.000 | 0.000 |
| -0.001 | -0.007 | -0.022 | 99.498 | 0.001 | 0.000 |
| -0.002 | -0.018 | -0.056 | 0.001 | 100.927 | 0.000 |
| 131041981.444 | 116675853.372 | 229708977.580 | 0.001 | 0.000 | 22052942.329 |
| 239.520 | 80.010 | 122.601 | -0.000 | -0.000 | 0.000 |
| 61.360 | 258.139 | 91.518 | -0.000 | -0.000 | -0.000 |
| 61.979 | 59.220 | 301.511 | -0.001 | -0.000 | -0.000 |
| 0.000 | 0.002 | 0.005 | 99.497 | -0.001 | -0.000 |
| 0.002 | 0.018 | 0.056 | -0.001 | 100.926 | -0.000 |
| -131041981.444 | -116675853.373 | -229708977.580 | -0.000 | -0.000 | 22052942.329 |
| 25153232.712 | 23055162.855 | 45730051.615 | 0.000 | 0.000 | 0.000 |
| 25153197.202 | 23055380.323 | 45730116.251 | 0.000 | 0.000 | 0.000 |
| 61.978 | 59.205 | 301.465 | 0.000 | 0.000 | -0.000 |
| -0.000 | -0.002 | -0.005 | 99.498 | 0.000 | 0.000 |
| -0.000 | -0.001 | -0.002 | 0.000 | 100.927 | 0.000 |
| 13104213.837 | 11667590.752 | 22970927.632 | 0.000 | 0.000 | 2205324.592 |
| 239.523 | 80.046 | 122.711 | 0.000 | -0.000 | -0.000 |
| 61.364 | 258.177 | 91.635 | -0.000 | -0.000 | -0.000 |
| 61.978 | 59.208 | 301.475 | -0.000 | -0.000 | -0.000 |
| 0.000 | 0.002 | 0.005 | 99.497 | -0.000 | 0.000 |
| 0.000 | 0.003 | 0.009 | -0.000 | 100.927 | -0.000 |
| -13104213.837 | -11667590.752 | -22970927.632 | -0.000 | -0.000 | 2205324.592 |
| 2515530.962 | 2305575.558 | 4573071.750 | 0.000 | 0.000 | 0.000 |
| 2515495.464 | 2305793.034 | 4573136.382 | 0.000 | 0.000 | 0.000 |
| 61.978 | 59.205 | 301.465 | 0.000 | 0.000 | 0.000 |
| 0.000 | -0.000 | -0.000 | 99.498 | 0.000 | 0.000 |
| -0.000 | -0.000 | -0.000 | 0.000 | 100.927 | -0.000 |
| 1284360.072 | 1156991.121 | 2268092.354 | 0.000 | 0.000 | -226192.696 |
| 239.513 | 80.048 | 122.714 | -0.000 | -0.000 | -0.000 |
| 61.365 | 258.180 | 91.661 | -0.000 | -0.000 | 0.000 |
| 61.977 | 59.205 | 301.465 | -0.000 | -0.000 | -0.000 |
| -0.000 | 0.000 | 0.000 | 99.497 | -0.000 | -0.000 |
| 0.000 | 0.000 | 0.000 | -0.000 | 100.927 | -0.000 |
| -1284360.072 | -1156991.121 | -2268092.354 | -0.000 | -0.000 | -226192.696 |
| 245530913.794 | 228604288.215 | 454695274.429 | 0.001 | 0.001 | -0.000 |
| 245530865.264 | 228604495.378 | 454695329.126 | 0.001 | 0.000 | -0.000 |
| 61.319 | 58.105 | 298.682 | 0.000 | 0.000 | -0.000 |
| -0.038 | -0.127 | -0.453 | 99.009 | 0.000 | 0.000 |
| -0.036 | -0.120 | -0.426 | -0.000 | 100.714 | -0.000 |
| 127422316.712 | 115419688.810 | 226744206.668 | 0.001 | 0.000 | -22116559.727 |
| 241.291 | 75.390 | 118.300 | -0.001 | -0.000 | -0.000 |
| 62.286 | 254.471 | 88.958 | -0.001 | -0.000 | -0.000 |
| 61.391 | 58.346 | 299.536 | -0.000 | -0.001 | 0.000 |
| 0.038 | 0.128 | 0.454 | 99.008 | -0.000 | -0.000 |
| 0.036 | 0.120 | 0.426 | -0.000 | 100.713 | -0.000 |
| -127422316.712 | -115419688.810 | -226744206.668 | -0.001 | -0.000 | -22116559.727 |
| 24553309.026 | 22860491.394 | 45469600.092 | 0.000 | 0.000 | -0.000 |
| 24553260.713 | 22860698.629 | 45469654.918 | 0.000 | 0.000 | 0.000 |
| 61.352 | 58.215 | 299.070 | 0.000 | 0.000 | -0.000 |
| -0.003 | -0.012 | -0.042 | 99.009 | 0.000 | -0.000 |
| -0.003 | -0.009 | -0.030 | 0.000 | 100.713 | -0.000 |
| 12742470.884 | 11542046.816 | 22674688.163 | 0.000 | 0.000 | 2211652.212 |
| 241.272 | 75.330 | 118.088 | -0.000 | -0.000 | -0.000 |
| 62.255 | 254.365 | 88.584 | -0.000 | -0.000 | -0.000 |
| 61.359 | 58.238 | 299.155 | -0.000 | -0.000 | -0.000 |
| 0.003 | 0.012 | 0.042 | 99.009 | -0.000 | -0.000 |
| 0.003 | 0.009 | 0.030 | -0.000 | 100.713 | -0.000 |
| -12742470.884 | -11542046.816 | -22674688.163 | -0.000 | -0.000 | 2211652.212 |
| 2455548.577 | 2286111.721 | 4547032.674 | 0.000 | 0.000 | 0.000 |
| 2455500.242 | 2286318.948 | 4547087.471 | 0.000 | 0.000 | 0.000 |
| 61.355 | 58.225 | 299.107 | 0.000 | 0.000 | 0.000 |
| -0.000 | -0.001 | -0.002 | 99.009 | -0.000 | -0.000 |
| -0.000 | 0.000 | 0.000 | 0.000 | 100.713 | 0.000 |
| 1274140.795 | 1154168.700 | 2267369.947 | 0.000 | 0.000 | 221214.020 |
| 241.258 | 75.321 | 118.054 | -0.000 | -0.000 | -0.000 |
| 62.253 | 254.353 | 88.561 | -0.000 | -0.000 | 0.000 |
| 61.355 | 58.227 | 299.113 | -0.000 | -0.000 | -0.000 |
| 0.000 | 0.001 | 0.002 | 99.009 | -0.000 | 0.000 |
| 0.000 | -0.000 | -0.000 | -0.000 | 100.713 | 0.000 |
| -1274140.795 | -1154168.700 | -2267369.947 | -0.000 | -0.000 | 221214.020 |
| 529.043 | 127.335 | 0.000 | 0.000 | 0.000 | 0.000 |
| 164.064 | 492.313 | 0.000 | 0.000 | 0.000 | -0.000 |
| 0.000 | -0.000 | 0.000 | 0.000 | 0.000 | -0.000 |
| 0.000 | -0.000 | 0.000 | 0.000 | 0.000 | -0.000 |
| 0.000 | -0.000 | 0.000 | 0.000 | 0.000 | -0.000 |
| 0.000 | -0.000 | 0.000 | 0.000 | 0.000 | 200.854 |
| 492.313 | 164.064 | -0.000 | -0.000 | -0.000 | -0.000 |
| 164.063 | 492.314 | -0.000 | -0.000 | -0.000 | 0.000 |
| -0.000 | 0.000 | -0.000 | -0.000 | -0.000 | 0.000 |
| -0.000 | 0.000 | -0.000 | -0.000 | -0.000 | 0.000 |
| -0.000 | 0.000 | -0.000 | -0.000 | -0.000 | 0.000 |
| -0.000 | -0.000 | -0.000 | -0.000 | -0.000 | 200.854 |
| 529.043 | 127.335 | 0.000 | 0.000 | 0.000 | 0.000 |
| 164.064 | 492.314 | 0.000 | 0.000 | 0.000 | -0.000 |
| 0.000 | -0.000 | 0.000 | 0.000 | 0.000 | -0.000 |
| 0.000 | -0.000 | 0.000 | 0.000 | 0.000 | -0.000 |
| 0.000 | -0.000 | 0.000 | 0.000 | 0.000 | -0.000 |
| 0.000 | 0.000 | 0.000 | 0.000 | 0.000 | 200.854 |
| 492.313 | 164.064 | -0.000 | -0.000 | -0.000 | 0.000 |
| 164.063 | 492.314 | -0.000 | -0.000 | -0.000 | 0.000 |
| -0.000 | 0.000 | -0.000 | -0.000 | -0.000 | 0.000 |
| -0.000 | 0.000 | -0.000 | -0.000 | -0.000 | 0.000 |
| -0.000 | 0.000 | -0.000 | -0.000 | -0.000 | 0.000 |
| -0.000 | -0.000 | -0.000 | -0.000 | -0.000 | 200.854 |
| 492.317 | 164.063 | 0.000 | 0.000 | 0.000 | -0.000 |
| 164.066 | 492.314 | 0.000 | 0.000 | 0.000 | 0.000 |
| 0.000 | -0.000 | 0.000 | 0.000 | 0.000 | -0.000 |
| 0.000 | -0.000 | 0.000 | 0.000 | 0.000 | -0.000 |
| 0.000 | -0.000 | 0.000 | 0.000 | 0.000 | -0.000 |
| -0.000 | 0.000 | 0.000 | 0.000 | 0.000 | 164.125 |
| 492.311 | 164.065 | -0.000 | -0.000 | -0.000 | -0.000 |
| 164.062 | 492.314 | -0.000 | -0.000 | -0.000 | -0.000 |
| -0.000 | 0.000 | -0.000 | -0.000 | -0.000 | 0.000 |
| -0.000 | 0.000 | -0.000 | -0.000 | -0.000 | -0.000 |
| -0.000 | 0.000 | -0.000 | -0.000 | -0.000 | 0.000 |
| 0.000 | -0.000 | -0.000 | -0.000 | -0.000 | 164.125 |
| 211.109 | 50.812 | 0.000 | 0.000 | 0.000 | 0.000 |
| 65.468 | 196.452 | 0.000 | 0.000 | 0.000 | 0.000 |
| 0.000 | -0.000 | 0.000 | 0.000 | 0.000 | 0.000 |
| 0.000 | -0.000 | 0.000 | 0.000 | 0.000 | 0.000 |
| 0.000 | -0.000 | 0.000 | 0.000 | 0.000 | 0.000 |
| 0.000 | -0.000 | 0.000 | 0.000 | 0.000 | 80.149 |
| 196.452 | 65.468 | -0.000 | -0.000 | -0.000 | -0.000 |
| 65.468 | 196.452 | -0.000 | -0.000 | -0.000 | -0.000 |
| -0.000 | 0.000 | -0.000 | -0.000 | -0.000 | -0.000 |
| -0.000 | 0.000 | -0.000 | -0.000 | -0.000 | -0.000 |
| -0.000 | 0.000 | -0.000 | -0.000 | -0.000 | -0.000 |
| -0.000 | -0.000 | -0.000 | -0.000 | -0.000 | 80.148 |
| 211.109 | 50.812 | 0.000 | 0.000 | 0.000 | -0.000 |
| 50.812 | 211.109 | 0.000 | 0.000 | 0.000 | 0.000 |
| 0.000 | -0.000 | 0.000 | 0.000 | 0.000 | 0.000 |
| 0.000 | -0.000 | 0.000 | 0.000 | 0.000 | 0.000 |
| 0.000 | -0.000 | 0.000 | 0.000 | 0.000 | 0.000 |
| -0.000 | 0.000 | 0.000 | 0.000 | 0.000 | 65.492 |
| 196.452 | 65.468 | -0.000 | -0.000 | -0.000 | -0.000 |
| 65.468 | 196.452 | -0.000 | -0.000 | -0.000 | 0.000 |
| -0.000 | 0.000 | -0.000 | -0.000 | -0.000 | -0.000 |
| -0.000 | 0.000 | -0.000 | -0.000 | -0.000 | -0.000 |
| -0.000 | 0.000 | -0.000 | -0.000 | -0.000 | -0.000 |
| -0.000 | -0.000 | -0.000 | -0.000 | -0.000 | 65.492 |
| 196.454 | 65.467 | 0.000 | 0.000 | 0.000 | -0.000 |
| 65.469 | 196.452 | 0.000 | 0.000 | 0.000 | 0.000 |
| 0.000 | -0.000 | 0.000 | 0.000 | 0.000 | 0.000 |
| 0.000 | -0.000 | 0.000 | 0.000 | 0.000 | 0.000 |
| 0.000 | -0.000 | 0.000 | 0.000 | 0.000 | 0.000 |
| 0.000 | 0.000 | 0.000 | 0.000 | 0.000 | 80.148 |
| 196.451 | 65.468 | -0.000 | -0.000 | -0.000 | 0.000 |
| 65.467 | 196.452 | -0.000 | -0.000 | -0.000 | -0.000 |
| -0.000 | 0.000 | -0.000 | -0.000 | -0.000 | -0.000 |
| -0.000 | 0.000 | -0.000 | -0.000 | -0.000 | -0.000 |
| -0.000 | 0.000 | -0.000 | -0.000 | -0.000 | -0.000 |
| -0.000 | -0.000 | -0.000 | -0.000 | -0.000 | 80.148 |
| -1717385.541 | -1717593.303 | -1717593.303 | 0.000 | -0.000 | -0.000 |
| -1717593.303 | -1717385.541 | -1717593.303 | -0.000 | -0.000 | -0.000 |
| -1717593.303 | -1717593.303 | -1717385.541 | -0.000 | -0.000 | -0.000 |
| -6380.397 | -6380.397 | -6380.397 | -813.616 | -0.000 | 0.000 |
| -6380.398 | -6380.397 | -6380.397 | -0.000 | -813.616 | 0.000 |
| -6380.398 | -6380.397 | -6380.397 | -0.000 | -0.000 | -813.616 |
| 116.880 | 29.419 | 29.419 | 0.000 | 0.000 | 0.000 |
| 29.419 | 116.880 | 29.419 | 0.000 | 0.000 | -0.000 |
| 29.419 | 29.419 | 116.880 | 0.000 | 0.000 | -0.000 |
| 6380.397 | 6380.397 | 6380.397 | -813.616 | 0.000 | 0.000 |
| 6380.398 | 6380.397 | 6380.397 | 0.000 | -813.616 | 0.000 |
| 6380.398 | 6380.397 | 6380.397 | 0.000 | 0.000 | -813.616 |
| -171602.179 | -171809.937 | -171809.937 | -0.000 | -0.000 | -0.000 |
| -171809.937 | -171602.179 | -171809.937 | -0.000 | -0.000 | -0.000 |
| -171809.937 | -171809.937 | -171602.179 | -0.000 | -0.000 | -0.000 |
| -10209.796 | -10209.798 | -10209.798 | -1314.533 | -0.000 | 0.000 |
| -10209.798 | -10209.796 | -10209.798 | -0.000 | -1314.533 | 0.000 |
| -10209.798 | -10209.798 | -10209.796 | -0.000 | -0.000 | -1314.533 |
| 117.455 | 30.006 | 30.006 | 0.000 | 0.000 | -0.000 |
| 30.006 | 117.455 | 30.006 | 0.000 | 0.000 | 0.000 |
| 30.006 | 30.006 | 117.455 | 0.000 | 0.000 | 0.000 |
| 10209.796 | 10209.798 | 10209.798 | -1314.533 | 0.000 | 0.000 |
| 10209.798 | 10209.796 | 10209.798 | 0.000 | -1314.533 | 0.000 |
| 10209.798 | 10209.798 | 10209.796 | 0.000 | 0.000 | -1314.533 |
| -17028.765 | -17236.506 | -17236.506 | -0.000 | -0.000 | -0.000 |
| -17236.506 | -17028.765 | -17236.506 | -0.000 | -0.000 | -0.000 |
| -17236.506 | -17236.506 | -17028.765 | -0.000 | -0.000 | -0.000 |
| -8163.082 | -8163.092 | -8163.094 | -1047.029 | -0.000 | -0.000 |
| -8163.092 | -8163.082 | -8163.094 | -0.000 | -1047.029 | -0.000 |
| -8163.092 | -8163.094 | -8163.082 | -0.000 | -0.000 | -1047.029 |
| 117.251 | 29.924 | 29.924 | 0.000 | 0.000 | -0.000 |
| 29.924 | 117.251 | 29.924 | 0.000 | 0.000 | 0.000 |
| 29.924 | 29.924 | 117.251 | 0.000 | 0.000 | 0.000 |
| 8163.082 | 8163.092 | 8163.094 | -1047.029 | 0.000 | 0.000 |
| 8163.092 | 8163.082 | 8163.094 | 0.000 | -1047.029 | 0.000 |
| 8163.092 | 8163.094 | 8163.082 | 0.000 | 0.000 | -1047.029 |
| 49859514.556 | 49859491.615 | 49859491.615 | 0.000 | -0.000 | -0.000 |
| 49859491.615 | 49859514.556 | 49859491.615 | -0.000 | 0.000 | 0.000 |
| 49859491.615 | 49859491.615 | 49859514.556 | 0.000 | -0.000 | -0.000 |
| 389115219.911 | 357862991.065 | 357862990.548 | -25891038.406 | -0.000 | -0.000 |
| 357862991.065 | 389115219.911 | 357862990.548 | 0.000 | -25891038.406 | -0.000 |
| 357862991.065 | 357862990.548 | 389115219.911 | 0.000 | -0.000 | -25891038.406 |
| 29.303 | -9.268 | -9.268 | 0.000 | 0.000 | 0.000 |
| -9.268 | 29.303 | -9.268 | -0.000 | 0.000 | 0.000 |
| -9.268 | -9.268 | 29.303 | -0.000 | 0.000 | 0.000 |
| -389115219.911 | -357862991.065 | -357862990.548 | -25891038.406 | 0.000 | 0.000 |
| -357862991.065 | -389115219.911 | -357862990.548 | -0.000 | -25891038.406 | 0.000 |
| -357862991.065 | -357862990.548 | -389115219.911 | -0.000 | 0.000 | -25891038.406 |
| 4985908.853 | 4985885.912 | 4985885.912 | -0.000 | -0.000 | -0.000 |
| 4985885.912 | 4985908.853 | 4985885.912 | 0.000 | -0.000 | -0.000 |
| 4985885.912 | 4985885.912 | 4985908.853 | -0.000 | -0.000 | 0.000 |
| 38911539.852 | 35786323.013 | 35786322.495 | -2589105.216 | -0.000 | -0.000 |
| 35786323.013 | 38911539.852 | 35786322.495 | 0.000 | -2589105.216 | -0.000 |
| 35786323.013 | 35786322.495 | 38911539.852 | 0.000 | -0.000 | -2589105.216 |
| 29.304 | -9.266 | -9.266 | -0.000 | 0.000 | -0.000 |
| -9.266 | 29.304 | -9.266 | -0.000 | 0.000 | 0.000 |
| -9.266 | -9.266 | 29.304 | 0.000 | 0.000 | -0.000 |
| -38911539.852 | -35786323.013 | -35786322.495 | -2589105.216 | 0.000 | 0.000 |
| -35786323.013 | -38911539.852 | -35786322.495 | -0.000 | -2589105.216 | 0.000 |
| -35786323.013 | -35786322.495 | -38911539.852 | -0.000 | 0.000 | -2589105.216 |
| 498548.284 | 498525.342 | 498525.342 | -0.000 | -0.000 | 0.000 |
| 498525.342 | 498548.284 | 498525.342 | -0.000 | -0.000 | 0.000 |
| 498525.342 | 498525.342 | 498548.284 | -0.000 | -0.000 | 0.000 |
| 3891171.846 | 3578656.208 | 3578655.690 | -258911.897 | -0.000 | -0.000 |
| 3578656.208 | 3891171.846 | 3578655.690 | 0.000 | -258911.897 | -0.000 |
| 3578656.208 | 3578655.690 | 3891171.846 | 0.000 | -0.000 | -258911.897 |
| 29.304 | -9.266 | -9.266 | 0.000 | 0.000 | 0.000 |
| -9.266 | 29.304 | -9.266 | 0.000 | 0.000 | 0.000 |
| -9.266 | -9.266 | 29.304 | 0.000 | 0.000 | -0.000 |
| -3891171.846 | -3578656.208 | -3578655.690 | -258911.897 | 0.000 | -0.000 |
| -3578656.208 | -3891171.846 | -3578655.690 | -0.000 | -258911.897 | 0.000 |
| -3578656.208 | -3578655.690 | -3891171.846 | 0.000 | 0.000 | -258911.897 |
| 40786814.372 | 40786787.915 | 40786787.915 | -0.000 | 0.000 | 0.000 |
| 40786787.915 | 40786814.372 | 40786787.915 | -0.000 | 0.000 | 0.000 |
| 40786787.915 | 40786787.915 | 40786814.372 | -0.000 | 0.000 | 0.000 |
| 316826499.761 | 330572963.930 | 330572963.702 | -11382423.831 | 0.000 | -0.000 |
| 330572963.929 | 316826499.760 | 330572963.701 | -0.000 | -11382423.830 | -0.000 |
| 330572963.929 | 330572963.701 | 316826499.760 | -0.000 | 0.000 | -11382423.830 |
| 31.015 | -8.284 | -8.284 | 0.000 | -0.000 | 0.000 |
| -8.284 | 31.015 | -8.284 | 0.000 | -0.000 | -0.000 |
| -8.284 | -8.284 | 31.015 | 0.000 | -0.000 | -0.000 |
| -316826499.760 | -330572963.929 | -330572963.701 | -11382423.830 | -0.000 | 0.000 |
| -330572963.930 | -316826499.761 | -330572963.702 | 0.000 | -11382423.831 | 0.000 |
| -330572963.929 | -330572963.701 | -316826499.760 | 0.000 | -0.000 | -11382423.830 |
| 4078645.660 | 4078619.203 | 4078619.203 | -0.000 | 0.000 | 0.000 |
| 4078619.203 | 4078645.660 | 4078619.203 | -0.000 | 0.000 | 0.000 |
| 4078619.203 | 4078619.203 | 4078645.660 | -0.000 | 0.000 | -0.000 |
| 31682640.000 | 33057290.623 | 33057290.395 | -1138230.821 | 0.000 | -0.000 |
| 33057290.623 | 31682640.000 | 33057290.395 | -0.000 | -1138230.821 | 0.000 |
| 33057290.623 | 33057290.395 | 31682640.000 | -0.000 | 0.000 | -1138230.821 |
| 31.016 | -8.283 | -8.283 | 0.000 | -0.000 | -0.000 |
| -8.283 | 31.016 | -8.283 | 0.000 | -0.000 | -0.000 |
| -8.283 | -8.283 | 31.016 | -0.000 | -0.000 | -0.000 |
| -31682640.000 | -33057290.623 | -33057290.395 | -1138230.821 | 0.000 | 0.000 |
| -33057290.623 | -31682640.000 | -33057290.395 | 0.000 | -1138230.821 | -0.000 |
| -33057290.623 | -33057290.395 | -31682640.000 | 0.000 | -0.000 | -1138230.821 |
| 407828.789 | 407802.332 | 407802.332 | -0.000 | 0.000 | 0.000 |
| 407802.332 | 407828.789 | 407802.332 | -0.000 | 0.000 | 0.000 |
| 407802.332 | 407802.332 | 407828.789 | -0.000 | -0.000 | 0.000 |
| 3168254.024 | 3305723.292 | 3305723.065 | -113811.520 | 0.000 | -0.000 |
| 3305723.292 | 3168254.024 | 3305723.065 | -0.000 | -113811.520 | 0.000 |
| 3305723.292 | 3305723.065 | 3168254.024 | -0.000 | 0.000 | -113811.520 |
| 31.015 | -8.284 | -8.284 | 0.000 | -0.000 | -0.000 |
| -8.284 | 31.015 | -8.284 | 0.000 | -0.000 | 0.000 |
| -8.284 | -8.284 | 31.015 | 0.000 | 0.000 | 0.000 |
| -3168254.024 | -3305723.292 | -3305723.065 | -113811.520 | -0.000 | -0.000 |
| -3305723.292 | -3168254.024 | -3305723.065 | 0.000 | -113811.520 | -0.000 |
| -3305723.292 | -3305723.065 | -3168254.024 | 0.000 | 0.000 | -113811.520 |
| 4759512319.530 | 3437972427.724 | 1206949914.684 | -0.000 | 180872854.348 | 0.000 |
| 4759511793.507 | 3437972607.359 | 1206949914.684 | -0.000 | 180872854.348 | -0.000 |
| 4759511738.863 | 3437972373.079 | 1206949914.684 | -0.000 | 180872854.348 | -0.000 |
| 2722388266.171 | 2850717582.065 | 887769156.532 | 1680498103.945 | 1000604897.401 | 1835247878.236 |
| 2.833 | 169.237 | 329.734 | -0.000 | 94.727 | 0.000 |
| 2722388231.216 | 2850717526.145 | 887769115.845 | -1680497878.070 | 1000604914.392 | -1835247766.668 |
| 407.394 | -349.398 | -587.144 | 0.000 | -46.979 | -0.000 |
| -45.989 | 60.112 | -371.620 | 0.000 | -47.527 | -0.000 |
| -45.186 | -72.018 | -61.474 | 0.000 | -16.003 | -0.000 |
| -2722388266.171 | -2850717582.065 | -887769156.532 | 1680498103.945 | -1000604897.401 | 1835247878.236 |
| -4759511736.029 | -3437972385.361 | -1206949914.684 | 0.000 | -180872854.348 | -0.000 |
| -2722388231.216 | -2850717526.145 | -887769115.845 | -1680497878.070 | -1000604914.392 | -1835247766.669 |
| 475951757.104 | 343797280.899 | 120694991.468 | -0.000 | 18087285.435 | 0.000 |
| 475951231.081 | 343797460.534 | 120694991.468 | -0.000 | 18087285.435 | 0.000 |
| 475951176.437 | 343797226.254 | 120694991.468 | -0.000 | 18087285.435 | 0.000 |
| 272238834.740 | 285071767.411 | 88776933.071 | 168049856.072 | 100060484.674 | 183524807.329 |
| 2.833 | 169.243 | 329.746 | -0.000 | 94.728 | 0.000 |
| 272238799.783 | 285071711.487 | 88776892.385 | -168049630.169 | 100060501.659 | -183524695.766 |
| 407.394 | -349.399 | -587.144 | 0.000 | -46.979 | 0.000 |
| -45.989 | 60.106 | -371.632 | 0.000 | -47.528 | 0.000 |
| -45.186 | -72.024 | -61.486 | 0.000 | -16.005 | -0.000 |
| -272238834.740 | -285071767.411 | -88776933.071 | 168049856.072 | -100060484.674 | 183524807.329 |
| -475951173.603 | -343797238.536 | -120694991.468 | 0.000 | -18087285.435 | 0.000 |
| -272238799.783 | -285071711.487 | -88776892.385 | -168049630.169 | -100060501.659 | -183524695.766 |
| 47595700.864 | 34379766.216 | 12069499.147 | -0.000 | 1808728.543 | 0.000 |
| 47595174.838 | 34379945.852 | 12069499.147 | -0.000 | 1808728.543 | 0.000 |
| 47595120.194 | 34379711.572 | 12069499.147 | -0.000 | 1808728.543 | -0.000 |
| 27223891.597 | 28507185.945 | 8877710.725 | 16805031.282 | 10006043.401 | 18352500.239 |
| 2.833 | 169.242 | 329.740 | -0.000 | 94.726 | 0.000 |
| 27223856.640 | 28507130.021 | 8877670.039 | -16804805.380 | 10006060.385 | -18352388.676 |
| 407.392 | -349.407 | -587.149 | 0.000 | -46.980 | -0.000 |
| -45.989 | 60.104 | -371.630 | 0.000 | -47.528 | 0.000 |
| -45.186 | -72.024 | -61.484 | 0.000 | -16.004 | -0.000 |
| -27223891.597 | -28507185.945 | -8877710.725 | 16805031.282 | -10006043.401 | 18352500.239 |
| -47595117.360 | -34379723.854 | -12069499.147 | 0.000 | -1808728.543 | -0.000 |
| -27223856.640 | -28507130.021 | -8877670.039 | -16804805.380 | -10006060.385 | -18352388.676 |
| 572.639 | 137.828 | 0.000 | 0.000 | 0.000 | 0.000 |
| 137.828 | 572.639 | 0.000 | 0.000 | 0.000 | 0.000 |
| -0.000 | 0.000 | 0.000 | 0.000 | 0.000 | -0.000 |
| 0.000 | -0.000 | 0.000 | 0.000 | 0.000 | 0.000 |
| 0.000 | -0.000 | 0.000 | 0.000 | 0.000 | 0.000 |
| -0.000 | -0.000 | 0.000 | 0.000 | 0.000 | 217.405 |
| 532.884 | 177.584 | -0.000 | -0.000 | -0.000 | -0.000 |
| 137.828 | 572.639 | -0.000 | -0.000 | -0.000 | -0.000 |
| -0.000 | 0.000 | -0.000 | -0.000 | -0.000 | -0.000 |
| -0.000 | 0.000 | -0.000 | -0.000 | -0.000 | -0.000 |
| -0.000 | -0.000 | -0.000 | -0.000 | -0.000 | -0.000 |
| -0.000 | -0.000 | -0.000 | -0.000 | -0.000 | 217.406 |
| 532.874 | 177.594 | 0.000 | 0.000 | 0.000 | -0.000 |
| 177.584 | 532.884 | 0.000 | 0.000 | 0.000 | 0.000 |
| -0.000 | 0.000 | 0.000 | 0.000 | 0.000 | -0.000 |
| 0.000 | -0.000 | 0.000 | 0.000 | 0.000 | 0.000 |
| 0.000 | -0.000 | 0.000 | 0.000 | 0.000 | 0.000 |
| -0.000 | -0.000 | 0.000 | 0.000 | 0.000 | 177.650 |
| 532.883 | 177.584 | -0.000 | -0.000 | -0.000 | 0.000 |
| 137.828 | 572.639 | -0.000 | -0.000 | -0.000 | 0.000 |
| -0.000 | 0.000 | -0.000 | -0.000 | -0.000 | -0.000 |
| -0.000 | 0.000 | -0.000 | -0.000 | -0.000 | -0.000 |
| -0.000 | -0.000 | -0.000 | -0.000 | -0.000 | -0.000 |
| 0.000 | 0.000 | -0.000 | -0.000 | -0.000 | 177.650 |
| 532.887 | 177.583 | 0.000 | 0.000 | 0.000 | 0.000 |
| 177.586 | 532.883 | 0.000 | 0.000 | 0.000 | -0.000 |
| -0.000 | 0.000 | 0.000 | 0.000 | 0.000 | -0.000 |
| 0.000 | -0.000 | 0.000 | 0.000 | 0.000 | 0.000 |
| 0.000 | 0.000 | 0.000 | 0.000 | 0.000 | 0.000 |
| -0.000 | 0.000 | 0.000 | 0.000 | 0.000 | 177.650 |
| 532.880 | 177.585 | -0.000 | -0.000 | -0.000 | -0.000 |
| 177.581 | 532.884 | -0.000 | -0.000 | -0.000 | -0.000 |
| -0.000 | 0.000 | -0.000 | -0.000 | -0.000 | -0.000 |
| -0.000 | 0.000 | -0.000 | -0.000 | -0.000 | -0.000 |
| -0.000 | 0.000 | -0.000 | -0.000 | -0.000 | -0.000 |
| 0.000 | -0.000 | -0.000 | -0.000 | -0.000 | 177.650 |
| 536.325 | 252.728 | 0.000 | 0.000 | 0.000 | -0.000 |
| 252.728 | 536.325 | 0.000 | 0.000 | 0.000 | -0.000 |
| 0.000 | -0.000 | 0.000 | 0.000 | 0.000 | -0.000 |
| 0.000 | -0.000 | 0.000 | 0.000 | 0.000 | 0.000 |
| 0.000 | -0.000 | 0.000 | 0.000 | 0.000 | 0.000 |
| 0.000 | -0.000 | 0.000 | 0.000 | 0.000 | 141.798 |
| 536.325 | 252.728 | -0.000 | -0.000 | -0.000 | -0.000 |
| 252.728 | 536.325 | -0.000 | -0.000 | -0.000 | 0.000 |
| -0.000 | -0.000 | -0.000 | -0.000 | -0.000 | 0.000 |
| -0.000 | 0.000 | -0.000 | -0.000 | -0.000 | 0.000 |
| 0.000 | 0.000 | -0.000 | -0.000 | -0.000 | 0.000 |
| -0.000 | -0.000 | -0.000 | -0.000 | -0.000 | 141.798 |
| 536.325 | 252.729 | 0.000 | 0.000 | 0.000 | -0.000 |
| 252.729 | 536.325 | 0.000 | 0.000 | 0.000 | -0.000 |
| 0.000 | -0.000 | 0.000 | 0.000 | 0.000 | -0.000 |
| 0.000 | -0.000 | 0.000 | 0.000 | 0.000 | 0.000 |
| -0.000 | 0.000 | 0.000 | 0.000 | 0.000 | -0.000 |
| -0.000 | 0.000 | 0.000 | 0.000 | 0.000 | 141.798 |
| 536.324 | 252.728 | -0.000 | -0.000 | -0.000 | 0.000 |
| 252.728 | 536.324 | -0.000 | -0.000 | -0.000 | 0.000 |
| -0.000 | 0.000 | -0.000 | -0.000 | -0.000 | 0.000 |
| -0.000 | 0.000 | -0.000 | -0.000 | -0.000 | 0.000 |
| 0.000 | 0.000 | -0.000 | -0.000 | -0.000 | 0.000 |
| 0.000 | -0.000 | -0.000 | -0.000 | -0.000 | 141.798 |
| 536.327 | 252.729 | 0.000 | 0.000 | 0.000 | -0.000 |
| 252.730 | 536.327 | 0.000 | 0.000 | 0.000 | -0.000 |
| 0.000 | -0.000 | 0.000 | 0.000 | 0.000 | -0.000 |
| 0.000 | -0.000 | 0.000 | 0.000 | 0.000 | 0.000 |
| -0.000 | 0.000 | 0.000 | 0.000 | 0.000 | -0.000 |
| -0.000 | 0.001 | 0.000 | 0.000 | 0.000 | 141.798 |
| 536.322 | 252.728 | -0.000 | -0.000 | -0.000 | 0.000 |
| 252.727 | 536.323 | -0.000 | -0.000 | -0.000 | -0.000 |
| -0.000 | 0.000 | -0.000 | -0.000 | -0.000 | -0.000 |
| -0.000 | 0.000 | -0.000 | -0.000 | -0.000 | -0.000 |
| 0.000 | 0.000 | -0.000 | -0.000 | -0.000 | 0.000 |
| 0.000 | -0.001 | -0.000 | -0.000 | -0.000 | 141.798 |
| 312.162 | 77.017 | 71.960 | -0.000 | -0.000 | -0.000 |
| 615064859.603 | 238439618.350 | 257420515.562 | 0.000 | 0.000 | 0.000 |
| 71.950 | 74.915 | 254.627 | -0.000 | -0.000 | 0.000 |
| -0.002 | -0.002 | -0.001 | 108.103 | -0.000 | 0.000 |
| -0.008 | -0.009 | -0.003 | -0.000 | 108.890 | 0.000 |
| -0.000 | -0.000 | 0.000 | -0.000 | 0.000 | 121.210 |
| 312.170 | 77.026 | 71.963 | 0.000 | 0.000 | 0.000 |
| 243.358 | 498.777 | 129.950 | 0.000 | -0.000 | 0.000 |
| 71.964 | 74.931 | 254.631 | 0.000 | -0.000 | -0.000 |
| 0.002 | 0.002 | 0.001 | 108.103 | -0.000 | 0.000 |
| 0.008 | 0.009 | 0.003 | -0.000 | 108.890 | 0.000 |
| 0.000 | 0.000 | -0.000 | 0.000 | -0.000 | 121.210 |
| 312.161 | 77.016 | 71.960 | -0.000 | -0.000 | -0.000 |
| 61506590.656 | 23844237.831 | 25742121.170 | 0.000 | 0.000 | -0.000 |
| 71.960 | 74.926 | 254.630 | -0.000 | 0.000 | -0.000 |
| -0.001 | -0.001 | -0.000 | 108.103 | -0.000 | -0.000 |
| -0.001 | -0.001 | -0.000 | -0.000 | 108.890 | -0.000 |
| -0.001 | -0.001 | -0.000 | -0.000 | 0.000 | 121.210 |
| 312.162 | 77.018 | 71.960 | -0.000 | 0.000 | -0.000 |
| 243.382 | 498.804 | 129.957 | 0.000 | -0.000 | -0.000 |
| 71.960 | 74.927 | 254.630 | 0.000 | 0.000 | 0.000 |
| 0.001 | 0.001 | 0.000 | 108.103 | -0.000 | 0.000 |
| 0.001 | 0.001 | 0.000 | 0.000 | 108.890 | -0.000 |
| 0.001 | 0.001 | 0.000 | 0.000 | -0.000 | 121.210 |
| 312.163 | 77.017 | 71.960 | 0.000 | -0.000 | -0.000 |
| 6150763.760 | 2384699.777 | 2574281.732 | 0.000 | 0.000 | -0.000 |
| 71.960 | 74.926 | 254.631 | -0.000 | -0.000 | -0.000 |
| 0.000 | -0.000 | 0.000 | 108.103 | -0.000 | 0.000 |
| -0.000 | 0.000 | 0.000 | 0.000 | 108.890 | -0.000 |
| -0.000 | 0.000 | 0.000 | 0.000 | 0.000 | 121.210 |
| 312.161 | 77.017 | 71.960 | 0.000 | -0.000 | -0.000 |
| 243.378 | 498.795 | 129.946 | -0.000 | -0.000 | 0.000 |
| 71.960 | 74.926 | 254.629 | 0.000 | 0.000 | 0.000 |
| -0.000 | 0.000 | -0.000 | 108.103 | -0.000 | -0.000 |
| 0.000 | 0.000 | -0.000 | -0.000 | 108.890 | 0.000 |
| 0.000 | -0.000 | -0.000 | -0.000 | -0.000 | 121.210 |
| 1134.279 | 127.586 | 84.601 | -0.000 | 0.000 | 0.000 |
| 127.586 | 1134.278 | 84.602 | -0.000 | 0.000 | 0.000 |
| 85.485 | 85.485 | 1172.400 | -0.000 | 0.000 | 0.000 |
| -1.099 | -1.099 | 2.184 | 434.332 | 0.000 | 0.000 |
| 0.000 | 0.000 | 0.000 | -0.000 | 461.996 | -0.000 |
| 0.000 | 0.000 | 0.000 | -0.000 | 0.000 | 503.346 |
| 1054.514 | 154.516 | 137.094 | 0.000 | -0.000 | -0.001 |
| 145.619 | 1055.386 | 145.067 | 0.000 | -0.000 | -0.000 |
| 85.485 | 85.485 | 1172.399 | 0.000 | -0.000 | -0.000 |
| 1.099 | 1.099 | -2.184 | 434.332 | -0.001 | -0.000 |
| -0.000 | 0.000 | -0.000 | 0.000 | 461.996 | 0.000 |
| -0.000 | -0.000 | -0.000 | 0.000 | -0.000 | 503.346 |
| 1053.304 | 153.306 | 139.500 | -0.000 | 0.000 | -0.000 |
| 127.586 | 1134.279 | 84.601 | -0.000 | 0.000 | 0.000 |
| 140.055 | 140.055 | 1063.965 | -0.000 | 0.000 | 0.000 |
| 0.000 | -0.000 | 0.000 | 461.997 | 0.000 | -0.000 |
| -0.000 | 0.000 | 0.000 | -0.000 | 461.997 | 0.000 |
| 0.000 | -0.000 | 0.000 | -0.000 | 0.000 | 503.346 |
| 1054.573 | 144.410 | 147.076 | 0.000 | -0.000 | 0.000 |
| 144.407 | 1054.583 | 147.068 | 0.000 | -0.000 | -0.000 |
| 85.485 | 85.485 | 1172.399 | 0.000 | -0.000 | 0.000 |
| -0.000 | 0.000 | -0.000 | 461.997 | 0.000 | 0.000 |
| 0.000 | -0.000 | -0.000 | 0.000 | 461.997 | -0.000 |
| -0.000 | 0.000 | -0.000 | 0.000 | -0.000 | 503.346 |
| 1053.411 | 153.404 | 139.299 | -0.000 | 0.000 | -0.000 |
| 144.261 | 1054.488 | 147.313 | -0.000 | 0.000 | 0.000 |
| 140.093 | 140.093 | 1063.893 | -0.000 | 0.000 | 0.000 |
| -0.011 | -0.011 | 0.022 | 434.332 | 0.000 | -0.000 |
| -0.000 | 0.000 | 0.000 | -0.000 | 461.997 | 0.000 |
| -0.014 | -0.014 | 0.028 | -0.000 | 0.000 | 449.999 |
| 1054.477 | 144.291 | 147.286 | 0.000 | -0.000 | 0.000 |
| 144.332 | 1054.281 | 147.440 | 0.000 | -0.000 | 0.000 |
| 140.172 | 140.172 | 1063.729 | 0.000 | -0.000 | -0.000 |
| 0.011 | 0.011 | -0.022 | 434.332 | -0.000 | 0.000 |
| 0.000 | -0.000 | -0.000 | 0.000 | 461.997 | 0.000 |
| 0.014 | 0.014 | -0.028 | 0.000 | -0.000 | 449.999 |
| 1133.116 | 126.989 | 84.695 | -0.000 | -0.000 | -0.003 |
| 126.989 | 1133.116 | 84.694 | -0.000 | -0.000 | -0.001 |
| -1667.063 | -1667.062 | 4667.864 | -0.000 | 0.000 | -0.003 |
| -1807.440 | -1807.439 | 3604.841 | 433.925 | -0.000 | -0.002 |
| 0.000 | 0.000 | -0.001 | 0.000 | 461.471 | -0.002 |
| -1807.217 | -1807.217 | 3604.398 | -0.000 | -0.000 | 442.995 |
| 1133.115 | 126.989 | 84.694 | 0.000 | 0.000 | 0.001 |
| 126.989 | 1133.116 | 84.694 | 0.000 | 0.000 | 0.002 |
| 1954.463 | 1954.462 | -2555.074 | 0.000 | -0.000 | 0.003 |
| 1807.439 | 1807.439 | -3604.841 | 433.925 | -0.000 | 0.002 |
| -0.000 | -0.000 | 0.000 | -0.000 | 461.471 | 0.001 |
| 1807.217 | 1807.217 | -3604.398 | 0.000 | 0.000 | 442.999 |
| 811.749 | -72.896 | 604.500 | -0.000 | -0.000 | -0.000 |
| 126.989 | 1133.116 | 84.694 | -0.000 | 0.000 | -0.000 |
| -41.317 | -41.317 | 1425.402 | 0.000 | -0.000 | -0.000 |
| -180.701 | -180.701 | 360.398 | 433.931 | 0.000 | -0.000 |
| -180.701 | -180.701 | 360.398 | 0.000 | 433.931 | -0.000 |
| -237.414 | -237.413 | 473.509 | 0.000 | -0.000 | 439.312 |
| 1279.520 | 409.121 | -342.653 | 0.000 | -0.000 | 0.000 |
| 409.087 | 1279.502 | -342.600 | -0.000 | 0.000 | 0.000 |
| 369.628 | 369.628 | 605.793 | -0.000 | 0.000 | 0.000 |
| 180.701 | 180.701 | -360.398 | 433.931 | 0.000 | 0.000 |
| 180.701 | 180.701 | -360.398 | 0.000 | 433.931 | 0.000 |
| 237.414 | 237.413 | -473.509 | -0.000 | 0.000 | 439.312 |
| 1031.751 | 140.559 | 172.249 | -0.000 | -0.000 | -0.000 |
| 140.555 | 1031.748 | 172.256 | 0.000 | 0.000 | -0.000 |
| 125.266 | 125.266 | 1093.165 | 0.000 | -0.000 | -0.000 |
| -20.121 | -20.122 | 40.132 | 430.761 | 0.000 | -0.000 |
| -0.000 | 0.000 | 0.000 | 0.000 | 461.471 | -0.000 |
| 0.000 | 0.000 | 0.000 | -0.000 | -0.000 | 503.063 |
| 1070.581 | 173.280 | 100.889 | 0.000 | 0.000 | 0.000 |
| 173.278 | 1070.585 | 100.888 | 0.000 | 0.000 | 0.000 |
| 157.981 | 157.981 | 1027.907 | 0.000 | 0.000 | 0.000 |
| 20.121 | 20.122 | -40.132 | 430.761 | 0.000 | 0.000 |
| 0.000 | -0.000 | -0.000 | 0.000 | 461.471 | 0.000 |
| -0.000 | -0.000 | -0.000 | 0.000 | 0.000 | 503.063 |
| 1133.397 | 127.107 | 84.726 | -0.000 | -0.000 | 0.000 |
| 127.107 | 1133.398 | 84.725 | -0.000 | -0.000 | 0.001 |
| 1727.389 | 1727.388 | -2100.697 | -0.000 | -0.000 | 0.001 |
| 1588.058 | 1588.058 | -3166.095 | 429.603 | -0.000 | 0.000 |
| 1588.576 | 1588.576 | -3167.128 | -0.000 | 429.592 | 0.000 |
| -0.000 | 0.000 | -0.000 | -0.000 | -0.000 | 503.145 |
| -540.757 | -1429.737 | 3305.529 | -0.000 | 0.000 | 0.000 |
| -1142.080 | -244.462 | 2723.422 | 0.000 | 0.000 | -0.000 |
| -1449.433 | -1449.432 | 4232.900 | 0.000 | 0.000 | -0.000 |
| -1588.058 | -1588.058 | 3166.095 | 429.603 | 0.000 | 0.000 |
| -1588.576 | -1588.576 | 3167.128 | 0.000 | 429.593 | -0.000 |
| 0.000 | 0.000 | 0.000 | 0.000 | 0.000 | 503.145 |
| 1133.398 | 127.107 | 84.726 | -0.000 | -0.000 | 0.000 |
| 318.244 | 1203.502 | -175.691 | -0.000 | -0.000 | -0.000 |
| 271.509 | 271.509 | 801.877 | -0.000 | -0.000 | 0.000 |
| 158.363 | 158.363 | -315.727 | 429.692 | -0.000 | 0.000 |
| 129.748 | 129.748 | -258.678 | -0.000 | 435.487 | -0.000 |
| 158.382 | 158.382 | -315.764 | -0.000 | -0.000 | 444.487 |
| 1133.397 | 127.107 | 84.726 | 0.000 | 0.000 | 0.000 |
| -0.980 | 891.032 | 454.010 | -0.000 | 0.000 | -0.000 |
| -17.523 | -17.523 | 1378.116 | 0.000 | -0.000 | -0.000 |
| -158.374 | -158.374 | 315.748 | 429.690 | 0.000 | -0.000 |
| -129.748 | -129.748 | 258.678 | 0.000 | 435.487 | 0.000 |
| -158.382 | -158.382 | 315.764 | 0.000 | 0.000 | 444.487 |
| 1063.336 | 167.241 | 114.564 | 0.000 | -0.000 | -0.000 |
| 167.243 | 1063.332 | 114.565 | -0.000 | -0.000 | -0.000 |
| 154.461 | 154.461 | 1035.237 | -0.000 | -0.000 | 0.000 |
| 13.572 | 13.571 | -27.058 | 434.283 | -0.000 | 0.000 |
| 13.560 | 13.561 | -27.036 | -0.000 | 434.305 | 0.000 |
| 13.116 | 13.116 | -26.149 | 0.000 | -0.000 | 448.695 |
| 1037.557 | 140.974 | 166.438 | 0.000 | 0.000 | 0.000 |
| 137.097 | 1037.310 | 170.548 | 0.000 | 0.000 | -0.000 |
| 127.470 | 127.470 | 1089.040 | 0.000 | 0.000 | -0.000 |
| -13.572 | -13.571 | 27.058 | 434.283 | 0.000 | -0.000 |
| -13.560 | -13.561 | 27.036 | 0.000 | 434.305 | 0.000 |
| -13.116 | -13.116 | 26.149 | 0.000 | 0.000 | 448.695 |
| 1133.396 | 126.945 | 85.062 | 0.000 | 0.000 | -0.001 |
| 154.214 | 1051.582 | 139.606 | -0.000 | -0.000 | 0.001 |
| 140.182 | 140.181 | 1065.039 | -0.000 | -0.000 | -0.000 |
| -0.000 | -0.002 | -0.001 | 461.339 | -0.000 | -0.000 |
| 0.000 | -0.000 | 0.001 | -0.000 | 461.340 | -0.000 |
| -0.000 | -0.000 | 0.000 | -0.000 | -0.000 | 503.224 |
| 1133.396 | 126.947 | 85.058 | 0.000 | 0.000 | -0.001 |
| 126.947 | 1133.395 | 85.059 | -0.000 | 0.000 | 0.000 |
| 85.062 | 85.062 | 1175.281 | 0.000 | -0.000 | -0.000 |
| 0.000 | 0.001 | -0.000 | 461.340 | 0.000 | 0.001 |
| -0.000 | -0.000 | -0.001 | -0.000 | 461.339 | 0.000 |
| 0.000 | 0.001 | -0.000 | 0.000 | 0.000 | 503.224 |
| 1051.866 | 151.042 | 142.495 | -0.000 | -0.000 | -0.000 |
| 126.946 | 1133.396 | 85.062 | 0.000 | 0.000 | -0.000 |
| 85.062 | 85.062 | 1175.280 | -0.000 | 0.000 | -0.000 |
| 0.000 | -0.000 | -0.000 | 461.340 | -0.000 | -0.000 |
| 0.001 | 0.001 | -0.003 | 0.000 | 433.787 | -0.000 |
| 0.002 | 0.001 | -0.003 | -0.000 | 0.000 | 449.165 |
| 1133.395 | 126.947 | 85.062 | 0.000 | -0.000 | 0.000 |
| 126.946 | 1133.395 | 85.062 | -0.000 | 0.000 | 0.000 |
| 140.166 | 140.166 | 1065.071 | -0.000 | -0.000 | 0.000 |
| -0.000 | 0.000 | 0.000 | 461.340 | 0.000 | 0.000 |
| -0.001 | -0.001 | 0.003 | 0.000 | 433.787 | 0.000 |
| -0.002 | -0.001 | 0.004 | 0.000 | -0.000 | 449.165 |
| 1051.603 | 154.191 | 139.613 | -0.000 | -0.000 | -0.000 |
| 154.134 | 1051.798 | 139.475 | -0.000 | -0.000 | 0.000 |
| 140.172 | 140.172 | 1065.063 | -0.000 | 0.000 | -0.000 |
| 0.000 | -0.000 | 0.000 | 461.340 | -0.000 | 0.000 |
| -0.000 | 0.000 | 0.000 | -0.000 | 433.787 | -0.000 |
| 0.000 | 0.000 | 0.000 | -0.000 | -0.000 | 503.224 |
| 1051.535 | 154.208 | 139.657 | 0.000 | -0.000 | -0.000 |
| 154.197 | 1051.570 | 139.632 | 0.000 | 0.000 | 0.000 |
| 140.167 | 140.167 | 1065.065 | 0.000 | -0.000 | 0.000 |
| -0.000 | 0.000 | -0.000 | 461.340 | 0.000 | -0.000 |
| 0.000 | -0.000 | -0.000 | -0.000 | 433.787 | 0.000 |
| -0.000 | -0.000 | -0.000 | 0.000 | 0.000 | 503.224 |
| 1133.517 | 127.157 | 84.733 | -0.000 | 0.000 | -0.002 |
| 127.159 | 1133.518 | 84.733 | -0.000 | 0.000 | -0.001 |
| 166.354 | 166.353 | 1011.663 | 0.001 | -0.000 | -0.002 |
| 8.719 | 8.719 | -17.377 | 399.348 | -0.001 | -0.001 |
| 8.720 | 8.718 | -17.380 | -0.001 | 399.347 | -0.002 |
| -0.001 | -0.000 | 0.014 | 0.001 | 0.000 | 503.178 |
| 1047.420 | 150.982 | 146.808 | 0.000 | -0.000 | 0.002 |
| 159.186 | 1003.647 | 182.273 | -0.000 | 0.000 | 0.001 |
| 134.191 | 134.189 | 1075.781 | 0.000 | 0.000 | 0.001 |
| -8.718 | -8.719 | 17.385 | 399.348 | 0.001 | 0.002 |
| -8.719 | -8.718 | 17.380 | 0.000 | 399.348 | 0.002 |
| 0.002 | 0.001 | -0.013 | -0.001 | -0.000 | 503.182 |
| 1051.481 | 152.890 | 140.858 | 0.000 | -0.000 | -0.000 |
| 127.157 | 1133.518 | 84.740 | 0.000 | -0.000 | -0.000 |
| 140.694 | 140.694 | 1062.809 | -0.000 | -0.000 | -0.000 |
| 0.394 | 0.394 | -0.786 | 433.481 | -0.000 | -0.000 |
| 0.394 | 0.394 | -0.786 | -0.000 | 433.481 | -0.000 |
| -0.000 | 0.000 | 0.001 | -0.000 | 0.000 | 503.180 |
| 1133.518 | 127.157 | 84.740 | -0.000 | -0.000 | 0.000 |
| 127.157 | 1133.518 | 84.740 | -0.000 | -0.000 | 0.000 |
| 85.193 | 85.193 | 1173.439 | 0.000 | 0.000 | 0.000 |
| -0.394 | -0.394 | 0.785 | 433.481 | -0.000 | 0.000 |
| -0.394 | -0.394 | 0.786 | 0.000 | 433.481 | 0.000 |
| 0.000 | -0.000 | -0.001 | -0.000 | -0.000 | 503.181 |
| 1051.439 | 154.646 | 139.153 | -0.000 | 0.000 | -0.000 |
| 152.357 | 1051.682 | 141.193 | -0.000 | -0.000 | -0.000 |
| 140.087 | 140.087 | 1064.022 | 0.000 | -0.000 | -0.000 |
| 0.039 | 0.039 | -0.077 | 434.012 | -0.000 | -0.000 |
| 0.038 | 0.039 | -0.077 | -0.000 | 434.007 | -0.000 |
| 0.038 | 0.038 | -0.076 | 0.000 | -0.000 | 448.573 |
| 1133.515 | 127.157 | 84.739 | 0.000 | -0.000 | 0.000 |
| 127.157 | 1133.514 | 84.739 | -0.000 | 0.000 | 0.000 |
| 140.004 | 140.004 | 1064.178 | 0.000 | 0.000 | 0.000 |
| -0.039 | -0.039 | 0.078 | 434.012 | -0.000 | 0.000 |
| -0.038 | -0.039 | 0.077 | -0.000 | 434.007 | 0.000 |
| -0.038 | -0.038 | 0.076 | -0.000 | 0.000 | 448.573 |
| 1051.362 | 154.203 | 139.839 | -0.000 | -0.000 | 0.001 |
| 151.923 | 1051.607 | 141.874 | 0.000 | -0.000 | 0.001 |
| 140.168 | 140.168 | 1065.063 | -0.000 | -0.000 | 0.001 |
| -0.000 | 0.000 | -0.001 | 461.340 | 0.000 | 0.001 |
| 0.000 | 0.001 | 0.000 | -0.000 | 461.340 | 0.000 |
| 0.000 | 0.001 | -0.004 | -0.000 | -0.000 | 448.949 |
| 1133.395 | 126.946 | 85.061 | 0.000 | 0.000 | -0.001 |
| 126.946 | 1133.394 | 85.060 | 0.000 | 0.000 | -0.002 |
| 85.062 | 85.061 | 1175.285 | -0.000 | 0.000 | -0.001 |
| 0.000 | -0.000 | -0.002 | 461.340 | -0.000 | -0.001 |
| -0.000 | -0.001 | -0.000 | 0.000 | 461.340 | -0.001 |
| -0.000 | -0.001 | 0.004 | 0.000 | -0.000 | 448.948 |
| 1051.607 | 151.923 | 141.875 | -0.000 | 0.000 | 0.000 |
| 126.946 | 1133.396 | 85.061 | 0.000 | -0.000 | 0.000 |
| 140.168 | 140.168 | 1065.067 | -0.000 | -0.000 | 0.000 |
| 0.000 | 0.000 | -0.000 | 433.787 | -0.000 | 0.000 |
| -0.000 | 0.000 | 0.000 | -0.000 | 461.340 | 0.000 |
| 0.000 | 0.000 | -0.000 | -0.000 | -0.000 | 503.224 |
| 1133.395 | 126.946 | 85.062 | -0.000 | 0.000 | -0.000 |
| 126.946 | 1133.395 | 85.062 | 0.000 | 0.000 | -0.000 |
| 140.167 | 140.167 | 1065.068 | 0.000 | 0.000 | -0.000 |
| -0.000 | -0.000 | 0.000 | 433.787 | -0.000 | -0.000 |
| 0.000 | -0.000 | -0.000 | 0.000 | 461.340 | -0.000 |
| -0.000 | -0.000 | 0.000 | 0.000 | 0.000 | 503.224 |
| 1051.615 | 151.921 | 141.871 | 0.000 | 0.000 | 0.000 |
| 126.947 | 1133.399 | 85.062 | -0.000 | -0.000 | 0.000 |
| 140.172 | 140.172 | 1065.063 | 0.000 | -0.000 | 0.000 |
| 0.000 | -0.000 | 0.000 | 461.340 | -0.000 | 0.000 |
| -0.000 | 0.000 | 0.000 | 0.000 | 461.340 | 0.000 |
| 0.000 | 0.000 | 0.000 | 0.000 | 0.000 | 503.224 |
| 1051.106 | 151.965 | 142.328 | -0.000 | 0.000 | -0.000 |
| 154.201 | 1051.363 | 139.836 | -0.000 | 0.000 | -0.000 |
| 140.182 | 140.182 | 1065.035 | -0.000 | 0.000 | -0.000 |
| -0.000 | 0.000 | -0.000 | 461.340 | 0.000 | -0.000 |
| 0.000 | -0.000 | -0.000 | -0.000 | 461.340 | -0.000 |
| -0.000 | -0.000 | -0.000 | -0.000 | -0.000 | 503.224 |
| 747.553 | -323.686 | 919.192 | 22.084 | -0.000 | 0.000 |
| 503.526 | 1361.172 | -518.458 | -4.510 | 0.001 | 0.000 |
| 857.795 | 857.794 | -368.325 | 0.000 | -0.000 | 0.000 |
| -419.684 | -463.280 | 880.990 | 496.621 | 0.000 | 0.000 |
| 1148.597 | 1148.598 | -2292.159 | 0.001 | 370.049 | -14.011 |
| -441.640 | -441.638 | 881.306 | 0.000 | 21.803 | 534.137 |
| 316.335 | -498.040 | 1523.472 | -3.164 | 0.000 | 0.001 |
| 559.843 | 1624.968 | -837.801 | -21.505 | -0.000 | -0.001 |
| 477.652 | 477.650 | 390.347 | 0.000 | -0.000 | 0.000 |
| -671.884 | -665.524 | 1334.464 | 408.330 | 0.000 | -0.000 |
| -1148.597 | -1148.598 | 2292.150 | -0.001 | 370.049 | -14.010 |
| 441.640 | 441.639 | -881.306 | 0.000 | 21.803 | 534.137 |
| 1051.029 | 236.893 | 57.075 | -3.183 | -0.000 | -0.000 |
| 322.764 | 1001.279 | 21.030 | 22.806 | 0.000 | -0.000 |
| 251.271 | 251.271 | 842.068 | -0.000 | 0.000 | -0.000 |
| 11.848 | -11.847 | 0.001 | 461.447 | 0.000 | 0.000 |
| -39.415 | -39.415 | 78.653 | 0.000 | 492.858 | 20.735 |
| 66.431 | 66.431 | -132.571 | 0.000 | -3.082 | 407.716 |
| 1133.181 | 126.983 | 84.772 | 11.847 | -0.000 | -0.000 |
| 126.983 | 1133.181 | 84.772 | -11.848 | -0.000 | -0.000 |
| 85.073 | 85.073 | 1173.730 | -0.000 | -0.000 | -0.000 |
| -98.522 | -81.656 | 179.782 | 389.764 | 0.000 | 0.000 |
| 39.415 | 39.415 | -78.654 | -0.000 | 492.858 | 20.735 |
| -66.431 | -66.431 | 132.571 | -0.000 | -3.081 | 407.716 |
| 1054.795 | 149.689 | 140.332 | 2.801 | 0.000 | -0.000 |
| 126.984 | 1133.185 | 84.771 | -11.848 | -0.000 | 0.000 |
| 139.016 | 139.016 | 1066.087 | -0.000 | 0.000 | -0.000 |
| 7.298 | -0.020 | -7.261 | 432.504 | 0.000 | -0.000 |
| 5.130 | 5.131 | -10.239 | 0.000 | 420.692 | 0.317 |
| 0.000 | 0.000 | 0.000 | 0.000 | 11.848 | 503.099 |
| 1029.518 | 151.172 | 164.066 | 1.842 | 0.000 | -0.000 |
| 156.234 | 1055.665 | 132.927 | -5.785 | -0.000 | -0.000 |
| 147.700 | 147.700 | 1048.749 | -0.000 | -0.000 | 0.000 |
| -4.812 | -5.448 | 10.238 | 420.697 | 0.000 | 0.000 |
| -5.130 | -5.131 | 10.239 | -0.000 | 420.692 | 0.317 |
| -0.000 | -0.000 | -0.000 | -0.000 | 11.848 | 503.099 |
| 1121.067 | 124.804 | 77.845 | 8.344 | -0.000 | 0.003 |
| 518.749 | 1371.821 | -541.012 | -0.597 | 0.000 | -0.000 |
| 508.628 | 508.627 | 321.833 | -0.000 | -0.000 | 0.002 |
| 358.630 | 357.392 | -687.316 | 422.762 | -0.000 | 0.000 |
| 0.000 | -0.000 | 0.000 | 0.000 | 460.850 | 8.345 |
| 0.000 | -0.000 | -0.000 | -0.000 | 8.344 | 498.131 |
| 659.615 | -203.400 | 835.844 | 0.466 | -0.000 | -0.003 |
| -203.403 | 659.617 | 835.846 | -0.466 | 0.000 | -0.003 |
| -36.683 | -36.684 | 1368.730 | -0.000 | -0.000 | -0.002 |
| 8.344 | -8.343 | 0.001 | 460.850 | 0.000 | -0.002 |
| -0.000 | 0.000 | 0.001 | -0.000 | 460.850 | 8.343 |
| -0.000 | -0.000 | -0.001 | -0.000 | 8.344 | 498.129 |
| 1121.067 | 124.804 | 77.844 | 8.344 | -0.000 | 0.000 |
| 194.739 | 1049.651 | 79.266 | -0.697 | -0.000 | 0.000 |
| 180.253 | 180.253 | 952.252 | 0.000 | 0.000 | 0.000 |
| 35.969 | 34.483 | -67.628 | 423.374 | -0.000 | 0.001 |
| 35.208 | 35.208 | -67.592 | 0.000 | 423.393 | 0.747 |
| 0.000 | -0.000 | -0.000 | 0.000 | 8.344 | 498.131 |
| 1035.038 | 131.949 | 153.565 | 4.287 | -0.000 | -0.000 |
| 123.906 | 985.564 | 208.777 | -1.062 | 0.000 | -0.000 |
| 97.891 | 97.891 | 1110.370 | -0.000 | 0.000 | -0.000 |
| -34.461 | -35.954 | 67.592 | 423.393 | -0.000 | -0.000 |
| -35.208 | -35.208 | 67.592 | -0.000 | 423.393 | 0.746 |
| -0.000 | -0.000 | 0.000 | -0.000 | 8.344 | 498.131 |
| 1043.301 | 156.816 | 121.768 | 3.091 | -0.000 | 0.000 |
| 124.805 | 1121.070 | 77.845 | -8.344 | -0.000 | 0.000 |
| 136.428 | 136.428 | 1036.392 | 0.000 | -0.000 | 0.000 |
| 5.211 | 0.202 | -5.195 | 432.058 | 0.000 | 0.000 |
| -0.000 | 0.000 | 0.000 | 0.000 | 460.850 | 8.344 |
| 2.106 | 2.106 | -4.043 | 0.000 | 4.267 | 443.614 |
| 1036.721 | 148.450 | 136.107 | 2.501 | -0.000 | -0.000 |
| 148.449 | 1036.724 | 136.105 | -2.502 | -0.000 | -0.000 |
| 132.102 | 132.102 | 1044.689 | -0.000 | 0.000 | -0.000 |
| 0.388 | -5.503 | 4.910 | 434.236 | 0.000 | -0.000 |
| 0.000 | -0.000 | -0.000 | -0.000 | 460.850 | 8.344 |
| -2.106 | -2.106 | 4.042 | -0.000 | 4.267 | 443.614 |
| -409.692 | -314.479 | -314.560 | 0.002 | 0.012 | 0.021 |
| 63.439 | 266.801 | 63.439 | -0.000 | 0.000 | 0.000 |
| 63.439 | 63.439 | 266.801 | -0.000 | 0.000 | 0.000 |
| 0.000 | 0.000 | 0.000 | 101.681 | 0.000 | -0.000 |
| 0.000 | -0.000 | -0.000 | 0.000 | 101.681 | 0.000 |
| 0.000 | 0.000 | -0.000 | -0.000 | 0.000 | 101.681 |
| 160.936 | 200.649 | 200.776 | -0.003 | -0.018 | -0.032 |
| 63.438 | 266.801 | 63.438 | 0.000 | 0.000 | -0.000 |
| 200.836 | 200.643 | 160.875 | -0.003 | -0.019 | -0.032 |
| 335.089 | 334.947 | 335.041 | 11.540 | -0.013 | -0.024 |
| 331.921 | 331.794 | 331.878 | -0.002 | -48.970 | -0.022 |
| 259.913 | 259.976 | 259.935 | 0.001 | 0.006 | 10.502 |
| 266.801 | 63.439 | 63.439 | -0.000 | 0.000 | -0.000 |
| -63.167 | -18.952 | -63.166 | 0.000 | 0.000 | 0.001 |
| -43.116 | -43.114 | -22.329 | 0.000 | 0.000 | 0.000 |
| 0.000 | 0.000 | 0.000 | 101.681 | -0.000 | -0.000 |
| -4.697 | -4.689 | -4.694 | 0.000 | 46.872 | 0.001 |
| -4.697 | -4.689 | -4.694 | 0.000 | 0.001 | 46.872 |
| 35.056 | 39.902 | 39.905 | -0.000 | -0.000 | -0.001 |
| 39.902 | 35.047 | 39.901 | -0.000 | -0.000 | -0.001 |
| 82.491 | 82.483 | 179.506 | -0.000 | -0.001 | -0.001 |
| -0.000 | -0.000 | -0.000 | 101.681 | -0.000 | 0.000 |
| -0.000 | -0.000 | -0.000 | -0.000 | 101.681 | -0.000 |
| -0.000 | 0.000 | -0.000 | -0.000 | 0.000 | 101.681 |
| 19.758 | -27.755 | -27.755 | 0.000 | 0.000 | 0.000 |
| -31.805 | 16.229 | -31.805 | 0.000 | 0.000 | 0.000 |
| -27.755 | -27.755 | 19.758 | 0.000 | 0.000 | 0.000 |
| -1.710 | -1.710 | -1.710 | 28.838 | 0.000 | 0.000 |
| -1.710 | -1.709 | -1.710 | 0.000 | 28.838 | 0.000 |
| -1.710 | -1.710 | -1.710 | 0.000 | 0.000 | 28.838 |
| 21.438 | -26.280 | -26.280 | -0.000 | -0.000 | -0.000 |
| -26.280 | 21.438 | -26.280 | -0.000 | -0.000 | -0.000 |
| -26.280 | -26.280 | 21.438 | -0.000 | -0.000 | -0.000 |
| 1.710 | 1.710 | 1.710 | 28.838 | -0.000 | -0.000 |
| 1.710 | 1.709 | 1.710 | -0.000 | 28.838 | -0.000 |
| 1.710 | 1.710 | 1.710 | -0.000 | -0.000 | 28.838 |
| -386977697.818 | 1374858319.390 | 1681.591 | 0.000 | 0.000 | -0.000 |
| 49.424 | 191.668 | 30.602 | -0.000 | -0.000 | -0.000 |
| 71.268 | 14.083 | 285.253 | 0.000 | 0.000 | -0.000 |
| -0.000 | 0.000 | -0.000 | 49.578 | 0.000 | -0.000 |
| 501.892 | 675.757 | 1628.425 | 0.000 | 49.787 | -0.000 |
| -103.848 | 314.657 | 983.402 | -0.000 | 0.000 | 94.074 |
| -209.101 | -630.542 | -1657.523 | 0.000 | -0.000 | 0.000 |
| 49.425 | 191.668 | 30.602 | 0.000 | 0.000 | 0.000 |
| 71.270 | 14.083 | 285.253 | -0.000 | -0.000 | 0.000 |
| 0.001 | -0.000 | 0.000 | 49.578 | -0.000 | -0.000 |
| -501.892 | -675.757 | -1628.425 | -0.000 | 49.787 | -0.000 |
| 103.848 | -314.657 | -983.402 | -0.000 | -0.000 | 94.074 |
| -38697678.333 | 137485864.812 | 168.326 | 0.000 | 0.000 | -0.000 |
| 88.243 | 167.909 | 171.528 | -0.000 | 0.000 | 0.000 |
| 79.775 | 53.036 | 217.625 | 0.000 | -0.000 | -0.000 |
| -0.000 | -0.000 | -0.000 | 49.578 | 0.000 | 0.000 |
| 60.495 | 79.263 | 189.922 | 0.000 | 40.161 | 0.000 |
| -0.000 | 0.000 | 0.000 | -0.000 | 0.000 | 127.727 |
| 250.099 | -35.922 | -171.524 | 0.000 | -0.000 | 0.000 |
| 49.425 | 191.668 | 30.602 | 0.000 | -0.000 | -0.000 |
| -65.245 | -26.785 | -166.510 | 0.000 | -0.000 | 0.000 |
| 0.000 | 0.000 | 0.000 | 49.578 | -0.000 | 0.000 |
| -60.495 | -79.263 | -189.922 | 0.000 | 40.161 | 0.000 |
| 0.000 | -0.000 | -0.000 | 0.000 | -0.000 | 127.727 |
| -3869673.007 | 13748612.238 | 16.833 | -0.000 | 0.000 | 0.000 |
| 58.094 | 119.943 | 40.570 | -0.000 | -0.000 | -0.000 |
| -0.250 | -10.526 | 17.178 | -0.000 | -0.000 | -0.000 |
| 0.000 | -0.000 | -0.000 | 49.578 | 0.000 | -0.000 |
| 11.080 | 13.430 | 31.625 | -0.000 | -0.717 | 0.000 |
| 1.845 | 3.212 | 8.099 | -0.000 | -0.000 | 114.780 |
| 297.987 | 18.082 | -17.158 | -0.000 | -0.000 | 0.000 |
| 33.093 | 103.907 | -7.743 | 0.000 | -0.000 | 0.000 |
| -10.890 | -22.511 | -17.182 | 0.000 | -0.000 | 0.000 |
| -0.000 | 0.000 | 0.000 | 49.578 | -0.000 | -0.000 |
| -11.080 | -13.430 | -31.625 | 0.000 | -0.717 | 0.000 |
| -1.845 | -3.212 | -8.099 | 0.000 | -0.000 | 114.780 |
| 643.364 | 51.056 | 96.284 | -0.000 | -0.000 | -0.000 |
| 3840428.422 | -27373313.535 | 1332542.743 | 0.000 | -0.000 | -0.000 |
| 3840550.066 | -27373391.820 | 1332930.970 | 0.000 | -0.000 | -0.000 |
| 466881317.774 | 1066189405.460 | 1036505651.475 | -284389923.948 | 0.000 | -0.000 |
| 0.000 | 0.000 | 0.000 | 0.000 | 268.096 | -0.000 |
| -0.047 | 0.005 | -0.018 | 0.000 | -0.000 | 183.082 |
| 643.395 | 51.052 | 96.296 | 0.000 | -0.000 | 0.000 |
| 201.768 | 121.449 | 57.178 | -0.000 | 0.000 | 0.000 |
| 251.881 | -1.351 | 552.743 | -0.000 | 0.000 | 0.000 |
| -466881317.774 | -1066189405.460 | -1036505651.475 | -284389923.948 | 0.000 | 0.000 |
| -0.000 | -0.000 | 0.000 | -0.001 | 268.096 | 0.000 |
| 0.047 | -0.005 | 0.018 | -0.000 | -0.000 | 183.082 |
| 643.364 | 51.056 | 96.284 | -0.000 | 0.000 | -0.000 |
| 384211.158 | -2737240.587 | 133326.719 | 0.000 | -0.000 | -0.000 |
| 384332.766 | -2737318.867 | 133714.934 | 0.000 | 0.000 | -0.000 |
| 46688003.596 | 106618971.926 | 103650532.874 | -28438909.288 | -0.000 | -0.000 |
| 0.000 | 0.000 | 0.000 | -0.000 | 268.096 | -0.000 |
| -0.005 | 0.001 | -0.002 | 0.000 | -0.000 | 183.082 |
| 643.369 | 51.055 | 96.286 | -0.000 | -0.000 | 0.000 |
| 201.724 | 121.454 | 57.161 | -0.000 | 0.000 | 0.000 |
| 251.947 | -1.359 | 552.766 | -0.000 | -0.000 | 0.000 |
| -46688003.593 | -106618971.927 | -103650532.874 | -28438909.288 | -0.000 | 0.000 |
| -0.000 | -0.000 | -0.000 | 0.000 | 268.096 | 0.000 |
| 0.005 | -0.001 | 0.002 | -0.000 | -0.000 | 183.082 |
| 643.366 | 51.056 | 96.285 | 0.000 | 0.000 | -0.000 |
| 38589.423 | -273633.290 | 13405.113 | 0.000 | -0.000 | -0.000 |
| 38711.037 | -273711.571 | 13793.328 | 0.000 | -0.000 | -0.000 |
| 4668672.174 | 10661928.574 | 10365021.013 | -2843807.822 | -0.000 | -0.000 |
| -0.001 | 0.000 | 0.000 | -0.000 | 268.096 | -0.000 |
| -0.001 | 0.000 | -0.000 | 0.000 | 0.000 | 183.082 |
| 643.363 | 51.055 | 96.284 | -0.000 | -0.000 | 0.000 |
| 201.721 | 121.453 | 57.160 | -0.000 | -0.000 | 0.000 |
| 251.941 | -1.359 | 552.762 | 0.000 | -0.000 | 0.000 |
| -4668672.174 | -10661928.574 | -10365021.013 | -2843807.822 | 0.000 | 0.000 |
| 0.001 | -0.000 | -0.000 | -0.000 | 268.096 | 0.000 |
| 0.001 | -0.000 | 0.000 | -0.000 | -0.000 | 183.082 |
| 645.229 | 50.699 | 96.878 | 0.000 | 0.000 | 0.000 |
| 8958193.961 | -22625374.136 | -6990345.570 | 0.000 | 0.000 | 0.000 |
| 8958321.879 | -22625448.548 | -6989963.961 | 0.000 | 0.000 | 0.000 |
| 465449273.007 | 1066496576.348 | 1037763568.359 | -286315233.341 | -0.000 | -0.000 |
| -0.015 | 0.002 | -0.007 | -0.000 | 268.666 | 0.000 |
| 0.000 | 0.000 | 0.000 | -0.000 | 0.000 | 182.847 |
| 645.244 | 50.697 | 96.884 | -0.000 | -0.000 | -0.000 |
| 201.181 | 119.898 | 57.970 | 0.000 | 0.000 | -0.000 |
| 252.091 | -2.225 | 555.912 | -0.000 | 0.000 | -0.000 |
| -465449273.007 | -1066496576.348 | -1037763568.359 | -286315233.341 | -0.000 | 0.000 |
| 0.015 | -0.002 | 0.007 | -0.000 | 268.666 | -0.000 |
| -0.000 | -0.000 | -0.000 | 0.000 | -0.000 | 182.847 |
| 645.245 | 50.697 | 96.884 | 0.000 | 0.000 | 0.000 |
| 895987.077 | -2262448.757 | -698960.533 | -0.000 | 0.000 | 0.000 |
| 896114.424 | -2262523.489 | -698578.064 | 0.000 | 0.000 | 0.000 |
| 46544800.147 | 106649690.546 | 103776322.649 | -28631440.249 | -0.000 | 0.000 |
| 0.000 | 0.000 | 0.000 | -0.000 | 268.666 | -0.000 |
| -0.002 | 0.000 | -0.001 | -0.000 | -0.000 | 182.847 |
| 645.244 | 50.697 | 96.883 | -0.000 | 0.000 | -0.000 |
| 201.169 | 119.900 | 57.965 | 0.000 | -0.000 | -0.000 |
| 252.078 | -2.223 | 555.906 | 0.000 | 0.000 | -0.000 |
| -46544800.147 | -106649690.546 | -103776322.649 | -28631440.249 | -0.000 | -0.000 |
| -0.000 | -0.000 | -0.000 | -0.000 | 268.666 | 0.000 |
| 0.002 | -0.000 | 0.001 | 0.000 | -0.000 | 182.847 |
| 645.246 | 50.697 | 96.884 | 0.000 | 0.000 | 0.000 |
| 89765.823 | -226156.539 | -69821.167 | -0.000 | 0.000 | 0.000 |
| 89893.738 | -226230.950 | -69439.562 | 0.000 | 0.000 | 0.000 |
| 4654352.867 | 10665001.965 | 10377598.079 | -2863060.940 | 0.000 | -0.000 |
| -0.000 | 0.000 | 0.000 | -0.000 | 268.666 | -0.000 |
| -0.000 | 0.000 | 0.000 | -0.000 | -0.000 | 182.847 |
| 645.243 | 50.697 | 96.883 | -0.000 | -0.000 | -0.000 |
| 201.166 | 119.900 | 57.964 | 0.000 | -0.000 | 0.000 |
| 252.075 | -2.223 | 555.903 | -0.000 | -0.000 | -0.000 |
| -4654352.867 | -10665001.965 | -10377598.079 | -2863060.940 | -0.000 | 0.000 |
| 0.000 | -0.000 | -0.000 | 0.000 | 268.666 | 0.000 |
| 0.000 | -0.000 | -0.000 | 0.000 | -0.000 | 182.847 |
| -57345622.344 | 547448435.440 | 272876923.927 | 310591466.334 | -0.000 | 0.000 |
| -122586875.954 | -122586672.877 | 18239735.155 | 0.446 | -0.000 | 0.000 |
| -122586763.498 | -122586763.498 | 18239841.634 | -0.000 | -0.000 | 0.000 |
| 600805429.037 | -178617329.792 | 310888042.098 | 109047607.530 | -0.000 | 0.000 |
| 8328436.152 | 404006946.434 | 314597814.916 | -52235584.496 | 90474783.598 | 342667640.927 |
| 8328363.175 | 404006870.693 | 314597700.626 | -52235562.553 | -90474647.769 | -342667549.540 |
| 326.030 | 80.495 | 75.289 | 0.176 | 0.000 | -0.000 |
| 132.315 | 377.850 | 81.362 | -0.176 | 0.000 | -0.000 |
| 105.655 | 105.655 | 256.797 | 0.000 | 0.000 | -0.001 |
| 57345933.855 | -547448308.522 | -272876799.343 | -310591369.343 | 0.000 | -0.000 |
| -8328436.151 | -404006946.434 | -314597814.916 | 52235584.496 | 90474783.598 | 342667640.926 |
| -8328363.175 | -404006870.693 | -314597700.626 | 52235562.553 | -90474647.769 | -342667549.541 |
| -5734292.058 | 54744954.362 | 27287793.932 | 31059150.408 | -0.000 | 0.000 |
| -12258590.469 | -12258387.391 | 1824037.081 | 0.446 | -0.000 | 0.000 |
| -12258478.206 | -12258478.206 | 1824143.640 | -0.000 | -0.000 | 0.000 |
| 60080551.165 | -17861736.613 | 31088809.316 | 10904847.407 | -0.000 | 0.000 |
| 53800182.408 | 36989021.165 | 26896412.722 | -10494162.774 | -18919186.329 | 16571669.778 |
| 6944447.968 | -7427637.123 | 14187094.652 | -18000319.320 | 333215.916 | -23155398.189 |
| 325.807 | 80.273 | 75.263 | 0.176 | 0.000 | -0.000 |
| 131.238 | 376.773 | 81.235 | -0.176 | 0.000 | -0.000 |
| 104.730 | 104.730 | 256.688 | -0.000 | 0.000 | -0.000 |
| 5734603.747 | -54744827.159 | -27287669.018 | -31059053.467 | 0.000 | -0.000 |
| -53800182.408 | -36989021.165 | -26896412.722 | 10494162.774 | -18919186.329 | 16571669.778 |
| -6944447.968 | 7427637.123 | -14187094.653 | 18000319.320 | 333215.916 | -23155398.189 |
| -573159.044 | 5474606.230 | 2728880.904 | 3105918.819 | -0.000 | -0.000 |
| -1225761.928 | -1225558.850 | 182467.277 | 0.446 | -0.000 | 0.000 |
| -1225649.674 | -1225649.674 | 182573.851 | -0.000 | -0.000 | 0.000 |
| 6008063.391 | -1786177.274 | 3108886.060 | 1090571.404 | -0.000 | 0.000 |
| 5380073.956 | 3698973.667 | 2689628.508 | -1049416.841 | -1891837.867 | 1657169.745 |
| 694452.779 | -742761.508 | 1418708.279 | -1800030.845 | 33323.456 | -2315445.521 |
| 325.740 | 80.206 | 75.255 | 0.176 | 0.000 | -0.000 |
| 131.211 | 376.742 | 81.232 | -0.176 | 0.000 | -0.000 |
| 104.637 | 104.637 | 256.675 | 0.000 | 0.000 | -0.000 |
| 573470.711 | -5474479.063 | -2728756.034 | -3105821.872 | 0.000 | -0.000 |
| -5380073.956 | -3698973.667 | -2689628.508 | 1049416.841 | -1891837.867 | 1657169.745 |
| -694452.779 | 742761.508 | -1418708.279 | 1800030.845 | 33323.456 | -2315445.521 |
| -656719330.721 | -617551500.810 | -297082876.415 | 16830704.251 | -0.000 | 0.000 |
| -668531574.860 | -668531349.768 | -297053818.571 | -3.045 | -0.000 | 0.000 |
| -668531487.773 | -668531487.771 | -297053602.949 | -0.001 | 0.001 | -0.000 |
| -475458198.148 | -422133719.291 | -205107518.955 | -27404177.170 | -0.000 | -0.000 |
| -647098286.097 | -637597625.338 | -304053847.157 | 1818585.494 | -3149777.524 | 8227816.430 |
| -643173742.192 | -646757234.483 | -303048145.640 | -3263823.674 | 18009308.703 | -15143168.122 |
| 317.175 | 75.465 | 73.035 | -0.195 | 0.000 | 0.001 |
| 136.720 | 378.430 | 49.432 | 0.195 | 0.001 | 0.000 |
| 107.348 | 107.348 | 237.938 | -0.000 | 0.000 | 0.000 |
| 656719802.586 | 617551909.549 | 297083111.696 | -16830558.958 | 0.000 | 0.000 |
| 647098286.097 | 637597625.338 | 304053847.157 | -1818585.495 | -3149777.523 | 8227816.431 |
| 643173742.189 | 646757234.480 | 303048145.637 | 3263823.674 | 18009308.704 | -15143168.123 |
| -65671447.888 | -61754651.999 | -29708014.381 | 1683118.813 | -0.000 | 0.000 |
| -66853089.451 | -66852864.358 | -29705313.055 | -3.046 | -0.000 | -0.000 |
| -66853003.455 | -66853003.455 | -29705098.037 | 0.000 | 0.000 | 0.000 |
| -47545762.955 | -42213348.461 | -20510741.355 | -2740329.158 | -0.000 | -0.000 |
| -63439693.629 | -63361974.093 | -29629555.405 | -8391.238 | -594291.102 | 1579171.947 |
| -64317365.973 | -64675716.312 | -30304812.722 | -326381.771 | 1800932.120 | -1514213.199 |
| 317.062 | 75.351 | 73.076 | -0.195 | -0.000 | 0.000 |
| 136.641 | 378.352 | 49.463 | 0.195 | -0.000 | -0.000 |
| 107.439 | 107.439 | 237.899 | -0.000 | -0.000 | -0.000 |
| 65671919.430 | 61755060.095 | 29708249.352 | -1682973.587 | 0.000 | 0.000 |
| 63439693.629 | 63361974.093 | 29629555.405 | 8391.238 | -594291.102 | 1579171.947 |
| 64317365.973 | 64675716.312 | 30304812.722 | 326381.771 | 1800932.120 | -1514213.199 |
| -6566661.027 | -6174968.802 | -2970528.660 | 168360.190 | 0.000 | 0.000 |
| -6685240.919 | -6685015.825 | -2970462.508 | -3.046 | -0.000 | -0.000 |
| -6685154.923 | -6685154.923 | -2970247.487 | 0.000 | -0.000 | -0.000 |
| -4754519.436 | -4221311.379 | -2051063.594 | -273944.355 | -0.000 | -0.000 |
| -6343827.414 | -6336051.481 | -2962861.228 | -839.554 | -59352.058 | 157969.891 |
| -6431728.351 | -6467564.495 | -3030479.430 | -32637.581 | 180094.462 | -151317.707 |
| 317.048 | 75.338 | 73.081 | -0.195 | 0.000 | 0.000 |
| 136.630 | 378.335 | 49.466 | 0.195 | 0.000 | 0.000 |
| 107.425 | 107.425 | 237.902 | -0.000 | 0.000 | -0.000 |
| 6567131.154 | 6175375.219 | 2970763.148 | -168215.042 | -0.000 | 0.000 |
| 6343827.414 | 6336051.481 | 2962861.228 | 839.554 | -59352.058 | 157969.891 |
| 6431728.351 | 6467564.495 | 3030479.430 | 32637.581 | 180094.462 | -151317.707 |
| 444.984 | 24.099 | 86.870 | -0.000 | 0.000 | -0.000 |
| 1.727 | 723.187 | 103.396 | 0.000 | -0.001 | -0.000 |
| 60.539 | 99.435 | 634.488 | 0.000 | -0.000 | -0.000 |
| -0.000 | 0.000 | 0.000 | 311.677 | -0.001 | -0.000 |
| 13.162 | -16.801 | -38.320 | -0.000 | 116.336 | -0.000 |
| 2.472 | -0.284 | -18.071 | 0.000 | -0.000 | 192.440 |
| 376.188 | 73.865 | 142.770 | -0.000 | -0.001 | 0.000 |
| 1.728 | 723.187 | 103.396 | -0.000 | -0.001 | 0.000 |
| 68.697 | 101.998 | 590.297 | -0.000 | 0.000 | 0.000 |
| 0.000 | -0.000 | -0.000 | 311.677 | 0.001 | 0.000 |
| -13.162 | 16.801 | 38.319 | -0.000 | 116.337 | 0.000 |
| -2.472 | 0.284 | 18.071 | -0.000 | 0.000 | 192.440 |
| 444.984 | 24.099 | 86.871 | 0.000 | 0.000 | -0.000 |
| 44.729 | 635.983 | 100.538 | -0.000 | -0.000 | -0.000 |
| 73.178 | 98.222 | 547.575 | 0.000 | -0.000 | -0.000 |
| 0.181 | -0.021 | -1.323 | 243.309 | 0.000 | -0.000 |
| 0.000 | 0.000 | 0.000 | -0.000 | 186.297 | -0.000 |
| -0.000 | 0.000 | 0.000 | 0.000 | -0.000 | 213.205 |
| 392.247 | 79.476 | 98.678 | -0.000 | 0.000 | 0.000 |
| 1.728 | 723.187 | 103.396 | -0.000 | -0.000 | 0.000 |
| 60.539 | 99.435 | 634.488 | -0.000 | 0.000 | 0.000 |
| -0.181 | 0.021 | 1.323 | 243.309 | -0.000 | 0.000 |
| 0.000 | -0.000 | -0.000 | -0.000 | 186.297 | 0.000 |
| 0.000 | -0.000 | -0.000 | -0.000 | 0.000 | 213.205 |
| 377.310 | 68.694 | 111.169 | 0.000 | 0.000 | -0.000 |
| 44.219 | 636.954 | 103.080 | 0.000 | 0.000 | -0.000 |
| 72.550 | 99.009 | 550.141 | 0.000 | 0.000 | -0.000 |
| 0.055 | -0.048 | -0.223 | 241.401 | -0.000 | 0.000 |
| 0.099 | -0.099 | -0.341 | -0.000 | 121.698 | -0.000 |
| 0.170 | -0.219 | -0.475 | -0.000 | 0.000 | 194.801 |
| 377.316 | 68.915 | 111.829 | 0.000 | -0.000 | 0.000 |
| 43.444 | 637.520 | 103.928 | -0.000 | -0.000 | 0.000 |
| 72.396 | 99.173 | 550.767 | 0.000 | -0.000 | 0.000 |
| -0.055 | 0.048 | 0.223 | 241.401 | 0.000 | 0.000 |
| -0.099 | 0.099 | 0.341 | -0.000 | 121.698 | 0.000 |
| -0.170 | 0.219 | 0.475 | -0.000 | 0.000 | 194.801 |
| 418.864 | 115.139 | 36.400 | 0.000 | -75.519 | 0.000 |
| 18.216 | 702.143 | 89.807 | -0.000 | -70.843 | 0.000 |
| 46.367 | 129.938 | 435.526 | 0.000 | -84.297 | 0.000 |
| -0.000 | 0.000 | 0.000 | 301.557 | 0.000 | -33.990 |
| -41.216 | 35.303 | -71.777 | 0.000 | 101.665 | 0.000 |
| -11.136 | 47.104 | -32.892 | -15.338 | -27.745 | 209.810 |
| 484.944 | 26.007 | 62.824 | 0.000 | -39.057 | -0.000 |
| 18.216 | 702.143 | 89.807 | -0.000 | -70.842 | -0.000 |
| 71.348 | 54.849 | 557.048 | -0.000 | -12.428 | 0.000 |
| 0.000 | -0.000 | -0.000 | 301.556 | 0.000 | -33.990 |
| -33.576 | -54.438 | 7.036 | 0.000 | 159.208 | -0.000 |
| 11.136 | -47.104 | 32.892 | -15.337 | 27.746 | 209.810 |
| 396.544 | 73.793 | 75.396 | 0.000 | -55.366 | 0.000 |
| 52.458 | 625.163 | 108.016 | 0.000 | -33.633 | -0.000 |
| 39.971 | 94.279 | 475.681 | -0.000 | -51.773 | 0.000 |
| -0.975 | 4.125 | -2.880 | 239.924 | -2.430 | -4.684 |
| -30.804 | -10.328 | -39.789 | -0.000 | 130.137 | 0.000 |
| -0.000 | 0.000 | 0.000 | -48.803 | 0.000 | 230.023 |
| 420.787 | 71.086 | 73.918 | -0.000 | -46.545 | -0.000 |
| 57.176 | 610.069 | 100.222 | -0.000 | -26.930 | -0.000 |
| 45.650 | 84.853 | 609.690 | -0.000 | -6.082 | -0.000 |
| 0.975 | -4.125 | 2.880 | 239.924 | 2.430 | -4.684 |
| -25.381 | -56.029 | -6.082 | 0.000 | 179.867 | -0.000 |
| 0.000 | -0.000 | -0.000 | -48.803 | -0.000 | 230.023 |
| 421.729 | 75.316 | 69.420 | -0.000 | -49.728 | 0.000 |
| 56.224 | 614.526 | 95.411 | -0.000 | -28.393 | -0.000 |
| 40.657 | 90.070 | 480.171 | -0.000 | -48.197 | 0.000 |
| 0.014 | 0.447 | -0.587 | 236.381 | -0.459 | -7.267 |
| -37.836 | -13.721 | -46.558 | -0.000 | 120.482 | -0.000 |
| -0.048 | 0.464 | -0.399 | -19.122 | -0.329 | 211.858 |
| 392.518 | 72.480 | 58.904 | 0.000 | -59.657 | -0.000 |
| 57.193 | 613.623 | 94.861 | 0.000 | -28.132 | -0.000 |
| 37.162 | 89.937 | 480.775 | -0.000 | -45.927 | -0.000 |
| -0.014 | -0.447 | 0.587 | 236.381 | 0.459 | -7.267 |
| -38.955 | -10.853 | -43.477 | 0.000 | 121.616 | -0.000 |
| 0.048 | -0.464 | 0.399 | -19.122 | 0.329 | 211.858 |
| 308.719 | 146.339 | 344.681 | 0.000 | 0.000 | 0.000 |
| 146.339 | 308.719 | 344.681 | 0.000 | -0.000 | -0.000 |
| 36.894 | 36.894 | 869.997 | -0.000 | -0.000 | 0.000 |
| -0.000 | -0.000 | -0.000 | 291.388 | -0.000 | 0.000 |
| -0.000 | -0.000 | -0.000 | 0.000 | 291.386 | 0.000 |
| 2469927564.972 | 2469927550.693 | 1026260775.100 | 0.001 | 0.000 | -713935170.370 |
| 382.693 | 72.374 | 344.696 | -0.000 | 0.000 | -0.000 |
| 72.373 | 382.694 | 344.696 | -0.000 | 0.000 | -0.000 |
| 36.898 | 36.898 | 870.014 | -0.000 | -0.000 | -0.000 |
| 0.000 | -0.000 | 0.000 | 291.387 | 0.000 | -0.000 |
| 0.000 | 0.000 | 0.000 | -0.000 | 291.387 | -0.000 |
| -2469927564.972 | -2469927550.693 | -1026260775.100 | -0.001 | -0.000 | -713935170.370 |
| 308.723 | 146.343 | 344.695 | 0.000 | -0.000 | 0.000 |
| 146.343 | 308.723 | 344.695 | 0.000 | 0.000 | -0.000 |
| 36.894 | 36.894 | 869.997 | 0.000 | -0.000 | 0.000 |
| 0.000 | -0.000 | 0.000 | 291.386 | -0.000 | -0.000 |
| -0.000 | 0.000 | 0.000 | -0.000 | 291.386 | 0.000 |
| 246992741.304 | 246992727.025 | 102625864.140 | 0.000 | 0.000 | -71393356.526 |
| 382.693 | 72.373 | 344.696 | -0.000 | 0.000 | -0.000 |
| 72.373 | 382.693 | 344.696 | -0.000 | 0.000 | -0.000 |
| 36.894 | 36.894 | 869.998 | -0.000 | 0.000 | -0.000 |
| 0.000 | 0.000 | -0.000 | 291.386 | 0.000 | -0.000 |
| 0.000 | -0.000 | -0.000 | 0.000 | 291.386 | -0.000 |
| -246992741.304 | -246992727.025 | -102625864.140 | -0.000 | -0.000 | -71393356.526 |
| 308.725 | 146.342 | 344.698 | -0.000 | 0.000 | 0.000 |
| 146.342 | 308.725 | 344.698 | 0.000 | -0.000 | 0.000 |
| 36.894 | 36.894 | 870.000 | -0.000 | -0.000 | 0.000 |
| 0.000 | -0.000 | 0.000 | 291.386 | -0.000 | -0.000 |
| -0.000 | 0.000 | 0.000 | 0.000 | 291.386 | 0.000 |
| 24699258.937 | 24699244.659 | 10262373.042 | 0.000 | 0.000 | -7139175.142 |
| 382.692 | 72.373 | 344.693 | -0.000 | 0.000 | -0.000 |
| 72.373 | 382.692 | 344.693 | -0.000 | -0.000 | -0.000 |
| 36.893 | 36.893 | 869.994 | 0.000 | -0.000 | -0.000 |
| -0.000 | 0.000 | -0.000 | 291.386 | 0.000 | -0.000 |
| 0.000 | -0.000 | -0.000 | 0.000 | 291.386 | 0.000 |
| -24699258.937 | -24699244.659 | -10262373.042 | -0.000 | 0.000 | -7139175.142 |
| 482.529 | 95.445 | 95.445 | -0.000 | 0.000 | 0.000 |
| 95.445 | 482.529 | 95.445 | -0.000 | 0.000 | 0.000 |
| 95.445 | 95.445 | 482.529 | -0.000 | -0.000 | 0.000 |
| 0.000 | 0.000 | -0.000 | 167.064 | 0.000 | 0.000 |
| 0.000 | 0.000 | 0.000 | -0.000 | 167.064 | 0.000 |
| 0.000 | 0.000 | -0.000 | 0.000 | 0.000 | 167.064 |
| 482.529 | 95.445 | 95.445 | 0.000 | -0.000 | -0.000 |
| 95.445 | 482.529 | 95.445 | 0.000 | -0.000 | 0.000 |
| 95.445 | 95.445 | 482.529 | 0.000 | 0.000 | -0.000 |
| -0.000 | -0.000 | 0.000 | 167.064 | -0.000 | -0.000 |
| -0.000 | -0.000 | -0.000 | 0.000 | 167.064 | -0.000 |
| -0.000 | -0.000 | 0.000 | -0.000 | -0.000 | 167.064 |
| 382.419 | 130.676 | 130.676 | -0.000 | -0.000 | -0.000 |
| 130.676 | 382.419 | 130.676 | -0.000 | -0.000 | -0.000 |
| 137.906 | 137.906 | 390.748 | -0.000 | -0.000 | -0.000 |
| -0.003 | -0.003 | -0.003 | 140.126 | -0.000 | -0.000 |
| -0.003 | -0.003 | -0.003 | -0.000 | 140.126 | -0.000 |
| -0.003 | -0.003 | -0.003 | -0.000 | -0.000 | 140.126 |
| 390.747 | 137.917 | 137.917 | 0.000 | 0.000 | 0.000 |
| 137.917 | 390.747 | 137.917 | -0.000 | 0.000 | 0.000 |
| 137.917 | 137.917 | 390.747 | 0.000 | 0.000 | 0.000 |
| 0.003 | 0.003 | 0.003 | 140.126 | 0.000 | 0.000 |
| 0.003 | 0.003 | 0.003 | 0.000 | 140.126 | 0.000 |
| 0.003 | 0.003 | 0.003 | 0.000 | 0.000 | 140.126 |
| 382.430 | 130.676 | 130.676 | -0.000 | -0.000 | -0.000 |
| 130.676 | 382.430 | 130.676 | -0.000 | -0.000 | -0.000 |
| 130.676 | 130.676 | 382.430 | -0.000 | -0.000 | -0.000 |
| -0.000 | -0.000 | -0.000 | 140.126 | -0.000 | -0.000 |
| -0.000 | -0.000 | -0.000 | -0.000 | 140.126 | -0.000 |
| -0.000 | -0.000 | -0.000 | -0.000 | -0.000 | 140.126 |
| 383.737 | 132.312 | 132.312 | 0.000 | -0.000 | 0.000 |
| 132.312 | 383.737 | 132.312 | 0.000 | -0.000 | 0.000 |
| 132.312 | 132.312 | 383.737 | 0.000 | 0.000 | 0.000 |
| 0.000 | 0.000 | 0.000 | 140.126 | 0.000 | 0.000 |
| 0.000 | 0.000 | 0.000 | 0.000 | 140.126 | 0.000 |
| 0.000 | 0.000 | 0.000 | 0.000 | 0.000 | 140.126 |
| 226.642 | 144.470 | 144.470 | -0.000 | -0.000 | 0.000 |
| 144.470 | 226.642 | 144.469 | 0.000 | 0.000 | 0.000 |
| 144.470 | 144.470 | 226.642 | -0.000 | -0.000 | 0.000 |
| 0.000 | 0.000 | -0.000 | 98.671 | 0.000 | 0.000 |
| 0.000 | 0.000 | -0.000 | 0.000 | 98.672 | 0.000 |
| 0.000 | 0.000 | -0.000 | -0.000 | 0.000 | 98.671 |
| 277.040 | 119.270 | 119.271 | 0.000 | -0.000 | -0.000 |
| 119.270 | 277.040 | 119.270 | 0.000 | -0.000 | -0.000 |
| 119.270 | 119.270 | 277.040 | 0.000 | 0.000 | -0.000 |
| -0.000 | -0.000 | 0.000 | 98.671 | 0.000 | -0.000 |
| -0.000 | -0.000 | 0.000 | 0.000 | 98.671 | -0.000 |
| -0.000 | -0.000 | 0.000 | 0.000 | -0.000 | 98.671 |
| 226.630 | 144.475 | 144.475 | -0.000 | 0.000 | 0.000 |
| 144.475 | 226.630 | 144.475 | 0.000 | -0.000 | 0.000 |
| 144.475 | 144.475 | 226.630 | -0.000 | -0.000 | 0.000 |
| 0.000 | -0.000 | -0.000 | 98.671 | -0.000 | 0.000 |
| -0.000 | 0.000 | -0.000 | -0.000 | 98.671 | 0.000 |
| -0.000 | -0.000 | -0.000 | -0.000 | 0.000 | 98.671 |
| 226.641 | 144.470 | 144.470 | 0.000 | -0.000 | -0.000 |
| 144.470 | 226.641 | 144.470 | 0.000 | 0.000 | -0.000 |
| 144.470 | 144.470 | 226.641 | 0.000 | 0.000 | -0.000 |
| -0.000 | 0.000 | 0.000 | 98.671 | 0.000 | -0.000 |
| 0.000 | -0.000 | 0.000 | 0.000 | 98.671 | -0.000 |
| 0.000 | -0.000 | -0.000 | -0.000 | -0.000 | 98.671 |
| 226.644 | 144.469 | 144.469 | 0.000 | 0.000 | 0.000 |
| 144.469 | 226.644 | 144.469 | 0.000 | 0.000 | 0.000 |
| 144.469 | 144.469 | 226.644 | -0.000 | 0.000 | 0.000 |
| 0.000 | -0.000 | -0.000 | 98.671 | 0.000 | 0.000 |
| -0.000 | 0.000 | -0.000 | 0.000 | 98.671 | 0.000 |
| -0.000 | -0.000 | 0.000 | -0.000 | 0.000 | 98.671 |
| 226.639 | 144.470 | 144.470 | -0.000 | -0.000 | -0.000 |
| 144.470 | 226.639 | 144.470 | 0.000 | -0.000 | -0.000 |
| 144.470 | 144.470 | 226.639 | 0.000 | -0.000 | -0.000 |
| -0.000 | 0.000 | 0.000 | 98.671 | -0.000 | -0.000 |
| 0.000 | -0.000 | 0.000 | 0.000 | 98.671 | -0.000 |
| 0.000 | 0.000 | -0.000 | -0.000 | 0.000 | 98.671 |
| 270.447 | 124.949 | 124.949 | -0.000 | 0.000 | -0.000 |
| 124.949 | 270.447 | 124.949 | 0.000 | -0.000 | 0.000 |
| 124.949 | 124.949 | 270.447 | -0.000 | -0.000 | 0.000 |
| 0.000 | -0.000 | -0.000 | 102.372 | 0.000 | 0.000 |
| 0.000 | -0.000 | -0.000 | -0.000 | 102.372 | 0.000 |
| -0.000 | -0.000 | 0.000 | 0.000 | -0.000 | 102.372 |
| 198.640 | 86.228 | 86.228 | 0.000 | -0.000 | -0.000 |
| 86.228 | 198.640 | 86.228 | 0.000 | 0.000 | -0.000 |
| 86.228 | 86.228 | 198.640 | 0.000 | -0.000 | -0.000 |
| -0.000 | 0.000 | 0.000 | 102.372 | 0.000 | -0.000 |
| 0.000 | 0.000 | 0.000 | -0.000 | 102.372 | -0.000 |
| 0.000 | 0.000 | 0.000 | 0.000 | 0.000 | 102.372 |
| 270.448 | 124.949 | 124.949 | -0.000 | 0.000 | 0.000 |
| 124.949 | 270.448 | 124.949 | -0.000 | -0.000 | -0.000 |
| 124.949 | 124.949 | 270.448 | -0.000 | 0.000 | 0.000 |
| 0.000 | -0.000 | 0.000 | 102.372 | -0.000 | 0.000 |
| 0.000 | 0.000 | 0.000 | -0.000 | 102.372 | 0.000 |
| 0.000 | -0.000 | -0.000 | -0.000 | -0.000 | 102.372 |
| 351.786 | 126.853 | 126.853 | 0.000 | 0.000 | 0.000 |
| 126.853 | 351.786 | 126.853 | 0.000 | 0.000 | -0.000 |
| 126.853 | 126.853 | 351.786 | 0.000 | 0.000 | -0.000 |
| -0.000 | 0.000 | -0.000 | 102.372 | 0.000 | 0.000 |
| -0.000 | -0.000 | -0.000 | -0.000 | 102.372 | -0.000 |
| -0.000 | -0.000 | -0.000 | 0.000 | 0.000 | 102.372 |
| 351.787 | 126.853 | 126.853 | -0.000 | -0.000 | 0.000 |
| 126.853 | 351.787 | 126.853 | -0.000 | 0.000 | 0.000 |
| 126.853 | 126.853 | 351.787 | -0.000 | 0.000 | 0.000 |
| 0.000 | -0.000 | 0.000 | 79.367 | -0.000 | 0.000 |
| -0.000 | 0.000 | 0.000 | -0.000 | 79.367 | 0.000 |
| -0.000 | 0.000 | -0.000 | 0.000 | -0.000 | 70.487 |
| 205.224 | 89.594 | 89.594 | 0.000 | 0.000 | -0.000 |
| 89.594 | 205.224 | 89.594 | 0.000 | 0.000 | -0.000 |
| 89.594 | 89.594 | 205.224 | 0.000 | 0.000 | -0.000 |
| -0.000 | 0.000 | -0.000 | 79.367 | 0.000 | -0.000 |
| 0.000 | -0.000 | -0.000 | -0.000 | 79.367 | -0.000 |
| 0.000 | -0.000 | -0.000 | 0.000 | 0.000 | 79.367 |
| -12244347.031 | -12244502.815 | -12244503.047 | 0.000 | 0.001 | 0.000 |
| -12244503.029 | -12244347.011 | -12244502.798 | -0.000 | 0.001 | 0.000 |
| -12244502.808 | -12244503.037 | -12244347.022 | -0.000 | 0.001 | 0.000 |
| 180612911.546 | 167158308.564 | 196002769.927 | -32322333.014 | 0.001 | 0.000 |
| 196002770.573 | 180612911.547 | 167158307.917 | -0.001 | -32322332.724 | 0.000 |
| 167158308.563 | 196002769.928 | 180612911.546 | 0.000 | 0.001 | -32322333.013 |
| 254.484 | 58.997 | 58.998 | 0.000 | -0.001 | -0.000 |
| 58.979 | 254.463 | 58.979 | 0.000 | -0.001 | -0.000 |
| 58.979 | 58.978 | 254.464 | -0.000 | -0.001 | -0.000 |
| -180612911.546 | -167158308.564 | -196002769.926 | -32322333.013 | -0.001 | -0.000 |
| -196002770.573 | -180612911.547 | -167158307.917 | -0.001 | -32322332.726 | -0.000 |
| -167158308.563 | -196002769.928 | -180612911.546 | -0.000 | -0.001 | -32322333.014 |
| -1224250.861 | -1224406.647 | -1224406.878 | 0.000 | 0.000 | 0.000 |
| -1224406.880 | -1224250.862 | -1224406.649 | 0.000 | 0.000 | 0.000 |
| -1224406.649 | -1224406.880 | -1224250.862 | 0.000 | 0.000 | 0.000 |
| 9712198.288 | 6823049.127 | 8388501.608 | 1335002.562 | 0.000 | 0.000 |
| 8388501.352 | 9712198.301 | 6823049.407 | 0.000 | 1335002.717 | 0.000 |
| 6823049.125 | 8388501.633 | 9712198.279 | 0.000 | 0.000 | 1335002.558 |
| 254.384 | 58.899 | 58.899 | -0.000 | -0.000 | -0.000 |
| 58.899 | 254.384 | 58.899 | 0.000 | -0.000 | -0.000 |
| 58.899 | 58.899 | 254.384 | 0.000 | -0.000 | -0.000 |
| -9712198.288 | -6823049.127 | -8388501.608 | 1335002.562 | -0.000 | -0.000 |
| -8388501.352 | -9712198.301 | -6823049.407 | 0.000 | 1335002.716 | -0.000 |
| -6823049.127 | -8388501.613 | -9712198.286 | 0.000 | -0.000 | 1335002.561 |
| -122241.321 | -122397.116 | -122397.347 | 0.000 | 0.000 | 0.000 |
| -122397.347 | -122241.321 | -122397.116 | -0.000 | 0.000 | 0.000 |
| -122397.116 | -122397.347 | -122241.321 | -0.000 | 0.000 | -0.000 |
| -6.857 | -10.728 | -10.041 | 90.732 | 0.000 | 0.000 |
| -10.042 | -6.857 | -10.727 | -0.000 | 90.732 | 0.000 |
| -10.728 | -10.041 | -6.857 | -0.000 | 0.000 | 90.732 |
| 254.357 | 58.873 | 58.873 | 0.000 | -0.000 | -0.000 |
| 58.873 | 254.357 | 58.873 | -0.000 | -0.000 | -0.000 |
| 58.873 | 58.873 | 254.357 | 0.000 | -0.000 | -0.000 |
| 6.857 | 10.728 | 10.041 | 90.732 | -0.000 | -0.000 |
| 10.042 | 6.857 | 10.727 | -0.000 | 90.732 | -0.000 |
| 10.728 | 10.041 | 6.857 | 0.000 | -0.000 | 90.732 |
| 10341349.602 | -21235436.653 | 43897418.106 | 0.000 | 0.000 | 0.000 |
| 10341124.699 | -21235221.209 | 43897428.316 | 0.000 | -0.000 | 0.000 |
| 10341122.091 | -21235449.198 | 43897697.527 | 0.000 | -0.000 | 0.000 |
| 6859402.319 | -863400.222 | -2085986.472 | -586187.192 | 0.000 | -0.000 |
| 6859359.280 | -864324.777 | -2086993.996 | 0.000 | 926001.149 | 0.000 |
| 5.597 | -0.311 | -5.652 | 0.000 | -0.000 | 103.864 |
| 407.080 | 178.833 | 79.292 | -0.000 | -0.000 | -0.000 |
| 149.445 | 415.552 | 91.596 | -0.000 | 0.000 | 0.000 |
| 123.716 | 136.460 | 411.914 | -0.000 | 0.000 | 0.000 |
| -6859402.319 | 863400.222 | 2085986.472 | -586187.192 | -0.000 | 0.000 |
| -6859359.280 | 864324.777 | 2086993.996 | -0.000 | 926001.149 | 0.000 |
| -5.597 | 0.311 | 5.652 | -0.000 | -0.000 | 103.864 |
| 1034452.297 | -2123416.916 | 4389822.383 | 0.000 | 0.000 | -0.000 |
| 1034227.397 | -2123201.399 | 4389832.386 | 0.000 | 0.000 | 0.000 |
| 1034224.773 | -2123429.681 | 4390102.430 | 0.000 | 0.000 | 0.000 |
| 685941.622 | -86328.521 | -208619.817 | -58511.005 | 0.000 | -0.000 |
| 685938.281 | -86410.431 | -208739.531 | 0.000 | 92704.867 | 0.000 |
| 1169222.517 | -2127619.213 | 4410349.664 | 0.000 | -0.000 | -43202.163 |
| 407.084 | 178.970 | 79.090 | -0.000 | 0.000 | -0.000 |
| 149.454 | 415.878 | 91.113 | -0.000 | -0.000 | -0.000 |
| 123.716 | 136.467 | 411.903 | -0.000 | 0.000 | -0.000 |
| -685941.622 | 86328.521 | 208619.817 | -58511.005 | 0.000 | -0.000 |
| -685938.281 | 86410.431 | 208739.531 | -0.000 | 92704.867 | 0.000 |
| -1169222.517 | 2127619.213 | -4410349.664 | -0.000 | -0.000 | -43202.163 |
| 103762.570 | -212214.914 | 439062.736 | 0.000 | 0.000 | -0.000 |
| 103537.668 | -211999.397 | 439072.738 | 0.000 | 0.000 | -0.000 |
| 103535.045 | -212227.679 | 439342.783 | 0.000 | -0.000 | 0.000 |
| 68595.552 | -8621.357 | -20883.141 | -5743.386 | 0.000 | 0.000 |
| 68596.182 | -8618.995 | -20914.087 | 0.000 | 9375.239 | -0.000 |
| 116925.741 | -212760.473 | 441035.376 | 0.000 | -0.000 | -4241.121 |
| 407.080 | 178.968 | 79.089 | -0.000 | 0.000 | -0.000 |
| 149.454 | 415.874 | 91.115 | -0.000 | -0.000 | 0.000 |
| 123.717 | 136.481 | 411.877 | -0.000 | -0.000 | -0.000 |
| -68595.552 | 8621.357 | 20883.141 | -5743.386 | -0.000 | 0.000 |
| -68596.182 | 8618.995 | 20914.087 | -0.000 | 9375.239 | -0.000 |
| -116925.741 | 212760.473 | -441035.376 | -0.000 | 0.000 | -4241.121 |
| -3799905312.320 | -3667541926.346 | -3553892372.279 | 0.000 | 0.000 | -0.000 |
| -3799905476.639 | -3667542058.364 | -3553892521.052 | -0.000 | 0.000 | -0.000 |
| -3799905351.244 | -3667541930.802 | -3553892314.906 | 0.000 | 0.000 | -0.000 |
| -3785552576.118 | -3652310633.319 | -3539867697.543 | 625887.850 | -0.000 | -0.000 |
| -3785546257.572 | -3652303508.588 | -3539860439.936 | 0.000 | -669084.324 | 0.000 |
| -3799892724.627 | -3667647982.166 | -3554040843.612 | 0.000 | 0.000 | 61690.812 |
| 590.849 | 384.028 | 361.771 | 0.000 | 0.000 | 0.000 |
| 953.707 | 985.823 | 661.426 | 0.000 | 0.000 | -0.000 |
| 2173.799 | 1742.500 | 1594.640 | 0.000 | 0.000 | 0.000 |
| 3785552576.118 | 3652310633.319 | 3539867697.543 | 625887.849 | -0.000 | 0.000 |
| 3785546257.572 | 3652303508.588 | 3539860439.936 | -0.000 | -669084.323 | 0.000 |
| 3799892724.627 | 3667647982.166 | 3554040843.612 | -0.001 | -0.000 | 61690.812 |
| -379990179.201 | -366753824.081 | -355388871.379 | 0.000 | 0.000 | 0.000 |
| -379990343.530 | -366753956.110 | -355389020.163 | 0.000 | 0.000 | -0.000 |
| -379990218.122 | -366753828.534 | -355388814.003 | 0.000 | 0.000 | -0.000 |
| -378555325.502 | -365231139.637 | -353986847.483 | 62594.884 | 0.000 | -0.000 |
| -378554804.474 | -365230551.691 | -353986248.586 | 0.000 | -66893.037 | -0.000 |
| -379989207.200 | -366764724.610 | -355404009.317 | 0.000 | -0.000 | 6172.675 |
| 590.859 | 384.036 | 361.777 | -0.000 | 0.000 | -0.000 |
| 953.708 | 985.822 | 661.427 | 0.000 | 0.000 | 0.000 |
| 2173.830 | 1742.527 | 1594.658 | 0.000 | 0.000 | 0.000 |
| 378555325.502 | 365231139.637 | 353986847.483 | 62594.884 | 0.000 | 0.000 |
| 378554804.474 | 365230551.691 | 353986248.586 | 0.000 | -66893.037 | -0.000 |
| 379989207.200 | 366764724.610 | 355404009.317 | 0.000 | -0.000 | 6172.675 |
| -37998665.885 | -36675013.851 | -35538521.285 | 0.000 | 0.000 | -0.000 |
| -37998830.217 | -36675145.884 | -35538670.072 | 0.000 | 0.000 | -0.000 |
| -37998704.810 | -36675018.308 | -35538463.913 | 0.000 | 0.000 | 0.000 |
| -37855600.410 | -36523190.244 | -35398762.449 | 6265.587 | 0.000 | -0.000 |
| -37855659.165 | -36523256.001 | -35398829.450 | -0.000 | -6673.909 | 0.000 |
| -37998855.457 | -36676398.855 | -35540325.888 | 0.000 | 0.000 | 620.862 |
| 590.857 | 384.037 | 361.778 | 0.000 | 0.000 | 0.000 |
| 953.713 | 985.816 | 661.432 | 0.000 | 0.000 | 0.000 |
| 2173.875 | 1742.580 | 1594.684 | 0.000 | 0.000 | 0.000 |
| 37855600.410 | 36523190.244 | 35398762.449 | 6265.587 | 0.000 | 0.000 |
| 37855659.165 | 36523256.001 | 35398829.450 | 0.000 | -6673.909 | -0.000 |
| 37998855.457 | 36676398.855 | 35540325.888 | -0.000 | -0.000 | 620.862 |
| 22964104.502 | 77178898.506 | 16661916.591 | -0.000 | -0.000 | -0.000 |
| 22964007.583 | 77179015.010 | 16661906.525 | -0.000 | 0.000 | -0.000 |
| 22964011.718 | 77178879.975 | 16662017.493 | -0.000 | 0.000 | -0.000 |
| 18486615.419 | 60416908.818 | 13118294.133 | -862920.110 | 0.000 | -0.000 |
| 18486616.725 | 60416916.347 | 13118295.002 | 0.000 | -102733.884 | -0.000 |
| 25791303.208 | 83359724.026 | 18216899.324 | -0.000 | -0.000 | 107286.961 |
| 161.573 | 19.447 | 41.594 | 0.000 | 0.000 | 0.000 |
| 21.513 | 158.911 | 21.117 | 0.000 | 0.000 | 0.000 |
| 33.696 | -20.861 | 178.326 | 0.000 | -0.000 | 0.000 |
| -18486615.419 | -60416908.818 | -13118294.133 | -862920.109 | -0.000 | 0.000 |
| -18486616.725 | -60416916.347 | -13118295.002 | 0.000 | -102733.884 | 0.000 |
| -25791303.208 | -83359724.026 | -18216899.324 | 0.000 | -0.000 | 107286.961 |
| 2296520.121 | 7717910.287 | 1666221.535 | -0.000 | 0.000 | -0.000 |
| 2296423.233 | 7718026.911 | 1666211.487 | -0.000 | 0.000 | -0.000 |
| 2296427.331 | 7717891.729 | 1666322.433 | -0.000 | 0.000 | -0.000 |
| 1848656.613 | 6041669.346 | 1311826.229 | -86238.201 | 0.000 | -0.000 |
| 1848657.913 | 6041676.845 | 1311827.093 | -0.000 | -10216.006 | -0.000 |
| 2579132.109 | 8335979.796 | 1821690.998 | -0.000 | -0.000 | 10768.970 |
| 161.545 | 19.310 | 41.573 | 0.000 | -0.000 | 0.000 |
| 21.505 | 158.871 | 21.111 | 0.000 | -0.000 | 0.000 |
| 33.695 | -20.863 | 178.325 | 0.000 | 0.000 | 0.000 |
| -1848656.613 | -6041669.346 | -1311826.229 | -86238.201 | 0.000 | 0.000 |
| -1848657.913 | -6041676.845 | -1311827.093 | -0.000 | -10216.006 | 0.000 |
| -2579132.109 | -8335979.796 | -1821690.998 | 0.000 | 0.000 | 10768.970 |
| 229761.683 | 771811.463 | 166652.029 | -0.000 | -0.000 | -0.000 |
| 229664.793 | 771928.086 | 166641.980 | -0.000 | 0.000 | -0.000 |
| 229668.892 | 771792.908 | 166752.928 | -0.000 | -0.000 | -0.000 |
| 184860.733 | 604145.399 | 131179.439 | -8570.010 | 0.000 | -0.000 |
| 184862.032 | 604152.895 | 131180.303 | -0.000 | -964.218 | -0.000 |
| 257914.992 | 833605.365 | 182170.163 | -0.000 | 0.000 | 1117.171 |
| 161.544 | 19.311 | 41.573 | 0.000 | 0.000 | 0.000 |
| 21.504 | 158.866 | 21.111 | 0.000 | -0.000 | 0.000 |
| 33.695 | -20.862 | 178.321 | 0.000 | 0.000 | 0.000 |
| -184860.733 | -604145.399 | -131179.439 | -8570.010 | 0.000 | 0.000 |
| -184862.032 | -604152.895 | -131180.303 | -0.000 | -964.218 | 0.000 |
| -257914.992 | -833605.365 | -182170.163 | 0.000 | 0.000 | 1117.171 |
| 225229441.257 | 39317465.170 | 251585683.135 | 0.000 | 0.000 | -0.000 |
| 39317465.170 | 225229441.258 | 251585683.135 | 0.000 | -0.000 | -0.000 |
| 3687484.908 | 3687484.908 | -2682566.245 | -0.000 | -0.000 | -0.000 |
| 19658666.626 | 112614521.490 | 125792777.781 | -47396787.103 | 0.000 | -0.000 |
| 112614521.489 | 19658666.626 | 125792777.781 | -0.000 | -47396787.103 | 0.000 |
| -0.003 | -0.003 | -0.010 | 0.000 | 0.000 | 122.525 |
| 389.847 | 131.755 | 120.500 | 0.000 | 0.000 | -0.000 |
| 131.755 | 389.847 | 120.500 | -0.000 | 0.000 | -0.000 |
| 121.128 | 121.127 | 467.950 | 0.000 | 0.000 | -0.000 |
| -19658666.626 | -112614521.490 | -125792777.781 | -47396787.103 | 0.000 | 0.000 |
| -112614521.489 | -19658666.626 | -125792777.781 | -0.000 | -47396787.103 | -0.000 |
| 0.003 | 0.003 | 0.010 | 0.000 | 0.000 | 122.525 |
| 22527928.693 | 3933884.353 | 25156715.844 | -0.000 | -0.000 | 0.000 |
| 3933884.355 | 22527928.692 | 25156715.842 | -0.000 | 0.000 | 0.000 |
| 368857.492 | 368857.492 | -267841.318 | -0.000 | -0.000 | 0.000 |
| 1965866.652 | 11261451.912 | 12579276.928 | -4739569.174 | -0.000 | 0.000 |
| 11261451.912 | 1965866.652 | 12579276.928 | 0.000 | -4739569.174 | 0.000 |
| -0.000 | -0.000 | 0.000 | 0.000 | 0.000 | 122.525 |
| 389.842 | 131.751 | 120.487 | -0.000 | 0.000 | 0.000 |
| 131.751 | 389.842 | 120.487 | -0.000 | 0.000 | -0.000 |
| 121.114 | 121.114 | 467.909 | 0.000 | 0.000 | -0.000 |
| -1965866.652 | -11261451.912 | -12579276.928 | -4739569.174 | 0.000 | -0.000 |
| -11261451.912 | -1965866.652 | -12579276.928 | -0.000 | -4739569.174 | -0.000 |
| 0.000 | 0.000 | -0.000 | -0.000 | 0.000 | 122.525 |
| 2252688.179 | 393305.261 | 2515981.212 | -0.000 | -0.000 | 0.000 |
| 393305.261 | 2252688.179 | 2515981.212 | 0.000 | 0.000 | -0.000 |
| 36994.751 | 36994.751 | -26368.821 | 0.000 | -0.000 | 0.000 |
| 196586.655 | 1126144.954 | 1257926.842 | -473847.382 | -0.000 | -0.000 |
| 1126144.954 | 196586.655 | 1257926.842 | -0.000 | -473847.382 | 0.000 |
| 0.000 | 0.000 | -0.000 | 0.000 | 0.000 | 122.525 |
| 389.841 | 131.750 | 120.486 | 0.000 | 0.000 | -0.000 |
| 131.750 | 389.841 | 120.486 | -0.000 | -0.000 | 0.000 |
| 121.117 | 121.117 | 467.916 | -0.000 | -0.000 | 0.000 |
| -196586.655 | -1126144.954 | -1257926.842 | -473847.382 | -0.000 | 0.000 |
| -1126144.954 | -196586.655 | -1257926.842 | -0.000 | -473847.382 | -0.000 |
| -0.000 | -0.000 | 0.000 | -0.000 | 0.000 | 122.525 |
| 557917299.775 | 557917164.991 | 58626464.815 | -0.000 | -0.000 | 0.000 |
| 557917164.992 | 557917299.774 | 58626464.815 | 0.000 | 0.000 | 0.000 |
| 557917134.761 | 557917134.760 | 58626592.020 | 0.000 | -0.000 | -0.000 |
| 458977901.472 | 524791380.701 | 172066095.420 | 66369102.910 | 0.000 | -0.000 |
| 524791380.702 | 458977901.471 | 172066095.419 | 0.000 | 66369102.910 | 0.000 |
| 513529886.082 | 513529883.788 | 168149267.311 | 0.000 | -0.000 | -114634785.979 |
| 299.070 | 84.998 | 85.241 | 0.000 | 0.000 | -0.000 |
| 84.993 | 299.067 | 85.237 | -0.000 | -0.000 | 0.000 |
| 99.650 | 99.651 | 278.240 | -0.000 | 0.000 | -0.000 |
| -458977901.472 | -524791380.701 | -172066095.420 | 66369102.910 | 0.000 | 0.000 |
| -524791380.702 | -458977901.471 | -172066095.419 | 0.000 | 66369102.910 | -0.000 |
| -513529886.081 | -513529883.788 | -168149267.311 | -0.000 | 0.000 | -114634785.979 |
| 55791986.587 | 55791851.804 | 5862711.295 | 0.000 | -0.000 | 0.000 |
| 55791851.804 | 55791986.586 | 5862711.295 | 0.000 | 0.000 | -0.000 |
| 55791821.539 | 55791821.539 | 5862838.505 | 0.000 | -0.000 | -0.000 |
| 45897769.668 | 52479115.902 | 17206589.726 | 6636995.780 | -0.000 | -0.000 |
| 52479115.902 | 45897769.668 | 17206589.726 | -0.000 | 6636995.780 | 0.000 |
| 51352954.298 | 51352952.005 | 16814893.312 | 0.000 | 0.000 | -11463392.436 |
| 299.080 | 85.007 | 85.252 | -0.000 | -0.000 | -0.000 |
| 85.007 | 299.080 | 85.252 | -0.000 | 0.000 | 0.000 |
| 99.648 | 99.649 | 278.238 | -0.000 | 0.000 | 0.000 |
| -45897769.668 | -52479115.902 | -17206589.726 | 6636995.780 | -0.000 | 0.000 |
| -52479115.902 | -45897769.668 | -17206589.726 | -0.000 | 6636995.780 | -0.000 |
| -51352954.298 | -51352952.005 | -16814893.312 | -0.000 | -0.000 | -11463392.436 |
| 5579455.270 | 5579320.487 | 586335.943 | 0.000 | -0.000 | 0.000 |
| 5579320.487 | 5579455.270 | 586335.943 | 0.000 | -0.000 | -0.000 |
| 5579290.224 | 5579290.224 | 586463.153 | 0.000 | 0.000 | 0.000 |
| 4589756.489 | 5247889.424 | 1720639.158 | 663785.067 | -0.000 | 0.000 |
| 5247889.424 | 4589756.489 | 1720639.158 | 0.000 | 663785.067 | 0.000 |
| 5135261.119 | 5135258.826 | 1681455.911 | 0.000 | 0.000 | -1146253.082 |
| 299.079 | 85.007 | 85.252 | -0.000 | -0.000 | 0.000 |
| 85.007 | 299.079 | 85.252 | -0.000 | 0.000 | -0.000 |
| 99.649 | 99.649 | 278.237 | -0.000 | -0.000 | -0.000 |
| -4589756.489 | -5247889.424 | -1720639.158 | 663785.067 | -0.000 | -0.000 |
| -5247889.424 | -4589756.489 | -1720639.158 | -0.000 | 663785.067 | -0.000 |
| -5135261.119 | -5135258.826 | -1681455.911 | -0.000 | 0.000 | -1146253.082 |
| 532712.663 | -147873.255 | -725061.542 | -0.000 | -0.000 | 0.000 |
| 532436.284 | -147621.568 | -724957.364 | -0.000 | -0.000 | 0.000 |
| 532402.328 | -147840.166 | -724745.021 | 0.000 | -0.000 | 0.000 |
| 155533057.550 | 8363726.478 | 131713447.078 | -33197494.811 | -0.000 | 0.000 |
| 385015.595 | 1021937.233 | -1453305.914 | -0.000 | 35526.026 | 0.000 |
| 385006.719 | 1021947.635 | -1453300.367 | -0.000 | -0.000 | 65016.396 |
| 325.360 | 142.060 | 136.422 | 0.000 | 0.000 | -0.000 |
| 116.397 | 375.460 | 147.354 | 0.000 | 0.000 | -0.000 |
| 49.226 | 165.670 | 405.571 | 0.000 | 0.000 | 0.000 |
| -155533057.550 | -8363726.478 | -131713447.078 | -33197494.811 | 0.000 | -0.000 |
| -385015.595 | -1021937.233 | 1453305.914 | 0.000 | 35526.027 | -0.000 |
| -385006.719 | -1021947.635 | 1453300.367 | 0.000 | 0.000 | 65016.396 |
| 53613.422 | -14673.481 | -72452.474 | -0.000 | -0.000 | 0.000 |
| 53350.995 | -14425.693 | -72367.094 | -0.000 | -0.000 | 0.000 |
| 53339.550 | -14650.386 | -72185.245 | -0.000 | -0.000 | 0.000 |
| 15553300.597 | 836382.737 | 13171327.879 | -3319651.973 | -0.000 | 0.000 |
| 38496.528 | 102196.630 | -145325.051 | -0.000 | 3638.152 | -0.000 |
| 38490.959 | 102200.201 | -145319.171 | -0.000 | -0.000 | 6600.797 |
| 324.469 | 142.547 | 137.443 | 0.000 | 0.000 | -0.000 |
| 116.079 | 375.635 | 147.720 | 0.000 | 0.000 | 0.000 |
| 49.091 | 165.744 | 405.726 | -0.000 | 0.000 | -0.000 |
| -15553300.597 | -836382.737 | -13171327.879 | -3319651.973 | 0.000 | -0.000 |
| -38496.528 | -102196.630 | 145325.051 | 0.000 | 3638.152 | -0.000 |
| -38490.959 | -102200.201 | 145319.171 | 0.000 | 0.000 | 6600.797 |
| 5693.271 | -1350.701 | -7177.767 | -0.000 | -0.000 | 0.000 |
| 5441.808 | -1105.918 | -7107.181 | -0.000 | -0.000 | 0.000 |
| 5419.338 | -1327.572 | -6910.469 | -0.000 | -0.000 | 0.000 |
| 1555324.898 | 83648.370 | 1317115.948 | -331867.688 | -0.000 | 0.000 |
| 3844.588 | 10222.607 | -14526.844 | -0.000 | 449.365 | 0.000 |
| 3839.313 | 10225.516 | -14520.890 | -0.000 | -0.000 | 759.238 |
| 324.428 | 142.562 | 137.477 | 0.000 | 0.000 | -0.000 |
| 116.007 | 375.672 | 147.801 | 0.000 | 0.000 | -0.000 |
| 49.062 | 165.757 | 405.750 | 0.000 | 0.000 | -0.000 |
| -1555324.898 | -83648.370 | -1317115.948 | -331867.688 | 0.000 | -0.000 |
| -3844.588 | -10222.607 | 14526.844 | 0.000 | 449.365 | -0.000 |
| -3839.313 | -10225.516 | 14520.890 | 0.000 | 0.000 | 759.238 |
| 218.066 | 64.370 | 64.286 | 0.000 | 0.000 | 0.000 |
| -36408687.136 | -31614536.266 | -43663956.271 | 0.000 | 0.000 | -0.000 |
| -36408633.253 | -31614615.437 | -43663650.334 | 0.000 | -0.000 | 0.000 |
| -22114240.255 | 11287763.467 | -13561279.750 | 2938085.524 | 0.000 | 0.000 |
| -0.002 | -0.003 | -0.002 | 0.000 | 99.456 | 0.000 |
| -0.003 | -0.003 | -0.004 | 0.000 | -0.000 | 89.781 |
| 218.068 | 64.373 | 64.289 | -0.000 | 0.000 | -0.000 |
| 71.659 | 237.889 | 66.606 | -0.000 | 0.000 | -0.000 |
| 192.586 | 164.643 | 431.329 | -0.000 | -0.000 | -0.000 |
| 22114240.255 | -11287763.467 | 13561279.750 | 2938085.524 | -0.000 | -0.000 |
| 0.002 | 0.003 | 0.002 | -0.000 | 99.456 | -0.000 |
| 0.003 | 0.003 | 0.004 | 0.000 | 0.000 | 89.781 |
| 218.067 | 64.372 | 64.287 | 0.000 | -0.000 | 0.000 |
| -3640809.140 | -3161253.717 | -4366336.219 | 0.000 | 0.000 | 0.000 |
| -3640755.262 | -3161332.893 | -4366030.289 | 0.000 | 0.000 | 0.000 |
| -2211413.199 | 1128792.341 | -1356106.694 | 293882.657 | 0.000 | 0.000 |
| -0.000 | -0.000 | -0.000 | 0.000 | 99.456 | 0.000 |
| -0.000 | -0.000 | -0.000 | 0.000 | -0.000 | 89.781 |
| 218.067 | 64.372 | 64.287 | -0.000 | 0.000 | 0.000 |
| 71.691 | 237.916 | 66.642 | -0.000 | 0.000 | -0.000 |
| 192.586 | 164.642 | 431.328 | -0.000 | -0.000 | -0.000 |
| 2211413.199 | -1128792.341 | 1356106.694 | 293882.657 | -0.000 | -0.000 |
| 0.000 | 0.000 | 0.000 | -0.000 | 99.456 | -0.000 |
| 0.000 | 0.000 | 0.000 | -0.000 | 0.000 | 89.781 |
| 218.067 | 64.372 | 64.288 | 0.000 | -0.000 | -0.000 |
| -364021.343 | -315925.466 | -436574.219 | 0.000 | 0.000 | 0.000 |
| -363967.427 | -316004.642 | -436268.274 | 0.000 | 0.000 | 0.000 |
| -221130.494 | 112895.228 | -135589.389 | 29462.371 | 0.000 | 0.000 |
| -0.000 | -0.000 | 0.000 | 0.000 | 99.456 | 0.000 |
| 0.000 | 0.000 | 0.000 | 0.000 | 0.000 | 89.781 |
| 218.066 | 64.372 | 64.287 | 0.000 | -0.000 | -0.000 |
| 71.696 | 237.920 | 66.648 | -0.000 | 0.000 | -0.000 |
| 192.580 | 164.642 | 431.322 | -0.000 | 0.000 | -0.000 |
| 221130.494 | -112895.228 | 135589.389 | 29462.371 | -0.000 | 0.000 |
| 0.000 | 0.000 | -0.000 | -0.000 | 99.456 | -0.000 |
| -0.000 | -0.000 | -0.000 | -0.000 | 0.000 | 89.781 |
| 66945620.146 | 74846771.269 | 237326413.049 | 0.000 | -0.000 | -0.000 |
| 46.166 | 207.651 | 35.354 | 0.000 | -0.000 | -0.000 |
| 45.957 | 36.277 | 254.094 | 0.000 | 0.000 | 0.000 |
| 0.021 | 0.040 | 0.007 | 91.380 | -0.000 | 0.000 |
| 0.021 | 0.041 | 0.007 | 0.000 | 92.821 | 0.000 |
| 0.017 | 0.033 | 0.006 | 0.000 | -0.000 | 84.793 |
| 182.006 | 10.968 | 35.309 | -0.000 | -0.000 | -0.000 |
| 46.167 | 207.651 | 35.354 | -0.000 | -0.000 | 0.000 |
| 45.935 | 36.235 | 254.086 | -0.000 | -0.000 | -0.000 |
| -0.021 | -0.039 | -0.007 | 91.380 | -0.000 | 0.000 |
| -0.022 | -0.041 | -0.007 | -0.000 | 92.821 | 0.000 |
| -0.017 | -0.033 | -0.006 | -0.000 | 0.000 | 84.793 |
| 6694737.218 | 7484716.897 | 23732684.165 | 0.000 | 0.000 | -0.000 |
| 46.168 | 207.656 | 35.355 | 0.000 | 0.000 | 0.000 |
| 45.959 | 36.280 | 254.094 | 0.000 | 0.000 | 0.000 |
| 0.002 | 0.004 | 0.001 | 91.380 | -0.000 | 0.000 |
| 0.002 | 0.004 | 0.001 | 0.000 | 92.821 | 0.000 |
| 0.002 | 0.004 | 0.001 | 0.000 | 0.000 | 84.793 |
| 182.027 | 11.009 | 35.316 | -0.000 | 0.000 | -0.000 |
| 46.164 | 207.647 | 35.353 | -0.000 | 0.000 | -0.000 |
| 45.955 | 36.273 | 254.093 | -0.000 | 0.000 | -0.000 |
| -0.002 | -0.004 | -0.001 | 91.380 | 0.000 | -0.000 |
| -0.002 | -0.004 | -0.001 | -0.000 | 92.821 | 0.000 |
| -0.002 | -0.004 | -0.001 | -0.000 | 0.000 | 84.793 |
| 669648.918 | 748511.465 | 2373311.279 | 0.000 | -0.000 | -0.000 |
| 46.166 | 207.652 | 35.355 | 0.000 | -0.000 | -0.000 |
| 45.957 | 36.277 | 254.094 | 0.000 | -0.000 | 0.000 |
| 0.000 | 0.000 | 0.000 | 91.380 | 0.000 | 0.000 |
| 0.000 | 0.000 | 0.000 | 0.000 | 92.821 | 0.000 |
| 0.000 | 0.000 | 0.000 | 0.000 | -0.000 | 84.793 |
| 182.023 | 11.011 | 35.316 | -0.000 | 0.000 | -0.000 |
| 46.166 | 207.650 | 35.354 | -0.000 | -0.000 | 0.000 |
| 45.956 | 36.276 | 254.092 | -0.000 | -0.000 | 0.000 |
| -0.000 | -0.000 | -0.000 | 91.380 | 0.000 | -0.000 |
| -0.000 | -0.000 | -0.000 | -0.000 | 92.821 | -0.000 |
| -0.000 | -0.001 | -0.000 | -0.000 | 0.000 | 84.793 |
| -561797608.141 | 4309644880.590 | 4309644880.589 | 0.000 | 0.000 | -0.000 |
| 4309644880.589 | -561797608.141 | 4309644880.589 | 0.000 | 0.000 | 0.000 |
| 4309644880.589 | 4309644880.590 | -561797608.141 | 0.000 | 0.000 | 0.000 |
| 0.000 | 0.000 | 0.000 | 136.894 | 0.000 | -0.000 |
| 0.000 | 0.000 | 0.000 | -0.000 | 136.894 | 0.000 |
| 0.000 | 0.000 | 0.000 | 0.000 | 0.000 | 136.894 |
| 247.817 | -24.857 | -24.857 | -0.000 | -0.000 | -0.000 |
| -24.857 | 247.816 | -24.857 | -0.000 | -0.000 | 0.000 |
| -24.857 | -24.857 | 247.817 | -0.000 | -0.000 | -0.000 |
| -0.000 | -0.000 | -0.000 | 136.894 | -0.000 | 0.000 |
| 0.000 | -0.000 | -0.000 | -0.000 | 136.894 | -0.000 |
| -0.000 | -0.000 | -0.000 | -0.000 | -0.000 | 136.894 |
| -56179689.178 | 430964577.111 | 430964577.111 | 0.000 | 0.000 | -0.000 |
| 430964577.111 | -56179689.178 | 430964577.111 | 0.000 | 0.000 | 0.000 |
| 430964577.111 | 430964577.111 | -56179689.178 | 0.000 | 0.000 | -0.000 |
| 0.000 | 0.000 | 0.000 | 136.894 | -0.000 | 0.000 |
| 0.000 | 0.000 | 0.000 | 0.000 | 136.894 | 0.000 |
| 0.000 | 0.000 | 0.000 | 0.000 | 0.000 | 136.894 |
| 247.817 | -24.857 | -24.857 | 0.000 | 0.000 | 0.000 |
| -24.857 | 247.817 | -24.857 | 0.000 | -0.000 | 0.000 |
| -24.857 | -24.857 | 247.817 | 0.000 | 0.000 | -0.000 |
| -0.000 | -0.000 | -0.000 | 136.894 | -0.000 | -0.000 |
| -0.000 | -0.000 | -0.000 | -0.000 | 136.894 | -0.000 |
| -0.000 | -0.000 | -0.000 | -0.000 | -0.000 | 136.894 |
| -5617897.281 | 43096546.763 | 43096546.763 | 0.000 | 0.000 | -0.000 |
| 43096546.763 | -5617897.281 | 43096546.763 | 0.000 | 0.000 | 0.000 |
| 43096546.763 | 43096546.763 | -5617897.281 | 0.000 | 0.000 | -0.000 |
| 0.000 | 0.000 | 0.000 | 136.894 | 0.000 | 0.000 |
| 0.000 | 0.000 | 0.000 | 0.000 | 136.894 | 0.000 |
| 0.000 | 0.000 | 0.000 | 0.000 | 0.000 | 136.894 |
| 247.816 | -24.857 | -24.857 | -0.000 | -0.000 | 0.000 |
| -24.857 | 247.816 | -24.857 | -0.000 | -0.000 | -0.000 |
| -24.857 | -24.857 | 247.816 | -0.000 | -0.000 | -0.000 |
| -0.000 | -0.000 | -0.000 | 136.894 | -0.000 | 0.000 |
| -0.000 | -0.000 | -0.000 | -0.000 | 136.894 | -0.000 |
| -0.000 | -0.000 | -0.000 | -0.000 | -0.000 | 136.894 |
| 279.721 | 18.109 | 91.230 | -0.000 | 0.000 | 0.000 |
| 18.109 | 279.721 | 91.230 | 0.000 | 0.000 | 0.000 |
| 88.917 | 88.917 | 400.448 | -0.000 | -0.000 | 0.000 |
| -1408964866.446 | -1438738153.349 | -1580246382.095 | -213364913.713 | 4077108.810 | 6717627.985 |
| -1595993688.289 | -1620258306.109 | -1726454713.858 | 1179371.150 | -122861008.383 | -2103488.079 |
| 0.000 | 0.000 | 0.000 | -0.000 | -0.000 | 20.360 |
| 320.700 | -3.798 | 70.958 | 0.000 | -0.000 | -0.000 |
| -3.798 | 320.700 | 70.958 | -0.000 | -0.000 | -0.000 |
| 103.535 | 103.535 | 369.374 | -0.000 | -0.000 | -0.000 |
| 2.171 | 2.171 | -4.615 | 29.636 | 0.000 | -0.000 |
| 1632039040.446 | 1634471401.434 | 1738055152.228 | 8638640.809 | -106092805.769 | 5233962.478 |
| -0.000 | -0.000 | -0.000 | 0.000 | 0.000 | 20.359 |
| 279.081 | 24.709 | 84.895 | 0.000 | 0.000 | 0.000 |
| 24.709 | 279.081 | 84.895 | -0.000 | -0.000 | 0.000 |
| 102.583 | 102.583 | 371.398 | -0.000 | 0.000 | 0.000 |
| -148399843.278 | -148467814.732 | -162807901.588 | -18906798.843 | -684323.684 | 148362.800 |
| -161672432.781 | -161603343.093 | -173281750.406 | -555464.915 | -11693889.061 | 442457.201 |
| 0.000 | 0.000 | 0.000 | -0.000 | 0.000 | 20.360 |
| 279.254 | 24.882 | 84.527 | -0.000 | -0.000 | -0.000 |
| 24.882 | 279.254 | 84.527 | 0.000 | 0.000 | -0.000 |
| 88.917 | 88.917 | 400.448 | -0.000 | -0.000 | -0.000 |
| 174841636.408 | 173592529.985 | 179908129.359 | -10004024.580 | 117668.211 | 700339.203 |
| 152243982.215 | 152679023.132 | 168365763.488 | -1229615.002 | -13616417.307 | 377449.259 |
| -0.000 | -0.000 | -0.000 | 0.000 | -0.000 | 20.359 |
| 279.159 | 24.787 | 84.730 | -0.000 | 0.000 | 0.000 |
| 24.787 | 279.159 | 84.730 | -0.000 | 0.000 | 0.000 |
| 102.662 | 102.662 | 371.232 | 0.000 | -0.000 | -0.000 |
| -17406521.058 | -16827475.017 | -17723399.019 | -1257614.430 | -31.928 | 12603.922 |
| -11078864.149 | -10848292.653 | -14174377.764 | -41607.548 | -3092048.474 | -598.340 |
| -0.009 | -0.009 | 0.018 | 0.000 | 0.000 | 20.359 |
| 279.175 | 24.804 | 84.692 | -0.000 | -0.000 | -0.000 |
| 24.804 | 279.175 | 84.692 | 0.000 | -0.000 | -0.000 |
| 102.677 | 102.677 | 371.197 | 0.000 | 0.000 | -0.000 |
| 17520609.555 | 17077706.638 | 17879950.775 | -1215758.545 | -48089.346 | 32701.854 |
| 16347635.423 | 16385040.492 | 17417588.983 | -161594.188 | -1229949.880 | -5784.656 |
| 0.009 | 0.009 | -0.018 | 0.000 | -0.000 | 20.359 |
| 558.974 | 28.121 | 28.121 | -0.000 | -0.001 | 0.000 |
| 28.121 | 558.973 | 28.121 | -0.000 | -0.001 | 0.000 |
| 28.121 | 28.121 | 558.974 | -0.000 | -0.001 | 0.000 |
| 8.107 | 8.107 | 8.107 | 161.988 | -0.001 | -0.000 |
| 8.106 | 8.106 | 8.107 | -0.000 | 161.987 | -0.000 |
| 8.107 | 8.107 | 8.107 | -0.000 | -0.001 | 161.988 |
| 545.509 | 10.208 | 10.207 | 0.000 | 0.001 | -0.001 |
| 10.207 | 545.509 | 10.207 | 0.000 | 0.001 | 0.000 |
| 10.207 | 10.207 | 545.509 | 0.000 | 0.001 | -0.000 |
| -8.107 | -8.107 | -8.107 | 161.988 | 0.001 | -0.001 |
| -8.107 | -8.106 | -8.106 | 0.000 | 161.989 | 0.000 |
| -8.107 | -8.107 | -8.107 | 0.000 | 0.001 | 161.987 |
| 553.010 | 18.338 | 18.338 | -0.000 | -0.000 | -0.000 |
| 18.338 | 553.010 | 18.338 | -0.000 | -0.000 | -0.000 |
| 18.338 | 18.338 | 553.010 | -0.000 | -0.000 | 0.000 |
| 0.785 | 0.784 | 0.784 | 159.255 | -0.000 | 0.000 |
| 0.784 | 0.784 | 0.784 | -0.000 | 159.255 | -0.000 |
| 0.784 | 0.784 | 0.784 | -0.000 | -0.000 | 159.255 |
| 569.918 | 27.831 | 27.831 | 0.000 | 0.000 | 0.000 |
| 27.831 | 569.918 | 27.831 | 0.000 | 0.000 | -0.000 |
| 27.831 | 27.831 | 569.918 | 0.000 | 0.000 | -0.000 |
| -0.784 | -0.784 | -0.784 | 159.255 | 0.000 | -0.000 |
| -0.784 | -0.785 | -0.784 | 0.000 | 159.255 | 0.000 |
| -0.784 | -0.784 | -0.784 | 0.000 | 0.000 | 159.255 |
| 551.340 | 20.486 | 20.486 | -0.000 | -0.000 | 0.000 |
| 20.486 | 551.340 | 20.486 | -0.000 | -0.000 | -0.000 |
| 20.486 | 20.486 | 551.340 | -0.000 | -0.000 | -0.000 |
| 0.076 | 0.076 | 0.076 | 159.254 | -0.000 | -0.000 |
| 0.081 | 0.082 | 0.082 | -0.000 | 161.700 | 0.000 |
| 0.076 | 0.076 | 0.076 | -0.000 | -0.000 | 159.254 |
| 552.312 | 17.525 | 17.525 | 0.000 | 0.000 | -0.000 |
| 17.525 | 552.312 | 17.525 | 0.000 | 0.000 | 0.000 |
| 17.525 | 17.525 | 552.312 | 0.000 | 0.000 | -0.000 |
| -0.076 | -0.076 | -0.076 | 159.254 | 0.000 | 0.000 |
| -0.081 | -0.082 | -0.082 | -0.000 | 161.700 | -0.000 |
| -0.076 | -0.076 | -0.076 | 0.000 | 0.000 | 159.254 |
| 1140636293.360 | 2694878643.113 | 2694878642.933 | 0.009 | -0.022 | 0.013 |
| 2694878642.935 | 1140636293.358 | 2694878643.113 | 0.005 | 0.002 | -0.021 |
| 2694878643.113 | 2694878642.935 | 1140636293.358 | -0.020 | 0.033 | 0.009 |
| 3356101491.770 | 3539053285.608 | 3539053219.944 | -3283210316.009 | 0.000 | -0.000 |
| 3539053285.608 | 3356101491.770 | 3539053219.944 | 0.000 | -3283210316.009 | -0.000 |
| 3539053285.608 | 3539053219.944 | 3356101491.770 | 0.000 | 0.000 | -3283210316.009 |
| 338.130 | 18.956 | 18.956 | 0.000 | -0.000 | 0.000 |
| 18.956 | 338.130 | 18.956 | 0.000 | 0.000 | 0.000 |
| 18.956 | 18.956 | 338.130 | -0.000 | -0.000 | 0.000 |
| -3356101491.770 | -3539053285.608 | -3539053219.944 | -3283210316.009 | -0.000 | 0.000 |
| -3539053285.608 | -3356101491.770 | -3539053219.944 | -0.000 | -3283210316.009 | 0.000 |
| -3539053285.608 | -3539053219.944 | -3356101491.770 | -0.000 | -0.000 | -3283210316.009 |
| 114063910.713 | 269487975.588 | 269487975.591 | -0.000 | -0.000 | 0.000 |
| 269487975.591 | 114063910.713 | 269487975.588 | 0.001 | 0.000 | -0.000 |
| 269487975.588 | 269487975.591 | 114063910.713 | -0.000 | -0.000 | -0.000 |
| 335610140.912 | 353905317.946 | 353905252.282 | -328320980.869 | 0.000 | 0.000 |
| 353905317.946 | 335610140.912 | 353905252.282 | 0.000 | -328320980.869 | -0.000 |
| 353905317.946 | 353905252.282 | 335610140.912 | 0.000 | 0.000 | -328320980.869 |
| 338.130 | 18.956 | 18.956 | 0.000 | -0.000 | 0.000 |
| 18.956 | 338.130 | 18.956 | 0.000 | -0.000 | 0.000 |
| 18.956 | 18.956 | 338.130 | 0.000 | -0.000 | 0.000 |
| -335610140.912 | -353905317.946 | -353905252.282 | -328320980.869 | -0.000 | 0.000 |
| -353905317.946 | -335610140.912 | -353905252.282 | -0.000 | -328320980.869 | 0.000 |
| -353905317.946 | -353905252.282 | -335610140.912 | -0.000 | -0.000 | -328320980.869 |
| 11406672.530 | 26948908.783 | 26948908.784 | -0.000 | -0.000 | 0.000 |
| 26948908.784 | 11406672.530 | 26948908.783 | 0.000 | 0.000 | -0.000 |
| 26948908.783 | 26948908.784 | 11406672.530 | -0.000 | 0.000 | -0.000 |
| 33561008.467 | 35390522.298 | 35390456.634 | -32832050.443 | 0.000 | -0.000 |
| 35390522.298 | 33561008.467 | 35390456.634 | 0.000 | -32832050.443 | -0.000 |
| 35390522.298 | 35390456.634 | 33561008.467 | 0.000 | 0.000 | -32832050.443 |
| 338.128 | 18.955 | 18.955 | 0.000 | -0.000 | -0.000 |
| 18.955 | 338.128 | 18.955 | 0.000 | -0.000 | 0.000 |
| 18.955 | 18.955 | 338.128 | 0.000 | 0.000 | 0.000 |
| -33561008.467 | -35390522.298 | -35390456.634 | -32832050.443 | -0.000 | 0.000 |
| -35390522.298 | -33561008.467 | -35390456.634 | -0.000 | -32832050.443 | 0.000 |
| -35390522.298 | -35390456.634 | -33561008.467 | -0.000 | -0.000 | -32832050.443 |
| 1140636292.587 | 2694878643.728 | 2694878643.513 | -0.015 | -0.090 | -0.031 |
| 2694878643.507 | 1140636292.593 | 2694878643.725 | -0.013 | 0.021 | -0.073 |
| 2694878643.731 | 2694878643.509 | 1140636292.587 | -0.101 | -0.036 | 0.014 |
| 3356101755.916 | 3539053397.430 | 3539053331.766 | -3283210624.898 | -0.000 | -0.000 |
| 3539053397.430 | 3356101755.915 | 3539053331.766 | -0.000 | -3283210624.898 | -0.000 |
| 3539053397.430 | 3539053331.765 | 3356101755.916 | 0.000 | 0.000 | -3283210624.898 |
| 338.130 | 18.956 | 18.955 | -0.000 | 0.000 | 0.000 |
| 18.956 | 338.130 | 18.956 | -0.000 | -0.000 | -0.000 |
| 18.956 | 18.956 | 338.130 | -0.000 | -0.000 | 0.000 |
| -3356101755.916 | -3539053397.430 | -3539053331.765 | -3283210624.898 | 0.000 | 0.000 |
| -3539053397.430 | -3356101755.915 | -3539053331.766 | -0.000 | -3283210624.898 | 0.000 |
| -3539053397.430 | -3539053331.765 | -3356101755.916 | -0.000 | 0.000 | -3283210624.898 |
| 114063910.721 | 269487975.581 | 269487975.583 | -0.001 | -0.001 | -0.002 |
| 269487975.583 | 114063910.721 | 269487975.581 | -0.001 | -0.001 | -0.002 |
| 269487975.581 | 269487975.583 | 114063910.721 | -0.001 | -0.001 | -0.002 |
| 335610140.911 | 353905317.945 | 353905252.281 | -328320980.868 | -0.000 | -0.000 |
| 353905317.945 | 335610140.911 | 353905252.281 | 0.000 | -328320980.868 | -0.000 |
| 353905317.945 | 353905252.281 | 335610140.911 | -0.000 | -0.000 | -328320980.868 |
| 338.130 | 18.956 | 18.956 | 0.000 | -0.000 | -0.000 |
| 18.956 | 338.130 | 18.956 | -0.000 | -0.000 | 0.000 |
| 18.956 | 18.956 | 338.130 | -0.000 | 0.000 | 0.000 |
| -335610140.911 | -353905317.945 | -353905252.281 | -328320980.868 | -0.000 | 0.000 |
| -353905317.945 | -335610140.911 | -353905252.281 | -0.000 | -328320980.868 | 0.000 |
| -353905317.945 | -353905252.281 | -335610140.911 | -0.000 | -0.000 | -328320980.868 |
| 11406672.529 | 26948908.784 | 26948908.784 | -0.000 | 0.000 | -0.000 |
| 26948908.784 | 11406672.529 | 26948908.784 | -0.000 | -0.000 | -0.000 |
| 26948908.784 | 26948908.784 | 11406672.529 | -0.000 | -0.000 | -0.000 |
| 33561008.467 | 35390522.298 | 35390456.634 | -32832050.443 | 0.000 | -0.000 |
| 35390522.298 | 33561008.467 | 35390456.634 | -0.000 | -32832050.443 | -0.000 |
| 35390522.298 | 35390456.634 | 33561008.467 | -0.000 | 0.000 | -32832050.443 |
| 338.128 | 18.955 | 18.955 | 0.000 | -0.000 | 0.000 |
| 18.955 | 338.128 | 18.955 | 0.000 | 0.000 | 0.000 |
| 18.955 | 18.955 | 338.128 | -0.000 | -0.000 | 0.000 |
| -33561008.467 | -35390522.298 | -35390456.634 | -32832050.443 | 0.000 | 0.000 |
| -35390522.298 | -33561008.467 | -35390456.634 | -0.000 | -32832050.443 | 0.000 |
| -35390522.298 | -35390456.634 | -33561008.467 | -0.000 | 0.000 | -32832050.443 |
| -956142431.350 | 4605594598.207 | 4605594598.207 | 0.000 | 0.000 | 0.000 |
| 4605594598.207 | -956142431.350 | 4605594598.207 | 0.000 | 0.000 | 0.000 |
| 4605594598.207 | 4605594598.207 | -956142431.350 | 0.000 | 0.000 | 0.000 |
| 0.000 | 0.000 | 0.000 | 165.573 | 0.000 | 0.000 |
| 0.000 | 0.000 | 0.000 | -0.000 | 165.573 | 0.000 |
| 0.000 | 0.000 | 0.000 | 0.000 | 0.000 | 165.573 |
| 336.304 | 92.019 | 92.019 | 0.000 | 0.000 | 0.000 |
| 92.019 | 336.304 | 92.019 | 0.000 | 0.000 | -0.000 |
| 92.019 | 92.019 | 336.304 | 0.000 | 0.000 | 0.000 |
| -0.000 | -0.000 | -0.000 | 165.573 | -0.000 | -0.000 |
| -0.000 | -0.000 | -0.000 | -0.000 | 165.573 | -0.000 |
| -0.000 | -0.000 | -0.000 | 0.000 | 0.000 | 165.573 |
| -95613946.617 | 460559658.988 | 460559658.988 | 0.000 | 0.000 | -0.000 |
| 460559658.988 | -95613946.617 | 460559658.988 | 0.000 | 0.000 | -0.000 |
| 460559658.988 | 460559658.988 | -95613946.617 | -0.000 | -0.000 | 0.000 |
| 0.000 | 0.000 | 0.000 | 165.573 | -0.000 | 0.000 |
| 0.000 | 0.000 | 0.000 | -0.000 | 165.573 | 0.000 |
| 0.000 | 0.000 | 0.000 | 0.000 | 0.000 | 165.573 |
| 336.304 | 92.019 | 92.019 | 0.000 | -0.000 | 0.000 |
| 92.019 | 336.304 | 92.019 | 0.000 | -0.000 | -0.000 |
| 92.019 | 92.019 | 336.304 | 0.000 | -0.000 | -0.000 |
| -0.000 | -0.000 | -0.000 | 165.573 | -0.000 | -0.000 |
| -0.000 | -0.000 | -0.000 | 0.000 | 165.573 | 0.000 |
| -0.000 | -0.000 | -0.000 | 0.000 | 0.000 | 165.573 |
| -9561098.143 | 46056165.066 | 46056165.066 | 0.000 | 0.000 | -0.000 |
| 46056165.066 | -9561098.143 | 46056165.066 | 0.000 | -0.000 | -0.000 |
| 46056165.066 | 46056165.066 | -9561098.143 | -0.000 | 0.000 | -0.000 |
| 0.000 | 0.000 | 0.000 | 165.573 | 0.000 | 0.000 |
| 0.000 | 0.000 | 0.000 | 0.000 | 165.573 | 0.000 |
| 0.000 | 0.000 | 0.000 | -0.000 | 0.000 | 165.573 |
| 336.304 | 92.019 | 92.019 | 0.000 | -0.000 | -0.000 |
| 92.019 | 336.304 | 92.019 | 0.000 | -0.000 | -0.000 |
| 92.019 | 92.019 | 336.304 | -0.000 | -0.000 | 0.000 |
| -0.000 | -0.000 | -0.000 | 165.573 | 0.000 | -0.000 |
| -0.000 | -0.000 | -0.000 | 0.000 | 165.573 | -0.000 |
| -0.000 | -0.000 | -0.000 | 0.000 | -0.000 | 165.573 |
| -956142431.353 | 4605594598.201 | 4605594598.201 | 0.000 | 0.000 | 0.000 |
| 4605594598.200 | -956142431.353 | 4605594598.201 | 0.000 | 0.000 | 0.000 |
| 4605594598.200 | 4605594598.201 | -956142431.353 | 0.000 | 0.000 | 0.000 |
| 0.000 | 0.000 | 0.000 | 165.573 | 0.000 | 0.000 |
| 0.000 | 0.000 | 0.000 | 0.000 | 165.573 | 0.000 |
| 0.000 | 0.000 | 0.000 | 0.000 | 0.000 | 165.573 |
| 336.304 | 92.019 | 92.020 | -0.000 | -0.000 | -0.000 |
| 92.019 | 336.304 | 92.020 | 0.000 | -0.000 | -0.000 |
| 92.019 | 92.019 | 336.304 | -0.000 | -0.000 | 0.000 |
| -0.000 | -0.000 | -0.000 | 165.573 | -0.000 | -0.000 |
| -0.000 | -0.000 | -0.000 | -0.000 | 165.573 | 0.000 |
| -0.000 | -0.000 | -0.000 | -0.000 | 0.000 | 165.573 |
| -95613946.618 | 460559658.987 | 460559658.987 | 0.000 | 0.000 | 0.000 |
| 460559658.987 | -95613946.618 | 460559658.987 | 0.000 | 0.000 | 0.000 |
| 460559658.987 | 460559658.987 | -95613946.618 | 0.000 | 0.000 | 0.000 |
| 0.000 | 0.000 | 0.000 | 165.573 | 0.000 | -0.000 |
| 0.000 | 0.000 | 0.000 | 0.000 | 165.573 | 0.000 |
| 0.000 | 0.000 | 0.000 | 0.000 | 0.000 | 165.573 |
| 336.304 | 92.019 | 92.019 | -0.000 | 0.000 | 0.000 |
| 92.019 | 336.304 | 92.019 | -0.000 | -0.000 | -0.000 |
| 92.019 | 92.019 | 336.304 | -0.000 | -0.000 | 0.000 |
| -0.000 | -0.000 | -0.000 | 165.573 | -0.000 | 0.000 |
| -0.000 | -0.000 | -0.000 | -0.000 | 165.573 | -0.000 |
| -0.000 | -0.000 | -0.000 | 0.000 | 0.000 | 165.573 |
| -9561098.143 | 46056165.066 | 46056165.066 | 0.000 | 0.000 | 0.000 |
| 46056165.066 | -9561098.143 | 46056165.066 | 0.000 | 0.000 | 0.000 |
| 46056165.066 | 46056165.066 | -9561098.143 | 0.000 | 0.000 | 0.000 |
| 0.000 | 0.000 | 0.000 | 165.573 | 0.000 | 0.000 |
| 0.000 | 0.000 | 0.000 | 0.000 | 165.573 | -0.000 |
| 0.000 | 0.000 | 0.000 | 0.000 | 0.000 | 165.573 |
| 336.304 | 92.019 | 92.019 | -0.000 | -0.000 | -0.000 |
| 92.019 | 336.304 | 92.019 | -0.000 | -0.000 | -0.000 |
| 92.019 | 92.019 | 336.304 | -0.000 | -0.000 | 0.000 |
| -0.000 | -0.000 | -0.000 | 165.573 | -0.000 | -0.000 |
| -0.000 | -0.000 | -0.000 | -0.000 | 165.573 | -0.000 |
| -0.000 | -0.000 | -0.000 | -0.000 | -0.000 | 165.573 |
| 384.263 | 188.343 | 188.343 | -0.000 | -0.000 | 0.000 |
| 188.343 | 384.263 | 188.343 | -0.000 | -0.000 | 0.000 |
| 188.343 | 188.343 | 384.263 | -0.000 | -0.000 | 0.000 |
| 0.000 | 0.000 | 0.000 | 153.609 | 0.000 | 0.000 |
| 0.000 | 0.000 | 0.000 | -0.000 | 153.609 | 0.000 |
| 0.000 | 0.000 | 0.000 | -0.000 | 0.000 | 153.610 |
| 384.263 | 188.343 | 188.343 | 0.000 | 0.000 | -0.000 |
| 188.343 | 384.263 | 188.343 | 0.000 | 0.000 | -0.000 |
| 188.343 | 188.343 | 384.263 | 0.000 | 0.000 | -0.000 |
| -0.000 | -0.000 | -0.000 | 153.609 | -0.000 | -0.000 |
| -0.000 | -0.000 | -0.000 | 0.000 | 153.609 | -0.000 |
| -0.000 | -0.000 | -0.000 | 0.000 | -0.000 | 153.609 |
| 384.263 | 188.343 | 188.343 | -0.000 | 0.000 | 0.000 |
| 188.343 | 384.263 | 188.343 | -0.000 | -0.000 | 0.000 |
| 188.343 | 188.343 | 384.263 | 0.000 | 0.000 | 0.000 |
| 0.000 | 0.000 | 0.000 | 153.609 | -0.000 | 0.000 |
| 0.000 | 0.000 | 0.000 | -0.000 | 153.609 | 0.000 |
| 0.000 | 0.000 | 0.000 | -0.000 | -0.000 | 153.609 |
| 384.263 | 188.343 | 188.343 | 0.000 | -0.000 | -0.000 |
| 188.343 | 384.263 | 188.343 | 0.000 | 0.000 | -0.000 |
| 188.343 | 188.343 | 384.263 | 0.000 | -0.000 | -0.000 |
| -0.000 | -0.000 | -0.000 | 153.609 | 0.000 | -0.000 |
| -0.000 | -0.000 | -0.000 | 0.000 | 153.609 | -0.000 |
| -0.000 | -0.000 | -0.000 | 0.000 | 0.000 | 153.609 |
| 384.264 | 188.344 | 188.344 | 0.000 | 0.000 | 0.000 |
| 188.344 | 384.264 | 188.344 | -0.000 | -0.000 | 0.000 |
| 188.344 | 188.344 | 384.264 | -0.000 | 0.000 | 0.000 |
| -0.000 | 0.000 | 0.000 | 153.609 | -0.000 | 0.000 |
| 0.000 | -0.000 | 0.000 | -0.000 | 153.609 | 0.000 |
| 0.000 | 0.000 | -0.000 | -0.000 | 0.000 | 153.609 |
| 384.262 | 188.343 | 188.343 | 0.000 | 0.000 | -0.000 |
| 188.343 | 384.262 | 188.343 | 0.000 | 0.000 | -0.000 |
| 188.343 | 188.343 | 384.262 | 0.000 | 0.000 | -0.000 |
| 0.000 | -0.000 | -0.000 | 153.609 | 0.000 | 0.000 |
| -0.000 | 0.000 | -0.000 | 0.000 | 153.609 | -0.000 |
| -0.000 | -0.000 | 0.000 | 0.000 | -0.000 | 153.609 |
| 443.777 | 191.440 | 0.000 | 0.000 | 0.000 | -0.000 |
| 191.440 | 443.777 | 0.000 | 0.000 | 0.000 | -0.000 |
| 0.000 | -0.000 | 0.000 | 0.000 | 0.000 | -0.000 |
| 0.000 | 0.000 | 0.000 | 0.000 | 0.000 | -0.000 |
| 0.000 | 0.000 | 0.000 | 0.000 | 0.000 | -0.000 |
| -0.000 | 0.000 | 0.000 | 0.000 | 0.000 | 317.609 |
| 443.777 | 191.440 | -0.000 | -0.000 | -0.000 | -0.000 |
| 191.440 | 443.777 | -0.000 | -0.000 | -0.000 | -0.000 |
| -0.000 | 0.000 | -0.000 | -0.000 | -0.000 | 0.000 |
| -0.000 | -0.000 | -0.000 | -0.000 | -0.000 | 0.000 |
| -0.000 | -0.000 | -0.000 | -0.000 | -0.000 | 0.000 |
| -0.000 | 0.000 | -0.000 | -0.000 | -0.000 | 317.609 |
| 443.777 | 191.440 | 0.000 | 0.000 | 0.000 | 0.000 |
| 191.440 | 443.777 | 0.000 | 0.000 | 0.000 | -0.000 |
| 0.000 | -0.000 | 0.000 | 0.000 | 0.000 | -0.000 |
| -0.000 | 0.000 | 0.000 | 0.000 | 0.000 | -0.000 |
| 0.000 | 0.000 | 0.000 | 0.000 | 0.000 | -0.000 |
| 0.000 | 0.000 | 0.000 | 0.000 | 0.000 | 317.608 |
| 443.777 | 191.440 | -0.000 | -0.000 | -0.000 | 0.000 |
| 191.440 | 443.777 | -0.000 | -0.000 | -0.000 | 0.000 |
| -0.000 | 0.000 | -0.000 | -0.000 | -0.000 | 0.000 |
| 0.000 | -0.000 | -0.000 | -0.000 | -0.000 | 0.000 |
| 0.000 | -0.000 | -0.000 | -0.000 | -0.000 | -0.000 |
| -0.000 | -0.000 | -0.000 | -0.000 | -0.000 | 317.608 |
| 443.778 | 191.441 | 0.000 | 0.000 | 0.000 | -0.000 |
| 191.441 | 443.778 | 0.000 | 0.000 | 0.000 | -0.000 |
| 0.000 | -0.000 | 0.000 | 0.000 | 0.000 | -0.000 |
| 0.000 | 0.000 | 0.000 | 0.000 | 0.000 | -0.000 |
| 0.000 | 0.000 | 0.000 | 0.000 | 0.000 | -0.000 |
| 0.000 | 0.001 | 0.000 | 0.000 | 0.000 | 317.608 |
| 443.776 | 191.439 | -0.000 | -0.000 | -0.000 | 0.000 |
| 191.439 | 443.776 | -0.000 | -0.000 | -0.000 | 0.000 |
| -0.000 | 0.000 | -0.000 | -0.000 | -0.000 | 0.000 |
| 0.000 | 0.000 | -0.000 | -0.000 | -0.000 | 0.000 |
| -0.000 | -0.000 | -0.000 | -0.000 | -0.000 | 0.000 |
| -0.000 | -0.001 | -0.000 | -0.000 | -0.000 | 317.608 |
| 131.605 | 79.270 | 139.483 | 8.636 | 4.452 | -0.001 |
| 27.981 | 133.415 | 13.036 | -3.283 | 0.075 | 0.000 |
| 14.991 | 14.991 | 162.001 | 0.000 | -0.000 | 0.000 |
| -3.015 | -3.664 | 156.836 | 18.469 | -0.001 | 6.684 |
| -10.024 | 3.344 | 156.836 | 0.000 | 18.468 | 0.324 |
| 0.000 | 0.000 | 0.000 | 0.075 | 3.283 | 52.718 |
| 52.154 | 42.323 | -132.288 | 0.069 | -7.252 | -0.000 |
| 27.981 | 133.415 | 13.036 | -3.283 | 0.076 | 0.000 |
| -53.062 | -53.061 | -53.028 | -0.000 | 0.000 | -0.000 |
| 3.283 | -3.283 | -0.000 | 45.945 | 0.000 | 0.076 |
| -59.607 | -72.969 | -131.885 | -0.000 | 33.259 | 10.343 |
| -65.247 | -65.247 | -132.571 | -6.470 | 10.188 | 28.525 |
| 89.724 | 33.286 | 34.582 | 1.636 | -3.754 | 0.000 |
| 27.980 | 133.415 | 13.037 | -3.283 | 0.075 | 0.000 |
| 26.608 | 26.608 | 111.843 | 0.000 | -0.000 | 0.000 |
| 1.204 | -1.626 | 9.903 | 28.596 | -0.000 | 4.248 |
| -0.075 | 0.075 | 0.000 | 0.000 | 45.945 | 3.283 |
| 5.067 | 5.067 | 14.158 | -3.526 | 8.030 | 23.247 |
| 133.415 | 27.980 | 13.036 | 3.283 | -0.075 | 0.000 |
| 5.116 | 45.431 | -24.863 | -9.985 | -1.938 | -0.000 |
| 28.082 | 28.082 | 89.512 | -0.000 | 0.000 | -0.000 |
| 3.283 | -3.283 | -0.000 | 45.945 | 0.000 | 0.075 |
| -0.075 | 0.075 | -0.000 | -0.000 | 45.945 | 3.283 |
| 0.205 | 0.205 | -9.627 | 4.132 | 1.467 | 25.701 |
| 89.737 | 33.473 | 26.774 | 1.630 | -3.767 | -0.000 |
| 15.228 | 57.139 | 1.144 | -9.583 | -2.955 | 0.000 |
| -2.612 | -2.612 | 61.857 | 0.000 | -0.000 | -0.000 |
| 1.862 | -1.894 | 0.745 | 32.895 | -0.000 | 3.214 |
| 4.655 | -3.550 | 1.479 | 0.000 | 28.838 | 8.565 |
| 0.489 | 0.489 | 1.406 | -3.242 | 7.796 | 23.178 |
| 56.292 | 16.021 | -3.734 | 10.038 | 2.097 | 0.000 |
| 33.692 | 88.341 | 25.415 | -1.576 | 3.888 | 0.000 |
| 26.412 | 26.412 | 104.928 | -0.000 | 0.000 | -0.000 |
| 1.894 | -1.862 | -0.745 | 32.896 | 0.000 | 3.214 |
| 3.550 | -4.655 | -1.479 | -0.000 | 28.837 | 8.565 |
| -0.489 | -0.489 | -1.406 | -3.242 | 7.796 | 23.180 |
| 66589593.122 | 32954135.222 | -63659535.614 | 23007854.093 | 38977557.245 | 6259662.307 |
| 66589440.061 | 32954379.291 | -63659533.043 | 23007809.002 | 38977544.399 | 6259658.340 |
| 66589441.054 | 32954129.034 | -63659407.023 | 23007851.167 | 38977567.931 | 6259640.463 |
| 66589372.980 | 32954071.071 | -63659611.925 | 23007945.901 | 38977548.195 | 6259654.281 |
| 7.633 | 3.120 | 3.789 | -2.735 | 97.374 | -6.022 |
| 14.062 | -2.642 | 2.139 | 12.926 | -43.822 | 93.667 |
| 238.973 | 51.544 | 55.231 | -13.356 | 5.642 | 15.420 |
| 50.064 | 294.293 | 54.939 | -55.590 | 8.951 | 1.824 |
| 63.600 | 66.087 | 189.386 | -9.106 | -0.454 | -4.362 |
| -7.614 | -2.279 | -14.238 | 93.876 | -4.367 | 7.172 |
| -66589372.654 | -32954076.581 | 63659605.979 | -23007866.845 | -38977471.519 | -6259653.525 |
| -66589366.946 | -32954082.674 | 63659591.429 | -23007851.077 | -38977585.646 | -6259569.872 |
| 6659156.387 | 3295491.537 | -6365903.320 | 2300772.569 | 3897746.464 | 625985.805 |
| 6659003.326 | 3295735.606 | -6365900.748 | 2300727.478 | 3897733.618 | 625981.838 |
| 6659004.317 | 3295485.322 | -6365774.722 | 2300769.651 | 3897757.163 | 625963.953 |
| 6658936.245 | 3295427.388 | -6365979.631 | 2300864.377 | 3897737.413 | 625977.779 |
| 7.630 | 3.122 | 3.779 | -2.741 | 97.375 | -6.020 |
| 14.059 | -2.639 | 2.130 | 12.921 | -43.820 | 93.669 |
| 238.975 | 51.541 | 55.241 | -13.351 | 5.640 | 15.418 |
| 50.064 | 294.291 | 54.940 | -55.589 | 8.950 | 1.824 |
| 63.602 | 66.085 | 189.394 | -9.100 | -0.456 | -4.364 |
| -7.612 | -2.280 | -14.232 | 93.880 | -4.368 | 7.171 |
| -6658935.919 | -3295432.893 | 6365973.684 | -2300785.321 | -3897660.739 | -625977.022 |
| -6658930.210 | -3295438.977 | 6365959.133 | -2300769.556 | -3897774.871 | -625893.366 |
| 666112.716 | 329627.168 | -636540.089 | 230064.415 | 389765.385 | 62618.155 |
| 665959.652 | 329871.240 | -636537.517 | 230019.323 | 389752.541 | 62614.187 |
| 665960.644 | 329620.953 | -636411.492 | 230061.498 | 389776.085 | 62596.303 |
| 665892.571 | 329563.021 | -636616.401 | 230156.224 | 389756.334 | 62610.130 |
| 7.629 | 3.122 | 3.779 | -2.741 | 97.373 | -6.020 |
| 14.059 | -2.638 | 2.129 | 12.920 | -43.817 | 93.665 |
| 238.969 | 51.542 | 55.242 | -13.350 | 5.639 | 15.417 |
| 50.067 | 294.281 | 54.942 | -55.586 | 8.950 | 1.824 |
| 63.602 | 66.085 | 189.393 | -9.100 | -0.456 | -4.364 |
| -7.612 | -2.280 | -14.231 | 93.877 | -4.369 | 7.170 |
| -665892.245 | -329568.525 | 636610.453 | -230077.168 | -389679.659 | -62609.373 |
| -665886.536 | -329574.611 | 636595.902 | -230061.402 | -389793.792 | -62525.716 |
| -20643273.636 | -2724902.235 | 2222735.326 | -10800670.886 | -6913025.924 | 2617738.714 |
| -20643429.600 | -2724684.633 | 2222745.138 | -10800700.434 | -6913022.002 | 2617725.549 |
| -20643490.746 | -2724886.182 | 2222831.784 | -10800728.167 | -6913043.488 | 2617736.311 |
| -20643525.734 | -2724960.254 | 2222655.424 | -10800602.951 | -6913041.475 | 2617737.750 |
| 7.290 | 3.586 | 3.678 | -2.751 | 97.318 | -6.593 |
| 14.816 | -2.057 | 2.249 | 13.045 | -43.322 | 94.034 |
| 239.890 | 51.373 | 55.447 | -13.003 | 5.248 | 14.852 |
| 49.688 | 296.638 | 55.451 | -55.115 | 8.937 | 2.008 |
| 63.539 | 66.754 | 189.887 | -8.735 | -0.676 | -4.596 |
| -7.849 | -3.593 | -13.976 | 94.675 | -4.467 | 7.396 |
| 20643485.111 | 2724961.730 | -2222673.979 | 10800647.237 | 6913108.074 | -2617728.206 |
| 20643493.621 | 2724959.137 | -2222680.447 | 10800661.238 | 6912991.055 | -2617640.442 |
| -2064132.287 | -272439.975 | 222329.657 | -1080075.955 | -691300.764 | 261785.212 |
| -2064288.195 | -272222.377 | 222339.483 | -1080105.453 | -691296.828 | 261772.036 |
| -2064351.208 | -272423.957 | 222426.378 | -1080134.893 | -691319.151 | 261783.106 |
| -2064386.177 | -272498.030 | 222250.022 | -1080009.660 | -691317.132 | 261784.541 |
| 7.290 | 3.586 | 3.678 | -2.751 | 97.318 | -6.593 |
| 14.817 | -2.057 | 2.253 | 13.047 | -43.323 | 94.033 |
| 239.889 | 51.374 | 55.448 | -13.003 | 5.248 | 14.852 |
| 49.688 | 296.637 | 55.452 | -55.114 | 8.936 | 2.008 |
| 63.538 | 66.754 | 189.884 | -8.737 | -0.676 | -4.596 |
| -7.849 | -3.593 | -13.976 | 94.674 | -4.467 | 7.396 |
| 2064343.750 | 272499.471 | -222268.312 | 1080052.296 | 691382.911 | -261774.701 |
| 2064352.254 | 272496.879 | -222274.782 | 1080066.291 | 691265.891 | -261686.937 |
| -206218.329 | -27193.753 | 22289.117 | -108016.625 | -69128.329 | 26189.891 |
| -206374.059 | -26976.151 | 22298.916 | -108045.960 | -69124.311 | 26176.685 |
| -206435.437 | -27177.702 | 22385.592 | -108073.903 | -69145.897 | 26187.485 |
| -206470.396 | -27251.775 | 22209.225 | -107948.658 | -69143.873 | 26188.920 |
| 7.290 | 3.585 | 3.679 | -2.750 | 97.315 | -6.592 |
| 14.817 | -2.057 | 2.253 | 13.047 | -43.321 | 94.029 |
| 239.883 | 51.375 | 55.448 | -13.003 | 5.248 | 14.851 |
| 49.690 | 296.628 | 55.452 | -55.112 | 8.936 | 2.009 |
| 63.538 | 66.755 | 189.882 | -8.737 | -0.675 | -4.596 |
| -7.849 | -3.593 | -13.976 | 94.671 | -4.467 | 7.396 |
| 206429.612 | 27253.245 | -22227.746 | 107992.800 | 69210.393 | -26179.350 |
| 206438.115 | 27250.653 | -22234.216 | 108006.795 | 69093.374 | -26091.586 |
| 210031.448 | -25316.422 | -16338803.511 | -10809887.456 | -4156313.985 | 2277117.493 |
| 209870.756 | -25215.818 | -16338812.943 | -10809860.703 | -4156352.596 | 2277088.339 |
| 209882.476 | -25313.575 | -16338626.742 | -10809888.897 | -4156341.577 | 2277094.297 |
| 209798.740 | -25392.241 | -16338883.580 | -10809809.683 | -4156323.361 | 2277105.061 |
| -5.720 | 13.480 | -26.284 | -3.567 | 105.492 | -1.086 |
| -1.580 | 31.552 | -25.530 | 7.666 | 68.562 | 110.382 |
| 270.837 | 60.311 | 75.206 | 9.137 | 0.236 | 18.401 |
| 65.576 | 190.191 | 97.303 | 59.544 | -34.704 | -12.700 |
| 75.838 | 68.622 | 294.339 | 6.718 | -26.168 | -4.906 |
| 3.997 | -12.533 | 8.207 | 104.010 | -7.296 | 9.204 |
| -209797.710 | 25395.979 | 16338864.385 | 10809889.346 | 4156411.256 | -2277099.202 |
| -209792.220 | 25406.369 | 16338871.690 | 10809901.996 | 4156375.682 | -2277007.002 |
| 21215.049 | -2471.876 | -1633803.909 | -1080983.412 | -415629.639 | 227729.652 |
| 21054.357 | -2371.246 | -1633813.339 | -1080956.651 | -415668.220 | 227700.513 |
| 21066.077 | -2469.028 | -1633627.140 | -1080984.853 | -415657.231 | 227706.456 |
| 20982.341 | -2547.696 | -1633883.978 | -1080905.639 | -415639.015 | 227717.219 |
| -5.720 | 13.480 | -26.284 | -3.567 | 105.491 | -1.087 |
| -1.580 | 31.550 | -25.529 | 7.666 | 68.561 | 110.380 |
| 270.837 | 60.311 | 75.206 | 9.137 | 0.236 | 18.401 |
| 65.576 | 190.191 | 97.302 | 59.543 | -34.703 | -12.699 |
| 75.838 | 68.622 | 294.339 | 6.718 | -26.168 | -4.906 |
| 3.997 | -12.535 | 8.208 | 104.010 | -7.298 | 9.202 |
| -20981.311 | 2551.421 | 1633864.782 | 1080985.297 | 415726.894 | -227711.368 |
| -20975.821 | 2561.818 | 1633872.088 | 1080997.950 | 415691.330 | -227619.163 |
| 2333.410 | -187.420 | -163303.949 | -108093.007 | -41561.203 | 22790.868 |
| 2172.807 | -86.687 | -163313.482 | -108066.364 | -41599.884 | 22761.719 |
| 2184.437 | -184.570 | -163127.179 | -108094.448 | -41588.791 | 22767.674 |
| 2100.702 | -263.241 | -163384.018 | -108015.235 | -41570.581 | 22778.435 |
| -5.720 | 13.480 | -26.283 | -3.567 | 105.491 | -1.087 |
| -1.579 | 31.550 | -25.530 | 7.666 | 68.560 | 110.378 |
| 270.835 | 60.311 | 75.206 | 9.137 | 0.236 | 18.401 |
| 65.578 | 190.176 | 97.302 | 59.539 | -34.705 | -12.702 |
| 75.838 | 68.622 | 294.338 | 6.718 | -26.168 | -4.906 |
| 3.997 | -12.535 | 8.208 | 104.009 | -7.298 | 9.202 |
| -2099.671 | 266.964 | 163364.821 | 108094.893 | 41658.457 | -22772.585 |
| -2094.181 | 277.360 | 163372.127 | 108107.545 | 41622.892 | -22680.380 |
| 794.975 | 0.000 | 0.000 | 0.000 | 0.000 | -0.000 |
| 0.000 | 794.975 | 0.000 | 0.000 | 0.000 | -0.000 |
| 0.000 | 0.000 | 794.975 | 0.000 | 0.000 | -0.000 |
| 0.000 | 0.000 | 0.000 | 110.206 | 0.000 | 0.000 |
| 0.000 | 0.000 | 0.000 | 0.000 | 110.206 | -0.000 |
| 0.000 | 0.000 | 0.000 | 0.000 | 0.000 | 110.206 |
| 794.975 | -0.000 | -0.000 | -0.000 | -0.000 | -0.000 |
| -0.000 | 794.975 | -0.000 | -0.000 | -0.000 | 0.000 |
| -0.000 | -0.000 | 794.975 | -0.000 | -0.000 | -0.000 |
| -0.000 | -0.000 | -0.000 | 110.206 | -0.000 | -0.000 |
| -0.000 | -0.000 | -0.000 | -0.000 | 110.206 | 0.000 |
| -0.000 | -0.000 | -0.000 | -0.000 | -0.000 | 110.206 |
| 794.976 | 0.000 | 0.000 | 0.000 | 0.000 | 0.000 |
| 0.000 | 794.976 | 0.000 | 0.000 | 0.000 | 0.000 |
| 0.000 | 0.000 | 794.976 | 0.000 | 0.000 | -0.000 |
| 0.000 | -0.000 | -0.000 | 110.206 | 0.000 | -0.000 |
| -0.000 | 0.000 | -0.000 | 0.000 | 110.206 | -0.000 |
| -0.000 | -0.000 | 0.000 | 0.000 | 0.000 | 110.206 |
| 794.975 | -0.000 | -0.000 | -0.000 | -0.000 | -0.000 |
| -0.000 | 794.975 | -0.000 | -0.000 | -0.000 | 0.000 |
| -0.000 | -0.000 | 794.975 | -0.000 | -0.000 | 0.000 |
| -0.000 | 0.000 | 0.000 | 110.206 | -0.000 | 0.000 |
| 0.000 | -0.000 | 0.000 | -0.000 | 110.206 | 0.000 |
| 0.000 | 0.000 | -0.000 | -0.000 | -0.000 | 110.206 |
| 794.980 | 0.000 | 0.000 | 0.000 | 0.000 | -0.000 |
| 0.000 | 794.980 | 0.000 | 0.000 | 0.000 | -0.000 |
| 0.000 | 0.000 | 794.980 | 0.000 | 0.000 | -0.000 |
| 0.000 | 0.000 | -0.000 | 110.206 | 0.000 | 0.000 |
| 0.000 | 0.000 | -0.000 | 0.000 | 110.206 | 0.000 |
| 0.000 | -0.000 | 0.000 | 0.000 | 0.000 | 110.206 |
| 794.971 | -0.000 | -0.000 | -0.000 | -0.000 | 0.000 |
| -0.000 | 794.971 | -0.000 | -0.000 | -0.000 | -0.000 |
| -0.000 | -0.000 | 794.971 | -0.000 | -0.000 | 0.000 |
| -0.000 | -0.000 | 0.000 | 110.206 | -0.000 | -0.000 |
| -0.000 | -0.000 | 0.000 | -0.000 | 110.206 | -0.000 |
| -0.000 | 0.000 | -0.000 | -0.000 | -0.000 | 110.206 |
| 428.022 | 223.436 | 223.436 | -0.000 | -0.000 | 0.000 |
| 223.436 | 428.022 | 223.436 | -0.000 | -0.000 | -0.000 |
| 223.436 | 223.436 | 428.022 | -0.000 | -0.000 | 0.000 |
| -0.000 | -0.000 | -0.000 | 248.239 | -0.000 | -0.000 |
| 0.000 | -0.000 | 0.000 | -0.000 | 248.239 | -0.000 |
| -0.000 | -0.000 | -0.000 | -0.000 | -0.000 | 248.239 |
| 428.022 | 223.436 | 223.436 | 0.000 | 0.000 | 0.000 |
| 223.436 | 428.022 | 223.436 | 0.000 | 0.000 | 0.000 |
| 223.436 | 223.436 | 428.022 | 0.000 | 0.000 | -0.000 |
| 0.000 | 0.000 | -0.000 | 248.239 | 0.000 | 0.000 |
| 0.000 | 0.000 | 0.000 | 0.000 | 248.239 | 0.000 |
| -0.000 | 0.000 | 0.000 | 0.000 | 0.000 | 248.239 |
| 428.022 | 223.436 | 223.436 | -0.000 | -0.000 | -0.000 |
| 223.436 | 428.022 | 223.436 | -0.000 | -0.000 | -0.000 |
| 223.436 | 223.436 | 428.022 | -0.000 | -0.000 | -0.000 |
| 0.000 | 0.000 | 0.000 | 248.239 | -0.000 | -0.000 |
| 0.000 | 0.000 | 0.000 | 0.000 | 248.239 | -0.000 |
| 0.000 | 0.000 | 0.000 | 0.000 | -0.000 | 248.239 |
| 428.022 | 223.436 | 223.436 | 0.000 | 0.000 | 0.000 |
| 223.436 | 428.022 | 223.436 | -0.000 | 0.000 | 0.000 |
| 223.436 | 223.436 | 428.022 | -0.000 | 0.000 | 0.000 |
| -0.000 | -0.000 | -0.000 | 248.239 | 0.000 | -0.000 |
| -0.000 | -0.000 | -0.000 | -0.000 | 248.239 | 0.000 |
| -0.000 | -0.000 | -0.000 | -0.000 | 0.000 | 248.239 |
| 428.023 | 223.437 | 223.437 | -0.000 | -0.000 | -0.000 |
| 223.437 | 428.023 | 223.437 | -0.000 | -0.000 | -0.000 |
| 223.437 | 223.437 | 428.023 | 0.000 | -0.000 | -0.000 |
| 0.000 | 0.000 | 0.000 | 248.239 | -0.000 | -0.000 |
| 0.000 | 0.000 | 0.000 | -0.000 | 248.239 | -0.000 |
| 0.000 | 0.000 | 0.000 | 0.000 | -0.000 | 248.239 |
| 428.022 | 223.435 | 223.435 | 0.000 | 0.000 | 0.000 |
| 223.435 | 428.022 | 223.435 | 0.000 | 0.000 | 0.000 |
| 223.435 | 223.435 | 428.022 | 0.000 | 0.000 | 0.000 |
| -0.000 | -0.000 | -0.000 | 248.239 | 0.000 | 0.000 |
| -0.000 | -0.000 | -0.000 | 0.000 | 248.239 | -0.000 |
| -0.000 | -0.000 | -0.000 | -0.000 | 0.000 | 248.239 |
| 425.819 | 133.728 | 133.728 | -0.000 | 0.000 | -0.001 |
| 133.728 | 425.819 | 133.728 | -0.000 | 0.000 | -0.000 |
| 133.728 | 133.728 | 425.819 | 0.000 | 0.000 | -0.001 |
| -0.000 | -0.000 | -0.000 | 209.355 | 0.000 | -0.001 |
| -0.000 | 0.000 | -0.000 | 0.000 | 209.355 | -0.000 |
| -0.000 | 0.000 | 0.000 | 0.000 | 0.000 | 209.355 |
| 425.819 | 133.728 | 133.728 | -0.000 | -0.000 | 0.000 |
| 133.728 | 425.819 | 133.728 | -0.000 | -0.000 | 0.000 |
| 133.728 | 133.728 | 425.819 | -0.000 | -0.000 | 0.000 |
| -0.000 | 0.000 | 0.000 | 209.355 | 0.000 | -0.000 |
| 0.000 | -0.000 | 0.000 | -0.000 | 209.355 | -0.000 |
| 0.000 | -0.000 | 0.000 | -0.000 | -0.000 | 209.356 |
| 425.819 | 133.728 | 133.728 | -0.000 | 0.000 | -0.000 |
| 133.728 | 425.819 | 133.728 | 0.000 | 0.000 | -0.000 |
| 133.728 | 133.728 | 425.819 | 0.000 | 0.000 | 0.000 |
| 0.000 | -0.000 | 0.000 | 280.135 | 0.000 | 0.000 |
| -0.000 | 0.000 | 0.000 | -0.000 | 280.135 | -0.000 |
| -0.000 | 0.000 | 0.000 | 0.000 | 0.000 | 280.135 |
| 425.819 | 133.728 | 133.728 | -0.000 | -0.000 | -0.000 |
| 133.728 | 425.819 | 133.728 | -0.000 | -0.000 | -0.000 |
| 133.728 | 133.728 | 425.819 | -0.000 | -0.000 | 0.000 |
| -0.000 | 0.000 | -0.000 | 280.135 | -0.000 | 0.000 |
| 0.000 | -0.000 | -0.000 | 0.000 | 280.135 | 0.000 |
| 0.000 | -0.000 | -0.000 | -0.000 | -0.000 | 280.136 |
| 425.820 | 133.729 | 133.729 | 0.000 | 0.000 | -0.000 |
| 133.729 | 425.820 | 133.729 | 0.000 | 0.000 | -0.000 |
| 133.729 | 133.729 | 425.820 | 0.000 | 0.000 | -0.000 |
| 0.000 | -0.000 | 0.000 | 209.355 | 0.000 | 0.000 |
| -0.000 | 0.000 | 0.000 | 0.000 | 209.355 | -0.000 |
| -0.000 | 0.000 | 0.000 | 0.000 | 0.000 | 209.355 |
| 425.819 | 133.728 | 133.728 | 0.000 | -0.000 | 0.000 |
| 133.728 | 425.819 | 133.728 | -0.000 | -0.000 | 0.000 |
| 133.728 | 133.728 | 425.819 | -0.000 | -0.000 | 0.000 |
| -0.000 | 0.000 | -0.000 | 209.355 | -0.000 | 0.000 |
| 0.000 | -0.000 | -0.000 | -0.000 | 209.355 | 0.000 |
| 0.000 | -0.000 | -0.000 | -0.000 | -0.000 | 209.355 |
| 2528747898.918 | 1858733839.688 | 4082381826.331 | 0.000 | 0.000 | 0.000 |
| 1858733839.688 | 2528747898.918 | 4082381826.331 | 0.000 | 0.000 | -0.000 |
| 25.949 | 25.949 | 167.034 | 0.000 | 0.000 | -0.000 |
| 0.000 | 0.000 | 0.000 | 126.764 | 0.000 | -0.000 |
| 0.000 | 0.000 | 0.000 | 0.000 | 126.764 | -0.000 |
| 0.000 | 0.000 | 0.000 | 0.000 | 0.000 | 86.285 |
| 166.880 | 57.635 | -27.048 | -0.000 | -0.000 | -0.000 |
| 57.635 | 166.880 | -27.048 | -0.000 | -0.000 | 0.000 |
| 25.949 | 25.949 | 167.034 | -0.000 | -0.000 | 0.000 |
| -0.000 | -0.000 | -0.000 | 126.764 | -0.000 | 0.000 |
| -0.000 | -0.000 | -0.000 | -0.000 | 126.764 | 0.000 |
| -0.000 | -0.000 | -0.000 | -0.000 | -0.000 | 86.285 |
| 252875299.136 | 185873471.809 | 408238238.593 | 0.000 | 0.000 | -0.000 |
| 185873471.809 | 252875299.136 | 408238238.593 | 0.000 | 0.000 | 0.000 |
| 25.949 | 25.949 | 167.034 | 0.000 | 0.000 | 0.000 |
| 0.000 | 0.000 | 0.000 | 126.764 | 0.000 | 0.000 |
| 0.000 | 0.000 | 0.000 | 0.000 | 126.764 | -0.000 |
| 0.000 | 0.000 | 0.000 | 0.000 | 0.000 | 86.285 |
| 166.880 | 57.635 | -27.048 | -0.000 | -0.000 | -0.000 |
| 57.635 | 166.880 | -27.048 | -0.000 | -0.000 | 0.000 |
| 25.949 | 25.949 | 167.034 | -0.000 | -0.000 | 0.000 |
| -0.000 | -0.000 | -0.000 | 126.764 | -0.000 | 0.000 |
| -0.000 | -0.000 | -0.000 | -0.000 | 126.764 | 0.000 |
| -0.000 | -0.000 | -0.000 | -0.000 | -0.000 | 86.285 |
| 25288039.160 | 18587435.022 | 40823879.819 | 0.000 | 0.000 | 0.000 |
| 18587435.022 | 25288039.160 | 40823879.819 | 0.000 | 0.000 | 0.000 |
| 25.950 | 25.950 | 167.035 | 0.000 | 0.000 | -0.000 |
| 0.000 | 0.000 | 0.000 | 126.764 | 0.000 | -0.000 |
| 0.000 | 0.000 | 0.000 | 0.000 | 126.764 | -0.000 |
| 0.000 | 0.000 | 0.000 | 0.000 | 0.000 | 86.285 |
| 166.880 | 57.635 | -27.048 | -0.000 | -0.000 | 0.000 |
| 57.635 | 166.880 | -27.048 | -0.000 | -0.000 | 0.000 |
| 25.949 | 25.949 | 167.033 | -0.000 | -0.000 | 0.000 |
| -0.000 | -0.000 | -0.000 | 126.764 | -0.000 | 0.000 |
| -0.000 | -0.000 | -0.000 | -0.000 | 126.764 | 0.000 |
| -0.000 | -0.000 | -0.000 | -0.000 | -0.000 | 86.285 |
| 1475.239 | 1076.216 | -1870.088 | 8.814 | -0.000 | 0.000 |
| 1605.788 | 1963.949 | -2894.451 | -6.759 | 0.000 | -0.000 |
| 1064.625 | 1064.625 | -1447.345 | -0.000 | 0.000 | 0.000 |
| 2006.757 | 1997.100 | -4027.819 | 162.774 | 0.000 | 0.000 |
| 2001.799 | 2001.800 | -4027.560 | -0.000 | 162.776 | 4.829 |
| 2732.834 | 2732.834 | -5498.335 | -0.000 | 1.958 | 161.924 |
| -2279.026 | -2603.164 | 5608.037 | 1.980 | 0.000 | -0.000 |
| -1883.883 | -1515.134 | 4116.031 | -4.851 | -0.000 | -0.000 |
| -885.726 | -885.727 | 2476.775 | -0.000 | -0.000 | 0.000 |
| -1997.027 | -2006.685 | 4027.673 | 162.775 | 0.000 | -0.000 |
| -2001.799 | -2001.800 | 4027.560 | 0.000 | 162.776 | 4.829 |
| -2732.834 | -2732.834 | 5498.335 | 0.000 | 1.958 | 161.924 |
| 602.485 | 200.406 | -111.026 | 9.077 | 0.000 | 0.000 |
| 400.690 | 723.087 | -433.825 | -1.853 | 0.000 | 0.000 |
| 384.801 | 384.801 | -79.518 | -0.000 | 0.000 | 0.000 |
| 204.567 | 194.874 | -401.831 | 162.839 | 0.000 | 0.000 |
| 98.132 | 98.132 | -197.442 | -0.000 | 176.651 | 8.751 |
| 272.719 | 272.719 | -548.697 | -0.000 | 1.980 | 162.076 |
| 287.467 | -83.094 | 491.077 | 5.031 | -0.000 | 0.000 |
| -83.207 | 287.299 | 491.360 | -5.027 | -0.000 | -0.000 |
| -111.126 | -111.126 | 918.265 | 0.000 | -0.000 | -0.000 |
| -89.402 | -106.903 | 197.484 | 176.649 | 0.000 | 0.000 |
| -98.132 | -98.132 | 197.442 | 0.000 | 176.651 | 8.751 |
| -272.719 | -272.719 | 548.697 | 0.000 | 1.980 | 162.076 |
| 481.681 | 147.081 | 64.151 | 2.738 | 0.000 | 0.000 |
| 147.082 | 481.679 | 64.151 | -2.738 | 0.000 | 0.000 |
| 104.317 | 104.317 | 484.802 | -0.000 | 0.000 | -0.000 |
| 22.337 | 9.776 | -32.305 | 167.910 | 0.000 | 0.000 |
| 25.516 | 25.517 | -51.338 | -0.000 | 155.120 | 2.665 |
| 24.761 | 24.761 | -49.818 | -0.000 | 2.959 | 168.829 |
| 469.153 | 93.100 | 131.055 | 5.596 | -0.000 | 0.000 |
| 106.847 | 465.744 | 120.654 | -6.365 | -0.000 | -0.000 |
| 76.625 | 76.625 | 540.515 | 0.000 | 0.000 | -0.000 |
| -5.381 | -20.467 | 26.002 | 172.377 | -0.000 | -0.000 |
| -25.516 | -25.517 | 51.338 | 0.000 | 155.120 | 2.665 |
| -24.761 | -24.761 | 49.818 | 0.000 | 2.959 | 168.829 |
| 559.552 | 88.702 | 44.524 | 0.000 | 0.001 | 0.000 |
| 107.286 | 482.055 | 103.800 | 0.000 | 0.000 | 0.000 |
| 44.067 | 44.067 | 606.053 | -0.000 | 0.001 | -0.000 |
| -4.842 | -4.842 | 9.737 | 165.334 | 0.000 | 0.000 |
| -4.842 | -4.842 | 9.739 | 0.001 | 165.335 | 0.000 |
| -5.089 | -5.088 | 10.243 | -0.000 | 0.000 | 184.576 |
| 559.553 | 88.702 | 44.521 | 0.000 | -0.000 | 0.000 |
| 117.522 | 489.289 | 86.221 | -0.000 | -0.000 | 0.000 |
| 44.067 | 44.067 | 606.052 | -0.001 | -0.001 | 0.000 |
| 4.842 | 4.842 | -9.738 | 165.334 | -0.000 | 0.000 |
| 4.842 | 4.842 | -9.739 | -0.001 | 165.333 | -0.000 |
| 5.089 | 5.088 | -10.243 | -0.000 | -0.000 | 184.576 |
| 485.499 | 118.055 | 89.499 | -0.000 | -0.000 | 0.000 |
| 111.341 | 486.193 | 95.555 | -0.000 | 0.000 | -0.000 |
| 91.068 | 91.068 | 511.467 | -0.000 | -0.000 | 0.000 |
| -0.456 | -0.456 | 0.918 | 166.768 | -0.000 | 0.000 |
| -0.000 | 0.000 | -0.000 | 0.000 | 190.306 | 0.000 |
| 0.000 | 0.000 | -0.000 | 0.000 | 0.000 | 235.425 |
| 486.467 | 119.023 | 87.550 | 0.000 | -0.000 | -0.000 |
| 112.337 | 487.047 | 93.693 | -0.000 | 0.000 | -0.000 |
| 91.988 | 91.988 | 509.615 | -0.000 | -0.000 | -0.000 |
| 0.456 | 0.456 | -0.918 | 166.768 | 0.000 | 0.000 |
| -0.000 | -0.000 | 0.000 | 0.000 | 190.306 | -0.000 |
| -0.000 | -0.000 | 0.000 | -0.000 | -0.000 | 235.425 |
| 486.594 | 111.784 | 94.708 | 0.000 | 0.000 | 0.000 |
| 111.785 | 486.591 | 94.709 | 0.000 | 0.000 | 0.000 |
| 91.480 | 91.480 | 510.640 | -0.000 | 0.000 | 0.000 |
| 0.000 | 0.000 | -0.000 | 190.306 | 0.000 | -0.000 |
| 0.000 | 0.000 | -0.000 | -0.000 | 190.306 | 0.000 |
| -0.050 | -0.049 | 0.100 | -0.000 | 0.000 | 185.977 |
| 483.269 | 117.911 | 91.884 | 0.000 | 0.000 | 0.000 |
| 118.650 | 486.020 | 88.374 | -0.000 | -0.000 | -0.000 |
| 91.565 | 91.565 | 510.465 | -0.000 | 0.000 | -0.000 |
| -0.000 | -0.000 | -0.000 | 190.306 | 0.000 | -0.000 |
| -0.000 | -0.000 | 0.000 | 0.000 | 190.306 | -0.000 |
| 0.050 | 0.049 | -0.100 | 0.000 | -0.000 | 185.977 |
| -770.960 | -959.490 | 2438.012 | -2.336 | -0.001 | -0.000 |
| -959.490 | -770.960 | 2438.026 | 2.336 | -0.000 | -0.000 |
| -940.208 | -940.208 | 2586.890 | 0.000 | -0.001 | -0.000 |
| -1124.708 | -1119.971 | 2258.667 | 117.184 | 0.001 | -0.000 |
| 0.000 | 0.000 | -0.023 | -0.000 | 190.298 | 3.710 |
| -1122.203 | -1122.203 | 2258.421 | 0.000 | -2.368 | 93.518 |
| 559.531 | 88.692 | 44.459 | 3.709 | 0.002 | 0.000 |
| 88.692 | 559.531 | 44.455 | -3.710 | 0.002 | 0.000 |
| -129.696 | -129.696 | 955.848 | 0.000 | 0.000 | 0.000 |
| 1120.017 | 1124.755 | -2258.748 | 117.181 | 0.000 | 0.000 |
| -0.000 | -0.000 | 0.020 | 0.000 | 190.296 | 3.710 |
| 1122.203 | 1122.203 | -2258.422 | -0.000 | -2.367 | 93.518 |
| 259.636 | 48.641 | 386.591 | -1.855 | -0.000 | -0.000 |
| 48.646 | 259.671 | 386.546 | 1.854 | 0.000 | -0.000 |
| 24.338 | 24.338 | 645.733 | -0.000 | 0.000 | -0.000 |
| 41.578 | 30.325 | -72.355 | 213.348 | -0.000 | -0.000 |
| -110.462 | -110.462 | 222.299 | -0.000 | 118.338 | -2.272 |
| -82.614 | -82.614 | 166.251 | 0.000 | -0.667 | 209.557 |
| 455.805 | 270.477 | -34.023 | -2.404 | 0.000 | 0.000 |
| 88.692 | 559.530 | 44.516 | -3.710 | 0.000 | 0.000 |
| 268.531 | 268.531 | 154.303 | 0.000 | 0.000 | 0.000 |
| 3.710 | -3.710 | 0.001 | 190.297 | -0.000 | 0.000 |
| 110.462 | 110.462 | -222.299 | -0.000 | 118.338 | -2.272 |
| 82.614 | 82.614 | -166.252 | -0.000 | -0.667 | 209.557 |
| 559.532 | 88.692 | 44.520 | 3.710 | 0.000 | -0.000 |
| 112.326 | 466.017 | 114.837 | -1.201 | 0.000 | -0.000 |
| 89.154 | 89.154 | 515.296 | -0.000 | -0.000 | -0.000 |
| -5.250 | -6.374 | 11.696 | 152.436 | -0.000 | -0.000 |
| 0.000 | 0.000 | -0.001 | 0.000 | 190.297 | 3.710 |
| -5.249 | -5.248 | 10.562 | 0.000 | 0.867 | 169.056 |
| 471.271 | 123.155 | 98.652 | 1.082 | 0.000 | 0.000 |
| 123.154 | 471.273 | 98.650 | -1.082 | 0.000 | 0.000 |
| 44.059 | 44.059 | 606.047 | -0.000 | -0.000 | 0.000 |
| 6.374 | 5.250 | -11.696 | 152.438 | -0.000 | 0.000 |
| -0.000 | -0.000 | 0.000 | -0.000 | 190.297 | 3.710 |
| 5.249 | 5.248 | -10.562 | -0.000 | 0.867 | 169.056 |
| 487.016 | 116.450 | 89.804 | -2.218 | -0.000 | 0.000 |
| 116.450 | 487.016 | 89.796 | 2.218 | 0.000 | -0.000 |
| 44.334 | 44.335 | 604.597 | 0.000 | -0.001 | -0.000 |
| -4.515 | 4.515 | -0.002 | 190.742 | -0.000 | 0.000 |
| 0.000 | -0.000 | -0.004 | -0.000 | 190.742 | -4.515 |
| 0.001 | -0.000 | -0.005 | -0.000 | -4.515 | 235.439 |
| 487.016 | 116.450 | 89.814 | -2.218 | 0.000 | 0.000 |
| 89.032 | 559.909 | 44.335 | 4.515 | -0.000 | 0.000 |
| 44.335 | 44.335 | 604.609 | 0.000 | 0.000 | 0.000 |
| -4.515 | 4.515 | 0.007 | 190.742 | 0.000 | 0.000 |
| -0.001 | 0.000 | 0.004 | 0.000 | 190.742 | -4.515 |
| -0.000 | 0.000 | 0.006 | 0.000 | -4.515 | 235.439 |
| 487.492 | 112.461 | 93.322 | -2.041 | 0.000 | -0.000 |
| 116.450 | 487.016 | 89.809 | 2.218 | -0.000 | -0.000 |
| 91.522 | 91.522 | 510.232 | 0.000 | 0.000 | -0.000 |
| -4.515 | 4.515 | -0.000 | 190.742 | 0.000 | 0.000 |
| 0.000 | 0.000 | -0.001 | -0.000 | 190.742 | -4.515 |
| -0.000 | 0.000 | 0.000 | -0.000 | -1.992 | 186.562 |
| 487.492 | 112.461 | 93.321 | -2.041 | 0.000 | 0.000 |
| 89.032 | 559.909 | 44.335 | 4.515 | 0.000 | -0.000 |
| 91.521 | 91.521 | 510.233 | 0.000 | 0.000 | 0.000 |
| -4.515 | 4.515 | 0.000 | 190.742 | -0.000 | -0.000 |
| -0.000 | 0.000 | 0.001 | 0.000 | 190.742 | -4.515 |
| -0.000 | -0.000 | -0.000 | 0.000 | -1.992 | 186.562 |
| 487.495 | 112.461 | 93.321 | -2.041 | 0.000 | -0.000 |
| 112.463 | 487.490 | 93.325 | 2.041 | -0.000 | -0.000 |
| 91.522 | 91.522 | 510.233 | 0.000 | 0.000 | -0.000 |
| -2.132 | 2.132 | 0.000 | 167.150 | 0.000 | 0.000 |
| 0.000 | 0.000 | 0.000 | -0.000 | 190.742 | -4.515 |
| 0.000 | 0.000 | 0.000 | -0.000 | -4.515 | 235.439 |
| 487.491 | 112.461 | 93.322 | -2.041 | 0.000 | 0.000 |
| 116.449 | 487.018 | 89.807 | 2.218 | 0.000 | 0.000 |
| 91.519 | 91.519 | 510.236 | 0.000 | 0.000 | 0.000 |
| -4.515 | 4.515 | -0.000 | 190.742 | 0.000 | 0.000 |
| -0.000 | -0.000 | -0.000 | 0.000 | 190.742 | -4.515 |
| -0.000 | -0.000 | -0.000 | 0.000 | -4.515 | 235.439 |
| 559.909 | 89.032 | 44.244 | 2.180 | -0.001 | 0.000 |
| 89.030 | 559.909 | 44.239 | -2.180 | -0.001 | -0.000 |
| 91.370 | 91.371 | 510.444 | -0.000 | -0.002 | 0.001 |
| 0.877 | -1.180 | 0.271 | 167.149 | -0.002 | -0.000 |
| -0.152 | -0.151 | 0.299 | -0.000 | 167.146 | 1.029 |
| -0.160 | -0.160 | 0.323 | -0.000 | 0.961 | 186.625 |
| 559.910 | 89.032 | 44.234 | 2.180 | 0.002 | 0.000 |
| 112.628 | 487.697 | 92.926 | -0.987 | 0.001 | -0.001 |
| 91.674 | 91.672 | 509.795 | 0.000 | 0.001 | 0.001 |
| 1.181 | -0.878 | -0.288 | 167.149 | 0.002 | -0.000 |
| 0.152 | 0.151 | -0.317 | 0.000 | 167.151 | 1.029 |
| 0.160 | 0.159 | -0.327 | 0.000 | 0.966 | 186.626 |
| 559.909 | 89.032 | 44.339 | 2.180 | -0.000 | 0.000 |
| 89.031 | 559.909 | 44.338 | -2.180 | -0.000 | 0.000 |
| 44.335 | 44.335 | 604.600 | -0.000 | -0.000 | -0.000 |
| 1.014 | -1.044 | 0.028 | 167.149 | -0.000 | 0.000 |
| -0.015 | -0.015 | 0.032 | -0.000 | 167.148 | 1.029 |
| -0.000 | 0.000 | -0.006 | -0.000 | 2.180 | 235.439 |
| 487.566 | 112.483 | 93.235 | 0.987 | 0.000 | -0.000 |
| 116.289 | 487.107 | 89.872 | -1.068 | 0.000 | -0.000 |
| 44.335 | 44.335 | 604.605 | 0.000 | 0.000 | -0.000 |
| 1.044 | -1.014 | -0.028 | 167.149 | 0.000 | -0.000 |
| 0.015 | 0.015 | -0.031 | 0.000 | 167.149 | 1.029 |
| 0.000 | -0.000 | 0.004 | 0.000 | 2.180 | 235.439 |
| 487.561 | 112.463 | 93.254 | 0.987 | -0.000 | 0.000 |
| 116.274 | 487.088 | 89.916 | -1.068 | -0.000 | 0.000 |
| 91.523 | 91.523 | 510.231 | 0.000 | -0.000 | 0.000 |
| 1.028 | -1.031 | 0.003 | 167.149 | -0.000 | 0.000 |
| -0.002 | -0.001 | 0.003 | -0.000 | 167.149 | 1.029 |
| -0.001 | -0.001 | 0.003 | 0.000 | 1.129 | 186.144 |
| 487.092 | 116.275 | 89.906 | 1.068 | 0.000 | -0.000 |
| 89.031 | 559.907 | 44.335 | -2.180 | 0.000 | -0.000 |
| 91.520 | 91.520 | 510.233 | -0.000 | 0.000 | -0.000 |
| 1.031 | -1.027 | -0.003 | 167.149 | 0.000 | -0.000 |
| 0.002 | 0.001 | -0.003 | 0.000 | 167.149 | 1.029 |
| 0.001 | 0.001 | -0.003 | -0.000 | 1.129 | 186.144 |
| -2663.091 | -2895.426 | 6328.677 | 0.974 | -0.000 | 0.001 |
| -6667.569 | -6357.049 | 13890.317 | -0.173 | 0.001 | -0.001 |
| -6710.994 | -6710.994 | 14288.596 | 0.000 | -0.001 | 0.000 |
| -3794.383 | -3794.986 | 7683.624 | 151.419 | -0.001 | 0.000 |
| -2452.554 | -2452.554 | 4966.805 | 0.000 | 172.827 | 1.342 |
| -6809.311 | -6809.311 | 13791.353 | -0.000 | 0.168 | 155.087 |
| 7272.018 | 6962.451 | -13714.475 | 0.160 | 0.000 | 0.001 |
| 6951.277 | 7261.106 | -13692.265 | -0.165 | -0.000 | -0.001 |
| 6907.279 | 6907.279 | -13293.513 | -0.000 | -0.002 | -0.000 |
| 4035.453 | 4031.124 | -8167.084 | 189.787 | -0.000 | 0.000 |
| 2452.554 | 2452.554 | -4966.807 | -0.000 | 172.825 | 1.342 |
| 6809.311 | 6809.311 | -13791.351 | 0.000 | 0.170 | 155.087 |
| 70.778 | -229.693 | 861.235 | 0.319 | 0.000 | -0.000 |
| -6.254 | 394.637 | 307.154 | -1.780 | 0.000 | -0.000 |
| -416.253 | -416.253 | 1539.293 | 0.000 | -0.000 | -0.000 |
| -306.497 | -308.450 | 622.668 | 165.309 | 0.000 | -0.000 |
| -250.121 | -250.121 | 506.534 | 0.000 | 172.536 | 1.328 |
| -403.249 | -403.250 | 816.538 | -0.000 | 2.135 | 239.102 |
| 1129.893 | 823.043 | -1277.228 | 0.127 | -0.000 | 0.000 |
| 687.003 | 1069.656 | -1078.420 | -0.487 | -0.000 | 0.000 |
| 203.755 | 203.755 | 283.629 | 0.000 | 0.000 | -0.000 |
| 2.170 | -2.170 | -0.001 | 189.832 | -0.000 | 0.000 |
| 250.121 | 250.121 | -506.535 | -0.000 | 172.536 | 1.328 |
| 403.249 | 403.250 | -816.537 | 0.000 | 2.135 | 239.102 |
| 465.230 | 31.748 | 197.207 | 0.929 | 0.000 | -0.000 |
| 46.279 | 446.463 | 201.499 | -0.802 | 0.000 | -0.000 |
| 34.291 | 34.291 | 626.833 | 0.000 | -0.000 | 0.000 |
| -64.091 | -64.648 | 130.372 | 150.981 | -0.000 | -0.000 |
| -64.288 | -64.288 | 130.207 | -0.000 | 151.030 | 0.281 |
| -22.696 | -22.696 | 45.960 | 0.000 | 1.290 | 149.234 |
| 527.881 | 182.618 | -19.016 | -0.133 | -0.000 | -0.000 |
| 106.365 | 538.718 | 47.230 | -2.229 | 0.000 | 0.000 |
| 112.812 | 112.812 | 467.798 | 0.000 | -0.000 | 0.000 |
| 31.281 | 29.302 | -61.343 | 165.572 | 0.000 | 0.000 |
| 64.288 | 64.288 | -130.207 | 0.000 | 151.030 | 0.281 |
| 22.696 | 22.696 | -45.960 | -0.000 | 1.290 | 149.234 |
| -1127.799 | -1463.185 | 3296.517 | 0.833 | 0.001 | -0.001 |
| -547.500 | -158.046 | 1403.746 | -2.499 | 0.002 | -0.001 |
| -1487.719 | -1487.718 | 3681.221 | -0.000 | 0.001 | -0.001 |
| -1589.773 | -1591.419 | 3193.607 | 155.714 | 0.001 | -0.000 |
| -0.000 | 0.000 | -0.031 | -0.001 | 190.468 | 3.713 |
| -0.000 | 0.000 | -0.032 | -0.000 | 3.713 | 235.430 |
| 1151.496 | 760.823 | -1224.225 | 2.529 | -0.000 | -0.000 |
| 760.720 | 1151.401 | -1224.091 | -2.528 | 0.001 | 0.000 |
| 1326.013 | 1326.013 | -1968.216 | 0.001 | 0.001 | 0.001 |
| 1238.703 | 1235.750 | -2484.069 | 163.570 | -0.001 | 0.001 |
| 0.000 | -0.000 | 0.028 | 0.000 | 190.468 | 3.714 |
| -0.000 | -0.000 | 0.030 | 0.001 | 3.713 | 235.431 |
| 308.505 | -31.962 | 417.869 | 0.941 | -0.000 | -0.000 |
| 42.664 | 426.766 | 224.224 | -2.369 | -0.000 | -0.000 |
| 18.000 | 18.000 | 658.053 | -0.000 | -0.000 | -0.000 |
| 3.713 | -3.713 | -0.002 | 190.468 | 0.000 | -0.000 |
| 0.000 | 0.000 | -0.002 | -0.000 | 190.468 | 3.713 |
| -158.058 | -158.058 | 317.346 | -0.000 | 0.841 | 167.883 |
| 567.216 | 171.471 | -46.081 | 2.653 | 0.000 | 0.000 |
| 171.592 | 567.252 | -46.234 | -2.651 | 0.000 | -0.000 |
| 257.156 | 257.156 | 177.875 | 0.000 | -0.000 | 0.000 |
| 68.801 | 63.805 | -133.122 | 175.858 | -0.000 | -0.000 |
| -0.000 | -0.000 | 0.002 | 0.000 | 190.468 | 3.713 |
| 158.058 | 158.058 | -317.346 | 0.000 | 0.841 | 167.883 |
| 477.748 | 96.118 | 119.383 | 1.596 | -0.000 | -0.000 |
| 101.743 | 470.608 | 120.905 | -1.545 | 0.000 | 0.000 |
| 85.456 | 85.456 | 522.613 | 0.000 | -0.000 | -0.000 |
| -7.398 | -11.392 | 18.862 | 169.833 | 0.000 | -0.000 |
| -13.075 | -13.075 | 26.252 | -0.000 | 161.899 | 1.337 |
| -13.079 | -13.078 | 26.258 | -0.000 | 1.347 | 187.372 |
| 496.575 | 121.123 | 75.378 | 1.373 | 0.000 | 0.000 |
| 128.037 | 490.167 | 74.869 | -1.402 | 0.000 | 0.000 |
| 105.643 | 105.643 | 482.078 | 0.000 | -0.000 | 0.000 |
| 12.947 | 9.597 | -22.633 | 165.960 | -0.000 | 0.000 |
| 13.075 | 13.075 | -26.252 | 0.000 | 161.899 | 1.337 |
| 13.079 | 13.078 | -26.258 | 0.000 | 1.347 | 187.372 |
| 559.910 | 89.034 | 44.362 | 2.529 | -0.000 | 0.000 |
| 116.063 | 490.492 | 86.725 | -1.130 | -0.000 | 0.000 |
| 94.883 | 94.882 | 503.510 | -0.000 | 0.000 | 0.000 |
| 4.555 | 2.167 | -6.725 | 167.149 | 0.000 | -0.000 |
| 3.361 | 3.360 | -6.720 | 0.000 | 167.149 | 1.194 |
| 0.000 | -0.000 | -0.011 | 0.000 | 2.528 | 235.439 |
| 559.909 | 89.031 | 44.353 | 2.528 | 0.000 | -0.000 |
| 89.031 | 559.907 | 44.355 | -2.528 | 0.000 | -0.000 |
| 88.160 | 88.161 | 516.956 | 0.000 | -0.000 | -0.000 |
| -2.167 | -4.554 | 6.720 | 167.149 | -0.000 | 0.000 |
| -3.361 | -3.360 | 6.718 | -0.000 | 167.149 | 1.194 |
| -0.000 | 0.000 | 0.008 | -0.000 | 2.528 | 235.439 |
| 559.909 | 89.032 | 44.335 | 2.528 | -0.000 | -0.000 |
| 89.032 | 559.909 | 44.335 | -2.528 | -0.000 | -0.000 |
| 44.335 | 44.335 | 604.605 | -0.000 | -0.000 | 0.000 |
| 1.530 | -0.858 | -0.673 | 167.149 | 0.000 | 0.000 |
| 0.000 | -0.000 | -0.000 | 0.000 | 190.742 | 2.528 |
| 0.000 | -0.000 | -0.000 | 0.000 | 2.528 | 235.439 |
| 559.909 | 89.031 | 44.335 | 2.528 | -0.000 | -0.000 |
| 89.032 | 559.909 | 44.336 | -2.528 | -0.000 | 0.000 |
| 44.335 | 44.335 | 604.604 | 0.000 | 0.000 | -0.000 |
| 0.858 | -1.530 | 0.672 | 167.149 | -0.000 | -0.000 |
| -0.000 | 0.000 | -0.000 | -0.000 | 190.742 | 2.528 |
| -0.000 | 0.000 | 0.000 | -0.000 | 2.528 | 235.439 |
| 486.788 | 117.153 | 89.337 | 1.254 | 0.000 | 0.000 |
| 89.032 | 559.911 | 44.335 | -2.528 | -0.000 | 0.000 |
| 44.335 | 44.335 | 604.608 | 0.000 | -0.000 | 0.000 |
| 2.529 | -2.528 | -0.000 | 190.742 | 0.000 | -0.000 |
| 0.000 | 0.000 | -0.000 | 0.000 | 190.742 | 2.528 |
| 0.000 | 0.000 | 0.000 | 0.000 | 2.528 | 235.439 |
| 559.908 | 89.031 | 44.334 | 2.528 | 0.000 | 0.000 |
| 89.031 | 559.907 | 44.334 | -2.528 | -0.000 | -0.000 |
| 91.485 | 91.485 | 510.303 | 0.000 | 0.000 | -0.000 |
| 2.528 | -2.528 | 0.000 | 190.742 | -0.000 | -0.000 |
| -0.000 | -0.000 | 0.000 | -0.000 | 190.742 | 2.528 |
| -0.000 | -0.000 | -0.000 | -0.000 | 2.528 | 235.439 |
| 559.086 | 88.314 | 44.679 | 2.517 | 0.000 | 0.000 |
| 66.434 | 499.626 | 127.161 | -2.639 | 0.001 | -0.000 |
| 838.231 | 838.231 | -1002.522 | 0.000 | 0.001 | 0.000 |
| -11.887 | -16.322 | 28.127 | 184.453 | 0.000 | 0.000 |
| 0.000 | 0.000 | -0.153 | -0.000 | 189.771 | 2.517 |
| 0.000 | 0.000 | -0.155 | -0.000 | 2.517 | 235.386 |
| -278.430 | -569.332 | 1559.900 | -0.092 | -0.000 | -0.000 |
| 88.314 | 559.086 | 44.725 | -2.517 | -0.001 | -0.000 |
| -564.811 | -564.811 | 1841.078 | -0.000 | 0.000 | -0.000 |
| -701.900 | -701.710 | 1422.366 | 143.540 | 0.000 | -0.000 |
| -0.000 | -0.000 | 0.158 | 0.000 | 189.771 | 2.517 |
| -0.000 | -0.000 | 0.157 | 0.000 | 2.516 | 235.386 |
| 480.620 | 162.225 | 49.306 | 2.404 | 0.000 | 0.000 |
| 156.972 | 447.169 | 88.545 | -4.546 | 0.000 | 0.000 |
| 43.751 | 43.751 | 607.697 | 0.000 | 0.000 | -0.000 |
| 95.012 | 96.485 | -194.103 | 132.205 | -0.000 | 0.000 |
| 0.000 | 0.000 | -0.016 | -0.000 | 189.771 | 2.517 |
| 0.000 | 0.000 | -0.015 | -0.000 | 2.517 | 235.386 |
| 559.086 | 88.314 | 44.743 | 2.517 | 0.000 | -0.000 |
| 112.608 | 538.777 | 40.697 | -2.523 | -0.000 | -0.000 |
| 68.376 | 68.376 | 557.786 | -0.000 | -0.000 | -0.000 |
| 6.184 | 0.962 | -7.239 | 191.440 | 0.000 | -0.000 |
| -0.000 | -0.000 | 0.016 | 0.000 | 189.771 | 2.517 |
| -0.000 | -0.000 | 0.014 | 0.000 | 2.517 | 235.386 |
| 469.454 | 123.132 | 100.287 | 0.712 | 0.000 | 0.000 |
| 123.131 | 501.069 | 68.250 | -1.721 | -0.000 | 0.000 |
| 88.548 | 88.548 | 516.897 | -0.000 | -0.000 | 0.000 |
| 2.517 | -2.517 | 0.001 | 189.771 | -0.000 | 0.000 |
| 5.525 | 5.525 | -11.198 | -0.000 | 153.375 | 0.461 |
| 5.144 | 5.145 | -10.427 | -0.000 | 0.602 | 169.378 |
| 463.460 | 112.494 | 117.139 | 0.779 | 0.000 | -0.000 |
| 88.314 | 559.084 | 44.737 | -2.517 | -0.000 | -0.000 |
| 80.674 | 80.674 | 532.851 | -0.000 | 0.000 | -0.000 |
| 2.517 | -2.517 | -0.001 | 189.771 | 0.000 | -0.000 |
| -5.525 | -5.525 | 11.198 | 0.000 | 153.375 | 0.461 |
| -5.144 | -5.145 | 10.427 | 0.000 | 0.602 | 169.378 |
| 487.263 | 115.866 | 90.150 | 1.622 | -0.001 | 0.000 |
| 115.866 | 487.263 | 90.151 | -1.622 | -0.000 | 0.000 |
| 91.517 | 91.517 | 510.242 | -0.000 | -0.000 | -0.000 |
| 1.566 | -1.576 | 0.009 | 167.149 | -0.001 | 0.001 |
| -0.005 | -0.005 | 0.009 | 0.000 | 167.148 | 1.571 |
| -0.006 | -0.006 | 0.013 | 0.000 | 1.221 | 183.475 |
| 487.273 | 115.876 | 90.124 | 1.622 | 0.000 | -0.001 |
| 112.485 | 487.697 | 93.093 | -1.512 | 0.001 | -0.001 |
| 91.527 | 91.527 | 510.221 | -0.000 | 0.000 | -0.000 |
| 1.576 | -1.566 | -0.010 | 167.149 | 0.001 | 0.000 |
| 0.005 | 0.005 | -0.008 | -0.000 | 167.149 | 1.571 |
| 0.006 | 0.006 | -0.012 | -0.000 | 1.222 | 183.474 |
| 487.691 | 112.479 | 93.105 | 1.512 | 0.000 | 0.000 |
| 112.479 | 487.691 | 93.106 | -1.512 | -0.000 | 0.000 |
| 91.512 | 91.512 | 510.251 | 0.000 | -0.000 | 0.000 |
| 1.570 | -1.571 | 0.001 | 167.149 | -0.000 | -0.000 |
| 0.000 | -0.000 | -0.000 | 0.000 | 190.742 | 3.327 |
| -0.001 | -0.001 | 0.001 | -0.000 | 1.480 | 186.774 |
| 559.909 | 89.031 | 44.335 | 3.327 | 0.000 | 0.000 |
| 112.483 | 487.683 | 93.109 | -1.512 | 0.000 | -0.000 |
| 91.522 | 91.522 | 510.231 | -0.000 | 0.000 | -0.000 |
| 1.571 | -1.570 | -0.001 | 167.149 | 0.000 | -0.000 |
| -0.000 | 0.000 | -0.000 | -0.000 | 190.742 | 3.327 |
| 0.001 | 0.001 | -0.001 | 0.000 | 1.480 | 186.774 |
| 487.692 | 112.480 | 93.105 | 1.512 | 0.000 | 0.000 |
| 115.872 | 487.266 | 90.139 | -1.622 | -0.000 | 0.000 |
| 91.525 | 91.525 | 510.228 | -0.000 | -0.000 | 0.000 |
| 1.571 | -1.571 | 0.000 | 167.149 | -0.000 | 0.000 |
| -0.000 | 0.000 | 0.000 | 0.000 | 167.149 | 1.571 |
| 0.000 | 0.000 | 0.000 | 0.000 | 3.327 | 235.439 |
| 487.691 | 112.479 | 93.103 | 1.512 | 0.000 | -0.000 |
| 112.509 | 487.599 | 93.166 | -1.510 | 0.000 | -0.000 |
| 91.519 | 91.519 | 510.236 | 0.000 | -0.000 | 0.000 |
| 1.571 | -1.571 | -0.000 | 167.149 | 0.000 | -0.000 |
| 0.000 | -0.000 | -0.000 | -0.000 | 167.149 | 1.571 |
| -0.000 | -0.000 | -0.000 | -0.000 | 3.327 | 235.439 |
| 152.864 | -213.642 | 755.974 | -0.000 | -0.001 | -0.000 |
| -213.643 | 152.862 | 755.974 | -0.000 | -0.001 | -0.000 |
| -240.784 | -240.784 | 1177.034 | -0.000 | -0.001 | 0.000 |
| -331.717 | -331.717 | 665.461 | 163.731 | -0.001 | -0.000 |
| 0.000 | 0.000 | -0.001 | -0.000 | 190.527 | 0.000 |
| 0.000 | 0.000 | -0.001 | -0.000 | -0.001 | 235.433 |
| 814.781 | 450.644 | -574.282 | 0.000 | 0.001 | 0.000 |
| 88.867 | 559.734 | 44.428 | 0.000 | 0.000 | 0.000 |
| 422.054 | 422.053 | -152.694 | 0.000 | 0.001 | -0.000 |
| 331.717 | 331.717 | -665.461 | 163.731 | 0.001 | 0.000 |
| -0.000 | -0.000 | 0.001 | 0.000 | 190.528 | -0.000 |
| 0.000 | -0.000 | 0.001 | 0.000 | 0.001 | 235.432 |
| 455.137 | 82.120 | 156.111 | -0.000 | -0.000 | -0.000 |
| 82.122 | 455.155 | 156.091 | -0.000 | -0.000 | -0.000 |
| 66.275 | 66.275 | 561.039 | -0.000 | -0.000 | 0.000 |
| -32.088 | -32.088 | 64.372 | 164.607 | -0.000 | -0.000 |
| -0.000 | 0.000 | -0.000 | -0.000 | 190.528 | 0.000 |
| 0.000 | -0.000 | -0.000 | -0.000 | -0.000 | 235.433 |
| 559.733 | 88.867 | 44.427 | 0.000 | 0.000 | 0.000 |
| 148.297 | 513.018 | 31.674 | -0.000 | 0.000 | 0.000 |
| 123.112 | 123.112 | 447.018 | 0.000 | 0.000 | -0.000 |
| 32.088 | 32.088 | -64.372 | 164.607 | 0.000 | 0.000 |
| 0.000 | -0.000 | 0.000 | 0.000 | 190.528 | -0.000 |
| -0.000 | 0.000 | 0.000 | 0.000 | 0.000 | 235.433 |
| 485.034 | 109.209 | 98.952 | -0.000 | -0.000 | -0.000 |
| 109.211 | 485.026 | 98.957 | -0.000 | -0.000 | -0.000 |
| 88.655 | 88.655 | 516.144 | -0.000 | -0.000 | 0.000 |
| 0.000 | 0.000 | -0.000 | 190.528 | -0.000 | -0.000 |
| -2.915 | -2.914 | 5.847 | -0.000 | 166.969 | -0.000 |
| 0.000 | 0.000 | 0.000 | -0.000 | -0.000 | 235.433 |
| 490.588 | 117.615 | 84.946 | 0.000 | 0.000 | 0.000 |
| 115.308 | 490.688 | 87.160 | 0.000 | 0.000 | -0.000 |
| 94.471 | 94.471 | 504.472 | 0.000 | 0.000 | -0.000 |
| -0.000 | -0.000 | 0.000 | 190.528 | 0.000 | 0.000 |
| 2.915 | 2.914 | -5.847 | 0.000 | 166.969 | 0.000 |
| -0.000 | -0.000 | -0.000 | 0.000 | 0.000 | 235.433 |
| 559.909 | 89.032 | 44.330 | 0.000 | 0.000 | 0.000 |
| 89.032 | 559.909 | 44.330 | 0.000 | 0.000 | 0.000 |
| 91.521 | 91.522 | 510.229 | -0.000 | 0.001 | 0.000 |
| -0.000 | 0.000 | -0.003 | 190.742 | 0.000 | 0.000 |
| 0.000 | 0.000 | -0.004 | -0.000 | 190.743 | 0.000 |
| 0.000 | 0.000 | -0.003 | -0.000 | 0.000 | 235.439 |
| 487.405 | 112.454 | 93.420 | 0.000 | -0.001 | -0.000 |
| 112.454 | 487.404 | 93.421 | 0.000 | -0.001 | -0.000 |
| 44.335 | 44.335 | 604.609 | 0.000 | -0.000 | -0.000 |
| 0.000 | -0.000 | 0.004 | 190.742 | -0.000 | -0.000 |
| -0.000 | -0.000 | 0.003 | 0.000 | 190.742 | -0.000 |
| -0.000 | -0.000 | 0.004 | 0.000 | -0.001 | 235.438 |
| 559.909 | 89.032 | 44.335 | -0.000 | 0.000 | 0.000 |
| 112.454 | 487.404 | 93.418 | 0.000 | 0.000 | 0.000 |
| 91.513 | 91.513 | 510.250 | 0.000 | 0.000 | 0.000 |
| 0.000 | 0.000 | -0.000 | 190.742 | 0.000 | 0.000 |
| 0.000 | 0.000 | -0.000 | -0.000 | 190.742 | 0.000 |
| 0.000 | 0.000 | -0.000 | -0.000 | 0.000 | 235.439 |
| 487.404 | 112.454 | 93.418 | -0.000 | -0.000 | -0.000 |
| 89.032 | 559.909 | 44.335 | 0.000 | 0.000 | -0.000 |
| 91.521 | 91.521 | 510.233 | -0.000 | -0.000 | -0.000 |
| -0.000 | -0.000 | 0.000 | 190.742 | -0.000 | -0.000 |
| 0.000 | -0.000 | 0.000 | 0.000 | 190.742 | -0.000 |
| -0.000 | -0.000 | 0.000 | 0.000 | -0.000 | 235.439 |
| 484.340 | 115.071 | 93.866 | 0.000 | 0.000 | 0.000 |
| 89.032 | 559.911 | 44.335 | -0.000 | 0.000 | 0.000 |
| 91.525 | 91.525 | 510.228 | -0.000 | 0.000 | 0.000 |
| 0.000 | -0.000 | 0.000 | 167.149 | 0.000 | 0.000 |
| -0.000 | 0.000 | 0.000 | -0.000 | 167.149 | 0.000 |
| 0.000 | 0.000 | 0.000 | -0.000 | 0.000 | 235.439 |
| 559.907 | 89.031 | 44.335 | 0.000 | -0.000 | -0.000 |
| 112.483 | 487.311 | 93.480 | 0.000 | -0.000 | -0.000 |
| 91.522 | 91.522 | 510.229 | 0.000 | -0.000 | -0.000 |
| -0.000 | 0.000 | -0.000 | 167.149 | -0.000 | -0.000 |
| 0.000 | -0.000 | -0.000 | 0.000 | 167.149 | -0.000 |
| -0.000 | -0.000 | -0.000 | 0.000 | -0.000 | 235.439 |
| 723.070 | 467.706 | -499.859 | 0.000 | -0.000 | -0.000 |
| 467.706 | 723.070 | -499.858 | 0.000 | -0.000 | -0.000 |
| 431.613 | 431.613 | -172.328 | -0.000 | -0.000 | 0.000 |
| 0.001 | 0.000 | -0.000 | 190.477 | 0.000 | -0.000 |
| 0.000 | 0.000 | 0.001 | 0.000 | 190.476 | 0.000 |
| -0.000 | 0.000 | 0.001 | -0.000 | -0.000 | 235.431 |
| 108.850 | -163.532 | 750.305 | -0.000 | 0.000 | 0.000 |
| 88.827 | 559.689 | 44.448 | -0.000 | 0.000 | 0.000 |
| -41.048 | -41.048 | 776.568 | -0.000 | 0.000 | 0.000 |
| -0.001 | -0.000 | 0.000 | 190.476 | -0.000 | 0.000 |
| -0.000 | -0.000 | -0.001 | -0.000 | 190.477 | -0.000 |
| 0.000 | -0.000 | -0.001 | -0.000 | 0.000 | 235.431 |
| 467.755 | 148.809 | 76.524 | 0.000 | -0.000 | -0.000 |
| 148.807 | 467.757 | 76.523 | -0.000 | 0.000 | -0.000 |
| 120.724 | 120.724 | 451.802 | 0.000 | -0.000 | 0.000 |
| 24.714 | 24.714 | -49.616 | 148.712 | -0.000 | -0.000 |
| 0.000 | 0.000 | 0.000 | 0.000 | 190.476 | 0.000 |
| -0.000 | 0.000 | 0.000 | -0.000 | -0.000 | 235.431 |
| 559.689 | 88.828 | 44.448 | 0.000 | 0.000 | 0.000 |
| 105.205 | 473.403 | 114.622 | 0.000 | -0.000 | 0.000 |
| 98.176 | 98.176 | 497.067 | 0.000 | 0.000 | -0.000 |
| -24.714 | -24.714 | 49.616 | 148.712 | 0.000 | -0.000 |
| 0.000 | -0.000 | -0.000 | 0.000 | 190.476 | -0.000 |
| -0.000 | -0.000 | -0.000 | 0.000 | -0.000 | 235.431 |
| 488.167 | 113.762 | 91.214 | -0.000 | -0.000 | -0.000 |
| 88.829 | 559.692 | 44.448 | 0.000 | -0.000 | 0.000 |
| 44.170 | 44.170 | 605.491 | 0.000 | -0.000 | 0.000 |
| 1.421 | 1.421 | -2.852 | 166.466 | -0.000 | 0.000 |
| 1.421 | 1.421 | -2.852 | 0.000 | 166.466 | -0.000 |
| 1.494 | 1.494 | -3.000 | -0.000 | -0.000 | 186.110 |
| 485.524 | 110.756 | 96.882 | -0.000 | 0.000 | 0.000 |
| 111.922 | 485.339 | 95.897 | 0.000 | 0.000 | -0.000 |
| 90.112 | 90.112 | 513.255 | -0.000 | 0.000 | -0.000 |
| -1.421 | -1.421 | 2.852 | 166.466 | 0.000 | 0.000 |
| -1.421 | -1.421 | 2.852 | -0.000 | 166.466 | 0.000 |
| -1.494 | -1.494 | 3.000 | 0.000 | 0.000 | 186.110 |
| 559.786 | 88.914 | 44.406 | 37.896 | -0.000 | 0.000 |
| 178.200 | 564.045 | -49.351 | -31.634 | -0.000 | -0.003 |
| 44.239 | 44.239 | 605.130 | 0.000 | -0.000 | 0.000 |
| 918.637 | 1068.714 | -1991.737 | 57.463 | -0.000 | -0.000 |
| 993.650 | 993.650 | -1991.686 | 0.000 | 57.465 | -75.037 |
| 79.800 | 79.801 | -159.954 | 0.000 | 28.706 | 186.685 |
| 394.982 | 30.600 | 268.014 | 26.598 | 0.000 | 0.001 |
| 30.539 | 394.895 | 268.162 | -26.591 | 0.000 | 0.001 |
| 44.239 | 44.239 | 605.122 | -0.000 | 0.000 | 0.000 |
| 37.896 | -37.896 | -0.004 | 190.588 | 0.000 | 0.000 |
| -993.649 | -993.650 | 1991.686 | -0.000 | 57.466 | -75.036 |
| -79.801 | -79.800 | 159.954 | -0.000 | 28.707 | 186.685 |
| 511.449 | 132.540 | 49.123 | 29.943 | -0.000 | -0.000 |
| 132.541 | 511.448 | 49.124 | -29.943 | -0.000 | -0.000 |
| 106.062 | 106.062 | 481.208 | 0.000 | -0.000 | 0.000 |
| 37.896 | -37.896 | 0.000 | 190.588 | -0.000 | -0.000 |
| 13.751 | 13.751 | -27.563 | 0.000 | 172.030 | 22.153 |
| 9.247 | 9.247 | -18.535 | 0.000 | 27.268 | 183.797 |
| 465.619 | 119.163 | 108.460 | 22.272 | 0.000 | -0.000 |
| 99.931 | 467.377 | 125.974 | -18.101 | 0.000 | -0.000 |
| 44.239 | 44.239 | 605.126 | -0.000 | 0.000 | -0.000 |
| -111.961 | -28.319 | 140.590 | 96.619 | 0.000 | -0.000 |
| -13.751 | -13.751 | 27.563 | -0.000 | 172.030 | 22.152 |
| -9.247 | -9.247 | 18.535 | -0.000 | 27.269 | 183.797 |
| 486.829 | 124.624 | 81.733 | 20.785 | -0.000 | -0.000 |
| 114.864 | 486.852 | 91.491 | -16.394 | -0.000 | 0.000 |
| 93.243 | 93.243 | 506.904 | 0.000 | -0.000 | 0.000 |
| 19.702 | -16.212 | -3.497 | 167.085 | -0.000 | 0.000 |
| 1.902 | 1.902 | -3.813 | 0.000 | 165.105 | 16.277 |
| 1.794 | 1.794 | -3.596 | -0.000 | 17.513 | 185.522 |
| 482.801 | 121.706 | 88.691 | 20.414 | 0.000 | 0.000 |
| 121.708 | 482.795 | 88.695 | -20.413 | 0.000 | 0.000 |
| 89.717 | 89.717 | 513.968 | -0.000 | 0.000 | -0.000 |
| 16.131 | -19.662 | 3.538 | 167.014 | 0.000 | -0.000 |
| -1.902 | -1.902 | 3.813 | -0.000 | 165.105 | 16.277 |
| -1.794 | -1.794 | 3.596 | 0.000 | 17.513 | 185.522 |
| 559.671 | 88.813 | 44.456 | -0.000 | 0.000 | -0.000 |
| -498.981 | -131.936 | 1329.011 | 0.000 | 0.000 | -0.001 |
| -531.398 | -531.398 | 1761.296 | 0.000 | -0.000 | -0.000 |
| -618.356 | -618.356 | 1241.695 | 169.365 | 0.000 | -0.001 |
| 0.000 | 0.000 | -0.000 | -0.000 | 190.456 | -0.001 |
| -1091.148 | -1091.148 | 2191.139 | -0.000 | 0.000 | 163.194 |
| 1104.821 | 737.707 | -1154.399 | 0.000 | -0.000 | 0.001 |
| 737.706 | 1104.820 | -1154.398 | 0.001 | -0.000 | -0.000 |
| 705.462 | 705.462 | -722.393 | 0.000 | -0.000 | 0.001 |
| 1092.037 | 1092.037 | -2192.924 | 153.386 | -0.000 | 0.001 |
| -0.000 | -0.000 | -0.000 | -0.000 | 190.455 | 0.001 |
| 1091.148 | 1091.148 | -2191.139 | 0.000 | -0.000 | 163.196 |
| 414.052 | 32.886 | 246.815 | 0.000 | 0.000 | -0.000 |
| 32.886 | 414.052 | 246.816 | -0.000 | 0.000 | -0.000 |
| 24.691 | 24.691 | 644.637 | -0.000 | 0.000 | -0.000 |
| -75.424 | -75.424 | 151.457 | 164.927 | 0.000 | -0.000 |
| -75.424 | -75.424 | 151.458 | -0.000 | 164.927 | -0.000 |
| -61.833 | -61.833 | 124.165 | -0.000 | 0.000 | 183.539 |
| 548.550 | 181.138 | -37.075 | 0.000 | -0.000 | 0.000 |
| 233.824 | 559.406 | -100.876 | -0.000 | -0.000 | -0.000 |
| 223.485 | 223.485 | 245.440 | 0.000 | 0.000 | 0.000 |
| -0.000 | 0.000 | 0.000 | 190.456 | -0.000 | 0.000 |
| 75.424 | 75.424 | -151.458 | 0.000 | 164.927 | 0.000 |
| 61.833 | 61.833 | -124.165 | 0.000 | -0.000 | 183.539 |
| 479.116 | 109.259 | 104.809 | -0.000 | 0.000 | 0.000 |
| 107.926 | 464.580 | 120.743 | -0.000 | 0.000 | -0.000 |
| 94.492 | 94.492 | 504.474 | -0.000 | 0.000 | -0.000 |
| -9.656 | -9.657 | 19.391 | 157.677 | 0.000 | 0.000 |
| -7.279 | -7.279 | 14.616 | -0.000 | 165.814 | 0.000 |
| -9.307 | -9.306 | 18.689 | -0.000 | 0.000 | 173.820 |
| 477.771 | 127.072 | 88.272 | 0.000 | -0.000 | 0.000 |
| 127.094 | 477.725 | 88.296 | -0.000 | 0.000 | 0.000 |
| 99.354 | 99.354 | 494.707 | 0.000 | -0.000 | 0.000 |
| 7.279 | 7.279 | -14.616 | 165.814 | -0.000 | 0.000 |
| 7.279 | 7.279 | -14.616 | 0.000 | 165.814 | 0.000 |
| 9.307 | 9.306 | -18.689 | 0.000 | 0.000 | 173.820 |
| -2716.379 | -3021.427 | 6453.648 | 0.000 | -0.000 | 0.000 |
| 88.840 | 559.704 | 44.442 | 0.000 | -0.000 | 0.000 |
| -1791.639 | -1791.639 | 4290.190 | 0.000 | -0.000 | 0.000 |
| -1880.485 | -1880.485 | 3774.399 | 165.359 | -0.000 | 0.000 |
| -958.544 | -958.544 | 1923.918 | 0.000 | 177.549 | -0.000 |
| -1880.521 | -1880.521 | 3774.471 | 0.000 | -0.000 | 188.912 |
| 1456.303 | 1052.879 | -1822.821 | -0.000 | 0.000 | -0.000 |
| 3304.703 | 3608.483 | -6242.616 | -0.000 | 0.001 | 0.000 |
| 1059.409 | 1059.409 | -1432.250 | -0.000 | 0.000 | -0.000 |
| 1880.684 | 1880.684 | -3774.800 | 165.356 | 0.000 | 0.000 |
| 958.544 | 958.544 | -1923.918 | -0.000 | 177.550 | -0.000 |
| 1880.521 | 1880.521 | -3774.471 | -0.000 | 0.000 | 188.912 |
| 311.121 | -51.258 | 434.513 | 0.000 | -0.000 | 0.000 |
| 1.287 | 397.035 | 295.557 | 0.000 | -0.000 | -0.000 |
| 3.484 | 3.484 | 687.124 | 0.000 | -0.000 | -0.000 |
| -187.881 | -187.881 | 377.104 | 165.381 | -0.000 | 0.000 |
| -187.867 | -187.867 | 377.076 | 0.000 | 165.383 | -0.000 |
| -97.114 | -97.114 | 194.921 | 0.000 | -0.000 | 201.035 |
| 598.898 | 188.795 | -95.201 | -0.000 | 0.000 | 0.000 |
| 302.249 | 678.413 | -288.860 | -0.000 | 0.000 | 0.000 |
| 277.376 | 277.376 | 137.384 | -0.000 | 0.000 | 0.000 |
| 170.632 | 170.632 | -342.482 | 167.502 | 0.000 | 0.000 |
| 187.867 | 187.867 | -377.076 | -0.000 | 165.383 | -0.000 |
| 97.114 | 97.114 | -194.921 | -0.000 | 0.000 | 201.035 |
| 470.063 | 94.585 | 128.641 | 0.000 | -0.000 | 0.000 |
| 100.793 | 474.024 | 118.436 | 0.000 | -0.000 | 0.000 |
| 68.140 | 68.140 | 557.353 | 0.000 | -0.000 | -0.000 |
| -17.323 | -17.323 | 34.770 | 167.156 | -0.000 | -0.000 |
| 0.000 | 0.000 | -0.000 | 0.000 | 190.491 | -0.000 |
| -16.231 | -16.231 | 32.579 | -0.000 | -0.000 | 184.696 |
| 482.180 | 148.482 | 62.388 | -0.000 | 0.000 | -0.000 |
| 126.336 | 513.418 | 53.262 | 0.000 | 0.000 | -0.000 |
| 106.379 | 106.379 | 480.598 | -0.000 | 0.000 | -0.000 |
| 17.701 | 17.702 | -35.530 | 166.888 | 0.000 | 0.000 |
| -0.000 | -0.000 | 0.000 | -0.000 | 190.491 | -0.000 |
| 16.231 | 16.231 | -32.579 | 0.000 | -0.000 | 184.696 |
| 559.909 | 89.031 | 44.335 | 0.000 | 0.000 | -0.001 |
| 89.031 | 559.908 | 44.336 | -0.000 | 0.000 | -0.001 |
| 44.334 | 44.334 | 604.606 | -0.000 | -0.000 | -0.001 |
| -0.001 | -0.002 | 0.003 | 167.149 | -0.000 | -0.001 |
| 0.000 | -0.001 | 0.001 | 0.000 | 190.742 | -0.001 |
| -0.001 | -0.002 | 0.002 | 0.000 | -0.000 | 186.097 |
| 559.910 | 89.032 | 44.330 | -0.000 | 0.000 | 0.001 |
| 89.032 | 559.910 | 44.330 | 0.000 | 0.000 | 0.001 |
| 44.336 | 44.336 | 604.605 | 0.000 | 0.000 | 0.001 |
| 0.001 | 0.002 | -0.005 | 167.149 | 0.000 | 0.001 |
| 0.000 | 0.001 | 0.001 | -0.000 | 190.742 | 0.001 |
| 0.001 | 0.002 | 0.002 | -0.000 | -0.000 | 186.099 |
| 486.473 | 117.929 | 88.874 | -0.000 | 0.000 | -0.000 |
| 112.424 | 487.059 | 93.793 | -0.000 | 0.000 | -0.000 |
| 91.522 | 91.522 | 510.232 | -0.000 | 0.000 | -0.000 |
| -0.000 | -0.000 | 0.000 | 167.149 | -0.000 | -0.000 |
| 0.000 | -0.000 | -0.000 | 0.000 | 190.742 | -0.000 |
| 0.000 | -0.000 | -0.000 | 0.000 | -0.000 | 235.439 |
| 559.909 | 89.032 | 44.334 | 0.000 | -0.000 | 0.000 |
| 116.872 | 483.859 | 92.544 | 0.000 | -0.000 | 0.000 |
| 91.531 | 91.531 | 510.214 | 0.000 | -0.000 | 0.000 |
| 0.000 | 0.000 | -0.000 | 167.149 | 0.000 | 0.000 |
| -0.000 | 0.000 | 0.000 | -0.000 | 190.742 | 0.000 |
| -0.000 | 0.000 | 0.000 | -0.000 | -0.000 | 235.439 |
| 559.911 | 89.032 | 44.335 | -0.000 | 0.000 | -0.000 |
| 112.423 | 487.066 | 93.789 | -0.000 | 0.000 | -0.000 |
| 91.525 | 91.525 | 510.228 | -0.000 | -0.000 | -0.000 |
| 0.000 | 0.000 | -0.000 | 190.742 | -0.000 | -0.000 |
| 0.000 | 0.000 | 0.000 | 0.000 | 190.742 | -0.000 |
| 0.000 | 0.000 | 0.000 | -0.000 | 0.000 | 235.439 |
| 486.471 | 117.929 | 88.874 | 0.000 | -0.000 | 0.000 |
| 89.031 | 559.907 | 44.335 | 0.000 | -0.000 | 0.000 |
| 91.519 | 91.519 | 510.236 | 0.000 | 0.000 | 0.000 |
| -0.000 | -0.000 | -0.000 | 190.742 | -0.000 | 0.000 |
| -0.000 | -0.000 | -0.000 | -0.000 | 190.742 | 0.000 |
| -0.000 | -0.000 | -0.000 | -0.000 | -0.000 | 235.439 |
| -26.708 | -397.885 | 1122.505 | -0.000 | -0.000 | 0.000 |
| 88.779 | 559.634 | 44.474 | -0.000 | -0.001 | 0.000 |
| -679.509 | -679.509 | 2059.750 | 0.000 | -0.000 | -0.000 |
| -159.138 | -159.138 | 319.770 | 181.595 | -0.001 | 0.000 |
| 0.000 | -0.000 | 0.006 | -0.000 | 190.411 | 0.000 |
| -512.689 | -512.689 | 1030.173 | 0.000 | -0.000 | 185.273 |
| 673.472 | 260.245 | -242.155 | -0.000 | 0.000 | -0.000 |
| 260.225 | 673.456 | -242.112 | 0.000 | 0.000 | -0.000 |
| 238.960 | 238.960 | 214.213 | -0.000 | 0.001 | -0.000 |
| 159.307 | 159.307 | -320.097 | 181.586 | 0.001 | -0.000 |
| 159.138 | 159.138 | -319.767 | -0.000 | 181.595 | -0.000 |
| 512.689 | 512.689 | -1030.173 | -0.000 | 0.000 | 185.272 |
| 559.635 | 88.779 | 44.475 | 0.000 | -0.000 | 0.000 |
| 51.338 | 358.331 | 284.339 | 0.000 | -0.000 | -0.000 |
| 52.580 | 52.580 | 588.718 | 0.000 | -0.000 | 0.000 |
| -80.208 | -80.208 | 161.168 | 146.582 | -0.000 | 0.000 |
| -80.212 | -80.212 | 161.175 | 0.000 | 146.580 | -0.000 |
| 0.000 | 0.000 | 0.000 | -0.000 | -0.000 | 235.428 |
| 559.634 | 88.779 | 44.475 | 0.000 | 0.000 | -0.000 |
| 88.779 | 559.634 | 44.475 | -0.000 | 0.000 | -0.000 |
| 200.832 | 200.832 | 290.825 | -0.000 | 0.000 | -0.000 |
| 80.208 | 80.208 | -161.168 | 146.582 | -0.000 | -0.000 |
| 0.000 | -0.000 | -0.000 | 0.000 | 190.411 | -0.000 |
| -0.000 | -0.000 | -0.001 | 0.000 | 0.000 | 235.428 |
| 483.195 | 114.143 | 95.792 | 0.000 | 0.000 | 0.000 |
| 109.652 | 473.463 | 110.082 | 0.000 | -0.000 | 0.000 |
| 87.390 | 87.390 | 518.775 | 0.000 | -0.000 | -0.000 |
| 0.000 | 0.000 | 0.000 | 190.411 | -0.000 | -0.000 |
| -5.683 | -5.683 | 11.419 | 0.000 | 159.358 | -0.000 |
| -5.460 | -5.460 | 10.971 | -0.000 | -0.000 | 177.412 |
| 480.842 | 120.820 | 91.445 | -0.000 | 0.000 | 0.000 |
| 120.846 | 480.777 | 91.484 | 0.000 | 0.000 | 0.000 |
| 100.669 | 100.669 | 492.089 | -0.000 | 0.000 | 0.000 |
| -0.000 | -0.000 | 0.000 | 190.411 | 0.000 | -0.000 |
| 5.683 | 5.683 | -11.419 | -0.000 | 159.358 | -0.000 |
| 5.460 | 5.460 | -10.971 | 0.000 | 0.000 | 177.412 |
| 488.004 | 112.509 | 92.762 | -7.242 | -0.000 | -0.000 |
| 89.032 | 559.909 | 44.334 | 15.803 | -0.000 | -0.000 |
| 91.521 | 91.522 | 510.232 | -0.000 | -0.000 | -0.000 |
| -15.803 | 15.803 | -0.001 | 190.742 | -0.000 | -0.000 |
| -0.000 | -0.000 | 0.000 | -0.000 | 167.149 | -7.461 |
| -0.000 | -0.000 | -0.000 | -0.000 | -7.126 | 187.102 |
| 487.665 | 115.045 | 90.566 | -7.630 | 0.000 | -0.000 |
| 112.510 | 488.004 | 92.762 | 7.242 | 0.000 | 0.000 |
| 44.335 | 44.335 | 604.606 | 0.000 | 0.000 | -0.000 |
| -15.803 | 15.803 | 0.000 | 190.742 | 0.000 | 0.000 |
| 0.000 | 0.000 | -0.001 | 0.000 | 167.149 | -7.461 |
| 0.000 | 0.000 | 0.000 | 0.000 | -7.126 | 187.103 |
| 559.909 | 89.032 | 44.335 | -15.803 | -0.000 | -0.000 |
| 115.042 | 487.674 | 90.560 | 7.631 | -0.000 | -0.000 |
| 91.522 | 91.522 | 510.232 | -0.000 | -0.000 | -0.000 |
| -15.803 | 15.803 | -0.000 | 190.742 | -0.000 | -0.000 |
| -0.000 | -0.000 | 0.000 | -0.000 | 167.149 | -7.461 |
| -0.000 | -0.000 | -0.000 | -0.000 | -7.126 | 187.102 |
| 488.004 | 112.509 | 92.762 | -7.242 | 0.000 | 0.000 |
| 112.509 | 488.004 | 92.762 | 7.242 | 0.000 | 0.000 |
| 44.335 | 44.335 | 604.606 | 0.000 | -0.000 | -0.000 |
| -15.803 | 15.803 | -0.000 | 190.742 | 0.000 | 0.000 |
| 0.000 | 0.000 | -0.000 | 0.000 | 167.149 | -7.461 |
| 0.000 | 0.000 | 0.000 | 0.000 | -7.126 | 187.102 |
| 488.005 | 112.510 | 92.763 | -7.242 | 0.000 | -0.000 |
| 112.480 | 488.096 | 92.701 | 7.253 | 0.000 | -0.000 |
| 91.433 | 91.433 | 510.411 | 0.000 | -0.000 | -0.000 |
| -7.461 | 7.461 | 0.000 | 167.149 | -0.000 | -0.000 |
| -0.000 | 0.000 | 0.000 | -0.000 | 167.149 | -7.461 |
| -0.000 | 0.000 | 0.000 | -0.000 | -7.126 | 187.102 |
| 559.907 | 89.031 | 44.335 | -15.803 | 0.000 | 0.000 |
| 115.044 | 487.666 | 90.564 | 7.630 | 0.000 | 0.000 |
| 91.526 | 91.526 | 510.221 | -0.000 | 0.000 | 0.000 |
| -7.461 | 7.461 | -0.000 | 167.149 | 0.000 | 0.000 |
| 0.000 | -0.000 | -0.000 | 0.000 | 167.149 | -7.461 |
| 0.000 | -0.000 | -0.000 | 0.000 | -7.126 | 187.102 |
| 559.263 | 88.442 | 44.679 | -15.742 | -0.000 | -0.000 |
| -319.231 | 55.740 | 966.117 | 6.380 | -0.000 | -0.001 |
| 43.853 | 43.853 | 607.248 | 0.000 | -0.000 | -0.000 |
| -15.741 | 15.742 | -0.009 | 189.937 | -0.000 | -0.000 |
| -595.454 | -595.455 | 1204.300 | -0.001 | 152.727 | -2.601 |
| -306.194 | -306.194 | 619.261 | -0.000 | -8.919 | 192.919 |
| 803.142 | 417.160 | -534.343 | -8.934 | -0.001 | 0.001 |
| 720.096 | 1044.484 | -1084.758 | 2.590 | -0.000 | -0.001 |
| 713.390 | 713.390 | -746.885 | 0.000 | -0.001 | 0.000 |
| -15.742 | 15.742 | 0.011 | 189.937 | 0.000 | 0.000 |
| 595.454 | 595.455 | -1204.300 | 0.001 | 152.726 | -2.601 |
| 306.194 | 306.194 | -619.259 | 0.000 | -8.921 | 192.919 |
| 392.533 | 65.027 | 236.968 | -2.869 | -0.000 | -0.000 |
| 66.930 | 443.254 | 183.750 | 6.526 | 0.000 | 0.000 |
| 60.312 | 60.312 | 573.960 | 0.000 | -0.000 | 0.000 |
| -39.700 | -21.950 | 62.344 | 170.492 | -0.000 | 0.000 |
| 0.000 | 0.000 | -0.001 | 0.000 | 189.938 | -15.742 |
| -59.166 | -59.166 | 119.663 | 0.000 | -2.684 | 162.724 |
| 559.263 | 88.442 | 44.684 | -15.742 | 0.000 | 0.000 |
| 141.963 | 528.253 | 21.920 | 8.964 | 0.000 | -0.000 |
| 138.070 | 138.070 | 416.695 | -0.000 | 0.000 | 0.000 |
| 56.673 | 61.973 | -119.981 | 152.866 | -0.000 | -0.000 |
| -0.000 | -0.000 | 0.001 | -0.000 | 189.938 | -15.742 |
| 59.166 | 59.166 | -119.663 | -0.000 | -2.685 | 162.724 |
| 482.422 | 108.879 | 101.724 | -7.277 | 0.000 | 0.000 |
| 88.442 | 559.265 | 44.683 | 15.742 | 0.000 | -0.000 |
| 87.113 | 87.113 | 519.757 | 0.000 | 0.000 | 0.000 |
| -11.385 | 4.260 | 7.205 | 167.513 | -0.000 | 0.000 |
| 0.000 | 0.000 | 0.000 | -0.000 | 189.938 | -15.742 |
| -4.627 | -4.627 | 9.358 | -0.000 | -5.531 | 178.569 |
| 559.261 | 88.441 | 44.683 | -15.742 | 0.000 | 0.000 |
| 117.616 | 492.367 | 82.828 | 7.830 | 0.000 | 0.000 |
| 94.677 | 94.677 | 504.456 | 0.000 | -0.000 | 0.000 |
| -4.260 | 11.385 | -7.206 | 167.512 | 0.000 | 0.000 |
| -0.000 | -0.000 | -0.000 | 0.000 | 189.938 | -15.742 |
| 4.627 | 4.627 | -9.358 | 0.000 | -5.531 | 178.569 |
| 559.084 | 88.294 | 44.768 | 6.990 | 0.000 | 0.000 |
| -107.360 | 271.951 | 534.364 | -2.370 | 0.000 | 0.001 |
| 43.732 | 43.732 | 607.906 | -0.000 | 0.000 | 0.001 |
| -376.144 | -373.469 | 760.184 | 136.654 | -0.000 | 0.001 |
| -68.243 | -68.243 | 138.406 | -0.000 | 179.688 | 5.416 |
| -374.412 | -374.412 | 759.393 | -0.000 | -1.328 | 132.426 |
| 574.323 | 160.738 | -44.149 | 5.792 | 0.000 | -0.000 |
| 160.738 | 574.322 | -44.150 | -5.792 | 0.000 | -0.000 |
| 504.539 | 504.539 | -326.717 | 0.000 | 0.000 | -0.001 |
| 223.729 | 219.443 | -449.425 | 158.834 | -0.000 | -0.000 |
| 68.243 | 68.243 | -138.398 | 0.001 | 179.688 | 5.414 |
| 374.412 | 374.412 | -759.392 | 0.000 | -1.329 | 132.425 |
| 559.085 | 88.294 | 44.772 | 6.990 | -0.000 | 0.000 |
| 104.282 | 475.694 | 113.125 | -3.861 | -0.000 | 0.000 |
| 67.652 | 67.652 | 559.387 | -0.000 | -0.000 | 0.000 |
| 6.990 | -6.990 | 0.000 | 189.725 | -0.000 | 0.000 |
| -32.842 | -32.842 | 66.611 | -0.000 | 143.223 | -0.307 |
| 0.000 | 0.000 | -0.000 | -0.000 | 6.990 | 235.396 |
| 457.459 | 162.414 | 72.666 | -0.109 | 0.000 | -0.000 |
| 88.294 | 559.085 | 44.772 | -6.990 | -0.000 | -0.000 |
| 135.154 | 135.154 | 422.478 | 0.000 | 0.000 | -0.000 |
| 16.159 | 7.550 | -24.043 | 172.611 | 0.000 | -0.000 |
| 32.842 | 32.842 | -66.611 | 0.000 | 143.223 | -0.307 |
| -0.000 | -0.000 | -0.000 | 0.000 | 6.990 | 235.395 |
| 484.157 | 116.717 | 91.934 | 3.573 | -0.000 | 0.000 |
| 116.718 | 484.155 | 91.935 | -3.573 | 0.000 | 0.000 |
| 90.430 | 90.430 | 513.192 | -0.000 | 0.000 | 0.000 |
| 6.990 | -6.990 | -0.000 | 189.725 | 0.000 | 0.000 |
| -1.725 | -1.725 | 3.499 | 0.000 | 165.300 | 3.158 |
| 0.000 | 0.000 | 0.000 | 0.000 | 6.990 | 235.395 |
| 487.209 | 113.300 | 92.300 | 3.077 | -0.000 | -0.000 |
| 113.300 | 487.212 | 92.299 | -3.077 | 0.000 | -0.000 |
| 93.252 | 93.252 | 507.464 | 0.000 | -0.000 | -0.000 |
| 4.882 | -1.432 | -3.499 | 165.301 | -0.000 | -0.000 |
| 1.725 | 1.725 | -3.499 | -0.000 | 165.300 | 3.158 |
| -0.000 | -0.000 | -0.000 | -0.000 | 6.990 | 235.395 |
| 559.910 | 89.032 | 44.338 | 9.981 | 0.001 | 0.001 |
| 89.032 | 559.910 | 44.337 | -9.981 | -0.000 | 0.001 |
| 44.335 | 44.335 | 604.607 | 0.001 | -0.001 | 0.000 |
| 9.981 | -9.979 | 0.000 | 190.742 | -0.001 | 0.002 |
| 0.001 | 0.001 | -0.001 | -0.000 | 167.149 | 4.713 |
| 0.001 | 0.001 | -0.003 | -0.000 | 4.341 | 186.225 |
| 484.044 | 116.273 | 92.958 | 4.552 | -0.000 | -0.002 |
| 117.484 | 486.618 | 89.172 | -4.975 | 0.000 | 0.000 |
| 91.521 | 91.520 | 510.232 | -0.000 | 0.000 | -0.001 |
| 9.981 | -9.982 | -0.000 | 190.742 | 0.000 | -0.001 |
| -0.001 | -0.001 | 0.001 | 0.000 | 167.149 | 4.711 |
| -0.001 | -0.001 | 0.003 | 0.000 | 4.342 | 186.223 |
| 559.909 | 89.032 | 44.335 | 9.981 | -0.000 | 0.000 |
| 112.434 | 487.177 | 93.665 | -4.473 | -0.000 | 0.000 |
| 91.522 | 91.522 | 510.232 | 0.000 | -0.000 | 0.000 |
| 4.712 | -4.712 | -0.000 | 167.149 | 0.000 | 0.000 |
| 0.000 | 0.000 | -0.000 | -0.000 | 167.149 | 4.712 |
| 0.000 | 0.000 | -0.000 | -0.000 | 4.342 | 186.225 |
| 559.909 | 89.031 | 44.334 | 9.981 | -0.000 | -0.000 |
| 117.485 | 486.620 | 89.170 | -4.975 | 0.000 | -0.000 |
| 44.335 | 44.335 | 604.606 | -0.000 | 0.000 | -0.000 |
| 4.712 | -4.712 | -0.000 | 167.149 | -0.000 | -0.000 |
| -0.000 | -0.000 | 0.000 | -0.000 | 167.149 | 4.712 |
| -0.000 | -0.000 | 0.000 | 0.000 | 4.342 | 186.224 |
| 486.633 | 117.482 | 89.163 | 4.976 | -0.000 | 0.000 |
| 117.486 | 486.618 | 89.172 | -4.975 | 0.000 | 0.000 |
| 91.525 | 91.525 | 510.228 | 0.000 | -0.000 | 0.000 |
| 4.712 | -4.712 | 0.000 | 167.149 | -0.000 | 0.000 |
| 0.000 | 0.000 | 0.000 | 0.000 | 190.742 | 9.981 |
| -0.000 | 0.000 | 0.000 | -0.000 | 4.342 | 186.224 |
| 487.176 | 112.433 | 93.665 | 4.473 | -0.000 | -0.000 |
| 112.440 | 487.154 | 93.680 | -4.471 | 0.000 | -0.000 |
| 91.521 | 91.521 | 510.231 | -0.000 | -0.000 | -0.000 |
| 4.712 | -4.712 | -0.000 | 167.149 | 0.000 | -0.000 |
| -0.000 | -0.000 | 0.000 | -0.000 | 190.742 | 9.981 |
| 0.000 | -0.000 | -0.000 | 0.000 | 4.342 | 186.224 |
| 979.257 | 648.548 | -940.471 | 1.930 | -0.000 | 0.001 |
| 88.733 | 559.585 | 44.496 | -9.960 | 0.000 | -0.000 |
| 620.483 | 620.483 | -553.326 | 0.000 | -0.000 | -0.000 |
| 308.631 | 298.026 | -610.064 | 169.476 | -0.000 | 0.000 |
| 303.156 | 303.156 | -609.715 | -0.000 | 169.487 | 5.305 |
| 303.234 | 303.234 | -609.871 | -0.000 | 5.304 | 185.377 |
| -56.467 | -390.727 | 1146.152 | 2.133 | 0.000 | 0.000 |
| 88.733 | 559.585 | 44.511 | -9.960 | -0.000 | 0.001 |
| -415.233 | -415.233 | 1529.714 | -0.000 | -0.000 | 0.000 |
| -298.026 | -308.631 | 610.064 | 169.476 | 0.000 | 0.000 |
| -303.156 | -303.156 | 609.715 | 0.000 | 169.487 | 5.306 |
| -303.235 | -303.234 | 609.871 | 0.000 | 5.304 | 185.377 |
| 559.586 | 88.733 | 44.503 | 9.961 | 0.000 | -0.000 |
| 148.843 | 527.582 | 16.240 | -3.154 | 0.000 | 0.000 |
| 44.092 | 44.092 | 605.914 | 0.000 | -0.000 | 0.000 |
| 52.291 | 47.629 | -100.480 | 156.159 | -0.000 | -0.000 |
| 49.960 | 49.960 | -100.480 | 0.000 | 156.159 | 2.331 |
| 49.079 | 49.079 | -98.708 | 0.000 | 2.465 | 170.029 |
| 559.585 | 88.733 | 44.505 | 9.961 | 0.000 | 0.000 |
| 65.772 | 454.912 | 172.853 | -4.220 | -0.000 | 0.000 |
| 54.750 | 54.750 | 584.480 | -0.000 | -0.000 | 0.000 |
| -25.780 | -36.187 | 62.314 | 169.031 | 0.000 | 0.000 |
| -49.960 | -49.960 | 100.480 | -0.000 | 156.159 | 2.331 |
| -49.079 | -49.079 | 98.708 | -0.000 | 2.465 | 170.029 |
| 489.380 | 116.001 | 87.683 | 4.375 | 0.000 | 0.000 |
| 115.966 | 489.469 | 87.629 | -4.382 | -0.000 | -0.000 |
| 94.897 | 94.897 | 503.737 | -0.000 | 0.000 | -0.000 |
| 8.081 | -0.949 | -7.172 | 165.945 | -0.000 | -0.000 |
| 0.000 | 0.000 | -0.000 | 0.000 | 190.347 | 9.961 |
| 4.059 | 4.059 | -8.163 | -0.000 | 3.784 | 185.913 |
| 559.584 | 88.732 | 44.504 | 9.960 | 0.000 | 0.000 |
| 88.733 | 559.584 | 44.504 | -9.960 | 0.000 | 0.000 |
| 88.581 | 88.581 | 516.436 | 0.000 | 0.000 | 0.000 |
| 0.951 | -8.081 | 7.170 | 165.951 | 0.000 | 0.000 |
| -0.000 | -0.000 | 0.000 | -0.000 | 190.347 | 9.961 |
| -4.059 | -4.059 | 8.163 | 0.000 | 3.784 | 185.913 |
| 2636.871 | 2288.167 | -4275.620 | 1.459 | -0.000 | 0.000 |
| 2288.399 | 2637.090 | -4276.076 | -1.458 | 0.000 | -0.000 |
| 1515.267 | 1515.267 | -2365.391 | -0.000 | 0.000 | -0.000 |
| 1424.039 | 1418.822 | -2871.484 | 169.442 | -0.000 | -0.000 |
| 2164.249 | 2164.249 | -4372.072 | -0.000 | 158.944 | 1.467 |
| -0.000 | -0.000 | -0.003 | 0.000 | 4.845 | 235.414 |
| -932.990 | -1311.491 | 2966.081 | 2.602 | 0.000 | 0.000 |
| -2040.454 | -1691.102 | 4468.118 | -1.477 | 0.000 | -0.001 |
| -1327.631 | -1327.631 | 3377.654 | -0.000 | -0.000 | 0.000 |
| -1418.838 | -1424.055 | 2871.516 | 169.442 | -0.000 | 0.001 |
| -2164.249 | -2164.249 | 4372.072 | 0.000 | 158.944 | 1.468 |
| 0.000 | 0.000 | 0.002 | -0.000 | 4.845 | 235.414 |
| 632.199 | 251.374 | -193.470 | 2.676 | 0.000 | -0.000 |
| 251.372 | 632.198 | -193.467 | -2.676 | -0.000 | -0.000 |
| 43.903 | 43.903 | 606.966 | 0.000 | -0.000 | 0.000 |
| 145.027 | 139.818 | -287.713 | 169.402 | 0.000 | -0.000 |
| -0.000 | 0.000 | -0.000 | 0.000 | 190.025 | 4.845 |
| -0.000 | 0.000 | -0.000 | 0.000 | 4.845 | 235.414 |
| 259.454 | -93.027 | 530.896 | 1.564 | -0.000 | 0.000 |
| -31.275 | 345.744 | 381.364 | -2.555 | -0.000 | 0.000 |
| -118.138 | -118.138 | 934.309 | 0.000 | 0.000 | 0.000 |
| 4.845 | -4.845 | 0.000 | 190.025 | 0.000 | 0.000 |
| 0.000 | -0.000 | 0.000 | -0.000 | 190.025 | 4.845 |
| -0.000 | -0.000 | 0.000 | -0.000 | 4.845 | 235.414 |
| 559.332 | 88.503 | 44.645 | 4.845 | 0.000 | -0.000 |
| 134.289 | 496.280 | 62.084 | -1.827 | 0.000 | 0.000 |
| 111.082 | 111.082 | 471.256 | 0.000 | 0.000 | -0.000 |
| 17.824 | 12.973 | -31.107 | 167.753 | 0.000 | 0.000 |
| 19.308 | 19.308 | -39.005 | 0.000 | 162.296 | 1.832 |
| 0.000 | 0.000 | 0.000 | 0.000 | 4.845 | 235.414 |
| 471.868 | 92.919 | 128.523 | 2.210 | -0.000 | -0.000 |
| 95.050 | 465.611 | 132.692 | -2.065 | 0.000 | 0.000 |
| 73.822 | 73.822 | 546.522 | 0.000 | 0.000 | 0.000 |
| -14.569 | -19.045 | 33.952 | 166.031 | -0.000 | 0.000 |
| -19.308 | -19.308 | 39.005 | -0.000 | 162.296 | 1.832 |
| -0.000 | -0.000 | -0.000 | -0.000 | 4.845 | 235.414 |
| 559.909 | 89.032 | 44.329 | -7.024 | -0.002 | -0.000 |
| 89.031 | 559.909 | 44.331 | 7.024 | -0.002 | 0.000 |
| 44.335 | 44.335 | 604.601 | -0.000 | -0.001 | 0.000 |
| -3.327 | 3.305 | 0.020 | 167.149 | -0.002 | -0.000 |
| -0.000 | 0.000 | 0.003 | -0.000 | 190.740 | -7.023 |
| -0.000 | 0.000 | 0.003 | -0.000 | -7.025 | 235.439 |
| 487.438 | 112.467 | 93.376 | -3.169 | 0.002 | -0.000 |
| 89.032 | 559.909 | 44.340 | 7.024 | -0.000 | 0.000 |
| 44.335 | 44.335 | 604.607 | 0.000 | 0.001 | -0.000 |
| -3.305 | 3.327 | -0.019 | 167.149 | 0.002 | -0.001 |
| -0.000 | -0.000 | -0.003 | 0.000 | 190.744 | -7.023 |
| -0.000 | -0.000 | -0.002 | 0.000 | -7.021 | 235.439 |
| 559.909 | 89.032 | 44.335 | -7.023 | -0.000 | 0.000 |
| 112.455 | 487.426 | 93.395 | 3.169 | -0.000 | 0.000 |
| 91.521 | 91.521 | 510.234 | -0.000 | -0.000 | 0.000 |
| -3.317 | 3.315 | 0.002 | 167.149 | -0.000 | 0.000 |
| 0.000 | 0.000 | 0.000 | -0.000 | 190.742 | -7.023 |
| 0.000 | 0.000 | 0.000 | -0.000 | -7.024 | 235.439 |
| 487.428 | 112.457 | 93.391 | -3.169 | 0.000 | 0.000 |
| 89.032 | 559.909 | 44.335 | 7.023 | 0.000 | 0.000 |
| 44.335 | 44.335 | 604.605 | 0.000 | 0.000 | -0.000 |
| -3.315 | 3.317 | -0.002 | 167.149 | 0.000 | 0.000 |
| -0.000 | -0.000 | -0.000 | 0.000 | 190.742 | -7.023 |
| -0.000 | -0.000 | -0.000 | 0.000 | -7.023 | 235.439 |
| 484.240 | 114.985 | 94.052 | -3.117 | -0.000 | 0.000 |
| 112.457 | 487.425 | 93.395 | 3.169 | -0.000 | 0.000 |
| 91.517 | 91.517 | 510.243 | -0.000 | -0.000 | -0.000 |
| -3.316 | 3.316 | 0.000 | 167.149 | -0.000 | -0.000 |
| 0.000 | 0.000 | 0.000 | -0.000 | 190.742 | -7.023 |
| 0.000 | 0.000 | 0.000 | -0.000 | -7.023 | 235.439 |
| 487.424 | 112.456 | 93.394 | -3.169 | 0.000 | -0.000 |
| 116.646 | 486.937 | 89.691 | 3.460 | 0.000 | -0.000 |
| 91.519 | 91.519 | 510.236 | 0.000 | 0.000 | 0.000 |
| -7.024 | 7.023 | 0.000 | 190.742 | 0.000 | 0.000 |
| -0.000 | -0.000 | -0.000 | 0.000 | 190.742 | -7.023 |
| -0.000 | -0.000 | -0.000 | 0.000 | -7.023 | 235.439 |
| 451.226 | 90.917 | 151.242 | -2.568 | 0.001 | 0.000 |
| 88.794 | 559.652 | 44.470 | 7.012 | 0.001 | -0.000 |
| 44.142 | 44.142 | 605.643 | 0.000 | 0.001 | -0.000 |
| -7.012 | 7.012 | 0.001 | 190.430 | 0.001 | 0.000 |
| 0.000 | 0.000 | 0.001 | 0.000 | 190.431 | -7.012 |
| -27.121 | -27.121 | 54.483 | -0.000 | -2.146 | 174.911 |
| 559.652 | 88.794 | 44.466 | -7.012 | -0.001 | 0.000 |
| 88.794 | 559.652 | 44.467 | 7.012 | -0.001 | -0.000 |
| 44.142 | 44.141 | 605.640 | -0.000 | -0.001 | -0.000 |
| 11.866 | 20.115 | -32.124 | 172.045 | -0.001 | 0.000 |
| -0.000 | -0.000 | -0.001 | -0.000 | 190.430 | -7.012 |
| 27.121 | 27.121 | -54.483 | 0.000 | -2.147 | 174.911 |
| 559.652 | 88.794 | 44.468 | -7.012 | 0.000 | 0.000 |
| 109.945 | 485.040 | 98.166 | 3.163 | 0.000 | 0.000 |
| 89.637 | 89.637 | 514.247 | 0.000 | 0.000 | 0.000 |
| -5.353 | 1.173 | 4.198 | 166.560 | 0.000 | 0.000 |
| -2.090 | -2.090 | 4.198 | 0.000 | 166.560 | -3.263 |
| -1.778 | -1.778 | 3.572 | -0.000 | -3.806 | 186.069 |
| 488.895 | 119.292 | 84.906 | -3.546 | -0.000 | 0.000 |
| 88.794 | 559.652 | 44.468 | 7.012 | -0.000 | 0.000 |
| 93.742 | 93.742 | 506.001 | 0.000 | -0.000 | 0.000 |
| -1.246 | 5.377 | -4.150 | 166.869 | -0.000 | 0.000 |
| 2.090 | 2.090 | -4.198 | -0.000 | 166.560 | -3.263 |
| 1.778 | 1.778 | -3.572 | 0.000 | -3.806 | 186.069 |
| 559.654 | 88.794 | 44.468 | -7.012 | 0.000 | -0.000 |
| 111.799 | 487.217 | 94.119 | 3.176 | 0.000 | 0.000 |
| 91.460 | 91.460 | 510.587 | -0.000 | 0.000 | 0.000 |
| -7.012 | 7.012 | 0.000 | 190.430 | 0.000 | -0.000 |
| 0.000 | 0.000 | 0.000 | -0.000 | 190.430 | -7.012 |
| -0.219 | -0.219 | 0.439 | 0.000 | -3.088 | 186.626 |
| 487.042 | 116.498 | 89.571 | -3.455 | -0.000 | 0.000 |
| 88.794 | 559.650 | 44.468 | 7.012 | -0.000 | -0.000 |
| 91.728 | 91.728 | 510.044 | -0.000 | -0.000 | 0.000 |
| -3.108 | 3.520 | -0.414 | 166.885 | -0.000 | 0.000 |
| -0.000 | -0.000 | -0.000 | 0.000 | 190.430 | -7.012 |
| 0.219 | 0.219 | -0.440 | -0.000 | -3.089 | 186.626 |
| 484.562 | 114.140 | 94.575 | 0.000 | -0.000 | 0.000 |
| 114.140 | 484.562 | 94.575 | 0.000 | -0.000 | 0.000 |
| 91.523 | 91.523 | 510.233 | 0.001 | -0.000 | 0.001 |
| 0.000 | -0.001 | 0.001 | 190.743 | -0.000 | -0.000 |
| 0.001 | 0.001 | -0.001 | 0.000 | 167.149 | 0.001 |
| 0.001 | 0.001 | -0.001 | 0.000 | -0.000 | 186.685 |
| 559.908 | 89.028 | 44.334 | -0.000 | 0.000 | -0.000 |
| 112.470 | 487.607 | 93.196 | -0.000 | 0.000 | -0.001 |
| 91.520 | 91.520 | 510.233 | -0.000 | -0.000 | -0.001 |
| -0.000 | 0.001 | -0.000 | 190.742 | 0.000 | 0.000 |
| -0.001 | -0.001 | 0.001 | -0.000 | 167.149 | -0.001 |
| -0.001 | -0.001 | 0.001 | -0.000 | -0.000 | 186.684 |
| 484.102 | 118.022 | 91.152 | 0.000 | 0.000 | -0.000 |
| 116.106 | 487.171 | 89.998 | 0.000 | 0.000 | 0.000 |
| 91.522 | 91.522 | 510.232 | 0.000 | 0.000 | 0.000 |
| 0.000 | 0.000 | -0.000 | 167.149 | -0.000 | 0.000 |
| 0.000 | 0.000 | 0.000 | 0.000 | 190.742 | 0.000 |
| 0.000 | 0.000 | -0.000 | 0.000 | -0.000 | 186.685 |
| 487.607 | 112.472 | 93.196 | -0.000 | 0.000 | -0.000 |
| 89.031 | 559.909 | 44.335 | -0.000 | -0.000 | -0.000 |
| 44.335 | 44.335 | 604.606 | -0.000 | -0.000 | -0.000 |
| -0.000 | -0.000 | 0.000 | 167.149 | -0.000 | -0.000 |
| -0.000 | -0.000 | -0.000 | 0.000 | 190.742 | -0.000 |
| -0.000 | -0.000 | 0.000 | -0.000 | -0.000 | 186.685 |
| 487.162 | 116.110 | 90.005 | 0.000 | -0.000 | 0.000 |
| 112.473 | 487.605 | 93.199 | 0.000 | -0.000 | -0.000 |
| 91.525 | 91.525 | 510.228 | 0.000 | 0.000 | 0.000 |
| 0.000 | -0.000 | 0.000 | 167.149 | 0.000 | -0.000 |
| 0.000 | 0.000 | 0.000 | -0.000 | 190.742 | 0.000 |
| 0.000 | 0.000 | 0.000 | 0.000 | 0.000 | 235.439 |
| 484.687 | 114.094 | 94.492 | -0.000 | -0.000 | -0.000 |
| 116.108 | 487.163 | 90.003 | -0.000 | 0.000 | 0.000 |
| 91.519 | 91.519 | 510.236 | -0.000 | -0.000 | -0.000 |
| -0.000 | 0.000 | -0.000 | 167.149 | 0.000 | -0.000 |
| -0.000 | -0.000 | -0.000 | 0.000 | 190.742 | -0.000 |
| -0.000 | -0.000 | -0.000 | -0.000 | -0.000 | 235.439 |
| 818.578 | 406.981 | -535.232 | 0.000 | 0.000 | 0.000 |
| 2727.088 | 2990.525 | -5047.011 | 0.000 | 0.000 | -0.000 |
| 2592.060 | 2592.060 | -4512.704 | 0.000 | 0.000 | 0.000 |
| 312.103 | 312.103 | -627.008 | 183.834 | -0.000 | -0.000 |
| 1842.688 | 1842.688 | -3701.758 | 0.000 | 154.142 | 0.000 |
| 2508.712 | 2508.712 | -5039.587 | 0.000 | 0.000 | 195.398 |
| -1246.431 | -1692.936 | 3648.297 | -0.000 | -0.000 | 0.000 |
| -361.106 | -80.178 | 1139.207 | -0.000 | -0.000 | -0.000 |
| -1766.114 | -1766.114 | 4242.245 | -0.000 | -0.000 | -0.000 |
| -2508.330 | -2508.330 | 5038.821 | 139.985 | -0.000 | -0.000 |
| -1842.688 | -1842.688 | 3701.758 | -0.000 | 154.142 | 0.000 |
| -2508.712 | -2508.712 | 5039.587 | -0.000 | -0.000 | 195.398 |
| 548.072 | 127.407 | 17.318 | 0.000 | 0.000 | 0.000 |
| 212.470 | 522.346 | -42.302 | 0.000 | 0.000 | 0.000 |
| 368.397 | 368.397 | -45.726 | 0.000 | -0.000 | -0.000 |
| 32.722 | 32.722 | -65.737 | 183.525 | 0.000 | -0.000 |
| 139.418 | 139.418 | -280.090 | 0.000 | 164.269 | 0.000 |
| 49.356 | 49.356 | -99.167 | 0.000 | -0.000 | 142.689 |
| 468.145 | 68.827 | 156.444 | -0.000 | -0.000 | -0.000 |
| 68.791 | 468.084 | 156.541 | -0.000 | -0.000 | -0.000 |
| 44.144 | 44.144 | 605.634 | -0.000 | 0.000 | -0.000 |
| -32.667 | -32.667 | 65.626 | 183.536 | -0.000 | -0.000 |
| -32.829 | -32.830 | 65.963 | -0.000 | 182.523 | -0.000 |
| -49.356 | -49.356 | 99.167 | -0.000 | -0.000 | 142.689 |
| 490.455 | 109.227 | 93.453 | -0.000 | 0.000 | -0.000 |
| 121.296 | 487.683 | 84.114 | -0.000 | -0.000 | -0.000 |
| 113.197 | 113.197 | 466.922 | -0.000 | 0.000 | -0.000 |
| 13.645 | 13.644 | -27.411 | 163.726 | 0.000 | -0.000 |
| 8.856 | 8.856 | -17.791 | 0.000 | 171.254 | -0.000 |
| 1.135 | 1.134 | -2.281 | 0.000 | 0.000 | 174.863 |
| 464.435 | 133.186 | 95.522 | 0.000 | -0.000 | -0.000 |
| 133.193 | 464.445 | 95.505 | -0.000 | -0.000 | 0.000 |
| 74.737 | 74.737 | 544.178 | -0.000 | -0.000 | 0.000 |
| -9.308 | -9.308 | 18.701 | 169.466 | -0.000 | 0.000 |
| -8.856 | -8.856 | 17.791 | -0.000 | 171.254 | -0.000 |
| -1.135 | -1.134 | 2.281 | -0.000 | 0.000 | 174.863 |
| 559.909 | 89.032 | 44.331 | -4.862 | -0.001 | -0.000 |
| 89.031 | 559.910 | 44.330 | 4.862 | -0.001 | -0.000 |
| 91.521 | 91.521 | 510.242 | 0.000 | 0.000 | 0.000 |
| -4.863 | 4.862 | -0.004 | 190.742 | 0.000 | -0.000 |
| -0.001 | -0.001 | 0.018 | 0.000 | 167.149 | -2.296 |
| -0.001 | -0.001 | 0.015 | 0.000 | -2.120 | 186.284 |
| 559.909 | 89.031 | 44.336 | -4.863 | 0.000 | 0.000 |
| 89.032 | 559.909 | 44.342 | 4.862 | 0.000 | -0.000 |
| 44.336 | 44.335 | 604.614 | -0.000 | -0.001 | -0.000 |
| -4.862 | 4.862 | 0.005 | 190.742 | -0.000 | -0.001 |
| 0.001 | 0.001 | -0.017 | -0.000 | 167.149 | -2.296 |
| 0.001 | 0.001 | -0.015 | -0.000 | -2.120 | 186.284 |
| 559.909 | 89.032 | 44.336 | -4.862 | 0.000 | 0.000 |
| 89.031 | 559.909 | 44.336 | 4.862 | 0.000 | -0.000 |
| 44.335 | 44.335 | 604.607 | 0.000 | 0.000 | 0.000 |
| -4.862 | 4.862 | -0.001 | 190.742 | -0.000 | 0.000 |
| -0.000 | 0.000 | -0.000 | -0.000 | 190.742 | -4.862 |
| 0.000 | 0.000 | -0.000 | -0.000 | -4.862 | 235.439 |
| 559.909 | 89.032 | 44.334 | -4.862 | 0.000 | 0.000 |
| 89.032 | 559.909 | 44.334 | 4.862 | -0.000 | 0.000 |
| 44.335 | 44.335 | 604.606 | -0.000 | -0.000 | -0.000 |
| -4.862 | 4.862 | 0.000 | 190.742 | 0.000 | 0.000 |
| 0.000 | -0.000 | 0.000 | 0.000 | 190.742 | -4.862 |
| 0.000 | -0.000 | 0.001 | 0.000 | -4.862 | 235.439 |
| 487.233 | 112.438 | 93.606 | -2.182 | -0.000 | 0.000 |
| 112.408 | 487.326 | 93.543 | 2.186 | -0.000 | 0.000 |
| 91.522 | 91.522 | 510.233 | 0.000 | 0.000 | -0.000 |
| -2.296 | 2.296 | 0.000 | 167.149 | -0.000 | -0.000 |
| -0.000 | 0.000 | 0.000 | -0.000 | 167.149 | -2.296 |
| -0.000 | -0.000 | 0.000 | -0.000 | -2.536 | 185.777 |
| 559.907 | 89.031 | 44.334 | -4.862 | -0.000 | 0.000 |
| 116.619 | 486.730 | 89.924 | 2.383 | 0.000 | 0.000 |
| 91.519 | 91.519 | 510.236 | -0.000 | 0.000 | 0.000 |
| -2.296 | 2.296 | -0.000 | 167.149 | 0.000 | -0.000 |
| 0.000 | -0.000 | -0.000 | 0.000 | 167.149 | -2.296 |
| 0.000 | 0.000 | -0.000 | 0.000 | -2.536 | 185.777 |
| 456.476 | -83.912 | 321.431 | 14.463 | 0.000 | 0.000 |
| 541.676 | 759.892 | -611.010 | 3.971 | -0.000 | -0.000 |
| 44.174 | 44.173 | 605.473 | 0.000 | -0.000 | -0.000 |
| 9.018 | -9.018 | 0.003 | 190.483 | 0.000 | 0.000 |
| 0.000 | -0.000 | 0.003 | 0.000 | 190.482 | 9.018 |
| 0.000 | -0.000 | 0.003 | 0.000 | 9.018 | 235.431 |
| 717.832 | 205.576 | -231.448 | 12.896 | 0.000 | 0.000 |
| 88.833 | 559.695 | 44.444 | -9.018 | 0.000 | -0.000 |
| 44.173 | 44.174 | 605.468 | -0.000 | -0.000 | 0.000 |
| -390.293 | -382.652 | 775.805 | 126.909 | -0.000 | -0.000 |
| -0.000 | 0.000 | -0.003 | -0.000 | 190.482 | 9.018 |
| 0.000 | 0.000 | -0.003 | -0.000 | 9.018 | 235.432 |
| 430.427 | 174.844 | 87.864 | -2.050 | -0.000 | 0.000 |
| 88.833 | 559.696 | 44.446 | -9.018 | 0.000 | -0.000 |
| 44.174 | 44.174 | 605.471 | 0.000 | 0.000 | -0.000 |
| 32.407 | 37.642 | -70.309 | 132.868 | -0.000 | -0.000 |
| 0.000 | 0.000 | 0.000 | 0.000 | 190.482 | 9.018 |
| 0.000 | 0.000 | 0.000 | 0.000 | 9.018 | 235.431 |
| 559.695 | 88.833 | 44.446 | 9.018 | -0.000 | -0.000 |
| 105.447 | 391.721 | 196.366 | 0.472 | 0.000 | -0.000 |
| 45.756 | 45.756 | 602.293 | 0.000 | -0.000 | 0.000 |
| 9.018 | -9.018 | -0.000 | 190.482 | 0.000 | 0.000 |
| -0.000 | -0.000 | -0.000 | -0.000 | 190.482 | 9.018 |
| -0.000 | -0.000 | -0.000 | -0.000 | 9.018 | 235.431 |
| 488.740 | 120.123 | 84.260 | 4.742 | 0.000 | 0.000 |
| 112.093 | 488.714 | 92.346 | -3.915 | 0.000 | 0.000 |
| 94.027 | 94.027 | 505.397 | 0.000 | -0.000 | -0.000 |
| 9.018 | -9.018 | 0.000 | 190.482 | 0.000 | 0.000 |
| 1.383 | 1.383 | -2.777 | 0.000 | 167.604 | 4.397 |
| 1.567 | 1.567 | -3.146 | -0.000 | 3.812 | 184.801 |
| 484.162 | 111.304 | 97.703 | 3.979 | -0.000 | -0.000 |
| 111.304 | 484.164 | 97.701 | -3.979 | 0.000 | 0.000 |
| 89.738 | 89.738 | 514.002 | -0.000 | 0.000 | 0.000 |
| 9.018 | -9.018 | -0.000 | 190.482 | 0.000 | 0.000 |
| -1.383 | -1.383 | 2.777 | -0.000 | 167.604 | 4.397 |
| -1.567 | -1.567 | 3.146 | 0.000 | 3.812 | 184.801 |
| 486.977 | 116.546 | 89.743 | 2.827 | -0.000 | -0.000 |
| 89.032 | 559.909 | 44.331 | -5.746 | -0.000 | -0.000 |
| 91.523 | 91.523 | 510.230 | 0.000 | -0.000 | 0.000 |
| 5.746 | -5.746 | -0.002 | 190.742 | -0.000 | -0.000 |
| 0.001 | 0.001 | -0.003 | 0.000 | 167.149 | 2.713 |
| -0.000 | 0.000 | -0.001 | 0.000 | 5.746 | 235.439 |
| 487.459 | 112.458 | 93.363 | 2.595 | 0.000 | -0.000 |
| 112.458 | 487.459 | 93.364 | -2.595 | 0.000 | -0.000 |
| 91.521 | 91.521 | 510.234 | -0.000 | 0.000 | 0.000 |
| 5.746 | -5.746 | 0.003 | 190.742 | 0.000 | 0.000 |
| -0.001 | -0.001 | 0.003 | -0.000 | 167.149 | 2.713 |
| 0.000 | -0.000 | 0.001 | -0.000 | 5.747 | 235.439 |
| 559.909 | 89.032 | 44.335 | 5.746 | -0.000 | 0.000 |
| 89.032 | 559.909 | 44.335 | -5.746 | -0.000 | 0.000 |
| 91.522 | 91.522 | 510.231 | 0.000 | 0.000 | -0.000 |
| 2.713 | -2.713 | -0.000 | 167.149 | 0.000 | 0.000 |
| 0.000 | 0.000 | -0.000 | 0.000 | 167.149 | 2.713 |
| 0.000 | 0.000 | -0.001 | 0.000 | 2.531 | 186.528 |
| 487.460 | 112.458 | 93.357 | 2.595 | 0.000 | 0.000 |
| 112.458 | 487.460 | 93.357 | -2.595 | 0.000 | -0.000 |
| 44.335 | 44.335 | 604.606 | -0.000 | 0.000 | 0.000 |
| 5.746 | -5.746 | -0.000 | 190.742 | -0.000 | 0.000 |
| -0.000 | -0.000 | 0.000 | -0.000 | 167.149 | 2.713 |
| -0.000 | -0.000 | 0.001 | -0.000 | 2.531 | 186.528 |
| 487.461 | 112.459 | 93.358 | 2.595 | 0.000 | 0.000 |
| 112.460 | 487.458 | 93.359 | -2.595 | 0.000 | 0.000 |
| 91.525 | 91.525 | 510.228 | 0.000 | -0.000 | 0.000 |
| 2.713 | -2.713 | 0.000 | 167.149 | 0.000 | 0.000 |
| 0.000 | 0.000 | -0.000 | 0.000 | 190.742 | 5.746 |
| -0.000 | 0.000 | 0.000 | -0.000 | 2.531 | 186.528 |
| 486.966 | 116.548 | 89.760 | 2.826 | -0.000 | -0.000 |
| 112.457 | 487.462 | 93.355 | -2.595 | -0.000 | 0.000 |
| 91.519 | 91.519 | 510.236 | -0.000 | 0.000 | -0.000 |
| 2.713 | -2.713 | -0.000 | 167.150 | 0.000 | 0.000 |
| -0.000 | -0.000 | 0.000 | -0.000 | 190.742 | 5.746 |
| 0.000 | -0.000 | -0.000 | 0.000 | 2.531 | 186.528 |
| 1304.693 | 997.615 | -1632.191 | 0.336 | -0.000 | -0.000 |
| 88.335 | 559.137 | 44.750 | -5.721 | 0.000 | -0.000 |
| 965.598 | 965.598 | -1260.555 | 0.000 | 0.000 | -0.000 |
| 508.437 | 503.213 | -1025.165 | 165.571 | -0.000 | -0.000 |
| -0.000 | -0.000 | 0.000 | 0.000 | 189.782 | 5.720 |
| 859.460 | 859.460 | -1741.880 | 0.000 | 0.400 | 154.509 |
| -411.391 | -722.330 | 1849.737 | 0.463 | 0.000 | 0.000 |
| -722.330 | -411.391 | 1849.735 | -0.463 | -0.000 | 0.000 |
| 43.765 | 43.765 | 607.737 | -0.000 | 0.000 | 0.000 |
| -859.085 | -859.884 | 1741.929 | 148.339 | 0.000 | 0.000 |
| 0.000 | 0.000 | 0.000 | 0.000 | 189.782 | 5.721 |
| -859.460 | -859.460 | 1741.881 | 0.000 | 0.400 | 154.509 |
| 540.200 | 124.480 | 27.312 | 4.636 | 0.000 | -0.000 |
| 124.479 | 540.200 | 27.313 | -4.636 | 0.000 | -0.000 |
| 180.727 | 180.727 | 330.155 | -0.000 | 0.000 | -0.000 |
| 84.222 | 83.142 | -169.599 | 149.432 | -0.000 | -0.000 |
| -0.000 | 0.000 | -0.000 | -0.000 | 189.782 | 5.720 |
| -0.000 | 0.000 | -0.000 | -0.000 | 5.720 | 235.401 |
| 456.821 | 76.695 | 160.229 | 3.311 | -0.000 | -0.000 |
| 58.157 | 440.190 | 195.867 | -2.638 | -0.000 | -0.000 |
| 43.765 | 43.765 | 607.737 | 0.000 | 0.000 | 0.000 |
| 5.720 | -5.721 | 0.000 | 189.782 | 0.000 | 0.000 |
| 0.000 | -0.000 | 0.000 | 0.000 | 189.782 | 5.721 |
| -0.000 | -0.000 | 0.000 | 0.000 | 5.720 | 235.401 |
| 559.139 | 88.335 | 44.750 | 5.721 | 0.000 | -0.000 |
| 117.585 | 489.066 | 86.118 | -2.454 | -0.000 | -0.000 |
| 96.151 | 96.151 | 501.567 | 0.000 | 0.000 | 0.000 |
| 7.478 | 1.921 | -9.525 | 166.866 | 0.000 | 0.000 |
| 5.354 | 5.354 | -10.851 | 0.000 | 163.966 | 2.406 |
| 5.414 | 5.414 | -10.973 | -0.000 | 2.369 | 184.444 |
| 481.635 | 112.464 | 98.834 | 2.874 | -0.000 | 0.000 |
| 106.674 | 480.053 | 106.305 | -2.516 | 0.000 | 0.000 |
| 88.165 | 88.165 | 517.750 | 0.000 | -0.000 | 0.000 |
| -1.921 | -7.478 | 9.525 | 166.866 | -0.000 | 0.000 |
| -5.354 | -5.354 | 10.851 | -0.000 | 163.966 | 2.406 |
| -5.414 | -5.414 | 10.973 | 0.000 | 2.369 | 184.444 |
| -3116.007 | -3498.814 | 7382.443 | -0.000 | -0.000 | -0.001 |
| -3493.264 | -3110.320 | 7371.090 | -0.000 | -0.000 | -0.000 |
| -3510.539 | -3510.539 | 7789.468 | -0.000 | -0.000 | -0.000 |
| -3607.625 | -3607.626 | 7289.902 | 166.563 | -0.000 | -0.000 |
| -3607.625 | -3607.625 | 7289.902 | -0.000 | 166.564 | 0.000 |
| -0.000 | 0.001 | 0.000 | -0.000 | -0.000 | 235.418 |
| 4093.931 | 3710.987 | -7186.487 | 0.000 | 0.000 | -0.000 |
| 3712.430 | 4095.337 | -7189.367 | 0.000 | 0.000 | 0.000 |
| 3695.101 | 3695.101 | -6770.916 | 0.000 | 0.000 | -0.000 |
| 3607.625 | 3607.626 | -7289.902 | 166.564 | 0.000 | -0.000 |
| 3607.625 | 3607.625 | -7289.902 | 0.000 | 166.564 | -0.000 |
| -0.000 | -0.001 | -0.000 | 0.000 | 0.000 | 235.418 |
| 131.110 | -251.735 | 821.057 | -0.000 | -0.000 | 0.000 |
| -251.735 | 131.110 | 821.057 | -0.000 | -0.000 | 0.000 |
| -268.668 | -268.668 | 1238.643 | -0.000 | -0.000 | -0.000 |
| -360.761 | -360.761 | 728.988 | 166.564 | -0.000 | -0.000 |
| 0.000 | 0.000 | 0.000 | -0.000 | 190.007 | 0.000 |
| -360.674 | -360.674 | 728.812 | -0.000 | -0.000 | 191.416 |
| 852.554 | 469.771 | -636.823 | 0.000 | 0.000 | -0.000 |
| 469.772 | 852.554 | -636.824 | 0.000 | 0.000 | 0.000 |
| 451.747 | 451.747 | -217.094 | 0.000 | 0.000 | 0.000 |
| 360.761 | 360.761 | -728.988 | 166.564 | 0.000 | -0.000 |
| 0.000 | -0.000 | -0.000 | 0.000 | 190.007 | -0.000 |
| 360.674 | 360.674 | -728.812 | 0.000 | 0.000 | 191.416 |
| 446.653 | 81.938 | 165.125 | -0.000 | -0.000 | -0.000 |
| 81.895 | 446.939 | 164.879 | -0.000 | -0.000 | -0.000 |
| 55.522 | 55.522 | 583.557 | -0.000 | -0.000 | 0.000 |
| -36.056 | -36.056 | 72.859 | 166.577 | -0.000 | 0.000 |
| -36.022 | -36.022 | 72.790 | -0.000 | 166.533 | 0.000 |
| -36.019 | -36.019 | 72.784 | -0.000 | -0.000 | 182.372 |
| 522.610 | 154.212 | 15.356 | 0.000 | 0.000 | -0.000 |
| 154.209 | 522.612 | 15.357 | 0.000 | 0.000 | -0.000 |
| 127.557 | 127.557 | 437.992 | 0.000 | 0.000 | 0.000 |
| -0.000 | -0.000 | -0.000 | 190.007 | 0.000 | 0.000 |
| 36.022 | 36.022 | -72.790 | 0.000 | 166.533 | -0.000 |
| 36.019 | 36.019 | -72.784 | 0.000 | 0.000 | 182.372 |
| 483.248 | 107.410 | 102.517 | 0.000 | -0.000 | -0.000 |
| 88.806 | 559.664 | 44.462 | 0.000 | -0.000 | 0.001 |
| 44.151 | 44.151 | 605.587 | 0.000 | 0.000 | 0.000 |
| -0.000 | -0.000 | 0.000 | 190.447 | 0.000 | -0.000 |
| -0.000 | -0.000 | 0.000 | 0.000 | 190.446 | -0.000 |
| -0.000 | -0.000 | -0.000 | 0.000 | 0.000 | 235.429 |
| 559.665 | 88.806 | 44.462 | -0.000 | 0.000 | 0.001 |
| 120.100 | 491.635 | 81.350 | -0.000 | -0.000 | 0.000 |
| 44.151 | 44.151 | 605.587 | -0.001 | -0.000 | 0.001 |
| 0.000 | 0.000 | -0.000 | 190.446 | -0.000 | -0.000 |
| 0.000 | 0.000 | -0.000 | -0.000 | 190.446 | 0.000 |
| 0.000 | 0.000 | 0.000 | -0.000 | -0.000 | 235.430 |
| 486.608 | 115.336 | 91.183 | 0.000 | -0.000 | -0.000 |
| 111.613 | 487.085 | 94.444 | -0.000 | -0.000 | -0.000 |
| 91.077 | 91.077 | 511.342 | 0.000 | 0.000 | 0.000 |
| -0.444 | -0.444 | 0.891 | 166.902 | -0.000 | -0.000 |
| 0.000 | 0.000 | 0.000 | 0.000 | 190.446 | -0.000 |
| 0.000 | -0.000 | 0.000 | 0.000 | 0.000 | 235.429 |
| 559.664 | 88.806 | 44.461 | -0.000 | -0.000 | 0.000 |
| 116.209 | 487.512 | 89.398 | -0.000 | 0.000 | -0.000 |
| 91.962 | 91.962 | 509.562 | -0.000 | -0.000 | 0.000 |
| 0.444 | 0.444 | -0.891 | 166.902 | 0.000 | 0.000 |
| -0.000 | -0.000 | -0.000 | -0.000 | 190.446 | 0.000 |
| -0.000 | 0.000 | -0.000 | -0.000 | -0.000 | 235.430 |
| 487.469 | 112.036 | 93.635 | 0.000 | 0.000 | -0.000 |
| 112.034 | 487.474 | 93.631 | 0.000 | -0.000 | -0.000 |
| 91.478 | 91.478 | 510.537 | 0.000 | -0.000 | -0.000 |
| 0.000 | 0.000 | -0.000 | 190.446 | 0.000 | 0.000 |
| -0.045 | -0.044 | 0.089 | 0.000 | 166.902 | -0.000 |
| -0.047 | -0.047 | 0.094 | 0.000 | -0.000 | 186.813 |
| 559.663 | 88.805 | 44.461 | -0.000 | -0.000 | 0.000 |
| 112.128 | 487.555 | 93.452 | -0.000 | -0.000 | 0.000 |
| 91.561 | 91.561 | 510.367 | -0.000 | -0.000 | -0.000 |
| -0.000 | -0.000 | -0.000 | 190.446 | -0.000 | 0.000 |
| 0.045 | 0.044 | -0.089 | -0.000 | 166.902 | 0.000 |
| 0.047 | 0.047 | -0.094 | -0.000 | 0.000 | 186.813 |
| 487.451 | 115.479 | 90.344 | 4.382 | 0.000 | 0.004 |
| 89.032 | 559.910 | 44.335 | -9.030 | -0.000 | 0.002 |
| 91.523 | 91.523 | 510.231 | -0.000 | 0.000 | 0.003 |
| 9.030 | -9.030 | -0.001 | 190.742 | 0.000 | -0.001 |
| 0.001 | 0.001 | -0.002 | 0.000 | 167.149 | 4.265 |
| 0.001 | -0.000 | 0.001 | -0.000 | 9.030 | 235.439 |
| 484.682 | 117.769 | 90.825 | 4.334 | -0.000 | -0.002 |
| 112.492 | 487.833 | 92.951 | -4.119 | 0.000 | -0.002 |
| 91.521 | 91.520 | 510.234 | -0.000 | 0.000 | -0.002 |
| 9.030 | -9.030 | -0.001 | 190.742 | -0.000 | -0.004 |
| -0.001 | -0.001 | 0.002 | -0.000 | 167.149 | 4.262 |
| -0.000 | 0.000 | -0.001 | -0.000 | 9.030 | 235.439 |
| 487.836 | 112.493 | 92.947 | 4.120 | 0.000 | 0.000 |
| 112.492 | 487.838 | 92.945 | -4.120 | -0.000 | 0.000 |
| 91.522 | 91.522 | 510.232 | 0.000 | -0.000 | 0.000 |
| 4.264 | -4.263 | -0.000 | 167.149 | -0.000 | 0.000 |
| 0.000 | 0.000 | -0.000 | 0.000 | 167.149 | 4.264 |
| 0.000 | 0.000 | -0.000 | -0.000 | 4.518 | 186.542 |
| 487.450 | 115.477 | 90.348 | 4.382 | 0.000 | -0.000 |
| 112.493 | 487.835 | 92.947 | -4.120 | -0.000 | -0.000 |
| 44.335 | 44.335 | 604.606 | -0.000 | 0.000 | 0.000 |
| 4.263 | -4.264 | 0.000 | 167.149 | 0.000 | 0.000 |
| -0.000 | -0.000 | 0.000 | -0.000 | 167.149 | 4.263 |
| -0.000 | -0.000 | 0.000 | -0.000 | 4.518 | 186.542 |
| 484.683 | 117.771 | 90.823 | 4.334 | -0.000 | 0.000 |
| 112.494 | 487.834 | 92.949 | -4.119 | 0.000 | 0.000 |
| 91.525 | 91.525 | 510.228 | -0.000 | 0.000 | 0.000 |
| 4.264 | -4.264 | 0.000 | 167.149 | -0.000 | 0.000 |
| 0.000 | 0.000 | -0.000 | 0.000 | 190.742 | 9.030 |
| -0.000 | 0.000 | 0.000 | 0.000 | 4.518 | 186.542 |
| 559.907 | 89.031 | 44.335 | 9.030 | -0.000 | -0.000 |
| 112.500 | 487.813 | 92.961 | -4.118 | 0.000 | -0.000 |
| 91.521 | 91.521 | 510.231 | 0.000 | 0.000 | -0.000 |
| 4.263 | -4.263 | -0.000 | 167.149 | 0.000 | -0.000 |
| -0.000 | -0.000 | 0.000 | -0.000 | 190.742 | 9.030 |
| 0.000 | -0.000 | -0.000 | -0.000 | 4.518 | 186.542 |
| -1255.355 | -1639.488 | 3603.805 | 6.028 | -0.000 | -0.000 |
| -3381.558 | -2983.014 | 7089.343 | -3.263 | -0.000 | -0.000 |
| 44.137 | 44.136 | 605.675 | -0.000 | -0.000 | -0.000 |
| -5306.503 | -5306.741 | 10661.658 | 146.366 | -0.000 | 0.000 |
| -5307.069 | -5307.069 | 10662.552 | -0.000 | 146.363 | 0.118 |
| -5306.557 | -5306.557 | 10661.525 | 0.000 | 0.119 | 148.919 |
| 2804.053 | 2467.491 | -4599.559 | 4.995 | 0.000 | -0.000 |
| 2467.327 | 2803.886 | -4599.227 | -4.996 | 0.000 | -0.000 |
| 44.137 | 44.137 | 605.675 | 0.000 | 0.000 | 0.000 |
| 3489.115 | 3482.617 | -7003.406 | 161.870 | 0.000 | -0.000 |
| 5307.069 | 5307.069 | -10662.553 | 0.000 | 146.363 | 0.118 |
| 5306.557 | 5306.557 | -10661.524 | -0.000 | 0.119 | 148.919 |
| 232.415 | -103.218 | 566.065 | 4.888 | -0.000 | -0.000 |
| 88.788 | 559.648 | 44.473 | -9.015 | 0.000 | -0.000 |
| -76.577 | -76.577 | 848.193 | -0.000 | -0.000 | -0.000 |
| -168.916 | -180.996 | 351.497 | 175.687 | -0.000 | -0.000 |
| 0.000 | 0.000 | -0.000 | -0.000 | 190.421 | 9.015 |
| -349.064 | -349.064 | 701.299 | -0.000 | 3.241 | 199.066 |
| 850.389 | 454.675 | -615.138 | 3.090 | 0.000 | 0.000 |
| 361.911 | 700.201 | -371.074 | -5.119 | 0.000 | 0.000 |
| 44.137 | 44.137 | 605.676 | 0.000 | 0.000 | 0.000 |
| 242.033 | 232.176 | -476.355 | 170.180 | 0.000 | 0.000 |
| -0.000 | -0.000 | 0.000 | 0.000 | 190.421 | 9.015 |
| 349.064 | 349.064 | -701.299 | 0.000 | 3.241 | 199.066 |
| 429.842 | 81.196 | 182.499 | 2.731 | -0.000 | -0.000 |
| 88.025 | 457.574 | 147.779 | -4.288 | -0.000 | -0.000 |
| 57.036 | 57.036 | 579.761 | -0.000 | -0.000 | -0.000 |
| -45.646 | -47.981 | 94.053 | 151.558 | -0.000 | -0.000 |
| -20.903 | -20.903 | 41.995 | 0.000 | 172.864 | 5.470 |
| -19.480 | -19.480 | 39.137 | 0.000 | 5.708 | 189.221 |
| 510.612 | 142.058 | 40.219 | 6.776 | 0.000 | 0.000 |
| 129.101 | 524.005 | 39.781 | -6.630 | 0.000 | 0.000 |
| 136.304 | 136.304 | 420.498 | 0.000 | 0.000 | 0.000 |
| 36.370 | 29.177 | -65.844 | 163.591 | 0.000 | 0.000 |
| 20.903 | 20.903 | -41.995 | -0.000 | 172.864 | 5.470 |
| 19.480 | 19.480 | -39.137 | -0.000 | 5.708 | 189.221 |
| 3670630783.163 | 2644263340.735 | 2644263340.735 | -0.000 | 0.000 | -0.000 |
| 2644263340.735 | 3670630783.163 | 2644263340.735 | -0.000 | 0.000 | 0.000 |
| 2644263340.735 | 2644263340.735 | 3670630783.163 | -0.000 | 0.000 | -0.000 |
| 0.000 | 0.000 | 0.000 | 145.203 | 0.000 | 0.000 |
| 0.000 | 0.000 | 0.000 | 0.000 | 145.203 | 0.000 |
| 0.000 | 0.000 | 0.000 | -0.000 | 0.000 | 145.203 |
| 234.319 | 46.427 | 46.427 | -0.000 | -0.000 | 0.000 |
| 46.427 | 234.319 | 46.427 | -0.000 | -0.000 | 0.000 |
| 46.427 | 46.427 | 234.319 | -0.000 | 0.000 | 0.000 |
| -0.000 | -0.000 | -0.000 | 145.203 | -0.000 | 0.000 |
| -0.000 | -0.000 | -0.000 | -0.000 | 145.203 | -0.000 |
| -0.000 | -0.000 | -0.000 | 0.000 | -0.000 | 145.203 |
| 367063725.874 | 264426446.619 | 264426446.619 | -0.000 | 0.000 | -0.000 |
| 264426446.619 | 367063725.874 | 264426446.619 | -0.000 | 0.000 | -0.000 |
| 264426446.619 | 264426446.619 | 367063725.874 | -0.000 | -0.000 | -0.000 |
| 0.000 | 0.000 | 0.000 | 145.203 | 0.000 | 0.000 |
| 0.000 | 0.000 | 0.000 | 0.000 | 145.203 | 0.000 |
| 0.000 | 0.000 | 0.000 | 0.000 | 0.000 | 145.203 |
| 234.319 | 46.427 | 46.427 | -0.000 | -0.000 | 0.000 |
| 46.427 | 234.319 | 46.427 | -0.000 | -0.000 | 0.000 |
| 46.427 | 46.427 | 234.319 | -0.000 | 0.000 | 0.000 |
| -0.000 | -0.000 | -0.000 | 145.203 | -0.000 | 0.000 |
| -0.000 | -0.000 | -0.000 | -0.000 | 145.203 | -0.000 |
| -0.000 | -0.000 | -0.000 | -0.000 | -0.000 | 145.203 |
| 36707020.147 | 26442757.208 | 26442757.208 | -0.000 | 0.000 | -0.000 |
| 26442757.208 | 36707020.147 | 26442757.208 | -0.000 | 0.000 | -0.000 |
| 26442757.208 | 26442757.208 | 36707020.147 | -0.000 | 0.000 | -0.000 |
| 0.000 | 0.000 | 0.000 | 145.203 | 0.000 | 0.000 |
| 0.000 | 0.000 | 0.000 | 0.000 | 145.203 | 0.000 |
| 0.000 | 0.000 | 0.000 | -0.000 | 0.000 | 145.203 |
| 234.319 | 46.427 | 46.427 | 0.000 | -0.000 | -0.000 |
| 46.427 | 234.319 | 46.427 | 0.000 | -0.000 | -0.000 |
| 46.427 | 46.427 | 234.319 | -0.000 | -0.000 | -0.000 |
| -0.000 | -0.000 | -0.000 | 145.203 | -0.000 | -0.000 |
| -0.000 | -0.000 | -0.000 | -0.000 | 145.203 | -0.000 |
| -0.000 | -0.000 | -0.000 | 0.000 | -0.000 | 145.203 |
| 3670630783.126 | 2644263340.725 | 2644263340.725 | 0.000 | 0.000 | -0.000 |
| 2644263340.725 | 3670630783.126 | 2644263340.725 | 0.000 | 0.000 | 0.000 |
| 2644263340.725 | 2644263340.725 | 3670630783.126 | -0.000 | 0.000 | 0.000 |
| 0.000 | 0.000 | -0.000 | 145.198 | 0.000 | -0.000 |
| 0.000 | 0.000 | -0.000 | 0.000 | 145.198 | -0.000 |
| 0.000 | 0.000 | -0.000 | 0.000 | 0.000 | 145.197 |
| 234.319 | 46.427 | 46.427 | -0.000 | -0.000 | 0.000 |
| 46.427 | 234.319 | 46.427 | -0.000 | -0.000 | 0.000 |
| 46.427 | 46.427 | 234.319 | -0.000 | -0.000 | 0.000 |
| -0.000 | -0.000 | 0.000 | 145.197 | -0.000 | 0.000 |
| -0.000 | -0.000 | 0.000 | -0.000 | 145.198 | 0.000 |
| -0.000 | -0.000 | 0.000 | -0.000 | -0.000 | 145.197 |
| 367063725.870 | 264426446.618 | 264426446.618 | 0.000 | 0.000 | -0.000 |
| 264426446.618 | 367063725.870 | 264426446.618 | 0.000 | 0.000 | -0.000 |
| 264426446.618 | 264426446.618 | 367063725.870 | 0.000 | -0.000 | -0.000 |
| 0.000 | 0.000 | 0.000 | 145.203 | 0.000 | -0.000 |
| 0.000 | 0.000 | 0.000 | 0.000 | 145.203 | 0.000 |
| 0.000 | 0.000 | 0.000 | 0.000 | 0.000 | 145.203 |
| 234.319 | 46.427 | 46.427 | 0.000 | 0.000 | 0.000 |
| 46.427 | 234.319 | 46.427 | 0.000 | 0.000 | 0.000 |
| 46.427 | 46.427 | 234.319 | -0.000 | 0.000 | 0.000 |
| -0.000 | -0.000 | -0.000 | 145.203 | 0.000 | -0.000 |
| -0.000 | -0.000 | -0.000 | -0.000 | 145.203 | -0.000 |
| -0.000 | -0.000 | -0.000 | -0.000 | -0.000 | 145.203 |
| 36707020.147 | 26442757.208 | 26442757.208 | 0.000 | 0.000 | -0.000 |
| 26442757.208 | 36707020.147 | 26442757.208 | 0.000 | -0.000 | 0.000 |
| 26442757.208 | 26442757.208 | 36707020.147 | 0.000 | 0.000 | -0.000 |
| 0.000 | 0.000 | 0.000 | 145.203 | 0.000 | -0.000 |
| 0.000 | 0.000 | 0.000 | 0.000 | 145.203 | -0.000 |
| 0.000 | 0.000 | 0.000 | 0.000 | 0.000 | 145.203 |
| 234.319 | 46.427 | 46.427 | 0.000 | 0.000 | 0.000 |
| 46.427 | 234.319 | 46.427 | 0.000 | 0.000 | 0.000 |
| 46.427 | 46.427 | 234.319 | 0.000 | 0.000 | 0.000 |
| -0.000 | -0.000 | -0.000 | 145.203 | -0.000 | -0.000 |
| -0.000 | -0.000 | -0.000 | -0.000 | 145.203 | -0.000 |
| -0.000 | -0.000 | -0.000 | -0.000 | 0.000 | 145.203 |
| 433.568 | 23.675 | 23.675 | -0.000 | -0.000 | -0.000 |
| 23.675 | 433.568 | 23.675 | -0.000 | -0.000 | -0.000 |
| 23.675 | 23.675 | 433.568 | -0.000 | -0.000 | 0.000 |
| -527971233.436 | 55040917.952 | 55040890.304 | -1382381658.591 | -0.000 | -0.000 |
| 55040917.952 | -527971233.436 | 55040890.304 | -0.000 | -1382381658.591 | 0.000 |
| 55040917.952 | 55040890.304 | -527971233.436 | 0.000 | -0.000 | -1382381658.591 |
| -618747803.002 | 657735298.076 | 657735298.076 | 0.000 | 0.000 | 0.000 |
| 657735298.076 | -618747803.002 | 657735298.076 | 0.000 | -0.000 | 0.000 |
| 657735298.076 | 657735298.076 | -618747803.002 | 0.000 | 0.000 | -0.000 |
| 527971233.436 | -55040917.952 | -55040890.304 | -1382381658.591 | 0.000 | 0.000 |
| -55040917.952 | 527971233.436 | -55040890.304 | -0.000 | -1382381658.591 | -0.000 |
| -55040917.952 | -55040890.304 | 527971233.436 | -0.000 | 0.000 | -1382381658.590 |
| 433.568 | 23.675 | 23.675 | -0.000 | -0.000 | 0.000 |
| 23.675 | 433.568 | 23.675 | -0.000 | 0.000 | 0.000 |
| 23.675 | 23.675 | 433.568 | 0.000 | -0.000 | 0.000 |
| -52797122.863 | 5504100.478 | 5504072.831 | -138238167.640 | -0.000 | -0.000 |
| 5504100.478 | -52797122.863 | 5504072.831 | 0.000 | -138238167.640 | 0.000 |
| 5504100.478 | 5504072.831 | -52797122.863 | 0.000 | -0.000 | -138238167.640 |
| -61874528.937 | 65773528.029 | 65773528.029 | 0.000 | 0.000 | -0.000 |
| 65773528.029 | -61874528.937 | 65773528.029 | 0.000 | 0.000 | -0.000 |
| 65773528.029 | 65773528.029 | -61874528.937 | 0.000 | 0.000 | -0.000 |
| 52797122.863 | -5504100.478 | -5504072.831 | -138238167.640 | 0.000 | 0.000 |
| -5504100.478 | 52797122.863 | -5504072.831 | 0.000 | -138238167.640 | -0.000 |
| -5504100.478 | -5504072.831 | 52797122.863 | -0.000 | 0.000 | -138238167.640 |
| 433.871 | 23.524 | 23.524 | -0.000 | -0.000 | -0.000 |
| 23.524 | 433.871 | 23.524 | 0.000 | 0.000 | 0.000 |
| 23.524 | 23.524 | 433.871 | 0.000 | -0.000 | 0.000 |
| -5279711.806 | 550418.731 | 550391.083 | -13823818.545 | -0.000 | -0.000 |
| 550418.731 | -5279711.806 | 550391.083 | 0.000 | -13823818.545 | 0.000 |
| 550418.731 | 550391.083 | -5279711.806 | -0.000 | -0.000 | -13823818.545 |
| -6187201.532 | 6577351.020 | 6577351.020 | 0.000 | 0.000 | -0.000 |
| 6577351.020 | -6187201.532 | 6577351.020 | 0.000 | 0.000 | 0.000 |
| 6577351.019 | 6577351.019 | -6187201.532 | 0.000 | 0.000 | -0.000 |
| 5279711.806 | -550418.731 | -550391.083 | -13823818.545 | 0.000 | 0.000 |
| -550418.731 | 5279711.806 | -550391.083 | 0.000 | -13823818.545 | 0.000 |
| -550418.731 | -550391.083 | 5279711.806 | 0.000 | 0.000 | -13823818.545 |
| 174.567 | -0.000 | -0.000 | 0.000 | 0.000 | -0.000 |
| -0.000 | 174.567 | -0.000 | 0.000 | 0.000 | -0.000 |
| -0.000 | -0.000 | 174.567 | -0.000 | -0.000 | -0.000 |
| -0.000 | -0.000 | -0.000 | 0.000 | -0.000 | -0.000 |
| 0.000 | -0.000 | -0.000 | -0.000 | 0.000 | -0.000 |
| -0.000 | -0.000 | -0.000 | 0.000 | 0.000 | -0.000 |
| 174.567 | 0.000 | 0.000 | 0.000 | -0.000 | 0.000 |
| 0.000 | 174.567 | 0.000 | 0.000 | -0.000 | 0.000 |
| 0.000 | 0.000 | 174.567 | 0.000 | 0.000 | 0.000 |
| 0.000 | 0.000 | 0.000 | -0.000 | 0.000 | 0.000 |
| 0.000 | 0.000 | 0.000 | -0.000 | 0.000 | 0.000 |
| 0.000 | 0.000 | 0.000 | -0.000 | 0.000 | -0.000 |
| 174.567 | -0.000 | -0.000 | -0.000 | 0.000 | -0.000 |
| -0.000 | 174.567 | -0.000 | -0.000 | 0.000 | -0.000 |
| -0.000 | -0.000 | 174.567 | -0.000 | -0.000 | -0.000 |
| -0.000 | -0.000 | -0.000 | -0.000 | -0.000 | -0.000 |
| -0.000 | -0.000 | -0.000 | -0.000 | -0.000 | -0.000 |
| -0.000 | -0.000 | -0.000 | 0.000 | -0.000 | -0.000 |
| 174.567 | 0.000 | 0.000 | 0.000 | -0.000 | 0.000 |
| 0.000 | 174.567 | 0.000 | 0.000 | -0.000 | 0.000 |
| 0.000 | 0.000 | 174.567 | -0.000 | -0.000 | 0.000 |
| 0.000 | 0.000 | 0.000 | 0.000 | 0.000 | 0.000 |
| 0.000 | 0.000 | 0.000 | 0.000 | 0.000 | 0.000 |
| 0.000 | 0.000 | 0.000 | -0.000 | -0.000 | 0.000 |
| 174.568 | -0.000 | -0.000 | 0.000 | 0.000 | -0.000 |
| -0.000 | 174.568 | -0.000 | -0.000 | -0.000 | -0.000 |
| -0.000 | -0.000 | 174.568 | -0.000 | -0.000 | -0.000 |
| -0.000 | 0.000 | -0.000 | 0.000 | -0.000 | -0.000 |
| -0.000 | -0.000 | -0.000 | -0.000 | -0.000 | -0.000 |
| -0.000 | -0.000 | -0.000 | 0.000 | 0.000 | -0.000 |
| 174.566 | 0.000 | 0.000 | -0.000 | -0.000 | 0.000 |
| 0.000 | 174.566 | 0.000 | -0.000 | 0.000 | 0.000 |
| 0.000 | 0.000 | 174.566 | 0.000 | 0.000 | 0.000 |
| 0.000 | 0.000 | 0.000 | -0.000 | 0.000 | 0.000 |
| -0.000 | 0.000 | 0.000 | -0.000 | 0.000 | 0.000 |
| 0.000 | 0.000 | 0.000 | -0.000 | -0.000 | 0.000 |
| 237.098 | 151.748 | 151.748 | 0.000 | 0.000 | 0.000 |
| 151.748 | 237.098 | 151.748 | 0.000 | 0.000 | 0.000 |
| 151.748 | 151.748 | 237.098 | 0.000 | 0.000 | 0.000 |
| -0.000 | 0.000 | 0.000 | 156.917 | 0.000 | -0.000 |
| -0.000 | 0.000 | 0.000 | 0.000 | 156.917 | 0.000 |
| 0.000 | 0.000 | 0.000 | -0.000 | -0.000 | 156.917 |
| 237.098 | 151.747 | 151.747 | -0.000 | -0.000 | 0.000 |
| 151.747 | 237.098 | 151.747 | -0.000 | -0.000 | 0.000 |
| 151.747 | 151.747 | 237.098 | -0.000 | -0.000 | 0.000 |
| -0.000 | -0.000 | -0.000 | 156.917 | -0.000 | -0.000 |
| 0.000 | -0.000 | -0.000 | -0.000 | 156.917 | 0.000 |
| -0.000 | -0.000 | -0.000 | -0.000 | -0.000 | 156.917 |
| 237.098 | 151.748 | 151.748 | 0.000 | 0.000 | 0.000 |
| 151.748 | 237.098 | 151.748 | 0.000 | 0.000 | -0.000 |
| 151.748 | 151.748 | 237.098 | 0.000 | 0.000 | -0.000 |
| 0.000 | 0.000 | 0.000 | 33.301 | 0.000 | 0.000 |
| 0.000 | 0.000 | 0.000 | 0.000 | 33.301 | 0.000 |
| 0.000 | 0.000 | 0.000 | 0.000 | 0.000 | 33.301 |
| 237.098 | 151.748 | 151.748 | -0.000 | -0.000 | -0.000 |
| 151.747 | 237.098 | 151.748 | -0.000 | -0.000 | -0.000 |
| 151.747 | 151.748 | 237.098 | -0.000 | -0.000 | -0.000 |
| -0.000 | -0.000 | -0.000 | 33.301 | -0.000 | -0.000 |
| -0.000 | -0.000 | -0.000 | -0.000 | 33.301 | -0.000 |
| -0.000 | -0.000 | -0.000 | -0.000 | -0.000 | 33.301 |
| 237.099 | 151.748 | 151.748 | 0.000 | 0.000 | 0.000 |
| 151.748 | 237.099 | 151.748 | 0.000 | 0.000 | -0.000 |
| 151.748 | 151.748 | 237.099 | 0.000 | 0.000 | 0.000 |
| 0.000 | 0.000 | 0.000 | 33.301 | 0.000 | 0.000 |
| 0.000 | 0.000 | 0.000 | 0.000 | 33.301 | -0.000 |
| 0.000 | 0.000 | 0.000 | 0.000 | 0.000 | 33.301 |
| 237.098 | 151.747 | 151.747 | -0.000 | -0.000 | -0.000 |
| 151.747 | 237.098 | 151.747 | -0.000 | -0.000 | -0.000 |
| 151.747 | 151.747 | 237.098 | -0.000 | -0.000 | -0.000 |
| -0.000 | -0.000 | -0.000 | 33.301 | -0.000 | -0.000 |
| -0.000 | -0.000 | -0.000 | -0.000 | 33.301 | -0.000 |
| -0.000 | -0.000 | -0.000 | -0.000 | -0.000 | 33.301 |
| 550.843 | 366.205 | 366.205 | -0.000 | 0.000 | 0.000 |
| 366.205 | 550.843 | 366.205 | 0.000 | 0.000 | 0.000 |
| 366.205 | 366.205 | 550.843 | -0.000 | 0.000 | 0.000 |
| 0.000 | 0.000 | 0.000 | 215.125 | -0.000 | 0.000 |
| 0.000 | 0.000 | 0.000 | 0.000 | 215.125 | 0.000 |
| 0.000 | 0.000 | 0.000 | 0.000 | 0.000 | 215.125 |
| 550.842 | 366.205 | 366.205 | 0.000 | 0.000 | 0.000 |
| 366.204 | 550.842 | 366.204 | 0.000 | -0.000 | 0.000 |
| 366.204 | 366.205 | 550.842 | 0.000 | 0.000 | 0.000 |
| -0.000 | -0.000 | -0.000 | 215.125 | 0.000 | -0.000 |
| -0.000 | -0.000 | -0.000 | 0.000 | 215.125 | -0.000 |
| -0.000 | -0.000 | -0.000 | -0.000 | -0.000 | 215.125 |
| 550.843 | 366.205 | 366.205 | 0.000 | 0.000 | 0.000 |
| 366.205 | 550.843 | 366.205 | -0.000 | 0.000 | 0.000 |
| 366.205 | 366.205 | 550.843 | 0.000 | 0.000 | 0.000 |
| 0.000 | 0.000 | 0.000 | 215.125 | -0.000 | -0.000 |
| 0.000 | 0.000 | 0.000 | -0.000 | 215.125 | -0.000 |
| 0.000 | 0.000 | 0.000 | 0.000 | -0.000 | 215.125 |
| 550.842 | 366.205 | 366.205 | 0.000 | 0.000 | 0.000 |
| 366.205 | 550.842 | 366.205 | 0.000 | 0.000 | 0.000 |
| 366.205 | 366.205 | 550.842 | 0.000 | 0.000 | -0.000 |
| -0.000 | -0.000 | -0.000 | 215.125 | 0.000 | 0.000 |
| -0.000 | -0.000 | -0.000 | 0.000 | 215.125 | 0.000 |
| -0.000 | -0.000 | -0.000 | -0.000 | -0.000 | 215.125 |
| 550.844 | 366.206 | 366.206 | -0.000 | -0.000 | -0.000 |
| 366.206 | 550.844 | 366.206 | -0.000 | -0.000 | 0.000 |
| 366.206 | 366.206 | 550.844 | -0.000 | -0.000 | 0.000 |
| -0.000 | 0.000 | 0.001 | 215.125 | 0.000 | 0.000 |
| 0.000 | -0.000 | 0.001 | 0.000 | 215.125 | 0.000 |
| 0.000 | 0.001 | -0.000 | -0.000 | -0.000 | 215.125 |
| 550.841 | 366.204 | 366.204 | 0.000 | 0.000 | 0.000 |
| 366.204 | 550.841 | 366.204 | -0.000 | -0.000 | 0.000 |
| 366.204 | 366.204 | 550.841 | -0.000 | -0.000 | -0.000 |
| 0.000 | -0.000 | -0.001 | 215.125 | -0.000 | -0.000 |
| -0.000 | 0.000 | -0.001 | 0.000 | 215.125 | 0.000 |
| -0.000 | -0.001 | 0.000 | 0.000 | 0.000 | 215.125 |
| 244629726.571 | 244629825.214 | 244629825.215 | -0.000 | -0.000 | 0.000 |
| 244629825.215 | 244629726.571 | 244629825.215 | -0.000 | -0.000 | -0.000 |
| 244629825.214 | 244629825.215 | 244629726.571 | -0.000 | 0.000 | 0.000 |
| 19390866.388 | 14815986.668 | 14815986.807 | 6959584.752 | 0.000 | 0.000 |
| 14815986.668 | 19390866.388 | 14815986.807 | 0.000 | 6959584.752 | -0.000 |
| 14815986.668 | 14815986.807 | 19390866.388 | 0.000 | -0.000 | 6959584.752 |
| 438.158 | 300.698 | 300.698 | -0.000 | -0.000 | 0.000 |
| 300.698 | 438.158 | 300.698 | -0.000 | 0.000 | 0.000 |
| 300.698 | 300.698 | 438.158 | -0.000 | 0.000 | 0.000 |
| -19390866.388 | -14815986.668 | -14815986.807 | 6959584.752 | -0.000 | 0.000 |
| -14815986.668 | -19390866.388 | -14815986.807 | -0.000 | 6959584.752 | -0.000 |
| -14815986.668 | -14815986.807 | -19390866.388 | -0.000 | 0.000 | 6959584.752 |
| 24464772.560 | 24464656.903 | 24464656.903 | 0.000 | 0.000 | 0.000 |
| 24464656.903 | 24464772.560 | 24464656.903 | 0.000 | 0.000 | 0.000 |
| 24464656.903 | 24464656.903 | 24464772.560 | 0.000 | -0.000 | -0.000 |
| 1939086.598 | 1481599.272 | 1481599.411 | 696118.603 | -0.000 | -0.000 |
| 1481599.272 | 1939086.598 | 1481599.411 | 0.000 | 696118.603 | 0.000 |
| 1481599.272 | 1481599.411 | 1939086.598 | 0.000 | -0.000 | 696118.603 |
| 438.158 | 300.698 | 300.698 | 0.000 | 0.000 | -0.000 |
| 300.698 | 438.158 | 300.698 | -0.000 | 0.000 | -0.000 |
| 300.698 | 300.698 | 438.158 | 0.000 | 0.000 | -0.000 |
| -1939086.598 | -1481599.272 | -1481599.411 | 696118.603 | 0.000 | 0.000 |
| -1481599.272 | -1939086.598 | -1481599.411 | -0.000 | 696118.603 | 0.000 |
| -1481599.272 | -1481599.411 | -1939086.598 | -0.000 | 0.000 | 696118.603 |
| 593080.582 | 684440.660 | 684440.660 | -0.000 | -0.000 | 0.000 |
| 684440.660 | 593080.582 | 684440.660 | 0.000 | 0.000 | -0.000 |
| 684440.660 | 684440.660 | 593080.582 | 0.000 | 0.000 | 0.000 |
| 193908.619 | 148160.532 | 148160.672 | 69771.988 | 0.000 | -0.000 |
| 148160.532 | 193908.619 | 148160.672 | 0.000 | 69771.988 | -0.000 |
| 148160.532 | 148160.672 | 193908.619 | 0.000 | 0.000 | 69771.988 |
| 5398418.422 | 5254198.148 | 5254198.148 | -0.000 | 0.000 | -0.000 |
| 5254198.148 | 5398418.422 | 5254198.148 | -0.000 | -0.000 | -0.000 |
| 5254198.148 | 5254198.148 | 5398418.422 | 0.000 | 0.000 | -0.000 |
| -193908.619 | -148160.532 | -148160.672 | 69771.988 | 0.000 | 0.000 |
| -148160.532 | -193908.619 | -148160.672 | -0.000 | 69771.988 | -0.000 |
| -148160.532 | -148160.672 | -193908.619 | -0.000 | 0.000 | 69771.988 |
| 61417042.201 | 60861648.480 | 60861648.480 | -0.000 | 0.000 | -0.000 |
| 60861648.480 | 61417042.201 | 60861648.480 | -0.000 | -0.000 | -0.000 |
| 60861648.480 | 60861648.480 | 61417042.201 | 0.000 | 0.000 | -0.000 |
| 0.000 | -20998706.789 | -20998748.786 | -20998727.788 | 0.000 | 0.000 |
| -20998706.789 | 0.000 | -20998748.786 | 0.000 | -20998727.788 | 0.000 |
| -20998706.789 | -20998748.786 | 0.000 | 0.000 | 0.000 | -20998727.788 |
| -0.000 | -0.000 | -0.000 | -0.000 | -0.000 | -0.000 |
| -0.000 | -0.000 | -0.000 | -0.000 | -0.000 | -0.000 |
| -0.000 | -0.000 | -0.000 | -0.000 | -0.000 | -0.000 |
| -0.000 | 20998706.789 | 20998748.786 | -20998727.788 | 0.000 | -0.000 |
| 20998706.789 | -0.000 | 20998748.786 | 0.000 | -20998727.788 | -0.000 |
| 20998706.789 | 20998748.786 | -0.000 | -0.000 | -0.000 | -20998727.788 |
| 897.226 | 215.430 | 215.430 | 0.000 | 0.000 | 0.000 |
| 215.431 | 897.226 | 215.431 | -0.000 | 0.000 | 0.000 |
| 215.430 | 215.431 | 897.226 | 0.000 | 0.000 | 0.000 |
| -2000185097.998 | -3832458707.393 | -3832458707.392 | 38388.817 | -0.000 | 0.000 |
| -3832458707.393 | -2000185097.998 | -3832458707.392 | -0.000 | 38388.817 | 0.000 |
| -3832458707.393 | -3832458707.392 | -2000185097.998 | 0.000 | 0.000 | 38388.816 |
| 6656268956.010 | 5181584144.887 | 5181584144.887 | -0.000 | -0.000 | -0.000 |
| 5181584144.886 | 6656268956.010 | 5181584144.887 | -0.000 | 0.000 | -0.000 |
| 5181584144.887 | 5181584144.887 | 6656268956.011 | -0.000 | -0.000 | -0.000 |
| 2000185097.998 | 3832458707.393 | 3832458707.392 | 38388.817 | 0.000 | 0.000 |
| 3832458707.393 | 2000185097.998 | 3832458707.392 | 0.000 | 38388.817 | 0.000 |
| 3832458707.393 | 3832458707.392 | 2000185097.998 | 0.000 | -0.000 | 38388.816 |
| 897.750 | 215.169 | 215.169 | 0.000 | 0.000 | -0.000 |
| 215.169 | 897.750 | 215.169 | -0.000 | 0.000 | 0.000 |
| 215.169 | 215.169 | 897.750 | 0.000 | 0.000 | -0.000 |
| -200018277.072 | -383245801.381 | -383245801.380 | 3814.906 | 0.000 | 0.000 |
| -383245801.381 | -200018277.072 | -383245801.380 | -0.000 | 3814.906 | -0.000 |
| -383245801.381 | -383245801.380 | -200018277.072 | 0.000 | 0.000 | 3814.906 |
| 665627146.964 | 518158437.466 | 518158437.466 | -0.000 | -0.000 | -0.000 |
| 518158437.466 | 665627146.964 | 518158437.466 | 0.000 | 0.000 | -0.000 |
| 518158437.466 | 518158437.466 | 665627146.964 | -0.000 | -0.000 | -0.000 |
| 200018277.072 | 383245801.381 | 383245801.380 | 3814.906 | -0.000 | 0.000 |
| 383245801.381 | 200018277.072 | 383245801.380 | -0.000 | 3814.906 | -0.000 |
| 383245801.381 | 383245801.380 | 200018277.072 | -0.000 | -0.000 | 3814.906 |
| 874.729 | 226.681 | 226.681 | 0.000 | 0.000 | 0.000 |
| 226.681 | 874.729 | 226.681 | 0.000 | 0.000 | -0.000 |
| 226.681 | 226.681 | 874.729 | -0.000 | 0.000 | -0.000 |
| -30056391.349 | -27279135.006 | -35773335.155 | -629457.265 | 0.000 | -0.000 |
| -27279135.006 | -30056391.349 | -35773335.155 | -0.000 | -629457.265 | -0.000 |
| -27279135.006 | -35773335.155 | -30056391.349 | 0.000 | 0.000 | -629457.265 |
| 66562966.058 | 51815866.724 | 51815866.724 | -0.000 | -0.000 | -0.000 |
| 51815866.724 | 66562966.058 | 51815866.724 | -0.000 | 0.000 | -0.000 |
| 51815866.724 | 51815866.724 | 66562966.058 | -0.000 | -0.000 | -0.000 |
| 30056391.349 | 27279135.006 | 35773335.155 | -629457.265 | -0.000 | 0.000 |
| 27279135.006 | 30056391.349 | 35773335.155 | 0.000 | -629457.265 | 0.000 |
| 27279135.006 | 35773335.155 | 30056391.349 | -0.000 | -0.000 | -629457.265 |
| 174.567 | 0.000 | -0.000 | 0.000 | 0.000 | 0.000 |
| 0.000 | 174.567 | -0.000 | 0.000 | 0.000 | -0.000 |
| 0.000 | 0.000 | 174.567 | -0.000 | -0.000 | 0.000 |
| 0.000 | 0.000 | -0.000 | 0.000 | 0.000 | -0.000 |
| 0.000 | 0.000 | -0.000 | 0.000 | -0.000 | 0.000 |
| 0.000 | 0.000 | -0.000 | 0.000 | 0.000 | 0.000 |
| 174.567 | -0.000 | 0.000 | -0.000 | -0.000 | 0.000 |
| -0.000 | 174.567 | 0.000 | -0.000 | -0.000 | 0.000 |
| -0.000 | -0.000 | 174.567 | -0.000 | -0.000 | -0.000 |
| -0.000 | -0.000 | 0.000 | -0.000 | -0.000 | 0.000 |
| 0.000 | -0.000 | 0.000 | -0.000 | -0.000 | -0.000 |
| -0.000 | -0.000 | 0.000 | -0.000 | -0.000 | -0.000 |
| 174.567 | 0.000 | -0.000 | 0.000 | 0.000 | 0.000 |
| 0.000 | 174.567 | -0.000 | 0.000 | 0.000 | -0.000 |
| 0.000 | 0.000 | 174.567 | 0.000 | 0.000 | -0.000 |
| 0.000 | 0.000 | -0.000 | -0.000 | -0.000 | -0.000 |
| 0.000 | 0.000 | -0.000 | 0.000 | -0.000 | -0.000 |
| 0.000 | -0.000 | -0.000 | 0.000 | 0.000 | -0.000 |
| 174.567 | -0.000 | 0.000 | -0.000 | -0.000 | -0.000 |
| -0.000 | 174.567 | 0.000 | -0.000 | -0.000 | 0.000 |
| -0.000 | -0.000 | 174.567 | -0.000 | -0.000 | -0.000 |
| -0.000 | -0.000 | 0.000 | 0.000 | -0.000 | 0.000 |
| 0.000 | -0.000 | 0.000 | -0.000 | 0.000 | -0.000 |
| -0.000 | 0.000 | 0.000 | -0.000 | -0.000 | 0.000 |
| 174.568 | 0.000 | -0.000 | 0.000 | 0.000 | -0.000 |
| 0.000 | 174.568 | -0.000 | -0.000 | 0.000 | -0.000 |
| 0.000 | 0.000 | 174.568 | -0.000 | -0.000 | 0.000 |
| 0.000 | 0.000 | -0.000 | 0.000 | -0.000 | -0.000 |
| -0.000 | 0.000 | -0.000 | 0.000 | 0.000 | 0.000 |
| 0.000 | -0.000 | -0.000 | 0.000 | 0.000 | -0.000 |
| 174.566 | -0.000 | 0.000 | -0.000 | -0.000 | -0.000 |
| -0.000 | 174.566 | 0.000 | -0.000 | -0.000 | -0.000 |
| -0.000 | -0.000 | 174.566 | -0.000 | -0.000 | -0.000 |
| -0.000 | 0.000 | 0.000 | -0.000 | 0.000 | 0.000 |
| -0.000 | -0.000 | 0.000 | -0.000 | 0.000 | -0.000 |
| -0.000 | 0.000 | 0.000 | -0.000 | -0.000 | 0.000 |
| 363.900 | 356.528 | 356.528 | -0.000 | 0.000 | -0.000 |
| 356.528 | 363.900 | 356.528 | -0.000 | 0.000 | -0.000 |
| 356.528 | 356.528 | 363.900 | -0.000 | -0.000 | -0.000 |
| 0.000 | 0.000 | 0.000 | 272.523 | -0.000 | -0.000 |
| 0.000 | 0.000 | 0.000 | 0.000 | 272.523 | -0.000 |
| 0.000 | 0.000 | 0.000 | -0.000 | -0.000 | 272.523 |
| 363.899 | 356.527 | 356.527 | 0.000 | 0.000 | 0.000 |
| 356.527 | 363.899 | 356.527 | 0.000 | -0.000 | 0.000 |
| 356.527 | 356.527 | 363.899 | 0.000 | 0.000 | 0.000 |
| -0.000 | -0.000 | -0.000 | 272.523 | 0.000 | 0.000 |
| -0.000 | -0.000 | -0.000 | 0.000 | 272.523 | 0.000 |
| -0.000 | -0.000 | -0.000 | 0.000 | 0.000 | 272.523 |
| 363.900 | 356.528 | 356.528 | -0.000 | -0.000 | -0.000 |
| 356.528 | 363.900 | 356.528 | 0.000 | -0.000 | -0.000 |
| 356.528 | 356.528 | 363.900 | -0.000 | -0.000 | -0.000 |
| 0.000 | -0.000 | 0.000 | 272.523 | -0.000 | -0.000 |
| 0.000 | 0.000 | 0.000 | -0.000 | 272.523 | -0.000 |
| 0.000 | 0.000 | 0.000 | -0.000 | -0.000 | 272.523 |
| 363.900 | 356.527 | 356.527 | 0.000 | 0.000 | 0.000 |
| 356.527 | 363.900 | 356.527 | 0.000 | 0.000 | 0.000 |
| 356.527 | 356.527 | 363.900 | -0.000 | 0.000 | 0.000 |
| -0.000 | 0.000 | -0.000 | 272.523 | 0.000 | 0.000 |
| 0.000 | -0.000 | -0.000 | -0.000 | 272.523 | 0.000 |
| -0.000 | -0.000 | -0.000 | 0.000 | 0.000 | 272.523 |
| 363.900 | 356.528 | 356.528 | -0.000 | -0.000 | -0.000 |
| 356.528 | 363.900 | 356.528 | -0.000 | -0.000 | -0.000 |
| 356.528 | 356.528 | 363.900 | -0.000 | -0.000 | -0.000 |
| 0.000 | -0.000 | 0.000 | 272.523 | -0.000 | -0.000 |
| -0.000 | 0.000 | 0.000 | 0.000 | 272.523 | -0.000 |
| -0.000 | 0.000 | 0.000 | 0.000 | -0.000 | 272.523 |
| 363.899 | 356.527 | 356.527 | 0.000 | 0.000 | 0.000 |
| 356.527 | 363.899 | 356.527 | 0.000 | 0.000 | 0.000 |
| 356.527 | 356.527 | 363.899 | 0.000 | 0.000 | 0.000 |
| -0.000 | 0.000 | -0.000 | 272.523 | 0.000 | 0.000 |
| 0.000 | -0.000 | -0.000 | 0.000 | 272.523 | 0.000 |
| 0.000 | -0.000 | -0.000 | 0.000 | 0.000 | 272.523 |
| 142.537 | 75.376 | 75.376 | 0.000 | 0.000 | 0.000 |
| 75.376 | 142.537 | 75.376 | 0.000 | 0.000 | 0.000 |
| 75.376 | 75.376 | 142.537 | 0.000 | -0.000 | 0.000 |
| 0.000 | 0.000 | 0.000 | 69.025 | 0.000 | -0.000 |
| 0.000 | 0.000 | 0.000 | -0.000 | 69.025 | 0.000 |
| 0.000 | 0.000 | 0.000 | 0.000 | 0.000 | 69.025 |
| 142.537 | 75.376 | 75.376 | 0.000 | 0.000 | 0.000 |
| 75.376 | 142.537 | 75.376 | 0.000 | 0.000 | 0.000 |
| 75.376 | 75.376 | 142.537 | 0.000 | 0.000 | 0.000 |
| -0.000 | -0.000 | -0.000 | 69.025 | -0.000 | -0.000 |
| -0.000 | -0.000 | -0.000 | 0.000 | 69.025 | -0.000 |
| -0.000 | -0.000 | -0.000 | -0.000 | -0.000 | 69.025 |
| 142.537 | 75.376 | 75.376 | 0.000 | 0.000 | 0.000 |
| 75.376 | 142.537 | 75.376 | 0.000 | 0.000 | 0.000 |
| 75.376 | 75.376 | 142.537 | 0.000 | 0.000 | -0.000 |
| 0.000 | -0.000 | 0.000 | 69.025 | -0.000 | 0.000 |
| -0.000 | -0.000 | 0.000 | -0.000 | 69.025 | 0.000 |
| -0.000 | 0.000 | 0.000 | -0.000 | -0.000 | 69.025 |
| 142.537 | 75.376 | 75.376 | 0.000 | -0.000 | 0.000 |
| 75.376 | 142.537 | 75.376 | 0.000 | 0.000 | 0.000 |
| 75.376 | 75.376 | 142.537 | 0.000 | 0.000 | -0.000 |
| -0.000 | 0.000 | -0.000 | 69.025 | -0.000 | -0.000 |
| 0.000 | -0.000 | -0.000 | 0.000 | 69.025 | -0.000 |
| 0.000 | -0.000 | -0.000 | -0.000 | 0.000 | 69.025 |
| 142.537 | 75.376 | 75.376 | -0.000 | -0.000 | -0.000 |
| 75.376 | 142.537 | 75.376 | -0.000 | 0.000 | 0.000 |
| 75.376 | 75.376 | 142.537 | -0.000 | -0.000 | 0.000 |
| 0.000 | -0.000 | 0.000 | 69.025 | -0.000 | -0.000 |
| -0.000 | 0.000 | 0.000 | 0.000 | 69.025 | 0.000 |
| -0.000 | 0.000 | 0.000 | 0.000 | 0.000 | 69.025 |
| 142.537 | 75.376 | 75.376 | -0.000 | 0.000 | 0.000 |
| 75.376 | 142.537 | 75.376 | 0.000 | 0.000 | 0.000 |
| 75.376 | 75.376 | 142.537 | 0.000 | 0.000 | 0.000 |
| -0.000 | 0.000 | -0.000 | 69.025 | -0.000 | -0.000 |
| 0.000 | -0.000 | -0.000 | -0.000 | 69.025 | -0.000 |
| 0.000 | -0.000 | -0.000 | -0.000 | -0.000 | 69.025 |
| 713.742 | 31.247 | 83.738 | 0.000 | 0.000 | -0.000 |
| 31.247 | 713.743 | 83.738 | -0.000 | 0.000 | -0.000 |
| 102.468 | 102.468 | 578.017 | -0.000 | -0.000 | -0.000 |
| 0.000 | 0.000 | -0.000 | 66.570 | -0.000 | -0.000 |
| 0.000 | 0.000 | 0.000 | -0.000 | 66.570 | -0.000 |
| -0.000 | -0.000 | -0.000 | -0.000 | 0.000 | 5.917 |
| 713.743 | 31.247 | 83.738 | 0.000 | -0.000 | 0.000 |
| 31.247 | 713.743 | 83.738 | -0.000 | 0.000 | -0.000 |
| 2976851868.085 | 2976851868.085 | 1050870757.708 | 0.000 | 0.000 | 0.000 |
| -0.000 | -0.000 | -0.000 | 66.570 | 0.000 | 0.000 |
| 0.000 | -0.000 | -0.000 | 0.000 | 66.570 | -0.000 |
| 0.000 | 0.000 | 0.000 | 0.000 | -0.000 | 5.917 |
| 416.027 | 328.963 | 83.738 | -0.000 | -0.000 | -0.000 |
| 289.032 | 455.958 | 83.738 | -0.000 | -0.000 | -0.000 |
| 102.468 | 102.468 | 578.017 | 0.000 | -0.000 | -0.000 |
| -0.000 | -0.000 | -0.000 | 29.725 | -0.000 | -0.000 |
| -0.000 | -0.000 | -0.000 | 0.000 | 29.725 | -0.000 |
| 0.000 | -0.000 | -0.000 | 0.000 | -0.000 | 5.917 |
| 454.846 | 290.144 | 83.738 | 0.000 | -0.000 | 0.000 |
| 288.940 | 456.050 | 83.738 | 0.000 | -0.000 | 0.000 |
| 297685255.409 | 297685255.409 | 105087080.872 | 0.000 | 0.000 | 0.000 |
| 0.000 | 0.000 | 0.000 | 29.725 | 0.000 | 0.000 |
| 0.000 | 0.000 | 0.000 | -0.000 | 29.725 | 0.000 |
| -0.000 | 0.000 | 0.000 | -0.000 | 0.000 | 5.917 |
| 425.146 | 319.844 | 83.738 | 0.000 | -0.000 | -0.000 |
| 320.240 | 424.750 | 83.738 | -0.000 | -0.000 | 0.000 |
| 102.468 | 102.468 | 578.020 | 0.000 | -0.000 | -0.000 |
| 0.000 | -0.000 | -0.000 | 29.697 | -0.000 | -0.000 |
| -0.000 | 0.000 | -0.000 | -0.000 | 29.703 | 0.000 |
| 0.000 | -0.000 | -0.000 | 0.000 | -0.000 | 5.917 |
| 424.330 | 320.659 | 83.738 | 0.000 | 0.000 | 0.000 |
| 322.479 | 422.510 | 83.738 | 0.000 | -0.000 | 0.000 |
| 29768594.142 | 29768594.142 | 10508713.188 | 0.000 | 0.000 | 0.000 |
| 0.000 | 0.000 | 0.000 | 29.912 | 0.000 | 0.000 |
| 0.000 | -0.000 | 0.000 | -0.000 | 29.717 | -0.000 |
| -0.000 | 0.000 | 0.000 | 0.000 | 0.000 | 5.917 |
| 661.958 | 0.000 | 0.000 | 0.000 | 0.000 | 0.000 |
| 0.000 | 661.958 | 0.000 | 0.000 | 0.000 | 0.000 |
| 0.000 | 0.000 | 0.000 | 0.000 | 0.000 | 0.000 |
| 0.000 | 0.000 | 0.000 | 0.000 | 0.000 | 0.000 |
| 0.000 | 0.000 | 0.000 | 0.000 | 0.000 | 0.000 |
| 0.000 | 0.000 | 0.000 | 0.000 | 0.000 | 67.244 |
| 661.958 | -0.000 | -0.000 | -0.000 | -0.000 | -0.000 |
| -0.000 | 661.958 | -0.000 | -0.000 | -0.000 | -0.000 |
| -0.000 | -0.000 | -0.000 | -0.000 | -0.000 | -0.000 |
| -0.000 | -0.000 | -0.000 | -0.000 | -0.000 | -0.000 |
| -0.000 | -0.000 | -0.000 | -0.000 | -0.000 | -0.000 |
| -0.000 | -0.000 | -0.000 | -0.000 | -0.000 | 67.244 |
| 661.958 | 0.000 | 0.000 | 0.000 | 0.000 | 0.000 |
| 0.000 | 661.958 | 0.000 | 0.000 | 0.000 | 0.000 |
| 0.000 | 0.000 | 0.000 | 0.000 | 0.000 | 0.000 |
| 0.000 | 0.000 | 0.000 | 0.000 | 0.000 | 0.000 |
| 0.000 | 0.000 | 0.000 | 0.000 | 0.000 | 0.000 |
| -0.000 | -0.000 | 0.000 | 0.000 | 0.000 | 67.244 |
| 661.957 | -0.000 | -0.000 | -0.000 | -0.000 | -0.000 |
| -0.000 | 661.957 | -0.000 | -0.000 | -0.000 | -0.000 |
| -0.000 | -0.000 | -0.000 | -0.000 | -0.000 | -0.000 |
| -0.000 | -0.000 | -0.000 | -0.000 | -0.000 | -0.000 |
| -0.000 | -0.000 | -0.000 | -0.000 | -0.000 | -0.000 |
| 0.000 | 0.000 | -0.000 | -0.000 | -0.000 | 67.244 |
| 661.961 | 0.000 | 0.000 | 0.000 | 0.000 | 0.000 |
| 0.000 | 661.961 | 0.000 | 0.000 | 0.000 | 0.000 |
| 0.000 | 0.000 | 0.000 | 0.000 | 0.000 | 0.000 |
| 0.000 | 0.000 | 0.000 | 0.000 | 0.000 | 0.000 |
| 0.000 | 0.000 | 0.000 | 0.000 | 0.000 | 0.000 |
| 0.000 | -0.000 | 0.000 | 0.000 | 0.000 | 67.244 |
| 661.954 | -0.000 | -0.000 | -0.000 | -0.000 | -0.000 |
| -0.000 | 661.954 | -0.000 | -0.000 | -0.000 | -0.000 |
| -0.000 | -0.000 | -0.000 | -0.000 | -0.000 | -0.000 |
| -0.000 | -0.000 | -0.000 | -0.000 | -0.000 | -0.000 |
| -0.000 | -0.000 | -0.000 | -0.000 | -0.000 | -0.000 |
| -0.000 | 0.000 | -0.000 | -0.000 | -0.000 | 67.244 |
| 475.355 | 7.742 | 7.742 | 0.000 | -0.000 | 0.000 |
| 7.742 | 475.355 | 7.742 | -0.000 | -0.000 | 0.000 |
| 7.742 | 7.742 | 475.355 | 0.000 | 0.000 | 0.000 |
| 0.000 | 0.000 | -0.000 | 25.740 | 0.000 | 0.000 |
| 0.000 | 0.000 | 0.000 | 0.000 | 25.740 | 0.000 |
| 0.000 | 0.000 | 0.000 | 0.000 | 0.000 | 25.740 |
| 475.355 | 7.742 | 7.742 | -0.000 | 0.000 | -0.000 |
| 7.742 | 475.355 | 7.742 | 0.000 | 0.000 | -0.000 |
| 7.742 | 7.742 | 475.355 | -0.000 | -0.000 | -0.000 |
| -0.000 | -0.000 | 0.000 | 25.740 | -0.000 | -0.000 |
| 0.000 | -0.000 | -0.000 | -0.000 | 25.740 | -0.000 |
| 0.000 | -0.000 | -0.000 | -0.000 | -0.000 | 25.740 |
| 475.356 | 7.742 | 7.742 | 0.000 | -0.000 | 0.000 |
| 7.742 | 475.356 | 7.742 | 0.000 | -0.000 | -0.000 |
| 7.742 | 7.742 | 475.356 | -0.000 | -0.000 | 0.000 |
| 0.000 | -0.000 | -0.000 | 25.740 | 0.000 | 0.000 |
| -0.000 | 0.000 | -0.000 | 0.000 | 25.740 | 0.000 |
| -0.000 | -0.000 | 0.000 | 0.000 | 0.000 | 25.740 |
| 475.355 | 7.742 | 7.742 | -0.000 | 0.000 | -0.000 |
| 7.742 | 475.355 | 7.742 | 0.000 | 0.000 | -0.000 |
| 7.742 | 7.742 | 475.355 | -0.000 | -0.000 | -0.000 |
| -0.000 | 0.000 | 0.000 | 25.740 | -0.000 | -0.000 |
| 0.000 | -0.000 | 0.000 | -0.000 | 25.740 | -0.000 |
| 0.000 | 0.000 | -0.000 | -0.000 | -0.000 | 25.740 |
| 475.358 | 7.742 | 7.742 | 0.000 | 0.000 | 0.000 |
| 7.742 | 475.358 | 7.742 | 0.000 | 0.000 | -0.000 |
| 7.742 | 7.742 | 475.358 | -0.000 | -0.000 | 0.000 |
| 0.000 | 0.000 | -0.000 | 25.740 | 0.000 | 0.000 |
| 0.000 | 0.000 | -0.000 | 0.000 | 25.740 | 0.000 |
| 0.000 | -0.000 | 0.000 | 0.000 | 0.000 | 25.740 |
| 475.353 | 7.742 | 7.742 | -0.000 | -0.000 | -0.000 |
| 7.742 | 475.353 | 7.742 | -0.000 | 0.000 | 0.000 |
| 7.742 | 7.742 | 475.353 | 0.000 | -0.000 | -0.000 |
| -0.000 | -0.000 | 0.000 | 25.740 | -0.000 | -0.000 |
| -0.000 | -0.000 | 0.000 | 0.000 | 25.740 | -0.000 |
| -0.000 | 0.000 | -0.000 | -0.000 | -0.000 | 25.740 |
| 96.948 | 60.819 | 60.819 | 0.000 | -0.000 | -0.000 |
| 60.819 | 96.948 | 60.819 | -0.000 | -0.000 | 0.000 |
| 60.819 | 60.819 | 96.948 | -0.000 | -0.000 | 0.000 |
| 0.000 | 0.000 | 0.000 | 22.803 | -0.000 | 0.000 |
| 0.000 | 0.000 | 0.000 | -0.000 | 22.803 | 0.000 |
| 0.000 | 0.000 | 0.000 | -0.000 | 0.000 | 22.803 |
| 96.948 | 60.819 | 60.819 | 0.000 | 0.000 | -0.000 |
| 60.819 | 96.948 | 60.819 | 0.000 | -0.000 | -0.000 |
| 60.819 | 60.819 | 96.948 | 0.000 | 0.000 | -0.000 |
| -0.000 | -0.000 | -0.000 | 22.803 | 0.000 | -0.000 |
| -0.000 | -0.000 | -0.000 | 0.000 | 22.803 | -0.000 |
| -0.000 | -0.000 | -0.000 | 0.000 | 0.000 | 22.803 |
| 96.948 | 60.819 | 60.819 | 0.000 | -0.000 | -0.000 |
| 60.819 | 96.948 | 60.819 | -0.000 | 0.000 | -0.000 |
| 60.819 | 60.819 | 96.948 | -0.000 | -0.000 | 0.000 |
| 0.000 | 0.000 | 0.000 | 62.421 | -0.000 | 0.000 |
| 0.000 | 0.000 | 0.000 | 0.000 | 62.421 | -0.000 |
| 0.000 | 0.000 | 0.000 | -0.000 | 0.000 | 62.421 |
| 96.948 | 60.819 | 60.819 | -0.000 | -0.000 | 0.000 |
| 60.819 | 96.948 | 60.819 | 0.000 | -0.000 | 0.000 |
| 60.819 | 60.819 | 96.948 | 0.000 | -0.000 | -0.000 |
| -0.000 | -0.000 | -0.000 | 62.421 | -0.000 | -0.000 |
| -0.000 | -0.000 | -0.000 | 0.000 | 62.421 | 0.000 |
| -0.000 | -0.000 | -0.000 | -0.000 | -0.000 | 62.421 |
| 96.948 | 60.819 | 60.819 | -0.000 | -0.000 | -0.000 |
| 60.819 | 96.948 | 60.819 | 0.000 | 0.000 | -0.000 |
| 60.819 | 60.819 | 96.948 | -0.000 | -0.000 | 0.000 |
| 0.000 | -0.000 | -0.000 | 22.803 | 0.000 | -0.000 |
| -0.000 | 0.000 | -0.000 | -0.000 | 22.803 | 0.000 |
| -0.000 | -0.000 | 0.000 | -0.000 | -0.000 | 22.803 |
| 96.947 | 60.819 | 60.819 | -0.000 | 0.000 | -0.000 |
| 60.819 | 96.947 | 60.819 | 0.000 | -0.000 | 0.000 |
| 60.819 | 60.819 | 96.947 | -0.000 | -0.000 | 0.000 |
| -0.000 | 0.000 | 0.000 | 22.803 | 0.000 | -0.000 |
| 0.000 | -0.000 | 0.000 | -0.000 | 22.803 | -0.000 |
| 0.000 | 0.000 | -0.000 | 0.000 | 0.000 | 22.803 |
| 180.388 | 160.942 | -65.278 | 0.000 | -77.374 | -0.000 |
| 128.996 | 241.760 | -46.562 | -0.000 | -75.935 | -0.000 |
| 43.305 | 47.196 | 189.699 | -0.000 | 25.013 | 0.000 |
| 85.622 | 81.962 | -106.827 | 51.339 | -72.828 | -4.731 |
| 42.580 | 108.960 | -121.482 | 0.000 | -49.003 | 0.000 |
| 87.394 | 81.699 | -108.629 | -5.970 | -72.340 | 31.638 |
| 199.187 | 13.676 | 45.758 | -0.000 | 16.920 | -0.000 |
| 16.026 | 215.739 | 46.134 | 0.000 | -26.725 | -0.000 |
| -15.506 | -26.682 | 263.941 | 0.000 | 94.751 | 0.000 |
| -85.622 | -81.962 | 106.826 | 51.339 | 72.828 | -4.731 |
| -82.232 | -89.383 | 119.064 | 0.000 | 113.202 | -0.000 |
| -87.394 | -81.699 | 108.629 | -5.970 | 72.340 | 31.638 |
| 149.511 | 55.761 | 52.007 | -0.000 | -0.641 | 0.000 |
| 50.435 | 166.990 | 53.614 | -0.000 | -13.358 | -0.000 |
| 64.853 | 74.302 | 142.654 | -0.000 | 5.667 | -0.000 |
| 3.307 | 9.299 | -10.864 | 51.102 | -6.906 | -4.081 |
| 6.821 | 3.328 | 0.495 | -0.000 | 32.110 | 0.000 |
| 3.265 | 9.180 | -10.725 | -4.639 | -6.818 | 30.343 |
| 199.187 | 13.676 | 45.758 | 0.000 | 16.920 | -0.000 |
| 40.489 | 152.195 | 75.378 | 0.000 | -0.303 | 0.000 |
| 59.587 | 56.255 | 162.250 | 0.000 | 19.146 | 0.000 |
| -3.307 | -9.299 | 10.864 | 51.102 | 6.906 | -4.081 |
| -3.760 | -13.536 | 20.172 | 0.000 | 45.721 | 0.000 |
| -3.265 | -9.180 | 10.725 | -4.639 | 6.818 | 30.343 |
| 139.898 | 46.535 | 62.396 | -0.000 | 7.027 | -0.000 |
| 44.701 | 161.905 | 63.308 | -0.000 | -7.849 | -0.000 |
| 64.000 | 63.901 | 151.882 | -0.000 | 10.124 | -0.000 |
| 0.921 | 0.778 | -1.024 | 52.140 | -0.724 | -5.287 |
| 4.409 | -6.415 | 10.409 | -0.000 | 39.257 | -0.000 |
| 1.181 | 0.778 | -1.160 | -5.631 | -0.703 | 31.297 |
| 138.615 | 44.892 | 63.874 | 0.000 | 9.430 | 0.000 |
| 44.770 | 159.561 | 62.965 | 0.000 | -7.014 | -0.000 |
| 61.001 | 63.781 | 155.086 | 0.000 | 13.473 | 0.000 |
| -0.921 | -0.778 | 1.024 | 52.140 | 0.724 | -5.287 |
| 3.111 | -8.037 | 13.510 | 0.000 | 41.040 | 0.000 |
| -1.181 | -0.778 | 1.160 | -5.631 | 0.703 | 31.297 |
| 0.000 | -0.000 | -0.000 | 0.000 | 0.000 | -0.000 |
| 0.000 | -0.000 | -0.000 | 0.000 | 0.000 | 0.000 |
| 0.000 | -0.000 | -0.000 | 0.000 | -0.000 | -0.000 |
| 0.000 | 0.000 | 0.000 | -0.000 | 0.000 | 0.000 |
| -0.000 | -0.000 | -0.000 | 0.000 | 0.000 | -0.000 |
| -0.000 | -0.000 | -0.000 | 0.000 | -0.000 | 0.000 |
| -0.000 | 0.000 | 0.000 | -0.000 | 0.000 | -0.000 |
| -0.000 | 0.000 | 0.000 | -0.000 | -0.000 | -0.000 |
| -0.000 | 0.000 | 0.000 | -0.000 | 0.000 | -0.000 |
| -0.000 | 0.000 | 0.000 | -0.000 | -0.000 | 0.000 |
| 0.000 | 0.000 | 0.000 | -0.000 | 0.000 | -0.000 |
| 0.000 | 0.000 | 0.000 | -0.000 | -0.000 | 0.000 |
| 0.000 | -0.000 | -0.000 | 0.000 | -0.000 | 0.000 |
| 0.000 | -0.000 | -0.000 | 0.000 | 0.000 | 0.000 |
| 0.000 | -0.000 | -0.000 | 0.000 | 0.000 | -0.000 |
| 0.000 | -0.000 | -0.000 | 0.000 | 0.000 | -0.000 |
| -0.000 | -0.000 | -0.000 | 0.000 | 0.000 | 0.000 |
| -0.000 | -0.000 | -0.000 | 0.000 | -0.000 | 0.000 |
| -0.000 | 0.000 | 0.000 | -0.000 | 0.000 | 0.000 |
| -0.000 | 0.000 | 0.000 | -0.000 | 0.000 | -0.000 |
| -0.000 | 0.000 | 0.000 | -0.000 | 0.000 | 0.000 |
| -0.000 | 0.000 | 0.000 | -0.000 | -0.000 | 0.000 |
| 0.000 | 0.000 | 0.000 | -0.000 | 0.000 | 0.000 |
| 0.000 | 0.000 | 0.000 | -0.000 | -0.000 | 0.000 |
| 0.000 | -0.000 | -0.000 | 0.000 | -0.000 | -0.000 |
| 0.000 | -0.002 | -0.002 | 0.000 | -0.000 | 0.000 |
| 0.000 | -0.003 | -0.003 | 0.000 | -0.000 | 0.000 |
| 0.000 | -0.000 | -0.000 | 0.000 | -0.000 | 0.000 |
| 0.000 | 0.000 | 0.000 | 0.000 | -0.000 | -0.000 |
| 0.000 | 0.000 | 0.000 | 0.000 | 0.000 | -0.000 |
| -0.000 | 0.000 | 0.000 | -0.000 | -0.000 | 0.000 |
| -0.000 | 0.002 | 0.002 | -0.000 | 0.000 | 0.000 |
| -0.000 | 0.003 | 0.003 | -0.000 | -0.000 | -0.000 |
| -0.000 | 0.000 | 0.000 | 0.000 | 0.000 | -0.000 |
| -0.000 | -0.000 | -0.000 | -0.000 | -0.000 | -0.000 |
| -0.000 | -0.000 | -0.000 | -0.000 | 0.000 | -0.000 |
| 353.783 | 51.638 | 8.475 | -0.000 | -0.000 | -0.000 |
| 27.619 | 186.933 | 0.000 | -0.000 | -0.000 | -0.000 |
| 32.040 | 0.000 | 30.715 | -0.000 | -0.000 | -0.000 |
| 0.000 | 0.000 | 0.000 | -0.000 | 0.000 | -0.000 |
| 0.016 | -0.018 | -0.002 | 0.000 | 0.000 | -0.000 |
| -0.000 | 0.000 | -0.000 | -0.000 | -0.000 | 73.361 |
| 399.944 | 27.619 | 32.041 | 0.000 | 0.000 | 0.000 |
| 27.619 | 186.933 | 0.000 | 0.000 | -0.000 | 0.000 |
| 32.029 | -0.000 | 30.729 | 0.000 | 0.000 | 0.000 |
| -0.000 | 0.000 | -0.000 | -0.000 | -0.000 | 0.000 |
| -0.016 | 0.018 | 0.002 | -0.000 | 0.000 | 0.000 |
| 0.000 | -0.000 | 0.000 | 0.000 | -0.000 | 73.362 |
| 399.949 | 27.619 | 32.035 | -0.000 | 0.000 | -0.000 |
| 27.619 | 186.933 | 0.000 | -0.000 | -0.000 | 0.000 |
| 32.035 | 0.000 | 30.721 | -0.000 | 0.000 | -0.000 |
| -0.000 | 0.000 | -0.000 | -0.000 | 0.000 | -0.000 |
| 0.002 | -0.002 | -0.000 | -0.000 | 0.000 | -0.000 |
| 0.002 | -0.002 | -0.000 | -0.000 | 0.000 | 56.007 |
| 353.765 | 51.657 | 8.481 | 0.000 | -0.000 | 0.000 |
| 27.619 | 186.933 | 0.000 | -0.000 | -0.000 | -0.000 |
| 32.035 | -0.000 | 30.721 | 0.000 | -0.000 | 0.000 |
| 0.000 | -0.000 | 0.000 | 0.000 | -0.000 | -0.000 |
| -0.002 | 0.002 | 0.000 | -0.000 | -0.000 | 0.000 |
| -0.002 | 0.002 | 0.000 | 0.000 | -0.000 | 56.007 |
| 349.918 | 46.100 | -0.002 | -0.000 | 0.000 | 0.000 |
| 46.098 | 166.391 | -0.000 | 0.000 | -0.000 | 0.000 |
| 0.000 | -0.000 | 0.000 | -0.000 | -0.000 | -0.000 |
| -0.000 | 0.000 | -0.000 | -0.000 | -0.000 | -0.000 |
| 0.000 | -0.000 | -0.000 | -0.000 | 0.000 | -0.000 |
| 0.000 | -0.000 | -0.000 | -0.000 | 0.000 | 56.007 |
| 349.927 | 46.097 | 0.002 | 0.000 | 0.000 | 0.000 |
| 46.098 | 166.390 | 0.000 | 0.000 | 0.000 | 0.000 |
| -0.015 | 0.000 | -0.014 | 0.000 | 0.000 | -0.000 |
| 0.000 | -0.000 | 0.000 | 0.000 | 0.000 | -0.000 |
| -0.000 | 0.000 | 0.000 | 0.000 | 0.000 | 0.000 |
| -0.000 | 0.000 | 0.000 | 0.000 | 0.000 | 56.007 |
| 204.540 | 22.873 | 38.244 | -0.000 | -0.000 | -0.000 |
| 24.756 | 204.360 | 35.031 | 0.000 | -0.000 | -0.000 |
| -108.611 | 93.081 | 259.184 | 0.000 | -0.000 | -0.000 |
| -127.256 | 60.544 | 78.112 | 12.913 | -0.000 | 0.000 |
| -0.000 | 0.000 | 0.000 | -0.000 | 71.465 | -0.000 |
| -123.850 | 58.923 | 76.022 | -0.000 | -0.000 | 15.372 |
| 204.540 | 22.873 | 38.244 | 0.000 | 0.000 | 0.000 |
| 145.855 | 143.920 | -61.687 | 0.000 | 0.000 | 0.000 |
| 126.016 | 1.915 | 48.962 | 0.000 | -0.000 | 0.000 |
| 127.256 | -60.544 | -78.112 | 12.913 | -0.000 | 0.000 |
| -0.000 | -0.000 | -0.000 | 0.000 | 71.465 | 0.000 |
| 123.850 | -58.923 | -76.022 | -0.000 | -0.000 | 15.372 |
| 135.086 | 60.538 | 49.836 | -0.000 | 0.000 | -0.000 |
| 47.137 | 162.210 | 65.287 | -0.000 | 0.000 | 0.000 |
| 38.987 | 62.958 | 126.848 | -0.000 | 0.000 | -0.000 |
| 0.000 | 0.000 | 0.000 | 56.606 | 0.000 | -0.000 |
| -6.756 | 3.214 | 4.147 | -0.000 | 36.634 | -0.000 |
| 0.000 | 0.000 | -0.000 | -0.000 | -0.000 | 59.426 |
| 152.997 | 50.989 | 41.106 | 0.000 | 0.000 | 0.000 |
| 62.258 | 154.903 | 56.163 | -0.000 | 0.000 | 0.000 |
| 38.895 | 33.799 | 172.978 | -0.000 | -0.000 | 0.000 |
| 0.000 | -0.000 | -0.000 | 56.606 | 0.000 | 0.000 |
| 6.756 | -3.214 | -4.147 | -0.000 | 36.634 | 0.000 |
| -0.000 | -0.000 | 0.000 | 0.000 | 0.000 | 59.426 |
| 146.837 | 51.730 | 51.449 | 0.000 | 0.000 | -0.000 |
| 53.066 | 160.270 | 60.417 | -0.000 | 0.000 | -0.000 |
| 50.527 | 57.767 | 124.619 | -0.000 | -0.000 | -0.000 |
| -0.765 | 0.364 | 0.469 | 30.349 | -0.000 | -0.000 |
| 0.000 | 0.000 | 0.000 | -0.000 | 71.465 | -0.000 |
| -0.638 | 0.304 | 0.392 | -0.000 | 0.000 | 36.728 |
| 146.963 | 53.268 | 46.942 | 0.000 | -0.000 | -0.000 |
| 54.560 | 159.520 | 59.553 | -0.000 | -0.000 | 0.000 |
| 48.742 | 58.180 | 121.635 | 0.000 | -0.000 | 0.000 |
| 0.765 | -0.364 | -0.469 | 30.349 | 0.000 | 0.000 |
| -0.000 | -0.000 | -0.000 | 0.000 | 71.465 | -0.000 |
| 0.638 | -0.304 | -0.392 | 0.000 | 0.000 | 36.728 |
| -718.286 | 578.239 | 474.339 | -0.000 | 0.000 | 0.000 |
| 41.225 | 175.621 | 35.203 | -0.000 | 0.000 | -0.000 |
| -593.341 | 619.649 | 480.297 | -0.000 | -0.000 | 0.000 |
| -423.729 | 510.865 | 196.785 | 41.182 | 0.000 | 0.000 |
| -645.599 | 570.456 | 338.827 | -0.000 | 43.090 | -0.000 |
| -178.060 | 452.743 | 114.540 | -0.000 | -0.000 | 49.548 |
| 771.603 | -518.823 | -286.362 | 0.000 | -0.000 | 0.000 |
| 41.225 | 175.621 | 35.204 | 0.000 | -0.000 | 0.000 |
| 233.962 | -398.377 | 16.430 | 0.000 | -0.000 | 0.000 |
| 423.729 | -510.865 | -196.785 | 41.182 | -0.000 | 0.000 |
| 178.058 | -452.739 | -114.539 | -0.000 | 49.595 | 0.000 |
| 178.060 | -452.743 | -114.540 | 0.000 | -0.000 | 49.548 |
| 171.152 | 41.112 | 41.073 | 0.000 | -0.000 | -0.000 |
| 41.225 | 175.621 | 35.203 | -0.000 | -0.000 | -0.000 |
| 36.359 | 97.630 | 146.146 | -0.000 | 0.000 | -0.000 |
| -79.737 | 49.177 | 39.153 | 16.872 | 0.000 | -0.000 |
| -79.566 | 49.071 | 39.069 | -0.000 | 16.153 | 0.000 |
| -65.256 | 57.353 | 34.209 | -0.000 | 0.000 | 42.430 |
| 187.835 | -4.184 | 19.722 | 0.000 | -0.000 | -0.000 |
| 142.950 | 62.688 | 33.882 | 0.000 | -0.000 | 0.000 |
| 142.471 | 24.370 | 72.833 | 0.000 | 0.000 | -0.000 |
| 79.737 | -49.177 | -39.153 | 16.872 | -0.000 | -0.000 |
| 79.566 | -49.071 | -39.069 | 0.000 | 16.153 | 0.000 |
| 65.256 | -57.353 | -34.209 | 0.000 | -0.000 | 42.430 |
| 120.420 | 59.105 | 56.293 | -0.000 | 0.000 | 0.000 |
| 48.729 | 137.624 | 58.175 | -0.000 | 0.000 | -0.000 |
| 52.002 | 61.063 | 133.669 | -0.000 | 0.000 | -0.000 |
| -4.240 | 5.384 | 2.459 | 38.617 | 0.000 | 0.000 |
| -4.634 | 5.315 | 2.299 | -0.000 | 38.989 | -0.000 |
| -3.491 | 5.077 | 2.090 | -0.000 | 0.000 | 38.930 |
| 128.560 | 49.963 | 52.379 | 0.000 | 0.000 | 0.000 |
| 62.989 | 129.217 | 56.468 | 0.000 | -0.000 | -0.000 |
| 63.850 | 50.539 | 129.679 | 0.000 | -0.000 | 0.000 |
| 4.240 | -5.384 | -2.459 | 38.617 | -0.000 | 0.000 |
| 6.536 | -5.382 | -3.381 | 0.000 | 39.123 | 0.000 |
| 3.491 | -5.077 | -2.090 | 0.000 | -0.000 | 38.930 |
| 173.962 | 35.001 | 42.934 | -0.000 | 7.343 | 0.000 |
| 57.442 | 123.268 | 59.528 | -0.000 | -1.479 | 0.000 |
| 42.886 | 43.076 | 167.567 | -0.000 | 0.711 | -0.000 |
| 0.000 | 0.000 | 0.000 | 72.999 | 0.000 | 1.265 |
| 1.105 | 0.765 | 0.359 | -0.000 | 38.565 | 0.000 |
| -0.000 | 0.000 | 0.000 | 1.265 | 0.000 | 64.114 |
| 131.415 | 58.144 | 60.021 | 0.000 | 6.499 | -0.000 |
| 58.370 | 124.988 | 59.513 | 0.000 | 2.838 | -0.000 |
| 59.970 | 59.040 | 131.954 | 0.000 | 2.772 | -0.000 |
| -0.000 | -0.000 | -0.000 | 72.999 | -0.000 | 1.265 |
| 2.183 | 0.492 | 0.711 | 0.000 | 75.757 | 0.000 |
| -0.000 | -0.000 | -0.000 | 1.265 | -0.000 | 64.114 |
| 173.962 | 35.001 | 42.934 | -0.000 | 7.343 | 0.000 |
| 57.659 | 124.456 | 59.369 | 0.000 | 0.510 | 0.000 |
| 42.886 | 43.076 | 167.567 | -0.000 | 0.711 | -0.000 |
| 0.000 | 0.000 | 0.000 | 72.999 | -0.000 | 1.265 |
| 2.183 | 0.492 | 0.711 | 0.000 | 75.757 | 0.000 |
| 0.000 | 0.000 | 0.000 | 1.265 | 0.000 | 64.114 |
| 130.959 | 57.987 | 59.538 | 0.000 | 4.558 | 0.000 |
| 58.320 | 122.713 | 58.494 | 0.000 | 0.592 | -0.000 |
| 42.886 | 43.076 | 167.567 | 0.000 | 0.711 | 0.000 |
| -0.000 | -0.000 | -0.000 | 72.999 | -0.000 | 1.265 |
| 2.183 | 0.492 | 0.711 | -0.000 | 75.757 | 0.000 |
| -0.000 | -0.000 | -0.000 | 1.265 | -0.000 | 64.114 |
| 130.863 | 57.990 | 59.496 | -0.000 | 4.321 | 0.000 |
| 34.967 | 167.000 | 43.076 | -0.000 | 0.492 | 0.000 |
| 59.228 | 59.323 | 131.143 | -0.000 | 0.641 | -0.000 |
| -0.009 | 0.001 | -0.003 | 36.482 | -0.021 | 0.679 |
| 2.666 | -0.098 | 0.476 | -0.000 | 38.564 | 0.000 |
| 0.000 | 0.000 | 0.000 | 1.265 | -0.000 | 64.114 |
| 129.009 | 58.078 | 58.413 | -0.000 | 4.485 | 0.000 |
| 57.410 | 122.359 | 58.923 | 0.000 | -0.527 | 0.000 |
| 59.238 | 59.312 | 131.168 | -0.000 | 0.683 | 0.000 |
| 0.009 | -0.001 | 0.003 | 36.482 | 0.021 | 0.679 |
| 2.183 | 0.492 | 0.711 | 0.000 | 75.757 | -0.000 |
| -0.000 | -0.000 | -0.000 | 1.265 | 0.000 | 64.114 |
| 28.317 | -16.992 | -250.319 | -0.000 | 163.905 | -0.000 |
| 120.209 | 57.522 | -180.589 | -0.000 | 5.558 | 0.000 |
| 42.605 | 42.226 | 166.253 | -0.000 | 0.746 | 0.000 |
| -328.734 | 159.837 | -213.766 | 27.595 | -234.509 | 3.018 |
| -63.861 | -65.873 | -345.317 | -0.000 | -47.690 | 0.000 |
| -328.737 | 159.838 | -213.785 | 3.116 | -234.512 | 31.081 |
| 442.506 | -94.988 | 276.269 | 0.000 | 241.253 | -0.000 |
| 27.847 | 128.033 | 325.895 | 0.000 | -3.269 | 0.000 |
| 389.546 | -98.400 | 332.907 | -0.000 | 234.962 | -0.000 |
| 328.734 | -159.837 | 213.766 | 27.595 | 234.509 | 3.018 |
| -44.883 | 36.455 | 252.319 | 0.000 | 0.855 | 0.000 |
| 328.737 | -159.838 | 213.785 | 3.116 | 234.512 | 31.081 |
| 172.832 | 34.249 | 42.832 | -0.000 | 7.593 | 0.000 |
| 33.644 | 125.231 | 41.378 | -0.000 | -25.276 | 0.000 |
| 73.355 | 65.595 | 82.941 | -0.000 | 0.814 | 0.000 |
| -0.000 | 0.000 | 0.000 | 72.306 | 0.000 | 1.104 |
| 2.076 | 0.498 | 0.746 | -0.000 | 75.145 | 0.000 |
| 4.413 | -3.386 | -24.102 | 0.167 | 0.420 | 12.774 |
| 102.410 | 72.528 | 90.580 | -0.000 | 2.073 | -0.000 |
| 95.308 | 101.751 | 79.545 | 0.000 | 21.655 | 0.000 |
| 42.605 | 42.226 | 166.253 | 0.000 | 0.746 | 0.000 |
| 0.000 | -0.000 | -0.000 | 72.306 | -0.000 | 1.104 |
| 10.590 | -9.007 | 31.410 | 0.000 | 38.998 | 0.000 |
| -4.413 | 3.386 | 24.102 | 0.167 | -0.420 | 12.774 |
| 125.974 | 58.477 | 55.500 | -0.000 | 5.593 | 0.000 |
| 57.875 | 120.852 | 58.381 | -0.000 | -2.666 | 0.000 |
| 59.933 | 59.171 | 126.114 | -0.000 | 0.554 | -0.000 |
| -1.667 | -0.036 | -3.173 | 35.227 | -0.854 | 1.153 |
| 1.680 | -0.139 | -1.539 | 0.000 | 36.231 | -0.000 |
| 0.266 | -0.204 | -1.452 | 0.579 | 0.025 | 33.228 |
| 129.170 | 56.566 | 60.245 | -0.000 | 3.556 | -0.000 |
| 58.131 | 121.730 | 62.563 | 0.000 | -0.037 | -0.000 |
| 59.519 | 57.154 | 131.677 | 0.000 | 1.739 | -0.000 |
| 1.152 | -1.178 | 3.332 | 34.418 | 0.327 | 0.553 |
| 4.216 | -1.255 | 2.068 | 0.000 | 36.111 | -0.000 |
| -0.266 | 0.204 | 1.452 | 0.579 | -0.025 | 33.228 |
| 131.082 | 58.013 | 58.013 | -0.000 | -0.000 | 0.000 |
| 58.013 | 131.081 | 58.013 | -0.000 | -0.000 | 0.000 |
| 58.013 | 58.013 | 131.081 | -0.000 | -0.000 | -0.000 |
| 1.189 | 1.189 | 1.189 | 34.228 | 0.000 | -0.000 |
| 1.189 | 1.189 | 1.189 | -0.000 | 34.228 | 0.000 |
| 1.189 | 1.189 | 1.189 | -0.000 | -0.000 | 34.228 |
| 169.458 | 38.194 | 38.194 | 0.000 | -0.000 | -0.000 |
| 38.194 | 169.458 | 38.194 | 0.000 | 0.000 | -0.000 |
| 38.194 | 38.194 | 169.458 | 0.000 | -0.000 | 0.000 |
| -1.189 | -1.189 | -1.189 | 34.228 | 0.000 | -0.000 |
| -1.189 | -1.189 | -1.189 | 0.000 | 34.228 | -0.000 |
| -1.189 | -1.189 | -1.189 | 0.000 | -0.000 | 34.228 |
| 169.458 | 38.194 | 38.194 | -0.000 | 0.000 | 0.000 |
| 38.194 | 169.458 | 38.194 | -0.000 | -0.000 | 0.000 |
| 38.194 | 38.194 | 169.458 | -0.000 | 0.000 | 0.000 |
| 0.115 | 0.115 | 0.115 | 35.416 | 0.000 | 0.000 |
| 0.115 | 0.115 | 0.115 | -0.000 | 35.416 | 0.000 |
| 0.115 | 0.115 | 0.115 | -0.000 | -0.000 | 35.416 |
| 130.197 | 56.666 | 56.666 | 0.000 | -0.000 | 0.000 |
| 56.666 | 130.197 | 56.666 | 0.000 | 0.000 | 0.000 |
| 56.666 | 56.666 | 130.197 | -0.000 | 0.000 | -0.000 |
| -0.115 | -0.115 | -0.115 | 35.416 | 0.000 | -0.000 |
| -0.115 | -0.115 | -0.115 | 0.000 | 35.416 | -0.000 |
| -0.115 | -0.115 | -0.115 | -0.000 | -0.000 | 35.416 |
| 130.429 | 56.731 | 56.731 | -0.000 | -0.000 | 0.000 |
| 56.731 | 130.429 | 56.731 | -0.000 | -0.000 | -0.000 |
| 56.731 | 56.731 | 130.429 | -0.000 | 0.000 | 0.000 |
| 0.000 | 0.000 | 0.000 | 68.079 | 0.000 | 0.000 |
| 0.000 | 0.000 | 0.000 | 0.000 | 68.079 | 0.000 |
| 0.000 | 0.000 | 0.000 | -0.000 | 0.000 | 68.079 |
| 130.386 | 56.719 | 56.719 | 0.000 | -0.000 | -0.000 |
| 56.719 | 130.386 | 56.719 | 0.000 | 0.000 | -0.000 |
| 56.719 | 56.719 | 130.386 | 0.000 | -0.000 | -0.000 |
| -0.000 | -0.000 | -0.000 | 68.079 | 0.000 | -0.000 |
| -0.000 | -0.000 | -0.000 | 0.000 | 68.079 | -0.000 |
| -0.000 | -0.000 | -0.000 | 0.000 | -0.000 | 68.079 |
| 168.407 | 37.702 | 37.702 | -0.000 | -0.000 | -0.000 |
| 37.702 | 168.407 | 37.702 | -0.000 | 0.000 | -0.000 |
| 37.702 | 37.702 | 168.407 | -0.000 | 0.000 | 0.000 |
| -24.513 | -24.513 | -24.513 | 22.795 | -0.000 | -0.000 |
| -24.513 | -24.513 | -24.513 | 0.000 | 22.795 | -0.000 |
| -24.513 | -24.513 | -24.513 | 0.000 | -0.000 | 22.795 |
| 131.211 | 93.059 | 93.059 | 0.000 | 0.000 | 0.000 |
| 93.059 | 131.211 | 93.059 | -0.000 | 0.000 | -0.000 |
| 93.059 | 93.059 | 131.211 | -0.000 | -0.000 | -0.000 |
| 24.513 | 24.513 | 24.513 | 22.795 | 0.000 | 0.000 |
| 24.513 | 24.513 | 24.513 | -0.000 | 22.795 | -0.000 |
| 24.513 | 24.513 | 24.513 | 0.000 | -0.000 | 22.795 |
| 168.407 | 37.702 | 37.702 | -0.000 | -0.000 | 0.000 |
| 37.702 | 168.407 | 37.702 | 0.000 | 0.000 | 0.000 |
| 37.702 | 37.702 | 168.407 | 0.000 | -0.000 | 0.000 |
| -2.007 | -2.007 | -2.007 | 29.049 | -0.000 | -0.000 |
| -2.007 | -2.007 | -2.007 | -0.000 | 29.049 | -0.000 |
| -2.007 | -2.007 | -2.007 | 0.000 | -0.000 | 29.049 |
| 127.431 | 56.130 | 56.130 | -0.000 | 0.000 | 0.000 |
| 56.130 | 127.431 | 56.130 | -0.000 | 0.000 | -0.000 |
| 56.130 | 56.130 | 127.431 | -0.000 | 0.000 | 0.000 |
| 2.007 | 2.007 | 2.007 | 29.049 | 0.000 | 0.000 |
| 2.007 | 2.007 | 2.007 | 0.000 | 29.049 | -0.000 |
| 2.007 | 2.007 | 2.007 | 0.000 | 0.000 | 29.049 |
| 129.444 | 55.948 | 55.948 | -0.000 | -0.000 | -0.000 |
| 55.948 | 129.444 | 55.948 | 0.000 | 0.000 | 0.000 |
| 56.248 | 56.248 | 127.418 | 0.000 | -0.000 | -0.000 |
| -0.168 | -0.168 | -0.168 | 35.342 | -0.000 | -0.000 |
| -0.168 | -0.168 | -0.168 | 0.000 | 35.342 | -0.000 |
| -0.168 | -0.168 | -0.168 | 0.000 | -0.000 | 35.342 |
| 127.124 | 56.604 | 56.604 | 0.000 | -0.000 | 0.000 |
| 56.604 | 127.124 | 56.604 | -0.000 | 0.000 | 0.000 |
| 56.604 | 56.604 | 127.124 | -0.000 | 0.000 | 0.000 |
| 0.168 | 0.168 | 0.168 | 35.342 | -0.000 | 0.000 |
| 0.168 | 0.168 | 0.168 | 0.000 | 35.342 | -0.000 |
| 0.168 | 0.168 | 0.168 | -0.000 | 0.000 | 35.342 |
| 176.669 | 35.227 | 35.227 | -0.000 | 0.000 | 0.000 |
| 35.227 | 176.669 | 35.227 | -0.000 | 0.000 | 0.000 |
| 35.227 | 35.227 | 176.669 | -0.000 | 0.000 | -0.000 |
| 0.000 | -0.000 | -0.000 | 65.144 | 0.000 | 0.000 |
| 0.000 | 0.000 | 0.000 | 0.000 | 65.144 | 0.000 |
| -0.000 | 0.000 | -0.000 | -0.000 | 0.000 | 65.144 |
| 127.394 | 57.053 | 57.053 | -0.000 | -0.000 | 0.000 |
| 57.053 | 127.394 | 57.053 | -0.000 | 0.000 | -0.000 |
| 57.053 | 57.053 | 127.394 | 0.000 | -0.000 | -0.000 |
| -0.000 | 0.000 | 0.000 | 65.144 | -0.000 | 0.000 |
| -0.000 | -0.000 | 0.000 | 0.000 | 65.144 | -0.000 |
| 0.000 | 0.000 | 0.000 | -0.000 | -0.000 | 65.144 |
| 176.669 | 35.227 | 35.227 | 0.000 | 0.000 | 0.000 |
| 35.227 | 176.669 | 35.227 | -0.000 | 0.000 | 0.000 |
| 35.227 | 35.227 | 176.669 | -0.000 | 0.000 | 0.000 |
| 0.000 | 0.000 | 0.000 | 65.144 | -0.000 | -0.000 |
| 0.000 | 0.000 | 0.000 | 0.000 | 65.144 | 0.000 |
| 0.000 | 0.000 | -0.000 | -0.000 | 0.000 | 65.144 |
| 176.669 | 35.227 | 35.227 | 0.000 | -0.000 | 0.000 |
| 35.227 | 176.669 | 35.227 | -0.000 | -0.000 | -0.000 |
| 35.227 | 35.227 | 176.669 | -0.000 | -0.000 | -0.000 |
| -0.000 | -0.000 | -0.000 | 65.144 | -0.000 | -0.000 |
| -0.000 | -0.000 | -0.000 | 0.000 | 65.144 | 0.000 |
| 0.000 | -0.000 | 0.000 | 0.000 | -0.000 | 65.144 |
| 127.907 | 57.507 | 57.507 | 0.000 | 0.000 | 0.000 |
| 57.507 | 127.907 | 57.507 | 0.000 | 0.000 | 0.000 |
| 57.507 | 57.507 | 127.907 | 0.000 | 0.000 | 0.000 |
| 0.000 | 0.000 | 0.000 | 33.890 | 0.000 | -0.000 |
| 0.000 | 0.000 | 0.000 | -0.000 | 33.890 | 0.000 |
| 0.000 | 0.000 | 0.000 | 0.000 | 0.000 | 33.890 |
| 129.311 | 57.388 | 57.388 | -0.000 | -0.000 | -0.000 |
| 57.388 | 129.311 | 57.388 | 0.000 | -0.000 | -0.000 |
| 57.388 | 57.388 | 129.311 | -0.000 | -0.000 | 0.000 |
| -0.000 | -0.000 | -0.000 | 33.890 | -0.000 | -0.000 |
| -0.000 | -0.000 | -0.000 | -0.000 | 33.890 | -0.000 |
| -0.000 | -0.000 | -0.000 | -0.000 | -0.000 | 33.890 |
| 131.045 | 56.085 | 57.590 | -0.412 | 0.625 | 0.026 |
| 34.687 | 175.384 | 34.687 | 0.000 | -0.000 | -0.000 |
| 57.787 | 56.058 | 130.867 | -0.413 | 0.626 | 0.027 |
| -0.000 | -0.000 | -0.000 | 64.820 | -0.000 | -0.000 |
| 5.951 | 11.002 | 6.596 | 1.204 | -9.952 | -0.078 |
| 5.954 | 11.008 | 6.599 | 1.205 | -1.828 | -8.240 |
| 175.384 | 34.687 | 34.687 | -0.000 | 0.000 | 0.000 |
| 34.687 | 175.384 | 34.687 | -0.000 | 0.000 | 0.000 |
| 50.753 | 49.219 | 127.148 | -0.362 | 0.549 | 0.023 |
| -3.228 | -1.489 | -3.006 | 34.200 | -0.630 | -0.027 |
| 0.000 | 0.000 | 0.000 | -0.000 | 64.820 | 0.000 |
| 4.397 | 1.268 | 3.998 | -0.747 | 1.133 | 54.072 |
| 133.837 | 51.741 | 51.501 | 0.066 | -0.100 | -0.004 |
| 68.891 | 103.738 | 68.932 | 0.077 | -0.116 | -0.005 |
| 58.375 | 58.288 | 121.485 | -0.021 | 0.032 | 0.001 |
| 0.000 | 0.000 | 0.000 | 64.820 | -0.000 | -0.000 |
| -0.195 | 0.075 | -0.160 | 0.064 | 40.863 | -0.004 |
| 0.345 | 0.245 | 0.332 | -0.024 | 0.036 | 29.999 |
| 133.961 | 51.574 | 51.820 | -0.067 | 0.102 | 0.004 |
| 56.848 | 124.284 | 56.828 | -0.038 | 0.057 | 0.002 |
| 51.842 | 51.561 | 133.951 | -0.067 | 0.102 | 0.004 |
| 0.137 | 0.013 | 0.121 | 33.510 | 0.045 | 0.002 |
| -0.416 | -0.769 | -0.461 | -0.084 | 13.946 | 0.005 |
| -0.345 | -0.245 | -0.332 | 0.024 | -0.036 | 30.014 |
| 126.240 | 56.142 | 56.127 | 0.004 | -0.006 | -0.000 |
| 55.785 | 126.225 | 55.787 | 0.003 | -0.005 | -0.000 |
| 56.889 | 56.900 | 126.620 | 0.003 | -0.004 | -0.000 |
| 0.025 | 0.046 | 0.028 | 34.282 | -0.008 | -0.000 |
| 0.027 | 0.039 | 0.029 | 0.003 | 33.405 | -0.000 |
| 0.008 | 0.025 | 0.010 | 0.004 | -0.006 | 33.527 |
| 126.226 | 56.077 | 56.092 | -0.004 | 0.006 | 0.000 |
| 56.823 | 126.588 | 56.822 | -0.003 | 0.004 | 0.000 |
| 56.094 | 56.077 | 126.225 | -0.004 | 0.006 | 0.000 |
| -0.027 | -0.039 | -0.029 | 33.407 | 0.004 | 0.000 |
| -0.027 | -0.039 | -0.029 | -0.003 | 33.418 | 0.000 |
| 0.002 | -0.013 | 0.000 | -0.004 | 0.005 | 33.546 |
| 164.053 | 36.007 | 38.789 | 3.766 | 0.000 | 0.000 |
| 36.006 | 164.052 | 38.789 | -3.766 | 0.000 | 0.000 |
| 38.696 | 38.695 | 163.236 | 0.001 | 0.000 | 0.000 |
| 3.766 | -3.767 | -0.001 | 67.529 | -0.000 | 0.000 |
| 0.000 | -0.000 | -0.000 | -0.000 | 67.529 | 3.766 |
| 1.176 | 1.176 | -17.573 | -0.001 | -1.524 | 22.762 |
| 148.141 | 73.436 | 19.673 | -4.470 | 0.000 | -0.000 |
| 36.007 | 164.053 | 38.789 | -3.766 | -0.000 | -0.000 |
| 38.696 | 38.696 | 163.236 | -0.001 | -0.000 | -0.000 |
| 23.907 | 33.039 | -44.719 | 41.016 | 0.000 | -0.000 |
| 0.000 | 0.000 | 0.000 | 0.000 | 67.529 | 3.766 |
| -1.176 | -1.176 | 17.573 | 0.001 | -1.524 | 22.762 |
| 164.053 | 36.006 | 38.789 | 3.766 | 0.000 | 0.000 |
| 36.006 | 164.053 | 38.789 | -3.766 | -0.000 | 0.000 |
| 57.884 | 57.884 | 121.077 | 0.000 | 0.000 | 0.000 |
| 3.766 | -3.766 | 0.000 | 67.529 | 0.000 | 0.000 |
| 1.223 | 1.223 | -1.474 | 0.000 | 32.153 | 2.130 |
| -0.016 | -0.016 | 0.396 | -0.000 | -0.613 | 30.146 |
| 164.052 | 36.006 | 38.789 | 3.766 | -0.000 | -0.000 |
| 59.752 | 118.741 | 52.745 | 1.084 | 0.000 | 0.000 |
| 38.696 | 38.696 | 163.236 | -0.000 | -0.000 | 0.000 |
| 3.766 | -3.766 | 0.000 | 67.529 | -0.000 | -0.000 |
| -1.223 | -1.223 | 1.474 | -0.000 | 32.153 | 2.130 |
| 0.016 | 0.016 | -0.396 | 0.000 | -0.613 | 30.146 |
| 121.080 | 55.904 | 53.599 | 0.784 | 0.000 | 0.000 |
| 56.912 | 122.079 | 56.622 | -0.629 | 0.000 | 0.000 |
| 54.699 | 54.699 | 113.629 | 0.000 | 0.000 | 0.000 |
| -0.804 | 0.840 | -0.086 | 32.079 | -0.000 | 0.000 |
| 0.115 | 0.115 | -0.138 | -0.000 | 34.371 | 2.232 |
| 0.050 | 0.050 | -0.040 | -0.000 | 0.735 | 32.568 |
| 122.000 | 56.827 | 56.678 | 0.637 | 0.000 | -0.000 |
| 56.822 | 122.009 | 56.674 | -0.637 | 0.000 | -0.000 |
| 55.940 | 55.940 | 117.693 | -0.000 | 0.000 | -0.000 |
| 3.766 | -3.766 | -0.000 | 67.529 | -0.000 | 0.000 |
| -0.115 | -0.115 | 0.138 | 0.000 | 34.371 | 2.232 |
| -0.050 | -0.050 | 0.040 | 0.000 | 0.735 | 32.568 |
| -125.300 | -121.010 | 139.711 | 0.000 | -0.000 | -0.000 |
| -11.227 | 128.202 | -132.616 | 0.000 | -0.000 | 0.000 |
| -7.155 | -7.155 | 1.733 | 0.000 | 0.000 | -0.000 |
| -206.919 | -206.919 | 55.910 | -3.237 | 0.000 | 0.000 |
| -0.000 | -0.000 | 0.001 | 0.000 | 73.246 | -0.000 |
| -46.401 | -46.401 | -172.213 | -0.000 | -0.000 | 70.092 |
| 222.098 | 81.353 | 211.120 | 0.000 | 0.000 | 0.000 |
| 81.354 | 222.097 | 211.121 | 0.000 | 0.000 | 0.000 |
| 37.597 | 37.597 | 178.763 | -0.000 | 0.000 | 0.000 |
| 0.000 | -0.000 | -0.000 | 73.246 | -0.000 | 0.000 |
| 0.000 | 0.000 | -0.001 | 0.000 | 73.245 | 0.000 |
| 46.401 | 46.401 | 172.213 | 0.000 | 0.000 | 70.092 |
| 180.005 | 36.273 | 37.550 | 0.000 | -0.000 | -0.000 |
| 36.272 | 180.005 | 37.550 | 0.000 | -0.000 | 0.000 |
| 37.597 | 37.597 | 178.763 | -0.000 | -0.000 | -0.000 |
| -19.720 | -19.720 | 5.328 | 0.355 | -0.000 | 0.000 |
| 0.000 | -0.000 | -0.000 | 0.000 | 73.245 | -0.000 |
| -0.000 | 0.000 | 0.000 | 0.000 | 0.000 | 71.866 |
| 104.650 | 103.461 | 76.848 | -0.000 | -0.000 | 0.000 |
| 51.653 | 167.277 | 59.887 | -0.000 | -0.000 | 0.000 |
| 37.597 | 37.597 | 178.762 | 0.000 | 0.000 | 0.000 |
| 19.720 | 19.720 | -5.328 | 0.355 | 0.000 | -0.000 |
| -0.000 | -0.000 | -0.000 | -0.000 | 73.245 | 0.000 |
| -0.000 | -0.000 | -0.000 | 0.000 | -0.000 | 71.866 |
| 135.108 | 55.461 | 56.679 | -0.000 | -0.000 | 0.000 |
| 36.273 | 180.006 | 37.550 | 0.000 | -0.000 | -0.000 |
| 56.631 | 56.631 | 135.297 | 0.000 | -0.000 | -0.000 |
| -1.004 | -1.004 | 0.271 | 36.135 | -0.000 | 0.000 |
| 0.000 | 0.000 | 0.000 | 0.000 | 73.245 | -0.000 |
| -1.010 | -1.010 | 0.273 | 0.000 | -0.000 | 35.667 |
| 133.606 | 60.804 | 59.510 | -0.000 | -0.000 | 0.000 |
| 60.803 | 133.607 | 59.510 | 0.000 | 0.000 | -0.000 |
| 60.515 | 60.515 | 133.547 | -0.000 | -0.000 | 0.000 |
| 1.004 | 1.004 | -0.271 | 36.135 | 0.000 | 0.000 |
| -0.000 | -0.000 | -0.000 | 0.000 | 73.245 | -0.000 |
| 1.010 | 1.010 | -0.273 | -0.000 | -0.000 | 35.667 |
| 169.381 | 39.628 | 44.261 | -0.000 | 0.000 | 0.000 |
| 39.628 | 169.381 | 44.261 | -0.000 | 0.000 | 0.000 |
| 53.158 | 53.191 | 98.559 | 0.447 | 0.844 | 0.005 |
| -9.454 | -9.427 | -25.146 | 14.339 | 0.584 | 0.001 |
| -15.381 | -15.352 | -36.496 | 0.373 | 29.287 | 0.002 |
| 0.000 | 0.000 | -0.000 | -0.000 | -0.000 | 61.445 |
| 99.198 | 84.217 | 92.279 | -0.255 | -0.597 | -0.001 |
| 64.305 | 115.934 | 77.662 | -0.414 | -0.824 | -0.000 |
| 53.743 | 53.709 | 176.994 | -0.428 | -0.826 | -0.005 |
| -0.681 | -0.715 | 42.018 | 45.508 | -0.836 | -0.005 |
| -1.148 | -1.196 | 16.728 | -0.518 | 29.789 | -0.007 |
| -0.773 | -0.807 | 42.095 | -0.437 | -0.836 | 37.914 |
| 114.359 | 62.781 | 58.846 | 0.021 | 0.048 | 0.000 |
| 62.779 | 114.363 | 58.844 | 0.021 | 0.048 | 0.000 |
| 54.898 | 54.902 | 124.848 | 0.035 | 0.074 | 0.000 |
| -0.067 | -0.064 | -3.398 | 31.353 | 0.067 | 0.000 |
| -0.068 | -0.065 | -3.395 | 0.031 | 31.388 | 0.000 |
| -0.620 | -0.618 | -1.880 | 0.023 | 0.052 | 23.952 |
| 112.955 | 55.231 | 60.380 | -0.041 | -0.083 | -0.000 |
| 55.234 | 112.952 | 60.380 | -0.041 | -0.083 | -0.000 |
| 59.388 | 59.385 | 132.292 | -0.043 | -0.087 | -0.000 |
| 0.736 | 0.732 | 2.760 | 30.783 | -0.071 | -0.001 |
| 0.422 | 0.419 | 2.393 | -0.040 | 31.071 | -0.000 |
| -0.000 | -0.000 | 0.000 | -0.000 | -0.000 | 61.445 |
| 108.875 | 52.397 | 56.521 | 0.006 | 0.012 | 0.000 |
| 52.309 | 108.768 | 56.725 | 0.004 | 0.008 | 0.000 |
| 58.074 | 58.075 | 128.679 | 0.003 | 0.006 | 0.000 |
| -0.274 | -0.274 | -0.396 | 30.487 | 0.008 | 0.000 |
| 0.012 | 0.012 | -0.378 | 0.006 | 31.729 | 0.000 |
| -0.260 | -0.259 | -0.400 | 0.003 | 0.007 | 24.404 |
| 110.077 | 52.744 | 58.134 | -0.001 | -0.003 | -0.000 |
| 53.478 | 110.899 | 56.892 | -0.005 | -0.010 | -0.000 |
| 58.421 | 58.421 | 130.152 | -0.003 | -0.007 | -0.000 |
| -0.011 | -0.011 | 0.155 | 33.718 | -0.010 | -0.000 |
| -0.010 | -0.011 | 0.374 | -0.006 | 31.730 | -0.000 |
| -0.010 | -0.011 | 0.149 | -0.005 | -0.009 | 27.654 |
| 156.789 | 32.747 | 38.234 | -0.000 | 0.000 | -0.000 |
| 32.747 | 156.789 | 38.234 | -0.000 | 0.000 | 0.000 |
| 50.402 | 50.402 | 119.789 | 0.000 | 0.000 | 0.000 |
| -0.000 | -0.000 | 0.001 | 32.082 | 0.000 | 0.000 |
| -0.000 | -0.000 | 0.000 | -0.000 | 32.082 | 0.000 |
| -0.001 | -0.001 | 0.002 | 0.000 | 0.000 | 28.599 |
| 114.997 | 48.434 | 57.615 | 0.000 | -0.000 | -0.000 |
| 48.434 | 114.997 | 57.615 | 0.000 | 0.000 | -0.000 |
| 53.942 | 53.942 | 122.301 | -0.000 | -0.000 | 0.000 |
| 0.000 | 0.000 | -0.000 | 32.082 | -0.000 | -0.000 |
| 0.000 | 0.000 | -0.001 | 0.000 | 32.082 | -0.000 |
| 0.001 | 0.001 | -0.002 | -0.000 | -0.000 | 28.599 |
| 108.756 | 49.352 | 51.464 | -0.000 | 0.000 | 0.000 |
| 49.352 | 108.756 | 51.464 | -0.000 | 0.000 | 0.000 |
| 38.234 | 38.234 | 166.261 | -0.000 | 0.000 | -0.000 |
| -0.000 | -0.000 | 0.000 | 32.082 | 0.000 | -0.000 |
| -0.000 | -0.000 | 0.000 | 0.000 | 32.082 | -0.000 |
| 0.000 | 0.000 | 0.000 | -0.000 | 0.000 | 57.813 |
| 114.997 | 48.433 | 57.616 | 0.000 | -0.000 | -0.000 |
| 48.433 | 114.997 | 57.616 | 0.000 | -0.000 | 0.000 |
| 53.942 | 53.942 | 122.301 | -0.000 | -0.000 | -0.000 |
| 0.000 | 0.000 | -0.000 | 32.082 | -0.000 | -0.000 |
| 0.000 | 0.000 | -0.000 | -0.000 | 32.082 | 0.000 |
| -0.000 | -0.000 | -0.000 | 0.000 | -0.000 | 57.813 |
| 108.757 | 49.352 | 51.463 | -0.000 | 0.000 | 0.000 |
| 49.352 | 108.757 | 51.463 | -0.000 | 0.000 | -0.000 |
| 54.964 | 54.964 | 126.675 | 0.000 | 0.000 | 0.000 |
| 0.000 | 0.000 | 0.000 | 65.977 | 0.000 | 0.000 |
| 0.000 | 0.000 | 0.000 | 0.000 | 65.977 | 0.000 |
| 0.000 | 0.000 | 0.000 | -0.000 | 0.000 | 57.813 |
| 111.026 | 52.751 | 52.701 | 0.000 | 0.000 | -0.000 |
| 52.751 | 111.026 | 52.701 | 0.000 | -0.000 | -0.000 |
| 54.964 | 54.964 | 126.673 | 0.000 | -0.000 | 0.000 |
| -0.000 | -0.000 | -0.000 | 65.977 | -0.000 | 0.000 |
| -0.000 | -0.000 | -0.000 | -0.000 | 65.977 | 0.000 |
| -0.000 | -0.000 | -0.000 | 0.000 | -0.000 | 57.813 |
| 132.183 | 57.943 | 58.559 | 0.000 | -0.000 | 0.000 |
| 58.450 | 132.867 | 56.634 | 0.000 | 0.000 | -0.000 |
| 58.690 | 55.319 | 127.992 | 0.000 | 0.000 | 0.000 |
| -0.000 | 0.000 | 0.000 | 71.662 | 0.000 | 0.000 |
| 0.000 | -0.000 | -0.000 | 0.000 | 74.372 | 0.000 |
| -0.000 | 0.000 | 0.000 | 0.000 | 0.000 | 67.958 |
| 175.724 | 35.054 | 41.780 | -0.000 | -0.000 | -0.000 |
| 35.054 | 177.493 | 37.895 | -0.000 | -0.000 | -0.000 |
| 41.780 | 37.895 | 170.370 | -0.000 | -0.000 | -0.000 |
| 0.000 | -0.000 | -0.000 | 71.662 | 0.000 | -0.000 |
| 0.000 | 0.000 | 0.000 | -0.000 | 74.372 | -0.000 |
| 0.000 | -0.000 | -0.000 | -0.000 | -0.000 | 67.957 |
| 133.157 | 58.120 | 58.483 | 0.000 | 0.000 | 0.000 |
| 57.182 | 130.972 | 55.620 | 0.000 | 0.000 | 0.000 |
| 41.780 | 37.895 | 170.370 | 0.000 | 0.000 | 0.000 |
| 0.000 | -0.000 | 0.000 | 71.662 | 0.000 | 0.000 |
| -0.000 | -0.000 | -0.000 | 0.000 | 74.372 | -0.000 |
| -0.000 | 0.000 | -0.000 | 0.000 | 0.000 | 67.958 |
| 133.129 | 58.119 | 58.482 | -0.000 | -0.000 | -0.000 |
| 57.151 | 130.946 | 55.601 | -0.000 | -0.000 | 0.000 |
| 58.776 | 56.777 | 130.211 | -0.000 | -0.000 | -0.000 |
| -0.000 | 0.000 | -0.000 | 71.662 | -0.000 | 0.000 |
| 0.000 | 0.000 | 0.000 | -0.000 | 74.372 | 0.000 |
| 0.000 | -0.000 | 0.000 | -0.000 | -0.000 | 67.957 |
| 175.724 | 35.054 | 41.780 | 0.000 | 0.000 | 0.000 |
| 58.371 | 132.781 | 56.643 | 0.000 | 0.000 | 0.000 |
| 41.780 | 37.895 | 170.370 | 0.000 | 0.000 | 0.000 |
| 0.001 | 0.000 | 0.000 | 38.755 | 0.000 | 0.000 |
| 0.000 | 0.000 | 0.000 | 0.000 | 74.372 | -0.000 |
| 0.002 | 0.002 | 0.001 | 0.000 | 0.000 | 36.318 |
| 133.139 | 58.121 | 58.483 | -0.000 | -0.000 | -0.000 |
| 57.164 | 130.959 | 55.609 | -0.000 | -0.000 | -0.000 |
| 58.619 | 56.303 | 128.275 | -0.000 | -0.000 | -0.000 |
| -0.001 | -0.000 | -0.000 | 38.755 | -0.000 | -0.000 |
| -0.000 | -0.000 | -0.000 | -0.000 | 74.372 | 0.000 |
| -0.002 | -0.002 | -0.001 | -0.000 | -0.000 | 36.318 |
| 482.307 | -640.994 | 458.878 | -0.000 | -0.000 | -0.000 |
| 34.647 | 176.557 | 37.464 | 0.000 | 0.000 | -0.000 |
| 480.484 | -652.154 | 466.748 | -0.000 | -0.000 | -0.000 |
| -0.000 | -0.000 | -0.000 | 71.366 | -0.000 | -0.000 |
| 390.936 | -708.723 | 372.424 | -0.000 | 2.177 | -0.000 |
| -0.000 | -0.000 | 0.000 | 0.000 | 0.000 | 67.769 |
| -295.516 | 774.519 | -287.822 | 0.000 | 0.000 | 0.000 |
| 34.648 | 176.558 | 37.464 | -0.000 | -0.000 | 0.000 |
| -304.179 | 764.354 | -273.947 | 0.000 | -0.000 | 0.000 |
| 0.000 | 0.000 | 0.000 | 71.366 | -0.000 | 0.000 |
| -390.936 | 708.723 | -372.424 | 0.000 | 2.177 | 0.000 |
| -400.283 | 849.586 | -44.347 | -0.000 | 0.000 | 38.654 |
| 174.703 | 34.541 | 41.388 | 0.000 | 0.000 | -0.000 |
| 97.208 | 59.713 | 91.878 | -0.000 | -0.000 | -0.000 |
| 91.682 | -19.851 | 104.461 | 0.000 | -0.000 | -0.000 |
| 32.546 | -59.002 | 31.005 | 12.042 | -0.000 | 0.000 |
| 33.231 | -60.243 | 31.657 | 0.000 | 12.951 | -0.000 |
| 34.136 | -61.884 | 32.519 | 0.000 | -0.000 | 16.274 |
| 83.828 | 146.724 | 59.619 | 0.000 | -0.000 | 0.000 |
| 18.835 | 207.942 | 52.177 | 0.000 | 0.000 | 0.000 |
| 38.710 | 117.131 | 81.781 | 0.000 | 0.000 | 0.000 |
| -42.149 | 72.782 | 24.030 | 32.511 | 0.000 | -0.000 |
| -33.231 | 60.243 | -31.657 | -0.000 | 12.951 | 0.000 |
| -34.136 | 61.884 | -32.519 | -0.000 | 0.000 | 16.274 |
| 133.516 | 54.415 | 59.999 | 0.000 | 0.000 | -0.000 |
| 60.296 | 127.718 | 58.355 | 0.000 | -0.000 | -0.000 |
| 60.693 | 51.361 | 126.420 | -0.000 | 0.000 | -0.000 |
| 3.268 | -6.111 | -0.800 | 36.785 | -0.000 | -0.000 |
| 2.012 | -4.157 | 1.154 | 0.000 | 36.797 | 0.000 |
| 2.002 | -3.630 | 1.908 | -0.000 | -0.000 | 37.560 |
| 129.582 | 61.285 | 56.525 | -0.000 | -0.000 | -0.000 |
| 54.154 | 134.541 | 53.564 | 0.000 | 0.000 | 0.000 |
| 55.883 | 59.609 | 125.663 | -0.000 | 0.000 | 0.000 |
| -3.268 | 6.111 | 0.800 | 36.785 | 0.000 | -0.000 |
| -2.012 | 4.157 | -1.154 | -0.000 | 36.797 | 0.000 |
| -2.002 | 3.630 | -1.908 | 0.000 | -0.000 | 37.560 |
| 13852640.617 | 54059750.838 | 38736394.817 | 13013690.694 | -7184965.993 | 3992616.550 |
| 13852579.708 | 54059805.795 | 38736390.455 | 13013684.890 | -7184963.077 | 3992626.658 |
| 13852582.107 | 54059753.718 | 38736442.385 | 13013687.505 | -7184964.048 | 3992621.135 |
| 13852503.211 | 54059675.706 | 38736308.115 | 13013721.174 | -7184961.263 | 3992619.780 |
| 13852506.093 | 54059681.235 | 38736313.172 | 13013697.671 | -7184932.981 | 3992618.327 |
| 13852506.326 | 54059683.656 | 38736317.790 | 13013693.695 | -7184970.401 | 3992645.328 |
| 240.231 | 59.372 | 75.122 | -0.762 | -11.935 | -17.232 |
| 58.347 | 236.125 | 64.319 | -16.498 | -1.344 | 4.162 |
| 73.563 | 63.076 | 232.992 | -10.428 | -0.526 | -1.100 |
| -2.491 | -6.487 | -11.014 | 73.078 | -0.132 | -4.011 |
| 1.838 | -3.038 | -1.010 | -0.216 | 87.648 | -4.345 |
| 3.230 | 2.958 | -1.442 | -2.969 | -17.059 | 74.404 |
| 1385387.257 | 5406037.700 | 3873711.358 | 1301364.011 | -718500.286 | 399257.799 |
| 1385326.361 | 5406092.666 | 3873706.997 | 1301358.212 | -718497.368 | 399267.914 |
| 1385328.745 | 5406040.578 | 3873758.927 | 1301360.821 | -718498.341 | 399262.382 |
| 1385249.848 | 5405962.566 | 3873624.658 | 1301394.490 | -718495.556 | 399261.026 |
| 1385252.740 | 5405968.101 | 3873629.714 | 1301370.990 | -718467.274 | 399259.579 |
| 1385252.966 | 5405970.518 | 3873634.332 | 1301367.012 | -718504.694 | 399286.576 |
| 240.254 | 59.391 | 75.140 | -0.763 | -11.939 | -17.231 |
| 58.357 | 236.133 | 64.327 | -16.499 | -1.346 | 4.163 |
| 73.586 | 63.096 | 233.010 | -10.429 | -0.530 | -1.100 |
| -2.506 | -6.499 | -11.025 | 73.078 | -0.130 | -4.011 |
| 1.852 | -3.026 | -0.999 | -0.217 | 87.646 | -4.345 |
| 3.255 | 2.979 | -1.423 | -2.970 | -17.062 | 74.403 |
| 138661.922 | 540666.387 | 387443.014 | 130131.342 | -71853.716 | 39921.923 |
| 138601.025 | 540721.353 | 387438.651 | 130125.544 | -71850.798 | 39932.038 |
| 138603.409 | 540669.264 | 387490.582 | 130128.152 | -71851.771 | 39926.506 |
| 138524.512 | 540591.252 | 387356.312 | 130161.821 | -71848.986 | 39925.151 |
| 138527.403 | 540596.787 | 387361.368 | 130138.322 | -71820.703 | 39923.703 |
| 138527.629 | 540599.203 | 387365.987 | 130134.343 | -71858.124 | 39950.700 |
| 240.254 | 59.394 | 75.143 | -0.763 | -11.939 | -17.231 |
| 58.363 | 236.127 | 64.331 | -16.498 | -1.346 | 4.163 |
| 73.589 | 63.098 | 233.010 | -10.429 | -0.530 | -1.100 |
| -2.504 | -6.498 | -11.024 | 73.076 | -0.130 | -4.011 |
| 1.852 | -3.026 | -0.999 | -0.217 | 87.644 | -4.345 |
| 3.256 | 2.979 | -1.422 | -2.970 | -17.062 | 74.400 |
| 313942.274 | -2020507.477 | 1649936.998 | 156637.048 | -113783.321 | 490979.725 |
| 313809.970 | -2020371.272 | 1649928.322 | 156625.656 | -113777.504 | 490994.785 |
| 313818.727 | -2020503.462 | 1650056.849 | 156630.315 | -113777.072 | 490990.630 |
| -0.487 | -3.663 | -8.325 | 72.607 | -0.152 | -2.971 |
| 6.732 | 0.720 | 2.262 | 0.305 | 85.090 | -4.838 |
| 313744.414 | -2020570.703 | 1649857.582 | 156637.609 | -113788.910 | 491047.200 |
| 230.437 | 54.617 | 68.424 | -1.299 | -11.100 | -15.914 |
| 57.324 | 231.555 | 62.715 | -14.978 | -1.274 | 4.403 |
| 68.777 | 60.347 | 227.336 | -9.743 | 0.052 | -0.498 |
| -313743.077 | 2020567.186 | -1649865.391 | -156583.990 | 113775.283 | -490992.775 |
| -313736.554 | 2020572.275 | -1649858.058 | -156639.594 | 113839.909 | -490994.830 |
| 2.028 | 1.722 | -2.333 | -2.403 | -16.415 | 73.594 |
| 31575.642 | -201993.339 | 165066.306 | 15661.735 | -11384.974 | 49088.560 |
| 31443.330 | -201857.159 | 165057.633 | 15650.343 | -11379.154 | 49103.624 |
| 31452.105 | -201989.282 | 165186.153 | 15655.003 | -11378.729 | 49099.460 |
| -0.495 | -3.672 | -8.333 | 72.606 | -0.152 | -2.970 |
| 6.720 | 0.705 | 2.249 | 0.303 | 85.090 | -4.835 |
| 31377.777 | -202056.579 | 164986.892 | 15662.295 | -11390.562 | 49156.037 |
| 230.451 | 54.636 | 68.440 | -1.296 | -11.101 | -15.917 |
| 57.338 | 231.570 | 62.728 | -14.976 | -1.275 | 4.400 |
| 68.779 | 60.350 | 227.337 | -9.743 | 0.052 | -0.498 |
| -31376.482 | 202052.908 | -164994.686 | -15608.679 | 11376.951 | -49101.591 |
| -31369.925 | 202058.121 | -164987.365 | -15664.282 | 11441.564 | -49103.664 |
| 2.041 | 1.737 | -2.320 | -2.401 | -16.416 | 73.591 |
| 3338.984 | -20141.926 | 16579.236 | 1564.204 | -1145.140 | 4899.443 |
| 3206.670 | -20005.731 | 16570.562 | 1552.812 | -1139.321 | 4914.505 |
| 3215.441 | -20137.870 | 16699.086 | 1557.471 | -1138.894 | 4910.343 |
| -0.496 | -3.673 | -8.334 | 72.602 | -0.152 | -2.969 |
| 6.718 | 0.704 | 2.247 | 0.302 | 85.082 | -4.835 |
| 3141.117 | -20205.154 | 16499.821 | 1564.764 | -1150.728 | 4966.921 |
| 230.432 | 54.641 | 68.444 | -1.297 | -11.099 | -15.914 |
| 57.341 | 231.565 | 62.731 | -14.976 | -1.275 | 4.400 |
| 68.783 | 60.353 | 227.330 | -9.742 | 0.052 | -0.498 |
| -3139.821 | 20201.485 | -16507.616 | -1511.147 | 1137.118 | -4912.474 |
| -3133.263 | 20206.701 | -16500.295 | -1566.751 | 1201.732 | -4914.546 |
| 2.043 | 1.739 | -2.319 | -2.401 | -16.415 | 73.585 |
| 154.315 | 40.818 | 37.659 | 0.520 | -11.871 | -14.194 |
| 39.923 | 138.113 | 36.755 | -13.186 | 0.120 | -3.679 |
| 36.081 | 36.909 | 146.495 | 0.850 | -5.152 | -1.608 |
| -88.261 | -190.661 | 151.792 | 0.851 | 12.136 | 237.964 |
| -91.750 | -192.914 | 155.421 | -18.529 | 32.119 | 241.457 |
| -309.943 | -495.370 | 150.195 | 166.786 | -47.745 | 361.903 |
| 185.634 | 247.414 | -99.437 | 17.054 | -20.898 | -248.688 |
| 39.923 | 138.113 | 36.755 | -13.186 | 0.120 | -3.679 |
| 141.938 | 242.780 | -62.499 | 15.727 | -13.044 | -239.975 |
| 295.227 | 460.055 | -141.027 | -160.695 | 42.902 | -339.263 |
| 82.943 | 190.972 | -157.001 | 19.305 | 8.719 | -238.502 |
| 290.826 | 463.802 | -139.053 | -159.891 | 44.399 | -343.732 |
| 154.316 | 40.818 | 37.659 | 0.520 | -11.871 | -14.195 |
| 45.983 | 73.911 | 67.670 | -6.255 | 0.740 | 20.400 |
| 47.143 | 34.156 | 106.855 | -4.901 | -0.145 | 21.045 |
| -30.032 | -57.973 | 12.626 | 6.168 | -6.978 | 42.659 |
| -28.242 | -37.807 | 6.227 | 10.874 | 7.889 | 25.309 |
| -1.263 | -3.809 | -0.670 | -0.595 | -11.490 | 59.849 |
| 154.315 | 40.818 | 37.659 | 0.520 | -11.871 | -14.194 |
| 61.956 | 110.771 | 38.156 | -2.920 | -1.455 | -24.413 |
| 60.934 | 67.924 | 84.724 | -0.871 | -2.843 | -23.627 |
| -0.458 | -3.038 | 0.850 | 55.768 | -3.048 | -1.150 |
| 4.338 | 17.190 | -15.911 | 1.875 | 22.493 | -21.394 |
| 4.691 | 14.532 | -16.103 | 1.675 | -5.123 | 3.528 |
| 79.040 | 25.011 | 27.310 | -4.088 | -6.997 | -6.636 |
| 44.400 | 84.345 | 45.159 | -6.660 | 0.424 | -2.149 |
| 26.784 | 25.390 | 75.833 | -5.224 | -1.189 | 0.503 |
| -1.261 | -4.733 | -1.202 | 24.075 | -1.649 | 2.131 |
| -5.672 | -4.647 | -3.894 | -2.485 | 25.003 | 2.209 |
| -4.001 | -5.690 | -0.131 | 0.670 | -5.174 | 28.339 |
| 88.118 | 36.226 | 32.581 | 0.339 | -9.313 | -10.968 |
| 52.582 | 101.055 | 49.058 | -5.740 | -0.388 | -4.376 |
| 34.978 | 35.814 | 81.477 | -1.881 | -3.019 | -3.490 |
| 0.718 | 0.130 | -2.740 | 24.681 | -1.122 | -2.929 |
| -2.110 | 1.097 | -3.438 | -0.266 | 29.312 | -1.578 |
| -2.051 | -1.095 | -3.308 | 0.063 | -5.311 | 28.192 |
| 209.192 | 62.005 | 60.928 | 5.844 | 11.371 | 6.167 |
| 155.858 | 287.297 | 133.201 | 35.775 | 0.678 | 17.373 |
| 168.260 | 146.661 | 262.528 | 16.927 | -17.053 | 12.672 |
| 111.541 | 95.615 | 80.738 | 86.399 | -2.637 | 14.049 |
| 42.282 | 37.201 | 18.048 | 7.973 | 62.950 | 5.138 |
| 35.195 | 40.953 | 31.272 | 11.051 | 10.189 | 67.964 |
| -176895170.667 | -178332030.385 | -130418296.954 | -34712100.847 | 3430858.703 | -20938637.584 |
| -176895202.768 | -178331924.190 | -130418260.259 | -34712094.028 | 3430856.111 | -20938640.514 |
| -176895206.651 | -178332003.865 | -130418202.666 | -34712104.523 | 3430852.295 | -20938641.535 |
| -176895286.158 | -178332078.811 | -130418342.730 | -34712067.140 | 3430855.362 | -20938639.120 |
| -176895314.255 | -178332095.935 | -130418363.856 | -34712102.491 | 3430889.372 | -20938640.038 |
| -176895314.502 | -178332094.806 | -130418360.281 | -34712100.565 | 3430860.923 | -20938605.414 |
| 209.194 | 62.006 | 60.929 | 5.844 | 11.371 | 6.168 |
| 155.864 | 287.302 | 133.205 | 35.775 | 0.678 | 17.373 |
| 168.262 | 146.662 | 262.528 | 16.927 | -17.053 | 12.672 |
| 111.543 | 95.617 | 80.740 | 86.399 | -2.637 | 14.049 |
| 42.286 | 37.205 | 18.052 | 7.974 | 62.949 | 5.139 |
| 35.198 | 40.956 | 31.275 | 11.052 | 10.189 | 67.964 |
| -17689380.637 | -17833136.480 | -13041764.692 | -3471208.585 | 343088.162 | -2093861.859 |
| -17689412.743 | -17833030.288 | -13041728.002 | -3471201.766 | 343085.570 | -2093864.789 |
| -17689416.626 | -17833109.963 | -13041670.409 | -3471212.261 | 343081.754 | -2093865.810 |
| -17689496.128 | -17833184.906 | -13041810.468 | -3471174.878 | 343084.821 | -2093863.395 |
| -17689524.225 | -17833202.030 | -13041831.595 | -3471210.229 | 343118.831 | -2093864.312 |
| -17689524.473 | -17833200.902 | -13041828.020 | -3471208.303 | 343090.381 | -2093829.688 |
| 209.194 | 62.008 | 60.931 | 5.845 | 11.370 | 6.168 |
| 155.871 | 287.299 | 133.211 | 35.775 | 0.677 | 17.372 |
| 168.266 | 146.667 | 262.523 | 16.928 | -17.052 | 12.671 |
| 111.544 | 95.618 | 80.741 | 86.395 | -2.638 | 14.048 |
| 42.287 | 37.206 | 18.053 | 7.974 | 62.948 | 5.139 |
| 35.198 | 40.955 | 31.274 | 11.051 | 10.189 | 67.962 |
| -1768801.634 | -1783247.090 | -1304111.467 | -347119.358 | 34311.107 | -209384.286 |
| -1768833.741 | -1783140.897 | -1304074.777 | -347112.540 | 34308.516 | -209387.216 |
| -1768837.624 | -1783220.573 | -1304017.183 | -347123.035 | 34304.699 | -209388.237 |
| -1768917.125 | -1783295.515 | -1304157.242 | -347085.651 | 34307.767 | -209385.822 |
| -1768945.222 | -1783312.640 | -1304178.369 | -347121.002 | 34341.777 | -209386.740 |
| -1768945.470 | -1783311.512 | -1304174.794 | -347119.076 | 34313.327 | -209352.116 |
| 215.275 | -28.634 | -147.367 | -121.408 | -129.977 | -16.313 |
| 5.615 | 236.103 | -83.298 | -68.077 | -395.194 | -419.357 |
| -1.802 | 201.700 | -55.956 | -69.163 | -390.673 | -415.445 |
| 62.696 | 54.371 | -182.506 | -460.922 | 14.821 | 377.202 |
| 68.207 | 55.910 | -179.251 | -476.964 | 24.048 | 375.952 |
| -4.808 | 2.316 | -1.337 | 3.810 | 12.812 | 61.902 |
| -3.711 | -13.674 | 215.198 | 473.852 | -7.533 | -376.891 |
| -63.838 | 236.155 | 89.844 | 4.658 | 469.248 | 353.587 |
| -65.067 | 194.073 | 119.133 | 0.640 | 467.878 | 352.620 |
| 60.930 | -146.297 | 139.237 | 83.474 | 392.089 | 417.138 |
| 64.330 | -145.864 | 139.998 | 68.194 | 406.872 | 415.259 |
| -118.839 | 147.321 | 40.600 | 1.825 | 473.350 | 377.193 |
| 170.102 | 37.203 | 38.784 | 4.729 | 9.405 | 5.319 |
| 58.083 | 81.155 | 41.497 | 2.456 | -43.912 | -35.360 |
| 23.863 | 9.889 | 82.688 | -16.758 | -20.676 | -9.815 |
| 9.805 | -16.588 | -5.499 | 15.553 | -48.443 | -35.253 |
| 9.898 | -12.474 | -3.433 | -1.612 | -22.476 | -33.472 |
| -7.995 | 12.627 | -14.216 | -5.443 | -34.577 | -18.428 |
| 79.013 | 19.347 | 49.392 | 44.243 | 12.023 | -24.735 |
| 70.688 | 85.054 | 67.931 | 7.679 | 35.146 | 36.988 |
| 39.487 | 37.605 | 143.719 | -4.157 | -3.303 | -0.868 |
| 4.642 | -15.536 | 12.919 | 22.063 | 38.280 | 41.833 |
| -7.121 | 7.986 | 14.850 | 11.773 | 67.066 | 8.459 |
| -11.568 | 1.061 | 14.987 | 15.267 | 28.617 | 59.164 |
| 90.644 | 36.313 | 31.776 | -3.362 | 5.355 | 2.713 |
| 36.931 | 89.222 | 29.144 | 0.090 | 0.335 | -0.914 |
| 34.545 | 32.340 | 74.684 | -5.113 | 0.552 | 0.289 |
| 1.287 | -0.844 | -3.803 | 19.537 | -1.261 | 3.663 |
| 0.065 | 2.076 | -2.320 | -1.370 | 27.238 | -2.686 |
| -2.735 | -0.908 | -2.516 | 0.454 | 1.488 | 29.187 |
| 95.791 | 38.964 | 38.281 | 1.204 | 9.160 | 3.701 |
| 49.401 | 103.671 | 47.172 | 2.200 | 4.133 | 0.790 |
| 33.649 | 29.613 | 76.546 | 2.302 | 2.112 | -3.118 |
| -0.934 | -0.547 | -1.656 | 26.751 | 2.233 | 4.062 |
| 0.814 | 0.274 | -0.551 | -0.496 | 33.219 | 2.844 |
| -2.632 | -0.660 | -0.539 | 2.107 | 7.010 | 34.384 |
| 215.659 | 67.739 | 56.260 | -3.601 | 8.428 | 4.971 |
| 122.697 | 265.741 | 115.116 | 22.212 | -5.828 | 2.015 |
| 346.028 | 298.582 | 473.136 | -6.428 | -29.672 | -15.049 |
| 338041266.884 | 311366615.049 | 383799564.732 | -12963517.805 | -2700889.713 | 25833899.577 |
| 32.145 | 27.519 | 22.648 | 3.994 | 60.259 | -7.817 |
| 338041267.331 | 311366624.983 | 383799565.999 | -12963538.829 | -2700885.779 | 25833919.253 |
| -338041173.855 | -311366557.194 | -383799512.091 | 12963539.078 | 2700888.949 | -25833900.346 |
| -338041214.047 | -311366505.296 | -383799513.740 | 12963545.564 | 2700890.593 | -25833900.745 |
| -338041219.244 | -311366572.362 | -383799469.828 | 12963537.761 | 2700884.821 | -25833897.619 |
| -195.455 | -152.669 | -161.725 | 77.681 | 18.013 | 8.695 |
| -338041270.921 | -311366611.706 | -383799569.724 | 12963538.633 | 2700911.539 | -25833901.594 |
| -20.468 | -3.756 | -9.180 | -2.133 | 14.026 | 74.875 |
| 215.663 | 67.742 | 56.264 | -3.601 | 8.427 | 4.970 |
| 122.702 | 265.744 | 115.120 | 22.211 | -5.829 | 2.014 |
| 346.051 | 298.601 | 473.154 | -6.429 | -29.673 | -15.051 |
| 33804125.723 | 31136658.894 | 38379955.069 | -1296333.546 | -270088.046 | 2583390.956 |
| 32.141 | 27.515 | 22.644 | 3.994 | 60.259 | -7.816 |
| 33804126.168 | 31136668.824 | 38379956.334 | -1296354.571 | -270084.111 | 2583410.634 |
| -33804032.692 | -31136601.036 | -38379902.427 | 1296354.820 | 270087.281 | -2583391.728 |
| -33804072.883 | -31136549.138 | -38379904.076 | 1296361.305 | 270088.925 | -2583392.126 |
| -33804078.081 | -31136616.206 | -38379860.164 | 1296353.502 | 270083.154 | -2583389.000 |
| -195.491 | -152.700 | -161.758 | 77.681 | 18.015 | 8.698 |
| -33804129.759 | -31136655.553 | -38379960.062 | 1296354.374 | 270109.872 | -2583392.973 |
| -20.462 | -3.751 | -9.175 | -2.134 | 14.026 | 74.875 |
| 215.665 | 67.744 | 56.266 | -3.601 | 8.427 | 4.970 |
| 122.710 | 265.744 | 115.128 | 22.210 | -5.829 | 2.014 |
| 346.332 | 298.838 | 473.371 | -6.443 | -29.689 | -15.066 |
| 3380411.606 | 3113663.278 | 3837994.103 | -129615.120 | -27007.879 | 258340.095 |
| 32.142 | 27.516 | 22.645 | 3.994 | 60.257 | -7.816 |
| 3380412.051 | 3113673.212 | 3837995.368 | -129636.143 | -27003.945 | 258359.770 |
| -3380318.575 | -3113605.420 | -3837941.460 | 129636.394 | 27007.114 | -258340.866 |
| -3380358.767 | -3113553.522 | -3837943.109 | 129642.879 | 27008.758 | -258341.265 |
| -3380363.965 | -3113620.590 | -3837899.198 | 129635.076 | 27002.987 | -258338.138 |
| -195.609 | -152.801 | -161.866 | 77.676 | 18.022 | 8.704 |
| -3380415.643 | -3113659.937 | -3837999.095 | 129635.949 | 27029.705 | -258342.111 |
| -20.464 | -3.753 | -9.176 | -2.134 | 14.026 | 74.874 |
| 2.415 | 73.948 | -124.462 | -5.101 | -125.107 | -85.727 |
| -141.523 | 268.983 | -81.894 | 53.842 | -128.642 | 59.978 |
| -143.581 | 222.490 | -41.066 | 48.538 | -128.527 | 60.473 |
| 143.531 | -320.120 | -109.611 | 32.342 | -72.091 | -253.548 |
| -94.320 | 54.371 | -142.927 | -6.110 | -104.782 | -97.846 |
| -196.152 | 175.744 | -127.512 | 50.638 | -127.817 | 75.134 |
| 194.693 | -34.370 | 167.170 | 7.919 | 150.663 | 110.407 |
| -120.830 | 382.835 | 127.584 | -7.107 | 70.432 | 260.940 |
| -168.134 | 183.582 | 255.357 | -65.166 | 73.800 | 151.595 |
| -56.292 | 136.654 | 163.067 | 29.667 | 63.684 | 99.855 |
| 9.197 | 1.464 | 4.117 | -0.983 | 51.957 | 0.971 |
| -195.404 | 169.552 | 206.441 | -64.927 | 78.903 | 160.387 |
| 83.090 | 71.924 | 40.807 | 6.220 | -1.229 | 10.203 |
| 37.024 | 109.475 | 35.792 | 10.258 | -9.642 | 6.877 |
| 11.551 | 27.563 | 64.633 | 4.707 | -11.485 | -8.870 |
| 8.293 | -10.495 | -14.388 | 10.653 | -5.827 | -6.342 |
| 9.197 | 1.464 | 4.118 | -0.983 | 51.957 | 0.971 |
| -5.341 | 4.306 | -14.082 | -0.054 | -5.921 | 27.411 |
| 103.067 | 16.761 | 38.822 | 1.819 | 25.296 | 20.363 |
| 73.296 | 82.123 | 59.066 | 1.655 | 15.881 | -4.925 |
| 39.600 | 56.671 | 84.422 | 3.233 | 9.766 | 8.602 |
| -3.321 | 15.984 | 17.451 | 13.447 | 6.657 | 12.710 |
| 24.484 | -13.766 | 16.000 | -3.653 | 29.109 | -5.672 |
| 20.211 | -15.729 | 14.622 | -2.010 | 17.207 | 12.610 |
| 91.523 | 35.722 | 34.304 | 2.378 | 9.305 | 8.155 |
| 29.455 | 71.695 | 19.455 | 8.794 | -0.878 | 0.387 |
| 25.091 | 17.273 | 62.125 | 3.981 | 0.449 | 0.639 |
| 0.867 | 3.065 | 1.934 | 20.619 | -0.517 | 0.634 |
| 4.633 | 4.305 | 2.400 | 0.875 | 25.563 | 0.873 |
| 3.513 | 0.055 | -0.805 | 3.074 | 5.596 | 24.729 |
| 100.488 | 43.765 | 46.532 | 2.701 | 13.190 | 7.941 |
| 30.855 | 79.951 | 28.292 | 7.590 | 1.773 | 2.032 |
| 43.553 | 42.028 | 87.462 | 1.050 | 4.218 | -0.157 |
| 2.409 | 0.141 | 1.329 | 23.759 | 1.501 | 2.135 |
| 3.330 | 0.724 | 4.358 | 0.805 | 23.122 | 0.901 |
| 0.726 | 3.232 | 4.313 | 2.605 | 6.927 | 24.045 |
| 12095719.669 | 11005529.807 | 11038500.265 | 109511.289 | -360879.069 | 1006532.932 |
| 12095648.437 | 11005635.964 | 11038513.768 | 109506.876 | -360868.982 | 1006542.392 |
| 12095633.439 | 11005534.775 | 11038616.112 | 109508.940 | -360870.193 | 1006544.621 |
| 12095569.100 | 11005476.489 | 11038437.696 | 109556.192 | -360869.486 | 1006544.606 |
| 12095574.797 | 11005479.704 | 11038446.119 | 109516.699 | -360830.186 | 1006542.181 |
| 12095560.581 | 11005464.862 | 11038438.774 | 109515.095 | -360883.319 | 1006583.196 |
| 154.577 | -1.689 | 0.589 | -5.487 | -11.665 | -17.129 |
| 12.365 | 160.808 | 17.747 | -15.500 | 4.783 | -2.737 |
| 20.712 | 23.750 | 206.954 | -9.978 | 0.578 | 3.326 |
| -34.261 | -27.288 | -34.766 | 64.331 | 5.163 | 4.335 |
| -41.487 | -36.461 | -33.493 | 1.840 | 66.756 | -1.759 |
| -49.993 | -49.095 | -34.382 | 1.194 | -18.218 | 65.808 |
| 1209691.937 | 1100589.770 | 1103892.362 | 10946.771 | -36094.489 | 100644.872 |
| 1209620.667 | 1100695.890 | 1103905.840 | 10942.355 | -36084.401 | 100654.334 |
| 1209605.671 | 1100594.703 | 1104008.186 | 10944.419 | -36085.613 | 100656.562 |
| 1209541.332 | 1100536.418 | 1103829.770 | 10991.671 | -36084.906 | 100656.547 |
| 1209547.054 | 1100539.656 | 1103838.209 | 10952.180 | -36045.607 | 100654.121 |
| 1209532.825 | 1100524.801 | 1103830.855 | 10950.575 | -36098.739 | 100695.137 |
| 154.573 | -1.691 | 0.588 | -5.487 | -11.665 | -17.129 |
| 12.367 | 160.808 | 17.748 | -15.500 | 4.783 | -2.737 |
| 20.701 | 23.739 | 206.943 | -9.978 | 0.579 | 3.326 |
| -34.261 | -27.288 | -34.766 | 64.330 | 5.163 | 4.335 |
| -41.487 | -36.461 | -33.493 | 1.840 | 66.755 | -1.759 |
| -49.999 | -49.100 | -34.386 | 1.193 | -18.218 | 65.807 |
| 121089.166 | 110095.764 | 110431.570 | 1090.319 | -3616.032 | 10056.066 |
| 121017.891 | 110201.884 | 110445.048 | 1085.903 | -3605.943 | 10065.528 |
| 121002.898 | 110100.700 | 110547.399 | 1087.967 | -3607.155 | 10067.757 |
| 120938.557 | 110042.413 | 110368.979 | 1135.220 | -3606.448 | 10067.741 |
| 120944.279 | 110045.651 | 110377.418 | 1095.728 | -3567.148 | 10065.315 |
| 120930.054 | 110030.800 | 110370.067 | 1094.124 | -3620.282 | 10106.333 |
| 154.545 | -1.689 | 0.593 | -5.487 | -11.662 | -17.126 |
| 12.379 | 160.800 | 17.759 | -15.498 | 4.782 | -2.736 |
| 20.699 | 23.737 | 206.929 | -9.978 | 0.579 | 3.325 |
| -34.265 | -27.293 | -34.768 | 64.323 | 5.162 | 4.334 |
| -41.487 | -36.461 | -33.492 | 1.839 | 66.747 | -1.759 |
| -50.009 | -49.110 | -34.396 | 1.192 | -18.214 | 65.796 |
| 217.589 | 73.581 | 49.723 | 2.307 | -9.874 | -15.342 |
| 74.633 | 217.667 | 55.921 | -7.579 | 5.816 | -2.748 |
| 126.798 | 141.953 | 247.319 | 7.514 | 7.617 | 0.735 |
| 68.345 | 84.435 | 24.474 | 73.664 | 10.779 | 1.784 |
| 74.412 | 87.917 | 33.075 | 16.596 | 68.202 | -2.684 |
| 34.806 | 38.605 | 20.284 | 8.796 | -14.697 | 61.419 |
| -545248869.679 | -512395304.006 | -427356233.230 | -45825137.011 | 8395929.246 | -8371685.505 |
| -545248912.460 | -512395256.470 | -427356228.927 | -45825142.490 | 8395936.630 | -8371675.465 |
| -545248911.662 | -512395301.358 | -427356157.546 | -45825136.639 | 8395935.521 | -8371675.292 |
| -545248967.402 | -512395358.436 | -427356285.794 | -45825107.077 | 8395935.769 | -8371675.816 |
| -545248965.846 | -512395357.064 | -427356283.609 | -45825133.821 | 8395961.340 | -8371675.995 |
| -545248967.285 | -512395357.554 | -427356281.968 | -45825133.972 | 8395927.477 | -8371653.832 |
| 217.587 | 73.578 | 49.722 | 2.306 | -9.874 | -15.342 |
| 74.630 | 217.663 | 55.919 | -7.579 | 5.815 | -2.748 |
| 126.796 | 141.950 | 247.317 | 7.514 | 7.617 | 0.735 |
| 68.342 | 84.432 | 24.473 | 73.663 | 10.779 | 1.784 |
| 74.410 | 87.914 | 33.074 | 16.596 | 68.201 | -2.684 |
| 34.803 | 38.602 | 20.282 | 8.796 | -14.697 | 61.419 |
| -54524801.426 | -51239482.118 | -42735578.277 | -4582516.431 | 839587.116 | -837177.619 |
| -54524844.149 | -51239434.559 | -42735573.961 | -4582521.882 | 839594.495 | -837167.564 |
| -54524843.353 | -51239479.447 | -42735502.581 | -4582516.032 | 839593.386 | -837167.391 |
| -54524899.094 | -51239536.526 | -42735630.830 | -4582486.470 | 839593.634 | -837167.914 |
| -54524897.538 | -51239535.154 | -42735628.645 | -4582513.214 | 839619.206 | -837168.093 |
| -54524898.974 | -51239535.643 | -42735627.002 | -4582513.364 | 839585.342 | -837145.931 |
| 217.585 | 73.579 | 49.723 | 2.306 | -9.874 | -15.342 |
| 74.633 | 217.664 | 55.921 | -7.579 | 5.816 | -2.748 |
| 126.802 | 141.955 | 247.312 | 7.514 | 7.617 | 0.735 |
| 68.339 | 84.428 | 24.472 | 73.660 | 10.778 | 1.783 |
| 74.407 | 87.911 | 33.073 | 16.595 | 68.198 | -2.683 |
| 34.803 | 38.602 | 20.282 | 8.796 | -14.697 | 61.418 |
| -5452394.547 | -5123899.908 | -4273512.772 | -458254.346 | 83952.899 | -83726.814 |
| -5452437.325 | -5123852.371 | -4273508.467 | -458259.824 | 83960.282 | -83716.775 |
| -5452436.528 | -5123897.258 | -4273437.085 | -458253.974 | 83959.173 | -83716.602 |
| -5452492.269 | -5123954.337 | -4273565.335 | -458224.412 | 83959.421 | -83717.125 |
| -5452490.710 | -5123952.964 | -4273563.149 | -458251.153 | 83984.992 | -83717.303 |
| -5452492.145 | -5123953.452 | -4273561.507 | -458251.304 | 83951.129 | -83695.140 |
| 152.357 | 36.742 | 28.885 | 3.510 | -17.719 | -24.920 |
| 130.846 | 144.659 | 17.959 | -164.297 | -41.353 | -79.682 |
| 29.636 | 37.202 | 140.975 | 0.187 | 3.880 | -0.273 |
| 99.979 | -63.720 | -26.386 | -53.519 | -69.160 | -126.061 |
| 95.699 | -62.835 | -23.766 | -73.485 | -49.791 | -125.982 |
| 97.857 | -65.399 | -27.739 | -72.382 | -71.254 | -105.240 |
| -12.492 | -19.526 | 75.139 | 165.004 | 42.139 | 74.464 |
| -45.131 | 165.914 | 79.285 | 72.184 | 71.469 | 127.089 |
| -48.273 | 118.803 | 111.358 | 72.386 | 70.356 | 124.389 |
| -84.832 | -63.654 | 25.472 | 177.687 | 42.568 | 78.236 |
| -102.818 | 68.420 | 27.886 | 72.275 | 86.701 | 126.038 |
| -93.747 | -65.950 | -14.880 | 159.849 | 69.621 | 210.954 |
| 84.310 | 50.797 | 44.456 | -15.294 | -5.770 | -13.671 |
| 54.668 | 87.993 | 41.938 | -15.600 | -2.085 | -7.600 |
| 59.872 | 46.243 | 84.982 | -7.543 | -4.533 | -13.816 |
| 10.392 | -4.576 | -3.034 | 13.314 | -7.452 | -12.209 |
| 6.047 | -3.688 | -0.383 | -7.750 | 13.165 | -12.122 |
| 8.159 | -6.184 | -4.363 | -6.572 | -9.655 | 10.835 |
| 68.672 | 39.737 | 50.857 | 16.032 | 1.870 | 1.346 |
| 36.166 | 76.212 | 44.423 | 15.608 | 5.829 | 7.206 |
| 40.822 | 59.130 | 89.454 | 6.589 | 8.704 | 10.618 |
| -8.740 | 8.017 | 1.970 | 28.064 | 5.748 | 12.159 |
| -6.813 | -5.073 | 2.065 | 15.474 | 17.465 | 7.189 |
| -8.528 | -7.604 | 2.084 | 14.968 | 1.524 | 24.768 |
| 74.620 | 29.070 | 26.088 | -0.538 | -7.011 | -10.620 |
| 37.660 | 90.464 | 33.632 | -6.725 | 1.319 | -1.171 |
| 43.462 | 41.498 | 83.129 | -1.613 | 0.302 | -0.848 |
| 1.684 | 1.035 | -0.573 | 24.373 | -1.242 | -1.241 |
| -0.971 | 2.304 | 1.009 | -1.878 | 22.120 | 0.033 |
| -0.771 | -0.535 | -1.936 | -0.154 | -3.926 | 28.760 |
| 93.939 | 44.058 | 44.755 | 2.462 | -5.769 | -9.916 |
| 34.629 | 86.087 | 32.179 | -4.137 | 2.859 | 2.151 |
| 29.377 | 28.831 | 72.246 | 0.389 | 2.930 | 0.026 |
| 0.591 | 1.216 | -0.165 | 29.253 | -0.312 | 1.210 |
| -3.770 | 1.766 | 2.868 | 0.214 | 22.019 | 2.531 |
| -2.241 | 0.461 | -1.563 | 0.938 | -2.876 | 30.030 |
| 196.866 | 46.568 | 48.802 | 1.150 | -9.983 | -13.514 |
| 103.191 | 236.589 | 105.203 | 2.745 | 2.285 | -8.132 |
| 46.961 | 41.689 | 194.088 | -2.554 | 0.989 | 0.470 |
| -9903428.616 | 22164340.315 | -4132680.936 | 1719931.950 | -2490938.860 | -3951124.746 |
| -9903419.145 | 22164350.237 | -4132665.614 | 1719876.265 | -2490876.046 | -3951126.070 |
| 17.366 | 17.937 | 23.897 | 4.790 | -10.812 | 60.328 |
| 9903616.011 | -22164293.246 | 4132724.860 | -1719873.701 | 2490929.396 | 3951112.826 |
| 9903526.313 | -22164107.621 | 4132777.932 | -1719872.707 | 2490940.160 | 3951120.393 |
| 9903467.471 | -22164304.543 | 4132855.287 | -1719878.083 | 2490939.851 | 3951126.520 |
| -14.004 | -11.255 | -18.594 | 57.955 | 0.124 | 2.288 |
| -6.145 | -3.756 | -4.507 | -0.469 | 66.036 | 0.886 |
| 9903397.007 | -22164367.977 | 4132648.558 | -1719878.183 | 2490928.088 | 3951187.105 |
| 196.854 | 46.557 | 48.789 | 1.147 | -9.984 | -13.513 |
| 103.191 | 236.588 | 105.202 | 2.745 | 2.285 | -8.132 |
| 46.952 | 41.681 | 194.079 | -2.555 | 0.989 | 0.471 |
| -990349.878 | 2216428.201 | -413278.437 | 172044.028 | -249093.681 | -395111.151 |
| -990340.410 | 2216438.120 | -413263.118 | 171988.343 | -249030.868 | -395112.475 |
| 17.355 | 17.927 | 23.885 | 4.788 | -10.812 | 60.329 |
| 990537.276 | -2216381.130 | 413322.364 | -171985.779 | 249084.218 | 395099.231 |
| 990447.573 | -2216195.510 | 413375.430 | -171984.786 | 249094.982 | 395106.798 |
| 990388.736 | -2216392.426 | 413452.792 | -171990.162 | 249094.672 | 395112.924 |
| -14.009 | -11.259 | -18.600 | 57.954 | 0.124 | 2.289 |
| -6.138 | -3.750 | -4.499 | -0.468 | 66.036 | 0.885 |
| 990318.273 | -2216455.861 | 413246.062 | -171990.261 | 249082.910 | 395173.510 |
| 196.853 | 46.556 | 48.788 | 1.147 | -9.984 | -13.512 |
| 103.192 | 236.585 | 105.204 | 2.745 | 2.284 | -8.132 |
| 46.951 | 41.680 | 194.078 | -2.555 | 0.989 | 0.471 |
| -99042.005 | 221636.990 | -41338.187 | 17255.236 | -24909.164 | -39509.791 |
| -99032.537 | 221646.909 | -41322.868 | 17199.551 | -24846.350 | -39511.115 |
| 17.356 | 17.928 | 23.886 | 4.788 | -10.812 | 60.328 |
| 99229.402 | -221589.919 | 41382.114 | -17196.987 | 24899.700 | 39497.871 |
| 99139.694 | -221404.299 | 41435.175 | -17195.995 | 24910.464 | 39505.439 |
| 99080.863 | -221601.215 | 41512.541 | -17201.369 | 24910.155 | 39511.565 |
| -14.008 | -11.258 | -18.598 | 57.954 | 0.124 | 2.288 |
| -6.136 | -3.748 | -4.497 | -0.468 | 66.036 | 0.885 |
| 99010.400 | -221664.649 | 41305.813 | -17201.469 | 24898.392 | 39572.150 |
| 195.342 | 45.876 | 48.099 | 1.160 | -9.914 | -13.380 |
| 101.079 | 233.711 | 104.067 | 3.836 | 2.811 | -8.612 |
| 46.262 | 41.065 | 192.580 | -2.557 | 0.990 | 0.479 |
| -11748335.447 | 20127649.023 | -6062607.022 | 1538642.161 | -2431635.238 | -3894243.640 |
| -11748326.413 | 20127658.457 | -6062591.880 | 1538586.297 | -2431571.919 | -3894245.014 |
| 16.805 | 17.358 | 23.640 | 5.194 | -10.598 | 59.848 |
| 11748522.321 | -20127603.335 | 6062649.316 | -1538583.600 | 2431625.752 | 3894231.784 |
| 11748429.279 | -20127419.580 | 6062700.761 | -1538581.919 | 2431637.105 | 3894238.895 |
| 11748373.386 | -20127614.076 | 6062781.188 | -1538588.144 | 2431636.183 | 3894245.588 |
| -13.642 | -10.875 | -18.491 | 57.431 | 0.001 | 2.405 |
| -5.983 | -3.612 | -4.460 | -0.559 | 65.679 | 0.943 |
| 11748305.083 | -20127675.212 | 6062575.381 | -1538588.511 | 2431624.137 | 3894306.636 |
| 195.345 | 45.878 | 48.103 | 1.160 | -9.913 | -13.380 |
| 101.081 | 233.712 | 104.069 | 3.837 | 2.811 | -8.612 |
| 46.266 | 41.069 | 192.585 | -2.556 | 0.990 | 0.478 |
| -1174840.301 | 2012759.365 | -606271.008 | 153915.278 | -243163.363 | -389422.987 |
| -1174831.268 | 2012768.799 | -606255.867 | 153859.414 | -243100.044 | -389424.361 |
| 16.813 | 17.364 | 23.648 | 5.196 | -10.597 | 59.847 |
| 1175027.177 | -2012713.676 | 606313.303 | -153856.717 | 243153.876 | 389411.131 |
| 1174934.133 | -2012529.923 | 606364.746 | -153855.037 | 243165.230 | 389418.242 |
| 1174878.239 | -2012724.419 | 606445.173 | -153861.262 | 243164.307 | 389424.935 |
| -13.671 | -10.900 | -18.523 | 57.424 | 0.000 | 2.409 |
| -5.988 | -3.616 | -4.466 | -0.560 | 65.678 | 0.943 |
| 1174809.930 | -2012785.562 | 606239.359 | -153861.630 | 243152.262 | 389485.983 |
| 195.348 | 45.881 | 48.106 | 1.161 | -9.913 | -13.381 |
| 101.085 | 233.711 | 104.073 | 3.837 | 2.811 | -8.612 |
| 46.267 | 41.070 | 192.587 | -2.556 | 0.990 | 0.478 |
| -117490.787 | 201270.400 | -60637.407 | 15442.590 | -24316.175 | -38940.922 |
| -117481.753 | 201279.833 | -60622.265 | 15386.726 | -24252.857 | -38942.296 |
| 16.813 | 17.365 | 23.648 | 5.196 | -10.597 | 59.846 |
| 117677.661 | -201224.711 | 60679.700 | -15384.029 | 24306.689 | 38929.066 |
| 117584.610 | -201040.962 | 60731.137 | -15382.350 | 24318.043 | 38936.177 |
| 117528.724 | -201235.454 | 60811.571 | -15388.574 | 24317.120 | 38942.870 |
| -13.672 | -10.901 | -18.524 | 57.423 | 0.000 | 2.409 |
| -5.988 | -3.617 | -4.466 | -0.560 | 65.678 | 0.943 |
| 117460.417 | -201296.595 | 60605.759 | -15388.942 | 24305.074 | 39003.918 |
| 639.372 | 6.344 | 415.369 | -73.207 | 269.548 | 507.623 |
| 397.875 | 21.393 | 401.287 | -130.950 | 158.259 | 235.402 |
| 435.433 | 268.703 | 228.504 | -41.570 | 438.372 | 373.408 |
| 322.158 | 178.969 | 266.694 | -32.402 | 90.064 | 282.880 |
| -1.991 | 1.987 | 5.605 | -3.270 | 61.348 | 1.860 |
| 345.260 | -359.874 | 316.661 | 64.625 | 134.169 | 403.554 |
| -258.225 | 110.001 | -312.137 | 126.472 | -157.744 | -241.926 |
| -440.884 | -101.695 | -357.965 | 157.126 | -239.320 | -387.329 |
| -451.604 | -198.791 | -203.539 | 43.870 | -318.204 | -319.730 |
| -403.333 | -241.627 | -157.964 | 64.229 | -438.204 | -371.770 |
| -1.991 | 1.987 | 5.605 | -3.270 | 61.348 | 1.860 |
| -625.708 | -26.699 | -235.375 | 17.808 | -462.480 | -422.874 |
| 131.461 | 36.400 | 78.566 | -12.283 | 14.514 | 18.333 |
| 71.257 | 93.499 | 47.422 | -8.026 | 37.278 | 32.327 |
| 93.991 | 17.493 | 120.234 | 5.462 | 14.346 | 39.396 |
| 32.329 | -35.054 | 30.583 | 19.854 | 15.496 | 38.544 |
| 38.327 | -5.644 | 39.662 | -12.945 | 38.987 | 23.646 |
| 33.834 | -37.521 | 33.346 | 6.368 | 9.528 | 57.469 |
| 61.406 | 50.086 | 7.616 | 12.579 | -16.812 | -29.164 |
| 7.685 | 95.626 | 10.730 | 7.830 | -13.888 | -24.429 |
| -23.335 | 28.283 | 34.611 | 7.592 | -22.943 | -49.555 |
| -55.495 | 3.712 | -37.162 | 22.751 | -24.277 | -48.951 |
| -32.308 | -12.986 | -23.147 | 4.677 | 27.520 | -29.349 |
| -37.627 | 6.058 | -35.147 | 13.937 | -19.694 | -1.328 |
| 106.372 | 45.225 | 48.841 | -0.930 | -0.953 | -2.887 |
| 32.624 | 79.444 | 28.850 | -4.179 | 7.389 | 3.587 |
| 42.985 | 31.077 | 89.844 | -1.401 | 5.009 | 2.693 |
| 6.069 | 1.540 | 2.492 | 20.244 | 2.638 | 5.057 |
| 6.066 | 3.910 | 7.276 | -0.261 | 29.397 | 3.153 |
| 2.350 | -1.839 | 2.636 | 0.883 | -3.421 | 30.738 |
| 84.510 | 30.416 | 28.587 | 1.162 | -5.336 | -9.326 |
| 23.957 | 79.295 | 23.695 | -2.930 | 1.245 | -4.865 |
| 29.648 | 29.118 | 78.520 | 0.667 | 1.740 | -4.161 |
| -3.272 | 2.224 | -3.112 | 25.521 | -0.896 | -1.737 |
| -1.402 | 5.543 | -0.256 | -0.276 | 29.314 | -3.570 |
| -5.390 | -1.308 | -4.565 | 2.195 | -7.262 | 23.749 |
| 159.241 | 32.001 | 32.001 | -0.000 | -0.000 | 0.000 |
| 32.000 | 159.241 | 32.001 | -0.000 | -0.000 | 0.000 |
| 32.000 | 32.000 | 159.241 | -0.001 | -0.000 | -0.000 |
| -0.000 | 0.000 | -0.000 | 35.612 | -0.000 | 0.000 |
| 0.000 | 0.000 | -0.000 | -0.000 | 35.612 | 0.000 |
| 0.000 | 0.000 | -0.000 | -0.000 | -0.000 | 35.612 |
| 110.472 | 53.011 | 53.011 | 0.000 | 0.000 | -0.000 |
| 53.010 | 110.472 | 53.011 | 0.000 | 0.000 | -0.000 |
| 53.010 | 53.011 | 110.472 | 0.000 | 0.000 | -0.000 |
| -0.000 | 0.000 | 0.000 | 35.613 | 0.000 | -0.000 |
| -0.000 | -0.000 | 0.000 | 0.000 | 35.613 | -0.000 |
| -0.000 | -0.000 | 0.000 | -0.000 | 0.000 | 35.612 |
| 110.473 | 53.010 | 53.010 | -0.000 | -0.000 | 0.000 |
| 53.010 | 110.473 | 53.010 | -0.000 | -0.000 | 0.000 |
| 53.010 | 53.010 | 110.473 | -0.000 | -0.000 | 0.000 |
| 0.000 | 0.000 | 0.000 | 60.750 | -0.000 | 0.000 |
| 0.000 | -0.000 | 0.000 | -0.000 | 60.750 | 0.000 |
| 0.000 | 0.000 | -0.000 | -0.000 | -0.000 | 60.750 |
| 110.473 | 53.010 | 53.010 | 0.000 | 0.000 | -0.000 |
| 53.010 | 110.473 | 53.011 | 0.000 | 0.000 | -0.000 |
| 53.011 | 53.010 | 110.473 | 0.000 | 0.000 | 0.000 |
| 0.000 | 0.000 | 0.000 | 60.750 | 0.000 | -0.000 |
| 0.000 | 0.000 | 0.000 | 0.000 | 60.750 | 0.000 |
| -0.000 | -0.000 | 0.000 | 0.000 | 0.000 | 60.750 |
| 110.471 | 53.012 | 53.012 | -0.000 | -0.000 | 0.000 |
| 53.012 | 110.471 | 53.012 | -0.000 | -0.000 | 0.000 |
| 53.012 | 53.012 | 110.471 | -0.000 | -0.000 | 0.000 |
| 0.000 | 0.000 | 0.000 | 60.750 | -0.000 | -0.000 |
| 0.000 | 0.000 | 0.000 | -0.000 | 60.750 | 0.000 |
| 0.000 | 0.000 | 0.000 | 0.000 | -0.000 | 60.750 |
| 110.467 | 53.013 | 53.013 | 0.000 | 0.000 | -0.000 |
| 53.013 | 110.467 | 53.013 | 0.000 | 0.000 | -0.000 |
| 53.013 | 53.013 | 110.467 | 0.000 | 0.000 | -0.000 |
| -0.000 | -0.000 | -0.000 | 60.750 | 0.000 | -0.000 |
| -0.000 | -0.000 | -0.000 | 0.000 | 60.750 | -0.000 |
| -0.000 | -0.000 | -0.000 | 0.000 | 0.000 | 60.750 |
| 138.365 | 25.109 | 25.109 | -0.000 | -0.000 | -0.000 |
| 25.109 | 138.365 | 25.109 | -0.000 | -0.000 | -0.000 |
| 25.109 | 25.109 | 138.365 | -0.000 | -0.000 | -0.000 |
| -0.000 | -0.000 | 0.000 | 56.107 | -0.000 | -0.000 |
| 0.000 | 0.000 | 0.000 | -0.000 | 56.107 | -0.000 |
| 0.000 | -0.000 | 0.000 | -0.000 | -0.000 | 56.107 |
| 99.111 | 41.824 | 41.825 | 0.000 | -0.000 | 0.000 |
| 41.824 | 99.112 | 41.825 | 0.000 | -0.000 | 0.000 |
| 41.824 | 41.824 | 99.112 | 0.000 | 0.000 | 0.000 |
| 0.000 | 0.000 | -0.000 | 56.107 | -0.000 | 0.000 |
| 0.000 | 0.000 | -0.000 | -0.000 | 56.107 | 0.000 |
| 0.000 | -0.000 | -0.000 | 0.000 | 0.000 | 56.107 |
| 99.042 | 41.803 | 41.803 | -0.000 | -0.000 | -0.000 |
| 41.803 | 99.042 | 41.803 | -0.000 | -0.000 | -0.000 |
| 41.803 | 41.803 | 99.042 | -0.000 | -0.000 | -0.000 |
| -0.006 | -0.006 | -0.006 | 34.731 | -0.000 | -0.000 |
| -0.006 | -0.006 | -0.006 | -0.000 | 34.731 | -0.000 |
| -0.006 | -0.006 | -0.006 | -0.000 | -0.000 | 34.731 |
| 99.054 | 41.807 | 41.807 | 0.000 | 0.000 | 0.000 |
| 41.807 | 99.054 | 41.807 | 0.000 | 0.000 | 0.000 |
| 41.807 | 41.807 | 99.054 | 0.000 | 0.000 | 0.000 |
| 0.006 | 0.006 | 0.006 | 34.731 | 0.000 | 0.000 |
| 0.006 | 0.006 | 0.006 | 0.000 | 34.731 | 0.000 |
| 0.006 | 0.006 | 0.006 | 0.000 | 0.000 | 34.731 |
| 94.329 | 35.435 | 35.435 | -0.000 | -0.000 | -0.000 |
| 35.435 | 94.329 | 35.435 | -0.000 | 0.000 | -0.000 |
| 35.435 | 35.435 | 94.329 | -0.000 | -0.000 | -0.000 |
| 0.000 | 0.000 | 0.000 | 56.107 | -0.000 | -0.000 |
| 0.000 | 0.000 | 0.000 | -0.000 | 56.107 | 0.000 |
| 0.000 | 0.000 | 0.000 | -0.000 | -0.000 | 56.107 |
| 99.031 | 41.813 | 41.813 | 0.000 | 0.000 | 0.000 |
| 41.813 | 99.031 | 41.813 | 0.000 | 0.000 | 0.000 |
| 41.813 | 41.813 | 99.031 | 0.000 | 0.000 | 0.000 |
| -0.000 | -0.000 | -0.000 | 56.107 | 0.000 | 0.000 |
| -0.000 | -0.000 | -0.000 | 0.000 | 56.107 | 0.000 |
| -0.000 | -0.000 | -0.000 | 0.000 | 0.000 | 56.107 |
| 172.209 | 67.585 | 53.317 | 0.000 | -0.000 | 0.000 |
| 67.585 | 172.209 | 53.316 | 0.000 | -0.000 | 0.000 |
| 18.805 | 18.805 | 255.300 | -0.000 | 0.000 | 0.000 |
| 0.007 | 0.007 | -0.015 | 45.722 | -0.000 | 0.000 |
| -0.000 | -0.000 | 0.000 | -0.000 | 62.392 | -0.000 |
| 0.000 | -0.000 | -0.000 | -0.000 | -0.000 | 90.315 |
| 172.195 | 67.568 | 53.346 | -0.000 | -0.000 | 0.000 |
| 47.178 | 227.808 | 18.492 | -0.000 | 0.000 | -0.000 |
| 51.831 | 51.831 | 189.941 | -0.000 | 0.000 | -0.000 |
| -0.007 | -0.007 | 0.015 | 45.723 | 0.000 | -0.000 |
| 0.000 | 0.000 | 0.000 | 0.000 | 62.392 | 0.000 |
| -0.000 | 0.000 | 0.000 | 0.000 | -0.000 | 90.315 |
| 172.203 | 67.578 | 53.329 | -0.000 | 0.000 | 0.000 |
| 67.578 | 172.203 | 53.329 | 0.000 | 0.000 | 0.000 |
| 51.839 | 51.839 | 189.924 | -0.000 | 0.000 | 0.000 |
| 0.001 | 0.001 | -0.002 | 45.723 | -0.000 | -0.000 |
| 0.001 | 0.001 | -0.002 | -0.000 | 45.723 | 0.000 |
| 0.000 | 0.000 | -0.000 | 0.000 | -0.000 | 90.315 |
| 172.201 | 67.576 | 53.332 | 0.000 | -0.000 | 0.000 |
| 67.576 | 172.202 | 53.332 | -0.000 | -0.000 | -0.000 |
| 51.839 | 51.839 | 189.924 | 0.000 | -0.000 | -0.000 |
| -0.001 | -0.001 | 0.002 | 45.723 | 0.000 | -0.000 |
| -0.001 | -0.001 | 0.002 | 0.000 | 45.723 | -0.000 |
| -0.000 | -0.000 | 0.000 | -0.000 | 0.000 | 90.315 |
| 172.127 | 69.476 | 51.525 | -0.000 | 0.000 | 0.000 |
| 67.578 | 172.201 | 53.332 | -0.000 | 0.000 | 0.000 |
| 51.840 | 51.840 | 189.923 | -0.000 | -0.000 | 0.000 |
| 0.000 | 0.000 | -0.000 | 62.392 | -0.000 | 0.000 |
| -0.000 | 0.000 | -0.000 | -0.000 | 45.723 | 0.000 |
| -0.000 | 0.000 | -0.000 | 0.000 | 0.000 | 51.326 |
| 172.202 | 67.576 | 53.330 | -0.000 | -0.000 | -0.000 |
| 67.576 | 172.204 | 53.329 | 0.000 | -0.000 | -0.000 |
| 51.839 | 51.839 | 189.924 | -0.000 | -0.000 | -0.000 |
| -0.000 | -0.000 | 0.000 | 62.392 | 0.000 | -0.000 |
| 0.000 | -0.000 | 0.000 | 0.000 | 45.723 | -0.000 |
| 0.000 | -0.000 | 0.000 | 0.000 | 0.000 | 51.326 |
| 146.816 | 71.171 | 71.171 | 0.000 | 0.000 | -0.000 |
| 71.171 | 146.816 | 71.171 | 0.000 | -0.000 | -0.000 |
| 71.171 | 71.171 | 146.816 | 0.000 | 0.000 | -0.000 |
| -0.000 | -0.000 | -0.000 | 94.103 | 0.000 | 0.000 |
| -0.000 | -0.000 | -0.000 | 0.000 | 94.103 | 0.000 |
| -0.000 | -0.000 | -0.000 | 0.000 | -0.000 | 94.103 |
| 146.816 | 71.171 | 71.171 | -0.000 | -0.000 | 0.000 |
| 71.171 | 146.816 | 71.171 | 0.000 | -0.000 | 0.000 |
| 71.171 | 71.171 | 146.816 | -0.000 | 0.000 | 0.000 |
| 0.000 | 0.000 | 0.000 | 94.103 | -0.000 | 0.000 |
| 0.000 | 0.000 | 0.000 | -0.000 | 94.103 | -0.000 |
| 0.000 | 0.000 | 0.000 | -0.000 | 0.000 | 94.103 |
| 192.496 | 60.335 | 60.335 | 0.000 | -0.000 | -0.000 |
| 60.335 | 192.496 | 60.335 | 0.000 | 0.000 | 0.000 |
| 60.335 | 60.335 | 192.496 | 0.000 | 0.000 | -0.000 |
| -0.000 | -0.000 | -0.000 | 45.189 | 0.000 | -0.000 |
| -0.000 | -0.000 | -0.000 | 0.000 | 45.189 | -0.000 |
| -0.000 | -0.000 | -0.000 | 0.000 | 0.000 | 45.189 |
| 192.496 | 60.335 | 60.335 | -0.000 | -0.000 | -0.000 |
| 60.335 | 192.496 | 60.335 | -0.000 | -0.000 | 0.000 |
| 60.335 | 60.335 | 192.496 | -0.000 | 0.000 | -0.000 |
| 0.000 | 0.000 | 0.000 | 45.189 | -0.000 | 0.000 |
| 0.000 | 0.000 | 0.000 | -0.000 | 45.189 | 0.000 |
| 0.000 | 0.000 | 0.000 | -0.000 | 0.000 | 45.189 |
| 146.709 | 72.410 | 72.410 | 0.000 | -0.000 | -0.000 |
| 72.410 | 146.709 | 72.410 | 0.000 | 0.000 | 0.000 |
| 72.410 | 72.410 | 146.709 | 0.000 | -0.000 | 0.000 |
| 0.000 | -0.000 | -0.000 | 45.189 | -0.000 | 0.000 |
| -0.000 | 0.000 | -0.000 | 0.000 | 45.817 | 0.000 |
| -0.000 | -0.000 | 0.000 | 0.000 | 0.000 | 45.189 |
| 146.709 | 72.410 | 72.410 | -0.000 | 0.000 | 0.000 |
| 72.410 | 146.709 | 72.410 | -0.000 | 0.000 | 0.000 |
| 72.410 | 72.410 | 146.709 | -0.000 | 0.000 | 0.000 |
| -0.000 | 0.000 | 0.000 | 45.189 | -0.000 | 0.000 |
| 0.000 | -0.000 | 0.000 | -0.000 | 45.817 | -0.000 |
| 0.000 | 0.000 | -0.000 | -0.000 | 0.000 | 45.189 |
| 0.000 | 0.000 | -0.000 | -0.000 | 0.000 | 0.000 |
| 0.000 | 0.000 | -0.000 | -0.000 | -0.000 | 0.000 |
| 0.000 | 0.000 | 629.794 | 0.000 | -0.000 | 0.000 |
| 0.000 | -0.000 | -0.000 | -0.000 | -0.000 | -0.000 |
| -0.000 | 0.000 | -0.000 | -0.000 | 0.000 | 0.000 |
| 0.000 | 0.000 | -0.000 | -0.000 | -0.000 | 0.000 |
| -0.000 | -0.000 | 0.000 | 0.000 | -0.000 | -0.000 |
| -0.000 | -0.000 | 0.000 | 0.000 | 0.000 | -0.000 |
| -0.000 | -0.000 | 629.795 | 0.000 | -0.000 | -0.000 |
| -0.000 | 0.000 | 0.000 | 0.000 | 0.000 | -0.000 |
| -0.000 | -0.000 | 0.000 | 0.000 | 0.000 | -0.000 |
| -0.000 | -0.000 | 0.000 | 0.000 | 0.000 | -0.000 |
| 0.000 | 0.000 | -0.000 | -0.000 | -0.000 | 0.000 |
| 0.000 | 0.000 | -0.000 | -0.000 | -0.000 | 0.000 |
| 0.000 | 0.000 | 629.795 | 0.000 | 0.000 | 0.000 |
| 0.000 | -0.000 | -0.000 | -0.000 | -0.000 | -0.000 |
| 0.000 | 0.000 | -0.000 | -0.000 | -0.000 | 0.000 |
| 0.000 | 0.000 | -0.000 | -0.000 | -0.000 | 0.000 |
| -0.000 | -0.000 | 0.000 | 0.000 | 0.000 | -0.000 |
| -0.000 | -0.000 | 0.000 | 0.000 | 0.000 | -0.000 |
| -0.000 | -0.000 | 629.794 | 0.000 | 0.000 | -0.000 |
| -0.000 | 0.000 | 0.000 | 0.000 | 0.000 | 0.000 |
| -0.000 | -0.000 | 0.000 | 0.000 | 0.000 | -0.000 |
| -0.000 | -0.000 | 0.000 | 0.000 | 0.000 | -0.000 |
| 0.000 | 0.000 | -0.000 | -0.000 | 0.000 | 0.000 |
| 0.000 | 0.000 | -0.000 | -0.000 | -0.000 | 0.000 |
| 0.000 | 0.000 | 629.797 | -0.000 | -0.000 | 0.000 |
| 0.000 | 0.000 | -0.000 | -0.000 | -0.000 | 0.000 |
| -0.000 | 0.000 | -0.000 | -0.000 | -0.000 | 0.000 |
| 0.000 | 0.000 | -0.000 | -0.000 | -0.000 | 0.000 |
| -0.000 | -0.000 | 0.000 | 0.000 | -0.000 | -0.000 |
| -0.000 | -0.000 | 0.000 | 0.000 | 0.000 | -0.000 |
| -0.000 | -0.000 | 629.791 | 0.000 | -0.000 | -0.000 |
| -0.000 | -0.000 | 0.000 | 0.000 | 0.000 | -0.000 |
| 0.000 | -0.000 | 0.000 | 0.000 | 0.000 | -0.000 |
| -0.000 | -0.000 | 0.000 | 0.000 | -0.000 | -0.000 |
| -130.232 | -144.198 | -307.139 | -10.337 | 3.909 | -0.000 |
| 51.448 | 218.204 | 41.841 | -21.133 | 18.556 | -0.000 |
| 426.309 | 426.310 | 842.302 | 0.000 | 0.000 | -0.000 |
| -246.369 | -224.534 | -386.889 | -3.939 | 0.000 | -4.323 |
| 396.861 | 418.504 | -327.135 | 0.000 | 71.019 | 20.205 |
| 408.835 | 408.836 | -326.924 | 10.853 | 20.267 | 75.491 |
| 218.205 | 51.449 | 41.842 | 21.133 | -18.555 | -0.000 |
| 51.450 | 218.204 | 41.842 | -21.133 | 18.556 | 0.000 |
| 311.764 | 311.763 | 478.077 | -0.000 | 0.000 | -0.000 |
| -387.482 | -427.894 | 327.135 | 71.019 | -0.000 | 10.821 |
| 239.775 | 231.128 | 386.889 | -0.000 | -3.940 | -10.917 |
| -408.835 | -408.836 | 326.924 | 10.853 | 20.267 | 75.491 |
| 218.204 | 51.449 | 41.841 | 21.133 | -18.555 | 0.000 |
| 85.384 | 185.312 | 16.817 | -9.023 | 4.992 | -0.000 |
| 43.546 | 43.546 | 200.004 | 0.000 | 0.000 | 0.000 |
| -29.048 | -13.456 | -34.921 | 3.300 | 0.000 | -2.095 |
| -19.157 | -23.346 | -34.920 | -0.000 | 3.303 | -7.795 |
| -21.354 | -21.354 | -35.089 | -2.194 | -7.935 | 12.815 |
| 218.204 | 51.449 | 41.841 | 21.133 | -18.555 | 0.000 |
| 111.497 | 121.852 | 112.365 | 11.081 | -4.440 | 0.000 |
| 43.546 | 43.546 | 200.004 | 0.000 | -0.000 | 0.000 |
| 13.457 | 29.046 | 34.920 | 3.303 | 0.000 | -2.094 |
| 23.345 | 19.157 | 34.919 | -0.000 | 3.303 | -7.795 |
| 21.354 | 21.354 | 35.089 | -2.194 | -7.935 | 12.816 |
| 156.019 | 69.623 | 54.217 | 5.370 | -4.958 | -0.000 |
| 68.808 | 155.752 | 56.002 | -4.694 | 6.821 | 0.000 |
| 55.381 | 55.381 | 113.227 | 0.000 | 0.000 | 0.000 |
| 3.618 | -6.016 | -1.970 | 32.553 | -0.000 | 6.908 |
| -8.107 | 5.710 | -1.970 | -0.000 | 32.553 | 4.817 |
| -1.250 | -1.250 | -2.054 | 6.411 | 4.120 | 42.079 |
| 152.324 | 66.670 | 60.315 | 6.200 | -2.628 | 0.000 |
| 72.478 | 154.355 | 61.121 | -3.651 | 6.076 | -0.000 |
| 67.704 | 67.704 | 124.106 | -0.000 | -0.000 | -0.000 |
| 21.133 | -21.133 | -0.000 | 70.395 | -0.000 | 18.555 |
| -5.711 | 8.108 | 1.969 | 0.000 | 32.557 | 4.819 |
| 1.250 | 1.250 | 2.054 | 6.411 | 4.121 | 42.080 |
| 24.519 | 29.852 | 40.620 | 5.039 | 6.755 | -1.092 |
| 38.785 | 65.813 | 51.061 | 13.947 | -7.258 | -7.859 |
| 46.002 | 45.841 | 94.060 | 15.160 | 7.298 | -5.806 |
| 3.560 | 8.514 | 13.753 | 12.403 | -3.985 | 9.584 |
| 13.174 | 5.169 | 10.994 | -2.513 | 8.100 | 1.858 |
| 1.257 | -6.916 | 0.534 | 6.858 | 1.832 | 8.067 |
| 29.350 | 39.274 | 46.349 | 2.383 | 8.874 | -1.623 |
| 42.629 | 77.118 | 45.811 | 12.831 | 2.463 | -8.063 |
| 44.078 | 50.340 | 93.067 | 13.004 | 9.593 | -6.904 |
| 0.095 | 12.394 | 10.992 | 11.577 | -1.909 | 7.794 |
| 9.375 | 7.969 | 8.131 | -3.754 | 10.631 | 0.242 |
| 1.989 | -7.373 | 0.455 | 5.314 | 6.164 | 7.586 |
| 25.427 | 31.594 | 42.846 | 3.929 | 7.605 | -1.338 |
| 37.617 | 68.200 | 49.461 | 13.218 | -4.327 | -9.712 |
| 41.959 | 47.222 | 93.167 | 13.632 | 8.289 | -7.041 |
| 3.086 | 12.198 | 14.009 | 10.681 | -3.425 | 9.032 |
| 6.602 | -1.985 | 8.442 | -3.310 | 8.085 | 1.675 |
| -2.803 | -12.296 | -4.772 | 6.782 | 3.058 | 7.318 |
| 25.582 | 32.291 | 42.767 | 3.850 | 7.908 | -1.425 |
| 37.749 | 68.887 | 49.380 | 13.143 | -3.998 | -9.808 |
| 42.063 | 47.892 | 93.033 | 13.542 | 8.559 | -7.126 |
| 2.868 | 12.893 | 13.353 | 10.660 | -3.136 | 9.152 |
| 7.170 | -0.833 | 8.337 | -3.254 | 8.453 | 1.444 |
| -2.708 | -11.659 | -4.836 | 6.668 | 3.331 | 7.238 |
| 25.434 | 31.915 | 42.985 | 3.577 | 7.706 | -1.294 |
| 37.448 | 68.537 | 49.507 | 12.962 | -4.189 | -9.705 |
| 41.909 | 47.466 | 93.095 | 13.627 | 8.254 | -7.100 |
| 2.741 | 12.197 | 13.633 | 10.649 | -3.268 | 9.029 |
| 6.555 | -1.798 | 8.238 | -3.235 | 8.224 | 1.501 |
| -2.621 | -12.085 | -4.767 | 6.626 | 3.337 | 7.243 |
| 25.456 | 31.990 | 42.980 | 3.574 | 7.739 | -1.298 |
| 37.460 | 68.601 | 49.495 | 12.956 | -4.159 | -9.712 |
| 41.911 | 47.528 | 93.096 | 13.625 | 8.279 | -7.105 |
| 2.743 | 12.260 | 13.640 | 10.657 | -3.244 | 9.027 |
| 6.577 | -1.727 | 8.223 | -3.246 | 8.257 | 1.489 |
| -2.617 | -12.000 | -4.803 | 6.618 | 3.380 | 7.233 |
| 126.670 | 63.751 | 63.751 | -0.000 | -0.000 | -0.000 |
| 63.751 | 126.670 | 63.751 | -0.000 | -0.000 | 0.000 |
| 63.751 | 63.751 | 126.670 | -0.000 | -0.000 | 0.000 |
| 0.000 | 0.000 | 0.000 | 78.704 | 0.000 | 0.000 |
| 0.000 | 0.000 | 0.000 | -0.000 | 78.704 | -0.000 |
| 0.000 | 0.000 | 0.000 | 0.000 | 0.000 | 78.704 |
| 126.988 | 64.005 | 64.005 | -0.000 | 0.000 | 0.000 |
| 64.005 | 126.988 | 64.005 | -0.000 | 0.000 | -0.000 |
| 64.005 | 64.005 | 126.988 | 0.000 | 0.000 | 0.000 |
| -0.000 | -0.000 | -0.000 | 78.704 | -0.000 | 0.000 |
| 0.000 | -0.000 | -0.000 | -0.000 | 78.704 | 0.000 |
| -0.000 | -0.000 | -0.000 | -0.000 | 0.000 | 78.704 |
| 127.892 | 63.489 | 63.489 | 0.000 | -0.000 | -0.000 |
| 63.489 | 127.892 | 63.489 | -0.000 | 0.000 | -0.000 |
| 63.489 | 63.489 | 127.892 | 0.000 | 0.000 | -0.000 |
| -0.011 | -0.011 | -0.011 | 40.802 | -0.000 | -0.000 |
| -0.011 | -0.011 | -0.011 | 0.000 | 40.802 | -0.000 |
| -0.011 | -0.011 | -0.011 | -0.000 | 0.000 | 40.802 |
| 127.924 | 63.504 | 63.504 | 0.000 | -0.000 | 0.000 |
| 63.504 | 127.924 | 63.504 | 0.000 | 0.000 | 0.000 |
| 63.504 | 63.504 | 127.924 | 0.000 | 0.000 | -0.000 |
| 0.011 | 0.011 | 0.011 | 40.802 | -0.000 | 0.000 |
| 0.011 | 0.011 | 0.011 | 0.000 | 40.802 | 0.000 |
| 0.011 | 0.011 | 0.011 | -0.000 | -0.000 | 40.802 |
| 126.841 | 63.871 | 63.871 | 0.000 | 0.000 | -0.000 |
| 63.871 | 126.841 | 63.871 | -0.000 | -0.000 | -0.000 |
| 63.871 | 63.871 | 126.841 | 0.000 | 0.000 | -0.000 |
| -0.001 | -0.001 | -0.001 | 40.802 | -0.000 | -0.000 |
| -0.001 | -0.001 | -0.001 | 0.000 | 40.802 | -0.000 |
| -0.001 | -0.001 | -0.001 | -0.000 | -0.000 | 40.802 |
| 127.910 | 63.497 | 63.497 | 0.000 | -0.000 | -0.000 |
| 63.497 | 127.910 | 63.497 | 0.000 | 0.000 | 0.000 |
| 63.497 | 63.497 | 127.910 | 0.000 | 0.000 | 0.000 |
| 0.001 | 0.001 | 0.001 | 40.802 | 0.000 | 0.000 |
| 0.001 | 0.001 | 0.001 | 0.000 | 40.802 | 0.000 |
| 0.001 | 0.001 | 0.001 | 0.000 | 0.000 | 40.802 |
| 135.917 | 59.038 | 59.038 | -0.000 | 0.000 | 0.000 |
| 59.038 | 135.917 | 59.038 | 0.000 | 0.000 | 0.000 |
| 59.038 | 59.038 | 135.917 | 0.000 | 0.000 | 0.000 |
| 0.064 | 0.064 | 0.064 | 40.068 | 0.000 | -0.000 |
| 0.064 | 0.064 | 0.064 | -0.000 | 40.068 | 0.000 |
| 0.064 | 0.064 | 0.064 | -0.000 | 0.000 | 40.068 |
| 135.033 | 57.873 | 57.873 | -0.000 | -0.000 | -0.000 |
| 57.873 | 135.033 | 57.873 | 0.000 | -0.000 | 0.000 |
| 57.873 | 57.873 | 135.033 | -0.000 | -0.000 | 0.000 |
| -0.064 | -0.064 | -0.064 | 40.068 | -0.000 | 0.000 |
| -0.064 | -0.064 | -0.064 | 0.000 | 40.068 | 0.000 |
| -0.064 | -0.064 | -0.064 | -0.000 | -0.000 | 40.068 |
| 135.077 | 57.956 | 57.956 | -0.000 | 0.000 | -0.000 |
| 57.956 | 135.077 | 57.956 | -0.000 | 0.000 | 0.000 |
| 57.956 | 57.956 | 135.077 | 0.000 | 0.000 | -0.000 |
| 0.005 | 0.005 | 0.005 | 40.482 | 0.000 | 0.000 |
| 0.005 | 0.005 | 0.005 | 0.000 | 40.482 | -0.000 |
| 0.005 | 0.005 | 0.005 | 0.000 | 0.000 | 40.482 |
| 135.844 | 58.987 | 58.987 | -0.000 | -0.000 | 0.000 |
| 58.987 | 135.844 | 58.987 | -0.000 | -0.000 | 0.000 |
| 58.987 | 58.987 | 135.844 | -0.000 | -0.000 | 0.000 |
| -0.005 | -0.005 | -0.005 | 40.482 | -0.000 | 0.000 |
| -0.005 | -0.005 | -0.005 | 0.000 | 40.482 | 0.000 |
| -0.005 | -0.005 | -0.005 | -0.000 | -0.000 | 40.482 |
| 135.073 | 57.949 | 57.949 | 0.000 | 0.000 | -0.000 |
| 57.949 | 135.073 | 57.949 | -0.000 | 0.000 | -0.000 |
| 57.949 | 57.949 | 135.073 | -0.000 | 0.000 | -0.000 |
| 0.001 | 0.000 | 0.000 | 40.482 | 0.000 | -0.000 |
| 0.000 | 0.001 | 0.000 | 0.000 | 40.482 | 0.000 |
| 0.001 | 0.001 | 0.001 | -0.000 | 0.000 | 40.203 |
| 135.850 | 58.991 | 58.991 | 0.000 | -0.000 | -0.000 |
| 58.991 | 135.850 | 58.991 | 0.000 | -0.000 | 0.000 |
| 58.991 | 58.991 | 135.850 | 0.000 | -0.000 | -0.000 |
| -0.001 | -0.000 | -0.000 | 40.482 | -0.000 | -0.000 |
| -0.001 | -0.001 | -0.001 | 0.000 | 40.203 | 0.000 |
| -0.000 | -0.000 | -0.001 | 0.000 | -0.000 | 40.482 |
| 144.686 | 36.452 | 68.458 | 0.000 | 0.000 | 0.000 |
| 36.452 | 144.686 | 68.458 | 0.000 | 0.000 | 0.000 |
| 55.942 | 55.941 | 189.173 | 0.000 | 0.000 | -0.000 |
| -0.000 | -0.000 | -0.000 | 41.048 | 0.000 | 0.000 |
| -0.000 | -0.000 | -0.000 | 0.000 | 41.047 | 0.000 |
| -0.000 | -0.000 | -0.000 | 0.000 | 0.000 | 21.387 |
| 144.686 | 36.452 | 68.458 | -0.000 | -0.000 | -0.000 |
| 36.452 | 144.686 | 68.458 | -0.000 | -0.000 | -0.000 |
| 55.942 | 55.942 | 189.174 | -0.000 | -0.000 | 0.000 |
| 0.000 | 0.000 | 0.000 | 41.047 | -0.000 | -0.000 |
| 0.000 | 0.000 | 0.000 | -0.000 | 41.047 | -0.000 |
| 0.000 | 0.000 | 0.000 | -0.000 | -0.000 | 21.387 |
| 140.452 | 52.737 | 58.103 | 0.000 | 0.000 | 0.000 |
| 52.737 | 140.452 | 58.103 | 0.000 | 0.000 | 0.000 |
| 55.942 | 55.942 | 189.173 | 0.000 | 0.000 | 0.000 |
| -0.000 | -0.000 | -0.000 | 41.047 | 0.000 | 0.000 |
| -0.000 | -0.000 | -0.000 | 0.000 | 41.047 | 0.000 |
| -0.000 | -0.000 | -0.000 | 0.000 | 0.000 | 21.387 |
| 140.453 | 52.737 | 58.103 | -0.000 | -0.000 | -0.000 |
| 52.737 | 140.453 | 58.103 | -0.000 | -0.000 | -0.000 |
| 55.942 | 55.942 | 189.173 | -0.000 | -0.000 | -0.000 |
| 0.000 | 0.000 | 0.000 | 41.047 | -0.000 | -0.000 |
| 0.000 | 0.000 | 0.000 | -0.000 | 41.047 | -0.000 |
| 0.000 | 0.000 | 0.000 | -0.000 | -0.000 | 32.397 |
| 140.450 | 52.738 | 58.105 | 0.000 | 0.000 | 0.000 |
| 52.738 | 140.450 | 58.105 | 0.000 | 0.000 | -0.000 |
| 55.942 | 55.942 | 189.174 | 0.000 | 0.000 | 0.000 |
| 0.000 | -0.000 | -0.000 | 41.047 | 0.000 | 0.000 |
| -0.000 | 0.000 | -0.000 | 0.000 | 41.047 | 0.000 |
| -0.000 | -0.000 | -0.000 | 0.000 | 0.000 | 21.387 |
| 140.455 | 52.735 | 58.101 | -0.000 | -0.000 | -0.000 |
| 52.735 | 140.455 | 58.101 | -0.000 | -0.000 | -0.000 |
| 55.942 | 55.942 | 189.173 | -0.000 | -0.000 | -0.000 |
| -0.000 | 0.000 | 0.000 | 41.047 | -0.000 | 0.000 |
| 0.000 | -0.000 | 0.000 | -0.000 | 41.047 | -0.000 |
| 0.000 | 0.000 | 0.000 | -0.000 | -0.000 | 21.387 |
| 99.123 | 41.932 | 41.932 | 0.000 | -0.000 | 0.000 |
| 41.932 | 99.123 | 41.932 | 0.000 | -0.000 | 0.000 |
| 41.932 | 41.932 | 99.124 | 0.000 | -0.000 | 0.000 |
| -0.048 | -0.047 | -0.047 | 35.653 | 0.000 | 0.000 |
| -0.048 | -0.047 | -0.047 | -0.000 | 35.653 | 0.000 |
| -0.048 | -0.047 | -0.047 | -0.000 | -0.000 | 35.653 |
| 99.278 | 41.981 | 41.981 | 0.000 | -0.000 | -0.000 |
| 41.981 | 99.277 | 41.981 | -0.000 | -0.000 | -0.000 |
| 41.981 | 41.981 | 99.277 | -0.000 | -0.000 | -0.000 |
| 0.048 | 0.047 | 0.047 | 35.653 | 0.000 | -0.000 |
| 0.048 | 0.047 | 0.047 | -0.000 | 35.653 | -0.000 |
| 0.048 | 0.047 | 0.047 | -0.000 | -0.000 | 35.653 |
| 94.446 | 35.534 | 35.534 | 0.000 | -0.000 | 0.000 |
| 35.534 | 94.446 | 35.534 | 0.000 | -0.000 | 0.000 |
| 35.534 | 35.534 | 94.446 | -0.000 | -0.000 | 0.000 |
| -0.007 | -0.007 | -0.007 | 34.733 | -0.000 | 0.000 |
| -0.007 | -0.007 | -0.007 | 0.000 | 34.733 | 0.000 |
| -0.007 | -0.007 | -0.007 | 0.000 | -0.000 | 34.733 |
| 94.489 | 35.585 | 35.585 | 0.000 | 0.000 | -0.000 |
| 35.585 | 94.489 | 35.585 | 0.000 | 0.000 | -0.000 |
| 35.585 | 35.585 | 94.489 | 0.000 | -0.000 | -0.000 |
| 0.007 | 0.007 | 0.007 | 34.733 | -0.000 | -0.000 |
| 0.007 | 0.007 | 0.007 | -0.000 | 34.733 | -0.000 |
| 0.007 | 0.007 | 0.007 | 0.000 | 0.000 | 34.733 |
| 99.220 | 41.948 | 41.948 | -0.000 | -0.000 | 0.000 |
| 41.948 | 99.220 | 41.948 | 0.000 | -0.000 | 0.000 |
| 41.948 | 41.948 | 99.220 | 0.000 | -0.000 | 0.000 |
| -0.000 | -0.001 | -0.000 | 35.655 | 0.000 | 0.000 |
| -0.001 | -0.000 | -0.000 | -0.000 | 35.655 | 0.000 |
| -0.001 | -0.000 | -0.000 | -0.000 | -0.000 | 35.655 |
| 99.188 | 41.962 | 41.962 | 0.000 | 0.000 | -0.000 |
| 41.962 | 99.188 | 41.962 | -0.000 | 0.000 | -0.000 |
| 41.962 | 41.962 | 99.188 | 0.000 | 0.000 | -0.000 |
| 0.000 | 0.001 | 0.000 | 35.655 | 0.000 | -0.000 |
| 0.001 | 0.000 | 0.000 | -0.000 | 35.655 | -0.000 |
| 0.001 | 0.000 | 0.000 | -0.000 | -0.000 | 35.655 |
| 238.189 | 39.547 | 0.000 | 0.000 | 0.000 | 0.000 |
| 39.548 | 238.189 | 0.000 | 0.000 | 0.000 | 0.000 |
| -0.000 | -0.000 | 0.000 | 0.000 | 0.000 | -0.000 |
| 0.000 | 0.000 | 0.000 | 0.000 | 0.000 | 0.000 |
| -0.000 | 0.000 | 0.000 | 0.000 | 0.000 | 0.000 |
| 0.000 | 0.000 | 0.000 | 0.000 | 0.000 | 74.860 |
| 238.189 | 39.547 | -0.000 | -0.000 | -0.000 | -0.000 |
| 39.547 | 238.189 | -0.000 | -0.000 | -0.000 | -0.000 |
| 0.000 | 0.000 | -0.000 | -0.000 | -0.000 | 0.000 |
| -0.000 | -0.000 | -0.000 | -0.000 | -0.000 | -0.000 |
| 0.000 | 0.000 | -0.000 | -0.000 | -0.000 | -0.000 |
| -0.000 | -0.000 | -0.000 | -0.000 | -0.000 | 74.860 |
| 238.189 | 39.547 | 0.000 | 0.000 | 0.000 | 0.000 |
| 64.008 | 213.728 | 0.000 | 0.000 | 0.000 | 0.000 |
| -0.000 | -0.000 | 0.000 | 0.000 | 0.000 | -0.000 |
| 0.000 | 0.000 | 0.000 | 0.000 | 0.000 | 0.000 |
| -0.000 | -0.000 | 0.000 | 0.000 | 0.000 | 0.000 |
| 0.000 | 0.000 | 0.000 | 0.000 | 0.000 | 99.321 |
| 213.728 | 64.008 | -0.000 | -0.000 | -0.000 | -0.000 |
| 64.008 | 213.728 | -0.000 | -0.000 | -0.000 | -0.000 |
| 0.000 | 0.000 | -0.000 | -0.000 | -0.000 | 0.000 |
| -0.000 | -0.000 | -0.000 | -0.000 | -0.000 | -0.000 |
| 0.000 | 0.000 | -0.000 | -0.000 | -0.000 | -0.000 |
| -0.000 | -0.000 | -0.000 | -0.000 | -0.000 | 99.321 |
| 213.729 | 64.008 | 0.000 | 0.000 | 0.000 | 0.000 |
| 64.009 | 213.729 | 0.000 | 0.000 | 0.000 | 0.000 |
| -0.000 | -0.000 | 0.000 | 0.000 | 0.000 | -0.000 |
| 0.000 | 0.000 | 0.000 | 0.000 | 0.000 | 0.000 |
| -0.000 | 0.000 | 0.000 | 0.000 | 0.000 | 0.000 |
| 0.000 | 0.000 | 0.000 | 0.000 | 0.000 | 99.321 |
| 213.728 | 64.008 | -0.000 | -0.000 | -0.000 | -0.000 |
| 64.007 | 213.728 | -0.000 | -0.000 | -0.000 | -0.000 |
| 0.000 | 0.000 | -0.000 | -0.000 | -0.000 | 0.000 |
| -0.000 | -0.000 | -0.000 | -0.000 | -0.000 | -0.000 |
| 0.000 | 0.000 | -0.000 | -0.000 | -0.000 | -0.000 |
| -0.000 | -0.000 | -0.000 | -0.000 | -0.000 | 99.321 |
| 0.000 | 0.000 | 0.000 | -0.000 | -0.000 | 0.000 |
| 0.000 | 0.000 | 0.000 | 0.000 | -0.000 | 0.000 |
| 0.000 | 0.000 | 629.335 | 0.000 | -0.001 | 0.000 |
| 0.000 | -0.000 | 0.000 | -0.000 | -0.000 | -0.000 |
| 0.000 | 0.000 | 0.000 | 0.000 | -0.000 | 0.000 |
| 0.000 | 0.000 | 0.000 | -0.000 | -0.000 | 0.000 |
| -0.000 | -0.000 | -0.000 | 0.000 | 0.000 | -0.000 |
| -0.000 | -0.000 | -0.000 | -0.000 | 0.000 | -0.000 |
| -0.000 | -0.000 | 629.335 | -0.000 | 0.000 | -0.000 |
| -0.000 | -0.000 | -0.000 | 0.000 | 0.000 | -0.000 |
| -0.000 | -0.000 | -0.000 | 0.000 | 0.000 | -0.000 |
| -0.000 | -0.000 | -0.000 | 0.000 | 0.000 | -0.000 |
| 0.000 | 0.000 | 0.000 | -0.000 | -0.000 | 0.000 |
| 0.000 | 0.000 | 0.000 | 0.000 | -0.000 | 0.000 |
| 0.000 | 0.000 | 629.336 | 0.000 | -0.000 | 0.000 |
| 0.000 | -0.000 | -0.000 | 0.000 | -0.000 | 0.000 |
| 0.000 | 0.000 | -0.000 | 0.000 | -0.000 | 0.000 |
| 0.000 | 0.000 | 0.000 | -0.000 | -0.000 | 0.000 |
| -0.000 | -0.000 | -0.000 | 0.000 | 0.000 | -0.000 |
| -0.000 | -0.000 | -0.000 | -0.000 | 0.000 | -0.000 |
| -0.000 | -0.000 | 629.335 | 0.000 | 0.000 | -0.000 |
| -0.000 | 0.000 | 0.000 | -0.000 | 0.000 | -0.000 |
| 0.000 | -0.000 | 0.000 | -0.000 | 0.000 | -0.000 |
| -0.000 | -0.000 | -0.000 | 0.000 | 0.000 | -0.000 |
| 0.000 | 0.000 | 0.000 | -0.000 | -0.000 | 0.000 |
| 0.000 | 0.000 | 0.000 | 0.000 | -0.000 | 0.000 |
| 0.000 | 0.000 | 629.339 | -0.000 | -0.000 | 0.000 |
| 0.000 | -0.000 | -0.000 | -0.000 | -0.000 | -0.000 |
| 0.000 | 0.000 | -0.000 | -0.000 | -0.000 | 0.000 |
| 0.000 | 0.000 | 0.000 | -0.000 | -0.000 | 0.000 |
| -0.000 | -0.000 | -0.000 | 0.000 | 0.000 | -0.000 |
| -0.000 | -0.000 | -0.000 | -0.000 | 0.000 | -0.000 |
| -0.000 | -0.000 | 629.332 | 0.000 | 0.000 | -0.000 |
| -0.000 | -0.000 | 0.000 | 0.000 | 0.000 | 0.000 |
| 0.000 | -0.000 | 0.000 | 0.000 | 0.000 | -0.000 |
| -0.000 | -0.000 | -0.000 | 0.000 | 0.000 | -0.000 |
| 219.739 | 51.979 | 42.739 | 21.331 | 18.832 | -0.000 |
| 146.157 | 232.596 | -896.452 | -4.330 | -5.504 | -0.001 |
| 209.489 | 209.489 | -311.725 | -0.000 | -0.001 | -0.000 |
| 129.868 | 143.312 | -412.808 | 5.144 | -0.001 | 1.526 |
| 138.128 | 132.476 | -920.245 | -0.000 | -2.808 | -7.685 |
| 137.572 | 137.571 | -931.437 | -2.224 | -10.046 | 15.115 |
| -20.871 | -52.313 | 482.782 | -6.708 | -1.516 | -0.000 |
| -52.312 | -20.865 | 482.773 | 6.708 | 1.517 | -0.000 |
| -63.521 | -63.521 | 926.628 | 0.001 | 0.001 | -0.001 |
| -109.053 | -128.577 | 807.258 | 45.608 | 0.001 | -6.977 |
| -132.490 | -138.138 | 920.283 | 0.000 | -2.813 | -7.688 |
| -118.773 | -118.773 | 808.041 | -6.995 | 9.798 | 53.147 |
| 175.974 | 80.199 | -20.301 | 7.495 | 5.759 | 0.000 |
| 80.200 | 175.973 | -20.301 | -7.494 | -5.758 | 0.000 |
| 87.374 | 87.374 | 56.796 | -0.000 | -0.000 | 0.000 |
| 7.402 | 19.032 | -39.946 | 7.270 | -0.000 | 0.868 |
| 18.462 | 6.185 | -87.608 | -0.000 | 31.289 | 4.748 |
| 0.000 | -0.000 | -0.000 | -18.833 | 21.331 | 83.880 |
| 107.311 | 69.720 | 108.335 | -5.444 | -0.599 | -0.000 |
| 56.851 | 148.089 | 130.311 | -6.487 | -5.260 | -0.000 |
| 44.352 | 44.352 | 200.992 | 0.000 | 0.000 | -0.000 |
| -5.865 | -18.742 | 73.422 | 37.467 | 0.000 | -5.227 |
| -7.077 | -17.530 | 73.421 | 0.000 | 37.466 | 6.438 |
| -13.249 | -13.249 | 40.043 | 0.916 | -5.881 | 17.733 |
| 155.928 | 72.850 | 57.218 | 3.912 | 6.191 | -0.000 |
| 72.843 | 155.949 | 57.213 | -3.918 | -6.195 | -0.000 |
| 54.573 | 54.573 | 102.849 | -0.000 | -0.000 | 0.000 |
| 5.053 | -3.387 | -2.518 | 30.792 | 0.000 | -6.414 |
| 7.247 | -5.581 | -2.518 | -0.000 | 30.791 | 4.219 |
| 1.229 | 1.229 | -6.965 | -4.763 | 5.403 | 43.210 |
| 155.493 | 68.926 | 65.435 | 5.551 | 4.503 | -0.000 |
| 68.926 | 155.494 | 65.435 | -5.551 | -4.503 | -0.000 |
| 64.218 | 64.218 | 130.639 | -0.000 | 0.000 | -0.000 |
| 3.386 | -5.052 | 2.518 | 30.791 | -0.000 | -6.414 |
| 4.670 | -6.262 | 9.358 | 0.000 | 30.782 | 4.342 |
| -0.867 | -0.867 | 2.620 | -5.910 | 3.525 | 40.597 |
| 218.970 | 9.512 | 30.090 | -0.000 | -0.000 | 0.000 |
| 9.512 | 218.970 | 30.090 | -0.000 | -0.000 | 0.000 |
| 56.430 | 56.430 | 192.251 | -0.000 | -0.000 | 0.000 |
| -0.000 | 0.000 | -0.000 | 42.678 | -0.000 | -0.000 |
| -0.000 | 0.000 | -0.000 | -0.000 | 42.678 | 0.000 |
| 0.000 | 0.000 | -0.000 | -0.000 | -0.000 | 20.309 |
| 218.970 | 9.512 | 30.090 | 0.000 | 0.000 | -0.000 |
| 9.512 | 218.970 | 30.090 | 0.000 | 0.000 | -0.000 |
| 56.430 | 56.430 | 192.251 | 0.000 | 0.000 | -0.000 |
| 0.000 | -0.000 | 0.000 | 42.678 | 0.000 | 0.000 |
| 0.000 | -0.000 | 0.000 | 0.000 | 42.678 | -0.000 |
| 0.000 | -0.000 | 0.000 | 0.000 | 0.000 | 20.309 |
| 145.466 | 37.414 | 66.856 | -0.000 | -0.000 | -0.000 |
| 37.414 | 145.466 | 66.856 | -0.000 | -0.000 | 0.000 |
| 56.430 | 56.430 | 192.251 | -0.000 | -0.000 | -0.000 |
| -0.000 | -0.000 | -0.000 | 42.678 | -0.000 | -0.000 |
| -0.000 | 0.000 | -0.000 | -0.000 | 42.678 | -0.000 |
| -0.000 | -0.000 | -0.000 | -0.000 | -0.000 | 20.309 |
| 145.467 | 37.414 | 66.856 | 0.000 | 0.000 | 0.000 |
| 37.414 | 145.467 | 66.856 | 0.000 | 0.000 | 0.000 |
| 56.430 | 56.430 | 192.251 | 0.000 | 0.000 | -0.000 |
| 0.000 | 0.000 | 0.000 | 42.678 | 0.000 | 0.000 |
| -0.000 | -0.000 | 0.000 | 0.000 | 42.678 | 0.000 |
| 0.000 | 0.000 | 0.000 | 0.000 | 0.000 | 20.309 |
| 140.950 | 54.860 | 56.432 | -0.000 | -0.000 | 0.000 |
| 54.860 | 140.950 | 56.432 | -0.000 | -0.000 | -0.000 |
| 56.430 | 56.430 | 192.251 | -0.000 | -0.000 | 0.000 |
| 0.000 | -0.000 | -0.000 | 42.678 | -0.000 | -0.000 |
| -0.000 | 0.000 | -0.000 | -0.000 | 42.678 | 0.000 |
| -0.000 | -0.000 | -0.000 | -0.000 | -0.000 | 20.309 |
| 140.956 | 54.858 | 56.428 | 0.000 | 0.000 | 0.000 |
| 54.858 | 140.956 | 56.428 | 0.000 | 0.000 | 0.000 |
| 56.430 | 56.430 | 192.250 | 0.000 | 0.000 | 0.000 |
| -0.000 | 0.000 | 0.000 | 42.678 | 0.000 | 0.000 |
| 0.000 | -0.000 | 0.000 | 0.000 | 42.678 | -0.000 |
| 0.000 | 0.000 | 0.000 | 0.000 | 0.000 | 20.309 |
| 140.462 | 52.762 | 58.082 | 0.000 | -0.000 | -0.000 |
| 52.762 | 140.462 | 58.082 | 0.000 | -0.000 | 0.000 |
| 30.372 | 30.372 | 233.133 | -0.000 | -0.000 | -0.000 |
| 0.000 | 0.000 | -0.000 | 41.067 | -0.000 | 0.000 |
| 0.000 | 0.000 | -0.000 | -0.000 | 41.067 | 0.000 |
| 0.000 | 0.000 | 0.000 | 0.000 | 0.000 | 21.375 |
| 140.461 | 52.762 | 58.082 | -0.000 | -0.000 | 0.000 |
| 52.762 | 140.461 | 58.082 | -0.000 | -0.000 | 0.000 |
| 55.946 | 55.946 | 189.218 | 0.000 | 0.000 | -0.000 |
| -0.000 | -0.000 | 0.000 | 41.067 | 0.000 | -0.000 |
| -0.000 | -0.000 | 0.000 | 0.000 | 41.067 | 0.000 |
| -0.000 | -0.000 | -0.000 | -0.000 | 0.000 | 21.375 |
| 140.461 | 52.762 | 58.082 | -0.000 | -0.000 | 0.000 |
| 52.762 | 140.461 | 58.082 | -0.000 | -0.000 | 0.000 |
| 55.946 | 55.946 | 189.218 | 0.000 | 0.000 | 0.000 |
| 0.000 | 0.000 | -0.000 | 41.067 | -0.000 | 0.000 |
| 0.000 | 0.000 | -0.000 | -0.000 | 41.067 | -0.000 |
| -0.000 | 0.000 | -0.000 | 0.000 | -0.000 | 21.375 |
| 144.699 | 36.464 | 68.438 | -0.000 | 0.000 | 0.000 |
| 36.464 | 144.699 | 68.438 | 0.000 | 0.000 | -0.000 |
| 55.946 | 55.946 | 189.218 | -0.000 | -0.000 | -0.000 |
| -0.000 | -0.000 | 0.000 | 41.067 | 0.000 | 0.000 |
| -0.000 | -0.000 | 0.000 | 0.000 | 41.067 | -0.000 |
| 0.000 | -0.000 | 0.000 | -0.000 | -0.000 | 21.375 |
| 140.459 | 52.763 | 58.084 | 0.000 | -0.000 | -0.000 |
| 52.763 | 140.459 | 58.084 | 0.000 | -0.000 | -0.000 |
| 55.946 | 55.946 | 189.218 | -0.000 | -0.000 | -0.000 |
| 0.000 | -0.000 | -0.000 | 41.067 | -0.000 | 0.000 |
| -0.000 | 0.000 | -0.000 | -0.000 | 41.067 | 0.000 |
| -0.000 | -0.000 | -0.000 | 0.000 | -0.000 | 21.375 |
| 140.464 | 52.761 | 58.080 | -0.000 | 0.000 | 0.000 |
| 52.761 | 140.464 | 58.080 | -0.000 | 0.000 | -0.000 |
| 55.945 | 55.945 | 189.217 | 0.000 | 0.000 | 0.000 |
| -0.000 | 0.000 | 0.000 | 41.067 | 0.000 | 0.000 |
| 0.000 | -0.000 | 0.000 | 0.000 | 41.067 | 0.000 |
| 0.000 | 0.000 | 0.000 | -0.000 | 0.000 | 21.375 |
| 200.502 | 12.932 | 47.195 | -0.000 | 17.889 | -0.000 |
| 46.255 | 162.472 | 62.340 | -0.000 | -6.652 | -0.000 |
| 62.269 | 64.342 | 153.644 | 0.000 | 12.858 | -0.000 |
| -0.000 | -0.000 | -0.000 | 51.688 | -0.000 | -5.263 |
| 3.000 | -6.711 | 11.047 | 0.000 | 39.178 | -0.000 |
| 0.000 | -0.000 | -0.000 | -6.103 | -0.000 | 32.508 |
| 144.111 | 46.323 | 66.223 | 0.000 | 6.387 | 0.000 |
| 16.085 | 216.933 | 45.937 | 0.000 | -26.374 | 0.000 |
| 64.384 | 62.765 | 152.451 | -0.000 | 10.693 | 0.000 |
| 0.000 | 0.000 | 0.000 | 51.688 | 0.000 | -5.263 |
| 2.723 | -6.973 | 12.334 | -0.000 | 39.454 | 0.000 |
| -0.000 | 0.000 | 0.000 | -6.103 | 0.000 | 32.508 |
| 144.110 | 46.323 | 66.223 | 0.000 | 6.387 | -0.000 |
| 46.255 | 162.473 | 62.340 | -0.000 | -6.652 | -0.000 |
| 44.118 | 45.937 | 191.658 | -0.000 | 25.735 | -0.000 |
| 0.000 | -0.000 | 0.000 | 51.688 | -0.000 | -5.263 |
| 9.169 | -26.374 | 25.735 | 0.000 | 72.945 | -0.000 |
| -0.000 | 0.000 | -0.000 | -24.885 | -0.000 | 51.081 |
| 139.740 | 44.345 | 65.100 | 0.000 | 7.385 | 0.000 |
| 16.085 | 216.933 | 45.937 | 0.000 | -26.374 | 0.000 |
| 44.118 | 45.937 | 191.658 | 0.000 | 25.735 | 0.000 |
| -0.000 | 0.000 | -0.000 | 51.688 | 0.000 | -5.263 |
| 9.169 | -26.374 | 25.735 | -0.000 | 72.945 | 0.000 |
| 0.000 | -0.000 | 0.000 | -24.885 | 0.000 | 51.081 |
| 140.125 | 45.257 | 64.284 | -0.000 | 8.918 | 0.000 |
| 46.256 | 162.472 | 62.340 | 0.000 | -6.651 | -0.000 |
| 63.417 | 62.608 | 152.269 | 0.000 | 11.426 | -0.000 |
| -0.000 | -0.000 | -0.000 | 51.407 | -0.000 | -5.785 |
| 2.723 | -6.973 | 12.334 | -0.000 | 39.453 | -0.000 |
| -0.000 | -0.000 | 0.000 | -5.700 | 0.000 | 32.078 |
| 140.128 | 45.255 | 64.282 | 0.000 | 8.919 | 0.000 |
| 45.636 | 162.346 | 62.615 | 0.000 | -7.526 | 0.000 |
| 62.268 | 64.341 | 153.645 | 0.000 | 12.859 | 0.000 |
| 0.000 | 0.000 | 0.000 | 51.408 | 0.000 | -5.785 |
| 3.000 | -6.711 | 11.048 | 0.000 | 39.178 | 0.000 |
| 0.000 | 0.000 | -0.000 | -5.700 | -0.000 | 32.078 |
| 199.187 | 13.798 | 45.712 | -0.000 | 16.886 | -0.000 |
| 156.949 | 249.532 | -68.165 | 0.000 | -92.483 | 0.000 |
| 122.068 | 174.939 | 5.400 | 0.000 | -82.201 | -0.000 |
| 0.000 | 0.000 | 0.000 | 87.054 | -0.000 | -24.705 |
| 9.153 | -26.476 | 24.993 | 0.000 | 73.281 | 0.000 |
| 61.499 | 112.679 | -151.144 | -1.702 | -97.467 | 27.378 |
| 78.990 | -68.681 | 221.286 | -0.000 | 107.032 | 0.000 |
| -66.902 | 71.493 | 192.208 | 0.000 | 77.190 | 0.000 |
| -0.834 | -52.091 | 308.484 | -0.000 | 114.522 | -0.000 |
| -0.000 | -0.000 | -0.000 | 87.054 | -0.000 | -24.705 |
| 9.153 | -26.476 | 24.993 | 0.000 | 73.281 | 0.000 |
| -61.499 | -112.679 | 151.144 | -1.702 | 97.467 | 27.378 |
| 150.649 | 54.754 | 51.266 | -0.000 | -1.097 | 0.000 |
| 16.048 | 215.770 | 46.252 | 0.000 | -26.784 | -0.000 |
| 43.245 | 47.398 | 189.696 | 0.000 | 24.993 | -0.000 |
| 0.000 | 0.000 | 0.000 | 87.054 | -0.000 | -24.705 |
| 9.153 | -26.476 | 24.993 | -0.000 | 73.281 | -0.000 |
| 0.000 | 0.000 | 0.000 | -25.012 | -0.000 | 50.318 |
| 126.889 | 40.089 | 74.948 | -0.000 | 16.606 | -0.000 |
| 16.048 | 215.770 | 46.252 | -0.000 | -26.784 | -0.000 |
| 43.245 | 47.398 | 189.696 | -0.000 | 24.993 | 0.000 |
| -0.000 | -0.000 | -0.000 | 87.054 | 0.000 | -24.705 |
| -6.587 | -13.982 | 22.285 | -0.000 | 47.061 | -0.000 |
| -0.000 | -0.000 | -0.000 | -25.012 | 0.000 | 50.318 |
| 144.613 | 48.064 | 63.043 | 0.000 | 5.572 | 0.000 |
| 46.534 | 161.099 | 60.623 | -0.000 | -8.753 | 0.000 |
| 64.194 | 64.121 | 151.724 | -0.000 | 9.974 | -0.000 |
| 0.524 | 0.960 | -1.288 | 52.448 | -0.831 | -4.836 |
| 4.051 | -6.041 | 10.988 | 0.000 | 39.484 | 0.000 |
| 1.467 | 1.000 | -1.479 | -5.332 | -1.195 | 31.323 |
| 142.695 | 46.182 | 66.336 | -0.000 | 7.422 | -0.000 |
| 44.898 | 159.317 | 63.121 | -0.000 | -6.710 | -0.000 |
| 61.528 | 62.068 | 154.149 | -0.000 | 12.542 | 0.000 |
| -0.524 | -0.960 | 1.288 | 52.448 | 0.831 | -4.836 |
| 2.841 | -7.578 | 12.435 | -0.000 | 40.943 | -0.000 |
| -1.467 | -1.000 | 1.479 | -5.332 | 1.195 | 31.323 |
| 172.453 | 66.004 | 55.047 | 0.000 | 0.000 | 0.000 |
| 66.952 | 170.474 | 55.336 | -0.000 | -0.000 | 0.000 |
| 18.553 | 18.926 | 255.529 | -0.000 | -0.000 | 0.000 |
| -0.338 | -1.455 | 1.774 | 45.550 | 0.000 | 0.000 |
| -0.339 | -1.459 | 1.779 | -0.000 | 45.724 | 0.000 |
| -0.000 | -0.000 | -0.000 | 0.000 | -0.000 | 90.000 |
| 172.905 | 69.184 | 51.455 | -0.000 | 0.000 | -0.000 |
| 67.721 | 173.408 | 51.671 | -0.000 | -0.000 | 0.000 |
| 51.904 | 53.525 | 188.111 | -0.000 | -0.000 | -0.000 |
| 0.000 | 0.000 | -0.000 | 62.232 | -0.000 | -0.000 |
| 0.339 | 1.459 | -1.779 | 0.000 | 45.724 | 0.000 |
| 0.000 | 0.000 | 0.000 | -0.000 | -0.000 | 90.000 |
| 172.655 | 67.431 | 53.435 | -0.000 | -0.000 | 0.000 |
| 69.193 | 171.716 | 51.876 | -0.000 | -0.000 | 0.000 |
| 18.553 | 18.926 | 255.529 | -0.000 | -0.000 | -0.000 |
| -0.034 | -0.146 | 0.177 | 45.551 | -0.000 | 0.000 |
| -0.000 | -0.000 | -0.000 | -0.000 | 62.344 | 0.000 |
| 0.000 | 0.000 | 0.000 | -0.000 | -0.000 | 90.000 |
| 227.982 | 47.039 | 18.447 | -0.000 | 0.000 | -0.000 |
| 69.252 | 172.017 | 51.520 | -0.000 | 0.000 | -0.000 |
| 51.599 | 52.210 | 189.715 | -0.000 | 0.000 | -0.000 |
| 0.034 | 0.146 | -0.177 | 45.551 | -0.000 | -0.000 |
| 0.000 | 0.000 | 0.000 | 0.000 | 62.344 | -0.000 |
| -0.000 | -0.000 | -0.000 | 0.000 | -0.000 | 90.000 |
| 172.675 | 67.575 | 53.274 | 0.000 | -0.000 | 0.000 |
| 69.221 | 171.850 | 51.717 | 0.000 | 0.000 | 0.000 |
| 51.563 | 52.051 | 189.909 | 0.000 | 0.000 | 0.000 |
| -0.003 | -0.015 | 0.018 | 45.551 | 0.000 | 0.000 |
| 0.000 | 0.000 | -0.000 | 0.000 | 62.344 | 0.000 |
| -0.004 | -0.016 | 0.019 | 0.000 | -0.000 | 51.193 |
| 172.607 | 69.490 | 51.448 | -0.000 | 0.000 | -0.000 |
| 69.225 | 171.883 | 51.679 | 0.000 | 0.000 | -0.000 |
| 51.567 | 52.077 | 189.877 | 0.000 | 0.000 | -0.000 |
| 0.003 | 0.015 | -0.018 | 45.551 | 0.000 | -0.000 |
| -0.000 | -0.000 | 0.000 | -0.000 | 62.344 | -0.000 |
| 0.004 | 0.016 | -0.019 | 0.000 | 0.000 | 51.193 |
| 166.462 | 89.845 | 89.845 | -0.000 | 0.000 | -0.000 |
| 89.845 | 166.462 | 89.845 | -0.000 | 0.000 | -0.000 |
| 89.845 | 89.845 | 166.462 | -0.000 | 0.000 | -0.000 |
| 17.769 | 17.769 | 17.769 | 46.045 | 0.000 | -0.000 |
| 17.769 | 17.769 | 17.769 | -0.000 | 46.045 | -0.000 |
| 17.769 | 17.769 | 17.769 | -0.000 | 0.000 | 46.045 |
| 129.136 | 54.797 | 54.797 | 0.000 | -0.000 | 0.000 |
| 54.797 | 129.136 | 54.797 | 0.000 | -0.000 | 0.000 |
| 54.797 | 54.797 | 129.136 | 0.000 | -0.000 | 0.000 |
| -17.769 | -17.769 | -17.769 | 46.045 | -0.000 | 0.000 |
| -17.769 | -17.769 | -17.769 | 0.000 | 46.045 | 0.000 |
| -17.769 | -17.769 | -17.769 | 0.000 | -0.000 | 46.045 |
| 148.221 | 73.032 | 73.032 | -0.000 | 0.000 | -0.000 |
| 73.032 | 148.221 | 73.032 | -0.000 | 0.000 | -0.000 |
| 73.032 | 73.032 | 148.221 | -0.000 | 0.000 | -0.000 |
| 0.000 | 0.000 | 0.000 | 94.014 | 0.000 | -0.000 |
| 0.000 | 0.000 | 0.000 | -0.000 | 94.014 | -0.000 |
| 0.000 | 0.000 | 0.000 | -0.000 | 0.000 | 94.014 |
| 192.267 | 60.196 | 60.196 | 0.000 | -0.000 | 0.000 |
| 60.196 | 192.267 | 60.196 | 0.000 | -0.000 | 0.000 |
| 60.196 | 60.196 | 192.267 | 0.000 | -0.000 | 0.000 |
| -0.000 | -0.000 | -0.000 | 94.014 | -0.000 | 0.000 |
| -0.000 | -0.000 | -0.000 | 0.000 | 94.014 | 0.000 |
| -0.000 | -0.000 | -0.000 | 0.000 | -0.000 | 94.014 |
| 146.828 | 71.186 | 71.186 | -0.000 | 0.000 | -0.000 |
| 71.186 | 146.828 | 71.186 | -0.000 | 0.000 | -0.000 |
| 71.186 | 71.186 | 146.828 | -0.000 | 0.000 | -0.000 |
| 0.164 | 0.164 | 0.164 | 45.818 | 0.000 | -0.000 |
| 0.164 | 0.164 | 0.164 | -0.000 | 45.818 | -0.000 |
| 0.164 | 0.164 | 0.164 | -0.000 | 0.000 | 45.818 |
| 146.527 | 70.778 | 70.779 | 0.000 | -0.000 | 0.000 |
| 70.779 | 146.527 | 70.778 | 0.000 | -0.000 | 0.000 |
| 70.778 | 70.779 | 146.527 | 0.000 | -0.000 | 0.000 |
| -0.164 | -0.164 | -0.164 | 45.818 | -0.000 | 0.000 |
| -0.164 | -0.164 | -0.164 | 0.000 | 45.818 | 0.000 |
| -0.164 | -0.164 | -0.164 | 0.000 | -0.000 | 45.818 |
| 145.652 | 69.590 | 69.590 | -0.000 | 0.000 | -0.000 |
| 69.590 | 145.652 | 69.590 | -0.000 | 0.000 | -0.000 |
| 69.590 | 69.590 | 145.652 | -0.000 | 0.000 | 0.000 |
| -0.000 | -0.000 | -0.000 | 93.360 | 0.000 | -0.000 |
| -0.000 | -0.000 | -0.000 | -0.000 | 93.360 | -0.000 |
| -0.000 | -0.000 | -0.000 | -0.000 | 0.000 | 93.360 |
| 145.652 | 69.591 | 69.591 | 0.000 | -0.000 | 0.000 |
| 69.591 | 145.652 | 69.591 | -0.000 | -0.000 | -0.000 |
| 69.591 | 69.591 | 145.652 | 0.000 | -0.000 | 0.000 |
| 0.000 | 0.000 | 0.000 | 93.360 | -0.000 | 0.000 |
| 0.000 | 0.000 | 0.000 | 0.000 | 93.360 | 0.000 |
| 0.000 | 0.000 | 0.000 | 0.000 | -0.000 | 93.360 |
| 190.580 | 59.168 | 59.168 | -0.000 | 0.000 | -0.000 |
| 59.168 | 190.580 | 59.168 | -0.000 | 0.000 | -0.000 |
| 59.168 | 59.168 | 190.580 | -0.000 | 0.000 | 0.000 |
| -0.000 | -0.000 | 0.000 | 45.826 | 0.000 | -0.000 |
| -0.000 | -0.000 | 0.000 | -0.000 | 45.826 | 0.000 |
| -0.000 | -0.000 | 0.000 | -0.000 | 0.000 | 45.826 |
| 145.652 | 69.590 | 69.590 | 0.000 | -0.000 | 0.000 |
| 69.590 | 145.652 | 69.590 | -0.000 | -0.000 | 0.000 |
| 69.590 | 69.590 | 145.652 | -0.000 | -0.000 | 0.000 |
| 0.000 | 0.000 | 0.000 | 45.826 | -0.000 | 0.000 |
| 0.000 | 0.000 | -0.000 | 0.000 | 45.826 | 0.000 |
| 0.000 | 0.000 | -0.000 | 0.000 | -0.000 | 45.826 |
| 145.652 | 69.591 | 69.591 | -0.000 | 0.000 | -0.000 |
| 69.591 | 145.652 | 69.591 | -0.000 | 0.000 | -0.000 |
| 69.591 | 69.591 | 145.652 | -0.000 | 0.000 | -0.000 |
| -0.000 | -0.000 | -0.000 | 45.007 | 0.000 | -0.000 |
| -0.000 | -0.000 | -0.000 | -0.000 | 45.007 | 0.000 |
| -0.000 | -0.000 | -0.000 | -0.000 | 0.000 | 45.007 |
| 145.652 | 69.590 | 69.590 | 0.000 | -0.000 | 0.000 |
| 69.590 | 145.652 | 69.590 | 0.000 | -0.000 | 0.000 |
| 69.590 | 69.590 | 145.652 | 0.000 | -0.000 | 0.000 |
| 0.000 | 0.000 | 0.000 | 45.007 | -0.000 | 0.000 |
| 0.000 | 0.000 | 0.000 | -0.000 | 45.007 | 0.000 |
| 0.000 | 0.000 | 0.000 | 0.000 | -0.000 | 45.007 |
| 0.000 | 0.000 | -0.000 | -0.000 | -0.001 | 0.000 |
| 0.000 | 0.000 | -0.000 | -0.000 | -0.001 | 0.000 |
| 0.000 | 0.000 | 630.602 | -0.000 | -0.001 | 0.000 |
| 0.000 | -0.000 | -0.000 | -0.000 | -0.001 | 0.000 |
| 0.000 | 0.000 | 0.000 | -0.000 | -0.001 | 0.000 |
| 0.000 | 0.000 | -0.000 | -0.000 | -0.001 | 0.000 |
| -0.000 | -0.000 | 0.000 | 0.000 | 0.001 | -0.000 |
| -0.000 | -0.000 | 0.000 | 0.000 | 0.001 | -0.000 |
| -0.000 | -0.000 | 630.602 | 0.000 | 0.001 | -0.000 |
| -0.000 | 0.000 | 0.000 | 0.000 | 0.001 | 0.000 |
| 0.000 | -0.000 | -0.000 | 0.000 | 0.001 | -0.000 |
| -0.000 | -0.000 | 0.000 | 0.000 | 0.001 | -0.000 |
| 0.000 | 0.000 | -0.000 | -0.000 | -0.000 | 0.000 |
| 0.000 | 0.000 | -0.000 | -0.000 | -0.000 | 0.000 |
| 0.000 | 0.000 | 630.603 | -0.000 | -0.000 | 0.000 |
| 0.000 | 0.000 | -0.000 | -0.000 | -0.000 | 0.000 |
| 0.000 | 0.000 | -0.000 | -0.000 | -0.000 | 0.000 |
| 0.000 | 0.000 | -0.000 | -0.000 | -0.000 | 0.000 |
| -0.000 | -0.000 | 0.000 | 0.000 | 0.000 | -0.000 |
| -0.000 | -0.000 | 0.000 | 0.000 | 0.000 | -0.000 |
| -0.000 | -0.000 | 630.602 | 0.000 | 0.000 | -0.000 |
| -0.000 | 0.000 | 0.000 | 0.000 | 0.000 | 0.000 |
| 0.000 | -0.000 | 0.000 | 0.000 | 0.000 | -0.000 |
| -0.000 | -0.000 | 0.000 | 0.000 | 0.000 | -0.000 |
| 0.000 | 0.000 | -0.000 | -0.000 | -0.000 | 0.000 |
| 0.000 | 0.000 | -0.000 | -0.000 | -0.000 | 0.000 |
| 0.000 | 0.000 | 630.605 | -0.000 | -0.000 | 0.000 |
| 0.000 | -0.000 | -0.000 | -0.000 | -0.000 | 0.000 |
| 0.000 | 0.000 | -0.000 | -0.000 | -0.000 | 0.000 |
| 0.000 | 0.000 | -0.000 | -0.000 | -0.000 | 0.000 |
| -0.000 | -0.000 | 0.000 | 0.000 | 0.000 | -0.000 |
| -0.000 | -0.000 | 0.000 | 0.000 | 0.000 | -0.000 |
| -0.000 | -0.000 | 630.599 | 0.000 | 0.000 | -0.000 |
| -0.000 | -0.000 | 0.000 | 0.000 | 0.000 | 0.000 |
| 0.000 | -0.000 | 0.000 | 0.000 | 0.000 | -0.000 |
| -0.000 | -0.000 | 0.000 | 0.000 | 0.000 | -0.000 |
| 172.196 | 67.587 | 53.328 | -0.000 | 0.000 | -0.000 |
| 47.188 | 227.814 | 18.491 | -0.000 | 0.000 | -0.000 |
| 18.815 | 18.815 | 255.277 | 0.000 | 0.000 | -0.000 |
| -0.000 | -0.000 | 0.000 | 62.407 | -0.000 | -0.000 |
| -0.000 | -0.000 | 0.001 | 0.000 | 62.407 | -0.000 |
| -0.003 | -0.003 | 0.006 | -0.000 | 0.000 | 51.318 |
| 227.815 | 47.188 | 18.491 | 0.000 | 0.000 | 0.000 |
| 47.188 | 227.815 | 18.490 | 0.000 | -0.000 | 0.000 |
| 18.815 | 18.815 | 255.278 | -0.000 | 0.000 | -0.000 |
| 0.000 | 0.000 | -0.000 | 62.407 | -0.000 | 0.000 |
| 0.000 | 0.000 | -0.001 | -0.000 | 62.406 | 0.000 |
| 0.003 | 0.003 | -0.006 | 0.000 | 0.000 | 51.318 |
| 227.815 | 47.188 | 18.491 | 0.000 | 0.000 | -0.000 |
| 47.188 | 227.815 | 18.491 | -0.000 | 0.000 | -0.000 |
| 51.844 | 51.844 | 189.934 | -0.000 | 0.000 | 0.000 |
| -0.000 | -0.000 | 0.000 | 45.734 | -0.000 | -0.000 |
| -0.000 | -0.000 | 0.001 | -0.000 | 45.734 | -0.000 |
| -0.000 | -0.000 | 0.001 | -0.000 | -0.000 | 51.318 |
| 227.815 | 47.188 | 18.491 | -0.000 | -0.000 | 0.000 |
| 47.188 | 227.815 | 18.491 | -0.000 | -0.000 | 0.000 |
| 51.845 | 51.845 | 189.932 | 0.000 | -0.000 | 0.000 |
| 0.000 | 0.000 | -0.001 | 45.734 | -0.000 | 0.000 |
| 0.000 | 0.000 | -0.001 | 0.000 | 45.734 | 0.000 |
| 0.000 | 0.000 | -0.001 | 0.000 | 0.000 | 51.318 |
| 172.198 | 67.591 | 53.324 | -0.000 | 0.000 | -0.000 |
| 67.591 | 172.197 | 53.325 | 0.000 | -0.000 | 0.000 |
| 51.828 | 51.828 | 189.966 | -0.000 | 0.000 | 0.000 |
| 0.000 | 0.000 | -0.000 | 62.407 | 0.000 | -0.000 |
| -0.000 | 0.000 | 0.000 | -0.000 | 45.734 | -0.000 |
| 0.000 | 0.000 | 0.000 | 0.000 | 0.000 | 90.313 |
| 172.198 | 67.590 | 53.323 | 0.000 | -0.000 | 0.000 |
| 69.487 | 172.125 | 51.519 | -0.000 | 0.000 | 0.000 |
| 51.844 | 51.844 | 189.933 | 0.000 | -0.000 | -0.000 |
| -0.000 | -0.000 | 0.000 | 62.407 | 0.000 | 0.000 |
| 0.000 | -0.000 | -0.000 | 0.000 | 45.734 | 0.000 |
| -0.000 | -0.000 | -0.000 | -0.000 | -0.000 | 90.313 |
| 172.564 | 42.044 | 42.044 | -0.000 | 0.000 | 0.000 |
| 42.044 | 172.564 | 42.044 | -0.000 | -0.000 | 0.000 |
| 42.044 | 42.044 | 172.564 | -0.000 | 0.000 | 0.000 |
| 200.351 | 200.351 | 200.352 | 40.560 | 0.000 | 0.000 |
| 200.351 | 200.351 | 200.352 | -0.000 | 40.560 | 0.000 |
| 200.351 | 200.351 | 200.352 | -0.000 | 0.000 | 40.560 |
| -55.826 | -101.624 | -101.624 | 0.000 | -0.000 | -0.000 |
| -101.624 | -55.826 | -101.624 | 0.000 | -0.000 | -0.000 |
| -101.624 | -101.624 | -55.826 | 0.000 | -0.000 | -0.000 |
| -200.351 | -200.351 | -200.352 | 40.560 | 0.000 | -0.000 |
| -200.351 | -200.351 | -200.352 | 0.000 | 40.560 | -0.000 |
| -200.351 | -200.351 | -200.352 | 0.000 | -0.000 | 40.560 |
| 137.048 | 79.965 | 79.965 | -0.000 | 0.000 | 0.000 |
| 79.965 | 137.048 | 79.965 | -0.000 | -0.000 | 0.000 |
| 79.965 | 79.965 | 137.048 | -0.000 | 0.000 | -0.000 |
| 14.560 | 14.560 | 14.560 | 22.283 | 0.000 | 0.000 |
| 14.560 | 14.560 | 14.560 | -0.000 | 22.283 | 0.000 |
| 14.560 | 14.560 | 14.560 | -0.000 | 0.000 | 22.283 |
| 104.111 | 50.867 | 50.867 | 0.000 | -0.000 | -0.000 |
| 50.867 | 104.111 | 50.867 | 0.000 | -0.000 | -0.000 |
| 50.867 | 50.867 | 104.111 | 0.000 | -0.000 | 0.000 |
| -14.560 | -14.560 | -14.560 | 22.283 | 0.000 | -0.000 |
| -14.560 | -14.560 | -14.560 | 0.000 | 22.283 | -0.000 |
| -14.560 | -14.560 | -14.560 | 0.000 | -0.000 | 22.283 |
| 137.323 | 59.828 | 59.828 | -0.000 | -0.000 | 0.000 |
| 59.828 | 137.323 | 59.828 | -0.000 | 0.000 | 0.000 |
| 59.828 | 59.828 | 137.323 | -0.000 | 0.000 | 0.000 |
| 2.110 | 2.110 | 2.110 | 40.231 | 0.000 | 0.000 |
| 2.110 | 2.110 | 2.110 | -0.000 | 40.231 | 0.000 |
| 2.110 | 2.110 | 2.110 | -0.000 | 0.000 | 40.231 |
| 133.079 | 55.960 | 55.960 | 0.000 | -0.000 | -0.000 |
| 55.960 | 133.079 | 55.960 | 0.000 | -0.000 | -0.000 |
| 55.960 | 55.960 | 133.079 | 0.000 | -0.000 | 0.000 |
| -2.110 | -2.110 | -2.110 | 40.231 | -0.000 | -0.000 |
| -2.110 | -2.110 | -2.110 | 0.000 | 40.231 | -0.000 |
| -2.110 | -2.110 | -2.110 | 0.000 | -0.000 | 40.231 |
| 172.339 | 41.933 | 41.933 | 0.000 | -0.000 | 0.000 |
| 41.933 | 172.339 | 41.933 | 0.000 | -0.000 | 0.000 |
| 41.933 | 41.933 | 172.339 | -0.000 | -0.000 | 0.000 |
| 0.000 | 0.000 | 0.000 | 77.405 | -0.000 | 0.000 |
| 0.000 | 0.000 | -0.000 | 0.000 | 77.405 | 0.000 |
| 0.000 | 0.000 | -0.000 | 0.000 | -0.000 | 77.405 |
| 135.677 | 58.811 | 58.811 | -0.000 | -0.000 | -0.000 |
| 58.811 | 135.677 | 58.811 | 0.000 | 0.000 | -0.000 |
| 58.811 | 58.811 | 135.677 | 0.000 | 0.000 | -0.000 |
| -0.000 | -0.000 | 0.000 | 77.405 | 0.000 | -0.000 |
| -0.000 | -0.000 | 0.000 | 0.000 | 77.405 | -0.000 |
| -0.000 | -0.000 | 0.000 | -0.000 | 0.000 | 77.405 |
| 135.677 | 58.811 | 58.811 | 0.000 | -0.000 | 0.000 |
| 58.811 | 135.677 | 58.811 | 0.000 | -0.000 | -0.000 |
| 58.811 | 58.811 | 135.677 | 0.000 | 0.000 | 0.000 |
| 0.000 | -0.000 | -0.000 | 40.483 | -0.000 | 0.000 |
| -0.000 | 0.000 | -0.000 | -0.000 | 40.483 | 0.000 |
| -0.000 | -0.000 | 0.000 | 0.000 | -0.000 | 40.483 |
| 172.339 | 41.933 | 41.933 | -0.000 | 0.000 | -0.000 |
| 41.933 | 172.339 | 41.933 | -0.000 | 0.000 | -0.000 |
| 41.933 | 41.933 | 172.339 | -0.000 | 0.000 | -0.000 |
| -0.000 | 0.000 | 0.000 | 40.483 | -0.000 | -0.000 |
| 0.000 | -0.000 | 0.000 | -0.000 | 40.483 | -0.000 |
| 0.000 | 0.000 | -0.000 | -0.000 | 0.000 | 40.483 |
| 135.676 | 58.811 | 58.811 | 0.000 | -0.000 | 0.000 |
| 58.811 | 135.676 | 58.811 | 0.000 | -0.000 | 0.000 |
| 58.811 | 58.811 | 135.676 | 0.000 | 0.000 | 0.000 |
| 0.000 | -0.000 | -0.000 | 40.483 | -0.000 | 0.000 |
| -0.000 | 0.000 | -0.000 | -0.000 | 40.483 | 0.000 |
| -0.000 | -0.000 | 0.000 | -0.000 | -0.000 | 40.483 |
| 134.613 | 58.193 | 58.193 | 0.000 | 0.000 | -0.000 |
| 58.193 | 134.613 | 58.193 | -0.000 | -0.000 | 0.000 |
| 58.193 | 58.193 | 134.613 | -0.000 | 0.000 | 0.000 |
| -0.000 | 0.000 | 0.000 | 40.483 | 0.000 | -0.000 |
| 0.000 | -0.000 | 0.000 | 0.000 | 40.483 | -0.000 |
| 0.000 | 0.000 | -0.000 | -0.000 | -0.000 | 40.483 |
| 178.109 | 35.926 | 35.925 | -0.000 | -0.000 | -0.000 |
| 35.926 | 178.109 | 35.926 | 0.000 | -0.000 | 0.000 |
| 35.926 | 35.926 | 178.109 | 0.000 | 0.000 | 0.000 |
| 56297214.183 | -9553432.683 | -15488299.893 | 71090623.038 | -0.000 | -0.000 |
| -15488301.315 | 56297214.183 | -9553431.261 | 0.000 | 71090622.979 | -0.000 |
| -9553527.957 | -15488167.772 | 56297233.697 | 0.000 | -0.000 | 71090717.035 |
| -176853209.911 | -176853219.837 | -176853219.994 | 0.001 | -0.001 | 0.002 |
| -176853219.877 | -176853209.988 | -176853219.866 | -0.003 | -0.000 | 0.001 |
| -176853219.843 | -176853219.981 | -176853209.915 | 0.002 | -0.001 | -0.001 |
| -56297214.183 | 9553432.683 | 15488299.893 | 71090623.038 | -0.000 | -0.000 |
| 15488301.315 | -56297214.183 | 9553431.261 | -0.000 | 71090622.979 | -0.000 |
| 9553432.683 | 15488299.893 | -56297214.183 | -0.000 | 0.000 | 71090623.038 |
| 178.109 | 35.925 | 35.925 | -0.000 | 0.000 | 0.000 |
| 35.925 | 178.109 | 35.925 | 0.000 | -0.000 | 0.000 |
| 35.925 | 35.925 | 178.109 | -0.000 | -0.000 | -0.000 |
| 5629724.126 | -955337.501 | -1548814.551 | 7109096.569 | -0.000 | -0.000 |
| -1548860.716 | 5629706.508 | -955371.656 | 0.000 | 7109096.511 | -0.000 |
| -955329.917 | -1548806.933 | 5629722.945 | 0.000 | -0.000 | 7109092.458 |
| -17685311.940 | -17685322.041 | -17685322.020 | 0.000 | -0.000 | 0.000 |
| -17685322.018 | -17685311.939 | -17685322.045 | 0.000 | -0.000 | 0.000 |
| -17685322.044 | -17685322.020 | -17685311.938 | 0.000 | -0.000 | 0.000 |
| -5629722.945 | 955329.917 | 1548806.933 | 7109092.458 | 0.000 | -0.000 |
| 1548860.716 | -5629706.508 | 955371.656 | -0.000 | 7109096.511 | -0.000 |
| 955329.917 | 1548806.933 | -5629722.945 | 0.000 | 0.000 | 7109092.458 |
| 178.109 | 35.925 | 35.925 | 0.000 | -0.000 | -0.000 |
| 35.925 | 178.109 | 35.925 | -0.000 | 0.000 | -0.000 |
| 35.925 | 35.925 | 178.109 | -0.000 | 0.000 | 0.000 |
| 562977.146 | -95513.381 | -154873.090 | 710934.052 | 0.000 | -0.000 |
| -154880.558 | 562976.363 | -95514.562 | 0.000 | 710931.526 | -0.000 |
| -95513.381 | -154873.090 | 562977.146 | 0.000 | -0.000 | 710934.052 |
| -1768522.243 | -1768532.200 | -1768532.200 | 0.000 | 0.000 | -0.000 |
| -1768532.200 | -1768522.243 | -1768532.200 | -0.000 | -0.000 | -0.000 |
| -1768532.200 | -1768532.200 | -1768522.243 | -0.000 | 0.000 | -0.000 |
| -562976.757 | 95513.099 | 154872.449 | 710934.563 | -0.000 | 0.000 |
| 154880.558 | -562976.363 | 95514.562 | -0.000 | 710931.526 | 0.000 |
| 95513.888 | 154871.850 | -562976.473 | -0.000 | 0.000 | 710934.744 |
| 172.469 | 34.006 | 34.006 | 0.000 | -0.000 | 0.000 |
| 34.006 | 172.469 | 34.006 | 0.000 | -0.000 | 0.000 |
| 34.006 | 34.005 | 172.469 | 0.000 | -0.000 | 0.000 |
| 76928740.385 | 17202199.831 | 15767142.801 | 59984350.140 | -0.019 | 0.006 |
| 15767141.589 | 76928740.378 | 17202201.043 | -0.005 | 59984350.122 | 0.017 |
| 17202199.835 | 15767142.798 | 76928740.383 | -0.020 | 0.006 | 59984350.139 |
| -244777607.097 | -244777617.485 | -244777617.091 | -0.000 | -0.005 | -0.008 |
| -244777617.105 | -244777607.087 | -244777617.459 | -0.034 | -0.007 | 0.010 |
| -244777617.481 | -244777617.095 | -244777607.091 | 0.012 | -0.015 | 0.003 |
| -76928740.384 | -17202199.833 | -15767142.799 | 59984350.139 | 0.037 | 0.012 |
| -15767141.597 | -76928740.383 | -17202201.035 | 0.008 | 59984350.124 | 0.023 |
| -17202199.839 | -15767142.793 | -76928740.380 | -0.004 | -0.001 | 59984350.137 |
| 172.468 | 34.004 | 34.004 | 0.000 | 0.000 | 0.000 |
| 34.004 | 172.468 | 34.004 | 0.000 | 0.000 | 0.000 |
| 34.004 | 34.004 | 172.468 | -0.000 | -0.000 | 0.000 |
| 7692878.457 | 1720238.884 | 1576723.105 | 5998460.384 | 0.003 | -0.001 |
| 1576721.908 | 7692878.458 | 1720240.081 | -0.000 | 5998460.370 | 0.001 |
| 1720238.884 | 1576723.104 | 7692878.456 | 0.003 | -0.001 | 5998460.384 |
| -24477751.427 | -24477761.632 | -24477761.648 | -0.000 | -0.000 | -0.002 |
| -24477761.648 | -24477751.428 | -24477761.633 | 0.007 | -0.001 | -0.002 |
| -24477761.634 | -24477761.647 | -24477751.428 | -0.005 | -0.001 | 0.001 |
| -7692878.457 | -1720238.882 | -1576723.106 | 5998460.384 | 0.002 | 0.001 |
| -1576721.908 | -7692878.458 | -1720240.080 | 0.001 | 5998460.370 | 0.002 |
| -1720238.858 | -1576723.159 | -7692878.507 | -0.001 | -0.000 | 5998460.413 |
| 172.468 | 34.004 | 34.004 | 0.000 | 0.000 | 0.000 |
| 34.004 | 172.468 | 34.004 | 0.000 | 0.000 | 0.000 |
| 34.004 | 34.004 | 172.468 | -0.000 | 0.000 | 0.000 |
| 769292.265 | 172042.787 | 157681.137 | 599871.409 | 0.000 | -0.000 |
| 157679.937 | 769292.265 | 172043.987 | -0.000 | 599871.394 | 0.000 |
| 172042.787 | 157681.137 | 769292.265 | 0.000 | -0.000 | 599871.409 |
| -2447765.941 | -2447776.019 | -2447776.022 | -0.000 | 0.000 | 0.000 |
| -2447776.022 | -2447765.941 | -2447776.019 | 0.001 | -0.000 | 0.000 |
| -2447776.018 | -2447776.022 | -2447765.940 | 0.000 | -0.000 | 0.000 |
| -769292.265 | -172042.787 | -157681.137 | 599871.409 | 0.000 | 0.000 |
| -157679.937 | -769292.265 | -172043.987 | 0.000 | 599871.394 | 0.000 |
| -172042.787 | -157681.137 | -769292.265 | 0.000 | 0.000 | 599871.409 |
| 87.358 | 21.709 | 21.709 | 0.000 | -0.000 | -0.000 |
| 21.709 | 87.358 | 21.709 | -0.000 | -0.000 | -0.000 |
| 21.709 | 21.709 | 87.358 | -0.000 | 0.000 | -0.000 |
| -60.141 | -60.141 | -60.141 | 44.981 | 0.000 | -0.000 |
| -60.141 | -60.141 | -60.141 | 0.000 | 44.982 | 0.000 |
| -60.141 | -60.141 | -60.141 | 0.000 | -0.000 | 44.981 |
| 168.612 | 102.648 | 102.648 | -0.000 | 0.000 | 0.000 |
| 102.648 | 168.613 | 102.648 | -0.000 | -0.000 | 0.000 |
| 102.648 | 102.648 | 168.612 | -0.000 | -0.000 | -0.000 |
| 60.141 | 60.141 | 60.141 | 44.982 | 0.000 | -0.000 |
| 60.141 | 60.141 | 60.141 | 0.000 | 44.983 | -0.000 |
| 60.141 | 60.141 | 60.141 | 0.000 | -0.000 | 44.981 |
| 127.471 | 56.870 | 56.870 | -0.000 | 0.000 | -0.000 |
| 56.870 | 127.471 | 56.870 | -0.000 | -0.000 | 0.000 |
| 56.870 | 56.870 | 127.471 | -0.000 | 0.000 | -0.000 |
| -3.832 | -3.832 | -3.832 | 34.759 | 0.000 | -0.000 |
| -3.832 | -3.832 | -3.832 | -0.000 | 34.759 | -0.000 |
| -3.832 | -3.832 | -3.832 | -0.000 | 0.000 | 34.759 |
| 144.034 | 63.015 | 63.015 | -0.000 | -0.000 | 0.000 |
| 63.015 | 144.034 | 63.015 | 0.000 | 0.000 | 0.000 |
| 63.015 | 63.015 | 144.034 | -0.000 | 0.000 | 0.000 |
| 3.832 | 3.832 | 3.832 | 34.759 | 0.000 | -0.000 |
| 3.832 | 3.832 | 3.832 | 0.000 | 34.759 | 0.000 |
| 3.832 | 3.832 | 3.832 | -0.000 | 0.000 | 34.759 |
| 137.494 | 56.138 | 56.138 | -0.000 | 0.000 | -0.000 |
| 56.138 | 137.494 | 56.138 | 0.000 | -0.000 | -0.000 |
| 56.138 | 56.138 | 137.494 | -0.000 | 0.000 | -0.000 |
| -0.562 | -0.562 | -0.562 | 39.535 | -0.000 | 0.000 |
| -0.562 | -0.562 | -0.562 | -0.000 | 39.535 | -0.000 |
| -0.562 | -0.562 | -0.562 | -0.000 | 0.000 | 39.535 |
| 183.444 | 35.288 | 35.288 | 0.000 | 0.000 | -0.000 |
| 35.288 | 183.444 | 35.288 | 0.000 | -0.000 | -0.000 |
| 35.288 | 35.288 | 183.444 | 0.000 | 0.000 | 0.000 |
| 0.562 | 0.562 | 0.562 | 39.535 | 0.000 | -0.000 |
| 0.562 | 0.562 | 0.562 | 0.000 | 39.535 | 0.000 |
| 0.562 | 0.562 | 0.562 | 0.000 | -0.000 | 39.535 |
| 354.935 | 51.814 | 8.505 | 0.000 | 0.000 | 0.000 |
| 27.710 | 187.545 | 0.000 | 0.000 | 0.000 | 0.000 |
| 32.145 | 0.000 | 30.815 | 0.000 | 0.000 | 0.000 |
| -0.000 | -0.000 | 0.000 | 0.000 | 0.000 | 0.000 |
| -0.000 | 0.000 | 0.000 | 0.000 | 52.104 | -0.000 |
| -0.000 | 0.000 | -0.000 | 0.000 | 0.000 | 73.602 |
| 401.253 | 27.710 | 32.146 | -0.000 | -0.000 | 0.000 |
| 27.710 | 187.545 | -0.000 | -0.000 | -0.000 | -0.000 |
| 32.133 | -0.000 | 30.829 | -0.000 | -0.000 | -0.000 |
| 0.000 | 0.000 | -0.000 | -0.000 | -0.000 | -0.000 |
| 0.000 | -0.000 | -0.000 | -0.000 | 52.104 | 0.000 |
| 0.000 | 0.000 | 0.000 | -0.000 | -0.000 | 73.602 |
| 401.258 | 27.710 | 32.140 | 0.000 | 0.000 | 0.000 |
| 27.710 | 187.545 | 0.000 | 0.000 | 0.000 | 0.000 |
| 0.001 | -0.002 | -0.001 | 0.000 | 0.000 | 0.000 |
| -0.000 | -0.000 | -0.000 | 0.000 | 0.000 | -0.000 |
| 0.000 | -0.000 | 0.000 | 0.000 | 52.104 | -0.000 |
| -0.000 | -0.000 | 0.000 | 0.000 | 0.000 | 73.602 |
| 354.923 | 51.825 | 8.508 | -0.000 | -0.000 | -0.000 |
| 27.710 | 187.545 | -0.000 | -0.000 | -0.000 | -0.000 |
| 32.140 | -0.000 | 30.822 | -0.000 | -0.000 | -0.000 |
| 0.000 | 0.000 | 0.000 | -0.000 | -0.000 | -0.000 |
| -0.000 | -0.000 | -0.000 | -0.000 | 52.104 | -0.000 |
| 0.000 | 0.000 | -0.000 | -0.000 | -0.000 | 73.602 |
| 351.062 | 46.251 | -0.002 | 0.000 | 0.000 | 0.000 |
| 27.710 | 187.546 | 0.000 | 0.000 | 0.000 | 0.000 |
| -0.006 | -0.000 | -0.006 | 0.000 | 0.000 | 0.000 |
| -0.000 | -0.000 | -0.000 | 0.000 | 0.000 | -0.000 |
| 0.000 | -0.000 | -0.000 | 0.000 | 0.000 | 0.000 |
| 0.000 | 0.000 | -0.000 | 0.000 | 0.000 | 73.602 |
| 351.072 | 46.247 | 0.002 | -0.000 | -0.000 | -0.000 |
| 27.710 | 187.544 | -0.000 | -0.000 | -0.000 | -0.000 |
| 0.006 | 0.000 | 0.006 | -0.000 | -0.000 | -0.000 |
| 0.000 | 0.000 | 0.000 | -0.000 | -0.000 | 0.000 |
| -0.000 | 0.000 | 0.000 | -0.000 | 0.000 | 0.000 |
| -0.000 | -0.000 | -0.000 | -0.000 | -0.000 | 73.602 |
| 0.000 | 0.000 | -0.000 | 0.000 | -0.000 | -0.000 |
| 0.000 | 0.000 | 0.000 | 0.000 | 0.000 | -0.000 |
| 0.000 | -0.000 | -0.000 | 0.000 | -0.000 | 0.000 |
| 0.000 | 0.000 | 0.000 | 0.000 | -0.000 | -0.000 |
| 0.000 | 0.000 | -0.000 | 0.000 | 0.000 | -0.000 |
| -0.000 | 0.000 | -0.000 | 0.000 | -0.000 | -0.000 |
| -0.000 | -0.000 | 0.000 | -0.000 | -0.000 | 0.000 |
| -0.000 | -0.000 | 0.000 | -0.000 | -0.000 | 0.000 |
| -0.000 | -0.000 | 0.000 | -0.000 | -0.000 | 0.000 |
| -0.000 | -0.000 | 0.000 | 0.000 | 0.000 | 0.000 |
| 0.000 | -0.000 | 0.000 | -0.000 | 0.000 | 0.000 |
| -0.000 | -0.000 | 0.000 | -0.000 | 0.000 | 0.000 |
| 0.000 | 0.000 | -0.000 | 0.000 | -0.000 | -0.000 |
| 0.000 | -0.000 | -0.000 | -0.000 | 0.000 | -0.000 |
| 0.000 | -0.000 | -0.000 | -0.000 | -0.000 | -0.000 |
| 0.000 | -0.000 | -0.000 | 0.000 | -0.000 | -0.000 |
| -0.000 | 0.000 | -0.000 | -0.000 | -0.000 | -0.000 |
| -0.000 | 0.000 | 0.000 | 0.000 | -0.000 | -0.000 |
| -0.000 | -0.000 | 0.000 | -0.000 | 0.000 | 0.000 |
| -0.000 | 0.000 | 0.000 | 0.000 | 0.000 | 0.000 |
| -0.000 | 0.000 | 0.000 | 0.000 | 0.000 | 0.000 |
| -0.000 | 0.000 | 0.000 | -0.000 | -0.000 | 0.000 |
| -0.000 | -0.000 | 0.000 | 0.000 | 0.000 | 0.000 |
| 0.000 | -0.000 | -0.000 | -0.000 | -0.000 | 0.000 |
| 0.000 | 0.000 | -0.000 | 0.000 | -0.000 | -0.000 |
| 0.000 | -0.002 | -0.002 | -0.000 | -0.000 | -0.000 |
| 0.000 | -0.003 | -0.003 | -0.000 | -0.000 | -0.000 |
| 0.000 | -0.000 | -0.000 | -0.000 | 0.000 | -0.000 |
| 0.000 | 0.000 | -0.000 | 0.000 | -0.000 | -0.000 |
| 0.000 | 0.000 | 0.000 | -0.000 | -0.000 | -0.000 |
| -0.000 | -0.000 | 0.000 | -0.000 | 0.000 | 0.000 |
| -0.000 | 0.002 | 0.002 | 0.000 | 0.000 | 0.000 |
| -0.000 | 0.003 | 0.003 | 0.000 | 0.000 | -0.000 |
| -0.000 | 0.000 | 0.000 | -0.000 | -0.000 | 0.000 |
| -0.000 | -0.000 | 0.000 | -0.000 | 0.000 | 0.000 |
| 0.000 | -0.000 | -0.000 | 0.000 | 0.000 | 0.000 |
| 0.000 | -0.000 | -0.000 | -0.000 | -0.000 | 0.000 |
| 0.000 | -0.000 | -0.000 | -0.000 | -0.000 | 0.000 |
| 0.000 | -0.000 | -0.000 | -0.000 | -0.000 | 0.000 |
| 0.000 | -0.000 | -0.000 | -0.000 | -0.000 | 0.000 |
| -0.000 | -0.000 | 0.000 | -0.000 | -0.000 | 0.000 |
| 0.000 | -0.000 | 0.000 | -0.000 | -0.000 | -0.000 |
| -0.000 | 0.000 | 0.000 | 0.000 | 0.000 | 0.000 |
| -0.000 | 0.000 | 0.000 | 0.000 | 0.000 | -0.000 |
| -0.000 | 0.000 | 0.000 | 0.000 | 0.000 | -0.000 |
| -0.000 | 0.000 | 0.000 | -0.000 | -0.000 | 0.000 |
| -0.000 | 0.000 | -0.000 | 0.000 | -0.000 | -0.000 |
| 0.000 | 0.000 | -0.000 | 0.000 | 0.000 | -0.000 |
| 0.000 | -0.000 | -0.000 | -0.000 | -0.000 | 0.000 |
| 0.000 | -0.000 | -0.000 | -0.000 | -0.000 | 0.000 |
| 0.000 | -0.000 | -0.000 | -0.000 | -0.000 | -0.000 |
| 0.000 | -0.000 | -0.000 | -0.000 | -0.000 | 0.000 |
| -0.000 | -0.000 | 0.000 | -0.000 | -0.000 | -0.000 |
| -0.000 | -0.000 | 0.000 | -0.000 | -0.000 | -0.000 |
| -0.000 | 0.000 | 0.000 | 0.000 | 0.000 | -0.000 |
| -0.000 | 0.000 | 0.000 | 0.000 | -0.000 | 0.000 |
| -0.000 | 0.000 | 0.000 | 0.000 | 0.000 | 0.000 |
| -0.000 | 0.000 | 0.000 | 0.000 | -0.000 | -0.000 |
| -0.000 | 0.000 | -0.000 | 0.000 | 0.000 | 0.000 |
| -0.000 | 0.000 | -0.000 | 0.000 | 0.000 | -0.000 |
| 0.000 | -0.000 | -0.000 | -0.000 | 0.000 | 0.000 |
| 0.000 | -0.002 | -0.002 | -0.000 | 0.000 | -0.000 |
| 0.000 | -0.002 | -0.003 | -0.000 | -0.000 | 0.000 |
| 0.000 | -0.000 | -0.000 | -0.000 | 0.000 | -0.000 |
| -0.000 | -0.000 | -0.000 | 0.000 | -0.000 | -0.000 |
| 0.000 | -0.000 | 0.000 | 0.000 | -0.000 | -0.000 |
| -0.000 | 0.000 | 0.000 | 0.000 | 0.000 | -0.000 |
| -0.000 | 0.002 | 0.002 | 0.000 | 0.000 | 0.000 |
| -0.000 | 0.002 | 0.003 | 0.000 | 0.000 | 0.000 |
| -0.000 | 0.000 | 0.000 | 0.000 | 0.000 | 0.000 |
| 0.000 | 0.000 | 0.000 | -0.000 | 0.000 | -0.000 |
| 0.000 | 0.000 | -0.000 | -0.000 | 0.000 | 0.000 |
Phonon band structures and crystal properties estimated from quasi-harmonic approximation (QHA) calculations are displayed for select crystals. The calculations were performed using phonopy and LAMMPS. For the phonon calculations, 3x3 supercells of the potential-specific relaxed crystals were used. The QHA calculations were based on 11 strain states ranging from -0.05 to 0.05.
The calculation method used is available as the iprPy phonon calculation method.
Notes and Disclaimers:
Version Information:



























































































































Static free surface formation energies are displayed for select crystals. The values displayed here are obtained by taking a perfect periodic bulk crystal, slicing along a crystallographic plane, and using force minimization to statically relax the surfaces. The free surface formation energy is computed by comparing the energy of the defect system to the bulk system and dividing by the total surface area created by the cut.
The calculation method used is available as the iprPy surface_energy_static calculation method.
Notes and Disclaimers:
Version Information:
| Surface | γfs (mJ/m2) |
|---|---|
| (210) | 791.58 |
| (320) | 849.83 |
| (310) | 884.77 |
| (321) | 902.11 |
| (110) | 940.43 |
| (311) | 962.89 |
| (331) | 994.35 |
| (211) | 1004.91 |
| (221) | 1012.91 |
| (332) | 1028.95 |
| (322) | 1033.45 |
| (111) | 1052.99 |
| (100) | 1092.47 |
| Surface | γfs (mJ/m2) |
|---|---|
| (110) | -1052.42 |
| (310) | -262.80 |
| (211) 1 | -152.77 |
| (321) 1 | -126.20 |
| (320) | -115.31 |
| (331) | -81.98 |
| (322) | -11.36 |
| (211) 2 | 73.12 |
| (210) | 79.34 |
| (221) | 155.98 |
| (321) 2 | 162.24 |
| (332) 2 | 179.02 |
| (332) 1 | 208.46 |
| (311) | 245.36 |
| (111) | 321.01 |
| (100) | 420.74 |
| Surface | γfs (mJ/m2) |
|---|---|
| (322) | -40116.33 |
| (321) | -39766.24 |
| (320) | -31962.23 |
| (310) | -29683.91 |
| (211) | -27156.08 |
| (210) | -19993.42 |
| (311) | -14995.43 |
| (332) | -8809.98 |
| (331) | -113.54 |
| (111) | 209.18 |
| (221) | 375.40 |
| (110) | 678.20 |
| (100) | 888.33 |
| Surface | γfs (mJ/m2) |
|---|---|
| (2130) 2 | 645.82 |
| (1120) | 811.29 |
| (2241) | 884.15 |
| (2130) 1 | 894.29 |
| (2131) 2 | 908.99 |
| (2132) 1 | 944.92 |
| (2112) | 946.71 |
| (1012) 1 | 957.39 |
| (1121) | 959.03 |
| (1010) 2 | 962.98 |
| (2131) 1 | 998.40 |
| (2132) 2 | 1005.01 |
| (1012) 2 | 1031.32 |
| (2021) 2 | 1031.76 |
| (1010) 1 | 1033.67 |
| (0001) | 1049.03 |
| (2021) 1 | 1061.55 |
| (1011) 2 | 1071.66 |
| (1011) 1 | 1196.25 |
| Surface | γfs (mJ/m2) |
|---|---|
| (100) | 1895.35 |
| (310) | 2513.57 |
| (210) | 2707.09 |
| (320) | 2832.06 |
| (110) | 2940.07 |
| (311) | 3195.44 |
| (321) | 3437.14 |
| (331) | 3469.49 |
| (211) | 3552.87 |
| (221) | 3655.08 |
| (322) | 3761.75 |
| (332) | 3789.13 |
| (111) | 3930.23 |
| Surface | γfs (mJ/m2) |
|---|---|
| (320) | 0.00 |
| (332) | 0.00 |
| (210) | 0.00 |
| (331) | 0.00 |
| (311) | 0.00 |
| (100) | 0.00 |
| (211) | 0.00 |
| (221) | 0.00 |
| (310) | 0.00 |
| (111) | 0.00 |
| (321) | 0.00 |
| (110) | 0.00 |
| (322) | 0.00 |
| Surface | γfs (mJ/m2) |
|---|---|
| (111) 2 | 1199.91 |
| (331) 2 | 1460.29 |
| (110) | 1521.75 |
| (321) | 1743.52 |
| (211) | 1792.48 |
| (320) | 1823.30 |
| (332) | 1883.19 |
| (311) 2 | 1976.37 |
| (210) | 1979.31 |
| (311) 1 | 2027.08 |
| (310) | 2125.81 |
| (322) | 2183.32 |
| (221) | 2253.62 |
| (100) | 2268.38 |
| (331) 1 | 2628.69 |
| (111) 1 | 4139.24 |
| Surface | γfs (mJ/m2) |
|---|---|
| (001) | 0.00 |
| (101) | 1773.63 |
| (201) | 2022.13 |
| (100) | 2131.45 |
| (112) | 2456.97 |
| (211) | 2982.38 |
| (111) | 3099.20 |
| (110) | 3426.06 |
| Surface | γfs (mJ/m2) |
|---|---|
| (210) | 0.00 |
| (111) | 0.00 |
| (321) | 0.00 |
| (221) | 0.00 |
| (110) | 0.00 |
| (311) | 0.00 |
| (211) | 0.00 |
| (320) | 0.00 |
| (100) | 0.00 |
| (331) | 0.00 |
| (310) | 0.00 |
| (332) | 0.00 |
| (322) | 0.00 |
Stacking fault energy plots and maps are displayed for select crystals. The values are computed by
The calculation method used is available as the iprPy stacking_fault_map_2D calculation method.
Notes and Disclaimers:
Version Information:
| E_usf a/3 [-1 2 -1 0] | 1950.96 |
| E_usf a/3 [-2 1 1 3] | 20446.12 |
| τ_ideal a/3 [-1 2 -1 0] | 326.43 |
| τ_ideal a/3 [-2 1 1 3] | 1716.32 |





Static point defect formation energies, Ef, and elastic dipole tensors, pij, are displayed for select crystals. Relaxed defect configurations are obtained by taking a 12x12x12 supercell of a perfect periodic bulk crystal, inserting the point defect, and using force minimization to statically relax the atomic positions while keeping the system dimensions constant. Ef is computed by comparing the energy of the defect system to the same number of atoms in a perfect bulk crystal. pij is estimated as the difference in the system's global pressure with and without the defect multiplied by the system's volume.
Simple structural comparisons of the unrelaxed and relaxed defect configurations are used to help determine if the defect structure has relaxed to a different configuration. Relaxed structures that are identified as no longer consistent with the ideal defect definition are excluded from the table below. The only exception to this is if the lowest energy interstitial configuration does not coincide with a known ideal defect, its energies and pressure tensor are included under the listing "relaxed interstitial". The full list of calculation results including the transformed structures and the structural comparison values is included in the csv file available from the "Download raw data" link.
The calculation method used is available as the iprPy point_defect_static calculation method.
Notes and Disclaimers:
| Point Defect | Ef (eV) | p11 (eV) | p22 (eV) | p33 (eV) | p12 (eV) | p13 (eV) | p23 (eV) |
|---|---|---|---|---|---|---|---|
| 2nn divacancy | -1.708 | -17.856 | -17.856 | -16.398 | 0.000 | -0.000 | -0.000 |
| 1nn divacancy | -0.942 | -13.482 | -15.708 | -15.708 | 0.000 | 0.000 | 1.079 |
| vacancy | -0.747 | -8.281 | -8.281 | -8.281 | 0.000 | 0.000 | -0.000 |
| crowdion interstitial | 1.408 | 17.805 | 17.805 | 20.613 | 14.788 | 0.000 | -0.000 |
| octahedral interstitial | 4.418 | 24.112 | 24.112 | 24.112 | 0.000 | -0.000 | -0.000 |
| 100 dumbbell | 4.989 | 24.411 | 24.411 | 26.147 | 0.000 | -0.000 | -0.000 |
| 110 dumbbell | 5.706 | 27.792 | 24.779 | 24.779 | 0.000 | 0.000 | 15.436 |
| 111 dumbbell | 6.150 | 25.851 | 25.851 | 25.851 | 7.412 | 7.412 | 7.412 |
| tetrahedral interstitial | 7.127 | 27.837 | 27.837 | 27.837 | -0.000 | -0.000 | -0.000 |
| Point Defect | Ef (eV) | p11 (eV) | p22 (eV) | p33 (eV) | p12 (eV) | p13 (eV) | p23 (eV) |
|---|---|---|---|---|---|---|---|
| crowdion interstitial | -1494.065 | -2100.868 | -2100.868 | -2100.868 | 284.519 | 284.519 | 284.519 |
| 110 dumbbell | -1476.011 | -2058.069 | -2163.754 | -2163.754 | 0.000 | 0.000 | -236.345 |
| 1nn divacancy | -1444.615 | -2093.463 | -2093.463 | -2093.463 | 61.054 | 61.054 | 61.054 |
| 2nn divacancy | -693.934 | -1050.553 | -1050.553 | -995.537 | 0.000 | 0.000 | 0.000 |
| tetrahedral interstitial | -3.283 | 12.376 | 7.468 | 12.376 | -0.000 | -0.000 | 0.000 |
| octahedral interstitial | -2.300 | 11.452 | 11.259 | 11.259 | 0.000 | 0.000 | 0.000 |
| vacancy | -1.334 | -9.965 | -9.965 | -9.965 | -0.000 | 0.000 | 0.000 |
| 100 dumbbell | -0.189 | 16.266 | 16.266 | 25.040 | 0.000 | 0.000 | 0.000 |
| 111 dumbbell | 10.266 | 31.811 | 31.811 | 31.811 | 25.668 | 25.668 | 25.668 |
| Point Defect | Ef (eV) | p11 (eV) | p22 (eV) | p33 (eV) | p12 (eV) | p13 (eV) | p23 (eV) |
|---|---|---|---|---|---|---|---|
| vacancy | -0.749 | -8.204 | -8.204 | -8.254 | 0.000 | -0.000 | -0.000 |
| relaxed interstitial | 2.546 | 19.192 | 17.206 | 26.314 | -1.720 | 3.205 | -1.851 |
| 0001 dumbbell | 6.155 | 18.802 | 18.802 | 40.329 | 0.000 | -0.000 | -0.000 |
| Point Defect | Ef (eV) | p11 (eV) | p22 (eV) | p33 (eV) | p12 (eV) | p13 (eV) | p23 (eV) |
|---|---|---|---|---|---|---|---|
| tetrahedral interstitial | -694.176 | 169.394 | 145.127 | 169.394 | 0.000 | 0.000 | 0.000 |
| 110 dumbbell | -307.190 | 83.492 | 33.588 | 33.588 | 0.000 | 0.000 | 30.998 |
| crowdion interstitial | -264.686 | 33.562 | 33.562 | 33.562 | 19.807 | 19.807 | 19.807 |
| 100 dumbbell | -178.206 | 7.586 | 7.586 | 56.363 | -0.000 | -0.000 | -0.000 |
| octahedral interstitial | -144.366 | 57.245 | 14.790 | 14.790 | -0.000 | 0.000 | 0.000 |
| 111 dumbbell | -13.038 | 40.088 | 40.088 | 40.088 | 38.399 | 38.399 | 38.399 |
| vacancy | 0.000 | -0.000 | -0.000 | -0.000 | -0.000 | -0.000 | -0.000 |
| 1nn divacancy | 0.000 | -0.000 | -0.000 | -0.000 | -0.000 | -0.000 | -0.000 |
| 2nn divacancy | 0.000 | -0.000 | -0.000 | -0.000 | -0.000 | -0.000 | -0.000 |
| Point Defect | Ef (eV) | p11 (eV) | p22 (eV) | p33 (eV) | p12 (eV) | p13 (eV) | p23 (eV) |
|---|---|---|---|---|---|---|---|
| tetragonal interstitial | 2.715 | 9.301 | 9.301 | 9.301 | -0.000 | 0.000 | -0.000 |
| vacancy | 3.704 | 5.380 | 5.380 | 5.380 | 0.000 | -0.000 | 0.000 |
| 100 dumbbell | 4.702 | 14.920 | 14.920 | 20.872 | -0.000 | -0.000 | -0.000 |
| hexagonal interstitial | 5.411 | 20.012 | 20.012 | 20.012 | -3.307 | -3.307 | -3.307 |
| 1nn divacancy | 5.563 | 8.171 | 8.171 | 8.171 | 0.262 | 0.262 | 0.262 |
Plots of the atomic structure of dislocation cores are shown here. The dislocations were constructed using dislocation monopole configurations in which a straight dislocation is created in the center of the system using anisotropic elasticity and the elastic constants computed above. A cylindrical region centered around the dislocation is allowed to relax while the remaining atoms are held fixed. The relaxation consists of 1 million NVT steps at 10 K followed by an energy/force minimization. The final plots show the atomic configuration near the center of the monopole system, and display differential displacement arrows and Nye tensor color maps that are both taken with respect to the Burgers vector direction.
These plots show a wide range of final structures, some corresponding to expected dislocation structures and others not. While the characterizations are dislocation-type dependent, some general classification guidelines are listed here.
The calculation method used is available as the iprPy dislocation_monopole calculation method.
Links are provided above the images allowing for users to download the final defect configuration and a corresponding defect-free configuration if they wish to further analyze the structures or use them for subsequent simulations.
Notes and Disclaimers:
Version Information:
Plots of lattice and elastic constants are shown as a function of temperature. The 0K points were taken from the Crystal Structure Predictions and the Elastic Constants Predictions sections above for the unique crystal structures relaxed with the "dynamic" method. Starting from the 0 K relaxed crystal unit cells, supercell systems are created by replicating all three dimensions by the same multiplier to achieve at least 4000 atoms. The systems are then relaxed at 50 K and zero pressure using 1 million NPT steps. Lattice constants are estimated by averaging the measured box dimensions. Temperatures are iteratively increased by 50 K, with each subsequent relaxation calculation starting from the final atomic configuration at the previous temperature and relaxing for another 1 million steps.
The elastic constants are calculated using the deformation–fluctuation hybrid method. Starting from the final atomic configurations of the dynamic relaxations, the system is allowed to evolve at constant volume with a Langevin thermostat. The Born matrix is computed during this run by evaluating how the atomic forces would vary due to applied linear strain fields. The elastic constants can then be estimated using the averaged Born matrix values and the averaged stresses on the system.
The calculation methods used are available as the iprPy relax_dynamic and elastic_constants_dynamic calculation methods.
Clicking on the image of a plot will open an interactive version of it in a new tab. The underlying data for the plots can be downloaded by clicking on the links above each plot.
Notes and Disclaimers:
Version Information:
Plots of radial distribution functions at different temperatures and the temperature-dependent diffusion and viscosity are shown here for elemental liquids. Melt phases are constructed by starting with a 10x10x10 fcc super cell and relaxing with 50,000 NPT steps at zero pressure and a high melting temperature (3000 K for most potentials and elements). Following the melt, liquid structures are relaxed by running NPT for 10,000 steps over which the temperature is dropped by 50 K, then 50,000 NPT at the target temperature to estimate the equilibrium volume, followed by 20,000 NVT steps at the averaged equilibrium volume and target temperature. Structures from the NVT run are sampled to compute the radial distribution function of the liquid at the corresponding temperature.
The final relaxed configurations at each temperature explored are used as the initial configurations for the diffusion and viscosity calculations. For diffusion, the system is integrated for 100 runs of 2,000 NVT steps during which both the mean squared displacement (MSD) and the velocity auto correlation function (VACF) are computed. From these simulations, three estimates of diffusion are computed: one from the MSD of the full 200,000 step run, one in which the MSD is reset for each short run and then averaged, and one from the VACF computed for each short run and averaged. For viscosity, the Green-Kubo method is used which is evaluated during a 1 million step NVT run.
The calculation methods used are available as the iprPy relax_liquid_redo, diffusion_liquid, and viscosity_green_kubo calculation methods.
Clicking on the image of a plot will open an interactive version of it in a new tab. The underlying data for the plots can be downloaded by clicking on the links above each plot.
Notes and Disclaimers:
Version Information:
Plots of internal energy, Gibbs free energy, entropy, heat capacity and volume are shown here as a function of temperature for various crystal structures and liquid phases. The included crystal structures correspond to those in the Solid Structures vs. Temperature section, and the liquid phases to those in the Liquid Properties section. Internal energy and volume are taken from the associated structure relaxations mentioned in those previous sections. Constant pressure heat capacity is estimated using 3-point numerical derivatives of enthalpy versus temperature. Note that since all simulations done here are at 0 pressure, internal energy and enthalpy are equivalent.
The Gibbs energies of the phases are estimated using thermodynamic integration between the interatomic potential in question and a simpler model with known Gibbs free energy values. For solids, the reference model is an Einstein solid, while for liquids it is the Uhlenbeck-Ford potential. Besides a short run at the start of the solid calculations to estimate Einstein model spring constants, the two calculations proceed similarly. Starting with the final relaxation configurations, the systems are stabilized for 25,000 steps. Then, over the next 50,000 steps the potential is swapped out for the reference potential. The system is then stabilized for another 25,000 steps with the reference model before a reverse swap of 50,000 steps is performed. The simulation ends with one final 25,000 step stabilization period. From the simulation, the irreversible work of transformation is estimated and used to compute the absolute Gibbs free energy of the target phase and potential relative to the reference potential. Entropy is estimated as the difference in enthalpy and Gibbs free energy and divided by temperature.
The calculation methods used are available as the iprPy relax_dynamic, relax_liquid_redo, free_energy, and free_energy_liquid calculation methods.
Clicking on the image of a plot will open an interactive version of it in a new tab. The underlying data for the plots can be downloaded by clicking on the links above each plot.
Notes and Disclaimers:
Version Information:






