Plots of the potential energy vs interatomic spacing, r, are shown below for all diatom sets associated with the interatomic potential. This calculation provides insights into the functional form of the potential's two-body interactions. A system consisting of only two atoms is created, and the potential energy is evaluated for the atoms separated by 0.02 Å <= r <= 6.0> Å in intervals of 0.02 Å. Two plots are shown: one for the "standard" interaction distance range, and one for small values of r. The small r plot is useful for determining whether the potential is suitable for radiation studies.
The calculation method used is available as the iprPy diatom_scan calculation method.
Clicking on the image of a plot will open an interactive version of it in a new tab. The underlying data for the plots can be downloaded by clicking on the links above each plot.
Notes and Disclaimers:
Version Information:
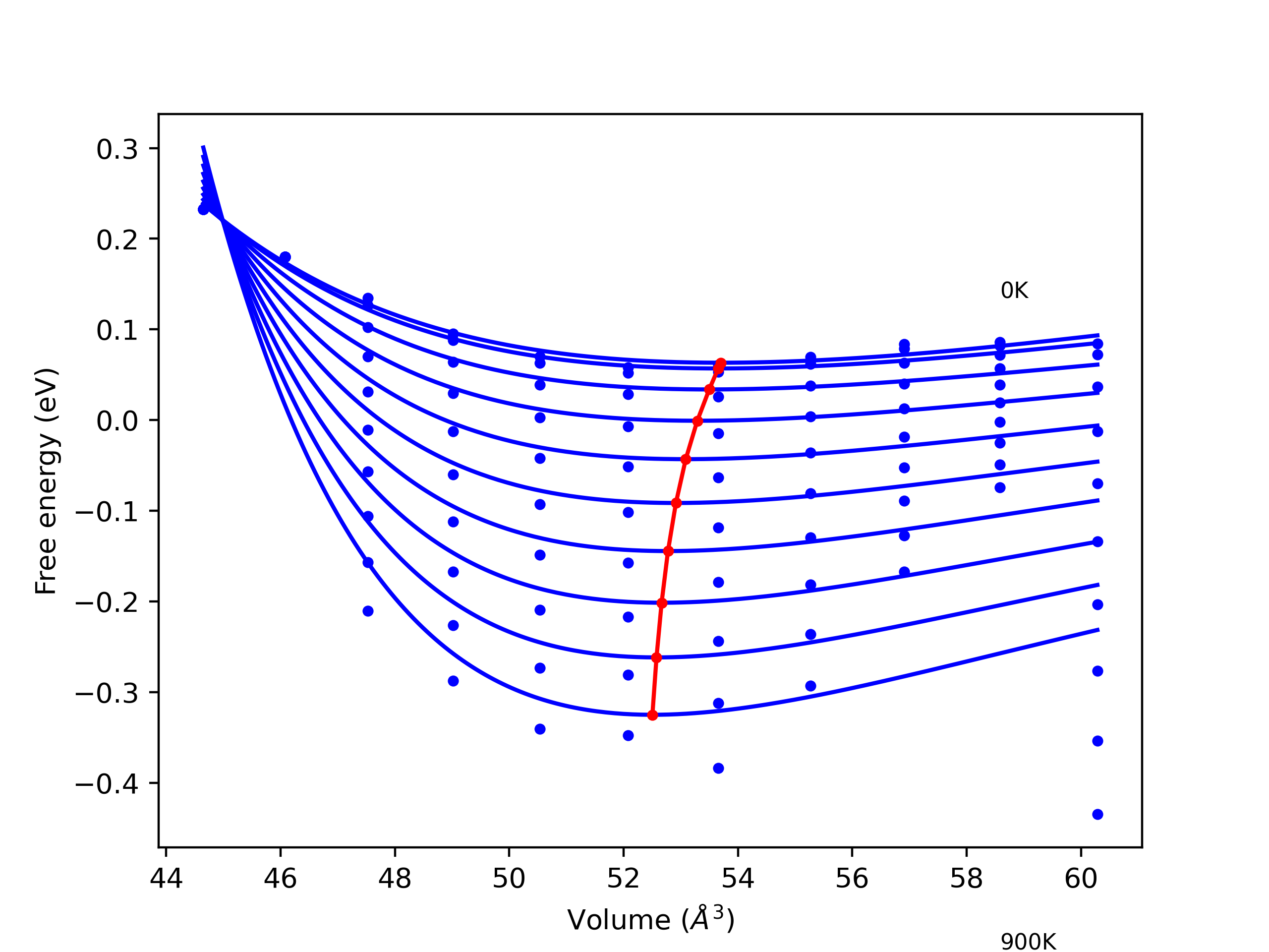
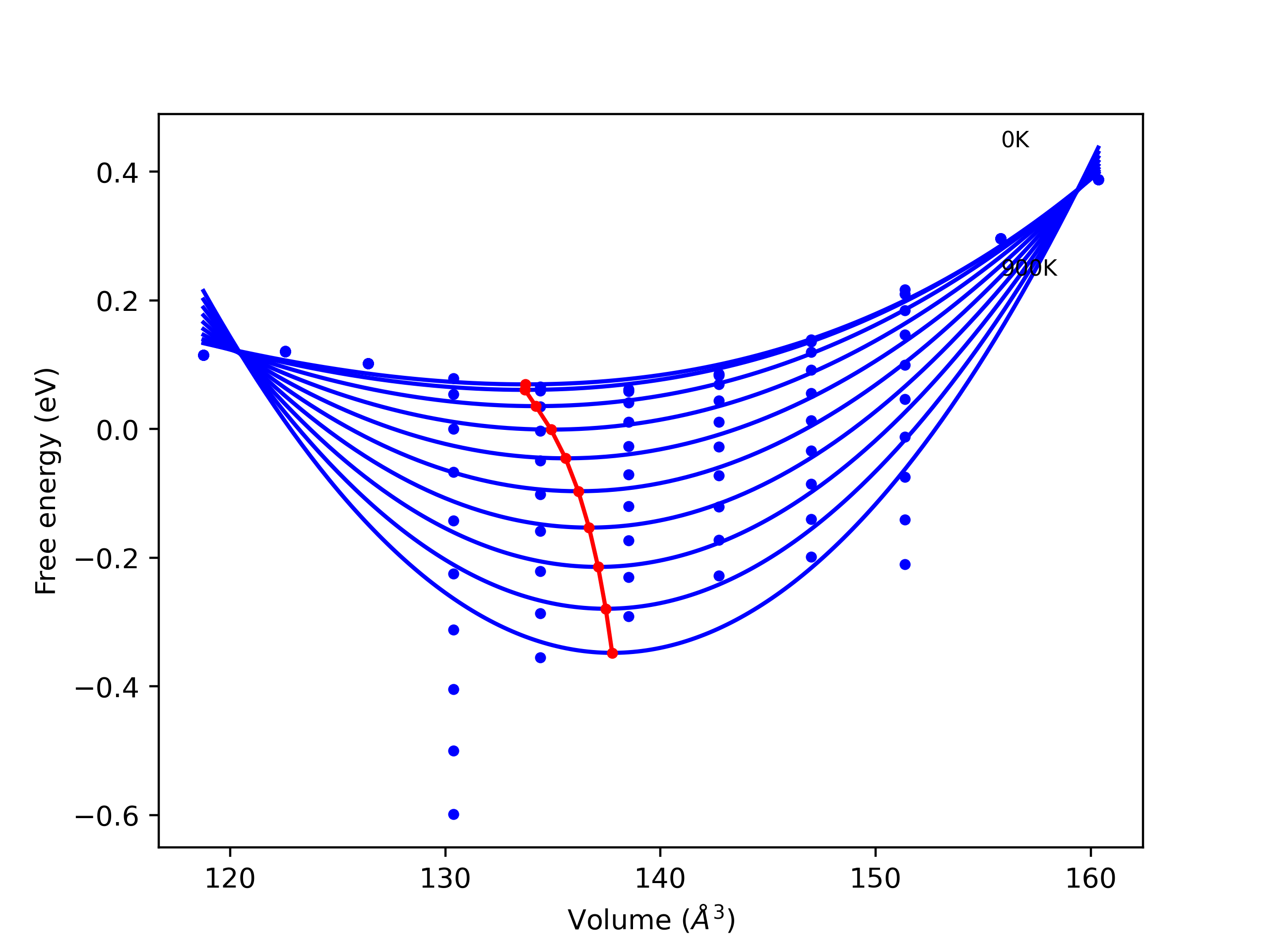
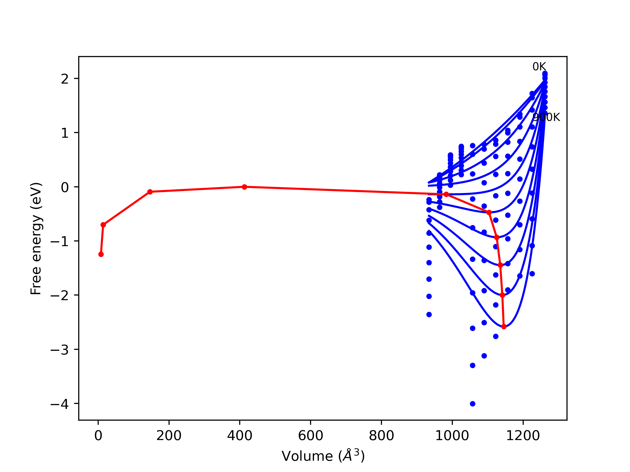
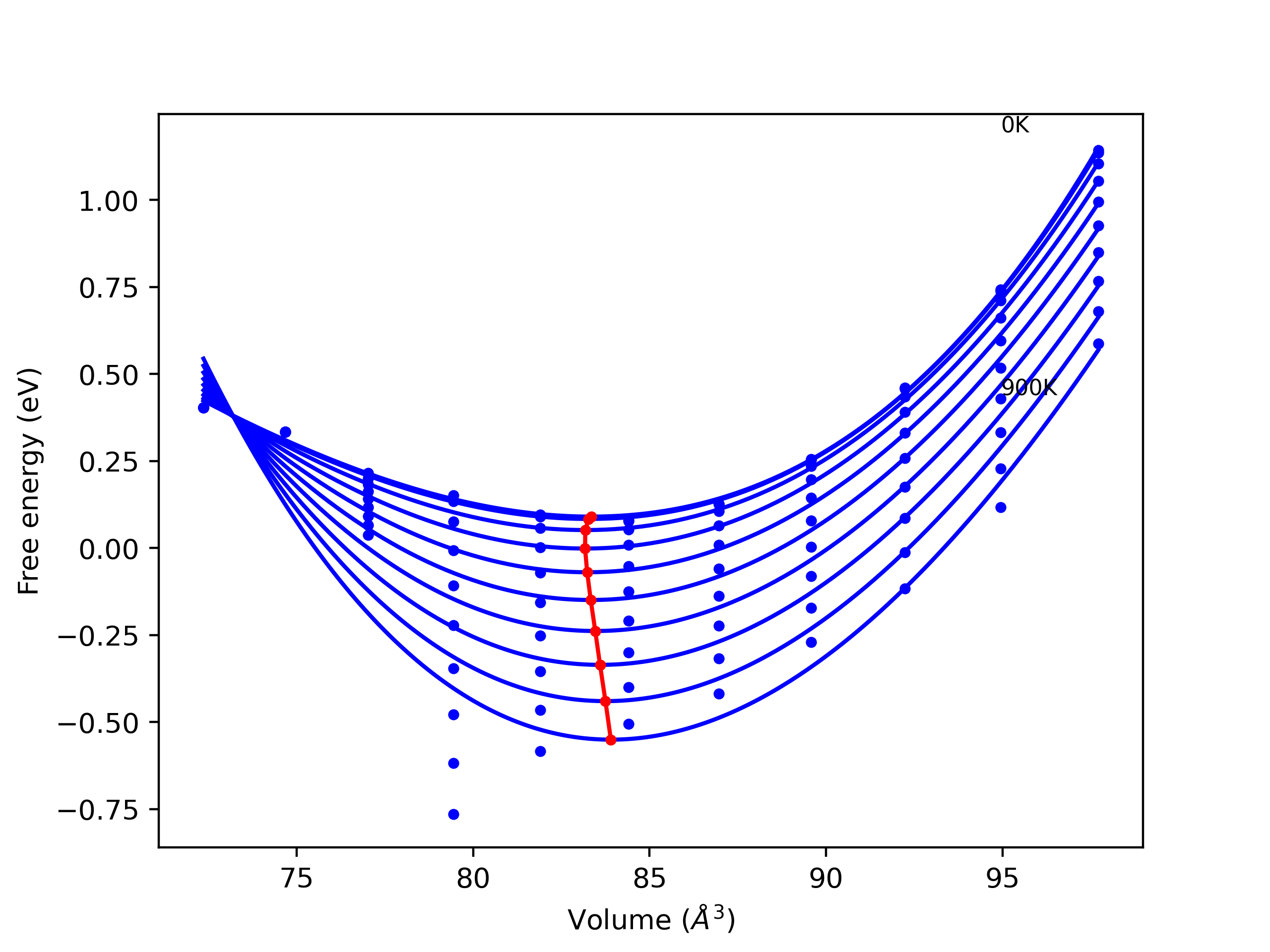
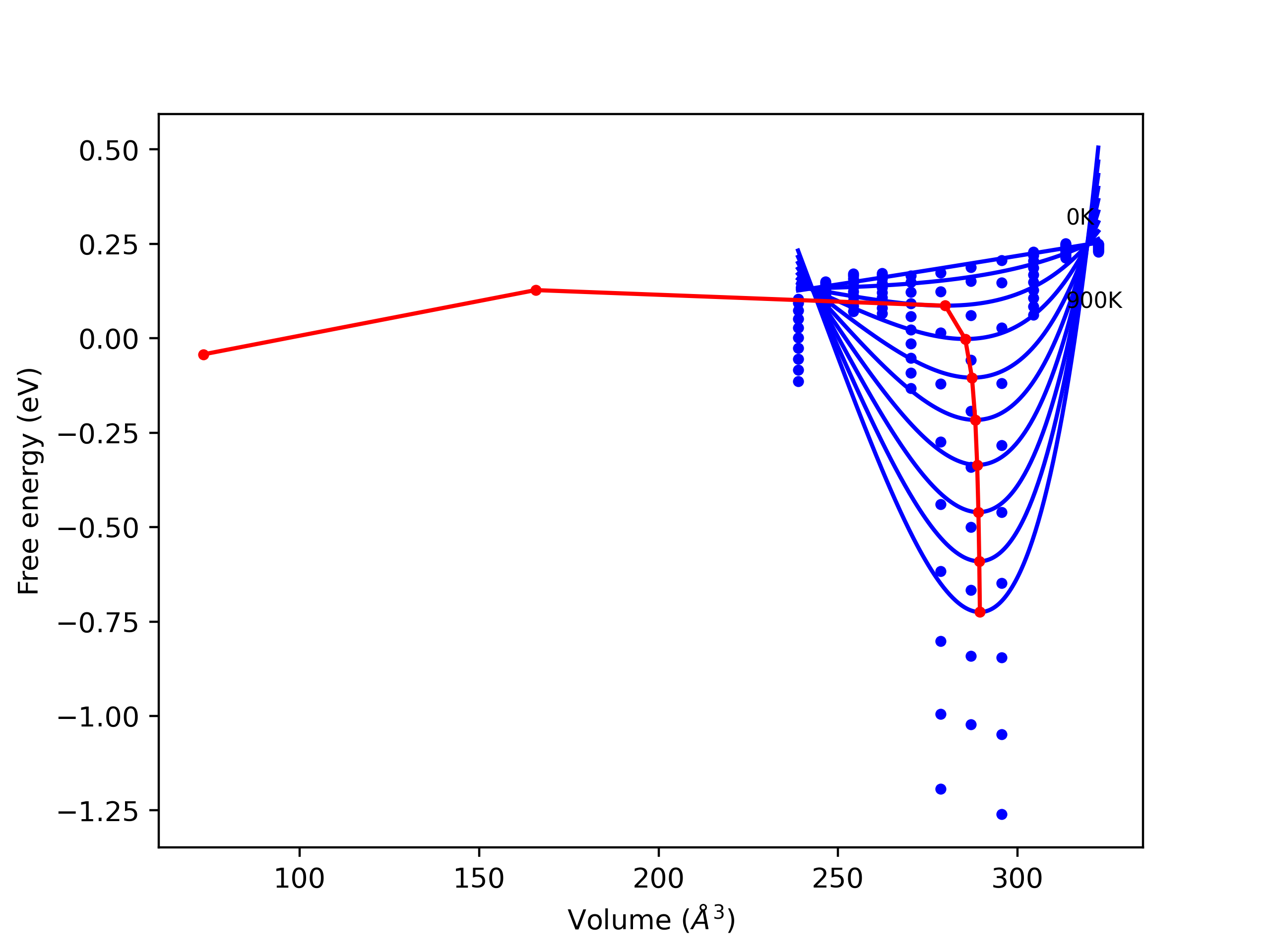
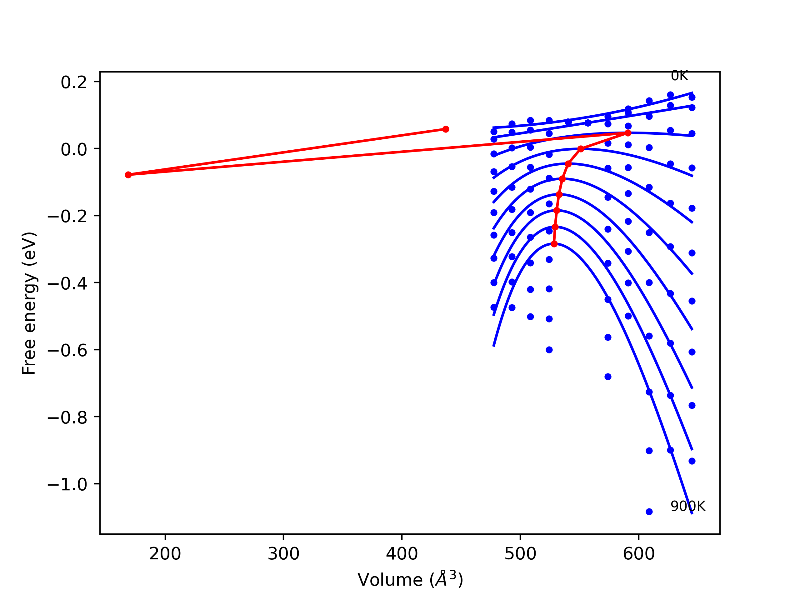
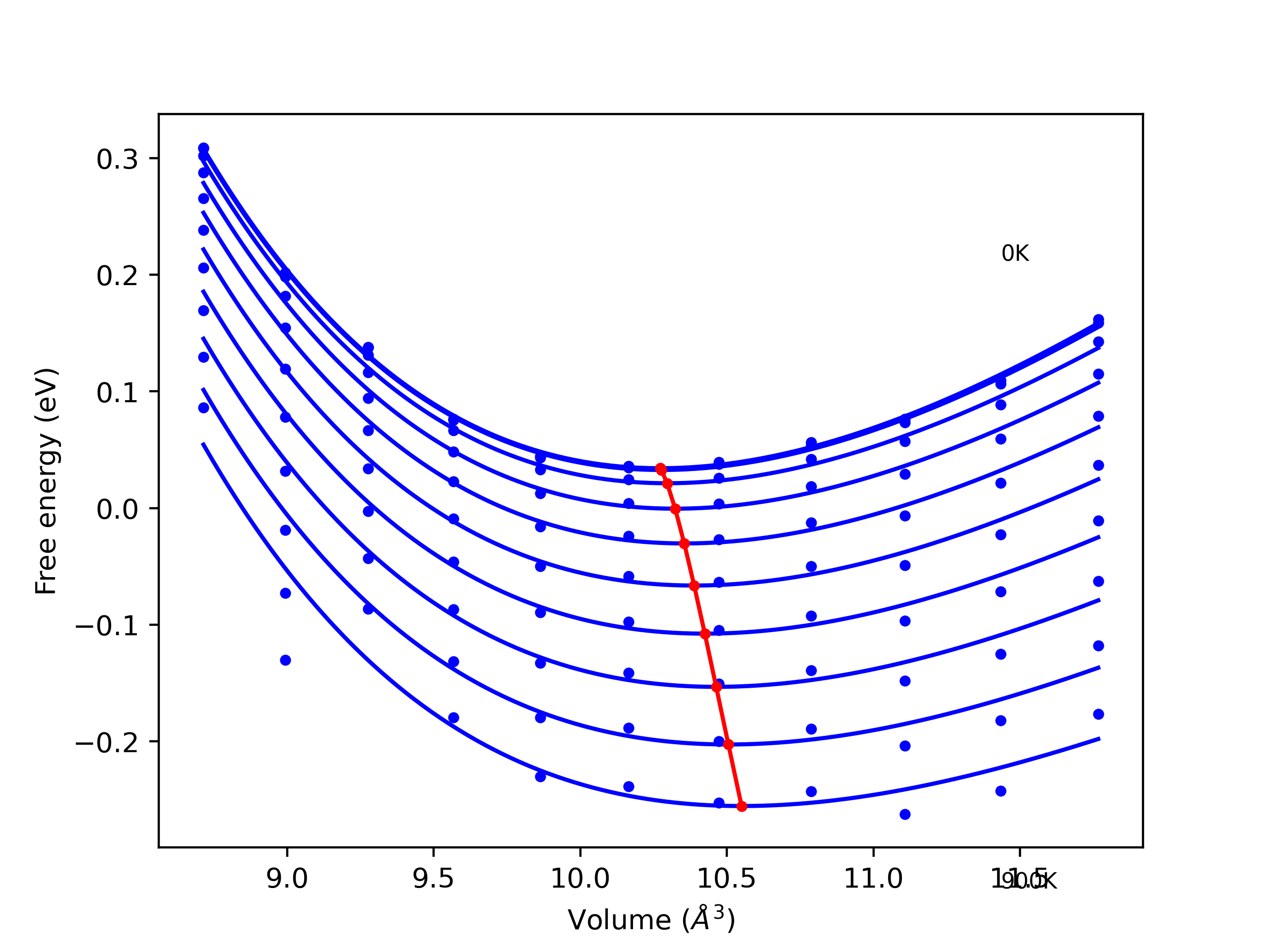
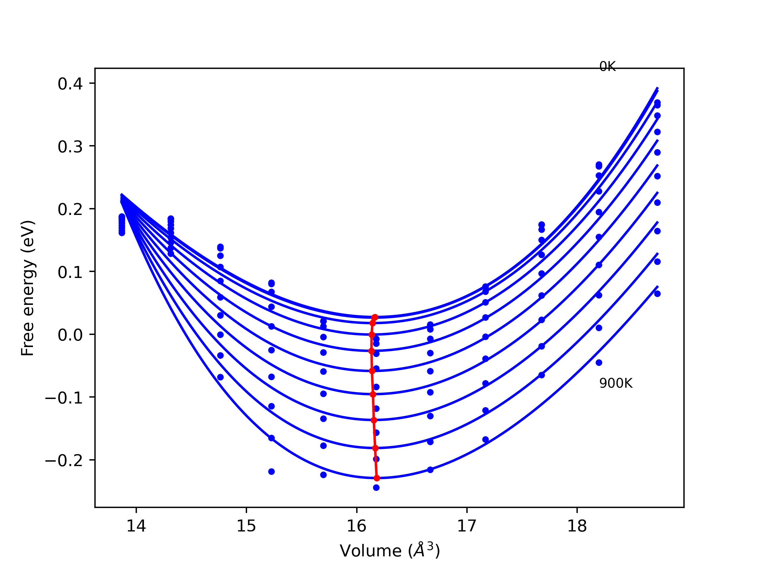
Plots of potential energy vs interatomic spacing, r, are shown below for a number of crystal structures. The structures are generated based on the ideal atomic positions and b/a and c/a lattice parameter ratios for a given crystal prototype. The size of the system is then uniformly scaled, and the energy calculated without relaxing the system. To obtain these plots, values of r are evaluated every 0.02 Å up to 6 Å.
The calculation method used is available as the iprPy E_vs_r_scan calculation method.
Clicking on the image of a plot will open an interactive version of it in a new tab. The underlying data for the plots can be downloaded by clicking on the links above each plot.
Notes and Disclaimers:
Version Information:
Computed lattice constants and cohesive/potential energies are displayed for a variety of crystal structures. The values displayed here are obtained using the following process.
The calculation methods used are implemented into iprPy as the following calculation styles
Notes and Disclaimers:
Version Information:
Download raw data (including filtered results)
Reference structure matches:
A1--Cu--fcc = mp-150, oqmd-7505, oqmd-1214525
A15--beta-W = oqmd-1214970
A2--W--bcc = mp-13, oqmd-8568, oqmd-22514, oqmd-1215148
A3'--alpha-La--double-hcp = oqmd-1215416
A3--Mg--hcp = mp-136, oqmd-30158, oqmd-51781, oqmd-1215326, oqmd-1215391
A4--C--dc = oqmd-1215505
A5--beta-Sn = oqmd-1215594
A6--In--bct = oqmd-1215683
Ah--alpha-Po--sc = mp-568345
| prototype | method | Ecoh (eV/atom) | Epot (eV/atom) | a0 (Å) | b0 (Å) | c0 (Å) | α (degrees) | β (degrees) | γ (degrees) |
|---|---|---|---|---|---|---|---|---|---|
| A2--W--bcc | dynamic | -4.3756 | -4.3756 | 2.8296 | 2.8296 | 2.8296 | 90.0 | 90.0 | 90.0 |
| A15--beta-W | dynamic | -4.2965 | -4.2965 | 4.451 | 4.451 | 4.451 | 90.0 | 90.0 | 90.0 |
| oqmd-1214792 | dynamic | -4.2852 | -4.2852 | 8.6761 | 8.6761 | 8.6761 | 90.0 | 90.0 | 90.0 |
| A1--Cu--fcc | static | -4.2836 | -4.2836 | 3.5225 | 3.5225 | 3.5225 | 90.0 | 90.0 | 90.0 |
| oqmd-1214792 | box | -4.2793 | -4.2793 | 8.6742 | 8.6742 | 8.6742 | 90.0 | 90.0 | 90.0 |
| A3'--alpha-La--double-hcp | static | -4.2652 | -4.2652 | 2.493 | 2.493 | 8.2453 | 90.0 | 90.0 | 120.0 |
| oqmd-1216039 | static | -4.2561 | -4.2561 | 2.4897 | 2.4897 | 18.5838 | 90.0 | 90.0 | 120.0 |
| A3--Mg--hcp | box | -4.2498 | -4.2498 | 2.5023 | 2.5023 | 4.1938 | 90.0 | 90.0 | 120.0 |
| oqmd-1214881 | static | -4.2306 | -4.2306 | 6.1564 | 6.1564 | 6.1564 | 90.0 | 90.0 | 90.0 |
| oqmd-1214881 | box | -4.2288 | -4.2288 | 6.1577 | 6.1577 | 6.1577 | 90.0 | 90.0 | 90.0 |
| mp-1245108 | dynamic | -4.2065 | -4.2065 | 10.175 | 10.2152 | 10.8841 | 90.8 | 91.8 | 92.9 |
| mp-1194030 | dynamic | -4.1998 | -4.1998 | 8.4685 | 8.4685 | 4.4929 | 90.0 | 90.0 | 90.0 |
| oqmd-21053 | static | -4.1809 | -4.1809 | 8.4214 | 8.4214 | 4.5118 | 90.0 | 90.0 | 90.0 |
| oqmd-21053 | box | -4.1797 | -4.1797 | 8.4246 | 8.4246 | 4.5098 | 90.0 | 90.0 | 90.0 |
| mp-1194030 | static | -4.1717 | -4.1717 | 8.4214 | 8.4214 | 4.5124 | 90.0 | 90.0 | 90.0 |
| mp-1194030 | box | -4.1707 | -4.1707 | 8.4239 | 8.4239 | 4.511 | 90.0 | 90.0 | 90.0 |
| mp-1245108 | static | -4.1478 | -4.1478 | 10.2992 | 10.3491 | 10.7261 | 90.8 | 91.7 | 91.9 |
| mp-1245108 | box | -4.1389 | -4.1389 | 10.3165 | 10.3603 | 10.7182 | 90.9 | 91.5 | 91.8 |
| oqmd-1215059 | box | -4.0837 | -4.0837 | 2.7374 | 3.9151 | 8.7489 | 90.0 | 90.0 | 90.0 |
| oqmd-1214703 | static | -4.0186 | -4.0186 | 2.8483 | 3.8729 | 8.9764 | 90.0 | 90.0 | 90.0 |
| A5--beta-Sn | static | -3.9441 | -3.9441 | 4.4457 | 4.4457 | 2.4427 | 90.0 | 90.0 | 90.0 |
| mp-1096950 | box | -3.9089 | -3.9089 | 2.4322 | 2.4322 | 2.2743 | 90.0 | 90.0 | 120.0 |
| Ah--alpha-Po--sc | static | -3.7773 | -3.7773 | 2.2835 | 2.2835 | 2.2835 | 90.0 | 90.0 | 90.0 |
| oqmd-21731 | box | -3.7772 | -3.7772 | 2.2835 | 2.2835 | 6.8505 | 90.0 | 90.0 | 90.0 |
| oqmd-1215950 | static | -3.4458 | -3.4458 | 3.9263 | 4.235 | 3.94 | 90.0 | 119.7 | 90.0 |
| oqmd-1215950 | box | -3.4458 | -3.4458 | 3.9266 | 4.235 | 3.94 | 90.0 | 119.7 | 90.0 |
| A4--C--dc | static | -3.0607 | -3.0607 | 5.2882 | 5.2882 | 5.2882 | 90.0 | 90.0 | 90.0 |
| A4--C--dc | box | -2.8082 | -2.8082 | 5.7121 | 5.7121 | 5.7121 | 90.0 | 90.0 | 90.0 |
| Ah--alpha-Po--sc | static | -2.5651 | -2.5651 | 2.861 | 2.861 | 2.861 | 90.0 | 90.0 | 90.0 |
| A4--C--dc | dynamic | -2.2407 | -2.2407 | 6.9632 | 6.9632 | 6.9632 | 90.0 | 90.0 | 90.0 |
| A4--C--dc | static | -1.8671 | -1.8671 | 3.9491 | 3.9491 | 3.9491 | 90.0 | 90.0 | 90.0 |
| Ah--alpha-Po--sc | static | -1.6647 | -1.6647 | 3.3495 | 3.3495 | 3.3495 | 90.0 | 90.0 | 90.0 |
| A1--Cu--fcc | dynamic | -0.9882 | -0.9882 | 7.0323 | 7.0323 | 7.0323 | 90.0 | 90.0 | 90.0 |
| A3--Mg--hcp | dynamic | -0.9882 | -0.9882 | 4.9726 | 4.9726 | 8.1202 | 90.0 | 90.0 | 120.0 |
| A3'--alpha-La--double-hcp | dynamic | -0.9882 | -0.9882 | 4.9726 | 4.9726 | 16.2404 | 90.0 | 90.0 | 120.0 |
| A6--In--bct | dynamic | -0.8744 | -0.8744 | 4.1527 | 4.1527 | 8.0261 | 90.0 | 90.0 | 90.0 |
| A2--W--bcc | dynamic | -0.8696 | -0.8696 | 5.7646 | 5.7646 | 5.7646 | 90.0 | 90.0 | 90.0 |
| A15--beta-W | static | -0.7572 | -0.7572 | 8.527 | 8.527 | 8.527 | 90.0 | 90.0 | 90.0 |
| A2--W--bcc | dynamic | -0.7496 | -0.7496 | 5.0153 | 5.0153 | 5.0153 | 90.0 | 90.0 | 90.0 |
| A5--beta-Sn | static | -0.6847 | -0.6847 | 7.6653 | 7.6653 | 4.3186 | 90.0 | 90.0 | 90.0 |
| A5--beta-Sn | dynamic | -0.5566 | -0.5566 | 9.4313 | 9.4313 | 4.868 | 90.0 | 90.0 | 90.0 |
| Ah--alpha-Po--sc | static | -0.5338 | -0.5338 | 4.1322 | 4.1322 | 4.1322 | 90.0 | 90.0 | 90.0 |
| Ah--alpha-Po--sc | dynamic | -0.4941 | -0.4941 | 4.9726 | 4.9726 | 4.9726 | 90.0 | 90.0 | 90.0 |
| A3--Mg--hcp | dynamic | -0.4505 | -0.4505 | 4.1917 | 4.1917 | 6.845 | 90.0 | 90.0 | 120.0 |
| A3'--alpha-La--double-hcp | dynamic | -0.4505 | -0.4505 | 4.1917 | 4.1917 | 13.69 | 90.0 | 90.0 | 120.0 |
| A1--Cu--fcc | dynamic | -0.4505 | -0.4505 | 5.9279 | 5.9279 | 5.9279 | 90.0 | 90.0 | 90.0 |
| A5--beta-Sn | box | -0.4491 | -0.4491 | 7.1986 | 7.1986 | 5.597 | 90.0 | 90.0 | 90.0 |
| A3'--alpha-La--double-hcp | dynamic | -0.4323 | -0.4323 | 5.8077 | 5.8077 | 18.968 | 90.0 | 90.0 | 120.0 |
| A3--Mg--hcp | dynamic | -0.4323 | -0.4323 | 5.8077 | 5.8077 | 9.484 | 90.0 | 90.0 | 120.0 |
| A1--Cu--fcc | dynamic | -0.4323 | -0.4323 | 8.2134 | 8.2134 | 8.2134 | 90.0 | 90.0 | 90.0 |
| A7--alpha-As | dynamic | -0.354 | -0.354 | 8.0685 | 8.0685 | 15.6339 | 90.0 | 90.0 | 120.0 |
| A7--alpha-As | static | -0.354 | -0.354 | 7.9057 | 7.9057 | 16.7072 | 90.0 | 90.0 | 120.0 |
| A4--C--dc | dynamic | -0.3294 | -0.3294 | 11.4837 | 11.4837 | 11.4837 | 90.0 | 90.0 | 90.0 |
| A15--beta-W | dynamic | -0.3131 | -0.3131 | 10.2892 | 10.2892 | 10.2892 | 90.0 | 90.0 | 90.0 |
| A2--W--bcc | dynamic | -0.2882 | -0.2882 | 6.7062 | 6.7062 | 6.7062 | 90.0 | 90.0 | 90.0 |
| Ah--alpha-Po--sc | dynamic | -0.2161 | -0.2161 | 5.8077 | 5.8077 | 5.8077 | 90.0 | 90.0 | 90.0 |
| A1--Cu--fcc | box | -0.1854 | -0.1854 | 5.4865 | 5.4865 | 5.4865 | 90.0 | 90.0 | 90.0 |
| A4--C--dc | dynamic | -0.1441 | -0.1441 | 13.4124 | 13.4124 | 13.4124 | 90.0 | 90.0 | 90.0 |
| A7--alpha-As | dynamic | -0.1075 | -0.1075 | 8.406 | 8.406 | 25.6441 | 90.0 | 90.0 | 120.0 |
| A7--alpha-As | static | -0.1075 | -0.1075 | 8.4059 | 8.4059 | 26.1794 | 90.0 | 90.0 | 120.0 |
| A15--beta-W | dynamic | -0.0503 | -0.0503 | 11.6552 | 11.6552 | 11.6552 | 90.0 | 90.0 | 90.0 |
| A3--Mg--hcp | static | 442.9318 | 442.9318 | 1.62 | 1.62 | 2.6454 | 90.0 | 90.0 | 120.0 |
| A3'--alpha-La--double-hcp | static | 442.9903 | 442.9903 | 1.64 | 1.64 | 5.3562 | 90.0 | 90.0 | 120.0 |
| A2--W--bcc | static | 443.1527 | 443.1527 | 1.7321 | 1.7321 | 1.7321 | 90.0 | 90.0 | 90.0 |
| A15--beta-W | static | 444.6164 | 444.6164 | 2.52 | 2.52 | 2.52 | 90.0 | 90.0 | 90.0 |
| A7--alpha-As | static | 447.6058 | 447.6058 | 1.7331 | 1.7331 | 4.8127 | 90.0 | 90.0 | 120.0 |
Download raw data (including filtered results)
Reference structure matches:
| prototype | method | Ecoh (eV/atom) | Epot (eV/atom) | a0 (Å) | b0 (Å) | c0 (Å) | α (degrees) | β (degrees) | γ (degrees) |
|---|---|---|---|---|---|---|---|---|---|
| C1--CaF2--fluorite | static | -3.8422 | -3.8422 | 5.2037 | 5.2037 | 5.2037 | 90.0 | 90.0 | 90.0 |
| C1--CaF2--fluorite | dynamic | -0.951 | -0.951 | 9.9658 | 9.9658 | 9.9658 | 90.0 | 90.0 | 90.0 |
| C1--CaF2--fluorite | static | -0.7362 | -0.7362 | 8.3148 | 8.3148 | 8.3148 | 90.0 | 90.0 | 90.0 |
| C1--CaF2--fluorite | dynamic | 0.0377 | 0.0377 | 13.0624 | 13.0624 | 13.0624 | 90.0 | 90.0 | 90.0 |
Download raw data (including filtered results)
Reference structure matches:
| prototype | method | Ecoh (eV/atom) | Epot (eV/atom) | a0 (Å) | b0 (Å) | c0 (Å) | α (degrees) | β (degrees) | γ (degrees) |
|---|---|---|---|---|---|---|---|---|---|
| A15--Cr3Si | static | -4.0107 | -4.0107 | 4.3784 | 4.3784 | 4.3784 | 90.0 | 90.0 | 90.0 |
| D0_3--BiF3 | static | -3.9991 | -3.9991 | 5.4714 | 5.4714 | 5.4714 | 90.0 | 90.0 | 90.0 |
| L1_2--AuCu3 | static | -3.7675 | -3.7675 | 3.329 | 3.329 | 3.329 | 90.0 | 90.0 | 90.0 |
| A15--Cr3Si | static | -1.1206 | -1.1206 | 7.9572 | 7.9572 | 7.9572 | 90.0 | 90.0 | 90.0 |
| D0_3--BiF3 | static | -1.0638 | -1.0638 | 8.2505 | 8.2505 | 8.2505 | 90.0 | 90.0 | 90.0 |
| A15--Cr3Si | static | -1.0261 | -1.0261 | 6.2518 | 6.2518 | 6.2518 | 90.0 | 90.0 | 90.0 |
| D0_3--BiF3 | dynamic | -0.9397 | -0.9397 | 9.9576 | 9.9576 | 9.9576 | 90.0 | 90.0 | 90.0 |
| L1_2--AuCu3 | dynamic | -0.9265 | -0.9265 | 6.0089 | 6.0089 | 6.0089 | 90.0 | 90.0 | 90.0 |
| A15--Cr3Si | static | -0.734 | -0.734 | 6.7176 | 6.7176 | 6.7176 | 90.0 | 90.0 | 90.0 |
| L1_2--AuCu3 | dynamic | -0.7118 | -0.7118 | 6.9628 | 6.9628 | 6.9628 | 90.0 | 90.0 | 90.0 |
| D0_3--BiF3 | dynamic | -0.5516 | -0.5516 | 11.4098 | 11.4098 | 11.4098 | 90.0 | 90.0 | 90.0 |
| L1_2--AuCu3 | dynamic | -0.1534 | -0.1534 | 8.1412 | 8.1412 | 8.1412 | 90.0 | 90.0 | 90.0 |
| D0_3--BiF3 | dynamic | -0.1054 | -0.1054 | 13.279 | 13.279 | 13.279 | 90.0 | 90.0 | 90.0 |
| A15--Cr3Si | dynamic | -0.0503 | -0.0503 | 11.6552 | 11.6552 | 11.6552 | 90.0 | 90.0 | 90.0 |
| A15--Cr3Si | box | -0.0349 | -0.0349 | 11.1132 | 11.1132 | 11.1132 | 90.0 | 90.0 | 90.0 |
| D0_3--BiF3 | static | 1595.7402 | 1595.7402 | 3.4641 | 3.4641 | 3.4641 | 90.0 | 90.0 | 90.0 |
| A15--Cr3Si | static | 1600.8484 | 1600.8484 | 2.4 | 2.4 | 2.4 | 90.0 | 90.0 | 90.0 |
| A15--Cr3Si | static | 1600.8529 | 1600.8529 | 2.32 | 2.32 | 2.32 | 90.0 | 90.0 | 90.0 |
| L1_2--AuCu3 | static | 1620.7993 | 1620.7993 | 1.7253 | 1.7253 | 1.7253 | 90.0 | 90.0 | 90.0 |
Download raw data (including filtered results)
Reference structure matches:
| prototype | method | Ecoh (eV/atom) | Epot (eV/atom) | a0 (Å) | b0 (Å) | c0 (Å) | α (degrees) | β (degrees) | γ (degrees) |
|---|---|---|---|---|---|---|---|---|---|
| B4--ZnS--wurtzite | dynamic | -3.8468 | -3.8468 | 4.0438 | 4.0438 | 6.6025 | 90.0 | 90.0 | 120.0 |
| B2--CsCl | static | -3.6509 | -3.6509 | 2.7667 | 2.7667 | 2.7667 | 90.0 | 90.0 | 90.0 |
| B4--ZnS--wurtzite | static | -3.3293 | -3.3293 | 3.8135 | 3.8135 | 4.8841 | 90.0 | 90.0 | 120.0 |
| B4--ZnS--wurtzite | static | -3.3293 | -3.3293 | 3.8136 | 3.8136 | 4.8841 | 90.0 | 90.0 | 120.0 |
| B3--ZnS--cubic-zinc-blende | static | -3.1898 | -3.1898 | 4.5834 | 4.5834 | 4.5834 | 90.0 | 90.0 | 90.0 |
| B3--ZnS--cubic-zinc-blende | static | -3.1719 | -3.1719 | 5.1793 | 5.1793 | 5.1793 | 90.0 | 90.0 | 90.0 |
| B1--NaCl--rock-salt | static | -3.1077 | -3.1077 | 4.1248 | 4.1248 | 4.1248 | 90.0 | 90.0 | 90.0 |
| B1--NaCl--rock-salt | static | -3.0992 | -3.0992 | 4.3288 | 4.3288 | 4.3288 | 90.0 | 90.0 | 90.0 |
| B3--ZnS--cubic-zinc-blende | static | -3.0165 | -3.0165 | 4.2164 | 4.2164 | 4.2164 | 90.0 | 90.0 | 90.0 |
| B4--ZnS--wurtzite | box | -3.0002 | -3.0002 | 2.9519 | 2.9519 | 5.0133 | 90.0 | 90.0 | 120.0 |
| B1--NaCl--rock-salt | static | -2.5869 | -2.5869 | 5.1795 | 5.1795 | 5.1795 | 90.0 | 90.0 | 90.0 |
| B3--ZnS--cubic-zinc-blende | static | -2.5095 | -2.5095 | 5.9475 | 5.9475 | 5.9475 | 90.0 | 90.0 | 90.0 |
| B3--ZnS--cubic-zinc-blende | static | -2.1967 | -2.1967 | 3.8521 | 3.8521 | 3.8521 | 90.0 | 90.0 | 90.0 |
| B3--ZnS--cubic-zinc-blende | box | -2.1448 | -2.1448 | 3.9145 | 3.9145 | 3.9145 | 90.0 | 90.0 | 90.0 |
| B2--CsCl | dynamic | -1.2285 | -1.2285 | 4.1989 | 4.1989 | 4.1989 | 90.0 | 90.0 | 90.0 |
| L1_0--AuCu | dynamic | -1.2097 | -1.2097 | 4.1501 | 4.1501 | 6.376 | 90.0 | 90.0 | 90.0 |
| B2--CsCl | dynamic | -1.2061 | -1.2061 | 4.9399 | 4.9399 | 4.9399 | 90.0 | 90.0 | 90.0 |
| B1--NaCl--rock-salt | dynamic | -1.1711 | -1.1711 | 7.1274 | 7.1274 | 7.1274 | 90.0 | 90.0 | 90.0 |
| L1_0--AuCu | box | -1.085 | -1.085 | 3.8028 | 3.8028 | 5.0732 | 90.0 | 90.0 | 90.0 |
| B2--CsCl | static | -0.8443 | -0.8443 | 3.6911 | 3.6911 | 3.6911 | 90.0 | 90.0 | 90.0 |
| B1--NaCl--rock-salt | static | -0.8043 | -0.8043 | 8.3177 | 8.3177 | 8.3177 | 90.0 | 90.0 | 90.0 |
| B3--ZnS--cubic-zinc-blende | static | -0.4995 | -0.4995 | 8.2485 | 8.2485 | 8.2485 | 90.0 | 90.0 | 90.0 |
| B4--ZnS--wurtzite | dynamic | -0.4956 | -0.4956 | 5.8052 | 5.8052 | 9.6043 | 90.0 | 90.0 | 120.0 |
| B3--ZnS--cubic-zinc-blende | dynamic | -0.4668 | -0.4668 | 9.9999 | 9.9999 | 9.9999 | 90.0 | 90.0 | 90.0 |
| B4--ZnS--wurtzite | dynamic | -0.4668 | -0.4668 | 7.0691 | 7.0691 | 11.553 | 90.0 | 90.0 | 120.0 |
| L1_0--AuCu | box | -0.2184 | -0.2184 | 3.8767 | 3.8767 | 9.577 | 90.0 | 90.0 | 90.0 |
| L1_0--AuCu | dynamic | -0.025 | -0.025 | 5.7552 | 5.7552 | 7.8547 | 90.0 | 90.0 | 90.0 |
| B3--ZnS--cubic-zinc-blende | dynamic | 0.0285 | 0.0285 | 13.0605 | 13.0605 | 13.0605 | 90.0 | 90.0 | 90.0 |
| B4--ZnS--wurtzite | dynamic | 0.0285 | 0.0285 | 9.2327 | 9.2327 | 15.0891 | 90.0 | 90.0 | 120.0 |
| B1--NaCl--rock-salt | dynamic | 0.0426 | 0.0426 | 11.3115 | 11.3115 | 11.3115 | 90.0 | 90.0 | 90.0 |
| B2--CsCl | dynamic | 0.0566 | 0.0566 | 6.5312 | 6.5312 | 6.5312 | 90.0 | 90.0 | 90.0 |
| B2--CsCl | static | 2749.0249 | 2749.0249 | 1.7321 | 1.7321 | 1.7321 | 90.0 | 90.0 | 90.0 |
| B4--ZnS--wurtzite | static | 2750.2268 | 2750.2268 | 1.6012 | 1.6012 | 2.6147 | 90.0 | 90.0 | 120.0 |
| B1--NaCl--rock-salt | static | 2750.2426 | 2750.2426 | 2.24 | 2.24 | 2.24 | 90.0 | 90.0 | 90.0 |
| B3--ZnS--cubic-zinc-blende | static | 2750.2446 | 2750.2446 | 2.2632 | 2.2632 | 2.2632 | 90.0 | 90.0 | 90.0 |
| B1--NaCl--rock-salt | static | 2750.2756 | 2750.2756 | 2.08 | 2.08 | 2.08 | 90.0 | 90.0 | 90.0 |
| B3--ZnS--cubic-zinc-blende | static | 2750.2757 | 2750.2757 | 2.0785 | 2.0785 | 2.0785 | 90.0 | 90.0 | 90.0 |
Download raw data (including filtered results)
Reference structure matches:
| prototype | method | Ecoh (eV/atom) | Epot (eV/atom) | a0 (Å) | b0 (Å) | c0 (Å) | α (degrees) | β (degrees) | γ (degrees) |
|---|---|---|---|---|---|---|---|---|---|
| C1--CaF2--fluorite | static | -3.4755 | -3.4755 | 5.289 | 5.289 | 5.289 | 90.0 | 90.0 | 90.0 |
| C1--CaF2--fluorite | static | -1.0253 | -1.0253 | 8.3571 | 8.3571 | 8.3571 | 90.0 | 90.0 | 90.0 |
| C1--CaF2--fluorite | static | -0.8294 | -0.8294 | 7.4097 | 7.4097 | 7.4097 | 90.0 | 90.0 | 90.0 |
| C1--CaF2--fluorite | box | -0.7746 | -0.7746 | 9.2872 | 9.2872 | 9.2872 | 90.0 | 90.0 | 90.0 |
| C1--CaF2--fluorite | dynamic | 0.038 | 0.038 | 13.0605 | 13.0605 | 13.0605 | 90.0 | 90.0 | 90.0 |
| C1--CaF2--fluorite | static | 3517.8338 | 3517.8338 | 3.4641 | 3.4641 | 3.4641 | 90.0 | 90.0 | 90.0 |
Download raw data (including filtered results)
Reference structure matches:
| prototype | method | Ecoh (eV/atom) | Epot (eV/atom) | a0 (Å) | b0 (Å) | c0 (Å) | α (degrees) | β (degrees) | γ (degrees) |
|---|---|---|---|---|---|---|---|---|---|
| D0_3--BiF3 | static | -3.8152 | -3.8152 | 5.5819 | 5.5819 | 5.5819 | 90.0 | 90.0 | 90.0 |
| L1_2--AuCu3 | static | -3.7152 | -3.7152 | 3.5174 | 3.5174 | 3.5174 | 90.0 | 90.0 | 90.0 |
| A15--Cr3Si | static | -3.671 | -3.671 | 4.4286 | 4.4286 | 4.4286 | 90.0 | 90.0 | 90.0 |
| L1_2--AuCu3 | dynamic | -1.3354 | -1.3354 | 6.0718 | 6.0718 | 6.0718 | 90.0 | 90.0 | 90.0 |
| D0_3--BiF3 | dynamic | -1.3036 | -1.3036 | 8.7789 | 8.7789 | 8.7789 | 90.0 | 90.0 | 90.0 |
| A15--Cr3Si | dynamic | -1.2866 | -1.2866 | 7.2795 | 7.2795 | 7.2795 | 90.0 | 90.0 | 90.0 |
| D0_3--BiF3 | static | -1.2244 | -1.2244 | 9.7489 | 9.7489 | 9.7489 | 90.0 | 90.0 | 90.0 |
| L1_2--AuCu3 | box | -1.148 | -1.148 | 5.3659 | 5.3659 | 5.3659 | 90.0 | 90.0 | 90.0 |
| A15--Cr3Si | static | -0.0228 | -0.0228 | 11.0585 | 11.0585 | 11.0585 | 90.0 | 90.0 | 90.0 |
| L1_2--AuCu3 | dynamic | 0.0 | 0.0 | 17.2376 | 17.2376 | 17.2376 | 90.0 | 90.0 | 90.0 |
| L1_2--AuCu3 | dynamic | 0.0 | 0.0 | 8.7634 | 8.7634 | 8.7634 | 90.0 | 90.0 | 90.0 |
| A15--Cr3Si | box | 0.0 | 0.0 | 12.3598 | 12.3598 | 12.3598 | 90.0 | 90.0 | 90.0 |
| A15--Cr3Si | static | 3902.5427 | 3902.5427 | 2.48 | 2.48 | 2.48 | 90.0 | 90.0 | 90.0 |
| D0_3--BiF3 | static | 3902.5995 | 3902.5995 | 3.0022 | 3.0022 | 3.0022 | 90.0 | 90.0 | 90.0 |
| D0_3--BiF3 | static | 3902.725 | 3902.725 | 3.3255 | 3.3255 | 3.3255 | 90.0 | 90.0 | 90.0 |
| L1_2--AuCu3 | static | 3902.928 | 3902.928 | 1.7253 | 1.7253 | 1.7253 | 90.0 | 90.0 | 90.0 |
| L1_2--AuCu3 | static | 3903.0513 | 3903.0513 | 1.5556 | 1.5556 | 1.5556 | 90.0 | 90.0 | 90.0 |
Download raw data (including filtered results)
Reference structure matches:
| prototype | method | Ecoh (eV/atom) | Epot (eV/atom) | a0 (Å) | b0 (Å) | c0 (Å) | α (degrees) | β (degrees) | γ (degrees) |
|---|---|---|---|---|---|---|---|---|---|
| A4--C--dc | dynamic | -4.6766 | -4.6766 | 5.2174 | 5.2174 | 5.2174 | 90.0 | 90.0 | 90.0 |
| mp-1245108 | dynamic | -4.3029 | -4.3029 | 10.346 | 11.3628 | 11.7147 | 91.2 | 91.1 | 93.4 |
| A1--Cu--fcc | dynamic | -4.1892 | -4.1892 | 3.4386 | 3.4386 | 3.4386 | 90.0 | 90.0 | 90.0 |
| A3'--alpha-La--double-hcp | dynamic | -4.1607 | -4.1607 | 2.4332 | 2.4332 | 7.9244 | 90.0 | 90.0 | 120.0 |
| A3'--alpha-La--double-hcp | static | -4.1601 | -4.1601 | 2.4261 | 2.4261 | 8.0492 | 90.0 | 90.0 | 120.0 |
| oqmd-1216039 | dynamic | -4.1531 | -4.1531 | 2.4254 | 2.4254 | 18.1456 | 90.0 | 90.0 | 120.0 |
| oqmd-1216039 | box | -4.1529 | -4.1529 | 2.4298 | 2.4298 | 17.9592 | 90.0 | 90.0 | 120.0 |
| A3--Mg--hcp | dynamic | -4.1381 | -4.1381 | 2.4246 | 2.4246 | 4.0354 | 90.0 | 90.0 | 120.0 |
| oqmd-1214881 | dynamic | -4.0883 | -4.0883 | 5.9817 | 5.9817 | 5.9817 | 90.0 | 90.0 | 90.0 |
| oqmd-1214881 | static | -4.0576 | -4.0576 | 5.9475 | 5.9475 | 5.9475 | 90.0 | 90.0 | 90.0 |
| oqmd-1214881 | box | -4.0432 | -4.0432 | 5.9431 | 5.9431 | 5.9431 | 90.0 | 90.0 | 90.0 |
| mp-1245108 | static | -4.0332 | -4.0332 | 10.0613 | 10.2175 | 10.515 | 90.4 | 90.3 | 90.7 |
| oqmd-1214792 | static | -4.0275 | -4.0275 | 8.5135 | 8.5135 | 8.5135 | 90.0 | 90.0 | 90.0 |
| oqmd-1214792 | box | -4.0076 | -4.0076 | 8.5231 | 8.5231 | 8.5231 | 90.0 | 90.0 | 90.0 |
| mp-1194030 | static | -3.9891 | -3.9891 | 8.2175 | 8.2175 | 4.4376 | 90.0 | 90.0 | 90.0 |
| oqmd-21053 | static | -3.9697 | -3.9697 | 8.2277 | 8.2277 | 4.4051 | 90.0 | 90.0 | 90.0 |
| oqmd-21053 | box | -3.9617 | -3.9617 | 8.2389 | 8.2389 | 4.3933 | 90.0 | 90.0 | 90.0 |
| mp-1194030 | box | -3.9585 | -3.9585 | 8.2404 | 8.2404 | 4.3891 | 90.0 | 90.0 | 90.0 |
| mp-1245108 | box | -3.9504 | -3.9504 | 10.045 | 10.2492 | 10.4076 | 91.5 | 90.2 | 91.7 |
| A15--beta-W | static | -3.9273 | -3.9273 | 4.3998 | 4.3998 | 4.3998 | 90.0 | 90.0 | 90.0 |
| mp-1096950 | dynamic | -3.9 | -3.9 | 2.4369 | 2.4369 | 2.6225 | 90.0 | 90.0 | 120.0 |
| A2--W--bcc | static | -3.8814 | -3.8814 | 2.7748 | 2.7748 | 2.7748 | 90.0 | 90.0 | 90.0 |
| A2--W--bcc | static | -3.8813 | -3.8813 | 2.7747 | 2.7747 | 2.7747 | 90.0 | 90.0 | 90.0 |
| A5--beta-Sn | static | -3.7355 | -3.7355 | 4.4189 | 4.4189 | 2.2272 | 90.0 | 90.0 | 90.0 |
| Ah--alpha-Po--sc | dynamic | -3.6098 | -3.6098 | 2.529 | 2.529 | 2.529 | 90.0 | 90.0 | 90.0 |
| Ah--alpha-Po--sc | static | -3.6059 | -3.6059 | 2.2667 | 2.2667 | 2.2667 | 90.0 | 90.0 | 90.0 |
| A7--alpha-As | box | -3.468 | -3.468 | 3.0015 | 3.0015 | 8.1871 | 90.0 | 90.0 | 120.0 |
| Ah--alpha-Po--sc | box | -3.3584 | -3.3584 | 2.4118 | 2.4118 | 2.4118 | 90.0 | 90.0 | 90.0 |
| A2--W--bcc | static | -2.9885 | -2.9885 | 2.3714 | 2.3714 | 2.3714 | 90.0 | 90.0 | 90.0 |
| A6--In--bct | static | -2.9711 | -2.9711 | 1.981 | 1.981 | 3.6716 | 90.0 | 90.0 | 90.0 |
| A15--beta-W | static | -2.9627 | -2.9627 | 3.831 | 3.831 | 3.831 | 90.0 | 90.0 | 90.0 |
| A1--Cu--fcc | static | -2.8418 | -2.8418 | 3.0034 | 3.0034 | 3.0034 | 90.0 | 90.0 | 90.0 |
| A5--beta-Sn | static | -2.7812 | -2.7812 | 3.7012 | 3.7012 | 2.1719 | 90.0 | 90.0 | 90.0 |
| A3--Mg--hcp | box | -2.6093 | -2.6093 | 2.1217 | 2.1217 | 3.6738 | 90.0 | 90.0 | 120.0 |
| A1--Cu--fcc | box | -2.5642 | -2.5642 | 3.0602 | 3.0602 | 3.0602 | 90.0 | 90.0 | 90.0 |
| Ah--alpha-Po--sc | box | -2.3693 | -2.3693 | 1.9578 | 1.9578 | 1.9578 | 90.0 | 90.0 | 90.0 |
| A4--C--dc | static | -1.8417 | -1.8417 | 3.8865 | 3.8865 | 3.8865 | 90.0 | 90.0 | 90.0 |
| A3'--alpha-La--double-hcp | dynamic | -1.6742 | -1.6742 | 4.2965 | 4.2965 | 14.0322 | 90.0 | 90.0 | 120.0 |
| A3--Mg--hcp | dynamic | -1.6742 | -1.6742 | 4.2965 | 4.2965 | 7.0161 | 90.0 | 90.0 | 120.0 |
| A1--Cu--fcc | dynamic | -1.6742 | -1.6742 | 6.0761 | 6.0761 | 6.0761 | 90.0 | 90.0 | 90.0 |
| A2--W--bcc | dynamic | -1.6412 | -1.6412 | 4.4047 | 4.4047 | 4.4047 | 90.0 | 90.0 | 90.0 |
| A15--beta-W | dynamic | -1.6364 | -1.6364 | 7.295 | 7.295 | 7.295 | 90.0 | 90.0 | 90.0 |
| A6--In--bct | box | -1.6061 | -1.6061 | 3.7592 | 3.7592 | 6.6839 | 90.0 | 90.0 | 90.0 |
| A5--beta-Sn | dynamic | -1.1875 | -1.1875 | 6.6524 | 6.6524 | 3.7283 | 90.0 | 90.0 | 90.0 |
| A5--beta-Sn | box | -1.0838 | -1.0838 | 6.0364 | 6.0364 | 3.8527 | 90.0 | 90.0 | 90.0 |
| Ah--alpha-Po--sc | static | -0.901 | -0.901 | 3.5915 | 3.5915 | 3.5915 | 90.0 | 90.0 | 90.0 |
| Ah--alpha-Po--sc | static | -0.7489 | -0.7489 | 4.2983 | 4.2983 | 4.2983 | 90.0 | 90.0 | 90.0 |
| A4--C--dc | dynamic | -0.4919 | -0.4919 | 9.8045 | 9.8045 | 9.8045 | 90.0 | 90.0 | 90.0 |
| oqmd-21731 | box | -0.4862 | -0.4862 | 4.1848 | 4.1848 | 18.0239 | 90.0 | 90.0 | 90.0 |
| A1--Cu--fcc | dynamic | 0.0 | 0.0 | 13.9922 | 13.9922 | 13.9922 | 90.0 | 90.0 | 90.0 |
| A3'--alpha-La--double-hcp | dynamic | 0.0 | 0.0 | 6.2356 | 6.2356 | 21.8477 | 90.0 | 90.0 | 120.0 |
| Ah--alpha-Po--sc | dynamic | 0.0 | 0.0 | 14.9434 | 14.9434 | 14.9434 | 90.0 | 90.0 | 90.0 |
| A6--In--bct | dynamic | 0.0 | 0.0 | 9.1106 | 9.1106 | 16.6586 | 90.0 | 90.0 | 90.0 |
| A5--beta-Sn | dynamic | 0.0 | 0.0 | 15.4546 | 15.4546 | 8.0323 | 90.0 | 90.0 | 90.0 |
| A2--W--bcc | box | 0.2244 | 0.2244 | 3.4477 | 3.4477 | 3.4477 | 90.0 | 90.0 | 90.0 |
| Ah--alpha-Po--sc | static | 5055.905 | 5055.905 | 1.0 | 1.0 | 1.0 | 90.0 | 90.0 | 90.0 |
| A5--beta-Sn | static | 5056.1612 | 5056.1612 | 2.0827 | 2.0827 | 1.1455 | 90.0 | 90.0 | 90.0 |
| A7--alpha-As | static | 5056.1802 | 5056.1802 | 1.3745 | 1.3745 | 3.817 | 90.0 | 90.0 | 120.0 |
| A2--W--bcc | static | 5056.2073 | 5056.2073 | 1.478 | 1.478 | 1.478 | 90.0 | 90.0 | 90.0 |
| A3--Mg--hcp | static | 5056.4698 | 5056.4698 | 1.32 | 1.32 | 2.1556 | 90.0 | 90.0 | 120.0 |
| A1--Cu--fcc | static | 5056.5666 | 5056.5666 | 1.7253 | 1.7253 | 1.7253 | 90.0 | 90.0 | 90.0 |
| A6--In--bct | static | 5056.572 | 5056.572 | 1.2 | 1.2 | 1.8 | 90.0 | 90.0 | 90.0 |
| A3'--alpha-La--double-hcp | static | 5056.5792 | 5056.5792 | 1.32 | 1.32 | 4.3111 | 90.0 | 90.0 | 120.0 |
| A1--Cu--fcc | static | 5056.6811 | 5056.6811 | 1.9799 | 1.9799 | 1.9799 | 90.0 | 90.0 | 90.0 |
| A6--In--bct | static | 5056.7234 | 5056.7234 | 1.34 | 1.34 | 2.01 | 90.0 | 90.0 | 90.0 |
| A4--C--dc | static | 5056.7436 | 5056.7436 | 2.217 | 2.217 | 2.217 | 90.0 | 90.0 | 90.0 |
| A15--beta-W | static | 5056.7632 | 5056.7632 | 2.48 | 2.48 | 2.48 | 90.0 | 90.0 | 90.0 |
| A4--C--dc | static | 5056.8844 | 5056.8844 | 3.0022 | 3.0022 | 3.0022 | 90.0 | 90.0 | 90.0 |
| Ah--alpha-Po--sc | static | 5057.2423 | 5057.2423 | 1.54 | 1.54 | 1.54 | 90.0 | 90.0 | 90.0 |
| A1--Cu--fcc | static | 5057.3746 | 5057.3746 | 2.2345 | 2.2345 | 2.2345 | 90.0 | 90.0 | 90.0 |
| Ah--alpha-Po--sc | static | 5057.4162 | 5057.4162 | 1.38 | 1.38 | 1.38 | 90.0 | 90.0 | 90.0 |
| A7--alpha-As | static | 5057.4737 | 5057.4737 | 2.0916 | 2.0916 | 5.8084 | 90.0 | 90.0 | 120.0 |
| A7--alpha-As | static | 5057.4818 | 5057.4818 | 1.9422 | 1.9422 | 5.3935 | 90.0 | 90.0 | 120.0 |
| A2--W--bcc | static | 5057.6579 | 5057.6579 | 1.9399 | 1.9399 | 1.9399 | 90.0 | 90.0 | 90.0 |
Static elastic constants are displayed for the unique structures identified in Crystal Structure Predictions above. The values displayed here are obtained by measuring the change in virial stresses due to applying small strains to the relaxed crystals. The initial structure and the strained states are all relaxed using force minimization.
The calculation method used is available as the iprPy elastic_constants_static calculation method.
Notes and Disclaimers:
Version Information:
| 201.872 | 173.137 | 173.137 | -0.000 | -0.000 | -0.000 |
| 173.137 | 201.872 | 173.137 | -0.000 | 0.000 | -0.000 |
| 173.137 | 173.137 | 201.872 | -0.000 | -0.000 | 0.000 |
| -0.000 | -0.000 | -0.000 | 55.272 | 0.000 | -0.000 |
| -0.000 | -0.000 | -0.000 | -0.000 | 55.272 | -0.000 |
| -0.000 | -0.000 | -0.000 | 0.000 | -0.000 | 55.272 |
| 201.873 | 173.138 | 173.138 | 0.000 | 0.000 | 0.000 |
| 173.138 | 201.873 | 173.138 | 0.000 | 0.000 | 0.000 |
| 173.138 | 173.138 | 201.873 | -0.000 | -0.000 | 0.000 |
| 0.000 | 0.000 | 0.000 | 55.272 | 0.000 | 0.000 |
| 0.000 | 0.000 | 0.000 | -0.000 | 55.272 | 0.000 |
| 0.000 | 0.000 | 0.000 | 0.000 | 0.000 | 55.272 |
| 201.867 | 173.133 | 173.133 | 0.000 | 0.000 | -0.000 |
| 173.133 | 201.867 | 173.133 | 0.000 | -0.000 | -0.000 |
| 173.133 | 173.133 | 201.867 | 0.000 | -0.000 | -0.000 |
| 0.000 | -0.000 | -0.000 | 55.272 | 0.000 | -0.000 |
| -0.000 | 0.000 | -0.000 | -0.000 | 55.272 | -0.000 |
| -0.000 | -0.000 | 0.000 | -0.000 | -0.000 | 55.272 |
| 201.877 | 173.142 | 173.142 | 0.000 | 0.000 | 0.000 |
| 173.142 | 201.877 | 173.142 | -0.000 | 0.000 | -0.000 |
| 173.142 | 173.142 | 201.877 | -0.000 | 0.000 | 0.000 |
| -0.000 | 0.000 | 0.000 | 55.272 | 0.000 | -0.000 |
| 0.000 | -0.000 | 0.000 | 0.000 | 55.272 | 0.000 |
| 0.000 | 0.000 | -0.000 | -0.000 | 0.000 | 55.272 |
| 201.823 | 173.092 | 173.092 | -0.000 | -0.000 | 0.000 |
| 173.092 | 201.823 | 173.092 | -0.000 | 0.000 | 0.000 |
| 173.092 | 173.092 | 201.823 | -0.000 | -0.000 | -0.000 |
| 0.000 | -0.000 | -0.000 | 55.272 | 0.000 | -0.000 |
| -0.000 | 0.000 | -0.000 | 0.000 | 55.272 | -0.000 |
| -0.000 | -0.000 | 0.000 | 0.000 | -0.000 | 55.272 |
| 201.922 | 173.183 | 173.183 | 0.000 | 0.000 | 0.000 |
| 173.183 | 201.922 | 173.183 | 0.000 | 0.000 | 0.000 |
| 173.183 | 173.183 | 201.922 | 0.000 | 0.000 | 0.000 |
| -0.000 | 0.000 | 0.000 | 55.272 | -0.000 | 0.000 |
| 0.000 | -0.000 | 0.000 | -0.000 | 55.272 | 0.000 |
| 0.000 | 0.000 | -0.000 | -0.000 | 0.000 | 55.272 |
| -201.481 | -32.923 | -32.923 | 0.000 | 0.000 | 0.000 |
| -32.923 | -201.481 | -32.923 | 0.000 | 0.000 | 0.000 |
| -32.923 | -32.923 | -201.481 | 0.000 | 0.000 | 0.000 |
| -0.000 | -0.000 | -0.000 | -32.809 | 0.000 | 0.000 |
| -0.000 | -0.000 | -0.000 | 0.000 | -32.809 | -0.000 |
| -0.000 | -0.000 | -0.000 | 0.000 | 0.000 | -32.809 |
| -201.481 | -32.923 | -32.923 | -0.000 | -0.000 | -0.000 |
| -32.923 | -201.481 | -32.923 | -0.000 | -0.000 | -0.000 |
| -32.923 | -32.923 | -201.481 | -0.000 | -0.000 | -0.000 |
| 0.000 | 0.000 | 0.000 | -32.809 | -0.000 | -0.000 |
| 0.000 | 0.000 | 0.000 | -0.000 | -32.809 | 0.000 |
| 0.000 | 0.000 | 0.000 | -0.000 | -0.000 | -32.809 |
| -201.481 | -32.923 | -32.923 | 0.000 | 0.000 | 0.000 |
| -32.923 | -201.481 | -32.923 | 0.000 | 0.000 | 0.000 |
| -32.923 | -32.923 | -201.481 | 0.000 | 0.000 | 0.000 |
| 0.000 | -0.000 | -0.000 | -32.809 | 0.000 | 0.000 |
| -0.000 | 0.000 | -0.000 | 0.000 | -32.809 | 0.000 |
| -0.000 | -0.000 | 0.000 | -0.000 | 0.000 | -32.809 |
| -201.481 | -32.923 | -32.923 | -0.000 | -0.000 | -0.000 |
| -32.923 | -201.481 | -32.923 | -0.000 | -0.000 | -0.000 |
| -32.923 | -32.923 | -201.481 | -0.000 | -0.000 | -0.000 |
| -0.000 | 0.000 | 0.000 | -32.809 | -0.000 | -0.000 |
| 0.000 | -0.000 | 0.000 | 0.000 | -32.809 | 0.000 |
| 0.000 | 0.000 | -0.000 | -0.000 | -0.000 | -32.809 |
| -201.480 | -32.923 | -32.923 | 0.000 | 0.000 | 0.000 |
| -32.923 | -201.480 | -32.923 | 0.000 | 0.000 | 0.000 |
| -32.923 | -32.923 | -201.480 | 0.000 | 0.000 | 0.000 |
| 0.000 | -0.000 | -0.000 | -32.809 | 0.000 | -0.000 |
| -0.000 | 0.000 | -0.000 | 0.000 | -32.809 | 0.000 |
| -0.000 | -0.000 | 0.000 | 0.000 | 0.000 | -32.809 |
| -201.481 | -32.922 | -32.922 | -0.000 | -0.000 | 0.000 |
| -32.922 | -201.481 | -32.922 | -0.000 | -0.000 | 0.000 |
| -32.922 | -32.922 | -201.481 | -0.000 | -0.000 | -0.000 |
| -0.000 | 0.000 | 0.000 | -32.809 | -0.000 | 0.000 |
| 0.000 | -0.000 | 0.000 | 0.000 | -32.809 | 0.000 |
| 0.000 | 0.000 | -0.000 | -0.000 | -0.000 | -32.809 |
| 192.061 | -3.546 | -3.546 | 0.000 | 0.000 | -0.000 |
| -3.546 | 192.061 | -3.546 | 0.000 | -0.000 | 0.000 |
| -3.546 | -3.546 | 192.061 | 0.000 | 0.000 | -0.000 |
| -0.000 | -0.000 | 0.000 | 8.245 | 0.000 | -0.000 |
| -0.000 | -0.000 | 0.000 | 0.000 | 8.245 | -0.000 |
| -0.000 | -0.000 | 0.000 | 0.000 | -0.000 | 8.245 |
| 192.061 | -3.546 | -3.546 | -0.000 | 0.000 | 0.000 |
| -3.546 | 192.061 | -3.546 | -0.000 | 0.000 | 0.000 |
| -3.546 | -3.546 | 192.061 | -0.000 | -0.000 | 0.000 |
| 0.000 | 0.000 | -0.000 | 8.245 | -0.000 | 0.000 |
| 0.000 | 0.000 | -0.000 | -0.000 | 8.245 | 0.000 |
| 0.000 | 0.000 | -0.000 | -0.000 | 0.000 | 8.245 |
| 192.062 | -3.546 | -3.546 | 0.000 | 0.000 | 0.000 |
| -3.546 | 192.062 | -3.546 | 0.000 | -0.000 | -0.000 |
| -3.546 | -3.546 | 192.062 | 0.000 | 0.000 | -0.000 |
| -0.000 | -0.000 | -0.000 | 8.245 | -0.000 | -0.000 |
| -0.000 | -0.000 | -0.000 | 0.000 | 8.245 | -0.000 |
| -0.000 | -0.000 | -0.000 | 0.000 | -0.000 | 8.245 |
| 192.060 | -3.546 | -3.546 | -0.000 | -0.000 | 0.000 |
| -3.546 | 192.060 | -3.546 | -0.000 | 0.000 | 0.000 |
| -3.546 | -3.546 | 192.060 | -0.000 | 0.000 | 0.000 |
| 0.000 | 0.000 | 0.000 | 8.245 | 0.000 | 0.000 |
| 0.000 | 0.000 | 0.000 | -0.000 | 8.245 | 0.000 |
| 0.000 | 0.000 | 0.000 | -0.000 | 0.000 | 8.245 |
| 192.066 | -3.546 | -3.546 | 0.000 | -0.000 | -0.000 |
| -3.546 | 192.066 | -3.546 | 0.000 | -0.000 | -0.000 |
| -3.546 | -3.546 | 192.066 | 0.000 | 0.000 | -0.000 |
| -0.000 | -0.000 | -0.000 | 8.245 | 0.000 | -0.000 |
| -0.000 | -0.000 | -0.000 | 0.000 | 8.245 | -0.000 |
| -0.000 | -0.000 | -0.000 | -0.000 | -0.000 | 8.245 |
| 192.056 | -3.546 | -3.546 | -0.000 | 0.000 | 0.000 |
| -3.546 | 192.056 | -3.546 | -0.000 | 0.000 | 0.000 |
| -3.546 | -3.546 | 192.056 | -0.000 | -0.000 | 0.000 |
| 0.000 | 0.000 | 0.000 | 8.245 | 0.000 | 0.000 |
| 0.000 | 0.000 | 0.000 | -0.000 | 8.245 | 0.000 |
| 0.000 | 0.000 | 0.000 | 0.000 | 0.000 | 8.245 |
| 108.845 | 53.305 | 53.305 | 0.000 | -0.000 | -0.000 |
| 53.305 | 108.845 | 53.305 | 0.000 | 0.000 | 0.000 |
| 53.305 | 53.305 | 108.845 | 0.000 | 0.000 | 0.000 |
| -0.000 | 0.000 | 0.000 | 56.527 | 0.000 | 0.000 |
| 0.000 | -0.000 | 0.000 | 0.000 | 56.527 | -0.000 |
| 0.000 | 0.000 | -0.000 | 0.000 | -0.000 | 56.527 |
| 108.845 | 53.305 | 53.305 | -0.000 | -0.000 | -0.000 |
| 53.305 | 108.845 | 53.305 | -0.000 | -0.000 | -0.000 |
| 53.305 | 53.305 | 108.845 | -0.000 | -0.000 | -0.000 |
| 0.000 | -0.000 | -0.000 | 56.527 | -0.000 | -0.000 |
| -0.000 | 0.000 | -0.000 | -0.000 | 56.527 | -0.000 |
| -0.000 | -0.000 | 0.000 | -0.000 | -0.000 | 56.527 |
| 108.845 | 53.305 | 53.305 | 0.000 | -0.000 | -0.000 |
| 53.305 | 108.845 | 53.305 | -0.000 | 0.000 | -0.000 |
| 53.305 | 53.305 | 108.845 | 0.000 | 0.000 | 0.000 |
| -0.000 | 0.000 | 0.000 | 56.527 | 0.000 | -0.000 |
| 0.000 | -0.000 | 0.000 | 0.000 | 56.527 | -0.000 |
| 0.000 | 0.000 | -0.000 | 0.000 | -0.000 | 56.527 |
| 108.845 | 53.305 | 53.305 | -0.000 | -0.000 | 0.000 |
| 53.305 | 108.845 | 53.305 | -0.000 | -0.000 | -0.000 |
| 53.305 | 53.305 | 108.845 | -0.000 | -0.000 | -0.000 |
| 0.000 | -0.000 | -0.000 | 56.527 | -0.000 | -0.000 |
| -0.000 | 0.000 | -0.000 | -0.000 | 56.527 | 0.000 |
| -0.000 | -0.000 | 0.000 | -0.000 | 0.000 | 56.527 |
| 108.846 | 53.305 | 53.305 | 0.000 | 0.000 | 0.000 |
| 53.305 | 108.846 | 53.305 | 0.000 | 0.000 | -0.000 |
| 53.305 | 53.305 | 108.846 | 0.000 | 0.000 | 0.000 |
| -0.000 | 0.000 | 0.000 | 56.527 | 0.000 | 0.000 |
| 0.000 | -0.000 | 0.000 | 0.000 | 56.527 | -0.000 |
| 0.000 | 0.000 | -0.000 | 0.000 | 0.000 | 56.527 |
| 108.845 | 53.304 | 53.304 | -0.000 | 0.000 | 0.000 |
| 53.304 | 108.845 | 53.304 | 0.000 | -0.000 | -0.000 |
| 53.304 | 53.304 | 108.845 | -0.000 | -0.000 | -0.000 |
| 0.000 | -0.000 | -0.000 | 56.527 | -0.000 | -0.000 |
| -0.000 | 0.000 | -0.000 | -0.000 | 56.527 | 0.000 |
| -0.000 | -0.000 | 0.000 | -0.000 | 0.000 | 56.527 |
| 56.473 | 27.861 | 27.861 | 0.000 | 0.000 | 0.000 |
| 27.861 | 56.473 | 27.861 | 0.000 | 0.000 | 0.000 |
| 27.861 | 27.861 | 56.473 | 0.000 | 0.000 | 0.000 |
| 0.000 | -0.000 | -0.000 | 30.140 | 0.000 | 0.000 |
| -0.000 | 0.000 | -0.000 | 0.000 | 30.140 | 0.000 |
| -0.000 | -0.000 | 0.000 | 0.000 | 0.000 | 30.140 |
| 56.473 | 27.861 | 27.861 | -0.000 | -0.000 | -0.000 |
| 27.861 | 56.473 | 27.861 | -0.000 | -0.000 | -0.000 |
| 27.861 | 27.861 | 56.473 | -0.000 | -0.000 | -0.000 |
| -0.000 | 0.000 | 0.000 | 30.140 | -0.000 | -0.000 |
| 0.000 | -0.000 | 0.000 | -0.000 | 30.140 | -0.000 |
| 0.000 | 0.000 | -0.000 | -0.000 | -0.000 | 30.140 |
| 56.473 | 27.861 | 27.861 | 0.000 | 0.000 | 0.000 |
| 27.861 | 56.473 | 27.861 | 0.000 | 0.000 | 0.000 |
| 27.861 | 27.861 | 56.473 | 0.000 | 0.000 | 0.000 |
| -0.000 | -0.000 | -0.000 | 30.140 | 0.000 | 0.000 |
| -0.000 | -0.000 | -0.000 | 0.000 | 30.140 | 0.000 |
| -0.000 | -0.000 | -0.000 | 0.000 | 0.000 | 30.140 |
| 56.473 | 27.861 | 27.861 | -0.000 | -0.000 | -0.000 |
| 27.861 | 56.473 | 27.861 | -0.000 | -0.000 | -0.000 |
| 27.861 | 27.861 | 56.473 | -0.000 | -0.000 | -0.000 |
| 0.000 | 0.000 | 0.000 | 30.140 | -0.000 | -0.000 |
| 0.000 | 0.000 | 0.000 | -0.000 | 30.140 | -0.000 |
| 0.000 | 0.000 | 0.000 | -0.000 | -0.000 | 30.140 |
| 56.472 | 27.861 | 27.861 | 0.000 | -0.000 | -0.000 |
| 27.861 | 56.472 | 27.861 | 0.000 | 0.000 | 0.000 |
| 27.861 | 27.861 | 56.472 | 0.000 | 0.000 | 0.000 |
| -0.000 | -0.000 | -0.000 | 30.140 | 0.000 | 0.000 |
| -0.000 | -0.000 | -0.000 | 0.000 | 30.140 | 0.000 |
| -0.000 | -0.000 | -0.000 | 0.000 | 0.000 | 30.140 |
| 56.473 | 27.861 | 27.861 | -0.000 | -0.000 | -0.000 |
| 27.861 | 56.473 | 27.861 | -0.000 | -0.000 | -0.000 |
| 27.861 | 27.861 | 56.473 | -0.000 | -0.000 | -0.000 |
| 0.000 | 0.000 | 0.000 | 30.140 | -0.000 | -0.000 |
| 0.000 | 0.000 | 0.000 | -0.000 | 30.140 | -0.000 |
| 0.000 | 0.000 | 0.000 | -0.000 | -0.000 | 30.140 |
| 1297980.999 | 913043.999 | 913043.001 | 0.404 | 0.674 | 0.094 |
| 913043.001 | 1297980.999 | 913041.999 | 0.527 | 0.392 | 0.037 |
| 913043.001 | 913043.999 | 1297980.001 | 0.097 | -0.125 | -0.026 |
| 1.002 | 0.998 | 0.000 | -1330220.813 | 0.263 | -0.015 |
| 0.000 | 0.998 | 0.000 | 0.371 | -1330220.464 | 0.027 |
| 1.002 | 0.998 | 1.002 | 0.117 | 0.399 | -1330220.868 |
| 1297977.998 | 913041.999 | 913042.997 | -0.513 | -1.097 | 0.034 |
| 913043.999 | 1297976.999 | 913043.999 | 0.279 | -0.001 | 0.113 |
| 913043.999 | 913041.999 | 1297977.998 | -0.258 | -0.466 | 0.086 |
| -0.000 | -0.998 | -0.000 | -1330221.338 | 0.068 | 0.061 |
| -0.000 | -0.998 | -0.000 | 0.017 | -1330220.865 | 0.001 |
| -0.000 | -0.998 | -0.000 | -0.520 | -0.642 | -1330220.846 |
| 1297990.100 | 913037.100 | 913037.000 | 0.027 | 0.075 | 0.000 |
| 913037.000 | 1297990.200 | 913037.000 | 0.049 | 0.035 | 0.006 |
| 913037.000 | 913037.200 | 1297990.100 | 0.059 | 0.096 | 0.003 |
| 43.100 | -16.000 | -21.300 | -1330194.352 | -0.007 | 0.002 |
| -16.300 | 43.600 | -21.600 | 0.024 | -1330193.368 | 0.003 |
| -16.300 | -21.100 | 43.200 | 0.048 | 0.050 | -1330194.286 |
| 1345895.600 | 889085.500 | 889085.600 | -0.031 | -0.085 | -0.001 |
| 889085.600 | 1345895.500 | 889085.600 | -0.015 | 0.004 | 0.004 |
| 889085.600 | 889085.500 | 1345895.600 | -0.096 | -0.041 | 0.009 |
| -43.200 | 16.000 | 21.400 | -1330193.910 | 0.015 | -0.003 |
| 16.300 | -43.700 | 21.700 | -0.003 | -1330193.251 | -0.003 |
| 16.300 | 21.200 | -43.300 | -0.028 | -0.000 | -1330193.818 |
| 1298086.650 | 912982.580 | 912982.570 | 0.001 | -0.002 | -0.000 |
| 912982.570 | 1298086.660 | 912982.570 | -0.005 | 0.008 | 0.001 |
| 912982.570 | 912982.580 | 1298086.650 | 0.002 | -0.006 | -0.000 |
| -2.050 | -3.780 | -3.250 | 382392.525 | -0.004 | 0.001 |
| -3.790 | -2.040 | -3.250 | 0.002 | 382392.519 | 0.000 |
| -3.790 | -3.250 | -2.050 | 0.004 | 0.001 | 382392.520 |
| 1297898.470 | 913090.360 | 913090.370 | -0.006 | -0.004 | -0.000 |
| 913090.370 | 1297898.460 | 913090.370 | -0.006 | 0.000 | -0.000 |
| 913090.370 | 913090.360 | 1297898.470 | -0.005 | 0.005 | -0.000 |
| 2.050 | 3.780 | 3.250 | 382392.514 | -0.006 | -0.001 |
| 3.790 | 2.040 | 3.250 | -0.003 | 382392.522 | 0.000 |
| 3.790 | 3.250 | 2.050 | -0.006 | -0.003 | 382392.520 |
| 900.786 | 356.230 | 356.230 | -0.000 | 0.000 | -0.000 |
| 356.230 | 900.786 | 356.230 | -0.000 | 0.000 | -0.000 |
| 356.230 | 356.230 | 900.786 | -0.000 | 0.000 | -0.000 |
| 0.000 | 0.000 | -0.000 | 112.753 | -0.000 | -0.000 |
| 0.000 | -0.000 | -0.000 | -0.000 | 112.753 | -0.000 |
| 0.000 | -0.000 | -0.000 | -0.000 | -0.000 | 112.753 |
| 901.452 | 355.901 | 355.901 | 0.000 | 0.000 | 0.000 |
| 355.901 | 901.452 | 355.901 | 0.000 | 0.000 | 0.000 |
| 355.901 | 355.901 | 901.452 | 0.000 | 0.000 | 0.000 |
| -0.000 | 0.000 | 0.000 | 112.753 | 0.000 | 0.000 |
| -0.000 | 0.000 | 0.000 | 0.000 | 112.753 | 0.000 |
| -0.000 | 0.000 | 0.000 | 0.000 | -0.000 | 112.753 |
| 901.438 | 355.888 | 355.888 | -0.000 | 0.000 | -0.000 |
| 355.888 | 901.438 | 355.888 | 0.000 | 0.000 | -0.000 |
| 355.888 | 355.888 | 901.438 | -0.000 | -0.000 | -0.000 |
| -0.000 | 0.000 | 0.000 | 134.148 | -0.000 | -0.000 |
| 0.000 | -0.000 | 0.000 | -0.000 | 134.148 | -0.000 |
| 0.000 | 0.000 | -0.000 | -0.000 | -0.000 | 134.148 |
| 901.463 | 355.912 | 355.912 | 0.000 | -0.000 | 0.000 |
| 355.912 | 901.463 | 355.912 | 0.000 | 0.000 | 0.000 |
| 355.912 | 355.912 | 901.463 | 0.000 | 0.000 | 0.000 |
| 0.000 | -0.000 | -0.000 | 134.148 | 0.000 | -0.000 |
| -0.000 | 0.000 | -0.000 | 0.000 | 134.148 | 0.000 |
| -0.000 | -0.000 | 0.000 | 0.000 | -0.000 | 134.148 |
| 901.324 | 355.777 | 355.777 | -0.000 | 0.000 | -0.000 |
| 355.777 | 901.324 | 355.777 | -0.000 | 0.000 | -0.000 |
| 355.777 | 355.777 | 901.324 | -0.000 | -0.000 | -0.000 |
| -0.000 | 0.001 | 0.001 | 112.752 | -0.000 | -0.000 |
| 0.001 | -0.000 | 0.001 | -0.000 | 112.752 | -0.000 |
| 0.001 | 0.001 | -0.000 | -0.000 | -0.000 | 112.752 |
| 901.569 | 356.022 | 356.022 | 0.000 | 0.000 | 0.000 |
| 356.022 | 901.569 | 356.022 | 0.000 | 0.000 | 0.000 |
| 356.022 | 356.022 | 901.569 | 0.000 | 0.000 | 0.000 |
| 0.000 | -0.001 | -0.001 | 112.752 | 0.000 | 0.000 |
| -0.001 | 0.000 | -0.001 | 0.000 | 112.752 | 0.000 |
| -0.001 | -0.001 | 0.000 | 0.000 | 0.000 | 112.752 |
| 8.428 | -1.067 | -1.067 | -0.000 | 0.000 | 0.000 |
| -1.067 | 8.428 | -1.067 | 0.000 | -0.000 | -0.000 |
| -1.067 | -1.067 | 8.428 | 0.000 | -0.000 | 0.000 |
| 0.000 | 0.000 | 0.000 | -0.203 | -0.000 | -0.000 |
| 0.000 | 0.000 | 0.000 | -0.000 | -0.203 | 0.000 |
| 0.000 | 0.000 | 0.000 | 0.000 | -0.000 | -0.203 |
| 7.304 | -0.505 | -0.505 | -0.000 | 0.000 | 0.000 |
| -0.505 | 7.304 | -0.505 | -0.000 | 0.000 | -0.000 |
| -0.505 | -0.505 | 7.304 | 0.000 | 0.000 | 0.000 |
| -0.000 | -0.000 | -0.000 | -0.203 | 0.000 | -0.000 |
| -0.000 | -0.000 | -0.000 | 0.000 | -0.203 | -0.000 |
| -0.000 | -0.000 | -0.000 | -0.000 | 0.000 | -0.203 |
| 7.304 | -0.505 | -0.505 | 0.000 | 0.000 | -0.000 |
| -0.505 | 7.304 | -0.505 | 0.000 | -0.000 | -0.000 |
| -0.505 | -0.505 | 7.304 | -0.000 | -0.000 | -0.000 |
| 0.000 | -0.000 | -0.000 | 0.830 | -0.000 | 0.000 |
| -0.000 | 0.000 | -0.000 | -0.000 | 0.830 | 0.000 |
| -0.000 | -0.000 | 0.000 | 0.000 | -0.000 | 0.830 |
| 7.304 | -0.505 | -0.505 | -0.000 | 0.000 | 0.000 |
| -0.505 | 7.304 | -0.505 | -0.000 | -0.000 | 0.000 |
| -0.505 | -0.505 | 7.304 | 0.000 | 0.000 | 0.000 |
| -0.000 | 0.000 | 0.000 | 0.830 | 0.000 | 0.000 |
| 0.000 | -0.000 | 0.000 | 0.000 | 0.830 | -0.000 |
| 0.000 | 0.000 | -0.000 | -0.000 | 0.000 | 0.830 |
| 7.304 | -0.505 | -0.505 | -0.000 | -0.000 | 0.000 |
| -0.505 | 7.304 | -0.505 | 0.000 | -0.000 | -0.000 |
| -0.505 | -0.505 | 7.304 | -0.000 | -0.000 | 0.000 |
| 0.000 | 0.000 | 0.000 | -0.203 | -0.000 | -0.000 |
| 0.000 | 0.000 | 0.000 | -0.000 | -0.203 | 0.000 |
| 0.000 | 0.000 | 0.000 | 0.000 | -0.000 | -0.203 |
| 7.304 | -0.505 | -0.505 | -0.000 | 0.000 | -0.000 |
| -0.505 | 7.304 | -0.505 | -0.000 | 0.000 | -0.000 |
| -0.505 | -0.505 | 7.304 | 0.000 | 0.000 | 0.000 |
| -0.000 | -0.000 | -0.000 | -0.203 | 0.000 | 0.000 |
| -0.000 | -0.000 | -0.000 | 0.000 | -0.203 | -0.000 |
| -0.000 | -0.000 | -0.000 | -0.000 | 0.000 | -0.203 |
| 25.943 | 5.913 | 5.913 | 0.000 | -0.000 | 0.000 |
| 5.913 | 25.943 | 5.913 | -0.000 | -0.000 | -0.000 |
| 5.913 | 5.913 | 25.943 | -0.000 | -0.000 | -0.000 |
| -0.000 | 0.000 | 0.000 | 0.629 | -0.000 | -0.000 |
| 0.000 | -0.000 | -0.000 | -0.000 | 0.629 | -0.000 |
| 0.000 | 0.000 | -0.000 | -0.000 | -0.000 | 0.629 |
| 25.943 | 5.914 | 5.914 | 0.000 | 0.000 | 0.000 |
| 5.914 | 25.943 | 5.914 | 0.000 | -0.000 | 0.000 |
| 5.914 | 5.914 | 25.943 | 0.000 | 0.000 | -0.000 |
| 0.000 | -0.000 | -0.000 | 0.629 | 0.000 | -0.000 |
| -0.000 | 0.000 | 0.000 | -0.000 | 0.629 | -0.000 |
| -0.000 | -0.000 | 0.000 | 0.000 | 0.000 | 0.629 |
| 25.943 | 5.913 | 5.913 | -0.000 | -0.000 | -0.000 |
| 5.913 | 25.943 | 5.913 | -0.000 | -0.000 | -0.000 |
| 5.913 | 5.913 | 25.943 | 0.000 | 0.000 | 0.000 |
| -0.000 | 0.000 | 0.000 | 0.629 | -0.000 | -0.000 |
| 0.000 | -0.000 | 0.000 | 0.000 | 0.629 | -0.000 |
| 0.000 | 0.000 | -0.000 | -0.000 | -0.000 | 0.629 |
| 25.943 | 5.914 | 5.914 | -0.000 | 0.000 | 0.000 |
| 5.914 | 25.943 | 5.914 | 0.000 | 0.000 | 0.000 |
| 5.914 | 5.914 | 25.943 | 0.000 | 0.000 | -0.000 |
| 0.000 | -0.000 | -0.000 | 0.629 | -0.000 | -0.000 |
| -0.000 | 0.000 | -0.000 | 0.000 | 0.629 | 0.000 |
| -0.000 | -0.000 | 0.000 | 0.000 | -0.000 | 0.629 |
| 25.943 | 5.913 | 5.913 | -0.000 | -0.000 | -0.000 |
| 5.913 | 25.943 | 5.913 | -0.000 | -0.000 | 0.000 |
| 5.913 | 5.913 | 25.943 | -0.000 | -0.000 | -0.000 |
| -0.000 | 0.000 | 0.000 | 0.629 | 0.000 | -0.000 |
| 0.000 | -0.000 | 0.000 | -0.000 | 0.629 | -0.000 |
| 0.000 | 0.000 | -0.000 | 0.000 | -0.000 | 0.629 |
| 25.943 | 5.914 | 5.914 | 0.000 | 0.000 | 0.000 |
| 5.914 | 25.943 | 5.914 | 0.000 | 0.000 | 0.000 |
| 5.914 | 5.914 | 25.943 | -0.000 | 0.000 | 0.000 |
| 0.000 | -0.000 | -0.000 | 0.629 | -0.000 | -0.000 |
| -0.000 | 0.000 | -0.000 | -0.000 | 0.629 | 0.000 |
| -0.000 | -0.000 | 0.000 | -0.000 | -0.000 | 0.629 |
| 11.711 | -0.000 | -0.000 | 0.000 | 0.000 | 0.000 |
| -0.000 | 11.711 | -0.000 | 0.000 | -0.000 | 0.000 |
| -0.000 | -0.000 | 11.711 | 0.000 | 0.000 | 0.000 |
| -0.000 | -0.000 | -0.000 | -0.000 | 0.000 | 0.000 |
| -0.000 | -0.000 | -0.000 | 0.000 | -0.000 | 0.000 |
| -0.000 | -0.000 | -0.000 | 0.000 | -0.000 | -0.000 |
| 11.711 | 0.000 | 0.000 | -0.000 | -0.000 | 0.000 |
| 0.000 | 11.711 | 0.000 | 0.000 | 0.000 | -0.000 |
| 0.000 | 0.000 | 11.711 | -0.000 | -0.000 | -0.000 |
| 0.000 | 0.000 | 0.000 | -0.000 | -0.000 | 0.000 |
| 0.000 | 0.000 | 0.000 | -0.000 | -0.000 | -0.000 |
| 0.000 | 0.000 | 0.000 | -0.000 | -0.000 | -0.000 |
| 11.711 | -0.000 | -0.000 | 0.000 | 0.000 | -0.000 |
| -0.000 | 11.711 | -0.000 | 0.000 | -0.000 | 0.000 |
| -0.000 | -0.000 | 11.711 | 0.000 | -0.000 | 0.000 |
| -0.000 | -0.000 | -0.000 | 0.000 | -0.000 | -0.000 |
| -0.000 | -0.000 | -0.000 | 0.000 | 0.000 | -0.000 |
| -0.000 | -0.000 | -0.000 | 0.000 | 0.000 | 0.000 |
| 11.711 | 0.000 | 0.000 | -0.000 | -0.000 | 0.000 |
| 0.000 | 11.711 | 0.000 | -0.000 | 0.000 | 0.000 |
| 0.000 | 0.000 | 11.711 | 0.000 | -0.000 | -0.000 |
| 0.000 | 0.000 | 0.000 | 0.000 | 0.000 | -0.000 |
| 0.000 | 0.000 | 0.000 | -0.000 | 0.000 | -0.000 |
| 0.000 | 0.000 | 0.000 | -0.000 | -0.000 | 0.000 |
| 11.710 | -0.000 | -0.000 | 0.000 | -0.000 | 0.000 |
| -0.000 | 11.710 | -0.000 | 0.000 | -0.000 | -0.000 |
| -0.000 | -0.000 | 11.710 | -0.000 | -0.000 | 0.000 |
| -0.000 | -0.000 | -0.000 | 0.000 | 0.000 | -0.000 |
| -0.000 | -0.000 | -0.000 | -0.000 | 0.000 | -0.000 |
| -0.000 | -0.000 | -0.000 | 0.000 | 0.000 | 0.000 |
| 11.711 | 0.000 | 0.000 | -0.000 | 0.000 | 0.000 |
| 0.000 | 11.711 | 0.000 | 0.000 | 0.000 | 0.000 |
| 0.000 | 0.000 | 11.711 | 0.000 | -0.000 | -0.000 |
| 0.000 | 0.000 | 0.000 | 0.000 | -0.000 | 0.000 |
| 0.000 | 0.000 | 0.000 | 0.000 | 0.000 | 0.000 |
| 0.000 | 0.000 | 0.000 | -0.000 | -0.000 | 0.000 |
| 1760746.001 | 860177.001 | 860178.001 | -0.001 | 0.015 | 0.006 |
| 860177.001 | 1760746.001 | 860178.001 | -0.103 | -0.098 | -0.000 |
| 860177.001 | 860177.001 | 1760746.001 | 0.011 | -0.149 | 0.017 |
| -0.998 | -0.998 | -0.998 | 613805.312 | -0.206 | 0.035 |
| -0.998 | -0.998 | -0.998 | 0.007 | 613805.246 | 0.010 |
| -0.998 | -0.998 | -0.998 | 0.065 | -0.002 | 613805.333 |
| 1760747.999 | 860178.999 | 860178.999 | 0.049 | -0.044 | 0.004 |
| 860178.999 | 1760747.999 | 860178.999 | -0.103 | 0.065 | -0.014 |
| 860178.999 | 860178.999 | 1760747.999 | 0.039 | 0.105 | -0.011 |
| 0.998 | 0.998 | 0.998 | 613805.260 | 0.090 | -0.008 |
| 0.998 | 0.998 | 0.998 | 0.014 | 613805.362 | 0.013 |
| 0.998 | 0.998 | 0.998 | -0.068 | -0.013 | 613805.307 |
| 1760740.600 | 860173.800 | 860173.800 | 0.002 | -0.001 | 0.001 |
| 860173.800 | 1760740.600 | 860173.800 | -0.000 | 0.000 | 0.001 |
| 860173.800 | 860173.800 | 1760740.600 | 0.007 | 0.009 | 0.004 |
| -4.400 | -4.700 | -4.600 | 613805.325 | -0.016 | 0.003 |
| -4.700 | -4.400 | -4.600 | -0.002 | 613805.318 | 0.002 |
| -4.700 | -4.600 | -4.400 | 0.006 | 0.000 | 613805.326 |
| 1760753.000 | 860182.700 | 860182.700 | 0.001 | 0.015 | -0.003 |
| 860182.700 | 1760753.000 | 860182.700 | 0.001 | -0.003 | 0.001 |
| 860182.700 | 860182.700 | 1760753.000 | 0.006 | 0.018 | -0.001 |
| 4.400 | 4.700 | 4.600 | 613805.319 | -0.001 | -0.001 |
| 4.700 | 4.400 | 4.600 | 0.008 | 613805.333 | -0.001 |
| 4.700 | 4.600 | 4.400 | -0.002 | 0.013 | 613805.323 |
| 1760685.190 | 860134.080 | 860134.080 | 0.000 | 0.000 | 0.000 |
| 860134.080 | 1760685.190 | 860134.080 | 0.000 | -0.000 | 0.000 |
| 860134.080 | 860134.080 | 1760685.190 | 0.001 | -0.001 | -0.000 |
| -43.840 | -46.420 | -45.650 | 613805.324 | -0.001 | 0.000 |
| -46.420 | -43.840 | -45.650 | 0.001 | 613805.323 | 0.000 |
| -46.420 | -45.650 | -43.840 | -0.000 | -0.001 | 613805.324 |
| 1760808.400 | 860222.490 | 860222.490 | 0.001 | 0.000 | -0.000 |
| 860222.490 | 1760808.400 | 860222.490 | -0.001 | 0.001 | -0.000 |
| 860222.490 | 860222.490 | 1760808.400 | -0.001 | -0.000 | -0.000 |
| 43.840 | 46.420 | 45.650 | 613805.323 | 0.003 | 0.000 |
| 46.420 | 43.840 | 45.650 | 0.000 | 613805.325 | -0.000 |
| 46.420 | 45.650 | 43.840 | 0.000 | -0.001 | 613805.324 |
| 250.393 | 108.035 | 108.035 | -0.000 | 0.000 | 0.000 |
| 108.035 | 250.393 | 108.035 | -0.000 | 0.000 | -0.000 |
| 108.035 | 108.035 | 250.393 | -0.000 | 0.000 | -0.000 |
| -0.000 | 0.000 | 0.000 | 110.068 | -0.000 | -0.000 |
| 0.000 | 0.000 | 0.000 | -0.000 | 110.068 | -0.000 |
| 0.000 | 0.000 | 0.000 | -0.000 | -0.000 | 110.068 |
| 250.393 | 108.035 | 108.035 | 0.000 | -0.000 | 0.000 |
| 108.035 | 250.393 | 108.035 | 0.000 | 0.000 | -0.000 |
| 108.035 | 108.035 | 250.393 | 0.000 | -0.000 | -0.000 |
| -0.000 | -0.000 | -0.000 | 110.068 | 0.000 | 0.000 |
| -0.000 | -0.000 | -0.000 | 0.000 | 110.068 | 0.000 |
| -0.000 | -0.000 | -0.000 | 0.000 | -0.000 | 110.068 |
| 250.394 | 108.035 | 108.035 | -0.000 | 0.000 | 0.000 |
| 108.035 | 250.394 | 108.035 | 0.000 | 0.000 | -0.000 |
| 108.035 | 108.035 | 250.394 | -0.000 | -0.000 | -0.000 |
| 0.000 | 0.000 | 0.000 | 110.068 | -0.000 | 0.000 |
| 0.000 | 0.000 | 0.000 | 0.000 | 110.068 | -0.000 |
| 0.000 | 0.000 | 0.000 | -0.000 | -0.000 | 110.068 |
| 250.393 | 108.035 | 108.035 | 0.000 | -0.000 | 0.000 |
| 108.035 | 250.393 | 108.035 | -0.000 | -0.000 | 0.000 |
| 108.035 | 108.035 | 250.393 | -0.000 | -0.000 | 0.000 |
| -0.000 | -0.000 | -0.000 | 110.068 | -0.000 | -0.000 |
| -0.000 | -0.000 | -0.000 | 0.000 | 110.068 | 0.000 |
| -0.000 | -0.000 | -0.000 | 0.000 | -0.000 | 110.068 |
| 250.396 | 108.038 | 108.038 | -0.000 | -0.000 | -0.000 |
| 108.038 | 250.396 | 108.038 | -0.000 | -0.000 | 0.000 |
| 108.038 | 108.038 | 250.396 | 0.000 | 0.000 | -0.000 |
| 0.000 | 0.000 | 0.001 | 110.068 | -0.000 | -0.000 |
| 0.000 | 0.000 | 0.001 | -0.000 | 110.068 | -0.000 |
| 0.000 | 0.001 | 0.000 | -0.000 | -0.000 | 110.068 |
| 250.391 | 108.033 | 108.033 | 0.000 | -0.000 | -0.000 |
| 108.033 | 250.391 | 108.033 | -0.000 | -0.000 | 0.000 |
| 108.033 | 108.033 | 250.391 | -0.000 | -0.000 | 0.000 |
| -0.000 | -0.000 | -0.001 | 110.068 | -0.000 | 0.000 |
| -0.000 | -0.000 | -0.001 | -0.000 | 110.068 | 0.000 |
| -0.000 | -0.001 | -0.000 | 0.000 | -0.000 | 110.068 |
| 144.575 | 14.804 | 14.804 | 0.000 | -0.000 | -0.000 |
| 14.804 | 144.575 | 14.804 | 0.000 | 0.000 | -0.000 |
| 14.804 | 14.804 | 144.575 | -0.000 | -0.000 | -0.000 |
| -0.000 | -0.000 | 0.000 | 16.935 | 0.000 | -0.000 |
| -0.000 | -0.000 | 0.000 | 0.000 | 16.935 | -0.000 |
| 0.000 | -0.000 | -0.000 | 0.000 | 0.000 | 16.935 |
| 144.575 | 14.804 | 14.804 | -0.000 | -0.000 | 0.000 |
| 14.804 | 144.575 | 14.804 | -0.000 | -0.000 | 0.000 |
| 14.804 | 14.804 | 144.575 | 0.000 | -0.000 | 0.000 |
| 0.000 | -0.000 | -0.000 | 16.935 | 0.000 | 0.000 |
| -0.000 | 0.000 | -0.000 | -0.000 | 16.935 | 0.000 |
| 0.000 | 0.000 | -0.000 | -0.000 | -0.000 | 16.935 |
| 144.575 | 14.804 | 14.804 | 0.000 | -0.000 | -0.000 |
| 14.804 | 144.575 | 14.804 | 0.000 | -0.000 | -0.000 |
| 14.804 | 14.804 | 144.575 | 0.000 | -0.000 | -0.000 |
| 0.000 | 0.000 | 0.000 | 16.935 | 0.000 | -0.000 |
| 0.000 | 0.000 | 0.000 | 0.000 | 16.935 | -0.000 |
| 0.000 | 0.000 | 0.000 | 0.000 | 0.000 | 16.935 |
| 144.575 | 14.804 | 14.804 | -0.000 | -0.000 | 0.000 |
| 14.804 | 144.575 | 14.804 | -0.000 | -0.000 | 0.000 |
| 14.804 | 14.804 | 144.575 | -0.000 | 0.000 | 0.000 |
| -0.000 | -0.000 | -0.000 | 16.935 | 0.000 | 0.000 |
| -0.000 | -0.000 | -0.000 | -0.000 | 16.935 | 0.000 |
| -0.000 | -0.000 | -0.000 | -0.000 | -0.000 | 16.935 |
| 144.577 | 14.804 | 14.804 | 0.000 | 0.000 | -0.000 |
| 14.804 | 144.577 | 14.804 | 0.000 | -0.000 | -0.000 |
| 14.804 | 14.804 | 144.577 | -0.000 | -0.000 | -0.000 |
| 0.000 | 0.000 | 0.000 | 16.935 | 0.000 | 0.000 |
| 0.000 | 0.000 | 0.000 | 0.000 | 16.935 | -0.000 |
| 0.000 | 0.000 | 0.000 | 0.000 | -0.000 | 16.935 |
| 144.573 | 14.804 | 14.804 | -0.000 | 0.000 | -0.000 |
| 14.804 | 144.573 | 14.804 | -0.000 | 0.000 | 0.000 |
| 14.804 | 14.804 | 144.573 | -0.000 | -0.000 | 0.000 |
| -0.000 | -0.000 | -0.000 | 16.935 | -0.000 | 0.000 |
| -0.000 | -0.000 | -0.000 | -0.000 | 16.935 | 0.000 |
| -0.000 | -0.000 | -0.000 | -0.000 | -0.000 | 16.935 |
| 96.501 | 38.608 | 38.608 | -0.000 | -0.000 | -0.000 |
| 38.608 | 96.501 | 38.608 | -0.000 | -0.000 | -0.000 |
| 38.608 | 38.608 | 96.501 | -0.000 | -0.000 | -0.000 |
| 0.000 | 0.000 | 0.000 | 42.840 | -0.000 | -0.000 |
| 0.000 | 0.000 | 0.000 | -0.000 | 42.840 | -0.000 |
| 0.000 | 0.000 | 0.000 | -0.000 | -0.000 | 42.840 |
| 96.501 | 38.608 | 38.608 | 0.000 | 0.000 | 0.000 |
| 38.608 | 96.501 | 38.608 | 0.000 | 0.000 | 0.000 |
| 38.608 | 38.608 | 96.501 | 0.000 | 0.000 | 0.000 |
| -0.000 | -0.000 | -0.000 | 42.840 | 0.000 | 0.000 |
| -0.000 | -0.000 | -0.000 | 0.000 | 42.840 | 0.000 |
| -0.000 | -0.000 | -0.000 | 0.000 | 0.000 | 42.840 |
| 96.501 | 38.608 | 38.608 | -0.000 | -0.000 | -0.000 |
| 38.608 | 96.501 | 38.608 | -0.000 | -0.000 | -0.000 |
| 38.608 | 38.608 | 96.501 | -0.000 | -0.000 | -0.000 |
| 0.000 | 0.000 | 0.000 | 42.840 | -0.000 | -0.000 |
| 0.000 | 0.000 | 0.000 | -0.000 | 42.840 | -0.000 |
| 0.000 | 0.000 | 0.000 | -0.000 | -0.000 | 42.840 |
| 96.502 | 38.608 | 38.608 | 0.000 | 0.000 | 0.000 |
| 38.608 | 96.502 | 38.608 | 0.000 | 0.000 | 0.000 |
| 38.608 | 38.608 | 96.502 | 0.000 | 0.000 | 0.000 |
| -0.000 | -0.000 | -0.000 | 42.840 | 0.000 | 0.000 |
| -0.000 | -0.000 | -0.000 | 0.000 | 42.840 | 0.000 |
| -0.000 | -0.000 | -0.000 | 0.000 | 0.000 | 42.840 |
| 96.499 | 38.608 | 38.608 | -0.000 | -0.000 | -0.000 |
| 38.608 | 96.499 | 38.608 | 0.000 | -0.000 | -0.000 |
| 38.608 | 38.608 | 96.499 | -0.000 | -0.000 | -0.000 |
| 0.000 | 0.000 | 0.000 | 42.840 | -0.000 | -0.000 |
| 0.000 | 0.000 | 0.000 | -0.000 | 42.840 | -0.000 |
| 0.000 | 0.000 | 0.000 | -0.000 | -0.000 | 42.840 |
| 96.503 | 38.608 | 38.608 | 0.000 | 0.000 | 0.000 |
| 38.608 | 96.503 | 38.608 | 0.000 | 0.000 | 0.000 |
| 38.608 | 38.608 | 96.503 | 0.000 | 0.000 | 0.000 |
| -0.000 | -0.000 | -0.000 | 42.840 | 0.000 | 0.000 |
| -0.000 | -0.000 | -0.000 | 0.000 | 42.840 | 0.000 |
| -0.000 | -0.000 | -0.000 | 0.000 | 0.000 | 42.840 |
| 22.982 | 22.861 | 22.861 | 0.000 | 0.000 | 0.000 |
| 22.861 | 22.982 | 22.861 | 0.000 | 0.000 | 0.000 |
| 22.861 | 22.861 | 22.982 | 0.000 | 0.000 | 0.000 |
| -0.000 | -0.000 | -0.000 | 24.629 | 0.000 | 0.000 |
| -0.000 | -0.000 | -0.000 | 0.000 | 24.629 | 0.000 |
| -0.000 | -0.000 | -0.000 | 0.000 | 0.000 | 24.629 |
| 22.982 | 22.861 | 22.861 | -0.000 | -0.000 | 0.000 |
| 22.861 | 22.982 | 22.861 | -0.000 | -0.000 | 0.000 |
| 22.861 | 22.861 | 22.982 | -0.000 | -0.000 | -0.000 |
| 0.000 | 0.000 | 0.000 | 24.629 | -0.000 | -0.000 |
| 0.000 | 0.000 | 0.000 | -0.000 | 24.629 | -0.000 |
| 0.000 | 0.000 | 0.000 | -0.000 | -0.000 | 24.629 |
| 22.982 | 22.861 | 22.861 | 0.000 | 0.000 | 0.000 |
| 22.861 | 22.982 | 22.861 | 0.000 | 0.000 | 0.000 |
| 22.861 | 22.861 | 22.982 | 0.000 | 0.000 | 0.000 |
| -0.000 | -0.000 | -0.000 | 24.629 | 0.000 | 0.000 |
| -0.000 | -0.000 | -0.000 | 0.000 | 24.629 | 0.000 |
| -0.000 | -0.000 | -0.000 | 0.000 | 0.000 | 24.629 |
| 22.982 | 22.861 | 22.861 | -0.000 | -0.000 | 0.000 |
| 22.861 | 22.982 | 22.861 | -0.000 | -0.000 | 0.000 |
| 22.861 | 22.861 | 22.982 | -0.000 | -0.000 | -0.000 |
| 0.000 | 0.000 | 0.000 | 24.629 | -0.000 | 0.000 |
| 0.000 | 0.000 | 0.000 | -0.000 | 24.629 | 0.000 |
| 0.000 | 0.000 | 0.000 | -0.000 | 0.000 | 24.629 |
| 22.982 | 22.861 | 22.861 | 0.000 | 0.000 | 0.000 |
| 22.861 | 22.982 | 22.861 | 0.000 | 0.000 | 0.000 |
| 22.861 | 22.861 | 22.982 | 0.000 | 0.000 | 0.000 |
| -0.000 | -0.000 | -0.000 | 24.629 | 0.000 | -0.000 |
| -0.000 | -0.000 | -0.000 | 0.000 | 24.629 | -0.000 |
| -0.000 | -0.000 | -0.000 | 0.000 | -0.000 | 24.629 |
| 22.983 | 22.861 | 22.861 | -0.000 | -0.000 | -0.000 |
| 22.861 | 22.983 | 22.861 | -0.000 | -0.000 | -0.000 |
| 22.861 | 22.861 | 22.983 | -0.000 | -0.000 | -0.000 |
| 0.000 | 0.000 | 0.000 | 24.629 | -0.000 | -0.000 |
| 0.000 | 0.000 | 0.000 | -0.000 | 24.629 | -0.000 |
| 0.000 | 0.000 | 0.000 | -0.000 | -0.000 | 24.629 |
| -594124.401 | -75547.900 | 153116.500 | -0.032 | -0.044 | -0.016 |
| 12124.300 | -682221.599 | 153083.200 | -0.097 | 0.055 | -31.185 |
| 163017.499 | 163017.601 | 522076.700 | -0.012 | 0.017 | -0.028 |
| -0.100 | 0.100 | 0.100 | -8750.649 | 0.048 | -0.071 |
| -0.200 | 0.200 | -0.100 | -0.008 | -8750.544 | -0.045 |
| -0.100 | 0.100 | 0.000 | -0.011 | -0.014 | -259288.058 |
| -769250.500 | 101263.199 | 153248.600 | 0.204 | -0.075 | 61.443 |
| -75547.900 | -594124.000 | 153116.500 | 0.029 | 0.047 | 0.027 |
| 163017.601 | 163017.499 | 522076.700 | -0.032 | -0.051 | 0.036 |
| -0.000 | -0.100 | -0.000 | -8750.652 | -0.001 | 0.029 |
| -0.000 | -0.200 | -0.000 | -0.002 | -8750.657 | 0.042 |
| 0.100 | -0.100 | 0.100 | 0.005 | -0.028 | -259287.954 |
| -779985.850 | 110133.190 | 153103.310 | -0.018 | -0.003 | -6.145 |
| -50300.060 | -619376.750 | 153116.290 | -0.003 | 0.014 | -0.870 |
| 162881.060 | 163150.280 | 522076.480 | -0.011 | -0.003 | -0.920 |
| -0.020 | -0.010 | -0.050 | -8750.667 | 0.000 | -0.005 |
| -17.990 | 17.860 | -0.060 | -0.006 | -8750.666 | -0.124 |
| -67.880 | 66.480 | -0.070 | -0.006 | 0.015 | -272693.781 |
| -594122.970 | -75547.830 | 153116.560 | -0.002 | -0.003 | 0.002 |
| -75547.710 | -594123.110 | 153116.550 | 0.005 | -0.005 | 0.006 |
| 163994.100 | 162209.370 | 522089.880 | 0.022 | -0.008 | 6.144 |
| 0.020 | 0.010 | 0.050 | -8750.658 | -0.014 | 0.002 |
| 18.000 | -17.860 | 0.060 | 0.004 | -8750.674 | 0.123 |
| 68.320 | -66.870 | 0.080 | -0.003 | -0.005 | -272779.547 |
| -594179.790 | -75504.419 | 153116.540 | -0.000 | 0.001 | -0.000 |
| -74024.694 | -595659.480 | 153116.556 | -0.000 | 0.001 | -0.006 |
| 162919.868 | 163098.365 | 522075.952 | -0.002 | -0.000 | -0.615 |
| -98.632 | 81.483 | -1.821 | -8750.666 | 0.001 | -0.615 |
| -48.011 | 43.368 | -0.840 | -0.001 | -8750.661 | -0.313 |
| -14.312 | 9.149 | 0.128 | -0.000 | 0.002 | -283659.399 |
| -597035.127 | -72624.769 | 153116.524 | 0.001 | -0.001 | 0.011 |
| -28765.235 | -640887.494 | 153116.275 | -0.001 | -0.002 | 0.159 |
| 163115.285 | 162936.812 | 522077.519 | 0.002 | -0.001 | 0.614 |
| 48.312 | -43.741 | 0.835 | -8750.662 | -0.001 | 0.312 |
| 47.740 | -43.145 | 0.836 | 0.001 | -8750.662 | 0.315 |
| 7.120 | -3.354 | -0.039 | 0.001 | -0.001 | -271093.328 |
| 173.258 | 39.778 | 28.338 | 0.000 | 0.000 | -0.000 |
| 67.112 | 145.923 | 28.338 | 0.000 | 0.000 | -0.000 |
| 28.338 | 28.338 | 194.103 | 0.000 | 0.000 | -0.000 |
| 0.000 | -0.000 | -0.000 | 34.498 | 0.000 | -0.000 |
| -0.000 | -0.000 | 0.000 | 0.000 | 34.498 | -0.000 |
| -0.000 | 0.000 | -0.000 | 0.000 | 0.000 | 39.405 |
| 173.259 | 39.778 | 28.339 | -0.000 | -0.000 | 0.000 |
| 39.778 | 173.259 | 28.339 | -0.000 | -0.000 | 0.000 |
| 28.339 | 28.339 | 194.103 | -0.000 | -0.000 | 0.000 |
| -0.000 | 0.000 | 0.000 | 34.498 | -0.000 | 0.000 |
| 0.000 | 0.000 | 0.000 | -0.000 | 34.498 | 0.000 |
| 0.000 | -0.000 | 0.000 | -0.000 | -0.000 | 39.405 |
| 145.920 | 67.109 | 28.335 | 0.000 | 0.000 | -0.000 |
| 70.651 | 142.378 | 28.335 | 0.000 | 0.000 | -0.000 |
| 28.336 | 28.336 | 194.101 | -0.000 | 0.000 | -0.000 |
| 0.000 | -0.000 | -0.000 | 34.498 | 0.000 | -0.000 |
| -0.000 | 0.000 | -0.000 | 0.000 | 34.498 | -0.000 |
| 0.000 | 0.000 | -0.000 | 0.000 | 0.000 | 66.740 |
| 145.927 | 67.116 | 28.341 | -0.000 | -0.000 | 0.000 |
| 39.782 | 173.262 | 28.341 | -0.000 | -0.000 | 0.000 |
| 28.341 | 28.341 | 194.105 | -0.000 | -0.000 | -0.000 |
| -0.000 | 0.000 | 0.000 | 34.498 | -0.000 | 0.000 |
| 0.000 | -0.000 | 0.000 | -0.000 | 34.498 | 0.000 |
| -0.000 | -0.000 | 0.000 | -0.000 | -0.000 | 66.740 |
| 173.223 | 39.742 | 28.308 | -0.000 | 0.000 | -0.000 |
| 67.077 | 145.885 | 28.307 | 0.000 | 0.000 | -0.000 |
| 28.313 | 28.313 | 194.082 | 0.000 | 0.000 | -0.000 |
| -0.000 | -0.000 | -0.000 | 34.498 | 0.000 | -0.000 |
| -0.000 | -0.000 | -0.000 | 0.000 | 34.498 | -0.000 |
| 0.000 | 0.000 | -0.000 | 0.000 | 0.000 | 66.740 |
| 159.627 | 53.482 | 28.369 | -0.000 | -0.000 | 0.000 |
| 68.918 | 144.191 | 28.369 | -0.000 | -0.000 | 0.000 |
| 28.364 | 28.364 | 194.124 | -0.000 | -0.000 | 0.000 |
| 0.000 | 0.000 | 0.000 | 34.498 | -0.000 | 0.000 |
| 0.000 | 0.000 | 0.000 | -0.000 | 34.498 | 0.000 |
| -0.000 | -0.000 | 0.000 | -0.000 | -0.000 | 66.740 |
| 101.856 | 26.953 | 56.160 | -0.000 | 0.000 | -0.000 |
| 26.953 | 101.856 | 56.160 | -0.000 | 0.000 | -0.000 |
| 56.160 | 56.160 | 72.649 | -0.000 | 0.000 | -0.000 |
| 0.000 | 0.000 | -0.000 | 67.196 | 0.000 | -0.000 |
| 0.000 | 0.000 | -0.000 | -0.000 | 67.196 | -0.000 |
| -0.000 | 0.000 | -0.000 | -0.000 | 0.000 | 11.639 |
| 101.856 | 26.953 | 56.160 | 0.000 | -0.000 | 0.000 |
| 52.765 | 76.044 | 56.160 | 0.000 | -0.000 | 0.000 |
| 56.160 | 56.160 | 72.649 | 0.000 | -0.000 | 0.000 |
| -0.000 | -0.000 | -0.000 | 67.196 | -0.000 | 0.000 |
| -0.000 | -0.000 | -0.000 | 0.000 | 67.196 | 0.000 |
| 0.000 | -0.000 | 0.000 | 0.000 | -0.000 | 11.639 |
| 76.044 | 52.765 | 56.160 | -0.000 | -0.000 | -0.000 |
| 52.765 | 76.044 | 56.160 | -0.000 | 0.000 | -0.000 |
| 56.160 | 56.160 | 72.649 | -0.000 | 0.000 | -0.000 |
| 0.000 | 0.000 | 0.000 | 67.196 | -0.000 | -0.000 |
| 0.000 | 0.000 | 0.000 | -0.000 | 67.196 | -0.000 |
| -0.000 | -0.000 | -0.000 | -0.000 | -0.000 | 11.639 |
| 101.856 | 26.953 | 56.160 | 0.000 | -0.000 | 0.000 |
| 52.765 | 76.044 | 56.160 | 0.000 | 0.000 | 0.000 |
| 56.160 | 56.160 | 72.649 | 0.000 | -0.000 | 0.000 |
| -0.000 | -0.000 | -0.000 | 67.196 | 0.000 | 0.000 |
| -0.000 | -0.000 | -0.000 | 0.000 | 67.196 | 0.000 |
| 0.000 | 0.000 | 0.000 | 0.000 | -0.000 | 11.639 |
| 76.044 | 52.766 | 56.160 | -0.000 | 0.000 | -0.000 |
| 52.766 | 76.044 | 56.160 | -0.000 | 0.000 | -0.000 |
| 56.161 | 56.161 | 72.650 | -0.000 | 0.000 | -0.000 |
| 0.001 | 0.000 | 0.001 | 67.196 | 0.000 | -0.000 |
| 0.000 | 0.001 | 0.001 | -0.000 | 67.196 | -0.000 |
| -0.000 | -0.000 | -0.000 | -0.000 | 0.000 | 11.639 |
| 76.043 | 52.765 | 56.159 | 0.000 | -0.000 | 0.000 |
| 52.764 | 76.044 | 56.159 | 0.000 | -0.000 | 0.000 |
| 56.159 | 56.159 | 72.649 | 0.000 | -0.000 | 0.000 |
| -0.001 | -0.000 | -0.001 | 67.196 | -0.000 | 0.000 |
| -0.000 | -0.001 | -0.001 | 0.000 | 67.196 | 0.000 |
| 0.000 | 0.000 | 0.000 | 0.000 | -0.000 | 11.639 |
| 132.679 | 48.642 | 34.134 | 0.000 | -0.000 | -0.000 |
| 48.642 | 132.679 | 34.134 | 0.000 | -0.000 | -0.000 |
| 34.134 | 34.134 | 147.187 | 0.000 | -0.000 | -0.000 |
| 0.000 | 0.000 | 0.000 | 37.299 | -0.000 | -0.000 |
| -0.000 | 0.000 | 0.000 | 0.000 | 37.299 | 0.000 |
| -0.000 | 0.000 | -0.000 | 0.000 | -0.000 | 42.019 |
| 137.549 | 43.772 | 34.134 | -0.000 | 0.000 | 0.000 |
| 43.772 | 137.549 | 34.134 | 0.000 | -0.000 | 0.000 |
| 34.134 | 34.134 | 147.187 | 0.000 | 0.000 | 0.000 |
| 0.000 | -0.000 | -0.000 | 37.299 | 0.000 | 0.000 |
| 0.000 | -0.000 | -0.000 | -0.000 | 37.299 | 0.000 |
| 0.000 | -0.000 | 0.000 | -0.000 | 0.000 | 42.019 |
| 137.550 | 43.772 | 34.134 | 0.000 | -0.000 | -0.000 |
| 48.642 | 132.680 | 34.134 | 0.000 | -0.000 | -0.000 |
| 34.134 | 34.134 | 147.187 | -0.000 | -0.000 | -0.000 |
| 0.000 | 0.000 | 0.000 | 37.299 | -0.000 | -0.000 |
| 0.000 | 0.000 | 0.000 | 0.000 | 37.299 | 0.000 |
| 0.000 | 0.000 | -0.000 | 0.000 | -0.000 | 42.019 |
| 132.679 | 48.642 | 34.134 | -0.000 | -0.000 | 0.000 |
| 43.772 | 137.549 | 34.134 | -0.000 | -0.000 | 0.000 |
| 34.134 | 34.134 | 147.187 | 0.000 | 0.000 | 0.000 |
| -0.000 | -0.000 | -0.000 | 37.299 | 0.000 | 0.000 |
| -0.000 | -0.000 | -0.000 | -0.000 | 37.299 | 0.000 |
| -0.000 | -0.000 | 0.000 | -0.000 | 0.000 | 42.019 |
| 137.551 | 43.772 | 34.134 | 0.000 | -0.000 | 0.000 |
| 48.642 | 132.681 | 34.134 | 0.000 | -0.000 | -0.000 |
| 34.134 | 34.134 | 147.189 | 0.000 | -0.000 | -0.000 |
| 0.000 | -0.000 | 0.000 | 37.299 | 0.000 | -0.000 |
| -0.000 | 0.000 | 0.000 | 0.000 | 37.299 | -0.000 |
| 0.000 | 0.000 | -0.000 | 0.000 | -0.000 | 42.019 |
| 132.678 | 48.641 | 34.134 | -0.000 | 0.000 | 0.000 |
| 48.641 | 132.678 | 34.134 | -0.000 | -0.000 | 0.000 |
| 34.133 | 34.133 | 147.186 | 0.000 | 0.000 | 0.000 |
| -0.000 | 0.000 | -0.000 | 37.299 | 0.000 | 0.000 |
| 0.000 | -0.000 | -0.000 | -0.000 | 37.299 | 0.000 |
| -0.000 | -0.000 | 0.000 | -0.000 | 0.000 | 42.019 |
| 69.456 | 25.434 | 17.305 | 0.000 | 0.000 | 0.000 |
| 25.434 | 69.456 | 17.305 | 0.000 | 0.000 | 0.000 |
| 17.305 | 17.305 | 77.585 | 0.000 | -0.000 | 0.000 |
| -0.000 | -0.000 | -0.000 | 19.491 | -0.000 | 0.000 |
| -0.000 | -0.000 | -0.000 | 0.000 | 19.491 | -0.000 |
| -0.000 | -0.000 | -0.000 | -0.000 | -0.000 | 24.774 |
| 69.456 | 25.434 | 17.305 | -0.000 | -0.000 | -0.000 |
| 25.434 | 69.456 | 17.305 | -0.000 | -0.000 | -0.000 |
| 17.305 | 17.305 | 77.585 | 0.000 | 0.000 | -0.000 |
| 0.000 | 0.000 | 0.000 | 19.491 | 0.000 | -0.000 |
| 0.000 | 0.000 | 0.000 | -0.000 | 19.491 | -0.000 |
| 0.000 | 0.000 | 0.000 | -0.000 | 0.000 | 24.774 |
| 69.456 | 25.434 | 17.305 | -0.000 | -0.000 | 0.000 |
| 25.434 | 69.456 | 17.305 | 0.000 | 0.000 | 0.000 |
| 17.305 | 17.305 | 77.585 | 0.000 | -0.000 | 0.000 |
| -0.000 | -0.000 | -0.000 | 19.491 | -0.000 | 0.000 |
| -0.000 | -0.000 | -0.000 | -0.000 | 19.491 | 0.000 |
| -0.000 | -0.000 | -0.000 | 0.000 | -0.000 | 22.011 |
| 69.456 | 25.434 | 17.305 | -0.000 | -0.000 | -0.000 |
| 25.434 | 69.456 | 17.305 | -0.000 | -0.000 | -0.000 |
| 17.305 | 17.305 | 77.586 | 0.000 | 0.000 | -0.000 |
| 0.000 | 0.000 | 0.000 | 19.491 | 0.000 | -0.000 |
| 0.000 | 0.000 | 0.000 | 0.000 | 19.491 | -0.000 |
| 0.000 | 0.000 | 0.000 | -0.000 | -0.000 | 22.011 |
| 72.218 | 22.671 | 17.305 | -0.000 | 0.000 | -0.000 |
| 25.434 | 69.455 | 17.305 | 0.000 | 0.000 | 0.000 |
| 17.304 | 17.304 | 77.584 | -0.000 | -0.000 | 0.000 |
| -0.000 | -0.000 | -0.000 | 19.491 | 0.000 | 0.000 |
| -0.000 | -0.000 | -0.000 | -0.000 | 19.491 | 0.000 |
| -0.000 | -0.000 | -0.000 | 0.000 | 0.000 | 22.011 |
| 69.457 | 25.434 | 17.305 | -0.000 | 0.000 | -0.000 |
| 25.434 | 69.457 | 17.305 | 0.000 | -0.000 | -0.000 |
| 17.305 | 17.305 | 77.587 | -0.000 | 0.000 | -0.000 |
| 0.000 | 0.000 | 0.000 | 19.491 | -0.000 | -0.000 |
| 0.000 | 0.000 | 0.000 | -0.000 | 19.491 | -0.000 |
| 0.000 | 0.000 | 0.000 | 0.000 | -0.000 | 22.011 |
| -409629.499 | -16220.701 | 204814.499 | 0.281 | -0.359 | -0.041 |
| 45084.499 | -470934.401 | 204814.599 | 0.472 | -0.500 | 0.049 |
| 200174.200 | 200183.899 | 376970.101 | 0.369 | -0.302 | -0.107 |
| -0.301 | -0.401 | 0.000 | 18668.078 | -0.671 | -0.172 |
| -0.401 | -0.100 | 0.100 | 0.058 | 18667.309 | -0.080 |
| 0.000 | -0.100 | 0.000 | 0.086 | -0.405 | -258012.462 |
| -470934.098 | 45084.300 | 204814.499 | -0.357 | 0.509 | 0.014 |
| -16220.699 | -409629.099 | 204814.401 | -0.650 | 0.199 | 0.019 |
| 200179.300 | 200179.099 | 376970.301 | -0.487 | 0.111 | 0.126 |
| 0.301 | 0.200 | 0.100 | 18667.498 | 0.551 | 0.141 |
| 0.301 | 0.200 | -0.000 | 0.134 | 18668.232 | 0.139 |
| 0.501 | 0.200 | -0.100 | -0.104 | 0.440 | -258012.351 |
| -470936.180 | 45087.640 | 204814.710 | 0.028 | -0.042 | -0.002 |
| -16220.400 | -409628.440 | 204814.470 | 0.010 | -0.022 | 0.003 |
| 200178.640 | 200179.600 | 376969.230 | 0.030 | -0.031 | -0.005 |
| -0.140 | 0.020 | -0.160 | 18667.828 | -0.009 | -0.019 |
| -0.030 | -0.130 | -0.130 | 0.007 | 18667.766 | -0.005 |
| 0.380 | 0.210 | 0.190 | 0.050 | -0.029 | -258012.574 |
| -470938.250 | 45087.260 | 204814.340 | -0.041 | -0.004 | 0.007 |
| 44563.520 | -470414.430 | 204814.350 | 0.003 | 0.096 | 0.012 |
| 200179.930 | 200178.810 | 376971.160 | -0.044 | 0.039 | 0.010 |
| 0.140 | 0.010 | 0.130 | 18667.749 | 0.022 | 0.012 |
| -0.010 | 0.150 | 0.130 | -0.008 | 18667.811 | 0.009 |
| -0.390 | -0.210 | -0.190 | -0.037 | 0.018 | -258012.569 |
| -470896.630 | 45059.338 | 204816.332 | 0.004 | -0.004 | -0.001 |
| 45085.783 | -470923.076 | 204816.332 | 0.001 | -0.005 | -0.002 |
| 200178.183 | 200178.288 | 376960.604 | 0.004 | -0.002 | -0.000 |
| -0.681 | -0.223 | -1.418 | 18667.797 | -0.004 | -0.001 |
| -0.225 | -0.679 | -1.418 | 0.003 | 18667.792 | -0.001 |
| 1.644 | 1.836 | -0.219 | 0.004 | -0.006 | -196704.334 |
| -470656.326 | 44794.141 | 204812.718 | -0.005 | 0.005 | 0.002 |
| -16222.281 | -409636.954 | 204814.861 | -0.003 | 0.003 | -0.001 |
| 200180.317 | 200180.204 | 376979.781 | -0.003 | 0.004 | 0.001 |
| 0.681 | 0.225 | 1.418 | 18667.788 | 0.002 | 0.001 |
| 0.225 | 0.678 | 1.418 | -0.006 | 18667.796 | 0.001 |
| -1.646 | -1.836 | 0.219 | -0.004 | 0.004 | -196704.331 |
| 245.072 | 219.399 | 96.425 | -0.000 | 0.000 | 0.000 |
| 219.399 | 245.072 | 96.425 | -0.000 | 0.000 | 0.000 |
| 96.425 | 96.425 | 175.073 | -0.000 | 0.000 | 0.000 |
| 0.000 | -0.000 | 0.000 | 8.446 | 0.000 | 0.000 |
| -0.000 | 0.000 | 0.000 | 0.000 | 8.446 | 0.000 |
| 0.000 | 0.000 | 0.000 | 0.000 | 0.000 | 79.664 |
| 245.071 | 219.398 | 96.424 | -0.000 | -0.000 | -0.000 |
| 152.570 | 311.898 | 96.424 | -0.000 | -0.000 | -0.000 |
| 96.424 | 96.424 | 175.073 | 0.000 | -0.000 | -0.000 |
| -0.000 | -0.000 | -0.000 | 8.446 | -0.000 | -0.000 |
| -0.000 | -0.000 | -0.000 | -0.000 | 8.446 | -0.000 |
| -0.000 | -0.000 | -0.000 | -0.000 | -0.000 | 79.664 |
| 181.773 | 282.707 | 96.429 | -0.000 | 0.000 | 0.000 |
| 259.114 | 205.366 | 96.429 | 0.000 | 0.000 | 0.000 |
| 96.428 | 96.428 | 175.076 | 0.000 | 0.000 | 0.000 |
| 0.000 | -0.000 | 0.000 | 8.446 | 0.000 | 0.000 |
| -0.000 | 0.000 | 0.000 | -0.000 | 8.446 | 0.000 |
| 0.000 | 0.000 | 0.000 | -0.000 | 0.000 | 79.664 |
| 311.893 | 152.565 | 96.420 | -0.000 | -0.000 | -0.000 |
| 259.101 | 205.359 | 96.420 | -0.000 | -0.000 | -0.000 |
| 96.421 | 96.421 | 175.070 | 0.000 | -0.000 | -0.000 |
| -0.000 | 0.000 | -0.000 | 8.446 | -0.000 | -0.000 |
| 0.000 | -0.000 | -0.000 | 0.000 | 8.446 | -0.000 |
| -0.000 | -0.000 | -0.000 | -0.000 | -0.000 | 79.664 |
| 278.540 | 186.041 | 96.470 | -0.000 | 0.000 | 0.000 |
| 152.627 | 311.956 | 96.471 | 0.000 | 0.000 | -0.000 |
| 96.463 | 96.463 | 175.106 | -0.000 | 0.000 | -0.000 |
| 0.001 | -0.001 | 0.001 | 8.446 | 0.000 | 0.000 |
| 0.000 | -0.000 | 0.001 | 0.000 | 8.446 | 0.000 |
| 0.000 | 0.000 | 0.000 | -0.000 | 0.000 | 79.664 |
| 245.019 | 219.343 | 96.379 | -0.000 | -0.000 | -0.000 |
| 239.191 | 225.173 | 96.379 | -0.000 | -0.000 | -0.000 |
| 96.386 | 96.386 | 175.040 | -0.000 | -0.000 | -0.000 |
| -0.001 | 0.001 | -0.001 | 8.446 | -0.000 | -0.000 |
| -0.000 | 0.000 | -0.001 | 0.000 | 8.446 | -0.000 |
| -0.000 | -0.000 | -0.000 | -0.000 | -0.000 | 79.664 |
| 75.782 | 53.027 | 56.160 | -0.000 | 0.000 | -0.000 |
| 53.027 | 75.782 | 56.160 | -0.000 | 0.000 | -0.000 |
| 56.160 | 56.160 | 72.649 | -0.000 | -0.000 | 0.000 |
| 0.000 | 0.000 | 0.000 | 66.441 | 0.000 | -0.000 |
| 0.000 | 0.000 | 0.000 | -0.000 | 66.441 | -0.000 |
| -0.000 | -0.000 | -0.000 | -0.000 | -0.000 | 11.377 |
| 75.782 | 53.027 | 56.160 | 0.000 | 0.000 | -0.000 |
| 53.027 | 75.782 | 56.160 | 0.000 | 0.000 | 0.000 |
| 56.160 | 56.160 | 72.649 | -0.000 | -0.000 | -0.000 |
| -0.000 | -0.000 | -0.000 | 66.441 | 0.000 | -0.000 |
| -0.000 | -0.000 | -0.000 | 0.000 | 66.441 | 0.000 |
| 0.000 | 0.000 | 0.000 | 0.000 | 0.000 | 11.377 |
| 75.782 | 53.027 | 56.160 | -0.000 | -0.000 | -0.000 |
| 27.599 | 101.211 | 56.160 | -0.000 | -0.000 | 0.000 |
| 56.160 | 56.160 | 72.649 | -0.000 | 0.000 | 0.000 |
| 0.000 | 0.000 | 0.000 | 66.441 | 0.000 | 0.000 |
| 0.000 | 0.000 | 0.000 | -0.000 | 66.441 | -0.000 |
| -0.000 | -0.000 | -0.000 | -0.000 | -0.000 | 11.377 |
| 75.782 | 53.027 | 56.160 | 0.000 | 0.000 | -0.000 |
| 53.027 | 75.782 | 56.160 | 0.000 | 0.000 | -0.000 |
| 56.160 | 56.160 | 72.649 | 0.000 | -0.000 | -0.000 |
| -0.000 | -0.000 | -0.000 | 66.441 | -0.000 | 0.000 |
| -0.000 | -0.000 | -0.000 | -0.000 | 66.441 | 0.000 |
| 0.000 | 0.000 | 0.000 | 0.000 | 0.000 | 11.377 |
| 75.783 | 53.027 | 56.160 | -0.000 | 0.000 | -0.000 |
| 53.029 | 75.781 | 56.160 | -0.000 | -0.000 | -0.000 |
| 56.161 | 56.161 | 72.650 | -0.000 | 0.000 | 0.000 |
| 0.001 | 0.000 | 0.001 | 66.441 | 0.000 | -0.000 |
| 0.000 | 0.001 | 0.001 | -0.000 | 66.441 | -0.000 |
| -0.000 | -0.000 | -0.000 | -0.000 | -0.000 | 11.377 |
| 75.781 | 53.027 | 56.159 | 0.000 | 0.000 | 0.000 |
| 53.026 | 75.783 | 56.159 | 0.000 | 0.000 | -0.000 |
| 56.159 | 56.159 | 72.649 | 0.000 | -0.000 | -0.000 |
| -0.001 | -0.000 | -0.001 | 66.441 | -0.000 | 0.000 |
| -0.000 | -0.001 | -0.001 | 0.000 | 66.441 | 0.000 |
| 0.000 | 0.000 | 0.000 | 0.000 | 0.000 | 11.377 |
| 132.676 | 48.645 | 34.134 | -0.000 | -0.000 | -0.000 |
| 48.645 | 132.676 | 34.134 | -0.000 | -0.000 | -0.000 |
| 34.134 | 34.134 | 147.187 | -0.000 | -0.000 | -0.000 |
| -0.000 | 0.000 | 0.000 | 37.242 | -0.000 | -0.000 |
| -0.000 | 0.000 | 0.000 | -0.000 | 37.242 | -0.000 |
| -0.000 | 0.000 | -0.000 | 0.000 | -0.000 | 42.016 |
| 132.676 | 48.645 | 34.134 | 0.000 | 0.000 | 0.000 |
| 48.645 | 132.676 | 34.134 | 0.000 | 0.000 | 0.000 |
| 34.134 | 34.134 | 147.187 | 0.000 | 0.000 | 0.000 |
| 0.000 | -0.000 | -0.000 | 37.242 | 0.000 | 0.000 |
| 0.000 | -0.000 | -0.000 | 0.000 | 37.242 | 0.000 |
| 0.000 | -0.000 | 0.000 | -0.000 | 0.000 | 42.016 |
| 137.497 | 43.824 | 34.134 | -0.000 | -0.000 | 0.000 |
| 43.824 | 137.497 | 34.134 | -0.000 | -0.000 | 0.000 |
| 34.134 | 34.134 | 147.187 | -0.000 | -0.000 | -0.000 |
| 0.000 | 0.000 | 0.000 | 37.242 | -0.000 | -0.000 |
| -0.000 | 0.000 | 0.000 | -0.000 | 37.242 | -0.000 |
| 0.000 | 0.000 | -0.000 | -0.000 | -0.000 | 42.016 |
| 132.676 | 48.645 | 34.134 | 0.000 | 0.000 | 0.000 |
| 48.645 | 132.676 | 34.134 | 0.000 | 0.000 | 0.000 |
| 34.134 | 34.134 | 147.187 | 0.000 | 0.000 | 0.000 |
| -0.000 | -0.000 | -0.000 | 37.242 | 0.000 | 0.000 |
| 0.000 | -0.000 | -0.000 | 0.000 | 37.242 | 0.000 |
| -0.000 | -0.000 | 0.000 | 0.000 | 0.000 | 42.016 |
| 132.678 | 48.645 | 34.134 | -0.000 | -0.000 | -0.000 |
| 48.645 | 132.677 | 34.134 | -0.000 | -0.000 | -0.000 |
| 34.134 | 34.134 | 147.189 | -0.000 | -0.000 | -0.000 |
| 0.000 | -0.000 | 0.000 | 37.242 | -0.000 | -0.000 |
| -0.000 | 0.000 | 0.000 | -0.000 | 37.242 | -0.000 |
| 0.000 | 0.000 | -0.000 | -0.000 | -0.000 | 42.016 |
| 132.675 | 48.645 | 34.134 | 0.000 | 0.000 | 0.000 |
| 48.644 | 132.675 | 34.134 | 0.000 | 0.000 | 0.000 |
| 34.133 | 34.133 | 147.186 | 0.000 | 0.000 | 0.000 |
| -0.000 | 0.000 | -0.000 | 37.242 | 0.000 | 0.000 |
| 0.000 | -0.000 | -0.000 | 0.000 | 37.242 | 0.000 |
| -0.000 | -0.000 | 0.000 | 0.000 | 0.000 | 42.016 |
| 69.450 | 25.440 | 17.305 | 0.000 | -0.000 | 0.000 |
| 22.759 | 72.131 | 17.305 | 0.000 | 0.000 | 0.000 |
| 17.305 | 17.305 | 77.585 | -0.000 | -0.000 | 0.000 |
| -0.000 | -0.000 | -0.000 | 19.398 | -0.000 | 0.000 |
| -0.000 | -0.000 | -0.000 | -0.000 | 19.398 | 0.000 |
| -0.000 | -0.000 | 0.000 | -0.000 | 0.000 | 22.005 |
| 69.450 | 25.440 | 17.305 | -0.000 | -0.000 | -0.000 |
| 22.759 | 72.131 | 17.305 | -0.000 | -0.000 | -0.000 |
| 17.305 | 17.305 | 77.585 | 0.000 | -0.000 | -0.000 |
| 0.000 | 0.000 | 0.000 | 19.398 | -0.000 | -0.000 |
| 0.000 | 0.000 | 0.000 | 0.000 | 19.398 | -0.000 |
| 0.000 | 0.000 | -0.000 | 0.000 | -0.000 | 22.005 |
| 69.450 | 25.440 | 17.305 | 0.000 | -0.000 | 0.000 |
| 25.440 | 69.450 | 17.305 | -0.000 | 0.000 | 0.000 |
| 17.305 | 17.305 | 77.585 | 0.000 | 0.000 | 0.000 |
| -0.000 | -0.000 | -0.000 | 19.398 | 0.000 | 0.000 |
| -0.000 | -0.000 | -0.000 | -0.000 | 19.398 | 0.000 |
| -0.000 | -0.000 | -0.000 | 0.000 | 0.000 | 22.005 |
| 69.450 | 25.440 | 17.305 | 0.000 | -0.000 | -0.000 |
| 25.440 | 69.450 | 17.305 | 0.000 | -0.000 | -0.000 |
| 17.305 | 17.305 | 77.586 | 0.000 | -0.000 | -0.000 |
| 0.000 | 0.000 | 0.000 | 19.398 | -0.000 | -0.000 |
| 0.000 | 0.000 | 0.000 | 0.000 | 19.398 | -0.000 |
| 0.000 | 0.000 | 0.000 | -0.000 | 0.000 | 22.005 |
| 69.449 | 25.440 | 17.305 | -0.000 | 0.000 | 0.000 |
| 25.440 | 69.449 | 17.305 | -0.000 | -0.000 | 0.000 |
| 17.304 | 17.304 | 77.584 | -0.000 | -0.000 | 0.000 |
| -0.000 | -0.000 | -0.000 | 19.398 | 0.000 | 0.000 |
| -0.000 | -0.000 | -0.000 | 0.000 | 19.398 | 0.000 |
| -0.000 | -0.000 | -0.000 | -0.000 | 0.000 | 22.005 |
| 69.451 | 25.440 | 17.305 | -0.000 | -0.000 | -0.000 |
| 25.441 | 69.451 | 17.305 | 0.000 | -0.000 | -0.000 |
| 17.305 | 17.305 | 77.587 | 0.000 | 0.000 | -0.000 |
| 0.000 | 0.000 | 0.000 | 19.398 | -0.000 | -0.000 |
| 0.000 | 0.000 | 0.000 | -0.000 | 19.398 | -0.000 |
| 0.000 | 0.000 | 0.000 | 0.000 | -0.000 | 22.005 |
| 300.534 | 52.454 | 52.454 | 0.000 | 0.000 | 0.000 |
| 52.454 | 300.534 | 52.454 | 0.000 | 0.000 | 0.000 |
| 52.454 | 52.454 | 300.534 | 0.000 | 0.000 | 0.000 |
| -0.000 | 0.000 | -0.000 | 502.573 | 0.000 | 0.000 |
| -0.000 | 0.000 | -0.000 | 0.000 | 502.573 | 0.000 |
| -0.000 | 0.000 | -0.000 | 0.000 | 0.000 | 502.573 |
| 300.534 | 52.454 | 52.454 | 0.000 | -0.000 | -0.000 |
| 52.454 | 300.534 | 52.454 | -0.000 | -0.000 | -0.000 |
| 52.454 | 52.454 | 300.534 | -0.000 | -0.000 | -0.000 |
| 0.000 | -0.000 | 0.000 | 502.573 | -0.000 | -0.000 |
| 0.000 | -0.000 | -0.000 | -0.000 | 502.573 | -0.000 |
| 0.000 | -0.000 | 0.000 | -0.000 | -0.000 | 502.573 |
| 300.535 | 52.454 | 52.454 | -0.000 | 0.000 | 0.000 |
| 52.454 | 300.535 | 52.454 | 0.000 | 0.000 | 0.000 |
| 52.454 | 52.454 | 300.535 | 0.000 | 0.000 | -0.000 |
| 0.000 | 0.000 | 0.000 | 502.573 | 0.000 | 0.000 |
| 0.000 | 0.000 | 0.000 | 0.000 | 502.573 | 0.000 |
| 0.000 | 0.000 | 0.000 | 0.000 | 0.000 | 502.573 |
| 300.533 | 52.454 | 52.454 | 0.000 | -0.000 | -0.000 |
| 52.454 | 300.533 | 52.454 | -0.000 | 0.000 | -0.000 |
| 52.454 | 52.454 | 300.533 | -0.000 | -0.000 | -0.000 |
| -0.000 | -0.000 | -0.000 | 502.573 | -0.000 | -0.000 |
| -0.000 | -0.000 | -0.000 | -0.000 | 502.573 | -0.000 |
| -0.000 | -0.000 | -0.000 | -0.000 | -0.000 | 502.573 |
| 300.544 | 52.453 | 52.453 | -0.000 | 0.000 | 0.000 |
| 52.453 | 300.544 | 52.453 | 0.000 | 0.000 | 0.000 |
| 52.453 | 52.453 | 300.544 | 0.000 | 0.000 | 0.000 |
| -0.001 | 0.004 | 0.003 | -339.709 | 0.000 | -0.000 |
| 0.004 | -0.001 | 0.003 | -0.000 | -339.709 | -0.000 |
| 0.004 | 0.003 | -0.001 | -0.000 | 0.000 | -339.709 |
| 300.523 | 52.455 | 52.455 | -0.000 | -0.000 | -0.000 |
| 52.455 | 300.523 | 52.455 | -0.000 | -0.000 | -0.000 |
| 52.455 | 52.455 | 300.523 | -0.000 | -0.000 | -0.000 |
| 0.001 | -0.004 | -0.003 | -339.709 | -0.000 | -0.000 |
| -0.004 | 0.001 | -0.003 | 0.000 | -339.709 | -0.000 |
| -0.004 | -0.003 | 0.001 | -0.000 | -0.000 | -339.709 |
| 130.033 | 157.949 | 157.949 | -0.000 | -0.000 | -0.000 |
| 157.949 | 130.033 | 157.949 | -0.000 | -0.000 | -0.000 |
| 157.949 | 157.949 | 130.033 | -0.000 | -0.000 | -0.000 |
| -0.000 | -0.000 | 0.000 | 49.714 | -0.000 | -0.000 |
| -0.000 | -0.000 | -0.000 | -0.000 | 49.714 | -0.000 |
| 0.000 | -0.000 | -0.000 | -0.000 | -0.000 | 49.714 |
| 130.034 | 157.951 | 157.951 | 0.000 | 0.000 | 0.000 |
| 157.951 | 130.034 | 157.951 | 0.000 | 0.000 | 0.000 |
| 157.951 | 157.951 | 130.034 | -0.000 | 0.000 | 0.000 |
| 0.000 | 0.000 | 0.000 | 49.714 | 0.000 | 0.000 |
| 0.000 | 0.000 | 0.000 | 0.000 | 49.714 | 0.000 |
| 0.000 | 0.000 | -0.000 | 0.000 | 0.000 | 49.714 |
| 130.027 | 157.944 | 157.944 | -0.000 | -0.000 | -0.000 |
| 157.944 | 130.027 | 157.944 | -0.000 | -0.000 | -0.000 |
| 157.944 | 157.944 | 130.027 | -0.000 | -0.000 | -0.000 |
| -0.000 | -0.000 | -0.000 | -5.003 | -0.000 | -0.000 |
| -0.000 | -0.000 | -0.000 | -0.000 | -5.003 | -0.000 |
| -0.000 | -0.000 | -0.000 | -0.000 | -0.000 | -5.003 |
| 130.039 | 157.956 | 157.956 | 0.000 | 0.000 | 0.000 |
| 157.956 | 130.039 | 157.956 | 0.000 | 0.000 | 0.000 |
| 157.956 | 157.956 | 130.039 | 0.000 | 0.000 | 0.000 |
| 0.000 | 0.000 | 0.000 | -5.003 | 0.000 | 0.000 |
| 0.000 | 0.000 | 0.000 | 0.000 | -5.003 | 0.000 |
| 0.000 | 0.000 | 0.000 | 0.000 | 0.000 | -5.003 |
| 129.971 | 157.887 | 157.887 | -0.000 | -0.000 | -0.000 |
| 157.887 | 129.971 | 157.887 | -0.000 | -0.000 | -0.000 |
| 157.887 | 157.887 | 129.971 | -0.000 | -0.000 | -0.000 |
| -0.000 | -0.000 | -0.000 | -5.003 | -0.000 | -0.000 |
| -0.000 | -0.000 | -0.000 | -0.000 | -5.003 | -0.000 |
| -0.000 | -0.000 | -0.000 | -0.000 | -0.000 | -5.003 |
| 130.096 | 158.013 | 158.013 | 0.000 | 0.000 | 0.000 |
| 158.013 | 130.096 | 158.013 | 0.000 | 0.000 | 0.000 |
| 158.013 | 158.013 | 130.096 | 0.000 | 0.000 | 0.000 |
| 0.000 | 0.000 | 0.000 | -5.003 | 0.000 | 0.000 |
| 0.000 | 0.000 | 0.000 | 0.000 | -5.003 | 0.000 |
| 0.000 | 0.000 | 0.000 | 0.000 | 0.000 | -5.003 |
| 6.450 | -26.216 | -26.216 | 0.000 | 0.000 | 0.000 |
| -26.216 | 6.450 | -26.216 | 0.000 | 0.000 | 0.000 |
| -26.216 | -26.216 | 6.450 | 0.000 | 0.000 | 0.000 |
| 0.000 | -0.000 | -0.000 | -23.956 | 0.000 | 0.000 |
| 0.000 | -0.000 | -0.000 | 0.000 | -23.956 | 0.000 |
| 0.000 | 0.000 | -0.000 | 0.000 | 0.000 | -23.956 |
| 6.450 | -26.216 | -26.216 | -0.000 | -0.000 | -0.000 |
| -26.216 | 6.450 | -26.216 | -0.000 | -0.000 | -0.000 |
| -26.216 | -26.216 | 6.450 | -0.000 | -0.000 | -0.000 |
| -0.000 | -0.000 | 0.000 | -23.956 | -0.000 | -0.000 |
| -0.000 | -0.000 | 0.000 | -0.000 | -23.956 | -0.000 |
| -0.000 | -0.000 | 0.000 | -0.000 | -0.000 | -23.956 |
| 6.450 | -26.216 | -26.216 | 0.000 | 0.000 | 0.000 |
| -26.216 | 6.450 | -26.216 | 0.000 | 0.000 | 0.000 |
| -26.216 | -26.216 | 6.450 | 0.000 | 0.000 | 0.000 |
| -71223383.837 | -42250800.252 | -42250807.247 | -34975336.043 | 0.236 | 0.255 |
| -42250800.252 | -71223383.837 | -42250807.247 | 0.236 | -34975336.043 | 0.255 |
| -27979378.889 | -28935948.048 | -40904535.887 | -408598.801 | -324946.087 | -9061128.918 |
| 6.451 | -26.216 | -26.216 | -0.000 | -0.000 | -0.000 |
| -26.216 | 6.451 | -26.216 | -0.000 | -0.000 | -0.000 |
| -26.216 | -26.216 | 6.451 | -0.000 | -0.000 | -0.000 |
| 40666233.643 | 35845583.272 | 34726840.484 | -4689112.237 | 205746.251 | -968822.200 |
| 42250800.203 | 71223383.771 | 42250807.198 | -0.105 | -34975335.943 | -0.140 |
| 42250800.199 | 42250807.194 | 71223383.766 | -0.103 | -0.144 | -34975335.935 |
| 6.445 | -26.216 | -26.216 | 0.000 | 0.000 | 0.000 |
| -26.216 | 6.445 | -26.216 | 0.000 | -0.000 | 0.000 |
| -26.216 | -26.216 | 6.445 | 0.000 | 0.000 | 0.000 |
| -7122309.949 | -4225043.498 | -4225050.494 | -3497518.976 | 0.002 | 0.003 |
| -4225043.498 | -7122309.949 | -4225050.494 | 0.002 | -3497518.976 | 0.003 |
| -4225043.498 | -4225050.494 | -7122309.949 | 0.002 | 0.003 | -3497518.976 |
| 6.456 | -26.215 | -26.215 | -0.000 | -0.000 | -0.000 |
| -26.215 | 6.456 | -26.215 | -0.000 | -0.000 | -0.000 |
| -26.215 | -26.215 | 6.456 | -0.000 | -0.000 | -0.000 |
| 7122309.950 | 4225043.499 | 4225050.494 | -3497518.977 | -0.001 | -0.001 |
| 4225043.499 | 7122309.950 | 4225050.494 | -0.001 | -3497518.977 | -0.001 |
| 4225043.499 | 4225050.494 | 7122309.950 | -0.001 | -0.001 | -3497518.977 |
| 255.547 | 104.426 | 104.426 | -0.000 | -0.000 | 0.000 |
| 104.426 | 255.547 | 104.426 | -0.000 | -0.000 | 0.000 |
| 104.426 | 104.426 | 255.547 | -0.000 | -0.000 | -0.000 |
| 0.000 | -0.000 | -0.000 | 96.599 | -0.000 | 0.000 |
| -0.000 | 0.000 | -0.000 | -0.000 | 96.599 | 0.000 |
| -0.000 | -0.000 | 0.000 | 0.000 | -0.000 | 96.599 |
| 255.547 | 104.426 | 104.426 | 0.000 | -0.000 | -0.000 |
| 104.426 | 255.547 | 104.426 | 0.000 | 0.000 | -0.000 |
| 104.426 | 104.426 | 255.547 | 0.000 | 0.000 | -0.000 |
| -0.000 | 0.000 | 0.000 | 96.599 | 0.000 | -0.000 |
| 0.000 | -0.000 | 0.000 | 0.000 | 96.599 | -0.000 |
| 0.000 | 0.000 | -0.000 | 0.000 | 0.000 | 96.599 |
| 255.546 | 104.426 | 104.426 | -0.000 | -0.000 | 0.000 |
| 104.426 | 255.546 | 104.426 | -0.000 | -0.000 | 0.000 |
| 104.426 | 104.426 | 255.546 | -0.000 | -0.000 | 0.000 |
| -0.000 | -0.000 | -0.000 | 97.260 | 0.000 | 0.000 |
| -0.000 | -0.000 | -0.000 | -0.000 | 97.260 | 0.000 |
| -0.000 | -0.000 | -0.000 | -0.000 | 0.000 | 97.260 |
| 255.547 | 104.426 | 104.426 | 0.000 | -0.000 | -0.000 |
| 104.426 | 255.547 | 104.426 | 0.000 | 0.000 | -0.000 |
| 104.426 | 104.426 | 255.547 | 0.000 | 0.000 | -0.000 |
| 0.000 | 0.000 | 0.000 | 97.260 | 0.000 | -0.000 |
| 0.000 | 0.000 | 0.000 | 0.000 | 97.260 | -0.000 |
| 0.000 | 0.000 | 0.000 | 0.000 | 0.000 | 97.260 |
| 255.543 | 104.426 | 104.426 | -0.000 | 0.000 | 0.000 |
| 104.426 | 255.543 | 104.426 | 0.000 | 0.000 | 0.000 |
| 104.426 | 104.426 | 255.543 | -0.000 | -0.000 | 0.000 |
| -0.000 | -0.001 | -0.001 | 97.260 | -0.000 | -0.000 |
| -0.001 | -0.000 | -0.001 | 0.000 | 97.260 | 0.000 |
| -0.001 | -0.001 | -0.000 | 0.000 | -0.000 | 97.260 |
| 255.550 | 104.427 | 104.427 | -0.000 | -0.000 | -0.000 |
| 104.427 | 255.550 | 104.427 | 0.000 | -0.000 | -0.000 |
| 104.427 | 104.427 | 255.550 | 0.000 | 0.000 | -0.000 |
| 0.000 | 0.001 | 0.001 | 97.260 | 0.000 | -0.000 |
| 0.001 | 0.000 | 0.001 | 0.000 | 97.260 | -0.000 |
| 0.001 | 0.001 | 0.000 | 0.000 | 0.000 | 97.260 |
| 10.998 | 10.994 | 10.994 | -0.000 | -0.000 | -0.000 |
| 10.994 | 10.998 | 10.994 | -0.000 | -0.000 | -0.000 |
| 10.994 | 10.994 | 10.998 | -0.000 | -0.000 | -0.000 |
| -0.000 | -0.000 | -0.000 | 0.002 | -0.000 | -0.000 |
| -0.000 | -0.000 | -0.000 | -0.000 | 0.002 | -0.000 |
| -0.000 | -0.000 | -0.000 | -0.000 | -0.000 | 0.002 |
| 10.998 | 10.994 | 10.994 | 0.000 | 0.000 | 0.000 |
| 10.994 | 10.998 | 10.994 | 0.000 | 0.000 | 0.000 |
| 10.994 | 10.994 | 10.998 | 0.000 | 0.000 | 0.000 |
| 0.000 | 0.000 | 0.000 | 0.002 | 0.000 | 0.000 |
| 0.000 | 0.000 | 0.000 | 0.000 | 0.002 | 0.000 |
| 0.000 | 0.000 | 0.000 | 0.000 | 0.000 | 0.002 |
| 10.998 | 10.994 | 10.994 | -0.000 | -0.000 | -0.000 |
| 10.994 | 10.998 | 10.994 | -0.000 | -0.000 | -0.000 |
| 10.994 | 10.994 | 10.998 | -0.000 | -0.000 | -0.000 |
| -0.000 | -0.000 | -0.000 | 0.002 | -0.000 | -0.000 |
| -0.000 | -0.000 | -0.000 | -0.000 | 0.002 | -0.000 |
| -0.000 | -0.000 | -0.000 | -0.000 | -0.000 | 0.002 |
| 10.998 | 10.994 | 10.994 | 0.000 | 0.000 | 0.000 |
| 10.994 | 10.998 | 10.994 | 0.000 | 0.000 | 0.000 |
| 10.994 | 10.994 | 10.998 | 0.000 | 0.000 | 0.000 |
| 0.000 | 0.000 | 0.000 | 0.002 | 0.000 | 0.000 |
| 0.000 | 0.000 | 0.000 | 0.000 | 0.002 | 0.000 |
| 0.000 | 0.000 | 0.000 | 0.000 | 0.000 | 0.002 |
| 10.998 | 10.994 | 10.994 | -0.000 | -0.000 | -0.000 |
| 10.994 | 10.998 | 10.994 | -0.000 | -0.000 | -0.000 |
| 10.994 | 10.994 | 10.998 | -0.000 | -0.000 | -0.000 |
| -0.000 | -0.000 | -0.000 | 0.002 | -0.000 | -0.000 |
| -0.000 | -0.000 | -0.000 | -0.000 | 0.002 | -0.000 |
| -0.000 | -0.000 | -0.000 | -0.000 | -0.000 | 0.002 |
| 10.998 | 10.993 | 10.993 | 0.000 | 0.000 | 0.000 |
| 10.993 | 10.998 | 10.993 | 0.000 | 0.000 | 0.000 |
| 10.993 | 10.993 | 10.998 | 0.000 | 0.000 | 0.000 |
| 0.000 | 0.000 | 0.000 | 0.002 | 0.000 | 0.000 |
| 0.000 | 0.000 | 0.000 | 0.000 | 0.002 | 0.000 |
| 0.000 | 0.000 | 0.000 | 0.000 | 0.000 | 0.002 |
| 5.736 | 5.720 | 5.720 | -0.000 | -0.000 | -0.000 |
| 5.720 | 5.736 | 5.720 | -0.000 | -0.000 | -0.000 |
| 5.720 | 5.720 | 5.736 | -0.000 | -0.000 | -0.000 |
| -0.000 | -0.000 | -0.000 | 0.008 | -0.000 | -0.000 |
| -0.000 | -0.000 | -0.000 | -0.000 | 0.008 | -0.000 |
| -0.000 | -0.000 | -0.000 | -0.000 | -0.000 | 0.008 |
| 5.736 | 5.720 | 5.720 | 0.000 | 0.000 | 0.000 |
| 5.720 | 5.736 | 5.720 | 0.000 | 0.000 | 0.000 |
| 5.720 | 5.720 | 5.736 | 0.000 | 0.000 | 0.000 |
| 0.000 | 0.000 | 0.000 | 0.008 | 0.000 | 0.000 |
| 0.000 | 0.000 | 0.000 | 0.000 | 0.008 | 0.000 |
| 0.000 | 0.000 | 0.000 | 0.000 | 0.000 | 0.008 |
| 5.736 | 5.720 | 5.720 | -0.000 | -0.000 | -0.000 |
| 5.720 | 5.736 | 5.720 | -0.000 | -0.000 | -0.000 |
| 5.720 | 5.720 | 5.736 | -0.000 | -0.000 | -0.000 |
| -0.000 | -0.000 | -0.000 | 0.008 | -0.000 | -0.000 |
| -0.000 | -0.000 | -0.000 | -0.000 | 0.008 | -0.000 |
| -0.000 | -0.000 | -0.000 | -0.000 | -0.000 | 0.008 |
| 5.736 | 5.720 | 5.720 | 0.000 | 0.000 | 0.000 |
| 5.720 | 5.736 | 5.720 | 0.000 | 0.000 | 0.000 |
| 5.720 | 5.720 | 5.736 | 0.000 | 0.000 | 0.000 |
| 0.000 | 0.000 | 0.000 | 0.008 | 0.000 | 0.000 |
| 0.000 | 0.000 | 0.000 | 0.000 | 0.008 | 0.000 |
| 0.000 | 0.000 | 0.000 | 0.000 | 0.000 | 0.008 |
| 5.735 | 5.720 | 5.720 | -0.000 | -0.000 | -0.000 |
| 5.720 | 5.735 | 5.720 | -0.000 | -0.000 | -0.000 |
| 5.720 | 5.720 | 5.735 | -0.000 | -0.000 | -0.000 |
| -0.000 | -0.000 | -0.000 | 0.008 | -0.000 | -0.000 |
| -0.000 | -0.000 | -0.000 | -0.000 | 0.008 | -0.000 |
| -0.000 | -0.000 | -0.000 | -0.000 | -0.000 | 0.008 |
| 5.736 | 5.720 | 5.720 | 0.000 | 0.000 | 0.000 |
| 5.720 | 5.736 | 5.720 | 0.000 | 0.000 | 0.000 |
| 5.720 | 5.720 | 5.736 | 0.000 | 0.000 | 0.000 |
| 0.000 | 0.000 | 0.000 | 0.008 | 0.000 | 0.000 |
| 0.000 | 0.000 | 0.000 | 0.000 | 0.008 | 0.000 |
| 0.000 | 0.000 | 0.000 | 0.000 | 0.000 | 0.008 |
| 462.376 | 176.665 | 95.883 | 0.000 | -0.000 | -0.000 |
| 176.665 | 462.376 | 95.883 | -0.000 | 0.000 | -0.000 |
| 95.883 | 95.883 | 274.073 | -0.000 | 0.000 | -0.000 |
| -0.000 | 0.000 | 0.000 | 20.405 | -0.000 | -0.000 |
| 0.000 | 0.000 | 0.000 | -0.000 | 20.405 | -0.000 |
| 0.000 | 0.000 | 0.000 | -0.000 | -0.000 | 17.808 |
| 462.374 | 176.664 | 95.882 | 0.000 | -0.000 | 0.000 |
| 176.664 | 462.374 | 95.882 | 0.000 | -0.000 | 0.000 |
| 95.882 | 95.882 | 274.073 | -0.000 | -0.000 | 0.000 |
| 0.000 | -0.000 | -0.000 | 20.405 | -0.000 | -0.000 |
| -0.000 | -0.000 | -0.000 | 0.000 | 20.405 | 0.000 |
| 0.000 | -0.000 | -0.000 | 0.000 | -0.000 | 17.808 |
| 462.383 | 176.673 | 95.887 | 0.000 | 0.000 | -0.000 |
| 176.673 | 462.383 | 95.887 | -0.000 | 0.000 | -0.000 |
| 95.884 | 95.884 | 274.074 | -0.000 | -0.000 | -0.000 |
| -0.000 | 0.000 | 0.000 | 20.405 | 0.000 | -0.000 |
| 0.000 | -0.000 | 0.000 | -0.000 | 20.405 | -0.000 |
| 0.000 | 0.000 | 0.000 | -0.000 | -0.000 | 17.808 |
| 462.367 | 176.657 | 95.879 | 0.000 | -0.000 | 0.000 |
| 176.657 | 462.367 | 95.879 | 0.000 | -0.000 | 0.000 |
| 95.881 | 95.881 | 274.072 | 0.000 | -0.000 | 0.000 |
| 0.000 | -0.000 | -0.000 | 20.405 | -0.000 | -0.000 |
| -0.000 | 0.000 | -0.000 | 0.000 | 20.405 | -0.000 |
| -0.000 | -0.000 | -0.000 | 0.000 | -0.000 | 17.808 |
| 462.453 | 176.745 | 95.922 | -0.000 | -0.000 | -0.000 |
| 176.745 | 462.453 | 95.922 | -0.000 | 0.000 | -0.000 |
| 95.902 | 95.902 | 274.083 | 0.000 | 0.000 | -0.000 |
| -0.000 | 0.001 | 0.000 | 20.405 | 0.000 | -0.000 |
| 0.001 | -0.000 | 0.000 | -0.000 | 20.405 | -0.000 |
| 0.001 | 0.000 | 0.000 | -0.000 | -0.000 | 17.808 |
| 462.297 | 176.585 | 95.843 | 0.000 | 0.000 | 0.000 |
| 176.585 | 462.297 | 95.843 | 0.000 | -0.000 | 0.000 |
| 95.863 | 95.863 | 274.063 | 0.000 | -0.000 | 0.000 |
| 0.000 | -0.001 | -0.000 | 20.405 | -0.000 | 0.000 |
| -0.001 | 0.000 | -0.000 | 0.000 | 20.405 | 0.000 |
| -0.001 | -0.000 | -0.000 | 0.000 | 0.000 | 17.808 |
| -81290109.495 | -96080788.050 | -115494821.832 | 952193.707 | 747565.058 | 813718.388 |
| 65.014 | 19.358 | 12.539 | -0.000 | -0.000 | 0.000 |
| 12.539 | 12.539 | -120.389 | -0.000 | -0.000 | 0.000 |
| 79335784.671 | -165971329.933 | -79688534.910 | 14.553 | 0.000 | -0.000 |
| -165971329.478 | 79335784.628 | -79688534.924 | -0.000 | 14.520 | -0.000 |
| 0.000 | -0.000 | -0.000 | -0.000 | -0.000 | 70.299 |
| 100871726.042 | 79927757.541 | 121127573.206 | -991068.742 | -1414518.225 | 58674.490 |
| 82609266.962 | 97826014.638 | 120983529.773 | -570562.100 | 540515.204 | 547774.475 |
| 12.539 | 12.539 | -120.389 | 0.000 | 0.000 | -0.000 |
| -79335784.684 | 165971330.060 | 79688534.905 | 14.637 | -0.000 | -0.000 |
| 165971330.263 | -79335784.702 | 79688534.903 | -0.000 | 14.621 | -0.000 |
| -0.000 | 0.000 | 0.000 | 0.000 | -0.000 | 70.299 |
| -8164922.689 | -9773871.058 | -11906804.075 | 40682.716 | 55647.740 | 77755.319 |
| -10010995.689 | -7759741.832 | -11410876.844 | 180056.388 | 134565.761 | -122866.757 |
| 12.539 | 12.539 | -120.390 | -0.000 | -0.000 | -0.000 |
| 7933578.467 | -16597132.989 | -7968853.491 | 14.566 | -0.000 | -0.000 |
| -16597132.992 | 7933578.467 | -7968853.491 | -0.000 | 14.573 | -0.000 |
| -0.000 | -0.000 | -0.000 | -0.000 | 0.000 | 70.299 |
| 9945021.542 | 7958137.113 | 11680693.254 | -181855.461 | 65738.909 | -150882.530 |
| 8037690.066 | 9401128.459 | 11313001.301 | -160396.056 | 205869.548 | 48364.926 |
| 12.539 | 12.539 | -120.389 | 0.000 | 0.000 | -0.000 |
| -7933578.466 | 16597132.986 | 7968853.492 | 14.575 | 0.000 | -0.000 |
| 16597132.984 | -7933578.466 | 7968853.491 | 0.000 | 14.568 | 0.000 |
| 0.000 | 0.000 | 0.000 | 0.000 | 0.000 | 70.299 |
| -814442.692 | -956009.515 | -1183493.815 | 382.721 | -20197.071 | -1233.832 |
| -935981.954 | -768795.614 | -1126635.989 | 30597.329 | 8885.313 | -4062.418 |
| 12.539 | 12.539 | -120.392 | -0.000 | -0.000 | 0.000 |
| 793357.847 | -1659713.299 | -796885.349 | 14.571 | -0.000 | 0.000 |
| -1659713.299 | 793357.847 | -796885.349 | 0.000 | 14.571 | 0.000 |
| -0.001 | -0.001 | -0.000 | -0.000 | -0.000 | 70.299 |
| 1032087.377 | 850911.409 | 1343923.649 | 568.640 | -12963.537 | 24205.790 |
| 798340.325 | 952960.255 | 1155310.257 | -8102.258 | 16844.493 | 2468.532 |
| 12.539 | 12.539 | -120.387 | 0.000 | 0.000 | -0.000 |
| -793357.846 | 1659713.296 | 796885.349 | 14.571 | -0.000 | 0.000 |
| 1659713.301 | -793357.847 | 796885.349 | 0.000 | 14.571 | -0.000 |
| 0.001 | 0.001 | 0.000 | 0.000 | 0.000 | 70.299 |
| 112.500 | 139.877 | 64.091 | -0.000 | -0.000 | -0.000 |
| 139.877 | 112.500 | 64.091 | -0.000 | -0.000 | -0.000 |
| 64.091 | 64.091 | 86.390 | -0.000 | -0.000 | -0.000 |
| -0.000 | -0.000 | -0.000 | 9.592 | 0.000 | -0.000 |
| -0.000 | 0.000 | -0.000 | -0.000 | 9.592 | 0.000 |
| -0.000 | -0.000 | -0.000 | 0.000 | -0.000 | 122.160 |
| 112.500 | 139.877 | 64.091 | -0.000 | -0.000 | 0.000 |
| 139.877 | 112.500 | 64.091 | -0.000 | -0.000 | 0.000 |
| 64.091 | 64.091 | 86.390 | 0.000 | 0.000 | 0.000 |
| 0.000 | 0.000 | 0.000 | 9.592 | -0.000 | 0.000 |
| 0.000 | -0.000 | 0.000 | -0.000 | 9.592 | 0.000 |
| 0.000 | 0.000 | 0.000 | -0.000 | 0.000 | 122.160 |
| 112.500 | 139.877 | 64.091 | -0.000 | -0.000 | -0.000 |
| 139.877 | 112.500 | 64.091 | -0.000 | 0.000 | 0.000 |
| 64.091 | 64.091 | 86.390 | -0.000 | -0.000 | 0.000 |
| -0.000 | -0.000 | -0.000 | 9.592 | 0.000 | -0.000 |
| -0.000 | -0.000 | -0.000 | -0.000 | 9.592 | -0.000 |
| -0.000 | -0.000 | -0.000 | -0.000 | -0.000 | 122.160 |
| 112.501 | 139.877 | 64.091 | 0.000 | 0.000 | 0.000 |
| 139.877 | 112.501 | 64.091 | 0.000 | 0.000 | 0.000 |
| 64.091 | 64.091 | 86.390 | 0.000 | 0.000 | 0.000 |
| 0.000 | 0.000 | 0.000 | 9.592 | 0.000 | 0.000 |
| 0.000 | 0.000 | 0.000 | 0.000 | 9.592 | 0.000 |
| 0.000 | 0.000 | 0.000 | 0.000 | 0.000 | 122.160 |
| 112.499 | 139.876 | 64.091 | -0.000 | 0.000 | -0.000 |
| 139.876 | 112.499 | 64.091 | -0.000 | 0.000 | -0.000 |
| 64.092 | 64.092 | 86.390 | -0.000 | -0.000 | -0.000 |
| -0.000 | -0.001 | -0.000 | 9.592 | 0.000 | -0.000 |
| -0.001 | -0.000 | -0.000 | -0.000 | 9.592 | -0.000 |
| -0.001 | -0.001 | -0.000 | 0.000 | 0.000 | 122.160 |
| 112.502 | 139.878 | 64.092 | 0.000 | -0.000 | 0.000 |
| 139.878 | 112.502 | 64.092 | -0.000 | -0.000 | 0.000 |
| 64.091 | 64.091 | 86.391 | 0.000 | 0.000 | 0.000 |
| 0.000 | 0.001 | 0.000 | 9.592 | -0.000 | 0.000 |
| 0.001 | 0.000 | 0.000 | 0.000 | 9.592 | -0.000 |
| 0.001 | 0.001 | 0.000 | 0.000 | -0.000 | 122.160 |
| 65.855 | 0.223 | 12.540 | -0.000 | -0.000 | 0.000 |
| 0.223 | 65.855 | 12.540 | -0.000 | -0.000 | -0.000 |
| 12.540 | 12.540 | 67.976 | -0.000 | -0.000 | 0.000 |
| 0.000 | 0.000 | 0.000 | 14.190 | 0.000 | -0.000 |
| 0.000 | 0.000 | 0.000 | 0.000 | 14.190 | 0.000 |
| 0.000 | -0.000 | -0.000 | -0.000 | -0.000 | 0.010 |
| 65.855 | 0.223 | 12.540 | 0.000 | 0.000 | -0.000 |
| 0.223 | 65.855 | 12.540 | 0.000 | 0.000 | -0.000 |
| 12.540 | 12.540 | 67.976 | -0.000 | 0.000 | -0.000 |
| -0.000 | -0.000 | -0.000 | 14.190 | -0.000 | -0.000 |
| -0.000 | -0.000 | -0.000 | 0.000 | 14.190 | -0.000 |
| -0.000 | 0.000 | 0.000 | -0.000 | 0.000 | 0.010 |
| 65.855 | 0.223 | 12.540 | -0.000 | -0.000 | 0.000 |
| 0.223 | 65.855 | 12.540 | -0.000 | -0.000 | 0.000 |
| 12.540 | 12.540 | 67.976 | 0.000 | -0.000 | 0.000 |
| -0.000 | 0.000 | 0.000 | 14.190 | -0.000 | -0.000 |
| 0.000 | -0.000 | 0.000 | 0.000 | 14.190 | 0.000 |
| -0.000 | -0.000 | -0.000 | -0.000 | -0.000 | 0.010 |
| 65.855 | 0.223 | 12.540 | 0.000 | 0.000 | -0.000 |
| 0.223 | 65.855 | 12.540 | -0.000 | 0.000 | -0.000 |
| 12.540 | 12.540 | 67.976 | 0.000 | 0.000 | -0.000 |
| 0.000 | -0.000 | -0.000 | 14.190 | 0.000 | -0.000 |
| -0.000 | 0.000 | -0.000 | 0.000 | 14.190 | 0.000 |
| 0.000 | 0.000 | 0.000 | 0.000 | 0.000 | 0.010 |
| 65.855 | 0.223 | 12.540 | -0.000 | -0.000 | 0.000 |
| 0.223 | 65.855 | 12.540 | -0.000 | -0.000 | -0.000 |
| 12.540 | 12.540 | 67.975 | -0.000 | -0.000 | 0.000 |
| -0.000 | 0.000 | 0.000 | 14.190 | -0.000 | 0.000 |
| 0.000 | -0.000 | 0.000 | 0.000 | 14.190 | -0.000 |
| -0.000 | -0.000 | -0.000 | -0.000 | -0.000 | 0.010 |
| 65.856 | 0.223 | 12.540 | 0.000 | 0.000 | -0.000 |
| 0.223 | 65.856 | 12.540 | 0.000 | 0.000 | 0.000 |
| 12.540 | 12.540 | 67.977 | 0.000 | 0.000 | -0.000 |
| 0.000 | -0.000 | -0.000 | 14.190 | -0.000 | 0.000 |
| -0.000 | 0.000 | -0.000 | -0.000 | 14.190 | -0.000 |
| 0.000 | 0.000 | 0.000 | -0.000 | 0.000 | 0.010 |
| 117.426 | 109.931 | 68.971 | 0.000 | 0.000 | 0.000 |
| 109.931 | 117.426 | 68.971 | 0.000 | 0.000 | 0.000 |
| 68.971 | 68.971 | 236.556 | 0.000 | 0.000 | 0.000 |
| 0.000 | 0.000 | 0.000 | 64.528 | 0.000 | 0.000 |
| 0.000 | 0.000 | 0.000 | 0.000 | 64.528 | 0.000 |
| -0.000 | -0.000 | 0.000 | 0.000 | 0.000 | 107.542 |
| 117.426 | 109.931 | 68.971 | -0.000 | -0.000 | -0.000 |
| 109.931 | 117.426 | 68.971 | -0.000 | -0.000 | -0.000 |
| 68.971 | 68.971 | 236.556 | -0.000 | -0.000 | -0.000 |
| -0.000 | -0.000 | -0.000 | 64.528 | -0.000 | -0.000 |
| -0.000 | -0.000 | -0.000 | -0.000 | 64.528 | 0.000 |
| 0.000 | 0.000 | -0.000 | -0.000 | 0.000 | 107.542 |
| 117.426 | 109.930 | 68.971 | 0.000 | 0.000 | 0.000 |
| 109.930 | 117.426 | 68.971 | 0.000 | 0.000 | 0.000 |
| 68.971 | 68.971 | 236.556 | 0.000 | 0.000 | 0.000 |
| 0.000 | -0.000 | 0.000 | 64.528 | 0.000 | 0.000 |
| -0.000 | 0.000 | 0.000 | 0.000 | 64.528 | 0.000 |
| -0.000 | -0.000 | 0.000 | 0.000 | 0.000 | 107.542 |
| 117.426 | 109.931 | 68.971 | -0.000 | -0.000 | -0.000 |
| 109.931 | 117.426 | 68.971 | -0.000 | -0.000 | -0.000 |
| 68.971 | 68.971 | 236.556 | -0.000 | -0.000 | -0.000 |
| -0.000 | 0.000 | -0.000 | 64.528 | -0.000 | -0.000 |
| 0.000 | -0.000 | -0.000 | -0.000 | 64.528 | 0.000 |
| 0.000 | 0.000 | -0.000 | -0.000 | -0.000 | 107.542 |
| 117.425 | 109.930 | 68.971 | 0.000 | 0.000 | -0.000 |
| 109.930 | 117.425 | 68.971 | 0.000 | 0.000 | 0.000 |
| 68.972 | 68.972 | 236.558 | 0.000 | 0.000 | 0.000 |
| 0.000 | -0.000 | 0.000 | 64.528 | 0.000 | 0.000 |
| -0.000 | 0.000 | 0.000 | 0.000 | 64.528 | 0.000 |
| -0.001 | -0.001 | 0.000 | 0.000 | 0.000 | 107.542 |
| 117.427 | 109.931 | 68.971 | -0.000 | -0.000 | -0.000 |
| 109.931 | 117.427 | 68.971 | -0.000 | -0.000 | -0.000 |
| 68.971 | 68.971 | 236.554 | -0.000 | -0.000 | -0.000 |
| -0.000 | 0.000 | -0.000 | 64.528 | -0.000 | -0.000 |
| 0.000 | -0.000 | -0.000 | -0.000 | 64.528 | -0.000 |
| 0.001 | 0.001 | -0.000 | -0.000 | -0.000 | 107.542 |
| 1303220.000 | 773020.000 | 551687.001 | -90504.541 | 6.348 | 0.304 |
| 773017.996 | 1303221.001 | 551687.001 | 90509.494 | 6.001 | 0.498 |
| 528958.996 | 528957.000 | -157584.996 | 0.071 | 8.361 | 0.405 |
| -90508.001 | 90508.001 | 0.000 | -1500.038 | 4.377 | -0.069 |
| -1.002 | 0.000 | -0.998 | 0.046 | -1497.627 | -90506.593 |
| -4.004 | -4.004 | -35.996 | 0.532 | -90502.212 | 265101.107 |
| 1303229.999 | 773027.002 | 551752.002 | -90507.863 | -4.604 | -0.572 |
| 773025.005 | 1303229.999 | 551752.002 | 90505.664 | -4.860 | 0.677 |
| 528960.002 | 528959.000 | -157586.001 | -2.592 | -2.456 | -0.187 |
| -90505.997 | 90506.001 | -0.000 | -1502.758 | -3.528 | -0.350 |
| -0.000 | -0.000 | -0.000 | -0.286 | -1507.054 | -90506.810 |
| 5.005 | 4.004 | 35.996 | -0.211 | -90511.285 | 265100.832 |
| 1303226.700 | 773025.900 | 551751.600 | -90506.635 | 0.363 | -0.021 |
| 773025.600 | 1303227.000 | 551751.500 | 90507.007 | 0.249 | 0.053 |
| 528958.600 | 528958.800 | -157588.500 | 0.091 | 0.473 | 0.018 |
| -90506.800 | 90506.500 | -0.400 | -1501.879 | 0.615 | 0.029 |
| -0.501 | -0.200 | -0.400 | 0.023 | -1501.592 | -90506.747 |
| -0.400 | -0.500 | -0.200 | -0.010 | -90506.278 | 265101.451 |
| 1303230.400 | 773026.100 | 551752.100 | -90506.788 | -0.332 | -0.034 |
| 773026.100 | 1303230.100 | 551752.200 | 90506.293 | -0.455 | -0.057 |
| 528960.900 | 528960.700 | -157570.000 | -0.099 | -0.511 | -0.025 |
| -90506.600 | 90507.200 | 0.300 | -1502.253 | -0.773 | -0.124 |
| 0.501 | 0.200 | 0.400 | -0.013 | -1502.561 | -90506.750 |
| 0.300 | 0.500 | 0.200 | 0.018 | -90507.213 | 265101.341 |
| 1303210.740 | 773023.990 | 551748.240 | -90507.622 | 0.082 | -0.002 |
| 773022.470 | 1303211.680 | 551745.620 | 90508.071 | 0.027 | 0.015 |
| 528954.570 | 528954.560 | -157613.260 | 0.003 | 0.047 | 0.003 |
| -90508.200 | 90502.330 | -4.910 | -1501.657 | 0.014 | -0.003 |
| -4.430 | -1.470 | -4.920 | -0.432 | -1502.061 | -90506.748 |
| -3.420 | -4.380 | -1.460 | -0.289 | -90506.705 | 265101.405 |
| 1303246.500 | 773027.630 | 551755.360 | -90505.887 | -0.011 | -0.007 |
| 773028.870 | 1303245.240 | 551755.350 | 90505.438 | -0.034 | -0.009 |
| 528963.470 | 528963.480 | -157557.920 | -0.027 | -0.065 | 0.004 |
| -90505.140 | 90511.310 | 6.210 | -1502.567 | -0.030 | -0.012 |
| 4.430 | 1.470 | 4.920 | 0.435 | -1502.170 | -90506.760 |
| 3.430 | 4.380 | 1.470 | 0.294 | -90506.803 | 265101.395 |
| 687.927 | -32.970 | -32.970 | -0.000 | 0.000 | -0.000 |
| -32.970 | 687.927 | -32.970 | 0.000 | -0.000 | -0.000 |
| -32.970 | -32.970 | 687.927 | 0.000 | 0.000 | -0.000 |
| -0.000 | 0.000 | -0.000 | 95.296 | 0.000 | -0.000 |
| -0.000 | 0.000 | -0.000 | 0.000 | 95.296 | -0.000 |
| -0.000 | -0.000 | -0.000 | 0.000 | -0.000 | 95.296 |
| 687.927 | -32.970 | -32.970 | -0.000 | -0.000 | 0.000 |
| -32.970 | 687.927 | -32.970 | -0.000 | -0.000 | 0.000 |
| -32.970 | -32.970 | 687.927 | -0.000 | -0.000 | 0.000 |
| 0.000 | -0.000 | 0.000 | 95.296 | -0.000 | 0.000 |
| 0.000 | -0.000 | 0.000 | -0.000 | 95.296 | 0.000 |
| 0.000 | 0.000 | 0.000 | 0.000 | -0.000 | 95.296 |
| 687.928 | -32.969 | -32.969 | 0.000 | -0.000 | -0.000 |
| -32.969 | 687.928 | -32.969 | -0.000 | 0.000 | -0.000 |
| -32.969 | -32.969 | 687.928 | 0.000 | 0.000 | -0.000 |
| 0.000 | 0.000 | 0.000 | 95.296 | 0.000 | -0.000 |
| 0.000 | 0.000 | 0.000 | -0.000 | 95.296 | -0.000 |
| 0.000 | 0.000 | 0.000 | -0.000 | 0.000 | 95.296 |
| 687.926 | -32.971 | -32.971 | -0.000 | -0.000 | 0.000 |
| -32.971 | 687.926 | -32.971 | -0.000 | -0.000 | 0.000 |
| -32.971 | -32.971 | 687.926 | -0.000 | -0.000 | 0.000 |
| -0.000 | -0.000 | -0.000 | 95.296 | 0.000 | 0.000 |
| -0.000 | -0.000 | -0.000 | -0.000 | 95.296 | 0.000 |
| -0.000 | -0.000 | -0.000 | 0.000 | -0.000 | 95.296 |
| 687.936 | -32.960 | -32.960 | -0.000 | 0.000 | -0.000 |
| -32.960 | 687.936 | -32.960 | 0.000 | 0.000 | 0.000 |
| -32.960 | -32.960 | 687.936 | 0.000 | 0.000 | 0.000 |
| 0.000 | 0.001 | 0.000 | 95.296 | 0.000 | -0.000 |
| 0.001 | 0.000 | 0.000 | 0.000 | 95.296 | -0.000 |
| 0.001 | 0.000 | 0.000 | -0.000 | 0.000 | 95.296 |
| 687.918 | -32.981 | -32.981 | -0.000 | -0.000 | 0.000 |
| -32.981 | 687.918 | -32.981 | -0.000 | -0.000 | 0.000 |
| -32.981 | -32.981 | 687.918 | -0.000 | 0.000 | 0.000 |
| -0.000 | -0.001 | -0.000 | 95.296 | 0.000 | 0.000 |
| -0.001 | -0.000 | -0.000 | -0.000 | 95.296 | 0.000 |
| -0.001 | -0.000 | -0.000 | 0.000 | -0.000 | 95.296 |
| 177.376 | 136.359 | 136.359 | 0.000 | 0.000 | -0.000 |
| 136.359 | 177.376 | 136.359 | 0.000 | -0.000 | -0.000 |
| 136.359 | 136.359 | 177.376 | 0.000 | -0.000 | -0.000 |
| 0.000 | 0.000 | 0.000 | 123.521 | 0.000 | -0.000 |
| 0.000 | 0.000 | 0.000 | 0.000 | 123.521 | -0.000 |
| 0.000 | 0.000 | 0.000 | -0.000 | 0.000 | 123.521 |
| 177.376 | 136.359 | 136.359 | 0.000 | -0.000 | 0.000 |
| 136.359 | 177.376 | 136.359 | 0.000 | -0.000 | -0.000 |
| 136.359 | 136.359 | 177.376 | 0.000 | 0.000 | -0.000 |
| -0.000 | -0.000 | -0.000 | 123.521 | 0.000 | -0.000 |
| -0.000 | -0.000 | -0.000 | 0.000 | 123.521 | 0.000 |
| -0.000 | -0.000 | -0.000 | 0.000 | -0.000 | 123.521 |
| 177.375 | 136.359 | 136.359 | -0.000 | 0.000 | -0.000 |
| 136.359 | 177.375 | 136.359 | 0.000 | -0.000 | 0.000 |
| 136.359 | 136.359 | 177.375 | -0.000 | -0.000 | 0.000 |
| 0.000 | 0.000 | 0.000 | 123.521 | 0.000 | -0.000 |
| 0.000 | 0.000 | 0.000 | 0.000 | 123.521 | 0.000 |
| 0.000 | 0.000 | 0.000 | 0.000 | 0.000 | 123.521 |
| 177.376 | 136.359 | 136.359 | -0.000 | -0.000 | 0.000 |
| 136.359 | 177.376 | 136.359 | 0.000 | -0.000 | -0.000 |
| 136.359 | 136.359 | 177.376 | -0.000 | 0.000 | -0.000 |
| -0.000 | -0.000 | -0.000 | 123.521 | -0.000 | 0.000 |
| -0.000 | -0.000 | -0.000 | 0.000 | 123.521 | 0.000 |
| -0.000 | -0.000 | -0.000 | 0.000 | 0.000 | 123.521 |
| 177.371 | 136.361 | 136.361 | -0.000 | 0.000 | -0.000 |
| 136.361 | 177.371 | 136.361 | 0.000 | -0.000 | 0.000 |
| 136.361 | 136.361 | 177.371 | 0.000 | 0.000 | -0.000 |
| 0.001 | 0.000 | 0.000 | 123.521 | 0.000 | -0.000 |
| 0.000 | 0.001 | 0.000 | 0.000 | 123.521 | -0.000 |
| 0.000 | 0.000 | 0.001 | -0.000 | 0.000 | 123.521 |
| 177.380 | 136.357 | 136.357 | 0.000 | -0.000 | -0.000 |
| 136.357 | 177.380 | 136.357 | -0.000 | 0.000 | 0.000 |
| 136.357 | 136.357 | 177.380 | 0.000 | 0.000 | -0.000 |
| -0.001 | -0.000 | -0.000 | 123.521 | -0.000 | 0.000 |
| -0.000 | -0.001 | -0.000 | -0.000 | 123.521 | 0.000 |
| -0.000 | -0.000 | -0.001 | -0.000 | -0.000 | 123.521 |
| 34.832 | 68.866 | 68.866 | 0.000 | -0.000 | -0.000 |
| 68.866 | 34.832 | 68.866 | 0.000 | -0.000 | -0.000 |
| 68.866 | 68.866 | 34.832 | -0.000 | -0.000 | -0.000 |
| -0.000 | -0.000 | -0.000 | 77.171 | -0.000 | -0.000 |
| -0.000 | -0.000 | -0.000 | 0.000 | 77.171 | -0.000 |
| -0.000 | -0.000 | -0.000 | -0.000 | -0.000 | 77.171 |
| 34.832 | 68.866 | 68.866 | -0.000 | 0.000 | 0.000 |
| 68.866 | 34.832 | 68.866 | 0.000 | 0.000 | 0.000 |
| 68.866 | 68.866 | 34.832 | -0.000 | 0.000 | 0.000 |
| 0.000 | 0.000 | 0.000 | 77.171 | -0.000 | 0.000 |
| 0.000 | 0.000 | 0.000 | 0.000 | 77.171 | 0.000 |
| 0.000 | 0.000 | 0.000 | -0.000 | 0.000 | 77.171 |
| 34.831 | 68.866 | 68.866 | 0.000 | 0.000 | -0.000 |
| 68.866 | 34.831 | 68.866 | 0.000 | 0.000 | -0.000 |
| 68.866 | 68.866 | 34.831 | 0.000 | 0.000 | -0.000 |
| -0.000 | -0.000 | -0.000 | 77.171 | 0.000 | -0.000 |
| -0.000 | -0.000 | -0.000 | 0.000 | 77.171 | -0.000 |
| -0.000 | -0.000 | -0.000 | 0.000 | -0.000 | 77.171 |
| 34.832 | 68.866 | 68.866 | 0.000 | 0.000 | 0.000 |
| 68.866 | 34.832 | 68.866 | 0.000 | -0.000 | 0.000 |
| 68.866 | 68.866 | 34.832 | -0.000 | -0.000 | 0.000 |
| 0.000 | 0.000 | 0.000 | 77.171 | 0.000 | 0.000 |
| 0.000 | 0.000 | 0.000 | 0.000 | 77.171 | 0.000 |
| 0.000 | 0.000 | 0.000 | 0.000 | 0.000 | 77.171 |
| 34.830 | 68.865 | 68.865 | 0.000 | -0.000 | -0.000 |
| 68.865 | 34.830 | 68.865 | 0.000 | 0.000 | -0.000 |
| 68.865 | 68.865 | 34.830 | 0.000 | 0.000 | -0.000 |
| -0.001 | -0.002 | -0.002 | 77.171 | 0.000 | -0.000 |
| -0.002 | -0.001 | -0.002 | 0.000 | 77.171 | -0.000 |
| -0.002 | -0.002 | -0.001 | -0.000 | -0.000 | 77.171 |
| 34.833 | 68.868 | 68.868 | 0.000 | -0.000 | 0.000 |
| 68.868 | 34.833 | 68.868 | -0.000 | -0.000 | 0.000 |
| 68.868 | 68.868 | 34.833 | -0.000 | 0.000 | 0.000 |
| 0.001 | 0.002 | 0.002 | 77.171 | -0.000 | 0.000 |
| 0.002 | 0.001 | 0.002 | 0.000 | 77.171 | 0.000 |
| 0.002 | 0.002 | 0.001 | 0.000 | -0.000 | 77.171 |
| 152.118 | 68.157 | 68.157 | 0.000 | 0.000 | 0.000 |
| 68.157 | 152.118 | 68.157 | 0.000 | 0.000 | 0.000 |
| 68.157 | 68.157 | 152.118 | -0.000 | 0.000 | 0.000 |
| 0.000 | -0.000 | -0.000 | 76.365 | 0.000 | -0.000 |
| -0.000 | 0.000 | -0.000 | -0.000 | 76.365 | -0.000 |
| -0.000 | -0.000 | 0.000 | 0.000 | -0.000 | 76.365 |
| 152.118 | 68.157 | 68.157 | -0.000 | -0.000 | -0.000 |
| 68.157 | 152.118 | 68.157 | 0.000 | -0.000 | 0.000 |
| 68.157 | 68.157 | 152.118 | 0.000 | 0.000 | -0.000 |
| -0.000 | 0.000 | 0.000 | 76.365 | 0.000 | -0.000 |
| 0.000 | -0.000 | 0.000 | -0.000 | 76.365 | -0.000 |
| 0.000 | 0.000 | -0.000 | -0.000 | 0.000 | 76.365 |
| 152.118 | 68.157 | 68.157 | 0.000 | 0.000 | 0.000 |
| 68.157 | 152.118 | 68.157 | 0.000 | 0.000 | -0.000 |
| 68.157 | 68.157 | 152.118 | 0.000 | -0.000 | 0.000 |
| -0.000 | -0.000 | -0.000 | 76.365 | -0.000 | 0.000 |
| -0.000 | -0.000 | -0.000 | -0.000 | 76.365 | 0.000 |
| -0.000 | -0.000 | -0.000 | -0.000 | -0.000 | 76.365 |
| 152.119 | 68.157 | 68.157 | 0.000 | 0.000 | -0.000 |
| 68.157 | 152.119 | 68.157 | -0.000 | 0.000 | -0.000 |
| 68.157 | 68.157 | 152.119 | -0.000 | 0.000 | 0.000 |
| 0.000 | 0.000 | 0.000 | 76.365 | 0.000 | -0.000 |
| 0.000 | 0.000 | 0.000 | 0.000 | 76.365 | 0.000 |
| 0.000 | 0.000 | 0.000 | 0.000 | 0.000 | 76.365 |
| 152.116 | 68.157 | 68.157 | 0.000 | -0.000 | 0.000 |
| 68.157 | 152.116 | 68.157 | -0.000 | -0.000 | -0.000 |
| 68.157 | 68.157 | 152.116 | -0.000 | -0.000 | 0.000 |
| -0.000 | -0.001 | -0.001 | 76.365 | -0.000 | 0.000 |
| -0.001 | -0.000 | -0.001 | 0.000 | 76.365 | -0.000 |
| -0.001 | -0.001 | -0.000 | 0.000 | -0.000 | 76.365 |
| 152.120 | 68.158 | 68.158 | -0.000 | 0.000 | 0.000 |
| 68.158 | 152.120 | 68.158 | 0.000 | 0.000 | -0.000 |
| 68.158 | 68.158 | 152.120 | 0.000 | -0.000 | 0.000 |
| 0.000 | 0.001 | 0.001 | 76.365 | -0.000 | -0.000 |
| 0.001 | 0.000 | 0.001 | 0.000 | 76.365 | 0.000 |
| 0.001 | 0.001 | 0.000 | -0.000 | 0.000 | 76.365 |
| 78.388 | -1.107 | -1.107 | 0.000 | 0.000 | 0.000 |
| -1.107 | 78.388 | -1.107 | 0.000 | 0.000 | 0.000 |
| -1.107 | -1.107 | 78.388 | 0.000 | 0.000 | -0.000 |
| 0.000 | -0.000 | -0.000 | 0.007 | -0.000 | 0.000 |
| -0.000 | 0.000 | -0.000 | 0.000 | 0.007 | 0.000 |
| -0.000 | -0.000 | 0.000 | -0.000 | 0.000 | 0.007 |
| 78.388 | -1.107 | -1.107 | -0.000 | -0.000 | -0.000 |
| -1.107 | 78.388 | -1.107 | -0.000 | -0.000 | 0.000 |
| -1.107 | -1.107 | 78.388 | 0.000 | 0.000 | 0.000 |
| -0.000 | -0.000 | 0.000 | 0.007 | 0.000 | 0.000 |
| -0.000 | -0.000 | 0.000 | 0.000 | 0.007 | -0.000 |
| -0.000 | 0.000 | -0.000 | 0.000 | -0.000 | 0.007 |
| 78.388 | -1.107 | -1.107 | -0.000 | 0.000 | 0.000 |
| -1.107 | 78.388 | -1.107 | 0.000 | -0.000 | 0.000 |
| -1.107 | -1.107 | 78.388 | 0.000 | 0.000 | -0.000 |
| 0.000 | 0.000 | -0.000 | 0.007 | -0.000 | -0.000 |
| 0.000 | 0.000 | -0.000 | -0.000 | 0.007 | 0.000 |
| 0.000 | -0.000 | 0.000 | 0.000 | 0.000 | 0.007 |
| 78.388 | -1.107 | -1.107 | 0.000 | -0.000 | -0.000 |
| -1.107 | 78.388 | -1.107 | -0.000 | 0.000 | 0.000 |
| -1.107 | -1.107 | 78.388 | 0.000 | 0.000 | 0.000 |
| -0.000 | -0.000 | 0.000 | 0.007 | 0.000 | -0.000 |
| -0.000 | -0.000 | 0.000 | 0.000 | 0.007 | -0.000 |
| -0.000 | 0.000 | -0.000 | 0.000 | -0.000 | 0.007 |
| 78.389 | -1.107 | -1.107 | 0.000 | -0.000 | -0.000 |
| -1.107 | 78.389 | -1.107 | -0.000 | 0.000 | 0.000 |
| -1.107 | -1.107 | 78.389 | 0.000 | 0.000 | 0.000 |
| 0.000 | 0.000 | -0.000 | 0.007 | 0.000 | -0.000 |
| 0.000 | 0.000 | -0.000 | -0.000 | 0.007 | 0.000 |
| 0.000 | -0.000 | 0.000 | -0.000 | 0.000 | 0.007 |
| 78.387 | -1.107 | -1.107 | -0.000 | 0.000 | 0.000 |
| -1.107 | 78.387 | -1.107 | 0.000 | -0.000 | 0.000 |
| -1.107 | -1.107 | 78.387 | 0.000 | 0.000 | -0.000 |
| -0.000 | -0.000 | 0.000 | 0.007 | 0.000 | 0.000 |
| -0.000 | -0.000 | 0.000 | 0.000 | 0.007 | -0.000 |
| -0.000 | 0.000 | -0.000 | -0.000 | -0.000 | 0.007 |
| 42.199 | -1.266 | -1.266 | -0.000 | -0.000 | -0.000 |
| -1.266 | 42.199 | -1.266 | -0.000 | -0.000 | -0.000 |
| -1.266 | -1.266 | 42.199 | -0.000 | -0.000 | -0.000 |
| 0.000 | 0.000 | 0.000 | 0.026 | -0.000 | 0.000 |
| 0.000 | 0.000 | 0.000 | -0.000 | 0.026 | -0.000 |
| 0.000 | 0.000 | 0.000 | -0.000 | -0.000 | 0.026 |
| 42.199 | -1.266 | -1.266 | 0.000 | 0.000 | 0.000 |
| -1.266 | 42.199 | -1.266 | 0.000 | 0.000 | 0.000 |
| -1.266 | -1.266 | 42.199 | -0.000 | -0.000 | -0.000 |
| -0.000 | -0.000 | -0.000 | 0.026 | -0.000 | -0.000 |
| -0.000 | -0.000 | -0.000 | 0.000 | 0.026 | 0.000 |
| -0.000 | -0.000 | -0.000 | 0.000 | 0.000 | 0.026 |
| 42.199 | -1.266 | -1.266 | 0.000 | 0.000 | 0.000 |
| -1.266 | 42.199 | -1.266 | 0.000 | 0.000 | 0.000 |
| -1.266 | -1.266 | 42.199 | 0.000 | 0.000 | -0.000 |
| 0.000 | 0.000 | -0.000 | 0.026 | -0.000 | -0.000 |
| 0.000 | 0.000 | -0.000 | 0.000 | 0.026 | -0.000 |
| 0.000 | -0.000 | 0.000 | -0.000 | -0.000 | 0.026 |
| 42.199 | -1.266 | -1.266 | -0.000 | 0.000 | -0.000 |
| -1.266 | 42.199 | -1.266 | 0.000 | 0.000 | -0.000 |
| -1.266 | -1.266 | 42.199 | 0.000 | 0.000 | 0.000 |
| -0.000 | -0.000 | 0.000 | 0.026 | 0.000 | 0.000 |
| -0.000 | -0.000 | 0.000 | 0.000 | 0.026 | 0.000 |
| -0.000 | 0.000 | -0.000 | -0.000 | 0.000 | 0.026 |
| 42.198 | -1.266 | -1.266 | 0.000 | -0.000 | -0.000 |
| -1.266 | 42.198 | -1.266 | 0.000 | 0.000 | 0.000 |
| -1.266 | -1.266 | 42.198 | 0.000 | 0.000 | 0.000 |
| 0.000 | 0.000 | -0.000 | 0.026 | 0.000 | 0.000 |
| 0.000 | 0.000 | -0.000 | 0.000 | 0.026 | 0.000 |
| 0.000 | -0.000 | 0.000 | 0.000 | -0.000 | 0.026 |
| 42.200 | -1.266 | -1.266 | 0.000 | 0.000 | 0.000 |
| -1.266 | 42.200 | -1.266 | 0.000 | 0.000 | 0.000 |
| -1.266 | -1.266 | 42.200 | 0.000 | 0.000 | -0.000 |
| -0.000 | -0.000 | 0.000 | 0.026 | -0.000 | -0.000 |
| -0.000 | -0.000 | 0.000 | -0.000 | 0.026 | 0.000 |
| -0.000 | 0.000 | -0.000 | -0.000 | 0.000 | 0.026 |
| 270.022 | 97.672 | 34.213 | 0.000 | -0.000 | -0.000 |
| 97.672 | 270.022 | 34.213 | -0.000 | -0.000 | -0.000 |
| 34.213 | 34.213 | -413.722 | 0.000 | -0.000 | -0.000 |
| -0.000 | 0.000 | -0.000 | -11.283 | -0.000 | -0.000 |
| 0.000 | -0.000 | -0.000 | 0.000 | -11.283 | -0.000 |
| -0.000 | 0.000 | 0.000 | 0.000 | -0.000 | 86.175 |
| 270.023 | 97.673 | 34.213 | 0.000 | 0.000 | 0.000 |
| 97.673 | 270.023 | 34.213 | 0.000 | 0.000 | 0.000 |
| 34.213 | 34.213 | -413.722 | -0.000 | 0.000 | -0.000 |
| 0.000 | -0.000 | 0.000 | -11.283 | 0.000 | 0.000 |
| -0.000 | 0.000 | 0.000 | -0.000 | -11.283 | 0.000 |
| 0.000 | -0.000 | -0.000 | -0.000 | 0.000 | 86.175 |
| 270.020 | 97.670 | 34.211 | -0.000 | -0.000 | -0.000 |
| 97.670 | 270.020 | 34.211 | 0.000 | -0.000 | -0.000 |
| 34.211 | 34.211 | -413.724 | 0.000 | -0.000 | -0.000 |
| -0.000 | 0.000 | -0.000 | -11.283 | -0.000 | -0.000 |
| 0.000 | -0.000 | -0.000 | 0.000 | -11.283 | -0.000 |
| -0.000 | 0.000 | 0.000 | -0.000 | -0.000 | 86.175 |
| 270.025 | 97.675 | 34.215 | -0.000 | 0.000 | -0.000 |
| 97.675 | 270.026 | 34.215 | 0.000 | 0.000 | 0.000 |
| 34.215 | 34.215 | -413.719 | -0.000 | 0.000 | 0.000 |
| 0.000 | -0.000 | 0.000 | -11.283 | 0.000 | -0.000 |
| -0.000 | 0.000 | 0.000 | -0.000 | -11.283 | 0.000 |
| 0.000 | -0.000 | -0.000 | 0.000 | 0.000 | 86.175 |
| 269.996 | 97.644 | 34.191 | -0.000 | -0.000 | -0.000 |
| 97.644 | 269.995 | 34.191 | -0.000 | -0.000 | -0.000 |
| 34.194 | 34.194 | -413.745 | 0.000 | -0.000 | -0.000 |
| -0.000 | 0.000 | -0.000 | -11.283 | -0.000 | -0.000 |
| 0.000 | -0.000 | -0.000 | 0.000 | -11.283 | -0.000 |
| -0.000 | 0.001 | 0.000 | 0.000 | -0.000 | 86.175 |
| 270.050 | 97.701 | 34.236 | 0.000 | 0.000 | 0.000 |
| 97.701 | 270.051 | 34.236 | -0.000 | 0.000 | 0.000 |
| 34.233 | 34.233 | -413.698 | -0.000 | 0.000 | 0.000 |
| 0.000 | -0.000 | 0.000 | -11.283 | 0.000 | -0.000 |
| -0.000 | 0.000 | 0.000 | -0.000 | -11.283 | 0.000 |
| 0.000 | -0.001 | -0.000 | -0.000 | 0.000 | 86.175 |
| 379.813 | 143.047 | 144.708 | -0.000 | -0.000 | 0.000 |
| 143.047 | 379.813 | 144.708 | 0.000 | -0.000 | 0.000 |
| 147.121 | 147.121 | 472.496 | -0.000 | -0.000 | 0.000 |
| 499.816 | 499.816 | -759.862 | 83.992 | -0.000 | 0.000 |
| 499.816 | 499.816 | -759.862 | 0.000 | 83.992 | 0.000 |
| 0.000 | 0.000 | 0.000 | 0.000 | -0.000 | 112.360 |
| -148.095 | -360.494 | 899.426 | 0.000 | 0.000 | -0.000 |
| -360.494 | -148.095 | 899.426 | 0.000 | 0.000 | -0.000 |
| 147.121 | 147.121 | 472.497 | 0.000 | 0.000 | -0.000 |
| -499.816 | -499.816 | 759.862 | 83.992 | 0.000 | -0.000 |
| -499.816 | -499.816 | 759.862 | 0.000 | 83.992 | -0.000 |
| -0.000 | -0.000 | 0.000 | 0.000 | 0.000 | 112.360 |
| 401.450 | 189.491 | 63.095 | 0.000 | -0.000 | 0.000 |
| 189.491 | 401.450 | 63.095 | 0.000 | -0.000 | 0.000 |
| 147.118 | 147.118 | 472.491 | -0.000 | -0.000 | 0.000 |
| 50.041 | 50.041 | -76.076 | 83.985 | -0.000 | 0.000 |
| 50.041 | 50.041 | -76.076 | 0.000 | 83.985 | 0.000 |
| 50.128 | 50.128 | -76.207 | 0.000 | -0.000 | 94.991 |
| 255.590 | 150.387 | 212.963 | -0.000 | 0.000 | -0.000 |
| 150.387 | 255.590 | 212.963 | -0.000 | 0.000 | -0.000 |
| 92.301 | 92.301 | 529.417 | 0.000 | 0.000 | -0.000 |
| -50.041 | -50.041 | 76.076 | 83.985 | 0.000 | -0.000 |
| -50.041 | -50.041 | 76.076 | 0.000 | 83.985 | -0.000 |
| -50.128 | -50.128 | 76.207 | 0.000 | 0.000 | 94.991 |
| 283.225 | 176.140 | 129.957 | 0.000 | 0.000 | 0.000 |
| 176.140 | 283.225 | 129.957 | 0.000 | -0.000 | 0.000 |
| 147.095 | 147.095 | 472.440 | 0.000 | -0.000 | 0.000 |
| -0.000 | 0.000 | 0.001 | 89.456 | -0.000 | 0.000 |
| 0.000 | -0.000 | 0.001 | 0.000 | 89.456 | 0.000 |
| 6.062 | 6.062 | -9.199 | 0.000 | -0.000 | 91.392 |
| 301.078 | 177.291 | 136.554 | -0.000 | 0.000 | -0.000 |
| 177.291 | 301.078 | 136.554 | 0.000 | 0.000 | -0.000 |
| 134.749 | 134.749 | 456.354 | 0.000 | 0.000 | -0.000 |
| 0.000 | -0.000 | -0.001 | 89.456 | 0.000 | -0.000 |
| -0.000 | 0.000 | -0.001 | -0.000 | 89.456 | -0.000 |
| -6.062 | -6.062 | 9.199 | -0.000 | 0.000 | 91.392 |
| 356.392 | 138.900 | 138.996 | -0.000 | 0.000 | 0.000 |
| 138.900 | 356.392 | 138.996 | -0.000 | 0.000 | -0.000 |
| 2782.336 | 2782.336 | -2601.205 | -0.000 | 0.000 | 0.000 |
| 3384.673 | 3384.673 | -1596.822 | 63.676 | 0.000 | 0.000 |
| 3384.673 | 3384.673 | -1596.822 | 0.000 | 63.676 | 0.000 |
| 3602.543 | 3602.543 | -1765.274 | 0.000 | 0.000 | 85.293 |
| 356.391 | 138.900 | 138.995 | 0.000 | -0.000 | 0.000 |
| 138.899 | 356.391 | 138.996 | 0.000 | -0.000 | -0.000 |
| -753.323 | -753.323 | 964.160 | 0.000 | -0.000 | -0.000 |
| -3384.673 | -3384.673 | 1596.822 | 63.676 | -0.000 | -0.000 |
| -3384.673 | -3384.673 | 1596.822 | 0.000 | 63.676 | -0.000 |
| -3602.543 | -3602.543 | 1765.274 | 0.000 | -0.000 | 85.293 |
| 356.397 | 138.901 | 138.998 | -0.000 | 0.000 | 0.000 |
| 138.901 | 356.397 | 138.998 | -0.000 | 0.000 | -0.000 |
| 141.229 | 141.229 | 476.039 | -0.000 | 0.000 | 0.000 |
| 0.000 | 0.000 | 0.000 | 89.830 | 0.000 | -0.000 |
| 0.000 | 0.000 | 0.000 | 0.000 | 89.830 | 0.000 |
| 338.570 | 338.570 | -157.281 | -0.000 | 0.000 | 69.602 |
| -65.007 | -67.506 | 420.660 | 0.000 | -0.000 | 0.000 |
| -67.506 | -65.007 | 420.660 | -0.000 | -0.000 | -0.000 |
| 141.223 | 141.223 | 476.025 | 0.000 | -0.000 | -0.000 |
| -0.000 | -0.000 | -0.000 | 89.830 | -0.000 | 0.000 |
| -0.000 | -0.000 | -0.000 | -0.000 | 89.830 | -0.000 |
| -338.570 | -338.570 | 157.281 | -0.000 | -0.000 | 69.602 |
| 289.300 | 189.638 | 109.886 | -0.000 | 0.000 | -0.000 |
| 189.638 | 289.300 | 109.886 | -0.000 | 0.000 | -0.000 |
| 141.257 | 141.257 | 476.103 | -0.000 | 0.000 | 0.000 |
| 0.000 | 0.001 | 0.002 | 89.830 | 0.000 | 0.000 |
| 0.001 | 0.000 | 0.002 | -0.000 | 89.830 | 0.000 |
| 15.380 | 15.381 | -17.412 | -0.000 | 0.000 | 60.065 |
| 227.264 | 167.421 | 144.807 | -0.000 | -0.000 | -0.000 |
| 167.421 | 227.264 | 144.807 | -0.000 | -0.000 | -0.000 |
| 97.531 | 97.531 | 459.370 | 0.000 | -0.000 | 0.000 |
| -0.000 | -0.001 | -0.002 | 89.830 | -0.000 | 0.000 |
| -0.001 | -0.000 | -0.002 | 0.000 | 89.830 | -0.000 |
| -15.380 | -15.381 | 17.412 | -0.000 | -0.000 | 60.065 |
| 439.762 | 257.748 | 296.982 | 0.000 | 0.000 | 0.000 |
| 257.748 | 439.762 | 296.982 | 0.000 | -0.000 | 0.000 |
| 280.919 | 280.919 | 623.091 | 0.000 | -0.000 | 0.000 |
| 178.486 | 178.486 | 211.332 | 82.791 | -0.000 | 0.000 |
| 178.486 | 178.486 | 211.332 | -0.000 | 82.791 | 0.000 |
| 140.230 | 140.230 | 193.299 | 0.000 | 0.000 | 84.133 |
| 159.152 | -22.688 | -89.586 | -0.000 | 0.000 | -0.000 |
| -22.688 | 159.152 | -89.586 | -0.000 | 0.000 | -0.000 |
| -36.125 | -36.125 | 212.330 | -0.000 | 0.000 | -0.000 |
| -178.486 | -178.486 | -211.332 | 82.791 | 0.000 | -0.000 |
| -178.486 | -178.486 | -211.332 | -0.000 | 82.791 | -0.000 |
| -140.230 | -140.230 | -193.299 | -0.000 | -0.000 | 84.133 |
| 314.893 | 131.533 | 123.034 | 0.000 | -0.000 | 0.000 |
| 131.533 | 314.893 | 123.034 | 0.000 | -0.000 | 0.000 |
| 117.994 | 117.994 | 425.624 | 0.000 | -0.000 | 0.000 |
| 14.119 | 14.119 | 19.463 | 84.845 | -0.000 | 0.000 |
| 14.119 | 14.119 | 19.463 | -0.000 | 84.845 | 0.000 |
| 13.974 | 13.974 | 19.262 | 0.000 | -0.000 | 84.221 |
| 285.547 | 103.781 | 84.742 | -0.000 | 0.000 | -0.000 |
| 103.781 | 285.547 | 84.742 | -0.000 | 0.000 | -0.000 |
| 87.875 | 87.875 | 391.226 | -0.000 | -0.000 | -0.000 |
| -14.119 | -14.119 | -19.463 | 84.845 | 0.000 | -0.000 |
| -14.119 | -14.119 | -19.463 | -0.000 | 84.845 | -0.000 |
| -13.974 | -13.974 | -19.262 | -0.000 | 0.000 | 84.221 |
| 280.561 | 146.365 | 102.775 | 0.000 | -0.000 | 0.000 |
| 146.365 | 280.561 | 102.775 | -0.000 | -0.000 | 0.000 |
| 107.008 | 107.008 | 414.442 | 0.000 | -0.000 | 0.000 |
| 1.677 | 1.678 | 2.314 | 83.049 | -0.000 | 0.000 |
| 1.678 | 1.677 | 2.314 | -0.000 | 83.049 | 0.000 |
| 0.002 | 0.002 | 0.002 | 0.000 | 0.000 | 109.267 |
| 338.263 | 122.868 | 111.854 | -0.000 | -0.000 | -0.000 |
| 122.868 | 338.263 | 111.854 | -0.000 | -0.000 | -0.000 |
| 104.285 | 104.285 | 409.666 | 0.000 | 0.000 | -0.000 |
| -1.677 | -1.678 | -2.314 | 83.049 | 0.000 | -0.000 |
| -1.678 | -1.677 | -2.314 | -0.000 | 83.049 | -0.000 |
| -0.002 | -0.002 | -0.002 | -0.000 | 0.000 | 109.267 |
| 811.683 | 78.039 | -19.372 | 286.613 | 442.390 | 74.484 |
| 105.445 | 225.489 | 98.947 | -9.465 | 4.959 | -5.135 |
| 515.829 | -125.072 | -105.413 | 341.827 | 246.007 | -72.038 |
| 405.203 | -232.022 | -299.214 | 404.510 | 245.647 | -69.189 |
| 747.923 | -194.924 | 50.520 | 452.145 | 649.189 | 126.776 |
| 758.906 | -202.555 | 45.970 | 448.812 | 604.079 | 174.873 |
| -336.090 | 127.833 | 232.712 | -285.830 | -445.330 | -60.363 |
| 105.445 | 225.489 | 98.947 | -9.465 | 4.959 | -5.135 |
| -295.055 | 322.531 | 486.969 | -348.015 | -239.283 | 72.270 |
| -573.207 | 17.508 | 125.178 | -234.962 | -439.738 | -64.491 |
| -3.648 | 4.779 | 3.963 | 1.573 | 81.145 | -2.502 |
| -569.068 | 21.099 | 125.500 | -283.105 | -444.223 | -10.726 |
| 294.887 | 80.719 | 77.898 | 33.844 | 22.636 | -1.489 |
| 105.446 | 225.490 | 98.947 | -9.465 | 4.959 | -5.135 |
| 166.760 | 95.935 | 162.605 | 27.653 | 47.157 | 6.198 |
| 40.325 | -30.602 | -32.629 | 94.043 | 27.280 | -4.249 |
| 53.891 | 1.844 | -9.605 | 32.696 | 101.407 | 5.500 |
| 43.857 | -26.765 | -29.504 | 37.580 | 23.389 | 58.410 |
| 279.898 | 103.039 | 107.841 | -1.704 | -1.214 | 5.225 |
| 64.720 | 225.330 | 127.552 | -42.723 | -19.908 | 2.792 |
| 69.818 | 121.113 | 220.259 | -37.587 | -20.919 | 7.324 |
| -56.739 | -4.925 | 11.724 | 22.628 | -40.316 | -3.834 |
| -78.598 | 24.476 | -1.785 | -39.200 | -14.906 | -13.221 |
| 2.564 | -5.092 | 1.767 | 2.339 | -1.165 | 78.022 |
| 240.983 | 102.742 | 105.354 | 3.243 | 2.949 | 8.042 |
| 105.406 | 225.444 | 98.884 | -9.466 | 4.955 | -5.141 |
| 110.817 | 99.770 | 213.825 | -5.652 | 3.957 | 1.808 |
| 4.009 | -10.407 | -5.860 | 62.297 | 5.598 | 2.283 |
| 0.432 | 2.000 | 0.453 | 6.480 | 69.907 | -2.640 |
| 10.561 | -3.995 | -1.751 | 5.930 | 4.083 | 57.386 |
| 233.823 | 103.001 | 107.811 | -2.460 | -6.006 | 6.166 |
| 99.160 | 186.860 | 98.584 | -10.015 | -0.156 | -4.708 |
| 107.239 | 93.563 | 141.352 | 0.877 | 0.118 | -4.392 |
| -1.384 | -9.764 | -5.652 | 71.066 | 1.573 | 2.158 |
| -10.837 | 6.520 | 2.733 | 0.744 | 42.340 | -1.839 |
| 18.180 | -7.859 | -13.151 | -15.264 | -1.265 | 30.447 |
| 209.796 | 61.855 | 7.271 | -0.000 | -0.000 | -0.000 |
| 91.207 | 238.366 | 47.390 | 0.000 | -0.000 | -0.000 |
| 5.323 | 47.505 | 124.080 | 0.000 | -0.000 | 0.000 |
| -0.082 | 0.020 | -0.001 | 34.824 | -0.000 | -0.000 |
| 0.000 | -0.000 | 0.000 | 0.000 | -23.363 | -0.000 |
| -0.848 | 0.208 | -0.011 | 0.000 | -0.000 | -71.945 |
| 88.852 | 91.551 | 5.749 | -0.000 | 0.000 | 0.000 |
| 62.079 | 245.517 | 47.023 | 0.000 | 0.000 | 0.000 |
| 6.932 | 47.110 | 124.100 | -0.000 | 0.000 | 0.000 |
| 0.082 | -0.020 | 0.001 | 34.824 | 0.000 | 0.000 |
| -0.000 | 0.000 | -0.000 | -0.000 | -23.363 | 0.000 |
| 0.848 | -0.208 | 0.011 | -0.000 | 0.000 | -71.945 |
| 88.040 | 91.755 | 5.742 | 0.000 | -0.000 | -0.000 |
| 62.082 | 245.520 | 47.025 | -0.000 | -0.000 | -0.000 |
| 7.456 | 46.984 | 124.108 | 0.000 | -0.000 | -0.000 |
| -0.008 | 0.002 | -0.000 | 34.824 | -0.000 | -0.000 |
| -0.047 | 0.011 | -0.001 | 0.000 | -23.363 | 0.000 |
| 0.000 | 0.000 | 0.000 | 0.000 | -0.000 | 67.826 |
| 209.793 | 61.852 | 7.269 | -0.000 | 0.000 | 0.000 |
| 62.077 | 245.515 | 47.021 | -0.000 | -0.000 | 0.000 |
| 5.998 | 47.338 | 124.087 | -0.000 | 0.000 | 0.000 |
| 0.008 | -0.002 | 0.000 | 34.824 | 0.000 | 0.000 |
| 0.047 | -0.011 | 0.001 | -0.000 | -23.363 | 0.000 |
| -0.000 | -0.000 | -0.000 | -0.000 | 0.000 | 67.826 |
| 209.822 | 61.880 | 7.292 | 0.000 | -0.000 | -0.000 |
| 91.979 | 238.206 | 47.418 | 0.000 | 0.000 | -0.000 |
| 5.935 | 47.375 | 124.102 | 0.000 | -0.000 | -0.000 |
| -0.001 | 0.001 | 0.001 | 34.824 | -0.000 | -0.000 |
| -0.006 | 0.001 | 0.000 | 0.000 | -23.363 | -0.000 |
| 1463965.102 | 5581589.386 | 1489490.183 | 0.000 | -0.000 | -8520873.717 |
| 88.079 | 91.701 | 5.714 | -0.000 | 0.000 | 0.000 |
| 62.054 | 245.490 | 47.003 | -0.000 | 0.000 | 0.000 |
| 5.912 | 47.340 | 124.072 | -0.000 | 0.000 | 0.000 |
| 0.001 | -0.001 | -0.001 | 34.824 | -0.000 | 0.000 |
| 0.006 | -0.001 | -0.000 | -0.000 | -23.363 | 0.000 |
| -1463965.102 | -5581589.386 | -1489490.183 | -0.000 | 0.000 | -8520873.717 |
| 7557704.327 | -150969.395 | 8308230.952 | -0.000 | 0.000 | 0.000 |
| 144.252 | 157.391 | 0.672 | -0.000 | -0.000 | 0.000 |
| 7567202.348 | -147941.051 | 8317322.264 | -0.000 | 0.000 | 0.000 |
| 0.000 | 0.000 | 0.000 | -45.276 | 0.000 | 0.000 |
| 3779030.374 | -75550.100 | 4154406.062 | -0.000 | 3906387.762 | 0.000 |
| -0.000 | 0.000 | 0.000 | -0.000 | 0.000 | 72.108 |
| 165.245 | 128.284 | 0.385 | 0.000 | -0.000 | -0.000 |
| 144.252 | 157.391 | 0.672 | 0.000 | -0.000 | -0.000 |
| 63.352 | 8.384 | 278.796 | 0.000 | 0.000 | -0.000 |
| -0.000 | -0.000 | -0.000 | -45.276 | -0.000 | -0.000 |
| -3779030.374 | 75550.100 | -4154406.062 | 0.000 | 3906387.762 | -0.000 |
| 0.000 | -0.000 | -0.000 | 0.000 | -0.000 | 72.108 |
| 755922.255 | -14978.088 | 830823.449 | -0.000 | 0.000 | 0.000 |
| 130.239 | 152.780 | -12.187 | -0.000 | -0.000 | 0.000 |
| 755755.672 | -15118.884 | 831041.759 | -0.000 | 0.000 | 0.000 |
| 0.000 | 0.000 | 0.000 | -45.276 | 0.000 | 0.000 |
| 377894.898 | -7556.102 | 415431.452 | -0.000 | 390602.514 | 0.000 |
| -0.000 | 0.000 | 0.000 | -0.000 | 0.000 | 72.108 |
| 181.915 | 133.768 | 15.681 | 0.000 | -0.000 | -0.000 |
| 126.536 | 151.563 | -15.584 | -0.000 | 0.000 | -0.000 |
| 17.250 | -6.782 | 236.494 | 0.000 | -0.000 | -0.000 |
| -0.000 | -0.000 | -0.000 | -45.276 | -0.000 | -0.000 |
| -377894.898 | 7556.102 | -415431.452 | 0.000 | 390602.514 | -0.000 |
| 0.000 | -0.000 | -0.000 | 0.000 | -0.000 | 72.108 |
| 75744.058 | -1378.961 | 83082.709 | -0.000 | 0.000 | 0.000 |
| 128.564 | 152.222 | -13.725 | -0.000 | 0.000 | 0.000 |
| 75577.476 | -1519.759 | 83301.021 | -0.000 | -0.000 | 0.000 |
| -4220677.166 | -4690562.490 | 1193315.402 | -852358.683 | -793435.624 | -840529.705 |
| 37781.359 | -756.702 | 41533.999 | -0.000 | 39023.996 | 0.000 |
| 0.185 | 0.061 | 0.170 | -0.000 | 0.000 | 72.108 |
| 183.582 | 134.320 | 17.212 | 0.000 | -0.000 | -0.000 |
| 128.211 | 152.121 | -14.045 | 0.000 | -0.000 | -0.000 |
| 18.919 | -6.228 | 238.026 | 0.000 | -0.000 | -0.000 |
| 2914637.871 | 5685441.950 | -1248269.845 | -1630685.978 | 9494.450 | 257757.483 |
| -37781.359 | 756.702 | -41533.999 | 0.000 | 39023.996 | -0.000 |
| -0.185 | -0.061 | -0.170 | -0.000 | -0.000 | 72.108 |
| 7401.890 | 7256.300 | 7256.300 | -0.000 | 0.000 | -0.000 |
| 7256.300 | 7401.890 | 7256.300 | -0.000 | 0.000 | -0.000 |
| 7256.300 | 7256.300 | 7401.890 | -0.000 | 0.000 | -0.000 |
| 6617.583 | 6617.583 | 6617.583 | 50.927 | -0.000 | -0.000 |
| 6617.583 | 6617.583 | 6617.583 | -0.000 | 50.927 | -0.000 |
| 6617.583 | 6617.583 | 6617.583 | -0.000 | 0.000 | 50.927 |
| -6370.181 | -6519.056 | -6519.056 | 0.000 | -0.000 | 0.000 |
| -6519.056 | -6370.181 | -6519.056 | 0.000 | -0.000 | 0.000 |
| -6519.056 | -6519.056 | -6370.181 | 0.000 | -0.000 | 0.000 |
| -6617.583 | -6617.583 | -6617.583 | 50.927 | -0.000 | 0.000 |
| -6617.583 | -6617.583 | -6617.583 | 0.000 | 50.927 | 0.000 |
| -6617.583 | -6617.583 | -6617.583 | 0.000 | -0.000 | 50.927 |
| 962.565 | 839.053 | 839.053 | -0.000 | 0.000 | -0.000 |
| 839.053 | 962.565 | 839.053 | 0.000 | 0.000 | -0.000 |
| 839.053 | 839.053 | 962.565 | -0.000 | 0.000 | -0.000 |
| 661.949 | 661.949 | 661.949 | 50.904 | 0.000 | -0.000 |
| 661.949 | 661.949 | 661.949 | -0.000 | 50.904 | -0.000 |
| 661.949 | 661.949 | 661.949 | -0.000 | 0.000 | 50.904 |
| -471.733 | -618.063 | -618.063 | 0.000 | -0.000 | 0.000 |
| -618.063 | -471.733 | -618.063 | 0.000 | -0.000 | 0.000 |
| -618.063 | -618.063 | -471.733 | 0.000 | -0.000 | 0.000 |
| -661.949 | -661.949 | -661.949 | 50.904 | -0.000 | 0.000 |
| -661.949 | -661.949 | -661.949 | 0.000 | 50.904 | 0.000 |
| -661.949 | -661.949 | -661.949 | 0.000 | -0.000 | 50.904 |
| 300.754 | 177.542 | 177.542 | -0.000 | 0.000 | -0.000 |
| 177.542 | 300.754 | 177.542 | -0.000 | 0.000 | -0.000 |
| 177.542 | 177.542 | 300.754 | 0.000 | 0.000 | -0.000 |
| 70.013 | 70.013 | 70.013 | 32.517 | 0.000 | -0.000 |
| 70.013 | 70.013 | 70.013 | -0.000 | 32.517 | -0.000 |
| 70.013 | 70.013 | 70.013 | -0.000 | 0.000 | 32.517 |
| 288.973 | 97.565 | 97.565 | 0.000 | -0.000 | 0.000 |
| 97.565 | 288.973 | 97.565 | 0.000 | -0.000 | 0.000 |
| 97.565 | 97.565 | 288.973 | 0.000 | -0.000 | 0.000 |
| -70.013 | -70.013 | -70.013 | 32.517 | -0.000 | 0.000 |
| -70.013 | -70.013 | -70.013 | 0.000 | 32.517 | 0.000 |
| -70.013 | -70.013 | -70.013 | 0.000 | -0.000 | 32.517 |
| 579.719 | 516.307 | 516.307 | -0.000 | 0.000 | 0.000 |
| 516.307 | 579.719 | 516.307 | -0.000 | 0.000 | 0.000 |
| 516.307 | 516.307 | 579.719 | 0.000 | 0.000 | 0.000 |
| 0.000 | -0.000 | -0.000 | 80.438 | 0.000 | 0.000 |
| 0.000 | -0.000 | -0.000 | -0.000 | 80.438 | 0.000 |
| 0.000 | -0.000 | -0.000 | -0.000 | -0.000 | 80.438 |
| 281.256 | 90.633 | 90.634 | -0.000 | -0.000 | -0.000 |
| 90.633 | 281.256 | 90.633 | 0.000 | 0.000 | -0.000 |
| 90.633 | 90.633 | 281.256 | 0.000 | -0.000 | -0.000 |
| -0.000 | 0.000 | 0.000 | 80.438 | -0.000 | -0.000 |
| -0.000 | 0.000 | -0.000 | -0.000 | 80.438 | -0.000 |
| -0.000 | 0.000 | 0.000 | 0.000 | -0.000 | 80.438 |
| 281.255 | 90.632 | 90.632 | -0.000 | 0.000 | 0.000 |
| 90.632 | 281.255 | 90.632 | -0.000 | 0.000 | 0.000 |
| 90.632 | 90.632 | 281.255 | 0.000 | -0.000 | 0.000 |
| -0.000 | -0.000 | -0.000 | 80.438 | -0.000 | 0.000 |
| -0.000 | -0.000 | -0.000 | -0.000 | 80.438 | 0.000 |
| -0.000 | -0.000 | -0.000 | -0.000 | 0.000 | 80.438 |
| 281.257 | 90.635 | 90.635 | -0.000 | -0.000 | -0.000 |
| 90.635 | 281.257 | 90.635 | 0.000 | -0.000 | 0.000 |
| 90.635 | 90.635 | 281.257 | 0.000 | -0.000 | 0.000 |
| 0.000 | 0.000 | 0.000 | 80.438 | -0.000 | -0.000 |
| 0.000 | 0.000 | 0.000 | 0.000 | 80.438 | -0.000 |
| 0.000 | 0.000 | 0.000 | -0.000 | -0.000 | 80.438 |
| 246.576 | 97.131 | 97.131 | -0.000 | 0.000 | 0.000 |
| 97.131 | 246.576 | 97.131 | 0.000 | 0.000 | 0.000 |
| 97.131 | 97.131 | 246.576 | -0.000 | 0.000 | 0.000 |
| -0.000 | -0.000 | -0.000 | 80.438 | -0.000 | 0.000 |
| -0.000 | -0.000 | -0.000 | 0.000 | 80.438 | 0.000 |
| -0.000 | -0.000 | -0.000 | -0.000 | 0.000 | 80.438 |
| 281.267 | 90.646 | 90.646 | -0.000 | -0.000 | -0.000 |
| 90.646 | 281.267 | 90.646 | 0.000 | -0.000 | 0.000 |
| 90.646 | 90.646 | 281.267 | 0.000 | -0.000 | -0.000 |
| 0.000 | 0.000 | 0.000 | 80.438 | -0.000 | 0.000 |
| 0.000 | 0.000 | 0.000 | -0.000 | 80.438 | -0.000 |
| 0.000 | 0.000 | 0.000 | -0.000 | -0.000 | 80.438 |
| 147.031 | 83.192 | 83.192 | 0.000 | 0.000 | -0.000 |
| 83.192 | 147.031 | 83.192 | 0.000 | 0.000 | 0.000 |
| 83.192 | 83.192 | 147.031 | 0.000 | 0.000 | -0.000 |
| -0.000 | 0.000 | -0.000 | 65.883 | 0.000 | 0.000 |
| -0.000 | 0.000 | 0.000 | -0.000 | 65.883 | 0.000 |
| -0.000 | -0.000 | 0.000 | -0.000 | 0.000 | 65.883 |
| 147.045 | 83.285 | 83.285 | -0.000 | -0.000 | 0.000 |
| 83.285 | 147.045 | 83.285 | -0.000 | -0.000 | -0.000 |
| 83.285 | 83.285 | 147.045 | -0.000 | -0.000 | -0.000 |
| 0.000 | 0.000 | -0.000 | 65.883 | -0.000 | -0.000 |
| 0.000 | -0.000 | 0.000 | 0.000 | 65.883 | 0.000 |
| 0.000 | -0.000 | 0.000 | 0.000 | -0.000 | 65.883 |
| 147.071 | 83.217 | 83.217 | 0.000 | 0.000 | -0.000 |
| 83.217 | 147.071 | 83.217 | 0.000 | 0.000 | -0.000 |
| 83.217 | 83.217 | 147.071 | 0.000 | 0.000 | -0.000 |
| -0.000 | -0.000 | -0.000 | 65.883 | 0.000 | -0.000 |
| -0.000 | -0.000 | -0.000 | -0.000 | 65.883 | -0.000 |
| -0.000 | -0.000 | -0.000 | -0.000 | 0.000 | 65.883 |
| 147.073 | 83.227 | 83.227 | -0.000 | -0.000 | -0.000 |
| 83.227 | 147.073 | 83.227 | -0.000 | -0.000 | -0.000 |
| 83.227 | 83.227 | 147.073 | -0.000 | -0.000 | -0.000 |
| 0.000 | 0.000 | 0.000 | 65.883 | 0.000 | 0.000 |
| 0.000 | 0.000 | 0.000 | 0.000 | 65.883 | 0.000 |
| 0.000 | 0.000 | 0.000 | 0.000 | -0.000 | 65.883 |
| 147.068 | 83.216 | 83.216 | 0.000 | 0.000 | 0.000 |
| 83.216 | 147.068 | 83.216 | 0.000 | 0.000 | 0.000 |
| 83.216 | 83.216 | 147.068 | 0.000 | -0.000 | -0.000 |
| -0.000 | -0.001 | -0.001 | 51.420 | 0.000 | 0.000 |
| -0.001 | -0.000 | -0.001 | 0.000 | 51.420 | -0.000 |
| -0.001 | -0.001 | -0.000 | 0.000 | 0.000 | 51.420 |
| 156.282 | 78.696 | 78.696 | 0.000 | -0.000 | -0.000 |
| 78.696 | 156.282 | 78.696 | 0.000 | 0.000 | -0.000 |
| 78.696 | 78.696 | 156.282 | 0.000 | 0.000 | 0.000 |
| 0.000 | 0.001 | 0.001 | 51.420 | -0.000 | -0.000 |
| 0.001 | 0.000 | 0.001 | -0.000 | 51.420 | 0.000 |
| 0.001 | 0.001 | 0.000 | -0.000 | -0.000 | 51.420 |
| 255.055 | 142.298 | 103.982 | 0.000 | -0.000 | -0.000 |
| 130.545 | 247.944 | 11.035 | 0.000 | -0.000 | 0.000 |
| 104.912 | 13.741 | 315.986 | -0.000 | -0.000 | -0.000 |
| 0.000 | 0.000 | 0.000 | -34.646 | -0.000 | 0.000 |
| -0.000 | 0.000 | 0.000 | 0.000 | -156.151 | -0.000 |
| 0.000 | 0.000 | 0.000 | 0.000 | 0.000 | 100.000 |
| 255.056 | 142.299 | 103.984 | -0.000 | 0.000 | -0.000 |
| 130.547 | 247.945 | 11.037 | -0.000 | 0.000 | 0.000 |
| 99.850 | 11.448 | 315.041 | -0.000 | 0.000 | 0.000 |
| -0.000 | -0.000 | -0.000 | -34.646 | 0.000 | 0.000 |
| 0.000 | -0.000 | -0.000 | -0.000 | -156.151 | 0.000 |
| -0.000 | -0.000 | -0.000 | 0.000 | 0.000 | 100.000 |
| 255.048 | 142.290 | 103.975 | 0.000 | -0.000 | 0.000 |
| 130.537 | 247.935 | 11.027 | 0.000 | 0.000 | 0.000 |
| 104.905 | 13.734 | 315.980 | 0.000 | 0.000 | -0.000 |
| 0.001 | 0.002 | 0.000 | -707.382 | -0.000 | -0.000 |
| -0.000 | 0.000 | -0.000 | 0.000 | -156.151 | -0.000 |
| 0.000 | 0.000 | 0.000 | 0.000 | -0.000 | 100.000 |
| 255.064 | 142.307 | 103.990 | -0.000 | 0.000 | -0.000 |
| 142.826 | 253.515 | 13.339 | -0.000 | 0.000 | -0.000 |
| 99.857 | 11.455 | 315.047 | -0.000 | 0.000 | 0.000 |
| -0.001 | -0.002 | -0.000 | -707.382 | 0.000 | 0.000 |
| 0.000 | -0.000 | 0.000 | -0.000 | -156.151 | 0.000 |
| -0.000 | -0.000 | -0.000 | -0.000 | 0.000 | 100.000 |
| 227.890 | 129.934 | 98.835 | -0.000 | 0.000 | -0.000 |
| 142.730 | 253.420 | 13.247 | -0.000 | 0.000 | -0.000 |
| 104.839 | 13.664 | 315.916 | 0.000 | -0.000 | 0.000 |
| 0.113 | 0.265 | 0.082 | -2357.341 | -0.000 | -0.000 |
| -0.002 | 0.001 | -0.001 | 0.000 | -156.151 | -0.000 |
| -0.000 | 0.001 | 0.000 | 0.000 | -0.000 | 100.000 |
| 228.077 | 130.122 | 99.004 | -0.000 | -0.000 | 0.000 |
| 142.903 | 253.592 | 13.414 | -0.000 | 0.000 | -0.000 |
| 104.986 | 13.819 | 316.058 | -0.000 | 0.000 | -0.000 |
| -0.113 | -0.265 | -0.082 | -2357.341 | 0.000 | 0.000 |
| 0.002 | -0.001 | 0.001 | -0.000 | -156.151 | 0.000 |
| 0.000 | -0.001 | -0.000 | -0.000 | 0.000 | 100.000 |
| 101.039 | -52.815 | 555.483 | 0.000 | 1089.864 | 0.000 |
| -29.048 | 124.051 | 277.394 | -0.000 | 898.510 | 0.000 |
| 152.662 | 95.315 | 228.016 | -0.000 | 1088.033 | 0.000 |
| 73.083 | 28.503 | -184.535 | 44.726 | 935.367 | 3.964 |
| 80.807 | 31.233 | -171.278 | -0.000 | 961.958 | 0.000 |
| -53.248 | -27.590 | 150.896 | 3.403 | 895.325 | 69.730 |
| 292.863 | 41.114 | 25.056 | 0.000 | -873.352 | -0.000 |
| 111.176 | 195.062 | -116.009 | 0.000 | -1079.274 | 0.000 |
| 342.460 | 188.929 | -298.437 | -0.000 | -1010.748 | -0.000 |
| -73.083 | -28.503 | 184.536 | 44.726 | -935.367 | 3.964 |
| 62.163 | 30.865 | -140.840 | 0.000 | -872.082 | 0.000 |
| 53.248 | 27.590 | -150.896 | 3.403 | -895.325 | 69.730 |
| 234.062 | 10.675 | 191.620 | -0.000 | 108.955 | 0.000 |
| 18.875 | 148.882 | 141.590 | -0.000 | 92.719 | 0.000 |
| 153.920 | 100.158 | 214.352 | -0.000 | 98.190 | -0.000 |
| -10.585 | -5.194 | 29.296 | 62.935 | 110.994 | 3.790 |
| 9.191 | 2.975 | 10.339 | -0.000 | 121.018 | -0.000 |
| 0.000 | 0.000 | -0.000 | 3.462 | 0.000 | 69.730 |
| 224.913 | 7.355 | 214.124 | -0.000 | -65.425 | -0.000 |
| 45.828 | 161.720 | 67.926 | -0.000 | -99.991 | 0.000 |
| 164.424 | 105.605 | 184.575 | -0.000 | -79.467 | -0.000 |
| 10.585 | 5.194 | -29.296 | 62.935 | -110.994 | 3.790 |
| 8.264 | 2.663 | 12.561 | 0.000 | 97.708 | 0.000 |
| -0.000 | -0.000 | 0.000 | 3.462 | -0.000 | 69.730 |
| 239.151 | 13.279 | 177.281 | 0.000 | 30.947 | 0.000 |
| 22.729 | 150.965 | 130.468 | -0.000 | 8.632 | 0.000 |
| 158.577 | 102.576 | 201.144 | -0.000 | 18.830 | 0.000 |
| -1.321 | -0.649 | 3.653 | 56.787 | 13.841 | 3.849 |
| 8.381 | 2.999 | 11.563 | 0.000 | 32.195 | 0.000 |
| -0.532 | -0.276 | 1.509 | 3.765 | 8.953 | 69.727 |
| 240.104 | 13.781 | 174.556 | -0.000 | 13.003 | 0.000 |
| 24.952 | 152.023 | 124.378 | 0.000 | -8.315 | 0.000 |
| 159.660 | 103.134 | 198.081 | -0.000 | 1.109 | 0.000 |
| 1.321 | 0.649 | -3.653 | 56.787 | -13.841 | 3.849 |
| 9.605 | 3.621 | 8.132 | 0.000 | 14.303 | -0.000 |
| 0.532 | 0.276 | -1.509 | 3.765 | -8.953 | 69.727 |
| 274.515 | 28.889 | 83.107 | -0.000 | 63.541 | 0.000 |
| -229.844 | 41.065 | 795.235 | 0.000 | -622.981 | 0.000 |
| 40.618 | 51.401 | 511.096 | 0.000 | -298.188 | 0.000 |
| -195.757 | -84.620 | 513.703 | 29.601 | -633.829 | 4.000 |
| -71.729 | -32.055 | 222.111 | 0.000 | -125.335 | 0.000 |
| -39.638 | -16.756 | 103.052 | 3.323 | -218.820 | 69.683 |
| 299.919 | 37.996 | 21.243 | -0.000 | 592.546 | -0.000 |
| 159.839 | 209.494 | -227.318 | 0.000 | 643.385 | -0.000 |
| 198.742 | 119.693 | 96.298 | -0.000 | 228.657 | -0.000 |
| 195.757 | 84.620 | -513.703 | 29.601 | 633.829 | 4.000 |
| 48.341 | 19.941 | -93.218 | 0.000 | 242.078 | -0.000 |
| 39.638 | 16.756 | -103.052 | 3.323 | 218.820 | 69.683 |
| 235.518 | 11.769 | 186.115 | 0.000 | -0.104 | 0.000 |
| 20.195 | 150.012 | 136.877 | 0.000 | -18.785 | 0.000 |
| 154.353 | 100.995 | 211.531 | 0.000 | -31.992 | 0.000 |
| -3.964 | -1.676 | 10.305 | 56.154 | -21.882 | 3.756 |
| 0.442 | -0.416 | 31.589 | 0.000 | 3.585 | 0.000 |
| -3.963 | -1.675 | 10.304 | 3.323 | -21.885 | 69.683 |
| 179.164 | -13.472 | 336.257 | -0.000 | 27.450 | -0.000 |
| 33.521 | 155.703 | 102.082 | 0.000 | 40.695 | -0.000 |
| 163.045 | 104.603 | 189.105 | -0.000 | 31.716 | -0.000 |
| 3.964 | 1.676 | -10.305 | 56.154 | 21.882 | 3.756 |
| 12.666 | 4.860 | -0.469 | -0.000 | 45.141 | -0.000 |
| 3.963 | 1.675 | -10.304 | 3.323 | 21.885 | 69.683 |
| 239.078 | 13.274 | 176.863 | 0.000 | 19.636 | 0.000 |
| 23.768 | 151.524 | 127.590 | 0.000 | 0.909 | 0.000 |
| 158.711 | 102.786 | 200.333 | -0.000 | 4.277 | 0.000 |
| -0.795 | -0.350 | 2.098 | 56.154 | -1.271 | 3.756 |
| 8.305 | 3.017 | 10.864 | 0.000 | 21.068 | 0.000 |
| -0.392 | -0.165 | 1.018 | 3.332 | -2.216 | 69.683 |
| 239.839 | 13.595 | 174.883 | -0.000 | 23.952 | -0.000 |
| 24.550 | 151.850 | 125.552 | -0.000 | 5.285 | -0.000 |
| 159.654 | 103.178 | 197.898 | 0.000 | 11.001 | -0.000 |
| 0.795 | 0.350 | -2.098 | 56.154 | 1.271 | 3.756 |
| 9.100 | 3.353 | 8.806 | -0.000 | 25.446 | -0.000 |
| 0.392 | 0.165 | -1.018 | 3.332 | 2.216 | 69.683 |
| 277.732 | 134.295 | 91.712 | 10.252 | -0.000 | 0.000 |
| 142.793 | 271.360 | 82.656 | -9.904 | -0.000 | 0.000 |
| 92.941 | 92.941 | 208.316 | -0.000 | 0.000 | -0.000 |
| 10.790 | -9.242 | -6.594 | 20.452 | -0.000 | 0.000 |
| -0.000 | -0.000 | -0.000 | 0.000 | 20.463 | 10.252 |
| -0.000 | 0.000 | 0.000 | 0.000 | 10.252 | 71.718 |
| 277.732 | 134.295 | 91.712 | 10.252 | 0.000 | -0.000 |
| 140.034 | 269.739 | 101.319 | -9.931 | -0.000 | 0.000 |
| 91.395 | 91.395 | 221.492 | 0.000 | 0.000 | -0.000 |
| 10.252 | -10.252 | 0.000 | 20.463 | -0.000 | -0.000 |
| 0.000 | -0.000 | 0.000 | -0.000 | 20.463 | 10.252 |
| -0.000 | -0.000 | -0.000 | -0.000 | 10.252 | 71.718 |
| 277.731 | 134.295 | 91.711 | 10.252 | 0.000 | 0.000 |
| 197.413 | 215.207 | 89.185 | -7.314 | -0.000 | 0.000 |
| 91.711 | 91.711 | 218.791 | -0.000 | -0.000 | -0.000 |
| 10.079 | -9.910 | -0.720 | 20.451 | 0.000 | 0.000 |
| 0.079 | 0.079 | -0.673 | 0.000 | 20.310 | 6.984 |
| 0.964 | 0.965 | -8.221 | -0.000 | 7.314 | 8.898 |
| 232.007 | 177.708 | 101.581 | 8.168 | 0.000 | -0.000 |
| 134.296 | 277.732 | 91.712 | -10.252 | 0.000 | -0.000 |
| 92.091 | 92.091 | 215.563 | -0.000 | 0.000 | -0.000 |
| 10.252 | -10.252 | 0.000 | 20.463 | 0.000 | -0.000 |
| -0.079 | -0.079 | 0.673 | -0.000 | 20.310 | 6.984 |
| -0.964 | -0.965 | 8.221 | 0.000 | 7.314 | 8.898 |
| 246.026 | 165.411 | 94.155 | 8.783 | -0.000 | 0.000 |
| 196.532 | 214.322 | 96.603 | -7.314 | -0.000 | 0.000 |
| 92.174 | 92.174 | 214.838 | -0.000 | -0.000 | 0.000 |
| 10.252 | -10.252 | -0.000 | 20.463 | -0.000 | 0.000 |
| -0.000 | -0.000 | -0.000 | 0.000 | 20.463 | 10.252 |
| -0.206 | -0.204 | 1.742 | -0.000 | 7.833 | 19.997 |
| 214.165 | 196.369 | 98.204 | 7.314 | 0.000 | -0.000 |
| 196.367 | 214.167 | 98.204 | -7.314 | 0.000 | -0.000 |
| 92.162 | 92.162 | 214.970 | 0.000 | 0.000 | -0.000 |
| 8.558 | -8.665 | 0.459 | 20.386 | 0.000 | -0.000 |
| 0.000 | 0.000 | 0.000 | -0.000 | 20.463 | 10.252 |
| 0.206 | 0.204 | -1.742 | 0.000 | 7.833 | 19.997 |
| 376.215 | 141.025 | 140.386 | -0.000 | -0.000 | -0.000 |
| 141.025 | 376.215 | 140.386 | -0.000 | 0.000 | -0.000 |
| 315.475 | 315.475 | 422.946 | -0.000 | -0.000 | 0.000 |
| -0.000 | 0.000 | 0.000 | 89.610 | -0.000 | -0.000 |
| 0.000 | 0.000 | 0.000 | -0.000 | 89.610 | -0.000 |
| 0.000 | 0.000 | -0.000 | 0.000 | -0.000 | 111.893 |
| 376.214 | 141.025 | 140.386 | 0.000 | 0.000 | 0.000 |
| 141.025 | 376.214 | 140.386 | -0.000 | -0.000 | 0.000 |
| 142.767 | 142.767 | 464.348 | 0.000 | -0.000 | 0.000 |
| -0.000 | -0.000 | 0.000 | 89.610 | 0.000 | -0.000 |
| -0.000 | 0.000 | -0.000 | 0.000 | 89.610 | -0.000 |
| -0.000 | -0.000 | 0.000 | 0.000 | 0.000 | 111.893 |
| 376.221 | 141.027 | 140.385 | 0.000 | 0.000 | -0.000 |
| 141.027 | 376.221 | 140.385 | 0.000 | -0.000 | -0.000 |
| 142.764 | 142.764 | 464.341 | 0.000 | -0.000 | 0.000 |
| 19.703 | 19.703 | -1.291 | 80.683 | -0.000 | -0.000 |
| 19.703 | 19.703 | -1.291 | -0.000 | 80.683 | -0.000 |
| 19.536 | 19.536 | -1.280 | -0.000 | -0.000 | 83.572 |
| 376.208 | 141.024 | 140.387 | -0.000 | -0.000 | 0.000 |
| 141.024 | 376.208 | 140.387 | -0.000 | 0.000 | 0.000 |
| 142.769 | 142.769 | 464.353 | 0.000 | 0.000 | 0.000 |
| -19.703 | -19.703 | 1.291 | 80.683 | 0.000 | 0.000 |
| -19.703 | -19.703 | 1.291 | 0.000 | 80.683 | 0.000 |
| -19.536 | -19.536 | 1.280 | 0.000 | 0.000 | 83.572 |
| 299.963 | 161.287 | 122.479 | -0.000 | -0.000 | -0.000 |
| 161.287 | 299.963 | 122.479 | -0.000 | -0.000 | -0.000 |
| 142.740 | 142.740 | 464.290 | -0.000 | -0.000 | -0.000 |
| -1.780 | -1.779 | 1.508 | 73.739 | 0.000 | -0.000 |
| -1.779 | -1.780 | 1.508 | -0.000 | 73.739 | -0.000 |
| 2.115 | 2.115 | -0.137 | -0.000 | -0.000 | 81.406 |
| 302.160 | 157.068 | 122.275 | 0.000 | -0.000 | 0.000 |
| 157.068 | 302.160 | 122.275 | 0.000 | 0.000 | 0.000 |
| 142.793 | 142.793 | 464.404 | 0.000 | 0.000 | -0.000 |
| 1.780 | 1.779 | -1.508 | 73.739 | 0.000 | 0.000 |
| 1.779 | 1.780 | -1.508 | 0.000 | 73.739 | 0.000 |
| -2.115 | -2.115 | 0.137 | 0.000 | 0.000 | 81.406 |
| 2790.944 | 2743.932 | -449.252 | -0.000 | -0.000 | -0.000 |
| 2743.932 | 2790.944 | -449.252 | -0.000 | -0.000 | 0.000 |
| 2039.387 | 2039.387 | -448.497 | -0.000 | -0.000 | 0.000 |
| 2536.486 | 2536.486 | -566.165 | 71.000 | -0.000 | -0.000 |
| 2536.486 | 2536.486 | -566.165 | 0.000 | 71.000 | 0.000 |
| 0.000 | 0.000 | -0.000 | -0.000 | -0.000 | 116.777 |
| 346.752 | 134.202 | 127.654 | 0.000 | 0.000 | 0.000 |
| 134.202 | 346.752 | 127.654 | 0.000 | 0.000 | 0.000 |
| 129.784 | 129.784 | 455.724 | -0.000 | -0.000 | 0.000 |
| -2536.486 | -2536.486 | 566.165 | 71.000 | -0.000 | -0.000 |
| -2536.486 | -2536.486 | 566.165 | -0.000 | 71.000 | -0.000 |
| -0.000 | -0.000 | 0.000 | 0.000 | 0.000 | 116.777 |
| 341.406 | 213.997 | 113.109 | 0.000 | -0.000 | 0.000 |
| 213.997 | 341.406 | 113.109 | 0.000 | -0.000 | 0.000 |
| 129.781 | 129.781 | 455.718 | 0.000 | 0.000 | 0.000 |
| 77.619 | 77.619 | -4.903 | 70.753 | 0.000 | 0.000 |
| 77.619 | 77.619 | -4.903 | -0.000 | 70.753 | 0.000 |
| 0.000 | 0.000 | -0.000 | 0.000 | -0.000 | 116.777 |
| 3.146 | 2.194 | 184.017 | -0.000 | -0.000 | 0.000 |
| 2.194 | 3.146 | 184.017 | 0.000 | -0.000 | -0.000 |
| 129.787 | 129.787 | 455.730 | -0.000 | -0.000 | 0.000 |
| -77.619 | -77.619 | 4.903 | 70.753 | -0.000 | -0.000 |
| -77.619 | -77.619 | 4.903 | 0.000 | 70.753 | -0.000 |
| -0.000 | -0.000 | 0.000 | 0.000 | 0.000 | 116.777 |
| 304.953 | 140.818 | 121.816 | 0.000 | 0.000 | 0.000 |
| 140.818 | 304.953 | 121.816 | 0.000 | 0.000 | -0.000 |
| 126.107 | 126.107 | 412.979 | 0.000 | 0.000 | 0.000 |
| 6.448 | 6.449 | -0.406 | 74.068 | -0.000 | 0.000 |
| 6.449 | 6.448 | -0.406 | -0.000 | 74.068 | -0.000 |
| 4.661 | 4.661 | -0.296 | -0.000 | -0.000 | 82.567 |
| 346.710 | 134.196 | 127.661 | 0.000 | 0.000 | -0.000 |
| 134.196 | 346.710 | 127.661 | 0.000 | 0.000 | 0.000 |
| 108.758 | 108.758 | 418.551 | -0.000 | -0.000 | 0.000 |
| -6.448 | -6.449 | 0.406 | 74.068 | -0.000 | -0.000 |
| -6.449 | -6.448 | 0.406 | -0.000 | 74.068 | -0.000 |
| -4.661 | -4.661 | 0.296 | 0.000 | 0.000 | 82.567 |
| 686.980 | -33.944 | -33.924 | -0.000 | 0.000 | 0.000 |
| -33.944 | 686.980 | -33.924 | -0.000 | 0.000 | 0.000 |
| -33.929 | -33.929 | 686.953 | -0.000 | 0.000 | 0.000 |
| -0.000 | 0.000 | -0.000 | 95.256 | 0.000 | 0.000 |
| -0.000 | 0.000 | -0.000 | -0.000 | 95.256 | 0.000 |
| -0.000 | 0.000 | 0.000 | -0.000 | 0.000 | 95.252 |
| 686.980 | -33.944 | -33.924 | 0.000 | -0.000 | -0.000 |
| -33.944 | 686.980 | -33.924 | 0.000 | -0.000 | -0.000 |
| -33.929 | -33.929 | 686.953 | 0.000 | -0.000 | -0.000 |
| 0.000 | -0.000 | 0.000 | 95.256 | -0.000 | -0.000 |
| 0.000 | -0.000 | 0.000 | 0.000 | 95.256 | -0.000 |
| 0.000 | -0.000 | -0.000 | 0.000 | -0.000 | 95.252 |
| 686.981 | -33.943 | -33.923 | -0.000 | 0.000 | 0.000 |
| -33.943 | 686.981 | -33.923 | -0.000 | 0.000 | 0.000 |
| -33.928 | -33.928 | 686.954 | -0.000 | -0.000 | 0.000 |
| 0.000 | 0.000 | 0.000 | 95.256 | 0.000 | 0.000 |
| 0.000 | 0.000 | 0.000 | -0.000 | 95.256 | 0.000 |
| 0.000 | 0.000 | -0.000 | -0.000 | 0.000 | 95.252 |
| 686.979 | -33.945 | -33.925 | 0.000 | -0.000 | -0.000 |
| -33.945 | 686.979 | -33.925 | 0.000 | -0.000 | -0.000 |
| -33.930 | -33.930 | 686.952 | 0.000 | -0.000 | -0.000 |
| -0.000 | -0.000 | -0.000 | 95.256 | 0.000 | -0.000 |
| -0.000 | -0.000 | -0.000 | 0.000 | 95.256 | -0.000 |
| -0.000 | -0.000 | 0.000 | 0.000 | -0.000 | 95.252 |
| 686.989 | -33.933 | -33.914 | -0.000 | 0.000 | 0.000 |
| -33.933 | 686.989 | -33.914 | -0.000 | 0.000 | 0.000 |
| -33.918 | -33.918 | 686.962 | -0.000 | 0.000 | 0.000 |
| 0.000 | 0.001 | 0.000 | 95.256 | 0.000 | 0.000 |
| 0.001 | 0.000 | 0.000 | -0.000 | 95.256 | 0.000 |
| 0.001 | 0.000 | 0.000 | -0.000 | 0.000 | 95.252 |
| 686.970 | -33.955 | -33.935 | 0.000 | 0.000 | -0.000 |
| -33.955 | 686.970 | -33.935 | 0.000 | -0.000 | -0.000 |
| -33.940 | -33.940 | 686.944 | 0.000 | -0.000 | -0.000 |
| -0.000 | -0.001 | -0.000 | 95.256 | -0.000 | -0.000 |
| -0.001 | -0.000 | -0.000 | 0.000 | 95.256 | -0.000 |
| -0.001 | -0.000 | -0.000 | 0.000 | -0.000 | 95.252 |
| 185.049 | 32.125 | 32.125 | -0.000 | 0.000 | -0.000 |
| 32.125 | 185.049 | 32.125 | -0.000 | 0.000 | -0.000 |
| 32.125 | 32.125 | 185.049 | -0.000 | 0.000 | -0.000 |
| 0.000 | 0.000 | 0.000 | 11.359 | 0.000 | -0.000 |
| 0.000 | 0.000 | 0.000 | 0.000 | 11.359 | -0.000 |
| 0.000 | 0.000 | -0.000 | -0.000 | 0.000 | 11.359 |
| 185.050 | 32.126 | 32.126 | 0.000 | -0.000 | 0.000 |
| 32.126 | 185.050 | 32.126 | 0.000 | -0.000 | 0.000 |
| 32.126 | 32.126 | 185.050 | 0.000 | -0.000 | 0.000 |
| -0.000 | -0.000 | -0.000 | 11.359 | -0.000 | 0.000 |
| -0.000 | 0.000 | -0.000 | -0.000 | 11.359 | 0.000 |
| -0.000 | -0.000 | 0.000 | -0.000 | -0.000 | 11.359 |
| 185.045 | 32.121 | 32.121 | 0.000 | 0.000 | -0.000 |
| 32.121 | 185.045 | 32.121 | 0.000 | 0.000 | -0.000 |
| 32.121 | 32.121 | 185.045 | -0.000 | 0.000 | -0.000 |
| -0.000 | 0.000 | 0.000 | 11.359 | 0.000 | -0.000 |
| 0.000 | -0.000 | 0.000 | 0.000 | 11.359 | -0.000 |
| 0.000 | 0.000 | -0.000 | -0.000 | 0.000 | 11.359 |
| 185.054 | 32.130 | 32.130 | 0.000 | -0.000 | 0.000 |
| 32.130 | 185.054 | 32.130 | -0.000 | -0.000 | 0.000 |
| 32.130 | 32.130 | 185.054 | 0.000 | -0.000 | 0.000 |
| 0.000 | -0.000 | -0.000 | 11.359 | -0.000 | 0.000 |
| -0.000 | 0.000 | -0.000 | -0.000 | 11.359 | 0.000 |
| -0.000 | -0.000 | 0.000 | 0.000 | -0.000 | 11.359 |
| 185.006 | 32.081 | 32.081 | -0.000 | 0.000 | -0.000 |
| 32.081 | 185.006 | 32.081 | -0.000 | 0.000 | -0.000 |
| 32.081 | 32.081 | 185.006 | -0.000 | 0.000 | -0.000 |
| -0.000 | 0.004 | 0.004 | 11.359 | 0.000 | -0.000 |
| 0.004 | -0.000 | 0.004 | 0.000 | 11.359 | -0.000 |
| 0.004 | 0.004 | -0.000 | 0.000 | 0.000 | 11.359 |
| 185.094 | 32.170 | 32.170 | 0.000 | -0.000 | 0.000 |
| 32.170 | 185.094 | 32.170 | 0.000 | -0.000 | 0.000 |
| 32.170 | 32.170 | 185.094 | -0.000 | -0.000 | 0.000 |
| 0.000 | -0.004 | -0.004 | 11.359 | -0.000 | 0.000 |
| -0.004 | 0.000 | -0.004 | 0.000 | 11.359 | 0.000 |
| -0.004 | -0.004 | 0.000 | 0.000 | -0.000 | 11.359 |
| 195.388 | 108.612 | 108.612 | -0.000 | 0.000 | 0.000 |
| 108.612 | 195.388 | 108.612 | -0.000 | -0.000 | -0.000 |
| 108.612 | 108.612 | 195.388 | -0.000 | -0.000 | -0.000 |
| -0.000 | -0.000 | -0.000 | 74.502 | -0.000 | 0.000 |
| -0.000 | -0.000 | -0.000 | -0.000 | 74.502 | 0.000 |
| -0.000 | -0.000 | -0.000 | -0.000 | -0.000 | 74.502 |
| 195.388 | 108.612 | 108.612 | 0.000 | -0.000 | 0.000 |
| 108.612 | 195.388 | 108.612 | 0.000 | -0.000 | 0.000 |
| 108.612 | 108.612 | 195.388 | 0.000 | 0.000 | -0.000 |
| 0.000 | 0.000 | 0.000 | 74.502 | 0.000 | -0.000 |
| 0.000 | 0.000 | 0.000 | 0.000 | 74.502 | -0.000 |
| 0.000 | 0.000 | 0.000 | 0.000 | 0.000 | 74.502 |
| 195.387 | 108.612 | 108.612 | -0.000 | -0.000 | 0.000 |
| 108.612 | 195.387 | 108.612 | -0.000 | 0.000 | 0.000 |
| 108.612 | 108.612 | 195.387 | 0.000 | 0.000 | -0.000 |
| -0.000 | -0.000 | -0.000 | 74.502 | -0.000 | 0.000 |
| -0.000 | -0.000 | -0.000 | -0.000 | 74.502 | 0.000 |
| -0.000 | -0.000 | -0.000 | -0.000 | -0.000 | 74.502 |
| 195.388 | 108.613 | 108.613 | 0.000 | 0.000 | -0.000 |
| 108.613 | 195.388 | 108.613 | 0.000 | 0.000 | 0.000 |
| 108.613 | 108.613 | 195.388 | 0.000 | 0.000 | -0.000 |
| 0.000 | 0.000 | 0.000 | 74.502 | 0.000 | -0.000 |
| 0.000 | 0.000 | 0.000 | 0.000 | 74.502 | -0.000 |
| 0.000 | 0.000 | 0.000 | 0.000 | 0.000 | 74.502 |
| 195.384 | 108.612 | 108.612 | -0.000 | 0.000 | -0.000 |
| 108.612 | 195.384 | 108.612 | 0.000 | 0.000 | -0.000 |
| 108.612 | 108.612 | 195.384 | -0.000 | -0.000 | -0.000 |
| -0.000 | -0.003 | -0.003 | 74.502 | -0.000 | 0.000 |
| -0.003 | -0.000 | -0.003 | -0.000 | 74.502 | 0.000 |
| -0.003 | -0.003 | -0.000 | -0.000 | -0.000 | 74.502 |
| 195.392 | 108.613 | 108.613 | 0.000 | -0.000 | -0.000 |
| 108.613 | 195.392 | 108.613 | 0.000 | 0.000 | -0.000 |
| 108.613 | 108.613 | 195.392 | -0.000 | -0.000 | 0.000 |
| 0.000 | 0.003 | 0.003 | 74.502 | 0.000 | -0.000 |
| 0.003 | 0.000 | 0.003 | 0.000 | 74.502 | -0.000 |
| 0.003 | 0.003 | 0.000 | -0.000 | 0.000 | 74.502 |
| 110.647 | 34.536 | 34.536 | -0.000 | -0.000 | 0.000 |
| 34.536 | 110.647 | 34.536 | -0.000 | -0.000 | 0.000 |
| 34.536 | 34.536 | 110.647 | -0.000 | -0.000 | -0.000 |
| 0.000 | 0.000 | 0.000 | 24.011 | -0.000 | -0.000 |
| 0.000 | 0.000 | 0.000 | -0.000 | 24.011 | -0.000 |
| 0.000 | 0.000 | 0.000 | -0.000 | -0.000 | 24.011 |
| 110.647 | 34.536 | 34.536 | 0.000 | 0.000 | -0.000 |
| 34.536 | 110.647 | 34.536 | 0.000 | 0.000 | -0.000 |
| 34.536 | 34.536 | 110.647 | 0.000 | 0.000 | -0.000 |
| -0.000 | -0.000 | -0.000 | 24.011 | 0.000 | -0.000 |
| -0.000 | -0.000 | -0.000 | 0.000 | 24.011 | 0.000 |
| -0.000 | -0.000 | -0.000 | 0.000 | 0.000 | 24.011 |
| 110.649 | 34.538 | 34.538 | -0.000 | -0.000 | 0.000 |
| 34.538 | 110.649 | 34.538 | -0.000 | -0.000 | -0.000 |
| 34.538 | 34.538 | 110.649 | -0.000 | -0.000 | 0.000 |
| 0.001 | 0.001 | 0.001 | 24.011 | -0.000 | 0.000 |
| 0.001 | 0.001 | 0.001 | -0.000 | 24.011 | 0.000 |
| 0.001 | 0.001 | 0.001 | -0.000 | -0.000 | 24.011 |
| 110.646 | 34.535 | 34.535 | 0.000 | 0.000 | 0.000 |
| 34.535 | 110.646 | 34.535 | 0.000 | 0.000 | 0.000 |
| 34.535 | 34.535 | 110.646 | 0.000 | 0.000 | 0.000 |
| -0.001 | -0.001 | -0.001 | 24.011 | 0.000 | 0.000 |
| -0.001 | -0.001 | -0.001 | 0.000 | 24.011 | -0.000 |
| -0.001 | -0.001 | -0.001 | 0.000 | 0.000 | 24.011 |
| 110.662 | 34.551 | 34.551 | -0.000 | -0.000 | -0.000 |
| 34.551 | 110.662 | 34.551 | -0.000 | -0.000 | -0.000 |
| 34.551 | 34.551 | 110.662 | -0.000 | -0.000 | -0.000 |
| 0.007 | 0.006 | 0.006 | 24.011 | -0.000 | 0.000 |
| 0.006 | 0.007 | 0.006 | -0.000 | 24.011 | 0.000 |
| 0.006 | 0.006 | 0.007 | -0.000 | -0.000 | 24.011 |
| 110.632 | 34.522 | 34.522 | 0.000 | 0.000 | -0.000 |
| 34.522 | 110.632 | 34.522 | 0.000 | 0.000 | 0.000 |
| 34.522 | 34.522 | 110.632 | 0.000 | 0.000 | -0.000 |
| -0.007 | -0.006 | -0.006 | 24.011 | 0.000 | 0.000 |
| -0.006 | -0.007 | -0.006 | 0.000 | 24.011 | 0.000 |
| -0.006 | -0.006 | -0.007 | 0.000 | 0.000 | 24.011 |
| 5.157 | 5.157 | 5.157 | 0.000 | 0.000 | 0.000 |
| 5.157 | 5.157 | 5.157 | 0.000 | 0.000 | 0.000 |
| 5.157 | 5.157 | 5.157 | 0.000 | 0.000 | 0.000 |
| 0.000 | 0.000 | 0.000 | 5.178 | 0.000 | 0.000 |
| 0.000 | 0.000 | 0.000 | 0.000 | 5.178 | 0.000 |
| 0.000 | 0.000 | 0.000 | 0.000 | 0.000 | 5.178 |
| 5.157 | 5.157 | 5.157 | -0.000 | -0.000 | -0.000 |
| 5.157 | 5.157 | 5.157 | -0.000 | -0.000 | -0.000 |
| 5.157 | 5.157 | 5.157 | -0.000 | -0.000 | -0.000 |
| -0.000 | -0.000 | -0.000 | 5.178 | -0.000 | -0.000 |
| -0.000 | -0.000 | -0.000 | -0.000 | 5.178 | -0.000 |
| -0.000 | -0.000 | -0.000 | 0.000 | -0.000 | 5.178 |
| 5.157 | 5.157 | 5.157 | 0.000 | 0.000 | 0.000 |
| 5.157 | 5.157 | 5.157 | 0.000 | 0.000 | 0.000 |
| 5.157 | 5.157 | 5.157 | 0.000 | 0.000 | 0.000 |
| 0.000 | -0.000 | 0.000 | 0.806 | 0.000 | 0.000 |
| -0.000 | 0.000 | 0.000 | 0.000 | 0.806 | 0.000 |
| -0.000 | 0.000 | 0.000 | 0.000 | 0.000 | 0.806 |
| 5.157 | 5.157 | 5.157 | -0.000 | -0.000 | -0.000 |
| 5.157 | 5.157 | 5.157 | -0.000 | -0.000 | -0.000 |
| 5.157 | 5.157 | 5.157 | -0.000 | -0.000 | -0.000 |
| -0.000 | 0.000 | -0.000 | 0.806 | -0.000 | -0.000 |
| 0.000 | -0.000 | -0.000 | -0.000 | 0.806 | -0.000 |
| 0.000 | -0.000 | -0.000 | -0.000 | -0.000 | 0.806 |
| 5.157 | 5.157 | 5.157 | 0.000 | 0.000 | 0.000 |
| 5.157 | 5.157 | 5.157 | 0.000 | 0.000 | 0.000 |
| 5.157 | 5.157 | 5.157 | 0.000 | 0.000 | 0.000 |
| -0.000 | -0.000 | -0.000 | 0.020 | 0.000 | 0.000 |
| -0.000 | -0.000 | -0.000 | 0.000 | 0.020 | 0.000 |
| -0.000 | -0.000 | -0.000 | 0.000 | 0.000 | 0.020 |
| 5.157 | 5.157 | 5.157 | -0.000 | -0.000 | -0.000 |
| 5.157 | 5.157 | 5.157 | -0.000 | -0.000 | -0.000 |
| 5.157 | 5.157 | 5.157 | -0.000 | -0.000 | -0.000 |
| 0.000 | 0.000 | 0.000 | 0.020 | -0.000 | -0.000 |
| 0.000 | 0.000 | 0.000 | -0.000 | 0.020 | -0.000 |
| 0.000 | 0.000 | 0.000 | -0.000 | -0.000 | 0.020 |
| 43219480.010 | 44658769.989 | 44658780.014 | 0.024 | -3.521 | 1.220 |
| 44658780.014 | 43219480.010 | 44658780.014 | -1.430 | -7.654 | 0.538 |
| 44658769.989 | 44658780.014 | 43219490.035 | 0.153 | 3.169 | 1.923 |
| -100.020 | -120.013 | -99.962 | 39161021.628 | -8.909 | 0.663 |
| -109.987 | -100.020 | -99.962 | -0.572 | 39161011.384 | 0.586 |
| -109.987 | -109.987 | -99.962 | 2.673 | -6.921 | 39161018.180 |
| 43109629.996 | 44714020.032 | 44714010.007 | 5.767 | -9.232 | -0.569 |
| 44714020.032 | 43109640.021 | 44714010.007 | 3.250 | 13.612 | -1.862 |
| 44714020.032 | 44714020.032 | 43109629.996 | 0.914 | 0.068 | -1.335 |
| 109.987 | 109.987 | 99.962 | 39161014.675 | 3.718 | -1.154 |
| 109.987 | 100.020 | 99.962 | 1.935 | 39161018.296 | -0.625 |
| 109.987 | 109.987 | 99.962 | -3.318 | 2.720 | 39161016.604 |
| 43108420.998 | 44712887.000 | 44712888.003 | 0.303 | -0.313 | 0.128 |
| 44712887.997 | 43108420.002 | 44712888.003 | -0.073 | -0.579 | 0.081 |
| 44712887.000 | 44712887.000 | 43108422.001 | -0.025 | -0.762 | 0.109 |
| -1034.003 | -1059.999 | -1049.997 | 39161018.279 | -0.507 | 0.126 |
| -1059.002 | -1035.005 | -1050.999 | 0.306 | 39161017.750 | 0.120 |
| -1059.002 | -1052.002 | -1034.003 | 0.225 | -0.060 | 39161018.378 |
| 43220647.000 | 44659931.005 | 44659929.000 | 0.450 | 0.093 | -0.038 |
| 44659931.005 | 43220646.003 | 44659929.000 | -0.513 | 0.596 | 0.036 |
| 44659931.005 | 44659931.005 | 43220645.997 | -0.536 | 0.828 | -0.133 |
| 1035.005 | 1059.999 | 1050.999 | 39160371.035 | 0.491 | -0.073 |
| 1059.999 | 1035.005 | 1050.999 | -0.353 | 39160371.505 | -0.095 |
| 1059.999 | 1052.002 | 1034.003 | -0.077 | 0.467 | 39160372.073 |
| 43208967.100 | 44648410.100 | 44648410.200 | -0.037 | -0.057 | 0.009 |
| 44648410.000 | 43208967.200 | 44648410.100 | -0.001 | 0.011 | 0.000 |
| 44648410.000 | 44648410.000 | 43208967.300 | -0.015 | -0.084 | 0.006 |
| -10346.100 | -10599.000 | -10519.500 | 39299492.077 | -0.023 | 0.008 |
| -10598.900 | -10346.100 | -10519.500 | -0.043 | 39299492.042 | 0.009 |
| -10598.900 | -10519.600 | -10346.000 | 0.015 | -0.062 | 39299492.084 |
| 43120169.400 | 44724367.100 | 44724367.000 | -0.000 | 0.053 | -0.008 |
| 44724367.200 | 43120169.200 | 44724367.100 | 0.012 | 0.053 | -0.008 |
| 44724352.600 | 44724352.600 | 43120198.300 | -0.001 | 0.048 | -0.010 |
| 10346.100 | 10598.900 | 10519.500 | 39299492.039 | 0.071 | -0.005 |
| 10598.900 | 10346.100 | 10519.500 | -0.015 | 39299492.105 | -0.007 |
| 10598.900 | 10519.600 | 10346.000 | -0.023 | 0.040 | 39299492.073 |
| 14487509.984 | 7081040.018 | 7081040.018 | -0.773 | -7.289 | -0.733 |
| 7081030.022 | 14487519.980 | 7081040.018 | -3.729 | -1.089 | -1.189 |
| 7081030.022 | 7081040.018 | 14487519.980 | -2.455 | -0.599 | 0.115 |
| -9.996 | 9.996 | 9.996 | 3146194.020 | -5.072 | -0.357 |
| 0.000 | 0.000 | 9.996 | -2.904 | 3146194.031 | -0.425 |
| 0.000 | 9.996 | 9.996 | -0.788 | 0.525 | 3146198.091 |
| 14487489.991 | 7080979.983 | 7080979.983 | 3.778 | 3.972 | 0.532 |
| 7080989.979 | 14487479.995 | 7080979.983 | 4.516 | 2.139 | 0.720 |
| 7080989.979 | 7080979.983 | 14487479.995 | 4.795 | 4.172 | -0.008 |
| 9.996 | -9.996 | -9.996 | 3146205.420 | -3.246 | 1.164 |
| -0.000 | -0.000 | -9.996 | 1.887 | 3146199.648 | 0.656 |
| -0.000 | -9.996 | -9.996 | 2.903 | 2.072 | 3146199.670 |
| 14488050.999 | 7081068.002 | 7081068.002 | -0.763 | 0.035 | -0.116 |
| 7081067.002 | 14488050.999 | 7081068.002 | -0.276 | -0.336 | -0.072 |
| 7081068.002 | 7081069.001 | 14488051.999 | -0.356 | 0.022 | -0.174 |
| 16.999 | 76.000 | 77.000 | 3146198.410 | -0.358 | -0.062 |
| 75.001 | 19.002 | 77.000 | -0.260 | 3146198.191 | -0.055 |
| 74.001 | 76.000 | 19.002 | -0.239 | -0.233 | 3146198.607 |
| 14486953.997 | 7080948.001 | 7080948.001 | 0.112 | 0.042 | 0.107 |
| 7080949.000 | 14486951.998 | 7080948.001 | 0.179 | -0.074 | 0.040 |
| 7080949.000 | 7080948.001 | 14486951.998 | -0.046 | -0.037 | 0.101 |
| -16.999 | -76.000 | -76.000 | 3146199.170 | 0.708 | 0.030 |
| -75.001 | -19.002 | -77.000 | 0.410 | 3146198.922 | 0.067 |
| -74.001 | -76.000 | -19.002 | 0.365 | 0.022 | 3146198.709 |
| 14492682.400 | 7081761.500 | 7081761.500 | -0.054 | 0.004 | -0.008 |
| 7081761.400 | 14492682.500 | 7081761.500 | -0.000 | -0.043 | -0.011 |
| 7081761.400 | 7081761.500 | 14492682.500 | -0.039 | 0.005 | -0.009 |
| 183.900 | 755.100 | 757.700 | 3146198.655 | -0.037 | -0.008 |
| 755.000 | 184.000 | 757.600 | -0.083 | 3146198.707 | -0.009 |
| 755.000 | 757.700 | 184.000 | -0.043 | -0.012 | 3146198.698 |
| 14482390.400 | 7080220.500 | 7080220.600 | 0.026 | 0.078 | 0.007 |
| 7080220.700 | 14482390.300 | 7080220.600 | 0.045 | 0.010 | 0.006 |
| 7080220.700 | 7080220.600 | 14482390.300 | 0.041 | -0.011 | 0.010 |
| -183.900 | -755.100 | -757.700 | 3146198.749 | 0.040 | 0.005 |
| -755.000 | -184.000 | -757.600 | 0.081 | 3146198.735 | 0.007 |
| -755.000 | -757.700 | -184.000 | 0.052 | 0.026 | 3146198.712 |
| 973.977 | 296.194 | 296.194 | -0.000 | -0.000 | -0.000 |
| 296.194 | 973.977 | 296.194 | -0.000 | -0.000 | -0.000 |
| 296.194 | 296.194 | 973.977 | -0.000 | -0.000 | -0.000 |
| -0.000 | 0.000 | 0.000 | 160.371 | -0.000 | -0.000 |
| 0.000 | 0.000 | 0.000 | -0.000 | 160.371 | -0.000 |
| 0.000 | 0.000 | -0.000 | -0.000 | -0.000 | 160.371 |
| 973.480 | 296.445 | 296.445 | 0.000 | 0.000 | 0.000 |
| 296.445 | 973.480 | 296.445 | 0.000 | 0.000 | 0.000 |
| 296.445 | 296.445 | 973.480 | 0.000 | 0.000 | 0.000 |
| 0.000 | -0.000 | -0.000 | 160.371 | 0.000 | 0.000 |
| -0.000 | 0.000 | -0.000 | 0.000 | 160.371 | -0.000 |
| -0.000 | -0.000 | 0.000 | 0.000 | 0.000 | 160.371 |
| 973.971 | 296.188 | 296.188 | -0.000 | -0.000 | -0.000 |
| 296.188 | 973.971 | 296.188 | -0.000 | -0.000 | -0.000 |
| 296.188 | 296.188 | 973.971 | -0.000 | -0.000 | 0.000 |
| -0.000 | 0.002 | 0.002 | 160.371 | -0.000 | -0.000 |
| 0.002 | -0.000 | 0.002 | -0.000 | 160.371 | -0.000 |
| 0.002 | 0.002 | -0.000 | -0.000 | -0.000 | 160.371 |
| 973.985 | 296.201 | 296.201 | 0.000 | 0.000 | 0.000 |
| 296.201 | 973.985 | 296.201 | 0.000 | 0.000 | 0.000 |
| 296.201 | 296.201 | 973.985 | 0.000 | 0.000 | -0.000 |
| 0.000 | -0.002 | -0.002 | 160.371 | 0.000 | -0.000 |
| -0.002 | 0.000 | -0.002 | 0.000 | 160.371 | 0.000 |
| -0.002 | -0.002 | 0.000 | 0.000 | 0.000 | 160.371 |
| 973.911 | 296.129 | 296.129 | -0.000 | -0.000 | -0.000 |
| 296.129 | 973.911 | 296.129 | -0.000 | 0.000 | 0.000 |
| 296.129 | 296.129 | 973.911 | -0.000 | -0.000 | -0.000 |
| -0.001 | 0.020 | 0.020 | 137.041 | -0.000 | -0.000 |
| 0.020 | -0.001 | 0.020 | -0.000 | 137.041 | -0.000 |
| 0.020 | 0.020 | -0.001 | -0.000 | -0.000 | 137.041 |
| 973.547 | 296.510 | 296.510 | 0.000 | 0.000 | 0.000 |
| 296.510 | 973.547 | 296.510 | 0.000 | 0.000 | 0.000 |
| 296.510 | 296.510 | 973.547 | 0.000 | 0.000 | 0.000 |
| 0.001 | -0.020 | -0.020 | 137.041 | 0.000 | -0.000 |
| -0.020 | 0.001 | -0.020 | 0.000 | 137.041 | 0.000 |
| -0.020 | -0.020 | 0.001 | 0.000 | 0.000 | 137.041 |
| 294.827 | 167.898 | 167.898 | -0.000 | -0.000 | -0.000 |
| 167.898 | 294.827 | 167.898 | 0.000 | -0.000 | -0.000 |
| 167.898 | 167.898 | 294.827 | 0.000 | -0.000 | -0.000 |
| -0.000 | -0.000 | -0.000 | -330.877 | -0.000 | -0.000 |
| -0.000 | -0.000 | -0.000 | -0.000 | -330.877 | -0.000 |
| -0.000 | -0.000 | -0.000 | -0.000 | -0.000 | -330.877 |
| 294.827 | 167.898 | 167.898 | 0.000 | 0.000 | 0.000 |
| 167.898 | 294.827 | 167.898 | -0.000 | 0.000 | 0.000 |
| 167.898 | 167.898 | 294.827 | -0.000 | 0.000 | 0.000 |
| 0.000 | 0.000 | 0.000 | -330.877 | 0.000 | 0.000 |
| 0.000 | 0.000 | 0.000 | 0.000 | -330.877 | 0.000 |
| 0.000 | 0.000 | 0.000 | 0.000 | 0.000 | -330.877 |
| 343.150 | 143.737 | 143.737 | 0.000 | -0.000 | -0.000 |
| 143.737 | 343.150 | 143.737 | -0.000 | 0.000 | -0.000 |
| 143.737 | 143.737 | 343.150 | 0.000 | -0.000 | -0.000 |
| -0.003 | -0.001 | -0.001 | -330.877 | -0.000 | -0.000 |
| -0.001 | -0.003 | -0.001 | -0.000 | -330.877 | -0.000 |
| -0.001 | -0.001 | -0.003 | -0.000 | -0.000 | -330.877 |
| 294.827 | 167.898 | 167.898 | -0.000 | 0.000 | 0.000 |
| 167.898 | 294.827 | 167.898 | 0.000 | 0.000 | 0.000 |
| 167.898 | 167.898 | 294.827 | 0.000 | 0.000 | 0.000 |
| 0.003 | 0.001 | 0.001 | -330.877 | 0.000 | 0.000 |
| 0.001 | 0.003 | 0.001 | 0.000 | -330.877 | 0.000 |
| 0.001 | 0.001 | 0.003 | 0.000 | 0.000 | -330.877 |
| 294.829 | 167.899 | 167.899 | -0.000 | -0.000 | -0.000 |
| 167.899 | 294.829 | 167.899 | -0.000 | -0.000 | -0.000 |
| 167.899 | 167.899 | 294.829 | -0.000 | -0.000 | -0.000 |
| -0.027 | -0.007 | -0.008 | -330.877 | -0.000 | -0.000 |
| -0.007 | -0.027 | -0.008 | -0.000 | -330.877 | -0.000 |
| -0.007 | -0.008 | -0.027 | -0.000 | -0.000 | -330.877 |
| 294.825 | 167.897 | 167.897 | -0.000 | 0.000 | 0.000 |
| 167.897 | 294.825 | 167.897 | -0.000 | 0.000 | 0.000 |
| 167.897 | 167.897 | 294.825 | -0.000 | 0.000 | 0.000 |
| 0.027 | 0.007 | 0.008 | -330.877 | 0.000 | 0.000 |
| 0.007 | 0.027 | 0.008 | 0.000 | -330.877 | 0.000 |
| 0.007 | 0.008 | 0.027 | 0.000 | 0.000 | -330.877 |
| -195242527.784 | -201007784.564 | -202010035.584 | -1364450.742 | -1889236.930 | 153320.346 |
| -200759360.083 | -194591193.215 | -197328829.434 | -2450054.323 | -58304.601 | -1685304.607 |
| -194738321.795 | -198767843.501 | -195667486.166 | -1789420.569 | 597398.395 | -2400539.540 |
| 0.000 | -0.000 | -0.000 | -4.500 | 0.000 | -0.000 |
| -0.000 | 0.000 | -0.000 | -0.000 | -4.500 | -0.000 |
| -0.000 | -0.000 | 0.000 | -0.000 | 0.000 | -4.500 |
| 73.671 | 127.947 | 127.947 | 0.000 | 0.000 | 0.000 |
| 127.947 | 73.671 | 127.947 | 0.000 | -0.000 | 0.000 |
| 127.947 | 127.947 | 73.671 | 0.000 | -0.000 | 0.000 |
| -0.000 | 0.000 | 0.000 | -4.500 | -0.000 | 0.000 |
| 0.000 | -0.000 | 0.000 | 0.000 | -4.500 | 0.000 |
| 0.000 | 0.000 | -0.000 | 0.000 | -0.000 | -4.500 |
| -19815121.298 | -19151032.485 | -19246908.714 | -10417.169 | -10813.710 | -3147.347 |
| -19637496.124 | -19855572.996 | -19396687.008 | -33508.797 | 209513.078 | 45356.592 |
| -19587138.578 | -19879553.266 | -20110981.967 | 8625.263 | 34165.716 | 174916.265 |
| 0.000 | -0.000 | -0.000 | -4.500 | -0.000 | -0.000 |
| -0.000 | 0.000 | -0.000 | -0.000 | -4.500 | -0.000 |
| -0.000 | -0.000 | 0.000 | -0.000 | 0.000 | -4.500 |
| 19417712.341 | 17756583.090 | 18604388.467 | 53151.250 | -61093.918 | -97992.671 |
| 18330941.501 | 18988043.172 | 17763559.335 | 93571.414 | -137941.384 | 148030.466 |
| 17668673.335 | 18511665.023 | 19633991.692 | 32827.680 | -177432.753 | 152682.740 |
| -0.000 | 0.000 | 0.000 | -4.500 | 0.000 | 0.000 |
| 0.000 | -0.000 | 0.000 | 0.000 | -4.500 | 0.000 |
| 0.000 | 0.000 | -0.000 | 0.000 | -0.000 | -4.500 |
| -134389.844 | 2439665.696 | 2439665.697 | -0.000 | 0.000 | 0.000 |
| -1993090.189 | -1950774.572 | -2013423.291 | 16808.204 | -1288.709 | 7722.908 |
| 2439665.696 | 2439665.697 | -134389.844 | 0.000 | 0.000 | -0.000 |
| 0.002 | -0.000 | -0.000 | -4.500 | 0.000 | 0.000 |
| -0.000 | 0.002 | -0.000 | -0.000 | -4.500 | -0.000 |
| -0.000 | -0.000 | 0.002 | 0.000 | 0.000 | -4.500 |
| 1918056.966 | 1864406.696 | 1911032.429 | 22604.594 | 8562.891 | -3521.565 |
| 1868728.892 | 1882537.486 | 1854452.418 | -863.612 | -2708.219 | 8796.138 |
| 1834647.071 | 1830214.353 | 1888659.870 | -3834.456 | 28067.305 | -767.023 |
| -0.002 | 0.000 | 0.000 | -4.500 | -0.000 | 0.000 |
| 0.000 | -0.002 | 0.000 | 0.000 | -4.500 | 0.000 |
| 0.000 | 0.000 | -0.002 | 0.000 | -0.000 | -4.500 |
| 128.791 | 44.833 | 44.833 | -0.000 | -0.000 | 0.000 |
| 44.833 | 128.791 | 44.833 | -0.000 | -0.000 | 0.000 |
| 44.833 | 44.833 | 128.791 | -0.000 | -0.000 | 0.000 |
| -0.000 | 0.000 | 0.000 | 44.740 | -0.000 | 0.000 |
| 0.000 | -0.000 | 0.000 | 0.000 | 44.740 | 0.000 |
| 0.000 | 0.000 | -0.000 | -0.000 | -0.000 | 44.740 |
| 128.791 | 44.832 | 44.832 | 0.000 | 0.000 | -0.000 |
| 44.832 | 128.791 | 44.832 | -0.000 | 0.000 | -0.000 |
| 44.832 | 44.832 | 128.791 | 0.000 | 0.000 | -0.000 |
| 0.000 | -0.000 | -0.000 | 44.740 | 0.000 | -0.000 |
| -0.000 | 0.000 | -0.000 | -0.000 | 44.740 | -0.000 |
| -0.000 | -0.000 | 0.000 | -0.000 | 0.000 | 44.740 |
| 128.792 | 44.833 | 44.833 | -0.000 | -0.000 | 0.000 |
| 44.833 | 128.792 | 44.833 | 0.000 | -0.000 | 0.000 |
| 44.833 | 44.833 | 128.792 | -0.000 | -0.000 | 0.000 |
| -0.000 | 0.000 | 0.000 | 44.740 | -0.000 | 0.000 |
| 0.000 | -0.000 | 0.000 | -0.000 | 44.740 | 0.000 |
| 0.000 | 0.000 | -0.000 | -0.000 | -0.000 | 44.740 |
| 128.790 | 44.832 | 44.832 | 0.000 | 0.000 | -0.000 |
| 44.832 | 128.790 | 44.832 | 0.000 | 0.000 | -0.000 |
| 44.832 | 44.832 | 128.790 | 0.000 | 0.000 | -0.000 |
| 0.000 | -0.000 | -0.000 | 44.740 | 0.000 | -0.000 |
| -0.000 | 0.000 | -0.000 | -0.000 | 44.740 | -0.000 |
| -0.000 | -0.000 | 0.000 | -0.000 | 0.000 | 44.740 |
| 128.798 | 44.834 | 44.834 | -0.000 | -0.000 | 0.000 |
| 44.834 | 128.798 | 44.834 | -0.000 | -0.000 | 0.000 |
| 44.834 | 44.834 | 128.798 | -0.000 | -0.000 | 0.000 |
| -0.000 | 0.001 | 0.001 | 44.740 | -0.000 | 0.000 |
| 0.001 | -0.000 | 0.001 | 0.000 | 44.740 | 0.000 |
| 0.001 | 0.001 | -0.000 | -0.000 | -0.000 | 44.740 |
| 128.784 | 44.831 | 44.831 | 0.000 | 0.000 | -0.000 |
| 44.831 | 128.784 | 44.831 | 0.000 | 0.000 | -0.000 |
| 44.831 | 44.831 | 128.784 | -0.000 | 0.000 | -0.000 |
| 0.000 | -0.001 | -0.001 | 44.740 | 0.000 | -0.000 |
| -0.001 | 0.000 | -0.001 | 0.000 | 44.740 | -0.000 |
| -0.001 | -0.001 | 0.000 | 0.000 | 0.000 | 44.740 |
| -10.567 | 0.000 | 0.000 | -0.000 | -0.000 | 0.000 |
| 0.000 | -10.567 | 0.000 | 0.000 | 0.000 | -0.000 |
| 0.000 | 0.000 | -10.567 | -0.000 | 0.000 | -0.000 |
| 0.000 | 0.000 | 0.000 | -0.000 | -0.000 | 0.000 |
| 0.000 | 0.000 | 0.000 | 0.000 | -0.000 | 0.000 |
| 0.000 | 0.000 | 0.000 | 0.000 | -0.000 | -0.000 |
| -10.567 | 0.000 | 0.000 | -0.000 | 0.000 | -0.000 |
| 0.000 | -10.567 | 0.000 | -0.000 | 0.000 | -0.000 |
| 0.000 | 0.000 | -10.567 | -0.000 | 0.000 | -0.000 |
| -0.000 | -0.000 | -0.000 | -0.000 | 0.000 | 0.000 |
| -0.000 | -0.000 | -0.000 | -0.000 | -0.000 | -0.000 |
| -0.000 | -0.000 | -0.000 | -0.000 | 0.000 | -0.000 |
| -10.567 | 0.000 | 0.000 | -0.000 | 0.000 | 0.000 |
| 0.000 | -10.567 | 0.000 | 0.000 | 0.000 | 0.000 |
| 0.000 | 0.000 | -10.567 | 0.000 | 0.000 | -0.000 |
| 0.000 | 0.000 | 0.000 | -0.000 | -0.000 | -0.000 |
| 0.000 | 0.000 | 0.000 | 0.000 | -0.000 | 0.000 |
| 0.000 | 0.000 | 0.000 | 0.000 | 0.000 | -0.000 |
| -10.567 | 0.000 | 0.000 | -0.000 | -0.000 | -0.000 |
| 0.000 | -10.567 | 0.000 | -0.000 | 0.000 | 0.000 |
| 0.000 | 0.000 | -10.567 | -0.000 | 0.000 | -0.000 |
| -0.000 | -0.000 | -0.000 | -0.000 | 0.000 | -0.000 |
| -0.000 | -0.000 | -0.000 | -0.000 | -0.000 | -0.000 |
| -0.000 | -0.000 | -0.000 | -0.000 | -0.000 | -0.000 |
| -10.567 | 0.000 | 0.000 | -0.000 | -0.000 | 0.000 |
| 0.000 | -10.567 | 0.000 | 0.000 | 0.000 | -0.000 |
| 0.000 | 0.000 | -10.567 | -0.000 | 0.000 | -0.000 |
| 0.000 | 0.000 | 0.000 | -0.000 | 0.000 | 0.000 |
| 0.000 | 0.000 | 0.000 | 0.000 | -0.000 | 0.000 |
| 0.000 | 0.000 | 0.000 | -0.000 | -0.000 | -0.000 |
| -10.567 | -0.000 | -0.000 | 0.000 | 0.000 | -0.000 |
| -0.000 | -10.567 | -0.000 | -0.000 | 0.000 | -0.000 |
| -0.000 | -0.000 | -10.567 | -0.000 | 0.000 | 0.000 |
| -0.000 | -0.000 | -0.000 | -0.000 | -0.000 | -0.000 |
| -0.000 | -0.000 | -0.000 | -0.000 | -0.000 | -0.000 |
| -0.000 | -0.000 | -0.000 | 0.000 | -0.000 | -0.000 |
| 11.711 | -0.000 | -0.000 | 0.000 | 0.000 | 0.000 |
| -0.000 | 11.711 | -0.000 | 0.000 | -0.000 | 0.000 |
| -0.000 | -0.000 | 11.711 | 0.000 | 0.000 | 0.000 |
| -0.000 | -0.000 | -0.000 | -0.000 | 0.000 | 0.000 |
| -0.000 | -0.000 | -0.000 | 0.000 | -0.000 | 0.000 |
| -0.000 | -0.000 | -0.000 | 0.000 | -0.000 | -0.000 |
| 11.711 | 0.000 | 0.000 | -0.000 | -0.000 | 0.000 |
| 0.000 | 11.711 | 0.000 | 0.000 | 0.000 | -0.000 |
| 0.000 | 0.000 | 11.711 | -0.000 | -0.000 | -0.000 |
| 0.000 | 0.000 | 0.000 | -0.000 | -0.000 | 0.000 |
| 0.000 | 0.000 | 0.000 | -0.000 | -0.000 | -0.000 |
| 0.000 | 0.000 | 0.000 | -0.000 | -0.000 | -0.000 |
| 11.711 | -0.000 | -0.000 | 0.000 | 0.000 | -0.000 |
| -0.000 | 11.711 | -0.000 | 0.000 | -0.000 | 0.000 |
| -0.000 | -0.000 | 11.711 | 0.000 | -0.000 | 0.000 |
| -0.000 | -0.000 | -0.000 | 0.000 | -0.000 | -0.000 |
| -0.000 | -0.000 | -0.000 | 0.000 | 0.000 | -0.000 |
| -0.000 | -0.000 | -0.000 | 0.000 | 0.000 | 0.000 |
| 11.711 | 0.000 | 0.000 | -0.000 | -0.000 | 0.000 |
| 0.000 | 11.711 | 0.000 | -0.000 | 0.000 | 0.000 |
| 0.000 | 0.000 | 11.711 | 0.000 | -0.000 | -0.000 |
| 0.000 | 0.000 | 0.000 | 0.000 | 0.000 | -0.000 |
| 0.000 | 0.000 | 0.000 | -0.000 | 0.000 | -0.000 |
| 0.000 | 0.000 | 0.000 | -0.000 | -0.000 | 0.000 |
| 11.710 | -0.000 | -0.000 | 0.000 | -0.000 | 0.000 |
| -0.000 | 11.710 | -0.000 | 0.000 | -0.000 | -0.000 |
| -0.000 | -0.000 | 11.710 | -0.000 | -0.000 | 0.000 |
| -0.000 | -0.000 | -0.000 | 0.000 | 0.000 | -0.000 |
| -0.000 | -0.000 | -0.000 | -0.000 | 0.000 | -0.000 |
| -0.000 | -0.000 | -0.000 | 0.000 | 0.000 | 0.000 |
| 11.711 | 0.000 | 0.000 | -0.000 | 0.000 | 0.000 |
| 0.000 | 11.711 | 0.000 | 0.000 | 0.000 | 0.000 |
| 0.000 | 0.000 | 11.711 | 0.000 | -0.000 | -0.000 |
| 0.000 | 0.000 | 0.000 | 0.000 | -0.000 | 0.000 |
| 0.000 | 0.000 | 0.000 | 0.000 | 0.000 | 0.000 |
| 0.000 | 0.000 | 0.000 | -0.000 | -0.000 | 0.000 |
| 7745776.999 | 3533491.992 | 3533489.005 | 4.029 | 2.326 | 0.506 |
| 3533491.992 | 7745776.999 | 3533489.005 | 1.586 | 4.929 | 0.451 |
| 3533490.003 | 3533491.992 | 7745776.001 | 4.309 | 5.110 | 0.490 |
| -2.004 | -0.998 | -0.991 | 1197392.086 | -0.269 | 0.372 |
| -0.998 | 0.000 | -0.991 | -1.078 | 1197392.213 | 0.404 |
| 0.000 | -2.004 | -2.994 | 1.087 | 1.588 | 1197391.284 |
| 7745748.001 | 3533496.998 | 3533497.996 | -2.944 | -1.157 | -0.412 |
| 3533495.001 | 7745744.999 | 3533498.994 | -0.097 | -3.709 | -0.562 |
| 3533494.003 | 3533496.000 | 7745751.003 | -1.714 | -1.545 | -0.415 |
| 3.002 | -0.000 | 1.996 | 1197389.432 | 0.085 | -0.325 |
| -0.000 | -0.000 | 1.996 | 1.003 | 1197389.413 | -0.467 |
| -0.000 | 2.004 | 2.994 | -0.672 | -1.477 | 1197390.378 |
| 7745907.800 | 3533476.800 | 3533476.100 | 0.107 | 0.422 | 0.040 |
| 3533476.400 | 7745908.101 | 3533476.100 | 0.318 | 0.160 | 0.031 |
| 3533476.400 | 3533476.500 | 7745907.701 | 0.172 | 0.190 | 0.047 |
| -12.500 | -6.400 | -6.600 | 879402.232 | 0.286 | 0.073 |
| -6.500 | -12.401 | -6.600 | -0.095 | 879402.292 | 0.037 |
| -6.400 | -6.500 | -12.600 | -0.062 | 0.053 | 879402.246 |
| 7745618.600 | 3533508.300 | 3533509.000 | -0.199 | -0.194 | -0.020 |
| 3533508.800 | 7745618.900 | 3533509.000 | -0.217 | -0.305 | -0.053 |
| 3533508.901 | 3533508.800 | 7745618.999 | -0.393 | -0.498 | -0.038 |
| 12.500 | 6.300 | 6.699 | 879402.253 | -0.017 | -0.032 |
| 6.400 | 12.401 | 6.699 | 0.126 | 879402.153 | -0.053 |
| 6.500 | 6.400 | 12.600 | 0.041 | -0.057 | 879402.157 |
| 7747210.080 | 3533331.010 | 3533330.990 | -0.017 | 0.005 | 0.004 |
| 3533331.040 | 7747210.090 | 3533330.990 | 0.003 | -0.007 | 0.005 |
| 3533331.040 | 3533331.000 | 7747210.050 | 0.009 | 0.019 | 0.005 |
| -105.400 | -54.000 | -53.720 | 1201564.475 | 0.010 | 0.005 |
| -54.000 | -105.410 | -53.720 | 0.007 | 1201564.477 | 0.005 |
| -54.000 | -53.700 | -105.420 | 0.015 | 0.007 | 1201564.477 |
| 7744316.570 | 3533654.240 | 3533654.270 | -0.027 | -0.036 | -0.005 |
| 3533654.240 | 7744316.590 | 3533654.260 | -0.023 | -0.034 | -0.005 |
| 3533654.230 | 3533654.210 | 7744316.620 | -0.003 | -0.000 | -0.004 |
| 105.410 | 54.010 | 53.720 | 1201564.467 | -0.002 | -0.004 |
| 54.010 | 105.410 | 53.720 | 0.000 | 1201564.461 | -0.004 |
| 54.000 | 53.700 | 105.420 | -0.016 | -0.001 | 1201564.465 |
| 501.927 | 534.401 | 534.401 | -0.000 | 0.000 | -0.000 |
| 534.401 | 501.927 | 534.401 | -0.000 | 0.000 | -0.000 |
| 534.401 | 534.401 | 501.927 | -0.000 | 0.000 | -0.000 |
| 0.000 | 0.000 | 0.000 | 163.234 | 0.000 | 0.000 |
| 0.000 | 0.000 | 0.000 | -0.000 | 163.234 | -0.000 |
| 0.000 | 0.000 | 0.000 | -0.000 | 0.000 | 163.234 |
| 501.930 | 534.407 | 534.407 | 0.000 | -0.000 | -0.000 |
| 534.407 | 501.930 | 534.407 | 0.000 | -0.000 | 0.000 |
| 534.407 | 534.407 | 501.930 | -0.000 | -0.000 | 0.000 |
| -0.000 | -0.000 | -0.000 | 163.234 | -0.000 | -0.000 |
| -0.000 | -0.000 | -0.000 | 0.000 | 163.234 | 0.000 |
| -0.000 | -0.000 | -0.000 | 0.000 | -0.000 | 163.234 |
| 501.912 | 534.375 | 534.375 | -0.000 | -0.000 | -0.000 |
| 534.375 | 501.912 | 534.375 | 0.000 | 0.000 | -0.000 |
| 534.375 | 534.375 | 501.912 | -0.000 | 0.000 | 0.000 |
| 0.000 | 0.000 | 0.000 | 163.234 | 0.000 | -0.000 |
| 0.000 | 0.000 | 0.000 | -0.000 | 163.234 | -0.000 |
| 0.000 | 0.000 | 0.000 | -0.000 | 0.000 | 163.234 |
| 501.946 | 534.433 | 534.433 | 0.000 | -0.000 | -0.000 |
| 534.433 | 501.946 | 534.433 | -0.000 | -0.000 | -0.000 |
| 534.433 | 534.433 | 501.946 | 0.000 | -0.000 | 0.000 |
| -0.000 | -0.000 | -0.000 | 163.234 | -0.000 | 0.000 |
| -0.000 | -0.000 | -0.000 | 0.000 | 163.234 | 0.000 |
| -0.000 | -0.000 | -0.000 | 0.000 | -0.000 | 163.234 |
| 501.759 | 534.118 | 534.118 | -0.000 | 0.000 | -0.000 |
| 534.118 | 501.759 | 534.118 | -0.000 | 0.000 | 0.000 |
| 534.118 | 534.118 | 501.759 | -0.000 | 0.000 | 0.000 |
| 0.000 | 0.004 | 0.004 | 163.234 | 0.000 | -0.000 |
| 0.004 | 0.000 | 0.004 | -0.000 | 163.234 | -0.000 |
| 0.004 | 0.004 | 0.000 | -0.000 | 0.000 | 163.234 |
| 502.098 | 534.690 | 534.690 | 0.000 | -0.000 | 0.000 |
| 534.690 | 502.098 | 534.690 | 0.000 | -0.000 | 0.000 |
| 534.690 | 534.690 | 502.098 | 0.000 | -0.000 | 0.000 |
| -0.000 | -0.004 | -0.004 | 163.234 | 0.000 | -0.000 |
| -0.004 | -0.000 | -0.004 | 0.000 | 163.234 | 0.000 |
| -0.004 | -0.004 | -0.000 | 0.000 | -0.000 | 163.234 |
| 183.668 | 82.557 | 82.557 | 0.000 | 0.000 | 0.000 |
| 82.557 | 183.668 | 82.557 | 0.000 | 0.000 | 0.000 |
| 82.557 | 82.557 | 183.668 | -0.000 | 0.000 | 0.000 |
| -0.000 | -0.000 | -0.000 | 68.975 | 0.000 | 0.000 |
| -0.000 | -0.000 | -0.000 | 0.000 | 68.975 | 0.000 |
| -0.000 | -0.000 | -0.000 | -0.000 | 0.000 | 68.975 |
| 183.668 | 82.557 | 82.557 | -0.000 | -0.000 | -0.000 |
| 82.557 | 183.668 | 82.557 | -0.000 | 0.000 | -0.000 |
| 82.557 | 82.557 | 183.668 | 0.000 | 0.000 | -0.000 |
| 0.000 | 0.000 | 0.000 | 68.975 | 0.000 | -0.000 |
| 0.000 | 0.000 | 0.000 | -0.000 | 68.975 | -0.000 |
| 0.000 | 0.000 | 0.000 | -0.000 | -0.000 | 68.975 |
| 183.668 | 82.557 | 82.557 | 0.000 | 0.000 | 0.000 |
| 82.557 | 183.668 | 82.557 | 0.000 | 0.000 | 0.000 |
| 82.557 | 82.557 | 183.668 | 0.000 | 0.000 | 0.000 |
| -37218837.055 | -20539745.648 | -19639772.457 | 262028.631 | -33132.792 | 28957.744 |
| -20705463.951 | -36893095.084 | -19516975.033 | 68740.664 | 173262.319 | -47933.391 |
| -19554767.590 | -19288974.063 | -35494523.338 | -159136.727 | 6212.927 | 257510.031 |
| 183.669 | 82.558 | 82.558 | -0.000 | -0.000 | -0.000 |
| 82.558 | 183.669 | 82.558 | -0.000 | -0.000 | -0.000 |
| 82.558 | 82.558 | 183.669 | -0.000 | -0.000 | -0.000 |
| 37142855.773 | 20741887.893 | 22055573.941 | -192315.371 | -63324.679 | -40212.140 |
| 20508107.635 | 36521309.227 | 21759445.169 | -136735.799 | -199284.013 | 61918.112 |
| 20489203.046 | 21714184.726 | 35983064.941 | -49907.200 | -59441.985 | -75328.352 |
| 183.661 | 82.552 | 82.552 | 0.000 | 0.000 | 0.000 |
| 82.552 | 183.661 | 82.552 | 0.000 | 0.000 | 0.000 |
| 82.552 | 82.552 | 183.661 | 0.000 | 0.000 | 0.000 |
| -3564263.073 | -2222407.178 | -2156956.434 | -23814.890 | 1146.103 | 1190.379 |
| -2189836.410 | -3538538.892 | -2155385.386 | -2785.926 | -18703.876 | -2469.531 |
| -2193861.880 | -2125540.359 | -3620241.557 | -4570.034 | 4164.877 | 3153.376 |
| 183.675 | 82.562 | 82.562 | -0.000 | -0.000 | -0.000 |
| 82.562 | 183.675 | 82.562 | -0.000 | -0.000 | -0.000 |
| 82.562 | 82.562 | 183.675 | 0.000 | 0.000 | -0.000 |
| 3716260.506 | 2279195.865 | 2270765.237 | -18109.248 | -3914.660 | -10163.175 |
| 2285369.212 | 3714860.213 | 2284785.400 | -4273.342 | -10513.250 | -12686.565 |
| 2301304.428 | 2262160.397 | 3681786.562 | 10727.158 | 747.561 | -16411.664 |
| 163.846 | 60.802 | 60.802 | -0.000 | -0.000 | -0.000 |
| 60.802 | 163.846 | 60.802 | -0.000 | -0.000 | -0.000 |
| 60.802 | 60.802 | 163.846 | -0.000 | -0.000 | -0.000 |
| -0.000 | -0.000 | -0.000 | 47.871 | -0.000 | -0.000 |
| -0.000 | -0.000 | -0.000 | -0.000 | 47.871 | -0.000 |
| -0.000 | -0.000 | -0.000 | -0.000 | -0.000 | 47.871 |
| 163.846 | 60.802 | 60.802 | 0.000 | 0.000 | 0.000 |
| 60.802 | 163.846 | 60.802 | 0.000 | 0.000 | 0.000 |
| 60.802 | 60.802 | 163.846 | 0.000 | 0.000 | 0.000 |
| 0.000 | 0.000 | 0.000 | 47.871 | 0.000 | 0.000 |
| 0.000 | 0.000 | 0.000 | -0.000 | 47.871 | 0.000 |
| 0.000 | 0.000 | 0.000 | 0.000 | 0.000 | 47.871 |
| 163.849 | 60.801 | 60.801 | -0.000 | -0.000 | -0.000 |
| 60.801 | 163.849 | 60.801 | 0.000 | -0.000 | -0.000 |
| 60.801 | 60.801 | 163.849 | -0.000 | -0.000 | -0.000 |
| -0.000 | -0.000 | -0.000 | 47.871 | -0.000 | -0.000 |
| -0.000 | -0.000 | -0.000 | -0.000 | 47.871 | -0.000 |
| -0.000 | -0.000 | -0.000 | -0.000 | -0.000 | 47.871 |
| 163.842 | 60.803 | 60.803 | 0.000 | 0.000 | 0.000 |
| 60.803 | 163.842 | 60.803 | 0.000 | 0.000 | 0.000 |
| 60.803 | 60.803 | 163.842 | 0.000 | 0.000 | 0.000 |
| 0.000 | 0.000 | 0.000 | 47.871 | 0.000 | 0.000 |
| 0.000 | 0.000 | 0.000 | 0.000 | 47.871 | 0.000 |
| 0.000 | 0.000 | 0.000 | 0.000 | 0.000 | 47.871 |
| 163.881 | 60.793 | 60.793 | -0.000 | -0.000 | -0.000 |
| 60.793 | 163.881 | 60.793 | -0.000 | -0.000 | -0.000 |
| 60.793 | 60.793 | 163.881 | -0.000 | -0.000 | -0.000 |
| -0.004 | -0.004 | -0.004 | 47.871 | -0.000 | -0.000 |
| -0.004 | -0.004 | -0.004 | -0.000 | 47.871 | -0.000 |
| -0.004 | -0.004 | -0.004 | -0.000 | -0.000 | 47.871 |
| 163.811 | 60.811 | 60.811 | 0.000 | 0.000 | 0.000 |
| 60.811 | 163.811 | 60.811 | 0.000 | 0.000 | 0.000 |
| 60.811 | 60.811 | 163.811 | 0.000 | 0.000 | 0.000 |
| 0.004 | 0.004 | 0.004 | 47.871 | 0.000 | 0.000 |
| 0.004 | 0.004 | 0.004 | 0.000 | 47.871 | 0.000 |
| 0.004 | 0.004 | 0.004 | 0.000 | 0.000 | 47.871 |
| 57.254 | 23.604 | 23.604 | 0.000 | 0.000 | 0.000 |
| 23.604 | 57.254 | 23.604 | 0.000 | 0.000 | 0.000 |
| 23.604 | 23.604 | 57.254 | 0.000 | 0.000 | -0.000 |
| -0.000 | -0.000 | -0.000 | 8.526 | 0.000 | 0.000 |
| -0.000 | -0.000 | -0.000 | 0.000 | 8.526 | 0.000 |
| -0.000 | -0.000 | -0.000 | 0.000 | 0.000 | 8.526 |
| 57.254 | 23.604 | 23.604 | -0.000 | -0.000 | -0.000 |
| 23.604 | 57.254 | 23.604 | -0.000 | -0.000 | 0.000 |
| 23.604 | 23.604 | 57.254 | 0.000 | 0.000 | 0.000 |
| 0.000 | 0.000 | 0.000 | 8.526 | -0.000 | -0.000 |
| 0.000 | 0.000 | 0.000 | -0.000 | 8.526 | 0.000 |
| 0.000 | 0.000 | 0.000 | -0.000 | -0.000 | 8.526 |
| 57.254 | 23.603 | 23.603 | 0.000 | 0.000 | 0.000 |
| 23.603 | 57.254 | 23.603 | 0.000 | 0.000 | 0.000 |
| 23.603 | 23.603 | 57.254 | 0.000 | -0.000 | 0.000 |
| -0.000 | -0.000 | -0.000 | 8.526 | 0.000 | 0.000 |
| -0.000 | -0.000 | -0.000 | 0.000 | 8.526 | 0.000 |
| -0.000 | -0.000 | -0.000 | 0.000 | 0.000 | 8.526 |
| 57.254 | 23.604 | 23.604 | -0.000 | -0.000 | -0.000 |
| 23.604 | 57.254 | 23.604 | -0.000 | -0.000 | -0.000 |
| 23.604 | 23.604 | 57.254 | -0.000 | 0.000 | 0.000 |
| 0.000 | 0.000 | 0.000 | 8.526 | -0.000 | -0.000 |
| 0.000 | 0.000 | 0.000 | 0.000 | 8.526 | 0.000 |
| 0.000 | 0.000 | 0.000 | -0.000 | -0.000 | 8.526 |
| 57.253 | 23.602 | 23.602 | 0.000 | 0.000 | 0.000 |
| 23.602 | 57.253 | 23.602 | 0.000 | 0.000 | 0.000 |
| 23.602 | 23.602 | 57.253 | 0.000 | -0.000 | 0.000 |
| -0.005 | -0.004 | -0.004 | 8.526 | 0.000 | -0.000 |
| -0.004 | -0.005 | -0.004 | 0.000 | 8.526 | 0.000 |
| -0.004 | -0.004 | -0.005 | 0.000 | 0.000 | 8.526 |
| 57.255 | 23.605 | 23.605 | -0.000 | -0.000 | -0.000 |
| 23.605 | 57.255 | 23.605 | -0.000 | -0.000 | -0.000 |
| 23.605 | 23.605 | 57.255 | -0.000 | 0.000 | 0.000 |
| 0.005 | 0.004 | 0.004 | 8.526 | -0.000 | -0.000 |
| 0.004 | 0.005 | 0.004 | -0.000 | 8.526 | 0.000 |
| 0.004 | 0.004 | 0.005 | -0.000 | -0.000 | 8.526 |
| 9.568 | 9.506 | 9.506 | -0.000 | -0.000 | -0.000 |
| 9.506 | 9.568 | 9.506 | -0.000 | -0.000 | -0.000 |
| 9.506 | 9.506 | 9.568 | -0.000 | -0.000 | -0.000 |
| 0.000 | 0.000 | 0.000 | 8.626 | -0.000 | -0.000 |
| 0.000 | 0.000 | 0.000 | -0.000 | 8.626 | -0.000 |
| 0.000 | 0.000 | 0.000 | -0.000 | -0.000 | 8.626 |
| 9.568 | 9.506 | 9.506 | 0.000 | 0.000 | -0.000 |
| 9.506 | 9.568 | 9.506 | 0.000 | 0.000 | -0.000 |
| 9.506 | 9.506 | 9.568 | -0.000 | -0.000 | -0.000 |
| -0.000 | -0.000 | -0.000 | 8.626 | 0.000 | 0.000 |
| -0.000 | -0.000 | -0.000 | 0.000 | 8.626 | 0.000 |
| -0.000 | -0.000 | -0.000 | 0.000 | 0.000 | 8.626 |
| 9.568 | 9.506 | 9.506 | -0.000 | -0.000 | 0.000 |
| 9.506 | 9.568 | 9.506 | -0.000 | -0.000 | 0.000 |
| 9.506 | 9.506 | 9.568 | -0.000 | -0.000 | 0.000 |
| 0.000 | 0.000 | 0.000 | 8.626 | -0.000 | 0.000 |
| 0.000 | 0.000 | 0.000 | -0.000 | 8.626 | -0.000 |
| 0.000 | 0.000 | 0.000 | -0.000 | 0.000 | 8.626 |
| 9.568 | 9.506 | 9.506 | 0.000 | -0.000 | 0.000 |
| 9.506 | 9.568 | 9.506 | -0.000 | 0.000 | 0.000 |
| 9.506 | 9.506 | 9.568 | 0.000 | 0.000 | -0.000 |
| -0.000 | -0.000 | -0.000 | 8.626 | -0.000 | 0.000 |
| -0.000 | -0.000 | -0.000 | 0.000 | 8.626 | 0.000 |
| -0.000 | -0.000 | -0.000 | 0.000 | -0.000 | 8.626 |
| 9.568 | 9.506 | 9.506 | -0.000 | -0.000 | 0.000 |
| 9.506 | 9.568 | 9.506 | -0.000 | -0.000 | 0.000 |
| 9.506 | 9.506 | 9.568 | 0.000 | 0.000 | 0.000 |
| 0.000 | 0.000 | 0.000 | 8.626 | -0.000 | 0.000 |
| 0.000 | 0.000 | 0.000 | -0.000 | 8.626 | 0.000 |
| 0.000 | 0.000 | 0.000 | -0.000 | -0.000 | 8.626 |
| 9.568 | 9.506 | 9.506 | 0.000 | -0.000 | 0.000 |
| 9.506 | 9.568 | 9.506 | -0.000 | 0.000 | -0.000 |
| 9.506 | 9.506 | 9.568 | 0.000 | 0.000 | 0.000 |
| -0.000 | -0.000 | -0.000 | 8.626 | 0.000 | -0.000 |
| -0.000 | -0.000 | -0.000 | 0.000 | 8.626 | -0.000 |
| -0.000 | -0.000 | -0.000 | 0.000 | -0.000 | 8.626 |
| 8503259.937 | 7793830.038 | 7793830.038 | 0.434 | 0.980 | -0.642 |
| 7793840.005 | 8503249.970 | 7793830.038 | 1.577 | 0.943 | 0.083 |
| 7793840.005 | 7793820.070 | 8503259.937 | 3.790 | 11.320 | -0.384 |
| 9.967 | 10.025 | 9.967 | -383293.108 | 10.196 | 0.418 |
| 9.967 | 10.025 | 9.967 | 6.146 | -383289.621 | -0.035 |
| 19.992 | 10.025 | 9.967 | 4.535 | 5.742 | -383296.412 |
| 8503160.033 | 7793819.954 | 7793789.994 | -9.088 | -10.499 | 0.429 |
| 7793799.961 | 8503179.967 | 7793799.961 | -3.582 | -8.374 | 0.591 |
| 7793799.961 | 7793809.929 | 8503170.000 | -7.005 | -7.982 | -0.271 |
| -19.992 | -0.000 | -9.967 | -383301.120 | -4.071 | 0.721 |
| -19.992 | -10.025 | -9.967 | -4.539 | -383296.088 | 0.291 |
| -19.992 | -10.025 | -9.967 | -3.882 | -6.714 | -383296.584 |
| 8503614.997 | 7793913.003 | 7793914.000 | 0.625 | 0.179 | 0.024 |
| 7793914.000 | 8503613.004 | 7793914.000 | -0.015 | 0.732 | -0.070 |
| 7793914.000 | 7793913.003 | 8503614.997 | 0.551 | 0.806 | 0.045 |
| 53.000 | 96.004 | 95.998 | -383295.763 | 0.442 | 0.050 |
| 97.001 | 53.006 | 95.998 | 0.481 | -383295.970 | -0.041 |
| 95.998 | 95.002 | 53.000 | 0.364 | 0.377 | -383296.387 |
| 8502812.002 | 7793719.998 | 7793719.001 | -0.373 | -0.686 | 0.080 |
| 7793719.001 | 8502812.999 | 7793719.001 | -0.868 | -0.181 | 0.027 |
| 7793719.001 | 7793719.998 | 8502812.002 | 0.144 | 0.080 | -0.028 |
| -53.000 | -95.002 | -95.998 | -383296.575 | -0.086 | 0.005 |
| -95.998 | -53.006 | -95.998 | -0.638 | -383296.651 | -0.002 |
| -97.001 | -95.002 | -53.000 | -0.451 | -0.125 | -383296.308 |
| 8507217.800 | 7794783.300 | 7794783.300 | 0.048 | -0.006 | 0.008 |
| 7794783.400 | 8507217.800 | 7794783.300 | -0.046 | 0.047 | -0.005 |
| 7794783.400 | 7794783.201 | 8507217.900 | 0.001 | -0.028 | -0.002 |
| 525.600 | 955.500 | 954.500 | -383296.286 | 0.052 | 0.012 |
| 955.600 | 525.400 | 954.500 | 0.060 | -383296.284 | 0.002 |
| 955.700 | 954.400 | 525.400 | 0.038 | 0.008 | -383296.317 |
| 8499209.200 | 7792849.900 | 7792849.800 | -0.005 | 0.010 | 0.002 |
| 7792849.800 | 8499209.200 | 7792849.800 | -0.004 | -0.010 | 0.007 |
| 7792849.800 | 7792850.000 | 8499209.100 | 0.013 | 0.045 | 0.003 |
| -525.500 | -955.600 | -954.500 | -383296.329 | -0.048 | 0.003 |
| -955.700 | -525.400 | -954.500 | -0.062 | -383296.314 | 0.001 |
| -955.700 | -954.500 | -525.500 | -0.069 | -0.063 | -383296.302 |
| 445.922 | 253.159 | 253.159 | -0.000 | -0.000 | -0.000 |
| 253.159 | 445.922 | 253.159 | -0.000 | 0.000 | -0.000 |
| 253.159 | 253.159 | 445.922 | 0.000 | 0.000 | -0.000 |
| -0.000 | 0.000 | 0.000 | 100.136 | -0.000 | -0.000 |
| 0.000 | -0.000 | 0.000 | -0.000 | 100.136 | -0.000 |
| 0.000 | 0.000 | -0.000 | 0.000 | -0.000 | 100.136 |
| 445.922 | 253.159 | 253.159 | 0.000 | 0.000 | 0.000 |
| 253.159 | 445.922 | 253.159 | -0.000 | -0.000 | 0.000 |
| 253.159 | 253.159 | 445.922 | -0.000 | 0.000 | 0.000 |
| 0.000 | -0.000 | -0.000 | 100.136 | 0.000 | 0.000 |
| -0.000 | 0.000 | -0.000 | 0.000 | 100.136 | 0.000 |
| -0.000 | -0.000 | -0.000 | -0.000 | -0.000 | 100.136 |
| 445.919 | 253.157 | 253.157 | -0.000 | -0.000 | -0.000 |
| 253.157 | 445.919 | 253.157 | -0.000 | -0.000 | -0.000 |
| 253.157 | 253.157 | 445.919 | -0.000 | 0.000 | -0.000 |
| -0.000 | 0.000 | 0.000 | 100.136 | -0.000 | -0.000 |
| 0.000 | -0.000 | 0.000 | 0.000 | 100.136 | -0.000 |
| 0.000 | 0.000 | -0.000 | 0.000 | -0.000 | 100.136 |
| 445.926 | 253.161 | 253.161 | 0.000 | 0.000 | 0.000 |
| 253.161 | 445.926 | 253.161 | 0.000 | 0.000 | 0.000 |
| 253.161 | 253.161 | 445.926 | 0.000 | 0.000 | 0.000 |
| 0.000 | -0.000 | -0.000 | 100.136 | 0.000 | 0.000 |
| -0.000 | 0.000 | -0.000 | 0.000 | 100.136 | 0.000 |
| -0.000 | -0.000 | 0.000 | -0.000 | 0.000 | 100.136 |
| 445.888 | 253.140 | 253.140 | -0.000 | -0.000 | -0.000 |
| 253.140 | 445.888 | 253.140 | -0.000 | -0.000 | -0.000 |
| 253.140 | 253.140 | 445.888 | 0.000 | 0.000 | -0.000 |
| -0.001 | 0.001 | 0.001 | 100.136 | -0.000 | -0.000 |
| 0.001 | -0.001 | 0.001 | 0.000 | 100.136 | -0.000 |
| 0.001 | 0.001 | -0.001 | -0.000 | -0.000 | 100.136 |
| 445.957 | 253.178 | 253.178 | -0.000 | 0.000 | 0.000 |
| 253.178 | 445.957 | 253.178 | -0.000 | -0.000 | 0.000 |
| 253.178 | 253.178 | 445.957 | -0.000 | 0.000 | 0.000 |
| 0.001 | -0.001 | -0.001 | 100.136 | 0.000 | 0.000 |
| -0.001 | 0.001 | -0.001 | 0.000 | 100.136 | 0.000 |
| -0.001 | -0.001 | 0.001 | -0.000 | 0.000 | 100.136 |
| 77.601 | 29.620 | 29.620 | -0.000 | -0.000 | 0.000 |
| 29.620 | 77.601 | 29.620 | -0.000 | -0.000 | 0.000 |
| 29.620 | 29.620 | 77.601 | -0.000 | -0.000 | 0.000 |
| -0.000 | -0.000 | -0.000 | 34.652 | 0.000 | 0.000 |
| -0.000 | 0.000 | -0.000 | -0.000 | 34.652 | -0.000 |
| -0.000 | -0.000 | -0.000 | -0.000 | -0.000 | 34.652 |
| 77.601 | 29.620 | 29.620 | 0.000 | 0.000 | -0.000 |
| 29.620 | 77.601 | 29.620 | 0.000 | 0.000 | -0.000 |
| 29.620 | 29.620 | 77.601 | 0.000 | 0.000 | -0.000 |
| 0.000 | 0.000 | 0.000 | 34.652 | 0.000 | 0.000 |
| 0.000 | -0.000 | 0.000 | 0.000 | 34.652 | 0.000 |
| 0.000 | 0.000 | 0.000 | 0.000 | 0.000 | 34.652 |
| 77.601 | 29.620 | 29.620 | -0.000 | -0.000 | -0.000 |
| 29.620 | 77.601 | 29.620 | -0.000 | -0.000 | -0.000 |
| 29.620 | 29.620 | 77.601 | -0.000 | -0.000 | -0.000 |
| -0.000 | -0.000 | -0.000 | 34.652 | -0.000 | -0.000 |
| -0.000 | -0.000 | -0.000 | -0.000 | 34.652 | -0.000 |
| -0.000 | -0.000 | -0.000 | -0.000 | -0.000 | 34.652 |
| 77.601 | 29.620 | 29.620 | 0.000 | 0.000 | -0.000 |
| 29.620 | 77.601 | 29.620 | 0.000 | 0.000 | -0.000 |
| 29.620 | 29.620 | 77.601 | 0.000 | 0.000 | 0.000 |
| 0.000 | 0.000 | 0.000 | 34.652 | 0.000 | -0.000 |
| 0.000 | 0.000 | 0.000 | 0.000 | 34.652 | 0.000 |
| 0.000 | 0.000 | 0.000 | 0.000 | 0.000 | 34.652 |
| 77.603 | 29.620 | 29.620 | -0.000 | -0.000 | -0.000 |
| 29.620 | 77.603 | 29.620 | -0.000 | -0.000 | -0.000 |
| 29.620 | 29.620 | 77.603 | -0.000 | -0.000 | 0.000 |
| -0.000 | -0.000 | -0.000 | 34.652 | -0.000 | -0.000 |
| -0.000 | -0.000 | -0.000 | -0.000 | 34.652 | -0.000 |
| -0.000 | -0.000 | -0.000 | -0.000 | -0.000 | 34.652 |
| 77.599 | 29.621 | 29.621 | 0.000 | 0.000 | 0.000 |
| 29.621 | 77.599 | 29.621 | 0.000 | 0.000 | 0.000 |
| 29.621 | 29.621 | 77.599 | 0.000 | 0.000 | 0.000 |
| 0.000 | 0.000 | 0.000 | 34.652 | 0.000 | 0.000 |
| 0.000 | 0.000 | 0.000 | 0.000 | 34.652 | -0.000 |
| 0.000 | 0.000 | 0.000 | 0.000 | 0.000 | 34.652 |
| 61.594 | 30.514 | 30.514 | -0.000 | 0.000 | 0.000 |
| 30.514 | 61.594 | 30.514 | 0.000 | 0.000 | 0.000 |
| 30.514 | 30.514 | 61.594 | 0.000 | 0.000 | 0.000 |
| -0.000 | 0.000 | 0.000 | 31.699 | 0.000 | 0.000 |
| 0.000 | -0.000 | 0.000 | 0.000 | 31.699 | 0.000 |
| 0.000 | 0.000 | -0.000 | 0.000 | 0.000 | 31.699 |
| 61.594 | 30.514 | 30.514 | -0.000 | 0.000 | -0.000 |
| 30.514 | 61.594 | 30.514 | -0.000 | -0.000 | -0.000 |
| 30.514 | 30.514 | 61.594 | -0.000 | -0.000 | -0.000 |
| 0.000 | -0.000 | -0.000 | 31.699 | -0.000 | 0.000 |
| -0.000 | 0.000 | -0.000 | -0.000 | 31.699 | -0.000 |
| -0.000 | -0.000 | 0.000 | 0.000 | 0.000 | 31.699 |
| 61.594 | 30.514 | 30.514 | -0.000 | -0.000 | 0.000 |
| 30.514 | 61.594 | 30.514 | -0.000 | -0.000 | 0.000 |
| 30.514 | 30.514 | 61.594 | 0.000 | -0.000 | 0.000 |
| -0.000 | 0.000 | 0.000 | 31.699 | -0.000 | -0.000 |
| 0.000 | -0.000 | 0.000 | -0.000 | 31.699 | 0.000 |
| 0.000 | 0.000 | -0.000 | -0.000 | 0.000 | 31.699 |
| 61.594 | 30.514 | 30.514 | 0.000 | 0.000 | -0.000 |
| 30.514 | 61.594 | 30.514 | 0.000 | -0.000 | -0.000 |
| 30.514 | 30.514 | 61.594 | -0.000 | 0.000 | -0.000 |
| 0.000 | -0.000 | -0.000 | 31.699 | -0.000 | -0.000 |
| -0.000 | 0.000 | -0.000 | 0.000 | 31.699 | -0.000 |
| -0.000 | -0.000 | 0.000 | 0.000 | -0.000 | 31.699 |
| 61.594 | 30.515 | 30.515 | -0.000 | 0.000 | 0.000 |
| 30.515 | 61.594 | 30.515 | 0.000 | 0.000 | 0.000 |
| 30.515 | 30.515 | 61.594 | 0.000 | 0.000 | 0.000 |
| -0.000 | 0.000 | 0.000 | 31.699 | 0.000 | 0.000 |
| 0.000 | -0.000 | 0.000 | 0.000 | 31.699 | 0.000 |
| 0.000 | 0.000 | -0.000 | 0.000 | 0.000 | 31.699 |
| 61.593 | 30.514 | 30.514 | -0.000 | 0.000 | 0.000 |
| 30.514 | 61.593 | 30.514 | 0.000 | 0.000 | 0.000 |
| 30.514 | 30.514 | 61.593 | 0.000 | 0.000 | -0.000 |
| 0.000 | -0.000 | -0.000 | 31.699 | 0.000 | 0.000 |
| -0.000 | 0.000 | -0.000 | -0.000 | 31.699 | -0.000 |
| -0.000 | -0.000 | 0.000 | -0.000 | -0.000 | 31.699 |
| 24.071 | 11.951 | 11.951 | -0.000 | -0.000 | -0.000 |
| 11.951 | 24.071 | 11.951 | -0.000 | -0.000 | 0.000 |
| 11.951 | 11.951 | 24.071 | -0.000 | -0.000 | -0.000 |
| -0.000 | 0.000 | 0.000 | 12.674 | -0.000 | -0.000 |
| 0.000 | 0.000 | 0.000 | -0.000 | 12.674 | 0.000 |
| 0.000 | 0.000 | -0.000 | -0.000 | -0.000 | 12.674 |
| 24.071 | 11.951 | 11.951 | 0.000 | 0.000 | 0.000 |
| 11.951 | 24.071 | 11.951 | 0.000 | 0.000 | 0.000 |
| 11.951 | 11.951 | 24.071 | 0.000 | 0.000 | -0.000 |
| 0.000 | -0.000 | -0.000 | 12.674 | 0.000 | 0.000 |
| -0.000 | -0.000 | -0.000 | 0.000 | 12.674 | 0.000 |
| -0.000 | -0.000 | 0.000 | 0.000 | 0.000 | 12.674 |
| 24.071 | 11.951 | 11.951 | -0.000 | -0.000 | -0.000 |
| 11.951 | 24.071 | 11.951 | -0.000 | -0.000 | -0.000 |
| 11.951 | 11.951 | 24.071 | -0.000 | -0.000 | 0.000 |
| -0.000 | 0.000 | 0.000 | 12.674 | -0.000 | 0.000 |
| 0.000 | -0.000 | 0.000 | -0.000 | 12.674 | 0.000 |
| 0.000 | 0.000 | -0.000 | -0.000 | -0.000 | 12.674 |
| 24.071 | 11.951 | 11.951 | 0.000 | 0.000 | 0.000 |
| 11.951 | 24.071 | 11.951 | 0.000 | 0.000 | -0.000 |
| 11.951 | 11.951 | 24.071 | 0.000 | 0.000 | 0.000 |
| 0.000 | -0.000 | -0.000 | 12.674 | 0.000 | -0.000 |
| -0.000 | 0.000 | -0.000 | 0.000 | 12.674 | -0.000 |
| -0.000 | -0.000 | 0.000 | 0.000 | 0.000 | 12.674 |
| 24.071 | 11.952 | 11.952 | -0.000 | -0.000 | -0.000 |
| 11.952 | 24.071 | 11.952 | -0.000 | -0.000 | 0.000 |
| 11.952 | 11.952 | 24.071 | -0.000 | -0.000 | -0.000 |
| -0.000 | 0.000 | 0.000 | 12.674 | -0.000 | -0.000 |
| 0.000 | -0.000 | 0.000 | -0.000 | 12.674 | -0.000 |
| 0.000 | 0.000 | -0.000 | -0.000 | -0.000 | 12.674 |
| 24.070 | 11.951 | 11.951 | 0.000 | 0.000 | -0.000 |
| 11.951 | 24.070 | 11.951 | 0.000 | 0.000 | 0.000 |
| 11.951 | 11.951 | 24.070 | 0.000 | 0.000 | -0.000 |
| 0.000 | -0.000 | -0.000 | 12.674 | 0.000 | -0.000 |
| -0.000 | 0.000 | -0.000 | 0.000 | 12.674 | -0.000 |
| -0.000 | -0.000 | 0.000 | 0.000 | 0.000 | 12.674 |
| 34713899.906 | 24703180.084 | 24703189.993 | 28.800 | 52.395 | 1.017 |
| 24703200.018 | 34713890.114 | 24703189.993 | 32.237 | 49.345 | -3.365 |
| 24703200.018 | 24703180.084 | 34713860.038 | 26.522 | 67.991 | -3.153 |
| 10.025 | 10.142 | 10.142 | 5640101.582 | 21.870 | -4.148 |
| 30.076 | -9.909 | 10.142 | 0.927 | 5640140.367 | -2.354 |
| 19.934 | 10.142 | 0.000 | 2.719 | 52.843 | 5640073.706 |
| 34713850.013 | 24703169.942 | 24703169.942 | -21.732 | -51.905 | 1.094 |
| 24703159.917 | 34713889.881 | 24703169.942 | -16.289 | -42.643 | 2.673 |
| 24703170.059 | 24703189.993 | 34713879.972 | -29.209 | -41.758 | 4.260 |
| -10.025 | -0.000 | -10.142 | 5640047.591 | -50.239 | 1.964 |
| -30.076 | 9.909 | -0.000 | -0.603 | 5640015.363 | 2.856 |
| -19.934 | -10.142 | -0.000 | -3.594 | -50.746 | 5640077.033 |
| 34713880.007 | 24703261.010 | 24703260.007 | 2.005 | 6.384 | -0.430 |
| 24703263.003 | 34713879.016 | 24703261.010 | 1.798 | 6.564 | -0.324 |
| 24703263.003 | 24703260.007 | 34713878.014 | 2.165 | 5.250 | -0.511 |
| -2.996 | 80.005 | 81.007 | 5640076.947 | 6.258 | -0.440 |
| 81.998 | -5.992 | 81.007 | 2.653 | 5640080.456 | -0.183 |
| 81.007 | 81.007 | -4.989 | 3.309 | 4.696 | 5640074.735 |
| 34713884.997 | 24703093.995 | 24703092.981 | 0.575 | -4.567 | 0.300 |
| 24703092.001 | 34713884.997 | 24703093.995 | -0.545 | -3.820 | 0.368 |
| 24703093.004 | 24703092.981 | 34713885.999 | 0.027 | -3.073 | 0.253 |
| 2.996 | -80.005 | -81.007 | 5640072.999 | -6.430 | 0.225 |
| -81.007 | 5.992 | -81.007 | -3.286 | 5640069.314 | 0.236 |
| -81.998 | -81.007 | 3.998 | -3.476 | -4.670 | 5640075.270 |
| 34713849.701 | 24704022.101 | 24704022.200 | 0.089 | 0.612 | -0.020 |
| 24704022.300 | 34713849.501 | 24704022.101 | 0.277 | 0.466 | -0.031 |
| 24704022.300 | 24704022.101 | 34713849.702 | 0.274 | 0.541 | -0.006 |
| -47.201 | 799.501 | 805.800 | 5640075.196 | 0.537 | 0.002 |
| 799.700 | -47.400 | 805.800 | 0.125 | 5640075.533 | -0.026 |
| 799.700 | 805.901 | -47.400 | 0.353 | 0.505 | 5640074.970 |
| 34713912.900 | 24702332.300 | 24702332.198 | 0.059 | -0.669 | 0.028 |
| 24702331.900 | 34713913.198 | 24702332.198 | -0.030 | -0.452 | 0.032 |
| 24702331.999 | 24702332.300 | 34713913.099 | -0.090 | -0.494 | 0.032 |
| 47.201 | -799.501 | -805.800 | 5640074.793 | -0.672 | 0.039 |
| -799.700 | 47.400 | -805.800 | -0.143 | 5640074.415 | 0.022 |
| -799.700 | -805.901 | 47.499 | -0.335 | -0.533 | 5640075.012 |
| -12621230.065 | 7061749.986 | 7061770.037 | 0.671 | 16.491 | -0.742 |
| 7061760.012 | -12621210.014 | 7061760.012 | -5.364 | 14.324 | 6.474 |
| 7061770.037 | 7061749.986 | -12621209.897 | -2.969 | 24.777 | -2.958 |
| -5037500.036 | -12628129.945 | -4660509.923 | -4843406.983 | -4210.745 | -8961.781 |
| -12058719.914 | -4857510.021 | -4463879.946 | -4345.476 | -4921221.887 | 7063.504 |
| -12482950.000 | -4482609.958 | -5286429.984 | 11521.835 | -15254.902 | -4916073.512 |
| -12620919.979 | 7061799.996 | 7061789.971 | 10.137 | -19.597 | -1.683 |
| 7061789.971 | -12620910.070 | 7061789.971 | -2.830 | -25.408 | -0.750 |
| 7061799.996 | 7061799.996 | -12620930.004 | 12.869 | -16.951 | -1.076 |
| 6767310.018 | 17529309.987 | 6211689.955 | -5042054.073 | 7432.494 | -191.612 |
| 16677770.053 | 6440529.943 | 5767019.954 | 7719.795 | -5017434.047 | 14208.069 |
| 16221459.935 | 5417570.026 | 6483210.020 | -1754.160 | 187422.069 | -4959695.223 |
| -12622489.002 | 7061559.004 | 7061560.006 | 0.091 | 0.494 | -0.176 |
| 7061560.006 | -12622486.997 | 7061561.009 | 0.937 | 0.292 | 0.068 |
| 7061560.006 | 7061556.998 | -12622488.000 | 0.115 | -0.167 | 0.408 |
| -72.998 | -214.997 | -213.994 | -4689611.580 | 2.032 | -0.252 |
| -214.997 | -72.998 | -213.994 | -0.114 | -4689610.849 | -0.015 |
| -213.994 | -214.997 | -71.996 | 0.502 | 1.664 | -4689611.549 |
| -12619641.002 | 7061986.001 | 7061986.001 | -0.737 | -2.685 | 0.192 |
| 7061987.004 | -12619643.998 | 7061987.004 | 0.643 | -1.103 | 0.179 |
| 7061988.006 | 7061988.006 | -12619643.007 | 1.387 | 1.008 | 0.325 |
| 72.998 | 213.994 | 213.994 | -4689611.429 | 0.570 | 0.017 |
| 213.003 | 72.998 | 213.994 | 0.295 | -4689612.999 | -0.009 |
| 213.994 | 214.997 | 71.996 | -0.583 | -0.843 | -4689611.684 |
| -12635300.000 | 7059634.699 | 7059634.900 | 0.046 | 0.013 | 0.024 |
| 7059634.600 | -12635300.000 | 7059634.900 | -0.002 | 0.170 | 0.031 |
| 7059634.600 | 7059634.699 | -12635299.801 | -0.045 | 0.013 | 0.005 |
| -722.700 | -2141.800 | -2141.199 | -4689611.577 | 0.016 | -0.004 |
| -2141.800 | -722.600 | -2141.199 | 0.087 | -4689611.490 | 0.002 |
| -2141.700 | -2141.299 | -722.400 | -0.008 | 0.039 | -4689611.594 |
| -12606830.100 | 7063911.000 | 7063910.900 | 0.135 | -0.188 | 0.004 |
| 7063911.100 | -12606830.200 | 7063910.900 | -0.134 | 0.079 | 0.007 |
| 7063911.200 | 7063910.900 | -12606830.200 | 0.135 | -0.135 | -0.000 |
| 722.600 | 2141.700 | 2141.199 | -4689611.621 | -0.024 | -0.031 |
| 2141.800 | 722.600 | 2141.199 | -0.064 | -4689611.764 | -0.009 |
| 2141.800 | 2141.299 | 722.400 | 0.018 | -0.102 | -4689611.593 |
| 1484.633 | 1286.709 | 1286.709 | 0.000 | 0.000 | -0.000 |
| 1286.709 | 1484.633 | 1286.709 | 0.000 | 0.000 | -0.000 |
| 1286.709 | 1286.709 | 1484.632 | -0.000 | 0.000 | -0.000 |
| 0.000 | 0.000 | 0.000 | 6.923 | 0.000 | -0.000 |
| 0.000 | 0.000 | 0.000 | 0.000 | 6.923 | -0.000 |
| 0.000 | 0.000 | 0.000 | 0.000 | 0.000 | 6.923 |
| 1484.623 | 1286.701 | 1286.701 | -0.000 | -0.000 | 0.000 |
| 1286.701 | 1484.623 | 1286.701 | -0.000 | -0.000 | 0.000 |
| 1286.701 | 1286.701 | 1484.623 | 0.000 | -0.000 | 0.000 |
| -0.000 | -0.000 | -0.000 | 6.923 | -0.000 | 0.000 |
| -0.000 | -0.000 | -0.000 | -0.000 | 6.923 | 0.000 |
| -0.000 | -0.000 | -0.000 | -0.000 | -0.000 | 6.923 |
| 1484.676 | 1286.742 | 1286.742 | -0.000 | -0.000 | -0.000 |
| 1286.742 | 1484.676 | 1286.742 | 0.000 | 0.000 | -0.000 |
| 1286.742 | 1286.742 | 1484.676 | 0.000 | 0.000 | -0.000 |
| 0.003 | 0.004 | 0.004 | 6.923 | 0.000 | -0.000 |
| 0.004 | 0.003 | 0.004 | 0.000 | 6.923 | -0.000 |
| 0.004 | 0.004 | 0.003 | 0.000 | 0.000 | 6.923 |
| 1484.579 | 1286.668 | 1286.668 | -0.000 | -0.000 | 0.000 |
| 1286.668 | 1484.579 | 1286.668 | -0.000 | -0.000 | 0.000 |
| 1286.668 | 1286.668 | 1484.579 | 0.000 | 0.000 | 0.000 |
| -0.003 | -0.004 | -0.004 | 6.923 | -0.000 | 0.000 |
| -0.004 | -0.003 | -0.004 | 0.000 | 6.923 | 0.000 |
| -0.004 | -0.004 | -0.003 | -0.000 | -0.000 | 6.923 |
| 1485.111 | 1287.070 | 1287.070 | 0.000 | 0.000 | -0.000 |
| 1287.070 | 1485.111 | 1287.070 | 0.000 | 0.000 | -0.000 |
| 1287.070 | 1287.070 | 1485.111 | -0.000 | -0.000 | -0.000 |
| 0.027 | 0.044 | 0.044 | 6.923 | 0.000 | -0.000 |
| 0.044 | 0.027 | 0.044 | 0.000 | 6.923 | -0.000 |
| 0.044 | 0.044 | 0.027 | 0.000 | 0.000 | 6.923 |
| 1484.144 | 1286.340 | 1286.340 | -0.000 | -0.000 | 0.000 |
| 1286.340 | 1484.144 | 1286.340 | -0.000 | -0.000 | 0.000 |
| 1286.340 | 1286.340 | 1484.144 | 0.000 | 0.000 | 0.000 |
| -0.027 | -0.044 | -0.044 | 6.923 | -0.000 | 0.000 |
| -0.044 | -0.027 | -0.044 | -0.000 | 6.923 | 0.000 |
| -0.044 | -0.044 | -0.027 | -0.000 | -0.000 | 6.923 |
| 888.017 | 618.044 | 618.044 | -0.000 | -0.000 | -0.000 |
| 618.044 | 888.017 | 618.044 | -0.000 | -0.000 | -0.000 |
| 618.044 | 618.044 | 888.017 | -0.000 | -0.000 | -0.000 |
| -0.000 | -0.000 | -0.000 | -68.817 | 0.000 | -0.000 |
| -0.000 | -0.000 | -0.000 | -0.000 | -68.817 | -0.000 |
| -0.000 | -0.000 | -0.000 | -0.000 | -0.000 | -68.817 |
| 888.015 | 618.040 | 618.040 | 0.000 | 0.000 | 0.000 |
| 618.040 | 888.015 | 618.040 | 0.000 | -0.000 | 0.000 |
| 618.040 | 618.040 | 888.015 | 0.000 | 0.000 | 0.000 |
| 0.000 | 0.000 | 0.000 | -68.817 | -0.000 | 0.000 |
| 0.000 | 0.000 | 0.000 | 0.000 | -68.817 | 0.000 |
| 0.000 | 0.000 | 0.000 | 0.000 | 0.000 | -68.817 |
| 888.025 | 618.058 | 618.058 | -0.000 | -0.000 | -0.000 |
| 618.058 | 888.025 | 618.058 | -0.000 | -0.000 | -0.000 |
| 618.058 | 618.058 | 888.025 | -0.000 | -0.000 | -0.000 |
| -0.001 | -0.002 | -0.002 | -68.817 | -0.000 | -0.000 |
| -0.002 | -0.001 | -0.002 | -0.000 | -68.817 | -0.000 |
| -0.002 | -0.002 | -0.001 | -0.000 | -0.000 | -68.817 |
| 888.007 | 618.026 | 618.026 | 0.000 | 0.000 | 0.000 |
| 618.026 | 888.007 | 618.026 | 0.000 | 0.000 | 0.000 |
| 618.026 | 618.026 | 888.007 | 0.000 | 0.000 | 0.000 |
| 0.001 | 0.002 | 0.002 | -68.817 | 0.000 | 0.000 |
| 0.002 | 0.001 | 0.002 | 0.000 | -68.817 | 0.000 |
| 0.002 | 0.002 | 0.001 | 0.000 | 0.000 | -68.817 |
| 888.107 | 618.204 | 618.204 | -0.000 | -0.000 | -0.000 |
| 618.204 | 888.107 | 618.204 | -0.000 | -0.000 | -0.000 |
| 618.204 | 618.204 | 888.107 | -0.000 | -0.000 | -0.000 |
| -0.005 | -0.016 | -0.016 | -68.817 | 0.000 | -0.000 |
| -0.016 | -0.005 | -0.016 | -0.000 | -68.817 | -0.000 |
| -0.016 | -0.016 | -0.005 | -0.000 | -0.000 | -68.817 |
| 887.926 | 617.880 | 617.880 | 0.000 | -0.000 | 0.000 |
| 617.880 | 887.926 | 617.880 | 0.000 | 0.000 | 0.000 |
| 617.880 | 617.880 | 887.926 | 0.000 | 0.000 | 0.000 |
| 0.005 | 0.016 | 0.016 | -68.817 | -0.000 | 0.000 |
| 0.016 | 0.005 | 0.016 | 0.000 | -68.817 | 0.000 |
| 0.016 | 0.016 | 0.005 | 0.000 | 0.000 | -68.817 |
| 759.497 | 395.758 | 395.758 | 0.000 | 0.000 | 0.000 |
| 395.758 | 759.497 | 395.758 | 0.000 | 0.000 | 0.000 |
| 395.758 | 395.758 | 759.497 | 0.000 | 0.000 | 0.000 |
| -0.000 | -0.000 | -0.000 | 363.388 | 0.000 | 0.000 |
| -0.000 | -0.000 | -0.000 | 0.000 | 363.388 | 0.000 |
| -0.000 | -0.000 | 0.000 | 0.000 | 0.000 | 363.388 |
| 759.496 | 395.759 | 395.759 | -0.000 | -0.000 | -0.000 |
| 395.759 | 759.496 | 395.759 | -0.000 | -0.000 | -0.000 |
| 395.759 | 395.759 | 759.496 | -0.000 | 0.000 | -0.000 |
| -0.000 | 0.000 | 0.000 | 363.388 | -0.000 | -0.000 |
| 0.000 | 0.000 | 0.000 | -0.000 | 363.388 | -0.000 |
| 0.000 | 0.000 | -0.000 | -0.000 | -0.000 | 363.388 |
| 759.498 | 395.756 | 395.756 | 0.000 | 0.000 | 0.000 |
| 395.756 | 759.498 | 395.756 | 0.000 | 0.000 | 0.000 |
| 395.756 | 395.756 | 759.498 | 0.000 | 0.000 | 0.000 |
| -0.000 | -0.000 | -0.000 | 363.388 | 0.000 | 0.000 |
| -0.000 | -0.000 | -0.000 | 0.000 | 363.388 | 0.000 |
| -0.000 | -0.000 | -0.000 | 0.000 | 0.000 | 363.388 |
| 759.495 | 395.762 | 395.762 | 0.000 | -0.000 | -0.000 |
| 395.762 | 759.495 | 395.762 | -0.000 | -0.000 | -0.000 |
| 395.762 | 395.762 | 759.495 | -0.000 | -0.000 | -0.000 |
| 0.000 | 0.000 | 0.000 | 363.388 | -0.000 | -0.000 |
| 0.000 | 0.000 | 0.000 | -0.000 | 363.388 | -0.000 |
| 0.000 | 0.000 | 0.000 | -0.000 | -0.000 | 363.388 |
| 759.508 | 395.729 | 395.729 | 0.000 | 0.000 | 0.000 |
| 395.729 | 759.508 | 395.729 | 0.000 | 0.000 | 0.000 |
| 395.729 | 395.729 | 759.508 | -0.000 | -0.000 | 0.000 |
| -0.001 | -0.005 | -0.004 | 363.388 | 0.000 | 0.000 |
| -0.005 | -0.001 | -0.004 | 0.000 | 363.388 | 0.000 |
| -0.005 | -0.004 | -0.001 | 0.000 | 0.000 | 363.388 |
| 759.484 | 395.788 | 395.788 | -0.000 | -0.000 | -0.000 |
| 395.788 | 759.484 | 395.788 | -0.000 | -0.000 | -0.000 |
| 395.788 | 395.788 | 759.484 | 0.000 | -0.000 | -0.000 |
| 0.001 | 0.005 | 0.004 | 363.388 | -0.000 | -0.000 |
| 0.005 | 0.001 | 0.004 | -0.000 | 363.388 | -0.000 |
| 0.005 | 0.004 | 0.001 | -0.000 | -0.000 | 363.388 |
| 298.245 | 150.815 | 150.815 | -0.000 | 0.000 | 0.000 |
| 150.815 | 298.245 | 150.815 | -0.000 | -0.000 | -0.000 |
| 150.815 | 150.815 | 298.245 | -0.000 | -0.000 | 0.000 |
| 0.000 | 0.000 | 0.000 | 123.466 | -0.000 | -0.000 |
| 0.000 | 0.000 | 0.000 | -0.000 | 123.466 | 0.000 |
| 0.000 | 0.000 | 0.000 | -0.000 | -0.000 | 123.466 |
| 298.246 | 150.814 | 150.814 | -0.000 | 0.000 | -0.000 |
| 150.814 | 298.246 | 150.814 | 0.000 | -0.000 | -0.000 |
| 150.814 | 150.814 | 298.246 | 0.000 | 0.000 | -0.000 |
| -0.000 | -0.000 | -0.000 | 123.466 | 0.000 | 0.000 |
| -0.000 | -0.000 | -0.000 | 0.000 | 123.466 | -0.000 |
| -0.000 | -0.000 | -0.000 | 0.000 | -0.000 | 123.466 |
| 298.242 | 150.816 | 150.816 | 0.000 | -0.000 | 0.000 |
| 150.816 | 298.242 | 150.816 | -0.000 | 0.000 | 0.000 |
| 150.816 | 150.816 | 298.242 | -0.000 | 0.000 | 0.000 |
| 0.001 | 0.001 | 0.001 | 123.466 | 0.000 | 0.000 |
| 0.001 | 0.001 | 0.001 | -0.000 | 123.466 | 0.000 |
| 0.001 | 0.001 | 0.001 | -0.000 | 0.000 | 123.466 |
| 298.249 | 150.814 | 150.814 | -0.000 | 0.000 | 0.000 |
| 150.814 | 298.249 | 150.814 | 0.000 | 0.000 | 0.000 |
| 150.814 | 150.814 | 298.249 | 0.000 | 0.000 | -0.000 |
| -0.001 | -0.001 | -0.001 | 123.466 | 0.000 | 0.000 |
| -0.001 | -0.001 | -0.001 | 0.000 | 123.466 | -0.000 |
| -0.001 | -0.001 | -0.001 | 0.000 | -0.000 | 123.466 |
| 298.210 | 150.824 | 150.824 | -0.000 | -0.000 | -0.000 |
| 150.824 | 298.210 | 150.824 | -0.000 | -0.000 | -0.000 |
| 150.824 | 150.824 | 298.210 | -0.000 | -0.000 | 0.000 |
| 0.008 | 0.008 | 0.009 | 123.466 | -0.000 | -0.000 |
| 0.008 | 0.008 | 0.009 | -0.000 | 123.466 | 0.000 |
| 0.008 | 0.009 | 0.008 | -0.000 | -0.000 | 123.466 |
| 298.282 | 150.805 | 150.805 | 0.000 | 0.000 | 0.000 |
| 150.805 | 298.282 | 150.805 | 0.000 | -0.000 | -0.000 |
| 150.805 | 150.805 | 298.282 | 0.000 | 0.000 | -0.000 |
| -0.008 | -0.008 | -0.009 | 123.466 | 0.000 | 0.000 |
| -0.008 | -0.008 | -0.009 | 0.000 | 123.466 | -0.000 |
| -0.008 | -0.009 | -0.008 | 0.000 | -0.000 | 123.466 |
| 73.847 | 30.046 | 30.046 | -0.000 | -0.000 | -0.000 |
| 30.046 | 73.847 | 30.046 | -0.000 | -0.000 | -0.000 |
| 30.046 | 30.046 | 73.847 | -0.000 | 0.000 | -0.000 |
| 0.000 | -0.000 | -0.000 | 15.365 | -0.000 | -0.000 |
| -0.000 | 0.000 | -0.000 | -0.000 | 15.365 | -0.000 |
| -0.000 | -0.000 | 0.000 | -0.000 | -0.000 | 15.365 |
| 73.848 | 30.046 | 30.046 | 0.000 | 0.000 | 0.000 |
| 30.046 | 73.848 | 30.046 | 0.000 | 0.000 | 0.000 |
| 30.046 | 30.046 | 73.848 | 0.000 | 0.000 | 0.000 |
| -0.000 | 0.000 | 0.000 | 15.365 | 0.000 | 0.000 |
| 0.000 | -0.000 | 0.000 | 0.000 | 15.365 | 0.000 |
| 0.000 | 0.000 | -0.000 | 0.000 | 0.000 | 15.365 |
| 73.846 | 30.046 | 30.046 | -0.000 | -0.000 | -0.000 |
| 30.046 | 73.846 | 30.046 | -0.000 | -0.000 | -0.000 |
| 30.046 | 30.046 | 73.846 | -0.000 | -0.000 | -0.000 |
| 0.000 | -0.000 | -0.000 | 15.365 | -0.000 | -0.000 |
| -0.000 | 0.000 | -0.000 | 0.000 | 15.365 | -0.000 |
| -0.000 | -0.000 | 0.000 | -0.000 | -0.000 | 15.365 |
| 73.849 | 30.046 | 30.046 | 0.000 | 0.000 | 0.000 |
| 30.046 | 73.849 | 30.046 | 0.000 | 0.000 | 0.000 |
| 30.046 | 30.046 | 73.849 | 0.000 | 0.000 | 0.000 |
| -0.000 | 0.000 | 0.000 | 15.365 | 0.000 | 0.000 |
| 0.000 | -0.000 | 0.000 | 0.000 | 15.365 | 0.000 |
| 0.000 | 0.000 | -0.000 | 0.000 | 0.000 | 15.365 |
| 73.830 | 30.044 | 30.044 | 0.000 | -0.000 | -0.000 |
| 30.044 | 73.830 | 30.044 | -0.000 | -0.000 | -0.000 |
| 30.044 | 30.044 | 73.830 | -0.000 | 0.000 | -0.000 |
| 0.000 | -0.002 | -0.002 | 15.365 | -0.000 | -0.000 |
| -0.002 | 0.000 | -0.002 | 0.000 | 15.365 | -0.000 |
| -0.002 | -0.002 | 0.000 | -0.000 | -0.000 | 15.365 |
| 73.865 | 30.047 | 30.047 | 0.000 | -0.000 | 0.000 |
| 30.047 | 73.865 | 30.047 | 0.000 | 0.000 | 0.000 |
| 30.047 | 30.047 | 73.865 | 0.000 | 0.000 | 0.000 |
| -0.000 | 0.002 | 0.002 | 15.365 | 0.000 | 0.000 |
| 0.002 | -0.000 | 0.002 | 0.000 | 15.365 | 0.000 |
| 0.002 | 0.002 | -0.000 | 0.000 | 0.000 | 15.365 |
| 18.264 | -0.018 | -0.018 | 0.000 | -0.000 | -0.000 |
| -0.018 | 18.264 | -0.018 | -0.000 | 0.000 | 0.000 |
| -0.018 | -0.018 | 18.264 | -0.000 | -0.000 | 0.000 |
| -0.000 | -0.000 | -0.000 | -0.000 | -0.000 | 0.000 |
| -0.000 | -0.000 | -0.000 | -0.000 | -0.000 | 0.000 |
| -0.000 | -0.000 | -0.000 | 0.000 | -0.000 | -0.000 |
| 18.264 | -0.018 | -0.018 | -0.000 | 0.000 | 0.000 |
| -0.018 | 18.264 | -0.018 | 0.000 | 0.000 | -0.000 |
| -0.018 | -0.018 | 18.264 | -0.000 | -0.000 | 0.000 |
| 0.000 | 0.000 | 0.000 | -0.000 | 0.000 | -0.000 |
| 0.000 | 0.000 | 0.000 | 0.000 | -0.000 | -0.000 |
| 0.000 | 0.000 | 0.000 | -0.000 | 0.000 | -0.000 |
| 18.264 | -0.018 | -0.018 | -0.000 | 0.000 | -0.000 |
| -0.018 | 18.264 | -0.018 | 0.000 | -0.000 | -0.000 |
| -0.018 | -0.018 | 18.264 | 0.000 | -0.000 | -0.000 |
| -0.000 | -0.000 | -0.000 | 0.000 | -0.000 | 0.000 |
| -0.000 | -0.000 | -0.000 | -0.000 | 0.000 | 0.000 |
| -0.000 | -0.000 | -0.000 | -0.000 | -0.000 | 0.000 |
| 18.264 | -0.018 | -0.018 | 0.000 | 0.000 | -0.000 |
| -0.018 | 18.264 | -0.018 | 0.000 | 0.000 | 0.000 |
| -0.018 | -0.018 | 18.264 | 0.000 | 0.000 | -0.000 |
| 0.000 | 0.000 | 0.000 | 0.000 | 0.000 | 0.000 |
| 0.000 | 0.000 | 0.000 | 0.000 | 0.000 | -0.000 |
| 0.000 | 0.000 | 0.000 | 0.000 | 0.000 | 0.000 |
| 18.266 | -0.018 | -0.018 | -0.000 | 0.000 | -0.000 |
| -0.018 | 18.266 | -0.018 | 0.000 | -0.000 | 0.000 |
| -0.018 | -0.018 | 18.266 | 0.000 | -0.000 | -0.000 |
| 0.000 | 0.000 | -0.000 | 0.000 | -0.000 | 0.000 |
| 0.000 | 0.000 | -0.000 | -0.000 | 0.000 | -0.000 |
| 0.000 | -0.000 | 0.000 | -0.000 | -0.000 | 0.000 |
| 18.262 | -0.018 | -0.018 | 0.000 | 0.000 | 0.000 |
| -0.018 | 18.262 | -0.018 | -0.000 | 0.000 | 0.000 |
| -0.018 | -0.018 | 18.262 | 0.000 | -0.000 | 0.000 |
| -0.000 | -0.000 | 0.000 | 0.000 | 0.000 | -0.000 |
| -0.000 | -0.000 | 0.000 | 0.000 | 0.000 | -0.000 |
| -0.000 | 0.000 | -0.000 | 0.000 | 0.000 | 0.000 |
| 15600979.989 | 7985069.997 | 7985069.997 | 0.310 | -1.816 | 0.336 |
| 7985069.997 | 15600979.989 | 7985069.997 | -1.661 | -0.075 | 0.257 |
| 7985069.997 | 7985069.997 | 15600979.989 | 0.154 | -0.389 | -0.018 |
| 0.000 | 0.000 | 0.000 | 5368389.943 | 0.225 | 0.114 |
| 0.000 | 0.000 | 0.000 | 0.500 | 5368389.897 | 0.251 |
| 0.000 | 0.000 | 0.000 | -0.474 | -0.145 | 5368389.693 |
| 15600919.997 | 7985069.997 | 7985069.997 | -0.927 | 0.646 | -0.221 |
| 7985069.997 | 15600919.997 | 7985069.997 | 0.075 | -0.871 | -0.097 |
| 7985069.997 | 7985069.997 | 15600919.997 | -0.549 | 0.301 | -0.036 |
| -0.000 | -0.000 | -0.000 | 5368388.905 | 0.408 | -0.234 |
| -0.000 | -0.000 | -0.000 | 0.304 | 5368389.736 | -0.289 |
| -0.000 | -0.000 | -0.000 | 0.200 | -0.056 | 5368389.697 |
| 15601232.999 | 7985041.000 | 7985042.000 | 0.054 | 0.117 | 0.023 |
| 7985041.000 | 15601232.999 | 7985042.000 | -0.030 | -0.124 | -0.016 |
| 7985041.000 | 7985042.000 | 15601232.999 | 0.016 | 0.025 | 0.022 |
| -35.999 | -30.000 | -28.999 | 5368389.765 | -0.039 | 0.010 |
| -30.000 | -37.000 | -28.999 | 0.130 | 5368389.723 | 0.008 |
| -30.000 | -28.999 | -35.999 | -0.066 | 0.028 | 5368389.765 |
| 15600662.001 | 7985097.001 | 7985097.001 | -0.140 | -0.017 | -0.003 |
| 7985097.001 | 15600662.001 | 7985097.001 | -0.014 | -0.145 | -0.013 |
| 7985097.001 | 7985097.001 | 15600662.001 | -0.049 | 0.072 | 0.004 |
| 35.999 | 30.000 | 28.999 | 5368389.751 | -0.002 | -0.020 |
| 30.000 | 37.000 | 28.999 | 0.112 | 5368389.710 | -0.006 |
| 30.000 | 28.999 | 35.999 | 0.089 | -0.162 | 5368389.758 |
| 15603800.700 | 7984788.400 | 7984788.400 | -0.008 | 0.012 | -0.001 |
| 7984788.400 | 15603800.800 | 7984788.400 | 0.009 | -0.004 | -0.002 |
| 7984788.300 | 7984788.400 | 15603800.800 | -0.016 | -0.013 | 0.001 |
| -367.500 | -301.200 | -294.200 | 5368389.771 | 0.003 | -0.002 |
| -301.200 | -367.500 | -294.200 | -0.004 | 5368389.769 | -0.001 |
| -301.200 | -294.200 | -367.500 | 0.007 | 0.002 | 5368389.754 |
| 15598094.700 | 7985350.600 | 7985350.600 | -0.014 | -0.011 | -0.002 |
| 7985350.600 | 15598094.600 | 7985350.600 | -0.012 | -0.007 | 0.000 |
| 7985350.600 | 7985350.600 | 15598094.700 | -0.004 | 0.007 | 0.000 |
| 367.500 | 301.200 | 294.200 | 5368389.754 | 0.000 | -0.001 |
| 301.200 | 367.500 | 294.200 | -0.001 | 5368389.754 | 0.000 |
| 301.200 | 294.300 | 367.500 | -0.006 | -0.002 | 5368389.753 |
| 720.716 | 498.789 | 498.790 | -0.000 | 0.000 | 0.000 |
| 498.789 | 720.716 | 498.789 | -0.000 | -0.000 | 0.000 |
| 498.789 | 498.790 | 720.716 | -0.000 | -0.000 | 0.000 |
| 0.000 | -0.000 | -0.000 | 46.301 | 0.000 | 0.000 |
| -0.000 | 0.000 | -0.000 | -0.000 | 46.301 | 0.000 |
| -0.000 | -0.000 | 0.000 | -0.000 | 0.000 | 46.301 |
| 720.719 | 498.790 | 498.790 | 0.000 | -0.000 | 0.000 |
| 498.790 | 720.719 | 498.790 | 0.000 | 0.000 | -0.000 |
| 498.790 | 498.790 | 720.719 | 0.000 | -0.000 | -0.000 |
| -0.000 | 0.000 | 0.000 | 46.301 | -0.000 | -0.000 |
| 0.000 | -0.000 | 0.000 | 0.000 | 46.301 | -0.000 |
| 0.000 | 0.000 | -0.000 | 0.000 | -0.000 | 46.301 |
| 720.699 | 498.789 | 498.789 | -0.000 | 0.000 | 0.000 |
| 498.789 | 720.699 | 498.789 | -0.000 | 0.000 | 0.000 |
| 498.789 | 498.789 | 720.699 | -0.000 | 0.000 | 0.000 |
| 0.000 | -0.002 | -0.002 | 46.301 | 0.000 | 0.000 |
| -0.002 | 0.000 | -0.002 | -0.000 | 46.301 | 0.000 |
| -0.002 | -0.002 | 0.000 | -0.000 | 0.000 | 46.301 |
| 720.736 | 498.791 | 498.791 | 0.000 | -0.000 | -0.000 |
| 498.791 | 720.736 | 498.791 | 0.000 | -0.000 | 0.000 |
| 498.791 | 498.791 | 720.736 | 0.000 | 0.000 | -0.000 |
| -0.000 | 0.002 | 0.002 | 46.301 | -0.000 | -0.000 |
| 0.002 | -0.000 | 0.002 | 0.000 | 46.301 | -0.000 |
| 0.002 | 0.002 | -0.000 | 0.000 | -0.000 | 46.301 |
| 720.536 | 498.779 | 498.779 | -0.000 | 0.000 | 0.000 |
| 498.779 | 720.536 | 498.779 | 0.000 | -0.000 | 0.000 |
| 498.779 | 498.779 | 720.536 | -0.000 | 0.000 | 0.000 |
| 0.000 | -0.023 | -0.023 | 46.301 | 0.000 | 0.000 |
| -0.023 | 0.000 | -0.023 | -0.000 | 46.301 | 0.000 |
| -0.023 | -0.023 | 0.000 | -0.000 | 0.000 | 46.301 |
| 720.900 | 498.800 | 498.800 | 0.000 | -0.000 | 0.000 |
| 498.800 | 720.900 | 498.800 | 0.000 | -0.000 | -0.000 |
| 498.800 | 498.800 | 720.900 | 0.000 | -0.000 | -0.000 |
| -0.000 | 0.023 | 0.023 | 46.301 | -0.000 | -0.000 |
| 0.023 | -0.000 | 0.023 | 0.000 | 46.301 | -0.000 |
| 0.023 | 0.023 | -0.000 | 0.000 | -0.000 | 46.301 |
| 299.759 | 28.525 | 28.525 | 0.000 | 0.000 | 0.000 |
| 28.525 | 299.759 | 28.525 | -0.000 | 0.000 | 0.000 |
| 28.525 | 28.525 | 299.759 | 0.000 | 0.000 | 0.000 |
| 0.000 | 0.000 | 0.000 | 67.509 | -0.000 | -0.000 |
| 0.000 | 0.000 | 0.000 | 0.000 | 67.509 | 0.000 |
| 0.000 | 0.000 | 0.000 | 0.000 | 0.000 | 67.509 |
| 299.755 | 28.525 | 28.525 | 0.000 | -0.000 | -0.000 |
| 28.525 | 299.755 | 28.525 | -0.000 | 0.000 | -0.000 |
| 28.525 | 28.525 | 299.755 | -0.000 | -0.000 | -0.000 |
| -0.000 | -0.000 | -0.000 | 67.509 | -0.000 | -0.000 |
| -0.000 | -0.000 | -0.000 | 0.000 | 67.509 | 0.000 |
| -0.000 | -0.000 | -0.000 | 0.000 | -0.000 | 67.509 |
| 299.773 | 28.527 | 28.527 | 0.000 | -0.000 | -0.000 |
| 28.527 | 299.773 | 28.527 | 0.000 | -0.000 | 0.000 |
| 28.527 | 28.527 | 299.773 | -0.000 | -0.000 | 0.000 |
| 0.002 | 0.002 | 0.002 | 67.509 | 0.000 | 0.000 |
| 0.002 | 0.002 | 0.002 | 0.000 | 67.509 | 0.000 |
| 0.002 | 0.002 | 0.002 | 0.000 | -0.000 | 67.509 |
| 299.741 | 28.523 | 28.523 | -0.000 | -0.000 | -0.000 |
| 28.523 | 299.741 | 28.523 | 0.000 | -0.000 | -0.000 |
| 28.523 | 28.523 | 299.741 | -0.000 | -0.000 | -0.000 |
| -0.002 | -0.002 | -0.002 | 67.509 | -0.000 | -0.000 |
| -0.002 | -0.002 | -0.002 | -0.000 | 67.509 | -0.000 |
| -0.002 | -0.002 | -0.002 | -0.000 | -0.000 | 67.509 |
| 299.917 | 28.548 | 28.548 | 0.000 | -0.000 | 0.000 |
| 28.548 | 299.917 | 28.548 | 0.000 | -0.000 | 0.000 |
| 28.548 | 28.548 | 299.917 | 0.000 | -0.000 | 0.000 |
| 0.024 | 0.023 | 0.023 | 67.509 | 0.000 | 0.000 |
| 0.023 | 0.024 | 0.023 | -0.000 | 67.509 | 0.000 |
| 0.023 | 0.023 | 0.024 | 0.000 | -0.000 | 67.509 |
| 299.597 | 28.502 | 28.502 | -0.000 | 0.000 | -0.000 |
| 28.502 | 299.597 | 28.502 | -0.000 | 0.000 | 0.000 |
| 28.502 | 28.502 | 299.597 | -0.000 | 0.000 | 0.000 |
| -0.024 | -0.023 | -0.023 | 67.509 | -0.000 | -0.000 |
| -0.023 | -0.024 | -0.023 | 0.000 | 67.509 | -0.000 |
| -0.023 | -0.023 | -0.024 | -0.000 | 0.000 | 67.509 |
| 190.388 | 84.902 | 84.902 | 0.000 | 0.000 | 0.000 |
| 84.902 | 190.388 | 84.902 | 0.000 | 0.000 | 0.000 |
| 84.902 | 84.901 | 190.388 | 0.000 | 0.000 | 0.000 |
| 0.000 | 0.000 | 0.000 | 81.813 | 0.000 | 0.000 |
| 0.000 | 0.000 | 0.000 | 0.000 | 81.813 | 0.000 |
| 0.000 | 0.000 | 0.000 | -0.000 | 0.000 | 81.813 |
| 190.388 | 84.901 | 84.901 | -0.000 | -0.000 | -0.000 |
| 84.901 | 190.388 | 84.901 | 0.000 | -0.000 | 0.000 |
| 84.901 | 84.901 | 190.388 | -0.000 | -0.000 | -0.000 |
| -0.000 | -0.000 | -0.000 | 81.813 | 0.000 | -0.000 |
| -0.000 | -0.000 | -0.000 | -0.000 | 81.813 | 0.000 |
| -0.000 | -0.000 | -0.000 | -0.000 | -0.000 | 81.813 |
| 190.392 | 84.903 | 84.903 | 0.000 | -0.000 | -0.000 |
| 84.903 | 190.392 | 84.903 | -0.000 | 0.000 | 0.000 |
| 84.903 | 84.903 | 190.392 | -0.000 | 0.000 | 0.000 |
| 0.000 | 0.002 | 0.002 | 81.813 | 0.000 | 0.000 |
| 0.002 | 0.000 | 0.002 | 0.000 | 81.813 | -0.000 |
| 0.002 | 0.002 | 0.000 | 0.000 | 0.000 | 81.813 |
| 190.384 | 84.900 | 84.900 | -0.000 | -0.000 | -0.000 |
| 84.900 | 190.384 | 84.900 | 0.000 | -0.000 | -0.000 |
| 84.900 | 84.900 | 190.384 | 0.000 | -0.000 | -0.000 |
| -0.000 | -0.002 | -0.002 | 81.813 | -0.000 | 0.000 |
| -0.002 | -0.000 | -0.002 | -0.000 | 81.813 | 0.000 |
| -0.002 | -0.002 | -0.000 | -0.000 | -0.000 | 81.813 |
| 190.426 | 84.919 | 84.919 | 0.000 | 0.000 | 0.000 |
| 84.919 | 190.426 | 84.919 | 0.000 | 0.000 | -0.000 |
| 84.919 | 84.919 | 190.426 | 0.000 | 0.000 | -0.000 |
| 0.002 | 0.017 | 0.017 | 81.813 | 0.000 | 0.000 |
| 0.017 | 0.002 | 0.017 | 0.000 | 81.813 | 0.000 |
| 0.017 | 0.017 | 0.002 | 0.000 | 0.000 | 81.813 |
| 190.350 | 84.883 | 84.883 | 0.000 | -0.000 | -0.000 |
| 84.883 | 190.350 | 84.883 | -0.000 | -0.000 | -0.000 |
| 84.883 | 84.883 | 190.350 | -0.000 | 0.000 | -0.000 |
| -0.002 | -0.017 | -0.017 | 81.813 | -0.000 | -0.000 |
| -0.017 | -0.002 | -0.017 | -0.000 | 81.813 | 0.000 |
| -0.017 | -0.017 | -0.002 | -0.000 | -0.000 | 81.813 |
| 45.475 | 2.371 | 2.371 | 0.000 | 0.000 | -0.000 |
| 2.371 | 45.475 | 2.371 | 0.000 | -0.000 | -0.000 |
| 2.371 | 2.371 | 45.475 | 0.000 | 0.000 | -0.000 |
| -0.000 | -0.000 | -0.000 | 3.486 | 0.000 | -0.000 |
| -0.000 | -0.000 | -0.000 | 0.000 | 3.486 | -0.000 |
| -0.000 | -0.000 | -0.000 | 0.000 | -0.000 | 3.486 |
| 45.476 | 2.372 | 2.372 | -0.000 | -0.000 | 0.000 |
| 2.372 | 45.476 | 2.372 | -0.000 | -0.000 | 0.000 |
| 2.372 | 2.372 | 45.476 | -0.000 | -0.000 | 0.000 |
| 0.000 | 0.000 | 0.000 | 3.486 | 0.000 | 0.000 |
| 0.000 | 0.000 | 0.000 | 0.000 | 3.486 | 0.000 |
| 0.000 | 0.000 | 0.000 | 0.000 | -0.000 | 3.486 |
| 45.474 | 2.371 | 2.371 | 0.000 | 0.000 | -0.000 |
| 2.371 | 45.474 | 2.371 | -0.000 | 0.000 | -0.000 |
| 2.371 | 2.371 | 45.474 | -0.000 | -0.000 | -0.000 |
| -0.001 | -0.001 | -0.001 | 3.486 | -0.000 | -0.000 |
| -0.001 | -0.001 | -0.001 | 0.000 | 3.486 | -0.000 |
| -0.001 | -0.001 | -0.001 | -0.000 | 0.000 | 3.486 |
| 45.477 | 2.372 | 2.372 | -0.000 | -0.000 | 0.000 |
| 2.372 | 45.477 | 2.372 | 0.000 | 0.000 | 0.000 |
| 2.372 | 2.372 | 45.477 | -0.000 | -0.000 | 0.000 |
| 0.001 | 0.001 | 0.001 | 3.486 | -0.000 | 0.000 |
| 0.001 | 0.001 | 0.001 | 0.000 | 3.486 | 0.000 |
| 0.001 | 0.001 | 0.001 | 0.000 | -0.000 | 3.486 |
| 45.463 | 2.364 | 2.364 | -0.000 | 0.000 | -0.000 |
| 2.364 | 45.463 | 2.364 | 0.000 | 0.000 | -0.000 |
| 2.364 | 2.364 | 45.463 | 0.000 | 0.000 | -0.000 |
| -0.007 | -0.007 | -0.008 | 3.486 | 0.000 | -0.000 |
| -0.007 | -0.007 | -0.008 | -0.000 | 3.486 | -0.000 |
| -0.007 | -0.008 | -0.007 | 0.000 | 0.000 | 3.486 |
| 45.488 | 2.379 | 2.379 | 0.000 | -0.000 | 0.000 |
| 2.379 | 45.488 | 2.379 | -0.000 | -0.000 | 0.000 |
| 2.379 | 2.379 | 45.488 | -0.000 | -0.000 | 0.000 |
| 0.007 | 0.007 | 0.008 | 3.486 | -0.000 | 0.000 |
| 0.007 | 0.007 | 0.008 | 0.000 | 3.486 | 0.000 |
| 0.007 | 0.008 | 0.007 | -0.000 | -0.000 | 3.486 |
| 10.314 | 10.314 | 10.314 | 0.000 | 0.000 | -0.000 |
| 10.314 | 10.314 | 10.314 | 0.000 | 0.000 | -0.000 |
| 10.314 | 10.314 | 10.314 | 0.000 | 0.000 | -0.000 |
| 0.000 | 0.000 | 0.000 | 10.356 | 0.000 | -0.000 |
| 0.000 | 0.000 | 0.000 | 0.000 | 10.356 | -0.000 |
| 0.000 | 0.000 | 0.000 | 0.000 | 0.000 | 10.356 |
| 10.314 | 10.314 | 10.314 | -0.000 | -0.000 | 0.000 |
| 10.314 | 10.314 | 10.314 | -0.000 | -0.000 | 0.000 |
| 10.314 | 10.314 | 10.314 | -0.000 | -0.000 | 0.000 |
| -0.000 | -0.000 | -0.000 | 10.356 | -0.000 | 0.000 |
| -0.000 | -0.000 | -0.000 | -0.000 | 10.356 | 0.000 |
| -0.000 | -0.000 | -0.000 | -0.000 | -0.000 | 10.356 |
| 10.314 | 10.314 | 10.314 | 0.000 | 0.000 | -0.000 |
| 10.314 | 10.314 | 10.314 | 0.000 | 0.000 | -0.000 |
| 10.314 | 10.314 | 10.314 | 0.000 | 0.000 | -0.000 |
| 0.000 | 0.000 | 0.000 | 10.356 | 0.000 | -0.000 |
| 0.000 | 0.000 | 0.000 | 0.000 | 10.356 | -0.000 |
| 0.000 | 0.000 | 0.000 | -0.000 | 0.000 | 10.356 |
| 10.314 | 10.314 | 10.314 | -0.000 | -0.000 | 0.000 |
| 10.314 | 10.314 | 10.314 | -0.000 | -0.000 | 0.000 |
| 10.314 | 10.314 | 10.314 | -0.000 | -0.000 | 0.000 |
| -0.000 | -0.000 | -0.000 | 10.356 | -0.000 | 0.000 |
| -0.000 | -0.000 | -0.000 | -0.000 | 10.356 | 0.000 |
| -0.000 | -0.000 | -0.000 | -0.000 | -0.000 | 10.356 |
| 10.314 | 10.314 | 10.314 | -0.000 | 0.000 | -0.000 |
| 10.314 | 10.314 | 10.314 | 0.000 | -0.000 | -0.000 |
| 10.314 | 10.314 | 10.314 | 0.000 | 0.000 | -0.000 |
| 0.000 | 0.000 | 0.000 | 10.356 | 0.000 | -0.000 |
| 0.000 | 0.000 | 0.000 | 0.000 | 10.356 | -0.000 |
| 0.000 | 0.000 | 0.000 | 0.000 | 0.000 | 10.356 |
| 10.313 | 10.313 | 10.313 | -0.000 | -0.000 | 0.000 |
| 10.313 | 10.313 | 10.313 | -0.000 | -0.000 | 0.000 |
| 10.313 | 10.313 | 10.313 | -0.000 | -0.000 | 0.000 |
| -0.000 | -0.000 | -0.000 | 10.356 | -0.000 | 0.000 |
| -0.000 | -0.000 | -0.000 | -0.000 | 10.356 | 0.000 |
| -0.000 | -0.000 | -0.000 | -0.000 | -0.000 | 10.356 |
| 5443059.913 | 21244509.846 | 21244549.830 | 51.899 | -10.101 | 3.947 |
| 21244519.871 | 5443049.888 | 21244549.830 | 7.507 | 31.038 | 2.476 |
| 21244519.871 | 21244529.896 | 5443049.888 | -9.678 | -28.473 | 2.485 |
| -70.061 | -30.076 | 0.000 | -21360411.702 | 18.564 | -2.292 |
| -20.167 | -70.061 | 9.909 | 16.254 | -21360421.681 | -0.173 |
| -10.142 | -30.076 | -70.061 | 7.238 | 13.732 | -21360423.579 |
| 4517610.043 | 20332940.056 | 20329070.159 | 26330231.872 | 23259600.085 | 26226233.825 |
| 20354360.122 | 4543070.087 | 20347430.166 | 22781125.148 | 26833565.783 | 26835207.835 |
| 20387490.132 | 20386540.057 | 4568320.066 | 22707602.487 | 23048193.320 | 23770492.260 |
| 90.111 | 30.076 | -0.000 | -21360447.906 | 21.537 | 2.492 |
| 20.167 | 100.137 | -0.000 | 5.453 | -21360431.873 | 2.116 |
| 10.142 | 19.934 | 70.061 | -7.018 | -13.197 | -21360432.734 |
| 5443802.989 | 21244734.996 | 21244738.995 | 0.137 | 2.774 | 0.061 |
| 21244736.990 | 5443803.000 | 21244737.992 | 1.540 | -1.388 | 0.109 |
| 21244736.990 | 21244734.996 | 5443803.980 | 1.722 | 1.551 | 0.415 |
| 21.986 | 219.998 | 223.996 | 2505467.724 | -1.644 | 0.239 |
| 220.989 | 21.986 | 223.996 | 0.114 | 2505466.908 | 0.069 |
| 222.982 | 218.995 | 20.995 | 0.609 | 1.268 | 2505465.869 |
| 5357081.009 | 21158849.002 | 21158478.017 | 2012441.444 | 2345720.307 | 2663554.358 |
| 21154075.017 | 5351960.009 | 21153240.012 | 2479550.126 | 2038173.368 | 2765695.103 |
| 21159508.016 | 21159458.006 | 5357060.014 | 2373486.842 | 2336154.885 | 2506226.223 |
| -21.986 | -219.998 | -223.996 | 2505464.566 | 0.431 | -0.104 |
| -221.991 | -19.992 | -223.996 | -1.841 | 2505464.153 | -0.191 |
| -221.991 | -222.003 | -20.995 | -6.674 | -1.631 | 2505465.343 |
| 5465206.899 | 21261050.000 | 21261055.498 | -332684.005 | -295451.465 | -330757.066 |
| 21255661.699 | 5459894.100 | 21255648.799 | -241002.304 | -274193.449 | -276842.138 |
| 21252589.399 | 21252594.299 | 5456852.699 | -189930.631 | -185145.194 | -239539.947 |
| 210.100 | 2226.200 | 2239.299 | 2505465.736 | 0.072 | 0.035 |
| 2226.298 | 209.999 | 2239.299 | 0.087 | 2505465.745 | 0.020 |
| 2226.298 | 2239.100 | 210.100 | 0.044 | 0.125 | 2505465.575 |
| 5434905.601 | 21242250.601 | 21242250.402 | 140.676 | 149.413 | 136.146 |
| 21242250.402 | 5434905.800 | 21242250.501 | 141.441 | 139.083 | 139.815 |
| 21242250.301 | 21242250.601 | 5434905.601 | 144.854 | 147.058 | 152.865 |
| -210.100 | -2226.098 | -2239.299 | 2505465.305 | 0.107 | -0.009 |
| -2226.298 | -209.999 | -2239.299 | -0.001 | 2505465.522 | -0.007 |
| -2226.298 | -2239.001 | -210.100 | -0.096 | -0.152 | 2505465.541 |
| 4260270.003 | 10189920.050 | 10189900.116 | 0.675 | 6.632 | -0.455 |
| 10189910.025 | 4260270.003 | 10189900.116 | 2.898 | -17.165 | -0.980 |
| 10189910.025 | 10189890.091 | 4260299.962 | 8.206 | 5.108 | -0.036 |
| -20.051 | 10.025 | 20.051 | -1163574.581 | 12.095 | 1.271 |
| 0.000 | -20.051 | 10.025 | 1.427 | -1163576.960 | 1.574 |
| 9.909 | 10.025 | 10.025 | -8.232 | -0.398 | -1163579.691 |
| 4260270.119 | 10189870.040 | 10189879.949 | -0.769 | 22.943 | -1.540 |
| 10189899.999 | 4260249.952 | 10189870.040 | -2.985 | -22.627 | -0.074 |
| 10189880.065 | 10189880.065 | 4260229.901 | -7.946 | -13.541 | -2.906 |
| -9.909 | -10.025 | -10.025 | -1163581.025 | 15.501 | -0.232 |
| -9.909 | 10.025 | -10.025 | -5.756 | -1163577.829 | -0.608 |
| 10.025 | 20.051 | -10.025 | -1.114 | 0.929 | -1163581.365 |
| 4260435.001 | 10189966.994 | 10189966.003 | 0.647 | -1.536 | -0.079 |
| 10189962.996 | 4260433.008 | 10189966.003 | 0.467 | 1.425 | 0.022 |
| 10189962.996 | 10189963.998 | 4260435.001 | 1.198 | 1.162 | 0.162 |
| 17.999 | 70.993 | 71.996 | -1163580.184 | 1.270 | 0.039 |
| 71.005 | 19.002 | 71.996 | 0.635 | -1163580.713 | 0.083 |
| 69.991 | 72.008 | 20.004 | -0.393 | -0.899 | -1163580.057 |
| 4254728.008 | 10184446.006 | 10184450.995 | -492796.771 | -513409.922 | -526145.098 |
| 10184229.004 | 4254510.994 | 10184232.991 | -519297.937 | -509303.559 | -521330.857 |
| 10184330.004 | 10184329.001 | 4254598.005 | -516061.556 | -510510.307 | -464038.926 |
| -20.004 | -70.993 | -71.996 | -1163580.160 | 0.175 | -0.291 |
| -69.991 | -19.002 | -71.996 | -0.052 | -1163580.146 | -0.071 |
| -71.005 | -70.993 | -21.007 | -0.044 | -1.479 | -1163580.178 |
| 4262430.599 | 10191091.000 | 10191091.101 | 32090.591 | 47951.427 | 48848.148 |
| 10191090.900 | 4262431.100 | 10191091.700 | 47996.827 | 32549.178 | 49201.308 |
| 10191095.599 | 10191096.100 | 4262435.801 | 48449.928 | 48288.395 | 30453.659 |
| 113342.000 | 30160.400 | 30077.800 | -42827179.597 | -0.107 | 0.164 |
| 30160.300 | 113342.200 | 30077.800 | -0.070 | -42827179.542 | 0.155 |
| 30160.300 | 30077.800 | 113342.300 | 0.001 | 0.087 | -42827179.475 |
| 4258139.300 | 10188736.401 | 10188735.900 | -36851.251 | -46162.120 | -43927.911 |
| 10188732.401 | 4258135.200 | 10188732.000 | -45550.625 | -36260.162 | -43646.678 |
| 10188705.800 | 10188705.700 | 4258108.600 | -47154.963 | -47144.099 | -39289.835 |
| -113342.100 | -30160.400 | -30077.800 | -42827176.474 | -0.246 | -0.147 |
| -30160.399 | -113342.100 | -30077.800 | -0.166 | -42827176.417 | -0.163 |
| -30160.300 | -30077.599 | -113342.401 | -0.120 | -0.111 | -42827176.675 |
| 73812.259 | 73501.719 | 73501.719 | 0.000 | -0.000 | -0.000 |
| 73501.719 | 73812.259 | 73501.719 | 0.000 | 0.000 | 0.000 |
| 73501.719 | 73501.719 | 73812.259 | 0.000 | 0.000 | -0.000 |
| 11978055518.960 | 11929185071.154 | 11809607551.714 | 72274691.990 | -13453679.223 | -35891901.900 |
| 11996790612.178 | 12239620558.329 | 12053008486.620 | 42558196.197 | 22803631.259 | -26809705.547 |
| 12004025474.838 | 12044749441.699 | 12157755012.803 | 29210473.517 | -47728589.715 | 32866430.186 |
| 73813.278 | 73502.721 | 73502.721 | -0.000 | -0.000 | -0.000 |
| 73502.721 | 73813.278 | 73502.721 | -0.000 | -0.000 | -0.000 |
| 73502.721 | 73502.721 | 73813.278 | -0.000 | 0.000 | 0.000 |
| -11704529231.328 | -11605593625.611 | -11599513810.205 | -14760746.290 | -9407872.470 | -29216246.416 |
| -11723461015.517 | -11841201725.080 | -11758626472.300 | -36240648.886 | -25059334.393 | -45028165.226 |
| -11872147462.335 | -11802212123.462 | -11979104882.327 | 30716852.522 | 21098556.384 | -100128292.008 |
| 73807.666 | 73497.206 | 73497.206 | 0.000 | 0.000 | 0.000 |
| 73497.206 | 73807.666 | 73497.206 | 0.000 | 0.000 | -0.000 |
| 73497.206 | 73497.206 | 73807.666 | 0.000 | 0.000 | -0.000 |
| 1200478904.472 | 1183322428.340 | 1178963340.028 | -949589.031 | 8653466.685 | 5448462.608 |
| 1165173513.014 | 1178258540.155 | 1153206146.623 | 2511960.870 | 8346145.852 | 2076711.489 |
| 1166005391.773 | 1158742870.132 | 1180583880.331 | -1563748.532 | 10631684.716 | 2618387.553 |
| 73817.869 | 73507.233 | 73507.233 | -0.000 | -0.000 | -0.000 |
| 73507.233 | 73817.869 | 73507.233 | -0.000 | -0.000 | 0.000 |
| 73507.233 | 73507.233 | 73817.869 | -0.000 | 0.000 | -0.000 |
| -1212693219.611 | -1189136646.399 | -1194082154.326 | -6921085.459 | -3443268.839 | -4074920.468 |
| -1179101331.733 | -1188961367.463 | -1180554162.655 | 1423521.908 | -1181752.293 | 257444.085 |
| -1184924817.391 | -1186102642.734 | -1200318188.671 | -3154452.262 | -1761665.518 | -1996940.592 |
| 73761.752 | 73452.085 | 73452.085 | 0.000 | 0.000 | -0.000 |
| 73452.085 | 73761.752 | 73452.085 | 0.000 | -0.000 | -0.000 |
| 73452.085 | 73452.085 | 73761.752 | 0.000 | 0.000 | -0.000 |
| 121570416.413 | 119048150.090 | 119928031.591 | -147509.019 | 136066.292 | 270713.345 |
| -24351715.055 | -21796733.178 | -24351711.103 | 0.000 | 1976229.916 | 0.000 |
| 120060660.090 | 119658635.725 | 120492357.406 | -30488.158 | -41306.192 | -1124204.249 |
| 73863.784 | 73552.353 | 73552.353 | -0.000 | -0.000 | -0.000 |
| 73552.353 | 73863.784 | 73552.353 | -0.000 | -0.000 | -0.000 |
| 73552.353 | 73552.353 | 73863.784 | -0.000 | -0.000 | -0.000 |
| 21796733.178 | 24351715.055 | 24351711.103 | 1976229.916 | -0.002 | -0.002 |
| 24351715.056 | 21796733.178 | 24351711.104 | -0.002 | 1976229.917 | -0.002 |
| -118471709.351 | -120944546.559 | -121780150.191 | 471802.045 | 24423.819 | -677469.851 |
| -1039.345 | -2818.264 | -2818.264 | 0.000 | 0.000 | 0.000 |
| -2818.264 | -1039.345 | -2818.264 | 0.000 | 0.000 | 0.000 |
| -2818.264 | -2818.264 | -1039.345 | 0.000 | 0.000 | 0.000 |
| 0.000 | 0.000 | 0.000 | 245.086 | -0.000 | 0.000 |
| 0.000 | 0.000 | 0.000 | 0.000 | 245.086 | 0.000 |
| 0.000 | 0.000 | 0.000 | -0.000 | 0.000 | 245.086 |
| -1039.340 | -2818.266 | -2818.266 | 0.000 | 0.000 | -0.000 |
| -2818.266 | -1039.340 | -2818.266 | -0.000 | 0.000 | -0.000 |
| -2818.266 | -2818.266 | -1039.340 | 0.000 | -0.000 | -0.000 |
| -0.000 | -0.000 | -0.000 | 245.086 | 0.000 | -0.000 |
| -0.000 | -0.000 | -0.000 | 0.000 | 245.086 | -0.000 |
| -0.000 | -0.000 | -0.000 | -0.000 | -0.000 | 245.086 |
| -1039.366 | -2818.255 | -2818.255 | 0.000 | 0.000 | 0.000 |
| -2818.255 | -1039.366 | -2818.255 | -0.000 | 0.000 | 0.000 |
| -2818.255 | -2818.255 | -1039.366 | 0.000 | -0.000 | 0.000 |
| 0.003 | 0.004 | 0.004 | 245.086 | 0.000 | 0.000 |
| 0.004 | 0.003 | 0.004 | -0.000 | 245.086 | 0.000 |
| 0.004 | 0.004 | 0.003 | -0.000 | -0.000 | 245.086 |
| -1039.319 | -2818.274 | -2818.274 | -0.000 | -0.000 | -0.000 |
| -2818.274 | -1039.319 | -2818.274 | -0.000 | -0.000 | -0.000 |
| -2818.274 | -2818.274 | -1039.319 | -0.000 | -0.000 | -0.000 |
| -0.003 | -0.004 | -0.004 | 245.086 | 0.000 | -0.000 |
| -0.004 | -0.003 | -0.004 | 0.000 | 245.086 | -0.000 |
| -0.004 | -0.004 | -0.003 | -0.000 | -0.000 | 245.086 |
| -1039.575 | -2818.172 | -2818.172 | 0.000 | 0.000 | 0.000 |
| -2818.172 | -1039.575 | -2818.172 | 0.000 | 0.000 | 0.000 |
| -2818.172 | -2818.172 | -1039.575 | 0.000 | 0.000 | 0.000 |
| 130578783.404 | 129307225.160 | 129450100.850 | 899630.934 | 145842.885 | 518755.245 |
| 129377037.268 | 130679958.807 | 129554225.599 | 137449.539 | 535141.916 | 301085.808 |
| 129228795.624 | 129083594.118 | 130168473.136 | 98290.108 | 219517.249 | 454833.099 |
| -1039.110 | -2818.358 | -2818.358 | 0.000 | 0.000 | -0.000 |
| -2818.358 | -1039.110 | -2818.358 | 0.000 | -0.000 | -0.000 |
| -2818.358 | -2818.358 | -1039.110 | -0.000 | -0.000 | -0.000 |
| -130293248.680 | -129836320.150 | -129412570.389 | 99581.775 | -166334.316 | 85424.674 |
| -130062868.737 | -131013305.662 | -130103284.560 | 78941.147 | 443002.946 | 61652.802 |
| -129531498.977 | -129560675.475 | -131075853.518 | -33730.957 | -203969.618 | 553244.871 |
| 527.732 | 496.365 | 496.365 | 0.000 | 0.000 | -0.000 |
| 496.365 | 527.732 | 496.365 | -0.000 | -0.000 | -0.000 |
| 496.365 | 496.365 | 527.732 | 0.000 | 0.000 | -0.000 |
| 0.000 | 0.000 | 0.000 | -42.999 | 0.000 | -0.000 |
| 0.000 | 0.000 | 0.000 | 0.000 | -42.999 | -0.000 |
| 0.000 | 0.000 | 0.000 | 0.000 | 0.000 | -42.999 |
| 527.731 | 496.364 | 496.364 | -0.000 | 0.000 | 0.000 |
| 496.364 | 527.731 | 496.364 | -0.000 | -0.000 | 0.000 |
| 496.364 | 496.364 | 527.731 | -0.000 | -0.000 | 0.000 |
| -0.000 | -0.000 | -0.000 | -42.999 | -0.000 | 0.000 |
| -0.000 | -0.000 | -0.000 | -0.000 | -42.999 | 0.000 |
| -0.000 | -0.000 | -0.000 | -0.000 | -0.000 | -42.999 |
| 527.738 | 496.367 | 496.367 | 0.000 | 0.000 | -0.000 |
| 496.367 | 527.738 | 496.367 | 0.000 | -0.000 | -0.000 |
| 496.367 | 496.367 | 527.738 | 0.000 | 0.000 | -0.000 |
| 311483388.826 | 308874643.723 | 299652984.060 | 460026.036 | 36989.309 | -2933510.809 |
| 302787751.519 | 306392553.723 | 296313669.033 | -609123.290 | 1372211.550 | -501297.889 |
| 311207965.820 | 301316603.634 | 314141233.214 | 1275183.404 | -474790.796 | 1423954.837 |
| 527.725 | 496.362 | 496.362 | -0.000 | 0.000 | 0.000 |
| 496.362 | 527.725 | 496.362 | -0.000 | 0.000 | 0.000 |
| 496.362 | 496.362 | 527.725 | -0.000 | -0.000 | 0.000 |
| -312449336.717 | -314063451.106 | -299489782.411 | -499085.487 | 1989311.369 | -715080.121 |
| -311774821.990 | -310902695.399 | -297794766.610 | -908133.987 | -168614.394 | -2332186.865 |
| -311514553.592 | -296451370.802 | -312176104.084 | 1322725.218 | -671126.517 | -397598.688 |
| 527.795 | 496.388 | 496.388 | 0.000 | 0.000 | -0.000 |
| 496.388 | 527.795 | 496.388 | 0.000 | 0.000 | -0.000 |
| 496.388 | 496.388 | 527.795 | 0.000 | 0.000 | -0.000 |
| 30723301.641 | 30709352.941 | 29750140.984 | 327292.610 | -43174.261 | 31125.011 |
| 31132808.451 | 30874669.453 | 29938526.730 | 160283.079 | 36555.271 | 189334.592 |
| 31029972.102 | 29749273.323 | 30826253.769 | -35050.838 | -6267.557 | 134072.198 |
| 527.668 | 496.341 | 496.341 | -0.000 | -0.000 | 0.000 |
| 496.341 | 527.668 | 496.341 | -0.000 | -0.000 | 0.000 |
| 496.341 | 496.341 | 527.668 | -0.000 | -0.000 | 0.000 |
| -31681506.964 | -31227998.238 | -29050805.252 | 62779.781 | -56579.694 | 83088.032 |
| -31060848.991 | -31407791.207 | -29001700.219 | -198009.880 | 62885.799 | -65342.274 |
| -31011024.394 | -29047618.632 | -31639151.919 | -64946.399 | 8864.258 | -59540.512 |
| 380.599 | 235.689 | 235.689 | 0.000 | 0.000 | -0.000 |
| 235.689 | 380.599 | 235.689 | -0.000 | 0.000 | -0.000 |
| 235.689 | 235.689 | 380.599 | -0.000 | -0.000 | 0.000 |
| -0.000 | -0.000 | -0.000 | 52.741 | 0.000 | -0.000 |
| -0.000 | -0.000 | -0.000 | 0.000 | 52.741 | 0.000 |
| -0.000 | -0.000 | -0.000 | -0.000 | 0.000 | 52.741 |
| 380.602 | 235.693 | 235.693 | -0.000 | -0.000 | -0.000 |
| 235.693 | 380.602 | 235.693 | 0.000 | 0.000 | -0.000 |
| 235.693 | 235.693 | 380.602 | 0.000 | -0.000 | -0.000 |
| 0.000 | 0.000 | 0.000 | 52.741 | -0.000 | 0.000 |
| 0.000 | -0.000 | 0.000 | -0.000 | 52.741 | -0.000 |
| 0.000 | 0.000 | 0.000 | -0.000 | -0.000 | 52.741 |
| 380.585 | 235.674 | 235.674 | 0.000 | 0.000 | 0.000 |
| 235.674 | 380.585 | 235.674 | -0.000 | 0.000 | 0.000 |
| 235.674 | 235.674 | 380.585 | -0.000 | 0.000 | 0.000 |
| -0.000 | -0.000 | -0.000 | 52.741 | 0.000 | 0.000 |
| -0.000 | -0.000 | -0.000 | 0.000 | 52.741 | 0.000 |
| -0.000 | -0.000 | -0.000 | 0.000 | 0.000 | 52.741 |
| 380.616 | 235.707 | 235.707 | -0.000 | -0.000 | -0.000 |
| 235.707 | 380.616 | 235.707 | -0.000 | 0.000 | -0.000 |
| 235.707 | 235.707 | 380.616 | -0.000 | -0.000 | -0.000 |
| 0.000 | 0.000 | 0.000 | 52.741 | -0.000 | 0.000 |
| 0.000 | 0.000 | 0.000 | -0.000 | 52.741 | 0.000 |
| 0.000 | 0.000 | 0.000 | 0.000 | -0.000 | 52.741 |
| 380.444 | 235.526 | 235.526 | 0.000 | 0.000 | 0.000 |
| 235.526 | 380.444 | 235.526 | 0.000 | 0.000 | 0.000 |
| 235.526 | 235.526 | 380.444 | 0.000 | 0.000 | 0.000 |
| -0.001 | -0.005 | -0.005 | 52.502 | 0.000 | -0.000 |
| -0.005 | -0.001 | -0.005 | -0.000 | 52.502 | 0.000 |
| -0.005 | -0.005 | -0.001 | 0.000 | 0.000 | 52.502 |
| 380.757 | 235.856 | 235.856 | -0.000 | -0.000 | 0.000 |
| 235.856 | 380.757 | 235.856 | -0.000 | -0.000 | -0.000 |
| 235.856 | 235.856 | 380.757 | -0.000 | -0.000 | 0.000 |
| 0.001 | 0.005 | 0.005 | 52.502 | -0.000 | -0.000 |
| 0.005 | 0.001 | 0.005 | -0.000 | 52.502 | -0.000 |
| 0.005 | 0.005 | 0.001 | -0.000 | -0.000 | 52.502 |
| 219.016 | 93.830 | 93.830 | -0.000 | 0.000 | 0.000 |
| 93.830 | 219.016 | 93.830 | 0.000 | 0.000 | 0.000 |
| 93.830 | 93.830 | 219.016 | 0.000 | 0.000 | 0.000 |
| 1154370420.703 | 535772019.237 | 535772006.670 | -628345412.986 | -0.000 | -0.000 |
| 535772019.237 | 1154370420.703 | 535772006.670 | -0.000 | -628345412.986 | -0.000 |
| 535772019.237 | 535772006.670 | 1154370420.703 | -0.000 | -0.000 | -628345412.986 |
| 219.015 | 93.830 | 93.830 | -0.001 | -0.001 | -0.001 |
| 93.830 | 219.015 | 93.830 | -0.000 | -0.001 | -0.001 |
| 93.830 | 93.830 | 219.015 | -0.000 | -0.001 | -0.001 |
| -1154370420.703 | -535772019.237 | -535772006.670 | -628345412.986 | 0.000 | 0.000 |
| -535772019.237 | -1154370420.703 | -535772006.670 | 0.000 | -628345412.986 | 0.000 |
| -535772019.237 | -535772006.670 | -1154370420.703 | 0.000 | 0.000 | -628345412.986 |
| 219.018 | 93.830 | 93.830 | -0.000 | 0.000 | 0.000 |
| 93.830 | 219.018 | 93.830 | 0.000 | 0.000 | 0.000 |
| 93.830 | 93.830 | 219.018 | -0.000 | 0.000 | 0.000 |
| 115437048.355 | 53577250.394 | 53577237.827 | -62834463.387 | -0.000 | -0.000 |
| 53577250.394 | 115437048.355 | 53577237.827 | -0.000 | -62834463.387 | -0.000 |
| 53577250.394 | 53577237.827 | 115437048.355 | -0.000 | -0.000 | -62834463.387 |
| 219.013 | 93.830 | 93.830 | -0.000 | -0.000 | -0.000 |
| 93.830 | 219.013 | 93.830 | -0.000 | -0.000 | -0.000 |
| 93.830 | 93.830 | 219.013 | -0.000 | 0.000 | -0.000 |
| -115437048.355 | -53577250.394 | -53577237.827 | -62834463.387 | 0.000 | 0.000 |
| -53577250.394 | -115437048.355 | -53577237.827 | 0.000 | -62834463.387 | 0.000 |
| -53577250.394 | -53577237.827 | -115437048.355 | 0.000 | 0.000 | -62834463.387 |
| 219.039 | 93.829 | 93.829 | 0.000 | 0.000 | 0.000 |
| 93.829 | 219.039 | 93.829 | 0.000 | 0.000 | 0.000 |
| 93.829 | 93.829 | 219.039 | 0.000 | 0.000 | 0.000 |
| 11543711.119 | 5357773.508 | 5357760.941 | -6283368.430 | -0.000 | -0.000 |
| 5357773.508 | 11543711.119 | 5357760.941 | -0.000 | -6283368.430 | -0.000 |
| 5357773.508 | 5357760.941 | 11543711.119 | -0.000 | -0.000 | -6283368.430 |
| 218.992 | 93.831 | 93.831 | -0.000 | -0.000 | -0.000 |
| 93.831 | 218.992 | 93.831 | -0.000 | -0.000 | -0.000 |
| 93.831 | 93.831 | 218.992 | -0.000 | -0.000 | -0.000 |
| -11543711.119 | -5357773.508 | -5357760.941 | -6283368.430 | 0.000 | 0.000 |
| -5357773.508 | -11543711.119 | -5357760.941 | 0.000 | -6283368.430 | 0.000 |
| -5357773.508 | -5357760.941 | -11543711.119 | 0.000 | 0.000 | -6283368.430 |
| 45.704 | 61.846 | 61.846 | 0.000 | 0.000 | 0.000 |
| 61.846 | 45.704 | 61.846 | 0.000 | 0.000 | 0.000 |
| 61.846 | 61.846 | 45.704 | 0.000 | 0.000 | 0.000 |
| -0.000 | -0.000 | -0.000 | 68.481 | 0.000 | 0.000 |
| -0.000 | -0.000 | -0.000 | 0.000 | 68.481 | 0.000 |
| -0.000 | -0.000 | -0.000 | 0.000 | 0.000 | 68.481 |
| 45.704 | 61.846 | 61.846 | -0.000 | -0.000 | -0.000 |
| 61.846 | 45.704 | 61.846 | -0.000 | -0.000 | -0.000 |
| 61.846 | 61.846 | 45.704 | -0.000 | -0.000 | -0.000 |
| 0.000 | 0.000 | 0.000 | 68.481 | 0.000 | -0.000 |
| 0.000 | 0.000 | 0.000 | 0.000 | 68.481 | -0.000 |
| 0.000 | 0.000 | 0.000 | 0.000 | -0.000 | 68.481 |
| 45.703 | 61.846 | 61.846 | 0.000 | 0.000 | 0.000 |
| 61.846 | 45.703 | 61.846 | 0.000 | 0.000 | 0.000 |
| 61.846 | 61.846 | 45.703 | 0.000 | 0.000 | 0.000 |
| -0.017 | -0.009 | -0.009 | -298.186 | 0.000 | 0.000 |
| -0.009 | -0.017 | -0.009 | 0.000 | -298.186 | 0.000 |
| -0.009 | -0.009 | -0.017 | 0.000 | 0.000 | -298.186 |
| 45.705 | 61.846 | 61.846 | -0.000 | -0.000 | -0.000 |
| 61.846 | 45.705 | 61.846 | -0.000 | -0.000 | -0.000 |
| 61.846 | 61.846 | 45.705 | -0.000 | -0.000 | -0.000 |
| 0.017 | 0.009 | 0.009 | -298.186 | -0.000 | -0.000 |
| 0.009 | 0.017 | 0.009 | -0.000 | -298.186 | -0.000 |
| 0.009 | 0.009 | 0.017 | -0.000 | -0.000 | -298.186 |
| 45.694 | 61.843 | 61.843 | 0.000 | 0.000 | 0.000 |
| 61.843 | 45.694 | 61.843 | 0.000 | 0.000 | 0.000 |
| 61.843 | 61.843 | 45.694 | 0.000 | 0.000 | 0.000 |
| -0.541 | -0.272 | -0.273 | -582.593 | 0.000 | 0.000 |
| -0.272 | -0.541 | -0.273 | 0.000 | -582.593 | 0.000 |
| -0.272 | -0.273 | -0.541 | 0.000 | 0.000 | -582.593 |
| 45.715 | 61.849 | 61.849 | -0.000 | -0.000 | -0.000 |
| 61.849 | 45.715 | 61.849 | -0.000 | -0.000 | -0.000 |
| 61.849 | 61.849 | 45.715 | -0.000 | -0.000 | -0.000 |
| 0.541 | 0.272 | 0.273 | -582.593 | -0.000 | -0.000 |
| 0.272 | 0.541 | 0.273 | -0.000 | -582.593 | -0.000 |
| 0.272 | 0.273 | 0.541 | -0.000 | -0.000 | -582.593 |
| 70.163 | 42.468 | 42.468 | 0.000 | 0.000 | -0.000 |
| 42.468 | 70.163 | 42.468 | 0.000 | -0.000 | -0.000 |
| 42.468 | 42.468 | 70.163 | -0.000 | -0.000 | -0.000 |
| -0.000 | -0.000 | -0.000 | 27.367 | 0.000 | -0.000 |
| -0.000 | -0.000 | -0.000 | 0.000 | 27.367 | -0.000 |
| -0.000 | -0.000 | -0.000 | 0.000 | 0.000 | 27.367 |
| 70.163 | 42.468 | 42.468 | -0.000 | 0.000 | 0.000 |
| 42.468 | 70.163 | 42.468 | 0.000 | 0.000 | 0.000 |
| 42.468 | 42.468 | 70.163 | 0.000 | -0.000 | 0.000 |
| 0.000 | 0.000 | 0.000 | 27.367 | -0.000 | 0.000 |
| 0.000 | 0.000 | 0.000 | -0.000 | 27.367 | 0.000 |
| 0.000 | 0.000 | 0.000 | 0.000 | -0.000 | 27.367 |
| 70.163 | 42.468 | 42.468 | 0.000 | 0.000 | -0.000 |
| 42.468 | 70.163 | 42.468 | 0.000 | 0.000 | -0.000 |
| 42.468 | 42.468 | 70.163 | 0.000 | 0.000 | -0.000 |
| -0.000 | -0.000 | -0.000 | 27.367 | 0.000 | -0.000 |
| -0.000 | -0.000 | -0.000 | 0.000 | 27.367 | -0.000 |
| -0.000 | -0.000 | -0.000 | 0.000 | 0.000 | 27.367 |
| 70.164 | 42.469 | 42.469 | -0.000 | -0.000 | 0.000 |
| 42.469 | 70.164 | 42.469 | -0.000 | -0.000 | 0.000 |
| 42.469 | 42.469 | 70.164 | -0.000 | -0.000 | 0.000 |
| 0.000 | 0.000 | 0.000 | 27.367 | -0.000 | 0.000 |
| 0.000 | 0.000 | 0.000 | -0.000 | 27.367 | 0.000 |
| 0.000 | 0.000 | 0.000 | -0.000 | -0.000 | 27.367 |
| 70.161 | 42.466 | 42.466 | -0.000 | -0.000 | -0.000 |
| 42.466 | 70.161 | 42.466 | 0.000 | -0.000 | -0.000 |
| 42.466 | 42.466 | 70.161 | 0.000 | 0.000 | -0.000 |
| -11240.234 | -11220.409 | -11220.397 | 5992.803 | 0.000 | 0.000 |
| -11220.409 | -11240.234 | -11220.397 | 0.000 | 5992.803 | 0.000 |
| -11220.409 | -11220.397 | -11240.234 | 0.000 | 0.000 | 5992.803 |
| 70.166 | 42.471 | 42.471 | -0.000 | 0.000 | 0.000 |
| 42.471 | 70.166 | 42.471 | -0.000 | -0.000 | 0.000 |
| 42.471 | 42.471 | 70.166 | -0.000 | -0.000 | 0.000 |
| 11240.234 | 11220.409 | 11220.397 | 5992.803 | 0.000 | 0.000 |
| 11220.409 | 11240.234 | 11220.397 | 0.000 | 5992.803 | 0.000 |
| 11220.409 | 11220.397 | 11240.234 | 0.000 | 0.000 | 5992.803 |
| 11.609 | 11.609 | 11.609 | 0.000 | 0.000 | 0.000 |
| 11.609 | 11.609 | 11.609 | 0.000 | 0.000 | 0.000 |
| 11.609 | 11.609 | 11.609 | 0.000 | 0.000 | 0.000 |
| -0.000 | -0.000 | -0.000 | 0.000 | 0.000 | 0.000 |
| -0.000 | -0.000 | -0.000 | 0.000 | 0.000 | 0.000 |
| -0.000 | -0.000 | -0.000 | 0.000 | 0.000 | 0.000 |
| 11.609 | 11.609 | 11.609 | -0.000 | -0.000 | -0.000 |
| 11.609 | 11.609 | 11.609 | -0.000 | -0.000 | -0.000 |
| 11.609 | 11.609 | 11.609 | -0.000 | -0.000 | -0.000 |
| 0.000 | 0.000 | 0.000 | -0.000 | -0.000 | -0.000 |
| 0.000 | 0.000 | 0.000 | -0.000 | -0.000 | -0.000 |
| 0.000 | 0.000 | 0.000 | -0.000 | -0.000 | -0.000 |
| 11.609 | 11.609 | 11.609 | 0.000 | 0.000 | 0.000 |
| 11.609 | 11.609 | 11.609 | 0.000 | 0.000 | 0.000 |
| 11.609 | 11.609 | 11.609 | 0.000 | 0.000 | 0.000 |
| -0.000 | -0.000 | -0.000 | 0.000 | 0.000 | 0.000 |
| -0.000 | -0.000 | -0.000 | 0.000 | 0.000 | 0.000 |
| -0.000 | -0.000 | -0.000 | 0.000 | 0.000 | 0.000 |
| 11.609 | 11.609 | 11.609 | -0.000 | -0.000 | -0.000 |
| 11.609 | 11.609 | 11.609 | -0.000 | -0.000 | -0.000 |
| 11.609 | 11.609 | 11.609 | -0.000 | -0.000 | -0.000 |
| 0.000 | 0.000 | 0.000 | -0.000 | -0.000 | -0.000 |
| 0.000 | 0.000 | 0.000 | -0.000 | -0.000 | -0.000 |
| 0.000 | 0.000 | 0.000 | -0.000 | -0.000 | -0.000 |
| 11.609 | 11.609 | 11.609 | 0.000 | 0.000 | 0.000 |
| 11.609 | 11.609 | 11.609 | 0.000 | 0.000 | 0.000 |
| 11.609 | 11.609 | 11.609 | 0.000 | 0.000 | 0.000 |
| -0.000 | -0.000 | -0.000 | 0.000 | 0.000 | 0.000 |
| -0.000 | -0.000 | -0.000 | 0.000 | 0.000 | 0.000 |
| -0.000 | -0.000 | -0.000 | 0.000 | 0.000 | 0.000 |
| 11.609 | 11.609 | 11.609 | -0.000 | -0.000 | -0.000 |
| 11.609 | 11.609 | 11.609 | -0.000 | -0.000 | -0.000 |
| 11.609 | 11.609 | 11.609 | -0.000 | -0.000 | -0.000 |
| 0.000 | 0.000 | 0.000 | -0.000 | -0.000 | -0.000 |
| 0.000 | 0.000 | 0.000 | -0.000 | -0.000 | -0.000 |
| 0.000 | 0.000 | 0.000 | -0.000 | -0.000 | -0.000 |
| 3.408 | 3.408 | 3.408 | -0.000 | -0.000 | -0.000 |
| 3.408 | 3.408 | 3.408 | -0.000 | -0.000 | -0.000 |
| 3.408 | 3.408 | 3.408 | -0.000 | -0.000 | -0.000 |
| 0.000 | 0.000 | 0.000 | -0.000 | -0.000 | -0.000 |
| 0.000 | 0.000 | 0.000 | -0.000 | -0.000 | -0.000 |
| -0.000 | -0.000 | -0.000 | -0.000 | -0.000 | -0.000 |
| 3.408 | 3.408 | 3.408 | 0.000 | 0.000 | 0.000 |
| 3.408 | 3.408 | 3.408 | 0.000 | 0.000 | 0.000 |
| 3.408 | 3.408 | 3.408 | 0.000 | 0.000 | 0.000 |
| -0.000 | -0.000 | -0.000 | 0.000 | 0.000 | 0.000 |
| -0.000 | -0.000 | -0.000 | 0.000 | 0.000 | 0.000 |
| -0.000 | -0.000 | -0.000 | 0.000 | 0.000 | 0.000 |
| 3.408 | 3.408 | 3.408 | 0.000 | -0.000 | -0.000 |
| 3.408 | 3.408 | 3.408 | -0.000 | 0.000 | -0.000 |
| 3.408 | 3.408 | 3.408 | -0.000 | -0.000 | 0.000 |
| -0.000 | -0.000 | -0.000 | -0.000 | -0.000 | -0.000 |
| -0.000 | -0.000 | -0.000 | -0.000 | -0.000 | -0.000 |
| -0.000 | -0.000 | -0.000 | -0.000 | -0.000 | -0.000 |
| 3.408 | 3.408 | 3.408 | 0.000 | 0.000 | 0.000 |
| 3.408 | 3.408 | 3.408 | 0.000 | 0.000 | 0.000 |
| 3.408 | 3.408 | 3.408 | 0.000 | 0.000 | 0.000 |
| 0.000 | 0.000 | 0.000 | 0.000 | 0.000 | 0.000 |
| 0.000 | 0.000 | 0.000 | 0.000 | 0.000 | 0.000 |
| 0.000 | 0.000 | 0.000 | 0.000 | 0.000 | 0.000 |
| 3.408 | 3.408 | 3.408 | 0.000 | -0.000 | -0.000 |
| 3.408 | 3.408 | 3.408 | -0.000 | 0.000 | -0.000 |
| 3.408 | 3.408 | 3.408 | -0.000 | -0.000 | 0.000 |
| -0.000 | -0.000 | -0.000 | 0.000 | -0.000 | -0.000 |
| -0.000 | -0.000 | -0.000 | -0.000 | 0.000 | -0.000 |
| -0.000 | -0.000 | -0.000 | -0.000 | -0.000 | 0.000 |
| 3.409 | 3.409 | 3.409 | 0.000 | 0.000 | 0.000 |
| 3.409 | 3.409 | 3.409 | 0.000 | 0.000 | 0.000 |
| 3.409 | 3.409 | 3.409 | 0.000 | 0.000 | 0.000 |
| 0.000 | 0.000 | 0.000 | 0.000 | 0.000 | 0.000 |
| 0.000 | 0.000 | 0.000 | 0.000 | 0.000 | 0.000 |
| 0.000 | 0.000 | 0.000 | 0.000 | 0.000 | 0.000 |
| -11.830 | 8.111 | 91.969 | 0.000 | -0.000 | 0.000 |
| 8.111 | -11.830 | 91.969 | -0.000 | -0.000 | -0.000 |
| 91.969 | 91.969 | 244.109 | 0.000 | -0.000 | 0.000 |
| -0.000 | -0.000 | -0.000 | 96.078 | -0.000 | -0.000 |
| -0.000 | -0.000 | -0.000 | -0.000 | 96.078 | -0.000 |
| -0.000 | -0.000 | -0.000 | 0.000 | -0.000 | 12.640 |
| -11.830 | 8.111 | 91.969 | -0.000 | 0.000 | 0.000 |
| 8.111 | -11.830 | 91.969 | -0.000 | -0.000 | 0.000 |
| 91.969 | 91.969 | 244.110 | -0.000 | 0.000 | -0.000 |
| 0.000 | 0.000 | 0.000 | 96.078 | 0.000 | -0.000 |
| 0.000 | 0.000 | 0.000 | -0.000 | 96.078 | 0.000 |
| 0.000 | 0.000 | 0.000 | -0.000 | -0.000 | 12.640 |
| -11.831 | 8.110 | 91.967 | 0.000 | 0.000 | -0.000 |
| 8.110 | -11.831 | 91.967 | 0.000 | 0.000 | -0.000 |
| 91.966 | 91.966 | 244.104 | 0.000 | -0.000 | -0.000 |
| -0.002 | -0.002 | -0.003 | 96.078 | 0.000 | -0.000 |
| -0.002 | -0.002 | -0.003 | -0.000 | 96.078 | -0.000 |
| -0.001 | -0.001 | -0.002 | 0.000 | -0.000 | 12.640 |
| -11.829 | 8.112 | 91.971 | -0.000 | 0.000 | 0.000 |
| 8.112 | -11.829 | 91.971 | -0.000 | 0.000 | 0.000 |
| 91.972 | 91.972 | 244.115 | 0.000 | 0.000 | 0.000 |
| 0.002 | 0.002 | 0.003 | 96.078 | 0.000 | -0.000 |
| 0.002 | 0.002 | 0.003 | -0.000 | 96.078 | 0.000 |
| 0.001 | 0.001 | 0.002 | -0.000 | 0.000 | 12.640 |
| -11.840 | 8.101 | 91.950 | 0.000 | -0.000 | -0.000 |
| 8.101 | -11.840 | 91.950 | 0.000 | -0.000 | -0.000 |
| 91.936 | 91.936 | 244.052 | -0.000 | -0.000 | -0.000 |
| -0.019 | -0.019 | -0.034 | 96.078 | -0.000 | -0.000 |
| -0.019 | -0.019 | -0.034 | 0.000 | 96.078 | -0.000 |
| -0.010 | -0.010 | -0.019 | 0.000 | 0.000 | 12.640 |
| -11.819 | 8.121 | 91.988 | -0.000 | -0.000 | 0.000 |
| 8.121 | -11.819 | 91.988 | -0.000 | -0.000 | 0.000 |
| 92.002 | 92.002 | 244.167 | -0.000 | 0.000 | 0.000 |
| 0.019 | 0.019 | 0.034 | 96.078 | 0.000 | 0.000 |
| 0.019 | 0.019 | 0.034 | -0.000 | 96.078 | 0.000 |
| 0.010 | 0.010 | 0.019 | -0.000 | 0.000 | 12.640 |
| -40.550 | -29.830 | -45.206 | 0.000 | 0.000 | -0.000 |
| -29.830 | -40.550 | -45.206 | 0.000 | 0.000 | -0.000 |
| -45.206 | -45.206 | -275.539 | 0.000 | 0.000 | -0.000 |
| -0.000 | -0.000 | -0.000 | -45.147 | 0.000 | -0.000 |
| -0.000 | -0.000 | -0.000 | 0.000 | -45.147 | -0.000 |
| 0.000 | 0.000 | -0.000 | 0.000 | 0.000 | -29.174 |
| -40.550 | -29.830 | -45.206 | -0.000 | -0.000 | 0.000 |
| -29.830 | -40.550 | -45.206 | -0.000 | -0.000 | 0.000 |
| -45.206 | -45.206 | -275.536 | -0.000 | -0.000 | 0.000 |
| 0.000 | 0.000 | 0.000 | -45.147 | -0.000 | 0.000 |
| 0.000 | 0.000 | 0.000 | -0.000 | -45.147 | 0.000 |
| -0.000 | -0.000 | 0.000 | -0.000 | -0.000 | -29.174 |
| -40.549 | -29.829 | -45.206 | 0.000 | 0.000 | -0.000 |
| -29.829 | -40.549 | -45.206 | 0.000 | 0.000 | -0.000 |
| -45.208 | -45.208 | -275.553 | 0.000 | 0.000 | -0.000 |
| -0.000 | -0.000 | -0.002 | -45.147 | 0.000 | -0.000 |
| -0.000 | -0.000 | -0.002 | 0.000 | -45.147 | -0.000 |
| 0.000 | 0.000 | -0.000 | 0.000 | 0.000 | -29.174 |
| -40.550 | -29.830 | -45.205 | -0.000 | -0.000 | 0.000 |
| -29.830 | -40.550 | -45.205 | -0.000 | -0.000 | 0.000 |
| -45.203 | -45.203 | -275.522 | -0.000 | -0.000 | 0.000 |
| 0.000 | 0.000 | 0.002 | -45.147 | -0.000 | 0.000 |
| 0.000 | 0.000 | 0.002 | -0.000 | -45.147 | 0.000 |
| -0.000 | -0.000 | 0.000 | -0.000 | -0.000 | -29.174 |
| -40.545 | -29.825 | -45.210 | 0.000 | 0.000 | -0.000 |
| -29.825 | -40.545 | -45.210 | 0.000 | 0.000 | -0.000 |
| -45.231 | -45.231 | -275.690 | 0.000 | 0.000 | -0.000 |
| -0.004 | -0.004 | -0.025 | -45.147 | 0.000 | -0.000 |
| -0.004 | -0.004 | -0.025 | 0.000 | -45.147 | -0.000 |
| 0.005 | 0.005 | -0.004 | 0.000 | 0.000 | -29.174 |
| -40.555 | -29.834 | -45.202 | -0.000 | -0.000 | 0.000 |
| -29.834 | -40.555 | -45.202 | -0.000 | -0.000 | 0.000 |
| -45.181 | -45.181 | -275.385 | -0.000 | -0.000 | 0.000 |
| 0.004 | 0.004 | 0.025 | -45.147 | -0.000 | 0.000 |
| 0.004 | 0.004 | 0.025 | -0.000 | -45.147 | 0.000 |
| -0.005 | -0.005 | 0.004 | -0.000 | -0.000 | -29.174 |
| 90.239 | 35.438 | 33.634 | -0.000 | 0.000 | -0.000 |
| 35.438 | 90.239 | 33.634 | -0.000 | -0.000 | -0.000 |
| 33.634 | 33.634 | 80.030 | -0.000 | -0.000 | -0.000 |
| 0.000 | -0.000 | 0.000 | 33.958 | -0.000 | 0.000 |
| -0.000 | 0.000 | 0.000 | -0.000 | 33.958 | 0.000 |
| -0.000 | 0.000 | 0.000 | -0.000 | 0.000 | 39.579 |
| 90.238 | 35.438 | 33.634 | 0.000 | 0.000 | 0.000 |
| 35.438 | 90.238 | 33.634 | 0.000 | 0.000 | 0.000 |
| 33.634 | 33.634 | 80.030 | 0.000 | 0.000 | -0.000 |
| -0.000 | 0.000 | -0.000 | 33.958 | 0.000 | 0.000 |
| 0.000 | -0.000 | -0.000 | 0.000 | 33.958 | 0.000 |
| 0.000 | -0.000 | -0.000 | 0.000 | 0.000 | 39.579 |
| 90.242 | 35.438 | 33.634 | 0.000 | 0.000 | -0.000 |
| 35.438 | 90.242 | 33.634 | 0.000 | 0.000 | -0.000 |
| 33.634 | 33.634 | 80.030 | 0.000 | 0.000 | -0.000 |
| -0.000 | -0.000 | -0.000 | 33.958 | -0.000 | -0.000 |
| -0.000 | -0.000 | -0.000 | -0.000 | 33.958 | 0.000 |
| -0.000 | -0.000 | -0.000 | 0.000 | 0.000 | 39.579 |
| 90.234 | 35.438 | 33.634 | -0.000 | -0.000 | 0.000 |
| 35.438 | 90.234 | 33.634 | -0.000 | -0.000 | 0.000 |
| 33.634 | 33.634 | 80.030 | 0.000 | 0.000 | 0.000 |
| 0.000 | 0.000 | 0.000 | 33.958 | 0.000 | -0.000 |
| 0.000 | 0.000 | 0.000 | 0.000 | 33.958 | 0.000 |
| 0.000 | 0.000 | 0.000 | -0.000 | -0.000 | 39.579 |
| 90.278 | 35.438 | 33.634 | -0.000 | -0.000 | -0.000 |
| 35.438 | 90.278 | 33.634 | -0.000 | -0.000 | -0.000 |
| 33.634 | 33.634 | 80.029 | 0.000 | 0.000 | -0.000 |
| -0.000 | -0.000 | -0.000 | 33.958 | -0.000 | 0.000 |
| -0.000 | -0.000 | -0.000 | -0.000 | 33.958 | -0.000 |
| -0.000 | -0.000 | -0.000 | -0.000 | -0.000 | 39.579 |
| 90.198 | 35.438 | 33.634 | 0.000 | 0.000 | 0.000 |
| 35.438 | 90.198 | 33.634 | 0.000 | 0.000 | -0.000 |
| 33.634 | 33.634 | 80.030 | 0.000 | 0.000 | 0.000 |
| 0.000 | 0.000 | 0.000 | 33.958 | -0.000 | 0.000 |
| 0.000 | 0.000 | 0.000 | 0.000 | 33.958 | -0.000 |
| 0.000 | 0.000 | 0.000 | 0.000 | -0.000 | 39.579 |
| 24.373 | 6.208 | 12.802 | 0.000 | 0.000 | 0.000 |
| 6.208 | 24.373 | 12.802 | 0.000 | 0.000 | 0.000 |
| 12.802 | 12.802 | 23.744 | 0.000 | 0.000 | -0.000 |
| 0.000 | 0.000 | 0.000 | 12.798 | 0.000 | -0.000 |
| 0.000 | 0.000 | 0.000 | 0.000 | 12.798 | 0.000 |
| 0.000 | 0.000 | 0.000 | 0.000 | 0.000 | 6.898 |
| 24.373 | 6.208 | 12.802 | 0.000 | -0.000 | 0.000 |
| 6.208 | 24.373 | 12.802 | -0.000 | 0.000 | 0.000 |
| 12.802 | 12.802 | 23.744 | -0.000 | -0.000 | -0.000 |
| -0.000 | -0.000 | -0.000 | 12.798 | -0.000 | 0.000 |
| -0.000 | -0.000 | -0.000 | -0.000 | 12.798 | 0.000 |
| -0.000 | -0.000 | -0.000 | -0.000 | -0.000 | 6.898 |
| 24.373 | 6.208 | 12.802 | 0.000 | -0.000 | 0.000 |
| 6.208 | 24.373 | 12.802 | -0.000 | 0.000 | -0.000 |
| 12.802 | 12.802 | 23.744 | 0.000 | 0.000 | 0.000 |
| 0.000 | 0.000 | 0.000 | 12.798 | 0.000 | -0.000 |
| 0.000 | 0.000 | 0.000 | 0.000 | 12.798 | 0.000 |
| 0.000 | 0.000 | 0.000 | 0.000 | 0.000 | 6.898 |
| 24.373 | 6.208 | 12.802 | -0.000 | 0.000 | 0.000 |
| 6.208 | 24.373 | 12.802 | 0.000 | -0.000 | 0.000 |
| 12.802 | 12.802 | 23.744 | -0.000 | -0.000 | 0.000 |
| -0.000 | -0.000 | -0.000 | 12.798 | -0.000 | -0.000 |
| -0.000 | -0.000 | -0.000 | -0.000 | 12.798 | -0.000 |
| -0.000 | -0.000 | -0.000 | -0.000 | -0.000 | 6.898 |
| 24.372 | 6.208 | 12.802 | 0.000 | 0.000 | -0.000 |
| 6.208 | 24.372 | 12.802 | -0.000 | 0.000 | -0.000 |
| 12.803 | 12.803 | 23.745 | 0.000 | 0.000 | -0.000 |
| 0.000 | 0.000 | 0.001 | 12.798 | 0.000 | 0.000 |
| 0.000 | 0.000 | 0.001 | 0.000 | 12.798 | 0.000 |
| 0.000 | 0.000 | 0.000 | 0.000 | 0.000 | 6.898 |
| 24.373 | 6.208 | 12.801 | -0.000 | -0.000 | 0.000 |
| 6.208 | 24.373 | 12.801 | -0.000 | -0.000 | 0.000 |
| 12.801 | 12.801 | 23.743 | -0.000 | -0.000 | 0.000 |
| -0.000 | -0.000 | -0.001 | 12.798 | -0.000 | 0.000 |
| -0.000 | -0.000 | -0.001 | -0.000 | 12.798 | 0.000 |
| -0.000 | -0.000 | -0.000 | -0.000 | 0.000 | 6.898 |
| 9331980.002 | 4960210.002 | 4960210.002 | -1.466 | -2.568 | -0.064 |
| 4960220.013 | 9331959.995 | 4960220.013 | 2.076 | -3.605 | -0.940 |
| 4960220.013 | 4960199.991 | 9331980.002 | 3.883 | 3.909 | -0.336 |
| 0.000 | -10.011 | 10.011 | 1515199.023 | -0.268 | 0.342 |
| 10.011 | -10.011 | 10.011 | 0.918 | 1515197.014 | 0.139 |
| 0.000 | 0.000 | 0.000 | 0.147 | -0.453 | 1515198.321 |
| 9331889.993 | 4960220.013 | 4960210.002 | -2.515 | -5.455 | -0.169 |
| 4960210.002 | 9331900.003 | 4960210.002 | -3.149 | 1.228 | -0.412 |
| 4960210.002 | 4960220.013 | 9331889.993 | 1.970 | 0.186 | -0.079 |
| -0.000 | 10.011 | -10.011 | 1515197.219 | 0.463 | -0.619 |
| -10.011 | 10.011 | -10.011 | -0.658 | 1515199.779 | -0.102 |
| -0.000 | -0.000 | -0.000 | -0.571 | -0.212 | 1515198.023 |
| 9332315.999 | 4960209.999 | 4960212.000 | -0.347 | -0.281 | 0.039 |
| 4960211.000 | 9332313.999 | 4960212.000 | 0.315 | -0.323 | 0.001 |
| 4960211.000 | 4960209.999 | 9332315.999 | 0.412 | 0.075 | 0.032 |
| -24.999 | 1.999 | 3.000 | -457040.762 | -0.246 | 0.023 |
| 3.000 | -26.000 | 3.000 | 0.178 | -457041.057 | -0.022 |
| 3.000 | 1.999 | -24.999 | -0.008 | -0.026 | -457041.024 |
| 9331552.000 | 4960215.000 | 4960213.999 | -0.167 | -0.090 | 0.087 |
| 4960213.999 | 9331553.001 | 4960213.999 | -0.292 | 0.043 | 0.015 |
| 4960213.999 | 4960215.000 | 9331552.000 | 0.211 | 0.300 | -0.022 |
| 24.999 | -1.999 | -3.000 | -457041.340 | -0.024 | 0.046 |
| -3.000 | 26.000 | -3.000 | -0.225 | -457041.154 | 0.002 |
| -3.000 | -1.999 | 24.999 | -0.008 | 0.093 | -457041.052 |
| 9335749.500 | 4960198.500 | 4960198.700 | 0.024 | 0.055 | 0.003 |
| 4960198.700 | 9335749.400 | 4960198.700 | 0.033 | 0.012 | -0.004 |
| 4960198.700 | 4960198.600 | 9335749.500 | 0.002 | 0.013 | -0.004 |
| -20239.400 | -17325.500 | -17288.800 | 19430518.967 | 0.006 | 0.005 |
| 119.000 | -61.900 | 120.400 | 0.021 | 1818870.637 | -0.001 |
| -17323.300 | -17286.700 | -20236.900 | 0.013 | -0.002 | 19429390.933 |
| 9328118.500 | 4960227.000 | 4960226.900 | -0.026 | -0.037 | -0.010 |
| 4960227.000 | 9328118.500 | 4960226.900 | -0.057 | 0.031 | -0.006 |
| 4960227.000 | 4960227.100 | 9328118.500 | -0.035 | -0.018 | -0.006 |
| 51.000 | -148.400 | -148.700 | 1153570.098 | -0.007 | -0.001 |
| -148.500 | 51.100 | -148.700 | -0.024 | 1153556.417 | -0.001 |
| -148.500 | -148.600 | 51.000 | -0.018 | 0.002 | 1153568.318 |
| 575.051 | 509.865 | 509.865 | 0.000 | 0.000 | 0.000 |
| 509.865 | 575.051 | 509.865 | 0.000 | -0.000 | 0.000 |
| 509.865 | 509.865 | 575.051 | 0.000 | 0.000 | 0.000 |
| 0.000 | -0.000 | -0.000 | 70.897 | 0.000 | 0.000 |
| -0.000 | 0.000 | -0.000 | 0.000 | 70.897 | 0.000 |
| -0.000 | -0.000 | 0.000 | 0.000 | 0.000 | 70.897 |
| 575.057 | 509.869 | 509.869 | -0.000 | -0.000 | -0.000 |
| 509.869 | 575.057 | 509.869 | -0.000 | 0.000 | -0.000 |
| 509.869 | 509.869 | 575.057 | -0.000 | 0.000 | -0.000 |
| -0.000 | 0.000 | 0.000 | 70.897 | 0.000 | -0.000 |
| 0.000 | -0.000 | 0.000 | 0.000 | 70.897 | -0.000 |
| 0.000 | 0.000 | -0.000 | -0.000 | 0.000 | 70.897 |
| 575.027 | 509.846 | 509.846 | 0.000 | -0.000 | 0.000 |
| 509.846 | 575.027 | 509.846 | 0.000 | -0.000 | 0.000 |
| 509.846 | 509.846 | 575.027 | 0.000 | 0.000 | 0.000 |
| 0.000 | -0.003 | -0.003 | 70.897 | 0.000 | 0.000 |
| -0.003 | 0.000 | -0.003 | 0.000 | 70.897 | 0.000 |
| -0.003 | -0.003 | 0.000 | -0.000 | 0.000 | 70.897 |
| 575.081 | 509.888 | 509.888 | -0.000 | -0.000 | -0.000 |
| 509.888 | 575.081 | 509.888 | -0.000 | 0.000 | -0.000 |
| 509.888 | 509.888 | 575.081 | -0.000 | 0.000 | -0.000 |
| -0.000 | 0.003 | 0.003 | 70.897 | 0.000 | -0.000 |
| 0.003 | -0.000 | 0.003 | 0.000 | 70.897 | -0.000 |
| 0.003 | 0.003 | -0.000 | -0.000 | -0.000 | 70.897 |
| 574.780 | 509.652 | 509.652 | 0.000 | -0.000 | 0.000 |
| 509.652 | 574.780 | 509.652 | 0.000 | 0.000 | 0.000 |
| 509.652 | 509.652 | 574.780 | -0.000 | -0.000 | 0.000 |
| 26165667.350 | 5340295.664 | 5340287.114 | -4275387.835 | -0.000 | 0.001 |
| 5340295.665 | 26165667.350 | 5340287.114 | -0.000 | -4275387.835 | 0.001 |
| 5340295.665 | 5340287.114 | 26165667.350 | -0.001 | 0.001 | -4275387.835 |
| 575.328 | 510.082 | 510.082 | -0.000 | 0.000 | -0.000 |
| 510.082 | 575.328 | 510.082 | -0.000 | 0.000 | -0.000 |
| 510.082 | 510.082 | 575.328 | 0.000 | 0.000 | -0.000 |
| -26165667.350 | -5340295.664 | -5340287.114 | -4275387.835 | -0.000 | 0.001 |
| -5340295.664 | -26165667.350 | -5340287.114 | -0.000 | -4275387.835 | 0.000 |
| -5340295.664 | -5340287.114 | -26165667.350 | 0.000 | 0.000 | -4275387.835 |
| 97.568 | 44.027 | 44.027 | -0.000 | -0.000 | -0.000 |
| 44.027 | 97.568 | 44.027 | -0.000 | -0.000 | -0.000 |
| 44.027 | 44.027 | 97.568 | 0.000 | 0.000 | -0.000 |
| 0.000 | 0.000 | 0.000 | 32.137 | -0.000 | 0.000 |
| 0.000 | 0.000 | 0.000 | 0.000 | 32.137 | -0.000 |
| 0.000 | 0.000 | 0.000 | -0.000 | -0.000 | 32.137 |
| 97.567 | 44.027 | 44.027 | 0.000 | 0.000 | 0.000 |
| 44.027 | 97.567 | 44.027 | -0.000 | 0.000 | 0.000 |
| 44.027 | 44.027 | 97.567 | 0.000 | 0.000 | 0.000 |
| -0.000 | -0.000 | -0.000 | 32.137 | 0.000 | 0.000 |
| -0.000 | -0.000 | -0.000 | -0.000 | 32.137 | 0.000 |
| -0.000 | -0.000 | -0.000 | 0.000 | 0.000 | 32.137 |
| 97.569 | 44.027 | 44.027 | -0.000 | -0.000 | -0.000 |
| 44.027 | 97.569 | 44.027 | -0.000 | -0.000 | -0.000 |
| 44.027 | 44.027 | 97.569 | -0.000 | -0.000 | -0.000 |
| 0.000 | 0.000 | 0.000 | 32.137 | -0.000 | -0.000 |
| 0.000 | 0.000 | 0.000 | -0.000 | 32.137 | -0.000 |
| 0.000 | 0.000 | 0.000 | 0.000 | -0.000 | 32.137 |
| 97.567 | 44.027 | 44.027 | -0.000 | 0.000 | 0.000 |
| 44.027 | 97.567 | 44.027 | 0.000 | 0.000 | -0.000 |
| 44.027 | 44.027 | 97.567 | -0.000 | 0.000 | 0.000 |
| -0.000 | -0.000 | -0.000 | 32.137 | 0.000 | 0.000 |
| -0.000 | -0.000 | -0.000 | 0.000 | 32.137 | 0.000 |
| -0.000 | -0.000 | -0.000 | 0.000 | 0.000 | 32.137 |
| 97.578 | 44.029 | 44.029 | -0.000 | 0.000 | -0.000 |
| 44.029 | 97.578 | 44.029 | -0.000 | -0.000 | 0.000 |
| 44.029 | 44.029 | 97.578 | -0.000 | -0.000 | -0.000 |
| 0.002 | 0.001 | 0.001 | 32.137 | -0.000 | -0.000 |
| 0.001 | 0.002 | 0.001 | -0.000 | 32.137 | -0.000 |
| 0.001 | 0.001 | 0.002 | -0.000 | -0.000 | 32.137 |
| 97.557 | 44.025 | 44.025 | 0.000 | 0.000 | 0.000 |
| 44.025 | 97.557 | 44.025 | 0.000 | 0.000 | 0.000 |
| 44.025 | 44.025 | 97.557 | -0.000 | 0.000 | -0.000 |
| -0.002 | -0.001 | -0.001 | 32.137 | 0.000 | 0.000 |
| -0.001 | -0.002 | -0.001 | 0.000 | 32.137 | 0.000 |
| -0.001 | -0.001 | -0.002 | 0.000 | 0.000 | 32.137 |
| -109.248 | -85.552 | -85.552 | 0.000 | 0.000 | -0.000 |
| -85.552 | -109.248 | -85.552 | 0.000 | 0.000 | -0.000 |
| -85.552 | -85.552 | -109.248 | 0.000 | 0.000 | -0.000 |
| -0.000 | -0.000 | -0.000 | -83.930 | 0.000 | -0.000 |
| -0.000 | -0.000 | -0.000 | 0.000 | -83.930 | -0.000 |
| -0.000 | -0.000 | -0.000 | 0.000 | 0.000 | -83.930 |
| -109.247 | -85.552 | -85.552 | -0.000 | -0.000 | 0.000 |
| -85.552 | -109.247 | -85.552 | -0.000 | -0.000 | 0.000 |
| -85.552 | -85.552 | -109.247 | -0.000 | -0.000 | 0.000 |
| 0.000 | 0.000 | 0.000 | -83.930 | -0.000 | 0.000 |
| 0.000 | 0.000 | 0.000 | -0.000 | -83.930 | 0.000 |
| 0.000 | 0.000 | 0.000 | -0.000 | -0.000 | -83.930 |
| -109.251 | -85.554 | -85.554 | 0.000 | 0.000 | -0.000 |
| -85.554 | -109.251 | -85.554 | 0.000 | 0.000 | -0.000 |
| -85.554 | -85.554 | -109.251 | 0.000 | 0.000 | 0.000 |
| -11571733.754 | -11239455.448 | -11362366.373 | -946947.686 | -172739.773 | -96110.021 |
| -11086404.317 | -11258477.475 | -11222048.011 | -70704.793 | -1054794.954 | -34208.001 |
| -11142694.092 | -11192696.801 | -11190963.602 | -57577.491 | -23547.355 | -1447897.686 |
| -109.245 | -85.551 | -85.551 | -0.000 | -0.000 | 0.000 |
| -85.551 | -109.245 | -85.551 | -0.000 | -0.000 | 0.000 |
| -85.551 | -85.551 | -109.245 | -0.000 | -0.000 | 0.000 |
| 11395898.194 | 11439551.198 | 11325171.791 | -886268.124 | -49927.385 | 41752.714 |
| 11162344.493 | 11397157.211 | 11360034.741 | 9197.915 | -1057620.353 | 90593.497 |
| 11160995.546 | 11263955.225 | 11489742.624 | -68270.527 | -112280.742 | -1260228.725 |
| -109.281 | -85.567 | -85.567 | 0.000 | 0.000 | -0.000 |
| -85.567 | -109.281 | -85.567 | 0.000 | 0.000 | -0.000 |
| -85.567 | -85.567 | -109.281 | 0.000 | -0.000 | -0.000 |
| -1108861.150 | -1098589.237 | -1134286.024 | -103539.778 | 515.985 | 7793.204 |
| -1120926.195 | -1145003.809 | -1143761.587 | -4962.144 | -105087.328 | -1112.771 |
| -1114160.203 | -1143717.364 | -1144657.906 | -15792.347 | -3336.660 | -98241.600 |
| -109.215 | -85.537 | -85.537 | -0.000 | -0.000 | 0.000 |
| -85.537 | -109.215 | -85.537 | -0.000 | -0.000 | 0.000 |
| -85.537 | -85.537 | -109.215 | -0.000 | -0.000 | 0.000 |
| 1157998.698 | 1137637.160 | 1168811.576 | -83233.824 | 1334.074 | 10184.942 |
| 1131409.217 | 1139364.878 | 1139694.749 | -5690.469 | -98681.692 | 1648.155 |
| 1128823.155 | 1129489.175 | 1161279.368 | 12373.874 | -10328.952 | -89252.440 |
| 6.817 | 6.817 | 6.817 | 0.000 | -0.000 | 0.000 |
| 6.817 | 6.817 | 6.817 | -0.000 | 0.000 | 0.000 |
| 6.817 | 6.817 | 6.817 | 0.000 | 0.000 | 0.000 |
| -0.000 | -0.000 | -0.000 | 0.000 | 0.000 | 0.000 |
| -0.000 | -0.000 | -0.000 | 0.000 | 0.000 | 0.000 |
| -0.000 | -0.000 | -0.000 | 0.000 | 0.000 | 0.000 |
| 6.817 | 6.817 | 6.817 | -0.000 | 0.000 | -0.000 |
| 6.817 | 6.817 | 6.817 | 0.000 | -0.000 | -0.000 |
| 6.817 | 6.817 | 6.817 | -0.000 | -0.000 | -0.000 |
| 0.000 | 0.000 | 0.000 | 0.000 | -0.000 | -0.000 |
| 0.000 | 0.000 | 0.000 | -0.000 | 0.000 | -0.000 |
| 0.000 | 0.000 | 0.000 | -0.000 | -0.000 | 0.000 |
| 6.817 | 6.817 | 6.817 | 0.000 | 0.000 | 0.000 |
| 6.817 | 6.817 | 6.817 | 0.000 | 0.000 | 0.000 |
| 6.817 | 6.817 | 6.817 | 0.000 | 0.000 | -0.000 |
| -0.000 | -0.000 | -0.000 | -0.000 | 0.000 | -0.000 |
| -0.000 | -0.000 | -0.000 | 0.000 | -0.000 | -0.000 |
| -0.000 | -0.000 | -0.000 | 0.000 | 0.000 | -0.000 |
| 6.817 | 6.817 | 6.817 | -0.000 | 0.000 | -0.000 |
| 6.817 | 6.817 | 6.817 | 0.000 | -0.000 | -0.000 |
| 6.817 | 6.817 | 6.817 | -0.000 | -0.000 | -0.000 |
| 0.000 | 0.000 | 0.000 | -0.000 | -0.000 | -0.000 |
| 0.000 | 0.000 | 0.000 | -0.000 | -0.000 | -0.000 |
| 0.000 | 0.000 | 0.000 | -0.000 | -0.000 | -0.000 |
| 6.815 | 6.815 | 6.815 | 0.000 | -0.000 | 0.000 |
| 6.815 | 6.815 | 6.815 | -0.000 | 0.000 | 0.000 |
| 6.815 | 6.815 | 6.815 | 0.000 | 0.000 | 0.000 |
| -0.000 | -0.000 | -0.000 | 0.000 | 0.000 | 0.000 |
| -0.000 | -0.000 | -0.000 | 0.000 | 0.000 | 0.000 |
| -0.000 | -0.000 | -0.000 | 0.000 | 0.000 | 0.000 |
| 6.819 | 6.819 | 6.819 | -0.000 | -0.000 | -0.000 |
| 6.819 | 6.819 | 6.819 | -0.000 | -0.000 | -0.000 |
| 6.819 | 6.819 | 6.819 | -0.000 | -0.000 | -0.000 |
| 0.000 | 0.000 | 0.000 | 0.000 | -0.000 | -0.000 |
| 0.000 | 0.000 | 0.000 | -0.000 | 0.000 | -0.000 |
| 0.000 | 0.000 | 0.000 | -0.000 | -0.000 | 0.000 |
| -5650659.941 | 6877919.976 | 6877909.950 | -6.066 | 10.934 | 1.889 |
| 6877920.092 | -5650649.974 | 6877919.976 | -15.112 | 8.882 | 0.605 |
| 6877910.009 | 6877919.976 | -5650640.007 | -4.667 | -3.057 | 1.387 |
| 184765266140.088 | 279819502810.035 | 279819482339.986 | -158074396609.673 | 2503.894 | 5781.127 |
| 279819452060.027 | 184765234219.996 | 279819465229.998 | 17258.672 | -158074384127.139 | 14482.568 |
| 279819550140.061 | 279819517910.000 | 184765292319.974 | 5592.542 | 7080.542 | -158074420652.299 |
| -6283560.027 | 7194369.990 | 7194360.023 | 5.482 | -0.444 | -1.848 |
| 7194379.957 | -6283589.986 | 7194369.990 | -2.101 | 6.024 | -1.721 |
| 7194379.957 | 7194369.990 | -6283579.961 | 4.439 | -4.553 | -3.358 |
| -184765263860.023 | -279819500949.985 | -279819460279.988 | -158074386049.467 | -2513.595 | 669.258 |
| -279819434090.018 | -184765222369.988 | -279819446159.999 | -10218.391 | -158074373502.301 | 1396.150 |
| -279819543920.039 | -279819518630.017 | -184765293990.009 | -1256.289 | 6824.842 | -158074416728.161 |
| -12562397.997 | 10341659.002 | 10341659.002 | 0.165 | -0.524 | 0.177 |
| 10341658.005 | -12562397.997 | 10341659.002 | -0.638 | 0.204 | 0.141 |
| 10341657.002 | 10341659.002 | -12562397.997 | -0.534 | 1.550 | 0.257 |
| 12489555145.007 | 22556640507.000 | 22556638743.998 | -12177959842.621 | 19.285 | 52.591 |
| 22556636951.007 | 12489552378.002 | 22556635189.998 | -20.688 | -12177958070.737 | 49.211 |
| 22556640478.002 | 22556638602.005 | 12489555099.001 | 35.746 | 142.930 | -12177959789.241 |
| -6178767.003 | 7142009.995 | 7142011.994 | -0.122 | 0.127 | -0.182 |
| 7142012.990 | -6178769.003 | 7142009.995 | 0.379 | -1.438 | -0.253 |
| 7142012.990 | 7142010.997 | -6178769.003 | 0.603 | -0.953 | -0.179 |
| -12489557852.005 | -22556644121.997 | -22556642223.000 | -12177961638.812 | -1.332 | 1.042 |
| -22556639267.005 | -12489554125.996 | -22556637480.997 | 50.276 | -12177959243.436 | 47.848 |
| -22556643583.001 | -22556641651.998 | -12489557466.001 | -55.446 | 87.416 | -12177961339.410 |
| -6463902.099 | 7284538.500 | 7284538.500 | 0.318 | 0.230 | 0.223 |
| 7284538.600 | -6463902.400 | 7284538.700 | 0.921 | 0.174 | 0.118 |
| 7284538.500 | 7284538.600 | -6463902.300 | 0.103 | 0.198 | 0.156 |
| 1847828865.100 | 2795862480.700 | 2795860168.500 | -1579940463.629 | 0.027 | 0.384 |
| 2795862484.100 | 1847828867.700 | 2795860169.800 | 1.790 | -1579940464.277 | 1.259 |
| 2795862477.700 | 2795860167.400 | 1847828863.700 | 0.983 | 0.983 | -1579940462.568 |
| -6251018.201 | 7178390.500 | 7178390.500 | -0.056 | -0.062 | -0.027 |
| 7178390.700 | -6251018.300 | 7178390.500 | 0.092 | 0.043 | -0.040 |
| 7178390.600 | 7178390.600 | -6251018.201 | 0.056 | -0.040 | -0.052 |
| -1847828868.700 | -2795862484.600 | -2795860172.100 | -1579940464.844 | -0.044 | 0.065 |
| -2795862483.401 | -1847828867.900 | -2795860170.600 | -0.070 | -1579940464.274 | 0.309 |
| -2795862482.300 | -2795860172.900 | -1847828867.700 | -0.277 | 0.177 | -1579940464.943 |
| 631.018 | 172.720 | 172.720 | -0.000 | -0.000 | 0.000 |
| 172.720 | 631.018 | 172.720 | 0.000 | -0.000 | 0.000 |
| 172.720 | 172.720 | 631.018 | 0.000 | 0.000 | 0.000 |
| 0.000 | 0.000 | 0.000 | 109.262 | 0.000 | -0.000 |
| 0.000 | 0.000 | 0.000 | -0.000 | 109.262 | -0.000 |
| 0.000 | 0.000 | 0.000 | 0.000 | 0.000 | 109.262 |
| 629.390 | 173.531 | 173.531 | -0.000 | -0.000 | 0.000 |
| 173.531 | 629.390 | 173.531 | 0.000 | -0.000 | -0.000 |
| 173.531 | 173.531 | 629.390 | 0.000 | -0.000 | 0.000 |
| -0.000 | -0.000 | -0.000 | 109.262 | -0.000 | -0.000 |
| -0.000 | -0.000 | -0.000 | -0.000 | 109.262 | 0.000 |
| -0.000 | -0.000 | -0.000 | -0.000 | -0.000 | 109.262 |
| 631.034 | 172.722 | 172.722 | -0.000 | 0.000 | -0.000 |
| 172.722 | 631.034 | 172.722 | 0.000 | 0.000 | -0.000 |
| 172.722 | 172.722 | 631.034 | 0.000 | 0.000 | -0.000 |
| 0.001 | 0.003 | 0.003 | 109.262 | 0.000 | -0.000 |
| 0.003 | 0.001 | 0.003 | 0.000 | 109.262 | -0.000 |
| 0.003 | 0.003 | 0.001 | 0.000 | -0.000 | 109.262 |
| 629.373 | 173.530 | 173.530 | -0.000 | -0.000 | 0.000 |
| 173.530 | 629.373 | 173.530 | -0.000 | -0.000 | 0.000 |
| 173.530 | 173.530 | 629.373 | 0.000 | -0.000 | 0.000 |
| -0.001 | -0.003 | -0.003 | 109.262 | -0.000 | -0.000 |
| -0.003 | -0.001 | -0.003 | -0.000 | 109.262 | -0.000 |
| -0.003 | -0.003 | -0.001 | 0.000 | -0.000 | 109.262 |
| 629.577 | 173.553 | 173.553 | 0.000 | -0.000 | 0.000 |
| 173.553 | 629.577 | 173.553 | 0.000 | 0.000 | 0.000 |
| 173.553 | 173.553 | 629.577 | -0.000 | 0.000 | 0.000 |
| 4680963.338 | 7869103.446 | 6386160.955 | -7137864.665 | -3561.785 | 221484.267 |
| 8921384.527 | 9904058.252 | 10639130.148 | 5834223.162 | -6786352.625 | 6187674.035 |
| 10932199.348 | 11087237.300 | 8042198.897 | 4119622.370 | 4499615.792 | -5530511.945 |
| 629.207 | 173.510 | 173.510 | -0.000 | -0.000 | 0.000 |
| 173.510 | 629.207 | 173.510 | -0.000 | -0.000 | 0.000 |
| 173.510 | 173.510 | 629.207 | -0.000 | 0.000 | 0.000 |
| -4388246.010 | -6302246.606 | -6628892.272 | -7643543.577 | 251971.296 | -164748.872 |
| -7741473.875 | -5835894.222 | -7646924.113 | -2375206.934 | -7618920.341 | 2031964.654 |
| -8801187.330 | -8488862.684 | -4438050.584 | -1555075.572 | 2325784.545 | -6721013.112 |
| 83.080 | 35.802 | 35.802 | -0.000 | -0.000 | -0.000 |
| 35.802 | 83.080 | 35.802 | -0.000 | -0.000 | -0.000 |
| 35.802 | 35.802 | 83.080 | -0.000 | -0.000 | -0.000 |
| -0.000 | 0.000 | 0.000 | 25.033 | -0.000 | -0.000 |
| 0.000 | -0.000 | 0.000 | -0.000 | 25.033 | -0.000 |
| 0.000 | 0.000 | 0.000 | -0.000 | -0.000 | 25.033 |
| 83.080 | 35.802 | 35.802 | 0.000 | 0.000 | 0.000 |
| 35.802 | 83.080 | 35.802 | 0.000 | 0.000 | 0.000 |
| 35.802 | 35.802 | 83.080 | 0.000 | 0.000 | 0.000 |
| 0.000 | -0.000 | -0.000 | 25.033 | 0.000 | 0.000 |
| -0.000 | 0.000 | -0.000 | 0.000 | 25.033 | 0.000 |
| -0.000 | -0.000 | -0.000 | 0.000 | 0.000 | 25.033 |
| 83.080 | 35.802 | 35.802 | -0.000 | -0.000 | -0.000 |
| 35.802 | 83.080 | 35.802 | -0.000 | -0.000 | -0.000 |
| 35.802 | 35.802 | 83.080 | -0.000 | -0.000 | -0.000 |
| -0.000 | 0.000 | 0.000 | 25.033 | -0.000 | -0.000 |
| 0.000 | -0.000 | 0.000 | -0.000 | 25.033 | -0.000 |
| 0.000 | 0.000 | -0.000 | -0.000 | -0.000 | 25.033 |
| 84.296 | 35.194 | 35.194 | 0.000 | 0.000 | 0.000 |
| 35.194 | 84.296 | 35.194 | 0.000 | 0.000 | 0.000 |
| 35.194 | 35.194 | 84.296 | 0.000 | -0.000 | 0.000 |
| 0.000 | -0.000 | -0.000 | 25.033 | -0.000 | 0.000 |
| -0.000 | 0.000 | -0.000 | 0.000 | 25.033 | 0.000 |
| -0.000 | -0.000 | 0.000 | 0.000 | 0.000 | 25.033 |
| 83.081 | 35.802 | 35.802 | -0.000 | -0.000 | -0.000 |
| 35.802 | 83.081 | 35.802 | -0.000 | -0.000 | -0.000 |
| 35.802 | 35.802 | 83.081 | -0.000 | -0.000 | -0.000 |
| -0.000 | 0.005 | 0.005 | 25.033 | -0.000 | -0.000 |
| 0.005 | -0.000 | 0.005 | -0.000 | 25.033 | -0.000 |
| 0.005 | 0.005 | -0.000 | -0.000 | -0.000 | 25.033 |
| 83.078 | 35.802 | 35.802 | 0.000 | 0.000 | 0.000 |
| 35.802 | 83.078 | 35.802 | 0.000 | 0.000 | 0.000 |
| 35.802 | 35.802 | 83.078 | 0.000 | 0.000 | 0.000 |
| 0.000 | -0.005 | -0.005 | 25.033 | 0.000 | 0.000 |
| -0.005 | 0.000 | -0.005 | 0.000 | 25.033 | 0.000 |
| -0.005 | -0.005 | 0.000 | 0.000 | 0.000 | 25.033 |
| 27.847 | 57.831 | 57.831 | 0.000 | -0.000 | -0.000 |
| 57.831 | 27.847 | 57.831 | -0.000 | 0.000 | 0.000 |
| 57.831 | 57.831 | 27.847 | 0.000 | 0.000 | -0.000 |
| 0.000 | -0.000 | -0.000 | 0.165 | 0.000 | -0.000 |
| -0.000 | 0.000 | -0.000 | -0.000 | 0.165 | -0.000 |
| -0.000 | -0.000 | 0.000 | 0.000 | 0.000 | 0.165 |
| 27.847 | 57.830 | 57.830 | 0.000 | 0.000 | 0.000 |
| 57.830 | 27.847 | 57.830 | 0.000 | -0.000 | -0.000 |
| 57.830 | 57.830 | 27.847 | -0.000 | -0.000 | 0.000 |
| -0.000 | 0.000 | 0.000 | 0.165 | -0.000 | 0.000 |
| 0.000 | -0.000 | 0.000 | 0.000 | 0.165 | -0.000 |
| 0.000 | 0.000 | -0.000 | -0.000 | -0.000 | 0.165 |
| 27.850 | 57.832 | 57.832 | -0.000 | -0.000 | -0.000 |
| 57.832 | 27.850 | 57.832 | -0.000 | 0.000 | 0.000 |
| 57.832 | 57.832 | 27.850 | 0.000 | 0.000 | -0.000 |
| 0.001 | -0.000 | -0.000 | 0.165 | 0.000 | -0.000 |
| -0.000 | 0.001 | -0.000 | -0.000 | 0.165 | -0.000 |
| -0.000 | -0.000 | 0.001 | -0.000 | 0.000 | 0.165 |
| 27.843 | 57.829 | 57.829 | -0.000 | 0.000 | 0.000 |
| 57.829 | 27.843 | 57.829 | 0.000 | -0.000 | -0.000 |
| 57.829 | 57.829 | 27.843 | -0.000 | -0.000 | 0.000 |
| -0.001 | 0.000 | 0.000 | 0.165 | -0.000 | 0.000 |
| 0.000 | -0.001 | 0.000 | 0.000 | 0.165 | 0.000 |
| 0.000 | 0.000 | -0.001 | 0.000 | -0.000 | 0.165 |
| 27.882 | 57.843 | 57.843 | -0.000 | -0.000 | -0.000 |
| 57.843 | 27.882 | 57.843 | -0.000 | 0.000 | 0.000 |
| 57.843 | 57.843 | 27.882 | 0.000 | 0.000 | 0.000 |
| 0.005 | -0.003 | -0.003 | 0.165 | 0.000 | -0.000 |
| -0.003 | 0.005 | -0.003 | -0.000 | 0.165 | -0.000 |
| -0.003 | -0.003 | 0.005 | -0.000 | 0.000 | 0.165 |
| 27.812 | 57.818 | 57.818 | -0.000 | -0.000 | 0.000 |
| 57.818 | 27.812 | 57.818 | 0.000 | -0.000 | -0.000 |
| 57.818 | 57.818 | 27.812 | -0.000 | -0.000 | -0.000 |
| -0.005 | 0.003 | 0.003 | 0.165 | -0.000 | 0.000 |
| 0.003 | -0.005 | 0.003 | 0.000 | 0.165 | 0.000 |
| 0.003 | 0.003 | -0.005 | 0.000 | -0.000 | 0.165 |
| -0.216 | -0.000 | -0.000 | 0.000 | 0.000 | 0.000 |
| -0.000 | -0.216 | -0.000 | -0.000 | 0.000 | -0.000 |
| -0.000 | -0.000 | -0.216 | -0.000 | 0.000 | 0.000 |
| 0.000 | -0.000 | 0.000 | 0.000 | 0.000 | -0.000 |
| 0.000 | 0.000 | 0.000 | -0.000 | 0.000 | 0.000 |
| -0.000 | 0.000 | 0.000 | 0.000 | 0.000 | 0.000 |
| -0.216 | -0.000 | -0.000 | -0.000 | -0.000 | 0.000 |
| -0.000 | -0.216 | -0.000 | 0.000 | -0.000 | 0.000 |
| -0.000 | -0.000 | -0.216 | -0.000 | 0.000 | -0.000 |
| -0.000 | -0.000 | -0.000 | 0.000 | -0.000 | -0.000 |
| -0.000 | -0.000 | -0.000 | 0.000 | 0.000 | -0.000 |
| -0.000 | -0.000 | -0.000 | -0.000 | -0.000 | 0.000 |
| -0.216 | -0.000 | -0.000 | 0.000 | 0.000 | 0.000 |
| -0.000 | -0.216 | -0.000 | 0.000 | 0.000 | -0.000 |
| -0.000 | -0.000 | -0.216 | 0.000 | -0.000 | 0.000 |
| 0.000 | -0.000 | 0.000 | 0.000 | 0.000 | 0.000 |
| 0.000 | 0.000 | 0.000 | -0.000 | 0.000 | 0.000 |
| -0.000 | 0.000 | 0.000 | 0.000 | 0.000 | 0.000 |
| -0.216 | -0.000 | -0.000 | -0.000 | -0.000 | -0.000 |
| -0.000 | -0.216 | -0.000 | 0.000 | -0.000 | -0.000 |
| -0.000 | -0.000 | -0.216 | -0.000 | 0.000 | -0.000 |
| -0.000 | 0.000 | -0.000 | 0.000 | -0.000 | -0.000 |
| -0.000 | -0.000 | -0.000 | 0.000 | 0.000 | -0.000 |
| 0.000 | -0.000 | -0.000 | -0.000 | -0.000 | 0.000 |
| -0.216 | -0.000 | -0.000 | 0.000 | 0.000 | 0.000 |
| -0.000 | -0.216 | -0.000 | -0.000 | 0.000 | -0.000 |
| -0.000 | -0.000 | -0.216 | -0.000 | -0.000 | 0.000 |
| 0.000 | -0.000 | 0.000 | 0.000 | 0.000 | 0.000 |
| -0.000 | 0.000 | 0.000 | -0.000 | 0.000 | 0.000 |
| -0.000 | 0.000 | 0.000 | 0.000 | 0.000 | 0.000 |
| -0.216 | -0.000 | -0.000 | -0.000 | -0.000 | 0.000 |
| -0.000 | -0.216 | -0.000 | 0.000 | -0.000 | -0.000 |
| -0.000 | -0.000 | -0.216 | 0.000 | -0.000 | -0.000 |
| -0.000 | -0.000 | -0.000 | 0.000 | -0.000 | -0.000 |
| -0.000 | -0.000 | -0.000 | 0.000 | 0.000 | -0.000 |
| -0.000 | -0.000 | -0.000 | -0.000 | -0.000 | 0.000 |
| -868700.048 | -1040200.000 | -1040210.026 | 19.513 | 3.277 | -2.956 |
| -1040250.011 | -868700.048 | -1040220.051 | -0.519 | -13.360 | -4.705 |
| -1040260.036 | -1040220.051 | -868690.022 | 10.220 | 15.577 | -5.907 |
| 22979.939 | -22679.995 | -22700.045 | -340827645.642 | -6.697 | -5.351 |
| -22700.045 | 22989.964 | -22710.071 | 17.034 | -340827665.722 | -4.785 |
| -22700.045 | -22700.045 | 22979.939 | 18.165 | -7.337 | -340827675.464 |
| -868469.931 | -1040189.975 | -1040179.950 | -10.109 | -5.350 | 6.298 |
| -1040169.924 | -868489.982 | -1040189.975 | -10.738 | -8.778 | 4.868 |
| -1040169.924 | -1040179.950 | -868489.982 | -35.516 | -9.539 | 5.924 |
| -22989.964 | 22690.020 | 22710.071 | -340827671.975 | 5.431 | 5.385 |
| 22700.045 | -22999.990 | 22710.071 | -19.059 | -340827655.475 | 6.454 |
| 22690.020 | 22700.045 | -22979.939 | -22.472 | 6.364 | -340827661.019 |
| -869682.006 | -1040533.005 | -1040533.005 | 1.181 | -0.496 | -0.767 |
| -1040535.010 | -869681.004 | -1040533.005 | 1.163 | -2.067 | -0.605 |
| -1040536.001 | -1040531.000 | -869683.009 | 0.989 | 1.346 | -0.500 |
| 78490.991 | -90209.002 | -90252.006 | -211706696.149 | -1.632 | -0.532 |
| -90210.004 | 78491.002 | -90252.006 | 1.374 | -211706698.911 | -0.506 |
| -90210.004 | -90251.003 | 78490.000 | 1.488 | -0.694 | -211706697.721 |
| -867506.998 | -1039866.996 | -1039868.989 | -0.583 | 1.213 | 0.512 |
| -1039865.994 | -867508.991 | -1039868.989 | -2.064 | 0.626 | 0.218 |
| -1039865.994 | -1039870.995 | -867505.995 | -1.320 | 2.214 | 0.205 |
| -78490.000 | 90207.999 | 90252.006 | -211706698.741 | 0.841 | 0.496 |
| 90207.999 | -78491.993 | 90252.006 | -0.824 | -211706696.350 | 0.398 |
| 90209.002 | 90251.003 | -78490.000 | -1.055 | -0.278 | -211706696.530 |
| -879469.601 | -1043541.801 | -1043542.101 | 0.223 | -0.275 | -0.045 |
| -1043541.901 | -879469.399 | -1043542.101 | 0.140 | 0.043 | -0.055 |
| -1043542.101 | -1043541.900 | -879469.401 | -0.053 | -0.461 | -0.065 |
| -1621.800 | -46592.600 | -46679.801 | -43372883.727 | 0.306 | -0.047 |
| -46592.801 | -1621.500 | -46679.801 | 0.195 | -43372884.003 | -0.055 |
| -46592.801 | -46679.600 | -1621.601 | 0.177 | -0.041 | -43372883.935 |
| -857721.699 | -1036858.500 | -1036858.399 | -0.208 | -0.158 | 0.061 |
| -1036858.600 | -857721.799 | -1036858.500 | -0.140 | -0.109 | 0.055 |
| -1036858.500 | -1036858.500 | -857721.599 | -0.243 | -0.017 | 0.040 |
| 1621.800 | 46592.800 | 46679.701 | -43372884.071 | -0.079 | 0.054 |
| 46593.000 | 1621.400 | 46679.701 | -0.113 | -43372883.891 | 0.042 |
| 46592.900 | 46679.600 | 1621.601 | -0.222 | 0.049 | -43372883.852 |
| -2286280.042 | 4870230.018 | 4870239.985 | 10.843 | -1.033 | -2.465 |
| 4870219.992 | -2286269.958 | 4870239.985 | -5.502 | -6.096 | -0.701 |
| 4870210.025 | 4870239.985 | -2286259.991 | 11.368 | -10.107 | -0.698 |
| -39040050.016 | -9924959.995 | -9924959.995 | -391898579.076 | -1.489 | -2.515 |
| -9924940.003 | -39039989.981 | -9924940.003 | 8.228 | -391898258.457 | -9.963 |
| -9924940.003 | -9924949.970 | -39040000.006 | 6.470 | -3.891 | -391898328.464 |
| -2286080.002 | 4870260.036 | 4870260.036 | -23.733 | 18.319 | 1.197 |
| 4870270.003 | -2286110.019 | 4870270.003 | 0.773 | -7.747 | 2.040 |
| 4870270.003 | 4870270.003 | -2286090.027 | -18.421 | -4.248 | -1.441 |
| 39039989.981 | 9924940.003 | 9924949.970 | -391898270.658 | 3.232 | 8.591 |
| 9924959.995 | 39040059.983 | 9924959.995 | -5.587 | -391898605.862 | -6.037 |
| 9924959.995 | 9924959.995 | 39040070.008 | -10.206 | 1.955 | -391898666.826 |
| -2287053.998 | 4870097.998 | 4870097.001 | 1.157 | -1.895 | 0.046 |
| 4870097.998 | -2287053.001 | 4870097.998 | 0.561 | -0.944 | -0.039 |
| 4870099.001 | 4870099.001 | -2287053.998 | 0.485 | 0.366 | -0.299 |
| -40.999 | -161.000 | -161.000 | -934638.757 | 0.872 | 0.069 |
| -161.000 | -40.999 | -161.997 | 0.943 | -934640.278 | -0.071 |
| -159.997 | -159.997 | -42.998 | 0.330 | -0.570 | -934640.375 |
| -2285304.000 | 4870393.000 | 4870394.002 | -0.986 | -1.521 | -0.058 |
| 4870394.002 | -2285303.003 | 4870394.002 | -1.867 | 1.329 | -0.029 |
| 4870394.002 | 4870394.002 | -2285302.000 | 0.225 | -0.138 | 0.363 |
| 42.002 | 161.000 | 161.000 | -934641.455 | 0.289 | 0.134 |
| 159.997 | 40.999 | 161.000 | -1.378 | -934640.738 | 0.050 |
| 159.997 | 159.997 | 42.998 | -0.595 | 0.808 | -934640.245 |
| -2294931.800 | 4868756.600 | 4868756.600 | 0.185 | -0.056 | -0.023 |
| 4868756.500 | -2294931.800 | 4868756.600 | -0.019 | -0.077 | -0.018 |
| 4868756.600 | 4868756.500 | -2294931.800 | -0.055 | -0.145 | -0.004 |
| -263.000 | -1496.600 | -1494.800 | -884090.190 | -0.002 | -0.009 |
| -1496.600 | -263.100 | -1494.700 | 0.065 | -884090.343 | -0.006 |
| -1496.600 | -1494.600 | -263.200 | 0.086 | -0.003 | -884090.336 |
| -2277423.900 | 4871735.300 | 4871735.100 | 0.001 | 0.083 | 0.016 |
| 4871735.000 | -2277423.700 | 4871735.100 | 0.063 | 0.167 | 0.010 |
| 4871735.000 | 4871735.200 | -2277423.800 | 0.031 | 0.200 | -0.017 |
| 263.000 | 1496.600 | 1494.800 | -884090.388 | 0.023 | 0.001 |
| 1496.600 | 263.200 | 1494.700 | -0.014 | -884090.216 | 0.008 |
| 1496.600 | 1494.600 | 263.200 | -0.070 | 0.059 | -884090.298 |
| 542.809 | 548.840 | 548.840 | -0.000 | -0.000 | -0.000 |
| 548.840 | 542.809 | 548.840 | -0.000 | -0.000 | 0.000 |
| 548.840 | 548.840 | 542.809 | 0.000 | -0.000 | -0.000 |
| -0.000 | -0.000 | -0.000 | 80.058 | -0.000 | 0.000 |
| -0.000 | -0.000 | -0.000 | -0.000 | 80.058 | -0.000 |
| -0.000 | -0.000 | 0.000 | -0.000 | -0.000 | 80.058 |
| 542.802 | 548.833 | 548.833 | 0.000 | 0.000 | 0.000 |
| 548.833 | 542.802 | 548.833 | 0.000 | 0.000 | -0.000 |
| 548.833 | 548.833 | 542.802 | 0.000 | 0.000 | 0.000 |
| 0.000 | 0.000 | 0.000 | 80.058 | 0.000 | 0.000 |
| 0.000 | 0.000 | 0.000 | 0.000 | 80.058 | 0.000 |
| 0.000 | 0.000 | 0.000 | 0.000 | 0.000 | 80.058 |
| 542.838 | 548.870 | 548.870 | -0.000 | -0.000 | -0.000 |
| 548.870 | 542.838 | 548.870 | -0.000 | -0.000 | 0.000 |
| 548.870 | 548.870 | 542.838 | -0.000 | -0.000 | 0.000 |
| -0.003 | 0.001 | 0.001 | -407.520 | -0.000 | -0.000 |
| 0.001 | -0.003 | 0.001 | -0.000 | -407.520 | -0.000 |
| 0.001 | 0.001 | -0.003 | -0.000 | -0.000 | -407.520 |
| 542.773 | 548.802 | 548.802 | 0.000 | 0.000 | -0.000 |
| 548.802 | 542.773 | 548.802 | 0.000 | 0.000 | 0.000 |
| 548.802 | 548.802 | 542.773 | 0.000 | 0.000 | 0.000 |
| 0.003 | -0.001 | -0.001 | -407.520 | 0.000 | 0.000 |
| -0.001 | 0.003 | -0.001 | 0.000 | -407.520 | 0.000 |
| -0.001 | -0.001 | 0.003 | 0.000 | 0.000 | -407.520 |
| 543.129 | 549.177 | 549.177 | -0.000 | -0.000 | -0.000 |
| 549.177 | 543.129 | 549.177 | -0.000 | -0.000 | -0.000 |
| 549.177 | 549.177 | 543.129 | -0.000 | -0.000 | -0.000 |
| -0.066 | 0.041 | 0.040 | -590.913 | -0.000 | -0.000 |
| 0.041 | -0.066 | 0.040 | -0.000 | -590.913 | -0.000 |
| 0.041 | 0.040 | -0.066 | -0.000 | -0.000 | -590.913 |
| 542.482 | 548.496 | 548.496 | 0.000 | 0.000 | 0.000 |
| 548.496 | 542.482 | 548.496 | 0.000 | 0.000 | 0.000 |
| 548.496 | 548.496 | 542.482 | 0.000 | 0.000 | -0.000 |
| 0.066 | -0.041 | -0.040 | -590.913 | 0.000 | 0.000 |
| -0.041 | 0.066 | -0.040 | 0.000 | -590.913 | 0.000 |
| -0.041 | -0.040 | 0.066 | 0.000 | 0.000 | -590.913 |
| 117.590 | 19.859 | 19.859 | -0.000 | 0.000 | 0.000 |
| 19.859 | 117.590 | 19.859 | 0.000 | 0.000 | 0.000 |
| 19.859 | 19.859 | 117.590 | 0.000 | 0.000 | -0.000 |
| -0.000 | -0.000 | -0.000 | 18.838 | 0.000 | -0.000 |
| -0.000 | -0.000 | -0.000 | 0.000 | 18.838 | -0.000 |
| -0.000 | 0.000 | -0.000 | 0.000 | 0.000 | 18.838 |
| 117.592 | 19.859 | 19.859 | -0.000 | -0.000 | -0.000 |
| 19.859 | 117.592 | 19.859 | 0.000 | -0.000 | -0.000 |
| 19.859 | 19.859 | 117.592 | -0.000 | -0.000 | -0.000 |
| 0.000 | 0.000 | 0.000 | 18.838 | -0.000 | -0.000 |
| 0.000 | 0.000 | 0.000 | -0.000 | 18.838 | -0.000 |
| 0.000 | 0.000 | 0.000 | -0.000 | -0.000 | 18.838 |
| 117.582 | 19.859 | 19.859 | 0.000 | 0.000 | 0.000 |
| 19.859 | 117.582 | 19.859 | 0.000 | 0.000 | -0.000 |
| 19.859 | 19.859 | 117.582 | 0.000 | 0.000 | 0.000 |
| -0.000 | 0.000 | 0.000 | 16.426 | 0.000 | -0.000 |
| 0.000 | -0.000 | 0.000 | 0.000 | 16.426 | -0.000 |
| 0.000 | 0.000 | -0.000 | 0.000 | 0.000 | 16.426 |
| 117.599 | 19.859 | 19.859 | -0.000 | -0.000 | -0.000 |
| 19.859 | 117.599 | 19.859 | -0.000 | -0.000 | 0.000 |
| 19.859 | 19.859 | 117.599 | -0.000 | -0.000 | -0.000 |
| 0.000 | -0.000 | -0.000 | 16.426 | -0.000 | -0.000 |
| -0.000 | 0.000 | -0.000 | -0.000 | 16.426 | 0.000 |
| -0.000 | -0.000 | 0.000 | -0.000 | -0.000 | 16.426 |
| 117.506 | 19.859 | 19.859 | 0.000 | 0.000 | 0.000 |
| 19.859 | 117.506 | 19.859 | 0.000 | 0.000 | -0.000 |
| 19.859 | 19.859 | 117.506 | 0.000 | 0.000 | 0.000 |
| -0.001 | 0.000 | 0.000 | 16.426 | 0.000 | -0.000 |
| 0.000 | -0.001 | 0.000 | 0.000 | 16.426 | -0.000 |
| 0.000 | 0.000 | -0.001 | 0.000 | 0.000 | 16.426 |
| 117.676 | 19.859 | 19.859 | 0.000 | 0.000 | -0.000 |
| 19.859 | 117.676 | 19.859 | -0.000 | -0.000 | 0.000 |
| 19.859 | 19.859 | 117.676 | -0.000 | -0.000 | -0.000 |
| 0.001 | -0.000 | -0.000 | 16.426 | -0.000 | -0.000 |
| -0.000 | 0.001 | -0.000 | -0.000 | 16.426 | 0.000 |
| -0.000 | -0.000 | 0.001 | -0.000 | -0.000 | 16.426 |
| 19.073 | 23.495 | 23.495 | -0.000 | -0.000 | 0.000 |
| 23.495 | 19.073 | 23.495 | -0.000 | -0.000 | 0.000 |
| 23.495 | 23.495 | 19.073 | 0.000 | 0.000 | -0.000 |
| 0.000 | 0.000 | 0.000 | 25.307 | 0.000 | 0.000 |
| 0.000 | 0.000 | 0.000 | 0.000 | 25.307 | 0.000 |
| 0.000 | 0.000 | 0.000 | -0.000 | 0.000 | 25.307 |
| 19.073 | 23.495 | 23.495 | 0.000 | 0.000 | -0.000 |
| 23.495 | 19.073 | 23.495 | 0.000 | 0.000 | -0.000 |
| 23.495 | 23.495 | 19.073 | -0.000 | -0.000 | -0.000 |
| -0.000 | -0.000 | -0.000 | 25.307 | -0.000 | -0.000 |
| -0.000 | -0.000 | -0.000 | -0.000 | 25.307 | -0.000 |
| -0.000 | -0.000 | -0.000 | 0.000 | 0.000 | 25.307 |
| 19.073 | 23.495 | 23.495 | -0.000 | -0.000 | 0.000 |
| 23.495 | 19.073 | 23.495 | -0.000 | -0.000 | 0.000 |
| 23.495 | 23.495 | 19.073 | 0.000 | 0.000 | 0.000 |
| 0.000 | 0.000 | 0.000 | 23.512 | 0.000 | 0.000 |
| 0.000 | 0.000 | 0.000 | 0.000 | 23.512 | 0.000 |
| 0.000 | 0.000 | 0.000 | 0.000 | 0.000 | 23.512 |
| 19.073 | 23.495 | 23.495 | 0.000 | 0.000 | -0.000 |
| 23.495 | 19.073 | 23.495 | 0.000 | 0.000 | -0.000 |
| 23.495 | 23.495 | 19.073 | -0.000 | -0.000 | -0.000 |
| -0.000 | -0.000 | -0.000 | 23.512 | -0.000 | -0.000 |
| -0.000 | -0.000 | -0.000 | -0.000 | 23.512 | -0.000 |
| -0.000 | -0.000 | -0.000 | -0.000 | -0.000 | 23.512 |
| 19.073 | 23.497 | 23.497 | -0.000 | -0.000 | 0.000 |
| 23.497 | 19.073 | 23.497 | -0.000 | -0.000 | -0.000 |
| 23.497 | 23.497 | 19.073 | 0.000 | -0.000 | 0.000 |
| 0.002 | 0.002 | 0.002 | 23.512 | 0.000 | 0.000 |
| 0.002 | 0.002 | 0.002 | 0.000 | 23.512 | 0.000 |
| 0.002 | 0.002 | 0.002 | 0.000 | 0.000 | 23.512 |
| 19.073 | 23.493 | 23.493 | 0.000 | -0.000 | -0.000 |
| 23.493 | 19.073 | 23.493 | -0.000 | 0.000 | -0.000 |
| 23.493 | 23.493 | 19.073 | -0.000 | 0.000 | -0.000 |
| -0.002 | -0.002 | -0.002 | 23.512 | -0.000 | -0.000 |
| -0.002 | -0.002 | -0.002 | -0.000 | 23.512 | -0.000 |
| -0.002 | -0.002 | -0.002 | -0.000 | -0.000 | 23.512 |
| 55756699.727 | 50598000.004 | 50598000.004 | 50.975 | 75.482 | 1.711 |
| 50598000.004 | 55756699.727 | 50598000.004 | 44.916 | 49.794 | -1.668 |
| 50598000.004 | 50598000.004 | 55756699.727 | 25.327 | 35.714 | 4.325 |
| 0.000 | 0.000 | 0.000 | 8252297.722 | 46.261 | 1.874 |
| 0.000 | 0.000 | 0.000 | 14.663 | 8252316.385 | 0.841 |
| 0.000 | 0.000 | 0.000 | 33.139 | 51.315 | 8252268.459 |
| 55756599.940 | 50598000.004 | 50598099.791 | -15.679 | -28.854 | -1.513 |
| 50598099.791 | 55756599.940 | 50598000.004 | -29.488 | -32.757 | -2.074 |
| 50598000.004 | 50598000.004 | 55756700.193 | -34.454 | -73.506 | -1.584 |
| -0.000 | -0.000 | -0.000 | 8252243.750 | -39.569 | -0.322 |
| -0.000 | -0.000 | -0.000 | 2.801 | 8252220.720 | -2.138 |
| -0.000 | -0.000 | -0.000 | -19.885 | -46.394 | 8252265.887 |
| 55756960.013 | 50597750.024 | 50597750.024 | 1.596 | 6.665 | 0.309 |
| 50597750.024 | 55756960.013 | 50597750.024 | 3.643 | 4.399 | 0.056 |
| 50597750.024 | 50597750.024 | 55756969.991 | 0.852 | 4.518 | 0.259 |
| -249.981 | -289.989 | -289.989 | 8252268.386 | 3.186 | 0.059 |
| -289.989 | -249.981 | -289.989 | 2.043 | 8252270.288 | 0.114 |
| -289.989 | -289.989 | -249.981 | 2.142 | 4.190 | 8252265.050 |
| 55756429.975 | 50598320.023 | 50598320.023 | -4.418 | -4.951 | -0.202 |
| 50598320.023 | 55756429.975 | 50598320.023 | -3.114 | -5.054 | -0.219 |
| 50598320.023 | 50598320.023 | 55756440.001 | -3.595 | -3.231 | -0.301 |
| 249.981 | 289.989 | 289.989 | 8252262.223 | -3.050 | -0.209 |
| 289.989 | 249.981 | 289.989 | -0.845 | 8252260.939 | -0.130 |
| 289.989 | 289.989 | 249.981 | -1.740 | -3.942 | 8252264.849 |
| 55759326.002 | 50595185.999 | 50595185.999 | 0.418 | 0.836 | 0.022 |
| 50595185.999 | 55759326.002 | 50595185.999 | 0.308 | 0.596 | 0.009 |
| 50595185.002 | 50595185.999 | 55759326.002 | 0.140 | 0.353 | 0.011 |
| -2501.998 | -2939.000 | -2924.997 | 8252265.293 | 0.623 | -0.000 |
| -2939.000 | -2501.998 | -2924.997 | 0.301 | 8252265.495 | 0.018 |
| -2939.000 | -2924.997 | -2501.998 | 0.308 | 0.659 | 8252265.021 |
| 55754073.998 | 50600886.001 | 50600886.999 | -0.306 | -0.452 | -0.016 |
| 50600886.999 | 55754073.998 | 50600886.999 | -0.333 | -0.398 | -0.021 |
| 50600886.999 | 50600886.999 | 55754073.998 | -0.218 | -0.571 | -0.021 |
| 2501.998 | 2939.000 | 2924.997 | 8252264.720 | -0.530 | 0.003 |
| 2939.000 | 2501.998 | 2924.997 | -0.271 | 8252264.554 | -0.014 |
| 2939.000 | 2924.997 | 2501.998 | -0.444 | -0.253 | 8252264.986 |
| 35958300.063 | 22986599.934 | 22986500.030 | 6.992 | 13.384 | 0.152 |
| 22986500.030 | 35958399.967 | 22986500.030 | 18.554 | 3.483 | -2.211 |
| 22986500.030 | 22986599.934 | 35958200.043 | 9.444 | 1.321 | -1.227 |
| 0.000 | 99.904 | 0.000 | 2140768.716 | 5.165 | -0.026 |
| 0.000 | 99.904 | 0.000 | 0.141 | 2140767.104 | -1.825 |
| 0.000 | 99.904 | 0.000 | 2.974 | 17.662 | 2140754.183 |
| 35957999.886 | 22986400.010 | 22986499.914 | -29.161 | -21.726 | 1.441 |
| 22986499.914 | 35957899.982 | 22986499.914 | -8.587 | -28.274 | 0.109 |
| 22986499.914 | 22986400.010 | 35957999.886 | -14.617 | -4.731 | 1.157 |
| -0.000 | -99.904 | -0.000 | 2140757.145 | -11.513 | 3.667 |
| -0.000 | -99.904 | -0.000 | 4.745 | 2140741.061 | 0.457 |
| -0.000 | -99.904 | -0.000 | -12.051 | -1.748 | 2140755.417 |
| 35959740.004 | 22986990.001 | 22986980.011 | 0.400 | -0.236 | -0.148 |
| 22986980.011 | 35959749.995 | 22986980.011 | 1.622 | 1.047 | -0.297 |
| 22986980.011 | 22986990.001 | 35959740.004 | 1.023 | 1.301 | -0.150 |
| 310.016 | 479.992 | 470.002 | 2140754.719 | 1.021 | 0.017 |
| 470.002 | 320.006 | 470.002 | 1.481 | 2140754.709 | -0.134 |
| 470.002 | 479.992 | 320.006 | -0.562 | -0.115 | 2140753.765 |
| 35956489.988 | 22986030.005 | 22986039.996 | 0.396 | -0.565 | 0.133 |
| 22986039.996 | 35956490.011 | 22986039.996 | 0.253 | -0.088 | 0.276 |
| 22986039.996 | 22986030.005 | 35956489.988 | 0.449 | -1.675 | 0.050 |
| -310.016 | -479.992 | -470.002 | 2140752.863 | -0.446 | -0.024 |
| -470.002 | -320.006 | -470.002 | -1.680 | 2140752.627 | 0.187 |
| -470.002 | -479.992 | -320.006 | 0.277 | -0.466 | 2140753.945 |
| 35974367.001 | 22991260.000 | 22991260.000 | 0.112 | 0.138 | 0.001 |
| 22991260.000 | 35974368.000 | 22991260.000 | -0.052 | -0.023 | 0.005 |
| 22991260.000 | 22991260.999 | 35974368.000 | 0.119 | 0.043 | 0.028 |
| 3171.000 | 4714.999 | 4712.001 | 2140754.129 | 0.131 | -0.032 |
| 4714.000 | 3171.999 | 4712.001 | 0.021 | 2140754.053 | -0.013 |
| 4714.000 | 4713.000 | 3171.000 | 0.062 | 0.067 | 2140753.987 |
| 35941865.000 | 22981756.000 | 22981756.000 | -0.219 | -0.098 | 0.037 |
| 22981756.999 | 35941864.001 | 22981756.000 | -0.117 | -0.226 | 0.010 |
| 22981756.000 | 22981755.001 | 35941865.000 | -0.116 | -0.120 | 0.023 |
| -3171.000 | -4714.999 | -4712.001 | 2140753.836 | -0.238 | 0.003 |
| -4714.000 | -3171.999 | -4712.001 | -0.018 | 2140753.889 | 0.012 |
| -4714.000 | -4713.000 | -3171.000 | -0.038 | -0.108 | 2140753.997 |
| 34.167 | 34.759 | 34.759 | 0.000 | -0.000 | 0.000 |
| 34.759 | 34.167 | 34.759 | -0.000 | 0.000 | 0.000 |
| 34.759 | 34.759 | 34.167 | -0.000 | -0.000 | 0.000 |
| -0.000 | -0.000 | -0.000 | 13.190 | -0.000 | 0.000 |
| -0.000 | -0.000 | -0.000 | -0.000 | 13.190 | 0.000 |
| -0.000 | -0.000 | -0.000 | -0.000 | 0.000 | 13.190 |
| 34.176 | 34.761 | 34.761 | 0.000 | 0.000 | -0.000 |
| 34.761 | 34.176 | 34.761 | 0.000 | 0.000 | -0.000 |
| 34.761 | 34.761 | 34.176 | 0.000 | -0.000 | -0.000 |
| 0.000 | 0.000 | 0.000 | 13.190 | 0.000 | -0.000 |
| 0.000 | 0.000 | 0.000 | 0.000 | 13.190 | -0.000 |
| 0.000 | 0.000 | 0.000 | 0.000 | 0.000 | 13.190 |
| 34.128 | 34.751 | 34.751 | 0.000 | -0.000 | 0.000 |
| 34.751 | 34.128 | 34.751 | 0.000 | -0.000 | 0.000 |
| 34.751 | 34.751 | 34.128 | 0.000 | 0.000 | 0.000 |
| -0.003 | -0.005 | -0.005 | 13.190 | -0.000 | 0.000 |
| -0.005 | -0.003 | -0.005 | -0.000 | 13.190 | 0.000 |
| -0.005 | -0.005 | -0.003 | -0.000 | -0.000 | 13.190 |
| 34.214 | 34.770 | 34.770 | 0.000 | 0.000 | -0.000 |
| 34.770 | 34.214 | 34.770 | 0.000 | 0.000 | -0.000 |
| 34.770 | 34.770 | 34.214 | 0.000 | 0.000 | -0.000 |
| 0.003 | 0.005 | 0.005 | 13.190 | 0.000 | -0.000 |
| 0.005 | 0.003 | 0.005 | 0.000 | 13.190 | -0.000 |
| 0.005 | 0.005 | 0.003 | 0.000 | 0.000 | 13.190 |
| 33.742 | 34.664 | 34.664 | -0.000 | -0.000 | 0.000 |
| 34.664 | 33.742 | 34.664 | -0.000 | -0.000 | 0.000 |
| 34.664 | 34.664 | 33.742 | 0.000 | -0.000 | 0.000 |
| -0.027 | -0.047 | -0.047 | 13.190 | 0.000 | 0.000 |
| -0.047 | -0.027 | -0.047 | -0.000 | 13.190 | 0.000 |
| -0.047 | -0.047 | -0.027 | -0.000 | -0.000 | 13.190 |
| 34.601 | 34.857 | 34.857 | -0.000 | 0.000 | -0.000 |
| 34.857 | 34.601 | 34.857 | 0.000 | 0.000 | -0.000 |
| 34.857 | 34.857 | 34.601 | 0.000 | 0.000 | -0.000 |
| 0.027 | 0.047 | 0.047 | 13.190 | 0.000 | -0.000 |
| 0.047 | 0.027 | 0.047 | 0.000 | 13.190 | -0.000 |
| 0.047 | 0.047 | 0.027 | 0.000 | -0.000 | 13.190 |
| 0.711 | 29.165 | 29.165 | 0.000 | 0.000 | 0.000 |
| 29.165 | 0.711 | 29.165 | 0.000 | 0.000 | -0.000 |
| 29.165 | 29.165 | 0.711 | 0.000 | -0.000 | -0.000 |
| -0.000 | 0.000 | 0.000 | 27.845 | 0.000 | 0.000 |
| 0.000 | -0.000 | 0.000 | 0.000 | 27.845 | 0.000 |
| 0.000 | 0.000 | -0.000 | 0.000 | -0.000 | 27.845 |
| 0.711 | 29.165 | 29.165 | -0.000 | 0.000 | 0.000 |
| 29.165 | 0.711 | 29.165 | -0.000 | 0.000 | 0.000 |
| 29.165 | 29.165 | 0.711 | -0.000 | 0.000 | 0.000 |
| 0.000 | -0.000 | -0.000 | 27.845 | -0.000 | -0.000 |
| -0.000 | 0.000 | -0.000 | -0.000 | 27.845 | -0.000 |
| -0.000 | -0.000 | 0.000 | -0.000 | -0.000 | 27.845 |
| 0.710 | 29.165 | 29.165 | 0.000 | 0.000 | 0.000 |
| 29.165 | 0.710 | 29.165 | 0.000 | 0.000 | 0.000 |
| 29.165 | 29.165 | 0.710 | 0.000 | 0.000 | 0.000 |
| -0.000 | 0.000 | 0.000 | 27.845 | -0.000 | -0.000 |
| 0.000 | -0.000 | 0.000 | 0.000 | 27.845 | 0.000 |
| 0.000 | 0.000 | -0.000 | 0.000 | -0.000 | 27.845 |
| 0.712 | 29.165 | 29.165 | -0.000 | -0.000 | -0.000 |
| 29.165 | 0.712 | 29.165 | -0.000 | -0.000 | 0.000 |
| 29.165 | 29.165 | 0.712 | -0.000 | 0.000 | -0.000 |
| 0.000 | -0.000 | -0.000 | 27.845 | 0.000 | -0.000 |
| -0.000 | 0.000 | -0.000 | 0.000 | 27.845 | -0.000 |
| -0.000 | -0.000 | 0.000 | -0.000 | -0.000 | 27.845 |
| 0.703 | 29.166 | 29.166 | 0.000 | 0.000 | 0.000 |
| 29.166 | 0.703 | 29.166 | 0.000 | 0.000 | 0.000 |
| 29.166 | 29.166 | 0.703 | 0.000 | 0.000 | 0.000 |
| -0.000 | 0.000 | 0.000 | 27.845 | 0.000 | 0.000 |
| 0.000 | -0.000 | 0.000 | -0.000 | 27.845 | -0.000 |
| 0.000 | 0.000 | -0.000 | 0.000 | 0.000 | 27.845 |
| 0.718 | 29.165 | 29.165 | -0.000 | -0.000 | -0.000 |
| 29.165 | 0.718 | 29.165 | -0.000 | -0.000 | -0.000 |
| 29.165 | 29.165 | 0.718 | -0.000 | -0.000 | 0.000 |
| 0.000 | -0.000 | -0.000 | 27.845 | 0.000 | -0.000 |
| -0.000 | 0.000 | -0.000 | -0.000 | 27.845 | -0.000 |
| -0.000 | -0.000 | 0.000 | 0.000 | -0.000 | 27.845 |
| 41.145 | 27.040 | 27.040 | 0.000 | 0.000 | 0.000 |
| 27.040 | 41.145 | 27.040 | 0.000 | -0.000 | 0.000 |
| 27.040 | 27.040 | 41.145 | 0.000 | 0.000 | 0.000 |
| 0.000 | -0.000 | 0.000 | 30.434 | -0.000 | 0.000 |
| -0.000 | -0.000 | 0.000 | -0.000 | 30.434 | 0.000 |
| -0.000 | 0.000 | 0.000 | 0.000 | 0.000 | 30.434 |
| 41.146 | 27.040 | 27.040 | -0.000 | -0.000 | -0.000 |
| 27.040 | 41.146 | 27.040 | -0.000 | -0.000 | -0.000 |
| 27.040 | 27.040 | 41.146 | -0.000 | -0.000 | -0.000 |
| -0.000 | 0.000 | -0.000 | 30.434 | 0.000 | 0.000 |
| 0.000 | -0.000 | -0.000 | -0.000 | 30.434 | -0.000 |
| 0.000 | -0.000 | -0.000 | 0.000 | -0.000 | 30.434 |
| 41.145 | 27.040 | 27.040 | -0.000 | -0.000 | 0.000 |
| 27.040 | 41.145 | 27.040 | -0.000 | -0.000 | 0.000 |
| 27.040 | 27.040 | 41.145 | 0.000 | -0.000 | -0.000 |
| -0.000 | -0.000 | 0.000 | 30.434 | -0.000 | -0.000 |
| -0.000 | -0.000 | 0.000 | 0.000 | 30.434 | 0.000 |
| -0.000 | 0.000 | -0.000 | -0.000 | 0.000 | 30.434 |
| 41.146 | 27.040 | 27.040 | -0.000 | -0.000 | -0.000 |
| 27.040 | 41.146 | 27.040 | -0.000 | 0.000 | -0.000 |
| 27.040 | 27.040 | 41.146 | -0.000 | -0.000 | 0.000 |
| 0.000 | 0.000 | -0.000 | 30.434 | -0.000 | -0.000 |
| 0.000 | 0.000 | -0.000 | 0.000 | 30.434 | -0.000 |
| 0.000 | -0.000 | 0.000 | -0.000 | -0.000 | 30.434 |
| 41.141 | 27.040 | 27.040 | 0.000 | 0.000 | 0.000 |
| 27.040 | 41.141 | 27.040 | 0.000 | 0.000 | 0.000 |
| 27.040 | 27.040 | 41.141 | 0.000 | 0.000 | 0.000 |
| -0.000 | -0.000 | 0.000 | 30.434 | 0.000 | 0.000 |
| -0.000 | -0.000 | 0.000 | -0.000 | 30.434 | 0.000 |
| -0.000 | 0.000 | -0.000 | 0.000 | 0.000 | 30.434 |
| 41.150 | 27.040 | 27.040 | -0.000 | -0.000 | -0.000 |
| 27.040 | 41.150 | 27.040 | -0.000 | 0.000 | 0.000 |
| 27.040 | 27.040 | 41.150 | -0.000 | -0.000 | 0.000 |
| 0.000 | 0.000 | -0.000 | 30.434 | -0.000 | -0.000 |
| 0.000 | 0.000 | -0.000 | -0.000 | 30.434 | -0.000 |
| 0.000 | -0.000 | 0.000 | -0.000 | -0.000 | 30.434 |
| 57497200.216 | 32315699.968 | 32315699.968 | -1.594 | -70.928 | -3.672 |
| 32315800.222 | 57497099.963 | 32315699.968 | 1.539 | 13.945 | -1.191 |
| 32315800.222 | 32315699.968 | 57497099.963 | 3.523 | -15.683 | -6.300 |
| 100.253 | 0.000 | 0.000 | 5304923.713 | 3.719 | -8.770 |
| 100.253 | 0.000 | 0.000 | 2.942 | 5304893.891 | -5.758 |
| 100.253 | 0.000 | 0.000 | -8.564 | -51.514 | 5304927.595 |
| 57496699.882 | 32315700.201 | 32315700.201 | 8.148 | 16.203 | 3.473 |
| 32315599.948 | 57496700.115 | 32315700.201 | 4.332 | 27.423 | 3.493 |
| 32315499.695 | 32315599.948 | 57496700.115 | 9.895 | 38.554 | 9.163 |
| -100.253 | -0.000 | -0.000 | 5304940.146 | -15.527 | 6.765 |
| -100.253 | -0.000 | -0.000 | -3.563 | 5304963.609 | 4.678 |
| -100.253 | -0.000 | -0.000 | 8.384 | 41.610 | 5304939.945 |
| 57499380.004 | 32316440.001 | 32316440.001 | -0.181 | -3.423 | -0.090 |
| 32316450.027 | 57499369.979 | 32316440.001 | -0.907 | -2.400 | -0.247 |
| 32316450.027 | 32316440.001 | 57499369.979 | -0.070 | -8.627 | -0.265 |
| 530.014 | 749.989 | 749.989 | 5304935.240 | -1.994 | -0.630 |
| 760.014 | 519.989 | 749.989 | -0.244 | 5304930.868 | -0.471 |
| 760.014 | 739.986 | 519.989 | -0.784 | -4.960 | 5304933.918 |
| 57494479.992 | 32314940.001 | 32314940.001 | -1.375 | 2.682 | 0.711 |
| 32314929.976 | 57494490.018 | 32314940.001 | 0.018 | 1.206 | 0.602 |
| 32314929.976 | 32314940.001 | 57494490.018 | -0.406 | 5.903 | 0.764 |
| -530.014 | -739.986 | -749.989 | 5304935.316 | 1.759 | 0.077 |
| -750.012 | -519.989 | -749.989 | 0.031 | 5304939.134 | 0.757 |
| -760.014 | -749.989 | -519.989 | 0.413 | 3.092 | 5304935.104 |
| 57521414.001 | 32323256.998 | 32323256.000 | 0.086 | -0.691 | -0.014 |
| 32323258.000 | 57521412.999 | 32323256.000 | -0.131 | -0.003 | -0.033 |
| 32323258.000 | 32323256.998 | 57521412.999 | -0.059 | -0.271 | -0.067 |
| 5285.001 | 7510.999 | 7508.999 | 5304934.566 | -0.150 | -0.089 |
| 7512.002 | 5283.999 | 7508.999 | 0.000 | 5304934.264 | -0.041 |
| 7512.002 | 7508.999 | 5284.999 | -0.097 | -0.461 | 5304934.538 |
| 57472447.998 | 32308121.002 | 32308121.002 | -0.119 | 0.400 | 0.077 |
| 32308119.999 | 57472449.001 | 32308121.002 | -0.038 | 0.003 | 0.080 |
| 32308119.999 | 32308121.002 | 57472449.001 | -0.117 | 0.754 | 0.059 |
| -5285.001 | -7510.999 | -7508.999 | 5304934.606 | 0.172 | 0.076 |
| -7512.002 | -5283.999 | -7508.999 | 0.015 | 5304935.027 | 0.064 |
| -7512.002 | -7508.999 | -5284.999 | 0.111 | 0.528 | 5304934.654 |
| -20911610.118 | -25320.156 | -25299.989 | -8.410 | -14.735 | -4.759 |
| -25310.014 | -20911610.118 | -25299.989 | 0.960 | -4.635 | -0.497 |
| -25310.014 | -25320.156 | -20911610.001 | -3.253 | -4.408 | 1.014 |
| -30.076 | -50.127 | -40.101 | -10547064.465 | -4.073 | -1.602 |
| -50.127 | -20.051 | -40.101 | -0.108 | -10547074.075 | -2.611 |
| -50.127 | -50.127 | -20.051 | -5.372 | -15.818 | -10547066.458 |
| -20910979.921 | -25209.877 | -25229.928 | 4.496 | 15.707 | 4.446 |
| -25219.902 | -20910979.921 | -25229.928 | 5.230 | 6.504 | 0.914 |
| -25219.902 | -25209.877 | -20910989.946 | -1.138 | 10.600 | -0.378 |
| 30.076 | 50.127 | 40.101 | -10547062.394 | 6.186 | 1.392 |
| 50.127 | 20.051 | 40.101 | -4.842 | -10547053.423 | 1.122 |
| 50.127 | 50.127 | 20.051 | 4.750 | 14.128 | -10547063.857 |
| -20914525.008 | -25755.011 | -25753.006 | -0.061 | -1.566 | -0.121 |
| -25754.008 | -20914526.011 | -25753.006 | 0.247 | -0.575 | -0.537 |
| -25754.008 | -25754.008 | -20914525.008 | -0.179 | -1.928 | -0.170 |
| -212.013 | -488.001 | -489.003 | -10547064.126 | -0.782 | -0.206 |
| -488.001 | -210.998 | -489.003 | -1.345 | -10547065.442 | -0.116 |
| -489.003 | -489.003 | -209.996 | -0.484 | -1.658 | -10547064.172 |
| -20908069.996 | -24773.985 | -24774.987 | -0.229 | 1.579 | 0.204 |
| -24773.985 | -20908069.996 | -24774.987 | -0.160 | 1.303 | 0.173 |
| -24773.985 | -24773.985 | -20908070.999 | 0.155 | 0.977 | 0.219 |
| 210.998 | 489.003 | 489.003 | -10547063.897 | 1.421 | 0.268 |
| 489.003 | 210.998 | 489.003 | 1.024 | -10547062.652 | 0.031 |
| 489.003 | 489.003 | 209.996 | 0.488 | 1.357 | -10547063.961 |
| -20943577.800 | -30165.000 | -30164.800 | 0.006 | -0.151 | -0.030 |
| -30164.900 | -20943577.800 | -30164.800 | 0.016 | -0.174 | -0.019 |
| -30165.000 | -30165.000 | -20943577.601 | -0.020 | -0.127 | -0.016 |
| -2114.100 | -4885.302 | -4895.800 | -10547064.143 | -0.123 | -0.017 |
| -4885.201 | -2114.100 | -4895.800 | 0.003 | -10547064.249 | -0.015 |
| -4885.302 | -4895.900 | -2114.000 | 0.020 | -0.116 | -10547064.153 |
| -20879018.799 | -20364.000 | -20364.100 | -0.007 | 0.143 | 0.009 |
| -20364.000 | -20879018.898 | -20364.100 | -0.062 | 0.018 | 0.018 |
| -20364.000 | -20364.000 | -20879018.999 | 0.030 | 0.001 | -0.001 |
| 2114.100 | 4885.302 | 4895.800 | -10547064.122 | 0.117 | 0.017 |
| 4885.201 | 2114.100 | 4895.800 | -0.012 | -10547064.024 | 0.017 |
| 4885.302 | 4895.900 | 2114.000 | -0.013 | 0.133 | -10547064.115 |
| -2084319.995 | 4014319.999 | 4014319.999 | 0.384 | -1.047 | 0.227 |
| 4014329.995 | -2084319.995 | 4014319.999 | 1.141 | 1.977 | 0.493 |
| 4014319.999 | 4014319.999 | -2084319.995 | 0.666 | -2.362 | 0.392 |
| -116380.006 | -116039.989 | -116529.978 | -1199584.369 | -14.856 | -122.338 |
| -116560.025 | -117099.994 | -117150.004 | -72.078 | -1199537.192 | -103.760 |
| -117130.012 | -117569.990 | -117620.000 | -69.527 | -91.232 | -1199561.024 |
| -2084269.985 | 4014360.012 | 4014370.009 | -3.258 | -0.719 | -0.351 |
| 4014360.012 | -2084269.985 | 4014360.012 | -2.965 | -0.513 | -0.328 |
| 4014370.009 | 4014370.009 | -2084269.985 | -3.216 | -2.065 | -0.764 |
| 115320.001 | 114930.004 | 115470.002 | -1199730.071 | 22.278 | -89.832 |
| 117009.999 | 117509.984 | 117579.986 | 48.359 | -1199792.934 | -70.881 |
| 117170.026 | 117690.002 | 117760.005 | 64.426 | -67.117 | -1199787.153 |
| -2096253.000 | 4002356.999 | 4002349.999 | -4.201 | 2.876 | -1.528 |
| 4002460.001 | -2096160.997 | 4002445.001 | -4.949 | -2.508 | -4.983 |
| 4002341.000 | 4002330.998 | -2096285.999 | -5.482 | -2.422 | -4.534 |
| -11879.002 | -11926.002 | -11951.998 | -1199817.029 | -5.541 | -3.507 |
| -11891.003 | -11858.001 | -11931.000 | -6.816 | -1199813.663 | -4.530 |
| -11930.000 | -11964.999 | -11901.999 | -5.824 | -4.944 | -1199810.312 |
| -2083936.002 | 4014674.998 | 4014674.998 | -0.284 | 0.057 | -0.014 |
| 4014674.998 | -2083936.002 | 4014676.003 | -0.125 | 0.028 | 0.022 |
| 4014674.998 | 4014676.003 | -2083936.002 | -0.033 | 0.054 | -0.003 |
| 11902.999 | 11935.001 | 11992.000 | -1199778.539 | 0.369 | 5.692 |
| 11862.000 | 11842.002 | 11915.000 | 5.749 | -1199785.205 | 3.973 |
| 11608.000 | 11646.000 | 11584.997 | 9.193 | 4.713 | -1199781.787 |
| -2086263.500 | 4012633.600 | 4012633.600 | 0.004 | -0.013 | 0.005 |
| 4012633.600 | -2086263.500 | 4012633.600 | 0.041 | 0.007 | 0.010 |
| 4012633.600 | 4012633.600 | -2086263.500 | -0.007 | -0.015 | 0.003 |
| -2206.500 | -2880.600 | -2884.900 | -1199779.446 | -0.145 | -0.669 |
| -2882.400 | -2210.100 | -2887.900 | -0.618 | -1199779.246 | -0.923 |
| -2866.600 | -2871.200 | -2194.800 | -0.740 | -1.020 | -1199779.215 |
| -2082324.500 | 4016053.700 | 4016053.700 | -0.022 | -0.002 | -0.000 |
| 4016053.700 | -2082324.500 | 4016053.700 | -0.008 | -0.009 | -0.005 |
| 4016053.700 | 4016053.600 | -2082324.500 | -0.034 | 0.001 | -0.000 |
| 2208.900 | 2882.400 | 2887.300 | -1199777.107 | 0.177 | -0.219 |
| 6072.100 | 5415.900 | 6093.300 | 1.826 | -1199775.852 | -0.278 |
| 2870.500 | 2874.800 | 2198.400 | 0.706 | 0.025 | -1199777.600 |
| 43357.997 | 44388.077 | 44388.077 | 0.000 | 0.000 | -0.000 |
| 44388.077 | 43357.997 | 44388.077 | -0.000 | 0.000 | -0.000 |
| 44388.078 | 44388.078 | 43357.997 | 0.000 | 0.000 | -0.000 |
| -0.000 | -0.000 | -0.000 | 359.710 | 0.000 | -0.000 |
| -0.000 | -0.000 | -0.000 | -0.000 | 359.710 | -0.000 |
| -0.000 | -0.000 | -0.001 | 0.000 | 0.000 | 359.710 |
| 43358.082 | 44388.169 | 44388.169 | -0.000 | 0.000 | 0.000 |
| 44388.169 | 43358.082 | 44388.169 | 0.000 | -0.000 | 0.000 |
| 44388.168 | 44388.168 | 43358.082 | -0.000 | -0.000 | 0.000 |
| 0.000 | 0.000 | 0.000 | 359.710 | -0.000 | 0.000 |
| 0.000 | 0.000 | 0.000 | -0.000 | 359.710 | 0.000 |
| 0.001 | 0.000 | 0.001 | 0.000 | -0.000 | 359.710 |
| 43357.611 | 44387.665 | 44387.665 | 0.000 | 0.000 | -0.000 |
| 44387.665 | 43357.611 | 44387.665 | -0.000 | 0.000 | -0.000 |
| 44387.665 | 44387.665 | 43357.611 | -0.000 | 0.000 | -0.000 |
| -0.001 | -0.001 | -0.001 | 359.710 | -0.000 | -0.000 |
| -0.001 | -0.001 | -0.001 | -0.000 | 359.710 | -0.000 |
| -0.001 | -0.001 | -0.001 | -0.000 | 0.000 | 359.710 |
| 43358.467 | 44388.580 | 44388.580 | 0.000 | -0.000 | 0.000 |
| 44388.580 | 43358.467 | 44388.580 | -0.000 | -0.000 | 0.000 |
| 44388.580 | 44388.580 | 43358.467 | 0.000 | -0.000 | 0.000 |
| 0.001 | 0.001 | 0.001 | 359.710 | -0.000 | 0.000 |
| 0.001 | 0.001 | 0.001 | -0.000 | 359.710 | 0.000 |
| 0.001 | 0.001 | 0.001 | 0.000 | -0.000 | 359.710 |
| 43353.761 | 44383.544 | 44383.544 | -0.000 | 0.000 | -0.000 |
| 44383.544 | 43353.761 | 44383.544 | 0.000 | 0.000 | -0.000 |
| 44383.544 | 44383.544 | 43353.761 | -0.000 | -0.000 | -0.000 |
| -0.015 | -0.013 | -0.012 | 359.710 | 0.000 | -0.000 |
| -0.013 | -0.015 | -0.012 | 0.000 | 359.710 | -0.000 |
| -0.013 | -0.012 | -0.015 | 0.000 | 0.000 | 359.710 |
| 43362.317 | 44392.701 | 44392.701 | -0.000 | -0.000 | -0.000 |
| 44392.701 | 43362.317 | 44392.701 | -0.000 | -0.000 | 0.000 |
| 44392.701 | 44392.701 | 43362.317 | 0.000 | -0.000 | 0.000 |
| 0.015 | 0.013 | 0.012 | 359.710 | -0.000 | 0.000 |
| 0.013 | 0.015 | 0.012 | 0.000 | 359.710 | 0.000 |
| 0.013 | 0.012 | 0.015 | 0.000 | -0.000 | 359.710 |
| -7058.418 | -7455.024 | -7455.024 | -0.000 | -0.000 | -0.000 |
| -7455.024 | -7058.418 | -7455.024 | 0.000 | -0.000 | -0.000 |
| -7455.024 | -7455.024 | -7058.418 | -0.000 | -0.000 | -0.000 |
| 0.001 | 0.002 | 0.002 | 699.830 | 0.000 | -0.000 |
| 0.002 | 0.001 | 0.002 | 0.000 | 699.830 | -0.000 |
| 0.002 | 0.002 | 0.001 | 0.000 | -0.000 | 699.830 |
| -7058.434 | -7455.034 | -7455.034 | -0.000 | 0.000 | 0.000 |
| -7455.034 | -7058.434 | -7455.034 | 0.000 | 0.000 | 0.000 |
| -7455.034 | -7455.034 | -7058.434 | 0.000 | -0.000 | 0.000 |
| -0.001 | -0.002 | -0.002 | 699.830 | -0.000 | 0.000 |
| -0.002 | -0.001 | -0.002 | 0.000 | 699.830 | 0.000 |
| -0.002 | -0.002 | -0.001 | 0.000 | -0.000 | 699.830 |
| -7058.349 | -7454.979 | -7454.979 | -0.000 | -0.000 | -0.000 |
| -7454.979 | -7058.349 | -7454.979 | -0.000 | -0.000 | -0.000 |
| -7454.979 | -7454.979 | -7058.349 | -0.000 | 0.000 | -0.000 |
| 0.007 | 0.019 | 0.019 | 699.830 | -0.000 | -0.000 |
| 0.019 | 0.007 | 0.019 | 0.000 | 699.830 | -0.000 |
| 0.019 | 0.019 | 0.007 | 0.000 | -0.000 | 699.830 |
| -7058.502 | -7455.080 | -7455.080 | 0.000 | -0.000 | 0.000 |
| -7455.080 | -7058.502 | -7455.080 | 0.000 | 0.000 | 0.000 |
| -7455.080 | -7455.080 | -7058.502 | 0.000 | -0.000 | 0.000 |
| -0.007 | -0.019 | -0.019 | 699.830 | 0.000 | 0.000 |
| -0.019 | -0.007 | -0.019 | -0.000 | 699.830 | 0.000 |
| -0.019 | -0.019 | -0.007 | 0.000 | -0.000 | 699.830 |
| -7057.661 | -7454.528 | -7454.528 | -0.000 | -0.000 | 0.000 |
| -7454.528 | -7057.661 | -7454.528 | 0.000 | -0.000 | -0.000 |
| -7454.528 | -7454.528 | -7057.661 | -0.000 | -0.000 | -0.000 |
| 0.068 | 0.190 | 0.192 | 699.830 | 0.000 | -0.000 |
| 0.190 | 0.068 | 0.192 | -0.000 | 699.830 | -0.000 |
| 0.190 | 0.192 | 0.068 | -0.000 | -0.000 | 699.830 |
| -7059.191 | -7455.531 | -7455.531 | 0.000 | -0.000 | 0.000 |
| -7455.531 | -7059.191 | -7455.531 | 0.000 | -0.000 | 0.000 |
| -7455.531 | -7455.531 | -7059.191 | 0.000 | -0.000 | 0.000 |
| -0.068 | -0.190 | -0.192 | 699.830 | -0.000 | 0.000 |
| -0.190 | -0.068 | -0.192 | 0.000 | 699.830 | 0.000 |
| -0.190 | -0.192 | -0.068 | -0.000 | 0.000 | 699.830 |
| 946.300 | 235.521 | 235.521 | 0.000 | -0.000 | -0.000 |
| 235.521 | 946.300 | 235.521 | -0.000 | -0.000 | 0.000 |
| 235.521 | 235.521 | 946.300 | 0.000 | 0.000 | 0.000 |
| -0.000 | -0.000 | -0.000 | 234.055 | -0.000 | 0.000 |
| -0.000 | -0.000 | -0.000 | -0.000 | 234.055 | 0.000 |
| -0.000 | -0.000 | -0.000 | -0.000 | -0.000 | 234.055 |
| 946.304 | 235.521 | 235.521 | 0.000 | 0.000 | 0.000 |
| 235.521 | 946.304 | 235.521 | 0.000 | 0.000 | -0.000 |
| 235.521 | 235.521 | 946.304 | 0.000 | 0.000 | -0.000 |
| 0.000 | 0.000 | 0.000 | 234.055 | 0.000 | 0.000 |
| 0.000 | 0.000 | 0.000 | 0.000 | 234.055 | -0.000 |
| 0.000 | 0.000 | 0.000 | 0.000 | 0.000 | 234.055 |
| 946.283 | 235.519 | 235.519 | -0.000 | -0.000 | 0.000 |
| 235.519 | 946.283 | 235.519 | 0.000 | -0.000 | 0.000 |
| 235.519 | 235.519 | 946.283 | -0.000 | -0.000 | -0.000 |
| -0.000 | -0.002 | -0.002 | 234.055 | -0.000 | 0.000 |
| -0.002 | -0.000 | -0.002 | -0.000 | 234.055 | 0.000 |
| -0.002 | -0.002 | -0.000 | -0.000 | -0.000 | 234.055 |
| 946.320 | 235.523 | 235.523 | 0.000 | 0.000 | -0.000 |
| 235.523 | 946.320 | 235.523 | 0.000 | 0.000 | 0.000 |
| 235.523 | 235.523 | 946.320 | 0.000 | -0.000 | 0.000 |
| 0.000 | 0.002 | 0.002 | 234.055 | 0.000 | 0.000 |
| 0.002 | 0.000 | 0.002 | 0.000 | 234.055 | -0.000 |
| 0.002 | 0.002 | 0.000 | 0.000 | 0.000 | 234.055 |
| 946.117 | 235.498 | 235.498 | -0.000 | -0.000 | 0.000 |
| 235.498 | 946.117 | 235.498 | 0.000 | -0.000 | 0.000 |
| 235.498 | 235.498 | 946.117 | -0.000 | -0.000 | -0.000 |
| -0.001 | -0.024 | -0.024 | 234.055 | -0.000 | -0.000 |
| -0.024 | -0.001 | -0.024 | -0.000 | 234.055 | 0.000 |
| -0.024 | -0.024 | -0.001 | -0.000 | -0.000 | 234.055 |
| 946.487 | 235.544 | 235.544 | 0.000 | -0.000 | -0.000 |
| 235.544 | 946.487 | 235.544 | 0.000 | -0.000 | -0.000 |
| 235.544 | 235.544 | 946.487 | 0.000 | 0.000 | 0.000 |
| 0.001 | 0.024 | 0.024 | 234.055 | 0.000 | -0.000 |
| 0.024 | 0.001 | 0.024 | 0.000 | 234.055 | -0.000 |
| 0.024 | 0.024 | 0.001 | 0.000 | 0.000 | 234.055 |
| 91.183 | 45.627 | 45.627 | -0.000 | 0.000 | -0.000 |
| 45.627 | 91.183 | 45.627 | 0.000 | -0.000 | -0.000 |
| 45.627 | 45.627 | 91.183 | 0.000 | -0.000 | -0.000 |
| -0.000 | 0.000 | 0.000 | 49.391 | -0.000 | -0.000 |
| -0.000 | -0.000 | 0.000 | -0.000 | 49.391 | -0.000 |
| -0.000 | 0.000 | -0.000 | -0.000 | -0.000 | 49.391 |
| 91.183 | 45.627 | 45.627 | 0.000 | -0.000 | -0.000 |
| 45.627 | 91.183 | 45.627 | 0.000 | 0.000 | -0.000 |
| 45.627 | 45.627 | 91.183 | -0.000 | 0.000 | 0.000 |
| 0.000 | -0.000 | -0.000 | 49.391 | 0.000 | 0.000 |
| 0.000 | 0.000 | -0.000 | 0.000 | 49.391 | 0.000 |
| 0.000 | -0.000 | 0.000 | -0.000 | 0.000 | 49.391 |
| 91.182 | 45.627 | 45.627 | -0.000 | -0.000 | -0.000 |
| 45.627 | 91.182 | 45.627 | -0.000 | -0.000 | -0.000 |
| 45.627 | 45.627 | 91.182 | -0.000 | -0.000 | 0.000 |
| -0.000 | 0.000 | 0.000 | 49.391 | -0.000 | -0.000 |
| 0.000 | -0.000 | 0.000 | -0.000 | 49.391 | -0.000 |
| 0.000 | 0.000 | -0.000 | -0.000 | -0.000 | 49.391 |
| 91.183 | 45.627 | 45.627 | 0.000 | -0.000 | -0.000 |
| 45.627 | 91.183 | 45.627 | -0.000 | 0.000 | 0.000 |
| 45.627 | 45.627 | 91.183 | 0.000 | 0.000 | 0.000 |
| 0.000 | -0.000 | -0.000 | 49.391 | 0.000 | 0.000 |
| -0.000 | 0.000 | -0.000 | 0.000 | 49.391 | 0.000 |
| -0.000 | -0.000 | 0.000 | 0.000 | 0.000 | 49.391 |
| 91.179 | 45.627 | 45.627 | -0.000 | -0.000 | -0.000 |
| 45.627 | 91.179 | 45.627 | -0.000 | -0.000 | -0.000 |
| 45.627 | 45.627 | 91.179 | -0.000 | -0.000 | -0.000 |
| -0.000 | 0.000 | 0.000 | 49.391 | -0.000 | -0.000 |
| 0.000 | -0.000 | 0.000 | -0.000 | 49.391 | -0.000 |
| 0.000 | 0.000 | -0.000 | -0.000 | -0.000 | 49.391 |
| 91.186 | 45.627 | 45.627 | 0.000 | 0.000 | 0.000 |
| 45.627 | 91.186 | 45.627 | 0.000 | -0.000 | 0.000 |
| 45.627 | 45.627 | 91.186 | 0.000 | 0.000 | -0.000 |
| 0.000 | -0.000 | -0.000 | 49.391 | -0.000 | 0.000 |
| -0.000 | 0.000 | -0.000 | 0.000 | 49.391 | 0.000 |
| -0.000 | -0.000 | 0.000 | 0.000 | 0.000 | 49.391 |
| -15917459.875 | 8761789.845 | 8761799.870 | -1.693 | -7.056 | 2.298 |
| 8761790.078 | -15917480.042 | 8761799.870 | -3.955 | -11.066 | 2.945 |
| 8761810.012 | 8761789.845 | -15917490.068 | -5.427 | -2.671 | 1.135 |
| -85854849.929 | -157015860.062 | -157016040.052 | -1975139119.541 | -68.948 | -27.950 |
| -157015929.890 | -85854690.106 | -157015960.082 | -87.642 | -1975138388.019 | -58.233 |
| -157016120.021 | -157015940.032 | -85854610.137 | 148.393 | 71.373 | -1975139139.886 |
| -42720770.058 | 22072370.165 | 22072370.165 | 2392.677 | -354.990 | 786.411 |
| 22063639.961 | -42703080.000 | 22063650.103 | -1260.577 | 481.031 | 153.632 |
| -118304540.049 | -118304539.933 | 223529360.104 | -333.924 | -158.052 | 96.185 |
| 85854769.959 | 157015950.057 | 157016030.143 | -1975139317.956 | -45.955 | 107.007 |
| 157016020.001 | 85854510.116 | 157016000.067 | 27.198 | -1975138404.856 | 83.505 |
| 157016129.930 | 157015960.082 | 85854570.035 | 95.562 | 36.494 | -1975139167.619 |
| -15968837.993 | 8787894.997 | 8787894.997 | -0.873 | 0.233 | -0.695 |
| 8787895.008 | -15968839.007 | 8787894.997 | -1.979 | -0.261 | -0.873 |
| 8773667.002 | 8773666.991 | -15940423.004 | -1370.710 | 442.919 | -652.618 |
| -31992.997 | 175506.987 | 175504.994 | -21658020.715 | -0.976 | 0.012 |
| 175507.010 | -31994.011 | 175504.994 | -0.999 | -21658020.186 | 0.101 |
| 175508.001 | 175505.996 | -31994.011 | -1.322 | -1.240 | -21658019.355 |
| -15817546.008 | 8711407.010 | 8711407.010 | -0.500 | 1.636 | -0.122 |
| 8711405.996 | -15817543.992 | 8711406.007 | 1.591 | 1.810 | -0.037 |
| 8711405.996 | 8711407.010 | -15817543.992 | 1.975 | 0.254 | -0.051 |
| 31992.997 | -175506.987 | -175504.994 | -21658018.431 | 0.381 | -0.064 |
| -175507.010 | 31994.011 | -175504.994 | 0.698 | -21658018.508 | -0.042 |
| -175508.001 | -175505.996 | 31994.011 | 1.419 | 0.525 | -21658019.551 |
| -15916259.700 | 8765435.898 | 8765435.898 | -0.599 | 0.305 | -0.311 |
| 8765435.901 | -15916259.801 | 8765435.799 | 0.440 | 0.393 | -0.156 |
| 8765435.901 | 8765435.799 | -15916259.801 | 0.194 | -0.023 | -0.510 |
| -2991.399 | 13763.799 | 13768.300 | -4380305.422 | -0.059 | 0.017 |
| 13764.000 | -2991.600 | 13768.199 | -0.056 | -4380305.453 | 0.013 |
| 13763.900 | 13768.099 | -2991.401 | 0.006 | 0.036 | -4380305.333 |
| -15438406.100 | 8518070.700 | 8518070.801 | 0.209 | 0.077 | -0.014 |
| 8518070.699 | -15438405.900 | 8518070.801 | 0.022 | 0.037 | -0.006 |
| 8518070.699 | 8518070.901 | -15438405.999 | 0.098 | 0.076 | -0.007 |
| 2991.399 | -13763.799 | -13768.300 | -4380305.247 | 0.164 | -0.002 |
| -13763.900 | 2991.701 | -13768.199 | 0.072 | -4380305.235 | -0.010 |
| -13764.000 | -13768.099 | 2991.401 | -0.012 | 0.116 | -4380305.352 |
| 9634.724 | 8602.179 | 8602.179 | -0.000 | -0.000 | -0.000 |
| 8602.179 | 9634.724 | 8602.179 | 0.000 | -0.000 | -0.000 |
| 8602.179 | 8602.179 | 9634.724 | -0.000 | -0.000 | -0.000 |
| 0.000 | -0.001 | -0.001 | 180.462 | 0.000 | -0.000 |
| -0.001 | -0.000 | -0.001 | -0.000 | 180.462 | -0.000 |
| -0.001 | -0.001 | 0.000 | -0.000 | -0.000 | 180.462 |
| 9634.719 | 8602.169 | 8602.169 | 0.000 | 0.000 | 0.000 |
| 8602.169 | 9634.720 | 8602.169 | 0.000 | 0.000 | 0.000 |
| 8602.169 | 8602.169 | 9634.720 | 0.000 | 0.000 | 0.000 |
| -0.000 | 0.001 | 0.001 | 180.462 | -0.000 | 0.000 |
| 0.001 | -0.000 | 0.001 | -0.000 | 180.462 | 0.000 |
| 0.001 | 0.001 | -0.000 | 0.000 | 0.000 | 180.462 |
| 9634.741 | 8602.221 | 8602.221 | 0.000 | 0.000 | -0.000 |
| 8602.221 | 9634.741 | 8602.221 | -0.000 | 0.000 | -0.000 |
| 8602.221 | 8602.221 | 9634.741 | 0.000 | 0.000 | -0.000 |
| -0.003 | -0.007 | -0.007 | 117.305 | -0.000 | -0.000 |
| -0.007 | -0.003 | -0.007 | -0.000 | 117.305 | -0.000 |
| -0.007 | -0.007 | -0.003 | 0.000 | -0.000 | 117.305 |
| 9634.703 | 8602.127 | 8602.127 | -0.000 | -0.000 | 0.000 |
| 8602.127 | 9634.703 | 8602.127 | -0.000 | 0.000 | 0.000 |
| 8602.127 | 8602.127 | 9634.703 | 0.000 | -0.000 | 0.000 |
| 0.003 | 0.007 | 0.007 | 117.305 | -0.000 | 0.000 |
| 0.007 | 0.003 | 0.007 | 0.000 | 117.305 | 0.000 |
| 0.007 | 0.007 | 0.003 | 0.000 | 0.000 | 117.305 |
| 9620.696 | 8609.747 | 8609.747 | -0.000 | 0.000 | -0.000 |
| 8609.747 | 9620.696 | 8609.747 | 0.000 | 0.000 | -0.000 |
| 8609.747 | 8609.747 | 9620.696 | 0.000 | 0.000 | -0.000 |
| -0.020 | -0.075 | -0.076 | 180.462 | 0.000 | -0.000 |
| -0.075 | -0.020 | -0.076 | -0.000 | 180.462 | -0.000 |
| -0.075 | -0.076 | -0.020 | 0.000 | -0.000 | 180.462 |
| 9620.343 | 8608.804 | 8608.804 | 0.000 | 0.000 | 0.000 |
| 8608.804 | 9620.343 | 8608.804 | 0.000 | 0.000 | 0.000 |
| 8608.804 | 8608.804 | 9620.343 | 0.000 | -0.000 | 0.000 |
| 0.020 | 0.075 | 0.076 | 180.462 | -0.000 | 0.000 |
| 0.075 | 0.020 | 0.076 | 0.000 | 180.462 | 0.000 |
| 0.075 | 0.076 | 0.020 | 0.000 | -0.000 | 180.462 |
| 622.141 | 273.906 | 273.906 | -0.000 | 0.000 | -0.000 |
| 273.906 | 622.141 | 273.906 | 0.000 | 0.000 | -0.000 |
| 273.906 | 273.906 | 622.141 | -0.000 | 0.000 | -0.000 |
| -0.000 | -0.001 | -0.001 | 164.451 | 0.000 | -0.000 |
| -0.001 | -0.000 | -0.001 | 0.000 | 164.451 | -0.000 |
| -0.001 | -0.001 | -0.000 | -0.000 | 0.000 | 164.451 |
| 622.146 | 273.907 | 273.907 | 0.000 | -0.000 | 0.000 |
| 273.907 | 622.146 | 273.907 | 0.000 | -0.000 | 0.000 |
| 273.907 | 273.907 | 622.146 | 0.000 | 0.000 | 0.000 |
| 0.000 | 0.001 | 0.001 | 164.451 | -0.000 | 0.000 |
| 0.001 | 0.000 | 0.001 | 0.000 | 164.451 | 0.000 |
| 0.001 | 0.001 | 0.000 | -0.000 | -0.000 | 164.451 |
| 622.119 | 273.899 | 273.899 | 0.000 | 0.000 | -0.000 |
| 273.899 | 622.119 | 273.899 | -0.000 | 0.000 | -0.000 |
| 273.899 | 273.899 | 622.119 | -0.000 | 0.000 | -0.000 |
| -0.004 | -0.007 | -0.007 | 164.979 | 0.000 | -0.000 |
| -0.007 | -0.004 | -0.007 | -0.000 | 164.979 | -0.000 |
| -0.007 | -0.007 | -0.004 | -0.000 | 0.000 | 164.979 |
| 622.167 | 273.914 | 273.914 | 0.000 | -0.000 | 0.000 |
| 273.914 | 622.167 | 273.914 | 0.000 | -0.000 | 0.000 |
| 273.914 | 273.914 | 622.167 | -0.000 | -0.000 | 0.000 |
| 0.004 | 0.007 | 0.007 | 164.979 | 0.000 | 0.000 |
| 0.007 | 0.004 | 0.007 | 0.000 | 164.979 | 0.000 |
| 0.007 | 0.007 | 0.004 | 0.000 | -0.000 | 164.979 |
| 626.240 | 271.664 | 271.664 | -0.000 | 0.000 | -0.000 |
| 271.664 | 626.240 | 271.664 | 0.000 | 0.000 | -0.000 |
| 271.664 | 271.664 | 626.240 | -0.000 | 0.000 | -0.000 |
| -0.037 | -0.067 | -0.066 | 164.979 | 0.000 | -0.000 |
| -0.067 | -0.037 | -0.066 | -0.000 | 164.979 | -0.000 |
| -0.067 | -0.066 | -0.037 | 0.000 | 0.000 | 164.979 |
| 622.383 | 273.979 | 273.979 | -0.000 | -0.000 | 0.000 |
| 273.979 | 622.383 | 273.979 | -0.000 | -0.000 | 0.000 |
| 273.979 | 273.979 | 622.383 | 0.000 | -0.000 | 0.000 |
| 0.037 | 0.067 | 0.066 | 164.979 | -0.000 | 0.000 |
| 0.067 | 0.037 | 0.066 | -0.000 | 164.979 | 0.000 |
| 0.067 | 0.066 | 0.037 | -0.000 | -0.000 | 164.979 |
| 93.006 | 29.112 | 29.112 | 0.000 | -0.000 | -0.000 |
| 29.112 | 93.006 | 29.112 | 0.000 | -0.000 | -0.000 |
| 29.112 | 29.112 | 93.006 | 0.000 | -0.000 | -0.000 |
| 0.000 | 0.000 | 0.000 | 25.099 | 0.000 | -0.000 |
| 0.000 | 0.000 | 0.000 | 0.000 | 25.099 | -0.000 |
| 0.000 | 0.000 | 0.000 | 0.000 | -0.000 | 25.099 |
| 93.005 | 29.112 | 29.112 | -0.000 | 0.000 | 0.000 |
| 29.112 | 93.005 | 29.112 | -0.000 | -0.000 | 0.000 |
| 29.112 | 29.112 | 93.005 | -0.000 | 0.000 | 0.000 |
| -0.000 | -0.000 | -0.000 | 25.099 | -0.000 | 0.000 |
| -0.000 | -0.000 | -0.000 | -0.000 | 25.099 | 0.000 |
| -0.000 | -0.000 | -0.000 | -0.000 | 0.000 | 25.099 |
| 89.615 | 30.810 | 30.810 | 0.000 | -0.000 | -0.000 |
| 30.810 | 89.615 | 30.810 | 0.000 | -0.000 | -0.000 |
| 30.810 | 30.810 | 89.615 | 0.000 | -0.000 | -0.000 |
| 0.000 | 0.000 | 0.000 | 25.099 | -0.000 | -0.000 |
| 0.000 | 0.000 | 0.000 | 0.000 | 25.099 | -0.000 |
| 0.000 | 0.000 | 0.000 | 0.000 | -0.000 | 25.099 |
| 89.607 | 30.809 | 30.809 | 0.000 | 0.000 | 0.000 |
| 30.809 | 89.607 | 30.809 | -0.000 | 0.000 | 0.000 |
| 30.809 | 30.809 | 89.607 | -0.000 | -0.000 | 0.000 |
| -0.000 | -0.000 | -0.000 | 25.099 | 0.000 | 0.000 |
| -0.000 | -0.000 | -0.000 | -0.000 | 25.099 | 0.000 |
| -0.000 | -0.000 | -0.000 | -0.000 | 0.000 | 25.099 |
| 89.651 | 30.814 | 30.814 | 0.000 | -0.000 | -0.000 |
| 30.814 | 89.651 | 30.814 | 0.000 | -0.000 | -0.000 |
| 30.814 | 30.814 | 89.651 | 0.000 | -0.000 | -0.000 |
| 0.002 | 0.001 | 0.001 | 25.099 | 0.000 | -0.000 |
| 0.001 | 0.002 | 0.001 | 0.000 | 25.099 | -0.000 |
| 0.001 | 0.001 | 0.002 | 0.000 | -0.000 | 25.099 |
| 92.964 | 29.110 | 29.110 | -0.000 | 0.000 | 0.000 |
| 29.110 | 92.964 | 29.110 | -0.000 | 0.000 | 0.000 |
| 29.110 | 29.110 | 92.964 | -0.000 | 0.000 | 0.000 |
| -0.002 | -0.001 | -0.001 | 25.099 | 0.000 | 0.000 |
| -0.001 | -0.002 | -0.001 | -0.000 | 25.099 | 0.000 |
| -0.001 | -0.001 | -0.002 | -0.000 | 0.000 | 25.099 |
| -17578900.995 | -4842864.996 | -4842864.996 | 0.498 | 0.743 | -0.108 |
| -4842914.995 | -17578950.994 | -4842914.995 | 0.304 | 0.223 | -0.076 |
| -4842964.993 | -4842965.005 | -17579000.992 | -0.073 | 0.278 | -0.103 |
| 229.009 | 239.990 | 236.994 | -18875274.439 | 0.441 | -0.097 |
| 109.999 | 99.006 | 107.003 | 0.282 | -18875274.282 | -0.069 |
| 109.999 | 107.003 | 98.004 | -0.220 | -0.020 | -18875274.526 |
| -17578853.002 | -4843297.998 | -4843297.998 | 0.104 | -0.062 | 0.001 |
| -4843298.009 | -17578851.999 | -4843297.998 | -0.005 | -0.335 | 0.056 |
| -4843294.011 | -4843293.008 | -17578846.998 | 0.158 | 0.029 | 0.069 |
| -98.994 | -110.011 | -107.003 | -18875274.246 | -0.020 | 0.067 |
| -173.007 | -161.000 | -168.997 | 0.070 | -18875274.671 | 0.083 |
| -190.003 | -186.996 | -178.999 | 0.051 | -0.223 | -18875274.444 |
| -17580312.700 | -4842110.901 | -4842110.900 | 0.005 | 0.018 | -0.001 |
| -4842098.700 | -17580300.500 | -4842098.700 | 0.031 | 0.056 | -0.007 |
| -4842106.900 | -4842106.900 | -17580308.699 | 0.025 | 0.031 | -0.007 |
| 990.700 | 1103.701 | 1072.301 | -18875274.520 | 0.022 | -0.002 |
| 1110.901 | 997.800 | 1079.499 | 0.013 | -18875274.441 | -0.009 |
| 1122.399 | 1090.999 | 1009.400 | 0.032 | 0.074 | -18875274.485 |
| -17577644.600 | -4844256.500 | -4844256.500 | -0.002 | -0.023 | 0.004 |
| -4844264.501 | -17577652.601 | -4844264.500 | -0.024 | -0.052 | 0.011 |
| -4844248.601 | -4844248.600 | -17577636.501 | 0.012 | 0.018 | 0.010 |
| -1002.600 | -1115.600 | -1084.199 | -18875274.516 | -0.049 | 0.008 |
| -1102.400 | -989.401 | -1071.000 | 0.028 | -18875274.545 | 0.008 |
| -1104.700 | -1073.301 | -991.599 | 0.019 | 0.000 | -18875274.468 |
| -15969080.018 | -2754850.011 | -2754850.011 | 2.025 | 1.773 | 1.863 |
| -2754860.007 | -15969090.014 | -2754860.007 | -0.346 | -0.527 | -0.126 |
| -2754850.011 | -2754840.015 | -15969060.025 | 3.707 | 3.871 | 3.898 |
| 0.000 | 0.000 | 9.996 | -6346350.309 | -0.353 | 0.171 |
| 9.996 | 9.996 | 9.996 | 1.489 | -6346349.540 | 0.838 |
| 19.992 | 19.992 | 29.989 | 3.857 | 3.676 | -6346346.707 |
| -15969059.996 | -2754870.004 | -2754880.000 | -1.883 | -0.230 | -0.417 |
| -2754889.996 | -15969080.018 | -2754889.967 | -3.868 | -3.807 | -3.921 |
| -2754870.004 | -2754870.004 | -15969070.021 | -0.752 | -0.555 | -0.829 |
| -19.992 | -19.992 | -29.989 | -6346356.091 | -3.925 | -4.094 |
| -0.000 | -0.000 | -9.996 | -0.287 | -6346350.603 | -0.057 |
| -0.000 | -9.996 | -9.996 | 0.258 | -0.209 | -6346350.636 |
| -15969192.001 | -2754820.999 | -2754820.999 | -0.026 | -0.038 | 0.000 |
| -2754821.002 | -15969192.001 | -2754820.999 | 0.033 | 0.084 | -0.006 |
| -2754821.002 | -2754820.999 | -15969191.002 | 0.112 | 0.054 | 0.045 |
| 21.001 | 45.997 | 46.000 | -6346350.638 | 0.081 | 0.085 |
| 45.997 | 21.001 | 46.000 | 0.073 | -6346350.632 | 0.093 |
| 45.997 | 44.997 | 21.001 | 0.027 | -0.053 | -6346350.751 |
| -15968957.997 | -2754910.000 | -2754910.000 | -0.100 | 0.000 | 0.008 |
| -2754910.000 | -15968959.000 | -2754911.000 | -0.116 | -0.066 | -0.117 |
| -2754910.000 | -2754911.000 | -15968959.000 | -0.183 | -0.141 | -0.193 |
| -21.001 | -45.997 | -46.000 | -6346350.686 | 0.015 | 0.005 |
| -44.997 | -21.001 | -46.000 | -0.076 | -6346350.683 | 0.015 |
| -44.997 | -44.997 | -22.000 | 0.011 | 0.029 | -6346350.726 |
| -15970244.800 | -2754421.200 | -2754421.200 | 0.002 | -0.010 | -0.004 |
| -2754421.300 | -15970244.800 | -2754421.200 | -0.001 | -0.010 | -0.003 |
| -2754421.200 | -2754421.200 | -15970244.700 | 0.011 | 0.009 | 0.010 |
| 210.900 | 458.100 | 452.000 | -6346350.657 | 0.074 | 0.076 |
| 457.700 | 210.600 | 451.700 | 0.016 | -6346350.735 | 0.007 |
| 457.700 | 451.600 | 210.600 | -0.003 | 0.003 | -6346350.742 |
| -15967905.300 | -2755309.500 | -2755309.500 | -0.036 | -0.033 | -0.031 |
| -2755309.300 | -15967905.200 | -2755309.400 | 0.005 | -0.005 | 0.000 |
| -2755309.700 | -2755309.700 | -15967905.600 | -0.084 | -0.084 | -0.078 |
| -210.900 | -458.100 | -452.100 | -6346350.836 | -0.092 | -0.089 |
| -457.900 | -210.700 | -451.900 | -0.045 | -6346350.779 | -0.040 |
| -457.900 | -451.800 | -210.800 | -0.045 | -0.046 | -6346350.782 |
| 25210.410 | 25400.744 | 25400.744 | 0.000 | -0.000 | 0.000 |
| 25400.744 | 25210.410 | 25400.744 | 0.000 | -0.000 | -0.000 |
| 25400.744 | 25400.744 | 25210.409 | 0.000 | -0.000 | -0.000 |
| 0.001 | -0.000 | -0.000 | 60.790 | -0.000 | 0.000 |
| -0.000 | 0.001 | -0.000 | 0.000 | 60.790 | 0.000 |
| -0.000 | -0.000 | 0.000 | 0.000 | -0.000 | 60.790 |
| 25210.783 | 25401.109 | 25401.109 | -0.000 | 0.000 | 0.000 |
| 25401.109 | 25210.783 | 25401.109 | -0.000 | 0.000 | 0.000 |
| 25401.109 | 25401.109 | 25210.783 | -0.000 | 0.000 | 0.000 |
| -0.001 | 0.000 | 0.000 | 60.790 | 0.000 | 0.000 |
| 0.000 | -0.001 | 0.000 | -0.000 | 60.790 | 0.000 |
| 0.000 | 0.000 | -0.001 | 0.000 | 0.000 | 60.790 |
| 25208.740 | 25399.112 | 25399.112 | 0.000 | -0.000 | -0.000 |
| 25399.112 | 25208.740 | 25399.112 | 0.000 | -0.000 | 0.000 |
| 25399.112 | 25399.112 | 25208.740 | 0.000 | -0.000 | -0.000 |
| 0.011 | 0.004 | 0.004 | 60.790 | -0.000 | -0.000 |
| 0.004 | 0.011 | 0.004 | 0.000 | 60.790 | -0.000 |
| 0.004 | 0.004 | 0.010 | 0.000 | -0.000 | 60.790 |
| 25212.453 | 25402.741 | 25402.741 | -0.000 | 0.000 | 0.000 |
| 25402.741 | 25212.453 | 25402.741 | -0.000 | 0.000 | -0.000 |
| 25402.741 | 25402.741 | 25212.453 | -0.000 | 0.000 | 0.000 |
| -0.011 | -0.004 | -0.004 | 60.790 | 0.000 | 0.000 |
| -0.004 | -0.011 | -0.004 | -0.000 | 60.790 | 0.000 |
| -0.004 | -0.004 | -0.010 | -0.000 | 0.000 | 60.790 |
| 25192.034 | 25382.786 | 25382.786 | 0.000 | -0.000 | 0.000 |
| 25382.786 | 25192.034 | 25382.786 | 0.000 | -0.000 | 0.000 |
| 25382.786 | 25382.786 | 25192.034 | -0.000 | -0.000 | -0.000 |
| 0.106 | 0.041 | 0.041 | 60.790 | -0.000 | 0.000 |
| 0.041 | 0.106 | 0.041 | 0.000 | 60.790 | 0.000 |
| 0.041 | 0.041 | 0.106 | 0.000 | -0.000 | 60.790 |
| 25229.158 | 25419.067 | 25419.067 | -0.000 | 0.000 | 0.000 |
| 25419.067 | 25229.158 | 25419.067 | 0.000 | 0.000 | 0.000 |
| 25419.067 | 25419.067 | 25229.158 | -0.000 | 0.000 | 0.000 |
| -0.106 | -0.041 | -0.041 | 60.790 | 0.000 | 0.000 |
| -0.041 | -0.106 | -0.041 | -0.000 | 60.790 | 0.000 |
| -0.041 | -0.041 | -0.106 | 0.000 | 0.000 | 60.790 |
| -263.086 | 343.716 | 343.716 | -0.000 | 0.000 | -0.000 |
| 343.716 | -263.086 | 343.716 | 0.000 | 0.000 | -0.000 |
| 343.716 | 343.716 | -263.086 | -0.000 | 0.000 | -0.000 |
| 0.000 | 0.000 | 0.000 | 48.892 | 0.000 | -0.000 |
| 0.000 | 0.000 | 0.000 | 0.000 | 48.892 | -0.000 |
| 0.000 | 0.000 | 0.000 | -0.000 | 0.000 | 48.892 |
| -263.089 | 343.717 | 343.717 | 0.000 | -0.000 | 0.000 |
| 343.717 | -263.089 | 343.717 | -0.000 | -0.000 | 0.000 |
| 343.717 | 343.717 | -263.089 | 0.000 | -0.000 | 0.000 |
| -0.000 | -0.000 | -0.000 | 48.892 | -0.000 | 0.000 |
| -0.000 | -0.000 | -0.000 | 0.000 | 48.892 | 0.000 |
| -0.000 | -0.000 | -0.000 | -0.000 | -0.000 | 48.892 |
| -263.075 | 343.711 | 343.711 | -0.000 | -0.000 | 0.000 |
| 343.711 | -263.075 | 343.711 | -0.000 | -0.000 | -0.000 |
| 343.711 | 343.711 | -263.075 | 0.000 | 0.000 | -0.000 |
| 0.002 | 0.002 | 0.002 | 48.892 | 0.000 | -0.000 |
| 0.002 | 0.002 | 0.002 | 0.000 | 48.892 | -0.000 |
| 0.002 | 0.002 | 0.002 | 0.000 | 0.000 | 48.892 |
| -263.101 | 343.722 | 343.722 | 0.000 | -0.000 | 0.000 |
| 343.722 | -263.101 | 343.722 | -0.000 | -0.000 | -0.000 |
| 343.722 | 343.722 | -263.101 | -0.000 | -0.000 | 0.000 |
| -0.002 | -0.002 | -0.002 | 48.892 | 0.000 | 0.000 |
| -0.002 | -0.002 | -0.002 | -0.000 | 48.892 | 0.000 |
| -0.002 | -0.002 | -0.002 | 0.000 | -0.000 | 48.892 |
| -262.957 | 343.663 | 343.663 | 0.000 | 0.000 | -0.000 |
| 343.663 | -262.957 | 343.663 | 0.000 | -0.000 | -0.000 |
| 343.663 | 343.663 | -262.957 | 0.000 | 0.000 | -0.000 |
| 0.020 | 0.023 | 0.023 | 48.892 | -0.000 | -0.000 |
| 0.023 | 0.020 | 0.023 | 0.000 | 48.892 | -0.000 |
| 0.023 | 0.023 | 0.020 | -0.000 | 0.000 | 48.892 |
| -263.218 | 343.771 | 343.771 | 0.000 | -0.000 | -0.000 |
| 343.771 | -263.218 | 343.771 | -0.000 | 0.000 | 0.000 |
| 343.771 | 343.771 | -263.218 | 0.000 | -0.000 | 0.000 |
| -0.020 | -0.023 | -0.023 | 48.892 | 0.000 | 0.000 |
| -0.023 | -0.020 | -0.023 | -0.000 | 48.892 | 0.000 |
| -0.023 | -0.023 | -0.020 | 0.000 | -0.000 | 48.892 |
| -299.639 | 359.925 | 359.925 | -0.000 | -0.000 | -0.000 |
| 359.925 | -299.639 | 359.925 | 0.000 | 0.000 | -0.000 |
| 359.925 | 359.925 | -299.639 | 0.000 | -0.000 | -0.000 |
| 0.000 | 0.000 | 0.000 | 42.351 | 0.000 | 0.000 |
| 0.000 | 0.000 | 0.000 | 0.000 | 42.351 | -0.000 |
| 0.000 | 0.000 | 0.000 | -0.000 | 0.000 | 42.351 |
| -299.632 | 359.926 | 359.926 | 0.000 | -0.000 | 0.000 |
| 359.926 | -299.632 | 359.926 | -0.000 | -0.000 | -0.000 |
| 359.926 | 359.926 | -299.632 | -0.000 | -0.000 | -0.000 |
| -0.000 | -0.000 | -0.000 | 42.351 | -0.000 | -0.000 |
| -0.000 | -0.000 | -0.000 | 0.000 | 42.351 | 0.000 |
| -0.000 | -0.000 | -0.000 | -0.000 | -0.000 | 42.351 |
| -299.671 | 359.920 | 359.920 | -0.000 | 0.000 | 0.000 |
| 359.920 | -299.671 | 359.920 | -0.000 | 0.000 | -0.000 |
| 359.920 | 359.920 | -299.671 | -0.000 | -0.000 | 0.000 |
| 0.002 | 0.002 | 0.002 | 42.351 | 0.000 | 0.000 |
| 0.002 | 0.002 | 0.002 | -0.000 | 42.351 | -0.000 |
| 0.002 | 0.002 | 0.002 | 0.000 | -0.000 | 42.351 |
| -299.601 | 359.931 | 359.931 | 0.000 | -0.000 | 0.000 |
| 359.931 | -299.601 | 359.931 | 0.000 | 0.000 | 0.000 |
| 359.931 | 359.931 | -299.601 | 0.000 | 0.000 | 0.000 |
| -0.002 | -0.002 | -0.002 | 42.351 | 0.000 | -0.000 |
| -0.002 | -0.002 | -0.002 | 0.000 | 42.351 | -0.000 |
| -0.002 | -0.002 | -0.002 | 0.000 | -0.000 | 42.351 |
| -299.988 | 359.871 | 359.871 | -0.000 | 0.000 | -0.000 |
| 359.871 | -299.988 | 359.871 | 0.000 | -0.000 | -0.000 |
| 359.871 | 359.871 | -299.988 | -0.000 | -0.000 | -0.000 |
| 0.020 | 0.023 | 0.023 | 42.351 | 0.000 | -0.000 |
| 0.023 | 0.020 | 0.023 | -0.000 | 42.351 | -0.000 |
| 0.023 | 0.023 | 0.020 | 0.000 | -0.000 | 42.351 |
| -299.284 | 359.979 | 359.979 | 0.000 | 0.000 | 0.000 |
| 359.979 | -299.284 | 359.979 | -0.000 | 0.000 | -0.000 |
| 359.979 | 359.979 | -299.284 | -0.000 | -0.000 | 0.000 |
| -0.020 | -0.023 | -0.023 | 42.351 | -0.000 | 0.000 |
| -0.023 | -0.020 | -0.023 | 0.000 | 42.351 | -0.000 |
| -0.023 | -0.023 | -0.020 | 0.000 | -0.000 | 42.351 |
| 59.823 | -171.995 | -171.995 | 0.000 | -0.000 | -0.000 |
| -171.995 | 59.823 | -171.995 | 0.000 | 0.000 | -0.000 |
| -171.995 | -171.995 | 59.823 | 0.000 | 0.000 | -0.000 |
| -0.000 | -0.000 | -0.000 | -82.505 | 0.000 | 0.000 |
| -0.000 | -0.000 | -0.000 | 0.000 | -82.505 | -0.000 |
| -0.000 | -0.000 | -0.000 | 0.000 | 0.000 | -82.505 |
| 59.824 | -171.995 | -171.995 | -0.000 | -0.000 | 0.000 |
| -171.995 | 59.824 | -171.995 | -0.000 | -0.000 | 0.000 |
| -171.995 | -171.995 | 59.824 | -0.000 | -0.000 | -0.000 |
| 0.000 | 0.000 | 0.000 | -82.505 | -0.000 | 0.000 |
| 0.000 | 0.000 | 0.000 | -0.000 | -82.505 | 0.000 |
| 0.000 | 0.000 | 0.000 | -0.000 | -0.000 | -82.505 |
| 59.819 | -171.997 | -171.997 | -0.000 | -0.000 | -0.000 |
| -171.997 | 59.819 | -171.997 | 0.000 | 0.000 | -0.000 |
| -171.997 | -171.997 | 59.819 | 0.000 | 0.000 | -0.000 |
| -0.002 | -0.002 | -0.002 | -82.505 | 0.000 | -0.000 |
| -0.002 | -0.002 | -0.002 | 0.000 | -82.505 | -0.000 |
| -0.002 | -0.002 | -0.002 | 0.000 | 0.000 | -82.505 |
| 59.828 | -171.993 | -171.993 | -0.000 | -0.000 | 0.000 |
| -171.993 | 59.828 | -171.993 | -0.000 | -0.000 | 0.000 |
| -171.993 | -171.993 | 59.828 | -0.000 | 0.000 | 0.000 |
| 0.002 | 0.002 | 0.002 | -82.505 | -0.000 | 0.000 |
| 0.002 | 0.002 | 0.002 | -0.000 | -82.505 | 0.000 |
| 0.002 | 0.002 | 0.002 | -0.000 | 0.000 | -82.505 |
| 59.782 | -172.011 | -172.011 | 0.000 | 0.000 | -0.000 |
| -172.011 | 59.782 | -172.011 | 0.000 | 0.000 | -0.000 |
| -172.011 | -172.011 | 59.782 | 0.000 | 0.000 | -0.000 |
| -0.018 | -0.016 | -0.016 | -82.505 | 0.000 | -0.000 |
| -0.016 | -0.018 | -0.016 | 0.000 | -82.505 | -0.000 |
| -0.016 | -0.016 | -0.018 | 0.000 | -0.000 | -82.505 |
| 59.865 | -171.979 | -171.979 | -0.000 | 0.000 | 0.000 |
| -171.979 | 59.865 | -171.979 | -0.000 | -0.000 | 0.000 |
| -171.979 | -171.979 | 59.865 | 0.000 | -0.000 | -0.000 |
| 0.018 | 0.016 | 0.016 | -82.505 | 0.000 | 0.000 |
| 0.016 | 0.018 | 0.016 | -0.000 | -82.505 | 0.000 |
| 0.016 | 0.016 | 0.018 | -0.000 | -0.000 | -82.505 |
| 237.033 | 97.544 | 97.544 | 0.000 | -0.000 | 0.000 |
| 97.544 | 237.033 | 97.544 | 0.000 | -0.000 | 0.000 |
| 97.544 | 97.544 | 237.033 | -0.000 | 0.000 | -0.000 |
| 0.000 | 0.000 | 0.000 | 100.297 | 0.000 | 0.000 |
| 0.000 | 0.000 | 0.000 | 0.000 | 100.297 | 0.000 |
| 0.000 | 0.000 | 0.000 | -0.000 | -0.000 | 100.297 |
| 237.032 | 97.544 | 97.544 | -0.000 | 0.000 | -0.000 |
| 97.544 | 237.032 | 97.544 | -0.000 | 0.000 | 0.000 |
| 97.544 | 97.544 | 237.032 | -0.000 | 0.000 | -0.000 |
| -0.000 | -0.000 | -0.000 | 100.297 | 0.000 | -0.000 |
| -0.000 | -0.000 | -0.000 | -0.000 | 100.297 | -0.000 |
| -0.000 | -0.000 | -0.000 | -0.000 | 0.000 | 100.297 |
| 237.037 | 97.545 | 97.545 | -0.000 | 0.000 | 0.000 |
| 97.545 | 237.037 | 97.545 | 0.000 | -0.000 | 0.000 |
| 97.545 | 97.545 | 237.037 | 0.000 | -0.000 | 0.000 |
| 0.002 | 0.002 | 0.002 | 100.297 | -0.000 | -0.000 |
| 0.002 | 0.002 | 0.002 | 0.000 | 100.297 | 0.000 |
| 0.002 | 0.002 | 0.002 | -0.000 | -0.000 | 100.297 |
| 237.029 | 97.542 | 97.542 | 0.000 | -0.000 | -0.000 |
| 97.542 | 237.029 | 97.542 | -0.000 | 0.000 | -0.000 |
| 97.542 | 97.542 | 237.029 | -0.000 | -0.000 | -0.000 |
| -0.002 | -0.002 | -0.002 | 100.297 | 0.000 | -0.000 |
| -0.002 | -0.002 | -0.002 | -0.000 | 100.297 | 0.000 |
| -0.002 | -0.002 | -0.002 | 0.000 | 0.000 | 100.297 |
| 237.072 | 97.561 | 97.561 | 0.000 | 0.000 | 0.000 |
| 97.561 | 237.072 | 97.561 | 0.000 | 0.000 | -0.000 |
| 97.561 | 97.561 | 237.072 | -0.000 | -0.000 | 0.000 |
| 0.017 | 0.017 | 0.017 | 100.297 | 0.000 | 0.000 |
| 0.017 | 0.017 | 0.017 | 0.000 | 100.297 | 0.000 |
| 0.017 | 0.017 | 0.017 | 0.000 | 0.000 | 100.297 |
| 236.993 | 97.527 | 97.527 | -0.000 | -0.000 | -0.000 |
| 97.527 | 236.993 | 97.527 | -0.000 | -0.000 | 0.000 |
| 97.527 | 97.527 | 236.993 | -0.000 | -0.000 | -0.000 |
| -0.017 | -0.017 | -0.017 | 100.297 | 0.000 | -0.000 |
| -0.017 | -0.017 | -0.017 | -0.000 | 100.297 | -0.000 |
| -0.017 | -0.017 | -0.017 | -0.000 | 0.000 | 100.297 |
| 31774200.011 | 22888200.080 | 19191069.959 | -1.882 | -32.948 | 25.250 |
| 22888260.115 | 31774170.051 | 19191069.959 | -12.517 | -29.423 | 25.599 |
| 18833130.086 | 18833139.995 | -22271900.029 | 7.044 | -14.691 | 23.706 |
| -19.934 | -19.934 | 19.934 | 2654814.057 | -29.713 | 18.262 |
| -30.076 | -30.076 | 0.000 | 2.732 | 2654787.727 | 19.876 |
| -10404496129.929 | -7913218499.913 | -6058444530.060 | 2860040.972 | -18842114.491 | 176686235683.046 |
| 238978729570.004 | -240144317030.072 | 7081004190.059 | 28217.094 | 34.854 | 177.062 |
| 104478510070.068 | -93698450350.085 | 4794936020.083 | -2700.756 | 28.630 | 10.540 |
| 18833159.929 | 18833150.020 | -22271609.877 | -0.828 | 31.520 | -22.516 |
| 9.909 | 30.076 | -0.000 | 2654813.805 | 5.334 | -24.238 |
| 39.985 | 30.076 | -0.000 | -6.096 | 2654858.363 | -27.289 |
| 10405611030.002 | 7914920469.999 | 6061421820.076 | -2765316.389 | -18827305.065 | 176634025554.724 |
| -122994423616.998 | 148039122291.005 | -3287839356.007 | 1093.027 | -4.305 | 1.076 |
| -91938024964.989 | 110770304388.003 | 969096308.981 | -319.134 | -3.820 | 30.279 |
| 18833029.996 | 18833023.001 | -22273279.015 | 2.276 | -2.294 | 2.542 |
| -106.991 | -309.993 | -119.010 | 2654820.554 | -5.511 | 2.256 |
| -307.999 | -109.999 | -118.019 | -1.427 | 2654818.214 | 2.174 |
| 2730563624.999 | 3242308169.006 | 6139380213.990 | 1430.067 | 138.601 | 125808443360.117 |
| -120784456662.992 | 136604516119.997 | -14836908455.988 | -257.810 | 3.318 | 15.336 |
| 123057366695.996 | -148001768707.007 | 3324287462.997 | -1087.096 | 5.638 | -2.170 |
| 18833265.987 | 18833263.994 | -22270234.996 | 0.601 | 3.853 | -2.819 |
| 104.998 | 309.002 | 117.005 | 2654821.206 | 4.190 | -2.533 |
| 309.002 | 109.999 | 119.010 | 3.580 | 2654824.074 | -2.479 |
| -2730563718.992 | -3242308109.997 | -6139380202.997 | -1418.101 | 145.453 | 125808443174.413 |
| 29740315.301 | 24885907.699 | 19187602.200 | -0.141 | -0.464 | 0.171 |
| 24749805.200 | 29876487.900 | 19187642.900 | -0.030 | -0.238 | 0.180 |
| 18831964.600 | 18831964.500 | -22286984.802 | -0.249 | 0.007 | 0.270 |
| -1071.100 | -3089.199 | -1190.101 | 2654821.246 | -0.463 | 0.287 |
| -3089.199 | -1071.600 | -1189.900 | 0.160 | 2654821.028 | 0.269 |
| 45908711.900 | -34262997.599 | 301205578.700 | -89.576 | -62.780 | -7406782946.707 |
| 30293675.501 | 24405384.599 | 19194463.901 | -0.383 | 0.032 | -0.274 |
| 20584704.199 | 34115444.099 | 19194287.201 | 0.010 | 0.668 | -0.199 |
| 18834331.900 | 18834331.100 | -22256530.000 | 0.120 | 0.440 | -0.188 |
| 1070.999 | 3089.199 | 1190.101 | 2654821.220 | 0.090 | -0.255 |
| 3089.199 | 1071.600 | 1189.900 | -0.071 | 2654821.574 | -0.228 |
| -45908624.500 | 34263055.201 | -301205427.299 | 91.430 | -63.435 | -7406781293.691 |
| 628.457 | 213.714 | 194.505 | -0.000 | -0.000 | 0.000 |
| 214.334 | 627.838 | 194.505 | -0.000 | -0.000 | 0.000 |
| 194.506 | 194.506 | 561.374 | -0.000 | -0.000 | 0.000 |
| -0.000 | -0.000 | 0.000 | 161.282 | -0.000 | 0.000 |
| -0.000 | -0.000 | 0.000 | 0.000 | 161.282 | -0.000 |
| -0.000 | -0.000 | -0.000 | -0.000 | -0.000 | 206.753 |
| 628.460 | 213.715 | 194.506 | 0.000 | 0.000 | -0.000 |
| 213.715 | 628.460 | 194.506 | 0.000 | 0.000 | -0.000 |
| 194.505 | 194.505 | 561.368 | -0.000 | 0.000 | -0.000 |
| 0.000 | 0.000 | -0.000 | 161.282 | 0.000 | -0.000 |
| 0.000 | 0.000 | -0.000 | -0.000 | 161.282 | -0.000 |
| 0.000 | 0.000 | 0.000 | 0.000 | 0.000 | 206.753 |
| 628.448 | 213.712 | 194.505 | -0.000 | -0.000 | 0.000 |
| 213.713 | 628.447 | 194.505 | 0.000 | 0.000 | 0.000 |
| 194.509 | 194.509 | 561.402 | -0.000 | -0.000 | 0.000 |
| -0.000 | -0.001 | 0.003 | 161.282 | -0.000 | 0.000 |
| -0.001 | -0.000 | 0.003 | -0.000 | 161.282 | -0.000 |
| -0.003 | -0.002 | -0.000 | 0.000 | -0.000 | 207.372 |
| 628.469 | 213.717 | 194.506 | 0.000 | -0.000 | -0.000 |
| 213.716 | 628.470 | 194.506 | 0.000 | 0.000 | -0.000 |
| 194.502 | 194.502 | 561.339 | -0.000 | 0.000 | 0.000 |
| 0.000 | 0.001 | -0.003 | 161.282 | -0.000 | 0.000 |
| 0.001 | 0.000 | -0.003 | 0.000 | 161.282 | -0.000 |
| 0.003 | 0.002 | 0.000 | -0.000 | 0.000 | 207.372 |
| 627.728 | 214.310 | 194.502 | -0.000 | -0.000 | 0.000 |
| 213.697 | 628.346 | 194.502 | 0.000 | -0.000 | 0.000 |
| 194.541 | 194.541 | 561.686 | -0.000 | -0.000 | -0.000 |
| -0.002 | -0.007 | 0.028 | 161.282 | -0.000 | -0.000 |
| -0.007 | -0.002 | 0.028 | -0.000 | 161.282 | 0.000 |
| -0.029 | -0.019 | -0.002 | -0.000 | -0.000 | 206.753 |
| 628.565 | 213.739 | 194.509 | 0.000 | 0.000 | -0.000 |
| 213.732 | 628.571 | 194.509 | 0.000 | 0.000 | -0.000 |
| 194.470 | 194.470 | 561.056 | -0.000 | 0.000 | -0.000 |
| 0.002 | 0.007 | -0.028 | 161.282 | 0.000 | -0.000 |
| 0.007 | 0.002 | -0.028 | 0.000 | 161.282 | -0.000 |
| 0.029 | 0.019 | 0.002 | 0.000 | 0.000 | 206.753 |
| 783.057 | 277.800 | 255.726 | 0.000 | -0.000 | -0.000 |
| 267.287 | 793.571 | 255.726 | 0.000 | 0.000 | -0.000 |
| 255.726 | 255.726 | 944.593 | -0.000 | 0.000 | -0.000 |
| 0.000 | 0.000 | 0.000 | 235.641 | -0.000 | -0.000 |
| 0.000 | 0.000 | 0.000 | -0.000 | 235.641 | -0.000 |
| 0.000 | 0.000 | 0.000 | -0.000 | -0.000 | 252.628 |
| 793.569 | 267.286 | 255.726 | -0.000 | -0.000 | 0.000 |
| 277.800 | 783.056 | 255.726 | 0.000 | 0.000 | 0.000 |
| 255.726 | 255.726 | 944.580 | -0.000 | 0.000 | 0.000 |
| -0.000 | -0.000 | -0.000 | 235.641 | 0.000 | 0.000 |
| -0.000 | -0.000 | -0.000 | 0.000 | 235.641 | 0.000 |
| -0.000 | -0.000 | -0.000 | 0.000 | 0.000 | 252.628 |
| 783.065 | 277.802 | 255.726 | 0.000 | -0.000 | -0.000 |
| 267.288 | 793.579 | 255.726 | -0.000 | 0.000 | -0.000 |
| 255.727 | 255.727 | 944.649 | -0.000 | -0.000 | -0.000 |
| 0.000 | 0.000 | 0.002 | 235.641 | -0.000 | -0.000 |
| 0.000 | 0.000 | 0.002 | 0.000 | 235.641 | -0.000 |
| 0.001 | 0.002 | 0.000 | 0.000 | -0.000 | 252.628 |
| 793.561 | 267.285 | 255.726 | -0.000 | -0.000 | 0.000 |
| 267.284 | 793.562 | 255.726 | 0.000 | -0.000 | 0.000 |
| 255.724 | 255.724 | 944.523 | -0.000 | 0.000 | 0.000 |
| -0.000 | -0.000 | -0.002 | 235.641 | 0.000 | -0.000 |
| -0.000 | -0.000 | -0.002 | -0.000 | 235.641 | 0.000 |
| -0.001 | -0.002 | -0.000 | -0.000 | 0.000 | 252.628 |
| 793.663 | 267.300 | 255.727 | 0.000 | 0.000 | -0.000 |
| 277.824 | 783.136 | 255.728 | 0.000 | -0.000 | -0.000 |
| 255.740 | 255.740 | 945.219 | -0.000 | -0.000 | -0.000 |
| 0.001 | 0.003 | 0.018 | 235.641 | -0.000 | -0.000 |
| 0.003 | 0.000 | 0.018 | 0.000 | 235.641 | -0.000 |
| 0.012 | 0.021 | 0.002 | 0.000 | -0.000 | 252.628 |
| 793.477 | 267.273 | 255.725 | 0.000 | 0.000 | 0.000 |
| 277.777 | 782.976 | 255.723 | -0.000 | 0.000 | 0.000 |
| 255.712 | 255.712 | 943.954 | 0.000 | 0.000 | 0.000 |
| -0.001 | -0.003 | -0.018 | 235.641 | 0.000 | 0.000 |
| -0.003 | -0.000 | -0.018 | -0.000 | 235.641 | 0.000 |
| -0.012 | -0.021 | -0.002 | 0.000 | 0.000 | 252.628 |
| 117.514 | 37.037 | 27.885 | -0.000 | -0.000 | 0.000 |
| 37.037 | 117.514 | 27.885 | -0.000 | -0.000 | 0.000 |
| 27.885 | 27.885 | 126.666 | -0.000 | -0.000 | 0.000 |
| -0.000 | -0.000 | -0.000 | 31.345 | -0.000 | 0.000 |
| -0.000 | -0.000 | -0.000 | 0.000 | 31.345 | 0.000 |
| -0.000 | 0.000 | -0.000 | 0.000 | -0.000 | 35.283 |
| 112.559 | 41.992 | 27.885 | -0.000 | 0.000 | -0.000 |
| 41.992 | 112.559 | 27.885 | 0.000 | 0.000 | -0.000 |
| 27.885 | 27.885 | 126.666 | -0.000 | 0.000 | -0.000 |
| 0.000 | 0.000 | 0.000 | 31.345 | 0.000 | 0.000 |
| 0.000 | 0.000 | 0.000 | 0.000 | 31.345 | -0.000 |
| 0.000 | -0.000 | 0.000 | 0.000 | 0.000 | 35.283 |
| 112.559 | 41.992 | 27.885 | 0.000 | -0.000 | 0.000 |
| 41.992 | 112.559 | 27.885 | 0.000 | -0.000 | 0.000 |
| 27.885 | 27.885 | 126.666 | 0.000 | 0.000 | 0.000 |
| -0.000 | -0.000 | -0.000 | 31.345 | -0.000 | 0.000 |
| -0.000 | -0.000 | -0.000 | 0.000 | 31.345 | 0.000 |
| -0.000 | -0.000 | -0.000 | -0.000 | -0.000 | 35.283 |
| 112.559 | 41.992 | 27.885 | 0.000 | 0.000 | -0.000 |
| 41.992 | 112.559 | 27.885 | 0.000 | 0.000 | -0.000 |
| 27.885 | 27.885 | 126.666 | 0.000 | 0.000 | -0.000 |
| 0.000 | 0.000 | 0.000 | 31.345 | 0.000 | 0.000 |
| 0.000 | 0.000 | 0.000 | 0.000 | 31.345 | -0.000 |
| 0.000 | 0.000 | 0.000 | 0.000 | 0.000 | 35.283 |
| 112.558 | 41.992 | 27.884 | -0.000 | -0.000 | 0.000 |
| 41.993 | 112.557 | 27.884 | -0.000 | -0.000 | 0.000 |
| 27.885 | 27.885 | 126.666 | -0.000 | -0.000 | 0.000 |
| -0.000 | -0.001 | -0.000 | 31.345 | -0.000 | 0.000 |
| -0.001 | -0.000 | -0.000 | -0.000 | 31.345 | 0.000 |
| -0.001 | -0.000 | -0.001 | -0.000 | -0.000 | 35.283 |
| 112.560 | 41.993 | 27.886 | 0.000 | 0.000 | -0.000 |
| 37.037 | 117.515 | 27.886 | 0.000 | 0.000 | -0.000 |
| 27.885 | 27.885 | 126.666 | 0.000 | 0.000 | -0.000 |
| 0.000 | 0.001 | 0.000 | 31.345 | 0.000 | -0.000 |
| 0.001 | 0.000 | 0.000 | -0.000 | 31.345 | -0.000 |
| 0.001 | 0.000 | 0.001 | 0.000 | 0.000 | 35.283 |
| 3806970.051 | 10868549.956 | 9527290.117 | 15.037 | 42.116 | 9.351 |
| 10974540.040 | 3700969.941 | 9527290.117 | 4.550 | 38.488 | 3.960 |
| 9357350.037 | 9357359.946 | -32932180.009 | 35.439 | -0.780 | 9.397 |
| 10.142 | -60.152 | -30.076 | -5212053.482 | -3.200 | 7.652 |
| -39.985 | -20.167 | -30.076 | -15.271 | -5212066.730 | 11.555 |
| -109.929 | -60.152 | -19.934 | -12.923 | -18.052 | -3636553.221 |
| 3701849.956 | 10974690.070 | 9527429.889 | 6.846 | 26.554 | -8.470 |
| -4325020.044 | 19008510.194 | 9528379.964 | -9.099 | 26.873 | -7.155 |
| 9357400.047 | 9357400.047 | -32931929.958 | 2.811 | 12.583 | -8.430 |
| -0.000 | 50.127 | 39.985 | -5212068.363 | -1.888 | -10.956 |
| 50.010 | 20.167 | 30.076 | 12.613 | -5212056.403 | -10.315 |
| 99.904 | 60.152 | 19.934 | 6.961 | 0.164 | -3636577.021 |
| 3300608.004 | 11370064.985 | 9526727.008 | 0.567 | -1.741 | 1.259 |
| 264168876.014 | -267745396.020 | 6726203.010 | 1.613 | -0.322 | -2.361 |
| 9357130.004 | 9357127.987 | -32933290.012 | -3.087 | -0.331 | 1.523 |
| -203.992 | -619.006 | -242.998 | -5212060.252 | -2.105 | 0.607 |
| -615.999 | -205.006 | -242.007 | 0.040 | -5212060.644 | 1.092 |
| -5567.000 | -2327.009 | -1487.002 | -0.066 | -0.121 | -8907446.358 |
| 3705637.995 | 10975828.004 | 9527978.998 | -1.684 | -5.773 | -0.709 |
| 10869235.001 | 3812269.013 | 9527979.988 | -1.706 | 4.820 | -0.500 |
| 9357609.996 | 9357614.018 | -32930821.995 | 0.418 | 2.394 | -1.315 |
| 203.001 | 618.015 | 242.998 | -5212061.411 | 1.863 | -0.490 |
| 617.001 | 206.009 | 242.007 | -0.102 | -5212060.012 | -0.686 |
| 5567.000 | 2327.009 | 1487.002 | 0.124 | 1.563 | -8907446.483 |
| 3228173.801 | 11394245.299 | 9521009.600 | -0.051 | 0.239 | 0.106 |
| 10436772.701 | 4182532.199 | 9521169.400 | -0.033 | 0.098 | 0.092 |
| 9354960.500 | 9354960.398 | -32944397.200 | -0.048 | -0.095 | 0.114 |
| -2058.599 | -6171.200 | -2405.000 | -5212059.941 | -0.164 | 0.089 |
| -6177.400 | -2052.600 | -2405.099 | -0.139 | -5212059.891 | 0.074 |
| -12469.099 | -5776.001 | -2058.800 | 0.117 | -0.098 | -3530642.889 |
| 3851186.500 | 10879573.202 | 9533524.701 | 0.139 | 0.023 | -0.092 |
| 10874421.200 | 3856333.201 | 9533524.900 | -0.037 | 0.145 | -0.092 |
| 9359779.400 | 9359779.801 | -32919714.500 | -0.200 | 0.105 | -0.142 |
| 2058.599 | 6171.200 | 2405.000 | -5212059.942 | -0.003 | -0.088 |
| 6177.400 | 2052.701 | 2405.099 | 0.077 | -5212059.903 | -0.082 |
| 12469.299 | 5776.001 | 2058.900 | -0.042 | -0.000 | -3530643.058 |
| -4656.136 | -5048.351 | -3455.186 | -0.000 | 0.000 | 0.000 |
| 223.561 | -9928.710 | -3455.340 | -0.000 | 0.000 | 0.000 |
| -3455.185 | -3455.185 | -979.448 | -0.000 | 0.000 | 0.000 |
| -0.004 | 0.004 | 0.000 | 160.581 | 0.000 | 0.000 |
| 0.003 | -0.004 | 0.000 | -0.000 | 160.581 | 0.000 |
| -0.000 | -0.000 | -0.000 | -0.000 | 0.000 | 196.107 |
| -6802.431 | -2901.955 | -3455.164 | -0.000 | -0.000 | -0.000 |
| -2901.999 | -6802.386 | -3455.164 | -0.000 | -0.000 | -0.000 |
| -3455.186 | -3455.186 | -979.453 | 0.000 | -0.000 | -0.000 |
| 0.004 | -0.004 | -0.000 | 160.581 | -0.000 | -0.000 |
| -0.003 | 0.004 | -0.000 | -0.000 | 160.581 | 0.000 |
| 0.000 | 0.000 | 0.000 | 0.000 | -0.000 | 196.107 |
| -4656.134 | -5048.351 | -3455.191 | -0.000 | 0.000 | 0.000 |
| -5048.350 | -4656.135 | -3455.191 | 0.000 | 0.000 | 0.000 |
| -3455.182 | -3455.182 | -979.425 | -0.000 | 0.000 | 0.000 |
| -0.001 | -0.005 | 0.002 | 160.581 | 0.000 | 0.000 |
| -0.005 | -0.001 | 0.002 | 0.000 | 160.581 | 0.000 |
| 102135932.098 | 219024518.388 | -77063307.420 | -94708.782 | -353881.082 | -49958584.976 |
| -4656.139 | -5048.351 | -3455.181 | -0.000 | -0.000 | -0.000 |
| -5048.351 | -4656.138 | -3455.181 | 0.000 | -0.000 | -0.000 |
| -3455.190 | -3455.190 | -979.476 | 0.000 | -0.000 | 0.000 |
| 0.001 | 0.005 | -0.002 | 160.581 | -0.000 | -0.000 |
| 0.005 | 0.001 | -0.002 | 0.000 | 160.581 | -0.000 |
| 0.733 | 0.285 | 0.211 | -0.000 | -0.000 | -1950.202 |
| 54823762.838 | 50001807.687 | 28334620.145 | -167514.142 | -148396.493 | 1640238.281 |
| 54906177.108 | 32281816.027 | 18668534.509 | -78156.084 | -57858.950 | 386301.712 |
| -3455.148 | -3455.148 | -979.196 | 0.000 | 0.000 | 0.000 |
| -0.420 | 0.359 | 0.020 | 160.580 | 0.000 | 0.000 |
| -0.047 | -0.015 | 0.020 | 0.000 | 160.581 | 0.000 |
| 28859375.150 | 40848179.299 | 10231965.759 | 989.768 | 22678.468 | -8193385.513 |
| -50499763.944 | -28392739.696 | -15073210.989 | 11476.696 | 58157.544 | 417625.519 |
| -56125851.661 | -53502267.404 | -29794659.780 | 68753.764 | 57676.404 | -2273152.906 |
| -3455.223 | -3455.223 | -979.706 | 0.000 | -0.000 | -0.000 |
| 0.420 | -0.359 | -0.020 | 160.580 | -0.000 | -0.000 |
| 0.047 | 0.015 | -0.020 | -0.000 | 160.581 | 0.000 |
| -33198165.202 | -42193163.032 | -13657905.791 | -139098.739 | -16379.061 | -6258295.961 |
| 568.967 | 210.587 | 170.961 | -0.000 | -0.000 | -0.000 |
| 210.587 | 568.967 | 170.961 | -0.000 | -0.000 | -0.000 |
| 170.961 | 170.961 | 571.850 | -0.000 | 0.000 | 0.000 |
| -0.000 | -0.000 | 0.000 | 108.609 | -0.000 | 0.000 |
| -0.000 | -0.000 | 0.000 | -0.000 | 108.609 | 0.000 |
| -0.000 | -0.000 | -0.000 | -0.000 | -0.000 | 179.191 |
| 568.970 | 210.587 | 170.962 | 0.000 | 0.000 | 0.000 |
| 210.587 | 568.970 | 170.962 | 0.000 | -0.000 | 0.000 |
| 170.961 | 170.962 | 571.849 | 0.000 | 0.000 | 0.000 |
| 0.000 | 0.000 | -0.000 | 108.609 | -0.000 | 0.000 |
| 0.000 | 0.000 | -0.000 | 0.000 | 108.609 | -0.000 |
| 0.000 | 0.000 | 0.000 | 0.000 | 0.000 | 179.191 |
| 574.112 | 205.431 | 170.959 | -0.000 | -0.000 | 0.000 |
| 205.431 | 574.112 | 170.959 | -0.000 | -0.000 | -0.000 |
| 170.961 | 170.961 | 571.855 | -0.000 | 0.000 | -0.000 |
| -0.001 | -0.002 | 0.000 | 108.609 | 0.000 | 0.000 |
| -0.002 | -0.001 | 0.000 | -0.000 | 108.609 | -0.000 |
| -0.002 | -0.002 | -0.001 | -0.000 | -0.000 | 184.345 |
| 568.981 | 210.589 | 170.964 | -0.000 | 0.000 | 0.000 |
| 205.435 | 574.133 | 170.964 | 0.000 | -0.000 | -0.000 |
| 170.962 | 170.962 | 571.845 | 0.000 | 0.000 | 0.000 |
| 0.001 | 0.002 | -0.000 | 108.609 | 0.000 | 0.000 |
| 0.002 | 0.001 | -0.000 | 0.000 | 108.609 | 0.000 |
| 0.002 | 0.002 | 0.001 | 0.000 | -0.000 | 184.345 |
| 574.018 | 205.410 | 170.937 | -0.000 | 0.000 | 0.000 |
| 210.582 | 568.829 | 170.934 | -0.000 | -0.000 | 0.000 |
| 170.957 | 170.957 | 571.898 | -0.000 | -0.000 | -0.000 |
| -0.007 | -0.022 | 0.003 | 108.609 | -0.000 | -0.000 |
| -0.023 | -0.006 | 0.003 | -0.000 | 108.609 | -0.000 |
| -0.022 | -0.020 | -0.007 | -0.000 | -0.000 | 184.345 |
| 569.092 | 210.608 | 170.989 | -0.000 | -0.000 | 0.000 |
| 210.591 | 569.109 | 170.989 | 0.000 | 0.000 | 0.000 |
| 170.966 | 170.966 | 571.802 | 0.000 | 0.000 | -0.000 |
| 0.007 | 0.022 | -0.003 | 108.609 | 0.000 | 0.000 |
| 0.023 | 0.006 | -0.003 | 0.000 | 108.609 | 0.000 |
| 0.022 | 0.020 | 0.007 | 0.000 | 0.000 | 184.345 |
| 117.233 | 37.319 | 27.885 | -0.000 | 0.000 | 0.000 |
| 42.256 | 112.295 | 27.885 | -0.000 | 0.000 | 0.000 |
| 27.885 | 27.885 | 126.666 | -0.000 | -0.000 | 0.000 |
| -0.000 | -0.000 | -0.000 | 31.041 | -0.000 | 0.000 |
| -0.000 | -0.000 | -0.000 | -0.000 | 31.041 | -0.000 |
| -0.000 | 0.000 | -0.000 | -0.000 | -0.000 | 35.020 |
| 112.295 | 42.256 | 27.885 | 0.000 | -0.000 | -0.000 |
| 37.319 | 117.233 | 27.885 | 0.000 | -0.000 | -0.000 |
| 27.885 | 27.885 | 126.666 | -0.000 | 0.000 | -0.000 |
| 0.000 | 0.000 | 0.000 | 31.041 | -0.000 | 0.000 |
| 0.000 | 0.000 | 0.000 | 0.000 | 31.041 | -0.000 |
| 0.000 | 0.000 | 0.000 | 0.000 | 0.000 | 35.020 |
| 117.233 | 37.319 | 27.885 | -0.000 | 0.000 | 0.000 |
| 37.319 | 117.233 | 27.885 | -0.000 | 0.000 | 0.000 |
| 27.885 | 27.885 | 126.666 | -0.000 | 0.000 | 0.000 |
| -0.000 | -0.000 | -0.000 | 31.041 | 0.000 | 0.000 |
| -0.000 | -0.000 | -0.000 | -0.000 | 31.041 | 0.000 |
| -0.000 | -0.000 | -0.000 | -0.000 | -0.000 | 35.020 |
| 117.233 | 37.319 | 27.885 | 0.000 | -0.000 | -0.000 |
| 37.319 | 117.233 | 27.885 | 0.000 | -0.000 | 0.000 |
| 27.885 | 27.885 | 126.666 | 0.000 | 0.000 | -0.000 |
| 0.000 | 0.000 | 0.000 | 31.041 | 0.000 | -0.000 |
| 0.000 | 0.000 | 0.000 | 0.000 | 31.041 | -0.000 |
| 0.000 | 0.000 | 0.000 | 0.000 | -0.000 | 35.020 |
| 112.294 | 42.256 | 27.884 | 0.000 | -0.000 | 0.000 |
| 42.257 | 112.293 | 27.884 | -0.000 | -0.000 | 0.000 |
| 27.885 | 27.885 | 126.666 | -0.000 | 0.000 | 0.000 |
| -0.000 | -0.001 | -0.000 | 31.041 | 0.000 | 0.000 |
| -0.001 | -0.000 | -0.000 | -0.000 | 31.041 | 0.000 |
| -0.001 | -0.000 | -0.001 | -0.000 | -0.000 | 35.020 |
| 112.297 | 42.256 | 27.886 | 0.000 | 0.000 | -0.000 |
| 42.255 | 112.297 | 27.886 | 0.000 | -0.000 | -0.000 |
| 27.885 | 27.885 | 126.666 | -0.000 | -0.000 | -0.000 |
| 0.000 | 0.001 | 0.000 | 31.041 | 0.000 | 0.000 |
| 0.001 | 0.000 | 0.000 | 0.000 | 31.041 | -0.000 |
| 0.001 | 0.000 | 0.001 | 0.000 | 0.000 | 35.020 |
| 16234000.000 | 20205700.220 | 20205700.220 | -3.404 | 14.631 | 4.038 |
| 20205699.987 | 16234100.021 | 20205700.220 | -7.223 | -7.180 | 0.898 |
| 20205699.987 | 20205700.220 | 16234000.000 | -11.773 | 5.074 | 0.372 |
| 0.000 | 0.000 | 0.000 | -2363179.334 | 4.015 | 2.208 |
| 0.000 | 0.000 | 0.000 | -7.652 | -2363169.775 | 0.980 |
| 0.000 | 0.000 | -99.787 | 29.231 | 42.798 | -2363345.753 |
| 16234200.041 | 20205599.966 | 20205699.753 | 8.613 | 9.861 | 3.670 |
| 20205699.987 | 16234200.041 | 20205699.753 | 5.497 | 15.861 | 4.600 |
| 20205699.987 | 20205699.987 | 16234299.828 | -34.243 | -68.663 | -30.193 |
| -0.000 | -0.000 | -0.000 | -2363163.737 | 4.692 | 7.226 |
| -0.000 | -0.000 | -0.000 | 6.264 | -2363165.978 | 4.691 |
| -0.000 | -0.000 | -0.000 | 10.809 | 16.911 | -2363168.762 |
| 16230590.010 | 20203109.999 | 20203100.020 | 1439.497 | 2755.798 | 1167.188 |
| 20203099.997 | 16230580.008 | 20203090.018 | 1445.287 | 2768.287 | 1172.491 |
| 20203109.999 | 20203109.999 | 16230580.008 | 1439.503 | 2754.590 | 1166.891 |
| -290.012 | -130.003 | -139.982 | -2363255.651 | 3.208 | 5.799 |
| -130.003 | -289.989 | -139.982 | 4.322 | -2363369.731 | 4.441 |
| -130.003 | -130.003 | -289.989 | 5.021 | 2.200 | -2363169.875 |
| 16235190.008 | 20205800.007 | 20205799.983 | 4.121 | 5.505 | 2.313 |
| 20205800.007 | 16235179.983 | 20205809.985 | 3.332 | 5.778 | 2.439 |
| 20205800.007 | 20205800.007 | 16235189.985 | 2.836 | 6.432 | 2.427 |
| 299.991 | 140.005 | 139.982 | -2363169.817 | 2.720 | 5.336 |
| 279.987 | 429.994 | 279.987 | -82.036 | -2370034.594 | -64.860 |
| 479.981 | 480.004 | 639.990 | -204.440 | -399.435 | -2380216.464 |
| 16223221.000 | 20204314.000 | 20204314.000 | 2.631 | 5.075 | 2.182 |
| 20204312.000 | 16223220.000 | 20204312.000 | 3.606 | 6.936 | 2.915 |
| 20204314.000 | 20204314.000 | 16223221.002 | 2.614 | 5.009 | 2.187 |
| -2957.001 | -1379.999 | -1383.000 | -2363169.697 | 2.160 | 5.125 |
| -1377.999 | -2953.998 | -1381.000 | 2.078 | -2363179.278 | 2.687 |
| -1422.001 | -1424.999 | -2999.000 | 23.057 | 36.823 | -2377466.777 |
| 16244981.000 | 20207025.998 | 20207026.998 | 2.780 | 5.189 | 2.208 |
| 20207027.001 | 16244981.000 | 20207026.998 | 2.599 | 4.953 | 2.143 |
| 20207027.001 | 20207025.998 | 16244981.000 | 2.800 | 5.233 | 2.223 |
| 2963.000 | 1386.001 | 1388.999 | -2363320.018 | 1.752 | 5.010 |
| 1390.001 | 2966.001 | 1392.997 | 1.325 | -2363816.727 | 2.064 |
| 1385.000 | 1388.001 | 2961.998 | 5.314 | 2.735 | -2363169.643 |
| 1550289.993 | -244110.005 | -244110.005 | 7.616 | 6.183 | 0.090 |
| -244110.005 | 1550279.996 | -244110.005 | 2.699 | 3.325 | -0.219 |
| -244110.005 | -244120.001 | 1550299.989 | 8.569 | 10.418 | 0.776 |
| 2782079.994 | -4392290.001 | -4392370.000 | -4608956065.013 | 2361.732 | 2907.911 |
| -4392290.001 | 2782079.994 | -4392370.000 | 2375.070 | -4608956070.244 | 2906.937 |
| -4392290.001 | -4392379.996 | 2782089.990 | 2379.987 | 2923.880 | -4608956087.052 |
| 1550540.014 | -244049.969 | -244070.020 | -2.153 | -5.035 | -0.803 |
| -244049.969 | 1550540.014 | -244070.020 | -5.632 | -2.684 | -0.879 |
| -244049.969 | -244060.024 | 1550530.018 | -4.225 | -5.923 | -0.925 |
| -2781929.993 | 4392109.982 | 4392190.039 | -4608966752.264 | -3351.637 | -2989.651 |
| 4392109.982 | -2781929.993 | 4392190.039 | -3359.529 | -4608966744.989 | -2994.505 |
| 4392109.982 | 4392200.035 | -2781939.989 | -3352.228 | -3031.137 | -4608966661.097 |
| 1549161.996 | -244356.998 | -244355.999 | -0.119 | 0.754 | 0.102 |
| -244356.998 | 1549161.996 | -244355.999 | 0.927 | -0.288 | 0.058 |
| -244356.998 | -244356.998 | 1549162.996 | 0.473 | 0.876 | 0.015 |
| -76.000 | -271.002 | -270.002 | -4081296.541 | 0.580 | 0.073 |
| -271.002 | -75.001 | -270.002 | 0.310 | -4081296.721 | 0.058 |
| -271.002 | -272.001 | -75.001 | 0.496 | 0.576 | -4081297.017 |
| 1551662.001 | -243813.998 | -243815.997 | -0.045 | 0.176 | -0.180 |
| -243814.998 | 1551662.001 | -243815.997 | -0.189 | -0.080 | -0.105 |
| -243814.998 | -243813.998 | 1551661.001 | -0.531 | -0.505 | -0.026 |
| 76.000 | 271.002 | 270.002 | -4081297.187 | -0.082 | -0.067 |
| 270.002 | 76.000 | 270.002 | -0.123 | -4081297.417 | 0.006 |
| 270.002 | 272.001 | 75.001 | 0.262 | -0.281 | -4081297.128 |
| 1537918.800 | -246796.500 | -246796.400 | -0.026 | 0.125 | 0.001 |
| -246796.500 | 1537918.800 | -246796.500 | 0.099 | 0.003 | 0.006 |
| -246796.500 | -246796.500 | 1537918.900 | 0.072 | 0.096 | 0.004 |
| -3862788.900 | -125480.200 | -125689.800 | -104359042.936 | 0.693 | 0.667 |
| -125480.200 | -3862788.800 | -125689.800 | 0.706 | -104359042.931 | 0.666 |
| -125480.200 | -125689.900 | -3862788.800 | 0.711 | 0.712 | -104359043.323 |
| 1562905.400 | -241375.200 | -241375.300 | -0.075 | -0.081 | -0.005 |
| -241375.100 | 1562905.400 | -241375.300 | -0.092 | -0.093 | -0.005 |
| -241375.100 | -241375.200 | 1562905.300 | -0.067 | -0.077 | -0.002 |
| 3862788.900 | 125480.200 | 125689.800 | -104359043.258 | -0.665 | -0.630 |
| 125480.200 | 3862788.900 | 125689.800 | -0.684 | -104359043.303 | -0.631 |
| 125480.200 | 125689.900 | 3862788.800 | -0.680 | -0.674 | -104359043.208 |
| 7731.519 | 7989.265 | 7989.265 | -0.000 | -0.000 | -0.000 |
| 7989.265 | 7731.519 | 7989.265 | -0.000 | -0.000 | -0.000 |
| 7989.265 | 7989.265 | 7731.519 | -0.000 | 0.000 | -0.000 |
| -0.000 | -0.001 | -0.001 | -225.486 | -0.000 | -0.000 |
| -0.001 | -0.000 | -0.001 | -0.000 | -225.486 | -0.000 |
| -0.001 | -0.001 | -0.000 | -0.000 | -0.000 | -225.486 |
| 7731.520 | 7989.248 | 7989.248 | 0.000 | 0.000 | 0.000 |
| 7989.248 | 7731.520 | 7989.248 | 0.000 | 0.000 | 0.000 |
| 7989.248 | 7989.248 | 7731.520 | 0.000 | 0.000 | 0.000 |
| 0.000 | 0.001 | 0.001 | -225.486 | 0.000 | 0.000 |
| 0.001 | 0.000 | 0.001 | 0.000 | -225.486 | 0.000 |
| 0.001 | 0.001 | 0.000 | 0.000 | 0.000 | -225.486 |
| 7731.514 | 7989.340 | 7989.340 | -0.000 | -0.000 | -0.000 |
| 7989.340 | 7731.514 | 7989.340 | -0.000 | -0.000 | 0.000 |
| 7989.340 | 7989.340 | 7731.514 | -0.000 | -0.000 | -0.000 |
| -0.002 | -0.014 | -0.014 | -225.486 | -0.000 | -0.000 |
| -0.014 | -0.002 | -0.014 | -0.000 | -225.486 | -0.000 |
| -0.014 | -0.014 | -0.002 | -0.000 | -0.000 | -225.486 |
| 7731.525 | 7989.172 | 7989.172 | -0.000 | 0.000 | 0.000 |
| 7989.172 | 7731.525 | 7989.172 | 0.000 | 0.000 | 0.000 |
| 7989.172 | 7989.172 | 7731.525 | 0.000 | -0.000 | 0.000 |
| 0.002 | 0.014 | 0.014 | -225.486 | 0.000 | -0.000 |
| 0.014 | 0.002 | 0.014 | 0.000 | -225.486 | 0.000 |
| 0.014 | 0.014 | 0.002 | 0.000 | 0.000 | -225.486 |
| 7731.466 | 7990.094 | 7990.094 | -0.000 | 0.000 | -0.000 |
| 7990.094 | 7731.466 | 7990.094 | -0.000 | -0.000 | -0.000 |
| 7990.094 | 7990.094 | 7731.466 | -0.000 | -0.000 | -0.000 |
| -0.020 | -0.142 | -0.143 | -225.486 | 0.000 | -0.000 |
| -0.142 | -0.020 | -0.143 | -0.000 | -225.486 | -0.000 |
| -0.142 | -0.143 | -0.020 | -0.000 | -0.000 | -225.486 |
| 7731.572 | 7988.419 | 7988.419 | 0.000 | 0.000 | 0.000 |
| 7988.419 | 7731.572 | 7988.419 | 0.000 | -0.000 | 0.000 |
| 7988.419 | 7988.419 | 7731.572 | 0.000 | 0.000 | 0.000 |
| 0.020 | 0.142 | 0.143 | -225.486 | -0.000 | 0.000 |
| 0.142 | 0.020 | 0.143 | -0.000 | -225.486 | 0.000 |
| 0.142 | 0.143 | 0.020 | -0.000 | -0.000 | -225.486 |
| 728.561 | 286.425 | 286.425 | -0.000 | -0.000 | 0.000 |
| 286.425 | 728.561 | 286.425 | -0.000 | -0.000 | -0.000 |
| 286.425 | 286.425 | 728.561 | -0.000 | -0.000 | 0.000 |
| 0.000 | 0.001 | 0.001 | 283.684 | -0.000 | 0.000 |
| 0.001 | 0.000 | 0.001 | -0.000 | 283.684 | 0.000 |
| 0.001 | 0.001 | 0.000 | -0.000 | -0.000 | 283.684 |
| 728.555 | 286.422 | 286.422 | 0.000 | 0.000 | 0.000 |
| 286.422 | 728.555 | 286.422 | 0.000 | 0.000 | 0.000 |
| 286.422 | 286.422 | 728.555 | 0.000 | 0.000 | 0.000 |
| -0.000 | -0.001 | -0.001 | 283.684 | 0.000 | -0.000 |
| -0.001 | -0.000 | -0.001 | 0.000 | 283.684 | -0.000 |
| -0.001 | -0.001 | -0.000 | 0.000 | -0.000 | 283.684 |
| 728.587 | 286.437 | 286.437 | 0.000 | -0.000 | -0.000 |
| 286.437 | 728.587 | 286.437 | -0.000 | 0.000 | -0.000 |
| 286.437 | 286.437 | 728.587 | -0.000 | -0.000 | 0.000 |
| 0.003 | 0.014 | 0.014 | 250.889 | -0.000 | -0.000 |
| 0.014 | 0.003 | 0.014 | -0.000 | 250.889 | -0.000 |
| 0.014 | 0.014 | 0.003 | -0.000 | -0.000 | 250.889 |
| 728.528 | 286.410 | 286.410 | 0.000 | 0.000 | -0.000 |
| 286.410 | 728.528 | 286.410 | 0.000 | 0.000 | 0.000 |
| 286.410 | 286.410 | 728.528 | 0.000 | 0.000 | 0.000 |
| -0.003 | -0.014 | -0.014 | 250.889 | 0.000 | 0.000 |
| -0.014 | -0.003 | -0.014 | 0.000 | 250.889 | -0.000 |
| -0.014 | -0.014 | -0.003 | 0.000 | 0.000 | 250.889 |
| 728.852 | 286.556 | 286.556 | -0.000 | -0.000 | -0.000 |
| 286.556 | 728.852 | 286.556 | -0.000 | -0.000 | 0.000 |
| 286.556 | 286.556 | 728.852 | -0.000 | -0.000 | 0.000 |
| 0.028 | 0.143 | 0.144 | 250.889 | -0.000 | 0.000 |
| 0.143 | 0.028 | 0.144 | -0.000 | 250.889 | 0.000 |
| 0.143 | 0.144 | 0.028 | -0.000 | -0.000 | 250.889 |
| 728.264 | 286.291 | 286.291 | -0.000 | 0.000 | -0.000 |
| 286.291 | 728.264 | 286.291 | 0.000 | -0.000 | -0.000 |
| 286.291 | 286.291 | 728.264 | 0.000 | 0.000 | -0.000 |
| -0.028 | -0.143 | -0.144 | 250.889 | 0.000 | -0.000 |
| -0.143 | -0.028 | -0.144 | 0.000 | 250.889 | 0.000 |
| -0.143 | -0.144 | -0.028 | 0.000 | 0.000 | 250.889 |
| 6.638 | 6.622 | 6.622 | 0.000 | -0.000 | -0.000 |
| 6.622 | 6.638 | 6.622 | -0.000 | 0.000 | -0.000 |
| 6.622 | 6.622 | 6.638 | -0.000 | -0.000 | 0.000 |
| -0.000 | -0.000 | -0.000 | 0.013 | -0.000 | -0.000 |
| -0.000 | -0.000 | -0.000 | -0.000 | 0.013 | -0.000 |
| -0.000 | -0.000 | -0.000 | -0.000 | -0.000 | 0.013 |
| 6.638 | 6.622 | 6.622 | -0.000 | 0.000 | 0.000 |
| 6.622 | 6.638 | 6.622 | 0.000 | -0.000 | 0.000 |
| 6.622 | 6.622 | 6.638 | 0.000 | 0.000 | -0.000 |
| 0.000 | 0.000 | 0.000 | 0.013 | 0.000 | 0.000 |
| 0.000 | 0.000 | 0.000 | 0.000 | 0.013 | 0.000 |
| 0.000 | 0.000 | 0.000 | 0.000 | 0.000 | 0.013 |
| 6.638 | 6.622 | 6.622 | -0.000 | -0.000 | -0.000 |
| 6.622 | 6.638 | 6.622 | -0.000 | -0.000 | -0.000 |
| 6.622 | 6.622 | 6.638 | -0.000 | -0.000 | -0.000 |
| -0.000 | -0.000 | -0.000 | 0.013 | -0.000 | -0.000 |
| -0.000 | -0.000 | -0.000 | -0.000 | 0.013 | -0.000 |
| -0.000 | -0.000 | -0.000 | -0.000 | -0.000 | 0.013 |
| 6.638 | 6.622 | 6.622 | 0.000 | 0.000 | 0.000 |
| 6.622 | 6.638 | 6.622 | 0.000 | 0.000 | 0.000 |
| 6.622 | 6.622 | 6.638 | 0.000 | 0.000 | 0.000 |
| 0.000 | 0.000 | 0.000 | 0.013 | 0.000 | 0.000 |
| 0.000 | 0.000 | 0.000 | 0.000 | 0.013 | 0.000 |
| 0.000 | 0.000 | 0.000 | 0.000 | 0.000 | 0.013 |
| 6.638 | 6.622 | 6.622 | 0.000 | -0.000 | -0.000 |
| 6.622 | 6.638 | 6.622 | -0.000 | 0.000 | -0.000 |
| 6.622 | 6.622 | 6.638 | -0.000 | -0.000 | -0.000 |
| -0.000 | -0.000 | -0.000 | 0.013 | -0.000 | -0.000 |
| -0.000 | -0.000 | -0.000 | -0.000 | 0.013 | -0.000 |
| -0.000 | -0.000 | -0.000 | -0.000 | -0.000 | 0.013 |
| 6.638 | 6.622 | 6.622 | 0.000 | 0.000 | 0.000 |
| 6.622 | 6.638 | 6.622 | 0.000 | 0.000 | 0.000 |
| 6.622 | 6.622 | 6.638 | 0.000 | 0.000 | 0.000 |
| 0.000 | 0.000 | 0.000 | 0.013 | 0.000 | 0.000 |
| 0.000 | 0.000 | 0.000 | 0.000 | 0.013 | 0.000 |
| 0.000 | 0.000 | 0.000 | 0.000 | 0.000 | 0.013 |
| 12206200.090 | 18892200.074 | 5079899.870 | -29.514 | -15.892 | -0.090 |
| 18892100.054 | 12206200.090 | 5079899.870 | 1.037 | -31.318 | -1.230 |
| 2278200.145 | 8636700.094 | -51584199.923 | -460.910 | 5030.762 | -0.632 |
| -25799.857 | -50499.957 | -35599.974 | -262224624.588 | -13.089 | 0.244 |
| -51299.886 | -24899.908 | -35599.974 | 14.744 | -262224640.930 | 0.093 |
| -2387907700.018 | 2358490400.217 | -72921500.097 | 2016872.391 | 27933774.519 | -7861769.213 |
| 12206099.837 | 18892099.821 | 5080200.164 | -13.521 | -15.908 | -0.271 |
| 18892199.841 | 12206099.837 | 5080200.164 | -3.668 | -7.257 | -0.834 |
| 5457799.841 | 5457700.053 | -51582099.964 | 15.363 | 18.880 | 1.092 |
| 25799.857 | 50499.957 | 35599.974 | -262224382.621 | 8.137 | 0.475 |
| 51299.886 | 24899.908 | 35599.974 | -4.629 | -262224892.436 | 1.313 |
| 2369886000.006 | -2340888200.198 | 71928200.141 | -6134046.081 | 2733069.349 | -7857463.990 |
| -539476119.980 | 566838110.005 | 812559.999 | 0.555 | -0.854 | 0.030 |
| 566837839.997 | -539475849.995 | 812559.999 | -1.339 | 2.293 | -0.004 |
| -111290139.989 | 121463240.017 | -53405930.011 | -1795.396 | 173369.115 | 2.858 |
| -4929.995 | -9240.004 | -6770.017 | -52342705.881 | 0.545 | 0.140 |
| -9249.983 | -4909.991 | -6760.015 | 1.081 | -52342705.148 | 0.033 |
| -9.979 | -9.979 | -290.012 | 0.895 | -2.940 | -7844019.545 |
| 12083089.994 | 19014969.985 | 5080940.010 | 3.153 | 0.083 | -0.172 |
| 19014969.985 | 12083089.994 | 5080940.010 | -0.860 | 2.018 | -0.043 |
| 5459029.996 | 5459029.996 | -51573649.980 | 0.959 | 0.388 | -0.053 |
| 4929.995 | 9229.979 | 6760.015 | -52342705.893 | -1.743 | 0.018 |
| 9249.983 | 4909.991 | 6760.015 | -1.862 | -52342705.046 | -0.070 |
| 20.004 | 9.979 | 290.012 | 0.251 | -0.071 | -7844019.577 |
| -152471931.999 | 180465144.002 | 1354924.999 | 0.104 | 0.002 | 0.018 |
| 180465142.001 | -152471929.999 | 1354924.999 | 0.067 | -0.110 | 0.005 |
| -6545813.998 | 17356158.001 | -51863990.000 | 33821.690 | 14518.055 | -1.378 |
| -3304.999 | -9360.998 | -14001.002 | -23546704.135 | -0.171 | -0.007 |
| -9360.998 | -3304.999 | -14001.002 | -0.158 | -23546704.277 | 0.007 |
| -150.000 | -161.998 | -2847.000 | 0.047 | -0.227 | -7844019.419 |
| -24840361.001 | 56107217.999 | 5274971.002 | -0.123 | -0.090 | -0.004 |
| 56107218.999 | -24840361.001 | 5274971.002 | -0.083 | 0.121 | 0.001 |
| 5471833.998 | 5471833.998 | -51489058.998 | -0.086 | 0.031 | -0.001 |
| 3304.999 | 9360.998 | 14001.002 | -23546704.193 | 0.235 | -0.003 |
| 9360.998 | 3304.999 | 14001.002 | -0.028 | -23546704.200 | -0.007 |
| 149.000 | 161.998 | 2847.000 | -0.043 | 0.101 | -7844019.416 |
| 9811.210 | 8708.911 | 4772.226 | -0.000 | -0.000 | -0.000 |
| 8708.911 | 9811.210 | 4772.226 | 0.000 | 0.000 | 0.000 |
| 4772.224 | 4772.224 | 3964.917 | 0.000 | 0.000 | 0.000 |
| -0.000 | -0.000 | -0.001 | 446.909 | 0.000 | -0.000 |
| -0.000 | -0.000 | -0.001 | 0.000 | 446.909 | -0.000 |
| 0.000 | 0.000 | -0.000 | 0.000 | -0.000 | -59.763 |
| 9811.192 | 8708.895 | 4772.218 | -0.000 | -0.000 | -0.000 |
| 8708.895 | 9811.192 | 4772.218 | -0.000 | -0.000 | -0.000 |
| 4772.221 | 4772.221 | 3964.925 | -0.000 | 0.000 | -0.000 |
| 0.000 | 0.000 | 0.001 | 446.909 | -0.000 | -0.000 |
| 0.000 | 0.000 | 0.001 | -0.000 | 446.909 | -0.000 |
| -0.000 | -0.000 | 0.000 | -0.000 | 0.000 | -59.763 |
| 9807.919 | 8712.360 | 4772.260 | -0.000 | 0.000 | 0.000 |
| 8712.360 | 9807.919 | 4772.260 | 0.000 | -0.000 | 0.000 |
| 4772.237 | 4772.237 | 3964.881 | -0.000 | 0.000 | -0.000 |
| -0.001 | -0.002 | -0.006 | 446.909 | 0.000 | -0.000 |
| -0.002 | -0.001 | -0.006 | 0.000 | 446.909 | 0.000 |
| 0.003 | 0.003 | 0.000 | 0.000 | -0.000 | -59.763 |
| 9807.742 | 8712.187 | 4772.184 | -0.000 | -0.000 | 0.000 |
| 8712.187 | 9807.742 | 4772.184 | -0.000 | -0.000 | -0.000 |
| 4772.208 | 4772.208 | 3964.961 | -0.000 | 0.000 | 0.000 |
| 0.001 | 0.002 | 0.006 | 446.909 | 0.000 | -0.000 |
| 0.002 | 0.001 | 0.006 | -0.000 | 446.909 | -0.000 |
| -0.003 | -0.003 | -0.000 | -0.000 | -0.000 | -59.763 |
| 9812.087 | 8709.767 | 4772.610 | 0.000 | 0.000 | -0.000 |
| 8709.767 | 9812.087 | 4772.610 | 0.000 | -0.000 | 0.000 |
| 4772.366 | 4772.366 | 3964.522 | 0.000 | -0.000 | 0.000 |
| -0.012 | -0.022 | -0.059 | 446.909 | -0.000 | 0.000 |
| -0.022 | -0.012 | -0.059 | 0.000 | 446.909 | 0.000 |
| 0.033 | 0.032 | 0.002 | 0.000 | -0.000 | -59.763 |
| 9806.947 | 8711.409 | 4771.838 | -0.000 | -0.000 | -0.000 |
| 8711.409 | 9806.947 | 4771.838 | -0.000 | -0.000 | -0.000 |
| 4772.079 | 4772.079 | 3965.320 | -0.000 | -0.000 | 0.000 |
| 0.012 | 0.022 | 0.059 | 446.909 | -0.000 | 0.000 |
| 0.022 | 0.012 | 0.059 | -0.000 | 446.909 | -0.000 |
| -0.033 | -0.032 | -0.002 | -0.000 | -0.000 | -59.763 |
| 806.337 | 328.327 | 387.167 | 0.000 | -0.000 | -0.000 |
| 328.327 | 806.337 | 387.167 | -0.000 | -0.000 | -0.000 |
| 387.166 | 387.166 | 852.666 | 0.000 | -0.000 | -0.000 |
| 0.000 | 0.001 | 0.000 | 94.900 | -0.000 | -0.000 |
| 0.001 | 0.000 | 0.000 | -0.000 | 94.900 | -0.000 |
| 0.000 | 0.000 | 0.000 | -0.000 | 0.000 | 346.504 |
| 736.217 | 398.442 | 387.162 | -0.000 | 0.000 | 0.000 |
| 398.442 | 736.217 | 387.162 | -0.000 | 0.000 | 0.000 |
| 387.165 | 387.165 | 852.665 | 0.000 | 0.000 | 0.000 |
| -0.000 | -0.001 | -0.000 | 94.900 | 0.000 | 0.000 |
| -0.001 | -0.000 | -0.000 | 0.000 | 94.900 | 0.000 |
| -0.000 | -0.000 | -0.000 | 0.000 | 0.000 | 346.504 |
| 806.345 | 328.332 | 387.173 | -0.000 | 0.000 | -0.000 |
| 328.332 | 806.345 | 387.173 | 0.000 | 0.000 | -0.000 |
| 387.172 | 387.172 | 852.669 | 0.000 | -0.000 | -0.000 |
| 0.001 | 0.004 | 0.002 | 95.342 | -0.000 | -0.000 |
| 0.004 | 0.001 | 0.002 | -0.000 | 95.342 | -0.000 |
| 0.004 | 0.004 | 0.001 | -0.000 | -0.000 | 346.504 |
| 806.328 | 328.321 | 387.159 | 0.000 | 0.000 | 0.000 |
| 328.321 | 806.328 | 387.159 | -0.000 | 0.000 | 0.000 |
| 387.160 | 387.160 | 852.662 | -0.000 | 0.000 | 0.000 |
| -0.001 | -0.004 | -0.002 | 95.342 | 0.000 | 0.000 |
| -0.004 | -0.001 | -0.002 | 0.000 | 95.342 | 0.000 |
| -0.004 | -0.004 | -0.001 | -0.000 | 0.000 | 346.504 |
| 736.563 | 398.554 | 387.532 | 0.000 | -0.000 | -0.000 |
| 398.554 | 736.563 | 387.532 | 0.000 | -0.000 | -0.000 |
| 387.222 | 387.222 | 852.702 | -0.000 | -0.000 | -0.000 |
| 0.005 | 0.051 | 0.026 | 94.899 | -0.000 | -0.000 |
| 0.051 | 0.005 | 0.026 | 0.000 | 94.899 | -0.000 |
| 0.035 | 0.036 | 0.013 | -0.000 | -0.000 | 346.504 |
| 806.252 | 328.272 | 387.099 | -0.000 | 0.000 | 0.000 |
| 328.272 | 806.252 | 387.099 | -0.000 | 0.000 | 0.000 |
| 387.110 | 387.110 | 852.629 | 0.000 | 0.000 | 0.000 |
| -0.005 | -0.051 | -0.026 | 94.899 | -0.000 | 0.000 |
| -0.051 | -0.005 | -0.026 | -0.000 | 94.899 | 0.000 |
| -0.035 | -0.036 | -0.013 | 0.000 | 0.000 | 346.504 |
| -221.063 | -129.904 | -20.887 | -0.000 | 0.000 | -0.000 |
| -129.904 | -221.063 | -20.887 | -0.000 | 0.000 | -0.000 |
| -20.887 | -20.887 | 154.366 | -0.000 | 0.000 | -0.000 |
| 0.000 | 0.000 | 0.000 | -18.842 | 0.000 | 0.000 |
| 0.000 | 0.000 | 0.000 | -0.000 | -18.842 | 0.000 |
| 0.000 | 0.000 | 0.000 | -0.000 | -0.000 | -139.422 |
| -221.063 | -129.905 | -20.888 | 0.000 | 0.000 | 0.000 |
| -129.905 | -221.063 | -20.888 | 0.000 | 0.000 | -0.000 |
| -20.888 | -20.888 | 154.365 | 0.000 | -0.000 | -0.000 |
| -0.000 | -0.000 | -0.000 | -18.842 | -0.000 | 0.000 |
| -0.000 | -0.000 | -0.000 | 0.000 | -18.842 | -0.000 |
| -0.000 | -0.000 | -0.000 | 0.000 | -0.000 | -139.422 |
| -221.059 | -129.902 | -20.884 | -0.000 | -0.000 | -0.000 |
| -129.902 | -221.059 | -20.884 | -0.000 | 0.000 | -0.000 |
| -20.885 | -20.885 | 154.369 | -0.000 | 0.000 | 0.000 |
| -14343515.656 | -101590819.752 | 29305295.327 | -231613.259 | -291331.047 | -1007475.654 |
| -95911083.699 | 1877087.882 | 5638409.330 | 208201.097 | 130794.722 | 371342.596 |
| 0.003 | 0.003 | 0.001 | -0.000 | 0.000 | -139.422 |
| -221.067 | -129.908 | -20.891 | 0.000 | 0.000 | -0.000 |
| -129.908 | -221.067 | -20.891 | 0.000 | 0.000 | -0.000 |
| -20.890 | -20.890 | 154.361 | 0.000 | 0.000 | -0.000 |
| 12475267.746 | 93550851.074 | -34797901.776 | 877330.315 | -238592.410 | 906556.243 |
| 87809882.320 | 19969912.763 | -15543490.368 | 359437.109 | 88272.320 | -2581487.894 |
| -0.003 | -0.003 | -0.001 | 0.000 | 0.000 | -139.422 |
| -221.024 | -129.876 | -20.850 | -0.000 | 0.000 | -0.000 |
| -129.876 | -221.024 | -20.850 | -0.000 | 0.000 | -0.000 |
| -20.865 | -20.865 | 154.406 | -0.000 | 0.000 | 0.000 |
| -1131108.180 | -9455437.251 | 3217180.109 | 85971.717 | -191544.705 | 34910.911 |
| -9997871.238 | -881553.634 | 3062820.890 | -30608.804 | 51708.966 | -110238.812 |
| 0.032 | 0.031 | 0.013 | -0.000 | 0.000 | -139.422 |
| -221.102 | -129.933 | -20.925 | 0.000 | -0.000 | -0.000 |
| -129.933 | -221.102 | -20.925 | 0.000 | -0.000 | -0.000 |
| -20.910 | -20.910 | 154.324 | 0.000 | -0.000 | 0.000 |
| 610550.948 | 10389402.861 | -2915419.049 | -181569.762 | -75693.563 | 42904.707 |
| 9688821.366 | 908579.455 | -2697064.241 | -24613.415 | -168923.238 | 135941.576 |
| -0.032 | -0.031 | -0.013 | 0.000 | 0.000 | -139.422 |
| 105.288 | 19.531 | 53.460 | -0.000 | -0.000 | -0.000 |
| 19.531 | 105.288 | 53.460 | -0.000 | -0.000 | 0.000 |
| 53.460 | 53.460 | 392.480 | -0.000 | -0.000 | 0.000 |
| -0.000 | 0.000 | 0.000 | 54.278 | -0.000 | -0.000 |
| 0.000 | -0.000 | 0.000 | -0.000 | 54.278 | 0.000 |
| -0.000 | -0.000 | -0.000 | -0.000 | 0.000 | 21.720 |
| 105.288 | 19.531 | 53.460 | 0.000 | -0.000 | -0.000 |
| 19.531 | 105.288 | 53.460 | 0.000 | 0.000 | -0.000 |
| 53.460 | 53.460 | 392.482 | 0.000 | -0.000 | -0.000 |
| 0.000 | -0.000 | -0.000 | 54.278 | 0.000 | -0.000 |
| -0.000 | 0.000 | -0.000 | 0.000 | 54.278 | -0.000 |
| 0.000 | 0.000 | 0.000 | 0.000 | -0.000 | 21.720 |
| 105.288 | 19.530 | 53.461 | -0.000 | 0.000 | 0.000 |
| 19.530 | 105.288 | 53.461 | -0.000 | 0.000 | 0.000 |
| 53.461 | 53.461 | 392.476 | -0.000 | -0.000 | 0.000 |
| -0.000 | 0.001 | 0.002 | 54.278 | 0.000 | 0.000 |
| 0.001 | -0.000 | 0.002 | -0.000 | 54.278 | 0.000 |
| -0.000 | -0.000 | -0.000 | -0.000 | 0.000 | 21.720 |
| 105.288 | 19.531 | 53.459 | 0.000 | -0.000 | -0.000 |
| 19.531 | 105.288 | 53.459 | 0.000 | 0.000 | -0.000 |
| 53.458 | 53.458 | 392.486 | 0.000 | -0.000 | -0.000 |
| 0.000 | -0.001 | -0.002 | 54.278 | 0.000 | 0.000 |
| -0.001 | 0.000 | -0.002 | 0.000 | 54.278 | -0.000 |
| 0.000 | 0.000 | 0.000 | 0.000 | -0.000 | 21.720 |
| 105.291 | 19.526 | 53.471 | -0.000 | 0.000 | 0.000 |
| 19.526 | 105.291 | 53.471 | -0.000 | 0.000 | 0.000 |
| 53.475 | 53.475 | 392.428 | -0.000 | 0.000 | 0.000 |
| -0.003 | 0.010 | 0.018 | 54.278 | -0.000 | 0.000 |
| 0.010 | -0.003 | 0.018 | -0.000 | 54.278 | 0.000 |
| -0.005 | -0.005 | -0.001 | -0.000 | 0.000 | 21.720 |
| 105.285 | 19.536 | 53.449 | 0.000 | 0.000 | -0.000 |
| 19.536 | 105.285 | 53.449 | 0.000 | -0.000 | -0.000 |
| 53.445 | 53.445 | 392.534 | 0.000 | -0.000 | -0.000 |
| 0.003 | -0.010 | -0.018 | 54.278 | 0.000 | 0.000 |
| -0.010 | 0.003 | -0.018 | 0.000 | 54.278 | -0.000 |
| 0.005 | 0.005 | 0.001 | 0.000 | -0.000 | 21.720 |
| 50775799.833 | 27636700.059 | 30078599.977 | -8.845 | -10.927 | 2.212 |
| 27636700.059 | 50775799.833 | 30078599.977 | -10.153 | -13.642 | 1.634 |
| 28812200.034 | 28812200.034 | 46168599.992 | -15.928 | -8.053 | 1.784 |
| 0.000 | 0.000 | -199.807 | 1621381.296 | -6.973 | 2.739 |
| 0.000 | 0.000 | -199.807 | -0.479 | 1621372.034 | 2.005 |
| 0.000 | 0.000 | 0.000 | 1.414 | -8.231 | 1712173.525 |
| 50775399.985 | 27636600.039 | 30078699.998 | -0.127 | 0.507 | -3.361 |
| 27636600.039 | 50775399.985 | 30078699.998 | -9.910 | 4.655 | -2.091 |
| 28812400.074 | 28812400.074 | 46169299.901 | -5.723 | 11.651 | -2.799 |
| -0.000 | -0.000 | 199.807 | 1621390.713 | 1.024 | -1.540 |
| -0.000 | -0.000 | 199.807 | -7.239 | 1621395.128 | -2.837 |
| -0.000 | -0.000 | -0.000 | 6.942 | 12.048 | 1712170.558 |
| 50777610.012 | 27636849.996 | 30077989.994 | 0.841 | -1.402 | 0.297 |
| 27636849.996 | 50777610.012 | 30077989.994 | -0.999 | -0.689 | 0.180 |
| 28810880.000 | 28810880.000 | 46165929.988 | 0.128 | -0.299 | 0.245 |
| -89.995 | -639.990 | -1429.986 | 1621386.437 | -1.202 | 0.045 |
| -639.990 | -79.993 | -1429.986 | 0.079 | 1621384.691 | 0.097 |
| 170.011 | 170.011 | -89.995 | -0.048 | -0.927 | 1712171.590 |
| 50773570.011 | 27636499.995 | 30079279.998 | 0.239 | 0.745 | -0.291 |
| 27636509.997 | 50773570.011 | 30079279.998 | 0.512 | 0.994 | -0.356 |
| 28813719.991 | 28813729.994 | 46171989.979 | 0.766 | 1.554 | -0.276 |
| 89.995 | 639.990 | 1429.986 | 1621386.176 | 0.482 | -0.169 |
| 639.990 | 79.993 | 1429.986 | 0.760 | 1621386.419 | -0.157 |
| -170.011 | -159.986 | 89.995 | -0.766 | -0.949 | 1712171.274 |
| 50795800.999 | 27638354.000 | 30072242.999 | -0.161 | -0.139 | 0.016 |
| 27638354.000 | 50795800.999 | 30072242.999 | -0.117 | -0.136 | 0.014 |
| 28798029.000 | 28798029.000 | 46138647.000 | -0.063 | -0.019 | 0.012 |
| -870.001 | -6438.999 | -14323.002 | 1621386.367 | -0.136 | 0.015 |
| -6438.999 | -870.001 | -14323.002 | 0.018 | 1621386.327 | 0.015 |
| 1633.999 | 1626.000 | -870.001 | 0.033 | -0.087 | 1712171.447 |
| 50755381.001 | 27634998.002 | 30085028.000 | 0.093 | 0.206 | -0.022 |
| 27634998.002 | 50755381.001 | 30085028.000 | 0.076 | 0.081 | -0.030 |
| 28826571.999 | 28826571.999 | 46199273.000 | -0.028 | 0.119 | -0.004 |
| 870.001 | 6438.999 | 14323.002 | 1621386.357 | 0.117 | -0.014 |
| 6438.999 | 870.001 | 14323.002 | 0.048 | 1621386.491 | -0.014 |
| -1633.999 | -1626.000 | 870.999 | 0.085 | 0.142 | 1712171.397 |
| 28476019.922 | 28009059.982 | -1814930.111 | 1.960 | 9.040 | -0.901 |
| 28009059.982 | 28476009.897 | -1814930.111 | 0.116 | 3.035 | -0.011 |
| -2005750.055 | -2005750.055 | 480492220.021 | 4.716 | 4.394 | 1.548 |
| -20.051 | -60.035 | 9.909 | -14769030.326 | 2.083 | -1.272 |
| -60.035 | -20.051 | 9.909 | -0.212 | -14769030.237 | -0.825 |
| -39.985 | -50.010 | -10.025 | 0.320 | 0.580 | 15436408.085 |
| 28476030.064 | 28009149.977 | -1814829.974 | -2.337 | 1.414 | -0.689 |
| 28009149.977 | 28476030.064 | -1814829.974 | 3.808 | 3.184 | 0.342 |
| -2005779.898 | -2005769.989 | 480495760.131 | -1.226 | -11.969 | -1.034 |
| 20.051 | 60.035 | -9.909 | -14769031.566 | -5.997 | 0.714 |
| 50.010 | 20.051 | -9.909 | -0.822 | -14769031.647 | 0.973 |
| 39.985 | 50.010 | 10.025 | -1.083 | 0.314 | 15436409.164 |
| 28475929.997 | 28008661.999 | -1815410.010 | 0.586 | 0.129 | -0.004 |
| 28008661.999 | 28475929.997 | -1815410.010 | -0.082 | 0.245 | 0.091 |
| -2005670.004 | -2005670.995 | 480476250.999 | -0.165 | -0.191 | -0.053 |
| -174.010 | -531.005 | 71.996 | -14769030.130 | 0.869 | 0.011 |
| -531.005 | -174.010 | 70.993 | 0.344 | -14769030.170 | -0.050 |
| -444.006 | -442.001 | -173.007 | 0.249 | 0.674 | 15436409.316 |
| 28476116.002 | 28009537.001 | -1814342.999 | -0.082 | 0.448 | 0.012 |
| 28009537.001 | 28476116.002 | -1814344.002 | -0.432 | -0.249 | 0.052 |
| -2005859.996 | -2005859.996 | 480511748.003 | -0.088 | -0.131 | -0.064 |
| 174.010 | 531.005 | -70.993 | -14769030.287 | 0.081 | 0.167 |
| 531.005 | 174.010 | -70.993 | 0.180 | -14769030.657 | 0.055 |
| 444.006 | 441.010 | 173.007 | 0.113 | -0.367 | 15436409.460 |
| 28475096.400 | 28004726.099 | -1820211.701 | -0.036 | 0.063 | 0.005 |
| 28004726.000 | 28475096.499 | -1820211.701 | 0.014 | -0.019 | -0.004 |
| -2004821.300 | -2004821.201 | 480316502.799 | 0.045 | -0.024 | -0.016 |
| -1739.901 | -5309.800 | 698.700 | -14769030.283 | 0.024 | -0.016 |
| -5309.800 | -1739.801 | 698.700 | 0.003 | -14769030.264 | 0.003 |
| -4438.100 | -4407.601 | -1739.700 | 0.002 | -0.019 | 15436409.383 |
| 28476949.100 | 28013472.100 | -1809542.399 | 0.018 | 0.040 | 0.016 |
| 28013472.000 | 28476949.100 | -1809542.399 | 0.003 | -0.021 | -0.012 |
| -2006709.799 | -2006709.700 | 480671495.901 | 0.011 | 0.004 | -0.003 |
| 1739.801 | 5309.800 | -698.700 | -14769030.308 | -0.001 | -0.005 |
| 5309.800 | 1739.801 | -698.700 | -0.013 | -14769030.288 | 0.004 |
| 4438.301 | 4407.601 | 1739.700 | 0.013 | -0.076 | 15436409.376 |
| 7418.733 | 6521.348 | 3869.938 | 0.000 | 0.000 | 0.000 |
| 6521.348 | 7418.733 | 3869.938 | 0.000 | 0.000 | 0.000 |
| 3869.924 | 3869.924 | 3619.287 | 0.000 | 0.000 | -0.000 |
| -0.000 | -0.001 | -0.000 | 149.675 | 0.000 | -0.000 |
| -0.001 | -0.000 | -0.000 | 0.000 | 149.675 | -0.000 |
| -0.002 | -0.002 | -0.000 | -0.000 | 0.000 | -224.767 |
| 7418.627 | 6521.236 | 3869.878 | -0.000 | -0.000 | 0.000 |
| 6521.236 | 7418.627 | 3869.878 | -0.000 | -0.000 | -0.000 |
| 3869.893 | 3869.893 | 3619.264 | 0.000 | 0.000 | 0.000 |
| 0.000 | 0.001 | 0.000 | 149.675 | -0.000 | 0.000 |
| 0.001 | 0.000 | 0.000 | -0.000 | 149.675 | -0.000 |
| 0.002 | 0.002 | 0.000 | -0.000 | -0.000 | -224.767 |
| 7419.213 | 6521.855 | 3870.209 | 0.000 | -0.000 | -0.000 |
| 6521.855 | 7419.213 | 3870.209 | 0.000 | 0.000 | -0.000 |
| 3870.066 | 3870.066 | 3619.389 | 0.000 | 0.000 | 0.000 |
| -0.004 | -0.007 | -0.001 | 149.675 | 0.000 | 0.000 |
| -0.007 | -0.004 | -0.001 | 0.000 | 149.675 | -0.000 |
| -0.022 | -0.022 | -0.004 | 0.000 | 0.000 | -224.767 |
| 7418.147 | 6520.729 | 3869.608 | -0.000 | -0.000 | 0.000 |
| 6520.729 | 7418.147 | 3869.608 | -0.000 | -0.000 | -0.000 |
| 3869.751 | 3869.751 | 3619.162 | -0.000 | -0.000 | -0.000 |
| 0.004 | 0.007 | 0.001 | 149.675 | -0.000 | 0.000 |
| 0.007 | 0.004 | 0.001 | -0.000 | 149.675 | -0.000 |
| 0.022 | 0.022 | 0.004 | -0.000 | -0.000 | -224.767 |
| 7424.009 | 6526.922 | 3872.910 | 0.000 | 0.000 | -0.000 |
| 6526.922 | 7424.009 | 3872.910 | 0.000 | 0.000 | -0.000 |
| 3871.483 | 3871.483 | 3620.409 | 0.000 | 0.000 | 0.000 |
| -0.042 | -0.072 | -0.009 | 149.675 | 0.000 | -0.000 |
| -0.072 | -0.042 | -0.009 | 0.000 | 149.675 | -0.000 |
| -0.221 | -0.222 | -0.045 | 0.000 | 0.000 | -224.767 |
| 7413.351 | 6515.663 | 3866.906 | -0.000 | 0.000 | -0.000 |
| 6515.663 | 7413.351 | 3866.906 | 0.000 | -0.000 | -0.000 |
| 3868.333 | 3868.333 | 3618.142 | -0.000 | -0.000 | -0.000 |
| 0.042 | 0.072 | 0.009 | 149.675 | -0.000 | 0.000 |
| 0.072 | 0.042 | 0.009 | -0.000 | 149.675 | 0.000 |
| 0.221 | 0.222 | 0.045 | -0.000 | -0.000 | -224.767 |
| 158.526 | 54.196 | 143.109 | 0.000 | -0.000 | 0.000 |
| 54.196 | 158.526 | 143.109 | -0.000 | 0.000 | 0.000 |
| 143.109 | 143.109 | 447.424 | -0.000 | -0.000 | 0.000 |
| -0.000 | -0.000 | -0.000 | 142.587 | 0.000 | 0.000 |
| -0.000 | -0.000 | -0.000 | -0.000 | 142.587 | 0.000 |
| 0.000 | 0.000 | -0.000 | 0.000 | 0.000 | 55.414 |
| 158.526 | 54.196 | 143.110 | -0.000 | 0.000 | -0.000 |
| 54.196 | 158.526 | 143.110 | 0.000 | -0.000 | -0.000 |
| 143.110 | 143.110 | 447.426 | -0.000 | -0.000 | -0.000 |
| 0.000 | 0.000 | 0.000 | 142.587 | 0.000 | -0.000 |
| 0.000 | 0.000 | 0.000 | 0.000 | 142.587 | -0.000 |
| -0.000 | -0.000 | 0.000 | 0.000 | 0.000 | 55.414 |
| 158.528 | 54.197 | 143.108 | -0.000 | -0.000 | 0.000 |
| 54.197 | 158.528 | 143.108 | -0.000 | -0.000 | 0.000 |
| 143.106 | 143.106 | 447.413 | 0.000 | 0.000 | 0.000 |
| -0.001 | -0.001 | -0.004 | 142.587 | 0.000 | 0.000 |
| -0.001 | -0.001 | -0.004 | -0.000 | 142.587 | 0.000 |
| 0.001 | 0.001 | -0.001 | -0.000 | 0.000 | 55.414 |
| 158.525 | 54.195 | 143.111 | -0.000 | -0.000 | -0.000 |
| 54.195 | 158.525 | 143.111 | -0.000 | -0.000 | -0.000 |
| 143.113 | 143.113 | 447.436 | -0.000 | -0.000 | -0.000 |
| 0.001 | 0.001 | 0.004 | 142.587 | 0.000 | -0.000 |
| 0.001 | 0.001 | 0.004 | 0.000 | 142.587 | -0.000 |
| -0.001 | -0.001 | 0.001 | -0.000 | -0.000 | 55.414 |
| 158.538 | 54.206 | 143.098 | 0.000 | 0.000 | 0.000 |
| 54.206 | 158.538 | 143.098 | 0.000 | 0.000 | 0.000 |
| 143.074 | 143.074 | 447.312 | -0.000 | -0.000 | 0.000 |
| -0.011 | -0.012 | -0.036 | 142.587 | 0.000 | 0.000 |
| -0.012 | -0.011 | -0.036 | 0.000 | 142.587 | 0.000 |
| 0.010 | 0.010 | -0.011 | 0.000 | 0.000 | 55.414 |
| 158.514 | 54.186 | 143.121 | -0.000 | 0.000 | -0.000 |
| 54.186 | 158.514 | 143.121 | 0.000 | -0.000 | -0.000 |
| 143.145 | 143.145 | 447.538 | -0.000 | -0.000 | -0.000 |
| 0.011 | 0.012 | 0.036 | 142.587 | -0.000 | -0.000 |
| 0.012 | 0.011 | 0.036 | -0.000 | 142.587 | -0.000 |
| -0.010 | -0.010 | 0.011 | -0.000 | -0.000 | 55.414 |
| 25531300.130 | 34968699.923 | 30222300.135 | 6999772.814 | -313.697 | 27.867 |
| 34968800.176 | 25531299.664 | 30222400.156 | -6999634.875 | -282.727 | 36.434 |
| 29851900.050 | 29851999.604 | 12658499.956 | -88.793 | 3.379 | -26.457 |
| 6999799.812 | -6999700.024 | 200.040 | -10211313.918 | -85.187 | -8.227 |
| 100.253 | 99.787 | 200.040 | 57.545 | -10211486.663 | 6999711.675 |
| 100.253 | 99.787 | 0.000 | 14.750 | 6999479.923 | -4718942.111 |
| 25530800.029 | 34968900.197 | 30222299.902 | 6999749.330 | -2.744 | -68.931 |
| 34968699.923 | 25530700.242 | 30222200.115 | -6999872.096 | 196.930 | -17.543 |
| 29851599.989 | 29851700.242 | 12657499.987 | 96.334 | 213.922 | -27.474 |
| 6999700.024 | -6999699.558 | -0.000 | -10211370.970 | 106.389 | -17.098 |
| -100.253 | -0.000 | -100.020 | -4.148 | -10211124.712 | 6999703.414 |
| -0.000 | -99.787 | -0.000 | -11.557 | 6999915.901 | -4718967.562 |
| 25534089.995 | 34969379.967 | 30222999.997 | 6999294.233 | -12.112 | 0.115 |
| 34969510.017 | 25533959.992 | 30222990.019 | -6999017.491 | -22.511 | 3.312 |
| 29852829.981 | 29852819.956 | 12663029.987 | -0.212 | -9.565 | 2.914 |
| 6999960.007 | -6998960.038 | 1080.009 | -10211314.351 | -0.814 | 2.083 |
| 760.014 | 249.981 | 1070.007 | -18.101 | -10211361.779 | 6999706.693 |
| 559.997 | 679.974 | 250.004 | -120.778 | 6999687.076 | -4718934.084 |
| 25527830.011 | 34968280.048 | 30221459.989 | 7000122.865 | 13.371 | -1.474 |
| 34968160.000 | 25527930.031 | 30221449.987 | -7000400.321 | 2.177 | -1.492 |
| 29850649.983 | 29850670.034 | 12652970.004 | 0.631 | 25.870 | 3.178 |
| 6999439.995 | -7000459.992 | -1080.009 | -10211373.025 | 2.136 | -5.194 |
| -760.014 | -239.979 | -1070.007 | 24.222 | -10211327.176 | 6999702.042 |
| -549.995 | -679.974 | -260.006 | 116.986 | 6999726.084 | -4718943.416 |
| 25562301.999 | 34974383.998 | 30229884.003 | 6995579.018 | -2.773 | -0.110 |
| 34975647.002 | 25561039.998 | 30229884.003 | -6992819.519 | -3.427 | 0.158 |
| 29862610.999 | 29862606.996 | 12708318.002 | 0.004 | -2.270 | 0.417 |
| 7002241.998 | -6992079.003 | 10830.001 | -10211055.621 | -2.671 | -0.193 |
| 7626.002 | 2536.998 | 10831.002 | -289.369 | -10211347.102 | 6999704.068 |
| 5510.000 | 6761.999 | 2539.001 | -1372.817 | 6999702.605 | -4718938.894 |
| 25499604.000 | 34963276.003 | 30214572.999 | 7003829.968 | 0.801 | 0.032 |
| 34962016.000 | 25500863.002 | 30214572.999 | -7006587.521 | 1.337 | -0.441 |
| 29840867.000 | 29840868.003 | 12607693.998 | -0.619 | 2.218 | -0.264 |
| 6997164.999 | -7007326.998 | -10830.001 | -10211633.484 | -0.026 | -0.020 |
| -7625.001 | -2537.996 | -10831.002 | 289.212 | -10211343.563 | 6999703.355 |
| -5510.000 | -6761.999 | -2539.001 | 1372.795 | 6999706.259 | -4718939.024 |
| 4927420.022 | 5347540.012 | 4508140.063 | -1690588.072 | 1.928 | -16.396 |
| 5347550.037 | 4927419.964 | 4508140.063 | 1690576.986 | 6.297 | -12.989 |
| 4338959.985 | 4338960.043 | -220379.943 | -6.108 | 25.726 | -21.320 |
| -1690579.962 | 1690530.010 | -9.967 | -1387908.226 | 6.503 | -13.631 |
| -9.967 | 0.000 | -9.967 | -4.681 | -1387901.820 | -1690595.383 |
| -19.992 | 0.000 | 0.000 | -6.752 | -1690565.542 | -210063.422 |
| 4927539.977 | 5347639.974 | 4508159.938 | -1690600.162 | -17.721 | 11.648 |
| 5347589.964 | 4927569.994 | 4508159.938 | 1690592.889 | -31.520 | 19.100 |
| 4338970.010 | 4339009.995 | -220530.032 | -9.266 | -17.653 | 14.835 |
| -1690569.995 | 1690620.005 | 9.967 | -1387921.527 | -12.625 | 9.674 |
| 9.967 | -0.000 | 9.967 | 5.373 | -1387932.639 | -1690567.150 |
| 19.992 | -0.000 | -0.000 | 1.080 | -1690603.110 | -210037.262 |
| 4927299.001 | 5347868.004 | 4506938.001 | -1690574.735 | 1.709 | -0.974 |
| 5347470.004 | 4926814.999 | 4508053.005 | 1690573.786 | 3.193 | -1.713 |
| 4338927.006 | 4338923.002 | -219733.997 | 1.582 | 1.167 | -1.644 |
| -1690614.998 | 1690476.002 | -41.996 | -1387892.781 | 0.361 | -1.205 |
| -102.002 | -34.995 | -41.996 | -23.846 | -1387915.217 | -1690582.402 |
| -148.999 | -113.001 | -34.995 | 0.128 | -1690580.236 | -210050.279 |
| 4928102.998 | 5347729.001 | 4508256.998 | -1690586.862 | -2.879 | 0.946 |
| 5347685.997 | 4928145.000 | 4508256.998 | 1690589.894 | -0.853 | 2.536 |
| 4339008.998 | 4339013.999 | -221175.005 | -0.883 | -3.285 | -0.100 |
| -1690547.001 | 1690685.997 | 40.999 | -1387940.784 | -1.553 | 1.906 |
| 102.999 | 34.995 | 41.996 | 23.699 | -1387918.777 | -1690579.397 |
| 147.996 | 112.004 | 33.999 | -0.425 | -1690583.144 | -210047.779 |
| 4921248.700 | 5346097.900 | 4507139.400 | -1690524.907 | 0.277 | -0.107 |
| 5346498.401 | 4920848.200 | 4507139.400 | 1690485.294 | 0.232 | -0.128 |
| 4338558.000 | 4338557.700 | -213244.400 | 0.001 | 0.051 | -0.088 |
| -1690921.300 | 1689560.700 | -414.299 | -1387679.768 | 0.111 | -0.141 |
| -1019.799 | -340.800 | -414.200 | -237.134 | -1387916.759 | -1690581.020 |
| -1487.899 | -1087.800 | -340.300 | 18.178 | -1690580.693 | -210049.204 |
| 4933711.100 | 5349058.700 | 4509169.799 | -1690637.044 | -0.186 | 0.168 |
| 5348657.700 | 4934111.800 | 4509169.999 | 1690676.473 | -0.214 | 0.172 |
| 4339376.699 | 4339376.900 | -227663.000 | 0.014 | -0.159 | 0.123 |
| -1690240.500 | 1691601.100 | 414.299 | -1388154.074 | -0.135 | -0.020 |
| 1019.900 | 340.800 | 414.200 | 237.071 | -1387917.158 | -1690580.795 |
| 1488.000 | 1087.800 | 340.300 | -18.196 | -1690581.073 | -210049.031 |
| 411709.985 | 2275049.974 | 199509.988 | -233789.509 | -1.424 | -0.122 |
| 2275039.977 | 411709.985 | 199509.988 | 233780.251 | -1.982 | 2.790 |
| 233419.993 | 233429.989 | -9566279.995 | -6.688 | 2.815 | -1.195 |
| -233800.023 | 233789.998 | 9.996 | -2939600.513 | -0.214 | -2.252 |
| 9.996 | 9.996 | 0.000 | -5.675 | -2939589.617 | -233780.464 |
| 9.996 | 9.996 | 0.000 | -3.772 | -233767.688 | -931667.018 |
| 411700.018 | 2275040.036 | 199489.996 | -233767.559 | -8.475 | 0.966 |
| 2275030.010 | 411720.010 | 199500.021 | 233782.478 | -20.654 | -1.381 |
| 233420.022 | 233420.022 | -9566180.004 | 6.949 | 9.240 | 3.038 |
| -233789.998 | 233770.006 | -9.996 | -2939591.223 | -29.599 | -1.852 |
| -0.000 | -9.996 | -0.000 | 6.598 | -2939606.294 | -233777.717 |
| -0.000 | -9.996 | -0.000 | 6.284 | -233787.605 | -931663.908 |
| 411799.000 | 2275037.999 | 199555.000 | -233789.253 | 0.974 | 0.314 |
| 2275069.998 | 411768.000 | 199553.998 | 233793.730 | 2.184 | -0.740 |
| 233437.998 | 233438.998 | -9566708.002 | -0.974 | 1.631 | -0.148 |
| -233762.003 | 233830.000 | 17.999 | -2939575.659 | 1.760 | -0.348 |
| 49.998 | 16.000 | 17.999 | -22.777 | -2939596.403 | -233779.403 |
| -1.003 | 30.997 | 16.999 | -3.031 | -233777.841 | -931664.370 |
| 411623.000 | 2275038.002 | 199455.000 | -233769.420 | -2.087 | 0.146 |
| 2275009.001 | 411653.003 | 199454.001 | 233763.818 | -0.940 | 0.558 |
| 233404.002 | 233404.002 | -9565749.999 | 0.780 | -0.511 | 0.299 |
| -233795.999 | 233728.001 | -17.999 | -2939618.986 | -1.544 | 0.176 |
| -49.998 | -16.996 | -17.999 | 23.120 | -2939598.331 | -233779.130 |
| 1.003 | -29.997 | -16.999 | 3.017 | -233779.963 | -931664.558 |
| 412595.800 | 2275032.500 | 200002.600 | -233873.826 | 0.114 | -0.051 |
| 2275343.800 | 412284.300 | 200002.600 | 233936.369 | 0.097 | -0.027 |
| 233592.300 | 233592.200 | -9571028.100 | -0.054 | 0.166 | 0.005 |
| -233612.800 | 234281.400 | 174.600 | -2939372.701 | 0.038 | -0.004 |
| 502.100 | 166.600 | 174.600 | -224.681 | -2939597.105 | -233779.323 |
| -9.300 | 301.200 | 166.400 | -31.585 | -233779.180 | -931664.487 |
| 410825.900 | 2275046.900 | 199006.600 | -233684.762 | -0.156 | -0.010 |
| 2274735.600 | 411137.200 | 199006.600 | 233622.247 | -0.049 | 0.005 |
| 233249.100 | 233249.100 | -9561430.200 | 0.048 | -0.069 | 0.020 |
| -233945.600 | 233277.200 | -174.600 | -2939821.656 | 0.028 | 0.029 |
| -502.100 | -166.600 | -174.600 | 224.688 | -2939597.246 | -233779.265 |
| 9.300 | -301.200 | -166.400 | 31.608 | -233779.364 | -931664.455 |
| -174.265 | 4.832 | 182.504 | -77.716 | 0.000 | -0.000 |
| 1876716909.986 | 1970272298.187 | 2075369544.978 | 13204655.347 | -3733293.823 | 2401020.202 |
| 285.292 | 285.292 | 778.851 | 0.000 | -0.000 | -0.000 |
| -77.716 | 77.715 | 0.000 | 127.375 | -0.000 | -0.000 |
| 1886050308.604 | 1983408598.584 | 2090304297.382 | 16017620.868 | 7928542.265 | -10242675.249 |
| 102.122 | 102.122 | 2.547 | -0.000 | -77.716 | -89.548 |
| -1884027616.344 | -1999921698.359 | -2096755224.457 | -15038265.225 | -7915797.549 | 12370991.530 |
| -1893845067.882 | -1993520204.081 | -2092972891.040 | -11141423.829 | -5859945.978 | 4701503.431 |
| 79.729 | 79.729 | 773.722 | -0.000 | 0.000 | 0.000 |
| -77.715 | 77.716 | -0.000 | 127.375 | 0.000 | 0.000 |
| -1897150487.273 | -1998353479.774 | -2110900006.543 | -18318133.236 | -1972774.407 | 8257040.256 |
| -102.782 | -102.782 | -2.563 | 0.000 | -77.716 | -89.548 |
| -266.806 | -87.698 | 180.181 | -77.718 | 0.000 | -0.000 |
| -87.695 | -266.808 | 180.181 | 77.720 | -0.000 | -0.000 |
| 183.650 | 183.650 | 776.328 | -0.000 | -0.000 | -0.000 |
| -77.716 | 77.713 | 0.003 | 127.374 | 0.000 | -0.000 |
| -0.002 | -0.001 | 0.003 | 0.000 | 127.375 | -77.716 |
| 191035117.269 | 201403774.517 | 212255112.947 | 553545.057 | 654486.271 | -339237.958 |
| -287.216 | -108.132 | 179.706 | -77.713 | 0.000 | 0.000 |
| -108.135 | -287.214 | 179.706 | 77.712 | 0.000 | 0.000 |
| -187782504.941 | -197877092.780 | -208375213.543 | -1521861.546 | 5175.088 | -210065.859 |
| -77.715 | 77.718 | -0.003 | 127.375 | 0.000 | 0.000 |
| 0.002 | 0.001 | -0.003 | -0.000 | 127.375 | -77.716 |
| -10.207 | -10.210 | -0.254 | 0.001 | -77.716 | -89.548 |
| 18936643.835 | 20136141.866 | 20966616.775 | 80069.262 | 55884.816 | -139014.871 |
| -97.183 | -276.449 | 179.787 | 77.759 | -0.000 | -0.000 |
| 182.458 | 182.458 | 776.413 | -0.000 | -0.000 | -0.000 |
| -77.723 | 77.693 | 0.028 | 127.371 | -0.000 | -0.000 |
| -0.023 | -0.007 | 0.028 | 0.004 | 127.375 | -77.716 |
| 18935216.348 | 19844246.032 | 21178817.249 | 194411.170 | 52359.336 | -38465.734 |
| -18980246.588 | -19956646.674 | -21028186.629 | -98909.521 | 3987.132 | 50762.115 |
| -98.713 | -277.639 | 180.098 | 77.673 | 0.000 | 0.000 |
| 182.477 | 182.477 | 776.158 | 0.000 | 0.000 | 0.000 |
| -77.708 | 77.738 | -0.028 | 127.379 | -0.000 | 0.000 |
| 0.023 | 0.007 | -0.028 | -0.004 | 127.375 | -77.716 |
| -18994577.770 | -20044788.742 | -20948040.686 | -85643.663 | -59798.241 | 69014.932 |
| -143671700.456 | 27169299.936 | 27169299.936 | 4.218 | -6.878 | -0.621 |
| 27169399.723 | -143671800.244 | 27169299.936 | -0.682 | -9.769 | -1.508 |
| 27169099.429 | 27169099.896 | -143672000.284 | 0.335 | -2.264 | -1.301 |
| 0.000 | -100.253 | -100.253 | -17677831.926 | -1.553 | -1.534 |
| 0.000 | -100.253 | -100.253 | -4.672 | -17677844.249 | -0.163 |
| 899.949 | 800.162 | 799.696 | -1.015 | -20.251 | -17677833.369 |
| -143673999.756 | 27168800.068 | 27168800.068 | 0.386 | 3.691 | 1.963 |
| 27169200.149 | -143673399.635 | 27169200.149 | 0.167 | 10.602 | 0.521 |
| 27169200.149 | 27169200.149 | -143673400.101 | -1.925 | 7.356 | 1.607 |
| -199.574 | -99.787 | -99.787 | -17677827.436 | 7.677 | 0.707 |
| -199.574 | -99.787 | -200.040 | -4.292 | -17677827.003 | 2.612 |
| -0.000 | 100.253 | 100.253 | -5.679 | 9.885 | -17677831.270 |
| -143665460.034 | 27168659.993 | 27168669.972 | 0.432 | -1.162 | -0.232 |
| 27168669.972 | -143665470.012 | 27168669.972 | -0.291 | -0.752 | -0.161 |
| 27168699.955 | 27168689.976 | -143665440.029 | 0.573 | -0.464 | -0.064 |
| -530.037 | -470.025 | -470.025 | -17677831.267 | -0.123 | -0.177 |
| -460.046 | -540.016 | -470.025 | -0.674 | -17677832.303 | -0.199 |
| -460.046 | -470.025 | -540.016 | -0.261 | -0.847 | -17677831.598 |
| -143680129.947 | 27169519.981 | 27169520.027 | 0.629 | 1.046 | 0.103 |
| 27169600.043 | -143680039.999 | 27169610.022 | -0.517 | 0.621 | 0.116 |
| 27169570.014 | 27169579.993 | -143680060.003 | 1.368 | 0.530 | 0.206 |
| 550.041 | 489.983 | 490.029 | -17677830.771 | 1.050 | 0.140 |
| 370.052 | 449.974 | 380.030 | -0.147 | -17677830.173 | 0.117 |
| 490.029 | 489.983 | 560.020 | -0.164 | 0.602 | -17677831.376 |
| -143600057.002 | 27164268.998 | 27164268.998 | -0.014 | -0.117 | -0.010 |
| 27164281.994 | -143600046.002 | 27164281.000 | -0.074 | -0.188 | -0.006 |
| 27164269.996 | 27164268.998 | -143600058.005 | -0.024 | -0.121 | -0.017 |
| -5576.004 | -4903.001 | -4853.000 | -17677831.495 | -0.083 | -0.017 |
| -4902.003 | -5576.004 | -4853.000 | 0.023 | -17677831.500 | -0.007 |
| -4902.003 | -4853.000 | -5576.000 | -0.047 | -0.089 | -17677831.527 |
| -143745400.994 | 27174047.003 | 27174046.999 | 0.037 | 0.107 | 0.016 |
| 27174046.006 | -143745400.000 | 27174046.001 | 0.011 | 0.088 | 0.007 |
| 27174046.006 | 27174047.003 | -143745400.000 | -0.068 | 0.134 | 0.011 |
| 5567.005 | 4894.001 | 4844.001 | -17677831.487 | 0.089 | 0.007 |
| 4898.002 | 5572.003 | 4849.004 | 0.065 | -17677831.420 | 0.022 |
| 4898.002 | 4848.999 | 5571.999 | -0.017 | 0.097 | -17677831.512 |
| -2559979.976 | 6976099.972 | 6976099.972 | -0.666 | 0.729 | 0.055 |
| 6976099.972 | -2559979.976 | 6976099.972 | -3.058 | -1.294 | 0.198 |
| 6976099.972 | 6976099.972 | -2559979.976 | -0.219 | 1.277 | -0.242 |
| 0.000 | 19.992 | 19.992 | 269062.032 | 1.179 | -0.337 |
| 19.992 | 0.000 | 19.992 | -2.669 | 269063.997 | 0.123 |
| 19.992 | 10.025 | 0.000 | -1.873 | 0.629 | 269064.003 |
| -2560459.969 | 6976070.012 | 6976070.012 | 0.870 | -1.024 | -0.128 |
| 6976070.012 | -2560459.969 | 6976070.012 | 2.037 | 0.127 | -0.388 |
| 6976070.012 | 6976070.012 | -2560459.969 | 3.283 | -1.964 | 0.160 |
| -10.025 | -19.992 | -19.992 | 269065.909 | -1.155 | -0.290 |
| -19.992 | -0.000 | -19.992 | 3.086 | 269062.730 | -0.179 |
| -19.992 | -10.025 | -0.000 | 1.973 | -0.331 | 269063.581 |
| -2557823.002 | 6976261.998 | 6976261.998 | -0.384 | -0.111 | 0.073 |
| 6976261.998 | -2557823.002 | 6976261.998 | -0.132 | 0.263 | 0.075 |
| 6976261.998 | 6976261.998 | -2557823.998 | -0.199 | -0.077 | 0.027 |
| 49.998 | 175.000 | 176.003 | 269063.603 | 0.043 | 0.043 |
| 175.000 | 49.998 | 176.003 | -0.146 | 269063.859 | 0.029 |
| 175.000 | 176.003 | 49.998 | -0.063 | 0.109 | 269063.797 |
| -2562614.000 | 6975909.001 | 6975909.001 | 0.381 | -0.152 | 0.010 |
| 6975909.001 | -2562614.000 | 6975909.001 | 0.278 | -0.050 | -0.034 |
| 6975909.001 | 6975909.001 | -2562614.000 | 0.281 | -0.098 | -0.034 |
| -49.998 | -175.000 | -176.003 | 269064.025 | -0.094 | -0.004 |
| -175.000 | -49.998 | -176.003 | 0.200 | 269063.766 | -0.030 |
| -175.000 | -176.003 | -49.998 | 0.090 | -0.084 | 269063.730 |
| -2536268.900 | 6977849.100 | 6977849.100 | -0.037 | -0.009 | 0.002 |
| 6977849.100 | -2536269.000 | 6977849.100 | -0.017 | -0.032 | -0.000 |
| 6977849.100 | 6977849.100 | -2536268.900 | 0.005 | 0.032 | 0.002 |
| 496.400 | 1752.500 | 1757.800 | 269063.722 | 0.004 | -0.004 |
| 1752.500 | 496.400 | 1757.800 | -0.020 | 269063.739 | 0.001 |
| 1752.500 | 1757.800 | 496.400 | -0.016 | 0.010 | 269063.748 |
| -2584168.300 | 6974322.400 | 6974322.400 | -0.001 | 0.000 | -0.001 |
| 6974322.400 | -2584168.200 | 6974322.400 | -0.002 | 0.011 | 0.003 |
| 6974322.400 | 6974322.400 | -2584168.300 | 0.002 | -0.024 | -0.005 |
| -496.400 | -1752.500 | -1757.800 | 269063.759 | 0.005 | 0.002 |
| -1752.500 | -496.400 | -1757.800 | 0.015 | 269063.730 | -0.001 |
| -1752.500 | -1757.800 | -496.400 | 0.016 | -0.015 | 269063.740 |
| -8525449.972 | -2367620.007 | -2367620.007 | -0.694 | -0.017 | 0.061 |
| -2367620.007 | -8525449.972 | -2367620.007 | -0.807 | 0.232 | 0.098 |
| -2367620.007 | -2367620.007 | -8525449.972 | -0.509 | 0.331 | 0.006 |
| 0.000 | -9.996 | -9.996 | -6385719.968 | 0.035 | -0.056 |
| -9.996 | 0.000 | -9.996 | -0.528 | -6385718.394 | -0.017 |
| -9.996 | -9.996 | 0.000 | -0.875 | 0.196 | -6385718.961 |
| -7951490.012 | -1775110.024 | -1692890.015 | -5626.884 | 197.370 | 1593.413 |
| -1793899.984 | -7933110.012 | -1693140.008 | -5621.576 | 196.270 | 1592.052 |
| -1793969.986 | -1775400.001 | -7851010.017 | -5623.151 | 197.339 | 1592.000 |
| -0.000 | 9.996 | 9.996 | -6385717.919 | -0.106 | 0.052 |
| 9.996 | -0.000 | 9.996 | 1.174 | -6385719.641 | 0.031 |
| 9.996 | 9.996 | -0.000 | 0.553 | 0.109 | -6385718.831 |
| -8525731.999 | -2367737.000 | -2367737.000 | -0.059 | 0.012 | -0.005 |
| -2367737.000 | -8525731.999 | -2367737.000 | -0.106 | -0.023 | -0.002 |
| -2367737.000 | -2367737.000 | -8525731.999 | -0.013 | 0.031 | -0.004 |
| -32.002 | -124.999 | -125.999 | -6385718.982 | 0.018 | -0.015 |
| -124.999 | -32.002 | -125.999 | -0.035 | -6385718.866 | -0.002 |
| -124.999 | -125.999 | -32.002 | -0.093 | 0.021 | -6385718.882 |
| -8467730.001 | -2308257.001 | -2300037.000 | -562.448 | 19.901 | 159.236 |
| -2310128.003 | -8465886.003 | -2300054.002 | -562.051 | 19.687 | 159.283 |
| -2310129.003 | -2308270.999 | -8457670.003 | -561.979 | 19.589 | 159.226 |
| 32.002 | 124.999 | 125.999 | -6385718.795 | -0.042 | 0.007 |
| 124.999 | 32.002 | 125.999 | 0.092 | -6385718.912 | 0.004 |
| 124.999 | 125.999 | 32.002 | 0.062 | -0.046 | -6385718.873 |
| -8534336.400 | -2374811.300 | -2375635.400 | 56.414 | -1.967 | -15.966 |
| -2374622.400 | -8534520.100 | -2375632.200 | 56.421 | -1.933 | -15.921 |
| -2374616.100 | -2374802.000 | -8535337.200 | 56.371 | -1.910 | -15.911 |
| -320.400 | -1246.400 | -1256.000 | -6385718.891 | -0.000 | -0.000 |
| -1246.400 | -320.400 | -1256.100 | -0.014 | -6385718.879 | -0.000 |
| -1246.400 | -1256.100 | -320.400 | -0.006 | 0.006 | -6385718.880 |
| -8522250.700 | -2366351.700 | -2366351.700 | 0.009 | -0.005 | 0.000 |
| -2366351.700 | -8522250.700 | -2366351.700 | 0.003 | -0.003 | -0.000 |
| -2366351.700 | -2366351.600 | -8522250.700 | 0.003 | -0.003 | 0.000 |
| 320.400 | 1246.400 | 1256.100 | -6385718.877 | -0.006 | -0.000 |
| 1246.400 | 320.400 | 1256.000 | 0.011 | -6385718.883 | 0.000 |
| 1246.400 | 1256.100 | 320.400 | 0.005 | -0.002 | -6385718.880 |
| 20212.241 | 19555.792 | 19555.792 | 0.000 | 0.000 | -0.000 |
| 19555.792 | 20212.241 | 19555.792 | 0.000 | -0.000 | -0.000 |
| 19555.792 | 19555.792 | 20212.241 | 0.000 | -0.000 | -0.000 |
| -0.001 | -0.000 | -0.000 | -234.255 | 0.000 | 0.000 |
| -0.000 | -0.001 | -0.000 | 0.000 | -234.255 | -0.000 |
| -0.000 | -0.000 | -0.001 | 0.000 | -0.000 | -234.255 |
| 20212.197 | 19555.755 | 19555.755 | -0.000 | 0.000 | -0.000 |
| 19555.755 | 20212.197 | 19555.755 | -0.000 | -0.000 | 0.000 |
| 19555.755 | 19555.755 | 20212.197 | -0.000 | -0.000 | -0.000 |
| 0.001 | 0.000 | 0.000 | -234.255 | -0.000 | 0.000 |
| 0.000 | 0.001 | 0.000 | -0.000 | -234.255 | 0.000 |
| 0.000 | 0.000 | 0.001 | -0.000 | 0.000 | -234.255 |
| 20212.445 | 19555.964 | 19555.964 | 0.000 | -0.000 | -0.000 |
| 19555.964 | 20212.445 | 19555.964 | 0.000 | -0.000 | -0.000 |
| 19555.964 | 19555.964 | 20212.445 | 0.000 | 0.000 | -0.000 |
| -0.001 | 0.002 | 0.002 | -234.255 | -0.000 | -0.000 |
| 0.002 | -0.001 | 0.002 | 0.000 | -234.255 | -0.000 |
| 0.002 | 0.002 | -0.001 | 0.000 | -0.000 | -234.255 |
| 20211.993 | 19555.583 | 19555.583 | -0.000 | 0.000 | 0.000 |
| 19555.583 | 20211.993 | 19555.583 | -0.000 | 0.000 | 0.000 |
| 19555.583 | 19555.583 | 20211.993 | -0.000 | -0.000 | 0.000 |
| 0.001 | -0.002 | -0.002 | -234.255 | 0.000 | -0.000 |
| -0.002 | 0.001 | -0.002 | -0.000 | -234.255 | 0.000 |
| -0.002 | -0.002 | 0.001 | -0.000 | -0.000 | -234.255 |
| 20214.480 | 19557.680 | 19557.680 | 0.000 | 0.000 | -0.000 |
| 19557.680 | 20214.480 | 19557.680 | 0.000 | 0.000 | -0.000 |
| 19557.680 | 19557.680 | 20214.480 | 0.000 | 0.000 | -0.000 |
| -0.008 | 0.022 | 0.022 | -234.255 | -0.000 | -0.000 |
| 0.022 | -0.008 | 0.022 | 0.000 | -234.255 | -0.000 |
| 0.022 | 0.022 | -0.008 | 0.000 | -0.000 | -234.255 |
| 20209.958 | 19553.867 | 19553.867 | -0.000 | 0.000 | 0.000 |
| 19553.867 | 20209.958 | 19553.867 | -0.000 | -0.000 | 0.000 |
| 19553.867 | 19553.867 | 20209.958 | -0.000 | -0.000 | 0.000 |
| 0.008 | -0.022 | -0.022 | -234.255 | -0.000 | -0.000 |
| -0.022 | 0.008 | -0.022 | -0.000 | -234.255 | 0.000 |
| -0.022 | -0.022 | 0.008 | -0.000 | -0.000 | -234.255 |
| 419.963 | 265.748 | 265.748 | -0.000 | -0.000 | -0.000 |
| 265.748 | 419.963 | 265.748 | -0.000 | -0.000 | 0.000 |
| 265.748 | 265.748 | 419.963 | -0.000 | -0.000 | 0.000 |
| -0.000 | -0.000 | -0.000 | 62.724 | -0.000 | 0.000 |
| -0.000 | -0.000 | -0.000 | -0.000 | 62.724 | 0.000 |
| -0.000 | -0.000 | -0.000 | 0.000 | -0.000 | 62.724 |
| 419.964 | 265.749 | 265.749 | -0.000 | 0.000 | -0.000 |
| 265.749 | 419.964 | 265.749 | -0.000 | 0.000 | -0.000 |
| 265.749 | 265.749 | 419.964 | 0.000 | 0.000 | -0.000 |
| 0.000 | 0.000 | 0.000 | 62.724 | -0.000 | -0.000 |
| 0.000 | 0.000 | 0.000 | 0.000 | 62.724 | 0.000 |
| 0.000 | 0.000 | 0.000 | -0.000 | 0.000 | 62.724 |
| 419.959 | 265.747 | 265.747 | -0.000 | -0.000 | 0.000 |
| 265.747 | 419.959 | 265.747 | 0.000 | -0.000 | 0.000 |
| 265.747 | 265.747 | 419.959 | -0.000 | -0.000 | -0.000 |
| -0.000 | -0.001 | -0.001 | 62.724 | -0.000 | -0.000 |
| -0.001 | -0.000 | -0.001 | -0.000 | 62.724 | -0.000 |
| -0.001 | -0.001 | -0.000 | -0.000 | -0.000 | 62.724 |
| 419.969 | 265.750 | 265.750 | 0.000 | 0.000 | -0.000 |
| 265.750 | 419.969 | 265.750 | 0.000 | 0.000 | -0.000 |
| 265.750 | 265.750 | 419.969 | 0.000 | 0.000 | -0.000 |
| 0.000 | 0.001 | 0.001 | 62.724 | 0.000 | -0.000 |
| 0.001 | 0.000 | 0.001 | 0.000 | 62.724 | 0.000 |
| 0.001 | 0.001 | 0.000 | 0.000 | 0.000 | 62.724 |
| 419.917 | 265.734 | 265.734 | -0.000 | -0.000 | -0.000 |
| 265.734 | 419.917 | 265.734 | -0.000 | -0.000 | 0.000 |
| 265.734 | 265.734 | 419.917 | 0.000 | -0.000 | 0.000 |
| -0.002 | -0.014 | -0.014 | 62.724 | -0.000 | -0.000 |
| -0.014 | -0.002 | -0.014 | -0.000 | 62.724 | 0.000 |
| -0.014 | -0.014 | -0.002 | -0.000 | -0.000 | 62.724 |
| 420.011 | 265.763 | 265.763 | 0.000 | 0.000 | -0.000 |
| 265.763 | 420.011 | 265.763 | 0.000 | 0.000 | 0.000 |
| 265.763 | 265.763 | 420.011 | -0.000 | 0.000 | 0.000 |
| 0.002 | 0.014 | 0.014 | 62.724 | 0.000 | 0.000 |
| 0.014 | 0.002 | 0.014 | -0.000 | 62.724 | -0.000 |
| 0.014 | 0.014 | 0.002 | 0.000 | 0.000 | 62.724 |
| -934.266 | -336.080 | -336.080 | 0.000 | -0.000 | 0.000 |
| -336.080 | -934.266 | -336.080 | 0.000 | -0.000 | 0.000 |
| -336.080 | -336.080 | -934.266 | 0.000 | -0.000 | 0.000 |
| 0.000 | -0.001 | -0.001 | -245.058 | -0.000 | 0.000 |
| -0.001 | 0.000 | -0.001 | 0.000 | -245.058 | 0.000 |
| -0.001 | -0.001 | 0.000 | 0.000 | -0.000 | -245.058 |
| -934.247 | -336.077 | -336.077 | -0.000 | 0.000 | -0.000 |
| -336.077 | -934.247 | -336.077 | -0.000 | 0.000 | -0.000 |
| -336.077 | -336.077 | -934.247 | -0.000 | 0.000 | -0.000 |
| -0.000 | 0.001 | 0.001 | -245.058 | 0.000 | -0.000 |
| 0.001 | -0.000 | 0.001 | -0.000 | -245.058 | -0.000 |
| 0.001 | 0.001 | -0.000 | -0.000 | 0.000 | -245.058 |
| -934.353 | -336.093 | -336.093 | 0.000 | -0.000 | -0.000 |
| -336.093 | -934.353 | -336.093 | 0.000 | -0.000 | 0.000 |
| -336.093 | -336.093 | -934.353 | 0.000 | -0.000 | 0.000 |
| 0.001 | -0.014 | -0.014 | -245.058 | -0.000 | 0.000 |
| -0.014 | 0.001 | -0.014 | 0.000 | -245.058 | 0.000 |
| -0.014 | -0.014 | 0.001 | 0.000 | 0.000 | -245.058 |
| -934.161 | -336.064 | -336.064 | 0.000 | 0.000 | -0.000 |
| -336.064 | -934.161 | -336.064 | -0.000 | -0.000 | -0.000 |
| -336.064 | -336.064 | -934.161 | -0.000 | 0.000 | -0.000 |
| -0.001 | 0.014 | 0.014 | -245.058 | -0.000 | -0.000 |
| 0.014 | -0.001 | 0.014 | -0.000 | -245.058 | -0.000 |
| 0.014 | 0.014 | -0.001 | -0.000 | 0.000 | -245.058 |
| -935.215 | -336.221 | -336.221 | 0.000 | 0.000 | 0.000 |
| -336.221 | -935.215 | -336.221 | -0.000 | 0.000 | 0.000 |
| -336.221 | -336.221 | -935.215 | 0.000 | 0.000 | 0.000 |
| 0.009 | -0.141 | -0.141 | -245.058 | 0.000 | 0.000 |
| -0.141 | 0.009 | -0.141 | 0.000 | -245.058 | 0.000 |
| -0.141 | -0.141 | 0.009 | 0.000 | -0.000 | -245.058 |
| -933.299 | -335.937 | -335.937 | -0.000 | -0.000 | -0.000 |
| -335.937 | -933.299 | -335.937 | -0.000 | -0.000 | -0.000 |
| -335.937 | -335.937 | -933.299 | -0.000 | -0.000 | -0.000 |
| -0.009 | 0.141 | 0.141 | -245.058 | -0.000 | -0.000 |
| 0.141 | -0.009 | 0.141 | -0.000 | -245.058 | 0.000 |
| 0.141 | 0.141 | -0.009 | -0.000 | -0.000 | -245.058 |
| 718.172 | 300.524 | 300.524 | 0.000 | 0.000 | -0.000 |
| 300.524 | 718.172 | 300.524 | 0.000 | 0.000 | 0.000 |
| 300.524 | 300.524 | 718.172 | 0.000 | 0.000 | 0.000 |
| 0.001 | 0.002 | 0.002 | 330.585 | -0.000 | -0.000 |
| 0.002 | 0.001 | 0.002 | 0.000 | 330.585 | -0.000 |
| 0.002 | 0.002 | 0.001 | 0.000 | -0.000 | 330.585 |
| 718.161 | 300.521 | 300.521 | -0.000 | -0.000 | -0.000 |
| 300.521 | 718.161 | 300.521 | 0.000 | -0.000 | -0.000 |
| 300.521 | 300.521 | 718.161 | -0.000 | -0.000 | 0.000 |
| -0.001 | -0.002 | -0.002 | 330.585 | 0.000 | 0.000 |
| -0.002 | -0.001 | -0.002 | -0.000 | 330.585 | 0.000 |
| -0.002 | -0.002 | -0.001 | -0.000 | 0.000 | 330.585 |
| 718.219 | 300.540 | 300.540 | -0.000 | 0.000 | 0.000 |
| 300.540 | 718.219 | 300.540 | 0.000 | -0.000 | -0.000 |
| 300.540 | 300.540 | 718.219 | -0.000 | -0.000 | -0.000 |
| 0.011 | 0.017 | 0.017 | 330.585 | -0.000 | 0.000 |
| 0.017 | 0.011 | 0.017 | 0.000 | 330.585 | -0.000 |
| 0.017 | 0.017 | 0.011 | -0.000 | 0.000 | 330.585 |
| 718.114 | 300.505 | 300.505 | -0.000 | -0.000 | -0.000 |
| 300.505 | 718.114 | 300.505 | -0.000 | -0.000 | 0.000 |
| 300.505 | 300.505 | 718.114 | -0.000 | -0.000 | 0.000 |
| -0.011 | -0.017 | -0.017 | 330.585 | -0.000 | 0.000 |
| -0.017 | -0.011 | -0.017 | 0.000 | 330.585 | -0.000 |
| -0.017 | -0.017 | -0.011 | -0.000 | -0.000 | 330.585 |
| 718.688 | 300.698 | 300.698 | 0.000 | -0.000 | 0.000 |
| 300.698 | 718.688 | 300.698 | 0.000 | 0.000 | 0.000 |
| 300.698 | 300.698 | 718.688 | 0.000 | -0.000 | -0.000 |
| 0.110 | 0.174 | 0.175 | 330.585 | -0.000 | -0.000 |
| 0.174 | 0.110 | 0.175 | 0.000 | 330.585 | -0.000 |
| 0.174 | 0.175 | 0.110 | 0.000 | 0.000 | 330.585 |
| 717.645 | 300.348 | 300.348 | -0.000 | -0.000 | 0.000 |
| 300.348 | 717.645 | 300.348 | 0.000 | -0.000 | -0.000 |
| 300.348 | 300.348 | 717.645 | -0.000 | -0.000 | 0.000 |
| -0.110 | -0.174 | -0.175 | 330.585 | -0.000 | 0.000 |
| -0.174 | -0.110 | -0.175 | 0.000 | 330.585 | 0.000 |
| -0.174 | -0.175 | -0.110 | 0.000 | 0.000 | 330.585 |
| 69.134 | -1.077 | -1.077 | 0.000 | 0.000 | 0.000 |
| -1.077 | 69.134 | -1.077 | -0.000 | -0.000 | 0.000 |
| -1.077 | -1.077 | 69.134 | -0.000 | -0.000 | 0.000 |
| -0.000 | -0.000 | -0.000 | 1.871 | -0.000 | 0.000 |
| -0.000 | -0.000 | -0.000 | -0.000 | 1.871 | 0.000 |
| -0.000 | -0.000 | -0.000 | 0.000 | 0.000 | 1.871 |
| 69.134 | -1.077 | -1.077 | 0.000 | 0.000 | -0.000 |
| -1.077 | 69.134 | -1.077 | 0.000 | 0.000 | -0.000 |
| -1.077 | -1.077 | 69.134 | 0.000 | -0.000 | -0.000 |
| -0.000 | 0.000 | 0.000 | 1.871 | 0.000 | -0.000 |
| 0.000 | 0.000 | 0.000 | 0.000 | 1.871 | -0.000 |
| 0.000 | 0.000 | 0.000 | -0.000 | -0.000 | 1.871 |
| 69.135 | -1.077 | -1.077 | -0.000 | 0.000 | 0.000 |
| -1.077 | 69.135 | -1.077 | 0.000 | -0.000 | -0.000 |
| -1.077 | -1.077 | 69.135 | -0.000 | -0.000 | 0.000 |
| -0.000 | -0.000 | -0.000 | 1.871 | -0.000 | 0.000 |
| -0.000 | -0.000 | -0.000 | 0.000 | 1.871 | 0.000 |
| -0.000 | -0.000 | -0.000 | -0.000 | 0.000 | 1.871 |
| 69.134 | -1.077 | -1.077 | 0.000 | 0.000 | -0.000 |
| -1.077 | 69.134 | -1.077 | -0.000 | -0.000 | -0.000 |
| -1.077 | -1.077 | 69.134 | 0.000 | 0.000 | -0.000 |
| 0.000 | 0.000 | 0.000 | 1.871 | -0.000 | -0.000 |
| 0.000 | 0.000 | 0.000 | -0.000 | 1.871 | -0.000 |
| 0.000 | 0.000 | 0.000 | -0.000 | 0.000 | 1.871 |
| 69.135 | -1.078 | -1.078 | -0.000 | -0.000 | 0.000 |
| -1.078 | 69.135 | -1.078 | -0.000 | -0.000 | 0.000 |
| -1.078 | -1.078 | 69.135 | -0.000 | -0.000 | 0.000 |
| -0.000 | -0.000 | -0.000 | 1.871 | 0.000 | 0.000 |
| -0.000 | -0.000 | -0.000 | -0.000 | 1.871 | 0.000 |
| -0.000 | -0.000 | -0.000 | 0.000 | -0.000 | 1.871 |
| 69.133 | -1.077 | -1.077 | -0.000 | 0.000 | -0.000 |
| -1.077 | 69.133 | -1.077 | 0.000 | -0.000 | -0.000 |
| -1.077 | -1.077 | 69.133 | 0.000 | -0.000 | -0.000 |
| 0.000 | 0.000 | 0.000 | 1.871 | 0.000 | -0.000 |
| 0.000 | 0.000 | 0.000 | 0.000 | 1.871 | -0.000 |
| 0.000 | 0.000 | 0.000 | -0.000 | -0.000 | 1.871 |
| 39.636 | -6.195 | -6.195 | -0.000 | 0.000 | 0.000 |
| -6.195 | 39.636 | -6.195 | 0.000 | -0.000 | 0.000 |
| -6.195 | -6.195 | 39.636 | -0.000 | -0.000 | -0.000 |
| -0.000 | -0.000 | -0.000 | -2.359 | -0.000 | 0.000 |
| -0.000 | -0.000 | -0.000 | 0.000 | -2.359 | 0.000 |
| -0.000 | -0.000 | 0.000 | 0.000 | 0.000 | -2.359 |
| 39.636 | -6.195 | -6.195 | -0.000 | -0.000 | -0.000 |
| -6.195 | 39.636 | -6.195 | -0.000 | 0.000 | -0.000 |
| -6.195 | -6.195 | 39.636 | 0.000 | 0.000 | 0.000 |
| 0.000 | 0.000 | 0.000 | -2.359 | -0.000 | -0.000 |
| 0.000 | 0.000 | 0.000 | -0.000 | -2.359 | -0.000 |
| 0.000 | 0.000 | -0.000 | 0.000 | 0.000 | -2.359 |
| 39.636 | -6.195 | -6.195 | -0.000 | -0.000 | -0.000 |
| -6.195 | 39.636 | -6.195 | 0.000 | -0.000 | 0.000 |
| -6.195 | -6.195 | 39.636 | 0.000 | 0.000 | -0.000 |
| 0.000 | -0.000 | -0.000 | -2.359 | 0.000 | -0.000 |
| -0.000 | 0.000 | -0.000 | 0.000 | -2.359 | 0.000 |
| -0.000 | -0.000 | 0.000 | -0.000 | 0.000 | -2.359 |
| 39.636 | -6.195 | -6.195 | 0.000 | -0.000 | -0.000 |
| -6.195 | 39.636 | -6.195 | -0.000 | 0.000 | -0.000 |
| -6.195 | -6.195 | 39.636 | -0.000 | -0.000 | -0.000 |
| -0.000 | 0.000 | 0.000 | -2.359 | 0.000 | -0.000 |
| 0.000 | -0.000 | 0.000 | 0.000 | -2.359 | -0.000 |
| 0.000 | 0.000 | -0.000 | -0.000 | -0.000 | -2.359 |
| 39.635 | -6.195 | -6.195 | 0.000 | 0.000 | -0.000 |
| -6.195 | 39.635 | -6.195 | 0.000 | 0.000 | 0.000 |
| -6.195 | -6.195 | 39.635 | -0.000 | -0.000 | 0.000 |
| 0.000 | -0.000 | -0.000 | -2.359 | -0.000 | 0.000 |
| -0.000 | 0.000 | -0.000 | -0.000 | -2.359 | -0.000 |
| -0.000 | -0.000 | 0.000 | 0.000 | 0.000 | -2.359 |
| 39.636 | -6.194 | -6.194 | -0.000 | -0.000 | -0.000 |
| -6.194 | 39.636 | -6.194 | -0.000 | -0.000 | -0.000 |
| -6.194 | -6.194 | 39.636 | -0.000 | -0.000 | -0.000 |
| -0.000 | 0.000 | 0.000 | -2.359 | 0.000 | 0.000 |
| 0.000 | -0.000 | 0.000 | -0.000 | -2.359 | -0.000 |
| 0.000 | 0.000 | -0.000 | -0.000 | 0.000 | -2.359 |
| 457.950 | 186.089 | 113.966 | -0.000 | -0.000 | 0.000 |
| 186.089 | 457.951 | 113.966 | 0.000 | -0.000 | -0.000 |
| 113.966 | 113.966 | 668.873 | -0.000 | -0.000 | 0.000 |
| 0.000 | 0.000 | 0.000 | 195.276 | -0.000 | -0.000 |
| 0.000 | 0.000 | 0.000 | -0.000 | 195.276 | -0.000 |
| -0.000 | -0.000 | 0.000 | -0.000 | -0.000 | 135.931 |
| 457.952 | 186.089 | 113.966 | 0.000 | 0.000 | -0.000 |
| 186.089 | 457.952 | 113.966 | -0.000 | 0.000 | -0.000 |
| 113.966 | 113.966 | 668.873 | 0.000 | 0.000 | -0.000 |
| -0.000 | -0.000 | -0.000 | 195.276 | -0.000 | 0.000 |
| -0.000 | -0.000 | -0.000 | 0.000 | 195.276 | -0.000 |
| 0.000 | 0.000 | -0.000 | 0.000 | 0.000 | 135.931 |
| 457.945 | 186.089 | 113.967 | -0.000 | -0.000 | 0.000 |
| 186.087 | 457.947 | 113.967 | -0.000 | -0.000 | 0.000 |
| 113.967 | 113.967 | 668.873 | -0.000 | -0.000 | 0.000 |
| 0.000 | 0.001 | 0.001 | 195.276 | -0.000 | 0.000 |
| 0.001 | 0.000 | 0.001 | -0.000 | 195.276 | -0.000 |
| -0.000 | -0.002 | 0.000 | -0.000 | -0.000 | 135.931 |
| 457.958 | 186.089 | 113.966 | 0.000 | 0.000 | -0.000 |
| 186.091 | 457.956 | 113.966 | 0.000 | 0.000 | -0.000 |
| 113.965 | 113.965 | 668.872 | 0.000 | 0.000 | -0.000 |
| -0.000 | -0.001 | -0.001 | 195.276 | 0.000 | 0.000 |
| -0.001 | -0.000 | -0.001 | 0.000 | 195.276 | -0.000 |
| 0.000 | 0.002 | -0.000 | 0.000 | 0.000 | 135.931 |
| 457.886 | 186.089 | 113.972 | -0.000 | -0.000 | 0.000 |
| 186.068 | 457.906 | 113.972 | -0.000 | -0.000 | 0.000 |
| 113.976 | 113.976 | 668.877 | -0.000 | 0.000 | 0.000 |
| 0.002 | 0.006 | 0.010 | 195.276 | -0.000 | -0.000 |
| 0.006 | 0.002 | 0.010 | -0.000 | 195.276 | -0.000 |
| -0.001 | -0.021 | 0.002 | -0.000 | -0.000 | 135.931 |
| 458.016 | 186.089 | 113.960 | 0.000 | 0.000 | -0.000 |
| 186.110 | 457.996 | 113.960 | 0.000 | 0.000 | -0.000 |
| 113.956 | 113.956 | 668.868 | 0.000 | -0.000 | -0.000 |
| -0.002 | -0.006 | -0.010 | 195.276 | 0.000 | 0.000 |
| -0.006 | -0.002 | -0.010 | 0.000 | 195.276 | -0.000 |
| 0.001 | 0.021 | -0.002 | 0.000 | 0.000 | 135.931 |
| 608.407 | 535.509 | 600.794 | -0.209 | 0.055 | 0.000 |
| 535.509 | 608.407 | 600.794 | -0.209 | 0.055 | 0.000 |
| 991734100.607 | 978282303.692 | 384328044.351 | 4703463.465 | 7395193.524 | -6531386.378 |
| 959950429.836 | 1058121464.764 | 374951648.610 | -23993743.652 | -4028126.040 | -3128792.244 |
| 1054296830.232 | 948488962.252 | 360356643.010 | -998571.183 | -21768875.355 | 2767835.157 |
| 184.266 | 184.266 | 564.783 | -0.127 | 0.034 | -101.876 |
| -973544325.031 | -1025255796.028 | -424571593.246 | 2467197.547 | -1782311.064 | 4422763.949 |
| -172.563 | -68.376 | -533.110 | 0.209 | -0.055 | -0.000 |
| 109.527 | 109.527 | 12.756 | 0.014 | -0.004 | -0.000 |
| -358.480 | -358.479 | -571.980 | -107.970 | -0.056 | -0.000 |
| -1028579745.523 | -935349245.757 | -338430411.738 | -1404370.384 | -19486192.736 | 501741.993 |
| -64.520 | -64.520 | -526.278 | 0.014 | -0.004 | 89.729 |
| 540.413 | 285.351 | 204.089 | -0.000 | 0.000 | 0.000 |
| 219.258 | 251.383 | 69.818 | -0.022 | 0.006 | 0.000 |
| 64.223 | 64.223 | 397.216 | -0.018 | 0.005 | 0.000 |
| 95394781.821 | 99690231.703 | 29335698.314 | -3544008.816 | -277819.182 | -657330.552 |
| 98502722.486 | 93310471.242 | 28931775.005 | 546920.055 | -2244917.946 | 224329.431 |
| 7.153 | 7.153 | 58.351 | -0.002 | 0.000 | 82.497 |
| 259.695 | 217.286 | 28.900 | 0.010 | -0.003 | -0.000 |
| -104970241.504 | -98025042.014 | -40611565.122 | -93181.053 | -48656.994 | -76869.801 |
| 65.341 | 65.341 | 348.794 | 0.009 | -0.003 | -0.000 |
| 0.002 | 0.004 | 0.002 | 53.854 | -0.000 | -0.000 |
| 0.004 | 0.002 | 0.002 | 0.000 | 53.854 | -0.000 |
| -12.416 | -12.416 | -41.022 | 0.008 | -0.002 | -15.506 |
| 10234950.911 | 9618580.754 | 4108834.293 | 63097.813 | -52439.101 | -54315.544 |
| 9702583.858 | 10327114.932 | 3930834.608 | 19295.669 | 60650.973 | -63020.482 |
| 9796056.719 | 9828715.435 | 3597766.160 | -13936.777 | 42540.294 | -59047.667 |
| 9192021.069 | 9769543.747 | 2610887.331 | -358703.980 | 2591.267 | 27961.246 |
| 9934356.873 | 9351826.505 | 2818081.502 | -57333.581 | -285348.466 | -121510.435 |
| 1.449 | 1.449 | 3.141 | -0.003 | 0.001 | 3.939 |
| -9569149.990 | -10497123.148 | -3382685.595 | 68325.099 | 124869.411 | -40574.894 |
| -10468028.869 | -9556636.732 | -3512951.122 | 81858.676 | 17136.179 | 7777.503 |
| 65.811 | 65.811 | 391.712 | 0.002 | -0.001 | -0.000 |
| -9370440.755 | -9818928.224 | -3088997.922 | -390470.603 | -77135.184 | 43130.741 |
| -9608129.721 | -8960900.493 | -2654783.782 | 71743.310 | -300232.879 | 22142.893 |
| -1.649 | -1.649 | -4.390 | 0.004 | -0.001 | 3.494 |
| 495.336 | -312.763 | 12.055 | -123.265 | 322.178 | -540.424 |
| 501.995 | 143.071 | 399.444 | 61.335 | 418.132 | -614.503 |
| 495.651 | -29.808 | 522.324 | 57.722 | 403.310 | -624.598 |
| -4.110 | 1.111 | -6.015 | 142.073 | -2.201 | 8.151 |
| 953.578 | -777.899 | 2129.658 | 1251.482 | 1098.432 | -1302.903 |
| 1.394 | 10.489 | -0.533 | 9.974 | -2.914 | 126.342 |
| 497.551 | 270.370 | 267.304 | -4.104 | 8.524 | 3.921 |
| -47.687 | 695.126 | 88.477 | -58.235 | -383.400 | 630.502 |
| -53.332 | 517.750 | 209.541 | -62.829 | -395.389 | 615.538 |
| -4.110 | 1.111 | -6.014 | 142.073 | -2.201 | 8.151 |
| -54.268 | 576.627 | 233.165 | 119.013 | -205.399 | 539.940 |
| -950.810 | 798.806 | -2125.395 | -1246.331 | -1059.492 | 1345.915 |
| 346.882 | 131.219 | 389.526 | 125.847 | 108.608 | -124.456 |
| 254.430 | 435.532 | 244.044 | -8.004 | 48.901 | -43.810 |
| 275.097 | 144.907 | 455.098 | 120.550 | 110.778 | -127.695 |
| 95.004 | -75.116 | 207.364 | 157.009 | 94.626 | -112.637 |
| 179.792 | 216.682 | 696.039 | 373.934 | 198.196 | -78.737 |
| 136.561 | 71.495 | 440.744 | 310.666 | 166.601 | -108.838 |
| 332.236 | 258.166 | 207.389 | -5.381 | -35.156 | 70.800 |
| 53.330 | 227.337 | -262.929 | -294.548 | -148.412 | 130.027 |
| 191.905 | 273.802 | 347.389 | -7.666 | -37.838 | 61.043 |
| -27.524 | 28.555 | -17.626 | 78.728 | -45.030 | 72.339 |
| 4.502 | 15.537 | -4.704 | -2.201 | 127.725 | -6.273 |
| -205.243 | -302.826 | -790.106 | -464.670 | -177.473 | 123.469 |
| 310.340 | 235.846 | 230.106 | 42.390 | 21.513 | -4.188 |
| 248.125 | 481.387 | 263.695 | 2.834 | 20.932 | 4.767 |
| 229.923 | 250.606 | 388.245 | -1.358 | 5.283 | -7.468 |
| -4.099 | 1.115 | -6.002 | 142.065 | -2.190 | 8.145 |
| 3.057 | 9.346 | -3.255 | -4.288 | 109.064 | -10.789 |
| 1.404 | 10.495 | -0.523 | 9.966 | -2.904 | 126.336 |
| 423.500 | 253.512 | 245.895 | 1.483 | 2.384 | 14.685 |
| 243.548 | 483.377 | 265.798 | 5.623 | 13.778 | 17.299 |
| 198.541 | 246.056 | 305.140 | -7.147 | -1.742 | 8.570 |
| -2.815 | -29.750 | -76.315 | -13.431 | -27.118 | 23.597 |
| 1.927 | 21.909 | 1.788 | -1.512 | 103.322 | 1.334 |
| 5.169 | 17.367 | 2.534 | 9.922 | -5.380 | 107.751 |
| 314.610 | 158.471 | 18.106 | 0.000 | 0.000 | -0.000 |
| 142.497 | 447.832 | 117.080 | 0.000 | 0.000 | -0.000 |
| 10.482 | 125.429 | 460.205 | 0.000 | 0.000 | -0.000 |
| -6.462 | 0.856 | -2.810 | 50.011 | 0.000 | -0.000 |
| -0.000 | 0.000 | -0.000 | 0.000 | 17.460 | 0.000 |
| 0.001 | 0.000 | 0.000 | -0.000 | 0.000 | 121.700 |
| 346.905 | 154.192 | 32.153 | -0.000 | -0.000 | 0.000 |
| 174.796 | 443.554 | 131.126 | -0.000 | -0.000 | 0.000 |
| 42.783 | 121.152 | 474.252 | -0.000 | -0.000 | 0.000 |
| 6.462 | -0.856 | 2.810 | 50.011 | -0.000 | 0.000 |
| 0.000 | -0.000 | 0.000 | 0.000 | 17.460 | 0.000 |
| -0.001 | -0.000 | -0.000 | -0.000 | -0.000 | 121.700 |
| 329.162 | 156.556 | 24.423 | 0.000 | 0.000 | -0.000 |
| 142.691 | 447.811 | 117.164 | 0.000 | 0.000 | -0.000 |
| 25.015 | 123.505 | 466.524 | 0.000 | 0.000 | -0.000 |
| -0.611 | 0.082 | -0.266 | 50.497 | 0.000 | -0.000 |
| -1.617 | 0.214 | -0.704 | 0.000 | 17.460 | -0.000 |
| -4.324 | 0.573 | -1.895 | 0.000 | 0.000 | -183.222 |
| 451.263 | 140.362 | 77.545 | 0.000 | -0.000 | 0.000 |
| 142.682 | 447.802 | 117.162 | 0.000 | -0.000 | 0.000 |
| 28.251 | 123.077 | 467.933 | -0.000 | -0.000 | 0.000 |
| 0.611 | -0.082 | 0.266 | 50.497 | -0.000 | 0.000 |
| 1.617 | -0.214 | 0.704 | -0.000 | 17.460 | 0.000 |
| 4.324 | -0.573 | 1.895 | -0.000 | -0.000 | -183.222 |
| 330.797 | 156.458 | 25.013 | 0.000 | 0.000 | -0.000 |
| 158.535 | 445.756 | 124.046 | 0.000 | 0.000 | -0.000 |
| 26.441 | 123.317 | 467.140 | 0.000 | 0.000 | -0.000 |
| -0.064 | 0.017 | -0.029 | 50.502 | 0.000 | -0.000 |
| -0.182 | 0.025 | -0.083 | 0.000 | 17.460 | -0.000 |
| -0.594 | 0.087 | -0.406 | 0.000 | 0.000 | -183.317 |
| 330.717 | 156.205 | 25.246 | -0.000 | -0.000 | 0.000 |
| 158.758 | 445.631 | 124.160 | -0.000 | -0.000 | 0.000 |
| 26.824 | 123.265 | 467.317 | -0.000 | -0.000 | 0.000 |
| 0.064 | -0.017 | 0.029 | 50.502 | -0.000 | 0.000 |
| 0.182 | -0.025 | 0.083 | -0.000 | 17.460 | 0.000 |
| 0.594 | -0.087 | 0.406 | -0.000 | -0.000 | -183.317 |
| 1872.324 | 1737.019 | 1737.019 | 0.000 | -0.000 | 0.000 |
| 1737.019 | 1872.324 | 1737.019 | -0.000 | -0.000 | 0.000 |
| 1737.019 | 1737.019 | 1872.324 | 0.000 | 0.000 | 0.000 |
| 1772.925 | 1772.925 | 1772.925 | 52.233 | 0.000 | 0.000 |
| 1772.925 | 1772.925 | 1772.925 | -0.000 | 52.233 | 0.000 |
| 1772.925 | 1772.925 | 1772.925 | 0.000 | -0.000 | 52.233 |
| 913.586 | 733.860 | 733.860 | -0.000 | -0.000 | -0.000 |
| 733.860 | 913.586 | 733.860 | -0.000 | -0.000 | -0.000 |
| 733.860 | 733.860 | 913.586 | -0.000 | -0.000 | -0.000 |
| -1772.925 | -1772.925 | -1772.925 | 52.233 | -0.000 | -0.000 |
| -1772.925 | -1772.925 | -1772.925 | -0.000 | 52.233 | -0.000 |
| -1772.925 | -1772.925 | -1772.925 | 0.000 | -0.000 | 52.233 |
| 492.207 | 261.088 | 261.088 | 0.000 | -0.000 | 0.000 |
| 261.088 | 492.207 | 261.088 | 0.000 | -0.000 | 0.000 |
| 261.088 | 261.088 | 492.207 | 0.000 | 0.000 | 0.000 |
| 148.917 | 148.917 | 148.917 | 57.639 | 0.000 | 0.000 |
| 148.917 | 148.917 | 148.917 | -0.000 | 57.639 | 0.000 |
| 148.917 | 148.917 | 148.917 | -0.000 | 0.000 | 57.639 |
| 203.521 | 64.894 | 64.894 | 0.000 | 0.000 | -0.000 |
| 64.894 | 203.521 | 64.894 | 0.000 | 0.000 | -0.000 |
| 64.894 | 64.894 | 203.521 | -0.000 | -0.000 | -0.000 |
| -148.917 | -148.917 | -148.917 | 57.639 | -0.000 | -0.000 |
| -148.917 | -148.917 | -148.917 | 0.000 | 57.639 | -0.000 |
| -148.917 | -148.917 | -148.917 | 0.000 | -0.000 | 57.639 |
| 399.437 | 263.250 | 263.250 | -0.000 | 0.000 | 0.000 |
| 263.250 | 399.437 | 263.250 | 0.000 | 0.000 | 0.000 |
| 263.250 | 263.250 | 399.437 | 0.000 | 0.000 | 0.000 |
| 15.320 | 15.318 | 15.318 | 57.194 | 0.000 | 0.000 |
| 15.318 | 15.320 | 15.318 | 0.000 | 57.194 | 0.000 |
| 15.318 | 15.318 | 15.320 | 0.000 | 0.000 | 57.194 |
| 371.959 | 234.113 | 234.113 | 0.000 | -0.000 | -0.000 |
| 234.113 | 371.959 | 234.113 | -0.000 | -0.000 | -0.000 |
| 234.113 | 234.113 | 371.959 | 0.000 | 0.000 | -0.000 |
| -15.320 | -15.318 | -15.318 | 57.194 | 0.000 | -0.000 |
| -15.318 | -15.320 | -15.318 | 0.000 | 57.194 | -0.000 |
| -15.318 | -15.318 | -15.320 | 0.000 | 0.000 | 57.194 |
| 145.278 | 34.643 | 34.643 | -0.000 | -0.000 | 0.000 |
| 34.643 | 145.278 | 34.643 | -0.000 | -0.000 | -0.000 |
| 34.643 | 34.643 | 145.278 | -0.000 | -0.000 | -0.000 |
| 0.000 | 0.000 | 0.000 | 43.824 | 0.000 | 0.000 |
| 0.000 | 0.000 | 0.000 | 0.000 | 43.824 | -0.000 |
| 0.000 | 0.000 | 0.000 | -0.000 | -0.000 | 43.824 |
| 227.626 | 92.142 | 92.142 | 0.000 | 0.000 | 0.000 |
| 92.142 | 227.626 | 92.142 | 0.000 | 0.000 | -0.000 |
| 92.142 | 92.142 | 227.626 | 0.000 | 0.000 | -0.000 |
| -0.000 | -0.000 | -0.000 | 43.824 | 0.000 | -0.000 |
| -0.000 | -0.000 | -0.000 | 0.000 | 43.824 | 0.000 |
| -0.000 | -0.000 | -0.000 | -0.000 | 0.000 | 43.824 |
| 351.449 | 149.072 | 149.072 | 0.000 | -0.000 | -0.000 |
| 149.072 | 351.449 | 149.072 | -0.000 | -0.000 | -0.000 |
| 149.072 | 149.072 | 351.449 | 0.000 | -0.000 | -0.000 |
| 0.001 | 0.002 | 0.002 | 43.824 | -0.000 | -0.000 |
| 0.002 | 0.001 | 0.002 | -0.000 | 43.824 | -0.000 |
| 0.002 | 0.002 | 0.001 | 0.000 | -0.000 | 43.824 |
| 238.823 | 99.524 | 99.524 | 0.000 | 0.000 | 0.000 |
| 99.524 | 238.823 | 99.524 | 0.000 | 0.000 | -0.000 |
| 99.524 | 99.524 | 238.823 | -0.000 | -0.000 | -0.000 |
| -0.001 | -0.002 | -0.002 | 43.824 | 0.000 | 0.000 |
| -0.002 | -0.001 | -0.002 | -0.000 | 43.824 | 0.000 |
| -0.002 | -0.002 | -0.001 | 0.000 | 0.000 | 43.824 |
| 240.073 | 100.339 | 100.339 | -0.000 | 0.000 | -0.000 |
| 100.339 | 240.073 | 100.339 | -0.000 | -0.000 | -0.000 |
| 100.339 | 100.339 | 240.073 | -0.000 | -0.000 | -0.000 |
| 0.079 | 0.098 | 0.098 | 7.985 | -0.000 | 0.000 |
| 0.098 | 0.079 | 0.098 | -0.000 | 7.985 | -0.000 |
| 0.098 | 0.098 | 0.079 | -0.000 | -0.000 | 7.985 |
| 146.753 | 55.485 | 55.485 | 0.000 | 0.000 | -0.000 |
| 55.485 | 146.753 | 55.485 | 0.000 | 0.000 | -0.000 |
| 55.485 | 55.485 | 146.753 | 0.000 | 0.000 | 0.000 |
| -0.079 | -0.098 | -0.098 | 7.985 | 0.000 | -0.000 |
| -0.098 | -0.079 | -0.098 | -0.000 | 7.985 | 0.000 |
| -0.098 | -0.098 | -0.079 | -0.000 | 0.000 | 7.985 |
| 612.851 | 334.247 | 334.247 | 0.000 | -0.000 | -0.000 |
| 334.247 | 612.851 | 334.247 | 0.000 | -0.000 | -0.000 |
| 334.247 | 334.247 | 612.851 | 0.000 | -0.000 | -0.000 |
| -58.017 | -58.018 | -58.018 | 222.372 | 0.000 | -0.000 |
| -58.018 | -58.017 | -58.018 | 0.000 | 222.372 | -0.000 |
| -58.018 | -58.018 | -58.017 | 0.000 | -0.000 | 222.372 |
| 640.496 | 395.058 | 395.058 | -0.000 | 0.000 | 0.000 |
| 395.058 | 640.496 | 395.058 | -0.000 | -0.000 | 0.000 |
| 395.058 | 395.058 | 640.496 | -0.000 | 0.000 | 0.000 |
| 58.017 | 58.018 | 58.018 | 222.372 | 0.000 | 0.000 |
| 58.018 | 58.017 | 58.018 | -0.000 | 222.372 | 0.000 |
| 58.018 | 58.018 | 58.017 | -0.000 | -0.000 | 222.372 |
| 612.843 | 334.242 | 334.242 | 0.000 | -0.000 | -0.000 |
| 334.242 | 612.843 | 334.242 | 0.000 | -0.000 | -0.000 |
| 334.242 | 334.242 | 612.843 | 0.000 | -0.000 | -0.000 |
| -0.001 | -0.005 | -0.005 | 243.114 | -0.000 | -0.000 |
| -0.005 | -0.001 | -0.005 | 0.000 | 243.114 | -0.000 |
| -0.005 | -0.005 | -0.001 | 0.000 | -0.000 | 243.114 |
| 612.861 | 334.252 | 334.252 | -0.000 | 0.000 | 0.000 |
| 334.252 | 612.861 | 334.252 | -0.000 | 0.000 | 0.000 |
| 334.252 | 334.252 | 612.861 | -0.000 | 0.000 | 0.000 |
| 0.001 | 0.005 | 0.005 | 243.114 | 0.000 | 0.000 |
| 0.005 | 0.001 | 0.005 | -0.000 | 243.114 | 0.000 |
| 0.005 | 0.005 | 0.001 | -0.000 | 0.000 | 243.114 |
| 572.908 | 336.325 | 336.325 | 0.000 | -0.000 | -0.000 |
| 336.325 | 572.908 | 336.325 | 0.000 | -0.000 | -0.000 |
| 336.325 | 336.325 | 572.908 | 0.000 | 0.000 | -0.000 |
| -0.543 | -0.599 | -0.599 | 208.700 | -0.000 | -0.000 |
| -0.599 | -0.543 | -0.599 | -0.000 | 208.700 | -0.000 |
| -0.599 | -0.599 | -0.543 | 0.000 | 0.000 | 208.700 |
| 567.113 | 340.080 | 340.080 | -0.000 | 0.000 | 0.000 |
| 340.080 | 567.113 | 340.080 | -0.000 | -0.000 | 0.000 |
| 340.080 | 340.080 | 567.113 | -0.000 | 0.000 | 0.000 |
| 0.543 | 0.599 | 0.599 | 208.700 | -0.000 | 0.000 |
| 0.599 | 0.543 | 0.599 | -0.000 | 208.700 | 0.000 |
| 0.599 | 0.599 | 0.543 | -0.000 | 0.000 | 208.700 |
| 497.861 | 171.071 | 156.289 | 24.310 | -0.000 | 0.000 |
| 173.892 | 492.490 | 151.059 | -21.554 | -0.000 | 0.000 |
| 156.289 | 156.289 | 554.393 | 0.000 | -0.000 | -0.000 |
| 20.180 | -20.180 | -0.000 | 121.891 | -0.000 | 0.000 |
| -0.000 | -0.000 | -0.000 | 0.000 | 121.892 | 20.180 |
| -0.000 | -0.000 | -0.000 | 0.000 | 24.310 | 163.395 |
| 497.862 | 171.071 | 156.289 | 24.310 | 0.000 | -0.000 |
| 171.071 | 497.862 | 156.289 | -24.309 | 0.000 | -0.000 |
| 156.289 | 156.289 | 554.394 | -0.000 | 0.000 | 0.000 |
| 20.180 | -20.180 | 0.000 | 121.892 | 0.000 | -0.000 |
| 0.000 | 0.000 | 0.000 | -0.000 | 121.892 | 20.180 |
| 0.000 | 0.000 | 0.000 | -0.000 | 24.310 | 163.395 |
| 497.857 | 171.070 | 156.286 | 24.314 | -0.000 | 0.000 |
| 171.070 | 497.856 | 156.286 | -24.316 | -0.000 | -0.000 |
| 153.759 | 153.759 | 544.021 | 0.000 | -0.000 | 0.000 |
| 20.180 | -20.182 | -0.001 | 121.891 | -0.000 | 0.000 |
| -0.003 | -0.001 | -0.002 | 0.001 | 124.671 | 24.310 |
| -0.002 | -0.001 | -0.001 | 0.002 | 20.180 | 157.259 |
| 492.495 | 173.892 | 151.062 | 21.550 | 0.000 | 0.000 |
| 173.890 | 492.497 | 151.062 | -21.547 | 0.000 | -0.000 |
| 156.291 | 156.291 | 554.398 | 0.000 | 0.000 | -0.000 |
| 20.180 | -20.178 | 0.001 | 121.892 | 0.000 | -0.000 |
| 0.003 | 0.001 | 0.002 | -0.001 | 124.671 | 24.310 |
| 0.002 | 0.001 | 0.001 | -0.002 | 20.180 | 157.259 |
| 492.444 | 173.890 | 151.038 | 21.587 | -0.000 | -0.000 |
| 171.066 | 497.812 | 156.259 | -24.371 | -0.000 | 0.000 |
| 153.748 | 153.748 | 544.001 | -0.000 | -0.000 | 0.000 |
| 20.178 | -20.197 | -0.005 | 121.883 | -0.000 | -0.000 |
| -0.017 | -0.002 | -0.005 | 0.008 | 121.892 | 20.180 |
| -0.013 | -0.006 | -0.010 | 0.012 | 24.310 | 163.395 |
| 497.903 | 171.083 | 156.319 | 24.274 | 0.000 | -0.000 |
| 176.586 | 491.168 | 153.784 | -20.105 | 0.000 | -0.000 |
| 153.773 | 153.773 | 544.044 | -0.000 | 0.000 | -0.000 |
| 24.320 | -24.279 | 0.023 | 124.682 | 0.000 | -0.000 |
| 0.017 | 0.002 | 0.005 | -0.008 | 121.892 | 20.180 |
| 0.013 | 0.006 | 0.010 | -0.012 | 24.310 | 163.395 |
| 575.818 | 198.978 | 199.653 | 3.843 | 0.000 | 0.000 |
| 199.916 | 573.432 | 198.722 | -1.860 | 0.000 | -0.000 |
| 199.044 | 199.044 | 1232.641 | -0.000 | -0.000 | 0.000 |
| 1.192 | -0.830 | 0.232 | 161.618 | 0.000 | 0.000 |
| 0.000 | 0.000 | -0.000 | -0.000 | 164.998 | 3.843 |
| -0.000 | -0.000 | 0.000 | 0.000 | 3.843 | 188.420 |
| 575.819 | 198.979 | 199.652 | 3.843 | -0.000 | -0.000 |
| 198.979 | 575.819 | 199.652 | -3.843 | -0.000 | -0.000 |
| 199.571 | 199.571 | 1233.347 | 0.000 | -0.000 | 0.000 |
| 3.843 | -3.844 | 0.000 | 164.998 | -0.000 | -0.000 |
| -0.000 | -0.000 | 0.000 | 0.000 | 164.998 | 3.843 |
| 0.000 | 0.000 | -0.000 | -0.000 | 3.843 | 188.420 |
| 575.813 | 198.978 | 199.654 | 3.844 | -0.000 | 0.000 |
| 198.977 | 575.814 | 199.654 | -3.844 | 0.000 | 0.000 |
| 198.980 | 198.980 | 1232.431 | 0.000 | 0.000 | -0.000 |
| 3.844 | -3.842 | -0.002 | 164.999 | 0.000 | 0.000 |
| 0.002 | 0.001 | -0.002 | -0.001 | 164.998 | 3.843 |
| -0.001 | -0.001 | 0.001 | 0.000 | 3.843 | 188.420 |
| 575.823 | 198.979 | 199.651 | 3.843 | 0.000 | -0.000 |
| 199.716 | 573.494 | 198.628 | -2.015 | 0.000 | -0.000 |
| 198.970 | 198.970 | 1232.702 | -0.000 | -0.000 | -0.000 |
| 3.843 | -3.845 | 0.002 | 164.997 | -0.000 | -0.000 |
| -0.002 | -0.001 | 0.002 | 0.001 | 164.998 | 3.843 |
| 0.001 | 0.001 | -0.001 | -0.000 | 3.843 | 188.420 |
| 575.771 | 198.974 | 199.672 | 3.849 | 0.000 | 0.000 |
| 198.966 | 575.778 | 199.672 | -3.852 | 0.000 | 0.000 |
| 198.958 | 198.958 | 1231.126 | 0.000 | -0.000 | 0.000 |
| 3.850 | -3.825 | -0.015 | 165.011 | -0.000 | 0.000 |
| 0.018 | 0.006 | -0.015 | -0.013 | 164.998 | 3.843 |
| 0.000 | -0.010 | 0.012 | 0.003 | 0.974 | 186.015 |
| 575.866 | 198.983 | 199.633 | 3.838 | -0.000 | -0.000 |
| 199.744 | 573.521 | 198.618 | -1.991 | -0.000 | -0.000 |
| 199.584 | 199.584 | 1234.765 | 0.000 | -0.000 | -0.000 |
| 0.969 | -0.995 | 0.022 | 161.567 | 0.000 | -0.000 |
| -0.018 | -0.006 | 0.015 | 0.013 | 164.998 | 3.843 |
| -0.000 | 0.010 | -0.012 | -0.003 | 0.974 | 186.015 |
| 15045043.920 | 14492986.378 | 15115601.008 | 682423.364 | -1315180.014 | -12194.176 |
| 16847129.630 | 16425031.520 | 15935952.794 | 1504155.809 | -655320.443 | 303920.618 |
| 14981574.366 | 14630737.823 | 15279008.234 | 838226.350 | -1354737.071 | 164569.799 |
| 14640627.939 | 15548709.233 | 15068017.922 | 650482.953 | -1628806.076 | -7288.242 |
| 15150795.112 | 14324256.388 | 15438663.529 | 815745.569 | -1512220.105 | -13429.471 |
| 14336804.498 | 15225503.232 | 14812317.436 | 980455.027 | -1256361.143 | -475248.628 |
| -14264716.195 | -14662401.602 | -15056237.371 | -1013824.240 | 1096872.281 | 633708.913 |
| -15516382.601 | -14427483.514 | -15235853.215 | -903534.502 | 1421257.413 | 390491.963 |
| -14986851.582 | -14883393.514 | -14818636.789 | -1522066.266 | 1159076.260 | 895578.425 |
| -16850387.245 | -16347076.311 | -18878796.670 | -388284.017 | 492729.272 | 1538685.600 |
| -15657665.810 | -16305847.957 | -15864552.724 | -732840.385 | 1132000.560 | -121263.031 |
| -16871164.342 | -16423019.123 | -18925542.354 | -391530.230 | 503221.966 | 1569286.216 |
| 1455841.571 | 1462895.909 | 1496838.356 | 111266.910 | -141445.558 | -68012.268 |
| 1521591.666 | 1584495.310 | 1528036.758 | 40101.910 | -140196.367 | 2300.302 |
| 1451730.822 | 1534823.512 | 1501545.706 | 59436.944 | -157082.143 | -7818.153 |
| 1623600.955 | 1612330.439 | 1812337.368 | 55370.959 | -45067.531 | -182978.676 |
| 1516857.046 | 1548210.036 | 1533732.564 | 54442.116 | -114094.838 | 12301.733 |
| 1439007.795 | 1450755.478 | 1453311.570 | 129926.910 | -123336.776 | -78732.104 |
| -1509996.860 | -1486568.711 | -1540639.275 | -66004.848 | 149637.956 | -9401.389 |
| -1445174.277 | -1449037.096 | -1500666.140 | -104156.768 | 130862.480 | 69374.660 |
| -1523733.483 | -1537027.976 | -1572800.900 | -47639.338 | 149020.815 | -27946.289 |
| -1626945.763 | -1722780.083 | -1849170.010 | -30466.501 | 48427.175 | 158440.150 |
| -1489806.491 | -1454917.771 | -1529136.840 | -73705.610 | 147230.618 | 13819.011 |
| -1503617.381 | -1439561.312 | -1485743.185 | -104746.629 | 167820.913 | 39154.044 |
| 152407.825 | 156140.166 | 154221.478 | 4093.689 | -13292.272 | 2291.687 |
| 150528.292 | 151799.628 | 151960.563 | 5366.474 | -15997.349 | 639.621 |
| 149740.190 | 161491.313 | 148053.036 | 12749.998 | -13044.611 | 323.017 |
| 146315.880 | 146266.877 | 143673.333 | 14579.553 | -12488.068 | -6781.335 |
| 165847.479 | 163969.012 | 153641.461 | 11187.615 | -4101.756 | 2795.405 |
| 167113.609 | 170017.446 | 183761.652 | 80.421 | -4151.436 | -13806.111 |
| -139961.470 | -151092.695 | -147844.621 | -9622.457 | 10538.306 | 4083.311 |
| -146387.546 | -160445.349 | -150639.101 | -12391.873 | 5133.760 | 1381.095 |
| -150384.346 | -155438.737 | -153454.597 | -6632.774 | 13039.450 | -3392.673 |
| -146817.158 | -152291.545 | -143096.089 | -8515.833 | 13780.666 | -881.762 |
| -171522.815 | -164610.943 | -158712.128 | -16970.173 | 8004.567 | -4378.668 |
| -145528.825 | -143616.119 | -148179.562 | -7191.107 | 8988.362 | 6362.617 |
| -496.281 | -649.965 | 1863.087 | 0.003 | 0.000 | -0.000 |
| -649.965 | -496.281 | 1863.087 | 0.003 | 0.000 | -0.000 |
| -1547.029 | -1547.029 | 864.583 | 0.009 | 0.001 | 0.000 |
| -1170.827 | -1170.827 | 2644.697 | 34.838 | 0.002 | -0.000 |
| -1170.827 | -1170.827 | 2644.698 | 0.018 | 34.821 | -0.000 |
| -978.330 | -978.330 | 1646.383 | 0.003 | 0.000 | 85.226 |
| 2226.284 | 2077.279 | 11.168 | -0.008 | -0.001 | -0.000 |
| 2077.279 | 2226.284 | 11.168 | -0.008 | -0.001 | -0.000 |
| 959.499 | 959.499 | -1919.830 | -0.025 | -0.002 | 0.000 |
| 1170.827 | 1170.827 | -2644.698 | 34.801 | -0.002 | 0.000 |
| 1170.827 | 1170.827 | -2644.698 | -0.018 | 34.818 | 0.000 |
| 978.330 | 978.330 | -1646.383 | -0.003 | -0.000 | 85.226 |
| 579.475 | 308.933 | 235.867 | 0.000 | -0.000 | -0.000 |
| 308.933 | 579.475 | 235.867 | 0.000 | 0.000 | -0.000 |
| 109.581 | 109.581 | 827.705 | 0.000 | 0.000 | -0.000 |
| -175.936 | -175.936 | 19.691 | 60.772 | 0.000 | 0.000 |
| -117.145 | -117.145 | 264.488 | 0.002 | 34.779 | -0.000 |
| -97.787 | -97.787 | 164.561 | 0.000 | 0.000 | 85.270 |
| 580.424 | 425.576 | 52.975 | -0.000 | -0.000 | 0.000 |
| 425.576 | 580.424 | 52.975 | -0.000 | -0.000 | 0.000 |
| 384.352 | 384.352 | 642.770 | -0.001 | -0.000 | 0.000 |
| 117.145 | 117.145 | -264.488 | 34.777 | -0.000 | 0.000 |
| -25359280.863 | 2433669.901 | 19769912.250 | 12203.452 | -24553616.962 | -9700.368 |
| 97.787 | 97.787 | -164.561 | -0.000 | -0.000 | 85.270 |
| 446.045 | 308.026 | 241.649 | 0.000 | 0.000 | -0.000 |
| 308.026 | 446.045 | 241.649 | 0.000 | 0.000 | -0.000 |
| 232.131 | 232.131 | 731.891 | 0.000 | 0.000 | -0.000 |
| -11.124 | -11.133 | 18.682 | 78.528 | 0.000 | -0.000 |
| -11.133 | -11.124 | 18.682 | 0.000 | 78.528 | -0.000 |
| -9.600 | -9.600 | 16.165 | 0.000 | 0.000 | 86.905 |
| 447.690 | 324.110 | 174.048 | -0.000 | -0.000 | 0.000 |
| 324.110 | 447.690 | 174.048 | -0.000 | -0.000 | 0.000 |
| 207.005 | 207.005 | 629.141 | -0.000 | -0.000 | 0.000 |
| 11.124 | 11.133 | -18.682 | 78.528 | -0.000 | 0.000 |
| 11.133 | 11.124 | -18.682 | -0.000 | 78.528 | 0.000 |
| 9.600 | 9.600 | -16.165 | -0.000 | -0.000 | 86.905 |
| 59.712 | -15.282 | -0.633 | -0.000 | 0.000 | 0.000 |
| -15.282 | 59.712 | -0.633 | -0.000 | 0.000 | -0.000 |
| -0.257 | -0.257 | -0.127 | 0.000 | 0.000 | 0.000 |
| 0.000 | 0.000 | 0.002 | 0.938 | 0.000 | -0.000 |
| 0.000 | 0.000 | 0.002 | -0.000 | 0.938 | -0.000 |
| 0.000 | 0.000 | 0.002 | 0.000 | 0.000 | -11.531 |
| 59.713 | -15.283 | -0.634 | 0.000 | -0.000 | -0.000 |
| -15.283 | 59.713 | -0.634 | -0.000 | -0.000 | -0.000 |
| -0.257 | -0.257 | -0.129 | -0.000 | -0.000 | 0.000 |
| -0.000 | -0.000 | -0.002 | 0.938 | -0.000 | -0.000 |
| -0.000 | -0.000 | -0.002 | 0.000 | 0.938 | -0.000 |
| -0.000 | -0.000 | 0.000 | 0.000 | 0.000 | -11.531 |
| 59.857 | -15.135 | -0.005 | 0.000 | 0.000 | 0.000 |
| -15.135 | 59.857 | -0.005 | 0.000 | -0.000 | 0.000 |
| -0.227 | -0.227 | -0.001 | -0.000 | 0.000 | -0.000 |
| -6728398.820 | -8333899.692 | -537259.874 | -47025.870 | -45042.271 | 149680.924 |
| -6366200.267 | -7594220.904 | -767906.757 | 2377.263 | 76375.146 | 59869.607 |
| 0.000 | 0.000 | -0.000 | 0.000 | 0.000 | -11.531 |
| 59.863 | -15.135 | -0.005 | -0.000 | -0.000 | 0.000 |
| -15.135 | 59.863 | -0.005 | -0.000 | 0.000 | -0.000 |
| -0.227 | -0.227 | -0.001 | 0.000 | -0.000 | -0.000 |
| 6494716.994 | 7837598.203 | 468537.011 | 33935.126 | 77706.241 | 243396.567 |
| 6731957.580 | 8654001.167 | 713799.571 | 8608.328 | 33197.197 | 96741.263 |
| -0.000 | -0.000 | -0.000 | -0.000 | 0.000 | -11.531 |
| 59.830 | -15.133 | -0.000 | 0.000 | -0.000 | 0.000 |
| -15.133 | 59.830 | -0.000 | 0.000 | 0.000 | 0.000 |
| -0.227 | -0.227 | 0.000 | 0.000 | 0.000 | 0.000 |
| -614555.640 | -811924.902 | -59452.918 | -3463.075 | 2561.599 | 16590.557 |
| -572390.028 | -748026.721 | -66538.701 | 2438.608 | 1072.660 | 2135.618 |
| 0.000 | 0.000 | 0.000 | 0.000 | 0.000 | -11.531 |
| 59.892 | -15.134 | -0.000 | -0.000 | -0.000 | -0.000 |
| -15.134 | 59.892 | -0.000 | 0.000 | -0.000 | -0.000 |
| -0.227 | -0.227 | -0.000 | 0.000 | -0.000 | -0.000 |
| 547853.441 | 686151.405 | 57503.956 | -7364.988 | -5515.414 | 4106.871 |
| 659668.633 | 744783.658 | 63324.701 | -437.020 | 988.440 | -6039.251 |
| -0.000 | -0.000 | -0.000 | -0.000 | -0.000 | -11.531 |
Phonon band structures and crystal properties estimated from quasi-harmonic approximation (QHA) calculations are displayed for select crystals. The calculations were performed using phonopy and LAMMPS. For the phonon calculations, 3x3 supercells of the potential-specific relaxed crystals were used. The QHA calculations were based on 11 strain states ranging from -0.05 to 0.05.
The calculation method used is available as the iprPy phonon calculation method.
Notes and Disclaimers:
Version Information:






















































































































































































































































Static free surface formation energies are displayed for select crystals. The values displayed here are obtained by taking a perfect periodic bulk crystal, slicing along a crystallographic plane, and using force minimization to statically relax the surfaces. The free surface formation energy is computed by comparing the energy of the defect system to the bulk system and dividing by the total surface area created by the cut.
The calculation method used is available as the iprPy surface_energy_static calculation method.
Notes and Disclaimers:
Version Information:
| Surface | γfs (mJ/m2) |
|---|---|
| (320) | -84889.12 |
| (311) | -80251.15 |
| (211) | -59005.20 |
| (210) | -25.94 |
| (321) | 59.58 |
| (100) | 120.71 |
| (310) | 142.39 |
| (110) | 154.32 |
| (331) | 160.95 |
| (221) | 164.71 |
| (332) | 167.36 |
| (111) | 168.80 |
| Surface | γfs (mJ/m2) |
|---|---|
| (111) | 185.42 |
| (332) | 205.32 |
| (322) | 207.61 |
| (100) | 213.82 |
| (221) | 213.97 |
| (211) | 218.35 |
| (331) | 220.84 |
| (311) | 225.69 |
| (110) | 226.80 |
| (321) | 228.65 |
| (310) | 236.62 |
| (320) | 237.18 |
| (210) | 239.00 |
| Surface | γfs (mJ/m2) |
|---|---|
| (111) | 61.54 |
| (332) | 67.79 |
| (322) | 68.49 |
| (100) | 69.80 |
| (221) | 70.46 |
| (211) | 71.79 |
| (331) | 72.54 |
| (311) | 73.92 |
| (110) | 74.13 |
| (321) | 74.94 |
| (310) | 77.13 |
| (320) | 77.36 |
| (210) | 77.87 |
| Surface | γfs (mJ/m2) |
|---|---|
| (211) 2 | 2302.57 |
| (210) | 2375.35 |
| (332) 2 | 2397.87 |
| (321) 2 | 2409.81 |
| (321) 1 | 2419.33 |
| (311) | 2420.33 |
| (322) | 2426.33 |
| (111) | 2428.68 |
| (100) | 2430.04 |
| (221) | 2433.19 |
| (331) | 2456.49 |
| (320) | 2459.95 |
| (310) | 2464.09 |
| (332) 1 | 2476.99 |
| (110) | 2481.50 |
| (211) 1 | 2497.76 |
| Surface | γfs (mJ/m2) |
|---|---|
| (100) | 3.83 |
| (310) | 4.85 |
| (210) | 5.14 |
| (320) | 5.31 |
| (110) | 5.42 |
| (311) | 5.78 |
| (321) 2 | 6.14 |
| (321) 1 | 6.14 |
| (331) | 6.15 |
| (211) 1 | 6.26 |
| (211) 2 | 6.26 |
| (221) | 6.39 |
| (322) | 6.50 |
| (332) 1 | 6.53 |
| (332) 2 | 6.53 |
| (111) | 6.64 |
| Surface | γfs (mJ/m2) |
|---|---|
| (110) | 2421.44 |
| (320) | 2589.09 |
| (100) | 2636.86 |
| (210) | 2644.21 |
| (211) | 2646.99 |
| (321) | 2652.13 |
| (310) | 2653.15 |
| (331) | 2666.10 |
| (311) | 2702.54 |
| (221) | 2732.84 |
| (322) | 2743.48 |
| (332) | 2755.87 |
| (111) | 2776.61 |
| Surface | γfs (mJ/m2) |
|---|---|
| (100) | 186.20 |
| (110) | 206.11 |
| (310) | 209.14 |
| (320) | 212.90 |
| (210) | 212.98 |
| (311) | 230.33 |
| (321) | 232.78 |
| (331) | 233.29 |
| (211) | 236.84 |
| (221) | 241.95 |
| (322) | 246.30 |
| (332) | 247.46 |
| (111) | 251.21 |
| Surface | γfs (mJ/m2) |
|---|---|
| (110) | 161.80 |
| (320) | 180.60 |
| (321) | 182.78 |
| (331) | 183.04 |
| (211) | 185.89 |
| (210) | 188.93 |
| (221) | 189.72 |
| (322) | 193.07 |
| (332) | 193.94 |
| (100) | 194.09 |
| (310) | 194.95 |
| (311) | 195.65 |
| (111) | 196.58 |
| Surface | γfs (mJ/m2) |
|---|---|
| (110) | 37.45 |
| (321) | 42.26 |
| (331) | 42.27 |
| (211) | 42.91 |
| (320) | 43.69 |
| (221) | 43.76 |
| (322) | 44.51 |
| (332) | 44.69 |
| (111) | 45.23 |
| (210) | 46.78 |
| (311) | 47.29 |
| (310) | 49.43 |
| (100) | 51.69 |
| Surface | γfs (mJ/m2) |
|---|---|
| (111) 2 | 638.26 |
| (331) 2 | 753.24 |
| (332) | 761.51 |
| (110) | 769.95 |
| (211) | 771.42 |
| (321) | 795.05 |
| (322) | 802.83 |
| (311) 1 | 805.94 |
| (221) | 822.24 |
| (320) | 824.94 |
| (100) | 835.07 |
| (210) | 843.19 |
| (310) | 848.21 |
| (311) 2 | 848.42 |
| (331) 1 | 877.91 |
| (111) 1 | 1007.72 |
| Surface | γfs (mJ/m2) |
|---|---|
| (111) 2 | 23.18 |
| (331) 2 | 27.63 |
| (110) | 28.39 |
| (321) | 32.18 |
| (211) | 32.76 |
| (320) | 33.39 |
| (332) | 34.21 |
| (210) | 35.89 |
| (311) 2 | 36.29 |
| (311) 1 | 36.29 |
| (310) | 38.06 |
| (322) | 38.91 |
| (221) | 40.10 |
| (100) | 40.11 |
| (331) 1 | 45.99 |
| (111) 1 | 69.39 |
| Surface | γfs (mJ/m2) |
|---|---|
| (111) 2 | 7.72 |
| (331) 2 | 9.19 |
| (110) | 9.45 |
| (321) | 10.66 |
| (211) | 10.83 |
| (320) | 11.07 |
| (332) | 11.27 |
| (210) | 11.87 |
| (311) 2 | 11.96 |
| (311) 1 | 11.98 |
| (310) | 12.56 |
| (322) | 12.79 |
| (221) | 13.18 |
| (100) | 13.19 |
| (331) 1 | 15.09 |
| (111) 1 | 22.54 |
| Surface | γfs (mJ/m2) |
|---|---|
| (111) | -3036.62 |
| (211) 1 | -61.74 |
| (211) 2 | 46.63 |
| (100) | 65.49 |
| (101) 2 | 83.07 |
| (101) 1 | 94.66 |
| (112) | 98.34 |
| (110) | 100.03 |
| (001) | 106.39 |
| Surface | γfs (mJ/m2) |
|---|---|
| (110) | 185.75 |
| (211) | 219.55 |
| (111) | 226.17 |
| (112) | 234.58 |
| (201) | 236.64 |
| (100) | 244.34 |
| (001) | 307.25 |
| Surface | γfs (mJ/m2) |
|---|---|
| (100) | 53.53 |
| (310) | 67.67 |
| (210) | 71.76 |
| (320) | 74.16 |
| (110) | 75.61 |
| (311) | 80.57 |
| (321) | 85.69 |
| (331) | 85.80 |
| (211) | 87.24 |
| (221) | 89.03 |
| (322) | 90.68 |
| (332) | 91.09 |
| (111) | 92.47 |
| Surface | γfs (mJ/m2) |
|---|---|
| (100) | 17.83 |
| (310) | 22.35 |
| (210) | 23.64 |
| (320) | 24.38 |
| (110) | 24.77 |
| (311) | 26.30 |
| (331) | 27.90 |
| (321) | 27.91 |
| (211) | 28.34 |
| (221) | 28.87 |
| (322) | 29.35 |
| (332) | 29.47 |
| (111) | 29.79 |
| Surface | γfs (mJ/m2) |
|---|---|
| (110) | 3132.07 |
| (311) | 3190.54 |
| (210) | 3198.90 |
| (320) | 3244.04 |
| (321) | 3247.49 |
| (111) | 3264.35 |
| (331) | 3301.34 |
| (221) | 3329.56 |
| (332) | 3333.34 |
| (211) | 3351.95 |
| (322) | 3357.97 |
| (310) | 3452.04 |
| (100) | 3654.21 |
| Surface | γfs (mJ/m2) |
|---|---|
| (111) | 478.70 |
| (332) | 526.92 |
| (322) | 532.54 |
| (100) | 545.85 |
| (221) | 547.54 |
| (211) | 557.93 |
| (331) | 563.61 |
| (311) | 574.23 |
| (110) | 575.66 |
| (321) | 581.71 |
| (310) | 600.01 |
| (320) | 600.67 |
| (210) | 604.46 |
| Surface | γfs (mJ/m2) |
|---|---|
| (310) | 0.00 |
| (320) | 0.00 |
| (221) | 0.00 |
| (321) | 0.00 |
| (311) | 0.00 |
| (322) | 0.00 |
| (110) | 0.00 |
| (331) | 0.00 |
| (111) | 0.00 |
| (100) | 0.00 |
| (210) | 0.00 |
| (211) | 0.00 |
| (332) | 0.00 |
| Surface | γfs (mJ/m2) |
|---|---|
| (100) | 548.94 |
| (310) | 624.76 |
| (210) | 643.46 |
| (110) | 645.94 |
| (320) | 651.75 |
| (311) | 676.49 |
| (321) | 717.53 |
| (331) | 720.97 |
| (211) | 724.96 |
| (221) | 743.59 |
| (322) | 753.55 |
| (332) | 756.75 |
| (111) | 765.67 |
| Surface | γfs (mJ/m2) |
|---|---|
| (2241) | 3113.27 |
| (1121) | 3122.97 |
| (2130) | 3147.32 |
| (0001) | 3177.18 |
| (2131) 2 | 3179.34 |
| (2132) 2 | 3211.78 |
| (2132) 1 | 3214.66 |
| (1012) 1 | 3219.30 |
| (2131) 1 | 3221.71 |
| (1010) | 3229.06 |
| (1011) 1 | 3279.57 |
| (2021) 2 | 3284.21 |
| (2021) 1 | 3292.96 |
| (1012) 2 | 3415.81 |
| (1011) 2 | 3624.56 |
| Surface | γfs (mJ/m2) |
|---|---|
| (2131) 2 | 0.00 |
| (2021) 1 | 0.00 |
| (2132) 1 | 0.00 |
| (2130) | 0.00 |
| (1012) 2 | 0.00 |
| (1012) 1 | 0.00 |
| (1120) | 0.00 |
| (1121) | 0.00 |
| (1011) 2 | 0.00 |
| (2131) 1 | 0.00 |
| (0001) | 0.00 |
| (2241) | 0.00 |
| (2132) 2 | 0.00 |
| (1011) 1 | 0.00 |
| (2112) | 0.00 |
| (2021) 2 | 0.00 |
| (1010) | 0.00 |
| Surface | γfs (mJ/m2) |
|---|---|
| (111) 2 | 3145.50 |
| (311) 1 | 3242.97 |
| (110) | 3255.65 |
| (211) | 3300.20 |
| (310) | 3354.17 |
| (331) 2 | 3359.44 |
| (321) | 3377.95 |
| (320) | 3405.10 |
| (100) | 3422.57 |
| (332) | 3426.43 |
| (210) | 3445.04 |
| (221) | 3539.78 |
| (331) 1 | 3606.11 |
| (322) | 3668.95 |
| (311) 2 | 3780.55 |
| (111) 1 | 5087.87 |
| Surface | γfs (mJ/m2) |
|---|---|
| (111) 2 | 50.19 |
| (331) 2 | 59.83 |
| (110) | 61.47 |
| (321) | 69.26 |
| (211) | 70.31 |
| (320) | 71.88 |
| (332) | 73.08 |
| (210) | 77.02 |
| (311) 2 | 77.64 |
| (311) 1 | 77.64 |
| (310) | 81.43 |
| (322) | 82.74 |
| (221) | 85.28 |
| (100) | 85.28 |
| (331) 1 | 97.45 |
| (111) 1 | 144.86 |
| Surface | γfs (mJ/m2) |
|---|---|
| (211) 1 | -28887.02 |
| (201) | -20349.90 |
| (111) | -8374.63 |
| (101) 1 | -4557.22 |
| (101) 2 | -4417.25 |
| (211) 2 | -1148.13 |
| (110) | 450.29 |
| (100) | 505.09 |
| (112) | 552.43 |
| (001) | 643.91 |
| Surface | γfs (mJ/m2) |
|---|---|
| (101) 1 | 0.00 |
| (211) 2 | 0.00 |
| (111) | 0.00 |
| (100) | 0.00 |
| (201) | 0.00 |
| (112) | 0.00 |
| (001) | 0.00 |
| (110) | 0.00 |
| (211) 1 | 0.00 |
| (101) 2 | 0.00 |
| Surface | γfs (mJ/m2) |
|---|---|
| (201) | 0.00 |
| (100) | 0.00 |
| (211) | 0.00 |
| (112) | 0.00 |
| (110) | 0.00 |
| (111) | 0.00 |
| (001) | 0.00 |
| (101) | 0.00 |
| Surface | γfs (mJ/m2) |
|---|---|
| (321) | 1060.23 |
| (332) | 1522.90 |
| (211) | 2229.45 |
| (322) | 2601.71 |
| (110) | 2665.12 |
| (100) | 2746.14 |
| (320) | 2963.81 |
| (310) | 3053.81 |
| (331) | 3088.43 |
| (210) | 3100.35 |
| (221) | 3215.83 |
| (311) | 3302.30 |
| (111) | 3363.50 |
| Surface | γfs (mJ/m2) |
|---|---|
| (210) | 0.00 |
| (111) | 0.00 |
| (322) | 0.00 |
| (331) | 0.00 |
| (311) | 0.00 |
| (321) | 0.00 |
| (320) | 0.00 |
| (221) | 0.00 |
| (211) | 0.00 |
| (110) | 0.00 |
| (332) | 0.00 |
| (100) | 0.00 |
| (310) | 0.00 |
Static point defect formation energies, Ef, and elastic dipole tensors, pij, are displayed for select crystals. Relaxed defect configurations are obtained by taking a 12x12x12 supercell of a perfect periodic bulk crystal, inserting the point defect, and using force minimization to statically relax the atomic positions while keeping the system dimensions constant. Ef is computed by comparing the energy of the defect system to the same number of atoms in a perfect bulk crystal. pij is estimated as the difference in the system's global pressure with and without the defect multiplied by the system's volume.
Simple structural comparisons of the unrelaxed and relaxed defect configurations are used to help determine if the defect structure has relaxed to a different configuration. Relaxed structures that are identified as no longer consistent with the ideal defect definition are excluded from the table below. The only exception to this is if the lowest energy interstitial configuration does not coincide with a known ideal defect, its energies and pressure tensor are included under the listing "relaxed interstitial". The full list of calculation results including the transformed structures and the structural comparison values is included in the csv file available from the "Download raw data" link.
The calculation method used is available as the iprPy point_defect_static calculation method.
Notes and Disclaimers:
| Point Defect | Ef (eV) | p11 (eV) | p22 (eV) | p33 (eV) | p12 (eV) | p13 (eV) | p23 (eV) |
|---|---|---|---|---|---|---|---|
| 100 dumbbell | -34.033 | -54.747 | -54.747 | -28.892 | -0.000 | -0.000 | -0.000 |
| 111 dumbbell | -33.409 | -31.527 | -31.527 | -31.527 | 3.048 | 3.048 | 3.048 |
| vacancy | 0.333 | 1.757 | 1.757 | 1.757 | -0.000 | -0.000 | -0.000 |
| 2nn divacancy | 0.634 | 3.895 | 3.895 | -0.621 | -0.000 | -0.000 | 0.000 |
| 1nn divacancy | 0.664 | 3.665 | 3.587 | 3.587 | -0.000 | -0.000 | 0.127 |
| Point Defect | Ef (eV) | p11 (eV) | p22 (eV) | p33 (eV) | p12 (eV) | p13 (eV) | p23 (eV) |
|---|---|---|---|---|---|---|---|
| tetrahedral interstitial | -1.696 | -2.229 | -2.229 | -2.229 | 0.000 | 0.000 | 0.000 |
| 111 dumbbell | -1.518 | -4.745 | -4.745 | -4.745 | 1.038 | 1.038 | 1.038 |
| vacancy | 0.991 | -0.074 | -0.074 | -0.074 | 0.000 | 0.000 | 0.000 |
| 1nn divacancy | 1.818 | -0.144 | -0.149 | -0.149 | 0.000 | 0.000 | -0.020 |
| 2nn divacancy | 1.982 | -0.142 | -0.142 | -0.118 | 0.000 | 0.000 | 0.000 |
| Point Defect | Ef (eV) | p11 (eV) | p22 (eV) | p33 (eV) | p12 (eV) | p13 (eV) | p23 (eV) |
|---|---|---|---|---|---|---|---|
| 111 dumbbell | -1.285 | -27.359 | -27.359 | -27.359 | 7.229 | 7.229 | 7.229 |
| tetrahedral interstitial | -0.999 | -0.909 | -0.909 | -0.909 | 0.000 | 0.000 | 0.000 |
| octahedral interstitial | 0.234 | 1.232 | 1.232 | 1.232 | 0.000 | 0.000 | 0.000 |
| vacancy | 0.450 | 0.229 | 0.229 | 0.229 | -0.000 | 0.000 | 0.000 |
| 100 dumbbell | 0.472 | 0.918 | 0.918 | 2.246 | 0.000 | 0.000 | 0.000 |
| 1nn divacancy | 0.825 | 0.441 | 0.451 | 0.451 | 0.000 | 0.000 | 0.057 |
| 2nn divacancy | 0.896 | 0.437 | 0.437 | 0.360 | 0.000 | 0.000 | 0.000 |
| Point Defect | Ef (eV) | p11 (eV) | p22 (eV) | p33 (eV) | p12 (eV) | p13 (eV) | p23 (eV) |
|---|---|---|---|---|---|---|---|
| vacancy | 2.045 | -0.486 | -0.486 | -0.486 | -0.000 | -0.000 | -0.000 |
| 2nn divacancy | 3.893 | -0.936 | -0.936 | -1.811 | -0.000 | -0.000 | -0.000 |
| 1nn divacancy | 3.997 | -0.542 | -0.542 | -0.542 | 0.335 | 0.335 | 0.335 |
| 110 dumbbell | 4.246 | 23.660 | 16.758 | 16.758 | 0.000 | 0.000 | 6.853 |
| 111 dumbbell | 4.779 | 15.007 | 15.007 | 15.007 | 9.589 | 9.589 | 9.589 |
| Point Defect | Ef (eV) | p11 (eV) | p22 (eV) | p33 (eV) | p12 (eV) | p13 (eV) | p23 (eV) |
|---|---|---|---|---|---|---|---|
| relaxed interstitial | -16.291 | -0.338 | 9.306 | -0.338 | -0.635 | -1.536 | -0.635 |
| 111 dumbbell | -5.039 | 1.839 | 1.839 | 1.839 | -0.043 | -0.043 | -0.043 |
| vacancy | 0.742 | 0.536 | 0.536 | 0.536 | 0.000 | -0.000 | 0.000 |
| 2nn divacancy | 1.323 | 1.095 | 1.095 | -0.128 | 0.000 | -0.000 | -0.000 |
| 1nn divacancy | 1.425 | 1.003 | 1.003 | 1.003 | 0.109 | 0.109 | 0.109 |
| Point Defect | Ef (eV) | p11 (eV) | p22 (eV) | p33 (eV) | p12 (eV) | p13 (eV) | p23 (eV) |
|---|---|---|---|---|---|---|---|
| 110 dumbbell | -5.465 | 5.434 | 5.023 | 5.023 | 0.000 | 0.000 | -11.214 |
| 111 dumbbell | -4.760 | 2.426 | 2.426 | 2.426 | -1.198 | -1.198 | -1.198 |
| 100 dumbbell | -2.235 | 0.842 | 0.842 | 3.963 | 0.000 | -0.000 | 0.000 |
| tetrahedral interstitial | -1.076 | -5.332 | -6.516 | -5.332 | -0.000 | -0.000 | 0.000 |
| vacancy | 0.881 | 0.200 | 0.200 | 0.200 | 0.000 | -0.000 | -0.000 |
| 1nn divacancy | 1.597 | 0.249 | 0.249 | 0.249 | -0.143 | -0.143 | -0.143 |
| 2nn divacancy | 1.686 | 0.411 | 0.411 | 1.028 | -0.000 | -0.000 | 0.000 |
| Point Defect | Ef (eV) | p11 (eV) | p22 (eV) | p33 (eV) | p12 (eV) | p13 (eV) | p23 (eV) |
|---|---|---|---|---|---|---|---|
| crowdion interstitial | -5.287 | -43.990 | -43.990 | -43.990 | 9.105 | 9.105 | 9.105 |
| 100 dumbbell | -3.348 | -11.540 | -11.540 | -11.127 | -0.000 | 0.000 | 0.000 |
| 110 dumbbell | -0.090 | -23.155 | -24.676 | -24.676 | -0.000 | 0.000 | 2.517 |
| vacancy | 0.300 | 0.229 | 0.229 | 0.229 | -0.000 | 0.000 | 0.000 |
| 1nn divacancy | 0.525 | 0.408 | 0.408 | 0.408 | 0.021 | 0.021 | 0.021 |
| 2nn divacancy | 0.597 | 0.350 | 0.350 | 0.365 | -0.000 | 0.000 | -0.000 |
| Point Defect | Ef (eV) | p11 (eV) | p22 (eV) | p33 (eV) | p12 (eV) | p13 (eV) | p23 (eV) |
|---|---|---|---|---|---|---|---|
| tetragonal interstitial | -0.930 | -9.841 | -9.841 | -9.841 | -0.000 | -0.000 | -0.000 |
| vacancy | 1.677 | 1.130 | 1.130 | 1.130 | -0.000 | -0.000 | -0.000 |
| 1nn divacancy | 3.046 | 2.207 | 2.207 | 2.207 | -0.016 | -0.016 | -0.016 |
| Point Defect | Ef (eV) | p11 (eV) | p22 (eV) | p33 (eV) | p12 (eV) | p13 (eV) | p23 (eV) |
|---|---|---|---|---|---|---|---|
| bond centered interstitial | -4.764 | -19.362 | -19.362 | -19.362 | -0.019 | -0.019 | -0.019 |
| 100 dumbbell | -3.099 | -7.308 | -7.308 | -7.324 | 0.000 | 0.000 | 0.000 |
| tetragonal interstitial | -0.742 | -2.103 | -2.103 | -2.103 | -0.000 | 0.000 | 0.000 |
| vacancy | 0.330 | -4.040 | -4.040 | -4.040 | -0.000 | 0.000 | 0.000 |
| 1nn divacancy | 0.496 | -4.693 | -4.693 | -4.693 | -0.001 | -0.001 | -0.001 |
| Point Defect | Ef (eV) | p11 (eV) | p22 (eV) | p33 (eV) | p12 (eV) | p13 (eV) | p23 (eV) |
|---|---|---|---|---|---|---|---|
| 100 dumbbell | -3.652 | -13.275 | -13.275 | -13.351 | 0.000 | -0.000 | -0.000 |
| tetragonal interstitial | -0.138 | 0.016 | 0.016 | 0.016 | -0.000 | -0.000 | -0.000 |
| vacancy | 0.149 | -7.178 | -7.178 | -7.178 | -0.000 | 0.000 | 0.000 |
| 1nn divacancy | 0.224 | -9.925 | -9.925 | -9.925 | -0.004 | -0.004 | -0.004 |
| Point Defect | Ef (eV) | p11 (eV) | p22 (eV) | p33 (eV) | p12 (eV) | p13 (eV) | p23 (eV) |
|---|---|---|---|---|---|---|---|
| 2nn divacancy | -1.060 | -3.250 | -3.250 | 0.222 | -0.000 | 0.000 | 0.000 |
| vacancy | -0.587 | -1.306 | -1.306 | -1.306 | -0.000 | 0.000 | 0.000 |
| 1nn divacancy | -0.455 | -1.219 | -3.052 | -3.052 | -0.000 | 0.000 | 0.672 |
| octahedral interstitial | 4.248 | 37.276 | 37.276 | 37.276 | -0.000 | 0.000 | 0.000 |
| 100 dumbbell | 4.430 | 37.982 | 37.982 | 27.708 | -0.000 | 0.000 | 0.000 |
| 111 dumbbell | 5.442 | 36.436 | 36.436 | 36.436 | -1.077 | -1.077 | -1.077 |
| Point Defect | Ef (eV) | p11 (eV) | p22 (eV) | p33 (eV) | p12 (eV) | p13 (eV) | p23 (eV) |
|---|---|---|---|---|---|---|---|
| 100 dumbbell | -0.739 | -0.790 | -0.790 | -5.804 | 0.000 | 0.000 | 0.000 |
| vacancy | 1.969 | -0.438 | -0.438 | -0.438 | -0.000 | 0.000 | 0.000 |
| 111 dumbbell | 2.450 | -11.422 | -11.422 | -11.422 | 1.032 | 1.032 | 1.032 |
| 1nn divacancy | 3.589 | -0.499 | -0.894 | -0.894 | -0.000 | 0.000 | 0.032 |
| 2nn divacancy | 3.923 | -0.903 | -0.903 | -0.594 | -0.000 | 0.000 | 0.000 |
| Point Defect | Ef (eV) | p11 (eV) | p22 (eV) | p33 (eV) | p12 (eV) | p13 (eV) | p23 (eV) |
|---|---|---|---|---|---|---|---|
| 111 dumbbell | -1.417 | -0.000 | -0.000 | -0.000 | 0.000 | 0.000 | 0.000 |
| tetrahedral interstitial | -0.954 | -0.000 | -0.000 | -0.000 | 0.000 | 0.000 | 0.000 |
| crowdion interstitial | -0.466 | -0.000 | -0.000 | -0.000 | -0.000 | -0.000 | -0.000 |
| 110 dumbbell | -0.462 | -0.000 | -0.000 | -0.000 | -0.000 | -0.000 | -0.000 |
| 2nn divacancy | 0.000 | -0.000 | -0.000 | -0.000 | -0.000 | -0.000 | -0.000 |
| vacancy | 0.000 | -0.000 | -0.000 | -0.000 | -0.000 | -0.000 | -0.000 |
| 100 dumbbell | 0.000 | -0.000 | -0.000 | -0.000 | -0.000 | -0.000 | -0.000 |
| octahedral interstitial | 0.000 | -0.000 | -0.000 | -0.000 | -0.000 | -0.000 | -0.000 |
| 1nn divacancy | 0.000 | -0.000 | -0.000 | -0.000 | -0.000 | -0.000 | -0.000 |
| Point Defect | Ef (eV) | p11 (eV) | p22 (eV) | p33 (eV) | p12 (eV) | p13 (eV) | p23 (eV) |
|---|---|---|---|---|---|---|---|
| crowdion interstitial | -3.129 | 0.710 | 0.710 | 0.710 | -3.439 | -3.439 | -3.439 |
| 111 dumbbell | -1.837 | 20.389 | 20.389 | 20.389 | -2.320 | -2.320 | -2.320 |
| 110 dumbbell | 0.804 | -1.715 | 17.837 | 17.837 | -0.000 | 0.000 | -11.451 |
| vacancy | 1.904 | 3.637 | 3.637 | 3.637 | 0.000 | 0.000 | 0.000 |
| 2nn divacancy | 3.486 | 6.654 | 6.654 | 4.453 | 0.000 | 0.000 | -0.000 |
| 1nn divacancy | 3.573 | 5.929 | 5.929 | 5.929 | 0.088 | 0.088 | 0.088 |
| Point Defect | Ef (eV) | p11 (eV) | p22 (eV) | p33 (eV) | p12 (eV) | p13 (eV) | p23 (eV) |
|---|---|---|---|---|---|---|---|
| tetragonal interstitial | 0.485 | 4.914 | 4.914 | 4.914 | -0.000 | -0.000 | -0.000 |
| hexagonal interstitial | 1.775 | 25.861 | 25.861 | 25.861 | 1.604 | 1.604 | 1.604 |
| vacancy | 3.295 | 0.358 | 0.358 | 0.358 | -0.000 | -0.000 | -0.000 |
| 100 dumbbell | 4.005 | 23.896 | 23.896 | 32.010 | 0.000 | 0.000 | 0.000 |
| 1nn divacancy | 6.528 | -1.798 | -1.798 | -1.798 | -0.634 | -0.634 | -0.634 |
| Point Defect | Ef (eV) | p11 (eV) | p22 (eV) | p33 (eV) | p12 (eV) | p13 (eV) | p23 (eV) |
|---|---|---|---|---|---|---|---|
| relaxed interstitial | -9742.407 | -1926.938 | -1985.078 | -2169.323 | 7.622 | 11.555 | 79.421 |
| tetragonal interstitial | -1.791 | -6.138 | -6.138 | -6.138 | 0.000 | 0.000 | 0.000 |
| hexagonal interstitial | -1.050 | -0.380 | -0.380 | -0.380 | -0.006 | -0.006 | -0.006 |
| vacancy | 0.521 | -1.380 | -1.380 | -1.380 | -0.000 | -0.000 | -0.000 |
| 1nn divacancy | 0.782 | -1.941 | -1.941 | -1.941 | -0.001 | -0.001 | -0.001 |
Plots of the atomic structure of dislocation cores are shown here. The dislocations were constructed using dislocation monopole configurations in which a straight dislocation is created in the center of the system using anisotropic elasticity and the elastic constants computed above. A cylindrical region centered around the dislocation is allowed to relax while the remaining atoms are held fixed. The relaxation consists of 1 million NVT steps at 10 K followed by an energy/force minimization. The final plots show the atomic configuration near the center of the monopole system, and display differential displacement arrows and Nye tensor color maps that are both taken with respect to the Burgers vector direction.
These plots show a wide range of final structures, some corresponding to expected dislocation structures and others not. While the characterizations are dislocation-type dependent, some general classification guidelines are listed here.
The calculation method used is available as the iprPy dislocation_monopole calculation method.
Links are provided above the images allowing for users to download the final defect configuration and a corresponding defect-free configuration if they wish to further analyze the structures or use them for subsequent simulations.
Notes and Disclaimers:
Version Information:
Plots of lattice and elastic constants are shown as a function of temperature. The 0K points were taken from the Crystal Structure Predictions and the Elastic Constants Predictions sections above for the unique crystal structures relaxed with the "dynamic" method. Starting from the 0 K relaxed crystal unit cells, supercell systems are created by replicating all three dimensions by the same multiplier to achieve at least 4000 atoms. The systems are then relaxed at 50 K and zero pressure using 1 million NPT steps. Lattice constants are estimated by averaging the measured box dimensions. Temperatures are iteratively increased by 50 K, with each subsequent relaxation calculation starting from the final atomic configuration at the previous temperature and relaxing for another 1 million steps.
The elastic constants are calculated using the deformation–fluctuation hybrid method. Starting from the final atomic configurations of the dynamic relaxations, the system is allowed to evolve at constant volume with a Langevin thermostat. The Born matrix is computed during this run by evaluating how the atomic forces would vary due to applied linear strain fields. The elastic constants can then be estimated using the averaged Born matrix values and the averaged stresses on the system.
The calculation methods used are available as the iprPy relax_dynamic and elastic_constants_dynamic calculation methods.
Clicking on the image of a plot will open an interactive version of it in a new tab. The underlying data for the plots can be downloaded by clicking on the links above each plot.
Notes and Disclaimers:
Version Information:
Plots of radial distribution functions at different temperatures and the temperature-dependent diffusion and viscosity are shown here for elemental liquids. Melt phases are constructed by starting with a 10x10x10 fcc super cell and relaxing with 50,000 NPT steps at zero pressure and a high melting temperature (3000 K for most potentials and elements). Following the melt, liquid structures are relaxed by running NPT for 10,000 steps over which the temperature is dropped by 50 K, then 50,000 NPT at the target temperature to estimate the equilibrium volume, followed by 20,000 NVT steps at the averaged equilibrium volume and target temperature. Structures from the NVT run are sampled to compute the radial distribution function of the liquid at the corresponding temperature.
The final relaxed configurations at each temperature explored are used as the initial configurations for the diffusion and viscosity calculations. For diffusion, the system is integrated for 100 runs of 2,000 NVT steps during which both the mean squared displacement (MSD) and the velocity auto correlation function (VACF) are computed. From these simulations, three estimates of diffusion are computed: one from the MSD of the full 200,000 step run, one in which the MSD is reset for each short run and then averaged, and one from the VACF computed for each short run and averaged. For viscosity, the Green-Kubo method is used which is evaluated during a 1 million step NVT run.
The calculation methods used are available as the iprPy relax_liquid_redo, diffusion_liquid, and viscosity_green_kubo calculation methods.
Clicking on the image of a plot will open an interactive version of it in a new tab. The underlying data for the plots can be downloaded by clicking on the links above each plot.
Notes and Disclaimers:
Version Information:
Plots of internal energy, Gibbs free energy, entropy, heat capacity and volume are shown here as a function of temperature for various crystal structures and liquid phases. The included crystal structures correspond to those in the Solid Structures vs. Temperature section, and the liquid phases to those in the Liquid Properties section. Internal energy and volume are taken from the associated structure relaxations mentioned in those previous sections. Constant pressure heat capacity is estimated using 3-point numerical derivatives of enthalpy versus temperature. Note that since all simulations done here are at 0 pressure, internal energy and enthalpy are equivalent.
The Gibbs energies of the phases are estimated using thermodynamic integration between the interatomic potential in question and a simpler model with known Gibbs free energy values. For solids, the reference model is an Einstein solid, while for liquids it is the Uhlenbeck-Ford potential. Besides a short run at the start of the solid calculations to estimate Einstein model spring constants, the two calculations proceed similarly. Starting with the final relaxation configurations, the systems are stabilized for 25,000 steps. Then, over the next 50,000 steps the potential is swapped out for the reference potential. The system is then stabilized for another 25,000 steps with the reference model before a reverse swap of 50,000 steps is performed. The simulation ends with one final 25,000 step stabilization period. From the simulation, the irreversible work of transformation is estimated and used to compute the absolute Gibbs free energy of the target phase and potential relative to the reference potential. Entropy is estimated as the difference in enthalpy and Gibbs free energy and divided by temperature.
The calculation methods used are available as the iprPy relax_dynamic, relax_liquid_redo, free_energy, and free_energy_liquid calculation methods.
Clicking on the image of a plot will open an interactive version of it in a new tab. The underlying data for the plots can be downloaded by clicking on the links above each plot.
Notes and Disclaimers:
Version Information:






