Plots of the potential energy vs interatomic spacing, r, are shown below for all diatom sets associated with the interatomic potential. This calculation provides insights into the functional form of the potential's two-body interactions. A system consisting of only two atoms is created, and the potential energy is evaluated for the atoms separated by 0.02 Å <= r <= 6.0> Å in intervals of 0.02 Å. Two plots are shown: one for the "standard" interaction distance range, and one for small values of r. The small r plot is useful for determining whether the potential is suitable for radiation studies.
The calculation method used is available as the iprPy diatom_scan calculation method.
Clicking on the image of a plot will open an interactive version of it in a new tab. The underlying data for the plots can be downloaded by clicking on the links above each plot.
Notes and Disclaimers:
Version Information:
Plots of potential energy vs interatomic spacing, r, are shown below for a number of crystal structures. The structures are generated based on the ideal atomic positions and b/a and c/a lattice parameter ratios for a given crystal prototype. The size of the system is then uniformly scaled, and the energy calculated without relaxing the system. To obtain these plots, values of r are evaluated every 0.02 Å up to 6 Å.
The calculation method used is available as the iprPy E_vs_r_scan calculation method.
Clicking on the image of a plot will open an interactive version of it in a new tab. The underlying data for the plots can be downloaded by clicking on the links above each plot.
Notes and Disclaimers:
Version Information:
Computed lattice constants and cohesive/potential energies are displayed for a variety of crystal structures. The values displayed here are obtained using the following process.
The calculation methods used are implemented into iprPy as the following calculation styles
Notes and Disclaimers:
Version Information:
Download raw data (including filtered results)
Reference structure matches:
A1--Cu--fcc = mp-134, oqmd-8100, oqmd-1214503
A15--beta-W = oqmd-1214948, oqmd-1280406
A2--W--bcc = mp-998860, oqmd-1215126
A3'--alpha-La--double-hcp = mp-1183144, oqmd-1215394
A3--Mg--hcp = oqmd-1215215, oqmd-1215304
A4--C--dc = oqmd-1215483
A5--beta-Sn = oqmd-1215572
A6--In--bct = oqmd-1215661
| prototype | method | Ecoh (eV/atom) | Epot (eV/atom) | a0 (Å) | b0 (Å) | c0 (Å) | α (degrees) | β (degrees) | γ (degrees) | 
|---|---|---|---|---|---|---|---|---|---|
| A1--Cu--fcc | dynamic | -3.3698 | -3.3698 | 4.0416 | 4.0416 | 4.0416 | 90.0 | 90.0 | 90.0 | 
| A3'--alpha-La--double-hcp | dynamic | -3.3596 | -3.3596 | 2.8468 | 2.8468 | 9.4209 | 90.0 | 90.0 | 120.0 | 
| oqmd-1216017 | dynamic | -3.3564 | -3.3564 | 2.8436 | 2.8436 | 21.2554 | 90.0 | 90.0 | 120.0 | 
| oqmd-1216017 | static | -3.3564 | -3.3564 | 2.8436 | 2.8436 | 21.2552 | 90.0 | 90.0 | 120.0 | 
| A3--Mg--hcp | dynamic | -3.3502 | -3.3502 | 2.8375 | 2.8375 | 4.7486 | 90.0 | 90.0 | 120.0 | 
| A3--Mg--hcp | box | -3.3502 | -3.3502 | 2.8374 | 2.8374 | 4.7486 | 90.0 | 90.0 | 120.0 | 
| oqmd-1214770 | dynamic | -3.3047 | -3.3047 | 9.9309 | 9.9309 | 9.9309 | 90.0 | 90.0 | 90.0 | 
| A15--beta-W | dynamic | -3.2934 | -3.2934 | 5.1274 | 5.1274 | 5.1274 | 90.0 | 90.0 | 90.0 | 
| oqmd-1214859 | box | -3.2929 | -3.2929 | 6.9826 | 6.9826 | 6.9826 | 90.0 | 90.0 | 90.0 | 
| oqmd-1214770 | box | -3.29 | -3.29 | 9.9552 | 9.9552 | 9.9552 | 90.0 | 90.0 | 90.0 | 
| A2--W--bcc | dynamic | -3.2666 | -3.2666 | 3.2287 | 3.2287 | 3.2287 | 90.0 | 90.0 | 90.0 | 
| oqmd-1214681 | dynamic | -3.2478 | -3.2478 | 4.2967 | 7.4148 | 4.8881 | 90.0 | 90.0 | 90.0 | 
| mp-1244953 | dynamic | -3.2467 | -3.2467 | 12.0269 | 12.0666 | 12.222 | 86.7 | 86.9 | 80.3 | 
| mp-1245129 | dynamic | -3.245 | -3.245 | 11.5902 | 12.1576 | 12.4911 | 92.9 | 90.4 | 94.4 | 
| mp-1244953 | static | -3.2445 | -3.2445 | 12.0494 | 12.1033 | 12.1384 | 87.6 | 81.3 | 87.2 | 
| mp-1245129 | static | -3.2416 | -3.2416 | 11.5139 | 12.281 | 12.4242 | 93.3 | 91.4 | 95.5 | 
| mp-1245152 | dynamic | -3.2388 | -3.2388 | 11.8794 | 11.9321 | 12.4023 | 92.0 | 96.1 | 91.8 | 
| mp-1245152 | static | -3.2388 | -3.2388 | 11.8795 | 11.9322 | 12.4021 | 92.0 | 96.1 | 91.8 | 
| mp-1245307 | static | -3.2383 | -3.2383 | 12.03 | 12.0781 | 12.092 | 87.8 | 89.6 | 87.9 | 
| mp-1245307 | dynamic | -3.2382 | -3.2382 | 12.0356 | 12.0537 | 12.1278 | 87.7 | 89.1 | 87.9 | 
| mp-1245067 | dynamic | -3.235 | -3.235 | 11.8277 | 12.1654 | 12.4563 | 93.8 | 91.5 | 98.4 | 
| mp-1245067 | static | -3.2297 | -3.2297 | 11.7805 | 12.2998 | 12.3995 | 94.8 | 98.3 | 92.7 | 
| mp-1245129 | box | -3.2184 | -3.2184 | 11.7283 | 12.1176 | 12.4328 | 93.4 | 92.6 | 96.4 | 
| mp-1244953 | box | -3.2157 | -3.2157 | 12.0449 | 12.0814 | 12.2985 | 86.4 | 80.8 | 87.5 | 
| mp-1245307 | box | -3.2108 | -3.2108 | 11.9756 | 12.1506 | 12.1594 | 90.6 | 94.1 | 92.4 | 
| mp-1245152 | box | -3.2105 | -3.2105 | 11.9486 | 12.1535 | 12.2244 | 92.4 | 91.7 | 96.3 | 
| mp-1245067 | box | -3.1967 | -3.1967 | 11.9351 | 12.2115 | 12.3183 | 92.3 | 93.3 | 97.5 | 
| oqmd-1215037 | dynamic | -3.1962 | -3.1962 | 2.8516 | 4.7897 | 10.4276 | 90.0 | 90.0 | 90.0 | 
| oqmd-1215037 | box | -3.1853 | -3.1853 | 2.841 | 4.8176 | 10.5642 | 90.0 | 90.0 | 90.0 | 
| A5--beta-Sn | static | -3.1102 | -3.1102 | 5.3425 | 5.3425 | 2.5998 | 90.0 | 90.0 | 90.0 | 
| A4--C--dc | dynamic | -3.0879 | -3.0879 | 5.6896 | 5.6896 | 5.6896 | 90.0 | 90.0 | 90.0 | 
| oqmd-1214681 | box | -2.9776 | -2.9776 | 4.8566 | 11.1228 | 2.9052 | 90.0 | 90.0 | 90.0 | 
| Ah--alpha-Po--sc | dynamic | -2.96 | -2.96 | 2.7866 | 2.7866 | 2.7866 | 90.0 | 90.0 | 90.0 | 
| mp-1239196 | box | -2.9301 | -2.9301 | 4.0403 | 4.0403 | 11.169 | 90.0 | 90.0 | 90.0 | 
| A7--alpha-As | box | -2.8048 | -2.8048 | 3.6453 | 3.6453 | 10.558 | 90.0 | 90.0 | 120.0 | 
Download raw data (including filtered results)
Reference structure matches:
| prototype | method | Ecoh (eV/atom) | Epot (eV/atom) | a0 (Å) | b0 (Å) | c0 (Å) | α (degrees) | β (degrees) | γ (degrees) | 
|---|---|---|---|---|---|---|---|---|---|
| mp-1217111 | dynamic | -4.3994 | -4.3994 | 4.0079 | 4.0079 | 15.4929 | 90.0 | 90.0 | 90.0 | 
| mp-1217111 | box | -4.3738 | -4.3738 | 4.0933 | 4.0933 | 14.4717 | 90.0 | 90.0 | 90.0 | 
Download raw data (including filtered results)
Reference structure matches:
| prototype | method | Ecoh (eV/atom) | Epot (eV/atom) | a0 (Å) | b0 (Å) | c0 (Å) | α (degrees) | β (degrees) | γ (degrees) | 
|---|---|---|---|---|---|---|---|---|---|
| C1--CaF2--fluorite | dynamic | -4.8321 | -4.8321 | 5.3282 | 5.3282 | 5.3282 | 90.0 | 90.0 | 90.0 | 
Download raw data (including filtered results)
Reference structure matches:
| prototype | method | Ecoh (eV/atom) | Epot (eV/atom) | a0 (Å) | b0 (Å) | c0 (Å) | α (degrees) | β (degrees) | γ (degrees) | 
|---|---|---|---|---|---|---|---|---|---|
| L2_1--AlCu2Mn--heusler | static | -3.8691 | -3.8691 | 5.7308 | 5.7308 | 5.7308 | 90.0 | 90.0 | 90.0 | 
Download raw data (including filtered results)
Reference structure matches:
| prototype | method | Ecoh (eV/atom) | Epot (eV/atom) | a0 (Å) | b0 (Å) | c0 (Å) | α (degrees) | β (degrees) | γ (degrees) | 
|---|---|---|---|---|---|---|---|---|---|
| mp-567705 | dynamic | -4.4547 | -4.4547 | 4.0018 | 4.0018 | 23.2453 | 90.0 | 90.0 | 90.0 | 
| mp-11809 | dynamic | -4.4469 | -4.4469 | 4.0078 | 11.6669 | 3.9898 | 90.0 | 90.0 | 90.0 | 
| mp-567705 | box | -4.4411 | -4.4411 | 3.99 | 3.99 | 23.4825 | 90.0 | 90.0 | 90.0 | 
| mp-11809 | box | -4.4411 | -4.4411 | 3.9988 | 11.7576 | 3.9775 | 90.0 | 90.0 | 90.0 | 
| oqmd-18195 | box | -4.4404 | -4.4404 | 3.9977 | 11.7779 | 3.976 | 90.0 | 90.0 | 90.0 | 
| oqmd-18487 | box | -4.4398 | -4.4398 | 3.9889 | 3.9889 | 23.5208 | 90.0 | 90.0 | 90.0 | 
| C1--CaF2--fluorite | static | -3.8796 | -3.8796 | 5.9588 | 5.9588 | 5.9588 | 90.0 | 90.0 | 90.0 | 
| oqmd-1231523 | box | -3.0324 | -3.0324 | 5.2328 | 5.2328 | 4.4072 | 90.0 | 90.0 | 90.0 | 
Download raw data (including filtered results)
Reference structure matches:
| prototype | method | Ecoh (eV/atom) | Epot (eV/atom) | a0 (Å) | b0 (Å) | c0 (Å) | α (degrees) | β (degrees) | γ (degrees) | 
|---|---|---|---|---|---|---|---|---|---|
| oqmd-425601 | dynamic | -4.4752 | -4.4752 | 4.8678 | 4.8678 | 25.355 | 90.0 | 90.0 | 120.0 | 
| oqmd-425601 | box | -4.4732 | -4.4732 | 4.8701 | 4.8701 | 25.3962 | 90.0 | 90.0 | 120.0 | 
Download raw data (including filtered results)
Reference structure matches:
| prototype | method | Ecoh (eV/atom) | Epot (eV/atom) | a0 (Å) | b0 (Å) | c0 (Å) | α (degrees) | β (degrees) | γ (degrees) | 
|---|---|---|---|---|---|---|---|---|---|
| D0_3--BiF3 | static | -3.4496 | -3.4496 | 5.6194 | 5.6194 | 5.6194 | 90.0 | 90.0 | 90.0 | 
| A15--Cr3Si | static | -3.2093 | -3.2093 | 4.4039 | 4.4039 | 4.4039 | 90.0 | 90.0 | 90.0 | 
| L1_2--AuCu3 | static | -2.9995 | -2.9995 | 3.5104 | 3.5104 | 3.5104 | 90.0 | 90.0 | 90.0 | 
| L1_2--AuCu3 | dynamic | -2.2874 | -2.2874 | 3.95 | 3.95 | 3.95 | 90.0 | 90.0 | 90.0 | 
Download raw data (including filtered results)
Reference structure matches:
D0_3--BiF3 = oqmd-312158
L1_2--AuCu3 = mp-998981, oqmd-21316
| prototype | method | Ecoh (eV/atom) | Epot (eV/atom) | a0 (Å) | b0 (Å) | c0 (Å) | α (degrees) | β (degrees) | γ (degrees) | 
|---|---|---|---|---|---|---|---|---|---|
| oqmd-323620 | dynamic | -4.3522 | -4.3522 | 5.6184 | 5.6184 | 4.5916 | 90.0 | 90.0 | 120.0 | 
| oqmd-323620 | box | -4.3485 | -4.3485 | 5.6198 | 5.6198 | 4.5916 | 90.0 | 90.0 | 120.0 | 
| D0_3--BiF3 | dynamic | -4.3373 | -4.3373 | 6.209 | 6.209 | 6.209 | 90.0 | 90.0 | 90.0 | 
| oqmd-18722 | dynamic | -4.2921 | -4.2921 | 3.99 | 3.99 | 7.8844 | 90.0 | 90.0 | 90.0 | 
| L1_2--AuCu3 | dynamic | -4.2724 | -4.2724 | 3.982 | 3.982 | 3.982 | 90.0 | 90.0 | 90.0 | 
| mp-1217027 | dynamic | -4.2261 | -4.2261 | 2.8728 | 4.5451 | 4.8286 | 90.0 | 90.0 | 90.0 | 
| mp-1217027 | box | -4.2211 | -4.2211 | 2.8614 | 4.5488 | 4.8378 | 90.0 | 90.0 | 90.0 | 
| A15--Cr3Si | dynamic | -4.2178 | -4.2178 | 4.9599 | 4.9599 | 4.9599 | 90.0 | 90.0 | 90.0 | 
Download raw data (including filtered results)
Reference structure matches:
| prototype | method | Ecoh (eV/atom) | Epot (eV/atom) | a0 (Å) | b0 (Å) | c0 (Å) | α (degrees) | β (degrees) | γ (degrees) | 
|---|---|---|---|---|---|---|---|---|---|
| mp-1208324 | static | -4.276 | -4.276 | 6.0725 | 6.0725 | 17.7422 | 90.0 | 90.0 | 90.0 | 
| mp-1208324 | box | -4.268 | -4.268 | 6.0787 | 6.0787 | 17.7352 | 90.0 | 90.0 | 90.0 | 
Download raw data (including filtered results)
Reference structure matches:
| prototype | method | Ecoh (eV/atom) | Epot (eV/atom) | a0 (Å) | b0 (Å) | c0 (Å) | α (degrees) | β (degrees) | γ (degrees) | 
|---|---|---|---|---|---|---|---|---|---|
| oqmd-753883 | dynamic | -4.8713 | -4.8713 | 7.4514 | 7.4514 | 4.5145 | 90.0 | 90.0 | 120.0 | 
| oqmd-753883 | box | -4.8386 | -4.8386 | 7.4753 | 7.4753 | 4.5363 | 90.0 | 90.0 | 120.0 | 
| oqmd-753871 | dynamic | -4.6549 | -4.6549 | 7.4188 | 7.4188 | 4.6273 | 90.0 | 90.0 | 120.0 | 
| oqmd-753871 | box | -4.6453 | -4.6453 | 7.4299 | 7.4299 | 4.6441 | 90.0 | 90.0 | 120.0 | 
Download raw data (including filtered results)
Reference structure matches:
| prototype | method | Ecoh (eV/atom) | Epot (eV/atom) | a0 (Å) | b0 (Å) | c0 (Å) | α (degrees) | β (degrees) | γ (degrees) | 
|---|---|---|---|---|---|---|---|---|---|
| mp-1217092 | dynamic | -4.5172 | -4.5172 | 3.9713 | 3.998 | 7.8756 | 90.0 | 90.0 | 90.0 | 
| mp-1217081 | dynamic | -4.5102 | -4.5102 | 3.9979 | 3.9979 | 7.8343 | 90.0 | 90.0 | 90.0 | 
| mp-1217081 | box | -4.4961 | -4.4961 | 4.0572 | 4.0572 | 7.3571 | 90.0 | 90.0 | 90.0 | 
| mp-1217092 | box | -4.4542 | -4.4542 | 3.3284 | 4.1811 | 8.7273 | 90.0 | 90.0 | 90.0 | 
Download raw data (including filtered results)
Reference structure matches:
| prototype | method | Ecoh (eV/atom) | Epot (eV/atom) | a0 (Å) | b0 (Å) | c0 (Å) | α (degrees) | β (degrees) | γ (degrees) | 
|---|---|---|---|---|---|---|---|---|---|
| B3--ZnS--cubic-zinc-blende | dynamic | -6.1633 | -6.1633 | 4.5605 | 4.5605 | 4.5605 | 90.0 | 90.0 | 90.0 | 
| B1--NaCl--rock-salt | dynamic | -5.5584 | -5.5584 | 4.4717 | 4.4717 | 4.4717 | 90.0 | 90.0 | 90.0 | 
| B2--CsCl | dynamic | -5.0029 | -5.0029 | 2.6827 | 2.6827 | 2.6827 | 90.0 | 90.0 | 90.0 | 
Download raw data (including filtered results)
Reference structure matches:
| prototype | method | Ecoh (eV/atom) | Epot (eV/atom) | a0 (Å) | b0 (Å) | c0 (Å) | α (degrees) | β (degrees) | γ (degrees) | 
|---|---|---|---|---|---|---|---|---|---|
| C1--CaF2--fluorite | dynamic | -5.9888 | -5.9888 | 4.7756 | 4.7756 | 4.7756 | 90.0 | 90.0 | 90.0 | 
Download raw data (including filtered results)
Reference structure matches:
| prototype | method | Ecoh (eV/atom) | Epot (eV/atom) | a0 (Å) | b0 (Å) | c0 (Å) | α (degrees) | β (degrees) | γ (degrees) | 
|---|---|---|---|---|---|---|---|---|---|
| L2_1--AlCu2Mn--heusler | static | -4.4573 | -4.4573 | 5.5354 | 5.5354 | 5.5354 | 90.0 | 90.0 | 90.0 | 
Download raw data (including filtered results)
Reference structure matches:
| prototype | method | Ecoh (eV/atom) | Epot (eV/atom) | a0 (Å) | b0 (Å) | c0 (Å) | α (degrees) | β (degrees) | γ (degrees) | 
|---|---|---|---|---|---|---|---|---|---|
| D0_3--BiF3 | static | -5.2304 | -5.2304 | 4.9515 | 4.9515 | 4.9515 | 90.0 | 90.0 | 90.0 | 
| A15--Cr3Si | static | -4.8719 | -4.8719 | 4.1863 | 4.1863 | 4.1863 | 90.0 | 90.0 | 90.0 | 
| L1_2--AuCu3 | static | -4.6654 | -4.6654 | 3.1468 | 3.1468 | 3.1468 | 90.0 | 90.0 | 90.0 | 
Download raw data (including filtered results)
Reference structure matches:
| prototype | method | Ecoh (eV/atom) | Epot (eV/atom) | a0 (Å) | b0 (Å) | c0 (Å) | α (degrees) | β (degrees) | γ (degrees) | 
|---|---|---|---|---|---|---|---|---|---|
| L2_1--AlCu2Mn--heusler | dynamic | -5.0733 | -5.0733 | 5.8853 | 5.8853 | 5.8853 | 90.0 | 90.0 | 90.0 | 
Download raw data (including filtered results)
Reference structure matches:
B1--NaCl--rock-salt = oqmd-1105682
B2--CsCl = mp-1061123, oqmd-306497
B3--ZnS--cubic-zinc-blende = oqmd-1218357
L1_0--AuCu = mp-1953, oqmd-18721
| prototype | method | Ecoh (eV/atom) | Epot (eV/atom) | a0 (Å) | b0 (Å) | c0 (Å) | α (degrees) | β (degrees) | γ (degrees) | 
|---|---|---|---|---|---|---|---|---|---|
| oqmd-753881 | dynamic | -4.9115 | -4.9115 | 4.8335 | 4.4974 | 5.5694 | 90.0 | 90.0 | 90.0 | 
| oqmd-1217571 | dynamic | -4.8881 | -4.8881 | 4.5338 | 2.8691 | 4.7668 | 90.0 | 90.0 | 90.0 | 
| oqmd-1217571 | box | -4.8747 | -4.8747 | 4.5682 | 2.864 | 4.757 | 90.0 | 90.0 | 90.0 | 
| oqmd-753881 | box | -4.8633 | -4.8633 | 4.8536 | 4.5122 | 5.6137 | 90.0 | 90.0 | 90.0 | 
| B2--CsCl | dynamic | -4.8544 | -4.8544 | 3.1049 | 3.1049 | 3.1049 | 90.0 | 90.0 | 90.0 | 
| oqmd-753889 | dynamic | -4.7478 | -4.7478 | 4.4982 | 10.9743 | 4.8957 | 90.0 | 90.0 | 90.0 | 
| oqmd-753894 | dynamic | -4.7459 | -4.7459 | 4.5529 | 8.2717 | 4.8995 | 90.0 | 90.0 | 90.0 | 
| L1_0--AuCu | dynamic | -4.7421 | -4.7421 | 2.8342 | 2.8342 | 3.8828 | 90.0 | 90.0 | 90.0 | 
| L1_0--AuCu | static | -4.7421 | -4.7421 | 2.8341 | 2.8341 | 3.883 | 90.0 | 90.0 | 90.0 | 
| L1_0--AuCu | box | -4.7409 | -4.7409 | 2.8503 | 2.8503 | 3.7738 | 90.0 | 90.0 | 90.0 | 
| oqmd-753872 | dynamic | -4.7366 | -4.7366 | 4.5264 | 8.3397 | 4.9 | 90.0 | 90.0 | 90.0 | 
| oqmd-1228037 | dynamic | -4.7114 | -4.7114 | 2.8639 | 2.8639 | 4.3226 | 90.0 | 90.0 | 120.0 | 
| oqmd-753872 | box | -4.7078 | -4.7078 | 4.5247 | 8.3472 | 4.9263 | 90.0 | 90.0 | 90.0 | 
| oqmd-753875 | dynamic | -4.7053 | -4.7053 | 4.5674 | 13.9495 | 4.8614 | 90.0 | 90.0 | 90.0 | 
| oqmd-753878 | dynamic | -4.7037 | -4.7037 | 4.5957 | 13.8238 | 4.8817 | 90.0 | 90.0 | 90.0 | 
| oqmd-753874 | dynamic | -4.6955 | -4.6955 | 4.5659 | 11.0954 | 4.8892 | 90.0 | 90.0 | 90.0 | 
| oqmd-753894 | box | -4.6913 | -4.6913 | 4.4801 | 8.336 | 4.9542 | 90.0 | 90.0 | 90.0 | 
| oqmd-753875 | box | -4.6831 | -4.6831 | 4.5796 | 13.9758 | 4.8841 | 90.0 | 90.0 | 90.0 | 
| oqmd-753874 | box | -4.6755 | -4.6755 | 4.591 | 11.0268 | 4.9159 | 90.0 | 90.0 | 90.0 | 
| oqmd-753873 | dynamic | -4.6746 | -4.6746 | 4.5563 | 5.6677 | 9.6479 | 90.0 | 90.0 | 90.0 | 
| oqmd-753868 | dynamic | -4.6743 | -4.6743 | 5.9776 | 13.8502 | 4.3922 | 90.0 | 90.0 | 90.0 | 
| oqmd-753868 | static | -4.6641 | -4.6641 | 6.0054 | 13.7319 | 4.4227 | 90.0 | 90.0 | 90.0 | 
| oqmd-753888 | dynamic | -4.6564 | -4.6564 | 5.422 | 4.9177 | 4.6368 | 90.0 | 90.0 | 90.0 | 
| oqmd-753889 | box | -4.6521 | -4.6521 | 4.5116 | 10.7724 | 4.9855 | 90.0 | 90.0 | 90.0 | 
| oqmd-753870 | dynamic | -4.6492 | -4.6492 | 5.6382 | 4.5802 | 7.3453 | 90.0 | 101.2 | 90.0 | 
| oqmd-753880 | dynamic | -4.6446 | -4.6446 | 5.6007 | 5.6007 | 4.5473 | 90.0 | 90.0 | 120.0 | 
| oqmd-753878 | box | -4.6375 | -4.6375 | 4.6079 | 13.9184 | 4.918 | 90.0 | 90.0 | 90.0 | 
| oqmd-753880 | box | -4.6297 | -4.6297 | 5.5972 | 5.5972 | 4.5609 | 90.0 | 90.0 | 120.0 | 
| oqmd-753873 | box | -4.6208 | -4.6208 | 4.5744 | 5.7022 | 9.7273 | 90.0 | 90.0 | 90.0 | 
| oqmd-753897 | dynamic | -4.5869 | -4.5869 | 5.676 | 4.6273 | 7.3076 | 90.0 | 101.2 | 90.0 | 
| oqmd-753898 | dynamic | -4.5818 | -4.5818 | 4.4388 | 6.2995 | 4.4415 | 90.0 | 90.0 | 90.0 | 
| oqmd-753876 | dynamic | -4.5817 | -4.5817 | 5.6556 | 4.6198 | 7.3397 | 90.0 | 101.0 | 90.0 | 
| oqmd-327581 | dynamic | -4.5654 | -4.5654 | 2.8903 | 2.8903 | 12.9162 | 90.0 | 90.0 | 120.0 | 
| oqmd-753870 | box | -4.5591 | -4.5591 | 5.7157 | 4.6393 | 7.2259 | 90.0 | 101.1 | 90.0 | 
| oqmd-753888 | box | -4.5529 | -4.5529 | 5.3633 | 5.0041 | 4.7337 | 90.0 | 90.0 | 90.0 | 
| oqmd-753898 | box | -4.5502 | -4.5502 | 4.4712 | 6.2639 | 4.4714 | 90.0 | 90.0 | 90.0 | 
| oqmd-753876 | box | -4.5353 | -4.5353 | 5.6926 | 4.6684 | 7.3166 | 90.0 | 101.9 | 90.0 | 
| oqmd-753897 | box | -4.4975 | -4.4975 | 5.7121 | 4.708 | 7.305 | 90.0 | 101.4 | 90.0 | 
| oqmd-753882 | dynamic | -4.4576 | -4.4576 | 2.8729 | 4.6 | 9.7221 | 90.0 | 90.0 | 90.0 | 
| oqmd-753882 | box | -4.4124 | -4.4124 | 2.8945 | 4.6511 | 9.6595 | 90.0 | 90.0 | 90.0 | 
| B1--NaCl--rock-salt | static | -3.9224 | -3.9224 | 4.9167 | 4.9167 | 4.9167 | 90.0 | 90.0 | 90.0 | 
| B3--ZnS--cubic-zinc-blende | box | -2.6578 | -2.6578 | 5.8481 | 5.8481 | 5.8481 | 90.0 | 90.0 | 90.0 | 
Download raw data (including filtered results)
Reference structure matches:
| prototype | method | Ecoh (eV/atom) | Epot (eV/atom) | a0 (Å) | b0 (Å) | c0 (Å) | α (degrees) | β (degrees) | γ (degrees) | 
|---|---|---|---|---|---|---|---|---|---|
| oqmd-753879 | dynamic | -4.9427 | -4.9427 | 8.3814 | 4.8714 | 4.5721 | 90.0 | 90.0 | 90.0 | 
| oqmd-753892 | dynamic | -4.9174 | -4.9174 | 4.9128 | 4.9128 | 4.4768 | 90.0 | 90.0 | 120.0 | 
| oqmd-753869 | dynamic | -4.8893 | -4.8893 | 4.566 | 8.5242 | 4.8172 | 90.0 | 90.0 | 90.0 | 
| oqmd-753892 | box | -4.8817 | -4.8817 | 4.9508 | 4.9508 | 4.4113 | 90.0 | 90.0 | 120.0 | 
| oqmd-753879 | box | -4.8631 | -4.8631 | 8.345 | 4.8872 | 4.6426 | 90.0 | 90.0 | 90.0 | 
| oqmd-753869 | box | -4.8426 | -4.8426 | 4.5648 | 8.6063 | 4.7867 | 90.0 | 90.0 | 90.0 | 
| oqmd-753885 | box | -4.782 | -4.782 | 2.8968 | 4.6177 | 14.4497 | 90.0 | 90.0 | 90.0 | 
| oqmd-753893 | dynamic | -4.7748 | -4.7748 | 7.4579 | 4.6086 | 11.3246 | 90.0 | 100.9 | 90.0 | 
| oqmd-753893 | box | -4.7416 | -4.7416 | 7.4626 | 4.6366 | 11.2771 | 90.0 | 100.7 | 90.0 | 
| C1--CaF2--fluorite | dynamic | -4.4286 | -4.4286 | 5.9704 | 5.9704 | 5.9704 | 90.0 | 90.0 | 90.0 | 
| mp-1008753 | static | -4.146 | -4.146 | 6.0403 | 6.0403 | 6.0403 | 90.0 | 90.0 | 90.0 | 
Download raw data (including filtered results)
Reference structure matches:
D0_3--BiF3 = mp-999027, oqmd-313078
L1_2--AuCu3 = oqmd-347186
| prototype | method | Ecoh (eV/atom) | Epot (eV/atom) | a0 (Å) | b0 (Å) | c0 (Å) | α (degrees) | β (degrees) | γ (degrees) | 
|---|---|---|---|---|---|---|---|---|---|
| oqmd-10598 | dynamic | -5.0032 | -5.0032 | 5.6879 | 5.6879 | 4.5663 | 90.0 | 90.0 | 120.0 | 
| mp-1823 | box | -5.0029 | -5.0029 | 5.6846 | 5.6846 | 4.5709 | 90.0 | 90.0 | 120.0 | 
| oqmd-753887 | box | -5.0021 | -5.0021 | 5.6826 | 5.6826 | 4.5741 | 90.0 | 90.0 | 120.0 | 
| oqmd-10598 | box | -5.0021 | -5.0021 | 5.6825 | 5.6825 | 4.5742 | 90.0 | 90.0 | 120.0 | 
| oqmd-753899 | dynamic | -5.0021 | -5.0021 | 4.5551 | 5.6684 | 4.9091 | 90.0 | 90.0 | 90.0 | 
| oqmd-753899 | box | -4.9916 | -4.9916 | 4.5642 | 5.691 | 4.9049 | 90.0 | 90.0 | 90.0 | 
| A15--Cr3Si | dynamic | -4.9828 | -4.9828 | 5.035 | 5.035 | 5.035 | 90.0 | 90.0 | 90.0 | 
| D0_3--BiF3 | static | -4.8849 | -4.8849 | 6.3519 | 6.3519 | 6.3519 | 90.0 | 90.0 | 90.0 | 
| L1_2--AuCu3 | dynamic | -4.8416 | -4.8416 | 4.0141 | 4.0141 | 4.0141 | 90.0 | 90.0 | 90.0 | 
| oqmd-302536 | dynamic | -4.8385 | -4.8385 | 4.0215 | 4.0215 | 7.9637 | 90.0 | 90.0 | 90.0 | 
| mp-1217072 | dynamic | -4.7812 | -4.7812 | 2.8903 | 2.8903 | 9.0345 | 90.0 | 90.0 | 120.0 | 
| mp-1217072 | box | -4.7537 | -4.7537 | 2.8973 | 2.8973 | 9.0359 | 90.0 | 90.0 | 120.0 | 
Download raw data (including filtered results)
Reference structure matches:
| prototype | method | Ecoh (eV/atom) | Epot (eV/atom) | a0 (Å) | b0 (Å) | c0 (Å) | α (degrees) | β (degrees) | γ (degrees) | 
|---|---|---|---|---|---|---|---|---|---|
| oqmd-753884 | dynamic | -4.9377 | -4.9377 | 4.9636 | 4.9636 | 4.5853 | 90.0 | 90.0 | 120.0 | 
| oqmd-753884 | box | -4.9376 | -4.9376 | 4.9614 | 4.9614 | 4.5889 | 90.0 | 90.0 | 120.0 | 
Download raw data (including filtered results)
Reference structure matches:
A1--Cu--fcc = oqmd-1214512
A15--beta-W = oqmd-1214957
A2--W--bcc = oqmd-1215135
A3'--alpha-La--double-hcp = oqmd-1215403
A3--Mg--hcp = oqmd-1215313
A4--C--dc = mp-66, oqmd-675640
A5--beta-Sn = oqmd-1215581
A6--In--bct = mp-1181996, oqmd-1215670
A7--alpha-As = oqmd-594528
Ah--alpha-Po--sc = mp-998866, oqmd-636457, oqmd-1214601
| prototype | method | Ecoh (eV/atom) | Epot (eV/atom) | a0 (Å) | b0 (Å) | c0 (Å) | α (degrees) | β (degrees) | γ (degrees) | 
|---|---|---|---|---|---|---|---|---|---|
| mp-937760 | dynamic | -7.374 | -7.374 | 2.5552 | 4.4257 | 7.1733 | 90.0 | 90.0 | 90.0 | 
| mp-569304 | dynamic | -7.374 | -7.374 | 2.5552 | 2.5552 | 33.1909 | 90.0 | 90.0 | 120.0 | 
| oqmd-589493 | dynamic | -7.374 | -7.374 | 2.5552 | 2.5552 | 28.9572 | 90.0 | 90.0 | 120.0 | 
| mp-632329 | dynamic | -7.374 | -7.374 | 4.4257 | 2.5552 | 3.9065 | 90.0 | 94.0 | 90.0 | 
| mp-169 | dynamic | -7.374 | -7.374 | 4.4257 | 2.5552 | 3.8596 | 90.0 | 111.8 | 90.0 | 
| mp-632329 | static | -7.374 | -7.374 | 4.4257 | 2.5552 | 3.7377 | 90.0 | 94.2 | 90.0 | 
| mp-997182 | dynamic | -7.374 | -7.374 | 2.5552 | 2.5552 | 12.0459 | 90.0 | 90.0 | 120.0 | 
| mp-169 | static | -7.374 | -7.374 | 4.4257 | 2.5552 | 3.7634 | 90.0 | 111.5 | 90.0 | 
| mp-48 | dynamic | -7.374 | -7.374 | 2.5552 | 2.5552 | 7.8031 | 90.0 | 90.0 | 120.0 | 
| oqmd-589491 | dynamic | -7.374 | -7.374 | 2.5552 | 2.5552 | 33.3584 | 90.0 | 90.0 | 120.0 | 
| A7--alpha-As | dynamic | -7.374 | -7.374 | 2.5552 | 2.5552 | 10.2131 | 90.0 | 90.0 | 120.0 | 
| oqmd-1215937 | dynamic | -7.374 | -7.374 | 2.5552 | 2.5552 | 7.3725 | 90.0 | 90.0 | 120.0 | 
| oqmd-589492 | dynamic | -7.374 | -7.374 | 2.5552 | 2.5552 | 53.4961 | 90.0 | 90.0 | 120.0 | 
| oqmd-683820 | static | -7.374 | -7.374 | 2.5552 | 4.4257 | 6.7701 | 90.0 | 90.0 | 90.0 | 
| oqmd-590101 | dynamic | -7.374 | -7.374 | 2.5552 | 2.5552 | 6.7965 | 90.0 | 90.0 | 120.0 | 
| mp-568806 | static | -7.374 | -7.374 | 2.5552 | 2.5552 | 3.6519 | 90.0 | 90.0 | 120.0 | 
| mp-1040425 | dynamic | -7.374 | -7.374 | 2.5552 | 2.5552 | 19.9986 | 90.0 | 90.0 | 120.0 | 
| mp-1040425 | static | -7.374 | -7.374 | 2.5552 | 2.5552 | 19.9983 | 90.0 | 90.0 | 120.0 | 
| mp-568363 | dynamic | -7.374 | -7.374 | 2.5552 | 4.4257 | 8.1499 | 90.0 | 90.0 | 90.0 | 
| mp-606949 | static | -7.374 | -7.374 | 2.5552 | 2.5552 | 29.491 | 90.0 | 90.0 | 120.0 | 
| mp-569416 | static | -7.374 | -7.374 | 2.5552 | 2.5552 | 54.6877 | 90.0 | 90.0 | 120.0 | 
| oqmd-683819 | static | -7.374 | -7.374 | 2.5552 | 4.4257 | 6.6509 | 90.0 | 90.0 | 90.0 | 
| oqmd-610551 | static | -7.374 | -7.374 | 2.5552 | 2.5552 | 3.5011 | 90.0 | 90.0 | 120.0 | 
| mp-990448 | static | -7.374 | -7.374 | 2.5552 | 2.5552 | 8.5238 | 90.0 | 90.0 | 120.0 | 
| A7--alpha-As | static | -7.374 | -7.374 | 2.5552 | 2.5552 | 6.4502 | 90.0 | 90.0 | 120.0 | 
| mp-990424 | dynamic | -7.374 | -7.374 | 2.5552 | 2.5552 | 24.14 | 90.0 | 90.0 | 120.0 | 
| mp-990424 | static | -7.374 | -7.374 | 2.5552 | 2.5552 | 24.132 | 90.0 | 90.0 | 120.0 | 
| oqmd-1214690 | dynamic | -7.374 | -7.374 | 2.5552 | 4.4257 | 6.6768 | 90.0 | 90.0 | 90.0 | 
| oqmd-1214690 | static | -7.374 | -7.374 | 2.5552 | 4.4257 | 6.6767 | 90.0 | 90.0 | 90.0 | 
| A7--alpha-As | dynamic | -7.374 | -7.374 | 2.5552 | 2.5552 | 7.9269 | 90.0 | 90.0 | 120.0 | 
| oqmd-590101 | static | -7.374 | -7.374 | 2.5552 | 2.5552 | 6.796 | 90.0 | 90.0 | 120.0 | 
| mp-569416 | dynamic | -7.374 | -7.374 | 2.5552 | 2.5552 | 54.7152 | 90.0 | 90.0 | 120.0 | 
| mp-1018088 | dynamic | -7.374 | -7.374 | 4.1726 | 4.1726 | 4.1726 | 90.0 | 90.0 | 90.0 | 
| mp-606949 | dynamic | -7.374 | -7.374 | 2.5552 | 2.5552 | 29.4919 | 90.0 | 90.0 | 120.0 | 
| mp-568286 | dynamic | -7.374 | -7.374 | 2.5552 | 4.4257 | 7.0361 | 90.0 | 90.0 | 90.0 | 
| mp-568806 | dynamic | -7.374 | -7.374 | 2.5552 | 2.5552 | 3.6597 | 90.0 | 90.0 | 120.0 | 
| oqmd-589493 | static | -7.374 | -7.374 | 2.5552 | 2.5552 | 28.9535 | 90.0 | 90.0 | 120.0 | 
| mp-568286 | static | -7.374 | -7.374 | 2.5552 | 4.4257 | 7.0355 | 90.0 | 90.0 | 90.0 | 
| mp-616440 | dynamic | -7.3732 | -7.3732 | 2.5213 | 2.5213 | 16.4694 | 90.0 | 90.0 | 120.0 | 
| mp-611426 | dynamic | -7.3732 | -7.3732 | 2.5213 | 2.5213 | 8.2347 | 90.0 | 90.0 | 120.0 | 
| oqmd-599491 | dynamic | -7.3732 | -7.3732 | 2.5213 | 2.5213 | 12.352 | 90.0 | 90.0 | 120.0 | 
| A4--C--dc | dynamic | -7.3732 | -7.3732 | 3.5657 | 3.5657 | 3.5657 | 90.0 | 90.0 | 90.0 | 
| mp-47 | dynamic | -7.3732 | -7.3732 | 2.5213 | 2.5213 | 4.1173 | 90.0 | 90.0 | 120.0 | 
| mp-569517 | dynamic | -7.3732 | -7.3732 | 2.5213 | 2.5213 | 30.88 | 90.0 | 90.0 | 120.0 | 
| oqmd-599494 | dynamic | -7.3732 | -7.3732 | 2.5213 | 2.5213 | 43.2321 | 90.0 | 90.0 | 120.0 | 
| oqmd-599489 | box | -7.3731 | -7.3731 | 2.521 | 2.521 | 4.1186 | 90.0 | 90.0 | 120.0 | 
| mp-47 | box | -7.3731 | -7.3731 | 2.5209 | 2.5209 | 4.1189 | 90.0 | 90.0 | 120.0 | 
| oqmd-599492 | box | -7.3725 | -7.3725 | 2.5212 | 2.5212 | 16.473 | 90.0 | 90.0 | 120.0 | 
| mp-616440 | box | -7.3723 | -7.3723 | 2.5213 | 2.5213 | 16.4725 | 90.0 | 90.0 | 120.0 | 
| oqmd-599491 | box | -7.3723 | -7.3723 | 2.5212 | 2.5212 | 12.355 | 90.0 | 90.0 | 120.0 | 
| mp-569567 | box | -7.3722 | -7.3722 | 2.5213 | 2.5213 | 43.2403 | 90.0 | 90.0 | 120.0 | 
| mp-611448 | box | -7.3721 | -7.3721 | 2.5213 | 2.5213 | 12.3548 | 90.0 | 90.0 | 120.0 | 
| oqmd-599493 | box | -7.3721 | -7.3721 | 2.5213 | 2.5213 | 30.8866 | 90.0 | 90.0 | 120.0 | 
| mp-569517 | box | -7.372 | -7.372 | 2.5212 | 2.5212 | 30.8882 | 90.0 | 90.0 | 120.0 | 
| mp-611426 | box | -7.372 | -7.372 | 2.5212 | 2.5212 | 8.2375 | 90.0 | 90.0 | 120.0 | 
| oqmd-599490 | box | -7.3718 | -7.3718 | 2.5213 | 2.5213 | 8.2369 | 90.0 | 90.0 | 120.0 | 
| mp-1008374 | dynamic | -7.2974 | -7.2974 | 2.5166 | 7.9591 | 2.5595 | 90.0 | 90.0 | 90.0 | 
| mp-1096869 | static | -7.2912 | -7.2912 | 26.5533 | 15.3348 | 2.1501 | 90.0 | 93.3 | 90.0 | 
| mp-1008374 | box | -7.2086 | -7.2086 | 2.4957 | 8.0838 | 2.5551 | 90.0 | 90.0 | 90.0 | 
| mp-1078845 | dynamic | -7.1049 | -7.1049 | 4.2071 | 8.8067 | 2.541 | 90.0 | 90.0 | 90.0 | 
| mp-1078845 | box | -7.0937 | -7.0937 | 4.2247 | 8.8129 | 2.5351 | 90.0 | 90.0 | 90.0 | 
| oqmd-637443 | dynamic | -7.0923 | -7.0923 | 5.2703 | 5.2703 | 5.2703 | 90.0 | 90.0 | 90.0 | 
| oqmd-637443 | box | -7.092 | -7.092 | 5.2697 | 5.2697 | 5.2697 | 90.0 | 90.0 | 90.0 | 
| mp-1188817 | box | -7.0912 | -7.0912 | 5.2688 | 5.2688 | 5.2688 | 90.0 | 90.0 | 90.0 | 
| mp-568410 | static | -7.05 | -7.05 | 4.8975 | 5.2856 | 4.4734 | 90.0 | 90.0 | 90.0 | 
| oqmd-610557 | box | -7.0127 | -7.0127 | 4.8769 | 5.3068 | 4.5181 | 90.0 | 90.0 | 90.0 | 
| oqmd-610556 | box | -7.0119 | -7.0119 | 4.8742 | 5.3151 | 4.5182 | 90.0 | 90.0 | 90.0 | 
| mp-568410 | box | -7.0093 | -7.0093 | 4.872 | 5.3205 | 4.5197 | 90.0 | 90.0 | 90.0 | 
| mp-683919 | dynamic | -6.9743 | -6.9743 | 10.252 | 17.5767 | 18.2474 | 90.0 | 90.0 | 90.0 | 
| oqmd-689315 | static | -6.9743 | -6.9743 | 10.5056 | 17.6623 | 18.2475 | 90.0 | 90.0 | 90.0 | 
| mp-683919 | static | -6.9743 | -6.9743 | 10.5317 | 17.6831 | 18.2472 | 90.0 | 90.0 | 90.0 | 
| mp-683919 | box | -6.9554 | -6.9554 | 10.522 | 18.0501 | 18.618 | 90.0 | 90.0 | 90.0 | 
| oqmd-689315 | box | -6.9272 | -6.9272 | 10.4666 | 18.0792 | 18.6433 | 90.0 | 90.0 | 90.0 | 
| mp-1008395 | dynamic | -6.9272 | -6.9272 | 4.3887 | 4.3887 | 2.5425 | 90.0 | 90.0 | 90.0 | 
| mp-630227 | dynamic | -6.9212 | -6.9212 | 9.1682 | 9.2176 | 15.7115 | 90.0 | 90.0 | 90.0 | 
| mp-630227 | static | -6.9212 | -6.9212 | 9.1682 | 9.2176 | 16.2419 | 90.0 | 90.0 | 90.0 | 
| oqmd-595714 | static | -6.9212 | -6.9212 | 9.1682 | 9.2176 | 15.1582 | 90.0 | 90.0 | 90.0 | 
| oqmd-684627 | static | -6.9211 | -6.9211 | 9.1931 | 9.1931 | 15.8137 | 90.0 | 90.0 | 90.0 | 
| mp-1190171 | dynamic | -6.9196 | -6.9196 | 9.0939 | 2.5588 | 4.1705 | 90.0 | 90.0 | 90.0 | 
| mp-680372 | dynamic | -6.9194 | -6.9194 | 9.223 | 9.223 | 25.4137 | 90.0 | 90.0 | 120.0 | 
| mp-680372 | static | -6.9194 | -6.9194 | 9.223 | 9.223 | 26.5354 | 90.0 | 90.0 | 120.0 | 
| oqmd-614417 | static | -6.9194 | -6.9194 | 9.223 | 9.223 | 25.3052 | 90.0 | 90.0 | 120.0 | 
| mp-1147718 | dynamic | -6.9188 | -6.9188 | 10.3358 | 14.8465 | 9.205 | 90.0 | 90.0 | 90.0 | 
| mp-1147718 | static | -6.9188 | -6.9188 | 10.603 | 15.2468 | 9.2051 | 90.0 | 90.0 | 90.0 | 
| mp-667273 | dynamic | -6.917 | -6.917 | 14.4831 | 14.4831 | 14.4831 | 90.0 | 90.0 | 90.0 | 
| mp-1196583 | dynamic | -6.917 | -6.917 | 14.4868 | 14.4868 | 14.4868 | 90.0 | 90.0 | 90.0 | 
| oqmd-603085 | static | -6.917 | -6.917 | 14.4223 | 14.4223 | 14.4223 | 90.0 | 90.0 | 90.0 | 
| oqmd-677227 | static | -6.917 | -6.917 | 14.6217 | 14.6217 | 14.6217 | 90.0 | 90.0 | 90.0 | 
| mp-1196583 | static | -6.917 | -6.917 | 14.8518 | 14.8518 | 14.8518 | 90.0 | 90.0 | 90.0 | 
| mp-667273 | static | -6.917 | -6.917 | 14.9155 | 14.9155 | 14.9155 | 90.0 | 90.0 | 90.0 | 
| mp-1080826 | dynamic | -6.9168 | -6.9168 | 9.1938 | 2.5591 | 4.1702 | 90.0 | 97.9 | 90.0 | 
| mp-1008395 | box | -6.9127 | -6.9127 | 4.3977 | 4.3977 | 2.536 | 90.0 | 90.0 | 90.0 | 
| mp-1196583 | box | -6.9105 | -6.9105 | 14.8547 | 14.8547 | 14.8547 | 90.0 | 90.0 | 90.0 | 
| oqmd-603085 | box | -6.9105 | -6.9105 | 14.4249 | 14.4249 | 14.4249 | 90.0 | 90.0 | 90.0 | 
| mp-667273 | box | -6.9091 | -6.9091 | 14.9192 | 14.9192 | 14.9192 | 90.0 | 90.0 | 90.0 | 
| mp-1080826 | box | -6.905 | -6.905 | 9.196 | 2.5528 | 4.1737 | 90.0 | 97.0 | 90.0 | 
| oqmd-637352 | box | -6.905 | -6.905 | 9.1956 | 2.553 | 4.1729 | 90.0 | 97.0 | 90.0 | 
| mp-568028 | dynamic | -6.9035 | -6.9035 | 8.179 | 14.088 | 9.518 | 90.0 | 90.0 | 90.0 | 
| mp-568028 | static | -6.9035 | -6.9035 | 8.1792 | 14.0877 | 9.518 | 90.0 | 90.0 | 90.0 | 
| mp-1190171 | box | -6.9035 | -6.9035 | 9.1055 | 2.5529 | 4.1734 | 90.0 | 90.0 | 90.0 | 
| oqmd-637130 | box | -6.9033 | -6.9033 | 9.1047 | 2.5531 | 4.1728 | 90.0 | 90.0 | 90.0 | 
| oqmd-677227 | box | -6.8968 | -6.8968 | 14.6344 | 14.6344 | 14.6344 | 90.0 | 90.0 | 90.0 | 
| mp-1147718 | box | -6.8941 | -6.8941 | 10.5892 | 15.2127 | 9.5104 | 90.0 | 90.0 | 90.0 | 
| oqmd-595714 | box | -6.8901 | -6.8901 | 9.3721 | 9.4499 | 15.0535 | 90.0 | 90.0 | 90.0 | 
| mp-630227 | box | -6.8883 | -6.8883 | 9.3635 | 9.4386 | 16.1649 | 90.0 | 90.0 | 90.0 | 
| mp-579909 | static | -6.8724 | -6.8724 | 4.8573 | 5.2796 | 7.1026 | 90.0 | 90.0 | 90.0 | 
| oqmd-610552 | static | -6.8724 | -6.8724 | 4.8573 | 5.2796 | 6.6687 | 90.0 | 90.0 | 90.0 | 
| mp-624889 | dynamic | -6.8724 | -6.8724 | 4.8573 | 5.2796 | 5.486 | 90.0 | 90.0 | 90.0 | 
| mp-624889 | static | -6.8724 | -6.8724 | 4.8573 | 5.2796 | 5.8484 | 90.0 | 90.0 | 90.0 | 
| oqmd-614417 | box | -6.8689 | -6.8689 | 9.454 | 9.454 | 25.0137 | 90.0 | 90.0 | 120.0 | 
| mp-680372 | box | -6.8634 | -6.8634 | 9.467 | 9.467 | 26.2203 | 90.0 | 90.0 | 120.0 | 
| mp-624889 | box | -6.8538 | -6.8538 | 4.8843 | 5.2963 | 5.8256 | 90.0 | 90.0 | 90.0 | 
| oqmd-684627 | box | -6.8499 | -6.8499 | 9.4231 | 9.4231 | 15.7916 | 90.0 | 90.0 | 90.0 | 
| mp-1205283 | static | -6.7951 | -6.7951 | 10.6341 | 13.2349 | 8.9405 | 90.0 | 90.0 | 90.0 | 
| mp-1205283 | dynamic | -6.7557 | -6.7557 | 9.8395 | 14.2762 | 9.7155 | 90.0 | 90.0 | 90.0 | 
| oqmd-610552 | box | -6.7468 | -6.7468 | 4.797 | 5.641 | 6.5673 | 90.0 | 90.0 | 90.0 | 
| mp-579909 | box | -6.7408 | -6.7408 | 4.7898 | 5.6536 | 6.9983 | 90.0 | 90.0 | 90.0 | 
| mp-568028 | box | -6.7299 | -6.7299 | 8.6544 | 14.5674 | 9.8756 | 90.0 | 90.0 | 90.0 | 
| mp-1245190 | dynamic | -6.6522 | -6.6522 | 9.6978 | 10.3266 | 10.8538 | 90.3 | 93.4 | 90.9 | 
| mp-1244964 | dynamic | -6.606 | -6.606 | 9.7214 | 10.0709 | 10.6897 | 92.5 | 91.2 | 91.2 | 
| mp-24 | dynamic | -6.6009 | -6.6009 | 4.4285 | 4.4285 | 4.4285 | 90.0 | 90.0 | 90.0 | 
| mp-24 | box | -6.5805 | -6.5805 | 4.4545 | 4.4545 | 4.4545 | 90.0 | 90.0 | 90.0 | 
| mp-1244913 | dynamic | -6.5376 | -6.5376 | 9.4915 | 10.0657 | 10.7814 | 91.9 | 95.7 | 90.9 | 
| mp-1245190 | static | -6.4183 | -6.4183 | 10.1858 | 10.549 | 10.6012 | 90.5 | 93.7 | 90.4 | 
| oqmd-684315 | static | -6.3786 | -6.3786 | 10.4355 | 15.9967 | 8.9735 | 90.0 | 90.0 | 90.0 | 
| mp-1205283 | box | -6.3093 | -6.3093 | 10.397 | 13.6279 | 9.4179 | 90.0 | 90.0 | 90.0 | 
| mp-1244964 | static | -6.2147 | -6.2147 | 10.2004 | 10.2376 | 11.1685 | 83.1 | 89.2 | 89.2 | 
| mp-1244913 | static | -5.9988 | -5.9988 | 10.4561 | 10.6397 | 10.8518 | 90.2 | 93.8 | 97.0 | 
| mp-1095633 | dynamic | -5.9168 | -5.9168 | 7.5627 | 7.5627 | 4.9903 | 90.0 | 90.0 | 90.0 | 
| mp-1197903 | dynamic | -5.8384 | -5.8384 | 7.7016 | 9.3699 | 22.6635 | 100.2 | 95.3 | 105.5 | 
| mp-1196857 | dynamic | -5.8336 | -5.8336 | 9.227 | 18.9768 | 5.9927 | 90.0 | 90.0 | 90.0 | 
| mp-1182684 | dynamic | -5.7911 | -5.7911 | 9.4163 | 11.1877 | 14.3019 | 90.0 | 90.0 | 90.0 | 
| mp-1182684 | static | -5.7838 | -5.7838 | 12.599 | 12.7853 | 18.8986 | 90.0 | 90.0 | 90.0 | 
| mp-570002 | dynamic | -5.7478 | -5.7478 | 5.0353 | 5.0353 | 5.0353 | 90.0 | 90.0 | 90.0 | 
| oqmd-585286 | box | -5.735 | -5.735 | 5.0384 | 5.0384 | 5.0384 | 90.0 | 90.0 | 90.0 | 
| mp-570002 | box | -5.7349 | -5.7349 | 5.0384 | 5.0384 | 5.0384 | 90.0 | 90.0 | 90.0 | 
| mp-1245190 | box | -5.6957 | -5.6957 | 10.7818 | 11.2704 | 11.377 | 89.3 | 90.0 | 87.9 | 
| oqmd-684315 | box | -5.5849 | -5.5849 | 10.8261 | 15.7608 | 9.3418 | 90.0 | 90.0 | 90.0 | 
| mp-1197903 | static | -5.5297 | -5.5297 | 7.8472 | 11.0817 | 22.9291 | 96.1 | 96.1 | 108.1 | 
| mp-1244964 | box | -5.4866 | -5.4866 | 10.8765 | 11.0772 | 11.7676 | 90.3 | 94.9 | 92.8 | 
| mp-1244913 | box | -5.1576 | -5.1576 | 11.3978 | 11.4977 | 11.8953 | 90.3 | 96.1 | 92.5 | 
| mp-1182684 | box | -4.8073 | -4.8073 | 12.1466 | 13.3438 | 15.9037 | 90.0 | 90.0 | 90.0 | 
| mp-1095534 | box | -4.7272 | -4.7272 | 10.7629 | 10.7629 | 2.4937 | 90.0 | 90.0 | 90.0 | 
| A7--alpha-As | box | -4.4148 | -4.4148 | 2.8624 | 2.8624 | 6.2728 | 90.0 | 90.0 | 120.0 | 
| mp-1205417 | box | -4.2021 | -4.2021 | 13.391 | 13.391 | 7.7822 | 90.0 | 90.0 | 90.0 | 
| A5--beta-Sn | dynamic | -4.0808 | -4.0808 | 3.4249 | 3.4249 | 1.8066 | 90.0 | 90.0 | 90.0 | 
| Ah--alpha-Po--sc | dynamic | -4.0773 | -4.0773 | 1.7825 | 1.7825 | 1.7825 | 90.0 | 90.0 | 90.0 | 
| A3'--alpha-La--double-hcp | dynamic | -4.0726 | -4.0726 | 2.4887 | 2.4887 | 4.2894 | 90.0 | 90.0 | 120.0 | 
| A6--In--bct | static | -3.9997 | -3.9997 | 1.6902 | 1.6902 | 6.3803 | 90.0 | 90.0 | 90.0 | 
| A6--In--bct | static | -3.9997 | -3.9997 | 1.6902 | 1.6902 | 3.5744 | 90.0 | 90.0 | 90.0 | 
| oqmd-1216026 | static | -3.9997 | -3.9997 | 2.3903 | 2.3903 | 9.1654 | 90.0 | 93.2 | 90.0 | 
| mp-1097832 | static | -3.9997 | -3.9997 | 2.3903 | 2.3903 | 9.8799 | 90.0 | 90.0 | 90.0 | 
| A6--In--bct | static | -3.9997 | -3.9997 | 1.6902 | 1.6902 | 6.5525 | 90.0 | 90.0 | 90.0 | 
| mp-1056957 | static | -3.9997 | -3.9997 | 2.3903 | 2.3903 | 6.5533 | 90.0 | 90.0 | 90.0 | 
| mp-1192619 | box | -3.9408 | -3.9408 | 10.1563 | 10.1563 | 10.1563 | 90.0 | 90.0 | 90.0 | 
| oqmd-1214779 | box | -3.9005 | -3.9005 | 9.7405 | 9.7405 | 9.7405 | 90.0 | 90.0 | 90.0 | 
| A2--W--bcc | dynamic | -3.4099 | -3.4099 | 2.16 | 2.16 | 2.16 | 90.0 | 90.0 | 90.0 | 
| A15--beta-W | dynamic | -3.1912 | -3.1912 | 3.4674 | 3.4674 | 3.4674 | 90.0 | 90.0 | 90.0 | 
| A1--Cu--fcc | box | -2.8904 | -2.8904 | 2.739 | 2.739 | 2.739 | 90.0 | 90.0 | 90.0 | 
| A3'--alpha-La--double-hcp | box | -2.8903 | -2.8903 | 1.9367 | 1.9367 | 6.3261 | 90.0 | 90.0 | 120.0 | 
| A3--Mg--hcp | box | -2.8903 | -2.8903 | 1.9366 | 1.9366 | 3.1633 | 90.0 | 90.0 | 120.0 | 
| A3--Mg--hcp | dynamic | -2.8738 | -2.8738 | 1.857 | 1.857 | 4.3092 | 90.0 | 90.0 | 120.0 | 
| oqmd-1214868 | static | -2.8021 | -2.8021 | 7.5622 | 7.5622 | 7.5622 | 90.0 | 90.0 | 90.0 | 
| A1--Cu--fcc | dynamic | 0.0 | 0.0 | 3.0645 | 3.0645 | 3.0645 | 90.0 | 90.0 | 90.0 | 
Download raw data (including filtered results)
Reference structure matches:
| prototype | method | Ecoh (eV/atom) | Epot (eV/atom) | a0 (Å) | b0 (Å) | c0 (Å) | α (degrees) | β (degrees) | γ (degrees) | 
|---|---|---|---|---|---|---|---|---|---|
| mp-1217054 | dynamic | -6.0191 | -6.0191 | 3.0212 | 4.7846 | 4.1899 | 90.0 | 90.0 | 90.0 | 
| mp-1217054 | box | -5.9437 | -5.9437 | 3.0933 | 4.3976 | 4.9471 | 90.0 | 90.0 | 90.0 | 
| C1--CaF2--fluorite | dynamic | -5.7115 | -5.7115 | 4.7374 | 4.7374 | 4.7374 | 90.0 | 90.0 | 90.0 | 
Download raw data (including filtered results)
Reference structure matches:
| prototype | method | Ecoh (eV/atom) | Epot (eV/atom) | a0 (Å) | b0 (Å) | c0 (Å) | α (degrees) | β (degrees) | γ (degrees) | 
|---|---|---|---|---|---|---|---|---|---|
| mp-1094034 | dynamic | -6.9367 | -6.9367 | 2.9848 | 2.9848 | 15.7153 | 90.0 | 90.0 | 120.0 | 
| mp-1094034 | box | -6.9008 | -6.9008 | 2.9932 | 2.9932 | 15.611 | 90.0 | 90.0 | 120.0 | 
Download raw data (including filtered results)
Reference structure matches:
| prototype | method | Ecoh (eV/atom) | Epot (eV/atom) | a0 (Å) | b0 (Å) | c0 (Å) | α (degrees) | β (degrees) | γ (degrees) | 
|---|---|---|---|---|---|---|---|---|---|
| L1_2--AuCu3 | static | -4.2876 | -4.2876 | 3.2474 | 3.2474 | 3.2474 | 90.0 | 90.0 | 90.0 | 
| D0_3--BiF3 | dynamic | -4.2417 | -4.2417 | 4.9644 | 4.9644 | 4.9644 | 90.0 | 90.0 | 90.0 | 
| A15--Cr3Si | box | -4.2196 | -4.2196 | 4.2819 | 4.2819 | 4.2819 | 90.0 | 90.0 | 90.0 | 
| mp-1208199 | box | -4.1612 | -4.1612 | 2.9855 | 9.7518 | 4.2269 | 90.0 | 90.0 | 90.0 | 
Download raw data (including filtered results)
Reference structure matches:
| prototype | method | Ecoh (eV/atom) | Epot (eV/atom) | a0 (Å) | b0 (Å) | c0 (Å) | α (degrees) | β (degrees) | γ (degrees) | 
|---|---|---|---|---|---|---|---|---|---|
| mp-1217090 | dynamic | -7.0162 | -7.0162 | 2.9916 | 2.9916 | 59.5487 | 90.0 | 90.0 | 120.0 | 
| mp-27919 | dynamic | -7.0121 | -7.0121 | 5.9928 | 5.9928 | 14.8712 | 90.0 | 90.0 | 120.0 | 
| mp-27919 | box | -7.0029 | -7.0029 | 6.0053 | 6.0053 | 15.0013 | 90.0 | 90.0 | 120.0 | 
| mp-1217090 | box | -6.9825 | -6.9825 | 2.9982 | 2.9982 | 59.8847 | 90.0 | 90.0 | 120.0 | 
Download raw data (including filtered results)
Reference structure matches:
B1--NaCl--rock-salt = mp-631
| prototype | method | Ecoh (eV/atom) | Epot (eV/atom) | a0 (Å) | b0 (Å) | c0 (Å) | α (degrees) | β (degrees) | γ (degrees) | 
|---|---|---|---|---|---|---|---|---|---|
| B1--NaCl--rock-salt | dynamic | -7.099 | -7.099 | 4.3301 | 4.3301 | 4.3301 | 90.0 | 90.0 | 90.0 | 
| B3--ZnS--cubic-zinc-blende | dynamic | -6.3592 | -6.3592 | 4.5235 | 4.5235 | 4.5235 | 90.0 | 90.0 | 90.0 | 
| B2--CsCl | dynamic | -5.9953 | -5.9953 | 2.7737 | 2.7737 | 2.7737 | 90.0 | 90.0 | 90.0 | 
Download raw data (including filtered results)
Reference structure matches:
| prototype | method | Ecoh (eV/atom) | Epot (eV/atom) | a0 (Å) | b0 (Å) | c0 (Å) | α (degrees) | β (degrees) | γ (degrees) | 
|---|---|---|---|---|---|---|---|---|---|
| mp-1217106 | dynamic | -6.9939 | -6.9939 | 2.957 | 2.957 | 14.9046 | 90.0 | 90.0 | 120.0 | 
| mp-1217106 | box | -6.9925 | -6.9925 | 2.9565 | 2.9565 | 15.0145 | 90.0 | 90.0 | 120.0 | 
| mp-10721 | dynamic | -6.9897 | -6.9897 | 8.4299 | 8.4299 | 8.4299 | 90.0 | 90.0 | 90.0 | 
| mp-10721 | box | -6.9714 | -6.9714 | 8.4936 | 8.4936 | 8.4936 | 90.0 | 90.0 | 90.0 | 
| C1--CaF2--fluorite | static | -5.9536 | -5.9536 | 5.1617 | 5.1617 | 5.1617 | 90.0 | 90.0 | 90.0 | 
Download raw data (including filtered results)
Reference structure matches:
L1_2--AuCu3 = mp-1187454
| prototype | method | Ecoh (eV/atom) | Epot (eV/atom) | a0 (Å) | b0 (Å) | c0 (Å) | α (degrees) | β (degrees) | γ (degrees) | 
|---|---|---|---|---|---|---|---|---|---|
| D0_3--BiF3 | dynamic | -4.8298 | -4.8298 | 5.9355 | 5.9355 | 5.9355 | 90.0 | 90.0 | 90.0 | 
| A15--Cr3Si | static | -4.6518 | -4.6518 | 4.6963 | 4.6963 | 4.6963 | 90.0 | 90.0 | 90.0 | 
| L1_2--AuCu3 | static | -4.5602 | -4.5602 | 3.7146 | 3.7146 | 3.7146 | 90.0 | 90.0 | 90.0 | 
Download raw data (including filtered results)
Reference structure matches:
A1--Cu--fcc = mp-6985, oqmd-676147
A15--beta-W = oqmd-1215024
A2--W--bcc = mp-73, oqmd-8390
A3'--alpha-La--double-hcp = oqmd-1215470
A3--Mg--hcp = mp-46, oqmd-8079, oqmd-755820, oqmd-755821, oqmd-755822, oqmd-755823, oqmd-755827, oqmd-755834, oqmd-755836, oqmd-755845
A4--C--dc = oqmd-1215559
A5--beta-Sn = oqmd-1215648
A6--In--bct = oqmd-1215737
| prototype | method | Ecoh (eV/atom) | Epot (eV/atom) | a0 (Å) | b0 (Å) | c0 (Å) | α (degrees) | β (degrees) | γ (degrees) | 
|---|---|---|---|---|---|---|---|---|---|
| A3--Mg--hcp | dynamic | -4.87 | -4.87 | 2.92 | 2.92 | 4.6824 | 90.0 | 90.0 | 120.0 | 
| A3--Mg--hcp | box | -4.87 | -4.87 | 2.9199 | 2.9199 | 4.6824 | 90.0 | 90.0 | 120.0 | 
| oqmd-1215291 | box | -4.8683 | -4.8683 | 2.9152 | 5.0647 | 4.684 | 90.0 | 90.0 | 90.0 | 
| oqmd-1214846 | dynamic | -4.8344 | -4.8344 | 10.0256 | 10.0256 | 10.0256 | 90.0 | 90.0 | 90.0 | 
| oqmd-1216096 | dynamic | -4.8332 | -4.8332 | 2.9183 | 2.9183 | 21.1793 | 90.0 | 90.0 | 120.0 | 
| oqmd-1216096 | static | -4.8331 | -4.8331 | 2.9182 | 2.9182 | 21.1793 | 90.0 | 90.0 | 120.0 | 
| A15--beta-W | dynamic | -4.8311 | -4.8311 | 5.1972 | 5.1972 | 5.1972 | 90.0 | 90.0 | 90.0 | 
| A3'--alpha-La--double-hcp | dynamic | -4.8148 | -4.8148 | 2.9174 | 2.9174 | 9.4372 | 90.0 | 90.0 | 120.0 | 
| oqmd-1214846 | box | -4.8145 | -4.8145 | 10.0243 | 10.0243 | 10.0243 | 90.0 | 90.0 | 90.0 | 
| mp-1245170 | dynamic | -4.79 | -4.79 | 11.6934 | 12.1158 | 12.3156 | 92.5 | 91.6 | 90.7 | 
| mp-1245006 | dynamic | -4.7876 | -4.7876 | 11.6476 | 12.06 | 12.411 | 85.9 | 89.1 | 88.9 | 
| A2--W--bcc | static | -4.7859 | -4.7859 | 3.2761 | 3.2761 | 3.2761 | 90.0 | 90.0 | 90.0 | 
| mp-1245164 | dynamic | -4.785 | -4.785 | 11.8543 | 12.1588 | 12.3951 | 82.1 | 82.1 | 81.6 | 
| mp-1245320 | dynamic | -4.7807 | -4.7807 | 11.6579 | 11.981 | 12.5037 | 85.7 | 89.9 | 88.5 | 
| mp-1245320 | static | -4.7722 | -4.7722 | 11.5961 | 12.0417 | 12.5222 | 86.1 | 89.3 | 89.0 | 
| mp-1245164 | static | -4.7711 | -4.7711 | 11.9931 | 12.1048 | 12.3303 | 83.0 | 80.4 | 82.6 | 
| mp-1244924 | dynamic | -4.7707 | -4.7707 | 11.6953 | 11.9247 | 12.5674 | 86.6 | 89.3 | 86.8 | 
| mp-1245006 | static | -4.7702 | -4.7702 | 11.8316 | 11.9577 | 12.3436 | 85.5 | 89.1 | 88.4 | 
| mp-72 | static | -4.7695 | -4.7695 | 4.593 | 4.593 | 2.8617 | 90.0 | 90.0 | 120.0 | 
| oqmd-1214935 | box | -4.7668 | -4.7668 | 7.0566 | 7.0566 | 7.0566 | 90.0 | 90.0 | 90.0 | 
| A1--Cu--fcc | dynamic | -4.7607 | -4.7607 | 4.1208 | 4.1208 | 4.1208 | 90.0 | 90.0 | 90.0 | 
| oqmd-1215915 | box | -4.7607 | -4.7607 | 2.9139 | 2.9139 | 7.1375 | 90.0 | 90.0 | 120.0 | 
| mp-1244924 | static | -4.742 | -4.742 | 11.6163 | 11.9675 | 12.5709 | 91.8 | 90.1 | 92.4 | 
| mp-1245170 | static | -4.7349 | -4.7349 | 11.6799 | 12.0338 | 12.4495 | 93.0 | 91.2 | 91.6 | 
| mp-1245164 | box | -4.7118 | -4.7118 | 12.0054 | 12.0272 | 12.3174 | 80.2 | 83.0 | 82.8 | 
| mp-1245006 | box | -4.6962 | -4.6962 | 11.7548 | 11.9968 | 12.2567 | 92.8 | 91.2 | 91.9 | 
| mp-1245320 | box | -4.6917 | -4.6917 | 11.8098 | 11.8825 | 12.3106 | 90.2 | 91.8 | 90.7 | 
| mp-1244924 | box | -4.6633 | -4.6633 | 11.4751 | 12.1764 | 12.4418 | 91.9 | 91.3 | 92.8 | 
| mp-1245170 | box | -4.6532 | -4.6532 | 11.8548 | 11.8629 | 12.3711 | 93.3 | 91.0 | 91.4 | 
| oqmd-1215113 | box | -4.5591 | -4.5591 | 2.9831 | 4.7127 | 10.1433 | 90.0 | 90.0 | 90.0 | 
| A5--beta-Sn | static | -4.3679 | -4.3679 | 5.1578 | 5.1578 | 2.7083 | 90.0 | 90.0 | 90.0 | 
| Ah--alpha-Po--sc | static | -3.8941 | -3.8941 | 2.5301 | 2.5301 | 2.5301 | 90.0 | 90.0 | 90.0 | 
| oqmd-1216004 | box | -3.8917 | -3.8917 | 4.3615 | 4.3615 | 4.4856 | 90.0 | 90.0 | 120.0 | 
| A7--alpha-As | box | -3.6011 | -3.6011 | 3.55 | 3.55 | 9.1376 | 90.0 | 90.0 | 120.0 | 
| A4--C--dc | static | -2.7412 | -2.7412 | 6.0786 | 6.0786 | 6.0786 | 90.0 | 90.0 | 90.0 | 
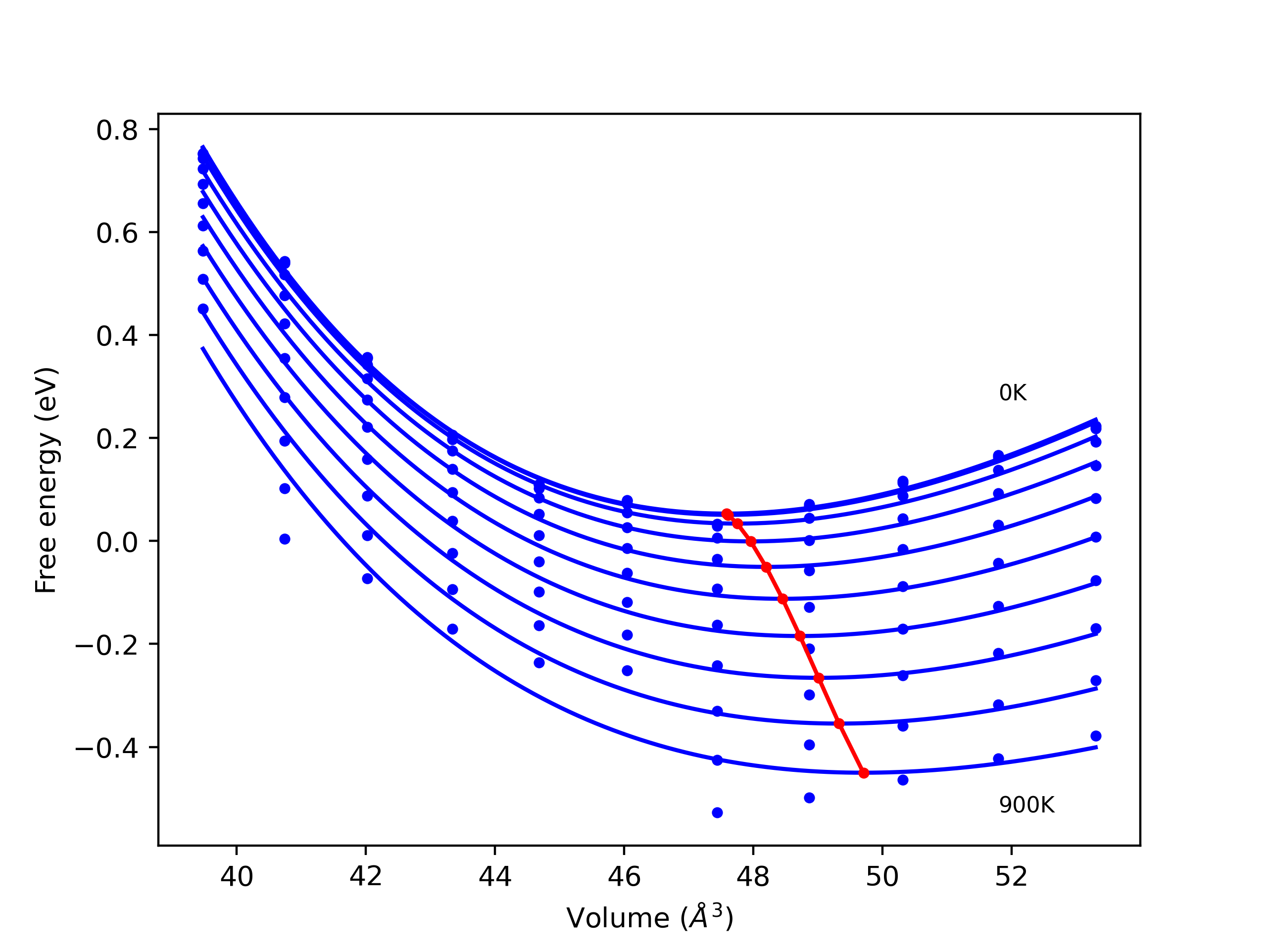
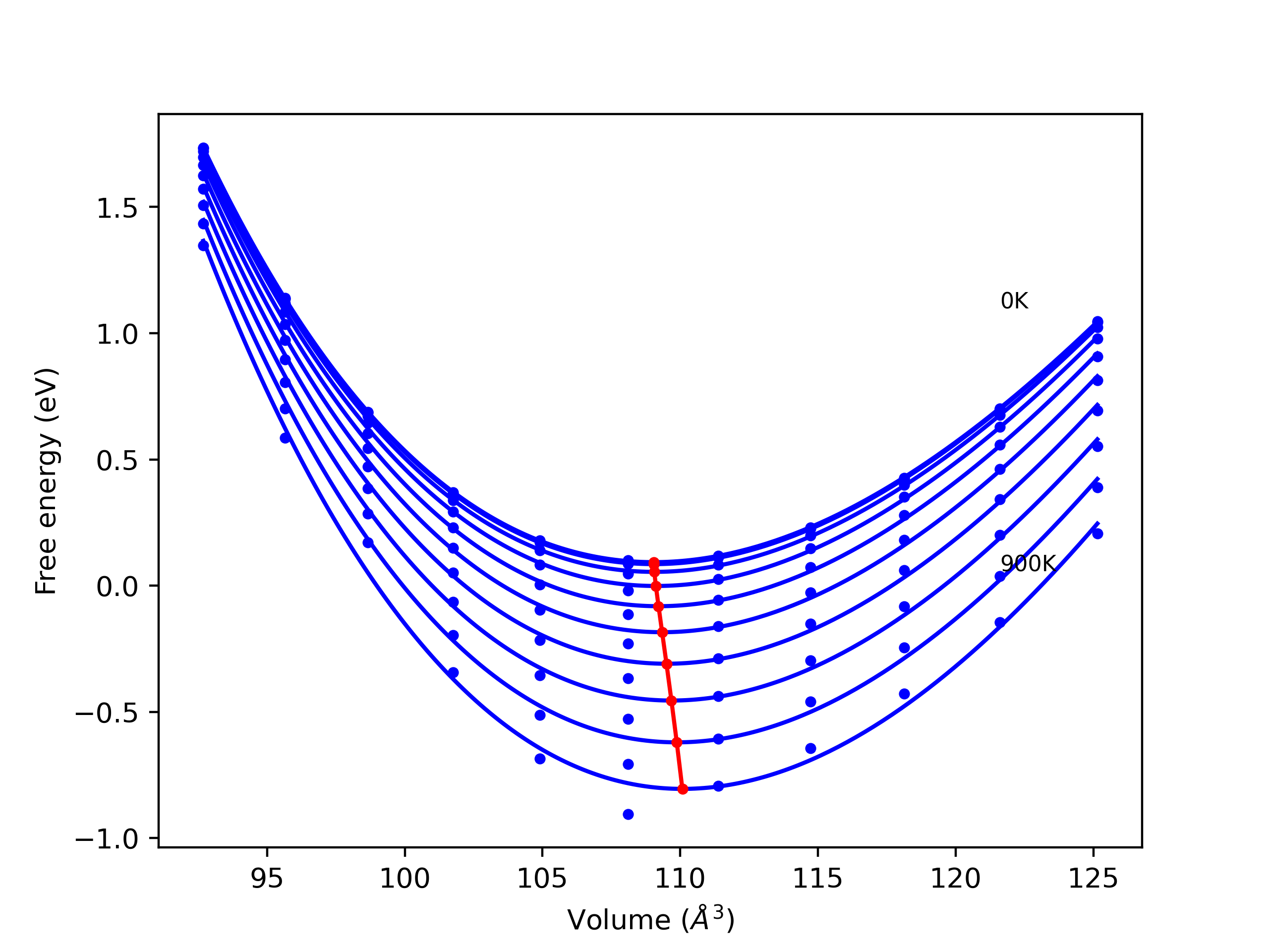
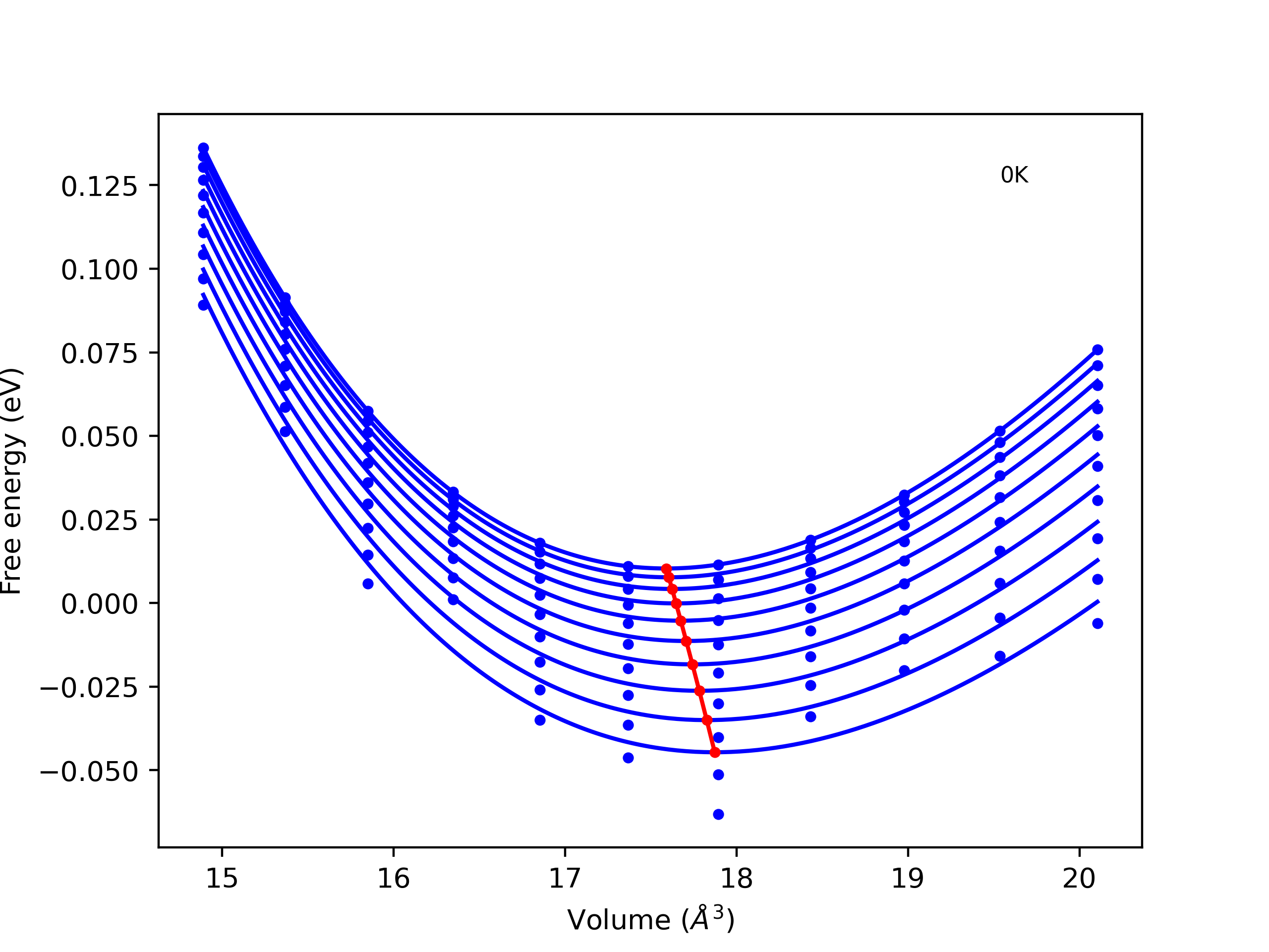
Static elastic constants are displayed for the unique structures identified in Crystal Structure Predictions above. The values displayed here are obtained by measuring the change in virial stresses due to applying small strains to the relaxed crystals. The initial structure and the strained states are all relaxed using force minimization.
The calculation method used is available as the iprPy elastic_constants_static calculation method.
Notes and Disclaimers:
Version Information:
| 110.781 | 66.119 | 66.119 | 0.000 | 0.000 | 0.000 | 
| 66.119 | 110.781 | 66.119 | 0.000 | 0.000 | 0.000 | 
| 66.119 | 66.119 | 110.781 | 0.000 | 0.000 | 0.000 | 
| -0.000 | 0.000 | 0.000 | 35.402 | 0.000 | 0.000 | 
| 0.000 | -0.000 | 0.000 | 0.000 | 35.402 | -0.000 | 
| 0.000 | 0.000 | 0.000 | 0.000 | -0.000 | 35.402 | 
| 110.781 | 66.119 | 66.119 | -0.000 | -0.000 | -0.000 | 
| 66.119 | 110.781 | 66.119 | -0.000 | 0.000 | -0.000 | 
| 66.119 | 66.119 | 110.781 | 0.000 | 0.000 | -0.000 | 
| 0.000 | -0.000 | -0.000 | 35.402 | 0.000 | -0.000 | 
| -0.000 | 0.000 | -0.000 | -0.000 | 35.402 | 0.000 | 
| -0.000 | -0.000 | -0.000 | -0.000 | 0.000 | 35.402 | 
| 110.781 | 66.119 | 66.119 | 0.000 | -0.000 | -0.000 | 
| 66.119 | 110.781 | 66.119 | 0.000 | 0.000 | -0.000 | 
| 66.119 | 66.119 | 110.781 | 0.000 | -0.000 | 0.000 | 
| -0.000 | 0.000 | 0.000 | 35.402 | 0.000 | 0.000 | 
| 0.000 | -0.000 | 0.000 | 0.000 | 35.402 | 0.000 | 
| 0.000 | 0.000 | -0.000 | 0.000 | -0.000 | 35.402 | 
| 110.781 | 66.119 | 66.119 | -0.000 | 0.000 | 0.000 | 
| 66.119 | 110.781 | 66.119 | -0.000 | 0.000 | 0.000 | 
| 66.119 | 66.119 | 110.781 | -0.000 | 0.000 | -0.000 | 
| 0.000 | -0.000 | -0.000 | 35.402 | -0.000 | -0.000 | 
| -0.000 | 0.000 | -0.000 | -0.000 | 35.402 | -0.000 | 
| -0.000 | -0.000 | 0.000 | -0.000 | 0.000 | 35.402 | 
| 110.782 | 66.119 | 66.119 | 0.000 | -0.000 | -0.000 | 
| 66.119 | 110.782 | 66.119 | 0.000 | -0.000 | -0.000 | 
| 66.119 | 66.119 | 110.782 | 0.000 | -0.000 | 0.000 | 
| -0.000 | 0.000 | 0.000 | 35.402 | 0.000 | 0.000 | 
| 0.000 | -0.000 | 0.000 | 0.000 | 35.402 | -0.000 | 
| 0.000 | 0.000 | -0.000 | 0.000 | -0.000 | 35.402 | 
| 110.781 | 66.118 | 66.118 | -0.000 | 0.000 | -0.000 | 
| 66.118 | 110.781 | 66.118 | -0.000 | -0.000 | -0.000 | 
| 66.118 | 66.118 | 110.781 | -0.000 | 0.000 | -0.000 | 
| 0.000 | -0.000 | -0.000 | 35.402 | -0.000 | -0.000 | 
| -0.000 | 0.000 | -0.000 | -0.000 | 35.402 | 0.000 | 
| -0.000 | -0.000 | 0.000 | -0.000 | 0.000 | 35.402 | 
| 144.814 | 46.484 | 46.484 | 0.000 | -0.000 | 0.000 | 
| 46.484 | 144.814 | 46.484 | 0.000 | -0.000 | 0.000 | 
| 46.484 | 46.484 | 144.814 | 0.000 | -0.000 | 0.000 | 
| -0.000 | 0.000 | -0.000 | 22.038 | -0.000 | 0.000 | 
| -0.000 | 0.000 | -0.000 | -0.000 | 22.038 | 0.000 | 
| -0.000 | 0.000 | -0.000 | -0.000 | -0.000 | 22.038 | 
| 144.814 | 46.484 | 46.484 | 0.000 | 0.000 | -0.000 | 
| 46.484 | 144.814 | 46.484 | -0.000 | 0.000 | -0.000 | 
| 46.484 | 46.484 | 144.814 | -0.000 | 0.000 | 0.000 | 
| 0.000 | -0.000 | 0.000 | 22.038 | 0.000 | -0.000 | 
| 0.000 | 0.000 | -0.000 | -0.000 | 22.038 | -0.000 | 
| 0.000 | -0.000 | 0.000 | -0.000 | 0.000 | 22.038 | 
| 144.814 | 46.484 | 46.484 | -0.000 | -0.000 | 0.000 | 
| 46.484 | 144.814 | 46.484 | 0.000 | -0.000 | 0.000 | 
| 46.484 | 46.484 | 144.814 | 0.000 | -0.000 | 0.000 | 
| 0.000 | 0.000 | 0.000 | 18.729 | 0.000 | 0.000 | 
| 0.000 | 0.000 | 0.000 | -0.000 | 18.729 | 0.000 | 
| 0.000 | 0.000 | 0.000 | 0.000 | -0.000 | 18.729 | 
| 144.814 | 46.484 | 46.484 | -0.000 | -0.000 | -0.000 | 
| 46.484 | 144.814 | 46.484 | 0.000 | 0.000 | 0.000 | 
| 46.484 | 46.484 | 144.814 | -0.000 | 0.000 | -0.000 | 
| -0.000 | -0.000 | -0.000 | 18.729 | 0.000 | -0.000 | 
| -0.000 | -0.000 | -0.000 | -0.000 | 18.729 | -0.000 | 
| -0.000 | -0.000 | -0.000 | 0.000 | 0.000 | 18.729 | 
| 144.815 | 46.485 | 46.485 | -0.000 | 0.000 | -0.000 | 
| 46.485 | 144.815 | 46.485 | -0.000 | -0.000 | 0.000 | 
| 46.485 | 46.485 | 144.815 | 0.000 | -0.000 | 0.000 | 
| 0.000 | 0.000 | 0.000 | 18.729 | -0.000 | 0.000 | 
| 0.000 | 0.000 | 0.000 | 0.000 | 18.729 | 0.000 | 
| 0.000 | 0.000 | 0.000 | 0.000 | -0.000 | 18.729 | 
| 145.743 | 46.020 | 46.020 | -0.000 | 0.000 | -0.000 | 
| 46.020 | 145.743 | 46.020 | 0.000 | -0.000 | -0.000 | 
| 46.020 | 46.020 | 145.743 | -0.000 | -0.000 | -0.000 | 
| -0.000 | -0.000 | -0.000 | 18.729 | 0.000 | 0.000 | 
| -0.000 | -0.000 | -0.000 | -0.000 | 18.729 | -0.000 | 
| -0.000 | -0.000 | -0.000 | -0.000 | 0.000 | 18.729 | 
| 87.389 | 75.942 | 75.942 | 0.000 | 0.000 | -0.000 | 
| 75.942 | 87.389 | 75.942 | 0.000 | 0.000 | -0.000 | 
| 75.942 | 75.942 | 87.389 | 0.000 | 0.000 | -0.000 | 
| -0.000 | -0.000 | 0.000 | 43.120 | 0.000 | 0.000 | 
| -0.000 | 0.000 | 0.000 | 0.000 | 43.120 | -0.000 | 
| -0.000 | 0.000 | 0.000 | 0.000 | 0.000 | 43.120 | 
| 87.389 | 75.942 | 75.942 | -0.000 | -0.000 | 0.000 | 
| 75.942 | 87.389 | 75.942 | -0.000 | -0.000 | 0.000 | 
| 75.942 | 75.942 | 87.388 | -0.000 | -0.000 | -0.000 | 
| 0.000 | -0.000 | -0.000 | 43.120 | -0.000 | 0.000 | 
| -0.000 | 0.000 | -0.000 | -0.000 | 43.120 | 0.000 | 
| 0.000 | 0.000 | -0.000 | -0.000 | -0.000 | 43.120 | 
| 87.389 | 75.942 | 75.942 | 0.000 | 0.000 | -0.000 | 
| 75.942 | 87.389 | 75.942 | 0.000 | 0.000 | -0.000 | 
| 75.942 | 75.942 | 87.389 | 0.000 | 0.000 | -0.000 | 
| 0.000 | -0.000 | 0.000 | 43.120 | 0.000 | 0.000 | 
| -0.000 | 0.000 | 0.000 | 0.000 | 43.120 | -0.000 | 
| -0.000 | 0.000 | 0.000 | 0.000 | 0.000 | 43.120 | 
| 87.389 | 75.942 | 75.942 | -0.000 | -0.000 | 0.000 | 
| 75.942 | 87.389 | 75.942 | -0.000 | -0.000 | -0.000 | 
| 75.942 | 75.942 | 87.388 | -0.000 | -0.000 | 0.000 | 
| -0.000 | 0.000 | -0.000 | 43.120 | -0.000 | 0.000 | 
| 0.000 | -0.000 | -0.000 | -0.000 | 43.120 | 0.000 | 
| 0.000 | -0.000 | -0.000 | -0.000 | -0.000 | 43.120 | 
| 87.389 | 75.942 | 75.942 | 0.000 | 0.000 | -0.000 | 
| 75.942 | 87.389 | 75.942 | 0.000 | -0.000 | -0.000 | 
| 75.942 | 75.942 | 87.389 | 0.000 | 0.000 | -0.000 | 
| 0.000 | -0.000 | 0.000 | 43.120 | 0.000 | 0.000 | 
| -0.000 | 0.000 | 0.000 | 0.000 | 43.120 | -0.000 | 
| -0.000 | 0.000 | 0.000 | -0.000 | 0.000 | 43.120 | 
| 87.388 | 75.942 | 75.942 | -0.000 | -0.000 | 0.000 | 
| 75.942 | 87.388 | 75.942 | -0.000 | -0.000 | -0.000 | 
| 75.942 | 75.942 | 87.388 | -0.000 | -0.000 | -0.000 | 
| -0.000 | 0.000 | -0.000 | 43.120 | -0.000 | 0.000 | 
| 0.000 | -0.000 | -0.000 | -0.000 | 43.120 | 0.000 | 
| 0.000 | -0.000 | -0.000 | 0.000 | -0.000 | 43.120 | 
| 125.216 | 63.494 | 54.425 | 0.000 | -0.000 | 0.000 | 
| 65.524 | 123.186 | 54.425 | 0.000 | 0.000 | 0.000 | 
| 54.425 | 54.425 | 131.257 | 0.000 | 0.000 | -0.000 | 
| -0.000 | -0.000 | -0.000 | 24.933 | 0.000 | -0.000 | 
| 0.000 | -0.000 | -0.000 | 0.000 | 24.933 | -0.000 | 
| 0.000 | 0.000 | 0.000 | 0.000 | -0.000 | 30.861 | 
| 123.186 | 65.524 | 54.425 | -0.000 | -0.000 | -0.000 | 
| 63.494 | 125.216 | 54.425 | -0.000 | -0.000 | -0.000 | 
| 54.425 | 54.425 | 131.257 | 0.000 | -0.000 | 0.000 | 
| 0.000 | 0.000 | 0.000 | 24.933 | -0.000 | 0.000 | 
| 0.000 | 0.000 | -0.000 | 0.000 | 24.933 | -0.000 | 
| 0.000 | 0.000 | 0.000 | -0.000 | -0.000 | 30.861 | 
| 123.186 | 65.524 | 54.425 | 0.000 | 0.000 | 0.000 | 
| 63.494 | 125.216 | 54.425 | 0.000 | -0.000 | 0.000 | 
| 54.425 | 54.425 | 131.257 | -0.000 | 0.000 | -0.000 | 
| 0.000 | -0.000 | 0.000 | 24.933 | 0.000 | -0.000 | 
| -0.000 | -0.000 | 0.000 | 0.000 | 24.933 | -0.000 | 
| 0.000 | 0.000 | 0.000 | 0.000 | 0.000 | 28.831 | 
| 125.216 | 63.494 | 54.425 | -0.000 | -0.000 | -0.000 | 
| 65.524 | 123.186 | 54.425 | -0.000 | -0.000 | -0.000 | 
| 54.425 | 54.425 | 131.257 | 0.000 | -0.000 | 0.000 | 
| 0.000 | 0.000 | -0.000 | 24.933 | -0.000 | 0.000 | 
| 0.000 | 0.000 | -0.000 | 0.000 | 24.933 | -0.000 | 
| 0.000 | -0.000 | -0.000 | -0.000 | -0.000 | 28.831 | 
| 123.186 | 65.524 | 54.425 | 0.000 | 0.000 | 0.000 | 
| 65.524 | 123.186 | 54.425 | 0.000 | 0.000 | 0.000 | 
| 54.425 | 54.425 | 131.258 | -0.000 | 0.000 | -0.000 | 
| -0.000 | -0.000 | 0.000 | 24.933 | 0.000 | 0.000 | 
| -0.000 | -0.000 | 0.000 | 0.000 | 24.933 | 0.000 | 
| -0.000 | 0.000 | -0.000 | 0.000 | 0.000 | 28.757 | 
| 123.185 | 65.524 | 54.425 | -0.000 | -0.000 | -0.000 | 
| 63.493 | 125.216 | 54.425 | -0.000 | -0.000 | -0.000 | 
| 54.425 | 54.425 | 131.257 | -0.000 | -0.000 | 0.000 | 
| 0.000 | 0.000 | -0.000 | 24.933 | 0.000 | -0.000 | 
| 0.000 | 0.000 | -0.000 | -0.000 | 24.933 | -0.000 | 
| 0.000 | -0.000 | 0.000 | -0.000 | -0.000 | 28.757 | 
| 123.509 | 68.000 | 51.718 | -0.000 | -0.000 | -0.000 | 
| 68.000 | 123.509 | 51.718 | 0.000 | -0.000 | 0.000 | 
| 51.721 | 51.721 | 134.036 | -0.000 | 0.000 | -0.000 | 
| 0.000 | -0.000 | 0.000 | 23.465 | -0.000 | -0.000 | 
| 0.000 | -0.000 | -0.000 | 0.000 | 23.465 | -0.000 | 
| 0.000 | 0.000 | 0.000 | 0.000 | 0.000 | 30.726 | 
| 123.509 | 68.000 | 51.718 | 0.000 | 0.000 | -0.000 | 
| 68.000 | 123.509 | 51.718 | 0.000 | 0.000 | 0.000 | 
| 51.721 | 51.721 | 134.036 | -0.000 | -0.000 | 0.000 | 
| -0.000 | 0.000 | 0.000 | 23.465 | -0.000 | 0.000 | 
| -0.000 | 0.000 | -0.000 | -0.000 | 23.465 | 0.000 | 
| -0.000 | -0.000 | -0.000 | -0.000 | -0.000 | 30.726 | 
| 123.509 | 68.000 | 51.718 | 0.000 | -0.000 | -0.000 | 
| 65.028 | 126.481 | 51.718 | 0.000 | 0.000 | 0.000 | 
| 51.721 | 51.721 | 134.036 | -0.000 | -0.000 | -0.000 | 
| 0.000 | -0.000 | 0.000 | 23.465 | -0.000 | -0.000 | 
| -0.000 | -0.000 | 0.000 | -0.000 | 23.465 | -0.000 | 
| -0.000 | 0.000 | 0.000 | 0.000 | 0.000 | 30.726 | 
| 123.509 | 68.000 | 51.718 | 0.000 | 0.000 | 0.000 | 
| 65.028 | 126.481 | 51.718 | -0.000 | 0.000 | -0.000 | 
| 51.721 | 51.721 | 134.036 | -0.000 | -0.000 | 0.000 | 
| -0.000 | 0.000 | -0.000 | 23.465 | 0.000 | 0.000 | 
| 0.000 | 0.000 | -0.000 | 0.000 | 23.465 | 0.000 | 
| 0.000 | -0.000 | -0.000 | -0.000 | -0.000 | 30.726 | 
| 126.482 | 65.029 | 51.718 | 0.000 | 0.000 | 0.000 | 
| 68.001 | 123.509 | 51.718 | -0.000 | -0.000 | -0.000 | 
| 51.721 | 51.721 | 134.037 | -0.000 | 0.000 | 0.000 | 
| 0.000 | -0.000 | 0.000 | 23.465 | -0.000 | -0.000 | 
| -0.000 | 0.000 | 0.000 | -0.000 | 23.465 | -0.000 | 
| -0.000 | 0.000 | -0.000 | -0.000 | -0.000 | 27.754 | 
| 123.508 | 68.000 | 51.718 | 0.000 | 0.000 | 0.000 | 
| 65.028 | 126.481 | 51.718 | -0.000 | -0.000 | -0.000 | 
| 51.721 | 51.721 | 134.036 | -0.000 | -0.000 | 0.000 | 
| -0.000 | 0.000 | -0.000 | 23.465 | 0.000 | 0.000 | 
| 0.000 | -0.000 | -0.000 | 0.000 | 23.465 | 0.000 | 
| 0.000 | -0.000 | 0.000 | 0.000 | 0.000 | 27.754 | 
| 123.472 | 67.976 | 51.707 | -0.000 | -0.000 | 0.000 | 
| 65.005 | 126.443 | 51.707 | 0.000 | 0.000 | 0.000 | 
| 51.707 | 51.707 | 134.009 | 0.000 | 0.000 | 0.000 | 
| 0.000 | 0.000 | 0.000 | 23.464 | -0.000 | -0.000 | 
| 0.000 | 0.000 | 0.000 | -0.000 | 23.463 | 0.000 | 
| 0.000 | 0.000 | 0.000 | -0.000 | -0.000 | 27.748 | 
| 123.472 | 67.976 | 51.707 | 0.000 | 0.000 | -0.000 | 
| 67.976 | 123.472 | 51.707 | 0.000 | 0.000 | -0.000 | 
| 51.707 | 51.707 | 134.009 | 0.000 | 0.000 | -0.000 | 
| -0.000 | -0.000 | -0.000 | 23.464 | 0.000 | 0.000 | 
| -0.000 | -0.000 | -0.000 | 0.000 | 23.464 | -0.000 | 
| -0.000 | -0.000 | -0.000 | 0.000 | 0.000 | 27.748 | 
| 123.472 | 67.976 | 51.707 | -0.000 | -0.000 | 0.000 | 
| 65.005 | 126.443 | 51.707 | -0.000 | 0.000 | 0.000 | 
| 51.707 | 51.707 | 134.009 | 0.000 | 0.000 | 0.000 | 
| 0.000 | 0.000 | 0.000 | 23.464 | -0.000 | 0.000 | 
| -0.000 | 0.000 | 0.000 | -0.000 | 23.464 | 0.000 | 
| -0.000 | 0.000 | 0.000 | -0.000 | -0.000 | 27.748 | 
| 126.443 | 65.005 | 51.707 | -0.000 | -0.000 | -0.000 | 
| 65.005 | 126.443 | 51.707 | 0.000 | -0.000 | -0.000 | 
| 51.707 | 51.707 | 134.009 | 0.000 | 0.000 | -0.000 | 
| -0.000 | -0.000 | -0.000 | 23.464 | -0.000 | -0.000 | 
| 0.000 | -0.000 | -0.000 | 0.000 | 23.464 | -0.000 | 
| 0.000 | -0.000 | -0.000 | 0.000 | 0.000 | 27.748 | 
| 123.472 | 67.977 | 51.707 | -0.000 | -0.000 | 0.000 | 
| 65.005 | 126.443 | 51.708 | -0.000 | 0.000 | 0.000 | 
| 51.708 | 51.708 | 134.010 | -0.000 | -0.000 | 0.000 | 
| -0.000 | -0.000 | 0.000 | 23.464 | 0.000 | 0.000 | 
| -0.000 | 0.000 | 0.000 | 0.000 | 23.464 | 0.000 | 
| -0.000 | 0.000 | -0.000 | -0.000 | -0.000 | 27.748 | 
| 126.443 | 65.005 | 51.707 | 0.000 | -0.000 | -0.000 | 
| 65.005 | 126.443 | 51.707 | -0.000 | -0.000 | -0.000 | 
| 51.707 | 51.707 | 134.009 | -0.000 | 0.000 | -0.000 | 
| 0.000 | 0.000 | -0.000 | 23.464 | 0.000 | -0.000 | 
| 0.000 | -0.000 | -0.000 | 0.000 | 23.464 | -0.000 | 
| 0.000 | -0.000 | 0.000 | 0.000 | 0.000 | 27.748 | 
| 454.359 | 215.867 | 215.867 | 0.000 | 0.000 | 0.000 | 
| 215.867 | 454.359 | 215.867 | 0.000 | 0.000 | -0.000 | 
| 215.867 | 215.867 | 454.359 | 0.000 | 0.000 | 0.000 | 
| 0.000 | -0.000 | 0.000 | 217.146 | 0.000 | -0.000 | 
| -0.000 | 0.000 | 0.000 | 0.000 | 217.146 | 0.000 | 
| -0.000 | -0.000 | 0.000 | -0.000 | 0.000 | 217.146 | 
| 454.359 | 215.867 | 215.867 | -0.000 | -0.000 | -0.000 | 
| 215.867 | 454.359 | 215.867 | -0.000 | -0.000 | 0.000 | 
| 215.867 | 215.867 | 454.359 | -0.000 | 0.000 | 0.000 | 
| -0.000 | 0.000 | -0.000 | 217.146 | -0.000 | -0.000 | 
| 0.000 | -0.000 | -0.000 | -0.000 | 217.146 | 0.000 | 
| 0.000 | 0.000 | -0.000 | -0.000 | -0.000 | 217.146 | 
| 454.359 | 215.867 | 215.867 | 0.000 | 0.000 | 0.000 | 
| 215.867 | 454.359 | 215.867 | 0.000 | -0.000 | 0.000 | 
| 215.867 | 215.867 | 454.359 | 0.000 | 0.000 | 0.000 | 
| 0.000 | -0.000 | -0.000 | 225.423 | 0.000 | 0.000 | 
| -0.000 | 0.000 | -0.000 | 0.000 | 225.423 | -0.000 | 
| -0.000 | -0.000 | 0.000 | -0.000 | -0.000 | 225.423 | 
| 454.359 | 215.867 | 215.867 | -0.000 | -0.000 | -0.000 | 
| 215.867 | 454.359 | 215.867 | -0.000 | -0.000 | -0.000 | 
| 215.867 | 215.867 | 454.359 | -0.000 | -0.000 | -0.000 | 
| -0.000 | 0.000 | 0.000 | 225.423 | -0.000 | 0.000 | 
| 0.000 | -0.000 | 0.000 | -0.000 | 225.423 | -0.000 | 
| 0.000 | 0.000 | -0.000 | -0.000 | 0.000 | 225.423 | 
| 454.359 | 215.868 | 215.868 | 0.000 | -0.000 | -0.000 | 
| 215.868 | 454.359 | 215.868 | 0.000 | 0.000 | 0.000 | 
| 215.868 | 215.868 | 454.359 | 0.000 | -0.000 | 0.000 | 
| 0.000 | -0.001 | -0.000 | 217.146 | -0.000 | -0.000 | 
| -0.001 | 0.000 | -0.000 | -0.000 | 217.146 | -0.000 | 
| -0.001 | -0.000 | 0.000 | 0.000 | -0.000 | 217.146 | 
| 454.360 | 215.867 | 215.867 | -0.000 | -0.000 | -0.000 | 
| 215.867 | 454.360 | 215.867 | -0.000 | -0.000 | 0.000 | 
| 215.867 | 215.867 | 454.360 | 0.000 | 0.000 | -0.000 | 
| -0.000 | 0.001 | 0.000 | 217.146 | 0.000 | 0.000 | 
| 0.001 | -0.000 | 0.000 | 0.000 | 217.146 | 0.000 | 
| 0.001 | 0.000 | -0.000 | 0.000 | -0.000 | 217.146 | 
| 311.966 | 219.529 | 77.046 | -0.000 | 0.000 | -0.000 | 
| 219.529 | 311.966 | 77.046 | -0.000 | 0.000 | -0.000 | 
| 77.046 | 77.046 | 176.356 | -0.000 | -0.000 | -0.000 | 
| 0.000 | -0.000 | -0.000 | 40.149 | -0.000 | -0.000 | 
| 0.000 | -0.000 | -0.000 | -0.000 | 40.149 | -0.000 | 
| -0.000 | -0.000 | -0.000 | -0.000 | -0.000 | 193.904 | 
| 311.966 | 219.529 | 77.046 | 0.000 | 0.000 | 0.000 | 
| 219.529 | 311.966 | 77.046 | 0.000 | 0.000 | 0.000 | 
| 77.046 | 77.046 | 176.356 | 0.000 | 0.000 | 0.000 | 
| -0.000 | -0.000 | 0.000 | 40.149 | 0.000 | 0.000 | 
| 0.000 | 0.000 | 0.000 | 0.000 | 40.149 | 0.000 | 
| 0.000 | 0.000 | 0.000 | 0.000 | 0.000 | 193.904 | 
| 311.966 | 219.529 | 77.046 | -0.000 | 0.000 | -0.000 | 
| 219.529 | 311.966 | 77.046 | -0.000 | -0.000 | -0.000 | 
| 77.046 | 77.046 | 176.356 | -0.000 | -0.000 | -0.000 | 
| -0.000 | -0.000 | -0.000 | 40.149 | -0.000 | -0.000 | 
| -0.000 | -0.000 | -0.000 | -0.000 | 40.149 | -0.000 | 
| -0.000 | -0.000 | -0.000 | -0.000 | -0.000 | 193.904 | 
| 285.459 | 246.035 | 77.046 | 0.000 | 0.000 | 0.000 | 
| 246.035 | 285.459 | 77.046 | 0.000 | 0.000 | 0.000 | 
| 77.046 | 77.046 | 176.356 | 0.000 | 0.000 | 0.000 | 
| 0.000 | 0.000 | 0.000 | 40.149 | 0.000 | 0.000 | 
| 0.000 | 0.000 | 0.000 | 0.000 | 40.149 | 0.000 | 
| 0.000 | 0.000 | 0.000 | 0.000 | 0.000 | 193.904 | 
| 248.582 | 282.912 | 77.047 | -0.000 | -0.000 | -0.000 | 
| 282.912 | 248.582 | 77.047 | 0.000 | -0.000 | -0.000 | 
| 77.046 | 77.046 | 176.356 | 0.000 | 0.000 | -0.000 | 
| -0.000 | -0.000 | -0.000 | 40.149 | -0.000 | -0.000 | 
| -0.000 | -0.000 | -0.000 | 0.000 | 40.149 | -0.000 | 
| -0.001 | -0.001 | 0.000 | -0.000 | -0.000 | 193.904 | 
| 270.033 | 261.461 | 77.046 | 0.000 | 0.000 | 0.000 | 
| 246.035 | 285.459 | 77.046 | 0.000 | 0.000 | 0.000 | 
| 77.046 | 77.046 | 176.355 | -0.000 | -0.000 | 0.000 | 
| 0.000 | 0.000 | 0.000 | 40.149 | -0.000 | 0.000 | 
| 0.000 | 0.000 | 0.000 | 0.000 | 40.149 | 0.000 | 
| 0.001 | 0.001 | -0.000 | 0.000 | 0.000 | 193.904 | 
| 200.923 | 75.976 | 75.976 | -0.000 | -0.000 | -0.000 | 
| 75.976 | 200.923 | 75.976 | 0.000 | -0.000 | -0.000 | 
| 75.976 | 75.976 | 200.923 | -0.000 | -0.000 | -0.000 | 
| -0.000 | 0.000 | -0.000 | 50.365 | -0.000 | 0.000 | 
| -0.000 | 0.000 | 0.000 | -0.000 | 50.365 | -0.000 | 
| -0.000 | 0.000 | 0.000 | -0.000 | -0.000 | 50.365 | 
| 200.923 | 75.976 | 75.976 | 0.000 | 0.000 | 0.000 | 
| 75.976 | 200.923 | 75.976 | -0.000 | 0.000 | 0.000 | 
| 75.976 | 75.976 | 200.923 | 0.000 | 0.000 | 0.000 | 
| 0.000 | -0.000 | -0.000 | 50.365 | 0.000 | -0.000 | 
| 0.000 | -0.000 | 0.000 | 0.000 | 50.365 | 0.000 | 
| 0.000 | -0.000 | -0.000 | 0.000 | 0.000 | 50.365 | 
| 200.923 | 75.975 | 75.975 | -0.000 | -0.000 | -0.000 | 
| 75.975 | 200.923 | 75.975 | 0.000 | -0.000 | -0.000 | 
| 75.975 | 75.975 | 200.923 | 0.000 | -0.000 | -0.000 | 
| -0.000 | -0.000 | -0.000 | 50.365 | -0.000 | -0.000 | 
| -0.000 | -0.000 | -0.000 | -0.000 | 50.365 | 0.000 | 
| -0.000 | -0.000 | -0.000 | -0.000 | -0.000 | 50.365 | 
| 200.924 | 75.976 | 75.976 | -0.000 | 0.000 | 0.000 | 
| 75.976 | 200.923 | 75.976 | -0.000 | 0.000 | -0.000 | 
| 75.976 | 75.976 | 200.924 | -0.000 | 0.000 | -0.000 | 
| 0.000 | 0.000 | 0.000 | 50.365 | 0.000 | 0.000 | 
| 0.000 | 0.000 | 0.000 | 0.000 | 50.365 | -0.000 | 
| 0.000 | 0.000 | 0.000 | 0.000 | 0.000 | 50.365 | 
| 200.923 | 75.975 | 75.975 | -0.000 | -0.000 | 0.000 | 
| 75.975 | 200.923 | 75.975 | -0.000 | -0.000 | 0.000 | 
| 75.975 | 75.975 | 200.923 | -0.000 | -0.000 | 0.000 | 
| -0.000 | -0.001 | -0.001 | 50.365 | -0.000 | -0.000 | 
| -0.001 | -0.000 | -0.001 | 0.000 | 50.365 | -0.000 | 
| -0.001 | -0.001 | -0.000 | 0.000 | -0.000 | 50.365 | 
| 200.924 | 75.976 | 75.976 | -0.000 | 0.000 | 0.000 | 
| 75.976 | 200.924 | 75.976 | -0.000 | 0.000 | 0.000 | 
| 75.976 | 75.976 | 200.924 | -0.000 | 0.000 | -0.000 | 
| 0.000 | 0.001 | 0.001 | 50.365 | 0.000 | 0.000 | 
| 0.001 | 0.000 | 0.001 | -0.000 | 50.365 | 0.000 | 
| 0.001 | 0.001 | 0.000 | -0.000 | 0.000 | 50.365 | 
| 327.412 | 28.849 | 28.933 | 0.000 | 0.000 | 0.000 | 
| 28.849 | 327.412 | 28.933 | 0.000 | 0.000 | -0.000 | 
| 31.407 | 31.407 | 69.057 | 0.000 | 0.000 | -0.000 | 
| 0.000 | -0.000 | 0.000 | 4.535 | 0.000 | -0.000 | 
| -0.000 | 0.000 | 0.000 | -0.000 | 4.535 | -0.000 | 
| 0.000 | 0.000 | 0.000 | 0.000 | 0.000 | 11.081 | 
| 327.412 | 28.849 | 28.933 | 0.000 | 0.000 | -0.000 | 
| 28.849 | 327.412 | 28.933 | -0.000 | -0.000 | 0.000 | 
| 31.407 | 31.407 | 69.057 | -0.000 | -0.000 | 0.000 | 
| -0.000 | 0.000 | -0.000 | 4.535 | -0.000 | -0.000 | 
| 0.000 | -0.000 | -0.000 | -0.000 | 4.535 | 0.000 | 
| -0.000 | -0.000 | -0.000 | -0.000 | -0.000 | 11.081 | 
| 327.412 | 28.849 | 28.933 | 0.000 | 0.000 | -0.000 | 
| 23.187 | 329.500 | 28.567 | 0.000 | 0.000 | 0.000 | 
| 32.913 | 32.913 | 69.366 | 0.000 | 0.000 | 0.000 | 
| -0.000 | -0.000 | -0.000 | 4.535 | -0.000 | -0.000 | 
| -0.000 | 0.000 | -0.000 | 0.000 | 4.535 | 0.000 | 
| 0.000 | -0.000 | 0.000 | 0.000 | 0.000 | 11.081 | 
| 327.412 | 28.849 | 28.933 | -0.000 | -0.000 | 0.000 | 
| 28.849 | 327.412 | 28.933 | -0.000 | -0.000 | 0.000 | 
| 31.407 | 31.407 | 69.057 | 0.000 | 0.000 | 0.000 | 
| 0.000 | 0.000 | 0.000 | 4.535 | -0.000 | 0.000 | 
| 0.000 | -0.000 | 0.000 | -0.000 | 4.535 | -0.000 | 
| -0.000 | 0.000 | -0.000 | -0.000 | -0.000 | 11.081 | 
| 327.412 | 28.849 | 28.933 | 0.000 | 0.000 | -0.000 | 
| 28.849 | 327.412 | 28.933 | -0.000 | -0.000 | 0.000 | 
| 32.913 | 32.913 | 69.366 | 0.000 | 0.000 | -0.000 | 
| 0.000 | 0.000 | -0.000 | -3.267 | 0.000 | -0.000 | 
| -0.000 | -0.000 | -0.000 | 0.000 | -8.641 | -0.000 | 
| 0.000 | -0.000 | -0.000 | 0.000 | 0.000 | 11.081 | 
| 343.851 | 27.129 | 30.438 | -0.000 | -0.000 | 0.000 | 
| 27.129 | 343.851 | 30.438 | -0.000 | -0.000 | -0.000 | 
| 31.407 | 31.407 | 69.057 | -0.000 | -0.000 | 0.000 | 
| -0.000 | -0.000 | 0.000 | -3.267 | -0.000 | 0.000 | 
| -0.000 | -0.000 | 0.000 | -0.000 | -3.267 | 0.000 | 
| -0.000 | 0.000 | 0.000 | -0.000 | -0.000 | 11.081 | 
| 68.693 | 287.605 | 25.514 | -153.042 | -64.727 | -50.284 | 
| 68.476 | 158.340 | 74.274 | -4.285 | 1.012 | -0.567 | 
| 70.899 | 74.025 | 160.163 | -3.519 | 1.016 | -0.404 | 
| -144.912 | 222.684 | 18.084 | -110.897 | -107.910 | 66.268 | 
| -58.279 | 220.584 | -42.964 | -153.167 | -29.482 | -44.302 | 
| -2.556 | -0.575 | -0.476 | 0.898 | -4.004 | 39.846 | 
| 140.641 | 68.468 | 70.910 | -0.653 | -3.956 | -9.221 | 
| 115.272 | 89.344 | 155.075 | 56.969 | 37.722 | 10.972 | 
| 125.584 | -146.591 | 177.359 | 150.787 | 62.101 | 42.138 | 
| 47.823 | -55.014 | 79.133 | 97.735 | 36.889 | 12.341 | 
| -1.779 | 1.000 | 1.016 | -0.165 | 41.919 | -1.054 | 
| 54.735 | -219.759 | 42.462 | 155.032 | 58.155 | 73.628 | 
| 140.641 | 68.468 | 70.910 | -0.653 | -3.956 | -9.221 | 
| 68.476 | 158.340 | 74.274 | -4.285 | 1.012 | -0.567 | 
| 63.989 | 78.039 | 134.445 | -8.744 | -2.924 | -1.645 | 
| -0.515 | -1.124 | -3.519 | 44.908 | -0.165 | 0.887 | 
| -7.446 | 22.387 | -3.601 | -15.490 | 25.654 | -5.273 | 
| -6.794 | 5.813 | -8.888 | -4.354 | -7.121 | 32.898 | 
| 140.641 | 68.468 | 70.910 | -0.653 | -3.956 | -9.221 | 
| 68.476 | 158.340 | 74.273 | -4.285 | 1.012 | -0.567 | 
| 74.719 | 51.664 | 137.911 | 13.062 | 6.936 | 3.098 | 
| 14.506 | -21.723 | -4.477 | 50.075 | 10.639 | -4.713 | 
| -1.779 | 1.000 | 1.016 | -0.165 | 41.919 | -1.054 | 
| 2.773 | -5.207 | 7.532 | 7.545 | 0.331 | 35.099 | 
| 124.953 | 69.820 | 70.124 | -1.893 | -4.382 | -6.929 | 
| 66.336 | 138.818 | 74.931 | -3.416 | -0.346 | 1.760 | 
| 68.463 | 73.242 | 143.350 | -3.480 | 0.432 | -0.668 | 
| -0.231 | 2.298 | -2.775 | 34.219 | -0.721 | 1.358 | 
| -2.519 | 2.958 | 1.173 | -1.797 | 32.076 | -1.024 | 
| -2.390 | 2.460 | -1.532 | 0.400 | -3.830 | 31.253 | 
| 127.854 | 65.441 | 69.848 | 1.291 | -2.966 | -6.831 | 
| 68.018 | 136.256 | 74.460 | -0.860 | 1.082 | 0.832 | 
| 69.842 | 71.878 | 137.910 | -1.123 | 1.354 | -0.750 | 
| 0.426 | -0.584 | -2.150 | 39.234 | 0.003 | 1.652 | 
| -1.779 | 1.000 | 1.016 | -0.165 | 41.919 | -1.054 | 
| -1.537 | -0.279 | 0.162 | 2.185 | -3.030 | 34.247 | 
| 507.263 | -107.368 | 150.814 | 186.130 | -227.593 | -130.928 | 
| 255.485 | 46.943 | 87.860 | 57.725 | -120.752 | -41.903 | 
| 65.341 | 65.282 | 134.764 | -2.264 | -3.202 | -0.090 | 
| 188.318 | -80.013 | 22.657 | 92.714 | -120.663 | -41.575 | 
| -1.947 | -1.006 | -3.203 | -1.282 | 38.003 | -1.592 | 
| 192.865 | -80.277 | 24.256 | 60.138 | -122.802 | -9.315 | 
| -63.441 | 144.048 | 39.110 | -63.226 | 114.233 | 42.473 | 
| -659.354 | 467.962 | -212.853 | -183.430 | 312.530 | 315.549 | 
| 65.341 | 65.282 | 134.764 | -2.264 | -3.202 | -0.090 | 
| -192.976 | 78.317 | -26.272 | -29.258 | 118.488 | 40.053 | 
| -1494.368 | 506.059 | -562.965 | -396.546 | 725.582 | 715.891 | 
| -2077.250 | 677.515 | -728.345 | -660.360 | 958.802 | 1000.601 | 
| 152.059 | 47.295 | 72.240 | 15.636 | -24.832 | -10.063 | 
| 103.114 | 95.692 | 71.753 | 15.381 | -24.369 | -13.208 | 
| 65.341 | 65.282 | 134.764 | -2.264 | -3.202 | -0.090 | 
| 68.305 | -37.024 | 25.054 | 42.706 | -32.462 | -30.973 | 
| 41.232 | -19.127 | 6.936 | 17.857 | 3.005 | -15.327 | 
| 42.915 | -17.098 | 9.445 | 18.419 | -25.968 | 12.554 | 
| 141.015 | 65.249 | 65.148 | -1.997 | -8.244 | 1.452 | 
| 24.657 | 129.898 | 54.449 | -22.208 | 20.344 | 13.438 | 
| 44.847 | 71.925 | 119.534 | -7.908 | 10.132 | 4.113 | 
| -1.957 | -0.729 | -2.264 | 37.774 | -1.282 | -0.645 | 
| -68.904 | 33.643 | -30.120 | -19.131 | 56.951 | 28.829 | 
| -35.950 | 17.099 | -7.986 | -19.351 | 18.964 | 39.568 | 
| 123.517 | 62.302 | 66.485 | -1.491 | -5.684 | 1.303 | 
| 66.730 | 125.126 | 63.619 | -2.647 | -2.367 | -1.480 | 
| 67.370 | 62.788 | 117.244 | -0.557 | -3.823 | -0.383 | 
| 0.871 | -2.810 | -1.139 | 28.505 | -3.175 | -1.766 | 
| 22.254 | -6.685 | 4.384 | 3.851 | 17.714 | -10.389 | 
| 2.188 | -2.028 | -0.254 | -0.727 | -3.746 | 36.510 | 
| 95.242 | 72.803 | 59.441 | -6.857 | 6.877 | 12.403 | 
| 62.896 | 126.931 | 63.147 | -3.878 | 0.042 | -0.673 | 
| 65.341 | 65.282 | 134.764 | -2.264 | -3.202 | -0.090 | 
| -21.262 | 4.539 | -10.040 | 20.342 | 7.274 | 8.912 | 
| -1.946 | -1.006 | -3.202 | -1.282 | 38.003 | -1.592 | 
| -2.037 | 2.094 | -1.675 | -1.600 | -1.077 | 29.897 | 
| 91.074 | 16.424 | -88.871 | -69.579 | -22.782 | 25.474 | 
| 28.067 | 77.405 | -85.869 | -70.461 | -24.993 | 18.723 | 
| 67.563 | 71.121 | 150.267 | 0.625 | 2.049 | 0.639 | 
| -34.662 | -120.876 | -46.253 | -110.251 | -126.333 | 45.931 | 
| 2.058 | 1.647 | 2.049 | 0.059 | 39.849 | 0.887 | 
| -33.874 | -118.991 | -44.763 | -138.608 | -123.092 | 72.581 | 
| 158.553 | 280.924 | 53.084 | 170.241 | 189.889 | -32.705 | 
| 69.466 | 141.115 | 71.159 | 0.453 | 1.650 | -0.179 | 
| 67.563 | 71.121 | 150.267 | 0.625 | 2.049 | 0.639 | 
| 42.283 | 51.127 | 153.732 | 106.165 | 25.856 | -17.532 | 
| 41.819 | 53.117 | 155.434 | 71.286 | 59.734 | -17.279 | 
| 43.319 | 52.654 | 155.249 | 72.255 | 29.037 | 14.522 | 
| 115.999 | 57.714 | 61.837 | -12.028 | -10.203 | 10.763 | 
| 65.901 | 108.122 | 62.603 | -13.291 | -11.431 | 5.436 | 
| 62.539 | 55.603 | 117.904 | -14.369 | -11.215 | 5.022 | 
| -1.895 | -13.010 | -5.290 | 15.084 | -12.524 | 5.099 | 
| -2.921 | -10.725 | -3.435 | -13.884 | 16.734 | 6.163 | 
| 2.799 | -0.174 | 0.765 | 1.572 | 3.350 | 40.609 | 
| 135.723 | 74.035 | 80.989 | 8.915 | 5.605 | 5.186 | 
| 69.466 | 141.115 | 71.159 | 0.453 | 1.650 | -0.179 | 
| 69.797 | 79.327 | 126.370 | 13.234 | 13.887 | -3.991 | 
| 5.659 | 3.995 | 14.779 | 41.981 | 2.629 | -0.942 | 
| 5.208 | 6.000 | 16.493 | 7.081 | 36.588 | -0.695 | 
| 2.799 | -0.174 | 0.765 | 1.572 | 3.350 | 40.609 | 
| 130.762 | 68.198 | 63.765 | 0.984 | 2.705 | 7.201 | 
| 69.249 | 121.627 | 67.335 | -0.603 | 0.171 | 1.163 | 
| 65.979 | 67.001 | 126.795 | -1.651 | 0.259 | 0.963 | 
| 1.180 | -1.727 | -2.267 | 33.784 | -0.212 | 1.058 | 
| -0.143 | -0.767 | 1.295 | -1.090 | 28.884 | 1.827 | 
| 2.197 | -0.250 | -0.759 | 0.156 | 2.957 | 32.999 | 
| 124.022 | 71.749 | 68.002 | 2.844 | 3.962 | 6.329 | 
| 69.183 | 129.768 | 70.135 | 1.710 | 1.064 | 0.109 | 
| 67.563 | 71.121 | 150.267 | 0.625 | 2.049 | 0.639 | 
| 2.014 | -0.682 | 0.933 | 35.481 | 0.317 | 0.699 | 
| 1.222 | 2.294 | 1.650 | 1.187 | 31.973 | 1.137 | 
| 3.103 | 2.444 | 0.744 | 2.507 | 5.412 | 28.225 | 
| 142.483 | 69.543 | 65.452 | 0.592 | 5.327 | 5.066 | 
| 69.286 | 138.709 | 70.123 | -1.520 | 2.565 | -1.659 | 
| 65.175 | 70.395 | 153.260 | -1.605 | 0.305 | 0.624 | 
| 0.592 | -2.988 | -1.605 | 42.837 | -0.118 | 2.207 | 
| 2.465 | 2.369 | 0.305 | -0.118 | 37.902 | 0.389 | 
| 21.183 | -20.463 | 61.619 | -46.338 | -16.126 | 2.134 | 
| 142.483 | 69.543 | 65.452 | 0.592 | 5.327 | 5.066 | 
| 0.483 | 197.881 | 25.446 | 103.292 | 51.681 | 75.479 | 
| 65.175 | 70.395 | 153.260 | -1.605 | 0.305 | 0.624 | 
| -20.938 | 17.739 | -63.004 | 83.506 | 18.535 | 33.517 | 
| 2.465 | 2.369 | 0.305 | -0.118 | 37.902 | 0.389 | 
| -22.488 | 17.379 | -59.694 | 50.792 | 20.555 | 65.124 | 
| 129.640 | 66.238 | 69.362 | -3.939 | 2.650 | 0.613 | 
| 69.286 | 138.709 | 70.123 | -1.520 | 2.565 | -1.659 | 
| 65.223 | 66.042 | 138.537 | -7.266 | -2.134 | -2.215 | 
| 0.592 | -2.988 | -1.605 | 42.837 | -0.118 | 2.207 | 
| 2.465 | 2.369 | 0.305 | -0.118 | 37.902 | 0.389 | 
| -0.271 | -1.651 | 0.634 | 2.403 | 2.238 | 41.090 | 
| 125.137 | 70.002 | 57.232 | 5.759 | 6.304 | 6.887 | 
| 69.286 | 138.709 | 70.123 | -1.520 | 2.565 | -1.659 | 
| 65.175 | 70.395 | 153.260 | -1.605 | 0.305 | 0.624 | 
| -1.287 | 0.703 | -8.408 | 39.822 | 2.027 | 5.174 | 
| -0.187 | 2.985 | -6.321 | 5.037 | 33.129 | 3.832 | 
| -0.271 | -1.651 | 0.634 | 2.403 | 2.238 | 41.090 | 
| 121.768 | 68.593 | 65.399 | -0.504 | 3.808 | 2.327 | 
| 69.212 | 121.554 | 69.405 | -1.257 | 1.146 | -1.969 | 
| 63.404 | 67.979 | 134.730 | -2.757 | -0.406 | 0.640 | 
| 1.373 | -1.870 | -2.434 | 30.407 | 0.080 | 1.498 | 
| 2.207 | 0.920 | 0.325 | -0.283 | 31.161 | 0.382 | 
| -0.524 | -2.116 | 0.846 | 1.240 | 3.164 | 29.131 | 
| 142.483 | 69.543 | 65.451 | 0.592 | 5.327 | 5.066 | 
| 67.972 | 122.904 | 68.304 | 0.500 | 1.838 | -0.776 | 
| 63.925 | 69.794 | 127.921 | -1.936 | -0.233 | 1.729 | 
| -1.490 | -0.138 | -2.033 | 32.300 | 1.318 | 2.885 | 
| 2.465 | 2.369 | 0.305 | -0.118 | 37.902 | 0.389 | 
| -0.850 | -1.360 | 0.346 | 2.717 | 2.397 | 34.307 | 
| 166.999 | 144.888 | 139.207 | 148.245 | 31.039 | -26.385 | 
| 70.685 | 148.952 | 69.365 | 1.862 | -0.015 | 0.201 | 
| 31.968 | 253.952 | 334.262 | 463.901 | 96.012 | -32.253 | 
| 34.625 | 77.290 | 70.888 | 179.495 | 31.340 | -27.485 | 
| 34.104 | 79.329 | 72.623 | 148.830 | 62.193 | -29.204 | 
| -38.085 | 184.865 | 220.378 | 464.971 | 94.687 | -3.957 | 
| 98.081 | -11.568 | -2.302 | -147.347 | -29.576 | 29.531 | 
| 32.085 | 55.571 | -2.687 | -146.475 | -29.123 | 27.765 | 
| 69.454 | 69.351 | 141.226 | 0.208 | 2.603 | 1.250 | 
| 36.516 | -187.322 | -221.645 | -439.193 | -93.541 | 32.395 | 
| -34.847 | -77.136 | -68.890 | -146.765 | 1.572 | 26.711 | 
| -2.589 | 0.193 | 1.428 | 0.111 | 2.330 | 41.459 | 
| 135.852 | 74.432 | 75.502 | 15.193 | 3.750 | -1.219 | 
| 62.302 | 154.059 | 101.476 | 60.351 | 12.046 | 5.413 | 
| 71.697 | 75.846 | 133.845 | 14.901 | 4.900 | -2.409 | 
| 3.604 | 6.877 | 7.203 | 46.576 | 4.069 | -2.328 | 
| 0.019 | -0.125 | 2.603 | 1.594 | 38.783 | -0.333 | 
| -4.691 | 17.396 | 21.479 | 46.340 | 9.936 | 24.922 | 
| 124.549 | 45.898 | 47.104 | -46.715 | -8.853 | 5.166 | 
| 70.413 | 94.612 | 34.584 | -62.290 | -12.316 | -8.280 | 
| 64.790 | 60.195 | 119.483 | -14.630 | -1.166 | 3.164 | 
| 0.751 | -0.803 | 0.208 | 38.820 | 1.594 | 0.001 | 
| 1.926 | -29.823 | -31.668 | -60.533 | 14.986 | -8.197 | 
| -5.587 | -8.001 | -6.613 | -14.316 | -2.108 | 37.461 | 
| 147.635 | 70.650 | 69.686 | 0.810 | 1.436 | 1.879 | 
| 65.968 | 129.957 | 69.908 | 4.078 | 1.677 | -0.856 | 
| 68.900 | 70.557 | 121.969 | 3.526 | 2.710 | 0.003 | 
| 0.577 | -0.132 | 0.859 | 34.122 | 1.412 | 0.128 | 
| 0.019 | -0.125 | 2.603 | 1.594 | 38.783 | -0.333 | 
| -1.644 | 0.774 | 1.807 | 4.110 | 1.739 | 30.583 | 
| 127.256 | 64.384 | 67.474 | -3.627 | -0.000 | 2.182 | 
| 66.847 | 124.246 | 65.214 | -5.817 | -1.052 | -1.721 | 
| 68.769 | 63.541 | 114.948 | -8.277 | 0.926 | -3.361 | 
| -0.221 | -5.227 | -4.528 | 22.604 | -0.450 | -0.624 | 
| -0.073 | -0.339 | 0.228 | -2.940 | 27.906 | -0.808 | 
| -2.589 | 0.193 | 1.428 | 0.111 | 2.330 | 41.459 | 
| -62.015 | -149.440 | 5.910 | 61.182 | 52.973 | 162.055 | 
| 63.752 | 148.235 | 68.732 | 2.200 | -0.048 | -0.501 | 
| -110.072 | -145.007 | 60.423 | 63.654 | 53.492 | 163.948 | 
| -173.115 | -212.682 | -56.250 | 91.368 | 56.182 | 162.899 | 
| -39.329 | -103.920 | 66.364 | 34.012 | 81.810 | 27.367 | 
| -568.808 | -541.342 | -237.356 | 112.675 | -335.129 | 392.208 | 
| 283.236 | 277.857 | 122.085 | -62.421 | -57.379 | -163.386 | 
| 100.331 | 238.395 | 0.358 | -30.489 | -53.307 | -28.058 | 
| 61.581 | 68.920 | 139.888 | 0.876 | -2.072 | 0.775 | 
| -0.539 | 0.078 | 0.876 | 39.744 | 0.625 | -0.257 | 
| 34.417 | 105.839 | -69.943 | -32.646 | -26.887 | -28.650 | 
| -5.222 | -0.489 | 0.582 | -0.243 | 1.908 | 36.255 | 
| 119.776 | 54.510 | 69.323 | 2.584 | 4.380 | 1.878 | 
| -67.235 | 24.784 | 11.504 | 41.900 | -108.317 | 81.085 | 
| 61.581 | 68.920 | 139.888 | 0.876 | -2.072 | 0.775 | 
| -121.600 | -94.478 | -51.102 | 65.650 | -95.326 | 72.904 | 
| -1.567 | -0.062 | -2.072 | 0.625 | 33.873 | -0.306 | 
| -5.222 | -0.489 | 0.582 | -0.243 | 1.908 | 36.255 | 
| 135.182 | 65.306 | 62.883 | -0.775 | 0.143 | -0.978 | 
| 67.148 | 144.020 | 61.694 | -0.495 | -4.393 | -2.852 | 
| 64.676 | 78.945 | 123.514 | -2.066 | -7.158 | -1.431 | 
| 180.187 | 159.276 | 80.129 | -31.612 | 162.831 | -106.216 | 
| -1.566 | -0.062 | -2.072 | 0.625 | 33.873 | -0.306 | 
| -0.932 | 10.657 | -5.753 | -3.477 | -4.383 | 28.269 | 
| 107.199 | 61.993 | 65.675 | -0.859 | -2.913 | 0.664 | 
| 61.709 | 123.798 | 68.364 | 2.897 | 1.924 | 1.370 | 
| 61.614 | 67.242 | 121.522 | 2.188 | -1.349 | 2.085 | 
| -1.987 | -0.940 | 1.215 | 31.630 | 1.408 | 1.475 | 
| -12.303 | -8.029 | -6.051 | 2.820 | 14.317 | 6.653 | 
| -5.678 | -1.501 | 0.418 | 0.641 | 1.725 | 28.509 | 
| 117.047 | 68.589 | 66.890 | -2.251 | -0.412 | -3.536 | 
| 63.834 | 134.441 | 67.811 | 2.505 | 0.500 | -0.332 | 
| 63.574 | 70.505 | 124.219 | 1.062 | -2.209 | -0.240 | 
| 1.786 | 4.521 | 3.049 | 27.953 | 1.671 | -1.819 | 
| -1.566 | -0.062 | -2.072 | 0.625 | 33.873 | -0.306 | 
| -4.188 | 1.273 | 0.449 | -0.460 | 0.420 | 30.197 | 
| 126.149 | 110.501 | -37.847 | -10.847 | 8.999 | -10.391 | 
| 69.810 | 159.203 | 70.002 | -6.138 | -0.787 | 0.332 | 
| 67.124 | 110.502 | 8.643 | -10.690 | 4.591 | -10.274 | 
| -5.582 | 36.054 | -109.755 | 19.373 | 6.548 | -11.985 | 
| -30.207 | 9.049 | -81.325 | -20.203 | 52.922 | -21.209 | 
| 0.152 | 0.321 | 0.058 | -0.501 | 0.154 | 40.829 | 
| 171.980 | 58.353 | 150.450 | 20.123 | -12.308 | 21.250 | 
| 99.093 | 133.437 | 149.040 | 15.148 | -17.569 | 20.813 | 
| 72.544 | 70.070 | 144.667 | -1.764 | -1.676 | 0.124 | 
| -1.281 | -7.705 | -1.764 | 40.357 | -0.011 | -0.501 | 
| 0.813 | -0.787 | -1.676 | -0.011 | 43.011 | -1.516 | 
| 0.152 | 0.321 | 0.058 | -0.501 | 0.154 | 40.829 | 
| 131.044 | 72.612 | 60.783 | -1.946 | 3.697 | 0.032 | 
| 65.681 | 144.899 | 61.494 | -7.273 | 0.489 | -1.284 | 
| 72.544 | 70.070 | 144.667 | -1.764 | -1.676 | 0.124 | 
| -3.326 | -5.597 | -9.336 | 32.137 | 1.802 | -2.326 | 
| -2.895 | -0.107 | -9.761 | -1.885 | 38.024 | -3.145 | 
| -0.157 | 5.316 | -9.555 | -1.439 | 1.450 | 28.536 | 
| 157.479 | 69.784 | 72.366 | -1.298 | 5.437 | 1.216 | 
| 69.809 | 159.203 | 70.002 | -6.138 | -0.787 | 0.332 | 
| 72.544 | 70.070 | 144.667 | -1.764 | -1.676 | 0.124 | 
| -0.571 | -9.983 | 10.307 | 29.831 | 0.023 | 0.694 | 
| 0.813 | -0.787 | -1.676 | -0.011 | 43.011 | -1.516 | 
| 3.263 | -0.362 | 8.755 | 1.734 | -1.351 | 36.407 | 
| 142.215 | 68.734 | 69.961 | -0.565 | 4.390 | 0.921 | 
| 68.925 | 137.188 | 67.827 | -4.976 | -2.105 | 1.023 | 
| 71.123 | 67.919 | 118.647 | -0.575 | -1.288 | 0.815 | 
| -0.642 | -6.498 | -2.301 | 33.947 | 0.352 | -0.551 | 
| 0.813 | -0.787 | -1.676 | -0.011 | 43.011 | -1.516 | 
| 0.235 | 1.312 | 0.088 | -0.531 | 0.715 | 32.104 | 
| 157.479 | 69.784 | 72.366 | -1.298 | 5.437 | 1.216 | 
| 68.924 | 142.921 | 70.118 | -5.007 | -1.316 | 0.922 | 
| 71.067 | 69.278 | 129.961 | -1.315 | -1.779 | 0.898 | 
| -0.974 | -6.320 | -0.018 | 30.562 | 0.467 | -0.364 | 
| 0.511 | -1.278 | -0.751 | 0.431 | 35.804 | -0.849 | 
| 0.489 | 0.580 | 1.512 | -0.119 | 0.154 | 34.328 | 
| 400.187 | 317.354 | 219.461 | -35.212 | 2.247 | 7.525 | 
| 68.629 | 154.118 | 68.783 | 3.238 | -0.177 | -1.626 | 
| 63.958 | 70.193 | 134.369 | -2.916 | -0.744 | -0.498 | 
| 235.624 | -225.639 | 979.814 | -209.382 | 369.991 | 41.333 | 
| 0.024 | -0.111 | -0.744 | -0.125 | 36.300 | -0.005 | 
| 270.172 | 248.474 | 155.816 | -35.903 | 2.632 | 37.401 | 
| 145.103 | 69.312 | 63.462 | 0.188 | 1.154 | 4.827 | 
| -92.601 | 232.043 | -304.656 | -2.543 | -110.114 | 9.878 | 
| -96.034 | 177.404 | -266.672 | -5.462 | -114.324 | 10.356 | 
| 0.122 | 1.123 | -2.916 | 41.567 | -0.125 | -0.352 | 
| -228.925 | 192.393 | -621.458 | 146.587 | -215.193 | -32.029 | 
| -201.239 | 242.515 | -1294.297 | 301.141 | -514.143 | 26.404 | 
| 136.793 | 57.606 | 100.798 | 1.653 | 12.493 | 2.215 | 
| 68.629 | 154.118 | 68.783 | 3.238 | -0.177 | -1.626 | 
| 80.245 | 58.999 | 143.508 | -0.198 | 8.822 | -1.990 | 
| 27.362 | 25.157 | 13.409 | 31.035 | 0.851 | 0.205 | 
| 26.974 | 25.835 | 14.487 | -2.819 | 30.734 | 0.426 | 
| 22.888 | -23.307 | 97.421 | -24.344 | 37.761 | 31.736 | 
| 103.445 | 42.329 | 47.230 | 4.082 | 0.962 | 3.672 | 
| 40.027 | 111.564 | 52.344 | 5.540 | 0.811 | -1.999 | 
| 40.976 | 89.259 | 40.094 | 15.691 | -27.473 | -3.102 | 
| -26.646 | -24.866 | -17.906 | 38.129 | 0.624 | -0.497 | 
| -27.037 | -24.170 | -16.838 | 4.338 | 30.431 | -0.277 | 
| 0.250 | -1.615 | -0.606 | -0.418 | 1.640 | 40.175 | 
| 124.344 | 66.300 | 68.962 | -0.539 | 3.127 | 3.799 | 
| 69.058 | 126.648 | 73.771 | 1.462 | 3.671 | -0.619 | 
| 65.521 | 68.546 | 114.159 | -1.015 | -0.965 | -0.917 | 
| 3.089 | 2.702 | -0.677 | 34.382 | 0.729 | -0.115 | 
| 0.024 | -0.111 | -0.744 | -0.125 | 36.300 | -0.005 | 
| 1.114 | -3.121 | 12.231 | -3.436 | 5.923 | 28.291 | 
| 120.273 | 69.132 | 58.360 | 1.900 | -0.799 | 3.298 | 
| 65.103 | 129.214 | 63.117 | 3.649 | -0.269 | -1.206 | 
| 60.295 | 66.234 | 116.603 | -1.792 | -1.105 | -0.703 | 
| -2.320 | -2.374 | -3.784 | 34.704 | 0.755 | -0.174 | 
| -2.117 | 4.863 | -14.713 | 4.041 | 20.888 | -0.518 | 
| 0.250 | -1.615 | -0.606 | -0.418 | 1.640 | 40.175 | 
| -9.727 | 3.147 | -105.561 | -89.087 | 69.391 | 12.566 | 
| -75.137 | 66.703 | -106.534 | -84.993 | 69.252 | 8.962 | 
| -565.765 | -83.224 | -71.332 | -282.724 | 71.568 | -66.041 | 
| 0.086 | 3.101 | 2.713 | 39.960 | -1.222 | 0.770 | 
| -142.686 | -61.944 | -169.431 | -89.136 | 102.143 | 9.251 | 
| -140.566 | -63.977 | -171.016 | -88.026 | 67.878 | 44.896 | 
| 784.512 | 311.835 | 334.286 | 271.017 | -89.616 | 87.565 | 
| 66.552 | 139.672 | 66.971 | 4.125 | 0.513 | -2.292 | 
| 738.425 | 311.508 | 388.931 | 275.487 | -88.815 | 85.619 | 
| 300.038 | 91.490 | 103.031 | 198.157 | -31.845 | 9.409 | 
| 448.671 | 128.635 | 211.804 | 225.500 | 18.761 | 72.980 | 
| 300.947 | 88.769 | 101.196 | 169.746 | -33.596 | 39.277 | 
| 116.940 | 59.453 | 48.148 | -9.136 | 7.771 | 3.256 | 
| 51.642 | 123.016 | 47.189 | -5.035 | 7.628 | -0.347 | 
| 21.516 | 51.669 | 95.608 | -18.943 | 2.198 | -7.384 | 
| 0.086 | 3.101 | 2.713 | 39.960 | -1.222 | 0.770 | 
| -15.901 | -5.626 | -15.705 | -9.169 | 40.479 | -0.063 | 
| -43.361 | -13.334 | -21.117 | -22.033 | -1.112 | 21.112 | 
| 192.929 | 95.933 | 92.182 | 35.165 | -7.952 | 8.493 | 
| 79.846 | 135.528 | 81.384 | 12.754 | -6.081 | -2.416 | 
| 66.287 | 67.098 | 141.951 | 2.713 | 1.483 | -1.001 | 
| 44.002 | 14.907 | 24.152 | 49.226 | -0.325 | 7.689 | 
| 12.295 | 6.899 | 18.492 | 8.605 | 26.845 | -2.123 | 
| 0.341 | -2.297 | -1.199 | 0.856 | 0.295 | 39.086 | 
| 111.870 | 66.365 | 64.043 | -2.552 | 0.800 | 2.328 | 
| 66.552 | 139.673 | 66.971 | 4.125 | 0.513 | -2.292 | 
| 64.075 | 63.874 | 127.823 | 1.931 | 2.174 | 0.116 | 
| -3.115 | 1.481 | 1.469 | 27.934 | 0.573 | 0.338 | 
| -3.225 | 0.005 | -0.414 | -1.096 | 33.692 | -1.090 | 
| -2.275 | -1.357 | -0.412 | -1.059 | -1.019 | 30.622 | 
| 143.632 | 66.530 | 66.222 | 0.261 | 0.723 | 2.466 | 
| 66.551 | 139.672 | 66.971 | 4.125 | 0.513 | -2.292 | 
| 66.903 | 64.728 | 129.200 | 3.825 | 0.730 | 0.079 | 
| 3.171 | 3.432 | 4.955 | 30.355 | 0.143 | 0.906 | 
| 4.784 | 2.367 | 3.268 | 3.213 | 26.603 | -1.707 | 
| 3.370 | 0.269 | 1.389 | 2.117 | -1.564 | 31.012 | 
| 149.910 | 68.004 | 68.233 | -1.242 | 0.548 | -1.463 | 
| 68.017 | 146.851 | 68.134 | 0.587 | -1.389 | 0.429 | 
| 68.359 | 68.127 | 144.497 | 0.833 | -4.722 | 0.602 | 
| -151.566 | -280.767 | -9.468 | -44.351 | 30.720 | 120.028 | 
| -146.431 | -283.213 | -15.212 | -69.947 | 59.237 | 116.791 | 
| -3.578 | 0.429 | 0.564 | -1.320 | -1.100 | 38.908 | 
| 149.910 | 68.004 | 68.233 | -1.242 | 0.548 | -1.463 | 
| 219.253 | 401.791 | 75.859 | 71.758 | -31.663 | -118.401 | 
| 55.790 | -13.580 | 68.675 | 91.628 | 16.325 | -40.709 | 
| 211.435 | 259.800 | -94.125 | 151.800 | -38.568 | -146.860 | 
| 38.840 | 226.899 | -46.339 | 68.028 | 22.867 | -100.654 | 
| 146.941 | 283.026 | 10.122 | 70.864 | -32.805 | -94.291 | 
| 135.471 | 75.945 | 73.132 | -10.193 | -0.376 | 2.781 | 
| 68.018 | 146.851 | 68.134 | 0.587 | -1.389 | 0.429 | 
| 68.359 | 68.127 | 144.497 | 0.833 | -4.722 | 0.602 | 
| -5.426 | -22.770 | 4.863 | 18.982 | 1.140 | 10.181 | 
| 1.728 | 7.652 | 2.507 | -8.107 | 31.784 | 1.986 | 
| -3.578 | 0.429 | 0.564 | -1.320 | -1.100 | 38.908 | 
| 149.910 | 68.004 | 68.233 | -1.242 | 0.548 | -1.463 | 
| 66.923 | 122.839 | 59.007 | 9.336 | 1.743 | -3.269 | 
| 65.834 | 57.217 | 125.260 | 10.457 | -1.758 | -3.600 | 
| 2.030 | 22.419 | -3.622 | 32.491 | -0.081 | -9.378 | 
| -0.697 | -1.395 | -4.722 | 0.831 | 39.434 | -1.417 | 
| -3.578 | 0.429 | 0.564 | -1.320 | -1.100 | 38.908 | 
| 121.110 | 65.996 | 68.732 | -3.058 | 3.017 | 0.380 | 
| 66.306 | 120.015 | 67.306 | -0.248 | -0.195 | 2.484 | 
| 67.059 | 65.825 | 132.182 | 0.599 | -3.957 | 0.906 | 
| -3.486 | -1.391 | 1.307 | 25.892 | 0.657 | 1.536 | 
| -0.697 | -1.395 | -4.722 | 0.831 | 39.434 | -1.417 | 
| -3.578 | 0.429 | 0.564 | -1.320 | -1.100 | 38.908 | 
| 125.226 | 71.481 | 68.348 | -1.372 | 2.705 | -2.038 | 
| 70.536 | 125.245 | 65.790 | 2.161 | -1.216 | -0.290 | 
| 67.554 | 66.784 | 125.281 | 1.338 | -3.968 | -1.002 | 
| 0.162 | 3.824 | 0.868 | 28.227 | 0.115 | -0.888 | 
| 0.536 | -0.960 | -4.369 | 1.804 | 33.852 | -2.563 | 
| -3.578 | 0.429 | 0.564 | -1.320 | -1.100 | 38.908 | 
| 186.650 | 92.918 | 181.484 | 0.000 | 0.000 | 0.000 | 
| 90.705 | 372.056 | 173.816 | 0.000 | 0.000 | 0.000 | 
| 227.484 | 188.648 | 403.822 | 0.000 | 0.000 | 0.000 | 
| 0.000 | -0.000 | 0.000 | 180.316 | 0.000 | 0.000 | 
| 0.000 | -0.000 | 0.000 | 0.000 | 190.019 | -0.000 | 
| 0.000 | -0.000 | -0.000 | 0.000 | 0.000 | 110.560 | 
| 186.650 | 92.918 | 181.484 | -0.000 | -0.000 | -0.000 | 
| 90.705 | 372.056 | 173.816 | -0.000 | -0.000 | -0.000 | 
| 180.205 | 175.172 | 295.146 | -0.000 | -0.000 | -0.000 | 
| -0.000 | 0.000 | -0.000 | 180.316 | -0.000 | -0.000 | 
| -0.000 | 0.000 | -0.000 | -0.000 | 190.018 | 0.000 | 
| -0.000 | 0.000 | 0.000 | -0.000 | -0.000 | 110.560 | 
| 186.624 | 94.419 | 180.956 | 0.000 | 0.000 | -0.000 | 
| 109.780 | 470.941 | 188.648 | 0.000 | 0.000 | 0.000 | 
| 180.956 | 182.923 | 294.533 | 0.000 | 0.000 | -0.000 | 
| 0.000 | -0.000 | 0.000 | 125.049 | 0.000 | 0.000 | 
| -0.000 | -0.000 | 0.000 | 0.000 | 190.019 | 0.000 | 
| 0.000 | -0.000 | 0.000 | 0.000 | 0.000 | 69.866 | 
| 186.650 | 92.918 | 181.484 | 0.000 | -0.000 | -0.000 | 
| 94.419 | 371.281 | 182.923 | 0.000 | -0.000 | -0.000 | 
| 180.205 | 175.172 | 295.146 | -0.000 | -0.000 | -0.000 | 
| -0.000 | 0.000 | -0.000 | 125.049 | -0.000 | -0.000 | 
| 0.000 | 0.000 | -0.000 | -0.000 | 190.018 | -0.000 | 
| -0.000 | 0.000 | -0.000 | -0.000 | -0.000 | 69.866 | 
| 186.651 | 92.918 | 181.485 | 0.000 | 0.000 | -0.000 | 
| 94.420 | 371.281 | 182.923 | 0.000 | 0.000 | 0.000 | 
| 180.957 | 182.923 | 294.534 | 0.000 | 0.000 | 0.000 | 
| 0.000 | -0.000 | 0.000 | 124.629 | 0.000 | -0.000 | 
| -0.000 | -0.000 | 0.000 | 0.000 | 190.019 | 0.000 | 
| 0.000 | 0.000 | 0.000 | 0.000 | 0.000 | 69.866 | 
| 208.113 | 109.779 | 227.483 | -0.000 | -0.000 | 0.000 | 
| 94.419 | 371.281 | 182.922 | -0.000 | -0.000 | 0.000 | 
| 180.955 | 182.922 | 294.532 | 0.000 | -0.000 | -0.000 | 
| -0.000 | 0.000 | -0.000 | 124.629 | -0.000 | 0.000 | 
| 0.000 | 0.000 | -0.000 | -0.000 | 190.019 | -0.000 | 
| -0.000 | -0.000 | -0.000 | -0.000 | -0.000 | 69.866 | 
| 89.781 | 0.992 | 46.748 | -0.000 | 0.000 | -0.000 | 
| 4.281 | 35.318 | 8.686 | -0.000 | 0.000 | -0.000 | 
| 46.733 | 5.382 | 66.112 | -0.000 | 0.000 | -0.000 | 
| 0.101 | 0.663 | 0.569 | 15.277 | 0.000 | -0.000 | 
| 0.035 | 0.232 | 0.199 | -0.000 | 27.400 | -0.000 | 
| -0.099 | -0.649 | -0.557 | -0.000 | 0.000 | -44.513 | 
| 90.179 | 3.606 | 48.989 | 0.000 | -0.000 | 0.000 | 
| 4.208 | 34.839 | 8.276 | 0.000 | -0.000 | 0.000 | 
| 46.660 | 4.903 | 65.702 | 0.000 | -0.000 | 0.000 | 
| -0.101 | -0.663 | -0.569 | 15.277 | -0.000 | 0.000 | 
| -0.035 | -0.232 | -0.199 | 0.000 | 27.400 | 0.000 | 
| 0.099 | 0.649 | 0.557 | 0.000 | -0.000 | -44.513 | 
| 89.748 | 0.773 | 46.561 | -0.000 | 0.000 | 0.000 | 
| 4.248 | 35.102 | 8.501 | -0.000 | 0.000 | -0.000 | 
| 46.700 | 5.166 | 65.927 | -0.000 | 0.000 | -0.000 | 
| 0.010 | 0.068 | 0.059 | 15.201 | 0.000 | -0.000 | 
| 0.004 | 0.023 | 0.020 | -0.000 | 27.400 | -0.000 | 
| -0.010 | -0.066 | -0.057 | -0.000 | 0.000 | -44.175 | 
| 90.179 | 3.606 | 48.989 | 0.000 | -0.000 | -0.000 | 
| 4.241 | 35.054 | 8.460 | 0.000 | -0.000 | 0.000 | 
| 46.693 | 5.118 | 65.886 | 0.000 | -0.000 | 0.000 | 
| -0.010 | -0.068 | -0.059 | 15.201 | -0.000 | 0.000 | 
| -0.004 | -0.023 | -0.020 | 0.000 | 27.400 | 0.000 | 
| 0.010 | 0.066 | 0.057 | 0.000 | -0.000 | -44.175 | 
| 89.745 | 0.752 | 46.542 | -0.000 | 0.000 | -0.000 | 
| 4.245 | 35.081 | 8.483 | -0.000 | 0.000 | -0.000 | 
| 46.697 | 5.144 | 65.909 | -0.000 | 0.000 | -0.000 | 
| 0.001 | 0.007 | 0.006 | 15.200 | 0.000 | -0.000 | 
| 0.000 | 0.002 | 0.002 | -0.000 | 27.400 | -0.000 | 
| 205596.629 | -4155711.782 | -536891.162 | -0.000 | 0.000 | 1952990.592 | 
| 89.743 | 0.747 | 46.538 | 0.000 | -0.000 | 0.000 | 
| 4.244 | 35.075 | 8.479 | 0.000 | -0.000 | 0.000 | 
| 46.696 | 5.140 | 65.904 | 0.000 | -0.000 | 0.000 | 
| -0.001 | -0.007 | -0.006 | 15.200 | -0.000 | 0.000 | 
| -0.000 | -0.002 | -0.002 | 0.000 | 27.400 | 0.000 | 
| -205596.629 | 4155711.782 | 536891.162 | 0.000 | -0.000 | 1952990.592 | 
| 469.437 | 400.896 | 400.896 | 0.000 | 0.000 | -0.000 | 
| 400.896 | 469.437 | 400.896 | 0.000 | -0.000 | -0.000 | 
| 400.896 | 400.896 | 469.437 | 0.000 | 0.000 | -0.000 | 
| 340.466 | 340.466 | 340.466 | 25.673 | 0.000 | -0.000 | 
| 340.466 | 340.466 | 340.466 | 0.000 | 25.673 | -0.000 | 
| 340.466 | 340.466 | 340.466 | 0.000 | 0.000 | 25.673 | 
| 137.955 | 57.684 | 57.684 | -0.000 | -0.000 | 0.000 | 
| 57.684 | 137.956 | 57.684 | -0.000 | -0.000 | 0.000 | 
| 57.684 | 57.684 | 137.955 | -0.000 | -0.000 | 0.000 | 
| -340.466 | -340.466 | -340.466 | 25.673 | -0.000 | 0.000 | 
| -340.466 | -340.466 | -340.466 | 0.000 | 25.673 | 0.000 | 
| -340.466 | -340.466 | -340.466 | -0.000 | -0.000 | 25.673 | 
| 137.956 | 57.684 | 57.684 | 0.000 | 0.000 | -0.000 | 
| 57.684 | 137.956 | 57.684 | 0.000 | -0.000 | -0.000 | 
| 57.684 | 57.684 | 137.956 | 0.000 | 0.000 | -0.000 | 
| 34.037 | 34.037 | 34.037 | 25.675 | 0.000 | -0.000 | 
| 34.037 | 34.037 | 34.037 | 0.000 | 25.675 | -0.000 | 
| 34.037 | 34.037 | 34.037 | 0.000 | 0.000 | 25.675 | 
| 106.052 | 39.742 | 39.742 | 0.000 | -0.000 | 0.000 | 
| 39.742 | 106.052 | 39.742 | -0.000 | 0.000 | -0.000 | 
| 39.742 | 39.742 | 106.052 | -0.000 | -0.000 | 0.000 | 
| -34.037 | -34.037 | -34.037 | 25.675 | -0.000 | 0.000 | 
| -34.037 | -34.037 | -34.037 | -0.000 | 25.675 | 0.000 | 
| -34.037 | -34.037 | -34.037 | -0.000 | -0.000 | 25.675 | 
| 131.499 | 64.129 | 64.129 | 0.000 | 0.000 | -0.000 | 
| 64.129 | 131.499 | 64.129 | -0.000 | 0.000 | -0.000 | 
| 64.129 | 64.129 | 131.499 | 0.000 | -0.000 | -0.000 | 
| 3.329 | 3.329 | 3.329 | 25.798 | 0.000 | -0.000 | 
| 3.329 | 3.329 | 3.329 | 0.000 | 25.798 | -0.000 | 
| 3.329 | 3.329 | 3.329 | -0.000 | -0.000 | 25.798 | 
| 125.778 | 56.767 | 56.767 | -0.000 | -0.000 | -0.000 | 
| 56.767 | 125.778 | 56.767 | -0.000 | -0.000 | 0.000 | 
| 56.767 | 56.767 | 125.778 | -0.000 | -0.000 | 0.000 | 
| -3.329 | -3.329 | -3.329 | 25.798 | -0.000 | 0.000 | 
| -3.329 | -3.329 | -3.329 | 0.000 | 25.798 | 0.000 | 
| -3.329 | -3.329 | -3.329 | -0.000 | 0.000 | 25.798 | 
| 134.358 | 55.605 | 55.605 | -0.000 | -0.000 | 0.000 | 
| 55.605 | 134.358 | 55.605 | -0.000 | -0.000 | 0.000 | 
| 55.605 | 55.605 | 134.358 | -0.000 | -0.000 | 0.000 | 
| 0.000 | -0.000 | -0.000 | 30.843 | -0.000 | 0.000 | 
| -0.000 | 0.000 | -0.000 | -0.000 | 30.843 | 0.000 | 
| -0.000 | 0.000 | -0.000 | -0.000 | -0.000 | 30.843 | 
| 416.870 | 356.239 | 356.239 | -0.000 | 0.000 | 0.000 | 
| 356.239 | 416.870 | 356.239 | -0.000 | 0.000 | 0.000 | 
| 356.239 | 356.239 | 416.870 | -0.000 | 0.000 | -0.000 | 
| 0.000 | -0.000 | -0.000 | 30.843 | 0.000 | -0.000 | 
| 0.000 | -0.000 | -0.000 | 0.000 | 30.843 | -0.000 | 
| 0.000 | -0.000 | -0.000 | 0.000 | 0.000 | 30.843 | 
| 91.136 | 30.300 | 30.300 | 0.000 | -0.000 | 0.000 | 
| 30.300 | 91.136 | 30.300 | -0.000 | 0.000 | 0.000 | 
| 30.300 | 30.300 | 91.136 | 0.000 | 0.000 | 0.000 | 
| -20.601 | -20.601 | -20.601 | 25.386 | -0.000 | 0.000 | 
| -20.601 | -20.601 | -20.601 | 0.000 | 25.386 | 0.000 | 
| -20.601 | -20.601 | -20.601 | -0.000 | 0.000 | 25.386 | 
| 150.085 | 89.614 | 89.614 | 0.000 | 0.000 | -0.000 | 
| 89.614 | 150.085 | 89.614 | 0.000 | 0.000 | -0.000 | 
| 89.614 | 89.614 | 150.085 | 0.000 | 0.000 | -0.000 | 
| 20.601 | 20.601 | 20.601 | 25.386 | 0.000 | -0.000 | 
| 20.601 | 20.601 | 20.601 | 0.000 | 25.386 | -0.000 | 
| 20.601 | 20.601 | 20.601 | 0.000 | 0.000 | 25.386 | 
| 134.358 | 55.605 | 55.605 | -0.000 | 0.000 | -0.000 | 
| 55.605 | 134.358 | 55.605 | -0.000 | -0.000 | 0.000 | 
| 55.605 | 55.605 | 134.358 | 0.000 | -0.000 | -0.000 | 
| -2.030 | -2.030 | -2.030 | 25.466 | -0.000 | 0.000 | 
| -2.030 | -2.030 | -2.030 | 0.000 | 25.466 | 0.000 | 
| -2.030 | -2.030 | -2.030 | -0.000 | -0.000 | 25.466 | 
| 127.300 | 60.009 | 60.009 | 0.000 | 0.000 | 0.000 | 
| 60.009 | 127.300 | 60.009 | -0.000 | 0.000 | 0.000 | 
| 60.009 | 60.009 | 127.300 | -0.000 | 0.000 | -0.000 | 
| 2.030 | 2.030 | 2.030 | 25.466 | 0.000 | 0.000 | 
| 2.030 | 2.030 | 2.030 | -0.000 | 25.466 | -0.000 | 
| 2.030 | 2.030 | 2.030 | -0.000 | -0.000 | 25.466 | 
| 95.568 | 68.220 | 68.220 | 0.000 | 0.000 | -0.000 | 
| 68.220 | 95.568 | 68.220 | -0.000 | 0.000 | -0.000 | 
| 68.220 | 68.220 | 95.568 | 0.000 | 0.000 | 0.000 | 
| 0.000 | -0.000 | -0.000 | 32.556 | 0.000 | -0.000 | 
| 0.000 | 0.000 | 0.000 | 0.000 | 32.556 | -0.000 | 
| 0.000 | -0.000 | 0.000 | -0.000 | -0.000 | 32.556 | 
| 95.568 | 68.221 | 68.221 | 0.000 | -0.000 | -0.000 | 
| 68.221 | 95.568 | 68.221 | 0.000 | -0.000 | 0.000 | 
| 68.221 | 68.221 | 95.568 | 0.000 | -0.000 | -0.000 | 
| -0.000 | 0.000 | -0.000 | 32.556 | -0.000 | 0.000 | 
| -0.000 | 0.000 | 0.000 | 0.000 | 32.556 | 0.000 | 
| -0.000 | 0.000 | 0.000 | -0.000 | 0.000 | 32.556 | 
| 100.980 | 67.023 | 67.023 | 0.000 | 0.000 | 0.000 | 
| 67.023 | 100.980 | 67.023 | -0.000 | 0.000 | 0.000 | 
| 67.023 | 67.023 | 100.980 | -0.000 | 0.000 | -0.000 | 
| -0.000 | -0.000 | -0.000 | 21.892 | 0.000 | -0.000 | 
| -0.000 | -0.000 | -0.000 | -0.000 | 21.892 | -0.000 | 
| -0.000 | -0.000 | -0.000 | 0.000 | 0.000 | 21.892 | 
| 93.573 | 68.896 | 68.896 | -0.000 | -0.000 | 0.000 | 
| 68.896 | 93.573 | 68.896 | -0.000 | -0.000 | -0.000 | 
| 68.896 | 68.896 | 93.573 | -0.000 | -0.000 | -0.000 | 
| 0.000 | 0.000 | 0.000 | 21.892 | -0.000 | -0.000 | 
| 0.000 | 0.000 | 0.000 | 0.000 | 21.892 | -0.000 | 
| 0.000 | 0.000 | 0.000 | -0.000 | -0.000 | 21.892 | 
| 95.568 | 68.221 | 68.221 | -0.000 | 0.000 | -0.000 | 
| 68.221 | 95.568 | 68.221 | -0.000 | 0.000 | 0.000 | 
| 68.221 | 68.221 | 95.568 | -0.000 | 0.000 | 0.000 | 
| 0.000 | 0.000 | 0.000 | 32.556 | -0.000 | -0.000 | 
| 0.000 | 0.000 | 0.000 | -0.000 | 32.556 | -0.000 | 
| 0.000 | 0.000 | 0.000 | 0.000 | 0.000 | 32.556 | 
| 100.980 | 67.022 | 67.022 | 0.000 | 0.000 | -0.000 | 
| 67.022 | 100.980 | 67.022 | 0.000 | -0.000 | -0.000 | 
| 67.022 | 67.022 | 100.980 | 0.000 | 0.000 | 0.000 | 
| -0.000 | -0.000 | -0.000 | 32.556 | 0.000 | 0.000 | 
| -0.000 | -0.000 | -0.000 | 0.000 | 32.556 | 0.000 | 
| -0.000 | -0.000 | -0.000 | 0.000 | -0.000 | 32.556 | 
| 162.056 | 79.982 | 113.403 | 0.000 | 0.000 | -0.000 | 
| 69.685 | 150.726 | 63.245 | 0.000 | 0.000 | -0.000 | 
| 95.215 | 64.555 | 202.033 | 0.000 | 0.000 | -0.000 | 
| -0.186 | -0.256 | -0.477 | 2.319 | 0.000 | -0.000 | 
| -0.135 | -0.186 | -0.346 | 0.000 | 60.424 | -0.000 | 
| -0.048 | -0.066 | -0.124 | 0.000 | 0.000 | 46.201 | 
| 154.389 | 69.450 | 93.785 | 0.000 | -0.000 | 0.000 | 
| 80.331 | 165.352 | 90.489 | -0.000 | -0.000 | 0.000 | 
| 95.312 | 64.688 | 202.281 | -0.000 | -0.000 | 0.000 | 
| 0.186 | 0.256 | 0.477 | 2.319 | -0.000 | -0.000 | 
| 0.135 | 0.186 | 0.346 | -0.000 | 60.424 | 0.000 | 
| 0.048 | 0.066 | 0.124 | -0.000 | -0.000 | 46.201 | 
| 154.336 | 69.376 | 93.649 | 0.000 | 0.000 | -0.000 | 
| 69.728 | 150.786 | 63.357 | 0.000 | 0.000 | -0.000 | 
| 115.005 | 91.741 | 252.673 | 0.000 | 0.000 | -0.000 | 
| -0.019 | -0.026 | -0.048 | 2.316 | 0.000 | 0.000 | 
| -0.014 | -0.019 | -0.035 | 0.000 | 60.422 | -0.000 | 
| -0.005 | -0.007 | -0.012 | 0.000 | 0.000 | 46.201 | 
| 162.056 | 79.982 | 113.403 | -0.000 | -0.000 | 0.000 | 
| 69.738 | 150.800 | 63.381 | -0.000 | -0.000 | 0.000 | 
| 95.268 | 64.628 | 202.169 | -0.000 | -0.000 | 0.000 | 
| 0.019 | 0.026 | 0.048 | 2.316 | -0.000 | 0.000 | 
| 0.014 | 0.019 | 0.035 | 0.000 | 60.422 | 0.000 | 
| 0.005 | 0.007 | 0.012 | -0.000 | -0.000 | 46.201 | 
| 154.341 | 69.382 | 93.660 | 0.000 | 0.000 | -0.000 | 
| 69.733 | 150.793 | 63.368 | -0.000 | 0.000 | -0.000 | 
| 95.264 | 64.621 | 202.157 | 0.000 | 0.000 | -0.000 | 
| -0.002 | -0.002 | -0.004 | 2.316 | 0.000 | -0.000 | 
| -0.001 | -0.002 | -0.003 | 0.000 | 60.422 | -0.000 | 
| -0.001 | -0.001 | -0.001 | 0.000 | 0.000 | 46.201 | 
| 154.341 | 69.383 | 93.662 | -0.000 | -0.000 | 0.000 | 
| 69.733 | 150.793 | 63.370 | -0.000 | -0.000 | 0.000 | 
| 95.263 | 64.621 | 202.157 | -0.000 | -0.000 | 0.000 | 
| 0.002 | 0.002 | 0.004 | 2.316 | -0.000 | 0.000 | 
| 0.001 | 0.002 | 0.003 | -0.000 | 60.422 | 0.000 | 
| 0.001 | 0.001 | 0.001 | -0.000 | -0.000 | 46.201 | 
| 123.531 | 65.951 | 53.549 | 1.762 | 0.000 | 0.000 | 
| 63.999 | 125.619 | 53.509 | -1.956 | -0.000 | 0.000 | 
| 53.517 | 53.517 | 132.176 | -0.000 | 0.000 | 0.000 | 
| 1.956 | -1.956 | -0.000 | 24.431 | -0.000 | 0.000 | 
| 0.000 | -0.000 | -0.000 | 0.000 | 24.431 | 1.956 | 
| 0.000 | -0.000 | -0.000 | 0.000 | 1.956 | 30.810 | 
| 125.619 | 63.999 | 53.510 | 1.956 | 0.000 | -0.000 | 
| 63.999 | 125.619 | 53.510 | -1.956 | 0.000 | -0.000 | 
| 53.508 | 53.508 | 132.181 | 0.000 | 0.000 | -0.000 | 
| 1.956 | -1.956 | 0.000 | 24.431 | 0.000 | -0.000 | 
| -0.000 | 0.000 | 0.000 | 0.000 | 24.432 | 1.956 | 
| -0.000 | -0.000 | 0.000 | 0.000 | 1.956 | 30.810 | 
| 123.531 | 65.951 | 53.551 | 1.762 | 0.000 | 0.000 | 
| 63.999 | 125.619 | 53.509 | -1.956 | -0.000 | 0.000 | 
| 53.508 | 53.508 | 132.182 | -0.000 | -0.000 | 0.000 | 
| 1.956 | -1.956 | 0.000 | 24.431 | -0.000 | 0.000 | 
| 0.000 | -0.000 | 0.000 | 0.000 | 24.431 | 1.956 | 
| -0.000 | 0.000 | -0.000 | -0.000 | 1.956 | 30.810 | 
| 125.619 | 63.999 | 53.509 | 1.956 | 0.000 | -0.000 | 
| 66.257 | 123.329 | 53.519 | -1.737 | -0.000 | -0.000 | 
| 53.517 | 53.517 | 132.176 | 0.000 | -0.000 | -0.000 | 
| 1.956 | -1.956 | -0.000 | 24.431 | 0.000 | -0.000 | 
| -0.000 | 0.000 | 0.000 | -0.000 | 24.431 | 1.956 | 
| 0.000 | -0.000 | 0.000 | -0.000 | 1.956 | 30.810 | 
| 125.620 | 64.000 | 53.509 | 1.956 | -0.000 | 0.000 | 
| 65.951 | 123.531 | 53.551 | -1.762 | 0.000 | 0.000 | 
| 53.518 | 53.518 | 132.177 | 0.000 | -0.000 | 0.000 | 
| 1.956 | -1.956 | 0.000 | 24.431 | -0.000 | 0.000 | 
| -0.000 | -0.000 | 0.000 | 0.000 | 24.431 | 1.956 | 
| -0.000 | 0.000 | -0.000 | -0.000 | 1.737 | 28.536 | 
| 123.530 | 65.951 | 53.551 | 1.762 | -0.000 | -0.000 | 
| 65.951 | 123.530 | 53.551 | -1.762 | -0.000 | -0.000 | 
| 53.517 | 53.517 | 132.176 | -0.000 | 0.000 | -0.000 | 
| 1.956 | -1.956 | -0.000 | 24.431 | 0.000 | -0.000 | 
| 0.000 | 0.000 | -0.000 | -0.000 | 24.431 | 1.956 | 
| 0.000 | -0.000 | 0.000 | 0.000 | 1.737 | 28.536 | 
| 481.999 | 84.868 | 104.027 | -0.000 | -0.000 | 0.000 | 
| 84.868 | 481.999 | 104.027 | -0.000 | -0.000 | 0.000 | 
| 73.455 | 73.455 | 126.378 | 0.000 | 0.000 | -0.000 | 
| -0.000 | 0.000 | 0.000 | 57.699 | -0.000 | 0.000 | 
| 0.000 | 0.000 | -0.000 | -0.000 | 57.699 | 0.000 | 
| 0.000 | -0.000 | -0.000 | -0.000 | 0.000 | 51.266 | 
| 515.102 | 118.644 | 159.155 | 0.000 | 0.000 | 0.000 | 
| 118.644 | 515.102 | 159.155 | 0.000 | 0.000 | -0.000 | 
| 131.884 | 131.884 | 203.288 | -0.000 | -0.000 | -0.000 | 
| -0.000 | 0.000 | 0.000 | 57.699 | 0.000 | 0.000 | 
| 0.000 | -0.000 | 0.000 | 0.000 | 57.699 | -0.000 | 
| -0.000 | -0.000 | 0.000 | 0.000 | 0.000 | 51.266 | 
| 477.073 | 80.517 | 106.521 | -0.000 | 0.000 | 0.000 | 
| 80.517 | 477.073 | 106.521 | -0.000 | -0.000 | 0.000 | 
| 104.027 | 104.027 | 239.287 | 0.000 | 0.000 | 0.000 | 
| -0.000 | 0.000 | 0.000 | 57.699 | -0.000 | -0.000 | 
| 0.000 | -0.000 | 0.000 | -0.000 | 57.699 | 0.000 | 
| 0.000 | -0.000 | -0.000 | -0.000 | -0.000 | 51.266 | 
| 481.315 | 84.846 | 115.091 | 0.000 | 0.000 | -0.000 | 
| 84.846 | 481.315 | 115.091 | -0.000 | 0.000 | -0.000 | 
| 104.027 | 104.027 | 239.287 | 0.000 | 0.000 | -0.000 | 
| 0.000 | -0.000 | -0.000 | 57.699 | 0.000 | -0.000 | 
| -0.000 | 0.000 | -0.000 | 0.000 | 57.699 | -0.000 | 
| -0.000 | 0.000 | 0.000 | 0.000 | -0.000 | 51.266 | 
| 475.962 | 79.216 | 114.343 | -0.000 | -0.000 | 0.000 | 
| 79.216 | 475.962 | 114.343 | -0.000 | -0.000 | -0.000 | 
| 114.095 | 114.095 | 155.646 | -0.000 | -0.000 | 0.000 | 
| -0.000 | 0.000 | 0.000 | 57.699 | 0.000 | -0.000 | 
| 0.000 | -0.000 | 0.000 | -0.000 | 57.699 | 0.000 | 
| -0.249 | -0.250 | -0.078 | 0.000 | -0.000 | 51.266 | 
| 478.457 | 82.305 | 109.782 | 0.000 | 0.000 | -0.000 | 
| 82.305 | 478.457 | 109.782 | 0.000 | -0.000 | -0.000 | 
| 113.275 | 113.275 | 159.487 | 0.000 | -0.000 | -0.000 | 
| 0.000 | -0.000 | -0.000 | 57.699 | -0.000 | -0.000 | 
| -0.000 | 0.000 | -0.000 | 0.000 | 57.699 | 0.000 | 
| 0.249 | 0.250 | 0.078 | -0.000 | 0.000 | 51.266 | 
| 196.449 | 46.818 | 105.205 | -0.000 | 0.000 | 0.000 | 
| 46.818 | 196.449 | 105.205 | 0.000 | 0.000 | 0.000 | 
| 104.874 | 104.874 | 141.298 | 0.000 | 0.000 | 0.000 | 
| -0.075 | -0.075 | 1.027 | 74.369 | -0.000 | 0.000 | 
| -0.075 | -0.075 | 1.027 | -0.000 | 74.369 | 0.000 | 
| 0.000 | -0.000 | -0.000 | -0.000 | -0.000 | 18.984 | 
| 193.835 | 45.451 | 102.472 | 0.000 | -0.000 | -0.000 | 
| 45.451 | 193.835 | 102.472 | -0.000 | -0.000 | -0.000 | 
| 104.874 | 104.874 | 141.298 | -0.000 | 0.000 | -0.000 | 
| 0.075 | 0.075 | -1.027 | 74.369 | 0.000 | 0.000 | 
| 0.075 | 0.075 | -1.027 | 0.000 | 74.369 | -0.000 | 
| 0.000 | -0.000 | 0.000 | 0.000 | 0.000 | 18.984 | 
| 195.441 | 46.886 | 105.240 | 0.000 | -0.000 | 0.000 | 
| 46.886 | 195.441 | 105.240 | 0.000 | -0.000 | 0.000 | 
| 104.727 | 104.727 | 139.608 | 0.000 | 0.000 | 0.000 | 
| -0.005 | -0.005 | 0.070 | 75.014 | -0.000 | 0.000 | 
| -0.005 | -0.005 | 0.070 | -0.000 | 75.014 | 0.000 | 
| 0.000 | 0.000 | -0.000 | -0.000 | -0.000 | 18.984 | 
| 195.197 | 46.915 | 105.098 | 0.000 | 0.000 | -0.000 | 
| 46.915 | 195.197 | 105.098 | -0.000 | -0.000 | -0.000 | 
| 104.874 | 104.874 | 141.298 | -0.000 | 0.000 | -0.000 | 
| 0.005 | 0.005 | -0.070 | 75.014 | 0.000 | 0.000 | 
| 0.005 | 0.005 | -0.070 | 0.000 | 75.014 | -0.000 | 
| -0.000 | -0.000 | 0.000 | 0.000 | 0.000 | 18.984 | 
| 195.318 | 46.819 | 104.922 | -0.000 | 0.000 | -0.000 | 
| 46.819 | 195.318 | 104.922 | -0.000 | 0.000 | 0.000 | 
| 104.587 | 104.587 | 139.399 | -0.000 | -0.000 | -0.000 | 
| -0.001 | -0.000 | 0.007 | 75.101 | -0.000 | 0.000 | 
| 0.019 | 0.019 | 0.027 | -0.000 | 74.435 | 0.000 | 
| 0.015 | 0.015 | 0.024 | -0.000 | -0.000 | 18.984 | 
| 196.448 | 46.817 | 105.205 | 0.000 | 0.000 | -0.000 | 
| 46.817 | 196.448 | 105.205 | -0.000 | -0.000 | -0.000 | 
| 104.874 | 104.874 | 141.297 | 0.000 | 0.000 | -0.000 | 
| 0.001 | 0.000 | -0.007 | 75.101 | 0.000 | 0.000 | 
| -0.019 | -0.019 | -0.027 | 0.000 | 74.435 | -0.000 | 
| -0.015 | -0.015 | -0.024 | 0.000 | 0.000 | 18.984 | 
| 702.995 | 445.076 | 445.076 | 0.000 | -0.000 | -0.000 | 
| 445.076 | 702.995 | 445.076 | 0.000 | 0.000 | 0.000 | 
| 445.076 | 445.075 | 702.995 | 0.000 | -0.000 | -0.000 | 
| -0.000 | -0.000 | 0.000 | 286.830 | 0.000 | -0.000 | 
| -0.000 | -0.000 | -0.000 | -0.000 | 286.830 | 0.000 | 
| -0.000 | -0.000 | 0.000 | 0.000 | 0.000 | 286.830 | 
| 702.995 | 445.076 | 445.076 | 0.000 | 0.000 | -0.000 | 
| 445.076 | 702.995 | 445.076 | -0.000 | 0.000 | -0.000 | 
| 445.076 | 445.076 | 702.995 | -0.000 | 0.000 | -0.000 | 
| 0.000 | -0.000 | -0.000 | 286.830 | -0.000 | -0.000 | 
| 0.000 | 0.000 | -0.000 | -0.000 | 286.830 | -0.000 | 
| -0.000 | 0.000 | -0.000 | -0.000 | 0.000 | 286.830 | 
| 702.995 | 445.076 | 445.076 | 0.000 | -0.000 | 0.000 | 
| 445.076 | 702.995 | 445.076 | -0.000 | -0.000 | 0.000 | 
| 445.076 | 445.076 | 702.995 | -0.000 | -0.000 | 0.000 | 
| 0.000 | -0.000 | -0.000 | 286.830 | -0.000 | -0.000 | 
| -0.000 | 0.000 | -0.000 | -0.000 | 286.830 | 0.000 | 
| -0.000 | -0.000 | 0.000 | 0.000 | -0.000 | 286.830 | 
| 702.995 | 445.076 | 445.076 | 0.000 | 0.000 | -0.000 | 
| 445.076 | 702.995 | 445.076 | -0.000 | 0.000 | -0.000 | 
| 445.076 | 445.076 | 702.995 | -0.000 | 0.000 | -0.000 | 
| -0.000 | 0.000 | -0.000 | 286.830 | -0.000 | -0.000 | 
| 0.000 | -0.000 | -0.000 | -0.000 | 286.830 | -0.000 | 
| 0.000 | 0.000 | -0.000 | 0.000 | 0.000 | 286.830 | 
| 702.995 | 445.076 | 445.076 | 0.000 | -0.000 | -0.000 | 
| 445.076 | 702.995 | 445.076 | 0.000 | 0.000 | -0.000 | 
| 445.076 | 445.076 | 702.995 | -0.000 | -0.000 | -0.000 | 
| 0.000 | -0.001 | -0.000 | 112.479 | -0.000 | 0.000 | 
| -0.001 | 0.000 | -0.000 | 0.000 | 112.479 | 0.000 | 
| -0.001 | -0.000 | 0.000 | 0.000 | -0.000 | 112.479 | 
| 702.995 | 445.076 | 445.076 | 0.000 | 0.000 | -0.000 | 
| 445.076 | 702.995 | 445.076 | -0.000 | 0.000 | -0.000 | 
| 445.076 | 445.076 | 702.995 | 0.000 | 0.000 | -0.000 | 
| -0.000 | 0.001 | 0.000 | 112.479 | 0.000 | -0.000 | 
| 0.001 | -0.000 | 0.000 | 0.000 | 112.479 | -0.000 | 
| 0.001 | 0.000 | -0.000 | -0.000 | 0.000 | 112.479 | 
| 2485.191 | 487.642 | 487.642 | -0.000 | -0.000 | 0.000 | 
| 487.642 | 2485.192 | 487.642 | -0.000 | 0.000 | 0.000 | 
| 487.642 | 487.642 | 2485.192 | -0.000 | 0.000 | 0.000 | 
| -0.000 | -0.000 | 0.000 | -49.202 | 0.000 | 0.000 | 
| -0.000 | 0.000 | 0.000 | -0.000 | -49.202 | 0.000 | 
| -0.000 | 0.000 | -0.000 | 0.000 | 0.000 | -49.202 | 
| 2485.191 | 487.642 | 487.642 | 0.000 | -0.000 | -0.000 | 
| 487.642 | 2485.191 | 487.642 | 0.000 | -0.000 | -0.000 | 
| 487.642 | 487.642 | 2485.192 | 0.000 | -0.000 | -0.000 | 
| 0.000 | -0.000 | 0.000 | -49.202 | -0.000 | -0.000 | 
| 0.000 | -0.000 | 0.000 | 0.000 | -49.202 | -0.000 | 
| 0.000 | -0.000 | -0.000 | -0.000 | -0.000 | -49.202 | 
| 2485.191 | 487.642 | 487.642 | 0.000 | 0.000 | 0.000 | 
| 487.642 | 2485.191 | 487.642 | -0.000 | 0.000 | 0.000 | 
| 487.642 | 487.642 | 2485.191 | -0.000 | 0.000 | 0.000 | 
| 0.001 | 0.000 | 0.000 | -253.101 | 0.000 | -0.000 | 
| 0.000 | 0.001 | 0.000 | -0.000 | -253.101 | 0.000 | 
| 0.000 | 0.000 | 0.001 | 0.000 | 0.000 | -253.101 | 
| 2485.192 | 487.641 | 487.641 | 0.000 | 0.000 | -0.000 | 
| 487.641 | 2485.192 | 487.641 | 0.000 | -0.000 | 0.000 | 
| 487.641 | 487.641 | 2485.192 | -0.000 | 0.000 | -0.000 | 
| -0.001 | -0.000 | -0.000 | -253.101 | -0.000 | -0.000 | 
| -0.000 | -0.001 | -0.000 | -0.000 | -253.101 | -0.000 | 
| -0.000 | -0.000 | -0.001 | 0.000 | 0.000 | -253.101 | 
| 2485.187 | 487.647 | 487.647 | -0.000 | -0.000 | -0.000 | 
| 487.647 | 2485.187 | 487.647 | 0.000 | -0.000 | 0.000 | 
| 487.647 | 487.647 | 2485.187 | -0.000 | 0.000 | 0.000 | 
| 0.006 | 0.004 | 0.003 | -253.101 | 0.000 | 0.000 | 
| 0.004 | 0.006 | 0.003 | 0.000 | -253.101 | -0.000 | 
| 0.004 | 0.003 | 0.006 | -0.000 | -0.000 | -253.101 | 
| 2485.196 | 487.637 | 487.637 | -0.000 | -0.000 | -0.000 | 
| 487.637 | 2485.196 | 487.637 | 0.000 | -0.000 | -0.000 | 
| 487.637 | 487.637 | 2485.196 | 0.000 | -0.000 | -0.000 | 
| -0.006 | -0.004 | -0.003 | -253.101 | 0.000 | -0.000 | 
| -0.004 | -0.006 | -0.003 | 0.000 | -253.101 | -0.000 | 
| -0.004 | -0.003 | -0.006 | 0.000 | -0.000 | -253.101 | 
| 88.455 | 77.001 | 77.001 | -0.000 | 0.000 | 0.000 | 
| 77.001 | 88.455 | 77.001 | -0.000 | -0.000 | 0.000 | 
| 77.001 | 77.001 | 88.455 | -0.000 | 0.000 | 0.000 | 
| 0.000 | 0.000 | 0.000 | 3.871 | -0.000 | 0.000 | 
| -0.000 | 0.000 | 0.000 | -0.000 | 3.871 | 0.000 | 
| -0.000 | 0.000 | -0.000 | -0.000 | -0.000 | 3.871 | 
| 88.455 | 77.000 | 77.001 | 0.000 | -0.000 | -0.000 | 
| 77.001 | 88.455 | 77.001 | 0.000 | -0.000 | -0.000 | 
| 77.001 | 77.000 | 88.455 | 0.000 | 0.000 | -0.000 | 
| 0.000 | -0.000 | 0.000 | 3.871 | 0.000 | -0.000 | 
| 0.000 | -0.000 | 0.000 | 0.000 | 3.871 | -0.000 | 
| 0.000 | -0.000 | -0.000 | 0.000 | -0.000 | 3.871 | 
| 88.455 | 77.001 | 77.001 | -0.000 | 0.000 | 0.000 | 
| 77.001 | 88.455 | 77.001 | 0.000 | -0.000 | 0.000 | 
| 77.001 | 77.001 | 88.455 | 0.000 | 0.000 | 0.000 | 
| 0.000 | 0.000 | -0.000 | 3.871 | 0.000 | 0.000 | 
| -0.000 | 0.000 | -0.000 | -0.000 | 3.871 | 0.000 | 
| -0.000 | 0.000 | 0.000 | -0.000 | -0.000 | 3.871 | 
| 88.455 | 77.001 | 77.001 | 0.000 | 0.000 | -0.000 | 
| 77.001 | 88.455 | 77.001 | 0.000 | 0.000 | -0.000 | 
| 77.001 | 77.001 | 88.455 | 0.000 | 0.000 | -0.000 | 
| -0.000 | -0.000 | 0.000 | 3.871 | -0.000 | -0.000 | 
| 0.000 | -0.000 | 0.000 | 0.000 | 3.871 | -0.000 | 
| 0.000 | -0.000 | -0.000 | 0.000 | -0.000 | 3.871 | 
| 88.455 | 77.001 | 77.001 | -0.000 | -0.000 | 0.000 | 
| 77.001 | 88.455 | 77.001 | -0.000 | 0.000 | 0.000 | 
| 77.001 | 77.001 | 88.455 | -0.000 | 0.000 | 0.000 | 
| 0.000 | -0.000 | -0.000 | 3.871 | 0.000 | 0.000 | 
| -0.000 | 0.000 | -0.000 | 0.000 | 3.871 | 0.000 | 
| -0.000 | -0.000 | 0.000 | -0.000 | -0.000 | 3.871 | 
| 88.455 | 77.000 | 77.000 | 0.000 | -0.000 | -0.000 | 
| 77.000 | 88.455 | 77.000 | 0.000 | -0.000 | -0.000 | 
| 77.000 | 77.000 | 88.455 | 0.000 | 0.000 | -0.000 | 
| -0.000 | 0.000 | 0.000 | 3.871 | -0.000 | -0.000 | 
| 0.000 | -0.000 | 0.000 | 0.000 | 3.871 | -0.000 | 
| 0.000 | 0.000 | -0.000 | 0.000 | -0.000 | 3.871 | 
| 480.884 | 107.214 | 79.872 | -0.000 | 0.000 | 0.000 | 
| 107.451 | 273.725 | 99.334 | -0.000 | 0.000 | -0.000 | 
| 80.581 | 95.818 | 415.043 | -0.000 | -0.000 | -0.000 | 
| -0.000 | 0.000 | -0.000 | 57.753 | 0.000 | 0.000 | 
| 0.006 | 0.380 | 0.056 | -0.000 | 47.090 | -0.000 | 
| 0.000 | -0.000 | -0.000 | 0.000 | 0.000 | 64.678 | 
| 480.992 | 105.467 | 79.764 | 0.000 | -0.000 | 0.000 | 
| 107.440 | 272.971 | 99.221 | 0.000 | -0.000 | -0.000 | 
| 84.968 | 100.099 | 420.567 | -0.000 | -0.000 | 0.000 | 
| -0.000 | -0.000 | 0.000 | 57.753 | -0.000 | -0.000 | 
| -0.006 | -0.380 | -0.056 | 0.000 | 47.090 | 0.000 | 
| 0.000 | 0.000 | 0.000 | -0.000 | -0.000 | 64.678 | 
| 480.885 | 107.335 | 79.888 | -0.000 | 0.000 | -0.000 | 
| 108.991 | 272.900 | 100.966 | -0.000 | 0.000 | -0.000 | 
| 80.704 | 95.332 | 415.118 | 0.000 | 0.000 | -0.000 | 
| -0.003 | -0.050 | -0.010 | 52.110 | 0.000 | -0.000 | 
| 0.001 | 0.038 | 0.006 | -0.000 | 47.090 | -0.000 | 
| -0.002 | 0.001 | -0.002 | -0.000 | 0.000 | 61.601 | 
| 485.801 | 105.282 | 85.177 | -0.000 | -0.000 | -0.000 | 
| 108.991 | 272.823 | 100.956 | 0.000 | 0.000 | 0.000 | 
| 84.968 | 100.099 | 420.567 | -0.000 | -0.000 | 0.000 | 
| 0.003 | 0.050 | 0.010 | 52.110 | -0.000 | 0.000 | 
| -0.001 | -0.038 | -0.006 | 0.000 | 47.090 | 0.000 | 
| 0.002 | -0.001 | 0.002 | 0.000 | -0.000 | 61.601 | 
| 480.884 | 107.301 | 79.884 | -0.000 | -0.000 | 0.000 | 
| 108.991 | 272.864 | 100.962 | -0.000 | 0.000 | 0.000 | 
| 84.969 | 100.100 | 420.566 | 0.000 | 0.000 | -0.000 | 
| -0.000 | 0.000 | 0.000 | 57.753 | -0.000 | 0.000 | 
| 0.000 | 0.004 | 0.001 | 0.000 | 47.090 | -0.000 | 
| 0.000 | 0.000 | -0.000 | 0.000 | 0.000 | 64.678 | 
| 485.801 | 105.282 | 85.176 | -0.000 | -0.000 | 0.000 | 
| 107.445 | 273.346 | 99.277 | 0.000 | 0.000 | 0.000 | 
| 79.675 | 99.054 | 414.446 | 0.000 | 0.000 | 0.000 | 
| 0.000 | -0.000 | -0.000 | 57.753 | -0.000 | -0.000 | 
| -0.000 | -0.004 | -0.001 | 0.000 | 47.090 | 0.000 | 
| -0.000 | -0.000 | 0.000 | -0.000 | -0.000 | 64.678 | 
| 494.658 | 109.343 | 81.342 | -0.000 | -0.000 | -0.000 | 
| 110.376 | 240.923 | 99.422 | 0.000 | -0.000 | -0.000 | 
| 80.488 | 91.460 | 431.975 | -0.000 | -0.000 | -0.000 | 
| -0.000 | -0.000 | -0.000 | 59.732 | -0.000 | -0.000 | 
| -0.000 | -0.000 | -0.000 | -0.000 | 46.526 | -0.000 | 
| 2.294 | -10.114 | 1.321 | 0.000 | -0.000 | 62.834 | 
| 494.658 | 109.343 | 81.342 | -0.000 | 0.000 | 0.000 | 
| 109.343 | 283.049 | 102.855 | 0.000 | 0.000 | 0.000 | 
| 81.342 | 102.855 | 434.091 | 0.000 | 0.000 | 0.000 | 
| 0.000 | 0.000 | 0.000 | 59.732 | 0.000 | 0.000 | 
| 0.000 | 0.000 | 0.000 | 0.000 | 46.526 | 0.000 | 
| -2.294 | 10.114 | -1.321 | -0.000 | 0.000 | 62.834 | 
| 490.870 | 107.068 | 77.127 | 0.000 | -0.000 | -0.000 | 
| 109.409 | 247.868 | 99.153 | -0.000 | -0.000 | 0.000 | 
| 77.969 | 95.426 | 429.758 | 0.000 | -0.000 | -0.000 | 
| -0.000 | 0.000 | -0.000 | 59.732 | -0.000 | -0.000 | 
| 0.000 | -0.000 | -0.000 | 0.000 | 46.526 | -0.000 | 
| 0.279 | -1.230 | 0.161 | 0.000 | -0.000 | 62.347 | 
| 494.658 | 109.343 | 81.342 | -0.000 | 0.000 | 0.000 | 
| 108.625 | 249.325 | 98.487 | -0.000 | 0.000 | 0.000 | 
| 77.064 | 96.897 | 428.967 | -0.000 | 0.000 | 0.000 | 
| 0.000 | -0.000 | -0.000 | 59.732 | 0.000 | 0.000 | 
| -0.000 | 0.000 | 0.000 | 0.000 | 46.526 | 0.000 | 
| -0.279 | 1.230 | -0.161 | -0.000 | 0.000 | 62.347 | 
| 490.527 | 108.177 | 76.887 | 0.000 | -0.000 | -0.000 | 
| 109.130 | 248.514 | 98.930 | -0.000 | -0.000 | -0.000 | 
| 81.342 | 102.855 | 434.090 | 0.000 | -0.000 | -0.000 | 
| -0.000 | 0.000 | 0.000 | 59.732 | -0.000 | -0.000 | 
| 0.000 | -0.000 | -0.000 | 0.000 | 46.526 | -0.000 | 
| 0.028 | -0.124 | 0.016 | 0.000 | -0.000 | 62.331 | 
| 490.442 | 109.170 | 76.903 | 0.000 | 0.000 | -0.000 | 
| 108.766 | 248.685 | 98.567 | 0.000 | 0.000 | 0.000 | 
| 76.897 | 98.976 | 429.017 | 0.000 | 0.000 | 0.000 | 
| 0.000 | -0.000 | -0.000 | 59.732 | 0.000 | 0.000 | 
| -0.000 | 0.000 | 0.000 | -0.000 | 46.526 | 0.000 | 
| -0.028 | 0.124 | -0.016 | -0.000 | 0.000 | 62.331 | 
| 461.725 | 83.997 | 98.518 | 0.000 | 0.000 | 0.000 | 
| 83.997 | 461.725 | 98.518 | -0.000 | 0.000 | 0.000 | 
| 101.397 | 101.397 | 253.022 | -0.000 | 0.000 | 0.000 | 
| -0.030 | -0.030 | -0.101 | 59.670 | 0.000 | 0.000 | 
| -0.030 | -0.030 | -0.101 | -0.000 | 59.670 | 0.000 | 
| -0.044 | -0.044 | -0.147 | -0.000 | -0.000 | 46.653 | 
| 461.725 | 83.997 | 98.518 | 0.000 | -0.000 | -0.000 | 
| 83.997 | 461.725 | 98.518 | -0.000 | -0.000 | -0.000 | 
| 101.397 | 101.397 | 253.022 | 0.000 | -0.000 | -0.000 | 
| 0.030 | 0.030 | 0.101 | 59.670 | -0.000 | -0.000 | 
| 0.030 | 0.030 | 0.101 | 0.000 | 59.670 | -0.000 | 
| 0.044 | 0.044 | 0.147 | 0.000 | 0.000 | 46.653 | 
| 461.725 | 83.997 | 98.518 | -0.000 | -0.000 | 0.000 | 
| 83.997 | 461.725 | 98.518 | 0.000 | 0.000 | 0.000 | 
| 101.284 | 101.284 | 207.042 | 0.000 | 0.000 | 0.000 | 
| -0.005 | -0.005 | -0.010 | 58.564 | 0.000 | 0.000 | 
| -0.005 | -0.005 | -0.010 | 0.000 | 58.564 | 0.000 | 
| -0.004 | -0.004 | -0.015 | -0.000 | 0.000 | 46.653 | 
| 461.725 | 83.997 | 98.518 | -0.000 | -0.000 | -0.000 | 
| 83.997 | 461.725 | 98.518 | -0.000 | -0.000 | 0.000 | 
| 101.397 | 101.397 | 253.022 | 0.000 | 0.000 | -0.000 | 
| 0.005 | 0.005 | 0.010 | 58.564 | -0.000 | -0.000 | 
| 0.005 | 0.005 | 0.010 | 0.000 | 58.564 | -0.000 | 
| 0.004 | 0.004 | 0.015 | -0.000 | -0.000 | 46.653 | 
| 455.204 | 79.654 | 98.700 | 0.000 | -0.000 | -0.000 | 
| 79.654 | 455.204 | 98.700 | -0.000 | -0.000 | 0.000 | 
| 101.286 | 101.286 | 207.048 | -0.000 | 0.000 | 0.000 | 
| -0.000 | -0.000 | -0.000 | 58.313 | 0.000 | 0.000 | 
| -0.000 | -0.001 | -0.001 | 0.000 | 58.564 | 0.000 | 
| -0.000 | -0.000 | -0.001 | -0.000 | 0.000 | 46.653 | 
| 455.743 | 80.405 | 102.117 | -0.000 | -0.000 | -0.000 | 
| 80.405 | 455.743 | 102.117 | 0.000 | -0.000 | -0.000 | 
| 101.286 | 101.286 | 207.046 | 0.000 | -0.000 | -0.000 | 
| 0.000 | 0.000 | 0.000 | 58.313 | 0.000 | -0.000 | 
| 0.000 | 0.001 | 0.001 | 0.000 | 58.564 | 0.000 | 
| 0.000 | 0.000 | 0.001 | -0.000 | -0.000 | 46.653 | 
| 478.468 | 80.241 | 104.438 | -0.000 | -0.000 | 0.000 | 
| 80.241 | 478.468 | 104.438 | -0.000 | 0.000 | 0.000 | 
| 104.438 | 104.438 | 347.298 | -0.000 | -0.000 | 0.000 | 
| 0.000 | -0.000 | -0.000 | 63.291 | 0.000 | 0.000 | 
| 0.000 | -0.000 | -0.000 | -0.000 | 63.291 | 0.000 | 
| 0.000 | -0.000 | -0.000 | -0.000 | -0.000 | 45.952 | 
| 478.468 | 80.241 | 104.438 | 0.000 | 0.000 | -0.000 | 
| 80.241 | 478.468 | 104.438 | 0.000 | 0.000 | -0.000 | 
| 104.438 | 104.438 | 347.298 | 0.000 | 0.000 | -0.000 | 
| -0.000 | 0.000 | 0.000 | 63.291 | -0.000 | -0.000 | 
| -0.000 | 0.000 | 0.000 | 0.000 | 63.291 | -0.000 | 
| 0.000 | 0.000 | 0.000 | 0.000 | -0.000 | 45.952 | 
| 478.467 | 80.241 | 104.438 | -0.000 | -0.000 | 0.000 | 
| 80.241 | 478.467 | 104.438 | -0.000 | -0.000 | 0.000 | 
| 105.774 | 105.774 | 321.166 | -0.000 | -0.000 | 0.000 | 
| -0.000 | 0.000 | -0.000 | 63.291 | 0.000 | 0.000 | 
| 0.000 | -0.000 | -0.000 | -0.000 | 63.291 | 0.000 | 
| 2.227 | 2.227 | 5.567 | -0.000 | 0.000 | 45.952 | 
| 471.850 | 75.410 | 95.469 | 0.000 | 0.000 | -0.000 | 
| 75.410 | 471.850 | 95.469 | 0.000 | 0.000 | -0.000 | 
| 104.438 | 104.438 | 347.298 | 0.000 | 0.000 | -0.000 | 
| 0.000 | -0.000 | 0.000 | 63.291 | 0.000 | -0.000 | 
| -0.000 | 0.000 | 0.000 | 0.000 | 63.291 | -0.000 | 
| -2.227 | -2.227 | -5.567 | 0.000 | 0.000 | 45.952 | 
| 473.356 | 77.629 | 102.250 | -0.000 | -0.000 | 0.000 | 
| 77.629 | 473.356 | 102.250 | -0.000 | -0.000 | 0.000 | 
| 104.439 | 104.439 | 347.297 | -0.000 | -0.000 | 0.000 | 
| -0.000 | 0.000 | 0.000 | 63.291 | -0.000 | 0.000 | 
| 0.000 | -0.000 | 0.000 | -0.000 | 63.291 | 0.000 | 
| 0.223 | 0.223 | 0.557 | -0.000 | -0.000 | 45.952 | 
| 473.045 | 77.127 | 100.672 | 0.000 | 0.000 | -0.000 | 
| 77.127 | 473.045 | 100.672 | 0.000 | 0.000 | -0.000 | 
| 101.910 | 101.910 | 321.184 | -0.000 | 0.000 | -0.000 | 
| 0.000 | -0.000 | -0.000 | 63.291 | 0.000 | -0.000 | 
| -0.000 | 0.000 | -0.000 | 0.000 | 63.291 | -0.000 | 
| -0.223 | -0.223 | -0.557 | 0.000 | 0.000 | 45.952 | 
| -1284560080.197 | -1491745291.046 | -556796636.398 | 6031025.400 | -7509772.476 | -50294973.551 | 
| -1480253667.393 | -1266616297.970 | -518118742.287 | 1380134.981 | -13143587.624 | -57932805.741 | 
| 81.518 | 81.518 | 174.005 | 0.000 | -0.000 | -0.000 | 
| -0.000 | 0.000 | 0.000 | 35.969 | 0.000 | -0.000 | 
| 0.000 | 0.000 | 0.000 | 0.000 | 35.969 | -0.000 | 
| -0.305 | -0.305 | 0.678 | -0.000 | 0.000 | 34.843 | 
| 79.985 | 96.467 | 68.907 | 0.000 | 0.000 | 0.000 | 
| 96.467 | 79.985 | 68.907 | 0.000 | -0.000 | -0.000 | 
| 82.220 | 82.220 | 172.443 | -0.000 | 0.000 | 0.000 | 
| 0.000 | -0.000 | -0.000 | 35.969 | 0.000 | 0.000 | 
| -0.000 | -0.000 | 0.000 | 0.000 | 35.969 | 0.000 | 
| 0.305 | 0.305 | -0.678 | 0.000 | 0.000 | 34.843 | 
| -108509459.606 | -140439305.244 | -41352887.328 | 387287.090 | 614171.284 | -4605748.140 | 
| -141062833.369 | -111023783.669 | -39885798.752 | 2128568.724 | 2206130.339 | -5556425.591 | 
| 73.559 | 73.559 | 191.711 | -0.000 | -0.000 | -0.000 | 
| -0.090 | -0.090 | 0.200 | 14.628 | 0.000 | -0.000 | 
| -0.090 | -0.090 | 0.200 | 0.000 | 14.628 | -0.000 | 
| -0.030 | -0.030 | 0.068 | 0.000 | -0.000 | 34.846 | 
| 141245979.109 | 112686372.560 | 44117212.734 | -572544.998 | -403028.676 | 6430000.398 | 
| 109418458.831 | 140633183.522 | 43769486.482 | -623605.424 | -438110.474 | 5542139.532 | 
| 81.904 | 81.904 | 173.146 | 0.000 | 0.000 | -0.000 | 
| 0.090 | 0.090 | -0.200 | 14.628 | 0.000 | -0.000 | 
| 0.090 | 0.090 | -0.200 | 0.000 | 14.628 | -0.000 | 
| 0.030 | 0.030 | -0.068 | 0.000 | 0.000 | 34.846 | 
| -9871211.056 | -13920456.535 | -4249172.497 | -29648.944 | 30209.037 | -403879.081 | 
| -13282676.870 | -10829466.704 | -4432606.456 | 46570.379 | 24474.719 | -260775.478 | 
| 81.866 | 81.866 | 173.232 | 0.000 | 0.000 | -0.000 | 
| -0.009 | -0.009 | 0.021 | 14.627 | -0.000 | 0.000 | 
| -0.009 | -0.009 | 0.021 | -0.000 | 14.627 | 0.000 | 
| -0.003 | -0.003 | 0.007 | -0.000 | -0.000 | 34.847 | 
| 13188928.688 | 11545614.587 | 5212151.106 | -55142.846 | -55929.317 | 915979.153 | 
| 11122096.030 | 13265840.240 | 4649033.056 | 827.452 | 28387.366 | 909569.842 | 
| 81.872 | 81.872 | 173.216 | -0.000 | -0.000 | -0.000 | 
| 0.009 | 0.009 | -0.021 | 14.627 | -0.000 | 0.000 | 
| 0.009 | 0.009 | -0.021 | -0.000 | 14.627 | -0.000 | 
| 0.003 | 0.003 | -0.007 | 0.000 | 0.000 | 34.847 | 
| 477.826 | 100.046 | 80.977 | 0.000 | 0.000 | -0.000 | 
| 105.356 | 303.106 | 100.879 | 0.000 | 0.000 | -0.000 | 
| 85.615 | 98.272 | 415.557 | -0.000 | 0.000 | 0.000 | 
| 0.269 | -5.848 | -0.515 | 52.818 | 0.000 | 0.000 | 
| 0.119 | -2.586 | -0.228 | 0.000 | 47.300 | 0.000 | 
| -0.000 | -0.000 | -0.000 | 0.000 | 0.000 | 64.445 | 
| 476.428 | 111.105 | 80.899 | -0.000 | -0.000 | 0.000 | 
| 106.228 | 283.879 | 99.171 | -0.000 | -0.000 | 0.000 | 
| 79.645 | 99.801 | 408.722 | -0.000 | -0.000 | 0.000 | 
| -0.269 | 5.848 | 0.515 | 52.818 | 0.000 | -0.000 | 
| -0.119 | 2.586 | 0.228 | -0.000 | 47.300 | -0.000 | 
| -0.000 | 0.000 | 0.000 | -0.000 | -0.000 | 64.445 | 
| 481.603 | 102.993 | 85.859 | 0.000 | 0.000 | 0.000 | 
| 105.357 | 303.106 | 100.879 | 0.000 | 0.000 | 0.000 | 
| 79.908 | 98.830 | 408.894 | 0.000 | 0.000 | -0.000 | 
| 0.045 | -0.276 | 0.014 | 51.193 | 0.000 | -0.000 | 
| 0.012 | -0.259 | -0.023 | 0.000 | 47.300 | 0.000 | 
| 0.022 | -0.480 | -0.042 | 0.000 | 0.000 | 61.856 | 
| 476.292 | 106.045 | 80.018 | -0.000 | -0.000 | 0.000 | 
| 105.356 | 303.106 | 100.879 | -0.000 | -0.000 | -0.000 | 
| 85.615 | 98.272 | 415.557 | 0.000 | -0.000 | 0.000 | 
| -0.045 | 0.276 | -0.014 | 51.193 | -0.000 | 0.000 | 
| -0.012 | 0.259 | 0.023 | -0.000 | 47.300 | -0.000 | 
| -0.022 | 0.480 | 0.042 | -0.000 | -0.000 | 61.856 | 
| 481.602 | 102.994 | 85.859 | 0.000 | 0.000 | 0.000 | 
| 106.348 | 281.266 | 98.941 | -0.000 | -0.000 | 0.000 | 
| 79.871 | 99.075 | 408.883 | 0.000 | 0.000 | -0.000 | 
| 0.003 | -0.074 | -0.007 | 51.705 | -0.000 | -0.000 | 
| 0.001 | -0.026 | -0.002 | -0.000 | 47.300 | 0.000 | 
| 0.002 | -0.048 | -0.004 | 0.000 | 0.000 | 61.851 | 
| 476.363 | 105.455 | 80.017 | 0.000 | -0.000 | -0.000 | 
| 108.825 | 280.145 | 101.708 | -0.000 | -0.000 | -0.000 | 
| 79.861 | 99.129 | 408.884 | 0.000 | -0.000 | -0.000 | 
| -0.003 | 0.074 | 0.007 | 51.705 | -0.000 | -0.000 | 
| -0.001 | 0.026 | 0.002 | 0.000 | 47.300 | -0.000 | 
| -0.002 | 0.048 | 0.004 | -0.000 | -0.000 | 61.851 | 
| 457.902 | 84.419 | 97.562 | 0.000 | 0.000 | -0.000 | 
| 84.419 | 457.902 | 97.562 | 0.000 | 0.000 | -0.000 | 
| 103.977 | 103.977 | 206.072 | 0.000 | 0.000 | -0.000 | 
| -0.000 | -0.000 | -0.000 | 63.166 | 0.000 | 0.000 | 
| -0.000 | 0.000 | 0.000 | 0.000 | 63.166 | -0.000 | 
| 0.000 | 0.000 | -0.000 | -0.000 | -0.000 | 46.743 | 
| 457.902 | 84.419 | 97.562 | -0.000 | -0.000 | 0.000 | 
| 84.419 | 457.902 | 97.562 | -0.000 | -0.000 | 0.000 | 
| 104.335 | 104.335 | 206.355 | 0.000 | 0.000 | 0.000 | 
| -0.000 | -0.000 | -0.000 | 63.166 | -0.000 | 0.000 | 
| 0.000 | -0.000 | 0.000 | -0.000 | 63.166 | 0.000 | 
| 0.000 | 0.000 | 0.000 | 0.000 | -0.000 | 46.743 | 
| 451.760 | 80.735 | 102.244 | 0.000 | 0.000 | -0.000 | 
| 80.735 | 451.760 | 102.244 | 0.000 | 0.000 | -0.000 | 
| 104.138 | 104.138 | 206.205 | -0.000 | 0.000 | -0.000 | 
| -0.000 | 0.000 | 0.000 | 63.166 | 0.000 | 0.000 | 
| 0.000 | -0.000 | 0.000 | 0.000 | 63.166 | -0.000 | 
| 0.000 | -0.000 | -0.000 | 0.000 | 0.000 | 46.743 | 
| 457.902 | 84.419 | 97.562 | -0.000 | -0.000 | 0.000 | 
| 84.419 | 457.902 | 97.562 | -0.000 | -0.000 | 0.000 | 
| 100.821 | 100.821 | 252.890 | -0.000 | -0.000 | -0.000 | 
| 0.000 | -0.000 | -0.000 | 63.166 | -0.000 | 0.000 | 
| -0.000 | 0.000 | -0.000 | -0.000 | 63.166 | 0.000 | 
| -0.000 | 0.000 | 0.000 | -0.000 | -0.000 | 46.743 | 
| 457.901 | 84.420 | 97.562 | 0.000 | 0.000 | -0.000 | 
| 84.420 | 457.901 | 97.562 | 0.000 | 0.000 | -0.000 | 
| 101.551 | 101.551 | 204.810 | 0.000 | 0.000 | -0.000 | 
| -0.000 | 0.000 | 0.000 | 63.166 | 0.000 | -0.000 | 
| 0.000 | -0.000 | 0.000 | 0.000 | 63.166 | -0.000 | 
| 0.000 | -0.000 | -0.000 | 0.000 | 0.000 | 46.743 | 
| 451.797 | 80.767 | 102.241 | -0.000 | -0.000 | 0.000 | 
| 80.767 | 451.797 | 102.241 | -0.000 | -0.000 | 0.000 | 
| 104.158 | 104.158 | 206.221 | -0.000 | -0.000 | 0.000 | 
| 0.000 | -0.000 | -0.000 | 63.166 | -0.000 | -0.000 | 
| -0.000 | 0.000 | -0.000 | -0.000 | 63.166 | 0.000 | 
| -0.000 | 0.000 | 0.000 | 0.000 | -0.000 | 46.743 | 
| 165.949 | 67.839 | 54.009 | -0.976 | 0.000 | 0.000 | 
| 67.839 | 165.949 | 54.009 | 0.976 | 0.000 | 0.000 | 
| 54.009 | 54.009 | 172.721 | -0.000 | 0.000 | 0.000 | 
| -3.635 | 3.877 | 0.374 | 39.717 | 0.000 | 0.000 | 
| 0.000 | 0.000 | 0.000 | -0.000 | 44.059 | -0.976 | 
| 0.000 | 0.000 | 0.000 | -0.000 | -0.976 | 49.055 | 
| 165.949 | 67.839 | 54.009 | -0.976 | -0.000 | -0.000 | 
| 69.143 | 163.036 | 52.089 | 2.729 | -0.000 | 0.000 | 
| 54.009 | 54.009 | 172.720 | 0.000 | -0.000 | -0.000 | 
| -3.877 | 3.635 | -0.374 | 39.717 | -0.000 | 0.000 | 
| -0.000 | -0.000 | -0.000 | 0.000 | 44.059 | -0.976 | 
| -0.000 | -0.000 | -0.000 | 0.000 | -0.976 | 49.055 | 
| 165.949 | 67.839 | 54.009 | -0.976 | 0.000 | 0.000 | 
| 67.839 | 165.949 | 54.009 | 0.976 | 0.000 | 0.000 | 
| 54.009 | 54.009 | 172.720 | -0.000 | 0.000 | -0.000 | 
| -3.755 | 3.780 | 0.038 | 39.699 | 0.000 | -0.000 | 
| 0.020 | 0.020 | 0.057 | -0.000 | 36.667 | -4.655 | 
| 0.011 | 0.011 | 0.034 | -0.000 | -3.899 | 46.030 | 
| 165.949 | 67.839 | 54.009 | -0.976 | -0.000 | -0.000 | 
| 70.167 | 162.590 | 52.681 | 3.537 | -0.000 | -0.000 | 
| 52.706 | 52.706 | 169.618 | 0.000 | -0.000 | 0.000 | 
| -0.976 | 0.976 | -0.000 | 44.059 | -0.000 | -0.000 | 
| -0.020 | -0.020 | -0.057 | 0.000 | 36.667 | -4.655 | 
| -0.011 | -0.011 | -0.034 | 0.000 | -3.899 | 46.030 | 
| 162.356 | 70.319 | 52.640 | -3.985 | 0.000 | 0.000 | 
| 70.184 | 162.600 | 52.720 | 3.541 | 0.000 | 0.000 | 
| 54.009 | 54.009 | 172.721 | -0.000 | 0.000 | 0.000 | 
| -0.976 | 0.976 | 0.000 | 44.059 | 0.000 | 0.000 | 
| 0.002 | 0.002 | 0.006 | -0.000 | 36.666 | -4.655 | 
| 0.000 | 0.000 | 0.000 | -0.000 | -0.976 | 49.055 | 
| 165.948 | 67.839 | 54.009 | -0.976 | -0.000 | -0.000 | 
| 69.189 | 163.172 | 52.358 | 2.691 | -0.000 | 0.000 | 
| 54.009 | 54.009 | 172.720 | 0.000 | -0.000 | -0.000 | 
| -4.657 | 4.653 | -0.006 | 36.666 | -0.000 | 0.000 | 
| -0.002 | -0.002 | -0.006 | 0.000 | 36.666 | -4.655 | 
| -0.000 | -0.000 | -0.000 | 0.000 | -0.976 | 49.055 | 
| 1478.110 | 1382.889 | 2804.243 | -2.008 | -0.000 | -0.000 | 
| 1382.889 | 1478.109 | 2804.243 | 2.008 | -0.000 | 0.000 | 
| 1451.870 | 1451.870 | 3171.085 | 0.000 | 0.000 | -0.000 | 
| 1313.413 | 1317.429 | 2753.240 | 42.145 | 0.000 | -0.000 | 
| 1314.971 | 1314.971 | 2752.298 | 0.000 | 42.146 | -2.008 | 
| 1400.123 | 1400.123 | 3003.327 | 0.000 | -3.155 | 46.389 | 
| -1151.832 | -1247.052 | -2700.352 | -2.008 | -0.000 | 0.000 | 
| -1331.091 | -1238.313 | -2951.708 | 3.155 | -0.000 | 0.000 | 
| 53.123 | 53.123 | 171.158 | -0.000 | 0.000 | 0.000 | 
| -1316.979 | -1312.963 | -2752.298 | 42.146 | -0.000 | -0.000 | 
| -1314.971 | -1314.971 | -2752.298 | -0.000 | 42.146 | -2.008 | 
| -1400.123 | -1400.123 | -3003.327 | -0.000 | -3.155 | 46.389 | 
| 294.638 | 199.417 | 327.179 | -2.008 | -0.000 | -0.000 | 
| 199.417 | 294.638 | 327.179 | 2.008 | 0.000 | -0.000 | 
| 191.760 | 191.760 | 468.092 | 0.000 | 0.000 | -0.000 | 
| 129.498 | 133.514 | 275.248 | 42.146 | 0.000 | -0.000 | 
| 131.500 | 131.500 | 275.236 | 0.000 | 42.146 | -2.008 | 
| 140.016 | 140.016 | 300.344 | 0.000 | -3.155 | 46.389 | 
| 31.640 | -63.580 | -223.288 | -2.008 | -0.000 | 0.000 | 
| -71.029 | 21.747 | -248.820 | 3.156 | 0.000 | 0.000 | 
| 53.123 | 53.123 | 171.158 | -0.000 | -0.000 | 0.000 | 
| -143.206 | -136.890 | -300.425 | 40.068 | -0.000 | 0.000 | 
| -131.500 | -131.500 | -275.236 | -0.000 | 42.146 | -2.008 | 
| -140.016 | -140.016 | -300.344 | -0.000 | -3.155 | 46.389 | 
| 164.833 | 67.155 | 52.994 | -0.979 | 0.000 | -0.000 | 
| 81.086 | 176.307 | 79.506 | 2.008 | 0.000 | -0.000 | 
| 65.221 | 65.221 | 196.250 | 0.000 | 0.000 | 0.000 | 
| 11.169 | 15.189 | 27.584 | 42.142 | 0.000 | -0.000 | 
| 13.177 | 13.177 | 27.581 | -0.000 | 42.142 | -2.010 | 
| 14.039 | 14.039 | 30.139 | 0.000 | -3.582 | 46.199 | 
| 147.741 | 55.038 | 21.498 | -3.190 | -0.000 | 0.000 | 
| 55.038 | 147.741 | 21.498 | 3.190 | -0.000 | 0.000 | 
| 38.893 | 38.893 | 141.143 | -0.000 | -0.000 | 0.000 | 
| -17.575 | -10.794 | -30.565 | 39.647 | -0.000 | 0.000 | 
| -13.177 | -13.177 | -27.581 | 0.000 | 42.142 | -2.010 | 
| -14.039 | -14.039 | -30.139 | -0.000 | -3.582 | 46.199 | 
| 516.434 | 404.954 | 404.954 | 0.000 | 0.000 | -0.000 | 
| 400.908 | 524.526 | 400.908 | 0.000 | 0.000 | 0.000 | 
| 404.954 | 404.954 | 516.434 | 0.000 | 0.000 | -0.000 | 
| 0.000 | -0.000 | 0.000 | -62.015 | -0.000 | 0.000 | 
| 0.000 | -0.000 | 0.000 | 0.000 | -62.015 | 0.000 | 
| -0.000 | -0.000 | -0.000 | 0.000 | 0.000 | -62.015 | 
| 516.434 | 404.954 | 404.954 | -0.000 | -0.000 | 0.000 | 
| 404.954 | 516.434 | 404.954 | -0.000 | -0.000 | 0.000 | 
| 404.954 | 404.954 | 516.434 | -0.000 | -0.000 | -0.000 | 
| -0.000 | 0.000 | -0.000 | -62.015 | 0.000 | 0.000 | 
| 0.000 | 0.000 | -0.000 | 0.000 | -62.015 | 0.000 | 
| -0.000 | 0.000 | 0.000 | 0.000 | -0.000 | -62.015 | 
| 524.526 | 400.908 | 400.908 | 0.000 | 0.000 | 0.000 | 
| 400.908 | 524.526 | 400.908 | 0.000 | 0.000 | -0.000 | 
| 400.908 | 400.908 | 524.526 | 0.000 | 0.000 | 0.000 | 
| 0.000 | 0.000 | 0.000 | -62.015 | -0.000 | -0.000 | 
| 0.000 | 0.000 | 0.000 | -0.000 | -62.015 | 0.000 | 
| 0.000 | 0.000 | 0.000 | 0.000 | 0.000 | -62.015 | 
| 516.433 | 404.954 | 404.954 | -0.000 | -0.000 | 0.000 | 
| 404.954 | 516.433 | 404.954 | -0.000 | -0.000 | 0.000 | 
| 404.954 | 404.954 | 516.433 | 0.000 | 0.000 | 0.000 | 
| -0.000 | -0.000 | -0.000 | -62.015 | 0.000 | -0.000 | 
| -0.000 | -0.000 | -0.000 | -0.000 | -62.015 | -0.000 | 
| -0.000 | -0.000 | -0.000 | 0.000 | -0.000 | -62.015 | 
| 524.530 | 400.909 | 400.909 | 0.000 | 0.000 | 0.000 | 
| 400.909 | 524.530 | 400.909 | -0.000 | -0.000 | 0.000 | 
| 400.909 | 400.909 | 524.530 | 0.000 | -0.000 | -0.000 | 
| 0.181 | 0.438 | 0.431 | -3490.400 | 0.000 | 0.000 | 
| 0.438 | 0.181 | 0.431 | -0.000 | -3490.400 | -0.000 | 
| 0.438 | 0.431 | 0.181 | 0.000 | 0.000 | -3490.400 | 
| 516.430 | 404.953 | 404.953 | -0.000 | -0.000 | 0.000 | 
| 404.953 | 516.430 | 404.953 | -0.000 | -0.000 | -0.000 | 
| 404.953 | 404.953 | 516.430 | -0.000 | 0.000 | -0.000 | 
| -0.181 | -0.438 | -0.431 | -3490.400 | -0.000 | -0.000 | 
| -0.438 | -0.181 | -0.431 | -0.000 | -3490.400 | -0.000 | 
| -0.438 | -0.431 | -0.181 | -0.000 | -0.000 | -3490.400 | 
| 867.621 | 527.461 | 527.461 | -0.000 | 0.000 | -0.000 | 
| 527.461 | 867.621 | 527.461 | -0.000 | -0.000 | 0.000 | 
| 527.461 | 527.461 | 867.621 | -0.000 | -0.000 | -0.000 | 
| -0.000 | -0.000 | -0.000 | 227.986 | 0.000 | -0.000 | 
| -0.000 | -0.000 | -0.000 | -0.000 | 227.986 | -0.000 | 
| -0.000 | -0.000 | -0.000 | -0.000 | -0.000 | 227.986 | 
| 867.621 | 527.461 | 527.461 | 0.000 | -0.000 | -0.000 | 
| 527.461 | 867.621 | 527.461 | 0.000 | -0.000 | -0.000 | 
| 527.461 | 527.461 | 867.621 | 0.000 | 0.000 | -0.000 | 
| -0.000 | -0.000 | 0.000 | 227.986 | -0.000 | 0.000 | 
| 0.000 | 0.000 | 0.000 | 0.000 | 227.986 | 0.000 | 
| 0.000 | 0.000 | 0.000 | 0.000 | -0.000 | 227.986 | 
| 867.621 | 527.461 | 527.461 | -0.000 | -0.000 | -0.000 | 
| 527.461 | 867.621 | 527.461 | -0.000 | -0.000 | -0.000 | 
| 527.461 | 527.461 | 867.621 | -0.000 | 0.000 | 0.000 | 
| 0.000 | 0.000 | 0.000 | 227.986 | 0.000 | 0.000 | 
| 0.000 | 0.000 | 0.000 | -0.000 | 227.986 | -0.000 | 
| 0.000 | 0.000 | 0.000 | -0.000 | 0.000 | 227.986 | 
| 867.621 | 527.461 | 527.461 | 0.000 | 0.000 | 0.000 | 
| 527.461 | 867.621 | 527.461 | 0.000 | 0.000 | -0.000 | 
| 527.461 | 527.461 | 867.621 | 0.000 | -0.000 | -0.000 | 
| -0.000 | -0.000 | -0.000 | 227.986 | 0.000 | 0.000 | 
| -0.000 | -0.000 | -0.000 | 0.000 | 227.986 | 0.000 | 
| -0.000 | -0.000 | -0.000 | 0.000 | 0.000 | 227.986 | 
| 867.621 | 527.462 | 527.462 | -0.000 | -0.000 | -0.000 | 
| 527.462 | 867.621 | 527.462 | -0.000 | -0.000 | 0.000 | 
| 527.462 | 527.462 | 867.621 | -0.000 | -0.000 | -0.000 | 
| 0.001 | -0.000 | 0.000 | 256.579 | -0.000 | 0.000 | 
| -0.000 | 0.001 | 0.000 | -0.000 | 256.579 | 0.000 | 
| -0.000 | 0.000 | 0.001 | -0.000 | -0.000 | 256.579 | 
| 867.621 | 527.460 | 527.460 | 0.000 | 0.000 | 0.000 | 
| 527.460 | 867.621 | 527.460 | 0.000 | 0.000 | 0.000 | 
| 527.460 | 527.460 | 867.621 | 0.000 | 0.000 | 0.000 | 
| -0.001 | 0.000 | -0.000 | 256.579 | 0.000 | 0.000 | 
| 0.000 | -0.001 | -0.000 | 0.000 | 256.579 | 0.000 | 
| 0.000 | -0.000 | -0.001 | 0.000 | 0.000 | 256.579 | 
| 218.887 | 570.798 | 570.798 | -0.000 | -0.000 | -0.000 | 
| 570.798 | 218.887 | 570.798 | -0.000 | -0.000 | -0.000 | 
| 570.798 | 570.798 | 218.887 | 0.000 | -0.000 | -0.000 | 
| -0.000 | 0.000 | -0.000 | 36.662 | -0.000 | -0.000 | 
| 0.000 | 0.000 | 0.000 | -0.000 | 36.662 | -0.000 | 
| 0.000 | 0.000 | -0.000 | -0.000 | -0.000 | 36.662 | 
| 218.887 | 570.798 | 570.798 | 0.000 | 0.000 | 0.000 | 
| 570.798 | 218.886 | 570.798 | 0.000 | 0.000 | 0.000 | 
| 570.798 | 570.798 | 218.887 | 0.000 | 0.000 | 0.000 | 
| 0.000 | -0.000 | -0.000 | 36.662 | 0.000 | 0.000 | 
| 0.000 | -0.000 | 0.000 | 0.000 | 36.662 | 0.000 | 
| 0.000 | -0.000 | 0.000 | 0.000 | 0.000 | 36.662 | 
| 218.887 | 570.798 | 570.798 | -0.000 | -0.000 | -0.000 | 
| 570.798 | 218.887 | 570.798 | -0.000 | -0.000 | -0.000 | 
| 570.798 | 570.798 | 218.887 | 0.000 | -0.000 | -0.000 | 
| -0.000 | 0.000 | 0.000 | 36.662 | -0.000 | -0.000 | 
| 0.000 | -0.000 | 0.000 | -0.000 | 36.662 | -0.000 | 
| 0.000 | 0.000 | -0.000 | -0.000 | -0.000 | 36.662 | 
| 218.886 | 570.798 | 570.798 | 0.000 | 0.000 | -0.000 | 
| 570.798 | 218.886 | 570.798 | 0.000 | 0.000 | -0.000 | 
| 570.798 | 570.798 | 218.886 | 0.000 | 0.000 | 0.000 | 
| 0.000 | -0.000 | -0.000 | 36.662 | 0.000 | -0.000 | 
| -0.000 | 0.000 | -0.000 | 0.000 | 36.662 | 0.000 | 
| -0.000 | -0.000 | 0.000 | 0.000 | 0.000 | 36.662 | 
| 218.887 | 570.799 | 570.799 | -0.000 | -0.000 | -0.000 | 
| 570.799 | 218.887 | 570.799 | -0.000 | -0.000 | -0.000 | 
| 570.799 | 570.799 | 218.887 | 0.000 | -0.000 | -0.000 | 
| -0.000 | 0.001 | 0.001 | 36.662 | -0.000 | -0.000 | 
| 0.001 | -0.000 | 0.001 | 0.000 | 36.662 | -0.000 | 
| 0.001 | 0.001 | -0.000 | -0.000 | -0.000 | 36.662 | 
| 218.886 | 570.797 | 570.797 | 0.000 | 0.000 | 0.000 | 
| 570.797 | 218.886 | 570.797 | 0.000 | 0.000 | 0.000 | 
| 570.797 | 570.797 | 218.886 | 0.000 | 0.000 | 0.000 | 
| 0.000 | -0.001 | -0.001 | 36.662 | 0.000 | 0.000 | 
| -0.001 | 0.000 | -0.001 | -0.000 | 36.662 | 0.000 | 
| -0.001 | -0.001 | 0.000 | 0.000 | 0.000 | 36.662 | 
| 211.391 | 51.495 | 51.495 | 0.000 | 0.000 | -0.000 | 
| 51.495 | 211.391 | 51.495 | -0.000 | -0.000 | -0.000 | 
| 51.495 | 51.495 | 211.391 | 0.000 | 0.000 | -0.000 | 
| 0.000 | -0.000 | 0.000 | 20.183 | 0.000 | -0.000 | 
| 0.000 | -0.000 | 0.000 | 0.000 | 20.182 | -0.000 | 
| 0.000 | -0.000 | 0.000 | -0.000 | 0.000 | 20.182 | 
| 211.391 | 51.495 | 51.495 | -0.000 | -0.000 | 0.000 | 
| 51.495 | 211.391 | 51.495 | 0.000 | -0.000 | 0.000 | 
| 51.495 | 51.495 | 211.391 | 0.000 | 0.000 | 0.000 | 
| 0.000 | 0.000 | -0.000 | 20.183 | 0.000 | 0.000 | 
| -0.000 | 0.000 | -0.000 | -0.000 | 20.182 | 0.000 | 
| -0.000 | 0.000 | -0.000 | 0.000 | -0.000 | 20.182 | 
| 211.391 | 51.495 | 51.495 | 0.000 | 0.000 | -0.000 | 
| 51.495 | 211.391 | 51.495 | 0.000 | 0.000 | -0.000 | 
| 51.495 | 51.495 | 211.391 | 0.000 | 0.000 | -0.000 | 
| -0.000 | -0.000 | -0.000 | 20.182 | 0.000 | -0.000 | 
| 0.000 | -0.000 | -0.000 | 0.000 | 20.182 | -0.000 | 
| 0.000 | -0.000 | -0.000 | -0.000 | -0.000 | 20.182 | 
| 211.391 | 51.495 | 51.495 | -0.000 | -0.000 | 0.000 | 
| 51.495 | 211.391 | 51.495 | 0.000 | 0.000 | 0.000 | 
| 51.495 | 51.495 | 211.391 | -0.000 | -0.000 | 0.000 | 
| 0.000 | 0.000 | 0.000 | 20.182 | -0.000 | 0.000 | 
| -0.000 | 0.000 | 0.000 | -0.000 | 20.182 | 0.000 | 
| -0.000 | 0.000 | 0.000 | 0.000 | 0.000 | 20.182 | 
| 211.389 | 51.495 | 51.495 | -0.000 | -0.000 | -0.000 | 
| 51.495 | 211.389 | 51.495 | -0.000 | -0.000 | -0.000 | 
| 51.495 | 51.495 | 211.389 | 0.000 | 0.000 | -0.000 | 
| -0.000 | 0.000 | -0.000 | 20.182 | 0.000 | -0.000 | 
| 0.000 | -0.000 | -0.000 | 0.000 | 20.182 | -0.000 | 
| 0.000 | -0.000 | -0.000 | 0.000 | 0.000 | 20.182 | 
| 211.393 | 51.494 | 51.494 | -0.000 | -0.000 | 0.000 | 
| 51.494 | 211.393 | 51.494 | -0.000 | -0.000 | 0.000 | 
| 51.494 | 51.494 | 211.393 | -0.000 | -0.000 | 0.000 | 
| 0.000 | -0.000 | 0.000 | 20.182 | -0.000 | 0.000 | 
| -0.000 | 0.000 | 0.000 | -0.000 | 20.182 | 0.000 | 
| -0.000 | 0.000 | 0.000 | -0.000 | -0.000 | 20.182 | 
| 213.354 | 56.019 | 56.019 | -0.000 | 0.000 | -0.000 | 
| 56.019 | 213.354 | 56.019 | -0.000 | -0.000 | 0.000 | 
| 56.019 | 56.019 | 213.354 | 0.000 | 0.000 | -0.000 | 
| 0.000 | 0.000 | -0.000 | 32.608 | -0.000 | 0.000 | 
| 0.000 | 0.000 | -0.000 | -0.000 | 32.608 | -0.000 | 
| 0.000 | -0.000 | -0.000 | 0.000 | 0.000 | 32.608 | 
| 210.342 | 57.525 | 57.525 | 0.000 | 0.000 | 0.000 | 
| 57.525 | 210.342 | 57.525 | 0.000 | 0.000 | 0.000 | 
| 57.525 | 57.525 | 210.342 | 0.000 | 0.000 | 0.000 | 
| -0.000 | 0.000 | 0.000 | 32.608 | 0.000 | -0.000 | 
| 0.000 | -0.000 | -0.000 | -0.000 | 32.608 | -0.000 | 
| -0.000 | 0.000 | -0.000 | 0.000 | -0.000 | 32.608 | 
| 210.342 | 57.525 | 57.525 | -0.000 | -0.000 | -0.000 | 
| 57.525 | 210.342 | 57.525 | -0.000 | -0.000 | 0.000 | 
| 57.525 | 57.525 | 210.342 | 0.000 | 0.000 | -0.000 | 
| 0.000 | 0.000 | -0.000 | 14.051 | -0.000 | 0.000 | 
| 0.000 | 0.000 | -0.000 | -0.000 | 14.051 | -0.000 | 
| 0.000 | 0.000 | 0.000 | 0.000 | -0.000 | 14.051 | 
| 213.354 | 56.019 | 56.019 | 0.000 | -0.000 | 0.000 | 
| 56.019 | 213.354 | 56.019 | -0.000 | -0.000 | 0.000 | 
| 56.019 | 56.019 | 213.354 | 0.000 | 0.000 | -0.000 | 
| -0.000 | 0.000 | 0.000 | 14.051 | 0.000 | 0.000 | 
| -0.000 | -0.000 | 0.000 | 0.000 | 14.051 | 0.000 | 
| 0.000 | -0.000 | 0.000 | 0.000 | 0.000 | 14.051 | 
| 210.343 | 57.525 | 57.525 | -0.000 | -0.000 | -0.000 | 
| 57.525 | 210.343 | 57.525 | -0.000 | -0.000 | 0.000 | 
| 57.525 | 57.525 | 210.343 | 0.000 | -0.000 | -0.000 | 
| 0.000 | 0.000 | 0.000 | 32.608 | -0.000 | 0.000 | 
| 0.000 | 0.000 | 0.000 | -0.000 | 32.608 | -0.000 | 
| 0.000 | 0.000 | 0.000 | 0.000 | 0.000 | 32.608 | 
| 213.353 | 56.019 | 56.019 | -0.000 | -0.000 | 0.000 | 
| 57.525 | 210.341 | 57.525 | 0.000 | 0.000 | 0.000 | 
| 57.525 | 57.525 | 210.341 | 0.000 | -0.000 | 0.000 | 
| -0.000 | -0.000 | -0.000 | 32.608 | 0.000 | -0.000 | 
| -0.000 | -0.000 | -0.000 | -0.000 | 32.608 | 0.000 | 
| -0.000 | -0.000 | -0.000 | -0.000 | -0.000 | 32.608 | 
| 134.260 | 103.512 | 103.512 | 0.000 | -0.000 | -0.000 | 
| 103.512 | 134.260 | 103.512 | 0.000 | 0.000 | -0.000 | 
| 103.512 | 103.512 | 134.260 | 0.000 | -0.000 | 0.000 | 
| -0.000 | -0.000 | 0.000 | 75.466 | 0.000 | -0.000 | 
| -0.000 | -0.000 | 0.000 | -0.000 | 75.466 | 0.000 | 
| -0.000 | -0.000 | -0.000 | -0.000 | -0.000 | 75.466 | 
| 134.260 | 103.512 | 103.512 | -0.000 | -0.000 | 0.000 | 
| 103.512 | 134.260 | 103.512 | -0.000 | -0.000 | -0.000 | 
| 103.512 | 103.512 | 134.260 | -0.000 | -0.000 | -0.000 | 
| 0.000 | 0.000 | 0.000 | 75.466 | 0.000 | -0.000 | 
| 0.000 | 0.000 | 0.000 | 0.000 | 75.466 | -0.000 | 
| 0.000 | -0.000 | 0.000 | 0.000 | -0.000 | 75.466 | 
| 134.260 | 103.512 | 103.512 | 0.000 | 0.000 | 0.000 | 
| 103.512 | 134.260 | 103.512 | 0.000 | -0.000 | 0.000 | 
| 103.512 | 103.512 | 134.260 | 0.000 | 0.000 | 0.000 | 
| 0.000 | -0.000 | 0.000 | 75.466 | 0.000 | 0.000 | 
| -0.000 | 0.000 | 0.000 | -0.000 | 75.466 | 0.000 | 
| -0.000 | 0.000 | 0.000 | -0.000 | -0.000 | 75.466 | 
| 134.260 | 103.512 | 103.512 | -0.000 | -0.000 | -0.000 | 
| 103.512 | 134.260 | 103.512 | -0.000 | -0.000 | -0.000 | 
| 103.512 | 103.512 | 134.260 | -0.000 | -0.000 | -0.000 | 
| -0.000 | 0.000 | -0.000 | 75.466 | -0.000 | -0.000 | 
| 0.000 | -0.000 | -0.000 | 0.000 | 75.466 | 0.000 | 
| 0.000 | -0.000 | -0.000 | 0.000 | 0.000 | 75.466 | 
| 134.261 | 103.512 | 103.512 | 0.000 | 0.000 | 0.000 | 
| 103.512 | 134.261 | 103.512 | 0.000 | 0.000 | 0.000 | 
| 103.512 | 103.512 | 134.261 | 0.000 | 0.000 | 0.000 | 
| 0.000 | -0.000 | 0.000 | 73.296 | -0.000 | 0.000 | 
| -0.000 | 0.000 | 0.000 | -0.000 | 73.296 | -0.000 | 
| -0.000 | 0.000 | 0.000 | 0.000 | 0.000 | 73.296 | 
| 134.260 | 103.512 | 103.512 | 0.000 | -0.000 | -0.000 | 
| 103.512 | 134.260 | 103.512 | -0.000 | -0.000 | -0.000 | 
| 103.512 | 103.512 | 134.260 | -0.000 | -0.000 | -0.000 | 
| -0.000 | 0.000 | -0.000 | 73.296 | 0.000 | -0.000 | 
| 0.000 | -0.000 | -0.000 | 0.000 | 73.296 | -0.000 | 
| 0.000 | -0.000 | -0.000 | 0.000 | 0.000 | 73.296 | 
| 440.275 | 88.590 | 88.590 | -0.000 | -0.000 | 0.000 | 
| 88.590 | 440.276 | 88.590 | -0.000 | -0.000 | 0.000 | 
| 88.590 | 88.590 | 440.275 | -0.000 | -0.000 | 0.000 | 
| -0.000 | 0.000 | -0.000 | 48.127 | -0.000 | 0.000 | 
| -0.000 | 0.000 | -0.000 | -0.000 | 48.127 | 0.000 | 
| 0.000 | 0.000 | -0.000 | -0.000 | -0.000 | 48.127 | 
| 440.275 | 88.590 | 88.590 | 0.000 | 0.000 | -0.000 | 
| 88.590 | 440.275 | 88.590 | 0.000 | 0.000 | -0.000 | 
| 88.590 | 88.590 | 440.276 | 0.000 | 0.000 | -0.000 | 
| 0.000 | 0.000 | 0.000 | 48.127 | 0.000 | -0.000 | 
| -0.000 | -0.000 | 0.000 | 0.000 | 48.127 | -0.000 | 
| -0.000 | 0.000 | 0.000 | 0.000 | 0.000 | 48.127 | 
| 440.275 | 88.590 | 88.590 | -0.000 | 0.000 | 0.000 | 
| 88.590 | 440.275 | 88.590 | -0.000 | -0.000 | 0.000 | 
| 88.590 | 88.590 | 440.275 | -0.000 | -0.000 | 0.000 | 
| -0.000 | 0.000 | -0.000 | 48.127 | -0.000 | 0.000 | 
| 0.000 | -0.000 | -0.000 | -0.000 | 48.127 | 0.000 | 
| 0.000 | 0.000 | -0.000 | -0.000 | -0.000 | 48.127 | 
| 440.276 | 88.590 | 88.590 | 0.000 | -0.000 | -0.000 | 
| 88.590 | 440.276 | 88.590 | -0.000 | -0.000 | -0.000 | 
| 88.590 | 88.590 | 440.276 | 0.000 | 0.000 | -0.000 | 
| 0.000 | -0.000 | 0.000 | 48.127 | -0.000 | -0.000 | 
| -0.000 | -0.000 | 0.000 | 0.000 | 48.127 | -0.000 | 
| -0.000 | -0.000 | 0.000 | 0.000 | 0.000 | 48.127 | 
| 440.274 | 88.591 | 88.591 | -0.000 | 0.000 | 0.000 | 
| 88.591 | 440.274 | 88.591 | 0.000 | 0.000 | 0.000 | 
| 88.591 | 88.591 | 440.274 | -0.000 | -0.000 | 0.000 | 
| -0.000 | 0.000 | -0.000 | 48.127 | -0.000 | 0.000 | 
| 0.000 | -0.000 | -0.000 | 0.000 | 48.127 | 0.000 | 
| 0.000 | -0.000 | -0.000 | -0.000 | -0.000 | 48.127 | 
| 440.277 | 88.590 | 88.590 | 0.000 | 0.000 | -0.000 | 
| 88.590 | 440.277 | 88.590 | 0.000 | 0.000 | -0.000 | 
| 88.590 | 88.590 | 440.277 | -0.000 | -0.000 | -0.000 | 
| 0.000 | -0.000 | 0.000 | 48.127 | -0.000 | -0.000 | 
| -0.000 | 0.000 | 0.000 | -0.000 | 48.127 | -0.000 | 
| -0.000 | 0.000 | 0.000 | 0.000 | 0.000 | 48.127 | 
| 260.288 | 126.282 | 128.758 | 0.000 | -0.000 | 0.000 | 
| 125.722 | 247.603 | 128.899 | 0.000 | -0.000 | 0.000 | 
| 128.304 | 128.036 | 240.333 | 0.000 | -0.000 | 0.000 | 
| -1.141 | -0.211 | 0.209 | 99.118 | -0.000 | 0.000 | 
| -0.644 | -0.119 | 0.118 | 0.000 | 55.307 | 0.000 | 
| -1.224 | -0.227 | 0.224 | 0.000 | -0.000 | 99.741 | 
| 262.068 | 126.490 | 127.780 | -0.000 | 0.000 | -0.000 | 
| 127.520 | 248.059 | 128.130 | -0.000 | 0.000 | -0.000 | 
| 129.133 | 128.210 | 240.339 | -0.000 | 0.000 | -0.000 | 
| 1.141 | 0.211 | -0.209 | 99.117 | 0.000 | -0.000 | 
| 0.644 | 0.119 | -0.118 | -0.000 | 55.308 | -0.000 | 
| 1.224 | 0.227 | -0.224 | -0.000 | 0.000 | 99.741 | 
| 260.252 | 125.996 | 127.223 | 0.000 | -0.000 | 0.000 | 
| 126.662 | 247.826 | 127.965 | 0.000 | -0.000 | 0.000 | 
| 128.044 | 128.230 | 240.284 | 0.000 | -0.000 | 0.000 | 
| -0.101 | -0.024 | -0.002 | 99.018 | -0.000 | 0.000 | 
| -0.094 | -0.024 | -0.010 | 0.000 | 54.622 | 0.000 | 
| -0.122 | -0.023 | 0.022 | 0.000 | -0.000 | 99.741 | 
| 260.453 | 126.043 | 127.228 | -0.000 | 0.000 | -0.000 | 
| 126.850 | 247.874 | 127.980 | -0.000 | 0.000 | -0.000 | 
| 128.216 | 128.256 | 240.291 | -0.000 | 0.000 | -0.000 | 
| 0.101 | 0.024 | 0.002 | 99.018 | 0.000 | -0.000 | 
| 0.094 | 0.024 | 0.010 | -0.000 | 54.622 | -0.000 | 
| 0.122 | 0.023 | -0.022 | -0.000 | 0.000 | 99.741 | 
| 260.343 | 126.018 | 127.225 | 0.000 | -0.000 | 0.000 | 
| 126.623 | 247.847 | 128.083 | 0.000 | -0.000 | -0.000 | 
| 128.007 | 128.190 | 240.280 | 0.000 | -0.000 | 0.000 | 
| -0.010 | -0.003 | -0.000 | 99.015 | -0.000 | 0.000 | 
| -0.012 | -0.002 | 0.002 | 0.000 | 54.612 | 0.000 | 
| -0.012 | -0.002 | 0.002 | 0.000 | -0.000 | 99.741 | 
| 260.361 | 126.003 | 127.276 | -0.000 | 0.000 | -0.000 | 
| 126.642 | 247.851 | 128.083 | -0.000 | 0.000 | -0.000 | 
| 128.665 | 128.121 | 240.407 | -0.000 | 0.000 | -0.000 | 
| 0.010 | 0.003 | 0.000 | 99.015 | 0.000 | -0.000 | 
| 0.012 | 0.002 | -0.002 | -0.000 | 54.612 | -0.000 | 
| 0.012 | 0.002 | -0.002 | -0.000 | 0.000 | 99.741 | 
| 259.369 | 126.381 | 128.174 | 0.000 | 0.000 | -0.000 | 
| 126.041 | 247.289 | 128.375 | 0.000 | 0.000 | -0.000 | 
| 127.935 | 127.858 | 239.447 | 0.000 | 0.000 | 0.000 | 
| -0.000 | -0.000 | 0.000 | 98.709 | 0.000 | 0.000 | 
| -0.000 | 0.000 | 0.000 | -0.000 | 55.412 | -0.000 | 
| -0.000 | 0.000 | 0.000 | -0.000 | 0.000 | 100.586 | 
| 259.369 | 126.381 | 128.174 | -0.000 | -0.000 | 0.000 | 
| 126.041 | 247.289 | 128.375 | 0.000 | -0.000 | -0.000 | 
| 127.935 | 127.858 | 239.447 | 0.000 | -0.000 | -0.000 | 
| 0.000 | 0.000 | -0.000 | 98.709 | -0.000 | 0.000 | 
| 0.000 | -0.000 | -0.000 | 0.000 | 55.412 | 0.000 | 
| 0.000 | -0.000 | -0.000 | 0.000 | -0.000 | 100.586 | 
| 258.479 | 125.923 | 127.236 | -0.000 | 0.000 | 0.000 | 
| 126.096 | 247.226 | 127.776 | -0.000 | 0.000 | -0.000 | 
| 127.390 | 127.981 | 239.323 | -0.000 | 0.000 | 0.000 | 
| -0.000 | -0.000 | -0.000 | 98.518 | -0.000 | -0.000 | 
| -0.000 | 0.000 | 0.000 | -0.000 | 54.653 | -0.000 | 
| -0.000 | 0.000 | -0.000 | -0.000 | 0.000 | 100.586 | 
| 258.479 | 125.923 | 127.236 | 0.000 | -0.000 | 0.000 | 
| 126.096 | 247.226 | 127.776 | 0.000 | -0.000 | 0.000 | 
| 127.390 | 127.981 | 239.323 | 0.000 | 0.000 | 0.000 | 
| 0.000 | 0.000 | 0.000 | 98.518 | 0.000 | -0.000 | 
| 0.000 | -0.000 | -0.000 | -0.000 | 54.653 | -0.000 | 
| 0.000 | -0.000 | 0.000 | 0.000 | -0.000 | 100.586 | 
| 258.479 | 125.907 | 127.278 | -0.000 | -0.000 | -0.000 | 
| 125.907 | 247.224 | 127.923 | -0.000 | 0.000 | 0.000 | 
| 127.279 | 127.923 | 239.316 | -0.000 | 0.000 | 0.000 | 
| -0.000 | -0.000 | -0.000 | 98.514 | -0.000 | 0.000 | 
| -0.000 | -0.000 | 0.000 | -0.000 | 54.642 | -0.000 | 
| -0.000 | -0.000 | -0.000 | -0.000 | 0.000 | 100.586 | 
| 258.478 | 125.907 | 127.278 | -0.000 | -0.000 | -0.000 | 
| 125.907 | 247.224 | 127.923 | -0.000 | -0.000 | 0.000 | 
| 127.278 | 127.923 | 239.315 | 0.000 | -0.000 | 0.000 | 
| 0.000 | 0.000 | 0.000 | 98.514 | 0.000 | 0.000 | 
| 0.000 | 0.000 | -0.000 | 0.000 | 54.642 | -0.000 | 
| 0.000 | 0.000 | 0.000 | 0.000 | -0.000 | 100.586 | 
| 465.704 | 86.343 | 91.339 | -0.000 | -0.000 | -0.000 | 
| 86.343 | 465.704 | 91.339 | 0.000 | 0.000 | -0.000 | 
| 91.339 | 91.339 | 291.324 | -0.000 | -0.000 | -0.000 | 
| 0.000 | 0.000 | -0.000 | 49.343 | -0.000 | -0.000 | 
| 0.000 | 0.000 | 0.000 | 0.000 | 49.343 | -0.000 | 
| 0.000 | 0.000 | -0.000 | 0.000 | -0.000 | 48.058 | 
| 465.004 | 87.043 | 91.339 | 0.000 | 0.000 | 0.000 | 
| 87.043 | 465.004 | 91.339 | -0.000 | 0.000 | 0.000 | 
| 91.339 | 91.339 | 291.324 | -0.000 | 0.000 | 0.000 | 
| -0.000 | -0.000 | 0.000 | 49.343 | 0.000 | 0.000 | 
| -0.000 | -0.000 | -0.000 | -0.000 | 49.343 | 0.000 | 
| 0.000 | -0.000 | 0.000 | -0.000 | 0.000 | 48.058 | 
| 465.004 | 87.043 | 91.339 | -0.000 | -0.000 | -0.000 | 
| 87.043 | 465.004 | 91.339 | 0.000 | 0.000 | -0.000 | 
| 91.339 | 91.339 | 291.324 | -0.000 | -0.000 | 0.000 | 
| -0.000 | 0.000 | 0.000 | 49.631 | -0.000 | -0.000 | 
| 0.000 | -0.000 | 0.000 | 0.000 | 49.631 | -0.000 | 
| 0.000 | 0.000 | -0.000 | -0.000 | -0.000 | 48.058 | 
| 465.004 | 87.043 | 91.339 | 0.000 | 0.000 | 0.000 | 
| 87.043 | 465.004 | 91.339 | -0.000 | -0.000 | 0.000 | 
| 91.339 | 91.339 | 291.324 | -0.000 | 0.000 | -0.000 | 
| 0.000 | -0.000 | -0.000 | 49.631 | 0.000 | -0.000 | 
| -0.000 | 0.000 | -0.000 | -0.000 | 49.631 | 0.000 | 
| -0.000 | -0.000 | 0.000 | 0.000 | 0.000 | 48.058 | 
| 465.003 | 87.043 | 91.339 | 0.000 | 0.000 | -0.000 | 
| 87.043 | 465.003 | 91.339 | -0.000 | -0.000 | -0.000 | 
| 91.339 | 91.339 | 291.323 | 0.000 | -0.000 | -0.000 | 
| -0.000 | 0.000 | 0.000 | 49.631 | -0.000 | -0.000 | 
| 0.000 | -0.000 | 0.000 | 0.000 | 49.631 | -0.000 | 
| 0.000 | -0.000 | -0.000 | -0.000 | -0.000 | 48.058 | 
| 465.005 | 87.042 | 91.338 | 0.000 | 0.000 | 0.000 | 
| 87.042 | 465.005 | 91.338 | -0.000 | -0.000 | 0.000 | 
| 91.338 | 91.338 | 291.326 | 0.000 | 0.000 | 0.000 | 
| 0.000 | -0.000 | -0.000 | 49.631 | 0.000 | 0.000 | 
| -0.000 | 0.000 | -0.000 | -0.000 | 49.631 | 0.000 | 
| -0.000 | 0.000 | 0.000 | 0.000 | 0.000 | 48.058 | 
| 287.417 | 157.121 | 160.666 | 0.000 | -0.000 | -0.000 | 
| 129.658 | 315.435 | 160.873 | -0.000 | -0.000 | -0.000 | 
| 160.722 | 160.722 | 279.445 | -0.000 | -0.000 | -0.000 | 
| 0.000 | -0.000 | -0.000 | 129.813 | 0.000 | -0.000 | 
| 0.000 | 0.000 | -0.000 | -0.000 | 129.810 | -0.000 | 
| 0.000 | -0.000 | -0.000 | -0.000 | -0.000 | 65.044 | 
| 315.434 | 129.657 | 160.873 | 0.000 | 0.000 | 0.000 | 
| 129.657 | 315.435 | 160.873 | 0.000 | 0.000 | -0.000 | 
| 160.722 | 160.722 | 279.445 | 0.000 | 0.000 | 0.000 | 
| -0.000 | -0.000 | 0.000 | 129.813 | -0.000 | 0.000 | 
| -0.000 | -0.000 | 0.000 | -0.000 | 129.810 | 0.000 | 
| -0.000 | 0.000 | 0.000 | 0.000 | 0.000 | 65.044 | 
| 315.435 | 129.658 | 160.873 | -0.000 | -0.000 | -0.000 | 
| 157.121 | 287.417 | 160.666 | -0.000 | 0.000 | -0.000 | 
| 160.873 | 160.873 | 279.558 | -0.000 | -0.000 | 0.000 | 
| 0.000 | -0.000 | -0.000 | 129.813 | 0.000 | -0.000 | 
| -0.000 | -0.000 | -0.000 | -0.000 | 129.813 | -0.000 | 
| 0.000 | 0.000 | -0.000 | -0.000 | -0.000 | 64.597 | 
| 287.417 | 157.121 | 160.666 | 0.000 | 0.000 | 0.000 | 
| 157.121 | 287.417 | 160.666 | 0.000 | 0.000 | 0.000 | 
| 160.873 | 160.873 | 279.558 | 0.000 | 0.000 | 0.000 | 
| -0.000 | 0.000 | 0.000 | 129.813 | -0.000 | 0.000 | 
| 0.000 | 0.000 | 0.000 | 0.000 | 129.813 | 0.000 | 
| -0.000 | -0.000 | 0.000 | 0.000 | 0.000 | 64.597 | 
| 286.977 | 157.742 | 160.734 | -0.000 | 0.000 | -0.000 | 
| 157.742 | 286.977 | 160.734 | -0.000 | -0.000 | -0.000 | 
| 160.873 | 160.873 | 279.558 | -0.000 | -0.000 | -0.000 | 
| -0.000 | -0.000 | -0.000 | 129.810 | 0.000 | 0.000 | 
| -0.000 | -0.000 | -0.000 | 0.000 | 129.813 | 0.000 | 
| -0.000 | 0.000 | -0.000 | -0.000 | -0.000 | 65.044 | 
| 287.416 | 157.120 | 160.666 | -0.000 | 0.000 | -0.000 | 
| 157.120 | 287.417 | 160.666 | -0.000 | -0.000 | -0.000 | 
| 160.722 | 160.722 | 279.445 | 0.000 | 0.000 | 0.000 | 
| 0.000 | 0.000 | 0.000 | 129.810 | 0.000 | -0.000 | 
| 0.000 | 0.000 | 0.000 | 0.000 | 129.813 | -0.000 | 
| 0.000 | -0.000 | 0.000 | 0.000 | 0.000 | 65.044 | 
| 315.202 | 129.346 | 160.730 | 0.000 | -0.000 | 0.000 | 
| 129.346 | 315.202 | 160.730 | 0.000 | -0.000 | -0.000 | 
| 160.699 | 160.699 | 279.317 | 0.000 | -0.000 | 0.000 | 
| 0.000 | -0.000 | -0.000 | 129.964 | -0.000 | 0.000 | 
| 0.000 | 0.000 | 0.000 | 0.000 | 129.964 | 0.000 | 
| -0.000 | 0.000 | 0.000 | 0.000 | -0.000 | 92.928 | 
| 315.202 | 129.346 | 160.729 | -0.000 | 0.000 | -0.000 | 
| 129.346 | 315.202 | 160.729 | -0.000 | 0.000 | -0.000 | 
| 160.553 | 160.553 | 279.209 | 0.000 | 0.000 | -0.000 | 
| 0.000 | -0.000 | -0.000 | 129.964 | 0.000 | -0.000 | 
| -0.000 | -0.000 | -0.000 | -0.000 | 129.964 | -0.000 | 
| 0.000 | -0.000 | -0.000 | -0.000 | 0.000 | 92.928 | 
| 287.113 | 156.887 | 160.527 | -0.000 | -0.000 | -0.000 | 
| 156.887 | 287.113 | 160.527 | -0.000 | -0.000 | 0.000 | 
| 160.552 | 160.552 | 279.208 | -0.000 | -0.000 | 0.000 | 
| -0.000 | -0.000 | -0.000 | 129.960 | 0.000 | 0.000 | 
| -0.000 | -0.000 | -0.000 | 0.000 | 129.964 | 0.000 | 
| -0.000 | 0.000 | -0.000 | 0.000 | -0.000 | 92.928 | 
| 286.675 | 157.504 | 160.593 | -0.000 | 0.000 | 0.000 | 
| 156.887 | 287.113 | 160.527 | 0.000 | 0.000 | -0.000 | 
| 160.552 | 160.552 | 279.208 | -0.000 | 0.000 | -0.000 | 
| 0.000 | 0.000 | 0.000 | 129.960 | 0.000 | -0.000 | 
| 0.000 | 0.000 | 0.000 | -0.000 | 129.964 | -0.000 | 
| 0.000 | -0.000 | 0.000 | -0.000 | 0.000 | 92.928 | 
| 315.202 | 129.346 | 160.730 | 0.000 | -0.000 | 0.000 | 
| 156.888 | 287.113 | 160.527 | 0.000 | -0.000 | -0.000 | 
| 160.552 | 160.552 | 279.209 | 0.000 | -0.000 | 0.000 | 
| -0.000 | -0.000 | -0.000 | 129.964 | -0.000 | -0.000 | 
| -0.000 | -0.000 | -0.000 | 0.000 | 129.964 | 0.000 | 
| -0.000 | 0.000 | -0.000 | 0.000 | -0.000 | 64.565 | 
| 287.113 | 156.887 | 160.527 | 0.000 | -0.000 | -0.000 | 
| 129.345 | 315.202 | 160.729 | -0.000 | 0.000 | -0.000 | 
| 160.699 | 160.699 | 279.317 | -0.000 | 0.000 | 0.000 | 
| 0.000 | 0.000 | 0.000 | 129.964 | 0.000 | 0.000 | 
| 0.000 | 0.000 | 0.000 | -0.000 | 129.964 | -0.000 | 
| 0.000 | -0.000 | 0.000 | 0.000 | 0.000 | 64.565 | 
| 171.993 | 83.961 | 79.346 | -0.000 | -0.000 | -0.000 | 
| 83.961 | 171.994 | 79.346 | 0.000 | -0.000 | 0.000 | 
| 79.243 | 79.243 | 140.946 | -0.000 | 0.000 | 0.000 | 
| 211.737 | 211.738 | 196.517 | 53.878 | 0.000 | 0.000 | 
| 211.738 | 211.738 | 196.517 | 0.000 | 53.878 | 0.000 | 
| 170.537 | 170.537 | 226.943 | -0.000 | -0.000 | 42.259 | 
| 171.994 | 83.961 | 79.346 | -0.000 | 0.000 | 0.000 | 
| 83.961 | 171.994 | 79.346 | 0.000 | 0.000 | 0.000 | 
| 79.244 | 79.243 | 140.946 | 0.000 | -0.000 | 0.000 | 
| -211.737 | -211.738 | -196.517 | 53.878 | 0.000 | -0.000 | 
| -211.737 | -211.738 | -196.517 | 0.000 | 53.878 | -0.000 | 
| -170.537 | -170.537 | -226.943 | 0.000 | 0.000 | 42.259 | 
| 171.994 | 83.961 | 79.346 | 0.000 | 0.000 | -0.000 | 
| 83.961 | 171.994 | 79.346 | 0.000 | 0.000 | 0.000 | 
| 91.982 | 91.982 | 155.228 | -0.000 | 0.000 | 0.000 | 
| -0.000 | -0.000 | 0.000 | 58.609 | 0.000 | 0.000 | 
| -0.000 | 0.000 | 0.000 | 0.000 | 58.609 | 0.000 | 
| -0.000 | -0.000 | 0.000 | 0.000 | 0.000 | 60.314 | 
| 171.993 | 83.961 | 79.346 | -0.000 | 0.000 | 0.000 | 
| 83.961 | 171.993 | 79.346 | 0.000 | 0.000 | -0.000 | 
| 79.243 | 79.243 | 140.946 | 0.000 | 0.000 | 0.000 | 
| 0.000 | -0.000 | -0.000 | 58.609 | 0.000 | -0.000 | 
| 0.000 | -0.000 | -0.000 | -0.000 | 58.609 | 0.000 | 
| 0.000 | 0.000 | -0.000 | -0.000 | -0.000 | 60.314 | 
| 150.057 | 65.831 | 70.536 | -0.000 | -0.000 | 0.000 | 
| 65.831 | 150.057 | 70.536 | -0.000 | -0.000 | 0.000 | 
| 72.872 | 72.872 | 137.160 | 0.000 | 0.000 | 0.000 | 
| 4.816 | 4.816 | 4.470 | 47.847 | 0.000 | 0.000 | 
| 4.816 | 4.816 | 4.470 | 0.000 | 47.847 | 0.000 | 
| 1.461 | 1.461 | 2.534 | 0.000 | 0.000 | 34.043 | 
| 171.993 | 83.961 | 79.346 | -0.000 | 0.000 | 0.000 | 
| 83.961 | 171.993 | 79.346 | -0.000 | -0.000 | -0.000 | 
| 79.243 | 79.243 | 140.946 | -0.000 | -0.000 | -0.000 | 
| -4.816 | -4.816 | -4.470 | 47.847 | -0.000 | -0.000 | 
| -4.816 | -4.816 | -4.470 | 0.000 | 47.847 | -0.000 | 
| -1.461 | -1.461 | -2.534 | -0.000 | -0.000 | 34.043 | 
| 198.614 | 79.568 | 65.711 | -0.000 | -0.000 | -0.000 | 
| 44.819 | 159.716 | 195.821 | -0.000 | -0.000 | 0.000 | 
| 65.711 | 65.711 | 212.489 | -0.001 | 0.000 | 0.000 | 
| -0.000 | 0.000 | -0.001 | 44.610 | 0.000 | -0.000 | 
| 0.000 | 0.000 | -0.000 | -0.001 | 44.613 | -0.000 | 
| -36.087 | -36.087 | 130.901 | -0.000 | 0.000 | 57.446 | 
| 198.614 | 79.568 | 65.712 | 0.001 | 0.000 | 0.000 | 
| 116.997 | 231.883 | -65.982 | 0.000 | 0.000 | -0.000 | 
| 23.865 | 23.865 | 30.377 | 0.000 | 0.000 | -0.000 | 
| -0.000 | -0.000 | -0.001 | 44.610 | 0.000 | -0.000 | 
| -0.000 | -0.000 | 0.000 | -0.000 | 44.613 | 0.000 | 
| -0.000 | 0.000 | 0.000 | 0.000 | 0.000 | 59.523 | 
| 192.218 | 77.278 | 78.039 | -0.000 | -0.000 | -0.000 | 
| 84.981 | 195.572 | 80.840 | -0.000 | -0.000 | -0.000 | 
| 65.711 | 65.711 | 212.489 | -0.000 | 0.000 | 0.000 | 
| -0.000 | -0.000 | -0.000 | 44.613 | 0.000 | 0.000 | 
| 0.000 | -0.000 | -0.000 | -0.000 | 44.613 | 0.000 | 
| -3.612 | -3.612 | 13.104 | -0.000 | -0.000 | 57.444 | 
| 199.372 | 84.541 | 51.800 | 0.000 | -0.000 | -0.000 | 
| 80.133 | 190.729 | 48.254 | 0.000 | 0.000 | -0.000 | 
| 65.711 | 65.711 | 212.489 | 0.000 | 0.000 | -0.000 | 
| -0.000 | 0.000 | -0.000 | 44.613 | 0.000 | -0.000 | 
| -0.000 | -0.000 | -0.000 | 0.000 | 44.613 | -0.000 | 
| -2.422 | -2.422 | -16.293 | 0.000 | 0.000 | 55.297 | 
| 198.614 | 79.568 | 65.711 | -0.000 | 0.000 | -0.000 | 
| 80.501 | 195.387 | 66.403 | -0.000 | -0.000 | -0.000 | 
| 64.628 | 64.628 | 211.866 | -0.000 | 0.000 | -0.000 | 
| -0.000 | -0.000 | 0.000 | 44.613 | -0.000 | 0.000 | 
| -0.000 | -0.000 | 0.000 | -0.000 | 44.613 | 0.000 | 
| 0.000 | 0.000 | 0.000 | -0.000 | -0.000 | 59.523 | 
| 198.613 | 79.567 | 65.711 | 0.000 | 0.000 | 0.000 | 
| 79.568 | 198.613 | 65.711 | 0.000 | 0.000 | 0.000 | 
| 65.711 | 65.711 | 212.488 | 0.000 | 0.000 | -0.000 | 
| 0.000 | 0.000 | -0.000 | 44.613 | -0.000 | -0.000 | 
| 0.000 | 0.000 | -0.000 | -0.000 | 44.613 | 0.000 | 
| 0.394 | 0.394 | -1.428 | 0.000 | 0.000 | 57.257 | 
| 190.423 | 76.065 | 63.912 | 0.000 | -0.000 | -0.000 | 
| 76.065 | 190.423 | 63.912 | 0.000 | -0.000 | -0.000 | 
| 63.223 | 63.223 | 206.969 | 0.000 | -0.000 | -0.000 | 
| 0.000 | -0.000 | -0.000 | 43.867 | 0.000 | -0.000 | 
| -2.188 | -2.188 | 1.476 | -0.000 | 42.897 | -0.000 | 
| -1.982 | -1.983 | 0.547 | -0.000 | -0.000 | 54.426 | 
| 194.802 | 80.484 | 60.932 | -0.000 | 0.000 | 0.000 | 
| 77.321 | 194.771 | 62.919 | -0.000 | 0.000 | 0.000 | 
| 63.223 | 63.223 | 206.969 | -0.000 | 0.000 | 0.000 | 
| -0.000 | 0.000 | 0.000 | 43.867 | 0.001 | 0.000 | 
| 2.188 | 2.188 | -1.476 | -0.000 | 42.898 | 0.000 | 
| -0.000 | 0.000 | 0.000 | -0.000 | 0.000 | 58.725 | 
| 191.094 | 78.426 | 62.399 | -0.000 | -0.000 | -0.000 | 
| 79.948 | 188.710 | 61.375 | 0.000 | -0.000 | -0.000 | 
| 63.223 | 63.223 | 206.969 | 0.000 | -0.000 | -0.000 | 
| 0.000 | -0.000 | -0.000 | 43.867 | -0.000 | -0.000 | 
| -0.192 | -0.192 | 0.093 | 0.000 | 38.624 | -0.000 | 
| 0.000 | -0.000 | -0.000 | 0.000 | -0.000 | 58.725 | 
| 194.771 | 77.321 | 62.919 | -0.000 | 0.000 | 0.000 | 
| 77.321 | 194.771 | 62.919 | 0.000 | 0.000 | 0.000 | 
| 62.222 | 62.222 | 203.998 | -0.000 | 0.000 | 0.000 | 
| 0.189 | 0.189 | 0.005 | 38.689 | 0.000 | 0.000 | 
| 0.192 | 0.192 | -0.093 | 0.000 | 38.624 | 0.000 | 
| -0.000 | 0.000 | 0.000 | -0.000 | 0.000 | 58.725 | 
| 188.881 | 80.155 | 61.293 | 0.000 | -0.000 | -0.000 | 
| 79.188 | 190.306 | 61.958 | 0.000 | -0.000 | -0.000 | 
| 62.183 | 62.183 | 204.188 | 0.000 | -0.000 | -0.000 | 
| -0.000 | -0.000 | 0.000 | 43.867 | -0.000 | -0.000 | 
| -0.000 | -0.000 | 0.000 | -0.000 | 43.867 | -0.000 | 
| -0.048 | -0.048 | 0.033 | -0.000 | -0.000 | 55.319 | 
| 188.899 | 80.185 | 61.283 | -0.000 | 0.000 | 0.000 | 
| 79.379 | 190.167 | 61.844 | 0.000 | 0.000 | 0.000 | 
| 63.223 | 63.223 | 206.969 | -0.000 | 0.000 | 0.000 | 
| 0.000 | 0.000 | -0.000 | 43.867 | 0.000 | 0.000 | 
| 0.000 | 0.000 | -0.000 | -0.000 | 43.867 | 0.000 | 
| -0.000 | -0.000 | -0.000 | -0.000 | 0.000 | 58.725 | 
| 269.214 | 105.853 | 107.257 | -0.000 | 0.000 | 0.000 | 
| 105.853 | 269.214 | 107.257 | -0.000 | 0.000 | 0.000 | 
| 67.021 | 67.021 | 166.356 | 0.000 | 0.000 | 0.000 | 
| -0.000 | -0.000 | 0.000 | 87.574 | 0.000 | 0.000 | 
| -0.000 | 0.000 | 0.000 | 0.000 | 87.574 | 0.000 | 
| 0.000 | 0.000 | 0.000 | 0.000 | 0.000 | 81.681 | 
| 269.213 | 105.853 | 107.257 | -0.000 | -0.000 | 0.000 | 
| 132.990 | 236.438 | 144.991 | -0.000 | -0.000 | -0.000 | 
| 100.864 | 100.864 | 283.701 | -0.000 | -0.000 | -0.000 | 
| 0.000 | -0.000 | 0.000 | 87.574 | -0.000 | -0.000 | 
| 0.000 | -0.000 | 0.000 | -0.000 | 87.573 | -0.000 | 
| -0.000 | -0.000 | -0.000 | -0.000 | -0.000 | 81.681 | 
| 227.757 | 117.543 | 87.380 | 0.000 | 0.000 | 0.000 | 
| 111.345 | 226.551 | 81.753 | 0.000 | 0.000 | -0.000 | 
| 107.256 | 107.256 | 261.054 | 0.000 | 0.000 | 0.000 | 
| -0.000 | -0.000 | -0.000 | 87.574 | 0.000 | 0.000 | 
| -1.874 | -1.874 | -6.477 | 0.000 | 68.185 | -0.000 | 
| -1.573 | -1.573 | -6.449 | 0.000 | 0.000 | 56.089 | 
| 269.214 | 105.852 | 107.257 | 0.000 | -0.000 | 0.000 | 
| 105.852 | 269.214 | 107.257 | -0.000 | -0.000 | 0.000 | 
| 90.135 | 90.135 | 237.049 | -0.000 | -0.000 | -0.000 | 
| 0.000 | 0.000 | 0.000 | 87.574 | -0.000 | -0.000 | 
| 1.874 | 1.874 | 6.477 | -0.000 | 68.185 | -0.000 | 
| 1.119 | 1.119 | 3.866 | -0.000 | -0.000 | 55.967 | 
| 224.183 | 120.816 | 89.419 | 0.000 | 0.000 | -0.000 | 
| 105.853 | 269.214 | 107.257 | 0.000 | 0.000 | -0.000 | 
| 89.436 | 89.436 | 233.161 | 0.000 | 0.000 | -0.000 | 
| -0.000 | -0.000 | -0.000 | 87.574 | 0.000 | 0.000 | 
| -0.206 | -0.206 | -0.711 | 0.000 | 66.274 | 0.000 | 
| -0.097 | -0.097 | -0.336 | 0.000 | 0.000 | 59.337 | 
| 226.635 | 112.745 | 87.391 | -0.000 | -0.000 | 0.000 | 
| 105.852 | 269.213 | 107.257 | 0.000 | -0.000 | 0.000 | 
| 107.256 | 107.256 | 261.054 | -0.000 | -0.000 | -0.000 | 
| 0.000 | 0.000 | 0.000 | 87.574 | -0.000 | -0.000 | 
| 0.206 | 0.206 | 0.711 | 0.000 | 66.274 | -0.000 | 
| 0.097 | 0.097 | 0.336 | -0.000 | -0.000 | 59.335 | 
| 282.704 | 106.466 | 116.602 | 0.000 | 0.000 | -0.000 | 
| -891.131 | -791.501 | 908.379 | 0.000 | -0.000 | -0.000 | 
| 116.756 | 116.756 | 267.774 | -0.000 | 0.000 | -0.000 | 
| 0.000 | 0.000 | -0.000 | 102.879 | -0.000 | -0.000 | 
| 0.000 | 0.000 | -0.000 | -0.000 | 102.879 | -0.000 | 
| -1013.233 | -1013.233 | 814.525 | -0.000 | -0.000 | 49.830 | 
| 282.704 | 106.466 | 116.602 | -0.000 | -0.000 | 0.000 | 
| 1135.283 | 1234.974 | -720.620 | -0.000 | 0.000 | 0.000 | 
| 1105.693 | 1105.693 | -578.416 | -0.000 | 0.000 | 0.000 | 
| -0.000 | -0.000 | -0.000 | 102.879 | 0.000 | 0.000 | 
| -0.000 | -0.000 | -0.000 | -0.000 | 102.879 | 0.000 | 
| -0.000 | 0.000 | -0.000 | -0.000 | -0.000 | 88.119 | 
| 121.678 | 21.609 | 174.698 | -0.000 | -0.000 | -0.000 | 
| 21.610 | 121.679 | 174.697 | -0.000 | -0.000 | -0.000 | 
| 116.756 | 116.756 | 267.774 | 0.000 | 0.000 | -0.000 | 
| 0.000 | -0.000 | 0.000 | 102.879 | -0.000 | -0.000 | 
| -0.000 | 0.000 | 0.000 | 0.000 | 102.879 | -0.000 | 
| -100.542 | -100.542 | 80.825 | -0.000 | -0.000 | 50.125 | 
| 419.848 | 225.054 | 48.964 | -0.000 | 0.000 | -0.000 | 
| 222.177 | 322.896 | 13.550 | 0.000 | 0.000 | -0.000 | 
| 250.794 | 250.794 | 200.047 | -0.000 | -0.000 | 0.000 | 
| -0.000 | 0.000 | -0.000 | 102.879 | -0.000 | 0.000 | 
| 0.000 | -0.000 | -0.000 | 0.000 | 102.879 | 0.000 | 
| -0.000 | 0.000 | 0.000 | -0.000 | -0.000 | 88.119 | 
| 282.705 | 106.466 | 116.602 | 0.000 | -0.000 | 0.000 | 
| 106.466 | 282.705 | 116.602 | 0.000 | 0.000 | 0.000 | 
| 89.348 | 89.348 | 254.863 | 0.000 | -0.000 | -0.000 | 
| -0.000 | -0.000 | 0.000 | 102.879 | -0.000 | -0.000 | 
| -0.000 | -0.000 | 0.000 | 0.000 | 102.879 | 0.000 | 
| -7.070 | -7.070 | 5.684 | -0.000 | -0.000 | 61.401 | 
| 282.703 | 106.465 | 116.601 | -0.000 | -0.000 | -0.000 | 
| 123.434 | 249.967 | 96.357 | -0.000 | 0.000 | -0.000 | 
| 116.822 | 116.822 | 240.488 | -0.000 | 0.000 | 0.000 | 
| 0.000 | 0.000 | -0.000 | 102.879 | -0.000 | 0.000 | 
| 0.000 | 0.000 | -0.000 | -0.000 | 102.879 | -0.000 | 
| 7.070 | 7.070 | -5.684 | 0.000 | 0.000 | 61.401 | 
| 454.878 | 94.306 | 95.851 | 0.000 | 0.000 | 0.000 | 
| 94.306 | 454.878 | 95.851 | 0.000 | 0.000 | 0.000 | 
| 94.765 | 94.765 | 259.474 | 0.000 | -0.000 | 0.000 | 
| 0.000 | 0.000 | 0.000 | 54.114 | -0.000 | 0.000 | 
| 0.000 | 0.000 | -0.000 | 0.000 | 54.114 | 0.000 | 
| 0.000 | 0.000 | 0.000 | 0.000 | 0.000 | 59.631 | 
| 455.300 | 94.268 | 94.389 | 0.000 | -0.000 | -0.000 | 
| 94.268 | 455.300 | 94.389 | -0.000 | -0.000 | -0.000 | 
| 94.389 | 94.389 | 262.341 | -0.000 | -0.000 | -0.000 | 
| -0.000 | -0.000 | -0.000 | 54.114 | -0.000 | -0.000 | 
| -0.000 | -0.000 | -0.000 | -0.000 | 54.114 | -0.000 | 
| 0.000 | 0.000 | -0.000 | -0.000 | -0.000 | 59.631 | 
| 455.300 | 94.268 | 94.389 | 0.000 | -0.000 | 0.000 | 
| 94.268 | 455.300 | 94.389 | 0.000 | 0.000 | 0.000 | 
| 94.872 | 94.872 | 258.653 | 0.000 | -0.000 | 0.000 | 
| -0.042 | -0.042 | 0.322 | 53.533 | 0.000 | 0.000 | 
| -0.042 | -0.042 | 0.322 | 0.000 | 53.533 | 0.000 | 
| 0.000 | -0.000 | -0.000 | -0.000 | -0.000 | 59.631 | 
| 455.300 | 94.268 | 94.388 | 0.000 | -0.000 | -0.000 | 
| 94.268 | 455.300 | 94.388 | -0.000 | -0.000 | -0.000 | 
| 94.388 | 94.388 | 262.341 | -0.000 | 0.000 | -0.000 | 
| 0.042 | 0.042 | -0.322 | 53.533 | -0.000 | -0.000 | 
| 0.042 | 0.042 | -0.322 | -0.000 | 53.533 | -0.000 | 
| -0.000 | 0.000 | 0.000 | 0.000 | 0.000 | 59.631 | 
| 454.980 | 94.455 | 94.894 | 0.000 | -0.000 | 0.000 | 
| 94.455 | 454.980 | 94.894 | 0.000 | -0.000 | 0.000 | 
| 94.884 | 94.884 | 258.569 | 0.000 | 0.000 | 0.000 | 
| -0.000 | 0.000 | 0.000 | 54.114 | 0.000 | 0.000 | 
| -0.001 | -0.001 | 0.009 | 0.000 | 53.422 | 0.000 | 
| 0.000 | -0.000 | -0.000 | 0.000 | 0.000 | 59.631 | 
| 454.984 | 94.457 | 94.875 | -0.000 | -0.000 | -0.000 | 
| 94.457 | 454.984 | 94.875 | -0.000 | -0.000 | -0.000 | 
| 94.885 | 94.885 | 258.554 | -0.000 | -0.000 | -0.000 | 
| 0.000 | -0.000 | -0.000 | 54.114 | 0.000 | -0.000 | 
| -0.000 | 0.000 | -0.000 | -0.000 | 54.114 | -0.000 | 
| -0.000 | 0.000 | 0.000 | -0.000 | -0.000 | 59.631 | 
| 225.113 | 132.345 | -22.763 | 0.000 | 0.000 | -0.000 | 
| 132.345 | 225.113 | -22.763 | 0.000 | 0.000 | -0.000 | 
| 187.542 | 187.542 | -157.455 | 0.000 | 0.000 | -0.000 | 
| 0.000 | -0.000 | -0.000 | 74.986 | 0.000 | -0.000 | 
| 0.000 | -0.000 | -0.000 | 0.000 | 74.986 | -0.000 | 
| 54.742 | 54.742 | -153.840 | 0.000 | 0.000 | 54.256 | 
| 115.601 | 22.833 | 284.993 | -0.000 | -0.000 | 0.000 | 
| 22.833 | 115.601 | 284.993 | -0.000 | -0.000 | 0.000 | 
| 123.752 | 123.752 | 21.810 | -0.000 | -0.000 | 0.000 | 
| -0.000 | 0.000 | 0.000 | 74.986 | -0.000 | 0.000 | 
| 0.000 | 0.000 | 0.000 | -0.000 | 74.986 | 0.000 | 
| -54.742 | -54.742 | 153.840 | -0.000 | -0.000 | 54.256 | 
| 176.003 | 83.396 | 115.022 | -0.000 | 0.000 | -0.000 | 
| 83.396 | 176.003 | 115.022 | 0.000 | 0.000 | -0.000 | 
| 138.274 | 138.274 | -18.999 | 0.000 | 0.000 | -0.000 | 
| 6.190 | 6.190 | -17.395 | 69.260 | 0.000 | -0.000 | 
| 6.190 | 6.190 | -17.395 | 0.000 | 69.260 | -0.000 | 
| 0.000 | 0.000 | -0.000 | 0.000 | 0.000 | 54.256 | 
| 164.540 | 72.456 | 146.501 | -0.000 | -0.000 | 0.000 | 
| 72.456 | 164.540 | 146.501 | -0.000 | -0.000 | 0.000 | 
| 127.325 | 127.325 | 11.768 | -0.000 | -0.000 | 0.000 | 
| -6.190 | -6.190 | 17.395 | 69.260 | -0.000 | 0.000 | 
| -6.190 | -6.190 | 17.395 | -0.000 | 69.260 | 0.000 | 
| -0.000 | -0.000 | 0.000 | -0.000 | -0.000 | 54.256 | 
| 170.562 | 78.478 | 129.579 | 0.000 | 0.000 | -0.000 | 
| 78.478 | 170.562 | 129.579 | 0.000 | 0.000 | -0.000 | 
| 133.347 | 133.347 | -5.151 | 0.000 | 0.000 | -0.000 | 
| -0.000 | 0.000 | 0.000 | 74.986 | 0.000 | -0.000 | 
| 0.000 | -0.000 | 0.000 | 0.000 | 74.986 | -0.000 | 
| 0.000 | 0.000 | -0.000 | 0.000 | 0.000 | 54.256 | 
| 169.467 | 77.382 | 132.655 | -0.000 | -0.000 | 0.000 | 
| 77.382 | 169.467 | 132.655 | -0.000 | -0.000 | 0.000 | 
| 132.252 | 132.252 | -2.080 | -0.000 | -0.000 | 0.000 | 
| 0.000 | -0.000 | -0.000 | 74.986 | -0.000 | 0.000 | 
| -0.000 | 0.000 | -0.000 | -0.000 | 74.986 | 0.000 | 
| -0.000 | -0.000 | 0.000 | -0.000 | -0.000 | 54.256 | 
| 374.393 | 87.660 | 89.133 | 0.000 | 0.000 | -0.000 | 
| 90.608 | 463.139 | 92.541 | 0.000 | 0.000 | -0.000 | 
| 106.422 | 103.918 | 351.805 | 0.000 | 0.000 | -0.000 | 
| 0.000 | -0.000 | 0.000 | 64.705 | 0.000 | 0.000 | 
| 8.257 | 2.523 | -6.555 | 0.000 | 53.161 | 0.000 | 
| 3.072 | 0.169 | -8.142 | 0.000 | 0.000 | 50.123 | 
| 358.180 | 82.784 | 102.585 | -0.000 | -0.000 | 0.000 | 
| 89.267 | 463.654 | 100.459 | -0.000 | -0.000 | -0.000 | 
| 90.212 | 98.924 | 364.368 | -0.000 | -0.000 | 0.000 | 
| 0.000 | 0.000 | -0.000 | 64.705 | -0.000 | 0.000 | 
| -8.257 | -2.523 | 6.555 | -0.000 | 53.161 | -0.000 | 
| -3.072 | -0.169 | 8.142 | -0.000 | -0.000 | 50.123 | 
| 374.727 | 88.679 | 95.660 | 0.000 | 0.000 | -0.000 | 
| 86.655 | 462.376 | 98.975 | 0.000 | 0.000 | -0.000 | 
| 99.066 | 101.700 | 357.862 | 0.000 | 0.000 | -0.000 | 
| 0.646 | 0.036 | -1.713 | 63.909 | 0.000 | -0.000 | 
| 1.000 | 0.453 | 0.301 | 0.000 | 52.898 | -0.000 | 
| 0.307 | 0.017 | -0.814 | 0.000 | 0.000 | 50.123 | 
| 365.536 | 85.003 | 96.528 | 0.000 | -0.000 | 0.000 | 
| 85.020 | 461.883 | 100.321 | -0.000 | -0.000 | 0.000 | 
| 97.607 | 101.277 | 359.194 | -0.000 | -0.000 | -0.000 | 
| -0.646 | -0.036 | 1.713 | 63.909 | -0.000 | -0.000 | 
| -1.000 | -0.453 | -0.301 | -0.000 | 52.898 | 0.000 | 
| -0.307 | -0.017 | 0.814 | -0.000 | -0.000 | 50.123 | 
| 366.581 | 85.208 | 94.842 | 0.000 | 0.000 | -0.000 | 
| 89.267 | 463.653 | 100.459 | 0.000 | 0.000 | -0.000 | 
| 98.330 | 101.478 | 358.467 | -0.000 | 0.000 | 0.000 | 
| 0.121 | 0.068 | 0.133 | 63.303 | 0.000 | -0.000 | 
| 0.000 | -0.000 | 0.000 | 0.000 | 58.340 | -0.000 | 
| 0.031 | 0.002 | -0.081 | 0.000 | 0.000 | 50.123 | 
| 366.273 | 85.224 | 95.922 | -0.000 | -0.000 | 0.000 | 
| 89.266 | 463.655 | 100.458 | -0.000 | -0.000 | 0.000 | 
| 98.166 | 101.428 | 358.603 | 0.000 | -0.000 | 0.000 | 
| -0.121 | -0.068 | -0.133 | 63.303 | -0.000 | 0.000 | 
| -0.000 | 0.000 | -0.000 | -0.000 | 58.340 | 0.000 | 
| -0.031 | -0.002 | 0.081 | -0.000 | -0.000 | 50.123 | 
| 391.161 | 80.825 | 60.674 | 0.000 | 0.000 | -0.000 | 
| 85.580 | 465.509 | 67.551 | -0.000 | 0.000 | -0.000 | 
| 97.884 | 100.038 | 303.480 | -0.000 | -0.000 | 0.000 | 
| 1.109 | -3.688 | -36.433 | 64.383 | -0.000 | -0.000 | 
| 0.000 | 0.000 | -0.000 | -0.000 | 57.558 | 0.000 | 
| 0.000 | -0.000 | -0.000 | -0.000 | -0.000 | 49.086 | 
| 381.717 | 85.219 | 130.559 | -0.000 | 0.000 | 0.000 | 
| 83.338 | 472.880 | 140.451 | 0.000 | 0.000 | 0.000 | 
| 98.048 | 105.382 | 350.495 | 0.000 | 0.000 | -0.000 | 
| -1.109 | 3.688 | 36.433 | 64.382 | 0.000 | -0.000 | 
| -0.000 | -0.000 | 0.000 | -0.000 | 57.558 | 0.000 | 
| -0.000 | 0.000 | 0.000 | -0.000 | 0.000 | 49.086 | 
| 386.393 | 82.596 | 91.971 | 0.000 | 0.000 | -0.000 | 
| 85.699 | 469.804 | 105.382 | 0.000 | 0.000 | 0.000 | 
| 95.904 | 102.936 | 335.718 | 0.000 | 0.000 | 0.000 | 
| -0.000 | 0.000 | -0.000 | 64.709 | -0.000 | 0.000 | 
| 0.000 | -0.000 | 0.000 | 0.000 | 57.558 | 0.000 | 
| 0.000 | -0.000 | 0.000 | 0.000 | -0.000 | 49.086 | 
| 385.543 | 83.073 | 98.987 | -0.000 | 0.000 | 0.000 | 
| 83.732 | 469.404 | 108.236 | -0.000 | 0.000 | -0.000 | 
| 98.048 | 105.382 | 350.495 | -0.000 | -0.000 | -0.000 | 
| 0.000 | -0.000 | 0.000 | 64.709 | -0.000 | 0.000 | 
| -0.000 | 0.000 | -0.000 | -0.000 | 57.558 | 0.000 | 
| -0.000 | 0.000 | -0.000 | -0.000 | 0.000 | 49.086 | 
| 386.009 | 82.811 | 95.129 | 0.000 | 0.000 | 0.000 | 
| 85.700 | 469.803 | 105.383 | 0.000 | -0.000 | -0.000 | 
| 96.778 | 103.639 | 339.118 | -0.000 | -0.000 | 0.000 | 
| 0.035 | -0.116 | -1.148 | 63.679 | -0.000 | -0.000 | 
| 0.084 | 0.089 | 0.517 | -0.000 | 51.917 | 0.000 | 
| 0.011 | -0.037 | -0.364 | -0.000 | -0.000 | 49.086 | 
| 393.000 | 85.699 | 98.048 | 0.000 | 0.000 | 0.000 | 
| 82.791 | 468.531 | 103.525 | -0.000 | -0.000 | -0.000 | 
| 96.750 | 103.706 | 339.813 | -0.000 | 0.000 | -0.000 | 
| -0.035 | 0.116 | 1.148 | 63.679 | 0.000 | -0.000 | 
| -0.084 | -0.089 | -0.517 | 0.000 | 51.917 | -0.000 | 
| -0.011 | 0.037 | 0.364 | -0.000 | 0.000 | 49.086 | 
| 229.411 | 60.409 | 60.409 | -0.000 | 0.000 | 0.000 | 
| 60.409 | 229.411 | 60.409 | 0.000 | 0.000 | 0.000 | 
| 60.409 | 60.409 | 229.411 | 0.000 | 0.000 | 0.000 | 
| 0.000 | -0.000 | -0.000 | 87.773 | 0.000 | -0.000 | 
| -0.000 | 0.000 | -0.000 | 0.000 | 87.773 | 0.000 | 
| 0.000 | 0.000 | -0.000 | 0.000 | 0.000 | 87.773 | 
| 229.411 | 60.409 | 60.409 | 0.000 | -0.000 | -0.000 | 
| 60.409 | 229.411 | 60.409 | -0.000 | -0.000 | -0.000 | 
| 60.409 | 60.409 | 229.411 | -0.000 | -0.000 | -0.000 | 
| -0.000 | -0.000 | 0.000 | 87.773 | -0.000 | -0.000 | 
| -0.000 | -0.000 | 0.000 | -0.000 | 87.773 | -0.000 | 
| -0.000 | -0.000 | 0.000 | -0.000 | -0.000 | 87.773 | 
| 229.411 | 60.409 | 60.409 | -0.000 | 0.000 | -0.000 | 
| 60.409 | 229.411 | 60.409 | 0.000 | 0.000 | 0.000 | 
| 60.409 | 60.409 | 229.411 | 0.000 | 0.000 | 0.000 | 
| 0.000 | 0.000 | 0.000 | 87.773 | 0.000 | 0.000 | 
| 0.000 | -0.000 | 0.000 | -0.000 | 87.773 | 0.000 | 
| 0.000 | 0.000 | -0.000 | 0.000 | 0.000 | 87.773 | 
| 229.411 | 60.409 | 60.409 | -0.000 | -0.000 | -0.000 | 
| 60.409 | 229.411 | 60.409 | -0.000 | -0.000 | -0.000 | 
| 60.409 | 60.409 | 229.411 | -0.000 | -0.000 | 0.000 | 
| -0.000 | 0.000 | -0.000 | 87.773 | -0.000 | 0.000 | 
| -0.000 | 0.000 | -0.000 | -0.000 | 87.773 | -0.000 | 
| 0.000 | -0.000 | 0.000 | -0.000 | -0.000 | 87.773 | 
| 229.412 | 60.410 | 60.410 | -0.000 | 0.000 | 0.000 | 
| 60.410 | 229.412 | 60.410 | 0.000 | 0.000 | 0.000 | 
| 60.410 | 60.410 | 229.412 | 0.000 | 0.000 | -0.000 | 
| -0.000 | -0.000 | 0.000 | 87.773 | 0.000 | 0.000 | 
| -0.000 | -0.000 | 0.000 | 0.000 | 87.773 | 0.000 | 
| -0.000 | 0.000 | -0.000 | 0.000 | 0.000 | 87.773 | 
| 229.410 | 60.409 | 60.409 | -0.000 | -0.000 | -0.000 | 
| 60.409 | 229.410 | 60.409 | -0.000 | -0.000 | -0.000 | 
| 60.409 | 60.409 | 229.410 | -0.000 | -0.000 | -0.000 | 
| 0.000 | 0.000 | -0.000 | 87.773 | -0.000 | -0.000 | 
| 0.000 | 0.000 | -0.000 | -0.000 | 87.773 | -0.000 | 
| 0.000 | -0.000 | 0.000 | -0.000 | -0.000 | 87.773 | 
| 916.081 | 584.405 | 584.405 | -0.000 | -0.000 | -0.000 | 
| 584.405 | 916.081 | 584.405 | -0.000 | -0.000 | -0.000 | 
| 584.405 | 584.405 | 916.081 | -0.000 | -0.000 | -0.000 | 
| -0.000 | -0.000 | -0.000 | 310.966 | -0.000 | -0.000 | 
| -0.000 | 0.000 | -0.000 | -0.000 | 310.966 | 0.000 | 
| -0.000 | 0.000 | -0.000 | -0.000 | -0.000 | 310.966 | 
| 916.081 | 584.405 | 584.405 | 0.000 | 0.000 | -0.000 | 
| 584.405 | 916.081 | 584.405 | 0.000 | 0.000 | 0.000 | 
| 584.405 | 584.405 | 916.081 | 0.000 | 0.000 | 0.000 | 
| 0.000 | 0.000 | 0.000 | 310.966 | 0.000 | 0.000 | 
| 0.000 | -0.000 | 0.000 | 0.000 | 310.966 | 0.000 | 
| 0.000 | -0.000 | 0.000 | 0.000 | 0.000 | 310.966 | 
| 916.081 | 584.405 | 584.405 | -0.000 | -0.000 | 0.000 | 
| 584.405 | 916.081 | 584.405 | -0.000 | -0.000 | 0.000 | 
| 584.405 | 584.405 | 916.081 | -0.000 | 0.000 | -0.000 | 
| 0.000 | -0.000 | -0.000 | 310.966 | -0.000 | -0.000 | 
| -0.000 | 0.000 | -0.000 | -0.000 | 310.966 | -0.000 | 
| -0.000 | -0.000 | 0.000 | -0.000 | -0.000 | 310.966 | 
| 916.081 | 584.405 | 584.405 | 0.000 | 0.000 | -0.000 | 
| 584.405 | 916.081 | 584.405 | 0.000 | 0.000 | 0.000 | 
| 584.405 | 584.405 | 916.081 | -0.000 | 0.000 | 0.000 | 
| -0.000 | 0.000 | 0.000 | 310.966 | 0.000 | 0.000 | 
| 0.000 | -0.000 | 0.000 | 0.000 | 310.966 | 0.000 | 
| 0.000 | 0.000 | -0.000 | 0.000 | 0.000 | 310.966 | 
| 916.080 | 584.405 | 584.405 | -0.000 | -0.000 | 0.000 | 
| 584.405 | 916.080 | 584.405 | 0.000 | -0.000 | -0.000 | 
| 584.405 | 584.405 | 916.080 | -0.000 | -0.000 | 0.000 | 
| 0.000 | -0.001 | -0.000 | 310.966 | -0.000 | -0.000 | 
| -0.001 | 0.000 | -0.000 | -0.000 | 310.966 | -0.000 | 
| -0.001 | -0.000 | 0.000 | 0.000 | -0.000 | 310.966 | 
| 916.081 | 584.405 | 584.405 | -0.000 | -0.000 | 0.000 | 
| 584.405 | 916.081 | 584.405 | 0.000 | 0.000 | 0.000 | 
| 584.405 | 584.405 | 916.081 | 0.000 | 0.000 | 0.000 | 
| -0.000 | 0.001 | 0.000 | 310.966 | 0.000 | 0.000 | 
| 0.001 | -0.000 | 0.000 | -0.000 | 310.966 | 0.000 | 
| 0.001 | 0.000 | -0.000 | -0.000 | 0.000 | 310.966 | 
| 217.932 | 39.224 | 39.224 | 0.000 | 0.000 | 0.000 | 
| 39.224 | 217.932 | 39.224 | 0.000 | 0.000 | 0.000 | 
| 39.224 | 39.224 | 217.932 | 0.000 | 0.000 | 0.000 | 
| -0.000 | 0.000 | 0.000 | 72.323 | -0.000 | 0.000 | 
| -0.000 | 0.000 | 0.000 | 0.000 | 72.323 | 0.000 | 
| -0.000 | 0.000 | 0.000 | 0.000 | 0.000 | 72.323 | 
| 217.932 | 39.224 | 39.224 | -0.000 | -0.000 | -0.000 | 
| 39.224 | 217.932 | 39.224 | -0.000 | -0.000 | -0.000 | 
| 39.224 | 39.224 | 217.932 | -0.000 | -0.000 | -0.000 | 
| 0.000 | -0.000 | -0.000 | 72.323 | -0.000 | -0.000 | 
| 0.000 | -0.000 | -0.000 | -0.000 | 72.323 | -0.000 | 
| 0.000 | -0.000 | 0.000 | -0.000 | -0.000 | 72.323 | 
| 217.932 | 39.224 | 39.224 | 0.000 | 0.000 | 0.000 | 
| 39.224 | 217.932 | 39.224 | 0.000 | 0.000 | 0.000 | 
| 39.224 | 39.224 | 217.932 | 0.000 | 0.000 | 0.000 | 
| -0.000 | 0.000 | 0.000 | 72.323 | 0.000 | 0.000 | 
| 0.000 | -0.000 | 0.000 | 0.000 | 72.323 | 0.000 | 
| 0.000 | 0.000 | 0.000 | 0.000 | 0.000 | 72.323 | 
| 217.932 | 39.224 | 39.224 | -0.000 | 0.000 | -0.000 | 
| 39.224 | 217.932 | 39.224 | -0.000 | -0.000 | -0.000 | 
| 39.224 | 39.224 | 217.932 | -0.000 | -0.000 | -0.000 | 
| 0.000 | -0.000 | -0.000 | 72.323 | -0.000 | -0.000 | 
| -0.000 | 0.000 | -0.000 | -0.000 | 72.323 | -0.000 | 
| -0.000 | -0.000 | 0.000 | -0.000 | -0.000 | 72.323 | 
| 217.932 | 39.224 | 39.224 | 0.000 | 0.000 | 0.000 | 
| 39.224 | 217.932 | 39.224 | -0.000 | 0.000 | 0.000 | 
| 39.224 | 39.224 | 217.932 | 0.000 | 0.000 | 0.000 | 
| 0.000 | 0.000 | 0.000 | 76.453 | 0.000 | 0.000 | 
| 0.000 | 0.000 | 0.000 | 0.000 | 76.453 | 0.000 | 
| 0.000 | 0.000 | 0.000 | -0.000 | 0.000 | 76.453 | 
| 217.931 | 39.224 | 39.224 | -0.000 | -0.000 | -0.000 | 
| 39.224 | 217.931 | 39.224 | -0.000 | 0.000 | -0.000 | 
| 39.224 | 39.224 | 217.931 | -0.000 | -0.000 | -0.000 | 
| -0.000 | -0.000 | -0.000 | 76.453 | 0.000 | -0.000 | 
| -0.000 | -0.000 | -0.000 | -0.000 | 76.453 | -0.000 | 
| -0.000 | -0.000 | -0.000 | -0.000 | -0.000 | 76.453 | 
| 272.306 | 50.011 | 50.011 | -0.000 | -0.000 | 0.000 | 
| 50.011 | 272.306 | 50.011 | 0.000 | -0.000 | -0.000 | 
| 50.011 | 50.011 | 272.306 | -0.000 | 0.000 | -0.000 | 
| -0.000 | 0.000 | -0.000 | 97.167 | -0.000 | 0.000 | 
| -0.000 | 0.000 | -0.000 | -0.000 | 97.167 | 0.000 | 
| -0.000 | 0.001 | -0.000 | -0.000 | -0.000 | 97.167 | 
| 272.306 | 50.011 | 50.011 | 0.000 | 0.000 | 0.000 | 
| 50.011 | 272.306 | 50.011 | 0.000 | 0.000 | 0.000 | 
| 50.011 | 50.011 | 272.306 | 0.000 | 0.000 | 0.000 | 
| 0.000 | -0.000 | 0.000 | 97.167 | 0.000 | -0.000 | 
| -0.000 | -0.000 | 0.000 | 0.000 | 97.167 | 0.000 | 
| 0.000 | -0.000 | 0.000 | -0.000 | 0.000 | 97.167 | 
| 272.306 | 50.011 | 50.011 | -0.000 | -0.000 | -0.000 | 
| 50.011 | 272.306 | 50.011 | -0.000 | -0.000 | -0.000 | 
| 50.011 | 50.011 | 272.306 | -0.000 | -0.000 | 0.000 | 
| -0.000 | 0.000 | 0.000 | 78.539 | 0.000 | -0.000 | 
| 0.000 | 0.000 | 0.000 | -0.000 | 78.539 | -0.000 | 
| 0.000 | 0.000 | -0.000 | -0.000 | 0.000 | 78.539 | 
| 272.306 | 50.011 | 50.011 | 0.000 | 0.000 | 0.000 | 
| 50.011 | 272.306 | 50.011 | 0.000 | 0.000 | 0.000 | 
| 50.011 | 50.011 | 272.306 | 0.000 | 0.000 | 0.000 | 
| 0.000 | -0.000 | -0.000 | 78.539 | -0.000 | -0.000 | 
| -0.000 | -0.000 | -0.000 | 0.000 | 78.539 | 0.000 | 
| -0.000 | 0.000 | 0.000 | 0.000 | 0.000 | 78.539 | 
| 272.306 | 50.011 | 50.011 | -0.000 | -0.000 | 0.000 | 
| 50.011 | 272.306 | 50.011 | 0.000 | 0.000 | 0.000 | 
| 50.011 | 50.011 | 272.306 | 0.000 | 0.000 | -0.000 | 
| -0.000 | 0.000 | 0.000 | 78.539 | 0.000 | 0.000 | 
| 0.000 | -0.000 | 0.000 | 0.000 | 78.539 | -0.000 | 
| 0.000 | 0.000 | -0.000 | -0.000 | -0.000 | 78.539 | 
| 272.306 | 50.011 | 50.011 | 0.000 | 0.000 | 0.000 | 
| 50.011 | 272.306 | 50.011 | 0.000 | 0.000 | 0.000 | 
| 50.011 | 50.011 | 272.306 | -0.000 | -0.000 | 0.000 | 
| 0.000 | -0.000 | -0.000 | 78.539 | 0.000 | 0.000 | 
| -0.000 | 0.000 | -0.000 | 0.000 | 78.539 | 0.000 | 
| -0.000 | -0.000 | 0.000 | 0.000 | 0.000 | 78.539 | 
| 716.802 | 244.900 | 244.900 | -0.000 | -0.000 | -0.000 | 
| 244.900 | 716.802 | 244.900 | -0.000 | -0.000 | -0.000 | 
| 244.900 | 244.900 | 716.802 | -0.000 | -0.000 | -0.000 | 
| 0.000 | -0.000 | -0.000 | 579.258 | 0.000 | -0.000 | 
| 0.000 | 0.000 | 0.000 | 0.000 | 579.258 | -0.000 | 
| 0.000 | 0.000 | 0.000 | -0.000 | 0.000 | 579.258 | 
| 716.802 | 244.900 | 244.901 | 0.000 | 0.000 | 0.000 | 
| 244.900 | 716.802 | 244.901 | 0.000 | 0.000 | 0.000 | 
| 244.900 | 244.900 | 716.803 | 0.000 | 0.000 | -0.000 | 
| -0.000 | -0.000 | -0.000 | 579.258 | -0.000 | -0.000 | 
| -0.000 | -0.000 | -0.000 | 0.000 | 579.258 | -0.000 | 
| -0.000 | -0.000 | -0.000 | -0.000 | -0.000 | 579.258 | 
| 716.802 | 244.900 | 244.900 | -0.000 | -0.000 | 0.000 | 
| 244.900 | 716.802 | 244.900 | -0.000 | -0.000 | -0.000 | 
| 244.901 | 244.900 | 716.802 | -0.000 | -0.000 | -0.000 | 
| -0.000 | -0.000 | -0.000 | -78.961 | 0.000 | 0.000 | 
| -0.000 | -0.000 | -0.000 | -0.000 | -78.961 | 0.000 | 
| -0.000 | -0.000 | -0.000 | 0.000 | 0.000 | -78.961 | 
| 716.802 | 244.900 | 244.900 | 0.000 | 0.000 | 0.000 | 
| 244.900 | 716.802 | 244.900 | 0.000 | 0.000 | 0.000 | 
| 244.900 | 244.900 | 716.802 | 0.000 | 0.000 | 0.000 | 
| 0.000 | 0.000 | 0.000 | -78.961 | -0.000 | -0.000 | 
| 0.000 | 0.000 | 0.000 | -0.000 | -78.961 | -0.000 | 
| 0.000 | 0.000 | 0.000 | -0.000 | -0.000 | -78.961 | 
| 716.804 | 244.901 | 244.901 | -0.000 | 0.000 | 0.000 | 
| 244.901 | 716.804 | 244.901 | 0.000 | -0.000 | 0.000 | 
| 244.901 | 244.901 | 716.804 | -0.000 | -0.000 | 0.000 | 
| -0.001 | -0.000 | -0.001 | -78.961 | 0.000 | 0.000 | 
| -0.000 | -0.001 | -0.001 | -0.000 | -78.961 | -0.000 | 
| -0.000 | -0.001 | -0.001 | 0.000 | 0.000 | -78.961 | 
| 716.800 | 244.900 | 244.900 | -0.000 | -0.000 | 0.000 | 
| 244.900 | 716.800 | 244.900 | -0.000 | 0.000 | 0.000 | 
| 244.900 | 244.900 | 716.800 | 0.000 | 0.000 | 0.000 | 
| 0.001 | 0.000 | 0.001 | -78.961 | -0.000 | 0.000 | 
| 0.000 | 0.001 | 0.001 | -0.000 | -78.961 | -0.000 | 
| 0.000 | 0.001 | 0.001 | 0.000 | -0.000 | -78.961 | 
| 1592.381 | 1387.960 | 1387.960 | -0.000 | 0.000 | -0.000 | 
| 1387.960 | 1592.381 | 1387.960 | -0.000 | 0.000 | -0.000 | 
| 1387.960 | 1387.960 | 1592.381 | -0.000 | 0.000 | -0.000 | 
| -0.000 | -0.000 | -0.000 | 213.377 | 0.000 | -0.000 | 
| -0.000 | -0.000 | 0.000 | 0.000 | 213.377 | -0.000 | 
| -0.000 | 0.000 | 0.000 | -0.000 | 0.000 | 213.377 | 
| 1592.383 | 1387.960 | 1387.960 | 0.000 | -0.000 | 0.000 | 
| 1387.960 | 1592.383 | 1387.960 | 0.000 | -0.000 | 0.000 | 
| 1387.960 | 1387.960 | 1592.383 | 0.000 | 0.000 | 0.000 | 
| 0.000 | -0.000 | 0.000 | 213.377 | -0.000 | 0.000 | 
| 0.000 | 0.000 | -0.000 | -0.000 | 213.377 | 0.000 | 
| -0.000 | 0.000 | -0.000 | -0.000 | -0.000 | 213.377 | 
| 1592.374 | 1387.958 | 1387.958 | -0.000 | 0.000 | -0.000 | 
| 1387.958 | 1592.374 | 1387.958 | -0.000 | 0.000 | -0.000 | 
| 1387.958 | 1387.958 | 1592.374 | 0.000 | 0.000 | -0.000 | 
| -0.000 | 0.000 | -0.000 | 213.377 | 0.000 | 0.000 | 
| 0.000 | -0.000 | -0.000 | 0.000 | 213.377 | -0.000 | 
| 0.000 | -0.000 | -0.000 | 0.000 | 0.000 | 213.377 | 
| 1592.390 | 1387.962 | 1387.962 | 0.000 | -0.000 | 0.000 | 
| 1387.962 | 1592.390 | 1387.962 | 0.000 | -0.000 | 0.000 | 
| 1387.962 | 1387.962 | 1592.390 | -0.000 | -0.000 | 0.000 | 
| 0.000 | -0.000 | 0.000 | 213.377 | -0.000 | 0.000 | 
| -0.000 | 0.000 | -0.000 | -0.000 | 213.377 | 0.000 | 
| -0.000 | -0.000 | 0.000 | -0.000 | -0.000 | 213.377 | 
| 1592.299 | 1387.941 | 1387.941 | -0.000 | -0.000 | 0.000 | 
| 1387.941 | 1592.299 | 1387.941 | -0.000 | 0.000 | -0.000 | 
| 1387.941 | 1387.941 | 1592.299 | -0.000 | 0.000 | -0.000 | 
| -0.021 | -0.001 | 0.012 | -202.243 | 0.000 | -0.000 | 
| -0.001 | -0.021 | 0.012 | -0.000 | -202.243 | -0.000 | 
| -0.001 | 0.012 | -0.021 | -0.000 | 0.000 | -202.243 | 
| 1592.468 | 1387.977 | 1387.977 | 0.000 | -0.000 | 0.000 | 
| 1387.977 | 1592.468 | 1387.977 | 0.000 | -0.000 | 0.000 | 
| 1387.977 | 1387.977 | 1592.468 | 0.000 | 0.000 | 0.000 | 
| 0.021 | 0.001 | -0.012 | -202.243 | -0.000 | 0.000 | 
| 0.001 | 0.021 | -0.012 | -0.000 | -202.243 | 0.000 | 
| 0.001 | -0.012 | 0.021 | 0.000 | -0.000 | -202.243 | 
| 7776.716 | 7745.486 | 7745.486 | -0.000 | -0.000 | -0.000 | 
| 7745.486 | 7776.716 | 7745.486 | -0.000 | -0.000 | -0.000 | 
| 7745.486 | 7745.486 | 7776.716 | -0.000 | -0.000 | -0.000 | 
| -0.000 | -0.000 | -0.000 | 208.698 | -0.000 | -0.000 | 
| -0.000 | -0.000 | -0.000 | -0.000 | 208.698 | -0.000 | 
| -0.000 | -0.000 | -0.000 | -0.000 | -0.000 | 208.698 | 
| 7776.716 | 7745.486 | 7745.486 | 0.000 | 0.000 | 0.000 | 
| 7745.486 | 7776.716 | 7745.486 | 0.000 | 0.000 | 0.000 | 
| 7745.486 | 7745.486 | 7776.716 | 0.000 | 0.000 | 0.000 | 
| 0.000 | 0.000 | 0.000 | 208.698 | 0.000 | 0.000 | 
| 0.000 | 0.000 | 0.000 | 0.000 | 208.698 | 0.000 | 
| 0.000 | 0.000 | 0.000 | 0.000 | 0.000 | 208.698 | 
| 7776.715 | 7745.486 | 7745.486 | -0.000 | -0.000 | -0.000 | 
| 7745.486 | 7776.715 | 7745.486 | -0.000 | -0.000 | -0.000 | 
| 7745.486 | 7745.486 | 7776.715 | -0.000 | -0.000 | -0.000 | 
| -0.001 | -0.001 | -0.001 | 208.696 | -0.000 | -0.000 | 
| -0.001 | -0.001 | -0.001 | -0.000 | 208.696 | -0.000 | 
| -0.001 | -0.001 | -0.001 | -0.000 | -0.000 | 208.696 | 
| 7776.717 | 7745.486 | 7745.486 | 0.000 | 0.000 | 0.000 | 
| 7745.486 | 7776.717 | 7745.486 | 0.000 | 0.000 | 0.000 | 
| 7745.486 | 7745.486 | 7776.717 | 0.000 | 0.000 | 0.000 | 
| 0.001 | 0.001 | 0.001 | 208.696 | 0.000 | 0.000 | 
| 0.001 | 0.001 | 0.001 | 0.000 | 208.696 | 0.000 | 
| 0.001 | 0.001 | 0.001 | 0.000 | 0.000 | 208.696 | 
| 7776.705 | 7745.483 | 7745.483 | -0.000 | -0.000 | -0.000 | 
| 7745.483 | 7776.705 | 7745.483 | -0.000 | -0.000 | -0.000 | 
| 7745.483 | 7745.483 | 7776.705 | -0.000 | -0.000 | -0.000 | 
| -0.007 | -0.008 | -0.007 | 208.698 | -0.000 | -0.000 | 
| -0.008 | -0.007 | -0.007 | -0.000 | 208.698 | -0.000 | 
| -0.008 | -0.007 | -0.007 | -0.000 | -0.000 | 208.698 | 
| 7776.727 | 7745.489 | 7745.489 | 0.000 | 0.000 | 0.000 | 
| 7745.489 | 7776.727 | 7745.489 | 0.000 | 0.000 | 0.000 | 
| 7745.489 | 7745.489 | 7776.727 | 0.000 | 0.000 | 0.000 | 
| 0.007 | 0.008 | 0.007 | 208.698 | 0.000 | 0.000 | 
| 0.008 | 0.007 | 0.007 | 0.000 | 208.698 | 0.000 | 
| 0.008 | 0.007 | 0.007 | 0.000 | 0.000 | 208.698 | 
| 282.631 | 43.458 | 43.458 | 0.000 | 0.000 | 0.000 | 
| 43.458 | 282.631 | 43.458 | 0.000 | 0.000 | 0.000 | 
| 43.458 | 43.458 | 282.631 | -0.000 | -0.000 | 0.000 | 
| -0.000 | 0.000 | 0.000 | 62.381 | 0.000 | 0.000 | 
| -0.000 | 0.000 | 0.000 | 0.000 | 62.381 | 0.000 | 
| -0.000 | 0.000 | 0.000 | 0.000 | 0.000 | 62.381 | 
| 282.631 | 43.458 | 43.458 | -0.000 | 0.000 | -0.000 | 
| 43.458 | 282.631 | 43.458 | -0.000 | -0.000 | -0.000 | 
| 43.458 | 43.458 | 282.631 | -0.000 | -0.000 | -0.000 | 
| 0.000 | -0.000 | -0.000 | 62.381 | -0.000 | -0.000 | 
| 0.000 | -0.000 | -0.000 | -0.000 | 62.381 | -0.000 | 
| 0.000 | -0.000 | -0.000 | -0.000 | -0.000 | 62.381 | 
| 282.631 | 43.458 | 43.458 | 0.000 | 0.000 | 0.000 | 
| 43.458 | 282.631 | 43.458 | 0.000 | 0.000 | 0.000 | 
| 43.458 | 43.458 | 282.631 | 0.000 | 0.000 | 0.000 | 
| -0.000 | 0.000 | 0.000 | 62.381 | 0.000 | 0.000 | 
| 0.000 | 0.000 | 0.000 | 0.000 | 62.381 | 0.000 | 
| 0.000 | 0.000 | 0.000 | 0.000 | 0.000 | 62.381 | 
| 282.631 | 43.458 | 43.458 | -0.000 | -0.000 | -0.000 | 
| 43.458 | 282.631 | 43.458 | -0.000 | -0.000 | -0.000 | 
| 43.458 | 43.458 | 282.631 | -0.000 | -0.000 | -0.000 | 
| 0.000 | -0.000 | -0.000 | 62.381 | -0.000 | -0.000 | 
| -0.000 | -0.000 | -0.000 | -0.000 | 62.381 | -0.000 | 
| -0.000 | -0.000 | -0.000 | -0.000 | -0.000 | 62.381 | 
| 282.632 | 43.458 | 43.458 | 0.000 | 0.000 | 0.000 | 
| 43.458 | 282.632 | 43.458 | 0.000 | 0.000 | 0.000 | 
| 43.458 | 43.458 | 282.632 | -0.000 | 0.000 | 0.000 | 
| -0.000 | 0.000 | 0.000 | 62.381 | 0.000 | 0.000 | 
| 0.000 | -0.000 | 0.000 | 0.000 | 62.381 | 0.000 | 
| 0.000 | 0.000 | -0.000 | 0.000 | 0.000 | 62.381 | 
| 282.631 | 43.458 | 43.458 | -0.000 | -0.000 | -0.000 | 
| 43.458 | 282.631 | 43.458 | -0.000 | -0.000 | -0.000 | 
| 43.458 | 43.458 | 282.631 | 0.000 | -0.000 | -0.000 | 
| 0.000 | -0.000 | -0.000 | 62.381 | 0.000 | -0.000 | 
| -0.000 | 0.000 | -0.000 | -0.000 | 62.381 | -0.000 | 
| -0.000 | -0.000 | 0.000 | -0.000 | -0.000 | 62.381 | 
| 648.065 | 452.799 | 452.799 | -0.000 | -0.000 | -0.000 | 
| 452.799 | 648.066 | 452.799 | -0.000 | -0.000 | -0.000 | 
| 452.799 | 452.799 | 648.065 | -0.000 | -0.000 | -0.000 | 
| -0.000 | -0.000 | -0.000 | 566.627 | -0.000 | -0.000 | 
| -0.000 | 0.000 | -0.000 | -0.000 | 566.627 | -0.000 | 
| -0.000 | -0.000 | -0.000 | -0.000 | -0.000 | 566.627 | 
| 648.065 | 452.799 | 452.800 | 0.000 | 0.000 | 0.000 | 
| 452.799 | 648.066 | 452.800 | 0.000 | 0.000 | 0.000 | 
| 452.799 | 452.799 | 648.065 | 0.000 | 0.000 | 0.000 | 
| -0.000 | -0.000 | 0.000 | 566.627 | 0.000 | 0.000 | 
| -0.000 | -0.000 | 0.000 | 0.000 | 566.627 | 0.000 | 
| 0.000 | -0.000 | 0.000 | 0.000 | 0.000 | 566.627 | 
| 648.065 | 452.799 | 452.799 | -0.000 | -0.000 | -0.000 | 
| 452.799 | 648.065 | 452.799 | -0.000 | -0.000 | -0.000 | 
| 452.799 | 452.799 | 648.065 | -0.000 | -0.000 | -0.000 | 
| 0.000 | 0.000 | 0.000 | 566.627 | -0.000 | -0.000 | 
| 0.000 | 0.000 | 0.000 | -0.000 | 566.627 | -0.000 | 
| 0.000 | 0.000 | 0.000 | -0.000 | -0.000 | 566.627 | 
| 648.065 | 452.799 | 452.799 | 0.000 | 0.000 | 0.000 | 
| 452.799 | 648.065 | 452.799 | 0.000 | 0.000 | 0.000 | 
| 452.799 | 452.799 | 648.065 | 0.000 | 0.000 | 0.000 | 
| -0.000 | -0.000 | -0.000 | 566.627 | 0.000 | 0.000 | 
| -0.000 | -0.000 | -0.000 | 0.000 | 566.627 | 0.000 | 
| -0.000 | -0.000 | -0.000 | 0.000 | 0.000 | 566.627 | 
| 648.066 | 452.800 | 452.800 | -0.000 | -0.000 | -0.000 | 
| 452.800 | 648.066 | 452.800 | -0.000 | 0.000 | -0.000 | 
| 452.800 | 452.800 | 648.066 | -0.000 | -0.000 | -0.000 | 
| 0.001 | -0.000 | 0.001 | 496.690 | -0.000 | -0.000 | 
| -0.000 | 0.001 | 0.001 | -0.000 | 496.690 | -0.000 | 
| -0.000 | 0.001 | 0.001 | -0.000 | -0.000 | 496.690 | 
| 648.065 | 452.799 | 452.799 | 0.000 | 0.000 | 0.000 | 
| 452.799 | 648.065 | 452.799 | 0.000 | 0.000 | 0.000 | 
| 452.799 | 452.799 | 648.065 | 0.000 | 0.000 | 0.000 | 
| -0.001 | 0.000 | -0.001 | 496.690 | 0.000 | 0.000 | 
| 0.000 | -0.001 | -0.001 | 0.000 | 496.690 | 0.000 | 
| 0.000 | -0.001 | -0.001 | 0.000 | 0.000 | 496.690 | 
| 461.332 | 123.051 | 123.051 | 0.000 | 0.000 | 0.000 | 
| 123.051 | 461.332 | 123.051 | 0.000 | 0.000 | -0.000 | 
| 123.051 | 123.051 | 461.332 | 0.000 | 0.000 | 0.000 | 
| -0.000 | -0.000 | 0.000 | -34.568 | 0.000 | 0.000 | 
| -0.000 | -0.000 | 0.000 | 0.000 | -34.568 | 0.000 | 
| -0.000 | -0.000 | -0.000 | -0.000 | 0.000 | -34.568 | 
| 461.332 | 123.051 | 123.051 | -0.000 | -0.000 | 0.000 | 
| 123.051 | 461.332 | 123.051 | 0.000 | -0.000 | 0.000 | 
| 123.051 | 123.051 | 461.332 | -0.000 | -0.000 | 0.000 | 
| 0.000 | 0.000 | 0.000 | -34.568 | -0.000 | -0.000 | 
| 0.000 | 0.000 | 0.000 | 0.000 | -34.568 | 0.000 | 
| 0.000 | 0.000 | 0.000 | 0.000 | 0.000 | -34.568 | 
| 461.332 | 123.051 | 123.051 | 0.000 | 0.000 | 0.000 | 
| 123.051 | 461.332 | 123.051 | 0.000 | 0.000 | 0.000 | 
| 123.051 | 123.051 | 461.332 | 0.000 | 0.000 | 0.000 | 
| -0.000 | 0.000 | 0.000 | -34.568 | 0.000 | -0.000 | 
| 0.000 | -0.000 | 0.000 | 0.000 | -34.568 | 0.000 | 
| 0.000 | 0.000 | -0.000 | -0.000 | 0.000 | -34.568 | 
| 461.331 | 123.051 | 123.051 | -0.000 | -0.000 | -0.000 | 
| 123.051 | 461.331 | 123.051 | -0.000 | -0.000 | -0.000 | 
| 123.051 | 123.051 | 461.331 | -0.000 | -0.000 | -0.000 | 
| 0.000 | -0.000 | -0.000 | -34.568 | -0.000 | 0.000 | 
| -0.000 | 0.000 | -0.000 | 0.000 | -34.568 | -0.000 | 
| -0.000 | -0.000 | 0.000 | 0.000 | -0.000 | -34.568 | 
| 461.334 | 123.051 | 123.051 | -0.000 | 0.000 | 0.000 | 
| 123.051 | 461.334 | 123.051 | 0.000 | 0.000 | 0.000 | 
| 123.051 | 123.051 | 461.334 | 0.000 | 0.000 | 0.000 | 
| -0.000 | 0.001 | 0.000 | -34.568 | 0.000 | 0.000 | 
| 0.001 | -0.000 | 0.000 | 0.000 | -34.568 | 0.000 | 
| 0.001 | 0.000 | -0.000 | 0.000 | 0.000 | -34.568 | 
| 461.329 | 123.050 | 123.050 | -0.000 | -0.000 | -0.000 | 
| 123.050 | 461.329 | 123.050 | -0.000 | -0.000 | -0.000 | 
| 123.050 | 123.050 | 461.329 | -0.000 | -0.000 | -0.000 | 
| 0.000 | -0.001 | -0.000 | -34.568 | -0.000 | -0.000 | 
| -0.001 | 0.000 | -0.000 | -0.000 | -34.568 | -0.000 | 
| -0.001 | -0.000 | 0.000 | -0.000 | -0.000 | -34.568 | 
| 165.886 | 111.035 | 111.034 | -0.000 | -0.000 | -0.000 | 
| 111.034 | 165.886 | 111.034 | -0.000 | -0.000 | -0.000 | 
| 111.034 | 111.035 | 165.886 | -0.000 | -0.000 | -0.000 | 
| -0.000 | -0.000 | -0.000 | 84.127 | -0.000 | -0.000 | 
| -0.000 | -0.000 | -0.000 | -0.000 | 84.127 | -0.000 | 
| -0.000 | -0.000 | -0.000 | -0.000 | -0.000 | 84.127 | 
| 165.886 | 111.035 | 111.035 | 0.000 | 0.000 | 0.000 | 
| 111.035 | 165.886 | 111.035 | 0.000 | 0.000 | 0.000 | 
| 111.035 | 111.035 | 165.886 | 0.000 | 0.000 | 0.000 | 
| 0.000 | 0.000 | 0.000 | 84.127 | 0.000 | 0.000 | 
| 0.000 | 0.000 | 0.000 | 0.000 | 84.127 | 0.000 | 
| 0.000 | 0.000 | 0.000 | 0.000 | 0.000 | 84.127 | 
| 165.886 | 111.035 | 111.035 | -0.000 | -0.000 | -0.000 | 
| 111.035 | 165.886 | 111.035 | -0.000 | -0.000 | -0.000 | 
| 111.035 | 111.035 | 165.886 | -0.000 | -0.000 | -0.000 | 
| 0.000 | -0.000 | 0.000 | 84.127 | -0.000 | -0.000 | 
| -0.000 | 0.000 | 0.000 | 0.000 | 84.127 | -0.000 | 
| -0.000 | 0.000 | 0.000 | -0.000 | -0.000 | 84.127 | 
| 165.886 | 111.035 | 111.035 | 0.000 | 0.000 | 0.000 | 
| 111.035 | 165.886 | 111.035 | 0.000 | 0.000 | 0.000 | 
| 111.035 | 111.035 | 165.886 | 0.000 | 0.000 | 0.000 | 
| -0.000 | 0.000 | -0.000 | 84.127 | 0.000 | 0.000 | 
| 0.000 | -0.000 | -0.000 | 0.000 | 84.127 | 0.000 | 
| 0.000 | -0.000 | -0.000 | 0.000 | 0.000 | 84.127 | 
| 165.887 | 111.035 | 111.035 | -0.000 | -0.000 | -0.000 | 
| 111.035 | 165.887 | 111.035 | -0.000 | -0.000 | -0.000 | 
| 111.035 | 111.035 | 165.887 | -0.000 | -0.000 | -0.000 | 
| 0.000 | -0.000 | 0.000 | 84.127 | -0.000 | -0.000 | 
| -0.000 | 0.000 | 0.000 | -0.000 | 84.127 | -0.000 | 
| -0.000 | 0.000 | 0.000 | -0.000 | -0.000 | 84.127 | 
| 165.885 | 111.034 | 111.034 | 0.000 | 0.000 | 0.000 | 
| 111.034 | 165.885 | 111.034 | 0.000 | 0.000 | 0.000 | 
| 111.034 | 111.034 | 165.885 | 0.000 | 0.000 | 0.000 | 
| -0.000 | 0.000 | -0.000 | 84.127 | 0.000 | 0.000 | 
| 0.000 | -0.000 | -0.000 | 0.000 | 84.127 | 0.000 | 
| 0.000 | -0.000 | -0.000 | 0.000 | 0.000 | 84.127 | 
| 33.985 | 35.693 | 35.693 | 0.000 | 0.000 | 0.000 | 
| 35.693 | 33.985 | 35.693 | 0.000 | 0.000 | 0.000 | 
| 35.693 | 35.693 | 33.985 | 0.000 | 0.000 | 0.000 | 
| -0.000 | -0.000 | -0.000 | -1.273 | 0.000 | 0.000 | 
| -0.000 | -0.000 | -0.000 | -0.000 | -1.273 | 0.000 | 
| -0.000 | 0.000 | -0.000 | -0.000 | 0.000 | -1.273 | 
| 33.985 | 35.693 | 35.693 | -0.000 | -0.000 | -0.000 | 
| 35.693 | 33.985 | 35.693 | -0.000 | -0.000 | -0.000 | 
| 35.693 | 35.693 | 33.985 | -0.000 | -0.000 | -0.000 | 
| 0.000 | 0.000 | 0.000 | -1.273 | 0.000 | -0.000 | 
| -0.000 | -0.000 | 0.000 | 0.000 | -1.273 | -0.000 | 
| -0.000 | 0.000 | -0.000 | -0.000 | -0.000 | -1.273 | 
| 33.985 | 35.693 | 35.693 | -0.000 | 0.000 | 0.000 | 
| 35.693 | 33.985 | 35.693 | -0.000 | 0.000 | 0.000 | 
| 35.693 | 35.693 | 33.985 | -0.000 | 0.000 | 0.000 | 
| -0.000 | -0.000 | -0.000 | -1.273 | 0.000 | 0.000 | 
| -0.000 | -0.000 | -0.000 | -0.000 | -1.273 | 0.000 | 
| -0.000 | -0.000 | -0.000 | 0.000 | 0.000 | -1.273 | 
| 33.985 | 35.693 | 35.693 | 0.000 | -0.000 | -0.000 | 
| 35.693 | 33.985 | 35.693 | 0.000 | 0.000 | -0.000 | 
| 35.693 | 35.693 | 33.985 | 0.000 | -0.000 | 0.000 | 
| 0.000 | 0.000 | 0.000 | -1.273 | -0.000 | -0.000 | 
| 0.000 | 0.000 | 0.000 | -0.000 | -1.273 | -0.000 | 
| 0.000 | 0.000 | 0.000 | 0.000 | -0.000 | -1.273 | 
| 33.985 | 35.694 | 35.694 | 0.000 | 0.000 | 0.000 | 
| 35.694 | 33.985 | 35.694 | 0.000 | 0.000 | 0.000 | 
| 35.694 | 35.694 | 33.985 | 0.000 | 0.000 | 0.000 | 
| -0.000 | -0.000 | -0.000 | -1.273 | 0.000 | 0.000 | 
| -0.000 | -0.000 | -0.000 | 0.000 | -1.273 | 0.000 | 
| -0.000 | -0.000 | -0.000 | 0.000 | 0.000 | -1.273 | 
| 33.985 | 35.693 | 35.693 | -0.000 | -0.000 | -0.000 | 
| 35.693 | 33.985 | 35.693 | 0.000 | 0.000 | -0.000 | 
| 35.693 | 35.693 | 33.985 | 0.000 | 0.000 | 0.000 | 
| 0.000 | 0.000 | 0.000 | -1.273 | -0.000 | -0.000 | 
| 0.000 | 0.000 | 0.000 | 0.000 | -1.273 | -0.000 | 
| 0.000 | 0.000 | 0.000 | 0.000 | -0.000 | -1.273 | 
| 347.550 | 205.318 | 99.598 | -0.000 | 0.000 | -0.000 | 
| 205.318 | 347.550 | 99.598 | -0.000 | 0.000 | -0.000 | 
| 99.598 | 99.598 | 135.844 | -0.000 | 0.000 | -0.000 | 
| -0.000 | 0.000 | -0.000 | 58.955 | -0.000 | -0.000 | 
| 0.000 | 0.000 | -0.000 | 0.000 | 58.955 | -0.000 | 
| -0.000 | 0.000 | -0.000 | 0.000 | 0.000 | 175.227 | 
| 347.550 | 205.318 | 99.598 | -0.000 | -0.000 | -0.000 | 
| 205.318 | 347.550 | 99.598 | 0.000 | -0.000 | 0.000 | 
| 99.598 | 99.598 | 135.844 | 0.000 | -0.000 | 0.000 | 
| 0.000 | 0.000 | 0.000 | 58.955 | -0.000 | 0.000 | 
| 0.000 | -0.000 | 0.000 | 0.000 | 58.955 | 0.000 | 
| 0.000 | -0.000 | 0.000 | -0.000 | -0.000 | 175.227 | 
| 347.550 | 205.318 | 99.598 | -0.000 | 0.000 | -0.000 | 
| 205.318 | 347.550 | 99.598 | 0.000 | 0.000 | -0.000 | 
| 99.598 | 99.598 | 135.843 | 0.000 | -0.000 | -0.000 | 
| 0.000 | -0.000 | 0.000 | 58.955 | 0.000 | -0.000 | 
| -0.000 | 0.000 | 0.000 | 0.000 | 58.955 | -0.000 | 
| -0.000 | -0.000 | 0.000 | 0.000 | 0.000 | 175.227 | 
| 347.550 | 205.318 | 99.598 | 0.000 | -0.000 | -0.000 | 
| 205.318 | 347.550 | 99.598 | 0.000 | -0.000 | 0.000 | 
| 99.598 | 99.598 | 135.844 | 0.000 | 0.000 | 0.000 | 
| -0.000 | 0.000 | -0.000 | 58.955 | -0.000 | 0.000 | 
| 0.000 | -0.000 | -0.000 | 0.000 | 58.955 | 0.000 | 
| 0.000 | 0.000 | -0.000 | -0.000 | -0.000 | 175.227 | 
| 347.550 | 205.319 | 99.598 | -0.000 | 0.000 | -0.000 | 
| 205.319 | 347.550 | 99.598 | -0.000 | 0.000 | -0.000 | 
| 99.599 | 99.599 | 135.840 | 0.000 | 0.000 | -0.000 | 
| 0.000 | -0.000 | 0.000 | 58.955 | 0.000 | -0.000 | 
| -0.000 | 0.000 | 0.000 | -0.000 | 58.955 | -0.000 | 
| -0.001 | -0.000 | 0.000 | -0.000 | 0.000 | 175.227 | 
| 347.549 | 205.318 | 99.598 | -0.000 | -0.000 | 0.000 | 
| 205.318 | 347.549 | 99.598 | 0.000 | -0.000 | 0.000 | 
| 99.598 | 99.598 | 135.847 | 0.000 | 0.000 | 0.000 | 
| -0.000 | 0.000 | -0.000 | 58.955 | 0.000 | 0.000 | 
| 0.000 | -0.000 | -0.000 | 0.000 | 58.955 | -0.000 | 
| 0.001 | 0.000 | -0.000 | 0.000 | -0.000 | 175.227 | 
| 347.561 | 205.333 | 99.637 | -0.000 | -0.000 | -0.000 | 
| 205.333 | 347.561 | 99.637 | -0.000 | -0.000 | 0.000 | 
| 99.633 | 99.633 | 135.577 | -0.000 | -0.000 | -0.000 | 
| -0.000 | -0.000 | 0.000 | 58.964 | -0.000 | -0.000 | 
| -0.000 | -0.000 | 0.000 | -0.000 | 58.964 | -0.000 | 
| -0.000 | -0.000 | 0.000 | -0.000 | -0.000 | 175.247 | 
| 347.561 | 205.333 | 99.637 | 0.000 | 0.000 | 0.000 | 
| 205.333 | 347.561 | 99.637 | 0.000 | 0.000 | 0.000 | 
| 99.633 | 99.633 | 135.577 | 0.000 | 0.000 | 0.000 | 
| 0.000 | 0.000 | -0.000 | 58.964 | 0.000 | 0.000 | 
| 0.000 | 0.000 | -0.000 | 0.000 | 58.964 | 0.000 | 
| 0.000 | 0.000 | -0.000 | 0.000 | 0.000 | 175.247 | 
| 347.561 | 205.333 | 99.637 | -0.000 | -0.000 | -0.000 | 
| 205.333 | 347.561 | 99.637 | -0.000 | -0.000 | -0.000 | 
| 99.633 | 99.633 | 135.577 | -0.000 | -0.000 | -0.000 | 
| 0.000 | -0.000 | 0.000 | 58.964 | -0.000 | -0.000 | 
| -0.000 | 0.000 | 0.000 | -0.000 | 58.964 | -0.000 | 
| -0.000 | -0.000 | 0.000 | -0.000 | -0.000 | 175.247 | 
| 347.561 | 205.333 | 99.637 | 0.000 | 0.000 | 0.000 | 
| 205.333 | 347.561 | 99.637 | 0.000 | 0.000 | 0.000 | 
| 99.633 | 99.633 | 135.577 | -0.000 | -0.000 | 0.000 | 
| -0.000 | 0.000 | -0.000 | 58.964 | 0.000 | 0.000 | 
| 0.000 | -0.000 | -0.000 | 0.000 | 58.964 | 0.000 | 
| 0.000 | 0.000 | -0.000 | 0.000 | 0.000 | 175.247 | 
| 347.562 | 205.334 | 99.637 | -0.000 | -0.000 | -0.000 | 
| 205.334 | 347.562 | 99.637 | -0.000 | -0.000 | -0.000 | 
| 99.633 | 99.633 | 135.574 | -0.000 | -0.000 | -0.000 | 
| 0.000 | -0.000 | 0.000 | 58.964 | -0.000 | -0.000 | 
| -0.000 | 0.000 | 0.000 | -0.000 | 58.964 | -0.000 | 
| -0.001 | -0.000 | 0.000 | -0.000 | -0.000 | 175.247 | 
| 347.560 | 205.333 | 99.636 | 0.000 | 0.000 | 0.000 | 
| 205.333 | 347.560 | 99.636 | 0.000 | 0.000 | 0.000 | 
| 99.632 | 99.632 | 135.580 | 0.000 | 0.000 | 0.000 | 
| -0.000 | 0.000 | -0.000 | 58.964 | 0.000 | 0.000 | 
| 0.000 | -0.000 | -0.000 | 0.000 | 58.964 | 0.000 | 
| 0.001 | 0.000 | -0.000 | 0.000 | 0.000 | 175.247 | 
| 352.844 | 213.979 | 123.239 | -0.000 | -0.000 | -0.000 | 
| 213.979 | 352.844 | 123.239 | -0.000 | -0.000 | -0.000 | 
| 123.239 | 123.239 | -32.837 | -0.000 | -0.000 | -0.000 | 
| 0.000 | 0.000 | -0.000 | 68.604 | -0.000 | 0.000 | 
| 0.000 | 0.000 | -0.000 | 0.000 | 68.604 | 0.000 | 
| 0.000 | 0.000 | -0.000 | 0.000 | 0.000 | 188.709 | 
| 352.844 | 213.979 | 123.239 | 0.000 | 0.000 | -0.000 | 
| 213.979 | 352.844 | 123.239 | 0.000 | 0.000 | 0.000 | 
| 123.239 | 123.239 | -32.837 | 0.000 | 0.000 | 0.000 | 
| -0.000 | -0.000 | 0.000 | 68.604 | -0.000 | 0.000 | 
| -0.000 | -0.000 | 0.000 | -0.000 | 68.604 | -0.000 | 
| -0.000 | -0.000 | 0.000 | 0.000 | 0.000 | 188.709 | 
| 352.844 | 213.979 | 123.239 | -0.000 | 0.000 | -0.000 | 
| 213.979 | 352.844 | 123.239 | 0.000 | -0.000 | 0.000 | 
| 123.239 | 123.239 | -32.837 | -0.000 | 0.000 | -0.000 | 
| 0.000 | -0.000 | 0.000 | 68.604 | -0.000 | -0.000 | 
| -0.000 | 0.000 | 0.000 | -0.000 | 68.604 | 0.000 | 
| -0.000 | -0.000 | 0.000 | -0.000 | -0.000 | 188.709 | 
| 352.843 | 213.979 | 123.239 | 0.000 | 0.000 | 0.000 | 
| 213.979 | 352.843 | 123.239 | 0.000 | 0.000 | 0.000 | 
| 123.239 | 123.239 | -32.837 | -0.000 | -0.000 | -0.000 | 
| -0.000 | 0.000 | -0.000 | 68.604 | 0.000 | 0.000 | 
| 0.000 | -0.000 | -0.000 | 0.000 | 68.604 | -0.000 | 
| 0.000 | 0.000 | -0.000 | 0.000 | -0.000 | 188.709 | 
| 352.844 | 213.979 | 123.239 | -0.000 | -0.000 | -0.000 | 
| 213.979 | 352.844 | 123.239 | -0.000 | -0.000 | 0.000 | 
| 123.239 | 123.239 | -32.839 | -0.000 | -0.000 | -0.000 | 
| 0.000 | -0.000 | 0.000 | 68.604 | -0.000 | -0.000 | 
| -0.000 | 0.000 | 0.000 | -0.000 | 68.604 | 0.000 | 
| -0.000 | -0.000 | 0.000 | -0.000 | -0.000 | 188.709 | 
| 352.843 | 213.978 | 123.238 | 0.000 | 0.000 | -0.000 | 
| 213.978 | 352.843 | 123.238 | 0.000 | 0.000 | 0.000 | 
| 123.238 | 123.238 | -32.835 | -0.000 | -0.000 | 0.000 | 
| -0.000 | 0.000 | -0.000 | 68.604 | -0.000 | 0.000 | 
| 0.000 | -0.000 | -0.000 | -0.000 | 68.604 | 0.000 | 
| 0.000 | 0.000 | -0.000 | 0.000 | 0.000 | 188.709 | 
| 262.654 | 155.599 | 104.119 | -0.000 | 0.000 | 0.000 | 
| 156.992 | 311.677 | 145.290 | -0.000 | 0.000 | -0.000 | 
| 109.399 | 148.221 | 241.836 | -0.000 | 0.000 | -0.000 | 
| -0.000 | 0.000 | 0.000 | 62.126 | 0.000 | 0.000 | 
| -0.000 | 0.000 | -0.000 | -0.000 | 66.087 | 0.000 | 
| -0.000 | 0.000 | 0.000 | -0.000 | 0.000 | 132.021 | 
| 262.654 | 155.599 | 104.119 | 0.000 | 0.000 | -0.000 | 
| 156.992 | 311.677 | 145.290 | 0.000 | -0.000 | 0.000 | 
| 109.399 | 148.221 | 241.836 | 0.000 | -0.000 | 0.000 | 
| 0.000 | -0.000 | -0.000 | 62.126 | -0.000 | 0.000 | 
| 0.000 | -0.000 | 0.000 | 0.000 | 66.087 | 0.000 | 
| 0.000 | -0.000 | -0.000 | 0.000 | -0.000 | 132.021 | 
| 262.654 | 155.599 | 104.119 | -0.000 | 0.000 | -0.000 | 
| 156.992 | 311.677 | 145.290 | -0.000 | 0.000 | 0.000 | 
| 103.085 | 145.578 | 239.724 | -0.000 | 0.000 | 0.000 | 
| -0.000 | -0.000 | 0.000 | 59.208 | 0.000 | 0.000 | 
| -0.000 | -0.000 | -0.000 | -0.000 | 66.087 | 0.000 | 
| -0.000 | -0.000 | -0.000 | -0.000 | 0.000 | 132.021 | 
| 262.547 | 157.505 | 103.085 | 0.000 | -0.000 | -0.000 | 
| 156.992 | 311.677 | 145.290 | 0.000 | -0.000 | 0.000 | 
| 109.399 | 148.221 | 241.836 | 0.000 | -0.000 | -0.000 | 
| 0.000 | 0.000 | -0.000 | 59.208 | -0.000 | -0.000 | 
| 0.000 | 0.000 | 0.000 | 0.000 | 66.087 | -0.000 | 
| 0.000 | 0.000 | 0.000 | 0.000 | -0.000 | 132.021 | 
| 262.547 | 157.506 | 103.085 | -0.000 | 0.000 | 0.000 | 
| 156.992 | 311.677 | 145.291 | -0.000 | 0.000 | 0.000 | 
| 103.085 | 145.579 | 239.725 | -0.000 | 0.000 | 0.000 | 
| -0.000 | -0.000 | 0.000 | 59.208 | 0.000 | -0.000 | 
| -0.000 | -0.000 | -0.001 | -0.000 | 66.087 | 0.000 | 
| -0.000 | -0.000 | -0.000 | -0.000 | 0.000 | 132.021 | 
| 262.546 | 157.505 | 103.085 | 0.000 | -0.000 | 0.000 | 
| 157.505 | 311.664 | 145.578 | 0.000 | 0.000 | -0.000 | 
| 103.085 | 145.578 | 239.724 | 0.000 | -0.000 | -0.000 | 
| 0.000 | 0.000 | -0.000 | 59.208 | 0.000 | -0.000 | 
| 0.000 | 0.000 | 0.001 | 0.000 | 66.087 | -0.000 | 
| 0.000 | 0.000 | 0.000 | 0.000 | -0.000 | 132.021 | 
| 267.115 | 152.044 | 108.471 | 0.000 | -0.000 | 0.000 | 
| 154.724 | 311.621 | 146.272 | -0.000 | 0.000 | 0.000 | 
| 111.293 | 145.212 | 247.658 | -0.000 | -0.000 | -0.000 | 
| 2.334 | -0.101 | 1.323 | 62.336 | 0.000 | -0.000 | 
| 5.790 | 0.057 | 3.118 | 0.000 | 68.546 | 0.000 | 
| 4.924 | -0.212 | 2.792 | -0.000 | 0.000 | 131.003 | 
| 257.141 | 152.441 | 102.833 | 0.000 | 0.000 | -0.000 | 
| 150.638 | 311.634 | 144.044 | -0.000 | -0.000 | -0.000 | 
| 98.539 | 144.503 | 241.104 | 0.000 | 0.000 | 0.000 | 
| -2.334 | 0.101 | -1.323 | 62.336 | -0.000 | -0.000 | 
| -5.790 | -0.057 | -3.118 | -0.000 | 68.546 | -0.000 | 
| -4.924 | 0.212 | -2.792 | 0.000 | -0.000 | 131.003 | 
| 262.558 | 153.502 | 105.209 | -0.000 | -0.000 | -0.000 | 
| 152.899 | 311.935 | 145.111 | 0.000 | -0.000 | 0.000 | 
| 103.972 | 144.513 | 244.053 | -0.000 | -0.000 | 0.000 | 
| 0.231 | -0.010 | 0.131 | 62.653 | 0.000 | -0.000 | 
| 0.586 | 0.006 | 0.315 | 0.000 | 68.284 | 0.000 | 
| 0.492 | -0.021 | 0.279 | 0.000 | 0.000 | 131.003 | 
| 261.570 | 153.500 | 104.672 | -0.000 | -0.000 | -0.000 | 
| 152.494 | 311.937 | 144.890 | 0.000 | -0.000 | -0.000 | 
| 102.984 | 144.511 | 243.516 | 0.000 | 0.000 | -0.000 | 
| -0.231 | 0.010 | -0.131 | 62.653 | -0.000 | -0.000 | 
| -0.586 | -0.006 | -0.315 | -0.000 | 68.284 | -0.000 | 
| -0.492 | 0.021 | -0.279 | 0.000 | -0.000 | 131.003 | 
| 262.113 | 153.501 | 104.967 | 0.000 | 0.000 | 0.000 | 
| 152.377 | 311.932 | 144.829 | -0.000 | 0.000 | 0.000 | 
| 103.527 | 144.513 | 243.811 | -0.000 | 0.000 | 0.000 | 
| 0.060 | 0.001 | 0.032 | 60.389 | 0.000 | -0.000 | 
| 0.058 | 0.001 | 0.031 | 0.000 | 68.281 | 0.000 | 
| 0.049 | -0.002 | 0.028 | -0.000 | -0.000 | 131.003 | 
| 262.014 | 153.500 | 104.914 | 0.000 | 0.000 | 0.000 | 
| 152.278 | 311.932 | 144.774 | -0.000 | 0.000 | -0.000 | 
| 103.429 | 144.512 | 243.757 | -0.000 | -0.000 | 0.000 | 
| -0.060 | -0.001 | -0.032 | 60.389 | -0.000 | -0.000 | 
| -0.058 | -0.001 | -0.031 | -0.000 | 68.281 | -0.000 | 
| -0.049 | 0.002 | -0.028 | 0.000 | 0.000 | 131.003 | 
| 201.550 | 83.653 | 64.426 | 0.000 | 0.000 | -0.000 | 
| 83.653 | 201.550 | 64.426 | 0.000 | -0.000 | -0.000 | 
| 64.426 | 64.426 | 233.899 | -0.000 | -0.000 | -0.000 | 
| -0.000 | 0.000 | 0.000 | 55.596 | 0.000 | 0.000 | 
| 0.000 | 0.000 | 0.000 | 0.000 | 55.596 | 0.000 | 
| -0.000 | -0.000 | 0.000 | 0.000 | 0.000 | 58.949 | 
| 201.550 | 83.653 | 64.426 | 0.000 | -0.000 | -0.000 | 
| 83.653 | 201.550 | 64.426 | 0.000 | -0.000 | 0.000 | 
| 64.426 | 64.426 | 233.899 | 0.000 | -0.000 | 0.000 | 
| 0.000 | -0.000 | -0.000 | 55.596 | -0.000 | -0.000 | 
| 0.000 | -0.000 | -0.000 | -0.000 | 55.596 | -0.000 | 
| 0.000 | 0.000 | -0.000 | -0.000 | -0.000 | 58.949 | 
| 201.551 | 83.653 | 64.426 | -0.000 | 0.000 | 0.000 | 
| 83.653 | 201.551 | 64.426 | 0.000 | 0.000 | 0.000 | 
| 64.426 | 64.426 | 233.899 | 0.000 | 0.000 | -0.000 | 
| -0.000 | -0.000 | 0.000 | 55.596 | 0.000 | 0.000 | 
| -0.000 | -0.000 | 0.000 | 0.000 | 55.596 | -0.000 | 
| -0.000 | 0.000 | 0.000 | -0.000 | -0.000 | 58.949 | 
| 201.550 | 83.653 | 64.426 | 0.000 | -0.000 | 0.000 | 
| 83.653 | 201.550 | 64.426 | -0.000 | -0.000 | 0.000 | 
| 64.426 | 64.426 | 233.899 | 0.000 | 0.000 | -0.000 | 
| 0.000 | 0.000 | -0.000 | 55.596 | -0.000 | 0.000 | 
| 0.000 | 0.000 | -0.000 | -0.000 | 55.596 | 0.000 | 
| 0.000 | -0.000 | -0.000 | 0.000 | 0.000 | 58.949 | 
| 201.551 | 83.654 | 64.426 | 0.000 | 0.000 | -0.000 | 
| 83.654 | 201.551 | 64.426 | 0.000 | 0.000 | -0.000 | 
| 64.426 | 64.426 | 233.899 | -0.000 | -0.000 | -0.000 | 
| 0.000 | -0.000 | 0.000 | 55.596 | 0.000 | -0.000 | 
| -0.000 | 0.000 | 0.000 | 0.000 | 55.596 | -0.000 | 
| -0.000 | 0.000 | -0.000 | 0.000 | 0.000 | 58.949 | 
| 201.550 | 83.653 | 64.425 | -0.000 | -0.000 | 0.000 | 
| 83.653 | 201.550 | 64.425 | -0.000 | -0.000 | 0.000 | 
| 64.425 | 64.425 | 233.898 | -0.000 | -0.000 | 0.000 | 
| -0.000 | 0.000 | -0.000 | 55.596 | -0.000 | 0.000 | 
| 0.000 | -0.000 | -0.000 | -0.000 | 55.596 | 0.000 | 
| 0.000 | -0.000 | 0.000 | -0.000 | -0.000 | 58.949 | 
| 182.033 | 83.556 | 72.166 | -17.664 | 0.000 | -0.000 | 
| 83.556 | 182.033 | 72.166 | 17.664 | 0.000 | -0.000 | 
| 72.166 | 72.166 | 205.492 | 0.000 | 0.000 | 0.000 | 
| -17.664 | 17.664 | 0.000 | 51.981 | 0.000 | -0.000 | 
| 0.000 | 0.000 | 0.000 | 0.000 | 51.981 | -17.664 | 
| 0.000 | 0.000 | 0.000 | 0.000 | -17.664 | 49.238 | 
| 182.033 | 83.556 | 72.166 | -17.664 | -0.000 | 0.000 | 
| 83.556 | 182.033 | 72.166 | 17.664 | -0.000 | 0.000 | 
| 72.166 | 72.166 | 205.492 | -0.000 | -0.000 | 0.000 | 
| -17.664 | 17.664 | -0.000 | 51.981 | -0.000 | 0.000 | 
| -0.000 | -0.000 | -0.000 | -0.000 | 51.981 | -17.664 | 
| -0.000 | 0.000 | -0.000 | -0.000 | -17.664 | 49.238 | 
| 182.033 | 83.556 | 72.166 | -17.664 | 0.000 | -0.000 | 
| 83.556 | 182.033 | 72.166 | 17.664 | 0.000 | -0.000 | 
| 72.166 | 72.166 | 205.492 | -0.000 | 0.000 | -0.000 | 
| -17.664 | 17.664 | 0.000 | 51.981 | 0.000 | -0.000 | 
| -0.000 | 0.000 | 0.000 | -0.000 | 51.981 | -17.664 | 
| -0.000 | 0.000 | 0.000 | -0.000 | -17.664 | 49.238 | 
| 182.033 | 83.556 | 72.166 | -17.664 | -0.000 | -0.000 | 
| 83.556 | 182.033 | 72.166 | 17.664 | -0.000 | 0.000 | 
| 72.166 | 72.166 | 205.492 | -0.000 | -0.000 | 0.000 | 
| -17.664 | 17.664 | -0.000 | 51.981 | -0.000 | 0.000 | 
| 0.000 | -0.000 | -0.000 | 0.000 | 51.981 | -17.664 | 
| 0.000 | -0.000 | -0.000 | 0.000 | -17.664 | 49.238 | 
| 182.033 | 83.556 | 72.166 | -17.664 | 0.000 | -0.000 | 
| 83.557 | 182.033 | 72.166 | 17.664 | 0.000 | -0.000 | 
| 72.166 | 72.166 | 205.492 | 0.000 | 0.000 | -0.000 | 
| -17.664 | 17.664 | 0.000 | 51.981 | 0.000 | -0.000 | 
| -0.000 | 0.000 | 0.000 | -0.000 | 51.981 | -17.664 | 
| -0.000 | 0.000 | 0.000 | -0.000 | -17.664 | 49.238 | 
| 182.032 | 83.556 | 72.166 | -17.664 | -0.000 | 0.000 | 
| 83.556 | 182.032 | 72.166 | 17.664 | -0.000 | 0.000 | 
| 72.166 | 72.166 | 205.491 | -0.000 | -0.000 | 0.000 | 
| -17.664 | 17.664 | -0.000 | 51.981 | -0.000 | 0.000 | 
| 0.000 | -0.000 | -0.000 | 0.000 | 51.981 | -17.664 | 
| 0.000 | -0.000 | -0.000 | 0.000 | -17.664 | 49.238 | 
| 277.552 | 110.636 | 106.831 | -0.000 | 0.000 | -0.000 | 
| 113.773 | 315.101 | 122.600 | -0.000 | 0.000 | -0.000 | 
| 107.809 | 120.277 | 256.486 | -0.000 | 0.000 | -0.000 | 
| 0.000 | -0.000 | -0.000 | 122.252 | -0.000 | -0.000 | 
| -0.660 | 0.033 | -0.160 | -0.000 | 70.256 | 0.000 | 
| 0.000 | 0.000 | -0.000 | -0.000 | -0.000 | 90.905 | 
| 279.253 | 110.914 | 107.305 | 0.000 | 0.000 | 0.000 | 
| 114.831 | 315.470 | 123.033 | 0.000 | 0.000 | 0.000 | 
| 115.234 | 156.597 | 281.884 | 0.000 | 0.000 | -0.000 | 
| -0.000 | -0.000 | -0.000 | 122.252 | 0.000 | 0.000 | 
| 0.660 | -0.033 | 0.160 | 0.000 | 70.256 | 0.000 | 
| 0.000 | 0.000 | 0.000 | 0.000 | 0.000 | 90.905 | 
| 300.008 | 127.195 | 115.234 | -0.000 | -0.000 | 0.000 | 
| 127.195 | 388.045 | 156.596 | -0.000 | -0.000 | -0.000 | 
| 103.328 | 117.169 | 249.141 | -0.000 | -0.000 | -0.000 | 
| -0.135 | -0.028 | -0.068 | 93.850 | -0.000 | -0.000 | 
| 0.000 | -0.000 | 0.000 | -0.000 | 72.753 | -0.000 | 
| -0.099 | -0.021 | -0.050 | -0.000 | -0.000 | 74.022 | 
| 272.455 | 105.526 | 101.958 | 0.000 | 0.000 | 0.000 | 
| 127.194 | 388.045 | 156.596 | 0.000 | 0.000 | -0.000 | 
| 108.540 | 121.042 | 257.179 | 0.000 | -0.000 | 0.000 | 
| 0.135 | 0.028 | 0.068 | 93.850 | -0.000 | -0.000 | 
| -0.000 | 0.000 | -0.000 | 0.000 | 72.753 | 0.000 | 
| 0.099 | 0.021 | 0.050 | 0.000 | 0.000 | 74.022 | 
| 272.137 | 107.222 | 101.946 | -0.000 | -0.000 | -0.000 | 
| 105.448 | 293.837 | 117.277 | -0.000 | -0.000 | -0.000 | 
| 108.474 | 120.994 | 257.130 | 0.000 | -0.000 | 0.000 | 
| 0.000 | 0.000 | 0.000 | 122.252 | 0.000 | -0.000 | 
| -0.007 | 0.000 | -0.002 | -0.000 | 70.031 | -0.000 | 
| -0.007 | 0.001 | -0.002 | -0.000 | -0.000 | 78.033 | 
| 300.007 | 127.195 | 115.234 | 0.000 | 0.000 | -0.000 | 
| 104.001 | 288.309 | 114.823 | 0.000 | 0.000 | -0.000 | 
| 115.234 | 156.596 | 281.883 | -0.000 | -0.000 | -0.000 | 
| -0.000 | -0.000 | -0.000 | 122.252 | 0.000 | -0.000 | 
| 0.007 | -0.000 | 0.002 | 0.000 | 70.031 | 0.000 | 
| 0.007 | -0.001 | 0.002 | 0.000 | 0.000 | 78.033 | 
| 197.891 | 16.015 | 45.612 | 0.000 | -2.487 | 0.000 | 
| 65.433 | 179.320 | 54.616 | -0.000 | -11.137 | 0.000 | 
| 81.826 | 104.569 | 278.837 | -0.000 | 0.019 | -0.000 | 
| 0.000 | -0.000 | -0.000 | 86.124 | -0.000 | -0.180 | 
| -0.037 | -0.227 | 0.019 | -0.000 | 61.375 | -0.000 | 
| 1.183 | -45.544 | -33.222 | -0.178 | -12.724 | 43.609 | 
| 200.561 | 61.681 | 81.830 | 0.000 | 12.068 | 0.000 | 
| 61.726 | 237.861 | 104.569 | 0.000 | -0.227 | -0.000 | 
| 88.423 | 128.003 | 289.220 | -0.000 | 27.483 | -0.000 | 
| -0.000 | -0.000 | 0.000 | 86.124 | 0.000 | -0.180 | 
| 6.820 | 34.971 | 40.286 | 0.000 | 87.359 | -0.000 | 
| -1.183 | 45.544 | 33.222 | -0.178 | 12.724 | 43.609 | 
| 200.561 | 61.681 | 81.830 | -0.000 | 12.068 | -0.000 | 
| 61.726 | 237.861 | 104.569 | -0.000 | -0.227 | -0.000 | 
| 81.827 | 104.569 | 278.837 | 0.000 | 0.019 | -0.000 | 
| 0.104 | -4.003 | -2.920 | 70.171 | -1.118 | -0.178 | 
| 0.298 | -6.665 | -4.366 | -0.000 | 53.329 | 0.000 | 
| -0.000 | 0.000 | -0.000 | -0.180 | -0.000 | 44.041 | 
| 200.561 | 61.681 | 81.830 | 0.000 | 12.068 | 0.000 | 
| 61.726 | 237.861 | 104.569 | 0.000 | -0.227 | 0.000 | 
| 80.607 | 93.097 | 249.774 | -0.000 | 4.518 | -0.000 | 
| -0.104 | 4.003 | 2.920 | 70.171 | 1.118 | -0.178 | 
| -0.029 | 4.071 | 3.377 | 0.000 | 58.110 | -0.000 | 
| 0.000 | -0.000 | 0.000 | -0.180 | 0.000 | 44.041 | 
| 200.561 | 61.681 | 81.830 | -0.000 | 12.068 | -0.000 | 
| 63.286 | 223.543 | 89.726 | 0.000 | -0.707 | -0.000 | 
| 81.607 | 90.205 | 247.896 | -0.000 | 0.012 | -0.000 | 
| -0.054 | -0.335 | -0.288 | 67.289 | -0.198 | -0.169 | 
| 0.461 | -0.966 | 0.182 | -0.000 | 49.235 | 0.000 | 
| -0.144 | -0.056 | -0.142 | -0.158 | -0.258 | 43.404 | 
| 200.560 | 61.681 | 81.830 | -0.000 | 12.067 | 0.000 | 
| 63.566 | 224.491 | 89.865 | -0.000 | -0.243 | -0.000 | 
| 81.595 | 90.783 | 248.434 | 0.000 | 0.151 | 0.000 | 
| 0.054 | 0.335 | 0.288 | 67.289 | 0.198 | -0.169 | 
| 0.182 | -0.283 | 0.545 | 0.000 | 51.028 | -0.000 | 
| 0.144 | 0.056 | 0.142 | -0.158 | 0.258 | 43.404 | 
| 209.884 | -52.829 | 35.885 | 0.000 | -25.809 | -0.000 | 
| 55.355 | 227.093 | 100.297 | 0.000 | -0.224 | -0.000 | 
| 122.045 | -36.776 | 179.163 | 0.000 | -38.231 | -0.000 | 
| -0.000 | 0.000 | 0.000 | 77.614 | -0.000 | 0.534 | 
| 37.991 | -119.409 | -64.962 | 0.000 | 23.937 | -0.000 | 
| -0.000 | 0.000 | 0.000 | 0.173 | 0.000 | 41.617 | 
| 145.472 | 176.728 | 151.215 | -0.000 | 48.221 | 0.000 | 
| 55.355 | 227.093 | 100.297 | 0.000 | -0.224 | 0.000 | 
| 55.497 | 195.170 | 299.600 | -0.000 | 34.935 | 0.000 | 
| 0.000 | -0.000 | -0.000 | 77.614 | 0.000 | 0.534 | 
| -36.906 | 119.491 | 61.437 | -0.000 | 97.133 | 0.000 | 
| 0.000 | -0.000 | -0.000 | 0.173 | 0.000 | 41.617 | 
| 184.898 | 46.494 | 81.257 | -0.000 | 7.210 | -0.000 | 
| 61.237 | 202.386 | 80.659 | 0.000 | -3.898 | -0.000 | 
| 84.696 | 96.365 | 273.502 | 0.000 | -1.666 | -0.000 | 
| 2.751 | -11.010 | -5.034 | 59.979 | -3.673 | 0.388 | 
| 3.134 | -11.249 | -6.604 | 0.000 | 52.212 | -0.000 | 
| 2.768 | -11.036 | -5.059 | 0.028 | -3.677 | 41.112 | 
| 185.233 | 55.208 | 88.127 | 0.000 | 12.367 | 0.000 | 
| 54.859 | 225.737 | 94.100 | 0.000 | 3.378 | 0.000 | 
| 81.244 | 94.031 | 249.505 | -0.000 | 1.649 | 0.000 | 
| -2.751 | 11.010 | 5.034 | 59.979 | 3.673 | 0.388 | 
| 0.552 | 0.137 | -1.666 | -0.000 | 63.923 | 0.000 | 
| -2.768 | 11.036 | 5.059 | 0.028 | 3.677 | 41.112 | 
| 185.234 | 55.208 | 88.127 | 0.000 | 12.367 | -0.000 | 
| 55.356 | 227.094 | 100.297 | 0.000 | -0.224 | -0.000 | 
| 85.084 | 83.656 | 247.209 | -0.000 | -2.095 | -0.000 | 
| 0.252 | -1.047 | -0.468 | 59.833 | -0.353 | 0.380 | 
| 1.169 | -2.025 | -2.880 | 0.000 | 58.119 | -0.000 | 
| 0.435 | -1.387 | -0.734 | 0.132 | -0.425 | 41.321 | 
| 182.097 | 58.671 | 87.410 | 0.000 | 11.540 | -0.000 | 
| 57.145 | 216.003 | 88.491 | -0.000 | -0.097 | 0.000 | 
| 83.011 | 85.420 | 246.717 | 0.000 | -1.267 | 0.000 | 
| -0.252 | 1.047 | 0.468 | 59.833 | 0.353 | 0.380 | 
| 0.668 | 1.056 | -0.863 | -0.000 | 52.454 | 0.000 | 
| -0.435 | 1.387 | 0.734 | 0.132 | 0.425 | 41.321 | 
| 231.288 | 91.880 | 85.423 | 0.000 | -0.000 | 0.000 | 
| 92.256 | 245.933 | 90.530 | 0.000 | -0.000 | -0.000 | 
| 122.706 | 120.778 | 248.163 | -0.000 | -0.000 | 0.000 | 
| 8.756 | 15.570 | -16.833 | 72.507 | -0.000 | -0.000 | 
| 33.782 | 29.440 | 3.137 | -0.000 | 70.036 | 0.000 | 
| -0.000 | -0.000 | 0.000 | -0.000 | -0.000 | 76.793 | 
| 255.378 | 92.060 | 112.110 | -0.000 | -0.000 | 0.000 | 
| 46.646 | 189.637 | 86.120 | 0.000 | 0.000 | -0.000 | 
| 113.027 | 91.252 | 285.824 | 0.000 | 0.000 | 0.000 | 
| -8.756 | -15.569 | 16.833 | 72.507 | 0.000 | 0.000 | 
| -33.782 | -29.440 | -3.137 | 0.000 | 70.036 | 0.000 | 
| -0.000 | 0.000 | -0.000 | 0.000 | 0.000 | 76.793 | 
| 255.378 | 92.061 | 112.110 | -0.000 | -0.000 | -0.000 | 
| 92.256 | 245.933 | 90.530 | 0.000 | -0.000 | -0.000 | 
| 113.027 | 91.252 | 285.824 | 0.000 | -0.000 | -0.000 | 
| -0.000 | -0.000 | 0.000 | 71.332 | -0.000 | -0.000 | 
| 1.104 | 1.151 | 0.188 | 0.000 | 69.983 | -0.000 | 
| 0.000 | -0.000 | -0.000 | -0.000 | -0.000 | 76.793 | 
| 230.754 | 78.477 | 89.088 | -0.000 | 0.000 | 0.000 | 
| 92.256 | 245.933 | 90.530 | 0.000 | 0.000 | 0.000 | 
| 88.076 | 90.425 | 245.185 | 0.000 | 0.000 | -0.000 | 
| -0.000 | 0.000 | -0.000 | 71.332 | 0.000 | -0.000 | 
| -1.104 | -1.151 | -0.188 | 0.000 | 69.983 | 0.000 | 
| -0.000 | 0.000 | 0.000 | 0.000 | 0.000 | 76.793 | 
| 236.701 | 86.104 | 88.175 | -0.000 | -0.000 | -0.000 | 
| 82.442 | 219.598 | 90.661 | -0.000 | -0.000 | -0.000 | 
| 92.187 | 95.706 | 246.974 | 0.000 | -0.000 | -0.000 | 
| 0.111 | 0.084 | 0.110 | 62.021 | -0.000 | 0.000 | 
| 0.117 | 0.105 | 0.070 | -0.000 | 72.355 | -0.000 | 
| 0.107 | 0.099 | 0.052 | 0.000 | -0.000 | 63.705 | 
| 234.676 | 81.012 | 90.512 | -0.000 | 0.000 | 0.000 | 
| 85.629 | 222.573 | 95.864 | -0.000 | 0.000 | 0.000 | 
| 90.197 | 92.551 | 245.842 | -0.000 | 0.000 | 0.000 | 
| -0.111 | -0.084 | -0.110 | 62.021 | 0.000 | 0.000 | 
| -0.117 | -0.105 | -0.070 | 0.000 | 72.355 | 0.000 | 
| -0.107 | -0.099 | -0.052 | 0.000 | 0.000 | 63.705 | 
| 252.925 | 84.784 | 111.808 | 0.000 | -0.000 | -0.000 | 
| 84.784 | 236.962 | 90.707 | 0.000 | 0.000 | -0.000 | 
| 111.808 | 90.707 | 290.073 | 0.000 | 0.000 | 0.000 | 
| 753.548 | 543.544 | 461.745 | 68.391 | -0.000 | 0.000 | 
| 0.000 | -0.000 | -0.000 | -0.000 | 92.272 | 0.000 | 
| 0.000 | -0.000 | 0.000 | 0.000 | 0.000 | 67.574 | 
| 252.925 | 84.784 | 111.808 | -0.000 | -0.000 | 0.000 | 
| -529.521 | -310.669 | -236.519 | -0.000 | -0.000 | -0.000 | 
| -242.346 | 225.058 | -373.290 | -0.000 | -0.000 | 0.000 | 
| -753.548 | -543.544 | -461.745 | 68.391 | -0.000 | -0.000 | 
| -0.000 | 0.000 | 0.000 | 0.000 | 92.272 | -0.000 | 
| 0.000 | 0.000 | -0.000 | -0.000 | -0.000 | 67.574 | 
| 252.925 | 84.784 | 111.808 | 0.000 | 0.000 | 0.000 | 
| 84.784 | 236.963 | 90.707 | 0.000 | 0.000 | 0.000 | 
| 99.431 | 78.809 | 273.701 | 0.000 | 0.000 | 0.000 | 
| 74.333 | 54.772 | 45.685 | 57.421 | -0.000 | 0.000 | 
| 73.556 | 54.559 | 44.583 | 0.000 | 71.194 | 0.000 | 
| 33.192 | -13.589 | 62.582 | 0.000 | 0.000 | 52.289 | 
| 193.222 | 87.206 | 18.671 | -0.000 | -0.000 | -0.000 | 
| 21.313 | 209.367 | 8.835 | -0.000 | -0.000 | -0.000 | 
| 26.752 | 41.622 | 218.250 | -0.000 | 0.000 | -0.000 | 
| -57.436 | -48.965 | -30.831 | 45.516 | -0.000 | 0.000 | 
| -73.556 | -54.559 | -44.583 | -0.000 | 71.194 | -0.000 | 
| -33.192 | 13.589 | -62.582 | -0.000 | -0.000 | 52.289 | 
| 234.796 | 76.972 | 91.606 | 0.000 | 0.000 | 0.000 | 
| 78.349 | 215.748 | 93.169 | 0.000 | -0.000 | 0.000 | 
| 90.800 | 93.117 | 253.005 | 0.000 | 0.000 | 0.000 | 
| 3.249 | 1.667 | 2.923 | 53.457 | -0.000 | 0.000 | 
| 3.188 | -1.305 | 6.011 | 0.000 | 70.933 | 0.000 | 
| 7.259 | 5.452 | 4.453 | 0.000 | 0.000 | 49.762 | 
| 220.614 | 67.045 | 82.469 | -0.000 | -0.000 | 0.000 | 
| 68.568 | 204.829 | 89.994 | 0.000 | -0.000 | -0.000 | 
| 88.025 | 94.476 | 247.682 | -0.000 | 0.000 | -0.000 | 
| -3.249 | -1.667 | -2.923 | 53.457 | -0.000 | 0.000 | 
| -3.188 | 1.305 | -6.011 | -0.000 | 70.933 | -0.000 | 
| -7.259 | -5.452 | -4.453 | -0.000 | -0.000 | 49.762 | 
| 251.880 | 134.008 | 103.327 | -0.000 | -0.000 | -0.000 | 
| 151.552 | 319.348 | 131.037 | -0.000 | 0.000 | -0.000 | 
| 91.549 | 130.456 | 223.959 | -0.000 | 0.000 | -0.000 | 
| 6.492 | 12.481 | 15.924 | 64.822 | -0.000 | -0.000 | 
| -0.000 | 0.000 | -0.000 | -0.000 | 73.888 | -0.000 | 
| 0.000 | 0.000 | -0.000 | -0.000 | -0.000 | 129.419 | 
| 269.881 | 151.552 | 93.286 | 0.000 | -0.000 | 0.000 | 
| 100.173 | 247.639 | 91.491 | 0.000 | 0.000 | 0.000 | 
| 93.286 | 131.037 | 211.287 | 0.000 | -0.000 | 0.000 | 
| -6.492 | -12.481 | -15.924 | 64.822 | 0.000 | 0.000 | 
| -0.000 | -0.000 | 0.000 | 0.000 | 73.888 | 0.000 | 
| -0.000 | -0.000 | 0.000 | 0.000 | 0.000 | 129.419 | 
| 269.882 | 151.552 | 93.286 | 0.000 | 0.000 | -0.000 | 
| 118.788 | 271.050 | 117.610 | -0.000 | 0.000 | 0.000 | 
| 93.286 | 131.037 | 211.287 | -0.000 | 0.000 | -0.000 | 
| -0.000 | -0.000 | 0.000 | 105.502 | 0.000 | -0.000 | 
| 0.000 | -0.000 | -0.000 | -0.000 | 73.888 | -0.000 | 
| -0.000 | -0.000 | -0.000 | -0.000 | 0.000 | 129.419 | 
| 241.616 | 115.300 | 81.403 | 0.000 | 0.000 | 0.000 | 
| 151.552 | 319.348 | 131.037 | 0.000 | 0.000 | 0.000 | 
| 82.944 | 113.441 | 199.960 | 0.000 | -0.000 | -0.000 | 
| 0.000 | 0.000 | -0.000 | 105.502 | -0.000 | 0.000 | 
| -0.000 | 0.000 | 0.000 | 0.000 | 73.888 | 0.000 | 
| 0.000 | 0.000 | 0.000 | 0.000 | -0.000 | 129.419 | 
| 242.633 | 117.301 | 82.408 | -0.000 | -0.000 | -0.000 | 
| 117.766 | 269.286 | 115.469 | -0.000 | 0.000 | -0.000 | 
| 93.286 | 131.037 | 211.288 | -0.000 | -0.000 | -0.000 | 
| 0.046 | 0.088 | 0.112 | 76.871 | -0.000 | -0.000 | 
| 0.000 | -0.000 | -0.000 | -0.000 | 73.888 | -0.000 | 
| -0.000 | -0.000 | -0.000 | -0.000 | -0.000 | 129.419 | 
| 243.385 | 118.033 | 83.618 | 0.000 | 0.000 | 0.000 | 
| 120.576 | 271.007 | 116.095 | 0.000 | 0.000 | 0.000 | 
| 93.286 | 131.036 | 211.287 | 0.000 | -0.000 | 0.000 | 
| -0.046 | -0.088 | -0.112 | 76.871 | -0.000 | 0.000 | 
| -0.000 | 0.000 | 0.000 | 0.000 | 73.888 | 0.000 | 
| 0.000 | 0.000 | 0.000 | 0.000 | 0.000 | 129.419 | 
| 220.176 | 104.193 | 82.538 | 0.000 | 0.000 | 0.000 | 
| 91.881 | 233.458 | 103.412 | 0.000 | 0.000 | 0.000 | 
| 61.914 | 86.082 | 190.083 | -0.000 | 0.000 | 0.000 | 
| -9.729 | -5.029 | 5.878 | 57.677 | 0.000 | 0.000 | 
| -0.000 | 0.000 | 0.000 | -0.000 | 72.773 | 0.000 | 
| 0.000 | -0.000 | 0.000 | -0.000 | 0.000 | 127.912 | 
| 242.159 | 115.955 | 69.766 | 0.000 | -0.000 | -0.000 | 
| 118.805 | 269.005 | 101.381 | 0.000 | 0.000 | -0.000 | 
| 87.061 | 109.662 | 182.250 | 0.000 | -0.000 | -0.000 | 
| 9.728 | 5.029 | -5.878 | 57.677 | -0.000 | -0.000 | 
| -0.000 | 0.000 | -0.000 | -0.000 | 72.772 | -0.000 | 
| -0.000 | -0.000 | -0.000 | 0.000 | 0.000 | 127.912 | 
| 227.397 | 105.421 | 74.246 | -0.000 | -0.000 | 0.000 | 
| 142.136 | 304.527 | 119.058 | 0.000 | 0.000 | 0.000 | 
| 73.134 | 101.168 | 187.415 | 0.000 | 0.000 | 0.000 | 
| -0.657 | -0.340 | 0.397 | 71.817 | 0.000 | 0.000 | 
| 0.000 | -0.000 | 0.000 | -0.000 | 72.772 | 0.000 | 
| -0.000 | -0.000 | 0.000 | 0.000 | 0.000 | 127.912 | 
| 231.240 | 109.226 | 74.974 | -0.000 | -0.000 | -0.000 | 
| 142.136 | 304.527 | 119.058 | -0.000 | -0.000 | -0.000 | 
| 85.442 | 118.694 | 196.539 | -0.000 | -0.000 | -0.000 | 
| 0.657 | 0.340 | -0.397 | 71.817 | -0.000 | -0.000 | 
| -0.000 | 0.000 | -0.000 | 0.000 | 72.773 | -0.000 | 
| 0.000 | 0.000 | -0.000 | -0.000 | 0.000 | 127.912 | 
| 229.580 | 108.046 | 75.566 | 0.000 | 0.000 | 0.000 | 
| 110.835 | 255.781 | 104.296 | -0.000 | 0.000 | 0.000 | 
| 74.080 | 102.394 | 187.107 | 0.000 | -0.000 | 0.000 | 
| -0.121 | -0.114 | 0.039 | 70.615 | 0.000 | 0.000 | 
| -0.155 | -0.174 | 0.030 | 0.000 | 50.828 | 0.000 | 
| -0.000 | -0.000 | 0.000 | 0.000 | 0.000 | 127.912 | 
| 229.850 | 108.219 | 75.444 | -0.000 | -0.000 | -0.000 | 
| 111.281 | 256.254 | 104.278 | -0.000 | -0.000 | -0.000 | 
| 74.217 | 102.602 | 186.990 | -0.000 | -0.000 | -0.000 | 
| 0.000 | 0.000 | -0.000 | 101.228 | -0.000 | -0.000 | 
| 0.155 | 0.174 | -0.030 | -0.000 | 50.828 | -0.000 | 
| 0.000 | 0.000 | -0.000 | -0.000 | 0.000 | 127.912 | 
| 246.747 | 81.736 | 100.597 | 0.000 | 0.000 | 0.000 | 
| 81.736 | 228.744 | 91.213 | 0.000 | 0.000 | 0.000 | 
| 187.575 | 167.021 | 376.489 | 0.000 | 0.000 | -0.000 | 
| -0.000 | -0.000 | 0.000 | 69.388 | 0.000 | 0.000 | 
| 0.000 | -0.000 | -0.000 | 0.000 | 81.408 | 0.000 | 
| -0.000 | -0.000 | 0.000 | 0.000 | 0.000 | 64.020 | 
| 122.998 | -7.145 | -71.002 | -0.000 | -0.000 | -0.000 | 
| -34.865 | 124.766 | -65.047 | -0.000 | -0.000 | -0.000 | 
| 37.672 | 36.706 | 206.450 | -0.001 | -0.000 | -0.000 | 
| 0.000 | 0.000 | 0.000 | 69.388 | -0.000 | 0.000 | 
| 0.000 | 0.000 | -0.000 | -0.000 | 81.408 | -0.000 | 
| 0.000 | 0.000 | -0.000 | -0.000 | -0.000 | 64.020 | 
| 236.666 | 77.818 | 91.651 | 0.000 | 0.000 | 0.000 | 
| 75.720 | 212.840 | 91.662 | 0.000 | 0.000 | 0.000 | 
| 100.597 | 91.213 | 264.074 | 0.000 | 0.000 | 0.000 | 
| 4.226 | 4.591 | 2.128 | 51.667 | 0.000 | 0.000 | 
| 11.420 | 10.744 | 3.419 | -0.000 | 62.719 | 0.000 | 
| 0.000 | -0.000 | -0.000 | 0.000 | 0.000 | 64.020 | 
| 246.747 | 81.736 | 100.597 | -0.000 | -0.000 | -0.000 | 
| 57.883 | 196.092 | 80.355 | -0.000 | -0.000 | -0.000 | 
| 100.597 | 91.213 | 264.074 | -0.000 | -0.000 | -0.000 | 
| -4.226 | -4.591 | -2.128 | 51.667 | -0.000 | -0.000 | 
| -11.420 | -10.744 | -3.419 | 0.000 | 62.719 | -0.000 | 
| -0.000 | 0.000 | 0.000 | -0.000 | -0.000 | 64.020 | 
| 230.659 | 72.498 | 81.798 | 0.000 | 0.000 | 0.000 | 
| 71.920 | 207.842 | 87.826 | -0.000 | 0.000 | 0.000 | 
| 84.197 | 87.654 | 230.418 | 0.000 | 0.000 | 0.000 | 
| 0.386 | 0.391 | 0.271 | 55.794 | 0.000 | 0.000 | 
| -0.000 | -0.000 | -0.000 | 0.000 | 81.408 | 0.000 | 
| 1.326 | 1.077 | 1.184 | 0.000 | 0.000 | 45.694 | 
| 229.610 | 71.594 | 80.117 | -0.000 | -0.000 | 0.000 | 
| 71.874 | 207.412 | 85.034 | -0.000 | -0.000 | 0.000 | 
| 82.587 | 86.238 | 229.093 | -0.000 | -0.000 | -0.000 | 
| -0.386 | -0.391 | -0.271 | 55.794 | -0.000 | 0.000 | 
| 0.000 | 0.000 | 0.000 | -0.000 | 81.408 | 0.000 | 
| -1.326 | -1.077 | -1.184 | -0.000 | -0.000 | 45.694 | 
| 241.804 | 79.974 | 96.973 | 0.000 | -0.000 | -0.000 | 
| 78.276 | 232.688 | 87.154 | 0.000 | -0.000 | -0.000 | 
| 96.869 | 88.748 | 260.756 | 0.000 | -0.000 | -0.000 | 
| -125.481 | -31.237 | -15.098 | 52.439 | -0.000 | -0.000 | 
| 0.000 | 0.000 | -0.000 | 0.000 | 80.741 | -0.000 | 
| 0.000 | 0.000 | -0.000 | 0.000 | -0.000 | 61.629 | 
| 342.121 | 140.116 | 45.668 | -0.000 | 0.000 | 0.000 | 
| 78.276 | 232.688 | 87.154 | -0.000 | 0.000 | 0.000 | 
| 96.869 | 88.748 | 260.756 | -0.000 | 0.000 | 0.000 | 
| 125.481 | 31.237 | 15.098 | 52.439 | 0.000 | 0.000 | 
| -0.000 | -0.000 | 0.000 | -0.000 | 80.741 | 0.000 | 
| -0.000 | -0.000 | 0.000 | -0.000 | 0.000 | 61.629 | 
| 209.269 | 64.757 | 69.054 | 0.000 | -0.000 | -0.000 | 
| 55.984 | 207.168 | 86.512 | 0.000 | -0.000 | -0.000 | 
| 67.600 | 79.391 | 227.899 | 0.000 | -0.000 | -0.000 | 
| -11.796 | -2.936 | -1.419 | 53.380 | -0.000 | -0.000 | 
| -13.529 | -7.667 | 4.111 | 0.000 | 60.191 | -0.000 | 
| 0.000 | -0.000 | -0.000 | 0.000 | -0.000 | 61.629 | 
| 235.140 | 75.530 | 75.585 | -0.000 | 0.000 | 0.000 | 
| 79.786 | 217.100 | 80.996 | -0.000 | 0.000 | 0.000 | 
| 82.202 | 84.864 | 215.979 | -0.000 | 0.000 | 0.000 | 
| 11.796 | 2.936 | 1.419 | 53.380 | 0.000 | 0.000 | 
| 13.529 | 7.667 | -4.111 | -0.000 | 60.191 | 0.000 | 
| -0.000 | 0.000 | 0.000 | -0.000 | 0.000 | 61.629 | 
| 222.470 | 68.913 | 79.898 | 0.000 | -0.000 | -0.000 | 
| 65.440 | 209.657 | 84.295 | 0.000 | -0.000 | -0.000 | 
| 77.795 | 83.824 | 225.825 | 0.000 | -0.000 | -0.000 | 
| -0.000 | -0.000 | 0.000 | 68.124 | -0.000 | -0.000 | 
| -0.000 | -0.000 | -0.000 | 0.000 | 80.741 | -0.000 | 
| -1.179 | -0.673 | 0.406 | 0.000 | -0.000 | 43.443 | 
| 226.086 | 70.732 | 77.110 | -0.000 | -0.000 | -0.000 | 
| 78.276 | 232.687 | 87.154 | -0.000 | 0.000 | 0.000 | 
| 78.938 | 84.104 | 225.403 | -0.000 | 0.000 | 0.000 | 
| 0.000 | 0.000 | -0.000 | 68.124 | 0.000 | 0.000 | 
| 0.000 | 0.000 | 0.000 | -0.000 | 80.741 | 0.000 | 
| 1.179 | 0.673 | -0.406 | -0.000 | 0.000 | 43.443 | 
| 264.149 | 101.571 | 124.781 | 0.000 | 0.000 | -0.000 | 
| 69.601 | 90.197 | 101.407 | -0.000 | -0.000 | -0.000 | 
| 124.781 | 97.397 | 303.010 | 0.000 | 0.000 | 0.000 | 
| -26.762 | -131.369 | -18.456 | 60.700 | 0.000 | -0.000 | 
| -26.778 | -131.451 | -18.467 | 0.000 | 92.558 | 0.000 | 
| -26.797 | -131.540 | -18.480 | 0.000 | 0.000 | 72.864 | 
| 264.149 | 101.571 | 124.781 | 0.000 | 0.000 | 0.000 | 
| 101.571 | 264.154 | 97.397 | -0.000 | -0.000 | -0.000 | 
| 124.781 | 97.397 | 303.010 | 0.000 | 0.000 | -0.000 | 
| 26.762 | 131.369 | 18.456 | 60.700 | -0.000 | -0.000 | 
| 26.778 | 131.451 | 18.467 | -0.000 | 92.558 | -0.000 | 
| 26.797 | 131.540 | 18.480 | -0.000 | -0.000 | 72.864 | 
| 264.149 | 101.571 | 124.781 | 0.000 | 0.000 | -0.000 | 
| 93.039 | 226.022 | 100.884 | 0.000 | 0.000 | -0.000 | 
| 103.660 | 104.007 | 257.025 | 0.000 | 0.000 | -0.000 | 
| -0.000 | -0.000 | 0.000 | 75.531 | 0.000 | 0.000 | 
| -3.241 | -11.359 | -5.824 | 0.000 | 95.195 | -0.000 | 
| -2.224 | -13.315 | -1.822 | 0.000 | 0.000 | 72.418 | 
| 246.700 | 108.100 | 102.082 | 0.000 | -0.000 | -0.000 | 
| 99.407 | 241.508 | 114.312 | -0.000 | -0.000 | 0.000 | 
| 109.187 | 119.929 | 264.029 | -0.000 | -0.000 | 0.000 | 
| 0.000 | 0.000 | -0.000 | 75.531 | -0.000 | 0.000 | 
| 3.241 | 11.359 | 5.824 | 0.000 | 95.195 | 0.000 | 
| 2.224 | 13.315 | 1.822 | 0.000 | -0.000 | 72.418 | 
| 264.149 | 101.571 | 124.781 | -0.000 | -0.000 | 0.000 | 
| 98.339 | 239.050 | 109.313 | 0.000 | 0.000 | -0.000 | 
| 110.477 | 108.384 | 270.012 | 0.000 | 0.000 | -0.000 | 
| -0.000 | -0.000 | 0.000 | 75.531 | 0.000 | -0.000 | 
| -0.380 | -0.855 | -0.622 | -0.000 | 94.449 | 0.000 | 
| -0.211 | -1.363 | -0.110 | -0.000 | 0.000 | 72.616 | 
| 248.474 | 98.381 | 105.438 | -0.000 | 0.000 | 0.000 | 
| 94.288 | 239.052 | 102.842 | 0.000 | 0.000 | 0.000 | 
| 107.070 | 103.787 | 268.218 | -0.000 | -0.000 | 0.000 | 
| 0.308 | 1.154 | 0.494 | 65.215 | 0.000 | -0.000 | 
| 0.380 | 0.855 | 0.622 | 0.000 | 94.449 | -0.000 | 
| 0.211 | 1.363 | 0.110 | -0.000 | -0.000 | 72.616 | 
| 363.119 | -58.815 | 278.025 | 0.000 | 0.000 | -0.000 | 
| 174.270 | 126.832 | 174.177 | 0.000 | 0.000 | -0.000 | 
| 221.341 | -28.557 | 404.494 | 0.000 | -0.000 | 0.000 | 
| 0.000 | 0.000 | 0.000 | 74.369 | 0.000 | -0.000 | 
| -0.000 | -0.000 | 0.000 | 0.000 | 103.580 | 0.000 | 
| 0.000 | -0.000 | 0.000 | 0.000 | 0.000 | 82.589 | 
| 256.898 | 97.423 | 120.184 | 0.000 | -0.000 | -0.000 | 
| 97.267 | 257.113 | 91.658 | -0.000 | -0.000 | 0.000 | 
| 120.566 | 92.196 | 295.293 | -0.000 | -0.000 | 0.000 | 
| -0.000 | -0.000 | -0.000 | 74.369 | -0.000 | 0.000 | 
| -0.000 | 0.000 | -0.000 | -0.000 | 103.580 | -0.000 | 
| -0.000 | 0.000 | -0.000 | -0.000 | -0.000 | 82.589 | 
| 256.898 | 97.423 | 120.184 | 0.000 | 0.000 | -0.000 | 
| 100.770 | 211.548 | 121.644 | 0.000 | 0.000 | -0.000 | 
| 120.566 | 92.196 | 295.293 | 0.000 | 0.000 | 0.000 | 
| -0.000 | -0.000 | 0.000 | 74.369 | 0.000 | -0.000 | 
| 12.118 | -13.140 | 17.426 | 0.000 | 90.036 | -0.000 | 
| 9.255 | -8.518 | 9.450 | 0.000 | 0.000 | 71.450 | 
| 223.209 | 102.810 | 75.609 | -0.000 | -0.000 | 0.000 | 
| 97.267 | 257.113 | 91.658 | -0.000 | -0.000 | -0.000 | 
| 93.005 | 116.258 | 237.551 | -0.000 | -0.000 | -0.000 | 
| 0.000 | -0.000 | -0.000 | 74.369 | -0.000 | 0.000 | 
| -12.118 | 13.140 | -17.426 | -0.000 | 90.036 | 0.000 | 
| -9.255 | 8.518 | -9.450 | -0.000 | -0.000 | 71.450 | 
| 241.139 | 92.467 | 100.261 | 0.000 | 0.000 | -0.000 | 
| 97.267 | 257.114 | 91.658 | 0.000 | 0.000 | 0.000 | 
| 102.216 | 96.657 | 258.973 | 0.000 | -0.000 | 0.000 | 
| -0.000 | -0.000 | 0.000 | 74.369 | -0.000 | -0.000 | 
| -0.000 | 0.000 | -0.000 | 0.000 | 103.580 | 0.000 | 
| 0.000 | -0.000 | -0.000 | -0.000 | -0.000 | 82.589 | 
| 239.713 | 94.070 | 98.204 | -0.000 | -0.000 | 0.000 | 
| 89.481 | 231.092 | 96.828 | -0.000 | -0.000 | -0.000 | 
| 100.953 | 99.004 | 257.227 | -0.000 | -0.000 | -0.000 | 
| 0.000 | 0.000 | -0.000 | 74.369 | -0.000 | -0.000 | 
| 0.000 | -0.000 | 0.000 | -0.000 | 103.580 | 0.000 | 
| -0.000 | 0.000 | 0.000 | 0.000 | 0.000 | 82.589 | 
| 267.930 | 114.454 | 110.786 | -0.000 | 19.176 | 0.000 | 
| 115.029 | 237.245 | 80.006 | 0.000 | 0.951 | 0.000 | 
| 82.094 | 72.234 | 163.711 | 0.000 | 13.401 | 0.000 | 
| -0.000 | 0.000 | -0.000 | 61.401 | 0.000 | -0.948 | 
| -27.000 | 12.534 | -24.998 | -0.000 | 226.720 | 0.000 | 
| 36.615 | 32.648 | -23.329 | -0.264 | 44.122 | 96.998 | 
| 239.325 | 81.482 | 124.988 | -0.000 | 17.563 | -0.000 | 
| 97.529 | 208.665 | 97.395 | 0.000 | 1.880 | 0.000 | 
| 109.386 | 66.394 | 215.191 | 0.000 | 2.191 | -0.000 | 
| 0.000 | -0.000 | -0.000 | 61.401 | -0.000 | -0.948 | 
| -1.260 | 0.105 | 4.775 | 0.000 | 89.054 | 0.000 | 
| -36.615 | -32.648 | 23.329 | -0.264 | -44.122 | 96.998 | 
| 267.930 | 114.454 | 110.786 | -0.000 | 19.176 | 0.000 | 
| 88.523 | 218.131 | 70.616 | -0.000 | 20.487 | -0.000 | 
| 95.980 | 72.740 | 189.714 | 0.000 | 24.570 | 0.000 | 
| -2.801 | 0.812 | -2.970 | 42.944 | 15.181 | -0.800 | 
| -1.261 | 0.105 | 4.775 | -0.000 | 89.054 | 0.000 | 
| -3.044 | 0.883 | -3.227 | 0.059 | 16.497 | 97.338 | 
| 267.930 | 114.454 | 110.786 | 0.000 | 19.176 | 0.000 | 
| 87.028 | 214.305 | 75.527 | 0.000 | 0.951 | 0.000 | 
| 108.166 | 77.794 | 201.018 | 0.000 | 4.775 | -0.000 | 
| 2.801 | -0.812 | 2.970 | 42.944 | -15.181 | -0.800 | 
| 4.896 | 1.514 | 9.702 | 0.000 | 54.518 | -0.000 | 
| 3.044 | -0.883 | 3.227 | 0.059 | -16.497 | 97.338 | 
| 235.129 | 91.431 | 101.417 | -0.000 | 21.970 | 0.000 | 
| 91.250 | 217.866 | 73.067 | 0.000 | 5.856 | 0.000 | 
| 98.442 | 71.865 | 192.355 | -0.000 | 10.359 | 0.000 | 
| -0.114 | 0.023 | -0.236 | 44.305 | -0.077 | -1.086 | 
| -1.261 | 0.105 | 4.775 | 0.000 | 89.054 | 0.000 | 
| -0.135 | 0.030 | -0.237 | -0.195 | 0.155 | 97.049 | 
| 234.572 | 90.922 | 101.669 | 0.000 | 22.759 | 0.000 | 
| 90.350 | 217.116 | 73.425 | -0.000 | 4.694 | -0.000 | 
| 98.345 | 71.227 | 192.377 | -0.000 | 7.296 | -0.000 | 
| 0.114 | -0.023 | 0.236 | 44.305 | 0.077 | -1.086 | 
| -1.260 | 0.105 | 4.774 | 0.000 | 89.054 | -0.000 | 
| 0.135 | -0.030 | 0.237 | -0.195 | -0.155 | 97.049 | 
| 262.613 | 99.445 | 124.042 | 0.000 | 0.000 | -0.000 | 
| 99.445 | 259.694 | 98.717 | -0.000 | 0.000 | 0.000 | 
| 99.332 | 95.583 | 251.705 | -0.000 | 0.000 | -0.000 | 
| -0.000 | 0.000 | 0.000 | 75.649 | -0.000 | 0.000 | 
| 0.007 | 0.003 | 0.013 | 0.000 | 78.824 | 0.000 | 
| 0.008 | 0.003 | 0.015 | 0.000 | -0.000 | 61.976 | 
| 262.613 | 99.445 | 124.042 | -0.000 | -0.000 | 0.000 | 
| 81.674 | 234.111 | 94.564 | -0.000 | -0.000 | 0.000 | 
| 102.363 | 99.474 | 253.190 | -0.000 | 0.000 | 0.000 | 
| -0.000 | -0.000 | 0.000 | 75.650 | 0.000 | 0.000 | 
| -0.007 | -0.003 | -0.013 | -0.000 | 78.824 | 0.000 | 
| -0.008 | -0.003 | -0.015 | -0.000 | 0.000 | 61.976 | 
| 262.613 | 99.445 | 124.042 | 0.000 | 0.000 | 0.000 | 
| 82.539 | 233.820 | 96.526 | 0.000 | 0.000 | -0.000 | 
| 124.042 | 98.717 | 297.818 | 0.000 | 0.000 | 0.000 | 
| -0.000 | -0.000 | 0.000 | 75.650 | 0.000 | 0.000 | 
| 0.001 | 0.000 | 0.001 | 0.000 | 78.824 | 0.000 | 
| 0.000 | 0.000 | 0.001 | -0.000 | -0.000 | 58.809 | 
| 262.613 | 99.445 | 124.042 | 0.000 | 0.000 | 0.000 | 
| 87.482 | 237.032 | 99.416 | -0.000 | 0.000 | -0.000 | 
| 124.042 | 98.717 | 297.818 | -0.000 | 0.000 | 0.000 | 
| 0.000 | 0.000 | -0.000 | 75.650 | 0.000 | 0.000 | 
| -0.001 | -0.000 | -0.001 | -0.000 | 78.824 | 0.000 | 
| -0.000 | -0.000 | -0.001 | 0.000 | 0.000 | 58.809 | 
| 237.135 | 84.544 | 99.158 | 0.000 | 0.000 | 0.000 | 
| 87.483 | 237.033 | 99.417 | 0.000 | -0.000 | 0.000 | 
| 102.369 | 99.477 | 253.201 | 0.000 | 0.000 | 0.000 | 
| 0.000 | -0.000 | 0.000 | 58.692 | -0.000 | 0.000 | 
| 0.000 | 0.000 | 0.000 | 0.000 | 78.824 | 0.000 | 
| 0.000 | 0.000 | -0.000 | 0.000 | 0.000 | 56.810 | 
| 235.971 | 83.196 | 98.844 | 0.000 | 0.000 | -0.000 | 
| 87.483 | 237.033 | 99.416 | 0.000 | 0.000 | 0.000 | 
| 102.368 | 99.476 | 253.198 | 0.000 | -0.000 | -0.000 | 
| -0.000 | 0.000 | -0.000 | 58.692 | -0.000 | 0.000 | 
| -0.000 | -0.000 | -0.000 | -0.000 | 78.824 | 0.000 | 
| -0.000 | -0.000 | 0.000 | -0.000 | -0.000 | 56.810 | 
| 250.474 | 93.001 | 115.538 | 0.000 | 0.000 | -0.000 | 
| -219.781 | -6.919 | -207.756 | 0.000 | -0.000 | 0.000 | 
| -201.397 | -121.123 | -70.959 | 0.000 | -0.000 | -0.000 | 
| -292.694 | -215.012 | -295.885 | 45.226 | 0.000 | -0.000 | 
| 0.000 | -0.000 | 0.000 | 0.000 | 101.263 | -0.000 | 
| 0.000 | -0.000 | 0.000 | 0.000 | -0.000 | 79.594 | 
| 515.177 | 291.411 | 383.665 | -0.000 | 0.000 | 0.000 | 
| 365.904 | 423.569 | 384.096 | -0.000 | 0.000 | -0.000 | 
| 116.358 | 89.443 | 281.437 | -0.000 | -0.000 | 0.000 | 
| 292.694 | 215.012 | 295.885 | 45.226 | 0.000 | -0.000 | 
| 0.000 | 0.000 | -0.000 | -0.000 | 101.263 | 0.000 | 
| -0.000 | -0.000 | -0.000 | -0.000 | 0.000 | 79.594 | 
| 250.474 | 93.001 | 115.538 | 0.000 | -0.000 | -0.000 | 
| 48.380 | 191.563 | 62.002 | 0.000 | -0.000 | -0.000 | 
| 116.358 | 89.443 | 281.437 | 0.000 | -0.000 | 0.000 | 
| -0.000 | -0.000 | 0.000 | 73.325 | -0.000 | 0.000 | 
| -27.817 | -27.086 | -19.769 | 0.000 | 74.593 | -0.000 | 
| -26.770 | -27.169 | -21.361 | 0.000 | -0.000 | 60.334 | 
| 249.768 | 102.545 | 110.783 | -0.000 | -0.000 | -0.000 | 
| 101.949 | 233.826 | 113.565 | -0.000 | -0.000 | 0.000 | 
| 119.103 | 113.713 | 255.329 | -0.000 | -0.000 | 0.000 | 
| 0.000 | 0.000 | -0.000 | 73.325 | 0.000 | -0.000 | 
| 27.817 | 27.086 | 19.769 | -0.000 | 74.593 | 0.000 | 
| 26.770 | 27.169 | 21.361 | -0.000 | 0.000 | 60.334 | 
| 220.544 | 73.375 | 87.087 | 0.000 | -0.000 | -0.000 | 
| 71.977 | 216.301 | 81.041 | -0.000 | -0.000 | 0.000 | 
| 91.942 | 88.330 | 233.807 | -0.000 | -0.000 | 0.000 | 
| -1.657 | -1.217 | -1.675 | 57.421 | -0.000 | -0.000 | 
| -3.055 | -2.244 | -3.088 | 0.000 | 77.452 | 0.000 | 
| -3.425 | -2.516 | -3.462 | 0.000 | -0.000 | 61.978 | 
| 227.041 | 79.049 | 92.293 | -0.000 | 0.000 | -0.000 | 
| 93.573 | 245.557 | 89.194 | -0.000 | -0.000 | -0.000 | 
| 96.260 | 91.429 | 238.271 | -0.000 | 0.000 | 0.000 | 
| 1.657 | 1.217 | 1.675 | 57.421 | 0.000 | 0.000 | 
| 3.055 | 2.244 | 3.088 | -0.000 | 77.452 | 0.000 | 
| 3.425 | 2.516 | 3.462 | -0.000 | 0.000 | 61.978 | 
| 201.882 | 80.444 | 61.258 | -0.000 | 0.000 | 0.000 | 
| 81.630 | 198.180 | 61.808 | 0.000 | -0.000 | 0.000 | 
| 62.290 | 62.290 | 220.982 | 0.000 | 0.000 | 0.000 | 
| 0.012 | 0.012 | -0.021 | 45.694 | -0.000 | 0.000 | 
| 0.012 | 0.012 | -0.021 | -0.000 | 45.694 | 0.000 | 
| 0.000 | 0.000 | 0.000 | -0.000 | 0.000 | 60.719 | 
| 201.882 | 80.444 | 61.258 | 0.000 | 0.000 | -0.000 | 
| 80.445 | 201.881 | 61.258 | 0.000 | 0.000 | -0.000 | 
| 62.282 | 62.282 | 220.997 | -0.000 | -0.000 | -0.000 | 
| -0.012 | -0.012 | 0.021 | 45.694 | -0.000 | -0.000 | 
| -0.012 | -0.012 | 0.021 | -0.000 | 45.694 | -0.000 | 
| 0.000 | -0.000 | -0.000 | 0.000 | -0.000 | 60.719 | 
| 198.535 | 80.772 | 61.679 | -0.000 | 0.000 | 0.000 | 
| 80.444 | 201.882 | 61.258 | 0.000 | 0.000 | 0.000 | 
| 62.286 | 62.286 | 220.989 | -0.000 | -0.000 | 0.000 | 
| -0.000 | 0.000 | 0.000 | 47.340 | -0.000 | -0.000 | 
| -0.002 | -0.002 | 0.006 | -0.000 | 45.665 | 0.000 | 
| 0.000 | 0.000 | 0.000 | -0.000 | 0.000 | 60.719 | 
| 201.881 | 80.444 | 61.258 | 0.000 | -0.000 | -0.000 | 
| 80.444 | 201.882 | 61.258 | 0.000 | -0.000 | -0.000 | 
| 61.831 | 61.831 | 221.720 | -0.000 | -0.000 | -0.000 | 
| 0.000 | -0.000 | -0.000 | 47.340 | -0.000 | -0.000 | 
| 0.003 | 0.002 | -0.006 | -0.000 | 45.665 | -0.000 | 
| -0.000 | -0.000 | -0.000 | 0.000 | 0.000 | 60.719 | 
| 199.265 | 79.865 | 62.188 | 0.000 | 0.000 | 0.000 | 
| 79.865 | 199.265 | 62.188 | -0.000 | 0.000 | 0.000 | 
| 62.390 | 62.390 | 220.979 | -0.000 | -0.000 | -0.000 | 
| -0.000 | -0.000 | 0.000 | 47.340 | -0.000 | 0.000 | 
| -0.000 | -0.000 | 0.000 | -0.000 | 47.340 | 0.000 | 
| -0.000 | 0.000 | 0.000 | -0.000 | 0.000 | 60.719 | 
| 199.264 | 79.865 | 62.188 | -0.000 | 0.000 | -0.000 | 
| 80.444 | 201.881 | 61.258 | -0.000 | 0.000 | -0.000 | 
| 62.286 | 62.286 | 220.989 | 0.000 | -0.000 | -0.000 | 
| 0.000 | 0.000 | -0.000 | 47.340 | -0.000 | -0.000 | 
| 0.000 | 0.000 | -0.000 | 0.000 | 47.340 | -0.000 | 
| 0.000 | -0.000 | -0.000 | 0.000 | -0.000 | 60.719 | 
| 199.206 | 79.854 | 63.844 | -0.000 | -0.000 | 0.000 | 
| 80.448 | 201.859 | 62.915 | 0.000 | -0.000 | -0.000 | 
| 63.367 | 63.367 | 223.430 | -0.000 | -0.000 | 0.000 | 
| 0.000 | 0.000 | -0.000 | 46.180 | -0.000 | 0.000 | 
| 0.000 | -0.000 | -0.000 | -0.000 | 47.816 | -0.000 | 
| 0.000 | 0.000 | -0.001 | -0.000 | -0.000 | 58.558 | 
| 198.066 | 81.686 | 63.464 | 0.000 | 0.000 | 0.000 | 
| 80.801 | 198.438 | 63.321 | 0.000 | 0.000 | -0.000 | 
| 62.915 | 62.915 | 224.161 | -0.000 | 0.000 | 0.000 | 
| -0.000 | -0.000 | 0.000 | 46.180 | 0.000 | 0.000 | 
| -0.000 | 0.000 | 0.000 | -0.000 | 47.817 | 0.000 | 
| -0.000 | -0.000 | 0.001 | 0.000 | 0.000 | 58.558 | 
| 201.859 | 80.448 | 62.915 | 0.000 | 0.000 | 0.000 | 
| 80.448 | 201.859 | 62.915 | 0.000 | -0.000 | -0.000 | 
| 63.367 | 63.367 | 223.430 | -0.000 | 0.000 | 0.000 | 
| 0.000 | 0.000 | -0.000 | 46.180 | 0.000 | 0.000 | 
| -0.000 | -0.000 | 0.000 | -0.000 | 47.816 | -0.000 | 
| 0.000 | 0.000 | -0.000 | -0.000 | -0.000 | 58.558 | 
| 199.206 | 79.854 | 63.844 | 0.000 | 0.000 | 0.000 | 
| 81.674 | 198.063 | 63.464 | -0.000 | 0.000 | 0.000 | 
| 63.367 | 63.367 | 223.430 | 0.000 | 0.000 | -0.000 | 
| -0.000 | -0.000 | 0.000 | 46.180 | 0.000 | -0.000 | 
| 0.000 | 0.000 | -0.000 | 0.000 | 47.816 | 0.000 | 
| -0.000 | -0.000 | 0.000 | 0.000 | 0.000 | 58.558 | 
| 199.207 | 79.855 | 63.844 | 0.000 | -0.000 | 0.000 | 
| 81.672 | 198.064 | 63.465 | -0.000 | -0.000 | -0.000 | 
| 63.465 | 63.465 | 223.421 | 0.000 | 0.000 | -0.000 | 
| -0.000 | -0.000 | 0.000 | 46.180 | -0.000 | -0.000 | 
| -0.000 | -0.000 | 0.000 | -0.000 | 46.180 | -0.000 | 
| -0.000 | 0.000 | 0.000 | -0.000 | -0.000 | 58.558 | 
| 199.205 | 79.854 | 63.844 | 0.000 | 0.000 | 0.000 | 
| 80.448 | 201.858 | 62.915 | 0.000 | 0.000 | 0.000 | 
| 63.464 | 63.464 | 223.420 | -0.000 | -0.000 | 0.000 | 
| 0.000 | 0.000 | -0.000 | 46.180 | -0.000 | 0.000 | 
| 0.000 | 0.000 | -0.000 | 0.000 | 46.180 | 0.000 | 
| 0.000 | -0.000 | -0.000 | 0.000 | 0.000 | 58.558 | 
| 226.435 | 96.196 | 134.217 | -0.000 | 0.000 | 0.000 | 
| 97.327 | 254.468 | 118.744 | -0.000 | -0.000 | 0.000 | 
| 134.601 | 119.361 | 288.538 | 0.000 | -0.000 | 0.000 | 
| 0.000 | -0.000 | 0.000 | 144.302 | 0.000 | 0.000 | 
| 0.000 | -0.000 | -0.000 | 0.000 | 89.914 | 0.000 | 
| 0.000 | -0.000 | -0.000 | 0.000 | 0.000 | 51.508 | 
| 226.435 | 96.196 | 134.217 | -0.000 | -0.000 | -0.000 | 
| 103.099 | 294.495 | 164.120 | -0.000 | -0.000 | -0.000 | 
| 134.601 | 119.361 | 288.538 | -0.000 | 0.000 | -0.000 | 
| -0.000 | 0.000 | -0.000 | 144.302 | -0.000 | -0.000 | 
| -0.000 | 0.000 | 0.000 | -0.000 | 89.914 | -0.000 | 
| -0.000 | 0.000 | 0.000 | 0.000 | -0.000 | 51.508 | 
| 226.212 | 97.291 | 134.732 | 0.000 | 0.000 | -0.000 | 
| 97.869 | 254.393 | 118.948 | 0.000 | 0.000 | 0.000 | 
| 148.144 | 164.120 | 346.408 | 0.000 | -0.000 | 0.000 | 
| 0.000 | -0.000 | 0.000 | 144.302 | 0.000 | -0.000 | 
| 0.000 | 0.000 | 0.000 | 0.000 | 89.914 | 0.000 | 
| -0.000 | 0.000 | -0.000 | 0.000 | 0.000 | 51.508 | 
| 226.212 | 97.291 | 134.732 | -0.000 | 0.000 | -0.000 | 
| 97.869 | 254.393 | 118.948 | -0.000 | -0.000 | -0.000 | 
| 148.144 | 164.120 | 346.408 | -0.000 | -0.000 | -0.000 | 
| -0.000 | 0.000 | -0.000 | 144.302 | -0.000 | -0.000 | 
| -0.000 | -0.000 | -0.000 | -0.000 | 89.914 | -0.000 | 
| 0.000 | -0.000 | 0.000 | -0.000 | -0.000 | 51.508 | 
| 226.203 | 97.797 | 135.262 | 0.000 | -0.000 | -0.000 | 
| 95.693 | 258.194 | 119.514 | 0.000 | -0.000 | 0.000 | 
| 134.346 | 122.929 | 290.795 | 0.000 | 0.000 | 0.000 | 
| -0.000 | -0.000 | -0.000 | 147.313 | -0.000 | 0.000 | 
| 0.000 | 0.000 | 0.000 | 0.000 | 89.914 | 0.000 | 
| -0.000 | 0.000 | 0.000 | -0.000 | 0.000 | 51.508 | 
| 226.212 | 97.291 | 134.731 | -0.000 | 0.000 | 0.000 | 
| 97.327 | 254.467 | 118.743 | -0.000 | 0.000 | 0.000 | 
| 134.346 | 122.930 | 290.796 | -0.000 | -0.000 | -0.000 | 
| 0.000 | 0.000 | 0.000 | 147.313 | 0.000 | -0.000 | 
| -0.000 | -0.000 | -0.000 | -0.000 | 89.914 | -0.000 | 
| 0.000 | -0.000 | -0.000 | -0.000 | -0.000 | 51.508 | 
| 237.168 | 187.622 | 241.478 | 0.000 | -0.000 | -0.000 | 
| 112.723 | 352.379 | 239.580 | 0.000 | 0.000 | -0.000 | 
| 150.919 | 222.686 | 409.461 | 0.000 | 0.000 | -0.000 | 
| 0.000 | -0.000 | 0.000 | 147.584 | -0.000 | -0.000 | 
| 21.301 | 102.227 | 120.223 | -0.000 | 86.982 | -0.000 | 
| 21.338 | 103.882 | 121.959 | 0.000 | -0.000 | 50.084 | 
| 221.813 | 95.683 | 137.132 | -0.000 | 0.000 | 0.000 | 
| 95.548 | 282.543 | 155.547 | -0.000 | -0.000 | 0.000 | 
| 103.416 | 2.882 | 147.909 | -0.000 | 0.000 | 0.000 | 
| -0.000 | 0.000 | -0.000 | 147.584 | -0.000 | 0.000 | 
| -21.301 | -102.227 | -120.223 | -0.000 | 86.982 | 0.000 | 
| -21.338 | -103.882 | -121.959 | 0.000 | 0.000 | 50.084 | 
| 213.355 | 93.989 | 128.954 | 0.000 | -0.000 | 0.000 | 
| 95.549 | 282.543 | 155.547 | 0.000 | 0.000 | 0.000 | 
| 127.247 | 121.660 | 287.364 | 0.000 | -0.000 | -0.000 | 
| 2.136 | 9.501 | 11.300 | 144.305 | -0.000 | -0.000 | 
| 2.198 | 10.179 | 12.073 | 0.000 | 87.307 | -0.000 | 
| -0.000 | 0.000 | -0.000 | 0.000 | -0.000 | 86.028 | 
| 221.813 | 95.683 | 137.132 | 0.000 | 0.000 | -0.000 | 
| 87.665 | 231.921 | 97.387 | -0.000 | 0.000 | 0.000 | 
| 122.796 | 100.127 | 261.989 | 0.000 | 0.000 | 0.000 | 
| -2.136 | -9.501 | -11.300 | 144.305 | 0.000 | 0.000 | 
| -2.198 | -10.179 | -12.073 | 0.000 | 87.307 | 0.000 | 
| 0.000 | -0.000 | 0.000 | 0.000 | 0.000 | 86.028 | 
| 213.691 | 90.772 | 125.112 | -0.000 | -0.000 | -0.000 | 
| 89.717 | 243.803 | 111.210 | 0.000 | -0.000 | -0.000 | 
| 124.388 | 115.641 | 278.002 | 0.000 | -0.000 | 0.000 | 
| 0.211 | 0.943 | 1.121 | 144.331 | 0.000 | 0.000 | 
| 0.236 | 0.958 | 1.176 | 0.000 | 87.294 | -0.000 | 
| 0.179 | 0.529 | 0.717 | 0.000 | 0.000 | 56.304 | 
| 213.271 | 88.817 | 122.832 | -0.000 | 0.000 | -0.000 | 
| 89.199 | 241.503 | 108.467 | -0.000 | 0.000 | 0.000 | 
| 123.761 | 113.785 | 275.486 | -0.000 | 0.000 | 0.000 | 
| -0.211 | -0.943 | -1.121 | 144.331 | -0.000 | -0.000 | 
| -0.236 | -0.958 | -1.176 | 0.000 | 87.294 | 0.000 | 
| -0.179 | -0.529 | -0.717 | -0.000 | -0.000 | 56.304 | 
| 259.504 | 115.820 | 101.909 | -0.000 | 0.000 | 0.000 | 
| 136.403 | 241.266 | 89.895 | -0.000 | 0.000 | 0.000 | 
| 99.497 | 81.275 | 172.438 | -0.000 | 0.000 | -0.000 | 
| 0.356 | 0.239 | 0.388 | 56.791 | 0.000 | 0.000 | 
| 0.418 | 0.281 | 0.457 | 0.000 | 62.617 | 0.000 | 
| 0.834 | 0.561 | 0.911 | -0.000 | 0.000 | 110.130 | 
| 293.721 | 136.403 | 115.663 | -0.000 | -0.000 | 0.000 | 
| 114.602 | 226.701 | 81.420 | -0.000 | 0.000 | -0.000 | 
| 115.663 | 89.895 | 188.729 | -0.000 | -0.000 | -0.000 | 
| -0.356 | -0.239 | -0.388 | 56.791 | -0.000 | -0.000 | 
| -0.418 | -0.281 | -0.457 | -0.000 | 62.617 | -0.000 | 
| -0.834 | -0.560 | -0.911 | 0.000 | -0.000 | 110.129 | 
| 293.721 | 136.403 | 115.663 | -0.000 | -0.000 | 0.000 | 
| 115.866 | 227.548 | 82.348 | -0.000 | 0.000 | 0.000 | 
| 98.736 | 80.784 | 171.619 | -0.000 | 0.000 | -0.000 | 
| 0.097 | 0.071 | 0.099 | 56.694 | 0.000 | -0.000 | 
| 0.065 | 0.052 | 0.086 | 0.000 | 61.444 | 0.000 | 
| 0.083 | 0.056 | 0.091 | 0.000 | 0.000 | 110.129 | 
| 256.554 | 113.603 | 96.531 | 0.000 | -0.000 | -0.000 | 
| 112.992 | 225.907 | 77.525 | 0.000 | -0.000 | 0.000 | 
| 115.663 | 89.895 | 188.729 | 0.000 | -0.000 | 0.000 | 
| -0.097 | -0.071 | -0.099 | 56.694 | -0.000 | -0.000 | 
| -0.042 | -0.028 | -0.046 | -0.000 | 62.632 | -0.000 | 
| -0.083 | -0.056 | -0.091 | 0.000 | -0.000 | 110.129 | 
| 258.511 | 115.182 | 101.113 | 0.000 | 0.000 | 0.000 | 
| 113.097 | 225.983 | 77.633 | -0.000 | 0.000 | -0.000 | 
| 98.660 | 80.735 | 171.537 | 0.000 | 0.000 | -0.000 | 
| 0.004 | 0.002 | 0.004 | 56.807 | 0.000 | 0.000 | 
| 0.010 | 0.007 | 0.010 | -0.000 | 61.556 | 0.000 | 
| -0.000 | 0.000 | 0.000 | -0.000 | 0.000 | 110.129 | 
| 256.878 | 114.390 | 96.993 | -0.000 | 0.000 | 0.000 | 
| 113.077 | 225.968 | 77.613 | 0.000 | 0.000 | -0.000 | 
| 94.039 | 76.046 | 168.653 | -0.000 | 0.000 | -0.000 | 
| -0.004 | -0.002 | -0.004 | 56.807 | -0.000 | 0.000 | 
| -0.010 | -0.007 | -0.010 | 0.000 | 61.556 | -0.000 | 
| 0.000 | -0.000 | -0.000 | 0.000 | -0.000 | 110.129 | 
| 283.534 | 127.763 | 111.793 | 0.000 | 0.000 | -0.000 | 
| 217.039 | 274.539 | 178.321 | 0.000 | -0.000 | 0.000 | 
| 109.766 | 81.138 | 184.097 | -0.000 | -0.000 | 0.000 | 
| 151.304 | 93.034 | 109.843 | 53.750 | 0.000 | 0.000 | 
| 142.444 | 88.321 | 106.354 | 0.000 | 60.891 | 0.000 | 
| -0.000 | -0.000 | -0.000 | 0.000 | -0.000 | 110.430 | 
| 120.127 | 37.348 | -16.451 | -0.000 | 0.000 | -0.000 | 
| -38.175 | 126.082 | -34.798 | -0.000 | 0.000 | -0.000 | 
| -50.989 | -19.075 | 60.122 | -0.000 | 0.000 | -0.000 | 
| -151.304 | -93.034 | -109.843 | 53.750 | -0.000 | 0.000 | 
| -142.444 | -88.321 | -106.354 | -0.000 | 60.891 | -0.000 | 
| 0.000 | -0.000 | 0.000 | -0.000 | 0.000 | 110.430 | 
| 259.890 | 112.990 | 104.522 | -0.000 | 0.000 | 0.000 | 
| 128.056 | 230.897 | 83.458 | 0.000 | -0.000 | 0.000 | 
| 109.766 | 81.138 | 184.097 | 0.000 | 0.000 | 0.000 | 
| 15.021 | 9.096 | 11.221 | 52.217 | -0.000 | 0.000 | 
| 15.358 | 9.411 | 11.223 | 0.000 | 61.266 | 0.000 | 
| 15.142 | 9.326 | 10.959 | 0.000 | -0.000 | 110.430 | 
| 283.534 | 127.763 | 111.793 | -0.000 | 0.000 | -0.000 | 
| 90.093 | 205.502 | 60.974 | -0.000 | -0.000 | -0.000 | 
| 83.443 | 66.957 | 159.020 | -0.000 | 0.000 | 0.000 | 
| -15.021 | -9.096 | -11.221 | 52.217 | -0.000 | -0.000 | 
| -15.358 | -9.411 | -11.223 | -0.000 | 61.266 | 0.000 | 
| -15.142 | -9.326 | -10.959 | -0.000 | 0.000 | 110.430 | 
| 249.553 | 106.642 | 98.771 | 0.000 | -0.000 | -0.000 | 
| 105.656 | 215.075 | 72.165 | 0.000 | 0.000 | 0.000 | 
| 92.702 | 69.671 | 166.551 | 0.000 | -0.000 | -0.000 | 
| 1.393 | 0.857 | 1.015 | 51.999 | -0.000 | 0.000 | 
| 0.728 | 0.387 | 0.667 | 0.000 | 61.916 | 0.000 | 
| 1.514 | 0.933 | 1.096 | -0.000 | -0.000 | 110.430 | 
| 244.603 | 103.063 | 92.256 | -0.000 | -0.000 | -0.000 | 
| 104.374 | 214.869 | 74.540 | -0.000 | -0.000 | -0.000 | 
| 93.061 | 72.059 | 167.802 | -0.000 | 0.000 | -0.000 | 
| -1.393 | -0.857 | -1.015 | 51.999 | 0.000 | -0.000 | 
| -0.728 | -0.387 | -0.667 | -0.000 | 61.916 | -0.000 | 
| -1.514 | -0.933 | -1.096 | -0.000 | 0.000 | 110.430 | 
| 434.108 | -340.017 | -275.891 | 0.000 | 0.000 | 0.000 | 
| 64.394 | 185.122 | 48.203 | 0.000 | -0.000 | -0.000 | 
| 55.359 | 48.382 | 192.233 | 0.000 | -0.000 | 0.000 | 
| 218.222 | -400.752 | -326.796 | 36.987 | -0.000 | -0.000 | 
| -0.000 | -0.000 | 0.000 | 0.000 | 43.798 | -0.000 | 
| 175.823 | -341.259 | -372.888 | 0.000 | 0.000 | 41.251 | 
| 216.590 | 59.730 | 50.516 | 0.000 | 0.000 | 0.000 | 
| -110.183 | 524.388 | 420.083 | -0.000 | -0.000 | -0.000 | 
| -119.585 | 387.890 | 565.112 | -0.000 | -0.000 | 0.000 | 
| -218.222 | 400.752 | 326.796 | 36.986 | 0.000 | 0.000 | 
| 0.000 | 0.000 | -0.000 | 0.000 | 43.797 | -0.000 | 
| -175.823 | 341.259 | 372.888 | -0.000 | -0.000 | 41.251 | 
| 233.300 | 26.919 | 13.740 | 0.000 | 0.000 | -0.000 | 
| 87.302 | 143.343 | 14.907 | 0.000 | 0.000 | -0.000 | 
| 73.604 | 13.248 | 153.401 | -0.000 | 0.000 | -0.000 | 
| 17.582 | -34.125 | -37.289 | 35.884 | 0.000 | -0.000 | 
| 21.856 | -40.138 | -32.731 | 0.000 | 41.230 | -0.000 | 
| 16.313 | -32.952 | -36.510 | -0.000 | -0.000 | 43.630 | 
| 198.156 | 95.098 | 88.468 | 0.000 | -0.000 | 0.000 | 
| 48.071 | 217.194 | 84.619 | 0.000 | -0.000 | 0.000 | 
| 55.359 | 48.382 | 192.233 | -0.000 | -0.000 | -0.000 | 
| -17.582 | 34.125 | 37.289 | 35.884 | 0.000 | -0.000 | 
| -21.856 | 40.138 | 32.731 | 0.000 | 41.230 | 0.000 | 
| -16.313 | 32.952 | 36.510 | -0.000 | -0.000 | 43.630 | 
| 217.377 | 57.682 | 47.559 | 0.000 | 0.000 | 0.000 | 
| 67.395 | 179.721 | 43.466 | 0.000 | 0.000 | -0.000 | 
| 55.359 | 48.382 | 192.234 | -0.000 | -0.000 | 0.000 | 
| -0.000 | -0.000 | 0.000 | 38.324 | 0.000 | -0.000 | 
| -0.000 | -0.000 | 0.000 | 0.000 | 43.797 | -0.000 | 
| 2.583 | -4.743 | -3.868 | 0.000 | -0.000 | 46.643 | 
| 214.102 | 64.281 | 54.857 | -0.000 | 0.000 | -0.000 | 
| 63.468 | 187.213 | 50.948 | 0.000 | 0.000 | -0.000 | 
| 54.370 | 50.686 | 194.260 | 0.000 | 0.000 | -0.000 | 
| 0.000 | 0.000 | -0.000 | 38.324 | -0.000 | 0.000 | 
| 0.000 | 0.000 | -0.000 | 0.000 | 43.797 | 0.000 | 
| -2.583 | 4.743 | 3.868 | -0.000 | 0.000 | 46.643 | 
| 248.838 | 77.247 | 108.703 | -0.000 | -0.000 | 0.000 | 
| 71.455 | 214.452 | 72.568 | -0.000 | -0.000 | -0.000 | 
| 108.703 | 85.093 | 287.023 | -0.000 | -0.000 | 0.000 | 
| -3.757 | 5.035 | -1.728 | 52.454 | -0.000 | 0.000 | 
| -0.000 | -0.000 | 0.000 | -0.000 | 83.014 | 0.000 | 
| 0.000 | -0.000 | 0.000 | -0.000 | -0.000 | 48.027 | 
| 238.744 | 73.043 | 87.859 | 0.000 | 0.000 | -0.000 | 
| 84.868 | 209.722 | 81.538 | -0.000 | 0.000 | -0.000 | 
| 97.850 | 77.860 | 246.053 | 0.000 | 0.000 | -0.000 | 
| 3.757 | -5.035 | 1.728 | 52.455 | 0.000 | -0.000 | 
| -0.000 | 0.000 | -0.000 | 0.000 | 83.014 | -0.000 | 
| -0.000 | 0.000 | -0.000 | 0.000 | 0.000 | 48.027 | 
| 237.329 | 76.699 | 88.816 | -0.000 | -0.000 | 0.000 | 
| 77.247 | 228.427 | 85.093 | -0.000 | -0.000 | 0.000 | 
| 108.703 | 85.093 | 287.023 | -0.000 | -0.000 | 0.000 | 
| 0.000 | -0.000 | 0.000 | 57.503 | -0.000 | 0.000 | 
| -0.474 | 0.256 | -0.151 | -0.000 | 65.577 | 0.000 | 
| -0.891 | 0.109 | -0.219 | -0.000 | -0.000 | 36.412 | 
| 248.838 | 77.246 | 108.703 | 0.000 | 0.000 | -0.000 | 
| 77.246 | 228.427 | 85.093 | 0.000 | 0.000 | -0.000 | 
| 108.703 | 85.093 | 287.023 | 0.000 | 0.000 | -0.000 | 
| -0.000 | 0.000 | -0.000 | 57.503 | 0.000 | -0.000 | 
| 0.474 | -0.256 | 0.151 | 0.000 | 65.577 | -0.000 | 
| 0.891 | -0.109 | 0.219 | 0.000 | 0.000 | 36.412 | 
| 235.419 | 79.045 | 93.414 | -0.000 | -0.000 | 0.000 | 
| 80.622 | 211.510 | 84.152 | -0.000 | -0.000 | 0.000 | 
| 94.888 | 79.427 | 243.198 | -0.000 | -0.000 | 0.000 | 
| 0.000 | -0.000 | 0.000 | 57.503 | -0.000 | 0.000 | 
| -0.136 | -0.014 | -0.039 | -0.000 | 63.260 | 0.000 | 
| -0.078 | 0.105 | -0.036 | -0.000 | -0.000 | 38.693 | 
| 248.838 | 77.246 | 108.703 | 0.000 | 0.000 | -0.000 | 
| 79.821 | 210.829 | 80.056 | 0.000 | 0.000 | -0.000 | 
| 92.933 | 81.105 | 244.226 | 0.000 | 0.000 | -0.000 | 
| -0.000 | 0.000 | -0.000 | 57.503 | 0.000 | -0.000 | 
| 0.136 | 0.014 | 0.039 | 0.000 | 63.260 | -0.000 | 
| 0.078 | -0.105 | 0.036 | 0.000 | 0.000 | 38.693 | 
| 246.041 | 77.937 | 103.057 | -0.000 | -0.000 | -0.000 | 
| 74.603 | 247.457 | 75.417 | 0.000 | -0.000 | -0.000 | 
| 180.714 | 137.229 | 374.173 | 0.000 | -0.000 | -0.000 | 
| 95.886 | 58.493 | 155.243 | 48.120 | -0.000 | -0.000 | 
| 96.981 | 50.425 | 215.133 | 0.000 | 69.214 | 0.000 | 
| -0.000 | -0.000 | -0.000 | 0.000 | -0.000 | 44.848 | 
| 138.999 | 27.410 | -129.327 | -0.000 | 0.000 | -0.000 | 
| -18.597 | 170.477 | -81.639 | 0.000 | 0.000 | 0.000 | 
| 105.293 | 80.988 | 277.401 | -0.000 | 0.000 | 0.000 | 
| -95.886 | -58.493 | -155.243 | 48.120 | 0.000 | 0.000 | 
| -96.981 | -50.425 | -215.133 | -0.000 | 69.214 | 0.000 | 
| -0.000 | 0.000 | -0.000 | 0.000 | 0.000 | 44.848 | 
| 246.041 | 77.937 | 103.057 | 0.000 | -0.000 | -0.000 | 
| 74.603 | 247.457 | 75.417 | 0.000 | -0.000 | 0.000 | 
| 98.064 | 86.799 | 246.073 | -0.000 | -0.000 | -0.000 | 
| 9.681 | 5.952 | 15.368 | 47.819 | -0.000 | -0.000 | 
| 8.297 | 4.908 | 14.454 | 0.000 | 62.988 | -0.000 | 
| 11.036 | 5.738 | 24.481 | 0.000 | -0.000 | 41.963 | 
| 225.392 | 72.197 | 62.189 | 0.000 | 0.000 | 0.000 | 
| 74.603 | 247.457 | 75.417 | -0.000 | 0.000 | 0.000 | 
| 79.005 | 72.249 | 210.779 | -0.000 | 0.000 | 0.000 | 
| -9.681 | -5.952 | -15.368 | 47.819 | 0.000 | 0.000 | 
| -8.297 | -4.908 | -14.454 | 0.000 | 62.988 | 0.000 | 
| -11.036 | -5.738 | -24.481 | -0.000 | 0.000 | 41.963 | 
| 232.474 | 79.665 | 86.952 | 0.000 | -0.000 | -0.000 | 
| 74.631 | 234.987 | 71.488 | 0.000 | -0.000 | -0.000 | 
| 88.186 | 76.999 | 231.187 | 0.000 | -0.000 | 0.000 | 
| 0.882 | 0.500 | 1.675 | 47.138 | -0.000 | 0.000 | 
| 1.587 | 0.430 | 1.178 | 0.000 | 62.007 | 0.000 | 
| 0.526 | 0.421 | 0.186 | -0.000 | -0.000 | 32.962 | 
| 230.578 | 78.612 | 83.586 | -0.000 | 0.000 | 0.000 | 
| 74.603 | 247.456 | 75.417 | 0.000 | 0.000 | 0.000 | 
| 86.615 | 76.162 | 227.734 | 0.000 | 0.000 | 0.000 | 
| -0.882 | -0.500 | -1.675 | 47.138 | 0.000 | -0.000 | 
| -1.587 | -0.430 | -1.178 | -0.000 | 62.007 | -0.000 | 
| -0.526 | -0.421 | -0.186 | -0.000 | 0.000 | 32.962 | 
| 175.010 | -34.729 | 96.671 | -0.000 | -0.000 | 0.000 | 
| 24.572 | 100.220 | 98.151 | -0.000 | -0.000 | 0.000 | 
| 11.627 | -76.725 | 174.138 | -0.000 | -0.000 | 0.000 | 
| -84.516 | -156.816 | -68.103 | 66.872 | -0.000 | 0.000 | 
| 0.000 | 0.000 | -0.000 | -0.000 | 100.358 | 0.000 | 
| 0.000 | 0.000 | -0.000 | -0.000 | -0.000 | 83.049 | 
| 263.388 | 97.012 | 114.653 | 0.000 | 0.000 | -0.000 | 
| 173.460 | 391.126 | 149.601 | 0.000 | 0.000 | -0.000 | 
| 179.979 | 238.584 | 309.925 | 0.000 | 0.000 | -0.000 | 
| 84.516 | 156.816 | 68.103 | 66.873 | 0.000 | -0.000 | 
| 0.000 | -0.000 | 0.000 | 0.000 | 100.358 | -0.000 | 
| -0.000 | -0.000 | 0.000 | 0.000 | 0.000 | 83.049 | 
| 263.388 | 97.012 | 114.653 | -0.000 | -0.000 | 0.000 | 
| 77.892 | 205.569 | 87.922 | -0.000 | -0.000 | 0.000 | 
| 118.709 | 91.391 | 279.466 | -0.000 | -0.000 | 0.000 | 
| -8.415 | -16.923 | -5.555 | 58.700 | -0.000 | 0.000 | 
| -0.000 | 0.000 | -0.000 | -0.000 | 100.358 | 0.000 | 
| -5.649 | -11.199 | 1.163 | -0.000 | -0.000 | 64.034 | 
| 263.388 | 97.012 | 114.653 | 0.000 | 0.000 | -0.000 | 
| 92.448 | 237.723 | 87.150 | 0.000 | 0.000 | -0.000 | 
| 101.457 | 98.418 | 243.552 | 0.000 | 0.000 | -0.000 | 
| 8.415 | 16.923 | 5.555 | 58.700 | 0.000 | -0.000 | 
| 0.000 | -0.000 | 0.000 | 0.000 | 100.358 | -0.000 | 
| 5.649 | 11.199 | -1.163 | 0.000 | 0.000 | 64.034 | 
| 237.061 | 80.372 | 90.492 | -0.000 | -0.000 | 0.000 | 
| 87.288 | 223.211 | 88.003 | -0.000 | -0.000 | 0.000 | 
| 95.823 | 87.165 | 239.492 | -0.000 | -0.000 | 0.000 | 
| -0.000 | -0.000 | 0.000 | 73.022 | -0.000 | 0.000 | 
| -0.896 | -1.802 | -0.595 | -0.000 | 77.328 | 0.000 | 
| -0.870 | -1.986 | -0.529 | -0.000 | -0.000 | 62.320 | 
| 238.743 | 82.652 | 91.024 | 0.000 | 0.000 | -0.000 | 
| 88.828 | 226.091 | 88.036 | 0.000 | 0.000 | -0.000 | 
| 97.353 | 88.944 | 240.537 | -0.000 | -0.000 | -0.000 | 
| 0.000 | 0.000 | -0.000 | 73.022 | 0.000 | -0.000 | 
| 0.896 | 1.802 | 0.595 | 0.000 | 77.328 | -0.000 | 
| 0.870 | 1.986 | 0.529 | 0.000 | 0.000 | 62.320 | 
| 235.423 | 81.081 | 90.214 | 0.000 | 0.000 | -0.000 | 
| 77.861 | 230.640 | 90.966 | 0.000 | 0.000 | -0.000 | 
| 113.945 | 97.201 | 288.255 | 0.000 | -0.000 | -0.000 | 
| 0.000 | -0.000 | -0.000 | 60.655 | 0.000 | -0.000 | 
| -0.000 | -0.000 | -0.000 | 0.000 | 70.121 | -0.000 | 
| -0.000 | -0.000 | 0.000 | 0.000 | 0.000 | 77.429 | 
| 236.758 | 80.177 | 91.255 | -0.000 | -0.000 | 0.000 | 
| 83.017 | 234.672 | 95.031 | -0.000 | -0.000 | 0.000 | 
| 92.617 | 94.671 | 249.545 | 0.000 | -0.000 | 0.000 | 
| -0.000 | 0.000 | 0.000 | 60.655 | -0.000 | 0.000 | 
| -0.000 | 0.000 | 0.000 | -0.000 | 70.121 | 0.000 | 
| 0.000 | -0.000 | -0.000 | -0.000 | -0.000 | 77.429 | 
| 236.758 | 80.177 | 91.254 | -0.000 | 0.000 | -0.000 | 
| 83.017 | 234.672 | 95.031 | 0.000 | 0.000 | -0.000 | 
| 92.617 | 94.671 | 249.545 | -0.000 | 0.000 | -0.000 | 
| -0.000 | -0.000 | 0.000 | 74.620 | 0.000 | -0.000 | 
| 0.000 | -0.000 | -0.000 | 0.000 | 70.107 | -0.000 | 
| 0.000 | -0.000 | -0.000 | 0.000 | -0.000 | 55.630 | 
| 261.416 | 94.835 | 113.945 | -0.000 | -0.000 | 0.000 | 
| 94.835 | 255.671 | 97.201 | -0.000 | -0.000 | 0.000 | 
| 90.843 | 92.329 | 248.705 | -0.000 | -0.000 | 0.000 | 
| 0.000 | 0.000 | -0.000 | 74.620 | -0.000 | -0.000 | 
| 0.000 | -0.000 | 0.000 | -0.000 | 94.838 | 0.000 | 
| -0.000 | 0.000 | 0.000 | -0.000 | 0.000 | 55.630 | 
| 236.759 | 80.178 | 91.255 | -0.000 | 0.000 | -0.000 | 
| 83.018 | 234.673 | 95.031 | 0.000 | 0.000 | -0.000 | 
| 92.616 | 94.671 | 249.542 | 0.000 | 0.000 | -0.000 | 
| -0.000 | -0.000 | 0.000 | 74.620 | 0.000 | -0.000 | 
| 0.000 | 0.000 | -0.000 | 0.000 | 71.218 | -0.000 | 
| 0.000 | 0.001 | -0.000 | -0.000 | 0.000 | 55.620 | 
| 236.758 | 80.178 | 91.255 | 0.000 | -0.000 | 0.000 | 
| 83.018 | 234.672 | 95.031 | 0.000 | -0.000 | 0.000 | 
| 92.617 | 94.671 | 249.543 | 0.000 | -0.000 | 0.000 | 
| 0.000 | 0.000 | -0.000 | 74.620 | -0.000 | 0.000 | 
| -0.000 | -0.000 | 0.000 | -0.000 | 71.218 | 0.000 | 
| -0.000 | -0.001 | 0.000 | 0.000 | -0.000 | 55.620 | 
| 270.152 | 118.372 | 110.715 | 0.000 | 17.299 | -0.000 | 
| 99.837 | 231.752 | 80.804 | 0.000 | -0.260 | -0.000 | 
| 100.146 | 76.565 | 197.475 | 0.000 | -0.049 | 0.000 | 
| -4.580 | -2.044 | 0.953 | 50.892 | -0.078 | -0.209 | 
| 0.057 | -0.219 | -0.026 | 0.000 | 87.009 | -0.000 | 
| -0.000 | -0.000 | -0.000 | -0.167 | 0.000 | 94.547 | 
| 270.152 | 118.372 | 110.715 | -0.000 | 17.299 | 0.000 | 
| 118.416 | 243.898 | 83.385 | 0.000 | -0.219 | -0.000 | 
| 108.544 | 78.174 | 190.584 | -0.000 | -0.792 | 0.000 | 
| 4.580 | 2.044 | -0.953 | 50.892 | 0.078 | -0.209 | 
| 4.268 | 1.685 | -0.844 | 0.000 | 69.405 | 0.000 | 
| 0.000 | -0.000 | 0.000 | -0.167 | 0.000 | 94.547 | 
| 270.153 | 118.372 | 110.716 | -0.000 | 17.299 | -0.000 | 
| 118.416 | 243.898 | 83.385 | -0.000 | -0.219 | -0.000 | 
| 102.960 | 76.993 | 194.788 | 0.000 | 0.061 | -0.000 | 
| -0.359 | -0.090 | 0.256 | 50.643 | 0.122 | -0.335 | 
| -0.501 | -0.143 | 0.435 | 0.000 | 71.355 | 0.000 | 
| -0.000 | 0.000 | -0.000 | -0.167 | -0.000 | 94.547 | 
| 246.301 | 104.666 | 105.517 | 0.000 | 13.648 | -0.000 | 
| 118.416 | 243.898 | 83.385 | 0.000 | -0.219 | 0.000 | 
| 110.721 | 83.385 | 200.604 | -0.000 | -0.026 | -0.000 | 
| 0.359 | 0.090 | -0.256 | 50.643 | -0.122 | -0.335 | 
| 0.440 | -0.027 | -0.055 | 0.000 | 71.645 | 0.000 | 
| 0.000 | -0.000 | 0.000 | -0.167 | 0.000 | 94.547 | 
| 245.916 | 104.564 | 105.779 | -0.000 | 13.757 | 0.000 | 
| 118.416 | 243.898 | 83.385 | -0.000 | -0.219 | 0.000 | 
| 110.721 | 83.385 | 200.604 | 0.000 | -0.026 | -0.000 | 
| -0.033 | -0.007 | 0.024 | 50.638 | 0.010 | -0.337 | 
| -0.186 | -0.094 | 0.122 | 0.000 | 71.320 | -0.000 | 
| -0.011 | 0.001 | 0.025 | -0.265 | 0.004 | 92.769 | 
| 245.986 | 104.594 | 105.790 | -0.000 | 14.320 | 0.000 | 
| 105.272 | 234.416 | 80.073 | -0.000 | -0.184 | 0.000 | 
| 110.720 | 83.385 | 200.603 | -0.000 | -0.026 | 0.000 | 
| 0.033 | 0.007 | -0.024 | 50.638 | -0.010 | -0.337 | 
| -0.117 | -0.062 | 0.076 | 0.000 | 71.284 | 0.000 | 
| 0.011 | -0.001 | -0.025 | -0.265 | -0.004 | 92.769 | 
| 462.473 | 166.450 | 42.831 | -0.000 | 396.835 | -0.000 | 
| 292.135 | 287.737 | 23.221 | -0.000 | 364.720 | -0.000 | 
| 100.652 | 70.046 | 189.725 | -0.000 | 0.937 | -0.000 | 
| 201.750 | 75.782 | -44.427 | 45.768 | 364.205 | -0.304 | 
| 203.752 | 98.414 | -23.448 | -0.000 | 695.031 | -0.000 | 
| 201.520 | 97.176 | -24.267 | -0.073 | 631.787 | 91.694 | 
| 7.225 | 16.867 | 148.884 | -0.000 | -371.805 | 0.000 | 
| -111.355 | 136.179 | 112.075 | -0.000 | -363.672 | -0.000 | 
| -106.085 | -10.847 | 229.263 | 0.000 | -363.120 | 0.000 | 
| -201.750 | -75.782 | 44.427 | 45.768 | -364.205 | -0.304 | 
| -199.309 | -95.951 | 25.085 | 0.000 | -567.946 | -0.000 | 
| -201.520 | -97.176 | 24.267 | -0.073 | -631.787 | 91.694 | 
| 252.858 | 98.253 | 92.489 | 0.000 | 52.251 | 0.000 | 
| 105.864 | 223.386 | 72.751 | -0.000 | 0.090 | -0.000 | 
| 118.508 | 72.133 | 179.074 | -0.000 | 39.711 | 0.000 | 
| 22.429 | 7.409 | -5.150 | 46.024 | 38.679 | -0.338 | 
| 22.998 | 7.829 | -4.251 | 0.000 | 106.591 | -0.000 | 
| 20.162 | 9.722 | -2.428 | -0.073 | 63.209 | 91.694 | 
| 207.732 | 81.561 | 101.751 | -0.000 | -22.038 | -0.000 | 
| 66.362 | 199.507 | 70.115 | -0.000 | -61.765 | -0.000 | 
| 75.484 | 57.362 | 189.288 | 0.000 | -35.289 | 0.000 | 
| -22.429 | -7.409 | 5.150 | 46.024 | -38.679 | -0.338 | 
| -0.219 | -0.079 | 0.937 | 0.000 | 84.353 | 0.000 | 
| -20.162 | -9.722 | 2.428 | -0.073 | -63.209 | 91.694 | 
| 253.823 | 104.549 | 102.248 | 0.000 | 17.170 | -0.000 | 
| 93.774 | 213.119 | 66.733 | -0.000 | 4.498 | 0.000 | 
| 96.559 | 65.430 | 185.120 | 0.000 | 8.163 | 0.000 | 
| 2.389 | 0.770 | -0.565 | 44.734 | 3.891 | -0.392 | 
| 1.167 | 0.676 | 0.885 | 0.000 | 70.162 | 0.000 | 
| 2.104 | 1.015 | -0.253 | -0.072 | 6.596 | 91.650 | 
| 226.935 | 89.212 | 97.995 | 0.000 | 9.991 | -0.000 | 
| 88.928 | 211.448 | 69.018 | -0.000 | -4.609 | -0.000 | 
| 92.737 | 63.795 | 185.979 | -0.000 | -5.389 | 0.000 | 
| -2.389 | -0.770 | 0.565 | 44.734 | -3.891 | -0.392 | 
| -2.266 | -0.612 | 1.546 | 0.000 | 64.581 | -0.000 | 
| -2.104 | -1.015 | 0.253 | -0.072 | -6.596 | 91.650 | 
| 200.458 | 103.068 | 44.009 | 0.000 | -0.000 | 0.000 | 
| 106.195 | 160.354 | 106.884 | 0.000 | 0.000 | 0.000 | 
| 65.399 | 109.844 | 228.448 | 0.000 | -0.000 | -0.000 | 
| -0.000 | -0.000 | -0.000 | 77.922 | -0.000 | 0.000 | 
| 0.000 | -0.000 | 0.000 | 0.000 | 9.860 | -0.000 | 
| -0.000 | -0.000 | -0.000 | 0.000 | 0.000 | 77.847 | 
| 196.549 | 102.637 | 40.876 | -0.000 | -0.000 | 0.000 | 
| 106.195 | 160.354 | 106.884 | -0.000 | -0.000 | -0.000 | 
| 41.771 | 103.823 | 205.970 | 0.000 | 0.000 | 0.000 | 
| 0.000 | 0.000 | 0.000 | 77.922 | -0.000 | 0.000 | 
| -0.000 | 0.000 | -0.000 | -0.000 | 9.860 | 0.000 | 
| 0.000 | 0.000 | 0.000 | -0.000 | -0.000 | 77.847 | 
| 221.858 | 109.045 | 64.758 | 0.000 | 0.000 | -0.000 | 
| 102.644 | 159.535 | 103.686 | 0.000 | 0.000 | -0.000 | 
| 65.399 | 109.844 | 228.448 | 0.000 | 0.000 | -0.000 | 
| 0.000 | -0.000 | 0.000 | 77.906 | 0.000 | -0.000 | 
| -0.000 | -0.000 | -0.000 | 0.000 | 35.476 | -0.000 | 
| 0.000 | -0.000 | -0.000 | 0.000 | 0.000 | 79.863 | 
| 221.858 | 109.045 | 64.758 | 0.000 | -0.000 | 0.000 | 
| 102.644 | 159.535 | 103.686 | -0.000 | -0.000 | 0.000 | 
| 40.172 | 103.713 | 204.748 | -0.000 | 0.000 | 0.000 | 
| 0.000 | 0.000 | -0.000 | 77.922 | -0.000 | 0.000 | 
| 0.000 | 0.000 | 0.000 | -0.000 | 35.476 | 0.000 | 
| -0.000 | 0.000 | 0.000 | -0.000 | -0.000 | 79.863 | 
| 195.554 | 102.676 | 40.238 | 0.000 | 0.000 | -0.000 | 
| 111.580 | 161.843 | 112.334 | 0.000 | 0.000 | -0.000 | 
| 41.772 | 103.823 | 205.971 | 0.000 | 0.000 | 0.000 | 
| -0.000 | -0.000 | 0.000 | 77.903 | 0.000 | 0.000 | 
| 0.000 | -0.000 | 0.000 | 0.000 | 56.444 | -0.000 | 
| 0.000 | 0.000 | -0.000 | 0.000 | 0.000 | 77.847 | 
| 196.548 | 102.636 | 40.875 | -0.000 | -0.000 | -0.000 | 
| 106.194 | 160.353 | 106.883 | -0.000 | -0.000 | -0.000 | 
| 40.172 | 103.713 | 204.747 | 0.000 | -0.000 | -0.000 | 
| 0.000 | 0.000 | -0.000 | 77.903 | -0.000 | 0.000 | 
| -0.000 | 0.000 | -0.000 | -0.000 | 56.444 | 0.000 | 
| -0.000 | -0.000 | 0.000 | -0.000 | -0.000 | 77.847 | 
| 239.971 | 107.229 | 82.465 | -0.000 | 0.000 | -0.000 | 
| -39.395 | 142.665 | -29.733 | -0.000 | 0.000 | -0.000 | 
| 88.193 | 113.334 | 253.480 | -0.000 | -0.000 | -0.000 | 
| -138.799 | -20.206 | -129.771 | 75.801 | 0.000 | -0.000 | 
| 31.251 | 7.849 | 34.158 | -0.000 | 31.443 | -0.000 | 
| -102.305 | -20.705 | -94.306 | 0.000 | 0.000 | 74.578 | 
| 239.971 | 107.229 | 82.465 | 0.000 | 0.000 | 0.000 | 
| 73.220 | 155.977 | 70.823 | 0.000 | 0.000 | 0.000 | 
| 82.431 | 107.673 | 245.104 | 0.000 | 0.000 | 0.000 | 
| -0.000 | 0.000 | 0.000 | 78.309 | 0.000 | -0.000 | 
| -31.251 | -7.849 | -34.158 | 0.000 | 31.443 | 0.000 | 
| 102.305 | 20.705 | 94.306 | 0.000 | -0.000 | 74.578 | 
| 174.292 | 98.210 | 18.628 | -0.000 | -0.000 | -0.000 | 
| 106.678 | 164.758 | 107.156 | -0.000 | 0.000 | -0.000 | 
| 51.286 | 104.788 | 213.497 | -0.000 | -0.000 | 0.000 | 
| -9.067 | -1.839 | -8.317 | 75.346 | -0.000 | -0.000 | 
| 0.000 | -0.000 | 0.000 | -0.000 | 55.015 | -0.000 | 
| -13.499 | -1.938 | -12.602 | -0.000 | 0.000 | 75.048 | 
| 219.047 | 104.556 | 60.950 | -0.000 | -0.000 | 0.000 | 
| 113.223 | 164.916 | 112.938 | 0.000 | 0.000 | 0.000 | 
| 82.431 | 107.673 | 245.104 | 0.000 | 0.000 | 0.000 | 
| 6.927 | 0.916 | 6.449 | 75.688 | 0.000 | 0.000 | 
| -0.000 | 0.000 | -0.000 | 0.000 | 55.015 | 0.000 | 
| 13.499 | 1.938 | 12.602 | 0.000 | -0.000 | 75.048 | 
| 187.721 | 99.993 | 31.059 | -0.000 | -0.000 | 0.000 | 
| 102.844 | 163.224 | 103.325 | 0.000 | 0.000 | 0.000 | 
| 36.527 | 100.470 | 199.097 | -0.000 | -0.000 | -0.000 | 
| -0.000 | -0.000 | 0.000 | 78.309 | -0.000 | 0.000 | 
| -1.391 | -0.202 | -1.298 | -0.000 | 0.739 | 0.000 | 
| -0.584 | -0.074 | -0.539 | -0.000 | -0.000 | 75.281 | 
| 189.330 | 100.178 | 32.703 | 0.000 | 0.000 | -0.000 | 
| 100.808 | 163.073 | 101.353 | 0.000 | 0.000 | 0.000 | 
| 32.777 | 100.753 | 196.127 | 0.000 | -0.000 | 0.000 | 
| 0.000 | 0.000 | -0.000 | 78.309 | 0.000 | 0.000 | 
| 1.391 | 0.202 | 1.298 | 0.000 | 0.739 | 0.000 | 
| 0.584 | 0.074 | 0.539 | 0.000 | 0.000 | 75.281 | 
| 132.094 | 72.489 | 72.489 | 0.000 | -0.000 | 0.000 | 
| 72.489 | 132.094 | 72.489 | 0.000 | 0.000 | 0.000 | 
| 72.489 | 72.489 | 132.094 | -0.000 | -0.000 | 0.000 | 
| 0.000 | 0.000 | 0.000 | 56.770 | 0.000 | 0.000 | 
| 0.000 | 0.000 | -0.000 | 0.000 | 16.450 | 0.000 | 
| 0.000 | 0.000 | 0.000 | 0.000 | 0.000 | 56.770 | 
| 132.094 | 72.489 | 72.489 | -0.000 | -0.000 | -0.000 | 
| 72.489 | 132.094 | 72.489 | -0.000 | -0.000 | -0.000 | 
| 72.489 | 72.489 | 132.094 | -0.000 | -0.000 | -0.000 | 
| -0.000 | -0.000 | -0.000 | 16.450 | -0.000 | -0.000 | 
| -0.000 | -0.000 | -0.000 | -0.000 | 16.450 | -0.000 | 
| -0.000 | -0.000 | -0.000 | -0.000 | -0.000 | 56.770 | 
| 132.094 | 72.489 | 72.489 | 0.000 | 0.000 | 0.000 | 
| 72.489 | 132.094 | 72.489 | 0.000 | 0.000 | 0.000 | 
| 72.489 | 72.489 | 132.094 | 0.000 | 0.000 | 0.000 | 
| 0.000 | 0.000 | -0.000 | 16.450 | 0.000 | 0.000 | 
| -0.000 | 0.000 | -0.000 | 0.000 | 16.450 | 0.000 | 
| -0.000 | 0.000 | 0.000 | 0.000 | 0.000 | 16.450 | 
| 132.094 | 72.489 | 72.489 | -0.000 | -0.000 | -0.000 | 
| 72.489 | 132.094 | 72.489 | -0.000 | -0.000 | -0.000 | 
| 72.489 | 72.489 | 132.094 | -0.000 | 0.000 | -0.000 | 
| -0.000 | -0.000 | -0.000 | 16.450 | -0.000 | -0.000 | 
| 0.000 | -0.000 | -0.000 | -0.000 | 16.450 | -0.000 | 
| 0.000 | -0.000 | -0.000 | -0.000 | -0.000 | 16.450 | 
| 132.094 | 72.489 | 72.489 | 0.000 | 0.000 | 0.000 | 
| 72.489 | 132.094 | 72.489 | 0.000 | 0.000 | 0.000 | 
| 72.489 | 72.489 | 132.094 | 0.000 | 0.000 | 0.000 | 
| 0.000 | -0.000 | -0.000 | 16.450 | 0.000 | 0.000 | 
| -0.000 | 0.000 | -0.000 | 0.000 | 16.450 | 0.000 | 
| -0.000 | -0.000 | 0.000 | 0.000 | 0.000 | 16.450 | 
| 132.094 | 72.489 | 72.489 | -0.000 | -0.000 | -0.000 | 
| 72.489 | 132.094 | 72.489 | -0.000 | -0.000 | 0.000 | 
| 72.489 | 72.489 | 132.094 | -0.000 | 0.000 | -0.000 | 
| -0.000 | 0.000 | 0.000 | 16.450 | -0.000 | 0.000 | 
| 0.000 | -0.000 | 0.000 | -0.000 | 16.450 | -0.000 | 
| 0.000 | 0.000 | -0.000 | -0.000 | -0.000 | 16.450 | 
| 85.847 | 79.736 | 79.736 | -0.000 | -0.000 | -0.000 | 
| 79.736 | 85.847 | 79.736 | -0.000 | -0.000 | -0.000 | 
| 79.736 | 79.736 | 85.847 | 0.000 | -0.000 | -0.000 | 
| -0.000 | -0.000 | 0.000 | 65.677 | -0.000 | -0.000 | 
| -0.000 | 0.000 | 0.000 | -0.000 | 65.677 | -0.000 | 
| -0.000 | -0.000 | 0.000 | 0.000 | -0.000 | 65.677 | 
| 85.848 | 79.736 | 79.736 | 0.000 | 0.000 | 0.000 | 
| 79.736 | 85.847 | 79.736 | 0.000 | 0.000 | 0.000 | 
| 79.736 | 79.736 | 85.847 | 0.000 | 0.000 | 0.000 | 
| 0.000 | 0.000 | 0.000 | 65.677 | 0.000 | 0.000 | 
| 0.000 | 0.000 | 0.000 | 0.000 | 65.677 | 0.000 | 
| 0.000 | 0.000 | 0.000 | 0.000 | 0.000 | 65.678 | 
| 85.847 | 79.736 | 79.736 | -0.000 | -0.000 | -0.000 | 
| 79.736 | 85.847 | 79.736 | -0.000 | -0.000 | -0.000 | 
| 79.736 | 79.736 | 85.847 | 0.000 | 0.000 | -0.000 | 
| -0.000 | -0.000 | -0.000 | -0.090 | -0.000 | -0.000 | 
| -0.000 | -0.000 | -0.000 | -0.000 | -0.090 | -0.000 | 
| -0.000 | -0.000 | 0.000 | -0.000 | -0.000 | -0.090 | 
| 85.847 | 79.736 | 79.736 | 0.000 | 0.000 | 0.000 | 
| 79.736 | 85.847 | 79.736 | 0.000 | 0.000 | 0.000 | 
| 79.736 | 79.736 | 85.847 | 0.000 | 0.000 | 0.000 | 
| -0.000 | 0.000 | 0.000 | -0.090 | 0.000 | 0.000 | 
| 0.000 | -0.000 | 0.000 | 0.000 | -0.090 | -0.000 | 
| 0.000 | 0.000 | -0.000 | -0.000 | 0.000 | -0.090 | 
| 85.848 | 79.736 | 79.736 | -0.000 | -0.000 | -0.000 | 
| 79.736 | 85.848 | 79.736 | -0.000 | -0.000 | -0.000 | 
| 79.736 | 79.736 | 85.848 | -0.000 | -0.000 | -0.000 | 
| 0.000 | -0.000 | -0.000 | -5.843 | -0.000 | -0.000 | 
| -0.000 | 0.000 | -0.000 | -0.000 | -5.843 | -0.000 | 
| -0.000 | -0.000 | 0.000 | -0.000 | -0.000 | -5.843 | 
| 85.847 | 79.736 | 79.736 | 0.000 | 0.000 | 0.000 | 
| 79.736 | 85.847 | 79.736 | 0.000 | 0.000 | 0.000 | 
| 79.736 | 79.736 | 85.847 | 0.000 | 0.000 | 0.000 | 
| -0.000 | 0.000 | 0.000 | -5.843 | 0.000 | 0.000 | 
| 0.000 | -0.000 | 0.000 | 0.000 | -5.843 | 0.000 | 
| 0.000 | 0.000 | -0.000 | 0.000 | 0.000 | -5.843 | 
| 244.065 | 57.822 | 63.017 | 0.000 | 0.000 | -0.000 | 
| 64.393 | 199.363 | 86.549 | 0.000 | -0.000 | -0.000 | 
| 50.445 | 92.281 | 214.867 | 0.000 | -0.000 | -0.000 | 
| 13.489 | -3.191 | -4.050 | 66.450 | -0.000 | -0.000 | 
| -20.595 | 5.822 | 11.686 | 0.000 | 48.542 | -0.000 | 
| 0.000 | -0.000 | -0.000 | 0.000 | 0.000 | 49.076 | 
| 229.488 | 63.146 | 68.187 | 0.000 | 0.000 | 0.000 | 
| 64.393 | 199.363 | 86.550 | -0.000 | 0.000 | 0.000 | 
| 67.577 | 84.693 | 207.812 | -0.000 | 0.000 | 0.000 | 
| -13.489 | 3.191 | 4.051 | 66.450 | 0.000 | 0.000 | 
| 20.595 | -5.822 | -11.686 | -0.000 | 48.542 | 0.000 | 
| -0.000 | 0.000 | 0.000 | -0.000 | -0.000 | 49.076 | 
| 229.488 | 63.146 | 68.187 | 0.000 | 0.000 | -0.000 | 
| 63.086 | 196.121 | 89.682 | 0.000 | 0.000 | -0.000 | 
| 67.577 | 84.693 | 207.812 | 0.000 | 0.000 | -0.000 | 
| -2.025 | 0.573 | 1.149 | 66.351 | -0.000 | -0.000 | 
| 0.000 | -0.000 | -0.000 | 0.000 | 52.369 | -0.000 | 
| -2.047 | 0.579 | 1.162 | 0.000 | 0.000 | 48.307 | 
| 229.488 | 63.146 | 68.187 | -0.000 | -0.000 | 0.000 | 
| 64.018 | 195.285 | 89.098 | -0.000 | -0.000 | 0.000 | 
| 68.915 | 87.061 | 204.313 | -0.000 | 0.000 | 0.000 | 
| 2.025 | -0.573 | -1.149 | 66.351 | 0.000 | 0.000 | 
| -0.000 | 0.000 | 0.000 | -0.000 | 52.369 | 0.000 | 
| 2.047 | -0.579 | -1.162 | -0.000 | -0.000 | 48.307 | 
| 226.045 | 64.178 | 70.596 | 0.000 | 0.000 | -0.000 | 
| 65.081 | 196.340 | 88.032 | -0.000 | -0.000 | -0.000 | 
| 70.029 | 85.669 | 204.800 | 0.000 | -0.000 | -0.000 | 
| 0.077 | -0.032 | -0.028 | 66.382 | 0.000 | -0.000 | 
| 0.000 | -0.000 | -0.000 | 0.000 | 52.369 | -0.000 | 
| 0.032 | -0.027 | 0.024 | -0.000 | 0.000 | 48.261 | 
| 225.773 | 64.478 | 70.645 | -0.000 | 0.000 | 0.000 | 
| 65.360 | 196.528 | 87.695 | 0.000 | -0.000 | -0.000 | 
| 69.976 | 85.949 | 204.574 | -0.000 | -0.000 | 0.000 | 
| -0.077 | 0.032 | 0.028 | 66.382 | -0.000 | 0.000 | 
| -0.000 | 0.000 | 0.000 | -0.000 | 52.369 | 0.000 | 
| -0.032 | 0.027 | -0.024 | 0.000 | 0.000 | 48.261 | 
| 231.050 | 64.976 | 68.007 | 0.000 | 0.000 | 0.000 | 
| 64.976 | 209.357 | 84.509 | -0.000 | 0.000 | -0.000 | 
| 68.007 | 84.509 | 208.746 | -0.000 | -0.000 | 0.000 | 
| -0.000 | 0.000 | 0.000 | 66.818 | 0.000 | 0.000 | 
| -0.000 | 0.000 | -0.000 | -0.000 | 53.097 | 0.000 | 
| -0.000 | 0.000 | 0.000 | -0.000 | 0.000 | 48.065 | 
| 231.050 | 64.976 | 68.007 | -0.000 | -0.000 | -0.000 | 
| 65.788 | 206.492 | 85.836 | -0.000 | 0.000 | -0.000 | 
| 68.007 | 84.509 | 208.746 | 0.000 | -0.000 | -0.000 | 
| -0.000 | -0.000 | -0.000 | 66.817 | -0.000 | -0.000 | 
| 0.000 | -0.000 | 0.000 | -0.000 | 53.097 | -0.000 | 
| 0.000 | -0.000 | -0.000 | -0.000 | -0.000 | 48.065 | 
| 227.366 | 66.094 | 70.629 | 0.000 | 0.000 | 0.000 | 
| 64.976 | 209.357 | 84.509 | 0.000 | 0.000 | 0.000 | 
| 68.007 | 84.509 | 208.746 | -0.000 | 0.000 | 0.000 | 
| 0.000 | -0.000 | 0.000 | 66.818 | 0.000 | 0.000 | 
| 0.000 | 0.000 | -0.000 | 0.000 | 53.097 | 0.000 | 
| 0.000 | -0.000 | -0.000 | 0.000 | 0.000 | 48.065 | 
| 231.050 | 64.976 | 68.007 | -0.000 | -0.000 | -0.000 | 
| 64.976 | 209.357 | 84.509 | -0.000 | -0.000 | -0.000 | 
| 68.007 | 84.509 | 208.746 | 0.000 | -0.000 | -0.000 | 
| -0.000 | 0.000 | -0.000 | 66.817 | -0.000 | -0.000 | 
| -0.000 | 0.000 | -0.000 | -0.000 | 53.097 | 0.000 | 
| -0.000 | 0.000 | 0.000 | -0.000 | -0.000 | 48.065 | 
| 227.763 | 65.545 | 70.603 | 0.000 | 0.000 | 0.000 | 
| 65.917 | 206.291 | 85.752 | 0.000 | 0.000 | 0.000 | 
| 70.622 | 85.445 | 205.584 | 0.000 | 0.000 | 0.000 | 
| 0.000 | -0.000 | 0.000 | 65.192 | 0.000 | 0.000 | 
| 0.000 | -0.000 | -0.000 | 0.000 | 53.097 | 0.000 | 
| 0.000 | -0.000 | -0.000 | 0.000 | 0.000 | 47.265 | 
| 231.049 | 64.975 | 68.007 | -0.000 | -0.000 | -0.000 | 
| 64.976 | 209.356 | 84.508 | -0.000 | -0.000 | -0.000 | 
| 70.752 | 85.756 | 205.267 | -0.000 | -0.000 | -0.000 | 
| -0.000 | 0.000 | -0.000 | 65.192 | -0.000 | 0.000 | 
| -0.000 | 0.000 | 0.000 | -0.000 | 53.097 | -0.000 | 
| -0.000 | 0.000 | 0.000 | -0.000 | -0.000 | 47.265 | 
| 209.532 | 138.669 | 103.644 | -0.000 | 0.000 | 0.000 | 
| 76.506 | 305.277 | 104.856 | -0.000 | -0.000 | 0.000 | 
| 60.845 | 106.572 | 241.168 | -0.000 | -0.000 | 0.000 | 
| 2.335 | 60.155 | 43.185 | 72.919 | 0.000 | 0.000 | 
| 0.000 | 0.000 | 0.000 | -0.000 | 49.825 | 0.000 | 
| 0.000 | 0.000 | 0.000 | -0.000 | 0.000 | 62.991 | 
| 216.233 | 75.248 | 57.871 | 0.000 | -0.000 | -0.000 | 
| 81.744 | 203.840 | 39.103 | 0.000 | -0.000 | -0.000 | 
| 60.845 | 106.572 | 241.168 | 0.000 | 0.000 | -0.000 | 
| -2.335 | -60.155 | -43.185 | 72.919 | 0.000 | -0.000 | 
| -0.000 | -0.000 | -0.000 | 0.000 | 49.825 | -0.000 | 
| -0.000 | -0.000 | 0.000 | 0.000 | -0.000 | 62.991 | 
| 216.233 | 75.248 | 57.871 | -0.000 | -0.000 | 0.000 | 
| 83.610 | 259.870 | 79.089 | -0.000 | 0.000 | 0.000 | 
| 66.402 | 81.271 | 225.115 | -0.000 | 0.000 | 0.000 | 
| 0.000 | -0.000 | 0.000 | 95.855 | 0.000 | 0.000 | 
| 0.000 | 0.000 | 0.000 | -0.000 | 49.825 | 0.000 | 
| 0.526 | 4.164 | 3.626 | -0.000 | 0.000 | 59.547 | 
| 204.294 | 78.505 | 60.530 | 0.000 | -0.000 | 0.000 | 
| 83.116 | 251.308 | 72.817 | 0.000 | 0.000 | -0.000 | 
| 60.845 | 106.572 | 241.168 | -0.000 | -0.000 | 0.000 | 
| -0.000 | 0.000 | -0.000 | 95.855 | -0.000 | -0.000 | 
| 0.000 | 0.000 | -0.000 | 0.000 | 49.825 | -0.000 | 
| -0.526 | -4.164 | -3.626 | 0.000 | -0.000 | 59.547 | 
| 204.613 | 83.800 | 65.142 | -0.000 | 0.000 | 0.000 | 
| 84.701 | 256.017 | 76.435 | -0.000 | -0.000 | 0.000 | 
| 66.208 | 76.929 | 221.989 | -0.000 | 0.000 | 0.000 | 
| 0.000 | -0.000 | 0.000 | 95.855 | 0.000 | 0.000 | 
| 0.084 | 0.355 | 0.378 | -0.000 | 45.072 | 0.000 | 
| 0.032 | 0.817 | 0.587 | -0.000 | 0.000 | 59.622 | 
| 204.549 | 82.772 | 64.136 | 0.000 | 0.000 | -0.000 | 
| 84.596 | 255.135 | 75.697 | 0.000 | -0.000 | -0.000 | 
| 66.172 | 75.919 | 221.265 | 0.000 | 0.000 | -0.000 | 
| -0.000 | 0.000 | -0.000 | 95.855 | -0.000 | -0.000 | 
| -0.084 | -0.355 | -0.378 | -0.000 | 45.072 | -0.000 | 
| -0.032 | -0.817 | -0.587 | 0.000 | -0.000 | 59.622 | 
| 217.590 | 80.885 | 67.839 | -0.000 | -0.000 | 0.000 | 
| 87.566 | 265.256 | 85.720 | 0.000 | 0.000 | 0.000 | 
| 67.840 | 115.411 | 256.285 | 0.000 | 0.000 | 0.000 | 
| 0.456 | -6.044 | -3.515 | 67.552 | 0.000 | 0.000 | 
| 0.193 | -3.316 | -1.885 | 0.000 | 47.966 | 0.000 | 
| 0.413 | -5.479 | -3.186 | 0.000 | 0.000 | 61.467 | 
| 217.590 | 80.884 | 67.839 | 0.000 | -0.000 | -0.000 | 
| 80.885 | 316.132 | 115.411 | 0.000 | 0.000 | -0.000 | 
| 73.242 | 89.227 | 238.550 | -0.000 | -0.000 | -0.000 | 
| -0.456 | 6.044 | 3.515 | 67.552 | -0.000 | -0.000 | 
| -0.193 | 3.316 | 1.885 | -0.000 | 47.966 | -0.000 | 
| -0.413 | 5.479 | 3.186 | -0.000 | -0.000 | 61.466 | 
| 217.590 | 80.885 | 67.839 | 0.000 | -0.000 | 0.000 | 
| 88.581 | 268.010 | 87.535 | 0.000 | 0.000 | 0.000 | 
| 75.385 | 87.380 | 235.723 | 0.000 | 0.000 | 0.000 | 
| 0.013 | -0.233 | -0.132 | 65.568 | 0.000 | 0.000 | 
| 0.019 | -0.332 | -0.188 | -0.000 | 47.965 | 0.000 | 
| -0.003 | -0.051 | -0.025 | 0.000 | 0.000 | 61.104 | 
| 205.421 | 91.298 | 76.278 | -0.000 | -0.000 | -0.000 | 
| 88.536 | 268.674 | 87.917 | -0.000 | -0.000 | -0.000 | 
| 75.341 | 88.044 | 236.105 | -0.000 | -0.000 | -0.000 | 
| -0.013 | 0.233 | 0.132 | 65.568 | -0.000 | -0.000 | 
| -0.019 | 0.332 | 0.188 | -0.000 | 47.965 | -0.000 | 
| 0.003 | 0.051 | 0.025 | -0.000 | -0.000 | 61.104 | 
| 217.590 | 80.885 | 67.840 | 0.000 | -0.000 | 0.000 | 
| 88.509 | 268.308 | 87.759 | 0.000 | 0.000 | -0.000 | 
| 73.417 | 86.119 | 236.787 | 0.000 | 0.000 | 0.000 | 
| 0.005 | -0.061 | -0.035 | 67.191 | 0.000 | 0.000 | 
| 0.008 | -0.112 | -0.065 | 0.000 | 47.966 | 0.000 | 
| -0.000 | 0.000 | -0.000 | 0.000 | -0.000 | 64.515 | 
| 217.589 | 80.884 | 67.839 | 0.000 | 0.000 | -0.000 | 
| 88.503 | 268.375 | 87.797 | -0.000 | -0.000 | -0.000 | 
| 73.412 | 86.185 | 236.824 | -0.000 | -0.000 | 0.000 | 
| -0.005 | 0.061 | 0.035 | 67.191 | -0.000 | -0.000 | 
| -0.008 | 0.112 | 0.065 | -0.000 | 47.966 | -0.000 | 
| 0.000 | -0.000 | 0.000 | -0.000 | -0.000 | 64.515 | 
| 294.496 | 127.486 | 118.980 | 0.000 | -0.000 | -0.000 | 
| -35.878 | 222.907 | 31.427 | 0.000 | -0.000 | -0.000 | 
| 119.179 | 63.182 | 175.555 | 0.000 | -0.000 | -0.000 | 
| -168.561 | 9.523 | -19.077 | 6.391 | 0.000 | -0.000 | 
| -158.408 | 8.949 | -17.928 | 0.000 | 34.436 | -0.000 | 
| 0.000 | -0.000 | -0.000 | 0.000 | -0.000 | 111.914 | 
| 383.285 | 28.003 | 64.595 | -0.000 | -0.000 | 0.000 | 
| 130.229 | 234.049 | 65.726 | -0.000 | 0.000 | 0.000 | 
| 291.775 | 27.737 | 173.539 | -0.000 | 0.000 | 0.000 | 
| 168.561 | -9.523 | 19.077 | 6.391 | -0.000 | 0.000 | 
| 158.408 | -8.949 | 17.928 | -0.000 | 34.436 | 0.000 | 
| -0.000 | 0.000 | 0.000 | -0.000 | 0.000 | 111.914 | 
| 242.278 | 125.704 | 108.692 | 0.000 | 0.000 | 0.000 | 
| 130.229 | 234.049 | 65.726 | 0.000 | 0.000 | -0.000 | 
| 119.180 | 63.182 | 175.555 | 0.000 | -0.000 | 0.000 | 
| -26.245 | 21.550 | 10.339 | -19.994 | -0.000 | -0.000 | 
| -8.212 | 0.464 | -0.929 | 0.000 | 63.221 | 0.000 | 
| -0.000 | 0.000 | -0.000 | 0.000 | -0.000 | 111.914 | 
| 268.244 | 110.149 | 101.992 | -0.000 | 0.000 | 0.000 | 
| 130.229 | 234.049 | 65.726 | -0.000 | -0.000 | -0.000 | 
| 107.142 | 27.035 | 143.307 | -0.000 | -0.000 | 0.000 | 
| 26.245 | -21.550 | -10.339 | -19.994 | 0.000 | -0.000 | 
| 8.212 | -0.464 | 0.929 | -0.000 | 63.221 | 0.000 | 
| 0.000 | -0.000 | 0.000 | -0.000 | 0.000 | 111.914 | 
| 254.257 | 118.788 | 106.083 | 0.000 | -0.000 | 0.000 | 
| 120.741 | 204.326 | 38.884 | 0.000 | -0.000 | -0.000 | 
| 105.687 | 36.540 | 148.118 | 0.000 | -0.000 | -0.000 | 
| -3.240 | 2.527 | 1.187 | -33.851 | -0.000 | 0.000 | 
| -1.140 | 1.036 | 0.560 | 0.000 | 60.261 | -0.000 | 
| -1.719 | 0.097 | -0.194 | 0.000 | 0.000 | 111.914 | 
| 258.466 | 115.203 | 105.554 | -0.000 | 0.000 | 0.000 | 
| 123.559 | 202.664 | 38.243 | -0.000 | 0.000 | 0.000 | 
| 107.526 | 35.422 | 147.187 | -0.000 | 0.000 | 0.000 | 
| 3.240 | -2.527 | -1.187 | -33.851 | 0.000 | 0.000 | 
| 1.140 | -1.036 | -0.560 | -0.000 | 60.261 | 0.000 | 
| 1.719 | -0.097 | 0.194 | -0.000 | -0.000 | 111.914 | 
| 207.239 | 83.961 | 68.501 | -0.000 | -0.001 | 0.000 | 
| 83.720 | 210.569 | 66.019 | 0.000 | 0.000 | 0.000 | 
| 68.511 | 68.511 | 233.549 | -0.000 | -0.000 | -0.000 | 
| 0.000 | 0.000 | -0.000 | 51.925 | -0.001 | 0.000 | 
| 0.000 | 0.000 | 0.001 | 0.000 | 54.345 | 0.000 | 
| 0.000 | 0.000 | 0.000 | 0.000 | 0.000 | 63.425 | 
| 207.238 | 83.961 | 68.501 | 0.000 | 0.000 | 0.000 | 
| 83.720 | 210.569 | 66.019 | -0.000 | -0.000 | -0.000 | 
| 68.511 | 68.511 | 233.549 | 0.000 | 0.000 | -0.000 | 
| -0.000 | -0.000 | -0.000 | 51.925 | -0.000 | -0.000 | 
| -0.000 | -0.000 | 0.000 | -0.000 | 54.345 | -0.000 | 
| -0.000 | -0.000 | -0.000 | -0.000 | -0.000 | 63.425 | 
| 210.569 | 83.720 | 66.019 | 0.000 | 0.000 | -0.000 | 
| 83.720 | 210.569 | 66.019 | 0.000 | 0.000 | 0.000 | 
| 66.019 | 66.019 | 237.553 | 0.000 | -0.000 | 0.000 | 
| 0.000 | -0.000 | 0.000 | 54.346 | 0.000 | 0.000 | 
| 0.000 | 0.000 | 0.000 | 0.000 | 51.925 | 0.000 | 
| 0.000 | 0.000 | -0.000 | -0.000 | -0.000 | 61.645 | 
| 210.569 | 83.720 | 66.019 | -0.000 | -0.000 | -0.000 | 
| 83.961 | 207.238 | 68.501 | 0.000 | 0.000 | 0.000 | 
| 68.511 | 68.511 | 233.549 | 0.000 | 0.000 | -0.000 | 
| -0.000 | 0.000 | -0.000 | 54.346 | -0.000 | -0.000 | 
| -0.000 | -0.000 | -0.000 | -0.000 | 51.925 | -0.000 | 
| -0.000 | -0.000 | 0.000 | 0.000 | 0.000 | 61.645 | 
| 210.570 | 83.720 | 66.019 | 0.000 | 0.000 | 0.000 | 
| 83.720 | 210.570 | 66.019 | 0.000 | 0.000 | 0.000 | 
| 66.019 | 66.019 | 237.554 | 0.000 | 0.000 | 0.000 | 
| 0.000 | -0.000 | 0.000 | 54.346 | 0.000 | 0.000 | 
| -0.000 | -0.000 | 0.000 | 0.000 | 51.925 | 0.000 | 
| 0.000 | 0.000 | -0.000 | -0.000 | -0.000 | 61.532 | 
| 207.238 | 83.960 | 68.501 | 0.000 | 0.000 | -0.000 | 
| 83.720 | 210.569 | 66.019 | -0.000 | -0.000 | -0.000 | 
| 66.019 | 66.019 | 237.552 | -0.000 | -0.000 | -0.000 | 
| -0.000 | 0.000 | -0.000 | 54.346 | -0.000 | -0.000 | 
| 0.000 | 0.000 | -0.000 | 0.000 | 51.925 | -0.000 | 
| -0.000 | -0.000 | 0.000 | 0.000 | 0.000 | 61.532 | 
| 202.213 | 79.246 | 73.075 | 0.000 | 0.000 | -0.000 | 
| 79.246 | 202.213 | 73.075 | 0.000 | 0.000 | -0.000 | 
| 69.571 | 69.571 | 241.174 | 0.000 | 0.000 | 0.000 | 
| -0.000 | 0.000 | 0.000 | 56.467 | 0.000 | -0.000 | 
| -0.000 | 0.000 | 0.000 | 0.000 | 56.467 | 0.000 | 
| -19.417 | -19.417 | 29.957 | 0.000 | -0.000 | 59.482 | 
| 202.213 | 79.246 | 73.075 | -0.000 | -0.000 | -0.000 | 
| 79.247 | 202.213 | 73.075 | -0.000 | -0.000 | -0.000 | 
| 69.571 | 69.571 | 241.174 | -0.000 | -0.000 | 0.000 | 
| -0.000 | -0.000 | -0.000 | 56.467 | -0.000 | 0.000 | 
| 0.000 | -0.000 | -0.000 | -0.000 | 56.467 | -0.000 | 
| 19.417 | 19.417 | -29.957 | 0.000 | 0.000 | 59.482 | 
| 202.213 | 79.246 | 73.075 | 0.000 | 0.000 | -0.000 | 
| 77.347 | 196.260 | 79.133 | -0.000 | -0.000 | -0.000 | 
| 69.571 | 69.571 | 241.174 | 0.000 | 0.000 | -0.000 | 
| -2.277 | -2.277 | 3.513 | 54.893 | 0.000 | -0.000 | 
| -2.277 | -2.277 | 3.513 | -0.000 | 54.893 | 0.000 | 
| -2.005 | -2.005 | 3.094 | 0.000 | -0.000 | 59.416 | 
| 199.918 | 81.554 | 73.066 | 0.000 | -0.000 | 0.000 | 
| 81.554 | 199.918 | 73.066 | -0.000 | -0.000 | 0.000 | 
| 69.571 | 69.571 | 241.174 | -0.000 | -0.000 | 0.000 | 
| 2.277 | 2.277 | -3.513 | 54.893 | 0.000 | 0.000 | 
| 2.277 | 2.277 | -3.513 | -0.000 | 54.893 | 0.000 | 
| 2.005 | 2.005 | -3.094 | 0.000 | -0.000 | 59.416 | 
| 197.960 | 79.114 | 76.459 | -0.000 | 0.000 | 0.000 | 
| 79.241 | 197.799 | 76.485 | -0.000 | -0.000 | 0.000 | 
| 72.362 | 72.362 | 236.869 | 0.000 | -0.000 | 0.000 | 
| -0.000 | -0.000 | 0.000 | 56.467 | 0.000 | 0.000 | 
| -0.302 | -0.302 | 0.466 | 0.000 | 54.381 | -0.000 | 
| 0.000 | 0.000 | 0.000 | 0.000 | 0.000 | 61.483 | 
| 202.212 | 79.246 | 73.075 | -0.000 | -0.000 | 0.000 | 
| 79.515 | 198.333 | 75.860 | -0.000 | 0.000 | -0.000 | 
| 72.750 | 72.750 | 236.269 | 0.000 | 0.000 | -0.000 | 
| -0.000 | 0.000 | -0.000 | 56.467 | -0.000 | -0.000 | 
| 0.302 | 0.302 | -0.466 | 0.000 | 54.381 | 0.000 | 
| -0.000 | -0.000 | -0.000 | -0.000 | -0.000 | 61.483 | 
| 267.767 | -29.856 | 176.801 | -0.000 | 45.441 | 0.000 | 
| 66.387 | 218.243 | 66.307 | -0.000 | -0.046 | 0.000 | 
| 156.393 | -28.131 | 284.096 | 0.000 | 36.331 | 0.000 | 
| 67.083 | -150.035 | 134.751 | 44.324 | 70.860 | -0.115 | 
| 48.449 | -93.590 | 137.421 | 0.000 | 146.245 | 0.000 | 
| 0.000 | -0.000 | -0.000 | 0.096 | -0.000 | 46.845 | 
| 122.389 | 163.628 | -9.036 | 0.000 | -24.700 | -0.000 | 
| 66.387 | 218.243 | 66.307 | 0.000 | -0.046 | 0.000 | 
| 11.033 | 165.333 | 98.257 | 0.000 | -33.801 | -0.000 | 
| -67.083 | 150.035 | -134.751 | 44.324 | -70.860 | -0.115 | 
| -0.601 | -0.046 | 0.721 | 0.000 | 60.966 | -0.000 | 
| -0.000 | -0.000 | 0.000 | 0.096 | 0.000 | 46.845 | 
| 200.776 | 53.528 | 96.236 | -0.000 | 17.353 | 0.000 | 
| 66.387 | 218.243 | 66.307 | -0.000 | -0.046 | 0.000 | 
| 89.580 | 53.159 | 207.247 | -0.000 | 8.308 | 0.000 | 
| -0.000 | 0.000 | -0.000 | 46.263 | 0.000 | 0.096 | 
| 6.071 | -15.365 | 14.725 | -0.000 | 64.294 | 0.000 | 
| 7.257 | -9.647 | 9.268 | -0.061 | 3.494 | 43.907 | 
| 187.774 | 76.643 | 74.530 | -0.000 | 6.838 | -0.000 | 
| 61.682 | 228.651 | 54.735 | 0.000 | -7.388 | -0.000 | 
| 81.236 | 66.307 | 199.870 | 0.000 | 0.721 | -0.000 | 
| 0.000 | -0.000 | 0.000 | 46.263 | 0.000 | 0.096 | 
| -7.996 | 9.998 | -8.515 | 0.000 | 53.102 | -0.000 | 
| -7.257 | 9.647 | -9.268 | -0.061 | -3.494 | 43.907 | 
| 195.945 | 66.969 | 83.375 | -0.000 | 10.981 | 0.000 | 
| 66.387 | 218.243 | 66.307 | -0.000 | -0.046 | 0.000 | 
| 84.466 | 66.932 | 193.362 | -0.000 | 1.990 | 0.000 | 
| 0.671 | -0.885 | 0.851 | 43.975 | 0.318 | -0.049 | 
| -0.601 | -0.046 | 0.721 | -0.000 | 60.966 | 0.000 | 
| 0.646 | -1.445 | 1.298 | -0.107 | 0.683 | 44.714 | 
| 194.981 | 69.236 | 81.303 | 0.000 | 9.909 | -0.000 | 
| 67.743 | 215.115 | 67.298 | 0.000 | -0.552 | 0.000 | 
| 83.368 | 69.021 | 190.711 | 0.000 | 0.477 | -0.000 | 
| -0.671 | 0.885 | -0.851 | 43.975 | -0.318 | -0.049 | 
| -0.601 | -0.046 | 0.721 | -0.000 | 60.966 | -0.000 | 
| -0.646 | 1.445 | -1.298 | -0.107 | -0.683 | 44.714 | 
| 201.921 | 63.744 | 207.940 | -0.000 | -124.422 | -0.000 | 
| 64.170 | 213.681 | 64.546 | -0.000 | -0.297 | 0.000 | 
| 135.720 | 67.533 | 207.027 | -0.000 | -124.556 | -0.000 | 
| 6.587 | -0.358 | 124.959 | 41.948 | -133.926 | 0.190 | 
| 54.011 | 2.645 | 9.017 | 0.000 | -67.393 | -0.000 | 
| -0.000 | 0.000 | 0.000 | 0.077 | 0.000 | 45.877 | 
| 188.839 | 47.466 | -12.951 | -0.000 | 131.293 | -0.000 | 
| 10.820 | 207.542 | 56.988 | 0.000 | 124.709 | -0.000 | 
| 80.210 | 63.231 | 202.265 | 0.000 | -0.323 | 0.000 | 
| -6.587 | 0.358 | -124.959 | 41.948 | 133.926 | 0.190 | 
| -7.120 | -16.771 | -95.520 | -0.000 | 178.035 | -0.000 | 
| 0.000 | -0.000 | 0.000 | 0.077 | -0.000 | 45.877 | 
| 201.446 | 65.151 | 82.478 | -0.000 | -3.200 | -0.000 | 
| 64.171 | 213.681 | 64.546 | 0.000 | -0.297 | 0.000 | 
| 86.359 | 65.134 | 198.834 | -0.000 | -12.281 | -0.000 | 
| -0.000 | 0.000 | -0.000 | 43.993 | -0.000 | 0.315 | 
| 4.661 | 0.298 | 0.680 | 0.000 | 44.953 | -0.000 | 
| -0.000 | 0.000 | 0.000 | 0.077 | 0.000 | 45.877 | 
| 190.683 | 64.549 | 80.578 | -0.000 | 21.814 | -0.000 | 
| 60.195 | 209.872 | 65.335 | 0.000 | 12.354 | 0.000 | 
| 75.403 | 64.748 | 196.607 | -0.000 | 12.826 | 0.000 | 
| 0.000 | -0.000 | 0.000 | 43.993 | -0.000 | 0.315 | 
| -1.243 | 0.144 | -12.367 | -0.000 | 69.403 | -0.000 | 
| 0.000 | -0.000 | 0.000 | 0.077 | -0.000 | 45.877 | 
| 196.169 | 65.004 | 81.682 | 0.000 | 8.215 | -0.000 | 
| 64.171 | 213.682 | 64.546 | 0.000 | -0.297 | -0.000 | 
| 82.648 | 65.152 | 196.018 | 0.000 | -1.111 | 0.000 | 
| -0.000 | 0.000 | -0.000 | 43.993 | 0.000 | 0.315 | 
| -0.222 | 0.064 | -0.146 | 0.000 | 56.099 | -0.000 | 
| -0.000 | 0.000 | -0.000 | 0.077 | 0.000 | 45.877 | 
| 195.870 | 64.655 | 81.324 | -0.000 | 10.818 | 0.000 | 
| 65.133 | 210.196 | 66.133 | 0.000 | 1.025 | -0.000 | 
| 82.487 | 64.919 | 193.673 | 0.000 | 1.589 | 0.000 | 
| 0.000 | -0.000 | 0.000 | 43.993 | -0.000 | 0.315 | 
| -0.574 | -0.059 | -0.323 | -0.000 | 59.897 | 0.000 | 
| 0.000 | -0.000 | 0.000 | 0.077 | -0.000 | 45.877 | 
| 236.826 | 66.233 | 66.233 | -0.000 | -0.000 | -0.000 | 
| 66.233 | 236.826 | 66.233 | -0.000 | 0.000 | -0.000 | 
| 66.233 | 66.233 | 236.826 | 0.000 | -0.000 | 0.000 | 
| -0.000 | -0.000 | -0.000 | 34.145 | 0.000 | -0.000 | 
| 0.000 | -0.000 | 0.000 | 0.000 | 34.145 | -0.000 | 
| 0.000 | 0.000 | -0.000 | -0.000 | -0.000 | 34.145 | 
| 236.801 | 66.245 | 66.245 | -0.000 | 0.000 | -0.000 | 
| 66.245 | 236.801 | 66.245 | -0.000 | 0.000 | -0.000 | 
| 66.245 | 66.245 | 236.801 | -0.000 | 0.000 | -0.000 | 
| -0.000 | 0.000 | -0.000 | 34.145 | -0.000 | -0.000 | 
| -0.000 | 0.000 | 0.000 | 0.000 | 34.145 | -0.000 | 
| -0.000 | -0.000 | -0.000 | -0.000 | 0.000 | 34.145 | 
| 236.801 | 66.245 | 66.245 | 0.000 | 0.000 | 0.000 | 
| 66.245 | 236.801 | 66.245 | 0.000 | -0.000 | -0.000 | 
| 66.245 | 66.245 | 236.801 | -0.000 | 0.000 | 0.000 | 
| 0.000 | 0.000 | 0.000 | 34.145 | 0.000 | 0.000 | 
| 0.000 | 0.000 | 0.000 | 0.000 | 34.145 | -0.000 | 
| 0.000 | 0.000 | 0.000 | -0.000 | -0.000 | 34.145 | 
| 236.801 | 66.245 | 66.245 | -0.000 | -0.000 | -0.000 | 
| 66.245 | 236.801 | 66.245 | 0.000 | 0.000 | -0.000 | 
| 66.245 | 66.245 | 236.801 | -0.000 | -0.000 | 0.000 | 
| -0.000 | -0.000 | 0.000 | 34.145 | 0.000 | 0.000 | 
| -0.000 | -0.000 | -0.000 | 0.000 | 34.145 | 0.000 | 
| -0.000 | -0.000 | -0.000 | 0.000 | 0.000 | 34.145 | 
| 236.802 | 66.246 | 66.246 | 0.000 | -0.000 | -0.000 | 
| 66.233 | 236.827 | 66.233 | -0.000 | 0.000 | -0.000 | 
| 66.233 | 66.233 | 236.827 | 0.000 | -0.000 | -0.000 | 
| 0.000 | 0.000 | 0.000 | 34.145 | -0.000 | -0.000 | 
| 0.000 | 0.000 | 0.000 | -0.000 | 34.145 | 0.000 | 
| 0.000 | 0.000 | 0.000 | -0.000 | -0.000 | 34.145 | 
| 236.825 | 66.233 | 66.233 | -0.000 | 0.000 | -0.000 | 
| 66.233 | 236.825 | 66.233 | 0.000 | 0.000 | -0.000 | 
| 66.233 | 66.233 | 236.825 | 0.000 | -0.000 | -0.000 | 
| -0.000 | -0.000 | -0.000 | 34.145 | 0.000 | -0.000 | 
| -0.000 | -0.000 | -0.000 | -0.000 | 34.145 | -0.000 | 
| -0.000 | -0.000 | -0.000 | 0.000 | 0.000 | 34.145 | 
| 137.481 | 113.430 | 113.430 | 0.000 | 0.000 | 0.000 | 
| 113.429 | 137.481 | 113.430 | 0.000 | 0.000 | 0.000 | 
| 113.429 | 113.430 | 137.481 | 0.000 | 0.000 | 0.000 | 
| 0.000 | 0.000 | 0.000 | 82.673 | 0.000 | 0.000 | 
| -0.000 | 0.000 | 0.000 | 0.000 | 82.673 | 0.000 | 
| -0.000 | 0.000 | 0.000 | -0.000 | 0.000 | 82.673 | 
| 137.481 | 113.430 | 113.429 | -0.000 | -0.000 | -0.000 | 
| 113.430 | 137.481 | 113.429 | -0.000 | -0.000 | -0.000 | 
| 113.430 | 113.430 | 137.481 | -0.000 | -0.000 | -0.000 | 
| -0.000 | -0.000 | -0.000 | 82.673 | -0.000 | -0.000 | 
| 0.000 | -0.000 | -0.000 | -0.000 | 82.673 | -0.000 | 
| 0.000 | -0.000 | -0.000 | -0.000 | -0.000 | 82.673 | 
| 137.481 | 113.430 | 113.430 | 0.000 | 0.000 | 0.000 | 
| 113.430 | 137.481 | 113.430 | 0.000 | 0.000 | 0.000 | 
| 113.430 | 113.430 | 137.481 | 0.000 | 0.000 | 0.000 | 
| 0.000 | -0.000 | 0.000 | 82.673 | 0.000 | 0.000 | 
| -0.000 | 0.000 | 0.000 | 0.000 | 82.673 | 0.000 | 
| -0.000 | 0.000 | 0.000 | 0.000 | 0.000 | 82.673 | 
| 137.481 | 113.430 | 113.430 | -0.000 | -0.000 | -0.000 | 
| 113.430 | 137.481 | 113.430 | -0.000 | -0.000 | -0.000 | 
| 113.430 | 113.430 | 137.481 | 0.000 | 0.000 | -0.000 | 
| -0.000 | 0.000 | -0.000 | 82.673 | -0.000 | -0.000 | 
| 0.000 | -0.000 | -0.000 | -0.000 | 82.673 | -0.000 | 
| 0.000 | -0.000 | -0.000 | 0.000 | -0.000 | 82.673 | 
| 137.481 | 113.430 | 113.430 | 0.000 | 0.000 | 0.000 | 
| 113.430 | 137.481 | 113.430 | 0.000 | 0.000 | 0.000 | 
| 113.430 | 113.430 | 137.481 | 0.000 | 0.000 | 0.000 | 
| 0.000 | -0.000 | 0.000 | 74.464 | 0.000 | 0.000 | 
| -0.000 | 0.000 | 0.000 | 0.000 | 74.464 | 0.000 | 
| -0.000 | 0.000 | 0.000 | 0.000 | 0.000 | 74.464 | 
| 137.480 | 113.429 | 113.429 | -0.000 | -0.000 | -0.000 | 
| 113.429 | 137.480 | 113.429 | -0.000 | -0.000 | -0.000 | 
| 113.429 | 113.429 | 137.480 | -0.000 | -0.000 | -0.000 | 
| -0.000 | 0.000 | -0.000 | 74.464 | -0.000 | -0.000 | 
| 0.000 | -0.000 | -0.000 | -0.000 | 74.464 | -0.000 | 
| 0.000 | -0.000 | -0.000 | -0.000 | -0.000 | 74.464 | 
| 317.835 | 95.438 | 95.438 | -0.000 | -0.000 | -0.000 | 
| 95.438 | 317.835 | 95.438 | -0.000 | -0.000 | -0.000 | 
| 95.438 | 95.438 | 317.835 | -0.000 | 0.000 | 0.000 | 
| -0.000 | -0.000 | -0.000 | 65.529 | -0.000 | -0.000 | 
| -0.000 | 0.000 | -0.000 | -0.000 | 65.529 | 0.000 | 
| -0.000 | 0.000 | -0.000 | -0.000 | -0.000 | 65.529 | 
| 317.835 | 95.438 | 95.438 | 0.000 | 0.000 | -0.000 | 
| 95.438 | 317.835 | 95.438 | 0.000 | 0.000 | -0.000 | 
| 95.438 | 95.438 | 317.835 | 0.000 | 0.000 | -0.000 | 
| 0.000 | 0.000 | 0.000 | 65.529 | 0.000 | 0.000 | 
| 0.000 | 0.000 | 0.000 | 0.000 | 65.529 | 0.000 | 
| 0.000 | -0.000 | 0.000 | 0.000 | 0.000 | 65.529 | 
| 317.835 | 95.438 | 95.438 | 0.000 | -0.000 | -0.000 | 
| 95.438 | 317.835 | 95.438 | 0.000 | 0.000 | 0.000 | 
| 95.438 | 95.438 | 317.835 | 0.000 | -0.000 | 0.000 | 
| -0.000 | 0.000 | 0.000 | 65.529 | -0.000 | 0.000 | 
| 0.000 | -0.000 | 0.000 | 0.000 | 65.529 | -0.000 | 
| 0.000 | 0.000 | -0.000 | -0.000 | -0.000 | 65.529 | 
| 317.835 | 95.438 | 95.438 | 0.000 | 0.000 | -0.000 | 
| 95.438 | 317.835 | 95.438 | 0.000 | 0.000 | -0.000 | 
| 95.438 | 95.438 | 317.835 | -0.000 | -0.000 | -0.000 | 
| 0.000 | -0.000 | -0.000 | 65.529 | 0.000 | 0.000 | 
| -0.000 | 0.000 | -0.000 | 0.000 | 65.529 | 0.000 | 
| -0.000 | -0.000 | 0.000 | 0.000 | 0.000 | 65.529 | 
| 317.835 | 95.438 | 95.438 | -0.000 | -0.000 | -0.000 | 
| 95.438 | 317.835 | 95.438 | -0.000 | -0.000 | -0.000 | 
| 95.438 | 95.438 | 317.835 | -0.000 | -0.000 | 0.000 | 
| -0.000 | 0.000 | 0.000 | 65.529 | -0.000 | 0.000 | 
| 0.000 | -0.000 | 0.000 | -0.000 | 65.529 | 0.000 | 
| 0.000 | 0.000 | -0.000 | -0.000 | -0.000 | 65.529 | 
| 317.836 | 95.437 | 95.437 | 0.000 | 0.000 | -0.000 | 
| 95.437 | 317.836 | 95.437 | 0.000 | 0.000 | -0.000 | 
| 95.437 | 95.437 | 317.836 | 0.000 | 0.000 | -0.000 | 
| 0.000 | -0.000 | -0.000 | 65.529 | 0.000 | -0.000 | 
| -0.000 | 0.000 | -0.000 | 0.000 | 65.529 | 0.000 | 
| -0.000 | -0.000 | 0.000 | 0.000 | -0.000 | 65.529 | 
| 187.094 | 80.351 | 65.991 | -0.000 | -0.000 | 0.000 | 
| 80.332 | 187.062 | 66.132 | -0.000 | -0.000 | -0.000 | 
| 65.812 | 65.812 | 210.661 | -0.000 | -0.000 | -0.000 | 
| 0.000 | 0.000 | -0.000 | 47.209 | -0.000 | -0.000 | 
| 0.000 | -0.000 | -0.000 | -0.000 | 47.209 | 0.000 | 
| -0.000 | -0.000 | -0.000 | -0.000 | -0.000 | 53.372 | 
| 187.062 | 80.333 | 66.131 | 0.000 | 0.000 | -0.000 | 
| 80.333 | 187.062 | 66.131 | 0.000 | 0.000 | -0.000 | 
| 65.683 | 65.683 | 211.392 | 0.000 | 0.000 | 0.000 | 
| -0.000 | -0.000 | 0.000 | 47.209 | 0.000 | 0.000 | 
| 0.000 | 0.000 | 0.000 | 0.000 | 47.209 | -0.000 | 
| 0.000 | 0.000 | 0.000 | 0.000 | 0.000 | 53.372 | 
| 187.094 | 80.350 | 65.991 | -0.000 | -0.000 | 0.000 | 
| 80.332 | 187.062 | 66.131 | -0.000 | -0.000 | 0.000 | 
| 65.812 | 65.812 | 210.661 | -0.000 | -0.000 | 0.000 | 
| -0.000 | -0.000 | 0.000 | 46.641 | -0.000 | 0.000 | 
| -0.000 | -0.000 | 0.000 | -0.000 | 46.641 | -0.000 | 
| 0.000 | 0.000 | -0.000 | -0.000 | -0.000 | 53.372 | 
| 187.094 | 80.350 | 65.992 | 0.000 | 0.000 | 0.000 | 
| 80.350 | 187.094 | 65.992 | 0.000 | 0.000 | -0.000 | 
| 65.812 | 65.812 | 210.661 | 0.000 | 0.000 | -0.000 | 
| 0.000 | 0.000 | -0.000 | 46.641 | 0.000 | -0.000 | 
| 0.000 | 0.000 | -0.000 | 0.000 | 46.641 | 0.000 | 
| 0.000 | -0.000 | 0.000 | 0.000 | 0.000 | 53.372 | 
| 187.095 | 80.350 | 65.992 | -0.000 | -0.000 | 0.000 | 
| 80.351 | 187.094 | 65.992 | -0.000 | -0.000 | 0.000 | 
| 65.683 | 65.683 | 211.392 | -0.000 | -0.000 | 0.000 | 
| -0.000 | -0.000 | 0.000 | 46.641 | -0.000 | 0.000 | 
| -0.000 | -0.000 | 0.000 | -0.000 | 46.641 | 0.000 | 
| -0.000 | 0.000 | 0.000 | -0.000 | -0.000 | 53.362 | 
| 187.093 | 80.350 | 65.991 | 0.000 | 0.000 | -0.000 | 
| 80.332 | 187.062 | 66.131 | 0.000 | 0.000 | -0.000 | 
| 65.683 | 65.683 | 211.391 | 0.000 | 0.000 | 0.000 | 
| 0.000 | 0.000 | -0.000 | 46.641 | 0.000 | -0.000 | 
| 0.000 | 0.000 | -0.000 | 0.000 | 46.641 | -0.000 | 
| 0.000 | -0.000 | -0.000 | 0.000 | 0.000 | 53.362 | 
| 291.139 | 111.759 | 121.760 | 0.000 | 0.000 | -0.000 | 
| 111.759 | 291.139 | 121.760 | -0.000 | 0.000 | 0.000 | 
| 122.114 | 122.113 | 280.497 | -0.000 | -0.000 | -0.000 | 
| 0.283 | 0.283 | -0.341 | 99.695 | 0.000 | -0.000 | 
| -0.000 | 0.000 | 0.000 | 0.000 | 103.598 | -0.000 | 
| 0.000 | -0.000 | 0.000 | 0.000 | 0.000 | 89.690 | 
| 265.369 | 134.719 | 123.453 | -0.000 | -0.000 | -0.000 | 
| 136.994 | 262.033 | 124.091 | -0.000 | -0.000 | 0.000 | 
| 123.875 | 123.875 | 278.374 | -0.000 | -0.000 | -0.000 | 
| -0.283 | -0.283 | 0.341 | 99.695 | -0.000 | -0.000 | 
| 0.000 | -0.000 | -0.000 | -0.000 | 103.598 | -0.000 | 
| -0.000 | 0.000 | -0.000 | -0.000 | -0.000 | 89.690 | 
| 265.727 | 134.815 | 123.179 | -0.000 | -0.000 | 0.000 | 
| 135.609 | 262.754 | 124.492 | 0.000 | 0.000 | -0.000 | 
| 122.114 | 122.114 | 280.498 | -0.000 | -0.000 | -0.000 | 
| 0.000 | -0.000 | 0.000 | 103.598 | 0.000 | -0.000 | 
| -0.000 | -0.000 | 0.000 | 0.000 | 103.598 | -0.000 | 
| -0.000 | 0.000 | -0.000 | 0.000 | 0.000 | 89.690 | 
| 291.139 | 111.759 | 121.760 | -0.000 | -0.000 | 0.000 | 
| 111.759 | 291.139 | 121.760 | -0.000 | -0.000 | 0.000 | 
| 124.130 | 124.130 | 278.067 | 0.000 | -0.000 | 0.000 | 
| 0.000 | 0.000 | -0.000 | 103.598 | -0.000 | 0.000 | 
| 0.000 | 0.000 | -0.000 | -0.000 | 103.598 | -0.000 | 
| 0.000 | -0.000 | 0.000 | -0.000 | -0.000 | 89.690 | 
| 265.699 | 134.807 | 123.201 | -0.000 | -0.000 | -0.000 | 
| 111.759 | 291.139 | 121.760 | -0.000 | -0.000 | -0.000 | 
| 124.162 | 124.162 | 278.031 | -0.000 | -0.000 | 0.000 | 
| -0.000 | -0.000 | 0.000 | 103.598 | 0.000 | 0.000 | 
| 0.015 | 0.015 | -0.018 | 0.000 | 99.695 | 0.000 | 
| 0.002 | 0.002 | -0.002 | -0.000 | -0.000 | 65.792 | 
| 262.741 | 135.548 | 124.535 | -0.000 | -0.000 | 0.000 | 
| 134.804 | 265.692 | 123.206 | 0.000 | 0.000 | -0.000 | 
| 124.155 | 124.155 | 278.036 | -0.000 | -0.000 | 0.000 | 
| 0.000 | 0.000 | -0.000 | 103.598 | -0.000 | 0.000 | 
| -0.015 | -0.015 | 0.018 | -0.000 | 99.695 | 0.000 | 
| -0.002 | -0.002 | 0.002 | 0.000 | 0.000 | 65.792 | 
| 291.218 | 111.810 | 121.667 | 0.000 | 0.000 | 0.000 | 
| 135.596 | 262.845 | 124.434 | 0.000 | 0.000 | 0.000 | 
| 122.075 | 122.075 | 280.444 | 0.000 | 0.000 | 0.000 | 
| 0.000 | 0.000 | 0.000 | 103.574 | 0.000 | 0.000 | 
| -0.000 | -0.000 | 0.000 | 0.000 | 103.574 | 0.000 | 
| 0.000 | 0.000 | 0.000 | 0.000 | 0.000 | 89.704 | 
| 291.218 | 111.810 | 121.667 | 0.000 | -0.000 | -0.000 | 
| 137.317 | 262.427 | 123.648 | 0.000 | -0.000 | -0.000 | 
| 124.118 | 124.118 | 277.980 | 0.000 | -0.000 | -0.000 | 
| -0.000 | -0.000 | 0.000 | 103.574 | -0.000 | -0.000 | 
| 0.000 | -0.000 | -0.000 | -0.000 | 103.574 | -0.000 | 
| 0.000 | -0.000 | -0.000 | 0.000 | -0.000 | 89.704 | 
| 265.785 | 134.851 | 123.110 | 0.000 | 0.000 | 0.000 | 
| 111.810 | 291.218 | 121.667 | 0.000 | 0.000 | -0.000 | 
| 124.118 | 124.118 | 277.980 | -0.000 | 0.000 | 0.000 | 
| -0.000 | -0.000 | 0.000 | 103.574 | 0.000 | 0.000 | 
| -0.000 | -0.000 | 0.000 | 0.000 | 103.574 | 0.000 | 
| -0.000 | 0.000 | 0.000 | -0.000 | 0.000 | 65.813 | 
| 265.785 | 134.851 | 123.110 | 0.000 | -0.000 | -0.000 | 
| 135.596 | 262.845 | 124.434 | -0.000 | -0.000 | 0.000 | 
| 124.118 | 124.118 | 277.980 | 0.000 | -0.000 | -0.000 | 
| 0.000 | 0.000 | -0.000 | 103.574 | -0.000 | -0.000 | 
| 0.000 | 0.000 | -0.000 | -0.000 | 103.574 | -0.000 | 
| 0.000 | -0.000 | -0.000 | -0.000 | -0.000 | 65.813 | 
| 291.218 | 111.811 | 121.667 | -0.000 | 0.000 | 0.000 | 
| 134.851 | 265.786 | 123.110 | 0.000 | 0.000 | 0.000 | 
| 124.118 | 124.118 | 277.980 | -0.000 | 0.000 | 0.000 | 
| -0.000 | 0.000 | 0.000 | 99.660 | 0.000 | 0.000 | 
| 0.000 | -0.000 | 0.000 | 0.000 | 99.660 | -0.000 | 
| -0.000 | 0.000 | -0.000 | -0.000 | 0.000 | 65.813 | 
| 265.785 | 134.851 | 123.110 | -0.000 | -0.000 | 0.000 | 
| 111.810 | 291.217 | 121.667 | 0.000 | -0.000 | -0.000 | 
| 122.075 | 122.075 | 280.443 | 0.000 | -0.000 | -0.000 | 
| 0.000 | -0.000 | -0.000 | 99.660 | -0.000 | -0.000 | 
| -0.000 | 0.000 | -0.000 | 0.000 | 99.660 | -0.000 | 
| 0.000 | -0.000 | 0.000 | -0.000 | -0.000 | 65.813 | 
| 290.494 | 111.313 | 122.276 | 0.000 | 0.000 | -0.000 | 
| 134.411 | 264.973 | 123.725 | 0.000 | 0.000 | -0.000 | 
| 124.336 | 124.336 | 278.221 | -0.000 | -0.000 | -0.000 | 
| 0.000 | 0.000 | -0.000 | 99.938 | -0.000 | -0.000 | 
| 0.000 | 0.000 | -0.000 | 0.000 | 99.938 | -0.000 | 
| -0.000 | -0.000 | -0.000 | 0.000 | 0.000 | 65.634 | 
| 264.972 | 134.411 | 123.725 | -0.000 | -0.000 | 0.000 | 
| 111.313 | 290.494 | 122.275 | -0.000 | -0.000 | 0.000 | 
| 124.336 | 124.336 | 278.221 | 0.000 | 0.000 | 0.000 | 
| -0.000 | -0.000 | 0.000 | 99.938 | -0.000 | 0.000 | 
| -0.000 | -0.000 | 0.000 | -0.000 | 99.938 | 0.000 | 
| -0.000 | 0.000 | 0.000 | -0.000 | -0.000 | 65.635 | 
| 261.940 | 135.181 | 125.079 | -0.000 | -0.000 | -0.000 | 
| 134.411 | 264.973 | 123.725 | 0.000 | 0.000 | -0.000 | 
| 124.336 | 124.336 | 278.221 | -0.000 | -0.000 | -0.000 | 
| -0.000 | -0.000 | 0.000 | 103.769 | 0.000 | -0.000 | 
| 0.000 | -0.000 | 0.000 | 0.000 | 99.938 | -0.000 | 
| -0.000 | 0.000 | -0.000 | -0.000 | -0.000 | 62.449 | 
| 290.494 | 111.313 | 122.275 | -0.000 | -0.000 | 0.000 | 
| 111.313 | 290.494 | 122.275 | -0.000 | -0.000 | 0.000 | 
| 124.336 | 124.336 | 278.221 | -0.000 | -0.000 | 0.000 | 
| 0.000 | 0.000 | -0.000 | 103.769 | 0.000 | 0.000 | 
| -0.000 | 0.000 | -0.000 | 0.000 | 99.938 | 0.000 | 
| 0.000 | -0.000 | 0.000 | 0.000 | 0.000 | 62.449 | 
| 264.973 | 134.411 | 123.725 | 0.000 | 0.000 | -0.000 | 
| 135.182 | 261.941 | 125.079 | -0.000 | 0.000 | -0.000 | 
| 122.276 | 122.276 | 280.687 | -0.000 | -0.000 | -0.000 | 
| -0.000 | 0.000 | 0.000 | 99.938 | 0.000 | -0.000 | 
| -0.000 | -0.000 | 0.000 | 0.000 | 103.769 | -0.000 | 
| -0.000 | 0.000 | -0.000 | 0.000 | 0.000 | 65.635 | 
| 290.493 | 111.312 | 122.275 | -0.000 | -0.000 | 0.000 | 
| 111.312 | 290.493 | 122.275 | -0.000 | -0.000 | 0.000 | 
| 124.335 | 124.335 | 278.221 | 0.000 | 0.000 | 0.000 | 
| 0.000 | -0.000 | -0.000 | 99.938 | 0.000 | 0.000 | 
| 0.000 | 0.000 | -0.000 | 0.000 | 103.769 | 0.000 | 
| 0.000 | -0.000 | 0.000 | -0.000 | -0.000 | 65.635 | 
| 318.139 | 101.813 | 95.972 | 0.000 | 0.000 | -0.000 | 
| 101.813 | 318.139 | 95.972 | -0.000 | 0.000 | -0.000 | 
| 95.972 | 95.972 | 158.520 | 0.000 | 0.000 | 0.000 | 
| 0.000 | -0.000 | -0.000 | 65.228 | -0.000 | -0.000 | 
| 0.000 | 0.000 | 0.000 | 0.000 | 65.228 | -0.000 | 
| 0.000 | 0.000 | -0.000 | 0.000 | 0.000 | 64.581 | 
| 325.685 | 94.266 | 95.972 | -0.000 | -0.000 | 0.000 | 
| 94.266 | 325.685 | 95.972 | 0.000 | 0.000 | -0.000 | 
| 95.972 | 95.972 | 158.520 | -0.000 | -0.000 | -0.000 | 
| -0.000 | -0.000 | 0.000 | 65.228 | 0.000 | 0.000 | 
| -0.000 | -0.000 | -0.000 | -0.000 | 65.228 | 0.000 | 
| -0.000 | 0.000 | -0.000 | -0.000 | -0.000 | 64.582 | 
| 318.139 | 101.813 | 95.972 | 0.000 | 0.000 | 0.000 | 
| 101.813 | 318.139 | 95.972 | -0.000 | -0.000 | -0.000 | 
| 95.972 | 95.972 | 158.520 | -0.000 | -0.000 | 0.000 | 
| -0.000 | 0.000 | 0.000 | 65.228 | 0.000 | -0.000 | 
| 0.000 | -0.000 | 0.000 | -0.000 | 65.228 | -0.000 | 
| 0.000 | 0.000 | -0.000 | 0.000 | 0.000 | 64.581 | 
| 318.139 | 101.813 | 95.972 | -0.000 | -0.000 | 0.000 | 
| 101.813 | 318.139 | 95.972 | 0.000 | 0.000 | 0.000 | 
| 95.972 | 95.972 | 158.520 | -0.000 | -0.000 | -0.000 | 
| 0.000 | -0.000 | -0.000 | 65.228 | -0.000 | 0.000 | 
| -0.000 | 0.000 | -0.000 | 0.000 | 65.228 | 0.000 | 
| -0.000 | -0.000 | 0.000 | -0.000 | -0.000 | 64.581 | 
| 318.139 | 101.813 | 95.972 | 0.000 | 0.000 | -0.000 | 
| 101.813 | 318.139 | 95.972 | 0.000 | 0.000 | -0.000 | 
| 95.972 | 95.972 | 158.521 | 0.000 | 0.000 | 0.000 | 
| -0.000 | 0.000 | 0.000 | 65.228 | 0.000 | -0.000 | 
| 0.000 | -0.000 | 0.000 | 0.000 | 65.228 | -0.000 | 
| 0.000 | 0.000 | -0.000 | 0.000 | 0.000 | 64.581 | 
| 325.685 | 94.266 | 95.971 | 0.000 | 0.000 | 0.000 | 
| 94.266 | 325.685 | 95.971 | -0.000 | -0.000 | 0.000 | 
| 95.971 | 95.971 | 158.520 | -0.000 | -0.000 | -0.000 | 
| 0.000 | -0.000 | -0.000 | 65.228 | -0.000 | 0.000 | 
| -0.000 | 0.000 | -0.000 | 0.000 | 65.228 | 0.000 | 
| -0.000 | -0.000 | 0.000 | -0.000 | -0.000 | 64.581 | 
| 263.299 | 138.174 | 122.609 | -0.000 | -0.000 | -0.000 | 
| 111.808 | 291.213 | 121.676 | -0.000 | -0.000 | 0.000 | 
| 124.968 | 124.968 | 276.967 | -0.000 | -0.000 | 0.000 | 
| -0.000 | 0.000 | 0.000 | 103.575 | -0.000 | 0.000 | 
| 0.000 | 0.000 | -0.000 | 0.000 | 103.576 | 0.000 | 
| 0.591 | 0.591 | -0.713 | -0.000 | -0.000 | 65.723 | 
| 264.752 | 134.623 | 123.875 | 0.000 | 0.000 | -0.000 | 
| 134.623 | 264.751 | 123.875 | 0.000 | 0.000 | 0.000 | 
| 122.080 | 122.080 | 280.450 | 0.000 | 0.000 | -0.000 | 
| 0.000 | -0.000 | 0.000 | 103.575 | -0.000 | -0.000 | 
| -0.000 | -0.000 | 0.000 | -0.000 | 103.576 | -0.000 | 
| -0.591 | -0.591 | 0.713 | 0.000 | 0.000 | 65.723 | 
| 291.213 | 111.807 | 121.676 | -0.000 | -0.000 | -0.000 | 
| 134.877 | 265.874 | 123.045 | -0.000 | -0.000 | 0.000 | 
| 122.080 | 122.080 | 280.451 | -0.000 | -0.000 | 0.000 | 
| 0.434 | 0.434 | -0.523 | 99.754 | 0.000 | -0.000 | 
| -0.000 | 0.000 | 0.000 | 0.000 | 103.575 | -0.000 | 
| -0.000 | 0.000 | -0.000 | -0.000 | -0.000 | 89.703 | 
| 262.805 | 135.432 | 124.561 | 0.000 | 0.000 | 0.000 | 
| 135.432 | 262.805 | 124.561 | 0.000 | 0.000 | 0.000 | 
| 124.038 | 124.038 | 278.088 | 0.000 | 0.000 | -0.000 | 
| -0.434 | -0.434 | 0.523 | 99.754 | 0.000 | -0.000 | 
| 0.000 | -0.000 | -0.000 | 0.000 | 103.575 | 0.000 | 
| 0.000 | -0.000 | 0.000 | 0.000 | 0.000 | 89.703 | 
| 265.790 | 134.852 | 123.112 | -0.000 | -0.000 | -0.000 | 
| 137.235 | 262.417 | 123.709 | -0.000 | -0.000 | 0.000 | 
| 122.080 | 122.080 | 280.451 | 0.000 | 0.000 | 0.000 | 
| 0.044 | 0.044 | -0.053 | 99.664 | -0.000 | -0.000 | 
| -0.000 | -0.000 | 0.000 | -0.000 | 103.575 | -0.000 | 
| -0.000 | 0.000 | -0.000 | -0.000 | -0.000 | 89.703 | 
| 265.769 | 134.845 | 123.126 | -0.000 | 0.000 | -0.000 | 
| 134.845 | 265.769 | 123.126 | 0.000 | 0.000 | -0.000 | 
| 124.114 | 124.114 | 277.996 | 0.000 | 0.000 | -0.000 | 
| -0.044 | -0.044 | 0.053 | 99.664 | 0.000 | 0.000 | 
| 0.000 | 0.000 | -0.000 | 0.000 | 103.575 | -0.000 | 
| 0.000 | -0.000 | 0.000 | 0.000 | 0.000 | 89.703 | 
| 240.152 | 85.886 | 84.419 | -0.000 | 0.000 | 0.000 | 
| 93.925 | 244.688 | 101.595 | -0.000 | -0.000 | 0.000 | 
| 80.219 | 95.330 | 214.791 | -0.000 | -0.000 | 0.000 | 
| -0.000 | 0.000 | -0.000 | 96.610 | -0.000 | 0.000 | 
| -6.523 | -11.394 | -2.949 | -0.000 | 54.836 | 0.000 | 
| 0.000 | -0.000 | 0.000 | -0.000 | -0.000 | 107.662 | 
| 253.437 | 106.584 | 88.731 | -0.000 | 0.000 | 0.000 | 
| 103.931 | 264.565 | 107.785 | 0.000 | 0.000 | -0.000 | 
| 90.524 | 112.212 | 218.685 | 0.000 | 0.000 | -0.000 | 
| -0.000 | -0.000 | -0.000 | 96.611 | -0.000 | -0.000 | 
| 6.523 | 11.394 | 2.949 | 0.000 | 54.837 | -0.000 | 
| 0.000 | 0.000 | -0.000 | 0.000 | -0.000 | 107.662 | 
| 246.301 | 95.779 | 86.629 | -0.000 | -0.000 | 0.000 | 
| 94.793 | 252.152 | 106.033 | -0.000 | -0.000 | 0.000 | 
| 88.426 | 116.003 | 222.800 | -0.000 | -0.000 | 0.000 | 
| -0.693 | -1.209 | -0.312 | 65.271 | -0.000 | 0.000 | 
| -0.370 | -0.760 | -0.245 | 0.000 | 57.485 | 0.000 | 
| -0.662 | -1.359 | -0.438 | -0.000 | -0.000 | 105.546 | 
| 248.853 | 97.859 | 86.154 | 0.000 | 0.000 | -0.000 | 
| 96.664 | 254.220 | 106.082 | -0.000 | -0.000 | -0.000 | 
| 88.426 | 116.003 | 222.800 | 0.000 | 0.000 | -0.000 | 
| 0.699 | 1.282 | 0.357 | 65.691 | 0.000 | -0.000 | 
| 0.370 | 0.760 | 0.245 | 0.000 | 57.485 | -0.000 | 
| 0.662 | 1.359 | 0.438 | 0.000 | 0.000 | 105.546 | 
| 246.912 | 96.751 | 86.841 | -0.000 | -0.000 | -0.000 | 
| 95.957 | 253.036 | 105.797 | 0.000 | -0.000 | 0.000 | 
| 86.232 | 105.685 | 217.398 | -0.000 | -0.000 | 0.000 | 
| -0.071 | -0.128 | -0.035 | 65.266 | -0.000 | -0.000 | 
| -0.074 | -0.110 | -0.020 | 0.000 | 53.376 | 0.000 | 
| -0.000 | -0.000 | -0.000 | -0.000 | -0.000 | 107.662 | 
| 248.309 | 96.869 | 85.877 | 0.000 | 0.000 | -0.000 | 
| 99.414 | 255.527 | 104.949 | -0.000 | 0.000 | -0.000 | 
| 86.305 | 105.839 | 217.448 | 0.000 | 0.000 | -0.000 | 
| 0.070 | 0.128 | 0.036 | 65.685 | 0.000 | -0.000 | 
| 0.074 | 0.110 | 0.020 | -0.000 | 53.376 | -0.000 | 
| 0.000 | 0.000 | 0.000 | 0.000 | 0.000 | 107.662 | 
| 266.272 | 121.485 | 86.071 | 0.000 | -0.000 | -0.000 | 
| 97.314 | 251.772 | 103.756 | 0.000 | -0.000 | -0.000 | 
| 84.266 | 105.123 | 214.746 | 0.000 | -0.000 | -0.000 | 
| 0.563 | 1.613 | 0.685 | 68.410 | -0.000 | -0.000 | 
| 0.908 | 2.669 | 1.150 | -0.000 | 53.755 | -0.000 | 
| 1.329 | 3.806 | 1.617 | 0.000 | -0.000 | 105.765 | 
| 243.414 | 91.762 | 82.321 | -0.000 | -0.000 | -0.000 | 
| 92.345 | 245.445 | 103.038 | -0.000 | 0.000 | 0.000 | 
| 85.678 | 113.277 | 219.252 | -0.000 | 0.000 | 0.000 | 
| -0.563 | -1.613 | -0.685 | 68.410 | 0.000 | 0.000 | 
| -0.908 | -2.669 | -1.150 | 0.000 | 53.756 | 0.000 | 
| -1.329 | -3.806 | -1.617 | -0.000 | 0.000 | 105.765 | 
| 243.963 | 94.182 | 83.560 | 0.000 | -0.000 | 0.000 | 
| 93.694 | 247.804 | 103.664 | 0.000 | -0.000 | -0.000 | 
| 83.790 | 103.332 | 213.878 | 0.000 | -0.000 | 0.000 | 
| 0.115 | 0.333 | 0.143 | 65.048 | -0.000 | -0.000 | 
| 0.091 | 0.268 | 0.115 | 0.000 | 53.698 | -0.000 | 
| 0.151 | 0.433 | 0.184 | 0.000 | -0.000 | 105.498 | 
| 242.680 | 93.972 | 84.336 | -0.000 | 0.000 | -0.000 | 
| 96.720 | 249.603 | 102.719 | -0.000 | 0.000 | 0.000 | 
| 83.632 | 102.872 | 213.681 | -0.000 | -0.000 | 0.000 | 
| -0.115 | -0.333 | -0.143 | 65.048 | 0.000 | -0.000 | 
| -0.091 | -0.268 | -0.115 | -0.000 | 53.698 | 0.000 | 
| -0.151 | -0.433 | -0.184 | -0.000 | 0.000 | 105.498 | 
| 242.697 | 93.343 | 83.898 | 0.000 | -0.000 | -0.000 | 
| 93.628 | 247.604 | 103.576 | 0.000 | -0.000 | 0.000 | 
| 83.499 | 102.888 | 213.787 | 0.000 | -0.000 | -0.000 | 
| 0.011 | 0.033 | 0.014 | 65.047 | -0.000 | -0.000 | 
| 0.004 | 0.015 | 0.007 | 0.000 | 52.331 | -0.000 | 
| 0.015 | 0.043 | 0.018 | 0.000 | -0.000 | 105.495 | 
| 242.681 | 93.298 | 83.878 | -0.000 | 0.000 | 0.000 | 
| 96.770 | 249.782 | 102.803 | -0.000 | 0.000 | 0.000 | 
| 83.443 | 102.840 | 213.795 | -0.000 | 0.000 | 0.000 | 
| -0.011 | -0.032 | -0.014 | 64.645 | 0.000 | 0.000 | 
| -0.004 | -0.015 | -0.007 | -0.000 | 52.331 | 0.000 | 
| -0.015 | -0.043 | -0.018 | -0.000 | 0.000 | 105.495 | 
| 200.525 | 82.445 | 68.533 | 0.000 | 0.000 | -0.000 | 
| 82.444 | 200.525 | 68.533 | 0.000 | 0.000 | -0.000 | 
| 71.146 | 71.146 | 216.551 | 0.000 | -0.000 | -0.000 | 
| -0.000 | 0.000 | -0.000 | 48.560 | -0.000 | -0.000 | 
| -0.001 | 0.000 | -0.000 | 0.000 | 46.742 | -0.000 | 
| -0.001 | 0.000 | 0.000 | 0.000 | 0.000 | 59.040 | 
| 200.526 | 82.445 | 68.533 | -0.000 | -0.000 | 0.000 | 
| 82.445 | 200.526 | 68.533 | 0.000 | -0.000 | 0.000 | 
| 71.147 | 71.146 | 216.551 | -0.000 | -0.000 | 0.000 | 
| 0.000 | -0.000 | 0.000 | 48.560 | 0.000 | 0.000 | 
| 0.001 | -0.000 | 0.000 | -0.000 | 46.742 | 0.000 | 
| 0.001 | -0.000 | -0.000 | 0.000 | -0.000 | 59.040 | 
| 200.526 | 82.445 | 68.533 | -0.000 | 0.000 | -0.000 | 
| 82.445 | 200.526 | 68.533 | -0.000 | 0.000 | -0.000 | 
| 68.708 | 68.708 | 220.471 | 0.000 | 0.000 | -0.000 | 
| -0.000 | 0.000 | 0.000 | 46.741 | -0.000 | -0.000 | 
| -0.000 | -0.000 | 0.000 | -0.000 | 48.560 | -0.000 | 
| -0.000 | 0.000 | -0.000 | -0.000 | 0.000 | 55.883 | 
| 200.526 | 82.445 | 68.533 | 0.000 | 0.000 | 0.000 | 
| 82.445 | 200.525 | 68.533 | 0.000 | -0.000 | 0.000 | 
| 71.146 | 71.146 | 216.551 | 0.000 | 0.000 | 0.000 | 
| 0.000 | -0.000 | 0.000 | 46.741 | -0.000 | 0.000 | 
| 0.000 | 0.000 | 0.000 | 0.000 | 48.560 | 0.000 | 
| 0.000 | -0.000 | 0.000 | -0.000 | -0.000 | 55.883 | 
| 195.894 | 83.659 | 71.281 | -0.000 | 0.000 | -0.000 | 
| 83.659 | 195.894 | 71.280 | -0.000 | 0.000 | -0.000 | 
| 71.147 | 71.147 | 216.552 | -0.000 | -0.000 | -0.000 | 
| -0.000 | -0.000 | 0.000 | 48.560 | -0.000 | -0.000 | 
| -0.000 | -0.000 | 0.000 | -0.000 | 48.560 | -0.000 | 
| 0.000 | 0.000 | 0.000 | -0.000 | 0.000 | 59.040 | 
| 195.892 | 83.658 | 71.280 | 0.000 | -0.000 | 0.000 | 
| 83.659 | 195.892 | 71.280 | 0.000 | -0.000 | 0.000 | 
| 68.708 | 68.708 | 220.470 | 0.000 | -0.000 | 0.000 | 
| 0.000 | 0.000 | -0.000 | 48.560 | 0.000 | 0.000 | 
| 0.000 | 0.000 | -0.000 | 0.000 | 48.560 | 0.000 | 
| -0.000 | -0.000 | -0.000 | 0.000 | -0.000 | 59.040 | 
| 1680.049 | 2020.719 | 2020.719 | -0.000 | -0.000 | -0.000 | 
| 2020.719 | 1680.049 | 2020.719 | 0.000 | 0.000 | -0.000 | 
| 2020.719 | 2020.719 | 1680.049 | -0.000 | -0.000 | 0.000 | 
| -0.000 | 0.000 | -0.000 | 111.866 | -0.000 | 0.000 | 
| 0.000 | -0.000 | -0.000 | -0.000 | 111.866 | 0.000 | 
| 0.000 | 0.000 | -0.000 | -0.000 | -0.000 | 111.866 | 
| 1680.049 | 2020.719 | 2020.719 | 0.000 | 0.000 | -0.000 | 
| 2020.719 | 1680.049 | 2020.719 | 0.000 | 0.000 | -0.000 | 
| 2020.719 | 2020.719 | 1680.049 | 0.000 | 0.000 | 0.000 | 
| 0.000 | -0.000 | 0.000 | 111.866 | 0.000 | -0.000 | 
| -0.000 | 0.000 | 0.000 | 0.000 | 111.866 | 0.000 | 
| -0.000 | -0.000 | 0.000 | 0.000 | 0.000 | 111.866 | 
| 1680.049 | 2020.718 | 2020.718 | 0.000 | -0.000 | -0.000 | 
| 2020.718 | 1680.049 | 2020.718 | -0.000 | -0.000 | 0.000 | 
| 2020.718 | 2020.718 | 1680.049 | -0.000 | -0.000 | -0.000 | 
| -0.000 | 0.000 | 0.000 | 111.866 | -0.000 | 0.000 | 
| 0.000 | -0.000 | 0.000 | -0.000 | 111.866 | 0.000 | 
| 0.000 | 0.000 | -0.000 | -0.000 | -0.000 | 111.866 | 
| 1680.048 | 2020.719 | 2020.719 | -0.000 | 0.000 | -0.000 | 
| 2020.719 | 1680.048 | 2020.719 | -0.000 | 0.000 | -0.000 | 
| 2020.719 | 2020.719 | 1680.048 | -0.000 | 0.000 | 0.000 | 
| 0.000 | -0.000 | -0.000 | 111.866 | 0.000 | -0.000 | 
| -0.000 | 0.000 | -0.000 | 0.000 | 111.866 | -0.000 | 
| -0.000 | -0.000 | 0.000 | -0.000 | 0.000 | 111.866 | 
| 1680.051 | 2020.717 | 2020.717 | 0.000 | -0.000 | 0.000 | 
| 2020.717 | 1680.051 | 2020.717 | 0.000 | 0.000 | 0.000 | 
| 2020.717 | 2020.717 | 1680.051 | 0.000 | -0.000 | -0.000 | 
| -0.002 | 0.004 | 0.004 | 111.866 | -0.000 | -0.000 | 
| 0.004 | -0.002 | 0.004 | 0.000 | 111.866 | 0.000 | 
| 0.004 | 0.004 | -0.002 | 0.000 | -0.000 | 111.866 | 
| 1680.046 | 2020.720 | 2020.720 | -0.000 | 0.000 | 0.000 | 
| 2020.720 | 1680.046 | 2020.720 | -0.000 | -0.000 | 0.000 | 
| 2020.720 | 2020.720 | 1680.046 | -0.000 | 0.000 | -0.000 | 
| 0.002 | -0.004 | -0.004 | 111.866 | 0.000 | -0.000 | 
| -0.004 | 0.002 | -0.004 | -0.000 | 111.866 | -0.000 | 
| -0.004 | -0.004 | 0.002 | 0.000 | 0.000 | 111.866 | 
| 4195.334 | 3023.336 | 3023.336 | 0.000 | 0.000 | -0.000 | 
| 3023.336 | 4195.334 | 3023.336 | 0.000 | 0.000 | -0.000 | 
| 3023.336 | 3023.336 | 4195.334 | 0.000 | -0.000 | 0.000 | 
| 0.000 | 0.000 | 0.000 | 998.184 | 0.000 | -0.000 | 
| -0.000 | -0.000 | 0.000 | -0.000 | 998.184 | -0.000 | 
| -0.000 | 0.000 | -0.000 | -0.000 | -0.000 | 998.184 | 
| 4195.332 | 3023.337 | 3023.337 | -0.000 | 0.000 | -0.000 | 
| 3023.337 | 4195.332 | 3023.337 | -0.000 | 0.000 | -0.000 | 
| 3023.337 | 3023.337 | 4195.332 | -0.000 | 0.000 | -0.000 | 
| -0.000 | -0.000 | -0.000 | 998.184 | -0.000 | -0.000 | 
| -0.000 | 0.000 | -0.000 | -0.000 | 998.184 | -0.000 | 
| -0.000 | -0.000 | -0.000 | -0.000 | -0.000 | 998.184 | 
| 4195.343 | 3023.332 | 3023.332 | 0.000 | -0.000 | 0.000 | 
| 3023.332 | 4195.343 | 3023.332 | 0.000 | -0.000 | 0.000 | 
| 3023.332 | 3023.332 | 4195.343 | 0.000 | 0.000 | 0.000 | 
| -0.000 | 0.000 | 0.000 | 998.184 | 0.000 | 0.000 | 
| 0.000 | -0.000 | 0.000 | 0.000 | 998.184 | 0.000 | 
| 0.000 | 0.000 | -0.000 | 0.000 | 0.000 | 998.184 | 
| 4195.323 | 3023.341 | 3023.341 | -0.000 | 0.000 | -0.000 | 
| 3023.341 | 4195.323 | 3023.341 | -0.000 | 0.000 | -0.000 | 
| 3023.341 | 3023.341 | 4195.323 | -0.000 | 0.000 | -0.000 | 
| 0.000 | -0.000 | -0.000 | 998.184 | -0.000 | -0.000 | 
| -0.000 | 0.000 | -0.000 | 0.000 | 998.184 | -0.000 | 
| -0.000 | -0.000 | 0.000 | -0.000 | -0.000 | 998.184 | 
| 4195.432 | 3023.293 | 3023.293 | 0.000 | 0.000 | 0.000 | 
| 3023.293 | 4195.432 | 3023.293 | -0.000 | -0.000 | -0.000 | 
| 3023.293 | 3023.293 | 4195.432 | 0.000 | 0.000 | 0.000 | 
| -0.003 | 0.002 | 0.003 | 998.184 | 0.000 | -0.000 | 
| 0.002 | -0.003 | 0.003 | 0.000 | 998.184 | -0.000 | 
| 0.002 | 0.003 | -0.003 | 0.000 | 0.000 | 998.184 | 
| 4195.235 | 3023.379 | 3023.379 | -0.000 | -0.000 | 0.000 | 
| 3023.379 | 4195.235 | 3023.379 | -0.000 | 0.000 | -0.000 | 
| 3023.379 | 3023.379 | 4195.235 | -0.000 | -0.000 | -0.000 | 
| 0.003 | -0.002 | -0.003 | 998.184 | -0.000 | -0.000 | 
| -0.002 | 0.003 | -0.003 | 0.000 | 998.184 | -0.000 | 
| -0.002 | -0.003 | 0.003 | -0.000 | -0.000 | 998.184 | 
| 1075.618 | 871.080 | 871.080 | 0.000 | 0.000 | 0.000 | 
| 871.080 | 1075.618 | 871.080 | -0.000 | 0.000 | 0.000 | 
| 871.080 | 871.080 | 1075.618 | -0.000 | 0.000 | 0.000 | 
| 0.000 | 0.000 | 0.000 | 601.991 | -0.000 | -0.000 | 
| 0.000 | 0.000 | 0.000 | -0.000 | 601.991 | 0.000 | 
| 0.000 | 0.000 | 0.000 | 0.000 | 0.000 | 601.991 | 
| 1075.618 | 871.080 | 871.080 | 0.000 | -0.000 | -0.000 | 
| 871.080 | 1075.618 | 871.080 | 0.000 | -0.000 | -0.000 | 
| 871.080 | 871.080 | 1075.617 | 0.000 | -0.000 | -0.000 | 
| -0.000 | -0.000 | -0.000 | 601.991 | 0.000 | -0.000 | 
| -0.000 | -0.000 | -0.000 | 0.000 | 601.991 | -0.000 | 
| -0.000 | -0.000 | -0.000 | -0.000 | -0.000 | 601.991 | 
| 1075.617 | 871.080 | 871.080 | -0.000 | -0.000 | 0.000 | 
| 871.080 | 1075.617 | 871.080 | -0.000 | 0.000 | 0.000 | 
| 871.080 | 871.080 | 1075.617 | -0.000 | 0.000 | 0.000 | 
| 0.000 | 0.000 | 0.000 | 601.991 | 0.000 | 0.000 | 
| 0.000 | 0.000 | 0.000 | -0.000 | 601.991 | 0.000 | 
| 0.000 | 0.000 | 0.000 | -0.000 | 0.000 | 601.991 | 
| 1075.618 | 871.080 | 871.080 | 0.000 | -0.000 | -0.000 | 
| 871.080 | 1075.618 | 871.080 | 0.000 | -0.000 | 0.000 | 
| 871.080 | 871.080 | 1075.618 | 0.000 | -0.000 | -0.000 | 
| -0.000 | -0.000 | -0.000 | 601.991 | -0.000 | 0.000 | 
| -0.000 | -0.000 | -0.000 | 0.000 | 601.991 | -0.000 | 
| -0.000 | -0.000 | -0.000 | 0.000 | -0.000 | 601.991 | 
| 1075.613 | 871.077 | 871.077 | -0.000 | 0.000 | 0.000 | 
| 871.077 | 1075.613 | 871.077 | -0.000 | 0.000 | 0.000 | 
| 871.077 | 871.077 | 1075.613 | -0.000 | 0.000 | 0.000 | 
| 0.001 | 0.000 | 0.001 | 601.991 | 0.000 | 0.000 | 
| 0.000 | 0.001 | 0.001 | -0.000 | 601.991 | 0.000 | 
| 0.000 | 0.001 | 0.001 | -0.000 | 0.000 | 601.991 | 
| 1075.622 | 871.083 | 871.083 | 0.000 | -0.000 | -0.000 | 
| 871.083 | 1075.622 | 871.083 | 0.000 | 0.000 | 0.000 | 
| 871.083 | 871.083 | 1075.622 | 0.000 | -0.000 | -0.000 | 
| -0.001 | -0.000 | -0.001 | 601.991 | -0.000 | -0.000 | 
| -0.000 | -0.001 | -0.001 | 0.000 | 601.991 | -0.000 | 
| -0.000 | -0.001 | -0.001 | 0.000 | -0.000 | 601.991 | 
| 1951.272 | 1939.307 | 1831.981 | -0.000 | 0.000 | 0.000 | 
| 2254.219 | 1636.360 | 1831.982 | -0.000 | 0.000 | 0.000 | 
| 1831.982 | 1831.982 | 2055.493 | -0.000 | 0.000 | 0.000 | 
| 0.000 | 0.000 | -0.000 | -105.072 | 0.000 | 0.000 | 
| 0.000 | -0.000 | -0.000 | -0.000 | -105.071 | 0.000 | 
| -0.000 | -0.000 | -0.000 | -0.000 | 0.000 | 5.982 | 
| 1951.271 | 1939.307 | 1831.982 | 0.000 | -0.000 | -0.000 | 
| 2254.219 | 1636.359 | 1831.982 | 0.000 | -0.000 | -0.000 | 
| 1831.982 | 1831.981 | 2055.493 | 0.000 | -0.000 | -0.000 | 
| -0.000 | -0.000 | -0.000 | -105.072 | -0.000 | -0.000 | 
| -0.000 | 0.000 | -0.000 | 0.000 | -105.072 | -0.000 | 
| -0.000 | 0.000 | 0.000 | 0.000 | -0.000 | 5.982 | 
| 1143867441.357 | 1097665127.450 | 1073330863.431 | -7400225.467 | -12742829.668 | -17653436.876 | 
| 1939.307 | 1951.272 | 1831.981 | -0.000 | 0.000 | 0.000 | 
| 1831.981 | 1831.982 | 2055.493 | -0.000 | 0.000 | 0.000 | 
| 0.000 | 0.000 | 0.000 | -105.072 | 0.000 | 0.000 | 
| 0.000 | 0.000 | 0.000 | -0.000 | -105.072 | 0.000 | 
| 1024128582.439 | 953110385.826 | 1087764165.207 | -1518772.734 | -8450653.262 | 26198977.236 | 
| -1039329829.530 | -1247086072.840 | -1219278237.137 | 1466836.065 | 1203330.770 | 58009098.280 | 
| -1128811751.712 | -1091295928.638 | -1066713275.576 | 4795149.744 | -6356193.440 | 9052616.780 | 
| 1831.982 | 1831.982 | 2055.493 | 0.000 | -0.000 | -0.000 | 
| -0.000 | -0.000 | -0.000 | -105.072 | -0.000 | -0.000 | 
| -0.000 | -0.000 | -0.000 | 0.000 | -105.072 | -0.000 | 
| -1203133187.676 | -1203133247.925 | -1222087774.721 | -3480577.663 | 1605203.759 | 127235747.494 | 
| 117819686.271 | 109057461.473 | 108871064.806 | -410703.952 | 547152.647 | -2455950.048 | 
| 105426557.433 | 127282733.888 | 126517423.126 | -57134.623 | -525862.245 | -3534753.117 | 
| 1831.980 | 1831.980 | 2055.496 | -0.000 | 0.000 | 0.000 | 
| 0.006 | -0.005 | 0.005 | -105.072 | 0.000 | 0.000 | 
| -0.005 | 0.006 | 0.005 | -0.000 | -105.072 | 0.000 | 
| 104378304.701 | 98142575.662 | 104254704.856 | 73142.134 | 314200.248 | 2312262.984 | 
| -102487786.303 | -125163761.833 | -122884469.505 | 62552.172 | -739003.502 | 5763665.196 | 
| -114394438.672 | -108399972.428 | -106747581.298 | -683536.022 | -1355468.917 | 4534016.520 | 
| 1831.983 | 1831.983 | 2055.490 | 0.000 | -0.000 | -0.000 | 
| -0.006 | 0.005 | -0.005 | -105.072 | -0.000 | -0.000 | 
| 0.005 | -0.006 | -0.005 | 0.000 | -105.072 | -0.000 | 
| -119910842.295 | -116790095.139 | -119210942.394 | 515990.188 | 537416.744 | 12010879.632 | 
| 514.976 | 177.239 | 249.922 | -0.000 | 0.000 | 0.000 | 
| 128.300 | 563.916 | 249.922 | 0.000 | -0.000 | 0.000 | 
| 249.922 | 249.922 | 7061.658 | 0.000 | -0.000 | 0.000 | 
| 0.000 | -0.000 | -0.000 | 306.353 | -0.000 | 0.000 | 
| 0.000 | -0.000 | -0.000 | 0.000 | 306.353 | 0.000 | 
| -0.000 | -0.000 | -0.000 | -0.000 | 0.000 | 168.869 | 
| 514.976 | 177.239 | 249.922 | 0.000 | 0.000 | -0.000 | 
| 177.239 | 514.976 | 249.922 | 0.000 | -0.000 | -0.000 | 
| 249.922 | 249.922 | 7061.658 | -0.000 | -0.000 | -0.000 | 
| 0.000 | 0.000 | -0.000 | 306.353 | -0.000 | -0.000 | 
| 0.000 | 0.000 | 0.000 | 0.000 | 306.353 | -0.000 | 
| 0.000 | 0.000 | 0.000 | 0.000 | -0.000 | 168.868 | 
| 563.916 | 128.300 | 249.922 | -0.000 | 0.000 | 0.000 | 
| 128.300 | 563.916 | 249.922 | -0.000 | 0.000 | 0.000 | 
| 249.923 | 249.923 | 7061.657 | -0.000 | 0.000 | 0.000 | 
| 0.000 | 0.000 | -0.000 | 306.353 | -0.000 | 0.000 | 
| 0.000 | 0.000 | -0.000 | -0.000 | 306.353 | 0.000 | 
| 0.000 | 0.000 | 0.000 | -0.000 | 0.000 | 217.808 | 
| 514.976 | 177.239 | 249.922 | 0.000 | 0.000 | -0.000 | 
| 177.239 | 514.976 | 249.922 | 0.000 | 0.000 | -0.000 | 
| 249.922 | 249.922 | 7061.659 | -0.000 | -0.000 | -0.000 | 
| -0.000 | -0.000 | 0.000 | 306.353 | -0.000 | -0.000 | 
| -0.000 | -0.000 | 0.000 | 0.000 | 306.353 | -0.000 | 
| -0.000 | -0.000 | -0.000 | -0.000 | -0.000 | 217.808 | 
| 514.977 | 177.239 | 249.923 | -0.000 | -0.000 | 0.000 | 
| 177.236 | 514.981 | 249.923 | -0.000 | 0.000 | 0.000 | 
| 249.929 | 249.929 | 7061.649 | -0.000 | 0.000 | 0.000 | 
| 0.000 | 0.000 | -0.003 | 306.353 | 0.000 | 0.000 | 
| 0.000 | 0.000 | -0.003 | -0.000 | 306.353 | 0.000 | 
| 0.000 | 0.000 | 0.000 | -0.000 | 0.000 | 217.808 | 
| 514.976 | 177.238 | 249.921 | 0.000 | -0.000 | -0.000 | 
| 128.299 | 563.914 | 249.921 | 0.000 | -0.000 | -0.000 | 
| 249.915 | 249.915 | 7061.667 | -0.000 | -0.000 | -0.000 | 
| -0.000 | -0.000 | 0.003 | 306.353 | -0.000 | -0.000 | 
| -0.000 | -0.000 | 0.003 | 0.000 | 306.353 | -0.000 | 
| -0.000 | -0.000 | -0.000 | 0.000 | 0.000 | 217.808 | 
| 1737.649 | 741.539 | 0.000 | 0.000 | 0.000 | 0.000 | 
| 741.539 | 1737.649 | 0.000 | 0.000 | 0.000 | 0.000 | 
| -0.000 | -0.000 | 0.000 | 0.000 | 0.000 | 0.000 | 
| -0.000 | 0.000 | 0.000 | 0.000 | 0.000 | 0.000 | 
| -0.000 | 0.000 | 0.000 | 0.000 | 0.000 | 0.000 | 
| -0.000 | 0.000 | 0.000 | 0.000 | 0.000 | 498.055 | 
| 1737.649 | 741.539 | -0.000 | -0.000 | -0.000 | -0.000 | 
| 741.539 | 1737.649 | -0.000 | -0.000 | -0.000 | -0.000 | 
| 0.000 | 0.000 | -0.000 | -0.000 | -0.000 | -0.000 | 
| 0.000 | -0.000 | -0.000 | -0.000 | -0.000 | -0.000 | 
| 0.000 | -0.000 | -0.000 | -0.000 | -0.000 | -0.000 | 
| 0.000 | -0.000 | -0.000 | -0.000 | -0.000 | 498.055 | 
| 1737.650 | 741.538 | 0.000 | 0.000 | 0.000 | -0.000 | 
| 741.538 | 1737.649 | 0.000 | 0.000 | 0.000 | 0.000 | 
| -0.000 | -0.000 | 0.000 | 0.000 | 0.000 | 0.000 | 
| -0.000 | 0.000 | 0.000 | 0.000 | 0.000 | 0.000 | 
| -0.000 | 0.000 | 0.000 | 0.000 | 0.000 | 0.000 | 
| -0.000 | 0.000 | 0.000 | 0.000 | 0.000 | 498.055 | 
| 1737.649 | 741.540 | -0.000 | -0.000 | -0.000 | -0.000 | 
| 741.539 | 1737.650 | -0.000 | -0.000 | -0.000 | 0.000 | 
| 0.000 | 0.000 | -0.000 | -0.000 | -0.000 | -0.000 | 
| 0.000 | -0.000 | -0.000 | -0.000 | -0.000 | -0.000 | 
| 0.000 | -0.000 | -0.000 | -0.000 | -0.000 | -0.000 | 
| 0.000 | -0.000 | -0.000 | -0.000 | -0.000 | 498.055 | 
| 1737.653 | 741.528 | 0.000 | 0.000 | 0.000 | 0.000 | 
| 741.533 | 1737.647 | 0.000 | 0.000 | 0.000 | 0.000 | 
| -0.000 | -0.000 | 0.000 | 0.000 | 0.000 | 0.000 | 
| -0.000 | 0.000 | 0.000 | 0.000 | 0.000 | 0.000 | 
| -0.000 | 0.000 | 0.000 | 0.000 | 0.000 | 0.000 | 
| -0.001 | 0.005 | 0.000 | 0.000 | 0.000 | 498.055 | 
| 1737.646 | 741.550 | -0.000 | -0.000 | -0.000 | 0.000 | 
| 741.544 | 1737.652 | -0.000 | -0.000 | -0.000 | -0.000 | 
| 0.000 | 0.000 | -0.000 | -0.000 | -0.000 | -0.000 | 
| 0.000 | -0.000 | -0.000 | -0.000 | -0.000 | -0.000 | 
| 0.000 | 0.000 | -0.000 | -0.000 | -0.000 | -0.000 | 
| 0.001 | -0.005 | -0.000 | -0.000 | -0.000 | 498.055 | 
| 13739349506.733 | 7564514611.413 | 3467066068.043 | -4565322.725 | -30798140.418 | -152215918.683 | 
| 1951.980 | 1940.265 | 1831.380 | -0.000 | -0.000 | -0.000 | 
| 1831.380 | 1831.380 | 2054.671 | -0.000 | -0.000 | -0.000 | 
| 0.000 | -0.000 | -0.000 | -133.875 | -0.000 | -0.000 | 
| 0.000 | -0.000 | 0.000 | -0.000 | -133.875 | -0.000 | 
| 10635918763.694 | 9985282099.656 | 5392011279.093 | -26192526.330 | 72115209.355 | -236835657.167 | 
| -11608178989.326 | -10651035937.860 | -5850234879.816 | 7511341.903 | -37670158.596 | -77788879.470 | 
| -13832451476.669 | -8277258900.804 | -3553513735.868 | 580926.172 | -27595916.500 | 223031588.390 | 
| 1831.380 | 1831.380 | 2054.671 | 0.000 | 0.000 | 0.000 | 
| -0.000 | -0.000 | -0.000 | -133.875 | 0.000 | 0.000 | 
| -0.000 | 0.000 | -0.000 | 0.000 | -133.874 | 0.000 | 
| -10448070233.117 | -9382531599.549 | -5313278430.103 | 76195107.512 | 34882471.022 | -273814277.423 | 
| 1940.266 | 1951.980 | 1831.379 | -0.000 | -0.000 | -0.000 | 
| 1150512331.134 | 1045896206.832 | 646742997.816 | -8621043.838 | 376044.089 | 2323519.522 | 
| 1831.380 | 1831.380 | 2054.671 | -0.000 | -0.000 | -0.000 | 
| 0.000 | 0.000 | 0.000 | -133.875 | -0.000 | -0.000 | 
| 0.000 | 0.000 | 0.000 | -0.000 | -133.875 | 0.000 | 
| 1034695064.090 | 1005241313.371 | 634338677.901 | 6447331.303 | -9659840.870 | -27938604.826 | 
| -1127833324.593 | -1028701979.784 | -677897620.713 | 3201240.510 | 4210769.510 | -1597373.686 | 
| -1528748827.642 | -914914354.864 | -221574826.330 | -4596952.067 | -1934877.129 | -5506709.726 | 
| 1831.380 | 1831.380 | 2054.670 | 0.000 | 0.000 | 0.000 | 
| -0.000 | -0.000 | -0.000 | -133.875 | 0.000 | 0.000 | 
| -0.000 | -0.000 | -0.000 | 0.000 | -133.875 | -0.000 | 
| -1027017287.417 | -962849596.494 | -610390973.065 | -448880.985 | 5592797.644 | 565516.228 | 
| 150978808.062 | 82655823.861 | 21992592.371 | 253843.869 | 721999.627 | -941461.544 | 
| 111924610.599 | 97232279.532 | 62986847.434 | -60743.651 | 97952.644 | -1589076.192 | 
| 1831.378 | 1831.378 | 2054.673 | -0.000 | -0.000 | -0.000 | 
| 0.000 | 0.001 | 0.005 | -133.875 | -0.000 | 0.000 | 
| 0.001 | 0.000 | 0.005 | -0.000 | -133.875 | 0.000 | 
| 102057303.877 | 101187353.101 | 59699751.627 | 239966.083 | -805912.819 | -9062930.850 | 
| -110362962.577 | -100311455.051 | -66142208.288 | -326760.003 | -784326.842 | 450333.735 | 
| -138332389.847 | -77596159.589 | -22176993.597 | 359400.430 | 71380.551 | -2351739.714 | 
| 1831.381 | 1831.381 | 2054.668 | 0.000 | 0.000 | 0.000 | 
| -0.000 | -0.001 | -0.005 | -133.875 | 0.000 | 0.000 | 
| -0.001 | -0.000 | -0.005 | 0.000 | -133.875 | -0.000 | 
| -102289801.537 | -100486388.839 | -66112693.336 | 1026041.413 | 61933.616 | -4212961.534 | 
| 1088.318 | 125.012 | 125.012 | -0.000 | 0.000 | -0.000 | 
| 125.012 | 1088.318 | 125.012 | 0.000 | -0.000 | -0.000 | 
| 125.012 | 125.012 | 1088.318 | -0.000 | -0.000 | 0.000 | 
| 0.000 | -0.000 | 0.000 | 641.274 | -0.000 | -0.000 | 
| -0.000 | -0.000 | 0.000 | -0.000 | 641.274 | 0.000 | 
| -0.000 | 0.000 | -0.000 | -0.000 | -0.000 | 641.274 | 
| 1088.318 | 125.012 | 125.012 | -0.000 | -0.000 | -0.000 | 
| 125.012 | 1088.318 | 125.012 | -0.000 | -0.000 | -0.000 | 
| 125.012 | 125.012 | 1088.318 | -0.000 | -0.000 | -0.000 | 
| -0.000 | 0.000 | -0.000 | 641.274 | -0.000 | 0.000 | 
| 0.000 | -0.000 | -0.000 | -0.000 | 641.275 | -0.000 | 
| 0.000 | -0.000 | -0.000 | -0.000 | 0.000 | 641.275 | 
| 1088.318 | 125.012 | 125.012 | 0.000 | -0.000 | -0.000 | 
| 125.012 | 1088.318 | 125.012 | -0.000 | 0.000 | -0.000 | 
| 125.012 | 125.012 | 1088.319 | -0.000 | -0.000 | -0.000 | 
| 0.000 | -0.000 | 0.000 | 673.506 | -0.000 | -0.000 | 
| -0.000 | 0.000 | 0.000 | -0.000 | 673.506 | -0.000 | 
| -0.000 | 0.000 | 0.000 | 0.000 | -0.000 | 673.506 | 
| 1088.318 | 125.012 | 125.012 | 0.000 | 0.000 | 0.000 | 
| 125.012 | 1088.318 | 125.012 | -0.000 | 0.000 | 0.000 | 
| 125.012 | 125.012 | 1088.318 | 0.000 | 0.000 | 0.000 | 
| -0.000 | 0.000 | -0.000 | 673.506 | -0.000 | 0.000 | 
| 0.000 | -0.000 | -0.000 | -0.000 | 673.506 | 0.000 | 
| 0.000 | -0.000 | -0.000 | 0.000 | 0.000 | 673.506 | 
| 1088.320 | 125.013 | 125.013 | -0.000 | -0.000 | -0.000 | 
| 125.013 | 1088.320 | 125.013 | -0.000 | -0.000 | -0.000 | 
| 125.013 | 125.013 | 1088.320 | -0.000 | -0.000 | -0.000 | 
| 0.000 | -0.000 | 0.001 | 641.274 | -0.000 | -0.000 | 
| -0.000 | 0.000 | 0.001 | -0.000 | 641.274 | -0.000 | 
| -0.000 | 0.001 | 0.000 | 0.000 | -0.000 | 641.274 | 
| 1088.317 | 125.011 | 125.011 | 0.000 | 0.000 | 0.000 | 
| 125.011 | 1088.317 | 125.011 | -0.000 | 0.000 | 0.000 | 
| 125.011 | 125.011 | 1088.317 | 0.000 | 0.000 | 0.000 | 
| -0.000 | 0.000 | -0.001 | 641.274 | 0.000 | 0.000 | 
| 0.000 | -0.000 | -0.001 | -0.000 | 641.274 | 0.000 | 
| 0.000 | -0.001 | -0.000 | 0.000 | 0.000 | 641.274 | 
| 805.469 | 131.391 | 85.307 | 0.000 | 0.000 | -0.000 | 
| 131.392 | 805.468 | 85.307 | 0.000 | 0.000 | -0.000 | 
| 85.307 | 85.307 | 950.579 | 0.000 | 0.000 | -0.000 | 
| 0.000 | -0.000 | 0.000 | 150.070 | 0.000 | -0.000 | 
| 0.000 | -0.000 | 0.000 | 0.000 | 150.070 | 0.000 | 
| 0.000 | -0.000 | 0.000 | 0.000 | 0.000 | 137.225 | 
| 805.468 | 131.392 | 85.307 | -0.000 | -0.000 | -0.000 | 
| 131.391 | 805.468 | 85.307 | -0.000 | -0.000 | 0.000 | 
| 85.307 | 85.307 | 950.578 | -0.000 | -0.000 | 0.000 | 
| -0.000 | 0.000 | -0.000 | 150.069 | -0.000 | -0.000 | 
| -0.000 | 0.000 | -0.000 | -0.000 | 150.069 | -0.000 | 
| -0.000 | 0.000 | -0.000 | -0.000 | -0.000 | 137.225 | 
| 805.468 | 131.392 | 85.307 | 0.000 | 0.000 | -0.000 | 
| 131.392 | 805.468 | 85.307 | -0.000 | 0.000 | -0.000 | 
| 85.307 | 85.307 | 950.579 | 0.000 | 0.000 | -0.000 | 
| 0.000 | -0.000 | -0.000 | 150.069 | 0.000 | -0.000 | 
| 0.000 | -0.000 | -0.000 | 0.000 | 150.069 | 0.000 | 
| 0.000 | -0.000 | 0.000 | 0.000 | 0.000 | 137.226 | 
| 805.468 | 131.391 | 85.307 | -0.000 | -0.000 | 0.000 | 
| 131.391 | 805.468 | 85.307 | -0.000 | -0.000 | 0.000 | 
| 85.307 | 85.307 | 950.578 | -0.000 | -0.000 | 0.000 | 
| -0.000 | 0.000 | 0.000 | 150.069 | -0.000 | 0.000 | 
| -0.000 | 0.000 | 0.000 | -0.000 | 150.069 | -0.000 | 
| -0.000 | 0.000 | -0.000 | -0.000 | -0.000 | 137.226 | 
| 805.470 | 131.393 | 85.307 | 0.000 | 0.000 | 0.000 | 
| 131.393 | 805.470 | 85.307 | 0.000 | 0.000 | 0.000 | 
| 85.307 | 85.307 | 950.584 | -0.000 | 0.000 | -0.000 | 
| 0.000 | -0.000 | -0.000 | 150.069 | 0.000 | -0.000 | 
| -0.000 | 0.000 | -0.000 | -0.000 | 150.069 | 0.000 | 
| -0.000 | -0.000 | -0.000 | 0.000 | 0.000 | 137.226 | 
| 805.466 | 131.391 | 85.307 | -0.000 | 0.000 | 0.000 | 
| 131.391 | 805.466 | 85.307 | 0.000 | -0.000 | -0.000 | 
| 85.307 | 85.307 | 950.573 | -0.000 | -0.000 | 0.000 | 
| -0.000 | 0.000 | 0.000 | 150.069 | -0.000 | -0.000 | 
| 0.000 | -0.000 | 0.000 | -0.000 | 150.069 | -0.000 | 
| 0.000 | 0.000 | 0.000 | -0.000 | -0.000 | 137.226 | 
| 811.476 | -0.000 | 0.000 | 0.000 | 0.000 | -0.000 | 
| -0.000 | 811.476 | 0.000 | 0.000 | 0.000 | 0.000 | 
| -0.000 | 0.000 | 0.000 | 0.000 | 0.000 | 0.000 | 
| -0.000 | -0.000 | 0.000 | 0.000 | 0.000 | 0.000 | 
| -0.000 | -0.000 | 0.000 | 0.000 | 0.000 | 0.000 | 
| -0.000 | -0.000 | 0.000 | 0.000 | 0.000 | 181.837 | 
| 1448.473 | -0.000 | 0.000 | 0.000 | 0.000 | -0.000 | 
| -0.000 | 1448.473 | 0.000 | 0.000 | 0.000 | 0.000 | 
| -0.000 | 0.000 | 0.000 | 0.000 | 0.000 | 0.000 | 
| -0.000 | -0.000 | 0.000 | 0.000 | 0.000 | 0.000 | 
| -0.000 | -0.000 | 0.000 | 0.000 | 0.000 | 0.000 | 
| -0.000 | -0.000 | 0.000 | 0.000 | 0.000 | 324.576 | 
| 811.476 | 0.000 | -0.000 | -0.000 | -0.000 | -0.000 | 
| 0.000 | 811.476 | -0.000 | -0.000 | -0.000 | -0.000 | 
| 0.000 | -0.000 | -0.000 | -0.000 | -0.000 | -0.000 | 
| 0.000 | 0.000 | -0.000 | -0.000 | -0.000 | -0.000 | 
| 0.000 | -0.000 | -0.000 | -0.000 | -0.000 | -0.000 | 
| 0.000 | -0.000 | -0.000 | -0.000 | -0.000 | 181.837 | 
| 1448.474 | 0.000 | -0.000 | -0.000 | -0.000 | -0.000 | 
| 0.000 | 1448.474 | -0.000 | -0.000 | -0.000 | -0.000 | 
| 0.000 | -0.000 | -0.000 | -0.000 | -0.000 | -0.000 | 
| 0.000 | 0.000 | -0.000 | -0.000 | -0.000 | -0.000 | 
| 0.000 | 0.000 | -0.000 | -0.000 | -0.000 | -0.000 | 
| 0.000 | -0.000 | -0.000 | -0.000 | -0.000 | 324.576 | 
| 811.477 | 0.000 | 0.000 | 0.000 | 0.000 | 0.000 | 
| -0.000 | 811.477 | 0.000 | 0.000 | 0.000 | 0.000 | 
| -0.000 | 0.000 | 0.000 | 0.000 | 0.000 | 0.000 | 
| -0.000 | -0.000 | 0.000 | 0.000 | 0.000 | 0.000 | 
| -0.000 | -0.000 | 0.000 | 0.000 | 0.000 | 0.000 | 
| -0.000 | -0.000 | 0.000 | 0.000 | 0.000 | 181.837 | 
| 1448.474 | 0.000 | 0.000 | 0.000 | 0.000 | 0.000 | 
| -0.000 | 1448.474 | 0.000 | 0.000 | 0.000 | 0.000 | 
| -0.000 | 0.000 | 0.000 | 0.000 | 0.000 | 0.000 | 
| -0.000 | -0.000 | 0.000 | 0.000 | 0.000 | 0.000 | 
| -0.000 | -0.000 | 0.000 | 0.000 | 0.000 | 0.000 | 
| -0.000 | -0.000 | 0.000 | 0.000 | 0.000 | 324.576 | 
| 811.476 | 0.000 | -0.000 | -0.000 | -0.000 | 0.000 | 
| 0.000 | 811.476 | -0.000 | -0.000 | -0.000 | -0.000 | 
| 0.000 | -0.000 | -0.000 | -0.000 | -0.000 | -0.000 | 
| 0.000 | 0.000 | -0.000 | -0.000 | -0.000 | -0.000 | 
| 0.000 | 0.000 | -0.000 | -0.000 | -0.000 | -0.000 | 
| 0.000 | 0.000 | -0.000 | -0.000 | -0.000 | 181.837 | 
| 1448.473 | 0.000 | -0.000 | -0.000 | -0.000 | 0.000 | 
| 0.000 | 1448.473 | -0.000 | -0.000 | -0.000 | -0.000 | 
| 0.000 | -0.000 | -0.000 | -0.000 | -0.000 | -0.000 | 
| 0.000 | -0.000 | -0.000 | -0.000 | -0.000 | -0.000 | 
| -0.000 | 0.000 | -0.000 | -0.000 | -0.000 | -0.000 | 
| 0.000 | 0.000 | -0.000 | -0.000 | -0.000 | 324.576 | 
| 811.481 | 0.000 | 0.000 | 0.000 | 0.000 | 0.000 | 
| -0.000 | 811.481 | 0.000 | 0.000 | 0.000 | 0.000 | 
| -0.000 | 0.000 | 0.000 | 0.000 | 0.000 | 0.000 | 
| -0.000 | -0.000 | 0.000 | 0.000 | 0.000 | 0.000 | 
| -0.000 | 0.000 | 0.000 | 0.000 | 0.000 | 0.000 | 
| -0.000 | -0.000 | 0.000 | 0.000 | 0.000 | 181.837 | 
| 1448.481 | 0.000 | 0.000 | 0.000 | 0.000 | 0.000 | 
| -0.000 | 1448.481 | 0.000 | 0.000 | 0.000 | 0.000 | 
| 1717.081 | 1717.081 | 7679.671 | 0.000 | 0.000 | 0.000 | 
| -0.000 | -0.000 | 0.000 | 0.000 | 0.000 | 0.000 | 
| -0.000 | -0.000 | 0.000 | 0.000 | 0.000 | 0.000 | 
| -0.000 | -0.000 | 0.000 | 0.000 | 0.000 | 324.576 | 
| 811.472 | 0.000 | -0.000 | -0.000 | -0.000 | -0.000 | 
| 0.000 | 811.472 | -0.000 | -0.000 | -0.000 | -0.000 | 
| 0.000 | -0.000 | -0.000 | -0.000 | -0.000 | -0.000 | 
| 0.000 | 0.000 | -0.000 | -0.000 | -0.000 | -0.000 | 
| 0.000 | -0.000 | -0.000 | -0.000 | -0.000 | -0.000 | 
| 0.000 | 0.000 | -0.000 | -0.000 | -0.000 | 181.837 | 
| 1448.466 | 0.000 | -0.000 | -0.000 | -0.000 | -0.000 | 
| 0.000 | 1448.466 | -0.000 | -0.000 | -0.000 | -0.000 | 
| 0.000 | -0.000 | -0.000 | -0.000 | -0.000 | -0.000 | 
| 0.000 | 0.000 | -0.000 | -0.000 | -0.000 | -0.000 | 
| 0.000 | 0.000 | -0.000 | -0.000 | -0.000 | -0.000 | 
| 0.000 | 0.000 | -0.000 | -0.000 | -0.000 | 324.576 | 
| 829.297 | -0.000 | 0.000 | 0.000 | 0.000 | -0.000 | 
| -0.000 | 829.297 | 0.000 | 0.000 | 0.000 | 0.000 | 
| -0.000 | 0.000 | 0.000 | 0.000 | 0.000 | 0.000 | 
| -0.000 | -0.000 | 0.000 | 0.000 | 0.000 | 0.000 | 
| -0.000 | -0.000 | 0.000 | 0.000 | 0.000 | 0.000 | 
| -0.000 | -0.000 | 0.000 | 0.000 | 0.000 | 185.830 | 
| 829.297 | 0.000 | -0.000 | -0.000 | -0.000 | -0.000 | 
| 0.000 | 829.297 | -0.000 | -0.000 | -0.000 | -0.000 | 
| 0.000 | -0.000 | -0.000 | -0.000 | -0.000 | -0.000 | 
| 0.000 | 0.000 | -0.000 | -0.000 | -0.000 | -0.000 | 
| 0.000 | -0.000 | -0.000 | -0.000 | -0.000 | -0.000 | 
| 0.000 | -0.000 | -0.000 | -0.000 | -0.000 | 185.830 | 
| 829.297 | 0.000 | 0.000 | 0.000 | 0.000 | 0.000 | 
| -0.000 | 829.297 | 0.000 | 0.000 | 0.000 | 0.000 | 
| -0.000 | 0.000 | 0.000 | 0.000 | 0.000 | 0.000 | 
| -0.000 | -0.000 | 0.000 | 0.000 | 0.000 | 0.000 | 
| -0.000 | 0.000 | 0.000 | 0.000 | 0.000 | 0.000 | 
| -0.000 | -0.000 | 0.000 | 0.000 | 0.000 | 185.830 | 
| 829.296 | 0.000 | -0.000 | -0.000 | -0.000 | 0.000 | 
| 0.000 | 829.296 | -0.000 | -0.000 | -0.000 | -0.000 | 
| 0.000 | -0.000 | -0.000 | -0.000 | -0.000 | -0.000 | 
| 0.000 | -0.000 | -0.000 | -0.000 | -0.000 | -0.000 | 
| -0.000 | -0.000 | -0.000 | -0.000 | -0.000 | -0.000 | 
| 0.000 | 0.000 | -0.000 | -0.000 | -0.000 | 185.830 | 
| 829.301 | 0.000 | 0.000 | 0.000 | 0.000 | 0.000 | 
| -0.000 | 829.301 | 0.000 | 0.000 | 0.000 | 0.000 | 
| -0.000 | 0.000 | 0.000 | 0.000 | 0.000 | 0.000 | 
| -0.000 | -0.000 | 0.000 | 0.000 | 0.000 | 0.000 | 
| -0.000 | 0.000 | 0.000 | 0.000 | 0.000 | 0.000 | 
| -0.000 | -0.000 | 0.000 | 0.000 | 0.000 | 185.830 | 
| 829.292 | 0.000 | -0.000 | -0.000 | -0.000 | -0.000 | 
| 0.000 | 829.292 | -0.000 | -0.000 | -0.000 | -0.000 | 
| 0.000 | -0.000 | -0.000 | -0.000 | -0.000 | -0.000 | 
| 0.000 | 0.000 | -0.000 | -0.000 | -0.000 | -0.000 | 
| 0.000 | 0.000 | -0.000 | -0.000 | -0.000 | -0.000 | 
| 0.000 | 0.000 | -0.000 | -0.000 | -0.000 | 185.830 | 
| 921.986 | -8.134 | 0.000 | -0.000 | -0.000 | -0.000 | 
| -8.134 | 921.985 | 0.000 | 0.000 | 0.000 | -0.000 | 
| -0.000 | -0.000 | 0.000 | 0.000 | 0.000 | -0.001 | 
| -0.000 | -0.000 | 0.000 | 0.000 | 0.000 | -0.001 | 
| 0.000 | -0.000 | 0.000 | 0.000 | 0.000 | -0.001 | 
| 0.000 | -0.000 | 0.000 | 0.000 | -0.000 | 465.059 | 
| 921.526 | -7.675 | -0.000 | 0.000 | -0.000 | 0.001 | 
| -7.675 | 921.526 | -0.000 | -0.000 | -0.000 | -0.000 | 
| 0.000 | 0.000 | 0.000 | -0.000 | -0.000 | 0.001 | 
| 0.000 | 0.000 | -0.000 | -0.000 | -0.000 | 0.001 | 
| -0.000 | 0.000 | -0.000 | -0.000 | -0.000 | 0.001 | 
| -0.000 | 0.000 | -0.000 | -0.000 | -0.000 | 465.061 | 
| 921.986 | -8.134 | -0.000 | -0.000 | -0.000 | -0.000 | 
| -7.675 | 921.526 | 0.000 | -0.000 | -0.000 | 0.000 | 
| -0.000 | -0.000 | 0.000 | 0.000 | 0.000 | -0.000 | 
| -0.000 | -0.000 | 0.000 | 0.000 | 0.000 | -0.000 | 
| 0.000 | -0.000 | 0.000 | 0.000 | 0.000 | -0.000 | 
| 0.000 | 0.000 | 0.000 | -0.000 | -0.000 | 465.060 | 
| 921.985 | -8.134 | 0.000 | -0.000 | 0.000 | 0.000 | 
| -7.675 | 921.526 | -0.000 | 0.000 | -0.000 | -0.000 | 
| 0.000 | 0.000 | -0.000 | -0.000 | -0.000 | 0.000 | 
| 0.000 | 0.000 | -0.000 | -0.000 | 0.000 | 0.000 | 
| -0.000 | 0.000 | -0.000 | -0.000 | -0.000 | 0.000 | 
| -0.000 | -0.000 | -0.000 | 0.000 | -0.000 | 465.060 | 
| 921.529 | -7.675 | 0.000 | -0.000 | 0.000 | -0.000 | 
| -7.675 | 921.529 | 0.000 | 0.000 | -0.000 | -0.000 | 
| -0.000 | -0.000 | -0.000 | 0.000 | -0.000 | -0.000 | 
| -0.000 | -0.000 | 0.000 | 0.000 | 0.000 | -0.000 | 
| 0.000 | -0.000 | 0.000 | 0.000 | 0.000 | -0.000 | 
| 0.000 | 0.001 | -0.000 | 0.000 | -0.000 | 464.601 | 
| 921.523 | -7.675 | -0.000 | 0.000 | -0.000 | 0.000 | 
| -7.675 | 921.523 | -0.000 | 0.000 | -0.000 | 0.000 | 
| 0.000 | 0.000 | -0.000 | -0.000 | -0.000 | 0.000 | 
| 0.000 | 0.000 | -0.000 | -0.000 | -0.000 | 0.000 | 
| -0.000 | 0.000 | -0.000 | -0.000 | 0.000 | 0.000 | 
| -0.000 | -0.001 | 0.000 | -0.000 | -0.000 | 464.601 | 
| 1088.805 | -9.606 | -0.000 | 0.000 | -0.000 | -0.001 | 
| -9.606 | 1088.806 | -0.000 | -0.000 | -0.000 | -0.000 | 
| 0.000 | 0.001 | 0.000 | -0.000 | 0.000 | 0.000 | 
| 0.000 | 0.001 | 0.000 | -0.000 | -0.000 | -0.000 | 
| 0.000 | 0.001 | 0.000 | -0.000 | 0.000 | -0.000 | 
| -0.000 | 0.001 | -0.000 | -0.000 | 0.000 | 549.206 | 
| 1088.262 | -9.064 | 0.000 | -0.000 | -0.000 | 0.001 | 
| -9.064 | 1088.263 | -0.000 | 0.000 | 0.000 | 0.001 | 
| -0.000 | -0.001 | -0.000 | 0.000 | 0.000 | 0.000 | 
| -0.000 | -0.001 | -0.000 | 0.000 | 0.000 | 0.000 | 
| 0.000 | -0.001 | -0.000 | 0.000 | -0.000 | 0.000 | 
| -0.000 | -0.001 | 0.000 | 0.000 | 0.000 | 549.206 | 
| 1088.263 | -9.064 | -0.000 | 0.000 | -0.000 | -0.000 | 
| -9.606 | 1088.805 | 0.000 | -0.000 | -0.000 | -0.000 | 
| 0.000 | 0.000 | 0.000 | -0.000 | 0.000 | -0.000 | 
| 0.000 | 0.000 | -0.000 | -0.000 | 0.000 | -0.000 | 
| 0.000 | 0.000 | 0.000 | -0.000 | 0.000 | 0.000 | 
| 0.000 | 0.000 | -0.000 | 0.000 | 0.000 | 549.206 | 
| 1088.805 | -9.606 | -0.000 | 0.000 | -0.000 | 0.000 | 
| -9.064 | 1088.262 | 0.000 | -0.000 | -0.000 | 0.000 | 
| -0.000 | -0.000 | -0.000 | 0.000 | 0.000 | 0.000 | 
| -0.000 | -0.000 | -0.000 | 0.000 | -0.000 | 0.000 | 
| -0.000 | -0.000 | -0.000 | 0.000 | -0.000 | -0.000 | 
| -0.000 | -0.000 | 0.000 | -0.000 | 0.000 | 549.206 | 
| 1088.266 | -9.063 | -0.000 | 0.000 | 0.000 | -0.000 | 
| -9.063 | 1088.266 | 0.000 | -0.000 | 0.000 | -0.000 | 
| 0.000 | 0.000 | 0.000 | -0.000 | 0.000 | 0.000 | 
| 0.000 | 0.000 | -0.000 | -0.000 | -0.000 | -0.000 | 
| 0.000 | 0.000 | 0.000 | -0.000 | 0.000 | 0.000 | 
| 0.000 | 0.001 | 0.000 | -0.000 | 0.000 | 548.663 | 
| 1088.259 | -9.064 | -0.000 | -0.000 | -0.000 | 0.000 | 
| -9.064 | 1088.259 | -0.000 | -0.000 | -0.000 | 0.000 | 
| -0.000 | -0.000 | -0.000 | 0.000 | 0.000 | 0.000 | 
| -0.000 | -0.000 | 0.000 | 0.000 | -0.000 | 0.000 | 
| -0.000 | -0.000 | -0.000 | 0.000 | -0.000 | 0.000 | 
| -0.000 | -0.001 | -0.000 | 0.000 | -0.000 | 548.663 | 
| 592.984 | -223.031 | -68.956 | 2.542 | -0.000 | -0.000 | 
| -277.997 | 648.395 | 47.393 | -9.670 | -0.000 | 0.000 | 
| -109.606 | -109.605 | 586.183 | -0.000 | -0.000 | -0.000 | 
| 2.475 | -2.418 | 14.779 | -15.379 | -0.000 | 0.000 | 
| -0.001 | 0.000 | 0.001 | -0.000 | -14.446 | 9.670 | 
| -0.001 | 0.000 | 0.001 | -0.000 | 9.670 | 463.195 | 
| 592.390 | -222.167 | 1.669 | 2.447 | -0.000 | -0.000 | 
| -227.938 | 597.181 | -254.542 | -3.129 | -0.000 | -0.000 | 
| -109.665 | -109.666 | 554.814 | 0.000 | 0.000 | -0.000 | 
| 9.671 | -9.671 | -0.001 | -14.446 | -0.000 | -0.000 | 
| 0.001 | -0.000 | -0.001 | 0.000 | -14.446 | 9.670 | 
| 0.001 | -0.000 | -0.001 | 0.000 | 9.670 | 463.195 | 
| 594.424 | -224.813 | -158.495 | 2.750 | -0.000 | 0.000 | 
| -224.814 | 594.424 | -158.493 | -2.750 | -0.000 | -0.000 | 
| -109.615 | -109.615 | 581.011 | -0.000 | 0.000 | 0.000 | 
| 2.450 | -2.444 | 1.478 | -15.379 | 0.000 | 0.000 | 
| -0.000 | 0.000 | -0.001 | -0.000 | -14.446 | 9.670 | 
| 0.000 | 0.000 | 0.000 | -0.000 | 9.670 | 463.195 | 
| 592.409 | -222.134 | 15.371 | 2.446 | -0.000 | -0.000 | 
| -225.320 | 594.859 | -177.154 | -2.810 | -0.000 | -0.000 | 
| -109.269 | -109.269 | 761.780 | 0.000 | -0.000 | -0.000 | 
| 2.444 | -2.450 | -1.478 | -15.379 | 0.000 | 0.000 | 
| 0.000 | -0.000 | 0.001 | 0.000 | -14.446 | 9.670 | 
| 0.000 | -0.000 | -0.000 | 0.000 | 9.670 | 463.195 | 
| 594.619 | -225.038 | -166.950 | 2.776 | -0.000 | 0.000 | 
| -222.139 | 592.423 | 16.610 | -2.447 | 0.000 | 0.000 | 
| -109.635 | -109.635 | 570.652 | -0.000 | 0.000 | 0.000 | 
| 2.447 | -2.447 | 0.148 | -15.379 | -0.000 | 0.000 | 
| 0.000 | -0.000 | -0.008 | -0.000 | -14.446 | 9.670 | 
| 0.003 | 0.003 | 1.077 | -0.000 | 2.447 | 407.278 | 
| 592.413 | -222.138 | 16.287 | 2.447 | -0.000 | -0.000 | 
| -222.136 | 592.412 | 16.355 | -2.447 | 0.000 | -0.000 | 
| -109.636 | -109.636 | 570.349 | 0.000 | -0.000 | -0.000 | 
| 2.447 | -2.448 | -0.148 | -15.379 | 0.000 | -0.000 | 
| -0.000 | 0.000 | 0.008 | 0.000 | -14.446 | 9.670 | 
| -0.003 | -0.003 | -1.077 | 0.000 | 2.447 | 407.278 | 
| 986.992 | -0.000 | -0.000 | 0.000 | 0.000 | 0.000 | 
| 0.000 | 986.992 | -0.000 | 0.000 | 0.000 | -0.000 | 
| 0.000 | -0.000 | 986.992 | 0.000 | 0.000 | 0.000 | 
| 0.000 | 0.000 | -0.000 | 131.176 | 0.000 | 0.000 | 
| 0.000 | -0.000 | -0.000 | -0.000 | 131.176 | 0.000 | 
| 0.000 | -0.000 | -0.000 | 0.000 | 0.000 | 131.176 | 
| 986.992 | 0.000 | 0.000 | -0.000 | -0.000 | -0.000 | 
| -0.000 | 986.992 | 0.000 | 0.000 | -0.000 | -0.000 | 
| -0.000 | -0.000 | 986.992 | 0.000 | -0.000 | -0.000 | 
| -0.000 | 0.000 | 0.000 | 131.176 | -0.000 | 0.000 | 
| -0.000 | 0.000 | 0.000 | -0.000 | 131.176 | -0.000 | 
| -0.000 | 0.000 | 0.000 | -0.000 | -0.000 | 131.176 | 
| 986.992 | -0.000 | -0.000 | 0.000 | -0.000 | -0.000 | 
| 0.000 | 986.992 | -0.000 | -0.000 | 0.000 | 0.000 | 
| 0.000 | -0.000 | 986.992 | -0.000 | 0.000 | 0.000 | 
| 0.000 | -0.000 | -0.000 | 131.176 | 0.000 | -0.000 | 
| 0.000 | -0.000 | -0.000 | 0.000 | 131.176 | 0.000 | 
| 0.000 | -0.000 | -0.000 | 0.000 | 0.000 | 131.176 | 
| 986.991 | 0.000 | 0.000 | -0.000 | -0.000 | -0.000 | 
| -0.000 | 986.991 | 0.000 | -0.000 | -0.000 | -0.000 | 
| -0.000 | -0.000 | 986.991 | -0.000 | -0.000 | -0.000 | 
| -0.000 | -0.000 | 0.000 | 131.176 | -0.000 | -0.000 | 
| -0.000 | 0.000 | 0.000 | -0.000 | 131.176 | -0.000 | 
| -0.000 | 0.000 | 0.000 | -0.000 | -0.000 | 131.176 | 
| 986.997 | -0.000 | -0.000 | 0.000 | 0.000 | 0.000 | 
| 0.000 | 986.997 | -0.000 | 0.000 | 0.000 | -0.000 | 
| 0.000 | 0.000 | 986.997 | -0.000 | -0.000 | 0.000 | 
| 0.000 | -0.000 | -0.000 | 131.176 | 0.000 | -0.000 | 
| -0.000 | 0.000 | -0.000 | 0.000 | 131.176 | 0.000 | 
| -0.000 | -0.000 | -0.000 | 0.000 | 0.000 | 131.176 | 
| 986.986 | 0.000 | -0.000 | -0.000 | 0.000 | 0.000 | 
| -0.000 | 986.986 | -0.000 | 0.000 | -0.000 | 0.000 | 
| -0.000 | -0.000 | 986.986 | -0.000 | -0.000 | -0.000 | 
| -0.000 | 0.000 | 0.000 | 131.176 | -0.000 | -0.000 | 
| 0.000 | -0.000 | 0.000 | -0.000 | 131.176 | -0.000 | 
| 0.000 | 0.000 | 0.000 | -0.000 | -0.000 | 131.176 | 
| 528.724 | 48.764 | -35.349 | 0.000 | 0.000 | -0.000 | 
| 69.036 | 1195.701 | 50.021 | 0.000 | 0.000 | -0.000 | 
| -33.797 | 31.302 | 1376.950 | 0.000 | 0.000 | -0.000 | 
| 2.202 | -2.591 | -0.273 | 657.378 | 0.000 | -0.000 | 
| -0.000 | 0.000 | -0.000 | 0.000 | 218.844 | -0.000 | 
| 5.727 | -6.737 | -0.708 | 0.000 | 0.000 | 188.072 | 
| 504.840 | 74.517 | -30.338 | -0.000 | -0.000 | 0.000 | 
| 84.535 | 1177.031 | 48.486 | -0.000 | -0.000 | 0.000 | 
| -33.797 | 31.302 | 1376.951 | -0.000 | -0.000 | 0.000 | 
| -2.202 | 2.591 | 0.273 | 657.378 | -0.000 | 0.000 | 
| 0.000 | -0.000 | 0.000 | -0.000 | 218.844 | 0.000 | 
| -5.727 | 6.738 | 0.709 | -0.000 | -0.000 | 188.072 | 
| 528.724 | 48.764 | -35.349 | 0.000 | 0.000 | -0.000 | 
| 69.036 | 1195.702 | 50.022 | 0.000 | 0.000 | -0.000 | 
| -28.631 | 29.544 | 1372.527 | 0.000 | 0.000 | -0.000 | 
| 0.614 | -0.767 | -0.037 | 657.392 | 0.000 | -0.000 | 
| -0.000 | 0.000 | -0.000 | 0.000 | 218.844 | -0.000 | 
| 0.000 | 0.000 | -0.000 | 0.000 | 0.000 | 295.045 | 
| 528.723 | 48.763 | -35.349 | -0.000 | -0.000 | 0.000 | 
| 69.036 | 1195.701 | 50.022 | -0.000 | -0.000 | 0.000 | 
| -33.797 | 31.301 | 1376.950 | -0.000 | -0.000 | 0.000 | 
| -0.614 | 0.767 | 0.037 | 657.392 | -0.000 | 0.000 | 
| 0.000 | -0.000 | 0.000 | -0.000 | 218.844 | 0.000 | 
| -0.000 | -0.000 | 0.000 | -0.000 | -0.000 | 295.045 | 
| 509.710 | 68.486 | -30.676 | 0.000 | 0.000 | -0.000 | 
| 89.567 | 1171.115 | 47.864 | 0.000 | 0.000 | -0.000 | 
| -29.063 | 30.080 | 1372.560 | 0.000 | 0.000 | -0.000 | 
| 0.062 | -0.077 | -0.003 | 657.387 | 0.000 | -0.000 | 
| 0.050 | -0.058 | -0.007 | 0.000 | 218.844 | -0.000 | 
| 0.074 | -0.116 | 0.014 | 0.000 | 0.000 | 65.086 | 
| 509.589 | 68.623 | -30.660 | -0.000 | -0.000 | 0.000 | 
| 89.467 | 1171.225 | 47.874 | -0.000 | -0.000 | 0.000 | 
| -29.159 | 30.198 | 1372.558 | -0.000 | -0.000 | 0.000 | 
| -0.062 | 0.077 | 0.003 | 657.387 | -0.000 | 0.000 | 
| -0.050 | 0.058 | 0.007 | -0.000 | 218.844 | 0.000 | 
| -0.074 | 0.116 | -0.014 | -0.000 | -0.000 | 65.086 | 
| 576.899 | 54.230 | -70.821 | -0.000 | -0.000 | -0.000 | 
| 72.491 | 1252.482 | 66.019 | 0.000 | -0.000 | 0.000 | 
| 33.197 | 1.942 | 1359.407 | 0.000 | 0.000 | -0.000 | 
| 53.565 | -29.297 | -35.337 | 676.838 | 0.000 | -0.000 | 
| -0.000 | -0.000 | -0.000 | -0.000 | 228.916 | -0.000 | 
| 77.340 | -76.103 | -28.050 | 0.000 | -0.000 | 64.628 | 
| 537.232 | 72.491 | -42.319 | 0.000 | 0.000 | 0.000 | 
| 34.702 | 1260.967 | 99.227 | 0.000 | 0.000 | 0.000 | 
| -109.095 | 135.239 | 1415.582 | 0.000 | -0.000 | 0.000 | 
| -53.565 | 29.297 | 35.337 | 676.838 | 0.000 | 0.000 | 
| 0.000 | 0.000 | 0.000 | 0.000 | 228.916 | 0.000 | 
| -77.340 | 76.103 | 28.050 | -0.000 | -0.000 | 64.628 | 
| 526.596 | 83.853 | -39.070 | 0.000 | -0.000 | -0.000 | 
| 72.491 | 1252.482 | 66.019 | -0.000 | -0.000 | -0.000 | 
| -42.319 | 66.019 | 1393.750 | -0.000 | 0.000 | -0.000 | 
| 7.394 | -6.809 | -2.999 | 677.964 | -0.000 | -0.000 | 
| 5.406 | -2.957 | -3.566 | 0.000 | 228.916 | -0.000 | 
| 0.000 | -0.000 | 0.000 | 0.000 | 0.000 | 284.021 | 
| 537.232 | 72.491 | -42.319 | 0.000 | -0.000 | 0.000 | 
| 86.500 | 1223.303 | 71.399 | 0.000 | 0.000 | 0.000 | 
| -42.045 | 71.656 | 1389.635 | 0.000 | -0.000 | 0.000 | 
| -7.394 | 6.809 | 2.999 | 677.964 | 0.000 | 0.000 | 
| -5.406 | 2.957 | 3.566 | -0.000 | 228.916 | 0.000 | 
| -0.000 | 0.000 | -0.000 | -0.000 | -0.000 | 284.021 | 
| 519.790 | 92.949 | -38.230 | -0.000 | -0.000 | -0.000 | 
| 94.310 | 1216.005 | 68.307 | -0.000 | -0.000 | 0.000 | 
| -37.237 | 67.925 | 1387.218 | 0.000 | -0.000 | -0.000 | 
| 0.869 | -0.944 | -0.253 | 677.828 | 0.000 | -0.000 | 
| 0.711 | -0.666 | -0.281 | -0.000 | 228.916 | -0.000 | 
| 0.711 | -0.668 | -0.281 | -0.000 | -0.000 | 34.734 | 
| 518.365 | 94.280 | -37.669 | 0.000 | 0.000 | 0.000 | 
| 92.902 | 1217.304 | 68.870 | 0.000 | 0.000 | -0.000 | 
| -38.151 | 68.479 | 1387.773 | 0.000 | 0.000 | 0.000 | 
| -0.869 | 0.944 | 0.253 | 677.828 | 0.000 | 0.000 | 
| -0.711 | 0.666 | 0.281 | 0.000 | 228.916 | 0.000 | 
| -0.711 | 0.668 | 0.281 | 0.000 | 0.000 | 34.734 | 
| 998.240 | 59.220 | 26.648 | -0.000 | -0.000 | -0.000 | 
| 59.220 | 998.240 | 26.648 | -0.000 | -0.000 | -0.000 | 
| 26.648 | 26.648 | 1325.521 | -0.000 | -0.000 | -0.000 | 
| 0.000 | -0.000 | 0.000 | 502.791 | 0.000 | -0.000 | 
| -0.000 | 0.000 | 0.000 | 0.000 | 502.791 | -0.000 | 
| -0.000 | -0.000 | 0.000 | -0.000 | -0.000 | 136.325 | 
| 998.240 | 59.220 | 26.648 | 0.000 | 0.000 | 0.000 | 
| 59.220 | 998.240 | 26.648 | 0.000 | 0.000 | -0.000 | 
| 34.386 | 34.386 | 1306.255 | -0.000 | -0.000 | -0.000 | 
| 0.000 | -0.000 | -0.000 | 502.791 | -0.000 | 0.000 | 
| 0.000 | -0.000 | -0.000 | -0.000 | 502.791 | 0.000 | 
| 0.000 | 0.000 | -0.000 | 0.000 | 0.000 | 136.325 | 
| 910.504 | 136.272 | 39.950 | -0.000 | -0.000 | -0.000 | 
| 136.272 | 910.504 | 39.950 | -0.000 | -0.000 | -0.000 | 
| 26.648 | 26.648 | 1325.521 | 0.000 | -0.000 | -0.000 | 
| 0.000 | -0.000 | 0.000 | 479.750 | -0.000 | -0.000 | 
| -0.000 | 0.000 | 0.000 | -0.000 | 479.750 | -0.000 | 
| -0.000 | -0.000 | 0.000 | -0.000 | -0.000 | 136.325 | 
| 908.709 | 142.536 | 34.385 | 0.000 | 0.000 | 0.000 | 
| 142.536 | 908.709 | 34.385 | 0.000 | 0.000 | 0.000 | 
| 26.648 | 26.648 | 1325.520 | 0.000 | 0.000 | 0.000 | 
| -0.000 | 0.000 | -0.000 | 479.750 | 0.000 | 0.000 | 
| 0.000 | -0.000 | -0.000 | 0.000 | 479.750 | 0.000 | 
| 0.000 | 0.000 | -0.000 | 0.000 | 0.000 | 136.325 | 
| 908.708 | 142.540 | 34.386 | -0.000 | -0.000 | -0.000 | 
| 142.540 | 908.708 | 34.386 | -0.000 | -0.000 | -0.000 | 
| 34.386 | 34.386 | 1306.259 | -0.000 | -0.000 | -0.000 | 
| 0.000 | -0.000 | 0.000 | 479.750 | -0.000 | -0.000 | 
| -0.000 | 0.000 | 0.000 | 0.000 | 479.750 | -0.000 | 
| -0.000 | -0.000 | 0.000 | 0.000 | -0.000 | 136.325 | 
| 908.710 | 142.533 | 34.385 | 0.000 | 0.000 | -0.000 | 
| 142.533 | 908.710 | 34.385 | 0.000 | 0.000 | 0.000 | 
| 34.387 | 34.387 | 1306.248 | 0.000 | 0.000 | 0.000 | 
| -0.000 | 0.000 | -0.000 | 479.750 | -0.000 | -0.000 | 
| 0.000 | -0.000 | -0.000 | 0.000 | 479.750 | 0.000 | 
| 0.000 | 0.000 | -0.000 | -0.000 | 0.000 | 136.325 | 
| 901.869 | 136.566 | 37.510 | 0.000 | 0.000 | -0.000 | 
| 136.566 | 901.869 | 37.510 | 0.000 | 0.000 | 0.000 | 
| 32.418 | 32.417 | 1314.653 | 0.000 | 0.000 | 0.000 | 
| 0.000 | 0.000 | 0.000 | 475.507 | 0.000 | -0.000 | 
| 0.000 | 0.000 | 0.000 | 0.000 | 475.507 | -0.000 | 
| 0.000 | 0.000 | 0.000 | 0.000 | 0.000 | 138.222 | 
| 986.466 | 57.055 | 30.456 | -0.000 | -0.000 | 0.000 | 
| 57.055 | 986.466 | 30.456 | 0.000 | -0.000 | -0.000 | 
| 25.363 | 25.363 | 1334.222 | 0.000 | -0.000 | -0.000 | 
| -0.000 | -0.000 | -0.000 | 475.506 | -0.000 | 0.000 | 
| -0.000 | 0.000 | -0.000 | -0.000 | 475.507 | -0.000 | 
| -0.000 | -0.000 | -0.000 | -0.000 | -0.000 | 138.222 | 
| 903.359 | 131.366 | 42.657 | 0.000 | 0.000 | -0.000 | 
| 131.366 | 903.359 | 42.657 | 0.000 | 0.000 | 0.000 | 
| 25.363 | 25.363 | 1334.223 | 0.000 | 0.000 | -0.000 | 
| 0.000 | -0.000 | 0.000 | 475.507 | 0.000 | -0.000 | 
| -0.000 | 0.000 | 0.000 | 0.000 | 475.507 | 0.000 | 
| -0.000 | -0.000 | 0.000 | 0.000 | 0.000 | 261.875 | 
| 986.465 | 57.055 | 30.456 | -0.000 | -0.000 | -0.000 | 
| 57.055 | 986.465 | 30.456 | -0.000 | -0.000 | 0.000 | 
| 25.363 | 25.363 | 1334.222 | -0.000 | -0.000 | -0.000 | 
| -0.000 | 0.000 | -0.000 | 475.507 | -0.000 | 0.000 | 
| 0.000 | -0.000 | -0.000 | -0.000 | 475.507 | -0.000 | 
| 0.000 | 0.000 | -0.000 | -0.000 | -0.000 | 261.875 | 
| 901.869 | 136.569 | 37.511 | 0.000 | 0.000 | 0.000 | 
| 136.569 | 901.869 | 37.511 | 0.000 | 0.000 | 0.000 | 
| 32.418 | 32.418 | 1314.656 | 0.000 | 0.000 | -0.000 | 
| 0.000 | -0.000 | 0.001 | 499.514 | 0.000 | -0.000 | 
| -0.000 | 0.000 | 0.001 | 0.000 | 499.514 | 0.000 | 
| -0.000 | -0.000 | 0.000 | 0.000 | 0.000 | 138.222 | 
| 901.870 | 136.563 | 37.509 | -0.000 | -0.000 | -0.000 | 
| 136.563 | 901.870 | 37.509 | -0.000 | -0.000 | 0.000 | 
| 32.417 | 32.417 | 1314.649 | -0.000 | -0.000 | -0.000 | 
| -0.000 | 0.000 | -0.001 | 499.514 | -0.000 | 0.000 | 
| 0.000 | -0.000 | -0.001 | -0.000 | 499.514 | 0.000 | 
| 0.000 | 0.000 | -0.000 | -0.000 | -0.000 | 138.222 | 
| 512.891 | 124.829 | 124.829 | 0.000 | 0.000 | 0.000 | 
| 124.829 | 512.891 | 124.829 | -0.000 | 0.000 | -0.000 | 
| 124.829 | 124.829 | 512.891 | -0.000 | 0.000 | -0.000 | 
| -0.000 | -0.000 | 0.000 | 322.254 | 0.000 | -0.000 | 
| 0.000 | -0.000 | 0.000 | 0.000 | 322.254 | -0.000 | 
| 0.000 | -0.000 | 0.000 | -0.000 | 0.000 | 322.254 | 
| 512.891 | 124.829 | 124.829 | 0.000 | -0.000 | 0.000 | 
| 124.829 | 512.891 | 124.829 | -0.000 | -0.000 | 0.000 | 
| 124.829 | 124.829 | 512.891 | 0.000 | -0.000 | 0.000 | 
| -0.000 | 0.000 | -0.000 | 322.254 | -0.000 | 0.000 | 
| 0.000 | 0.000 | -0.000 | -0.000 | 322.253 | 0.000 | 
| -0.000 | 0.000 | 0.000 | -0.000 | -0.000 | 322.254 | 
| 451.594 | 155.477 | 155.477 | 0.000 | 0.000 | 0.000 | 
| 155.477 | 451.594 | 155.477 | -0.000 | 0.000 | -0.000 | 
| 155.477 | 155.477 | 451.594 | 0.000 | 0.000 | 0.000 | 
| 0.000 | 0.000 | 0.000 | 322.254 | 0.000 | -0.000 | 
| 0.000 | 0.000 | 0.000 | -0.000 | 322.254 | -0.000 | 
| 0.000 | 0.000 | 0.000 | -0.000 | 0.000 | 322.254 | 
| 512.891 | 124.829 | 124.829 | 0.000 | -0.000 | 0.000 | 
| 124.829 | 512.891 | 124.829 | -0.000 | -0.000 | -0.000 | 
| 124.829 | 124.829 | 512.891 | 0.000 | -0.000 | 0.000 | 
| -0.000 | -0.000 | -0.000 | 322.254 | -0.000 | 0.000 | 
| 0.000 | -0.000 | -0.000 | -0.000 | 322.254 | -0.000 | 
| -0.000 | -0.000 | -0.000 | 0.000 | -0.000 | 322.254 | 
| 451.598 | 155.476 | 155.476 | -0.000 | 0.000 | 0.000 | 
| 155.476 | 451.598 | 155.476 | 0.000 | 0.000 | 0.000 | 
| 155.476 | 155.476 | 451.598 | 0.000 | 0.000 | 0.000 | 
| 0.000 | 0.000 | 0.000 | 322.254 | 0.000 | -0.000 | 
| 0.000 | 0.000 | 0.000 | -0.000 | 322.254 | -0.000 | 
| 0.000 | 0.000 | 0.000 | -0.000 | -0.000 | 322.254 | 
| 451.817 | 155.365 | 155.365 | -0.000 | -0.000 | -0.000 | 
| 155.365 | 451.817 | 155.365 | -0.000 | -0.000 | -0.000 | 
| 155.365 | 155.365 | 451.817 | -0.000 | -0.000 | 0.000 | 
| -0.000 | -0.000 | -0.000 | 322.254 | 0.000 | 0.000 | 
| -0.000 | -0.000 | -0.000 | -0.000 | 322.254 | -0.000 | 
| -0.000 | -0.000 | -0.000 | -0.000 | -0.000 | 322.254 | 
| 185.351 | -1.635 | 0.000 | 0.000 | 0.000 | -0.000 | 
| -1.635 | 185.351 | 0.000 | 0.000 | 0.000 | -0.000 | 
| -0.000 | -0.000 | 0.000 | 0.000 | 0.000 | -0.000 | 
| -0.000 | -0.000 | 0.000 | 0.000 | 0.000 | -0.000 | 
| -0.000 | -0.000 | 0.000 | 0.000 | 0.000 | -0.000 | 
| -0.000 | -0.000 | 0.000 | 0.000 | 0.000 | 93.493 | 
| 185.259 | -1.543 | -0.000 | -0.000 | -0.000 | 0.000 | 
| -1.543 | 185.259 | -0.000 | -0.000 | -0.000 | 0.000 | 
| 0.000 | 0.000 | -0.000 | -0.000 | -0.000 | 0.000 | 
| 0.000 | 0.000 | -0.000 | -0.000 | -0.000 | 0.000 | 
| 0.000 | 0.000 | -0.000 | -0.000 | -0.000 | 0.000 | 
| 0.000 | -0.000 | -0.000 | -0.000 | -0.000 | 93.493 | 
| 185.259 | -1.543 | 0.000 | 0.000 | 0.000 | -0.000 | 
| -1.635 | 185.351 | 0.000 | 0.000 | 0.000 | -0.000 | 
| -0.000 | -0.000 | 0.000 | 0.000 | 0.000 | -0.000 | 
| -0.000 | -0.000 | 0.000 | 0.000 | 0.000 | -0.000 | 
| -0.000 | -0.000 | 0.000 | 0.000 | 0.000 | -0.000 | 
| 0.000 | 0.000 | 0.000 | 0.000 | 0.000 | 93.493 | 
| 185.259 | -1.543 | -0.000 | -0.000 | -0.000 | 0.000 | 
| -1.635 | 185.351 | -0.000 | -0.000 | -0.000 | 0.000 | 
| 0.000 | 0.000 | -0.000 | -0.000 | -0.000 | 0.000 | 
| 0.000 | 0.000 | -0.000 | -0.000 | -0.000 | 0.000 | 
| 0.000 | 0.000 | -0.000 | -0.000 | -0.000 | 0.000 | 
| -0.000 | -0.000 | -0.000 | -0.000 | -0.000 | 93.493 | 
| 185.259 | -1.543 | 0.000 | 0.000 | 0.000 | -0.000 | 
| -1.543 | 185.259 | 0.000 | 0.000 | 0.000 | -0.000 | 
| -0.000 | -0.000 | 0.000 | 0.000 | 0.000 | -0.000 | 
| -0.000 | -0.000 | 0.000 | 0.000 | 0.000 | -0.000 | 
| -0.000 | -0.000 | 0.000 | 0.000 | 0.000 | -0.000 | 
| 0.000 | 0.000 | 0.000 | 0.000 | 0.000 | 93.401 | 
| 185.258 | -1.543 | -0.000 | -0.000 | -0.000 | 0.000 | 
| -1.543 | 185.258 | -0.000 | -0.000 | -0.000 | 0.000 | 
| 0.000 | 0.000 | -0.000 | -0.000 | -0.000 | 0.000 | 
| 0.000 | 0.000 | -0.000 | -0.000 | -0.000 | 0.000 | 
| 0.000 | 0.000 | -0.000 | -0.000 | -0.000 | 0.000 | 
| -0.000 | -0.000 | -0.000 | -0.000 | -0.000 | 93.401 | 
| 585.857 | 223.247 | 0.000 | 0.000 | 0.000 | -0.000 | 
| 223.247 | 585.857 | 0.000 | 0.000 | 0.000 | 0.000 | 
| -0.000 | -0.000 | 0.000 | 0.000 | 0.000 | -0.000 | 
| -0.000 | -0.000 | 0.000 | 0.000 | 0.000 | -0.000 | 
| -0.000 | -0.000 | 0.000 | 0.000 | 0.000 | 0.000 | 
| -0.000 | -0.000 | 0.000 | 0.000 | 0.000 | 404.552 | 
| 585.857 | 223.247 | -0.000 | -0.000 | -0.000 | -0.000 | 
| 223.247 | 585.857 | -0.000 | -0.000 | -0.000 | -0.000 | 
| 0.000 | 0.000 | -0.000 | -0.000 | -0.000 | 0.000 | 
| 0.000 | 0.000 | -0.000 | -0.000 | -0.000 | -0.000 | 
| 0.000 | 0.000 | -0.000 | -0.000 | -0.000 | 0.000 | 
| 0.000 | 0.000 | -0.000 | -0.000 | -0.000 | 404.552 | 
| 585.858 | 223.247 | 0.000 | 0.000 | 0.000 | -0.000 | 
| 223.247 | 585.858 | 0.000 | 0.000 | 0.000 | -0.000 | 
| -0.000 | -0.000 | 0.000 | 0.000 | 0.000 | -0.000 | 
| -0.000 | -0.000 | 0.000 | 0.000 | 0.000 | 0.000 | 
| -0.000 | -0.000 | 0.000 | 0.000 | 0.000 | 0.000 | 
| 0.000 | 0.000 | 0.000 | 0.000 | 0.000 | 404.552 | 
| 585.857 | 223.247 | -0.000 | -0.000 | -0.000 | -0.000 | 
| 223.247 | 585.857 | -0.000 | -0.000 | -0.000 | -0.000 | 
| 0.000 | 0.000 | -0.000 | -0.000 | -0.000 | 0.000 | 
| 0.000 | 0.000 | -0.000 | -0.000 | -0.000 | -0.000 | 
| 0.000 | 0.000 | -0.000 | -0.000 | -0.000 | -0.000 | 
| -0.000 | -0.000 | -0.000 | -0.000 | -0.000 | 404.552 | 
| 585.859 | 223.248 | 0.000 | 0.000 | 0.000 | 0.000 | 
| 223.248 | 585.859 | 0.000 | 0.000 | 0.000 | 0.000 | 
| -0.000 | -0.000 | 0.000 | 0.000 | 0.000 | -0.000 | 
| -0.000 | -0.000 | 0.000 | 0.000 | 0.000 | -0.000 | 
| -0.000 | -0.000 | 0.000 | 0.000 | 0.000 | 0.000 | 
| 0.000 | 0.001 | 0.000 | 0.000 | 0.000 | 404.552 | 
| 585.856 | 223.245 | -0.000 | -0.000 | -0.000 | 0.000 | 
| 223.245 | 585.856 | -0.000 | -0.000 | -0.000 | -0.000 | 
| 0.000 | 0.000 | -0.000 | -0.000 | -0.000 | 0.000 | 
| 0.000 | 0.000 | -0.000 | -0.000 | -0.000 | 0.000 | 
| 0.000 | 0.000 | -0.000 | -0.000 | -0.000 | -0.000 | 
| -0.000 | -0.001 | -0.000 | -0.000 | -0.000 | 404.552 | 
| 1185.216 | -23.526 | 36.322 | -0.000 | 0.000 | -0.000 | 
| 194.771 | 940.316 | 97.028 | -0.000 | 0.000 | -0.000 | 
| 126.084 | -36.390 | 1309.223 | -0.001 | -0.000 | -0.000 | 
| 0.000 | -0.000 | -0.000 | 555.891 | 0.000 | -0.000 | 
| 0.000 | -0.000 | -0.000 | -0.001 | 517.272 | -0.000 | 
| 0.000 | -0.000 | 0.000 | -0.001 | 0.000 | 377.151 | 
| 966.364 | 186.141 | -9.808 | 0.000 | 0.000 | 0.000 | 
| 29.154 | 1113.825 | 57.466 | 0.001 | -0.000 | 0.000 | 
| -83.340 | 186.851 | 1240.846 | 0.001 | 0.000 | 0.000 | 
| -0.000 | 0.000 | 0.000 | 555.894 | -0.000 | 0.000 | 
| -0.000 | 0.000 | 0.000 | 0.001 | 517.272 | 0.000 | 
| -0.000 | 0.000 | -0.000 | 0.001 | -0.000 | 377.151 | 
| 1153.934 | 29.154 | 6.955 | -0.000 | 0.000 | -0.000 | 
| 29.154 | 1113.825 | 57.466 | -0.000 | 0.000 | -0.000 | 
| 29.702 | 59.364 | 1282.069 | -0.000 | 0.000 | -0.000 | 
| 0.000 | -0.000 | 0.000 | 555.892 | -0.000 | -0.000 | 
| 8.905 | -9.081 | 2.033 | -0.000 | 502.748 | -0.000 | 
| 12.206 | -12.447 | 2.787 | -0.000 | 0.000 | 308.482 | 
| 1153.934 | 29.154 | 6.955 | -0.000 | -0.000 | 0.000 | 
| 29.154 | 1113.825 | 57.466 | 0.000 | -0.000 | 0.000 | 
| 7.818 | 81.166 | 1278.259 | 0.000 | 0.000 | 0.000 | 
| -0.000 | 0.000 | -0.000 | 555.892 | 0.000 | 0.000 | 
| -8.905 | 9.081 | -2.033 | 0.000 | 502.748 | 0.000 | 
| -12.206 | 12.447 | -2.787 | 0.000 | 0.000 | 308.482 | 
| 1153.939 | 29.155 | 6.955 | -0.000 | 0.000 | -0.000 | 
| 80.126 | 1057.598 | 70.712 | -0.000 | 0.000 | -0.000 | 
| 6.956 | 57.467 | 1308.541 | 0.000 | 0.000 | -0.000 | 
| 0.812 | -0.737 | 0.152 | 520.234 | 0.000 | -0.000 | 
| 0.993 | -0.953 | 0.202 | -0.000 | 502.873 | -0.000 | 
| -0.000 | 0.000 | 0.000 | -0.000 | 0.000 | 377.151 | 
| 1067.033 | 83.716 | 19.163 | 0.000 | -0.000 | 0.000 | 
| 78.322 | 1059.409 | 70.307 | 0.000 | -0.000 | 0.000 | 
| 17.974 | 71.260 | 1280.239 | 0.000 | 0.000 | 0.000 | 
| -0.812 | 0.737 | -0.152 | 520.234 | 0.000 | 0.000 | 
| -0.993 | 0.953 | -0.202 | 0.000 | 502.873 | 0.000 | 
| 0.000 | -0.000 | -0.000 | 0.000 | -0.000 | 377.151 | 
| 1128.559 | 27.083 | 10.119 | 0.000 | -0.000 | -0.000 | 
| 23.682 | 1104.483 | 61.885 | 0.001 | 0.000 | -0.000 | 
| 2.803 | 57.970 | 1313.246 | 0.002 | 0.000 | 0.000 | 
| 206.612 | 46.332 | -177.763 | 501.051 | -0.000 | -0.000 | 
| 225.588 | 20.736 | -117.215 | 0.000 | 496.943 | 0.000 | 
| 0.000 | 0.000 | 0.000 | 0.001 | -0.000 | 376.282 | 
| 838.155 | 36.438 | 207.354 | -0.001 | 0.000 | 0.000 | 
| 23.683 | 1104.484 | 61.885 | -0.001 | -0.000 | -0.000 | 
| -205.250 | 24.021 | 1460.221 | -0.002 | -0.000 | -0.000 | 
| -206.612 | -46.333 | 177.763 | 501.050 | 0.000 | 0.000 | 
| -225.588 | -20.736 | 117.215 | -0.000 | 496.943 | 0.000 | 
| -0.000 | -0.000 | -0.000 | -0.001 | -0.000 | 376.282 | 
| 1076.822 | 74.467 | 12.957 | 0.000 | -0.000 | -0.000 | 
| 95.310 | 1049.070 | 60.324 | 0.000 | 0.000 | -0.000 | 
| 30.925 | 71.840 | 1269.985 | 0.000 | -0.000 | 0.000 | 
| 21.487 | 1.515 | -9.979 | 514.091 | -0.000 | 0.000 | 
| -0.000 | 0.000 | 0.000 | 0.000 | 512.426 | -0.000 | 
| 20.378 | 4.570 | -17.533 | 0.000 | 0.000 | 307.328 | 
| 1035.645 | 71.378 | 44.043 | -0.000 | -0.000 | -0.000 | 
| 23.683 | 1104.483 | 61.885 | -0.000 | -0.000 | 0.000 | 
| 2.803 | 57.970 | 1313.245 | -0.000 | -0.000 | 0.000 | 
| -21.487 | -1.515 | 9.979 | 514.091 | -0.000 | -0.000 | 
| 0.000 | -0.000 | -0.000 | -0.000 | 512.426 | 0.000 | 
| -20.378 | -4.570 | 17.533 | -0.000 | -0.000 | 307.328 | 
| 1054.488 | 79.828 | 16.707 | 0.000 | 0.000 | -0.000 | 
| 72.077 | 1051.523 | 73.876 | 0.000 | 0.000 | -0.000 | 
| 17.054 | 68.037 | 1283.670 | 0.000 | 0.000 | -0.000 | 
| 1.494 | 0.335 | -1.285 | 515.099 | 0.000 | 0.000 | 
| 2.818 | 0.083 | -1.008 | 0.000 | 497.667 | -0.000 | 
| 0.276 | 0.534 | 0.121 | 0.000 | -0.000 | 225.905 | 
| 1049.079 | 80.279 | 18.904 | -0.000 | 0.000 | 0.000 | 
| 67.948 | 1051.545 | 76.626 | -0.000 | 0.000 | 0.000 | 
| 10.956 | 70.878 | 1285.724 | -0.000 | -0.000 | 0.000 | 
| -1.494 | -0.335 | 1.285 | 515.099 | 0.000 | 0.000 | 
| -2.818 | -0.083 | 1.008 | -0.000 | 497.667 | -0.000 | 
| -0.276 | -0.534 | -0.121 | -0.000 | -0.000 | 225.905 | 
| 883.185 | 704.809 | -465.395 | -0.000 | -1837.464 | -0.000 | 
| -41.736 | 1756.522 | -464.538 | 0.000 | -1883.302 | 0.000 | 
| 97.621 | 1090.098 | 357.125 | 0.000 | -2396.970 | -0.000 | 
| -18.784 | 998.412 | -652.546 | 495.432 | -2432.274 | -18.602 | 
| 6.640 | 957.479 | -615.592 | 0.000 | -2098.074 | -0.000 | 
| -18.785 | 998.450 | -652.571 | -23.967 | -2432.367 | 374.729 | 
| 1013.935 | -620.331 | 662.176 | -0.000 | 1889.406 | 0.000 | 
| 130.876 | 429.423 | 627.652 | -0.000 | 1790.062 | -0.000 | 
| 155.375 | -573.784 | 1594.306 | 0.000 | 1934.193 | 0.000 | 
| 18.784 | -998.412 | 652.546 | 495.432 | 2432.274 | -18.602 | 
| 43.918 | -1038.911 | 689.405 | -0.000 | 2765.821 | -0.000 | 
| 18.785 | -998.450 | 652.571 | -23.967 | 2432.367 | 374.729 | 
| 935.512 | 138.229 | 52.142 | -0.000 | -190.075 | -0.000 | 
| 35.941 | 1159.479 | 26.810 | 0.000 | -229.965 | 0.000 | 
| 105.565 | 155.802 | 957.600 | -0.000 | -144.978 | -0.000 | 
| -8.626 | 66.184 | -54.495 | 501.166 | -183.250 | -22.446 | 
| 24.559 | 56.952 | -27.673 | 0.000 | 94.333 | 0.000 | 
| -1.868 | 99.270 | -64.881 | -24.211 | -241.835 | 375.001 | 
| 935.174 | -26.052 | 174.549 | -0.000 | 244.547 | 0.000 | 
| 53.042 | 1027.120 | 135.972 | -0.000 | 136.009 | 0.000 | 
| 122.207 | 23.018 | 1067.900 | -0.000 | 221.816 | -0.000 | 
| 8.626 | -66.184 | 54.495 | 501.166 | 183.250 | -22.446 | 
| 25.402 | -135.805 | 100.165 | -0.000 | 567.919 | 0.000 | 
| 1.868 | -99.270 | 64.881 | -24.211 | 241.835 | 375.001 | 
| 927.142 | 49.572 | 107.052 | -0.000 | 36.400 | -0.000 | 
| 42.896 | 1104.081 | 74.384 | 0.000 | -69.498 | 0.000 | 
| 112.382 | 98.746 | 1012.411 | -0.000 | 12.665 | -0.000 | 
| -0.784 | 6.435 | -5.216 | 502.980 | -17.656 | -24.283 | 
| 22.963 | -36.125 | 35.745 | 0.000 | 312.803 | -0.000 | 
| -0.818 | 6.193 | -5.115 | -30.144 | -17.179 | 380.637 | 
| 927.391 | 36.180 | 119.845 | -0.000 | 74.977 | -0.000 | 
| 44.546 | 1090.564 | 88.165 | -0.000 | -30.384 | -0.000 | 
| 111.970 | 81.694 | 1021.078 | -0.000 | 59.339 | 0.000 | 
| 0.784 | -6.435 | 5.216 | 502.980 | 17.656 | -24.283 | 
| 24.943 | -49.956 | 45.962 | -0.000 | 350.324 | -0.000 | 
| 0.818 | -6.193 | 5.115 | -30.144 | 17.179 | 380.637 | 
| 925.797 | 37.645 | 122.781 | 0.000 | 68.371 | 0.000 | 
| 19.205 | 1146.166 | 62.523 | 0.000 | -75.495 | -0.000 | 
| 117.509 | 85.314 | 1031.366 | -0.000 | 35.546 | 0.000 | 
| 0.007 | -0.021 | -0.003 | 501.080 | 0.018 | -32.597 | 
| 26.017 | -37.351 | 37.552 | 0.000 | 329.993 | 0.000 | 
| 0.000 | -0.000 | -0.000 | -66.332 | 0.000 | 424.507 | 
| 934.734 | 33.834 | 126.864 | 0.000 | 63.052 | -0.000 | 
| 34.032 | 1096.524 | 86.194 | -0.000 | -32.403 | -0.000 | 
| 96.371 | 62.523 | 1090.374 | 0.000 | 60.411 | 0.000 | 
| -0.007 | 0.021 | 0.003 | 501.080 | -0.018 | -32.597 | 
| 39.407 | -75.495 | 60.412 | -0.000 | 408.784 | 0.000 | 
| -0.000 | 0.000 | 0.000 | -66.332 | -0.000 | 424.507 | 
| 925.791 | 37.662 | 122.787 | -0.000 | 68.362 | 0.000 | 
| 34.039 | 1096.503 | 86.193 | -0.000 | -32.380 | 0.000 | 
| 117.501 | 85.331 | 1031.371 | -0.000 | 35.528 | 0.000 | 
| 0.001 | -0.002 | 0.000 | 501.669 | 0.002 | -34.146 | 
| 26.010 | -37.329 | 37.550 | -0.000 | 329.967 | 0.000 | 
| 0.001 | -0.002 | -0.000 | -32.751 | 0.002 | 385.553 | 
| 934.735 | 33.813 | 126.867 | 0.000 | 63.073 | -0.000 | 
| 34.037 | 1096.506 | 86.193 | -0.000 | -32.385 | 0.000 | 
| 117.705 | 83.605 | 1027.591 | -0.000 | 42.044 | -0.000 | 
| -0.001 | 0.002 | -0.000 | 501.669 | -0.002 | -34.146 | 
| 26.012 | -37.335 | 37.556 | -0.000 | 329.983 | -0.000 | 
| -0.001 | 0.002 | 0.000 | -32.751 | -0.002 | 385.553 | 
| 925.439 | 37.420 | 123.677 | -0.000 | 68.550 | 0.000 | 
| 40.453 | 1094.040 | 82.557 | 0.000 | -38.953 | 0.000 | 
| 117.497 | 85.329 | 1031.384 | 0.000 | 35.532 | 0.000 | 
| 0.000 | -0.000 | 0.000 | 501.669 | 0.000 | -34.146 | 
| 22.425 | -38.504 | 41.733 | -0.000 | 328.191 | 0.000 | 
| -0.000 | -0.000 | 0.000 | -32.694 | 0.000 | 386.242 | 
| 925.480 | 37.705 | 123.412 | 0.000 | 68.123 | -0.000 | 
| 42.673 | 1093.404 | 83.804 | -0.000 | -39.138 | -0.000 | 
| 118.437 | 83.185 | 1028.006 | -0.000 | 42.274 | -0.000 | 
| -0.000 | 0.000 | -0.000 | 501.669 | -0.000 | -34.146 | 
| 22.681 | -38.586 | 41.981 | 0.000 | 328.180 | -0.000 | 
| 0.000 | 0.000 | -0.000 | -32.694 | -0.000 | 386.242 | 
| 492.977 | 77.806 | -15.829 | -0.000 | 0.000 | -0.000 | 
| 77.806 | 492.977 | -15.829 | -0.000 | 0.000 | 0.000 | 
| -14.742 | -14.742 | 180.057 | -0.000 | -0.000 | -0.000 | 
| 0.000 | 0.000 | -0.000 | 78.123 | 0.000 | 0.000 | 
| 0.000 | 0.000 | -0.000 | -0.000 | 78.124 | -0.000 | 
| 47.887 | 47.887 | -39.350 | -0.000 | 0.000 | 35.294 | 
| 334.610 | -71.779 | 55.835 | 0.000 | 0.000 | 0.000 | 
| -71.779 | 334.610 | 55.835 | 0.000 | 0.000 | 0.000 | 
| -14.742 | -14.742 | 180.057 | 0.000 | 0.000 | 0.000 | 
| -0.000 | -0.000 | 0.000 | 78.124 | -0.000 | -0.000 | 
| -0.000 | -0.000 | 0.000 | 0.000 | 78.124 | -0.000 | 
| -47.887 | -47.887 | 39.350 | 0.000 | 0.000 | 35.294 | 
| 402.030 | -14.020 | 5.543 | -0.000 | -0.000 | 0.000 | 
| -14.020 | 402.030 | 5.543 | -0.000 | -0.000 | -0.000 | 
| -14.742 | -14.742 | 180.057 | -0.000 | -0.000 | -0.000 | 
| 0.000 | 0.000 | 0.000 | 78.124 | -0.000 | -0.000 | 
| 0.000 | 0.000 | 0.000 | -0.000 | 78.124 | -0.000 | 
| -246169322.351 | -245484137.801 | -8443157.533 | 480183.466 | -233471.558 | -19708095.220 | 
| 391.139 | -19.841 | 11.811 | 0.000 | 0.000 | 0.000 | 
| -19.841 | 391.139 | 11.811 | 0.000 | 0.000 | -0.000 | 
| -14.742 | -14.742 | 180.057 | 0.000 | 0.000 | 0.000 | 
| -0.000 | -0.000 | -0.000 | 78.124 | -0.000 | 0.000 | 
| -0.000 | -0.000 | -0.000 | 0.000 | 78.124 | 0.000 | 
| 243125457.427 | 243338957.273 | 7489603.531 | -373236.631 | -467905.356 | -22057970.315 | 
| 385.851 | -29.264 | 8.100 | -0.000 | -0.000 | 0.000 | 
| -29.264 | 385.851 | 8.100 | -0.000 | -0.000 | -0.000 | 
| -14.742 | -14.742 | 180.057 | -0.000 | -0.000 | -0.000 | 
| -25752061.835 | -25833662.296 | -1293389.297 | -221332.166 | 17795.027 | 17988.404 | 
| -25882005.721 | -25768222.453 | -1347332.989 | 43603.877 | -174195.745 | -19456.518 | 
| -24709871.485 | -24648464.045 | -881158.545 | -29835.465 | 39191.862 | -1801085.370 | 
| 387.236 | -27.118 | 9.952 | -0.000 | 0.000 | 0.000 | 
| -27.118 | 387.236 | 9.952 | 0.000 | 0.000 | -0.000 | 
| -13.160 | -13.160 | 172.974 | 0.000 | 0.000 | -0.000 | 
| 25733256.199 | 25833627.538 | 1320211.903 | -222516.657 | 29850.680 | -14054.852 | 
| 25854260.210 | 25722335.103 | 1299600.441 | -9709.948 | -188433.454 | -1124.040 | 
| 24650474.344 | 24672216.329 | 876355.972 | -40180.125 | -43471.919 | -1833747.284 | 
| 379.450 | 144.593 | 0.000 | 0.000 | 0.000 | -0.000 | 
| 144.593 | 379.450 | 0.000 | 0.000 | 0.000 | -0.000 | 
| -0.000 | -0.000 | 0.000 | 0.000 | 0.000 | 0.000 | 
| -0.000 | -0.000 | 0.000 | 0.000 | 0.000 | 0.000 | 
| -0.000 | -0.000 | 0.000 | 0.000 | 0.000 | 0.000 | 
| -0.000 | 0.000 | 0.000 | 0.000 | 0.000 | 262.022 | 
| 379.450 | 144.593 | -0.000 | -0.000 | -0.000 | -0.000 | 
| 144.593 | 379.450 | -0.000 | -0.000 | -0.000 | -0.000 | 
| 0.000 | 0.000 | -0.000 | -0.000 | -0.000 | -0.000 | 
| 0.000 | -0.000 | -0.000 | -0.000 | -0.000 | -0.000 | 
| 0.000 | 0.000 | -0.000 | -0.000 | -0.000 | -0.000 | 
| 0.000 | 0.000 | -0.000 | -0.000 | -0.000 | 262.022 | 
| 379.450 | 144.593 | 0.000 | 0.000 | 0.000 | -0.000 | 
| 144.593 | 379.450 | 0.000 | 0.000 | 0.000 | -0.000 | 
| -0.000 | -0.000 | 0.000 | 0.000 | 0.000 | 0.000 | 
| -0.000 | 0.000 | 0.000 | 0.000 | 0.000 | 0.000 | 
| -0.000 | -0.000 | 0.000 | 0.000 | 0.000 | 0.000 | 
| 0.000 | 0.000 | 0.000 | 0.000 | 0.000 | 262.022 | 
| 379.450 | 144.593 | -0.000 | -0.000 | -0.000 | -0.000 | 
| 144.593 | 379.450 | -0.000 | -0.000 | -0.000 | -0.000 | 
| 0.000 | 0.000 | -0.000 | -0.000 | -0.000 | -0.000 | 
| 0.000 | -0.000 | -0.000 | -0.000 | -0.000 | -0.000 | 
| 0.000 | 0.000 | -0.000 | -0.000 | -0.000 | -0.000 | 
| -0.000 | -0.000 | -0.000 | -0.000 | -0.000 | 262.022 | 
| 379.451 | 144.594 | 0.000 | 0.000 | 0.000 | 0.000 | 
| 144.594 | 379.451 | 0.000 | 0.000 | 0.000 | 0.000 | 
| -0.000 | -0.000 | 0.000 | 0.000 | 0.000 | 0.000 | 
| -0.000 | 0.000 | 0.000 | 0.000 | 0.000 | 0.000 | 
| -0.000 | -0.000 | 0.000 | 0.000 | 0.000 | 0.000 | 
| 0.000 | 0.001 | 0.000 | 0.000 | 0.000 | 262.022 | 
| 379.449 | 144.592 | -0.000 | -0.000 | -0.000 | -0.000 | 
| 144.592 | 379.449 | -0.000 | -0.000 | -0.000 | -0.000 | 
| 0.000 | 0.000 | -0.000 | -0.000 | -0.000 | -0.000 | 
| 0.000 | -0.000 | -0.000 | -0.000 | -0.000 | -0.000 | 
| 0.000 | 0.000 | -0.000 | -0.000 | -0.000 | -0.000 | 
| -0.000 | -0.001 | -0.000 | -0.000 | -0.000 | 262.022 | 
| -1614.966 | -1234.250 | -703.602 | 0.000 | 0.000 | 0.000 | 
| -1725.019 | -1140.084 | -707.908 | -0.000 | 0.000 | 0.000 | 
| -1102.101 | -658.170 | -180.562 | 0.000 | 0.000 | 0.000 | 
| -2638.890 | -3224.640 | -847.516 | 55.402 | 0.000 | 0.000 | 
| -2340.974 | -2242.652 | -986.322 | -0.000 | 61.915 | 0.000 | 
| -741.442 | -506.762 | 171.696 | 0.000 | 0.000 | 138.138 | 
| 1394.312 | 775.117 | 526.418 | -0.000 | -0.000 | -0.000 | 
| 803.784 | 847.153 | -126.382 | -0.000 | 0.000 | -0.000 | 
| 2368.820 | 2271.351 | 1146.697 | 0.000 | -0.000 | -0.000 | 
| 2638.890 | 3224.640 | 847.516 | 55.402 | 0.000 | -0.000 | 
| 2340.974 | 2242.651 | 986.322 | -0.000 | 61.915 | -0.000 | 
| 741.442 | 506.762 | -171.696 | -0.000 | -0.000 | 138.138 | 
| -24.724 | -70.073 | -39.952 | 0.000 | -0.000 | 0.000 | 
| -13.568 | 288.020 | 62.941 | 0.000 | 0.000 | 0.000 | 
| -205.211 | -194.874 | 67.481 | 0.000 | -0.000 | 0.000 | 
| -74.610 | -50.995 | 17.277 | 170.737 | 0.000 | 0.000 | 
| 0.000 | 0.000 | 0.000 | 0.000 | 197.830 | 0.000 | 
| -74.648 | -51.021 | 17.286 | -0.000 | 0.000 | 137.922 | 
| 345.980 | 192.379 | 110.747 | 0.000 | 0.000 | -0.000 | 
| 136.704 | 390.354 | 28.179 | 0.000 | -0.000 | -0.000 | 
| 223.290 | 175.178 | 301.679 | 0.000 | 0.000 | -0.000 | 
| 74.610 | 50.995 | -17.277 | 170.737 | 0.000 | -0.000 | 
| -0.000 | -0.000 | -0.000 | 0.000 | 197.830 | -0.000 | 
| 74.648 | 51.021 | -17.286 | 0.000 | 0.000 | 137.922 | 
| 148.128 | 66.922 | 36.562 | -0.000 | -0.000 | 0.000 | 
| 37.427 | 58.158 | 21.233 | 0.000 | 0.000 | 0.000 | 
| 35.041 | 41.111 | 218.498 | 0.000 | -0.000 | 0.000 | 
| -10.278 | -7.025 | 2.380 | 160.265 | 0.000 | 0.000 | 
| -19.225 | -14.336 | -8.259 | -0.000 | 81.152 | 0.000 | 
| -22.387 | -22.881 | -8.982 | 0.000 | 0.000 | 36.134 | 
| 85.385 | 46.945 | 15.755 | 0.000 | 0.000 | -0.000 | 
| 79.842 | 148.317 | 41.230 | 0.000 | 0.000 | -0.000 | 
| 15.990 | 29.810 | 150.772 | -0.000 | -0.000 | -0.000 | 
| 10.278 | 7.025 | -2.380 | 160.265 | 0.000 | -0.000 | 
| 19.225 | 14.336 | 8.259 | -0.000 | 81.152 | -0.000 | 
| 22.387 | 22.881 | 8.982 | 0.000 | -0.000 | 36.134 | 
| 683.637 | 0.000 | 0.000 | 0.000 | 0.000 | 0.000 | 
| -0.000 | 0.000 | 0.000 | 0.000 | 0.000 | 0.000 | 
| -0.000 | 0.000 | 0.000 | 0.000 | 0.000 | 0.000 | 
| -0.000 | 0.000 | 0.000 | 0.000 | 0.000 | 0.000 | 
| -0.000 | 0.000 | 0.000 | 0.000 | 0.000 | 0.000 | 
| -0.000 | 0.000 | 0.000 | 0.000 | 0.000 | 0.000 | 
| 683.637 | -0.000 | -0.000 | -0.000 | -0.000 | -0.000 | 
| 0.000 | -0.000 | -0.000 | -0.000 | -0.000 | -0.000 | 
| 0.000 | -0.000 | -0.000 | -0.000 | -0.000 | -0.000 | 
| 0.000 | -0.000 | -0.000 | -0.000 | -0.000 | -0.000 | 
| 0.000 | -0.000 | -0.000 | -0.000 | -0.000 | -0.000 | 
| 0.000 | -0.000 | -0.000 | -0.000 | -0.000 | -0.000 | 
| 683.637 | 0.000 | 0.000 | 0.000 | 0.000 | 0.000 | 
| -0.000 | 0.000 | 0.000 | 0.000 | 0.000 | 0.000 | 
| -0.000 | 0.000 | 0.000 | 0.000 | 0.000 | 0.000 | 
| -0.000 | 0.000 | 0.000 | 0.000 | 0.000 | 0.000 | 
| -0.000 | 0.000 | 0.000 | 0.000 | 0.000 | 0.000 | 
| -0.000 | 0.000 | 0.000 | 0.000 | 0.000 | 0.000 | 
| 683.636 | -0.000 | -0.000 | -0.000 | -0.000 | -0.000 | 
| 0.000 | -0.000 | -0.000 | -0.000 | -0.000 | -0.000 | 
| 0.000 | -0.000 | -0.000 | -0.000 | -0.000 | -0.000 | 
| 0.000 | -0.000 | -0.000 | -0.000 | -0.000 | -0.000 | 
| 0.000 | -0.000 | -0.000 | -0.000 | -0.000 | -0.000 | 
| 0.000 | -0.000 | -0.000 | -0.000 | -0.000 | -0.000 | 
| 683.640 | 0.000 | 0.000 | 0.000 | 0.000 | 0.000 | 
| -0.000 | 0.000 | 0.000 | 0.000 | 0.000 | 0.000 | 
| -0.000 | 0.000 | 0.000 | 0.000 | 0.000 | 0.000 | 
| -0.000 | 0.000 | 0.000 | 0.000 | 0.000 | 0.000 | 
| -0.000 | 0.000 | 0.000 | 0.000 | 0.000 | 0.000 | 
| -0.000 | 0.000 | 0.000 | 0.000 | 0.000 | 0.000 | 
| 683.633 | -0.000 | -0.000 | -0.000 | -0.000 | -0.000 | 
| 0.000 | -0.000 | -0.000 | -0.000 | -0.000 | -0.000 | 
| 0.000 | -0.000 | -0.000 | -0.000 | -0.000 | -0.000 | 
| 0.000 | -0.000 | -0.000 | -0.000 | -0.000 | -0.000 | 
| -0.000 | -0.000 | -0.000 | -0.000 | -0.000 | -0.000 | 
| 0.000 | -0.000 | -0.000 | -0.000 | -0.000 | -0.000 | 
| 683.637 | 0.000 | 0.000 | 0.000 | 0.000 | 0.000 | 
| -0.000 | 0.000 | 0.000 | 0.000 | 0.000 | 0.000 | 
| -0.000 | 0.000 | 0.000 | 0.000 | 0.000 | 0.000 | 
| -0.000 | 0.000 | 0.000 | 0.000 | 0.000 | 0.000 | 
| -0.000 | 0.000 | 0.000 | 0.000 | 0.000 | 0.000 | 
| -0.000 | 0.000 | 0.000 | 0.000 | 0.000 | 0.000 | 
| 683.637 | -0.000 | -0.000 | -0.000 | -0.000 | -0.000 | 
| 0.000 | -0.000 | -0.000 | -0.000 | -0.000 | -0.000 | 
| -0.000 | -0.000 | -0.000 | -0.000 | -0.000 | -0.000 | 
| 0.000 | -0.000 | -0.000 | -0.000 | -0.000 | -0.000 | 
| -0.000 | -0.000 | -0.000 | -0.000 | -0.000 | -0.000 | 
| 0.000 | -0.000 | -0.000 | -0.000 | -0.000 | -0.000 | 
| 683.637 | 0.000 | 0.000 | 0.000 | 0.000 | 0.000 | 
| -0.000 | 0.000 | 0.000 | 0.000 | 0.000 | 0.000 | 
| -0.000 | 0.000 | 0.000 | 0.000 | 0.000 | 0.000 | 
| -0.000 | 0.000 | 0.000 | 0.000 | 0.000 | 0.000 | 
| 0.000 | 0.000 | 0.000 | 0.000 | 0.000 | 0.000 | 
| -0.000 | 0.000 | 0.000 | 0.000 | 0.000 | 0.000 | 
| 683.636 | -0.000 | -0.000 | -0.000 | -0.000 | -0.000 | 
| 0.000 | -0.000 | -0.000 | -0.000 | -0.000 | -0.000 | 
| 0.000 | -0.000 | -0.000 | -0.000 | -0.000 | -0.000 | 
| 0.000 | -0.000 | -0.000 | -0.000 | -0.000 | -0.000 | 
| -0.000 | -0.000 | -0.000 | -0.000 | -0.000 | -0.000 | 
| 0.000 | -0.000 | -0.000 | -0.000 | -0.000 | -0.000 | 
| 683.640 | 0.000 | 0.000 | 0.000 | 0.000 | 0.000 | 
| -0.000 | 0.000 | 0.000 | 0.000 | 0.000 | 0.000 | 
| -0.000 | 0.000 | 0.000 | 0.000 | 0.000 | 0.000 | 
| -0.000 | 0.000 | 0.000 | 0.000 | 0.000 | 0.000 | 
| -0.000 | 0.000 | 0.000 | 0.000 | 0.000 | 0.000 | 
| -0.000 | 0.000 | 0.000 | 0.000 | 0.000 | 0.000 | 
| 683.633 | -0.000 | -0.000 | -0.000 | -0.000 | -0.000 | 
| 0.000 | -0.000 | -0.000 | -0.000 | -0.000 | -0.000 | 
| 0.000 | -0.000 | -0.000 | -0.000 | -0.000 | -0.000 | 
| 0.000 | -0.000 | -0.000 | -0.000 | -0.000 | -0.000 | 
| 0.000 | -0.000 | -0.000 | -0.000 | -0.000 | -0.000 | 
| 0.000 | -0.000 | -0.000 | -0.000 | -0.000 | -0.000 | 
| -106.663 | 50.652 | -183.160 | 0.000 | 51.026 | -0.000 | 
| -261.748 | -174.024 | -327.345 | -0.000 | 17.307 | 0.000 | 
| 25.033 | 31.825 | 270.682 | 0.000 | -0.599 | -0.000 | 
| 0.000 | -0.000 | -0.000 | 103.426 | 0.000 | -0.268 | 
| -124.678 | -22.586 | -540.569 | -0.000 | 64.683 | -0.000 | 
| -84.368 | 175.009 | 507.333 | -0.408 | -101.906 | 0.881 | 
| 100.755 | -25.210 | 215.074 | -0.000 | -52.247 | -0.000 | 
| 177.442 | -119.253 | 271.991 | 0.000 | -18.042 | -0.000 | 
| 25.033 | 31.825 | 270.682 | -0.000 | -0.600 | 0.000 | 
| 0.000 | 0.000 | -0.000 | 103.426 | 0.000 | -0.269 | 
| 102.502 | -37.277 | 195.941 | -0.000 | -39.678 | -0.000 | 
| 36.466 | -150.602 | 957.020 | 0.125 | 86.722 | -2.635 | 
| -41.652 | -25.336 | -12.649 | -0.000 | 0.605 | 0.000 | 
| -32.301 | -30.647 | -28.427 | -0.000 | 0.714 | 0.000 | 
| -9.834 | -12.054 | 87.959 | -0.000 | 1.262 | 0.000 | 
| -9.986 | 19.606 | 18.479 | 31.533 | -8.148 | -0.189 | 
| -19.247 | -3.214 | -25.684 | -0.000 | -7.934 | 0.000 | 
| -17.720 | -2.474 | -23.945 | -0.005 | 1.258 | -28.108 | 
| 0.987 | -42.991 | 42.590 | 0.000 | -6.909 | -0.000 | 
| 24.685 | 71.916 | 49.245 | -0.000 | -4.124 | -0.000 | 
| 22.552 | -16.416 | 136.868 | -0.000 | -0.753 | -0.000 | 
| 2.471 | -5.308 | 78.588 | -57.971 | 2.306 | 0.150 | 
| -0.316 | -0.071 | -0.599 | 0.000 | 44.853 | 0.000 | 
| 17.720 | 2.474 | 23.945 | -0.005 | -1.258 | -28.108 | 
| 0.357 | -1.810 | 6.999 | -0.000 | 0.356 | 0.000 | 
| -2.726 | 4.445 | 3.281 | 0.000 | 0.237 | 0.000 | 
| 0.093 | -0.216 | 4.336 | 0.000 | 0.190 | 0.000 | 
| -0.797 | 0.073 | -3.549 | -0.108 | 0.241 | 0.001 | 
| -0.846 | 0.171 | -4.909 | 0.000 | -2.468 | 0.000 | 
| -0.961 | 0.079 | -2.443 | -0.080 | 0.417 | 1.320 | 
| 0.007 | -3.294 | 6.207 | 0.000 | -0.066 | -0.000 | 
| 1.898 | -2.220 | 1.348 | -0.000 | -0.168 | 0.000 | 
| 4.029 | -16.793 | 21.673 | -0.000 | -0.191 | -0.000 | 
| 0.797 | -0.073 | 3.549 | -0.108 | -0.241 | 0.001 | 
| 0.951 | -0.033 | 2.463 | 0.000 | 4.239 | -0.000 | 
| 0.961 | -0.079 | 2.443 | -0.080 | -0.417 | 1.320 | 
| 150.481 | -73.649 | 41.444 | 155.847 | -24.102 | 30.127 | 
| 428.550 | -126.604 | -606.621 | 369.855 | -148.349 | -311.111 | 
| 12.121 | -73.511 | 156.293 | 149.440 | -18.999 | 43.188 | 
| 1086.551 | 137.381 | -943.772 | 155.145 | -399.439 | -395.663 | 
| 433.712 | -119.870 | -600.303 | 382.703 | -165.024 | -312.214 | 
| -47.559 | -101.759 | 10.876 | 158.591 | -13.394 | 81.926 | 
| -996.580 | -127.718 | 626.520 | -120.908 | 284.200 | 525.661 | 
| -818.019 | -89.742 | 276.546 | -386.387 | 268.421 | 204.134 | 
| -448.705 | 115.268 | 586.451 | -381.740 | 151.041 | 311.067 | 
| -696.860 | 5.552 | 1130.966 | -214.382 | 365.664 | 416.516 | 
| -29.048 | 182.412 | 351.983 | -409.554 | 85.331 | 110.338 | 
| -902.451 | 81.062 | 1119.073 | -251.564 | 358.094 | 352.686 | 
| 67.439 | -19.384 | -28.897 | 35.530 | -13.653 | -24.359 | 
| 30.926 | 94.093 | 26.554 | 5.002 | -2.363 | -16.382 | 
| 4.034 | -19.917 | 10.827 | 26.621 | -4.774 | -11.246 | 
| 66.930 | -6.690 | -26.773 | 27.661 | -10.043 | -22.566 | 
| 80.971 | 3.102 | -29.273 | 40.139 | -55.075 | -18.119 | 
| -32.498 | -19.026 | -1.428 | 15.737 | 4.716 | 39.687 | 
| -91.880 | -35.578 | 67.982 | -27.751 | 29.895 | 52.079 | 
| 41.146 | -23.259 | 2.532 | -34.921 | 8.029 | 23.160 | 
| 13.866 | -22.108 | -57.070 | -22.642 | 17.093 | 16.271 | 
| -59.946 | -2.373 | 25.103 | -49.479 | 26.004 | 22.901 | 
| -42.988 | 13.408 | 56.082 | -30.980 | 2.815 | 31.087 | 
| -29.527 | -1.210 | -4.210 | -16.112 | 8.924 | 32.785 | 
| 2.514 | 2.055 | -1.516 | 1.742 | 0.166 | -5.218 | 
| 9.359 | 4.100 | 3.604 | 3.605 | -1.444 | -2.205 | 
| 4.181 | -2.175 | -12.234 | 1.509 | -1.585 | -4.317 | 
| 4.977 | -0.827 | -3.926 | 1.122 | -0.847 | -1.088 | 
| 6.734 | 0.961 | -6.618 | 2.217 | -5.772 | -3.569 | 
| 2.205 | 2.141 | -4.704 | 2.745 | -2.111 | -2.653 | 
| -7.025 | 2.657 | -3.297 | 0.593 | 0.461 | 4.193 | 
| -12.701 | -3.610 | 3.895 | -3.667 | 1.027 | 3.423 | 
| -6.367 | 1.116 | -1.312 | -2.855 | 2.265 | 3.727 | 
| 3.962 | -1.117 | -0.238 | -3.558 | 1.138 | 2.247 | 
| -7.390 | 2.000 | 4.305 | -7.572 | 21.783 | 3.341 | 
| -11.997 | -0.166 | 1.411 | -2.655 | 2.847 | 3.475 | 
| 815.456 | 78.958 | 78.958 | -0.000 | -0.000 | 0.000 | 
| 78.958 | 815.456 | 78.958 | -0.000 | -0.000 | 0.000 | 
| 78.958 | 78.958 | 815.456 | -0.000 | -0.000 | 0.000 | 
| -0.027 | -0.027 | -0.027 | 344.427 | -0.000 | 0.000 | 
| -0.027 | -0.026 | -0.027 | -0.000 | 344.427 | 0.000 | 
| -0.027 | -0.026 | -0.027 | -0.000 | -0.000 | 344.427 | 
| 815.456 | 78.958 | 78.958 | 0.000 | 0.000 | -0.000 | 
| 78.958 | 815.456 | 78.958 | 0.000 | 0.000 | -0.000 | 
| 78.958 | 78.958 | 815.456 | 0.000 | 0.000 | -0.000 | 
| 0.027 | 0.026 | 0.027 | 344.427 | 0.000 | -0.000 | 
| 0.027 | 0.026 | 0.027 | 0.000 | 344.427 | -0.000 | 
| 0.027 | 0.026 | 0.027 | 0.000 | 0.000 | 344.427 | 
| 760.453 | 105.268 | 105.268 | -0.000 | -0.000 | 0.000 | 
| 105.268 | 760.453 | 105.268 | -0.000 | -0.000 | -0.000 | 
| 105.268 | 105.268 | 760.453 | -0.000 | -0.000 | 0.000 | 
| 0.000 | 0.000 | 0.000 | 372.178 | -0.000 | 0.000 | 
| -0.000 | 0.000 | 0.000 | -0.000 | 372.178 | 0.000 | 
| -0.003 | -0.003 | -0.003 | -0.000 | -0.000 | 344.445 | 
| 815.456 | 78.958 | 78.958 | 0.000 | 0.000 | -0.000 | 
| 78.958 | 815.456 | 78.958 | 0.000 | 0.000 | -0.000 | 
| 78.958 | 78.958 | 815.456 | 0.000 | 0.000 | -0.000 | 
| -0.000 | -0.000 | -0.000 | 372.178 | 0.000 | -0.000 | 
| 0.000 | -0.000 | -0.000 | 0.000 | 372.178 | -0.000 | 
| 0.000 | -0.000 | -0.000 | 0.000 | 0.000 | 372.178 | 
| 753.221 | 106.873 | 106.873 | -0.000 | -0.000 | 0.000 | 
| 106.873 | 753.221 | 106.873 | -0.000 | -0.000 | 0.000 | 
| 106.873 | 106.873 | 753.221 | -0.000 | -0.000 | -0.000 | 
| -0.000 | -0.000 | -0.000 | 344.446 | -0.000 | 0.000 | 
| -0.000 | -0.000 | -0.000 | -0.000 | 344.446 | 0.000 | 
| -0.000 | -0.000 | -0.000 | -0.000 | -0.000 | 344.446 | 
| 753.222 | 106.878 | 106.878 | 0.000 | 0.000 | -0.000 | 
| 106.878 | 753.222 | 106.878 | 0.000 | 0.000 | -0.000 | 
| 106.878 | 106.878 | 753.222 | 0.000 | 0.000 | -0.000 | 
| 0.000 | 0.000 | 0.000 | 344.446 | 0.000 | -0.000 | 
| 0.000 | 0.000 | 0.000 | 0.000 | 344.446 | -0.000 | 
| 0.000 | 0.000 | 0.000 | 0.000 | 0.000 | 344.446 | 
| 935.373 | 29.753 | 140.131 | 0.000 | 0.000 | -0.000 | 
| 24.514 | 1095.326 | 96.137 | -0.000 | 0.000 | -0.000 | 
| 107.015 | 82.778 | 1051.876 | 0.000 | 0.000 | -0.000 | 
| -0.280 | -1.941 | 1.693 | 508.782 | 0.000 | 0.000 | 
| -0.302 | -1.945 | 1.865 | -0.000 | 343.547 | -0.000 | 
| -0.296 | -2.049 | 1.786 | -0.000 | 0.000 | 378.950 | 
| 1007.274 | -1.260 | 107.015 | 0.000 | 0.000 | 0.000 | 
| -1.260 | 1145.945 | 82.778 | 0.000 | 0.000 | 0.000 | 
| 131.801 | 96.635 | 999.192 | 0.000 | -0.000 | 0.000 | 
| 0.280 | 1.941 | -1.693 | 508.782 | -0.000 | 0.001 | 
| 0.302 | 1.945 | -1.865 | 0.000 | 343.547 | -0.000 | 
| 0.296 | 2.049 | -1.786 | -0.000 | -0.000 | 378.950 | 
| 925.027 | 27.651 | 137.407 | -0.000 | 0.000 | -0.000 | 
| 24.991 | 1096.649 | 94.717 | -0.000 | 0.000 | -0.000 | 
| 131.719 | 94.573 | 1000.606 | -0.000 | 0.000 | -0.000 | 
| -0.028 | -0.194 | 0.169 | 508.821 | 0.000 | -0.000 | 
| -0.045 | -0.174 | 0.155 | -0.000 | 343.919 | -0.000 | 
| -0.012 | -0.219 | 0.214 | 0.000 | 0.000 | 378.257 | 
| 923.063 | 32.025 | 130.918 | -0.000 | -0.000 | 0.000 | 
| -1.260 | 1145.944 | 82.778 | -0.000 | -0.000 | 0.000 | 
| 107.015 | 82.778 | 1051.876 | 0.000 | -0.000 | -0.000 | 
| 0.028 | 0.194 | -0.169 | 508.821 | -0.000 | -0.000 | 
| 0.045 | 0.174 | -0.155 | -0.000 | 343.919 | 0.000 | 
| 0.012 | 0.219 | -0.214 | 0.000 | -0.000 | 378.257 | 
| 923.696 | 31.092 | 135.449 | 0.000 | 0.000 | -0.000 | 
| 32.882 | 1091.543 | 97.143 | 0.000 | 0.000 | -0.000 | 
| 132.333 | 100.242 | 983.122 | -0.000 | 0.000 | -0.000 | 
| -0.003 | -0.020 | 0.017 | 508.821 | 0.000 | -0.000 | 
| -0.005 | -0.017 | 0.016 | -0.000 | 343.920 | -0.000 | 
| -0.005 | -0.016 | 0.015 | -0.000 | 0.000 | 378.416 | 
| 924.982 | 27.854 | 137.344 | -0.000 | -0.000 | -0.000 | 
| 32.765 | 1090.792 | 100.010 | -0.000 | -0.000 | 0.000 | 
| 136.800 | 97.790 | 987.856 | -0.000 | -0.000 | 0.000 | 
| 0.003 | 0.020 | -0.017 | 508.821 | -0.000 | 0.000 | 
| 0.005 | 0.017 | -0.016 | -0.000 | 343.920 | -0.000 | 
| 0.005 | 0.016 | -0.015 | -0.000 | -0.000 | 378.416 | 
| -145.877 | 83.471 | 968.525 | -0.000 | -0.000 | 0.000 | 
| -1055.850 | 1147.535 | 931.653 | 0.000 | -0.000 | -0.000 | 
| -956.009 | 151.739 | 1832.027 | -0.000 | 0.000 | 0.000 | 
| -1086.537 | 51.239 | 835.563 | 503.746 | 0.000 | -0.000 | 
| -1086.020 | 51.215 | 835.165 | -0.000 | 324.482 | 0.000 | 
| 0.000 | -0.000 | -0.000 | -0.000 | 0.000 | 406.582 | 
| 2027.974 | -19.103 | -703.155 | 0.000 | -0.000 | -0.000 | 
| 1117.320 | 1044.855 | -739.420 | 0.000 | -0.000 | -0.000 | 
| 1217.155 | 49.235 | 160.884 | 0.000 | -0.000 | 0.000 | 
| 1086.537 | -51.239 | -835.563 | 503.746 | 0.000 | -0.000 | 
| 1086.020 | -51.215 | -835.165 | 0.000 | 324.482 | 0.000 | 
| -0.000 | 0.000 | 0.000 | 0.000 | -0.000 | 406.582 | 
| 830.748 | 37.830 | 217.167 | -0.000 | 0.000 | 0.000 | 
| -118.433 | 1116.225 | 195.972 | -0.000 | 0.000 | 0.000 | 
| 23.235 | 84.433 | 1142.237 | -0.000 | -0.000 | 0.000 | 
| 0.000 | 0.000 | 0.000 | 554.991 | 0.000 | -0.000 | 
| -103.109 | 4.862 | 79.293 | 0.000 | 329.343 | 0.000 | 
| -107.882 | 5.087 | 82.963 | -0.000 | -0.000 | 373.887 | 
| 1003.504 | 70.090 | -17.673 | 0.000 | -0.000 | 0.000 | 
| -1.422 | 1154.037 | 84.576 | 0.000 | -0.000 | -0.000 | 
| 238.038 | 95.209 | 914.339 | 0.000 | 0.000 | -0.000 | 
| -0.000 | -0.000 | -0.000 | 554.991 | 0.000 | 0.000 | 
| 145.924 | -16.139 | -103.677 | 0.000 | 368.779 | -0.000 | 
| 107.882 | -5.088 | -82.963 | 0.000 | -0.000 | 373.887 | 
| 911.758 | 33.989 | 141.352 | -0.000 | 0.000 | -0.000 | 
| 15.549 | 1103.944 | 103.268 | -0.000 | 0.000 | 0.000 | 
| 118.443 | 99.230 | 1010.374 | -0.000 | 0.000 | 0.000 | 
| -9.435 | 0.445 | 7.256 | 510.492 | -0.000 | 0.000 | 
| -8.494 | 0.401 | 6.532 | 0.000 | 345.428 | 0.000 | 
| -9.962 | 0.470 | 7.661 | -0.000 | 0.000 | 376.392 | 
| 932.791 | 31.758 | 126.634 | 0.000 | -0.000 | -0.000 | 
| 35.486 | 1101.740 | 88.745 | 0.000 | -0.000 | -0.000 | 
| 147.736 | 103.777 | 974.303 | 0.000 | -0.000 | 0.000 | 
| 9.435 | -0.445 | -7.256 | 510.492 | 0.000 | 0.000 | 
| 12.516 | -0.096 | -10.486 | 0.000 | 344.056 | -0.000 | 
| 9.962 | -0.470 | -7.661 | 0.000 | 0.000 | 376.392 | 
| -275.187 | -292.985 | -292.986 | 0.022 | 0.023 | 0.023 | 
| -292.985 | -275.188 | -292.986 | 0.022 | 0.023 | 0.023 | 
| -292.985 | -292.985 | -275.188 | 0.022 | 0.023 | 0.023 | 
| -321.905 | -321.905 | -321.906 | -2.261 | 0.024 | 0.024 | 
| -321.905 | -321.905 | -321.906 | 0.024 | -2.260 | 0.024 | 
| -321.905 | -321.905 | -321.906 | 0.024 | 0.024 | -2.260 | 
| 186.415 | 166.919 | 166.920 | -0.005 | -0.005 | -0.005 | 
| 166.919 | 186.416 | 166.920 | -0.005 | -0.005 | -0.005 | 
| 166.919 | 166.919 | 186.417 | -0.005 | -0.005 | -0.005 | 
| 321.912 | 321.913 | 321.913 | -2.310 | -0.024 | -0.024 | 
| 321.912 | 321.913 | 321.913 | -0.024 | -2.310 | -0.024 | 
| 321.912 | 321.913 | 321.913 | -0.024 | -0.024 | -2.310 | 
| -13.047 | -18.198 | -18.199 | 0.005 | 0.005 | 0.005 | 
| -18.198 | -13.047 | -18.199 | 0.005 | 0.005 | 0.005 | 
| -8.719 | -8.719 | 16.116 | 0.002 | 0.002 | 0.002 | 
| -12.753 | -12.753 | -12.753 | 34.708 | 0.001 | 0.001 | 
| -12.753 | -12.753 | -12.753 | 0.001 | 34.708 | 0.001 | 
| -12.753 | -12.753 | -12.753 | 0.001 | 0.001 | 34.708 | 
| 18.150 | 23.678 | 23.678 | -0.004 | -0.004 | -0.004 | 
| 23.678 | 18.150 | 23.678 | -0.004 | -0.004 | -0.004 | 
| 57.560 | 57.560 | 125.106 | 0.000 | 0.000 | -0.000 | 
| 27.493 | 27.493 | 27.493 | 7.924 | -0.002 | -0.002 | 
| 27.493 | 27.493 | 27.493 | -0.002 | 7.924 | -0.002 | 
| 27.493 | 27.493 | 27.494 | -0.002 | -0.002 | 7.924 | 
| 9.758 | -24.334 | -3.602 | -0.871 | 0.017 | -1.298 | 
| 0.393 | 0.722 | 0.933 | 0.111 | 0.622 | -0.026 | 
| 0.959 | 0.084 | 0.669 | -0.475 | -0.122 | 0.493 | 
| -167.818 | -12.596 | 109.517 | 12.231 | 68.104 | -18.729 | 
| -107.510 | 126.455 | 58.540 | 254.832 | -129.903 | 237.112 | 
| -510.778 | -554.720 | -825.953 | 286.571 | 559.300 | 737.876 | 
| -4.077 | -1.136 | -0.880 | 1.245 | 0.620 | -0.532 | 
| 0.824 | -2.505 | -1.463 | -7.565 | 12.154 | -8.960 | 
| 3.312 | 13.136 | 27.662 | -25.974 | -9.896 | 10.215 | 
| -305.701 | 312.135 | 242.212 | -179.903 | 202.921 | 270.901 | 
| 121.837 | -151.561 | 319.478 | 313.726 | -158.621 | 318.243 | 
| 799.247 | 707.017 | -335.841 | 176.706 | 103.862 | -87.992 | 
| 38.904 | 69.095 | 26.296 | 0.000 | 28.211 | -0.000 | 
| 70.857 | 178.379 | 20.989 | 0.000 | -9.042 | -0.000 | 
| 44.767 | 243.174 | -581.397 | 0.000 | -206.218 | -0.000 | 
| 44.047 | 201.473 | -319.147 | 54.879 | -137.122 | 8.997 | 
| 45.566 | 140.658 | -188.928 | 0.000 | -53.730 | -0.000 | 
| 31.676 | 145.385 | -233.264 | 10.066 | -99.517 | 52.525 | 
| -30.650 | -181.208 | 329.216 | -0.000 | 150.819 | 0.000 | 
| 70.857 | 178.379 | 20.989 | -0.000 | -9.042 | 0.000 | 
| -17.894 | -126.222 | 541.945 | -0.000 | 143.966 | 0.000 | 
| -44.047 | -201.473 | 319.147 | 54.879 | 137.122 | 8.997 | 
| -19.952 | -198.310 | 959.644 | -0.000 | 257.880 | 0.000 | 
| -31.676 | -145.385 | 233.264 | 10.065 | 99.517 | 52.525 | 
| 30.845 | 62.930 | -3.933 | 0.000 | 11.025 | -0.000 | 
| 0.161 | 11.853 | -78.028 | 0.000 | -20.088 | -0.000 | 
| 17.731 | 38.197 | 266.578 | 0.000 | 29.799 | -0.000 | 
| 1.640 | 20.161 | -105.946 | -2.380 | -28.034 | -0.548 | 
| 16.724 | -9.042 | 54.888 | 0.000 | 58.959 | -0.000 | 
| 3.747 | 17.198 | -27.594 | 9.960 | -11.772 | 48.483 | 
| -1.171 | -23.052 | 65.953 | -0.000 | 28.624 | 0.000 | 
| -1.587 | -17.281 | 50.295 | -0.000 | 19.686 | 0.000 | 
| -1.796 | -30.956 | 200.984 | -0.000 | 48.594 | 0.000 | 
| -1.459 | -18.843 | 100.917 | -3.987 | 26.576 | 1.196 | 
| 4.664 | -20.725 | 63.985 | -0.000 | 41.140 | 0.000 | 
| -3.747 | -17.198 | 27.594 | 9.960 | 11.772 | 48.483 | 
| -0.222 | -0.486 | -1.113 | 0.000 | -0.153 | -0.000 | 
| 1.480 | 3.701 | -7.733 | 0.000 | -0.942 | -0.000 | 
| 0.001 | 0.845 | -4.122 | 0.000 | -1.323 | -0.000 | 
| 0.183 | 2.090 | -10.664 | 0.087 | -2.842 | -0.045 | 
| 0.873 | 4.037 | 4.583 | 0.000 | -1.722 | -0.000 | 
| 0.215 | 1.913 | -8.455 | 3.204 | -2.352 | 0.370 | 
| 0.134 | -4.853 | 17.490 | -0.000 | 7.367 | 0.000 | 
| 0.587 | -1.069 | 9.313 | -0.000 | 3.604 | 0.000 | 
| -2.344 | -4.199 | 13.316 | -0.000 | -0.237 | 0.000 | 
| -0.119 | -1.758 | 9.888 | 0.446 | 2.570 | 1.279 | 
| 2.697 | 0.704 | 28.285 | -0.000 | 8.985 | 0.000 | 
| -0.215 | -1.913 | 8.455 | 3.204 | 2.352 | 0.370 | 
| 213.173 | 103.212 | 103.212 | -0.000 | -0.001 | -0.000 | 
| 103.212 | 213.173 | 103.212 | -0.000 | -0.001 | -0.000 | 
| 103.212 | 103.212 | 213.173 | -0.000 | -0.001 | -0.000 | 
| 30.303 | 30.303 | 30.303 | 93.425 | -0.001 | 0.000 | 
| 30.303 | 30.303 | 30.303 | 0.000 | 93.424 | -0.000 | 
| 30.303 | 30.303 | 30.303 | 0.000 | -0.001 | 93.425 | 
| 325.402 | 65.884 | 65.884 | 0.000 | 0.001 | 0.000 | 
| 65.884 | 325.403 | 65.884 | 0.000 | 0.001 | 0.000 | 
| 65.885 | 65.884 | 325.403 | 0.000 | 0.001 | -0.000 | 
| -30.303 | -30.303 | -30.303 | 93.425 | 0.001 | -0.000 | 
| -30.303 | -30.303 | -30.303 | 0.000 | 93.426 | 0.000 | 
| -30.303 | -30.303 | -30.303 | -0.000 | 0.001 | 93.425 | 
| 309.478 | 51.484 | 51.484 | -0.000 | -0.000 | 0.000 | 
| 51.484 | 309.478 | 51.484 | 0.000 | -0.000 | 0.000 | 
| 51.484 | 51.484 | 309.478 | 0.000 | -0.000 | -0.000 | 
| 3.054 | 3.054 | 3.054 | 92.762 | -0.000 | -0.000 | 
| 3.054 | 3.054 | 3.054 | -0.000 | 92.762 | -0.000 | 
| 3.054 | 3.054 | 3.054 | 0.000 | -0.000 | 92.762 | 
| 227.186 | 45.188 | 45.188 | 0.000 | 0.000 | -0.000 | 
| 45.187 | 227.186 | 45.188 | 0.000 | 0.000 | -0.000 | 
| 45.188 | 45.188 | 227.186 | -0.000 | 0.000 | -0.000 | 
| -3.054 | -3.054 | -3.054 | 92.762 | 0.000 | -0.000 | 
| -3.054 | -3.054 | -3.054 | -0.000 | 92.762 | 0.000 | 
| -3.054 | -3.054 | -3.054 | -0.000 | 0.000 | 92.762 | 
| 59.254 | 2.436 | 2.436 | 0.000 | -0.000 | -0.000 | 
| 2.436 | 59.254 | 2.436 | -0.000 | -0.000 | 0.000 | 
| 2.436 | 2.436 | 59.254 | -0.000 | -0.000 | -0.000 | 
| 0.319 | 0.319 | 0.319 | 71.818 | -0.000 | 0.000 | 
| 0.319 | 0.319 | 0.319 | -0.000 | 71.818 | -0.000 | 
| 0.319 | 0.319 | 0.319 | -0.000 | -0.000 | 71.818 | 
| 147.825 | 50.209 | 50.209 | 0.000 | 0.000 | -0.000 | 
| 50.209 | 147.825 | 50.209 | -0.000 | 0.000 | -0.000 | 
| 50.209 | 50.209 | 147.825 | -0.000 | 0.000 | -0.000 | 
| -0.319 | -0.319 | -0.319 | 71.818 | 0.000 | 0.000 | 
| -0.319 | -0.319 | -0.319 | -0.000 | 71.818 | -0.000 | 
| -0.319 | -0.319 | -0.319 | 0.000 | 0.000 | 71.818 | 
| 2248.519 | 2268.971 | 2268.971 | 0.000 | -0.000 | 0.000 | 
| 1245.849 | 1370.670 | 1245.849 | -0.000 | 0.000 | 0.000 | 
| 1245.849 | 1245.849 | 1370.670 | 0.000 | 0.000 | -0.000 | 
| 0.000 | -0.000 | 0.000 | 173.935 | 0.000 | 0.000 | 
| 0.000 | -0.000 | 0.000 | -0.000 | 173.935 | 0.000 | 
| 0.000 | -0.000 | 0.000 | -0.000 | 0.000 | 173.935 | 
| -2222.404 | -2200.942 | -2200.942 | 0.000 | -0.001 | -0.000 | 
| -2200.942 | -2222.404 | -2200.942 | -0.000 | -0.001 | -0.000 | 
| -2200.942 | -2200.942 | -2222.404 | 0.000 | -0.001 | -0.000 | 
| -0.000 | 0.000 | 0.000 | 173.934 | -0.000 | -0.000 | 
| -0.000 | 0.000 | -0.000 | -0.000 | 173.934 | -0.000 | 
| -0.000 | 0.000 | 0.000 | -0.000 | -0.000 | 173.935 | 
| 356.763 | 84.002 | 84.002 | -0.000 | -0.000 | 0.000 | 
| 84.002 | 356.763 | 84.002 | 0.000 | 0.000 | 0.000 | 
| 254.459 | 254.459 | 244.138 | -0.000 | 0.000 | -0.000 | 
| 32.818 | 32.818 | 32.818 | 135.851 | 0.000 | 0.000 | 
| 32.818 | 32.818 | 32.818 | -0.000 | 135.851 | 0.000 | 
| 32.818 | 32.818 | 32.818 | -0.000 | 0.000 | 135.851 | 
| -206.969 | -186.275 | -186.275 | -0.000 | -0.000 | 0.000 | 
| -186.275 | -206.969 | -186.275 | -0.000 | -0.000 | -0.000 | 
| -414.992 | -414.992 | -425.275 | -0.000 | -0.000 | -0.000 | 
| -32.818 | -32.818 | -32.818 | 135.851 | 0.000 | -0.000 | 
| -32.818 | -32.818 | -32.818 | 0.000 | 135.851 | -0.000 | 
| -32.818 | -32.818 | -32.818 | 0.000 | -0.000 | 135.851 | 
| 109.704 | 55.406 | 55.406 | -0.000 | -0.000 | 0.000 | 
| 55.406 | 109.704 | 55.406 | 0.000 | 0.000 | 0.000 | 
| 55.406 | 55.406 | 109.704 | 0.000 | 0.000 | 0.000 | 
| 26.652 | 26.652 | 26.652 | 24.107 | 0.000 | 0.000 | 
| 26.652 | 26.652 | 26.652 | -0.000 | 24.107 | 0.000 | 
| 26.652 | 26.652 | 26.652 | -0.000 | 0.000 | 24.107 | 
| -13.267 | -74.427 | -74.427 | 0.000 | -0.000 | -0.000 | 
| -74.427 | -13.267 | -74.427 | -0.000 | -0.000 | -0.000 | 
| -74.427 | -74.427 | -13.267 | 0.000 | 0.000 | -0.000 | 
| -26.652 | -26.652 | -26.652 | 24.107 | -0.000 | -0.000 | 
| -26.652 | -26.652 | -26.652 | 0.000 | 24.107 | -0.000 | 
| -26.652 | -26.652 | -26.652 | -0.000 | -0.000 | 24.107 | 
| 184.110 | 2625.918 | -800.649 | -0.000 | -0.000 | 0.000 | 
| 306.262 | 276.774 | 10.696 | 0.000 | -0.000 | 0.000 | 
| 98.412 | 145.211 | 129.175 | -0.000 | -0.000 | -0.000 | 
| 0.000 | 0.000 | 0.000 | 120.609 | 0.000 | 0.000 | 
| 69.174 | 130.686 | 37.364 | 0.000 | 36.641 | -0.000 | 
| 305.915 | 193.645 | 48.874 | 0.000 | -0.000 | -8.928 | 
| -733.728 | -1733.771 | 238.948 | -0.000 | 0.000 | 0.000 | 
| -314.322 | -128.275 | -91.269 | -0.000 | 0.000 | -0.000 | 
| 50.708 | 31.623 | 193.830 | 0.000 | 0.000 | -0.000 | 
| -0.000 | -0.000 | 0.000 | 120.610 | -0.000 | -0.000 | 
| -69.174 | -130.686 | -37.364 | 0.000 | 36.641 | 0.000 | 
| -0.000 | -0.000 | -0.000 | -0.000 | 0.000 | 86.462 | 
| -15.111 | 40.800 | -60.671 | 0.000 | -0.000 | -0.000 | 
| 4.401 | 6.402 | -41.366 | -0.000 | -0.000 | -0.000 | 
| 15.606 | -2.456 | -14.059 | -0.000 | -0.000 | 0.000 | 
| 6.682 | 12.624 | 3.609 | 58.481 | -0.000 | -0.000 | 
| 24.047 | 17.094 | 4.409 | 0.000 | -2.013 | -0.000 | 
| 8.029 | 15.170 | 4.337 | 0.000 | -0.000 | 44.992 | 
| 82.887 | 48.175 | 50.708 | 0.000 | 0.000 | -0.000 | 
| -30.428 | -75.546 | -10.659 | -0.000 | 0.000 | 0.000 | 
| -24.467 | -27.913 | -3.065 | -0.000 | 0.000 | 0.000 | 
| -6.682 | -12.624 | -3.609 | 58.481 | 0.000 | 0.000 | 
| -24.047 | -17.094 | -4.409 | 0.000 | -2.013 | -0.000 | 
| -26.702 | -17.850 | -4.553 | 0.000 | 0.000 | 1.658 | 
| 2.549 | 6.698 | -1.001 | -0.000 | -0.000 | -0.000 | 
| -0.283 | 8.141 | -0.491 | -0.000 | -0.000 | 0.000 | 
| 0.143 | 11.262 | -0.726 | 0.000 | -0.000 | -0.000 | 
| 1.615 | 6.290 | -0.485 | -0.559 | -0.000 | -0.000 | 
| 1.278 | 3.553 | -0.409 | 0.000 | 1.020 | -0.000 | 
| 2.438 | 1.718 | 0.442 | 0.000 | -0.000 | 7.595 | 
| -1.753 | -13.089 | 1.391 | 0.000 | 0.000 | 0.000 | 
| -6.159 | 15.633 | -22.615 | -0.000 | 0.000 | 0.000 | 
| -4.271 | -8.421 | 1.941 | -0.000 | 0.000 | 0.000 | 
| -1.615 | -6.290 | 0.485 | -0.559 | 0.000 | -0.000 | 
| -1.278 | -3.553 | 0.409 | 0.000 | 1.020 | 0.000 | 
| -2.438 | -1.718 | -0.442 | 0.000 | 0.000 | 7.595 | 
| 469.390 | 277.294 | 99.901 | -25.120 | 113.111 | -86.456 | 
| 577.568 | 298.405 | 145.537 | -96.674 | 40.283 | -7.120 | 
| 153.062 | -29.749 | 168.127 | -5.216 | 17.998 | 51.076 | 
| 167.609 | 101.952 | -43.683 | -130.552 | -161.268 | 47.278 | 
| 112.164 | -56.789 | 0.983 | -26.272 | 64.743 | 55.455 | 
| 170.548 | -14.311 | 106.476 | -3.152 | 72.578 | 24.039 | 
| -168.340 | 7.322 | -100.578 | -6.992 | -61.677 | -47.162 | 
| -188.182 | 1.572 | -99.544 | -9.506 | -66.920 | -36.488 | 
| -363.178 | -168.003 | -181.140 | -43.239 | -92.010 | 25.053 | 
| -308.363 | -197.307 | 144.261 | 103.731 | 177.375 | 12.479 | 
| -181.594 | 12.421 | -100.192 | -6.859 | -47.669 | -30.218 | 
| -129.219 | 53.045 | 8.836 | 19.296 | 4.406 | -27.767 | 
| 51.001 | -1.292 | 17.671 | -4.552 | 11.649 | -9.141 | 
| 60.910 | 24.988 | 16.232 | -17.160 | -1.191 | -1.776 | 
| 22.233 | 5.877 | 116.539 | 13.343 | 12.156 | 2.237 | 
| 12.245 | -2.344 | 14.948 | 29.353 | -4.406 | 4.393 | 
| 51.863 | 19.762 | 7.926 | -5.528 | -14.415 | -11.320 | 
| 44.567 | 16.232 | 8.561 | -5.119 | 2.383 | -8.837 | 
| -25.555 | -30.621 | -4.510 | 12.367 | -5.537 | 5.872 | 
| -47.481 | -22.402 | -9.148 | 1.455 | -10.592 | -0.224 | 
| 25.376 | 36.712 | 171.719 | 17.764 | 6.661 | -4.592 | 
| -20.771 | -6.117 | 3.035 | 3.453 | -11.882 | -6.099 | 
| -34.348 | -22.949 | -22.319 | 12.066 | -19.484 | -7.403 | 
| -23.819 | -2.204 | 2.599 | 0.619 | 14.546 | 21.288 | 
| 8.459 | 6.632 | 6.780 | -2.983 | 1.932 | -2.520 | 
| 10.120 | 15.390 | 10.452 | -4.015 | -1.485 | -5.205 | 
| 6.981 | 11.696 | 32.148 | 0.649 | -0.160 | -2.868 | 
| 2.151 | -2.615 | 7.312 | 6.908 | -4.222 | -2.263 | 
| 1.070 | -0.285 | -4.056 | -3.179 | -1.110 | 0.419 | 
| -5.033 | -3.989 | 0.386 | -2.979 | 3.424 | 5.616 | 
| 5.299 | 5.356 | 5.082 | -2.773 | 2.187 | -4.117 | 
| 1.983 | 7.285 | 7.557 | -2.948 | -2.895 | -3.030 | 
| -3.555 | -1.837 | 11.492 | -0.717 | -2.184 | -1.492 | 
| -3.708 | -4.598 | 5.493 | 7.704 | -5.652 | -1.914 | 
| -3.857 | -2.406 | -0.541 | -2.975 | 5.170 | 0.007 | 
| -10.645 | -4.541 | -0.963 | -3.898 | 5.045 | 7.391 | 
| 280.282 | 148.813 | 113.425 | -0.002 | 0.011 | -0.065 | 
| 483.914 | 762.666 | 332.394 | -0.007 | 0.046 | 0.237 | 
| 75.673 | 27.959 | 683.988 | -0.000 | -0.000 | 0.000 | 
| 185.478 | 1262.553 | 1173.211 | 68.496 | 0.020 | -0.531 | 
| 769.567 | 1210.482 | 648.626 | -0.008 | 5.439 | 0.147 | 
| 29.693 | 29.811 | -8.249 | -0.001 | 0.003 | 131.358 | 
| -520.227 | -756.682 | -283.013 | 0.007 | -0.043 | -0.223 | 
| 32.624 | 328.049 | 48.653 | 0.001 | -0.003 | -0.095 | 
| 66.583 | 14.028 | 196.445 | 0.001 | -0.003 | -0.079 | 
| -0.000 | 0.000 | 0.000 | 222.977 | 0.000 | -0.000 | 
| -29.687 | -29.804 | 8.247 | 0.001 | 176.886 | -0.094 | 
| -650.776 | -943.204 | -466.228 | 0.008 | -0.053 | -52.325 | 
| 86.300 | 27.190 | 60.580 | -0.001 | 0.004 | 0.017 | 
| 2.332 | 198.493 | 18.191 | -0.001 | 0.004 | 0.011 | 
| 90.341 | 53.345 | 322.894 | -0.000 | 0.002 | 0.010 | 
| 50.072 | 76.751 | 40.438 | 31.188 | 0.004 | 0.010 | 
| 49.926 | 71.587 | 35.380 | -0.001 | 34.190 | 0.009 | 
| 15.938 | 18.001 | 5.775 | -0.000 | 0.002 | 55.309 | 
| -21.899 | -122.843 | -66.546 | 0.000 | -0.002 | 0.005 | 
| -5.412 | 160.714 | 10.400 | 0.000 | -0.002 | -0.007 | 
| -21.824 | -65.424 | 187.018 | 0.001 | -0.003 | -0.010 | 
| -24.810 | -33.738 | -15.245 | 64.774 | -0.002 | -0.011 | 
| -11.067 | -11.051 | -6.647 | 0.000 | 128.880 | 0.006 | 
| -33.786 | -47.682 | -20.843 | 0.000 | -0.003 | 11.356 | 
| 63.517 | -0.492 | 28.611 | -0.000 | 0.000 | 0.001 | 
| 3.382 | 215.347 | 10.832 | -0.000 | 0.000 | 0.001 | 
| 41.208 | 32.380 | 221.809 | -0.000 | 0.000 | 0.001 | 
| 3.267 | 5.320 | 2.829 | 75.861 | 0.000 | 0.001 | 
| 1.821 | 4.913 | 3.466 | -0.000 | 54.332 | 0.001 | 
| 2.976 | 5.308 | 3.814 | -0.000 | 0.000 | 39.255 | 
| 66.285 | -14.058 | 21.550 | 0.000 | -0.000 | -0.001 | 
| -17.094 | 194.004 | 12.453 | 0.000 | -0.000 | -0.000 | 
| 16.013 | 8.771 | 216.028 | 0.000 | -0.000 | -0.001 | 
| -3.118 | -5.473 | -3.543 | 74.871 | -0.000 | 0.000 | 
| -1.821 | -4.913 | -3.466 | 0.000 | 54.331 | -0.001 | 
| -2.926 | -4.047 | -1.937 | 0.000 | -0.000 | 46.654 | 
| 53.812 | -7.652 | 0.440 | 0.004 | -0.417 | -0.135 | 
| -7.128 | 52.993 | 0.048 | -0.303 | -0.395 | 0.024 | 
| 1.582 | -0.588 | 66.087 | -0.346 | -1.689 | 0.033 | 
| 0.148 | -0.162 | 0.107 | 33.243 | -0.237 | -0.147 | 
| -307010.339 | -101592.420 | -685385.830 | 1047.305 | -6439.310 | -101068.597 | 
| -244846.537 | -111363.576 | -674224.545 | 29170.548 | -27803.430 | -106287.565 | 
| 218342.621 | 110744.650 | 758270.117 | -48260.849 | 51565.148 | 116824.208 | 
| 109286.240 | 88108.665 | 581890.804 | 102489.305 | -26477.012 | 111522.065 | 
| 299596.201 | 50627.634 | 869097.292 | -56636.755 | 175341.950 | 107708.559 | 
| 91153.675 | 73747.731 | 554123.818 | 106097.066 | -14349.599 | 115920.785 | 
| -0.326 | -0.173 | -1.199 | -0.202 | 33.621 | 0.157 | 
| -0.234 | -0.057 | -0.280 | -0.138 | 0.184 | 27.137 | 
| 53.809 | -7.654 | 0.435 | 0.004 | -0.417 | -0.134 | 
| -7.130 | 52.990 | 0.043 | -0.303 | -0.395 | 0.024 | 
| 1.570 | -0.603 | 66.046 | -0.347 | -1.689 | 0.034 | 
| 0.148 | -0.163 | 0.107 | 33.243 | -0.237 | -0.147 | 
| -30137.659 | -7555.663 | -84859.877 | 6714.892 | -15296.393 | -9893.907 | 
| -30856.330 | -3578.150 | -88174.156 | 4569.334 | -17143.306 | -12132.261 | 
| 30244.445 | 8924.295 | 65091.761 | -249.574 | 1572.540 | 10636.748 | 
| 30654.601 | 3371.819 | 88089.450 | -3968.701 | 17323.800 | 12065.138 | 
| 13209.383 | 8863.209 | 55363.365 | 9305.595 | -2317.980 | 11606.379 | 
| 9537.823 | 7753.642 | 55598.584 | 10149.835 | -3048.847 | 11403.742 | 
| -0.326 | -0.173 | -1.198 | -0.202 | 33.619 | 0.157 | 
| -0.233 | -0.057 | -0.279 | -0.138 | 0.183 | 27.136 | 
| 53.784 | -7.669 | 0.397 | 0.001 | -0.420 | -0.133 | 
| -7.140 | 52.965 | 0.011 | -0.303 | -0.397 | 0.025 | 
| 1.448 | -0.759 | 65.611 | -0.367 | -1.708 | 0.040 | 
| 0.149 | -0.162 | 0.110 | 33.242 | -0.238 | -0.147 | 
| -2644.699 | -1104.849 | -6592.955 | 209.620 | -75.134 | -1099.100 | 
| -2863.740 | -779.748 | -6185.310 | -354.352 | 42.990 | -1105.992 | 
| 2657.142 | 867.640 | 8142.809 | -491.894 | 1367.751 | 887.484 | 
| 2650.453 | 916.684 | 6021.154 | 226.291 | -22.829 | 1102.365 | 
| 1007.347 | 797.588 | 5768.492 | 1158.442 | -285.458 | 1111.892 | 
| 1837.965 | 1015.171 | 5907.240 | 837.184 | -211.587 | 1107.145 | 
| -0.328 | -0.173 | -1.203 | -0.201 | 33.607 | 0.157 | 
| -0.234 | -0.058 | -0.281 | -0.138 | 0.184 | 27.136 | 
| -81.116 | 106.685 | -270.286 | -140.602 | 464.957 | 325.384 | 
| 108.275 | 491.825 | 59.209 | 10.869 | -9.244 | -22.644 | 
| -325.773 | 100.024 | 152.117 | -157.577 | 431.811 | 351.836 | 
| -26.476 | -90.695 | -603.680 | -278.072 | 342.953 | 178.779 | 
| -473.923 | 59.372 | -418.574 | -183.616 | 718.247 | 438.664 | 
| -571.407 | 14.902 | -424.778 | -186.151 | 585.826 | 598.724 | 
| 380.772 | 190.816 | 751.840 | 449.341 | -459.980 | -164.297 | 
| -96.269 | 405.108 | 227.308 | -27.180 | -103.389 | 152.472 | 
| 1366.387 | 236.279 | 923.526 | -20.207 | -875.291 | 131.752 | 
| -0.128 | -0.105 | -5.357 | 215.264 | -9.162 | -23.514 | 
| 398.339 | -36.025 | 328.500 | 140.978 | -254.857 | -337.334 | 
| 420.201 | -87.447 | 409.513 | 173.982 | -508.244 | -257.776 | 
| 406.661 | 85.855 | 71.986 | -9.604 | -9.020 | 35.251 | 
| 25.449 | 205.854 | -23.495 | -43.173 | 68.336 | -41.488 | 
| 2.456 | 36.874 | 300.715 | -53.262 | 29.421 | 6.400 | 
| -28.661 | 6.397 | -42.787 | 175.553 | 35.414 | 27.072 | 
| -48.962 | 11.054 | -50.123 | -22.963 | 240.700 | 53.359 | 
| 16.926 | -23.269 | -19.458 | -1.589 | 27.662 | 134.832 | 
| 452.791 | 93.178 | 139.483 | -5.666 | -94.606 | 29.770 | 
| 30.629 | 179.553 | 128.172 | 19.351 | -7.665 | -11.672 | 
| 45.541 | 67.634 | 371.734 | -13.909 | -22.643 | 1.267 | 
| 61.078 | 14.871 | 48.157 | 150.040 | -57.223 | -3.060 | 
| -108.476 | -8.777 | -36.992 | -9.162 | 257.638 | 2.687 | 
| -12.629 | -15.500 | 20.374 | 1.387 | -9.733 | 105.060 | 
| 165.608 | 68.606 | 69.147 | 15.043 | -13.567 | -9.293 | 
| 74.575 | 274.670 | 49.978 | -6.668 | 12.070 | -26.698 | 
| 61.885 | 57.770 | 265.709 | -3.821 | -38.613 | -10.246 | 
| 17.021 | -0.043 | -13.182 | 145.600 | -7.763 | -4.199 | 
| -33.336 | 8.203 | -34.798 | -5.980 | 136.303 | 8.428 | 
| -24.712 | -29.990 | -9.945 | -9.557 | 25.492 | 140.459 | 
| 217.899 | 77.051 | 92.170 | 9.977 | -30.191 | -2.806 | 
| 74.791 | 201.413 | 66.684 | -0.251 | -8.035 | -34.344 | 
| 91.233 | 60.717 | 327.976 | -14.981 | -44.874 | -5.344 | 
| 12.290 | -5.454 | -5.972 | 88.966 | -10.232 | -2.590 | 
| -40.748 | 8.538 | -24.120 | -3.621 | 130.215 | 10.391 | 
| -6.695 | -28.755 | 0.846 | -6.109 | 10.962 | 131.235 | 
| -13203673.347 | 4572499.928 | 8050712.385 | 7928600.468 | 265667.058 | 5849877.235 | 
| -13267230.519 | 4603447.803 | 8067686.988 | 7911603.599 | 239124.428 | 5784880.596 | 
| -13222707.482 | 4660557.358 | 8079577.909 | 7891672.972 | 220988.428 | 5832774.154 | 
| -18.609 | 40.217 | 9.739 | 151.397 | 22.408 | -10.708 | 
| -34.129 | -1.490 | -13.069 | 22.511 | 123.615 | -18.837 | 
| -13343879.880 | 4744362.237 | 8007216.006 | 7887067.125 | 220132.392 | 5707450.889 | 
| 302.355 | 130.680 | 32.372 | -15.069 | -18.092 | 90.442 | 
| 126.038 | 505.531 | 60.364 | 44.811 | 0.596 | 158.680 | 
| 35.320 | 60.924 | 225.572 | 9.734 | -13.040 | 29.752 | 
| 13331298.952 | -4765638.639 | -8142098.504 | -7810263.723 | -134323.373 | -5722186.407 | 
| 13207824.703 | -4622696.009 | -8065346.991 | -7908186.674 | -241837.153 | -5847440.780 | 
| 13196633.539 | -4584729.993 | -8051705.627 | -7922695.431 | -259879.180 | -5861018.098 | 
| -1322607.490 | 459142.455 | 805941.687 | 791730.809 | 24926.920 | 583168.905 | 
| -1315794.478 | 453602.470 | 802327.923 | 794056.979 | 29019.425 | 590417.016 | 
| -1334403.885 | 474418.337 | 800782.893 | 788716.945 | 22013.687 | 570742.535 | 
| -18.607 | 40.210 | 9.737 | 151.390 | 22.405 | -10.709 | 
| -34.127 | -1.490 | -13.070 | 22.508 | 123.613 | -18.835 | 
| -1318932.323 | 458211.545 | 805035.764 | 792561.607 | 26474.793 | 586571.350 | 
| 302.327 | 130.636 | 32.366 | -15.065 | -18.086 | 90.411 | 
| 125.988 | 505.404 | 60.344 | 44.791 | 0.595 | 158.610 | 
| 35.319 | 60.922 | 225.571 | 9.733 | -13.040 | 29.751 | 
| 1334423.661 | -474434.773 | -800673.206 | -788686.820 | -22028.284 | -570700.768 | 
| 1316422.356 | -461486.233 | -805522.088 | -791533.927 | -25659.681 | -588937.354 | 
| 80.846 | 159.103 | 28.418 | -9.063 | -17.534 | 211.039 | 
| -132116.500 | 46227.406 | 80664.965 | 79052.098 | 2377.436 | 58401.072 | 
| -131644.420 | 45893.650 | 80446.283 | 79295.807 | 2752.849 | 58852.665 | 
| -131661.355 | 45463.174 | 80384.404 | 79363.505 | 2822.174 | 58940.030 | 
| -18.591 | 40.138 | 9.719 | 151.316 | 22.371 | -10.714 | 
| -131476.141 | 45174.500 | 80147.860 | 79508.934 | 3129.451 | 59033.828 | 
| -131868.745 | 45504.366 | 80382.394 | 79359.263 | 2775.543 | 58758.891 | 
| 133061.095 | -47381.573 | -79962.909 | -78965.381 | -2081.289 | -57117.946 | 
| 132224.481 | -45384.693 | -80470.867 | -79361.459 | -2707.644 | -58328.886 | 
| 35.313 | 60.901 | 225.565 | 9.727 | -13.042 | 29.741 | 
| 132399.326 | -46199.561 | -80683.033 | -79021.026 | -2359.350 | -58165.976 | 
| 132310.252 | -45962.189 | -80653.871 | -79160.651 | -2408.395 | -58260.198 | 
| 132253.519 | -45826.340 | -80565.360 | -79211.290 | -2539.028 | -58280.458 | 
| -597.597 | -486.511 | 208.562 | -114.206 | -57.443 | -49.368 | 
| -346.917 | 135.009 | 461.323 | 161.044 | -321.640 | -736.934 | 
| 1259.419 | -263.846 | 1654.781 | 778.593 | -473.955 | -186.374 | 
| -3986.986 | -1294.400 | 926.394 | 1731.224 | -1624.731 | 147.366 | 
| -425.605 | -31.264 | 438.378 | 169.217 | -216.793 | -756.625 | 
| 1342.299 | -496.536 | 1117.194 | 701.702 | -549.232 | 26.399 | 
| -832.975 | 449.307 | -1268.700 | -804.026 | 539.306 | 164.863 | 
| 1018.400 | 369.385 | -460.052 | -312.172 | 359.584 | 543.299 | 
| -2581.986 | -741.082 | -377.907 | -84.544 | 276.838 | 2055.863 | 
| 507.983 | -24.952 | -498.634 | -139.363 | 274.130 | 795.983 | 
| -2967.050 | -1106.897 | -140.646 | 755.166 | -346.106 | 1890.004 | 
| -2738.208 | -940.051 | -122.264 | 765.876 | -486.732 | 1975.038 | 
| 447.375 | 9.520 | 112.817 | 31.636 | -32.097 | 12.599 | 
| 41.910 | 295.780 | 253.106 | 97.340 | -20.843 | -18.103 | 
| 71.497 | 94.198 | 538.556 | 39.999 | 13.449 | -4.429 | 
| -54.222 | -41.919 | -23.402 | 97.014 | 3.293 | -16.181 | 
| -5.287 | -34.153 | 11.927 | -8.314 | 48.437 | -62.026 | 
| 247.686 | 11.914 | 70.868 | 12.930 | -14.860 | 30.889 | 
| 395.637 | 27.582 | -89.668 | -37.445 | -1.691 | 112.713 | 
| -195.797 | 331.517 | 57.765 | 62.498 | -45.251 | 164.607 | 
| 61.138 | 64.429 | 175.198 | -43.421 | 38.621 | 59.759 | 
| -74.586 | -96.546 | -144.783 | -4.120 | 33.627 | 223.559 | 
| 90.376 | 17.685 | -12.075 | 26.460 | 148.549 | 43.556 | 
| 118.783 | 21.935 | -80.483 | -53.147 | 59.568 | 168.604 | 
| 229.775 | 44.787 | 40.378 | 19.656 | -13.038 | 13.488 | 
| 31.076 | 168.904 | 75.585 | 13.778 | -14.586 | 9.481 | 
| -4.544 | 47.528 | 200.132 | 23.651 | -4.624 | 16.206 | 
| 9.144 | 6.412 | 17.232 | 130.881 | -1.127 | 8.083 | 
| -2.430 | -4.482 | 19.640 | 5.833 | 66.623 | -3.591 | 
| 19.219 | 1.993 | 29.863 | 29.798 | -1.255 | 53.612 | 
| 283.031 | 65.482 | 47.259 | 16.342 | 8.272 | 43.751 | 
| 42.743 | 162.052 | 63.533 | -21.197 | 12.871 | 4.542 | 
| 50.904 | 67.099 | 183.922 | -19.233 | 15.802 | 19.219 | 
| -29.399 | -80.896 | -61.325 | 44.036 | 7.556 | 33.535 | 
| -0.504 | -3.712 | 15.998 | -0.240 | 97.840 | 17.477 | 
| 14.352 | 5.594 | -23.751 | -1.487 | 7.202 | 106.125 | 
| -981316.838 | 402224.020 | -1126412.176 | -585061.404 | 1419567.053 | -555946.898 | 
| -845729.808 | 388969.127 | -1054778.598 | -534383.283 | 1279012.587 | -508715.621 | 
| -889790.855 | 394447.238 | -1081188.767 | -552743.948 | 1326772.212 | -525155.230 | 
| -856182.625 | 391608.544 | -1060201.394 | -540837.738 | 1290348.820 | -511962.121 | 
| -843178.818 | 388519.089 | -1053179.984 | -533274.221 | 1276236.749 | -507739.171 | 
| -843661.974 | 388587.862 | -1053472.956 | -533490.191 | 1276716.283 | -507864.445 | 
| 981736.255 | -402141.670 | 1126247.490 | 585144.105 | -1419683.577 | 556038.880 | 
| 842717.296 | -388353.682 | 1052879.664 | 533066.966 | -1275667.156 | 507561.604 | 
| 845892.247 | -388885.309 | 1055006.016 | 534449.548 | -1279186.013 | 508769.136 | 
| 855601.994 | -391625.705 | 1059758.619 | 540804.928 | -1289693.900 | 511679.289 | 
| 863172.041 | -392549.720 | 1064428.715 | 543873.911 | -1297908.419 | 514562.740 | 
| 843020.354 | -388494.623 | 1053066.025 | 533200.437 | -1276017.172 | 507737.333 | 
| -85739.557 | 39217.271 | -106170.518 | -54211.925 | 129336.320 | -51289.438 | 
| -86106.369 | 39333.323 | -106305.250 | -54312.998 | 129576.405 | -51375.277 | 
| -85730.526 | 39188.569 | -105964.257 | -54143.312 | 129151.114 | -51241.504 | 
| -84378.720 | 38854.895 | -105362.881 | -53309.766 | 127691.846 | -50806.428 | 
| -84474.549 | 38873.853 | -105429.596 | -53394.722 | 127840.868 | -50834.148 | 
| -85632.387 | 39173.048 | -106021.439 | -54111.382 | 129044.355 | -51137.327 | 
| 84339.427 | -38823.617 | 105241.948 | 53277.831 | -127469.875 | 50727.224 | 
| 85591.066 | -39058.006 | 106008.525 | 54070.938 | -128993.903 | 51183.909 | 
| 84197.562 | -38822.346 | 105364.467 | 53267.118 | -127491.595 | 50724.044 | 
| 88897.483 | -39440.941 | 108075.945 | 55287.223 | -132584.738 | 52475.346 | 
| 84226.764 | -38838.564 | 105245.393 | 53288.077 | -127468.911 | 50738.809 | 
| 84569.085 | -38885.404 | 105475.301 | 53432.187 | -127900.402 | 50928.478 | 
| -8287.790 | 3896.087 | -10528.714 | -5328.684 | 12775.505 | -5077.344 | 
| -8447.098 | 3986.637 | -10536.084 | -5344.341 | 12789.589 | -5084.716 | 
| -8581.923 | 3918.188 | -10501.093 | -5405.156 | 12920.928 | -5138.146 | 
| -8472.040 | 3885.375 | -10564.681 | -5306.134 | 12812.182 | -5102.006 | 
| -8438.746 | 3886.430 | -10549.683 | -5335.028 | 12818.787 | -5080.444 | 
| -8569.615 | 3920.591 | -10605.458 | -5419.685 | 12907.226 | -5062.666 | 
| 8637.427 | -3882.723 | 10573.610 | 5363.417 | -12816.205 | 5100.981 | 
| 8525.214 | -3812.006 | 10584.684 | 5388.340 | -12852.616 | 5104.259 | 
| 8428.077 | -3872.169 | 10653.432 | 5323.506 | -12763.504 | 5072.030 | 
| 8432.312 | -3890.512 | 10524.515 | 5376.860 | -12756.535 | 5068.394 | 
| 8441.239 | -3886.217 | 10524.063 | 5337.588 | -12723.077 | 5080.608 | 
| 8430.030 | -3883.809 | 10530.018 | 5327.879 | -12764.472 | 5135.327 | 
| -4975.025 | -1583.932 | -4288.547 | -1009.473 | -1243.984 | -1175.342 | 
| -7986.195 | 4245.865 | -6290.208 | -4681.172 | -5786.647 | 1457.430 | 
| -3128.864 | -2543.524 | -5238.422 | -1903.293 | -381.985 | -2272.041 | 
| -12187.127 | -1583.337 | -7942.459 | -796.643 | -2141.189 | -2467.897 | 
| -6384.777 | -2194.806 | -6675.800 | -2288.700 | -3831.994 | -1214.704 | 
| -4326.402 | 7887.985 | -8346.464 | -7542.134 | -7726.221 | 3286.270 | 
| 3495.955 | 2575.842 | 5192.083 | 1658.908 | 150.672 | 2207.287 | 
| 6970.869 | 5108.788 | 5156.519 | 733.571 | 822.162 | 3074.211 | 
| 243.724 | 229.895 | 941.524 | -2.646 | 63.144 | 98.735 | 
| 5105.902 | 3059.880 | 2924.490 | 2680.765 | 3135.526 | 1566.123 | 
| 3125.656 | 2528.804 | 5031.917 | 1705.048 | 360.454 | 2172.783 | 
| 9982.260 | 5637.870 | 7936.654 | 1469.550 | -666.081 | 4484.908 | 
| 64.403 | -207.947 | -412.463 | 173.988 | 90.713 | -258.449 | 
| -419.412 | 229.264 | -263.409 | 5.045 | -103.292 | -64.205 | 
| -313.042 | 41.449 | -77.246 | -162.150 | 1.456 | -198.547 | 
| -734.395 | -410.654 | -728.503 | 306.664 | -66.690 | -313.836 | 
| -664.661 | -319.166 | -613.658 | 107.940 | 148.805 | -286.440 | 
| -668.144 | -269.673 | -685.208 | -218.143 | -403.105 | -4.178 | 
| 631.698 | 215.611 | 428.493 | 57.290 | -20.957 | 155.721 | 
| 592.725 | 600.606 | 548.865 | -28.619 | 149.440 | 92.794 | 
| 788.355 | 174.024 | 845.641 | -2.520 | 110.644 | 323.201 | 
| 640.345 | 371.681 | 458.727 | 326.231 | 266.941 | 169.783 | 
| 489.296 | 284.962 | 490.201 | -136.350 | 182.933 | 223.699 | 
| 444.082 | 55.477 | 385.436 | 233.478 | 240.802 | 177.042 | 
| 204.647 | 36.369 | 19.500 | -21.457 | -10.873 | -22.635 | 
| 5.509 | 175.249 | 11.342 | -67.664 | 5.526 | -19.817 | 
| 0.160 | 42.472 | 53.730 | -12.382 | -33.212 | 9.044 | 
| -69.493 | -46.430 | -99.342 | 82.413 | -21.159 | -6.891 | 
| -70.335 | -16.442 | -56.963 | 8.076 | 92.817 | -35.451 | 
| -45.506 | -17.305 | -40.723 | 13.076 | -23.902 | 138.723 | 
| 317.018 | 32.380 | 84.860 | -13.612 | 6.824 | 16.381 | 
| 142.173 | 275.530 | 109.617 | -45.354 | 26.377 | 18.699 | 
| 162.912 | 83.689 | 272.931 | -34.190 | 9.763 | 31.664 | 
| 15.276 | -48.103 | -29.233 | 168.251 | 26.316 | 3.537 | 
| 70.674 | -4.391 | 55.377 | 27.387 | 134.857 | 4.518 | 
| 65.340 | -8.170 | 43.341 | 9.961 | 39.154 | 22.421 | 
| 289.270 | 310.239 | 81.365 | 209.815 | 43.985 | -92.211 | 
| 92.052 | 355.900 | 241.313 | 217.683 | 44.448 | -68.431 | 
| 74.739 | 385.194 | -630.175 | 226.119 | 104.588 | -191.674 | 
| 105.588 | 270.292 | 202.009 | 329.117 | 75.533 | -64.800 | 
| 230.428 | 294.703 | 368.025 | 336.373 | 363.077 | -219.259 | 
| 84.570 | 402.292 | 204.609 | 271.438 | -6.010 | 113.004 | 
| -65.193 | -350.392 | -453.232 | -234.384 | -119.344 | 48.879 | 
| -301.627 | -791.334 | -330.744 | -127.333 | -101.020 | 90.652 | 
| -159.944 | -344.586 | -400.929 | -220.377 | -120.283 | 45.362 | 
| -90.749 | -297.394 | -207.661 | -237.896 | -30.566 | 47.864 | 
| -33.921 | -222.881 | -307.226 | -141.540 | -397.144 | 117.499 | 
| -132.748 | -365.589 | -241.788 | -222.494 | -75.119 | 143.910 | 
| 131.133 | 39.677 | 34.432 | 20.454 | 17.708 | -22.752 | 
| 0.912 | 116.364 | 38.724 | 23.724 | 6.718 | -11.399 | 
| -136.215 | -0.941 | -48.233 | 66.797 | -10.128 | 0.597 | 
| 33.632 | 6.552 | 8.651 | 119.417 | 0.364 | 14.126 | 
| 48.100 | 121.295 | 174.690 | 83.243 | -424.548 | 83.212 | 
| 22.029 | 22.135 | 43.151 | 31.989 | 13.517 | -1.867 | 
| 118.864 | 17.480 | -3.709 | 0.666 | -3.903 | -37.515 | 
| -0.747 | 58.447 | 11.006 | -8.646 | -18.018 | 0.543 | 
| 86.169 | -28.029 | 402.813 | 0.154 | 148.554 | 56.134 | 
| -8.668 | -35.109 | -10.867 | 42.042 | 5.062 | 13.398 | 
| 0.197 | -37.373 | -3.892 | -13.082 | -12.122 | 22.884 | 
| -14.974 | -31.165 | -38.645 | -6.527 | 25.985 | -95.709 | 
| 135.709 | 9.935 | 14.560 | 4.502 | 20.709 | -13.155 | 
| 3.709 | 99.037 | 19.803 | -2.117 | -2.350 | -7.502 | 
| 15.491 | 24.568 | 170.855 | -7.890 | 17.043 | -5.343 | 
| 0.666 | 1.666 | -5.879 | 49.573 | -7.466 | 3.867 | 
| 19.115 | 7.377 | 11.712 | -2.887 | 57.595 | 5.741 | 
| -20.091 | -4.801 | -6.965 | 0.533 | 2.600 | 45.216 | 
| 145.616 | 16.098 | -1.766 | -4.594 | 23.867 | -8.362 | 
| 2.511 | 73.411 | 11.964 | -4.287 | -0.847 | -10.373 | 
| -3.800 | 16.217 | 105.480 | -0.228 | 12.565 | -1.996 | 
| 1.124 | -2.348 | -0.255 | 49.086 | -4.215 | 11.354 | 
| 16.832 | 0.214 | 9.551 | -5.160 | 59.313 | 8.341 | 
| -19.788 | -10.889 | -8.695 | -1.617 | 3.487 | 49.953 | 
| 3995.027 | 3139.105 | 3139.106 | 0.000 | 0.000 | 0.000 | 
| 3139.105 | 3995.027 | 3139.106 | 0.000 | 0.000 | 0.000 | 
| 3139.105 | 3139.105 | 3995.027 | 0.000 | 0.000 | -0.000 | 
| 3027.967 | 3027.967 | 3027.967 | 376.106 | 0.000 | 0.000 | 
| 3027.966 | 3027.966 | 3027.967 | 0.000 | 376.106 | 0.000 | 
| 3027.966 | 3027.967 | 3027.966 | 0.000 | 0.000 | 376.106 | 
| -2040.032 | -2928.170 | -2928.170 | -0.000 | -0.000 | -0.000 | 
| -2928.170 | -2040.032 | -2928.170 | -0.000 | -0.000 | 0.000 | 
| -2928.170 | -2928.170 | -2040.032 | 0.000 | -0.000 | -0.000 | 
| -3027.966 | -3027.966 | -3027.967 | 376.106 | -0.000 | 0.000 | 
| -3027.966 | -3027.966 | -3027.967 | 0.000 | 376.106 | -0.000 | 
| -3027.967 | -3027.967 | -3027.966 | -0.000 | -0.000 | 376.106 | 
| 1046.406 | 120.850 | 120.850 | -0.000 | 0.000 | 0.000 | 
| 120.850 | 1046.406 | 120.850 | 0.000 | -0.000 | -0.000 | 
| 120.850 | 120.850 | 1046.406 | 0.000 | -0.000 | 0.000 | 
| 304.281 | 304.281 | 304.281 | 395.851 | 0.000 | -0.000 | 
| 304.281 | 304.281 | 304.281 | 0.000 | 395.851 | -0.000 | 
| 304.281 | 304.281 | 304.281 | 0.000 | -0.000 | 395.851 | 
| 663.931 | -191.993 | -191.993 | 0.000 | -0.000 | 0.000 | 
| -191.993 | 663.931 | -191.993 | 0.000 | -0.000 | 0.000 | 
| -191.993 | -191.993 | 663.931 | -0.000 | -0.000 | 0.000 | 
| -304.281 | -304.281 | -304.281 | 395.851 | 0.000 | 0.000 | 
| -304.281 | -304.281 | -304.281 | -0.000 | 395.851 | -0.000 | 
| -304.281 | -304.281 | -304.281 | -0.000 | -0.000 | 395.851 | 
| 997.023 | 141.101 | 141.101 | 0.000 | -0.000 | -0.000 | 
| 141.101 | 997.023 | 141.101 | 0.000 | 0.000 | 0.000 | 
| 141.101 | 141.101 | 997.023 | 0.000 | 0.000 | 0.000 | 
| 27.904 | 27.904 | 27.904 | 387.354 | 0.000 | 0.000 | 
| 35.033 | 35.033 | 35.034 | 0.000 | 384.650 | 0.000 | 
| 27.904 | 27.904 | 27.904 | -0.000 | 0.000 | 387.354 | 
| 936.463 | 80.540 | 80.539 | -0.000 | -0.000 | 0.000 | 
| 80.540 | 936.462 | 80.541 | -0.000 | 0.000 | -0.000 | 
| 80.541 | 80.540 | 936.462 | 0.000 | -0.000 | -0.000 | 
| -27.904 | -27.904 | -27.904 | 387.354 | -0.000 | 0.000 | 
| -35.033 | -35.033 | -35.034 | -0.000 | 384.650 | -0.000 | 
| -27.904 | -27.904 | -27.904 | -0.000 | 0.000 | 387.354 | 
| 939.718 | 75.342 | 75.342 | -0.000 | -0.000 | -0.000 | 
| 75.342 | 939.718 | 75.342 | 0.000 | -0.000 | 0.000 | 
| 75.342 | 75.342 | 939.718 | 0.000 | 0.000 | 0.000 | 
| 0.000 | 0.000 | 0.000 | 378.910 | 0.000 | -0.000 | 
| 0.000 | 0.000 | 0.000 | 0.000 | 378.910 | 0.000 | 
| 0.000 | 0.000 | 0.000 | 0.000 | -0.000 | 378.910 | 
| 939.717 | 75.341 | 75.341 | 0.000 | 0.000 | -0.000 | 
| 75.341 | 939.717 | 75.342 | 0.000 | 0.000 | 0.000 | 
| 75.341 | 75.341 | 939.717 | 0.000 | 0.000 | 0.000 | 
| -0.000 | -0.000 | -0.000 | 378.910 | 0.000 | -0.000 | 
| -0.000 | -0.000 | -0.000 | 0.000 | 378.910 | 0.000 | 
| -0.000 | -0.000 | 0.000 | -0.001 | 0.000 | 378.910 | 
| 939.717 | 75.341 | 75.341 | -0.000 | -0.000 | 0.000 | 
| 75.341 | 939.717 | 75.341 | -0.000 | -0.000 | 0.000 | 
| 75.341 | 75.341 | 939.717 | -0.000 | -0.000 | -0.000 | 
| 0.000 | 0.000 | 0.000 | 503.857 | -0.000 | 0.000 | 
| 0.000 | 0.000 | 0.000 | -0.000 | 503.857 | -0.000 | 
| 0.000 | 0.000 | 0.000 | -0.000 | 0.000 | 503.857 | 
| 1005.613 | 103.070 | 103.070 | 0.000 | -0.000 | 0.000 | 
| 103.070 | 1005.613 | 103.070 | -0.000 | 0.000 | -0.000 | 
| 103.070 | 103.070 | 1005.613 | 0.000 | -0.000 | -0.000 | 
| -0.000 | -0.000 | -0.000 | 503.857 | 0.000 | 0.000 | 
| -0.000 | -0.000 | -0.000 | -0.000 | 503.857 | 0.000 | 
| -0.000 | -0.000 | -0.000 | -0.000 | 0.000 | 503.857 | 
| 932.824 | 90.018 | 90.018 | -0.000 | 0.000 | -0.000 | 
| 90.018 | 932.824 | 90.018 | -0.000 | -0.000 | -0.000 | 
| 90.018 | 90.018 | 932.824 | -0.000 | -0.000 | -0.000 | 
| 0.000 | -0.000 | 0.000 | 366.443 | 0.000 | 0.000 | 
| -0.000 | 0.000 | 0.000 | -0.000 | 378.910 | 0.000 | 
| -0.000 | 0.000 | 0.000 | -0.000 | 0.000 | 366.443 | 
| 1005.611 | 103.069 | 103.070 | 0.000 | -0.000 | -0.000 | 
| 103.070 | 1005.611 | 103.069 | 0.000 | 0.000 | -0.000 | 
| 103.069 | 103.070 | 1005.611 | -0.000 | 0.000 | 0.000 | 
| -0.000 | 0.000 | -0.000 | 366.443 | 0.000 | -0.000 | 
| 0.000 | -0.000 | -0.000 | -0.000 | 378.910 | 0.000 | 
| 0.000 | -0.000 | -0.000 | -0.000 | -0.000 | 366.443 | 
| 1280.792 | 61.619 | -3.322 | -0.001 | 0.000 | -0.000 | 
| 77.953 | 1239.349 | 21.610 | -0.000 | 0.000 | -0.000 | 
| 18.660 | 18.660 | 1299.749 | -0.000 | 0.000 | -0.000 | 
| 0.047 | 0.047 | -0.093 | 535.291 | -0.000 | -0.000 | 
| 0.000 | 0.000 | 0.001 | 0.000 | 546.060 | -0.000 | 
| -0.000 | -0.000 | 0.001 | -0.000 | -0.000 | 609.586 | 
| 1239.277 | 77.827 | 21.803 | -0.001 | -0.000 | -0.000 | 
| 77.828 | 1239.277 | 21.803 | 0.000 | -0.000 | 0.000 | 
| 18.566 | 18.566 | 1299.936 | 0.000 | -0.001 | 0.000 | 
| -0.047 | -0.047 | 0.093 | 535.291 | 0.000 | 0.000 | 
| 0.000 | -0.000 | -0.001 | 0.000 | 546.060 | 0.000 | 
| 0.000 | -0.000 | -0.001 | 0.000 | -0.000 | 609.587 | 
| 1239.317 | 77.897 | 21.696 | -0.000 | -0.000 | -0.000 | 
| 61.619 | 1280.792 | -3.322 | 0.000 | -0.000 | -0.000 | 
| 18.617 | 18.617 | 1299.833 | 0.000 | -0.000 | -0.000 | 
| 0.005 | 0.005 | -0.009 | 535.291 | 0.000 | -0.000 | 
| -0.000 | 0.000 | 0.000 | 0.000 | 546.060 | -0.000 | 
| 0.000 | 0.000 | 0.000 | 0.000 | -0.000 | 609.586 | 
| 1239.309 | 77.884 | 21.715 | -0.000 | -0.000 | 0.000 | 
| 61.619 | 1280.791 | -3.322 | -0.000 | 0.000 | 0.000 | 
| 18.608 | 18.608 | 1299.852 | 0.000 | 0.000 | 0.000 | 
| -0.005 | -0.005 | 0.009 | 535.291 | 0.000 | 0.000 | 
| 0.000 | -0.000 | -0.000 | -0.000 | 546.060 | 0.000 | 
| -0.000 | -0.000 | -0.000 | -0.000 | 0.000 | 609.586 | 
| 1238.807 | 82.149 | 17.985 | 0.000 | 0.000 | -0.000 | 
| 77.861 | 1239.395 | 21.657 | -0.000 | -0.000 | -0.000 | 
| 18.614 | 18.614 | 1299.844 | -0.000 | 0.000 | -0.000 | 
| 0.000 | -0.000 | 0.000 | 546.060 | 0.000 | -0.000 | 
| -0.000 | 0.000 | 0.000 | 0.000 | 546.060 | -0.000 | 
| 0.000 | 0.001 | 0.000 | 0.000 | -0.000 | 609.586 | 
| 1239.262 | 77.907 | 21.734 | 0.000 | 0.000 | 0.000 | 
| 82.155 | 1238.798 | 17.978 | 0.000 | 0.000 | 0.000 | 
| 18.611 | 18.611 | 1299.841 | 0.000 | -0.000 | 0.000 | 
| -0.000 | 0.000 | -0.000 | 546.060 | 0.000 | 0.000 | 
| 0.000 | -0.000 | -0.000 | 0.000 | 546.060 | 0.000 | 
| -0.000 | -0.001 | -0.000 | -0.000 | -0.000 | 609.586 | 
| 950.063 | -8.382 | 0.000 | 0.000 | 0.000 | -0.001 | 
| -8.382 | 950.063 | 0.000 | 0.000 | 0.000 | -0.000 | 
| -0.000 | 0.000 | 0.000 | 0.000 | 0.000 | 0.000 | 
| -0.000 | -0.000 | 0.000 | 0.000 | 0.000 | 0.000 | 
| -0.000 | 0.000 | 0.000 | 0.000 | 0.000 | -0.000 | 
| 0.000 | -0.000 | 0.000 | 0.000 | 0.000 | 479.222 | 
| 949.590 | -7.909 | -0.000 | -0.000 | -0.000 | 0.000 | 
| -7.909 | 949.590 | -0.000 | -0.000 | -0.000 | 0.000 | 
| 0.000 | -0.000 | -0.000 | -0.000 | -0.000 | -0.000 | 
| 0.000 | -0.000 | -0.000 | -0.000 | -0.000 | -0.000 | 
| 0.000 | -0.000 | -0.000 | -0.000 | -0.000 | 0.000 | 
| -0.000 | 0.000 | -0.000 | -0.000 | -0.000 | 479.223 | 
| 949.590 | -7.909 | 0.000 | 0.000 | 0.000 | -0.000 | 
| -8.382 | 950.063 | 0.000 | 0.000 | 0.000 | -0.000 | 
| -0.000 | 0.000 | 0.000 | 0.000 | 0.000 | 0.000 | 
| -0.000 | -0.000 | 0.000 | 0.000 | 0.000 | 0.000 | 
| -0.000 | 0.000 | 0.000 | 0.000 | 0.000 | -0.000 | 
| 0.000 | 0.000 | 0.000 | 0.000 | 0.000 | 479.223 | 
| 950.063 | -8.382 | -0.000 | -0.000 | -0.000 | 0.000 | 
| -8.382 | 950.063 | -0.000 | -0.000 | -0.000 | 0.000 | 
| 0.000 | -0.000 | -0.000 | -0.000 | -0.000 | -0.000 | 
| 0.000 | 0.000 | -0.000 | -0.000 | -0.000 | -0.000 | 
| 0.000 | -0.000 | -0.000 | -0.000 | -0.000 | 0.000 | 
| -0.000 | -0.000 | -0.000 | -0.000 | -0.000 | 479.223 | 
| 949.593 | -7.908 | 0.000 | 0.000 | 0.000 | -0.000 | 
| -7.908 | 949.593 | 0.000 | 0.000 | 0.000 | -0.000 | 
| -0.000 | 0.000 | 0.000 | 0.000 | 0.000 | 0.000 | 
| -0.000 | -0.000 | 0.000 | 0.000 | 0.000 | 0.000 | 
| -0.000 | 0.000 | 0.000 | 0.000 | 0.000 | -0.000 | 
| 0.000 | 0.001 | 0.000 | 0.000 | 0.000 | 478.749 | 
| 949.586 | -7.909 | -0.000 | -0.000 | -0.000 | 0.000 | 
| -7.909 | 949.586 | -0.000 | -0.000 | -0.000 | 0.000 | 
| 0.000 | -0.000 | -0.000 | -0.000 | -0.000 | -0.000 | 
| 0.000 | 0.000 | -0.000 | -0.000 | -0.000 | -0.000 | 
| 0.000 | -0.000 | -0.000 | -0.000 | -0.000 | 0.000 | 
| -0.000 | -0.001 | -0.000 | -0.000 | -0.000 | 478.749 | 
| 32885.929 | -5065.748 | 2147.340 | -0.139 | 4.045 | -0.000 | 
| 31233.174 | -27517.938 | 2282.641 | 0.069 | -2.001 | -0.003 | 
| 27777.277 | -24519.210 | 585.669 | 0.028 | -0.819 | 0.001 | 
| 28958.035 | -28022.149 | 1456.095 | 56.015 | 5.302 | -0.000 | 
| 23909.306 | -25109.880 | 540.424 | 0.055 | -496.121 | 0.001 | 
| 24020.851 | -24789.693 | -379.961 | 0.052 | -1.506 | 83.369 | 
| -28797.212 | -3751.174 | -2263.913 | -0.011 | 0.305 | 0.000 | 
| -28077.406 | 28399.170 | -535.167 | -0.011 | 0.330 | 0.003 | 
| -17025.938 | 28103.228 | 260.195 | -0.022 | 0.651 | 0.002 | 
| -28949.047 | 28016.966 | -1454.462 | 56.319 | -5.288 | -0.001 | 
| -23909.382 | 25109.938 | -540.434 | -0.055 | -493.448 | -0.001 | 
| -23573.253 | 24389.663 | 358.889 | -0.029 | 0.852 | 96.677 | 
| 3155.679 | -2135.734 | 232.145 | -0.005 | 0.155 | -0.000 | 
| 4059.981 | 1174.015 | 364.118 | 0.002 | -0.045 | -0.000 | 
| 3756.373 | 477.399 | 994.329 | 0.001 | -0.038 | -0.000 | 
| 2487.985 | -2805.088 | 89.835 | 29.148 | -0.044 | -0.000 | 
| 3489.284 | -154.835 | 410.808 | 0.003 | 75.605 | -0.000 | 
| 2396.139 | -2498.444 | 54.426 | 0.006 | -0.171 | 29.268 | 
| -2688.339 | 2912.161 | -48.255 | 0.011 | -0.318 | -0.000 | 
| -3200.346 | 868.037 | -135.866 | 0.013 | -0.367 | 0.000 | 
| -3543.951 | -449.534 | 390.822 | -0.001 | 0.038 | 0.000 | 
| -2753.928 | 2396.519 | -59.467 | 131.008 | -0.016 | 0.000 | 
| -2363.720 | 2664.928 | -271.963 | -0.001 | 141.515 | -0.010 | 
| -2947.245 | 2891.787 | -126.669 | -0.011 | 0.323 | -25.759 | 
| 529.965 | -161.138 | 111.075 | -0.002 | 0.049 | -0.000 | 
| 337.580 | 17.963 | 76.173 | -0.005 | 0.156 | -0.000 | 
| 684.169 | 89.141 | 730.354 | 0.000 | -0.009 | -0.000 | 
| 376.196 | 47.766 | 31.098 | 290.936 | -0.004 | -0.000 | 
| 348.705 | -115.319 | 15.687 | 0.000 | 146.630 | -0.000 | 
| 335.677 | -223.915 | 17.144 | 0.001 | -0.024 | 3.410 | 
| -40.621 | 125.225 | 91.067 | -0.000 | 0.003 | 0.000 | 
| -297.897 | 647.078 | -2.173 | -0.000 | 0.003 | 0.000 | 
| -131.455 | 321.598 | 389.455 | 0.000 | -0.012 | 0.000 | 
| -376.195 | -47.766 | -31.098 | 290.936 | 0.004 | 0.000 | 
| -348.703 | 115.319 | -15.687 | -0.000 | 146.639 | 0.000 | 
| -260.691 | 189.752 | -9.795 | -0.000 | 0.012 | 80.364 | 
| 109.370 | 48.819 | 93.244 | -0.061 | 0.024 | 0.000 | 
| 551.260 | 539.749 | 38.185 | -0.065 | 0.026 | 0.000 | 
| 603.359 | 64.680 | 545.584 | -0.062 | 0.025 | 0.000 | 
| 540.817 | 44.061 | 23.211 | 239.784 | 0.025 | 0.000 | 
| 541.008 | 44.077 | 23.219 | -0.063 | 201.139 | 0.000 | 
| 67.086 | 42.805 | 126.029 | -0.201 | 0.080 | 118.463 | 
| 36.415 | -225.333 | -183.825 | -0.081 | 0.033 | 0.000 | 
| 347.532 | -94.510 | -378.460 | 0.203 | -0.081 | 0.000 | 
| -479.587 | -23.486 | 498.187 | 0.064 | -0.026 | -0.000 | 
| -66.803 | -42.782 | -126.019 | 203.586 | -0.080 | -0.000 | 
| -541.010 | -44.077 | -23.219 | 0.063 | 201.089 | -0.000 | 
| 319.383 | -182.002 | -433.597 | -0.079 | 0.032 | -18.635 | 
| 167.345 | 60.225 | 64.674 | 0.007 | -0.003 | -0.000 | 
| 65.536 | 431.729 | 28.456 | -0.019 | 0.008 | -0.000 | 
| 141.753 | 27.400 | 521.060 | -0.007 | 0.003 | 0.000 | 
| 65.875 | 5.367 | 2.827 | 237.268 | 0.003 | 0.000 | 
| 67.619 | 5.509 | 2.902 | -0.008 | 197.776 | 0.000 | 
| 25.598 | 2.086 | 1.099 | -0.003 | 0.001 | 157.503 | 
| 272.194 | 55.879 | 58.050 | 0.018 | -0.007 | -0.000 | 
| -50.494 | 492.641 | 11.762 | 0.006 | -0.002 | -0.000 | 
| -30.000 | -40.170 | 310.113 | 0.007 | -0.003 | -0.000 | 
| -65.875 | -5.367 | -2.827 | 237.283 | -0.003 | -0.000 | 
| -67.619 | -5.509 | -2.902 | 0.008 | 197.770 | -0.000 | 
| -25.598 | -2.086 | -1.099 | 0.003 | -0.001 | 157.503 | 
| 188.914 | 47.095 | 37.977 | 0.000 | -0.000 | -0.000 | 
| 3.277 | 240.097 | -18.959 | -0.003 | 0.001 | 0.000 | 
| 14.755 | -13.992 | 321.123 | -0.001 | 0.000 | -0.000 | 
| -4.410 | -1.667 | 3.622 | 119.711 | 0.000 | -0.000 | 
| -1.118 | -2.735 | 4.503 | -0.004 | 66.727 | 0.000 | 
| -4.480 | -1.452 | 3.654 | 0.002 | -0.001 | 45.048 | 
| 191.661 | 44.136 | 32.298 | -0.000 | 0.000 | 0.000 | 
| 12.380 | 249.234 | -26.600 | 0.001 | -0.000 | 0.000 | 
| 36.165 | -4.703 | 308.627 | 0.001 | -0.000 | 0.000 | 
| -0.884 | 1.428 | -3.543 | 120.222 | -0.000 | 0.000 | 
| 1.099 | 2.724 | -4.495 | 0.004 | 66.743 | -0.000 | 
| 0.939 | 1.766 | -4.005 | 0.003 | -0.001 | 45.898 | 
| 922.944 | -7.687 | 0.000 | 0.000 | 0.000 | 0.000 | 
| -7.687 | 922.945 | 0.000 | 0.000 | 0.000 | -0.000 | 
| -0.000 | 0.000 | 0.000 | 0.000 | 0.000 | 0.000 | 
| -0.000 | 0.000 | 0.000 | 0.000 | 0.000 | -0.000 | 
| 0.000 | 0.000 | 0.000 | 0.000 | 0.000 | -0.000 | 
| 0.000 | 0.000 | 0.000 | 0.000 | 0.000 | 465.316 | 
| 922.945 | -7.687 | -0.000 | -0.000 | -0.000 | -0.000 | 
| -8.147 | 923.405 | -0.000 | -0.000 | -0.000 | -0.000 | 
| 0.000 | -0.000 | -0.000 | -0.000 | -0.000 | -0.000 | 
| 0.000 | -0.000 | -0.000 | -0.000 | -0.000 | -0.000 | 
| -0.000 | -0.000 | -0.000 | -0.000 | -0.000 | 0.000 | 
| -0.000 | -0.000 | -0.000 | -0.000 | -0.000 | 465.316 | 
| 923.405 | -8.147 | 0.000 | 0.000 | 0.000 | -0.000 | 
| -7.687 | 922.945 | 0.000 | 0.000 | 0.000 | -0.000 | 
| -0.000 | 0.000 | 0.000 | 0.000 | 0.000 | 0.000 | 
| -0.000 | 0.000 | 0.000 | 0.000 | 0.000 | 0.000 | 
| -0.000 | 0.000 | 0.000 | 0.000 | 0.000 | -0.000 | 
| 0.000 | 0.000 | 0.000 | 0.000 | 0.000 | 465.316 | 
| 923.404 | -8.147 | -0.000 | -0.000 | -0.000 | -0.000 | 
| -7.687 | 922.944 | -0.000 | -0.000 | -0.000 | 0.000 | 
| 0.000 | -0.000 | -0.000 | -0.000 | -0.000 | -0.000 | 
| 0.000 | -0.000 | -0.000 | -0.000 | -0.000 | 0.000 | 
| -0.000 | -0.000 | -0.000 | -0.000 | -0.000 | -0.000 | 
| -0.000 | -0.000 | -0.000 | -0.000 | -0.000 | 465.316 | 
| 922.948 | -7.687 | 0.000 | 0.000 | 0.000 | 0.000 | 
| -7.687 | 922.948 | 0.000 | 0.000 | 0.000 | 0.000 | 
| -0.000 | 0.000 | 0.000 | 0.000 | 0.000 | 0.000 | 
| -0.000 | 0.000 | 0.000 | 0.000 | 0.000 | 0.000 | 
| -0.000 | 0.000 | 0.000 | 0.000 | 0.000 | -0.000 | 
| 0.000 | 0.001 | 0.000 | 0.000 | 0.000 | 465.316 | 
| 922.941 | -7.687 | -0.000 | -0.000 | -0.000 | 0.000 | 
| -7.687 | 922.941 | -0.000 | -0.000 | -0.000 | 0.000 | 
| 0.000 | -0.000 | -0.000 | -0.000 | -0.000 | -0.000 | 
| 0.000 | -0.000 | -0.000 | -0.000 | -0.000 | -0.000 | 
| 0.000 | -0.000 | -0.000 | -0.000 | -0.000 | -0.000 | 
| -0.000 | -0.001 | -0.000 | -0.000 | -0.000 | 465.316 | 
| 909.630 | -8.026 | 0.000 | 0.000 | 0.000 | -0.000 | 
| -7.576 | 909.180 | 0.000 | 0.000 | 0.000 | 0.000 | 
| -0.000 | 0.000 | 0.000 | 0.000 | 0.000 | -0.000 | 
| -0.000 | 0.000 | 0.000 | 0.000 | 0.000 | -0.000 | 
| -0.000 | 0.000 | 0.000 | 0.000 | 0.000 | -0.000 | 
| -0.004 | 0.003 | 0.000 | 0.000 | 0.000 | 458.374 | 
| 909.180 | -7.575 | -0.000 | -0.000 | -0.000 | 0.000 | 
| -7.568 | 909.173 | -0.000 | -0.000 | -0.000 | 0.000 | 
| 0.000 | -0.000 | -0.000 | -0.000 | -0.000 | 0.000 | 
| 0.000 | 0.000 | -0.000 | -0.000 | -0.000 | 0.000 | 
| 0.000 | -0.000 | -0.000 | -0.000 | -0.000 | 0.000 | 
| 0.004 | -0.003 | -0.000 | -0.000 | -0.000 | 458.374 | 
| 909.630 | -8.025 | 0.000 | 0.000 | 0.000 | 0.000 | 
| -7.573 | 909.177 | 0.000 | 0.000 | 0.000 | -0.000 | 
| -0.000 | 0.000 | 0.000 | 0.000 | 0.000 | -0.000 | 
| -0.000 | 0.000 | 0.000 | 0.000 | 0.000 | -0.000 | 
| -0.000 | 0.000 | 0.000 | 0.000 | 0.000 | -0.000 | 
| 0.000 | 0.000 | 0.000 | 0.000 | 0.000 | 458.828 | 
| 909.630 | -8.025 | -0.000 | -0.000 | -0.000 | -0.000 | 
| -7.572 | 909.176 | -0.000 | -0.000 | -0.000 | 0.000 | 
| 0.000 | -0.000 | -0.000 | -0.000 | -0.000 | 0.000 | 
| 0.000 | -0.000 | -0.000 | -0.000 | -0.000 | -0.000 | 
| 0.000 | -0.000 | -0.000 | -0.000 | -0.000 | 0.000 | 
| -0.000 | -0.000 | -0.000 | -0.000 | -0.000 | 458.828 | 
| 909.180 | -7.572 | 0.000 | 0.000 | 0.000 | -0.000 | 
| -7.572 | 909.180 | 0.000 | 0.000 | 0.000 | 0.000 | 
| -0.000 | 0.000 | 0.000 | 0.000 | 0.000 | -0.000 | 
| -0.000 | 0.000 | 0.000 | 0.000 | 0.000 | -0.000 | 
| -0.000 | 0.000 | 0.000 | 0.000 | 0.000 | -0.000 | 
| 0.000 | 0.001 | 0.000 | 0.000 | 0.000 | 458.374 | 
| 909.627 | -8.026 | -0.000 | -0.000 | -0.000 | 0.000 | 
| -7.572 | 909.174 | -0.000 | -0.000 | -0.000 | 0.000 | 
| 0.000 | -0.000 | -0.000 | -0.000 | -0.000 | 0.000 | 
| 0.000 | -0.000 | -0.000 | -0.000 | -0.000 | -0.000 | 
| 0.000 | -0.000 | -0.000 | -0.000 | -0.000 | 0.000 | 
| -0.000 | -0.001 | -0.000 | -0.000 | -0.000 | 458.374 | 
| 1037.796 | 60.125 | -109.474 | 0.000 | 0.000 | -0.000 | 
| 103.212 | 399.176 | 11.111 | 0.000 | 0.000 | -0.000 | 
| 115.318 | -61.744 | 899.212 | 0.000 | 0.000 | 0.000 | 
| 0.000 | 0.000 | 0.000 | 175.268 | 0.000 | 0.000 | 
| 81.482 | -114.292 | -113.309 | 0.000 | 489.930 | 0.000 | 
| 0.000 | 0.000 | 0.000 | 0.000 | 0.000 | 275.063 | 
| 1032.165 | 96.649 | 17.429 | -0.000 | -0.000 | 0.000 | 
| 97.999 | 409.486 | 155.381 | -0.000 | -0.000 | 0.000 | 
| -61.284 | 161.815 | 1136.313 | -0.000 | -0.000 | 0.000 | 
| -0.000 | -0.000 | -0.000 | 175.268 | -0.000 | -0.000 | 
| -81.482 | 114.292 | 113.309 | -0.000 | 489.930 | -0.000 | 
| -0.000 | -0.000 | -0.000 | -0.000 | -0.000 | 275.063 | 
| 978.841 | 136.268 | 12.813 | 0.000 | 0.000 | 0.000 | 
| 187.720 | 288.394 | 24.511 | 0.000 | 0.000 | 0.000 | 
| 28.213 | 34.580 | 1011.111 | 0.000 | 0.000 | -0.000 | 
| 10.878 | -15.259 | -15.127 | 108.053 | 0.000 | 0.000 | 
| 11.498 | -16.379 | -16.172 | 0.000 | 483.101 | 0.000 | 
| 0.000 | 0.000 | 0.000 | 0.000 | 0.000 | 275.063 | 
| 961.690 | 156.324 | 27.704 | -0.000 | -0.000 | -0.000 | 
| 103.212 | 399.176 | 11.110 | -0.000 | -0.000 | -0.000 | 
| 30.244 | 42.247 | 1042.934 | -0.000 | -0.000 | -0.000 | 
| -10.878 | 15.259 | 15.127 | 108.053 | -0.000 | -0.000 | 
| -11.498 | 16.379 | 16.172 | -0.000 | 483.101 | -0.000 | 
| -0.000 | -0.000 | -0.000 | -0.000 | -0.000 | 275.063 | 
| 959.502 | 171.907 | 4.982 | 0.000 | 0.000 | 0.000 | 
| 175.945 | 299.972 | 38.643 | 0.000 | 0.000 | -0.000 | 
| 21.115 | 44.643 | 1021.815 | 0.000 | 0.000 | -0.000 | 
| 0.000 | -0.000 | -0.000 | 175.268 | 0.000 | 0.000 | 
| 0.600 | -0.842 | -0.834 | 0.000 | 498.064 | 0.000 | 
| 0.498 | -0.698 | -0.692 | 0.000 | 0.000 | 244.618 | 
| 957.857 | 174.177 | 6.647 | -0.000 | -0.000 | -0.000 | 
| 179.070 | 300.858 | 37.969 | -0.000 | -0.000 | -0.000 | 
| 19.592 | 46.922 | 1023.995 | -0.000 | -0.000 | -0.000 | 
| -0.000 | 0.000 | 0.000 | 175.268 | 0.000 | -0.000 | 
| -0.600 | 0.842 | 0.834 | -0.000 | 498.064 | -0.000 | 
| -0.498 | 0.698 | 0.692 | -0.000 | -0.000 | 244.618 | 
| 1021.717 | 106.451 | 49.334 | -0.000 | 0.000 | 0.000 | 
| 216.552 | 233.684 | 86.720 | 0.000 | 0.000 | -0.000 | 
| 30.355 | 24.684 | 1144.495 | 0.000 | -0.000 | -0.000 | 
| 41.973 | -67.906 | 28.514 | 93.725 | 0.000 | 0.000 | 
| 51.200 | -79.811 | 32.592 | 0.000 | 497.917 | -0.000 | 
| -0.000 | 0.000 | -0.000 | 0.000 | 0.000 | 274.832 | 
| 937.661 | 242.254 | -9.160 | 0.000 | -0.000 | 0.000 | 
| 96.143 | 412.873 | 24.684 | -0.000 | 0.000 | 0.000 | 
| 20.042 | 86.408 | 1073.754 | -0.000 | -0.000 | 0.000 | 
| -41.973 | 67.906 | -28.515 | 93.725 | 0.000 | -0.000 | 
| -51.200 | 79.811 | -32.592 | -0.000 | 497.917 | 0.000 | 
| 0.000 | -0.000 | 0.000 | -0.000 | -0.000 | 274.832 | 
| 998.933 | 135.596 | 40.424 | 0.000 | -0.000 | -0.000 | 
| 178.635 | 294.765 | 59.657 | -0.000 | 0.000 | -0.000 | 
| 30.355 | 24.684 | 1144.496 | 0.000 | 0.000 | -0.000 | 
| 0.000 | -0.000 | -0.000 | 166.254 | -0.000 | 0.000 | 
| 2.236 | -3.659 | 1.419 | 0.000 | 485.409 | -0.000 | 
| 4.411 | -6.568 | 2.487 | 0.000 | -0.000 | 243.134 | 
| 975.471 | 181.143 | 17.171 | -0.000 | 0.000 | -0.000 | 
| 96.143 | 412.873 | 24.684 | -0.000 | -0.000 | -0.000 | 
| 35.542 | 48.136 | 1099.713 | -0.000 | -0.000 | -0.000 | 
| -0.000 | 0.000 | 0.000 | 166.255 | -0.000 | -0.000 | 
| -2.236 | 3.659 | -1.419 | -0.000 | 485.409 | 0.000 | 
| -4.411 | 6.568 | -2.487 | -0.000 | -0.000 | 243.134 | 
| 980.097 | 173.679 | 20.384 | 0.000 | 0.000 | -0.000 | 
| 169.724 | 302.149 | 62.116 | 0.000 | 0.000 | -0.000 | 
| 20.968 | 56.242 | 1092.209 | 0.000 | 0.000 | -0.000 | 
| 0.445 | -1.007 | 0.610 | 94.205 | 0.000 | 0.000 | 
| 0.263 | -0.597 | 0.362 | 0.000 | 504.540 | -0.000 | 
| 0.442 | -0.657 | 0.248 | 0.000 | 0.000 | 243.153 | 
| 979.259 | 175.012 | 19.815 | 0.000 | -0.000 | 0.000 | 
| 174.152 | 302.184 | 57.205 | -0.000 | 0.000 | 0.000 | 
| 20.225 | 57.463 | 1091.628 | 0.000 | -0.000 | 0.000 | 
| -0.445 | 1.007 | -0.610 | 94.205 | 0.000 | -0.000 | 
| -0.263 | 0.597 | -0.362 | -0.000 | 504.540 | 0.000 | 
| -0.442 | 0.657 | -0.248 | -0.000 | -0.000 | 243.153 | 
| 967.800 | -8.538 | 0.000 | 0.000 | 0.000 | -0.000 | 
| -8.538 | 967.800 | 0.000 | 0.000 | 0.000 | 0.000 | 
| -0.000 | -0.000 | 0.000 | 0.000 | 0.000 | 0.000 | 
| -0.000 | -0.000 | 0.000 | 0.000 | 0.000 | 0.000 | 
| -0.000 | 0.000 | 0.000 | 0.000 | 0.000 | 0.001 | 
| 0.000 | 0.000 | 0.000 | 0.000 | 0.000 | 488.170 | 
| 967.318 | -8.056 | -0.000 | -0.000 | -0.000 | -0.000 | 
| -8.056 | 967.318 | -0.000 | -0.000 | -0.000 | -0.000 | 
| 0.000 | 0.000 | -0.000 | -0.000 | -0.000 | -0.000 | 
| 0.000 | -0.000 | -0.000 | -0.000 | -0.000 | -0.000 | 
| 0.000 | -0.000 | -0.000 | -0.000 | -0.000 | -0.001 | 
| 0.000 | -0.000 | -0.000 | -0.000 | -0.000 | 488.169 | 
| 967.318 | -8.056 | 0.000 | 0.000 | 0.000 | 0.000 | 
| -8.539 | 967.800 | 0.000 | 0.000 | 0.000 | 0.000 | 
| -0.000 | -0.000 | 0.000 | 0.000 | 0.000 | 0.000 | 
| -0.000 | 0.000 | 0.000 | 0.000 | 0.000 | 0.000 | 
| -0.000 | 0.000 | 0.000 | 0.000 | 0.000 | 0.000 | 
| 0.000 | 0.000 | 0.000 | 0.000 | 0.000 | 488.169 | 
| 967.318 | -8.056 | -0.000 | -0.000 | -0.000 | -0.000 | 
| -8.539 | 967.800 | -0.000 | -0.000 | -0.000 | -0.000 | 
| 0.000 | 0.000 | -0.000 | -0.000 | -0.000 | -0.000 | 
| 0.000 | -0.000 | -0.000 | -0.000 | -0.000 | -0.000 | 
| 0.000 | -0.000 | -0.000 | -0.000 | -0.000 | -0.000 | 
| -0.000 | -0.000 | -0.000 | -0.000 | -0.000 | 488.169 | 
| 967.321 | -8.056 | 0.000 | 0.000 | 0.000 | -0.000 | 
| -8.056 | 967.321 | 0.000 | 0.000 | 0.000 | 0.000 | 
| -0.000 | -0.000 | 0.000 | 0.000 | 0.000 | 0.000 | 
| -0.000 | 0.000 | 0.000 | 0.000 | 0.000 | 0.000 | 
| -0.000 | 0.000 | 0.000 | 0.000 | 0.000 | 0.000 | 
| 0.000 | 0.001 | 0.000 | 0.000 | 0.000 | 487.687 | 
| 967.315 | -8.057 | -0.000 | -0.000 | -0.000 | -0.000 | 
| -8.057 | 967.315 | -0.000 | -0.000 | -0.000 | -0.000 | 
| 0.000 | 0.000 | -0.000 | -0.000 | -0.000 | -0.000 | 
| 0.000 | 0.000 | -0.000 | -0.000 | -0.000 | -0.000 | 
| 0.000 | -0.000 | -0.000 | -0.000 | -0.000 | -0.000 | 
| -0.000 | -0.001 | -0.000 | -0.000 | -0.000 | 487.687 | 
| 624.996 | -5.205 | 0.000 | 0.000 | 0.000 | -0.000 | 
| -5.205 | 624.996 | 0.000 | 0.000 | 0.000 | -0.000 | 
| -0.000 | -0.000 | 0.000 | 0.000 | 0.000 | -0.000 | 
| -0.000 | -0.000 | 0.000 | 0.000 | 0.000 | -0.000 | 
| -0.000 | -0.000 | 0.000 | 0.000 | 0.000 | -0.000 | 
| 0.000 | -0.000 | 0.000 | 0.000 | 0.000 | 315.101 | 
| 625.307 | -5.517 | -0.000 | -0.000 | -0.000 | -0.000 | 
| -5.517 | 625.307 | -0.000 | -0.000 | -0.000 | 0.000 | 
| 0.000 | 0.000 | -0.000 | -0.000 | -0.000 | 0.000 | 
| 0.000 | 0.000 | -0.000 | -0.000 | -0.000 | 0.000 | 
| 0.000 | 0.000 | -0.000 | -0.000 | -0.000 | 0.000 | 
| -0.000 | -0.000 | -0.000 | -0.000 | -0.000 | 315.101 | 
| 624.996 | -5.205 | 0.000 | 0.000 | 0.000 | -0.000 | 
| -5.517 | 625.308 | 0.000 | 0.000 | 0.000 | -0.000 | 
| -0.000 | -0.000 | 0.000 | 0.000 | 0.000 | -0.000 | 
| -0.000 | -0.000 | 0.000 | 0.000 | 0.000 | -0.000 | 
| -0.000 | 0.000 | 0.000 | 0.000 | 0.000 | -0.000 | 
| 0.000 | -0.000 | 0.000 | 0.000 | 0.000 | 315.412 | 
| 625.307 | -5.517 | -0.000 | -0.000 | -0.000 | 0.000 | 
| -5.205 | 624.996 | -0.000 | -0.000 | -0.000 | 0.000 | 
| 0.000 | 0.000 | -0.000 | -0.000 | -0.000 | 0.000 | 
| 0.000 | 0.000 | -0.000 | -0.000 | -0.000 | 0.000 | 
| 0.000 | 0.000 | -0.000 | -0.000 | -0.000 | 0.000 | 
| -0.000 | 0.000 | -0.000 | -0.000 | -0.000 | 315.412 | 
| 624.998 | -5.205 | 0.000 | 0.000 | 0.000 | -0.000 | 
| -5.517 | 625.310 | 0.000 | 0.000 | 0.000 | -0.000 | 
| -0.000 | -0.000 | 0.000 | 0.000 | 0.000 | -0.000 | 
| -0.000 | -0.000 | 0.000 | 0.000 | 0.000 | -0.000 | 
| -0.000 | -0.000 | 0.000 | 0.000 | 0.000 | -0.000 | 
| 0.000 | 0.000 | 0.000 | 0.000 | 0.000 | 315.412 | 
| 624.994 | -5.206 | -0.000 | -0.000 | -0.000 | -0.000 | 
| -5.206 | 624.994 | -0.000 | -0.000 | -0.000 | 0.000 | 
| 0.000 | 0.000 | -0.000 | -0.000 | -0.000 | 0.000 | 
| 0.000 | 0.000 | -0.000 | -0.000 | -0.000 | 0.000 | 
| 0.000 | 0.000 | -0.000 | -0.000 | -0.000 | 0.000 | 
| -0.000 | -0.000 | -0.000 | -0.000 | -0.000 | 315.412 | 
| 774.437 | -5.798 | 0.000 | -0.000 | -0.000 | -0.001 | 
| -5.797 | 774.436 | 0.000 | 0.000 | -0.000 | 0.000 | 
| 0.000 | -0.000 | 0.000 | -0.000 | -0.000 | 0.000 | 
| 0.000 | -0.001 | 0.000 | 0.000 | 0.000 | 0.000 | 
| -0.000 | -0.000 | 0.000 | -0.000 | 0.000 | -0.000 | 
| -0.000 | -0.000 | 0.000 | 0.000 | 0.000 | 391.162 | 
| 774.437 | -5.796 | -0.000 | -0.000 | -0.000 | 0.000 | 
| -6.456 | 775.096 | -0.000 | -0.000 | 0.000 | -0.000 | 
| -0.000 | 0.000 | -0.000 | 0.000 | 0.000 | -0.000 | 
| -0.000 | 0.001 | -0.000 | 0.000 | -0.000 | -0.000 | 
| 0.000 | 0.000 | -0.000 | 0.000 | 0.000 | 0.000 | 
| 0.000 | 0.000 | -0.000 | -0.000 | 0.000 | 391.162 | 
| 775.088 | -6.448 | 0.000 | -0.000 | -0.000 | -0.000 | 
| -6.455 | 775.095 | 0.000 | 0.000 | -0.000 | 0.000 | 
| 0.000 | -0.000 | 0.000 | -0.000 | -0.000 | 0.000 | 
| 0.000 | -0.000 | 0.000 | 0.000 | -0.000 | 0.000 | 
| -0.000 | -0.000 | 0.000 | -0.000 | 0.000 | -0.000 | 
| 0.000 | 0.000 | 0.000 | 0.000 | 0.000 | 391.162 | 
| 775.095 | -6.455 | -0.000 | -0.000 | 0.000 | -0.000 | 
| -6.455 | 775.095 | -0.000 | -0.000 | 0.000 | -0.000 | 
| -0.000 | 0.000 | -0.000 | 0.000 | 0.000 | -0.000 | 
| -0.000 | 0.000 | -0.000 | 0.000 | 0.000 | -0.000 | 
| 0.000 | 0.000 | -0.000 | 0.000 | 0.000 | 0.000 | 
| -0.000 | -0.000 | -0.000 | -0.000 | 0.000 | 391.161 | 
| 775.484 | -6.842 | 0.000 | 0.000 | 0.000 | 0.000 | 
| -6.455 | 775.098 | 0.000 | 0.000 | -0.000 | -0.000 | 
| 0.000 | -0.000 | 0.000 | -0.000 | -0.000 | 0.000 | 
| 0.000 | -0.000 | 0.000 | 0.000 | -0.000 | 0.000 | 
| -0.000 | -0.000 | 0.000 | -0.000 | 0.000 | -0.000 | 
| 0.000 | 0.000 | 0.000 | 0.000 | 0.000 | 391.162 | 
| 775.092 | -6.456 | -0.000 | 0.000 | -0.000 | -0.000 | 
| -6.842 | 775.479 | -0.000 | -0.000 | 0.000 | -0.000 | 
| -0.000 | 0.000 | -0.000 | 0.000 | 0.000 | -0.000 | 
| -0.000 | 0.000 | -0.000 | 0.000 | -0.000 | -0.000 | 
| 0.000 | 0.000 | -0.000 | 0.000 | 0.000 | 0.000 | 
| -0.000 | -0.000 | -0.000 | -0.000 | 0.000 | 391.162 | 
| 1239.061 | 72.150 | 26.406 | 15.397 | 0.000 | 0.000 | 
| 69.674 | 1222.336 | 45.556 | -13.653 | 0.000 | 0.000 | 
| -2.941 | -2.939 | 1342.709 | -0.000 | -0.000 | 0.000 | 
| 18.076 | -18.079 | -0.000 | 545.624 | 0.000 | 0.000 | 
| 0.000 | -0.000 | -0.001 | -0.000 | 545.624 | 18.079 | 
| -0.000 | -0.000 | -0.000 | -0.000 | 18.079 | 609.353 | 
| 1235.484 | 90.298 | 11.876 | 13.152 | -0.000 | -0.000 | 
| 61.086 | 1279.788 | -3.173 | -18.078 | -0.000 | -0.000 | 
| -2.936 | -2.938 | 1342.709 | 0.000 | -0.000 | -0.000 | 
| 18.082 | -18.078 | 0.000 | 545.624 | -0.000 | -0.000 | 
| -0.000 | 0.000 | 0.000 | 0.000 | 545.624 | 18.078 | 
| 0.001 | 0.000 | 0.000 | 0.000 | 18.078 | 609.353 | 
| 1279.789 | 61.083 | -3.173 | 18.078 | 0.000 | 0.000 | 
| 61.083 | 1279.788 | -3.173 | -18.078 | 0.000 | 0.000 | 
| 17.807 | 17.807 | 1301.328 | -0.000 | 0.000 | 0.000 | 
| 18.078 | -18.078 | 0.000 | 545.624 | 0.000 | 0.000 | 
| -0.604 | -0.604 | 1.206 | 0.000 | 534.933 | 15.052 | 
| -0.450 | -0.450 | 0.897 | 0.000 | 15.830 | 583.012 | 
| 1279.788 | 61.083 | -3.173 | 18.078 | -0.000 | -0.000 | 
| 61.083 | 1279.788 | -3.173 | -18.078 | -0.000 | -0.000 | 
| 19.238 | 19.238 | 1298.473 | 0.000 | -0.000 | -0.000 | 
| 18.079 | -18.078 | -0.000 | 545.624 | 0.000 | -0.000 | 
| 0.604 | 0.604 | -1.206 | -0.000 | 534.933 | 15.052 | 
| 0.450 | 0.450 | -0.897 | -0.000 | 15.830 | 583.012 | 
| 1242.300 | 80.240 | 15.114 | 15.500 | 0.000 | 0.000 | 
| 80.240 | 1242.299 | 15.114 | -15.500 | 0.000 | 0.000 | 
| 18.379 | 18.379 | 1300.192 | 0.000 | 0.000 | 0.000 | 
| 14.979 | -15.100 | 0.121 | 534.888 | 0.000 | 0.000 | 
| -0.000 | 0.000 | 0.000 | 0.000 | 545.624 | 18.078 | 
| 0.000 | 0.001 | 0.000 | 0.000 | 18.078 | 609.353 | 
| 1244.208 | 73.914 | 19.511 | 14.835 | -0.000 | -0.000 | 
| 73.914 | 1244.210 | 19.510 | -14.835 | -0.000 | -0.000 | 
| 18.499 | 18.499 | 1299.943 | -0.000 | -0.000 | -0.000 | 
| 18.078 | -18.078 | -0.000 | 545.624 | -0.000 | -0.000 | 
| 0.000 | -0.000 | -0.000 | -0.000 | 545.624 | 18.078 | 
| -0.000 | -0.001 | -0.000 | -0.000 | 18.078 | 609.353 | 
| 1280.171 | 61.061 | -2.891 | 18.088 | -0.000 | 0.001 | 
| 237.578 | 1411.310 | -310.545 | -15.045 | -0.000 | 0.000 | 
| -2.889 | -2.889 | 1344.121 | 0.000 | -0.000 | 0.000 | 
| 18.088 | -18.089 | -0.001 | 545.604 | -0.000 | 0.001 | 
| 164.425 | 164.424 | -328.849 | 0.000 | 534.858 | 15.050 | 
| 0.000 | -0.000 | 0.000 | -0.000 | 18.088 | 609.554 | 
| 1280.171 | 61.061 | -2.889 | 18.088 | 0.000 | -0.000 | 
| 61.061 | 1280.172 | -2.889 | -18.088 | 0.000 | -0.001 | 
| -145.831 | -145.831 | 1630.006 | -0.000 | 0.000 | -0.001 | 
| -149.376 | -179.473 | 328.850 | 534.858 | -0.000 | -0.000 | 
| -164.425 | -164.425 | 328.849 | -0.000 | 534.858 | 15.048 | 
| -0.000 | -0.000 | -0.000 | 0.000 | 18.088 | 609.554 | 
| 1256.468 | 93.039 | -11.163 | 15.881 | -0.000 | -0.000 | 
| 61.061 | 1280.171 | -2.889 | -18.088 | -0.000 | 0.000 | 
| 35.029 | 35.029 | 1268.286 | -0.000 | -0.000 | 0.000 | 
| 31.490 | 1.393 | -32.883 | 534.859 | -0.000 | 0.000 | 
| 0.000 | 0.000 | 0.000 | 0.000 | 545.604 | 18.088 | 
| 0.000 | 0.000 | -0.000 | -0.000 | 18.088 | 609.555 | 
| 1229.151 | 56.434 | 52.758 | 14.978 | -0.000 | 0.000 | 
| 63.575 | 1225.161 | 49.607 | -15.154 | 0.000 | 0.000 | 
| -2.889 | -2.889 | 1344.122 | 0.000 | 0.000 | -0.000 | 
| 18.088 | -18.088 | 0.000 | 545.604 | 0.000 | 0.000 | 
| -0.000 | -0.000 | -0.000 | -0.000 | 545.604 | 18.088 | 
| -0.000 | -0.000 | 0.000 | 0.000 | 18.088 | 609.555 | 
| 1240.224 | 81.548 | 16.576 | 14.838 | -0.000 | 0.000 | 
| 75.632 | 1246.052 | 16.663 | -14.824 | 0.000 | -0.000 | 
| 20.206 | 20.206 | 1297.936 | -0.000 | 0.000 | 0.000 | 
| 16.694 | -13.406 | -3.288 | 534.860 | -0.000 | 0.000 | 
| -0.000 | 0.000 | 0.000 | 0.000 | 545.604 | 18.088 | 
| 0.000 | 0.001 | 0.000 | 0.000 | 18.088 | 609.555 | 
| 1240.905 | 78.650 | 18.784 | 15.430 | 0.000 | -0.000 | 
| 71.968 | 1242.958 | 23.413 | -14.862 | 0.000 | -0.000 | 
| -2.890 | -2.890 | 1344.117 | -0.000 | -0.000 | 0.000 | 
| 18.088 | -18.088 | -0.000 | 545.604 | -0.000 | 0.000 | 
| 0.000 | -0.000 | -0.000 | -0.000 | 545.604 | 18.088 | 
| -0.000 | -0.001 | -0.000 | -0.000 | 18.088 | 609.555 | 
| 1113.053 | -61.369 | 286.658 | 10.748 | -0.000 | 0.000 | 
| -56.708 | 1108.887 | 286.164 | -10.752 | -0.000 | 0.000 | 
| -115.322 | -115.322 | 1568.988 | 0.000 | -0.000 | 0.000 | 
| -123.171 | -144.670 | 267.841 | 534.860 | -0.000 | 0.000 | 
| -133.920 | -133.920 | 267.841 | 0.000 | 534.860 | 10.749 | 
| 0.000 | 0.000 | -0.000 | -0.000 | 12.920 | 609.555 | 
| 1375.841 | 212.035 | -249.533 | 10.747 | -0.000 | -0.000 | 
| 206.717 | 1381.126 | -249.501 | -10.747 | 0.000 | -0.000 | 
| 152.518 | 152.518 | 1033.306 | 0.000 | -0.000 | -0.000 | 
| 144.670 | 123.171 | -267.841 | 534.860 | 0.000 | -0.000 | 
| 133.920 | 133.920 | -267.841 | 0.000 | 534.860 | 10.749 | 
| -0.000 | -0.000 | -0.000 | 0.000 | 12.920 | 609.555 | 
| 1225.299 | 68.135 | 44.910 | 10.771 | 0.000 | 0.000 | 
| 61.061 | 1280.172 | -2.889 | -12.920 | 0.000 | 0.000 | 
| -2.889 | -2.889 | 1344.123 | -0.000 | 0.000 | 0.000 | 
| -2.642 | -24.141 | 26.784 | 534.860 | 0.000 | -0.000 | 
| -0.000 | 0.000 | 0.000 | 0.000 | 545.604 | 12.920 | 
| 0.000 | 0.000 | 0.000 | 0.000 | 12.920 | 609.555 | 
| 1259.117 | 87.781 | -8.556 | 10.598 | 0.000 | -0.000 | 
| 87.781 | 1259.117 | -8.556 | -10.598 | -0.000 | -0.000 | 
| -2.889 | -2.889 | 1344.121 | -0.000 | -0.000 | 0.000 | 
| 24.141 | 2.643 | -26.784 | 534.860 | -0.000 | -0.000 | 
| 0.000 | -0.000 | -0.000 | -0.000 | 545.604 | 12.920 | 
| -0.000 | -0.000 | -0.000 | -0.000 | 12.920 | 609.555 | 
| 1244.264 | 71.752 | 22.331 | 10.655 | -0.000 | -0.000 | 
| 71.753 | 1244.264 | 22.331 | -10.655 | -0.000 | 0.000 | 
| -2.889 | -2.889 | 1344.127 | -0.000 | -0.000 | 0.000 | 
| 9.411 | -12.089 | 2.679 | 534.860 | -0.000 | 0.000 | 
| -0.000 | 0.000 | 0.000 | 0.000 | 545.604 | 12.920 | 
| 0.000 | 0.001 | 0.000 | 0.000 | 12.920 | 609.555 | 
| 1246.788 | 74.654 | 16.897 | 10.637 | -0.000 | -0.000 | 
| 61.061 | 1280.167 | -2.890 | -12.920 | 0.000 | -0.000 | 
| 19.936 | 19.936 | 1298.466 | 0.000 | -0.000 | -0.000 | 
| 12.088 | -9.410 | -2.679 | 534.860 | 0.000 | -0.000 | 
| 0.000 | -0.000 | -0.000 | -0.000 | 545.604 | 12.920 | 
| -0.000 | -0.001 | -0.000 | -0.000 | 12.920 | 609.555 | 
| 634.567 | -509.853 | 1214.604 | 9.292 | 0.000 | 0.000 | 
| -47.332 | 1137.810 | 247.177 | -12.158 | 0.000 | -0.000 | 
| -242.617 | -242.616 | 1823.783 | 0.000 | 0.000 | 0.000 | 
| 12.904 | -12.904 | 0.000 | 545.361 | -0.000 | -0.000 | 
| -0.000 | 0.000 | 0.001 | 0.000 | 545.361 | 12.904 | 
| -0.000 | -0.000 | 0.002 | 0.000 | 12.904 | 609.355 | 
| 2154.551 | 1020.382 | -1840.562 | 7.124 | 0.000 | -0.000 | 
| 670.184 | 1814.562 | -1149.274 | -9.290 | 0.000 | 0.000 | 
| 126.052 | 126.052 | 1085.450 | 0.000 | 0.000 | 0.000 | 
| 12.905 | -12.905 | -0.001 | 545.361 | -0.000 | 0.000 | 
| 0.000 | -0.000 | -0.002 | -0.000 | 545.361 | 12.905 | 
| 0.001 | -0.000 | -0.001 | -0.000 | 12.905 | 609.355 | 
| 1245.956 | 61.357 | 30.068 | 12.127 | -0.000 | 0.000 | 
| 61.357 | 1245.956 | 30.068 | -12.127 | 0.000 | 0.000 | 
| -7.536 | -7.536 | 1352.965 | -0.000 | -0.000 | -0.000 | 
| 12.904 | -12.905 | 0.000 | 545.361 | -0.000 | 0.000 | 
| -0.000 | 0.000 | 0.000 | 0.000 | 545.361 | 12.905 | 
| -12.145 | -12.145 | 24.320 | 0.000 | 12.157 | 592.557 | 
| 1283.409 | 139.170 | -85.376 | 9.283 | -0.000 | 0.000 | 
| 60.761 | 1279.470 | -2.897 | -12.905 | 0.000 | 0.000 | 
| 18.130 | 18.130 | 1301.567 | -0.000 | -0.000 | 0.000 | 
| 12.905 | -12.905 | -0.000 | 545.361 | 0.000 | 0.000 | 
| 0.000 | -0.000 | -0.000 | -0.000 | 545.361 | 12.905 | 
| 12.145 | 12.145 | -24.320 | -0.000 | 12.157 | 592.557 | 
| 1226.381 | 72.376 | 38.652 | 9.758 | -0.000 | -0.000 | 
| 72.377 | 1226.379 | 38.654 | -9.758 | 0.000 | -0.000 | 
| 8.179 | 8.179 | 1321.495 | 0.000 | 0.000 | -0.000 | 
| 3.873 | -15.076 | 11.221 | 528.372 | -0.000 | -0.000 | 
| -5.602 | -5.601 | 11.222 | 0.000 | 528.371 | 9.474 | 
| 0.000 | 0.001 | 0.000 | 0.000 | 12.905 | 609.355 | 
| 1234.731 | 83.632 | 19.007 | 9.617 | 0.000 | 0.000 | 
| 83.631 | 1234.731 | 19.006 | -9.617 | -0.000 | -0.000 | 
| -3.046 | -3.046 | 1343.974 | -0.000 | -0.000 | 0.000 | 
| 12.904 | -12.904 | -0.000 | 545.361 | -0.000 | -0.000 | 
| 5.602 | 5.601 | -11.222 | -0.000 | 528.371 | 9.474 | 
| -0.000 | -0.001 | -0.000 | -0.000 | 12.905 | 609.355 | 
| 643.421 | 72.652 | 72.651 | -0.000 | -0.000 | -0.000 | 
| 72.651 | 643.422 | 72.651 | -0.000 | -0.000 | -0.000 | 
| 72.651 | 72.652 | 643.422 | 0.000 | -0.000 | -0.000 | 
| 0.021 | 0.021 | 0.021 | 106.487 | 0.000 | 0.000 | 
| 0.021 | 0.021 | 0.021 | 0.000 | 106.487 | -0.000 | 
| 0.021 | 0.021 | 0.021 | 0.000 | 0.000 | 106.487 | 
| 500.560 | 143.871 | 143.871 | 0.000 | -0.000 | 0.000 | 
| 143.871 | 500.560 | 143.871 | 0.000 | -0.000 | 0.000 | 
| 143.871 | 143.871 | 500.560 | -0.000 | -0.000 | -0.000 | 
| -0.021 | -0.021 | -0.021 | 106.487 | -0.000 | 0.000 | 
| -0.021 | -0.021 | -0.021 | 0.000 | 106.487 | 0.000 | 
| -0.021 | -0.021 | -0.021 | 0.000 | 0.000 | 106.487 | 
| 500.528 | 143.936 | 143.936 | -0.000 | -0.000 | -0.000 | 
| 143.936 | 500.528 | 143.936 | -0.000 | -0.000 | 0.000 | 
| 143.936 | 143.936 | 500.528 | 0.000 | 0.000 | -0.000 | 
| 0.000 | 0.000 | -0.000 | 162.087 | 0.000 | -0.000 | 
| -0.000 | -0.000 | 0.000 | -0.000 | 162.087 | -0.000 | 
| -0.000 | 0.000 | 0.000 | 0.000 | 0.000 | 162.087 | 
| 500.520 | 143.931 | 143.931 | 0.000 | -0.000 | 0.000 | 
| 143.931 | 500.520 | 143.931 | -0.000 | 0.000 | 0.000 | 
| 143.931 | 143.931 | 500.520 | -0.000 | -0.000 | 0.000 | 
| -0.000 | 0.000 | 0.000 | 162.087 | 0.000 | -0.000 | 
| 0.000 | 0.000 | -0.000 | 0.000 | 162.087 | 0.000 | 
| 0.000 | -0.000 | -0.000 | -0.000 | -0.000 | 162.087 | 
| 500.488 | 144.039 | 144.039 | -0.000 | 0.000 | 0.000 | 
| 144.039 | 500.488 | 144.039 | -0.000 | 0.000 | 0.000 | 
| 144.039 | 144.039 | 500.488 | 0.000 | 0.000 | -0.000 | 
| 0.000 | -0.000 | -0.000 | 92.220 | -0.000 | 0.000 | 
| -0.000 | 0.000 | -0.000 | -0.000 | 92.220 | -0.000 | 
| -0.000 | 0.000 | 0.000 | -0.000 | -0.000 | 92.220 | 
| 500.339 | 144.110 | 144.110 | -0.000 | -0.000 | 0.000 | 
| 144.110 | 500.339 | 144.110 | -0.000 | -0.000 | 0.000 | 
| 144.110 | 144.110 | 500.339 | 0.000 | 0.000 | 0.000 | 
| -0.000 | 0.000 | 0.000 | 92.220 | -0.000 | 0.000 | 
| 0.000 | -0.000 | 0.000 | 0.000 | 92.220 | 0.000 | 
| 0.000 | -0.000 | -0.000 | 0.000 | -0.000 | 92.220 | 
| 498.031 | 141.943 | 141.943 | -0.000 | 0.000 | -0.000 | 
| 141.943 | 498.031 | 141.943 | -0.000 | 0.000 | -0.000 | 
| 141.943 | 141.943 | 498.031 | -0.000 | 0.000 | -0.000 | 
| 0.000 | -0.000 | -0.000 | 161.675 | 0.000 | -0.000 | 
| 0.000 | -0.000 | -0.000 | -0.000 | 161.676 | -0.000 | 
| 0.000 | -0.000 | -0.000 | -0.000 | 0.000 | 161.676 | 
| 498.031 | 141.943 | 141.943 | 0.000 | -0.000 | 0.000 | 
| 141.943 | 498.031 | 141.943 | 0.000 | -0.000 | 0.000 | 
| 141.943 | 141.943 | 498.032 | 0.000 | -0.000 | 0.000 | 
| -0.000 | 0.000 | 0.000 | 161.676 | -0.000 | 0.000 | 
| -0.000 | 0.000 | 0.000 | 0.000 | 161.676 | 0.000 | 
| -0.000 | 0.000 | 0.000 | 0.000 | -0.000 | 161.676 | 
| 498.031 | 141.944 | 141.944 | -0.000 | 0.000 | -0.000 | 
| 141.944 | 498.031 | 141.944 | -0.000 | 0.000 | -0.000 | 
| 141.944 | 141.944 | 498.031 | -0.000 | 0.000 | -0.000 | 
| 0.000 | -0.000 | -0.000 | 161.676 | 0.000 | -0.000 | 
| 0.000 | 0.000 | -0.000 | -0.000 | 161.676 | -0.000 | 
| 0.000 | -0.000 | -0.000 | -0.000 | 0.000 | 161.676 | 
| 498.032 | 141.943 | 141.943 | 0.000 | -0.000 | 0.000 | 
| 141.943 | 498.032 | 141.943 | 0.000 | -0.000 | 0.000 | 
| 141.943 | 141.943 | 498.032 | 0.000 | -0.000 | 0.000 | 
| -0.000 | 0.000 | 0.000 | 161.676 | -0.000 | 0.000 | 
| -0.000 | -0.000 | 0.000 | 0.000 | 161.676 | 0.000 | 
| -0.000 | 0.000 | 0.000 | 0.000 | -0.000 | 161.676 | 
| 497.996 | 142.052 | 142.052 | -0.000 | 0.000 | -0.000 | 
| 142.052 | 497.996 | 142.052 | -0.000 | 0.000 | -0.000 | 
| 142.052 | 142.052 | 497.996 | -0.000 | 0.000 | -0.000 | 
| -0.000 | -0.000 | -0.000 | 106.547 | 0.000 | -0.000 | 
| -0.000 | -0.000 | -0.000 | -0.000 | 106.547 | -0.000 | 
| -0.000 | -0.000 | -0.000 | -0.000 | 0.000 | 106.547 | 
| 497.972 | 142.062 | 142.062 | 0.000 | -0.000 | 0.000 | 
| 142.062 | 497.972 | 142.062 | 0.000 | -0.000 | 0.000 | 
| 141.940 | 141.940 | 498.035 | 0.000 | -0.000 | 0.000 | 
| 0.000 | 0.000 | 0.000 | 106.547 | -0.000 | 0.000 | 
| 0.000 | 0.000 | 0.000 | 0.000 | 106.547 | 0.000 | 
| 0.000 | 0.000 | 0.000 | 0.000 | -0.000 | 106.547 | 
| 920.965 | -89.828 | 627.920 | -0.000 | -0.000 | 0.000 | 
| 57.449 | 314.424 | 13.183 | -0.000 | -0.000 | -0.000 | 
| 296.351 | -89.002 | 588.493 | -0.000 | -0.000 | -0.000 | 
| 355.127 | -140.027 | 464.633 | 56.261 | -0.000 | -0.000 | 
| 329.212 | -138.761 | 1087.487 | -0.000 | 103.345 | -0.000 | 
| 323.155 | -136.325 | 1076.112 | -0.000 | -0.000 | 220.402 | 
| 225.419 | 99.820 | -1148.000 | 0.000 | 0.000 | -0.000 | 
| -280.564 | 382.703 | -462.102 | 0.000 | 0.000 | -0.000 | 
| -311.989 | 127.710 | -1096.527 | 0.000 | 0.000 | -0.000 | 
| -355.127 | 140.027 | -464.633 | 56.261 | 0.000 | -0.000 | 
| -329.212 | 138.761 | -1087.487 | 0.000 | 103.345 | 0.000 | 
| -323.155 | 136.325 | -1076.112 | 0.000 | 0.000 | 220.402 | 
| 591.283 | 38.774 | 47.669 | -0.000 | -0.000 | 0.000 | 
| 113.192 | 244.837 | 61.914 | -0.000 | -0.000 | 0.000 | 
| 49.374 | -3.787 | 421.908 | -0.000 | -0.000 | -0.000 | 
| 0.000 | 0.000 | -0.000 | 91.037 | -0.000 | -0.000 | 
| 40.134 | -15.825 | 52.510 | -0.000 | 144.821 | -0.000 | 
| 0.000 | 0.000 | 0.000 | 0.000 | -0.000 | 230.180 | 
| 507.926 | 67.333 | -114.798 | 0.000 | 0.000 | 0.000 | 
| 57.449 | 314.424 | 13.183 | -0.000 | 0.000 | 0.000 | 
| -48.865 | 10.547 | -98.701 | 0.000 | 0.000 | 0.000 | 
| -43.515 | 17.158 | -56.933 | 48.425 | 0.000 | 0.000 | 
| -40.134 | 15.825 | -52.510 | 0.000 | 144.821 | -0.000 | 
| -0.000 | -0.000 | -0.000 | -0.000 | 0.000 | 230.180 | 
| 548.703 | 56.123 | 51.706 | 0.000 | -0.000 | -0.000 | 
| 88.455 | 254.471 | 29.487 | -0.000 | -0.000 | -0.000 | 
| 4.844 | -17.332 | 11.482 | -0.000 | -0.000 | 0.000 | 
| 7.037 | -3.033 | 25.817 | 1.224 | -0.000 | 0.000 | 
| 3.072 | -0.416 | 10.975 | -0.000 | -0.017 | -0.000 | 
| 1.696 | -0.669 | 2.219 | -0.000 | -0.000 | 220.615 | 
| 537.905 | 71.892 | 13.262 | 0.000 | -0.000 | 0.000 | 
| 83.459 | 255.441 | 22.443 | 0.000 | 0.000 | 0.000 | 
| -1.435 | -16.608 | -11.476 | 0.000 | 0.000 | -0.000 | 
| -7.037 | 3.033 | -25.817 | 1.224 | 0.000 | -0.000 | 
| -3.072 | 0.416 | -10.975 | 0.000 | -0.017 | -0.000 | 
| -1.696 | 0.669 | -2.219 | 0.000 | 0.000 | 220.615 | 
| 629.806 | 96.065 | 4.156 | -0.000 | 0.000 | 0.000 | 
| 52.801 | 385.149 | 19.347 | -0.000 | -0.000 | 0.000 | 
| 44.283 | 19.348 | 456.711 | 0.000 | -0.000 | 0.000 | 
| 0.000 | 0.000 | 0.000 | 96.134 | -0.000 | -0.000 | 
| 6.038 | 3.733 | -1.843 | -0.000 | 170.397 | 0.000 | 
| 1.983 | 3.272 | 0.705 | -0.000 | -0.000 | 221.854 | 
| 671.579 | 52.801 | 44.283 | 0.000 | 0.000 | -0.000 | 
| 96.611 | 261.287 | 40.505 | -0.000 | 0.000 | -0.000 | 
| -15.800 | 18.737 | 1.529 | 0.000 | -0.000 | 0.000 | 
| -0.000 | -0.000 | -0.000 | 96.135 | 0.000 | -0.000 | 
| -6.038 | -3.733 | 1.843 | 0.000 | 170.397 | -0.000 | 
| -1.983 | -3.272 | -0.705 | 0.000 | 0.000 | 221.854 | 
| 631.358 | 86.078 | 38.136 | -0.000 | -0.000 | 0.000 | 
| 100.516 | 265.619 | 38.874 | -0.000 | -0.000 | -0.000 | 
| -14.314 | 28.910 | 8.312 | -0.000 | -0.000 | 0.000 | 
| 1.063 | -1.742 | 2.772 | 9.494 | -0.000 | -0.000 | 
| 0.383 | 1.019 | 0.384 | -0.000 | 8.940 | 0.000 | 
| 0.000 | 0.000 | 0.000 | -0.000 | -0.000 | 231.327 | 
| 628.036 | 98.787 | 19.224 | 0.000 | -0.000 | 0.000 | 
| 99.849 | 264.750 | 39.182 | 0.000 | -0.000 | 0.000 | 
| 44.283 | 19.347 | 456.710 | 0.000 | 0.000 | -0.000 | 
| -1.063 | 1.742 | -2.772 | 9.494 | 0.000 | -0.000 | 
| -0.383 | -1.019 | -0.384 | 0.000 | 8.940 | -0.000 | 
| -0.000 | -0.000 | -0.000 | 0.000 | 0.000 | 231.327 | 
| 628.349 | 98.996 | 19.504 | -0.000 | 0.000 | 0.000 | 
| 92.533 | 260.989 | 0.050 | -0.000 | -0.000 | 0.000 | 
| 0.024 | 0.037 | 0.006 | -0.000 | -0.000 | 0.000 | 
| -0.029 | 0.042 | 0.048 | 36.612 | 0.000 | 0.000 | 
| 0.068 | -0.051 | 0.058 | -0.000 | -0.000 | 0.000 | 
| 0.030 | 0.019 | -0.009 | -0.000 | -0.000 | 222.108 | 
| 628.288 | 98.960 | 19.450 | 0.000 | -0.000 | -0.000 | 
| 92.492 | 260.881 | -0.043 | 0.000 | 0.000 | -0.000 | 
| -14.493 | 27.970 | 7.694 | 0.000 | -0.000 | 0.000 | 
| 0.029 | -0.042 | -0.048 | 36.612 | 0.000 | -0.000 | 
| -0.068 | 0.051 | -0.058 | 0.000 | -0.000 | -0.000 | 
| -0.030 | -0.019 | 0.009 | 0.000 | 0.000 | 222.108 | 
| 695.031 | -5.789 | 0.000 | 0.000 | 0.000 | 0.000 | 
| -5.789 | 695.031 | 0.000 | 0.000 | 0.000 | 0.000 | 
| 0.000 | 0.000 | 0.000 | 0.000 | -0.000 | -0.000 | 
| -0.000 | 0.000 | -0.000 | -0.000 | 0.000 | 0.000 | 
| -0.000 | 0.000 | -0.000 | 0.000 | -0.000 | 0.000 | 
| -0.000 | 0.000 | -0.000 | -0.000 | -0.000 | 350.756 | 
| 695.031 | -5.789 | -0.000 | -0.000 | -0.000 | -0.000 | 
| -5.789 | 695.031 | -0.000 | -0.000 | -0.000 | -0.000 | 
| 0.000 | 0.000 | -0.000 | -0.000 | -0.000 | -0.000 | 
| 0.000 | -0.000 | 0.000 | 0.000 | 0.000 | -0.000 | 
| 0.000 | -0.000 | 0.000 | 0.000 | 0.000 | -0.000 | 
| 0.000 | -0.000 | 0.000 | 0.000 | -0.000 | 350.756 | 
| 695.377 | -6.135 | 0.000 | -0.000 | -0.000 | 0.000 | 
| -6.135 | 695.377 | 0.000 | 0.000 | 0.000 | 0.000 | 
| 0.000 | 0.000 | 0.000 | -0.000 | -0.000 | -0.000 | 
| -0.000 | 0.000 | -0.000 | 0.000 | 0.000 | 0.000 | 
| -0.000 | -0.000 | -0.000 | 0.000 | -0.000 | 0.000 | 
| 0.000 | 0.000 | -0.000 | 0.000 | -0.000 | 350.756 | 
| 695.377 | -6.135 | 0.000 | -0.000 | -0.000 | -0.000 | 
| -6.135 | 695.377 | -0.000 | 0.000 | 0.000 | -0.000 | 
| 0.000 | 0.000 | -0.000 | -0.000 | -0.000 | -0.000 | 
| 0.000 | -0.000 | 0.000 | -0.000 | -0.000 | -0.000 | 
| 0.000 | -0.000 | 0.000 | 0.000 | 0.000 | -0.000 | 
| -0.000 | -0.000 | 0.000 | -0.000 | -0.000 | 350.756 | 
| 695.033 | -5.788 | 0.000 | 0.000 | 0.000 | 0.000 | 
| -5.788 | 695.033 | 0.000 | 0.000 | 0.000 | 0.000 | 
| 0.000 | 0.000 | 0.000 | 0.000 | -0.000 | -0.000 | 
| -0.000 | 0.000 | -0.000 | 0.000 | 0.000 | 0.000 | 
| -0.000 | 0.000 | -0.000 | -0.000 | 0.000 | 0.000 | 
| 0.000 | 0.000 | 0.000 | -0.000 | -0.000 | 350.756 | 
| 695.028 | -5.789 | -0.000 | -0.000 | -0.000 | -0.000 | 
| -6.135 | 695.375 | -0.000 | 0.000 | -0.000 | -0.000 | 
| 0.000 | 0.000 | -0.000 | -0.000 | -0.000 | -0.000 | 
| 0.000 | -0.000 | 0.000 | 0.000 | -0.000 | -0.000 | 
| 0.000 | -0.000 | 0.000 | -0.000 | 0.000 | -0.000 | 
| -0.000 | -0.000 | -0.000 | 0.000 | -0.000 | 350.756 | 
| 1279.931 | 61.232 | -3.306 | 0.000 | 0.000 | -0.001 | 
| 61.232 | 1279.931 | -3.305 | 0.000 | -0.000 | 0.000 | 
| 18.378 | 18.378 | 1299.767 | 0.000 | 0.000 | -0.000 | 
| -0.000 | -0.000 | -0.000 | 545.747 | -0.000 | -0.000 | 
| -0.000 | -0.001 | 0.000 | 0.000 | 545.747 | -0.001 | 
| -0.000 | -0.001 | -0.000 | 0.000 | -0.000 | 609.348 | 
| 1240.904 | 84.199 | 12.681 | 0.000 | 0.000 | 0.000 | 
| 84.199 | 1240.904 | 12.681 | -0.000 | 0.000 | 0.000 | 
| 18.486 | 18.486 | 1299.555 | -0.000 | -0.000 | 0.000 | 
| 0.000 | 0.000 | 0.001 | 545.747 | 0.000 | 0.000 | 
| 0.000 | 0.001 | 0.000 | -0.000 | 545.747 | 0.001 | 
| 0.000 | 0.001 | -0.000 | -0.000 | -0.000 | 609.350 | 
| 1240.836 | 84.135 | 12.812 | -0.000 | -0.000 | -0.000 | 
| 84.135 | 1240.836 | 12.812 | 0.000 | -0.000 | 0.000 | 
| -2.890 | -2.890 | 1342.103 | -0.000 | -0.000 | -0.000 | 
| -0.005 | -0.005 | 0.011 | 535.009 | -0.000 | 0.000 | 
| -0.000 | 0.000 | -0.000 | 0.000 | 545.747 | 0.000 | 
| 0.000 | 0.000 | -0.000 | -0.000 | 0.000 | 609.349 | 
| 1243.370 | 74.580 | 19.799 | -0.000 | 0.000 | 0.000 | 
| 74.579 | 1243.371 | 19.799 | -0.000 | -0.000 | -0.000 | 
| 18.437 | 18.437 | 1299.650 | -0.000 | 0.000 | 0.000 | 
| 0.005 | 0.005 | -0.011 | 535.009 | -0.000 | -0.000 | 
| 0.000 | -0.000 | -0.000 | -0.000 | 545.747 | -0.000 | 
| -0.000 | -0.000 | 0.000 | 0.000 | -0.000 | 609.349 | 
| 1243.391 | 74.565 | 19.797 | -0.000 | 0.000 | 0.000 | 
| 74.573 | 1243.369 | 19.811 | 0.000 | -0.000 | -0.000 | 
| 18.432 | 18.432 | 1299.666 | -0.000 | 0.000 | 0.000 | 
| -0.000 | -0.001 | 0.001 | 535.009 | 0.000 | -0.000 | 
| -0.001 | -0.000 | 0.001 | -0.000 | 535.009 | -0.000 | 
| 0.000 | 0.001 | 0.000 | -0.000 | 0.000 | 609.349 | 
| 1279.927 | 61.231 | -3.305 | -0.000 | 0.000 | 0.000 | 
| 74.572 | 1243.366 | 19.807 | -0.000 | 0.000 | 0.000 | 
| 18.431 | 18.431 | 1299.657 | -0.000 | -0.000 | 0.000 | 
| 0.000 | 0.001 | -0.001 | 535.009 | 0.000 | 0.000 | 
| 0.001 | 0.000 | -0.001 | 0.000 | 535.009 | 0.000 | 
| -0.000 | -0.001 | -0.000 | 0.000 | -0.000 | 609.349 | 
| 1279.922 | 61.125 | -3.148 | -0.000 | -0.000 | 0.000 | 
| 61.125 | 1279.922 | -3.147 | -0.000 | -0.000 | 0.000 | 
| -2.912 | -2.912 | 1342.848 | -0.000 | 0.000 | 0.000 | 
| 0.000 | 0.000 | 0.000 | 545.658 | -0.000 | 0.000 | 
| -29.197 | -29.197 | 58.237 | 0.000 | 534.762 | 0.000 | 
| -29.647 | -29.647 | 59.132 | -0.000 | 0.000 | 586.229 | 
| 1275.244 | 103.922 | -41.164 | 0.000 | 0.000 | -0.000 | 
| 103.922 | 1275.244 | -41.165 | 0.000 | -0.000 | 0.000 | 
| 47.536 | 47.536 | 1242.222 | 0.000 | 0.000 | 0.000 | 
| -0.000 | -0.000 | -0.001 | 545.658 | 0.000 | -0.000 | 
| 29.197 | 29.197 | -58.238 | -0.000 | 534.761 | 0.000 | 
| 29.647 | 29.647 | -59.132 | 0.000 | -0.000 | 586.229 | 
| 1279.922 | 61.125 | -3.148 | 0.000 | -0.000 | 0.000 | 
| 70.430 | 1242.163 | 25.230 | 0.000 | 0.000 | 0.000 | 
| 15.602 | 15.602 | 1305.919 | 0.000 | 0.000 | -0.000 | 
| -2.880 | -2.880 | 5.745 | 534.909 | 0.000 | 0.000 | 
| -0.000 | 0.000 | -0.000 | 0.000 | 545.658 | -0.000 | 
| 0.000 | 0.000 | -0.000 | 0.000 | 0.000 | 609.399 | 
| 1279.922 | 61.125 | -3.148 | 0.000 | -0.000 | -0.000 | 
| 76.746 | 1247.577 | 13.531 | -0.000 | -0.000 | -0.000 | 
| 21.348 | 21.348 | 1294.457 | 0.000 | 0.000 | 0.000 | 
| 2.880 | 2.880 | -5.745 | 534.909 | -0.000 | -0.000 | 
| 0.000 | -0.000 | 0.000 | -0.000 | 545.658 | 0.000 | 
| -0.000 | -0.000 | 0.000 | -0.000 | -0.000 | 609.399 | 
| 1237.638 | 78.842 | 21.357 | -0.000 | 0.000 | 0.000 | 
| 73.235 | 1244.601 | 20.004 | -0.000 | 0.000 | -0.000 | 
| 18.184 | 18.184 | 1300.774 | -0.000 | 0.000 | -0.000 | 
| 0.000 | -0.000 | 0.000 | 545.658 | 0.000 | 0.000 | 
| -0.000 | 0.000 | 0.000 | 0.000 | 545.658 | -0.000 | 
| 0.000 | 0.001 | 0.000 | 0.000 | -0.000 | 609.399 | 
| 1245.134 | 73.865 | 18.836 | 0.000 | -0.000 | 0.000 | 
| 61.124 | 1279.918 | -3.149 | 0.000 | -0.000 | 0.000 | 
| 18.762 | 18.762 | 1299.611 | -0.000 | -0.000 | 0.000 | 
| -0.000 | 0.000 | -0.000 | 545.658 | -0.000 | 0.000 | 
| 0.000 | -0.000 | -0.000 | -0.000 | 545.658 | -0.000 | 
| -0.000 | -0.001 | -0.000 | -0.000 | -0.000 | 609.399 | 
| 1245.838 | 73.015 | 19.491 | 0.000 | 0.000 | -0.000 | 
| 61.062 | 1280.171 | -2.889 | 0.000 | -0.000 | -0.000 | 
| -2.889 | -2.889 | 1344.119 | 0.000 | -0.000 | -0.000 | 
| 0.000 | -0.000 | 0.001 | 545.604 | 0.000 | -0.000 | 
| -0.000 | 0.000 | 0.001 | 0.000 | 534.860 | -0.000 | 
| 0.001 | 0.000 | -0.001 | 0.000 | -0.000 | 585.938 | 
| 1244.810 | 76.454 | 17.077 | -0.000 | -0.000 | 0.000 | 
| 76.454 | 1244.810 | 17.078 | -0.001 | -0.000 | 0.000 | 
| 18.599 | 18.598 | 1301.147 | -0.000 | -0.000 | 0.000 | 
| -0.001 | 0.000 | -0.001 | 545.604 | -0.000 | 0.000 | 
| 0.000 | -0.000 | -0.001 | -0.000 | 534.860 | 0.000 | 
| 0.000 | 0.000 | 0.001 | -0.000 | 0.000 | 585.938 | 
| 1240.668 | 77.524 | 20.152 | 0.000 | -0.000 | -0.000 | 
| 73.016 | 1245.838 | 19.490 | 0.000 | -0.000 | -0.000 | 
| 18.595 | 18.595 | 1301.154 | 0.000 | -0.000 | -0.000 | 
| 0.000 | -0.000 | 0.000 | 534.860 | 0.000 | 0.000 | 
| -0.000 | 0.000 | 0.000 | 0.000 | 534.860 | -0.000 | 
| -0.000 | 0.000 | 0.000 | 0.000 | 0.000 | 585.938 | 
| 1280.171 | 61.061 | -2.890 | -0.000 | 0.000 | 0.000 | 
| 61.061 | 1280.171 | -2.890 | -0.000 | -0.000 | 0.000 | 
| -2.890 | -2.889 | 1344.122 | -0.000 | 0.000 | 0.000 | 
| -0.000 | 0.000 | -0.000 | 534.860 | -0.000 | -0.000 | 
| 0.000 | -0.000 | -0.000 | -0.000 | 534.860 | 0.000 | 
| 0.000 | -0.000 | -0.000 | -0.000 | 0.000 | 585.938 | 
| 1244.813 | 76.455 | 17.079 | -0.000 | -0.000 | -0.000 | 
| 76.440 | 1244.856 | 17.051 | 0.000 | 0.000 | -0.000 | 
| 18.599 | 18.599 | 1301.151 | 0.000 | 0.000 | -0.000 | 
| 0.000 | -0.000 | 0.000 | 545.604 | -0.000 | -0.000 | 
| -0.000 | 0.000 | 0.000 | 0.000 | 545.604 | -0.000 | 
| 0.000 | 0.001 | 0.000 | 0.000 | -0.000 | 609.555 | 
| 1245.835 | 73.015 | 19.489 | -0.000 | -0.000 | 0.000 | 
| 73.029 | 1245.793 | 19.516 | -0.000 | -0.000 | 0.000 | 
| 18.597 | 18.597 | 1301.144 | -0.000 | -0.000 | 0.000 | 
| -0.000 | 0.000 | -0.000 | 545.604 | 0.000 | 0.000 | 
| 0.000 | -0.000 | -0.000 | -0.000 | 545.604 | 0.000 | 
| -0.000 | -0.001 | -0.000 | -0.000 | 0.000 | 609.555 | 
| 1279.915 | 61.025 | -3.002 | 0.000 | 0.000 | -0.000 | 
| 54.355 | 1219.181 | 64.349 | 0.000 | 0.000 | -0.000 | 
| 4.316 | 4.316 | 1329.062 | -0.000 | 0.000 | 0.000 | 
| -0.000 | -0.000 | 0.000 | 545.575 | 0.000 | -0.000 | 
| -19.535 | -19.535 | 39.039 | -0.000 | 532.182 | 0.000 | 
| -0.000 | -0.000 | -0.000 | -0.000 | 0.000 | 609.445 | 
| 1258.300 | 94.966 | -15.317 | 0.000 | -0.000 | 0.000 | 
| 94.966 | 1258.300 | -15.318 | -0.000 | -0.000 | 0.000 | 
| 42.784 | 42.784 | 1252.184 | -0.000 | -0.000 | -0.000 | 
| -0.000 | 0.000 | -0.001 | 545.575 | -0.000 | 0.000 | 
| 19.535 | 19.535 | -39.039 | 0.000 | 532.181 | -0.000 | 
| 0.000 | 0.000 | -0.000 | 0.000 | -0.000 | 609.445 | 
| 1241.990 | 71.926 | 24.001 | 0.000 | 0.000 | -0.000 | 
| 61.025 | 1279.916 | -3.002 | -0.000 | -0.000 | -0.000 | 
| 18.327 | 18.327 | 1301.060 | 0.000 | 0.000 | -0.000 | 
| -1.369 | -1.369 | 2.736 | 536.195 | 0.000 | -0.000 | 
| -0.000 | 0.000 | -0.000 | 0.000 | 545.575 | 0.000 | 
| 0.000 | 0.000 | -0.000 | 0.000 | 0.000 | 609.445 | 
| 1244.975 | 75.557 | 17.390 | 0.000 | -0.000 | 0.000 | 
| 75.557 | 1244.975 | 17.390 | -0.000 | -0.000 | 0.000 | 
| -2.932 | -2.932 | 1343.544 | -0.000 | -0.000 | -0.000 | 
| 1.369 | 1.369 | -2.736 | 536.195 | -0.000 | 0.000 | 
| 0.000 | -0.000 | -0.000 | -0.000 | 545.575 | 0.000 | 
| -0.000 | -0.000 | 0.000 | -0.000 | -0.000 | 609.445 | 
| 1244.420 | 76.291 | 17.216 | -0.000 | 0.000 | -0.000 | 
| 76.287 | 1244.431 | 17.209 | -0.000 | 0.000 | -0.000 | 
| 18.374 | 18.374 | 1300.971 | 0.000 | 0.000 | 0.000 | 
| -0.157 | -0.157 | 0.314 | 534.806 | 0.000 | -0.000 | 
| -0.000 | 0.000 | 0.000 | -0.000 | 545.575 | -0.000 | 
| 0.000 | 0.001 | 0.000 | 0.000 | 0.000 | 609.445 | 
| 1279.912 | 61.024 | -3.002 | 0.000 | -0.000 | -0.000 | 
| 61.024 | 1279.911 | -3.002 | -0.000 | -0.000 | -0.000 | 
| 18.655 | 18.655 | 1300.400 | -0.000 | -0.000 | 0.000 | 
| 0.157 | 0.157 | -0.314 | 534.806 | -0.000 | 0.000 | 
| 0.000 | -0.000 | -0.000 | 0.000 | 545.575 | 0.000 | 
| -0.000 | -0.001 | -0.000 | -0.000 | -0.000 | 609.445 | 
| 693.326 | 261.578 | 102.573 | 0.000 | -0.000 | -0.000 | 
| 63.879 | 465.957 | 23.407 | -0.000 | -0.000 | 0.000 | 
| -25.646 | 184.212 | 303.471 | -0.000 | -0.000 | 0.000 | 
| -0.000 | 0.000 | -0.000 | 116.304 | -0.000 | 0.000 | 
| -72.524 | 194.834 | 79.455 | 0.000 | 200.767 | -0.000 | 
| -0.000 | 0.000 | -0.000 | -0.000 | -0.000 | 279.862 | 
| 817.453 | -108.081 | -243.989 | 0.000 | 0.000 | 0.000 | 
| 129.381 | 125.178 | -186.275 | 0.000 | 0.000 | 0.000 | 
| 156.904 | -263.836 | 12.627 | 0.000 | 0.000 | 0.000 | 
| 0.000 | -0.000 | 0.000 | 116.304 | 0.000 | 0.000 | 
| 72.524 | -194.834 | -79.455 | -0.000 | 200.767 | -0.000 | 
| 0.000 | -0.000 | 0.000 | -0.000 | 0.000 | 279.862 | 
| 812.484 | 63.879 | 53.574 | -0.000 | -0.000 | -0.000 | 
| 115.079 | 337.209 | 53.296 | -0.000 | -0.000 | -0.000 | 
| -22.773 | 52.964 | 46.586 | -0.000 | -0.000 | 0.000 | 
| -6.819 | 18.320 | 7.471 | 67.177 | -0.000 | -0.000 | 
| -8.873 | 39.859 | 33.803 | 0.000 | 29.085 | 0.000 | 
| -0.000 | 0.000 | 0.000 | -0.000 | -0.000 | 279.862 | 
| 767.489 | 93.140 | 41.840 | 0.000 | 0.000 | -0.000 | 
| 127.561 | 303.828 | 41.088 | -0.000 | 0.000 | 0.000 | 
| -10.510 | 10.274 | -27.822 | -0.000 | 0.000 | -0.000 | 
| 6.819 | -18.320 | -7.471 | 67.177 | 0.000 | -0.000 | 
| 8.873 | -39.859 | -33.803 | -0.000 | 29.085 | -0.000 | 
| -0.000 | -0.000 | -0.000 | 0.000 | 0.000 | 279.862 | 
| 763.096 | 104.991 | 46.684 | 0.000 | -0.000 | -0.000 | 
| 120.473 | 322.761 | 47.780 | -0.000 | -0.000 | -0.000 | 
| -0.264 | 1.847 | 3.005 | -0.000 | -0.000 | 0.000 | 
| -0.173 | 2.204 | 4.503 | 0.011 | -0.000 | -0.000 | 
| -0.847 | 1.658 | 1.919 | -0.000 | -0.004 | -0.000 | 
| -0.250 | 1.976 | 2.234 | -0.000 | -0.000 | 253.007 | 
| 764.055 | 102.705 | 45.829 | -0.000 | 0.000 | 0.000 | 
| 112.029 | 316.221 | 31.959 | -0.000 | 0.000 | 0.000 | 
| 0.264 | -1.847 | -3.004 | -0.000 | 0.000 | 0.000 | 
| 0.173 | -2.204 | -4.503 | 0.011 | 0.000 | 0.000 | 
| 0.847 | -1.658 | -1.919 | 0.000 | -0.004 | 0.000 | 
| 0.250 | -1.976 | -2.234 | -0.000 | 0.000 | 253.007 | 
| 842.076 | 106.764 | 52.944 | -0.000 | 0.000 | 0.000 | 
| 135.752 | 343.069 | 54.747 | -0.000 | 0.000 | 0.000 | 
| 2.530 | -9.502 | 1.074 | -0.000 | 0.000 | 0.000 | 
| -0.000 | -0.000 | 0.000 | 127.808 | 0.000 | 0.000 | 
| -0.000 | -0.000 | -0.000 | -0.000 | 352.095 | 0.000 | 
| 3.576 | -11.164 | 1.904 | -0.000 | 0.000 | 278.146 | 
| 831.283 | 132.495 | -1.074 | 0.000 | -0.000 | -0.000 | 
| 130.603 | 362.097 | 49.021 | 0.000 | 0.000 | -0.000 | 
| -2.530 | 9.502 | -1.074 | 0.000 | -0.000 | -0.000 | 
| 0.000 | 0.000 | -0.000 | 127.808 | -0.000 | -0.000 | 
| 0.000 | 0.000 | -0.000 | 0.000 | 352.095 | -0.000 | 
| -3.576 | 11.164 | -1.904 | 0.000 | -0.000 | 278.146 | 
| 839.439 | 113.337 | 51.052 | -0.000 | 0.000 | 0.000 | 
| 123.245 | 345.956 | 0.107 | -0.000 | 0.000 | 0.000 | 
| 0.253 | -0.950 | 0.104 | -0.000 | -0.000 | 0.000 | 
| 0.389 | -1.014 | 0.011 | 49.678 | 0.000 | 0.000 | 
| 0.706 | -2.368 | 0.535 | -0.000 | 25.589 | 0.000 | 
| 0.000 | 0.000 | 0.000 | -0.000 | 0.000 | 307.542 | 
| 838.830 | 114.842 | 50.620 | 0.000 | 0.000 | -0.000 | 
| 70.197 | 512.043 | 25.722 | 0.000 | -0.000 | -0.000 | 
| -19.772 | 38.636 | 10.413 | 0.000 | -0.000 | -0.000 | 
| -0.389 | 1.014 | -0.011 | 49.678 | -0.000 | -0.000 | 
| -0.706 | 2.368 | -0.535 | 0.000 | 25.589 | -0.000 | 
| -0.000 | -0.000 | -0.000 | 0.000 | -0.000 | 307.542 | 
| 833.840 | 122.894 | 0.018 | -0.000 | 0.000 | 0.000 | 
| 122.969 | 349.366 | 37.086 | -0.000 | 0.000 | 0.000 | 
| -0.017 | -0.010 | -0.002 | -0.000 | 0.000 | 0.000 | 
| 0.039 | -0.102 | 0.001 | 49.678 | 0.000 | 0.000 | 
| -0.400 | 1.230 | -0.452 | -0.000 | 0.015 | 0.000 | 
| 0.042 | -0.156 | 0.048 | -0.000 | 0.000 | 283.675 | 
| 833.789 | 123.084 | -0.010 | 0.000 | -0.000 | -0.000 | 
| 122.901 | 349.612 | 37.050 | 0.000 | -0.000 | -0.000 | 
| 0.029 | 0.017 | 0.048 | 0.000 | -0.000 | -0.000 | 
| -0.039 | 0.102 | -0.001 | 49.678 | -0.000 | -0.000 | 
| 0.400 | -1.230 | 0.452 | 0.000 | 0.015 | -0.000 | 
| -0.042 | 0.156 | -0.048 | 0.000 | -0.000 | 283.675 | 
| 791.166 | 57.603 | 50.301 | -0.000 | 0.000 | -0.000 | 
| 171.644 | 1092.941 | -573.283 | -0.000 | -0.000 | 0.000 | 
| 116.759 | 835.857 | -265.258 | -0.000 | -0.000 | 0.000 | 
| -0.000 | 0.000 | -0.000 | 113.870 | -0.000 | 0.000 | 
| 76.263 | 776.305 | -637.444 | -0.000 | 237.127 | 0.000 | 
| 76.065 | 774.285 | -635.785 | -0.000 | 0.000 | 265.275 | 
| 664.830 | -646.141 | 656.944 | 0.000 | -0.000 | -0.000 | 
| 200.630 | -649.424 | 803.709 | 0.000 | 0.000 | 0.000 | 
| 107.559 | -909.131 | 1049.404 | 0.000 | -0.000 | 0.000 | 
| 0.000 | 0.000 | 0.000 | 113.870 | 0.000 | -0.000 | 
| -76.263 | -776.305 | 637.444 | 0.000 | 237.127 | -0.000 | 
| -76.065 | -774.285 | 635.785 | 0.000 | 0.000 | 265.275 | 
| 733.617 | 206.173 | -35.394 | -0.000 | -0.000 | 0.000 | 
| 99.026 | 422.911 | -13.858 | -0.000 | -0.000 | 0.000 | 
| 46.876 | 161.360 | 231.593 | -0.000 | -0.000 | -0.000 | 
| 8.207 | 83.536 | -68.594 | 77.487 | -0.000 | 0.000 | 
| 9.085 | 92.480 | -75.938 | -0.000 | 222.676 | -0.000 | 
| 7.993 | 81.365 | -66.811 | -0.000 | 0.000 | 264.759 | 
| 742.468 | 32.106 | 94.480 | 0.000 | -0.000 | -0.000 | 
| 97.415 | 232.332 | 119.347 | 0.000 | 0.000 | -0.000 | 
| 10.168 | -119.990 | 319.919 | 0.000 | 0.000 | 0.000 | 
| -8.207 | -83.536 | 68.594 | 77.487 | 0.000 | 0.000 | 
| -9.085 | -92.480 | 75.938 | 0.000 | 222.676 | -0.000 | 
| -7.993 | -81.365 | 66.811 | 0.000 | 0.000 | 264.759 | 
| 744.057 | 103.225 | 38.800 | -0.000 | -0.000 | 0.000 | 
| 97.967 | 320.830 | -10.730 | -0.000 | -0.000 | 0.000 | 
| -25.296 | 49.490 | 5.177 | -0.000 | -0.000 | 0.000 | 
| 4.587 | 6.681 | -15.095 | 39.760 | -0.000 | 0.000 | 
| -0.991 | 9.283 | -9.003 | 0.000 | 0.148 | 0.000 | 
| 1.501 | 15.283 | -12.549 | -0.000 | -0.000 | 255.394 | 
| 743.484 | 99.950 | 29.541 | 0.000 | 0.000 | -0.000 | 
| 100.246 | 302.750 | 10.713 | 0.000 | 0.000 | -0.000 | 
| -17.310 | 17.624 | 16.058 | -0.000 | 0.000 | -0.000 | 
| -4.587 | -6.681 | 15.095 | 39.760 | 0.000 | 0.000 | 
| 0.991 | -9.283 | 9.003 | 0.000 | 0.148 | 0.000 | 
| -1.501 | -15.283 | 12.549 | 0.000 | 0.000 | 255.394 | 
| 456.920 | 42.206 | 57.152 | 0.000 | 0.000 | 0.000 | 
| -647.796 | -1197.307 | -222.725 | -0.000 | -0.000 | 0.000 | 
| 51.671 | 51.599 | 395.631 | -0.000 | -0.000 | 0.000 | 
| -675.564 | -1389.584 | -285.983 | 63.074 | -0.000 | 0.000 | 
| -0.000 | 0.000 | -0.000 | 0.000 | 194.389 | 0.000 | 
| -287.268 | -468.160 | 29.857 | 0.000 | 0.000 | 176.735 | 
| 456.920 | 42.206 | 57.152 | -0.000 | 0.000 | -0.000 | 
| 317.904 | 811.213 | 39.795 | 0.000 | -0.000 | -0.000 | 
| 51.671 | 51.599 | 395.632 | -0.000 | -0.000 | -0.000 | 
| 675.564 | 1389.584 | 285.983 | 63.074 | -0.000 | -0.000 | 
| 0.000 | 0.000 | 0.000 | -0.000 | 194.389 | -0.000 | 
| 287.268 | 468.160 | -29.857 | -0.000 | -0.000 | 176.735 | 
| 306.913 | -8.249 | 81.445 | 0.000 | 0.000 | 0.000 | 
| -94.999 | -31.732 | -4.623 | -0.000 | -0.000 | 0.000 | 
| 31.876 | -5.008 | 243.956 | 0.000 | -0.000 | 0.000 | 
| 0.000 | 0.000 | 0.000 | 189.157 | 0.000 | 0.000 | 
| -0.000 | 0.000 | 0.000 | 0.000 | 194.389 | 0.000 | 
| -0.000 | 0.000 | -0.000 | -0.000 | 0.000 | 222.838 | 
| 456.919 | 42.206 | 57.152 | 0.000 | -0.000 | -0.000 | 
| 68.904 | 422.404 | 63.544 | -0.000 | -0.000 | -0.000 | 
| 91.574 | 103.326 | 307.490 | -0.000 | -0.000 | -0.000 | 
| -0.000 | -0.000 | -0.000 | 189.157 | -0.000 | -0.000 | 
| 0.000 | -0.000 | -0.000 | -0.000 | 194.389 | -0.000 | 
| 0.000 | -0.000 | -0.000 | 0.000 | -0.000 | 222.838 | 
| 173.484 | 12.153 | 53.136 | -0.000 | -0.000 | 0.000 | 
| 34.066 | 210.448 | 71.223 | 0.000 | 0.000 | 0.000 | 
| 66.793 | 58.104 | 127.542 | -0.000 | -0.000 | 0.000 | 
| -6.056 | -12.017 | -2.019 | 76.665 | 0.000 | 0.000 | 
| -5.879 | -11.894 | -2.244 | -0.000 | 94.422 | 0.000 | 
| -10.142 | -15.917 | -5.796 | 0.000 | -0.000 | 108.676 | 
| 234.730 | 58.196 | 80.036 | 0.000 | -0.000 | -0.000 | 
| 49.087 | 246.817 | 77.386 | -0.000 | 0.000 | -0.000 | 
| 80.098 | 86.221 | 161.469 | 0.000 | -0.000 | -0.000 | 
| 6.056 | 12.017 | 2.019 | 76.665 | -0.000 | -0.000 | 
| 5.879 | 11.894 | 2.244 | -0.000 | 94.422 | -0.000 | 
| 10.142 | 15.917 | 5.796 | 0.000 | -0.000 | 108.676 | 
| 1174.735 | -9.784 | 0.000 | 0.000 | 0.000 | -0.000 | 
| -9.784 | 1174.735 | 0.000 | 0.000 | 0.000 | 0.000 | 
| -0.000 | -0.000 | 0.000 | 0.000 | 0.000 | 0.000 | 
| -0.000 | -0.000 | 0.000 | 0.000 | 0.000 | 0.000 | 
| -0.000 | -0.000 | 0.000 | 0.000 | 0.000 | -0.000 | 
| 0.000 | 0.000 | 0.000 | 0.000 | 0.000 | 592.259 | 
| 1174.735 | -9.784 | -0.000 | -0.000 | -0.000 | -0.000 | 
| -9.784 | 1174.735 | -0.000 | -0.000 | -0.000 | -0.000 | 
| 0.000 | 0.000 | -0.000 | -0.000 | -0.000 | -0.000 | 
| 0.000 | 0.000 | -0.000 | -0.000 | -0.000 | -0.000 | 
| 0.000 | 0.000 | -0.000 | -0.000 | -0.000 | -0.000 | 
| -0.000 | -0.000 | -0.000 | -0.000 | -0.000 | 592.259 | 
| 1174.735 | -9.784 | 0.000 | 0.000 | 0.000 | 0.000 | 
| -9.784 | 1174.735 | 0.000 | 0.000 | 0.000 | -0.000 | 
| -0.000 | -0.000 | 0.000 | 0.000 | 0.000 | 0.000 | 
| -0.000 | -0.000 | 0.000 | 0.000 | 0.000 | 0.000 | 
| 0.000 | -0.000 | 0.000 | 0.000 | 0.000 | -0.000 | 
| 0.000 | 0.000 | 0.000 | 0.000 | 0.000 | 592.259 | 
| 1174.734 | -9.784 | -0.000 | -0.000 | -0.000 | 0.000 | 
| -9.784 | 1174.734 | -0.000 | -0.000 | -0.000 | -0.000 | 
| 0.000 | 0.000 | -0.000 | -0.000 | -0.000 | -0.000 | 
| 0.000 | 0.000 | -0.000 | -0.000 | -0.000 | -0.000 | 
| -0.000 | 0.000 | -0.000 | -0.000 | -0.000 | -0.000 | 
| -0.000 | -0.000 | -0.000 | -0.000 | -0.000 | 592.259 | 
| 1174.739 | -9.783 | 0.000 | 0.000 | 0.000 | -0.000 | 
| -9.784 | 1174.739 | 0.000 | 0.000 | 0.000 | 0.000 | 
| -0.000 | -0.000 | 0.000 | 0.000 | 0.000 | 0.000 | 
| -0.000 | -0.000 | 0.000 | 0.000 | 0.000 | -0.000 | 
| -0.000 | -0.000 | 0.000 | 0.000 | 0.000 | -0.000 | 
| 0.000 | 0.001 | 0.000 | 0.000 | 0.000 | 592.259 | 
| 1174.731 | -9.784 | -0.000 | -0.000 | -0.000 | -0.000 | 
| -9.784 | 1174.731 | -0.000 | -0.000 | -0.000 | -0.000 | 
| 0.000 | 0.000 | -0.000 | -0.000 | -0.000 | -0.000 | 
| 0.000 | 0.000 | -0.000 | -0.000 | -0.000 | -0.000 | 
| 0.000 | 0.000 | -0.000 | -0.000 | -0.000 | -0.000 | 
| -0.000 | -0.001 | -0.000 | -0.000 | -0.000 | 592.259 | 
| 362.624 | 93.483 | 93.483 | 0.000 | 0.000 | -0.000 | 
| 93.483 | 362.625 | 93.483 | 0.000 | -0.000 | -0.000 | 
| 93.483 | 93.483 | 362.625 | 0.000 | -0.000 | -0.000 | 
| 37.322 | 37.322 | 37.322 | 134.571 | -0.000 | 0.000 | 
| 37.322 | 37.322 | 37.322 | 0.000 | 134.571 | -0.000 | 
| 37.322 | 37.322 | 37.322 | 0.000 | -0.000 | 134.571 | 
| 416.648 | 48.499 | 48.499 | -0.000 | -0.000 | 0.000 | 
| 48.499 | 416.648 | 48.499 | -0.000 | 0.000 | 0.000 | 
| 48.499 | 48.499 | 416.648 | -0.000 | 0.000 | 0.000 | 
| -37.322 | -37.322 | -37.322 | 134.571 | 0.000 | -0.000 | 
| -37.322 | -37.322 | -37.322 | -0.000 | 134.571 | 0.000 | 
| -37.322 | -37.322 | -37.322 | -0.000 | 0.000 | 134.571 | 
| 416.648 | 48.499 | 48.499 | 0.000 | -0.000 | -0.000 | 
| 48.499 | 416.648 | 48.499 | 0.000 | 0.000 | -0.000 | 
| 48.499 | 48.499 | 416.648 | 0.000 | -0.000 | -0.000 | 
| 0.000 | -0.000 | 0.000 | 184.075 | -0.000 | -0.000 | 
| -0.000 | 0.000 | 0.000 | 0.000 | 184.075 | -0.000 | 
| -0.000 | 0.000 | 0.000 | 0.000 | -0.000 | 184.075 | 
| 320.409 | 52.477 | 52.477 | -0.000 | 0.000 | 0.000 | 
| 52.477 | 320.409 | 52.477 | -0.000 | 0.000 | 0.000 | 
| 52.477 | 52.477 | 320.409 | -0.000 | 0.000 | -0.000 | 
| -0.000 | 0.000 | -0.000 | 184.075 | 0.000 | 0.000 | 
| 0.000 | -0.000 | -0.000 | -0.000 | 184.075 | 0.000 | 
| -0.000 | -0.000 | -0.000 | -0.000 | 0.000 | 184.075 | 
| 90.525 | 36.463 | 36.463 | 0.000 | -0.000 | 0.000 | 
| 36.463 | 90.525 | 36.463 | 0.000 | -0.000 | 0.000 | 
| 36.463 | 36.463 | 90.525 | 0.000 | 0.000 | -0.000 | 
| 0.479 | 0.479 | 0.479 | 120.529 | -0.000 | -0.000 | 
| 0.479 | 0.479 | 0.479 | 0.000 | 120.529 | -0.000 | 
| 0.479 | 0.479 | 0.479 | 0.000 | -0.000 | 120.529 | 
| 53.789 | 0.232 | 0.232 | -0.000 | 0.000 | 0.000 | 
| 0.232 | 53.789 | 0.232 | -0.000 | -0.000 | 0.000 | 
| 0.232 | 0.232 | 53.789 | -0.000 | 0.000 | 0.000 | 
| -0.479 | -0.479 | -0.479 | 120.529 | 0.000 | 0.000 | 
| -0.479 | -0.479 | -0.479 | -0.000 | 120.529 | 0.000 | 
| -0.479 | -0.479 | -0.479 | -0.000 | 0.000 | 120.529 | 
| 1067.267 | 790.581 | 790.581 | -0.000 | 0.000 | 0.000 | 
| 790.581 | 1067.266 | 790.581 | -0.000 | 0.000 | 0.000 | 
| 790.581 | 790.581 | 1067.266 | -0.000 | -0.000 | 0.000 | 
| 4704.774 | 4704.774 | 4704.774 | -17.697 | -0.000 | -0.000 | 
| 740.910 | 740.910 | 740.910 | -0.000 | 137.981 | 0.000 | 
| 740.910 | 740.910 | 740.910 | -0.000 | 0.000 | 137.981 | 
| 416.294 | 48.458 | 48.458 | 0.000 | 0.000 | 0.000 | 
| 48.457 | 416.294 | 48.458 | 0.000 | -0.000 | -0.000 | 
| 48.458 | 48.458 | 416.294 | 0.000 | -0.000 | -0.000 | 
| -4704.774 | -4704.774 | -4704.774 | -17.697 | -0.000 | -0.000 | 
| -4704.774 | -4704.774 | -4704.774 | 0.000 | -17.697 | -0.000 | 
| -4704.774 | -4704.774 | -4704.774 | 0.000 | -0.000 | -17.697 | 
| 416.294 | 48.458 | 48.458 | -0.000 | -0.000 | 0.000 | 
| 125.112 | 406.217 | 125.112 | -0.000 | -0.000 | 0.000 | 
| 48.458 | 48.458 | 416.294 | -0.000 | 0.000 | 0.000 | 
| 74.833 | 74.833 | 74.833 | 137.521 | -0.000 | 0.000 | 
| 74.833 | 74.833 | 74.833 | -0.000 | 137.521 | 0.000 | 
| 74.833 | 74.833 | 74.833 | -0.000 | 0.000 | 137.521 | 
| 416.294 | 48.458 | 48.458 | 0.000 | -0.000 | -0.000 | 
| 48.458 | 416.294 | 48.458 | 0.000 | -0.000 | -0.000 | 
| 48.458 | 48.458 | 416.294 | 0.000 | -0.000 | -0.000 | 
| -74.833 | -74.833 | -74.833 | 137.521 | -0.000 | -0.000 | 
| -74.833 | -74.833 | -74.833 | 0.000 | 137.521 | -0.000 | 
| -74.833 | -74.833 | -74.833 | 0.000 | 0.000 | 137.521 | 
| 184.456 | 82.801 | 82.801 | -0.000 | 0.000 | 0.000 | 
| 82.801 | 184.456 | 82.801 | -0.000 | -0.000 | 0.000 | 
| 82.801 | 82.801 | 184.456 | -0.000 | 0.000 | 0.000 | 
| 28.269 | 28.269 | 28.269 | 55.120 | 0.000 | 0.000 | 
| 28.269 | 28.269 | 28.269 | -0.000 | 55.120 | 0.000 | 
| 28.269 | 28.269 | 28.269 | -0.000 | 0.000 | 55.120 | 
| -26.664 | -103.816 | -103.816 | 0.000 | 0.000 | -0.000 | 
| -103.816 | -26.664 | -103.816 | 0.000 | 0.000 | -0.000 | 
| -103.473 | -103.473 | -30.386 | 0.000 | -0.000 | -0.000 | 
| -28.269 | -28.269 | -28.269 | 55.120 | -0.000 | -0.000 | 
| -28.269 | -28.269 | -28.269 | 0.000 | 55.120 | -0.000 | 
| -28.269 | -28.269 | -28.269 | 0.000 | -0.000 | 55.120 | 
| 1436.033 | 1405.578 | 27721.235 | -23.343 | -0.000 | -0.000 | 
| -470.185 | -110.563 | 2072.229 | 7.645 | 0.000 | 0.000 | 
| -424.930 | -424.931 | 2254.086 | 0.000 | -0.000 | -0.000 | 
| -3.242 | 3.242 | -0.000 | 204.569 | 0.000 | -0.000 | 
| -508.124 | -508.126 | 1983.852 | 0.000 | 153.057 | -7.643 | 
| 366.006 | 366.002 | 23616.974 | 0.000 | -27.518 | -3.206 | 
| 905.798 | 546.090 | -1895.606 | -7.641 | -0.000 | -0.000 | 
| -348.562 | -355.148 | -23541.115 | 27.524 | 0.000 | -0.000 | 
| -1376.672 | -1376.673 | -27841.149 | 0.000 | -0.000 | 0.000 | 
| -1442.742 | -1396.043 | -27686.954 | -9.850 | 0.000 | 0.000 | 
| 508.124 | 508.126 | -1983.852 | -0.000 | 153.057 | -7.643 | 
| -366.006 | -366.002 | -23616.974 | -0.000 | -27.518 | -3.206 | 
| 60.833 | -156.351 | 1333.022 | -13.864 | -0.000 | -0.000 | 
| 129.329 | 163.386 | 2794.585 | 23.170 | -0.000 | -0.000 | 
| 31.547 | 31.547 | 472.700 | 0.000 | -0.000 | 0.000 | 
| -195.554 | -167.636 | 1240.685 | 79.852 | -0.000 | -0.000 | 
| 36.532 | 36.532 | 2355.526 | 0.000 | -22.592 | -27.453 | 
| -181.569 | -181.569 | 1240.450 | -0.000 | -13.958 | 107.432 | 
| -125.176 | -155.057 | -2720.068 | -23.380 | 0.000 | 0.000 | 
| 31.984 | 499.669 | 66.566 | 3.242 | 0.000 | -0.000 | 
| 280.146 | 280.146 | -1174.053 | 0.000 | 0.000 | 0.000 | 
| -247.304 | -217.953 | -2974.283 | 40.718 | -0.000 | -0.000 | 
| -36.532 | -36.532 | -2355.526 | -0.000 | -22.592 | -27.453 | 
| 181.569 | 181.569 | -1240.450 | 0.000 | -13.958 | 107.432 | 
| 258.553 | 9.550 | 200.698 | -12.512 | -0.000 | -0.000 | 
| 33.206 | 379.738 | 112.321 | 8.178 | 0.000 | 0.000 | 
| 60.215 | 60.215 | 382.825 | -0.000 | -0.000 | 0.000 | 
| -13.062 | 2.537 | 20.546 | 151.221 | -0.000 | 0.000 | 
| -16.538 | -16.538 | 111.289 | 0.000 | 89.087 | -13.163 | 
| -0.073 | -0.073 | 194.046 | -0.000 | -22.615 | 41.804 | 
| 121.231 | 18.983 | -97.468 | -21.574 | 0.000 | -0.000 | 
| 31.984 | 499.668 | 66.566 | 3.242 | 0.000 | -0.000 | 
| 60.215 | 60.215 | 382.823 | 0.000 | -0.000 | -0.000 | 
| 3.375 | 29.701 | -111.289 | 89.087 | -0.000 | 0.000 | 
| 16.538 | 16.538 | -111.289 | -0.000 | 89.087 | -13.163 | 
| 0.073 | 0.073 | -194.046 | 0.000 | -22.615 | 41.804 | 
| -417.596 | 601.661 | 249.949 | -0.000 | -0.000 | -0.000 | 
| 59.691 | 406.352 | 35.320 | 0.000 | -0.000 | -0.000 | 
| -702.723 | 576.172 | 654.091 | -0.000 | -0.000 | -0.000 | 
| -750.462 | 533.380 | 203.321 | 169.008 | -0.000 | -0.000 | 
| -750.430 | 533.357 | 203.312 | -0.000 | 171.957 | -0.000 | 
| -2829.414 | 3217.020 | -1853.055 | -0.000 | -0.000 | 47.448 | 
| 1859.683 | -2095.828 | 967.181 | 0.000 | 0.000 | 0.000 | 
| 819.924 | -184.280 | -163.911 | 0.000 | 0.000 | 0.000 | 
| 3859.757 | -4425.277 | 3873.346 | 0.000 | 0.000 | 0.000 | 
| 750.453 | -533.373 | -203.318 | 169.008 | 0.000 | -0.000 | 
| 750.430 | -533.357 | -203.312 | 0.000 | 171.957 | 0.000 | 
| 2829.414 | -3217.021 | 1853.055 | 0.000 | 0.000 | 47.448 | 
| 82.908 | 293.639 | -45.985 | -0.000 | -0.000 | -0.000 | 
| -6.074 | 403.717 | 59.750 | -0.000 | -0.000 | -0.000 | 
| -242.812 | 373.649 | 84.774 | -0.000 | -0.000 | -0.000 | 
| 0.000 | -0.000 | 0.000 | 196.213 | -0.000 | -0.000 | 
| -161.539 | 217.670 | -92.383 | -0.000 | 136.025 | 0.000 | 
| -75.167 | 53.424 | 20.365 | -0.000 | -0.000 | 138.952 | 
| 431.302 | -255.502 | 233.734 | 0.000 | 0.000 | 0.000 | 
| 236.351 | 38.734 | 137.728 | 0.000 | -0.000 | 0.000 | 
| 122.590 | -10.550 | 431.228 | 0.000 | 0.000 | -0.000 | 
| -0.000 | 0.000 | -0.000 | 196.213 | -0.000 | 0.000 | 
| 161.539 | -217.670 | 92.383 | 0.000 | 136.025 | 0.000 | 
| 75.167 | -53.424 | -20.365 | 0.000 | 0.000 | 138.952 | 
| -0.402 | 48.012 | -40.152 | -0.000 | -0.000 | -0.000 | 
| 60.480 | 347.309 | 42.938 | -0.000 | -0.000 | -0.000 | 
| 11.760 | 82.929 | 183.517 | -0.000 | -0.000 | -0.000 | 
| 0.000 | -0.000 | 0.000 | 196.213 | -0.000 | -0.000 | 
| -0.000 | 0.000 | 0.000 | -0.000 | 197.531 | -0.000 | 
| -38.054 | 49.273 | -62.659 | -0.000 | -0.000 | 27.123 | 
| 65.104 | -36.861 | 56.478 | 0.000 | 0.000 | 0.000 | 
| 81.664 | 45.640 | 62.771 | 0.000 | 0.000 | 0.000 | 
| 81.490 | 4.607 | 276.912 | 0.000 | 0.000 | 0.000 | 
| -0.000 | 0.000 | -0.000 | 196.213 | 0.000 | 0.000 | 
| 0.000 | -0.000 | -0.000 | 0.000 | 197.531 | 0.000 | 
| 38.054 | -49.273 | 62.659 | 0.000 | 0.000 | 27.123 | 
| 928.533 | -7.734 | 0.000 | 0.000 | 0.000 | 0.000 | 
| -7.733 | 928.533 | 0.000 | 0.000 | 0.000 | 0.000 | 
| 0.000 | -0.000 | 0.000 | 0.000 | 0.000 | 0.000 | 
| 0.000 | -0.000 | 0.000 | 0.000 | 0.000 | 0.000 | 
| 0.000 | -0.000 | 0.000 | 0.000 | 0.000 | 0.000 | 
| -0.000 | -0.000 | 0.000 | 0.000 | 0.000 | 468.133 | 
| 928.533 | -7.733 | -0.000 | -0.000 | -0.000 | 0.000 | 
| -8.196 | 928.996 | -0.000 | -0.000 | -0.000 | -0.000 | 
| -0.000 | 0.000 | -0.000 | -0.000 | -0.000 | -0.000 | 
| -0.000 | 0.000 | -0.000 | -0.000 | -0.000 | -0.000 | 
| -0.000 | 0.000 | -0.000 | -0.000 | -0.000 | -0.000 | 
| 0.000 | 0.000 | -0.000 | -0.000 | -0.000 | 468.133 | 
| 928.996 | -8.196 | 0.000 | 0.000 | 0.000 | 0.000 | 
| -7.733 | 928.533 | 0.000 | 0.000 | 0.000 | -0.000 | 
| 0.000 | -0.000 | 0.000 | 0.000 | 0.000 | 0.000 | 
| 0.000 | -0.000 | 0.000 | 0.000 | 0.000 | 0.000 | 
| 0.000 | -0.000 | 0.000 | 0.000 | 0.000 | 0.000 | 
| 0.000 | 0.000 | 0.000 | 0.000 | 0.000 | 468.133 | 
| 928.532 | -7.733 | -0.000 | -0.000 | -0.000 | -0.000 | 
| -7.733 | 928.532 | -0.000 | -0.000 | -0.000 | -0.000 | 
| -0.000 | 0.000 | -0.000 | -0.000 | -0.000 | -0.000 | 
| -0.000 | 0.000 | -0.000 | -0.000 | -0.000 | -0.000 | 
| -0.000 | 0.000 | -0.000 | -0.000 | -0.000 | -0.000 | 
| -0.000 | -0.000 | -0.000 | -0.000 | -0.000 | 468.133 | 
| 928.536 | -7.733 | 0.000 | 0.000 | 0.000 | 0.000 | 
| -7.733 | 928.536 | 0.000 | 0.000 | 0.000 | 0.000 | 
| 0.000 | -0.000 | 0.000 | 0.000 | 0.000 | 0.000 | 
| 0.000 | -0.000 | 0.000 | 0.000 | 0.000 | 0.000 | 
| 0.000 | -0.000 | 0.000 | 0.000 | 0.000 | 0.000 | 
| 0.000 | 0.001 | 0.000 | 0.000 | 0.000 | 468.133 | 
| 928.992 | -8.197 | -0.000 | -0.000 | -0.000 | -0.000 | 
| -7.734 | 928.530 | -0.000 | -0.000 | -0.000 | -0.000 | 
| -0.000 | 0.000 | -0.000 | -0.000 | -0.000 | -0.000 | 
| -0.000 | 0.000 | -0.000 | -0.000 | -0.000 | -0.000 | 
| -0.000 | 0.000 | -0.000 | -0.000 | -0.000 | -0.000 | 
| -0.000 | -0.001 | -0.000 | -0.000 | -0.000 | 468.133 | 
| 370.706 | -3.271 | 0.000 | 0.000 | 0.000 | -0.000 | 
| -3.271 | 370.706 | 0.000 | 0.000 | 0.000 | 0.000 | 
| -0.000 | -0.000 | 0.000 | 0.000 | 0.000 | 0.000 | 
| -0.000 | 0.000 | 0.000 | 0.000 | 0.000 | 0.000 | 
| -0.000 | 0.000 | 0.000 | 0.000 | 0.000 | 0.000 | 
| 0.000 | 0.000 | 0.000 | 0.000 | 0.000 | 186.988 | 
| 370.521 | -3.086 | -0.000 | -0.000 | -0.000 | -0.000 | 
| -3.086 | 370.521 | -0.000 | -0.000 | -0.000 | -0.000 | 
| 0.000 | 0.000 | -0.000 | -0.000 | -0.000 | -0.000 | 
| 0.000 | -0.000 | -0.000 | -0.000 | -0.000 | -0.000 | 
| 0.000 | -0.000 | -0.000 | -0.000 | -0.000 | -0.000 | 
| 0.000 | -0.000 | -0.000 | -0.000 | -0.000 | 186.988 | 
| 370.521 | -3.086 | 0.000 | 0.000 | 0.000 | 0.000 | 
| -3.271 | 370.706 | 0.000 | 0.000 | 0.000 | 0.000 | 
| -0.000 | -0.000 | 0.000 | 0.000 | 0.000 | 0.000 | 
| -0.000 | 0.000 | 0.000 | 0.000 | 0.000 | 0.000 | 
| -0.000 | 0.000 | 0.000 | 0.000 | 0.000 | 0.000 | 
| 0.000 | 0.000 | 0.000 | 0.000 | 0.000 | 186.988 | 
| 370.521 | -3.086 | -0.000 | -0.000 | -0.000 | -0.000 | 
| -3.271 | 370.705 | -0.000 | -0.000 | -0.000 | -0.000 | 
| 0.000 | 0.000 | -0.000 | -0.000 | -0.000 | -0.000 | 
| 0.000 | 0.000 | -0.000 | -0.000 | -0.000 | -0.000 | 
| 0.000 | -0.000 | -0.000 | -0.000 | -0.000 | -0.000 | 
| -0.000 | -0.000 | -0.000 | -0.000 | -0.000 | 186.988 | 
| 370.522 | -3.086 | 0.000 | 0.000 | 0.000 | -0.000 | 
| -3.086 | 370.522 | 0.000 | 0.000 | 0.000 | 0.000 | 
| -0.000 | -0.000 | 0.000 | 0.000 | 0.000 | 0.000 | 
| -0.000 | -0.000 | 0.000 | 0.000 | 0.000 | 0.000 | 
| -0.000 | 0.000 | 0.000 | 0.000 | 0.000 | 0.000 | 
| 0.000 | 0.000 | 0.000 | 0.000 | 0.000 | 186.803 | 
| 370.520 | -3.086 | -0.000 | -0.000 | -0.000 | -0.000 | 
| -3.086 | 370.520 | -0.000 | -0.000 | -0.000 | -0.000 | 
| 0.000 | 0.000 | -0.000 | -0.000 | -0.000 | -0.000 | 
| 0.000 | -0.000 | -0.000 | -0.000 | -0.000 | -0.000 | 
| 0.000 | -0.000 | -0.000 | -0.000 | -0.000 | -0.000 | 
| -0.000 | -0.000 | -0.000 | -0.000 | -0.000 | 186.803 | 
| 494.308 | -4.361 | 0.000 | 0.000 | 0.000 | -0.000 | 
| -4.361 | 494.308 | 0.000 | 0.000 | 0.000 | 0.000 | 
| 0.000 | 0.000 | 0.000 | 0.000 | 0.000 | 0.000 | 
| 0.000 | 0.000 | 0.000 | 0.000 | 0.000 | 0.000 | 
| 0.000 | 0.000 | 0.000 | 0.000 | 0.000 | 0.000 | 
| -0.000 | 0.000 | 0.000 | 0.000 | 0.000 | 249.335 | 
| 494.061 | -4.115 | -0.000 | -0.000 | -0.000 | 0.000 | 
| -4.115 | 494.061 | -0.000 | -0.000 | -0.000 | -0.000 | 
| -0.000 | -0.000 | -0.000 | -0.000 | -0.000 | -0.000 | 
| -0.000 | -0.000 | -0.000 | -0.000 | -0.000 | -0.000 | 
| -0.000 | -0.000 | -0.000 | -0.000 | -0.000 | -0.000 | 
| 0.000 | -0.000 | -0.000 | -0.000 | -0.000 | 249.334 | 
| 494.062 | -4.115 | 0.000 | 0.000 | 0.000 | -0.000 | 
| -4.361 | 494.308 | 0.000 | 0.000 | 0.000 | -0.000 | 
| 0.000 | 0.000 | 0.000 | 0.000 | 0.000 | 0.000 | 
| 0.000 | 0.000 | 0.000 | 0.000 | 0.000 | 0.000 | 
| 0.000 | 0.000 | 0.000 | 0.000 | 0.000 | 0.000 | 
| 0.000 | 0.000 | 0.000 | 0.000 | 0.000 | 249.334 | 
| 494.308 | -4.361 | -0.000 | -0.000 | -0.000 | -0.000 | 
| -4.361 | 494.308 | -0.000 | -0.000 | -0.000 | 0.000 | 
| -0.000 | -0.000 | -0.000 | -0.000 | -0.000 | -0.000 | 
| -0.000 | -0.000 | -0.000 | -0.000 | -0.000 | -0.000 | 
| -0.000 | -0.000 | -0.000 | -0.000 | -0.000 | -0.000 | 
| -0.000 | -0.000 | -0.000 | -0.000 | -0.000 | 249.334 | 
| 494.063 | -4.115 | 0.000 | 0.000 | 0.000 | -0.000 | 
| -4.115 | 494.063 | 0.000 | 0.000 | 0.000 | 0.000 | 
| 0.000 | 0.000 | 0.000 | 0.000 | 0.000 | 0.000 | 
| 0.000 | 0.000 | 0.000 | 0.000 | 0.000 | 0.000 | 
| 0.000 | 0.000 | 0.000 | 0.000 | 0.000 | 0.000 | 
| 0.000 | 0.000 | 0.000 | 0.000 | 0.000 | 249.088 | 
| 494.060 | -4.115 | -0.000 | -0.000 | -0.000 | -0.000 | 
| -4.115 | 494.060 | -0.000 | -0.000 | -0.000 | -0.000 | 
| -0.000 | -0.000 | -0.000 | -0.000 | -0.000 | -0.000 | 
| -0.000 | -0.000 | -0.000 | -0.000 | -0.000 | -0.000 | 
| 0.000 | -0.000 | -0.000 | -0.000 | -0.000 | -0.000 | 
| -0.000 | -0.000 | -0.000 | -0.000 | -0.000 | 249.088 | 
| 1109.784 | -9.243 | 0.000 | 0.000 | 0.000 | -0.000 | 
| -9.243 | 1109.784 | 0.000 | 0.000 | 0.000 | -0.000 | 
| 0.000 | -0.000 | 0.000 | 0.000 | 0.000 | 0.000 | 
| 0.000 | -0.000 | 0.000 | 0.000 | 0.000 | -0.000 | 
| 0.000 | -0.000 | 0.000 | 0.000 | 0.000 | -0.000 | 
| -0.000 | -0.000 | 0.000 | 0.000 | 0.000 | 559.514 | 
| 1109.785 | -9.243 | -0.000 | -0.000 | -0.000 | 0.000 | 
| -9.796 | 1110.338 | -0.000 | -0.000 | -0.000 | 0.000 | 
| -0.000 | 0.000 | -0.000 | -0.000 | -0.000 | -0.000 | 
| -0.000 | 0.000 | -0.000 | -0.000 | -0.000 | 0.000 | 
| 0.000 | 0.000 | -0.000 | -0.000 | -0.000 | 0.000 | 
| 0.000 | 0.000 | -0.000 | -0.000 | -0.000 | 559.514 | 
| 1110.338 | -9.796 | 0.000 | 0.000 | 0.000 | -0.000 | 
| -9.243 | 1109.785 | 0.000 | 0.000 | 0.000 | -0.000 | 
| 0.000 | -0.000 | 0.000 | 0.000 | 0.000 | 0.000 | 
| 0.000 | -0.000 | 0.000 | 0.000 | 0.000 | -0.000 | 
| -0.000 | -0.000 | 0.000 | 0.000 | 0.000 | -0.000 | 
| 0.000 | 0.000 | 0.000 | 0.000 | 0.000 | 560.067 | 
| 1109.784 | -9.243 | -0.000 | -0.000 | -0.000 | 0.000 | 
| -9.243 | 1109.784 | -0.000 | -0.000 | -0.000 | 0.000 | 
| -0.000 | 0.000 | -0.000 | -0.000 | -0.000 | -0.000 | 
| -0.000 | 0.000 | -0.000 | -0.000 | -0.000 | 0.000 | 
| -0.000 | 0.000 | -0.000 | -0.000 | -0.000 | 0.000 | 
| -0.000 | -0.000 | -0.000 | -0.000 | -0.000 | 560.067 | 
| 1109.788 | -9.243 | 0.000 | 0.000 | 0.000 | -0.000 | 
| -9.796 | 1110.341 | 0.000 | 0.000 | 0.000 | 0.000 | 
| 0.000 | -0.000 | 0.000 | 0.000 | 0.000 | 0.000 | 
| 0.000 | -0.000 | 0.000 | 0.000 | 0.000 | -0.000 | 
| -0.000 | -0.000 | 0.000 | 0.000 | 0.000 | -0.000 | 
| 0.000 | 0.001 | 0.000 | 0.000 | 0.000 | 559.514 | 
| 1110.334 | -9.797 | -0.000 | -0.000 | -0.000 | 0.000 | 
| -9.243 | 1109.780 | -0.000 | -0.000 | -0.000 | 0.000 | 
| -0.000 | 0.000 | -0.000 | -0.000 | -0.000 | -0.000 | 
| -0.000 | 0.000 | -0.000 | -0.000 | -0.000 | 0.000 | 
| -0.000 | 0.000 | -0.000 | -0.000 | -0.000 | 0.000 | 
| -0.000 | -0.001 | -0.000 | -0.000 | -0.000 | 559.514 | 
| 141.824 | 65.252 | 65.252 | 0.000 | 0.000 | -0.000 | 
| 65.252 | 141.824 | 65.252 | 0.000 | 0.000 | 0.000 | 
| 65.252 | 65.252 | 141.824 | 0.000 | 0.000 | 0.000 | 
| 14.660 | 14.660 | 14.660 | 27.478 | -0.021 | -0.022 | 
| 14.660 | 14.660 | 14.660 | -0.022 | 27.479 | -0.022 | 
| 14.660 | 14.660 | 14.660 | -0.022 | -0.021 | 27.478 | 
| 39.272 | 41.127 | 41.127 | 0.022 | 0.021 | 0.021 | 
| 41.127 | 39.272 | 41.127 | 0.022 | 0.021 | 0.021 | 
| 41.127 | 41.127 | 39.272 | 0.022 | 0.021 | 0.021 | 
| -111.839 | -111.838 | -111.839 | -23.781 | 0.258 | 0.259 | 
| -111.837 | -111.836 | -111.837 | 0.259 | -23.780 | 0.259 | 
| -111.837 | -111.836 | -111.837 | 0.259 | 0.258 | -23.780 | 
| 16.641 | 15.742 | 15.742 | -0.015 | -0.015 | -0.015 | 
| 15.742 | 16.641 | 15.742 | -0.015 | -0.015 | -0.015 | 
| 15.742 | 15.742 | 16.641 | -0.015 | -0.015 | -0.015 | 
| 10.061 | 10.060 | 10.061 | -13.524 | -0.028 | -0.028 | 
| 3.449 | 3.449 | 3.449 | -0.006 | 16.724 | -0.006 | 
| 10.061 | 10.061 | 10.061 | -0.028 | -0.028 | -13.524 | 
| 74.585 | 56.947 | 56.947 | 0.002 | 0.002 | 0.002 | 
| 56.947 | 74.585 | 56.947 | 0.002 | 0.002 | 0.002 | 
| 65.251 | 65.251 | 141.824 | -0.000 | -0.000 | 0.000 | 
| -1.243 | -1.243 | -1.243 | 35.042 | 0.002 | 0.002 | 
| -1.243 | -1.243 | -1.243 | 0.002 | 35.042 | 0.002 | 
| -1.243 | -1.243 | -1.243 | 0.002 | 0.002 | 35.042 | 
| -45.341 | -65.664 | 13.958 | 45.280 | -41.022 | -67.847 | 
| -147.433 | 26.557 | -132.409 | -54.776 | -0.899 | -11.374 | 
| -43.973 | -41.797 | -14.752 | 13.719 | -13.244 | -36.564 | 
| 0.341 | 0.341 | 0.341 | 17.176 | -0.001 | -0.001 | 
| 0.341 | 0.341 | 0.341 | -0.001 | 17.176 | -0.001 | 
| 0.341 | 0.341 | 0.341 | -0.001 | -0.001 | 17.176 | 
| 2998.330 | -1640.458 | -1501.851 | 140.401 | 200.987 | 35.598 | 
| 7.259 | 6.902 | 7.259 | 0.002 | 0.002 | 0.002 | 
| -625.637 | -534.650 | 1560.185 | -230.436 | -40.601 | 95.523 | 
| 1206.035 | 1200.901 | 1144.683 | 1291.249 | -9.341 | 124.520 | 
| 26478.903 | -33752.880 | 26990.323 | 520.769 | -29433.437 | 489.786 | 
| 1216.287 | 1187.447 | -1129.324 | 106.909 | 54.370 | -939.482 | 
| 1005.544 | -8.871 | 0.000 | 0.000 | 0.000 | -0.000 | 
| -8.871 | 1005.544 | 0.000 | 0.000 | 0.000 | 0.000 | 
| 0.000 | 0.000 | 0.000 | 0.000 | 0.000 | 0.000 | 
| -0.000 | 0.000 | 0.000 | 0.000 | 0.000 | 0.000 | 
| 0.000 | 0.000 | 0.000 | 0.000 | 0.000 | 0.000 | 
| 0.000 | 0.000 | 0.000 | 0.000 | 0.000 | 507.208 | 
| 1005.043 | -8.371 | -0.000 | -0.000 | -0.000 | -0.000 | 
| -8.371 | 1005.043 | -0.000 | -0.000 | -0.000 | 0.000 | 
| -0.000 | -0.000 | -0.000 | -0.000 | -0.000 | -0.000 | 
| 0.000 | -0.000 | -0.000 | -0.000 | -0.000 | -0.000 | 
| 0.000 | -0.000 | -0.000 | -0.000 | -0.000 | -0.000 | 
| -0.000 | -0.000 | -0.000 | -0.000 | -0.000 | 507.208 | 
| 1005.043 | -8.371 | 0.000 | 0.000 | 0.000 | 0.000 | 
| -8.872 | 1005.544 | 0.000 | 0.000 | 0.000 | 0.000 | 
| 0.000 | 0.000 | 0.000 | 0.000 | 0.000 | 0.000 | 
| -0.000 | 0.000 | 0.000 | 0.000 | 0.000 | 0.000 | 
| -0.000 | 0.000 | 0.000 | 0.000 | 0.000 | 0.000 | 
| 0.000 | 0.000 | 0.000 | 0.000 | 0.000 | 507.208 | 
| 1005.544 | -8.872 | -0.000 | -0.000 | -0.000 | 0.000 | 
| -8.872 | 1005.544 | -0.000 | -0.000 | -0.000 | -0.000 | 
| -0.000 | -0.000 | -0.000 | -0.000 | -0.000 | -0.000 | 
| 0.000 | 0.000 | -0.000 | -0.000 | -0.000 | -0.000 | 
| 0.000 | -0.000 | -0.000 | -0.000 | -0.000 | -0.000 | 
| -0.000 | -0.000 | -0.000 | -0.000 | -0.000 | 507.208 | 
| 1005.046 | -8.370 | 0.000 | 0.000 | 0.000 | -0.000 | 
| -8.370 | 1005.046 | 0.000 | 0.000 | 0.000 | 0.000 | 
| 0.000 | 0.000 | 0.000 | 0.000 | 0.000 | 0.000 | 
| -0.000 | -0.000 | 0.000 | 0.000 | 0.000 | -0.000 | 
| -0.000 | 0.000 | 0.000 | 0.000 | 0.000 | 0.000 | 
| 0.000 | 0.001 | 0.000 | 0.000 | 0.000 | 506.707 | 
| 1005.039 | -8.371 | -0.000 | -0.000 | -0.000 | -0.000 | 
| -8.371 | 1005.039 | -0.000 | -0.000 | -0.000 | -0.000 | 
| -0.000 | -0.000 | -0.000 | -0.000 | -0.000 | -0.000 | 
| -0.000 | 0.000 | -0.000 | -0.000 | -0.000 | -0.000 | 
| 0.000 | -0.000 | -0.000 | -0.000 | -0.000 | 0.000 | 
| -0.000 | -0.001 | -0.000 | -0.000 | -0.000 | 506.707 | 
| 614.480 | 234.153 | 0.000 | 0.000 | 0.000 | -0.000 | 
| 234.153 | 614.480 | 0.000 | 0.000 | 0.000 | 0.000 | 
| -0.000 | -0.000 | 0.000 | 0.000 | 0.000 | 0.000 | 
| -0.000 | -0.000 | 0.000 | 0.000 | 0.000 | -0.000 | 
| -0.000 | -0.000 | 0.000 | 0.000 | 0.000 | 0.000 | 
| -0.000 | -0.000 | 0.000 | 0.000 | 0.000 | 424.317 | 
| 614.480 | 234.154 | -0.000 | -0.000 | -0.000 | 0.000 | 
| 234.153 | 614.480 | -0.000 | -0.000 | -0.000 | 0.000 | 
| 0.000 | 0.000 | -0.000 | -0.000 | -0.000 | -0.000 | 
| 0.000 | 0.000 | -0.000 | -0.000 | -0.000 | 0.000 | 
| 0.000 | 0.000 | -0.000 | -0.000 | -0.000 | -0.000 | 
| 0.000 | 0.000 | -0.000 | -0.000 | -0.000 | 424.317 | 
| 614.480 | 234.154 | 0.000 | 0.000 | 0.000 | -0.000 | 
| 234.154 | 614.480 | 0.000 | 0.000 | 0.000 | 0.000 | 
| -0.000 | -0.000 | 0.000 | 0.000 | 0.000 | 0.000 | 
| -0.000 | -0.000 | 0.000 | 0.000 | 0.000 | -0.000 | 
| -0.000 | -0.000 | 0.000 | 0.000 | 0.000 | -0.000 | 
| 0.000 | 0.000 | 0.000 | 0.000 | 0.000 | 424.317 | 
| 614.480 | 234.153 | -0.000 | -0.000 | -0.000 | 0.000 | 
| 234.153 | 614.480 | -0.000 | -0.000 | -0.000 | -0.000 | 
| 0.000 | 0.000 | -0.000 | -0.000 | -0.000 | -0.000 | 
| 0.000 | 0.000 | -0.000 | -0.000 | -0.000 | -0.000 | 
| 0.000 | 0.000 | -0.000 | -0.000 | -0.000 | -0.000 | 
| -0.000 | -0.000 | -0.000 | -0.000 | -0.000 | 424.317 | 
| 614.481 | 234.155 | 0.000 | 0.000 | 0.000 | -0.000 | 
| 234.155 | 614.481 | 0.000 | 0.000 | 0.000 | -0.000 | 
| -0.000 | -0.000 | 0.000 | 0.000 | 0.000 | 0.000 | 
| -0.000 | -0.000 | 0.000 | 0.000 | 0.000 | -0.000 | 
| -0.000 | -0.000 | 0.000 | 0.000 | 0.000 | 0.000 | 
| 0.000 | 0.001 | 0.000 | 0.000 | 0.000 | 424.317 | 
| 614.478 | 234.152 | -0.000 | -0.000 | -0.000 | 0.000 | 
| 234.152 | 614.478 | -0.000 | -0.000 | -0.000 | 0.000 | 
| 0.000 | 0.000 | -0.000 | -0.000 | -0.000 | -0.000 | 
| 0.000 | 0.000 | -0.000 | -0.000 | -0.000 | 0.000 | 
| 0.000 | 0.000 | -0.000 | -0.000 | -0.000 | -0.000 | 
| -0.000 | -0.001 | -0.000 | -0.000 | -0.000 | 424.317 | 
| 639.373 | 71.639 | 71.639 | 0.000 | 0.000 | 0.000 | 
| 71.639 | 639.373 | 71.639 | 0.000 | 0.000 | 0.000 | 
| 71.639 | 71.639 | 639.373 | -0.000 | 0.000 | 0.000 | 
| 0.000 | 0.000 | 0.000 | 161.700 | -0.000 | 0.000 | 
| 0.000 | 0.000 | 0.000 | -0.000 | 161.700 | -0.000 | 
| 0.000 | 0.000 | 0.000 | -0.000 | -0.000 | 161.700 | 
| 496.481 | 140.547 | 140.547 | 0.000 | 0.000 | 0.000 | 
| 140.547 | 496.481 | 140.547 | 0.000 | 0.000 | -0.000 | 
| 140.547 | 140.547 | 496.481 | 0.000 | 0.000 | 0.000 | 
| -0.000 | -0.000 | -0.000 | 161.700 | 0.000 | 0.000 | 
| -0.000 | -0.000 | -0.000 | 0.000 | 161.700 | 0.000 | 
| -0.000 | -0.000 | -0.000 | -0.000 | -0.000 | 161.700 | 
| 639.373 | 71.639 | 71.639 | 0.000 | 0.000 | 0.000 | 
| 71.639 | 639.373 | 71.639 | 0.000 | 0.000 | 0.000 | 
| 71.639 | 71.639 | 639.373 | -0.000 | 0.000 | -0.000 | 
| 0.000 | 0.000 | -0.000 | 161.700 | 0.000 | 0.000 | 
| 0.000 | 0.000 | -0.000 | 0.000 | 161.700 | -0.000 | 
| 0.000 | 0.000 | -0.000 | 0.000 | -0.000 | 161.700 | 
| 639.373 | 71.639 | 71.639 | 0.000 | 0.000 | 0.000 | 
| 71.639 | 639.373 | 71.639 | 0.000 | 0.000 | 0.000 | 
| 71.639 | 71.639 | 639.373 | -0.000 | 0.000 | -0.000 | 
| -0.000 | -0.000 | 0.000 | 161.700 | 0.000 | -0.000 | 
| -0.000 | -0.000 | 0.000 | 0.000 | 161.700 | -0.000 | 
| -0.000 | -0.000 | 0.000 | 0.000 | -0.000 | 161.700 | 
| 498.129 | 142.202 | 142.202 | -0.000 | -0.000 | -0.000 | 
| 142.202 | 498.129 | 142.202 | -0.000 | -0.000 | 0.000 | 
| 142.202 | 142.202 | 498.129 | 0.000 | 0.000 | -0.000 | 
| 0.016 | 0.016 | 0.016 | 92.437 | 0.000 | 0.000 | 
| 0.016 | 0.016 | 0.016 | 0.000 | 92.437 | 0.000 | 
| 0.016 | 0.016 | 0.016 | -0.000 | -0.000 | 92.437 | 
| 498.103 | 142.164 | 142.164 | -0.000 | -0.000 | -0.000 | 
| 142.164 | 498.103 | 142.164 | -0.000 | -0.000 | 0.000 | 
| 142.164 | 142.164 | 498.103 | -0.000 | -0.000 | -0.000 | 
| -0.016 | -0.016 | -0.016 | 92.437 | -0.000 | 0.000 | 
| -0.016 | -0.016 | -0.016 | -0.000 | 92.437 | 0.000 | 
| -0.016 | -0.016 | -0.016 | -0.000 | 0.000 | 92.437 | 
| 666.373 | -5.550 | 0.000 | 0.000 | 0.000 | -0.000 | 
| -5.550 | 666.373 | 0.000 | 0.000 | 0.000 | -0.001 | 
| -0.000 | -0.000 | 0.000 | 0.000 | 0.000 | -0.001 | 
| -0.000 | -0.000 | 0.000 | 0.000 | 0.000 | -0.001 | 
| -0.000 | -0.000 | 0.000 | 0.000 | 0.000 | -0.001 | 
| 0.000 | -0.000 | 0.000 | 0.000 | 0.000 | 335.961 | 
| 666.705 | -5.882 | -0.000 | -0.000 | -0.000 | 0.000 | 
| -5.882 | 666.705 | -0.000 | -0.000 | -0.000 | 0.000 | 
| 0.000 | 0.000 | -0.000 | -0.000 | -0.000 | 0.001 | 
| 0.000 | 0.000 | -0.000 | -0.000 | -0.000 | 0.001 | 
| 0.000 | 0.000 | -0.000 | -0.000 | -0.000 | 0.001 | 
| 0.000 | 0.000 | -0.000 | -0.000 | -0.000 | 335.962 | 
| 666.373 | -5.550 | 0.000 | 0.000 | 0.000 | -0.000 | 
| -5.882 | 666.705 | 0.000 | 0.000 | 0.000 | 0.000 | 
| -0.000 | -0.000 | 0.000 | 0.000 | 0.000 | -0.000 | 
| -0.000 | -0.000 | 0.000 | 0.000 | 0.000 | -0.000 | 
| -0.000 | -0.000 | 0.000 | 0.000 | 0.000 | -0.000 | 
| 0.000 | -0.000 | 0.000 | 0.000 | 0.000 | 336.294 | 
| 666.705 | -5.882 | -0.000 | -0.000 | -0.000 | 0.000 | 
| -5.550 | 666.373 | -0.000 | -0.000 | -0.000 | -0.000 | 
| 0.000 | 0.000 | -0.000 | -0.000 | -0.000 | 0.000 | 
| 0.000 | 0.000 | -0.000 | -0.000 | -0.000 | 0.000 | 
| 0.000 | 0.000 | -0.000 | -0.000 | -0.000 | 0.000 | 
| -0.000 | 0.000 | -0.000 | -0.000 | -0.000 | 336.294 | 
| 666.375 | -5.550 | 0.000 | 0.000 | 0.000 | -0.000 | 
| -5.882 | 666.707 | 0.000 | 0.000 | 0.000 | 0.000 | 
| -0.000 | -0.000 | 0.000 | 0.000 | 0.000 | -0.000 | 
| -0.000 | -0.000 | 0.000 | 0.000 | 0.000 | -0.000 | 
| -0.000 | -0.000 | 0.000 | 0.000 | 0.000 | -0.000 | 
| 0.000 | 0.000 | 0.000 | 0.000 | 0.000 | 336.294 | 
| 666.371 | -5.550 | -0.000 | -0.000 | -0.000 | 0.000 | 
| -5.550 | 666.371 | -0.000 | -0.000 | -0.000 | 0.000 | 
| 0.000 | 0.000 | -0.000 | -0.000 | -0.000 | 0.000 | 
| 0.000 | 0.000 | -0.000 | -0.000 | -0.000 | 0.000 | 
| 0.000 | 0.000 | -0.000 | -0.000 | -0.000 | 0.000 | 
| -0.000 | -0.000 | -0.000 | -0.000 | -0.000 | 336.294 | 
| 831.471 | -7.334 | 0.000 | 0.000 | 0.000 | 0.002 | 
| -6.921 | 831.056 | 0.000 | 0.000 | 0.000 | 0.001 | 
| -0.000 | 0.000 | 0.000 | 0.000 | 0.000 | 0.001 | 
| -0.000 | 0.000 | 0.000 | 0.000 | 0.000 | 0.001 | 
| -0.000 | 0.000 | 0.000 | 0.000 | 0.000 | 0.000 | 
| -0.000 | -0.000 | 0.000 | 0.000 | 0.000 | 419.404 | 
| 831.056 | -6.922 | -0.000 | -0.000 | -0.000 | -0.001 | 
| -7.336 | 831.469 | -0.000 | -0.000 | -0.000 | -0.002 | 
| 0.000 | -0.000 | -0.000 | -0.000 | -0.000 | -0.001 | 
| 0.000 | -0.000 | -0.000 | -0.000 | -0.000 | -0.001 | 
| 0.000 | -0.000 | -0.000 | -0.000 | -0.000 | -0.000 | 
| 0.000 | 0.000 | -0.000 | -0.000 | -0.000 | 419.404 | 
| 831.471 | -7.336 | 0.000 | 0.000 | 0.000 | 0.000 | 
| -6.921 | 831.057 | 0.000 | 0.000 | 0.000 | 0.000 | 
| -0.000 | 0.000 | 0.000 | 0.000 | 0.000 | 0.000 | 
| -0.000 | 0.000 | 0.000 | 0.000 | 0.000 | 0.000 | 
| -0.000 | 0.000 | 0.000 | 0.000 | 0.000 | 0.000 | 
| 0.000 | 0.000 | 0.000 | 0.000 | 0.000 | 419.403 | 
| 831.056 | -6.922 | -0.000 | -0.000 | -0.000 | -0.000 | 
| -7.336 | 831.470 | -0.000 | -0.000 | -0.000 | -0.000 | 
| 0.000 | -0.000 | -0.000 | -0.000 | -0.000 | -0.000 | 
| 0.000 | -0.000 | -0.000 | -0.000 | -0.000 | -0.000 | 
| 0.000 | -0.000 | -0.000 | -0.000 | -0.000 | -0.000 | 
| -0.000 | -0.000 | -0.000 | -0.000 | -0.000 | 419.403 | 
| 831.474 | -7.336 | 0.000 | 0.000 | 0.000 | 0.000 | 
| -7.336 | 831.474 | 0.000 | 0.000 | 0.000 | 0.000 | 
| -0.000 | 0.000 | 0.000 | 0.000 | 0.000 | 0.000 | 
| -0.000 | 0.000 | 0.000 | 0.000 | 0.000 | 0.000 | 
| -0.000 | 0.000 | 0.000 | 0.000 | 0.000 | 0.000 | 
| 0.000 | 0.001 | 0.000 | 0.000 | 0.000 | 418.989 | 
| 831.053 | -6.922 | -0.000 | -0.000 | -0.000 | -0.000 | 
| -6.922 | 831.053 | -0.000 | -0.000 | -0.000 | -0.000 | 
| 0.000 | -0.000 | -0.000 | -0.000 | -0.000 | -0.000 | 
| 0.000 | -0.000 | -0.000 | -0.000 | -0.000 | -0.000 | 
| 0.000 | -0.000 | -0.000 | -0.000 | -0.000 | -0.000 | 
| -0.000 | -0.001 | -0.000 | -0.000 | -0.000 | 418.989 | 
| 767.753 | -6.394 | 0.000 | 0.000 | -0.000 | 0.000 | 
| -6.394 | 767.754 | 0.000 | 0.000 | -0.000 | -0.000 | 
| -0.000 | 0.000 | -0.000 | 0.000 | -0.000 | 0.000 | 
| -0.000 | 0.000 | 0.000 | 0.000 | -0.000 | 0.000 | 
| -0.000 | 0.000 | 0.000 | 0.000 | -0.000 | 0.000 | 
| -0.000 | 0.000 | 0.000 | 0.000 | -0.000 | 387.074 | 
| 768.136 | -6.777 | -0.000 | -0.000 | -0.000 | -0.000 | 
| -6.778 | 768.136 | -0.000 | 0.000 | 0.000 | -0.000 | 
| 0.000 | -0.000 | -0.000 | -0.000 | 0.000 | -0.000 | 
| 0.000 | -0.000 | -0.000 | -0.000 | 0.000 | -0.000 | 
| 0.000 | -0.000 | -0.000 | -0.000 | 0.000 | -0.000 | 
| 0.000 | -0.000 | -0.000 | -0.000 | 0.000 | 387.074 | 
| 767.754 | -6.394 | -0.000 | 0.000 | -0.000 | 0.000 | 
| -6.777 | 768.137 | 0.000 | 0.000 | 0.000 | 0.000 | 
| -0.000 | 0.000 | 0.000 | 0.000 | -0.000 | 0.000 | 
| -0.000 | 0.000 | 0.000 | 0.000 | -0.000 | 0.000 | 
| -0.000 | 0.000 | 0.000 | 0.000 | -0.000 | 0.000 | 
| -0.000 | 0.000 | 0.000 | 0.000 | -0.000 | 387.074 | 
| 767.753 | -6.394 | -0.000 | -0.000 | 0.000 | -0.000 | 
| -6.394 | 767.753 | -0.000 | -0.000 | 0.000 | -0.000 | 
| 0.000 | -0.000 | 0.000 | -0.000 | 0.000 | -0.000 | 
| 0.000 | -0.000 | -0.000 | -0.000 | 0.000 | -0.000 | 
| 0.000 | -0.000 | -0.000 | -0.000 | 0.000 | -0.000 | 
| -0.000 | -0.000 | 0.000 | -0.000 | 0.000 | 387.074 | 
| 767.756 | -6.394 | -0.000 | 0.000 | -0.000 | 0.000 | 
| -6.777 | 768.139 | -0.000 | 0.000 | -0.000 | 0.000 | 
| -0.000 | 0.000 | -0.000 | 0.000 | -0.000 | 0.000 | 
| -0.000 | 0.000 | 0.000 | 0.000 | -0.000 | 0.000 | 
| -0.000 | 0.000 | 0.000 | 0.000 | -0.000 | 0.000 | 
| 0.000 | 0.001 | 0.000 | -0.000 | -0.000 | 387.457 | 
| 767.751 | -6.395 | -0.000 | -0.000 | 0.000 | -0.000 | 
| -6.395 | 767.751 | -0.000 | -0.000 | 0.000 | -0.000 | 
| 0.000 | 0.000 | -0.000 | -0.000 | 0.000 | -0.000 | 
| 0.000 | -0.000 | -0.000 | -0.000 | 0.000 | -0.000 | 
| 0.000 | -0.000 | -0.000 | -0.000 | 0.000 | -0.000 | 
| -0.000 | -0.001 | -0.000 | 0.000 | -0.000 | 387.457 | 
| 768.040 | -6.776 | 0.000 | 0.000 | 0.000 | 0.000 | 
| -6.395 | 767.657 | 0.000 | 0.000 | 0.000 | -0.000 | 
| -0.001 | 0.000 | 0.000 | 0.000 | 0.000 | -0.000 | 
| 0.000 | 0.000 | 0.000 | 0.000 | 0.000 | 0.000 | 
| 0.000 | 0.000 | 0.000 | 0.000 | 0.000 | 0.000 | 
| 0.000 | 0.000 | 0.000 | 0.000 | 0.000 | 387.408 | 
| 767.658 | -6.394 | -0.000 | -0.000 | -0.000 | -0.000 | 
| -6.392 | 767.657 | -0.000 | -0.000 | -0.000 | -0.000 | 
| 0.001 | -0.000 | -0.000 | -0.000 | -0.000 | 0.000 | 
| 0.001 | -0.000 | -0.000 | -0.000 | -0.000 | -0.000 | 
| -0.000 | -0.000 | -0.000 | -0.000 | -0.000 | -0.000 | 
| 0.001 | -0.000 | -0.000 | -0.000 | -0.000 | 387.407 | 
| 768.039 | -6.776 | 0.000 | 0.000 | 0.000 | -0.000 | 
| -6.394 | 767.657 | 0.000 | 0.000 | 0.000 | 0.000 | 
| -0.000 | 0.000 | 0.000 | 0.000 | 0.000 | -0.000 | 
| -0.000 | 0.000 | 0.000 | 0.000 | 0.000 | -0.000 | 
| 0.000 | 0.000 | 0.000 | 0.000 | 0.000 | 0.000 | 
| 0.000 | 0.000 | 0.000 | 0.000 | 0.000 | 387.025 | 
| 767.656 | -6.394 | -0.000 | -0.000 | -0.000 | 0.000 | 
| -6.776 | 768.039 | -0.000 | -0.000 | -0.000 | 0.000 | 
| 0.000 | -0.000 | -0.000 | -0.000 | -0.000 | 0.000 | 
| 0.000 | -0.000 | -0.000 | -0.000 | -0.000 | 0.000 | 
| -0.000 | -0.000 | -0.000 | -0.000 | -0.000 | -0.000 | 
| 0.000 | -0.000 | -0.000 | -0.000 | -0.000 | 387.025 | 
| 767.659 | -6.393 | 0.000 | 0.000 | 0.000 | -0.000 | 
| -6.393 | 767.659 | 0.000 | 0.000 | 0.000 | 0.000 | 
| -0.000 | 0.000 | 0.000 | 0.000 | 0.000 | -0.000 | 
| 0.000 | 0.000 | 0.000 | 0.000 | 0.000 | -0.000 | 
| 0.000 | 0.000 | 0.000 | 0.000 | 0.000 | 0.000 | 
| 0.000 | 0.001 | 0.000 | 0.000 | 0.000 | 387.408 | 
| 767.654 | -6.394 | -0.000 | -0.000 | -0.000 | 0.000 | 
| -6.776 | 768.036 | -0.000 | -0.000 | -0.000 | 0.000 | 
| 0.000 | -0.000 | -0.000 | -0.000 | -0.000 | 0.000 | 
| 0.000 | -0.000 | -0.000 | -0.000 | -0.000 | 0.000 | 
| -0.000 | -0.000 | -0.000 | -0.000 | -0.000 | -0.000 | 
| -0.000 | -0.001 | -0.000 | -0.000 | -0.000 | 387.408 | 
| 1090.771 | -9.623 | 0.000 | 0.000 | 0.000 | -0.000 | 
| -9.623 | 1090.771 | 0.000 | 0.000 | 0.000 | 0.000 | 
| -0.000 | 0.000 | 0.000 | 0.000 | 0.000 | 0.000 | 
| -0.000 | 0.000 | 0.000 | 0.000 | 0.000 | 0.000 | 
| -0.000 | 0.000 | 0.000 | 0.000 | 0.000 | 0.000 | 
| 0.000 | -0.000 | 0.000 | 0.000 | 0.000 | 550.197 | 
| 1090.227 | -9.080 | -0.000 | -0.000 | -0.000 | 0.000 | 
| -9.080 | 1090.227 | -0.000 | -0.000 | -0.000 | 0.000 | 
| 0.000 | -0.000 | -0.000 | -0.000 | -0.000 | -0.000 | 
| 0.000 | -0.000 | -0.000 | -0.000 | -0.000 | -0.000 | 
| 0.000 | -0.000 | -0.000 | -0.000 | -0.000 | -0.000 | 
| -0.000 | 0.000 | -0.000 | -0.000 | -0.000 | 550.197 | 
| 1090.227 | -9.080 | 0.000 | 0.000 | 0.000 | -0.000 | 
| -9.623 | 1090.771 | 0.000 | 0.000 | 0.000 | 0.000 | 
| -0.000 | 0.000 | 0.000 | 0.000 | 0.000 | 0.000 | 
| 0.000 | -0.000 | 0.000 | 0.000 | 0.000 | 0.000 | 
| -0.000 | 0.000 | 0.000 | 0.000 | 0.000 | 0.000 | 
| 0.000 | 0.000 | 0.000 | 0.000 | 0.000 | 549.654 | 
| 1090.770 | -9.624 | -0.000 | -0.000 | -0.000 | -0.000 | 
| -9.624 | 1090.770 | -0.000 | -0.000 | -0.000 | 0.000 | 
| 0.000 | -0.000 | -0.000 | -0.000 | -0.000 | -0.000 | 
| 0.000 | -0.000 | -0.000 | -0.000 | -0.000 | -0.000 | 
| 0.000 | -0.000 | -0.000 | -0.000 | -0.000 | -0.000 | 
| -0.000 | -0.000 | -0.000 | -0.000 | -0.000 | 549.654 | 
| 1090.231 | -9.080 | 0.000 | 0.000 | 0.000 | -0.000 | 
| -9.080 | 1090.231 | 0.000 | 0.000 | 0.000 | 0.000 | 
| -0.000 | 0.000 | 0.000 | 0.000 | 0.000 | 0.000 | 
| -0.000 | 0.000 | 0.000 | 0.000 | 0.000 | 0.000 | 
| -0.000 | 0.000 | 0.000 | 0.000 | 0.000 | 0.000 | 
| 0.000 | 0.001 | 0.000 | 0.000 | 0.000 | 549.654 | 
| 1090.223 | -9.080 | -0.000 | -0.000 | -0.000 | -0.000 | 
| -9.080 | 1090.223 | -0.000 | -0.000 | -0.000 | -0.000 | 
| 0.000 | -0.000 | -0.000 | -0.000 | -0.000 | -0.000 | 
| 0.000 | -0.000 | -0.000 | -0.000 | -0.000 | -0.000 | 
| 0.000 | -0.000 | -0.000 | -0.000 | -0.000 | -0.000 | 
| -0.000 | -0.001 | -0.000 | -0.000 | -0.000 | 549.654 | 
| 6799.661 | 2485.256 | 2337.525 | 0.000 | -0.000 | 0.000 | 
| 1468.072 | 724.846 | 807.646 | 0.000 | 0.000 | -0.000 | 
| 1496.246 | 384.402 | 1083.096 | 0.000 | -0.000 | 0.000 | 
| 1419.668 | 318.591 | 740.885 | 156.964 | 0.000 | 0.000 | 
| 0.000 | -0.000 | 0.000 | 0.000 | 207.256 | -0.000 | 
| -0.000 | -0.000 | 0.000 | 0.000 | -0.000 | 236.523 | 
| -6469.980 | -2426.881 | -2225.099 | -0.000 | -0.000 | 0.000 | 
| -3484.070 | -730.886 | -524.767 | -0.000 | -0.000 | -0.000 | 
| -1344.591 | -253.159 | -398.881 | -0.000 | 0.000 | -0.000 | 
| -1419.668 | -318.591 | -740.885 | 156.963 | -0.000 | 0.000 | 
| -0.000 | 0.000 | -0.000 | -0.000 | 207.256 | -0.000 | 
| -0.000 | 0.000 | -0.000 | -0.000 | -0.000 | 236.523 | 
| 661.663 | 143.499 | 134.734 | 0.000 | 0.000 | -0.000 | 
| 386.318 | 438.200 | 131.495 | 0.000 | 0.000 | 0.000 | 
| 405.192 | 167.183 | 333.434 | 0.000 | -0.000 | -0.000 | 
| 0.000 | 0.000 | 0.000 | 202.003 | -0.000 | -0.000 | 
| 143.132 | 32.121 | 74.697 | 0.000 | 166.791 | 0.000 | 
| 0.000 | 0.000 | 0.000 | 0.000 | 0.000 | 236.523 | 
| -75.662 | -70.579 | 16.665 | -0.000 | -0.000 | 0.000 | 
| 47.279 | 484.088 | 59.836 | -0.000 | 0.000 | 0.000 | 
| -882.438 | -347.118 | -445.776 | -0.000 | -0.000 | 0.000 | 
| -0.000 | 0.000 | -0.000 | 202.003 | -0.000 | 0.000 | 
| -143.132 | -32.121 | -74.697 | -0.000 | 166.791 | 0.000 | 
| -0.000 | -0.000 | -0.000 | -0.000 | -0.000 | 236.523 | 
| 265.594 | 54.678 | 84.460 | 0.000 | 0.000 | 0.000 | 
| 97.152 | 297.130 | 82.531 | 0.000 | 0.000 | 0.000 | 
| 121.448 | 75.327 | 167.524 | 0.000 | 0.000 | 0.000 | 
| 20.253 | 4.545 | 10.569 | 137.751 | 0.000 | -0.000 | 
| 0.000 | 0.000 | 0.000 | 0.000 | 207.256 | -0.000 | 
| 69.381 | 29.550 | 40.239 | 0.000 | 0.000 | 98.517 | 
| 98.997 | -21.998 | -46.217 | -0.000 | -0.000 | 0.000 | 
| 32.470 | 327.168 | 64.574 | -0.000 | 0.000 | 0.000 | 
| -19.514 | 23.314 | 14.718 | -0.000 | -0.000 | 0.000 | 
| -20.253 | -4.545 | -10.569 | 137.751 | 0.000 | -0.000 | 
| -0.000 | -0.000 | -0.000 | -0.000 | 207.256 | -0.000 | 
| -69.381 | -29.550 | -40.239 | -0.000 | -0.000 | 98.517 | 
| 1280.765 | 61.583 | -3.286 | -0.000 | 0.000 | -0.000 | 
| 82.089 | 1238.775 | 18.055 | 0.000 | -0.000 | -0.000 | 
| 18.607 | 18.607 | 1299.979 | 0.000 | 0.000 | -0.000 | 
| 0.000 | -0.000 | -0.000 | 546.031 | -0.000 | -0.000 | 
| -0.010 | -0.010 | 0.019 | 0.000 | 535.263 | -0.000 | 
| -0.012 | -0.012 | 0.024 | -0.000 | 0.000 | 578.343 | 
| 1280.765 | 61.583 | -3.286 | 0.000 | -0.000 | 0.000 | 
| 61.583 | 1280.765 | -3.285 | -0.000 | -0.000 | -0.000 | 
| 18.627 | 18.627 | 1299.941 | 0.000 | -0.000 | 0.000 | 
| -0.000 | 0.000 | 0.000 | 546.031 | 0.000 | 0.000 | 
| 0.010 | 0.010 | -0.019 | 0.000 | 535.262 | 0.000 | 
| 0.012 | 0.012 | -0.024 | 0.000 | 0.000 | 578.343 | 
| 1280.765 | 61.583 | -3.286 | 0.000 | -0.000 | -0.000 | 
| 61.583 | 1280.765 | -3.286 | 0.000 | -0.000 | -0.000 | 
| -2.705 | -2.705 | 1342.322 | 0.000 | -0.000 | -0.000 | 
| -0.001 | -0.001 | 0.002 | 535.262 | 0.000 | -0.000 | 
| -0.001 | -0.001 | 0.002 | 0.000 | 535.262 | -0.000 | 
| -0.001 | -0.001 | 0.002 | -0.000 | 0.000 | 578.343 | 
| 1238.786 | 82.100 | 18.034 | -0.000 | 0.000 | 0.000 | 
| 61.583 | 1280.764 | -3.286 | 0.000 | 0.000 | -0.000 | 
| 18.618 | 18.618 | 1299.958 | -0.000 | 0.000 | -0.000 | 
| 0.001 | 0.001 | -0.002 | 535.262 | -0.000 | 0.000 | 
| 0.001 | 0.001 | -0.002 | -0.000 | 535.262 | 0.000 | 
| 0.001 | 0.001 | -0.002 | -0.000 | -0.000 | 578.343 | 
| 1239.297 | 77.842 | 21.762 | 0.000 | -0.000 | 0.000 | 
| 77.842 | 1239.296 | 21.762 | 0.000 | -0.000 | -0.000 | 
| 18.618 | 18.618 | 1299.963 | 0.000 | 0.000 | 0.000 | 
| 0.000 | -0.000 | 0.000 | 546.031 | -0.000 | -0.000 | 
| -0.000 | 0.000 | 0.000 | -0.000 | 546.031 | -0.000 | 
| -0.000 | 0.000 | 0.001 | 0.000 | -0.000 | 578.343 | 
| 1239.292 | 77.840 | 21.760 | 0.000 | 0.000 | 0.000 | 
| 61.583 | 1280.760 | -3.286 | 0.000 | 0.000 | 0.000 | 
| -2.705 | -2.705 | 1342.316 | 0.000 | 0.000 | 0.000 | 
| -0.000 | 0.000 | -0.000 | 546.031 | 0.000 | 0.000 | 
| 0.000 | -0.000 | -0.000 | 0.000 | 546.031 | 0.000 | 
| 0.000 | -0.000 | -0.001 | 0.000 | 0.000 | 578.343 | 
| 1280.171 | 61.062 | -2.890 | 0.000 | 0.000 | -0.000 | 
| 77.137 | 1238.845 | 22.360 | 0.000 | -0.000 | -0.000 | 
| -2.889 | -2.890 | 1344.122 | 0.000 | 0.000 | -0.000 | 
| -0.000 | 0.000 | -0.000 | 545.604 | 0.000 | -0.000 | 
| 0.000 | -0.000 | -0.000 | 0.000 | 545.604 | -0.000 | 
| -0.000 | -0.000 | -0.000 | 0.000 | 0.000 | 609.554 | 
| 1238.331 | 81.414 | 18.598 | -0.000 | -0.000 | 0.000 | 
| 61.061 | 1280.171 | -2.890 | -0.000 | -0.000 | 0.000 | 
| 18.598 | 18.598 | 1301.147 | -0.000 | -0.000 | 0.000 | 
| 0.000 | -0.000 | 0.000 | 545.604 | -0.000 | 0.000 | 
| -0.000 | 0.000 | 0.000 | -0.000 | 545.604 | -0.000 | 
| -0.000 | 0.000 | 0.000 | -0.000 | 0.000 | 609.555 | 
| 1238.331 | 81.414 | 18.598 | 0.000 | 0.000 | -0.000 | 
| 77.137 | 1238.845 | 22.361 | 0.000 | -0.000 | -0.000 | 
| 18.598 | 18.598 | 1301.147 | 0.000 | 0.000 | 0.000 | 
| 0.000 | 0.000 | 0.000 | 545.604 | -0.000 | -0.000 | 
| -0.000 | 0.000 | 0.000 | 0.000 | 534.860 | -0.000 | 
| -0.000 | 0.000 | 0.000 | 0.000 | 0.000 | 578.458 | 
| 1238.840 | 77.139 | 22.364 | -0.000 | -0.000 | -0.000 | 
| 77.137 | 1238.845 | 22.361 | -0.000 | -0.000 | 0.000 | 
| 18.598 | 18.598 | 1301.147 | -0.000 | -0.000 | 0.000 | 
| -0.000 | -0.000 | -0.000 | 545.604 | 0.000 | 0.000 | 
| 0.000 | -0.000 | -0.000 | -0.000 | 534.860 | 0.000 | 
| 0.000 | -0.000 | -0.000 | -0.000 | 0.000 | 578.458 | 
| 1238.847 | 77.138 | 22.362 | 0.000 | -0.000 | -0.000 | 
| 81.416 | 1238.332 | 18.599 | 0.000 | -0.000 | 0.000 | 
| 18.599 | 18.599 | 1301.151 | 0.000 | -0.000 | -0.000 | 
| 0.000 | -0.000 | 0.000 | 545.604 | -0.000 | -0.000 | 
| -0.000 | 0.000 | 0.000 | 0.000 | 545.604 | -0.000 | 
| -0.000 | 0.000 | 0.000 | 0.000 | 0.000 | 578.458 | 
| 1280.167 | 61.061 | -2.890 | -0.000 | 0.000 | 0.000 | 
| 81.413 | 1238.329 | 18.597 | -0.000 | -0.000 | 0.000 | 
| -2.890 | -2.890 | 1344.117 | -0.000 | -0.000 | -0.000 | 
| -0.000 | 0.000 | -0.000 | 545.604 | -0.000 | 0.000 | 
| 0.000 | -0.000 | -0.000 | -0.000 | 545.604 | 0.000 | 
| 0.000 | -0.000 | -0.000 | -0.000 | 0.000 | 578.458 | 
| 1358.440 | 203.043 | -222.873 | -0.000 | -0.000 | -0.000 | 
| 290.766 | 1430.125 | -381.580 | 0.000 | -0.000 | -0.001 | 
| 222.754 | 222.754 | 892.688 | 0.000 | -0.000 | 0.000 | 
| 0.000 | 0.000 | 0.000 | 545.696 | -0.000 | -0.000 | 
| 202.541 | 202.541 | -403.300 | 0.000 | 527.713 | -0.000 | 
| 0.000 | 0.000 | -0.000 | -0.000 | 0.000 | 609.305 | 
| 1279.780 | 61.169 | -3.309 | 0.000 | 0.000 | 0.000 | 
| 61.170 | 1279.780 | -3.309 | 0.000 | 0.000 | -0.000 | 
| -180.072 | -180.072 | 1694.797 | 0.000 | 0.000 | 0.000 | 
| -0.000 | -0.000 | 0.000 | 545.696 | -0.000 | 0.001 | 
| -202.541 | -202.541 | 403.299 | 0.000 | 527.713 | -0.000 | 
| -0.000 | -0.000 | 0.000 | 0.000 | -0.000 | 609.305 | 
| 1249.563 | 94.167 | -6.077 | -0.000 | -0.000 | -0.000 | 
| 100.838 | 1244.633 | -7.811 | -0.000 | -0.000 | -0.000 | 
| 36.637 | 36.637 | 1263.285 | -0.000 | -0.000 | 0.000 | 
| 12.103 | 12.103 | -24.099 | 534.970 | 0.000 | -0.000 | 
| -0.000 | 0.000 | -0.000 | -0.000 | 545.696 | 0.000 | 
| 0.000 | 0.000 | 0.000 | -0.000 | -0.000 | 609.305 | 
| 1220.871 | 61.421 | 55.090 | -0.000 | 0.000 | 0.000 | 
| 61.421 | 1220.871 | 55.090 | 0.000 | -0.000 | 0.000 | 
| -2.923 | -2.923 | 1342.056 | 0.000 | 0.000 | 0.000 | 
| -12.103 | -12.103 | 24.099 | 534.970 | 0.000 | 0.000 | 
| -0.000 | -0.000 | 0.000 | 0.000 | 545.696 | -0.000 | 
| -0.000 | -0.000 | -0.000 | 0.000 | 0.000 | 609.305 | 
| 1240.270 | 80.177 | 17.107 | -0.000 | -0.000 | -0.000 | 
| 75.997 | 1244.099 | 17.457 | -0.000 | -0.000 | -0.000 | 
| 19.708 | 19.708 | 1296.999 | -0.000 | -0.000 | -0.000 | 
| 1.234 | 1.233 | -2.456 | 534.742 | 0.000 | -0.000 | 
| 1.234 | 1.234 | -2.457 | -0.000 | 534.741 | -0.000 | 
| 1.376 | 1.376 | -2.739 | -0.000 | -0.000 | 583.149 | 
| 1239.989 | 81.033 | 16.527 | 0.000 | 0.000 | 0.000 | 
| 73.183 | 1241.927 | 22.413 | 0.000 | 0.000 | 0.000 | 
| -2.923 | -2.923 | 1342.052 | 0.000 | 0.000 | 0.000 | 
| -1.234 | -1.233 | 2.456 | 534.742 | -0.000 | 0.000 | 
| -1.234 | -1.234 | 2.457 | 0.000 | 534.741 | 0.000 | 
| -1.376 | -1.376 | 2.739 | 0.000 | 0.000 | 583.149 | 
| 1280.170 | 61.061 | -2.889 | 0.000 | 0.000 | 0.001 | 
| 61.060 | 1280.171 | -2.889 | 0.000 | 0.000 | 0.001 | 
| 18.597 | 18.597 | 1301.150 | 0.000 | 0.000 | 0.001 | 
| -0.001 | 0.000 | 0.001 | 545.604 | 0.000 | 0.002 | 
| -0.001 | -0.001 | 0.003 | 0.000 | 534.860 | 0.001 | 
| -0.001 | -0.001 | 0.003 | 0.000 | 0.000 | 583.635 | 
| 1280.169 | 61.061 | -2.890 | -0.000 | -0.000 | -0.001 | 
| 81.904 | 1237.844 | 18.595 | -0.000 | -0.000 | -0.001 | 
| -2.889 | -2.889 | 1344.121 | -0.000 | -0.000 | -0.002 | 
| 0.001 | -0.000 | -0.001 | 545.604 | -0.000 | -0.002 | 
| 0.001 | 0.001 | -0.003 | -0.000 | 534.860 | -0.001 | 
| 0.002 | 0.001 | -0.003 | -0.000 | -0.000 | 583.632 | 
| 1241.114 | 83.858 | 13.372 | 0.000 | 0.000 | 0.000 | 
| 83.858 | 1241.114 | 13.372 | 0.000 | 0.000 | 0.000 | 
| 18.598 | 18.598 | 1301.148 | 0.000 | 0.000 | 0.000 | 
| -0.000 | 0.000 | 0.000 | 545.604 | 0.000 | 0.000 | 
| -0.000 | -0.000 | 0.000 | 0.000 | 534.860 | 0.000 | 
| 0.000 | 0.000 | 0.000 | 0.000 | 0.000 | 609.555 | 
| 1237.843 | 81.902 | 18.598 | -0.000 | -0.000 | -0.000 | 
| 81.902 | 1237.842 | 18.598 | -0.000 | -0.000 | -0.000 | 
| 18.601 | 18.601 | 1301.140 | -0.000 | -0.000 | -0.000 | 
| 0.000 | -0.000 | -0.000 | 545.604 | -0.000 | -0.000 | 
| 0.000 | 0.000 | -0.000 | -0.000 | 534.860 | -0.000 | 
| 0.000 | -0.000 | -0.000 | -0.000 | -0.000 | 609.555 | 
| 1243.632 | 74.304 | 20.412 | 0.000 | 0.000 | 0.000 | 
| 74.307 | 1243.625 | 20.415 | 0.000 | 0.000 | 0.000 | 
| 18.597 | 18.597 | 1301.154 | 0.000 | 0.000 | 0.000 | 
| 0.000 | -0.000 | 0.000 | 545.604 | 0.000 | 0.000 | 
| -0.000 | 0.000 | 0.000 | 0.000 | 545.604 | 0.000 | 
| -0.000 | 0.000 | 0.000 | 0.000 | 0.000 | 583.634 | 
| 1280.167 | 61.061 | -2.890 | -0.000 | -0.000 | -0.000 | 
| 81.902 | 1237.839 | 18.598 | -0.000 | -0.000 | -0.000 | 
| 18.597 | 18.597 | 1301.144 | -0.000 | -0.000 | -0.000 | 
| -0.000 | 0.000 | -0.000 | 545.604 | -0.000 | -0.000 | 
| 0.000 | -0.000 | -0.000 | -0.000 | 545.604 | -0.000 | 
| 0.000 | -0.000 | -0.000 | -0.000 | -0.000 | 583.633 | 
| 1280.032 | 61.237 | -3.244 | 0.000 | 0.000 | 0.000 | 
| 61.236 | 1280.033 | -3.244 | 0.000 | -0.000 | 0.000 | 
| 1328.568 | 1328.568 | -1309.263 | 0.000 | -0.000 | 0.000 | 
| -0.001 | 0.000 | 0.000 | 545.750 | -0.000 | 0.000 | 
| 0.000 | 0.000 | 0.000 | 0.000 | 545.750 | 0.001 | 
| 0.000 | 0.000 | 0.000 | 0.000 | -0.000 | 609.399 | 
| 221.032 | -947.185 | 2055.472 | 0.000 | 0.000 | -0.000 | 
| -796.244 | 372.772 | 1754.066 | 0.000 | 0.000 | -0.001 | 
| -1004.484 | -1004.484 | 3337.186 | -0.000 | 0.000 | -0.000 | 
| 0.000 | 0.000 | -0.000 | 545.750 | 0.000 | -0.001 | 
| 0.000 | -0.000 | -0.000 | -0.000 | 545.750 | -0.001 | 
| -0.000 | -0.000 | -0.000 | -0.000 | 0.000 | 609.397 | 
| 1280.033 | 61.237 | -3.245 | -0.000 | 0.000 | 0.000 | 
| 178.198 | 1346.403 | -185.804 | 0.000 | -0.000 | 0.000 | 
| 120.764 | 120.764 | 1096.169 | -0.000 | -0.000 | 0.000 | 
| 87.209 | 87.209 | -173.683 | 536.615 | -0.000 | 0.000 | 
| -0.000 | 0.000 | 0.000 | -0.000 | 545.750 | 0.000 | 
| 87.120 | 87.121 | -173.507 | -0.000 | 0.000 | 584.543 | 
| 1109.791 | -52.413 | 279.450 | 0.000 | 0.000 | -0.000 | 
| -52.411 | 1109.793 | 279.447 | -0.000 | 0.000 | -0.000 | 
| -83.835 | -83.835 | 1503.642 | 0.000 | -0.000 | -0.000 | 
| -87.209 | -87.209 | 173.683 | 536.615 | 0.000 | -0.000 | 
| 0.000 | -0.000 | -0.000 | -0.000 | 545.750 | -0.000 | 
| -87.120 | -87.121 | 173.507 | 0.000 | 0.000 | 584.543 | 
| 1251.449 | 88.614 | -2.038 | -0.000 | -0.000 | 0.000 | 
| 88.602 | 1251.461 | -2.039 | -0.000 | 0.000 | 0.000 | 
| 28.700 | 28.700 | 1279.524 | -0.000 | 0.000 | 0.000 | 
| 10.229 | 10.228 | -20.370 | 535.008 | -0.000 | 0.000 | 
| -0.000 | 0.000 | 0.000 | -0.000 | 545.750 | 0.000 | 
| 12.181 | 12.182 | -24.260 | -0.000 | -0.000 | 582.571 | 
| 1233.547 | 65.070 | 39.224 | 0.000 | 0.000 | -0.000 | 
| 61.237 | 1280.029 | -3.245 | 0.000 | 0.000 | -0.000 | 
| 8.241 | 8.241 | 1320.262 | 0.000 | -0.000 | -0.000 | 
| -10.229 | -10.228 | 20.370 | 535.008 | -0.000 | -0.000 | 
| 0.000 | -0.000 | -0.000 | 0.000 | 545.750 | -0.000 | 
| -12.181 | -12.182 | 24.260 | 0.000 | 0.000 | 582.571 | 
| 1280.171 | 61.062 | -2.889 | -0.000 | 0.000 | 0.001 | 
| 61.062 | 1280.171 | -2.889 | -0.000 | 0.000 | 0.001 | 
| 90.207 | 90.207 | 1157.931 | 0.000 | 0.000 | 0.000 | 
| 0.001 | 0.000 | 0.001 | 545.604 | 0.000 | 0.001 | 
| 0.001 | -0.000 | 0.001 | 0.000 | 545.604 | 0.000 | 
| 0.001 | 0.000 | 0.001 | 0.000 | -0.000 | 609.556 | 
| 1168.467 | 7.547 | 162.328 | -0.000 | 0.000 | -0.000 | 
| 61.061 | 1280.171 | -2.890 | 0.000 | -0.000 | -0.001 | 
| -2.890 | -2.889 | 1344.122 | -0.000 | -0.000 | -0.000 | 
| -0.001 | -0.001 | -0.001 | 545.604 | -0.000 | -0.001 | 
| -0.001 | 0.000 | -0.000 | -0.000 | 545.604 | -0.000 | 
| -0.000 | 0.000 | -0.000 | -0.000 | -0.000 | 609.554 | 
| 1280.172 | 61.062 | -2.889 | 0.000 | 0.000 | 0.000 | 
| 61.062 | 1280.172 | -2.889 | 0.000 | 0.000 | 0.000 | 
| 25.753 | 25.753 | 1286.837 | 0.000 | 0.000 | -0.000 | 
| 0.000 | 0.000 | 0.000 | 545.604 | 0.000 | 0.000 | 
| 7.161 | 7.161 | -14.322 | -0.000 | 534.860 | 0.000 | 
| 7.653 | 7.653 | -15.305 | 0.000 | -0.000 | 585.545 | 
| 1280.171 | 61.061 | -2.890 | -0.000 | -0.000 | -0.000 | 
| 61.061 | 1280.171 | -2.890 | 0.000 | 0.000 | -0.000 | 
| 11.437 | 11.437 | 1315.468 | 0.000 | -0.000 | 0.000 | 
| -0.000 | -0.000 | -0.000 | 545.604 | -0.000 | -0.000 | 
| -7.161 | -7.161 | 14.322 | -0.000 | 534.860 | -0.000 | 
| -7.653 | -7.653 | 15.305 | -0.000 | -0.000 | 585.545 | 
| 1245.792 | 74.224 | 18.332 | -0.000 | 0.000 | 0.000 | 
| 74.224 | 1245.791 | 18.332 | 0.000 | 0.000 | 0.000 | 
| 19.315 | 19.315 | 1299.717 | 0.000 | 0.000 | 0.000 | 
| 0.716 | 0.716 | -1.432 | 534.860 | 0.000 | 0.000 | 
| 0.716 | 0.716 | -1.432 | 0.000 | 534.860 | 0.000 | 
| 0.544 | 0.545 | -1.089 | 0.000 | 0.000 | 583.520 | 
| 1244.424 | 72.657 | 21.258 | 0.000 | -0.000 | -0.000 | 
| 77.736 | 1242.905 | 17.698 | -0.000 | 0.000 | -0.000 | 
| 17.881 | 17.881 | 1302.576 | 0.000 | -0.000 | -0.000 | 
| -0.716 | -0.716 | 1.432 | 534.860 | -0.000 | -0.000 | 
| -0.716 | -0.716 | 1.432 | -0.000 | 534.860 | -0.000 | 
| -0.544 | -0.545 | 1.089 | -0.000 | -0.000 | 583.520 | 
| 1804.867 | 711.006 | -1172.862 | -0.000 | -0.000 | -0.001 | 
| 711.005 | 1804.867 | -1172.863 | 0.000 | -0.000 | -0.001 | 
| -2.853 | -2.853 | 1342.574 | 0.000 | -0.000 | -0.001 | 
| 599.364 | 599.365 | -1193.822 | 516.494 | 0.000 | -0.001 | 
| 221.031 | 221.032 | -440.248 | -0.000 | 534.943 | -0.001 | 
| -0.001 | 0.000 | 0.000 | -0.000 | 0.000 | 609.439 | 
| 1053.951 | -113.170 | 395.778 | -0.000 | -0.000 | 0.001 | 
| -489.636 | 611.483 | 1211.359 | -0.000 | -0.000 | 0.001 | 
| -2.853 | -2.854 | 1342.571 | 0.000 | -0.000 | 0.001 | 
| -599.365 | -599.365 | 1193.821 | 516.494 | 0.000 | 0.001 | 
| -221.030 | -221.032 | 440.247 | -0.000 | 534.943 | 0.001 | 
| -0.001 | -0.000 | -0.000 | 0.000 | -0.000 | 609.442 | 
| 1280.147 | 61.266 | -3.213 | 0.000 | 0.000 | -0.000 | 
| 61.266 | 1280.147 | -3.213 | -0.000 | 0.000 | -0.000 | 
| 38.848 | 38.849 | 1259.511 | 0.000 | 0.000 | -0.000 | 
| 19.421 | 19.421 | -38.682 | 536.328 | 0.000 | -0.000 | 
| 56.038 | 56.038 | -111.617 | -0.000 | 518.399 | -0.000 | 
| 53.230 | 53.231 | -106.025 | 0.000 | 0.000 | 555.537 | 
| 1223.272 | 58.141 | 56.540 | -0.000 | -0.000 | 0.000 | 
| 40.821 | 1172.428 | 124.425 | 0.000 | -0.000 | 0.000 | 
| -5.715 | -5.715 | 1348.272 | -0.000 | -0.000 | 0.000 | 
| -19.421 | -19.421 | 38.682 | 536.328 | -0.000 | 0.000 | 
| -56.038 | -56.038 | 111.617 | 0.000 | 518.399 | 0.000 | 
| -53.230 | -53.231 | 106.025 | -0.000 | -0.000 | 555.537 | 
| 1246.826 | 79.553 | 11.762 | 0.000 | -0.000 | -0.000 | 
| 79.533 | 1246.872 | 11.737 | 0.000 | 0.000 | -0.000 | 
| 20.675 | 20.675 | 1295.714 | -0.000 | 0.000 | -0.000 | 
| 2.502 | 2.501 | -4.983 | 533.553 | 0.000 | -0.000 | 
| -0.000 | 0.000 | 0.000 | 0.000 | 545.773 | -0.000 | 
| 2.493 | 2.493 | -4.965 | 0.000 | 0.000 | 584.196 | 
| 1241.956 | 75.818 | 20.324 | -0.000 | -0.000 | 0.000 | 
| 75.819 | 1241.955 | 20.324 | 0.000 | -0.000 | 0.000 | 
| 16.295 | 16.295 | 1304.428 | 0.000 | -0.000 | 0.000 | 
| -2.502 | -2.501 | 4.983 | 533.553 | -0.000 | 0.000 | 
| 0.000 | -0.000 | -0.000 | -0.000 | 545.773 | 0.000 | 
| -2.493 | -2.493 | 4.965 | -0.000 | 0.000 | 584.196 | 
| 1279.867 | 61.148 | -3.218 | 18.081 | 0.000 | 0.001 | 
| 60.998 | 1234.173 | 42.465 | -15.907 | 0.000 | 0.001 | 
| -2.693 | -2.693 | 1342.054 | 0.000 | 0.000 | 0.000 | 
| 18.081 | -18.082 | -0.000 | 545.678 | 0.000 | 0.000 | 
| -50.310 | -50.310 | 100.273 | -0.000 | 520.263 | 10.885 | 
| -50.229 | -50.230 | 100.109 | 0.000 | 10.897 | 555.738 | 
| 1250.974 | 140.204 | -53.209 | 10.849 | -0.000 | -0.000 | 
| 88.777 | 1265.442 | -16.377 | -16.185 | 0.000 | 0.000 | 
| 95.559 | 95.559 | 1146.231 | -0.000 | -0.000 | 0.000 | 
| 61.195 | 39.425 | -100.273 | 520.262 | -0.000 | -0.000 | 
| 50.310 | 50.311 | -100.273 | -0.000 | 520.262 | 10.885 | 
| 50.230 | 50.230 | -100.109 | -0.000 | 10.896 | 555.739 | 
| 1221.922 | 77.220 | 38.509 | 13.123 | 0.000 | 0.000 | 
| 75.965 | 1241.758 | 19.992 | -15.329 | 0.000 | 0.000 | 
| 28.069 | 28.069 | 1280.745 | 0.000 | 0.000 | -0.000 | 
| 18.081 | -18.081 | 0.000 | 545.678 | 0.000 | 0.000 | 
| -4.221 | -4.221 | 8.413 | -0.000 | 524.354 | 12.044 | 
| -3.884 | -3.884 | 7.740 | 0.000 | 12.527 | 567.902 | 
| 1279.867 | 61.148 | -3.220 | 18.081 | -0.000 | 0.000 | 
| 75.082 | 1244.440 | 18.198 | -14.267 | -0.000 | -0.000 | 
| 20.144 | 20.144 | 1296.537 | -0.000 | -0.000 | 0.000 | 
| 18.081 | -18.081 | -0.000 | 545.678 | -0.000 | -0.000 | 
| 4.221 | 4.221 | -8.413 | 0.000 | 524.354 | 12.044 | 
| 3.884 | 3.884 | -7.740 | -0.000 | 12.527 | 567.902 | 
| 1243.653 | 73.827 | 20.239 | 14.806 | 0.000 | 0.000 | 
| 73.827 | 1243.652 | 20.239 | -14.806 | 0.000 | -0.000 | 
| 18.386 | 18.386 | 1300.046 | 0.000 | 0.000 | -0.000 | 
| 14.719 | -15.158 | 0.438 | 534.577 | 0.000 | 0.000 | 
| -0.220 | -0.219 | 0.438 | 0.000 | 534.577 | 14.938 | 
| -0.158 | -0.158 | 0.316 | 0.000 | 15.825 | 582.960 | 
| 1243.070 | 79.526 | 15.131 | 15.422 | -0.000 | -0.000 | 
| 79.526 | 1243.071 | 15.131 | -15.422 | -0.000 | -0.000 | 
| 18.847 | 18.847 | 1299.119 | 0.000 | -0.000 | -0.000 | 
| 15.158 | -14.718 | -0.438 | 534.577 | -0.000 | -0.000 | 
| 0.220 | 0.219 | -0.438 | -0.000 | 534.577 | 14.938 | 
| 0.158 | 0.158 | -0.316 | -0.000 | 15.825 | 582.960 | 
| 614.336 | 471.768 | 471.768 | -0.000 | -0.000 | -0.000 | 
| 471.768 | 614.336 | 471.768 | 0.000 | 0.000 | -0.000 | 
| 471.768 | 471.768 | 614.336 | 0.000 | -0.000 | 0.000 | 
| 485.951 | 485.951 | 485.951 | 58.423 | -0.000 | -0.000 | 
| 485.975 | 485.976 | 485.975 | -0.000 | 58.420 | 0.000 | 
| 485.987 | 485.987 | 485.987 | -0.000 | -0.000 | 58.417 | 
| -322.137 | -438.340 | -438.340 | -0.000 | 0.000 | -0.000 | 
| -438.340 | -322.137 | -438.340 | -0.000 | 0.000 | -0.000 | 
| -438.340 | -438.340 | -322.137 | -0.000 | 0.000 | -0.000 | 
| -485.951 | -485.951 | -485.951 | 58.423 | 0.000 | -0.000 | 
| -485.976 | -485.976 | -485.975 | -0.000 | 58.420 | -0.000 | 
| -485.987 | -485.987 | -485.987 | -0.000 | 0.000 | 58.417 | 
| 238.045 | 95.733 | 95.733 | 0.000 | -0.000 | 0.000 | 
| 95.733 | 238.045 | 95.733 | 0.000 | -0.000 | 0.000 | 
| 95.733 | 95.733 | 238.045 | 0.000 | -0.000 | -0.000 | 
| 10.484 | 10.484 | 10.484 | 158.635 | -0.000 | 0.000 | 
| 10.484 | 10.484 | 10.484 | 0.000 | 158.635 | 0.000 | 
| 10.484 | 10.484 | 10.484 | 0.000 | -0.000 | 158.635 | 
| 103.957 | -2.305 | -2.305 | -0.000 | 0.000 | 0.000 | 
| -2.305 | 103.957 | -2.305 | -0.000 | 0.000 | -0.000 | 
| -2.305 | -2.305 | 103.957 | -0.000 | -0.000 | -0.000 | 
| -10.484 | -10.484 | -10.484 | 158.635 | 0.000 | -0.000 | 
| -10.484 | -10.484 | -10.484 | -0.000 | 158.635 | 0.000 | 
| -10.484 | -10.484 | -10.484 | 0.000 | 0.000 | 158.635 | 
| 115.862 | 49.802 | 49.802 | 0.000 | -0.000 | -0.000 | 
| 49.802 | 115.862 | 49.802 | 0.000 | -0.000 | -0.000 | 
| 49.802 | 49.802 | 115.862 | -0.000 | -0.000 | 0.000 | 
| 4.235 | 4.235 | 4.235 | 69.363 | 0.000 | 0.000 | 
| 4.235 | 4.235 | 4.235 | 0.000 | 69.363 | 0.000 | 
| 4.235 | 4.235 | 4.235 | -0.000 | -0.000 | 69.363 | 
| 95.143 | 37.325 | 37.325 | 0.000 | 0.000 | -0.000 | 
| 37.325 | 95.143 | 37.325 | -0.000 | -0.000 | -0.000 | 
| 37.325 | 37.325 | 95.143 | -0.000 | -0.000 | -0.000 | 
| -4.235 | -4.235 | -4.235 | 69.363 | 0.000 | -0.000 | 
| -4.235 | -4.235 | -4.235 | -0.000 | 69.363 | 0.000 | 
| -4.235 | -4.235 | -4.235 | 0.000 | 0.000 | 69.363 | 
| 1058.197 | -8.813 | 0.000 | 0.000 | 0.000 | 0.000 | 
| -8.813 | 1058.197 | 0.000 | 0.000 | 0.000 | 0.000 | 
| 0.000 | 0.000 | 0.000 | 0.000 | 0.000 | -0.000 | 
| -0.000 | 0.000 | 0.000 | 0.000 | 0.000 | -0.000 | 
| -0.000 | 0.000 | 0.000 | 0.000 | 0.000 | 0.000 | 
| -0.000 | 0.000 | 0.000 | 0.000 | 0.000 | 533.505 | 
| 1058.197 | -8.813 | -0.000 | -0.000 | -0.000 | -0.000 | 
| -9.341 | 1058.725 | -0.000 | -0.000 | -0.000 | -0.000 | 
| -0.000 | -0.000 | -0.000 | -0.000 | -0.000 | 0.000 | 
| 0.000 | -0.000 | -0.000 | -0.000 | -0.000 | 0.000 | 
| 0.000 | -0.000 | -0.000 | -0.000 | -0.000 | -0.000 | 
| 0.000 | -0.000 | -0.000 | -0.000 | -0.000 | 533.505 | 
| 1058.198 | -8.813 | 0.000 | 0.000 | 0.000 | 0.000 | 
| -9.341 | 1058.725 | 0.000 | 0.000 | 0.000 | 0.000 | 
| 0.000 | 0.000 | 0.000 | 0.000 | 0.000 | -0.000 | 
| -0.000 | 0.000 | 0.000 | 0.000 | 0.000 | -0.000 | 
| -0.000 | 0.000 | 0.000 | 0.000 | 0.000 | 0.000 | 
| 0.000 | 0.000 | 0.000 | 0.000 | 0.000 | 533.505 | 
| 1058.724 | -9.341 | -0.000 | -0.000 | -0.000 | -0.000 | 
| -8.813 | 1058.197 | -0.000 | -0.000 | -0.000 | 0.000 | 
| 0.000 | 0.000 | -0.000 | -0.000 | -0.000 | 0.000 | 
| 0.000 | -0.000 | -0.000 | -0.000 | -0.000 | 0.000 | 
| 0.000 | -0.000 | -0.000 | -0.000 | -0.000 | -0.000 | 
| -0.000 | -0.000 | -0.000 | -0.000 | -0.000 | 533.505 | 
| 1058.201 | -8.813 | 0.000 | 0.000 | 0.000 | 0.000 | 
| -8.813 | 1058.201 | 0.000 | 0.000 | 0.000 | 0.000 | 
| 0.000 | 0.000 | 0.000 | 0.000 | 0.000 | -0.000 | 
| -0.000 | 0.000 | 0.000 | 0.000 | 0.000 | -0.000 | 
| -0.000 | -0.000 | 0.000 | 0.000 | 0.000 | 0.000 | 
| 0.000 | 0.001 | 0.000 | 0.000 | 0.000 | 533.505 | 
| 1058.193 | -8.814 | -0.000 | -0.000 | -0.000 | -0.000 | 
| -8.814 | 1058.194 | -0.000 | -0.000 | -0.000 | -0.000 | 
| 0.000 | 0.000 | -0.000 | -0.000 | -0.000 | 0.000 | 
| 0.000 | -0.000 | -0.000 | -0.000 | -0.000 | -0.000 | 
| 0.000 | -0.000 | -0.000 | -0.000 | -0.000 | -0.000 | 
| -0.000 | -0.001 | -0.000 | -0.000 | -0.000 | 533.505 | 
| 576.258 | 67.791 | -1.137 | -0.000 | 0.000 | 0.000 | 
| 92.296 | 271.055 | 27.397 | -0.000 | 0.000 | 0.000 | 
| 52.109 | -3.137 | 448.848 | -0.000 | 0.000 | 0.000 | 
| 0.000 | 0.000 | 0.000 | 96.855 | -0.000 | 0.000 | 
| -0.000 | 0.000 | 0.000 | -0.000 | 249.745 | 0.000 | 
| -0.000 | 0.000 | 0.000 | -0.000 | 0.000 | 244.413 | 
| 630.423 | 41.499 | 50.415 | 0.000 | -0.000 | -0.000 | 
| 60.579 | 336.469 | 14.248 | 0.000 | -0.000 | -0.000 | 
| 54.677 | 21.331 | 134.936 | 0.000 | -0.000 | -0.000 | 
| 0.000 | -0.000 | 0.000 | 96.855 | -0.000 | -0.000 | 
| 0.000 | -0.000 | 0.000 | 0.000 | 249.745 | -0.000 | 
| 0.001 | -0.000 | 0.000 | 0.000 | 0.000 | 244.413 | 
| 583.101 | 61.321 | 51.929 | -0.000 | 0.000 | 0.000 | 
| 60.579 | 336.469 | 14.248 | -0.000 | 0.000 | 0.000 | 
| 56.357 | 20.167 | 136.237 | -0.000 | 0.000 | 0.000 | 
| 0.170 | -0.097 | -0.120 | 42.523 | 0.000 | 0.000 | 
| 0.137 | -0.078 | -0.097 | -0.000 | 150.455 | 0.000 | 
| 0.056 | -0.052 | -0.055 | 0.000 | 0.000 | 234.158 | 
| 582.998 | 61.382 | 52.012 | 0.000 | -0.000 | -0.000 | 
| 60.579 | 336.468 | 14.248 | 0.000 | -0.000 | -0.000 | 
| 1.644 | -17.327 | 0.114 | 0.000 | -0.000 | -0.000 | 
| -0.170 | 0.097 | 0.120 | 42.523 | -0.000 | -0.000 | 
| -0.137 | 0.078 | 0.097 | 0.000 | 150.455 | -0.000 | 
| -0.056 | 0.052 | 0.055 | 0.000 | -0.000 | 234.158 | 
| 575.759 | 68.372 | -0.012 | -0.000 | 0.000 | 0.000 | 
| 87.463 | 269.805 | -0.011 | -0.000 | 0.000 | 0.000 | 
| 1.699 | -17.392 | -0.014 | -0.000 | 0.000 | 0.000 | 
| 0.017 | -0.010 | -0.012 | 42.522 | 0.000 | 0.000 | 
| 0.013 | -0.015 | -0.016 | -0.000 | 13.808 | 0.000 | 
| 0.000 | 0.000 | 0.000 | 0.000 | -0.000 | 244.413 | 
| 575.750 | 68.381 | 0.012 | 0.000 | -0.000 | -0.000 | 
| 88.652 | 269.596 | 0.035 | 0.000 | 0.000 | -0.000 | 
| 1.688 | -17.379 | 0.014 | 0.000 | -0.000 | -0.000 | 
| -0.017 | 0.010 | 0.012 | 42.522 | -0.000 | -0.000 | 
| -0.013 | 0.015 | 0.016 | 0.000 | 13.808 | -0.000 | 
| -0.000 | -0.000 | -0.000 | 0.000 | -0.000 | 244.413 | 
| 671.956 | 112.167 | 29.776 | 0.000 | 0.000 | -0.000 | 
| 56.021 | 408.639 | 20.527 | 0.000 | -0.000 | -0.000 | 
| -11.822 | 51.711 | 35.731 | 0.000 | 0.000 | -0.000 | 
| -0.000 | 0.000 | -0.000 | 101.998 | 0.000 | -0.000 | 
| 11.272 | 12.635 | -0.046 | 0.000 | 184.325 | -0.000 | 
| 3.135 | 12.275 | 8.044 | 0.000 | 0.000 | 235.065 | 
| 712.539 | 56.021 | 46.984 | -0.000 | -0.000 | 0.000 | 
| 92.201 | 264.783 | -19.858 | -0.000 | -0.000 | 0.000 | 
| -16.409 | 2.814 | -16.734 | -0.000 | -0.000 | 0.000 | 
| 0.000 | -0.000 | 0.000 | 101.998 | -0.000 | 0.000 | 
| -11.271 | -12.635 | 0.046 | -0.000 | 184.325 | 0.000 | 
| -3.135 | -12.275 | -8.044 | -0.000 | -0.000 | 235.065 | 
| 667.245 | 105.623 | 21.905 | 0.000 | 0.000 | -0.000 | 
| 106.897 | 282.691 | 41.331 | 0.000 | 0.000 | -0.000 | 
| 0.567 | 1.214 | 1.997 | 0.000 | -0.000 | -0.000 | 
| -0.569 | 1.299 | 1.784 | 38.861 | -0.000 | -0.000 | 
| -0.000 | 0.000 | 0.000 | 0.000 | 280.992 | -0.000 | 
| 0.365 | 1.071 | 0.607 | 0.000 | 0.000 | 235.432 | 
| 669.351 | 90.258 | 40.605 | 0.000 | -0.000 | 0.000 | 
| 105.665 | 280.069 | 41.478 | -0.000 | 0.000 | 0.000 | 
| -15.637 | 27.401 | 5.541 | -0.000 | -0.000 | 0.000 | 
| 0.569 | -1.299 | -1.784 | 38.861 | -0.000 | 0.000 | 
| 0.000 | -0.000 | -0.000 | -0.000 | 280.992 | 0.000 | 
| -0.365 | -1.071 | -0.607 | -0.000 | -0.000 | 235.432 | 
| 666.702 | 105.076 | 20.792 | 0.000 | -0.000 | -0.000 | 
| 98.205 | 276.990 | 0.198 | 0.000 | 0.000 | -0.000 | 
| 0.056 | 0.124 | 0.172 | 0.000 | 0.000 | -0.000 | 
| -0.063 | 0.129 | 0.183 | 38.845 | 0.000 | -0.000 | 
| 0.184 | -0.113 | 0.227 | 0.000 | 0.000 | -0.000 | 
| 0.058 | 0.065 | -0.000 | 0.000 | 0.000 | 235.654 | 
| 712.537 | 56.021 | 46.984 | -0.000 | -0.000 | 0.000 | 
| 98.104 | 276.708 | -0.201 | -0.000 | 0.000 | 0.000 | 
| -0.023 | -0.189 | -0.190 | -0.000 | -0.000 | 0.000 | 
| 0.063 | -0.129 | -0.183 | 38.845 | -0.000 | 0.000 | 
| -0.184 | 0.113 | -0.227 | -0.000 | 0.000 | 0.000 | 
| -0.058 | -0.065 | 0.000 | -0.000 | -0.000 | 235.654 | 
| 1001.909 | 124.059 | 16.071 | -0.000 | 0.000 | 0.000 | 
| 101.444 | 403.455 | 11.669 | 0.000 | 0.000 | 0.000 | 
| 58.271 | 6.221 | 1042.359 | -0.000 | 0.000 | 0.000 | 
| -0.000 | -0.000 | -0.001 | 174.757 | 0.000 | 0.000 | 
| 37.419 | -50.014 | 9.631 | -0.000 | 480.278 | 0.000 | 
| -0.000 | -0.000 | 0.001 | 0.000 | -0.000 | 273.611 | 
| 932.118 | 202.176 | 8.258 | -0.000 | 0.001 | 0.000 | 
| 101.444 | 403.455 | 11.668 | -0.000 | 0.000 | 0.000 | 
| 31.164 | 21.085 | 1076.514 | 0.001 | -0.000 | -0.000 | 
| 0.000 | 0.000 | 0.001 | 174.758 | 0.000 | -0.000 | 
| -37.419 | 50.014 | -9.631 | -0.000 | 480.278 | 0.000 | 
| 0.000 | 0.000 | -0.001 | -0.000 | -0.000 | 273.611 | 
| 1037.240 | 96.635 | 16.938 | -0.000 | -0.000 | 0.000 | 
| 178.775 | 295.211 | 42.472 | 0.000 | -0.000 | 0.000 | 
| 35.323 | 36.907 | 1038.292 | -0.000 | -0.000 | 0.000 | 
| 5.103 | -7.395 | 1.947 | 104.787 | 0.000 | 0.000 | 
| -0.000 | 0.000 | 0.000 | 0.000 | 523.260 | 0.000 | 
| 2.255 | -3.268 | 0.860 | -0.000 | 0.000 | 243.523 | 
| 973.043 | 151.465 | 18.094 | -0.000 | 0.000 | -0.000 | 
| 101.444 | 403.455 | 11.670 | 0.000 | 0.000 | -0.000 | 
| 14.898 | 53.264 | 1026.704 | 0.000 | -0.000 | -0.000 | 
| -5.103 | 7.395 | -1.947 | 104.787 | -0.000 | 0.000 | 
| 0.000 | -0.000 | -0.000 | -0.000 | 523.260 | 0.000 | 
| -2.255 | 3.268 | -0.860 | 0.000 | 0.000 | 243.523 | 
| 965.098 | 174.016 | 4.944 | 0.000 | -0.000 | 0.000 | 
| 179.768 | 298.756 | 37.566 | 0.000 | 0.000 | 0.000 | 
| 18.978 | 47.719 | 1027.810 | 0.000 | 0.000 | 0.000 | 
| 0.512 | -0.742 | 0.195 | 104.611 | -0.000 | 0.000 | 
| 0.372 | -0.505 | 0.116 | 0.000 | 479.936 | -0.000 | 
| 0.000 | 0.000 | 0.000 | -0.000 | 0.000 | 273.611 | 
| 964.355 | 175.071 | 5.296 | -0.000 | -0.000 | -0.000 | 
| 179.025 | 299.764 | 37.352 | 0.000 | 0.000 | -0.000 | 
| 19.267 | 47.366 | 1027.599 | -0.000 | 0.000 | -0.000 | 
| -0.512 | 0.742 | -0.195 | 104.611 | 0.000 | -0.000 | 
| -0.272 | 0.395 | -0.105 | 0.000 | 500.467 | -0.000 | 
| -0.000 | -0.000 | -0.000 | -0.000 | 0.000 | 273.611 | 
| 979.384 | 147.598 | 18.324 | -0.000 | 0.000 | -0.000 | 
| 100.812 | 405.028 | 11.876 | -0.000 | -0.000 | -0.000 | 
| 30.651 | 21.583 | 1078.400 | -0.000 | 0.000 | 0.000 | 
| -0.000 | 0.000 | -0.000 | 174.562 | -0.000 | 0.000 | 
| 0.854 | 0.009 | -0.403 | -0.000 | 501.374 | -0.000 | 
| 0.328 | -0.110 | 0.149 | -0.000 | 0.000 | 240.324 | 
| 1039.111 | 96.641 | 16.774 | 0.000 | -0.000 | 0.000 | 
| 173.936 | 300.411 | 42.041 | 0.000 | -0.000 | 0.000 | 
| 17.473 | 49.195 | 1029.527 | 0.000 | 0.000 | 0.000 | 
| 0.000 | 0.000 | 0.000 | 174.562 | -0.000 | -0.000 | 
| -0.854 | -0.009 | 0.403 | 0.000 | 501.374 | 0.000 | 
| -0.328 | 0.110 | -0.149 | 0.000 | -0.000 | 240.324 | 
| 966.962 | 175.155 | 5.152 | -0.000 | -0.000 | -0.000 | 
| 100.812 | 405.028 | 11.876 | -0.000 | 0.000 | 0.000 | 
| 30.651 | 21.583 | 1078.400 | -0.000 | -0.000 | -0.000 | 
| 0.000 | -0.000 | -0.000 | 174.562 | -0.000 | 0.000 | 
| 0.000 | 0.000 | 0.000 | -0.000 | 524.164 | 0.000 | 
| 0.000 | 0.000 | 0.000 | -0.000 | 0.000 | 273.075 | 
| 979.547 | 146.770 | 18.675 | -0.000 | -0.000 | 0.000 | 
| 175.272 | 299.898 | 41.734 | -0.000 | -0.000 | -0.000 | 
| 30.651 | 21.583 | 1078.399 | 0.000 | -0.000 | -0.000 | 
| -0.000 | 0.000 | 0.000 | 174.562 | 0.000 | -0.000 | 
| -0.000 | -0.000 | -0.000 | 0.000 | 524.164 | 0.000 | 
| -0.000 | -0.000 | -0.000 | 0.000 | -0.000 | 273.075 | 
| 966.913 | 175.171 | 5.149 | -0.000 | -0.000 | 0.000 | 
| 179.221 | 299.321 | 38.754 | -0.000 | -0.000 | 0.000 | 
| 19.033 | 47.705 | 1029.530 | -0.000 | -0.000 | -0.000 | 
| 0.016 | -0.000 | -0.008 | 104.463 | 0.000 | -0.000 | 
| 0.008 | 0.000 | -0.003 | -0.000 | 501.348 | -0.000 | 
| 0.000 | 0.000 | 0.000 | -0.000 | 0.000 | 273.075 | 
| 967.013 | 175.015 | 4.578 | -0.000 | -0.000 | -0.000 | 
| 179.650 | 298.704 | 38.928 | 0.000 | 0.000 | -0.000 | 
| 19.022 | 47.710 | 1029.514 | -0.000 | -0.000 | -0.000 | 
| -0.016 | 0.000 | 0.008 | 104.463 | -0.000 | 0.000 | 
| -0.008 | -0.000 | 0.003 | 0.000 | 501.348 | -0.000 | 
| -0.000 | -0.000 | -0.000 | 0.000 | -0.000 | 273.075 | 
| 517.494 | 34.186 | 68.757 | -3.352 | -0.000 | -0.000 | 
| 378.339 | 622.144 | 3367.792 | 13.639 | -0.000 | -0.000 | 
| 447.537 | 447.538 | 3442.872 | -0.000 | -0.000 | -0.000 | 
| -250.705 | -235.113 | 1107.937 | 159.887 | -0.000 | -0.000 | 
| -242.908 | -242.909 | 1107.937 | -0.000 | 159.887 | -7.796 | 
| 355.836 | 355.837 | 3279.040 | -0.000 | -13.657 | 121.712 | 
| -90.764 | -333.813 | -3190.611 | -13.674 | 0.000 | 0.000 | 
| 34.186 | 517.494 | 68.756 | 3.352 | 0.000 | 0.000 | 
| 62.570 | 62.571 | 397.852 | 0.000 | 0.000 | 0.000 | 
| -3.352 | 3.352 | -0.000 | 212.089 | 0.000 | 0.000 | 
| 242.908 | 242.909 | -1107.937 | 0.000 | 159.887 | -7.796 | 
| -355.836 | -355.837 | -3279.040 | 0.000 | -13.657 | 121.712 | 
| 305.612 | 58.036 | 415.539 | -13.467 | -0.000 | -0.000 | 
| 16.623 | 390.286 | 200.266 | 7.773 | -0.000 | 0.000 | 
| 125.828 | 125.828 | 493.735 | -0.000 | -0.000 | -0.000 | 
| -3.352 | 3.352 | 0.000 | 212.089 | -0.000 | 0.000 | 
| -24.318 | -24.318 | 110.917 | -0.000 | 159.829 | -7.801 | 
| 0.000 | 0.000 | 0.000 | -0.000 | -3.352 | 241.654 | 
| 437.343 | 65.447 | -21.597 | -7.844 | 0.000 | -0.000 | 
| 65.446 | 437.343 | -21.597 | 7.844 | -0.000 | -0.000 | 
| -101.402 | -101.402 | -1324.263 | 0.000 | 0.000 | 0.000 | 
| 16.518 | 32.121 | -110.925 | 159.825 | 0.000 | -0.000 | 
| 24.318 | 24.318 | -110.917 | 0.000 | 159.829 | -7.801 | 
| -0.000 | -0.000 | -0.000 | 0.000 | -3.352 | 241.654 | 
| 308.982 | 31.660 | 121.735 | -12.074 | -0.000 | -0.000 | 
| 30.037 | 217.618 | 152.264 | 17.921 | -0.000 | -0.000 | 
| 84.913 | 84.913 | 191.453 | -0.000 | -0.000 | 0.000 | 
| -10.488 | 14.205 | 27.658 | 108.505 | -0.000 | -0.000 | 
| 0.000 | 0.000 | 0.000 | -0.000 | 212.089 | -3.352 | 
| 1.494 | 1.494 | 26.856 | -0.000 | -12.168 | 137.718 | 
| 392.514 | 45.385 | 81.515 | -8.843 | 0.000 | -0.000 | 
| -4.906 | 177.200 | -47.035 | 17.046 | 0.000 | 0.000 | 
| 90.108 | 90.108 | 262.207 | 0.000 | 0.000 | -0.000 | 
| -3.352 | 3.352 | -0.000 | 212.089 | -0.000 | 0.000 | 
| -0.000 | -0.000 | -0.000 | 0.000 | 212.089 | -3.352 | 
| -6.294 | -6.294 | -69.029 | 0.000 | -18.705 | 85.522 | 
| 1187.473 | -312.547 | 1228.615 | 0.000 | 0.001 | -0.000 | 
| 323.408 | 530.971 | 793.179 | -0.000 | 0.000 | -0.000 | 
| 104.155 | 87.497 | 1052.148 | 0.000 | 0.000 | -0.000 | 
| 0.000 | -0.000 | 0.000 | 554.832 | 0.001 | -0.000 | 
| 0.000 | -0.000 | 0.000 | -0.000 | 420.371 | -0.000 | 
| 448.243 | -663.967 | 1250.006 | 0.000 | 0.000 | 420.987 | 
| 381.887 | 460.578 | -851.125 | 0.000 | 0.000 | 0.000 | 
| -1.643 | 1153.805 | 84.676 | -0.000 | 0.000 | 0.000 | 
| -359.316 | 764.910 | -202.087 | -0.000 | 0.000 | 0.000 | 
| -0.000 | 0.000 | -0.000 | 554.832 | -0.001 | 0.000 | 
| -0.000 | 0.000 | 0.000 | 0.000 | 420.371 | 0.000 | 
| -448.243 | 663.967 | -1250.006 | -0.000 | -0.001 | 420.987 | 
| 906.375 | 28.826 | 193.594 | 0.000 | 0.000 | -0.000 | 
| 75.461 | 1043.094 | 222.240 | -0.000 | 0.000 | -0.000 | 
| 161.491 | 84.014 | 995.971 | 0.000 | 0.000 | -0.000 | 
| 47.384 | -68.822 | 130.964 | 519.852 | -0.000 | -0.000 | 
| 0.000 | 0.000 | 0.000 | 0.000 | 420.371 | -0.000 | 
| 39.542 | -60.660 | 124.691 | 0.000 | 0.000 | 374.440 | 
| 869.374 | 92.440 | -3.932 | -0.000 | -0.000 | 0.000 | 
| -1.643 | 1153.804 | 84.676 | 0.000 | 0.000 | 0.000 | 
| 132.047 | 129.057 | 935.662 | -0.000 | 0.000 | 0.000 | 
| -47.384 | 68.822 | -130.964 | 519.852 | -0.000 | 0.000 | 
| -9.191 | 17.619 | -26.161 | 0.000 | 308.673 | 0.000 | 
| -39.542 | 60.660 | -124.691 | 0.000 | -0.000 | 374.440 | 
| 924.585 | 29.383 | 137.633 | -0.000 | 0.000 | -0.000 | 
| 36.831 | 1091.094 | 114.218 | 0.000 | 0.000 | -0.000 | 
| 128.418 | 97.625 | 1004.465 | -0.000 | 0.000 | -0.000 | 
| 0.000 | 0.000 | 0.001 | 554.832 | 0.000 | -0.000 | 
| 1.103 | -1.586 | 2.991 | -0.000 | 343.712 | -0.000 | 
| 3.492 | -5.105 | 9.635 | -0.000 | 0.000 | 375.350 | 
| 917.008 | 40.907 | 115.643 | -0.000 | 0.000 | 0.000 | 
| 24.344 | 1104.072 | 94.224 | 0.000 | 0.000 | 0.000 | 
| 127.349 | 109.222 | 971.991 | 0.000 | -0.000 | 0.000 | 
| -0.000 | -0.000 | -0.001 | 554.832 | -0.000 | 0.000 | 
| -1.103 | 1.586 | -2.991 | -0.000 | 343.712 | 0.000 | 
| -3.492 | 5.105 | -9.635 | -0.000 | -0.000 | 375.350 | 
| 981.555 | -422.062 | 488.475 | -0.000 | 765.916 | 0.000 | 
| 80.357 | 675.490 | 459.772 | 0.000 | 524.580 | 0.000 | 
| 150.098 | -366.318 | 1391.742 | -0.000 | 743.155 | -0.000 | 
| 37.228 | -454.402 | 371.952 | 502.150 | 705.757 | -25.044 | 
| 38.349 | -451.066 | 435.197 | -0.000 | 885.959 | 0.000 | 
| 37.235 | -454.485 | 372.019 | -30.372 | 705.886 | 381.953 | 
| 907.418 | 487.669 | -256.538 | -0.000 | -647.149 | 0.000 | 
| 19.537 | 1152.832 | 63.716 | 0.000 | -84.350 | 0.000 | 
| 91.604 | 69.920 | 1071.903 | 0.000 | 54.077 | 0.000 | 
| -37.228 | 454.402 | -371.952 | 502.150 | -705.757 | -25.045 | 
| -8.756 | 403.593 | -327.663 | 0.000 | -362.007 | 0.000 | 
| -37.235 | 454.485 | -372.020 | -30.372 | -705.886 | 381.953 | 
| 928.781 | 1.680 | 153.523 | -0.000 | 110.892 | -0.000 | 
| 38.368 | 1059.267 | 118.672 | -0.000 | 22.508 | -0.000 | 
| 117.582 | 44.072 | 1054.005 | -0.000 | 106.316 | -0.000 | 
| 3.662 | -44.699 | 36.589 | 502.783 | 69.425 | -25.632 | 
| 27.050 | -84.291 | 79.651 | -0.000 | 387.511 | 0.000 | 
| 1.248 | -40.679 | 39.257 | -30.779 | 55.475 | 381.701 | 
| 939.621 | 81.924 | 76.510 | 0.000 | -16.669 | -0.000 | 
| 35.314 | 1142.575 | 43.172 | -0.000 | -119.876 | -0.000 | 
| 108.243 | 134.257 | 983.376 | 0.000 | -34.745 | 0.000 | 
| -3.662 | 44.699 | -36.589 | 502.783 | -69.425 | -25.632 | 
| 38.037 | -79.016 | 54.077 | 0.000 | 409.554 | 0.000 | 
| -1.248 | 40.679 | -39.257 | -30.779 | -55.475 | 381.701 | 
| 926.420 | 38.939 | 117.638 | -0.000 | 61.597 | 0.000 | 
| 35.520 | 1096.809 | 87.505 | -0.000 | -36.578 | 0.000 | 
| 112.391 | 85.956 | 1022.606 | -0.000 | 40.372 | -0.000 | 
| 0.341 | -3.989 | 3.518 | 503.616 | 5.638 | -25.398 | 
| 24.755 | -47.214 | 44.318 | -0.000 | 337.598 | 0.000 | 
| 0.100 | -4.035 | 3.949 | -30.742 | 5.432 | 381.597 | 
| 936.056 | 44.406 | 113.130 | -0.000 | 43.486 | -0.000 | 
| 19.537 | 1152.828 | 63.715 | -0.000 | -84.350 | -0.000 | 
| 111.428 | 94.548 | 1015.987 | 0.000 | 26.894 | -0.000 | 
| -0.341 | 3.989 | -3.518 | 503.616 | -5.638 | -25.398 | 
| 25.076 | -39.137 | 36.192 | -0.000 | 326.801 | -0.000 | 
| -0.100 | 4.035 | -3.949 | -30.742 | -5.432 | 381.597 | 
| 759.443 | 105.075 | 105.075 | 0.000 | 0.000 | 0.000 | 
| 105.075 | 759.443 | 105.075 | 0.000 | 0.000 | 0.000 | 
| 105.075 | 105.075 | 759.443 | 0.000 | -0.000 | 0.000 | 
| -1.497 | -1.497 | -1.497 | 324.338 | 0.000 | 0.000 | 
| -1.497 | -1.497 | -1.497 | 0.000 | 324.338 | 0.000 | 
| -1.497 | -1.497 | -1.497 | 0.000 | 0.000 | 324.338 | 
| 760.622 | 105.207 | 105.207 | -0.000 | -0.000 | -0.000 | 
| 105.207 | 760.622 | 105.207 | -0.000 | -0.000 | -0.000 | 
| 105.207 | 105.207 | 760.622 | 0.000 | -0.000 | -0.000 | 
| 1.497 | 1.497 | 1.497 | 324.338 | 0.000 | -0.000 | 
| 1.497 | 1.497 | 1.497 | -0.000 | 324.338 | -0.000 | 
| 1.497 | 1.497 | 1.497 | -0.000 | -0.000 | 324.338 | 
| 760.058 | 105.096 | 105.096 | 0.000 | -0.000 | 0.000 | 
| 105.096 | 760.058 | 105.096 | 0.000 | -0.000 | 0.000 | 
| 105.096 | 105.096 | 760.058 | 0.000 | -0.000 | 0.000 | 
| -0.152 | -0.152 | -0.152 | 323.836 | -0.000 | 0.000 | 
| -0.152 | -0.152 | -0.152 | 0.000 | 323.836 | 0.000 | 
| -0.152 | -0.152 | -0.152 | 0.000 | 0.000 | 323.836 | 
| 760.173 | 105.110 | 105.110 | -0.000 | -0.000 | -0.000 | 
| 105.110 | 760.173 | 105.110 | -0.000 | -0.000 | -0.000 | 
| 106.796 | 106.796 | 754.374 | -0.000 | -0.000 | -0.000 | 
| 0.152 | 0.152 | 0.152 | 323.836 | -0.000 | -0.000 | 
| 0.152 | 0.152 | 0.152 | -0.000 | 323.836 | -0.000 | 
| 0.152 | 0.152 | 0.152 | -0.000 | -0.000 | 323.836 | 
| 754.267 | 106.750 | 106.750 | 0.000 | -0.000 | 0.000 | 
| 106.750 | 754.267 | 106.750 | -0.000 | -0.000 | 0.000 | 
| 106.750 | 106.750 | 754.267 | 0.000 | -0.000 | 0.000 | 
| -0.015 | -0.015 | -0.015 | 323.830 | 0.000 | 0.000 | 
| -0.015 | -0.015 | -0.015 | 0.000 | 323.830 | 0.000 | 
| -0.015 | -0.015 | -0.015 | 0.000 | 0.000 | 323.830 | 
| 754.285 | 106.757 | 106.757 | -0.000 | 0.000 | -0.000 | 
| 106.757 | 754.285 | 106.757 | -0.000 | -0.000 | -0.000 | 
| 106.757 | 106.757 | 754.285 | -0.000 | -0.000 | -0.000 | 
| 0.015 | 0.015 | 0.015 | 323.830 | -0.000 | -0.000 | 
| 0.015 | 0.015 | 0.015 | -0.000 | 323.830 | -0.000 | 
| 0.015 | 0.015 | 0.015 | -0.000 | -0.000 | 323.830 | 
| 759.411 | 104.999 | 104.999 | -0.000 | -0.000 | -0.000 | 
| 104.999 | 759.410 | 104.999 | 0.000 | -0.000 | -0.000 | 
| 104.999 | 104.999 | 759.410 | 0.000 | -0.000 | -0.000 | 
| 0.144 | 0.144 | 0.144 | 344.167 | -0.000 | -0.000 | 
| 0.144 | 0.144 | 0.144 | -0.000 | 344.167 | 0.000 | 
| 0.144 | 0.144 | 0.144 | -0.000 | 0.000 | 344.167 | 
| 753.943 | 106.243 | 106.243 | 0.000 | 0.000 | 0.000 | 
| 106.243 | 753.943 | 106.243 | 0.000 | 0.000 | 0.000 | 
| 106.243 | 106.243 | 753.943 | 0.000 | 0.000 | 0.000 | 
| -0.144 | -0.144 | -0.144 | 344.167 | 0.000 | -0.000 | 
| -0.144 | -0.144 | -0.144 | 0.000 | 344.167 | 0.000 | 
| -0.144 | -0.144 | -0.144 | 0.000 | -0.000 | 344.167 | 
| 759.457 | 104.810 | 104.810 | -0.000 | -0.000 | -0.000 | 
| 104.811 | 759.457 | 104.810 | -0.000 | -0.000 | 0.000 | 
| 104.811 | 104.811 | 759.457 | 0.000 | -0.000 | -0.000 | 
| 0.014 | 0.014 | 0.014 | 344.208 | -0.000 | 0.000 | 
| 0.014 | 0.014 | 0.014 | 0.000 | 344.208 | -0.000 | 
| 0.014 | 0.014 | 0.014 | -0.000 | 0.000 | 344.208 | 
| 759.450 | 104.777 | 104.777 | 0.000 | 0.000 | 0.000 | 
| 104.777 | 759.450 | 104.777 | 0.000 | 0.000 | -0.000 | 
| 104.777 | 104.777 | 759.450 | 0.000 | -0.000 | 0.000 | 
| -0.014 | -0.014 | -0.014 | 344.208 | -0.000 | 0.000 | 
| -0.014 | -0.014 | -0.014 | -0.000 | 344.208 | 0.000 | 
| -0.014 | -0.014 | -0.014 | 0.000 | -0.000 | 344.208 | 
| 752.227 | 106.260 | 106.260 | 0.000 | -0.000 | 0.000 | 
| 106.260 | 752.227 | 106.260 | -0.000 | -0.000 | 0.000 | 
| 106.260 | 106.260 | 752.227 | 0.000 | -0.000 | 0.000 | 
| 0.002 | 0.001 | 0.002 | 344.208 | -0.000 | -0.000 | 
| 0.001 | 0.002 | 0.002 | -0.000 | 344.208 | -0.000 | 
| 0.001 | 0.002 | 0.002 | -0.000 | -0.000 | 344.208 | 
| 753.606 | 106.445 | 106.445 | 0.000 | 0.000 | 0.000 | 
| 106.445 | 753.606 | 106.445 | -0.000 | 0.000 | 0.000 | 
| 106.445 | 106.445 | 753.606 | 0.000 | 0.000 | 0.000 | 
| -0.002 | -0.001 | -0.002 | 344.208 | 0.000 | 0.000 | 
| -0.001 | -0.002 | -0.002 | 0.000 | 344.208 | 0.000 | 
| -0.001 | -0.002 | -0.002 | 0.000 | 0.000 | 344.208 | 
| 412.811 | 48.053 | 48.052 | 0.000 | 0.000 | -0.000 | 
| 48.052 | 412.811 | 48.052 | 0.000 | 0.000 | -0.000 | 
| 48.052 | 48.052 | 412.811 | 0.000 | -0.000 | -0.000 | 
| -0.000 | 0.000 | 0.000 | 182.380 | 0.000 | -0.000 | 
| -0.000 | 0.000 | -0.000 | 0.000 | 182.379 | -0.000 | 
| -0.000 | 0.000 | 0.000 | 0.000 | 0.000 | 182.379 | 
| 332.033 | 58.351 | 58.351 | -0.000 | -0.000 | 0.000 | 
| 58.351 | 332.032 | 58.351 | -0.000 | -0.000 | 0.000 | 
| 58.351 | 58.351 | 332.033 | -0.000 | 0.000 | 0.000 | 
| 0.000 | -0.000 | -0.000 | 182.379 | 0.000 | 0.000 | 
| 0.000 | -0.000 | -0.000 | -0.001 | 182.379 | 0.000 | 
| 0.000 | 0.000 | -0.000 | -0.000 | -0.000 | 182.379 | 
| 305.241 | 56.626 | 56.626 | 0.000 | 0.000 | -0.000 | 
| 56.626 | 305.241 | 56.626 | 0.000 | 0.000 | -0.000 | 
| 56.626 | 56.626 | 305.241 | 0.000 | 0.000 | -0.000 | 
| -0.000 | 0.000 | 0.000 | 182.379 | 0.000 | -0.000 | 
| -0.000 | 0.000 | 0.000 | 0.000 | 182.379 | -0.000 | 
| -0.000 | 0.000 | 0.000 | 0.000 | 0.000 | 182.379 | 
| 164.838 | 53.828 | 53.828 | -0.000 | -0.000 | 0.000 | 
| 53.828 | 164.838 | 53.828 | -0.000 | -0.000 | 0.000 | 
| 53.828 | 53.828 | 164.838 | -0.000 | -0.000 | 0.000 | 
| -0.000 | 0.000 | -0.000 | 182.379 | -0.000 | 0.000 | 
| 0.000 | -0.000 | -0.000 | -0.000 | 182.379 | 0.000 | 
| 0.000 | -0.000 | -0.000 | -0.000 | -0.000 | 182.379 | 
| 21.877 | -47.094 | -47.094 | 0.000 | 0.000 | -0.000 | 
| -47.094 | 21.877 | -47.094 | 0.000 | 0.000 | -0.000 | 
| -47.094 | -47.094 | 21.877 | 0.000 | 0.000 | -0.000 | 
| -0.172 | -0.172 | -0.172 | 62.063 | 0.000 | -0.000 | 
| -0.172 | -0.172 | -0.172 | 0.000 | 62.063 | -0.000 | 
| -0.172 | -0.172 | -0.172 | 0.000 | 0.000 | 62.063 | 
| 226.325 | 63.772 | 63.772 | -0.000 | 0.000 | 0.000 | 
| 63.772 | 226.325 | 63.772 | -0.000 | -0.000 | 0.000 | 
| 63.772 | 63.772 | 226.325 | -0.000 | 0.000 | 0.000 | 
| 0.172 | 0.172 | 0.172 | 62.063 | -0.000 | 0.000 | 
| 0.172 | 0.172 | 0.172 | -0.000 | 62.063 | 0.000 | 
| 0.172 | 0.172 | 0.172 | -0.000 | -0.000 | 62.063 | 
| 411.745 | 47.928 | 47.928 | -0.000 | -0.000 | 0.000 | 
| 47.928 | 411.744 | 47.928 | 0.000 | -0.000 | 0.000 | 
| 47.928 | 47.928 | 411.745 | 0.000 | 0.000 | 0.000 | 
| 257.110 | 257.110 | 257.110 | 47.742 | 0.000 | 0.000 | 
| 257.146 | 257.146 | 257.146 | -0.000 | 47.723 | 0.000 | 
| 257.110 | 257.110 | 257.110 | -0.000 | -0.000 | 47.741 | 
| 183.870 | -23.178 | -23.178 | 0.000 | 0.000 | 0.000 | 
| -23.178 | 183.870 | -23.178 | -0.000 | 0.000 | -0.000 | 
| -23.178 | -23.178 | 183.869 | -0.000 | 0.000 | 0.000 | 
| -257.110 | -257.110 | -257.110 | 47.741 | 0.000 | -0.000 | 
| -257.146 | -257.146 | -257.146 | 0.000 | 47.723 | 0.000 | 
| -257.110 | -257.110 | -257.110 | -0.000 | 0.000 | 47.741 | 
| 275.208 | 68.417 | 68.417 | 0.000 | 0.000 | 0.000 | 
| 68.417 | 275.208 | 68.418 | 0.000 | -0.000 | 0.000 | 
| 68.418 | 68.417 | 275.208 | -0.000 | -0.000 | -0.000 | 
| 20.710 | 20.710 | 20.710 | 56.955 | -0.000 | -0.000 | 
| 20.710 | 20.710 | 20.710 | -0.000 | 56.955 | -0.000 | 
| 20.710 | 20.710 | 20.710 | -0.000 | -0.000 | 56.955 | 
| 411.745 | 47.928 | 47.928 | 0.000 | -0.000 | -0.000 | 
| 47.928 | 411.745 | 47.928 | -0.000 | 0.000 | 0.000 | 
| 47.928 | 47.928 | 411.745 | 0.000 | 0.000 | 0.000 | 
| -20.710 | -20.710 | -20.710 | 56.955 | 0.000 | 0.000 | 
| -20.710 | -20.710 | -20.710 | -0.000 | 56.955 | -0.000 | 
| -20.710 | -20.710 | -20.710 | 0.000 | 0.000 | 56.955 | 
| 134.745 | 56.977 | 56.977 | -0.000 | 0.000 | -0.000 | 
| 56.977 | 134.745 | 56.977 | -0.000 | 0.000 | 0.000 | 
| 56.977 | 56.977 | 134.745 | 0.000 | 0.000 | 0.000 | 
| 2.833 | 2.833 | 2.833 | 50.715 | -0.000 | -0.000 | 
| 0.000 | 0.000 | 0.000 | 0.000 | 181.908 | -0.000 | 
| 2.833 | 2.833 | 2.833 | -0.000 | 0.000 | 50.715 | 
| 34.226 | -38.283 | -38.283 | -0.000 | 0.000 | -0.000 | 
| -38.283 | 34.226 | -38.283 | -0.000 | 0.000 | -0.000 | 
| -38.283 | -38.283 | 34.226 | 0.000 | 0.000 | -0.000 | 
| -2.833 | -2.833 | -2.833 | 50.715 | 0.000 | -0.000 | 
| -0.000 | -0.000 | -0.000 | 0.000 | 181.908 | -0.000 | 
| -2.833 | -2.833 | -2.833 | 0.000 | 0.000 | 50.715 | 
| 1114.100 | -9.279 | 0.000 | 0.000 | 0.000 | 0.000 | 
| -9.279 | 1114.100 | 0.000 | 0.000 | 0.000 | 0.000 | 
| -0.000 | 0.000 | 0.000 | 0.000 | 0.000 | 0.000 | 
| -0.000 | -0.000 | 0.000 | 0.000 | 0.000 | 0.000 | 
| -0.000 | 0.000 | 0.000 | 0.000 | 0.000 | 0.000 | 
| 0.000 | 0.000 | 0.000 | 0.000 | 0.000 | 561.690 | 
| 1114.100 | -9.279 | -0.000 | -0.000 | -0.000 | -0.000 | 
| -9.279 | 1114.100 | -0.000 | -0.000 | -0.000 | -0.000 | 
| 0.000 | -0.000 | -0.000 | -0.000 | -0.000 | -0.000 | 
| 0.000 | 0.000 | -0.000 | -0.000 | -0.000 | -0.000 | 
| 0.000 | -0.000 | -0.000 | -0.000 | -0.000 | -0.000 | 
| -0.000 | -0.000 | -0.000 | -0.000 | -0.000 | 561.689 | 
| 1114.100 | -9.279 | 0.000 | 0.000 | 0.000 | 0.000 | 
| -9.279 | 1114.100 | 0.000 | 0.000 | 0.000 | 0.000 | 
| -0.000 | 0.000 | 0.000 | 0.000 | 0.000 | 0.000 | 
| -0.000 | -0.000 | 0.000 | 0.000 | 0.000 | 0.000 | 
| -0.000 | 0.000 | 0.000 | 0.000 | 0.000 | 0.000 | 
| 0.000 | 0.000 | 0.000 | 0.000 | 0.000 | 561.690 | 
| 1114.655 | -9.834 | -0.000 | -0.000 | -0.000 | -0.000 | 
| -9.834 | 1114.655 | -0.000 | -0.000 | -0.000 | -0.000 | 
| 0.000 | -0.000 | -0.000 | -0.000 | -0.000 | -0.000 | 
| 0.000 | 0.000 | -0.000 | -0.000 | -0.000 | -0.000 | 
| 0.000 | -0.000 | -0.000 | -0.000 | -0.000 | -0.000 | 
| -0.000 | -0.000 | -0.000 | -0.000 | -0.000 | 561.689 | 
| 1114.104 | -9.279 | 0.000 | 0.000 | 0.000 | 0.000 | 
| -9.279 | 1114.104 | 0.000 | 0.000 | 0.000 | 0.000 | 
| -0.000 | 0.000 | 0.000 | 0.000 | 0.000 | 0.000 | 
| -0.000 | -0.000 | 0.000 | 0.000 | 0.000 | 0.000 | 
| -0.000 | 0.000 | 0.000 | 0.000 | 0.000 | 0.000 | 
| 0.000 | 0.001 | 0.000 | 0.000 | 0.000 | 562.245 | 
| 1114.652 | -9.835 | -0.000 | -0.000 | -0.000 | -0.000 | 
| -9.279 | 1114.096 | -0.000 | -0.000 | -0.000 | -0.000 | 
| 0.000 | -0.000 | -0.000 | -0.000 | -0.000 | -0.000 | 
| 0.000 | 0.000 | -0.000 | -0.000 | -0.000 | -0.000 | 
| 0.000 | -0.000 | -0.000 | -0.000 | -0.000 | -0.000 | 
| -0.000 | -0.001 | -0.000 | -0.000 | -0.000 | 562.245 | 
| 1094.472 | -9.115 | 0.000 | 0.000 | 0.000 | -0.000 | 
| -9.661 | 1095.018 | 0.000 | 0.000 | 0.000 | -0.000 | 
| 0.000 | 0.000 | 0.000 | 0.000 | 0.000 | -0.000 | 
| -0.001 | 0.001 | 0.000 | 0.000 | 0.000 | -0.000 | 
| 0.000 | 0.000 | 0.000 | 0.000 | 0.000 | -0.000 | 
| -0.001 | 0.001 | 0.000 | 0.000 | 0.000 | 551.794 | 
| 1095.018 | -9.661 | -0.000 | -0.000 | -0.000 | 0.000 | 
| -9.115 | 1094.472 | -0.000 | -0.000 | -0.000 | 0.000 | 
| -0.000 | -0.000 | -0.000 | -0.000 | -0.000 | 0.000 | 
| -0.000 | -0.000 | -0.000 | -0.000 | -0.000 | 0.000 | 
| -0.000 | 0.000 | -0.000 | -0.000 | -0.000 | 0.000 | 
| 0.001 | -0.001 | -0.000 | -0.000 | -0.000 | 551.794 | 
| 1094.473 | -9.115 | 0.000 | 0.000 | 0.000 | -0.000 | 
| -9.661 | 1095.019 | 0.000 | 0.000 | 0.000 | -0.000 | 
| 0.000 | 0.000 | 0.000 | 0.000 | 0.000 | -0.000 | 
| 0.000 | 0.000 | 0.000 | 0.000 | 0.000 | -0.000 | 
| 0.000 | 0.000 | 0.000 | 0.000 | 0.000 | -0.000 | 
| -0.000 | 0.000 | 0.000 | 0.000 | 0.000 | 551.794 | 
| 1094.473 | -9.116 | -0.000 | -0.000 | -0.000 | 0.000 | 
| -9.115 | 1094.473 | -0.000 | -0.000 | -0.000 | 0.000 | 
| -0.000 | -0.000 | -0.000 | -0.000 | -0.000 | 0.000 | 
| -0.000 | -0.000 | -0.000 | -0.000 | -0.000 | 0.000 | 
| 0.000 | -0.000 | -0.000 | -0.000 | -0.000 | 0.000 | 
| 0.000 | -0.000 | -0.000 | -0.000 | -0.000 | 551.794 | 
| 1094.477 | -9.115 | 0.000 | 0.000 | 0.000 | -0.000 | 
| -9.115 | 1094.477 | 0.000 | 0.000 | 0.000 | -0.000 | 
| 0.000 | 0.000 | 0.000 | 0.000 | 0.000 | -0.000 | 
| 0.000 | 0.000 | 0.000 | 0.000 | 0.000 | -0.000 | 
| 0.000 | 0.000 | 0.000 | 0.000 | 0.000 | -0.000 | 
| 0.000 | 0.001 | 0.000 | 0.000 | 0.000 | 552.340 | 
| 1094.469 | -9.116 | -0.000 | -0.000 | -0.000 | 0.000 | 
| -9.116 | 1094.469 | -0.000 | -0.000 | -0.000 | 0.000 | 
| -0.000 | -0.000 | -0.000 | -0.000 | -0.000 | 0.000 | 
| -0.000 | -0.000 | -0.000 | -0.000 | -0.000 | 0.000 | 
| 0.000 | -0.000 | -0.000 | -0.000 | -0.000 | 0.000 | 
| -0.000 | -0.001 | -0.000 | -0.000 | -0.000 | 552.340 | 
| 235.523 | 40.987 | 85.727 | 0.565 | -1.026 | -0.602 | 
| -77.365 | 262.539 | 84.117 | 0.361 | -1.638 | -0.377 | 
| 44.777 | 2.792 | 342.705 | 0.559 | -1.014 | -0.595 | 
| -125.864 | -55.351 | 81.913 | 71.093 | -1.824 | -0.417 | 
| -204.776 | -648.555 | 63.493 | 0.913 | -74.562 | -1.033 | 
| -206.796 | -148.186 | -46.958 | 0.578 | -1.698 | 16.996 | 
| 189.597 | 111.116 | -65.505 | -0.436 | 2.007 | 0.602 | 
| 201.117 | 296.160 | -107.516 | -0.430 | 1.908 | 0.459 | 
| 98.413 | 43.704 | 306.918 | -0.567 | 1.029 | 0.604 | 
| 26.623 | 20.378 | -17.393 | 143.725 | 1.015 | 0.595 | 
| 86.768 | 45.761 | -60.919 | -0.331 | 83.413 | 0.360 | 
| 60.506 | 28.665 | -41.246 | -0.467 | 1.458 | 80.125 | 
| -46.532 | -74.168 | -14.162 | 0.062 | -0.345 | -0.094 | 
| 10.885 | 297.552 | 3.570 | 0.048 | -0.188 | -0.057 | 
| 42.418 | -2.475 | 127.241 | 0.049 | -0.179 | -0.047 | 
| -3.242 | -2.127 | 2.119 | 139.744 | -0.124 | -0.074 | 
| -10.210 | -5.487 | 7.233 | 0.028 | 68.068 | -0.018 | 
| -11.988 | -5.688 | 7.152 | 0.046 | -0.170 | 40.825 | 
| 181.136 | 36.212 | 62.796 | -0.044 | 0.186 | 0.053 | 
| 19.031 | 284.831 | -13.325 | -0.048 | 0.187 | 0.057 | 
| 53.176 | 2.902 | 114.232 | -0.033 | 0.160 | 0.030 | 
| 14.145 | 5.492 | -8.788 | 59.180 | 0.199 | 0.060 | 
| 16.002 | 45.947 | -1.168 | -0.061 | 1.879 | 0.063 | 
| 10.293 | 4.336 | -6.623 | -0.054 | 0.174 | 53.423 | 
| 3.231 | 0.128 | 1.375 | 0.006 | -0.025 | -0.006 | 
| -2.202 | 257.570 | -2.902 | 0.005 | -0.018 | -0.005 | 
| 2.233 | 5.739 | 84.686 | 0.008 | -0.025 | -0.005 | 
| -1.489 | -2.105 | 0.014 | 12.032 | -0.025 | -0.009 | 
| -1.418 | -7.180 | 0.030 | 0.007 | 9.611 | -0.008 | 
| -1.336 | -1.906 | 0.800 | 0.008 | -0.020 | 42.399 | 
| 2.594 | 11.912 | -2.920 | -0.006 | 0.028 | 0.007 | 
| 0.408 | 44.295 | -0.843 | -0.006 | 0.027 | 0.010 | 
| 7.079 | 10.519 | 89.348 | -0.005 | 0.024 | 0.005 | 
| 1.837 | 4.641 | -0.093 | 9.975 | 0.027 | 0.006 | 
| 1.695 | 4.487 | -0.073 | -0.006 | 12.338 | 0.007 | 
| 1.481 | 4.578 | -0.248 | -0.006 | 0.026 | 13.226 | 
| 30.950 | -339.403 | 1219.820 | 0.000 | -0.000 | -0.000 | 
| -339.403 | 30.950 | 1219.820 | -0.000 | -0.000 | -0.000 | 
| 52.697 | 52.697 | 400.902 | -0.000 | -0.000 | 0.000 | 
| -324.885 | -324.885 | 2228.006 | 65.647 | -0.000 | -0.000 | 
| -324.885 | -324.885 | 2228.006 | -0.000 | 65.647 | -0.000 | 
| -322.696 | -322.696 | 1232.769 | 0.000 | -0.000 | 175.880 | 
| 803.860 | 433.412 | -1088.984 | 0.000 | 0.000 | 0.000 | 
| 433.412 | 803.860 | -1088.984 | -0.000 | 0.000 | 0.000 | 
| 388.526 | 388.526 | -2093.866 | 0.000 | 0.000 | 0.000 | 
| 324.885 | 324.885 | -2228.006 | 65.648 | 0.000 | 0.000 | 
| 324.885 | 324.885 | -2228.006 | 0.000 | 65.648 | 0.000 | 
| 322.696 | 322.696 | -1232.769 | 0.000 | 0.000 | 175.880 | 
| 378.747 | 8.581 | 180.293 | 0.000 | -0.000 | 0.000 | 
| 43.988 | 460.993 | 57.465 | -0.000 | -0.000 | -0.000 | 
| 52.698 | 52.698 | 400.902 | -0.000 | -0.000 | 0.000 | 
| -38.840 | -38.840 | 116.034 | 170.547 | -0.000 | -0.000 | 
| -32.391 | -32.391 | 295.543 | -0.000 | 50.414 | -0.000 | 
| -38.816 | -38.816 | 115.962 | -0.000 | -0.000 | 202.520 | 
| 456.386 | 86.546 | -52.507 | 0.000 | 0.000 | -0.000 | 
| 86.546 | 456.386 | -52.507 | 0.000 | 0.000 | 0.000 | 
| 79.400 | 79.400 | -188.453 | 0.000 | 0.000 | -0.000 | 
| 38.840 | 38.840 | -116.034 | 170.547 | 0.000 | -0.000 | 
| 32.391 | 32.391 | -295.543 | 0.000 | 50.414 | -0.000 | 
| 38.816 | 38.816 | -115.962 | 0.000 | 0.000 | 202.520 | 
| 194.999 | 36.634 | 90.905 | -0.000 | -0.000 | -0.000 | 
| 36.634 | 194.999 | 90.905 | -0.000 | -0.000 | -0.000 | 
| 57.034 | 57.034 | 137.097 | 0.000 | -0.000 | -0.000 | 
| -3.536 | -3.536 | 36.795 | 50.682 | -0.000 | -0.000 | 
| -3.536 | -3.536 | 36.795 | -0.000 | 50.682 | 0.000 | 
| -3.132 | -3.132 | 14.656 | 0.000 | -0.000 | 146.909 | 
| 187.781 | 28.739 | 23.206 | 0.000 | 0.000 | 0.000 | 
| 28.739 | 187.781 | 23.206 | 0.000 | 0.000 | -0.000 | 
| -32.083 | -32.083 | -18.931 | 0.000 | 0.000 | -0.000 | 
| 3.536 | 3.536 | -36.795 | 50.682 | 0.000 | -0.000 | 
| 3.536 | 3.536 | -36.795 | 0.000 | 50.682 | 0.000 | 
| 3.132 | 3.132 | -14.656 | -0.000 | 0.000 | 146.909 | 
| -1518.216 | 4717.801 | 4440.914 | -0.000 | 0.000 | 0.000 | 
| 59.855 | 407.184 | 35.100 | 0.000 | 0.000 | 0.000 | 
| -262.214 | 542.648 | 2399.570 | -0.000 | 0.000 | 0.000 | 
| -0.000 | -0.000 | -0.000 | 196.722 | 0.000 | 0.000 | 
| -210.051 | 212.563 | 1233.507 | 0.000 | 164.822 | 0.000 | 
| -0.000 | -0.000 | -0.000 | -0.000 | 0.000 | 170.200 | 
| 790.362 | -4695.914 | -4428.111 | -0.000 | -0.000 | -0.000 | 
| 59.854 | 407.184 | 35.100 | -0.000 | -0.000 | -0.000 | 
| 1153.017 | -4712.376 | -4629.701 | -0.000 | -0.000 | -0.000 | 
| 0.000 | -0.000 | 0.000 | 196.722 | -0.000 | -0.000 | 
| 210.051 | -212.563 | -1233.507 | -0.000 | 164.822 | -0.000 | 
| -0.000 | 0.000 | 0.000 | -0.000 | -0.000 | 170.200 | 
| 213.227 | 120.929 | 251.455 | -0.000 | 0.000 | 0.000 | 
| 39.429 | 311.980 | 241.340 | 0.000 | 0.000 | -0.000 | 
| 29.678 | 64.534 | 560.137 | -0.000 | 0.000 | -0.000 | 
| -0.000 | -0.000 | 0.000 | 196.722 | 0.000 | 0.000 | 
| 0.000 | 0.000 | 0.000 | 0.000 | 198.004 | 0.000 | 
| -0.000 | 0.000 | 0.000 | -0.000 | 0.000 | 170.201 | 
| 390.844 | 59.854 | 39.921 | -0.000 | 0.000 | -0.000 | 
| 91.804 | 312.139 | -83.546 | -0.000 | 0.000 | -0.000 | 
| 71.983 | 21.922 | 311.514 | -0.000 | -0.000 | -0.000 | 
| 0.000 | 0.000 | -0.000 | 196.722 | -0.000 | -0.000 | 
| 0.000 | -0.000 | -0.000 | -0.000 | 198.004 | -0.000 | 
| -0.000 | -0.000 | -0.000 | -0.000 | -0.000 | 170.201 | 
| -4.244 | 60.304 | 50.520 | 0.000 | 0.000 | 0.000 | 
| 71.192 | 313.246 | 59.223 | 0.000 | 0.000 | -0.000 | 
| 42.338 | 37.517 | 499.637 | 0.000 | 0.000 | -0.000 | 
| -63.195 | 58.196 | 108.736 | -26.706 | 0.000 | 0.000 | 
| -7.455 | 14.159 | 28.810 | 0.000 | 71.395 | 0.000 | 
| -2.521 | 2.551 | 14.806 | 0.000 | 0.000 | 121.906 | 
| 390.843 | 59.854 | 39.921 | 0.000 | -0.000 | -0.000 | 
| 68.489 | 74.011 | 7.763 | 0.000 | -0.000 | -0.000 | 
| 36.170 | -3.043 | 78.578 | -0.000 | -0.000 | -0.000 | 
| 63.195 | -58.196 | -108.736 | -26.706 | -0.000 | -0.000 | 
| 7.455 | -14.159 | -28.810 | -0.000 | 71.395 | -0.000 | 
| 2.521 | -2.551 | -14.806 | 0.000 | -0.000 | 121.906 | 
| 593.107 | 284.086 | 284.090 | -0.000 | -0.000 | -0.002 | 
| 284.090 | 593.104 | 284.090 | -0.000 | -0.000 | -0.001 | 
| 284.090 | 284.086 | 593.107 | -0.000 | -0.000 | -0.003 | 
| 0.000 | -0.003 | 0.000 | 144.813 | -0.000 | -0.001 | 
| -0.000 | -0.003 | 0.000 | -0.000 | 144.813 | -0.001 | 
| 0.000 | -0.002 | 0.000 | -0.000 | -0.000 | 415.176 | 
| 593.107 | 284.094 | 284.090 | 0.000 | -0.000 | 0.002 | 
| 284.090 | 593.111 | 284.090 | 0.000 | 0.000 | 0.002 | 
| 284.090 | 284.094 | 593.107 | 0.000 | 0.000 | 0.002 | 
| -0.000 | 0.003 | -0.000 | 415.176 | 0.000 | 0.001 | 
| -0.000 | 0.003 | -0.000 | 0.000 | 144.813 | 0.002 | 
| -0.000 | 0.003 | -0.000 | 0.000 | -0.000 | 415.177 | 
| 593.107 | 284.090 | 284.090 | -0.000 | -0.000 | -0.000 | 
| 284.090 | 593.107 | 284.090 | -0.000 | -0.000 | -0.000 | 
| 284.090 | 284.090 | 593.107 | -0.000 | 0.000 | -0.000 | 
| -0.000 | -0.000 | 0.000 | 144.813 | -0.000 | -0.000 | 
| 0.000 | -0.000 | 0.000 | -0.000 | 144.813 | -0.000 | 
| 0.000 | -0.000 | -0.000 | -0.000 | -0.000 | 144.813 | 
| 593.107 | 284.091 | 284.090 | 0.000 | 0.000 | 0.000 | 
| 284.090 | 593.107 | 284.090 | 0.000 | 0.000 | 0.000 | 
| 284.090 | 284.091 | 593.107 | 0.000 | -0.000 | 0.000 | 
| 0.000 | 0.000 | -0.000 | 144.813 | 0.000 | 0.000 | 
| -0.000 | 0.000 | -0.000 | 0.000 | 144.813 | 0.000 | 
| -0.000 | 0.000 | 0.000 | 0.000 | -0.000 | 144.813 | 
| 593.108 | 284.091 | 284.091 | -0.000 | 0.000 | -0.000 | 
| 284.091 | 593.108 | 284.091 | -0.000 | -0.000 | -0.000 | 
| 284.091 | 284.091 | 593.108 | -0.000 | -0.000 | -0.000 | 
| -0.000 | 0.000 | 0.000 | 144.813 | 0.000 | -0.000 | 
| 0.000 | -0.001 | 0.000 | -0.000 | 144.813 | -0.000 | 
| 0.000 | 0.000 | -0.000 | -0.000 | -0.000 | 144.813 | 
| 593.107 | 284.090 | 284.090 | 0.000 | -0.000 | 0.000 | 
| 284.090 | 593.107 | 284.090 | 0.000 | 0.000 | 0.000 | 
| 284.090 | 284.090 | 593.107 | -0.000 | -0.000 | 0.000 | 
| 0.000 | -0.000 | -0.000 | 144.813 | 0.000 | 0.000 | 
| -0.000 | 0.001 | -0.000 | 0.000 | 144.813 | 0.000 | 
| -0.000 | -0.000 | 0.000 | 0.000 | 0.000 | 144.813 | 
| 347.810 | -0.243 | 176.916 | 0.000 | -0.000 | -0.000 | 
| 156.550 | 239.398 | 424.925 | -0.000 | -0.000 | 0.000 | 
| 101.775 | 94.410 | 508.685 | 0.000 | 0.000 | 0.000 | 
| 36.001 | -123.985 | 137.700 | 123.475 | -0.000 | -0.000 | 
| 36.001 | -123.985 | 137.700 | 0.000 | 192.077 | 0.000 | 
| 36.001 | -123.985 | 137.700 | 0.000 | 0.000 | 111.436 | 
| 275.808 | 247.726 | -98.483 | 0.000 | 0.000 | 0.000 | 
| 71.938 | 530.287 | 100.674 | -0.000 | -0.000 | -0.000 | 
| 8.648 | 419.835 | 158.192 | -0.000 | -0.000 | 0.000 | 
| -36.001 | 123.984 | -137.700 | 123.475 | -0.000 | -0.000 | 
| -36.001 | 123.985 | -137.700 | 0.000 | 192.077 | 0.000 | 
| -36.001 | 123.985 | -137.700 | -0.000 | -0.000 | 111.436 | 
| 321.424 | 95.181 | 81.524 | -0.000 | -0.000 | -0.000 | 
| 90.643 | 450.036 | 152.995 | 0.000 | -0.000 | 0.000 | 
| 48.256 | 283.428 | 309.688 | 0.000 | 0.000 | -0.000 | 
| 3.602 | -12.405 | 13.774 | 123.464 | -0.000 | -0.000 | 
| 3.600 | -12.398 | 13.770 | 0.000 | 192.077 | 0.000 | 
| 3.600 | -12.398 | 13.770 | -0.000 | -0.000 | 111.436 | 
| 308.209 | 136.141 | 25.446 | -0.000 | -0.000 | -0.000 | 
| 116.945 | 375.804 | 273.453 | -0.000 | 0.000 | 0.000 | 
| 43.707 | 291.303 | 282.833 | -0.000 | -0.000 | -0.000 | 
| -3.602 | 12.405 | -13.774 | 123.464 | 0.000 | -0.000 | 
| -3.600 | 12.398 | -13.770 | -0.000 | 192.077 | 0.000 | 
| -3.600 | 12.398 | -13.770 | -0.000 | 0.000 | 111.436 | 
| 312.171 | 122.495 | 40.595 | 0.000 | 0.000 | 0.000 | 
| 120.914 | 362.130 | 288.620 | 0.000 | 0.000 | 0.000 | 
| 45.005 | 294.624 | 297.254 | 0.000 | 0.000 | -0.000 | 
| 0.356 | -1.221 | 1.376 | 123.472 | -0.000 | -0.000 | 
| 0.360 | -1.240 | 1.377 | -0.000 | 192.077 | -0.000 | 
| 0.360 | -1.240 | 1.377 | 0.000 | -0.000 | 111.436 | 
| 311.448 | 124.981 | 37.840 | -0.000 | -0.000 | 0.000 | 
| 120.190 | 364.621 | 285.854 | -0.000 | 0.000 | -0.000 | 
| 44.293 | 297.076 | 294.529 | -0.000 | -0.000 | -0.000 | 
| -0.356 | 1.221 | -1.376 | 123.472 | 0.000 | -0.000 | 
| -0.360 | 1.240 | -1.377 | -0.000 | 192.077 | 0.000 | 
| -0.360 | 1.240 | -1.377 | -0.000 | 0.000 | 111.436 | 
| 341.214 | 55.796 | -22.606 | 0.000 | -0.000 | -0.000 | 
| 83.681 | 372.325 | 81.135 | 0.000 | -0.000 | -0.000 | 
| 22.808 | 22.808 | 154.514 | 0.000 | 0.000 | -0.000 | 
| -0.868 | -0.868 | -15.676 | 105.522 | -0.000 | -0.000 | 
| -0.868 | -0.868 | -15.676 | -0.000 | 105.522 | -0.000 | 
| -0.000 | -0.000 | -0.000 | -0.000 | -0.000 | 144.322 | 
| 374.177 | 88.598 | 101.840 | -0.000 | 0.000 | 0.000 | 
| 83.681 | 372.325 | 81.135 | -0.000 | 0.000 | 0.000 | 
| 81.135 | 81.135 | 352.592 | 0.000 | 0.000 | 0.000 | 
| 0.868 | 0.868 | 15.677 | 105.522 | 0.000 | 0.000 | 
| 0.868 | 0.868 | 15.676 | 0.000 | 105.522 | 0.000 | 
| 0.000 | -0.000 | 0.000 | 0.000 | 0.000 | 144.322 | 
| 372.325 | 83.681 | 81.135 | 0.000 | -0.000 | -0.000 | 
| 73.389 | 360.154 | 48.021 | 0.000 | 0.000 | -0.000 | 
| 81.135 | 81.135 | 352.593 | -0.000 | -0.000 | -0.000 | 
| -0.000 | -0.000 | 0.000 | 143.742 | -0.000 | -0.000 | 
| -0.000 | 0.000 | 0.000 | -0.000 | 143.742 | -0.000 | 
| -0.000 | 0.000 | -0.000 | -0.000 | -0.000 | 144.322 | 
| 372.325 | 83.681 | 81.135 | 0.000 | 0.000 | 0.000 | 
| 76.864 | 364.244 | 60.743 | -0.000 | 0.000 | 0.000 | 
| 81.135 | 81.135 | 352.593 | 0.000 | 0.000 | 0.000 | 
| 0.000 | 0.000 | 0.000 | 143.742 | 0.000 | 0.000 | 
| 0.000 | 0.000 | -0.000 | 0.000 | 143.742 | 0.000 | 
| 0.000 | -0.000 | -0.000 | 0.000 | 0.000 | 144.322 | 
| 356.597 | 71.295 | 36.298 | 0.000 | -0.000 | -0.000 | 
| 71.295 | 356.597 | 36.298 | 0.000 | -0.000 | -0.000 | 
| 81.136 | 81.136 | 352.594 | 0.000 | 0.000 | -0.000 | 
| -0.013 | -0.013 | -0.235 | 86.385 | -0.000 | -0.000 | 
| -0.000 | 0.000 | 0.000 | 0.000 | 143.742 | 0.000 | 
| -0.526 | -0.526 | -1.735 | 0.000 | -0.000 | 141.550 | 
| 372.324 | 83.681 | 81.135 | -0.000 | 0.000 | -0.000 | 
| 83.680 | 372.324 | 81.135 | -0.000 | 0.000 | -0.000 | 
| 49.728 | 49.728 | 260.007 | 0.000 | 0.000 | 0.000 | 
| 0.013 | 0.013 | 0.235 | 86.385 | 0.000 | 0.000 | 
| 0.000 | -0.000 | -0.000 | -0.000 | 143.742 | -0.000 | 
| 0.526 | 0.526 | 1.735 | -0.000 | 0.000 | 141.550 | 
| 342.017 | 55.538 | -17.847 | -0.000 | 0.000 | 0.000 | 
| 42.226 | 328.929 | -52.835 | -0.000 | -0.000 | -0.000 | 
| 82.185 | 82.185 | 360.841 | 0.000 | -0.000 | 0.000 | 
| 0.000 | -0.000 | 0.000 | 143.820 | 0.000 | -0.000 | 
| 0.000 | -0.000 | 0.001 | -0.000 | 143.820 | -0.000 | 
| 0.000 | -0.000 | 0.001 | 0.000 | -0.000 | 144.762 | 
| 385.204 | 98.524 | 143.199 | -0.000 | -0.000 | 0.000 | 
| 78.675 | 366.900 | 85.270 | -0.000 | 0.000 | -0.000 | 
| 82.185 | 82.185 | 360.841 | 0.000 | 0.000 | -0.000 | 
| -0.000 | 0.000 | -0.000 | 143.820 | -0.000 | -0.000 | 
| -0.000 | 0.000 | -0.001 | 0.000 | 143.820 | 0.000 | 
| -0.000 | -0.000 | -0.000 | 0.000 | 0.000 | 144.763 | 
| 353.992 | 67.348 | 34.436 | 0.000 | -0.000 | -0.000 | 
| 82.255 | 371.780 | 84.626 | -0.000 | 0.000 | 0.000 | 
| 82.185 | 82.185 | 360.841 | -0.000 | 0.000 | -0.000 | 
| -0.939 | -0.939 | -5.328 | 85.781 | 0.000 | -0.000 | 
| -0.000 | -0.000 | 0.000 | -0.000 | 143.820 | -0.000 | 
| -0.000 | 0.000 | 0.000 | 0.000 | -0.000 | 144.763 | 
| 359.132 | 72.690 | 52.834 | -0.000 | 0.000 | -0.000 | 
| 82.255 | 371.780 | 84.626 | 0.000 | -0.000 | 0.000 | 
| 82.185 | 82.185 | 360.841 | 0.000 | -0.000 | 0.000 | 
| 0.939 | 0.939 | 5.328 | 85.781 | -0.000 | 0.000 | 
| -0.000 | -0.000 | -0.000 | 0.000 | 143.820 | 0.000 | 
| 0.000 | -0.000 | -0.000 | -0.000 | 0.000 | 144.763 | 
| 371.781 | 82.255 | 84.626 | -0.000 | 0.000 | -0.000 | 
| 73.513 | 361.529 | 59.353 | -0.000 | -0.000 | -0.000 | 
| 42.385 | 42.385 | 239.628 | 0.000 | 0.000 | -0.000 | 
| -0.452 | -0.452 | -1.595 | 13.623 | 0.000 | -0.000 | 
| -0.000 | 0.000 | 0.000 | -0.000 | 143.820 | 0.000 | 
| -0.835 | -0.835 | -2.615 | -0.000 | -0.000 | 142.112 | 
| 362.161 | 74.065 | 61.191 | 0.000 | -0.000 | 0.000 | 
| 70.302 | 356.879 | 44.684 | 0.000 | -0.000 | 0.000 | 
| 42.942 | 42.942 | 241.569 | 0.000 | 0.000 | 0.000 | 
| 0.452 | 0.452 | 1.595 | 13.623 | -0.000 | 0.000 | 
| 0.000 | -0.000 | -0.000 | 0.000 | 143.820 | -0.000 | 
| 0.835 | 0.835 | 2.615 | 0.000 | -0.000 | 142.112 | 
| 8794.515 | 221.243 | 221.242 | 0.000 | 0.000 | 0.000 | 
| 221.242 | 8794.516 | 221.242 | 0.000 | 0.000 | 0.000 | 
| 221.242 | 221.242 | 8794.515 | -0.000 | 0.000 | 0.000 | 
| 0.000 | 0.000 | -0.000 | -185.701 | 0.000 | 0.000 | 
| -0.000 | -0.000 | 0.001 | 0.000 | -185.701 | 0.000 | 
| 0.000 | -0.000 | 0.001 | 0.000 | 0.000 | -185.701 | 
| 8794.517 | 221.242 | 221.242 | -0.000 | -0.000 | -0.000 | 
| 221.242 | 8794.517 | 221.242 | 0.000 | 0.000 | -0.000 | 
| 221.242 | 221.242 | 8794.517 | -0.000 | -0.000 | -0.000 | 
| -0.001 | -0.000 | 0.001 | -185.701 | -0.000 | -0.000 | 
| -0.000 | 0.001 | -0.001 | -0.000 | -185.701 | -0.000 | 
| -0.000 | 0.001 | -0.001 | -0.000 | -0.000 | -185.702 | 
| 8794.505 | 221.244 | 221.244 | 0.000 | 0.000 | 0.000 | 
| 221.244 | 8794.505 | 221.244 | 0.000 | 0.000 | 0.000 | 
| 221.244 | 221.244 | 8794.505 | 0.000 | 0.000 | 0.000 | 
| 0.000 | -0.001 | -0.001 | -185.701 | 0.000 | 0.000 | 
| -0.001 | -0.000 | -0.001 | 0.000 | -185.701 | 0.000 | 
| -0.001 | -0.001 | 0.000 | 0.000 | 0.000 | -185.701 | 
| 8806.764 | 215.121 | 215.121 | -0.000 | -0.000 | -0.000 | 
| 215.121 | 8806.764 | 215.121 | 0.000 | 0.000 | -0.000 | 
| 215.121 | 215.121 | 8806.764 | -0.000 | -0.000 | -0.000 | 
| -0.000 | 0.001 | 0.001 | -185.701 | -0.000 | -0.000 | 
| 0.001 | 0.000 | 0.001 | -0.000 | -185.701 | -0.000 | 
| 0.001 | 0.001 | -0.000 | -0.000 | -0.000 | -185.701 | 
| 8794.406 | 221.263 | 221.263 | 0.000 | 0.000 | 0.000 | 
| 221.263 | 8794.406 | 221.263 | -0.000 | 0.000 | 0.000 | 
| 221.263 | 221.263 | 8794.406 | 0.000 | 0.000 | 0.000 | 
| -0.001 | -0.009 | -0.012 | -185.701 | 0.000 | 0.000 | 
| -0.009 | -0.001 | -0.012 | 0.000 | -185.701 | 0.000 | 
| -0.009 | -0.012 | -0.001 | 0.000 | 0.000 | -185.701 | 
| 8794.627 | 221.221 | 221.221 | -0.000 | -0.000 | -0.000 | 
| 221.221 | 8794.627 | 221.221 | -0.000 | -0.000 | -0.000 | 
| 221.221 | 221.221 | 8794.627 | -0.000 | -0.000 | -0.000 | 
| 0.001 | 0.009 | 0.012 | -185.701 | -0.000 | -0.000 | 
| 0.009 | 0.001 | 0.012 | -0.000 | -185.701 | -0.000 | 
| 0.009 | 0.012 | 0.001 | -0.000 | -0.000 | -185.701 | 
| 26980.008 | 26368.871 | 26368.871 | -0.000 | -0.000 | -0.000 | 
| 26368.871 | 26980.008 | 26368.871 | -0.000 | -0.000 | 0.000 | 
| 26368.871 | 26368.871 | 26980.008 | -0.000 | -0.000 | -0.000 | 
| -0.000 | -0.000 | -0.000 | 1454.678 | -0.000 | -0.000 | 
| -0.000 | -0.000 | -0.000 | 0.000 | 1454.678 | -0.000 | 
| -0.000 | -0.000 | -0.000 | -0.000 | -0.000 | 1454.678 | 
| 26980.008 | 26368.869 | 26368.869 | -0.000 | -0.000 | -0.000 | 
| 26368.869 | 26980.008 | 26368.869 | -0.000 | -0.000 | 0.000 | 
| 26368.869 | 26368.869 | 26980.008 | 0.000 | 0.000 | -0.000 | 
| 0.000 | 0.000 | 0.000 | 1454.678 | 0.000 | 0.000 | 
| 0.000 | 0.000 | 0.000 | 0.000 | 1454.678 | 0.000 | 
| 0.000 | 0.000 | 0.000 | 0.000 | 0.000 | 1454.678 | 
| 26980.010 | 26368.877 | 26368.877 | 0.000 | 0.000 | 0.000 | 
| 26368.877 | 26980.010 | 26368.877 | 0.000 | 0.000 | 0.000 | 
| 26368.878 | 26368.877 | 26980.010 | 0.000 | 0.000 | 0.000 | 
| -0.002 | -0.003 | -0.002 | 1454.591 | -0.000 | -0.000 | 
| -0.003 | -0.002 | -0.002 | -0.000 | 1454.591 | 0.000 | 
| -0.003 | -0.002 | -0.002 | -0.000 | 0.000 | 1454.591 | 
| 26980.006 | 26368.863 | 26368.863 | 0.000 | 0.000 | 0.000 | 
| 26368.863 | 26980.006 | 26368.863 | 0.000 | 0.000 | 0.000 | 
| 26368.863 | 26368.863 | 26980.006 | -0.000 | 0.000 | -0.000 | 
| 0.002 | 0.003 | 0.002 | 1454.591 | 0.000 | -0.000 | 
| 0.003 | 0.002 | 0.002 | -0.000 | 1454.591 | 0.000 | 
| 0.003 | 0.002 | 0.002 | 0.000 | 0.000 | 1454.591 | 
| 26980.030 | 26368.943 | 26368.943 | -0.000 | -0.000 | -0.000 | 
| 26368.943 | 26980.030 | 26368.943 | -0.000 | -0.000 | 0.000 | 
| 26368.943 | 26368.943 | 26980.030 | 0.000 | 0.000 | -0.000 | 
| -0.025 | -0.026 | -0.024 | 1454.660 | -0.000 | 0.000 | 
| -0.026 | -0.025 | -0.024 | -0.000 | 1454.660 | -0.000 | 
| -0.026 | -0.024 | -0.025 | -0.000 | -0.000 | 1454.660 | 
| 26979.987 | 26368.798 | 26368.798 | 0.000 | 0.000 | 0.000 | 
| 26368.798 | 26979.987 | 26368.798 | 0.000 | 0.000 | 0.000 | 
| 26368.798 | 26368.798 | 26979.987 | 0.000 | 0.000 | 0.000 | 
| 0.025 | 0.026 | 0.024 | 1454.660 | -0.000 | 0.000 | 
| 0.026 | 0.025 | 0.024 | -0.000 | 1454.660 | 0.000 | 
| 0.026 | 0.024 | 0.025 | 0.000 | -0.000 | 1454.660 | 
| 457.386 | 6.690 | 6.690 | 0.000 | 0.000 | 0.000 | 
| 6.690 | 457.386 | 6.690 | 0.000 | -0.000 | 0.000 | 
| 6.690 | 6.690 | 457.386 | 0.000 | 0.000 | 0.000 | 
| -0.000 | 0.000 | -0.000 | 219.822 | -0.000 | -0.000 | 
| 0.000 | 0.000 | -0.000 | 0.000 | 219.822 | 0.000 | 
| -0.000 | 0.000 | 0.000 | 0.000 | -0.000 | 219.822 | 
| 457.386 | 6.690 | 6.690 | 0.000 | 0.000 | 0.000 | 
| 6.690 | 457.386 | 6.690 | 0.000 | 0.000 | -0.000 | 
| 6.690 | 6.690 | 457.386 | -0.000 | 0.000 | 0.000 | 
| 0.000 | -0.000 | -0.000 | 219.822 | 0.000 | -0.000 | 
| 0.000 | -0.000 | -0.000 | -0.000 | 219.822 | -0.000 | 
| 0.000 | -0.000 | -0.000 | -0.000 | 0.000 | 219.822 | 
| 457.387 | 6.690 | 6.690 | 0.000 | 0.000 | 0.000 | 
| 6.690 | 457.387 | 6.690 | 0.000 | -0.000 | -0.000 | 
| 6.690 | 6.690 | 457.387 | 0.000 | 0.000 | 0.000 | 
| 0.000 | -0.000 | 0.000 | 219.822 | -0.000 | -0.000 | 
| -0.000 | 0.000 | 0.000 | -0.000 | 219.822 | -0.000 | 
| -0.000 | 0.000 | 0.000 | -0.000 | -0.000 | 219.822 | 
| 457.386 | 6.690 | 6.690 | -0.000 | 0.000 | 0.000 | 
| 6.690 | 457.386 | 6.690 | -0.000 | 0.000 | -0.000 | 
| 6.690 | 6.690 | 457.386 | -0.000 | 0.000 | -0.000 | 
| -0.000 | 0.000 | -0.000 | 219.822 | 0.000 | -0.000 | 
| 0.000 | -0.000 | -0.000 | 0.000 | 219.822 | -0.000 | 
| 0.000 | -0.000 | -0.000 | 0.000 | 0.000 | 219.822 | 
| 457.388 | 6.690 | 6.690 | 0.000 | 0.000 | 0.000 | 
| 6.690 | 457.388 | 6.690 | 0.000 | -0.000 | 0.000 | 
| 6.690 | 6.690 | 457.388 | -0.000 | 0.000 | 0.000 | 
| 0.000 | -0.000 | 0.000 | 219.822 | -0.000 | 0.000 | 
| -0.000 | 0.000 | 0.000 | 0.000 | 219.822 | -0.000 | 
| -0.000 | 0.000 | 0.000 | 0.000 | -0.000 | 219.822 | 
| 457.385 | 6.690 | 6.690 | -0.000 | -0.000 | -0.000 | 
| 6.690 | 457.385 | 6.690 | -0.000 | 0.000 | -0.000 | 
| 6.690 | 6.690 | 457.385 | -0.000 | -0.000 | -0.000 | 
| -0.000 | 0.000 | -0.000 | 219.822 | -0.000 | 0.000 | 
| 0.000 | -0.000 | -0.000 | 0.000 | 219.822 | -0.000 | 
| 0.000 | -0.000 | -0.000 | -0.000 | -0.000 | 219.822 | 
| 521.852 | 53.482 | -3.391 | -0.000 | 0.000 | -0.000 | 
| 53.482 | 1245.931 | -1.326 | -0.000 | -0.000 | -0.000 | 
| -3.391 | -1.326 | 141.669 | -0.000 | -0.000 | -0.000 | 
| 0.000 | -0.000 | -0.000 | 38.759 | 0.000 | -0.000 | 
| 0.000 | -0.000 | -0.000 | -0.000 | 5.934 | -0.000 | 
| 0.000 | -0.000 | -0.000 | -0.000 | -0.000 | 138.224 | 
| 521.852 | 53.482 | -3.391 | 0.000 | 0.000 | 0.000 | 
| 53.482 | 1245.931 | -1.326 | 0.000 | 0.000 | 0.000 | 
| -3.391 | -1.326 | 141.669 | 0.000 | 0.000 | 0.000 | 
| -0.000 | 0.000 | 0.000 | 38.759 | 0.000 | 0.000 | 
| -0.000 | 0.000 | 0.000 | 0.000 | 5.934 | 0.000 | 
| -0.000 | 0.000 | 0.000 | 0.000 | 0.000 | 138.224 | 
| 521.852 | 53.482 | -3.391 | -0.000 | -0.000 | -0.000 | 
| 53.482 | 1245.930 | -1.326 | -0.000 | -0.000 | -0.000 | 
| -3.391 | -1.326 | 141.669 | -0.000 | -0.000 | -0.000 | 
| 0.000 | -0.000 | 0.000 | 38.759 | -0.000 | -0.000 | 
| 0.000 | -0.000 | -0.000 | -0.000 | 5.934 | -0.000 | 
| -0.000 | -0.000 | -0.000 | -0.000 | -0.000 | 138.224 | 
| 521.852 | 53.482 | -3.391 | 0.000 | 0.000 | 0.000 | 
| 53.482 | 1245.931 | -1.326 | 0.000 | 0.000 | 0.000 | 
| -3.391 | -1.326 | 141.669 | 0.000 | 0.000 | 0.000 | 
| -0.000 | 0.000 | -0.000 | 38.759 | 0.000 | 0.000 | 
| -0.000 | 0.000 | 0.000 | 0.000 | 5.934 | 0.000 | 
| 0.000 | 0.000 | 0.000 | 0.000 | 0.000 | 138.224 | 
| 521.854 | 53.482 | -3.391 | -0.000 | -0.000 | -0.000 | 
| 53.482 | 1245.926 | -1.326 | -0.000 | -0.000 | -0.000 | 
| -3.391 | -1.326 | 141.670 | 0.000 | 0.000 | -0.000 | 
| -0.000 | -0.000 | 0.000 | 38.759 | -0.000 | -0.000 | 
| -0.000 | -0.000 | -0.000 | -0.000 | 5.934 | -0.000 | 
| -0.000 | -0.000 | -0.000 | -0.000 | -0.000 | 138.224 | 
| 521.850 | 53.482 | -3.391 | 0.000 | 0.000 | 0.000 | 
| 53.482 | 1245.935 | -1.326 | 0.000 | 0.000 | 0.000 | 
| -3.391 | -1.326 | 141.669 | -0.000 | -0.000 | 0.000 | 
| 0.000 | 0.000 | -0.000 | 38.759 | 0.000 | 0.000 | 
| 0.000 | 0.000 | 0.000 | 0.000 | 5.934 | 0.000 | 
| 0.000 | 0.000 | 0.000 | 0.000 | 0.000 | 138.224 | 
| 377.404 | 89.608 | 97.573 | 14.339 | -0.000 | 0.000 | 
| 89.608 | 377.404 | 97.574 | -14.338 | 0.000 | -0.000 | 
| 97.581 | 97.581 | 360.510 | 0.000 | -0.000 | 0.000 | 
| -3.061 | -9.669 | -34.091 | 96.094 | -0.000 | 0.000 | 
| 0.000 | 0.000 | -0.003 | 0.000 | 150.502 | 14.338 | 
| 0.000 | 0.000 | -0.001 | 0.000 | 14.338 | 143.898 | 
| 377.404 | 89.608 | 97.576 | 14.338 | 0.000 | 0.000 | 
| 89.608 | 377.404 | 97.578 | -14.339 | 0.000 | 0.000 | 
| 84.095 | 84.095 | 312.042 | -0.000 | 0.000 | 0.000 | 
| 9.115 | 15.782 | 64.313 | 61.647 | -0.000 | -0.000 | 
| -0.000 | -0.000 | 0.002 | -0.000 | 150.503 | 14.338 | 
| -0.000 | -0.000 | 0.001 | -0.000 | 14.339 | 143.898 | 
| 367.472 | 86.561 | 69.353 | -2.901 | 0.000 | 0.000 | 
| 84.956 | 370.247 | 74.541 | -8.415 | -0.000 | 0.000 | 
| 73.284 | 73.284 | 255.282 | 0.000 | -0.000 | 0.000 | 
| 14.338 | -14.338 | -0.000 | 150.503 | -0.000 | 0.000 | 
| 0.000 | 0.000 | -0.000 | 0.000 | 150.503 | 14.338 | 
| -0.000 | 0.000 | -0.000 | 0.000 | 14.338 | 143.898 | 
| 377.404 | 89.608 | 97.577 | 14.338 | -0.000 | -0.000 | 
| 86.206 | 371.854 | 80.966 | -9.260 | 0.000 | -0.000 | 
| 97.581 | 97.581 | 360.508 | -0.000 | 0.000 | -0.000 | 
| 2.437 | -0.979 | 3.902 | 88.224 | 0.000 | -0.000 | 
| -0.000 | -0.000 | 0.000 | -0.000 | 150.503 | 14.338 | 
| 0.000 | -0.000 | 0.000 | -0.000 | 14.338 | 143.898 | 
| 371.106 | 85.613 | 77.906 | 8.891 | -0.000 | 0.000 | 
| 89.608 | 377.405 | 97.578 | -14.339 | 0.000 | 0.000 | 
| 75.766 | 75.766 | 268.972 | 0.000 | 0.000 | 0.000 | 
| 1.598 | -1.744 | -0.391 | 88.040 | -0.000 | 0.000 | 
| -0.073 | -0.073 | -0.391 | -0.000 | 88.040 | 1.671 | 
| -0.055 | -0.054 | -0.292 | 0.000 | 4.875 | 141.897 | 
| 369.992 | 86.185 | 76.115 | 4.214 | 0.000 | -0.000 | 
| 85.738 | 371.266 | 78.551 | -8.978 | 0.000 | 0.000 | 
| 78.708 | 78.708 | 287.372 | -0.000 | -0.000 | 0.000 | 
| 1.744 | -1.598 | 0.391 | 88.040 | -0.000 | -0.000 | 
| 0.073 | 0.073 | 0.391 | 0.000 | 88.040 | 1.671 | 
| 0.055 | 0.054 | 0.292 | -0.000 | 4.875 | 141.897 | 
| 2684.358 | 2413.495 | 10354.734 | -17.813 | -0.000 | 0.000 | 
| 1937.331 | 2205.952 | 9282.406 | 24.130 | -0.000 | 0.000 | 
| 92.513 | 92.513 | 349.960 | 0.000 | 0.000 | 0.000 | 
| 1153.996 | 1147.123 | 4527.287 | 91.923 | 0.000 | 0.000 | 
| -0.000 | -0.000 | 0.003 | -0.000 | 147.458 | 14.171 | 
| -0.000 | -0.000 | 0.003 | -0.000 | 14.171 | 141.522 | 
| 368.472 | 85.428 | 92.175 | 14.171 | 0.000 | -0.000 | 
| -2247.629 | -1976.645 | -10230.575 | 17.501 | 0.000 | 0.000 | 
| -1795.890 | -1795.890 | -9034.575 | 0.000 | 0.000 | -0.000 | 
| -1147.123 | -1153.997 | -4527.290 | 91.924 | 0.000 | 0.000 | 
| 0.000 | -0.000 | -0.003 | 0.000 | 147.459 | 14.171 | 
| 0.000 | 0.000 | -0.004 | 0.000 | 14.171 | 141.522 | 
| 368.472 | 85.428 | 92.177 | 14.171 | -0.000 | -0.000 | 
| 269.324 | 537.818 | 977.316 | 24.451 | 0.000 | 0.000 | 
| 174.039 | 174.039 | 671.919 | 0.000 | -0.000 | -0.000 | 
| 213.281 | 247.928 | 1018.472 | -19.382 | 0.000 | -0.000 | 
| 115.149 | 115.149 | 453.096 | -0.000 | 91.878 | 3.428 | 
| 232.989 | 232.989 | 1028.982 | 0.000 | -17.647 | 135.464 | 
| 368.472 | 85.428 | 92.177 | 14.171 | 0.000 | 0.000 | 
| -149.493 | 122.024 | -963.592 | 16.120 | -0.000 | -0.000 | 
| -167.044 | -167.044 | -778.157 | 0.000 | -0.000 | 0.000 | 
| -170.862 | -135.809 | -799.697 | -19.617 | 0.000 | -0.000 | 
| -115.149 | -115.149 | -453.096 | 0.000 | 91.878 | 3.428 | 
| -232.989 | -232.989 | -1028.982 | -0.000 | -17.647 | 135.464 | 
| 368.473 | 85.429 | 92.177 | 14.171 | -0.000 | -0.000 | 
| 85.429 | 368.473 | 92.177 | -14.171 | -0.000 | -0.000 | 
| 74.767 | 74.767 | 280.756 | -0.000 | -0.000 | 0.000 | 
| 14.171 | -14.171 | 0.000 | 147.459 | -0.000 | -0.000 | 
| 8.664 | 8.664 | 47.219 | -0.000 | 24.783 | -8.851 | 
| -0.000 | 0.000 | 0.000 | 0.000 | 14.171 | 141.522 | 
| 368.471 | 85.428 | 92.176 | 14.171 | -0.000 | -0.000 | 
| 70.919 | 350.825 | 29.603 | -6.410 | -0.000 | -0.000 | 
| 54.094 | 54.094 | 186.459 | -0.000 | 0.000 | 0.000 | 
| 14.171 | -14.171 | -0.000 | 147.459 | -0.000 | 0.000 | 
| -8.664 | -8.664 | -47.219 | 0.000 | 24.783 | -8.851 | 
| 0.000 | -0.000 | -0.000 | -0.000 | 14.171 | 141.522 | 
| 357.912 | 82.813 | 84.541 | -10.312 | -0.000 | -0.000 | 
| 83.901 | 354.591 | 78.412 | 4.993 | 0.000 | 0.000 | 
| 99.148 | 99.148 | 356.926 | 0.000 | 0.000 | -0.000 | 
| -7.379 | -1.666 | 1.603 | 97.292 | 0.000 | -0.000 | 
| -0.000 | 0.000 | 0.000 | 0.000 | 149.855 | -15.335 | 
| -2.038 | -2.038 | 0.134 | -0.000 | -1.318 | 133.740 | 
| 373.369 | 89.748 | 99.149 | -15.335 | -0.000 | -0.000 | 
| 89.748 | 373.370 | 99.149 | 15.335 | -0.000 | -0.000 | 
| 82.555 | 82.555 | 300.061 | -0.000 | -0.000 | 0.000 | 
| 1.666 | 7.379 | -1.603 | 97.292 | 0.000 | 0.000 | 
| -0.000 | -0.000 | -0.000 | -0.000 | 149.855 | -15.335 | 
| 2.038 | 2.038 | -0.134 | -0.000 | -1.319 | 133.740 | 
| 373.370 | 89.749 | 99.149 | -15.335 | 0.000 | 0.000 | 
| 85.881 | 356.822 | 78.624 | 5.067 | 0.000 | -0.000 | 
| 82.682 | 82.682 | 301.910 | 0.000 | -0.000 | 0.000 | 
| -15.335 | 15.335 | 0.000 | 149.855 | 0.000 | 0.000 | 
| -0.478 | -0.478 | 0.170 | 0.000 | 94.265 | -2.138 | 
| -0.263 | -0.263 | 0.093 | 0.000 | -8.090 | 135.665 | 
| 357.247 | 86.330 | 78.579 | -4.983 | -0.000 | -0.000 | 
| 84.651 | 359.464 | 83.318 | 10.143 | 0.000 | 0.000 | 
| 81.780 | 81.780 | 302.288 | -0.000 | -0.000 | 0.000 | 
| -15.335 | 15.335 | -0.000 | 149.855 | -0.000 | -0.000 | 
| 0.478 | 0.478 | -0.170 | -0.000 | 94.265 | -2.138 | 
| 0.263 | 0.263 | -0.093 | -0.000 | -8.090 | 135.665 | 
| 359.341 | 84.475 | 83.485 | -10.174 | -0.000 | -0.000 | 
| 88.419 | 355.831 | 82.660 | -1.095 | -0.000 | -0.000 | 
| 99.149 | 99.149 | 356.926 | 0.000 | 0.000 | 0.000 | 
| -15.335 | 15.335 | 0.000 | 149.855 | 0.000 | -0.000 | 
| -0.000 | 0.000 | 0.000 | -0.000 | 149.855 | -15.335 | 
| -0.000 | 0.000 | 0.000 | -0.000 | -15.335 | 141.811 | 
| 357.059 | 86.127 | 78.604 | -5.027 | -0.000 | -0.000 | 
| 86.126 | 357.058 | 78.603 | 5.027 | -0.000 | -0.000 | 
| 84.573 | 84.573 | 305.152 | -0.000 | 0.000 | -0.000 | 
| -2.082 | 2.178 | -0.017 | 94.232 | 0.000 | 0.000 | 
| 0.000 | -0.000 | -0.000 | 0.000 | 149.855 | -15.335 | 
| 0.000 | -0.000 | -0.000 | 0.000 | -15.335 | 141.811 | 
| 1956.329 | 1687.643 | 3596.853 | -10.456 | -0.000 | 0.000 | 
| 1687.643 | 1956.329 | 3596.853 | 10.456 | -0.000 | 0.000 | 
| 91.305 | 91.305 | 341.896 | -0.000 | -0.000 | 0.000 | 
| -15.274 | 15.273 | 0.000 | 145.525 | 0.000 | 0.000 | 
| 1494.627 | 1494.627 | 4052.662 | -0.000 | 91.648 | -0.372 | 
| -0.000 | 0.000 | -0.000 | 0.000 | -15.273 | 138.527 | 
| -1149.852 | -1412.025 | -3979.779 | -0.374 | -0.000 | 0.000 | 
| -1503.157 | -1236.591 | -3987.356 | 7.305 | -0.001 | -0.000 | 
| -1536.661 | -1536.662 | -3245.681 | 0.000 | 0.000 | -0.000 | 
| -1617.539 | -1596.619 | -3519.944 | 124.348 | -0.000 | -0.000 | 
| -1494.627 | -1494.627 | -4052.662 | -0.000 | 91.648 | -0.372 | 
| 0.000 | 0.000 | -0.000 | -0.000 | -15.274 | 138.527 | 
| 505.767 | 239.344 | 481.098 | -7.119 | 0.000 | 0.000 | 
| 241.484 | 510.096 | 429.332 | 10.414 | -0.000 | 0.000 | 
| 230.408 | 230.408 | 625.633 | -0.000 | -0.000 | 0.000 | 
| 150.909 | 171.791 | 353.400 | 124.264 | -0.000 | 0.000 | 
| 161.350 | 161.350 | 353.400 | 0.000 | 124.264 | -10.441 | 
| -0.000 | 0.000 | 0.000 | 0.000 | -15.274 | 138.527 | 
| 188.604 | -80.153 | -275.070 | -10.497 | -0.000 | -0.000 | 
| 84.598 | 361.652 | 89.862 | 15.274 | -0.000 | -0.000 | 
| 91.305 | 91.305 | 341.896 | 0.000 | 0.000 | -0.000 | 
| -15.274 | 15.274 | -0.000 | 145.525 | -0.000 | -0.000 | 
| -161.350 | -161.350 | -353.400 | -0.000 | 124.264 | -10.441 | 
| -158.454 | -158.454 | -406.505 | 0.000 | -7.279 | 133.272 | 
| 364.743 | 98.502 | 114.995 | -9.048 | 0.000 | 0.000 | 
| 97.771 | 360.639 | 116.107 | 1.396 | 0.000 | 0.000 | 
| 91.486 | 91.486 | 329.336 | -0.000 | -0.000 | 0.000 | 
| 14.901 | 19.974 | 51.942 | 97.886 | 0.000 | 0.000 | 
| 14.854 | 14.854 | 40.639 | 0.000 | 86.950 | 0.825 | 
| 16.150 | 16.150 | 43.064 | -0.000 | -6.232 | 132.860 | 
| 331.260 | 64.620 | 31.066 | -7.425 | -0.000 | -0.000 | 
| 67.890 | 329.598 | 32.142 | -0.315 | -0.000 | 0.000 | 
| 57.608 | 57.608 | 245.001 | -0.000 | -0.000 | -0.000 | 
| -15.274 | 15.274 | -0.000 | 145.525 | -0.000 | -0.000 | 
| -14.854 | -14.854 | -40.639 | -0.000 | 86.950 | 0.825 | 
| -16.150 | -16.150 | -43.064 | 0.000 | -6.232 | 132.860 | 
| 514.591 | 70.856 | 70.855 | 0.000 | 0.000 | 0.000 | 
| 70.856 | 514.590 | 70.855 | 0.000 | 0.000 | 0.000 | 
| 70.856 | 70.856 | 514.590 | -0.000 | 0.000 | 0.000 | 
| 0.001 | 0.000 | 0.000 | 170.597 | 0.000 | 0.000 | 
| 0.000 | 0.001 | 0.000 | 0.000 | 170.597 | 0.000 | 
| 0.000 | 0.001 | 0.000 | 0.000 | 0.000 | 170.598 | 
| 514.591 | 70.856 | 70.856 | 0.000 | -0.000 | -0.000 | 
| 70.855 | 514.591 | 70.856 | -0.000 | 0.000 | -0.000 | 
| 70.855 | 70.856 | 514.591 | 0.000 | 0.000 | 0.000 | 
| -0.001 | -0.000 | 0.000 | 170.597 | -0.000 | -0.000 | 
| -0.000 | -0.001 | 0.000 | -0.000 | 170.597 | -0.000 | 
| -0.000 | -0.000 | -0.000 | -0.000 | -0.000 | 170.597 | 
| 514.591 | 70.856 | 70.855 | 0.000 | 0.000 | 0.000 | 
| 70.856 | 514.591 | 70.855 | 0.000 | 0.000 | 0.000 | 
| 70.856 | 70.856 | 514.591 | 0.000 | 0.000 | 0.000 | 
| 0.000 | 0.000 | -0.000 | 170.597 | 0.000 | 0.000 | 
| 0.000 | 0.000 | -0.000 | 0.000 | 170.597 | 0.000 | 
| 0.000 | 0.000 | 0.000 | 0.000 | 0.000 | 170.597 | 
| 514.590 | 70.855 | 70.855 | -0.000 | -0.000 | -0.000 | 
| 70.855 | 514.591 | 70.855 | -0.000 | -0.000 | -0.000 | 
| 70.855 | 70.855 | 514.591 | -0.000 | -0.000 | -0.000 | 
| -0.000 | -0.000 | 0.000 | 170.597 | -0.000 | -0.000 | 
| -0.000 | -0.000 | 0.000 | -0.000 | 170.597 | -0.000 | 
| -0.000 | -0.000 | -0.000 | -0.000 | -0.000 | 170.597 | 
| 514.592 | 70.856 | 70.856 | 0.000 | 0.000 | 0.000 | 
| 70.856 | 514.592 | 70.856 | 0.000 | 0.000 | 0.000 | 
| 70.856 | 70.856 | 514.592 | 0.000 | 0.000 | 0.000 | 
| -0.000 | 0.000 | 0.000 | 170.597 | 0.000 | 0.000 | 
| 0.000 | -0.000 | 0.000 | 0.000 | 170.597 | 0.000 | 
| 0.000 | 0.000 | -0.000 | 0.000 | 0.000 | 170.597 | 
| 514.589 | 70.855 | 70.855 | -0.000 | -0.000 | -0.000 | 
| 70.855 | 514.589 | 70.855 | -0.000 | -0.000 | -0.000 | 
| 70.855 | 70.855 | 514.589 | -0.000 | -0.000 | -0.000 | 
| 0.000 | -0.000 | -0.000 | 170.597 | -0.000 | -0.000 | 
| -0.000 | 0.000 | -0.000 | -0.000 | 170.597 | -0.000 | 
| -0.000 | -0.000 | 0.000 | -0.000 | -0.000 | 170.597 | 
| 537.143 | 14.205 | 14.205 | -0.000 | 0.000 | -0.000 | 
| 14.205 | 537.143 | 14.205 | -0.000 | 0.000 | -0.000 | 
| 14.205 | 14.205 | 537.143 | -0.000 | 0.000 | -0.000 | 
| -0.000 | 0.000 | -0.000 | 202.805 | 0.000 | 0.000 | 
| -0.000 | -0.000 | -0.000 | -0.000 | 202.805 | 0.000 | 
| -0.000 | -0.000 | -0.000 | -0.000 | 0.000 | 202.805 | 
| 537.143 | 14.205 | 14.205 | 0.000 | -0.000 | 0.000 | 
| 14.205 | 537.143 | 14.205 | 0.000 | 0.000 | -0.000 | 
| 14.205 | 14.205 | 537.143 | 0.000 | -0.000 | -0.000 | 
| 0.000 | -0.000 | -0.000 | 202.805 | -0.000 | 0.000 | 
| -0.000 | 0.000 | -0.000 | 0.000 | 202.805 | -0.000 | 
| 0.000 | 0.000 | 0.000 | -0.000 | -0.000 | 202.805 | 
| 537.143 | 14.205 | 14.205 | -0.000 | 0.000 | 0.000 | 
| 14.205 | 537.143 | 14.205 | -0.000 | 0.000 | -0.000 | 
| 14.205 | 14.205 | 537.143 | -0.000 | -0.000 | 0.000 | 
| 0.000 | 0.000 | 0.000 | 202.805 | 0.000 | 0.000 | 
| 0.000 | 0.000 | 0.000 | -0.000 | 202.805 | 0.000 | 
| -0.000 | 0.000 | 0.000 | -0.000 | 0.000 | 202.805 | 
| 537.143 | 14.205 | 14.205 | 0.000 | -0.000 | -0.000 | 
| 14.205 | 537.143 | 14.205 | -0.000 | -0.000 | -0.000 | 
| 14.205 | 14.205 | 537.143 | 0.000 | 0.000 | -0.000 | 
| -0.000 | 0.000 | -0.000 | 202.805 | 0.000 | -0.000 | 
| 0.000 | -0.000 | -0.000 | 0.000 | 202.805 | -0.000 | 
| 0.000 | -0.000 | -0.000 | 0.000 | -0.000 | 202.805 | 
| 537.144 | 14.206 | 14.206 | -0.000 | 0.000 | 0.000 | 
| 14.206 | 537.144 | 14.206 | -0.000 | 0.000 | 0.000 | 
| 14.206 | 14.206 | 537.144 | -0.000 | 0.000 | 0.000 | 
| 0.000 | 0.000 | 0.000 | 202.805 | -0.000 | 0.000 | 
| 0.000 | 0.000 | 0.000 | -0.000 | 202.805 | 0.000 | 
| 0.000 | 0.000 | 0.000 | 0.000 | 0.000 | 202.805 | 
| 537.141 | 14.205 | 14.205 | 0.000 | -0.000 | -0.000 | 
| 14.205 | 537.141 | 14.205 | 0.000 | -0.000 | -0.000 | 
| 14.205 | 14.205 | 537.141 | 0.000 | -0.000 | -0.000 | 
| -0.000 | -0.000 | -0.000 | 202.805 | -0.000 | -0.000 | 
| -0.000 | -0.000 | -0.000 | 0.000 | 202.805 | -0.000 | 
| -0.000 | -0.000 | -0.000 | 0.000 | -0.000 | 202.805 | 
| 232.736 | 111.168 | 111.168 | -0.000 | -0.000 | -0.000 | 
| 111.168 | 232.736 | 111.168 | -0.000 | -0.000 | -0.000 | 
| 111.168 | 111.168 | 232.736 | -0.000 | -0.000 | -0.000 | 
| -0.000 | -0.000 | -0.000 | 37.546 | -0.000 | -0.000 | 
| 0.000 | -0.000 | -0.000 | -0.000 | 37.546 | -0.000 | 
| 0.000 | -0.000 | -0.000 | -0.000 | -0.000 | 37.546 | 
| 232.736 | 111.168 | 111.168 | 0.000 | 0.000 | 0.000 | 
| 111.168 | 232.736 | 111.168 | 0.000 | 0.000 | 0.000 | 
| 111.168 | 111.168 | 232.736 | 0.000 | 0.000 | 0.000 | 
| -0.000 | 0.000 | 0.000 | 37.546 | 0.000 | 0.000 | 
| -0.000 | -0.000 | 0.000 | 0.000 | 37.546 | -0.000 | 
| -0.000 | -0.000 | 0.000 | 0.000 | -0.000 | 37.546 | 
| 232.736 | 111.168 | 111.168 | 0.000 | -0.000 | -0.000 | 
| 111.168 | 232.736 | 111.168 | -0.000 | -0.000 | -0.000 | 
| 111.168 | 111.168 | 232.736 | 0.000 | 0.000 | -0.000 | 
| 0.000 | -0.000 | -0.000 | 187.847 | -0.000 | -0.000 | 
| 0.000 | -0.000 | -0.000 | 0.000 | 187.847 | -0.000 | 
| 0.000 | 0.000 | -0.000 | -0.000 | -0.000 | 187.847 | 
| 232.736 | 111.168 | 111.168 | 0.000 | 0.000 | 0.000 | 
| 111.168 | 232.736 | 111.168 | 0.000 | 0.000 | 0.000 | 
| 111.168 | 111.168 | 232.736 | 0.000 | 0.000 | 0.000 | 
| -0.000 | 0.000 | 0.000 | 187.847 | 0.000 | 0.000 | 
| -0.000 | -0.000 | 0.000 | 0.000 | 187.847 | -0.000 | 
| -0.000 | -0.000 | 0.000 | 0.000 | 0.000 | 187.847 | 
| 232.737 | 111.168 | 111.168 | 0.000 | -0.000 | -0.000 | 
| 111.168 | 232.737 | 111.168 | -0.000 | -0.000 | -0.000 | 
| 111.168 | 111.168 | 232.737 | -0.000 | 0.000 | -0.000 | 
| -0.000 | 0.000 | 0.000 | 37.546 | -0.000 | -0.000 | 
| 0.000 | -0.000 | 0.000 | -0.000 | 37.546 | -0.000 | 
| 0.000 | 0.000 | -0.000 | -0.000 | -0.000 | 37.546 | 
| 232.736 | 111.167 | 111.167 | -0.000 | 0.000 | 0.000 | 
| 111.167 | 232.736 | 111.167 | 0.000 | 0.000 | 0.000 | 
| 111.167 | 111.167 | 232.736 | 0.000 | 0.000 | 0.000 | 
| 0.000 | -0.000 | -0.000 | 37.546 | 0.000 | 0.000 | 
| -0.000 | 0.000 | -0.000 | 0.000 | 37.546 | 0.000 | 
| -0.000 | -0.000 | 0.000 | 0.000 | 0.000 | 37.546 | 
| 562.042 | 105.205 | 105.205 | -0.000 | 0.000 | -0.000 | 
| 105.205 | 562.043 | 105.205 | 0.000 | 0.000 | -0.001 | 
| 105.205 | 105.205 | 562.042 | 0.000 | -0.000 | 0.000 | 
| -0.000 | -0.001 | 0.000 | -39.987 | 0.000 | -0.000 | 
| -0.000 | -0.001 | -0.000 | -0.000 | -39.987 | -0.000 | 
| -0.000 | 0.000 | -0.000 | -0.000 | -0.000 | -39.988 | 
| 562.042 | 105.206 | 105.205 | 0.000 | -0.000 | 0.001 | 
| 105.205 | 562.043 | 105.205 | -0.000 | -0.000 | 0.001 | 
| 105.205 | 105.206 | 562.042 | -0.000 | -0.000 | 0.000 | 
| 0.000 | 0.001 | 0.000 | -39.987 | -0.000 | 0.000 | 
| 0.000 | 0.001 | 0.000 | 0.000 | -39.987 | 0.000 | 
| 0.000 | -0.000 | -0.000 | -0.000 | -0.000 | -39.987 | 
| 562.043 | 105.205 | 105.205 | 0.000 | 0.000 | 0.000 | 
| 105.205 | 562.043 | 105.205 | 0.000 | 0.000 | -0.000 | 
| 105.205 | 105.205 | 562.043 | 0.000 | 0.000 | -0.000 | 
| 0.000 | 0.000 | 0.000 | -39.987 | 0.000 | -0.000 | 
| 0.000 | -0.000 | 0.000 | -0.000 | -39.987 | -0.000 | 
| 0.000 | -0.000 | 0.000 | 0.000 | 0.000 | -39.987 | 
| 562.042 | 105.205 | 105.205 | 0.000 | -0.000 | 0.000 | 
| 105.205 | 562.042 | 105.205 | 0.000 | -0.000 | 0.000 | 
| 105.205 | 105.205 | 562.042 | 0.000 | -0.000 | 0.000 | 
| -0.000 | 0.000 | -0.000 | -39.987 | -0.000 | 0.000 | 
| -0.000 | 0.000 | -0.000 | 0.000 | -39.987 | 0.000 | 
| -0.000 | 0.000 | -0.000 | 0.000 | 0.000 | -39.987 | 
| 562.046 | 105.206 | 105.206 | -0.000 | -0.000 | -0.000 | 
| 105.206 | 562.046 | 105.206 | 0.000 | -0.000 | -0.000 | 
| 105.206 | 105.206 | 562.046 | 0.000 | 0.000 | -0.000 | 
| 0.000 | 0.001 | 0.000 | 15.935 | 0.000 | 0.000 | 
| 0.001 | 0.000 | 0.000 | -0.000 | 15.935 | -0.000 | 
| 0.001 | 0.000 | 0.000 | -0.000 | 0.000 | 15.935 | 
| 562.038 | 105.204 | 105.204 | -0.000 | -0.000 | -0.000 | 
| 105.204 | 562.038 | 105.204 | 0.000 | -0.000 | 0.000 | 
| 105.204 | 105.204 | 562.038 | 0.000 | -0.000 | 0.000 | 
| -0.000 | -0.001 | -0.000 | 15.935 | -0.000 | 0.000 | 
| -0.001 | -0.000 | -0.000 | 0.000 | 15.935 | 0.000 | 
| -0.001 | -0.000 | -0.000 | 0.000 | -0.000 | 15.935 | 
| 235.563 | 115.124 | 115.124 | 0.000 | -0.000 | -0.000 | 
| 115.125 | 235.563 | 115.124 | -0.000 | -0.000 | -0.000 | 
| 115.125 | 115.124 | 235.563 | 0.000 | 0.000 | -0.001 | 
| -0.000 | -0.000 | -0.000 | 121.000 | 0.000 | -0.000 | 
| -0.000 | -0.000 | -0.001 | -0.000 | 121.000 | -0.000 | 
| -0.000 | -0.000 | -0.000 | -0.000 | -0.000 | 120.999 | 
| 235.562 | 115.123 | 115.123 | 0.000 | -0.000 | 0.000 | 
| 115.123 | 235.562 | 115.123 | -0.000 | 0.000 | 0.000 | 
| 115.123 | 115.124 | 235.562 | 0.000 | -0.000 | 0.000 | 
| -0.000 | 0.000 | 0.001 | 120.999 | -0.000 | 0.000 | 
| 0.000 | 0.000 | 0.000 | -0.000 | 121.000 | 0.001 | 
| 0.000 | 0.000 | 0.001 | -0.000 | -0.000 | 121.000 | 
| 262.632 | 78.790 | 78.790 | 0.000 | 0.000 | -0.000 | 
| 78.790 | 262.632 | 78.790 | 0.000 | 0.000 | -0.000 | 
| 78.790 | 78.790 | 262.632 | -0.000 | -0.000 | -0.000 | 
| -0.000 | -0.000 | -0.000 | 121.000 | 0.000 | -0.000 | 
| -0.000 | -0.000 | -0.000 | 0.000 | 121.000 | -0.000 | 
| -0.000 | -0.000 | -0.000 | -0.000 | 0.000 | 120.999 | 
| 363.956 | 85.041 | 85.041 | 0.000 | -0.000 | 0.000 | 
| 85.041 | 363.956 | 85.041 | 0.000 | -0.000 | 0.000 | 
| 85.041 | 85.041 | 363.956 | 0.000 | -0.000 | 0.000 | 
| 0.000 | 0.000 | 0.000 | 121.000 | -0.000 | 0.000 | 
| -0.000 | 0.000 | 0.000 | -0.000 | 121.000 | 0.000 | 
| -0.000 | 0.000 | 0.000 | -0.000 | -0.000 | 121.000 | 
| 262.631 | 78.790 | 78.790 | 0.000 | 0.000 | -0.000 | 
| 78.790 | 262.631 | 78.790 | 0.000 | -0.000 | -0.000 | 
| 78.790 | 78.790 | 262.631 | 0.000 | 0.000 | -0.000 | 
| -0.000 | 0.000 | 0.000 | 107.245 | 0.000 | -0.000 | 
| 0.000 | -0.000 | 0.000 | 0.000 | 107.245 | -0.000 | 
| 0.000 | 0.000 | -0.000 | 0.000 | 0.000 | 107.245 | 
| 363.955 | 85.041 | 85.041 | -0.000 | -0.000 | 0.000 | 
| 85.041 | 363.955 | 85.041 | -0.000 | -0.000 | 0.000 | 
| 85.041 | 85.041 | 363.955 | -0.000 | -0.000 | 0.000 | 
| 0.000 | -0.000 | -0.000 | 107.245 | -0.000 | 0.000 | 
| -0.000 | 0.000 | -0.000 | -0.000 | 107.245 | 0.000 | 
| -0.000 | -0.000 | 0.000 | 0.000 | -0.000 | 107.245 | 
| 243.267 | 66.797 | 66.797 | -0.000 | 0.000 | 0.000 | 
| 66.797 | 243.266 | 66.797 | -0.000 | 0.000 | 0.000 | 
| 66.797 | 66.797 | 243.267 | -0.000 | 0.000 | 0.000 | 
| 0.000 | 0.000 | 0.001 | 101.407 | 0.000 | 0.000 | 
| 0.000 | 0.000 | 0.001 | 0.000 | 101.408 | 0.000 | 
| 0.000 | 0.000 | 0.001 | 0.000 | 0.000 | 101.408 | 
| 342.117 | 74.794 | 74.794 | 0.000 | -0.000 | -0.000 | 
| 74.794 | 342.117 | 74.794 | -0.000 | -0.000 | 0.000 | 
| 74.794 | 74.794 | 342.118 | 0.000 | 0.000 | -0.001 | 
| -0.000 | -0.000 | -0.000 | 101.407 | -0.001 | -0.000 | 
| -0.000 | -0.000 | -0.000 | -0.000 | 101.407 | -0.000 | 
| -0.000 | -0.000 | -0.001 | 0.000 | -0.000 | 101.407 | 
| 342.117 | 74.794 | 74.794 | 0.000 | 0.000 | 0.000 | 
| 74.794 | 342.117 | 74.794 | -0.000 | 0.000 | -0.000 | 
| 74.794 | 74.794 | 342.117 | -0.000 | -0.000 | 0.000 | 
| 0.000 | 0.000 | 0.000 | 101.407 | 0.000 | 0.000 | 
| 0.000 | 0.000 | 0.000 | 0.000 | 101.407 | 0.000 | 
| 0.000 | 0.000 | -0.000 | 0.000 | 0.000 | 101.407 | 
| 243.266 | 66.796 | 66.796 | 0.000 | -0.000 | -0.000 | 
| 66.796 | 243.266 | 66.796 | 0.000 | -0.000 | -0.000 | 
| 66.796 | 66.796 | 243.266 | 0.000 | 0.000 | -0.000 | 
| -0.000 | -0.000 | -0.000 | 101.407 | -0.000 | -0.000 | 
| -0.000 | -0.000 | -0.000 | 0.000 | 101.407 | -0.000 | 
| -0.000 | -0.000 | -0.000 | 0.000 | -0.000 | 101.407 | 
| 217.907 | 101.688 | 101.688 | -0.000 | 0.000 | 0.000 | 
| 101.688 | 217.907 | 101.688 | 0.000 | 0.000 | -0.000 | 
| 101.688 | 101.688 | 217.907 | -0.000 | -0.000 | 0.000 | 
| -0.000 | 0.000 | 0.000 | 115.767 | 0.000 | 0.000 | 
| 0.000 | -0.000 | 0.000 | -0.000 | 115.767 | 0.000 | 
| 0.000 | 0.000 | -0.000 | 0.000 | 0.000 | 115.767 | 
| 243.268 | 66.796 | 66.796 | 0.000 | -0.000 | -0.000 | 
| 66.796 | 243.268 | 66.796 | 0.000 | -0.000 | -0.000 | 
| 66.796 | 66.796 | 243.268 | 0.000 | 0.000 | -0.000 | 
| 0.000 | -0.000 | -0.000 | 115.767 | -0.000 | -0.000 | 
| -0.000 | 0.000 | -0.000 | -0.000 | 115.767 | -0.000 | 
| -0.000 | -0.000 | 0.000 | -0.000 | -0.000 | 115.767 | 
| 347.575 | 90.653 | 91.885 | 10.266 | 0.001 | -0.000 | 
| 87.418 | 337.086 | 64.880 | 8.334 | 0.001 | -0.000 | 
| 65.591 | 65.591 | 219.130 | 0.000 | 0.001 | -0.000 | 
| -8.334 | 8.333 | 0.001 | 33.109 | 0.001 | -0.000 | 
| -0.000 | -0.000 | -0.000 | 0.000 | 128.492 | 10.265 | 
| 0.000 | -0.000 | -0.000 | 0.000 | 10.265 | 128.461 | 
| 338.428 | 84.500 | 61.773 | 2.588 | -0.001 | 0.000 | 
| 90.654 | 347.575 | 91.884 | -10.265 | -0.001 | 0.000 | 
| 92.597 | 92.597 | 325.409 | -0.000 | -0.001 | 0.000 | 
| 10.265 | -10.265 | 0.000 | 128.492 | -0.000 | 0.000 | 
| 0.000 | 0.000 | 0.000 | -0.000 | 128.492 | 10.265 | 
| 0.000 | 0.000 | -0.000 | -0.000 | 10.265 | 128.461 | 
| 338.428 | 84.500 | 61.776 | 2.589 | 0.000 | -0.000 | 
| 90.653 | 347.575 | 91.884 | -10.265 | 0.000 | -0.000 | 
| 65.591 | 65.591 | 219.129 | 0.000 | 0.000 | -0.000 | 
| -8.333 | 8.333 | 0.000 | 33.108 | 0.000 | -0.000 | 
| -0.000 | -0.000 | 0.000 | 0.000 | 128.492 | 10.265 | 
| -0.000 | 0.000 | 0.000 | 0.000 | -8.333 | 124.834 | 
| 347.575 | 90.653 | 91.884 | 10.265 | -0.000 | 0.000 | 
| 90.653 | 347.575 | 91.884 | -10.265 | -0.000 | 0.000 | 
| 65.591 | 65.591 | 219.129 | -0.000 | -0.000 | 0.000 | 
| -8.333 | 8.333 | -0.000 | 33.108 | -0.000 | 0.000 | 
| 0.000 | 0.000 | -0.000 | -0.000 | 128.492 | 10.265 | 
| 0.000 | -0.000 | -0.000 | -0.000 | -8.334 | 124.834 | 
| 338.429 | 84.500 | 61.777 | 2.589 | 0.000 | -0.000 | 
| 87.418 | 337.087 | 64.879 | 8.334 | 0.000 | -0.000 | 
| 65.591 | 65.591 | 219.130 | 0.000 | 0.000 | -0.000 | 
| 10.265 | -10.265 | 0.000 | 128.492 | 0.000 | -0.000 | 
| -0.000 | -0.000 | -0.000 | -0.000 | 33.108 | -8.333 | 
| -0.000 | 0.000 | 0.000 | 0.000 | 10.265 | 128.461 | 
| 337.085 | 87.417 | 64.877 | -8.334 | -0.000 | 0.000 | 
| 84.499 | 338.427 | 61.775 | -2.588 | -0.000 | 0.000 | 
| 92.596 | 92.596 | 325.409 | -0.000 | -0.000 | 0.000 | 
| -8.333 | 8.334 | 0.000 | 33.108 | -0.000 | 0.000 | 
| 0.000 | 0.000 | 0.000 | 0.000 | 33.108 | -8.333 | 
| 0.000 | -0.000 | -0.000 | -0.000 | 10.265 | 128.461 | 
| 339.242 | 88.539 | 68.394 | -8.905 | 0.000 | -0.000 | 
| 85.522 | 340.634 | 65.216 | -2.195 | -0.000 | -0.000 | 
| 94.700 | 94.700 | 330.026 | 0.000 | 0.001 | -0.000 | 
| 9.977 | -9.976 | 0.000 | 129.642 | 0.000 | -0.000 | 
| -0.000 | 0.000 | -0.000 | 0.000 | 129.642 | 9.976 | 
| -0.000 | -0.000 | -0.000 | 0.000 | 9.976 | 129.102 | 
| 340.601 | 85.486 | 65.084 | 2.203 | -0.000 | -0.000 | 
| 88.501 | 339.204 | 68.246 | 8.905 | 0.000 | -0.000 | 
| 68.300 | 68.301 | 226.870 | -0.000 | -0.000 | 0.000 | 
| -8.957 | 8.854 | -0.201 | 34.578 | -0.000 | 0.000 | 
| 0.000 | -0.000 | 0.000 | -0.000 | 129.642 | 9.976 | 
| 0.000 | 0.000 | 0.000 | -0.000 | 9.976 | 129.102 | 
| 340.619 | 85.505 | 65.157 | 2.199 | -0.000 | 0.000 | 
| 91.521 | 349.724 | 94.700 | -9.976 | 0.000 | 0.000 | 
| 94.700 | 94.700 | 330.026 | 0.000 | 0.000 | -0.000 | 
| -8.900 | 8.910 | 0.020 | 34.578 | 0.000 | 0.000 | 
| 0.005 | 0.005 | 0.020 | -0.000 | 34.578 | -8.905 | 
| -0.000 | -0.000 | -0.000 | 0.000 | 9.976 | 129.102 | 
| 349.724 | 91.521 | 94.700 | 9.976 | 0.000 | 0.000 | 
| 88.518 | 339.221 | 68.312 | 8.905 | -0.000 | 0.000 | 
| 68.318 | 68.318 | 226.937 | -0.000 | -0.000 | -0.000 | 
| -8.910 | 8.900 | -0.020 | 34.578 | -0.000 | 0.000 | 
| -0.005 | -0.005 | -0.020 | 0.000 | 34.578 | -8.905 | 
| -0.000 | -0.000 | 0.000 | -0.000 | 9.976 | 129.102 | 
| 339.224 | 88.521 | 68.320 | -8.905 | 0.000 | -0.000 | 
| 88.521 | 339.224 | 68.320 | 8.905 | 0.000 | 0.000 | 
| 68.320 | 68.320 | 226.946 | -0.000 | -0.000 | 0.000 | 
| -8.905 | 8.905 | 0.002 | 34.578 | 0.000 | -0.000 | 
| -0.000 | 0.000 | 0.000 | 0.000 | 129.642 | 9.976 | 
| 0.000 | 0.001 | 0.002 | -0.000 | -8.905 | 125.351 | 
| 340.616 | 85.503 | 65.149 | 2.199 | -0.000 | -0.000 | 
| 85.503 | 340.616 | 65.150 | -2.199 | -0.000 | -0.000 | 
| 68.318 | 68.318 | 226.940 | -0.000 | -0.000 | -0.000 | 
| -8.906 | 8.905 | -0.002 | 34.577 | 0.000 | 0.000 | 
| 0.000 | -0.000 | -0.000 | -0.000 | 129.642 | 9.976 | 
| -0.000 | -0.001 | -0.002 | 0.000 | -8.905 | 125.351 | 
| 844.376 | 471.359 | 471.359 | 0.000 | 0.000 | -0.000 | 
| 471.359 | 844.376 | 471.359 | -0.000 | -0.000 | 0.000 | 
| 471.359 | 471.359 | 844.376 | 0.000 | -0.000 | 0.000 | 
| -0.000 | 0.000 | 0.000 | 7.194 | 0.000 | -0.000 | 
| -0.000 | 0.000 | 0.000 | 0.000 | 7.194 | -0.000 | 
| -0.000 | 0.000 | 0.000 | 0.000 | 0.000 | 7.194 | 
| 844.380 | 471.357 | 471.357 | 0.000 | -0.000 | 0.000 | 
| 471.357 | 844.380 | 471.357 | -0.000 | -0.000 | 0.000 | 
| 471.357 | 471.357 | 844.380 | -0.000 | -0.000 | 0.000 | 
| 0.000 | -0.000 | -0.000 | 7.194 | -0.000 | -0.000 | 
| 0.000 | -0.000 | -0.000 | -0.000 | 7.194 | 0.000 | 
| -0.000 | -0.000 | -0.000 | -0.000 | 0.000 | 7.194 | 
| 844.376 | 471.359 | 471.359 | 0.000 | -0.000 | -0.000 | 
| 471.359 | 844.376 | 471.359 | 0.000 | 0.000 | -0.000 | 
| 471.359 | 471.359 | 844.376 | 0.000 | -0.000 | -0.000 | 
| -0.000 | 0.000 | 0.000 | 7.194 | 0.000 | 0.000 | 
| 0.000 | -0.000 | 0.000 | 0.000 | 7.194 | -0.000 | 
| 0.000 | 0.000 | -0.000 | 0.000 | -0.000 | 7.194 | 
| 844.380 | 471.357 | 471.357 | -0.000 | -0.000 | -0.000 | 
| 471.357 | 844.380 | 471.357 | -0.000 | 0.000 | 0.000 | 
| 471.357 | 471.357 | 844.380 | 0.000 | -0.000 | 0.000 | 
| 0.000 | -0.000 | -0.000 | 7.194 | -0.000 | 0.000 | 
| -0.000 | 0.000 | -0.000 | -0.000 | 7.194 | 0.000 | 
| -0.000 | -0.000 | 0.000 | -0.000 | -0.000 | 7.194 | 
| 844.378 | 471.358 | 471.358 | -0.000 | -0.000 | -0.000 | 
| 471.358 | 844.378 | 471.358 | 0.000 | -0.000 | -0.000 | 
| 471.358 | 471.358 | 844.378 | 0.000 | 0.000 | -0.000 | 
| -0.001 | 0.003 | 0.003 | 7.194 | -0.000 | 0.000 | 
| 0.003 | -0.001 | 0.003 | 0.000 | 7.194 | -0.000 | 
| 0.003 | 0.003 | -0.001 | 0.000 | 0.000 | 7.194 | 
| 844.373 | 471.360 | 471.360 | -0.000 | 0.000 | 0.000 | 
| 471.360 | 844.373 | 471.360 | 0.000 | -0.000 | 0.000 | 
| 471.360 | 471.360 | 844.373 | -0.000 | -0.000 | 0.000 | 
| 0.001 | -0.003 | -0.003 | 7.194 | -0.000 | 0.000 | 
| -0.003 | 0.001 | -0.003 | 0.000 | 7.194 | 0.000 | 
| -0.003 | -0.003 | 0.001 | -0.000 | -0.000 | 7.194 | 
| 665.054 | 490.176 | 490.177 | 0.000 | 0.000 | 0.000 | 
| 490.176 | 665.055 | 490.177 | 0.000 | 0.000 | 0.000 | 
| 490.176 | 490.176 | 665.054 | -0.000 | -0.000 | 0.000 | 
| 0.000 | 0.001 | 0.001 | 371.486 | 0.001 | 0.001 | 
| 0.000 | 0.001 | 0.001 | 0.001 | 371.486 | 0.001 | 
| 0.000 | 0.000 | 0.001 | 0.001 | 0.001 | 371.486 | 
| 665.054 | 490.174 | 490.175 | -0.000 | -0.000 | -0.001 | 
| 490.175 | 665.054 | 490.175 | -0.000 | -0.000 | -0.000 | 
| 490.175 | 490.175 | 665.053 | 0.000 | -0.000 | -0.000 | 
| -0.000 | 0.000 | -0.001 | 371.485 | -0.001 | 0.000 | 
| -0.000 | -0.001 | -0.001 | -0.001 | 371.485 | -0.001 | 
| 0.000 | -0.000 | -0.001 | -0.001 | -0.000 | 371.485 | 
| 665.054 | 490.176 | 490.176 | 0.000 | 0.000 | 0.000 | 
| 490.176 | 665.054 | 490.176 | 0.000 | 0.000 | 0.000 | 
| 490.176 | 490.176 | 665.054 | -0.000 | -0.000 | 0.000 | 
| 0.000 | 0.000 | 0.000 | 371.486 | 0.000 | 0.000 | 
| -0.000 | 0.000 | 0.000 | 0.000 | 371.486 | 0.000 | 
| 0.000 | 0.000 | 0.000 | 0.000 | 0.000 | 371.486 | 
| 665.054 | 490.176 | 490.175 | -0.000 | -0.000 | -0.000 | 
| 490.176 | 665.054 | 490.175 | -0.000 | -0.000 | -0.000 | 
| 490.176 | 490.176 | 665.054 | -0.000 | -0.000 | -0.000 | 
| -0.000 | -0.000 | -0.000 | 371.486 | -0.000 | -0.000 | 
| 0.000 | -0.000 | -0.000 | -0.000 | 371.486 | -0.000 | 
| 0.000 | -0.000 | -0.000 | -0.000 | -0.000 | 371.486 | 
| 665.054 | 490.176 | 490.176 | 0.000 | 0.000 | 0.000 | 
| 490.176 | 665.054 | 490.176 | 0.000 | 0.000 | 0.000 | 
| 490.176 | 490.176 | 665.054 | -0.000 | -0.000 | -0.000 | 
| 0.001 | -0.000 | 0.001 | 371.486 | 0.000 | 0.000 | 
| -0.000 | 0.001 | 0.001 | 0.000 | 371.486 | 0.000 | 
| -0.000 | 0.001 | 0.001 | 0.000 | 0.000 | 371.486 | 
| 665.054 | 490.175 | 490.175 | 0.000 | 0.000 | -0.000 | 
| 490.175 | 665.054 | 490.175 | 0.000 | 0.000 | -0.000 | 
| 490.175 | 490.175 | 665.054 | -0.000 | -0.000 | -0.000 | 
| -0.001 | 0.000 | -0.001 | 371.486 | -0.000 | -0.000 | 
| 0.000 | -0.001 | -0.001 | -0.000 | 371.486 | -0.000 | 
| 0.000 | -0.001 | -0.001 | -0.000 | -0.000 | 371.486 | 
| 475.692 | 633.485 | 633.486 | -0.000 | -0.000 | -0.000 | 
| 633.486 | 475.692 | 633.486 | -0.000 | -0.000 | -0.000 | 
| 633.486 | 633.485 | 475.692 | -0.000 | -0.000 | -0.000 | 
| -0.000 | -0.000 | 0.000 | 196.376 | 0.000 | -0.000 | 
| -0.000 | -0.001 | -0.000 | -0.000 | 196.376 | -0.000 | 
| -0.000 | -0.000 | 0.000 | -0.000 | -0.000 | 196.376 | 
| 475.692 | 633.486 | 633.486 | 0.000 | 0.000 | 0.000 | 
| 633.486 | 475.692 | 633.486 | 0.000 | 0.000 | -0.000 | 
| 633.486 | 633.486 | 475.692 | 0.000 | 0.000 | 0.000 | 
| 0.000 | 0.000 | -0.000 | 196.376 | 0.000 | 0.000 | 
| 0.000 | 0.001 | -0.000 | 0.000 | 196.376 | 0.000 | 
| 0.000 | 0.000 | -0.000 | 0.000 | 0.000 | 196.376 | 
| 475.692 | 633.486 | 633.486 | -0.000 | -0.000 | -0.000 | 
| 633.486 | 475.692 | 633.486 | -0.000 | -0.000 | -0.000 | 
| 633.486 | 633.486 | 475.692 | -0.000 | -0.000 | -0.000 | 
| -0.000 | 0.000 | 0.000 | 196.376 | -0.000 | -0.000 | 
| 0.000 | -0.000 | 0.000 | -0.000 | 196.376 | -0.000 | 
| 0.000 | 0.000 | -0.000 | -0.000 | -0.000 | 196.376 | 
| 475.692 | 633.486 | 633.486 | 0.000 | 0.000 | 0.000 | 
| 633.486 | 475.692 | 633.486 | 0.000 | -0.000 | -0.000 | 
| 633.486 | 633.486 | 475.692 | 0.000 | 0.000 | 0.000 | 
| 0.000 | -0.000 | -0.000 | 196.376 | 0.000 | 0.000 | 
| -0.000 | 0.000 | -0.000 | 0.000 | 196.376 | 0.000 | 
| -0.000 | -0.000 | 0.000 | 0.000 | 0.000 | 196.376 | 
| 475.692 | 633.486 | 633.486 | -0.000 | -0.000 | -0.000 | 
| 633.486 | 475.692 | 633.486 | -0.000 | -0.000 | 0.000 | 
| 633.486 | 633.486 | 475.692 | -0.000 | -0.000 | -0.000 | 
| -0.001 | 0.000 | 0.001 | 196.376 | -0.000 | -0.000 | 
| 0.000 | -0.001 | 0.001 | -0.000 | 196.376 | -0.000 | 
| 0.000 | 0.001 | -0.001 | -0.000 | -0.000 | 196.376 | 
| 475.692 | 633.486 | 633.486 | 0.000 | 0.000 | 0.000 | 
| 633.486 | 475.692 | 633.486 | 0.000 | 0.000 | -0.000 | 
| 633.486 | 633.486 | 475.692 | 0.000 | 0.000 | 0.000 | 
| 0.001 | -0.000 | -0.001 | 196.376 | 0.000 | 0.000 | 
| -0.000 | 0.001 | -0.001 | 0.000 | 196.376 | 0.000 | 
| -0.000 | -0.001 | 0.001 | 0.000 | 0.000 | 196.376 | 
| 142.428 | 92.514 | 92.514 | 0.000 | 0.000 | 0.000 | 
| 92.514 | 142.428 | 92.514 | 0.000 | 0.000 | 0.000 | 
| 92.514 | 92.514 | 142.428 | -0.000 | 0.000 | -0.000 | 
| -0.000 | -0.000 | 0.000 | 52.282 | 0.000 | -0.000 | 
| -0.000 | -0.000 | 0.000 | 0.000 | 52.282 | -0.000 | 
| -0.000 | -0.000 | 0.000 | 0.000 | 0.000 | 52.282 | 
| 142.428 | 92.514 | 92.514 | -0.000 | -0.000 | 0.000 | 
| 92.514 | 142.428 | 92.514 | -0.000 | -0.000 | -0.000 | 
| 92.514 | 92.514 | 142.428 | 0.000 | -0.000 | 0.000 | 
| 0.000 | 0.000 | -0.000 | 52.282 | -0.000 | -0.000 | 
| 0.000 | 0.000 | -0.000 | -0.000 | 52.282 | 0.000 | 
| 0.000 | 0.000 | -0.000 | -0.000 | -0.000 | 52.282 | 
| 142.428 | 92.514 | 92.514 | 0.000 | -0.000 | 0.000 | 
| 92.514 | 142.428 | 92.514 | 0.000 | 0.000 | -0.000 | 
| 92.514 | 92.514 | 142.428 | 0.000 | 0.000 | -0.000 | 
| -0.000 | 0.000 | 0.000 | 52.282 | -0.000 | -0.000 | 
| 0.000 | -0.000 | 0.000 | 0.000 | 52.282 | -0.000 | 
| 0.000 | 0.000 | -0.000 | 0.000 | 0.000 | 52.282 | 
| 142.428 | 92.514 | 92.514 | -0.000 | -0.000 | 0.000 | 
| 92.514 | 142.428 | 92.514 | -0.000 | -0.000 | 0.000 | 
| 92.514 | 92.514 | 142.428 | 0.000 | 0.000 | 0.000 | 
| 0.000 | 0.000 | -0.000 | 52.282 | 0.000 | -0.000 | 
| -0.000 | 0.000 | -0.000 | -0.000 | 52.282 | 0.000 | 
| -0.000 | -0.000 | 0.000 | -0.000 | -0.000 | 52.282 | 
| 142.428 | 92.514 | 92.514 | 0.000 | 0.000 | -0.000 | 
| 92.514 | 142.428 | 92.514 | 0.000 | 0.000 | -0.000 | 
| 92.514 | 92.514 | 142.428 | 0.000 | 0.000 | -0.000 | 
| -0.000 | 0.000 | 0.000 | 52.282 | 0.000 | -0.000 | 
| 0.000 | -0.000 | 0.000 | 0.000 | 52.282 | -0.000 | 
| 0.000 | 0.000 | -0.000 | 0.000 | 0.000 | 52.282 | 
| 142.428 | 92.513 | 92.513 | -0.000 | -0.000 | -0.000 | 
| 92.513 | 142.428 | 92.513 | -0.000 | -0.000 | -0.000 | 
| 92.513 | 92.513 | 142.428 | -0.000 | -0.000 | 0.000 | 
| 0.000 | -0.000 | -0.000 | 52.282 | -0.000 | 0.000 | 
| -0.000 | 0.000 | -0.000 | 0.000 | 52.282 | 0.000 | 
| -0.000 | -0.000 | 0.000 | -0.000 | -0.000 | 52.282 | 
| 200.346 | 67.415 | 67.415 | -0.000 | -0.000 | -0.000 | 
| 67.415 | 200.346 | 67.415 | -0.000 | 0.000 | -0.000 | 
| 67.415 | 67.415 | 200.346 | -0.000 | 0.000 | -0.000 | 
| -0.000 | -0.000 | 0.000 | 12.108 | 0.000 | 0.000 | 
| 0.000 | -0.000 | 0.000 | -0.000 | 12.108 | -0.000 | 
| 0.000 | -0.000 | 0.000 | -0.000 | -0.000 | 12.108 | 
| 201.580 | 66.798 | 66.798 | 0.000 | 0.000 | 0.000 | 
| 66.798 | 201.580 | 66.798 | 0.000 | 0.000 | -0.000 | 
| 66.798 | 66.798 | 201.580 | -0.000 | 0.000 | 0.000 | 
| -0.000 | 0.000 | -0.000 | 12.108 | 0.000 | 0.000 | 
| -0.000 | 0.000 | -0.000 | 0.000 | 12.108 | 0.000 | 
| -0.000 | 0.000 | -0.000 | 0.000 | -0.000 | 12.108 | 
| 200.346 | 67.415 | 67.415 | -0.000 | 0.000 | -0.000 | 
| 67.415 | 200.346 | 67.415 | -0.000 | -0.000 | -0.000 | 
| 67.415 | 67.415 | 200.346 | -0.000 | 0.000 | 0.000 | 
| 0.000 | -0.000 | 0.000 | 12.108 | -0.000 | -0.000 | 
| 0.000 | -0.000 | 0.000 | 0.000 | 12.108 | -0.000 | 
| 0.000 | -0.000 | 0.000 | -0.000 | -0.000 | 12.108 | 
| 200.346 | 67.415 | 67.415 | -0.000 | 0.000 | 0.000 | 
| 67.415 | 200.346 | 67.415 | -0.000 | -0.000 | -0.000 | 
| 67.415 | 67.415 | 200.346 | 0.000 | -0.000 | -0.000 | 
| -0.000 | -0.000 | -0.000 | 12.108 | -0.000 | -0.000 | 
| -0.000 | -0.000 | -0.000 | 0.000 | 12.108 | -0.000 | 
| -0.000 | 0.000 | -0.000 | 0.000 | -0.000 | 12.108 | 
| 200.347 | 67.415 | 67.415 | -0.000 | -0.000 | -0.000 | 
| 67.415 | 200.347 | 67.415 | -0.000 | -0.000 | 0.000 | 
| 67.415 | 67.415 | 200.347 | -0.000 | 0.000 | -0.000 | 
| 0.000 | 0.000 | -0.000 | 12.108 | 0.000 | -0.000 | 
| 0.000 | 0.000 | -0.000 | 0.000 | 12.108 | 0.000 | 
| 0.000 | -0.000 | 0.000 | -0.000 | 0.000 | 12.108 | 
| 200.345 | 67.415 | 67.415 | 0.000 | 0.000 | -0.000 | 
| 67.415 | 200.345 | 67.415 | 0.000 | -0.000 | 0.000 | 
| 67.415 | 67.415 | 200.345 | -0.000 | -0.000 | 0.000 | 
| -0.000 | -0.000 | 0.000 | 12.108 | -0.000 | 0.000 | 
| -0.000 | -0.000 | 0.000 | 0.000 | 12.108 | -0.000 | 
| -0.000 | 0.000 | -0.000 | -0.000 | 0.000 | 12.108 | 
| 122.313 | 107.039 | 107.039 | 0.000 | 0.000 | -0.000 | 
| 107.039 | 122.313 | 107.039 | -0.000 | 0.000 | -0.000 | 
| 107.039 | 107.039 | 122.313 | -0.000 | -0.000 | -0.000 | 
| -0.000 | 0.000 | -0.000 | 62.943 | -0.000 | 0.000 | 
| 0.000 | 0.000 | -0.000 | -0.000 | 62.943 | -0.000 | 
| -0.000 | 0.000 | -0.000 | -0.000 | -0.000 | 62.943 | 
| 122.313 | 107.039 | 107.039 | 0.000 | 0.000 | -0.000 | 
| 107.039 | 122.313 | 107.039 | -0.000 | 0.000 | -0.000 | 
| 107.039 | 107.039 | 122.313 | 0.000 | 0.000 | 0.000 | 
| 0.000 | -0.000 | -0.000 | 62.943 | 0.000 | -0.000 | 
| 0.000 | -0.000 | -0.000 | 0.000 | 62.943 | -0.000 | 
| -0.000 | -0.000 | 0.000 | 0.000 | 0.000 | 62.943 | 
| 122.313 | 107.039 | 107.039 | -0.000 | -0.000 | -0.000 | 
| 107.039 | 122.313 | 107.039 | -0.000 | -0.000 | 0.000 | 
| 107.039 | 107.039 | 122.313 | -0.000 | -0.000 | -0.000 | 
| 0.000 | -0.000 | 0.000 | 62.943 | 0.000 | -0.000 | 
| -0.000 | 0.000 | 0.000 | -0.000 | 62.943 | -0.000 | 
| -0.000 | 0.000 | 0.000 | 0.000 | 0.000 | 62.943 | 
| 122.313 | 107.039 | 107.039 | 0.000 | 0.000 | 0.000 | 
| 107.039 | 122.313 | 107.039 | 0.000 | 0.000 | 0.000 | 
| 107.039 | 107.039 | 122.313 | 0.000 | 0.000 | 0.000 | 
| -0.000 | -0.000 | -0.000 | 62.943 | 0.000 | 0.000 | 
| 0.000 | -0.000 | -0.000 | 0.000 | 62.943 | 0.000 | 
| 0.000 | -0.000 | -0.000 | 0.000 | 0.000 | 62.943 | 
| 122.313 | 107.040 | 107.040 | -0.000 | -0.000 | -0.000 | 
| 107.040 | 122.313 | 107.040 | -0.000 | -0.000 | -0.000 | 
| 107.040 | 107.040 | 122.313 | 0.000 | -0.000 | -0.000 | 
| 0.000 | -0.000 | 0.000 | 62.943 | -0.000 | -0.000 | 
| -0.000 | 0.000 | 0.000 | -0.000 | 62.943 | -0.000 | 
| -0.000 | 0.000 | 0.000 | -0.000 | -0.000 | 62.943 | 
| 122.313 | 107.039 | 107.039 | -0.000 | -0.000 | 0.000 | 
| 107.039 | 122.313 | 107.039 | 0.000 | -0.000 | -0.000 | 
| 107.039 | 107.039 | 122.313 | 0.000 | 0.000 | 0.000 | 
| -0.000 | 0.000 | -0.000 | 62.943 | 0.000 | -0.000 | 
| 0.000 | -0.000 | -0.000 | 0.000 | 62.943 | 0.000 | 
| 0.000 | -0.000 | -0.000 | 0.000 | 0.000 | 62.943 | 
| 173.555 | 83.086 | 74.089 | 0.000 | 0.000 | 0.000 | 
| 84.997 | 171.644 | 74.090 | 0.000 | 0.000 | 0.000 | 
| 74.089 | 74.089 | 185.787 | 0.000 | -0.000 | 0.000 | 
| 0.000 | 0.000 | 0.000 | 36.715 | -0.000 | 0.000 | 
| 0.000 | 0.000 | -0.000 | 0.000 | 36.715 | 0.000 | 
| 0.000 | 0.000 | 0.000 | 0.000 | 0.000 | 45.234 | 
| 171.644 | 84.997 | 74.089 | -0.000 | -0.000 | -0.000 | 
| 84.997 | 171.644 | 74.089 | -0.000 | -0.000 | -0.000 | 
| 74.089 | 74.089 | 185.787 | -0.000 | -0.000 | -0.000 | 
| -0.000 | -0.000 | 0.000 | 36.715 | -0.000 | -0.000 | 
| -0.000 | -0.000 | 0.000 | 0.000 | 36.715 | -0.000 | 
| 0.000 | -0.000 | -0.000 | -0.000 | -0.000 | 45.234 | 
| 173.555 | 83.086 | 74.089 | 0.000 | 0.000 | 0.000 | 
| 83.086 | 173.555 | 74.089 | 0.000 | 0.000 | 0.000 | 
| 74.089 | 74.089 | 185.787 | 0.000 | 0.000 | 0.000 | 
| 0.000 | -0.000 | 0.000 | 36.715 | 0.000 | 0.000 | 
| -0.000 | 0.000 | 0.000 | 0.000 | 36.715 | 0.000 | 
| -0.000 | 0.000 | 0.000 | 0.000 | 0.000 | 45.234 | 
| 173.555 | 83.086 | 74.089 | -0.000 | -0.000 | -0.000 | 
| 83.086 | 173.555 | 74.089 | -0.000 | -0.000 | -0.000 | 
| 74.089 | 74.089 | 185.787 | -0.000 | 0.000 | -0.000 | 
| -0.000 | -0.000 | -0.000 | 36.715 | -0.000 | -0.000 | 
| 0.000 | -0.000 | -0.000 | -0.000 | 36.715 | -0.000 | 
| 0.000 | -0.000 | 0.000 | -0.000 | -0.000 | 45.234 | 
| 173.556 | 83.086 | 74.090 | 0.000 | 0.000 | 0.000 | 
| 84.997 | 171.645 | 74.090 | 0.000 | 0.000 | 0.000 | 
| 74.090 | 74.090 | 185.788 | 0.000 | 0.000 | 0.000 | 
| -0.000 | -0.000 | 0.000 | 36.715 | -0.000 | 0.000 | 
| -0.000 | -0.000 | 0.000 | 0.000 | 36.715 | 0.000 | 
| -0.000 | 0.000 | -0.000 | 0.000 | 0.000 | 43.324 | 
| 171.644 | 84.996 | 74.089 | -0.000 | -0.000 | -0.000 | 
| 83.086 | 173.554 | 74.089 | -0.000 | -0.000 | -0.000 | 
| 74.089 | 74.089 | 185.787 | -0.000 | -0.000 | -0.000 | 
| 0.000 | 0.000 | -0.000 | 36.715 | -0.000 | -0.000 | 
| 0.000 | 0.000 | -0.000 | -0.000 | 36.715 | -0.000 | 
| 0.000 | -0.000 | 0.000 | -0.000 | -0.000 | 43.324 | 
| 177.803 | 82.755 | 73.645 | -0.000 | 0.000 | 0.000 | 
| 83.425 | 177.133 | 73.645 | 0.000 | 0.000 | 0.000 | 
| 73.648 | 73.647 | 193.082 | 0.000 | 0.000 | -0.000 | 
| -0.000 | 0.000 | 0.000 | 39.397 | 0.000 | -0.000 | 
| -0.000 | -0.000 | 0.000 | 0.000 | 39.397 | -0.000 | 
| -0.000 | 0.000 | -0.000 | 0.000 | 0.000 | 46.854 | 
| 177.802 | 82.755 | 73.645 | 0.000 | -0.000 | -0.000 | 
| 83.425 | 177.132 | 73.645 | -0.000 | -0.000 | -0.000 | 
| 73.648 | 73.648 | 193.081 | -0.000 | -0.000 | 0.000 | 
| -0.000 | -0.000 | -0.000 | 39.397 | -0.000 | 0.000 | 
| 0.000 | 0.000 | -0.000 | -0.000 | 39.397 | 0.000 | 
| 0.000 | -0.000 | 0.000 | -0.000 | -0.000 | 46.854 | 
| 177.133 | 83.425 | 73.645 | 0.000 | 0.000 | 0.000 | 
| 82.755 | 177.803 | 73.645 | -0.000 | 0.000 | 0.000 | 
| 73.648 | 73.648 | 193.082 | 0.000 | 0.000 | -0.000 | 
| -0.000 | -0.000 | 0.000 | 39.397 | 0.000 | -0.000 | 
| -0.000 | 0.000 | 0.000 | 0.000 | 39.397 | -0.000 | 
| -0.000 | 0.000 | -0.000 | 0.000 | 0.000 | 46.854 | 
| 177.132 | 83.425 | 73.645 | -0.000 | -0.000 | 0.000 | 
| 83.425 | 177.132 | 73.645 | -0.000 | -0.000 | -0.000 | 
| 73.647 | 73.647 | 193.082 | -0.000 | -0.000 | 0.000 | 
| 0.000 | 0.000 | -0.000 | 39.397 | -0.000 | -0.000 | 
| 0.000 | 0.000 | -0.000 | -0.000 | 39.397 | 0.000 | 
| 0.000 | -0.000 | 0.000 | -0.000 | -0.000 | 46.854 | 
| 177.803 | 82.755 | 73.646 | -0.000 | 0.000 | -0.000 | 
| 83.425 | 177.133 | 73.646 | 0.000 | 0.000 | 0.000 | 
| 73.648 | 73.648 | 193.082 | 0.000 | 0.000 | -0.000 | 
| -0.000 | -0.000 | 0.000 | 39.397 | 0.000 | 0.000 | 
| -0.000 | -0.000 | 0.000 | 0.000 | 39.397 | -0.000 | 
| -0.000 | 0.000 | -0.000 | 0.000 | 0.000 | 46.854 | 
| 177.802 | 82.755 | 73.645 | 0.000 | -0.000 | -0.000 | 
| 82.755 | 177.802 | 73.645 | 0.000 | -0.000 | -0.000 | 
| 73.647 | 73.647 | 193.081 | -0.000 | -0.000 | -0.000 | 
| 0.000 | 0.000 | -0.000 | 39.397 | -0.000 | 0.000 | 
| 0.000 | 0.000 | -0.000 | -0.000 | 39.397 | 0.000 | 
| 0.000 | -0.000 | 0.000 | -0.000 | -0.000 | 46.854 | 
| 177.104 | 83.408 | 73.637 | 0.000 | -0.000 | 0.000 | 
| 82.738 | 177.774 | 73.637 | 0.000 | 0.000 | 0.000 | 
| 73.637 | 73.637 | 193.061 | -0.000 | -0.000 | 0.000 | 
| 0.000 | -0.000 | 0.000 | 39.396 | -0.000 | 0.000 | 
| -0.000 | -0.000 | 0.000 | -0.000 | 39.396 | 0.000 | 
| 0.000 | 0.000 | 0.000 | -0.000 | -0.000 | 46.848 | 
| 177.774 | 82.738 | 73.636 | -0.000 | -0.000 | -0.000 | 
| 83.408 | 177.104 | 73.636 | 0.000 | 0.000 | -0.000 | 
| 73.636 | 73.637 | 193.061 | 0.000 | 0.000 | -0.000 | 
| -0.000 | 0.000 | 0.000 | 39.396 | 0.000 | -0.000 | 
| 0.000 | 0.000 | -0.000 | 0.000 | 39.396 | -0.000 | 
| -0.000 | 0.000 | -0.000 | 0.000 | 0.000 | 46.848 | 
| 177.104 | 83.408 | 73.637 | 0.000 | -0.000 | 0.000 | 
| 83.408 | 177.104 | 73.637 | -0.000 | -0.000 | 0.000 | 
| 73.637 | 73.637 | 193.061 | -0.000 | -0.000 | 0.000 | 
| 0.000 | -0.000 | 0.000 | 39.396 | -0.000 | 0.000 | 
| -0.000 | -0.000 | 0.000 | -0.000 | 39.396 | 0.000 | 
| -0.000 | 0.000 | 0.000 | -0.000 | -0.000 | 46.848 | 
| 177.104 | 83.408 | 73.637 | 0.000 | 0.000 | -0.000 | 
| 82.738 | 177.774 | 73.637 | -0.000 | -0.000 | -0.000 | 
| 73.636 | 73.637 | 193.061 | 0.000 | 0.000 | -0.000 | 
| -0.000 | 0.000 | -0.000 | 39.396 | 0.000 | -0.000 | 
| -0.000 | 0.000 | -0.000 | 0.000 | 39.396 | -0.000 | 
| 0.000 | -0.000 | -0.000 | 0.000 | 0.000 | 46.848 | 
| 177.105 | 83.408 | 73.637 | 0.000 | -0.000 | 0.000 | 
| 83.408 | 177.105 | 73.637 | -0.000 | -0.000 | 0.000 | 
| 73.637 | 73.637 | 193.061 | 0.000 | -0.000 | 0.000 | 
| -0.000 | -0.000 | 0.000 | 39.396 | 0.000 | 0.000 | 
| -0.000 | -0.000 | 0.000 | -0.000 | 39.396 | 0.000 | 
| -0.000 | 0.000 | 0.000 | 0.000 | 0.000 | 47.518 | 
| 177.773 | 82.737 | 73.636 | -0.000 | -0.000 | -0.000 | 
| 83.407 | 177.104 | 73.636 | -0.000 | 0.000 | -0.000 | 
| 73.636 | 73.636 | 193.060 | 0.000 | 0.000 | 0.000 | 
| 0.000 | 0.000 | -0.000 | 39.396 | -0.000 | -0.000 | 
| 0.000 | 0.000 | -0.000 | 0.000 | 39.396 | -0.000 | 
| 0.000 | -0.000 | -0.000 | -0.000 | -0.000 | 47.518 | 
| 28.697 | 33.585 | 33.585 | -0.000 | 0.000 | 0.000 | 
| 33.585 | 28.697 | 33.585 | 0.000 | 0.000 | 0.000 | 
| 33.585 | 33.585 | 28.697 | -0.000 | 0.000 | 0.000 | 
| 0.000 | -0.000 | -0.000 | -3.658 | -0.000 | -0.000 | 
| 0.000 | -0.000 | 0.000 | -0.000 | -3.658 | -0.000 | 
| 0.000 | -0.000 | -0.000 | 0.000 | -0.000 | -3.658 | 
| 28.697 | 33.585 | 33.585 | -0.000 | 0.000 | 0.000 | 
| 33.585 | 28.697 | 33.585 | -0.000 | 0.000 | -0.000 | 
| 33.585 | 33.585 | 28.697 | -0.000 | -0.000 | -0.000 | 
| -0.000 | -0.000 | -0.000 | -3.658 | 0.000 | 0.000 | 
| -0.000 | -0.000 | -0.000 | -0.000 | -3.658 | 0.000 | 
| -0.000 | -0.000 | 0.000 | 0.000 | 0.000 | -3.658 | 
| 28.697 | 33.585 | 33.585 | -0.000 | 0.000 | 0.000 | 
| 33.585 | 28.697 | 33.585 | -0.000 | -0.000 | -0.000 | 
| 33.585 | 33.585 | 28.697 | -0.000 | 0.000 | -0.000 | 
| -0.000 | -0.000 | -0.000 | -3.658 | -0.000 | -0.000 | 
| -0.000 | -0.000 | -0.000 | -0.000 | -3.658 | -0.000 | 
| -0.000 | -0.000 | -0.000 | -0.000 | -0.000 | -3.658 | 
| 28.697 | 33.585 | 33.585 | -0.000 | -0.000 | 0.000 | 
| 33.585 | 28.697 | 33.585 | -0.000 | 0.000 | -0.000 | 
| 33.585 | 33.585 | 28.697 | -0.000 | -0.000 | 0.000 | 
| 0.000 | 0.000 | 0.000 | -3.658 | 0.000 | 0.000 | 
| 0.000 | 0.000 | 0.000 | -0.000 | -3.658 | 0.000 | 
| 0.000 | 0.000 | 0.000 | -0.000 | 0.000 | -3.658 | 
| 28.697 | 33.585 | 33.585 | 0.000 | -0.000 | 0.000 | 
| 33.585 | 28.697 | 33.585 | 0.000 | 0.000 | -0.000 | 
| 33.585 | 33.585 | 28.697 | 0.000 | 0.000 | 0.000 | 
| -0.000 | -0.000 | -0.000 | -3.658 | -0.000 | -0.000 | 
| -0.000 | -0.000 | -0.000 | -0.000 | -3.658 | -0.000 | 
| -0.000 | -0.000 | -0.000 | -0.000 | -0.000 | -3.658 | 
| 28.697 | 33.585 | 33.585 | -0.000 | -0.000 | 0.000 | 
| 33.585 | 28.697 | 33.585 | 0.000 | 0.000 | -0.000 | 
| 33.585 | 33.585 | 28.697 | 0.000 | -0.000 | 0.000 | 
| 0.000 | 0.000 | 0.000 | -3.658 | 0.000 | 0.000 | 
| 0.000 | 0.000 | 0.000 | 0.000 | -3.658 | 0.000 | 
| 0.000 | 0.000 | 0.000 | 0.000 | -0.000 | -3.658 | 
| 316.241 | 47.778 | 126.846 | 0.000 | -0.000 | -0.000 | 
| 47.778 | 316.241 | 126.846 | 0.000 | -0.000 | 0.000 | 
| 126.846 | 126.846 | 341.259 | 0.000 | -0.000 | -0.000 | 
| -0.000 | -0.000 | -0.000 | 85.565 | -0.000 | -0.000 | 
| 0.000 | 0.000 | 0.000 | -0.000 | 85.565 | -0.000 | 
| -0.000 | 0.000 | -0.000 | -0.000 | -0.000 | -3.138 | 
| 316.241 | 47.778 | 126.846 | -0.000 | 0.000 | -0.000 | 
| 47.778 | 316.241 | 126.846 | -0.000 | 0.000 | -0.000 | 
| 126.846 | 126.846 | 341.259 | -0.000 | 0.000 | 0.000 | 
| 0.000 | -0.000 | 0.000 | 85.565 | 0.000 | -0.000 | 
| 0.000 | -0.000 | -0.000 | -0.000 | 85.565 | 0.000 | 
| 0.000 | -0.000 | -0.000 | 0.000 | 0.000 | -3.138 | 
| 316.241 | 47.778 | 126.846 | 0.000 | -0.000 | -0.000 | 
| 47.778 | 316.241 | 126.846 | 0.000 | 0.000 | 0.000 | 
| 126.846 | 126.846 | 341.259 | -0.000 | -0.000 | -0.000 | 
| -0.000 | 0.000 | -0.000 | 85.565 | -0.000 | 0.000 | 
| 0.000 | -0.000 | -0.000 | -0.000 | 85.565 | 0.000 | 
| -0.000 | -0.000 | -0.000 | -0.000 | -0.000 | -3.138 | 
| 316.241 | 47.778 | 126.846 | 0.000 | 0.000 | -0.000 | 
| 47.778 | 316.241 | 126.846 | -0.000 | 0.000 | 0.000 | 
| 126.846 | 126.846 | 341.259 | -0.000 | 0.000 | 0.000 | 
| 0.000 | -0.000 | 0.000 | 85.565 | 0.000 | 0.000 | 
| -0.000 | 0.000 | 0.000 | 0.000 | 85.565 | 0.000 | 
| 0.000 | 0.000 | 0.000 | 0.000 | 0.000 | -3.138 | 
| 316.242 | 47.778 | 126.846 | 0.000 | -0.000 | 0.000 | 
| 47.778 | 316.242 | 126.846 | 0.000 | 0.000 | 0.000 | 
| 126.846 | 126.846 | 341.259 | 0.000 | 0.000 | 0.000 | 
| -0.000 | 0.000 | -0.000 | 85.565 | -0.000 | -0.000 | 
| 0.000 | -0.000 | -0.000 | 0.000 | 85.565 | 0.000 | 
| -0.000 | -0.000 | -0.000 | 0.000 | -0.000 | -3.138 | 
| 316.240 | 47.778 | 126.846 | 0.000 | 0.000 | -0.000 | 
| 47.778 | 316.240 | 126.846 | 0.000 | -0.000 | 0.000 | 
| 126.846 | 126.846 | 341.258 | -0.000 | -0.000 | 0.000 | 
| 0.000 | -0.000 | 0.000 | 85.565 | 0.000 | 0.000 | 
| -0.000 | 0.000 | 0.000 | -0.000 | 85.565 | 0.000 | 
| 0.000 | 0.000 | 0.000 | -0.000 | 0.000 | -3.138 | 
| 177.682 | 238.678 | 272.662 | -87.679 | -0.000 | 0.000 | 
| 238.678 | 177.682 | 272.662 | 87.679 | -0.000 | -0.000 | 
| 261.088 | 261.088 | -21.728 | 0.000 | -0.000 | -0.000 | 
| -87.679 | 87.679 | -0.000 | 14.353 | -0.000 | -0.000 | 
| -0.000 | 0.000 | 0.000 | 0.000 | 14.353 | -87.679 | 
| 0.000 | -0.000 | 0.000 | 0.000 | -87.679 | -30.498 | 
| 177.682 | 238.678 | 272.662 | -87.679 | 0.000 | -0.000 | 
| 238.678 | 177.682 | 272.662 | 87.679 | 0.000 | -0.000 | 
| 261.088 | 261.088 | -21.728 | -0.000 | 0.000 | 0.000 | 
| -87.679 | 87.679 | 0.000 | 14.353 | 0.000 | 0.000 | 
| 0.000 | 0.000 | -0.000 | 0.000 | 14.353 | -87.679 | 
| 0.000 | -0.000 | -0.000 | 0.000 | -87.679 | -30.498 | 
| 177.682 | 238.678 | 272.662 | -87.679 | -0.000 | -0.000 | 
| 238.678 | 177.682 | 272.662 | 87.679 | -0.000 | -0.000 | 
| 261.088 | 261.088 | -21.728 | 0.000 | -0.000 | 0.000 | 
| -87.679 | 87.679 | 0.000 | 14.353 | -0.000 | 0.000 | 
| 0.000 | 0.000 | 0.000 | -0.000 | 14.353 | -87.679 | 
| 0.000 | 0.000 | 0.000 | -0.000 | -87.679 | -30.498 | 
| 177.682 | 238.678 | 272.662 | -87.679 | 0.000 | 0.000 | 
| 238.678 | 177.682 | 272.662 | 87.679 | 0.000 | 0.000 | 
| 261.088 | 261.088 | -21.729 | 0.000 | 0.000 | 0.000 | 
| -87.679 | 87.679 | -0.000 | 14.353 | 0.000 | 0.000 | 
| -0.000 | -0.000 | -0.000 | 0.000 | 14.353 | -87.679 | 
| -0.000 | -0.000 | -0.000 | 0.000 | -87.679 | -30.498 | 
| 177.685 | 238.679 | 272.663 | -87.679 | -0.000 | -0.000 | 
| 238.679 | 177.685 | 272.663 | 87.679 | -0.000 | -0.000 | 
| 261.090 | 261.090 | -21.726 | -0.000 | -0.000 | 0.000 | 
| -87.679 | 87.679 | 0.000 | 14.353 | -0.000 | 0.000 | 
| 0.000 | 0.000 | 0.000 | -0.000 | 14.353 | -87.679 | 
| 0.000 | 0.001 | 0.000 | -0.000 | -87.679 | -30.498 | 
| 177.679 | 238.677 | 272.661 | -87.679 | 0.000 | -0.000 | 
| 238.677 | 177.679 | 272.661 | 87.679 | 0.000 | -0.000 | 
| 261.087 | 261.087 | -21.730 | 0.000 | 0.000 | 0.000 | 
| -87.679 | 87.679 | -0.000 | 14.353 | 0.000 | -0.000 | 
| -0.000 | -0.000 | -0.000 | 0.000 | 14.353 | -87.679 | 
| -0.000 | -0.001 | -0.000 | 0.000 | -87.679 | -30.498 | 
| 398.809 | 199.436 | 199.436 | 0.000 | 0.000 | -0.000 | 
| 199.436 | 398.809 | 199.436 | 0.000 | 0.000 | 0.000 | 
| 199.436 | 199.436 | 398.809 | 0.000 | -0.000 | 0.000 | 
| 0.000 | 0.000 | 0.000 | -100.430 | 0.000 | 0.000 | 
| 0.000 | 0.000 | -0.000 | 0.000 | -100.430 | 0.000 | 
| 0.000 | 0.000 | 0.000 | 0.000 | 0.000 | -100.430 | 
| 398.809 | 199.436 | 199.436 | -0.000 | -0.000 | -0.000 | 
| 199.436 | 398.809 | 199.436 | -0.000 | -0.000 | -0.000 | 
| 199.436 | 199.436 | 398.809 | -0.000 | -0.000 | -0.000 | 
| -0.000 | -0.000 | -0.000 | -100.430 | -0.000 | -0.000 | 
| -0.000 | -0.000 | -0.000 | -0.000 | -100.430 | -0.000 | 
| -0.000 | -0.000 | -0.000 | -0.000 | -0.000 | -100.430 | 
| 398.809 | 199.436 | 199.436 | 0.000 | 0.000 | 0.000 | 
| 199.436 | 398.809 | 199.436 | 0.000 | 0.000 | 0.000 | 
| 199.436 | 199.436 | 398.809 | 0.000 | -0.000 | 0.000 | 
| 0.000 | 0.000 | 0.000 | -100.430 | 0.000 | 0.000 | 
| 0.000 | 0.000 | 0.000 | 0.000 | -100.430 | 0.000 | 
| 0.000 | 0.000 | 0.000 | 0.000 | -0.000 | -100.430 | 
| 398.808 | 199.436 | 199.436 | -0.000 | 0.000 | -0.000 | 
| 199.436 | 398.808 | 199.436 | -0.000 | -0.000 | 0.000 | 
| 199.436 | 199.436 | 398.808 | -0.000 | 0.000 | -0.000 | 
| -0.000 | -0.000 | -0.000 | -100.430 | -0.000 | -0.000 | 
| -0.000 | -0.000 | -0.000 | -0.000 | -100.430 | -0.000 | 
| -0.000 | -0.000 | -0.000 | -0.000 | 0.000 | -100.430 | 
| 398.812 | 199.437 | 199.437 | 0.000 | 0.000 | 0.000 | 
| 199.437 | 398.812 | 199.437 | 0.000 | 0.000 | 0.000 | 
| 199.437 | 199.437 | 398.812 | -0.000 | 0.000 | 0.000 | 
| 0.000 | 0.001 | 0.000 | -100.430 | 0.000 | -0.000 | 
| 0.001 | 0.000 | 0.000 | 0.000 | -100.430 | 0.000 | 
| 0.001 | 0.000 | 0.000 | 0.000 | 0.000 | -100.430 | 
| 398.806 | 199.435 | 199.435 | -0.000 | -0.000 | -0.000 | 
| 199.435 | 398.806 | 199.435 | -0.000 | -0.000 | -0.000 | 
| 199.435 | 199.435 | 398.806 | -0.000 | -0.000 | -0.000 | 
| -0.000 | -0.001 | -0.000 | -100.430 | -0.000 | 0.000 | 
| -0.001 | -0.000 | -0.000 | -0.000 | -100.430 | -0.000 | 
| -0.001 | -0.000 | -0.000 | -0.000 | -0.000 | -100.430 | 
| 182.477 | 182.829 | 162.858 | -12.833 | 35.077 | 39.403 | 
| 102.565 | 207.219 | 95.830 | 1.805 | -0.113 | 0.353 | 
| 102.428 | 96.680 | 205.661 | -0.836 | 0.854 | 0.083 | 
| -9.402 | 83.005 | 62.532 | 35.724 | 36.906 | 32.804 | 
| 92.820 | 76.519 | 459.365 | 146.976 | 117.848 | 70.960 | 
| 61.114 | 90.770 | 262.506 | 85.840 | 43.738 | 45.689 | 
| 106.217 | 9.099 | -172.399 | -92.434 | -47.437 | 2.433 | 
| 3.407 | 90.511 | -368.153 | -146.635 | -84.205 | -73.890 | 
| 105.685 | 11.070 | 126.094 | 7.720 | -36.281 | -34.021 | 
| -62.731 | -88.989 | -268.755 | -51.668 | -47.024 | -5.327 | 
| -5.276 | -0.501 | 0.854 | -0.357 | 56.162 | -2.027 | 
| -91.200 | -77.329 | -462.226 | -149.117 | -85.624 | -34.925 | 
| 202.005 | 102.706 | 101.673 | -2.522 | -3.212 | 5.223 | 
| 99.984 | 202.571 | 98.799 | 0.974 | 3.296 | 3.499 | 
| 109.570 | 100.079 | 222.789 | 12.997 | 4.692 | 3.152 | 
| -3.705 | 9.154 | 4.680 | 44.238 | 3.564 | 2.443 | 
| 2.956 | 7.565 | 27.967 | 7.852 | 42.113 | -3.285 | 
| 1.711 | 0.371 | -0.245 | -0.643 | -0.131 | 54.819 | 
| 159.678 | 96.113 | 43.381 | -22.146 | -9.544 | -1.213 | 
| 102.565 | 207.219 | 95.829 | 1.805 | -0.114 | 0.353 | 
| 87.559 | 80.429 | 133.232 | -12.576 | -3.127 | -2.320 | 
| -15.790 | -6.666 | -50.346 | 18.812 | -9.633 | -8.577 | 
| -3.220 | -9.047 | -5.627 | 0.823 | 46.497 | -5.937 | 
| 1.711 | 0.371 | -0.245 | -0.643 | -0.131 | 54.819 | 
| 186.264 | 101.407 | 98.772 | -3.678 | -1.288 | 6.161 | 
| 100.088 | 192.284 | 92.290 | 1.836 | -0.056 | 0.456 | 
| 97.075 | 93.312 | 173.080 | -2.725 | 1.240 | -1.543 | 
| -2.188 | 0.678 | -0.836 | 50.851 | -0.357 | -1.031 | 
| -5.276 | -0.501 | 0.854 | -0.357 | 56.162 | -2.027 | 
| 1.711 | 0.371 | -0.245 | -0.643 | -0.131 | 54.819 | 
| 172.921 | 99.482 | 92.864 | -5.878 | -2.021 | 6.513 | 
| 102.564 | 207.218 | 95.829 | 1.805 | -0.114 | 0.353 | 
| 98.561 | 91.185 | 185.313 | -1.854 | 0.318 | -0.775 | 
| -6.215 | 0.294 | -8.050 | 35.609 | -1.988 | -1.912 | 
| -3.584 | -1.815 | 0.068 | 0.019 | 48.957 | -3.019 | 
| 1.711 | 0.371 | -0.245 | -0.643 | -0.131 | 54.819 | 
| 210.276 | 103.985 | 100.787 | -0.814 | -5.866 | -4.676 | 
| 103.992 | 217.639 | 98.189 | -0.373 | -2.532 | -0.035 | 
| 100.751 | 98.360 | 219.771 | 2.806 | -2.926 | 0.196 | 
| -207.710 | 105.584 | 58.465 | 84.185 | 110.093 | -22.366 | 
| -394.180 | 295.628 | -49.347 | 116.879 | 226.906 | -85.118 | 
| -393.799 | 296.934 | -37.389 | 112.423 | 189.141 | -44.959 | 
| 210.276 | 103.985 | 100.787 | -0.814 | -5.866 | -4.676 | 
| 103.992 | 217.639 | 98.189 | -0.373 | -2.532 | -0.035 | 
| 100.751 | 98.360 | 219.771 | 2.806 | -2.926 | 0.196 | 
| -0.863 | 2.731 | 2.806 | 50.910 | 0.740 | -1.083 | 
| 89.029 | -56.696 | -45.761 | -0.249 | 5.127 | -6.963 | 
| -1.192 | 0.051 | 0.374 | -1.128 | -3.716 | 56.073 | 
| 181.878 | 106.104 | 98.916 | 0.574 | -1.811 | -3.776 | 
| 58.848 | 206.951 | 89.550 | 10.317 | 17.127 | -8.993 | 
| 85.310 | 99.615 | 200.949 | 3.788 | -0.628 | 1.345 | 
| -20.253 | 11.238 | 8.885 | 39.319 | 12.612 | -3.792 | 
| -14.584 | 3.283 | -0.620 | 1.650 | 50.046 | 0.145 | 
| -49.804 | 33.439 | 0.302 | 11.203 | 26.710 | 23.105 | 
| 200.855 | 95.204 | 90.735 | 0.220 | -9.985 | -5.071 | 
| 110.016 | 192.272 | 89.827 | -1.343 | -6.329 | -0.488 | 
| 100.751 | 98.360 | 219.770 | 2.806 | -2.926 | 0.196 | 
| -0.863 | 2.731 | 2.806 | 50.910 | 0.740 | -1.083 | 
| 36.202 | -31.422 | -5.265 | -9.226 | 17.006 | 9.012 | 
| 8.057 | -5.238 | -3.111 | -1.731 | -7.373 | 48.349 | 
| 210.277 | 103.986 | 100.788 | -0.814 | -5.866 | -4.676 | 
| 99.475 | 197.519 | 94.195 | -1.183 | -1.808 | 0.233 | 
| 93.431 | 94.487 | 195.990 | 3.678 | -4.391 | 0.793 | 
| -2.350 | 3.616 | 3.527 | 35.770 | 3.721 | -2.709 | 
| -6.150 | -1.594 | -4.330 | 1.509 | 46.245 | -0.435 | 
| -5.700 | 2.150 | 2.284 | -1.245 | -0.227 | 40.816 | 
| 181.186 | 97.180 | 92.037 | -0.096 | -6.008 | -4.409 | 
| 99.528 | 184.202 | 91.825 | -1.549 | -3.206 | 0.269 | 
| 94.597 | 92.233 | 184.707 | 2.848 | -7.387 | 1.160 | 
| 1.383 | 0.776 | 3.221 | 41.939 | 1.087 | -1.557 | 
| -4.206 | -2.711 | -5.247 | 1.501 | 45.117 | -0.570 | 
| -0.382 | -0.351 | 0.575 | -1.584 | -3.709 | 48.795 | 
| 212.225 | 105.026 | 101.859 | -1.129 | 2.438 | -0.854 | 
| -41.014 | 279.028 | 30.750 | 3.561 | -73.536 | -36.840 | 
| -43.712 | 181.950 | 128.044 | 3.428 | -73.108 | -32.238 | 
| -136.472 | -205.303 | 64.487 | 243.141 | -169.003 | -410.425 | 
| -141.219 | 82.402 | -68.724 | 2.827 | -27.057 | -32.849 | 
| -151.813 | -168.830 | 70.535 | 119.903 | -199.682 | -235.574 | 
| 337.068 | 19.172 | 167.627 | -1.360 | 75.855 | 29.883 | 
| 244.638 | 113.706 | 168.179 | 0.969 | 72.945 | 27.301 | 
| 101.866 | 102.370 | 215.412 | 1.775 | -1.221 | 1.252 | 
| 150.658 | 11.451 | -87.859 | -47.475 | 184.124 | 122.776 | 
| 150.991 | 13.365 | -88.574 | -84.516 | 222.668 | 122.517 | 
| 134.049 | 194.396 | -65.343 | -204.953 | 173.813 | 450.626 | 
| 212.225 | 105.026 | 101.859 | -1.129 | 2.438 | -0.854 | 
| 104.996 | 215.918 | 102.495 | 3.590 | -0.665 | -2.864 | 
| 84.868 | 107.580 | 190.162 | 2.255 | -7.213 | -3.356 | 
| -12.534 | -23.096 | 5.859 | 58.629 | -14.885 | -41.070 | 
| 1.415 | -0.840 | -1.221 | 2.497 | 52.793 | -1.228 | 
| -17.075 | 3.590 | -7.144 | -0.278 | -4.899 | 45.450 | 
| 212.225 | 105.026 | 101.859 | -1.129 | 2.438 | -0.854 | 
| 104.996 | 215.918 | 102.495 | 3.590 | -0.665 | -2.864 | 
| 101.866 | 102.370 | 215.412 | 1.775 | -1.221 | 1.252 | 
| 14.303 | -9.287 | 9.056 | 45.725 | 8.898 | 2.715 | 
| 1.415 | -0.840 | -1.221 | 2.497 | 52.793 | -1.228 | 
| 10.589 | 8.901 | -7.664 | -12.164 | 22.268 | 67.807 | 
| 182.658 | 100.552 | 98.663 | 1.695 | 0.350 | -5.696 | 
| 100.906 | 170.363 | 97.018 | 2.278 | -1.360 | -13.301 | 
| 96.565 | 95.163 | 186.438 | 1.370 | -1.916 | -3.041 | 
| -0.644 | -1.917 | 1.959 | 40.825 | -0.316 | -1.513 | 
| 1.416 | -0.840 | -1.220 | 2.497 | 52.793 | -1.228 | 
| -5.480 | -6.956 | 0.083 | 0.564 | 0.344 | 40.002 | 
| 194.573 | 100.869 | 99.410 | -0.013 | 3.335 | -1.952 | 
| 104.995 | 215.917 | 102.495 | 3.590 | -0.665 | -2.864 | 
| 99.311 | 97.056 | 186.994 | 0.348 | 1.515 | 0.593 | 
| 2.190 | -1.788 | 0.062 | 38.124 | 2.997 | 0.755 | 
| 3.081 | -1.139 | 0.697 | 1.516 | 46.945 | -0.450 | 
| -1.275 | -5.551 | 0.459 | -0.423 | 3.202 | 49.016 | 
| 207.737 | 105.083 | 101.045 | -2.701 | 4.742 | -1.336 | 
| 106.402 | 218.063 | 103.430 | 0.806 | -2.584 | -0.225 | 
| 251.929 | 428.172 | -107.579 | -253.533 | -481.257 | -269.270 | 
| 77.217 | -87.369 | -240.994 | -75.179 | -183.582 | -151.307 | 
| 197.123 | -144.972 | -22.861 | -87.844 | 24.735 | -86.937 | 
| 185.741 | 172.778 | -259.480 | -222.718 | -356.598 | -191.886 | 
| 207.737 | 105.083 | 101.045 | -2.701 | 4.742 | -1.336 | 
| 106.402 | 218.063 | 103.430 | 0.806 | -2.584 | -0.225 | 
| 100.522 | 101.619 | 209.861 | -0.659 | 2.112 | 0.333 | 
| -195.021 | 140.851 | 24.347 | 134.230 | 18.710 | 83.323 | 
| 3.194 | -2.827 | 2.112 | 0.320 | 50.811 | -1.214 | 
| -4.101 | -0.238 | -0.102 | -2.328 | 1.338 | 56.144 | 
| 207.737 | 105.083 | 101.045 | -2.701 | 4.742 | -1.336 | 
| 122.854 | 187.353 | 97.822 | -8.023 | -4.936 | -8.327 | 
| 120.011 | 111.402 | 148.658 | -20.489 | -34.657 | -25.509 | 
| 17.314 | -14.720 | -3.195 | 36.924 | -1.089 | -11.133 | 
| 24.878 | 13.848 | -24.416 | -19.420 | -3.995 | -23.344 | 
| -0.705 | -8.124 | -25.714 | -13.649 | -17.393 | 26.624 | 
| 207.737 | 105.083 | 101.045 | -2.701 | 4.742 | -1.336 | 
| 84.151 | 215.335 | 102.772 | 9.690 | -1.344 | 8.874 | 
| 90.483 | 103.154 | 201.906 | 12.178 | 20.602 | 13.779 | 
| -21.305 | 13.577 | 1.814 | 54.592 | 2.514 | 6.047 | 
| -14.264 | -20.574 | 26.904 | 24.639 | 67.728 | 22.788 | 
| -16.473 | 9.366 | 22.579 | 9.224 | 19.721 | 56.372 | 
| 168.155 | 103.715 | 98.714 | -5.257 | 2.924 | -9.392 | 
| 105.631 | 199.896 | 100.042 | -0.135 | -3.334 | -0.669 | 
| 99.409 | 94.522 | 179.722 | -0.305 | 0.361 | -2.329 | 
| -3.565 | 5.949 | -2.005 | 32.789 | -4.292 | -5.585 | 
| 3.428 | 7.311 | -8.663 | -1.576 | 15.429 | 2.393 | 
| -7.652 | -0.213 | -3.773 | -3.275 | -0.576 | 40.940 | 
| 160.596 | 101.633 | 110.998 | -3.484 | 13.563 | -6.740 | 
| 102.064 | 187.919 | 98.996 | 2.335 | -1.702 | 2.006 | 
| 100.522 | 101.619 | 209.860 | -0.659 | 2.112 | 0.333 | 
| -4.398 | -0.313 | 3.863 | 39.351 | 6.004 | -0.330 | 
| 2.016 | -2.023 | 2.442 | 1.566 | 43.100 | -0.157 | 
| -7.989 | 1.667 | 0.141 | -1.364 | 1.333 | 49.922 | 
| 164.121 | 150.115 | 58.391 | -3.487 | 17.599 | -17.154 | 
| 102.550 | 210.435 | 99.992 | -8.763 | -2.404 | 1.356 | 
| 73.628 | 150.448 | 160.295 | -1.349 | 23.013 | -7.280 | 
| -0.414 | -2.723 | 0.518 | 53.438 | 0.997 | -1.570 | 
| -23.066 | 52.941 | -39.545 | -1.794 | 70.699 | -8.022 | 
| -25.407 | 279.866 | -34.204 | -52.787 | 189.158 | -29.975 | 
| 186.680 | -182.058 | 132.656 | 50.049 | -194.427 | 52.783 | 
| 102.550 | 210.435 | 99.992 | -8.763 | -2.404 | 1.356 | 
| 101.888 | 100.050 | 215.820 | 0.519 | -1.932 | 1.527 | 
| -0.414 | -2.723 | 0.518 | 53.438 | 0.997 | -1.570 | 
| -0.162 | -2.291 | -1.932 | 0.997 | 54.333 | -0.279 | 
| -2.504 | 1.437 | 1.746 | -1.683 | -6.421 | 54.427 | 
| 186.018 | 100.946 | 93.464 | -0.722 | -3.860 | -9.363 | 
| 91.928 | 197.576 | 88.199 | -11.765 | 16.290 | -2.903 | 
| 99.789 | 108.966 | 182.872 | -0.147 | 8.893 | -2.329 | 
| -2.796 | 3.011 | -2.198 | 46.795 | 3.685 | -1.981 | 
| -26.361 | 76.737 | 13.081 | -28.862 | 77.420 | -47.810 | 
| -4.283 | 6.918 | -2.452 | -1.554 | -2.182 | 44.721 | 
| 213.825 | 102.653 | 101.939 | -0.329 | -7.723 | -10.247 | 
| 102.550 | 210.435 | 99.992 | -8.763 | -2.404 | 1.356 | 
| 101.888 | 100.050 | 215.820 | 0.518 | -1.932 | 1.527 | 
| -0.414 | -2.723 | 0.518 | 53.438 | 0.997 | -1.570 | 
| 2.937 | -7.378 | 3.211 | 1.589 | 44.383 | 1.573 | 
| -2.504 | 1.437 | 1.746 | -1.683 | -6.421 | 54.427 | 
| 177.720 | 95.652 | 96.463 | -1.004 | -4.767 | -8.543 | 
| 94.685 | 184.422 | 93.810 | -7.604 | -1.532 | 1.556 | 
| 97.107 | 95.462 | 191.484 | 2.066 | 0.474 | 1.809 | 
| -1.328 | -0.260 | 2.582 | 37.196 | 4.357 | -1.406 | 
| -0.162 | -2.291 | -1.932 | 0.997 | 54.333 | -0.279 | 
| -2.057 | 1.984 | 0.989 | -1.203 | -4.005 | 43.990 | 
| 174.228 | 92.163 | 96.484 | -0.669 | -5.952 | -8.373 | 
| 93.440 | 179.242 | 93.777 | -6.997 | -2.980 | 2.440 | 
| 97.475 | 95.174 | 199.551 | 1.742 | -0.998 | 1.501 | 
| -0.414 | -2.723 | 0.518 | 53.438 | 0.997 | -1.570 | 
| -0.162 | -2.291 | -1.932 | 0.997 | 54.333 | -0.279 | 
| -2.504 | 1.437 | 1.746 | -1.683 | -6.421 | 54.427 | 
| 226.676 | 86.470 | 78.624 | 33.194 | -66.247 | -78.152 | 
| 449.949 | -34.603 | 210.617 | 129.908 | -222.410 | -253.019 | 
| 176.208 | -183.953 | 148.298 | 90.996 | -136.471 | -170.900 | 
| 440.298 | -218.834 | 93.859 | 133.554 | -195.959 | -195.528 | 
| 27.777 | -16.683 | -26.493 | 33.085 | -6.491 | -79.027 | 
| 36.081 | -17.903 | -24.249 | 34.116 | -66.492 | -27.113 | 
| 163.512 | 117.963 | 126.646 | -35.538 | 46.766 | 75.766 | 
| 25.374 | 465.441 | 119.574 | -101.357 | 133.229 | 168.548 | 
| 106.158 | 99.843 | 209.943 | -2.562 | -3.331 | -0.412 | 
| -415.882 | 260.821 | -105.293 | -64.362 | 202.896 | 200.293 | 
| -35.383 | 14.810 | 21.529 | -35.647 | 106.524 | 74.891 | 
| -411.357 | 256.435 | -99.100 | -93.343 | 196.825 | 237.530 | 
| 216.884 | 84.516 | 110.989 | 10.194 | -26.784 | -23.809 | 
| 106.210 | 203.760 | 95.208 | -3.500 | -6.939 | -10.108 | 
| 141.902 | 71.822 | 170.577 | 2.934 | -19.356 | -20.791 | 
| 42.832 | -19.245 | 2.501 | 38.911 | -19.998 | -21.504 | 
| -4.279 | -1.015 | -3.331 | -1.170 | 56.081 | -1.840 | 
| 7.661 | -3.730 | -2.640 | 3.190 | -15.639 | 42.134 | 
| 169.878 | 129.744 | 100.557 | -9.996 | 5.789 | 16.907 | 
| 61.978 | 196.101 | 85.106 | -11.529 | 17.039 | 17.570 | 
| 53.966 | 115.998 | 150.357 | -18.039 | 19.577 | 17.751 | 
| -4.444 | 1.612 | -1.137 | 40.038 | 4.379 | 7.734 | 
| -6.964 | 0.640 | -0.079 | -4.720 | 55.677 | 5.635 | 
| -3.359 | 26.025 | 1.719 | -10.236 | 4.916 | 59.219 | 
| 194.838 | 101.953 | 102.272 | -0.791 | -10.294 | -1.986 | 
| 104.082 | 191.993 | 96.892 | -5.176 | -2.770 | -3.587 | 
| 102.500 | 92.725 | 168.205 | -5.834 | -2.068 | -2.998 | 
| -0.920 | -0.081 | -3.838 | 43.560 | -1.883 | -0.769 | 
| -4.279 | -1.015 | -3.331 | -1.170 | 56.081 | -1.840 | 
| 4.969 | -2.729 | -0.355 | -0.704 | -10.723 | 55.890 | 
| 176.532 | 104.622 | 97.737 | -1.169 | -5.656 | 1.174 | 
| 102.363 | 195.247 | 97.021 | -6.580 | -0.498 | -0.764 | 
| 106.158 | 99.842 | 209.943 | -2.562 | -3.331 | -0.412 | 
| -1.913 | -1.139 | -2.562 | 50.008 | -1.170 | -0.415 | 
| -4.115 | -0.763 | -2.178 | -1.655 | 50.293 | -1.255 | 
| 4.969 | -2.729 | -0.355 | -0.704 | -10.723 | 55.890 | 
| 206.902 | 99.495 | 100.529 | 1.316 | -1.139 | 1.681 | 
| 139.813 | 208.852 | 226.624 | 32.760 | 16.238 | -20.630 | 
| 116.557 | 115.189 | 215.472 | 22.754 | 1.631 | -4.003 | 
| 1.357 | 4.964 | 1.779 | 55.157 | -1.382 | -0.079 | 
| 45.038 | 35.746 | 131.062 | 28.750 | 59.359 | -17.870 | 
| 30.644 | -14.324 | 208.426 | -3.019 | 10.961 | -47.014 | 
| 206.902 | 99.495 | 100.529 | 1.316 | -1.139 | 1.681 | 
| 75.285 | 170.597 | 62.650 | -18.973 | -1.204 | 2.028 | 
| 78.510 | 76.899 | 148.422 | -26.088 | -1.858 | 2.547 | 
| -48.993 | -33.642 | -135.591 | 11.838 | -16.341 | 17.153 | 
| -53.044 | -33.929 | -133.515 | -30.770 | 28.702 | 18.977 | 
| 0.838 | -1.651 | -1.279 | -0.141 | 4.591 | 54.405 | 
| 206.902 | 99.495 | 100.529 | 1.316 | -1.139 | 1.681 | 
| 99.573 | 209.202 | 99.538 | 7.418 | 0.015 | -1.658 | 
| 99.440 | 97.599 | 181.056 | -0.434 | 0.199 | -1.708 | 
| 3.049 | 5.225 | 1.803 | 50.047 | -0.991 | -1.298 | 
| -1.593 | 2.487 | 3.212 | 1.250 | 49.840 | 0.936 | 
| 3.390 | 0.755 | 2.622 | 1.442 | 3.629 | 47.551 | 
| 206.902 | 99.495 | 100.529 | 1.316 | -1.139 | 1.681 | 
| 86.573 | 172.807 | 81.924 | 0.412 | -0.621 | -0.375 | 
| 95.511 | 93.992 | 177.757 | -4.244 | -0.291 | -0.378 | 
| -4.764 | -2.140 | -16.216 | 39.060 | -2.531 | 0.589 | 
| -5.409 | -1.332 | -3.478 | -3.630 | 49.377 | 1.576 | 
| 0.838 | -1.651 | -1.279 | -0.141 | 4.591 | 54.405 | 
| 183.602 | 92.518 | 96.992 | 0.418 | -2.384 | 2.282 | 
| 94.488 | 189.936 | 96.413 | 5.676 | 0.557 | -1.278 | 
| 97.961 | 96.494 | 183.399 | -1.140 | -0.084 | -0.803 | 
| 1.357 | 4.964 | 1.779 | 55.157 | -1.382 | -0.079 | 
| -3.291 | 0.780 | 0.228 | -0.928 | 49.671 | 1.226 | 
| 1.661 | -0.983 | -0.415 | -0.768 | 3.478 | 47.889 | 
| 189.972 | 94.182 | 97.363 | 0.851 | -2.019 | 2.260 | 
| 94.110 | 189.561 | 95.746 | 5.189 | 0.522 | -1.212 | 
| 95.572 | 95.105 | 174.326 | -2.453 | -1.154 | -0.088 | 
| -0.136 | 1.685 | -3.378 | 44.308 | -1.228 | -0.829 | 
| -4.169 | 0.798 | -3.188 | -1.405 | 44.871 | 1.240 | 
| 1.284 | -2.160 | -1.265 | -1.335 | 2.826 | 45.330 | 
| 226.590 | 104.496 | 104.328 | -1.934 | 0.273 | -1.215 | 
| 622.368 | -117.587 | -526.938 | -876.442 | 650.073 | -124.678 | 
| 104.461 | 104.416 | 213.796 | -2.933 | -0.978 | -2.004 | 
| -2.252 | -1.750 | -2.933 | 54.720 | -1.390 | 1.434 | 
| 22.198 | -161.783 | -10.154 | -5.230 | 121.262 | 20.811 | 
| -1.597 | -1.529 | -1.563 | 1.553 | 1.203 | 53.553 | 
| -356.777 | 365.673 | 710.139 | 872.742 | -655.456 | 132.692 | 
| -185.621 | 435.340 | 488.848 | 572.721 | -424.964 | 138.674 | 
| 104.461 | 104.417 | 213.796 | -2.933 | -0.978 | -2.004 | 
| -127.372 | 148.782 | 135.975 | 200.973 | -151.016 | -9.010 | 
| -24.751 | 164.753 | 7.816 | 3.962 | -24.182 | -26.020 | 
| -1.597 | -1.529 | -1.563 | 1.553 | 1.203 | 53.553 | 
| 226.131 | 68.983 | 32.430 | -90.532 | 60.546 | -13.573 | 
| 102.103 | 206.301 | 101.895 | 2.042 | 1.524 | -1.528 | 
| 100.561 | 82.414 | 189.922 | -3.662 | 6.212 | 0.959 | 
| -2.252 | -1.750 | -2.933 | 54.720 | -1.390 | 1.434 | 
| 1.074 | -14.857 | -2.068 | -1.096 | 55.838 | -0.260 | 
| 11.945 | -12.410 | -14.465 | -15.442 | 14.503 | 42.697 | 
| 204.257 | 116.435 | 98.991 | -1.283 | -7.353 | -3.573 | 
| 95.106 | 206.177 | 97.381 | 2.849 | -5.790 | -2.463 | 
| 104.461 | 104.416 | 213.796 | -2.933 | -0.978 | -2.004 | 
| -4.391 | 15.074 | -2.303 | 47.779 | -7.802 | -1.028 | 
| -3.626 | 17.826 | -0.271 | -0.171 | 41.229 | -4.951 | 
| -1.597 | -1.529 | -1.563 | 1.553 | 1.203 | 53.553 | 
| 195.845 | 96.495 | 94.878 | -5.508 | 0.809 | -1.188 | 
| 96.899 | 171.341 | 93.125 | -1.784 | 2.648 | 3.168 | 
| 97.682 | 95.122 | 167.071 | -8.598 | 0.159 | -1.468 | 
| -2.252 | -1.750 | -2.933 | 54.720 | -1.390 | 1.434 | 
| 0.284 | -2.626 | -7.151 | -6.967 | 40.749 | -4.285 | 
| 1.468 | 2.621 | -3.171 | -4.450 | 1.814 | 37.403 | 
| 204.887 | 101.356 | 97.714 | -1.684 | -0.809 | -1.459 | 
| 91.945 | 171.964 | 96.811 | 6.738 | -4.508 | 5.885 | 
| 95.175 | 99.148 | 181.542 | -2.271 | -3.221 | -1.095 | 
| -2.252 | -1.750 | -2.934 | 54.720 | -1.390 | 1.434 | 
| -5.662 | 1.834 | -0.217 | 3.294 | 32.654 | -2.635 | 
| -1.653 | 1.565 | -0.902 | 1.481 | -0.515 | 46.641 | 
| 178.659 | 76.089 | 99.551 | 67.432 | 26.014 | -20.930 | 
| 80.393 | 117.275 | 140.596 | 92.914 | 19.496 | 7.011 | 
| 87.074 | 34.215 | 223.066 | 85.475 | 18.862 | 3.382 | 
| 0.211 | -24.312 | 145.359 | 179.605 | 41.171 | 4.210 | 
| -1.303 | 1.457 | 1.904 | 0.743 | 54.891 | -1.742 | 
| -16.360 | -16.630 | -1.744 | 70.143 | 28.906 | 21.087 | 
| 214.405 | 118.462 | 103.902 | -71.045 | -27.767 | 26.226 | 
| 105.830 | 239.201 | 48.998 | -82.251 | -15.280 | 0.032 | 
| 112.517 | 156.228 | 131.271 | -89.700 | -15.919 | -3.594 | 
| 16.076 | 22.907 | 1.167 | -21.501 | -26.791 | 24.548 | 
| 12.442 | 63.211 | -44.292 | -87.931 | 22.555 | -4.306 | 
| 19.405 | 25.744 | 2.610 | -68.329 | -24.875 | 68.223 | 
| 178.527 | 98.304 | 133.066 | 21.736 | 7.594 | 2.803 | 
| 95.145 | 193.794 | 98.577 | 12.269 | 4.507 | 2.067 | 
| 103.871 | 103.182 | 215.734 | -0.308 | 1.904 | 0.350 | 
| -1.606 | 1.732 | -0.308 | 54.280 | 0.743 | 1.110 | 
| -1.303 | 1.457 | 1.904 | 0.743 | 54.891 | -1.742 | 
| 1.182 | 5.228 | 0.489 | 1.165 | 2.297 | 51.423 | 
| 211.705 | 101.003 | 103.890 | -1.576 | -1.043 | 2.493 | 
| 100.755 | 213.028 | 103.159 | 5.726 | 1.512 | 5.203 | 
| 103.487 | 100.999 | 197.990 | -8.133 | -1.044 | 2.723 | 
| -1.606 | 1.732 | -0.308 | 54.280 | 0.743 | 1.110 | 
| 0.689 | 3.874 | 1.938 | -6.817 | 45.498 | 0.855 | 
| 1.182 | 5.228 | 0.489 | 1.165 | 2.297 | 51.423 | 
| 193.827 | 96.403 | 101.346 | -0.986 | -0.516 | 2.381 | 
| 94.853 | 185.890 | 97.359 | 6.249 | 2.081 | 4.006 | 
| 101.086 | 97.880 | 194.884 | -0.317 | 2.006 | 0.015 | 
| -2.060 | 1.478 | -1.224 | 46.740 | 0.226 | 0.669 | 
| -1.303 | 1.457 | 1.904 | 0.743 | 54.891 | -1.742 | 
| 1.334 | 4.215 | 0.399 | 1.754 | 2.325 | 43.612 | 
| 193.604 | 96.746 | 101.305 | -2.635 | -1.146 | 2.946 | 
| 96.726 | 194.222 | 98.321 | 4.403 | 1.504 | 4.642 | 
| 100.655 | 97.176 | 183.353 | -2.247 | 1.495 | -0.182 | 
| -1.606 | 1.978 | -1.053 | 46.227 | -0.296 | 1.246 | 
| 2.285 | 1.939 | -1.370 | -5.071 | 34.112 | 0.563 | 
| 1.182 | 5.228 | 0.489 | 1.165 | 2.297 | 51.423 | 
| 267.918 | 40.680 | 254.953 | 47.124 | 36.102 | -7.022 | 
| 172.849 | 135.718 | 261.399 | 43.438 | 33.557 | -4.796 | 
| 102.095 | 105.764 | 208.632 | -3.429 | -4.001 | 1.128 | 
| 2.516 | -0.070 | -3.429 | 55.088 | 1.251 | -0.842 | 
| -254.142 | -1061.426 | 339.762 | -246.291 | -6.522 | 371.643 | 
| -43.251 | -366.994 | 200.631 | -93.088 | -14.238 | 133.264 | 
| 212.342 | 104.068 | 101.524 | 2.334 | 0.026 | 2.426 | 
| 30.429 | 255.479 | -50.553 | -43.030 | -36.830 | 10.828 | 
| 102.095 | 105.764 | 208.632 | -3.429 | -4.001 | 1.128 | 
| 2.516 | -0.071 | -3.429 | 55.088 | 1.251 | -0.842 | 
| -0.280 | -1.286 | -4.001 | 1.251 | 52.543 | 2.038 | 
| 287.917 | 1771.316 | -491.333 | 534.083 | 99.258 | -757.243 | 
| 176.362 | 60.468 | 115.707 | -3.494 | -0.153 | 8.962 | 
| 68.753 | -27.608 | 165.158 | -55.486 | -12.724 | 87.027 | 
| 92.036 | 67.487 | 188.451 | -13.560 | -3.752 | 11.489 | 
| 11.297 | -5.757 | 12.140 | 52.286 | 3.723 | -1.325 | 
| 7.919 | -7.069 | 12.157 | 4.514 | 50.064 | 1.598 | 
| -25.439 | -98.314 | 35.071 | -21.981 | 0.554 | 66.959 | 
| 185.208 | 134.403 | 76.284 | 15.076 | 3.349 | -9.953 | 
| 104.934 | 211.839 | 106.142 | -0.245 | -1.954 | 3.514 | 
| 102.095 | 105.764 | 208.632 | -3.429 | -4.001 | 1.128 | 
| 10.034 | 37.312 | -23.911 | 48.191 | 0.423 | -8.496 | 
| -6.355 | 4.911 | -19.082 | -4.128 | 43.097 | 3.157 | 
| -6.167 | 9.072 | -14.105 | -5.574 | -0.975 | 48.064 | 
| 181.624 | 91.053 | 99.177 | 4.723 | 1.977 | 2.077 | 
| 101.591 | 191.422 | 106.759 | 0.718 | -1.229 | 2.831 | 
| 99.648 | 103.808 | 188.944 | -3.235 | -3.070 | 1.146 | 
| 5.236 | -0.329 | -1.858 | 47.000 | 0.359 | -0.566 | 
| 1.059 | -4.239 | -0.240 | -2.061 | 39.567 | 4.058 | 
| -5.764 | -13.374 | 4.698 | -3.493 | 4.085 | 37.146 | 
| 182.005 | 111.255 | 93.602 | 11.881 | 3.475 | -6.654 | 
| 100.730 | 196.165 | 103.500 | -0.322 | -2.065 | 3.107 | 
| 99.646 | 123.466 | 156.131 | -1.664 | 1.310 | -5.088 | 
| 3.325 | 0.909 | -5.250 | 47.605 | -0.180 | -0.460 | 
| -0.280 | -1.286 | -4.001 | 1.251 | 52.543 | 2.038 | 
| -8.451 | 80.283 | -22.349 | 23.729 | 3.663 | -21.540 | 
| 204.283 | 86.276 | 86.276 | -0.000 | 0.000 | -0.000 | 
| 86.276 | 204.284 | 86.276 | 0.000 | 0.000 | -0.000 | 
| 86.276 | 86.276 | 204.284 | -0.000 | -0.000 | -0.000 | 
| 0.000 | 0.000 | 0.000 | 39.740 | 0.000 | -0.000 | 
| 0.000 | 0.000 | 0.000 | -0.000 | 39.740 | -0.000 | 
| 0.000 | 0.000 | -0.000 | 0.000 | 0.000 | 39.740 | 
| 194.437 | 96.674 | 96.674 | -0.000 | -0.000 | 0.000 | 
| 96.674 | 194.437 | 96.674 | 0.000 | -0.000 | 0.000 | 
| 96.674 | 96.674 | 194.437 | 0.000 | -0.000 | 0.000 | 
| 0.000 | -0.000 | -0.000 | 39.740 | -0.000 | 0.000 | 
| -0.000 | -0.000 | -0.000 | -0.000 | 39.740 | 0.000 | 
| -0.000 | -0.000 | -0.000 | -0.000 | 0.000 | 39.740 | 
| 204.284 | 86.276 | 86.276 | 0.000 | 0.000 | -0.000 | 
| 86.276 | 204.284 | 86.276 | 0.000 | 0.000 | -0.000 | 
| 86.276 | 86.276 | 204.284 | -0.000 | 0.000 | -0.000 | 
| 0.000 | 0.000 | 0.000 | 39.740 | 0.000 | -0.000 | 
| 0.000 | 0.000 | 0.000 | 0.000 | 39.740 | -0.000 | 
| 0.000 | 0.000 | -0.000 | 0.000 | 0.000 | 39.740 | 
| 188.948 | 89.435 | 89.435 | 0.000 | -0.000 | 0.000 | 
| 89.435 | 188.948 | 89.435 | 0.000 | -0.000 | 0.000 | 
| 89.435 | 89.435 | 188.948 | -0.000 | -0.000 | 0.000 | 
| 0.000 | -0.000 | -0.000 | 39.740 | 0.000 | 0.000 | 
| -0.000 | -0.000 | -0.000 | 0.000 | 39.740 | -0.000 | 
| -0.000 | -0.000 | -0.000 | 0.000 | 0.000 | 39.740 | 
| 189.350 | 88.486 | 88.486 | 0.000 | 0.000 | -0.000 | 
| 88.486 | 189.350 | 88.486 | 0.000 | 0.000 | -0.000 | 
| 88.486 | 88.486 | 189.350 | -0.000 | 0.000 | -0.000 | 
| -0.056 | -0.056 | -0.056 | 31.748 | -0.000 | -0.000 | 
| -0.056 | -0.056 | -0.056 | 0.000 | 31.748 | -0.000 | 
| -0.056 | -0.056 | -0.056 | 0.000 | 0.000 | 31.748 | 
| 189.731 | 88.576 | 88.576 | 0.000 | 0.000 | 0.000 | 
| 88.576 | 189.731 | 88.576 | 0.000 | -0.000 | 0.000 | 
| 88.576 | 88.576 | 189.731 | -0.000 | -0.000 | 0.000 | 
| 0.056 | 0.056 | 0.056 | 31.748 | -0.000 | -0.000 | 
| 0.056 | 0.056 | 0.056 | 0.000 | 31.748 | 0.000 | 
| 0.056 | 0.056 | 0.056 | 0.000 | -0.000 | 31.748 | 
| -190.422 | -273.906 | -273.906 | -0.000 | -0.000 | -0.000 | 
| -273.906 | -190.422 | -273.906 | 0.000 | -0.000 | -0.000 | 
| -273.906 | -273.906 | -190.422 | -0.000 | -0.000 | 0.000 | 
| 722.195 | 722.195 | 722.195 | 33.377 | -0.000 | -0.000 | 
| 722.195 | 722.195 | 722.195 | -0.000 | 33.377 | -0.000 | 
| 722.195 | 722.195 | 722.195 | -0.000 | 0.000 | 33.377 | 
| -633.336 | -732.017 | -732.017 | 0.000 | -0.000 | 0.000 | 
| -732.017 | -633.336 | -732.017 | 0.000 | 0.000 | 0.000 | 
| -732.017 | -732.017 | -633.336 | 0.000 | -0.000 | 0.000 | 
| -722.195 | -722.195 | -722.195 | 33.377 | 0.000 | 0.000 | 
| -722.195 | -722.195 | -722.195 | 0.000 | 33.377 | -0.000 | 
| -722.195 | -722.195 | -722.195 | 0.000 | 0.000 | 33.377 | 
| 257.147 | 157.336 | 157.336 | -0.000 | 0.000 | -0.000 | 
| 157.336 | 257.147 | 157.336 | -0.000 | 0.000 | -0.000 | 
| 168.715 | 168.715 | 267.537 | -0.000 | 0.000 | 0.000 | 
| 71.909 | 71.909 | 71.909 | 33.332 | 0.000 | -0.000 | 
| 71.909 | 71.909 | 71.909 | -0.000 | 33.332 | -0.000 | 
| 71.909 | 71.909 | 71.909 | 0.000 | 0.000 | 33.332 | 
| 113.400 | 13.053 | 13.053 | 0.000 | -0.000 | 0.000 | 
| 13.053 | 113.400 | 13.053 | 0.000 | 0.000 | 0.000 | 
| 13.053 | 13.053 | 113.400 | 0.000 | -0.000 | 0.000 | 
| -71.909 | -71.909 | -71.909 | 33.332 | 0.000 | -0.000 | 
| -71.909 | -71.909 | -71.909 | 0.000 | 33.332 | -0.000 | 
| -71.909 | -71.909 | -71.909 | 0.000 | -0.000 | 33.332 | 
| 193.860 | 94.858 | 94.858 | 0.000 | 0.000 | -0.000 | 
| 94.858 | 193.860 | 94.858 | -0.000 | 0.000 | -0.000 | 
| 94.858 | 94.858 | 193.860 | -0.000 | -0.000 | -0.000 | 
| 5.607 | 5.607 | 5.607 | 31.087 | 0.000 | -0.000 | 
| 5.607 | 5.607 | 5.607 | -0.000 | 31.087 | -0.000 | 
| 5.607 | 5.607 | 5.607 | 0.000 | 0.000 | 31.087 | 
| 176.550 | 78.689 | 78.689 | 0.000 | -0.000 | 0.000 | 
| 78.689 | 176.550 | 78.689 | -0.000 | -0.000 | 0.000 | 
| 78.689 | 78.689 | 176.550 | 0.000 | 0.000 | -0.000 | 
| -5.607 | -5.607 | -5.607 | 31.087 | 0.000 | -0.000 | 
| -5.607 | -5.607 | -5.607 | 0.000 | 31.087 | 0.000 | 
| -5.607 | -5.607 | -5.607 | 0.000 | 0.000 | 31.087 | 
| 129.938 | 95.542 | 95.542 | -0.000 | -0.000 | -0.000 | 
| 95.542 | 129.938 | 95.542 | 0.000 | -0.000 | 0.000 | 
| 95.542 | 95.542 | 129.938 | -0.000 | 0.000 | 0.000 | 
| -0.163 | -0.163 | -0.163 | 25.621 | -0.000 | -0.000 | 
| -0.163 | -0.163 | -0.163 | 0.000 | 25.621 | 0.000 | 
| -0.163 | -0.163 | -0.163 | 0.000 | -0.000 | 25.621 | 
| 129.938 | 95.542 | 95.542 | -0.000 | -0.000 | 0.000 | 
| 95.542 | 129.938 | 95.542 | 0.000 | 0.000 | 0.000 | 
| 95.542 | 95.542 | 129.938 | 0.000 | -0.000 | 0.000 | 
| 0.163 | 0.163 | 0.163 | 25.621 | 0.000 | -0.000 | 
| 0.163 | 0.163 | 0.163 | 0.000 | 25.621 | 0.000 | 
| 0.163 | 0.163 | 0.163 | 0.000 | 0.000 | 25.621 | 
| 121.827 | 98.235 | 98.235 | -0.000 | -0.000 | -0.000 | 
| 98.235 | 121.827 | 98.235 | -0.000 | 0.000 | -0.000 | 
| 98.235 | 98.235 | 121.827 | 0.000 | -0.000 | 0.000 | 
| 9464658.408 | 8468408.107 | 8459805.822 | -1804739.901 | 724709.192 | 427439.616 | 
| 8573430.148 | 8988808.268 | 8445638.006 | -280045.871 | -2031541.515 | -367017.028 | 
| -0.016 | -0.016 | -0.016 | -0.000 | 0.000 | 25.681 | 
| 129.937 | 95.542 | 95.542 | 0.000 | 0.000 | -0.000 | 
| 95.542 | 129.937 | 95.542 | -0.000 | 0.000 | -0.000 | 
| 95.542 | 95.542 | 129.937 | 0.000 | 0.000 | 0.000 | 
| -9422103.534 | -8445432.251 | -8429596.412 | -2167648.924 | -604904.664 | -347825.933 | 
| 0.016 | 0.016 | 0.016 | 0.000 | 25.681 | -0.000 | 
| 0.016 | 0.016 | 0.016 | 0.000 | 0.000 | 25.681 | 
| 118.662 | 99.698 | 99.698 | 0.000 | -0.000 | -0.000 | 
| 99.698 | 118.662 | 99.698 | -0.000 | -0.000 | -0.000 | 
| 99.698 | 99.698 | 118.662 | -0.000 | -0.000 | 0.000 | 
| 948257.095 | 848446.474 | 845592.158 | -175582.759 | 72993.393 | 39597.899 | 
| 856827.312 | 900443.414 | 839705.488 | -19989.575 | -206252.858 | -34440.720 | 
| 840550.806 | 853651.346 | 934835.099 | 38192.112 | -95466.809 | -191039.091 | 
| 129.937 | 95.542 | 95.542 | -0.000 | 0.000 | -0.000 | 
| 95.542 | 129.937 | 95.542 | 0.000 | 0.000 | 0.000 | 
| 95.542 | 95.542 | 129.937 | -0.000 | 0.000 | 0.000 | 
| -943317.090 | -842629.680 | -843909.110 | -215847.719 | -59992.742 | -35873.268 | 
| -847807.859 | -908191.439 | -859046.992 | 60312.039 | -189378.920 | 57838.824 | 
| -846638.760 | -846113.773 | -932206.938 | -1255.995 | 91843.277 | -192546.027 | 
| 152.960 | 102.350 | 64.803 | -0.000 | 0.000 | 0.000 | 
| 82.999 | 226.179 | 58.270 | 0.000 | 0.000 | 0.000 | 
| 40.630 | 58.065 | 207.139 | 0.000 | 0.000 | 0.000 | 
| -0.000 | -0.000 | -0.000 | -5.892 | -0.000 | 0.000 | 
| -0.000 | -0.000 | 0.000 | 0.000 | 22.753 | 0.000 | 
| -0.000 | 0.000 | -0.000 | -0.000 | -0.000 | 61.253 | 
| 152.960 | 102.350 | 64.803 | -0.000 | 0.000 | -0.000 | 
| 101.999 | 256.281 | 95.687 | 0.000 | 0.000 | -0.000 | 
| 40.630 | 58.065 | 207.139 | -0.000 | 0.000 | -0.000 | 
| 0.000 | 0.000 | -0.000 | -5.892 | 0.000 | -0.000 | 
| 0.000 | 0.000 | -0.000 | -0.000 | 22.753 | -0.000 | 
| 0.000 | 0.000 | 0.000 | 0.000 | 0.000 | 61.253 | 
| 152.960 | 102.350 | 64.803 | 0.000 | -0.000 | 0.000 | 
| 101.999 | 256.281 | 95.688 | 0.000 | 0.000 | 0.000 | 
| 40.630 | 58.065 | 207.139 | -0.000 | -0.000 | 0.000 | 
| -0.000 | -0.000 | -0.000 | -5.892 | -0.000 | 0.000 | 
| -0.000 | -0.000 | -0.000 | -0.000 | 22.753 | 0.000 | 
| -0.000 | 0.000 | 0.000 | -0.000 | -0.000 | 61.253 | 
| 140.967 | 83.350 | 41.186 | 0.000 | 0.000 | -0.000 | 
| 82.999 | 226.179 | 58.270 | -0.000 | 0.000 | -0.000 | 
| 40.630 | 58.065 | 207.139 | 0.000 | 0.000 | -0.000 | 
| 0.000 | 0.000 | 0.000 | -5.892 | 0.000 | -0.000 | 
| 0.000 | 0.000 | 0.000 | 0.000 | 22.753 | -0.000 | 
| 0.000 | -0.000 | -0.000 | 0.000 | 0.000 | 61.253 | 
| 140.968 | 83.351 | 41.186 | -0.000 | 0.000 | 0.000 | 
| 82.999 | 226.179 | 58.270 | -0.000 | 0.000 | 0.000 | 
| 40.630 | 58.065 | 207.140 | -0.000 | -0.000 | 0.000 | 
| -0.000 | -0.000 | -0.001 | -5.892 | 0.000 | 0.000 | 
| -0.000 | -0.000 | -0.000 | -0.000 | 22.753 | 0.000 | 
| -0.000 | 0.000 | -0.000 | 0.000 | 0.000 | 61.253 | 
| 140.967 | 83.350 | 41.186 | -0.000 | -0.000 | -0.000 | 
| 82.999 | 226.179 | 58.270 | -0.000 | -0.000 | -0.000 | 
| 40.630 | 58.065 | 207.138 | -0.000 | -0.000 | -0.000 | 
| 0.000 | 0.000 | 0.001 | -5.892 | 0.000 | -0.000 | 
| 0.000 | 0.000 | 0.000 | 0.000 | 22.753 | -0.000 | 
| 0.000 | -0.000 | 0.000 | -0.000 | -0.000 | 61.253 | 
| 179.044 | 82.158 | 73.477 | 0.000 | 0.000 | 0.000 | 
| 84.680 | 175.255 | 73.595 | -0.000 | 0.000 | 0.000 | 
| 75.210 | 71.869 | 192.931 | -0.000 | 0.000 | -0.000 | 
| 0.000 | -0.000 | -0.000 | 39.349 | -0.000 | -0.000 | 
| 0.000 | 0.000 | 0.000 | -0.000 | 39.338 | -0.000 | 
| 1.566 | -1.561 | 0.075 | -0.000 | 0.000 | 46.563 | 
| 176.809 | 84.386 | 73.370 | 0.000 | 0.000 | 0.000 | 
| 81.546 | 178.379 | 73.446 | 0.000 | -0.000 | -0.000 | 
| 72.077 | 74.993 | 192.782 | 0.000 | -0.000 | 0.000 | 
| -1.566 | 1.561 | -0.075 | 39.348 | 0.000 | -0.000 | 
| -0.000 | -0.000 | 0.000 | -0.000 | 39.338 | 0.000 | 
| -1.566 | 1.561 | -0.075 | 0.000 | -0.000 | 46.563 | 
| 178.532 | 82.668 | 73.452 | -0.000 | 0.000 | -0.000 | 
| 83.270 | 176.661 | 73.528 | -0.000 | -0.000 | -0.000 | 
| 73.800 | 73.275 | 192.864 | -0.000 | -0.000 | 0.000 | 
| 0.148 | -0.147 | 0.007 | 39.348 | -0.000 | 0.000 | 
| 0.157 | -0.156 | 0.007 | -0.000 | 39.338 | 0.000 | 
| 0.156 | -0.155 | 0.007 | -0.000 | -0.000 | 46.565 | 
| 178.219 | 82.981 | 73.437 | 0.000 | -0.000 | 0.000 | 
| 82.956 | 176.973 | 73.513 | 0.000 | 0.000 | 0.000 | 
| 73.487 | 73.587 | 192.849 | 0.000 | 0.000 | -0.000 | 
| -0.148 | 0.147 | -0.007 | 39.348 | 0.000 | 0.000 | 
| -0.157 | 0.156 | -0.007 | 0.000 | 39.338 | -0.000 | 
| -0.156 | 0.155 | -0.007 | 0.000 | -0.000 | 46.565 | 
| 178.392 | 82.809 | 73.446 | -0.000 | 0.000 | 0.000 | 
| 83.129 | 176.802 | 73.522 | -0.000 | 0.000 | -0.000 | 
| 73.659 | 73.416 | 192.857 | -0.000 | -0.000 | -0.000 | 
| 0.007 | -0.007 | 0.000 | 39.348 | 0.000 | 0.000 | 
| 0.016 | -0.016 | 0.001 | -0.000 | 39.338 | -0.000 | 
| 0.016 | -0.015 | 0.001 | -0.000 | 0.000 | 46.566 | 
| 178.359 | 82.840 | 73.444 | 0.000 | -0.000 | 0.000 | 
| 83.097 | 176.832 | 73.520 | 0.000 | 0.000 | 0.000 | 
| 73.675 | 73.399 | 192.857 | 0.000 | 0.000 | 0.000 | 
| -0.007 | 0.007 | -0.000 | 39.348 | -0.000 | -0.000 | 
| -0.016 | 0.016 | -0.001 | 0.000 | 39.338 | -0.000 | 
| -0.016 | 0.015 | -0.001 | 0.000 | 0.000 | 46.566 | 
| 169.755 | 83.406 | 74.295 | -12.881 | 0.000 | 0.000 | 
| 83.406 | 169.755 | 74.295 | 12.881 | 0.000 | 0.000 | 
| 74.296 | 74.296 | 178.860 | -0.000 | 0.000 | 0.000 | 
| -12.881 | 12.881 | 0.000 | 34.065 | 0.000 | 0.000 | 
| -0.000 | -0.000 | -0.000 | -0.000 | 34.065 | -12.881 | 
| -0.000 | -0.000 | -0.000 | -0.000 | -12.881 | 43.174 | 
| 169.755 | 83.406 | 74.295 | -12.881 | -0.000 | -0.000 | 
| 83.406 | 169.755 | 74.295 | 12.881 | -0.000 | -0.000 | 
| 74.296 | 74.296 | 178.860 | 0.000 | -0.000 | -0.000 | 
| -12.881 | 12.881 | -0.000 | 34.065 | -0.000 | -0.000 | 
| 0.000 | 0.000 | -0.000 | 0.000 | 34.065 | -12.881 | 
| 0.000 | 0.000 | 0.000 | 0.000 | -12.881 | 43.174 | 
| 169.755 | 83.406 | 74.295 | -12.881 | 0.000 | 0.000 | 
| 83.406 | 169.755 | 74.295 | 12.881 | 0.000 | 0.000 | 
| 74.296 | 74.296 | 178.860 | -0.000 | 0.000 | 0.000 | 
| -12.881 | 12.881 | 0.000 | 34.065 | 0.000 | 0.000 | 
| -0.000 | -0.000 | 0.000 | -0.000 | 34.065 | -12.881 | 
| -0.000 | 0.000 | -0.000 | -0.000 | -12.881 | 43.174 | 
| 169.755 | 83.406 | 74.295 | -12.881 | -0.000 | -0.000 | 
| 83.406 | 169.755 | 74.295 | 12.881 | -0.000 | -0.000 | 
| 74.296 | 74.296 | 178.860 | -0.000 | -0.000 | -0.000 | 
| -12.881 | 12.881 | -0.000 | 34.065 | -0.000 | -0.000 | 
| 0.000 | 0.000 | -0.000 | 0.000 | 34.065 | -12.881 | 
| 0.000 | -0.000 | 0.000 | 0.000 | -12.881 | 43.174 | 
| 169.756 | 83.406 | 74.296 | -12.881 | 0.000 | 0.000 | 
| 83.407 | 169.755 | 74.296 | 12.881 | 0.000 | 0.000 | 
| 74.296 | 74.296 | 178.860 | 0.000 | 0.000 | 0.000 | 
| -12.881 | 12.881 | 0.000 | 34.065 | 0.000 | 0.000 | 
| -0.000 | -0.000 | 0.000 | -0.000 | 34.065 | -12.881 | 
| -0.000 | 0.000 | -0.000 | -0.000 | -12.881 | 43.174 | 
| 169.754 | 83.406 | 74.295 | -12.881 | -0.000 | 0.000 | 
| 83.406 | 169.754 | 74.295 | 12.881 | -0.000 | -0.000 | 
| 74.296 | 74.296 | 178.859 | 0.000 | -0.000 | -0.000 | 
| -12.881 | 12.881 | -0.000 | 34.065 | -0.000 | 0.000 | 
| 0.000 | 0.000 | -0.000 | 0.000 | 34.065 | -12.881 | 
| 0.000 | -0.000 | 0.000 | 0.000 | -12.881 | 43.174 | 
| -2.398 | 498.360 | 181.935 | 0.000 | 0.000 | 0.000 | 
| 166.173 | 329.789 | 181.935 | -0.000 | -0.000 | 0.000 | 
| 181.936 | 181.935 | 536.394 | -0.000 | -0.000 | 0.000 | 
| 0.000 | 0.000 | -0.000 | 76.972 | 0.000 | 0.000 | 
| 0.000 | 0.000 | -0.000 | -0.000 | 76.972 | 0.000 | 
| -0.000 | 0.000 | -0.000 | -0.000 | -0.000 | 81.808 | 
| 329.789 | 166.173 | 181.935 | 0.000 | 0.000 | -0.000 | 
| 166.173 | 329.789 | 181.935 | 0.000 | 0.000 | -0.000 | 
| 181.935 | 181.935 | 536.394 | 0.000 | 0.000 | -0.000 | 
| -0.000 | 0.000 | 0.000 | 76.972 | 0.000 | -0.000 | 
| -0.000 | -0.000 | 0.000 | 0.000 | 76.972 | -0.000 | 
| 0.000 | -0.000 | 0.000 | 0.000 | -0.000 | 81.808 | 
| 329.789 | 166.173 | 181.935 | -0.000 | -0.000 | 0.000 | 
| 498.361 | -2.397 | 181.935 | 0.000 | 0.000 | 0.000 | 
| 181.935 | 181.935 | 536.394 | -0.000 | -0.000 | 0.000 | 
| 0.000 | 0.000 | 0.000 | 76.972 | -0.000 | 0.000 | 
| 0.000 | -0.000 | 0.000 | 0.000 | 76.972 | 0.000 | 
| 0.000 | -0.000 | 0.000 | -0.000 | -0.000 | 18.211 | 
| 329.788 | 166.173 | 181.935 | 0.000 | 0.000 | -0.000 | 
| 229.770 | 266.192 | 181.935 | 0.000 | 0.000 | -0.000 | 
| 181.935 | 181.935 | 536.394 | 0.000 | 0.000 | -0.000 | 
| -0.000 | -0.000 | -0.000 | 76.972 | 0.000 | -0.000 | 
| -0.000 | 0.000 | -0.000 | -0.000 | 76.972 | -0.000 | 
| -0.000 | 0.000 | -0.000 | 0.000 | 0.000 | 18.211 | 
| -4705431.520 | -4834280.153 | -5942229.944 | -15639.438 | -15916.846 | 104622.278 | 
| -6539546.872 | -6402999.831 | -4686812.052 | 1117.791 | 16697.909 | -248410.241 | 
| 181.935 | 181.935 | 536.395 | -0.000 | 0.000 | 0.000 | 
| -0.001 | 0.002 | 0.000 | 76.972 | 0.000 | -0.000 | 
| 0.000 | 0.000 | 0.000 | -0.000 | 76.972 | 0.000 | 
| -4374879.339 | -4174825.207 | -6157722.904 | 36163.323 | -51310.646 | 200610.454 | 
| 6413966.946 | 6297496.593 | 4574145.093 | -9.139 | -25026.044 | -189106.388 | 
| 4644418.445 | 4902768.924 | 6025141.787 | 9617.461 | 15622.239 | 24509.697 | 
| 181.935 | 181.935 | 536.394 | 0.000 | 0.000 | -0.000 | 
| 0.001 | -0.002 | -0.000 | 76.972 | -0.000 | 0.000 | 
| -0.000 | -0.000 | -0.000 | 0.000 | 76.972 | -0.000 | 
| 4492523.227 | 4303752.311 | 6122130.027 | -98824.848 | -129175.802 | 168332.124 | 
| 175.213 | 98.200 | 60.930 | -0.000 | -0.000 | 0.000 | 
| 98.200 | 175.213 | 60.930 | -0.000 | -0.000 | 0.000 | 
| 60.930 | 60.930 | 184.195 | 0.000 | -0.000 | 0.000 | 
| -0.000 | 0.000 | 0.000 | 26.862 | -0.000 | 0.000 | 
| -0.000 | -0.000 | 0.000 | 0.000 | 26.862 | -0.000 | 
| 0.000 | 0.000 | 0.000 | 0.000 | -0.000 | 48.268 | 
| 184.974 | 88.439 | 60.930 | -0.000 | 0.000 | -0.000 | 
| 98.200 | 175.213 | 60.930 | 0.000 | 0.000 | -0.000 | 
| 60.930 | 60.930 | 184.195 | -0.000 | 0.000 | -0.000 | 
| 0.000 | -0.000 | 0.000 | 26.862 | -0.000 | -0.000 | 
| 0.000 | 0.000 | -0.000 | 0.000 | 26.862 | 0.000 | 
| -0.000 | 0.000 | -0.000 | 0.000 | 0.000 | 48.268 | 
| 184.974 | 88.439 | 60.930 | 0.000 | -0.000 | -0.000 | 
| 98.200 | 175.213 | 60.930 | -0.000 | -0.000 | -0.000 | 
| 60.930 | 60.930 | 184.195 | -0.000 | -0.000 | 0.000 | 
| -0.000 | 0.000 | -0.000 | 26.862 | 0.000 | 0.000 | 
| 0.000 | 0.000 | -0.000 | 0.000 | 26.862 | 0.000 | 
| 0.000 | -0.000 | 0.000 | -0.000 | -0.000 | 38.507 | 
| 175.213 | 98.200 | 60.930 | 0.000 | 0.000 | -0.000 | 
| 98.200 | 175.213 | 60.930 | 0.000 | 0.000 | -0.000 | 
| 60.930 | 60.930 | 184.195 | 0.000 | 0.000 | -0.000 | 
| 0.000 | -0.000 | 0.000 | 26.862 | 0.000 | -0.000 | 
| -0.000 | -0.000 | 0.000 | -0.000 | 26.862 | -0.000 | 
| -0.000 | 0.000 | -0.000 | 0.000 | 0.000 | 38.507 | 
| 175.213 | 98.200 | 60.930 | -0.000 | -0.000 | 0.000 | 
| 88.439 | 184.975 | 60.930 | -0.000 | -0.000 | 0.000 | 
| 60.930 | 60.930 | 184.196 | -0.000 | 0.000 | -0.000 | 
| 0.000 | 0.000 | -0.000 | 26.862 | -0.000 | 0.000 | 
| 0.000 | 0.000 | -0.000 | -0.000 | 26.862 | 0.000 | 
| 0.000 | -0.000 | 0.000 | -0.000 | -0.000 | 38.507 | 
| 175.212 | 98.200 | 60.930 | 0.000 | 0.000 | -0.000 | 
| 98.200 | 175.212 | 60.930 | 0.000 | 0.000 | 0.000 | 
| 60.930 | 60.930 | 184.194 | 0.000 | 0.000 | 0.000 | 
| -0.000 | -0.000 | 0.000 | 26.862 | -0.000 | -0.000 | 
| -0.000 | -0.000 | 0.000 | 0.000 | 26.862 | -0.000 | 
| -0.000 | 0.000 | -0.000 | 0.000 | 0.000 | 38.507 | 
Phonon band structures and crystal properties estimated from quasi-harmonic approximation (QHA) calculations are displayed for select crystals. The calculations were performed using phonopy and LAMMPS. For the phonon calculations, 3x3 supercells of the potential-specific relaxed crystals were used. The QHA calculations were based on 11 strain states ranging from -0.05 to 0.05.
The calculation method used is available as the iprPy phonon calculation method.
Notes and Disclaimers:
Version Information:

































































































































































































































































































































































































Static free surface formation energies are displayed for select crystals. The values displayed here are obtained by taking a perfect periodic bulk crystal, slicing along a crystallographic plane, and using force minimization to statically relax the surfaces. The free surface formation energy is computed by comparing the energy of the defect system to the bulk system and dividing by the total surface area created by the cut.
The calculation method used is available as the iprPy surface_energy_static calculation method.
Notes and Disclaimers:
Version Information:
| Surface | γfs (mJ/m2) | 
|---|---|
| (111) | 797.19 | 
| (332) | 875.88 | 
| (322) | 891.08 | 
| (221) | 911.00 | 
| (100) | 924.87 | 
| (211) | 937.96 | 
| (331) | 940.39 | 
| (110) | 973.60 | 
| (311) | 974.06 | 
| (321) | 975.65 | 
| (310) | 1007.53 | 
| (320) | 1010.32 | 
| (210) | 1019.71 | 
| Surface | γfs (mJ/m2) | 
|---|---|
| (211) 2 | 761.40 | 
| (210) | 761.78 | 
| (321) 2 | 775.24 | 
| (100) | 782.62 | 
| (332) 2 | 783.63 | 
| (111) | 786.85 | 
| (311) | 789.41 | 
| (221) | 790.65 | 
| (322) | 800.23 | 
| (320) | 800.69 | 
| (321) 1 | 803.41 | 
| (331) | 807.93 | 
| (332) 1 | 810.30 | 
| (310) | 813.11 | 
| (211) 1 | 819.90 | 
| (110) | 882.44 | 
| Surface | γfs (mJ/m2) | 
|---|---|
| (321) | -1560.63 | 
| (110) | 742.98 | 
| (331) | 799.70 | 
| (211) | 805.01 | 
| (320) | 805.69 | 
| (221) | 817.16 | 
| (111) | 824.76 | 
| (332) | 827.23 | 
| (322) | 827.55 | 
| (210) | 833.49 | 
| (311) | 853.60 | 
| (310) | 860.47 | 
| (100) | 873.51 | 
| Surface | γfs (mJ/m2) | 
|---|---|
| (0001) | 745.76 | 
| (1010) 1 | 830.44 | 
| (1011) 2 | 861.81 | 
| (2021) 1 | 867.78 | 
| (2130) 1 | 913.27 | 
| (1120) | 925.94 | 
| (1012) 2 | 934.23 | 
| (1012) 1 | 934.44 | 
| (2112) | 959.88 | 
| (2131) 2 | 969.42 | 
| (2241) | 977.14 | 
| (2131) 1 | 978.78 | 
| (2132) 1 | 979.55 | 
| (2132) 2 | 981.16 | 
| (1121) | 1011.41 | 
| (2021) 2 | 1017.59 | 
| (2130) 2 | 1022.04 | 
| (1010) 2 | 1138.36 | 
| (1011) 1 | 1156.34 | 
| Surface | γfs (mJ/m2) | 
|---|---|
| (111) 2 | 794.71 | 
| (331) 1 | 804.22 | 
| (221) | 813.40 | 
| (332) | 813.68 | 
| (322) | 909.33 | 
| (331) 2 | 946.38 | 
| (110) | 971.93 | 
| (211) | 981.38 | 
| (311) 2 | 1014.40 | 
| (311) 1 | 1033.93 | 
| (210) | 1084.40 | 
| (100) | 1110.76 | 
| (321) | 1113.89 | 
| (111) 1 | 1139.15 | 
| (320) | 1155.74 | 
| (310) | 1331.93 | 
| Surface | γfs (mJ/m2) | 
|---|---|
| (332) | -12680.36 | 
| (322) | -10981.43 | 
| (311) | -8905.16 | 
| (321) | -8171.05 | 
| (331) | -7364.10 | 
| (320) | -6852.84 | 
| (210) | -3807.48 | 
| (310) | -3562.36 | 
| (221) | -2717.93 | 
| (110) | -286.38 | 
| (211) | 470.01 | 
| (100) | 628.96 | 
| Surface | γfs (mJ/m2) | 
|---|---|
| (322) | -354502.92 | 
| (311) | -271571.38 | 
| (210) | -187647.48 | 
| (211) | -179944.97 | 
| (111) | -127549.28 | 
| (320) | -64787.80 | 
| (100) | -60535.20 | 
| (310) | -6895.98 | 
| (110) | 1002.83 | 
| Surface | γfs (mJ/m2) | 
|---|---|
| (111) 2 | 2061.08 | 
| (331) 2 | 2721.07 | 
| (110) | 2959.42 | 
| (321) | 3633.01 | 
| (211) | 3881.76 | 
| (320) | 3883.22 | 
| (311) 2 | 4328.21 | 
| (210) | 4397.64 | 
| (332) | 4401.62 | 
| (311) 1 | 4679.47 | 
| (310) | 4951.65 | 
| (322) | 5441.14 | 
| (100) | 5589.64 | 
| (221) | 5699.00 | 
| (331) 1 | 7035.27 | 
| (111) 1 | 12913.13 | 
| Surface | γfs (mJ/m2) | 
|---|---|
| (211) 2 | -139938.51 | 
| (211) 1 | -42470.13 | 
| (201) | -28591.58 | 
| (001) | -11308.69 | 
| (101) 2 | -6425.13 | 
| (101) 1 | -103.82 | 
| (100) | 947.77 | 
| (110) | 1713.91 | 
| Surface | γfs (mJ/m2) | 
|---|---|
| (311) | -217151.08 | 
| (111) | -114748.45 | 
| (321) | -44350.69 | 
| (221) | -18688.66 | 
| (211) | -4549.79 | 
| (210) | 352.22 | 
| (310) | 368.39 | 
| (320) | 512.98 | 
| (100) | 523.40 | 
| (110) | 677.36 | 
| Surface | γfs (mJ/m2) | 
|---|---|
| (311) | -801.59 | 
| (310) | 489.43 | 
| (111) | 1129.76 | 
| (322) | 1237.84 | 
| (332) | 1271.52 | 
| (221) | 1346.99 | 
| (211) | 1413.52 | 
| (331) | 1422.07 | 
| (321) | 1459.65 | 
| (100) | 1467.23 | 
| (110) | 1540.55 | 
| (210) | 1574.09 | 
| (320) | 1643.71 | 
| Surface | γfs (mJ/m2) | 
|---|---|
| (210) | 1307.01 | 
| (211) 2 | 1314.62 | 
| (100) | 1353.18 | 
| (332) 2 | 1359.10 | 
| (311) | 1363.67 | 
| (321) 2 | 1383.82 | 
| (221) | 1388.11 | 
| (111) | 1392.84 | 
| (321) 1 | 1395.27 | 
| (322) | 1414.21 | 
| (320) | 1419.07 | 
| (331) | 1423.66 | 
| (310) | 1439.96 | 
| (332) 1 | 1462.55 | 
| (211) 1 | 1467.97 | 
| (110) | 1538.84 | 
| Surface | γfs (mJ/m2) | 
|---|---|
| (1010) 1 | 1267.93 | 
| (0001) | 1363.91 | 
| (2021) 1 | 1375.77 | 
| (1011) 2 | 1394.74 | 
| (2130) 1 | 1524.02 | 
| (2131) 1 | 1587.21 | 
| (2112) | 1603.86 | 
| (1120) | 1610.96 | 
| (1012) 2 | 1611.54 | 
| (2132) 2 | 1612.43 | 
| (2131) 2 | 1630.78 | 
| (2132) 1 | 1633.90 | 
| (2241) | 1660.43 | 
| (1121) | 1677.62 | 
| (1012) 1 | 1688.08 | 
| (2021) 2 | 1744.57 | 
| (2130) 2 | 1771.52 | 
| (1011) 1 | 1911.57 | 
| (1010) 2 | 2050.44 | 
Static point defect formation energies, Ef, and elastic dipole tensors, pij, are displayed for select crystals. Relaxed defect configurations are obtained by taking a 12x12x12 supercell of a perfect periodic bulk crystal, inserting the point defect, and using force minimization to statically relax the atomic positions while keeping the system dimensions constant. Ef is computed by comparing the energy of the defect system to the same number of atoms in a perfect bulk crystal. pij is estimated as the difference in the system's global pressure with and without the defect multiplied by the system's volume.
Simple structural comparisons of the unrelaxed and relaxed defect configurations are used to help determine if the defect structure has relaxed to a different configuration. Relaxed structures that are identified as no longer consistent with the ideal defect definition are excluded from the table below. The only exception to this is if the lowest energy interstitial configuration does not coincide with a known ideal defect, its energies and pressure tensor are included under the listing "relaxed interstitial". The full list of calculation results including the transformed structures and the structural comparison values is included in the csv file available from the "Download raw data" link.
The calculation method used is available as the iprPy point_defect_static calculation method.
Notes and Disclaimers:
| Point Defect | Ef (eV) | p11 (eV) | p22 (eV) | p33 (eV) | p12 (eV) | p13 (eV) | p23 (eV) | 
|---|---|---|---|---|---|---|---|
| vacancy | 0.688 | -1.562 | -1.562 | -1.562 | -0.000 | -0.000 | 0.000 | 
| 2nn divacancy | 1.348 | -3.278 | -3.278 | -3.283 | -0.000 | -0.000 | 0.000 | 
| 1nn divacancy | 1.459 | -2.696 | -3.034 | -3.034 | -0.000 | -0.000 | 0.311 | 
| 100 dumbbell | 2.956 | 39.968 | 39.968 | 42.018 | -0.000 | 0.000 | 0.000 | 
| crowdion interstitial | 3.591 | 42.142 | 42.142 | 52.564 | 8.279 | -0.000 | 0.000 | 
| tetrahedral interstitial | 4.264 | 50.650 | 50.650 | 50.650 | -0.000 | -0.000 | -0.000 | 
| Point Defect | Ef (eV) | p11 (eV) | p22 (eV) | p33 (eV) | p12 (eV) | p13 (eV) | p23 (eV) | 
|---|---|---|---|---|---|---|---|
| vacancy | 0.335 | -5.122 | -5.122 | -5.122 | -0.000 | -0.000 | 0.000 | 
| 2nn divacancy | 0.735 | -10.422 | -10.422 | -11.272 | 0.000 | -0.000 | 0.000 | 
| 1nn divacancy | 0.827 | -9.216 | -9.216 | -9.216 | 0.231 | 0.231 | 0.231 | 
| crowdion interstitial | 1.772 | 17.370 | 17.370 | 17.370 | 3.989 | 3.989 | 3.989 | 
| 111 dumbbell | 1.783 | 18.296 | 18.296 | 18.296 | 4.040 | 4.040 | 4.040 | 
| 100 dumbbell | 2.353 | 11.367 | 11.367 | 22.397 | -0.000 | -0.000 | 0.000 | 
| tetrahedral interstitial | 2.595 | 21.231 | 13.474 | 21.231 | 0.000 | -0.000 | 0.000 | 
| Point Defect | Ef (eV) | p11 (eV) | p22 (eV) | p33 (eV) | p12 (eV) | p13 (eV) | p23 (eV) | 
|---|---|---|---|---|---|---|---|
| vacancy | 0.665 | -2.409 | -2.409 | -2.202 | 0.000 | 0.000 | 0.000 | 
| 0001 dumbbell | 3.728 | 20.808 | 20.808 | 33.536 | 0.000 | 0.000 | 0.000 | 
| Point Defect | Ef (eV) | p11 (eV) | p22 (eV) | p33 (eV) | p12 (eV) | p13 (eV) | p23 (eV) | 
|---|---|---|---|---|---|---|---|
| tetragonal interstitial | 0.082 | 6.402 | 6.402 | 6.402 | -0.000 | -0.000 | -0.000 | 
| vacancy | 2.779 | -1.325 | -1.325 | -1.325 | 0.000 | 0.000 | -0.000 | 
| 100 dumbbell | 3.198 | 17.434 | 17.434 | 20.345 | -0.000 | -0.000 | -0.000 | 
| 1nn divacancy | 4.169 | -1.972 | -1.972 | -1.972 | -0.130 | -0.130 | -0.130 | 
| Point Defect | Ef (eV) | p11 (eV) | p22 (eV) | p33 (eV) | p12 (eV) | p13 (eV) | p23 (eV) | 
|---|---|---|---|---|---|---|---|
| relaxed interstitial | -6841.235 | 16203.009 | 17542.026 | 15964.705 | 35.246 | 767.050 | 136.498 | 
| vacancy | -0.427 | 4.754 | 4.754 | 4.754 | 0.000 | 0.000 | -0.000 | 
| 2nn divacancy | -0.016 | 9.861 | 9.861 | 6.031 | 0.000 | 0.000 | 0.000 | 
| Point Defect | Ef (eV) | p11 (eV) | p22 (eV) | p33 (eV) | p12 (eV) | p13 (eV) | p23 (eV) | 
|---|---|---|---|---|---|---|---|
| vacancy | 2.591 | 4.433 | 4.433 | 4.433 | -0.000 | -0.000 | -0.000 | 
| 1nn divacancy | 3.898 | 6.472 | 6.472 | 6.472 | -0.525 | -0.525 | -0.525 | 
| 100 dumbbell | 9.602 | 17.258 | 17.258 | 57.785 | -0.000 | -0.000 | -0.000 | 
| bond centered interstitial | 14.939 | 43.704 | 43.704 | 43.704 | 21.659 | 21.659 | 21.659 | 
| hexagonal interstitial | 22.447 | 35.615 | 35.615 | 35.615 | -0.728 | -0.728 | -0.728 | 
| tetragonal interstitial | 23.852 | 81.596 | 81.596 | 81.596 | -0.000 | -0.000 | -0.000 | 
| Point Defect | Ef (eV) | p11 (eV) | p22 (eV) | p33 (eV) | p12 (eV) | p13 (eV) | p23 (eV) | 
|---|---|---|---|---|---|---|---|
| relaxed interstitial | 0.462 | 12.481 | 6.059 | 16.843 | 1.335 | -0.606 | 0.780 | 
| tetrahedral interstitial | 0.924 | 10.305 | 10.305 | 10.305 | -0.000 | -0.000 | 0.000 | 
| 111 dumbbell | 1.030 | 10.490 | 10.490 | 10.490 | 2.683 | 2.683 | 2.683 | 
| 100 dumbbell | 1.093 | 4.972 | 4.972 | 18.858 | 0.000 | 0.000 | 0.000 | 
| vacancy | 1.513 | -4.664 | -4.664 | -4.664 | 0.000 | 0.000 | 0.000 | 
| octahedral interstitial | 1.555 | 15.883 | 15.883 | 15.883 | 0.000 | -0.000 | 0.000 | 
| 1nn divacancy | 2.929 | -7.863 | -8.476 | -8.476 | 0.000 | 0.000 | 0.270 | 
| 2nn divacancy | 3.179 | -9.780 | -9.780 | -8.983 | 0.000 | 0.000 | 0.000 | 
| Point Defect | Ef (eV) | p11 (eV) | p22 (eV) | p33 (eV) | p12 (eV) | p13 (eV) | p23 (eV) | 
|---|---|---|---|---|---|---|---|
| vacancy | 1.620 | -4.722 | -4.722 | -4.546 | -0.000 | -0.000 | 0.000 | 
| relaxed interstitial | 2.529 | 13.828 | 13.200 | 19.745 | 0.000 | -0.000 | 1.399 | 
| 0001 dumbbell | 2.834 | 14.331 | 14.331 | 18.192 | -0.000 | 0.000 | -0.000 | 
Plots of the atomic structure of dislocation cores are shown here. The dislocations were constructed using dislocation monopole configurations in which a straight dislocation is created in the center of the system using anisotropic elasticity and the elastic constants computed above. A cylindrical region centered around the dislocation is allowed to relax while the remaining atoms are held fixed. The relaxation consists of 1 million NVT steps at 10 K followed by an energy/force minimization. The final plots show the atomic configuration near the center of the monopole system, and display differential displacement arrows and Nye tensor color maps that are both taken with respect to the Burgers vector direction.
These plots show a wide range of final structures, some corresponding to expected dislocation structures and others not. While the characterizations are dislocation-type dependent, some general classification guidelines are listed here.
The calculation method used is available as the iprPy dislocation_monopole calculation method.
Links are provided above the images allowing for users to download the final defect configuration and a corresponding defect-free configuration if they wish to further analyze the structures or use them for subsequent simulations.
Notes and Disclaimers:
Version Information:
Plots of lattice and elastic constants are shown as a function of temperature. The 0K points were taken from the Crystal Structure Predictions and the Elastic Constants Predictions sections above for the unique crystal structures relaxed with the "dynamic" method. Starting from the 0 K relaxed crystal unit cells, supercell systems are created by replicating all three dimensions by the same multiplier to achieve at least 4000 atoms. The systems are then relaxed at 50 K and zero pressure using 1 million NPT steps. Lattice constants are estimated by averaging the measured box dimensions. Temperatures are iteratively increased by 50 K, with each subsequent relaxation calculation starting from the final atomic configuration at the previous temperature and relaxing for another 1 million steps.
The elastic constants are calculated using the deformation–fluctuation hybrid method. Starting from the final atomic configurations of the dynamic relaxations, the system is allowed to evolve at constant volume with a Langevin thermostat. The Born matrix is computed during this run by evaluating how the atomic forces would vary due to applied linear strain fields. The elastic constants can then be estimated using the averaged Born matrix values and the averaged stresses on the system.
The calculation methods used are available as the iprPy relax_dynamic and elastic_constants_dynamic calculation methods.
Clicking on the image of a plot will open an interactive version of it in a new tab. The underlying data for the plots can be downloaded by clicking on the links above each plot.
Notes and Disclaimers:
Version Information:
Plots of radial distribution functions at different temperatures and the temperature-dependent diffusion and viscosity are shown here for elemental liquids. Melt phases are constructed by starting with a 10x10x10 fcc super cell and relaxing with 50,000 NPT steps at zero pressure and a high melting temperature (3000 K for most potentials and elements). Following the melt, liquid structures are relaxed by running NPT for 10,000 steps over which the temperature is dropped by 50 K, then 50,000 NPT at the target temperature to estimate the equilibrium volume, followed by 20,000 NVT steps at the averaged equilibrium volume and target temperature. Structures from the NVT run are sampled to compute the radial distribution function of the liquid at the corresponding temperature.
The final relaxed configurations at each temperature explored are used as the initial configurations for the diffusion and viscosity calculations. For diffusion, the system is integrated for 100 runs of 2,000 NVT steps during which both the mean squared displacement (MSD) and the velocity auto correlation function (VACF) are computed. From these simulations, three estimates of diffusion are computed: one from the MSD of the full 200,000 step run, one in which the MSD is reset for each short run and then averaged, and one from the VACF computed for each short run and averaged. For viscosity, the Green-Kubo method is used which is evaluated during a 1 million step NVT run.
The calculation methods used are available as the iprPy relax_liquid_redo, diffusion_liquid, and viscosity_green_kubo calculation methods.
Clicking on the image of a plot will open an interactive version of it in a new tab. The underlying data for the plots can be downloaded by clicking on the links above each plot.
Notes and Disclaimers:
Version Information:
Plots of internal energy, Gibbs free energy, entropy, heat capacity and volume are shown here as a function of temperature for various crystal structures and liquid phases. The included crystal structures correspond to those in the Solid Structures vs. Temperature section, and the liquid phases to those in the Liquid Properties section. Internal energy and volume are taken from the associated structure relaxations mentioned in those previous sections. Constant pressure heat capacity is estimated using 3-point numerical derivatives of enthalpy versus temperature. Note that since all simulations done here are at 0 pressure, internal energy and enthalpy are equivalent.
The Gibbs energies of the phases are estimated using thermodynamic integration between the interatomic potential in question and a simpler model with known Gibbs free energy values. For solids, the reference model is an Einstein solid, while for liquids it is the Uhlenbeck-Ford potential. Besides a short run at the start of the solid calculations to estimate Einstein model spring constants, the two calculations proceed similarly. Starting with the final relaxation configurations, the systems are stabilized for 25,000 steps. Then, over the next 50,000 steps the potential is swapped out for the reference potential. The system is then stabilized for another 25,000 steps with the reference model before a reverse swap of 50,000 steps is performed. The simulation ends with one final 25,000 step stabilization period. From the simulation, the irreversible work of transformation is estimated and used to compute the absolute Gibbs free energy of the target phase and potential relative to the reference potential. Entropy is estimated as the difference in enthalpy and Gibbs free energy and divided by temperature.
The calculation methods used are available as the iprPy relax_dynamic, relax_liquid_redo, free_energy, and free_energy_liquid calculation methods.
Clicking on the image of a plot will open an interactive version of it in a new tab. The underlying data for the plots can be downloaded by clicking on the links above each plot.
Notes and Disclaimers:
Version Information:
            
            





