Plots of the potential energy vs interatomic spacing, r, are shown below for all diatom sets associated with the interatomic potential. This calculation provides insights into the functional form of the potential's two-body interactions. A system consisting of only two atoms is created, and the potential energy is evaluated for the atoms separated by 0.02 Å <= r <= 6.0> Å in intervals of 0.02 Å. Two plots are shown: one for the "standard" interaction distance range, and one for small values of r. The small r plot is useful for determining whether the potential is suitable for radiation studies.
The calculation method used is available as the iprPy diatom_scan calculation method.
Clicking on the image of a plot will open an interactive version of it in a new tab. The underlying data for the plots can be downloaded by clicking on the links above each plot.
Notes and Disclaimers:
Version Information:
Plots of potential energy vs interatomic spacing, r, are shown below for a number of crystal structures. The structures are generated based on the ideal atomic positions and b/a and c/a lattice parameter ratios for a given crystal prototype. The size of the system is then uniformly scaled, and the energy calculated without relaxing the system. To obtain these plots, values of r are evaluated every 0.02 Å up to 6 Å.
The calculation method used is available as the iprPy E_vs_r_scan calculation method.
Clicking on the image of a plot will open an interactive version of it in a new tab. The underlying data for the plots can be downloaded by clicking on the links above each plot.
Notes and Disclaimers:
Version Information:
Computed lattice constants and cohesive/potential energies are displayed for a variety of crystal structures. The values displayed here are obtained using the following process.
The calculation methods used are implemented into iprPy as the following calculation styles
Notes and Disclaimers:
Version Information:
Download raw data (including filtered results)
Reference structure matches:
A1--Cu--fcc = mp-134, oqmd-8100, oqmd-1214503
A15--beta-W = oqmd-1214948, oqmd-1280406
A2--W--bcc = mp-998860, oqmd-1215126
A3'--alpha-La--double-hcp = mp-1183144, oqmd-1215394
A3--Mg--hcp = oqmd-1215215, oqmd-1215304
A4--C--dc = oqmd-1215483
A5--beta-Sn = oqmd-1215572
A6--In--bct = oqmd-1215661
| prototype | method | Ecoh (eV/atom) | Epot (eV/atom) | a0 (Å) | b0 (Å) | c0 (Å) | α (degrees) | β (degrees) | γ (degrees) |
|---|---|---|---|---|---|---|---|---|---|
| A1--Cu--fcc | dynamic | -3.36 | -3.36 | 4.0447 | 4.0447 | 4.0447 | 90.0 | 90.0 | 90.0 |
| A3'--alpha-La--double-hcp | dynamic | -3.3444 | -3.3444 | 2.8445 | 2.8445 | 9.4759 | 90.0 | 90.0 | 120.0 |
| oqmd-1216017 | dynamic | -3.3397 | -3.3397 | 2.8404 | 2.8404 | 21.4079 | 90.0 | 90.0 | 120.0 |
| A3--Mg--hcp | dynamic | -3.3305 | -3.3305 | 2.8326 | 2.8326 | 4.7946 | 90.0 | 90.0 | 120.0 |
| oqmd-1215037 | box | -3.2724 | -3.2724 | 2.7178 | 4.858 | 10.4584 | 90.0 | 90.0 | 90.0 |
| mp-1245129 | dynamic | -3.2703 | -3.2703 | 11.4335 | 12.0926 | 12.6969 | 88.1 | 88.7 | 79.0 |
| mp-1244953 | dynamic | -3.2686 | -3.2686 | 11.9572 | 12.0046 | 12.4536 | 84.5 | 85.4 | 76.0 |
| mp-1245152 | dynamic | -3.268 | -3.268 | 11.8649 | 12.0078 | 12.3124 | 88.8 | 80.0 | 89.5 |
| mp-1245307 | dynamic | -3.2626 | -3.2626 | 11.8033 | 12.1804 | 12.2061 | 89.9 | 86.9 | 81.5 |
| mp-1245067 | dynamic | -3.2614 | -3.2614 | 11.6853 | 12.0791 | 12.4823 | 92.2 | 94.0 | 99.9 |
| oqmd-1214859 | dynamic | -3.255 | -3.255 | 6.9969 | 6.9969 | 6.9969 | 90.0 | 90.0 | 90.0 |
| oqmd-1214859 | box | -3.2525 | -3.2525 | 7.002 | 7.002 | 7.002 | 90.0 | 90.0 | 90.0 |
| mp-1244953 | static | -3.2499 | -3.2499 | 11.9602 | 12.1522 | 12.2035 | 86.3 | 78.5 | 86.5 |
| mp-1245129 | static | -3.2484 | -3.2484 | 11.6761 | 11.9151 | 12.5181 | 85.0 | 88.1 | 85.2 |
| mp-1245152 | static | -3.2466 | -3.2466 | 11.5612 | 12.1372 | 12.4434 | 89.2 | 83.6 | 89.7 |
| A2--W--bcc | static | -3.2417 | -3.2417 | 3.2269 | 3.2269 | 3.2269 | 90.0 | 90.0 | 90.0 |
| mp-1245307 | static | -3.2375 | -3.2375 | 12.0045 | 12.0923 | 12.111 | 91.7 | 94.3 | 92.5 |
| oqmd-1214770 | static | -3.2369 | -3.2369 | 9.9759 | 9.9759 | 9.9759 | 90.0 | 90.0 | 90.0 |
| A5--beta-Sn | static | -3.2367 | -3.2367 | 5.1324 | 5.1324 | 2.6256 | 90.0 | 90.0 | 90.0 |
| Ah--alpha-Po--sc | static | -3.2332 | -3.2332 | 2.6014 | 2.6014 | 2.6014 | 90.0 | 90.0 | 90.0 |
| oqmd-1214770 | box | -3.2302 | -3.2302 | 9.9715 | 9.9715 | 9.9715 | 90.0 | 90.0 | 90.0 |
| mp-1245067 | static | -3.2269 | -3.2269 | 12.0218 | 12.149 | 12.1922 | 92.0 | 93.4 | 97.7 |
| mp-1244953 | box | -3.2225 | -3.2225 | 11.965 | 12.0821 | 12.2811 | 86.0 | 80.2 | 86.7 |
| mp-1245129 | box | -3.2206 | -3.2206 | 11.7134 | 12.0273 | 12.4596 | 93.5 | 91.6 | 96.6 |
| mp-1245152 | box | -3.2185 | -3.2185 | 11.8907 | 12.0969 | 12.2051 | 91.8 | 91.6 | 95.8 |
| mp-1245307 | box | -3.208 | -3.208 | 11.9863 | 12.1319 | 12.1375 | 90.2 | 92.6 | 94.3 |
| A15--beta-W | static | -3.2034 | -3.2034 | 5.1648 | 5.1648 | 5.1648 | 90.0 | 90.0 | 90.0 |
| mp-1245067 | box | -3.1979 | -3.1979 | 11.9305 | 12.2384 | 12.2863 | 92.7 | 98.2 | 93.8 |
| A7--alpha-As | box | -3.0979 | -3.0979 | 2.7822 | 2.7822 | 19.1922 | 90.0 | 90.0 | 120.0 |
| mp-1239196 | box | -2.8668 | -2.8668 | 3.6475 | 3.6475 | 14.5231 | 90.0 | 90.0 | 90.0 |
| oqmd-1215928 | box | -2.7174 | -2.7174 | 4.5961 | 4.5961 | 4.8311 | 90.0 | 90.0 | 120.0 |
| A4--C--dc | dynamic | -2.4145 | -2.4145 | 6.2978 | 6.2978 | 6.2978 | 90.0 | 90.0 | 90.0 |
Download raw data (including filtered results)
Reference structure matches:
| prototype | method | Ecoh (eV/atom) | Epot (eV/atom) | a0 (Å) | b0 (Å) | c0 (Å) | α (degrees) | β (degrees) | γ (degrees) |
|---|---|---|---|---|---|---|---|---|---|
| mp-1217111 | dynamic | -4.5355 | -4.5355 | 4.0679 | 4.0679 | 16.3508 | 90.0 | 90.0 | 90.0 |
| mp-1217111 | box | -4.5268 | -4.5268 | 4.0598 | 4.0598 | 16.4544 | 90.0 | 90.0 | 90.0 |
Download raw data (including filtered results)
Reference structure matches:
| prototype | method | Ecoh (eV/atom) | Epot (eV/atom) | a0 (Å) | b0 (Å) | c0 (Å) | α (degrees) | β (degrees) | γ (degrees) |
|---|---|---|---|---|---|---|---|---|---|
| mp-567705 | dynamic | -4.5855 | -4.5855 | 4.095 | 4.095 | 24.2362 | 90.0 | 90.0 | 90.0 |
| oqmd-18195 | dynamic | -4.5852 | -4.5852 | 4.081 | 12.1297 | 4.1049 | 90.0 | 90.0 | 90.0 |
| mp-11809 | box | -4.5685 | -4.5685 | 4.0404 | 12.1775 | 4.1419 | 90.0 | 90.0 | 90.0 |
| oqmd-18195 | box | -4.5681 | -4.5681 | 4.0392 | 12.1822 | 4.1425 | 90.0 | 90.0 | 90.0 |
| mp-567705 | box | -4.5651 | -4.5651 | 4.0934 | 4.0934 | 24.3447 | 90.0 | 90.0 | 90.0 |
| oqmd-18487 | box | -4.5647 | -4.5647 | 4.0932 | 4.0932 | 24.3519 | 90.0 | 90.0 | 90.0 |
| C1--CaF2--fluorite | static | -3.843 | -3.843 | 6.2634 | 6.2634 | 6.2634 | 90.0 | 90.0 | 90.0 |
| oqmd-1231523 | box | -3.7094 | -3.7094 | 5.0261 | 5.0261 | 5.0976 | 90.0 | 90.0 | 90.0 |
Download raw data (including filtered results)
Reference structure matches:
| prototype | method | Ecoh (eV/atom) | Epot (eV/atom) | a0 (Å) | b0 (Å) | c0 (Å) | α (degrees) | β (degrees) | γ (degrees) |
|---|---|---|---|---|---|---|---|---|---|
| oqmd-425601 | box | -4.6049 | -4.6049 | 5.0486 | 5.0486 | 26.0818 | 90.0 | 90.0 | 120.0 |
Download raw data (including filtered results)
Reference structure matches:
D0_3--BiF3 = oqmd-312158
L1_2--AuCu3 = mp-998981, oqmd-21316
| prototype | method | Ecoh (eV/atom) | Epot (eV/atom) | a0 (Å) | b0 (Å) | c0 (Å) | α (degrees) | β (degrees) | γ (degrees) |
|---|---|---|---|---|---|---|---|---|---|
| oqmd-18722 | dynamic | -4.3901 | -4.3901 | 4.0682 | 4.0682 | 8.1357 | 90.0 | 90.0 | 90.0 |
| L1_2--AuCu3 | dynamic | -4.3886 | -4.3886 | 4.069 | 4.069 | 4.069 | 90.0 | 90.0 | 90.0 |
| oqmd-323620 | dynamic | -4.3852 | -4.3852 | 5.7494 | 5.7494 | 4.7054 | 90.0 | 90.0 | 120.0 |
| oqmd-323620 | box | -4.3774 | -4.3774 | 5.7335 | 5.7335 | 4.735 | 90.0 | 90.0 | 120.0 |
| D0_3--BiF3 | dynamic | -4.29 | -4.29 | 6.4522 | 6.4522 | 6.4522 | 90.0 | 90.0 | 90.0 |
| mp-1217027 | dynamic | -4.2725 | -4.2725 | 2.878 | 4.7297 | 4.9565 | 90.0 | 90.0 | 90.0 |
| mp-1217027 | box | -4.2683 | -4.2683 | 2.8653 | 4.7376 | 4.973 | 90.0 | 90.0 | 90.0 |
| A15--Cr3Si | static | -4.2355 | -4.2355 | 5.1831 | 5.1831 | 5.1831 | 90.0 | 90.0 | 90.0 |
| A15--Cr3Si | static | -1.8309 | -1.8309 | 7.815 | 7.815 | 7.815 | 90.0 | 90.0 | 90.0 |
Download raw data (including filtered results)
Reference structure matches:
| prototype | method | Ecoh (eV/atom) | Epot (eV/atom) | a0 (Å) | b0 (Å) | c0 (Å) | α (degrees) | β (degrees) | γ (degrees) |
|---|---|---|---|---|---|---|---|---|---|
| mp-1208324 | static | -4.4733 | -4.4733 | 6.2184 | 6.2184 | 18.4485 | 90.0 | 90.0 | 90.0 |
| mp-1208324 | box | -4.4543 | -4.4543 | 6.2019 | 6.2019 | 18.735 | 90.0 | 90.0 | 90.0 |
Download raw data (including filtered results)
Reference structure matches:
| prototype | method | Ecoh (eV/atom) | Epot (eV/atom) | a0 (Å) | b0 (Å) | c0 (Å) | α (degrees) | β (degrees) | γ (degrees) |
|---|---|---|---|---|---|---|---|---|---|
| oqmd-753883 | dynamic | -4.9765 | -4.9765 | 7.6976 | 7.6976 | 4.676 | 90.0 | 90.0 | 120.0 |
| oqmd-753883 | box | -4.965 | -4.965 | 7.7094 | 7.7094 | 4.6709 | 90.0 | 90.0 | 120.0 |
| oqmd-753871 | dynamic | -4.7889 | -4.7889 | 7.6814 | 7.6814 | 4.7086 | 90.0 | 90.0 | 120.0 |
| oqmd-753871 | box | -4.775 | -4.775 | 7.672 | 7.672 | 4.715 | 90.0 | 90.0 | 120.0 |
Download raw data (including filtered results)
Reference structure matches:
| prototype | method | Ecoh (eV/atom) | Epot (eV/atom) | a0 (Å) | b0 (Å) | c0 (Å) | α (degrees) | β (degrees) | γ (degrees) |
|---|---|---|---|---|---|---|---|---|---|
| mp-1217092 | dynamic | -4.6818 | -4.6818 | 4.0758 | 4.1202 | 8.0918 | 90.0 | 90.0 | 90.0 |
| mp-1217081 | dynamic | -4.6815 | -4.6815 | 4.0674 | 4.0674 | 8.2122 | 90.0 | 90.0 | 90.0 |
| mp-1217081 | box | -4.6802 | -4.6802 | 4.0614 | 4.0614 | 8.2424 | 90.0 | 90.0 | 90.0 |
| mp-1217092 | box | -4.6713 | -4.6713 | 4.0422 | 4.1462 | 8.12 | 90.0 | 90.0 | 90.0 |
Download raw data (including filtered results)
Reference structure matches:
B1--NaCl--rock-salt = oqmd-1105682
B2--CsCl = mp-1061123, oqmd-306497
B3--ZnS--cubic-zinc-blende = oqmd-1218357
L1_0--AuCu = mp-1953, oqmd-18721
| prototype | method | Ecoh (eV/atom) | Epot (eV/atom) | a0 (Å) | b0 (Å) | c0 (Å) | α (degrees) | β (degrees) | γ (degrees) |
|---|---|---|---|---|---|---|---|---|---|
| oqmd-753881 | dynamic | -4.9942 | -4.9942 | 5.048 | 4.6744 | 5.7784 | 90.0 | 90.0 | 90.0 |
| oqmd-1217571 | dynamic | -4.9897 | -4.9897 | 4.6756 | 2.9054 | 5.0329 | 90.0 | 90.0 | 90.0 |
| oqmd-1217571 | box | -4.9765 | -4.9765 | 4.704 | 2.8781 | 5.0535 | 90.0 | 90.0 | 90.0 |
| oqmd-753881 | box | -4.9732 | -4.9732 | 5.0855 | 4.6907 | 5.7248 | 90.0 | 90.0 | 90.0 |
| L1_0--AuCu | dynamic | -4.9723 | -4.9723 | 2.8751 | 2.8751 | 4.1465 | 90.0 | 90.0 | 90.0 |
| B2--CsCl | dynamic | -4.896 | -4.896 | 3.247 | 3.247 | 3.247 | 90.0 | 90.0 | 90.0 |
| L1_0--AuCu | box | -4.8941 | -4.8941 | 3.1595 | 3.1595 | 3.4369 | 90.0 | 90.0 | 90.0 |
| oqmd-753897 | dynamic | -4.8474 | -4.8474 | 5.7887 | 4.6979 | 7.6835 | 90.0 | 100.8 | 90.0 |
| oqmd-753872 | dynamic | -4.8458 | -4.8458 | 4.6933 | 8.653 | 5.0471 | 90.0 | 90.0 | 90.0 |
| oqmd-753894 | dynamic | -4.8446 | -4.8446 | 4.6968 | 8.6764 | 5.0257 | 90.0 | 90.0 | 90.0 |
| oqmd-753889 | dynamic | -4.83 | -4.83 | 4.7064 | 11.4896 | 5.0495 | 90.0 | 90.0 | 90.0 |
| oqmd-753872 | box | -4.8276 | -4.8276 | 4.6911 | 8.6809 | 5.0386 | 90.0 | 90.0 | 90.0 |
| oqmd-753874 | dynamic | -4.8269 | -4.8269 | 4.6973 | 11.5442 | 5.0406 | 90.0 | 90.0 | 90.0 |
| oqmd-753878 | dynamic | -4.8221 | -4.8221 | 4.6991 | 14.6123 | 4.9707 | 90.0 | 90.0 | 90.0 |
| oqmd-753874 | box | -4.8184 | -4.8184 | 4.712 | 11.6009 | 5.0165 | 90.0 | 90.0 | 90.0 |
| oqmd-753875 | dynamic | -4.8165 | -4.8165 | 4.6959 | 14.4275 | 5.0454 | 90.0 | 90.0 | 90.0 |
| oqmd-753889 | box | -4.8002 | -4.8002 | 4.6926 | 11.4224 | 5.123 | 90.0 | 90.0 | 90.0 |
| oqmd-753875 | box | -4.8001 | -4.8001 | 4.7037 | 14.4197 | 5.0396 | 90.0 | 90.0 | 90.0 |
| oqmd-753878 | box | -4.7991 | -4.7991 | 4.6982 | 14.7032 | 4.9781 | 90.0 | 90.0 | 90.0 |
| oqmd-753894 | box | -4.797 | -4.797 | 4.6445 | 8.8006 | 5.0396 | 90.0 | 90.0 | 90.0 |
| oqmd-753873 | dynamic | -4.7837 | -4.7837 | 4.6948 | 5.9161 | 9.8224 | 90.0 | 90.0 | 90.0 |
| oqmd-753880 | dynamic | -4.7756 | -4.7756 | 5.8004 | 5.8004 | 4.7068 | 90.0 | 90.0 | 120.0 |
| oqmd-753880 | box | -4.7746 | -4.7746 | 5.7995 | 5.7995 | 4.7084 | 90.0 | 90.0 | 120.0 |
| oqmd-753868 | dynamic | -4.774 | -4.774 | 8.2328 | 11.8928 | 4.1741 | 90.0 | 90.0 | 90.0 |
| oqmd-753868 | static | -4.774 | -4.774 | 8.2327 | 11.8931 | 4.174 | 90.0 | 90.0 | 90.0 |
| oqmd-753870 | dynamic | -4.7732 | -4.7732 | 5.7907 | 4.714 | 7.6705 | 90.0 | 100.9 | 90.0 |
| mp-1217008 | dynamic | -4.7723 | -4.7723 | 2.9032 | 2.9032 | 4.68 | 90.0 | 90.0 | 120.0 |
| oqmd-753888 | dynamic | -4.7718 | -4.7718 | 5.7416 | 5.0525 | 4.7153 | 90.0 | 90.0 | 90.0 |
| oqmd-327581 | dynamic | -4.7682 | -4.7682 | 2.8992 | 2.8992 | 14.12 | 90.0 | 90.0 | 120.0 |
| oqmd-753873 | box | -4.7541 | -4.7541 | 4.6974 | 5.7856 | 10.0768 | 90.0 | 90.0 | 90.0 |
| oqmd-753898 | box | -4.743 | -4.743 | 4.5864 | 6.4757 | 4.5865 | 90.0 | 90.0 | 90.0 |
| oqmd-753870 | box | -4.7408 | -4.7408 | 5.8712 | 4.7348 | 7.546 | 90.0 | 100.9 | 90.0 |
| oqmd-753888 | box | -4.7206 | -4.7206 | 5.8145 | 4.9848 | 4.7691 | 90.0 | 90.0 | 90.0 |
| oqmd-753876 | dynamic | -4.718 | -4.718 | 5.9705 | 4.6991 | 7.444 | 90.0 | 101.6 | 90.0 |
| oqmd-753897 | static | -4.6997 | -4.6997 | 5.8308 | 4.7092 | 7.617 | 90.0 | 101.0 | 90.0 |
| oqmd-753876 | box | -4.6875 | -4.6875 | 5.8248 | 4.727 | 7.5976 | 90.0 | 100.9 | 90.0 |
| oqmd-753897 | box | -4.6646 | -4.6646 | 5.684 | 4.7584 | 7.759 | 90.0 | 100.7 | 90.0 |
| oqmd-753882 | static | -4.5852 | -4.5852 | 3.0311 | 4.6968 | 9.5578 | 90.0 | 90.0 | 90.0 |
| oqmd-753882 | box | -4.535 | -4.535 | 2.9116 | 4.7468 | 9.9033 | 90.0 | 90.0 | 90.0 |
| B1--NaCl--rock-salt | static | -4.0752 | -4.0752 | 5.3675 | 5.3675 | 5.3675 | 90.0 | 90.0 | 90.0 |
| oqmd-1224551 | box | -3.6879 | -3.6879 | 4.4759 | 4.4759 | 5.116 | 90.0 | 90.0 | 120.0 |
| B4--ZnS--wurtzite | box | -3.2083 | -3.2083 | 4.2023 | 4.2023 | 6.02 | 90.0 | 90.0 | 120.0 |
| B3--ZnS--cubic-zinc-blende | static | -2.9305 | -2.9305 | 5.804 | 5.804 | 5.804 | 90.0 | 90.0 | 90.0 |
Download raw data (including filtered results)
Reference structure matches:
| prototype | method | Ecoh (eV/atom) | Epot (eV/atom) | a0 (Å) | b0 (Å) | c0 (Å) | α (degrees) | β (degrees) | γ (degrees) |
|---|---|---|---|---|---|---|---|---|---|
| oqmd-753879 | dynamic | -5.1011 | -5.1011 | 8.7146 | 5.0703 | 4.6851 | 90.0 | 90.0 | 90.0 |
| oqmd-753879 | box | -5.0471 | -5.0471 | 8.7816 | 5.0036 | 4.7357 | 90.0 | 90.0 | 90.0 |
| oqmd-753869 | dynamic | -5.0322 | -5.0322 | 4.6912 | 8.7663 | 5.0381 | 90.0 | 90.0 | 90.0 |
| oqmd-753892 | dynamic | -5.0295 | -5.0295 | 5.0514 | 5.0514 | 4.6825 | 90.0 | 90.0 | 120.0 |
| oqmd-753869 | box | -5.0037 | -5.0037 | 4.6933 | 8.8303 | 5.0125 | 90.0 | 90.0 | 90.0 |
| C1--CaF2--fluorite | dynamic | -4.9787 | -4.9787 | 5.9778 | 5.9778 | 5.9778 | 90.0 | 90.0 | 90.0 |
| oqmd-753892 | box | -4.9628 | -4.9628 | 5.1134 | 5.1134 | 4.6097 | 90.0 | 90.0 | 120.0 |
| oqmd-753893 | dynamic | -4.9349 | -4.9349 | 7.7018 | 4.6931 | 11.6689 | 90.0 | 100.8 | 90.0 |
| oqmd-753885 | box | -4.9302 | -4.9302 | 2.924 | 4.7387 | 14.9399 | 90.0 | 90.0 | 90.0 |
| oqmd-753893 | box | -4.9163 | -4.9163 | 7.6683 | 4.6967 | 11.6998 | 90.0 | 100.8 | 90.0 |
| mp-1008753 | static | -4.6212 | -4.6212 | 6.2172 | 6.2172 | 6.2172 | 90.0 | 90.0 | 90.0 |
Download raw data (including filtered results)
Reference structure matches:
D0_3--BiF3 = mp-999027, oqmd-313078
L1_2--AuCu3 = oqmd-347186
| prototype | method | Ecoh (eV/atom) | Epot (eV/atom) | a0 (Å) | b0 (Å) | c0 (Å) | α (degrees) | β (degrees) | γ (degrees) |
|---|---|---|---|---|---|---|---|---|---|
| D0_3--BiF3 | dynamic | -5.1927 | -5.1927 | 6.5032 | 6.5032 | 6.5032 | 90.0 | 90.0 | 90.0 |
| oqmd-753899 | static | -5.1822 | -5.1822 | 4.6816 | 6.0203 | 4.9103 | 90.0 | 90.0 | 90.0 |
| oqmd-753899 | box | -5.1543 | -5.1543 | 4.6704 | 5.9008 | 5.0331 | 90.0 | 90.0 | 90.0 |
| oqmd-753887 | dynamic | -5.1499 | -5.1499 | 5.8664 | 5.8664 | 4.6565 | 90.0 | 90.0 | 120.0 |
| mp-1823 | box | -5.1496 | -5.1496 | 5.8625 | 5.8625 | 4.6621 | 90.0 | 90.0 | 120.0 |
| oqmd-753887 | box | -5.149 | -5.149 | 5.86 | 5.86 | 4.666 | 90.0 | 90.0 | 120.0 |
| oqmd-10598 | box | -5.149 | -5.149 | 5.86 | 5.86 | 4.6661 | 90.0 | 90.0 | 120.0 |
| L1_2--AuCu3 | static | -5.1128 | -5.1128 | 4.1154 | 4.1154 | 4.1154 | 90.0 | 90.0 | 90.0 |
| A15--Cr3Si | dynamic | -5.1069 | -5.1069 | 5.1833 | 5.1833 | 5.1833 | 90.0 | 90.0 | 90.0 |
| mp-1217072 | dynamic | -4.8215 | -4.8215 | 2.9275 | 2.9275 | 9.3468 | 90.0 | 90.0 | 120.0 |
| mp-1217072 | box | -4.8205 | -4.8205 | 2.9271 | 2.9271 | 9.3576 | 90.0 | 90.0 | 120.0 |
Download raw data (including filtered results)
Reference structure matches:
| prototype | method | Ecoh (eV/atom) | Epot (eV/atom) | a0 (Å) | b0 (Å) | c0 (Å) | α (degrees) | β (degrees) | γ (degrees) |
|---|---|---|---|---|---|---|---|---|---|
| oqmd-753884 | dynamic | -5.1005 | -5.1005 | 5.0747 | 5.0747 | 4.6928 | 90.0 | 90.0 | 120.0 |
| oqmd-753884 | box | -5.086 | -5.086 | 5.0796 | 5.0796 | 4.6717 | 90.0 | 90.0 | 120.0 |
Download raw data (including filtered results)
Reference structure matches:
A1--Cu--fcc = mp-6985, oqmd-676147
A15--beta-W = oqmd-1215024
A2--W--bcc = mp-73, oqmd-8390
A3'--alpha-La--double-hcp = oqmd-1215470
A3--Mg--hcp = mp-46, oqmd-8079, oqmd-755820, oqmd-755821, oqmd-755822, oqmd-755823, oqmd-755827, oqmd-755834, oqmd-755836, oqmd-755845
A4--C--dc = oqmd-1215559
A5--beta-Sn = oqmd-1215648
A6--In--bct = oqmd-1215737
| prototype | method | Ecoh (eV/atom) | Epot (eV/atom) | a0 (Å) | b0 (Å) | c0 (Å) | α (degrees) | β (degrees) | γ (degrees) |
|---|---|---|---|---|---|---|---|---|---|
| A3--Mg--hcp | dynamic | -4.8727 | -4.8727 | 2.9453 | 2.9453 | 4.6874 | 90.0 | 90.0 | 120.0 |
| A3--Mg--hcp | box | -4.8727 | -4.8727 | 2.9452 | 2.9452 | 4.6874 | 90.0 | 90.0 | 120.0 |
| oqmd-1215291 | box | -4.871 | -4.871 | 2.9356 | 5.1164 | 4.6896 | 90.0 | 90.0 | 90.0 |
| oqmd-1216096 | dynamic | -4.8561 | -4.8561 | 2.9371 | 2.9371 | 21.2287 | 90.0 | 90.0 | 120.0 |
| A2--W--bcc | dynamic | -4.8489 | -4.8489 | 3.2661 | 3.2661 | 3.2661 | 90.0 | 90.0 | 90.0 |
| A3'--alpha-La--double-hcp | dynamic | -4.8479 | -4.8479 | 2.9331 | 2.9331 | 9.4641 | 90.0 | 90.0 | 120.0 |
| A1--Cu--fcc | dynamic | -4.8245 | -4.8245 | 4.133 | 4.133 | 4.133 | 90.0 | 90.0 | 90.0 |
| oqmd-1215915 | box | -4.8244 | -4.8244 | 2.9225 | 2.9225 | 7.1586 | 90.0 | 90.0 | 120.0 |
| oqmd-1214935 | dynamic | -4.8237 | -4.8237 | 7.085 | 7.085 | 7.085 | 90.0 | 90.0 | 90.0 |
| oqmd-1214846 | dynamic | -4.8015 | -4.8015 | 10.0909 | 10.0909 | 10.0909 | 90.0 | 90.0 | 90.0 |
| A15--beta-W | dynamic | -4.7966 | -4.7966 | 5.2081 | 5.2081 | 5.2081 | 90.0 | 90.0 | 90.0 |
| oqmd-1214846 | box | -4.7858 | -4.7858 | 10.093 | 10.093 | 10.093 | 90.0 | 90.0 | 90.0 |
| oqmd-1214935 | box | -4.7658 | -4.7658 | 7.111 | 7.111 | 7.111 | 90.0 | 90.0 | 90.0 |
| mp-1245320 | dynamic | -4.7453 | -4.7453 | 11.9387 | 12.1109 | 12.486 | 89.7 | 88.5 | 88.5 |
| mp-1245006 | dynamic | -4.7343 | -4.7343 | 12.1353 | 12.1462 | 12.2378 | 93.9 | 90.7 | 91.5 |
| mp-72 | dynamic | -4.7291 | -4.7291 | 4.6611 | 4.6611 | 2.8299 | 90.0 | 90.0 | 120.0 |
| mp-1245170 | dynamic | -4.7277 | -4.7277 | 11.736 | 12.1337 | 12.7783 | 92.3 | 92.0 | 94.7 |
| mp-1245164 | dynamic | -4.7238 | -4.7238 | 12.1656 | 12.221 | 12.5 | 81.6 | 80.4 | 81.9 |
| mp-1245320 | static | -4.7211 | -4.7211 | 11.995 | 12.0022 | 12.5395 | 88.1 | 89.1 | 89.3 |
| mp-1245164 | static | -4.7201 | -4.7201 | 12.1528 | 12.2289 | 12.4963 | 81.3 | 80.7 | 82.3 |
| mp-1245006 | static | -4.712 | -4.712 | 12.0242 | 12.0838 | 12.4356 | 93.5 | 91.0 | 92.0 |
| mp-1244924 | dynamic | -4.7016 | -4.7016 | 11.545 | 12.254 | 12.8814 | 91.3 | 90.4 | 92.9 |
| mp-1245170 | static | -4.6887 | -4.6887 | 11.9228 | 12.1574 | 12.5637 | 92.2 | 92.1 | 93.2 |
| mp-1244924 | static | -4.6875 | -4.6875 | 11.5906 | 12.2806 | 12.8182 | 91.2 | 90.3 | 93.3 |
| mp-1245164 | box | -4.6545 | -4.6545 | 12.1699 | 12.2274 | 12.4954 | 80.5 | 82.5 | 82.9 |
| mp-1245006 | box | -4.6323 | -4.6323 | 11.8865 | 12.1977 | 12.5124 | 92.8 | 91.1 | 92.2 |
| mp-1245320 | box | -4.6304 | -4.6304 | 11.9548 | 12.1117 | 12.5368 | 88.9 | 87.9 | 89.9 |
| mp-1244924 | box | -4.6015 | -4.6015 | 11.666 | 12.3938 | 12.6618 | 91.8 | 91.6 | 93.0 |
| mp-1245170 | box | -4.5999 | -4.5999 | 12.0166 | 12.107 | 12.5636 | 93.1 | 91.3 | 91.5 |
| oqmd-1215113 | dynamic | -4.3306 | -4.3306 | 3.4951 | 4.6584 | 9.5161 | 90.0 | 90.0 | 90.0 |
| oqmd-1214757 | box | -4.3293 | -4.3293 | 3.4908 | 4.6643 | 9.5562 | 90.0 | 90.0 | 90.0 |
| oqmd-1215113 | box | -4.3049 | -4.3049 | 3.1251 | 4.8368 | 9.9446 | 90.0 | 90.0 | 90.0 |
| A5--beta-Sn | box | -4.2463 | -4.2463 | 5.3221 | 5.3221 | 2.7018 | 90.0 | 90.0 | 90.0 |
| A7--alpha-As | dynamic | -3.8965 | -3.8965 | 2.8388 | 2.8388 | 32.8307 | 90.0 | 90.0 | 120.0 |
| Ah--alpha-Po--sc | static | -3.6235 | -3.6235 | 2.7734 | 2.7734 | 2.7734 | 90.0 | 90.0 | 90.0 |
| oqmd-1216004 | box | -3.418 | -3.418 | 4.5232 | 4.5232 | 4.9661 | 90.0 | 90.0 | 120.0 |
| A4--C--dc | static | -2.6084 | -2.6084 | 5.8457 | 5.8457 | 5.8457 | 90.0 | 90.0 | 90.0 |
| A15--beta-W | box | -0.3887 | -0.3887 | 8.5644 | 8.5644 | 8.5644 | 90.0 | 90.0 | 90.0 |
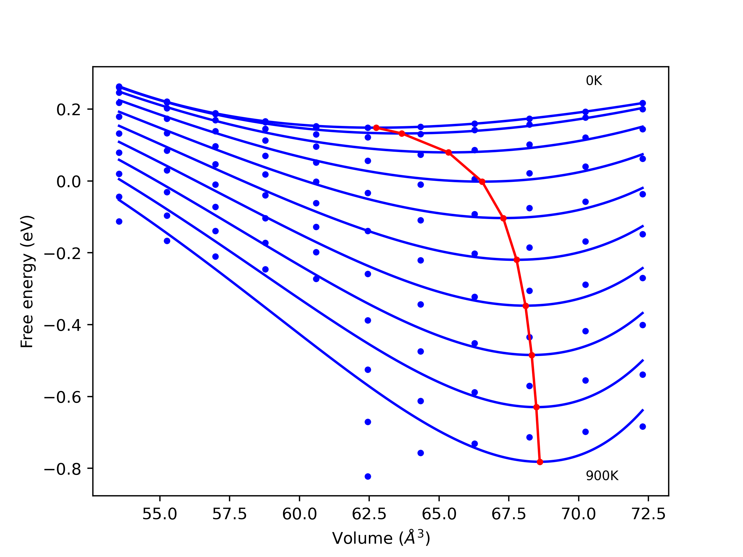
Static elastic constants are displayed for the unique structures identified in Crystal Structure Predictions above. The values displayed here are obtained by measuring the change in virial stresses due to applying small strains to the relaxed crystals. The initial structure and the strained states are all relaxed using force minimization.
The calculation method used is available as the iprPy elastic_constants_static calculation method.
Notes and Disclaimers:
Version Information:
| 114.334 | 61.916 | 61.916 | -0.000 | -0.000 | -0.000 |
| 61.916 | 114.334 | 61.916 | 0.000 | -0.000 | -0.000 |
| 61.916 | 61.916 | 114.334 | -0.000 | -0.000 | -0.000 |
| 0.000 | 0.000 | 0.000 | 31.566 | 0.000 | -0.000 |
| 0.000 | 0.000 | 0.000 | -0.000 | 31.566 | -0.000 |
| 0.000 | 0.000 | 0.000 | 0.000 | -0.000 | 31.566 |
| 114.334 | 61.916 | 61.916 | 0.000 | -0.000 | 0.000 |
| 61.916 | 114.334 | 61.916 | 0.000 | 0.000 | 0.000 |
| 61.916 | 61.916 | 114.334 | 0.000 | 0.000 | 0.000 |
| -0.000 | -0.000 | -0.000 | 31.566 | -0.000 | 0.000 |
| -0.000 | -0.000 | -0.000 | 0.000 | 31.566 | 0.000 |
| -0.000 | -0.000 | -0.000 | 0.000 | 0.000 | 31.566 |
| 114.334 | 61.916 | 61.916 | -0.000 | -0.000 | -0.000 |
| 61.916 | 114.334 | 61.916 | -0.000 | 0.000 | -0.000 |
| 61.916 | 61.916 | 114.334 | -0.000 | 0.000 | -0.000 |
| -0.000 | 0.000 | 0.000 | 31.566 | -0.000 | -0.000 |
| 0.000 | -0.000 | 0.000 | -0.000 | 31.566 | -0.000 |
| 0.000 | 0.000 | -0.000 | -0.000 | -0.000 | 31.566 |
| 114.334 | 61.916 | 61.916 | 0.000 | -0.000 | 0.000 |
| 61.916 | 114.334 | 61.916 | 0.000 | 0.000 | 0.000 |
| 61.916 | 61.916 | 114.334 | 0.000 | 0.000 | 0.000 |
| 0.000 | -0.000 | -0.000 | 31.566 | -0.000 | 0.000 |
| -0.000 | 0.000 | -0.000 | 0.000 | 31.566 | 0.000 |
| -0.000 | -0.000 | 0.000 | 0.000 | 0.000 | 31.566 |
| 114.334 | 61.916 | 61.916 | -0.000 | 0.000 | -0.000 |
| 61.916 | 114.334 | 61.916 | 0.000 | -0.000 | -0.000 |
| 61.916 | 61.916 | 114.334 | 0.000 | -0.000 | -0.000 |
| -0.000 | 0.000 | 0.000 | 31.566 | -0.000 | -0.000 |
| 0.000 | -0.000 | 0.000 | -0.000 | 31.566 | -0.000 |
| 0.000 | 0.000 | -0.000 | -0.000 | -0.000 | 31.566 |
| 114.334 | 61.915 | 61.915 | 0.000 | 0.000 | 0.000 |
| 61.915 | 114.334 | 61.915 | 0.000 | -0.000 | 0.000 |
| 61.915 | 61.915 | 114.334 | 0.000 | -0.000 | 0.000 |
| 0.000 | -0.000 | -0.000 | 31.566 | 0.000 | 0.000 |
| -0.000 | 0.000 | -0.000 | 0.000 | 31.566 | 0.000 |
| -0.000 | -0.000 | 0.000 | 0.000 | -0.000 | 31.566 |
| 125.140 | 46.501 | 46.501 | -0.000 | 0.000 | -0.000 |
| 46.501 | 125.140 | 46.501 | -0.000 | 0.000 | -0.000 |
| 46.501 | 46.501 | 125.140 | -0.000 | 0.000 | -0.000 |
| -0.000 | -0.000 | 0.000 | -23.563 | -0.000 | -0.000 |
| -0.000 | -0.000 | -0.000 | 0.000 | -23.563 | -0.000 |
| -0.000 | -0.000 | 0.000 | -0.000 | -0.000 | -23.563 |
| 124.137 | 47.002 | 47.002 | 0.000 | 0.000 | 0.000 |
| 47.002 | 124.137 | 47.002 | 0.000 | 0.000 | 0.000 |
| 47.002 | 47.002 | 124.137 | 0.000 | -0.000 | 0.000 |
| 0.000 | -0.000 | -0.000 | -23.563 | 0.000 | 0.000 |
| 0.000 | 0.000 | 0.000 | 0.000 | -23.563 | 0.000 |
| 0.000 | 0.000 | 0.000 | 0.000 | 0.000 | -23.563 |
| 124.137 | 47.002 | 47.002 | -0.000 | -0.000 | -0.000 |
| 47.002 | 124.137 | 47.002 | -0.000 | -0.000 | -0.000 |
| 47.002 | 47.002 | 124.137 | 0.000 | -0.000 | -0.000 |
| -0.000 | 0.000 | -0.000 | -23.563 | -0.000 | -0.000 |
| 0.000 | -0.000 | -0.000 | -0.000 | -23.563 | -0.000 |
| 0.000 | -0.000 | -0.000 | -0.000 | -0.000 | -23.563 |
| 124.137 | 47.002 | 47.002 | 0.000 | 0.000 | 0.000 |
| 47.002 | 124.137 | 47.002 | 0.000 | 0.000 | 0.000 |
| 47.002 | 47.002 | 124.137 | 0.000 | 0.000 | 0.000 |
| 0.000 | -0.000 | 0.000 | -23.563 | -0.000 | 0.000 |
| -0.000 | 0.000 | 0.000 | 0.000 | -23.563 | 0.000 |
| -0.000 | 0.000 | 0.000 | 0.000 | 0.000 | -23.563 |
| 124.138 | 47.002 | 47.002 | -0.000 | -0.000 | -0.000 |
| 47.002 | 124.138 | 47.002 | -0.000 | -0.000 | -0.000 |
| 47.002 | 47.002 | 124.138 | -0.000 | 0.000 | -0.000 |
| -0.000 | 0.000 | -0.000 | -23.563 | -0.000 | -0.000 |
| 0.000 | -0.000 | -0.000 | -0.000 | -23.563 | -0.000 |
| 0.000 | -0.000 | -0.000 | -0.000 | -0.000 | -23.563 |
| 124.136 | 47.002 | 47.002 | 0.000 | -0.000 | 0.000 |
| 47.002 | 124.136 | 47.002 | 0.000 | 0.000 | 0.000 |
| 47.002 | 47.002 | 124.136 | 0.000 | 0.000 | 0.000 |
| 0.000 | -0.000 | 0.000 | -23.563 | 0.000 | 0.000 |
| -0.000 | 0.000 | 0.000 | -0.000 | -23.563 | 0.000 |
| -0.000 | 0.000 | 0.000 | 0.000 | 0.000 | -23.563 |
| 26.017 | 100.151 | 100.151 | 0.000 | -0.000 | -0.000 |
| 100.151 | 26.017 | 100.151 | 0.000 | 0.000 | -0.000 |
| 100.151 | 100.151 | 26.017 | 0.000 | 0.000 | -0.000 |
| 0.000 | -0.000 | 0.000 | 31.201 | 0.000 | -0.000 |
| -0.000 | 0.000 | 0.000 | 0.000 | 31.201 | -0.000 |
| -0.000 | 0.000 | 0.000 | 0.000 | 0.000 | 31.201 |
| 26.017 | 100.151 | 100.151 | -0.000 | 0.000 | 0.000 |
| 100.151 | 26.017 | 100.151 | -0.000 | 0.000 | 0.000 |
| 100.151 | 100.151 | 26.017 | -0.000 | -0.000 | 0.000 |
| -0.000 | 0.000 | -0.000 | 31.201 | 0.000 | 0.000 |
| 0.000 | -0.000 | -0.000 | -0.000 | 31.201 | 0.000 |
| 0.000 | -0.000 | -0.000 | -0.000 | 0.000 | 31.201 |
| 26.017 | 100.151 | 100.151 | 0.000 | 0.000 | -0.000 |
| 100.151 | 26.017 | 100.151 | 0.000 | 0.000 | -0.000 |
| 100.151 | 100.151 | 26.017 | 0.000 | 0.000 | -0.000 |
| 0.000 | -0.000 | 0.000 | 31.201 | -0.000 | -0.000 |
| -0.000 | 0.000 | 0.000 | 0.000 | 31.201 | -0.000 |
| -0.000 | 0.000 | 0.000 | 0.000 | -0.000 | 31.201 |
| 26.017 | 100.151 | 100.151 | 0.000 | 0.000 | 0.000 |
| 100.151 | 26.017 | 100.151 | 0.000 | 0.000 | 0.000 |
| 100.151 | 100.151 | 26.017 | -0.000 | -0.000 | 0.000 |
| -0.000 | 0.000 | -0.000 | 31.201 | -0.000 | 0.000 |
| 0.000 | -0.000 | -0.000 | -0.000 | 31.201 | 0.000 |
| 0.000 | -0.000 | -0.000 | -0.000 | -0.000 | 31.201 |
| 26.017 | 100.151 | 100.151 | 0.000 | -0.000 | -0.000 |
| 100.151 | 26.017 | 100.151 | 0.000 | -0.000 | -0.000 |
| 100.151 | 100.151 | 26.017 | 0.000 | 0.000 | -0.000 |
| 0.000 | -0.000 | 0.000 | 31.201 | 0.000 | -0.000 |
| -0.000 | 0.000 | 0.000 | 0.000 | 31.201 | -0.000 |
| -0.000 | 0.000 | 0.000 | 0.000 | 0.000 | 31.201 |
| 26.017 | 100.151 | 100.151 | -0.000 | 0.000 | 0.000 |
| 100.151 | 26.017 | 100.151 | 0.000 | 0.000 | 0.000 |
| 100.151 | 100.151 | 26.017 | -0.000 | 0.000 | 0.000 |
| -0.000 | 0.000 | -0.000 | 31.201 | 0.000 | 0.000 |
| 0.000 | -0.000 | -0.000 | -0.000 | 31.201 | 0.000 |
| 0.000 | -0.000 | -0.000 | -0.000 | 0.000 | 31.201 |
| 124.578 | 60.201 | 53.676 | -0.000 | -0.000 | -0.000 |
| 60.201 | 124.578 | 53.676 | -0.000 | -0.000 | -0.000 |
| 53.676 | 53.676 | 123.296 | -0.000 | -0.000 | -0.000 |
| -0.000 | 0.000 | 0.000 | 27.289 | 0.000 | 0.000 |
| -0.000 | -0.000 | 0.000 | -0.000 | 27.289 | 0.000 |
| -0.000 | 0.000 | -0.000 | -0.000 | -0.000 | 32.349 |
| 124.578 | 60.201 | 53.676 | 0.000 | 0.000 | 0.000 |
| 60.041 | 124.738 | 53.676 | 0.000 | 0.000 | 0.000 |
| 53.676 | 53.676 | 123.296 | 0.000 | 0.000 | 0.000 |
| -0.000 | 0.000 | -0.000 | 27.289 | 0.000 | 0.000 |
| 0.000 | 0.000 | -0.000 | 0.000 | 27.289 | 0.000 |
| 0.000 | -0.000 | 0.000 | 0.000 | 0.000 | 32.349 |
| 124.578 | 60.201 | 53.676 | -0.000 | -0.000 | -0.000 |
| 60.041 | 124.738 | 53.676 | 0.000 | -0.000 | 0.000 |
| 53.676 | 53.676 | 123.296 | -0.000 | -0.000 | -0.000 |
| -0.000 | -0.000 | 0.000 | 27.289 | -0.000 | 0.000 |
| -0.000 | -0.000 | 0.000 | -0.000 | 27.289 | 0.000 |
| -0.000 | 0.000 | 0.000 | -0.000 | -0.000 | 32.188 |
| 124.578 | 60.201 | 53.676 | 0.000 | 0.000 | -0.000 |
| 60.041 | 124.738 | 53.676 | 0.000 | 0.000 | 0.000 |
| 53.676 | 53.676 | 123.296 | 0.000 | 0.000 | -0.000 |
| 0.000 | 0.000 | -0.000 | 27.289 | 0.000 | -0.000 |
| 0.000 | 0.000 | -0.000 | 0.000 | 27.289 | 0.000 |
| 0.000 | -0.000 | -0.000 | 0.000 | 0.000 | 32.188 |
| 124.739 | 60.041 | 53.676 | -0.000 | -0.000 | 0.000 |
| 60.041 | 124.739 | 53.676 | -0.000 | -0.000 | 0.000 |
| 53.676 | 53.676 | 123.297 | -0.000 | -0.000 | 0.000 |
| -0.000 | -0.000 | 0.000 | 27.289 | -0.000 | 0.000 |
| -0.000 | -0.000 | 0.000 | -0.000 | 27.289 | -0.000 |
| -0.000 | 0.000 | 0.000 | 0.000 | -0.000 | 32.349 |
| 124.738 | 60.041 | 53.676 | -0.000 | 0.000 | -0.000 |
| 60.041 | 124.738 | 53.676 | 0.000 | 0.000 | 0.000 |
| 53.676 | 53.676 | 123.296 | 0.000 | 0.000 | -0.000 |
| 0.000 | 0.000 | -0.000 | 27.289 | 0.000 | -0.000 |
| 0.000 | 0.000 | -0.000 | 0.000 | 27.289 | -0.000 |
| 0.000 | -0.000 | -0.000 | 0.000 | 0.000 | 32.349 |
| 128.775 | 59.969 | 49.767 | -0.000 | -0.000 | 0.000 |
| 59.969 | 128.775 | 49.767 | -0.000 | -0.000 | 0.000 |
| 49.767 | 49.767 | 124.476 | -0.000 | -0.000 | 0.000 |
| 0.000 | 0.000 | 0.000 | 26.802 | -0.000 | 0.000 |
| 0.000 | 0.000 | 0.000 | -0.000 | 26.802 | 0.000 |
| -0.000 | 0.000 | -0.000 | -0.000 | -0.000 | 34.529 |
| 128.901 | 59.843 | 49.767 | 0.000 | 0.000 | 0.000 |
| 59.969 | 128.775 | 49.767 | 0.000 | 0.000 | -0.000 |
| 49.767 | 49.767 | 124.476 | -0.000 | 0.000 | -0.000 |
| -0.000 | -0.000 | -0.000 | 26.802 | 0.000 | -0.000 |
| -0.000 | -0.000 | -0.000 | 0.000 | 26.802 | -0.000 |
| 0.000 | -0.000 | 0.000 | 0.000 | 0.000 | 34.529 |
| 128.775 | 59.969 | 49.767 | -0.000 | -0.000 | -0.000 |
| 59.969 | 128.775 | 49.767 | -0.000 | -0.000 | 0.000 |
| 49.767 | 49.767 | 124.476 | -0.000 | -0.000 | 0.000 |
| -0.000 | -0.000 | 0.000 | 26.802 | -0.000 | -0.000 |
| -0.000 | -0.000 | 0.000 | -0.000 | 26.802 | 0.000 |
| -0.000 | 0.000 | 0.000 | -0.000 | -0.000 | 34.529 |
| 128.775 | 59.969 | 49.767 | 0.000 | 0.000 | -0.000 |
| 59.969 | 128.775 | 49.767 | 0.000 | 0.000 | -0.000 |
| 49.767 | 49.767 | 124.476 | 0.000 | 0.000 | -0.000 |
| 0.000 | 0.000 | -0.000 | 26.802 | 0.000 | 0.000 |
| 0.000 | 0.000 | -0.000 | 0.000 | 26.802 | -0.000 |
| 0.000 | -0.000 | -0.000 | 0.000 | 0.000 | 34.529 |
| 128.776 | 59.969 | 49.768 | -0.000 | -0.000 | -0.000 |
| 59.843 | 128.902 | 49.768 | 0.000 | -0.000 | -0.000 |
| 49.768 | 49.768 | 124.476 | 0.000 | -0.000 | 0.000 |
| -0.000 | -0.000 | 0.000 | 26.802 | -0.000 | -0.000 |
| -0.000 | -0.000 | 0.000 | -0.000 | 26.802 | 0.000 |
| -0.000 | 0.000 | 0.000 | -0.000 | -0.000 | 34.403 |
| 128.900 | 59.843 | 49.767 | 0.000 | 0.000 | 0.000 |
| 59.968 | 128.775 | 49.767 | 0.000 | 0.000 | -0.000 |
| 49.767 | 49.767 | 124.475 | 0.000 | 0.000 | 0.000 |
| 0.000 | 0.000 | -0.000 | 26.802 | 0.000 | -0.000 |
| 0.000 | 0.000 | -0.000 | 0.000 | 26.802 | -0.000 |
| 0.000 | -0.000 | -0.000 | 0.000 | 0.000 | 34.403 |
| 20.509 | 19.971 | 19.971 | 0.000 | 0.000 | 0.000 |
| 19.971 | 20.509 | 19.971 | 0.000 | 0.000 | 0.000 |
| 19.971 | 19.971 | 20.509 | 0.000 | 0.000 | 0.000 |
| -0.000 | 0.000 | -0.000 | 0.984 | 0.000 | 0.000 |
| 0.000 | 0.000 | 0.000 | 0.000 | 0.984 | 0.000 |
| -0.000 | -0.000 | -0.000 | 0.000 | 0.000 | 0.984 |
| 20.509 | 19.971 | 19.971 | -0.000 | -0.000 | -0.000 |
| 19.971 | 20.509 | 19.971 | -0.000 | -0.000 | -0.000 |
| 19.971 | 19.971 | 20.509 | -0.000 | -0.000 | -0.000 |
| 0.000 | -0.000 | 0.000 | 0.984 | -0.000 | -0.000 |
| -0.000 | -0.000 | -0.000 | -0.000 | 0.984 | -0.000 |
| -0.000 | -0.000 | 0.000 | -0.000 | -0.000 | 0.984 |
| 20.509 | 19.971 | 19.971 | 0.000 | 0.000 | 0.000 |
| 19.971 | 20.509 | 19.971 | 0.000 | 0.000 | 0.000 |
| 19.971 | 19.971 | 20.509 | 0.000 | 0.000 | 0.000 |
| -0.000 | -0.000 | -0.000 | 0.984 | 0.000 | 0.000 |
| -0.000 | -0.000 | -0.000 | 0.000 | 0.984 | 0.000 |
| -0.000 | -0.000 | -0.000 | 0.000 | 0.000 | 0.984 |
| 20.509 | 19.971 | 19.971 | -0.000 | -0.000 | -0.000 |
| 19.971 | 20.509 | 19.971 | -0.000 | -0.000 | -0.000 |
| 19.971 | 19.971 | 20.509 | -0.000 | -0.000 | -0.000 |
| 0.000 | 0.000 | 0.000 | 0.984 | -0.000 | -0.000 |
| 0.000 | 0.000 | 0.000 | -0.000 | 0.984 | -0.000 |
| 0.000 | 0.000 | 0.000 | -0.000 | -0.000 | 0.984 |
| 20.509 | 19.971 | 19.971 | 0.000 | 0.000 | 0.000 |
| 19.971 | 20.509 | 19.971 | 0.000 | 0.000 | 0.000 |
| 19.971 | 19.971 | 20.509 | 0.000 | 0.000 | 0.000 |
| -0.000 | -0.000 | -0.000 | 0.984 | 0.000 | 0.000 |
| -0.000 | -0.000 | -0.000 | 0.000 | 0.984 | 0.000 |
| -0.000 | -0.000 | -0.000 | 0.000 | 0.000 | 0.984 |
| 20.509 | 19.970 | 19.970 | -0.000 | -0.000 | -0.000 |
| 19.970 | 20.509 | 19.970 | -0.000 | -0.000 | -0.000 |
| 19.970 | 19.970 | 20.509 | -0.000 | -0.000 | -0.000 |
| 0.000 | 0.000 | 0.000 | 0.984 | -0.000 | -0.000 |
| 0.000 | 0.000 | 0.000 | -0.000 | 0.984 | -0.000 |
| 0.000 | 0.000 | 0.000 | -0.000 | -0.000 | 0.984 |
| 149.554 | 15.723 | 23.173 | -0.000 | 0.000 | 0.000 |
| 15.723 | 149.554 | 23.173 | -0.000 | 0.000 | -0.000 |
| 23.173 | 23.173 | 181.690 | -0.000 | 0.000 | -0.000 |
| -0.000 | 0.000 | -0.000 | -0.895 | 0.000 | 0.000 |
| 0.000 | 0.000 | -0.000 | -0.000 | -0.895 | -0.000 |
| -0.000 | 0.000 | 0.000 | -0.000 | 0.000 | 29.562 |
| 149.554 | 15.723 | 23.173 | 0.000 | -0.000 | 0.000 |
| 15.723 | 149.554 | 23.173 | 0.000 | -0.000 | 0.000 |
| 23.173 | 23.173 | 181.690 | 0.000 | -0.000 | 0.000 |
| 0.000 | -0.000 | 0.000 | -0.895 | -0.000 | 0.000 |
| 0.000 | -0.000 | 0.000 | 0.000 | -0.895 | 0.000 |
| 0.000 | -0.000 | -0.000 | 0.000 | -0.000 | 29.562 |
| 149.554 | 15.723 | 23.173 | 0.000 | 0.000 | 0.000 |
| 15.723 | 149.554 | 23.173 | -0.000 | 0.000 | -0.000 |
| 23.173 | 23.173 | 181.690 | -0.000 | 0.000 | -0.000 |
| -0.000 | 0.000 | -0.000 | -0.895 | 0.000 | 0.000 |
| 0.000 | -0.000 | -0.000 | -0.000 | -0.895 | -0.000 |
| -0.000 | -0.000 | 0.000 | -0.000 | 0.000 | 29.562 |
| 149.554 | 15.723 | 23.173 | -0.000 | -0.000 | 0.000 |
| 15.723 | 149.554 | 23.173 | 0.000 | -0.000 | 0.000 |
| 23.173 | 23.173 | 181.690 | 0.000 | -0.000 | 0.000 |
| 0.000 | -0.000 | 0.000 | -0.895 | -0.000 | 0.000 |
| -0.000 | 0.000 | 0.000 | -0.000 | -0.895 | 0.000 |
| 0.000 | 0.000 | -0.000 | 0.000 | -0.000 | 29.562 |
| -7218491.720 | 5535650.582 | 1057747.788 | -0.000 | 0.000 | 0.000 |
| 5535650.582 | -7218491.720 | 1057747.788 | -0.000 | -0.000 | -0.000 |
| 23.173 | 23.173 | 181.691 | -0.000 | -0.000 | -0.000 |
| -0.000 | 0.000 | -0.000 | -0.895 | 0.000 | -0.000 |
| 0.000 | -0.000 | -0.000 | -0.000 | -0.895 | -0.000 |
| -0.000 | -0.000 | 0.000 | -0.000 | 0.000 | 29.562 |
| -5535429.219 | 7218582.508 | -1057690.341 | -0.000 | -0.000 | -0.000 |
| 7218582.508 | -5535429.219 | -1057690.341 | -0.000 | -0.000 | 0.000 |
| 23.173 | 23.173 | 181.689 | 0.000 | 0.000 | 0.000 |
| 0.000 | -0.000 | 0.000 | -0.895 | 0.000 | 0.000 |
| -0.000 | 0.000 | 0.000 | 0.000 | -0.895 | 0.000 |
| 0.000 | 0.000 | -0.000 | 0.000 | -0.000 | 29.562 |
| 136.950 | 84.132 | 88.291 | 2.678 | -0.000 | -0.000 |
| 84.132 | 136.950 | 88.291 | -2.678 | 0.000 | -0.000 |
| 19.015 | 19.015 | 14.780 | 0.000 | 0.000 | -0.000 |
| 2.844 | -2.844 | 0.000 | 2.003 | 0.000 | -0.000 |
| 0.000 | 0.000 | 0.000 | -0.000 | 2.003 | 2.844 |
| 41.721 | 41.721 | 98.626 | -0.000 | 2.678 | 26.409 |
| 106.719 | 53.889 | 16.813 | 2.844 | -0.000 | 0.000 |
| 0.690 | 53.508 | -108.962 | -2.678 | -0.000 | 0.000 |
| -49.853 | -49.853 | -148.022 | -0.000 | -0.000 | 0.000 |
| -39.741 | -44.467 | -99.532 | -11.533 | -0.000 | 0.000 |
| -0.000 | -0.000 | -0.000 | 0.000 | 2.003 | 2.844 |
| -41.721 | -41.721 | -98.626 | 0.000 | 2.678 | 26.409 |
| 99.394 | 46.575 | -0.491 | 2.678 | 0.000 | -0.000 |
| 53.889 | 106.719 | 16.813 | -2.844 | -0.000 | -0.000 |
| 19.015 | 19.015 | 14.780 | 0.000 | -0.000 | -0.000 |
| 2.844 | -2.844 | 0.000 | 2.003 | 0.000 | -0.000 |
| 0.000 | -0.000 | 0.000 | -0.000 | 2.003 | 2.844 |
| -0.000 | 0.000 | 0.000 | 0.000 | 2.844 | 26.415 |
| 91.053 | 38.235 | -20.206 | 2.678 | -0.000 | 0.000 |
| 53.889 | 106.719 | 16.813 | -2.844 | 0.000 | 0.000 |
| -12.306 | -12.306 | -59.261 | 0.000 | -0.000 | 0.000 |
| -2.014 | -6.330 | -9.862 | -17.306 | -0.000 | 0.000 |
| -0.000 | 0.000 | -0.000 | 0.000 | 2.003 | 2.844 |
| 0.000 | -0.000 | -0.000 | -0.000 | 2.844 | 26.415 |
| 106.720 | 53.889 | 16.813 | 2.844 | -0.000 | -0.000 |
| 42.841 | 95.625 | -9.359 | -2.194 | 0.000 | -0.000 |
| -7.717 | -7.717 | -48.414 | 0.000 | -0.000 | -0.000 |
| 3.150 | -2.134 | 1.201 | -3.684 | 0.000 | -0.000 |
| 0.400 | 0.400 | 0.946 | -0.000 | -17.320 | 2.157 |
| 0.530 | 0.530 | 1.252 | 0.000 | 2.633 | 26.407 |
| 94.807 | 41.989 | -11.333 | 2.678 | -0.000 | 0.000 |
| 41.989 | 94.807 | -11.333 | -2.678 | -0.000 | 0.000 |
| -8.551 | -8.551 | -50.384 | -0.000 | 0.000 | 0.000 |
| 2.134 | -3.150 | -1.201 | -3.684 | 0.000 | 0.000 |
| -0.400 | -0.400 | -0.946 | 0.000 | -17.320 | 2.157 |
| -0.417 | -0.417 | -0.986 | -0.000 | 2.158 | 26.391 |
| 169.438 | 9.488 | 9.488 | 0.000 | 0.000 | 0.000 |
| 9.488 | 169.438 | 9.488 | 0.000 | 0.000 | 0.000 |
| 9.488 | 9.488 | 169.438 | 0.000 | 0.000 | 0.000 |
| 0.000 | 0.000 | -0.000 | -0.417 | 0.000 | -0.000 |
| 0.000 | 0.000 | -0.000 | -0.000 | -0.417 | -0.000 |
| 0.000 | -0.000 | 0.000 | 0.000 | -0.000 | -0.417 |
| 169.437 | 9.488 | 9.488 | -0.000 | -0.000 | -0.000 |
| 9.488 | 169.437 | 9.488 | -0.000 | -0.000 | -0.000 |
| 9.488 | 9.488 | 169.437 | 0.000 | 0.000 | -0.000 |
| -0.000 | -0.000 | 0.000 | -0.417 | -0.000 | -0.000 |
| -0.000 | -0.000 | 0.000 | -0.000 | -0.417 | -0.000 |
| -0.000 | 0.000 | -0.000 | -0.000 | -0.000 | -0.417 |
| 169.439 | 9.488 | 9.488 | 0.000 | 0.000 | -0.000 |
| 9.488 | 169.439 | 9.488 | -0.000 | 0.000 | -0.000 |
| 9.488 | 9.488 | 169.439 | 0.000 | 0.000 | -0.000 |
| 0.000 | 0.000 | -0.000 | -0.417 | 0.000 | 0.000 |
| 0.000 | 0.000 | -0.000 | 0.000 | -0.417 | 0.000 |
| 0.000 | -0.000 | 0.000 | 0.000 | -0.000 | -0.417 |
| 169.436 | 9.488 | 9.488 | -0.000 | -0.000 | 0.000 |
| 9.488 | 169.436 | 9.488 | -0.000 | -0.000 | -0.000 |
| 9.488 | 9.488 | 169.436 | -0.000 | -0.000 | -0.000 |
| -0.000 | -0.000 | 0.000 | -0.417 | 0.000 | -0.000 |
| -0.000 | -0.000 | 0.000 | -0.000 | -0.417 | -0.000 |
| -0.000 | 0.000 | -0.000 | -0.000 | -0.000 | -0.417 |
| -8.058 | 10.283 | 22.731 | -0.000 | 0.000 | -0.000 |
| 10.283 | -8.058 | 22.731 | -0.000 | 0.000 | -0.000 |
| -10.601 | -10.601 | 87.230 | -0.000 | -0.000 | -0.000 |
| -30.780 | -30.780 | 2.940 | 6.402 | 0.000 | 0.000 |
| -30.780 | -30.780 | 2.940 | -0.000 | 6.402 | -0.000 |
| 0.000 | 0.000 | 0.000 | -0.000 | 0.000 | 37.324 |
| 53.706 | 72.061 | 16.830 | 0.000 | 0.000 | 0.000 |
| 72.061 | 53.706 | 16.830 | 0.000 | 0.000 | 0.000 |
| 50.818 | 50.818 | 81.363 | 0.000 | -0.000 | 0.000 |
| 30.780 | 30.780 | -2.940 | 6.402 | -0.000 | 0.000 |
| 30.780 | 30.780 | -2.940 | 0.000 | 6.402 | 0.000 |
| -0.000 | -0.000 | -0.000 | 0.000 | -0.000 | 37.324 |
| 16.275 | 41.540 | 20.075 | 0.000 | -0.000 | -0.000 |
| 41.540 | 16.275 | 20.075 | 0.000 | 0.000 | 0.000 |
| 17.038 | 17.038 | 84.590 | -0.000 | 0.000 | 0.000 |
| -2.276 | -2.276 | 0.217 | 6.100 | -0.000 | -0.000 |
| -2.276 | -2.276 | 0.217 | -0.000 | 6.100 | 0.000 |
| 0.000 | 0.000 | 0.000 | -0.000 | 0.000 | 37.324 |
| 22.109 | 47.206 | 19.526 | 0.000 | 0.000 | 0.000 |
| 47.206 | 22.109 | 19.526 | 0.000 | 0.000 | 0.000 |
| 23.179 | 23.179 | 84.003 | -0.000 | -0.000 | 0.000 |
| 2.276 | 2.276 | -0.217 | 6.100 | 0.000 | 0.000 |
| 2.276 | 2.276 | -0.217 | 0.000 | 6.100 | 0.000 |
| -0.000 | -0.000 | -0.000 | 0.000 | -0.000 | 37.324 |
| 19.039 | 44.304 | 19.811 | 0.000 | -0.000 | -0.000 |
| 40.587 | 20.570 | 19.916 | -0.000 | 0.000 | -0.000 |
| 19.801 | 19.801 | 84.326 | 0.000 | 0.000 | -0.000 |
| 0.520 | 0.520 | -0.050 | 2.313 | -0.000 | 0.000 |
| 0.520 | 0.520 | -0.050 | -0.000 | 2.313 | -0.000 |
| 0.000 | 0.000 | -0.000 | -0.000 | 0.000 | 37.324 |
| 19.653 | 44.918 | 19.753 | 0.000 | -0.000 | 0.000 |
| 44.918 | 19.653 | 19.753 | -0.000 | -0.000 | 0.000 |
| 19.783 | 19.783 | 84.327 | 0.000 | 0.000 | 0.000 |
| -0.520 | -0.520 | 0.050 | 2.313 | 0.000 | 0.000 |
| -0.520 | -0.520 | 0.050 | 0.000 | 2.313 | 0.000 |
| -0.000 | -0.000 | 0.000 | 0.000 | -0.000 | 37.324 |
| 233.084 | 259.875 | 70.196 | 77.071 | -22.700 | 446.735 |
| -5.093 | 125.992 | 107.610 | 38.322 | 37.564 | 13.495 |
| 73.391 | 169.341 | 120.819 | 37.153 | -4.128 | 277.986 |
| -73.192 | 67.710 | 77.676 | 68.920 | 13.139 | 110.244 |
| 12.495 | 113.855 | 33.142 | 37.797 | 16.421 | 277.009 |
| 0.464 | -0.283 | 0.848 | 1.125 | -2.629 | 29.396 |
| 114.043 | 49.919 | 52.705 | 0.557 | -2.929 | -6.937 |
| 49.840 | 113.772 | 50.803 | -3.642 | 0.727 | -0.315 |
| 44.464 | -53.629 | 52.483 | -36.761 | 2.111 | -274.376 |
| 75.237 | -68.517 | -77.166 | -21.232 | -12.629 | -108.154 |
| 55.179 | -16.419 | -55.976 | -41.595 | -7.959 | -14.335 |
| 0.464 | -0.283 | 0.848 | 1.125 | -2.629 | 29.396 |
| 119.938 | 117.501 | 73.269 | 35.438 | -1.614 | 59.944 |
| 85.268 | 148.733 | 69.911 | 31.924 | 1.180 | 59.105 |
| 52.891 | 50.849 | 110.686 | 0.572 | -0.313 | 0.824 |
| 15.538 | 20.968 | 0.879 | 24.360 | -0.759 | 45.012 |
| -1.009 | 0.728 | -0.313 | 0.003 | 31.988 | -0.063 |
| 0.464 | -0.283 | 0.848 | 1.125 | -2.629 | 29.396 |
| 114.043 | 49.919 | 52.705 | 0.557 | -2.929 | -6.937 |
| 49.840 | 113.772 | 50.803 | -3.642 | 0.727 | -0.315 |
| 64.162 | 47.624 | 89.141 | -4.235 | -1.930 | -8.906 |
| 0.838 | -1.090 | 0.572 | 31.800 | 0.003 | 1.126 |
| -1.009 | 0.728 | -0.313 | 0.003 | 31.988 | -0.063 |
| 8.453 | -8.538 | -5.753 | -3.499 | -2.896 | 9.288 |
| 97.791 | 55.878 | 57.759 | 0.959 | -3.254 | -1.024 |
| 50.871 | 108.283 | 52.792 | -2.781 | 1.458 | -0.781 |
| 54.117 | 52.519 | 105.194 | 0.892 | -0.053 | 1.697 |
| 0.838 | -1.090 | 0.572 | 31.800 | 0.003 | 1.126 |
| -2.328 | 2.075 | 0.105 | 0.691 | 24.340 | 1.412 |
| 1.451 | -1.124 | 2.101 | 1.011 | -1.082 | 19.290 |
| 92.752 | 54.159 | 58.627 | 0.334 | -2.795 | -6.169 |
| 52.191 | 107.655 | 51.621 | -3.684 | 0.664 | -1.126 |
| 55.331 | 52.068 | 104.156 | -0.047 | -0.877 | 1.344 |
| -0.448 | -3.776 | -1.238 | 16.177 | 1.004 | -4.652 |
| -2.870 | 1.152 | -1.305 | 0.350 | 18.867 | -3.224 |
| 1.202 | -1.156 | 0.923 | 0.708 | -2.608 | 25.032 |
| 118.245 | 45.092 | 47.053 | 19.080 | -6.246 | 1.332 |
| 45.210 | 60.812 | 60.214 | 51.145 | -17.146 | 42.368 |
| -123.654 | 109.668 | 162.947 | 147.060 | -71.491 | 225.510 |
| -21.762 | -42.428 | -2.788 | 77.589 | -14.568 | 66.592 |
| 0.552 | 0.667 | 1.625 | 0.455 | 28.764 | -0.546 |
| 7.486 | -9.579 | 4.463 | 32.184 | -10.279 | 34.047 |
| 90.234 | 53.547 | 50.438 | -22.716 | -0.915 | -8.080 |
| 41.753 | 106.129 | 48.445 | -34.693 | 10.300 | -11.629 |
| 34.930 | 54.888 | 104.900 | -17.737 | 4.399 | -4.135 |
| 182.225 | -51.666 | -65.142 | -122.830 | 73.570 | -214.726 |
| 0.552 | 0.667 | 1.625 | 0.455 | 28.764 | -0.546 |
| -11.069 | 8.063 | -3.793 | -33.841 | 8.138 | 12.049 |
| 71.046 | 60.848 | 56.902 | 11.884 | -8.279 | 16.373 |
| 54.292 | 78.120 | 57.516 | 5.436 | -0.794 | 9.629 |
| 49.896 | 54.997 | 83.712 | 9.855 | 0.472 | 3.159 |
| -1.579 | -0.143 | 2.668 | 29.731 | 0.455 | -1.250 |
| -1.745 | -2.573 | 1.580 | 6.657 | 7.665 | 7.963 |
| -3.140 | -0.328 | -0.070 | 4.310 | -1.313 | 19.415 |
| 84.171 | 59.752 | 51.068 | -7.565 | -0.685 | -8.841 |
| 50.128 | 98.183 | 52.149 | -5.015 | 2.034 | -1.757 |
| 47.545 | 51.175 | 103.077 | 1.014 | 2.016 | 0.067 |
| -0.827 | 1.502 | 5.258 | 9.372 | 2.037 | -4.203 |
| 14.411 | -1.737 | -0.727 | -11.229 | 21.315 | -10.505 |
| 0.488 | 7.564 | -1.355 | -8.422 | 2.917 | 3.863 |
| 87.865 | 54.538 | 49.316 | -0.288 | -2.696 | -2.127 |
| 53.940 | 89.442 | 54.870 | -0.801 | 0.646 | 1.698 |
| 47.891 | 54.579 | 87.462 | 8.322 | 2.140 | -0.733 |
| -1.849 | -0.682 | 5.319 | 19.032 | 0.240 | -0.537 |
| 0.293 | 0.921 | 1.899 | 0.685 | 19.286 | 0.839 |
| -3.036 | 1.288 | -1.503 | 0.198 | 0.555 | 18.737 |
| 95.403 | 52.257 | 49.521 | -2.127 | -2.607 | -3.868 |
| 51.261 | 96.507 | 52.852 | -2.040 | 1.177 | -0.558 |
| 49.347 | 55.673 | 89.257 | 5.404 | 2.485 | -0.927 |
| -0.762 | 0.728 | 7.428 | 13.227 | 1.454 | -2.910 |
| 0.110 | 1.138 | 2.198 | -0.073 | 18.693 | 0.493 |
| -1.300 | 0.583 | -1.761 | -2.492 | 1.819 | 14.757 |
| 78.211 | 45.695 | 96.008 | -48.062 | -26.814 | 11.876 |
| 89.517 | 15.940 | 39.078 | -48.956 | -166.910 | 15.882 |
| 42.891 | 44.255 | 104.751 | 0.784 | -2.920 | 1.120 |
| 33.268 | -62.743 | -11.362 | -40.504 | -166.405 | 21.141 |
| -15.981 | -3.746 | 49.762 | -46.027 | -5.822 | 10.880 |
| -1.345 | -1.647 | 1.163 | -0.362 | 0.126 | 29.670 |
| 99.754 | 47.929 | 42.849 | -0.714 | 6.015 | -0.156 |
| 140.686 | 84.876 | 172.694 | 121.461 | 311.262 | -5.063 |
| 61.178 | 48.468 | 48.174 | 47.926 | 29.246 | -11.031 |
| 270.115 | 48.674 | 454.250 | 239.037 | 616.583 | 457.301 |
| 20.032 | 3.072 | -56.034 | 48.503 | 59.004 | -13.982 |
| -37.332 | 57.012 | 14.416 | 49.082 | 164.869 | -13.060 |
| 94.409 | 48.763 | 48.415 | -5.538 | 2.348 | 0.691 |
| 46.577 | 103.102 | 49.871 | -2.850 | -3.655 | -0.841 |
| 41.366 | 44.724 | 106.346 | -4.084 | -6.422 | 2.650 |
| 2.649 | -6.011 | -1.537 | 4.753 | -16.120 | 1.540 |
| 2.158 | -0.404 | -2.920 | 1.422 | 28.581 | -1.511 |
| -3.386 | -2.432 | 6.730 | -5.123 | -3.281 | 28.433 |
| 98.004 | 49.453 | 37.804 | 3.943 | 8.848 | -1.805 |
| 52.026 | 86.035 | 50.591 | 5.895 | 16.020 | -7.852 |
| 75.603 | 57.900 | 114.383 | 24.245 | 57.193 | 45.273 |
| -0.965 | 0.252 | 0.784 | 28.419 | 1.422 | -0.308 |
| -2.556 | 6.188 | -3.297 | 5.210 | 28.941 | -4.436 |
| -1.345 | -1.647 | 1.163 | -0.362 | 0.126 | 29.670 |
| 99.755 | 47.929 | 42.849 | -0.714 | 6.015 | -0.156 |
| 48.464 | 102.532 | 45.428 | 1.271 | -0.793 | -2.047 |
| 44.445 | 47.491 | 87.518 | -0.380 | -4.681 | 2.700 |
| -0.965 | 0.252 | 0.784 | 28.419 | 1.422 | -0.308 |
| -0.630 | -0.733 | -7.553 | -2.230 | 11.433 | -5.254 |
| -3.679 | -6.770 | 1.001 | -3.017 | -6.901 | 11.508 |
| 81.488 | 53.241 | 47.689 | 0.185 | 6.097 | -1.385 |
| 53.781 | 85.246 | 53.142 | 1.627 | 4.597 | -2.340 |
| 44.064 | 47.780 | 89.068 | 0.464 | -2.771 | 2.267 |
| -0.965 | 0.252 | 0.784 | 28.419 | 1.422 | -0.308 |
| 2.217 | -0.287 | -3.789 | 1.766 | 26.681 | -1.703 |
| -1.345 | -1.647 | 1.163 | -0.362 | 0.126 | 29.670 |
| 106.283 | 50.313 | 52.599 | -2.019 | 5.055 | 3.216 |
| 49.991 | 113.846 | 49.621 | 3.533 | 5.403 | -0.513 |
| 52.842 | 49.879 | 104.558 | -1.009 | -0.252 | -1.400 |
| 42.100 | -51.891 | -12.668 | 24.590 | -22.082 | 8.299 |
| 47.608 | -48.712 | -11.505 | -2.611 | 9.434 | 4.701 |
| 109.297 | -53.380 | -33.174 | -8.448 | -41.706 | 12.072 |
| 106.283 | 50.313 | 52.599 | -2.019 | 5.055 | 3.216 |
| 5.987 | 163.724 | 61.666 | 4.910 | 26.543 | -6.270 |
| -522.901 | 215.541 | 419.677 | 267.652 | 214.375 | 52.845 |
| -2.309 | 1.714 | -1.009 | 28.692 | -1.342 | 2.300 |
| -104.605 | 58.464 | 32.238 | 10.695 | 69.603 | 10.494 |
| 0.744 | -0.353 | -1.085 | 2.910 | 0.686 | 28.952 |
| 106.068 | 45.782 | 52.505 | -2.499 | 3.076 | 3.990 |
| 55.229 | 104.743 | 49.253 | 3.228 | 3.438 | 0.209 |
| 66.561 | 46.123 | 89.689 | -3.352 | -4.245 | -2.525 |
| -2.309 | 1.714 | -1.009 | 28.692 | -1.342 | 2.300 |
| 7.346 | -0.481 | -1.358 | -1.234 | 28.312 | -0.596 |
| 0.744 | -0.353 | -1.085 | 2.910 | 0.686 | 28.952 |
| 96.989 | 56.571 | 54.790 | -2.197 | 7.298 | 2.810 |
| 49.991 | 113.846 | 49.621 | 3.533 | 5.403 | -0.513 |
| 52.842 | 49.879 | 104.558 | -1.009 | -0.252 | -1.400 |
| -13.548 | 6.945 | 1.056 | 23.808 | 3.307 | 3.604 |
| 2.674 | 4.792 | -0.252 | -1.342 | 32.906 | -1.422 |
| 0.744 | -0.353 | -1.085 | 2.910 | 0.686 | 28.952 |
| 106.283 | 50.313 | 52.599 | -2.019 | 5.055 | 3.216 |
| 51.444 | 108.725 | 50.393 | 3.333 | 5.310 | -0.283 |
| 52.842 | 49.879 | 104.558 | -1.009 | -0.252 | -1.400 |
| -2.190 | 1.073 | -1.609 | 25.527 | -1.280 | 2.506 |
| 4.011 | 4.773 | -0.208 | -0.999 | 26.138 | -0.907 |
| 0.744 | -0.353 | -1.085 | 2.910 | 0.686 | 28.952 |
| 106.283 | 50.313 | 52.599 | -2.019 | 5.055 | 3.216 |
| 50.438 | 109.384 | 50.830 | 3.343 | 5.877 | -0.409 |
| 52.842 | 49.879 | 104.558 | -1.009 | -0.252 | -1.400 |
| -4.038 | 2.147 | -1.811 | 22.710 | -0.473 | 2.631 |
| 2.674 | 4.792 | -0.252 | -1.342 | 32.906 | -1.422 |
| 0.744 | -0.353 | -1.085 | 2.910 | 0.686 | 28.952 |
| 106.532 | 51.587 | 53.563 | 0.809 | -6.382 | 0.557 |
| 52.044 | 113.048 | 55.137 | -4.650 | 2.122 | -3.109 |
| 53.058 | 53.920 | 101.287 | 0.921 | -1.018 | 0.029 |
| -0.162 | -3.974 | -0.513 | 35.020 | -1.518 | 2.598 |
| -1.718 | 1.298 | -0.391 | -1.501 | 23.759 | 0.051 |
| 0.446 | -3.099 | -0.811 | 2.627 | -1.106 | 33.243 |
| 114.326 | 51.702 | 51.727 | 0.080 | -7.096 | 0.194 |
| 52.044 | 113.048 | 55.137 | -4.650 | 2.122 | -3.109 |
| 51.778 | 55.127 | 110.259 | -0.513 | 0.333 | -0.805 |
| -0.162 | -3.974 | -0.513 | 35.020 | -1.518 | 2.598 |
| -1.901 | -0.309 | -0.931 | -0.334 | 26.450 | 0.619 |
| 0.822 | -0.732 | -0.113 | 0.913 | -0.053 | 28.704 |
| 106.532 | 51.587 | 53.563 | 0.809 | -6.382 | 0.557 |
| 52.044 | 113.048 | 55.137 | -4.650 | 2.122 | -3.109 |
| 53.058 | 53.920 | 101.287 | 0.921 | -1.018 | 0.029 |
| -0.162 | -3.974 | -0.513 | 35.020 | -1.518 | 2.598 |
| -1.542 | 2.092 | 0.333 | -1.518 | 31.690 | -0.495 |
| 0.446 | -3.099 | -0.811 | 2.627 | -1.106 | 33.243 |
| 114.326 | 51.702 | 51.727 | 0.080 | -7.096 | 0.194 |
| 53.355 | 98.624 | 56.693 | -3.566 | 0.841 | -2.003 |
| 54.777 | 57.032 | 97.030 | -0.504 | -0.372 | -1.119 |
| 0.385 | -1.354 | 0.465 | 30.601 | -0.655 | 1.174 |
| -1.542 | 2.092 | 0.333 | -1.518 | 31.690 | -0.495 |
| -0.062 | -1.905 | -0.811 | 1.315 | 0.184 | 23.639 |
| 106.533 | 51.587 | 53.563 | 0.809 | -6.382 | 0.557 |
| 52.937 | 100.730 | 56.268 | -3.388 | 0.864 | -2.128 |
| 54.778 | 57.032 | 97.028 | -0.504 | -0.372 | -1.119 |
| 0.385 | -1.354 | 0.465 | 30.602 | -0.655 | 1.174 |
| -1.542 | 2.092 | 0.333 | -1.518 | 31.690 | -0.495 |
| 0.161 | -2.381 | -0.954 | 1.654 | -0.270 | 25.679 |
| 114.326 | 51.702 | 51.727 | 0.080 | -7.096 | 0.194 |
| 53.454 | 97.515 | 57.026 | -3.392 | 0.830 | -1.898 |
| 54.776 | 57.032 | 97.032 | -0.504 | -0.372 | -1.119 |
| 0.385 | -1.354 | 0.465 | 30.602 | -0.655 | 1.174 |
| -1.901 | -0.309 | -0.931 | -0.333 | 26.450 | 0.619 |
| 0.160 | -2.383 | -0.955 | 1.655 | -0.271 | 25.682 |
| 121.914 | 61.952 | -9.535 | 4.539 | 35.956 | -15.554 |
| 54.759 | 90.631 | 50.729 | -0.681 | -1.735 | -2.207 |
| 51.729 | 48.966 | 108.600 | -1.048 | 3.062 | -2.757 |
| 9.755 | -4.891 | -5.957 | 22.308 | -2.122 | -3.280 |
| -1.091 | -0.388 | 3.062 | -3.168 | 29.632 | 0.832 |
| 6.038 | -7.588 | -3.469 | -2.424 | 0.216 | 24.702 |
| 94.304 | 54.738 | 54.191 | 1.702 | 1.550 | 3.649 |
| 48.577 | 102.141 | 49.994 | 0.662 | -0.529 | -1.028 |
| 45.681 | 57.638 | 102.446 | -0.455 | 2.679 | -1.389 |
| -5.118 | 6.671 | -0.135 | 27.836 | -1.471 | 0.318 |
| -68.036 | -11.606 | 89.545 | -17.122 | -29.258 | 15.801 |
| -10.001 | 4.506 | 2.068 | -0.941 | 0.818 | 22.952 |
| 106.051 | 47.581 | 51.790 | 0.767 | -0.153 | 3.121 |
| 50.375 | 90.051 | 53.035 | 0.946 | 0.469 | -1.071 |
| 54.509 | 50.010 | 102.035 | -1.038 | 3.108 | -3.325 |
| 0.777 | 0.773 | -2.480 | 19.171 | -2.521 | -1.171 |
| 0.230 | -0.058 | 3.199 | -3.222 | 23.367 | 0.895 |
| 0.604 | -1.016 | -2.377 | -0.863 | 1.851 | 29.670 |
| 90.586 | 48.973 | 56.231 | -0.445 | -0.093 | 1.485 |
| 48.577 | 102.140 | 49.994 | 0.662 | -0.529 | -1.028 |
| 51.729 | 48.966 | 108.599 | -1.048 | 3.062 | -2.757 |
| 1.069 | -0.102 | -1.048 | 29.645 | -3.168 | -0.722 |
| -1.613 | 0.909 | 3.393 | -2.944 | 26.305 | 1.108 |
| -0.501 | -0.120 | -2.676 | -0.946 | 2.056 | 25.327 |
| 102.085 | 46.981 | 50.655 | 0.365 | 0.511 | -0.389 |
| 22.404 | 77.637 | 87.999 | -5.521 | 16.609 | 22.088 |
| -53.423 | -480.288 | 299.046 | 123.516 | 181.938 | -59.464 |
| -24.088 | -28.529 | 38.247 | 19.182 | 16.239 | 22.118 |
| -24.467 | -27.501 | 35.507 | -5.142 | 42.095 | 22.107 |
| -26.790 | -28.020 | 40.334 | -5.231 | 16.795 | 46.465 |
| 102.085 | 46.981 | 50.655 | 0.365 | 0.511 | -0.389 |
| 71.226 | 134.565 | 8.820 | 5.076 | -15.571 | -21.166 |
| 75.355 | 76.608 | 64.280 | 3.962 | -20.139 | -21.010 |
| 32.270 | 72.894 | -74.348 | 24.602 | -64.940 | -19.398 |
| 0.033 | 0.731 | -4.097 | 0.168 | 28.664 | 0.337 |
| -2.170 | 0.631 | 0.710 | 0.105 | 0.557 | 27.261 |
| 87.437 | 41.321 | 60.700 | -0.784 | 6.455 | 0.513 |
| 46.153 | 110.618 | 47.116 | 0.194 | 0.306 | 0.629 |
| 49.781 | 46.871 | 108.593 | -1.292 | -4.097 | 0.599 |
| -9.579 | -68.166 | 28.488 | 15.185 | 12.890 | -5.463 |
| 0.033 | 0.731 | -4.097 | 0.168 | 28.664 | 0.337 |
| -2.170 | 0.631 | 0.710 | 0.105 | 0.557 | 27.261 |
| 93.758 | 56.067 | 46.086 | 0.125 | -6.529 | -3.459 |
| 46.153 | 110.618 | 47.115 | 0.194 | 0.306 | 0.629 |
| 53.410 | 51.021 | 99.842 | -0.804 | -5.666 | -1.558 |
| 2.772 | 2.786 | -5.315 | 25.000 | -1.466 | -1.679 |
| 0.033 | 0.731 | -4.097 | 0.168 | 28.664 | 0.337 |
| -2.170 | 0.631 | 0.710 | 0.105 | 0.557 | 27.261 |
| 102.085 | 46.981 | 50.655 | 0.365 | 0.511 | -0.389 |
| 46.154 | 110.619 | 47.116 | 0.194 | 0.306 | 0.629 |
| 52.265 | 49.536 | 97.058 | -1.089 | -3.299 | 0.595 |
| -0.037 | -0.531 | -0.852 | 23.718 | 0.349 | 0.756 |
| -0.397 | 0.630 | -3.554 | 0.083 | 25.672 | 0.795 |
| -2.170 | 0.631 | 0.710 | 0.105 | 0.557 | 27.261 |
| 96.286 | 48.305 | 51.704 | 0.163 | -0.015 | -1.206 |
| 47.367 | 105.086 | 48.256 | -0.278 | 0.358 | 0.102 |
| 51.647 | 48.940 | 101.777 | -1.283 | -4.239 | 0.345 |
| -0.175 | 0.039 | -1.579 | 16.456 | -1.293 | 0.470 |
| 0.209 | 1.383 | -4.555 | 0.216 | 24.896 | 0.267 |
| -2.170 | 0.631 | 0.710 | 0.105 | 0.557 | 27.261 |
| 122.163 | 48.497 | 48.497 | -0.000 | 0.000 | -0.000 |
| 48.497 | 122.163 | 48.497 | -0.000 | 0.000 | 0.000 |
| 48.497 | 48.497 | 122.163 | 0.000 | 0.000 | 0.000 |
| -0.112 | -0.112 | -0.112 | 3.439 | 0.000 | 0.000 |
| -0.112 | -0.112 | -0.112 | 0.000 | 3.439 | 0.000 |
| -0.112 | -0.112 | -0.112 | 0.000 | 0.000 | 3.439 |
| 122.163 | 48.497 | 48.497 | -0.000 | -0.000 | 0.000 |
| 48.497 | 122.163 | 48.497 | 0.000 | -0.000 | -0.000 |
| 48.497 | 48.497 | 122.163 | 0.000 | -0.000 | 0.000 |
| 0.112 | 0.112 | 0.112 | 3.439 | -0.000 | -0.000 |
| 0.112 | 0.112 | 0.112 | -0.000 | 3.439 | -0.000 |
| 0.112 | 0.112 | 0.112 | -0.000 | -0.000 | 3.439 |
| 110.633 | 53.308 | 53.308 | -0.000 | 0.000 | 0.000 |
| 53.308 | 110.633 | 53.308 | 0.000 | 0.000 | 0.000 |
| 53.308 | 53.308 | 110.633 | 0.000 | 0.000 | 0.000 |
| -0.084 | -0.084 | -0.084 | 1.835 | 0.000 | 0.000 |
| -0.084 | -0.084 | -0.084 | 0.000 | 1.835 | 0.000 |
| -0.084 | -0.084 | -0.084 | 0.000 | 0.000 | 1.835 |
| 122.163 | 48.497 | 48.497 | 0.000 | 0.000 | -0.000 |
| 48.497 | 122.163 | 48.497 | 0.000 | -0.000 | 0.000 |
| 48.497 | 48.497 | 122.163 | 0.000 | -0.000 | 0.000 |
| 0.084 | 0.084 | 0.084 | 1.835 | -0.000 | -0.000 |
| 0.084 | 0.084 | 0.084 | -0.000 | 1.835 | -0.000 |
| -0.086 | -0.086 | -0.086 | -0.000 | -0.000 | 4.028 |
| 109.778 | 53.556 | 53.556 | 0.000 | 0.000 | 0.000 |
| 53.556 | 109.778 | 53.556 | 0.000 | 0.000 | 0.000 |
| 53.556 | 53.556 | 109.778 | 0.000 | 0.000 | 0.000 |
| 0.019 | 0.019 | 0.019 | -0.189 | 0.000 | 0.000 |
| 0.019 | 0.019 | 0.019 | 0.000 | -0.189 | 0.000 |
| 0.019 | 0.019 | 0.019 | 0.000 | 0.000 | -0.189 |
| 122.162 | 48.497 | 48.497 | 0.000 | -0.000 | -0.000 |
| 48.497 | 122.162 | 48.497 | -0.000 | -0.000 | -0.000 |
| 48.497 | 48.497 | 122.162 | 0.000 | -0.000 | -0.000 |
| -0.019 | -0.019 | -0.019 | -0.189 | -0.000 | -0.000 |
| -0.019 | -0.019 | -0.019 | -0.000 | -0.189 | -0.000 |
| -0.019 | -0.019 | -0.019 | -0.000 | -0.000 | -0.189 |
| 85.710 | 68.112 | 68.112 | -0.000 | -0.000 | -0.000 |
| 68.112 | 85.710 | 68.112 | -0.000 | -0.000 | -0.000 |
| 68.112 | 68.112 | 85.710 | -0.000 | -0.000 | -0.000 |
| 0.000 | 0.000 | 0.000 | 28.545 | -0.000 | -0.000 |
| 0.000 | 0.000 | 0.000 | -0.000 | 28.545 | -0.000 |
| 0.000 | 0.000 | 0.000 | -0.000 | -0.000 | 28.545 |
| 85.715 | 68.127 | 68.127 | 0.000 | 0.000 | 0.000 |
| 68.127 | 85.715 | 68.127 | 0.000 | 0.000 | 0.000 |
| 68.127 | 68.127 | 85.715 | 0.000 | 0.000 | 0.000 |
| 0.000 | -0.000 | -0.000 | 28.545 | 0.000 | 0.000 |
| -0.000 | -0.000 | -0.000 | -0.000 | 28.545 | 0.000 |
| -0.000 | -0.000 | 0.000 | 0.000 | -0.000 | 28.545 |
| 84.400 | 68.698 | 68.698 | -0.000 | -0.000 | -0.000 |
| 68.698 | 84.400 | 68.698 | -0.000 | -0.000 | -0.000 |
| 68.698 | 68.698 | 84.400 | -0.000 | -0.000 | -0.000 |
| -0.000 | -0.000 | -0.000 | 19.084 | -0.000 | -0.000 |
| -0.000 | -0.000 | -0.000 | -0.000 | 19.084 | -0.000 |
| -0.000 | -0.000 | -0.000 | -0.000 | -0.000 | 19.084 |
| 85.713 | 68.120 | 68.120 | 0.000 | 0.000 | 0.000 |
| 68.120 | 85.713 | 68.120 | 0.000 | 0.000 | 0.000 |
| 68.120 | 68.120 | 85.713 | 0.000 | 0.000 | 0.000 |
| 0.000 | 0.000 | 0.000 | 19.084 | 0.000 | 0.000 |
| 0.000 | 0.000 | 0.000 | 0.000 | 19.084 | 0.000 |
| 0.000 | 0.000 | 0.000 | 0.000 | 0.000 | 19.084 |
| 84.394 | 68.675 | 68.675 | -0.000 | -0.000 | -0.000 |
| 68.675 | 84.394 | 68.675 | -0.000 | -0.000 | -0.000 |
| 68.675 | 68.675 | 84.394 | -0.000 | -0.000 | -0.000 |
| 0.000 | 0.000 | 0.000 | 18.774 | -0.000 | -0.000 |
| 0.000 | 0.000 | 0.000 | -0.000 | 18.774 | -0.000 |
| 0.000 | 0.000 | 0.000 | -0.000 | -0.000 | 18.774 |
| 88.799 | 66.678 | 66.678 | -0.000 | 0.000 | 0.000 |
| 66.678 | 88.799 | 66.678 | 0.000 | -0.000 | 0.000 |
| 66.678 | 66.678 | 88.799 | -0.000 | 0.000 | 0.000 |
| -0.000 | -0.000 | -0.000 | 18.774 | 0.000 | 0.000 |
| -0.000 | -0.000 | -0.000 | 0.000 | 18.774 | 0.000 |
| -0.000 | -0.000 | -0.000 | 0.000 | 0.000 | 18.774 |
| 87.911 | 65.992 | 65.992 | 0.000 | 0.000 | -0.000 |
| 65.992 | 87.911 | 65.992 | 0.000 | -0.000 | 0.000 |
| 65.992 | 65.992 | 87.911 | 0.000 | 0.000 | -0.000 |
| -0.000 | 0.000 | 0.000 | 28.299 | -0.000 | 0.000 |
| 0.000 | 0.000 | 0.000 | 0.000 | 28.299 | 0.000 |
| 0.000 | 0.000 | 0.000 | -0.000 | 0.000 | 28.299 |
| 87.911 | 65.992 | 65.992 | -0.000 | -0.000 | -0.000 |
| 65.992 | 87.911 | 65.992 | -0.000 | -0.000 | -0.000 |
| 65.992 | 65.992 | 87.911 | -0.000 | 0.000 | -0.000 |
| -0.000 | 0.000 | -0.000 | 28.299 | 0.000 | -0.000 |
| -0.000 | -0.000 | -0.000 | -0.000 | 28.299 | -0.000 |
| -0.000 | -0.000 | -0.000 | -0.000 | 0.000 | 28.299 |
| 84.681 | 67.299 | 67.299 | 0.000 | 0.000 | -0.000 |
| 67.299 | 84.681 | 67.299 | 0.000 | -0.000 | -0.000 |
| 67.299 | 67.299 | 84.681 | 0.000 | 0.000 | -0.000 |
| 0.000 | 0.000 | 0.000 | 28.299 | -0.000 | 0.000 |
| 0.000 | 0.000 | 0.000 | 0.000 | 28.299 | 0.000 |
| 0.000 | 0.000 | 0.000 | 0.000 | -0.000 | 28.299 |
| 84.988 | 67.553 | 67.553 | 0.000 | 0.000 | -0.000 |
| 67.553 | 84.988 | 67.553 | -0.000 | -0.000 | -0.000 |
| 67.553 | 67.553 | 84.988 | -0.000 | 0.000 | -0.000 |
| -0.000 | -0.000 | -0.000 | 28.299 | 0.000 | -0.000 |
| -0.000 | -0.000 | -0.000 | -0.000 | 28.299 | -0.000 |
| -0.000 | -0.000 | -0.000 | -0.000 | -0.000 | 28.299 |
| 84.825 | 67.412 | 67.412 | 0.000 | 0.000 | 0.000 |
| 67.412 | 84.825 | 67.412 | 0.000 | -0.000 | 0.000 |
| 67.412 | 67.412 | 84.825 | -0.000 | -0.000 | 0.000 |
| 0.000 | 0.000 | 0.000 | 28.299 | -0.000 | 0.000 |
| 0.000 | 0.000 | 0.000 | 0.000 | 28.299 | 0.000 |
| 0.000 | 0.000 | 0.000 | 0.000 | 0.000 | 28.299 |
| 84.855 | 67.437 | 67.437 | -0.000 | -0.000 | -0.000 |
| 67.437 | 84.855 | 67.437 | -0.000 | 0.000 | -0.000 |
| 67.437 | 67.437 | 84.855 | -0.000 | 0.000 | 0.000 |
| -0.000 | -0.000 | -0.000 | 28.299 | -0.000 | -0.000 |
| -0.000 | -0.000 | -0.000 | -0.000 | 28.299 | -0.000 |
| -0.000 | -0.000 | -0.000 | -0.000 | -0.000 | 28.299 |
| 147.674 | 64.351 | 22.002 | -0.000 | -0.000 | 0.000 |
| 60.055 | 129.890 | 20.270 | 0.000 | -0.000 | 0.000 |
| 22.037 | 17.945 | 129.920 | -0.000 | -0.000 | 0.000 |
| 0.000 | 0.000 | 0.000 | 2.348 | -0.000 | 0.000 |
| -1.651 | -1.005 | 1.078 | -0.000 | 2.541 | 0.000 |
| -1.650 | -1.005 | 1.078 | -0.000 | -0.000 | 21.641 |
| 145.703 | 63.150 | 23.290 | 0.000 | -0.000 | -0.000 |
| 63.356 | 131.900 | 18.114 | -0.000 | 0.000 | -0.000 |
| 25.337 | 19.956 | 127.764 | 0.000 | 0.000 | -0.000 |
| -0.000 | -0.000 | -0.000 | 2.348 | -0.000 | -0.000 |
| 1.651 | 1.005 | -1.078 | 0.000 | 2.541 | -0.000 |
| 1.650 | 1.005 | -1.078 | -0.000 | 0.000 | 21.641 |
| 147.674 | 64.351 | 22.002 | 0.000 | 0.000 | 0.000 |
| 61.540 | 130.795 | 19.299 | 0.000 | -0.000 | 0.000 |
| 23.522 | 18.850 | 128.950 | -0.000 | -0.000 | 0.000 |
| 0.000 | -0.000 | -0.000 | 2.348 | -0.000 | 0.000 |
| -0.000 | 0.000 | -0.000 | -0.000 | 2.541 | 0.000 |
| -0.165 | -0.100 | 0.108 | 0.000 | -0.000 | 21.641 |
| 144.217 | 62.246 | 24.260 | 0.000 | 0.000 | 0.000 |
| 61.870 | 130.995 | 19.084 | -0.000 | 0.000 | 0.000 |
| 23.852 | 19.051 | 128.734 | 0.000 | 0.000 | -0.000 |
| -0.000 | 0.000 | 0.000 | 2.348 | 0.000 | 0.000 |
| 0.000 | -0.000 | 0.000 | -0.000 | 2.541 | -0.000 |
| 0.165 | 0.100 | -0.108 | -0.000 | 0.000 | 21.641 |
| 144.037 | 62.135 | 24.379 | 0.000 | 0.000 | 0.000 |
| 61.689 | 130.886 | 19.202 | -0.000 | -0.000 | -0.000 |
| 23.671 | 18.941 | 128.853 | 0.000 | 0.000 | 0.000 |
| 0.000 | -0.000 | -0.000 | 2.348 | -0.000 | -0.000 |
| -0.032 | -0.019 | 0.021 | -0.000 | 2.541 | 0.000 |
| -0.017 | -0.010 | 0.011 | -0.000 | -0.000 | 21.641 |
| 144.068 | 62.155 | 24.357 | 0.000 | 0.000 | -0.000 |
| 63.911 | 132.238 | 17.751 | 0.000 | -0.000 | 0.000 |
| 23.703 | 18.961 | 128.830 | 0.000 | 0.000 | -0.000 |
| -0.000 | 0.000 | 0.000 | 2.348 | 0.000 | -0.000 |
| 0.032 | 0.019 | -0.021 | 0.000 | 2.541 | -0.000 |
| 0.017 | 0.010 | -0.011 | 0.000 | 0.000 | 21.641 |
| -0.978 | 119.058 | -3.737 | -0.000 | -0.000 | -0.000 |
| 102.372 | 15.709 | -3.737 | -0.000 | -0.000 | 0.000 |
| -3.737 | -3.737 | 127.853 | -0.000 | -0.000 | 0.000 |
| -0.000 | 0.000 | 0.000 | -15.072 | -0.000 | 0.000 |
| 0.000 | -0.000 | 0.000 | -0.000 | -15.072 | 0.000 |
| 0.000 | -0.000 | 0.000 | -0.000 | -0.000 | -43.331 |
| 81.016 | 37.065 | -3.737 | 0.000 | 0.000 | -0.000 |
| 37.065 | 81.016 | -3.737 | -0.000 | 0.000 | -0.000 |
| -3.737 | -3.737 | 127.853 | 0.000 | 0.000 | -0.000 |
| -0.000 | 0.000 | -0.000 | -15.072 | -0.000 | 0.000 |
| -0.000 | 0.000 | -0.000 | 0.000 | -15.072 | -0.000 |
| -0.000 | 0.000 | -0.000 | 0.000 | 0.000 | -43.331 |
| 81.016 | 37.065 | -3.737 | -0.000 | -0.000 | 0.000 |
| 102.372 | 15.709 | -3.737 | -0.000 | -0.000 | 0.000 |
| -3.737 | -3.737 | 127.853 | -0.000 | 0.000 | 0.000 |
| 0.000 | 0.000 | -0.000 | -15.072 | -0.000 | 0.000 |
| 0.000 | 0.000 | -0.000 | -0.000 | -15.072 | 0.000 |
| -0.000 | -0.000 | -0.000 | -0.000 | -0.000 | -43.331 |
| 81.016 | 37.065 | -3.737 | 0.000 | 0.000 | -0.000 |
| 102.371 | 15.709 | -3.737 | 0.000 | 0.000 | 0.000 |
| -3.737 | -3.737 | 127.853 | -0.000 | 0.000 | -0.000 |
| -0.000 | -0.000 | 0.000 | -15.072 | 0.000 | -0.000 |
| -0.000 | -0.000 | 0.000 | 0.000 | -15.072 | 0.000 |
| 0.000 | 0.000 | 0.000 | 0.000 | 0.000 | -43.331 |
| 7.368 | 110.713 | -3.737 | 0.000 | 0.000 | -0.000 |
| -2641764.630 | -2869805.848 | -3059899.686 | 2929.184 | 813.653 | -27895.176 |
| -3.737 | -3.737 | 127.854 | 0.000 | 0.000 | 0.000 |
| 0.000 | 0.000 | -0.000 | -15.072 | -0.000 | 0.000 |
| -0.000 | 0.000 | -0.000 | -0.000 | -15.072 | -0.000 |
| -0.000 | 0.000 | -0.000 | 0.000 | 0.000 | -48.568 |
| 2637336.281 | 2781423.313 | 3225014.622 | -8477.044 | -13267.847 | 30208.285 |
| 2925435.507 | 2981021.414 | 2886555.993 | 19160.101 | -14381.591 | -2962.281 |
| -3.737 | -3.737 | 127.853 | -0.000 | -0.000 | -0.000 |
| -0.000 | -0.000 | 0.000 | -15.072 | 0.000 | -0.000 |
| 0.000 | -0.000 | 0.000 | 0.000 | -15.072 | 0.000 |
| 0.000 | -0.000 | 0.000 | -0.000 | -0.000 | -48.568 |
| 141.513 | 69.984 | 14.422 | 0.000 | -0.000 | 0.000 |
| 69.984 | 141.513 | 14.422 | -0.000 | -0.000 | -0.000 |
| 56.337 | 56.337 | 151.423 | -0.000 | -0.000 | 0.000 |
| -0.000 | 0.000 | 0.000 | 36.692 | 0.000 | -0.000 |
| 0.000 | 0.000 | 0.000 | -0.000 | 36.692 | 0.000 |
| 0.000 | 0.000 | -0.000 | 0.000 | 0.000 | 40.158 |
| 137.355 | 65.791 | 99.526 | -0.000 | -0.000 | -0.000 |
| 65.791 | 137.355 | 99.526 | 0.000 | -0.000 | -0.000 |
| 56.337 | 56.337 | 151.423 | 0.000 | -0.000 | -0.000 |
| 0.000 | -0.000 | -0.000 | 36.692 | 0.000 | -0.000 |
| -0.000 | 0.000 | -0.000 | -0.000 | 36.692 | -0.000 |
| -0.000 | -0.000 | 0.000 | 0.000 | -0.000 | 40.158 |
| 137.944 | 68.062 | 54.010 | 0.000 | -0.000 | 0.000 |
| 68.062 | 137.944 | 54.010 | -0.000 | 0.000 | 0.000 |
| 56.757 | 56.757 | 144.799 | -0.000 | -0.000 | 0.000 |
| -0.000 | 0.000 | 0.000 | 36.692 | -0.000 | 0.000 |
| 0.000 | -0.000 | 0.000 | 0.000 | 36.692 | 0.000 |
| 0.000 | 0.000 | -0.000 | 0.000 | 0.000 | 40.158 |
| 142.159 | 66.271 | 55.545 | 0.000 | -0.000 | -0.000 |
| 66.271 | 142.159 | 55.545 | 0.000 | -0.000 | -0.000 |
| 56.337 | 56.337 | 151.423 | 0.000 | 0.000 | -0.000 |
| 0.000 | -0.000 | -0.000 | 36.692 | -0.000 | -0.000 |
| -0.000 | 0.000 | -0.000 | 0.000 | 36.692 | -0.000 |
| -0.000 | -0.000 | 0.000 | -0.000 | -0.000 | 40.158 |
| 138.902 | 68.227 | 56.957 | -0.000 | -0.000 | 0.000 |
| 68.227 | 138.902 | 56.957 | -0.000 | -0.000 | 0.000 |
| 57.521 | 57.521 | 146.960 | -0.000 | -0.000 | 0.000 |
| -0.000 | 0.000 | 0.000 | 36.692 | 0.000 | 0.000 |
| 0.000 | -0.000 | 0.000 | 0.000 | 36.692 | 0.000 |
| 0.000 | 0.000 | -0.000 | -0.000 | 0.000 | 40.158 |
| 138.835 | 68.880 | 57.037 | 0.000 | 0.000 | 0.000 |
| 68.880 | 138.835 | 57.037 | -0.000 | -0.000 | -0.000 |
| 57.742 | 57.742 | 147.347 | 0.000 | -0.000 | -0.000 |
| 0.000 | -0.000 | -0.000 | 36.692 | -0.000 | 0.000 |
| -0.000 | 0.000 | -0.000 | -0.000 | 36.692 | -0.000 |
| -0.000 | -0.000 | 0.000 | -0.000 | -0.000 | 40.158 |
| 139.422 | 69.075 | 57.977 | -0.000 | 0.000 | 0.000 |
| 69.075 | 139.422 | 57.977 | -0.000 | 0.000 | 0.000 |
| 57.465 | 57.465 | 152.093 | -0.000 | 0.000 | 0.000 |
| 0.051 | 0.051 | -0.073 | 36.912 | 0.000 | 0.000 |
| 0.051 | 0.051 | -0.073 | -0.000 | 36.912 | 0.000 |
| 0.050 | 0.050 | -0.072 | -0.000 | 0.000 | 39.536 |
| 142.350 | 67.629 | 55.933 | 0.000 | -0.000 | -0.000 |
| 67.629 | 142.350 | 55.933 | 0.000 | 0.000 | -0.000 |
| 55.933 | 55.933 | 156.422 | 0.000 | -0.000 | -0.000 |
| -0.051 | -0.051 | 0.073 | 36.912 | -0.000 | -0.000 |
| -0.051 | -0.051 | 0.073 | 0.000 | 36.912 | -0.000 |
| -0.050 | -0.050 | 0.072 | 0.000 | -0.000 | 39.536 |
| 139.300 | 69.071 | 58.095 | -0.000 | 0.000 | 0.000 |
| 69.071 | 139.300 | 58.095 | -0.000 | 0.000 | -0.000 |
| 55.933 | 55.933 | 156.422 | -0.000 | 0.000 | 0.000 |
| 0.005 | 0.005 | -0.008 | 36.908 | 0.000 | 0.000 |
| 0.005 | 0.005 | -0.008 | -0.000 | 36.908 | 0.000 |
| 0.005 | 0.005 | -0.007 | -0.000 | 0.000 | 39.536 |
| 138.838 | 69.943 | 57.543 | 0.000 | -0.000 | -0.000 |
| 69.943 | 138.838 | 57.543 | 0.000 | 0.000 | -0.000 |
| 57.351 | 57.351 | 152.367 | 0.000 | -0.000 | -0.000 |
| -0.005 | -0.005 | 0.008 | 36.908 | -0.000 | -0.000 |
| -0.005 | -0.005 | 0.008 | 0.000 | 36.908 | -0.000 |
| -0.005 | -0.005 | 0.007 | 0.000 | -0.000 | 39.536 |
| 142.351 | 67.629 | 55.933 | -0.000 | 0.000 | 0.000 |
| 67.629 | 142.351 | 55.933 | -0.000 | 0.000 | -0.000 |
| 57.361 | 57.361 | 152.346 | -0.000 | 0.000 | 0.000 |
| -0.000 | 0.000 | 0.000 | 37.012 | 0.000 | -0.000 |
| 0.000 | -0.000 | 0.000 | -0.000 | 37.012 | 0.000 |
| 0.001 | 0.001 | -0.001 | -0.000 | 0.000 | 39.536 |
| 138.843 | 69.879 | 57.641 | 0.000 | -0.000 | -0.000 |
| 69.879 | 138.843 | 57.641 | 0.000 | 0.000 | -0.000 |
| 57.359 | 57.359 | 152.349 | 0.000 | -0.000 | -0.000 |
| 0.000 | -0.000 | -0.000 | 37.012 | -0.000 | -0.000 |
| -0.000 | 0.000 | -0.000 | 0.000 | 37.012 | -0.000 |
| -0.001 | -0.001 | 0.001 | 0.000 | -0.000 | 39.536 |
| 34.806 | 58.848 | 58.848 | 0.000 | 0.000 | -0.000 |
| 58.848 | 34.806 | 58.848 | 0.000 | 0.000 | -0.000 |
| 58.848 | 58.848 | 34.806 | 0.000 | 0.000 | -0.000 |
| 0.000 | -0.000 | -0.000 | -16.721 | 0.000 | -0.000 |
| -0.000 | 0.000 | -0.000 | 0.000 | -16.721 | -0.000 |
| -0.000 | -0.000 | 0.000 | 0.000 | 0.000 | -16.721 |
| 34.806 | 58.848 | 58.848 | -0.000 | -0.000 | 0.000 |
| 58.848 | 34.806 | 58.848 | -0.000 | -0.000 | -0.000 |
| 58.848 | 58.848 | 34.806 | -0.000 | -0.000 | 0.000 |
| -0.000 | 0.000 | 0.000 | -16.721 | -0.000 | 0.000 |
| 0.000 | -0.000 | 0.000 | -0.000 | -16.721 | -0.000 |
| 0.000 | 0.000 | -0.000 | -0.000 | -0.000 | -16.721 |
| 34.806 | 58.848 | 58.848 | 0.000 | 0.000 | -0.000 |
| 58.848 | 34.806 | 58.848 | 0.000 | 0.000 | -0.000 |
| 58.848 | 58.848 | 34.806 | 0.000 | 0.000 | -0.000 |
| 0.000 | -0.000 | -0.000 | -16.721 | 0.000 | -0.000 |
| -0.000 | 0.000 | -0.000 | 0.000 | -16.721 | 0.000 |
| -0.000 | -0.000 | 0.000 | 0.000 | 0.000 | -16.721 |
| 34.806 | 58.848 | 58.848 | -0.000 | -0.000 | 0.000 |
| 58.848 | 34.806 | 58.848 | -0.000 | -0.000 | 0.000 |
| 58.848 | 58.848 | 34.806 | -0.000 | -0.000 | 0.000 |
| -0.000 | 0.000 | 0.000 | -16.721 | -0.000 | 0.000 |
| 0.000 | -0.000 | 0.000 | -0.000 | -16.721 | -0.000 |
| 0.000 | 0.000 | -0.000 | -0.000 | -0.000 | -16.721 |
| 34.806 | 58.848 | 58.848 | 0.000 | 0.000 | -0.000 |
| 58.848 | 34.806 | 58.848 | 0.000 | 0.000 | -0.000 |
| 58.848 | 58.848 | 34.806 | 0.000 | 0.000 | -0.000 |
| 0.000 | -0.000 | -0.000 | -16.721 | 0.000 | -0.000 |
| -0.000 | 0.000 | -0.000 | 0.000 | -16.721 | -0.000 |
| -0.000 | -0.000 | 0.000 | 0.000 | 0.000 | -16.721 |
| 34.806 | 58.848 | 58.848 | -0.000 | -0.000 | 0.000 |
| 58.848 | 34.806 | 58.848 | -0.000 | -0.000 | 0.000 |
| 58.848 | 58.848 | 34.806 | -0.000 | -0.000 | 0.000 |
| -0.000 | 0.000 | 0.000 | -16.721 | -0.000 | 0.000 |
| 0.000 | -0.000 | 0.000 | -0.000 | -16.721 | -0.000 |
| 0.000 | 0.000 | -0.000 | -0.000 | -0.000 | -16.721 |
| 145.027 | 66.872 | 53.927 | -0.000 | 0.000 | 0.000 |
| 67.973 | 134.577 | 61.295 | -0.000 | 0.000 | 0.000 |
| 57.687 | 62.051 | 145.281 | -0.000 | 0.000 | 0.000 |
| -0.129 | 0.382 | 0.236 | 35.923 | 0.000 | 0.000 |
| 0.000 | 0.000 | 0.000 | -0.000 | 36.710 | 0.000 |
| 0.000 | 0.000 | 0.000 | -0.000 | 0.000 | 43.263 |
| 145.027 | 66.872 | 53.927 | 0.000 | -0.000 | -0.000 |
| 67.973 | 134.577 | 61.295 | 0.000 | -0.000 | -0.000 |
| 58.784 | 61.476 | 144.245 | 0.000 | -0.000 | -0.000 |
| 0.129 | -0.382 | -0.236 | 35.923 | 0.000 | -0.000 |
| -0.000 | -0.000 | -0.000 | 0.000 | 36.710 | -0.000 |
| -0.000 | -0.000 | -0.000 | 0.000 | 0.000 | 43.263 |
| 145.027 | 66.872 | 53.927 | -0.000 | 0.000 | 0.000 |
| 68.285 | 134.152 | 60.906 | -0.000 | -0.000 | 0.000 |
| 58.320 | 61.523 | 144.612 | -0.000 | 0.000 | 0.000 |
| -0.018 | 0.054 | 0.033 | 35.785 | 0.000 | 0.000 |
| 0.000 | -0.000 | 0.000 | -0.000 | 36.710 | 0.000 |
| 0.000 | 0.000 | -0.000 | -0.000 | -0.000 | 43.263 |
| 145.027 | 66.872 | 53.927 | 0.000 | 0.000 | -0.000 |
| 68.353 | 134.095 | 60.834 | 0.000 | -0.000 | -0.000 |
| 58.267 | 61.783 | 144.746 | 0.000 | 0.000 | -0.000 |
| 0.018 | -0.054 | -0.033 | 35.785 | -0.000 | -0.000 |
| -0.000 | 0.000 | -0.000 | 0.000 | 36.710 | -0.000 |
| -0.000 | -0.000 | 0.000 | 0.000 | -0.000 | 43.263 |
| 145.028 | 66.872 | 53.927 | -0.000 | 0.000 | -0.000 |
| 67.973 | 134.577 | 61.295 | -0.000 | -0.000 | 0.000 |
| 58.202 | 61.815 | 144.808 | -0.000 | 0.000 | 0.000 |
| -0.002 | 0.005 | 0.003 | 35.782 | 0.000 | 0.000 |
| -0.001 | 0.003 | 0.002 | -0.000 | 36.710 | 0.000 |
| 0.000 | 0.000 | -0.000 | -0.000 | -0.000 | 43.263 |
| 145.027 | 66.872 | 53.927 | 0.000 | -0.000 | -0.000 |
| 67.973 | 134.576 | 61.295 | 0.000 | 0.000 | 0.000 |
| 58.357 | 61.492 | 144.572 | 0.000 | 0.000 | -0.000 |
| 0.002 | -0.005 | -0.003 | 35.782 | -0.000 | -0.000 |
| 0.001 | -0.003 | -0.002 | 0.000 | 36.710 | -0.000 |
| -0.000 | -0.000 | 0.000 | 0.000 | -0.000 | 43.263 |
| 147.702 | 54.923 | 62.086 | 0.000 | -0.000 | -0.000 |
| 54.923 | 147.702 | 62.086 | 0.000 | -0.000 | -0.000 |
| 120.577 | 120.577 | 103.960 | 0.000 | 0.000 | 0.000 |
| 57.897 | 57.897 | -32.599 | 39.017 | 0.000 | -0.000 |
| 57.897 | 57.897 | -32.599 | -0.000 | 39.017 | 0.000 |
| 48.824 | 48.824 | -80.104 | 0.000 | -0.000 | 35.665 |
| 147.702 | 54.923 | 62.086 | 0.000 | -0.000 | 0.000 |
| 54.923 | 147.702 | 62.086 | 0.000 | -0.000 | 0.000 |
| 4.783 | 4.783 | 169.160 | -0.000 | -0.000 | 0.000 |
| -57.897 | -57.897 | 32.599 | 39.017 | -0.000 | 0.000 |
| -57.897 | -57.897 | 32.599 | -0.000 | 39.017 | 0.000 |
| -48.824 | -48.824 | 80.104 | -0.000 | -0.000 | 35.665 |
| 150.839 | 62.981 | 58.947 | -0.000 | 0.000 | 0.000 |
| 62.981 | 150.839 | 58.947 | 0.000 | 0.000 | -0.000 |
| 62.467 | 62.467 | 137.224 | 0.000 | 0.000 | -0.000 |
| -0.000 | 0.000 | 0.000 | 39.484 | 0.000 | -0.000 |
| 0.000 | -0.000 | 0.000 | 0.000 | 39.484 | -0.000 |
| 4.578 | 4.578 | -7.589 | 0.000 | 0.000 | 35.665 |
| 139.286 | 51.383 | 65.464 | 0.000 | -0.000 | 0.000 |
| 51.383 | 139.286 | 65.464 | 0.000 | 0.000 | 0.000 |
| 62.467 | 62.467 | 137.223 | -0.000 | 0.000 | 0.000 |
| 0.000 | -0.000 | -0.000 | 39.484 | -0.000 | 0.000 |
| -0.000 | 0.000 | -0.000 | -0.000 | 39.484 | 0.000 |
| -4.578 | -4.578 | 7.589 | -0.000 | 0.000 | 35.665 |
| 145.583 | 57.778 | 61.892 | 0.000 | 0.000 | 0.000 |
| 57.778 | 145.583 | 61.892 | 0.000 | -0.000 | -0.000 |
| 62.467 | 62.467 | 137.224 | 0.000 | -0.000 | -0.000 |
| -0.000 | 0.000 | 0.000 | 39.484 | -0.000 | -0.000 |
| 0.000 | -0.000 | 0.000 | 0.000 | 39.484 | -0.000 |
| 0.458 | 0.458 | -0.759 | 0.000 | -0.000 | 35.665 |
| 144.614 | 56.496 | 62.524 | 0.000 | -0.000 | -0.000 |
| 56.496 | 144.614 | 62.524 | 0.000 | 0.000 | 0.000 |
| 62.076 | 62.076 | 136.966 | -0.000 | -0.000 | -0.000 |
| 0.000 | -0.000 | -0.000 | 39.484 | -0.000 | 0.000 |
| -0.000 | 0.000 | -0.000 | -0.000 | 39.484 | 0.000 |
| -0.458 | -0.458 | 0.759 | 0.000 | 0.000 | 35.665 |
| 97.624 | -21.617 | 9.802 | -0.000 | 0.000 | 0.000 |
| -21.617 | 97.624 | 9.802 | -0.000 | 0.000 | 0.000 |
| 8.286 | 8.286 | 130.315 | -0.000 | 0.000 | 0.000 |
| 0.011 | 0.011 | -0.000 | -45.294 | 0.000 | -0.000 |
| 0.011 | 0.011 | -0.000 | 0.000 | -45.294 | -0.000 |
| 0.002 | 0.002 | -0.000 | -0.000 | 0.000 | 26.635 |
| 97.619 | -21.622 | 9.803 | 0.000 | -0.000 | -0.000 |
| -21.622 | 97.619 | 9.803 | 0.000 | -0.000 | -0.000 |
| 8.286 | 8.286 | 130.315 | 0.000 | -0.000 | -0.000 |
| -0.011 | -0.011 | 0.000 | -45.294 | 0.000 | 0.000 |
| -0.011 | -0.011 | 0.000 | 0.000 | -45.294 | 0.000 |
| -0.002 | -0.002 | 0.000 | 0.000 | -0.000 | 26.635 |
| 97.622 | -21.619 | 9.802 | -0.000 | 0.000 | 0.000 |
| -21.619 | 97.622 | 9.802 | -0.000 | -0.000 | 0.000 |
| 8.538 | 8.538 | 130.310 | -0.000 | 0.000 | 0.000 |
| 0.001 | 0.001 | -0.000 | -45.294 | 0.000 | -0.000 |
| 0.001 | 0.001 | -0.000 | -0.000 | -45.294 | -0.000 |
| 0.000 | 0.000 | -0.000 | -0.000 | 0.000 | 26.635 |
| 97.621 | -21.620 | 9.802 | 0.000 | -0.000 | -0.000 |
| -21.620 | 97.621 | 9.802 | 0.000 | -0.000 | -0.000 |
| 8.286 | 8.286 | 130.315 | -0.000 | -0.000 | -0.000 |
| -0.001 | -0.001 | 0.000 | -45.294 | -0.000 | 0.000 |
| -0.001 | -0.001 | 0.000 | -0.000 | -45.294 | 0.000 |
| -0.000 | -0.000 | 0.000 | 0.000 | -0.000 | 26.635 |
| 97.622 | -21.620 | 9.802 | -0.000 | 0.000 | 0.000 |
| -21.620 | 97.622 | 9.802 | -0.000 | 0.000 | 0.000 |
| 8.538 | 8.538 | 130.311 | -0.000 | 0.000 | -0.000 |
| -0.000 | 0.000 | 0.000 | -45.294 | 0.000 | 0.000 |
| 0.000 | -0.000 | 0.000 | -0.000 | -45.294 | -0.000 |
| 0.000 | 0.000 | -0.000 | -0.000 | 0.000 | 26.635 |
| 97.621 | -21.619 | 9.803 | -0.000 | -0.000 | -0.000 |
| -21.619 | 97.621 | 9.803 | -0.000 | -0.000 | -0.000 |
| 8.538 | 8.538 | 130.310 | 0.000 | -0.000 | -0.000 |
| 0.000 | -0.000 | -0.000 | -45.294 | -0.000 | 0.000 |
| -0.000 | 0.000 | -0.000 | 0.000 | -45.294 | 0.000 |
| -0.000 | -0.000 | 0.000 | 0.000 | -0.000 | 26.635 |
| 141.932 | 66.903 | 56.309 | -0.000 | 0.000 | -0.000 |
| 68.039 | 134.672 | 61.273 | -0.000 | -0.000 | 0.000 |
| 58.010 | 61.777 | 145.344 | 0.000 | 0.000 | -0.000 |
| -0.158 | 0.079 | 0.148 | 35.811 | 0.000 | 0.000 |
| -0.104 | 0.052 | 0.097 | -0.000 | 36.740 | 0.000 |
| -0.092 | 0.046 | 0.086 | -0.000 | -0.000 | 42.384 |
| 142.202 | 66.837 | 56.081 | 0.000 | -0.000 | -0.000 |
| 68.039 | 134.672 | 61.273 | 0.000 | -0.000 | 0.000 |
| 58.302 | 61.693 | 145.093 | 0.000 | -0.000 | 0.000 |
| 0.158 | -0.079 | -0.148 | 35.811 | 0.000 | -0.000 |
| 0.104 | -0.052 | -0.097 | 0.000 | 36.740 | 0.000 |
| 0.092 | -0.046 | -0.086 | 0.000 | -0.000 | 42.384 |
| 145.104 | 66.936 | 53.923 | 0.000 | 0.000 | 0.000 |
| 68.373 | 134.227 | 60.859 | -0.000 | -0.000 | 0.000 |
| 58.141 | 61.740 | 145.232 | -0.000 | 0.000 | -0.000 |
| -0.016 | 0.008 | 0.015 | 35.806 | 0.000 | 0.000 |
| -0.010 | 0.005 | 0.010 | 0.000 | 36.740 | 0.000 |
| 0.000 | 0.000 | -0.000 | -0.000 | 0.000 | 43.216 |
| 145.104 | 66.936 | 53.923 | 0.000 | -0.000 | 0.000 |
| 68.039 | 134.672 | 61.273 | 0.000 | -0.000 | 0.000 |
| 55.597 | 61.844 | 147.192 | -0.000 | -0.000 | 0.000 |
| 0.016 | -0.008 | -0.015 | 35.806 | -0.000 | -0.000 |
| 0.010 | -0.005 | -0.010 | 0.000 | 36.740 | -0.000 |
| -0.000 | -0.000 | 0.000 | 0.000 | -0.000 | 43.216 |
| 141.688 | 67.283 | 56.631 | -0.000 | 0.000 | 0.000 |
| 68.384 | 134.223 | 60.850 | -0.000 | 0.000 | 0.000 |
| 58.302 | 61.420 | 144.995 | -0.000 | -0.000 | -0.000 |
| -0.002 | 0.001 | 0.002 | 35.806 | 0.000 | -0.000 |
| -0.001 | 0.001 | 0.001 | -0.000 | 36.740 | -0.000 |
| -0.001 | 0.001 | 0.001 | -0.000 | 0.000 | 42.384 |
| 141.690 | 67.281 | 56.628 | 0.000 | -0.000 | -0.000 |
| 67.973 | 134.271 | 61.177 | 0.000 | -0.000 | -0.000 |
| 55.597 | 61.844 | 147.191 | 0.000 | -0.000 | -0.000 |
| 0.002 | -0.001 | -0.002 | 35.806 | -0.000 | -0.000 |
| 0.001 | -0.001 | -0.001 | 0.000 | 36.740 | 0.000 |
| 0.001 | -0.001 | -0.001 | 0.000 | -0.000 | 42.384 |
| 145.726 | 66.795 | 54.971 | -0.000 | -0.000 | 0.000 |
| 66.872 | 138.941 | 61.627 | -0.000 | -0.000 | 0.000 |
| 61.231 | 61.732 | 148.634 | -0.000 | 0.000 | 0.000 |
| 3.353 | 0.111 | -2.671 | 37.902 | 0.000 | 0.000 |
| 3.294 | 0.109 | -2.623 | 0.000 | 35.816 | 0.000 |
| 3.346 | 0.111 | -2.665 | -0.000 | 0.000 | 41.167 |
| 138.449 | 67.225 | 61.143 | 0.000 | -0.000 | -0.000 |
| 63.943 | 138.635 | 63.842 | 0.000 | -0.000 | -0.000 |
| 54.603 | 61.531 | 153.923 | -0.000 | 0.000 | 0.000 |
| -3.353 | -0.111 | 2.671 | 37.902 | -0.000 | -0.000 |
| -3.294 | -0.109 | 2.623 | -0.000 | 35.816 | -0.000 |
| -3.346 | -0.111 | 2.665 | 0.000 | -0.000 | 41.167 |
| 142.440 | 66.981 | 57.754 | 0.000 | 0.000 | 0.000 |
| 66.872 | 138.941 | 61.627 | -0.000 | -0.000 | 0.000 |
| 58.270 | 61.631 | 150.990 | -0.000 | 0.000 | -0.000 |
| 0.532 | 0.018 | -0.424 | 37.816 | 0.000 | -0.000 |
| 0.329 | 0.011 | -0.262 | -0.000 | 35.816 | -0.000 |
| 0.365 | 0.012 | -0.291 | 0.000 | 0.000 | 41.105 |
| 141.714 | 67.026 | 58.370 | 0.000 | -0.000 | -0.000 |
| 66.872 | 138.941 | 61.627 | 0.000 | 0.000 | -0.000 |
| 57.613 | 61.606 | 151.512 | -0.000 | 0.000 | 0.000 |
| -0.532 | -0.018 | 0.424 | 37.816 | 0.000 | -0.000 |
| -0.329 | -0.011 | 0.262 | 0.000 | 35.816 | -0.000 |
| -0.365 | -0.012 | 0.291 | 0.000 | -0.000 | 41.105 |
| 142.114 | 67.002 | 58.032 | -0.000 | 0.000 | 0.000 |
| 66.872 | 138.941 | 61.627 | -0.000 | 0.000 | 0.000 |
| 58.099 | 61.390 | 150.996 | -0.000 | -0.000 | 0.000 |
| 0.037 | -0.002 | -0.032 | 37.728 | -0.000 | -0.000 |
| 0.033 | 0.001 | -0.026 | -0.000 | 35.816 | 0.000 |
| 0.037 | -0.004 | -0.033 | -0.000 | 0.000 | 40.949 |
| 142.418 | 66.715 | 57.622 | 0.000 | 0.000 | 0.000 |
| 66.967 | 138.714 | 61.422 | 0.000 | -0.000 | -0.000 |
| 55.430 | 61.627 | 153.302 | 0.000 | -0.000 | -0.000 |
| -0.037 | 0.002 | 0.032 | 37.728 | 0.000 | 0.000 |
| -0.033 | -0.001 | 0.026 | 0.000 | 35.816 | -0.000 |
| -0.037 | 0.004 | 0.033 | 0.000 | -0.000 | 40.949 |
| 147.811 | 54.983 | 62.155 | -0.000 | -0.000 | -0.000 |
| 54.983 | 147.811 | 62.155 | -0.000 | -0.000 | -0.000 |
| 123.744 | 123.744 | -47.091 | 0.000 | -0.000 | 0.000 |
| 43.471 | 43.471 | -201.095 | 38.934 | -0.000 | 0.000 |
| 43.471 | 43.471 | -201.095 | 0.000 | 38.934 | -0.000 |
| 0.000 | 0.000 | -0.000 | 0.000 | -0.000 | 35.697 |
| 147.811 | 54.983 | 62.155 | 0.000 | -0.000 | 0.000 |
| 54.983 | 147.811 | 62.155 | 0.000 | 0.000 | 0.000 |
| 1.702 | 1.702 | 320.062 | 0.000 | -0.000 | 0.000 |
| -43.471 | -43.471 | 201.095 | 38.934 | 0.000 | 0.000 |
| -43.471 | -43.471 | 201.095 | 0.000 | 38.934 | 0.000 |
| -0.000 | -0.000 | 0.000 | -0.000 | -0.000 | 35.697 |
| 147.811 | 54.983 | 62.155 | 0.000 | 0.000 | -0.000 |
| 54.983 | 147.811 | 62.155 | -0.000 | 0.000 | -0.000 |
| 62.544 | 62.544 | 137.293 | -0.000 | -0.000 | 0.000 |
| -0.000 | 0.000 | 0.000 | 39.510 | -0.000 | -0.000 |
| 0.000 | -0.000 | 0.000 | -0.000 | 39.510 | 0.000 |
| 0.000 | 0.000 | -0.000 | 0.000 | -0.000 | 35.697 |
| 138.381 | 51.693 | 80.639 | 0.000 | 0.000 | 0.000 |
| 51.693 | 138.381 | 80.639 | 0.000 | -0.000 | -0.000 |
| 62.544 | 62.544 | 137.293 | 0.000 | 0.000 | 0.000 |
| 0.000 | -0.000 | -0.000 | 39.510 | 0.000 | -0.000 |
| -0.000 | 0.000 | -0.000 | 0.000 | 39.510 | -0.000 |
| -0.000 | -0.000 | 0.000 | -0.000 | -0.000 | 35.697 |
| 145.112 | 58.347 | 60.514 | 0.000 | 0.000 | -0.000 |
| 58.347 | 145.112 | 60.514 | 0.000 | -0.000 | 0.000 |
| 63.169 | 63.169 | 134.720 | 0.000 | -0.000 | -0.000 |
| 0.428 | 0.428 | -2.020 | 38.934 | 0.000 | 0.000 |
| 0.428 | 0.428 | -2.020 | -0.000 | 38.934 | -0.000 |
| 0.000 | 0.000 | -0.000 | -0.000 | 0.000 | 35.697 |
| 144.792 | 56.724 | 64.347 | -0.000 | 0.000 | 0.000 |
| 56.724 | 144.792 | 64.347 | -0.000 | -0.000 | -0.000 |
| 62.357 | 62.357 | 138.641 | 0.000 | 0.000 | -0.000 |
| -0.428 | -0.428 | 2.020 | 38.934 | 0.000 | 0.000 |
| -0.428 | -0.428 | 2.020 | -0.000 | 38.934 | 0.000 |
| -0.000 | -0.000 | 0.000 | 0.000 | -0.000 | 35.697 |
| 286.988 | 198.566 | 115.457 | 0.000 | 0.000 | -0.000 |
| 198.566 | 286.988 | 115.457 | 0.000 | 0.000 | 0.000 |
| 63.973 | 63.973 | 139.311 | 0.000 | 0.000 | -0.000 |
| 140.444 | 140.444 | 51.363 | 39.779 | 0.000 | -0.000 |
| 160.358 | 160.358 | 29.645 | 0.000 | 39.503 | 0.000 |
| 163.176 | 163.176 | 24.604 | 0.000 | 0.000 | 35.642 |
| 148.673 | 56.413 | 63.973 | -0.000 | 0.000 | 0.000 |
| 56.413 | 148.673 | 63.973 | -0.000 | 0.000 | 0.000 |
| 63.973 | 63.973 | 139.311 | -0.000 | -0.000 | 0.000 |
| -160.358 | -160.358 | -29.645 | 39.503 | -0.000 | -0.000 |
| -160.358 | -160.358 | -29.645 | -0.000 | 39.503 | -0.000 |
| -163.176 | -163.176 | -24.604 | -0.000 | -0.000 | 35.642 |
| 160.592 | 72.170 | 69.232 | 0.000 | 0.000 | -0.000 |
| 72.170 | 160.592 | 69.232 | 0.000 | 0.000 | -0.000 |
| 63.973 | 63.973 | 139.311 | 0.000 | 0.000 | -0.000 |
| 16.319 | 16.319 | 2.458 | 39.504 | -0.000 | -0.000 |
| 16.319 | 16.319 | 2.458 | 0.000 | 39.504 | 0.000 |
| 16.036 | 16.036 | 2.965 | 0.000 | 0.000 | 35.642 |
| 129.444 | 42.942 | 61.307 | -0.000 | 0.000 | -0.000 |
| 42.942 | 129.444 | 61.307 | -0.000 | -0.000 | -0.000 |
| 63.973 | 63.973 | 139.311 | -0.000 | 0.000 | 0.000 |
| -16.319 | -16.319 | -2.458 | 39.504 | 0.000 | -0.000 |
| -16.319 | -16.319 | -2.458 | -0.000 | 39.504 | -0.000 |
| -16.036 | -16.036 | -2.965 | -0.000 | -0.000 | 35.642 |
| 147.938 | 59.608 | 64.626 | 0.000 | -0.000 | 0.000 |
| 59.608 | 147.938 | 64.626 | 0.000 | -0.000 | 0.000 |
| 65.541 | 65.541 | 139.504 | 0.000 | -0.000 | -0.000 |
| 1.638 | 1.638 | 0.240 | 39.500 | 0.000 | -0.000 |
| 1.638 | 1.638 | 0.240 | 0.000 | 39.500 | 0.000 |
| 1.404 | 1.405 | 0.514 | 0.000 | 0.000 | 35.642 |
| 145.054 | 56.733 | 63.574 | -0.000 | -0.000 | -0.000 |
| 56.733 | 145.054 | 63.574 | -0.000 | -0.000 | 0.000 |
| 63.973 | 63.973 | 139.310 | -0.000 | -0.000 | 0.000 |
| -1.638 | -1.638 | -0.240 | 39.500 | -0.000 | -0.000 |
| -1.638 | -1.638 | -0.240 | -0.000 | 39.500 | -0.000 |
| -1.404 | -1.405 | -0.514 | -0.000 | -0.000 | 35.642 |
| 127.072 | 64.030 | 31.100 | 5.284 | -0.000 | 0.000 |
| 5.862 | 32.893 | 119.119 | -10.853 | 0.000 | 0.000 |
| -22.932 | -22.932 | 162.440 | 0.000 | 0.000 | -0.000 |
| 5.284 | -5.284 | -0.000 | 15.004 | -0.000 | -0.000 |
| -70.004 | -70.004 | 88.654 | -0.000 | 11.790 | 10.989 |
| -72.088 | -72.088 | 92.671 | 0.000 | 11.142 | 8.037 |
| 127.072 | 64.030 | 31.099 | 5.284 | 0.000 | 0.000 |
| 139.949 | 167.093 | -35.054 | -10.835 | 0.000 | 0.000 |
| 27.011 | 27.011 | 110.693 | -0.000 | -0.000 | 0.000 |
| 76.777 | 55.262 | -75.876 | 11.772 | 0.000 | 0.000 |
| 70.004 | 70.004 | -88.654 | -0.000 | 11.790 | 10.989 |
| 72.088 | 72.088 | -92.672 | 0.000 | 11.142 | 8.037 |
| 89.074 | 75.454 | 47.020 | 12.926 | -0.000 | -0.000 |
| 3116996.626 | -5068773.472 | -7427211.142 | -4093087.865 | -0.000 | 0.000 |
| 27.011 | 27.011 | 110.693 | -0.000 | -0.000 | -0.000 |
| 11.069 | -12.698 | 1.063 | 11.347 | 0.000 | 0.000 |
| -0.593 | -0.593 | 0.682 | -0.000 | 12.099 | 10.204 |
| -1.151 | -1.151 | 1.323 | -0.000 | 14.825 | 0.669 |
| 13.343 | 158.703 | 41.275 | 22.106 | 0.000 | 0.000 |
| 3759949.853 | -591647.213 | 7015710.205 | -1315650.157 | 28401.082 | -21911.403 |
| 27.011 | 27.011 | 110.693 | -0.000 | 0.000 | 0.000 |
| 5.284 | -5.284 | 0.000 | 15.004 | -0.000 | -0.000 |
| 0.593 | 0.593 | -0.682 | 0.000 | 12.099 | 10.204 |
| 1.151 | 1.151 | -1.323 | 0.000 | 14.825 | 0.669 |
| 144.273 | 52.112 | 52.112 | 0.000 | 0.000 | 0.000 |
| 52.112 | 144.273 | 52.112 | 0.000 | 0.000 | -0.000 |
| 52.112 | 52.112 | 144.273 | 0.000 | 0.000 | -0.000 |
| 0.000 | 0.000 | -0.000 | -17.701 | 0.000 | -0.000 |
| 0.000 | -0.000 | -0.000 | 0.000 | -17.701 | -0.000 |
| -0.000 | -0.000 | 0.000 | 0.000 | 0.000 | -17.701 |
| 144.273 | 52.112 | 52.112 | -0.000 | -0.000 | 0.000 |
| 52.112 | 144.273 | 52.112 | -0.000 | -0.000 | 0.000 |
| 52.112 | 52.112 | 144.273 | -0.000 | 0.000 | -0.000 |
| -0.000 | 0.000 | 0.000 | -17.701 | -0.000 | 0.000 |
| -0.000 | 0.000 | 0.000 | -0.000 | -17.701 | 0.000 |
| 0.000 | 0.000 | -0.000 | -0.000 | -0.000 | -17.701 |
| 144.273 | 52.112 | 52.112 | 0.000 | 0.000 | -0.000 |
| 52.112 | 144.273 | 52.112 | 0.000 | 0.000 | 0.000 |
| 52.112 | 52.112 | 144.273 | 0.000 | -0.000 | -0.000 |
| 0.000 | 0.000 | -0.000 | -17.701 | 0.000 | -0.000 |
| 0.000 | 0.000 | -0.000 | 0.000 | -17.701 | -0.000 |
| 0.000 | -0.000 | 0.000 | 0.000 | 0.000 | -17.701 |
| 144.272 | 52.112 | 52.112 | -0.000 | -0.000 | -0.000 |
| 52.112 | 144.272 | 52.112 | -0.000 | -0.000 | 0.000 |
| 52.112 | 52.112 | 144.272 | -0.000 | -0.000 | 0.000 |
| -0.000 | -0.000 | 0.000 | -17.701 | -0.000 | 0.000 |
| -0.000 | -0.000 | 0.000 | -0.000 | -17.701 | 0.000 |
| -0.000 | 0.000 | -0.000 | -0.000 | -0.000 | -17.701 |
| 840.259 | 886.403 | 886.403 | 0.000 | -0.000 | 0.000 |
| 886.403 | 840.259 | 886.403 | 0.000 | -0.000 | 0.000 |
| 886.403 | 886.403 | 840.259 | 0.000 | -0.000 | 0.000 |
| -0.001 | 0.000 | 0.000 | 19.490 | -0.000 | 0.000 |
| 0.000 | -0.001 | 0.000 | 0.000 | 19.490 | 0.000 |
| 0.000 | 0.000 | -0.001 | 0.000 | -0.000 | 19.490 |
| 840.257 | 886.405 | 886.405 | -0.000 | 0.000 | -0.000 |
| 886.405 | 840.257 | 886.405 | -0.000 | 0.000 | -0.000 |
| 886.405 | 886.405 | 840.257 | -0.000 | 0.000 | -0.000 |
| 0.001 | -0.000 | -0.000 | 19.490 | 0.000 | -0.000 |
| -0.000 | 0.001 | -0.000 | -0.000 | 19.490 | -0.000 |
| -0.000 | -0.000 | 0.001 | -0.000 | 0.000 | 19.490 |
| 840.267 | 886.393 | 886.393 | 0.000 | -0.000 | 0.000 |
| 886.393 | 840.267 | 886.393 | -0.000 | -0.000 | 0.000 |
| 886.393 | 886.393 | 840.267 | 0.000 | -0.000 | 0.000 |
| -0.001 | -0.002 | -0.002 | 56.119 | -0.000 | 0.000 |
| -0.002 | -0.001 | -0.002 | 0.000 | 56.119 | 0.000 |
| -0.002 | -0.002 | -0.001 | 0.000 | -0.000 | 56.119 |
| 840.249 | 886.415 | 886.415 | -0.000 | 0.000 | -0.000 |
| 886.415 | 840.249 | 886.415 | -0.000 | 0.000 | -0.000 |
| 886.415 | 886.415 | 840.249 | -0.000 | 0.000 | -0.000 |
| 0.001 | 0.002 | 0.002 | 56.119 | 0.000 | -0.000 |
| 0.002 | 0.001 | 0.002 | -0.000 | 56.119 | -0.000 |
| 0.002 | 0.002 | 0.001 | -0.000 | 0.000 | 56.119 |
| 840.349 | 886.296 | 886.296 | 0.000 | -0.000 | 0.000 |
| 886.296 | 840.349 | 886.296 | 0.000 | -0.000 | 0.000 |
| 886.296 | 886.296 | 840.349 | 0.000 | -0.000 | 0.000 |
| -0.021 | -0.024 | -0.024 | 19.490 | -0.000 | 0.000 |
| -0.024 | -0.021 | -0.024 | 0.000 | 19.490 | 0.000 |
| -0.024 | -0.024 | -0.021 | 0.000 | -0.000 | 19.490 |
| 840.302 | 886.445 | 886.445 | -0.000 | 0.000 | -0.000 |
| 886.445 | 840.302 | 886.445 | -0.000 | 0.000 | -0.000 |
| 886.445 | 886.445 | 840.302 | -0.000 | 0.000 | -0.000 |
| 0.021 | 0.024 | 0.024 | 19.490 | 0.000 | -0.000 |
| 0.024 | 0.021 | 0.024 | -0.000 | 19.490 | -0.000 |
| 0.024 | 0.024 | 0.021 | -0.000 | 0.000 | 19.490 |
| 99.240 | 79.149 | 79.149 | -0.000 | -0.000 | 0.000 |
| 79.149 | 99.240 | 79.149 | -0.000 | -0.000 | 0.000 |
| 79.149 | 79.149 | 99.240 | 0.000 | -0.000 | 0.000 |
| -0.000 | -0.000 | 0.000 | 61.130 | -0.000 | -0.000 |
| -0.000 | -0.000 | 0.000 | -0.000 | 61.130 | -0.000 |
| -0.000 | -0.000 | 0.000 | -0.000 | -0.000 | 61.130 |
| 99.240 | 79.149 | 79.149 | -0.000 | 0.000 | 0.000 |
| 79.149 | 99.240 | 79.149 | -0.000 | 0.000 | 0.000 |
| 79.149 | 79.149 | 99.240 | 0.000 | 0.000 | 0.000 |
| 0.000 | 0.000 | -0.000 | 61.130 | 0.000 | 0.000 |
| 0.000 | 0.000 | -0.000 | 0.000 | 61.130 | -0.000 |
| 0.000 | 0.000 | -0.000 | 0.000 | 0.000 | 61.130 |
| 99.240 | 79.149 | 79.149 | 0.000 | -0.000 | 0.000 |
| 79.149 | 99.240 | 79.149 | 0.000 | -0.000 | -0.000 |
| 79.149 | 79.149 | 99.240 | 0.000 | -0.000 | -0.000 |
| 0.000 | -0.000 | 0.000 | 61.193 | -0.000 | 0.000 |
| -0.000 | 0.000 | 0.000 | -0.000 | 61.193 | -0.000 |
| -0.000 | 0.000 | 0.000 | 0.000 | -0.000 | 61.193 |
| 99.240 | 79.149 | 79.149 | -0.000 | 0.000 | -0.000 |
| 79.149 | 99.240 | 79.149 | -0.000 | 0.000 | -0.000 |
| 79.149 | 79.149 | 99.240 | -0.000 | 0.000 | -0.000 |
| -0.000 | 0.000 | -0.000 | 61.193 | 0.000 | 0.000 |
| 0.000 | -0.000 | -0.000 | 0.000 | 61.193 | 0.000 |
| 0.000 | -0.000 | -0.000 | -0.000 | 0.000 | 61.193 |
| 99.241 | 79.149 | 79.149 | 0.000 | -0.000 | -0.000 |
| 79.149 | 99.241 | 79.149 | -0.000 | -0.000 | -0.000 |
| 79.149 | 79.149 | 99.241 | 0.000 | -0.000 | 0.000 |
| 0.000 | -0.000 | 0.000 | 61.130 | -0.000 | -0.000 |
| -0.000 | 0.000 | 0.000 | -0.000 | 61.130 | -0.000 |
| -0.000 | 0.000 | 0.000 | -0.000 | -0.000 | 61.130 |
| 99.239 | 79.149 | 79.149 | -0.000 | 0.000 | 0.000 |
| 79.149 | 99.239 | 79.149 | -0.000 | 0.000 | 0.000 |
| 79.149 | 79.149 | 99.239 | 0.000 | 0.000 | -0.000 |
| -0.000 | 0.000 | -0.000 | 61.130 | 0.000 | -0.000 |
| 0.000 | -0.000 | -0.000 | 0.000 | 61.130 | -0.000 |
| 0.000 | -0.000 | -0.000 | 0.000 | 0.000 | 61.130 |
| 139.528 | 60.157 | 60.157 | -0.000 | 0.000 | -0.000 |
| 60.157 | 139.528 | 60.157 | -0.000 | 0.000 | 0.000 |
| 60.157 | 60.157 | 139.528 | -0.000 | 0.000 | -0.000 |
| 0.000 | 0.000 | 0.000 | 35.593 | 0.000 | -0.000 |
| 0.000 | 0.000 | 0.000 | -0.000 | 35.593 | -0.000 |
| 0.000 | 0.000 | 0.000 | -0.000 | -0.000 | 35.593 |
| 139.528 | 60.157 | 60.157 | 0.000 | -0.000 | 0.000 |
| 60.157 | 139.528 | 60.157 | -0.000 | -0.000 | -0.000 |
| 60.157 | 60.157 | 139.528 | -0.000 | -0.000 | 0.000 |
| -0.000 | -0.000 | -0.000 | 35.593 | -0.000 | -0.000 |
| -0.000 | -0.000 | -0.000 | -0.000 | 35.593 | 0.000 |
| -0.000 | -0.000 | 0.000 | 0.000 | 0.000 | 35.593 |
| 139.528 | 60.157 | 60.157 | -0.000 | 0.000 | 0.000 |
| 60.157 | 139.528 | 60.157 | 0.000 | 0.000 | -0.000 |
| 60.157 | 60.157 | 139.528 | -0.000 | -0.000 | 0.000 |
| -0.000 | 0.000 | 0.000 | 35.593 | -0.000 | 0.000 |
| 0.000 | -0.000 | 0.000 | -0.000 | 35.593 | -0.000 |
| 0.000 | 0.000 | -0.000 | -0.000 | 0.000 | 35.593 |
| 139.528 | 60.157 | 60.157 | 0.000 | 0.000 | 0.000 |
| 60.157 | 139.528 | 60.157 | 0.000 | -0.000 | -0.000 |
| 60.157 | 60.157 | 139.528 | -0.000 | -0.000 | 0.000 |
| 0.000 | -0.000 | -0.000 | 35.593 | -0.000 | 0.000 |
| -0.000 | 0.000 | -0.000 | 0.000 | 35.593 | 0.000 |
| -0.000 | -0.000 | 0.000 | 0.000 | -0.000 | 35.593 |
| 139.529 | 60.157 | 60.157 | -0.000 | 0.000 | -0.000 |
| 60.157 | 139.529 | 60.157 | -0.000 | 0.000 | -0.000 |
| 60.157 | 60.157 | 139.529 | 0.000 | 0.000 | -0.000 |
| -0.000 | 0.000 | 0.000 | 35.593 | 0.000 | -0.000 |
| 0.000 | -0.000 | 0.000 | -0.000 | 35.593 | -0.000 |
| 0.000 | 0.000 | -0.000 | 0.000 | 0.000 | 35.593 |
| 139.528 | 60.156 | 60.156 | 0.000 | -0.000 | 0.000 |
| 60.156 | 139.528 | 60.156 | 0.000 | -0.000 | 0.000 |
| 60.156 | 60.156 | 139.528 | 0.000 | 0.000 | -0.000 |
| 0.000 | -0.000 | -0.000 | 35.593 | -0.000 | -0.000 |
| -0.000 | 0.000 | -0.000 | 0.000 | 35.593 | 0.000 |
| -0.000 | -0.000 | 0.000 | 0.000 | -0.000 | 35.593 |
| 138.919 | 58.997 | 62.733 | -0.000 | 0.000 | -0.000 |
| 59.949 | 136.891 | 60.406 | -0.000 | 0.000 | -0.000 |
| 64.419 | 61.006 | 135.345 | -0.000 | 0.000 | -0.000 |
| 1.143 | 0.718 | -0.034 | 31.168 | 0.000 | -0.000 |
| 1.325 | 0.831 | -0.039 | -0.000 | 31.034 | -0.000 |
| 0.801 | 0.503 | -0.024 | -0.000 | 0.000 | 30.411 |
| 136.890 | 58.272 | 62.982 | 0.000 | -0.000 | 0.000 |
| 58.445 | 135.944 | 60.449 | 0.000 | -0.000 | 0.000 |
| 62.826 | 60.127 | 135.434 | 0.000 | -0.000 | 0.000 |
| -1.143 | -0.718 | 0.034 | 31.168 | -0.000 | 0.000 |
| -1.325 | -0.831 | 0.039 | 0.000 | 31.034 | 0.000 |
| -0.801 | -0.503 | 0.024 | 0.000 | -0.000 | 30.411 |
| 137.999 | 58.531 | 62.800 | -0.000 | 0.000 | -0.000 |
| 59.197 | 136.519 | 60.463 | -0.000 | 0.000 | -0.000 |
| 63.409 | 60.614 | 135.458 | -0.000 | 0.000 | -0.000 |
| 0.134 | 0.066 | -0.010 | 30.126 | -0.000 | -0.000 |
| 0.009 | 0.075 | 0.024 | -0.000 | 29.065 | -0.000 |
| 0.080 | 0.050 | -0.002 | -0.000 | 0.000 | 30.411 |
| 137.833 | 58.440 | 62.809 | 0.000 | -0.000 | 0.000 |
| 59.091 | 136.415 | 60.453 | 0.000 | -0.000 | 0.000 |
| 63.256 | 60.549 | 135.473 | 0.000 | -0.000 | 0.000 |
| -0.134 | -0.066 | 0.010 | 30.126 | 0.000 | 0.000 |
| -0.009 | -0.075 | -0.024 | 0.000 | 29.065 | 0.000 |
| -0.080 | -0.050 | 0.002 | 0.000 | -0.000 | 30.411 |
| 137.905 | 58.536 | 62.826 | 0.000 | 0.000 | -0.000 |
| 59.002 | 136.445 | 60.484 | -0.000 | 0.000 | -0.000 |
| 63.399 | 60.592 | 135.453 | 0.000 | -0.000 | -0.000 |
| 0.007 | 0.004 | -0.000 | 30.119 | 0.000 | -0.000 |
| 0.019 | 0.006 | -0.003 | 0.000 | 29.049 | -0.000 |
| 0.008 | 0.005 | -0.000 | -0.000 | 0.000 | 30.411 |
| 137.886 | 58.526 | 62.826 | -0.000 | 0.000 | 0.000 |
| 58.984 | 136.434 | 60.485 | -0.000 | -0.000 | 0.000 |
| 63.381 | 60.581 | 135.453 | -0.000 | -0.000 | 0.000 |
| -0.007 | -0.004 | 0.000 | 30.119 | 0.000 | 0.000 |
| -0.019 | -0.006 | 0.003 | -0.000 | 29.049 | 0.000 |
| -0.008 | -0.005 | 0.000 | 0.000 | 0.000 | 30.411 |
| 134.684 | 59.192 | 63.761 | 0.000 | 0.000 | -0.000 |
| 59.221 | 137.316 | 61.150 | 0.000 | 0.000 | -0.000 |
| 63.695 | 61.178 | 136.206 | 0.000 | 0.000 | -0.000 |
| -0.000 | 0.000 | 0.000 | 30.992 | 0.000 | -0.000 |
| -0.000 | 0.000 | 0.000 | 0.000 | 29.679 | -0.000 |
| -0.000 | 0.000 | 0.000 | 0.000 | 0.000 | 30.471 |
| 134.684 | 59.192 | 63.761 | -0.000 | -0.000 | 0.000 |
| 59.221 | 137.316 | 61.150 | -0.000 | -0.000 | 0.000 |
| 63.695 | 61.178 | 136.206 | -0.000 | -0.000 | 0.000 |
| 0.000 | -0.000 | -0.000 | 30.992 | -0.000 | 0.000 |
| 0.000 | -0.000 | -0.000 | -0.000 | 29.679 | 0.000 |
| 0.000 | -0.000 | -0.000 | -0.000 | -0.000 | 30.471 |
| 134.535 | 59.030 | 63.737 | 0.000 | 0.000 | -0.000 |
| 59.221 | 137.316 | 61.150 | 0.000 | 0.000 | -0.000 |
| 63.695 | 61.178 | 136.206 | 0.000 | 0.000 | -0.000 |
| -0.000 | 0.000 | 0.000 | 30.831 | 0.000 | -0.000 |
| 0.000 | -0.000 | 0.000 | -0.000 | 29.241 | -0.000 |
| -0.000 | 0.000 | 0.000 | 0.000 | 0.000 | 30.471 |
| 134.535 | 59.030 | 63.737 | -0.000 | -0.000 | 0.000 |
| 59.221 | 137.316 | 61.150 | -0.000 | -0.000 | 0.000 |
| 63.695 | 61.178 | 136.206 | -0.000 | -0.000 | 0.000 |
| 0.000 | -0.000 | -0.000 | 30.831 | -0.000 | -0.000 |
| -0.000 | 0.000 | -0.000 | 0.000 | 29.241 | 0.000 |
| 0.000 | -0.000 | -0.000 | -0.000 | -0.000 | 30.471 |
| 134.513 | 59.089 | 63.761 | 0.000 | 0.000 | -0.000 |
| 59.089 | 137.267 | 61.167 | 0.000 | 0.000 | 0.000 |
| 63.761 | 61.167 | 136.189 | 0.000 | 0.000 | -0.000 |
| -0.000 | 0.000 | 0.000 | 30.831 | 0.000 | -0.000 |
| -0.000 | 0.000 | 0.000 | 0.000 | 29.199 | -0.000 |
| -0.000 | 0.000 | -0.000 | 0.000 | 0.000 | 30.471 |
| 134.512 | 59.089 | 63.761 | -0.000 | -0.000 | 0.000 |
| 59.088 | 137.266 | 61.167 | -0.000 | -0.000 | 0.000 |
| 63.761 | 61.167 | 136.188 | -0.000 | -0.000 | 0.000 |
| 0.000 | -0.000 | -0.000 | 30.831 | -0.000 | -0.000 |
| 0.000 | -0.000 | -0.000 | -0.000 | 29.199 | 0.000 |
| 0.000 | -0.000 | 0.000 | -0.000 | -0.000 | 30.471 |
| 130.907 | 68.447 | 62.506 | -0.000 | -0.000 | 0.000 |
| 68.447 | 130.907 | 62.506 | -0.000 | -0.000 | 0.000 |
| 62.506 | 62.506 | 138.538 | -0.000 | -0.000 | 0.000 |
| -0.000 | 0.000 | 0.000 | 36.218 | -0.000 | 0.000 |
| 0.000 | -0.000 | 0.000 | -0.000 | 36.218 | 0.000 |
| 0.000 | 0.000 | -0.000 | -0.000 | -0.000 | 35.696 |
| 137.632 | 61.722 | 62.506 | 0.000 | -0.000 | -0.000 |
| 61.722 | 137.632 | 62.506 | -0.000 | 0.000 | -0.000 |
| 62.506 | 62.506 | 138.538 | 0.000 | 0.000 | -0.000 |
| 0.000 | -0.000 | -0.000 | 36.218 | 0.000 | -0.000 |
| -0.000 | 0.000 | -0.000 | 0.000 | 36.218 | -0.000 |
| -0.000 | -0.000 | 0.000 | 0.000 | 0.000 | 35.696 |
| 137.632 | 61.722 | 62.506 | -0.000 | 0.000 | 0.000 |
| 61.722 | 137.632 | 62.506 | -0.000 | -0.000 | 0.000 |
| 62.506 | 62.506 | 138.539 | -0.000 | -0.000 | 0.000 |
| -0.000 | 0.000 | 0.000 | 36.218 | -0.000 | 0.000 |
| 0.000 | -0.000 | 0.000 | -0.000 | 36.218 | 0.000 |
| 0.000 | 0.000 | -0.000 | -0.000 | -0.000 | 35.696 |
| 130.906 | 68.447 | 62.506 | 0.000 | 0.000 | -0.000 |
| 68.447 | 130.906 | 62.506 | 0.000 | 0.000 | -0.000 |
| 62.506 | 62.506 | 138.538 | 0.000 | 0.000 | -0.000 |
| 0.000 | -0.000 | -0.000 | 36.218 | 0.000 | -0.000 |
| -0.000 | 0.000 | -0.000 | 0.000 | 36.218 | -0.000 |
| -0.000 | -0.000 | 0.000 | 0.000 | 0.000 | 35.696 |
| 156.129 | 83.269 | 45.566 | 0.000 | 0.000 | 0.000 |
| 83.269 | 156.129 | 45.566 | 0.000 | 0.000 | 0.000 |
| 60.723 | 60.723 | 139.477 | 0.000 | -0.000 | 0.000 |
| 20.163 | 20.163 | -15.791 | 38.100 | -0.000 | 0.000 |
| 0.000 | -0.000 | 0.000 | 0.000 | 39.419 | 0.000 |
| 0.000 | 0.000 | 0.000 | 0.000 | 0.000 | 40.045 |
| 141.267 | 61.177 | 60.036 | -0.000 | -0.000 | -0.000 |
| 61.177 | 141.267 | 60.036 | -0.000 | -0.000 | -0.000 |
| 60.723 | 60.723 | 139.477 | -0.000 | -0.000 | -0.000 |
| -20.163 | -20.163 | 15.791 | 38.100 | 0.000 | -0.000 |
| -0.000 | -0.000 | -0.000 | -0.000 | 39.419 | -0.000 |
| -0.000 | -0.000 | -0.000 | -0.000 | -0.000 | 40.045 |
| 135.605 | 67.630 | 59.727 | 0.000 | 0.000 | 0.000 |
| 61.177 | 141.267 | 60.036 | 0.000 | 0.000 | 0.000 |
| 64.126 | 64.126 | 136.812 | 0.000 | 0.000 | 0.000 |
| -0.000 | 0.000 | 0.000 | 39.419 | 0.000 | 0.000 |
| 0.000 | -0.000 | 0.000 | 0.000 | 39.419 | 0.000 |
| -0.000 | 0.000 | 0.000 | 0.000 | -0.000 | 40.045 |
| 141.267 | 61.177 | 60.036 | -0.000 | -0.000 | -0.000 |
| 61.177 | 141.267 | 60.036 | -0.000 | -0.000 | -0.000 |
| 60.723 | 60.723 | 139.477 | -0.000 | -0.000 | -0.000 |
| 0.000 | -0.000 | -0.000 | 39.419 | 0.000 | -0.000 |
| -0.000 | 0.000 | -0.000 | -0.000 | 39.419 | -0.000 |
| 0.000 | -0.000 | -0.000 | -0.000 | -0.000 | 40.045 |
| 141.267 | 61.177 | 60.037 | 0.000 | 0.000 | 0.000 |
| 64.034 | 133.933 | 61.790 | 0.000 | 0.000 | 0.000 |
| 60.723 | 60.723 | 139.478 | 0.000 | 0.000 | 0.000 |
| -0.000 | 0.000 | 0.000 | 39.419 | -0.000 | 0.000 |
| 0.000 | -0.000 | 0.000 | 0.000 | 39.419 | 0.000 |
| -0.000 | 0.000 | 0.000 | 0.000 | 0.000 | 40.045 |
| 131.873 | 65.531 | 62.010 | -0.000 | -0.000 | -0.000 |
| 63.336 | 133.797 | 62.116 | -0.000 | 0.000 | -0.000 |
| 60.723 | 60.723 | 139.477 | -0.000 | 0.000 | -0.000 |
| 0.000 | -0.000 | -0.000 | 39.419 | -0.000 | -0.000 |
| -0.000 | 0.000 | -0.000 | -0.000 | 39.419 | -0.000 |
| 0.000 | -0.000 | -0.000 | -0.000 | 0.000 | 40.045 |
| 139.946 | 60.303 | 61.594 | 0.000 | 0.000 | 0.000 |
| 60.303 | 139.946 | 61.594 | -0.000 | -0.000 | 0.000 |
| 62.932 | 62.932 | 141.126 | 0.000 | -0.000 | 0.000 |
| 0.000 | 0.000 | -0.000 | 38.007 | 0.000 | 0.000 |
| 0.000 | 0.000 | -0.000 | 0.000 | 38.007 | 0.000 |
| 0.000 | 0.000 | -0.000 | -0.000 | -0.000 | 39.822 |
| 139.946 | 60.303 | 61.594 | 0.000 | 0.000 | -0.000 |
| 60.303 | 139.946 | 61.594 | 0.000 | -0.000 | -0.000 |
| 61.594 | 61.594 | 142.079 | 0.000 | 0.000 | -0.000 |
| -0.000 | -0.000 | 0.000 | 38.007 | 0.000 | -0.000 |
| -0.000 | -0.000 | 0.000 | -0.000 | 38.007 | -0.000 |
| 0.000 | -0.000 | 0.000 | 0.000 | 0.000 | 39.822 |
| 139.946 | 60.303 | 61.594 | -0.000 | 0.000 | 0.000 |
| 64.969 | 130.395 | 63.335 | -0.000 | 0.000 | 0.000 |
| 61.594 | 61.594 | 142.079 | 0.000 | -0.000 | 0.000 |
| -0.000 | 0.000 | 0.000 | 39.955 | -0.000 | -0.000 |
| 0.000 | -0.000 | 0.000 | 0.000 | 39.955 | -0.000 |
| -0.000 | 0.000 | 0.000 | -0.000 | 0.000 | 39.822 |
| 132.339 | 62.740 | 63.437 | 0.000 | -0.000 | -0.000 |
| 60.303 | 139.946 | 61.594 | -0.000 | 0.000 | -0.000 |
| 62.932 | 62.932 | 141.126 | -0.000 | 0.000 | -0.000 |
| 0.000 | -0.000 | -0.000 | 39.955 | 0.000 | -0.000 |
| -0.000 | 0.000 | -0.000 | -0.000 | 39.955 | -0.000 |
| 0.000 | -0.000 | -0.000 | -0.000 | 0.000 | 39.822 |
| 130.395 | 64.970 | 63.335 | -0.000 | 0.000 | 0.000 |
| 64.970 | 130.395 | 63.335 | 0.000 | -0.000 | 0.000 |
| 61.595 | 61.595 | 142.080 | -0.000 | 0.000 | 0.000 |
| -0.000 | 0.000 | 0.000 | 39.955 | -0.000 | 0.000 |
| 0.000 | -0.000 | 0.000 | 0.000 | 39.955 | -0.000 |
| 0.000 | 0.000 | 0.000 | 0.000 | 0.000 | 31.823 |
| 139.946 | 60.303 | 61.594 | -0.000 | 0.000 | -0.000 |
| 60.303 | 139.946 | 61.594 | -0.000 | 0.000 | -0.000 |
| 61.594 | 61.594 | 142.079 | -0.000 | -0.000 | -0.000 |
| 0.000 | -0.000 | -0.000 | 39.955 | 0.000 | -0.000 |
| -0.000 | 0.000 | -0.000 | -0.000 | 39.955 | -0.000 |
| -0.000 | -0.000 | -0.000 | -0.000 | -0.000 | 31.823 |
| 98.015 | 24.574 | 177.344 | -0.000 | 0.000 | -0.000 |
| 24.574 | 98.015 | 177.344 | -0.000 | 0.000 | -0.000 |
| 46.456 | 46.456 | 142.879 | -0.000 | 0.000 | -0.000 |
| -29.591 | -29.591 | 135.632 | 32.169 | 0.000 | -0.000 |
| -29.591 | -29.591 | 135.632 | -0.000 | 32.169 | -0.000 |
| -31.387 | -31.387 | 131.560 | -0.000 | 0.000 | 36.866 |
| 138.555 | 49.186 | 45.011 | 0.000 | -0.000 | 0.000 |
| 49.186 | 138.555 | 45.011 | 0.000 | 0.000 | 0.000 |
| 46.456 | 46.456 | 142.879 | 0.000 | -0.000 | 0.000 |
| 29.591 | 29.591 | -135.632 | 32.169 | -0.000 | 0.000 |
| 29.591 | 29.591 | -135.632 | 0.000 | 32.169 | 0.000 |
| 31.387 | 31.387 | -131.560 | -0.000 | -0.000 | 36.866 |
| 125.958 | 52.855 | 59.420 | -0.000 | 0.000 | -0.000 |
| 52.855 | 125.958 | 59.420 | 0.000 | 0.000 | -0.000 |
| 46.456 | 46.456 | 142.879 | -0.000 | 0.000 | -0.000 |
| 0.000 | -0.000 | 0.000 | 41.415 | 0.000 | -0.000 |
| 0.000 | 0.000 | 0.000 | -0.000 | 41.415 | -0.000 |
| -3.466 | -3.466 | 14.529 | -0.000 | 0.000 | 36.478 |
| 132.202 | 59.512 | 32.275 | -0.000 | -0.000 | 0.000 |
| 59.512 | 132.202 | 32.275 | 0.000 | -0.000 | 0.000 |
| 50.344 | 50.344 | 116.377 | -0.000 | -0.000 | 0.000 |
| -0.000 | 0.000 | -0.000 | 41.415 | -0.000 | 0.000 |
| 0.000 | -0.000 | -0.000 | 0.000 | 41.415 | 0.000 |
| 3.466 | 3.466 | -14.529 | 0.000 | -0.000 | 36.478 |
| 127.932 | 56.347 | 47.565 | -0.000 | 0.000 | -0.000 |
| 56.347 | 127.932 | 47.565 | -0.000 | 0.000 | -0.000 |
| 47.250 | 47.250 | 131.349 | -0.000 | 0.000 | -0.000 |
| 0.000 | -0.000 | 0.000 | 41.415 | -0.000 | -0.000 |
| -0.000 | 0.000 | 0.000 | -0.000 | 41.415 | -0.000 |
| 0.000 | 0.000 | -0.000 | -0.000 | 0.000 | 40.585 |
| 124.518 | 60.061 | 44.772 | 0.000 | -0.000 | 0.000 |
| 60.378 | 124.394 | 44.989 | 0.000 | 0.000 | 0.000 |
| 46.456 | 46.456 | 142.879 | 0.000 | -0.000 | 0.000 |
| -0.000 | 0.000 | -0.000 | 41.415 | 0.000 | 0.000 |
| 0.000 | -0.000 | -0.000 | 0.000 | 41.415 | 0.000 |
| -0.000 | -0.000 | 0.000 | 0.000 | -0.000 | 40.585 |
| 155.832 | 71.288 | 66.962 | 0.000 | 0.000 | -0.000 |
| 71.288 | 155.832 | 66.962 | 0.000 | 0.000 | 0.000 |
| 67.204 | 67.204 | 162.997 | 0.000 | 0.000 | -0.000 |
| 0.000 | -0.000 | 0.000 | 34.668 | -0.000 | -0.000 |
| 0.000 | -0.000 | 0.000 | -0.000 | 34.668 | 0.000 |
| 0.000 | 0.000 | 0.000 | 0.000 | 0.000 | 42.272 |
| 155.832 | 71.288 | 66.962 | 0.000 | -0.000 | 0.000 |
| 85.592 | 160.138 | 96.334 | 0.000 | -0.000 | 0.000 |
| 67.204 | 67.204 | 162.997 | 0.000 | 0.000 | 0.000 |
| -0.000 | -0.000 | -0.000 | 34.668 | -0.000 | -0.000 |
| 0.000 | -0.000 | -0.000 | 0.000 | 34.668 | 0.000 |
| -0.000 | -0.000 | -0.000 | -0.000 | -0.000 | 42.272 |
| 148.309 | 73.789 | 63.287 | 0.000 | -0.000 | -0.000 |
| 71.288 | 155.832 | 66.962 | 0.000 | 0.000 | -0.000 |
| 67.204 | 67.204 | 162.997 | -0.000 | -0.000 | -0.000 |
| -0.000 | -0.000 | 0.000 | 34.668 | 0.000 | -0.000 |
| -0.000 | -0.000 | 0.000 | -0.000 | 34.668 | -0.000 |
| -1.065 | -1.065 | -2.979 | -0.000 | 0.000 | 37.313 |
| 155.832 | 71.288 | 66.962 | -0.000 | -0.000 | 0.000 |
| 76.762 | 151.277 | 69.407 | 0.000 | 0.000 | 0.000 |
| 67.204 | 67.204 | 162.997 | 0.000 | -0.000 | -0.000 |
| 0.000 | 0.000 | -0.000 | 34.668 | 0.000 | -0.000 |
| 0.000 | 0.000 | -0.000 | -0.000 | 34.668 | 0.000 |
| 1.065 | 1.065 | 2.979 | 0.000 | -0.000 | 37.313 |
| 150.104 | 74.321 | 66.119 | -0.000 | 0.000 | -0.000 |
| 74.321 | 150.104 | 66.119 | -0.000 | 0.000 | -0.000 |
| 67.204 | 67.204 | 162.997 | -0.000 | -0.000 | -0.000 |
| -0.080 | -0.080 | -0.225 | 34.365 | 0.000 | 0.000 |
| -0.080 | -0.080 | -0.225 | -0.000 | 34.365 | -0.000 |
| 0.000 | 0.000 | 0.000 | -0.000 | 0.000 | 42.272 |
| 150.054 | 75.396 | 66.578 | -0.000 | 0.000 | 0.000 |
| 75.396 | 150.054 | 66.578 | 0.000 | -0.000 | 0.000 |
| 67.204 | 67.204 | 162.996 | -0.000 | 0.000 | 0.000 |
| 0.080 | 0.080 | 0.225 | 34.365 | 0.000 | -0.000 |
| 0.080 | 0.080 | 0.225 | -0.000 | 34.365 | 0.000 |
| 0.102 | 0.102 | 0.287 | -0.000 | -0.000 | 37.500 |
| 154.674 | 70.637 | 67.113 | -0.000 | -0.000 | 0.000 |
| 70.637 | 154.674 | 67.113 | 0.000 | -0.000 | 0.000 |
| 67.113 | 67.113 | 162.912 | 0.000 | 0.000 | 0.000 |
| -0.000 | -0.000 | 0.000 | 34.771 | 0.000 | -0.000 |
| -0.000 | 0.000 | 0.000 | 0.000 | 34.771 | 0.000 |
| -0.000 | -0.000 | -0.000 | 0.000 | -0.000 | 42.019 |
| 148.974 | 73.709 | 66.334 | -0.000 | 0.000 | -0.000 |
| 73.709 | 148.974 | 66.334 | 0.000 | 0.000 | -0.000 |
| 67.113 | 67.113 | 162.912 | 0.000 | 0.000 | -0.000 |
| 0.000 | -0.000 | -0.000 | 34.771 | 0.000 | 0.000 |
| -0.000 | 0.000 | -0.000 | -0.000 | 34.771 | -0.000 |
| -0.077 | -0.077 | -0.197 | -0.000 | 0.000 | 37.254 |
| 148.734 | 74.606 | 66.424 | 0.000 | -0.000 | 0.000 |
| 70.637 | 154.674 | 67.113 | -0.000 | -0.000 | 0.000 |
| 67.113 | 67.113 | 162.912 | -0.000 | -0.000 | 0.000 |
| 0.006 | 0.006 | 0.014 | 34.490 | -0.000 | 0.000 |
| -0.000 | -0.000 | 0.000 | 0.000 | 34.771 | -0.000 |
| 0.000 | 0.000 | 0.000 | -0.000 | -0.000 | 42.019 |
| 154.674 | 70.637 | 67.113 | 0.000 | 0.000 | -0.000 |
| 70.637 | 154.674 | 67.113 | -0.000 | 0.000 | -0.000 |
| 66.403 | 66.403 | 161.782 | -0.000 | 0.000 | -0.000 |
| -0.006 | -0.006 | -0.014 | 34.490 | 0.000 | 0.000 |
| 0.000 | -0.000 | -0.000 | 0.000 | 34.771 | -0.000 |
| -0.000 | -0.000 | -0.000 | 0.000 | 0.000 | 42.019 |
| 154.675 | 70.637 | 67.113 | -0.000 | -0.000 | 0.000 |
| 70.637 | 154.675 | 67.113 | 0.000 | -0.000 | 0.000 |
| 67.113 | 67.113 | 162.913 | -0.000 | 0.000 | 0.000 |
| -0.000 | -0.000 | 0.000 | 34.771 | -0.000 | 0.000 |
| 0.001 | 0.001 | 0.002 | -0.000 | 34.490 | 0.000 |
| 0.000 | 0.000 | 0.000 | -0.000 | -0.000 | 42.019 |
| 154.674 | 70.637 | 67.113 | 0.000 | 0.000 | -0.000 |
| 73.720 | 149.149 | 66.525 | -0.000 | 0.000 | -0.000 |
| 66.410 | 66.410 | 161.800 | -0.000 | 0.000 | -0.000 |
| 0.000 | 0.000 | -0.000 | 34.771 | 0.000 | -0.000 |
| -0.001 | -0.001 | -0.002 | -0.000 | 34.490 | -0.000 |
| -0.000 | -0.000 | -0.000 | 0.000 | 0.000 | 42.019 |
| 157.268 | 64.496 | 69.580 | 0.000 | -0.000 | 0.000 |
| 64.496 | 157.268 | 69.580 | -0.000 | -0.000 | 0.000 |
| 69.580 | 69.580 | 157.037 | -0.000 | 0.000 | -0.000 |
| -0.000 | 0.000 | -0.000 | 48.531 | 0.000 | 0.000 |
| -0.000 | 0.000 | -0.000 | -0.000 | 48.531 | 0.000 |
| -0.515 | -0.515 | -0.938 | -0.000 | 0.000 | 39.146 |
| 150.070 | 70.519 | 71.105 | 0.000 | -0.000 | -0.000 |
| 64.496 | 157.268 | 69.580 | -0.000 | -0.000 | -0.000 |
| 69.580 | 69.580 | 157.037 | 0.000 | -0.000 | -0.000 |
| -0.000 | -0.000 | 0.000 | 48.531 | -0.000 | -0.000 |
| -0.000 | -0.000 | 0.000 | 0.000 | 48.531 | 0.000 |
| -0.000 | -0.000 | 0.000 | 0.000 | 0.000 | 46.386 |
| 157.268 | 64.496 | 69.580 | 0.000 | 0.000 | 0.000 |
| 64.496 | 157.268 | 69.580 | 0.000 | 0.000 | 0.000 |
| 69.580 | 69.580 | 157.037 | -0.000 | 0.000 | 0.000 |
| -0.106 | -0.106 | -0.192 | 43.718 | 0.000 | 0.000 |
| -0.106 | -0.106 | -0.192 | -0.000 | 43.718 | -0.000 |
| -0.053 | -0.053 | -0.097 | -0.000 | 0.000 | 38.894 |
| 157.268 | 64.496 | 69.580 | -0.000 | -0.000 | -0.000 |
| 64.496 | 157.268 | 69.580 | -0.000 | -0.000 | -0.000 |
| 70.116 | 70.116 | 156.104 | 0.000 | -0.000 | 0.000 |
| 0.106 | 0.106 | 0.192 | 43.718 | -0.000 | -0.000 |
| 0.106 | 0.106 | 0.192 | 0.000 | 43.718 | 0.000 |
| 0.053 | 0.053 | 0.097 | 0.000 | -0.000 | 38.894 |
| 157.268 | 64.497 | 69.580 | 0.000 | 0.000 | 0.000 |
| 70.953 | 148.338 | 70.349 | -0.000 | 0.000 | 0.000 |
| 70.062 | 70.062 | 156.066 | -0.000 | 0.000 | 0.000 |
| -0.000 | 0.000 | 0.000 | 48.531 | 0.000 | 0.000 |
| 0.000 | -0.000 | 0.000 | -0.000 | 48.531 | -0.000 |
| -0.014 | -0.014 | -0.000 | -0.000 | 0.000 | 37.513 |
| 146.816 | 71.615 | 70.167 | 0.000 | -0.000 | -0.000 |
| 71.649 | 146.694 | 70.329 | 0.000 | -0.000 | -0.000 |
| 70.346 | 70.346 | 155.963 | 0.000 | -0.000 | -0.000 |
| 0.000 | -0.000 | -0.000 | 48.531 | -0.000 | -0.000 |
| -0.000 | 0.000 | -0.000 | 0.000 | 48.531 | 0.000 |
| -0.000 | -0.000 | -0.000 | 0.000 | -0.000 | 46.386 |
| 155.720 | 63.595 | 69.390 | 0.000 | -0.000 | -0.000 |
| 63.595 | 155.720 | 69.390 | 0.000 | -0.000 | -0.000 |
| 69.179 | 69.179 | 156.358 | 0.000 | 0.000 | -0.000 |
| -0.000 | 0.000 | 0.000 | 48.475 | 0.000 | -0.000 |
| -0.000 | -0.000 | 0.000 | 0.000 | 48.475 | -0.000 |
| -0.000 | 0.000 | 0.000 | 0.000 | 0.000 | 46.062 |
| 155.720 | 63.595 | 69.390 | -0.000 | -0.000 | 0.000 |
| 63.595 | 155.720 | 69.390 | -0.000 | -0.000 | -0.000 |
| 69.179 | 69.179 | 156.358 | -0.000 | 0.000 | 0.000 |
| 0.000 | -0.000 | -0.000 | 48.475 | 0.000 | 0.000 |
| 0.000 | 0.000 | -0.000 | -0.000 | 48.475 | 0.000 |
| 0.000 | -0.000 | -0.000 | -0.000 | 0.000 | 46.062 |
| 146.707 | 70.140 | 70.068 | 0.000 | -0.000 | 0.000 |
| 70.140 | 146.707 | 70.068 | 0.000 | 0.000 | 0.000 |
| 69.179 | 69.179 | 156.358 | -0.000 | -0.000 | -0.000 |
| -0.000 | 0.000 | 0.000 | 48.475 | -0.000 | 0.000 |
| 0.000 | -0.000 | 0.000 | 0.000 | 48.475 | -0.000 |
| 0.062 | 0.062 | -0.126 | 0.000 | -0.000 | 38.531 |
| 146.685 | 69.938 | 70.317 | -0.000 | 0.000 | -0.000 |
| 69.938 | 146.685 | 70.317 | -0.000 | 0.000 | -0.000 |
| 69.179 | 69.179 | 156.358 | -0.000 | 0.000 | 0.000 |
| 0.000 | -0.000 | -0.000 | 48.475 | 0.000 | -0.000 |
| -0.000 | 0.000 | -0.000 | -0.000 | 48.475 | 0.000 |
| -0.000 | -0.000 | -0.000 | -0.000 | 0.000 | 46.062 |
| 155.720 | 63.595 | 69.390 | 0.000 | -0.000 | 0.000 |
| 70.671 | 145.110 | 69.992 | 0.000 | -0.000 | 0.000 |
| 69.180 | 69.180 | 156.359 | 0.000 | -0.000 | -0.000 |
| -0.000 | 0.000 | 0.000 | 48.475 | -0.000 | 0.000 |
| 0.000 | -0.000 | 0.000 | 0.000 | 48.475 | -0.000 |
| 0.006 | 0.006 | -0.013 | 0.000 | 0.000 | 38.525 |
| 146.689 | 70.032 | 70.206 | -0.000 | -0.000 | -0.000 |
| 63.595 | 155.719 | 69.390 | -0.000 | 0.000 | -0.000 |
| 69.179 | 69.179 | 156.358 | -0.000 | -0.000 | 0.000 |
| 0.000 | -0.000 | -0.000 | 48.475 | 0.000 | -0.000 |
| -0.000 | 0.000 | -0.000 | -0.000 | 48.475 | 0.000 |
| -0.000 | -0.000 | -0.000 | -0.000 | 0.000 | 46.062 |
| 143.778 | 72.448 | 55.463 | 0.000 | -0.000 | -0.000 |
| 72.448 | 143.778 | 55.463 | 0.000 | -0.000 | -0.000 |
| 52.263 | 52.263 | 167.397 | 0.000 | -0.000 | -0.000 |
| -0.527 | -0.527 | 1.555 | 37.908 | -0.000 | -0.000 |
| -0.527 | -0.527 | 1.555 | 0.000 | 37.908 | -0.000 |
| -0.497 | -0.497 | 1.465 | 0.000 | -0.000 | 44.092 |
| 144.599 | 73.666 | 52.458 | -0.000 | 0.000 | 0.000 |
| 73.666 | 144.599 | 52.458 | -0.000 | 0.000 | 0.000 |
| 55.001 | 55.001 | 159.325 | -0.000 | 0.000 | 0.000 |
| 0.527 | 0.527 | -1.555 | 37.908 | 0.000 | 0.000 |
| 0.527 | 0.527 | -1.555 | -0.000 | 37.908 | 0.000 |
| 0.497 | 0.497 | -1.465 | -0.000 | 0.000 | 44.092 |
| 146.116 | 72.836 | 51.445 | 0.000 | -0.000 | -0.000 |
| 72.836 | 146.116 | 51.445 | 0.000 | -0.000 | -0.000 |
| 54.499 | 54.499 | 160.805 | 0.000 | -0.000 | -0.000 |
| -0.001 | -0.001 | 0.002 | 37.855 | -0.000 | -0.000 |
| -0.001 | -0.001 | 0.002 | -0.000 | 37.855 | -0.000 |
| -0.005 | -0.005 | 0.015 | -0.000 | -0.000 | 44.092 |
| 144.149 | 73.292 | 53.671 | -0.000 | 0.000 | 0.000 |
| 73.292 | 144.149 | 53.671 | 0.000 | 0.000 | -0.000 |
| 54.509 | 54.509 | 160.774 | -0.000 | 0.000 | 0.000 |
| 0.001 | 0.001 | -0.002 | 37.855 | 0.000 | 0.000 |
| 0.001 | 0.001 | -0.002 | 0.000 | 37.855 | 0.000 |
| 0.005 | 0.005 | -0.015 | -0.000 | 0.000 | 44.092 |
| 143.907 | 74.239 | 53.577 | 0.000 | -0.000 | -0.000 |
| 74.239 | 143.907 | 53.577 | 0.000 | -0.000 | -0.000 |
| 53.577 | 53.577 | 165.690 | 0.000 | 0.000 | -0.000 |
| -0.000 | 0.000 | 0.000 | 37.981 | -0.000 | 0.000 |
| 0.000 | -0.000 | 0.000 | 0.000 | 37.981 | -0.000 |
| 0.000 | 0.000 | -0.000 | 0.000 | 0.000 | 43.397 |
| 143.907 | 74.239 | 53.577 | -0.000 | -0.000 | 0.000 |
| 74.239 | 143.907 | 53.577 | -0.000 | 0.000 | 0.000 |
| 50.802 | 50.802 | 173.309 | -0.000 | -0.000 | 0.000 |
| 0.000 | -0.000 | -0.000 | 37.981 | 0.000 | -0.000 |
| -0.000 | 0.000 | -0.000 | -0.000 | 37.981 | 0.000 |
| -0.000 | -0.000 | 0.000 | -0.000 | -0.000 | 43.397 |
| 143.907 | 74.240 | 53.578 | 0.000 | -0.000 | -0.000 |
| 74.240 | 143.907 | 53.578 | 0.000 | -0.000 | -0.000 |
| 53.577 | 53.577 | 165.690 | 0.000 | 0.000 | -0.000 |
| -0.000 | 0.000 | 0.000 | 37.969 | -0.000 | -0.000 |
| 0.000 | -0.000 | 0.000 | 0.000 | 37.969 | -0.000 |
| 0.000 | 0.000 | -0.000 | 0.000 | 0.000 | 43.397 |
| 143.906 | 74.239 | 53.577 | -0.000 | -0.000 | 0.000 |
| 74.239 | 143.906 | 53.577 | -0.000 | 0.000 | 0.000 |
| 53.577 | 53.577 | 165.689 | -0.000 | -0.000 | 0.000 |
| 0.000 | -0.000 | -0.000 | 37.969 | -0.000 | 0.000 |
| -0.000 | 0.000 | -0.000 | -0.000 | 37.969 | 0.000 |
| -0.000 | -0.000 | 0.000 | -0.000 | -0.000 | 43.397 |
| 121.667 | 72.519 | 24.562 | -0.000 | -0.000 | 0.000 |
| 31.476 | 177.241 | 11.482 | -0.000 | -0.000 | 0.000 |
| 48.373 | 76.336 | 92.450 | -0.000 | -0.000 | -0.000 |
| -23.490 | 18.919 | -46.445 | 36.402 | -0.000 | 0.000 |
| -23.485 | 18.914 | -46.447 | -0.000 | 44.733 | 0.000 |
| 0.000 | 0.000 | 0.000 | -0.000 | -0.000 | 37.497 |
| 168.655 | 34.675 | 117.450 | 0.000 | 0.000 | -0.000 |
| 78.464 | 139.397 | 104.369 | 0.000 | -0.000 | -0.000 |
| 95.360 | 38.491 | 185.338 | 0.000 | 0.000 | -0.000 |
| 23.490 | -18.919 | 46.445 | 36.402 | 0.000 | -0.000 |
| 23.485 | -18.914 | 46.447 | 0.000 | 44.733 | -0.000 |
| -0.000 | -0.000 | -0.000 | 0.000 | 0.000 | 37.497 |
| 141.467 | 56.686 | 66.805 | -0.000 | 0.000 | 0.000 |
| 52.620 | 160.212 | 53.281 | -0.000 | 0.000 | 0.000 |
| 69.517 | 59.306 | 134.250 | -0.000 | -0.000 | 0.000 |
| -2.312 | 1.859 | -4.656 | 36.400 | -0.000 | 0.000 |
| 0.000 | -0.000 | 0.000 | -0.000 | 45.519 | 0.000 |
| 0.000 | 0.000 | -0.000 | -0.000 | -0.000 | 37.497 |
| 147.510 | 51.705 | 75.650 | 0.000 | 0.000 | -0.000 |
| 57.319 | 156.427 | 62.570 | 0.000 | 0.000 | -0.000 |
| 75.908 | 54.023 | 143.193 | 0.000 | 0.000 | -0.000 |
| 0.000 | -0.000 | -0.000 | 36.642 | 0.000 | -0.000 |
| -0.000 | 0.000 | -0.000 | 0.000 | 45.519 | -0.000 |
| -0.000 | -0.000 | 0.000 | 0.000 | -0.000 | 37.497 |
| 144.926 | 53.786 | 70.541 | -0.000 | -0.000 | 0.000 |
| 54.735 | 158.509 | 57.461 | 0.000 | -0.000 | 0.000 |
| 71.632 | 57.603 | 138.430 | -0.000 | 0.000 | 0.000 |
| -0.235 | 0.189 | -0.464 | 36.291 | -0.000 | 0.000 |
| 0.000 | -0.000 | 0.000 | -0.000 | 45.519 | 0.000 |
| -0.235 | 0.189 | -0.464 | -0.000 | -0.000 | 37.497 |
| 148.684 | 50.505 | 71.093 | 0.000 | 0.000 | -0.000 |
| 51.878 | 161.032 | 57.875 | 0.000 | 0.000 | -0.000 |
| 72.101 | 57.224 | 139.358 | 0.000 | 0.000 | -0.000 |
| 0.000 | -0.000 | -0.000 | 36.642 | -0.000 | -0.000 |
| -0.000 | 0.000 | -0.000 | 0.000 | 45.519 | -0.000 |
| 0.235 | -0.189 | 0.464 | 0.000 | 0.000 | 37.497 |
| 143.975 | 54.408 | 71.240 | -0.000 | -0.000 | 0.000 |
| 54.448 | 163.640 | 56.993 | 0.000 | -0.000 | 0.000 |
| 71.209 | 57.014 | 141.441 | 0.000 | 0.000 | 0.000 |
| 0.000 | -0.000 | -0.000 | 38.108 | -0.000 | 0.000 |
| 0.000 | -0.000 | -0.000 | 0.000 | 43.584 | 0.000 |
| 0.000 | 0.000 | -0.000 | 0.000 | -0.000 | 36.577 |
| 143.975 | 54.408 | 71.240 | -0.000 | -0.000 | -0.000 |
| 54.448 | 163.640 | 56.993 | -0.000 | 0.000 | -0.000 |
| 71.209 | 57.014 | 141.441 | 0.000 | -0.000 | -0.000 |
| -0.000 | 0.000 | 0.000 | 38.108 | 0.000 | -0.000 |
| -0.000 | 0.000 | 0.000 | 0.000 | 43.584 | -0.000 |
| -0.000 | -0.000 | 0.000 | -0.000 | 0.000 | 36.577 |
| 147.497 | 51.262 | 71.716 | 0.000 | 0.000 | 0.000 |
| 54.578 | 163.500 | 56.732 | 0.000 | 0.000 | 0.000 |
| 71.518 | 56.732 | 141.411 | 0.000 | 0.000 | 0.000 |
| -0.000 | 0.000 | 0.000 | 38.042 | 0.000 | 0.000 |
| 0.000 | -0.000 | 0.000 | -0.000 | 43.362 | 0.000 |
| 0.000 | 0.000 | -0.000 | 0.000 | 0.000 | 36.577 |
| 147.497 | 51.262 | 71.716 | -0.000 | -0.000 | -0.000 |
| 54.578 | 163.500 | 56.732 | -0.000 | -0.000 | -0.000 |
| 71.518 | 56.732 | 141.411 | -0.000 | -0.000 | -0.000 |
| 0.000 | -0.000 | -0.000 | 38.042 | 0.000 | -0.000 |
| -0.000 | 0.000 | -0.000 | 0.000 | 43.362 | -0.000 |
| -0.000 | -0.000 | 0.000 | -0.000 | -0.000 | 36.577 |
| 143.815 | 54.578 | 71.518 | 0.000 | 0.000 | 0.000 |
| 54.578 | 163.501 | 56.732 | -0.000 | -0.000 | 0.000 |
| 71.518 | 56.732 | 141.412 | -0.000 | -0.000 | 0.000 |
| -0.000 | 0.000 | 0.000 | 38.042 | 0.000 | 0.000 |
| 0.000 | -0.000 | 0.000 | 0.000 | 43.362 | 0.000 |
| 0.000 | 0.000 | -0.000 | 0.000 | 0.000 | 36.577 |
| 143.814 | 54.578 | 71.517 | 0.000 | 0.000 | -0.000 |
| 54.578 | 163.500 | 56.732 | -0.000 | -0.000 | -0.000 |
| 71.517 | 56.732 | 141.411 | 0.000 | -0.000 | -0.000 |
| 0.000 | -0.000 | -0.000 | 38.042 | 0.000 | -0.000 |
| -0.000 | 0.000 | -0.000 | -0.000 | 43.362 | -0.000 |
| -0.000 | -0.000 | 0.000 | 0.000 | -0.000 | 36.577 |
| 101.338 | 29.712 | 29.712 | 0.000 | -0.000 | 0.000 |
| 29.712 | 101.338 | 29.712 | -0.000 | -0.000 | 0.000 |
| 29.712 | 29.712 | 101.338 | 0.000 | -0.000 | 0.000 |
| 0.000 | -0.000 | -0.000 | -46.403 | -0.000 | 0.000 |
| 0.000 | 0.000 | -0.000 | -0.000 | -46.403 | 0.000 |
| 0.000 | -0.000 | -0.000 | -0.000 | -0.000 | -46.403 |
| 101.338 | 29.712 | 29.712 | 0.000 | 0.000 | -0.000 |
| 29.712 | 101.338 | 29.712 | -0.000 | 0.000 | -0.000 |
| 29.712 | 29.712 | 101.338 | 0.000 | 0.000 | -0.000 |
| -0.000 | 0.000 | 0.000 | -46.403 | 0.000 | -0.000 |
| -0.000 | -0.000 | 0.000 | 0.000 | -46.403 | -0.000 |
| -0.000 | 0.000 | 0.000 | -0.000 | 0.000 | -46.403 |
| 101.338 | 29.712 | 29.712 | -0.000 | -0.000 | 0.000 |
| 29.712 | 101.338 | 29.712 | -0.000 | -0.000 | 0.000 |
| 29.712 | 29.712 | 101.338 | 0.000 | -0.000 | 0.000 |
| 0.000 | -0.000 | -0.000 | -46.403 | -0.000 | 0.000 |
| -0.000 | 0.000 | -0.000 | 0.000 | -46.403 | 0.000 |
| -0.000 | -0.000 | 0.000 | 0.000 | 0.000 | -46.403 |
| 101.338 | 29.712 | 29.712 | 0.000 | 0.000 | -0.000 |
| 29.712 | 101.338 | 29.712 | -0.000 | 0.000 | -0.000 |
| 29.712 | 29.712 | 101.338 | -0.000 | -0.000 | -0.000 |
| -0.000 | 0.000 | 0.000 | -46.403 | 0.000 | -0.000 |
| 0.000 | -0.000 | 0.000 | -0.000 | -46.403 | -0.000 |
| 0.000 | 0.000 | -0.000 | 0.000 | 0.000 | -46.403 |
| 101.338 | 29.713 | 29.713 | 0.000 | 0.000 | 0.000 |
| 29.713 | 101.338 | 29.713 | -0.000 | -0.000 | 0.000 |
| 29.713 | 29.713 | 101.338 | -0.000 | -0.000 | 0.000 |
| 0.000 | -0.000 | -0.000 | -46.403 | -0.000 | 0.000 |
| -0.000 | 0.000 | -0.000 | 0.000 | -46.403 | 0.000 |
| -0.000 | -0.000 | 0.000 | -0.000 | -0.000 | -46.403 |
| 101.338 | 29.712 | 29.712 | 0.000 | 0.000 | -0.000 |
| 29.712 | 101.338 | 29.712 | 0.000 | 0.000 | -0.000 |
| 29.712 | 29.712 | 101.338 | 0.000 | 0.000 | -0.000 |
| -0.000 | 0.000 | 0.000 | -46.403 | 0.000 | -0.000 |
| 0.000 | -0.000 | 0.000 | -0.000 | -46.403 | -0.000 |
| 0.000 | 0.000 | -0.000 | -0.000 | 0.000 | -46.403 |
| 107.197 | 83.685 | 83.685 | -0.000 | -0.000 | -0.000 |
| 83.685 | 107.197 | 83.685 | 0.000 | -0.000 | 0.000 |
| 83.685 | 83.685 | 107.197 | 0.000 | 0.000 | -0.000 |
| -0.000 | -0.000 | 0.000 | 54.861 | -0.000 | -0.000 |
| -0.000 | -0.000 | -0.000 | 0.000 | 54.861 | 0.000 |
| -0.000 | -0.000 | -0.000 | -0.000 | -0.000 | 54.861 |
| 107.197 | 83.685 | 83.685 | 0.000 | 0.000 | 0.000 |
| 83.685 | 107.197 | 83.685 | -0.000 | 0.000 | 0.000 |
| 83.685 | 83.685 | 107.197 | 0.000 | 0.000 | 0.000 |
| 0.000 | 0.000 | 0.000 | 54.861 | 0.000 | -0.000 |
| 0.000 | 0.000 | 0.000 | -0.000 | 54.861 | 0.000 |
| 0.000 | 0.000 | 0.000 | -0.000 | 0.000 | 54.861 |
| 107.197 | 83.685 | 83.685 | 0.000 | -0.000 | 0.000 |
| 83.685 | 107.197 | 83.685 | 0.000 | -0.000 | -0.000 |
| 83.685 | 83.685 | 107.197 | 0.000 | -0.000 | -0.000 |
| 0.000 | -0.000 | 0.000 | 54.861 | -0.000 | 0.000 |
| -0.000 | 0.000 | 0.000 | 0.000 | 54.861 | -0.000 |
| -0.000 | 0.000 | 0.000 | -0.000 | -0.000 | 54.861 |
| 107.197 | 83.685 | 83.685 | -0.000 | 0.000 | 0.000 |
| 83.685 | 107.197 | 83.685 | 0.000 | 0.000 | 0.000 |
| 83.685 | 83.685 | 107.197 | -0.000 | -0.000 | 0.000 |
| -0.000 | 0.000 | -0.000 | 54.861 | -0.000 | 0.000 |
| 0.000 | -0.000 | -0.000 | 0.000 | 54.861 | 0.000 |
| 0.000 | -0.000 | -0.000 | 0.000 | 0.000 | 54.861 |
| 107.197 | 83.685 | 83.685 | 0.000 | -0.000 | -0.000 |
| 83.685 | 107.197 | 83.685 | 0.000 | -0.000 | -0.000 |
| 83.685 | 83.685 | 107.197 | 0.000 | 0.000 | -0.000 |
| 0.000 | -0.000 | 0.000 | 54.861 | -0.000 | -0.000 |
| -0.000 | 0.000 | 0.000 | 0.000 | 54.861 | -0.000 |
| -0.000 | 0.000 | 0.000 | 0.000 | -0.000 | 54.861 |
| 107.196 | 83.685 | 83.685 | 0.000 | 0.000 | -0.000 |
| 83.685 | 107.196 | 83.685 | -0.000 | 0.000 | 0.000 |
| 83.685 | 83.685 | 107.196 | -0.000 | 0.000 | 0.000 |
| -0.000 | 0.000 | -0.000 | 54.861 | -0.000 | 0.000 |
| 0.000 | -0.000 | -0.000 | -0.000 | 54.861 | 0.000 |
| 0.000 | -0.000 | -0.000 | -0.000 | 0.000 | 54.861 |
| 16.870 | 29.819 | 29.819 | -0.000 | 0.000 | 0.000 |
| 29.819 | 16.870 | 29.819 | 0.000 | -0.000 | 0.000 |
| 29.819 | 29.819 | 16.870 | 0.000 | 0.000 | -0.000 |
| -0.000 | 0.000 | -0.000 | -22.814 | -0.000 | -0.000 |
| 0.000 | -0.000 | -0.000 | -0.000 | -22.814 | -0.000 |
| 0.000 | -0.000 | -0.000 | -0.000 | -0.000 | -22.814 |
| 16.870 | 29.819 | 29.819 | 0.000 | -0.000 | -0.000 |
| 29.819 | 16.870 | 29.819 | -0.000 | 0.000 | -0.000 |
| 29.819 | 29.819 | 16.870 | -0.000 | -0.000 | 0.000 |
| 0.000 | -0.000 | 0.000 | -22.814 | 0.000 | -0.000 |
| -0.000 | 0.000 | 0.000 | 0.000 | -22.814 | 0.000 |
| -0.000 | 0.000 | 0.000 | 0.000 | -0.000 | -22.814 |
| 16.870 | 29.819 | 29.819 | -0.000 | 0.000 | 0.000 |
| 29.819 | 16.870 | 29.819 | 0.000 | -0.000 | 0.000 |
| 29.819 | 29.819 | 16.870 | 0.000 | 0.000 | -0.000 |
| -0.000 | 0.000 | -0.000 | -22.814 | 0.000 | -0.000 |
| 0.000 | -0.000 | -0.000 | 0.000 | -22.814 | -0.000 |
| 0.000 | -0.000 | -0.000 | 0.000 | -0.000 | -22.814 |
| 16.870 | 29.819 | 29.819 | 0.000 | -0.000 | -0.000 |
| 29.819 | 16.870 | 29.819 | -0.000 | 0.000 | -0.000 |
| 29.819 | 29.819 | 16.870 | -0.000 | -0.000 | 0.000 |
| 0.000 | -0.000 | 0.000 | -22.814 | 0.000 | -0.000 |
| -0.000 | 0.000 | 0.000 | 0.000 | -22.814 | -0.000 |
| -0.000 | 0.000 | 0.000 | 0.000 | -0.000 | -22.814 |
| 16.870 | 29.820 | 29.820 | -0.000 | 0.000 | 0.000 |
| 29.820 | 16.870 | 29.820 | 0.000 | -0.000 | 0.000 |
| 29.820 | 29.820 | 16.870 | 0.000 | 0.000 | -0.000 |
| -0.000 | 0.000 | -0.000 | -22.814 | -0.000 | -0.000 |
| 0.000 | -0.000 | -0.000 | -0.000 | -22.814 | -0.000 |
| 0.000 | -0.000 | -0.000 | -0.000 | -0.000 | -22.814 |
| 16.870 | 29.819 | 29.819 | -0.000 | -0.000 | -0.000 |
| 29.819 | 16.870 | 29.819 | -0.000 | -0.000 | -0.000 |
| 29.819 | 29.819 | 16.870 | -0.000 | -0.000 | -0.000 |
| 0.000 | -0.000 | 0.000 | -22.814 | 0.000 | -0.000 |
| -0.000 | 0.000 | 0.000 | 0.000 | -22.814 | -0.000 |
| -0.000 | 0.000 | 0.000 | 0.000 | -0.000 | -22.814 |
| 170.052 | 67.942 | 41.358 | -0.000 | -0.000 | -0.000 |
| 67.942 | 170.052 | 41.358 | -0.000 | -0.000 | 0.000 |
| 41.358 | 41.358 | 203.473 | -0.000 | -0.000 | 0.000 |
| 0.000 | 0.000 | 0.000 | 39.504 | -0.000 | 0.000 |
| 0.000 | 0.000 | 0.000 | -0.000 | 39.504 | 0.000 |
| 0.000 | 0.000 | 0.000 | -0.000 | -0.000 | 33.994 |
| 170.052 | 67.942 | 41.358 | 0.000 | -0.000 | -0.000 |
| 67.942 | 170.052 | 41.358 | -0.000 | 0.000 | 0.000 |
| 41.358 | 41.358 | 203.473 | 0.000 | 0.000 | -0.000 |
| -0.000 | -0.000 | -0.000 | 39.504 | 0.000 | -0.000 |
| -0.000 | -0.000 | -0.000 | 0.000 | 39.504 | -0.000 |
| -0.000 | -0.000 | -0.000 | 0.000 | 0.000 | 33.994 |
| 170.052 | 67.942 | 41.358 | -0.000 | -0.000 | 0.000 |
| 67.942 | 170.052 | 41.358 | -0.000 | -0.000 | 0.000 |
| 41.358 | 41.358 | 203.473 | 0.000 | -0.000 | 0.000 |
| 0.000 | -0.000 | 0.000 | 39.504 | -0.000 | 0.000 |
| -0.000 | 0.000 | 0.000 | -0.000 | 39.504 | 0.000 |
| 0.000 | 0.000 | -0.000 | -0.000 | -0.000 | 33.994 |
| 170.051 | 67.942 | 41.358 | 0.000 | 0.000 | -0.000 |
| 67.942 | 170.051 | 41.358 | 0.000 | 0.000 | -0.000 |
| 41.358 | 41.358 | 203.473 | 0.000 | 0.000 | -0.000 |
| -0.000 | 0.000 | -0.000 | 39.504 | 0.000 | -0.000 |
| 0.000 | -0.000 | -0.000 | 0.000 | 39.504 | -0.000 |
| -0.000 | -0.000 | 0.000 | 0.000 | 0.000 | 33.994 |
| 170.052 | 67.942 | 41.358 | -0.000 | -0.000 | 0.000 |
| 67.942 | 170.052 | 41.358 | -0.000 | -0.000 | -0.000 |
| 41.358 | 41.358 | 203.474 | -0.000 | -0.000 | -0.000 |
| 0.000 | -0.000 | 0.000 | 39.504 | -0.000 | 0.000 |
| -0.000 | 0.000 | 0.000 | -0.000 | 39.504 | 0.000 |
| 0.000 | 0.000 | -0.000 | -0.000 | -0.000 | 33.994 |
| 170.051 | 67.942 | 41.357 | 0.000 | 0.000 | -0.000 |
| 67.942 | 170.051 | 41.357 | 0.000 | 0.000 | -0.000 |
| 41.358 | 41.358 | 203.472 | 0.000 | 0.000 | 0.000 |
| -0.000 | 0.000 | -0.000 | 39.504 | 0.000 | -0.000 |
| 0.000 | -0.000 | -0.000 | 0.000 | 39.504 | -0.000 |
| -0.000 | -0.000 | 0.000 | 0.000 | 0.000 | 33.994 |
| 122.533 | 61.934 | 95.673 | -0.000 | 0.000 | -0.000 |
| 61.934 | 122.533 | 95.673 | 0.000 | -0.000 | -0.000 |
| 95.673 | 95.673 | 69.532 | 0.000 | 0.000 | -0.000 |
| 0.000 | -0.000 | 0.000 | 54.340 | -0.000 | 0.000 |
| -0.000 | 0.000 | 0.000 | -0.000 | 54.340 | -0.000 |
| 0.000 | 0.000 | 0.000 | -0.000 | 0.000 | 48.957 |
| 122.533 | 61.934 | 95.673 | -0.000 | -0.000 | 0.000 |
| 61.934 | 122.533 | 95.673 | 0.000 | 0.000 | -0.000 |
| 95.673 | 95.673 | 69.532 | 0.000 | -0.000 | 0.000 |
| -0.000 | -0.000 | -0.000 | 54.340 | -0.000 | 0.000 |
| -0.000 | -0.000 | 0.000 | 0.000 | 54.340 | 0.000 |
| -0.000 | -0.000 | 0.000 | 0.000 | -0.000 | 48.957 |
| 122.533 | 61.934 | 95.673 | -0.000 | 0.000 | -0.000 |
| 61.934 | 122.533 | 95.673 | -0.000 | -0.000 | -0.000 |
| 95.673 | 95.673 | 69.532 | -0.000 | 0.000 | -0.000 |
| 0.000 | -0.000 | 0.000 | 54.340 | 0.000 | -0.000 |
| -0.000 | 0.000 | 0.000 | 0.000 | 54.340 | -0.000 |
| -0.000 | 0.000 | 0.000 | -0.000 | -0.000 | 48.957 |
| 122.533 | 61.934 | 95.673 | 0.000 | -0.000 | 0.000 |
| 61.934 | 122.533 | 95.673 | -0.000 | -0.000 | 0.000 |
| 95.673 | 95.673 | 69.531 | -0.000 | 0.000 | 0.000 |
| -0.000 | 0.000 | -0.000 | 54.340 | -0.000 | 0.000 |
| 0.000 | -0.000 | -0.000 | 0.000 | 54.340 | 0.000 |
| 0.000 | -0.000 | -0.000 | 0.000 | 0.000 | 48.957 |
| 122.533 | 61.934 | 95.673 | -0.000 | -0.000 | -0.000 |
| 61.934 | 122.533 | 95.673 | 0.000 | 0.000 | -0.000 |
| 95.673 | 95.673 | 69.532 | -0.000 | -0.000 | -0.000 |
| 0.000 | -0.000 | 0.000 | 54.340 | 0.000 | -0.000 |
| -0.000 | 0.000 | 0.000 | -0.000 | 54.340 | -0.000 |
| -0.000 | 0.000 | 0.000 | -0.000 | 0.000 | 48.957 |
| 122.532 | 61.934 | 95.672 | 0.000 | 0.000 | 0.000 |
| 61.934 | 122.532 | 95.672 | 0.000 | 0.000 | 0.000 |
| 95.672 | 95.672 | 69.531 | -0.000 | -0.000 | 0.000 |
| -0.000 | 0.000 | -0.000 | 54.340 | -0.000 | 0.000 |
| 0.000 | -0.000 | -0.000 | -0.000 | 54.340 | 0.000 |
| 0.000 | -0.000 | -0.000 | 0.000 | 0.000 | 48.957 |
| 147.053 | 71.882 | 64.681 | -0.000 | 0.000 | -0.000 |
| 71.882 | 147.053 | 64.681 | -0.000 | 0.000 | -0.000 |
| 64.681 | 64.681 | 144.191 | -0.000 | 0.000 | 0.000 |
| 0.000 | -0.000 | 0.000 | 28.367 | 0.000 | -0.000 |
| 0.000 | -0.000 | 0.000 | -0.000 | 28.367 | -0.000 |
| 0.000 | 0.000 | 0.000 | -0.000 | 0.000 | 35.953 |
| 147.053 | 71.882 | 64.681 | 0.000 | -0.000 | 0.000 |
| 71.882 | 147.053 | 64.681 | 0.000 | -0.000 | -0.000 |
| 64.681 | 64.681 | 144.191 | 0.000 | -0.000 | -0.000 |
| -0.000 | 0.000 | -0.000 | 28.367 | -0.000 | -0.000 |
| -0.000 | 0.000 | -0.000 | 0.000 | 28.367 | -0.000 |
| -0.000 | -0.000 | -0.000 | 0.000 | -0.000 | 35.953 |
| 147.053 | 71.882 | 64.681 | -0.000 | 0.000 | -0.000 |
| 71.882 | 147.053 | 64.681 | -0.000 | 0.000 | -0.000 |
| 64.681 | 64.681 | 144.191 | -0.000 | 0.000 | 0.000 |
| 0.000 | -0.000 | 0.000 | 28.367 | 0.000 | 0.000 |
| -0.000 | 0.000 | 0.000 | 0.000 | 28.367 | 0.000 |
| -0.000 | 0.000 | -0.000 | -0.000 | 0.000 | 35.953 |
| 147.053 | 71.882 | 64.681 | 0.000 | -0.000 | 0.000 |
| 71.882 | 147.053 | 64.681 | 0.000 | -0.000 | 0.000 |
| 64.681 | 64.681 | 144.191 | 0.000 | -0.000 | -0.000 |
| -0.000 | 0.000 | -0.000 | 28.367 | -0.000 | 0.000 |
| 0.000 | -0.000 | -0.000 | -0.000 | 28.367 | 0.000 |
| 0.000 | -0.000 | 0.000 | 0.000 | -0.000 | 35.953 |
| 147.053 | 71.882 | 64.681 | -0.000 | 0.000 | 0.000 |
| 73.515 | 145.421 | 64.681 | -0.000 | -0.000 | -0.000 |
| 64.681 | 64.681 | 144.191 | -0.000 | 0.000 | 0.000 |
| 0.000 | -0.000 | 0.000 | 28.367 | -0.000 | -0.000 |
| -0.000 | 0.000 | 0.000 | -0.000 | 28.367 | 0.000 |
| -0.000 | 0.000 | -0.000 | -0.000 | 0.000 | 35.953 |
| 147.052 | 71.882 | 64.681 | 0.000 | -0.000 | -0.000 |
| 73.514 | 145.420 | 64.681 | 0.000 | 0.000 | -0.000 |
| 64.680 | 64.680 | 144.190 | 0.000 | -0.000 | -0.000 |
| -0.000 | 0.000 | -0.000 | 28.367 | 0.000 | -0.000 |
| 0.000 | -0.000 | -0.000 | 0.000 | 28.367 | 0.000 |
| 0.000 | -0.000 | 0.000 | 0.000 | -0.000 | 35.953 |
| 151.000 | 64.551 | 72.985 | 0.000 | -0.000 | -0.000 |
| 64.231 | 155.690 | 55.806 | 0.000 | -0.000 | -0.000 |
| 72.987 | 57.259 | 159.630 | 0.000 | -0.000 | -0.000 |
| -0.000 | -0.000 | 0.000 | 13.264 | -0.000 | 0.000 |
| -0.000 | -0.000 | 0.000 | -0.000 | 47.713 | -0.000 |
| -0.000 | -0.000 | 0.000 | 0.000 | -0.000 | 34.582 |
| 151.000 | 64.551 | 72.985 | -0.000 | 0.000 | 0.000 |
| 64.231 | 155.690 | 55.806 | -0.000 | 0.000 | 0.000 |
| 72.987 | 57.259 | 159.630 | -0.000 | 0.000 | 0.000 |
| 0.000 | 0.000 | -0.000 | 13.264 | 0.000 | 0.000 |
| 0.000 | 0.000 | -0.000 | -0.000 | 47.713 | 0.000 |
| 0.000 | 0.000 | -0.000 | -0.000 | 0.000 | 34.582 |
| 150.942 | 63.889 | 73.501 | 0.000 | -0.000 | -0.000 |
| 63.889 | 155.519 | 56.475 | 0.000 | -0.000 | -0.000 |
| 73.501 | 56.475 | 159.287 | 0.000 | -0.000 | 0.000 |
| -0.000 | 0.000 | -0.000 | 10.354 | 0.000 | -0.000 |
| 0.000 | -0.000 | 0.000 | 0.000 | 47.576 | -0.000 |
| 0.000 | 0.000 | -0.000 | 0.000 | -0.000 | 34.582 |
| 150.942 | 63.889 | 73.501 | -0.000 | 0.000 | -0.000 |
| 63.889 | 155.519 | 56.475 | -0.000 | 0.000 | -0.000 |
| 73.501 | 56.475 | 159.287 | -0.000 | 0.000 | 0.000 |
| 0.000 | -0.000 | 0.000 | 10.354 | -0.000 | -0.000 |
| -0.000 | 0.000 | -0.000 | -0.000 | 47.576 | -0.000 |
| -0.000 | -0.000 | 0.000 | -0.000 | 0.000 | 34.582 |
| 150.942 | 63.890 | 73.502 | 0.000 | -0.000 | -0.000 |
| 63.889 | 155.520 | 56.475 | 0.000 | -0.000 | -0.000 |
| 73.502 | 56.475 | 159.287 | 0.000 | -0.000 | 0.000 |
| -0.000 | 0.000 | -0.000 | 10.354 | 0.000 | 0.000 |
| 0.000 | -0.000 | 0.000 | -0.000 | 47.576 | -0.000 |
| 0.000 | 0.000 | -0.000 | 0.000 | -0.000 | 34.582 |
| 150.942 | 63.889 | 73.501 | -0.000 | 0.000 | 0.000 |
| 63.889 | 155.518 | 56.475 | -0.000 | 0.000 | 0.000 |
| 73.501 | 56.475 | 159.286 | -0.000 | 0.000 | 0.000 |
| 0.000 | -0.000 | 0.000 | 10.354 | -0.000 | 0.000 |
| -0.000 | 0.000 | -0.000 | -0.000 | 47.576 | -0.000 |
| -0.000 | -0.000 | 0.000 | 0.000 | -0.000 | 34.582 |
| 148.565 | 64.732 | 70.355 | 0.000 | 0.000 | 0.000 |
| 63.092 | 162.583 | 55.731 | -0.000 | 0.000 | 0.000 |
| 70.278 | 58.423 | 157.630 | -0.000 | 0.000 | 0.000 |
| 0.037 | -0.220 | 0.088 | 16.705 | -0.000 | 0.000 |
| 0.022 | -0.128 | 0.051 | -0.000 | 40.621 | 0.000 |
| 0.012 | -0.069 | 0.028 | 0.000 | 0.000 | 33.644 |
| 148.549 | 64.864 | 70.290 | -0.000 | -0.000 | -0.000 |
| 63.069 | 162.718 | 55.677 | -0.000 | -0.000 | -0.000 |
| 70.247 | 58.539 | 157.605 | -0.000 | -0.000 | -0.000 |
| -0.037 | 0.220 | -0.088 | 16.705 | 0.000 | -0.000 |
| -0.022 | 0.128 | -0.051 | 0.000 | 40.621 | -0.000 |
| -0.012 | 0.069 | -0.028 | -0.000 | -0.000 | 33.644 |
| 148.513 | 64.312 | 70.774 | 0.000 | 0.000 | 0.000 |
| 62.839 | 162.489 | 56.318 | 0.000 | -0.000 | 0.000 |
| 70.721 | 57.737 | 157.237 | 0.000 | 0.000 | 0.000 |
| -0.004 | 0.022 | -0.009 | 14.458 | 0.000 | 0.000 |
| 0.001 | -0.007 | 0.003 | 0.000 | 40.494 | 0.000 |
| 0.001 | -0.007 | 0.003 | -0.000 | -0.000 | 33.644 |
| 148.511 | 64.326 | 70.769 | -0.000 | -0.000 | -0.000 |
| 62.837 | 162.503 | 56.312 | 0.000 | -0.000 | -0.000 |
| 70.718 | 57.751 | 157.231 | -0.000 | -0.000 | -0.000 |
| 0.004 | -0.022 | 0.009 | 14.458 | -0.000 | -0.000 |
| -0.001 | 0.007 | -0.003 | 0.000 | 40.494 | -0.000 |
| -0.001 | 0.007 | -0.003 | -0.000 | -0.000 | 33.644 |
| 148.513 | 64.319 | 70.772 | -0.000 | -0.000 | 0.000 |
| 62.839 | 162.496 | 56.316 | 0.000 | -0.000 | 0.000 |
| 70.720 | 57.744 | 157.235 | 0.000 | 0.000 | 0.000 |
| -0.000 | 0.002 | -0.001 | 14.458 | 0.000 | 0.000 |
| 0.000 | -0.001 | 0.000 | 0.000 | 40.494 | 0.000 |
| 0.000 | -0.001 | 0.000 | -0.000 | 0.000 | 33.644 |
| 148.512 | 64.320 | 70.771 | 0.000 | -0.000 | -0.000 |
| 62.838 | 162.496 | 56.315 | -0.000 | -0.000 | -0.000 |
| 70.719 | 57.745 | 157.233 | 0.000 | -0.000 | -0.000 |
| 0.000 | -0.002 | 0.001 | 14.458 | -0.000 | -0.000 |
| -0.000 | 0.001 | -0.000 | 0.000 | 40.494 | -0.000 |
| -0.000 | 0.001 | -0.000 | -0.000 | -0.000 | 33.644 |
| 26.636 | 66.403 | 6.913 | 0.000 | 0.000 | 0.000 |
| 66.403 | 26.636 | 6.913 | 0.000 | 0.000 | 0.000 |
| 6.913 | 6.913 | 140.054 | 0.000 | 0.000 | 0.000 |
| -0.000 | 0.000 | 0.000 | -34.290 | 0.000 | 0.000 |
| 0.000 | -0.000 | 0.000 | 0.000 | -34.290 | 0.000 |
| 0.000 | -0.000 | 0.000 | 0.000 | 0.000 | -19.884 |
| 62.286 | 30.753 | 6.913 | 0.000 | 0.000 | -0.000 |
| 30.753 | 62.286 | 6.913 | -0.000 | 0.000 | -0.000 |
| 6.913 | 6.913 | 140.054 | -0.000 | -0.000 | -0.000 |
| -0.000 | -0.000 | 0.000 | -34.290 | -0.000 | -0.000 |
| -0.000 | 0.000 | -0.000 | -0.000 | -34.290 | 0.000 |
| -0.000 | 0.000 | -0.000 | -0.000 | -0.000 | -19.884 |
| 62.286 | 30.753 | 6.913 | 0.000 | 0.000 | 0.000 |
| 66.403 | 26.636 | 6.913 | 0.000 | 0.000 | 0.000 |
| 6.913 | 6.913 | 140.054 | -0.000 | 0.000 | 0.000 |
| -0.000 | 0.000 | -0.000 | -34.290 | 0.000 | 0.000 |
| 0.000 | -0.000 | -0.000 | -0.000 | -34.290 | -0.000 |
| 0.000 | -0.000 | 0.000 | 0.000 | -0.000 | 15.767 |
| 62.286 | 30.753 | 6.913 | 0.000 | 0.000 | 0.000 |
| 30.753 | 62.286 | 6.913 | -0.000 | -0.000 | -0.000 |
| 6.913 | 6.913 | 140.054 | 0.000 | -0.000 | -0.000 |
| 0.000 | -0.000 | 0.000 | -34.290 | -0.000 | -0.000 |
| -0.000 | 0.000 | 0.000 | 0.000 | -34.290 | -0.000 |
| -0.000 | 0.000 | -0.000 | -0.000 | 0.000 | 15.767 |
| -6905188.559 | 4887362.724 | -16235048.868 | 0.025 | 0.000 | -0.004 |
| -699045.798 | 920086.282 | -7579180.714 | 0.002 | 0.000 | 0.048 |
| 6.913 | 6.913 | 140.055 | -0.000 | 0.000 | 0.000 |
| -0.000 | 0.000 | -0.000 | -34.290 | -0.000 | 0.000 |
| 0.000 | -0.000 | -0.000 | 0.000 | -34.290 | 0.000 |
| -8608984.788 | -9049227.922 | -10392506.425 | -26801.442 | 19519.192 | -405783.352 |
| 8851018.615 | 8245257.769 | 12280120.984 | 9359.314 | -44910.385 | -50718.558 |
| 6905273.969 | -4887256.647 | 16235045.226 | -0.024 | 0.000 | 0.004 |
| 6.913 | 6.913 | 140.054 | 0.000 | -0.000 | -0.000 |
| 0.000 | -0.000 | 0.000 | -34.290 | -0.000 | -0.000 |
| -0.000 | 0.000 | 0.000 | -0.000 | -34.290 | 0.000 |
| 8416104.275 | 8890248.275 | 10344677.934 | 11056.613 | -48233.640 | -472117.313 |
| 146.642 | 71.940 | 63.431 | -10.536 | 0.000 | 0.000 |
| 71.940 | 146.642 | 63.431 | 10.536 | -0.000 | 0.000 |
| 63.431 | 63.431 | 148.139 | -0.000 | 0.000 | -0.000 |
| -10.536 | 10.536 | 0.000 | 30.328 | 0.000 | -0.000 |
| -0.000 | -0.000 | 0.000 | -0.000 | 30.328 | -10.536 |
| -0.000 | 0.000 | 0.000 | -0.000 | -10.536 | 37.351 |
| 146.642 | 71.940 | 63.431 | -10.536 | -0.000 | 0.000 |
| 71.940 | 146.642 | 63.431 | 10.536 | -0.000 | -0.000 |
| 63.431 | 63.431 | 148.139 | 0.000 | -0.000 | 0.000 |
| -10.536 | 10.536 | -0.000 | 30.328 | -0.000 | 0.000 |
| 0.000 | 0.000 | -0.000 | 0.000 | 30.328 | -10.536 |
| 0.000 | -0.000 | -0.000 | 0.000 | -10.536 | 37.351 |
| 146.642 | 71.940 | 63.431 | -10.536 | 0.000 | -0.000 |
| 71.940 | 146.642 | 63.431 | 10.536 | 0.000 | -0.000 |
| 63.431 | 63.431 | 148.139 | -0.000 | -0.000 | -0.000 |
| -10.536 | 10.536 | 0.000 | 30.328 | 0.000 | -0.000 |
| -0.000 | -0.000 | 0.000 | -0.000 | 30.328 | -10.536 |
| -0.000 | 0.000 | -0.000 | -0.000 | -10.536 | 37.351 |
| 146.642 | 71.940 | 63.431 | -10.536 | -0.000 | 0.000 |
| 71.940 | 146.642 | 63.431 | 10.536 | -0.000 | 0.000 |
| 63.431 | 63.431 | 148.139 | -0.000 | -0.000 | -0.000 |
| -10.536 | 10.536 | -0.000 | 30.328 | -0.000 | 0.000 |
| 0.000 | 0.000 | -0.000 | 0.000 | 30.328 | -10.536 |
| 0.000 | -0.000 | 0.000 | 0.000 | -10.536 | 37.351 |
| 146.642 | 71.940 | 63.431 | -10.536 | 0.000 | -0.000 |
| 71.941 | 146.642 | 63.431 | 10.536 | 0.000 | -0.000 |
| 63.431 | 63.431 | 148.139 | -0.000 | 0.000 | -0.000 |
| -10.536 | 10.536 | 0.000 | 30.328 | 0.000 | -0.000 |
| -0.000 | -0.000 | 0.000 | -0.000 | 30.328 | -10.536 |
| -0.000 | 0.000 | -0.000 | -0.000 | -10.536 | 37.351 |
| 146.641 | 71.940 | 63.431 | -10.536 | -0.000 | 0.000 |
| 71.940 | 146.641 | 63.431 | 10.536 | -0.000 | 0.000 |
| 63.431 | 63.431 | 148.138 | 0.000 | -0.000 | 0.000 |
| -10.536 | 10.536 | -0.000 | 30.328 | -0.000 | 0.000 |
| 0.000 | 0.000 | -0.000 | 0.000 | 30.328 | -10.536 |
| 0.000 | -0.000 | 0.000 | 0.000 | -10.536 | 37.351 |
| 129.939 | 89.672 | 68.793 | -0.000 | -0.000 | 0.000 |
| 89.672 | 121.432 | 74.958 | -0.000 | -0.000 | -0.000 |
| 66.371 | 80.711 | 139.424 | -0.000 | -0.000 | 0.000 |
| -0.042 | 0.114 | -0.059 | 45.119 | -0.000 | 0.000 |
| -0.069 | 0.186 | -0.096 | -0.000 | 40.196 | 0.000 |
| -0.000 | 0.000 | -0.000 | -0.000 | -0.000 | 48.981 |
| 129.939 | 89.672 | 68.793 | 0.000 | 0.000 | -0.000 |
| 89.672 | 121.432 | 74.958 | -0.000 | 0.000 | -0.000 |
| 68.793 | 74.958 | 144.780 | 0.000 | 0.000 | -0.000 |
| 0.042 | -0.114 | 0.059 | 45.119 | 0.000 | -0.000 |
| 0.069 | -0.186 | 0.096 | 0.000 | 40.196 | -0.000 |
| -0.000 | -0.000 | 0.000 | 0.000 | 0.000 | 48.981 |
| 129.939 | 89.672 | 68.793 | -0.000 | -0.000 | 0.000 |
| 89.672 | 121.432 | 74.958 | 0.000 | -0.000 | 0.000 |
| 67.130 | 76.623 | 141.445 | -0.000 | -0.000 | 0.000 |
| -0.000 | 0.000 | 0.000 | 48.531 | -0.000 | 0.000 |
| 0.000 | 0.000 | 0.000 | -0.000 | 41.020 | 0.000 |
| 0.000 | 0.000 | -0.000 | -0.000 | -0.000 | 48.981 |
| 129.939 | 89.672 | 68.793 | -0.000 | 0.000 | -0.000 |
| 89.672 | 121.432 | 74.958 | -0.000 | 0.000 | 0.000 |
| 68.793 | 74.958 | 144.780 | 0.000 | 0.000 | -0.000 |
| 0.000 | -0.000 | -0.000 | 48.531 | 0.000 | -0.000 |
| -0.000 | -0.000 | -0.000 | 0.000 | 41.020 | -0.000 |
| -0.000 | -0.000 | 0.000 | 0.000 | 0.000 | 48.981 |
| 121.613 | 97.449 | 67.869 | -0.000 | -0.000 | 0.000 |
| 97.732 | 106.652 | 79.277 | -0.000 | -0.000 | -0.000 |
| 68.793 | 74.958 | 144.781 | -0.000 | -0.000 | 0.000 |
| -0.000 | 0.000 | 0.000 | 48.531 | -0.000 | 0.000 |
| -0.001 | 0.002 | -0.001 | -0.000 | 40.166 | 0.000 |
| 0.000 | 0.000 | -0.000 | 0.000 | -0.000 | 48.981 |
| 123.500 | 94.840 | 66.812 | 0.000 | 0.000 | -0.000 |
| 89.672 | 121.432 | 74.958 | 0.000 | 0.000 | -0.000 |
| 66.491 | 80.532 | 139.471 | -0.000 | 0.000 | -0.000 |
| 0.000 | -0.000 | -0.000 | 48.531 | 0.000 | -0.000 |
| 0.001 | -0.002 | 0.001 | 0.000 | 40.166 | -0.000 |
| -0.000 | -0.000 | 0.000 | 0.000 | 0.000 | 48.981 |
| 143.954 | 64.758 | 69.209 | 0.000 | 6.492 | 0.000 |
| 64.827 | 153.657 | 62.950 | 0.000 | -0.057 | 0.000 |
| 69.244 | 62.859 | 143.455 | 0.000 | -0.101 | 0.000 |
| -0.000 | 0.000 | 0.000 | 37.959 | -0.000 | 0.053 |
| 0.580 | 0.199 | -0.299 | -0.000 | 27.249 | 0.000 |
| -0.000 | 0.000 | 0.000 | 0.053 | -0.000 | 30.230 |
| 149.822 | 64.584 | 66.265 | 0.000 | 7.224 | 0.000 |
| 64.773 | 153.793 | 62.918 | -0.000 | 0.058 | -0.000 |
| 68.945 | 63.085 | 143.783 | -0.000 | 0.044 | 0.000 |
| 0.000 | -0.000 | -0.000 | 37.959 | 0.000 | 0.053 |
| 0.010 | -0.021 | -0.096 | -0.000 | 37.488 | 0.000 |
| 0.000 | -0.000 | -0.000 | 0.053 | -0.000 | 30.230 |
| 143.646 | 64.679 | 69.050 | -0.000 | 6.216 | 0.000 |
| 64.792 | 153.673 | 62.632 | 0.000 | 0.018 | -0.000 |
| 69.109 | 62.965 | 143.599 | 0.000 | -0.033 | -0.000 |
| 0.007 | -0.009 | -0.006 | 36.069 | -0.018 | 0.079 |
| 0.174 | 0.029 | -0.046 | 0.000 | 27.071 | -0.000 |
| 0.005 | -0.014 | 0.003 | 0.085 | -0.009 | 30.101 |
| 143.601 | 64.644 | 68.942 | 0.000 | 5.969 | -0.000 |
| 64.796 | 153.736 | 62.932 | -0.000 | 0.004 | 0.000 |
| 69.022 | 62.593 | 143.325 | -0.000 | 0.008 | -0.000 |
| -0.007 | 0.009 | 0.006 | 36.069 | 0.018 | 0.079 |
| 0.479 | 0.113 | 0.043 | 0.000 | 27.380 | -0.000 |
| -0.005 | 0.014 | -0.003 | 0.085 | 0.009 | 30.101 |
| 143.639 | 64.678 | 69.057 | 0.000 | 6.224 | 0.000 |
| 64.589 | 154.361 | 62.808 | -0.000 | -0.021 | -0.000 |
| 69.096 | 62.976 | 143.614 | 0.000 | -0.027 | 0.000 |
| -0.000 | 0.000 | 0.000 | 37.959 | -0.000 | 0.053 |
| 0.203 | 0.001 | -0.013 | 0.000 | 27.091 | -0.000 |
| 0.001 | -0.001 | -0.000 | 0.077 | -0.002 | 30.093 |
| 143.634 | 64.700 | 68.841 | 0.000 | 5.639 | 0.000 |
| 64.588 | 154.360 | 62.808 | 0.000 | -0.021 | -0.000 |
| 68.933 | 62.590 | 143.317 | -0.000 | 0.001 | -0.000 |
| 0.000 | -0.000 | -0.000 | 37.959 | 0.000 | 0.053 |
| 0.223 | 0.026 | 0.022 | -0.000 | 30.790 | 0.000 |
| -0.001 | 0.001 | 0.000 | 0.077 | 0.002 | 30.093 |
| 142.789 | 62.770 | 68.111 | -0.000 | 7.400 | 0.000 |
| 62.175 | 152.235 | 63.312 | -0.000 | -0.016 | 0.000 |
| 68.106 | 61.830 | 150.229 | 0.000 | -4.262 | 0.000 |
| -0.000 | -0.000 | 0.000 | 40.367 | -0.000 | 0.218 |
| 0.677 | 0.625 | -0.315 | 0.000 | 20.874 | 0.000 |
| 0.000 | 0.000 | 0.000 | 0.070 | 0.000 | 28.986 |
| 142.789 | 62.770 | 68.111 | -0.000 | 7.400 | -0.000 |
| 62.175 | 152.235 | 63.312 | 0.000 | -0.016 | -0.000 |
| 67.378 | 61.043 | 149.104 | -0.000 | 4.015 | -0.000 |
| 0.000 | -0.000 | -0.000 | 40.367 | 0.000 | 0.218 |
| 0.128 | 0.170 | -1.566 | 0.000 | 37.483 | -0.000 |
| 0.000 | -0.000 | -0.000 | 0.070 | -0.000 | 28.986 |
| 142.789 | 62.770 | 68.111 | 0.000 | 7.400 | 0.000 |
| 62.175 | 152.235 | 63.312 | 0.000 | -0.016 | 0.000 |
| 67.277 | 61.471 | 150.416 | -0.000 | -1.512 | 0.000 |
| 0.032 | 0.004 | 0.071 | 39.419 | -0.356 | 0.203 |
| 0.156 | 0.131 | -0.966 | 0.000 | 38.981 | 0.000 |
| 0.023 | 0.027 | 0.059 | 0.065 | -0.517 | 28.857 |
| 142.789 | 62.770 | 68.111 | 0.000 | 7.400 | -0.000 |
| 62.518 | 151.536 | 63.400 | -0.000 | 0.236 | -0.000 |
| 67.237 | 61.437 | 150.304 | -0.000 | -0.524 | -0.000 |
| -0.032 | -0.004 | -0.071 | 39.419 | 0.356 | 0.203 |
| 0.312 | 0.336 | -1.042 | -0.000 | 29.261 | -0.000 |
| -0.023 | -0.027 | -0.059 | 0.065 | 0.517 | 28.857 |
| 142.790 | 62.770 | 68.111 | -0.000 | 7.400 | 0.000 |
| 62.339 | 151.504 | 63.216 | 0.000 | 0.117 | 0.000 |
| 67.422 | 61.745 | 150.599 | -0.000 | -1.043 | 0.000 |
| 0.003 | 0.000 | 0.007 | 39.428 | -0.035 | 0.203 |
| 0.297 | 0.377 | -1.014 | 0.000 | 28.407 | 0.000 |
| 0.002 | 0.002 | 0.006 | 0.064 | -0.046 | 28.867 |
| 138.535 | 63.254 | 69.553 | 0.000 | 6.855 | -0.000 |
| 62.175 | 152.234 | 63.312 | 0.000 | -0.016 | -0.000 |
| 67.428 | 61.472 | 150.388 | -0.000 | -0.990 | -0.000 |
| -0.003 | -0.000 | -0.007 | 39.428 | 0.035 | 0.203 |
| 0.389 | 0.361 | -0.964 | 0.000 | 28.585 | -0.000 |
| -0.002 | -0.002 | -0.006 | 0.064 | 0.046 | 28.867 |
| 141.069 | 72.498 | 55.051 | -0.000 | 0.000 | 0.000 |
| 54.764 | 148.287 | 60.080 | 0.000 | 0.000 | 0.000 |
| 58.652 | 55.231 | 155.582 | 0.000 | 0.000 | 0.000 |
| -7.917 | -9.563 | 4.796 | 35.338 | -0.000 | 0.000 |
| -11.003 | 6.398 | -11.622 | 0.000 | 40.333 | 0.000 |
| 0.000 | 0.000 | -0.000 | -0.000 | -0.000 | 35.798 |
| 153.749 | 63.605 | 69.064 | -0.000 | -0.000 | -0.000 |
| 76.537 | 156.811 | 59.240 | -0.000 | 0.000 | -0.000 |
| 78.194 | 65.520 | 154.244 | 0.000 | -0.000 | -0.000 |
| 7.917 | 9.563 | -4.796 | 35.338 | 0.000 | -0.000 |
| 11.003 | -6.398 | 11.622 | -0.000 | 40.333 | -0.000 |
| -0.000 | -0.000 | 0.000 | 0.000 | -0.000 | 35.798 |
| 153.749 | 63.605 | 69.064 | -0.000 | 0.000 | 0.000 |
| 63.870 | 145.298 | 69.052 | -0.000 | -0.000 | 0.000 |
| 68.983 | 62.207 | 153.654 | 0.000 | 0.000 | 0.000 |
| -0.749 | -0.702 | 0.265 | 35.703 | -0.000 | 0.000 |
| 0.000 | -0.000 | 0.000 | -0.000 | 44.275 | 0.000 |
| 0.000 | 0.000 | -0.000 | -0.000 | 0.000 | 35.798 |
| 153.749 | 63.605 | 69.064 | -0.000 | -0.000 | -0.000 |
| 65.926 | 147.307 | 67.411 | -0.000 | -0.000 | -0.000 |
| 67.664 | 69.025 | 145.881 | 0.000 | -0.000 | -0.000 |
| 0.749 | 0.702 | -0.265 | 35.703 | 0.000 | -0.000 |
| -0.000 | 0.000 | -0.000 | -0.000 | 44.275 | -0.000 |
| -0.000 | -0.000 | 0.000 | 0.000 | -0.000 | 35.798 |
| 153.749 | 63.606 | 69.064 | -0.000 | 0.000 | 0.000 |
| 65.330 | 147.081 | 67.570 | 0.000 | 0.000 | 0.000 |
| 67.752 | 67.534 | 146.820 | -0.000 | 0.000 | 0.000 |
| -0.068 | 0.039 | -0.071 | 36.499 | 0.000 | 0.000 |
| -0.070 | -0.010 | -0.027 | -0.000 | 41.868 | -0.000 |
| 0.000 | 0.000 | -0.000 | -0.000 | 0.000 | 35.798 |
| 153.748 | 63.605 | 69.064 | -0.000 | -0.000 | -0.000 |
| 65.114 | 146.469 | 67.927 | -0.000 | -0.000 | -0.000 |
| 68.261 | 67.735 | 146.327 | 0.000 | -0.000 | -0.000 |
| 0.068 | -0.039 | 0.071 | 36.499 | -0.000 | -0.000 |
| 0.070 | 0.010 | 0.027 | -0.000 | 41.868 | 0.000 |
| -0.000 | -0.000 | 0.000 | 0.000 | 0.000 | 35.798 |
| 153.125 | 65.314 | 67.775 | -0.000 | -0.000 | -0.000 |
| 65.719 | 148.679 | 68.166 | -0.000 | -0.000 | -0.000 |
| 69.062 | 62.756 | 153.622 | 0.000 | 0.000 | 0.000 |
| 0.237 | -0.434 | 0.463 | 36.637 | -0.000 | 0.000 |
| 0.000 | -0.000 | 0.000 | -0.000 | 43.682 | -0.000 |
| 0.283 | -0.518 | 0.553 | -0.000 | -0.000 | 34.424 |
| 152.864 | 65.857 | 67.184 | 0.000 | 0.000 | 0.000 |
| 65.401 | 149.085 | 67.685 | 0.000 | 0.000 | -0.000 |
| 67.282 | 68.345 | 147.042 | 0.000 | 0.000 | -0.000 |
| -0.237 | 0.434 | -0.463 | 36.637 | 0.000 | 0.000 |
| -0.000 | -0.000 | -0.000 | 0.000 | 43.682 | -0.000 |
| -0.283 | 0.518 | -0.553 | 0.000 | 0.000 | 34.424 |
| 154.075 | 64.034 | 69.062 | 0.000 | 0.000 | -0.000 |
| 65.258 | 148.043 | 68.527 | -0.000 | -0.000 | -0.000 |
| 68.124 | 68.632 | 145.961 | -0.000 | 0.000 | 0.000 |
| 0.019 | -0.036 | 0.040 | 36.247 | -0.000 | -0.000 |
| 0.020 | -0.035 | 0.038 | -0.000 | 41.221 | -0.000 |
| 0.029 | -0.053 | 0.057 | -0.000 | -0.000 | 34.389 |
| 154.075 | 64.034 | 69.062 | -0.000 | -0.000 | 0.000 |
| 64.034 | 154.450 | 62.756 | -0.000 | -0.000 | -0.000 |
| 69.062 | 62.756 | 153.622 | 0.000 | -0.000 | 0.000 |
| -0.019 | 0.036 | -0.040 | 36.247 | 0.000 | -0.000 |
| -0.020 | 0.035 | -0.038 | 0.000 | 41.221 | -0.000 |
| -0.029 | 0.053 | -0.057 | 0.000 | 0.000 | 34.389 |
| 153.020 | 65.554 | 67.511 | -0.000 | -0.000 | 0.000 |
| 64.034 | 154.451 | 62.756 | -0.000 | 0.000 | -0.000 |
| 67.756 | 68.476 | 146.319 | -0.000 | -0.000 | 0.000 |
| 0.002 | -0.004 | 0.004 | 36.238 | 0.000 | -0.000 |
| 0.000 | -0.000 | 0.000 | 0.000 | 43.682 | -0.000 |
| 0.003 | -0.005 | 0.006 | -0.000 | -0.000 | 34.389 |
| 154.075 | 64.034 | 69.062 | 0.000 | -0.000 | 0.000 |
| 64.034 | 154.449 | 62.756 | -0.000 | -0.000 | -0.000 |
| 67.442 | 68.117 | 147.266 | 0.000 | 0.000 | 0.000 |
| -0.002 | 0.004 | -0.004 | 36.238 | -0.000 | -0.000 |
| -0.000 | 0.000 | -0.000 | -0.000 | 43.682 | -0.000 |
| -0.003 | 0.005 | -0.006 | 0.000 | 0.000 | 34.389 |
| -33.221 | -232.228 | 696.995 | -0.000 | 0.000 | -0.000 |
| -143.866 | -267.521 | 838.964 | -0.000 | 0.000 | -0.000 |
| -147.011 | -293.140 | 869.868 | -0.000 | -0.000 | -0.000 |
| -185.207 | -300.976 | 633.061 | 41.800 | -0.000 | -0.000 |
| -185.210 | -300.980 | 633.070 | -0.000 | 23.459 | -0.000 |
| -211.226 | -374.107 | 731.233 | -0.000 | -0.000 | 43.686 |
| 154.627 | 71.174 | 60.482 | -0.000 | 0.000 | 0.000 |
| 71.174 | 140.588 | 75.799 | 0.000 | 0.000 | 0.000 |
| 51.567 | 264.493 | -40.506 | 0.000 | -0.000 | 0.000 |
| 185.207 | 300.976 | -633.061 | 41.800 | 0.000 | 0.000 |
| 185.210 | 300.980 | -633.070 | 0.000 | 23.459 | 0.000 |
| 211.226 | 374.107 | -731.233 | 0.000 | -0.000 | 43.686 |
| 131.040 | 31.107 | 137.208 | -0.000 | 0.000 | -0.000 |
| 71.174 | 140.588 | 75.799 | 0.000 | -0.000 | -0.000 |
| 45.635 | 50.021 | 202.427 | -0.000 | 0.000 | -0.000 |
| 1.074 | -18.603 | 18.465 | 44.087 | 0.000 | -0.000 |
| -18.528 | -30.105 | 63.326 | -0.000 | 23.458 | -0.000 |
| 1.073 | -18.586 | 18.449 | -0.000 | 0.000 | 43.506 |
| 173.497 | 108.815 | -11.749 | 0.000 | 0.000 | 0.000 |
| 69.159 | 155.707 | 58.953 | 0.000 | -0.000 | 0.000 |
| 61.350 | 97.370 | 125.079 | 0.000 | -0.000 | 0.000 |
| -1.074 | 18.603 | -18.465 | 44.087 | -0.000 | 0.000 |
| 18.528 | 30.105 | -63.326 | 0.000 | 23.458 | 0.000 |
| -1.073 | 18.586 | -18.449 | 0.000 | -0.000 | 43.506 |
| 152.199 | 67.033 | 65.952 | -0.000 | 0.000 | -0.000 |
| 66.619 | 130.892 | 86.855 | -0.000 | 0.000 | -0.000 |
| 61.911 | 75.502 | 148.329 | -0.000 | 0.000 | -0.000 |
| 0.000 | -0.000 | 0.000 | 48.636 | 0.000 | -0.000 |
| 0.000 | 0.000 | -0.000 | 0.000 | 26.029 | -0.000 |
| -1.781 | -2.872 | 6.063 | -0.000 | -0.000 | 43.187 |
| 153.921 | 71.895 | 57.681 | 0.000 | -0.000 | 0.000 |
| 70.057 | 139.053 | 75.381 | 0.000 | -0.000 | 0.000 |
| 60.482 | 75.799 | 151.136 | -0.000 | 0.000 | 0.000 |
| -0.000 | 0.000 | -0.000 | 48.636 | 0.000 | 0.000 |
| -0.000 | -0.000 | 0.000 | 0.000 | 26.029 | 0.000 |
| 1.781 | 2.872 | -6.063 | 0.000 | -0.000 | 43.187 |
| 144.267 | 68.727 | 82.353 | -0.000 | -0.000 | -0.000 |
| 68.602 | 149.392 | 70.406 | -0.000 | 0.000 | 0.000 |
| 61.734 | 73.055 | 142.355 | -0.000 | 0.000 | -0.000 |
| -4.527 | 2.545 | 13.174 | 38.824 | -0.000 | 0.000 |
| 0.000 | 0.000 | 0.000 | -0.000 | 29.120 | 0.000 |
| 0.000 | 0.000 | 0.000 | -0.000 | -0.000 | 46.665 |
| 155.653 | 64.202 | 48.454 | 0.000 | 0.000 | 0.000 |
| 68.602 | 149.392 | 70.406 | 0.000 | 0.000 | -0.000 |
| 72.095 | 77.419 | 112.577 | -0.000 | 0.000 | -0.000 |
| 4.527 | -2.545 | -13.174 | 38.824 | 0.000 | -0.000 |
| -0.000 | -0.000 | -0.000 | 0.000 | 29.120 | 0.000 |
| -0.000 | -0.000 | -0.000 | 0.000 | 0.000 | 46.665 |
| 152.864 | 69.829 | 60.313 | -0.000 | -0.000 | -0.000 |
| 64.317 | 140.917 | 78.856 | 0.000 | -0.000 | -0.000 |
| 61.734 | 73.055 | 142.355 | -0.000 | 0.000 | 0.000 |
| 0.000 | -0.000 | 0.000 | 47.669 | 0.000 | -0.000 |
| -0.356 | 0.200 | 1.037 | -0.000 | 25.982 | 0.000 |
| -0.321 | 0.180 | 0.933 | -0.000 | -0.000 | 44.761 |
| 150.327 | 66.059 | 63.059 | 0.000 | 0.000 | -0.000 |
| 66.435 | 141.362 | 73.746 | -0.000 | 0.000 | -0.000 |
| 66.601 | 77.510 | 129.584 | -0.000 | -0.000 | -0.000 |
| -0.000 | 0.000 | -0.000 | 47.669 | 0.000 | -0.000 |
| 0.356 | -0.200 | -1.037 | 0.000 | 25.982 | 0.000 |
| 0.321 | -0.180 | -0.933 | 0.000 | 0.000 | 44.761 |
| 149.403 | 65.995 | 65.968 | -0.000 | -0.000 | -0.000 |
| 65.797 | 141.448 | 75.517 | 0.000 | -0.000 | -0.000 |
| 61.735 | 73.055 | 142.355 | -0.000 | -0.000 | -0.000 |
| -0.053 | 0.021 | 0.173 | 40.428 | 0.000 | 0.000 |
| -0.055 | 0.027 | 0.159 | 0.000 | 25.532 | -0.000 |
| 0.000 | 0.000 | -0.000 | 0.000 | -0.000 | 46.665 |
| 152.863 | 69.829 | 60.313 | 0.000 | 0.000 | -0.000 |
| 68.602 | 149.391 | 70.406 | -0.000 | -0.000 | -0.000 |
| 65.925 | 77.520 | 131.480 | -0.000 | 0.000 | -0.000 |
| 0.053 | -0.021 | -0.173 | 40.428 | -0.000 | -0.000 |
| 0.055 | -0.027 | -0.159 | -0.000 | 25.532 | -0.000 |
| -0.000 | -0.000 | 0.000 | 0.000 | 0.000 | 46.665 |
| 152.759 | 64.274 | 65.664 | 0.000 | 0.000 | -0.000 |
| 64.327 | 151.183 | 65.590 | 0.000 | 0.000 | -0.000 |
| 65.602 | 68.806 | 146.896 | 0.000 | 0.000 | 0.000 |
| -0.006 | -0.106 | -0.003 | 36.935 | 0.000 | -0.000 |
| -0.010 | -0.186 | -0.005 | 0.000 | 36.635 | 0.000 |
| 0.000 | 0.000 | -0.000 | -0.000 | 0.000 | 44.002 |
| 152.629 | 64.514 | 65.624 | -0.000 | -0.000 | 0.000 |
| 64.327 | 151.183 | 65.590 | 0.000 | -0.000 | 0.000 |
| 65.645 | 68.829 | 147.207 | -0.000 | -0.000 | 0.000 |
| 0.006 | 0.106 | 0.003 | 36.935 | -0.000 | -0.000 |
| 0.010 | 0.186 | 0.005 | -0.000 | 36.635 | 0.000 |
| -0.000 | 0.000 | -0.000 | 0.000 | 0.000 | 44.002 |
| 152.695 | 64.376 | 65.644 | 0.000 | -0.000 | 0.000 |
| 64.327 | 151.183 | 65.590 | -0.000 | 0.000 | 0.000 |
| 65.679 | 69.039 | 146.282 | 0.000 | 0.000 | -0.000 |
| 0.000 | 0.000 | 0.000 | 46.013 | 0.000 | 0.000 |
| 0.000 | 0.000 | -0.000 | -0.000 | 38.493 | -0.000 |
| 0.000 | 0.000 | -0.000 | -0.000 | 0.000 | 44.002 |
| 153.977 | 64.327 | 66.059 | 0.000 | -0.000 | 0.000 |
| 64.327 | 151.183 | 65.590 | 0.000 | -0.000 | -0.000 |
| 66.059 | 65.590 | 151.488 | 0.000 | -0.000 | 0.000 |
| -0.000 | -0.000 | -0.000 | 46.013 | -0.000 | 0.000 |
| -0.000 | -0.000 | 0.000 | 0.000 | 38.493 | 0.000 |
| -0.000 | -0.000 | 0.000 | 0.000 | 0.000 | 44.002 |
| 152.690 | 64.387 | 65.642 | 0.000 | 0.000 | -0.000 |
| 64.381 | 146.353 | 68.341 | -0.000 | 0.000 | 0.000 |
| 65.623 | 68.828 | 147.043 | 0.000 | 0.000 | -0.000 |
| 0.000 | -0.001 | 0.000 | 35.765 | -0.000 | -0.000 |
| 0.000 | -0.001 | 0.000 | 0.000 | 35.713 | 0.000 |
| 0.000 | 0.000 | -0.000 | -0.000 | 0.000 | 44.002 |
| 153.977 | 64.327 | 66.059 | 0.000 | -0.000 | 0.000 |
| 64.327 | 151.182 | 65.590 | 0.000 | -0.000 | 0.000 |
| 65.623 | 68.827 | 147.045 | -0.000 | -0.000 | 0.000 |
| -0.000 | 0.001 | -0.000 | 35.765 | -0.000 | -0.000 |
| -0.000 | 0.001 | -0.000 | -0.000 | 35.713 | -0.000 |
| -0.000 | -0.000 | 0.000 | 0.000 | -0.000 | 44.002 |
| 70.333 | -229.851 | 12.150 | 0.000 | 0.000 | -0.000 |
| -120.422 | -136.411 | 96.985 | 0.000 | 0.000 | -0.000 |
| -15.909 | -223.261 | 93.815 | -0.000 | 0.000 | -0.000 |
| -80.130 | -292.521 | -52.680 | 37.201 | 0.000 | -0.000 |
| 0.000 | 0.000 | -0.000 | -0.000 | 36.343 | -0.000 |
| -176.930 | -314.426 | 72.310 | 0.000 | 0.000 | 34.474 |
| 230.595 | 355.189 | 117.511 | 0.000 | -0.000 | 0.000 |
| 62.915 | 147.038 | 66.853 | 0.000 | -0.000 | 0.000 |
| 248.028 | 348.048 | 117.916 | -0.000 | -0.000 | 0.000 |
| 80.130 | 292.521 | 52.680 | 37.201 | -0.000 | 0.000 |
| -0.000 | -0.000 | 0.000 | 0.000 | 36.343 | 0.000 |
| 176.930 | 314.426 | -72.310 | 0.000 | -0.000 | 34.474 |
| 142.444 | 33.415 | 59.560 | 0.000 | 0.000 | -0.000 |
| 54.993 | 112.853 | 64.835 | -0.000 | 0.000 | -0.000 |
| 47.263 | 42.138 | 147.798 | 0.000 | 0.000 | -0.000 |
| -8.016 | -29.261 | -5.270 | 37.199 | 0.000 | -0.000 |
| -8.017 | -29.268 | -5.271 | 0.000 | 35.090 | -0.000 |
| -16.020 | -18.820 | -11.185 | 0.000 | 0.000 | 34.550 |
| 158.483 | 91.922 | 70.101 | 0.000 | -0.000 | 0.000 |
| 71.036 | 171.309 | 75.448 | -0.000 | -0.000 | 0.000 |
| 72.243 | 98.523 | 151.784 | 0.000 | -0.000 | 0.000 |
| 8.016 | 29.261 | 5.270 | 37.199 | -0.000 | 0.000 |
| 8.017 | 29.268 | 5.271 | -0.000 | 35.090 | 0.000 |
| 16.020 | 18.820 | 11.185 | -0.000 | -0.000 | 34.550 |
| 149.598 | 59.737 | 64.281 | -0.000 | 0.000 | -0.000 |
| 62.156 | 139.115 | 69.474 | -0.000 | 0.000 | -0.000 |
| 63.346 | 66.489 | 145.546 | -0.000 | 0.000 | -0.000 |
| -0.817 | -2.981 | -0.537 | 37.042 | 0.000 | -0.000 |
| -0.842 | -3.073 | -0.554 | -0.000 | 35.027 | -0.000 |
| -1.854 | -3.212 | 0.669 | -0.000 | 0.000 | 35.102 |
| 151.322 | 65.628 | 65.379 | 0.000 | -0.000 | 0.000 |
| 64.287 | 143.283 | 71.480 | 0.000 | -0.000 | 0.000 |
| 66.897 | 74.420 | 142.666 | 0.000 | -0.000 | 0.000 |
| 0.817 | 2.981 | 0.537 | 37.042 | -0.000 | 0.000 |
| 0.842 | 3.073 | 0.554 | -0.000 | 35.027 | 0.000 |
| 1.854 | 3.212 | -0.669 | -0.000 | -0.000 | 35.102 |
| 153.935 | 65.395 | 67.997 | 0.000 | 0.000 | 0.000 |
| 65.211 | 150.663 | 65.713 | -0.000 | 0.000 | 0.000 |
| 67.997 | 66.149 | 148.568 | 0.000 | 0.000 | 0.000 |
| -0.000 | -0.000 | -0.000 | 40.281 | -0.000 | -0.000 |
| 0.000 | 0.000 | 0.000 | 0.000 | 42.248 | 0.000 |
| 0.000 | 0.000 | -0.000 | 0.000 | 0.000 | 34.665 |
| 155.224 | 63.455 | 69.735 | -0.000 | -0.000 | -0.000 |
| 65.211 | 150.663 | 65.713 | -0.000 | -0.000 | -0.000 |
| 67.997 | 66.149 | 148.568 | -0.000 | -0.000 | -0.000 |
| 0.000 | 0.000 | 0.000 | 40.281 | 0.000 | -0.000 |
| -0.000 | 0.000 | 0.000 | -0.000 | 42.248 | -0.000 |
| -0.000 | -0.000 | 0.000 | -0.000 | -0.000 | 34.665 |
| 155.224 | 63.455 | 69.735 | 0.000 | 0.000 | 0.000 |
| 63.455 | 156.270 | 61.557 | 0.000 | -0.000 | 0.000 |
| 67.997 | 66.149 | 148.568 | -0.000 | 0.000 | -0.000 |
| 0.000 | -0.000 | 0.000 | 34.705 | 0.000 | -0.000 |
| 0.000 | -0.000 | 0.000 | 0.000 | 42.248 | -0.000 |
| 0.000 | 0.000 | -0.000 | 0.000 | 0.000 | 34.665 |
| 153.935 | 65.395 | 67.997 | -0.000 | -0.000 | -0.000 |
| 65.211 | 150.663 | 65.713 | 0.000 | -0.000 | -0.000 |
| 69.735 | 61.557 | 154.054 | 0.000 | 0.000 | -0.000 |
| -0.000 | 0.000 | -0.000 | 34.705 | -0.000 | -0.000 |
| -0.000 | 0.000 | -0.000 | -0.000 | 42.248 | -0.000 |
| -0.000 | -0.000 | 0.000 | 0.000 | -0.000 | 34.665 |
| 153.723 | 65.150 | 68.712 | -0.000 | 0.000 | 0.000 |
| 65.235 | 150.368 | 65.845 | 0.000 | -0.000 | -0.000 |
| 69.736 | 61.558 | 154.054 | 0.000 | -0.000 | -0.000 |
| 0.000 | -0.000 | 0.000 | 40.281 | -0.000 | 0.000 |
| 0.000 | -0.000 | 0.000 | 0.000 | 46.860 | 0.000 |
| 0.000 | 0.000 | -0.000 | 0.000 | 0.000 | 34.665 |
| 153.763 | 65.216 | 68.496 | -0.000 | 0.000 | -0.000 |
| 65.211 | 150.662 | 65.713 | 0.000 | -0.000 | -0.000 |
| 67.996 | 66.148 | 148.568 | -0.000 | -0.000 | 0.000 |
| -0.000 | 0.000 | -0.000 | 40.281 | 0.000 | 0.000 |
| -0.000 | 0.000 | -0.000 | -0.000 | 46.860 | 0.000 |
| -0.000 | -0.000 | 0.000 | -0.000 | -0.000 | 34.665 |
| 155.780 | 90.873 | 34.819 | -0.000 | -0.000 | -0.000 |
| 63.036 | 156.662 | 61.884 | 0.000 | 0.000 | -0.000 |
| 69.333 | 61.841 | 154.666 | 0.000 | 0.000 | -0.000 |
| -0.000 | -0.000 | 0.000 | 40.406 | 0.000 | -0.000 |
| 3.969 | 23.916 | -35.532 | -0.000 | 40.150 | -0.000 |
| -0.000 | -0.000 | -0.000 | -0.000 | 0.000 | 35.259 |
| 159.928 | 32.622 | 101.068 | -0.000 | -0.000 | -0.000 |
| 63.036 | 156.662 | 61.884 | 0.000 | -0.000 | 0.000 |
| 69.333 | 61.841 | 154.666 | 0.000 | -0.000 | -0.000 |
| 0.000 | 0.000 | -0.000 | 40.406 | -0.000 | -0.000 |
| -3.969 | -23.916 | 35.532 | 0.000 | 40.150 | 0.000 |
| -0.000 | -0.000 | -0.000 | 0.000 | -0.000 | 35.259 |
| 153.544 | 67.346 | 65.344 | 0.000 | -0.000 | -0.000 |
| 64.676 | 152.322 | 64.348 | -0.000 | 0.000 | 0.000 |
| 69.333 | 61.841 | 154.666 | -0.000 | 0.000 | 0.000 |
| 0.044 | 2.852 | -3.501 | 34.190 | -0.000 | -0.000 |
| -0.650 | 3.118 | -3.176 | 0.000 | 41.256 | 0.000 |
| 0.000 | 0.000 | -0.000 | 0.000 | -0.000 | 35.259 |
| 153.635 | 62.491 | 70.662 | 0.000 | -0.000 | 0.000 |
| 65.778 | 146.942 | 69.879 | -0.000 | -0.000 | -0.000 |
| 69.333 | 61.841 | 154.666 | 0.000 | -0.000 | -0.000 |
| -0.044 | -2.852 | 3.501 | 34.190 | 0.000 | 0.000 |
| 0.650 | -3.118 | 3.176 | -0.000 | 41.256 | -0.000 |
| -0.000 | -0.000 | 0.000 | -0.000 | -0.000 | 35.259 |
| 153.448 | 65.349 | 67.640 | -0.000 | 0.000 | -0.000 |
| 64.707 | 151.365 | 65.773 | -0.000 | 0.000 | 0.000 |
| 68.074 | 66.463 | 148.133 | 0.000 | 0.000 | -0.000 |
| -0.067 | 0.320 | -0.326 | 34.826 | 0.000 | 0.000 |
| 0.000 | -0.000 | 0.000 | 0.000 | 46.574 | 0.000 |
| -0.061 | 0.293 | -0.298 | 0.000 | 0.000 | 34.257 |
| 153.434 | 65.026 | 67.990 | -0.000 | -0.000 | 0.000 |
| 64.799 | 150.555 | 66.470 | 0.000 | -0.000 | -0.000 |
| 68.038 | 65.921 | 148.876 | 0.000 | -0.000 | 0.000 |
| 0.067 | -0.320 | 0.326 | 34.826 | -0.000 | 0.000 |
| -0.000 | 0.000 | -0.000 | -0.000 | 46.574 | -0.000 |
| 0.061 | -0.293 | 0.298 | -0.000 | -0.000 | 34.257 |
| 115.284 | 58.362 | 85.506 | 0.000 | -13.232 | 0.000 |
| 44.225 | 143.380 | 69.474 | 0.000 | -20.510 | 0.000 |
| 50.222 | 51.044 | 146.177 | 0.000 | -22.032 | 0.000 |
| -26.241 | -8.917 | 11.386 | 25.164 | -20.519 | -0.243 |
| 0.090 | -0.087 | -0.504 | 0.000 | 44.603 | 0.000 |
| 0.000 | 0.000 | 0.000 | -0.183 | 0.000 | 44.780 |
| 168.327 | 77.485 | 60.559 | -0.000 | 28.593 | -0.000 |
| 72.187 | 153.958 | 56.952 | -0.000 | -0.186 | -0.000 |
| 101.859 | 69.852 | 121.300 | -0.000 | 21.435 | 0.000 |
| 26.241 | 8.917 | -11.386 | 25.164 | 20.519 | -0.243 |
| 26.569 | 8.916 | -11.629 | -0.000 | 60.896 | -0.000 |
| -0.000 | -0.000 | -0.000 | -0.183 | -0.000 | 44.780 |
| 148.945 | 70.357 | 69.882 | 0.000 | 8.488 | 0.000 |
| 66.753 | 150.881 | 61.115 | 0.000 | -1.972 | -0.000 |
| 73.340 | 59.830 | 134.030 | -0.000 | -2.520 | 0.000 |
| -2.500 | -0.910 | 1.240 | 24.261 | -2.112 | -0.387 |
| -1.856 | -0.745 | 1.021 | -0.000 | 37.648 | 0.000 |
| -2.610 | -0.942 | 1.250 | -0.463 | -2.183 | 43.240 |
| 144.143 | 69.323 | 70.958 | -0.000 | 10.198 | 0.000 |
| 72.187 | 153.958 | 56.952 | -0.000 | -0.186 | -0.000 |
| 78.713 | 60.621 | 134.796 | -0.000 | 2.354 | -0.000 |
| 2.500 | 0.910 | -1.240 | 24.261 | 2.112 | -0.387 |
| 3.221 | 0.982 | -1.471 | -0.000 | 42.310 | -0.000 |
| 2.610 | 0.942 | -1.250 | -0.463 | 2.183 | 43.240 |
| 140.480 | 67.384 | 73.939 | 0.000 | 8.356 | 0.000 |
| 70.293 | 152.343 | 58.125 | 0.000 | -0.276 | -0.000 |
| 76.548 | 60.921 | 132.528 | 0.000 | -0.760 | 0.000 |
| -0.294 | -0.100 | 0.128 | 24.928 | -0.230 | -0.263 |
| 0.090 | -0.087 | -0.503 | 0.000 | 44.603 | 0.000 |
| -0.262 | -0.097 | 0.127 | -0.472 | -0.220 | 43.217 |
| 140.995 | 67.572 | 73.693 | -0.000 | 8.784 | 0.000 |
| 72.186 | 153.957 | 56.952 | -0.000 | -0.186 | 0.000 |
| 77.017 | 61.068 | 132.281 | -0.000 | -0.318 | -0.000 |
| 0.294 | 0.100 | -0.128 | 24.928 | 0.230 | -0.263 |
| 0.090 | -0.087 | -0.504 | -0.000 | 44.603 | -0.000 |
| 0.262 | 0.097 | -0.127 | -0.472 | 0.220 | 43.217 |
| 135.329 | 72.150 | 73.812 | -0.000 | 8.810 | -0.000 |
| 72.362 | 155.744 | 59.081 | 0.000 | 0.011 | 0.000 |
| 72.993 | 58.648 | 150.441 | 0.000 | 0.087 | -0.000 |
| -0.013 | -0.016 | 0.014 | 25.965 | 0.011 | -0.336 |
| 0.002 | 0.003 | 0.359 | -0.000 | 42.854 | -0.000 |
| -0.007 | -0.009 | 0.008 | -0.254 | 0.006 | 43.445 |
| 135.362 | 72.176 | 73.790 | 0.000 | 8.797 | 0.000 |
| 72.377 | 155.764 | 59.065 | -0.000 | -0.002 | 0.000 |
| 74.253 | 59.554 | 142.363 | -0.000 | 0.510 | -0.000 |
| 0.013 | 0.016 | -0.014 | 25.965 | -0.011 | -0.336 |
| 0.021 | 0.025 | 0.340 | -0.000 | 42.827 | 0.000 |
| 0.007 | 0.009 | -0.008 | -0.254 | -0.006 | 43.445 |
| 139.500 | 73.248 | 73.010 | -0.000 | 9.393 | -0.000 |
| 73.255 | 156.985 | 58.648 | -0.000 | -0.032 | -0.000 |
| 74.606 | 59.856 | 141.310 | -0.000 | 0.742 | -0.000 |
| -0.002 | -0.001 | 0.002 | 25.603 | 0.001 | -0.419 |
| 0.373 | 0.077 | 0.672 | -0.000 | 42.480 | -0.000 |
| -0.001 | -0.001 | 0.001 | -0.254 | 0.001 | 43.445 |
| 139.500 | 73.248 | 73.010 | -0.000 | 9.393 | 0.000 |
| 73.255 | 156.985 | 58.648 | 0.000 | -0.032 | 0.000 |
| 74.998 | 60.076 | 141.036 | 0.000 | 0.530 | 0.000 |
| 0.002 | 0.001 | -0.002 | 25.603 | -0.001 | -0.419 |
| 0.377 | 0.079 | 0.669 | -0.000 | 42.477 | 0.000 |
| 0.001 | 0.001 | -0.001 | -0.254 | -0.001 | 43.445 |
| 139.501 | 73.248 | 73.011 | -0.000 | 9.393 | -0.000 |
| 72.369 | 155.754 | 59.073 | 0.000 | 0.005 | -0.000 |
| 74.996 | 60.074 | 141.039 | -0.000 | 0.531 | -0.000 |
| -0.000 | -0.000 | 0.000 | 25.965 | 0.000 | -0.336 |
| 0.503 | 0.141 | 0.494 | 0.000 | 42.437 | -0.000 |
| -0.000 | -0.000 | 0.000 | -0.400 | 0.000 | 43.428 |
| 134.881 | 71.560 | 74.569 | 0.000 | 9.078 | 0.000 |
| 71.573 | 155.498 | 60.029 | -0.000 | 0.118 | 0.000 |
| 74.608 | 59.857 | 141.307 | 0.000 | 0.740 | 0.000 |
| 0.000 | 0.000 | -0.000 | 25.965 | -0.000 | -0.336 |
| 0.376 | 0.078 | 0.670 | 0.000 | 42.479 | 0.000 |
| 0.000 | 0.000 | -0.000 | -0.400 | -0.000 | 43.428 |
| 151.267 | 65.748 | 63.696 | 0.000 | -0.000 | -0.000 |
| 45.187 | 104.958 | 116.848 | 0.000 | -0.000 | 0.000 |
| 40.694 | 48.656 | 178.015 | -0.000 | 0.000 | -0.000 |
| -23.839 | -22.203 | 32.361 | 37.925 | -0.000 | 0.000 |
| 0.000 | 0.000 | 0.000 | -0.000 | 39.453 | 0.000 |
| 0.000 | 0.000 | 0.000 | -0.000 | -0.000 | 38.383 |
| 173.768 | 88.410 | 31.414 | -0.000 | 0.000 | -0.000 |
| 90.029 | 161.425 | 38.918 | -0.000 | 0.000 | 0.000 |
| 88.351 | 93.116 | 113.231 | -0.000 | 0.000 | 0.000 |
| 23.839 | 22.203 | -32.361 | 37.925 | -0.000 | 0.000 |
| -0.000 | -0.000 | -0.000 | 0.000 | 39.453 | -0.000 |
| -0.000 | -0.000 | 0.000 | -0.000 | 0.000 | 38.383 |
| 147.615 | 63.944 | 67.027 | -0.000 | -0.000 | 0.000 |
| 66.226 | 142.753 | 68.055 | -0.000 | 0.000 | 0.000 |
| 61.791 | 68.346 | 149.325 | -0.000 | -0.000 | -0.000 |
| -2.459 | -3.250 | 4.653 | 35.254 | -0.000 | -0.000 |
| -2.455 | -2.287 | 3.333 | -0.000 | 38.445 | 0.000 |
| 0.000 | 0.000 | -0.000 | -0.000 | -0.000 | 38.383 |
| 152.105 | 69.119 | 59.712 | 0.000 | -0.000 | 0.000 |
| 68.885 | 141.724 | 67.628 | -0.000 | 0.000 | 0.000 |
| 67.020 | 73.647 | 141.695 | -0.000 | -0.000 | -0.000 |
| 2.459 | 3.250 | -4.653 | 35.254 | 0.000 | 0.000 |
| 2.455 | 2.287 | -3.333 | 0.000 | 38.445 | -0.000 |
| -0.000 | -0.000 | 0.000 | -0.000 | 0.000 | 38.383 |
| 149.727 | 65.824 | 64.249 | -0.000 | -0.000 | 0.000 |
| 66.227 | 142.753 | 68.055 | -0.000 | -0.000 | -0.000 |
| 63.882 | 67.762 | 149.620 | 0.000 | -0.000 | -0.000 |
| -0.153 | -0.346 | 0.451 | 35.482 | -0.000 | 0.000 |
| -0.346 | -0.323 | 0.470 | -0.000 | 38.030 | 0.000 |
| -0.347 | -0.323 | 0.470 | -0.000 | -0.000 | 36.248 |
| 151.267 | 65.748 | 63.696 | -0.000 | 0.000 | 0.000 |
| 67.130 | 137.720 | 72.162 | 0.000 | 0.000 | 0.000 |
| 64.746 | 72.659 | 143.383 | -0.000 | -0.000 | -0.000 |
| 0.153 | 0.346 | -0.451 | 35.482 | 0.000 | 0.000 |
| 0.346 | 0.323 | -0.470 | -0.000 | 38.030 | 0.000 |
| 0.347 | 0.323 | -0.470 | -0.000 | 0.000 | 36.248 |
| 153.269 | 68.205 | 65.792 | 0.000 | -0.000 | -0.000 |
| 67.812 | 142.238 | 76.171 | 0.000 | -0.000 | 0.000 |
| 66.307 | 76.440 | 146.628 | 0.000 | -0.000 | -0.000 |
| 0.000 | -0.000 | -0.000 | 36.745 | -0.000 | -0.000 |
| 0.000 | -0.000 | -0.000 | 0.000 | 38.200 | 0.000 |
| 0.000 | 0.000 | -0.000 | 0.000 | 0.000 | 38.536 |
| 153.269 | 68.205 | 65.792 | 0.000 | 0.000 | 0.000 |
| 68.424 | 143.236 | 74.988 | 0.000 | 0.000 | 0.000 |
| 66.035 | 75.136 | 147.970 | 0.000 | 0.000 | 0.000 |
| -0.000 | 0.000 | 0.000 | 36.745 | 0.000 | -0.000 |
| -0.000 | 0.000 | 0.000 | 0.000 | 38.200 | 0.000 |
| -0.000 | -0.000 | 0.000 | -0.000 | 0.000 | 38.536 |
| 153.269 | 68.205 | 65.792 | 0.000 | -0.000 | 0.000 |
| 67.946 | 148.628 | 70.311 | 0.000 | -0.000 | 0.000 |
| 65.524 | 70.311 | 154.060 | 0.000 | -0.000 | -0.000 |
| 0.000 | -0.000 | 0.000 | 36.745 | -0.000 | -0.000 |
| 0.000 | 0.000 | -0.000 | -0.000 | 37.591 | 0.000 |
| 0.000 | 0.000 | -0.000 | -0.000 | -0.000 | 35.470 |
| 152.996 | 68.048 | 66.165 | -0.000 | 0.000 | 0.000 |
| 67.946 | 148.628 | 70.311 | -0.000 | 0.000 | -0.000 |
| 65.524 | 70.311 | 154.060 | -0.000 | 0.000 | 0.000 |
| -0.000 | 0.000 | -0.000 | 36.745 | 0.000 | -0.000 |
| -0.000 | -0.000 | 0.000 | 0.000 | 37.591 | 0.000 |
| -0.000 | -0.000 | 0.000 | 0.000 | 0.000 | 35.470 |
| 154.625 | 67.946 | 65.524 | 0.000 | -0.000 | 0.000 |
| 67.844 | 142.113 | 76.347 | 0.000 | -0.000 | 0.000 |
| 66.035 | 75.137 | 147.970 | -0.000 | -0.000 | 0.000 |
| -0.000 | -0.000 | 0.000 | 36.073 | -0.000 | -0.000 |
| 0.000 | 0.000 | 0.000 | -0.000 | 38.200 | 0.000 |
| 0.000 | 0.000 | -0.000 | 0.000 | -0.000 | 35.470 |
| 154.624 | 67.945 | 65.524 | -0.000 | 0.000 | -0.000 |
| 68.424 | 143.236 | 74.988 | 0.000 | 0.000 | -0.000 |
| 66.307 | 76.440 | 146.628 | 0.000 | 0.000 | -0.000 |
| 0.000 | 0.000 | -0.000 | 36.073 | 0.000 | -0.000 |
| -0.000 | -0.000 | -0.000 | 0.000 | 38.200 | 0.000 |
| -0.000 | -0.000 | 0.000 | -0.000 | 0.000 | 35.470 |
| 146.444 | 69.626 | 64.536 | 0.000 | -0.000 | 0.000 |
| 71.720 | 144.088 | 64.936 | -0.000 | -0.000 | 0.000 |
| 64.578 | 64.578 | 153.121 | -0.000 | -0.000 | 0.000 |
| -0.000 | 0.000 | 0.000 | 31.558 | 0.000 | 0.000 |
| 0.953 | 0.953 | 0.571 | -0.000 | 31.481 | -0.000 |
| 1.149 | 1.149 | 0.689 | -0.000 | -0.000 | 36.509 |
| 142.025 | 69.103 | 63.473 | -0.000 | 0.000 | -0.000 |
| 69.103 | 142.025 | 63.473 | 0.000 | 0.000 | -0.000 |
| 63.347 | 63.347 | 152.434 | -0.000 | 0.000 | -0.000 |
| -0.000 | 0.000 | -0.000 | 31.558 | -0.000 | -0.000 |
| -0.953 | -0.953 | -0.571 | -0.000 | 31.481 | -0.000 |
| -1.149 | -1.149 | -0.689 | 0.000 | 0.000 | 36.509 |
| 146.444 | 69.626 | 64.536 | -0.000 | -0.000 | 0.000 |
| 70.994 | 140.915 | 64.030 | -0.000 | -0.000 | 0.000 |
| 64.578 | 64.578 | 153.121 | 0.000 | -0.000 | 0.000 |
| 0.136 | 0.136 | 0.063 | 31.242 | -0.000 | 0.000 |
| 0.136 | 0.136 | 0.063 | -0.000 | 31.242 | 0.000 |
| -0.000 | 0.000 | 0.000 | -0.000 | -0.000 | 38.409 |
| 141.197 | 70.465 | 63.869 | -0.000 | 0.000 | -0.000 |
| 69.626 | 146.444 | 64.536 | 0.000 | 0.000 | -0.000 |
| 64.173 | 64.173 | 152.933 | -0.000 | -0.000 | -0.000 |
| -0.136 | -0.136 | -0.063 | 31.242 | -0.000 | -0.000 |
| -0.136 | -0.136 | -0.063 | -0.000 | 31.242 | -0.000 |
| 0.000 | -0.000 | -0.000 | -0.000 | 0.000 | 38.409 |
| 146.444 | 69.626 | 64.536 | -0.000 | -0.000 | 0.000 |
| 69.626 | 146.444 | 64.536 | -0.000 | -0.000 | 0.000 |
| 64.578 | 64.578 | 153.122 | -0.000 | -0.000 | 0.000 |
| 0.039 | 0.039 | 0.023 | 31.247 | -0.000 | 0.000 |
| 0.009 | 0.009 | 0.004 | -0.000 | 31.241 | 0.000 |
| 0.021 | 0.021 | 0.013 | -0.000 | -0.000 | 34.923 |
| 141.034 | 70.696 | 63.931 | 0.000 | 0.000 | -0.000 |
| 70.696 | 141.034 | 63.931 | -0.000 | 0.000 | -0.000 |
| 64.246 | 64.246 | 152.979 | -0.000 | 0.000 | -0.000 |
| -0.039 | -0.039 | -0.023 | 31.247 | 0.000 | -0.000 |
| -0.009 | -0.009 | -0.004 | -0.000 | 31.241 | -0.000 |
| -0.021 | -0.021 | -0.013 | 0.000 | -0.000 | 34.923 |
| 146.357 | 69.583 | 64.627 | 0.000 | 0.000 | 0.000 |
| 71.040 | 140.467 | 64.110 | 0.000 | 0.000 | 0.000 |
| 64.292 | 64.292 | 153.071 | 0.000 | 0.000 | 0.000 |
| 0.000 | -0.000 | 0.000 | 31.588 | -0.000 | 0.000 |
| 0.000 | 0.000 | 0.000 | 0.000 | 31.588 | 0.000 |
| 0.000 | 0.000 | 0.000 | 0.000 | -0.000 | 38.387 |
| 146.357 | 69.583 | 64.627 | -0.000 | -0.000 | -0.000 |
| 69.583 | 146.357 | 64.627 | -0.000 | -0.000 | -0.000 |
| 64.627 | 64.627 | 153.238 | -0.000 | -0.000 | -0.000 |
| -0.000 | -0.000 | -0.000 | 31.588 | -0.000 | -0.000 |
| -0.000 | -0.000 | -0.000 | -0.000 | 31.588 | -0.000 |
| -0.000 | -0.000 | -0.000 | -0.000 | -0.000 | 38.387 |
| 146.357 | 69.583 | 64.627 | -0.000 | 0.000 | 0.000 |
| 69.583 | 146.357 | 64.627 | -0.000 | 0.000 | 0.000 |
| 64.627 | 64.627 | 153.238 | -0.000 | -0.000 | 0.000 |
| -0.015 | -0.015 | -0.017 | 31.274 | 0.000 | 0.000 |
| 0.007 | 0.007 | 0.000 | 0.000 | 31.269 | 0.000 |
| 0.011 | 0.011 | 0.004 | 0.000 | -0.000 | 34.674 |
| 140.896 | 70.702 | 64.033 | 0.000 | 0.000 | -0.000 |
| 70.702 | 140.896 | 64.033 | -0.000 | 0.000 | -0.000 |
| 64.627 | 64.627 | 153.238 | -0.000 | 0.000 | -0.000 |
| 0.015 | 0.015 | 0.017 | 31.274 | 0.000 | -0.000 |
| -0.007 | -0.007 | -0.000 | 0.000 | 31.269 | -0.000 |
| -0.011 | -0.011 | -0.004 | 0.000 | -0.000 | 34.674 |
| 146.357 | 69.583 | 64.627 | 0.000 | -0.000 | 0.000 |
| 69.583 | 146.357 | 64.627 | 0.000 | -0.000 | 0.000 |
| 64.627 | 64.627 | 153.239 | 0.000 | -0.000 | 0.000 |
| -0.000 | -0.000 | 0.000 | 31.588 | 0.000 | 0.000 |
| -0.000 | -0.000 | 0.000 | 0.000 | 31.588 | 0.000 |
| -0.001 | -0.001 | -0.001 | 0.000 | 0.000 | 34.892 |
| 140.471 | 71.040 | 64.148 | -0.000 | -0.000 | -0.000 |
| 71.040 | 140.471 | 64.148 | -0.000 | 0.000 | -0.000 |
| 64.627 | 64.627 | 153.238 | -0.000 | 0.000 | -0.000 |
| 0.000 | 0.000 | -0.000 | 31.588 | -0.000 | -0.000 |
| 0.000 | 0.000 | -0.000 | -0.000 | 31.588 | -0.000 |
| 0.001 | 0.001 | 0.001 | -0.000 | -0.000 | 34.892 |
| 146.590 | 63.225 | 70.705 | 0.000 | 0.000 | -0.000 |
| 63.225 | 152.005 | 69.639 | -0.000 | 0.000 | -0.000 |
| 77.143 | 66.585 | 139.693 | -0.000 | 0.000 | 0.000 |
| 0.000 | -0.000 | -0.000 | 60.967 | -0.000 | 0.000 |
| -0.000 | 0.000 | 0.000 | -0.000 | 56.217 | -0.000 |
| 0.000 | -0.000 | -0.000 | -0.000 | 0.000 | 32.004 |
| 146.590 | 63.225 | 70.705 | 0.000 | -0.000 | 0.000 |
| 63.225 | 152.005 | 69.639 | 0.000 | -0.000 | -0.000 |
| 70.705 | 69.639 | 145.809 | 0.000 | -0.000 | 0.000 |
| -0.000 | 0.000 | 0.000 | 60.967 | 0.000 | -0.000 |
| -0.000 | -0.000 | -0.000 | 0.000 | 56.217 | 0.000 |
| -0.000 | 0.000 | 0.000 | 0.000 | -0.000 | 32.004 |
| 137.857 | 67.956 | 77.477 | -0.000 | 0.000 | 0.000 |
| 63.225 | 152.005 | 69.639 | 0.000 | 0.000 | 0.000 |
| 77.603 | 66.163 | 139.504 | -0.000 | 0.000 | -0.000 |
| -0.000 | 0.000 | 0.000 | 60.890 | 0.000 | 0.000 |
| 0.000 | 0.000 | 0.000 | -0.000 | 47.800 | 0.000 |
| 0.000 | 0.000 | -0.000 | -0.000 | 0.000 | 35.542 |
| 138.219 | 67.882 | 76.721 | 0.000 | -0.000 | -0.000 |
| 63.225 | 152.005 | 69.639 | 0.000 | -0.000 | -0.000 |
| 77.603 | 66.163 | 139.504 | 0.000 | -0.000 | 0.000 |
| 0.000 | -0.000 | -0.000 | 60.890 | -0.000 | -0.000 |
| -0.000 | -0.000 | -0.000 | 0.000 | 47.800 | -0.000 |
| -0.000 | -0.000 | 0.000 | 0.000 | -0.000 | 35.542 |
| 138.220 | 67.883 | 76.721 | -0.000 | 0.000 | 0.000 |
| 67.966 | 149.098 | 66.238 | -0.000 | -0.000 | 0.000 |
| 77.143 | 66.585 | 139.693 | -0.000 | 0.000 | 0.000 |
| -0.000 | 0.000 | 0.000 | 60.890 | -0.000 | 0.000 |
| 0.000 | 0.000 | 0.000 | -0.000 | 47.784 | 0.000 |
| -0.000 | 0.000 | -0.000 | -0.000 | 0.000 | 31.715 |
| 137.857 | 67.955 | 77.477 | 0.000 | -0.000 | -0.000 |
| 68.027 | 149.114 | 66.177 | 0.000 | 0.000 | -0.000 |
| 77.143 | 66.585 | 139.693 | 0.000 | 0.000 | -0.000 |
| 0.000 | -0.000 | -0.000 | 60.890 | 0.000 | -0.000 |
| -0.000 | -0.000 | -0.000 | 0.000 | 47.784 | -0.000 |
| 0.000 | -0.000 | 0.000 | 0.000 | 0.000 | 31.715 |
| 139.853 | 64.942 | 74.061 | 0.000 | -0.000 | -0.000 |
| 62.370 | 150.670 | 69.005 | 0.000 | 0.000 | -0.000 |
| 69.599 | 68.091 | 148.290 | 0.000 | -0.000 | -0.000 |
| 5.083 | -2.614 | -4.130 | 61.048 | 0.000 | -0.000 |
| 5.372 | -2.761 | -4.362 | 0.000 | 48.100 | 0.000 |
| 5.122 | -2.629 | -4.151 | -0.000 | 0.000 | 30.921 |
| 144.289 | 62.488 | 70.631 | -0.000 | -0.000 | 0.000 |
| 62.370 | 150.670 | 69.005 | 0.000 | -0.000 | -0.000 |
| 69.599 | 68.091 | 148.290 | 0.000 | 0.000 | 0.000 |
| -5.083 | 2.614 | 4.130 | 61.048 | -0.000 | 0.000 |
| -5.372 | 2.761 | 4.362 | -0.000 | 48.100 | -0.000 |
| -5.122 | 2.629 | 4.151 | 0.000 | -0.000 | 30.921 |
| 135.567 | 67.165 | 77.530 | 0.000 | 0.000 | 0.000 |
| 67.773 | 147.375 | 64.940 | 0.000 | 0.000 | 0.000 |
| 77.367 | 64.164 | 141.250 | 0.000 | -0.000 | 0.000 |
| -0.000 | 0.000 | 0.000 | 61.913 | 0.000 | -0.000 |
| 0.485 | -0.252 | -0.393 | -0.000 | 47.512 | 0.000 |
| 0.514 | -0.264 | -0.417 | -0.000 | 0.000 | 30.905 |
| 134.668 | 67.582 | 78.325 | -0.000 | -0.000 | 0.000 |
| 66.888 | 147.863 | 65.643 | 0.000 | -0.000 | 0.000 |
| 76.405 | 64.662 | 142.028 | -0.000 | -0.000 | -0.000 |
| 0.000 | -0.000 | -0.000 | 61.913 | -0.000 | -0.000 |
| -0.485 | 0.252 | 0.393 | -0.000 | 47.512 | -0.000 |
| -0.514 | 0.264 | 0.417 | 0.000 | -0.000 | 30.905 |
| 148.718 | 69.389 | 64.869 | 0.000 | 0.000 | -0.000 |
| 69.010 | 145.737 | 66.515 | 0.000 | 0.000 | -0.000 |
| 64.659 | 66.691 | 155.343 | 0.000 | 0.000 | 0.000 |
| -0.000 | -0.000 | 0.000 | 40.349 | 0.000 | 0.000 |
| -0.000 | -0.000 | 0.000 | 0.000 | 27.117 | 0.000 |
| -0.000 | 0.000 | 0.000 | 0.000 | 0.000 | 30.211 |
| 148.718 | 69.389 | 64.869 | -0.000 | -0.000 | -0.000 |
| 69.010 | 145.737 | 66.515 | -0.000 | -0.000 | 0.000 |
| 64.659 | 66.691 | 155.343 | -0.000 | -0.000 | -0.000 |
| 0.000 | 0.000 | -0.000 | 40.349 | -0.000 | -0.000 |
| 0.000 | 0.000 | -0.000 | -0.000 | 27.117 | -0.000 |
| 0.000 | -0.000 | -0.000 | -0.000 | -0.000 | 30.211 |
| 148.638 | 69.319 | 64.766 | -0.000 | 0.000 | 0.000 |
| 69.294 | 145.501 | 66.580 | 0.000 | 0.000 | 0.000 |
| 64.764 | 66.580 | 155.313 | 0.000 | 0.000 | 0.000 |
| 0.000 | -0.000 | 0.000 | 40.246 | 0.000 | 0.000 |
| -0.000 | -0.000 | 0.000 | -0.000 | 27.021 | 0.000 |
| -0.000 | 0.000 | -0.000 | 0.000 | 0.000 | 29.319 |
| 148.718 | 69.389 | 64.869 | -0.000 | -0.000 | 0.000 |
| 69.010 | 145.737 | 66.515 | -0.000 | -0.000 | 0.000 |
| 64.659 | 66.691 | 155.343 | -0.000 | -0.000 | -0.000 |
| -0.000 | 0.000 | -0.000 | 40.246 | -0.000 | -0.000 |
| 0.000 | 0.000 | -0.000 | 0.000 | 27.021 | -0.000 |
| 0.000 | -0.000 | 0.000 | -0.000 | -0.000 | 29.319 |
| 148.637 | 69.284 | 64.745 | 0.000 | 0.000 | 0.000 |
| 69.294 | 145.501 | 66.580 | 0.000 | 0.000 | 0.000 |
| 64.744 | 66.579 | 155.313 | 0.000 | 0.000 | 0.000 |
| 0.000 | -0.000 | 0.000 | 40.246 | 0.000 | 0.000 |
| -0.000 | -0.000 | 0.000 | -0.000 | 27.021 | 0.000 |
| -0.000 | 0.000 | -0.000 | -0.000 | 0.000 | 29.318 |
| 148.718 | 69.389 | 64.869 | -0.000 | -0.000 | -0.000 |
| 69.294 | 145.500 | 66.580 | -0.000 | -0.000 | -0.000 |
| 64.743 | 66.579 | 155.312 | -0.000 | -0.000 | -0.000 |
| -0.000 | 0.000 | -0.000 | 40.246 | -0.000 | -0.000 |
| 0.000 | 0.000 | -0.000 | 0.000 | 27.021 | -0.000 |
| 0.000 | -0.000 | 0.000 | 0.000 | -0.000 | 29.318 |
| 140.614 | 69.669 | 59.568 | 0.000 | -0.000 | 0.000 |
| 66.608 | 148.823 | 62.177 | 0.000 | 0.000 | -0.000 |
| 59.027 | 64.543 | 147.284 | -0.000 | 0.000 | 0.000 |
| -0.113 | 0.247 | 0.100 | 40.546 | 0.000 | -0.000 |
| -0.209 | 0.454 | 0.184 | 0.000 | 25.209 | 0.000 |
| -0.157 | 0.342 | 0.139 | 0.000 | 0.000 | 31.804 |
| 140.902 | 68.966 | 59.276 | -0.000 | -0.000 | 0.000 |
| 66.912 | 148.159 | 61.908 | -0.000 | -0.000 | 0.000 |
| 59.314 | 63.914 | 147.027 | 0.000 | -0.000 | -0.000 |
| 0.113 | -0.247 | -0.100 | 40.546 | 0.000 | 0.000 |
| 0.209 | -0.454 | -0.184 | 0.000 | 25.209 | -0.000 |
| 0.157 | -0.342 | -0.139 | -0.000 | -0.000 | 31.804 |
| 140.742 | 69.358 | 59.439 | 0.000 | -0.000 | -0.000 |
| 67.184 | 148.250 | 62.183 | -0.000 | -0.000 | -0.000 |
| 59.285 | 64.180 | 147.145 | -0.000 | 0.000 | 0.000 |
| -0.018 | 0.037 | 0.014 | 40.467 | -0.000 | -0.000 |
| -0.015 | 0.025 | 0.008 | -0.000 | 25.115 | 0.000 |
| -0.017 | 0.035 | 0.013 | -0.000 | -0.000 | 31.124 |
| 140.771 | 69.288 | 59.409 | 0.000 | -0.000 | -0.000 |
| 67.219 | 148.180 | 62.157 | -0.000 | 0.000 | -0.000 |
| 58.337 | 66.308 | 148.139 | 0.000 | -0.000 | 0.000 |
| 0.018 | -0.037 | -0.014 | 40.467 | -0.000 | 0.000 |
| 0.015 | -0.025 | -0.008 | 0.000 | 25.115 | -0.000 |
| 0.017 | -0.035 | -0.013 | 0.000 | -0.000 | 31.124 |
| 140.756 | 69.327 | 59.426 | 0.000 | 0.000 | 0.000 |
| 67.200 | 148.219 | 62.171 | -0.000 | -0.000 | 0.000 |
| 59.323 | 64.163 | 147.132 | -0.000 | 0.000 | -0.000 |
| -0.002 | 0.004 | 0.002 | 40.467 | -0.000 | -0.000 |
| -0.002 | 0.005 | 0.002 | -0.000 | 25.199 | 0.000 |
| -0.002 | 0.004 | 0.001 | 0.000 | -0.000 | 31.120 |
| 140.608 | 69.191 | 59.304 | 0.000 | -0.000 | 0.000 |
| 67.203 | 148.211 | 62.169 | 0.000 | 0.000 | -0.000 |
| 59.326 | 64.155 | 147.129 | 0.000 | 0.000 | 0.000 |
| 0.002 | -0.004 | -0.002 | 40.467 | -0.000 | -0.000 |
| 0.002 | -0.005 | -0.002 | 0.000 | 25.199 | -0.000 |
| 0.002 | -0.004 | -0.001 | -0.000 | -0.000 | 31.120 |
| 148.897 | 86.181 | 44.923 | -0.000 | 0.000 | -0.000 |
| 62.652 | 170.678 | 48.519 | 0.000 | 0.000 | -0.000 |
| 65.781 | 88.520 | 130.475 | 0.000 | 0.000 | -0.000 |
| 0.000 | -0.000 | 0.000 | 40.207 | -0.000 | -0.000 |
| -2.704 | 20.988 | -19.479 | -0.000 | 37.101 | 0.000 |
| -3.461 | 16.309 | -5.391 | 0.000 | -0.000 | 35.088 |
| 153.358 | 41.725 | 80.233 | 0.000 | 0.000 | 0.000 |
| 65.412 | 130.806 | 74.224 | -0.000 | -0.000 | 0.000 |
| 66.962 | 44.284 | 153.220 | -0.000 | 0.000 | 0.000 |
| -0.000 | 0.000 | -0.000 | 40.207 | 0.000 | 0.000 |
| 2.704 | -20.988 | 19.479 | 0.000 | 37.101 | 0.000 |
| 3.461 | -16.309 | 5.391 | -0.000 | 0.000 | 35.088 |
| 151.686 | 67.308 | 62.752 | -0.000 | 0.000 | -0.000 |
| 65.332 | 152.616 | 66.201 | 0.000 | 0.000 | -0.000 |
| 65.627 | 70.551 | 136.970 | -0.000 | 0.000 | -0.000 |
| -0.228 | 1.766 | -1.639 | 35.310 | 0.000 | -0.000 |
| -0.001 | 2.078 | -0.831 | -0.000 | 37.224 | -0.000 |
| 0.000 | 0.000 | -0.000 | -0.000 | 0.000 | 35.388 |
| 151.951 | 63.727 | 65.903 | 0.000 | -0.000 | 0.000 |
| 65.842 | 148.405 | 68.672 | -0.000 | 0.000 | 0.000 |
| 65.699 | 66.642 | 138.622 | 0.000 | 0.000 | 0.000 |
| 0.228 | -1.766 | 1.639 | 35.310 | -0.000 | -0.000 |
| 0.001 | -2.078 | 0.831 | 0.000 | 37.224 | 0.000 |
| -0.000 | -0.000 | 0.000 | 0.000 | 0.000 | 35.388 |
| 151.731 | 65.711 | 64.633 | -0.000 | -0.000 | -0.000 |
| 65.502 | 151.069 | 66.847 | 0.000 | 0.000 | -0.000 |
| 65.704 | 68.832 | 137.960 | -0.000 | -0.000 | -0.000 |
| -0.019 | 0.194 | -0.098 | 35.255 | -0.000 | -0.000 |
| -0.019 | 0.151 | -0.140 | -0.000 | 37.224 | -0.000 |
| -0.017 | 0.134 | -0.124 | 0.000 | 0.000 | 35.143 |
| 151.938 | 65.580 | 64.408 | 0.000 | -0.000 | 0.000 |
| 65.892 | 154.313 | 64.156 | 0.000 | 0.000 | 0.000 |
| 65.702 | 68.306 | 137.836 | 0.000 | -0.000 | 0.000 |
| 0.019 | -0.194 | 0.098 | 35.255 | 0.000 | 0.000 |
| 0.019 | -0.151 | 0.140 | 0.000 | 37.224 | 0.000 |
| 0.017 | -0.134 | 0.124 | 0.000 | -0.000 | 35.143 |
| 154.788 | 66.573 | 67.106 | -0.000 | 0.000 | 0.000 |
| 62.104 | 155.460 | 55.951 | 0.000 | 0.000 | -0.000 |
| 67.106 | 69.145 | 150.188 | -0.000 | -0.000 | -0.000 |
| -6.237 | 8.391 | -17.280 | 35.937 | 0.000 | -0.000 |
| -6.260 | 8.429 | -17.354 | 0.000 | 36.710 | -0.000 |
| -6.510 | 4.348 | -11.910 | 0.000 | 0.000 | 35.096 |
| 157.280 | 59.911 | 82.452 | -0.000 | -0.000 | 0.000 |
| 72.660 | 140.326 | 89.527 | -0.000 | -0.000 | 0.000 |
| 72.434 | 64.255 | 161.799 | -0.000 | -0.000 | 0.000 |
| 6.237 | -8.391 | 17.280 | 35.937 | -0.000 | -0.000 |
| 6.260 | -8.429 | 17.354 | -0.000 | 36.710 | 0.000 |
| 6.510 | -4.348 | 11.910 | 0.000 | -0.000 | 35.096 |
| 153.078 | 67.260 | 64.619 | -0.000 | -0.000 | 0.000 |
| 65.974 | 149.409 | 70.730 | 0.000 | -0.000 | -0.000 |
| 65.429 | 72.517 | 144.067 | 0.000 | 0.000 | -0.000 |
| -0.798 | 0.533 | -1.461 | 37.107 | 0.000 | -0.000 |
| -0.408 | 0.667 | -1.608 | 0.000 | 36.700 | -0.000 |
| -0.332 | 0.817 | -1.934 | 0.000 | -0.000 | 35.061 |
| 154.788 | 66.573 | 67.106 | 0.000 | -0.000 | -0.000 |
| 67.239 | 148.598 | 73.744 | -0.000 | -0.000 | 0.000 |
| 66.902 | 71.662 | 146.506 | 0.000 | 0.000 | -0.000 |
| 0.798 | -0.533 | 1.461 | 37.107 | 0.000 | 0.000 |
| 0.408 | -0.667 | 1.608 | -0.000 | 36.700 | 0.000 |
| 0.332 | -0.817 | 1.934 | -0.000 | -0.000 | 35.061 |
| 153.751 | 66.489 | 66.191 | -0.000 | -0.000 | 0.000 |
| 66.573 | 153.052 | 69.145 | 0.000 | 0.000 | 0.000 |
| 67.106 | 69.145 | 150.189 | -0.000 | -0.000 | 0.000 |
| -0.034 | 0.085 | -0.149 | 36.424 | 0.000 | -0.000 |
| 0.000 | -0.000 | 0.000 | 0.000 | 37.118 | -0.000 |
| -0.071 | 0.048 | -0.130 | -0.000 | -0.000 | 35.078 |
| 153.814 | 66.386 | 66.383 | -0.000 | 0.000 | 0.000 |
| 66.495 | 149.081 | 72.395 | -0.000 | -0.000 | 0.000 |
| 66.373 | 72.207 | 144.716 | -0.000 | 0.000 | -0.000 |
| 0.034 | -0.085 | 0.149 | 36.424 | -0.000 | -0.000 |
| -0.000 | 0.000 | -0.000 | 0.000 | 37.118 | -0.000 |
| 0.071 | -0.048 | 0.130 | 0.000 | 0.000 | 35.078 |
| 60.274 | 128.142 | 1.570 | -0.000 | 0.000 | 0.000 |
| -16.276 | 226.205 | -36.872 | 0.000 | 0.000 | 0.000 |
| 68.859 | 63.745 | 147.787 | 0.000 | -0.000 | -0.000 |
| -82.661 | 89.154 | -105.302 | 33.457 | 0.000 | -0.000 |
| -82.662 | 89.159 | -105.309 | 0.000 | 41.800 | -0.000 |
| 0.000 | 0.000 | 0.000 | 0.000 | -0.000 | 39.297 |
| 152.732 | 63.352 | 67.641 | -0.000 | 0.000 | -0.000 |
| 157.201 | 74.988 | 132.574 | 0.000 | -0.000 | -0.000 |
| 153.064 | -37.349 | 264.318 | -0.000 | 0.000 | -0.000 |
| 82.661 | -89.154 | 105.302 | 33.457 | -0.000 | -0.000 |
| 83.695 | -102.111 | 119.472 | 0.000 | 41.125 | -0.000 |
| -0.000 | -0.000 | -0.000 | -0.000 | 0.000 | 39.297 |
| 142.298 | 73.193 | 56.681 | 0.000 | 0.000 | -0.000 |
| 65.404 | 142.332 | 64.579 | 0.000 | -0.000 | 0.000 |
| 68.859 | 63.745 | 147.787 | 0.000 | -0.000 | -0.000 |
| -8.394 | 10.144 | -11.898 | 33.610 | 0.000 | -0.000 |
| -7.937 | 10.360 | -12.105 | -0.000 | 41.470 | 0.000 |
| -9.071 | 6.390 | -6.582 | 0.000 | 0.000 | 37.543 |
| 152.732 | 63.352 | 67.641 | -0.000 | 0.000 | -0.000 |
| 74.078 | 126.656 | 80.654 | -0.000 | -0.000 | -0.000 |
| 77.002 | 57.428 | 154.849 | -0.000 | 0.000 | -0.000 |
| 8.394 | -10.144 | 11.898 | 33.610 | -0.000 | 0.000 |
| 7.937 | -10.360 | 12.105 | 0.000 | 41.470 | 0.000 |
| 9.071 | -6.390 | 6.582 | -0.000 | -0.000 | 37.543 |
| 152.733 | 63.352 | 67.641 | 0.000 | -0.000 | 0.000 |
| 65.524 | 139.053 | 66.317 | -0.000 | 0.000 | 0.000 |
| 67.599 | 68.652 | 141.574 | 0.000 | -0.000 | -0.000 |
| -0.822 | 0.841 | -0.981 | 33.825 | 0.000 | -0.000 |
| 0.000 | -0.000 | 0.000 | 0.000 | 43.162 | 0.000 |
| -0.832 | 0.874 | -1.026 | 0.000 | 0.000 | 37.217 |
| 152.732 | 63.352 | 67.641 | -0.000 | 0.000 | -0.000 |
| 67.698 | 137.505 | 67.903 | 0.000 | -0.000 | -0.000 |
| 68.859 | 63.744 | 147.786 | -0.000 | 0.000 | 0.000 |
| 0.822 | -0.841 | 0.981 | 33.825 | -0.000 | -0.000 |
| -0.000 | 0.000 | -0.000 | -0.000 | 43.162 | 0.000 |
| 0.832 | -0.874 | 1.026 | -0.000 | -0.000 | 37.217 |
| 152.456 | 64.145 | 67.181 | -0.000 | -0.000 | -0.000 |
| 65.984 | 148.178 | 69.834 | -0.000 | 0.000 | -0.000 |
| 67.562 | 70.905 | 148.490 | -0.000 | -0.000 | -0.000 |
| 0.754 | -0.112 | 0.076 | 36.424 | 0.000 | 0.000 |
| 0.000 | 0.000 | 0.000 | 0.000 | 40.624 | 0.000 |
| 0.849 | -0.126 | 0.085 | -0.000 | -0.000 | 35.760 |
| 149.786 | 65.326 | 66.597 | 0.000 | -0.000 | -0.000 |
| 64.670 | 146.201 | 71.087 | 0.000 | 0.000 | 0.000 |
| 65.582 | 70.503 | 149.310 | 0.000 | -0.000 | -0.000 |
| -0.754 | 0.112 | -0.076 | 36.424 | -0.000 | 0.000 |
| -0.000 | 0.000 | -0.000 | 0.000 | 40.624 | 0.000 |
| -0.849 | 0.126 | -0.085 | 0.000 | 0.000 | 35.760 |
| 152.456 | 64.145 | 67.181 | -0.000 | 0.000 | -0.000 |
| 64.145 | 151.956 | 67.416 | -0.000 | 0.000 | -0.000 |
| 67.181 | 67.416 | 153.639 | 0.000 | 0.000 | -0.000 |
| 0.089 | 0.083 | -0.024 | 35.672 | -0.000 | 0.000 |
| 0.046 | 0.125 | -0.041 | 0.000 | 38.301 | -0.000 |
| 0.081 | 0.040 | -0.010 | -0.000 | 0.000 | 35.544 |
| 150.296 | 64.715 | 66.652 | 0.000 | 0.000 | 0.000 |
| 64.765 | 146.503 | 71.731 | -0.000 | -0.000 | 0.000 |
| 66.358 | 70.698 | 148.934 | 0.000 | 0.000 | 0.000 |
| -0.089 | -0.083 | 0.024 | 35.672 | -0.000 | 0.000 |
| -0.046 | -0.125 | 0.041 | -0.000 | 38.301 | 0.000 |
| -0.081 | -0.040 | 0.010 | -0.000 | 0.000 | 35.544 |
| 152.456 | 64.145 | 67.181 | -0.000 | -0.000 | 0.000 |
| 64.886 | 146.544 | 71.641 | -0.000 | -0.000 | -0.000 |
| 67.181 | 67.416 | 153.639 | 0.000 | -0.000 | -0.000 |
| 0.009 | 0.008 | -0.002 | 35.674 | 0.000 | -0.000 |
| 0.017 | -0.003 | 0.002 | -0.000 | 38.584 | -0.000 |
| 0.000 | 0.000 | -0.000 | -0.000 | -0.000 | 38.118 |
| 152.455 | 64.145 | 67.181 | 0.000 | 0.000 | -0.000 |
| 64.848 | 146.588 | 71.676 | -0.000 | -0.000 | 0.000 |
| 66.692 | 71.395 | 148.329 | -0.000 | 0.000 | 0.000 |
| -0.009 | -0.008 | 0.002 | 35.674 | -0.000 | 0.000 |
| -0.017 | 0.003 | -0.002 | 0.000 | 38.584 | -0.000 |
| -0.000 | -0.000 | 0.000 | 0.000 | -0.000 | 38.118 |
| 162.054 | 61.925 | 67.359 | 0.000 | 8.228 | 0.000 |
| 93.842 | 177.363 | 50.118 | 0.000 | -69.097 | -0.000 |
| 103.632 | 89.909 | 128.343 | 0.000 | -68.122 | 0.000 |
| 27.256 | 27.225 | -13.797 | 29.446 | -61.876 | -0.342 |
| -0.205 | -0.246 | 0.977 | 0.000 | 42.761 | 0.000 |
| 27.258 | 27.224 | -13.799 | -0.178 | -61.874 | 38.551 |
| 162.054 | 61.925 | 67.359 | -0.000 | 8.228 | -0.000 |
| 45.853 | 132.371 | 52.862 | -0.000 | 33.267 | -0.000 |
| 53.435 | 44.329 | 132.316 | -0.000 | 33.957 | -0.000 |
| -27.256 | -27.225 | 13.797 | 29.446 | 61.876 | -0.342 |
| -27.333 | -27.181 | 14.507 | -0.000 | 101.517 | -0.000 |
| -27.258 | -27.224 | 13.799 | -0.178 | 61.874 | 38.551 |
| 159.446 | 63.970 | 69.037 | 0.000 | 1.741 | 0.000 |
| 66.872 | 153.636 | 61.751 | 0.000 | -5.987 | 0.000 |
| 74.143 | 64.933 | 142.912 | 0.000 | -2.474 | 0.000 |
| -0.000 | 0.000 | 0.000 | 31.510 | 0.000 | -0.333 |
| -0.205 | -0.246 | 0.977 | 0.000 | 42.761 | 0.000 |
| 1.877 | 1.873 | 0.981 | -0.207 | -3.313 | 38.563 |
| 162.054 | 61.925 | 67.359 | -0.000 | 8.228 | 0.000 |
| 64.827 | 151.727 | 62.638 | -0.000 | -0.081 | -0.000 |
| 70.339 | 62.947 | 147.145 | -0.000 | 0.977 | -0.000 |
| 0.000 | -0.000 | -0.000 | 31.510 | -0.000 | -0.333 |
| -3.050 | -2.623 | 2.023 | -0.000 | 46.479 | -0.000 |
| -1.877 | -1.873 | -0.981 | -0.207 | 3.313 | 38.563 |
| 156.868 | 61.576 | 70.370 | 0.000 | 7.142 | 0.000 |
| 64.423 | 151.189 | 62.994 | -0.000 | -0.407 | 0.000 |
| 73.866 | 63.731 | 141.362 | 0.000 | 0.108 | 0.000 |
| -0.000 | 0.000 | 0.000 | 31.510 | 0.000 | -0.333 |
| 0.011 | 0.228 | 1.071 | 0.000 | 39.207 | 0.000 |
| 0.230 | 0.287 | -0.183 | -0.210 | -0.763 | 38.543 |
| 156.271 | 61.161 | 70.592 | -0.000 | 8.323 | 0.000 |
| 63.929 | 150.628 | 63.172 | -0.000 | 1.029 | -0.000 |
| 73.002 | 62.915 | 141.728 | 0.000 | 1.374 | -0.000 |
| 0.000 | -0.000 | -0.000 | 31.510 | -0.000 | -0.333 |
| -0.367 | -0.195 | 0.859 | -0.000 | 40.118 | 0.000 |
| -0.230 | -0.287 | 0.183 | -0.210 | 0.763 | 38.543 |
| 207.066 | 85.286 | -38.863 | 0.000 | 130.226 | 0.000 |
| 67.602 | 154.077 | 63.668 | 0.000 | 0.044 | -0.000 |
| 66.982 | 63.668 | 147.827 | -0.000 | -0.094 | -0.000 |
| 33.040 | 7.501 | -44.058 | 36.341 | 37.911 | -0.133 |
| 32.674 | 7.464 | -43.656 | 0.000 | 75.398 | -0.000 |
| -0.000 | 0.000 | 0.000 | -0.120 | 0.000 | 36.976 |
| 110.133 | 60.071 | 115.143 | -0.000 | -30.943 | 0.000 |
| 67.602 | 154.077 | 63.668 | 0.000 | 0.044 | 0.000 |
| 9.958 | 53.036 | 232.992 | -0.000 | -134.838 | -0.000 |
| -33.040 | -7.501 | 44.058 | 36.341 | -37.911 | -0.133 |
| -0.145 | 0.044 | -0.094 | 0.000 | 40.119 | -0.000 |
| 0.000 | -0.000 | -0.000 | -0.120 | -0.000 | 36.976 |
| 149.632 | 67.610 | 66.964 | 0.000 | 7.537 | 0.000 |
| 67.602 | 154.077 | 63.668 | 0.000 | 0.044 | -0.000 |
| 74.842 | 65.766 | 136.586 | 0.000 | 4.180 | -0.000 |
| -0.000 | 0.000 | 0.000 | 37.082 | 0.000 | -0.120 |
| 2.968 | 0.723 | -4.058 | 0.000 | 41.483 | 0.000 |
| -0.000 | 0.000 | -0.000 | -0.120 | 0.000 | 36.976 |
| 135.285 | 66.018 | 82.482 | -0.000 | -5.298 | 0.000 |
| 67.602 | 154.077 | 63.668 | -0.000 | 0.044 | 0.000 |
| 65.141 | 63.551 | 151.214 | -0.000 | -12.732 | -0.000 |
| 0.000 | -0.000 | -0.000 | 37.082 | -0.000 | -0.120 |
| -6.042 | -1.042 | 9.015 | -0.000 | 22.294 | 0.000 |
| 0.000 | -0.000 | 0.000 | -0.120 | -0.000 | 36.976 |
| 142.654 | 67.862 | 70.493 | 0.000 | 8.012 | -0.000 |
| 67.602 | 154.077 | 63.668 | -0.000 | 0.044 | -0.000 |
| 72.122 | 65.186 | 140.122 | 0.000 | 0.490 | -0.000 |
| 0.610 | 0.174 | -1.021 | 35.822 | 0.902 | -0.142 |
| -0.145 | 0.044 | -0.094 | -0.000 | 40.119 | -0.000 |
| 0.355 | 0.081 | -0.474 | -0.134 | 0.407 | 36.824 |
| 141.471 | 67.564 | 72.474 | 0.000 | 5.490 | 0.000 |
| 67.602 | 154.076 | 63.667 | 0.000 | 0.044 | 0.000 |
| 70.888 | 65.043 | 141.514 | 0.000 | -1.207 | 0.000 |
| -0.610 | -0.174 | 1.021 | 35.822 | -0.902 | -0.142 |
| -0.539 | -0.094 | 0.752 | -0.000 | 35.873 | -0.000 |
| -0.355 | -0.081 | 0.474 | -0.134 | -0.407 | 36.824 |
| 146.065 | 56.130 | 21.255 | -0.000 | -0.000 | 0.000 |
| 76.670 | 124.299 | 76.659 | -0.000 | 0.000 | -0.000 |
| 36.059 | 62.584 | 160.855 | -0.000 | 0.000 | -0.000 |
| -12.326 | -20.459 | -12.331 | 65.064 | -0.000 | 0.000 |
| -12.327 | -20.459 | -12.332 | -0.000 | 27.790 | 0.000 |
| -12.326 | -20.459 | -12.331 | -0.000 | -0.000 | 64.982 |
| 181.126 | 96.311 | 56.326 | 0.000 | -0.000 | 0.000 |
| 88.717 | 159.193 | 88.716 | 0.000 | -0.000 | -0.000 |
| 50.288 | 96.941 | 175.094 | -0.000 | 0.000 | -0.000 |
| 12.326 | 20.459 | 12.331 | 65.064 | 0.000 | -0.000 |
| 12.327 | 20.459 | 12.332 | 0.000 | 27.790 | -0.000 |
| 12.326 | 20.459 | 12.331 | 0.000 | 0.000 | 64.982 |
| 161.310 | 74.460 | 36.505 | -0.000 | -0.000 | 0.000 |
| 75.129 | 136.703 | 75.122 | -0.000 | 0.000 | 0.000 |
| 36.937 | 74.184 | 161.737 | -0.000 | -0.000 | -0.000 |
| -1.225 | -2.049 | -1.226 | 65.061 | 0.000 | 0.000 |
| -1.233 | -2.046 | -1.233 | -0.000 | 27.790 | -0.000 |
| -1.225 | -2.049 | -1.226 | -0.000 | -0.000 | 64.979 |
| 164.009 | 78.500 | 39.205 | 0.000 | -0.000 | 0.000 |
| 77.714 | 140.756 | 77.708 | 0.000 | -0.000 | 0.000 |
| 41.237 | 76.032 | 166.037 | 0.000 | -0.000 | -0.000 |
| 1.225 | 2.049 | 1.226 | 65.061 | -0.000 | 0.000 |
| 1.233 | 2.046 | 1.233 | 0.000 | 27.790 | -0.000 |
| 1.225 | 2.049 | 1.226 | 0.000 | 0.000 | 64.979 |
| 162.559 | 76.284 | 37.754 | -0.000 | 0.000 | 0.000 |
| 76.218 | 138.548 | 76.212 | -0.000 | 0.000 | -0.000 |
| 37.779 | 76.255 | 162.580 | -0.000 | 0.000 | 0.000 |
| -0.132 | -0.200 | -0.132 | 65.047 | 0.000 | -0.000 |
| -0.123 | -0.205 | -0.123 | -0.000 | 27.790 | 0.000 |
| -0.132 | -0.200 | -0.132 | -0.000 | 0.000 | 64.965 |
| 162.841 | 76.660 | 38.036 | 0.000 | -0.000 | 0.000 |
| 75.953 | 139.385 | 75.947 | 0.000 | -0.000 | -0.000 |
| 38.038 | 76.655 | 162.838 | 0.000 | -0.000 | -0.000 |
| 0.132 | 0.200 | 0.132 | 65.047 | -0.000 | 0.000 |
| 0.123 | 0.205 | 0.123 | 0.000 | 27.790 | 0.000 |
| 0.132 | 0.200 | 0.132 | 0.000 | -0.000 | 64.965 |
| 169.648 | 38.591 | 38.591 | -0.000 | 0.000 | -0.000 |
| 38.591 | 169.648 | 38.591 | 0.000 | 0.000 | -0.000 |
| 38.591 | 38.591 | 169.648 | 0.000 | -0.000 | -0.000 |
| 0.000 | 0.000 | -0.000 | 53.169 | 0.000 | -0.000 |
| 0.000 | 0.000 | -0.000 | 0.000 | 53.169 | 0.000 |
| 0.000 | 0.000 | -0.000 | -0.000 | 0.000 | 53.169 |
| 169.648 | 38.591 | 38.591 | 0.000 | -0.000 | 0.000 |
| 38.591 | 169.648 | 38.591 | -0.000 | -0.000 | 0.000 |
| 38.591 | 38.591 | 169.648 | -0.000 | -0.000 | 0.000 |
| -0.000 | -0.000 | 0.000 | 53.169 | -0.000 | -0.000 |
| -0.000 | -0.000 | 0.000 | -0.000 | 53.169 | -0.000 |
| -0.000 | -0.000 | 0.000 | 0.000 | -0.000 | 53.169 |
| 169.648 | 38.591 | 38.591 | 0.000 | 0.000 | -0.000 |
| 38.591 | 169.648 | 38.591 | -0.000 | 0.000 | -0.000 |
| 38.591 | 38.591 | 169.648 | 0.000 | 0.000 | -0.000 |
| 0.000 | -0.000 | -0.000 | 54.724 | 0.000 | 0.000 |
| -0.000 | 0.000 | -0.000 | -0.000 | 54.724 | -0.000 |
| -0.000 | 0.000 | 0.000 | 0.000 | 0.000 | 54.724 |
| 169.648 | 38.591 | 38.591 | -0.000 | -0.000 | 0.000 |
| 38.591 | 169.648 | 38.591 | 0.000 | -0.000 | -0.000 |
| 38.591 | 38.591 | 169.648 | -0.000 | -0.000 | 0.000 |
| -0.000 | 0.000 | 0.000 | 54.724 | -0.000 | 0.000 |
| 0.000 | -0.000 | 0.000 | 0.000 | 54.724 | -0.000 |
| 0.000 | -0.000 | -0.000 | -0.000 | -0.000 | 54.724 |
| 169.649 | 38.591 | 38.591 | -0.000 | 0.000 | -0.000 |
| 38.591 | 169.649 | 38.591 | -0.000 | 0.000 | 0.000 |
| 38.591 | 38.591 | 169.649 | 0.000 | 0.000 | -0.000 |
| 0.000 | -0.000 | -0.000 | 53.169 | 0.000 | 0.000 |
| -0.000 | 0.000 | -0.000 | 0.000 | 53.169 | 0.000 |
| -0.000 | -0.000 | 0.000 | -0.000 | 0.000 | 53.169 |
| 169.648 | 38.591 | 38.591 | -0.000 | -0.000 | 0.000 |
| 38.591 | 169.648 | 38.591 | 0.000 | -0.000 | 0.000 |
| 38.591 | 38.591 | 169.648 | 0.000 | -0.000 | -0.000 |
| -0.000 | 0.000 | 0.000 | 53.169 | -0.000 | 0.000 |
| 0.000 | -0.000 | 0.000 | -0.000 | 53.169 | -0.000 |
| 0.000 | 0.000 | -0.000 | 0.000 | -0.000 | 53.169 |
| 74.637 | 71.856 | 71.856 | 0.000 | 0.000 | 0.000 |
| 71.856 | 74.637 | 71.856 | 0.000 | 0.000 | 0.000 |
| 71.856 | 71.856 | 74.637 | 0.000 | 0.000 | 0.000 |
| 0.000 | 0.000 | -0.000 | 45.334 | -0.000 | 0.000 |
| 0.000 | 0.000 | -0.000 | -0.000 | 45.334 | 0.000 |
| 0.000 | 0.000 | -0.000 | -0.000 | -0.000 | 45.334 |
| 74.637 | 71.856 | 71.856 | -0.000 | -0.000 | -0.000 |
| 71.856 | 74.637 | 71.856 | -0.000 | -0.000 | -0.000 |
| 71.856 | 71.856 | 74.637 | -0.000 | -0.000 | -0.000 |
| -0.000 | -0.000 | 0.000 | 45.334 | 0.000 | -0.000 |
| -0.000 | -0.000 | 0.000 | 0.000 | 45.334 | -0.000 |
| -0.000 | -0.000 | 0.000 | -0.000 | -0.000 | 10.647 |
| 74.637 | 71.856 | 71.856 | 0.000 | 0.000 | 0.000 |
| 71.856 | 74.637 | 71.856 | 0.000 | 0.000 | 0.000 |
| 71.856 | 71.856 | 74.637 | 0.000 | 0.000 | 0.000 |
| 0.000 | -0.000 | -0.000 | 10.647 | 0.000 | 0.000 |
| -0.000 | 0.000 | -0.000 | 0.000 | 10.647 | 0.000 |
| -0.000 | -0.000 | 0.000 | 0.000 | 0.000 | 10.647 |
| 74.637 | 71.856 | 71.856 | -0.000 | -0.000 | -0.000 |
| 71.856 | 74.637 | 71.856 | -0.000 | -0.000 | -0.000 |
| 71.856 | 71.856 | 74.637 | -0.000 | -0.000 | -0.000 |
| -0.000 | 0.000 | 0.000 | 10.647 | -0.000 | -0.000 |
| 0.000 | -0.000 | 0.000 | -0.000 | 10.647 | -0.000 |
| 0.000 | 0.000 | -0.000 | -0.000 | -0.000 | 10.647 |
| 74.637 | 71.856 | 71.856 | 0.000 | 0.000 | 0.000 |
| 71.856 | 74.637 | 71.856 | 0.000 | 0.000 | 0.000 |
| 71.856 | 71.856 | 74.637 | 0.000 | 0.000 | 0.000 |
| 0.000 | -0.000 | -0.000 | 21.369 | -0.000 | 0.000 |
| -0.000 | 0.000 | -0.000 | 0.000 | 21.369 | 0.000 |
| -0.000 | -0.000 | 0.000 | 0.000 | 0.000 | 21.369 |
| 74.636 | 71.856 | 71.856 | -0.000 | -0.000 | -0.000 |
| 71.856 | 74.636 | 71.856 | -0.000 | -0.000 | -0.000 |
| 71.856 | 71.856 | 74.636 | -0.000 | -0.000 | -0.000 |
| -0.000 | 0.000 | 0.000 | 21.369 | -0.000 | -0.000 |
| 0.000 | -0.000 | 0.000 | -0.000 | 21.369 | -0.000 |
| 0.000 | 0.000 | -0.000 | -0.000 | -0.000 | 21.369 |
| 164.377 | 70.685 | 66.523 | 0.000 | 0.000 | 0.000 |
| 70.836 | 151.729 | 73.153 | 0.000 | 0.000 | 0.000 |
| 66.533 | 73.091 | 153.521 | 0.000 | 0.000 | 0.000 |
| 0.000 | -0.000 | 0.000 | 44.292 | 0.000 | 0.000 |
| 0.089 | 0.029 | -0.136 | 0.000 | 39.190 | 0.000 |
| 0.058 | 0.019 | -0.089 | 0.000 | 0.000 | 37.893 |
| 165.071 | 70.451 | 67.219 | -0.000 | -0.000 | -0.000 |
| 70.451 | 157.319 | 71.414 | -0.000 | -0.000 | -0.000 |
| 66.401 | 73.019 | 153.780 | 0.000 | -0.000 | -0.000 |
| -0.000 | 0.000 | -0.000 | 44.292 | -0.000 | 0.000 |
| -0.089 | -0.029 | 0.136 | -0.000 | 39.190 | -0.000 |
| -0.058 | -0.019 | 0.089 | -0.000 | -0.000 | 37.893 |
| 164.136 | 71.276 | 66.513 | 0.000 | 0.000 | 0.000 |
| 70.761 | 151.731 | 73.257 | 0.000 | -0.000 | 0.000 |
| 66.472 | 73.060 | 153.636 | 0.000 | 0.000 | 0.000 |
| 0.006 | 0.001 | -0.012 | 40.523 | 0.000 | 0.000 |
| 0.009 | 0.003 | -0.014 | -0.000 | 39.181 | 0.000 |
| 0.006 | 0.002 | -0.009 | 0.000 | 0.000 | 37.896 |
| 164.114 | 71.279 | 66.540 | -0.000 | -0.000 | -0.000 |
| 70.451 | 157.319 | 71.414 | -0.000 | 0.000 | -0.000 |
| 66.459 | 73.053 | 153.662 | -0.000 | -0.000 | -0.000 |
| -0.006 | -0.001 | 0.012 | 40.523 | -0.000 | -0.000 |
| -0.009 | -0.003 | 0.014 | 0.000 | 39.181 | -0.000 |
| -0.006 | -0.002 | 0.009 | -0.000 | -0.000 | 37.896 |
| 164.097 | 71.161 | 66.718 | -0.000 | 0.000 | 0.000 |
| 71.128 | 150.884 | 74.175 | -0.000 | 0.000 | 0.000 |
| 66.717 | 74.210 | 153.191 | 0.000 | 0.000 | 0.000 |
| 0.001 | 0.000 | -0.001 | 40.658 | 0.000 | 0.000 |
| 0.001 | 0.000 | -0.001 | 0.000 | 39.181 | 0.000 |
| 0.001 | 0.000 | -0.001 | 0.000 | 0.000 | 37.894 |
| 165.071 | 70.451 | 67.219 | 0.000 | -0.000 | -0.000 |
| 70.752 | 151.731 | 73.269 | -0.000 | -0.000 | -0.000 |
| 66.465 | 73.056 | 153.650 | -0.000 | -0.000 | -0.000 |
| -0.001 | -0.000 | 0.001 | 40.658 | -0.000 | 0.000 |
| -0.001 | -0.000 | 0.001 | -0.000 | 39.181 | -0.000 |
| -0.001 | -0.000 | 0.001 | 0.000 | -0.000 | 37.894 |
| 163.556 | 69.205 | 66.914 | 0.000 | 0.000 | 0.000 |
| 65.467 | 136.033 | 81.866 | 0.000 | 0.000 | -0.000 |
| 62.151 | 69.841 | 153.716 | 0.000 | 0.000 | 0.000 |
| -4.473 | -3.843 | 0.576 | 37.630 | 0.000 | -0.000 |
| -4.549 | -3.908 | 0.586 | -0.000 | 39.075 | 0.000 |
| 0.000 | 0.000 | -0.000 | 0.000 | 0.000 | 35.659 |
| 163.556 | 69.205 | 66.914 | -0.000 | -0.000 | 0.000 |
| 74.691 | 147.651 | 71.708 | -0.000 | -0.000 | -0.000 |
| 71.050 | 82.756 | 145.947 | -0.000 | -0.000 | 0.000 |
| 4.473 | 3.843 | -0.576 | 37.630 | -0.000 | -0.000 |
| 4.549 | 3.908 | -0.586 | -0.000 | 39.075 | -0.000 |
| -0.000 | -0.000 | -0.000 | -0.000 | -0.000 | 35.659 |
| 162.424 | 69.060 | 66.504 | 0.000 | 0.000 | 0.000 |
| 69.693 | 151.768 | 72.282 | -0.000 | 0.000 | -0.000 |
| 65.803 | 73.572 | 153.294 | -0.000 | 0.000 | 0.000 |
| -0.419 | -0.360 | 0.054 | 37.995 | 0.000 | -0.000 |
| 0.000 | -0.000 | 0.000 | 0.000 | 39.415 | 0.000 |
| 0.000 | 0.000 | -0.000 | 0.000 | 0.000 | 35.659 |
| 162.970 | 69.589 | 66.393 | -0.000 | -0.000 | 0.000 |
| 70.194 | 145.986 | 73.923 | -0.000 | -0.000 | 0.000 |
| 66.215 | 73.743 | 152.722 | -0.000 | -0.000 | -0.000 |
| 0.419 | 0.360 | -0.054 | 37.995 | -0.000 | -0.000 |
| -0.000 | 0.000 | -0.000 | -0.000 | 39.415 | 0.000 |
| -0.000 | -0.000 | 0.000 | 0.000 | -0.000 | 35.659 |
| 163.556 | 69.205 | 66.914 | 0.000 | 0.000 | 0.000 |
| 70.083 | 144.153 | 75.302 | 0.000 | 0.000 | 0.000 |
| 65.868 | 72.942 | 153.345 | 0.000 | 0.000 | 0.000 |
| -0.025 | -0.036 | 0.032 | 37.786 | 0.000 | 0.000 |
| 0.000 | -0.000 | 0.000 | 0.000 | 39.415 | 0.000 |
| 0.000 | 0.000 | -0.000 | 0.000 | 0.000 | 35.659 |
| 162.563 | 69.678 | 66.692 | -0.000 | -0.000 | -0.000 |
| 69.693 | 151.767 | 72.282 | -0.000 | -0.000 | 0.000 |
| 66.309 | 74.443 | 152.502 | -0.000 | -0.000 | -0.000 |
| 0.025 | 0.036 | -0.032 | 37.786 | -0.000 | 0.000 |
| -0.000 | 0.000 | -0.000 | -0.000 | 39.415 | -0.000 |
| -0.000 | -0.000 | 0.000 | -0.000 | -0.000 | 35.659 |
| 166.947 | 57.632 | 63.794 | 0.000 | -0.000 | -0.000 |
| -37.853 | 280.664 | 97.006 | 0.000 | -0.000 | -0.000 |
| -41.521 | 198.915 | 189.075 | 0.000 | -0.000 | -0.000 |
| -0.000 | 0.000 | 0.000 | 57.906 | -0.000 | -0.000 |
| -110.448 | 124.609 | 38.413 | 0.000 | 27.671 | 0.000 |
| -104.703 | 123.165 | 25.171 | 0.000 | -0.000 | 29.331 |
| 166.947 | 57.632 | 63.794 | -0.000 | 0.000 | 0.000 |
| 57.632 | 167.721 | 74.845 | -0.000 | 0.000 | 0.000 |
| 63.794 | 74.845 | 164.482 | 0.000 | 0.000 | 0.000 |
| 0.000 | 0.000 | -0.000 | 57.906 | 0.000 | 0.000 |
| 110.448 | -124.609 | -38.413 | -0.000 | 27.671 | 0.000 |
| 104.703 | -123.165 | -25.171 | -0.000 | 0.000 | 29.331 |
| 147.999 | 79.222 | 69.361 | 0.000 | -0.000 | -0.000 |
| 57.632 | 167.721 | 74.845 | 0.000 | -0.000 | -0.000 |
| 63.794 | 74.845 | 164.482 | 0.000 | -0.000 | -0.000 |
| -0.000 | 0.000 | 0.000 | 57.906 | -0.000 | -0.000 |
| -11.332 | 12.784 | 3.941 | 0.000 | 27.629 | -0.000 |
| -11.877 | 13.400 | 4.131 | 0.000 | -0.000 | 34.096 |
| 166.947 | 57.632 | 63.794 | -0.000 | 0.000 | 0.000 |
| 77.376 | 145.126 | 69.289 | -0.000 | 0.000 | 0.000 |
| 63.794 | 74.845 | 164.482 | -0.000 | -0.000 | 0.000 |
| 0.000 | -0.000 | -0.000 | 57.906 | 0.000 | 0.000 |
| 11.332 | -12.784 | -3.941 | -0.000 | 27.629 | -0.000 |
| 11.877 | -13.400 | -4.131 | -0.000 | 0.000 | 34.096 |
| 158.235 | 67.224 | 67.006 | 0.000 | -0.000 | -0.000 |
| 65.539 | 159.007 | 72.070 | 0.000 | -0.000 | -0.000 |
| 63.794 | 74.846 | 164.482 | 0.000 | 0.000 | 0.000 |
| -1.055 | 1.237 | 0.260 | 51.266 | -0.000 | -0.000 |
| 0.000 | -0.000 | 0.000 | 0.000 | 29.287 | -0.000 |
| -2.156 | 2.433 | 0.750 | 0.000 | -0.000 | 30.070 |
| 159.799 | 65.427 | 66.485 | -0.000 | 0.000 | 0.000 |
| 67.948 | 156.215 | 71.556 | -0.000 | 0.000 | -0.000 |
| 63.794 | 74.845 | 164.481 | -0.000 | 0.000 | 0.000 |
| 1.055 | -1.237 | -0.260 | 51.266 | -0.000 | 0.000 |
| -0.000 | 0.000 | -0.000 | -0.000 | 29.287 | -0.000 |
| 2.156 | -2.433 | -0.750 | -0.000 | -0.000 | 30.070 |
| 147.341 | 75.664 | 61.181 | 0.000 | -0.000 | -0.000 |
| 55.336 | 173.125 | 71.140 | 0.000 | -0.000 | -0.000 |
| 52.572 | 81.638 | 157.083 | -0.000 | 0.000 | -0.000 |
| -7.923 | 8.662 | -1.192 | 56.172 | -0.000 | -0.000 |
| -8.280 | 9.052 | -1.245 | 0.000 | 24.795 | -0.000 |
| -8.659 | 9.466 | -1.302 | 0.000 | 0.000 | 32.355 |
| 163.446 | 57.994 | 62.874 | -0.000 | 0.000 | 0.000 |
| 71.761 | 154.809 | 70.461 | -0.000 | -0.000 | 0.000 |
| 70.781 | 61.542 | 158.999 | -0.000 | 0.000 | 0.000 |
| 7.923 | -8.662 | 1.192 | 56.172 | 0.000 | 0.000 |
| 8.280 | -9.052 | 1.245 | -0.000 | 24.795 | 0.000 |
| 8.659 | -9.466 | 1.302 | -0.000 | 0.000 | 32.355 |
| 156.460 | 65.626 | 61.765 | 0.000 | 0.000 | -0.000 |
| 55.336 | 173.125 | 71.140 | 0.000 | 0.000 | -0.000 |
| 60.775 | 72.593 | 157.933 | -0.000 | -0.000 | -0.000 |
| -0.728 | 0.795 | -0.109 | 56.759 | -0.000 | -0.000 |
| -1.017 | 1.131 | -0.087 | -0.000 | 23.859 | -0.000 |
| 0.000 | 0.000 | -0.000 | 0.000 | 0.000 | 39.890 |
| 158.520 | 63.339 | 61.684 | -0.000 | 0.000 | 0.000 |
| 63.785 | 163.605 | 69.479 | -0.000 | 0.000 | 0.000 |
| 62.677 | 70.486 | 158.185 | -0.000 | 0.000 | 0.000 |
| 0.728 | -0.795 | 0.109 | 56.759 | 0.000 | 0.000 |
| 1.017 | -1.131 | 0.087 | 0.000 | 23.859 | 0.000 |
| -0.000 | -0.000 | 0.000 | -0.000 | 0.000 | 39.890 |
| 163.883 | 57.241 | 59.835 | 0.000 | -0.000 | -0.000 |
| 62.323 | 165.174 | 69.080 | 0.000 | -0.000 | -0.000 |
| 61.979 | 71.173 | 158.194 | -0.000 | -0.000 | -0.000 |
| -0.000 | 0.000 | 0.000 | 63.344 | 0.000 | -0.000 |
| 0.000 | -0.000 | 0.000 | 0.000 | 26.671 | -0.000 |
| -0.059 | 0.064 | -0.024 | 0.000 | -0.000 | 28.630 |
| 163.882 | 57.241 | 59.835 | -0.000 | 0.000 | 0.000 |
| 55.336 | 173.124 | 71.140 | -0.000 | -0.000 | 0.000 |
| 61.812 | 71.448 | 158.049 | 0.000 | 0.000 | 0.000 |
| 0.000 | -0.000 | -0.000 | 63.344 | 0.000 | 0.000 |
| -0.000 | 0.000 | -0.000 | -0.000 | 26.671 | 0.000 |
| 0.059 | -0.064 | 0.024 | -0.000 | 0.000 | 28.630 |
| 161.605 | 74.804 | 74.223 | 0.000 | 0.000 | -0.000 |
| 78.485 | 162.847 | 54.514 | -0.000 | 0.000 | 0.000 |
| 99.073 | 73.833 | 103.659 | 0.000 | 0.000 | 0.000 |
| 10.514 | 4.326 | -33.533 | 21.638 | 0.000 | -0.000 |
| 10.508 | 4.324 | -33.516 | -0.000 | 45.481 | 0.000 |
| 14.590 | 12.322 | -38.194 | 0.000 | 0.000 | 47.072 |
| 128.742 | 50.700 | 133.960 | -0.000 | 0.000 | -0.000 |
| 65.944 | 156.542 | 91.012 | 0.000 | -0.000 | -0.000 |
| 79.931 | 56.541 | 153.431 | 0.000 | -0.000 | -0.000 |
| -10.514 | -4.326 | 33.533 | 21.638 | -0.000 | -0.000 |
| -10.508 | -4.324 | 33.516 | 0.000 | 45.481 | -0.000 |
| -14.590 | -12.322 | 38.194 | -0.000 | -0.000 | 47.072 |
| 156.347 | 72.503 | 75.743 | -0.000 | 0.000 | 0.000 |
| 78.485 | 162.847 | 54.514 | -0.000 | 0.000 | -0.000 |
| 86.977 | 63.822 | 135.886 | 0.000 | 0.000 | 0.000 |
| 0.000 | 0.000 | -0.000 | 25.501 | 0.000 | 0.000 |
| 1.461 | 1.245 | -3.810 | 0.000 | 46.356 | 0.000 |
| -0.000 | 0.000 | -0.000 | -0.000 | 0.000 | 47.072 |
| 154.267 | 72.410 | 80.124 | 0.000 | -0.000 | -0.000 |
| 75.032 | 160.080 | 61.411 | 0.000 | -0.000 | 0.000 |
| 79.931 | 56.541 | 153.431 | 0.000 | 0.000 | -0.000 |
| -0.000 | -0.000 | 0.000 | 25.501 | -0.000 | -0.000 |
| -1.461 | -1.245 | 3.810 | -0.000 | 46.356 | -0.000 |
| 0.000 | -0.000 | 0.000 | 0.000 | -0.000 | 47.072 |
| 155.528 | 72.924 | 76.227 | -0.000 | 0.000 | 0.000 |
| 78.486 | 162.848 | 54.514 | 0.000 | 0.000 | -0.000 |
| 79.932 | 56.541 | 153.432 | 0.000 | 0.000 | -0.000 |
| 0.000 | 0.000 | -0.000 | 25.501 | -0.000 | 0.000 |
| -0.000 | -0.000 | 0.000 | -0.000 | 48.534 | -0.000 |
| 0.146 | 0.123 | -0.382 | 0.000 | 0.000 | 47.072 |
| 161.605 | 74.803 | 74.223 | 0.000 | -0.000 | -0.000 |
| 73.710 | 158.626 | 61.940 | 0.000 | -0.000 | -0.000 |
| 86.972 | 63.231 | 138.587 | -0.000 | -0.000 | -0.000 |
| -0.000 | -0.000 | 0.000 | 25.501 | 0.000 | -0.000 |
| 0.000 | 0.000 | -0.000 | 0.000 | 48.534 | 0.000 |
| -0.146 | -0.123 | 0.382 | -0.000 | 0.000 | 47.072 |
| 145.268 | 67.715 | 70.512 | -0.000 | -0.000 | -0.000 |
| 71.692 | 141.267 | 70.713 | 0.000 | -0.000 | -0.000 |
| 68.115 | 68.115 | 158.188 | -0.000 | -0.000 | -0.000 |
| 0.000 | 0.000 | 0.000 | 34.944 | 0.000 | -0.000 |
| 0.000 | 0.000 | 0.000 | -0.000 | 34.944 | -0.000 |
| 0.000 | 0.000 | 0.000 | -0.000 | -0.000 | 38.777 |
| 145.268 | 67.715 | 70.512 | -0.000 | 0.000 | 0.000 |
| 67.715 | 145.268 | 70.512 | 0.000 | -0.000 | 0.000 |
| 68.245 | 68.245 | 155.953 | -0.000 | -0.000 | 0.000 |
| -0.000 | -0.000 | -0.000 | 34.944 | -0.000 | 0.000 |
| -0.000 | -0.000 | -0.000 | -0.000 | 34.944 | 0.000 |
| -0.000 | -0.000 | 0.000 | 0.000 | 0.000 | 38.777 |
| 141.267 | 71.692 | 70.713 | 0.000 | 0.000 | -0.000 |
| 67.715 | 145.268 | 70.512 | -0.000 | 0.000 | -0.000 |
| 68.115 | 68.115 | 158.188 | 0.000 | 0.000 | -0.000 |
| -0.000 | 0.000 | 0.000 | 34.944 | 0.000 | -0.000 |
| 0.000 | -0.000 | 0.000 | -0.000 | 34.193 | -0.000 |
| 0.000 | 0.000 | -0.000 | 0.000 | 0.000 | 34.781 |
| 141.267 | 71.692 | 70.713 | 0.000 | -0.000 | 0.000 |
| 71.692 | 141.267 | 70.713 | -0.000 | -0.000 | 0.000 |
| 68.115 | 68.115 | 158.188 | 0.000 | 0.000 | 0.000 |
| 0.000 | -0.000 | -0.000 | 34.944 | -0.000 | 0.000 |
| -0.000 | 0.000 | -0.000 | -0.000 | 34.193 | 0.000 |
| -0.000 | -0.000 | 0.000 | 0.000 | -0.000 | 34.781 |
| 145.269 | 67.715 | 70.512 | -0.000 | 0.000 | -0.000 |
| 71.692 | 141.268 | 70.713 | 0.000 | 0.000 | -0.000 |
| 68.246 | 68.246 | 155.954 | -0.000 | 0.000 | -0.000 |
| -0.000 | 0.000 | 0.000 | 34.944 | 0.000 | -0.000 |
| 0.000 | -0.000 | 0.000 | 0.000 | 34.193 | -0.000 |
| 0.000 | 0.000 | -0.000 | 0.000 | 0.000 | 34.781 |
| 145.268 | 67.715 | 70.511 | 0.000 | 0.000 | 0.000 |
| 71.956 | 141.012 | 70.631 | -0.000 | 0.000 | 0.000 |
| 68.115 | 68.115 | 158.188 | 0.000 | -0.000 | 0.000 |
| 0.000 | -0.000 | -0.000 | 34.944 | -0.000 | 0.000 |
| -0.000 | 0.000 | -0.000 | 0.000 | 34.193 | 0.000 |
| -0.000 | -0.000 | 0.000 | 0.000 | -0.000 | 34.781 |
| 157.923 | 68.439 | 74.389 | -0.000 | 7.037 | 0.000 |
| 68.776 | 167.914 | 68.442 | -0.000 | 0.334 | 0.000 |
| 74.808 | 68.555 | 153.992 | -0.000 | 0.502 | -0.000 |
| 0.000 | 0.000 | 0.000 | 33.058 | 0.000 | 0.183 |
| -0.778 | 0.342 | 0.502 | 0.000 | 41.248 | 0.000 |
| 27.935 | 30.400 | 99.207 | 0.171 | -23.632 | 31.899 |
| 123.813 | 37.071 | -22.215 | -0.000 | 30.082 | -0.000 |
| 68.776 | 167.914 | 68.442 | -0.000 | 0.334 | -0.000 |
| 49.275 | 37.455 | 48.410 | -0.000 | 24.122 | -0.000 |
| -0.000 | -0.000 | -0.000 | 33.058 | -0.000 | 0.183 |
| -28.874 | -45.659 | -161.916 | 0.000 | 70.396 | 0.000 |
| -27.935 | -30.400 | -99.207 | 0.171 | 23.632 | 31.899 |
| 154.405 | 70.530 | 87.145 | 0.000 | 4.032 | 0.000 |
| 70.567 | 170.109 | 77.725 | 0.000 | -2.095 | 0.000 |
| 79.941 | 70.947 | 157.854 | 0.000 | -1.893 | 0.000 |
| -0.000 | 0.000 | 0.000 | 33.058 | -0.000 | 0.183 |
| 2.313 | 3.337 | 10.439 | 0.000 | 34.493 | 0.000 |
| -0.000 | 0.000 | 0.000 | 0.175 | -0.000 | 32.209 |
| 148.908 | 64.391 | 66.952 | -0.000 | 8.842 | -0.000 |
| 64.322 | 162.168 | 51.074 | 0.000 | 3.871 | 0.000 |
| 74.808 | 68.555 | 153.992 | 0.000 | 0.502 | -0.000 |
| 0.000 | -0.000 | -0.000 | 33.058 | 0.000 | 0.183 |
| -3.318 | -2.786 | -9.546 | -0.000 | 39.302 | -0.000 |
| 0.000 | -0.000 | -0.000 | 0.175 | 0.000 | 32.209 |
| 150.152 | 67.521 | 78.945 | 0.000 | 5.995 | 0.000 |
| 68.776 | 167.914 | 68.442 | -0.000 | 0.334 | 0.000 |
| 78.214 | 68.231 | 147.961 | 0.000 | 0.078 | 0.000 |
| 0.262 | 0.285 | 0.930 | 32.853 | -0.222 | 0.179 |
| -0.277 | 0.671 | 1.839 | -0.000 | 35.405 | -0.000 |
| -0.000 | 0.000 | -0.000 | 0.175 | -0.000 | 32.209 |
| 150.082 | 66.858 | 76.195 | -0.000 | 6.647 | -0.000 |
| 68.776 | 167.913 | 68.442 | 0.000 | 0.334 | -0.000 |
| 77.590 | 67.465 | 145.354 | -0.000 | 0.659 | -0.000 |
| -0.262 | -0.285 | -0.930 | 32.853 | 0.222 | 0.179 |
| -0.874 | -0.177 | -0.972 | -0.000 | 35.680 | -0.000 |
| 0.000 | -0.000 | 0.000 | 0.175 | 0.000 | 32.209 |
| 194.801 | 55.086 | 55.086 | 0.000 | -0.000 | 0.000 |
| 55.086 | 194.801 | 55.086 | -0.000 | 0.000 | 0.000 |
| 55.086 | 55.086 | 194.801 | -0.000 | -0.000 | 0.000 |
| 0.000 | 0.000 | -0.000 | 37.330 | -0.000 | 0.000 |
| -0.000 | 0.000 | -0.000 | -0.000 | 37.330 | 0.000 |
| -0.000 | 0.000 | -0.000 | -0.000 | -0.000 | 37.330 |
| 194.801 | 55.086 | 55.086 | 0.000 | 0.000 | -0.000 |
| 55.086 | 194.801 | 55.086 | -0.000 | 0.000 | -0.000 |
| 55.086 | 55.086 | 194.801 | -0.000 | 0.000 | -0.000 |
| 0.000 | -0.000 | 0.000 | 37.330 | 0.000 | -0.000 |
| 0.000 | -0.000 | 0.000 | -0.000 | 37.330 | -0.000 |
| -0.000 | -0.000 | 0.000 | 0.000 | 0.000 | 37.330 |
| 194.801 | 55.086 | 55.086 | 0.000 | 0.000 | 0.000 |
| 55.086 | 194.801 | 55.086 | 0.000 | -0.000 | 0.000 |
| 55.086 | 55.086 | 194.801 | -0.000 | 0.000 | 0.000 |
| 0.000 | 0.000 | 0.000 | 37.330 | -0.000 | 0.000 |
| 0.000 | 0.000 | 0.000 | -0.000 | 37.330 | 0.000 |
| 0.000 | 0.000 | 0.000 | -0.000 | -0.000 | 37.330 |
| 195.092 | 54.940 | 54.940 | -0.000 | 0.000 | -0.000 |
| 54.940 | 195.092 | 54.940 | -0.000 | 0.000 | -0.000 |
| 54.940 | 54.940 | 195.092 | -0.000 | -0.000 | -0.000 |
| -0.000 | -0.000 | -0.000 | 37.330 | 0.000 | -0.000 |
| -0.000 | -0.000 | -0.000 | 0.000 | 37.330 | -0.000 |
| -0.000 | -0.000 | -0.000 | 0.000 | 0.000 | 37.330 |
| 194.801 | 55.086 | 55.086 | -0.000 | -0.000 | 0.000 |
| 55.086 | 194.801 | 55.086 | 0.000 | -0.000 | 0.000 |
| 55.086 | 55.086 | 194.801 | -0.000 | -0.000 | 0.000 |
| 0.000 | 0.000 | 0.000 | 37.330 | -0.000 | 0.000 |
| 0.000 | 0.000 | 0.000 | -0.000 | 37.330 | 0.000 |
| 0.000 | 0.000 | 0.000 | -0.000 | -0.000 | 37.330 |
| 194.800 | 55.086 | 55.086 | -0.000 | 0.000 | -0.000 |
| 55.086 | 194.800 | 55.086 | 0.000 | 0.000 | -0.000 |
| 55.086 | 55.086 | 194.800 | 0.000 | 0.000 | -0.000 |
| -0.000 | -0.000 | -0.000 | 37.330 | 0.000 | -0.000 |
| -0.000 | -0.000 | -0.000 | 0.000 | 37.330 | -0.000 |
| -0.000 | -0.000 | -0.000 | 0.000 | 0.000 | 37.330 |
| 126.813 | 93.704 | 93.704 | -0.000 | -0.000 | -0.000 |
| 93.704 | 126.813 | 93.704 | -0.000 | -0.000 | -0.000 |
| 93.704 | 93.704 | 126.813 | -0.000 | 0.000 | -0.000 |
| 0.000 | -0.000 | -0.000 | 66.495 | -0.000 | -0.000 |
| -0.000 | 0.000 | -0.000 | -0.000 | 66.495 | -0.000 |
| 0.000 | 0.000 | -0.000 | 0.000 | 0.000 | 66.495 |
| 126.813 | 93.704 | 93.704 | 0.000 | 0.000 | 0.000 |
| 93.704 | 126.813 | 93.704 | 0.000 | 0.000 | 0.000 |
| 93.704 | 93.704 | 126.813 | 0.000 | 0.000 | 0.000 |
| -0.000 | -0.000 | 0.000 | 66.495 | 0.000 | 0.000 |
| -0.000 | -0.000 | 0.000 | 0.000 | 66.495 | 0.000 |
| 0.000 | 0.000 | 0.000 | 0.000 | -0.000 | 66.495 |
| 126.813 | 93.704 | 93.704 | -0.000 | -0.000 | -0.000 |
| 93.704 | 126.813 | 93.704 | -0.000 | -0.000 | -0.000 |
| 93.704 | 93.704 | 126.813 | 0.000 | 0.000 | -0.000 |
| 0.000 | -0.000 | 0.000 | 66.495 | -0.000 | -0.000 |
| -0.000 | 0.000 | 0.000 | -0.000 | 66.495 | -0.000 |
| -0.000 | 0.000 | 0.000 | -0.000 | 0.000 | 66.495 |
| 126.813 | 93.704 | 93.704 | 0.000 | 0.000 | 0.000 |
| 93.704 | 126.813 | 93.704 | 0.000 | 0.000 | 0.000 |
| 93.704 | 93.704 | 126.813 | 0.000 | -0.000 | 0.000 |
| -0.000 | 0.000 | -0.000 | 66.495 | 0.000 | 0.000 |
| 0.000 | -0.000 | -0.000 | 0.000 | 66.495 | 0.000 |
| 0.000 | -0.000 | -0.000 | 0.000 | -0.000 | 66.495 |
| 126.814 | 93.704 | 93.704 | -0.000 | -0.000 | -0.000 |
| 93.704 | 126.814 | 93.704 | -0.000 | -0.000 | -0.000 |
| 93.704 | 93.704 | 126.814 | -0.000 | -0.000 | -0.000 |
| 0.000 | -0.000 | 0.000 | 63.654 | -0.000 | -0.000 |
| -0.000 | 0.000 | 0.000 | -0.000 | 63.654 | -0.000 |
| -0.000 | 0.000 | 0.000 | -0.000 | -0.000 | 63.654 |
| 126.813 | 93.704 | 93.704 | 0.000 | 0.000 | 0.000 |
| 93.704 | 126.813 | 93.704 | 0.000 | 0.000 | 0.000 |
| 93.704 | 93.704 | 126.813 | 0.000 | 0.000 | 0.000 |
| -0.000 | 0.000 | -0.000 | 63.654 | 0.000 | 0.000 |
| 0.000 | -0.000 | -0.000 | 0.000 | 63.654 | 0.000 |
| 0.000 | -0.000 | -0.000 | 0.000 | 0.000 | 63.654 |
| 178.401 | 62.140 | 62.140 | 0.000 | 0.000 | 0.000 |
| 62.140 | 178.401 | 62.140 | 0.000 | 0.000 | 0.000 |
| 62.140 | 62.140 | 178.401 | 0.000 | 0.000 | 0.000 |
| 0.000 | 0.000 | 0.000 | 52.215 | 0.000 | 0.000 |
| 0.000 | -0.000 | 0.000 | -0.000 | 52.215 | 0.000 |
| 0.000 | 0.000 | -0.000 | 0.000 | 0.000 | 52.215 |
| 178.401 | 62.140 | 62.140 | -0.000 | -0.000 | -0.000 |
| 62.140 | 178.401 | 62.140 | -0.000 | -0.000 | -0.000 |
| 62.140 | 62.140 | 178.401 | 0.000 | -0.000 | -0.000 |
| -0.000 | -0.000 | -0.000 | 52.215 | -0.000 | -0.000 |
| -0.000 | 0.000 | -0.000 | -0.000 | 52.215 | -0.000 |
| -0.000 | -0.000 | 0.000 | -0.000 | -0.000 | 52.215 |
| 178.401 | 62.140 | 62.140 | -0.000 | 0.000 | 0.000 |
| 62.140 | 178.401 | 62.140 | 0.000 | 0.000 | 0.000 |
| 62.140 | 62.140 | 178.401 | 0.000 | 0.000 | 0.000 |
| -0.000 | 0.000 | 0.000 | 52.215 | 0.000 | 0.000 |
| 0.000 | -0.000 | 0.000 | -0.000 | 52.215 | 0.000 |
| 0.000 | 0.000 | -0.000 | 0.000 | 0.000 | 52.215 |
| 178.400 | 62.140 | 62.140 | -0.000 | -0.000 | -0.000 |
| 62.140 | 178.400 | 62.140 | -0.000 | -0.000 | -0.000 |
| 62.140 | 62.140 | 178.400 | -0.000 | -0.000 | -0.000 |
| 0.000 | -0.000 | -0.000 | 52.215 | -0.000 | -0.000 |
| -0.000 | 0.000 | -0.000 | -0.000 | 52.215 | -0.000 |
| -0.000 | -0.000 | 0.000 | 0.000 | -0.000 | 52.215 |
| 178.401 | 62.141 | 62.141 | 0.000 | 0.000 | 0.000 |
| 62.141 | 178.401 | 62.141 | -0.000 | 0.000 | 0.000 |
| 62.141 | 62.141 | 178.401 | 0.000 | 0.000 | 0.000 |
| -0.000 | 0.000 | 0.000 | 52.215 | 0.000 | 0.000 |
| 0.000 | -0.000 | 0.000 | 0.000 | 52.215 | 0.000 |
| 0.000 | 0.000 | -0.000 | 0.000 | 0.000 | 52.215 |
| 178.400 | 62.140 | 62.140 | 0.000 | -0.000 | -0.000 |
| 62.140 | 178.400 | 62.140 | 0.000 | -0.000 | -0.000 |
| 62.140 | 62.140 | 178.400 | 0.000 | -0.000 | -0.000 |
| 0.000 | -0.000 | -0.000 | 52.215 | -0.000 | -0.000 |
| -0.000 | 0.000 | -0.000 | -0.000 | 52.215 | -0.000 |
| -0.000 | -0.000 | 0.000 | -0.000 | -0.000 | 52.215 |
| 159.814 | 74.492 | 70.991 | -0.000 | 0.000 | -0.000 |
| 74.492 | 159.814 | 70.991 | -0.000 | -0.000 | 0.000 |
| 70.887 | 70.887 | 168.917 | -0.000 | 0.000 | -0.000 |
| 0.010 | 0.010 | 0.052 | 34.562 | 0.000 | -0.000 |
| -0.000 | -0.000 | 0.000 | -0.000 | 35.522 | -0.000 |
| -0.000 | 0.000 | 0.000 | -0.000 | 0.000 | 42.661 |
| 159.814 | 74.492 | 70.991 | 0.000 | -0.000 | 0.000 |
| 74.492 | 159.814 | 70.991 | 0.000 | 0.000 | 0.000 |
| 70.882 | 70.882 | 168.887 | 0.000 | -0.000 | 0.000 |
| -0.010 | -0.010 | -0.052 | 34.562 | 0.000 | 0.000 |
| 0.000 | 0.000 | -0.000 | 0.000 | 35.522 | 0.000 |
| 0.000 | -0.000 | -0.000 | 0.000 | 0.000 | 42.661 |
| 159.814 | 74.492 | 70.991 | -0.000 | 0.000 | -0.000 |
| 74.492 | 159.814 | 70.991 | -0.000 | 0.000 | -0.000 |
| 71.118 | 71.118 | 170.148 | 0.000 | 0.000 | 0.000 |
| 0.001 | 0.001 | 0.005 | 34.560 | 0.000 | -0.000 |
| -0.000 | -0.000 | 0.000 | -0.000 | 35.522 | -0.000 |
| -0.000 | 0.000 | -0.000 | -0.000 | 0.000 | 42.661 |
| 157.392 | 76.832 | 70.773 | 0.000 | -0.000 | 0.000 |
| 76.770 | 157.407 | 70.645 | 0.000 | -0.000 | -0.000 |
| 71.118 | 71.118 | 170.148 | 0.000 | -0.000 | 0.000 |
| -0.001 | -0.001 | -0.005 | 34.560 | -0.000 | 0.000 |
| 0.000 | 0.000 | -0.000 | 0.000 | 35.522 | 0.000 |
| 0.000 | -0.000 | 0.000 | 0.000 | -0.000 | 42.661 |
| 157.388 | 76.831 | 70.758 | -0.000 | 0.000 | -0.000 |
| 76.832 | 157.388 | 70.758 | -0.000 | 0.000 | -0.000 |
| 71.118 | 71.118 | 170.149 | -0.000 | 0.000 | 0.000 |
| 0.000 | 0.000 | 0.001 | 34.560 | 0.000 | -0.000 |
| -0.000 | -0.000 | 0.000 | -0.000 | 35.522 | -0.000 |
| -0.000 | 0.000 | -0.000 | -0.000 | 0.000 | 42.661 |
| 159.813 | 74.492 | 70.991 | 0.000 | -0.000 | 0.000 |
| 76.770 | 157.406 | 70.647 | 0.000 | -0.000 | 0.000 |
| 71.117 | 71.117 | 170.148 | 0.000 | 0.000 | 0.000 |
| -0.000 | -0.000 | -0.001 | 34.560 | -0.000 | 0.000 |
| 0.000 | 0.000 | -0.000 | 0.000 | 35.522 | -0.000 |
| 0.000 | -0.000 | 0.000 | 0.000 | -0.000 | 42.661 |
| 153.353 | 78.519 | 72.952 | 0.000 | 0.000 | 0.000 |
| 82.180 | 150.649 | 72.354 | 0.000 | -0.000 | -0.000 |
| 71.631 | 71.631 | 163.799 | -0.000 | 0.000 | 0.000 |
| 0.000 | -0.000 | 0.000 | 57.439 | 0.000 | 0.000 |
| 0.000 | -0.000 | -0.000 | 0.000 | 57.439 | 0.000 |
| 0.000 | 0.000 | -0.000 | 0.000 | 0.000 | 52.834 |
| 170.020 | 64.352 | 71.391 | -0.000 | -0.000 | -0.000 |
| 76.961 | 153.470 | 73.852 | 0.000 | -0.000 | -0.000 |
| 72.658 | 72.658 | 162.516 | -0.000 | -0.000 | -0.000 |
| -0.000 | 0.000 | 0.000 | 57.439 | -0.000 | 0.000 |
| -0.000 | 0.000 | -0.000 | 0.000 | 57.439 | 0.000 |
| -0.000 | -0.000 | 0.000 | -0.000 | -0.000 | 52.834 |
| 153.372 | 77.826 | 73.373 | 0.000 | -0.000 | 0.000 |
| 64.352 | 170.020 | 71.391 | 0.000 | 0.000 | 0.000 |
| 71.631 | 71.631 | 163.799 | -0.000 | 0.000 | -0.000 |
| -0.000 | 0.000 | 0.000 | 57.439 | 0.000 | -0.000 |
| 0.000 | -0.000 | 0.000 | -0.000 | 57.439 | -0.000 |
| 0.000 | 0.000 | 0.000 | 0.000 | 0.000 | 52.834 |
| 170.020 | 64.352 | 71.391 | -0.000 | -0.000 | -0.000 |
| 77.669 | 153.384 | 73.463 | 0.000 | -0.000 | -0.000 |
| 71.631 | 71.631 | 163.799 | 0.000 | -0.000 | -0.000 |
| 0.000 | -0.000 | -0.000 | 57.439 | -0.000 | -0.000 |
| -0.000 | 0.000 | -0.000 | 0.000 | 57.439 | -0.000 |
| -0.000 | -0.000 | -0.000 | -0.000 | -0.000 | 52.834 |
| 170.021 | 64.352 | 71.391 | 0.000 | 0.000 | 0.000 |
| 64.352 | 170.021 | 71.391 | 0.000 | 0.000 | 0.000 |
| 71.631 | 71.631 | 163.800 | -0.000 | 0.000 | 0.000 |
| -0.000 | 0.000 | 0.000 | 57.439 | 0.000 | -0.000 |
| 0.000 | -0.000 | 0.000 | 0.000 | 57.439 | 0.000 |
| 0.000 | 0.000 | 0.000 | 0.000 | 0.000 | 52.834 |
| 170.020 | 64.352 | 71.390 | -0.000 | -0.000 | -0.000 |
| 77.739 | 153.378 | 73.423 | 0.000 | -0.000 | -0.000 |
| 72.913 | 72.913 | 162.198 | -0.000 | 0.000 | -0.000 |
| 0.000 | -0.000 | -0.000 | 57.439 | -0.000 | -0.000 |
| -0.000 | 0.000 | -0.000 | -0.000 | 57.439 | -0.000 |
| -0.000 | -0.000 | -0.000 | -0.000 | -0.000 | 52.834 |
| 153.658 | 79.704 | 72.016 | -0.000 | -0.000 | -0.000 |
| 64.394 | 170.099 | 71.310 | 0.000 | -0.000 | -0.000 |
| 73.556 | 73.556 | 161.275 | -0.000 | -0.000 | 0.000 |
| 2.469 | 2.469 | -3.084 | 38.105 | -0.000 | -0.000 |
| 2.469 | 2.469 | -3.084 | -0.000 | 38.105 | 0.000 |
| 1.122 | 1.122 | -1.402 | -0.000 | -0.000 | 37.342 |
| 170.099 | 64.394 | 71.310 | -0.000 | 0.000 | -0.000 |
| 64.394 | 170.099 | 71.310 | -0.000 | -0.000 | 0.000 |
| 72.182 | 72.182 | 162.992 | -0.000 | 0.000 | -0.000 |
| -2.469 | -2.469 | 3.084 | 38.105 | 0.000 | -0.000 |
| -2.469 | -2.469 | 3.084 | -0.000 | 38.105 | 0.000 |
| -1.122 | -1.122 | 1.402 | 0.000 | 0.000 | 37.342 |
| 151.063 | 82.439 | 71.929 | -0.000 | -0.000 | 0.000 |
| 64.395 | 170.099 | 71.310 | 0.000 | -0.000 | 0.000 |
| 71.588 | 71.588 | 163.734 | -0.000 | -0.000 | -0.000 |
| 0.316 | 0.316 | -0.395 | 32.669 | -0.000 | 0.000 |
| 0.316 | 0.316 | -0.395 | 0.000 | 32.669 | -0.000 |
| -0.005 | -0.005 | 0.006 | -0.000 | -0.000 | 34.279 |
| 153.498 | 77.565 | 73.453 | 0.000 | 0.000 | 0.000 |
| 77.565 | 153.498 | 73.453 | 0.000 | 0.000 | -0.000 |
| 72.800 | 72.800 | 162.219 | 0.000 | -0.000 | -0.000 |
| -0.316 | -0.316 | 0.395 | 32.669 | 0.000 | -0.000 |
| -0.316 | -0.316 | 0.395 | -0.000 | 32.669 | -0.000 |
| 0.005 | 0.005 | -0.006 | 0.000 | 0.000 | 34.279 |
| 170.099 | 64.395 | 71.310 | 0.000 | -0.000 | -0.000 |
| 81.950 | 150.507 | 72.583 | -0.000 | -0.000 | 0.000 |
| 72.876 | 72.876 | 162.125 | 0.000 | 0.000 | 0.000 |
| 0.032 | 0.032 | -0.040 | 32.593 | -0.000 | 0.000 |
| 0.032 | 0.032 | -0.040 | 0.000 | 32.593 | 0.000 |
| 0.012 | 0.012 | -0.014 | -0.000 | -0.000 | 36.851 |
| 170.098 | 64.394 | 71.310 | -0.000 | -0.000 | 0.000 |
| 82.356 | 150.984 | 72.030 | 0.000 | 0.000 | 0.000 |
| 72.862 | 72.862 | 162.141 | 0.000 | -0.000 | 0.000 |
| -0.032 | -0.032 | 0.040 | 32.593 | 0.000 | -0.000 |
| -0.032 | -0.032 | 0.040 | -0.000 | 32.593 | 0.000 |
| -0.012 | -0.012 | 0.014 | 0.000 | 0.000 | 36.851 |
| 170.095 | 64.393 | 71.319 | 0.000 | 0.000 | 0.000 |
| 64.393 | 170.095 | 71.319 | 0.000 | 0.000 | -0.000 |
| 71.593 | 71.593 | 163.743 | -0.000 | 0.000 | -0.000 |
| -0.000 | 0.000 | 0.000 | 32.599 | 0.000 | -0.000 |
| 0.000 | -0.000 | 0.000 | 0.000 | 57.422 | -0.000 |
| 0.000 | 0.000 | 0.000 | 0.000 | 0.000 | 52.851 |
| 170.095 | 64.393 | 71.319 | -0.000 | -0.000 | -0.000 |
| 77.775 | 153.473 | 73.343 | -0.000 | 0.000 | 0.000 |
| 72.875 | 72.875 | 162.142 | -0.000 | -0.000 | 0.000 |
| 0.000 | 0.000 | -0.000 | 32.599 | -0.000 | -0.000 |
| -0.000 | 0.000 | -0.000 | -0.000 | 57.422 | 0.000 |
| -0.000 | 0.000 | -0.000 | -0.000 | 0.000 | 52.851 |
| 170.095 | 64.393 | 71.319 | 0.000 | 0.000 | -0.000 |
| 77.775 | 153.473 | 73.343 | 0.000 | 0.000 | -0.000 |
| 71.593 | 71.593 | 163.743 | 0.000 | 0.000 | -0.000 |
| -0.000 | 0.000 | 0.000 | 57.422 | 0.000 | -0.000 |
| 0.000 | -0.000 | 0.000 | 0.000 | 32.599 | 0.000 |
| 0.000 | 0.000 | 0.000 | 0.000 | 0.000 | 52.851 |
| 170.095 | 64.393 | 71.319 | -0.000 | -0.000 | 0.000 |
| 64.393 | 170.095 | 71.319 | -0.000 | -0.000 | 0.000 |
| 71.593 | 71.593 | 163.743 | 0.000 | -0.000 | 0.000 |
| 0.000 | -0.000 | -0.000 | 57.422 | -0.000 | 0.000 |
| -0.000 | 0.000 | -0.000 | -0.000 | 32.599 | 0.000 |
| -0.000 | -0.000 | -0.000 | -0.000 | -0.000 | 52.851 |
| 170.096 | 64.393 | 71.319 | -0.000 | 0.000 | -0.000 |
| 64.393 | 170.096 | 71.319 | 0.000 | -0.000 | -0.000 |
| 72.875 | 72.875 | 162.142 | 0.000 | -0.000 | 0.000 |
| -0.000 | 0.000 | 0.000 | 32.599 | -0.000 | -0.000 |
| 0.000 | -0.000 | 0.000 | 0.000 | 32.599 | -0.000 |
| 0.000 | 0.000 | 0.000 | 0.000 | 0.000 | 52.851 |
| 170.095 | 64.393 | 71.319 | -0.000 | -0.000 | 0.000 |
| 64.393 | 170.095 | 71.319 | -0.000 | -0.000 | 0.000 |
| 71.593 | 71.593 | 163.742 | -0.000 | -0.000 | 0.000 |
| 0.000 | -0.000 | -0.000 | 32.599 | -0.000 | -0.000 |
| -0.000 | 0.000 | -0.000 | -0.000 | 32.599 | -0.000 |
| -0.000 | -0.000 | -0.000 | -0.000 | -0.000 | 52.851 |
| 169.376 | 63.998 | 71.832 | 0.000 | -0.000 | -0.000 |
| 63.998 | 169.376 | 71.832 | -0.000 | -0.000 | 0.000 |
| 71.832 | 71.832 | 164.075 | -0.000 | -0.000 | -0.000 |
| -81.623 | -81.623 | 101.674 | 52.129 | -0.000 | -0.000 |
| 0.000 | 0.000 | 0.000 | -0.000 | 57.533 | -0.000 |
| -81.619 | -81.619 | 101.669 | -0.000 | -0.000 | 43.081 |
| 169.376 | 63.998 | 71.832 | 0.000 | 0.000 | -0.000 |
| 63.998 | 169.376 | 71.832 | 0.000 | 0.000 | 0.000 |
| 154.705 | 154.705 | 60.843 | 0.000 | 0.000 | 0.000 |
| 81.623 | 81.623 | -101.674 | 52.129 | 0.000 | 0.000 |
| 0.000 | -0.000 | -0.000 | 0.000 | 57.533 | 0.000 |
| 81.619 | 81.619 | -101.669 | 0.000 | 0.000 | 43.081 |
| 141.539 | 73.606 | 83.185 | -0.000 | -0.000 | -0.000 |
| 63.998 | 169.376 | 71.832 | -0.000 | 0.000 | -0.000 |
| 64.979 | 64.979 | 172.611 | -0.000 | 0.000 | -0.000 |
| -0.000 | 0.000 | 0.000 | 57.533 | -0.000 | 0.000 |
| 0.000 | -0.000 | 0.000 | -0.000 | 57.533 | -0.000 |
| 0.000 | 0.000 | 0.000 | 0.000 | -0.000 | 52.689 |
| 166.704 | 81.914 | 62.337 | 0.000 | -0.000 | 0.000 |
| 89.715 | 157.648 | 63.119 | 0.000 | 0.000 | 0.000 |
| 81.293 | 81.293 | 152.289 | 0.000 | 0.000 | 0.000 |
| 0.000 | -0.000 | -0.000 | 57.533 | 0.000 | -0.000 |
| -0.000 | 0.000 | -0.000 | 0.000 | 57.533 | -0.000 |
| -0.000 | -0.000 | -0.000 | -0.000 | 0.000 | 52.689 |
| 168.506 | 77.117 | 62.330 | 0.000 | 0.000 | -0.000 |
| -100.144 | 26.339 | 337.362 | -0.000 | -0.000 | -0.000 |
| -92.331 | -55.413 | 403.160 | 0.000 | -0.000 | -0.000 |
| -162.271 | -137.532 | 255.181 | 46.437 | 0.000 | -0.000 |
| -172.372 | -131.615 | 258.671 | -0.000 | 33.086 | -0.000 |
| -163.688 | -136.004 | 255.296 | 0.000 | -0.000 | 54.241 |
| 326.814 | 209.502 | -185.520 | 0.000 | -0.000 | 0.000 |
| 245.325 | 290.126 | -181.069 | -0.000 | 0.000 | 0.000 |
| 234.782 | 215.398 | -107.004 | 0.000 | -0.000 | 0.000 |
| 162.271 | 137.532 | -255.181 | 46.437 | -0.000 | 0.000 |
| 172.372 | 131.615 | -258.671 | 0.000 | 33.086 | 0.000 |
| 163.688 | 136.004 | -255.296 | -0.000 | -0.000 | 54.241 |
| 146.717 | 60.187 | 95.260 | 0.000 | 0.000 | -0.000 |
| 76.140 | 162.857 | 72.165 | 0.000 | 0.000 | -0.000 |
| 55.024 | 66.881 | 173.407 | 0.000 | 0.000 | -0.000 |
| -16.345 | -13.493 | 25.494 | 48.083 | 0.000 | -0.000 |
| -14.429 | -11.018 | 21.654 | -0.000 | 34.718 | -0.000 |
| -15.853 | -13.669 | 25.129 | 0.000 | 0.000 | 53.661 |
| 176.283 | 86.227 | 47.592 | 0.000 | 0.000 | 0.000 |
| 89.039 | 172.404 | 52.388 | 0.000 | 0.000 | 0.000 |
| 87.712 | 93.935 | 122.403 | -0.000 | -0.000 | 0.000 |
| 16.345 | 13.493 | -25.494 | 48.083 | -0.000 | -0.000 |
| 14.429 | 11.018 | -21.654 | 0.000 | 34.718 | 0.000 |
| 15.853 | 13.669 | -25.129 | 0.000 | -0.000 | 53.661 |
| 163.085 | 74.702 | 68.799 | 0.000 | -0.000 | -0.000 |
| 71.294 | 157.576 | 80.207 | -0.000 | 0.000 | -0.000 |
| 68.673 | 77.275 | 152.908 | -0.000 | -0.000 | -0.000 |
| 0.000 | 0.000 | 0.000 | 56.069 | 0.000 | -0.000 |
| -1.637 | -1.353 | 2.552 | -0.000 | 38.348 | -0.000 |
| -1.639 | -1.363 | 2.557 | -0.000 | -0.000 | 54.024 |
| 164.699 | 74.994 | 67.219 | -0.000 | 0.000 | 0.000 |
| 74.493 | 160.375 | 75.076 | -0.000 | -0.000 | 0.000 |
| 73.005 | 81.788 | 145.344 | 0.000 | -0.000 | -0.000 |
| -0.000 | -0.000 | -0.000 | 56.069 | -0.000 | 0.000 |
| 1.637 | 1.353 | -2.552 | 0.000 | 38.348 | 0.000 |
| 1.639 | 1.363 | -2.557 | 0.000 | 0.000 | 54.024 |
| 157.892 | 80.713 | 72.428 | -0.000 | -0.000 | -0.000 |
| 76.778 | 165.259 | 74.744 | -0.000 | -0.000 | 0.000 |
| 74.179 | 74.179 | 180.392 | -0.000 | -0.000 | 0.000 |
| -0.053 | -0.053 | -0.072 | 35.906 | -0.000 | -0.000 |
| -0.053 | -0.053 | -0.072 | -0.000 | 35.906 | -0.000 |
| -0.063 | -0.063 | -0.085 | 0.000 | -0.000 | 38.282 |
| 157.971 | 80.854 | 72.577 | 0.000 | 0.000 | 0.000 |
| 80.854 | 157.971 | 72.577 | 0.000 | 0.000 | 0.000 |
| 72.310 | 72.310 | 177.869 | 0.000 | 0.000 | 0.000 |
| 0.053 | 0.053 | 0.072 | 35.906 | 0.000 | 0.000 |
| 0.053 | 0.053 | 0.072 | -0.000 | 35.906 | 0.000 |
| 0.063 | 0.063 | 0.085 | -0.000 | 0.000 | 38.282 |
| 165.259 | 76.778 | 74.744 | -0.000 | -0.000 | 0.000 |
| 76.778 | 165.259 | 74.744 | 0.000 | -0.000 | 0.000 |
| 74.179 | 74.179 | 180.392 | -0.000 | -0.000 | 0.000 |
| -0.005 | -0.005 | -0.007 | 35.906 | -0.000 | -0.000 |
| -0.000 | 0.000 | 0.000 | -0.000 | 36.423 | 0.000 |
| -0.006 | -0.006 | -0.008 | -0.000 | -0.000 | 37.633 |
| 157.935 | 80.790 | 72.509 | 0.000 | 0.000 | 0.000 |
| 76.778 | 165.259 | 74.744 | 0.000 | 0.000 | -0.000 |
| 74.179 | 74.179 | 180.392 | 0.000 | 0.000 | -0.000 |
| 0.005 | 0.005 | 0.007 | 35.906 | 0.000 | 0.000 |
| 0.000 | 0.000 | -0.000 | -0.000 | 36.423 | -0.000 |
| 0.006 | 0.006 | 0.008 | 0.000 | 0.000 | 37.633 |
| 157.932 | 80.783 | 72.501 | -0.000 | -0.000 | -0.000 |
| 81.751 | 157.239 | 72.687 | -0.000 | -0.000 | -0.000 |
| 74.179 | 74.179 | 180.392 | -0.000 | -0.000 | 0.000 |
| -0.001 | -0.001 | -0.001 | 35.906 | -0.000 | 0.000 |
| -0.001 | -0.001 | -0.001 | -0.000 | 35.906 | -0.000 |
| 0.000 | 0.000 | -0.000 | -0.000 | -0.000 | 44.241 |
| 157.931 | 80.784 | 72.503 | -0.000 | 0.000 | 0.000 |
| 80.784 | 157.931 | 72.503 | 0.000 | 0.000 | 0.000 |
| 72.259 | 72.259 | 177.801 | 0.000 | 0.000 | 0.000 |
| 0.001 | 0.001 | 0.001 | 35.906 | -0.000 | 0.000 |
| 0.001 | 0.001 | 0.001 | 0.000 | 35.906 | 0.000 |
| -0.000 | -0.000 | 0.000 | 0.000 | 0.000 | 44.241 |
| 148.386 | 88.652 | 88.652 | -0.000 | 0.000 | 0.000 |
| 88.652 | 148.386 | 88.652 | 0.000 | 0.000 | 0.000 |
| 88.652 | 88.652 | 148.386 | 0.000 | 0.000 | 0.000 |
| 0.000 | 0.000 | 0.000 | 62.625 | 0.000 | 0.000 |
| 0.000 | 0.000 | 0.000 | -0.000 | 62.625 | -0.000 |
| 0.000 | 0.000 | -0.000 | -0.000 | -0.000 | 62.625 |
| 148.386 | 88.652 | 88.652 | 0.000 | -0.000 | -0.000 |
| 88.652 | 148.386 | 88.652 | -0.000 | -0.000 | -0.000 |
| 88.652 | 88.652 | 148.386 | 0.000 | -0.000 | -0.000 |
| -0.000 | -0.000 | -0.000 | 62.625 | -0.000 | -0.000 |
| -0.000 | -0.000 | -0.000 | 0.000 | 62.625 | 0.000 |
| -0.000 | -0.000 | 0.000 | 0.000 | 0.000 | 62.625 |
| 148.386 | 88.652 | 88.652 | -0.000 | 0.000 | 0.000 |
| 88.652 | 148.386 | 88.652 | -0.000 | 0.000 | 0.000 |
| 88.652 | 88.652 | 148.386 | -0.000 | 0.000 | 0.000 |
| -0.000 | 0.000 | 0.000 | 62.625 | 0.000 | 0.000 |
| 0.000 | -0.000 | 0.000 | -0.000 | 62.625 | -0.000 |
| 0.000 | 0.000 | -0.000 | -0.000 | -0.000 | 62.625 |
| 148.386 | 88.652 | 88.652 | 0.000 | -0.000 | -0.000 |
| 88.652 | 148.386 | 88.652 | 0.000 | -0.000 | -0.000 |
| 88.652 | 88.652 | 148.386 | 0.000 | -0.000 | -0.000 |
| 0.000 | -0.000 | -0.000 | 62.625 | -0.000 | -0.000 |
| -0.000 | 0.000 | -0.000 | 0.000 | 62.625 | 0.000 |
| -0.000 | -0.000 | 0.000 | 0.000 | 0.000 | 62.625 |
| 148.386 | 88.653 | 88.653 | -0.000 | -0.000 | 0.000 |
| 88.653 | 148.386 | 88.653 | -0.000 | 0.000 | 0.000 |
| 88.653 | 88.653 | 148.386 | -0.000 | 0.000 | 0.000 |
| -0.000 | 0.000 | 0.000 | 62.625 | 0.000 | 0.000 |
| 0.000 | -0.000 | 0.000 | -0.000 | 62.625 | -0.000 |
| 0.000 | 0.000 | -0.000 | -0.000 | -0.000 | 62.625 |
| 148.385 | 88.652 | 88.652 | 0.000 | -0.000 | -0.000 |
| 88.652 | 148.385 | 88.652 | 0.000 | -0.000 | -0.000 |
| 88.652 | 88.652 | 148.385 | 0.000 | -0.000 | -0.000 |
| 0.000 | -0.000 | -0.000 | 62.625 | -0.000 | -0.000 |
| -0.000 | 0.000 | -0.000 | 0.000 | 62.625 | 0.000 |
| -0.000 | -0.000 | 0.000 | 0.000 | 0.000 | 62.625 |
| 210.812 | 59.830 | 59.830 | 0.000 | -0.000 | -0.000 |
| 59.830 | 210.812 | 59.830 | 0.000 | 0.000 | 0.000 |
| 59.830 | 59.830 | 210.812 | 0.000 | -0.000 | -0.000 |
| 0.000 | 0.000 | 0.000 | 18.125 | 0.000 | -0.000 |
| 0.000 | 0.000 | 0.000 | 0.000 | 18.125 | -0.000 |
| 0.000 | 0.000 | 0.000 | 0.000 | 0.000 | 18.125 |
| 210.812 | 59.830 | 59.830 | 0.000 | 0.000 | 0.000 |
| 59.830 | 210.812 | 59.830 | -0.000 | -0.000 | 0.000 |
| 59.830 | 59.830 | 210.812 | -0.000 | -0.000 | 0.000 |
| -0.000 | -0.000 | -0.000 | 18.125 | -0.000 | -0.000 |
| -0.000 | -0.000 | 0.000 | -0.000 | 18.125 | 0.000 |
| -0.000 | -0.000 | 0.000 | 0.000 | -0.000 | 18.125 |
| 210.812 | 59.830 | 59.830 | 0.000 | -0.000 | -0.000 |
| 59.830 | 210.812 | 59.830 | -0.000 | -0.000 | -0.000 |
| 59.830 | 59.830 | 210.812 | 0.000 | 0.000 | -0.000 |
| 0.000 | 0.000 | 0.000 | 31.869 | 0.000 | 0.000 |
| 0.000 | 0.000 | 0.000 | -0.000 | 31.869 | 0.000 |
| 0.000 | 0.000 | 0.000 | 0.000 | 0.000 | 31.869 |
| 212.288 | 59.092 | 59.092 | -0.000 | -0.000 | -0.000 |
| 59.092 | 212.288 | 59.092 | -0.000 | -0.000 | -0.000 |
| 59.092 | 59.092 | 212.288 | -0.000 | -0.000 | -0.000 |
| -0.000 | -0.000 | -0.000 | 31.869 | 0.000 | 0.000 |
| -0.000 | -0.000 | -0.000 | 0.000 | 31.869 | -0.000 |
| -0.000 | -0.000 | -0.000 | -0.000 | -0.000 | 31.869 |
| 210.813 | 59.830 | 59.830 | 0.000 | -0.000 | -0.000 |
| 59.830 | 210.813 | 59.830 | 0.000 | -0.000 | 0.000 |
| 59.830 | 59.830 | 210.813 | 0.000 | 0.000 | -0.000 |
| 0.000 | 0.000 | 0.000 | 18.125 | 0.000 | 0.000 |
| 0.000 | 0.000 | 0.000 | 0.000 | 18.125 | -0.000 |
| 0.000 | 0.000 | 0.000 | 0.000 | 0.000 | 18.125 |
| 210.812 | 59.829 | 59.829 | -0.000 | 0.000 | 0.000 |
| 59.829 | 210.812 | 59.829 | 0.000 | -0.000 | 0.000 |
| 59.829 | 59.829 | 210.812 | -0.000 | 0.000 | 0.000 |
| -0.000 | -0.000 | -0.000 | 18.125 | -0.000 | 0.000 |
| -0.000 | -0.000 | -0.000 | -0.000 | 18.125 | 0.000 |
| -0.000 | -0.000 | -0.000 | 0.000 | -0.000 | 18.125 |
| 12652697.373 | 11954556.097 | 12278170.398 | -396486.784 | -340898.485 | -644726.049 |
| 12706081.012 | 11963059.533 | 12439425.299 | -485975.435 | -225083.097 | -535575.752 |
| 12706819.926 | 12076513.943 | 12252234.940 | -382833.988 | -265652.014 | -666956.826 |
| 12685033.970 | 11806342.120 | 12211978.927 | -471835.561 | -222482.294 | -620379.626 |
| 12787774.342 | 11884763.753 | 12210004.021 | -450223.672 | -243585.504 | -656879.245 |
| 12655692.845 | 11948050.502 | 12278729.809 | -439386.763 | -247406.848 | -653241.732 |
| -12625112.380 | -11957109.029 | -12255982.763 | 458079.177 | 279394.857 | 608764.252 |
| -12704465.293 | -11939000.163 | -12247704.751 | 447212.676 | 242233.068 | 622707.720 |
| -12602280.819 | -11735516.782 | -12230311.108 | 470252.909 | 270658.834 | 608938.003 |
| -12617798.153 | -11791385.331 | -12194599.713 | 491812.803 | 312050.961 | 605808.533 |
| -12546632.862 | -12063799.760 | -12123496.260 | 359899.140 | 129958.286 | 667796.632 |
| -12650201.988 | -11961106.369 | -12249582.535 | 458873.465 | 352701.233 | 604990.042 |
| 1271851.143 | 1194193.595 | 1223066.239 | -42430.053 | -24275.769 | -67673.100 |
| 1264537.420 | 1174438.845 | 1225962.062 | -48160.252 | -26239.456 | -59476.856 |
| 1242390.180 | 1170264.707 | 1208774.198 | -42274.548 | -39818.730 | -54723.434 |
| 1262542.029 | 1195520.860 | 1224393.592 | -41178.946 | -31900.195 | -62714.407 |
| 1261721.855 | 1174817.155 | 1220998.307 | -49554.744 | -28543.844 | -59097.261 |
| 1269758.423 | 1200274.226 | 1227562.342 | -40758.624 | -22420.172 | -65552.297 |
| -1269022.688 | -1199506.990 | -1223393.248 | 39882.108 | 21709.974 | 65708.078 |
| -1262784.992 | -1176375.405 | -1225580.859 | 48938.988 | 33939.284 | 60395.274 |
| -1263679.351 | -1201857.286 | -1223642.298 | 40040.401 | 22203.464 | 66832.888 |
| -1262083.843 | -1188158.380 | -1225067.913 | 42556.466 | 19867.139 | 64493.768 |
| -1263556.817 | -1194445.506 | -1224979.633 | 39911.003 | 29028.912 | 63595.136 |
| -1268316.948 | -1183505.299 | -1220941.252 | 49402.638 | 21343.684 | 58225.082 |
| 126566.529 | 119849.675 | 121991.210 | -4137.429 | -2122.432 | -6623.813 |
| 125283.456 | 119205.855 | 120373.377 | -4037.211 | -1485.867 | -6681.935 |
| 126407.617 | 119694.615 | 122910.820 | -4188.693 | -3065.829 | -6449.848 |
| 126873.622 | 120104.604 | 123116.838 | -3945.910 | -3279.261 | -6346.191 |
| 125927.259 | 117262.785 | 122345.461 | -4846.225 | -2812.171 | -5922.487 |
| 126610.249 | 117602.720 | 122698.083 | -4961.181 | -2619.771 | -5921.835 |
| -127266.429 | -120347.883 | -122666.597 | 4071.703 | 2782.107 | 6461.789 |
| -126958.135 | -118748.036 | -122225.651 | 4529.524 | 2343.101 | 6384.992 |
| -126511.501 | -119986.175 | -122102.447 | 4102.267 | 2193.969 | 6689.867 |
| -126385.992 | -118189.103 | -122458.923 | 4716.208 | 2267.435 | 6248.436 |
| -127138.054 | -118480.543 | -122113.576 | 4532.899 | 2396.143 | 6375.492 |
| -126773.668 | -121025.833 | -122672.413 | 3737.471 | 2770.121 | 7021.820 |
| 129.728 | 105.916 | 105.916 | 0.000 | -0.000 | -0.000 |
| 105.916 | 129.728 | 105.916 | -0.000 | 0.000 | -0.000 |
| 105.916 | 105.916 | 129.728 | 0.000 | 0.000 | -0.000 |
| 0.000 | 0.000 | 0.000 | 78.125 | -0.000 | -0.000 |
| -0.000 | 0.000 | 0.000 | 0.000 | 78.125 | -0.000 |
| 0.000 | 0.000 | 0.000 | 0.000 | 0.000 | 78.125 |
| 129.728 | 105.916 | 105.916 | -0.000 | 0.000 | 0.000 |
| 105.916 | 129.728 | 105.916 | 0.000 | -0.000 | 0.000 |
| 105.916 | 105.916 | 129.728 | -0.000 | -0.000 | -0.000 |
| -0.000 | -0.000 | -0.000 | 78.125 | -0.000 | -0.000 |
| -0.000 | -0.000 | -0.000 | 0.000 | 78.125 | 0.000 |
| -0.000 | -0.000 | -0.000 | -0.000 | -0.000 | 78.125 |
| 129.728 | 105.916 | 105.916 | 0.000 | 0.000 | -0.000 |
| 105.916 | 129.728 | 105.916 | 0.000 | 0.000 | -0.000 |
| 105.916 | 105.916 | 129.728 | -0.000 | -0.000 | -0.000 |
| 0.000 | -0.000 | 0.000 | 78.125 | 0.000 | -0.000 |
| -0.000 | 0.000 | 0.000 | 0.000 | 78.125 | -0.000 |
| -0.000 | 0.000 | 0.000 | 0.000 | 0.000 | 78.125 |
| 129.727 | 105.916 | 105.916 | 0.000 | -0.000 | 0.000 |
| 105.916 | 129.727 | 105.916 | -0.000 | -0.000 | 0.000 |
| 105.916 | 105.916 | 129.727 | -0.000 | -0.000 | 0.000 |
| -0.000 | 0.000 | -0.000 | 78.125 | -0.000 | 0.000 |
| 0.000 | -0.000 | -0.000 | -0.000 | 78.125 | -0.000 |
| 0.000 | -0.000 | -0.000 | -0.000 | -0.000 | 78.125 |
| 129.728 | 105.916 | 105.916 | 0.000 | 0.000 | 0.000 |
| 105.916 | 129.728 | 105.916 | 0.000 | 0.000 | -0.000 |
| 105.916 | 105.916 | 129.728 | 0.000 | 0.000 | -0.000 |
| 0.000 | -0.000 | 0.000 | 78.125 | 0.000 | -0.000 |
| -0.000 | 0.000 | 0.000 | 0.000 | 78.125 | -0.000 |
| -0.000 | 0.000 | 0.000 | 0.000 | 0.000 | 78.125 |
| 129.727 | 105.916 | 105.916 | -0.000 | -0.000 | -0.000 |
| 105.916 | 129.727 | 105.916 | -0.000 | -0.000 | 0.000 |
| 105.916 | 105.916 | 129.727 | -0.000 | -0.000 | 0.000 |
| -0.000 | 0.000 | -0.000 | 78.125 | 0.000 | -0.000 |
| 0.000 | -0.000 | -0.000 | 0.000 | 78.125 | 0.000 |
| 0.000 | -0.000 | -0.000 | -0.000 | -0.000 | 78.125 |
| 173.093 | 81.833 | 70.613 | -0.000 | -0.000 | 0.000 |
| 81.833 | 173.093 | 70.613 | -0.000 | -0.000 | 0.000 |
| 70.613 | 70.613 | 189.814 | 0.000 | -0.000 | 0.000 |
| -0.000 | -0.000 | 0.000 | 41.352 | -0.000 | 0.000 |
| -0.000 | 0.000 | 0.000 | 0.000 | 41.352 | 0.000 |
| -0.000 | 0.000 | -0.000 | 0.000 | -0.000 | 49.925 |
| 173.093 | 81.833 | 70.613 | 0.000 | 0.000 | -0.000 |
| 77.538 | 177.388 | 70.613 | 0.000 | -0.000 | -0.000 |
| 70.613 | 70.613 | 189.814 | 0.000 | 0.000 | -0.000 |
| 0.000 | 0.000 | -0.000 | 41.352 | 0.000 | -0.000 |
| 0.000 | 0.000 | -0.000 | -0.000 | 41.352 | -0.000 |
| 0.000 | -0.000 | 0.000 | 0.000 | 0.000 | 49.925 |
| 177.388 | 77.538 | 70.613 | 0.000 | 0.000 | 0.000 |
| 81.833 | 173.093 | 70.613 | -0.000 | -0.000 | 0.000 |
| 70.613 | 70.613 | 189.814 | 0.000 | -0.000 | 0.000 |
| 0.000 | -0.000 | 0.000 | 41.352 | -0.000 | 0.000 |
| -0.000 | 0.000 | 0.000 | 0.000 | 41.352 | 0.000 |
| -0.000 | 0.000 | -0.000 | -0.000 | -0.000 | 49.925 |
| 173.093 | 81.833 | 70.613 | 0.000 | 0.000 | -0.000 |
| 77.538 | 177.388 | 70.613 | -0.000 | -0.000 | -0.000 |
| 70.613 | 70.613 | 189.813 | 0.000 | 0.000 | -0.000 |
| -0.000 | 0.000 | -0.000 | 41.352 | 0.000 | -0.000 |
| 0.000 | -0.000 | -0.000 | -0.000 | 41.352 | -0.000 |
| 0.000 | -0.000 | 0.000 | 0.000 | 0.000 | 49.925 |
| 177.389 | 77.539 | 70.613 | 0.000 | 0.000 | 0.000 |
| 81.834 | 173.094 | 70.613 | -0.000 | -0.000 | 0.000 |
| 70.614 | 70.614 | 189.814 | 0.000 | -0.000 | 0.000 |
| -0.000 | -0.000 | 0.000 | 41.352 | 0.000 | 0.000 |
| -0.000 | -0.000 | 0.000 | -0.000 | 41.352 | 0.000 |
| -0.000 | 0.000 | -0.000 | 0.000 | -0.000 | 49.925 |
| 173.092 | 81.833 | 70.613 | 0.000 | 0.000 | -0.000 |
| 81.833 | 173.093 | 70.613 | -0.000 | 0.000 | -0.000 |
| 70.613 | 70.613 | 189.813 | -0.000 | 0.000 | -0.000 |
| 0.000 | 0.000 | -0.000 | 41.352 | -0.000 | -0.000 |
| 0.000 | 0.000 | -0.000 | -0.000 | 41.352 | -0.000 |
| 0.000 | -0.000 | 0.000 | -0.000 | 0.000 | 49.925 |
| 170.091 | 80.443 | 74.799 | 0.000 | -0.000 | -0.000 |
| 77.248 | 173.286 | 74.799 | 0.000 | 0.000 | 0.000 |
| 74.802 | 74.802 | 187.123 | 0.000 | -0.000 | 0.000 |
| 0.000 | -0.000 | 0.000 | 42.085 | -0.000 | 0.000 |
| -0.000 | -0.000 | 0.000 | 0.000 | 42.085 | 0.000 |
| -0.000 | 0.000 | -0.000 | 0.000 | -0.000 | 44.824 |
| 173.286 | 77.248 | 74.799 | -0.000 | -0.000 | -0.000 |
| 80.443 | 170.091 | 74.799 | -0.000 | -0.000 | -0.000 |
| 74.802 | 74.802 | 187.123 | -0.000 | 0.000 | -0.000 |
| -0.000 | 0.000 | -0.000 | 42.085 | 0.000 | -0.000 |
| 0.000 | 0.000 | -0.000 | -0.000 | 42.085 | -0.000 |
| 0.000 | -0.000 | 0.000 | -0.000 | -0.000 | 44.824 |
| 170.091 | 80.443 | 74.799 | 0.000 | -0.000 | 0.000 |
| 80.443 | 170.091 | 74.799 | 0.000 | 0.000 | 0.000 |
| 74.802 | 74.802 | 187.123 | 0.000 | -0.000 | 0.000 |
| 0.000 | -0.000 | 0.000 | 42.085 | -0.000 | 0.000 |
| -0.000 | 0.000 | 0.000 | -0.000 | 42.085 | 0.000 |
| -0.000 | 0.000 | -0.000 | -0.000 | -0.000 | 44.824 |
| 170.091 | 80.443 | 74.799 | 0.000 | -0.000 | -0.000 |
| 80.443 | 170.091 | 74.799 | -0.000 | -0.000 | -0.000 |
| 74.802 | 74.802 | 187.123 | -0.000 | 0.000 | 0.000 |
| -0.000 | 0.000 | -0.000 | 42.085 | 0.000 | -0.000 |
| 0.000 | -0.000 | -0.000 | -0.000 | 42.085 | -0.000 |
| 0.000 | -0.000 | 0.000 | -0.000 | 0.000 | 44.824 |
| 170.092 | 80.443 | 74.799 | 0.000 | -0.000 | 0.000 |
| 77.249 | 173.286 | 74.799 | 0.000 | -0.000 | 0.000 |
| 74.802 | 74.802 | 187.123 | 0.000 | -0.000 | 0.000 |
| 0.000 | -0.000 | 0.000 | 42.085 | -0.000 | 0.000 |
| -0.000 | 0.000 | 0.000 | 0.000 | 42.085 | 0.000 |
| -0.000 | 0.000 | -0.000 | 0.000 | 0.000 | 44.824 |
| 170.091 | 80.443 | 74.799 | -0.000 | 0.000 | -0.000 |
| 80.442 | 170.091 | 74.799 | -0.000 | -0.000 | -0.000 |
| 74.802 | 74.802 | 187.122 | -0.000 | 0.000 | -0.000 |
| -0.000 | 0.000 | -0.000 | 42.085 | 0.000 | -0.000 |
| 0.000 | -0.000 | -0.000 | -0.000 | 42.085 | -0.000 |
| 0.000 | -0.000 | 0.000 | -0.000 | -0.000 | 44.824 |
| 173.239 | 77.222 | 74.785 | -0.000 | 0.000 | 0.000 |
| 80.415 | 170.046 | 74.785 | -0.000 | 0.000 | 0.000 |
| 74.785 | 74.785 | 187.088 | 0.000 | 0.000 | 0.000 |
| -0.000 | 0.000 | 0.000 | 42.082 | 0.000 | 0.000 |
| -0.000 | 0.000 | 0.000 | -0.000 | 42.082 | -0.000 |
| -0.000 | 0.000 | -0.000 | 0.000 | 0.000 | 44.815 |
| 170.046 | 80.415 | 74.785 | -0.000 | -0.000 | 0.000 |
| 80.415 | 170.046 | 74.785 | 0.000 | -0.000 | -0.000 |
| 74.785 | 74.785 | 187.088 | 0.000 | -0.000 | -0.000 |
| 0.000 | -0.000 | -0.000 | 42.082 | -0.000 | -0.000 |
| 0.000 | -0.000 | -0.000 | -0.000 | 42.082 | -0.000 |
| 0.000 | -0.000 | 0.000 | -0.000 | -0.000 | 44.815 |
| 170.046 | 80.415 | 74.785 | 0.000 | 0.000 | 0.000 |
| 80.415 | 170.046 | 74.785 | -0.000 | 0.000 | 0.000 |
| 74.785 | 74.785 | 187.088 | -0.000 | 0.000 | 0.000 |
| 0.000 | -0.000 | 0.000 | 42.082 | 0.000 | 0.000 |
| -0.000 | 0.000 | 0.000 | 0.000 | 42.082 | 0.000 |
| -0.000 | 0.000 | -0.000 | 0.000 | 0.000 | 44.815 |
| 170.046 | 80.415 | 74.785 | -0.000 | -0.000 | -0.000 |
| 80.415 | 170.046 | 74.785 | -0.000 | -0.000 | -0.000 |
| 74.785 | 74.785 | 187.088 | 0.000 | -0.000 | -0.000 |
| -0.000 | 0.000 | -0.000 | 42.082 | -0.000 | -0.000 |
| 0.000 | -0.000 | -0.000 | 0.000 | 42.082 | -0.000 |
| 0.000 | -0.000 | 0.000 | -0.000 | -0.000 | 44.815 |
| 173.240 | 77.222 | 74.785 | -0.000 | 0.000 | 0.000 |
| 80.416 | 170.046 | 74.785 | 0.000 | 0.000 | 0.000 |
| 74.785 | 74.785 | 187.088 | -0.000 | 0.000 | 0.000 |
| 0.000 | -0.000 | 0.000 | 42.082 | 0.000 | 0.000 |
| -0.000 | 0.000 | 0.000 | 0.000 | 42.082 | 0.000 |
| -0.000 | 0.000 | -0.000 | -0.000 | 0.000 | 48.009 |
| 170.045 | 80.415 | 74.785 | 0.000 | -0.000 | -0.000 |
| 80.415 | 170.045 | 74.785 | 0.000 | -0.000 | -0.000 |
| 74.785 | 74.785 | 187.087 | -0.000 | -0.000 | -0.000 |
| -0.000 | 0.000 | -0.000 | 42.082 | -0.000 | -0.000 |
| 0.000 | -0.000 | -0.000 | -0.000 | 42.082 | -0.000 |
| 0.000 | -0.000 | 0.000 | 0.000 | -0.000 | 48.009 |
| 43.460 | 54.851 | 54.851 | 0.000 | 0.000 | 0.000 |
| 54.851 | 43.460 | 54.851 | 0.000 | 0.000 | 0.000 |
| 54.851 | 54.851 | 43.460 | 0.000 | 0.000 | 0.000 |
| -0.000 | -0.000 | -0.000 | -26.882 | 0.000 | 0.000 |
| -0.000 | -0.000 | -0.000 | 0.000 | -26.882 | 0.000 |
| -0.000 | -0.000 | -0.000 | 0.000 | 0.000 | -26.882 |
| 43.460 | 54.851 | 54.851 | -0.000 | -0.000 | -0.000 |
| 54.851 | 43.460 | 54.851 | -0.000 | -0.000 | -0.000 |
| 54.851 | 54.851 | 43.460 | -0.000 | -0.000 | -0.000 |
| 0.000 | 0.000 | 0.000 | -26.882 | -0.000 | -0.000 |
| 0.000 | 0.000 | 0.000 | -0.000 | -26.882 | -0.000 |
| 0.000 | 0.000 | 0.000 | -0.000 | -0.000 | -26.882 |
| 43.460 | 54.851 | 54.851 | 0.000 | 0.000 | 0.000 |
| 54.851 | 43.460 | 54.851 | 0.000 | 0.000 | 0.000 |
| 54.851 | 54.851 | 43.460 | 0.000 | 0.000 | 0.000 |
| -0.000 | 0.000 | -0.000 | -26.882 | 0.000 | 0.000 |
| 0.000 | -0.000 | -0.000 | 0.000 | -26.882 | 0.000 |
| 0.000 | -0.000 | -0.000 | 0.000 | 0.000 | -26.882 |
| 43.460 | 54.851 | 54.851 | -0.000 | -0.000 | -0.000 |
| 54.851 | 43.460 | 54.851 | -0.000 | -0.000 | -0.000 |
| 54.851 | 54.851 | 43.460 | -0.000 | -0.000 | -0.000 |
| 0.000 | -0.000 | 0.000 | -26.882 | -0.000 | -0.000 |
| -0.000 | 0.000 | 0.000 | -0.000 | -26.882 | -0.000 |
| -0.000 | 0.000 | 0.000 | -0.000 | -0.000 | -26.882 |
| 43.460 | 54.851 | 54.851 | 0.000 | 0.000 | 0.000 |
| 54.851 | 43.460 | 54.851 | 0.000 | 0.000 | 0.000 |
| 54.851 | 54.851 | 43.460 | 0.000 | 0.000 | 0.000 |
| -0.000 | 0.000 | -0.000 | -26.882 | 0.000 | 0.000 |
| 0.000 | -0.000 | -0.000 | 0.000 | -26.882 | 0.000 |
| 0.000 | -0.000 | -0.000 | 0.000 | 0.000 | -26.882 |
| 43.460 | 54.851 | 54.851 | -0.000 | -0.000 | -0.000 |
| 54.851 | 43.460 | 54.851 | -0.000 | -0.000 | -0.000 |
| 54.851 | 54.851 | 43.460 | -0.000 | -0.000 | -0.000 |
| 0.000 | -0.000 | 0.000 | -26.882 | -0.000 | -0.000 |
| -0.000 | 0.000 | 0.000 | -0.000 | -26.882 | -0.000 |
| -0.000 | 0.000 | 0.000 | -0.000 | -0.000 | -26.882 |
| 109.128 | 88.671 | 30.353 | 0.000 | 0.000 | 0.000 |
| 88.671 | 109.128 | 30.353 | 0.000 | 0.000 | 0.000 |
| 30.353 | 30.353 | 217.913 | 0.000 | 0.000 | 0.000 |
| -0.000 | 0.000 | -0.000 | -15.053 | 0.000 | 0.000 |
| 0.000 | 0.000 | 0.000 | 0.000 | -15.053 | 0.000 |
| -0.000 | 0.000 | -0.000 | 0.000 | -0.000 | -6.570 |
| 109.128 | 88.671 | 30.353 | -0.000 | 0.000 | -0.000 |
| 88.671 | 109.128 | 30.353 | -0.000 | 0.000 | -0.000 |
| 30.353 | 30.353 | 217.913 | -0.000 | -0.000 | -0.000 |
| 0.000 | -0.000 | 0.000 | -15.053 | -0.000 | -0.000 |
| -0.000 | -0.000 | 0.000 | -0.000 | -15.053 | -0.000 |
| 0.000 | 0.000 | 0.000 | -0.000 | -0.000 | -6.570 |
| 109.128 | 88.672 | 30.353 | 0.000 | -0.000 | 0.000 |
| 88.672 | 109.128 | 30.353 | 0.000 | -0.000 | 0.000 |
| 30.353 | 30.353 | 217.913 | 0.000 | -0.000 | 0.000 |
| -0.000 | 0.000 | -0.000 | -15.053 | 0.000 | 0.000 |
| 0.000 | -0.000 | -0.000 | 0.000 | -15.053 | 0.000 |
| -0.000 | -0.000 | -0.000 | 0.000 | -0.000 | -6.570 |
| 109.128 | 88.671 | 30.353 | -0.000 | 0.000 | -0.000 |
| 88.671 | 109.128 | 30.353 | -0.000 | 0.000 | -0.000 |
| 30.353 | 30.353 | 217.913 | -0.000 | 0.000 | -0.000 |
| 0.000 | -0.000 | 0.000 | -15.053 | 0.000 | 0.000 |
| -0.000 | 0.000 | 0.000 | -0.000 | -15.053 | -0.000 |
| 0.000 | 0.000 | 0.000 | -0.000 | -0.000 | -6.570 |
| 109.128 | 88.672 | 30.354 | 0.000 | 0.000 | 0.000 |
| 88.672 | 109.128 | 30.354 | 0.000 | 0.000 | 0.000 |
| 30.353 | 30.353 | 217.914 | -0.000 | 0.000 | 0.000 |
| -0.000 | 0.000 | -0.000 | -15.053 | -0.000 | 0.000 |
| 0.000 | -0.000 | -0.000 | 0.000 | -15.053 | 0.000 |
| -0.000 | -0.000 | -0.000 | 0.000 | -0.000 | -6.570 |
| 109.128 | 88.671 | 30.353 | -0.000 | -0.000 | -0.000 |
| 88.671 | 109.128 | 30.353 | -0.000 | -0.000 | -0.000 |
| 30.353 | 30.353 | 217.912 | -0.000 | 0.000 | -0.000 |
| 0.000 | -0.000 | 0.000 | -15.053 | 0.000 | -0.000 |
| -0.000 | 0.000 | 0.000 | -0.000 | -15.053 | -0.000 |
| 0.000 | 0.000 | 0.000 | -0.000 | -0.000 | -6.570 |
| 142.142 | 14.207 | 14.207 | -0.000 | -0.000 | 0.000 |
| 14.207 | 142.142 | 14.207 | 0.000 | -0.000 | -0.000 |
| 14.207 | 14.207 | 142.142 | 0.000 | 0.000 | 0.000 |
| 0.000 | -0.000 | 0.000 | -2.930 | 0.000 | 0.000 |
| -0.000 | 0.000 | 0.000 | -0.000 | -2.930 | -0.000 |
| -0.000 | 0.000 | 0.000 | 0.000 | -0.000 | -2.930 |
| 142.142 | 14.207 | 14.207 | 0.000 | -0.000 | 0.000 |
| 14.207 | 142.142 | 14.207 | -0.000 | 0.000 | 0.000 |
| 14.207 | 14.207 | 142.142 | 0.000 | -0.000 | -0.000 |
| -0.000 | 0.000 | -0.000 | -2.930 | 0.000 | -0.000 |
| 0.000 | -0.000 | -0.000 | -0.000 | -2.930 | -0.000 |
| 0.000 | -0.000 | -0.000 | -0.000 | -0.000 | -2.930 |
| 142.142 | 14.207 | 14.207 | -0.000 | -0.000 | -0.000 |
| 14.207 | 142.142 | 14.207 | -0.000 | -0.000 | -0.000 |
| 14.207 | 14.207 | 142.142 | -0.000 | -0.000 | -0.000 |
| -0.000 | -0.000 | -0.000 | -2.930 | 0.000 | 0.000 |
| -0.000 | -0.000 | -0.000 | 0.000 | -2.930 | 0.000 |
| -0.000 | -0.000 | -0.000 | 0.000 | -0.000 | -2.930 |
| 142.141 | 14.207 | 14.207 | 0.000 | 0.000 | 0.000 |
| 14.207 | 142.141 | 14.207 | 0.000 | 0.000 | 0.000 |
| 14.207 | 14.207 | 142.141 | -0.000 | 0.000 | -0.000 |
| 0.000 | 0.000 | 0.000 | -2.930 | -0.000 | -0.000 |
| 0.000 | 0.000 | 0.000 | -0.000 | -2.930 | -0.000 |
| 0.000 | 0.000 | 0.000 | -0.000 | -0.000 | -2.930 |
| 142.142 | 14.207 | 14.207 | -0.000 | -0.000 | -0.000 |
| 14.207 | 142.142 | 14.207 | 0.000 | -0.000 | -0.000 |
| 14.207 | 14.207 | 142.142 | -0.000 | -0.000 | -0.000 |
| -0.000 | -0.000 | -0.000 | -2.930 | 0.000 | 0.000 |
| -0.000 | -0.000 | -0.000 | 0.000 | -2.930 | 0.000 |
| -0.000 | -0.000 | -0.000 | 0.000 | -0.000 | -2.930 |
| 142.141 | 14.207 | 14.207 | 0.000 | 0.000 | 0.000 |
| 14.207 | 142.141 | 14.207 | -0.000 | 0.000 | 0.000 |
| 14.207 | 14.207 | 142.141 | 0.000 | 0.000 | 0.000 |
| 0.000 | 0.000 | 0.000 | -2.930 | 0.000 | -0.000 |
| 0.000 | 0.000 | 0.000 | -0.000 | -2.930 | -0.000 |
| 0.000 | 0.000 | 0.000 | 0.000 | 0.000 | -2.930 |
| -25.522 | 344.803 | -72.205 | 289.841 | -3.614 | 13.509 |
| -75.374 | 391.907 | -20.605 | 253.584 | -21.860 | 93.376 |
| -76.333 | 276.955 | 100.021 | 247.429 | -23.832 | 93.597 |
| -6.382 | 9.601 | -1.473 | 65.780 | 1.718 | 1.681 |
| 1.617 | -0.002 | 1.663 | 1.718 | 69.728 | -2.795 |
| -0.026 | 3.307 | -3.629 | 2.391 | -0.439 | 58.546 |
| 305.802 | -154.273 | 145.517 | -248.707 | 29.298 | -92.662 |
| 168.049 | -205.815 | 385.457 | -317.976 | 4.613 | -161.715 |
| 55.124 | 50.402 | 197.639 | -1.473 | 1.663 | -3.965 |
| 138.399 | -215.105 | 79.179 | -196.637 | 19.807 | -92.430 |
| 100.934 | -355.366 | 317.671 | -324.500 | 36.650 | -165.624 |
| 137.982 | -217.564 | 80.214 | -245.744 | 24.331 | -42.466 |
| 128.482 | 95.874 | 58.155 | 29.410 | 3.084 | 1.311 |
| 51.057 | 193.532 | 51.997 | 30.548 | -1.485 | 9.516 |
| 49.257 | 80.425 | 171.819 | 24.942 | -3.435 | 9.980 |
| -6.382 | 9.601 | -1.473 | 65.780 | 1.718 | 1.681 |
| 7.155 | 7.610 | -12.613 | 14.462 | 33.618 | 0.022 |
| -15.546 | 22.314 | -7.176 | 25.958 | -0.448 | 59.170 |
| 150.043 | 61.857 | 79.568 | -13.482 | 11.180 | 2.362 |
| 77.533 | 153.171 | 66.419 | -17.954 | 3.078 | -8.623 |
| 55.124 | 50.402 | 197.639 | -1.473 | 1.663 | -3.965 |
| 12.630 | -18.483 | 7.490 | 26.547 | -0.222 | -8.883 |
| 21.451 | -36.821 | 25.439 | -33.259 | 44.573 | -12.731 |
| -0.026 | 3.307 | -3.629 | 2.391 | -0.439 | 58.546 |
| 159.357 | 67.640 | 66.325 | 2.959 | 4.052 | 2.235 |
| 66.938 | 163.752 | 61.992 | 7.642 | 0.373 | 2.205 |
| 64.255 | 64.602 | 170.004 | 0.419 | -0.505 | -1.202 |
| -1.608 | 4.579 | -1.852 | 47.767 | -1.940 | 0.881 |
| 2.150 | 2.527 | -1.792 | -0.086 | 53.027 | 0.781 |
| -2.474 | 1.490 | 0.668 | 2.527 | 1.852 | 49.781 |
| 161.602 | 64.063 | 67.917 | -1.863 | 5.134 | 1.113 |
| 65.375 | 172.508 | 59.265 | 3.097 | 1.184 | -0.686 |
| 55.124 | 50.401 | 197.639 | -1.474 | 1.663 | -3.965 |
| 0.494 | -0.115 | 0.376 | 38.624 | -1.797 | -1.369 |
| 4.682 | -1.553 | -0.212 | -4.538 | 54.038 | -1.044 |
| -0.006 | -0.739 | 0.381 | -0.707 | 0.323 | 44.333 |
| 186.593 | 61.003 | 58.872 | -1.026 | -1.989 | 5.157 |
| 61.277 | 180.990 | 63.304 | 2.865 | 6.594 | 3.383 |
| 78.155 | 75.980 | 143.945 | 3.432 | 3.918 | 12.899 |
| 5.053 | 5.508 | -15.265 | 47.030 | 0.729 | 12.186 |
| -3.162 | 6.636 | -3.974 | -0.296 | 60.100 | -0.564 |
| 1.633 | 3.664 | -3.284 | 0.945 | 2.436 | 55.581 |
| 186.593 | 61.003 | 58.872 | -1.026 | -1.989 | 5.157 |
| 66.876 | 134.916 | 109.508 | -14.209 | -18.907 | -7.245 |
| 59.813 | 63.613 | 181.284 | -2.926 | -3.974 | -2.477 |
| -2.546 | -26.611 | 36.826 | 26.948 | -21.095 | -9.260 |
| -3.162 | 6.636 | -3.974 | -0.296 | 60.100 | -0.564 |
| 1.633 | 3.664 | -3.284 | 0.945 | 2.436 | 55.581 |
| 163.479 | 71.171 | 65.525 | -0.820 | 0.240 | 4.506 |
| 68.034 | 160.315 | 70.809 | 0.618 | 1.377 | 3.800 |
| 59.813 | 63.613 | 181.284 | -2.926 | -3.974 | -2.477 |
| -0.659 | 0.905 | -2.926 | 55.234 | -0.296 | 0.988 |
| -3.162 | 6.636 | -3.974 | -0.296 | 60.100 | -0.564 |
| 1.063 | 2.058 | -1.155 | 0.619 | -1.139 | 49.002 |
| 170.097 | 66.140 | 68.582 | -3.657 | -2.600 | 2.670 |
| 68.149 | 159.301 | 75.045 | -0.329 | 0.737 | 1.898 |
| 67.032 | 68.893 | 165.959 | 0.754 | 2.370 | -0.633 |
| -0.659 | 0.905 | -2.926 | 55.234 | -0.296 | 0.988 |
| -4.130 | 0.598 | 4.016 | 0.241 | 46.034 | -3.873 |
| -0.522 | 1.186 | 1.855 | 0.322 | -0.855 | 47.377 |
| 161.119 | 68.674 | 69.276 | -1.800 | -1.979 | 3.270 |
| 67.170 | 168.151 | 69.317 | 1.774 | 0.979 | 1.919 |
| 70.213 | 73.988 | 151.907 | -0.433 | 2.064 | -0.235 |
| -1.404 | -0.386 | -0.442 | 41.121 | -0.625 | 0.879 |
| -3.200 | 1.852 | 1.729 | -0.378 | 42.633 | -2.067 |
| 0.377 | 3.139 | -1.766 | 0.786 | 0.131 | 43.484 |
| 164.853 | 68.120 | 68.532 | -2.095 | -1.648 | 3.417 |
| 69.025 | 156.940 | 74.200 | 0.871 | 1.285 | 2.332 |
| 70.015 | 73.519 | 152.937 | -0.335 | 2.039 | -0.227 |
| -3.167 | 0.222 | 1.009 | 46.864 | 0.367 | 0.449 |
| -3.406 | 1.975 | 1.559 | 0.261 | 48.447 | -2.548 |
| 1.633 | 3.664 | -3.284 | 0.945 | 2.436 | 55.581 |
| 412.165 | -161.718 | 62.184 | 196.173 | 83.032 | -68.810 |
| 462.382 | -35.528 | -120.481 | 38.274 | 65.473 | -188.571 |
| 464.249 | -128.949 | -21.650 | 44.290 | 63.920 | -184.092 |
| 397.452 | -199.552 | -191.582 | 91.578 | 64.512 | -184.189 |
| 394.211 | -198.269 | -190.893 | 46.182 | 113.334 | -184.707 |
| 400.319 | -203.303 | -191.260 | 45.108 | 55.886 | -134.425 |
| 178.636 | 62.631 | 65.346 | 0.831 | -7.121 | -4.383 |
| -184.781 | 387.762 | 85.876 | -199.343 | -87.639 | 66.223 |
| -133.017 | 190.958 | 217.624 | -18.259 | -5.236 | 131.661 |
| -137.298 | 194.644 | -59.625 | -168.276 | -32.054 | 173.969 |
| -1.427 | -0.302 | 1.739 | 1.666 | 53.041 | -0.282 |
| 2.254 | -3.390 | 1.747 | 0.911 | -8.443 | 54.520 |
| 178.636 | 62.631 | 65.346 | 0.831 | -7.121 | -4.383 |
| 62.376 | 172.179 | 68.139 | -9.744 | -0.397 | -3.592 |
| 99.257 | 48.971 | 158.614 | 19.437 | 9.206 | -7.417 |
| 28.127 | -22.584 | -2.056 | 57.398 | 10.251 | -6.919 |
| 37.864 | -18.406 | -18.766 | 5.406 | 55.890 | -18.580 |
| 44.185 | -23.594 | -19.201 | 4.408 | -1.507 | 31.720 |
| 178.636 | 62.631 | 65.346 | 0.831 | -7.121 | -4.383 |
| 26.518 | 184.325 | 90.172 | -11.544 | -4.729 | 14.660 |
| 65.335 | 67.520 | 177.211 | 1.343 | 1.739 | 2.192 |
| 1.015 | -1.667 | 1.343 | 54.474 | 1.666 | 1.007 |
| -21.770 | 13.244 | 6.719 | 0.282 | 36.034 | 13.138 |
| 2.254 | -3.390 | 1.747 | 0.911 | -8.443 | 54.520 |
| 162.927 | 67.646 | 72.136 | 1.991 | -4.925 | -1.541 |
| 72.430 | 144.776 | 78.322 | -1.573 | 0.475 | -4.141 |
| 73.874 | 67.632 | 167.489 | -0.128 | 1.207 | -2.074 |
| 6.504 | -2.161 | -2.779 | 46.566 | 1.480 | -1.944 |
| 1.741 | -1.928 | 0.708 | 4.549 | 38.851 | -1.967 |
| 9.809 | -6.264 | -2.581 | 0.502 | -7.050 | 47.813 |
| 159.454 | 71.463 | 72.436 | -1.097 | -7.175 | 0.409 |
| 63.106 | 163.839 | 74.096 | -6.576 | 1.657 | -1.877 |
| 73.128 | 75.885 | 154.719 | 0.294 | -0.198 | 1.099 |
| -0.416 | 3.014 | -0.397 | 30.263 | 2.251 | 2.538 |
| -6.793 | 4.425 | 2.547 | 0.168 | 48.104 | 2.242 |
| 0.765 | -1.626 | 2.198 | 1.100 | -6.776 | 43.815 |
| 172.782 | 118.347 | 126.034 | 58.928 | -62.604 | 101.199 |
| 58.956 | 171.107 | 65.916 | 6.818 | 0.850 | -9.920 |
| 198.504 | 39.789 | 165.088 | 95.116 | 94.321 | 46.345 |
| -4.288 | 3.623 | -2.754 | 67.604 | -0.692 | -1.666 |
| -2.931 | 1.213 | -0.102 | -0.692 | 67.773 | -1.318 |
| 155.209 | -37.637 | -12.601 | 92.106 | 95.670 | 91.304 |
| -18.749 | 182.642 | 47.064 | -54.794 | 138.042 | -58.622 |
| 58.956 | 171.107 | 65.916 | 6.818 | 0.850 | -9.920 |
| 46.392 | 64.651 | 191.675 | -2.754 | -0.102 | 0.093 |
| -174.129 | 117.601 | -33.190 | -9.919 | 135.195 | -58.489 |
| -155.416 | 27.343 | 17.522 | -88.381 | -56.772 | -49.048 |
| -175.303 | 111.346 | -26.211 | -56.475 | 137.353 | -9.650 |
| 195.963 | 58.183 | 47.046 | -4.604 | -1.944 | 6.912 |
| 58.956 | 171.107 | 65.916 | 6.818 | 0.850 | -9.920 |
| 89.883 | 59.213 | 159.574 | 0.742 | -17.635 | 7.177 |
| 18.973 | -11.059 | -1.890 | 52.841 | -14.265 | 6.310 |
| 19.263 | 6.068 | -15.374 | 1.852 | 33.417 | 4.677 |
| 18.230 | -17.584 | 5.116 | 5.957 | -12.401 | 55.182 |
| 156.172 | 72.978 | 57.203 | -12.998 | -5.673 | -2.529 |
| 58.956 | 171.107 | 65.916 | 6.818 | 0.850 | -9.920 |
| 56.344 | 80.692 | 155.587 | -9.684 | 7.715 | -3.802 |
| -22.779 | 4.378 | 4.195 | 36.527 | -6.222 | -6.274 |
| -16.189 | 13.384 | -8.624 | -7.148 | 51.147 | -7.138 |
| -16.748 | 5.722 | -0.596 | -5.418 | 14.791 | 43.702 |
| 175.551 | 61.806 | 62.403 | -0.969 | -0.164 | 3.564 |
| 67.286 | 157.554 | 71.040 | 3.592 | -0.734 | -5.975 |
| 65.364 | 71.163 | 162.834 | -1.231 | -1.678 | 0.524 |
| 1.688 | 0.268 | -4.015 | 52.418 | -1.918 | 0.470 |
| -0.970 | -0.266 | -0.602 | 2.374 | 43.768 | -0.792 |
| 6.150 | -6.776 | -1.008 | -0.746 | 1.579 | 46.581 |
| 166.260 | 66.597 | 63.693 | -2.821 | -0.914 | 1.553 |
| 65.504 | 157.015 | 71.565 | 1.744 | 1.690 | -6.325 |
| 61.343 | 72.639 | 163.539 | -2.649 | -0.738 | -0.605 |
| -0.871 | 1.989 | -4.487 | 51.151 | 0.149 | -0.385 |
| -3.998 | 1.199 | -0.803 | 0.959 | 44.758 | -1.794 |
| 0.586 | -7.168 | 3.305 | -1.761 | 1.509 | 42.647 |
| 142.931 | -14.525 | 294.665 | -187.413 | 81.616 | 69.431 |
| -182.720 | 189.503 | 384.177 | -28.328 | 86.367 | 99.270 |
| 22.117 | 140.347 | 208.869 | -81.469 | -153.211 | -45.299 |
| -45.538 | 71.601 | 49.802 | -31.369 | -153.121 | -48.131 |
| -5.013 | 2.671 | -0.000 | 4.101 | 63.884 | 3.357 |
| 0.143 | 3.412 | 1.748 | -6.871 | 2.112 | 64.539 |
| 234.690 | 92.649 | -34.568 | 48.017 | -50.238 | -46.783 |
| 132.730 | 184.331 | -32.181 | 52.293 | -50.259 | -49.312 |
| 105.351 | 10.208 | 102.250 | 80.451 | 157.005 | 47.568 |
| 253.391 | -33.203 | -313.165 | 84.521 | -87.707 | -101.606 |
| 252.765 | -42.647 | -307.144 | 33.772 | -42.990 | -96.719 |
| 259.323 | -39.242 | -308.574 | 28.905 | -87.634 | -52.680 |
| 164.335 | 64.598 | 81.548 | -7.446 | 3.441 | 10.862 |
| 47.842 | 155.023 | 104.351 | 1.174 | 5.389 | 9.625 |
| 64.866 | 69.671 | 167.654 | -4.193 | -0.336 | 4.526 |
| -7.722 | 12.547 | 1.914 | 40.850 | -13.381 | -6.202 |
| -26.671 | -0.467 | 31.841 | -2.463 | 53.507 | 11.140 |
| -2.972 | 0.617 | 8.927 | -6.901 | 2.475 | 54.376 |
| 166.195 | 64.494 | 61.256 | 3.877 | 7.962 | 10.009 |
| 75.564 | 160.962 | 62.839 | 6.732 | -6.464 | -2.151 |
| 60.095 | 62.361 | 182.953 | -5.057 | -0.001 | 2.771 |
| 22.982 | 0.902 | -33.236 | 55.338 | -6.797 | -12.131 |
| 7.598 | 1.895 | -15.528 | 6.189 | 39.704 | -6.613 |
| 6.977 | 11.389 | -26.195 | 15.307 | -11.320 | 32.276 |
| 168.031 | 70.063 | 67.740 | -2.328 | -6.090 | 4.873 |
| 70.551 | 154.499 | 74.241 | 3.997 | -2.254 | 1.163 |
| 67.101 | 68.903 | 166.246 | -1.508 | -3.078 | 0.918 |
| -3.361 | 3.522 | 0.269 | 55.252 | 2.247 | -1.851 |
| -1.390 | -0.867 | -0.244 | 0.510 | 41.079 | 0.846 |
| 1.032 | 1.434 | 3.164 | -2.571 | 0.309 | 47.594 |
| 163.184 | 69.688 | 67.307 | -2.449 | -4.609 | 4.120 |
| 73.436 | 149.875 | 72.290 | 4.182 | -2.431 | 2.324 |
| 69.418 | 72.277 | 157.314 | -0.435 | 0.577 | 1.583 |
| -2.077 | 4.199 | -4.181 | 49.995 | 0.372 | -2.952 |
| -1.469 | -1.833 | -0.635 | 2.030 | 45.314 | 0.225 |
| 3.961 | 1.145 | -0.561 | -2.204 | -0.494 | 47.226 |
| 186.601 | 82.296 | 52.754 | -0.000 | 0.000 | -0.000 |
| 95.174 | 173.724 | 52.754 | -0.000 | 0.000 | -0.000 |
| 52.754 | 52.754 | 197.321 | -0.000 | -0.000 | -0.000 |
| -0.000 | 0.000 | -0.000 | 19.935 | -0.000 | -0.000 |
| 0.000 | -0.000 | -0.000 | -0.000 | 19.935 | -0.000 |
| 0.000 | -0.000 | 0.000 | 0.000 | 0.000 | 52.153 |
| 173.723 | 95.173 | 52.754 | 0.000 | -0.000 | 0.000 |
| 82.296 | 186.601 | 52.754 | 0.000 | -0.000 | 0.000 |
| 52.754 | 52.754 | 197.321 | -0.000 | -0.000 | 0.000 |
| 0.000 | -0.000 | 0.000 | 19.935 | 0.000 | 0.000 |
| -0.000 | 0.000 | 0.000 | 0.000 | 19.935 | 0.000 |
| -0.000 | 0.000 | -0.000 | -0.000 | -0.000 | 52.153 |
| 186.602 | 82.296 | 52.754 | -0.000 | 0.000 | -0.000 |
| 82.296 | 186.602 | 52.754 | -0.000 | 0.000 | -0.000 |
| 52.754 | 52.754 | 197.322 | -0.000 | -0.000 | -0.000 |
| 0.000 | 0.000 | -0.000 | 19.935 | 0.000 | -0.000 |
| 0.000 | 0.000 | -0.000 | -0.000 | 19.935 | -0.000 |
| 0.000 | -0.000 | 0.000 | -0.000 | 0.000 | 39.275 |
| 173.723 | 95.173 | 52.754 | 0.000 | -0.000 | 0.000 |
| 95.173 | 173.723 | 52.754 | 0.000 | -0.000 | 0.000 |
| 52.754 | 52.754 | 197.320 | 0.000 | 0.000 | 0.000 |
| -0.000 | -0.000 | 0.000 | 19.935 | -0.000 | 0.000 |
| -0.000 | -0.000 | 0.000 | 0.000 | 19.935 | 0.000 |
| -0.000 | 0.000 | -0.000 | 0.000 | -0.000 | 39.275 |
| 138.055 | 73.622 | 18.681 | -0.000 | 0.000 | -0.000 |
| 73.816 | 146.386 | 20.846 | 0.000 | 0.000 | -0.000 |
| 19.507 | 21.478 | 187.716 | -0.000 | 0.000 | -0.000 |
| 0.002 | 0.003 | 0.012 | 11.261 | 0.000 | -0.000 |
| 0.001 | 0.001 | 0.003 | 0.000 | 17.004 | -0.000 |
| 0.000 | 0.000 | 0.001 | 0.000 | 0.000 | 44.431 |
| 138.055 | 73.621 | 18.678 | -0.000 | -0.000 | 0.000 |
| 73.816 | 146.385 | 20.844 | -0.000 | -0.000 | -0.000 |
| 19.507 | 21.477 | 187.713 | 0.000 | -0.000 | 0.000 |
| -0.002 | -0.003 | -0.012 | 11.261 | -0.000 | 0.000 |
| -0.001 | -0.001 | -0.003 | -0.000 | 17.004 | 0.000 |
| -0.000 | -0.000 | -0.001 | -0.000 | -0.000 | 44.431 |
| 138.055 | 73.621 | 18.680 | -0.000 | 0.000 | -0.000 |
| 73.816 | 146.386 | 20.845 | 0.000 | -0.000 | -0.000 |
| 19.507 | 21.478 | 187.714 | 0.000 | 0.000 | -0.000 |
| 0.000 | 0.000 | 0.001 | 11.261 | 0.000 | -0.000 |
| 0.000 | 0.000 | 0.000 | 0.000 | 17.004 | -0.000 |
| 0.000 | 0.000 | 0.000 | -0.000 | 0.000 | 44.431 |
| 138.055 | 73.621 | 18.679 | -0.000 | -0.000 | 0.000 |
| 73.816 | 146.386 | 20.845 | -0.000 | -0.000 | 0.000 |
| 19.507 | 21.478 | 187.714 | -0.000 | -0.000 | 0.000 |
| -0.000 | -0.000 | -0.001 | 11.261 | -0.000 | -0.000 |
| -0.000 | -0.000 | -0.000 | -0.000 | 17.004 | 0.000 |
| -0.000 | -0.000 | -0.000 | 0.000 | -0.000 | 44.431 |
| 138.054 | 73.621 | 18.680 | 0.000 | 0.000 | 0.000 |
| 73.816 | 146.386 | 20.845 | 0.000 | 0.000 | 0.000 |
| 19.506 | 21.477 | 187.714 | -0.000 | 0.000 | -0.000 |
| -0.000 | 0.000 | -0.000 | 12.169 | 0.000 | 0.000 |
| -0.000 | -0.000 | -0.000 | 0.000 | 17.004 | -0.000 |
| 0.000 | 0.000 | 0.000 | -0.000 | 0.000 | 44.431 |
| 138.056 | 73.621 | 18.679 | -0.000 | -0.000 | 0.000 |
| 73.816 | 146.385 | 20.845 | -0.000 | -0.000 | -0.000 |
| 19.508 | 21.478 | 187.715 | 0.000 | -0.000 | 0.000 |
| 0.000 | -0.000 | 0.000 | 12.169 | -0.000 | 0.000 |
| 0.000 | 0.000 | 0.000 | -0.000 | 17.004 | 0.000 |
| -0.000 | -0.000 | -0.000 | 0.000 | -0.000 | 44.431 |
| 188.630 | 69.339 | 69.339 | -0.000 | 0.000 | -0.000 |
| 69.339 | 188.630 | 69.339 | -0.000 | 0.000 | -0.000 |
| 69.339 | 69.339 | 188.630 | -0.000 | 0.000 | -0.000 |
| 0.000 | -0.000 | 0.000 | 44.751 | 0.000 | -0.000 |
| -0.000 | 0.000 | 0.000 | 0.000 | 44.751 | -0.000 |
| -0.000 | 0.000 | 0.000 | -0.000 | 0.000 | 44.751 |
| 188.630 | 69.338 | 69.338 | 0.000 | -0.000 | 0.000 |
| 69.338 | 188.630 | 69.338 | 0.000 | -0.000 | 0.000 |
| 69.338 | 69.338 | 188.630 | 0.000 | -0.000 | 0.000 |
| -0.000 | 0.000 | -0.000 | 44.751 | -0.000 | 0.000 |
| 0.000 | -0.000 | -0.000 | 0.000 | 44.751 | 0.000 |
| 0.000 | -0.000 | -0.000 | 0.000 | -0.000 | 44.751 |
| 171.702 | 77.095 | 77.095 | -0.000 | 0.000 | -0.000 |
| 77.095 | 171.702 | 77.095 | -0.000 | 0.000 | -0.000 |
| 77.095 | 77.095 | 171.702 | -0.000 | -0.000 | -0.000 |
| -0.002 | -0.002 | -0.002 | 31.588 | -0.000 | -0.000 |
| -0.002 | -0.002 | -0.002 | -0.000 | 31.588 | -0.000 |
| -0.002 | -0.002 | -0.002 | -0.000 | 0.000 | 31.588 |
| 188.629 | 69.338 | 69.338 | 0.000 | -0.000 | 0.000 |
| 69.338 | 188.629 | 69.338 | -0.000 | -0.000 | 0.000 |
| 69.338 | 69.338 | 188.629 | 0.000 | -0.000 | 0.000 |
| 0.002 | 0.002 | 0.002 | 31.588 | -0.000 | 0.000 |
| 0.002 | 0.002 | 0.002 | 0.000 | 31.588 | 0.000 |
| 0.002 | 0.002 | 0.002 | 0.000 | -0.000 | 31.588 |
| 188.204 | 69.114 | 69.114 | -0.000 | -0.000 | 0.000 |
| 69.114 | 188.204 | 69.114 | -0.000 | -0.000 | 0.000 |
| 69.114 | 69.114 | 188.204 | -0.000 | 0.000 | 0.000 |
| 0.000 | 0.000 | -0.000 | 44.712 | 0.000 | 0.000 |
| 0.000 | 0.000 | 0.000 | -0.000 | 44.712 | 0.000 |
| -0.000 | 0.000 | 0.000 | -0.000 | -0.000 | 44.712 |
| 188.204 | 69.114 | 69.114 | 0.000 | 0.000 | -0.000 |
| 69.114 | 188.204 | 69.114 | -0.000 | 0.000 | -0.000 |
| 69.114 | 69.114 | 188.204 | 0.000 | 0.000 | -0.000 |
| -0.000 | -0.000 | 0.000 | 44.712 | 0.000 | -0.000 |
| -0.000 | -0.000 | -0.000 | 0.000 | 44.712 | -0.000 |
| 0.000 | -0.000 | -0.000 | 0.000 | 0.000 | 44.712 |
| 188.204 | 69.114 | 69.114 | -0.000 | -0.000 | 0.000 |
| 69.114 | 188.204 | 69.114 | 0.000 | -0.000 | 0.000 |
| 69.114 | 69.114 | 188.204 | -0.000 | -0.000 | 0.000 |
| 0.000 | -0.000 | 0.000 | 44.712 | -0.000 | 0.000 |
| -0.000 | 0.000 | 0.000 | -0.000 | 44.712 | 0.000 |
| -0.000 | 0.000 | 0.000 | -0.000 | 0.000 | 44.712 |
| 188.204 | 69.114 | 69.114 | 0.000 | 0.000 | -0.000 |
| 69.114 | 188.204 | 69.114 | 0.000 | -0.000 | -0.000 |
| 69.114 | 69.114 | 188.204 | 0.000 | -0.000 | -0.000 |
| -0.000 | 0.000 | -0.000 | 44.712 | -0.000 | -0.000 |
| 0.000 | -0.000 | -0.000 | 0.000 | 44.712 | -0.000 |
| 0.000 | -0.000 | -0.000 | 0.000 | -0.000 | 44.712 |
| 188.205 | 69.114 | 69.114 | -0.000 | 0.000 | 0.000 |
| 69.114 | 188.205 | 69.114 | -0.000 | -0.000 | 0.000 |
| 69.114 | 69.114 | 188.205 | -0.000 | -0.000 | 0.000 |
| 0.023 | 0.023 | 0.023 | 31.551 | -0.000 | 0.000 |
| 0.023 | 0.023 | 0.023 | -0.000 | 31.551 | 0.000 |
| 0.023 | 0.023 | 0.023 | -0.000 | 0.000 | 31.551 |
| 171.260 | 76.839 | 76.839 | 0.000 | 0.000 | 0.000 |
| 76.839 | 171.260 | 76.839 | 0.000 | 0.000 | -0.000 |
| 76.839 | 76.839 | 171.260 | 0.000 | 0.000 | 0.000 |
| -0.023 | -0.023 | -0.023 | 31.551 | 0.000 | -0.000 |
| -0.023 | -0.023 | -0.023 | 0.000 | 31.551 | -0.000 |
| -0.023 | -0.023 | -0.023 | 0.000 | 0.000 | 31.551 |
| 162.050 | 82.639 | 82.639 | -0.000 | -0.000 | -0.000 |
| 82.639 | 162.050 | 82.639 | 0.000 | 0.000 | 0.000 |
| 82.639 | 82.639 | 162.050 | -0.000 | 0.000 | 0.000 |
| -0.018 | -0.018 | -0.018 | 46.992 | -0.000 | -0.000 |
| -0.018 | -0.018 | -0.018 | -0.000 | 46.992 | -0.000 |
| -0.018 | -0.018 | -0.018 | -0.000 | -0.000 | 46.992 |
| 158.638 | 83.527 | 83.527 | 0.000 | 0.000 | 0.000 |
| 83.527 | 158.638 | 83.527 | 0.000 | 0.000 | 0.000 |
| 83.527 | 83.527 | 158.638 | 0.000 | 0.000 | 0.000 |
| 0.018 | 0.018 | 0.018 | 46.992 | 0.000 | 0.000 |
| 0.018 | 0.018 | 0.018 | 0.000 | 46.992 | 0.000 |
| 0.018 | 0.018 | 0.018 | 0.000 | 0.000 | 46.992 |
| 162.050 | 82.639 | 82.639 | -0.000 | -0.000 | -0.000 |
| 82.639 | 162.050 | 82.639 | 0.000 | 0.000 | -0.000 |
| 82.639 | 82.639 | 162.050 | -0.000 | -0.000 | -0.000 |
| 0.000 | 0.000 | 0.000 | 55.307 | 0.000 | -0.000 |
| 0.000 | 0.000 | 0.000 | -0.000 | 55.307 | -0.000 |
| 0.000 | 0.000 | 0.000 | 0.000 | 0.000 | 55.307 |
| 157.726 | 83.848 | 83.848 | 0.000 | 0.000 | 0.000 |
| 83.848 | 157.726 | 83.848 | 0.000 | 0.000 | 0.000 |
| 83.490 | 83.490 | 157.848 | 0.000 | 0.000 | 0.000 |
| -0.000 | -0.000 | -0.000 | 55.307 | -0.000 | 0.000 |
| -0.000 | -0.000 | -0.000 | 0.000 | 55.307 | -0.000 |
| -0.000 | -0.000 | -0.000 | 0.000 | -0.000 | 55.307 |
| 157.848 | 83.488 | 83.488 | -0.000 | -0.000 | -0.000 |
| 83.488 | 157.848 | 83.488 | -0.000 | -0.000 | -0.000 |
| 83.488 | 83.488 | 157.848 | -0.000 | -0.000 | -0.000 |
| 0.000 | 0.000 | 0.000 | 55.307 | 0.000 | 0.000 |
| 0.000 | 0.000 | 0.000 | -0.000 | 55.307 | 0.000 |
| 0.000 | 0.000 | 0.000 | -0.000 | 0.000 | 55.307 |
| 162.050 | 82.638 | 82.638 | -0.000 | -0.000 | -0.000 |
| 82.638 | 162.050 | 82.638 | 0.000 | 0.000 | 0.000 |
| 82.638 | 82.638 | 162.050 | 0.000 | -0.000 | -0.000 |
| -0.000 | -0.000 | -0.000 | 55.307 | -0.000 | -0.000 |
| -0.000 | -0.000 | -0.000 | 0.000 | 55.307 | 0.000 |
| -0.000 | -0.000 | -0.000 | 0.000 | 0.000 | 55.307 |
| 152.424 | 79.193 | 79.193 | 0.000 | 0.000 | -0.000 |
| 79.193 | 152.424 | 79.193 | 0.000 | -0.000 | 0.000 |
| 79.193 | 79.193 | 152.424 | 0.000 | -0.000 | 0.000 |
| 0.000 | 0.000 | 0.000 | 53.751 | 0.000 | 0.000 |
| 0.000 | 0.000 | 0.000 | 0.000 | 53.751 | 0.000 |
| 0.000 | 0.000 | 0.000 | 0.000 | -0.000 | 53.751 |
| 155.812 | 78.379 | 78.379 | -0.000 | 0.000 | -0.000 |
| 78.379 | 155.812 | 78.379 | -0.000 | 0.000 | -0.000 |
| 78.379 | 78.379 | 155.812 | 0.000 | 0.000 | -0.000 |
| -0.000 | -0.000 | -0.000 | 53.751 | 0.000 | -0.000 |
| -0.000 | -0.000 | -0.000 | 0.000 | 53.751 | 0.000 |
| -0.000 | -0.000 | -0.000 | -0.000 | -0.000 | 53.751 |
| 151.569 | 79.482 | 79.482 | -0.000 | -0.000 | 0.000 |
| 79.482 | 151.569 | 79.482 | 0.000 | -0.000 | 0.000 |
| 79.482 | 79.482 | 151.569 | -0.000 | -0.000 | 0.000 |
| 0.000 | 0.000 | 0.000 | 53.751 | -0.000 | 0.000 |
| 0.000 | 0.000 | 0.000 | 0.000 | 53.751 | 0.000 |
| 0.000 | 0.000 | 0.000 | 0.000 | -0.000 | 53.751 |
| 151.691 | 79.119 | 79.119 | 0.000 | 0.000 | -0.000 |
| 79.119 | 151.691 | 79.119 | 0.000 | -0.000 | 0.000 |
| 79.119 | 79.119 | 151.691 | -0.000 | -0.000 | 0.000 |
| -0.000 | -0.000 | -0.000 | 53.751 | 0.000 | -0.000 |
| -0.000 | -0.000 | -0.000 | -0.000 | 53.751 | -0.000 |
| -0.000 | -0.000 | -0.000 | -0.000 | 0.000 | 53.751 |
| 84.196 | 67.417 | 77.207 | -0.000 | 0.000 | 0.000 |
| 68.974 | 167.408 | 25.533 | -0.000 | 0.000 | 0.000 |
| 79.253 | 26.022 | 164.419 | -0.000 | -0.000 | 0.000 |
| -0.138 | -0.027 | -0.013 | -3.100 | -0.000 | 0.000 |
| -0.023 | -0.005 | -0.002 | 0.000 | 8.914 | 0.000 |
| -0.011 | -0.002 | -0.001 | -0.000 | -0.000 | 48.156 |
| 84.218 | 67.421 | 77.209 | -0.000 | -0.000 | -0.000 |
| 68.996 | 167.412 | 25.535 | -0.000 | -0.000 | -0.000 |
| 79.275 | 26.026 | 164.421 | 0.000 | 0.000 | -0.000 |
| 0.138 | 0.027 | 0.013 | -3.100 | 0.000 | -0.000 |
| 0.023 | 0.005 | 0.002 | -0.000 | 8.914 | -0.000 |
| 0.011 | 0.002 | 0.001 | 0.000 | 0.000 | 48.156 |
| 84.206 | 67.419 | 77.208 | 0.000 | -0.000 | 0.000 |
| 68.984 | 167.410 | 25.534 | -0.000 | 0.000 | 0.000 |
| 79.263 | 26.023 | 164.420 | -0.000 | -0.000 | 0.000 |
| -0.000 | 0.000 | -0.000 | -0.038 | -0.000 | 0.000 |
| -0.002 | -0.000 | -0.000 | -0.000 | 8.914 | 0.000 |
| -0.001 | -0.000 | -0.000 | -0.000 | -0.000 | 48.156 |
| 117.752 | 73.888 | 80.421 | -0.000 | 0.000 | -0.000 |
| 68.986 | 167.410 | 25.534 | 0.000 | -0.000 | -0.000 |
| 79.265 | 26.024 | 164.420 | 0.000 | 0.000 | -0.000 |
| 0.000 | -0.000 | 0.000 | -0.038 | 0.000 | -0.000 |
| 0.002 | 0.000 | 0.000 | 0.000 | 8.914 | -0.000 |
| 0.001 | 0.000 | 0.000 | 0.000 | 0.000 | 48.156 |
| 84.208 | 67.419 | 77.208 | -0.000 | -0.000 | 0.000 |
| 68.985 | 167.410 | 25.534 | -0.000 | -0.000 | 0.000 |
| 79.264 | 26.024 | 164.420 | -0.000 | -0.000 | 0.000 |
| 0.017 | 0.003 | 0.002 | -5.203 | 0.000 | 0.000 |
| -0.000 | -0.000 | -0.000 | -0.000 | 8.914 | 0.000 |
| -0.000 | 0.000 | -0.000 | -0.000 | -0.000 | 48.156 |
| 84.207 | 67.419 | 77.208 | 0.000 | -0.000 | -0.000 |
| 68.985 | 167.410 | 25.534 | 0.000 | -0.000 | -0.000 |
| 79.264 | 26.024 | 164.419 | 0.000 | -0.000 | -0.000 |
| -0.017 | -0.003 | -0.002 | -5.203 | 0.000 | -0.000 |
| 0.000 | 0.000 | 0.000 | 0.000 | 8.914 | -0.000 |
| 0.000 | -0.000 | 0.000 | -0.000 | 0.000 | 48.156 |
| 147.583 | 75.267 | 11.951 | 0.000 | -0.000 | 0.000 |
| 76.218 | 149.642 | 28.640 | 0.000 | -0.000 | 0.000 |
| 15.614 | 28.640 | 225.675 | 0.000 | -0.000 | 0.000 |
| -0.157 | -0.888 | -3.420 | 11.655 | 0.000 | 0.000 |
| -0.278 | -1.577 | -6.076 | 0.000 | 16.934 | 0.000 |
| 0.000 | 0.000 | -0.000 | 0.000 | -0.000 | 44.740 |
| 147.750 | 76.218 | 15.614 | -0.000 | -0.000 | -0.000 |
| 76.218 | 149.642 | 28.640 | 0.000 | 0.000 | -0.000 |
| 14.457 | 22.079 | 200.396 | -0.000 | 0.000 | -0.000 |
| 0.157 | 0.888 | 3.420 | 11.655 | 0.000 | -0.000 |
| 0.278 | 1.577 | 6.076 | 0.000 | 16.934 | -0.000 |
| -0.000 | -0.000 | 0.000 | -0.000 | 0.000 | 44.740 |
| 147.750 | 76.218 | 15.614 | 0.000 | 0.000 | 0.000 |
| 76.218 | 149.642 | 28.640 | 0.000 | -0.000 | 0.000 |
| 14.336 | 21.395 | 197.760 | 0.000 | -0.000 | 0.000 |
| -0.011 | -0.062 | -0.240 | 10.721 | -0.000 | 0.000 |
| 0.000 | -0.000 | 0.000 | 0.000 | 56.980 | 0.000 |
| 0.000 | 0.000 | -0.000 | -0.000 | -0.000 | 44.740 |
| 147.703 | 75.951 | 14.586 | 0.000 | 0.000 | -0.000 |
| 76.218 | 149.642 | 28.640 | -0.000 | 0.000 | -0.000 |
| 14.358 | 21.519 | 198.239 | -0.000 | 0.000 | -0.000 |
| 0.011 | 0.062 | 0.240 | 10.721 | 0.000 | -0.000 |
| -0.000 | 0.000 | -0.000 | -0.000 | 56.980 | -0.000 |
| -0.000 | -0.000 | 0.000 | 0.000 | 0.000 | 44.740 |
| 147.750 | 76.218 | 15.615 | 0.000 | -0.000 | 0.000 |
| 75.888 | 147.771 | 21.433 | 0.000 | -0.000 | 0.000 |
| 14.345 | 21.450 | 197.975 | 0.000 | -0.000 | 0.000 |
| -0.000 | 0.000 | -0.000 | 11.802 | -0.000 | 0.000 |
| -0.001 | -0.006 | -0.024 | 0.000 | 16.109 | 0.000 |
| -0.001 | -0.006 | -0.024 | 0.000 | -0.000 | 44.740 |
| 147.751 | 76.218 | 15.613 | -0.000 | -0.000 | -0.000 |
| 75.890 | 147.783 | 21.479 | -0.000 | 0.000 | -0.000 |
| 14.349 | 21.464 | 198.024 | 0.000 | 0.000 | -0.000 |
| 0.000 | -0.000 | 0.000 | 11.802 | 0.000 | -0.000 |
| 0.001 | 0.006 | 0.024 | -0.000 | 16.109 | -0.000 |
| 0.001 | 0.006 | 0.024 | -0.000 | 0.000 | 44.740 |
| 169.526 | 82.370 | 74.235 | 0.000 | 0.000 | 0.000 |
| 76.517 | 172.752 | 74.798 | 0.000 | 0.000 | 0.000 |
| 71.412 | 77.828 | 186.836 | 0.000 | 0.000 | -0.000 |
| -3.254 | 3.147 | -0.081 | 42.184 | 0.000 | 0.000 |
| -3.262 | 3.155 | -0.081 | 0.000 | 41.853 | 0.000 |
| -3.274 | 3.167 | -0.081 | 0.000 | 0.000 | 44.196 |
| 176.051 | 76.059 | 74.397 | -0.000 | -0.000 | 0.000 |
| 83.042 | 166.441 | 74.960 | -0.000 | -0.000 | -0.000 |
| 77.937 | 71.517 | 186.998 | -0.000 | 0.000 | 0.000 |
| 3.254 | -3.147 | 0.081 | 42.184 | -0.000 | 0.000 |
| 3.262 | -3.155 | 0.081 | -0.000 | 41.853 | -0.000 |
| 3.274 | -3.167 | 0.081 | -0.000 | -0.000 | 44.196 |
| 172.462 | 79.530 | 74.308 | 0.000 | 0.000 | -0.000 |
| 79.453 | 169.912 | 74.871 | 0.000 | 0.000 | -0.000 |
| 74.348 | 74.988 | 186.909 | 0.000 | 0.000 | -0.000 |
| -0.267 | 0.258 | -0.007 | 42.185 | 0.000 | -0.000 |
| -0.326 | 0.316 | -0.008 | 0.000 | 41.853 | 0.000 |
| -0.329 | 0.318 | -0.008 | 0.000 | 0.000 | 44.185 |
| 173.114 | 78.899 | 74.324 | -0.000 | -0.000 | 0.000 |
| 80.106 | 169.281 | 74.887 | -0.000 | -0.000 | 0.000 |
| 75.000 | 74.357 | 186.925 | -0.000 | -0.000 | 0.000 |
| 0.267 | -0.258 | 0.007 | 42.185 | -0.000 | 0.000 |
| 0.326 | -0.316 | 0.008 | -0.000 | 41.853 | 0.000 |
| 0.329 | -0.318 | 0.008 | -0.000 | -0.000 | 44.185 |
| 172.756 | 79.246 | 74.315 | 0.000 | 0.000 | -0.000 |
| 79.747 | 169.629 | 74.879 | 0.000 | 0.000 | 0.000 |
| 74.642 | 74.704 | 186.917 | 0.000 | -0.000 | -0.000 |
| -0.015 | 0.014 | -0.000 | 42.188 | 0.000 | -0.000 |
| -0.033 | 0.032 | -0.001 | 0.000 | 41.853 | -0.000 |
| -0.033 | 0.032 | -0.001 | 0.000 | 0.000 | 44.184 |
| 172.820 | 79.183 | 74.317 | -0.000 | -0.000 | 0.000 |
| 79.812 | 169.564 | 74.880 | -0.000 | -0.000 | -0.000 |
| 74.707 | 74.641 | 186.917 | -0.000 | -0.000 | 0.000 |
| 0.015 | -0.014 | 0.000 | 42.188 | -0.000 | 0.000 |
| 0.033 | -0.032 | 0.001 | -0.000 | 41.853 | -0.000 |
| 0.033 | -0.032 | 0.001 | -0.000 | -0.000 | 44.184 |
| 181.145 | 77.733 | 66.811 | -15.442 | 0.000 | 0.000 |
| 77.733 | 181.145 | 66.811 | 15.442 | 0.000 | 0.000 |
| 66.812 | 66.812 | 192.061 | -0.000 | 0.000 | 0.000 |
| -15.442 | 15.442 | 0.000 | 40.785 | 0.000 | 0.000 |
| -0.000 | 0.000 | 0.000 | -0.000 | 40.785 | -15.442 |
| -0.000 | 0.000 | 0.000 | -0.000 | -15.442 | 51.706 |
| 181.145 | 77.733 | 66.811 | -15.442 | -0.000 | -0.000 |
| 77.733 | 181.145 | 66.811 | 15.442 | -0.000 | -0.000 |
| 66.812 | 66.812 | 192.061 | 0.000 | -0.000 | -0.000 |
| -15.442 | 15.442 | -0.000 | 40.785 | -0.000 | -0.000 |
| 0.000 | -0.000 | -0.000 | 0.000 | 40.785 | -15.442 |
| 0.000 | -0.000 | -0.000 | 0.000 | -15.442 | 51.706 |
| 181.145 | 77.733 | 66.811 | -15.442 | 0.000 | 0.000 |
| 77.733 | 181.145 | 66.811 | 15.442 | 0.000 | 0.000 |
| 66.812 | 66.812 | 192.061 | 0.000 | 0.000 | 0.000 |
| -15.442 | 15.442 | 0.000 | 40.785 | 0.000 | 0.000 |
| -0.000 | -0.000 | 0.000 | -0.000 | 40.785 | -15.442 |
| -0.000 | 0.000 | -0.000 | -0.000 | -15.442 | 51.706 |
| 181.145 | 77.733 | 66.811 | -15.442 | 0.000 | -0.000 |
| 77.733 | 181.145 | 66.811 | 15.442 | -0.000 | -0.000 |
| 66.812 | 66.812 | 192.061 | 0.000 | -0.000 | -0.000 |
| -15.442 | 15.442 | -0.000 | 40.785 | -0.000 | -0.000 |
| 0.000 | 0.000 | -0.000 | 0.000 | 40.785 | -15.442 |
| 0.000 | -0.000 | 0.000 | 0.000 | -15.442 | 51.706 |
| 181.146 | 77.733 | 66.812 | -15.442 | 0.000 | 0.000 |
| 77.734 | 181.146 | 66.812 | 15.442 | 0.000 | 0.000 |
| 66.812 | 66.812 | 192.061 | -0.000 | 0.000 | 0.000 |
| -15.442 | 15.442 | 0.000 | 40.786 | 0.000 | 0.000 |
| -0.000 | -0.000 | 0.000 | -0.000 | 40.785 | -15.442 |
| -0.000 | 0.000 | -0.000 | -0.000 | -15.442 | 51.706 |
| 181.144 | 77.733 | 66.811 | -15.442 | -0.000 | -0.000 |
| 77.733 | 181.144 | 66.811 | 15.442 | -0.000 | -0.000 |
| 66.812 | 66.812 | 192.060 | 0.000 | -0.000 | -0.000 |
| -15.442 | 15.442 | -0.000 | 40.785 | -0.000 | -0.000 |
| 0.000 | 0.000 | -0.000 | 0.000 | 40.785 | -15.442 |
| 0.000 | -0.000 | 0.000 | 0.000 | -15.442 | 51.706 |
| -79977556.877 | 354748845.467 | -1246730770.467 | 0.059 | -0.000 | -0.000 |
| 145009566.440 | 745138387.589 | -821860122.333 | -2.241 | 0.000 | -0.164 |
| 8.370 | 8.370 | 139.272 | 0.000 | 0.000 | 0.000 |
| 145009453.937 | 745138325.709 | -821860140.424 | -60.527 | 0.000 | -1.911 |
| -79977659.238 | 354748758.573 | -1246730754.274 | 0.041 | 0.838 | -0.048 |
| 0.000 | 0.000 | 0.000 | 0.000 | -0.000 | 34.008 |
| -145009372.815 | -745138207.076 | 821860162.366 | 2.239 | 0.000 | 0.126 |
| 79977752.049 | -354748668.477 | 1246730792.891 | -0.233 | -0.000 | -0.000 |
| 8.370 | 8.370 | 139.272 | -0.000 | 0.000 | 0.000 |
| -145009456.809 | -745138324.022 | 821860138.528 | -71.027 | 0.000 | 2.103 |
| 79977688.603 | -354748776.657 | 1246730768.584 | 0.006 | 0.838 | 0.003 |
| -0.000 | -0.000 | -0.000 | -0.000 | 0.000 | 34.008 |
| -7997638.870 | 35474947.545 | -124673079.588 | 0.001 | 0.000 | 0.000 |
| 14501064.154 | 74513888.317 | -82185995.368 | -0.027 | 0.000 | -0.002 |
| 8.370 | 8.370 | 139.272 | 0.000 | -0.000 | -0.000 |
| 14500944.710 | 74513833.234 | -82186014.116 | -37.960 | 0.000 | -0.019 |
| -7997768.639 | 35474877.530 | -124673076.751 | -0.000 | 0.838 | -0.000 |
| 63664415.327 | 17443681.348 | -76155769.736 | -2707.465 | -4727.302 | 40321530.075 |
| -14500870.530 | -74513707.801 | 82186035.402 | 0.026 | -0.000 | 0.001 |
| 7997834.308 | -35474770.719 | 124673102.141 | -0.001 | -0.000 | 0.000 |
| 8.370 | 8.370 | 139.272 | -0.000 | 0.000 | 0.000 |
| -14500944.710 | -74513833.234 | 82186014.116 | -37.960 | 0.000 | 0.019 |
| 7997768.640 | -35474877.530 | 124673076.751 | 0.000 | 0.838 | -0.000 |
| -63652480.201 | -16610740.467 | 75065502.896 | -29267.230 | -17121.760 | 40740443.437 |
Phonon band structures and crystal properties estimated from quasi-harmonic approximation (QHA) calculations are displayed for select crystals. The calculations were performed using phonopy and LAMMPS. For the phonon calculations, 3x3 supercells of the potential-specific relaxed crystals were used. The QHA calculations were based on 11 strain states ranging from -0.05 to 0.05.
The calculation method used is available as the iprPy phonon calculation method.
Notes and Disclaimers:
Version Information:




























































































































































































































Static free surface formation energies are displayed for select crystals. The values displayed here are obtained by taking a perfect periodic bulk crystal, slicing along a crystallographic plane, and using force minimization to statically relax the surfaces. The free surface formation energy is computed by comparing the energy of the defect system to the bulk system and dividing by the total surface area created by the cut.
The calculation method used is available as the iprPy surface_energy_static calculation method.
Notes and Disclaimers:
Version Information:
| Surface | γfs (mJ/m2) |
|---|---|
| (111) | 627.87 |
| (332) | 724.83 |
| (322) | 741.56 |
| (221) | 778.28 |
| (211) | 817.10 |
| (331) | 832.70 |
| (100) | 848.02 |
| (321) | 885.50 |
| (311) | 889.73 |
| (110) | 917.40 |
| (310) | 956.40 |
| (320) | 964.24 |
| (210) | 982.93 |
| Surface | γfs (mJ/m2) |
|---|---|
| (100) | -9588.67 |
| Surface | γfs (mJ/m2) |
|---|---|
| (111) | 2049.89 |
| (332) | 2168.68 |
| (322) | 2201.77 |
| (221) | 2217.03 |
| (331) | 2253.84 |
| (211) | 2264.28 |
| (321) | 2270.56 |
| (110) | 2271.59 |
| (311) | 2293.57 |
| (320) | 2346.98 |
| (210) | 2351.00 |
| (310) | 2440.48 |
| (100) | 2482.27 |
| Surface | γfs (mJ/m2) |
|---|---|
| (100) | 2310.63 |
| (210) | 2357.80 |
| (211) 2 | 2370.44 |
| (310) | 2373.50 |
| (111) | 2374.22 |
| (211) 1 | 2374.25 |
| (321) 2 | 2376.57 |
| (110) | 2380.60 |
| (332) 1 | 2388.73 |
| (322) | 2389.98 |
| (331) | 2396.91 |
| (221) | 2396.92 |
| (332) 2 | 2406.98 |
| (311) | 2407.28 |
| (321) 1 | 2414.86 |
| Surface | γfs (mJ/m2) |
|---|---|
| (211) | 2568.62 |
| (310) | 2588.12 |
| (311) | 2594.22 |
| (110) | 2607.03 |
| (100) | 2612.75 |
| (332) | 2617.44 |
| (111) | 2617.80 |
| (322) | 2620.19 |
| (221) | 2643.76 |
| (321) | 2645.13 |
| (210) | 2654.12 |
| (331) | 2660.02 |
| (320) | 2667.71 |
| Surface | γfs (mJ/m2) |
|---|---|
| (0001) | 2095.36 |
| (2021) 1 | 2217.13 |
| (1011) 1 | 2248.64 |
| (1120) | 2283.78 |
| (2241) | 2316.08 |
| (2131) 1 | 2319.04 |
| (1012) 2 | 2326.10 |
| (2021) 2 | 2328.72 |
| (2112) | 2331.19 |
| (1121) | 2335.04 |
| (2132) 1 | 2335.91 |
| (2130) | 2338.42 |
| (2132) 2 | 2345.64 |
| (1010) | 2376.08 |
| (1012) 1 | 2381.53 |
| (2131) 2 | 2387.10 |
| (1011) 2 | 2591.29 |
Static point defect formation energies, Ef, and elastic dipole tensors, pij, are displayed for select crystals. Relaxed defect configurations are obtained by taking a 12x12x12 supercell of a perfect periodic bulk crystal, inserting the point defect, and using force minimization to statically relax the atomic positions while keeping the system dimensions constant. Ef is computed by comparing the energy of the defect system to the same number of atoms in a perfect bulk crystal. pij is estimated as the difference in the system's global pressure with and without the defect multiplied by the system's volume.
Simple structural comparisons of the unrelaxed and relaxed defect configurations are used to help determine if the defect structure has relaxed to a different configuration. Relaxed structures that are identified as no longer consistent with the ideal defect definition are excluded from the table below. The only exception to this is if the lowest energy interstitial configuration does not coincide with a known ideal defect, its energies and pressure tensor are included under the listing "relaxed interstitial". The full list of calculation results including the transformed structures and the structural comparison values is included in the csv file available from the "Download raw data" link.
The calculation method used is available as the iprPy point_defect_static calculation method.
Notes and Disclaimers:
| Point Defect | Ef (eV) | p11 (eV) | p22 (eV) | p33 (eV) | p12 (eV) | p13 (eV) | p23 (eV) |
|---|---|---|---|---|---|---|---|
| vacancy | 0.680 | -2.263 | -2.263 | -2.263 | 0.000 | -0.000 | 0.000 |
| 1nn divacancy | 1.370 | -3.889 | -4.268 | -4.268 | 0.000 | 0.000 | -0.076 |
| 2nn divacancy | 1.449 | -4.754 | -4.754 | -4.497 | 0.000 | 0.000 | -0.000 |
| crowdion interstitial | 2.500 | 13.933 | 13.933 | 14.166 | 3.304 | 0.000 | 0.000 |
| 110 dumbbell | 2.500 | 14.149 | 13.939 | 13.939 | 0.000 | 0.000 | 3.309 |
| 100 dumbbell | 2.593 | 15.985 | 15.985 | 11.665 | 0.000 | -0.000 | -0.000 |
| octahedral interstitial | 2.706 | 14.081 | 14.081 | 14.081 | 0.000 | -0.000 | -0.000 |
| Point Defect | Ef (eV) | p11 (eV) | p22 (eV) | p33 (eV) | p12 (eV) | p13 (eV) | p23 (eV) |
|---|---|---|---|---|---|---|---|
| vacancy | 1.692 | -2.554 | -2.554 | -2.554 | 0.000 | -0.000 | -0.000 |
| 100 dumbbell | 3.105 | 15.783 | 15.783 | 19.717 | 0.000 | 0.000 | 0.000 |
| 110 dumbbell | 3.334 | 24.444 | 13.305 | 13.305 | 0.000 | 0.000 | 13.759 |
| 2nn divacancy | 3.583 | -6.278 | -6.278 | -4.006 | 0.000 | -0.000 | -0.000 |
| 1nn divacancy | 3.671 | -3.628 | -3.946 | -3.946 | 0.000 | -0.000 | -0.190 |
| tetrahedral interstitial | 3.805 | 15.808 | 15.808 | 15.808 | -0.000 | 0.000 | 0.000 |
| 111 dumbbell | 4.131 | 17.036 | 17.036 | 17.036 | 2.945 | 2.945 | 2.945 |
| Point Defect | Ef (eV) | p11 (eV) | p22 (eV) | p33 (eV) | p12 (eV) | p13 (eV) | p23 (eV) |
|---|---|---|---|---|---|---|---|
| vacancy | 1.439 | -4.244 | -4.244 | -4.244 | -0.000 | -0.000 | 0.000 |
| 2nn divacancy | 3.293 | -8.512 | -8.512 | -8.236 | 0.000 | 0.000 | 0.000 |
| 1nn divacancy | 3.454 | -7.022 | -7.022 | -7.022 | 0.019 | 0.019 | 0.019 |
| relaxed interstitial | 3.525 | 18.213 | 19.825 | 17.930 | -1.814 | -5.978 | 2.750 |
| 110 dumbbell | 3.541 | 19.447 | 17.777 | 17.777 | 0.000 | 0.000 | 6.174 |
| crowdion interstitial | 3.615 | 18.827 | 18.827 | 18.827 | 7.042 | 7.042 | 7.042 |
| tetrahedral interstitial | 4.185 | 21.052 | 16.523 | 21.052 | -0.000 | -0.000 | 0.000 |
| 100 dumbbell | 4.674 | 16.210 | 16.210 | 28.092 | -0.000 | 0.000 | 0.000 |
Plots of the atomic structure of dislocation cores are shown here. The dislocations were constructed using dislocation monopole configurations in which a straight dislocation is created in the center of the system using anisotropic elasticity and the elastic constants computed above. A cylindrical region centered around the dislocation is allowed to relax while the remaining atoms are held fixed. The relaxation consists of 1 million NVT steps at 10 K followed by an energy/force minimization. The final plots show the atomic configuration near the center of the monopole system, and display differential displacement arrows and Nye tensor color maps that are both taken with respect to the Burgers vector direction.
These plots show a wide range of final structures, some corresponding to expected dislocation structures and others not. While the characterizations are dislocation-type dependent, some general classification guidelines are listed here.
The calculation method used is available as the iprPy dislocation_monopole calculation method.
Links are provided above the images allowing for users to download the final defect configuration and a corresponding defect-free configuration if they wish to further analyze the structures or use them for subsequent simulations.
Notes and Disclaimers:
Version Information:
Plots of lattice and elastic constants are shown as a function of temperature. The 0K points were taken from the Crystal Structure Predictions and the Elastic Constants Predictions sections above for the unique crystal structures relaxed with the "dynamic" method. Starting from the 0 K relaxed crystal unit cells, supercell systems are created by replicating all three dimensions by the same multiplier to achieve at least 4000 atoms. The systems are then relaxed at 50 K and zero pressure using 1 million NPT steps. Lattice constants are estimated by averaging the measured box dimensions. Temperatures are iteratively increased by 50 K, with each subsequent relaxation calculation starting from the final atomic configuration at the previous temperature and relaxing for another 1 million steps.
The elastic constants are calculated using the deformation–fluctuation hybrid method. Starting from the final atomic configurations of the dynamic relaxations, the system is allowed to evolve at constant volume with a Langevin thermostat. The Born matrix is computed during this run by evaluating how the atomic forces would vary due to applied linear strain fields. The elastic constants can then be estimated using the averaged Born matrix values and the averaged stresses on the system.
The calculation methods used are available as the iprPy relax_dynamic and elastic_constants_dynamic calculation methods.
Clicking on the image of a plot will open an interactive version of it in a new tab. The underlying data for the plots can be downloaded by clicking on the links above each plot.
Notes and Disclaimers:
Version Information:
Plots of radial distribution functions at different temperatures and the temperature-dependent diffusion and viscosity are shown here for elemental liquids. Melt phases are constructed by starting with a 10x10x10 fcc super cell and relaxing with 50,000 NPT steps at zero pressure and a high melting temperature (3000 K for most potentials and elements). Following the melt, liquid structures are relaxed by running NPT for 10,000 steps over which the temperature is dropped by 50 K, then 50,000 NPT at the target temperature to estimate the equilibrium volume, followed by 20,000 NVT steps at the averaged equilibrium volume and target temperature. Structures from the NVT run are sampled to compute the radial distribution function of the liquid at the corresponding temperature.
The final relaxed configurations at each temperature explored are used as the initial configurations for the diffusion and viscosity calculations. For diffusion, the system is integrated for 100 runs of 2,000 NVT steps during which both the mean squared displacement (MSD) and the velocity auto correlation function (VACF) are computed. From these simulations, three estimates of diffusion are computed: one from the MSD of the full 200,000 step run, one in which the MSD is reset for each short run and then averaged, and one from the VACF computed for each short run and averaged. For viscosity, the Green-Kubo method is used which is evaluated during a 1 million step NVT run.
The calculation methods used are available as the iprPy relax_liquid_redo, diffusion_liquid, and viscosity_green_kubo calculation methods.
Clicking on the image of a plot will open an interactive version of it in a new tab. The underlying data for the plots can be downloaded by clicking on the links above each plot.
Notes and Disclaimers:
Version Information:
Plots of internal energy, Gibbs free energy, entropy, heat capacity and volume are shown here as a function of temperature for various crystal structures and liquid phases. The included crystal structures correspond to those in the Solid Structures vs. Temperature section, and the liquid phases to those in the Liquid Properties section. Internal energy and volume are taken from the associated structure relaxations mentioned in those previous sections. Constant pressure heat capacity is estimated using 3-point numerical derivatives of enthalpy versus temperature. Note that since all simulations done here are at 0 pressure, internal energy and enthalpy are equivalent.
The Gibbs energies of the phases are estimated using thermodynamic integration between the interatomic potential in question and a simpler model with known Gibbs free energy values. For solids, the reference model is an Einstein solid, while for liquids it is the Uhlenbeck-Ford potential. Besides a short run at the start of the solid calculations to estimate Einstein model spring constants, the two calculations proceed similarly. Starting with the final relaxation configurations, the systems are stabilized for 25,000 steps. Then, over the next 50,000 steps the potential is swapped out for the reference potential. The system is then stabilized for another 25,000 steps with the reference model before a reverse swap of 50,000 steps is performed. The simulation ends with one final 25,000 step stabilization period. From the simulation, the irreversible work of transformation is estimated and used to compute the absolute Gibbs free energy of the target phase and potential relative to the reference potential. Entropy is estimated as the difference in enthalpy and Gibbs free energy and divided by temperature.
The calculation methods used are available as the iprPy relax_dynamic, relax_liquid_redo, free_energy, and free_energy_liquid calculation methods.
Clicking on the image of a plot will open an interactive version of it in a new tab. The underlying data for the plots can be downloaded by clicking on the links above each plot.
Notes and Disclaimers:
Version Information:






