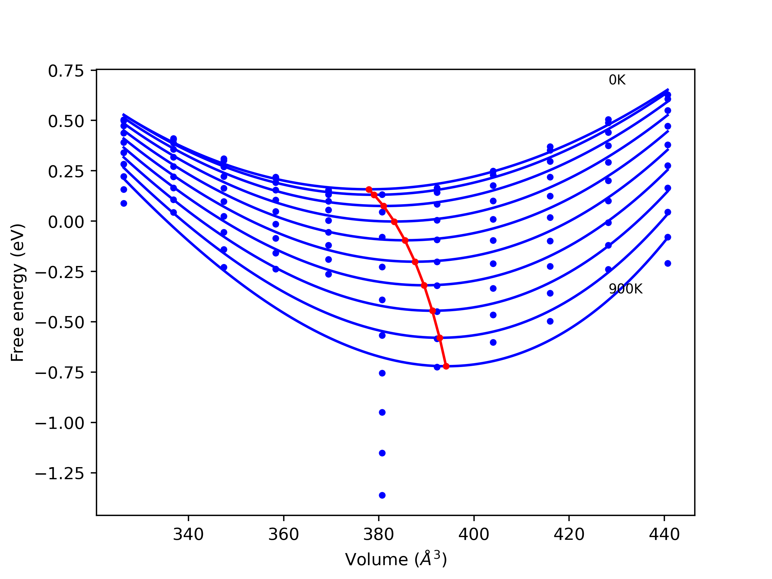
Plots of the potential energy vs interatomic spacing, r, are shown below for all diatom sets associated with the interatomic potential. This calculation provides insights into the functional form of the potential's two-body interactions. A system consisting of only two atoms is created, and the potential energy is evaluated for the atoms separated by 0.02 Å <= r <= 6.0> Å in intervals of 0.02 Å. Two plots are shown: one for the "standard" interaction distance range, and one for small values of r. The small r plot is useful for determining whether the potential is suitable for radiation studies.
The calculation method used is available as the iprPy diatom_scan calculation method.
Clicking on the image of a plot will open an interactive version of it in a new tab. The underlying data for the plots can be downloaded by clicking on the links above each plot.
Notes and Disclaimers:
Version Information:
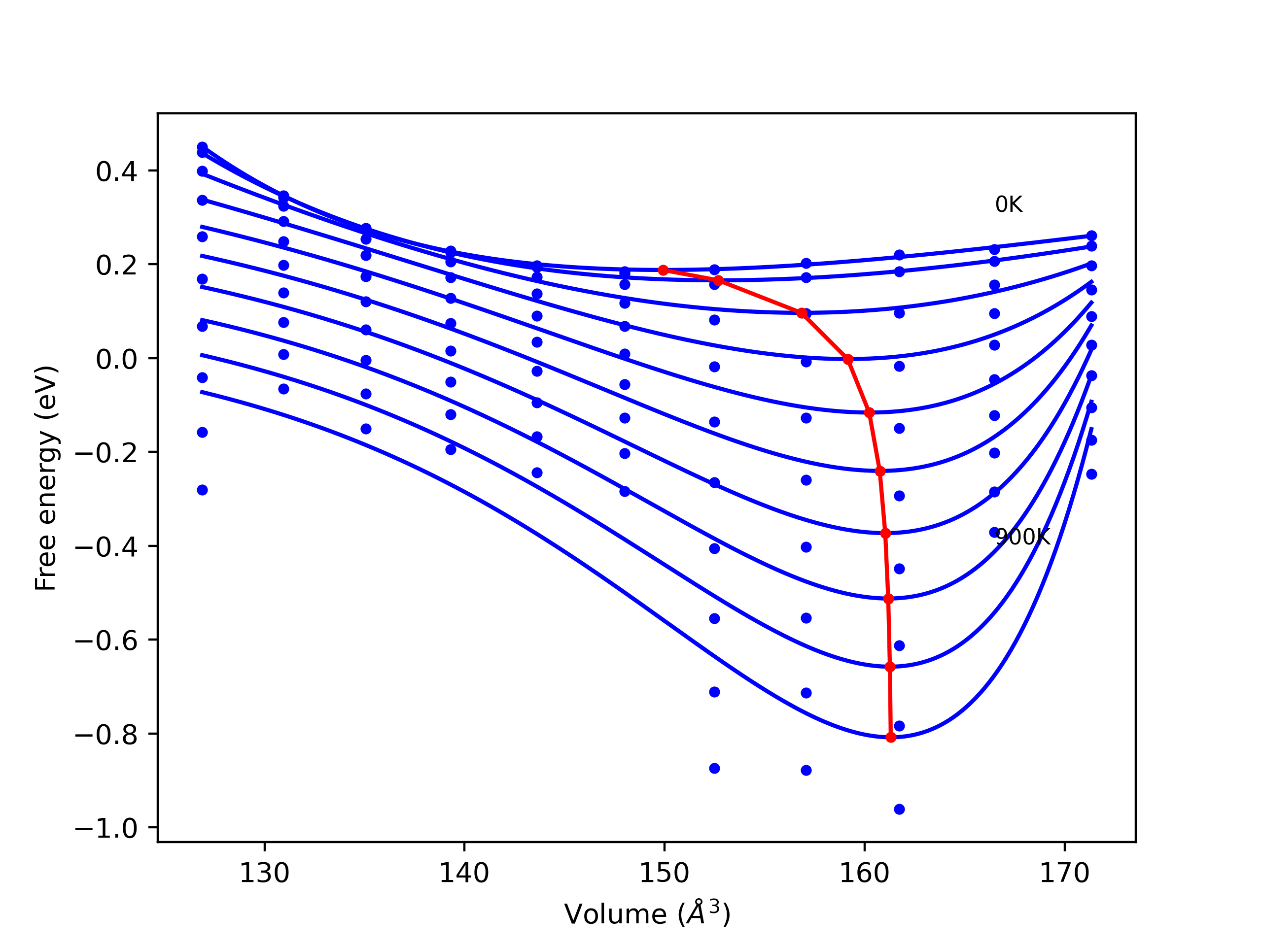
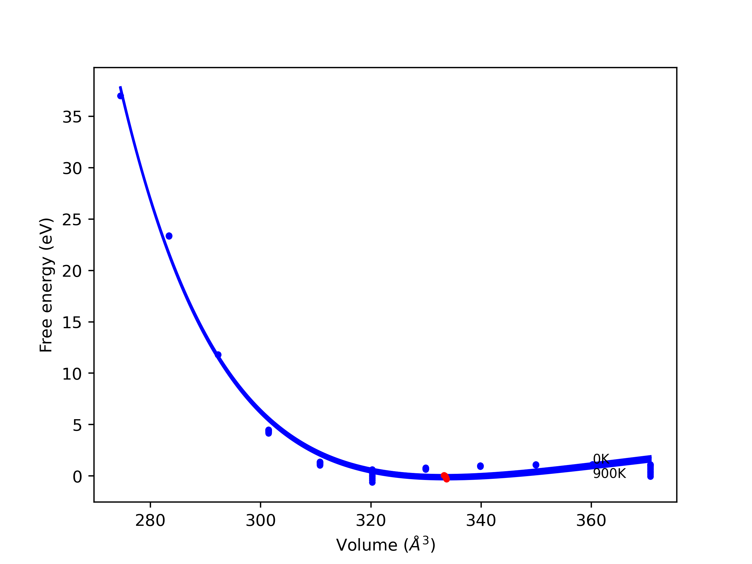
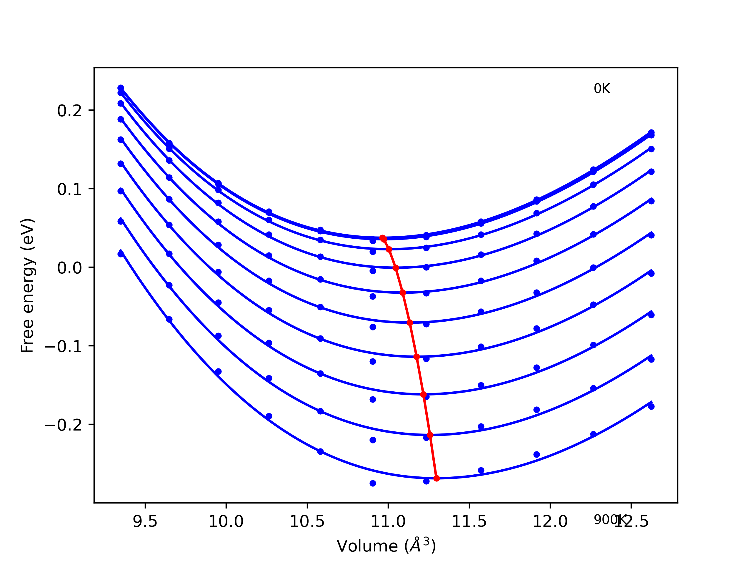
Plots of potential energy vs interatomic spacing, r, are shown below for a number of crystal structures. The structures are generated based on the ideal atomic positions and b/a and c/a lattice parameter ratios for a given crystal prototype. The size of the system is then uniformly scaled, and the energy calculated without relaxing the system. To obtain these plots, values of r are evaluated every 0.02 Å up to 6 Å.
The calculation method used is available as the iprPy E_vs_r_scan calculation method.
Clicking on the image of a plot will open an interactive version of it in a new tab. The underlying data for the plots can be downloaded by clicking on the links above each plot.
Notes and Disclaimers:
Version Information:
Computed lattice constants and cohesive/potential energies are displayed for a variety of crystal structures. The values displayed here are obtained using the following process.
The calculation methods used are implemented into iprPy as the following calculation styles
Notes and Disclaimers:
Version Information:
Download raw data (including filtered results)
Reference structure matches:
A1--Cu--fcc = mp-102, oqmd-592136, oqmd-594128, oqmd-1214517
A15--beta-W = oqmd-1214962, oqmd-1280314
A2--W--bcc = oqmd-1215140, oqmd-1215853
A3'--alpha-La--double-hcp = mp-1183710, oqmd-1215408
A3--Mg--hcp = mp-54, oqmd-592630, oqmd-637416, oqmd-1215318
A4--C--dc = oqmd-1215497
A5--beta-Sn = oqmd-1215586
A6--In--bct = oqmd-1215675
| prototype | method | Ecoh (eV/atom) | Epot (eV/atom) | a0 (Å) | b0 (Å) | c0 (Å) | α (degrees) | β (degrees) | γ (degrees) |
|---|---|---|---|---|---|---|---|---|---|
| A1--Cu--fcc | dynamic | -4.41 | -4.41 | 3.55 | 3.55 | 3.55 | 90.0 | 90.0 | 90.0 |
| A6--In--bct | box | -4.4091 | -4.4091 | 2.5358 | 2.5358 | 3.4567 | 90.0 | 90.0 | 90.0 |
| A3--Mg--hcp | dynamic | -4.4086 | -4.4086 | 2.5015 | 2.5015 | 4.1901 | 90.0 | 90.0 | 120.0 |
| oqmd-1215229 | box | -4.4085 | -4.4085 | 2.4962 | 4.3413 | 4.1905 | 90.0 | 90.0 | 90.0 |
| oqmd-1216031 | dynamic | -4.4083 | -4.4083 | 2.5043 | 2.5043 | 18.7207 | 90.0 | 90.0 | 120.0 |
| A3'--alpha-La--double-hcp | dynamic | -4.4078 | -4.4078 | 2.5058 | 2.5058 | 8.2859 | 90.0 | 90.0 | 120.0 |
| A2--W--bcc | static | -4.3305 | -4.3305 | 2.9149 | 2.9149 | 2.9149 | 90.0 | 90.0 | 90.0 |
| oqmd-1214873 | dynamic | -4.3086 | -4.3086 | 6.2088 | 6.2088 | 6.2088 | 90.0 | 90.0 | 90.0 |
| oqmd-1214873 | box | -4.3064 | -4.3064 | 6.2131 | 6.2131 | 6.2131 | 90.0 | 90.0 | 90.0 |
| mp-669382 | static | -4.2993 | -4.2993 | 8.0342 | 8.0342 | 9.6971 | 90.0 | 90.0 | 120.0 |
| oqmd-1214784 | static | -4.2969 | -4.2969 | 8.8193 | 8.8193 | 8.8193 | 90.0 | 90.0 | 90.0 |
| mp-669382 | box | -4.2824 | -4.2824 | 8.0825 | 8.0825 | 9.6855 | 90.0 | 90.0 | 120.0 |
| oqmd-594127 | box | -4.2815 | -4.2815 | 8.0927 | 8.0927 | 9.6564 | 90.0 | 90.0 | 120.0 |
| oqmd-1214784 | box | -4.2658 | -4.2658 | 8.8606 | 8.8606 | 8.8606 | 90.0 | 90.0 | 90.0 |
| A15--beta-W | static | -4.2103 | -4.2103 | 4.5758 | 4.5758 | 4.5758 | 90.0 | 90.0 | 90.0 |
| oqmd-631034 | static | -4.2008 | -4.2008 | 8.5809 | 8.5809 | 4.6425 | 90.0 | 90.0 | 90.0 |
| mp-1193227 | box | -4.1799 | -4.1799 | 8.6238 | 8.6238 | 4.6315 | 90.0 | 90.0 | 90.0 |
| oqmd-631034 | box | -4.1795 | -4.1795 | 8.6234 | 8.6234 | 4.63 | 90.0 | 90.0 | 90.0 |
| oqmd-1214695 | static | -4.0948 | -4.0948 | 2.3741 | 2.3741 | 8.4553 | 90.0 | 90.0 | 90.0 |
| oqmd-1214695 | box | -4.0872 | -4.0872 | 2.3819 | 2.3819 | 8.4006 | 90.0 | 90.0 | 90.0 |
| mp-1072089 | static | -4.0793 | -4.0793 | 6.7548 | 6.7548 | 6.7548 | 90.0 | 90.0 | 90.0 |
| oqmd-1215051 | box | -4.0622 | -4.0622 | 3.3337 | 8.6177 | 3.3475 | 90.0 | 90.0 | 90.0 |
| A5--beta-Sn | static | -3.9555 | -3.9555 | 4.4892 | 4.4892 | 2.3861 | 90.0 | 90.0 | 90.0 |
| Ah--alpha-Po--sc | static | -3.6458 | -3.6458 | 2.3299 | 2.3299 | 2.3299 | 90.0 | 90.0 | 90.0 |
| A7--alpha-As | box | -2.932 | -2.932 | 3.2947 | 3.2947 | 9.7731 | 90.0 | 90.0 | 120.0 |
| A4--C--dc | static | -2.3701 | -2.3701 | 5.6627 | 5.6627 | 5.6627 | 90.0 | 90.0 | 90.0 |
| Ah--alpha-Po--sc | static | -0.433 | -0.433 | 3.8688 | 3.8688 | 3.8688 | 90.0 | 90.0 | 90.0 |
| A1--Cu--fcc | dynamic | -0.0028 | -0.0028 | 7.9125 | 7.9125 | 7.9125 | 90.0 | 90.0 | 90.0 |
| A3--Mg--hcp | dynamic | -0.0028 | -0.0028 | 5.595 | 5.595 | 9.1366 | 90.0 | 90.0 | 120.0 |
| A3'--alpha-La--double-hcp | dynamic | -0.0028 | -0.0028 | 5.595 | 5.595 | 18.2732 | 90.0 | 90.0 | 120.0 |
| A15--beta-W | static | -0.0022 | -0.0022 | 9.8016 | 9.8016 | 9.8016 | 90.0 | 90.0 | 90.0 |
| A2--W--bcc | dynamic | -0.0019 | -0.0019 | 6.4605 | 6.4605 | 6.4605 | 90.0 | 90.0 | 90.0 |
| Ah--alpha-Po--sc | dynamic | -0.0014 | -0.0014 | 5.595 | 5.595 | 5.595 | 90.0 | 90.0 | 90.0 |
| A5--beta-Sn | static | -0.0009 | -0.0009 | 10.7888 | 10.7888 | 5.9387 | 90.0 | 90.0 | 90.0 |
| A5--beta-Sn | dynamic | -0.0009 | -0.0009 | 10.7808 | 10.7808 | 5.9971 | 90.0 | 90.0 | 90.0 |
| A4--C--dc | dynamic | -0.0009 | -0.0009 | 12.9211 | 12.9211 | 12.9211 | 90.0 | 90.0 | 90.0 |
| A7--alpha-As | dynamic | -0.0007 | -0.0007 | 7.7427 | 7.7427 | 27.6069 | 90.0 | 90.0 | 120.0 |
| A7--alpha-As | static | -0.0007 | -0.0007 | 8.3585 | 8.3585 | 23.2182 | 90.0 | 90.0 | 120.0 |
| A15--beta-W | dynamic | -0.0004 | -0.0004 | 11.19 | 11.19 | 11.19 | 90.0 | 90.0 | 90.0 |
| A3--Mg--hcp | dynamic | 0.0591 | 0.0591 | 5.1674 | 5.1674 | 8.4383 | 90.0 | 90.0 | 120.0 |
| A3'--alpha-La--double-hcp | dynamic | 0.0591 | 0.0591 | 5.1674 | 5.1674 | 16.8767 | 90.0 | 90.0 | 120.0 |
| A1--Cu--fcc | dynamic | 0.0591 | 0.0591 | 7.3078 | 7.3078 | 7.3078 | 90.0 | 90.0 | 90.0 |
Download raw data (including filtered results)
Reference structure matches:
| prototype | method | Ecoh (eV/atom) | Epot (eV/atom) | a0 (Å) | b0 (Å) | c0 (Å) | α (degrees) | β (degrees) | γ (degrees) |
|---|---|---|---|---|---|---|---|---|---|
| C1--CaF2--fluorite | static | -3.6155 | -3.6155 | 5.4809 | 5.4809 | 5.4809 | 90.0 | 90.0 | 90.0 |
| C1--CaF2--fluorite | dynamic | -0.034 | -0.034 | 10.3048 | 10.3048 | 10.3048 | 90.0 | 90.0 | 90.0 |
| C1--CaF2--fluorite | static | -0.0 | -0.0 | 13.3953 | 13.3953 | 13.3953 | 90.0 | 90.0 | 90.0 |
| C1--CaF2--fluorite | dynamic | 0.0 | 0.0 | 14.8662 | 14.8662 | 14.8662 | 90.0 | 90.0 | 90.0 |
Download raw data (including filtered results)
Reference structure matches:
| prototype | method | Ecoh (eV/atom) | Epot (eV/atom) | a0 (Å) | b0 (Å) | c0 (Å) | α (degrees) | β (degrees) | γ (degrees) |
|---|---|---|---|---|---|---|---|---|---|
| mp-1226444 | dynamic | -4.1987 | -4.1987 | 12.313 | 12.371 | 4.5913 | 90.0 | 90.0 | 90.0 |
| mp-1226444 | static | -4.1987 | -4.1987 | 12.3128 | 12.3712 | 4.5913 | 90.0 | 90.0 | 90.0 |
| mp-1226444 | box | -4.1896 | -4.1896 | 12.3584 | 12.4597 | 4.5758 | 90.0 | 90.0 | 90.0 |
Download raw data (including filtered results)
Reference structure matches:
| prototype | method | Ecoh (eV/atom) | Epot (eV/atom) | a0 (Å) | b0 (Å) | c0 (Å) | α (degrees) | β (degrees) | γ (degrees) |
|---|---|---|---|---|---|---|---|---|---|
| L2_1--AlCu2Mn--heusler | static | -4.0332 | -4.0332 | 5.7687 | 5.7687 | 5.7687 | 90.0 | 90.0 | 90.0 |
| L2_1--AlCu2Mn--heusler | dynamic | -0.7751 | -0.7751 | 11.411 | 11.411 | 11.411 | 90.0 | 90.0 | 90.0 |
| L2_1--AlCu2Mn--heusler | dynamic | -0.0008 | -0.0008 | 13.035 | 13.035 | 13.035 | 90.0 | 90.0 | 90.0 |
Download raw data (including filtered results)
Reference structure matches:
| prototype | method | Ecoh (eV/atom) | Epot (eV/atom) | a0 (Å) | b0 (Å) | c0 (Å) | α (degrees) | β (degrees) | γ (degrees) |
|---|---|---|---|---|---|---|---|---|---|
| L2_1--AlCu2Mn--heusler | static | -4.2499 | -4.2499 | 5.7303 | 5.7303 | 5.7303 | 90.0 | 90.0 | 90.0 |
Download raw data (including filtered results)
Reference structure matches:
| prototype | method | Ecoh (eV/atom) | Epot (eV/atom) | a0 (Å) | b0 (Å) | c0 (Å) | α (degrees) | β (degrees) | γ (degrees) |
|---|---|---|---|---|---|---|---|---|---|
| L2_1--AlCu2Mn--heusler | static | -4.258 | -4.258 | 5.7499 | 5.7499 | 5.7499 | 90.0 | 90.0 | 90.0 |
Download raw data (including filtered results)
Reference structure matches:
| prototype | method | Ecoh (eV/atom) | Epot (eV/atom) | a0 (Å) | b0 (Å) | c0 (Å) | α (degrees) | β (degrees) | γ (degrees) |
|---|---|---|---|---|---|---|---|---|---|
| C1--CaF2--fluorite | static | -3.4062 | -3.4062 | 5.4707 | 5.4707 | 5.4707 | 90.0 | 90.0 | 90.0 |
| C1--CaF2--fluorite | dynamic | -0.3585 | -0.3585 | 11.509 | 11.509 | 11.509 | 90.0 | 90.0 | 90.0 |
| C1--CaF2--fluorite | dynamic | -0.0019 | -0.0019 | 12.9848 | 12.9848 | 12.9848 | 90.0 | 90.0 | 90.0 |
Download raw data (including filtered results)
Reference structure matches:
| prototype | method | Ecoh (eV/atom) | Epot (eV/atom) | a0 (Å) | b0 (Å) | c0 (Å) | α (degrees) | β (degrees) | γ (degrees) |
|---|---|---|---|---|---|---|---|---|---|
| L2_1--AlCu2Mn--heusler | static | -4.0667 | -4.0667 | 5.7522 | 5.7522 | 5.7522 | 90.0 | 90.0 | 90.0 |
| L2_1--AlCu2Mn--heusler | static | -0.227 | -0.227 | 10.0742 | 10.0742 | 10.0742 | 90.0 | 90.0 | 90.0 |
| L2_1--AlCu2Mn--heusler | static | -0.0641 | -0.0641 | 12.2018 | 12.2018 | 12.2018 | 90.0 | 90.0 | 90.0 |
Download raw data (including filtered results)
Reference structure matches:
| prototype | method | Ecoh (eV/atom) | Epot (eV/atom) | a0 (Å) | b0 (Å) | c0 (Å) | α (degrees) | β (degrees) | γ (degrees) |
|---|---|---|---|---|---|---|---|---|---|
| L2_1--AlCu2Mn--heusler | static | -4.0822 | -4.0822 | 5.7696 | 5.7696 | 5.7696 | 90.0 | 90.0 | 90.0 |
| L2_1--AlCu2Mn--heusler | dynamic | -0.2508 | -0.2508 | 11.5261 | 11.5261 | 11.5261 | 90.0 | 90.0 | 90.0 |
| L2_1--AlCu2Mn--heusler | dynamic | -0.0007 | -0.0007 | 13.034 | 13.034 | 13.034 | 90.0 | 90.0 | 90.0 |
Download raw data (including filtered results)
Reference structure matches:
| prototype | method | Ecoh (eV/atom) | Epot (eV/atom) | a0 (Å) | b0 (Å) | c0 (Å) | α (degrees) | β (degrees) | γ (degrees) |
|---|---|---|---|---|---|---|---|---|---|
| C1--CaF2--fluorite | static | -3.523 | -3.523 | 5.6156 | 5.6156 | 5.6156 | 90.0 | 90.0 | 90.0 |
| C1--CaF2--fluorite | dynamic | -0.289 | -0.289 | 11.7624 | 11.7624 | 11.7624 | 90.0 | 90.0 | 90.0 |
Download raw data (including filtered results)
Reference structure matches:
| prototype | method | Ecoh (eV/atom) | Epot (eV/atom) | a0 (Å) | b0 (Å) | c0 (Å) | α (degrees) | β (degrees) | γ (degrees) |
|---|---|---|---|---|---|---|---|---|---|
| L2_1--AlCu2Mn--heusler | static | -4.2923 | -4.2923 | 5.7168 | 5.7168 | 5.7168 | 90.0 | 90.0 | 90.0 |
| L2_1--AlCu2Mn--heusler | static | -0.2131 | -0.2131 | 11.7559 | 11.7559 | 11.7559 | 90.0 | 90.0 | 90.0 |
Download raw data (including filtered results)
Reference structure matches:
| prototype | method | Ecoh (eV/atom) | Epot (eV/atom) | a0 (Å) | b0 (Å) | c0 (Å) | α (degrees) | β (degrees) | γ (degrees) |
|---|---|---|---|---|---|---|---|---|---|
| C1--CaF2--fluorite | static | -3.6535 | -3.6535 | 5.5005 | 5.5005 | 5.5005 | 90.0 | 90.0 | 90.0 |
| oqmd-1232456 | box | -2.9513 | -2.9513 | 4.9525 | 4.9525 | 3.9794 | 90.0 | 90.0 | 90.0 |
| C1--CaF2--fluorite | box | -0.0084 | -0.0084 | 10.8484 | 10.8484 | 10.8484 | 90.0 | 90.0 | 90.0 |
Download raw data (including filtered results)
Reference structure matches:
| prototype | method | Ecoh (eV/atom) | Epot (eV/atom) | a0 (Å) | b0 (Å) | c0 (Å) | α (degrees) | β (degrees) | γ (degrees) |
|---|---|---|---|---|---|---|---|---|---|
| oqmd-426534 | box | -3.7635 | -3.7635 | 6.103 | 6.103 | 12.045 | 90.0 | 90.0 | 120.0 |
Download raw data (including filtered results)
Reference structure matches:
L1_2--AuCu3 = mp-1008280
| prototype | method | Ecoh (eV/atom) | Epot (eV/atom) | a0 (Å) | b0 (Å) | c0 (Å) | α (degrees) | β (degrees) | γ (degrees) |
|---|---|---|---|---|---|---|---|---|---|
| L1_2--AuCu3 | dynamic | -4.3572 | -4.3572 | 3.5463 | 3.5463 | 3.5463 | 90.0 | 90.0 | 90.0 |
| mp-1087479 | dynamic | -4.3522 | -4.3522 | 4.998 | 4.998 | 4.1662 | 90.0 | 90.0 | 120.0 |
| mp-1226209 | dynamic | -4.3494 | -4.3494 | 2.4948 | 2.4948 | 8.3436 | 90.0 | 90.0 | 120.0 |
| mp-1226209 | box | -4.3465 | -4.3465 | 2.4958 | 2.4958 | 8.3331 | 90.0 | 90.0 | 120.0 |
| mp-1087479 | box | -4.3404 | -4.3404 | 5.0201 | 5.0201 | 4.1623 | 90.0 | 90.0 | 120.0 |
| D0_3--BiF3 | static | -4.2686 | -4.2686 | 5.8045 | 5.8045 | 5.8045 | 90.0 | 90.0 | 90.0 |
| A15--Cr3Si | static | -4.1482 | -4.1482 | 4.6138 | 4.6138 | 4.6138 | 90.0 | 90.0 | 90.0 |
| A15--Cr3Si | dynamic | -0.0004 | -0.0004 | 11.19 | 11.19 | 11.19 | 90.0 | 90.0 | 90.0 |
| L1_2--AuCu3 | dynamic | -0.0003 | -0.0003 | 7.9967 | 7.9967 | 7.9967 | 90.0 | 90.0 | 90.0 |
| D0_3--BiF3 | dynamic | -0.0002 | -0.0002 | 13.0586 | 13.0586 | 13.0586 | 90.0 | 90.0 | 90.0 |
| A15--Cr3Si | static | 0.0022 | 0.0022 | 9.736 | 9.736 | 9.736 | 90.0 | 90.0 | 90.0 |
| A15--Cr3Si | static | 0.0082 | 0.0082 | 9.0292 | 9.0292 | 9.0292 | 90.0 | 90.0 | 90.0 |
| L1_2--AuCu3 | box | 0.0535 | 0.0535 | 7.2175 | 7.2175 | 7.2175 | 90.0 | 90.0 | 90.0 |
Download raw data (including filtered results)
Reference structure matches:
| prototype | method | Ecoh (eV/atom) | Epot (eV/atom) | a0 (Å) | b0 (Å) | c0 (Å) | α (degrees) | β (degrees) | γ (degrees) |
|---|---|---|---|---|---|---|---|---|---|
| mp-1183752 | dynamic | -4.1874 | -4.1874 | 3.5738 | 3.5738 | 7.1127 | 90.0 | 90.0 | 90.0 |
| L1_2--AuCu3 | dynamic | -4.1857 | -4.1857 | 3.5718 | 3.5718 | 3.5718 | 90.0 | 90.0 | 90.0 |
| D0_3--BiF3 | static | -4.0912 | -4.0912 | 5.805 | 5.805 | 5.805 | 90.0 | 90.0 | 90.0 |
| A15--Cr3Si | static | -3.9966 | -3.9966 | 4.627 | 4.627 | 4.627 | 90.0 | 90.0 | 90.0 |
| L1_2--AuCu3 | dynamic | -0.729 | -0.729 | 7.1863 | 7.1863 | 7.1863 | 90.0 | 90.0 | 90.0 |
| D0_3--BiF3 | dynamic | -0.3367 | -0.3367 | 11.6506 | 11.6506 | 11.6506 | 90.0 | 90.0 | 90.0 |
| A15--Cr3Si | static | -0.0545 | -0.0545 | 8.6902 | 8.6902 | 8.6902 | 90.0 | 90.0 | 90.0 |
| L1_2--AuCu3 | dynamic | -0.0034 | -0.0034 | 7.9412 | 7.9412 | 7.9412 | 90.0 | 90.0 | 90.0 |
| D0_3--BiF3 | dynamic | -0.0023 | -0.0023 | 12.968 | 12.968 | 12.968 | 90.0 | 90.0 | 90.0 |
| A15--Cr3Si | dynamic | -0.0004 | -0.0004 | 11.19 | 11.19 | 11.19 | 90.0 | 90.0 | 90.0 |
| A15--Cr3Si | static | 0.0027 | 0.0027 | 9.9617 | 9.9617 | 9.9617 | 90.0 | 90.0 | 90.0 |
Download raw data (including filtered results)
Reference structure matches:
L1_2--AuCu3 = mp-1007852
| prototype | method | Ecoh (eV/atom) | Epot (eV/atom) | a0 (Å) | b0 (Å) | c0 (Å) | α (degrees) | β (degrees) | γ (degrees) |
|---|---|---|---|---|---|---|---|---|---|
| mp-1225083 | dynamic | -4.4047 | -4.4047 | 2.5233 | 2.5233 | 7.0531 | 90.0 | 90.0 | 90.0 |
| mp-1225083 | box | -4.4027 | -4.4027 | 2.522 | 2.522 | 7.0606 | 90.0 | 90.0 | 90.0 |
| L1_2--AuCu3 | dynamic | -4.3977 | -4.3977 | 3.5553 | 3.5553 | 3.5553 | 90.0 | 90.0 | 90.0 |
| D0_3--BiF3 | static | -4.3013 | -4.3013 | 5.7954 | 5.7954 | 5.7954 | 90.0 | 90.0 | 90.0 |
| A15--Cr3Si | static | -4.1967 | -4.1967 | 4.6026 | 4.6026 | 4.6026 | 90.0 | 90.0 | 90.0 |
| A15--Cr3Si | dynamic | -0.333 | -0.333 | 9.0121 | 9.0121 | 9.0121 | 90.0 | 90.0 | 90.0 |
| L1_2--AuCu3 | static | -0.2485 | -0.2485 | 7.1134 | 7.1134 | 7.1134 | 90.0 | 90.0 | 90.0 |
| A15--Cr3Si | static | -0.2252 | -0.2252 | 9.4518 | 9.4518 | 9.4518 | 90.0 | 90.0 | 90.0 |
| D0_3--BiF3 | static | -0.1916 | -0.1916 | 11.7286 | 11.7286 | 11.7286 | 90.0 | 90.0 | 90.0 |
| L1_2--AuCu3 | static | -0.1583 | -0.1583 | 7.502 | 7.502 | 7.502 | 90.0 | 90.0 | 90.0 |
| A15--Cr3Si | dynamic | -0.0004 | -0.0004 | 11.19 | 11.19 | 11.19 | 90.0 | 90.0 | 90.0 |
Download raw data (including filtered results)
Reference structure matches:
| prototype | method | Ecoh (eV/atom) | Epot (eV/atom) | a0 (Å) | b0 (Å) | c0 (Å) | α (degrees) | β (degrees) | γ (degrees) |
|---|---|---|---|---|---|---|---|---|---|
| mp-641526 | box | -4.3036 | -4.3036 | 5.7264 | 5.7264 | 5.7535 | 90.0 | 90.0 | 90.0 |
Download raw data (including filtered results)
Reference structure matches:
| prototype | method | Ecoh (eV/atom) | Epot (eV/atom) | a0 (Å) | b0 (Å) | c0 (Å) | α (degrees) | β (degrees) | γ (degrees) |
|---|---|---|---|---|---|---|---|---|---|
| mp-1084832 | static | -4.302 | -4.302 | 5.7236 | 5.7236 | 5.7236 | 90.0 | 90.0 | 90.0 |
Download raw data (including filtered results)
Reference structure matches:
D0_3--BiF3 = oqmd-308248
L1_2--AuCu3 = mp-1008349, oqmd-344812
| prototype | method | Ecoh (eV/atom) | Epot (eV/atom) | a0 (Å) | b0 (Å) | c0 (Å) | α (degrees) | β (degrees) | γ (degrees) |
|---|---|---|---|---|---|---|---|---|---|
| L1_2--AuCu3 | dynamic | -4.4193 | -4.4193 | 3.5418 | 3.5418 | 3.5418 | 90.0 | 90.0 | 90.0 |
| oqmd-297717 | dynamic | -4.4178 | -4.4178 | 3.5435 | 3.5435 | 7.0822 | 90.0 | 90.0 | 90.0 |
| mp-1183837 | dynamic | -4.411 | -4.411 | 4.9929 | 4.9929 | 4.1703 | 90.0 | 90.0 | 120.0 |
| oqmd-320326 | box | -4.4109 | -4.4109 | 4.9934 | 4.9934 | 4.1703 | 90.0 | 90.0 | 120.0 |
| mp-1226559 | dynamic | -4.4103 | -4.4103 | 2.4948 | 2.4948 | 8.3358 | 90.0 | 90.0 | 120.0 |
| mp-1226559 | box | -4.4103 | -4.4103 | 2.4949 | 2.4949 | 8.3356 | 90.0 | 90.0 | 120.0 |
| mp-1183837 | box | -4.4103 | -4.4103 | 4.9947 | 4.9947 | 4.17 | 90.0 | 90.0 | 120.0 |
| D0_3--BiF3 | static | -4.3152 | -4.3152 | 5.8014 | 5.8014 | 5.8014 | 90.0 | 90.0 | 90.0 |
| A15--Cr3Si | static | -4.2196 | -4.2196 | 4.5922 | 4.5922 | 4.5922 | 90.0 | 90.0 | 90.0 |
| A15--Cr3Si | static | -0.0642 | -0.0642 | 8.9154 | 8.9154 | 8.9154 | 90.0 | 90.0 | 90.0 |
| A15--Cr3Si | dynamic | -0.0004 | -0.0004 | 11.19 | 11.19 | 11.19 | 90.0 | 90.0 | 90.0 |
| L1_2--AuCu3 | dynamic | -0.0002 | -0.0002 | 8.0038 | 8.0038 | 8.0038 | 90.0 | 90.0 | 90.0 |
| D0_3--BiF3 | dynamic | -0.0001 | -0.0001 | 13.0702 | 13.0702 | 13.0702 | 90.0 | 90.0 | 90.0 |
Download raw data (including filtered results)
Reference structure matches:
| prototype | method | Ecoh (eV/atom) | Epot (eV/atom) | a0 (Å) | b0 (Å) | c0 (Å) | α (degrees) | β (degrees) | γ (degrees) |
|---|---|---|---|---|---|---|---|---|---|
| mp-601848 | box | -4.3049 | -4.3049 | 5.728 | 5.728 | 5.7286 | 90.0 | 90.0 | 90.0 |
Download raw data (including filtered results)
Reference structure matches:
| prototype | method | Ecoh (eV/atom) | Epot (eV/atom) | a0 (Å) | b0 (Å) | c0 (Å) | α (degrees) | β (degrees) | γ (degrees) |
|---|---|---|---|---|---|---|---|---|---|
| mp-1227307 | dynamic | -4.2062 | -4.2062 | 8.7259 | 8.7259 | 4.6034 | 90.0 | 90.0 | 90.0 |
| mp-1227307 | box | -4.1756 | -4.1756 | 8.7891 | 8.7891 | 4.5975 | 90.0 | 90.0 | 90.0 |
Download raw data (including filtered results)
Reference structure matches:
| prototype | method | Ecoh (eV/atom) | Epot (eV/atom) | a0 (Å) | b0 (Å) | c0 (Å) | α (degrees) | β (degrees) | γ (degrees) |
|---|---|---|---|---|---|---|---|---|---|
| mp-601842 | box | -4.305 | -4.305 | 5.7114 | 5.7114 | 5.7114 | 90.0 | 90.0 | 90.0 |
Download raw data (including filtered results)
Reference structure matches:
| prototype | method | Ecoh (eV/atom) | Epot (eV/atom) | a0 (Å) | b0 (Å) | c0 (Å) | α (degrees) | β (degrees) | γ (degrees) |
|---|---|---|---|---|---|---|---|---|---|
| mp-1096987 | static | -3.6176 | -3.6176 | 5.245 | 5.245 | 4.8788 | 90.0 | 90.0 | 90.0 |
| mp-1096987 | box | -3.5951 | -3.5951 | 5.2785 | 5.2785 | 4.8254 | 90.0 | 90.0 | 90.0 |
Download raw data (including filtered results)
Reference structure matches:
B2--CsCl = mp-1010071
| prototype | method | Ecoh (eV/atom) | Epot (eV/atom) | a0 (Å) | b0 (Å) | c0 (Å) | α (degrees) | β (degrees) | γ (degrees) |
|---|---|---|---|---|---|---|---|---|---|
| B3--ZnS--cubic-zinc-blende | static | -157.9559 | -157.9559 | 1.8961 | 1.8961 | 1.8961 | 90.0 | 90.0 | 90.0 |
| B4--ZnS--wurtzite | box | -154.93 | -154.93 | 1.3398 | 1.3398 | 2.2359 | 90.0 | 90.0 | 120.0 |
| L1_0--AuCu | dynamic | -4.3035 | -4.3035 | 2.5522 | 2.5522 | 3.3699 | 90.0 | 90.0 | 90.0 |
| B2--CsCl | static | -4.2118 | -4.2118 | 2.875 | 2.875 | 2.875 | 90.0 | 90.0 | 90.0 |
| B4--ZnS--wurtzite | static | -3.7679 | -3.7679 | 2.463 | 2.463 | 13.0051 | 90.0 | 90.0 | 120.0 |
| B1--NaCl--rock-salt | static | -3.5908 | -3.5908 | 4.6725 | 4.6725 | 4.6725 | 90.0 | 90.0 | 90.0 |
| B4--ZnS--wurtzite | box | -2.4201 | -2.4201 | 3.896 | 3.896 | 6.4546 | 90.0 | 90.0 | 120.0 |
| B3--ZnS--cubic-zinc-blende | static | -2.4158 | -2.4158 | 5.5086 | 5.5086 | 5.5086 | 90.0 | 90.0 | 90.0 |
| B2--CsCl | dynamic | -0.2001 | -0.2001 | 5.245 | 5.245 | 5.245 | 90.0 | 90.0 | 90.0 |
| L1_0--AuCu | dynamic | -0.1852 | -0.1852 | 5.1816 | 5.1816 | 5.7191 | 90.0 | 90.0 | 90.0 |
| L1_0--AuCu | static | -0.0 | -0.0 | 6.0186 | 6.0186 | 7.8822 | 90.0 | 90.0 | 90.0 |
| L1_0--AuCu | box | -0.0 | -0.0 | 6.0187 | 6.0187 | 7.882 | 90.0 | 90.0 | 90.0 |
| B2--CsCl | static | -0.0 | -0.0 | 6.6977 | 6.6977 | 6.6977 | 90.0 | 90.0 | 90.0 |
| B1--NaCl--rock-salt | static | -0.0 | -0.0 | 11.6007 | 11.6007 | 11.6007 | 90.0 | 90.0 | 90.0 |
| B3--ZnS--cubic-zinc-blende | static | -0.0 | -0.0 | 13.3953 | 13.3953 | 13.3953 | 90.0 | 90.0 | 90.0 |
| B4--ZnS--wurtzite | static | -0.0 | -0.0 | 9.4764 | 9.4764 | 15.4759 | 90.0 | 90.0 | 120.0 |
| B3--ZnS--cubic-zinc-blende | dynamic | 0.0 | 0.0 | 15.1752 | 15.1752 | 15.1752 | 90.0 | 90.0 | 90.0 |
| B2--CsCl | dynamic | 0.0 | 0.0 | 8.5628 | 8.5628 | 8.5628 | 90.0 | 90.0 | 90.0 |
| L1_0--AuCu | dynamic | 0.0 | 0.0 | 7.2884 | 7.2884 | 10.9454 | 90.0 | 90.0 | 90.0 |
| B1--NaCl--rock-salt | dynamic | 0.0 | 0.0 | 13.1675 | 13.1675 | 13.1675 | 90.0 | 90.0 | 90.0 |
| B4--ZnS--wurtzite | dynamic | 0.0 | 0.0 | 9.4764 | 9.4764 | 21.3494 | 90.0 | 90.0 | 120.0 |
Download raw data (including filtered results)
Reference structure matches:
| prototype | method | Ecoh (eV/atom) | Epot (eV/atom) | a0 (Å) | b0 (Å) | c0 (Å) | α (degrees) | β (degrees) | γ (degrees) |
|---|---|---|---|---|---|---|---|---|---|
| mp-1077706 | static | -4.0348 | -4.0348 | 6.6644 | 6.6644 | 6.6644 | 90.0 | 90.0 | 90.0 |
| C1--CaF2--fluorite | static | -3.5658 | -3.5658 | 5.5336 | 5.5336 | 5.5336 | 90.0 | 90.0 | 90.0 |
| C1--CaF2--fluorite | dynamic | -0.0613 | -0.0613 | 10.7525 | 10.7525 | 10.7525 | 90.0 | 90.0 | 90.0 |
| C1--CaF2--fluorite | static | -0.0 | -0.0 | 13.3953 | 13.3953 | 13.3953 | 90.0 | 90.0 | 90.0 |
| C1--CaF2--fluorite | dynamic | 0.0 | 0.0 | 14.8662 | 14.8662 | 14.8662 | 90.0 | 90.0 | 90.0 |
Download raw data (including filtered results)
Reference structure matches:
| prototype | method | Ecoh (eV/atom) | Epot (eV/atom) | a0 (Å) | b0 (Å) | c0 (Å) | α (degrees) | β (degrees) | γ (degrees) |
|---|---|---|---|---|---|---|---|---|---|
| L2_1--AlCu2Mn--heusler | static | -3.984 | -3.984 | 5.6975 | 5.6975 | 5.6975 | 90.0 | 90.0 | 90.0 |
| L2_1--AlCu2Mn--heusler | static | -1.5386 | -1.5386 | 10.1517 | 10.1517 | 10.1517 | 90.0 | 90.0 | 90.0 |
| L2_1--AlCu2Mn--heusler | dynamic | -0.0 | -0.0 | 13.179 | 13.179 | 13.179 | 90.0 | 90.0 | 90.0 |
Download raw data (including filtered results)
Reference structure matches:
| prototype | method | Ecoh (eV/atom) | Epot (eV/atom) | a0 (Å) | b0 (Å) | c0 (Å) | α (degrees) | β (degrees) | γ (degrees) |
|---|---|---|---|---|---|---|---|---|---|
| L2_1--AlCu2Mn--heusler | static | -4.2116 | -4.2116 | 5.6709 | 5.6709 | 5.6709 | 90.0 | 90.0 | 90.0 |
| L2_1--AlCu2Mn--heusler | static | -0.2113 | -0.2113 | 9.8717 | 9.8717 | 9.8717 | 90.0 | 90.0 | 90.0 |
| L2_1--AlCu2Mn--heusler | static | -0.1156 | -0.1156 | 12.1961 | 12.1961 | 12.1961 | 90.0 | 90.0 | 90.0 |
| L2_1--AlCu2Mn--heusler | static | -0.0 | -0.0 | 13.3952 | 13.3952 | 13.3952 | 90.0 | 90.0 | 90.0 |
| L2_1--AlCu2Mn--heusler | dynamic | 0.0 | 0.0 | 14.6633 | 14.6633 | 14.6633 | 90.0 | 90.0 | 90.0 |
Download raw data (including filtered results)
Reference structure matches:
| prototype | method | Ecoh (eV/atom) | Epot (eV/atom) | a0 (Å) | b0 (Å) | c0 (Å) | α (degrees) | β (degrees) | γ (degrees) |
|---|---|---|---|---|---|---|---|---|---|
| L2_1--AlCu2Mn--heusler | static | -4.2173 | -4.2173 | 5.6622 | 5.6622 | 5.6622 | 90.0 | 90.0 | 90.0 |
| L2_1--AlCu2Mn--heusler | static | 0.0409 | 0.0409 | 10.971 | 10.971 | 10.971 | 90.0 | 90.0 | 90.0 |
Download raw data (including filtered results)
Reference structure matches:
| prototype | method | Ecoh (eV/atom) | Epot (eV/atom) | a0 (Å) | b0 (Å) | c0 (Å) | α (degrees) | β (degrees) | γ (degrees) |
|---|---|---|---|---|---|---|---|---|---|
| L1_2--AuCu3 | dynamic | -4.2521 | -4.2521 | 3.5367 | 3.5367 | 3.5367 | 90.0 | 90.0 | 90.0 |
| mp-1025503 | dynamic | -4.2447 | -4.2447 | 4.9916 | 4.9916 | 4.0567 | 90.0 | 90.0 | 120.0 |
| mp-1025503 | box | -4.2423 | -4.2423 | 4.9926 | 4.9926 | 4.0484 | 90.0 | 90.0 | 120.0 |
| D0_3--BiF3 | static | -4.1687 | -4.1687 | 5.6635 | 5.6635 | 5.6635 | 90.0 | 90.0 | 90.0 |
| A15--Cr3Si | dynamic | -4.1446 | -4.1446 | 4.536 | 4.536 | 4.536 | 90.0 | 90.0 | 90.0 |
| A15--Cr3Si | static | -0.2256 | -0.2256 | 8.37 | 8.37 | 8.37 | 90.0 | 90.0 | 90.0 |
| L1_2--AuCu3 | static | -0.1967 | -0.1967 | 6.5239 | 6.5239 | 6.5239 | 90.0 | 90.0 | 90.0 |
| D0_3--BiF3 | box | -0.0976 | -0.0976 | 9.9841 | 9.9841 | 9.9841 | 90.0 | 90.0 | 90.0 |
Download raw data (including filtered results)
Reference structure matches:
| prototype | method | Ecoh (eV/atom) | Epot (eV/atom) | a0 (Å) | b0 (Å) | c0 (Å) | α (degrees) | β (degrees) | γ (degrees) |
|---|---|---|---|---|---|---|---|---|---|
| L2_1--AlCu2Mn--heusler | static | -3.8028 | -3.8028 | 5.7328 | 5.7328 | 5.7328 | 90.0 | 90.0 | 90.0 |
| L2_1--AlCu2Mn--heusler | static | -0.9719 | -0.9719 | 11.5213 | 11.5213 | 11.5213 | 90.0 | 90.0 | 90.0 |
| L2_1--AlCu2Mn--heusler | dynamic | -0.0016 | -0.0016 | 13.0057 | 13.0057 | 13.0057 | 90.0 | 90.0 | 90.0 |
Download raw data (including filtered results)
Reference structure matches:
| prototype | method | Ecoh (eV/atom) | Epot (eV/atom) | a0 (Å) | b0 (Å) | c0 (Å) | α (degrees) | β (degrees) | γ (degrees) |
|---|---|---|---|---|---|---|---|---|---|
| L2_1--AlCu2Mn--heusler | static | -4.2661 | -4.2661 | 5.6592 | 5.6592 | 5.6592 | 90.0 | 90.0 | 90.0 |
| L2_1--AlCu2Mn--heusler | static | -0.3741 | -0.3741 | 11.2054 | 11.2054 | 11.2054 | 90.0 | 90.0 | 90.0 |
| L2_1--AlCu2Mn--heusler | static | -0.3257 | -0.3257 | 12.0989 | 12.0989 | 12.0989 | 90.0 | 90.0 | 90.0 |
Download raw data (including filtered results)
Reference structure matches:
| prototype | method | Ecoh (eV/atom) | Epot (eV/atom) | a0 (Å) | b0 (Å) | c0 (Å) | α (degrees) | β (degrees) | γ (degrees) |
|---|---|---|---|---|---|---|---|---|---|
| mp-1096923 | dynamic | -4.3628 | -4.3628 | 10.0052 | 10.0058 | 10.0092 | 90.0 | 120.0 | 120.0 |
| mp-1096923 | box | -4.3564 | -4.3564 | 10.0024 | 10.0066 | 10.0078 | 120.0 | 90.0 | 120.0 |
| mp-1012640 | dynamic | -4.3506 | -4.3506 | 4.3266 | 4.0991 | 5.001 | 90.0 | 90.1 | 90.0 |
| mp-1012640 | box | -4.348 | -4.348 | 4.3251 | 4.0957 | 5.0007 | 90.0 | 90.1 | 90.0 |
Download raw data (including filtered results)
Reference structure matches:
| prototype | method | Ecoh (eV/atom) | Epot (eV/atom) | a0 (Å) | b0 (Å) | c0 (Å) | α (degrees) | β (degrees) | γ (degrees) |
|---|---|---|---|---|---|---|---|---|---|
| L2_1--AlCu2Mn--heusler | static | -4.2632 | -4.2632 | 5.6554 | 5.6554 | 5.6554 | 90.0 | 90.0 | 90.0 |
Download raw data (including filtered results)
Reference structure matches:
| prototype | method | Ecoh (eV/atom) | Epot (eV/atom) | a0 (Å) | b0 (Å) | c0 (Å) | α (degrees) | β (degrees) | γ (degrees) |
|---|---|---|---|---|---|---|---|---|---|
| B3--ZnS--cubic-zinc-blende | static | -174.8053 | -174.8053 | 1.8965 | 1.8965 | 1.8965 | 90.0 | 90.0 | 90.0 |
| B4--ZnS--wurtzite | box | -170.8549 | -170.8549 | 1.3486 | 1.3486 | 2.2776 | 90.0 | 90.0 | 120.0 |
| L1_0--AuCu | dynamic | -3.9806 | -3.9806 | 5.1588 | 5.1588 | 6.8235 | 90.0 | 90.0 | 90.0 |
| L1_0--AuCu | dynamic | -3.9661 | -3.9661 | 2.5373 | 2.5373 | 3.5683 | 90.0 | 90.0 | 90.0 |
| B2--CsCl | static | -3.8555 | -3.8555 | 2.8896 | 2.8896 | 2.8896 | 90.0 | 90.0 | 90.0 |
| B4--ZnS--wurtzite | static | -3.508 | -3.508 | 2.4895 | 2.4895 | 15.3078 | 90.0 | 90.0 | 120.0 |
| B1--NaCl--rock-salt | static | -3.4649 | -3.4649 | 4.8076 | 4.8076 | 4.8076 | 90.0 | 90.0 | 90.0 |
| B2--CsCl | dynamic | -3.2843 | -3.2843 | 5.7601 | 5.7601 | 5.7601 | 90.0 | 90.0 | 90.0 |
| B4--ZnS--wurtzite | box | -2.4565 | -2.4565 | 3.8967 | 3.8967 | 6.4166 | 90.0 | 90.0 | 120.0 |
| B3--ZnS--cubic-zinc-blende | static | -2.4227 | -2.4227 | 5.4965 | 5.4965 | 5.4965 | 90.0 | 90.0 | 90.0 |
| B1--NaCl--rock-salt | dynamic | -1.2637 | -1.2637 | 9.9727 | 9.9727 | 9.9727 | 90.0 | 90.0 | 90.0 |
| B1--NaCl--rock-salt | static | -0.7135 | -0.7135 | 7.099 | 7.099 | 7.099 | 90.0 | 90.0 | 90.0 |
| B1--NaCl--rock-salt | dynamic | -0.597 | -0.597 | 7.7992 | 7.7992 | 7.7992 | 90.0 | 90.0 | 90.0 |
| B3--ZnS--cubic-zinc-blende | dynamic | -0.2691 | -0.2691 | 11.5047 | 11.5047 | 11.5047 | 90.0 | 90.0 | 90.0 |
| B4--ZnS--wurtzite | dynamic | -0.2691 | -0.2691 | 8.1328 | 8.1328 | 13.2916 | 90.0 | 90.0 | 120.0 |
| B2--CsCl | dynamic | -0.0028 | -0.0028 | 6.4924 | 6.4924 | 6.4924 | 90.0 | 90.0 | 90.0 |
| L1_0--AuCu | dynamic | -0.0028 | -0.0028 | 5.9678 | 5.9678 | 7.4313 | 90.0 | 90.0 | 90.0 |
| L1_0--AuCu | box | -0.0028 | -0.0028 | 5.8347 | 5.8347 | 7.6398 | 90.0 | 90.0 | 90.0 |
| L1_0--AuCu | static | -0.0028 | -0.0028 | 5.8336 | 5.8336 | 7.6415 | 90.0 | 90.0 | 90.0 |
| B1--NaCl--rock-salt | dynamic | -0.0021 | -0.0021 | 11.2452 | 11.2452 | 11.2452 | 90.0 | 90.0 | 90.0 |
| B3--ZnS--cubic-zinc-blende | dynamic | -0.0014 | -0.0014 | 12.9848 | 12.9848 | 12.9848 | 90.0 | 90.0 | 90.0 |
| B4--ZnS--wurtzite | dynamic | -0.0014 | -0.0014 | 9.1792 | 9.1792 | 15.0016 | 90.0 | 90.0 | 120.0 |
Download raw data (including filtered results)
Reference structure matches:
| prototype | method | Ecoh (eV/atom) | Epot (eV/atom) | a0 (Å) | b0 (Å) | c0 (Å) | α (degrees) | β (degrees) | γ (degrees) |
|---|---|---|---|---|---|---|---|---|---|
| C1--CaF2--fluorite | static | -3.2326 | -3.2326 | 5.5187 | 5.5187 | 5.5187 | 90.0 | 90.0 | 90.0 |
| C1--CaF2--fluorite | static | -2.1901 | -2.1901 | 11.5185 | 11.5185 | 11.5185 | 90.0 | 90.0 | 90.0 |
| C1--CaF2--fluorite | dynamic | -0.0019 | -0.0019 | 12.9848 | 12.9848 | 12.9848 | 90.0 | 90.0 | 90.0 |
Download raw data (including filtered results)
Reference structure matches:
| prototype | method | Ecoh (eV/atom) | Epot (eV/atom) | a0 (Å) | b0 (Å) | c0 (Å) | α (degrees) | β (degrees) | γ (degrees) |
|---|---|---|---|---|---|---|---|---|---|
| L2_1--AlCu2Mn--heusler | static | -3.8301 | -3.8301 | 5.6839 | 5.6839 | 5.6839 | 90.0 | 90.0 | 90.0 |
| L2_1--AlCu2Mn--heusler | box | -0.1106 | -0.1106 | 12.5951 | 12.5951 | 12.5951 | 90.0 | 90.0 | 90.0 |
| L2_1--AlCu2Mn--heusler | box | -0.0981 | -0.0981 | 10.3218 | 10.3218 | 10.3218 | 90.0 | 90.0 | 90.0 |
Download raw data (including filtered results)
Reference structure matches:
| prototype | method | Ecoh (eV/atom) | Epot (eV/atom) | a0 (Å) | b0 (Å) | c0 (Å) | α (degrees) | β (degrees) | γ (degrees) |
|---|---|---|---|---|---|---|---|---|---|
| L2_1--AlCu2Mn--heusler | static | -3.8489 | -3.8489 | 5.7263 | 5.7263 | 5.7263 | 90.0 | 90.0 | 90.0 |
| L2_1--AlCu2Mn--heusler | box | -0.2416 | -0.2416 | 11.4971 | 11.4971 | 11.4971 | 90.0 | 90.0 | 90.0 |
| L2_1--AlCu2Mn--heusler | dynamic | -0.0014 | -0.0014 | 12.9995 | 12.9995 | 12.9995 | 90.0 | 90.0 | 90.0 |
Download raw data (including filtered results)
Reference structure matches:
| prototype | method | Ecoh (eV/atom) | Epot (eV/atom) | a0 (Å) | b0 (Å) | c0 (Å) | α (degrees) | β (degrees) | γ (degrees) |
|---|---|---|---|---|---|---|---|---|---|
| L1_2--AuCu3 | dynamic | -7.739 | -7.739 | 7.0715 | 7.0715 | 7.0715 | 90.0 | 90.0 | 90.0 |
| A15--Cr3Si | dynamic | -5.854 | -5.854 | 8.9275 | 8.9275 | 8.9275 | 90.0 | 90.0 | 90.0 |
| L1_2--AuCu3 | dynamic | -3.7518 | -3.7518 | 3.5851 | 3.5851 | 3.5851 | 90.0 | 90.0 | 90.0 |
| L1_2--AuCu3 | dynamic | -3.751 | -3.751 | 3.5013 | 3.5013 | 3.5013 | 90.0 | 90.0 | 90.0 |
| D0_3--BiF3 | box | -3.6315 | -3.6315 | 5.7738 | 5.7738 | 5.7738 | 90.0 | 90.0 | 90.0 |
| A15--Cr3Si | static | -3.5904 | -3.5904 | 4.6317 | 4.6317 | 4.6317 | 90.0 | 90.0 | 90.0 |
| D0_3--BiF3 | dynamic | -2.2697 | -2.2697 | 11.5366 | 11.5366 | 11.5366 | 90.0 | 90.0 | 90.0 |
| L1_2--AuCu3 | static | -1.2769 | -1.2769 | 5.3616 | 5.3616 | 5.3616 | 90.0 | 90.0 | 90.0 |
| L1_2--AuCu3 | dynamic | -0.0051 | -0.0051 | 7.951 | 7.951 | 7.951 | 90.0 | 90.0 | 90.0 |
| D0_3--BiF3 | dynamic | -0.0034 | -0.0034 | 12.984 | 12.984 | 12.984 | 90.0 | 90.0 | 90.0 |
| A15--Cr3Si | dynamic | -0.0007 | -0.0007 | 11.2439 | 11.2439 | 11.2439 | 90.0 | 90.0 | 90.0 |
Download raw data (including filtered results)
Reference structure matches:
| prototype | method | Ecoh (eV/atom) | Epot (eV/atom) | a0 (Å) | b0 (Å) | c0 (Å) | α (degrees) | β (degrees) | γ (degrees) |
|---|---|---|---|---|---|---|---|---|---|
| L2_1--AlCu2Mn--heusler | static | -4.0747 | -4.0747 | 5.6563 | 5.6563 | 5.6563 | 90.0 | 90.0 | 90.0 |
| L2_1--AlCu2Mn--heusler | box | -0.3519 | -0.3519 | 10.8742 | 10.8742 | 10.8742 | 90.0 | 90.0 | 90.0 |
| L2_1--AlCu2Mn--heusler | static | -0.2777 | -0.2777 | 12.4849 | 12.4849 | 12.4849 | 90.0 | 90.0 | 90.0 |
Download raw data (including filtered results)
Reference structure matches:
| prototype | method | Ecoh (eV/atom) | Epot (eV/atom) | a0 (Å) | b0 (Å) | c0 (Å) | α (degrees) | β (degrees) | γ (degrees) |
|---|---|---|---|---|---|---|---|---|---|
| L2_1--AlCu2Mn--heusler | static | -4.0775 | -4.0775 | 5.6922 | 5.6922 | 5.6922 | 90.0 | 90.0 | 90.0 |
| L2_1--AlCu2Mn--heusler | box | -0.3007 | -0.3007 | 10.0277 | 10.0277 | 10.0277 | 90.0 | 90.0 | 90.0 |
Download raw data (including filtered results)
Reference structure matches:
B2--CsCl = mp-2090
| prototype | method | Ecoh (eV/atom) | Epot (eV/atom) | a0 (Å) | b0 (Å) | c0 (Å) | α (degrees) | β (degrees) | γ (degrees) |
|---|---|---|---|---|---|---|---|---|---|
| L1_0--AuCu | dynamic | -4.3957 | -4.3957 | 2.56 | 2.56 | 3.4623 | 90.0 | 90.0 | 90.0 |
| mp-1225016 | static | -4.3241 | -4.3241 | 2.6208 | 4.2886 | 4.2602 | 90.0 | 90.0 | 90.0 |
| mp-1225016 | box | -4.3109 | -4.3109 | 2.9106 | 4.116 | 4.0675 | 90.0 | 90.0 | 90.0 |
| B2--CsCl | static | -4.3014 | -4.3014 | 2.85 | 2.85 | 2.85 | 90.0 | 90.0 | 90.0 |
| B1--NaCl--rock-salt | static | -3.5936 | -3.5936 | 4.6804 | 4.6804 | 4.6804 | 90.0 | 90.0 | 90.0 |
| B4--ZnS--wurtzite | box | -2.4055 | -2.4055 | 3.7699 | 3.7699 | 6.1097 | 90.0 | 90.0 | 120.0 |
| B3--ZnS--cubic-zinc-blende | static | -2.4035 | -2.4035 | 5.3456 | 5.3456 | 5.3456 | 90.0 | 90.0 | 90.0 |
| L1_0--AuCu | dynamic | -0.4241 | -0.4241 | 5.6295 | 5.6295 | 6.3599 | 90.0 | 90.0 | 90.0 |
| B2--CsCl | dynamic | -0.4231 | -0.4231 | 5.884 | 5.884 | 5.884 | 90.0 | 90.0 | 90.0 |
| B1--NaCl--rock-salt | dynamic | -0.357 | -0.357 | 10.2639 | 10.2639 | 10.2639 | 90.0 | 90.0 | 90.0 |
| B3--ZnS--cubic-zinc-blende | dynamic | -0.2614 | -0.2614 | 11.887 | 11.887 | 11.887 | 90.0 | 90.0 | 90.0 |
| B4--ZnS--wurtzite | dynamic | -0.2614 | -0.2614 | 8.4031 | 8.4031 | 13.7333 | 90.0 | 90.0 | 120.0 |
| B3--ZnS--cubic-zinc-blende | dynamic | 1.2159 | 1.2159 | 8.3966 | 8.3966 | 8.3966 | 90.0 | 90.0 | 90.0 |
| B4--ZnS--wurtzite | dynamic | 1.2159 | 1.2159 | 5.9357 | 5.9357 | 9.7007 | 90.0 | 90.0 | 120.0 |
Download raw data (including filtered results)
Reference structure matches:
| prototype | method | Ecoh (eV/atom) | Epot (eV/atom) | a0 (Å) | b0 (Å) | c0 (Å) | α (degrees) | β (degrees) | γ (degrees) |
|---|---|---|---|---|---|---|---|---|---|
| mp-18695 | box | -4.3016 | -4.3016 | 5.7281 | 5.7281 | 5.7281 | 90.0 | 90.0 | 90.0 |
Download raw data (including filtered results)
Reference structure matches:
| prototype | method | Ecoh (eV/atom) | Epot (eV/atom) | a0 (Å) | b0 (Å) | c0 (Å) | α (degrees) | β (degrees) | γ (degrees) |
|---|---|---|---|---|---|---|---|---|---|
| C1--CaF2--fluorite | static | -3.4956 | -3.4956 | 5.5085 | 5.5085 | 5.5085 | 90.0 | 90.0 | 90.0 |
| C1--CaF2--fluorite | dynamic | -0.3429 | -0.3429 | 11.8933 | 11.8933 | 11.8933 | 90.0 | 90.0 | 90.0 |
| C1--CaF2--fluorite | dynamic | 2.0488 | 2.0488 | 8.2167 | 8.2167 | 8.2167 | 90.0 | 90.0 | 90.0 |
Download raw data (including filtered results)
Reference structure matches:
| prototype | method | Ecoh (eV/atom) | Epot (eV/atom) | a0 (Å) | b0 (Å) | c0 (Å) | α (degrees) | β (degrees) | γ (degrees) |
|---|---|---|---|---|---|---|---|---|---|
| L2_1--AlCu2Mn--heusler | static | -4.3132 | -4.3132 | 5.6633 | 5.6633 | 5.6633 | 90.0 | 90.0 | 90.0 |
| L2_1--AlCu2Mn--heusler | dynamic | -0.2671 | -0.2671 | 11.8921 | 11.8921 | 11.8921 | 90.0 | 90.0 | 90.0 |
Download raw data (including filtered results)
Reference structure matches:
| prototype | method | Ecoh (eV/atom) | Epot (eV/atom) | a0 (Å) | b0 (Å) | c0 (Å) | α (degrees) | β (degrees) | γ (degrees) |
|---|---|---|---|---|---|---|---|---|---|
| L1_2--AuCu3 | dynamic | -4.3939 | -4.3939 | 3.568 | 3.568 | 3.568 | 90.0 | 90.0 | 90.0 |
| D0_3--BiF3 | static | -4.3189 | -4.3189 | 5.712 | 5.712 | 5.712 | 90.0 | 90.0 | 90.0 |
| mp-601820 | box | -4.3023 | -4.3023 | 4.0508 | 4.0508 | 2.8751 | 90.0 | 90.0 | 90.0 |
| A15--Cr3Si | static | -4.17 | -4.17 | 4.6239 | 4.6239 | 4.6239 | 90.0 | 90.0 | 90.0 |
| L1_2--AuCu3 | static | -3.1742 | -3.1742 | 4.3416 | 4.3416 | 4.3416 | 90.0 | 90.0 | 90.0 |
| A15--Cr3Si | static | -3.1647 | -3.1647 | 5.4888 | 5.4888 | 5.4888 | 90.0 | 90.0 | 90.0 |
| A15--Cr3Si | dynamic | -0.0019 | -0.0019 | 11.2997 | 11.2997 | 11.2997 | 90.0 | 90.0 | 90.0 |
| L1_2--AuCu3 | dynamic | -0.0012 | -0.0012 | 8.0448 | 8.0448 | 8.0448 | 90.0 | 90.0 | 90.0 |
| D0_3--BiF3 | dynamic | -0.0008 | -0.0008 | 13.1372 | 13.1372 | 13.1372 | 90.0 | 90.0 | 90.0 |
| A15--Cr3Si | static | 0.2937 | 0.2937 | 9.159 | 9.159 | 9.159 | 90.0 | 90.0 | 90.0 |
| L1_2--AuCu3 | static | 2.4842 | 2.4842 | 5.7844 | 5.7844 | 5.7844 | 90.0 | 90.0 | 90.0 |
| A15--Cr3Si | static | 3.4813 | 3.4813 | 6.8131 | 6.8131 | 6.8131 | 90.0 | 90.0 | 90.0 |
Download raw data (including filtered results)
Reference structure matches:
| prototype | method | Ecoh (eV/atom) | Epot (eV/atom) | a0 (Å) | b0 (Å) | c0 (Å) | α (degrees) | β (degrees) | γ (degrees) |
|---|---|---|---|---|---|---|---|---|---|
| mp-1080603 | box | -4.3013 | -4.3013 | 5.7358 | 5.7358 | 5.7358 | 90.0 | 90.0 | 90.0 |
Download raw data (including filtered results)
Reference structure matches:
| prototype | method | Ecoh (eV/atom) | Epot (eV/atom) | a0 (Å) | b0 (Å) | c0 (Å) | α (degrees) | β (degrees) | γ (degrees) |
|---|---|---|---|---|---|---|---|---|---|
| L2_1--AlCu2Mn--heusler | static | -4.3082 | -4.3082 | 5.6653 | 5.6653 | 5.6653 | 90.0 | 90.0 | 90.0 |
| L2_1--AlCu2Mn--heusler | static | -0.04 | -0.04 | 10.4505 | 10.4505 | 10.4505 | 90.0 | 90.0 | 90.0 |
| L2_1--AlCu2Mn--heusler | dynamic | -0.0025 | -0.0025 | 11.9843 | 11.9843 | 11.9843 | 90.0 | 90.0 | 90.0 |
Download raw data (including filtered results)
Reference structure matches:
B1--NaCl--rock-salt = oqmd-1103760
B2--CsCl = mp-1006883, oqmd-304574
B3--ZnS--cubic-zinc-blende = oqmd-1219291
L1_0--AuCu = oqmd-336116
| prototype | method | Ecoh (eV/atom) | Epot (eV/atom) | a0 (Å) | b0 (Å) | c0 (Å) | α (degrees) | β (degrees) | γ (degrees) |
|---|---|---|---|---|---|---|---|---|---|
| B3--ZnS--cubic-zinc-blende | static | -145.4752 | -145.4752 | 1.9299 | 1.9299 | 1.9299 | 90.0 | 90.0 | 90.0 |
| B4--ZnS--wurtzite | box | -143.2143 | -143.2143 | 1.362 | 1.362 | 2.2905 | 90.0 | 90.0 | 120.0 |
| mp-1226076 | dynamic | -4.4291 | -4.4291 | 2.4993 | 2.4993 | 12.2417 | 90.0 | 90.0 | 120.0 |
| L1_0--AuCu | dynamic | -4.429 | -4.429 | 2.4996 | 2.4996 | 3.5324 | 90.0 | 90.0 | 90.0 |
| oqmd-1219805 | dynamic | -4.4147 | -4.4147 | 4.1416 | 2.4909 | 4.3163 | 90.0 | 90.0 | 90.0 |
| oqmd-1219805 | box | -4.4144 | -4.4144 | 4.1417 | 2.4856 | 4.324 | 90.0 | 90.0 | 90.0 |
| oqmd-1228970 | dynamic | -4.4141 | -4.4141 | 2.4905 | 2.4905 | 4.134 | 90.0 | 90.0 | 120.0 |
| mp-1226063 | static | -4.345 | -4.345 | 2.5439 | 4.2781 | 4.2677 | 90.0 | 90.0 | 90.0 |
| mp-1226063 | box | -4.3053 | -4.3053 | 2.8645 | 4.0562 | 4.0463 | 90.0 | 90.0 | 90.0 |
| B2--CsCl | static | -4.3044 | -4.3044 | 2.8751 | 2.8751 | 2.8751 | 90.0 | 90.0 | 90.0 |
| B4--ZnS--wurtzite | static | -3.881 | -3.881 | 2.4636 | 2.4636 | 13.0369 | 90.0 | 90.0 | 120.0 |
| B1--NaCl--rock-salt | static | -3.6457 | -3.6457 | 4.6726 | 4.6726 | 4.6726 | 90.0 | 90.0 | 90.0 |
| oqmd-1225484 | box | -3.0069 | -3.0069 | 4.1195 | 4.1195 | 4.709 | 90.0 | 90.0 | 120.0 |
| B4--ZnS--wurtzite | box | -2.4658 | -2.4658 | 3.922 | 3.922 | 6.4778 | 90.0 | 90.0 | 120.0 |
| B3--ZnS--cubic-zinc-blende | static | -2.4605 | -2.4605 | 5.5428 | 5.5428 | 5.5428 | 90.0 | 90.0 | 90.0 |
Download raw data (including filtered results)
Reference structure matches:
| prototype | method | Ecoh (eV/atom) | Epot (eV/atom) | a0 (Å) | b0 (Å) | c0 (Å) | α (degrees) | β (degrees) | γ (degrees) |
|---|---|---|---|---|---|---|---|---|---|
| C1--CaF2--fluorite | static | -3.6638 | -3.6638 | 5.5083 | 5.5083 | 5.5083 | 90.0 | 90.0 | 90.0 |
Download raw data (including filtered results)
Reference structure matches:
D0_3--BiF3 = oqmd-309784
L1_2--AuCu3 = mp-1183751, oqmd-343276
| prototype | method | Ecoh (eV/atom) | Epot (eV/atom) | a0 (Å) | b0 (Å) | c0 (Å) | α (degrees) | β (degrees) | γ (degrees) |
|---|---|---|---|---|---|---|---|---|---|
| L1_2--AuCu3 | dynamic | -4.4393 | -4.4393 | 3.5268 | 3.5268 | 3.5268 | 90.0 | 90.0 | 90.0 |
| oqmd-299242 | dynamic | -4.4379 | -4.4379 | 3.5287 | 3.5287 | 7.0547 | 90.0 | 90.0 | 90.0 |
| mp-1183785 | dynamic | -4.4203 | -4.4203 | 4.9737 | 4.9737 | 4.0949 | 90.0 | 90.0 | 120.0 |
| mp-1183785 | box | -4.4203 | -4.4203 | 4.9734 | 4.9734 | 4.0947 | 90.0 | 90.0 | 120.0 |
| oqmd-318790 | box | -4.4202 | -4.4202 | 4.9742 | 4.9742 | 4.095 | 90.0 | 90.0 | 120.0 |
| D0_3--BiF3 | static | -4.3116 | -4.3116 | 5.6562 | 5.6562 | 5.6562 | 90.0 | 90.0 | 90.0 |
| A15--Cr3Si | dynamic | -4.2945 | -4.2945 | 4.5081 | 4.5081 | 4.5081 | 90.0 | 90.0 | 90.0 |
| A15--Cr3Si | dynamic | 0.0015 | 0.0015 | 10.4311 | 10.4311 | 10.4311 | 90.0 | 90.0 | 90.0 |
| D0_3--BiF3 | static | 0.0068 | 0.0068 | 11.9976 | 11.9976 | 11.9976 | 90.0 | 90.0 | 90.0 |
| L1_2--AuCu3 | dynamic | 0.0101 | 0.0101 | 7.3422 | 7.3422 | 7.3422 | 90.0 | 90.0 | 90.0 |
Download raw data (including filtered results)
Reference structure matches:
A1--Cu--fcc = mp-8633, oqmd-592135, oqmd-1214518
A15--beta-W = mp-17, oqmd-620565, oqmd-691761, oqmd-1214963, oqmd-1280318
A2--W--bcc = mp-90, oqmd-676284, oqmd-676532, oqmd-677049, oqmd-685486, oqmd-690214, oqmd-691769, oqmd-1215141
A3'--alpha-La--double-hcp = oqmd-1215409
A3--Mg--hcp = mp-89, oqmd-592444, oqmd-622452, oqmd-1215319
A4--C--dc = oqmd-1215498
A5--beta-Sn = oqmd-1215587
A6--In--bct = oqmd-1215676
A7--alpha-As = oqmd-1215765
| prototype | method | Ecoh (eV/atom) | Epot (eV/atom) | a0 (Å) | b0 (Å) | c0 (Å) | α (degrees) | β (degrees) | γ (degrees) |
|---|---|---|---|---|---|---|---|---|---|
| A4--C--dc | static | -112.7455 | -112.7455 | 1.9468 | 1.9468 | 1.9468 | 90.0 | 90.0 | 90.0 |
| A1--Cu--fcc | dynamic | -4.2 | -4.2 | 3.53 | 3.53 | 3.53 | 90.0 | 90.0 | 90.0 |
| A3--Mg--hcp | dynamic | -4.1976 | -4.1976 | 2.4959 | 2.4959 | 3.972 | 90.0 | 90.0 | 120.0 |
| A3--Mg--hcp | box | -4.1976 | -4.1976 | 2.496 | 2.496 | 3.972 | 90.0 | 90.0 | 120.0 |
| A3'--alpha-La--double-hcp | dynamic | -4.1973 | -4.1973 | 2.494 | 2.494 | 8.0724 | 90.0 | 90.0 | 120.0 |
| oqmd-1216032 | dynamic | -4.1973 | -4.1973 | 2.4945 | 2.4945 | 18.0651 | 90.0 | 90.0 | 120.0 |
| oqmd-1216032 | box | -4.1963 | -4.1963 | 2.4937 | 2.4937 | 18.1015 | 90.0 | 90.0 | 120.0 |
| mp-1059289 | box | -4.1468 | -4.1468 | 2.4043 | 4.4517 | 4.1567 | 90.0 | 90.0 | 90.0 |
| A2--W--bcc | static | -4.1445 | -4.1445 | 2.7948 | 2.7948 | 2.7948 | 90.0 | 90.0 | 90.0 |
| oqmd-1214874 | dynamic | -4.1111 | -4.1111 | 6.1452 | 6.1452 | 6.1452 | 90.0 | 90.0 | 90.0 |
| oqmd-691775 | static | -4.1108 | -4.1108 | 2.4959 | 2.4959 | 6.2439 | 90.0 | 90.0 | 120.0 |
| oqmd-1214874 | box | -4.1097 | -4.1097 | 6.1472 | 6.1472 | 6.1472 | 90.0 | 90.0 | 90.0 |
| oqmd-1214785 | dynamic | -4.0885 | -4.0885 | 8.7553 | 8.7553 | 8.7553 | 90.0 | 90.0 | 90.0 |
| oqmd-1214785 | static | -4.0882 | -4.0882 | 8.7594 | 8.7594 | 8.7594 | 90.0 | 90.0 | 90.0 |
| A15--beta-W | dynamic | -4.0863 | -4.0863 | 4.5564 | 4.5564 | 4.5564 | 90.0 | 90.0 | 90.0 |
| oqmd-1214785 | box | -4.0815 | -4.0815 | 8.7769 | 8.7769 | 8.7769 | 90.0 | 90.0 | 90.0 |
| mp-1192789 | dynamic | -4.0458 | -4.0458 | 8.5483 | 8.5483 | 4.6189 | 90.0 | 90.0 | 90.0 |
| mp-1192789 | box | -4.0258 | -4.0258 | 8.5989 | 8.5989 | 4.6026 | 90.0 | 90.0 | 90.0 |
| oqmd-631035 | box | -4.0101 | -4.0101 | 8.5877 | 8.5877 | 4.6102 | 90.0 | 90.0 | 90.0 |
| A5--beta-Sn | static | -3.6955 | -3.6955 | 4.4659 | 4.4659 | 2.342 | 90.0 | 90.0 | 90.0 |
| Ah--alpha-Po--sc | box | -3.4947 | -3.4947 | 2.3439 | 2.3439 | 2.3439 | 90.0 | 90.0 | 90.0 |
| oqmd-1215943 | static | -3.0471 | -3.0471 | 3.9876 | 3.9876 | 4.3221 | 90.0 | 90.0 | 120.0 |
| A7--alpha-As | box | -3.0227 | -3.0227 | 3.2889 | 3.2889 | 9.7936 | 90.0 | 90.0 | 120.0 |
| A4--C--dc | static | -2.4786 | -2.4786 | 5.4005 | 5.4005 | 5.4005 | 90.0 | 90.0 | 90.0 |
| A4--C--dc | static | -0.2847 | -0.2847 | 3.8777 | 3.8777 | 3.8777 | 90.0 | 90.0 | 90.0 |
Download raw data (including filtered results)
Reference structure matches:
| prototype | method | Ecoh (eV/atom) | Epot (eV/atom) | a0 (Å) | b0 (Å) | c0 (Å) | α (degrees) | β (degrees) | γ (degrees) |
|---|---|---|---|---|---|---|---|---|---|
| C1--CaF2--fluorite | static | -3.3981 | -3.3981 | 5.4635 | 5.4635 | 5.4635 | 90.0 | 90.0 | 90.0 |
| C1--CaF2--fluorite | dynamic | -0.0003 | -0.0003 | 13.0562 | 13.0562 | 13.0562 | 90.0 | 90.0 | 90.0 |
Download raw data (including filtered results)
Reference structure matches:
| prototype | method | Ecoh (eV/atom) | Epot (eV/atom) | a0 (Å) | b0 (Å) | c0 (Å) | α (degrees) | β (degrees) | γ (degrees) |
|---|---|---|---|---|---|---|---|---|---|
| L2_1--AlCu2Mn--heusler | static | -3.9926 | -3.9926 | 5.6281 | 5.6281 | 5.6281 | 90.0 | 90.0 | 90.0 |
| L2_1--AlCu2Mn--heusler | static | -0.3289 | -0.3289 | 9.2632 | 9.2632 | 9.2632 | 90.0 | 90.0 | 90.0 |
Download raw data (including filtered results)
Reference structure matches:
| prototype | method | Ecoh (eV/atom) | Epot (eV/atom) | a0 (Å) | b0 (Å) | c0 (Å) | α (degrees) | β (degrees) | γ (degrees) |
|---|---|---|---|---|---|---|---|---|---|
| L2_1--AlCu2Mn--heusler | static | -3.9996 | -3.9996 | 5.6166 | 5.6166 | 5.6166 | 90.0 | 90.0 | 90.0 |
| L2_1--AlCu2Mn--heusler | box | 0.2415 | 0.2415 | 11.0207 | 11.0207 | 11.0207 | 90.0 | 90.0 | 90.0 |
Download raw data (including filtered results)
Reference structure matches:
| prototype | method | Ecoh (eV/atom) | Epot (eV/atom) | a0 (Å) | b0 (Å) | c0 (Å) | α (degrees) | β (degrees) | γ (degrees) |
|---|---|---|---|---|---|---|---|---|---|
| mp-1077708 | static | -4.0815 | -4.0815 | 6.6543 | 6.6543 | 6.6543 | 90.0 | 90.0 | 90.0 |
| C1--CaF2--fluorite | static | -3.4845 | -3.4845 | 5.5856 | 5.5856 | 5.5856 | 90.0 | 90.0 | 90.0 |
| oqmd-1240427 | static | -1.7574 | -1.7574 | 10.9908 | 10.9908 | 10.9908 | 90.0 | 90.0 | 90.0 |
| C1--CaF2--fluorite | dynamic | -0.1847 | -0.1847 | 12.1811 | 12.1811 | 12.1811 | 90.0 | 90.0 | 90.0 |
| C1--CaF2--fluorite | static | -0.1078 | -0.1078 | 9.861 | 9.861 | 9.861 | 90.0 | 90.0 | 90.0 |
Download raw data (including filtered results)
Reference structure matches:
| prototype | method | Ecoh (eV/atom) | Epot (eV/atom) | a0 (Å) | b0 (Å) | c0 (Å) | α (degrees) | β (degrees) | γ (degrees) |
|---|---|---|---|---|---|---|---|---|---|
| oqmd-426579 | static | -4.0198 | -4.0198 | 6.8886 | 6.8886 | 8.9431 | 90.0 | 90.0 | 120.0 |
| oqmd-426579 | box | -4.0079 | -4.0079 | 6.9017 | 6.9017 | 8.9323 | 90.0 | 90.0 | 120.0 |
Download raw data (including filtered results)
Reference structure matches:
L2_1--AlCu2Mn--heusler = oqmd-387658
| prototype | method | Ecoh (eV/atom) | Epot (eV/atom) | a0 (Å) | b0 (Å) | c0 (Å) | α (degrees) | β (degrees) | γ (degrees) |
|---|---|---|---|---|---|---|---|---|---|
| L2_1--AlCu2Mn--heusler | static | -4.2327 | -4.2327 | 5.5979 | 5.5979 | 5.5979 | 90.0 | 90.0 | 90.0 |
| L2_1--AlCu2Mn--heusler | box | -0.1395 | -0.1395 | 9.8749 | 9.8749 | 9.8749 | 90.0 | 90.0 | 90.0 |
| L2_1--AlCu2Mn--heusler | dynamic | -0.1286 | -0.1286 | 12.1915 | 12.1915 | 12.1915 | 90.0 | 90.0 | 90.0 |
Download raw data (including filtered results)
Reference structure matches:
| prototype | method | Ecoh (eV/atom) | Epot (eV/atom) | a0 (Å) | b0 (Å) | c0 (Å) | α (degrees) | β (degrees) | γ (degrees) |
|---|---|---|---|---|---|---|---|---|---|
| mp-1077252 | static | -4.0606 | -4.0606 | 6.5876 | 6.5876 | 6.5876 | 90.0 | 90.0 | 90.0 |
| C1--CaF2--fluorite | static | -3.6371 | -3.6371 | 5.4727 | 5.4727 | 5.4727 | 90.0 | 90.0 | 90.0 |
| oqmd-1232523 | box | -2.9365 | -2.9365 | 5.2226 | 5.2226 | 3.6917 | 90.0 | 90.0 | 90.0 |
| oqmd-1238640 | static | -1.6464 | -1.6464 | 11.0636 | 11.0636 | 11.0636 | 90.0 | 90.0 | 90.0 |
Download raw data (including filtered results)
Reference structure matches:
L1_2--AuCu3 = mp-984711
| prototype | method | Ecoh (eV/atom) | Epot (eV/atom) | a0 (Å) | b0 (Å) | c0 (Å) | α (degrees) | β (degrees) | γ (degrees) |
|---|---|---|---|---|---|---|---|---|---|
| L1_2--AuCu3 | dynamic | -4.029 | -4.029 | 3.5467 | 3.5467 | 3.5467 | 90.0 | 90.0 | 90.0 |
| D0_3--BiF3 | static | -3.9511 | -3.9511 | 5.6147 | 5.6147 | 5.6147 | 90.0 | 90.0 | 90.0 |
| A15--Cr3Si | dynamic | -3.9283 | -3.9283 | 4.5679 | 4.5679 | 4.5679 | 90.0 | 90.0 | 90.0 |
| L1_2--AuCu3 | static | -0.0 | -0.0 | 8.1364 | 8.1364 | 8.1364 | 90.0 | 90.0 | 90.0 |
| D0_3--BiF3 | static | -0.0 | -0.0 | 13.2868 | 13.2868 | 13.2868 | 90.0 | 90.0 | 90.0 |
| D0_3--BiF3 | dynamic | 0.0 | 0.0 | 14.4852 | 14.4852 | 14.4852 | 90.0 | 90.0 | 90.0 |
| L1_2--AuCu3 | dynamic | 0.0 | 0.0 | 9.7574 | 9.7574 | 9.7574 | 90.0 | 90.0 | 90.0 |
| D0_3--BiF3 | static | 0.3466 | 0.3466 | 10.8061 | 10.8061 | 10.8061 | 90.0 | 90.0 | 90.0 |
Download raw data (including filtered results)
Reference structure matches:
D0_3--BiF3 = mp-1008282, oqmd-310984
L1_2--AuCu3 = mp-1008285, oqmd-343214
| prototype | method | Ecoh (eV/atom) | Epot (eV/atom) | a0 (Å) | b0 (Å) | c0 (Å) | α (degrees) | β (degrees) | γ (degrees) |
|---|---|---|---|---|---|---|---|---|---|
| mp-1017511 | dynamic | -4.2441 | -4.2441 | 3.5603 | 3.5603 | 7.0236 | 90.0 | 90.0 | 90.0 |
| oqmd-318728 | dynamic | -4.2415 | -4.2415 | 5.0158 | 5.0158 | 4.0433 | 90.0 | 90.0 | 120.0 |
| oqmd-318728 | box | -4.2414 | -4.2414 | 5.0165 | 5.0165 | 4.0464 | 90.0 | 90.0 | 120.0 |
| L1_2--AuCu3 | dynamic | -4.239 | -4.239 | 3.5503 | 3.5503 | 3.5503 | 90.0 | 90.0 | 90.0 |
| D0_3--BiF3 | static | -4.1861 | -4.1861 | 5.6104 | 5.6104 | 5.6104 | 90.0 | 90.0 | 90.0 |
| A15--Cr3Si | static | -4.1432 | -4.1432 | 4.5497 | 4.5497 | 4.5497 | 90.0 | 90.0 | 90.0 |
| D0_3--BiF3 | box | -0.1809 | -0.1809 | 9.3859 | 9.3859 | 9.3859 | 90.0 | 90.0 | 90.0 |
| L1_2--AuCu3 | static | -0.1704 | -0.1704 | 5.9862 | 5.9862 | 5.9862 | 90.0 | 90.0 | 90.0 |
| A15--Cr3Si | static | -0.1227 | -0.1227 | 9.5522 | 9.5522 | 9.5522 | 90.0 | 90.0 | 90.0 |
| D0_3--BiF3 | dynamic | -0.1189 | -0.1189 | 12.2007 | 12.2007 | 12.2007 | 90.0 | 90.0 | 90.0 |
| L1_2--AuCu3 | static | -0.1178 | -0.1178 | 7.5602 | 7.5602 | 7.5602 | 90.0 | 90.0 | 90.0 |
| A15--Cr3Si | static | -0.117 | -0.117 | 7.5718 | 7.5718 | 7.5718 | 90.0 | 90.0 | 90.0 |
Download raw data (including filtered results)
Reference structure matches:
A15--Cr3Si = oqmd-1280316
D0_3--BiF3 = mp-1008275, oqmd-313086
L1_2--AuCu3 = mp-1008278, oqmd-344860
| prototype | method | Ecoh (eV/atom) | Epot (eV/atom) | a0 (Å) | b0 (Å) | c0 (Å) | α (degrees) | β (degrees) | γ (degrees) |
|---|---|---|---|---|---|---|---|---|---|
| L1_2--AuCu3 | dynamic | -4.2622 | -4.2622 | 3.5268 | 3.5268 | 3.5268 | 90.0 | 90.0 | 90.0 |
| mp-1008284 | dynamic | -4.2621 | -4.2621 | 3.5261 | 3.5261 | 7.0506 | 90.0 | 90.0 | 90.0 |
| oqmd-320374 | dynamic | -4.2554 | -4.2554 | 4.9845 | 4.9845 | 3.984 | 90.0 | 90.0 | 120.0 |
| oqmd-320374 | box | -4.2338 | -4.2338 | 5.0122 | 5.0122 | 3.9905 | 90.0 | 90.0 | 120.0 |
| D0_3--BiF3 | static | -4.1927 | -4.1927 | 5.5857 | 5.5857 | 5.5857 | 90.0 | 90.0 | 90.0 |
| A15--Cr3Si | dynamic | -4.1577 | -4.1577 | 4.5419 | 4.5419 | 4.5419 | 90.0 | 90.0 | 90.0 |
Download raw data (including filtered results)
Reference structure matches:
| prototype | method | Ecoh (eV/atom) | Epot (eV/atom) | a0 (Å) | b0 (Å) | c0 (Å) | α (degrees) | β (degrees) | γ (degrees) |
|---|---|---|---|---|---|---|---|---|---|
| mp-1226243 | box | -4.1828 | -4.1828 | 2.7869 | 3.9539 | 19.7927 | 90.0 | 90.0 | 90.0 |
Download raw data (including filtered results)
Reference structure matches:
| prototype | method | Ecoh (eV/atom) | Epot (eV/atom) | a0 (Å) | b0 (Å) | c0 (Å) | α (degrees) | β (degrees) | γ (degrees) |
|---|---|---|---|---|---|---|---|---|---|
| B3--ZnS--cubic-zinc-blende | static | -127.9898 | -127.9898 | 1.9291 | 1.9291 | 1.9291 | 90.0 | 90.0 | 90.0 |
| B4--ZnS--wurtzite | box | -126.2845 | -126.2845 | 1.3688 | 1.3688 | 2.3363 | 90.0 | 90.0 | 120.0 |
| B3--ZnS--cubic-zinc-blende | static | -27.2824 | -27.2824 | 2.8848 | 2.8848 | 2.8848 | 90.0 | 90.0 | 90.0 |
| L1_0--AuCu | dynamic | -3.8647 | -3.8647 | 2.4841 | 2.4841 | 3.5641 | 90.0 | 90.0 | 90.0 |
| B2--CsCl | box | -3.7609 | -3.7609 | 2.8266 | 2.8266 | 2.8266 | 90.0 | 90.0 | 90.0 |
| B4--ZnS--wurtzite | static | -3.7336 | -3.7336 | 2.4738 | 2.4738 | 8.8162 | 90.0 | 90.0 | 120.0 |
| B4--ZnS--wurtzite | static | -3.3873 | -3.3873 | 2.4988 | 2.4988 | 16.881 | 90.0 | 90.0 | 120.0 |
| B1--NaCl--rock-salt | static | -3.372 | -3.372 | 4.8282 | 4.8282 | 4.8282 | 90.0 | 90.0 | 90.0 |
| B4--ZnS--wurtzite | box | -2.5376 | -2.5376 | 3.8068 | 3.8068 | 6.4002 | 90.0 | 90.0 | 120.0 |
| B3--ZnS--cubic-zinc-blende | static | -2.5229 | -2.5229 | 5.3731 | 5.3731 | 5.3731 | 90.0 | 90.0 | 90.0 |
| B2--CsCl | dynamic | -1.0971 | -1.0971 | 5.0667 | 5.0667 | 5.0667 | 90.0 | 90.0 | 90.0 |
| B3--ZnS--cubic-zinc-blende | static | -0.6649 | -0.6649 | 7.6358 | 7.6358 | 7.6358 | 90.0 | 90.0 | 90.0 |
| B4--ZnS--wurtzite | box | -0.664 | -0.664 | 5.392 | 5.392 | 8.8639 | 90.0 | 90.0 | 120.0 |
| B1--NaCl--rock-salt | static | -0.4048 | -0.4048 | 7.1953 | 7.1953 | 7.1953 | 90.0 | 90.0 | 90.0 |
| B1--NaCl--rock-salt | dynamic | -0.3838 | -0.3838 | 7.7764 | 7.7764 | 7.7764 | 90.0 | 90.0 | 90.0 |
| L1_0--AuCu | box | -0.0005 | -0.0005 | 5.8651 | 5.8651 | 7.6844 | 90.0 | 90.0 | 90.0 |
| L1_0--AuCu | static | -0.0005 | -0.0005 | 5.868 | 5.868 | 7.68 | 90.0 | 90.0 | 90.0 |
| L1_0--AuCu | dynamic | -0.0005 | -0.0005 | 6.0144 | 6.0144 | 7.45 | 90.0 | 90.0 | 90.0 |
| B2--CsCl | dynamic | -0.0005 | -0.0005 | 6.5281 | 6.5281 | 6.5281 | 90.0 | 90.0 | 90.0 |
| B1--NaCl--rock-salt | dynamic | -0.0004 | -0.0004 | 11.307 | 11.307 | 11.307 | 90.0 | 90.0 | 90.0 |
| B3--ZnS--cubic-zinc-blende | dynamic | -0.0002 | -0.0002 | 13.0563 | 13.0563 | 13.0563 | 90.0 | 90.0 | 90.0 |
| B4--ZnS--wurtzite | dynamic | -0.0002 | -0.0002 | 9.2297 | 9.2297 | 15.0841 | 90.0 | 90.0 | 120.0 |
Download raw data (including filtered results)
Reference structure matches:
| prototype | method | Ecoh (eV/atom) | Epot (eV/atom) | a0 (Å) | b0 (Å) | c0 (Å) | α (degrees) | β (degrees) | γ (degrees) |
|---|---|---|---|---|---|---|---|---|---|
| C1--CaF2--fluorite | static | -3.2744 | -3.2744 | 5.4626 | 5.4626 | 5.4626 | 90.0 | 90.0 | 90.0 |
| C1--CaF2--fluorite | dynamic | -0.9309 | -0.9309 | 10.0588 | 10.0588 | 10.0588 | 90.0 | 90.0 | 90.0 |
| C1--CaF2--fluorite | dynamic | -0.0003 | -0.0003 | 13.0563 | 13.0563 | 13.0563 | 90.0 | 90.0 | 90.0 |
Download raw data (including filtered results)
Reference structure matches:
| prototype | method | Ecoh (eV/atom) | Epot (eV/atom) | a0 (Å) | b0 (Å) | c0 (Å) | α (degrees) | β (degrees) | γ (degrees) |
|---|---|---|---|---|---|---|---|---|---|
| L2_1--AlCu2Mn--heusler | static | -3.8 | -3.8 | 5.6226 | 5.6226 | 5.6226 | 90.0 | 90.0 | 90.0 |
| L2_1--AlCu2Mn--heusler | static | -0.2714 | -0.2714 | 10.2465 | 10.2465 | 10.2465 | 90.0 | 90.0 | 90.0 |
| L2_1--AlCu2Mn--heusler | box | -0.1159 | -0.1159 | 12.5947 | 12.5947 | 12.5947 | 90.0 | 90.0 | 90.0 |
Download raw data (including filtered results)
Reference structure matches:
| prototype | method | Ecoh (eV/atom) | Epot (eV/atom) | a0 (Å) | b0 (Å) | c0 (Å) | α (degrees) | β (degrees) | γ (degrees) |
|---|---|---|---|---|---|---|---|---|---|
| L2_1--AlCu2Mn--heusler | static | -3.8081 | -3.8081 | 5.6465 | 5.6465 | 5.6465 | 90.0 | 90.0 | 90.0 |
| L2_1--AlCu2Mn--heusler | static | -0.4926 | -0.4926 | 10.0834 | 10.0834 | 10.0834 | 90.0 | 90.0 | 90.0 |
| L2_1--AlCu2Mn--heusler | dynamic | -0.0003 | -0.0003 | 13.0634 | 13.0634 | 13.0634 | 90.0 | 90.0 | 90.0 |
Download raw data (including filtered results)
Reference structure matches:
| prototype | method | Ecoh (eV/atom) | Epot (eV/atom) | a0 (Å) | b0 (Å) | c0 (Å) | α (degrees) | β (degrees) | γ (degrees) |
|---|---|---|---|---|---|---|---|---|---|
| L1_2--AuCu3 | dynamic | -3.7018 | -3.7018 | 3.5614 | 3.5614 | 3.5614 | 90.0 | 90.0 | 90.0 |
| D0_3--BiF3 | static | -3.5802 | -3.5802 | 5.7156 | 5.7156 | 5.7156 | 90.0 | 90.0 | 90.0 |
| A15--Cr3Si | static | -3.5482 | -3.5482 | 4.6762 | 4.6762 | 4.6762 | 90.0 | 90.0 | 90.0 |
| A15--Cr3Si | box | -1.0153 | -1.0153 | 8.185 | 8.185 | 8.185 | 90.0 | 90.0 | 90.0 |
| L1_2--AuCu3 | box | -0.8435 | -0.8435 | 6.9582 | 6.9582 | 6.9582 | 90.0 | 90.0 | 90.0 |
| D0_3--BiF3 | box | -0.3143 | -0.3143 | 10.2353 | 10.2353 | 10.2353 | 90.0 | 90.0 | 90.0 |
| D0_3--BiF3 | static | -0.1465 | -0.1465 | 11.4368 | 11.4368 | 11.4368 | 90.0 | 90.0 | 90.0 |
| L1_2--AuCu3 | dynamic | -0.0032 | -0.0032 | 7.9608 | 7.9608 | 7.9608 | 90.0 | 90.0 | 90.0 |
| D0_3--BiF3 | dynamic | -0.0022 | -0.0022 | 13.0 | 13.0 | 13.0 | 90.0 | 90.0 | 90.0 |
| A15--Cr3Si | dynamic | -0.0007 | -0.0007 | 11.2439 | 11.2439 | 11.2439 | 90.0 | 90.0 | 90.0 |
Download raw data (including filtered results)
Reference structure matches:
| prototype | method | Ecoh (eV/atom) | Epot (eV/atom) | a0 (Å) | b0 (Å) | c0 (Å) | α (degrees) | β (degrees) | γ (degrees) |
|---|---|---|---|---|---|---|---|---|---|
| L2_1--AlCu2Mn--heusler | static | -4.0459 | -4.0459 | 5.6241 | 5.6241 | 5.6241 | 90.0 | 90.0 | 90.0 |
| L2_1--AlCu2Mn--heusler | static | -0.2611 | -0.2611 | 12.5019 | 12.5019 | 12.5019 | 90.0 | 90.0 | 90.0 |
| L2_1--AlCu2Mn--heusler | box | -0.2523 | -0.2523 | 10.5876 | 10.5876 | 10.5876 | 90.0 | 90.0 | 90.0 |
Download raw data (including filtered results)
Reference structure matches:
| prototype | method | Ecoh (eV/atom) | Epot (eV/atom) | a0 (Å) | b0 (Å) | c0 (Å) | α (degrees) | β (degrees) | γ (degrees) |
|---|---|---|---|---|---|---|---|---|---|
| L2_1--AlCu2Mn--heusler | static | -4.0478 | -4.0478 | 5.6056 | 5.6056 | 5.6056 | 90.0 | 90.0 | 90.0 |
Download raw data (including filtered results)
Reference structure matches:
B1--NaCl--rock-salt = oqmd-1105105
B2--CsCl = oqmd-305920
B3--ZnS--cubic-zinc-blende = oqmd-1219336
L1_0--AuCu = oqmd-337462
| prototype | method | Ecoh (eV/atom) | Epot (eV/atom) | a0 (Å) | b0 (Å) | c0 (Å) | α (degrees) | β (degrees) | γ (degrees) |
|---|---|---|---|---|---|---|---|---|---|
| B4--ZnS--wurtzite | box | -356.5939 | -356.5939 | 1.175 | 1.175 | 1.9274 | 90.0 | 90.0 | 120.0 |
| oqmd-1219850 | dynamic | -4.2906 | -4.2906 | 4.0781 | 2.5279 | 4.3469 | 90.0 | 90.0 | 90.0 |
| L1_0--AuCu | dynamic | -4.2895 | -4.2895 | 2.5448 | 2.5448 | 3.5037 | 90.0 | 90.0 | 90.0 |
| oqmd-327004 | dynamic | -4.2894 | -4.2894 | 2.5233 | 2.5233 | 12.2865 | 90.0 | 90.0 | 120.0 |
| oqmd-1219850 | box | -4.2759 | -4.2759 | 4.0861 | 2.5744 | 4.2889 | 90.0 | 90.0 | 90.0 |
| oqmd-1229015 | dynamic | -4.2743 | -4.2743 | 2.5292 | 2.5292 | 4.0721 | 90.0 | 90.0 | 120.0 |
| B2--CsCl | static | -4.2347 | -4.2347 | 2.8094 | 2.8094 | 2.8094 | 90.0 | 90.0 | 90.0 |
| mp-1226211 | box | -4.2195 | -4.2195 | 2.8874 | 3.9966 | 3.9727 | 90.0 | 90.0 | 90.0 |
| B1--NaCl--rock-salt | static | -3.489 | -3.489 | 4.7227 | 4.7227 | 4.7227 | 90.0 | 90.0 | 90.0 |
| B4--ZnS--wurtzite | box | -2.4986 | -2.4986 | 3.7516 | 3.7516 | 6.0664 | 90.0 | 90.0 | 120.0 |
| B3--ZnS--cubic-zinc-blende | static | -2.4615 | -2.4615 | 5.2685 | 5.2685 | 5.2685 | 90.0 | 90.0 | 90.0 |
| L1_0--AuCu | dynamic | -0.3032 | -0.3032 | 5.275 | 5.275 | 6.6125 | 90.0 | 90.0 | 90.0 |
| B2--CsCl | dynamic | -0.278 | -0.278 | 6.0901 | 6.0901 | 6.0901 | 90.0 | 90.0 | 90.0 |
| B1--NaCl--rock-salt | dynamic | -0.2768 | -0.2768 | 10.4266 | 10.4266 | 10.4266 | 90.0 | 90.0 | 90.0 |
| B4--ZnS--wurtzite | dynamic | -0.2731 | -0.2731 | 8.3146 | 8.3146 | 13.5882 | 90.0 | 90.0 | 120.0 |
| B4--ZnS--wurtzite | static | -0.2731 | -0.2731 | 8.3145 | 8.3145 | 13.5884 | 90.0 | 90.0 | 120.0 |
| B3--ZnS--cubic-zinc-blende | dynamic | -0.2731 | -0.2731 | 11.7616 | 11.7616 | 11.7616 | 90.0 | 90.0 | 90.0 |
| B2--CsCl | static | -0.2664 | -0.2664 | 5.2974 | 5.2974 | 5.2974 | 90.0 | 90.0 | 90.0 |
| B4--ZnS--wurtzite | dynamic | -0.2657 | -0.2657 | 8.1617 | 8.1617 | 11.2644 | 90.0 | 90.0 | 120.0 |
| B4--ZnS--wurtzite | static | -0.2657 | -0.2657 | 8.2076 | 8.2076 | 11.0891 | 90.0 | 90.0 | 120.0 |
| B3--ZnS--cubic-zinc-blende | static | -0.2427 | -0.2427 | 10.1258 | 10.1258 | 10.1258 | 90.0 | 90.0 | 90.0 |
| B4--ZnS--wurtzite | box | -0.2427 | -0.2427 | 7.1581 | 7.1581 | 11.6985 | 90.0 | 90.0 | 120.0 |
| B1--NaCl--rock-salt | static | -0.2347 | -0.2347 | 8.6062 | 8.6062 | 8.6062 | 90.0 | 90.0 | 90.0 |
| L1_0--AuCu | box | -0.0653 | -0.0653 | 4.8825 | 4.8825 | 6.4353 | 90.0 | 90.0 | 90.0 |
Download raw data (including filtered results)
Reference structure matches:
| prototype | method | Ecoh (eV/atom) | Epot (eV/atom) | a0 (Å) | b0 (Å) | c0 (Å) | α (degrees) | β (degrees) | γ (degrees) |
|---|---|---|---|---|---|---|---|---|---|
| C1--CaF2--fluorite | static | -3.5055 | -3.5055 | 5.4682 | 5.4682 | 5.4682 | 90.0 | 90.0 | 90.0 |
| oqmd-1240426 | static | -0.4849 | -0.4849 | 8.6387 | 8.6387 | 8.6387 | 90.0 | 90.0 | 90.0 |
| C1--CaF2--fluorite | dynamic | -0.366 | -0.366 | 11.7598 | 11.7598 | 11.7598 | 90.0 | 90.0 | 90.0 |
| C1--CaF2--fluorite | box | -0.3642 | -0.3642 | 10.8731 | 10.8731 | 10.8731 | 90.0 | 90.0 | 90.0 |
| C1--CaF2--fluorite | static | 2.1016 | 2.1016 | 8.7494 | 8.7494 | 8.7494 | 90.0 | 90.0 | 90.0 |
| oqmd-1240426 | box | 2.9326 | 2.9326 | 14.3272 | 14.3272 | 14.3272 | 90.0 | 90.0 | 90.0 |
Download raw data (including filtered results)
Reference structure matches:
L2_1--AlCu2Mn--heusler = oqmd-527070
| prototype | method | Ecoh (eV/atom) | Epot (eV/atom) | a0 (Å) | b0 (Å) | c0 (Å) | α (degrees) | β (degrees) | γ (degrees) |
|---|---|---|---|---|---|---|---|---|---|
| L2_1--AlCu2Mn--heusler | static | -4.284 | -4.284 | 5.6186 | 5.6186 | 5.6186 | 90.0 | 90.0 | 90.0 |
| L2_1--AlCu2Mn--heusler | dynamic | -0.2918 | -0.2918 | 11.7223 | 11.7223 | 11.7223 | 90.0 | 90.0 | 90.0 |
| L2_1--AlCu2Mn--heusler | static | -0.2797 | -0.2797 | 10.9391 | 10.9391 | 10.9391 | 90.0 | 90.0 | 90.0 |
| L2_1--AlCu2Mn--heusler | static | -0.0 | -0.0 | 13.3952 | 13.3952 | 13.3952 | 90.0 | 90.0 | 90.0 |
| L2_1--AlCu2Mn--heusler | dynamic | 0.0 | 0.0 | 14.6657 | 14.6657 | 14.6657 | 90.0 | 90.0 | 90.0 |
Download raw data (including filtered results)
Reference structure matches:
D0_3--BiF3 = mp-1018067, oqmd-308186
L1_2--AuCu3 = mp-1018081, oqmd-346012
| prototype | method | Ecoh (eV/atom) | Epot (eV/atom) | a0 (Å) | b0 (Å) | c0 (Å) | α (degrees) | β (degrees) | γ (degrees) |
|---|---|---|---|---|---|---|---|---|---|
| oqmd-297657 | dynamic | -4.3459 | -4.3459 | 3.5783 | 3.5783 | 7.0647 | 90.0 | 90.0 | 90.0 |
| L1_2--AuCu3 | dynamic | -4.3435 | -4.3435 | 3.5697 | 3.5697 | 3.5697 | 90.0 | 90.0 | 90.0 |
| oqmd-321526 | dynamic | -4.3414 | -4.3414 | 5.0658 | 5.0658 | 4.0916 | 90.0 | 90.0 | 120.0 |
| oqmd-321526 | box | -4.3412 | -4.3412 | 5.0679 | 5.0679 | 4.0927 | 90.0 | 90.0 | 120.0 |
| D0_3--BiF3 | static | -4.2748 | -4.2748 | 5.6791 | 5.6791 | 5.6791 | 90.0 | 90.0 | 90.0 |
| A15--Cr3Si | static | -4.122 | -4.122 | 4.6607 | 4.6607 | 4.6607 | 90.0 | 90.0 | 90.0 |
| L1_2--AuCu3 | static | -3.113 | -3.113 | 4.3627 | 4.3627 | 4.3627 | 90.0 | 90.0 | 90.0 |
| L1_2--AuCu3 | static | -0.0098 | -0.0098 | 7.9729 | 7.9729 | 7.9729 | 90.0 | 90.0 | 90.0 |
| D0_3--BiF3 | static | -0.0065 | -0.0065 | 13.0197 | 13.0197 | 13.0197 | 90.0 | 90.0 | 90.0 |
| A15--Cr3Si | dynamic | -0.0019 | -0.0019 | 11.2997 | 11.2997 | 11.2997 | 90.0 | 90.0 | 90.0 |
| A15--Cr3Si | box | 0.0319 | 0.0319 | 9.0241 | 9.0241 | 9.0241 | 90.0 | 90.0 | 90.0 |
| L1_2--AuCu3 | dynamic | 0.9941 | 0.9941 | 5.9423 | 5.9423 | 5.9423 | 90.0 | 90.0 | 90.0 |
| D0_3--BiF3 | static | 1.3963 | 1.3963 | 11.0575 | 11.0575 | 11.0575 | 90.0 | 90.0 | 90.0 |
| D0_3--BiF3 | static | 1.5752 | 1.5752 | 9.6245 | 9.6245 | 9.6245 | 90.0 | 90.0 | 90.0 |
Download raw data (including filtered results)
Reference structure matches:
| prototype | method | Ecoh (eV/atom) | Epot (eV/atom) | a0 (Å) | b0 (Å) | c0 (Å) | α (degrees) | β (degrees) | γ (degrees) |
|---|---|---|---|---|---|---|---|---|---|
| mp-1226230 | static | -4.279 | -4.279 | 2.7881 | 4.0681 | 20.3518 | 90.0 | 90.0 | 90.0 |
| mp-1226230 | box | -4.2774 | -4.2774 | 2.9264 | 3.9723 | 19.8184 | 90.0 | 90.0 | 90.0 |
Download raw data (including filtered results)
Reference structure matches:
| prototype | method | Ecoh (eV/atom) | Epot (eV/atom) | a0 (Å) | b0 (Å) | c0 (Å) | α (degrees) | β (degrees) | γ (degrees) |
|---|---|---|---|---|---|---|---|---|---|
| oqmd-835095 | static | -3.6013 | -3.6013 | 5.4473 | 5.4473 | 5.4473 | 90.0 | 90.0 | 90.0 |
| oqmd-959986 | static | -3.5905 | -3.5905 | 5.4666 | 5.4666 | 5.4666 | 90.0 | 90.0 | 90.0 |
| oqmd-958168 | static | -3.5278 | -3.5278 | 5.5702 | 5.5702 | 5.5702 | 90.0 | 90.0 | 90.0 |
Download raw data (including filtered results)
Reference structure matches:
L2_1--AlCu2Mn--heusler = oqmd-528888
| prototype | method | Ecoh (eV/atom) | Epot (eV/atom) | a0 (Å) | b0 (Å) | c0 (Å) | α (degrees) | β (degrees) | γ (degrees) |
|---|---|---|---|---|---|---|---|---|---|
| L2_1--AlCu2Mn--heusler | static | -4.2832 | -4.2832 | 5.609 | 5.609 | 5.609 | 90.0 | 90.0 | 90.0 |
| L2_1--AlCu2Mn--heusler | static | -0.0636 | -0.0636 | 10.0556 | 10.0556 | 10.0556 | 90.0 | 90.0 | 90.0 |
| L2_1--AlCu2Mn--heusler | dynamic | 0.0037 | 0.0037 | 12.1489 | 12.1489 | 12.1489 | 90.0 | 90.0 | 90.0 |
Download raw data (including filtered results)
Reference structure matches:
B1--NaCl--rock-salt = oqmd-1106140
B2--CsCl = mp-1226196, oqmd-306955
B3--ZnS--cubic-zinc-blende = oqmd-1219358
L1_0--AuCu = oqmd-338497
| prototype | method | Ecoh (eV/atom) | Epot (eV/atom) | a0 (Å) | b0 (Å) | c0 (Å) | α (degrees) | β (degrees) | γ (degrees) |
|---|---|---|---|---|---|---|---|---|---|
| B4--ZnS--wurtzite | static | -146.1159 | -146.1159 | 0.9117 | 0.9117 | 3.3227 | 90.0 | 90.0 | 120.0 |
| B3--ZnS--cubic-zinc-blende | static | -103.4186 | -103.4186 | 1.9816 | 1.9816 | 1.9816 | 90.0 | 90.0 | 90.0 |
| B4--ZnS--wurtzite | box | -101.2106 | -101.2106 | 1.3905 | 1.3905 | 2.3271 | 90.0 | 90.0 | 120.0 |
| L1_0--AuCu | dynamic | -4.3246 | -4.3246 | 2.4925 | 2.4925 | 3.5233 | 90.0 | 90.0 | 90.0 |
| mp-1226232 | dynamic | -4.3242 | -4.3242 | 2.4916 | 2.4916 | 12.2072 | 90.0 | 90.0 | 120.0 |
| oqmd-1219872 | dynamic | -4.3133 | -4.3133 | 3.9959 | 2.489 | 4.3108 | 90.0 | 90.0 | 90.0 |
| oqmd-1229037 | dynamic | -4.3126 | -4.3126 | 2.4863 | 2.4863 | 3.9919 | 90.0 | 90.0 | 120.0 |
| oqmd-1219872 | box | -4.3119 | -4.3119 | 4.0027 | 2.4733 | 4.3356 | 90.0 | 90.0 | 90.0 |
| B2--CsCl | static | -4.2412 | -4.2412 | 2.791 | 2.791 | 2.791 | 90.0 | 90.0 | 90.0 |
| B4--ZnS--wurtzite | static | -4.1085 | -4.1085 | 2.4486 | 2.4486 | 8.6769 | 90.0 | 90.0 | 120.0 |
| B1--NaCl--rock-salt | static | -3.5562 | -3.5562 | 4.6923 | 4.6923 | 4.6923 | 90.0 | 90.0 | 90.0 |
| oqmd-1225551 | box | -3.0171 | -3.0171 | 4.0665 | 4.0665 | 4.6796 | 90.0 | 90.0 | 120.0 |
| B4--ZnS--wurtzite | box | -2.528 | -2.528 | 3.8609 | 3.8609 | 6.393 | 90.0 | 90.0 | 120.0 |
| B3--ZnS--cubic-zinc-blende | static | -2.5185 | -2.5185 | 5.4379 | 5.4379 | 5.4379 | 90.0 | 90.0 | 90.0 |
| B4--ZnS--wurtzite | box | -0.3047 | -0.3047 | 2.7335 | 2.7335 | 4.5093 | 90.0 | 90.0 | 120.0 |
| B3--ZnS--cubic-zinc-blende | static | -0.26 | -0.26 | 3.8599 | 3.8599 | 3.8599 | 90.0 | 90.0 | 90.0 |
Download raw data (including filtered results)
Reference structure matches:
| prototype | method | Ecoh (eV/atom) | Epot (eV/atom) | a0 (Å) | b0 (Å) | c0 (Å) | α (degrees) | β (degrees) | γ (degrees) |
|---|---|---|---|---|---|---|---|---|---|
| mp-784631 | dynamic | -4.3661 | -4.3661 | 2.4913 | 3.5219 | 7.472 | 90.0 | 90.0 | 90.0 |
| mp-784631 | box | -4.3661 | -4.3661 | 2.4915 | 3.5211 | 7.4729 | 90.0 | 90.0 | 90.0 |
| mp-1077077 | static | -4.1174 | -4.1174 | 6.6113 | 6.6113 | 6.6113 | 90.0 | 90.0 | 90.0 |
| C1--CaF2--fluorite | static | -3.7037 | -3.7037 | 5.4309 | 5.4309 | 5.4309 | 90.0 | 90.0 | 90.0 |
| oqmd-1238639 | static | -1.6091 | -1.6091 | 11.1203 | 11.1203 | 11.1203 | 90.0 | 90.0 | 90.0 |
Download raw data (including filtered results)
Reference structure matches:
D0_3--BiF3 = mp-1007975, oqmd-309832
L1_2--AuCu3 = mp-1007974, oqmd-348114
| prototype | method | Ecoh (eV/atom) | Epot (eV/atom) | a0 (Å) | b0 (Å) | c0 (Å) | α (degrees) | β (degrees) | γ (degrees) |
|---|---|---|---|---|---|---|---|---|---|
| L1_2--AuCu3 | dynamic | -4.3872 | -4.3872 | 3.5223 | 3.5223 | 3.5223 | 90.0 | 90.0 | 90.0 |
| mp-1007923 | dynamic | -4.3869 | -4.3869 | 3.5222 | 3.5222 | 7.042 | 90.0 | 90.0 | 90.0 |
| mp-1226338 | dynamic | -4.3869 | -4.3869 | 2.4902 | 2.4902 | 24.4124 | 90.0 | 90.0 | 120.0 |
| mp-1226338 | box | -4.3856 | -4.3856 | 2.4903 | 2.4903 | 24.39 | 90.0 | 90.0 | 120.0 |
| oqmd-323628 | dynamic | -4.3713 | -4.3713 | 4.9717 | 4.9717 | 4.0079 | 90.0 | 90.0 | 120.0 |
| oqmd-323628 | box | -4.371 | -4.371 | 4.9726 | 4.9726 | 4.009 | 90.0 | 90.0 | 120.0 |
| D0_3--BiF3 | static | -4.2896 | -4.2896 | 5.577 | 5.577 | 5.577 | 90.0 | 90.0 | 90.0 |
| A15--Cr3Si | dynamic | -4.2279 | -4.2279 | 4.5229 | 4.5229 | 4.5229 | 90.0 | 90.0 | 90.0 |
| A15--Cr3Si | dynamic | 0.0015 | 0.0015 | 10.4311 | 10.4311 | 10.4311 | 90.0 | 90.0 | 90.0 |
Download raw data (including filtered results)
Reference structure matches:
A1--Cu--fcc = mp-30, oqmd-592441, oqmd-593869, oqmd-594301, oqmd-594302, oqmd-594517, oqmd-594518, oqmd-594519, oqmd-594520, oqmd-598513, oqmd-635950, oqmd-1214520
A15--beta-W = oqmd-1214965
A2--W--bcc = oqmd-637373, oqmd-1215143
A3'--alpha-La--double-hcp = mp-989695, oqmd-1215411
A3--Mg--hcp = mp-989782, oqmd-1215321
A4--C--dc = oqmd-1215500
A5--beta-Sn = oqmd-1215589
A6--In--bct = mp-998890, mp-1010136, oqmd-1215678
| prototype | method | Ecoh (eV/atom) | Epot (eV/atom) | a0 (Å) | b0 (Å) | c0 (Å) | α (degrees) | β (degrees) | γ (degrees) |
|---|---|---|---|---|---|---|---|---|---|
| A4--C--dc | static | -143.5209 | -143.5209 | 1.9207 | 1.9207 | 1.9207 | 90.0 | 90.0 | 90.0 |
| A4--C--dc | static | -32.068 | -32.068 | 2.9184 | 2.9184 | 2.9184 | 90.0 | 90.0 | 90.0 |
| A1--Cu--fcc | dynamic | -8.8573 | -8.8573 | 7.0562 | 7.0562 | 7.0562 | 90.0 | 90.0 | 90.0 |
| A3'--alpha-La--double-hcp | dynamic | -8.8573 | -8.8573 | 4.9895 | 4.9895 | 16.2956 | 90.0 | 90.0 | 120.0 |
| A3--Mg--hcp | dynamic | -8.8573 | -8.8573 | 4.9895 | 4.9895 | 8.1478 | 90.0 | 90.0 | 120.0 |
| A5--beta-Sn | static | -4.4166 | -4.4166 | 3.4498 | 3.4498 | 1.9492 | 90.0 | 90.0 | 90.0 |
| A1--Cu--fcc | dynamic | -3.54 | -3.54 | 3.62 | 3.62 | 3.62 | 90.0 | 90.0 | 90.0 |
| A3'--alpha-La--double-hcp | dynamic | -3.5356 | -3.5356 | 2.5541 | 2.5541 | 8.3575 | 90.0 | 90.0 | 120.0 |
| oqmd-1216034 | dynamic | -3.5345 | -3.5345 | 2.5523 | 2.5523 | 18.8046 | 90.0 | 90.0 | 120.0 |
| A3--Mg--hcp | dynamic | -3.5314 | -3.5314 | 2.5486 | 2.5486 | 4.1779 | 90.0 | 90.0 | 120.0 |
| oqmd-1215232 | box | -3.5309 | -3.5309 | 2.5398 | 4.4287 | 4.179 | 90.0 | 90.0 | 90.0 |
| mp-1059259 | dynamic | -3.4798 | -3.4798 | 2.4367 | 8.0931 | 2.492 | 90.0 | 90.0 | 90.0 |
| mp-1059259 | box | -3.4787 | -3.4787 | 2.4387 | 8.0814 | 2.4945 | 90.0 | 90.0 | 90.0 |
| A6--In--bct | static | -3.4619 | -3.4619 | 3.1971 | 3.1971 | 2.5327 | 90.0 | 90.0 | 90.0 |
| oqmd-1214787 | static | -3.4374 | -3.4374 | 8.992 | 8.992 | 8.992 | 90.0 | 90.0 | 90.0 |
| oqmd-1214876 | static | -3.431 | -3.431 | 6.288 | 6.288 | 6.288 | 90.0 | 90.0 | 90.0 |
| oqmd-1214787 | box | -3.4306 | -3.4306 | 8.9938 | 8.9938 | 8.9938 | 90.0 | 90.0 | 90.0 |
| oqmd-1214876 | box | -3.4289 | -3.4289 | 6.2855 | 6.2855 | 6.2855 | 90.0 | 90.0 | 90.0 |
| oqmd-1215054 | box | -3.4234 | -3.4234 | 4.3093 | 9.0678 | 2.5321 | 90.0 | 90.0 | 90.0 |
| A2--W--bcc | static | -3.4143 | -3.4143 | 2.8928 | 2.8928 | 2.8928 | 90.0 | 90.0 | 90.0 |
| oqmd-1214698 | box | -3.3971 | -3.3971 | 3.4789 | 8.5309 | 3.4789 | 90.0 | 90.0 | 90.0 |
| A15--beta-W | static | -3.3944 | -3.3944 | 4.6943 | 4.6943 | 4.6943 | 90.0 | 90.0 | 90.0 |
| mp-1120774 | dynamic | -3.3937 | -3.3937 | 2.5583 | 2.5583 | 24.7587 | 90.0 | 90.0 | 120.0 |
| mp-1120774 | static | -3.3937 | -3.3937 | 2.5583 | 2.5583 | 24.7708 | 90.0 | 90.0 | 120.0 |
| mp-1120774 | box | -3.3936 | -3.3936 | 2.5585 | 2.5585 | 24.7518 | 90.0 | 90.0 | 120.0 |
| A5--beta-Sn | static | -3.2921 | -3.2921 | 4.7235 | 4.7235 | 2.4559 | 90.0 | 90.0 | 90.0 |
| Ah--alpha-Po--sc | dynamic | -3.2817 | -3.2817 | 2.4376 | 2.4376 | 2.4376 | 90.0 | 90.0 | 90.0 |
| oqmd-1277912 | static | -3.2777 | -3.2777 | 11.6035 | 11.6035 | 11.6035 | 90.0 | 90.0 | 90.0 |
| oqmd-1277912 | box | -3.2743 | -3.2743 | 11.5501 | 11.5501 | 11.5501 | 90.0 | 90.0 | 90.0 |
| A7--alpha-As | dynamic | -3.1115 | -3.1115 | 2.5459 | 2.5459 | 20.8358 | 90.0 | 90.0 | 120.0 |
| A7--alpha-As | box | -2.8791 | -2.8791 | 3.3639 | 3.3639 | 11.2456 | 90.0 | 90.0 | 120.0 |
| A4--C--dc | static | -2.5107 | -2.5107 | 5.4715 | 5.4715 | 5.4715 | 90.0 | 90.0 | 90.0 |
| A15--beta-W | static | -2.4566 | -2.4566 | 8.8006 | 8.8006 | 8.8006 | 90.0 | 90.0 | 90.0 |
| A2--W--bcc | dynamic | -2.2989 | -2.2989 | 5.7625 | 5.7625 | 5.7625 | 90.0 | 90.0 | 90.0 |
| A5--beta-Sn | static | -1.7214 | -1.7214 | 7.4419 | 7.4419 | 2.4261 | 90.0 | 90.0 | 90.0 |
| A3'--alpha-La--double-hcp | dynamic | -1.4345 | -1.4345 | 3.8066 | 3.8066 | 12.4323 | 90.0 | 90.0 | 120.0 |
| A1--Cu--fcc | dynamic | -1.4345 | -1.4345 | 5.3834 | 5.3834 | 5.3834 | 90.0 | 90.0 | 90.0 |
| A3--Mg--hcp | dynamic | -1.4345 | -1.4345 | 3.8066 | 3.8066 | 6.2162 | 90.0 | 90.0 | 120.0 |
| mp-1056079 | static | -1.3394 | -1.3394 | 11.5703 | 2.5799 | 22.2237 | 90.0 | 101.9 | 90.0 |
| A4--C--dc | static | -0.7902 | -0.7902 | 7.7745 | 7.7745 | 7.7745 | 90.0 | 90.0 | 90.0 |
| Ah--alpha-Po--sc | dynamic | -0.776 | -0.776 | 4.9897 | 4.9897 | 4.9897 | 90.0 | 90.0 | 90.0 |
| A5--beta-Sn | dynamic | -0.776 | -0.776 | 9.6624 | 9.6624 | 4.9897 | 90.0 | 90.0 | 90.0 |
| Ah--alpha-Po--sc | dynamic | -0.7386 | -0.7386 | 3.9022 | 3.9022 | 3.9022 | 90.0 | 90.0 | 90.0 |
| A4--C--dc | dynamic | -0.0638 | -0.0638 | 11.524 | 11.524 | 11.524 | 90.0 | 90.0 | 90.0 |
| A3--Mg--hcp | dynamic | -0.006 | -0.006 | 5.622 | 5.622 | 9.1806 | 90.0 | 90.0 | 120.0 |
| A3'--alpha-La--double-hcp | dynamic | -0.006 | -0.006 | 5.622 | 5.622 | 18.3612 | 90.0 | 90.0 | 120.0 |
| A1--Cu--fcc | dynamic | -0.006 | -0.006 | 7.9506 | 7.9506 | 7.9506 | 90.0 | 90.0 | 90.0 |
| A2--W--bcc | dynamic | -0.004 | -0.004 | 6.4917 | 6.4917 | 6.4917 | 90.0 | 90.0 | 90.0 |
| Ah--alpha-Po--sc | dynamic | -0.003 | -0.003 | 5.622 | 5.622 | 5.622 | 90.0 | 90.0 | 90.0 |
| A5--beta-Sn | static | -0.002 | -0.002 | 10.8417 | 10.8417 | 5.9611 | 90.0 | 90.0 | 90.0 |
| A5--beta-Sn | dynamic | -0.002 | -0.002 | 10.8344 | 10.8344 | 6.0139 | 90.0 | 90.0 | 90.0 |
| A4--C--dc | dynamic | -0.002 | -0.002 | 12.9833 | 12.9833 | 12.9833 | 90.0 | 90.0 | 90.0 |
| A6--In--bct | box | -0.002 | -0.002 | 5.622 | 5.622 | 8.4536 | 90.0 | 90.0 | 90.0 |
| A7--alpha-As | dynamic | -0.0015 | -0.0015 | 8.8522 | 8.8522 | 19.2162 | 90.0 | 90.0 | 120.0 |
| A7--alpha-As | static | -0.0015 | -0.0015 | 8.3995 | 8.3995 | 23.3227 | 90.0 | 90.0 | 120.0 |
| A15--beta-W | dynamic | -0.0007 | -0.0007 | 11.2439 | 11.2439 | 11.2439 | 90.0 | 90.0 | 90.0 |
| A7--alpha-As | dynamic | 0.0718 | 0.0718 | 7.8719 | 7.8719 | 17.0096 | 90.0 | 90.0 | 120.0 |
| A7--alpha-As | static | 0.0718 | 0.0718 | 7.4556 | 7.4556 | 20.7163 | 90.0 | 90.0 | 120.0 |
| A15--beta-W | static | 0.0766 | 0.0766 | 10.0562 | 10.0562 | 10.0562 | 90.0 | 90.0 | 90.0 |
| A5--beta-Sn | box | 0.1005 | 0.1005 | 8.7939 | 8.7939 | 6.0542 | 90.0 | 90.0 | 90.0 |
Download raw data (including filtered results)
Reference structure matches:
| prototype | method | Ecoh (eV/atom) | Epot (eV/atom) | a0 (Å) | b0 (Å) | c0 (Å) | α (degrees) | β (degrees) | γ (degrees) |
|---|---|---|---|---|---|---|---|---|---|
| C1--CaF2--fluorite | static | -3.1486 | -3.1486 | 5.7099 | 5.7099 | 5.7099 | 90.0 | 90.0 | 90.0 |
| C1--CaF2--fluorite | dynamic | -0.1737 | -0.1737 | 12.5881 | 12.5881 | 12.5881 | 90.0 | 90.0 | 90.0 |
| C1--CaF2--fluorite | static | -0.0468 | -0.0468 | 10.3859 | 10.3859 | 10.3859 | 90.0 | 90.0 | 90.0 |
Download raw data (including filtered results)
Reference structure matches:
L2_1--AlCu2Mn--heusler = oqmd-405567
| prototype | method | Ecoh (eV/atom) | Epot (eV/atom) | a0 (Å) | b0 (Å) | c0 (Å) | α (degrees) | β (degrees) | γ (degrees) |
|---|---|---|---|---|---|---|---|---|---|
| L2_1--AlCu2Mn--heusler | static | -3.8459 | -3.8459 | 5.6107 | 5.6107 | 5.6107 | 90.0 | 90.0 | 90.0 |
| L2_1--AlCu2Mn--heusler | box | -0.1214 | -0.1214 | 12.5934 | 12.5934 | 12.5934 | 90.0 | 90.0 | 90.0 |
| L2_1--AlCu2Mn--heusler | box | -0.0354 | -0.0354 | 10.3887 | 10.3887 | 10.3887 | 90.0 | 90.0 | 90.0 |
Download raw data (including filtered results)
Reference structure matches:
| prototype | method | Ecoh (eV/atom) | Epot (eV/atom) | a0 (Å) | b0 (Å) | c0 (Å) | α (degrees) | β (degrees) | γ (degrees) |
|---|---|---|---|---|---|---|---|---|---|
| C1--CaF2--fluorite | static | -3.3044 | -3.3044 | 5.4774 | 5.4774 | 5.4774 | 90.0 | 90.0 | 90.0 |
| oqmd-1232654 | box | -2.9484 | -2.9484 | 5.2006 | 5.2006 | 3.9944 | 90.0 | 90.0 | 90.0 |
| C1--CaF2--fluorite | dynamic | -0.3292 | -0.3292 | 10.0018 | 10.0018 | 10.0018 | 90.0 | 90.0 | 90.0 |
| C1--CaF2--fluorite | dynamic | -0.0001 | -0.0001 | 13.0792 | 13.0792 | 13.0792 | 90.0 | 90.0 | 90.0 |
Download raw data (including filtered results)
Reference structure matches:
| prototype | method | Ecoh (eV/atom) | Epot (eV/atom) | a0 (Å) | b0 (Å) | c0 (Å) | α (degrees) | β (degrees) | γ (degrees) |
|---|---|---|---|---|---|---|---|---|---|
| oqmd-426732 | static | -3.6156 | -3.6156 | 6.0839 | 6.0839 | 12.1982 | 90.0 | 90.0 | 120.0 |
| oqmd-426732 | box | -3.6141 | -3.6141 | 6.07 | 6.07 | 12.242 | 90.0 | 90.0 | 120.0 |
Download raw data (including filtered results)
Reference structure matches:
D0_3--BiF3 = oqmd-314614
| prototype | method | Ecoh (eV/atom) | Epot (eV/atom) | a0 (Å) | b0 (Å) | c0 (Å) | α (degrees) | β (degrees) | γ (degrees) |
|---|---|---|---|---|---|---|---|---|---|
| L1_2--AuCu3 | dynamic | -3.7527 | -3.7527 | 3.4869 | 3.4869 | 3.4869 | 90.0 | 90.0 | 90.0 |
| oqmd-304072 | dynamic | -3.7513 | -3.7513 | 3.6727 | 3.6727 | 7.0395 | 90.0 | 90.0 | 90.0 |
| mp-1184444 | dynamic | -3.748 | -3.748 | 5.1105 | 5.1105 | 4.1435 | 90.0 | 90.0 | 120.0 |
| mp-1184444 | box | -3.7463 | -3.7463 | 5.1105 | 5.1105 | 4.1424 | 90.0 | 90.0 | 120.0 |
| L1_2--AuCu3 | dynamic | -3.7403 | -3.7403 | 3.6563 | 3.6563 | 3.6563 | 90.0 | 90.0 | 90.0 |
| mp-1224953 | box | -3.6319 | -3.6319 | 2.8324 | 4.0479 | 8.0862 | 90.0 | 90.0 | 90.0 |
| A15--Cr3Si | static | -3.6052 | -3.6052 | 4.6678 | 4.6678 | 4.6678 | 90.0 | 90.0 | 90.0 |
| D0_3--BiF3 | static | -3.6045 | -3.6045 | 5.647 | 5.647 | 5.647 | 90.0 | 90.0 | 90.0 |
| D0_3--BiF3 | box | -0.1931 | -0.1931 | 9.8667 | 9.8667 | 9.8667 | 90.0 | 90.0 | 90.0 |
| L1_2--AuCu3 | static | -0.1514 | -0.1514 | 6.3426 | 6.3426 | 6.3426 | 90.0 | 90.0 | 90.0 |
| L1_2--AuCu3 | static | -0.1024 | -0.1024 | 7.7516 | 7.7516 | 7.7516 | 90.0 | 90.0 | 90.0 |
| A15--Cr3Si | static | -0.0443 | -0.0443 | 9.7969 | 9.7969 | 9.7969 | 90.0 | 90.0 | 90.0 |
| A15--Cr3Si | box | -0.0344 | -0.0344 | 8.0277 | 8.0277 | 8.0277 | 90.0 | 90.0 | 90.0 |
| A15--Cr3Si | dynamic | -0.0007 | -0.0007 | 11.2439 | 11.2439 | 11.2439 | 90.0 | 90.0 | 90.0 |
Download raw data (including filtered results)
Reference structure matches:
D0_3--BiF3 = oqmd-313298
L1_2--AuCu3 = oqmd-345531
| prototype | method | Ecoh (eV/atom) | Epot (eV/atom) | a0 (Å) | b0 (Å) | c0 (Å) | α (degrees) | β (degrees) | γ (degrees) |
|---|---|---|---|---|---|---|---|---|---|
| L1_2--AuCu3 | dynamic | -3.7773 | -3.7773 | 3.4886 | 3.4886 | 3.4886 | 90.0 | 90.0 | 90.0 |
| oqmd-302756 | dynamic | -3.7602 | -3.7602 | 3.5845 | 3.5845 | 7.1678 | 90.0 | 90.0 | 90.0 |
| oqmd-321045 | dynamic | -3.7496 | -3.7496 | 5.0578 | 5.0578 | 4.1595 | 90.0 | 90.0 | 120.0 |
| oqmd-321045 | box | -3.7496 | -3.7496 | 5.0579 | 5.0579 | 4.1594 | 90.0 | 90.0 | 120.0 |
| mp-1225698 | box | -3.6621 | -3.6621 | 2.5502 | 4.3635 | 8.729 | 90.0 | 90.0 | 90.0 |
| D0_3--BiF3 | static | -3.6284 | -3.6284 | 5.7153 | 5.7153 | 5.7153 | 90.0 | 90.0 | 90.0 |
| A15--Cr3Si | static | -3.6084 | -3.6084 | 4.6469 | 4.6469 | 4.6469 | 90.0 | 90.0 | 90.0 |
| A15--Cr3Si | box | -0.2161 | -0.2161 | 8.1033 | 8.1033 | 8.1033 | 90.0 | 90.0 | 90.0 |
| L1_2--AuCu3 | dynamic | -0.003 | -0.003 | 7.9575 | 7.9575 | 7.9575 | 90.0 | 90.0 | 90.0 |
| D0_3--BiF3 | dynamic | -0.002 | -0.002 | 12.9945 | 12.9945 | 12.9945 | 90.0 | 90.0 | 90.0 |
| A15--Cr3Si | dynamic | -0.0007 | -0.0007 | 11.2439 | 11.2439 | 11.2439 | 90.0 | 90.0 | 90.0 |
| D0_3--BiF3 | static | 0.5705 | 0.5705 | 10.9379 | 10.9379 | 10.9379 | 90.0 | 90.0 | 90.0 |
Download raw data (including filtered results)
Reference structure matches:
| prototype | method | Ecoh (eV/atom) | Epot (eV/atom) | a0 (Å) | b0 (Å) | c0 (Å) | α (degrees) | β (degrees) | γ (degrees) |
|---|---|---|---|---|---|---|---|---|---|
| mp-1224977 | dynamic | -3.7118 | -3.7118 | 2.5555 | 2.5555 | 31.3326 | 90.0 | 90.0 | 120.0 |
| mp-1224977 | box | -3.7084 | -3.7084 | 2.5525 | 2.5525 | 31.2057 | 90.0 | 90.0 | 120.0 |
Download raw data (including filtered results)
Reference structure matches:
B2--CsCl = oqmd-307730
| prototype | method | Ecoh (eV/atom) | Epot (eV/atom) | a0 (Å) | b0 (Å) | c0 (Å) | α (degrees) | β (degrees) | γ (degrees) |
|---|---|---|---|---|---|---|---|---|---|
| B4--ZnS--wurtzite | box | -368.921 | -368.921 | 1.2054 | 1.2054 | 1.9432 | 90.0 | 90.0 | 120.0 |
| L1_0--AuCu | dynamic | -3.9619 | -3.9619 | 2.6327 | 2.6327 | 3.4661 | 90.0 | 90.0 | 90.0 |
| B4--ZnS--wurtzite | dynamic | -3.8668 | -3.8668 | 2.4768 | 2.4768 | 8.9925 | 90.0 | 90.0 | 120.0 |
| mp-1224945 | static | -3.8563 | -3.8563 | 2.7129 | 4.2497 | 4.2394 | 90.0 | 90.0 | 90.0 |
| B2--CsCl | box | -3.8524 | -3.8524 | 2.8086 | 2.8086 | 2.8086 | 90.0 | 90.0 | 90.0 |
| mp-1224945 | box | -3.8499 | -3.8499 | 2.9048 | 4.1214 | 4.0621 | 90.0 | 90.0 | 90.0 |
| B4--ZnS--wurtzite | dynamic | -3.4944 | -3.4944 | 2.4834 | 2.4834 | 88.3468 | 90.0 | 90.0 | 120.0 |
| B4--ZnS--wurtzite | static | -3.484 | -3.484 | 2.4833 | 2.4833 | 14.0549 | 90.0 | 90.0 | 120.0 |
| B1--NaCl--rock-salt | dynamic | -3.3887 | -3.3887 | 4.8411 | 4.8411 | 4.8411 | 90.0 | 90.0 | 90.0 |
| B4--ZnS--wurtzite | box | -2.5585 | -2.5585 | 3.7644 | 3.7644 | 6.3178 | 90.0 | 90.0 | 120.0 |
| B3--ZnS--cubic-zinc-blende | static | -2.5198 | -2.5198 | 5.3365 | 5.3365 | 5.3365 | 90.0 | 90.0 | 90.0 |
| B4--ZnS--wurtzite | box | -1.6322 | -1.6322 | 4.659 | 4.659 | 6.5559 | 90.0 | 90.0 | 120.0 |
| B3--ZnS--cubic-zinc-blende | dynamic | -1.3566 | -1.3566 | 6.5122 | 6.5122 | 6.5122 | 90.0 | 90.0 | 90.0 |
| L1_0--AuCu | static | -0.5327 | -0.5327 | 3.8043 | 3.8043 | 7.4456 | 90.0 | 90.0 | 90.0 |
| B4--ZnS--wurtzite | static | -0.4897 | -0.4897 | 8.4794 | 8.4794 | 8.1797 | 90.0 | 90.0 | 120.0 |
| B4--ZnS--wurtzite | dynamic | -0.4202 | -0.4202 | 7.972 | 7.972 | 10.4965 | 90.0 | 90.0 | 120.0 |
| B3--ZnS--cubic-zinc-blende | static | -0.2768 | -0.2768 | 10.4797 | 10.4797 | 10.4797 | 90.0 | 90.0 | 90.0 |
| B4--ZnS--wurtzite | box | -0.2768 | -0.2768 | 7.4083 | 7.4083 | 12.1074 | 90.0 | 90.0 | 120.0 |
| L1_0--AuCu | static | -0.262 | -0.262 | 5.6001 | 5.6001 | 7.491 | 90.0 | 90.0 | 90.0 |
| L1_0--AuCu | box | -0.2605 | -0.2605 | 5.8081 | 5.8081 | 7.1677 | 90.0 | 90.0 | 90.0 |
| B2--CsCl | dynamic | -0.2605 | -0.2605 | 6.2941 | 6.2941 | 6.2941 | 90.0 | 90.0 | 90.0 |
| B4--ZnS--wurtzite | dynamic | -0.2592 | -0.2592 | 5.6011 | 5.6011 | 19.4266 | 90.0 | 90.0 | 120.0 |
| B4--ZnS--wurtzite | dynamic | -0.2592 | -0.2592 | 5.6009 | 5.6009 | 19.4224 | 90.0 | 90.0 | 120.0 |
| B1--NaCl--rock-salt | dynamic | -0.2588 | -0.2588 | 10.8603 | 10.8603 | 10.8603 | 90.0 | 90.0 | 90.0 |
| B4--ZnS--wurtzite | static | -0.2569 | -0.2569 | 8.8085 | 8.8085 | 14.3957 | 90.0 | 90.0 | 120.0 |
| B3--ZnS--cubic-zinc-blende | dynamic | -0.2569 | -0.2569 | 12.4604 | 12.4604 | 12.4604 | 90.0 | 90.0 | 90.0 |
| B2--CsCl | box | -0.2046 | -0.2046 | 5.2925 | 5.2925 | 5.2925 | 90.0 | 90.0 | 90.0 |
| B4--ZnS--wurtzite | dynamic | 1.6199 | 1.6199 | 5.6825 | 5.6825 | 9.285 | 90.0 | 90.0 | 120.0 |
| B4--ZnS--wurtzite | box | 1.6199 | 1.6199 | 5.6821 | 5.6821 | 9.2862 | 90.0 | 90.0 | 120.0 |
| B3--ZnS--cubic-zinc-blende | dynamic | 1.6199 | 1.6199 | 8.0378 | 8.0378 | 8.0378 | 90.0 | 90.0 | 90.0 |
| B1--NaCl--rock-salt | static | 2.0335 | 2.0335 | 7.1888 | 7.1888 | 7.1888 | 90.0 | 90.0 | 90.0 |
Download raw data (including filtered results)
Reference structure matches:
| prototype | method | Ecoh (eV/atom) | Epot (eV/atom) | a0 (Å) | b0 (Å) | c0 (Å) | α (degrees) | β (degrees) | γ (degrees) |
|---|---|---|---|---|---|---|---|---|---|
| C1--CaF2--fluorite | static | -3.2876 | -3.2876 | 5.4326 | 5.4326 | 5.4326 | 90.0 | 90.0 | 90.0 |
| C1--CaF2--fluorite | static | -3.0843 | -3.0843 | 6.1883 | 6.1883 | 6.1883 | 90.0 | 90.0 | 90.0 |
| C1--CaF2--fluorite | dynamic | -0.3796 | -0.3796 | 10.7286 | 10.7286 | 10.7286 | 90.0 | 90.0 | 90.0 |
| C1--CaF2--fluorite | dynamic | -0.3423 | -0.3423 | 12.4605 | 12.4605 | 12.4605 | 90.0 | 90.0 | 90.0 |
| C1--CaF2--fluorite | dynamic | 2.4527 | 2.4527 | 8.0459 | 8.0459 | 8.0459 | 90.0 | 90.0 | 90.0 |
Download raw data (including filtered results)
Reference structure matches:
L2_1--AlCu2Mn--heusler = oqmd-527159
| prototype | method | Ecoh (eV/atom) | Epot (eV/atom) | a0 (Å) | b0 (Å) | c0 (Å) | α (degrees) | β (degrees) | γ (degrees) |
|---|---|---|---|---|---|---|---|---|---|
| L2_1--AlCu2Mn--heusler | static | -4.0944 | -4.0944 | 5.6258 | 5.6258 | 5.6258 | 90.0 | 90.0 | 90.0 |
| L2_1--AlCu2Mn--heusler | static | -0.2732 | -0.2732 | 10.7583 | 10.7583 | 10.7583 | 90.0 | 90.0 | 90.0 |
| L2_1--AlCu2Mn--heusler | static | -0.2593 | -0.2593 | 12.4587 | 12.4587 | 12.4587 | 90.0 | 90.0 | 90.0 |
Download raw data (including filtered results)
Reference structure matches:
D0_3--BiF3 = mp-1184260, oqmd-311223
| prototype | method | Ecoh (eV/atom) | Epot (eV/atom) | a0 (Å) | b0 (Å) | c0 (Å) | α (degrees) | β (degrees) | γ (degrees) |
|---|---|---|---|---|---|---|---|---|---|
| mp-1184311 | dynamic | -4.1756 | -4.1756 | 3.6668 | 3.6668 | 6.9923 | 90.0 | 90.0 | 90.0 |
| L1_2--AuCu3 | static | -4.1738 | -4.1738 | 3.6291 | 3.6291 | 3.6291 | 90.0 | 90.0 | 90.0 |
| D0_3--BiF3 | static | -4.1002 | -4.1002 | 5.6799 | 5.6799 | 5.6799 | 90.0 | 90.0 | 90.0 |
| A15--Cr3Si | static | -3.98 | -3.98 | 4.6912 | 4.6912 | 4.6912 | 90.0 | 90.0 | 90.0 |
| L1_2--AuCu3 | static | -3.1616 | -3.1616 | 4.3514 | 4.3514 | 4.3514 | 90.0 | 90.0 | 90.0 |
| A15--Cr3Si | static | -3.1424 | -3.1424 | 5.4762 | 5.4762 | 5.4762 | 90.0 | 90.0 | 90.0 |
| A15--Cr3Si | static | -0.4028 | -0.4028 | 8.6953 | 8.6953 | 8.6953 | 90.0 | 90.0 | 90.0 |
| A15--Cr3Si | box | -0.3934 | -0.3934 | 9.4392 | 9.4392 | 9.4392 | 90.0 | 90.0 | 90.0 |
| A15--Cr3Si | dynamic | -0.0019 | -0.0019 | 11.2997 | 11.2997 | 11.2997 | 90.0 | 90.0 | 90.0 |
| L1_2--AuCu3 | static | -0.0 | -0.0 | 8.1752 | 8.1752 | 8.1752 | 90.0 | 90.0 | 90.0 |
| D0_3--BiF3 | box | -0.0 | -0.0 | 13.35 | 13.35 | 13.35 | 90.0 | 90.0 | 90.0 |
| L1_2--AuCu3 | dynamic | 0.0 | 0.0 | 9.9066 | 9.9066 | 9.9066 | 90.0 | 90.0 | 90.0 |
| D0_3--BiF3 | static | 0.6021 | 0.6021 | 11.2584 | 11.2584 | 11.2584 | 90.0 | 90.0 | 90.0 |
| D0_3--BiF3 | static | 2.3045 | 2.3045 | 9.1782 | 9.1782 | 9.1782 | 90.0 | 90.0 | 90.0 |
Download raw data (including filtered results)
Reference structure matches:
| prototype | method | Ecoh (eV/atom) | Epot (eV/atom) | a0 (Å) | b0 (Å) | c0 (Å) | α (degrees) | β (degrees) | γ (degrees) |
|---|---|---|---|---|---|---|---|---|---|
| mp-1224973 | dynamic | -4.1277 | -4.1277 | 2.5202 | 2.5202 | 6.196 | 90.0 | 90.0 | 120.0 |
| mp-1224973 | box | -4.1213 | -4.1213 | 2.52 | 2.52 | 6.2256 | 90.0 | 90.0 | 120.0 |
| oqmd-961306 | static | -3.4223 | -3.4223 | 5.4479 | 5.4479 | 5.4479 | 90.0 | 90.0 | 90.0 |
| oqmd-853002 | static | -3.3871 | -3.3871 | 5.428 | 5.428 | 5.428 | 90.0 | 90.0 | 90.0 |
| oqmd-958257 | static | -3.3547 | -3.3547 | 5.5784 | 5.5784 | 5.5784 | 90.0 | 90.0 | 90.0 |
Download raw data (including filtered results)
Reference structure matches:
L2_1--AlCu2Mn--heusler = oqmd-530208
| prototype | method | Ecoh (eV/atom) | Epot (eV/atom) | a0 (Å) | b0 (Å) | c0 (Å) | α (degrees) | β (degrees) | γ (degrees) |
|---|---|---|---|---|---|---|---|---|---|
| L2_1--AlCu2Mn--heusler | static | -4.0915 | -4.0915 | 5.6251 | 5.6251 | 5.6251 | 90.0 | 90.0 | 90.0 |
| L2_1--AlCu2Mn--heusler | static | -0.2981 | -0.2981 | 9.401 | 9.401 | 9.401 | 90.0 | 90.0 | 90.0 |
| L2_1--AlCu2Mn--heusler | static | -0.1013 | -0.1013 | 10.7833 | 10.7833 | 10.7833 | 90.0 | 90.0 | 90.0 |
| L2_1--AlCu2Mn--heusler | static | -0.0 | -0.0 | 13.3944 | 13.3944 | 13.3944 | 90.0 | 90.0 | 90.0 |
| L2_1--AlCu2Mn--heusler | dynamic | 0.0 | 0.0 | 14.0609 | 14.0609 | 14.0609 | 90.0 | 90.0 | 90.0 |
Download raw data (including filtered results)
Reference structure matches:
B1--NaCl--rock-salt = oqmd-1106260
B2--CsCl = oqmd-307075
B3--ZnS--cubic-zinc-blende = oqmd-1222197
L1_0--AuCu = oqmd-338617
| prototype | method | Ecoh (eV/atom) | Epot (eV/atom) | a0 (Å) | b0 (Å) | c0 (Å) | α (degrees) | β (degrees) | γ (degrees) |
|---|---|---|---|---|---|---|---|---|---|
| B3--ZnS--cubic-zinc-blende | static | -117.3408 | -117.3408 | 1.9666 | 1.9666 | 1.9666 | 90.0 | 90.0 | 90.0 |
| B4--ZnS--wurtzite | box | -116.6416 | -116.6416 | 1.3891 | 1.3891 | 2.3552 | 90.0 | 90.0 | 120.0 |
| B3--ZnS--cubic-zinc-blende | static | -24.9865 | -24.9865 | 2.8882 | 2.8882 | 2.8882 | 90.0 | 90.0 | 90.0 |
| L1_0--AuCu | dynamic | -3.9986 | -3.9986 | 2.4413 | 2.4413 | 3.5402 | 90.0 | 90.0 | 90.0 |
| oqmd-328159 | dynamic | -3.9923 | -3.9923 | 2.4845 | 2.4845 | 12.2179 | 90.0 | 90.0 | 120.0 |
| mp-1184069 | dynamic | -3.976 | -3.976 | 2.4772 | 2.4772 | 4.0389 | 90.0 | 90.0 | 120.0 |
| oqmd-1220003 | dynamic | -3.9718 | -3.9718 | 4.13 | 2.5118 | 4.3512 | 90.0 | 90.0 | 90.0 |
| oqmd-1220003 | box | -3.9715 | -3.9715 | 4.131 | 2.5162 | 4.343 | 90.0 | 90.0 | 90.0 |
| mp-1225695 | box | -3.8791 | -3.8791 | 2.7385 | 3.7148 | 3.7976 | 90.0 | 90.0 | 90.0 |
| mp-1225695 | static | -3.8756 | -3.8756 | 2.5742 | 4.27 | 4.2698 | 90.0 | 90.0 | 90.0 |
| B2--CsCl | static | -3.8557 | -3.8557 | 2.8195 | 2.8195 | 2.8195 | 90.0 | 90.0 | 90.0 |
| B4--ZnS--wurtzite | static | -3.8421 | -3.8421 | 2.4794 | 2.4794 | 8.8537 | 90.0 | 90.0 | 120.0 |
| B1--NaCl--rock-salt | static | -3.4422 | -3.4422 | 4.8352 | 4.8352 | 4.8352 | 90.0 | 90.0 | 90.0 |
| oqmd-1225682 | box | -2.8259 | -2.8259 | 4.1037 | 4.1037 | 4.8604 | 90.0 | 90.0 | 120.0 |
| B4--ZnS--wurtzite | box | -2.5767 | -2.5767 | 3.8246 | 3.8246 | 6.3935 | 90.0 | 90.0 | 120.0 |
| B3--ZnS--cubic-zinc-blende | static | -2.5518 | -2.5518 | 5.388 | 5.388 | 5.388 | 90.0 | 90.0 | 90.0 |
| B1--NaCl--rock-salt | static | -0.5956 | -0.5956 | 7.1619 | 7.1619 | 7.1619 | 90.0 | 90.0 | 90.0 |
| B3--ZnS--cubic-zinc-blende | static | -0.5774 | -0.5774 | 7.6202 | 7.6202 | 7.6202 | 90.0 | 90.0 | 90.0 |
| B4--ZnS--wurtzite | box | -0.5765 | -0.5765 | 5.3776 | 5.3776 | 8.8562 | 90.0 | 90.0 | 120.0 |
| B1--NaCl--rock-salt | dynamic | -0.3427 | -0.3427 | 7.7901 | 7.7901 | 7.7901 | 90.0 | 90.0 | 90.0 |
| B2--CsCl | static | -0.1583 | -0.1583 | 4.9902 | 4.9902 | 4.9902 | 90.0 | 90.0 | 90.0 |
| L1_0--AuCu | static | -0.0002 | -0.0002 | 5.8757 | 5.8757 | 7.6974 | 90.0 | 90.0 | 90.0 |
| L1_0--AuCu | box | -0.0002 | -0.0002 | 5.8773 | 5.8773 | 7.6951 | 90.0 | 90.0 | 90.0 |
| B2--CsCl | dynamic | -0.0002 | -0.0002 | 6.5396 | 6.5396 | 6.5396 | 90.0 | 90.0 | 90.0 |
| L1_0--AuCu | dynamic | -0.0002 | -0.0002 | 6.0495 | 6.0495 | 7.4232 | 90.0 | 90.0 | 90.0 |
| B1--NaCl--rock-salt | dynamic | -0.0001 | -0.0001 | 11.3269 | 11.3269 | 11.3269 | 90.0 | 90.0 | 90.0 |
| B3--ZnS--cubic-zinc-blende | dynamic | -0.0001 | -0.0001 | 13.0791 | 13.0791 | 13.0791 | 90.0 | 90.0 | 90.0 |
| B4--ZnS--wurtzite | dynamic | -0.0001 | -0.0001 | 9.2459 | 9.2459 | 15.1105 | 90.0 | 90.0 | 120.0 |
Download raw data (including filtered results)
Reference structure matches:
| prototype | method | Ecoh (eV/atom) | Epot (eV/atom) | a0 (Å) | b0 (Å) | c0 (Å) | α (degrees) | β (degrees) | γ (degrees) |
|---|---|---|---|---|---|---|---|---|---|
| C1--CaF2--fluorite | static | -3.4936 | -3.4936 | 5.4371 | 5.4371 | 5.4371 | 90.0 | 90.0 | 90.0 |
| oqmd-1236617 | static | -1.5911 | -1.5911 | 11.2392 | 11.2392 | 11.2392 | 90.0 | 90.0 | 90.0 |
| C1--CaF2--fluorite | dynamic | -0.0001 | -0.0001 | 13.0791 | 13.0791 | 13.0791 | 90.0 | 90.0 | 90.0 |
Download raw data (including filtered results)
Reference structure matches:
D0_3--BiF3 = oqmd-310503
L1_2--AuCu3 = oqmd-348326
| prototype | method | Ecoh (eV/atom) | Epot (eV/atom) | a0 (Å) | b0 (Å) | c0 (Å) | α (degrees) | β (degrees) | γ (degrees) |
|---|---|---|---|---|---|---|---|---|---|
| mp-1184054 | dynamic | -4.2165 | -4.2165 | 3.5336 | 3.5336 | 7.0693 | 90.0 | 90.0 | 90.0 |
| L1_2--AuCu3 | dynamic | -4.2146 | -4.2146 | 3.5321 | 3.5321 | 3.5321 | 90.0 | 90.0 | 90.0 |
| oqmd-323840 | dynamic | -4.1981 | -4.1981 | 4.9939 | 4.9939 | 4.0828 | 90.0 | 90.0 | 120.0 |
| oqmd-323840 | box | -4.1981 | -4.1981 | 4.9938 | 4.9938 | 4.0829 | 90.0 | 90.0 | 120.0 |
| mp-1225694 | box | -4.0983 | -4.0983 | 2.8021 | 3.9698 | 7.9556 | 90.0 | 90.0 | 90.0 |
| D0_3--BiF3 | static | -4.0959 | -4.0959 | 5.6079 | 5.6079 | 5.6079 | 90.0 | 90.0 | 90.0 |
| A15--Cr3Si | dynamic | -4.0702 | -4.0702 | 4.5303 | 4.5303 | 4.5303 | 90.0 | 90.0 | 90.0 |
| A15--Cr3Si | dynamic | 0.0015 | 0.0015 | 10.4311 | 10.4311 | 10.4311 | 90.0 | 90.0 | 90.0 |
| D0_3--BiF3 | box | 0.0634 | 0.0634 | 10.6396 | 10.6396 | 10.6396 | 90.0 | 90.0 | 90.0 |
Download raw data (including filtered results)
Reference structure matches:
A1--Cu--fcc = mp-150, oqmd-7505, oqmd-1214525
A15--beta-W = oqmd-1214970
A2--W--bcc = mp-13, oqmd-8568, oqmd-22514, oqmd-1215148
A3'--alpha-La--double-hcp = oqmd-1215416
A3--Mg--hcp = mp-136, oqmd-30158, oqmd-51781, oqmd-1215326, oqmd-1215391
A4--C--dc = oqmd-1215505
A5--beta-Sn = oqmd-1215594
A6--In--bct = oqmd-1215683
Ah--alpha-Po--sc = mp-568345
| prototype | method | Ecoh (eV/atom) | Epot (eV/atom) | a0 (Å) | b0 (Å) | c0 (Å) | α (degrees) | β (degrees) | γ (degrees) |
|---|---|---|---|---|---|---|---|---|---|
| A1--Cu--fcc | dynamic | -4.4 | -4.4 | 3.56 | 3.56 | 3.56 | 90.0 | 90.0 | 90.0 |
| A3'--alpha-La--double-hcp | dynamic | -4.396 | -4.396 | 2.5324 | 2.5324 | 8.208 | 90.0 | 90.0 | 120.0 |
| oqmd-1216039 | static | -4.3959 | -4.3959 | 2.5397 | 2.5397 | 18.4583 | 90.0 | 90.0 | 120.0 |
| oqmd-1216039 | box | -4.3957 | -4.3957 | 2.5399 | 2.5399 | 18.4472 | 90.0 | 90.0 | 120.0 |
| oqmd-1215237 | static | -4.3941 | -4.3941 | 2.6078 | 4.3639 | 4.0825 | 90.0 | 90.0 | 90.0 |
| A3--Mg--hcp | box | -4.3939 | -4.3939 | 2.5558 | 2.5558 | 4.0901 | 90.0 | 90.0 | 120.0 |
| A3--Mg--hcp | box | -4.3939 | -4.3939 | 2.5557 | 2.5557 | 4.0901 | 90.0 | 90.0 | 120.0 |
| oqmd-1215237 | box | -4.3633 | -4.3633 | 2.4848 | 4.5797 | 4.1309 | 90.0 | 90.0 | 90.0 |
| mp-1245108 | dynamic | -4.3085 | -4.3085 | 10.2139 | 10.5966 | 11.2007 | 77.7 | 86.2 | 86.5 |
| A2--W--bcc | static | -4.3009 | -4.3009 | 2.8603 | 2.8603 | 2.8603 | 90.0 | 90.0 | 90.0 |
| oqmd-1214881 | dynamic | -4.2686 | -4.2686 | 6.184 | 6.184 | 6.184 | 90.0 | 90.0 | 90.0 |
| oqmd-1214881 | box | -4.2627 | -4.2627 | 6.2053 | 6.2053 | 6.2053 | 90.0 | 90.0 | 90.0 |
| oqmd-1214792 | static | -4.2497 | -4.2497 | 8.8291 | 8.8291 | 8.8291 | 90.0 | 90.0 | 90.0 |
| mp-1245108 | static | -4.2291 | -4.2291 | 10.5229 | 10.5461 | 10.7665 | 93.2 | 90.0 | 90.2 |
| oqmd-1214703 | static | -4.2147 | -4.2147 | 2.5257 | 4.1885 | 8.9524 | 90.0 | 90.0 | 90.0 |
| oqmd-1215059 | box | -4.2108 | -4.2108 | 2.5067 | 4.2037 | 8.9771 | 90.0 | 90.0 | 90.0 |
| oqmd-1214792 | box | -4.2098 | -4.2098 | 8.8783 | 8.8783 | 8.8783 | 90.0 | 90.0 | 90.0 |
| A15--beta-W | static | -4.1617 | -4.1617 | 4.6253 | 4.6253 | 4.6253 | 90.0 | 90.0 | 90.0 |
| mp-1245108 | box | -4.1449 | -4.1449 | 10.535 | 10.5882 | 10.8815 | 91.4 | 90.3 | 91.7 |
| mp-1194030 | box | -4.1403 | -4.1403 | 8.5471 | 8.5471 | 4.6722 | 90.0 | 90.0 | 90.0 |
| oqmd-21053 | box | -4.1354 | -4.1354 | 8.5479 | 8.5479 | 4.6765 | 90.0 | 90.0 | 90.0 |
| mp-1096950 | static | -4.0541 | -4.0541 | 2.4386 | 2.4386 | 2.3715 | 90.0 | 90.0 | 120.0 |
| A5--beta-Sn | static | -3.9445 | -3.9445 | 4.5792 | 4.5792 | 2.3985 | 90.0 | 90.0 | 90.0 |
| Ah--alpha-Po--sc | box | -3.5379 | -3.5379 | 2.331 | 2.331 | 2.331 | 90.0 | 90.0 | 90.0 |
| oqmd-21731 | box | -3.5378 | -3.5378 | 2.331 | 2.331 | 6.993 | 90.0 | 90.0 | 90.0 |
| Ah--alpha-Po--sc | static | -3.2609 | -3.2609 | 2.6484 | 2.6484 | 2.6484 | 90.0 | 90.0 | 90.0 |
| A3'--alpha-La--double-hcp | static | -3.2393 | -3.2393 | 3.3069 | 3.3069 | 8.6072 | 90.0 | 90.0 | 120.0 |
| A1--Cu--fcc | static | -3.1953 | -3.1953 | 4.3998 | 4.3998 | 4.3998 | 90.0 | 90.0 | 90.0 |
| A3--Mg--hcp | box | -3.1259 | -3.1259 | 2.9258 | 2.9258 | 5.8755 | 90.0 | 90.0 | 120.0 |
| A15--beta-W | static | -3.12 | -3.12 | 5.5597 | 5.5597 | 5.5597 | 90.0 | 90.0 | 90.0 |
| A4--C--dc | static | -2.589 | -2.589 | 5.3907 | 5.3907 | 5.3907 | 90.0 | 90.0 | 90.0 |
| Ah--alpha-Po--sc | box | -2.2261 | -2.2261 | 2.1024 | 2.1024 | 2.1024 | 90.0 | 90.0 | 90.0 |
| A3'--alpha-La--double-hcp | dynamic | -0.0154 | -0.0154 | 5.6498 | 5.6498 | 18.4523 | 90.0 | 90.0 | 120.0 |
| A3--Mg--hcp | dynamic | -0.0154 | -0.0154 | 5.6498 | 5.6498 | 9.2261 | 90.0 | 90.0 | 120.0 |
| A1--Cu--fcc | dynamic | -0.0154 | -0.0154 | 7.9901 | 7.9901 | 7.9901 | 90.0 | 90.0 | 90.0 |
| A2--W--bcc | dynamic | -0.0103 | -0.0103 | 6.5239 | 6.5239 | 6.5239 | 90.0 | 90.0 | 90.0 |
| Ah--alpha-Po--sc | dynamic | -0.0077 | -0.0077 | 5.6498 | 5.6498 | 5.6498 | 90.0 | 90.0 | 90.0 |
| A4--C--dc | dynamic | -0.0051 | -0.0051 | 13.0477 | 13.0477 | 13.0477 | 90.0 | 90.0 | 90.0 |
| A5--beta-Sn | static | -0.0051 | -0.0051 | 10.8939 | 10.8939 | 6.0014 | 90.0 | 90.0 | 90.0 |
| A6--In--bct | dynamic | -0.0051 | -0.0051 | 5.6498 | 5.6498 | 8.49 | 90.0 | 90.0 | 90.0 |
| A5--beta-Sn | dynamic | -0.0051 | -0.0051 | 10.8859 | 10.8859 | 6.0597 | 90.0 | 90.0 | 90.0 |
| A7--alpha-As | dynamic | -0.0039 | -0.0039 | 8.9167 | 8.9167 | 19.1004 | 90.0 | 90.0 | 120.0 |
| A7--alpha-As | static | -0.0039 | -0.0039 | 8.4398 | 8.4398 | 23.4511 | 90.0 | 90.0 | 120.0 |
| A15--beta-W | dynamic | -0.0019 | -0.0019 | 11.2997 | 11.2997 | 11.2997 | 90.0 | 90.0 | 90.0 |
| A7--alpha-As | static | 0.4055 | 0.4055 | 5.6497 | 5.6497 | 21.0429 | 90.0 | 90.0 | 120.0 |
| A7--alpha-As | dynamic | 0.4168 | 0.4168 | 6.724 | 6.724 | 19.6595 | 90.0 | 90.0 | 120.0 |
| A5--beta-Sn | static | 0.5463 | 0.5463 | 7.5901 | 7.5901 | 5.6352 | 90.0 | 90.0 | 90.0 |
| A4--C--dc | dynamic | 0.5525 | 0.5525 | 9.3539 | 9.3539 | 9.3539 | 90.0 | 90.0 | 90.0 |
| Ah--alpha-Po--sc | static | 0.8146 | 0.8146 | 4.0417 | 4.0417 | 4.0417 | 90.0 | 90.0 | 90.0 |
| A1--Cu--fcc | dynamic | 1.5797 | 1.5797 | 5.7241 | 5.7241 | 5.7241 | 90.0 | 90.0 | 90.0 |
| A3'--alpha-La--double-hcp | dynamic | 1.5797 | 1.5797 | 4.0475 | 4.0475 | 13.2192 | 90.0 | 90.0 | 120.0 |
| A3--Mg--hcp | dynamic | 1.5797 | 1.5797 | 4.0475 | 4.0475 | 6.6096 | 90.0 | 90.0 | 120.0 |
| A15--beta-W | static | 3.1773 | 3.1773 | 7.1817 | 7.1817 | 7.1817 | 90.0 | 90.0 | 90.0 |
| A2--W--bcc | box | 3.2855 | 3.2855 | 4.5367 | 4.5367 | 4.5367 | 90.0 | 90.0 | 90.0 |
| A2--W--bcc | box | 3.5367 | 3.5367 | 5.5586 | 5.5586 | 5.5586 | 90.0 | 90.0 | 90.0 |
Download raw data (including filtered results)
Reference structure matches:
| prototype | method | Ecoh (eV/atom) | Epot (eV/atom) | a0 (Å) | b0 (Å) | c0 (Å) | α (degrees) | β (degrees) | γ (degrees) |
|---|---|---|---|---|---|---|---|---|---|
| mp-1224697 | dynamic | -4.4157 | -4.4157 | 2.5049 | 2.5049 | 6.1446 | 90.0 | 90.0 | 120.0 |
| mp-1224697 | box | -4.4082 | -4.4082 | 2.5058 | 2.5058 | 6.1157 | 90.0 | 90.0 | 120.0 |
| mp-1077745 | static | -4.0468 | -4.0468 | 6.6823 | 6.6823 | 6.6823 | 90.0 | 90.0 | 90.0 |
| C1--CaF2--fluorite | static | -3.5434 | -3.5434 | 5.4773 | 5.4773 | 5.4773 | 90.0 | 90.0 | 90.0 |
| C1--CaF2--fluorite | dynamic | -0.011 | -0.011 | 11.9144 | 11.9144 | 11.9144 | 90.0 | 90.0 | 90.0 |
| C1--CaF2--fluorite | static | -0.0 | -0.0 | 13.3955 | 13.3955 | 13.3955 | 90.0 | 90.0 | 90.0 |
| C1--CaF2--fluorite | dynamic | 0.0 | 0.0 | 14.8669 | 14.8669 | 14.8669 | 90.0 | 90.0 | 90.0 |
| C1--CaF2--fluorite | dynamic | 2.0281 | 2.0281 | 8.4593 | 8.4593 | 8.4593 | 90.0 | 90.0 | 90.0 |
Download raw data (including filtered results)
Reference structure matches:
| prototype | method | Ecoh (eV/atom) | Epot (eV/atom) | a0 (Å) | b0 (Å) | c0 (Å) | α (degrees) | β (degrees) | γ (degrees) |
|---|---|---|---|---|---|---|---|---|---|
| oqmd-427042 | box | -3.6556 | -3.6556 | 6.1213 | 6.1213 | 12.0991 | 90.0 | 90.0 | 120.0 |
Download raw data (including filtered results)
Reference structure matches:
D0_3--BiF3 = mp-1007853, oqmd-312075
L1_2--AuCu3 = mp-999189, oqmd-343549
| prototype | method | Ecoh (eV/atom) | Epot (eV/atom) | a0 (Å) | b0 (Å) | c0 (Å) | α (degrees) | β (degrees) | γ (degrees) |
|---|---|---|---|---|---|---|---|---|---|
| oqmd-301533 | dynamic | -4.4089 | -4.4089 | 3.5589 | 3.5589 | 7.0824 | 90.0 | 90.0 | 90.0 |
| mp-1224827 | dynamic | -4.4084 | -4.4084 | 2.5098 | 2.5098 | 24.5525 | 90.0 | 90.0 | 120.0 |
| mp-1224827 | static | -4.4084 | -4.4084 | 2.5098 | 2.5098 | 24.5523 | 90.0 | 90.0 | 120.0 |
| mp-1224827 | box | -4.4078 | -4.4078 | 2.5102 | 2.5102 | 24.5058 | 90.0 | 90.0 | 120.0 |
| L1_2--AuCu3 | dynamic | -4.4072 | -4.4072 | 3.56 | 3.56 | 3.56 | 90.0 | 90.0 | 90.0 |
| oqmd-319063 | dynamic | -4.3992 | -4.3992 | 5.0521 | 5.0521 | 4.1017 | 90.0 | 90.0 | 120.0 |
| oqmd-319063 | box | -4.398 | -4.398 | 5.05 | 5.05 | 4.0996 | 90.0 | 90.0 | 120.0 |
| D0_3--BiF3 | static | -4.3241 | -4.3241 | 5.672 | 5.672 | 5.672 | 90.0 | 90.0 | 90.0 |
| mp-1224780 | box | -4.3135 | -4.3135 | 2.8754 | 4.0032 | 7.9859 | 90.0 | 90.0 | 90.0 |
| A15--Cr3Si | static | -4.1854 | -4.1854 | 4.6388 | 4.6388 | 4.6388 | 90.0 | 90.0 | 90.0 |
| L1_2--AuCu3 | box | -3.1487 | -3.1487 | 4.3521 | 4.3521 | 4.3521 | 90.0 | 90.0 | 90.0 |
| A15--Cr3Si | static | -3.1452 | -3.1452 | 5.4745 | 5.4745 | 5.4745 | 90.0 | 90.0 | 90.0 |
| L1_2--AuCu3 | dynamic | -0.0073 | -0.0073 | 7.992 | 7.992 | 7.992 | 90.0 | 90.0 | 90.0 |
| D0_3--BiF3 | dynamic | -0.0049 | -0.0049 | 13.0508 | 13.0508 | 13.0508 | 90.0 | 90.0 | 90.0 |
| A15--Cr3Si | dynamic | -0.0019 | -0.0019 | 11.2997 | 11.2997 | 11.2997 | 90.0 | 90.0 | 90.0 |
| A15--Cr3Si | box | 0.6482 | 0.6482 | 9.1098 | 9.1098 | 9.1098 | 90.0 | 90.0 | 90.0 |
| L1_2--AuCu3 | dynamic | 1.5942 | 1.5942 | 5.8328 | 5.8328 | 5.8328 | 90.0 | 90.0 | 90.0 |
| D0_3--BiF3 | static | 2.2385 | 2.2385 | 9.3906 | 9.3906 | 9.3906 | 90.0 | 90.0 | 90.0 |
Download raw data (including filtered results)
Reference structure matches:
| prototype | method | Ecoh (eV/atom) | Epot (eV/atom) | a0 (Å) | b0 (Å) | c0 (Å) | α (degrees) | β (degrees) | γ (degrees) |
|---|---|---|---|---|---|---|---|---|---|
| mp-1225009 | dynamic | -4.4119 | -4.4119 | 2.5189 | 2.5189 | 17.6258 | 90.0 | 90.0 | 90.0 |
| mp-1225009 | box | -4.4078 | -4.4078 | 2.5177 | 2.5177 | 17.6421 | 90.0 | 90.0 | 90.0 |
Download raw data (including filtered results)
Reference structure matches:
B1--NaCl--rock-salt = oqmd-1105634
B2--CsCl = oqmd-306449
B3--ZnS--cubic-zinc-blende = oqmd-1222507
L1_0--AuCu = mp-2213, oqmd-17225, oqmd-30230, oqmd-337991
| prototype | method | Ecoh (eV/atom) | Epot (eV/atom) | a0 (Å) | b0 (Å) | c0 (Å) | α (degrees) | β (degrees) | γ (degrees) |
|---|---|---|---|---|---|---|---|---|---|
| B4--ZnS--wurtzite | box | -323.7391 | -323.7391 | 1.2308 | 1.2308 | 1.9785 | 90.0 | 90.0 | 120.0 |
| oqmd-327533 | dynamic | -4.4193 | -4.4193 | 2.5109 | 2.5109 | 12.2462 | 90.0 | 90.0 | 120.0 |
| L1_0--AuCu | dynamic | -4.4162 | -4.4162 | 2.5228 | 2.5228 | 3.5203 | 90.0 | 90.0 | 90.0 |
| oqmd-1220313 | dynamic | -4.407 | -4.407 | 4.097 | 2.5148 | 4.337 | 90.0 | 90.0 | 90.0 |
| oqmd-1220313 | box | -4.4032 | -4.4032 | 4.0938 | 2.5284 | 4.3149 | 90.0 | 90.0 | 90.0 |
| oqmd-1229478 | dynamic | -4.399 | -4.399 | 2.5148 | 2.5148 | 4.0857 | 90.0 | 90.0 | 120.0 |
| B2--CsCl | static | -4.3312 | -4.3312 | 2.8102 | 2.8102 | 2.8102 | 90.0 | 90.0 | 90.0 |
| mp-1224965 | box | -4.3158 | -4.3158 | 2.8575 | 4.0059 | 3.9847 | 90.0 | 90.0 | 90.0 |
| B1--NaCl--rock-salt | static | -3.5482 | -3.5482 | 4.7184 | 4.7184 | 4.7184 | 90.0 | 90.0 | 90.0 |
| oqmd-1225992 | static | -3.1375 | -3.1375 | 4.2833 | 4.2833 | 4.9086 | 90.0 | 90.0 | 120.0 |
| B4--ZnS--wurtzite | box | -2.5278 | -2.5278 | 3.7598 | 3.7598 | 6.0497 | 90.0 | 90.0 | 120.0 |
| B3--ZnS--cubic-zinc-blende | static | -2.4988 | -2.4988 | 5.2943 | 5.2943 | 5.2943 | 90.0 | 90.0 | 90.0 |
| L1_0--AuCu | dynamic | -0.0186 | -0.0186 | 5.6542 | 5.6542 | 6.5211 | 90.0 | 90.0 | 90.0 |
| B2--CsCl | dynamic | -0.0164 | -0.0164 | 5.9573 | 5.9573 | 5.9573 | 90.0 | 90.0 | 90.0 |
| B1--NaCl--rock-salt | dynamic | -0.0103 | -0.0103 | 10.3448 | 10.3448 | 10.3448 | 90.0 | 90.0 | 90.0 |
| B4--ZnS--wurtzite | dynamic | -0.0056 | -0.0056 | 8.4704 | 8.4704 | 13.8431 | 90.0 | 90.0 | 120.0 |
| B3--ZnS--cubic-zinc-blende | dynamic | -0.0056 | -0.0056 | 11.9821 | 11.9821 | 11.9821 | 90.0 | 90.0 | 90.0 |
| L1_0--AuCu | box | -0.0022 | -0.0022 | 5.6543 | 5.6543 | 8.3849 | 90.0 | 90.0 | 90.0 |
| L1_0--AuCu | box | -0.0008 | -0.0008 | 5.6543 | 5.6543 | 7.6589 | 90.0 | 90.0 | 90.0 |
| B2--CsCl | static | -0.0 | -0.0 | 6.6977 | 6.6977 | 6.6977 | 90.0 | 90.0 | 90.0 |
| L1_0--AuCu | box | -0.0 | -0.0 | 6.0188 | 6.0188 | 7.882 | 90.0 | 90.0 | 90.0 |
| L1_0--AuCu | static | -0.0 | -0.0 | 6.0186 | 6.0186 | 7.8823 | 90.0 | 90.0 | 90.0 |
| B1--NaCl--rock-salt | static | -0.0 | -0.0 | 11.6008 | 11.6008 | 11.6008 | 90.0 | 90.0 | 90.0 |
| B3--ZnS--cubic-zinc-blende | static | -0.0 | -0.0 | 13.3955 | 13.3955 | 13.3955 | 90.0 | 90.0 | 90.0 |
| B4--ZnS--wurtzite | static | -0.0 | -0.0 | 9.4764 | 9.4764 | 15.476 | 90.0 | 90.0 | 120.0 |
| B1--NaCl--rock-salt | dynamic | 0.0 | 0.0 | 13.169 | 13.169 | 13.169 | 90.0 | 90.0 | 90.0 |
| B2--CsCl | dynamic | 0.0 | 0.0 | 8.5678 | 8.5678 | 8.5678 | 90.0 | 90.0 | 90.0 |
| B4--ZnS--wurtzite | dynamic | 0.0 | 0.0 | 9.4764 | 9.4764 | 21.3603 | 90.0 | 90.0 | 120.0 |
| B3--ZnS--cubic-zinc-blende | dynamic | 0.0 | 0.0 | 15.1742 | 15.1742 | 15.1742 | 90.0 | 90.0 | 90.0 |
| L1_0--AuCu | dynamic | 0.0 | 0.0 | 7.2924 | 7.2924 | 10.9556 | 90.0 | 90.0 | 90.0 |
| B2--CsCl | static | 2.0423 | 2.0423 | 4.2625 | 4.2625 | 4.2625 | 90.0 | 90.0 | 90.0 |
Download raw data (including filtered results)
Reference structure matches:
| prototype | method | Ecoh (eV/atom) | Epot (eV/atom) | a0 (Å) | b0 (Å) | c0 (Å) | α (degrees) | β (degrees) | γ (degrees) |
|---|---|---|---|---|---|---|---|---|---|
| mp-1072076 | static | -4.2006 | -4.2006 | 6.6284 | 6.6284 | 6.6284 | 90.0 | 90.0 | 90.0 |
| C1--CaF2--fluorite | static | -3.5724 | -3.5724 | 5.5558 | 5.5558 | 5.5558 | 90.0 | 90.0 | 90.0 |
| oqmd-1236413 | box | -1.5799 | -1.5799 | 11.0488 | 11.0488 | 11.0488 | 90.0 | 90.0 | 90.0 |
| C1--CaF2--fluorite | dynamic | -0.0074 | -0.0074 | 11.9822 | 11.9822 | 11.9822 | 90.0 | 90.0 | 90.0 |
| C1--CaF2--fluorite | static | -0.0 | -0.0 | 13.3955 | 13.3955 | 13.3955 | 90.0 | 90.0 | 90.0 |
| C1--CaF2--fluorite | dynamic | 0.0 | 0.0 | 14.8669 | 14.8669 | 14.8669 | 90.0 | 90.0 | 90.0 |
Download raw data (including filtered results)
Reference structure matches:
D0_3--BiF3 = mp-1007854, oqmd-308521
L1_2--AuCu3 = mp-1418, oqmd-7241, oqmd-347103
| prototype | method | Ecoh (eV/atom) | Epot (eV/atom) | a0 (Å) | b0 (Å) | c0 (Å) | α (degrees) | β (degrees) | γ (degrees) |
|---|---|---|---|---|---|---|---|---|---|
| mp-1225078 | dynamic | -4.4361 | -4.4361 | 2.494 | 2.494 | 24.4358 | 90.0 | 90.0 | 120.0 |
| mp-1225078 | box | -4.4361 | -4.4361 | 2.4941 | 2.4941 | 24.4421 | 90.0 | 90.0 | 120.0 |
| mp-1007855 | dynamic | -4.4346 | -4.4346 | 3.5374 | 3.5374 | 7.0422 | 90.0 | 90.0 | 90.0 |
| L1_2--AuCu3 | dynamic | -4.4291 | -4.4291 | 3.5375 | 3.5375 | 3.5375 | 90.0 | 90.0 | 90.0 |
| mp-1079337 | dynamic | -4.418 | -4.418 | 4.0711 | 4.99 | 4.3146 | 90.0 | 90.0 | 90.0 |
| mp-1079337 | box | -4.4165 | -4.4165 | 4.0679 | 4.9973 | 4.3114 | 90.0 | 90.0 | 90.0 |
| oqmd-322617 | dynamic | -4.4165 | -4.4165 | 4.9922 | 4.9922 | 4.0777 | 90.0 | 90.0 | 120.0 |
| oqmd-322617 | box | -4.4155 | -4.4155 | 4.9912 | 4.9912 | 4.0741 | 90.0 | 90.0 | 120.0 |
| D0_3--BiF3 | static | -4.331 | -4.331 | 5.5948 | 5.5948 | 5.5948 | 90.0 | 90.0 | 90.0 |
| A15--Cr3Si | static | -4.2852 | -4.2852 | 4.5129 | 4.5129 | 4.5129 | 90.0 | 90.0 | 90.0 |
| A15--Cr3Si | static | -0.0087 | -0.0087 | 9.2517 | 9.2517 | 9.2517 | 90.0 | 90.0 | 90.0 |
| L1_2--AuCu3 | dynamic | -0.0024 | -0.0024 | 7.3458 | 7.3458 | 7.3458 | 90.0 | 90.0 | 90.0 |
| D0_3--BiF3 | dynamic | -0.0016 | -0.0016 | 11.9969 | 11.9969 | 11.9969 | 90.0 | 90.0 | 90.0 |
| A15--Cr3Si | dynamic | 0.0015 | 0.0015 | 10.4311 | 10.4311 | 10.4311 | 90.0 | 90.0 | 90.0 |
Download raw data (including filtered results)
Reference structure matches:
A1--Cu--fcc = mp-23, oqmd-676148, oqmd-1214550
A15--beta-W = oqmd-1214995, oqmd-1280360
A2--W--bcc = mp-1008728, oqmd-22516, oqmd-1215173
A3'--alpha-La--double-hcp = oqmd-1215441
A3--Mg--hcp = mp-10257, oqmd-677944, oqmd-1215351
A4--C--dc = oqmd-1215530
A5--beta-Sn = oqmd-1215619
A6--In--bct = oqmd-1215708
| prototype | method | Ecoh (eV/atom) | Epot (eV/atom) | a0 (Å) | b0 (Å) | c0 (Å) | α (degrees) | β (degrees) | γ (degrees) |
|---|---|---|---|---|---|---|---|---|---|
| A3--Mg--hcp | dynamic | -142.4967 | -142.4967 | 0.927 | 0.927 | 1.5065 | 90.0 | 90.0 | 120.0 |
| A3'--alpha-La--double-hcp | dynamic | -142.216 | -142.216 | 0.9281 | 0.9281 | 3.0176 | 90.0 | 90.0 | 120.0 |
| Ah--alpha-Po--sc | static | -125.0985 | -125.0985 | 0.9175 | 0.9175 | 0.9175 | 90.0 | 90.0 | 90.0 |
| A4--C--dc | static | -95.0004 | -95.0004 | 2.009 | 2.009 | 2.009 | 90.0 | 90.0 | 90.0 |
| A1--Cu--fcc | dynamic | -4.45 | -4.45 | 3.52 | 3.52 | 3.52 | 90.0 | 90.0 | 90.0 |
| A3'--alpha-La--double-hcp | dynamic | -4.4394 | -4.4394 | 2.4856 | 2.4856 | 8.101 | 90.0 | 90.0 | 120.0 |
| oqmd-1216067 | dynamic | -4.4361 | -4.4361 | 2.4847 | 2.4847 | 18.1835 | 90.0 | 90.0 | 120.0 |
| A3--Mg--hcp | dynamic | -4.4296 | -4.4296 | 2.4831 | 2.4831 | 4.0199 | 90.0 | 90.0 | 120.0 |
| oqmd-1215262 | box | -4.4288 | -4.4288 | 2.473 | 4.317 | 4.0239 | 90.0 | 90.0 | 90.0 |
| oqmd-1214906 | dynamic | -4.3382 | -4.3382 | 6.1184 | 6.1184 | 6.1184 | 90.0 | 90.0 | 90.0 |
| A2--W--bcc | static | -4.338 | -4.338 | 2.7863 | 2.7863 | 2.7863 | 90.0 | 90.0 | 90.0 |
| oqmd-1214906 | box | -4.3344 | -4.3344 | 6.1179 | 6.1179 | 6.1179 | 90.0 | 90.0 | 90.0 |
| oqmd-1214817 | dynamic | -4.3168 | -4.3168 | 8.7 | 8.7 | 8.7 | 90.0 | 90.0 | 90.0 |
| oqmd-1214817 | box | -4.3139 | -4.3139 | 8.7083 | 8.7083 | 8.7083 | 90.0 | 90.0 | 90.0 |
| A15--beta-W | dynamic | -4.3035 | -4.3035 | 4.5121 | 4.5121 | 4.5121 | 90.0 | 90.0 | 90.0 |
| oqmd-1215084 | box | -4.1492 | -4.1492 | 2.5007 | 4.156 | 8.8729 | 90.0 | 90.0 | 90.0 |
| oqmd-1214728 | box | -4.0695 | -4.0695 | 2.408 | 2.408 | 8.3087 | 90.0 | 90.0 | 90.0 |
| mp-1014111 | static | -3.9028 | -3.9028 | 2.4636 | 2.4636 | 13.3815 | 90.0 | 90.0 | 120.0 |
| mp-1014111 | dynamic | -3.9028 | -3.9028 | 2.4636 | 2.4636 | 13.4399 | 90.0 | 90.0 | 120.0 |
| A5--beta-Sn | static | -3.8428 | -3.8428 | 4.5117 | 4.5117 | 2.3666 | 90.0 | 90.0 | 90.0 |
| Ah--alpha-Po--sc | static | -3.617 | -3.617 | 2.3478 | 2.3478 | 2.3478 | 90.0 | 90.0 | 90.0 |
| A7--alpha-As | box | -3.0872 | -3.0872 | 3.2682 | 3.2682 | 9.9527 | 90.0 | 90.0 | 120.0 |
| oqmd-1215975 | static | -3.0755 | -3.0755 | 4.019 | 4.019 | 4.3891 | 90.0 | 90.0 | 120.0 |
| A4--C--dc | static | -2.5619 | -2.5619 | 5.4791 | 5.4791 | 5.4791 | 90.0 | 90.0 | 90.0 |
| A4--C--dc | static | -0.2391 | -0.2391 | 3.8394 | 3.8394 | 3.8394 | 90.0 | 90.0 | 90.0 |
| A15--beta-W | dynamic | 0.0015 | 0.0015 | 10.4311 | 10.4311 | 10.4311 | 90.0 | 90.0 | 90.0 |
| A7--alpha-As | dynamic | 0.003 | 0.003 | 7.2483 | 7.2483 | 25.5387 | 90.0 | 90.0 | 120.0 |
| A7--alpha-As | static | 0.003 | 0.003 | 7.7916 | 7.7916 | 21.6433 | 90.0 | 90.0 | 120.0 |
| A4--C--dc | dynamic | 0.004 | 0.004 | 12.0448 | 12.0448 | 12.0448 | 90.0 | 90.0 | 90.0 |
| A5--beta-Sn | dynamic | 0.004 | 0.004 | 9.8512 | 9.8512 | 6.8593 | 90.0 | 90.0 | 90.0 |
| A5--beta-Sn | static | 0.004 | 0.004 | 10.0195 | 10.0195 | 5.8029 | 90.0 | 90.0 | 90.0 |
| Ah--alpha-Po--sc | dynamic | 0.006 | 0.006 | 5.2156 | 5.2156 | 5.2156 | 90.0 | 90.0 | 90.0 |
| A15--beta-W | static | 0.0063 | 0.0063 | 9.2606 | 9.2606 | 9.2606 | 90.0 | 90.0 | 90.0 |
| A2--W--bcc | dynamic | 0.008 | 0.008 | 6.0224 | 6.0224 | 6.0224 | 90.0 | 90.0 | 90.0 |
| A3--Mg--hcp | dynamic | 0.0119 | 0.0119 | 5.2156 | 5.2156 | 8.517 | 90.0 | 90.0 | 120.0 |
| A3'--alpha-La--double-hcp | dynamic | 0.0119 | 0.0119 | 5.2156 | 5.2156 | 17.034 | 90.0 | 90.0 | 120.0 |
| A1--Cu--fcc | dynamic | 0.0119 | 0.0119 | 7.3759 | 7.3759 | 7.3759 | 90.0 | 90.0 | 90.0 |
Static elastic constants are displayed for the unique structures identified in Crystal Structure Predictions above. The values displayed here are obtained by measuring the change in virial stresses due to applying small strains to the relaxed crystals. The initial structure and the strained states are all relaxed using force minimization.
The calculation method used is available as the iprPy elastic_constants_static calculation method.
Notes and Disclaimers:
Version Information:
| 264.632 | 191.697 | 191.697 | -0.000 | -0.000 | 0.000 |
| 191.697 | 264.632 | 191.697 | -0.000 | -0.000 | 0.000 |
| 191.697 | 191.697 | 264.632 | -0.000 | -0.000 | 0.000 |
| -0.000 | -0.000 | -0.000 | 142.070 | -0.000 | 0.000 |
| -0.000 | -0.000 | -0.000 | -0.000 | 142.070 | 0.000 |
| -0.000 | -0.000 | -0.000 | -0.000 | -0.000 | 142.070 |
| 264.632 | 191.697 | 191.697 | 0.000 | -0.000 | -0.000 |
| 191.697 | 264.632 | 191.697 | 0.000 | -0.000 | -0.000 |
| 191.697 | 191.697 | 264.632 | 0.000 | 0.000 | -0.000 |
| 0.000 | 0.000 | 0.000 | 142.070 | 0.000 | -0.000 |
| 0.000 | 0.000 | 0.000 | 0.000 | 142.070 | -0.000 |
| 0.000 | 0.000 | 0.000 | 0.000 | 0.000 | 142.070 |
| 264.631 | 191.697 | 191.697 | -0.000 | 0.000 | 0.000 |
| 191.697 | 264.631 | 191.697 | -0.000 | -0.000 | 0.000 |
| 191.697 | 191.697 | 264.631 | -0.000 | 0.000 | 0.000 |
| -0.000 | -0.000 | -0.000 | 142.070 | -0.000 | 0.000 |
| -0.000 | -0.000 | -0.000 | -0.000 | 142.070 | 0.000 |
| -0.000 | -0.000 | -0.000 | -0.000 | -0.000 | 142.070 |
| 264.632 | 191.697 | 191.697 | 0.000 | 0.000 | -0.000 |
| 191.697 | 264.632 | 191.697 | 0.000 | -0.000 | -0.000 |
| 191.697 | 191.697 | 264.632 | 0.000 | 0.000 | -0.000 |
| 0.000 | 0.000 | 0.000 | 142.070 | 0.000 | -0.000 |
| 0.000 | 0.000 | 0.000 | 0.000 | 142.070 | -0.000 |
| 0.000 | 0.000 | 0.000 | 0.000 | 0.000 | 142.070 |
| 264.628 | 191.697 | 191.697 | -0.000 | -0.000 | 0.000 |
| 191.697 | 264.628 | 191.697 | -0.000 | 0.000 | 0.000 |
| 191.697 | 191.697 | 264.628 | -0.000 | -0.000 | 0.000 |
| -0.000 | -0.000 | -0.000 | 142.070 | -0.000 | 0.000 |
| -0.000 | -0.000 | -0.000 | -0.000 | 142.070 | 0.000 |
| -0.000 | -0.000 | -0.000 | -0.000 | -0.000 | 142.070 |
| 264.635 | 191.697 | 191.697 | 0.000 | -0.000 | -0.000 |
| 191.697 | 264.635 | 191.697 | 0.000 | 0.000 | -0.000 |
| 191.697 | 191.697 | 264.635 | 0.000 | 0.000 | -0.000 |
| 0.000 | 0.000 | 0.000 | 142.070 | 0.000 | -0.000 |
| 0.000 | 0.000 | 0.000 | 0.000 | 142.070 | -0.000 |
| 0.000 | 0.000 | 0.000 | 0.000 | 0.000 | 142.070 |
| 10.130 | 4.946 | 4.946 | -0.000 | -0.000 | -0.000 |
| 4.946 | 10.130 | 4.946 | -0.000 | -0.000 | 0.000 |
| 4.946 | 4.946 | 10.130 | -0.000 | -0.000 | -0.000 |
| -0.000 | -0.000 | -0.000 | 5.184 | -0.000 | -0.000 |
| -0.000 | -0.000 | -0.000 | -0.000 | 5.184 | 0.000 |
| -0.000 | -0.000 | -0.000 | -0.000 | 0.000 | 5.184 |
| 10.130 | 4.946 | 4.946 | 0.000 | 0.000 | 0.000 |
| 4.946 | 10.130 | 4.946 | -0.000 | 0.000 | 0.000 |
| 4.946 | 4.946 | 10.130 | 0.000 | 0.000 | 0.000 |
| 0.000 | 0.000 | 0.000 | 5.184 | 0.000 | 0.000 |
| 0.000 | 0.000 | 0.000 | 0.000 | 5.184 | -0.000 |
| 0.000 | 0.000 | 0.000 | -0.000 | -0.000 | 5.184 |
| 10.130 | 4.946 | 4.946 | -0.000 | -0.000 | -0.000 |
| 4.946 | 10.130 | 4.946 | -0.000 | -0.000 | -0.000 |
| 4.946 | 4.946 | 10.130 | -0.000 | -0.000 | -0.000 |
| -0.000 | -0.000 | -0.000 | 5.184 | -0.000 | -0.000 |
| -0.000 | -0.000 | -0.000 | -0.000 | 5.184 | 0.000 |
| -0.000 | -0.000 | -0.000 | -0.000 | 0.000 | 5.184 |
| 10.130 | 4.946 | 4.946 | 0.000 | -0.000 | -0.000 |
| 4.946 | 10.130 | 4.946 | -0.000 | 0.000 | 0.000 |
| 4.946 | 4.946 | 10.130 | 0.000 | 0.000 | 0.000 |
| 0.000 | 0.000 | 0.000 | 5.184 | 0.000 | 0.000 |
| 0.000 | 0.000 | 0.000 | 0.000 | 5.184 | -0.000 |
| 0.000 | 0.000 | 0.000 | 0.000 | -0.000 | 5.184 |
| 10.129 | 4.946 | 4.946 | -0.000 | -0.000 | -0.000 |
| 4.946 | 10.129 | 4.946 | -0.000 | -0.000 | -0.000 |
| 4.946 | 4.946 | 10.129 | -0.000 | -0.000 | -0.000 |
| -0.000 | -0.000 | -0.000 | 5.184 | -0.000 | -0.000 |
| -0.000 | -0.000 | -0.000 | -0.000 | 5.184 | 0.000 |
| -0.000 | -0.000 | -0.000 | 0.000 | 0.000 | 5.184 |
| 10.130 | 4.946 | 4.946 | 0.000 | -0.000 | -0.000 |
| 4.946 | 10.130 | 4.946 | -0.000 | 0.000 | 0.000 |
| 4.946 | 4.946 | 10.130 | 0.000 | 0.000 | 0.000 |
| 0.000 | 0.000 | 0.000 | 5.184 | 0.000 | 0.000 |
| 0.000 | 0.000 | 0.000 | 0.000 | 5.184 | -0.000 |
| 0.000 | 0.000 | 0.000 | 0.000 | -0.000 | 5.184 |
| 5.964 | 2.982 | 2.982 | 0.000 | 0.000 | 0.000 |
| 2.982 | 5.964 | 2.982 | 0.000 | 0.000 | 0.000 |
| 2.982 | 2.982 | 5.964 | 0.000 | 0.000 | 0.000 |
| -0.000 | -0.000 | -0.000 | 2.981 | -0.000 | -0.000 |
| -0.000 | -0.000 | -0.000 | -0.000 | 2.981 | 0.000 |
| -0.000 | -0.000 | -0.000 | -0.000 | 0.000 | 2.981 |
| 5.964 | 2.982 | 2.982 | 0.000 | -0.000 | -0.000 |
| 2.982 | 5.964 | 2.982 | -0.000 | 0.000 | 0.000 |
| 2.982 | 2.982 | 5.964 | 0.000 | 0.000 | 0.000 |
| -0.000 | 0.000 | 0.000 | 2.981 | -0.000 | -0.000 |
| 0.000 | 0.000 | 0.000 | 0.000 | 2.981 | -0.000 |
| 0.000 | 0.000 | 0.000 | 0.000 | -0.000 | 2.981 |
| 5.964 | 2.982 | 2.982 | 0.000 | -0.000 | -0.000 |
| 2.982 | 5.964 | 2.982 | -0.000 | 0.000 | 0.000 |
| 2.982 | 2.982 | 5.964 | 0.000 | 0.000 | 0.000 |
| -0.000 | -0.000 | -0.000 | 2.981 | -0.000 | -0.000 |
| -0.000 | -0.000 | -0.000 | -0.000 | 2.981 | 0.000 |
| -0.000 | -0.000 | -0.000 | -0.000 | 0.000 | 2.981 |
| 5.964 | 2.982 | 2.982 | 0.000 | -0.000 | -0.000 |
| 2.982 | 5.964 | 2.982 | -0.000 | 0.000 | 0.000 |
| 2.982 | 2.982 | 5.964 | 0.000 | 0.000 | 0.000 |
| 0.000 | 0.000 | 0.000 | 2.981 | 0.000 | 0.000 |
| 0.000 | 0.000 | 0.000 | 0.000 | 2.981 | -0.000 |
| 0.000 | 0.000 | 0.000 | 0.000 | -0.000 | 2.981 |
| 5.964 | 2.982 | 2.982 | 0.000 | 0.000 | 0.000 |
| 2.982 | 5.964 | 2.982 | 0.000 | 0.000 | 0.000 |
| 2.982 | 2.982 | 5.964 | 0.000 | 0.000 | 0.000 |
| -0.000 | -0.000 | -0.000 | 2.981 | -0.000 | -0.000 |
| -0.000 | -0.000 | -0.000 | -0.000 | 2.981 | 0.000 |
| -0.000 | -0.000 | -0.000 | -0.000 | 0.000 | 2.981 |
| 5.964 | 2.982 | 2.982 | 0.000 | 0.000 | 0.000 |
| 2.982 | 5.964 | 2.982 | 0.000 | 0.000 | 0.000 |
| 2.982 | 2.982 | 5.964 | 0.000 | 0.000 | 0.000 |
| 0.000 | 0.000 | 0.000 | 2.981 | 0.000 | 0.000 |
| 0.000 | 0.000 | 0.000 | 0.000 | 2.981 | 0.000 |
| 0.000 | 0.000 | 0.000 | 0.000 | 0.000 | 2.981 |
| 506.155 | 85.309 | 85.309 | 0.000 | 0.000 | 0.000 |
| 85.309 | 506.155 | 85.309 | -0.000 | 0.000 | 0.000 |
| 85.309 | 85.309 | 506.155 | 0.000 | 0.000 | -0.000 |
| 0.000 | -0.000 | -0.000 | 27.304 | 0.000 | -0.000 |
| 0.000 | 0.000 | -0.000 | -0.000 | 27.304 | 0.000 |
| 0.000 | -0.000 | 0.000 | 0.000 | 0.000 | 27.304 |
| 509.281 | 83.746 | 83.746 | -0.000 | -0.000 | -0.000 |
| 83.746 | 509.281 | 83.746 | -0.000 | -0.000 | -0.000 |
| 83.746 | 83.746 | 509.281 | -0.000 | -0.000 | -0.000 |
| -0.000 | -0.000 | 0.000 | 27.304 | -0.000 | -0.000 |
| -0.000 | -0.000 | 0.000 | -0.000 | 27.304 | -0.000 |
| -0.000 | -0.000 | -0.000 | -0.000 | -0.000 | 27.304 |
| 506.156 | 85.309 | 85.309 | 0.000 | 0.000 | 0.000 |
| 85.309 | 506.156 | 85.309 | 0.000 | 0.000 | 0.000 |
| 85.309 | 85.309 | 506.156 | 0.000 | 0.000 | 0.000 |
| 0.000 | 0.000 | 0.000 | 27.304 | 0.000 | -0.000 |
| 0.000 | 0.000 | 0.000 | 0.000 | 27.304 | 0.000 |
| 0.000 | 0.000 | 0.000 | -0.000 | 0.000 | 27.304 |
| 509.281 | 83.746 | 83.746 | -0.000 | -0.000 | 0.000 |
| 83.746 | 509.281 | 83.746 | 0.000 | -0.000 | -0.000 |
| 83.746 | 83.746 | 509.281 | -0.000 | -0.000 | -0.000 |
| -0.000 | -0.000 | -0.000 | 27.304 | -0.000 | -0.000 |
| -0.000 | -0.000 | -0.000 | -0.000 | 27.304 | -0.000 |
| -0.000 | -0.000 | -0.000 | 0.000 | -0.000 | 27.304 |
| 509.284 | 83.746 | 83.746 | -0.000 | -0.000 | 0.000 |
| 83.746 | 509.284 | 83.746 | 0.000 | 0.000 | -0.000 |
| 83.746 | 83.746 | 509.284 | -0.000 | 0.000 | 0.000 |
| -3923940.250 | -4052038.251 | -4092326.204 | -56467.931 | 10672.357 | 40222.835 |
| -4052358.415 | -3888283.822 | -3969864.337 | -18564.585 | 67220.754 | 83189.501 |
| -4054354.934 | -3846471.741 | -4072167.416 | -186629.091 | -13648.092 | -99202.399 |
| 509.278 | 83.745 | 83.745 | 0.000 | -0.000 | -0.000 |
| 83.745 | 509.278 | 83.745 | -0.000 | -0.000 | -0.000 |
| 83.745 | 83.745 | 509.278 | -0.000 | -0.000 | 0.000 |
| 3859957.755 | 4067519.792 | 3894602.916 | 19163.260 | -50796.366 | 59200.054 |
| 4042290.270 | 3726392.032 | 4069438.556 | 24349.821 | 70164.918 | 72130.832 |
| 3922042.392 | 4022952.281 | 3963685.926 | 177623.220 | 65280.073 | 29354.418 |
| 9.266 | 2.872 | 2.872 | -0.000 | -0.000 | 0.000 |
| 2.872 | 9.266 | 2.872 | -0.000 | -0.000 | 0.000 |
| 2.872 | 2.872 | 9.266 | -0.000 | -0.000 | 0.000 |
| -0.000 | -0.000 | -0.000 | 2.998 | -0.000 | 0.000 |
| -0.000 | 0.000 | -0.000 | -0.000 | 2.998 | 0.000 |
| -0.000 | -0.000 | 0.000 | -0.000 | -0.000 | 2.998 |
| 9.266 | 2.872 | 2.872 | 0.000 | 0.000 | 0.000 |
| 2.872 | 9.266 | 2.872 | 0.000 | 0.000 | 0.000 |
| 2.872 | 2.872 | 9.266 | 0.000 | 0.000 | -0.000 |
| 0.000 | 0.000 | 0.000 | 2.998 | 0.000 | 0.000 |
| 0.000 | -0.000 | 0.000 | 0.000 | 2.998 | -0.000 |
| 0.000 | 0.000 | 0.000 | 0.000 | -0.000 | 2.998 |
| -271751.779 | -204009.172 | -209046.233 | -11198.660 | -9661.179 | 11101.978 |
| -236800.977 | -284492.111 | -231380.506 | -19921.967 | -44276.152 | 5959.759 |
| -209768.736 | -203817.521 | -274647.985 | 2737.609 | -13767.210 | -14565.022 |
| -0.000 | -0.000 | -0.000 | 0.798 | -0.000 | 0.000 |
| -0.000 | -0.000 | -0.000 | -0.000 | 0.798 | -0.000 |
| -0.000 | -0.000 | -0.000 | -0.000 | -0.000 | 0.798 |
| 643153.771 | 957958.756 | 1155432.448 | 51808.108 | 33648.667 | -39788.834 |
| 1161324.221 | 642353.357 | 931169.089 | -26151.939 | 20290.570 | -13509.625 |
| 940543.181 | 1156657.700 | 682760.937 | -5320.976 | -18887.620 | 16079.517 |
| 0.000 | 0.000 | 0.000 | 0.798 | 0.000 | 0.000 |
| 0.000 | 0.000 | 0.000 | 0.000 | 0.798 | 0.000 |
| 0.000 | 0.000 | 0.000 | 0.000 | 0.000 | 0.798 |
| -32150.733 | -23461.347 | -22537.056 | -2496.058 | -3448.665 | 803.438 |
| -20571.007 | -29309.423 | -21017.312 | 1214.550 | -1695.640 | -3043.015 |
| -22120.773 | -19926.768 | -28766.282 | -2744.039 | 1265.008 | -3136.445 |
| -0.000 | 0.000 | 0.000 | 0.402 | -0.000 | 0.000 |
| 0.000 | -0.000 | 0.000 | -0.000 | 0.402 | -0.000 |
| 0.000 | 0.000 | -0.000 | -0.000 | -0.000 | 0.402 |
| 79838.650 | 85418.579 | 107177.440 | -487.337 | 1983.994 | 359.715 |
| 105049.714 | 73009.750 | 86145.815 | -1424.879 | -1539.815 | 2156.388 |
| 85927.223 | 105988.246 | 71990.744 | 2755.340 | 651.500 | -2320.478 |
| 0.000 | -0.000 | -0.000 | 0.402 | 0.000 | -0.000 |
| -0.000 | 0.000 | -0.000 | 0.000 | 0.402 | -0.000 |
| -0.000 | -0.000 | 0.000 | 0.000 | 0.000 | 0.402 |
| 1.054 | 0.000 | 0.000 | -0.000 | 0.000 | 0.000 |
| 0.000 | 1.054 | 0.000 | -0.000 | 0.000 | -0.000 |
| 0.000 | 0.000 | 1.054 | -0.000 | 0.000 | -0.000 |
| 0.000 | 0.000 | 0.000 | 0.000 | -0.000 | 0.000 |
| 0.000 | 0.000 | 0.000 | -0.000 | 0.000 | -0.000 |
| 0.000 | 0.000 | 0.000 | -0.000 | 0.000 | 0.000 |
| 1.054 | -0.000 | -0.000 | 0.000 | 0.000 | -0.000 |
| -0.000 | 1.054 | -0.000 | -0.000 | -0.000 | -0.000 |
| -0.000 | -0.000 | 1.054 | -0.000 | 0.000 | 0.000 |
| -0.000 | -0.000 | -0.000 | 0.000 | 0.000 | -0.000 |
| -0.000 | -0.000 | -0.000 | 0.000 | 0.000 | 0.000 |
| -0.000 | -0.000 | -0.000 | 0.000 | -0.000 | 0.000 |
| 1.054 | 0.000 | 0.000 | -0.000 | -0.000 | 0.000 |
| 0.000 | 1.054 | 0.000 | 0.000 | 0.000 | 0.000 |
| 0.000 | 0.000 | 1.054 | 0.000 | -0.000 | -0.000 |
| 0.000 | 0.000 | -0.000 | 0.000 | 0.000 | 0.000 |
| 0.000 | 0.000 | -0.000 | 0.000 | 0.000 | -0.000 |
| 0.000 | -0.000 | 0.000 | -0.000 | 0.000 | 0.000 |
| 1.054 | 0.000 | 0.000 | -0.000 | -0.000 | 0.000 |
| 0.000 | 1.054 | 0.000 | -0.000 | -0.000 | 0.000 |
| 0.000 | 0.000 | 1.054 | 0.000 | -0.000 | 0.000 |
| -0.000 | -0.000 | 0.000 | 0.000 | -0.000 | 0.000 |
| -0.000 | -0.000 | 0.000 | -0.000 | 0.000 | -0.000 |
| -0.000 | 0.000 | -0.000 | 0.000 | 0.000 | 0.000 |
| 1.054 | 0.000 | 0.000 | -0.000 | 0.000 | -0.000 |
| 0.000 | 1.054 | 0.000 | -0.000 | 0.000 | 0.000 |
| 0.000 | 0.000 | 1.054 | 0.000 | -0.000 | -0.000 |
| 0.000 | 0.000 | -0.000 | 0.000 | 0.000 | 0.000 |
| 0.000 | 0.000 | -0.000 | 0.000 | 0.000 | 0.000 |
| 0.000 | -0.000 | 0.000 | -0.000 | -0.000 | 0.000 |
| 1.054 | -0.000 | -0.000 | 0.000 | 0.000 | -0.000 |
| -0.000 | 1.054 | -0.000 | -0.000 | -0.000 | -0.000 |
| -0.000 | -0.000 | 1.054 | 0.000 | -0.000 | 0.000 |
| -0.000 | -0.000 | 0.000 | 0.000 | -0.000 | 0.000 |
| -0.000 | -0.000 | 0.000 | -0.000 | 0.000 | 0.000 |
| -0.000 | 0.000 | -0.000 | 0.000 | -0.000 | 0.000 |
| 187.935 | 257.512 | 257.512 | -0.000 | 0.000 | -0.000 |
| 257.512 | 187.935 | 257.512 | -0.000 | 0.000 | -0.000 |
| 257.512 | 257.512 | 187.935 | -0.000 | 0.000 | -0.000 |
| -0.000 | -0.000 | -0.000 | 112.696 | -0.000 | -0.000 |
| -0.000 | -0.000 | -0.000 | -0.000 | 112.696 | 0.000 |
| -0.000 | -0.000 | -0.000 | -0.000 | 0.000 | 112.696 |
| 187.935 | 257.512 | 257.512 | 0.000 | -0.000 | -0.000 |
| 257.512 | 187.935 | 257.512 | -0.000 | -0.000 | -0.000 |
| 257.512 | 257.512 | 187.935 | 0.000 | -0.000 | -0.000 |
| 0.000 | 0.000 | 0.000 | 112.696 | 0.000 | -0.000 |
| 0.000 | 0.000 | 0.000 | 0.000 | 112.696 | -0.000 |
| 0.000 | 0.000 | 0.000 | 0.000 | -0.000 | 112.696 |
| 187.934 | 257.512 | 257.512 | -0.000 | 0.000 | 0.000 |
| 257.512 | 187.934 | 257.512 | 0.000 | 0.000 | -0.000 |
| 257.512 | 257.512 | 187.934 | 0.000 | 0.000 | 0.000 |
| -0.000 | -0.000 | -0.000 | 112.696 | 0.000 | 0.000 |
| -0.000 | -0.000 | -0.000 | 0.000 | 112.696 | 0.000 |
| -0.000 | -0.000 | -0.000 | 0.000 | 0.000 | 112.696 |
| 187.935 | 257.512 | 257.512 | 0.000 | -0.000 | -0.000 |
| 257.512 | 187.935 | 257.512 | 0.000 | 0.000 | -0.000 |
| 257.512 | 257.512 | 187.935 | 0.000 | 0.000 | 0.000 |
| 0.000 | 0.000 | 0.000 | 112.696 | -0.000 | 0.000 |
| 0.000 | 0.000 | 0.000 | -0.000 | 112.696 | -0.000 |
| 0.000 | 0.000 | 0.000 | -0.000 | -0.000 | 112.696 |
| 187.932 | 257.512 | 257.512 | -0.000 | 0.000 | -0.000 |
| 257.512 | 187.932 | 257.512 | 0.000 | 0.000 | 0.000 |
| 257.512 | 257.512 | 187.932 | -0.000 | -0.000 | 0.000 |
| -0.000 | -0.001 | -0.001 | 112.696 | 0.000 | 0.000 |
| -0.001 | -0.000 | -0.001 | -0.000 | 112.696 | 0.000 |
| -0.001 | -0.001 | -0.000 | -0.000 | 0.000 | 112.696 |
| 187.938 | 257.512 | 257.512 | 0.000 | -0.000 | 0.000 |
| 257.512 | 187.938 | 257.512 | 0.000 | -0.000 | 0.000 |
| 257.512 | 257.512 | 187.938 | 0.000 | -0.000 | 0.000 |
| 0.000 | 0.001 | 0.001 | 112.696 | -0.000 | 0.000 |
| 0.001 | 0.000 | 0.001 | 0.000 | 112.696 | -0.000 |
| 0.001 | 0.001 | 0.000 | 0.000 | 0.000 | 112.696 |
| 2.435 | 2.435 | 2.435 | 0.000 | 0.000 | 0.000 |
| 2.435 | 2.435 | 2.435 | 0.000 | 0.000 | 0.000 |
| 2.435 | 2.435 | 2.435 | -0.000 | -0.000 | 0.000 |
| -0.000 | -0.000 | -0.000 | 2.435 | 0.000 | -0.000 |
| -0.000 | -0.000 | -0.000 | 0.000 | 2.435 | -0.000 |
| -0.000 | -0.000 | -0.000 | 0.000 | 0.000 | 2.435 |
| 2.435 | 2.435 | 2.435 | -0.000 | 0.000 | 0.000 |
| 2.435 | 2.435 | 2.435 | 0.000 | -0.000 | 0.000 |
| 2.435 | 2.435 | 2.435 | -0.000 | -0.000 | 0.000 |
| 0.000 | 0.000 | 0.000 | 2.435 | 0.000 | 0.000 |
| 0.000 | 0.000 | 0.000 | 0.000 | 2.435 | 0.000 |
| 0.000 | 0.000 | 0.000 | 0.000 | 0.000 | 2.435 |
| 2.435 | 2.435 | 2.435 | -0.000 | 0.000 | -0.000 |
| 2.435 | 2.435 | 2.435 | 0.000 | -0.000 | -0.000 |
| 2.435 | 2.435 | 2.435 | -0.000 | -0.000 | 0.000 |
| -0.000 | -0.000 | -0.000 | 2.435 | 0.000 | -0.000 |
| -0.000 | -0.000 | -0.000 | 0.000 | 2.435 | -0.000 |
| -0.000 | -0.000 | -0.000 | 0.000 | -0.000 | 2.435 |
| 2.435 | 2.435 | 2.435 | 0.000 | 0.000 | -0.000 |
| 2.435 | 2.435 | 2.435 | 0.000 | 0.000 | -0.000 |
| 2.435 | 2.435 | 2.435 | -0.000 | -0.000 | 0.000 |
| 0.000 | 0.000 | 0.000 | 2.435 | -0.000 | 0.000 |
| 0.000 | 0.000 | 0.000 | -0.000 | 2.435 | 0.000 |
| 0.000 | 0.000 | 0.000 | -0.000 | -0.000 | 2.435 |
| 2.435 | 2.435 | 2.435 | 0.000 | 0.000 | -0.000 |
| 2.435 | 2.435 | 2.435 | 0.000 | 0.000 | -0.000 |
| 2.435 | 2.435 | 2.435 | 0.000 | 0.000 | -0.000 |
| -0.000 | -0.000 | -0.000 | 2.435 | 0.000 | -0.000 |
| -0.000 | -0.000 | -0.000 | 0.000 | 2.435 | -0.000 |
| -0.000 | -0.000 | -0.000 | 0.000 | 0.000 | 2.435 |
| 2.435 | 2.435 | 2.435 | 0.000 | -0.000 | -0.000 |
| 2.435 | 2.435 | 2.435 | -0.000 | 0.000 | -0.000 |
| 2.435 | 2.435 | 2.435 | -0.000 | -0.000 | 0.000 |
| 0.000 | 0.000 | 0.000 | 2.435 | -0.000 | 0.000 |
| 0.000 | 0.000 | 0.000 | -0.000 | 2.435 | 0.000 |
| 0.000 | 0.000 | 0.000 | -0.000 | -0.000 | 2.435 |
| 339.975 | 183.560 | 120.472 | 0.000 | -0.000 | -0.000 |
| 156.293 | 367.242 | 120.472 | 0.000 | -0.000 | -0.000 |
| 120.472 | 120.472 | 392.083 | 0.000 | -0.000 | -0.000 |
| -0.000 | -0.000 | 0.000 | 62.303 | 0.000 | -0.000 |
| -0.000 | -0.000 | 0.000 | -0.000 | 62.303 | -0.000 |
| -0.000 | -0.000 | 0.000 | 0.000 | -0.000 | 78.208 |
| 339.975 | 183.560 | 120.472 | -0.000 | -0.000 | 0.000 |
| 156.293 | 367.242 | 120.472 | -0.000 | -0.000 | 0.000 |
| 120.472 | 120.472 | 392.083 | -0.000 | 0.000 | 0.000 |
| 0.000 | 0.000 | -0.000 | 62.303 | -0.000 | 0.000 |
| 0.000 | 0.000 | -0.000 | 0.000 | 62.303 | 0.000 |
| 0.000 | 0.000 | -0.000 | -0.000 | 0.000 | 78.208 |
| 339.975 | 183.560 | 120.472 | 0.000 | 0.000 | -0.000 |
| 183.560 | 339.975 | 120.472 | 0.000 | -0.000 | 0.000 |
| 120.472 | 120.472 | 392.083 | 0.000 | 0.000 | -0.000 |
| -0.000 | -0.000 | -0.000 | 62.303 | -0.000 | 0.000 |
| -0.000 | -0.000 | -0.000 | 0.000 | 62.303 | -0.000 |
| -0.000 | -0.000 | -0.000 | 0.000 | -0.000 | 105.474 |
| 367.242 | 156.293 | 120.472 | -0.000 | 0.000 | 0.000 |
| 183.560 | 339.975 | 120.472 | -0.000 | 0.000 | 0.000 |
| 120.472 | 120.472 | 392.083 | -0.000 | -0.000 | 0.000 |
| 0.000 | 0.000 | 0.000 | 62.303 | 0.000 | 0.000 |
| 0.000 | 0.000 | 0.000 | -0.000 | 62.303 | 0.000 |
| 0.000 | 0.000 | 0.000 | -0.000 | 0.000 | 105.474 |
| 339.974 | 183.560 | 120.472 | -0.000 | -0.000 | -0.000 |
| 183.561 | 339.973 | 120.472 | 0.000 | -0.000 | -0.000 |
| 120.472 | 120.472 | 392.082 | -0.000 | -0.000 | -0.000 |
| -0.000 | -0.001 | -0.000 | 62.303 | -0.000 | -0.000 |
| -0.001 | -0.000 | -0.000 | 0.000 | 62.303 | -0.000 |
| -0.001 | -0.000 | -0.000 | 0.000 | 0.000 | 78.208 |
| 339.976 | 183.560 | 120.472 | -0.000 | 0.000 | 0.000 |
| 183.559 | 339.977 | 120.472 | -0.000 | 0.000 | 0.000 |
| 120.472 | 120.472 | 392.084 | -0.000 | -0.000 | 0.000 |
| 0.000 | 0.001 | 0.000 | 62.303 | -0.000 | -0.000 |
| 0.001 | 0.000 | 0.000 | 0.000 | 62.303 | 0.000 |
| 0.001 | 0.000 | 0.000 | -0.000 | -0.000 | 78.208 |
| 12.721 | 4.082 | 3.218 | 0.000 | 0.000 | -0.000 |
| 4.082 | 12.721 | 3.218 | 0.000 | 0.000 | -0.000 |
| 3.218 | 3.218 | 13.585 | 0.000 | 0.000 | -0.000 |
| -0.000 | -0.000 | -0.000 | 3.456 | 0.000 | -0.000 |
| -0.000 | -0.000 | -0.000 | 0.000 | 3.456 | -0.000 |
| -0.000 | -0.000 | -0.000 | 0.000 | -0.000 | 4.320 |
| 12.721 | 4.082 | 3.218 | -0.000 | -0.000 | -0.000 |
| 4.082 | 12.721 | 3.218 | -0.000 | -0.000 | 0.000 |
| 3.218 | 3.218 | 13.585 | -0.000 | -0.000 | 0.000 |
| 0.000 | 0.000 | 0.000 | 3.456 | -0.000 | 0.000 |
| 0.000 | 0.000 | 0.000 | -0.000 | 3.456 | 0.000 |
| 0.000 | 0.000 | 0.000 | -0.000 | 0.000 | 4.320 |
| 12.721 | 4.082 | 3.218 | 0.000 | 0.000 | -0.000 |
| 4.082 | 12.721 | 3.218 | 0.000 | 0.000 | -0.000 |
| 3.218 | 3.218 | 13.585 | 0.000 | 0.000 | -0.000 |
| -0.000 | -0.000 | -0.000 | 3.456 | 0.000 | -0.000 |
| -0.000 | -0.000 | -0.000 | 0.000 | 3.456 | 0.000 |
| -0.000 | -0.000 | -0.000 | 0.000 | -0.000 | 4.218 |
| 12.721 | 4.082 | 3.218 | -0.000 | -0.000 | -0.000 |
| 4.262 | 12.541 | 3.218 | -0.000 | -0.000 | 0.000 |
| 3.218 | 3.218 | 13.585 | -0.000 | -0.000 | 0.000 |
| 0.000 | 0.000 | 0.000 | 3.456 | -0.000 | 0.000 |
| 0.000 | 0.000 | 0.000 | -0.000 | 3.456 | 0.000 |
| 0.000 | 0.000 | 0.000 | -0.000 | 0.000 | 4.218 |
| 12.619 | 4.184 | 3.218 | 0.000 | 0.000 | -0.000 |
| 4.184 | 12.619 | 3.218 | 0.000 | -0.000 | -0.000 |
| 3.218 | 3.218 | 13.585 | 0.000 | 0.000 | -0.000 |
| -0.000 | -0.000 | -0.000 | 3.456 | 0.000 | -0.000 |
| -0.000 | -0.000 | -0.000 | 0.000 | 3.456 | 0.000 |
| -0.000 | -0.000 | -0.000 | 0.000 | -0.000 | 4.218 |
| 12.482 | 4.321 | 3.218 | -0.000 | -0.000 | 0.000 |
| 4.262 | 12.542 | 3.218 | -0.000 | -0.000 | 0.000 |
| 3.218 | 3.218 | 13.586 | -0.000 | -0.000 | 0.000 |
| 0.000 | 0.000 | 0.000 | 3.456 | -0.000 | 0.000 |
| 0.000 | 0.000 | 0.000 | -0.000 | 3.456 | 0.000 |
| 0.000 | 0.000 | 0.000 | -0.000 | -0.000 | 4.218 |
| 7.418 | 2.522 | 1.988 | -0.000 | 0.000 | -0.000 |
| 2.485 | 7.454 | 1.988 | -0.000 | 0.000 | 0.000 |
| 1.988 | 1.988 | 7.951 | -0.000 | 0.000 | -0.000 |
| -0.000 | -0.000 | -0.000 | 1.988 | -0.000 | -0.000 |
| -0.000 | -0.000 | -0.000 | 0.000 | 1.988 | 0.000 |
| -0.000 | -0.000 | -0.000 | -0.000 | -0.000 | 2.448 |
| 7.418 | 2.522 | 1.988 | 0.000 | -0.000 | 0.000 |
| 2.522 | 7.418 | 1.988 | -0.000 | -0.000 | 0.000 |
| 1.988 | 1.988 | 7.951 | -0.000 | -0.000 | 0.000 |
| 0.000 | 0.000 | 0.000 | 1.988 | -0.000 | 0.000 |
| 0.000 | 0.000 | 0.000 | -0.000 | 1.988 | 0.000 |
| 0.000 | 0.000 | 0.000 | 0.000 | 0.000 | 2.448 |
| 7.387 | 2.553 | 1.988 | -0.000 | 0.000 | -0.000 |
| 2.485 | 7.454 | 1.988 | -0.000 | 0.000 | 0.000 |
| 1.988 | 1.988 | 7.951 | -0.000 | -0.000 | -0.000 |
| -0.000 | -0.000 | -0.000 | 1.988 | -0.000 | -0.000 |
| -0.000 | -0.000 | -0.000 | -0.000 | 1.988 | 0.000 |
| -0.000 | -0.000 | -0.000 | -0.000 | -0.000 | 2.448 |
| 7.418 | 2.522 | 1.988 | 0.000 | -0.000 | 0.000 |
| 2.553 | 7.387 | 1.988 | -0.000 | 0.000 | 0.000 |
| 1.988 | 1.988 | 7.951 | 0.000 | -0.000 | 0.000 |
| 0.000 | 0.000 | 0.000 | 1.988 | -0.000 | 0.000 |
| 0.000 | 0.000 | 0.000 | 0.000 | 1.988 | 0.000 |
| 0.000 | 0.000 | 0.000 | 0.000 | -0.000 | 2.448 |
| 7.318 | 2.622 | 1.988 | 0.000 | 0.000 | -0.000 |
| 2.580 | 7.360 | 1.988 | -0.000 | 0.000 | -0.000 |
| 1.988 | 1.988 | 7.951 | -0.000 | 0.000 | -0.000 |
| -0.000 | -0.000 | -0.000 | 1.988 | -0.000 | -0.000 |
| -0.000 | -0.000 | -0.000 | -0.000 | 1.988 | 0.000 |
| -0.000 | -0.000 | -0.000 | 0.000 | -0.000 | 2.367 |
| 7.360 | 2.580 | 1.988 | 0.000 | 0.000 | 0.000 |
| 2.522 | 7.418 | 1.988 | 0.000 | -0.000 | 0.000 |
| 1.989 | 1.989 | 7.951 | 0.000 | -0.000 | 0.000 |
| 0.000 | 0.000 | 0.000 | 1.988 | -0.000 | 0.000 |
| 0.000 | 0.000 | 0.000 | 0.000 | 1.988 | 0.000 |
| 0.000 | 0.000 | 0.000 | -0.000 | 0.000 | 2.367 |
| 357.857 | 153.453 | 111.079 | 0.000 | -0.000 | 0.000 |
| 181.639 | 329.672 | 111.079 | 0.000 | 0.000 | -0.000 |
| 111.079 | 111.079 | 399.185 | 0.000 | 0.000 | 0.000 |
| -0.000 | -0.000 | -0.000 | 46.056 | -0.000 | -0.000 |
| -0.000 | 0.000 | -0.000 | 0.000 | 46.056 | -0.000 |
| -0.000 | -0.000 | -0.000 | -0.000 | 0.000 | 74.017 |
| 357.857 | 153.453 | 111.079 | -0.000 | 0.000 | -0.000 |
| 181.639 | 329.672 | 111.079 | 0.000 | -0.000 | -0.000 |
| 111.079 | 111.079 | 399.185 | 0.000 | 0.000 | 0.000 |
| 0.000 | 0.000 | 0.000 | 46.056 | -0.000 | -0.000 |
| 0.000 | -0.000 | 0.000 | 0.000 | 46.056 | 0.000 |
| 0.000 | 0.000 | 0.000 | 0.000 | 0.000 | 74.017 |
| 357.857 | 153.453 | 111.079 | -0.000 | -0.000 | 0.000 |
| 153.453 | 357.857 | 111.079 | -0.000 | -0.000 | -0.000 |
| 111.079 | 111.079 | 399.185 | -0.000 | -0.000 | -0.000 |
| -0.000 | -0.000 | -0.000 | 46.056 | -0.000 | -0.000 |
| -0.000 | -0.000 | -0.000 | -0.000 | 46.056 | -0.000 |
| -0.000 | -0.000 | -0.000 | 0.000 | 0.000 | 74.017 |
| 357.858 | 153.453 | 111.079 | 0.000 | 0.000 | 0.000 |
| 181.639 | 329.672 | 111.079 | -0.000 | -0.000 | -0.000 |
| 111.079 | 111.079 | 399.185 | 0.000 | -0.000 | -0.000 |
| 0.000 | 0.000 | 0.000 | 46.056 | -0.000 | 0.000 |
| 0.000 | 0.000 | 0.000 | -0.000 | 46.056 | 0.000 |
| 0.000 | 0.000 | 0.000 | -0.000 | -0.000 | 74.017 |
| 357.857 | 153.453 | 111.079 | 0.000 | -0.000 | 0.000 |
| 181.640 | 329.670 | 111.079 | -0.000 | 0.000 | -0.000 |
| 111.079 | 111.079 | 399.185 | 0.000 | 0.000 | 0.000 |
| 0.000 | -0.000 | -0.000 | 46.056 | 0.000 | -0.000 |
| -0.000 | -0.000 | -0.000 | 0.000 | 46.056 | -0.000 |
| -0.000 | -0.000 | -0.000 | -0.000 | -0.000 | 102.202 |
| 329.673 | 181.639 | 111.079 | 0.000 | 0.000 | -0.000 |
| 181.638 | 329.674 | 111.079 | 0.000 | 0.000 | 0.000 |
| 111.078 | 111.078 | 399.186 | -0.000 | 0.000 | 0.000 |
| -0.000 | 0.000 | 0.000 | 46.056 | -0.000 | 0.000 |
| 0.000 | 0.000 | 0.000 | -0.000 | 46.056 | 0.000 |
| 0.000 | 0.000 | 0.000 | 0.000 | 0.000 | 102.202 |
| 12.517 | 4.286 | 3.218 | -0.000 | 0.000 | 0.000 |
| 4.082 | 12.721 | 3.218 | 0.000 | -0.000 | 0.000 |
| 3.218 | 3.218 | 13.585 | 0.000 | -0.000 | -0.000 |
| -0.000 | -0.000 | -0.000 | 3.456 | 0.000 | 0.000 |
| -0.000 | -0.000 | -0.000 | 0.000 | 3.456 | 0.000 |
| -0.000 | -0.000 | -0.000 | -0.000 | 0.000 | 4.320 |
| 12.517 | 4.286 | 3.218 | -0.000 | 0.000 | -0.000 |
| 4.082 | 12.721 | 3.218 | 0.000 | 0.000 | -0.000 |
| 3.218 | 3.218 | 13.585 | -0.000 | -0.000 | 0.000 |
| 0.000 | 0.000 | 0.000 | 3.456 | -0.000 | -0.000 |
| 0.000 | 0.000 | 0.000 | -0.000 | 3.456 | -0.000 |
| 0.000 | 0.000 | 0.000 | 0.000 | 0.000 | 4.320 |
| 12.721 | 4.082 | 3.218 | -0.000 | -0.000 | -0.000 |
| 4.082 | 12.721 | 3.218 | 0.000 | -0.000 | 0.000 |
| 3.218 | 3.218 | 13.585 | 0.000 | 0.000 | 0.000 |
| -0.000 | -0.000 | -0.000 | 3.456 | -0.000 | -0.000 |
| -0.000 | -0.000 | -0.000 | -0.000 | 3.456 | -0.000 |
| -0.000 | -0.000 | -0.000 | -0.000 | -0.000 | 4.320 |
| 12.721 | 4.082 | 3.218 | 0.000 | -0.000 | -0.000 |
| 4.082 | 12.721 | 3.218 | 0.000 | 0.000 | -0.000 |
| 3.218 | 3.218 | 13.585 | -0.000 | -0.000 | -0.000 |
| 0.000 | 0.000 | 0.000 | 3.456 | -0.000 | 0.000 |
| 0.000 | 0.000 | 0.000 | -0.000 | 3.456 | -0.000 |
| 0.000 | 0.000 | 0.000 | 0.000 | -0.000 | 4.320 |
| 12.409 | 4.394 | 3.218 | 0.000 | 0.000 | 0.000 |
| 4.286 | 12.517 | 3.218 | 0.000 | 0.000 | 0.000 |
| 3.218 | 3.218 | 13.585 | 0.000 | 0.000 | 0.000 |
| -0.000 | -0.000 | -0.000 | 3.456 | -0.000 | -0.000 |
| -0.000 | -0.000 | -0.000 | -0.000 | 3.456 | -0.000 |
| -0.000 | -0.000 | -0.000 | 0.000 | 0.000 | 4.116 |
| 12.517 | 4.286 | 3.218 | 0.000 | -0.000 | -0.000 |
| 4.394 | 12.410 | 3.218 | -0.000 | 0.000 | -0.000 |
| 3.218 | 3.218 | 13.586 | -0.000 | -0.000 | -0.000 |
| 0.000 | 0.000 | 0.000 | 3.456 | -0.000 | 0.000 |
| 0.000 | 0.000 | 0.000 | 0.000 | 3.456 | -0.000 |
| 0.000 | 0.000 | 0.000 | -0.000 | 0.000 | 4.116 |
| 7.454 | 2.485 | 1.988 | -0.000 | -0.000 | 0.000 |
| 2.559 | 7.381 | 1.988 | -0.000 | 0.000 | 0.000 |
| 1.988 | 1.988 | 7.951 | -0.000 | -0.000 | 0.000 |
| -0.000 | -0.000 | -0.000 | 1.988 | 0.000 | 0.000 |
| -0.000 | -0.000 | -0.000 | -0.000 | 1.988 | -0.000 |
| -0.000 | -0.000 | -0.000 | -0.000 | -0.000 | 2.411 |
| 7.454 | 2.485 | 1.988 | 0.000 | 0.000 | -0.000 |
| 2.559 | 7.381 | 1.988 | 0.000 | -0.000 | -0.000 |
| 1.988 | 1.988 | 7.951 | 0.000 | -0.000 | -0.000 |
| 0.000 | 0.000 | 0.000 | 1.988 | -0.000 | -0.000 |
| 0.000 | 0.000 | 0.000 | 0.000 | 1.988 | -0.000 |
| 0.000 | 0.000 | 0.000 | 0.000 | -0.000 | 2.411 |
| 7.454 | 2.485 | 1.988 | -0.000 | -0.000 | 0.000 |
| 2.485 | 7.454 | 1.988 | -0.000 | -0.000 | -0.000 |
| 1.988 | 1.988 | 7.951 | -0.000 | 0.000 | 0.000 |
| -0.000 | -0.000 | -0.000 | 1.988 | 0.000 | 0.000 |
| -0.000 | -0.000 | -0.000 | -0.000 | 1.988 | -0.000 |
| -0.000 | -0.000 | -0.000 | -0.000 | -0.000 | 2.360 |
| 7.454 | 2.485 | 1.988 | 0.000 | 0.000 | -0.000 |
| 2.485 | 7.454 | 1.988 | 0.000 | 0.000 | 0.000 |
| 1.988 | 1.988 | 7.951 | 0.000 | 0.000 | 0.000 |
| 0.000 | 0.000 | 0.000 | 1.988 | -0.000 | -0.000 |
| 0.000 | 0.000 | 0.000 | -0.000 | 1.988 | -0.000 |
| 0.000 | 0.000 | 0.000 | 0.000 | 0.000 | 2.360 |
| 7.227 | 2.712 | 1.988 | -0.000 | 0.000 | 0.000 |
| 2.672 | 7.267 | 1.988 | -0.000 | 0.000 | 0.000 |
| 1.988 | 1.988 | 7.951 | -0.000 | 0.000 | 0.000 |
| -0.000 | -0.000 | -0.000 | 1.988 | 0.000 | 0.000 |
| -0.000 | -0.000 | -0.000 | -0.000 | 1.988 | 0.000 |
| -0.000 | -0.000 | -0.000 | -0.000 | 0.000 | 2.267 |
| 7.268 | 2.672 | 1.988 | 0.000 | 0.000 | -0.000 |
| 2.610 | 7.330 | 1.988 | 0.000 | 0.000 | -0.000 |
| 1.989 | 1.989 | 7.951 | 0.000 | 0.000 | -0.000 |
| 0.000 | 0.000 | 0.000 | 1.988 | -0.000 | -0.000 |
| 0.000 | 0.000 | 0.000 | 0.000 | 1.988 | 0.000 |
| 0.000 | 0.000 | 0.000 | -0.000 | 0.000 | 2.267 |
| 15.186 | 36.612 | 36.612 | -0.000 | -0.000 | -0.000 |
| 36.612 | 15.186 | 36.612 | -0.000 | -0.000 | -0.000 |
| 36.612 | 36.612 | 15.186 | -0.000 | -0.000 | -0.000 |
| 0.000 | 0.000 | 0.000 | 35.231 | -0.000 | -0.000 |
| 0.000 | 0.000 | 0.000 | -0.000 | 35.231 | -0.000 |
| 0.000 | 0.000 | 0.000 | -0.000 | -0.000 | 35.231 |
| 15.186 | 36.612 | 36.612 | 0.000 | 0.000 | 0.000 |
| 36.612 | 15.186 | 36.612 | 0.000 | 0.000 | 0.000 |
| 36.612 | 36.612 | 15.186 | 0.000 | 0.000 | 0.000 |
| -0.000 | -0.000 | -0.000 | 35.231 | 0.000 | 0.000 |
| -0.000 | -0.000 | -0.000 | 0.000 | 35.231 | 0.000 |
| -0.000 | -0.000 | -0.000 | 0.000 | 0.000 | 35.231 |
| 15.185 | 36.612 | 36.612 | -0.000 | -0.000 | -0.000 |
| 36.612 | 15.185 | 36.612 | -0.000 | -0.000 | -0.000 |
| 36.612 | 36.612 | 15.185 | -0.000 | -0.000 | -0.000 |
| -0.000 | -0.000 | -0.000 | -25.501 | -0.000 | -0.000 |
| -0.000 | -0.000 | -0.000 | -0.000 | -25.501 | -0.000 |
| -0.000 | -0.000 | -0.000 | -0.000 | -0.000 | -25.501 |
| 15.186 | 36.612 | 36.612 | 0.000 | 0.000 | 0.000 |
| 36.612 | 15.186 | 36.612 | 0.000 | 0.000 | 0.000 |
| 36.612 | 36.612 | 15.186 | 0.000 | 0.000 | 0.000 |
| 0.000 | 0.000 | 0.000 | -25.501 | 0.000 | 0.000 |
| 0.000 | 0.000 | 0.000 | 0.000 | -25.501 | 0.000 |
| 0.000 | 0.000 | 0.000 | 0.000 | 0.000 | -25.501 |
| 15.182 | 36.612 | 36.612 | -0.000 | -0.000 | -0.000 |
| 36.612 | 15.182 | 36.612 | -0.000 | -0.000 | -0.000 |
| 36.612 | 36.612 | 15.182 | -0.000 | -0.000 | -0.000 |
| 0.000 | 0.000 | 0.000 | 35.231 | -0.000 | -0.000 |
| 0.000 | 0.000 | 0.000 | -0.000 | 35.231 | -0.000 |
| 0.000 | 0.000 | 0.000 | -0.000 | -0.000 | 35.231 |
| 15.189 | 36.612 | 36.612 | 0.000 | 0.000 | 0.000 |
| 36.612 | 15.189 | 36.612 | 0.000 | 0.000 | 0.000 |
| 36.612 | 36.612 | 15.189 | 0.000 | 0.000 | 0.000 |
| -0.000 | -0.000 | -0.000 | 35.231 | 0.000 | 0.000 |
| -0.000 | -0.000 | -0.000 | 0.000 | 35.231 | 0.000 |
| -0.000 | -0.000 | -0.000 | 0.000 | 0.000 | 35.231 |
| 0.609 | 0.609 | 0.609 | -0.000 | -0.000 | -0.000 |
| 0.609 | 0.609 | 0.609 | -0.000 | -0.000 | -0.000 |
| 0.609 | 0.609 | 0.609 | -0.000 | -0.000 | -0.000 |
| -0.000 | -0.000 | -0.000 | 0.609 | -0.000 | -0.000 |
| -0.000 | -0.000 | -0.000 | -0.000 | 0.609 | -0.000 |
| -0.000 | -0.000 | -0.000 | -0.000 | -0.000 | 0.609 |
| 0.609 | 0.609 | 0.609 | 0.000 | 0.000 | 0.000 |
| 0.609 | 0.609 | 0.609 | 0.000 | 0.000 | 0.000 |
| 0.609 | 0.609 | 0.609 | 0.000 | 0.000 | 0.000 |
| 0.000 | 0.000 | 0.000 | 0.609 | 0.000 | 0.000 |
| 0.000 | 0.000 | 0.000 | 0.000 | 0.609 | 0.000 |
| 0.000 | 0.000 | 0.000 | 0.000 | 0.000 | 0.609 |
| 0.609 | 0.609 | 0.609 | 0.000 | -0.000 | -0.000 |
| 0.609 | 0.609 | 0.609 | -0.000 | -0.000 | -0.000 |
| 0.609 | 0.609 | 0.609 | -0.000 | -0.000 | 0.000 |
| -0.000 | -0.000 | -0.000 | 0.224 | -0.000 | 0.000 |
| -0.000 | -0.000 | -0.000 | 0.000 | 0.224 | 0.000 |
| -0.000 | -0.000 | -0.000 | 0.000 | -0.000 | 0.224 |
| 0.609 | 0.609 | 0.609 | 0.000 | 0.000 | 0.000 |
| 0.609 | 0.609 | 0.609 | 0.000 | 0.000 | 0.000 |
| 0.609 | 0.609 | 0.609 | 0.000 | 0.000 | 0.000 |
| 0.000 | 0.000 | 0.000 | 0.224 | 0.000 | -0.000 |
| 0.000 | 0.000 | 0.000 | -0.000 | 0.224 | -0.000 |
| 0.000 | 0.000 | 0.000 | -0.000 | 0.000 | 0.224 |
| 0.609 | 0.609 | 0.609 | -0.000 | -0.000 | -0.000 |
| 0.609 | 0.609 | 0.609 | -0.000 | -0.000 | -0.000 |
| 0.609 | 0.609 | 0.609 | -0.000 | -0.000 | -0.000 |
| -0.000 | -0.000 | -0.000 | 0.011 | -0.000 | 0.000 |
| -0.000 | -0.000 | -0.000 | 0.000 | 0.011 | 0.000 |
| -0.000 | -0.000 | -0.000 | 0.000 | 0.000 | 0.011 |
| 0.609 | 0.609 | 0.609 | -0.000 | 0.000 | 0.000 |
| 0.609 | 0.609 | 0.609 | 0.000 | 0.000 | 0.000 |
| 0.609 | 0.609 | 0.609 | 0.000 | 0.000 | 0.000 |
| 0.000 | 0.000 | 0.000 | 0.011 | 0.000 | -0.000 |
| 0.000 | 0.000 | 0.000 | -0.000 | 0.011 | -0.000 |
| 0.000 | 0.000 | 0.000 | -0.000 | -0.000 | 0.011 |
| -1750.766 | 2685.781 | 86.028 | 0.000 | 0.000 | -0.000 |
| 2685.781 | -1750.766 | 86.028 | 0.000 | 0.000 | 0.000 |
| 86.028 | 86.028 | 624.471 | -0.000 | 0.000 | -0.000 |
| 0.000 | -0.000 | -0.000 | -47.808 | 0.000 | 0.000 |
| -0.000 | 0.000 | -0.000 | -0.000 | -47.808 | -0.000 |
| 0.000 | 0.000 | 0.000 | -0.000 | 0.000 | -42.033 |
| -1750.765 | 2685.780 | 86.029 | -0.000 | -0.000 | 0.000 |
| 2685.780 | -1750.765 | 86.029 | -0.000 | -0.000 | 0.000 |
| 86.028 | 86.028 | 624.471 | 0.000 | -0.000 | 0.000 |
| -0.000 | 0.000 | 0.000 | -47.808 | -0.000 | 0.000 |
| 0.000 | -0.000 | 0.000 | 0.000 | -47.808 | 0.000 |
| -0.000 | -0.000 | -0.000 | 0.000 | -0.000 | -42.033 |
| -1750.772 | 2685.784 | 86.023 | 0.000 | -0.000 | 0.000 |
| 2685.784 | -1750.772 | 86.023 | -0.000 | 0.000 | -0.000 |
| 86.028 | 86.028 | 624.471 | 0.000 | 0.000 | 0.000 |
| 0.000 | -0.000 | -0.000 | -47.808 | 0.000 | -0.000 |
| -0.000 | 0.000 | -0.000 | 0.000 | -47.808 | -0.000 |
| 0.000 | 0.000 | 0.000 | -0.000 | 0.000 | -42.033 |
| 904.306 | 30.708 | 86.028 | 0.000 | -0.000 | -0.000 |
| 30.708 | 904.306 | 86.028 | 0.000 | -0.000 | -0.000 |
| 86.028 | 86.028 | 624.471 | 0.000 | -0.000 | -0.000 |
| -0.000 | 0.000 | 0.000 | -47.808 | -0.000 | -0.000 |
| 0.000 | -0.000 | 0.000 | 0.000 | -47.808 | 0.000 |
| -0.000 | -0.000 | -0.000 | 0.000 | -0.000 | -42.033 |
| -19800404.266 | -14493061.517 | 14227854.046 | 185474.638 | 55259.598 | -566798.621 |
| -14403495.272 | -19667970.537 | 16409643.454 | 0.018 | -444039.418 | 0.006 |
| 86.029 | 86.029 | 624.479 | -0.000 | 0.000 | -0.000 |
| 0.000 | -0.000 | -0.000 | -47.808 | 0.000 | -0.000 |
| -0.000 | 0.000 | -0.000 | -0.000 | -47.808 | 0.000 |
| -0.000 | 0.002 | 0.000 | 0.000 | 0.000 | -42.033 |
| 12467331.184 | 12257662.844 | -3087430.074 | 141555.686 | 386215.878 | -25734.102 |
| 9468014.098 | 9483126.465 | 5289225.669 | -87510.837 | 78782.056 | 24416.760 |
| 86.028 | 86.028 | 624.468 | 0.000 | -0.000 | -0.000 |
| -0.000 | 0.000 | 0.000 | -47.808 | -0.000 | -0.000 |
| 0.000 | -0.000 | 0.000 | -0.000 | -47.808 | -0.000 |
| 0.000 | -0.002 | -0.000 | -0.000 | -0.000 | -42.033 |
| 3.651 | -0.000 | 0.282 | -0.000 | -0.000 | 0.000 |
| -0.000 | 3.651 | 0.282 | -0.000 | -0.000 | 0.000 |
| 0.282 | 0.282 | 0.044 | -0.000 | -0.000 | 0.000 |
| 0.000 | -0.000 | -0.000 | 0.128 | 0.000 | 0.000 |
| -0.000 | -0.000 | -0.000 | 0.000 | 0.128 | -0.000 |
| -0.000 | -0.000 | -0.000 | -0.000 | 0.000 | -0.000 |
| 3.651 | -0.000 | 0.282 | 0.000 | 0.000 | 0.000 |
| -0.000 | 3.651 | 0.282 | 0.000 | 0.000 | 0.000 |
| 0.282 | 0.282 | 0.044 | -0.000 | -0.000 | 0.000 |
| -0.000 | 0.000 | 0.000 | 0.128 | -0.000 | 0.000 |
| 0.000 | 0.000 | 0.000 | -0.000 | 0.128 | -0.000 |
| 0.000 | 0.000 | 0.000 | 0.000 | 0.000 | -0.000 |
| 2.726 | 0.925 | 0.282 | 0.000 | 0.000 | 0.000 |
| 0.925 | 2.726 | 0.282 | 0.000 | 0.000 | -0.000 |
| 0.282 | 0.282 | 0.044 | -0.000 | -0.000 | 0.000 |
| -0.000 | -0.000 | -0.000 | 0.128 | 0.000 | 0.000 |
| -0.000 | -0.000 | -0.000 | 0.000 | 0.128 | -0.000 |
| -0.000 | -0.000 | -0.000 | -0.000 | -0.000 | 0.000 |
| 2.726 | 0.925 | 0.282 | 0.000 | 0.000 | 0.000 |
| 0.925 | 2.726 | 0.282 | 0.000 | -0.000 | 0.000 |
| 0.282 | 0.282 | 0.044 | -0.000 | -0.000 | -0.000 |
| 0.000 | 0.000 | 0.000 | 0.128 | -0.000 | -0.000 |
| 0.000 | 0.000 | 0.000 | -0.000 | 0.128 | -0.000 |
| 0.000 | 0.000 | 0.000 | 0.000 | -0.000 | 0.000 |
| 1.943 | 1.708 | 0.282 | -0.000 | -0.000 | 0.000 |
| 1.708 | 1.943 | 0.282 | -0.000 | -0.000 | -0.000 |
| 0.282 | 0.282 | 0.044 | 0.000 | 0.000 | -0.000 |
| -0.000 | 0.000 | -0.000 | 0.005 | -0.000 | 0.000 |
| 0.000 | -0.000 | -0.000 | 0.000 | 0.005 | -0.000 |
| -0.000 | -0.000 | -0.000 | 0.000 | 0.000 | 0.000 |
| 1.924 | 1.727 | 0.282 | -0.000 | -0.000 | -0.000 |
| 1.727 | 1.924 | 0.282 | -0.000 | -0.000 | 0.000 |
| 0.282 | 0.282 | 0.044 | 0.000 | -0.000 | 0.000 |
| 0.000 | -0.000 | 0.000 | 0.005 | 0.000 | -0.000 |
| -0.000 | 0.000 | 0.000 | -0.000 | 0.005 | -0.000 |
| 0.000 | 0.000 | 0.000 | -0.000 | -0.000 | 0.000 |
| 3.540 | 0.153 | 0.280 | 0.000 | 0.000 | -0.000 |
| 0.153 | 3.540 | 0.280 | 0.000 | 0.000 | -0.000 |
| 0.280 | 0.280 | 0.042 | 0.000 | 0.000 | -0.000 |
| -0.000 | -0.000 | -0.000 | 0.127 | 0.000 | -0.000 |
| -0.000 | 0.000 | -0.000 | 0.000 | 0.127 | -0.000 |
| -0.000 | -0.000 | -0.000 | 0.000 | 0.000 | -0.000 |
| 3.540 | 0.153 | 0.280 | -0.000 | -0.000 | -0.000 |
| 0.153 | 3.540 | 0.280 | -0.000 | -0.000 | 0.000 |
| 0.280 | 0.280 | 0.042 | -0.000 | 0.000 | -0.000 |
| 0.000 | 0.000 | 0.000 | 0.127 | -0.000 | -0.000 |
| 0.000 | -0.000 | 0.000 | -0.000 | 0.127 | -0.000 |
| 0.000 | 0.000 | 0.000 | -0.000 | -0.000 | -0.000 |
| 3.044 | 0.649 | 0.280 | 0.000 | 0.000 | 0.000 |
| 0.649 | 3.044 | 0.280 | 0.000 | 0.000 | -0.000 |
| 0.280 | 0.280 | 0.042 | 0.000 | 0.000 | 0.000 |
| -0.000 | -0.000 | -0.000 | 0.127 | 0.000 | -0.000 |
| -0.000 | -0.000 | -0.000 | 0.000 | 0.127 | -0.000 |
| -0.000 | -0.000 | -0.000 | 0.000 | 0.000 | 0.000 |
| 2.770 | 0.923 | 0.280 | 0.000 | 0.000 | 0.000 |
| 0.923 | 2.770 | 0.280 | 0.000 | 0.000 | -0.000 |
| 0.280 | 0.280 | 0.042 | -0.000 | 0.000 | 0.000 |
| 0.000 | 0.000 | 0.000 | 0.127 | -0.000 | -0.000 |
| 0.000 | 0.000 | 0.000 | -0.000 | 0.127 | -0.000 |
| 0.000 | 0.000 | 0.000 | -0.000 | -0.000 | 0.000 |
| 1.962 | 1.731 | 0.280 | 0.000 | 0.000 | -0.000 |
| 1.731 | 1.962 | 0.280 | 0.000 | 0.000 | -0.000 |
| 0.280 | 0.280 | 0.042 | 0.000 | 0.000 | -0.000 |
| -0.000 | 0.000 | -0.000 | 0.012 | 0.000 | -0.000 |
| 0.000 | -0.000 | -0.000 | 0.000 | 0.012 | 0.000 |
| -0.000 | -0.000 | -0.000 | 0.000 | 0.000 | 0.000 |
| 1.972 | 1.720 | 0.280 | -0.000 | 0.000 | -0.000 |
| 1.720 | 1.972 | 0.280 | 0.000 | -0.000 | -0.000 |
| 0.280 | 0.280 | 0.042 | -0.000 | -0.000 | -0.000 |
| 0.000 | -0.000 | 0.000 | 0.012 | -0.000 | -0.000 |
| -0.000 | 0.000 | 0.000 | -0.000 | 0.012 | 0.000 |
| 0.000 | 0.000 | 0.000 | -0.000 | 0.000 | 0.000 |
| 397.687 | 106.258 | 175.921 | -0.000 | -0.000 | -0.000 |
| 106.258 | 397.687 | 175.921 | -0.000 | -0.000 | 0.000 |
| 175.921 | 175.921 | 25.707 | 0.000 | -0.000 | 0.000 |
| 0.000 | 0.000 | 0.000 | 134.447 | -0.000 | 0.000 |
| 0.000 | 0.000 | 0.000 | 0.000 | 134.447 | 0.000 |
| -0.000 | -0.000 | 0.000 | -0.000 | -0.000 | 62.915 |
| 397.687 | 106.258 | 175.921 | 0.000 | 0.000 | 0.000 |
| 106.258 | 397.687 | 175.921 | 0.000 | 0.000 | 0.000 |
| 175.921 | 175.921 | 25.707 | 0.000 | 0.000 | -0.000 |
| -0.000 | -0.000 | -0.000 | 134.447 | 0.000 | -0.000 |
| -0.000 | -0.000 | -0.000 | 0.000 | 134.447 | 0.000 |
| 0.000 | 0.000 | -0.000 | 0.000 | 0.000 | 62.915 |
| 397.687 | 106.258 | 175.921 | 0.000 | -0.000 | -0.000 |
| 106.258 | 397.687 | 175.921 | -0.000 | 0.000 | -0.000 |
| 175.921 | 175.921 | 25.707 | -0.000 | -0.000 | 0.000 |
| 0.000 | -0.000 | 0.000 | 134.447 | -0.000 | 0.000 |
| -0.000 | 0.000 | 0.000 | -0.000 | 134.447 | 0.000 |
| -0.000 | -0.000 | 0.000 | -0.000 | -0.000 | 62.915 |
| 397.687 | 106.259 | 175.921 | 0.000 | 0.000 | -0.000 |
| 106.259 | 397.687 | 175.921 | 0.000 | 0.000 | 0.000 |
| 175.921 | 175.921 | 25.707 | 0.000 | 0.000 | -0.000 |
| -0.000 | 0.000 | -0.000 | 134.447 | 0.000 | -0.000 |
| 0.000 | -0.000 | -0.000 | 0.000 | 134.447 | -0.000 |
| 0.000 | 0.000 | -0.000 | -0.000 | 0.000 | 62.915 |
| 397.687 | 106.258 | 175.921 | -0.000 | -0.000 | 0.000 |
| 106.258 | 397.687 | 175.921 | -0.000 | -0.000 | 0.000 |
| 175.921 | 175.921 | 25.704 | -0.000 | -0.000 | 0.000 |
| 0.000 | -0.000 | 0.000 | 134.447 | 0.000 | -0.000 |
| -0.000 | 0.000 | 0.000 | 0.000 | 134.447 | 0.000 |
| -0.000 | -0.000 | 0.000 | -0.000 | -0.000 | 62.915 |
| 397.687 | 106.259 | 175.921 | 0.000 | -0.000 | 0.000 |
| 106.259 | 397.687 | 175.921 | 0.000 | 0.000 | -0.000 |
| 175.921 | 175.921 | 25.709 | 0.000 | 0.000 | -0.000 |
| -0.000 | 0.000 | -0.000 | 134.447 | -0.000 | -0.000 |
| 0.000 | -0.000 | -0.000 | -0.000 | 134.447 | 0.000 |
| 0.000 | 0.000 | -0.000 | 0.000 | 0.000 | 62.915 |
| 42.665 | -17.469 | 44.259 | -53.296 | -0.000 | -0.000 |
| -17.469 | 42.665 | 44.259 | 53.296 | -0.000 | -0.000 |
| 28.637 | 28.637 | -38.750 | -0.000 | -0.000 | -0.000 |
| -53.296 | 53.296 | -0.000 | 63.912 | 0.000 | 0.000 |
| -0.000 | 0.000 | -0.000 | -0.000 | 63.912 | -53.296 |
| -0.000 | 0.000 | 0.000 | -0.000 | -53.296 | 30.067 |
| 42.665 | -17.469 | 44.260 | -53.296 | -0.000 | -0.000 |
| -17.469 | 42.665 | 44.260 | 53.296 | -0.000 | -0.000 |
| 28.637 | 28.637 | -38.750 | 0.000 | 0.000 | 0.000 |
| -53.295 | 53.296 | 0.000 | 63.912 | 0.000 | 0.000 |
| 0.000 | -0.000 | 0.000 | 0.000 | 63.912 | -53.296 |
| 0.000 | -0.000 | -0.000 | 0.000 | -53.296 | 30.067 |
| 42.666 | -17.469 | 44.259 | -53.296 | -0.000 | -0.000 |
| -17.469 | 42.666 | 44.259 | 53.296 | -0.000 | -0.000 |
| 28.637 | 28.637 | -38.750 | -0.000 | -0.000 | 0.000 |
| -53.296 | 53.296 | -0.000 | 63.912 | 0.000 | -0.000 |
| -0.000 | -0.000 | -0.000 | 0.000 | 63.912 | -53.296 |
| 0.000 | 0.000 | -0.000 | 0.000 | -53.296 | 30.067 |
| 42.665 | -17.469 | 44.259 | -53.296 | 0.000 | 0.000 |
| -17.469 | 42.665 | 44.259 | 53.296 | 0.000 | -0.000 |
| 28.637 | 28.637 | -38.750 | -0.000 | 0.000 | 0.000 |
| -53.296 | 53.296 | 0.000 | 63.912 | 0.000 | -0.000 |
| 0.000 | 0.000 | 0.000 | -0.000 | 63.912 | -53.296 |
| -0.000 | -0.000 | 0.000 | -0.000 | -53.296 | 30.067 |
| 42.670 | -17.467 | 44.259 | -53.295 | 0.000 | -0.000 |
| -17.469 | 42.671 | 44.259 | 53.295 | -0.000 | 0.000 |
| 28.637 | 28.637 | -38.749 | 0.000 | 0.000 | -0.000 |
| -53.296 | 53.295 | -0.000 | 63.912 | -0.000 | -0.000 |
| -0.000 | -0.000 | -0.000 | 0.000 | 63.912 | -53.296 |
| 0.002 | 0.000 | -0.000 | 0.000 | -53.296 | 30.067 |
| 42.660 | -17.471 | 44.260 | -53.296 | 0.000 | -0.000 |
| -17.470 | 42.659 | 44.260 | 53.296 | -0.000 | 0.000 |
| 28.637 | 28.637 | -38.751 | 0.000 | -0.000 | 0.000 |
| -53.295 | 53.296 | 0.000 | 63.913 | -0.000 | -0.000 |
| 0.000 | 0.000 | 0.000 | -0.000 | 63.912 | -53.296 |
| -0.002 | -0.000 | 0.000 | -0.000 | -53.296 | 30.067 |
| 1.741 | 1.402 | 1.780 | -0.255 | 0.000 | -0.000 |
| 0.236 | 0.709 | 0.535 | 0.356 | 0.000 | -0.000 |
| 0.535 | 0.535 | 0.606 | 0.000 | 0.000 | -0.000 |
| -0.356 | 0.356 | -0.000 | 0.535 | 0.000 | -0.000 |
| -0.000 | -0.000 | -0.000 | 0.000 | 0.535 | -0.356 |
| -0.000 | -0.000 | -0.000 | 0.000 | -0.356 | 0.236 |
| -0.759 | -1.098 | -1.052 | -0.255 | -0.000 | 0.000 |
| -2.003 | -1.760 | -2.132 | 0.183 | -0.000 | 0.000 |
| -0.886 | -0.886 | -1.003 | -0.000 | -0.000 | 0.000 |
| -0.356 | 0.356 | 0.000 | 0.535 | -0.000 | 0.000 |
| 0.000 | 0.000 | 0.000 | -0.000 | 0.535 | -0.356 |
| 0.000 | 0.000 | 0.000 | -0.000 | -0.356 | 0.236 |
| 0.551 | 0.307 | 0.486 | -0.183 | 0.000 | -0.000 |
| 0.277 | 0.616 | 0.506 | 0.255 | 0.000 | -0.000 |
| 0.535 | 0.535 | 0.606 | 0.000 | 0.000 | -0.000 |
| 0.136 | 0.400 | 0.304 | 0.198 | 0.000 | -0.000 |
| 0.352 | 0.352 | 0.399 | -0.000 | 0.073 | -0.049 |
| 0.210 | 0.210 | 0.238 | -0.000 | -0.183 | 0.122 |
| 0.366 | 0.027 | 0.223 | -0.255 | -0.000 | 0.000 |
| 0.027 | 0.366 | 0.223 | 0.255 | -0.000 | 0.000 |
| -0.192 | -0.192 | -0.218 | -0.000 | -0.000 | 0.000 |
| -0.380 | 0.130 | -0.142 | 0.384 | -0.000 | 0.000 |
| -0.352 | -0.352 | -0.399 | 0.000 | 0.073 | -0.049 |
| -0.210 | -0.210 | -0.238 | 0.000 | -0.183 | 0.122 |
| 0.065 | 0.041 | 0.060 | -0.018 | 0.000 | -0.000 |
| 0.042 | 0.076 | 0.067 | 0.025 | 0.000 | -0.000 |
| 0.112 | 0.112 | 0.126 | 0.000 | 0.000 | -0.000 |
| -0.013 | 0.084 | 0.040 | 0.073 | 0.000 | -0.000 |
| 0.038 | 0.038 | 0.043 | -0.000 | 0.019 | -0.013 |
| 0.033 | 0.033 | 0.038 | -0.000 | -0.068 | 0.045 |
| 0.044 | -0.021 | 0.013 | -0.049 | -0.000 | 0.000 |
| -0.028 | 0.019 | -0.005 | 0.035 | -0.000 | 0.000 |
| -0.021 | -0.021 | -0.024 | -0.000 | -0.000 | 0.000 |
| -0.056 | -0.020 | -0.043 | 0.027 | -0.000 | 0.000 |
| -0.038 | -0.038 | -0.043 | 0.000 | 0.019 | -0.013 |
| -0.033 | -0.033 | -0.038 | 0.000 | -0.068 | 0.045 |
| 908.795 | -0.438 | -0.438 | 0.000 | 0.000 | 0.000 |
| -0.438 | 908.795 | -0.438 | 0.000 | 0.000 | 0.000 |
| -0.438 | -0.438 | 908.795 | 0.000 | 0.000 | 0.000 |
| 0.000 | 0.000 | 0.000 | -26.673 | 0.000 | 0.000 |
| 0.000 | 0.000 | 0.000 | 0.000 | -26.673 | 0.000 |
| 0.000 | 0.000 | 0.000 | 0.000 | 0.000 | -26.673 |
| 908.795 | -0.438 | -0.438 | -0.000 | -0.000 | -0.000 |
| -0.438 | 908.795 | -0.438 | -0.000 | -0.000 | -0.000 |
| -0.438 | -0.438 | 908.795 | -0.000 | -0.000 | -0.000 |
| -0.000 | -0.000 | -0.000 | -26.673 | -0.000 | -0.000 |
| -0.000 | -0.000 | -0.000 | -0.000 | -26.673 | -0.000 |
| -0.000 | -0.000 | -0.000 | -0.000 | -0.000 | -26.673 |
| 908.796 | -0.437 | -0.437 | 0.000 | 0.000 | 0.000 |
| -0.437 | 908.796 | -0.437 | 0.000 | 0.000 | 0.000 |
| -0.437 | -0.437 | 908.796 | -0.000 | 0.000 | 0.000 |
| 0.000 | 0.000 | 0.000 | -26.673 | 0.000 | 0.000 |
| 0.000 | 0.000 | 0.000 | 0.000 | -26.673 | 0.000 |
| 0.000 | 0.000 | 0.000 | 0.000 | 0.000 | -26.673 |
| 908.794 | -0.438 | -0.438 | -0.000 | -0.000 | -0.000 |
| -0.438 | 908.794 | -0.438 | -0.000 | -0.000 | -0.000 |
| -0.438 | -0.438 | 908.794 | -0.000 | -0.000 | -0.000 |
| -0.000 | -0.000 | -0.000 | -26.673 | -0.000 | -0.000 |
| -0.000 | -0.000 | -0.000 | -0.000 | -26.673 | -0.000 |
| -0.000 | -0.000 | -0.000 | -0.000 | -0.000 | -26.673 |
| 908.804 | -0.435 | -0.435 | 0.000 | 0.000 | 0.000 |
| -0.435 | 908.804 | -0.435 | 0.000 | 0.000 | 0.000 |
| -0.435 | -0.435 | 908.804 | -0.000 | 0.000 | 0.000 |
| 0.001 | 0.002 | 0.001 | -26.673 | 0.000 | 0.000 |
| 0.002 | 0.001 | 0.001 | 0.000 | -26.673 | 0.000 |
| 0.002 | 0.001 | 0.001 | 0.000 | 0.000 | -26.673 |
| 908.787 | -0.440 | -0.440 | -0.000 | -0.000 | -0.000 |
| -0.440 | 908.787 | -0.440 | -0.000 | -0.000 | -0.000 |
| -0.440 | -0.440 | 908.787 | -0.000 | -0.000 | -0.000 |
| -0.001 | -0.002 | -0.001 | -26.673 | -0.000 | -0.000 |
| -0.002 | -0.001 | -0.001 | -0.000 | -26.673 | -0.000 |
| -0.002 | -0.001 | -0.001 | -0.000 | -0.000 | -26.673 |
| 11.802 | 13.561 | 13.561 | -0.000 | -0.000 | -0.000 |
| 13.561 | 11.802 | 13.561 | -0.000 | -0.000 | -0.000 |
| 13.561 | 13.561 | 11.802 | -0.000 | -0.000 | -0.000 |
| -0.000 | 0.000 | 0.000 | 13.399 | -0.000 | -0.000 |
| 0.000 | -0.000 | 0.000 | -0.000 | 13.399 | -0.000 |
| 0.000 | 0.000 | -0.000 | -0.000 | -0.000 | 13.399 |
| 11.802 | 13.561 | 13.561 | 0.000 | 0.000 | 0.000 |
| 13.561 | 11.802 | 13.561 | 0.000 | 0.000 | 0.000 |
| 13.561 | 13.561 | 11.802 | 0.000 | 0.000 | 0.000 |
| 0.000 | -0.000 | -0.000 | 13.399 | 0.000 | 0.000 |
| -0.000 | 0.000 | -0.000 | 0.000 | 13.399 | 0.000 |
| -0.000 | -0.000 | 0.000 | 0.000 | 0.000 | 13.399 |
| 11.802 | 13.561 | 13.561 | -0.000 | -0.000 | -0.000 |
| 13.561 | 11.802 | 13.561 | -0.000 | -0.000 | -0.000 |
| 13.561 | 13.561 | 11.802 | -0.000 | -0.000 | -0.000 |
| -0.000 | 0.000 | 0.000 | 13.399 | -0.000 | -0.000 |
| 0.000 | -0.000 | 0.000 | -0.000 | 13.399 | -0.000 |
| 0.000 | 0.000 | -0.000 | -0.000 | -0.000 | 13.399 |
| 11.802 | 13.561 | 13.561 | 0.000 | 0.000 | 0.000 |
| 13.561 | 11.802 | 13.561 | 0.000 | -0.000 | 0.000 |
| 13.561 | 13.561 | 11.802 | 0.000 | 0.000 | 0.000 |
| 0.000 | -0.000 | -0.000 | 13.399 | 0.000 | 0.000 |
| -0.000 | 0.000 | -0.000 | 0.000 | 13.399 | 0.000 |
| -0.000 | -0.000 | 0.000 | 0.000 | 0.000 | 13.399 |
| 11.802 | 13.561 | 13.561 | -0.000 | -0.000 | -0.000 |
| 13.561 | 11.802 | 13.561 | -0.000 | -0.000 | -0.000 |
| 13.561 | 13.561 | 11.802 | -0.000 | -0.000 | -0.000 |
| -0.000 | 0.000 | 0.000 | 13.399 | -0.000 | -0.000 |
| 0.000 | -0.000 | 0.000 | -0.000 | 13.399 | -0.000 |
| 0.000 | 0.000 | -0.000 | -0.000 | -0.000 | 13.399 |
| 11.803 | 13.561 | 13.561 | 0.000 | 0.000 | 0.000 |
| 13.561 | 11.803 | 13.561 | 0.000 | 0.000 | 0.000 |
| 13.561 | 13.561 | 11.803 | 0.000 | 0.000 | 0.000 |
| 0.000 | -0.000 | -0.000 | 13.399 | 0.000 | 0.000 |
| -0.000 | 0.000 | -0.000 | 0.000 | 13.399 | 0.000 |
| -0.000 | -0.000 | 0.000 | 0.000 | 0.000 | 13.399 |
| 4.217 | -0.000 | -0.000 | -0.000 | 0.000 | 0.000 |
| -0.000 | 4.217 | -0.000 | 0.000 | -0.000 | -0.000 |
| -0.000 | -0.000 | 4.217 | -0.000 | -0.000 | -0.000 |
| -0.000 | -0.000 | -0.000 | 0.000 | 0.000 | 0.000 |
| -0.000 | -0.000 | -0.000 | 0.000 | 0.000 | 0.000 |
| -0.000 | -0.000 | -0.000 | 0.000 | -0.000 | 0.000 |
| 4.217 | -0.000 | -0.000 | 0.000 | -0.000 | -0.000 |
| -0.000 | 4.217 | -0.000 | -0.000 | 0.000 | -0.000 |
| -0.000 | -0.000 | 4.217 | 0.000 | 0.000 | 0.000 |
| 0.000 | 0.000 | 0.000 | 0.000 | -0.000 | -0.000 |
| 0.000 | 0.000 | 0.000 | -0.000 | 0.000 | 0.000 |
| 0.000 | 0.000 | 0.000 | -0.000 | 0.000 | 0.000 |
| 4.217 | -0.000 | -0.000 | -0.000 | -0.000 | 0.000 |
| -0.000 | 4.217 | -0.000 | 0.000 | -0.000 | -0.000 |
| -0.000 | -0.000 | 4.217 | -0.000 | -0.000 | -0.000 |
| -0.000 | -0.000 | -0.000 | 0.000 | 0.000 | 0.000 |
| -0.000 | -0.000 | -0.000 | -0.000 | 0.000 | 0.000 |
| -0.000 | -0.000 | -0.000 | 0.000 | -0.000 | 0.000 |
| 4.217 | -0.000 | -0.000 | 0.000 | -0.000 | -0.000 |
| -0.000 | 4.217 | -0.000 | -0.000 | 0.000 | -0.000 |
| -0.000 | -0.000 | 4.217 | 0.000 | 0.000 | 0.000 |
| 0.000 | 0.000 | 0.000 | 0.000 | -0.000 | -0.000 |
| 0.000 | 0.000 | 0.000 | 0.000 | 0.000 | -0.000 |
| 0.000 | 0.000 | 0.000 | -0.000 | -0.000 | 0.000 |
| 4.217 | -0.000 | -0.000 | 0.000 | 0.000 | -0.000 |
| -0.000 | 4.217 | -0.000 | 0.000 | 0.000 | 0.000 |
| -0.000 | -0.000 | 4.217 | -0.000 | -0.000 | -0.000 |
| -0.000 | -0.000 | -0.000 | 0.000 | 0.000 | 0.000 |
| -0.000 | -0.000 | -0.000 | 0.000 | 0.000 | 0.000 |
| -0.000 | -0.000 | -0.000 | 0.000 | -0.000 | 0.000 |
| 4.217 | -0.000 | -0.000 | -0.000 | 0.000 | -0.000 |
| -0.000 | 4.217 | -0.000 | 0.000 | -0.000 | -0.000 |
| -0.000 | -0.000 | 4.217 | -0.000 | -0.000 | -0.000 |
| 0.000 | 0.000 | 0.000 | 0.000 | -0.000 | 0.000 |
| 0.000 | 0.000 | 0.000 | -0.000 | 0.000 | -0.000 |
| 0.000 | 0.000 | 0.000 | -0.000 | 0.000 | 0.000 |
| 207.613 | 178.999 | 178.999 | 0.000 | -0.000 | 0.000 |
| 178.999 | 207.613 | 178.999 | 0.000 | 0.000 | 0.000 |
| 178.999 | 178.999 | 207.613 | 0.000 | 0.000 | 0.000 |
| -0.000 | 0.000 | -0.000 | 62.752 | -0.000 | 0.000 |
| 0.000 | 0.000 | -0.000 | 0.000 | 62.752 | 0.000 |
| 0.000 | 0.000 | -0.000 | 0.000 | 0.000 | 62.752 |
| 207.613 | 178.999 | 178.999 | -0.000 | 0.000 | -0.000 |
| 178.999 | 207.613 | 178.999 | -0.000 | 0.000 | -0.000 |
| 178.999 | 178.999 | 207.613 | -0.000 | 0.000 | -0.000 |
| 0.000 | -0.000 | 0.000 | 62.752 | -0.000 | 0.000 |
| 0.000 | -0.000 | 0.000 | -0.000 | 62.752 | -0.000 |
| 0.000 | -0.000 | 0.000 | -0.000 | 0.000 | 62.752 |
| 207.613 | 178.999 | 178.999 | -0.000 | -0.000 | 0.000 |
| 178.999 | 207.613 | 178.999 | 0.000 | 0.000 | 0.000 |
| 178.999 | 178.999 | 207.613 | 0.000 | 0.000 | 0.000 |
| -0.000 | -0.000 | -0.000 | 62.752 | 0.000 | 0.000 |
| -0.000 | -0.000 | -0.000 | 0.000 | 62.752 | 0.000 |
| -0.000 | -0.000 | -0.000 | 0.000 | -0.000 | 62.752 |
| 207.613 | 178.999 | 178.999 | 0.000 | 0.000 | -0.000 |
| 178.999 | 207.613 | 178.999 | -0.000 | 0.000 | -0.000 |
| 178.999 | 178.999 | 207.613 | -0.000 | 0.000 | -0.000 |
| 0.000 | 0.000 | 0.000 | 62.752 | -0.000 | 0.000 |
| 0.000 | 0.000 | 0.000 | -0.000 | 62.752 | -0.000 |
| 0.000 | 0.000 | 0.000 | -0.000 | -0.000 | 62.752 |
| 207.613 | 178.999 | 178.999 | 0.000 | -0.000 | 0.000 |
| 178.999 | 207.613 | 178.999 | -0.000 | 0.000 | 0.000 |
| 178.999 | 178.999 | 207.613 | 0.000 | -0.000 | 0.000 |
| -0.000 | -0.000 | -0.000 | 62.752 | -0.000 | 0.000 |
| -0.000 | -0.000 | -0.000 | 0.000 | 62.752 | 0.000 |
| -0.000 | -0.000 | -0.000 | 0.000 | -0.000 | 62.752 |
| 207.614 | 178.999 | 178.999 | -0.000 | 0.000 | -0.000 |
| 178.999 | 207.614 | 178.999 | -0.000 | 0.000 | -0.000 |
| 178.999 | 178.999 | 207.614 | -0.000 | -0.000 | -0.000 |
| 0.000 | 0.000 | 0.000 | 62.752 | 0.000 | -0.000 |
| 0.000 | 0.000 | 0.000 | -0.000 | 62.752 | -0.000 |
| 0.000 | 0.000 | 0.000 | -0.000 | 0.000 | 62.752 |
| -604.534 | -741.699 | -3096.025 | 0.000 | -0.000 | -0.000 |
| -741.699 | -604.534 | -3096.025 | -0.000 | -0.000 | -0.000 |
| -823.740 | -823.740 | -2719.466 | -0.000 | 0.000 | -0.000 |
| -912.049 | -912.049 | -3184.228 | 35.696 | 0.000 | -0.000 |
| -912.049 | -912.049 | -3184.228 | -0.000 | 35.696 | -0.000 |
| 202.543 | 202.543 | -2060.894 | -0.000 | 0.000 | 68.714 |
| 5292.806 | 5554.837 | 325.515 | -0.000 | -0.000 | 0.000 |
| 5554.837 | 5292.806 | 325.515 | 0.000 | -0.000 | 0.000 |
| 3222.932 | 3222.932 | 2107.566 | -0.000 | -0.000 | 0.000 |
| 912.049 | 912.049 | 3184.228 | 35.696 | 0.000 | 0.000 |
| 912.049 | 912.049 | 3184.228 | -0.000 | 35.696 | 0.000 |
| -202.543 | -202.543 | 2060.894 | 0.000 | -0.000 | 68.714 |
| 215.798 | 79.227 | -230.457 | 0.000 | 0.000 | -0.000 |
| 79.227 | 215.798 | -230.457 | -0.000 | -0.000 | -0.000 |
| 108.391 | 108.391 | 259.837 | 0.000 | 0.000 | -0.000 |
| -91.256 | -91.256 | -318.489 | 35.693 | 0.000 | -0.000 |
| -91.256 | -91.256 | -318.489 | -0.000 | 35.693 | -0.000 |
| -313.348 | -313.348 | -165.871 | -0.000 | 0.000 | 17.578 |
| 399.152 | 261.579 | 407.007 | -0.000 | 0.000 | 0.000 |
| 261.579 | 399.152 | 407.007 | -0.000 | -0.000 | 0.000 |
| 1940.135 | 1940.135 | 571.088 | -0.000 | -0.000 | 0.000 |
| 91.256 | 91.256 | 318.489 | 35.693 | -0.000 | 0.000 |
| 91.256 | 91.256 | 318.489 | 0.000 | 35.693 | 0.000 |
| 1847.341 | 1847.341 | 105.426 | 0.000 | 0.000 | 63.724 |
| 346.584 | 144.337 | 67.757 | 0.000 | -0.000 | -0.000 |
| 144.337 | 346.584 | 67.757 | 0.000 | 0.000 | -0.000 |
| -35.482 | -35.482 | 457.335 | -0.000 | 0.000 | 0.000 |
| -9.623 | -9.623 | -32.508 | 35.353 | -0.000 | -0.000 |
| -9.623 | -9.623 | -32.508 | -0.000 | 35.353 | -0.000 |
| 2.068 | 2.068 | -21.045 | -0.000 | 0.000 | 68.449 |
| 221.482 | 311.300 | 97.863 | 0.000 | 0.000 | 0.000 |
| 311.300 | 221.482 | 97.863 | 0.000 | -0.000 | 0.000 |
| 86.111 | 86.111 | 486.655 | 0.000 | -0.000 | 0.000 |
| 9.623 | 9.623 | 32.508 | 35.353 | -0.000 | 0.000 |
| 9.623 | 9.623 | 32.508 | 0.000 | 35.353 | 0.000 |
| -2.068 | -2.068 | 21.045 | 0.000 | 0.000 | 68.449 |
| 352.153 | 157.560 | 108.193 | 0.000 | 0.000 | -0.000 |
| 152.175 | 357.542 | 108.199 | -0.000 | -0.000 | -0.000 |
| 109.172 | 109.172 | 401.428 | 0.000 | -0.000 | -0.000 |
| 0.000 | -0.000 | 0.000 | 46.869 | 0.000 | -0.000 |
| -0.002 | -0.002 | -0.005 | 0.000 | 46.869 | -0.000 |
| -0.002 | -0.002 | -0.005 | 0.000 | 0.000 | 97.296 |
| 357.542 | 152.175 | 108.199 | 0.000 | -0.000 | 0.000 |
| 152.175 | 357.542 | 108.199 | -0.000 | -0.000 | -0.000 |
| 109.176 | 109.176 | 401.439 | -0.000 | -0.000 | -0.000 |
| 0.002 | 0.002 | 0.005 | 46.869 | 0.000 | -0.000 |
| 0.002 | 0.002 | 0.005 | -0.000 | 46.869 | -0.000 |
| 0.002 | 0.002 | 0.005 | -0.000 | -0.000 | 97.296 |
| 352.140 | 157.577 | 108.198 | 0.000 | 0.000 | -0.000 |
| 152.175 | 357.542 | 108.199 | -0.000 | 0.000 | -0.000 |
| 109.174 | 109.174 | 401.433 | 0.000 | 0.000 | -0.000 |
| -0.000 | -0.000 | -0.001 | 46.869 | 0.000 | -0.000 |
| -0.000 | -0.000 | -0.000 | -0.000 | 46.869 | 0.000 |
| -0.000 | -0.000 | -0.000 | 0.000 | 0.000 | 102.684 |
| 357.542 | 152.175 | 108.199 | 0.000 | -0.000 | 0.000 |
| 157.578 | 352.140 | 108.199 | -0.000 | -0.000 | -0.000 |
| 109.174 | 109.174 | 401.434 | -0.000 | -0.000 | -0.000 |
| 0.000 | 0.000 | 0.001 | 46.869 | -0.000 | -0.000 |
| 0.000 | 0.000 | 0.000 | -0.000 | 46.869 | 0.000 |
| 0.000 | 0.000 | 0.000 | -0.000 | 0.000 | 102.684 |
| 329.946 | 179.770 | 108.199 | 0.000 | 0.000 | -0.000 |
| 152.175 | 357.542 | 108.199 | -0.000 | -0.000 | -0.000 |
| 109.174 | 109.174 | 401.433 | 0.000 | 0.000 | 0.000 |
| -0.000 | -0.000 | -0.000 | 46.869 | 0.000 | 0.000 |
| -0.000 | -0.000 | -0.000 | 0.000 | 46.869 | 0.000 |
| -0.000 | -0.000 | -0.000 | 0.000 | 0.000 | 102.684 |
| 357.543 | 152.175 | 108.199 | 0.000 | -0.000 | 0.000 |
| 159.011 | 350.708 | 108.199 | 0.000 | 0.000 | -0.000 |
| 109.174 | 109.174 | 401.434 | -0.000 | 0.000 | 0.000 |
| 0.000 | 0.000 | 0.000 | 46.869 | -0.000 | -0.000 |
| 0.000 | 0.000 | 0.000 | -0.000 | 46.869 | 0.000 |
| 0.000 | 0.000 | 0.000 | -0.000 | 0.000 | 102.684 |
| 784.841 | 12.485 | 116.173 | -0.000 | -0.000 | 0.000 |
| 12.485 | 784.841 | 116.172 | -0.000 | 0.000 | 0.000 |
| 89.994 | 89.994 | 537.837 | 0.000 | -0.000 | -0.000 |
| -0.008 | -0.008 | 0.019 | -35.111 | -0.000 | 0.000 |
| -0.008 | -0.008 | 0.019 | -0.000 | -35.111 | 0.000 |
| -0.001 | -0.001 | 0.003 | -0.000 | 0.000 | 0.849 |
| 784.843 | 12.487 | 116.167 | 0.000 | 0.000 | -0.000 |
| 12.487 | 784.843 | 116.167 | 0.000 | 0.000 | -0.000 |
| 89.993 | 89.993 | 537.837 | 0.000 | -0.000 | -0.000 |
| 0.008 | 0.008 | -0.019 | -35.111 | 0.000 | 0.000 |
| 0.008 | 0.008 | -0.019 | -0.000 | -35.111 | -0.000 |
| 0.001 | 0.001 | -0.003 | 0.000 | -0.000 | 0.849 |
| 784.843 | 12.486 | 116.170 | -0.000 | 0.000 | 0.000 |
| 12.486 | 784.843 | 116.170 | -0.000 | 0.000 | 0.000 |
| 89.994 | 89.994 | 537.837 | -0.000 | 0.000 | 0.000 |
| -0.001 | -0.001 | 0.002 | -35.111 | -0.000 | 0.000 |
| -0.001 | -0.001 | 0.002 | 0.000 | -35.111 | 0.000 |
| 0.000 | 0.000 | 0.000 | -0.000 | -0.000 | 0.849 |
| 784.841 | 12.486 | 116.169 | 0.000 | -0.000 | -0.000 |
| 12.486 | 784.841 | 116.169 | 0.000 | -0.000 | -0.000 |
| 116.169 | 116.169 | 478.522 | 0.000 | -0.000 | -0.000 |
| 0.001 | 0.001 | -0.002 | -35.111 | 0.000 | 0.000 |
| 0.001 | 0.001 | -0.002 | -0.000 | -35.111 | 0.000 |
| -0.000 | -0.000 | -0.000 | 0.000 | 0.000 | 0.849 |
| 784.855 | 12.488 | 116.170 | 0.000 | 0.000 | -0.000 |
| 12.488 | 784.855 | 116.170 | 0.000 | 0.000 | 0.000 |
| 116.171 | 116.171 | 478.522 | 0.000 | 0.000 | -0.000 |
| -0.000 | 0.002 | 0.001 | -35.111 | 0.000 | 0.000 |
| 0.002 | -0.000 | 0.001 | -0.000 | -35.111 | 0.000 |
| 0.002 | 0.001 | 0.000 | 0.000 | 0.000 | 0.849 |
| 784.832 | 12.487 | 116.163 | 0.000 | -0.000 | -0.000 |
| 12.487 | 784.832 | 116.163 | 0.000 | -0.000 | 0.000 |
| 116.168 | 116.168 | 478.522 | -0.000 | -0.000 | -0.000 |
| 0.000 | -0.002 | -0.001 | -35.111 | -0.000 | -0.000 |
| -0.002 | 0.000 | -0.001 | -0.000 | -35.111 | -0.000 |
| -0.002 | -0.001 | -0.000 | -0.000 | -0.000 | 0.849 |
| 729.866 | -1.185 | 117.282 | -0.000 | -0.000 | -0.000 |
| -1.185 | 729.866 | 117.282 | -0.000 | -0.000 | -0.000 |
| 113.188 | 113.188 | 479.464 | -0.000 | -0.000 | -0.000 |
| -0.000 | 0.000 | 0.000 | -45.595 | -0.000 | -0.000 |
| 0.000 | -0.000 | 0.000 | -0.000 | -45.595 | -0.000 |
| 0.000 | 0.000 | 0.000 | -0.000 | -0.000 | -7.604 |
| 729.866 | -1.185 | 117.282 | 0.000 | 0.000 | 0.000 |
| -1.185 | 729.865 | 117.282 | 0.000 | 0.000 | 0.000 |
| 113.188 | 113.188 | 479.464 | 0.000 | -0.000 | 0.000 |
| 0.000 | -0.000 | -0.000 | -45.595 | 0.000 | 0.000 |
| 0.000 | 0.000 | -0.000 | 0.000 | -45.595 | 0.000 |
| -0.000 | -0.000 | -0.000 | 0.000 | 0.000 | -7.604 |
| 741.892 | 10.841 | 88.919 | -0.000 | 0.000 | -0.000 |
| 10.841 | 741.892 | 88.919 | -0.000 | 0.000 | -0.000 |
| 113.188 | 113.188 | 479.464 | -0.000 | -0.000 | -0.000 |
| -0.000 | 0.000 | 0.000 | -45.595 | -0.000 | -0.000 |
| 0.000 | -0.000 | 0.000 | -0.000 | -45.595 | -0.000 |
| 0.000 | 0.000 | 0.000 | -0.000 | -0.000 | -7.604 |
| 741.891 | 10.841 | 88.918 | 0.000 | 0.000 | 0.000 |
| 10.841 | 741.891 | 88.918 | 0.000 | 0.000 | 0.000 |
| 113.187 | 113.187 | 479.464 | 0.000 | -0.000 | 0.000 |
| 0.000 | -0.000 | -0.000 | -45.595 | 0.000 | 0.000 |
| -0.000 | 0.000 | -0.000 | 0.000 | -45.595 | 0.000 |
| -0.000 | -0.000 | -0.000 | 0.000 | 0.000 | -7.604 |
| 729.872 | -1.184 | 117.282 | -0.000 | -0.000 | -0.000 |
| -1.184 | 729.872 | 117.282 | -0.000 | -0.000 | -0.000 |
| 113.190 | 113.190 | 479.465 | -0.000 | 0.000 | -0.000 |
| -0.000 | 0.002 | 0.001 | -45.595 | -0.000 | -0.000 |
| 0.002 | -0.000 | 0.001 | -0.000 | -45.595 | -0.000 |
| 0.000 | 0.000 | 0.000 | -0.000 | -0.000 | -7.604 |
| 729.859 | -1.185 | 117.281 | 0.000 | -0.000 | 0.000 |
| -1.185 | 729.859 | 117.281 | 0.000 | 0.000 | 0.000 |
| 113.185 | 113.185 | 479.462 | 0.000 | 0.000 | 0.000 |
| 0.000 | -0.002 | -0.001 | -45.595 | 0.000 | 0.000 |
| -0.002 | 0.000 | -0.001 | 0.000 | -45.595 | 0.000 |
| -0.000 | -0.000 | -0.000 | 0.000 | 0.000 | -7.604 |
| 411.221 | 247.891 | 247.891 | -0.000 | 0.000 | 0.000 |
| 247.891 | 411.221 | 247.891 | -0.000 | 0.000 | 0.000 |
| 247.891 | 247.891 | 411.221 | -0.000 | 0.000 | 0.000 |
| 0.000 | -0.000 | 0.000 | 71.188 | -0.000 | 0.000 |
| -0.000 | -0.000 | 0.000 | 0.000 | 71.188 | 0.000 |
| -0.000 | -0.000 | 0.000 | 0.000 | 0.000 | 71.188 |
| 390.478 | 118.172 | 118.172 | -0.000 | -0.000 | 0.000 |
| 118.172 | 390.478 | 118.172 | -0.000 | 0.000 | 0.000 |
| 118.172 | 118.172 | 390.478 | -0.000 | -0.000 | -0.000 |
| -0.000 | 0.000 | -0.000 | 71.188 | 0.000 | 0.000 |
| -0.000 | 0.000 | -0.000 | -0.000 | 71.188 | 0.000 |
| 0.000 | 0.000 | -0.000 | -0.000 | 0.000 | 71.188 |
| 347.872 | 137.925 | 137.925 | 0.000 | 0.000 | 0.000 |
| 137.925 | 347.872 | 137.925 | -0.000 | 0.000 | 0.000 |
| 137.925 | 137.925 | 347.872 | 0.000 | 0.000 | 0.000 |
| -0.000 | -0.000 | 0.000 | 71.188 | 0.000 | 0.000 |
| 0.000 | -0.000 | 0.000 | 0.000 | 71.188 | -0.000 |
| 0.000 | -0.000 | -0.000 | 0.000 | 0.000 | 71.188 |
| 390.478 | 118.172 | 118.172 | -0.000 | -0.000 | 0.000 |
| 118.172 | 390.478 | 118.172 | -0.000 | -0.000 | -0.000 |
| 118.172 | 118.172 | 390.478 | -0.000 | 0.000 | -0.000 |
| 0.000 | 0.000 | -0.000 | 71.188 | 0.000 | 0.000 |
| -0.000 | 0.000 | -0.000 | -0.000 | 71.188 | -0.000 |
| -0.000 | 0.000 | 0.000 | -0.000 | -0.000 | 71.188 |
| 342.411 | 132.482 | 132.482 | 0.000 | 0.000 | 0.000 |
| 132.482 | 342.411 | 132.482 | -0.000 | -0.000 | 0.000 |
| 132.482 | 132.482 | 342.411 | 0.000 | -0.000 | 0.000 |
| 0.504 | 0.504 | 0.504 | 44.817 | 0.000 | 0.000 |
| 0.504 | 0.504 | 0.504 | -0.000 | 44.817 | 0.000 |
| 0.504 | 0.504 | 0.504 | -0.000 | 0.000 | 44.817 |
| 339.828 | 131.634 | 131.634 | -0.000 | -0.000 | -0.000 |
| 131.634 | 339.828 | 131.634 | -0.000 | -0.000 | -0.000 |
| 131.634 | 131.634 | 339.828 | -0.000 | -0.000 | -0.000 |
| -0.504 | -0.504 | -0.504 | 44.817 | -0.000 | -0.000 |
| -0.504 | -0.504 | -0.504 | 0.000 | 44.817 | -0.000 |
| -0.504 | -0.504 | -0.504 | 0.000 | -0.000 | 44.817 |
| 312.234 | 175.263 | 175.263 | 0.000 | -0.000 | 0.000 |
| 175.263 | 312.234 | 175.263 | 0.000 | 0.000 | 0.000 |
| 175.263 | 175.263 | 312.234 | -0.000 | -0.000 | -0.000 |
| -0.000 | -0.000 | -0.000 | 119.982 | -0.000 | 0.000 |
| -0.000 | -0.000 | -0.000 | -0.000 | 119.982 | 0.000 |
| -0.000 | -0.000 | -0.000 | -0.000 | -0.000 | 119.982 |
| -459.315 | -607.883 | -607.883 | 0.000 | 0.000 | -0.000 |
| -607.883 | -459.315 | -607.883 | 0.000 | 0.000 | -0.000 |
| -607.883 | -607.883 | -459.315 | -0.000 | 0.000 | -0.000 |
| 0.000 | 0.000 | 0.000 | 119.982 | 0.000 | -0.000 |
| 0.000 | 0.000 | 0.000 | 0.000 | 119.982 | -0.000 |
| 0.000 | 0.000 | 0.000 | 0.000 | 0.000 | 119.982 |
| 332.692 | 226.959 | 226.959 | -0.000 | -0.000 | -0.000 |
| 226.959 | 332.692 | 226.959 | -0.000 | 0.000 | -0.000 |
| 226.959 | 226.959 | 332.692 | -0.000 | 0.000 | -0.000 |
| 0.000 | -0.000 | 0.000 | 119.982 | -0.000 | 0.000 |
| -0.000 | 0.000 | 0.000 | -0.000 | 119.982 | 0.000 |
| -0.000 | 0.000 | 0.000 | -0.000 | -0.000 | 119.982 |
| 312.234 | 175.263 | 175.263 | -0.000 | 0.000 | -0.000 |
| 175.263 | 312.234 | 175.263 | 0.000 | 0.000 | -0.000 |
| 175.263 | 175.263 | 312.234 | 0.000 | 0.000 | -0.000 |
| -0.000 | 0.000 | -0.000 | 119.982 | 0.000 | -0.000 |
| 0.000 | -0.000 | -0.000 | 0.000 | 119.982 | -0.000 |
| 0.000 | -0.000 | -0.000 | 0.000 | 0.000 | 119.982 |
| 283.651 | 171.829 | 171.829 | -0.000 | 0.000 | -0.000 |
| 171.829 | 283.651 | 171.829 | -0.000 | 0.000 | -0.000 |
| 171.829 | 171.829 | 283.651 | -0.000 | 0.000 | -0.000 |
| 0.902 | 0.902 | 0.902 | 86.956 | 0.000 | -0.000 |
| 0.902 | 0.902 | 0.902 | -0.000 | 86.956 | -0.000 |
| 0.902 | 0.902 | 0.902 | -0.000 | 0.000 | 86.956 |
| 312.234 | 175.262 | 175.262 | 0.000 | 0.000 | -0.000 |
| 175.262 | 312.234 | 175.262 | 0.000 | 0.000 | -0.000 |
| 175.262 | 175.262 | 312.234 | 0.000 | 0.000 | -0.000 |
| -0.902 | -0.902 | -0.902 | 86.956 | -0.000 | 0.000 |
| -0.902 | -0.902 | -0.902 | 0.000 | 86.956 | 0.000 |
| -0.902 | -0.902 | -0.902 | 0.000 | -0.000 | 86.956 |
| 249.680 | 154.892 | 154.888 | 0.010 | -0.085 | -0.002 |
| 154.853 | 249.697 | 154.883 | 0.010 | -0.085 | -0.002 |
| 154.854 | 154.888 | 249.695 | 0.010 | -0.085 | -0.002 |
| -18.672 | -18.638 | -18.643 | 35.186 | -0.084 | -0.002 |
| -0.000 | 0.000 | -0.000 | 0.000 | 119.930 | 0.000 |
| -0.000 | -0.000 | -0.000 | 0.000 | -0.000 | 119.930 |
| 274.846 | 157.879 | 157.877 | 0.004 | -0.021 | -0.002 |
| 200.896 | 275.866 | 200.852 | -0.014 | 0.123 | 0.004 |
| 200.898 | 200.848 | 275.870 | -0.014 | 0.123 | 0.004 |
| -0.000 | 0.000 | 0.000 | 119.930 | 0.000 | -0.000 |
| 0.000 | -0.000 | 0.000 | -0.000 | 119.930 | 0.000 |
| 18.671 | 18.637 | 18.642 | -0.010 | 0.084 | 35.184 |
| 312.172 | 174.166 | 174.166 | -0.000 | -0.000 | 0.000 |
| 174.166 | 312.172 | 174.166 | 0.000 | -0.000 | 0.000 |
| 174.166 | 174.166 | 312.172 | 0.000 | -0.000 | -0.000 |
| 1.687 | 1.688 | 1.688 | 78.594 | -0.002 | -0.000 |
| 1.687 | 1.688 | 1.688 | 0.000 | 78.592 | -0.000 |
| 1.687 | 1.688 | 1.688 | 0.000 | -0.002 | 78.594 |
| 265.395 | 162.727 | 162.727 | -0.000 | 0.002 | -0.000 |
| 162.728 | 265.394 | 162.727 | -0.000 | 0.002 | -0.000 |
| 162.727 | 162.727 | 265.394 | -0.000 | 0.002 | -0.000 |
| -1.687 | -1.688 | -1.688 | 78.594 | 0.002 | 0.000 |
| -1.687 | -1.688 | -1.688 | -0.000 | 78.596 | 0.000 |
| -1.687 | -1.688 | -1.688 | -0.000 | 0.002 | 78.594 |
| 292.624 | 173.864 | 173.864 | 0.000 | -0.000 | -0.000 |
| 173.863 | 292.624 | 173.864 | 0.000 | -0.000 | -0.000 |
| 173.863 | 173.864 | 292.624 | 0.000 | -0.000 | -0.000 |
| -0.053 | -0.053 | -0.053 | 83.317 | -0.000 | -0.000 |
| -0.053 | -0.053 | -0.053 | 0.000 | 83.317 | -0.000 |
| -0.053 | -0.053 | -0.053 | 0.000 | -0.000 | 83.317 |
| 292.624 | 174.029 | 174.029 | -0.000 | 0.000 | 0.000 |
| 174.030 | 292.624 | 174.029 | -0.000 | 0.000 | 0.000 |
| 174.030 | 174.029 | 292.624 | -0.000 | 0.000 | 0.000 |
| 0.053 | 0.053 | 0.053 | 83.317 | 0.000 | 0.000 |
| 0.053 | 0.053 | 0.053 | -0.000 | 83.317 | 0.000 |
| 0.053 | 0.053 | 0.053 | -0.000 | 0.000 | 83.317 |
| 457.732 | 105.034 | 429.777 | -0.000 | 0.000 | -0.000 |
| 93.985 | 483.585 | 90.811 | 0.000 | 0.000 | 0.000 |
| 429.811 | 101.188 | 433.563 | -0.000 | 0.000 | 0.000 |
| -0.000 | 0.000 | 0.000 | 52.694 | 0.000 | 0.000 |
| -0.633 | 1.122 | -0.609 | -0.000 | 412.384 | -0.000 |
| -0.000 | -0.000 | 0.000 | -0.000 | 0.000 | 64.562 |
| 469.517 | 84.145 | 441.119 | 0.000 | 0.000 | -0.000 |
| 93.985 | 483.584 | 90.811 | -0.000 | -0.000 | 0.000 |
| 431.381 | 98.405 | 435.074 | 0.000 | -0.000 | 0.000 |
| 0.000 | -0.000 | -0.000 | 52.694 | -0.000 | 0.000 |
| 0.633 | -1.122 | 0.609 | -0.000 | 412.384 | 0.000 |
| 0.000 | 0.000 | -0.000 | 0.000 | -0.000 | 64.562 |
| 458.412 | 103.830 | 430.431 | -0.000 | 0.000 | 0.000 |
| 93.985 | 483.585 | 90.811 | -0.000 | 0.000 | 0.000 |
| 430.490 | 99.985 | 434.217 | -0.000 | 0.000 | 0.000 |
| -0.486 | 0.863 | -0.468 | -22.554 | -0.000 | -0.000 |
| 0.000 | 0.000 | 0.000 | 0.000 | 412.384 | 0.000 |
| -0.000 | -0.000 | 0.000 | -0.000 | 0.000 | 64.562 |
| 458.568 | 103.552 | 430.581 | 0.000 | -0.000 | 0.000 |
| 93.985 | 483.584 | 90.811 | -0.000 | -0.000 | 0.000 |
| 441.181 | 81.032 | 444.507 | 0.000 | -0.000 | 0.000 |
| 0.486 | -0.863 | 0.468 | -22.554 | -0.000 | -0.000 |
| -0.000 | -0.000 | -0.000 | 0.000 | 412.384 | -0.000 |
| 0.000 | 0.000 | -0.000 | 0.000 | -0.000 | 64.562 |
| 469.518 | 84.145 | 441.122 | -0.000 | 0.000 | -0.000 |
| 93.985 | 483.591 | 90.813 | -0.000 | 0.000 | 0.000 |
| 430.560 | 99.866 | 434.287 | -0.000 | 0.000 | 0.000 |
| -0.017 | 0.033 | -0.017 | -22.602 | -0.000 | 0.000 |
| 0.001 | 0.000 | 0.002 | -0.000 | 412.384 | -0.000 |
| -0.000 | -0.000 | 0.000 | 0.000 | 0.000 | 64.562 |
| 458.496 | 103.678 | 430.511 | -0.000 | -0.000 | 0.000 |
| 93.985 | 483.578 | 90.809 | 0.000 | 0.000 | 0.000 |
| 430.572 | 99.831 | 434.294 | 0.000 | -0.000 | -0.000 |
| 0.017 | -0.033 | 0.017 | -22.602 | -0.000 | -0.000 |
| -0.001 | -0.000 | -0.002 | -0.000 | 412.384 | -0.000 |
| 0.000 | 0.000 | -0.000 | -0.000 | -0.000 | 64.562 |
| 311.961 | 188.079 | 109.952 | 0.000 | -0.000 | 0.000 |
| 168.032 | 350.472 | 112.159 | 0.000 | 0.000 | 0.000 |
| 99.306 | 121.560 | 399.450 | 0.000 | -0.000 | 0.000 |
| -10.824 | 9.798 | 0.152 | 47.408 | 0.000 | 0.000 |
| -10.845 | 9.817 | 0.153 | 0.000 | 44.432 | 0.000 |
| -11.301 | 10.229 | 0.159 | 0.000 | 0.000 | 70.746 |
| 351.877 | 151.946 | 109.390 | -0.000 | 0.000 | -0.000 |
| 189.723 | 330.838 | 111.854 | -0.000 | -0.000 | -0.000 |
| 109.742 | 112.113 | 399.303 | -0.000 | 0.000 | -0.000 |
| 10.823 | -9.798 | -0.152 | 47.408 | 0.000 | -0.000 |
| 10.845 | -9.817 | -0.153 | -0.000 | 44.432 | 0.000 |
| 11.301 | -10.229 | -0.159 | -0.000 | -0.000 | 70.746 |
| 321.722 | 179.243 | 109.814 | 0.000 | 0.000 | 0.000 |
| 152.562 | 364.476 | 112.377 | 0.000 | 0.000 | 0.000 |
| 109.067 | 112.725 | 399.313 | 0.000 | 0.000 | 0.000 |
| -0.913 | 0.826 | 0.013 | 47.408 | -0.000 | 0.000 |
| -0.000 | -0.000 | -0.000 | 0.000 | 44.432 | 0.000 |
| -1.137 | 1.029 | 0.016 | 0.000 | -0.000 | 70.570 |
| 323.891 | 177.280 | 109.784 | -0.000 | 0.000 | -0.000 |
| 179.962 | 339.673 | 111.991 | -0.000 | 0.000 | -0.000 |
| 111.236 | 110.761 | 399.282 | -0.000 | -0.000 | 0.000 |
| 0.912 | -0.826 | -0.013 | 47.408 | -0.000 | -0.000 |
| 0.000 | 0.000 | 0.000 | 0.000 | 44.432 | -0.000 |
| 1.137 | -1.029 | -0.016 | -0.000 | -0.000 | 70.570 |
| 322.695 | 178.361 | 109.801 | 0.000 | 0.000 | 0.000 |
| 152.562 | 364.475 | 112.377 | -0.000 | 0.000 | 0.000 |
| 110.043 | 111.841 | 399.299 | 0.000 | 0.000 | 0.000 |
| -0.025 | 0.022 | 0.000 | 47.410 | 0.000 | 0.000 |
| -0.109 | 0.098 | 0.001 | 0.000 | 44.432 | 0.000 |
| -0.115 | 0.103 | 0.001 | 0.000 | 0.000 | 70.567 |
| 322.916 | 178.163 | 109.797 | -0.000 | -0.000 | -0.000 |
| 178.985 | 340.558 | 112.005 | -0.000 | -0.000 | -0.000 |
| 110.260 | 111.644 | 399.296 | -0.000 | -0.000 | -0.000 |
| 0.025 | -0.022 | -0.000 | 47.410 | 0.000 | -0.000 |
| 0.109 | -0.098 | -0.001 | -0.000 | 44.432 | -0.000 |
| 0.115 | -0.103 | -0.001 | -0.000 | 0.000 | 70.567 |
| 363.500 | 155.100 | 116.770 | 17.426 | -0.000 | -0.000 |
| 155.100 | 363.500 | 116.770 | -17.426 | 0.000 | 0.000 |
| 116.260 | 116.260 | 394.974 | 0.000 | -0.000 | 0.000 |
| 17.426 | -17.426 | 0.000 | 56.369 | 0.000 | 0.000 |
| -0.022 | -0.022 | -0.072 | -0.000 | 54.422 | 10.332 |
| -0.000 | -0.000 | 0.000 | 0.000 | 17.426 | 104.200 |
| 363.500 | 155.100 | 116.770 | 17.426 | -0.000 | 0.000 |
| 177.675 | 339.569 | 114.526 | -11.043 | 0.000 | 0.000 |
| 116.768 | 116.768 | 396.656 | -0.000 | 0.000 | 0.000 |
| 17.426 | -17.426 | -0.000 | 56.369 | 0.000 | -0.000 |
| 0.022 | 0.022 | 0.072 | 0.000 | 54.422 | 10.332 |
| 0.000 | -0.000 | -0.000 | -0.000 | 17.426 | 104.200 |
| 339.698 | 177.511 | 114.469 | 11.084 | -0.000 | -0.000 |
| 155.100 | 363.500 | 116.770 | -17.426 | -0.000 | -0.000 |
| 116.768 | 116.768 | 396.656 | 0.000 | 0.000 | -0.000 |
| 10.321 | -10.325 | -0.007 | 54.419 | -0.000 | -0.000 |
| -0.002 | -0.002 | -0.007 | -0.000 | 54.419 | 10.323 |
| -0.000 | -0.000 | -0.000 | 0.000 | 17.426 | 104.200 |
| 363.500 | 155.100 | 116.770 | 17.426 | -0.000 | 0.000 |
| 155.100 | 363.500 | 116.770 | -17.426 | -0.000 | 0.000 |
| 116.768 | 116.768 | 396.656 | -0.000 | 0.000 | 0.000 |
| 10.325 | -10.321 | 0.007 | 54.419 | 0.000 | 0.000 |
| 0.002 | 0.002 | 0.007 | 0.000 | 54.419 | 10.323 |
| 0.000 | 0.000 | 0.000 | -0.000 | 17.426 | 104.200 |
| 363.499 | 155.100 | 116.770 | 17.426 | 0.000 | -0.000 |
| 177.526 | 339.686 | 114.474 | -11.080 | 0.000 | -0.000 |
| 116.264 | 116.264 | 394.987 | -0.000 | -0.000 | -0.000 |
| 17.426 | -17.426 | -0.000 | 56.369 | -0.000 | 0.000 |
| -0.000 | -0.000 | -0.000 | 0.000 | 56.369 | 17.426 |
| -0.000 | -0.000 | -0.000 | 0.000 | 17.426 | 104.200 |
| 339.687 | 177.528 | 114.475 | 11.079 | 0.000 | -0.000 |
| 177.527 | 339.688 | 114.475 | -11.079 | -0.000 | 0.000 |
| 116.264 | 116.264 | 394.989 | 0.000 | -0.000 | -0.000 |
| 17.426 | -17.426 | 0.000 | 56.369 | -0.000 | -0.000 |
| 0.000 | 0.000 | 0.000 | -0.000 | 56.369 | 17.426 |
| 0.000 | 0.000 | 0.000 | -0.000 | 17.426 | 104.200 |
| 362.036 | 249.959 | -1292.344 | 0.000 | 0.000 | 0.000 |
| 159.114 | 326.645 | 124.920 | 0.000 | 0.000 | 0.000 |
| 121.367 | 121.367 | 532.628 | 0.000 | -0.000 | 0.000 |
| 0.000 | -0.000 | 0.000 | 49.337 | 0.000 | -0.000 |
| 0.000 | -0.000 | -0.000 | 0.000 | 49.337 | -0.000 |
| -486.819 | -486.819 | -1984.786 | 0.000 | -0.000 | 46.241 |
| 189.877 | 77.809 | 1545.423 | -0.000 | -0.000 | -0.000 |
| 159.114 | 326.645 | 124.920 | -0.000 | -0.000 | -0.000 |
| 121.367 | 121.367 | 532.628 | -0.000 | -0.000 | 0.000 |
| -0.000 | 0.000 | -0.000 | 49.337 | -0.000 | -0.000 |
| -0.000 | 0.000 | 0.000 | -0.000 | 49.337 | -0.000 |
| 486.819 | 486.819 | 1984.786 | -0.000 | -0.000 | 46.241 |
| 335.755 | 233.364 | -87.391 | 0.000 | 0.000 | 0.000 |
| 159.114 | 326.645 | 124.920 | -0.000 | 0.000 | 0.000 |
| 189.848 | 189.848 | 557.067 | 0.000 | -0.000 | 0.000 |
| 0.000 | 0.000 | 0.000 | 49.337 | -0.000 | 0.000 |
| 0.000 | 0.000 | 0.000 | 0.000 | 49.337 | -0.000 |
| 0.000 | -0.000 | 0.000 | 0.000 | 0.000 | 83.765 |
| 232.453 | 107.147 | 95.519 | -0.000 | -0.000 | 0.000 |
| 107.147 | 232.453 | 95.519 | -0.000 | 0.000 | -0.000 |
| 113.845 | 113.845 | 665.195 | -0.000 | 0.000 | 0.000 |
| -0.000 | -0.000 | -0.000 | 49.337 | 0.000 | -0.000 |
| -0.000 | -0.000 | -0.000 | -0.000 | 49.337 | -0.000 |
| -0.000 | 0.000 | -0.000 | -0.000 | -0.000 | 83.765 |
| 304.604 | 180.117 | 130.282 | 0.000 | -0.000 | 0.000 |
| 159.114 | 326.645 | 124.920 | 0.000 | -0.000 | 0.000 |
| 130.560 | 130.560 | 528.332 | 0.000 | -0.000 | -0.000 |
| 0.000 | 0.000 | -0.001 | 49.336 | 0.000 | 0.000 |
| 0.000 | 0.000 | -0.001 | 0.000 | 49.336 | -0.000 |
| 6.616 | 6.616 | 3.160 | 0.000 | 0.000 | 62.592 |
| 291.619 | 166.566 | 123.870 | -0.000 | -0.000 | -0.000 |
| 166.567 | 291.619 | 123.870 | -0.000 | 0.000 | -0.000 |
| 117.097 | 117.097 | 522.763 | -0.000 | 0.000 | -0.000 |
| -0.000 | -0.000 | 0.001 | 49.336 | -0.000 | 0.000 |
| -0.000 | -0.000 | 0.001 | -0.000 | 49.336 | -0.000 |
| -6.616 | -6.616 | -3.160 | -0.000 | -0.000 | 62.592 |
| 370.827 | 123.207 | 91.310 | -0.000 | 0.000 | -0.000 |
| 123.207 | 370.827 | 91.310 | -0.000 | -0.000 | -0.000 |
| 89.292 | 89.292 | 470.217 | -0.000 | 0.000 | -0.000 |
| -15834.520 | -15834.520 | -327.812 | -138.211 | 0.000 | -0.000 |
| -15834.520 | -15834.520 | -327.812 | 0.000 | -138.211 | -0.000 |
| 385.211 | 385.211 | 26.045 | 0.000 | 0.000 | 69.342 |
| 15848.619 | 16524.078 | -399.550 | 0.000 | -0.000 | 0.000 |
| 16524.078 | 15848.620 | -399.550 | 0.000 | -0.000 | 0.000 |
| 370.191 | 370.191 | 84.527 | -0.000 | -0.000 | 0.000 |
| 15834.520 | 15834.520 | 327.812 | -138.211 | -0.000 | 0.000 |
| 15834.520 | 15834.520 | 327.812 | 0.000 | -138.211 | 0.000 |
| -385.211 | -385.211 | -26.045 | 0.000 | -0.000 | 69.342 |
| 387.738 | 178.856 | 93.462 | -0.000 | 0.000 | -0.000 |
| 178.856 | 387.738 | 93.462 | 0.000 | 0.000 | -0.000 |
| 89.292 | 89.292 | 470.217 | -0.000 | 0.000 | -0.000 |
| 38.536 | 38.536 | 2.606 | 43.383 | 0.000 | -0.000 |
| 38.536 | 38.536 | 2.606 | 0.000 | 43.383 | -0.000 |
| 0.000 | 0.000 | 0.000 | -0.000 | 0.000 | 81.260 |
| 1465.079 | 2049.585 | 26.837 | 0.000 | -0.000 | 0.000 |
| 2049.585 | 1465.079 | 26.837 | 0.000 | -0.000 | 0.000 |
| 89.292 | 89.292 | 470.217 | 0.000 | -0.000 | 0.000 |
| -38.536 | -38.536 | -2.606 | 43.383 | -0.000 | 0.000 |
| -38.536 | -38.536 | -2.606 | -0.000 | 43.383 | 0.000 |
| -0.000 | -0.000 | -0.000 | 0.000 | -0.000 | 81.260 |
| 238.654 | 219.974 | 92.533 | 0.000 | 0.000 | -0.000 |
| 219.974 | 238.654 | 92.533 | 0.000 | 0.000 | -0.000 |
| 82.907 | 82.907 | 461.500 | -0.000 | -0.000 | -0.000 |
| 4.008 | 4.008 | 0.271 | 43.252 | 0.000 | -0.000 |
| 4.008 | 4.008 | 0.271 | 0.000 | 43.252 | -0.000 |
| 4.200 | 4.200 | 0.284 | -0.000 | 0.000 | 68.267 |
| 281.556 | 198.240 | 85.509 | -0.000 | -0.000 | 0.000 |
| 198.240 | 281.556 | 85.509 | -0.000 | -0.000 | 0.000 |
| 226.529 | 226.529 | 444.868 | 0.000 | -0.000 | 0.000 |
| -4.008 | -4.008 | -0.271 | 43.252 | -0.000 | 0.000 |
| -4.008 | -4.008 | -0.271 | 0.000 | 43.252 | 0.000 |
| -4.200 | -4.200 | -0.284 | 0.000 | -0.000 | 68.267 |
| 82.307 | 136.515 | 136.515 | -0.000 | 0.000 | -0.000 |
| 136.515 | 82.307 | 136.515 | -0.000 | 0.000 | 0.000 |
| 136.515 | 136.515 | 82.307 | -0.000 | -0.000 | 0.000 |
| 0.000 | -0.000 | -0.000 | 120.700 | 0.000 | 0.000 |
| -0.000 | 0.000 | -0.000 | -0.000 | 120.700 | 0.000 |
| -0.000 | 0.000 | -0.000 | -0.000 | -0.000 | 120.700 |
| 82.307 | 136.515 | 136.515 | 0.000 | 0.000 | 0.000 |
| 136.515 | 82.307 | 136.515 | 0.000 | 0.000 | 0.000 |
| 136.515 | 136.515 | 82.307 | 0.000 | -0.000 | 0.000 |
| -0.000 | -0.000 | 0.000 | 120.700 | -0.000 | 0.000 |
| 0.000 | -0.000 | 0.000 | 0.000 | 120.700 | -0.000 |
| 0.000 | -0.000 | 0.000 | 0.000 | -0.000 | 120.700 |
| 82.308 | 136.515 | 136.515 | -0.000 | 0.000 | -0.000 |
| 136.515 | 82.308 | 136.515 | -0.000 | 0.000 | 0.000 |
| 136.515 | 136.515 | 82.308 | -0.000 | 0.000 | 0.000 |
| 0.000 | -0.000 | -0.000 | -22.924 | 0.000 | 0.000 |
| -0.000 | 0.000 | -0.000 | -0.000 | -22.924 | 0.000 |
| -0.000 | -0.000 | 0.000 | 0.000 | 0.000 | -22.924 |
| 82.307 | 136.515 | 136.515 | 0.000 | 0.000 | 0.000 |
| 136.515 | 82.307 | 136.515 | 0.000 | -0.000 | -0.000 |
| 136.515 | 136.515 | 82.307 | 0.000 | -0.000 | 0.000 |
| -0.000 | 0.000 | 0.000 | -22.924 | -0.000 | -0.000 |
| 0.000 | -0.000 | 0.000 | -0.000 | -22.924 | -0.000 |
| 0.000 | 0.000 | -0.000 | 0.000 | 0.000 | -22.924 |
| 82.309 | 136.515 | 136.515 | -0.000 | 0.000 | -0.000 |
| 136.515 | 82.309 | 136.515 | -0.000 | -0.000 | -0.000 |
| 136.515 | 136.515 | 82.309 | -0.000 | -0.000 | 0.000 |
| 0.000 | -0.001 | -0.001 | -22.924 | 0.000 | 0.000 |
| -0.001 | 0.000 | -0.001 | -0.000 | -22.924 | 0.000 |
| -0.001 | -0.001 | 0.000 | -0.000 | 0.000 | -22.924 |
| 82.306 | 136.515 | 136.515 | -0.000 | 0.000 | 0.000 |
| 136.515 | 82.306 | 136.515 | 0.000 | 0.000 | 0.000 |
| 136.515 | 136.515 | 82.306 | 0.000 | -0.000 | 0.000 |
| -0.000 | 0.001 | 0.001 | -22.924 | -0.000 | -0.000 |
| 0.001 | -0.000 | 0.001 | 0.000 | -22.924 | -0.000 |
| 0.001 | 0.001 | -0.000 | 0.000 | -0.000 | -22.924 |
| 25.709 | -2.549 | -2.549 | -0.000 | -0.000 | -0.000 |
| -2.549 | 25.709 | -2.549 | -0.000 | -0.000 | -0.000 |
| -2.549 | -2.549 | 25.709 | -0.000 | -0.000 | -0.000 |
| 0.000 | -0.000 | -0.000 | 2.551 | -0.000 | -0.000 |
| -0.000 | 0.000 | -0.000 | -0.000 | 2.551 | -0.000 |
| -0.000 | -0.000 | -0.000 | -0.000 | -0.000 | 2.551 |
| 25.709 | -2.549 | -2.549 | 0.000 | 0.000 | 0.000 |
| -2.549 | 25.709 | -2.549 | 0.000 | 0.000 | 0.000 |
| -2.549 | -2.549 | 25.709 | 0.000 | 0.000 | 0.000 |
| -0.000 | 0.000 | 0.000 | 2.551 | 0.000 | 0.000 |
| 0.000 | -0.000 | 0.000 | 0.000 | 2.551 | 0.000 |
| 0.000 | 0.000 | 0.000 | 0.000 | 0.000 | 2.551 |
| 25.709 | -2.549 | -2.549 | -0.000 | -0.000 | -0.000 |
| -2.549 | 25.709 | -2.549 | -0.000 | -0.000 | -0.000 |
| -2.549 | -2.549 | 25.709 | -0.000 | -0.000 | -0.000 |
| -0.000 | -0.000 | -0.000 | 2.551 | -0.000 | -0.000 |
| -0.000 | -0.000 | -0.000 | -0.000 | 2.551 | -0.000 |
| -0.000 | -0.000 | -0.000 | -0.000 | -0.000 | 2.551 |
| 25.709 | -2.549 | -2.549 | 0.000 | 0.000 | 0.000 |
| -2.549 | 25.709 | -2.549 | 0.000 | 0.000 | 0.000 |
| -2.549 | -2.549 | 25.709 | 0.000 | 0.000 | 0.000 |
| 0.000 | 0.000 | 0.000 | 2.551 | 0.000 | 0.000 |
| 0.000 | 0.000 | 0.000 | 0.000 | 2.551 | 0.000 |
| 0.000 | 0.000 | 0.000 | 0.000 | 0.000 | 2.551 |
| 25.710 | -2.549 | -2.549 | -0.000 | -0.000 | -0.000 |
| -2.549 | 25.710 | -2.549 | -0.000 | -0.000 | -0.000 |
| -2.549 | -2.549 | 25.710 | -0.000 | -0.000 | -0.000 |
| -0.000 | -0.000 | -0.000 | 2.551 | -0.000 | -0.000 |
| -0.000 | -0.000 | -0.000 | -0.000 | 2.551 | -0.000 |
| -0.000 | -0.000 | -0.000 | -0.000 | -0.000 | 2.551 |
| 25.708 | -2.549 | -2.549 | 0.000 | 0.000 | 0.000 |
| -2.549 | 25.708 | -2.549 | 0.000 | 0.000 | 0.000 |
| -2.549 | -2.549 | 25.708 | 0.000 | 0.000 | 0.000 |
| 0.000 | 0.000 | 0.000 | 2.551 | 0.000 | 0.000 |
| 0.000 | 0.000 | 0.000 | 0.000 | 2.551 | 0.000 |
| 0.000 | 0.000 | 0.000 | 0.000 | 0.000 | 2.551 |
| 0.023 | 0.023 | 0.023 | -0.000 | -0.000 | 0.000 |
| 0.023 | 0.023 | 0.023 | -0.000 | -0.000 | 0.000 |
| 0.023 | 0.023 | 0.023 | -0.000 | -0.000 | 0.000 |
| 0.000 | 0.000 | 0.000 | 0.023 | -0.000 | 0.000 |
| 0.000 | 0.000 | 0.000 | -0.000 | 0.023 | 0.000 |
| 0.000 | 0.000 | 0.000 | 0.000 | 0.000 | 0.023 |
| 0.023 | 0.023 | 0.023 | -0.000 | 0.000 | -0.000 |
| 0.023 | 0.023 | 0.023 | 0.000 | -0.000 | -0.000 |
| 0.023 | 0.023 | 0.023 | 0.000 | 0.000 | -0.000 |
| -0.000 | -0.000 | -0.000 | 0.023 | 0.000 | -0.000 |
| -0.000 | -0.000 | -0.000 | 0.000 | 0.023 | -0.000 |
| -0.000 | -0.000 | -0.000 | 0.000 | 0.000 | 0.023 |
| 0.023 | 0.023 | 0.023 | -0.000 | -0.000 | 0.000 |
| 0.023 | 0.023 | 0.023 | -0.000 | -0.000 | 0.000 |
| 0.023 | 0.023 | 0.023 | -0.000 | -0.000 | 0.000 |
| 0.000 | 0.000 | 0.000 | 0.023 | -0.000 | 0.000 |
| 0.000 | 0.000 | 0.000 | -0.000 | 0.023 | 0.000 |
| 0.000 | 0.000 | 0.000 | -0.000 | 0.000 | 0.023 |
| 0.023 | 0.023 | 0.023 | -0.000 | -0.000 | -0.000 |
| 0.023 | 0.023 | 0.023 | -0.000 | -0.000 | -0.000 |
| 0.023 | 0.023 | 0.023 | -0.000 | -0.000 | -0.000 |
| -0.000 | -0.000 | -0.000 | 0.023 | -0.000 | 0.000 |
| -0.000 | -0.000 | -0.000 | -0.000 | 0.023 | 0.000 |
| -0.000 | -0.000 | -0.000 | 0.000 | 0.000 | 0.023 |
| 0.023 | 0.023 | 0.023 | 0.000 | -0.000 | 0.000 |
| 0.023 | 0.023 | 0.023 | -0.000 | 0.000 | 0.000 |
| 0.023 | 0.023 | 0.023 | -0.000 | -0.000 | 0.000 |
| 0.000 | 0.000 | 0.000 | 0.020 | 0.000 | 0.000 |
| 0.000 | 0.000 | 0.000 | 0.000 | 0.020 | 0.000 |
| 0.000 | 0.000 | 0.000 | 0.000 | -0.000 | 0.020 |
| 0.023 | 0.023 | 0.023 | 0.000 | -0.000 | -0.000 |
| 0.023 | 0.023 | 0.023 | -0.000 | 0.000 | -0.000 |
| 0.023 | 0.023 | 0.023 | -0.000 | -0.000 | 0.000 |
| -0.000 | -0.000 | -0.000 | 0.020 | -0.000 | -0.000 |
| -0.000 | -0.000 | -0.000 | -0.000 | 0.020 | -0.000 |
| -0.000 | -0.000 | -0.000 | -0.000 | 0.000 | 0.020 |
| 379.093 | 174.166 | 94.989 | 0.000 | 0.000 | -0.000 |
| -262.556 | 1548.628 | 313.781 | -0.000 | 0.000 | -0.000 |
| 94.989 | 96.500 | 503.863 | 0.000 | 0.000 | 0.000 |
| -651.250 | 1805.856 | 210.142 | 46.661 | 0.000 | -0.000 |
| 0.000 | 0.000 | 0.000 | 0.000 | 52.211 | 0.000 |
| 0.000 | 0.000 | 0.000 | 0.000 | -0.000 | 131.047 |
| 379.093 | 174.166 | 94.989 | -0.000 | 0.000 | -0.000 |
| 632.451 | -884.465 | -101.862 | 0.000 | 0.000 | -0.000 |
| 551.188 | -1108.438 | 287.171 | 0.000 | -0.000 | 0.000 |
| 651.250 | -1805.856 | -210.142 | 46.661 | -0.000 | -0.000 |
| -0.000 | -0.000 | -0.000 | -0.000 | 52.211 | -0.000 |
| -0.000 | -0.000 | -0.000 | -0.000 | 0.000 | 131.047 |
| 379.093 | 174.166 | 94.989 | 0.000 | -0.000 | 0.000 |
| 128.792 | 489.688 | 129.957 | 0.000 | 0.000 | -0.000 |
| 59.125 | 229.810 | 515.621 | 0.000 | -0.000 | -0.000 |
| -44.753 | 121.659 | 20.785 | 49.191 | -0.000 | -0.000 |
| 0.000 | 0.000 | 0.000 | 0.000 | 52.211 | -0.000 |
| -44.679 | 121.459 | 20.751 | 0.000 | 0.000 | 95.827 |
| 379.093 | 174.166 | 94.989 | -0.000 | -0.000 | 0.000 |
| 229.694 | 210.233 | 85.291 | -0.000 | -0.000 | -0.000 |
| 148.263 | -13.630 | 474.375 | -0.000 | 0.000 | 0.000 |
| 44.753 | -121.659 | -20.785 | 49.191 | -0.000 | -0.000 |
| -0.000 | -0.000 | -0.000 | -0.000 | 52.211 | 0.000 |
| 44.679 | -121.459 | -20.751 | -0.000 | 0.000 | 95.827 |
| 297.022 | 225.104 | 107.580 | 0.000 | 0.000 | 0.000 |
| 174.168 | 387.529 | 96.501 | -0.000 | -0.000 | -0.000 |
| 101.311 | 125.575 | 494.637 | 0.000 | -0.000 | -0.000 |
| -4.505 | 12.248 | 2.092 | 49.154 | 0.000 | -0.000 |
| -4.610 | 12.533 | 2.141 | 0.000 | 47.022 | -0.000 |
| -4.178 | 11.359 | 1.941 | 0.000 | 0.000 | 98.111 |
| 307.950 | 187.587 | 102.173 | -0.000 | 0.000 | 0.000 |
| 188.996 | 321.053 | 104.089 | -0.000 | -0.000 | -0.000 |
| 106.669 | 94.395 | 494.379 | -0.000 | 0.000 | 0.000 |
| 4.505 | -12.248 | -2.092 | 49.154 | -0.000 | -0.000 |
| 4.610 | -12.533 | -2.141 | -0.000 | 47.022 | 0.000 |
| 4.178 | -11.359 | -1.941 | -0.000 | -0.000 | 98.111 |
| 358.169 | 166.192 | 95.483 | -0.000 | -0.000 | 0.000 |
| 166.477 | 369.261 | 96.747 | -0.000 | 0.000 | 0.000 |
| 121.937 | 73.682 | 468.922 | 0.186 | 0.001 | -0.000 |
| 0.000 | 0.000 | -0.000 | 53.639 | 0.000 | 0.000 |
| 0.000 | 0.000 | 0.000 | -0.000 | 51.817 | 0.000 |
| 0.000 | 0.000 | 0.000 | -0.000 | -0.000 | 126.831 |
| 316.140 | 191.040 | 135.126 | -0.188 | -0.001 | 0.000 |
| 166.477 | 369.261 | 96.747 | 0.000 | -0.000 | -0.000 |
| 71.014 | 120.925 | 540.277 | -0.185 | -0.001 | 0.000 |
| -0.000 | 0.000 | -0.000 | 53.639 | -0.000 | -0.000 |
| -0.000 | -0.000 | -0.000 | -0.000 | 51.817 | -0.000 |
| -0.000 | -0.000 | -0.000 | -0.000 | -0.000 | 126.831 |
| 358.170 | 166.192 | 95.483 | -0.000 | 0.000 | 0.000 |
| 186.715 | 310.031 | 99.725 | 0.028 | 0.000 | -0.000 |
| 92.883 | 93.862 | 508.080 | 0.000 | -0.000 | 0.000 |
| 2.587 | -2.402 | -3.626 | 51.506 | 0.000 | -0.000 |
| 0.000 | 0.000 | 0.000 | -0.000 | 51.817 | 0.000 |
| 0.000 | 0.000 | 0.000 | 0.000 | 0.000 | 126.831 |
| 358.169 | 166.192 | 95.483 | 0.000 | -0.000 | -0.000 |
| 164.665 | 354.209 | 104.751 | -0.021 | -0.000 | 0.000 |
| 92.883 | 93.862 | 508.079 | 0.000 | 0.000 | -0.000 |
| -2.587 | 2.401 | 3.625 | 51.468 | -0.000 | 0.000 |
| -0.000 | -0.000 | -0.000 | 0.000 | 51.817 | -0.000 |
| -0.000 | -0.000 | -0.000 | 0.000 | -0.000 | 126.831 |
| 319.461 | 167.929 | 103.251 | 0.005 | 0.000 | -0.000 |
| 181.958 | 304.786 | 107.579 | 0.000 | 0.000 | -0.000 |
| 92.883 | 93.862 | 508.079 | 0.000 | 0.000 | 0.000 |
| 1.402 | -0.442 | -0.862 | 46.545 | 0.000 | -0.000 |
| 0.513 | -0.476 | -0.719 | 0.004 | 47.871 | -0.000 |
| 0.621 | -0.576 | -0.870 | 0.005 | 0.000 | 101.904 |
| 297.759 | 177.067 | 108.806 | 0.002 | 0.000 | 0.000 |
| 166.477 | 369.260 | 96.747 | 0.000 | 0.000 | -0.000 |
| 99.069 | 100.878 | 502.335 | -0.003 | -0.000 | 0.000 |
| -1.402 | 0.441 | 0.861 | 46.545 | -0.000 | 0.000 |
| -0.513 | 0.476 | 0.719 | -0.004 | 47.871 | 0.000 |
| -0.621 | 0.576 | 0.870 | -0.005 | -0.000 | 101.904 |
| 81.807 | 175.930 | 175.930 | 0.000 | 0.000 | 0.000 |
| 175.930 | 81.807 | 175.930 | 0.000 | 0.000 | 0.000 |
| 175.930 | 175.930 | 81.807 | 0.000 | 0.000 | 0.000 |
| -0.000 | -0.000 | 0.000 | 73.931 | 0.000 | 0.000 |
| -0.000 | 0.000 | -0.000 | 0.000 | 73.931 | 0.000 |
| -0.000 | -0.000 | 0.000 | 0.000 | -0.000 | 73.931 |
| 81.807 | 175.930 | 175.930 | 0.000 | -0.000 | -0.000 |
| 175.930 | 81.807 | 175.930 | -0.000 | 0.000 | -0.000 |
| 175.930 | 175.930 | 81.807 | -0.000 | 0.000 | 0.000 |
| 0.000 | 0.000 | -0.000 | 73.931 | -0.000 | 0.000 |
| 0.000 | -0.000 | -0.000 | -0.000 | 73.931 | -0.000 |
| 0.000 | 0.000 | 0.000 | -0.000 | 0.000 | 73.931 |
| 81.807 | 175.930 | 175.930 | 0.000 | -0.000 | 0.000 |
| 175.930 | 81.807 | 175.930 | 0.000 | -0.000 | 0.000 |
| 175.930 | 175.930 | 81.807 | 0.000 | -0.000 | 0.000 |
| -0.000 | -0.000 | -0.000 | 73.931 | 0.000 | 0.000 |
| -0.000 | -0.000 | -0.000 | 0.000 | 73.931 | 0.000 |
| -0.000 | -0.000 | -0.000 | 0.000 | -0.000 | 73.931 |
| 81.808 | 175.930 | 175.930 | -0.000 | 0.000 | -0.000 |
| 175.930 | 81.808 | 175.930 | -0.000 | -0.000 | -0.000 |
| 175.930 | 175.930 | 81.808 | -0.000 | 0.000 | -0.000 |
| 0.000 | 0.000 | 0.000 | 73.931 | -0.000 | -0.000 |
| 0.000 | 0.000 | 0.000 | -0.000 | 73.931 | -0.000 |
| 0.000 | 0.000 | 0.000 | -0.000 | 0.000 | 73.931 |
| 81.806 | 175.930 | 175.930 | 0.000 | 0.000 | 0.000 |
| 175.930 | 81.806 | 175.930 | 0.000 | -0.000 | 0.000 |
| 175.930 | 175.930 | 81.806 | 0.000 | 0.000 | -0.000 |
| -0.000 | -0.000 | -0.000 | 72.615 | -0.000 | 0.000 |
| -0.000 | -0.000 | -0.000 | -0.000 | 72.615 | 0.000 |
| -0.000 | -0.000 | -0.000 | 0.000 | -0.000 | 72.615 |
| 81.809 | 175.930 | 175.930 | 0.000 | -0.000 | -0.000 |
| 175.930 | 81.809 | 175.930 | -0.000 | -0.000 | 0.000 |
| 175.930 | 175.930 | 81.809 | 0.000 | -0.000 | -0.000 |
| 0.000 | 0.000 | 0.000 | 72.615 | 0.000 | -0.000 |
| 0.000 | 0.000 | 0.000 | 0.000 | 72.615 | -0.000 |
| 0.000 | 0.000 | 0.000 | -0.000 | 0.000 | 72.615 |
| 125.098 | 100.508 | 100.508 | -0.000 | -0.000 | -0.000 |
| 100.508 | 125.098 | 100.508 | -0.000 | -0.000 | -0.000 |
| 100.508 | 100.508 | 125.098 | -0.000 | 0.000 | -0.000 |
| -0.000 | -0.000 | -0.000 | 52.869 | -0.000 | 0.000 |
| -0.000 | -0.000 | -0.000 | -0.000 | 52.869 | -0.000 |
| -0.000 | -0.000 | -0.000 | -0.000 | -0.000 | 52.869 |
| 125.098 | 100.508 | 100.508 | 0.000 | 0.000 | 0.000 |
| 100.508 | 125.098 | 100.508 | 0.000 | 0.000 | 0.000 |
| 100.508 | 100.508 | 125.098 | 0.000 | -0.000 | 0.000 |
| 0.000 | 0.000 | 0.000 | 52.869 | -0.000 | 0.000 |
| 0.000 | 0.000 | 0.000 | 0.000 | 52.869 | 0.000 |
| 0.000 | 0.000 | 0.000 | -0.000 | -0.000 | 52.869 |
| 125.095 | 100.508 | 100.508 | -0.000 | -0.000 | -0.000 |
| 100.508 | 125.095 | 100.508 | -0.000 | -0.000 | -0.000 |
| 100.508 | 100.508 | 125.095 | -0.000 | -0.000 | -0.000 |
| -0.000 | -0.000 | -0.000 | 100.613 | 0.000 | -0.000 |
| -0.000 | -0.000 | -0.000 | -0.000 | 100.613 | -0.000 |
| -0.000 | -0.000 | -0.000 | -0.000 | -0.000 | 100.613 |
| 125.101 | 100.509 | 100.509 | 0.000 | 0.000 | 0.000 |
| 100.509 | 125.101 | 100.509 | 0.000 | 0.000 | 0.000 |
| 100.509 | 100.509 | 125.101 | 0.000 | -0.000 | 0.000 |
| 0.000 | 0.000 | 0.000 | 100.613 | 0.000 | 0.000 |
| 0.000 | 0.000 | 0.000 | 0.000 | 100.613 | 0.000 |
| 0.000 | 0.000 | 0.000 | 0.000 | 0.000 | 100.613 |
| 125.071 | 100.507 | 100.507 | -0.000 | -0.000 | 0.000 |
| 100.507 | 125.071 | 100.507 | -0.000 | -0.000 | -0.000 |
| 100.507 | 100.507 | 125.071 | -0.000 | -0.000 | -0.000 |
| -0.010 | -0.000 | -0.000 | 52.869 | 0.000 | -0.000 |
| -0.000 | -0.010 | -0.000 | 0.000 | 52.869 | -0.000 |
| -0.000 | -0.000 | -0.010 | -0.000 | -0.000 | 52.869 |
| 125.125 | 100.510 | 100.510 | 0.000 | -0.000 | 0.000 |
| 100.510 | 125.125 | 100.510 | -0.000 | 0.000 | 0.000 |
| 100.510 | 100.510 | 125.125 | 0.000 | 0.000 | 0.000 |
| 0.010 | 0.000 | 0.000 | 52.869 | -0.000 | 0.000 |
| 0.000 | 0.010 | 0.000 | -0.000 | 52.869 | 0.000 |
| 0.000 | 0.000 | 0.010 | -0.000 | 0.000 | 52.869 |
| 1.896 | 1.896 | 1.896 | 0.000 | 0.000 | -0.000 |
| 1.896 | 1.896 | 1.896 | 0.000 | 0.000 | -0.000 |
| 1.896 | 1.896 | 1.896 | 0.000 | 0.000 | -0.000 |
| 0.000 | 0.000 | 0.000 | 1.839 | 0.000 | -0.000 |
| 0.000 | 0.000 | 0.000 | 0.000 | 1.839 | -0.000 |
| 0.000 | 0.000 | 0.000 | 0.000 | 0.000 | 1.839 |
| 1.896 | 1.896 | 1.896 | -0.000 | -0.000 | 0.000 |
| 1.896 | 1.896 | 1.896 | -0.000 | -0.000 | 0.000 |
| 1.896 | 1.896 | 1.896 | -0.000 | -0.000 | 0.000 |
| -0.000 | -0.000 | -0.000 | 1.839 | -0.000 | 0.000 |
| -0.000 | -0.000 | -0.000 | -0.000 | 1.839 | 0.000 |
| -0.000 | -0.000 | -0.000 | -0.000 | -0.000 | 1.839 |
| 1.896 | 1.896 | 1.896 | 0.000 | 0.000 | -0.000 |
| 1.896 | 1.896 | 1.896 | 0.000 | 0.000 | -0.000 |
| 1.896 | 1.896 | 1.896 | 0.000 | 0.000 | -0.000 |
| 0.000 | 0.000 | 0.000 | 1.896 | 0.000 | -0.000 |
| 0.000 | 0.000 | 0.000 | 0.000 | 1.896 | 0.000 |
| 0.000 | 0.000 | 0.000 | 0.000 | -0.000 | 1.896 |
| 1.896 | 1.896 | 1.896 | -0.000 | -0.000 | -0.000 |
| 1.896 | 1.896 | 1.896 | -0.000 | -0.000 | 0.000 |
| 1.896 | 1.896 | 1.896 | 0.000 | 0.000 | 0.000 |
| -0.000 | -0.000 | -0.000 | 1.896 | 0.000 | 0.000 |
| -0.000 | -0.000 | -0.000 | 0.000 | 1.896 | 0.000 |
| -0.000 | -0.000 | -0.000 | -0.000 | 0.000 | 1.896 |
| 1.896 | 1.896 | 1.896 | 0.000 | 0.000 | 0.000 |
| 1.896 | 1.896 | 1.896 | 0.000 | 0.000 | 0.000 |
| 1.896 | 1.896 | 1.896 | -0.000 | -0.000 | 0.000 |
| 0.000 | 0.000 | 0.000 | 1.754 | -0.000 | -0.000 |
| 0.000 | 0.000 | 0.000 | -0.000 | 1.754 | -0.000 |
| 0.000 | 0.000 | 0.000 | 0.000 | 0.000 | 1.754 |
| 1.896 | 1.896 | 1.896 | -0.000 | -0.000 | 0.000 |
| 1.896 | 1.896 | 1.896 | -0.000 | -0.000 | 0.000 |
| 1.896 | 1.896 | 1.896 | -0.000 | -0.000 | 0.000 |
| -0.000 | -0.000 | -0.000 | 1.754 | 0.000 | 0.000 |
| -0.000 | -0.000 | -0.000 | 0.000 | 1.754 | 0.000 |
| -0.000 | -0.000 | -0.000 | -0.000 | -0.000 | 1.754 |
| 73.511 | 152.014 | 152.014 | 0.000 | -0.000 | -0.000 |
| 152.014 | 73.511 | 152.014 | 0.000 | -0.000 | -0.000 |
| 152.014 | 152.014 | 73.511 | 0.000 | -0.000 | -0.000 |
| 0.000 | 0.000 | 0.000 | 99.717 | 0.000 | -0.000 |
| -0.000 | 0.000 | 0.000 | 0.000 | 99.717 | -0.000 |
| -0.000 | 0.000 | 0.000 | 0.000 | 0.000 | 99.717 |
| 73.511 | 152.014 | 152.014 | -0.000 | -0.000 | 0.000 |
| 152.014 | 73.511 | 152.014 | -0.000 | -0.000 | 0.000 |
| 152.014 | 152.014 | 73.511 | -0.000 | 0.000 | 0.000 |
| -0.000 | -0.000 | -0.000 | 99.717 | -0.000 | 0.000 |
| 0.000 | -0.000 | -0.000 | -0.000 | 99.717 | 0.000 |
| 0.000 | -0.000 | -0.000 | -0.000 | -0.000 | 99.717 |
| 73.511 | 152.014 | 152.014 | 0.000 | 0.000 | -0.000 |
| 152.014 | 73.511 | 152.014 | 0.000 | 0.000 | -0.000 |
| 152.014 | 152.014 | 73.511 | 0.000 | 0.000 | -0.000 |
| 0.000 | 0.000 | 0.000 | 103.316 | 0.000 | -0.000 |
| 0.000 | 0.000 | 0.000 | 0.000 | 103.316 | -0.000 |
| 0.000 | 0.000 | 0.000 | 0.000 | 0.000 | 103.316 |
| 73.511 | 152.014 | 152.014 | -0.000 | -0.000 | 0.000 |
| 152.014 | 73.511 | 152.014 | -0.000 | -0.000 | 0.000 |
| 152.014 | 152.014 | 73.511 | -0.000 | -0.000 | 0.000 |
| -0.000 | -0.000 | -0.000 | 103.316 | -0.000 | 0.000 |
| -0.000 | -0.000 | -0.000 | -0.000 | 103.316 | 0.000 |
| -0.000 | -0.000 | -0.000 | -0.000 | -0.000 | 103.316 |
| 73.512 | 152.015 | 152.015 | -0.000 | 0.000 | -0.000 |
| 152.015 | 73.512 | 152.015 | 0.000 | -0.000 | -0.000 |
| 152.015 | 152.015 | 73.512 | 0.000 | -0.000 | -0.000 |
| 0.001 | 0.000 | 0.001 | 103.316 | 0.000 | -0.000 |
| 0.000 | 0.001 | 0.001 | 0.000 | 103.316 | -0.000 |
| 0.000 | 0.001 | 0.001 | 0.000 | 0.000 | 103.316 |
| 73.510 | 152.014 | 152.014 | -0.000 | 0.000 | 0.000 |
| 152.014 | 73.510 | 152.014 | -0.000 | -0.000 | 0.000 |
| 152.014 | 152.014 | 73.510 | -0.000 | 0.000 | 0.000 |
| -0.001 | -0.000 | -0.001 | 103.316 | -0.000 | 0.000 |
| -0.000 | -0.001 | -0.001 | -0.000 | 103.316 | 0.000 |
| -0.000 | -0.001 | -0.001 | -0.000 | -0.000 | 103.316 |
| 57.883 | 155.869 | 155.869 | -0.000 | -0.000 | -0.000 |
| 155.869 | 57.883 | 155.869 | -0.000 | -0.000 | -0.000 |
| 155.869 | 155.869 | 57.883 | -0.000 | -0.000 | -0.000 |
| 0.000 | 0.000 | 0.000 | 74.065 | -0.000 | -0.000 |
| -0.000 | 0.000 | 0.000 | 0.000 | 74.065 | -0.000 |
| -0.000 | 0.000 | -0.000 | -0.000 | -0.000 | 74.065 |
| 57.883 | 155.869 | 155.869 | 0.000 | 0.000 | 0.000 |
| 155.869 | 57.883 | 155.869 | 0.000 | 0.000 | 0.000 |
| 155.869 | 155.869 | 57.883 | 0.000 | 0.000 | -0.000 |
| -0.000 | -0.000 | -0.000 | 74.065 | 0.000 | 0.000 |
| 0.000 | -0.000 | 0.000 | 0.000 | 74.065 | 0.000 |
| 0.000 | -0.000 | 0.000 | 0.000 | 0.000 | 74.065 |
| 57.883 | 155.869 | 155.869 | -0.000 | 0.000 | -0.000 |
| 155.869 | 57.883 | 155.869 | -0.000 | -0.000 | -0.000 |
| 155.869 | 155.869 | 57.883 | -0.000 | -0.000 | -0.000 |
| 0.000 | -0.000 | -0.000 | 73.187 | -0.000 | 0.000 |
| -0.000 | 0.000 | -0.000 | -0.000 | 73.187 | -0.000 |
| -0.000 | -0.000 | 0.000 | -0.000 | 0.000 | 73.187 |
| 57.884 | 155.869 | 155.869 | 0.000 | 0.000 | 0.000 |
| 155.869 | 57.884 | 155.869 | 0.000 | 0.000 | 0.000 |
| 155.869 | 155.869 | 57.884 | 0.000 | 0.000 | 0.000 |
| -0.000 | 0.000 | 0.000 | 73.187 | -0.000 | 0.000 |
| 0.000 | -0.000 | 0.000 | 0.000 | 73.187 | 0.000 |
| 0.000 | 0.000 | -0.000 | 0.000 | 0.000 | 73.187 |
| 57.883 | 155.869 | 155.869 | -0.000 | -0.000 | -0.000 |
| 155.869 | 57.883 | 155.869 | -0.000 | -0.000 | -0.000 |
| 155.869 | 155.869 | 57.883 | 0.000 | -0.000 | -0.000 |
| 0.000 | -0.000 | -0.000 | 74.065 | -0.000 | 0.000 |
| -0.000 | 0.000 | -0.000 | -0.000 | 74.065 | -0.000 |
| -0.000 | -0.000 | 0.000 | -0.000 | -0.000 | 74.065 |
| 57.884 | 155.869 | 155.869 | -0.000 | -0.000 | 0.000 |
| 155.869 | 57.884 | 155.869 | -0.000 | -0.000 | 0.000 |
| 155.869 | 155.869 | 57.884 | 0.000 | 0.000 | 0.000 |
| -0.000 | 0.000 | 0.000 | 74.065 | 0.000 | 0.000 |
| 0.000 | -0.000 | 0.000 | -0.000 | 74.065 | 0.000 |
| 0.000 | 0.000 | -0.000 | -0.000 | 0.000 | 74.065 |
| 93.576 | 153.596 | 153.596 | 0.000 | 0.000 | 0.000 |
| 153.596 | 93.576 | 153.596 | 0.000 | 0.000 | 0.000 |
| 153.596 | 153.596 | 93.576 | 0.000 | 0.000 | 0.000 |
| 0.000 | 0.000 | -0.000 | -44.646 | 0.000 | -0.000 |
| 0.000 | 0.000 | -0.000 | 0.000 | -44.646 | -0.000 |
| 0.000 | 0.000 | -0.000 | 0.000 | 0.000 | -44.646 |
| 93.576 | 153.596 | 153.596 | -0.000 | -0.000 | -0.000 |
| 153.596 | 93.576 | 153.596 | -0.000 | -0.000 | 0.000 |
| 153.596 | 153.596 | 93.576 | -0.000 | -0.000 | 0.000 |
| -0.000 | -0.000 | 0.000 | -44.646 | -0.000 | 0.000 |
| -0.000 | -0.000 | 0.000 | 0.000 | -44.646 | 0.000 |
| -0.000 | -0.000 | 0.000 | -0.000 | -0.000 | -44.646 |
| 93.576 | 153.596 | 153.596 | 0.000 | 0.000 | 0.000 |
| 153.596 | 93.576 | 153.596 | 0.000 | 0.000 | -0.000 |
| 153.596 | 153.596 | 93.576 | 0.000 | 0.000 | -0.000 |
| 0.000 | 0.000 | 0.000 | 121.819 | 0.000 | 0.000 |
| 0.000 | 0.000 | 0.000 | 0.000 | 121.819 | -0.000 |
| 0.000 | 0.000 | 0.000 | 0.000 | 0.000 | 121.819 |
| 93.576 | 153.596 | 153.596 | -0.000 | -0.000 | -0.000 |
| 153.596 | 93.576 | 153.596 | -0.000 | -0.000 | 0.000 |
| 153.596 | 153.596 | 93.576 | -0.000 | -0.000 | -0.000 |
| -0.000 | -0.000 | -0.000 | 121.819 | -0.000 | 0.000 |
| -0.000 | -0.000 | -0.000 | -0.000 | 121.819 | 0.000 |
| -0.000 | -0.000 | -0.000 | -0.000 | -0.000 | 121.819 |
| 93.578 | 153.597 | 153.597 | 0.000 | 0.000 | -0.000 |
| 153.597 | 93.578 | 153.597 | 0.000 | 0.000 | -0.000 |
| 153.597 | 153.597 | 93.578 | 0.000 | 0.000 | -0.000 |
| 0.001 | 0.000 | 0.000 | -44.646 | 0.000 | -0.000 |
| 0.000 | 0.001 | 0.000 | 0.000 | -44.646 | -0.000 |
| 0.000 | 0.000 | 0.001 | 0.000 | 0.000 | -44.646 |
| 93.573 | 153.595 | 153.595 | -0.000 | -0.000 | -0.000 |
| 153.595 | 93.573 | 153.595 | -0.000 | -0.000 | 0.000 |
| 153.595 | 153.595 | 93.573 | -0.000 | -0.000 | 0.000 |
| -0.001 | -0.000 | -0.000 | -44.646 | -0.000 | 0.000 |
| -0.000 | -0.001 | -0.000 | -0.000 | -44.646 | 0.000 |
| -0.000 | -0.000 | -0.001 | -0.000 | -0.000 | -44.646 |
| 63.178 | 51.910 | 51.910 | 0.000 | -0.000 | -0.000 |
| 51.910 | 63.178 | 51.910 | -0.000 | 0.000 | -0.000 |
| 51.910 | 51.910 | 63.178 | -0.000 | -0.000 | -0.000 |
| 0.000 | 0.000 | 0.000 | 9.203 | 0.000 | -0.000 |
| 0.000 | 0.000 | 0.000 | 0.000 | 9.203 | -0.000 |
| 0.000 | 0.000 | 0.000 | 0.000 | 0.000 | 9.203 |
| 63.178 | 51.910 | 51.910 | -0.000 | -0.000 | 0.000 |
| 51.910 | 63.178 | 51.910 | -0.000 | -0.000 | 0.000 |
| 51.910 | 51.910 | 63.178 | 0.000 | 0.000 | 0.000 |
| -0.000 | -0.000 | -0.000 | 9.203 | -0.000 | 0.000 |
| -0.000 | -0.000 | -0.000 | -0.000 | 9.203 | 0.000 |
| -0.000 | -0.000 | -0.000 | -0.000 | 0.000 | 9.203 |
| 63.179 | 51.910 | 51.910 | 0.000 | 0.000 | -0.000 |
| 51.910 | 63.179 | 51.910 | 0.000 | 0.000 | -0.000 |
| 51.910 | 51.910 | 63.179 | 0.000 | 0.000 | -0.000 |
| 0.000 | -0.000 | -0.000 | 9.203 | 0.000 | -0.000 |
| -0.000 | 0.000 | -0.000 | 0.000 | 9.203 | -0.000 |
| -0.000 | -0.000 | 0.000 | -0.000 | 0.000 | 9.203 |
| 63.178 | 51.910 | 51.910 | -0.000 | 0.000 | 0.000 |
| 51.910 | 63.178 | 51.910 | 0.000 | -0.000 | 0.000 |
| 51.910 | 51.910 | 63.178 | -0.000 | 0.000 | -0.000 |
| -0.000 | 0.000 | 0.000 | 9.203 | 0.000 | 0.000 |
| 0.000 | -0.000 | 0.000 | -0.000 | 9.203 | 0.000 |
| 0.000 | 0.000 | -0.000 | 0.000 | 0.000 | 9.203 |
| 63.184 | 51.911 | 51.911 | 0.000 | -0.000 | -0.000 |
| 51.911 | 63.184 | 51.911 | -0.000 | 0.000 | -0.000 |
| 51.911 | 51.911 | 63.184 | 0.000 | 0.000 | -0.000 |
| 0.003 | -0.000 | -0.000 | 9.203 | 0.000 | -0.000 |
| -0.000 | 0.003 | -0.000 | 0.000 | 9.203 | -0.000 |
| -0.000 | -0.000 | 0.003 | 0.000 | -0.000 | 9.203 |
| 63.173 | 51.910 | 51.910 | -0.000 | 0.000 | 0.000 |
| 51.910 | 63.173 | 51.910 | 0.000 | -0.000 | 0.000 |
| 51.910 | 51.910 | 63.173 | -0.000 | -0.000 | -0.000 |
| -0.003 | 0.000 | 0.000 | 9.203 | -0.000 | 0.000 |
| 0.000 | -0.003 | 0.000 | -0.000 | 9.203 | 0.000 |
| 0.000 | 0.000 | -0.003 | -0.000 | 0.000 | 9.203 |
| 2.524 | 2.524 | 2.524 | 0.000 | 0.000 | -0.000 |
| 2.524 | 2.524 | 2.524 | 0.000 | 0.000 | -0.000 |
| 2.524 | 2.524 | 2.524 | 0.000 | 0.000 | -0.000 |
| 0.000 | 0.000 | 0.000 | 1.491 | 0.000 | 0.000 |
| 0.000 | 0.000 | 0.000 | 0.000 | 1.491 | 0.000 |
| 0.000 | 0.000 | 0.000 | 0.000 | 0.000 | 1.491 |
| 2.524 | 2.524 | 2.524 | -0.000 | -0.000 | -0.000 |
| 2.524 | 2.524 | 2.524 | -0.000 | -0.000 | -0.000 |
| 2.524 | 2.524 | 2.524 | -0.000 | -0.000 | -0.000 |
| -0.000 | -0.000 | -0.000 | 1.491 | -0.000 | 0.000 |
| -0.000 | -0.000 | -0.000 | -0.000 | 1.491 | 0.000 |
| -0.000 | -0.000 | -0.000 | -0.000 | -0.000 | 1.491 |
| 2.524 | 2.524 | 2.524 | -0.000 | -0.000 | -0.000 |
| 2.524 | 2.524 | 2.524 | -0.000 | -0.000 | -0.000 |
| 2.524 | 2.524 | 2.524 | -0.000 | -0.000 | -0.000 |
| -0.000 | -0.000 | -0.000 | 0.308 | 0.000 | 0.000 |
| -0.000 | -0.000 | -0.000 | 0.000 | 0.308 | 0.000 |
| -0.000 | -0.000 | -0.000 | 0.000 | 0.000 | 0.308 |
| 2.524 | 2.524 | 2.524 | 0.000 | -0.000 | -0.000 |
| 2.524 | 2.524 | 2.524 | -0.000 | 0.000 | -0.000 |
| 2.524 | 2.524 | 2.524 | -0.000 | -0.000 | 0.000 |
| 0.000 | 0.000 | 0.000 | 0.308 | -0.000 | -0.000 |
| 0.000 | 0.000 | 0.000 | -0.000 | 0.308 | -0.000 |
| 0.000 | 0.000 | 0.000 | -0.000 | -0.000 | 0.308 |
| 2.524 | 2.524 | 2.524 | 0.000 | 0.000 | 0.000 |
| 2.524 | 2.524 | 2.524 | 0.000 | 0.000 | 0.000 |
| 2.524 | 2.524 | 2.524 | 0.000 | 0.000 | -0.000 |
| -0.000 | -0.000 | -0.000 | 0.022 | 0.000 | 0.000 |
| -0.000 | -0.000 | -0.000 | 0.000 | 0.022 | 0.000 |
| -0.000 | -0.000 | -0.000 | 0.000 | 0.000 | 0.022 |
| 2.524 | 2.524 | 2.524 | -0.000 | -0.000 | 0.000 |
| 2.524 | 2.524 | 2.524 | -0.000 | -0.000 | 0.000 |
| 2.524 | 2.524 | 2.524 | -0.000 | -0.000 | 0.000 |
| 0.000 | 0.000 | 0.000 | 0.022 | -0.000 | -0.000 |
| 0.000 | 0.000 | 0.000 | -0.000 | 0.022 | -0.000 |
| 0.000 | 0.000 | 0.000 | -0.000 | -0.000 | 0.022 |
| 115.348 | 194.466 | 194.466 | 0.000 | -0.000 | 0.000 |
| 194.466 | 115.348 | 194.466 | 0.000 | -0.000 | 0.000 |
| 194.466 | 194.466 | 115.348 | 0.000 | -0.000 | 0.000 |
| 0.000 | -0.000 | 0.000 | 84.234 | 0.000 | 0.000 |
| -0.000 | 0.000 | 0.000 | 0.000 | 84.234 | 0.000 |
| -0.000 | -0.000 | -0.000 | 0.000 | 0.000 | 84.234 |
| 115.349 | 194.466 | 194.466 | -0.000 | 0.000 | -0.000 |
| 194.466 | 115.349 | 194.466 | -0.000 | 0.000 | -0.000 |
| 194.466 | 194.466 | 115.349 | -0.000 | -0.000 | -0.000 |
| -0.000 | -0.000 | -0.000 | 84.234 | -0.000 | -0.000 |
| 0.000 | -0.000 | 0.000 | -0.000 | 84.234 | -0.000 |
| 0.000 | -0.000 | 0.000 | -0.000 | -0.000 | 84.234 |
| 115.348 | 194.466 | 194.466 | 0.000 | 0.000 | 0.000 |
| 194.466 | 115.348 | 194.466 | 0.000 | 0.000 | 0.000 |
| 194.466 | 194.466 | 115.348 | 0.000 | 0.000 | 0.000 |
| 0.000 | -0.000 | -0.000 | 84.234 | -0.000 | 0.000 |
| -0.000 | 0.000 | -0.000 | 0.000 | 84.234 | 0.000 |
| -0.000 | -0.000 | 0.000 | 0.000 | 0.000 | 84.234 |
| 115.349 | 194.466 | 194.466 | -0.000 | -0.000 | -0.000 |
| 194.466 | 115.349 | 194.466 | -0.000 | 0.000 | 0.000 |
| 194.466 | 194.466 | 115.349 | -0.000 | 0.000 | 0.000 |
| -0.000 | 0.000 | 0.000 | 84.234 | 0.000 | 0.000 |
| 0.000 | -0.000 | 0.000 | -0.000 | 84.234 | -0.000 |
| 0.000 | 0.000 | -0.000 | -0.000 | -0.000 | 84.234 |
| 115.346 | 194.465 | 194.465 | 0.000 | 0.000 | 0.000 |
| 194.465 | 115.346 | 194.465 | 0.000 | 0.000 | 0.000 |
| 194.465 | 194.465 | 115.346 | 0.000 | -0.000 | 0.000 |
| 0.000 | -0.000 | -0.000 | 84.234 | 0.000 | 0.000 |
| -0.000 | 0.000 | -0.000 | 0.000 | 84.234 | 0.000 |
| -0.000 | -0.000 | 0.000 | 0.000 | 0.000 | 84.234 |
| 115.351 | 194.467 | 194.467 | -0.000 | 0.000 | 0.000 |
| 194.467 | 115.351 | 194.467 | -0.000 | -0.000 | 0.000 |
| 194.467 | 194.467 | 115.351 | -0.000 | 0.000 | 0.000 |
| -0.000 | 0.000 | 0.000 | 84.234 | -0.000 | -0.000 |
| 0.000 | -0.000 | 0.000 | -0.000 | 84.234 | -0.000 |
| 0.000 | 0.000 | -0.000 | -0.000 | -0.000 | 84.234 |
| 229.407 | -2.128 | -2.128 | -0.000 | -0.000 | 0.000 |
| -2.128 | 229.407 | -2.128 | -0.000 | -0.000 | 0.000 |
| -2.128 | -2.128 | 229.407 | -0.000 | -0.000 | 0.000 |
| -124377528.666 | -75022437.518 | -70428053.987 | 20600001.177 | -1045555.912 | 280794.649 |
| -73183935.086 | -120102001.749 | -69198658.646 | -1458675.941 | 21474822.078 | 96410.639 |
| -75105128.611 | -69855494.524 | -117649792.047 | 962126.839 | 176185.643 | 17808640.414 |
| 229.407 | -2.128 | -2.128 | 0.000 | 0.000 | -0.000 |
| -2.128 | 229.407 | -2.128 | 0.000 | 0.000 | -0.000 |
| -2.128 | -2.128 | 229.407 | 0.000 | 0.000 | -0.000 |
| 148732191.554 | 56023097.457 | 52995978.868 | 15301016.660 | -168447.235 | 61798.855 |
| 55860024.883 | 151016564.510 | 54082044.108 | 495274.107 | 16316315.156 | 1939489.716 |
| 53872001.924 | 50422965.002 | 148681297.901 | 1900986.191 | 140249.236 | 16092422.141 |
| 229.407 | -2.128 | -2.128 | -0.000 | -0.000 | 0.000 |
| -2.128 | 229.407 | -2.128 | -0.000 | -0.000 | 0.000 |
| -2.128 | -2.128 | 229.407 | -0.000 | -0.000 | 0.000 |
| -14015009.841 | -6457808.815 | -6986788.428 | 1647528.470 | -102189.159 | 27592.403 |
| -6464638.368 | -14283175.180 | -6852991.290 | -101488.750 | 1656747.584 | 70591.732 |
| -6669394.786 | -6629381.068 | -13900355.677 | 100043.697 | -239784.410 | 1622262.265 |
| 229.407 | -2.128 | -2.128 | 0.000 | 0.000 | -0.000 |
| -2.128 | 229.407 | -2.128 | 0.000 | 0.000 | -0.000 |
| -2.128 | -2.128 | 229.407 | 0.000 | 0.000 | -0.000 |
| 14690604.756 | 5782974.067 | 6390340.104 | 1446973.217 | 103698.482 | -25302.256 |
| 5945355.310 | 14165680.160 | 6325600.388 | 180876.162 | 1420937.843 | 37913.745 |
| 5927379.735 | 6210028.169 | 14864583.971 | 55475.570 | 32390.334 | 1608312.599 |
| 229.407 | -2.128 | -2.128 | -0.000 | -0.000 | 0.000 |
| -2.128 | 229.407 | -2.128 | -0.000 | -0.000 | 0.000 |
| -2.128 | -2.128 | 229.407 | 0.000 | 0.000 | 0.000 |
| -1138124.375 | -843458.749 | -855111.555 | 164047.703 | 12699.647 | -3857.718 |
| -859325.491 | -1155983.040 | -826832.903 | 11642.280 | 169529.156 | -6120.561 |
| -830597.778 | -881633.619 | -1179478.693 | 36825.981 | -36531.147 | 126428.742 |
| 229.407 | -2.128 | -2.128 | 0.000 | 0.000 | -0.000 |
| -2.128 | 229.407 | -2.128 | 0.000 | 0.000 | -0.000 |
| -2.128 | -2.128 | 229.407 | 0.000 | 0.000 | -0.000 |
| 1276032.803 | 731216.615 | 674868.258 | 249644.411 | 5426.550 | -5469.566 |
| 765976.518 | 1325616.616 | 679386.273 | 13918.345 | 243326.670 | -2574.888 |
| 777295.882 | 680319.187 | 1345590.787 | -804.242 | 12641.890 | 227881.683 |
| 21.701 | 21.701 | 21.701 | -0.000 | -0.000 | -0.000 |
| 21.701 | 21.701 | 21.701 | 0.000 | -0.000 | -0.000 |
| 21.701 | 21.701 | 21.701 | -0.000 | -0.000 | -0.000 |
| -0.000 | -0.000 | -0.000 | 4.119 | 0.000 | 0.000 |
| -0.000 | -0.000 | -0.000 | 0.000 | 4.119 | 0.000 |
| -0.000 | -0.000 | -0.000 | 0.000 | 0.000 | 4.119 |
| 21.701 | 21.701 | 21.701 | -0.000 | -0.000 | -0.000 |
| 21.701 | 21.701 | 21.701 | 0.000 | -0.000 | -0.000 |
| 21.701 | 21.701 | 21.701 | -0.000 | -0.000 | -0.000 |
| 0.000 | 0.000 | 0.000 | 4.119 | -0.000 | -0.000 |
| 0.000 | 0.000 | 0.000 | -0.000 | 4.119 | -0.000 |
| 0.000 | 0.000 | 0.000 | -0.000 | 0.000 | 4.119 |
| 21.701 | 21.701 | 21.701 | -0.000 | -0.000 | 0.000 |
| 21.701 | 21.701 | 21.701 | -0.000 | -0.000 | 0.000 |
| 21.701 | 21.701 | 21.701 | -0.000 | -0.000 | -0.000 |
| -0.000 | -0.000 | -0.000 | -7.337 | -0.000 | 0.000 |
| -0.000 | -0.000 | -0.000 | -0.000 | -7.337 | 0.000 |
| -0.000 | -0.000 | -0.000 | -0.000 | -0.000 | -7.337 |
| 21.701 | 21.701 | 21.701 | 0.000 | -0.000 | 0.000 |
| 21.701 | 21.701 | 21.701 | -0.000 | 0.000 | 0.000 |
| 21.701 | 21.701 | 21.701 | 0.000 | 0.000 | 0.000 |
| 0.000 | 0.000 | 0.000 | -7.337 | 0.000 | 0.000 |
| 0.000 | 0.000 | 0.000 | 0.000 | -7.337 | 0.000 |
| 0.000 | 0.000 | 0.000 | 0.000 | -0.000 | -7.337 |
| 21.701 | 21.701 | 21.701 | 0.000 | 0.000 | 0.000 |
| 21.701 | 21.701 | 21.701 | 0.000 | -0.000 | 0.000 |
| 21.701 | 21.701 | 21.701 | 0.000 | 0.000 | 0.000 |
| -0.001 | -0.000 | -0.001 | -11.606 | 0.000 | 0.000 |
| -0.000 | -0.001 | -0.001 | -0.000 | -11.606 | 0.000 |
| -0.000 | -0.001 | -0.001 | 0.000 | -0.000 | -11.606 |
| 21.701 | 21.701 | 21.701 | 0.000 | 0.000 | -0.000 |
| 21.701 | 21.701 | 21.701 | 0.000 | 0.000 | -0.000 |
| 21.701 | 21.701 | 21.701 | 0.000 | 0.000 | -0.000 |
| 0.001 | 0.000 | 0.001 | -11.606 | -0.000 | -0.000 |
| 0.000 | 0.001 | 0.001 | 0.000 | -11.606 | -0.000 |
| 0.000 | 0.001 | 0.001 | -0.000 | -0.000 | -11.606 |
| 84.667 | 187.945 | 187.945 | 0.000 | 0.000 | 0.000 |
| 187.945 | 84.667 | 187.945 | 0.000 | 0.000 | 0.000 |
| 187.945 | 187.945 | 84.667 | 0.000 | 0.000 | -0.000 |
| 0.000 | -0.000 | -0.000 | 79.085 | 0.000 | -0.000 |
| -0.000 | 0.000 | -0.000 | 0.000 | 79.085 | -0.000 |
| -0.000 | 0.000 | 0.000 | -0.000 | 0.000 | 79.085 |
| 84.667 | 187.945 | 187.945 | -0.000 | -0.000 | 0.000 |
| 187.945 | 84.667 | 187.945 | -0.000 | -0.000 | 0.000 |
| 187.945 | 187.945 | 84.667 | -0.000 | -0.000 | 0.000 |
| -0.000 | -0.000 | 0.000 | 79.085 | 0.000 | -0.000 |
| 0.000 | -0.000 | 0.000 | -0.000 | 79.085 | 0.000 |
| 0.000 | -0.000 | -0.000 | 0.000 | -0.000 | 79.085 |
| 84.667 | 187.945 | 187.945 | 0.000 | 0.000 | -0.000 |
| 187.945 | 84.667 | 187.945 | 0.000 | 0.000 | -0.000 |
| 187.945 | 187.945 | 84.667 | 0.000 | 0.000 | -0.000 |
| -0.000 | -0.000 | -0.000 | 79.085 | 0.000 | -0.000 |
| -0.000 | -0.000 | -0.000 | 0.000 | 79.085 | -0.000 |
| -0.000 | -0.000 | -0.000 | -0.000 | 0.000 | 79.085 |
| 84.667 | 187.945 | 187.945 | -0.000 | -0.000 | 0.000 |
| 187.945 | 84.667 | 187.945 | -0.000 | -0.000 | 0.000 |
| 187.945 | 187.945 | 84.667 | -0.000 | -0.000 | 0.000 |
| 0.000 | 0.000 | 0.000 | 79.085 | -0.000 | -0.000 |
| 0.000 | 0.000 | 0.000 | -0.000 | 79.085 | 0.000 |
| 0.000 | 0.000 | 0.000 | 0.000 | -0.000 | 79.085 |
| 84.667 | 187.945 | 187.945 | 0.000 | 0.000 | -0.000 |
| 187.945 | 84.667 | 187.945 | -0.000 | -0.000 | 0.000 |
| 187.945 | 187.945 | 84.667 | 0.000 | 0.000 | -0.000 |
| -0.000 | -0.000 | -0.000 | 78.932 | 0.000 | -0.000 |
| -0.000 | -0.000 | -0.000 | -0.000 | 78.932 | -0.000 |
| -0.000 | -0.000 | -0.000 | -0.000 | 0.000 | 78.932 |
| 84.667 | 187.945 | 187.945 | 0.000 | -0.000 | 0.000 |
| 187.945 | 84.667 | 187.945 | -0.000 | -0.000 | 0.000 |
| 187.945 | 187.945 | 84.667 | 0.000 | 0.000 | 0.000 |
| 0.000 | 0.000 | 0.000 | 78.932 | -0.000 | 0.000 |
| 0.000 | 0.000 | 0.000 | 0.000 | 78.932 | -0.000 |
| 0.000 | 0.000 | 0.000 | 0.000 | 0.000 | 78.932 |
| 58.977 | 53.293 | 53.293 | 0.000 | 0.000 | 0.000 |
| 53.293 | 58.977 | 53.293 | 0.000 | -0.000 | 0.000 |
| 53.293 | 53.293 | 58.977 | 0.000 | 0.000 | 0.000 |
| 0.000 | -0.000 | -0.000 | 10.708 | 0.000 | 0.000 |
| -0.000 | 0.000 | -0.000 | 0.000 | 10.708 | 0.000 |
| -0.000 | -0.000 | 0.000 | 0.000 | 0.000 | 10.708 |
| 58.976 | 53.293 | 53.293 | 0.000 | -0.000 | -0.000 |
| 53.293 | 58.976 | 53.293 | -0.000 | 0.000 | -0.000 |
| 53.293 | 53.293 | 58.976 | -0.000 | 0.000 | 0.000 |
| -0.000 | 0.000 | 0.000 | 10.708 | -0.000 | -0.000 |
| 0.000 | -0.000 | 0.000 | -0.000 | 10.708 | -0.000 |
| 0.000 | 0.000 | -0.000 | -0.000 | 0.000 | 10.708 |
| 58.978 | 53.293 | 53.293 | 0.000 | 0.000 | 0.000 |
| 53.293 | 58.978 | 53.293 | 0.000 | -0.000 | 0.000 |
| 53.293 | 53.293 | 58.978 | 0.000 | 0.000 | -0.000 |
| 0.001 | -0.000 | -0.000 | 10.708 | -0.000 | 0.000 |
| -0.000 | 0.001 | -0.000 | 0.000 | 10.708 | 0.000 |
| -0.000 | -0.000 | 0.001 | 0.000 | 0.000 | 10.708 |
| 58.975 | 53.293 | 53.293 | -0.000 | -0.000 | -0.000 |
| 53.293 | 58.975 | 53.293 | -0.000 | -0.000 | -0.000 |
| 53.293 | 53.293 | 58.975 | -0.000 | -0.000 | -0.000 |
| -0.001 | 0.000 | 0.000 | 10.708 | -0.000 | -0.000 |
| 0.000 | -0.001 | 0.000 | -0.000 | 10.708 | -0.000 |
| 0.000 | 0.000 | -0.001 | 0.000 | 0.000 | 10.708 |
| 58.989 | 53.293 | 53.293 | 0.000 | 0.000 | 0.000 |
| 53.293 | 58.989 | 53.293 | 0.000 | 0.000 | 0.000 |
| 53.293 | 53.293 | 58.989 | 0.000 | 0.000 | 0.000 |
| 0.008 | -0.001 | -0.001 | 10.703 | 0.000 | 0.000 |
| -0.001 | 0.008 | -0.001 | 0.000 | 10.703 | 0.000 |
| -0.001 | -0.001 | 0.008 | 0.000 | 0.000 | 10.703 |
| 58.964 | 53.294 | 53.294 | -0.000 | -0.000 | -0.000 |
| 53.294 | 58.964 | 53.294 | -0.000 | -0.000 | -0.000 |
| 53.294 | 53.294 | 58.964 | -0.000 | -0.000 | -0.000 |
| -0.008 | 0.001 | 0.001 | 10.703 | -0.000 | -0.000 |
| 0.001 | -0.008 | 0.001 | -0.000 | 10.703 | -0.000 |
| 0.001 | 0.001 | -0.008 | 0.000 | 0.000 | 10.703 |
| 1.652 | 1.652 | 1.652 | 0.000 | 0.000 | -0.000 |
| 1.652 | 1.652 | 1.652 | 0.000 | 0.000 | -0.000 |
| 1.652 | 1.652 | 1.652 | 0.000 | 0.000 | -0.000 |
| 0.000 | 0.000 | 0.000 | 1.518 | 0.000 | -0.000 |
| 0.000 | 0.000 | 0.000 | 0.000 | 1.518 | -0.000 |
| 0.000 | 0.000 | 0.000 | 0.000 | 0.000 | 1.518 |
| 1.652 | 1.652 | 1.652 | -0.000 | -0.000 | -0.000 |
| 1.652 | 1.652 | 1.652 | -0.000 | -0.000 | -0.000 |
| 1.652 | 1.652 | 1.652 | -0.000 | -0.000 | 0.000 |
| -0.000 | -0.000 | -0.000 | 1.518 | -0.000 | 0.000 |
| -0.000 | -0.000 | -0.000 | -0.000 | 1.518 | 0.000 |
| -0.000 | -0.000 | -0.000 | -0.000 | -0.000 | 1.518 |
| 1.653 | 1.653 | 1.653 | 0.000 | 0.000 | -0.000 |
| 1.653 | 1.653 | 1.653 | 0.000 | 0.000 | -0.000 |
| 1.653 | 1.653 | 1.653 | 0.000 | 0.000 | -0.000 |
| 0.000 | 0.000 | 0.000 | 1.652 | -0.000 | -0.000 |
| 0.000 | 0.000 | 0.000 | -0.000 | 1.652 | -0.000 |
| 0.000 | 0.000 | 0.000 | -0.000 | 0.000 | 1.652 |
| 1.652 | 1.652 | 1.652 | -0.000 | -0.000 | 0.000 |
| 1.652 | 1.652 | 1.652 | -0.000 | -0.000 | 0.000 |
| 1.652 | 1.652 | 1.652 | -0.000 | -0.000 | 0.000 |
| -0.000 | -0.000 | -0.000 | 1.652 | 0.000 | 0.000 |
| -0.000 | -0.000 | -0.000 | 0.000 | 1.652 | 0.000 |
| -0.000 | -0.000 | -0.000 | 0.000 | -0.000 | 1.652 |
| 1.653 | 1.653 | 1.653 | -0.000 | -0.000 | -0.000 |
| 1.653 | 1.653 | 1.653 | -0.000 | -0.000 | -0.000 |
| 1.653 | 1.653 | 1.653 | -0.000 | -0.000 | -0.000 |
| 0.000 | -0.000 | 0.000 | 1.168 | 0.000 | 0.000 |
| -0.000 | 0.000 | 0.000 | -0.000 | 1.168 | 0.000 |
| -0.000 | 0.000 | 0.000 | 0.000 | -0.000 | 1.168 |
| 1.652 | 1.652 | 1.652 | 0.000 | 0.000 | 0.000 |
| 1.652 | 1.652 | 1.652 | 0.000 | 0.000 | 0.000 |
| 1.652 | 1.652 | 1.652 | 0.000 | 0.000 | 0.000 |
| -0.000 | 0.000 | -0.000 | 1.168 | -0.000 | -0.000 |
| 0.000 | -0.000 | -0.000 | -0.000 | 1.168 | -0.000 |
| 0.000 | -0.000 | -0.000 | -0.000 | -0.000 | 1.168 |
| 90.889 | 107.663 | 107.663 | 0.000 | -0.000 | -0.000 |
| 107.663 | 90.889 | 107.663 | 0.000 | 0.000 | -0.000 |
| 107.663 | 107.663 | 90.889 | 0.000 | 0.000 | -0.000 |
| 0.000 | -0.000 | 0.000 | 104.984 | 0.000 | -0.000 |
| 0.000 | 0.000 | 0.000 | 0.000 | 104.984 | -0.000 |
| 0.000 | -0.000 | 0.000 | 0.000 | 0.000 | 104.984 |
| 90.889 | 107.663 | 107.663 | -0.000 | -0.000 | 0.000 |
| 107.663 | 90.889 | 107.663 | -0.000 | -0.000 | 0.000 |
| 107.663 | 107.663 | 90.889 | -0.000 | 0.000 | 0.000 |
| -0.000 | 0.000 | -0.000 | 104.984 | -0.000 | 0.000 |
| -0.000 | -0.000 | -0.000 | -0.000 | 104.984 | 0.000 |
| -0.000 | 0.000 | -0.000 | -0.000 | -0.000 | 104.984 |
| 90.889 | 107.663 | 107.663 | 0.000 | 0.000 | -0.000 |
| 107.663 | 90.889 | 107.663 | -0.000 | 0.000 | -0.000 |
| 107.663 | 107.663 | 90.889 | 0.000 | 0.000 | -0.000 |
| 0.000 | -0.000 | -0.000 | -6.503 | 0.000 | -0.000 |
| -0.000 | 0.000 | -0.000 | 0.000 | -6.503 | -0.000 |
| -0.000 | -0.000 | 0.000 | 0.000 | 0.000 | -6.503 |
| 90.889 | 107.663 | 107.663 | -0.000 | -0.000 | 0.000 |
| 107.663 | 90.889 | 107.663 | -0.000 | -0.000 | 0.000 |
| 107.663 | 107.663 | 90.889 | -0.000 | -0.000 | 0.000 |
| -0.000 | 0.000 | 0.000 | -6.503 | -0.000 | 0.000 |
| 0.000 | -0.000 | 0.000 | -0.000 | -6.503 | 0.000 |
| 0.000 | 0.000 | -0.000 | -0.000 | -0.000 | -6.503 |
| 90.889 | 107.664 | 107.664 | 0.000 | -0.000 | -0.000 |
| 107.664 | 90.889 | 107.664 | 0.000 | 0.000 | -0.000 |
| 107.664 | 107.664 | 90.889 | 0.000 | 0.000 | -0.000 |
| -0.003 | -0.004 | -0.004 | -6.521 | 0.000 | -0.000 |
| -0.004 | -0.003 | -0.004 | 0.000 | -6.521 | -0.000 |
| -0.004 | -0.004 | -0.003 | 0.000 | 0.000 | -6.521 |
| 90.889 | 107.663 | 107.663 | -0.000 | 0.000 | 0.000 |
| 107.663 | 90.889 | 107.663 | 0.000 | -0.000 | 0.000 |
| 107.663 | 107.663 | 90.889 | -0.000 | -0.000 | 0.000 |
| 0.003 | 0.004 | 0.004 | -6.521 | -0.000 | 0.000 |
| 0.004 | 0.003 | 0.004 | -0.000 | -6.521 | 0.000 |
| 0.004 | 0.004 | 0.003 | -0.000 | -0.000 | -6.521 |
| 31.013 | 31.013 | 31.013 | 0.000 | -0.000 | 0.000 |
| 31.013 | 31.013 | 31.013 | -0.000 | -0.000 | 0.000 |
| 31.013 | 31.013 | 31.013 | -0.000 | -0.000 | 0.000 |
| 0.000 | 0.000 | 0.000 | 0.000 | -0.000 | 0.000 |
| 0.000 | 0.000 | 0.000 | -0.000 | -0.000 | 0.000 |
| 0.000 | 0.000 | 0.000 | -0.000 | -0.000 | 0.000 |
| 31.013 | 31.013 | 31.013 | 0.000 | 0.000 | -0.000 |
| 31.013 | 31.013 | 31.013 | 0.000 | 0.000 | -0.000 |
| 31.013 | 31.013 | 31.013 | 0.000 | 0.000 | -0.000 |
| -0.000 | -0.000 | -0.000 | 0.000 | 0.000 | -0.000 |
| -0.000 | -0.000 | -0.000 | 0.000 | 0.000 | -0.000 |
| -0.000 | -0.000 | -0.000 | 0.000 | 0.000 | -0.000 |
| 31.013 | 31.013 | 31.013 | -0.000 | -0.000 | 0.000 |
| 31.013 | 31.013 | 31.013 | -0.000 | -0.000 | 0.000 |
| 31.013 | 31.013 | 31.013 | -0.000 | -0.000 | 0.000 |
| -0.000 | -0.000 | -0.000 | -0.000 | -0.000 | 0.000 |
| -0.000 | -0.000 | -0.000 | -0.000 | -0.000 | 0.000 |
| -0.000 | -0.000 | -0.000 | -0.000 | -0.000 | 0.000 |
| 31.013 | 31.013 | 31.013 | 0.000 | 0.000 | -0.000 |
| 31.013 | 31.013 | 31.013 | 0.000 | 0.000 | -0.000 |
| 31.013 | 31.013 | 31.013 | 0.000 | 0.000 | -0.000 |
| 0.000 | 0.000 | 0.000 | 0.000 | 0.000 | 0.000 |
| 0.000 | 0.000 | 0.000 | 0.000 | 0.000 | 0.000 |
| 0.000 | 0.000 | 0.000 | 0.000 | 0.000 | -0.000 |
| 31.013 | 31.014 | 31.014 | -0.000 | -0.000 | 0.000 |
| 31.014 | 31.013 | 31.014 | -0.000 | -0.000 | 0.000 |
| 31.014 | 31.014 | 31.013 | -0.000 | -0.000 | 0.000 |
| -0.000 | -0.000 | -0.000 | -0.000 | -0.000 | 0.000 |
| -0.000 | -0.000 | -0.000 | -0.000 | -0.000 | 0.000 |
| -0.000 | -0.000 | -0.000 | -0.000 | -0.000 | -0.000 |
| 31.013 | 31.013 | 31.013 | 0.000 | 0.000 | -0.000 |
| 31.013 | 31.013 | 31.013 | 0.000 | 0.000 | -0.000 |
| 31.013 | 31.013 | 31.013 | 0.000 | 0.000 | -0.000 |
| 0.000 | 0.000 | 0.000 | -0.000 | 0.000 | -0.000 |
| 0.000 | 0.000 | 0.000 | 0.000 | -0.000 | -0.000 |
| 0.000 | 0.000 | 0.000 | 0.000 | 0.000 | -0.000 |
| 60.442 | 150.166 | 150.166 | -0.000 | 0.000 | 0.000 |
| 150.166 | 60.442 | 150.166 | -0.000 | 0.000 | 0.000 |
| 150.166 | 150.166 | 60.442 | -0.000 | 0.000 | 0.000 |
| 0.000 | 0.000 | 0.000 | 117.936 | -0.000 | 0.000 |
| 0.000 | 0.000 | 0.000 | -0.000 | 117.936 | 0.000 |
| 0.000 | 0.000 | 0.000 | -0.000 | 0.000 | 117.936 |
| 60.442 | 150.166 | 150.166 | 0.000 | -0.000 | -0.000 |
| 150.166 | 60.442 | 150.166 | 0.000 | -0.000 | -0.000 |
| 150.166 | 150.166 | 60.442 | -0.000 | -0.000 | -0.000 |
| -0.000 | -0.000 | -0.000 | 117.936 | 0.000 | -0.000 |
| -0.000 | -0.000 | -0.000 | 0.000 | 117.936 | -0.000 |
| -0.000 | -0.000 | -0.000 | 0.000 | -0.000 | 117.936 |
| 60.442 | 150.166 | 150.166 | -0.000 | 0.000 | 0.000 |
| 150.166 | 60.442 | 150.166 | -0.000 | 0.000 | 0.000 |
| 150.166 | 150.166 | 60.442 | -0.000 | 0.000 | 0.000 |
| 0.000 | 0.000 | 0.000 | 117.936 | -0.000 | -0.000 |
| 0.000 | 0.000 | 0.000 | -0.000 | 117.936 | 0.000 |
| 0.000 | 0.000 | 0.000 | -0.000 | -0.000 | 117.936 |
| 60.442 | 150.166 | 150.166 | 0.000 | -0.000 | -0.000 |
| 150.166 | 60.442 | 150.166 | 0.000 | 0.000 | -0.000 |
| 150.166 | 150.166 | 60.442 | 0.000 | 0.000 | -0.000 |
| -0.000 | -0.000 | -0.000 | 117.936 | 0.000 | -0.000 |
| -0.000 | -0.000 | -0.000 | 0.000 | 117.936 | -0.000 |
| -0.000 | -0.000 | -0.000 | 0.000 | 0.000 | 117.936 |
| 60.441 | 150.167 | 150.167 | -0.000 | 0.000 | 0.000 |
| 150.167 | 60.441 | 150.167 | -0.000 | -0.000 | 0.000 |
| 150.167 | 150.167 | 60.441 | -0.000 | 0.000 | 0.000 |
| 0.001 | 0.000 | 0.001 | 117.936 | -0.000 | 0.000 |
| 0.000 | 0.001 | 0.001 | -0.000 | 117.936 | 0.000 |
| 0.000 | 0.001 | 0.001 | -0.000 | 0.000 | 117.936 |
| 60.443 | 150.166 | 150.166 | 0.000 | 0.000 | -0.000 |
| 150.166 | 60.443 | 150.166 | 0.000 | 0.000 | 0.000 |
| 150.166 | 150.166 | 60.443 | 0.000 | -0.000 | -0.000 |
| -0.001 | -0.000 | -0.001 | 117.936 | -0.000 | 0.000 |
| -0.000 | -0.001 | -0.001 | 0.000 | 117.936 | -0.000 |
| -0.000 | -0.001 | -0.001 | 0.000 | -0.000 | 117.936 |
| 32.346 | 32.346 | 32.346 | -0.000 | -0.000 | -0.000 |
| 32.346 | 32.346 | 32.346 | -0.000 | -0.000 | -0.000 |
| 32.346 | 32.346 | 32.346 | -0.000 | -0.000 | -0.000 |
| 0.000 | 0.000 | 0.000 | -4.398 | -0.000 | 0.000 |
| 0.000 | 0.000 | 0.000 | -0.000 | -4.398 | 0.000 |
| 0.000 | 0.000 | 0.000 | -0.000 | -0.000 | -4.398 |
| 32.346 | 32.346 | 32.346 | 0.000 | -0.000 | 0.000 |
| 32.346 | 32.346 | 32.346 | -0.000 | 0.000 | -0.000 |
| 32.346 | 32.346 | 32.346 | -0.000 | -0.000 | 0.000 |
| -0.000 | -0.000 | -0.000 | -4.398 | 0.000 | 0.000 |
| -0.000 | -0.000 | -0.000 | 0.000 | -4.398 | 0.000 |
| -0.000 | -0.000 | -0.000 | 0.000 | 0.000 | -4.398 |
| 32.346 | 32.346 | 32.346 | -0.000 | -0.000 | 0.000 |
| 32.346 | 32.346 | 32.346 | -0.000 | -0.000 | 0.000 |
| 32.346 | 32.346 | 32.346 | -0.000 | -0.000 | 0.000 |
| 0.000 | 0.000 | 0.000 | -4.398 | -0.000 | 0.000 |
| 0.000 | 0.000 | 0.000 | -0.000 | -4.398 | 0.000 |
| 0.000 | 0.000 | 0.000 | -0.000 | -0.000 | -4.398 |
| 32.346 | 32.346 | 32.346 | 0.000 | 0.000 | 0.000 |
| 32.346 | 32.346 | 32.346 | 0.000 | -0.000 | 0.000 |
| 32.346 | 32.346 | 32.346 | 0.000 | 0.000 | 0.000 |
| -0.000 | -0.000 | -0.000 | -4.398 | 0.000 | 0.000 |
| -0.000 | -0.000 | -0.000 | 0.000 | -4.398 | 0.000 |
| -0.000 | -0.000 | -0.000 | 0.000 | 0.000 | -4.398 |
| 32.346 | 32.346 | 32.346 | 0.000 | -0.000 | -0.000 |
| 32.346 | 32.346 | 32.346 | -0.000 | 0.000 | -0.000 |
| 32.346 | 32.346 | 32.346 | -0.000 | -0.000 | -0.000 |
| 0.000 | 0.000 | 0.000 | -4.398 | -0.000 | -0.000 |
| 0.000 | 0.000 | 0.000 | -0.000 | -4.398 | -0.000 |
| 0.000 | 0.000 | 0.000 | -0.000 | -0.000 | -4.398 |
| 32.345 | 32.345 | 32.345 | 0.000 | 0.000 | 0.000 |
| 32.345 | 32.345 | 32.345 | 0.000 | 0.000 | 0.000 |
| 32.345 | 32.345 | 32.345 | 0.000 | 0.000 | 0.000 |
| -0.000 | -0.000 | -0.000 | -4.398 | 0.000 | -0.000 |
| -0.000 | -0.000 | -0.000 | 0.000 | -4.398 | -0.000 |
| -0.000 | -0.000 | -0.000 | 0.000 | 0.000 | -4.398 |
| 71.760 | 135.029 | 135.029 | -0.000 | -0.000 | -0.000 |
| 135.029 | 71.760 | 135.029 | -0.000 | -0.000 | -0.000 |
| 135.029 | 135.029 | 71.760 | -0.000 | -0.000 | -0.000 |
| 0.000 | 0.000 | -0.000 | -28.759 | -0.000 | 0.000 |
| 0.000 | 0.000 | -0.000 | -0.000 | -28.759 | -0.000 |
| 0.000 | 0.000 | -0.000 | -0.000 | -0.000 | -28.759 |
| 71.760 | 135.029 | 135.029 | 0.000 | 0.000 | 0.000 |
| 135.029 | 71.760 | 135.029 | 0.000 | 0.000 | 0.000 |
| 135.029 | 135.029 | 71.760 | 0.000 | 0.000 | 0.000 |
| -0.000 | -0.000 | 0.000 | -28.759 | 0.000 | 0.000 |
| -0.000 | -0.000 | 0.000 | 0.000 | -28.759 | 0.000 |
| -0.000 | -0.000 | 0.000 | 0.000 | 0.000 | -28.759 |
| 71.760 | 135.029 | 135.029 | -0.000 | -0.000 | -0.000 |
| 135.029 | 71.760 | 135.029 | -0.000 | -0.000 | -0.000 |
| 135.029 | 135.029 | 71.760 | -0.000 | -0.000 | 0.000 |
| 0.000 | -0.000 | -0.000 | -28.759 | -0.000 | 0.000 |
| -0.000 | 0.000 | -0.000 | -0.000 | -28.759 | -0.000 |
| -0.000 | -0.000 | 0.000 | -0.000 | -0.000 | -28.759 |
| 71.760 | 135.029 | 135.029 | 0.000 | -0.000 | 0.000 |
| 135.029 | 71.760 | 135.029 | 0.000 | 0.000 | 0.000 |
| 135.029 | 135.029 | 71.760 | 0.000 | 0.000 | -0.000 |
| -0.000 | 0.000 | 0.000 | -28.759 | 0.000 | 0.000 |
| 0.000 | -0.000 | 0.000 | 0.000 | -28.759 | 0.000 |
| 0.000 | 0.000 | -0.000 | 0.000 | 0.000 | -28.759 |
| 71.761 | 135.029 | 135.029 | -0.000 | 0.000 | -0.000 |
| 135.029 | 71.761 | 135.029 | -0.000 | -0.000 | -0.000 |
| 135.029 | 135.029 | 71.761 | -0.000 | -0.000 | -0.000 |
| 0.000 | -0.000 | -0.000 | -28.759 | -0.000 | 0.000 |
| -0.000 | 0.000 | -0.000 | -0.000 | -28.759 | -0.000 |
| -0.000 | -0.000 | 0.000 | -0.000 | -0.000 | -28.759 |
| 71.759 | 135.028 | 135.028 | 0.000 | 0.000 | 0.000 |
| 135.028 | 71.759 | 135.028 | 0.000 | 0.000 | 0.000 |
| 135.028 | 135.028 | 71.759 | 0.000 | 0.000 | 0.000 |
| -0.000 | 0.000 | 0.000 | -28.759 | 0.000 | 0.000 |
| 0.000 | -0.000 | 0.000 | 0.000 | -28.759 | 0.000 |
| 0.000 | 0.000 | -0.000 | 0.000 | 0.000 | -28.759 |
| 9.120 | -2.127 | -2.127 | -0.000 | -0.000 | -0.000 |
| -2.127 | 9.120 | -2.127 | -0.000 | -0.000 | -0.000 |
| -2.127 | -2.127 | 9.120 | -0.000 | 0.000 | -0.000 |
| 0.000 | 0.000 | 0.000 | -2.197 | -0.000 | 0.000 |
| 0.000 | 0.000 | 0.000 | -0.000 | -2.197 | 0.000 |
| 0.000 | 0.000 | -0.000 | -0.000 | 0.000 | -2.197 |
| 9.120 | -2.127 | -2.127 | 0.000 | 0.000 | 0.000 |
| -2.127 | 9.120 | -2.127 | 0.000 | 0.000 | -0.000 |
| -2.127 | -2.127 | 9.120 | 0.000 | -0.000 | 0.000 |
| -0.000 | -0.000 | -0.000 | -2.197 | 0.000 | -0.000 |
| -0.000 | -0.000 | -0.000 | 0.000 | -2.197 | -0.000 |
| -0.000 | -0.000 | 0.000 | 0.000 | -0.000 | -2.197 |
| 9.120 | -2.127 | -2.127 | -0.000 | -0.000 | 0.000 |
| -2.127 | 9.120 | -2.127 | -0.000 | -0.000 | 0.000 |
| -2.127 | -2.127 | 9.120 | -0.000 | -0.000 | -0.000 |
| 0.000 | 0.000 | 0.000 | -2.197 | 0.000 | -0.000 |
| 0.000 | 0.000 | 0.000 | -0.000 | -2.197 | 0.000 |
| 0.000 | 0.000 | 0.000 | 0.000 | 0.000 | -2.197 |
| 9.120 | -2.127 | -2.127 | 0.000 | 0.000 | 0.000 |
| -2.127 | 9.120 | -2.127 | 0.000 | 0.000 | 0.000 |
| -2.127 | -2.127 | 9.120 | 0.000 | -0.000 | -0.000 |
| -0.000 | -0.000 | -0.000 | -2.197 | 0.000 | 0.000 |
| -0.000 | -0.000 | -0.000 | 0.000 | -2.197 | -0.000 |
| -0.000 | -0.000 | -0.000 | -0.000 | -0.000 | -2.197 |
| 9.120 | -2.127 | -2.127 | -0.000 | -0.000 | -0.000 |
| -2.127 | 9.120 | -2.127 | -0.000 | -0.000 | -0.000 |
| -2.127 | -2.127 | 9.120 | -0.000 | -0.000 | -0.000 |
| 0.000 | 0.000 | 0.000 | -2.197 | 0.000 | -0.000 |
| 0.000 | 0.000 | 0.000 | -0.000 | -2.197 | 0.000 |
| 0.000 | 0.000 | 0.000 | -0.000 | 0.000 | -2.197 |
| 9.121 | -2.127 | -2.127 | 0.000 | 0.000 | -0.000 |
| -2.127 | 9.121 | -2.127 | 0.000 | 0.000 | -0.000 |
| -2.127 | -2.127 | 9.121 | 0.000 | 0.000 | -0.000 |
| -0.000 | -0.000 | -0.000 | -2.197 | -0.000 | 0.000 |
| -0.000 | -0.000 | -0.000 | 0.000 | -2.197 | 0.000 |
| -0.000 | -0.000 | -0.000 | 0.000 | -0.000 | -2.197 |
| 41.474 | 120.704 | 40.561 | -0.000 | 0.000 | -0.000 |
| 120.704 | 41.474 | 40.561 | 0.000 | 0.000 | -0.000 |
| 58.158 | 58.158 | 204.815 | 0.000 | 0.000 | -0.000 |
| -3.172 | -3.172 | 12.381 | -84.950 | 0.000 | -0.000 |
| -3.172 | -3.172 | 12.381 | 0.000 | -84.950 | -0.000 |
| -1.525 | -1.525 | 5.951 | 0.000 | 0.000 | 115.252 |
| 36.378 | 115.610 | 60.449 | 0.000 | -0.000 | -0.000 |
| 115.610 | 36.378 | 60.449 | -0.000 | -0.000 | 0.000 |
| 60.891 | 60.891 | 194.144 | -0.000 | -0.000 | 0.000 |
| 3.172 | 3.172 | -12.381 | -84.950 | -0.000 | 0.000 |
| 3.172 | 3.172 | -12.381 | 0.000 | -84.950 | 0.000 |
| 1.525 | 1.525 | -5.951 | -0.000 | -0.000 | 115.252 |
| 34.875 | 114.107 | 66.316 | -0.000 | 0.000 | -0.000 |
| 114.107 | 34.875 | 66.316 | -0.000 | 0.000 | -0.000 |
| 59.388 | 59.388 | 200.012 | -0.000 | 0.000 | -0.000 |
| -0.320 | -0.320 | 1.248 | -85.834 | 0.000 | -0.000 |
| -0.320 | -0.320 | 1.248 | 0.000 | -85.834 | -0.000 |
| -0.153 | -0.153 | 0.598 | -0.000 | 0.000 | 115.215 |
| 35.148 | 114.380 | 65.250 | -0.000 | -0.000 | 0.000 |
| 114.380 | 35.148 | 65.250 | -0.000 | -0.000 | 0.000 |
| 59.661 | 59.661 | 198.946 | -0.000 | -0.000 | 0.000 |
| 0.320 | 0.320 | -1.248 | -85.834 | -0.000 | 0.000 |
| 0.320 | 0.320 | -1.248 | 0.000 | -85.834 | 0.000 |
| 0.153 | 0.153 | -0.598 | 0.000 | -0.000 | 115.215 |
| 34.996 | 114.229 | 65.842 | 0.000 | 0.000 | 0.000 |
| 114.229 | 34.996 | 65.842 | -0.000 | -0.000 | -0.000 |
| 59.513 | 59.513 | 199.526 | -0.000 | 0.000 | 0.000 |
| -0.032 | -0.032 | 0.124 | -85.843 | 0.000 | -0.000 |
| -0.032 | -0.032 | 0.124 | -0.000 | -85.843 | -0.000 |
| -0.015 | -0.015 | 0.060 | -0.000 | 0.000 | 115.215 |
| -720433.090 | 1647974.427 | 7469518.255 | 108765.646 | -70707.276 | -92889.788 |
| 1432501.186 | -794737.619 | 7576280.713 | 47051.178 | -23874.425 | -52170.073 |
| 59.536 | 59.536 | 199.432 | -0.000 | -0.000 | -0.000 |
| 0.032 | 0.032 | -0.124 | -85.843 | -0.000 | 0.000 |
| 0.032 | 0.032 | -0.124 | -0.000 | -85.843 | 0.000 |
| 0.015 | 0.015 | -0.060 | -0.000 | -0.000 | 115.215 |
| 309.926 | 116.579 | 83.798 | -3.257 | -0.000 | 0.000 |
| 116.579 | 309.926 | 83.798 | 3.257 | -0.000 | 0.000 |
| 81.974 | 81.974 | 437.717 | 0.000 | -0.000 | 0.000 |
| -3.257 | 3.257 | 0.000 | 54.912 | -0.000 | 0.000 |
| 0.000 | 0.000 | -0.000 | -0.000 | 54.911 | -3.257 |
| -0.016 | -0.016 | -0.016 | 0.000 | 25.652 | -119.290 |
| 309.926 | 116.579 | 83.798 | -3.257 | 0.000 | -0.000 |
| 116.579 | 309.926 | 83.798 | 3.257 | 0.000 | -0.000 |
| 81.974 | 81.974 | 437.717 | -0.000 | 0.000 | -0.000 |
| 4.578 | -4.584 | 0.025 | -38.159 | 0.000 | -0.000 |
| 0.000 | -0.000 | -0.000 | 0.000 | 54.912 | -3.257 |
| 0.016 | 0.016 | 0.016 | -0.000 | 25.652 | -119.290 |
| -10.632 | 332.254 | 198.804 | 50.179 | 0.000 | 0.000 |
| 116.579 | 309.926 | 83.798 | 3.257 | -0.000 | 0.000 |
| 81.974 | 81.974 | 437.717 | -0.000 | -0.000 | 0.000 |
| -3.257 | 3.257 | 0.000 | 54.911 | -0.000 | 0.000 |
| 0.000 | 0.000 | 0.000 | 0.000 | 54.912 | -3.257 |
| 0.003 | 0.003 | -0.004 | 0.000 | -22.063 | -37.173 |
| 149.651 | 227.009 | 138.738 | -22.274 | 0.000 | -0.000 |
| 227.010 | 149.650 | 138.739 | 22.275 | -0.000 | -0.000 |
| 148.604 | 148.604 | 285.622 | 0.000 | 0.000 | -0.000 |
| -3.257 | 3.257 | -0.000 | 54.912 | 0.000 | -0.000 |
| -0.000 | -0.000 | -0.000 | -0.000 | 54.912 | -3.257 |
| -0.003 | -0.003 | 0.004 | -0.000 | -22.063 | -37.173 |
| -13895149.657 | -13850207.566 | -15316200.185 | -47635.624 | -2952.386 | -454.950 |
| 264.382 | 87.818 | 173.330 | -9.094 | -0.000 | 0.000 |
| 81.975 | 81.975 | 437.720 | -0.000 | -0.000 | 0.000 |
| -3.257 | 3.257 | 0.000 | 54.911 | -0.000 | 0.000 |
| 0.000 | 0.000 | 0.000 | 0.000 | 54.912 | -3.257 |
| -0.000 | 0.000 | 0.000 | 0.000 | -3.257 | 96.673 |
| 13764400.442 | 13719560.530 | 15223831.941 | 43239.952 | -13051.980 | 20041.980 |
| 227.015 | 149.649 | 138.736 | 22.275 | 0.000 | -0.000 |
| 148.601 | 148.601 | 285.627 | 0.000 | 0.000 | -0.000 |
| -3.257 | 3.257 | -0.000 | 54.912 | 0.000 | -0.000 |
| -0.000 | -0.000 | -0.000 | -0.000 | 54.912 | -3.257 |
| 0.000 | -0.000 | -0.000 | -0.000 | -3.257 | 96.673 |
| 425.333 | 81.686 | 81.686 | 0.000 | -0.000 | 0.000 |
| 81.686 | 425.333 | 81.686 | 0.000 | -0.000 | 0.000 |
| 81.686 | 81.686 | 425.333 | 0.000 | -0.000 | 0.000 |
| 0.000 | -0.000 | -0.000 | -160.970 | 0.000 | -0.000 |
| 0.000 | -0.000 | 0.000 | 0.000 | -160.970 | -0.000 |
| -0.000 | -0.000 | 0.000 | 0.000 | 0.000 | -160.970 |
| 422.874 | 82.916 | 82.916 | -0.000 | -0.000 | -0.000 |
| 82.916 | 422.874 | 82.916 | -0.000 | -0.000 | -0.000 |
| 82.916 | 82.916 | 422.874 | -0.000 | -0.000 | -0.000 |
| -0.000 | 0.000 | 0.000 | -160.970 | -0.000 | -0.000 |
| -0.000 | 0.000 | 0.000 | -0.000 | -160.970 | -0.000 |
| 0.000 | 0.000 | -0.000 | -0.000 | -0.000 | -160.970 |
| 425.333 | 81.686 | 81.686 | 0.000 | -0.000 | 0.000 |
| 81.686 | 425.333 | 81.686 | 0.000 | 0.000 | 0.000 |
| 81.686 | 81.686 | 425.333 | -0.000 | 0.000 | 0.000 |
| 0.000 | 0.000 | 0.000 | -0.263 | 0.000 | 0.000 |
| 0.000 | 0.000 | 0.000 | 0.000 | -0.263 | 0.000 |
| 0.000 | 0.000 | 0.000 | 0.000 | 0.000 | -0.263 |
| 422.873 | 82.916 | 82.916 | -0.000 | -0.000 | -0.000 |
| 82.916 | 422.873 | 82.916 | -0.000 | -0.000 | -0.000 |
| 82.916 | 82.916 | 422.873 | -0.000 | 0.000 | -0.000 |
| -0.000 | -0.000 | -0.000 | -0.263 | -0.000 | 0.000 |
| -0.000 | -0.000 | -0.000 | -0.000 | -0.263 | -0.000 |
| -0.000 | -0.000 | -0.000 | -0.000 | -0.000 | -0.263 |
| 422.874 | 82.915 | 82.915 | 0.000 | 0.000 | 0.000 |
| 82.915 | 422.874 | 82.915 | 0.000 | 0.000 | 0.000 |
| 82.915 | 82.915 | 422.874 | -0.000 | 0.000 | 0.000 |
| -23864.105 | 707551.375 | 707542.834 | -4304032.855 | 0.000 | 0.000 |
| 707551.372 | -23864.106 | 707542.837 | 0.000 | -4304032.855 | 0.000 |
| 707551.375 | 707542.834 | -23864.105 | 0.000 | 0.000 | -4304032.855 |
| 422.873 | 82.917 | 82.917 | -0.000 | -0.000 | -0.000 |
| 82.917 | 422.873 | 82.917 | -0.000 | -0.000 | -0.000 |
| 82.917 | 82.917 | 422.873 | -0.000 | -0.000 | -0.000 |
| 23864.105 | -707551.375 | -707542.834 | -4304032.855 | -0.000 | 0.000 |
| -707551.372 | 23864.105 | -707542.837 | -0.000 | -4304032.855 | 0.000 |
| -707551.375 | -707542.834 | 23864.105 | -0.000 | 0.000 | -4304032.855 |
| 3.027 | 6.335 | 6.335 | 0.000 | 0.000 | 0.000 |
| 6.335 | 3.027 | 6.335 | -0.000 | 0.000 | 0.000 |
| 6.335 | 6.335 | 3.027 | -0.000 | 0.000 | 0.000 |
| -0.000 | -0.000 | -0.000 | -1.396 | -0.000 | -0.000 |
| -0.000 | -0.000 | -0.000 | 0.000 | -1.396 | 0.000 |
| -0.000 | -0.000 | -0.000 | 0.000 | 0.000 | -1.396 |
| 3.028 | 6.335 | 6.335 | -0.000 | 0.000 | -0.000 |
| 6.335 | 3.028 | 6.335 | -0.000 | 0.000 | -0.000 |
| 6.335 | 6.335 | 3.028 | -0.000 | -0.000 | -0.000 |
| 0.000 | 0.000 | 0.000 | -1.396 | -0.000 | -0.000 |
| 0.000 | 0.000 | 0.000 | -0.000 | -1.396 | -0.000 |
| 0.000 | 0.000 | 0.000 | -0.000 | 0.000 | -1.396 |
| 3.027 | 6.335 | 6.335 | -0.000 | 0.000 | 0.000 |
| 6.335 | 3.027 | 6.335 | 0.000 | 0.000 | 0.000 |
| 6.335 | 6.335 | 3.027 | 0.000 | -0.000 | 0.000 |
| -0.000 | -0.000 | -0.000 | -1.396 | -0.000 | 0.000 |
| -0.000 | -0.000 | -0.000 | 0.000 | -1.396 | 0.000 |
| -0.000 | -0.000 | -0.000 | 0.000 | -0.000 | -1.396 |
| 3.028 | 6.335 | 6.335 | 0.000 | -0.000 | -0.000 |
| 6.335 | 3.028 | 6.335 | -0.000 | -0.000 | -0.000 |
| 6.335 | 6.335 | 3.028 | 0.000 | 0.000 | -0.000 |
| 0.000 | 0.000 | 0.000 | -1.396 | 0.000 | 0.000 |
| 0.000 | 0.000 | 0.000 | -0.000 | -1.396 | -0.000 |
| 0.000 | 0.000 | 0.000 | -0.000 | -0.000 | -1.396 |
| 3.027 | 6.335 | 6.335 | 0.000 | 0.000 | 0.000 |
| 6.335 | 3.027 | 6.335 | 0.000 | -0.000 | 0.000 |
| 6.335 | 6.335 | 3.027 | 0.000 | 0.000 | 0.000 |
| -0.000 | -0.000 | -0.000 | -1.396 | -0.000 | 0.000 |
| -0.000 | -0.000 | -0.000 | 0.000 | -1.396 | 0.000 |
| -0.000 | -0.000 | -0.000 | 0.000 | -0.000 | -1.396 |
| 3.028 | 6.336 | 6.336 | -0.000 | -0.000 | -0.000 |
| 6.336 | 3.028 | 6.336 | 0.000 | -0.000 | 0.000 |
| 6.336 | 6.336 | 3.028 | -0.000 | 0.000 | -0.000 |
| 0.000 | 0.000 | 0.000 | -1.396 | 0.000 | 0.000 |
| 0.000 | 0.000 | 0.000 | 0.000 | -1.396 | -0.000 |
| 0.000 | 0.000 | 0.000 | -0.000 | 0.000 | -1.396 |
| 3.206 | 1.572 | 1.572 | 0.000 | 0.000 | -0.000 |
| 1.572 | 3.206 | 1.572 | 0.000 | -0.000 | -0.000 |
| 1.572 | 1.572 | 3.206 | -0.000 | -0.000 | -0.000 |
| -0.000 | 0.000 | 0.000 | 1.468 | -0.000 | 0.000 |
| 0.000 | 0.000 | 0.000 | 0.000 | 0.944 | -0.000 |
| 0.000 | 0.000 | 0.000 | 0.000 | 0.000 | 1.468 |
| 1871542.140 | 5198143.600 | 4504098.858 | 756992.627 | -72342.798 | 22006.113 |
| 4442960.801 | 2088628.673 | 5093446.016 | 8691.762 | 298037.162 | -23577.125 |
| 4591988.242 | 4574254.440 | 1669616.034 | 19977.142 | 258966.632 | 280577.082 |
| 0.000 | -0.000 | -0.000 | 1.468 | 0.000 | 0.000 |
| -0.000 | -0.000 | -0.000 | -0.000 | 0.944 | 0.000 |
| -0.000 | -0.000 | -0.000 | -0.000 | -0.000 | 1.468 |
| -148223.624 | -405428.973 | -473678.942 | -103989.112 | 52444.517 | 20146.443 |
| -442375.038 | -126431.460 | -398197.453 | 48801.153 | -83930.965 | 43622.754 |
| -398025.158 | -430953.536 | -131382.256 | 43106.406 | 27147.191 | -62218.469 |
| 0.000 | -0.000 | -0.000 | 0.526 | 0.000 | 0.000 |
| -0.000 | 0.000 | -0.000 | 0.000 | 0.526 | -0.000 |
| -0.000 | -0.000 | 0.000 | 0.000 | 0.000 | 0.526 |
| 141857.482 | 541842.783 | 411154.175 | -36603.348 | -24928.459 | -3038.041 |
| 411232.912 | 164836.901 | 517458.353 | -9514.965 | -40508.633 | -22043.900 |
| 489908.904 | 422905.050 | 171390.004 | -40439.036 | 478.152 | -54064.891 |
| -0.000 | 0.000 | 0.000 | 0.526 | -0.000 | 0.000 |
| 0.000 | -0.000 | 0.000 | -0.000 | 0.526 | 0.000 |
| 0.000 | 0.000 | -0.000 | -0.000 | -0.000 | 0.526 |
| -18030.213 | -34287.836 | -35095.987 | -5668.985 | -2714.548 | 1903.938 |
| -38490.653 | -20522.222 | -35049.268 | 1573.552 | -6197.884 | -1651.958 |
| -32273.410 | -35800.624 | -18875.740 | -1187.325 | 1238.264 | -6669.115 |
| 0.001 | -0.001 | -0.001 | 0.380 | 0.000 | 0.000 |
| -0.001 | 0.001 | -0.001 | 0.000 | 0.380 | -0.000 |
| -0.001 | -0.001 | 0.001 | 0.000 | 0.000 | 0.380 |
| 22441.025 | 54396.096 | 52461.485 | 719.759 | -1908.439 | -3490.051 |
| 48410.214 | 24003.094 | 58505.888 | -5227.233 | -135.989 | -906.425 |
| 61012.074 | 48331.156 | 27112.303 | -1993.174 | -1837.981 | -3494.184 |
| -0.001 | 0.001 | 0.001 | 0.380 | -0.000 | 0.000 |
| 0.001 | -0.001 | 0.001 | -0.000 | 0.380 | 0.000 |
| 0.001 | 0.001 | -0.001 | -0.000 | -0.000 | 0.380 |
| 1.054 | 0.000 | 0.000 | -0.000 | 0.000 | 0.000 |
| 0.000 | 1.054 | 0.000 | -0.000 | 0.000 | -0.000 |
| 0.000 | 0.000 | 1.054 | -0.000 | 0.000 | -0.000 |
| 0.000 | 0.000 | 0.000 | 0.000 | -0.000 | 0.000 |
| 0.000 | 0.000 | 0.000 | -0.000 | 0.000 | -0.000 |
| 0.000 | 0.000 | 0.000 | -0.000 | 0.000 | 0.000 |
| 1.054 | -0.000 | -0.000 | 0.000 | 0.000 | -0.000 |
| -0.000 | 1.054 | -0.000 | -0.000 | -0.000 | -0.000 |
| -0.000 | -0.000 | 1.054 | -0.000 | 0.000 | 0.000 |
| -0.000 | -0.000 | -0.000 | 0.000 | 0.000 | -0.000 |
| -0.000 | -0.000 | -0.000 | 0.000 | 0.000 | 0.000 |
| -0.000 | -0.000 | -0.000 | 0.000 | -0.000 | 0.000 |
| 1.054 | 0.000 | 0.000 | -0.000 | -0.000 | 0.000 |
| 0.000 | 1.054 | 0.000 | 0.000 | 0.000 | 0.000 |
| 0.000 | 0.000 | 1.054 | 0.000 | -0.000 | -0.000 |
| 0.000 | 0.000 | -0.000 | 0.000 | 0.000 | 0.000 |
| 0.000 | 0.000 | -0.000 | 0.000 | 0.000 | -0.000 |
| 0.000 | -0.000 | 0.000 | -0.000 | 0.000 | 0.000 |
| 1.054 | 0.000 | 0.000 | -0.000 | -0.000 | 0.000 |
| 0.000 | 1.054 | 0.000 | -0.000 | -0.000 | 0.000 |
| 0.000 | 0.000 | 1.054 | 0.000 | -0.000 | 0.000 |
| -0.000 | -0.000 | 0.000 | 0.000 | -0.000 | 0.000 |
| -0.000 | -0.000 | 0.000 | -0.000 | 0.000 | -0.000 |
| -0.000 | 0.000 | -0.000 | 0.000 | 0.000 | 0.000 |
| 1.054 | 0.000 | 0.000 | -0.000 | 0.000 | -0.000 |
| 0.000 | 1.054 | 0.000 | -0.000 | 0.000 | 0.000 |
| 0.000 | 0.000 | 1.054 | 0.000 | -0.000 | -0.000 |
| 0.000 | 0.000 | -0.000 | 0.000 | 0.000 | 0.000 |
| 0.000 | 0.000 | -0.000 | 0.000 | 0.000 | 0.000 |
| 0.000 | -0.000 | 0.000 | -0.000 | -0.000 | 0.000 |
| 1.054 | -0.000 | -0.000 | 0.000 | 0.000 | -0.000 |
| -0.000 | 1.054 | -0.000 | -0.000 | -0.000 | -0.000 |
| -0.000 | -0.000 | 1.054 | 0.000 | -0.000 | 0.000 |
| -0.000 | -0.000 | 0.000 | 0.000 | -0.000 | 0.000 |
| -0.000 | -0.000 | 0.000 | -0.000 | 0.000 | 0.000 |
| -0.000 | 0.000 | -0.000 | 0.000 | -0.000 | 0.000 |
| 123.749 | 205.253 | 205.253 | -0.000 | -0.000 | 0.000 |
| 205.253 | 123.749 | 205.253 | -0.000 | -0.000 | 0.000 |
| 205.253 | 205.253 | 123.749 | -0.000 | -0.000 | -0.000 |
| -0.000 | -0.000 | -0.000 | 93.617 | -0.000 | -0.000 |
| -0.000 | -0.000 | -0.000 | -0.000 | 93.617 | 0.000 |
| -0.000 | -0.000 | -0.000 | -0.000 | -0.000 | 93.617 |
| 123.750 | 205.253 | 205.253 | 0.000 | 0.000 | -0.000 |
| 205.253 | 123.750 | 205.253 | 0.000 | 0.000 | -0.000 |
| 205.253 | 205.253 | 123.750 | 0.000 | 0.000 | -0.000 |
| 0.000 | 0.000 | 0.000 | 93.617 | 0.000 | -0.000 |
| 0.000 | 0.000 | 0.000 | 0.000 | 93.617 | -0.000 |
| 0.000 | 0.000 | 0.000 | 0.000 | 0.000 | 93.617 |
| 123.749 | 205.253 | 205.253 | -0.000 | -0.000 | 0.000 |
| 205.253 | 123.749 | 205.253 | -0.000 | -0.000 | -0.000 |
| 205.253 | 205.253 | 123.749 | -0.000 | -0.000 | 0.000 |
| 0.000 | -0.000 | -0.000 | 94.236 | -0.000 | 0.000 |
| -0.000 | 0.000 | -0.000 | -0.000 | 94.236 | 0.000 |
| -0.000 | -0.000 | -0.000 | -0.000 | -0.000 | 94.236 |
| 123.750 | 205.253 | 205.253 | 0.000 | 0.000 | 0.000 |
| 205.253 | 123.750 | 205.253 | 0.000 | 0.000 | 0.000 |
| 205.253 | 205.253 | 123.750 | 0.000 | 0.000 | -0.000 |
| -0.000 | 0.000 | 0.000 | 94.236 | 0.000 | -0.000 |
| 0.000 | -0.000 | 0.000 | 0.000 | 94.236 | -0.000 |
| 0.000 | 0.000 | 0.000 | 0.000 | 0.000 | 94.236 |
| 123.748 | 205.253 | 205.253 | -0.000 | -0.000 | -0.000 |
| 205.253 | 123.748 | 205.253 | -0.000 | -0.000 | 0.000 |
| 205.253 | 205.253 | 123.748 | -0.000 | -0.000 | 0.000 |
| 0.000 | -0.000 | -0.000 | 94.236 | -0.000 | 0.000 |
| -0.000 | 0.000 | -0.000 | -0.000 | 94.236 | 0.000 |
| -0.000 | -0.000 | 0.000 | -0.000 | -0.000 | 94.236 |
| 123.751 | 205.253 | 205.253 | 0.000 | 0.000 | -0.000 |
| 205.253 | 123.751 | 205.253 | 0.000 | 0.000 | -0.000 |
| 205.253 | 205.253 | 123.751 | 0.000 | 0.000 | -0.000 |
| -0.000 | 0.000 | 0.000 | 94.236 | 0.000 | -0.000 |
| 0.000 | -0.000 | 0.000 | 0.000 | 94.236 | -0.000 |
| 0.000 | 0.000 | -0.000 | 0.000 | 0.000 | 94.236 |
| 0.618 | 0.618 | 0.618 | -0.000 | -0.000 | -0.000 |
| 0.618 | 0.618 | 0.618 | -0.000 | -0.000 | -0.000 |
| 0.618 | 0.618 | 0.618 | 0.000 | 0.000 | -0.000 |
| 0.000 | 0.000 | 0.000 | 0.618 | -0.000 | -0.000 |
| 0.000 | 0.000 | 0.000 | -0.000 | 0.618 | -0.000 |
| 0.000 | 0.000 | 0.000 | -0.000 | -0.000 | 0.618 |
| 0.618 | 0.618 | 0.618 | -0.000 | 0.000 | 0.000 |
| 0.618 | 0.618 | 0.618 | -0.000 | -0.000 | 0.000 |
| 0.618 | 0.618 | 0.618 | 0.000 | 0.000 | 0.000 |
| -0.000 | -0.000 | -0.000 | 0.618 | -0.000 | 0.000 |
| -0.000 | -0.000 | -0.000 | -0.000 | 0.618 | 0.000 |
| -0.000 | -0.000 | -0.000 | -0.000 | 0.000 | 0.618 |
| 0.618 | 0.618 | 0.618 | 0.000 | 0.000 | -0.000 |
| 0.618 | 0.618 | 0.618 | 0.000 | 0.000 | -0.000 |
| 0.618 | 0.618 | 0.618 | 0.000 | 0.000 | -0.000 |
| 0.000 | 0.000 | 0.000 | 0.569 | 0.000 | -0.000 |
| 0.000 | 0.000 | 0.000 | 0.000 | 0.569 | -0.000 |
| 0.000 | 0.000 | 0.000 | 0.000 | 0.000 | 0.569 |
| 0.618 | 0.618 | 0.618 | -0.000 | 0.000 | 0.000 |
| 0.618 | 0.618 | 0.618 | 0.000 | -0.000 | 0.000 |
| 0.618 | 0.618 | 0.618 | -0.000 | -0.000 | -0.000 |
| -0.000 | -0.000 | -0.000 | 0.569 | -0.000 | 0.000 |
| -0.000 | -0.000 | -0.000 | -0.000 | 0.569 | 0.000 |
| -0.000 | -0.000 | -0.000 | -0.000 | 0.000 | 0.569 |
| 0.618 | 0.618 | 0.618 | 0.000 | 0.000 | -0.000 |
| 0.618 | 0.618 | 0.618 | 0.000 | 0.000 | -0.000 |
| 0.618 | 0.618 | 0.618 | 0.000 | 0.000 | -0.000 |
| 0.000 | 0.000 | 0.000 | 0.206 | -0.000 | -0.000 |
| 0.000 | 0.000 | 0.000 | -0.000 | 0.206 | -0.000 |
| 0.000 | 0.000 | 0.000 | -0.000 | -0.000 | 0.206 |
| 0.618 | 0.618 | 0.618 | 0.000 | 0.000 | 0.000 |
| 0.618 | 0.618 | 0.618 | 0.000 | 0.000 | 0.000 |
| 0.618 | 0.618 | 0.618 | 0.000 | 0.000 | 0.000 |
| -0.000 | -0.000 | -0.000 | 0.206 | 0.000 | 0.000 |
| -0.000 | -0.000 | -0.000 | 0.000 | 0.206 | 0.000 |
| -0.000 | -0.000 | -0.000 | 0.000 | 0.000 | 0.206 |
| 250.839 | 182.912 | 182.912 | -0.000 | 0.000 | 0.000 |
| 182.912 | 250.839 | 182.912 | 0.000 | 0.000 | 0.000 |
| 182.912 | 182.912 | 250.839 | 0.000 | 0.000 | -0.000 |
| -0.000 | -0.000 | 0.000 | 134.204 | 0.000 | -0.000 |
| -0.000 | -0.000 | -0.000 | -0.000 | 134.204 | 0.000 |
| -0.000 | -0.000 | 0.000 | -0.000 | 0.000 | 134.204 |
| 250.839 | 182.912 | 182.912 | 0.000 | -0.000 | 0.000 |
| 182.912 | 250.839 | 182.912 | 0.000 | -0.000 | 0.000 |
| 182.912 | 182.912 | 250.839 | 0.000 | -0.000 | -0.000 |
| 0.000 | 0.000 | -0.000 | 134.204 | -0.000 | 0.000 |
| 0.000 | 0.000 | 0.000 | 0.000 | 134.204 | 0.000 |
| 0.000 | 0.000 | -0.000 | 0.000 | -0.000 | 134.204 |
| 250.839 | 182.912 | 182.912 | -0.000 | 0.000 | -0.000 |
| 182.912 | 250.839 | 182.912 | -0.000 | -0.000 | -0.000 |
| 182.912 | 182.912 | 250.839 | -0.000 | -0.000 | -0.000 |
| -0.000 | -0.000 | -0.000 | 134.204 | 0.000 | -0.000 |
| -0.000 | -0.000 | -0.000 | -0.000 | 134.204 | -0.000 |
| -0.000 | -0.000 | -0.000 | -0.000 | 0.000 | 134.204 |
| 250.839 | 182.912 | 182.912 | -0.000 | 0.000 | 0.000 |
| 182.912 | 250.839 | 182.912 | -0.000 | 0.000 | -0.000 |
| 182.912 | 182.912 | 250.839 | 0.000 | -0.000 | 0.000 |
| 0.000 | 0.000 | 0.000 | 134.204 | -0.000 | -0.000 |
| 0.000 | 0.000 | 0.000 | 0.000 | 134.204 | 0.000 |
| 0.000 | 0.000 | 0.000 | 0.000 | -0.000 | 134.204 |
| 250.835 | 182.912 | 182.912 | 0.000 | 0.000 | 0.000 |
| 182.912 | 250.835 | 182.912 | 0.000 | 0.000 | -0.000 |
| 182.912 | 182.912 | 250.835 | -0.000 | -0.000 | 0.000 |
| -0.000 | -0.000 | -0.000 | 134.204 | -0.000 | -0.000 |
| -0.000 | -0.000 | -0.000 | -0.000 | 134.204 | -0.000 |
| -0.000 | -0.000 | -0.000 | 0.000 | 0.000 | 134.204 |
| 250.843 | 182.912 | 182.912 | 0.000 | 0.000 | 0.000 |
| 182.912 | 250.843 | 182.912 | 0.000 | 0.000 | -0.000 |
| 182.912 | 182.912 | 250.843 | 0.000 | -0.000 | 0.000 |
| 0.000 | 0.000 | 0.000 | 134.204 | 0.000 | 0.000 |
| 0.000 | 0.000 | 0.000 | 0.000 | 134.204 | 0.000 |
| 0.000 | 0.000 | 0.000 | -0.000 | -0.000 | 134.204 |
| 6.983 | 8.169 | 8.169 | -0.000 | 0.000 | -0.000 |
| 8.169 | 6.983 | 8.169 | -0.000 | -0.000 | -0.000 |
| 8.169 | 8.169 | 6.983 | -0.000 | -0.000 | -0.000 |
| -0.000 | -0.000 | -0.000 | 5.344 | -0.000 | -0.000 |
| -0.000 | -0.000 | -0.000 | -0.000 | 5.344 | -0.000 |
| -0.000 | -0.000 | -0.000 | -0.000 | -0.000 | 5.344 |
| 6.983 | 8.169 | 8.169 | 0.000 | 0.000 | 0.000 |
| 8.169 | 6.983 | 8.169 | 0.000 | 0.000 | 0.000 |
| 8.169 | 8.169 | 6.983 | 0.000 | 0.000 | 0.000 |
| 0.000 | 0.000 | 0.000 | 5.344 | 0.000 | 0.000 |
| 0.000 | 0.000 | 0.000 | 0.000 | 5.344 | 0.000 |
| 0.000 | 0.000 | 0.000 | 0.000 | 0.000 | 5.344 |
| 6.983 | 8.169 | 8.169 | -0.000 | -0.000 | -0.000 |
| 8.169 | 6.983 | 8.169 | -0.000 | -0.000 | -0.000 |
| 8.169 | 8.169 | 6.983 | -0.000 | -0.000 | -0.000 |
| 0.000 | -0.000 | -0.000 | 5.344 | -0.000 | -0.000 |
| -0.000 | 0.000 | -0.000 | -0.000 | 5.344 | -0.000 |
| -0.000 | -0.000 | 0.000 | -0.000 | -0.000 | 5.344 |
| 6.983 | 8.169 | 8.169 | 0.000 | 0.000 | 0.000 |
| 8.169 | 6.983 | 8.169 | 0.000 | 0.000 | 0.000 |
| 8.169 | 8.169 | 6.983 | 0.000 | 0.000 | 0.000 |
| -0.000 | 0.000 | 0.000 | 5.344 | 0.000 | 0.000 |
| 0.000 | -0.000 | 0.000 | 0.000 | 5.344 | 0.000 |
| 0.000 | 0.000 | -0.000 | 0.000 | 0.000 | 5.344 |
| 6.983 | 8.169 | 8.169 | -0.000 | -0.000 | -0.000 |
| 8.169 | 6.983 | 8.169 | -0.000 | -0.000 | -0.000 |
| 8.169 | 8.169 | 6.983 | -0.000 | -0.000 | -0.000 |
| 0.000 | -0.000 | -0.000 | 5.344 | -0.000 | -0.000 |
| -0.000 | 0.000 | -0.000 | -0.000 | 5.344 | -0.000 |
| -0.000 | -0.000 | 0.000 | -0.000 | -0.000 | 5.344 |
| 6.983 | 8.169 | 8.169 | 0.000 | 0.000 | 0.000 |
| 8.169 | 6.983 | 8.169 | 0.000 | 0.000 | 0.000 |
| 8.169 | 8.169 | 6.983 | 0.000 | 0.000 | 0.000 |
| -0.000 | 0.000 | 0.000 | 5.344 | 0.000 | -0.000 |
| 0.000 | -0.000 | 0.000 | 0.000 | 5.344 | 0.000 |
| 0.000 | 0.000 | -0.000 | 0.000 | 0.000 | 5.344 |
| 1.514 | 0.757 | 0.757 | -0.000 | 0.000 | -0.000 |
| 0.757 | 1.514 | 0.757 | -0.000 | -0.000 | -0.000 |
| 0.757 | 0.757 | 1.514 | -0.000 | -0.000 | -0.000 |
| 0.000 | 0.000 | 0.000 | 0.757 | 0.000 | -0.000 |
| 0.000 | 0.000 | 0.000 | 0.000 | 0.757 | -0.000 |
| 0.000 | 0.000 | 0.000 | -0.000 | -0.000 | 0.757 |
| 1.514 | 0.757 | 0.757 | 0.000 | 0.000 | 0.000 |
| 0.757 | 1.514 | 0.757 | 0.000 | 0.000 | 0.000 |
| 0.757 | 0.757 | 1.514 | -0.000 | -0.000 | 0.000 |
| -0.000 | -0.000 | -0.000 | 0.757 | 0.000 | 0.000 |
| -0.000 | -0.000 | -0.000 | 0.000 | 0.757 | 0.000 |
| -0.000 | -0.000 | -0.000 | 0.000 | 0.000 | 0.757 |
| 1.514 | 0.757 | 0.757 | -0.000 | -0.000 | -0.000 |
| 0.757 | 1.514 | 0.757 | -0.000 | -0.000 | -0.000 |
| 0.757 | 0.757 | 1.514 | -0.000 | -0.000 | -0.000 |
| -0.000 | 0.000 | 0.000 | 0.757 | 0.000 | 0.000 |
| 0.000 | -0.000 | 0.000 | -0.000 | 0.757 | -0.000 |
| 0.000 | 0.000 | -0.000 | 0.000 | -0.000 | 0.757 |
| 1.514 | 0.757 | 0.757 | 0.000 | 0.000 | 0.000 |
| 0.757 | 1.514 | 0.757 | 0.000 | 0.000 | -0.000 |
| 0.757 | 0.757 | 1.514 | 0.000 | 0.000 | 0.000 |
| 0.000 | -0.000 | -0.000 | 0.757 | -0.000 | 0.000 |
| -0.000 | 0.000 | -0.000 | 0.000 | 0.757 | 0.000 |
| -0.000 | -0.000 | 0.000 | -0.000 | 0.000 | 0.757 |
| 1.514 | 0.757 | 0.757 | -0.000 | 0.000 | -0.000 |
| 0.757 | 1.514 | 0.757 | 0.000 | -0.000 | -0.000 |
| 0.757 | 0.757 | 1.514 | 0.000 | -0.000 | 0.000 |
| -0.000 | 0.000 | 0.000 | 0.757 | -0.000 | 0.000 |
| 0.000 | -0.000 | 0.000 | -0.000 | 0.757 | -0.000 |
| 0.000 | 0.000 | -0.000 | -0.000 | -0.000 | 0.757 |
| 1.513 | 0.757 | 0.757 | 0.000 | -0.000 | -0.000 |
| 0.757 | 1.513 | 0.757 | -0.000 | 0.000 | -0.000 |
| 0.757 | 0.757 | 1.513 | -0.000 | -0.000 | 0.000 |
| 0.000 | -0.000 | -0.000 | 0.757 | 0.000 | 0.000 |
| -0.000 | 0.000 | -0.000 | 0.000 | 0.757 | 0.000 |
| -0.000 | -0.000 | 0.000 | 0.000 | 0.000 | 0.757 |
| 341.756 | 147.813 | 99.109 | -0.000 | -0.000 | 0.000 |
| 147.813 | 341.756 | 99.109 | -0.000 | 0.000 | 0.000 |
| 98.423 | 98.423 | 326.773 | -0.000 | -0.000 | 0.000 |
| 0.000 | -0.000 | 0.000 | 40.931 | -0.000 | 0.000 |
| 0.000 | -0.000 | -0.000 | -0.000 | 40.931 | 0.000 |
| 0.000 | -0.000 | -0.000 | -0.000 | -0.000 | 66.511 |
| 319.911 | 164.702 | 96.797 | 0.000 | -0.000 | -0.000 |
| 147.813 | 341.756 | 99.109 | -0.000 | -0.000 | -0.000 |
| 98.423 | 98.423 | 326.773 | 0.000 | 0.000 | -0.000 |
| -0.000 | 0.000 | 0.000 | 40.931 | 0.000 | -0.000 |
| -0.000 | 0.000 | 0.000 | 0.000 | 40.931 | -0.000 |
| -0.000 | 0.000 | 0.000 | 0.000 | 0.000 | 66.511 |
| 341.756 | 147.813 | 99.109 | -0.000 | -0.000 | -0.000 |
| 147.813 | 341.756 | 99.109 | -0.000 | -0.000 | 0.000 |
| 99.109 | 99.109 | 327.413 | 0.000 | 0.000 | 0.000 |
| 0.000 | -0.000 | -0.000 | 40.931 | -0.000 | 0.000 |
| -0.000 | -0.000 | -0.000 | -0.000 | 42.774 | 0.000 |
| -0.000 | -0.000 | -0.000 | -0.000 | -0.000 | 69.170 |
| 319.911 | 164.702 | 96.797 | 0.000 | -0.000 | -0.000 |
| 177.542 | 310.538 | 98.414 | 0.000 | 0.000 | -0.000 |
| 99.109 | 99.109 | 327.413 | -0.000 | -0.000 | -0.000 |
| -0.000 | 0.000 | 0.000 | 40.931 | 0.000 | -0.000 |
| 0.000 | 0.000 | 0.000 | 0.000 | 42.774 | -0.000 |
| 0.000 | 0.000 | 0.000 | 0.000 | 0.000 | 69.170 |
| 341.757 | 147.813 | 99.109 | 0.000 | 0.000 | 0.000 |
| 147.814 | 341.757 | 99.109 | -0.000 | 0.000 | 0.000 |
| 99.109 | 99.109 | 327.412 | 0.000 | 0.000 | 0.000 |
| 0.000 | -0.000 | -0.000 | 40.931 | 0.000 | 0.000 |
| -0.000 | -0.000 | -0.000 | -0.000 | 42.774 | 0.000 |
| -0.001 | -0.000 | -0.000 | -0.000 | -0.000 | 69.170 |
| 319.910 | 164.703 | 96.797 | 0.000 | 0.000 | -0.000 |
| 164.702 | 319.911 | 96.797 | 0.000 | 0.000 | -0.000 |
| 99.109 | 99.109 | 327.414 | 0.000 | -0.000 | -0.000 |
| -0.000 | 0.000 | 0.000 | 40.931 | 0.000 | -0.000 |
| 0.000 | 0.000 | 0.000 | 0.000 | 42.774 | -0.000 |
| 0.001 | 0.000 | 0.000 | 0.000 | 0.000 | 69.170 |
| 341.715 | 147.761 | 99.082 | 0.000 | -0.000 | 0.000 |
| 147.761 | 341.715 | 99.082 | -0.000 | -0.000 | 0.000 |
| 99.077 | 99.077 | 327.461 | 0.000 | -0.000 | -0.000 |
| 0.000 | -0.000 | 0.000 | 42.799 | -0.000 | 0.000 |
| 0.008 | 0.008 | 0.007 | 0.000 | 40.956 | -0.000 |
| 0.000 | 0.000 | 0.000 | -0.000 | -0.000 | 66.592 |
| 341.715 | 147.761 | 99.082 | -0.000 | 0.000 | -0.000 |
| 147.761 | 341.715 | 99.082 | -0.000 | 0.000 | -0.000 |
| 98.395 | 98.395 | 326.819 | -0.000 | 0.000 | 0.000 |
| -0.000 | 0.000 | -0.000 | 42.799 | 0.000 | -0.000 |
| -0.008 | -0.008 | -0.007 | -0.000 | 40.957 | 0.000 |
| -0.000 | -0.000 | -0.000 | 0.000 | 0.000 | 66.592 |
| 341.715 | 147.761 | 99.082 | 0.000 | -0.000 | -0.000 |
| 147.761 | 341.715 | 99.082 | -0.000 | -0.000 | -0.000 |
| 99.077 | 99.077 | 327.461 | 0.000 | -0.000 | 0.000 |
| -0.000 | -0.000 | -0.000 | 42.799 | -0.000 | -0.000 |
| -0.000 | -0.000 | -0.000 | -0.000 | 42.799 | -0.000 |
| -0.000 | 0.000 | -0.000 | 0.000 | -0.000 | 96.977 |
| 341.715 | 147.761 | 99.082 | -0.000 | 0.000 | -0.000 |
| 164.731 | 319.852 | 96.780 | -0.000 | 0.000 | -0.000 |
| 98.397 | 98.397 | 326.821 | -0.000 | 0.000 | 0.000 |
| 0.000 | 0.000 | 0.000 | 42.799 | 0.000 | -0.000 |
| 0.000 | 0.000 | 0.000 | -0.000 | 42.799 | 0.000 |
| 0.000 | -0.000 | 0.000 | 0.000 | 0.000 | 96.977 |
| 319.850 | 164.733 | 96.780 | 0.000 | -0.000 | 0.000 |
| 147.762 | 341.716 | 99.082 | 0.000 | -0.000 | 0.000 |
| 99.077 | 99.077 | 327.460 | 0.000 | -0.000 | -0.000 |
| 0.000 | -0.000 | 0.000 | 40.956 | -0.000 | 0.000 |
| -0.000 | -0.000 | -0.000 | 0.000 | 42.799 | -0.000 |
| -0.000 | 0.000 | -0.000 | 0.000 | -0.000 | 96.977 |
| 310.689 | 177.515 | 98.484 | 0.000 | 0.000 | 0.000 |
| 147.761 | 341.715 | 99.082 | -0.000 | 0.000 | 0.000 |
| 99.077 | 99.077 | 327.463 | 0.000 | 0.000 | -0.000 |
| -0.000 | 0.000 | -0.000 | 40.956 | 0.000 | 0.000 |
| 0.000 | 0.000 | 0.000 | -0.000 | 42.799 | -0.000 |
| 0.000 | -0.000 | 0.000 | 0.000 | 0.000 | 96.977 |
| 317.864 | 154.756 | 74.506 | 0.000 | 0.000 | 0.000 |
| 154.756 | 317.864 | 74.506 | -0.000 | -0.000 | 0.000 |
| 95.510 | 95.510 | 334.969 | -0.000 | 0.000 | 0.000 |
| 0.000 | -0.000 | 0.000 | 42.938 | 0.000 | 0.000 |
| -0.000 | -0.000 | 0.000 | 0.000 | 42.938 | 0.000 |
| -0.000 | -0.000 | -0.000 | 0.000 | -0.000 | 95.044 |
| 327.052 | 136.965 | 95.510 | 0.000 | 0.000 | -0.000 |
| 136.965 | 327.052 | 95.510 | -0.000 | -0.000 | -0.000 |
| 91.331 | 91.331 | 355.375 | 0.000 | 0.000 | -0.000 |
| 0.000 | 0.000 | 0.000 | 42.938 | 0.000 | -0.000 |
| 0.000 | 0.000 | -0.000 | -0.000 | 42.938 | -0.000 |
| 0.000 | 0.000 | 0.000 | -0.000 | 0.000 | 95.043 |
| 327.052 | 136.965 | 95.510 | -0.000 | -0.000 | 0.000 |
| 136.965 | 327.052 | 95.510 | -0.000 | 0.000 | 0.000 |
| 95.510 | 95.510 | 334.969 | -0.000 | -0.000 | 0.000 |
| -0.000 | -0.000 | -0.000 | 42.938 | -0.000 | 0.000 |
| 0.429 | 0.429 | -2.095 | -0.000 | 42.917 | 0.000 |
| -0.000 | -0.000 | -0.000 | 0.000 | -0.000 | 95.044 |
| 305.693 | 156.934 | 98.904 | 0.000 | 0.000 | -0.000 |
| 170.386 | 292.733 | 97.702 | -0.000 | -0.000 | -0.000 |
| 95.510 | 95.510 | 334.969 | 0.000 | -0.000 | -0.000 |
| 0.000 | 0.000 | 0.000 | 42.938 | 0.000 | -0.000 |
| -0.429 | -0.429 | 2.095 | 0.000 | 42.917 | -0.000 |
| 0.000 | 0.000 | 0.000 | -0.000 | 0.000 | 95.044 |
| 293.372 | 170.752 | 95.243 | -0.000 | -0.000 | 0.000 |
| 170.753 | 293.371 | 95.243 | -0.000 | 0.000 | 0.000 |
| 95.656 | 95.656 | 334.252 | -0.000 | 0.000 | 0.000 |
| -0.000 | -0.000 | -0.000 | 42.938 | -0.000 | 0.000 |
| 0.042 | 0.043 | -0.209 | 0.000 | 42.818 | 0.000 |
| -0.000 | -0.000 | -0.000 | -0.000 | 0.000 | 95.044 |
| 293.800 | 169.902 | 96.284 | 0.000 | -0.000 | -0.000 |
| 136.965 | 327.053 | 95.510 | 0.000 | 0.000 | -0.000 |
| 95.510 | 95.510 | 334.970 | 0.000 | 0.000 | -0.000 |
| 0.000 | 0.000 | 0.000 | 42.938 | 0.000 | -0.000 |
| -0.042 | -0.043 | 0.209 | 0.000 | 42.818 | -0.000 |
| 0.000 | 0.000 | 0.000 | -0.000 | -0.000 | 95.044 |
| 294.437 | 170.518 | 96.189 | -0.000 | 0.000 | 0.000 |
| 170.518 | 294.437 | 96.189 | -0.000 | 0.000 | 0.000 |
| 95.597 | 95.597 | 330.970 | 0.000 | 0.000 | 0.000 |
| 0.000 | -0.000 | -0.000 | 42.881 | 0.000 | 0.000 |
| -0.000 | -0.000 | 0.000 | 0.000 | 42.881 | -0.000 |
| -0.000 | -0.000 | -0.000 | 0.000 | 0.000 | 95.344 |
| 294.472 | 170.447 | 96.285 | -0.000 | -0.000 | -0.000 |
| 137.167 | 327.855 | 96.007 | -0.000 | -0.000 | 0.000 |
| 95.597 | 95.597 | 330.970 | -0.000 | -0.000 | 0.000 |
| -0.000 | 0.000 | 0.000 | 42.881 | -0.000 | -0.000 |
| -0.000 | 0.000 | -0.000 | -0.000 | 42.881 | -0.000 |
| 0.000 | 0.000 | 0.000 | -0.000 | -0.000 | 95.344 |
| 294.364 | 170.648 | 96.035 | 0.000 | 0.000 | 0.000 |
| 137.167 | 327.855 | 96.007 | 0.000 | 0.000 | -0.000 |
| 95.689 | 95.689 | 330.470 | 0.000 | 0.000 | -0.000 |
| -0.000 | -0.000 | -0.000 | 42.881 | 0.000 | 0.000 |
| 0.002 | 0.002 | -0.011 | 0.000 | 42.745 | 0.000 |
| 0.001 | 0.001 | -0.005 | 0.000 | 0.000 | 61.920 |
| 294.454 | 170.481 | 96.242 | -0.000 | -0.000 | -0.000 |
| 137.167 | 327.855 | 96.007 | -0.000 | -0.000 | -0.000 |
| 95.689 | 95.689 | 330.474 | -0.000 | -0.000 | 0.000 |
| 0.000 | 0.000 | 0.000 | 42.881 | -0.000 | -0.000 |
| -0.002 | -0.002 | 0.011 | -0.000 | 42.745 | -0.000 |
| -0.001 | -0.001 | 0.005 | -0.000 | -0.000 | 61.920 |
| 327.854 | 137.167 | 96.007 | 0.000 | 0.000 | 0.000 |
| 170.486 | 294.449 | 96.237 | 0.000 | 0.000 | 0.000 |
| 95.689 | 95.689 | 330.471 | 0.000 | 0.000 | -0.000 |
| -0.000 | -0.000 | -0.000 | 42.881 | 0.000 | 0.000 |
| -0.000 | 0.000 | -0.001 | 0.000 | 42.745 | 0.000 |
| -0.002 | -0.000 | 0.001 | 0.000 | 0.000 | 61.785 |
| 327.856 | 137.167 | 96.007 | -0.000 | -0.000 | -0.000 |
| 137.167 | 327.856 | 96.007 | 0.000 | -0.000 | -0.000 |
| 95.596 | 95.596 | 330.971 | 0.000 | -0.000 | 0.000 |
| 0.000 | 0.000 | 0.000 | 42.881 | -0.000 | -0.000 |
| 0.000 | -0.000 | 0.001 | -0.000 | 42.745 | -0.000 |
| 0.002 | 0.000 | -0.001 | -0.000 | -0.000 | 61.785 |
| 366.447 | 33.018 | 33.018 | -0.000 | 0.000 | -0.000 |
| 33.018 | 366.447 | 33.018 | -0.000 | -0.000 | -0.000 |
| 33.018 | 33.018 | 366.447 | -0.000 | -0.000 | -0.000 |
| -0.000 | 0.000 | -0.000 | -10.731 | -0.000 | 0.000 |
| 0.000 | -0.000 | -0.000 | -0.000 | -10.731 | 0.000 |
| 0.000 | -0.000 | -0.000 | -0.000 | 0.000 | -10.731 |
| 362.223 | 35.130 | 35.130 | 0.000 | 0.000 | 0.000 |
| 35.130 | 362.223 | 35.130 | 0.000 | -0.000 | 0.000 |
| 35.130 | 35.130 | 362.223 | 0.000 | 0.000 | 0.000 |
| 0.000 | 0.000 | 0.000 | -10.731 | 0.000 | 0.000 |
| -0.000 | 0.000 | 0.000 | 0.000 | -10.731 | 0.000 |
| 0.000 | 0.000 | 0.000 | 0.000 | -0.000 | -10.731 |
| 366.447 | 33.018 | 33.018 | -0.000 | -0.000 | -0.000 |
| 33.018 | 366.447 | 33.018 | -0.000 | -0.000 | -0.000 |
| 33.018 | 33.018 | 366.447 | -0.000 | -0.000 | -0.000 |
| -58952842.831 | -54119942.090 | -57882275.561 | -369686.810 | -575761.188 | -72546.701 |
| -60664734.978 | -63146786.834 | -60693528.731 | 528810.603 | -1200509.953 | -535818.164 |
| -52771067.746 | -51247942.333 | -52940396.355 | 541685.171 | -346711.086 | -50811.927 |
| 366.447 | 33.018 | 33.018 | 0.000 | -0.000 | -0.000 |
| 33.018 | 366.447 | 33.018 | 0.000 | -0.000 | 0.000 |
| 33.018 | 33.018 | 366.447 | 0.000 | -0.000 | 0.000 |
| 60106204.489 | 61076563.273 | 59111132.225 | -751935.584 | -30437.277 | 906540.207 |
| 57241490.033 | 56939207.358 | 54894381.025 | -761106.122 | -127706.104 | 872205.464 |
| 49922992.334 | 52142280.503 | 50855541.599 | 749238.882 | -24336.531 | -2121215.910 |
| 366.449 | 33.018 | 33.018 | -0.000 | 0.000 | -0.000 |
| 33.018 | 366.449 | 33.018 | 0.000 | -0.000 | 0.000 |
| 33.018 | 33.018 | 366.449 | -0.000 | 0.000 | -0.000 |
| -110603.843 | 1065567.338 | 1065557.335 | -4972083.165 | 0.000 | 0.000 |
| 1065567.343 | -110603.843 | 1065557.330 | -0.000 | -4972083.165 | -0.000 |
| 1065567.338 | 1065557.335 | -110603.843 | -0.000 | -0.000 | -4972083.165 |
| 362.221 | 35.131 | 35.131 | 0.000 | 0.000 | 0.000 |
| 35.131 | 362.221 | 35.131 | 0.000 | 0.000 | -0.000 |
| 35.131 | 35.131 | 362.221 | 0.000 | 0.000 | -0.000 |
| 110603.843 | -1065567.338 | -1065557.334 | -4972083.165 | -0.000 | 0.000 |
| -1065567.343 | 110603.843 | -1065557.329 | 0.000 | -4972083.165 | -0.000 |
| -1065567.338 | -1065557.334 | 110603.843 | -0.000 | 0.000 | -4972083.165 |
| 26.741 | 38.797 | 38.797 | -0.000 | 0.000 | -0.000 |
| 38.797 | 26.741 | 38.797 | -0.000 | -0.000 | -0.000 |
| 38.797 | 38.797 | 26.741 | -0.000 | 0.000 | -0.000 |
| -0.000 | -0.000 | -0.000 | 18.742 | 0.000 | -0.000 |
| -0.000 | -0.000 | -0.000 | -0.000 | 18.742 | -0.000 |
| -0.000 | -0.000 | -0.000 | -0.000 | 0.000 | 18.742 |
| 45511452.051 | 43092354.682 | 71302252.963 | -942893.572 | -3453913.112 | -1003880.220 |
| 69463671.767 | 52999259.444 | 39374428.069 | -260921.698 | 1948810.712 | -28786.713 |
| 24185829.516 | 63123243.865 | 37695391.923 | -4508567.017 | -13448.875 | -2739436.717 |
| 0.000 | 0.000 | 0.000 | 18.742 | -0.000 | 0.000 |
| 0.000 | 0.000 | 0.000 | 0.000 | 18.742 | 0.000 |
| 0.000 | 0.000 | 0.000 | 0.000 | -0.000 | 18.742 |
| -2614550.042 | -7306437.164 | -5584144.021 | -779750.804 | 147199.740 | 263349.243 |
| -5650763.322 | -2634312.802 | -8836986.398 | 119902.006 | -631559.499 | 141427.885 |
| -7593492.185 | -4430749.636 | -2830964.888 | 109628.467 | 199572.462 | -717002.166 |
| -0.000 | -0.000 | -0.000 | 18.742 | 0.000 | -0.000 |
| -0.000 | -0.000 | -0.000 | -0.000 | 18.742 | -0.000 |
| -0.000 | -0.000 | -0.000 | -0.000 | 0.000 | 18.742 |
| 3970882.313 | 2640064.130 | 5587832.258 | -28096.716 | -130665.367 | -51832.437 |
| 5384260.467 | 2593357.841 | 2771077.995 | 199059.366 | 85557.538 | 124363.366 |
| 3539955.087 | 6025173.625 | 3029898.825 | 137565.522 | -231874.575 | 383044.637 |
| 0.000 | 0.000 | 0.000 | 18.742 | 0.000 | -0.000 |
| 0.000 | 0.000 | 0.000 | 0.000 | 18.742 | 0.000 |
| 0.000 | 0.000 | 0.000 | 0.000 | 0.000 | 18.742 |
| -333427.650 | -807010.142 | -452180.565 | -6462.209 | -20479.000 | 34992.922 |
| -466201.497 | -198658.771 | -762046.738 | -25389.902 | -51345.423 | 34349.285 |
| -888308.089 | -370373.221 | -276983.561 | -43834.622 | 44739.282 | 82393.298 |
| -0.000 | -0.001 | -0.001 | 18.742 | 0.000 | -0.000 |
| -0.001 | -0.000 | -0.001 | -0.000 | 18.742 | -0.000 |
| -0.001 | -0.001 | -0.000 | -0.000 | 0.000 | 18.742 |
| -5461120.241 | -1279408.958 | -1279408.955 | 0.000 | 0.000 | -0.000 |
| -1279408.955 | -5461120.241 | -1279408.958 | -0.000 | -0.000 | 0.000 |
| -1279408.958 | -1279408.955 | -5461120.241 | 0.000 | -0.000 | 0.000 |
| 0.000 | 0.001 | 0.001 | 18.742 | -0.000 | 0.000 |
| 0.001 | 0.000 | 0.001 | 0.000 | 18.742 | 0.000 |
| 0.001 | 0.001 | 0.000 | 0.000 | 0.000 | 18.742 |
| 16927307.331 | 70190093.384 | 49844416.391 | 65391.781 | -338939.432 | -78042.122 |
| 49984191.702 | 16735352.893 | 70028170.475 | -131747.990 | 15779.986 | 103295.403 |
| 71145538.111 | 48915657.849 | 17353033.442 | -169777.716 | 235590.062 | 68332.230 |
| 0.000 | -0.000 | -0.000 | 0.317 | -0.000 | -0.000 |
| -0.000 | 0.000 | -0.000 | -0.000 | 0.317 | -0.000 |
| -0.000 | -0.000 | 0.000 | -0.000 | -0.000 | 0.317 |
| -89632096.652 | -32188980.203 | -20808814.747 | 44152.102 | -103901.378 | 135725.449 |
| -20743143.869 | -90832881.390 | -32859286.287 | 138471.606 | 130407.726 | 115156.037 |
| -32623474.294 | -21484405.107 | -91416679.498 | -61914.893 | -30614.004 | 195992.817 |
| -0.000 | 0.000 | 0.000 | 0.317 | 0.000 | -0.000 |
| 0.000 | -0.000 | 0.000 | 0.000 | 0.317 | 0.000 |
| 0.000 | 0.000 | -0.000 | 0.000 | 0.000 | 0.317 |
| 1663927.729 | 6563582.795 | 4822883.325 | -11589.304 | 30764.209 | -12118.690 |
| 4866036.733 | 1645698.548 | 6585767.856 | -27112.205 | -14237.106 | 6795.248 |
| 6611079.927 | 4863765.399 | 1695516.380 | 5577.795 | -17890.344 | -24302.913 |
| 0.000 | -0.000 | -0.000 | 0.317 | -0.000 | -0.000 |
| -0.000 | 0.000 | -0.000 | -0.000 | 0.317 | -0.000 |
| -0.000 | -0.000 | 0.000 | -0.000 | -0.000 | 0.317 |
| -9068035.107 | -3183618.331 | -1932936.617 | -399.644 | 10696.092 | -1685.677 |
| -1876454.050 | -9032218.341 | -3133138.813 | -670.852 | 8196.577 | 21104.126 |
| -3134887.092 | -1908692.521 | -9059812.991 | 13978.604 | 8843.783 | 17023.005 |
| -0.000 | 0.000 | 0.000 | 0.317 | 0.000 | -0.000 |
| 0.000 | -0.000 | 0.000 | 0.000 | 0.317 | 0.000 |
| 0.000 | 0.000 | -0.000 | 0.000 | 0.000 | 0.317 |
| 176371.662 | 697569.510 | 499537.297 | -182.903 | -843.219 | -1029.943 |
| 504526.220 | 176582.503 | 690224.610 | -1117.627 | -567.902 | 2970.691 |
| 690194.484 | 509730.299 | 182107.647 | 2246.300 | -963.863 | 116.614 |
| 0.000 | -0.000 | -0.000 | 0.317 | -0.000 | -0.000 |
| -0.000 | 0.000 | -0.000 | 0.000 | 0.317 | -0.000 |
| -0.000 | -0.000 | 0.000 | -0.000 | 0.000 | 0.317 |
| -889458.211 | -315771.733 | -183374.949 | -285.138 | 948.319 | 506.561 |
| -182908.187 | -899511.762 | -323695.777 | -873.665 | -599.166 | -1038.821 |
| -323031.425 | -188183.556 | -896974.795 | -1111.819 | -574.712 | -988.773 |
| -0.000 | 0.000 | 0.000 | 0.317 | 0.000 | 0.000 |
| 0.000 | -0.000 | 0.000 | 0.000 | 0.317 | 0.000 |
| 0.000 | 0.000 | -0.000 | 0.000 | -0.000 | 0.317 |
| 1.054 | 0.000 | 0.000 | -0.000 | 0.000 | 0.000 |
| 0.000 | 1.054 | 0.000 | -0.000 | 0.000 | -0.000 |
| 0.000 | 0.000 | 1.054 | -0.000 | 0.000 | -0.000 |
| 0.000 | 0.000 | 0.000 | 0.000 | -0.000 | 0.000 |
| 0.000 | 0.000 | 0.000 | -0.000 | 0.000 | -0.000 |
| 0.000 | 0.000 | 0.000 | -0.000 | 0.000 | 0.000 |
| 1.054 | -0.000 | -0.000 | 0.000 | 0.000 | -0.000 |
| -0.000 | 1.054 | -0.000 | -0.000 | -0.000 | -0.000 |
| -0.000 | -0.000 | 1.054 | -0.000 | 0.000 | 0.000 |
| -0.000 | -0.000 | -0.000 | 0.000 | 0.000 | -0.000 |
| -0.000 | -0.000 | -0.000 | 0.000 | 0.000 | 0.000 |
| -0.000 | -0.000 | -0.000 | 0.000 | -0.000 | 0.000 |
| 1.054 | 0.000 | 0.000 | -0.000 | -0.000 | 0.000 |
| 0.000 | 1.054 | 0.000 | 0.000 | 0.000 | 0.000 |
| 0.000 | 0.000 | 1.054 | 0.000 | -0.000 | -0.000 |
| 0.000 | 0.000 | -0.000 | 0.000 | 0.000 | 0.000 |
| 0.000 | 0.000 | -0.000 | 0.000 | 0.000 | -0.000 |
| 0.000 | -0.000 | 0.000 | -0.000 | 0.000 | 0.000 |
| 1.054 | 0.000 | 0.000 | -0.000 | -0.000 | 0.000 |
| 0.000 | 1.054 | 0.000 | -0.000 | -0.000 | 0.000 |
| 0.000 | 0.000 | 1.054 | 0.000 | -0.000 | 0.000 |
| -0.000 | -0.000 | 0.000 | 0.000 | -0.000 | 0.000 |
| -0.000 | -0.000 | 0.000 | -0.000 | 0.000 | -0.000 |
| -0.000 | 0.000 | -0.000 | 0.000 | 0.000 | 0.000 |
| 1.054 | 0.000 | 0.000 | -0.000 | 0.000 | -0.000 |
| 0.000 | 1.054 | 0.000 | -0.000 | 0.000 | 0.000 |
| 0.000 | 0.000 | 1.054 | 0.000 | -0.000 | -0.000 |
| 0.000 | 0.000 | -0.000 | 0.000 | 0.000 | 0.000 |
| 0.000 | 0.000 | -0.000 | 0.000 | 0.000 | 0.000 |
| 0.000 | -0.000 | 0.000 | -0.000 | -0.000 | 0.000 |
| 1.054 | -0.000 | -0.000 | 0.000 | 0.000 | -0.000 |
| -0.000 | 1.054 | -0.000 | -0.000 | -0.000 | -0.000 |
| -0.000 | -0.000 | 1.054 | 0.000 | -0.000 | 0.000 |
| -0.000 | -0.000 | 0.000 | 0.000 | -0.000 | 0.000 |
| -0.000 | -0.000 | 0.000 | -0.000 | 0.000 | 0.000 |
| -0.000 | 0.000 | -0.000 | 0.000 | -0.000 | 0.000 |
| 129.412 | 225.563 | 225.563 | 0.000 | -0.000 | -0.000 |
| 225.563 | 129.412 | 225.563 | 0.000 | -0.000 | -0.000 |
| 225.563 | 225.563 | 129.412 | 0.000 | -0.000 | -0.000 |
| -0.000 | -0.000 | -0.000 | 91.543 | -0.000 | -0.000 |
| -0.000 | 0.000 | -0.000 | -0.000 | 91.543 | -0.000 |
| -0.000 | -0.000 | -0.000 | 0.000 | -0.000 | 91.543 |
| 129.412 | 225.563 | 225.563 | -0.000 | 0.000 | 0.000 |
| 225.563 | 129.412 | 225.563 | -0.000 | 0.000 | 0.000 |
| 225.563 | 225.563 | 129.412 | -0.000 | -0.000 | -0.000 |
| 0.000 | 0.000 | 0.000 | 91.543 | 0.000 | 0.000 |
| 0.000 | -0.000 | 0.000 | 0.000 | 91.543 | 0.000 |
| 0.000 | 0.000 | 0.000 | 0.000 | 0.000 | 91.543 |
| 129.412 | 225.563 | 225.563 | -0.000 | -0.000 | -0.000 |
| 225.563 | 129.412 | 225.563 | 0.000 | -0.000 | -0.000 |
| 225.563 | 225.563 | 129.412 | 0.000 | 0.000 | -0.000 |
| 0.000 | -0.000 | -0.000 | 91.543 | -0.000 | -0.000 |
| -0.000 | 0.000 | -0.000 | -0.000 | 91.543 | -0.000 |
| -0.000 | -0.000 | 0.000 | -0.000 | -0.000 | 91.543 |
| 129.412 | 225.563 | 225.563 | 0.000 | 0.000 | 0.000 |
| 225.563 | 129.412 | 225.563 | 0.000 | -0.000 | 0.000 |
| 225.563 | 225.563 | 129.412 | 0.000 | 0.000 | -0.000 |
| -0.000 | 0.000 | 0.000 | 91.543 | 0.000 | 0.000 |
| 0.000 | -0.000 | 0.000 | 0.000 | 91.543 | 0.000 |
| 0.000 | 0.000 | -0.000 | 0.000 | 0.000 | 91.543 |
| 129.411 | 225.563 | 225.563 | 0.000 | 0.000 | -0.000 |
| 225.563 | 129.411 | 225.563 | 0.000 | -0.000 | -0.000 |
| 225.563 | 225.563 | 129.411 | 0.000 | -0.000 | -0.000 |
| 0.000 | -0.000 | -0.000 | 91.543 | -0.000 | -0.000 |
| -0.000 | 0.000 | -0.000 | 0.000 | 91.543 | -0.000 |
| -0.000 | -0.000 | 0.000 | 0.000 | -0.000 | 91.543 |
| 129.414 | 225.563 | 225.563 | 0.000 | 0.000 | 0.000 |
| 225.563 | 129.414 | 225.563 | -0.000 | 0.000 | 0.000 |
| 225.563 | 225.563 | 129.414 | -0.000 | -0.000 | 0.000 |
| -0.000 | 0.000 | 0.000 | 91.543 | 0.000 | 0.000 |
| 0.000 | -0.000 | 0.000 | -0.000 | 91.543 | 0.000 |
| 0.000 | 0.000 | -0.000 | 0.000 | 0.000 | 91.543 |
| 86.954 | 86.954 | 86.954 | -0.000 | -0.000 | 0.000 |
| 86.954 | 86.954 | 86.954 | -0.000 | -0.000 | 0.000 |
| 86.954 | 86.954 | 86.954 | -0.000 | -0.000 | 0.000 |
| 0.000 | 0.000 | 0.000 | 89.358 | 0.000 | 0.000 |
| 0.000 | 0.000 | 0.000 | 0.000 | 89.358 | 0.000 |
| 0.000 | 0.000 | 0.000 | 0.000 | 0.000 | 89.358 |
| 86.954 | 86.954 | 86.954 | 0.000 | 0.000 | -0.000 |
| 86.954 | 86.954 | 86.954 | 0.000 | 0.000 | -0.000 |
| 86.954 | 86.954 | 86.954 | 0.000 | 0.000 | -0.000 |
| -0.000 | -0.000 | -0.000 | 89.358 | -0.000 | -0.000 |
| -0.000 | -0.000 | -0.000 | -0.000 | 89.358 | -0.000 |
| -0.000 | -0.000 | -0.000 | -0.000 | -0.000 | 89.358 |
| 86.954 | 86.954 | 86.954 | -0.000 | -0.000 | 0.000 |
| 86.954 | 86.954 | 86.954 | -0.000 | -0.000 | 0.000 |
| 86.954 | 86.954 | 86.954 | -0.000 | -0.000 | 0.000 |
| 0.000 | 0.000 | 0.000 | 72.703 | -0.000 | 0.000 |
| 0.000 | 0.000 | 0.000 | -0.000 | 72.703 | 0.000 |
| 0.000 | 0.000 | 0.000 | 0.000 | -0.000 | 72.703 |
| 86.954 | 86.953 | 86.953 | 0.000 | 0.000 | -0.000 |
| 86.953 | 86.954 | 86.953 | 0.000 | 0.000 | -0.000 |
| 86.953 | 86.953 | 86.954 | 0.000 | 0.000 | -0.000 |
| -0.000 | -0.000 | -0.000 | 72.703 | -0.000 | 0.000 |
| -0.000 | -0.000 | -0.000 | -0.000 | 72.703 | -0.000 |
| -0.000 | -0.000 | -0.000 | -0.000 | -0.000 | 72.703 |
| 86.955 | 86.955 | 86.955 | -0.000 | -0.000 | 0.000 |
| 86.955 | 86.955 | 86.955 | -0.000 | -0.000 | 0.000 |
| 86.955 | 86.955 | 86.955 | -0.000 | -0.000 | 0.000 |
| 0.001 | 0.001 | 0.001 | 72.703 | 0.000 | 0.000 |
| 0.001 | 0.001 | 0.001 | 0.000 | 72.703 | 0.000 |
| 0.001 | 0.001 | 0.001 | -0.000 | 0.000 | 72.703 |
| 86.953 | 86.952 | 86.952 | 0.000 | -0.000 | 0.000 |
| 86.952 | 86.953 | 86.952 | -0.000 | 0.000 | 0.000 |
| 86.952 | 86.952 | 86.953 | 0.000 | 0.000 | -0.000 |
| -0.001 | -0.001 | -0.001 | 72.703 | -0.000 | -0.000 |
| -0.001 | -0.001 | -0.001 | -0.000 | 72.703 | -0.000 |
| -0.001 | -0.001 | -0.001 | -0.000 | -0.000 | 72.703 |
| 3.731 | 3.731 | 3.731 | -0.000 | -0.000 | 0.000 |
| 3.731 | 3.731 | 3.731 | -0.000 | -0.000 | 0.000 |
| 3.731 | 3.731 | 3.731 | -0.000 | -0.000 | -0.000 |
| 0.000 | 0.000 | 0.000 | 3.732 | 0.000 | 0.000 |
| 0.000 | 0.000 | 0.000 | 0.000 | 3.732 | 0.000 |
| 0.000 | 0.000 | 0.000 | 0.000 | -0.000 | 3.732 |
| 3.731 | 3.731 | 3.731 | 0.000 | 0.000 | -0.000 |
| 3.731 | 3.731 | 3.731 | 0.000 | 0.000 | -0.000 |
| 3.731 | 3.731 | 3.731 | 0.000 | 0.000 | 0.000 |
| -0.000 | -0.000 | -0.000 | 3.732 | 0.000 | -0.000 |
| -0.000 | -0.000 | -0.000 | 0.000 | 3.732 | -0.000 |
| -0.000 | -0.000 | -0.000 | 0.000 | 0.000 | 3.732 |
| 3.731 | 3.731 | 3.731 | -0.000 | 0.000 | 0.000 |
| 3.731 | 3.731 | 3.731 | 0.000 | -0.000 | 0.000 |
| 3.731 | 3.731 | 3.731 | -0.000 | -0.000 | -0.000 |
| 0.000 | 0.000 | 0.000 | 2.911 | -0.000 | 0.000 |
| 0.000 | 0.000 | 0.000 | -0.000 | 2.911 | 0.000 |
| 0.000 | 0.000 | 0.000 | -0.000 | -0.000 | 2.911 |
| 3.731 | 3.731 | 3.731 | -0.000 | -0.000 | 0.000 |
| 3.731 | 3.731 | 3.731 | -0.000 | -0.000 | 0.000 |
| 3.731 | 3.731 | 3.731 | -0.000 | -0.000 | 0.000 |
| -0.000 | -0.000 | -0.000 | 2.911 | 0.000 | -0.000 |
| -0.000 | -0.000 | -0.000 | 0.000 | 2.911 | -0.000 |
| -0.000 | -0.000 | -0.000 | 0.000 | 0.000 | 2.911 |
| 3.732 | 3.732 | 3.732 | -0.000 | -0.000 | -0.000 |
| 3.732 | 3.732 | 3.732 | -0.000 | -0.000 | -0.000 |
| 3.732 | 3.732 | 3.732 | -0.000 | -0.000 | -0.000 |
| 0.000 | 0.000 | 0.000 | 2.586 | 0.000 | -0.000 |
| 0.000 | 0.000 | 0.000 | 0.000 | 2.586 | -0.000 |
| 0.000 | 0.000 | 0.000 | 0.000 | -0.000 | 2.586 |
| 3.731 | 3.731 | 3.731 | -0.000 | -0.000 | -0.000 |
| 3.731 | 3.731 | 3.731 | -0.000 | -0.000 | -0.000 |
| 3.731 | 3.731 | 3.731 | -0.000 | -0.000 | -0.000 |
| -0.000 | -0.000 | -0.000 | 2.586 | -0.000 | 0.000 |
| -0.000 | -0.000 | -0.000 | -0.000 | 2.586 | 0.000 |
| -0.000 | -0.000 | -0.000 | 0.000 | 0.000 | 2.586 |
| 238.802 | 146.682 | 146.682 | 0.000 | -0.000 | 0.000 |
| 146.682 | 238.802 | 146.682 | 0.000 | -0.000 | 0.000 |
| 146.682 | 146.682 | 238.802 | 0.000 | 0.000 | 0.000 |
| 0.000 | -0.000 | 0.000 | 124.317 | 0.000 | 0.000 |
| 0.000 | 0.000 | 0.000 | 0.000 | 124.317 | 0.000 |
| -0.000 | 0.000 | 0.000 | -0.000 | -0.000 | 124.317 |
| 238.802 | 146.682 | 146.682 | -0.000 | 0.000 | -0.000 |
| 146.682 | 238.802 | 146.682 | -0.000 | 0.000 | -0.000 |
| 146.682 | 146.682 | 238.802 | -0.000 | -0.000 | -0.000 |
| -0.000 | -0.000 | -0.000 | 124.317 | -0.000 | -0.000 |
| 0.000 | -0.000 | -0.000 | -0.000 | 124.317 | -0.000 |
| 0.000 | -0.000 | -0.000 | -0.000 | -0.000 | 124.317 |
| 238.802 | 146.682 | 146.682 | 0.000 | -0.000 | 0.000 |
| 146.682 | 238.802 | 146.682 | -0.000 | -0.000 | 0.000 |
| 146.682 | 146.682 | 238.802 | 0.000 | 0.000 | 0.000 |
| -0.000 | -0.000 | 0.000 | 124.317 | 0.000 | 0.000 |
| -0.000 | -0.000 | 0.000 | 0.000 | 124.317 | 0.000 |
| -0.000 | 0.000 | -0.000 | 0.000 | -0.000 | 124.317 |
| 238.802 | 146.683 | 146.683 | -0.000 | 0.000 | -0.000 |
| 146.683 | 238.802 | 146.683 | -0.000 | -0.000 | -0.000 |
| 146.683 | 146.683 | 238.802 | -0.000 | -0.000 | -0.000 |
| 0.000 | 0.000 | -0.000 | 124.317 | -0.000 | -0.000 |
| 0.000 | 0.000 | -0.000 | -0.000 | 124.317 | -0.000 |
| 0.000 | -0.000 | 0.000 | -0.000 | 0.000 | 124.317 |
| 238.800 | 146.682 | 146.682 | 0.000 | -0.000 | 0.000 |
| 146.682 | 238.800 | 146.682 | 0.000 | -0.000 | 0.000 |
| 146.682 | 146.682 | 238.800 | 0.000 | 0.000 | 0.000 |
| -0.000 | -0.000 | 0.000 | 124.317 | 0.000 | 0.000 |
| -0.000 | -0.000 | 0.000 | 0.000 | 124.317 | 0.000 |
| -0.000 | 0.000 | -0.000 | 0.000 | 0.000 | 124.317 |
| 238.804 | 146.683 | 146.683 | -0.000 | -0.000 | -0.000 |
| 146.683 | 238.804 | 146.683 | -0.000 | -0.000 | -0.000 |
| 146.683 | 146.683 | 238.804 | -0.000 | 0.000 | -0.000 |
| 0.000 | 0.000 | -0.000 | 124.317 | -0.000 | -0.000 |
| 0.000 | 0.000 | -0.000 | -0.000 | 124.317 | -0.000 |
| 0.000 | -0.000 | 0.000 | -0.000 | 0.000 | 124.317 |
| 346.427 | 197.097 | 197.097 | 0.000 | 0.000 | 0.000 |
| 197.097 | 346.427 | 197.097 | 0.000 | 0.000 | 0.000 |
| 197.097 | 197.097 | 346.427 | 0.000 | 0.000 | 0.000 |
| -0.000 | 0.000 | 0.000 | 186.404 | 0.000 | 0.000 |
| 0.000 | -0.000 | 0.000 | 0.000 | 186.404 | 0.000 |
| 0.000 | 0.000 | -0.000 | 0.000 | 0.000 | 186.404 |
| 346.426 | 197.097 | 197.097 | -0.000 | 0.000 | -0.000 |
| 197.097 | 346.426 | 197.097 | 0.000 | -0.000 | -0.000 |
| 197.097 | 197.097 | 346.426 | -0.000 | -0.000 | -0.000 |
| 0.000 | -0.000 | -0.000 | 186.404 | -0.000 | -0.000 |
| -0.000 | 0.000 | -0.000 | -0.000 | 186.404 | 0.000 |
| -0.000 | -0.000 | 0.000 | -0.000 | -0.000 | 186.404 |
| 346.427 | 197.097 | 197.097 | 0.000 | -0.000 | -0.000 |
| 197.097 | 346.427 | 197.097 | -0.000 | 0.000 | 0.000 |
| 197.097 | 197.097 | 346.427 | 0.000 | 0.000 | 0.000 |
| -0.000 | 0.000 | 0.000 | 186.404 | 0.000 | 0.000 |
| 0.000 | -0.000 | 0.000 | 0.000 | 186.404 | 0.000 |
| 0.000 | 0.000 | -0.000 | 0.000 | 0.000 | 186.404 |
| 346.426 | 197.096 | 197.096 | -0.000 | 0.000 | 0.000 |
| 197.096 | 346.426 | 197.096 | 0.000 | -0.000 | -0.000 |
| 197.096 | 197.096 | 346.426 | -0.000 | -0.000 | -0.000 |
| 0.000 | -0.000 | -0.000 | 186.404 | -0.000 | -0.000 |
| -0.000 | 0.000 | -0.000 | -0.000 | 186.404 | -0.000 |
| -0.000 | -0.000 | 0.000 | -0.000 | -0.000 | 186.404 |
| 346.430 | 197.099 | 197.099 | 0.000 | 0.000 | -0.000 |
| 197.099 | 346.430 | 197.099 | 0.000 | 0.000 | 0.000 |
| 197.099 | 197.099 | 346.430 | 0.000 | 0.000 | 0.000 |
| -0.000 | 0.002 | 0.002 | 186.404 | 0.000 | 0.000 |
| 0.002 | -0.000 | 0.002 | 0.000 | 186.404 | 0.000 |
| 0.002 | 0.002 | -0.000 | 0.000 | 0.000 | 186.404 |
| 346.423 | 197.095 | 197.095 | -0.000 | -0.000 | -0.000 |
| 197.095 | 346.423 | 197.095 | -0.000 | -0.000 | -0.000 |
| 197.095 | 197.095 | 346.423 | -0.000 | -0.000 | -0.000 |
| 0.000 | -0.002 | -0.002 | 186.404 | -0.000 | -0.000 |
| -0.002 | 0.000 | -0.002 | -0.000 | 186.404 | -0.000 |
| -0.002 | -0.002 | 0.000 | -0.000 | -0.000 | 186.404 |
| 9.140 | 4.570 | 4.570 | 0.000 | 0.000 | -0.000 |
| 4.570 | 9.140 | 4.570 | 0.000 | 0.000 | 0.000 |
| 4.570 | 4.570 | 9.140 | 0.000 | 0.000 | -0.000 |
| -0.000 | 0.000 | 0.000 | 4.570 | 0.000 | 0.000 |
| 0.000 | -0.000 | 0.000 | 0.000 | 4.570 | -0.000 |
| 0.000 | 0.000 | 0.000 | 0.000 | 0.000 | 4.570 |
| 9.140 | 4.570 | 4.570 | -0.000 | -0.000 | 0.000 |
| 4.570 | 9.140 | 4.570 | -0.000 | -0.000 | 0.000 |
| 4.570 | 4.570 | 9.140 | -0.000 | -0.000 | 0.000 |
| 0.000 | -0.000 | -0.000 | 4.570 | -0.000 | 0.000 |
| -0.000 | 0.000 | -0.000 | -0.000 | 4.570 | 0.000 |
| -0.000 | -0.000 | -0.000 | -0.000 | -0.000 | 4.570 |
| 9.140 | 4.570 | 4.570 | 0.000 | 0.000 | -0.000 |
| 4.570 | 9.140 | 4.570 | 0.000 | 0.000 | -0.000 |
| 4.570 | 4.570 | 9.140 | 0.000 | 0.000 | -0.000 |
| -0.000 | 0.000 | 0.000 | 4.570 | 0.000 | -0.000 |
| 0.000 | -0.000 | 0.000 | 0.000 | 4.570 | -0.000 |
| 0.000 | 0.000 | -0.000 | 0.000 | 0.000 | 4.570 |
| 9.140 | 4.570 | 4.570 | -0.000 | -0.000 | 0.000 |
| 4.570 | 9.140 | 4.570 | -0.000 | -0.000 | 0.000 |
| 4.570 | 4.570 | 9.140 | -0.000 | -0.000 | 0.000 |
| 0.000 | -0.000 | -0.000 | 4.570 | -0.000 | 0.000 |
| -0.000 | 0.000 | -0.000 | -0.000 | 4.570 | 0.000 |
| -0.000 | -0.000 | 0.000 | -0.000 | 0.000 | 4.570 |
| 9.141 | 4.570 | 4.570 | 0.000 | 0.000 | -0.000 |
| 4.570 | 9.141 | 4.570 | 0.000 | 0.000 | 0.000 |
| 4.570 | 4.570 | 9.141 | 0.000 | 0.000 | 0.000 |
| -0.000 | 0.000 | 0.000 | 4.570 | 0.000 | -0.000 |
| 0.000 | -0.000 | 0.000 | 0.000 | 4.570 | -0.000 |
| 0.000 | 0.000 | -0.000 | 0.000 | -0.000 | 4.570 |
| 9.140 | 4.570 | 4.570 | -0.000 | -0.000 | -0.000 |
| 4.570 | 9.140 | 4.570 | -0.000 | -0.000 | 0.000 |
| 4.570 | 4.570 | 9.140 | -0.000 | -0.000 | 0.000 |
| 0.000 | -0.000 | -0.000 | 4.570 | -0.000 | 0.000 |
| -0.000 | 0.000 | -0.000 | -0.000 | 4.570 | 0.000 |
| -0.000 | -0.000 | 0.000 | -0.000 | 0.000 | 4.570 |
| 245.844 | 150.439 | 147.169 | -0.000 | -0.000 | -0.000 |
| 150.439 | 245.844 | 147.169 | -0.000 | 0.000 | -0.000 |
| 147.169 | 147.169 | 222.771 | -0.000 | -0.000 | -0.000 |
| -0.000 | -0.000 | 0.000 | 125.485 | 0.000 | 0.000 |
| -0.000 | -0.000 | 0.000 | -0.000 | 125.485 | -0.000 |
| -0.000 | 0.000 | 0.000 | -0.000 | -0.000 | 125.648 |
| 245.844 | 150.439 | 147.169 | 0.000 | -0.000 | -0.000 |
| 150.439 | 245.844 | 147.169 | 0.000 | -0.000 | 0.000 |
| 147.169 | 147.169 | 222.771 | 0.000 | 0.000 | 0.000 |
| 0.000 | 0.000 | -0.000 | 125.485 | 0.000 | 0.000 |
| 0.000 | 0.000 | -0.000 | 0.000 | 125.485 | 0.000 |
| 0.000 | 0.000 | -0.000 | 0.000 | 0.000 | 125.648 |
| 245.844 | 150.439 | 147.169 | -0.000 | -0.000 | -0.000 |
| 150.439 | 245.844 | 147.169 | -0.000 | 0.000 | -0.000 |
| 147.169 | 147.169 | 222.770 | -0.000 | -0.000 | -0.000 |
| -0.000 | -0.000 | -0.000 | 125.485 | 0.000 | -0.000 |
| -0.000 | -0.000 | -0.000 | -0.000 | 125.485 | -0.000 |
| -0.000 | 0.000 | -0.000 | -0.000 | -0.000 | 125.648 |
| 245.835 | 150.448 | 147.169 | 0.000 | -0.000 | 0.000 |
| 150.448 | 245.835 | 147.169 | 0.000 | 0.000 | 0.000 |
| 147.169 | 147.169 | 222.771 | 0.000 | 0.000 | -0.000 |
| 0.000 | 0.000 | 0.000 | 125.485 | -0.000 | -0.000 |
| 0.000 | 0.000 | 0.000 | 0.000 | 125.485 | 0.000 |
| 0.000 | -0.000 | 0.000 | 0.000 | 0.000 | 125.648 |
| 245.842 | 150.438 | 147.168 | -0.000 | 0.000 | -0.000 |
| 150.438 | 245.842 | 147.168 | -0.000 | 0.000 | -0.000 |
| 147.168 | 147.168 | 222.768 | -0.000 | -0.000 | -0.000 |
| -0.000 | -0.000 | -0.000 | 125.485 | -0.000 | -0.000 |
| -0.000 | -0.000 | -0.000 | -0.000 | 125.485 | -0.000 |
| -0.000 | 0.000 | -0.000 | -0.000 | -0.000 | 125.648 |
| 245.846 | 150.439 | 147.169 | 0.000 | 0.000 | 0.000 |
| 150.439 | 245.846 | 147.169 | 0.000 | 0.000 | 0.000 |
| 147.169 | 147.169 | 222.773 | 0.000 | -0.000 | 0.000 |
| 0.000 | 0.000 | 0.000 | 125.485 | -0.000 | 0.000 |
| 0.000 | 0.000 | 0.000 | 0.000 | 125.485 | 0.000 |
| 0.000 | -0.000 | 0.000 | 0.000 | 0.000 | 125.648 |
| 480.833 | 94.920 | 94.920 | 0.000 | 0.000 | 0.000 |
| 94.920 | 480.833 | 94.920 | 0.000 | 0.000 | 0.000 |
| 94.920 | 94.920 | 480.833 | -0.000 | -0.000 | 0.000 |
| -0.000 | -0.000 | 0.000 | -8.543 | -0.000 | 0.000 |
| -0.000 | 0.000 | 0.000 | -0.000 | -8.543 | 0.000 |
| -0.000 | -0.000 | 0.000 | 0.000 | 0.000 | -8.543 |
| 476.564 | 97.055 | 97.055 | 0.000 | 0.000 | 0.000 |
| 97.055 | 476.564 | 97.055 | -0.000 | 0.000 | -0.000 |
| 97.055 | 97.055 | 476.564 | 0.000 | 0.000 | -0.000 |
| 0.000 | -0.000 | -0.000 | -8.543 | 0.000 | 0.000 |
| 0.000 | -0.000 | -0.000 | 0.000 | -8.543 | -0.000 |
| -0.000 | 0.000 | -0.000 | -0.000 | -0.000 | -8.543 |
| 476.564 | 97.055 | 97.055 | -0.000 | -0.000 | -0.000 |
| 97.055 | 476.564 | 97.055 | 0.000 | -0.000 | 0.000 |
| 97.055 | 97.055 | 476.564 | -0.000 | 0.000 | -0.000 |
| -0.004 | -0.004 | -0.006 | -895.289 | 0.000 | 0.000 |
| -0.004 | -0.004 | -0.006 | -0.000 | -895.289 | 0.000 |
| -0.004 | -0.006 | -0.004 | -0.000 | -0.000 | -895.289 |
| 480.833 | 94.920 | 94.920 | 0.000 | -0.000 | -0.000 |
| 94.920 | 480.833 | 94.920 | -0.000 | -0.000 | -0.000 |
| 94.920 | 94.920 | 480.833 | 0.000 | -0.000 | -0.000 |
| 0.004 | 0.004 | 0.006 | -895.289 | -0.000 | -0.000 |
| 0.004 | 0.004 | 0.006 | 0.000 | -895.289 | -0.000 |
| 0.004 | 0.006 | 0.004 | 0.000 | -0.000 | -895.289 |
| 476.564 | 97.055 | 97.055 | -0.000 | -0.000 | 0.000 |
| 97.055 | 476.564 | 97.055 | 0.000 | 0.000 | 0.000 |
| 97.055 | 97.055 | 476.564 | 0.000 | 0.000 | 0.000 |
| -7009568.948 | -7250496.836 | -7410285.838 | 6954.830 | 50722.856 | -110212.291 |
| -7149313.312 | -7275240.806 | -7253192.585 | 25878.624 | 51826.657 | -47521.759 |
| -7102602.869 | -7260107.822 | -7207175.092 | -47280.018 | -166608.066 | -77214.475 |
| 476.564 | 97.055 | 97.055 | -0.000 | 0.000 | 0.000 |
| 97.055 | 476.564 | 97.055 | 0.000 | -0.000 | -0.000 |
| 97.055 | 97.055 | 476.564 | -0.000 | -0.000 | -0.000 |
| 7172167.053 | 7141723.045 | 7239762.315 | -84230.711 | -33135.474 | -6056.583 |
| 7403903.810 | 7186589.729 | 7058941.563 | -103909.974 | -84593.498 | -3165.859 |
| 7095374.218 | 7118948.608 | 7017511.203 | 28007.623 | 22574.779 | -60461.522 |
| 162.946 | 139.215 | 139.215 | -0.000 | 0.000 | -0.000 |
| 139.215 | 162.946 | 139.215 | 0.000 | -0.000 | -0.000 |
| 139.215 | 139.215 | 162.946 | -0.000 | -0.000 | -0.000 |
| 0.000 | 0.000 | 0.000 | 9.163 | -0.000 | 0.000 |
| 0.000 | 0.000 | 0.000 | 0.000 | 9.163 | -0.000 |
| 0.000 | 0.000 | 0.000 | 0.000 | -0.000 | 9.163 |
| 162.214 | 139.581 | 139.581 | -0.000 | 0.000 | 0.000 |
| 139.581 | 162.214 | 139.581 | -0.000 | 0.000 | 0.000 |
| 139.581 | 139.581 | 162.214 | -0.000 | 0.000 | 0.000 |
| -0.000 | -0.000 | -0.000 | 9.163 | 0.000 | 0.000 |
| -0.000 | -0.000 | -0.000 | -0.000 | 9.163 | 0.000 |
| -0.000 | -0.000 | -0.000 | -0.000 | 0.000 | 9.163 |
| 162.214 | 139.582 | 139.582 | 0.000 | -0.000 | -0.000 |
| 139.582 | 162.214 | 139.582 | 0.000 | 0.000 | 0.000 |
| 139.582 | 139.582 | 162.214 | 0.000 | -0.000 | 0.000 |
| 0.000 | 0.000 | 0.000 | 9.163 | -0.000 | -0.000 |
| 0.000 | 0.000 | 0.000 | 0.000 | 9.163 | -0.000 |
| 0.000 | 0.000 | 0.000 | 0.000 | 0.000 | 9.163 |
| 162.213 | 139.581 | 139.581 | -0.000 | 0.000 | 0.000 |
| 139.581 | 162.213 | 139.581 | -0.000 | 0.000 | 0.000 |
| 139.581 | 139.581 | 162.213 | -0.000 | 0.000 | 0.000 |
| -0.000 | -0.000 | -0.000 | 9.163 | -0.000 | 0.000 |
| -0.000 | -0.000 | -0.000 | -0.000 | 9.163 | 0.000 |
| -0.000 | -0.000 | -0.000 | -0.000 | 0.000 | 9.163 |
| 162.217 | 139.583 | 139.583 | -0.000 | -0.000 | 0.000 |
| 139.583 | 162.217 | 139.583 | -0.000 | -0.000 | -0.000 |
| 139.583 | 139.583 | 162.217 | 0.000 | -0.000 | -0.000 |
| 0.000 | 0.000 | 0.000 | 9.163 | -0.000 | -0.000 |
| 0.000 | 0.000 | 0.000 | -0.000 | 9.163 | -0.000 |
| 0.000 | 0.000 | 0.000 | 0.000 | -0.000 | 9.163 |
| 162.210 | 139.580 | 139.580 | -0.000 | 0.000 | 0.000 |
| 139.580 | 162.210 | 139.580 | -0.000 | 0.000 | -0.000 |
| 139.580 | 139.580 | 162.210 | -0.000 | 0.000 | 0.000 |
| -0.000 | -0.000 | -0.000 | 9.163 | 0.000 | -0.000 |
| -0.000 | -0.000 | -0.000 | 0.000 | 9.163 | 0.000 |
| -0.000 | -0.000 | -0.000 | -0.000 | 0.000 | 9.163 |
| -11372282.121 | 3641705.180 | 1853116.824 | -3669495.825 | -47993.956 | -27986.731 |
| 1459599.722 | -11353537.101 | 3265887.120 | -117119.158 | -3854405.369 | 152328.272 |
| 3437589.823 | 1750162.056 | -12160927.387 | 39165.146 | -26339.155 | -3906862.479 |
| -0.000 | -0.000 | -0.000 | -6.577 | -0.000 | -0.000 |
| -0.000 | -0.000 | -0.000 | 0.000 | -6.577 | -0.000 |
| -0.000 | -0.000 | -0.000 | -0.000 | -0.000 | -6.577 |
| 46.054 | 68.758 | 68.758 | 0.000 | 0.000 | -0.000 |
| 68.758 | 46.054 | 68.758 | 0.000 | 0.000 | 0.000 |
| 68.758 | 68.758 | 46.054 | -0.000 | 0.000 | 0.000 |
| 0.000 | 0.000 | 0.000 | -6.577 | 0.000 | -0.000 |
| 0.000 | 0.000 | 0.000 | 0.000 | -6.577 | 0.000 |
| 0.000 | 0.000 | 0.000 | 0.000 | 0.000 | -6.577 |
| -1141482.238 | 232653.871 | 201061.818 | -275064.112 | 14094.004 | 2021.599 |
| 197232.823 | -1104084.069 | 171695.864 | 7231.953 | -268481.951 | -9508.391 |
| 208291.501 | 138934.411 | -1242218.142 | 822.485 | -13794.643 | -252420.653 |
| -421577.898 | -656231.646 | -168067.761 | 3710.996 | -13605.414 | 17301.747 |
| -248978.465 | -357948.468 | -764182.458 | 2838.722 | 6543.946 | -17994.603 |
| -577072.191 | 76341.472 | -397219.699 | 8734.851 | 21612.925 | -12972.813 |
| 46.055 | 68.758 | 68.758 | -0.000 | -0.000 | 0.000 |
| 68.758 | 46.055 | 68.758 | 0.000 | 0.000 | 0.000 |
| 68.758 | 68.758 | 46.055 | 0.000 | 0.000 | 0.000 |
| 405437.761 | 741126.970 | 157929.361 | 9139.489 | 8986.937 | 2674.826 |
| 372209.303 | 359428.920 | 835272.867 | -25248.235 | 13589.140 | 1097.239 |
| 621921.218 | -101147.859 | 444838.542 | -2628.909 | 21050.603 | 419.576 |
| -104819.286 | 22633.485 | 35603.787 | -30072.821 | 989.720 | 438.917 |
| 40598.904 | -92075.122 | 29177.957 | -1404.021 | -24904.612 | 1340.848 |
| 19606.190 | 38923.316 | -105009.634 | -74.670 | 14.916 | -28116.974 |
| -35092.396 | -65712.310 | -17889.964 | -182.485 | -359.021 | -1442.323 |
| -15179.081 | -32350.293 | -67783.334 | -1202.050 | 210.701 | -1723.541 |
| -64842.406 | 2739.571 | -32083.320 | 1253.676 | 1825.820 | 1039.525 |
| 64641.878 | 88141.489 | 11445.944 | 30.737 | 857.230 | 2572.384 |
| -25248.967 | 61636.475 | 67825.101 | 470.000 | -764.834 | -268.306 |
| 31187.155 | -2993.900 | 50040.719 | -715.199 | -410.283 | 251.216 |
| 35462.099 | 68863.700 | 5298.009 | 122.542 | -282.028 | -798.322 |
| 15584.143 | 28575.317 | 59569.634 | 3719.976 | -753.375 | -1159.832 |
| 67423.259 | -10442.048 | 29413.834 | -1146.303 | -1029.170 | -71.018 |
| 1.054 | 0.000 | 0.000 | -0.000 | 0.000 | 0.000 |
| 0.000 | 1.054 | 0.000 | -0.000 | 0.000 | -0.000 |
| 0.000 | 0.000 | 1.054 | -0.000 | 0.000 | -0.000 |
| 0.000 | 0.000 | 0.000 | 0.000 | -0.000 | 0.000 |
| 0.000 | 0.000 | 0.000 | -0.000 | 0.000 | -0.000 |
| 0.000 | 0.000 | 0.000 | -0.000 | 0.000 | 0.000 |
| 1.054 | -0.000 | -0.000 | 0.000 | 0.000 | -0.000 |
| -0.000 | 1.054 | -0.000 | -0.000 | -0.000 | -0.000 |
| -0.000 | -0.000 | 1.054 | -0.000 | 0.000 | 0.000 |
| -0.000 | -0.000 | -0.000 | 0.000 | 0.000 | -0.000 |
| -0.000 | -0.000 | -0.000 | 0.000 | 0.000 | 0.000 |
| -0.000 | -0.000 | -0.000 | 0.000 | -0.000 | 0.000 |
| 1.054 | 0.000 | 0.000 | -0.000 | -0.000 | 0.000 |
| 0.000 | 1.054 | 0.000 | 0.000 | 0.000 | 0.000 |
| 0.000 | 0.000 | 1.054 | 0.000 | -0.000 | -0.000 |
| 0.000 | 0.000 | -0.000 | 0.000 | 0.000 | 0.000 |
| 0.000 | 0.000 | -0.000 | 0.000 | 0.000 | -0.000 |
| 0.000 | -0.000 | 0.000 | -0.000 | 0.000 | 0.000 |
| 1.054 | 0.000 | 0.000 | -0.000 | -0.000 | 0.000 |
| 0.000 | 1.054 | 0.000 | -0.000 | -0.000 | 0.000 |
| 0.000 | 0.000 | 1.054 | 0.000 | -0.000 | 0.000 |
| -0.000 | -0.000 | 0.000 | 0.000 | -0.000 | 0.000 |
| -0.000 | -0.000 | 0.000 | -0.000 | 0.000 | -0.000 |
| -0.000 | 0.000 | -0.000 | 0.000 | 0.000 | 0.000 |
| 1.054 | 0.000 | 0.000 | -0.000 | 0.000 | -0.000 |
| 0.000 | 1.054 | 0.000 | -0.000 | 0.000 | 0.000 |
| 0.000 | 0.000 | 1.054 | 0.000 | -0.000 | -0.000 |
| 0.000 | 0.000 | -0.000 | 0.000 | 0.000 | 0.000 |
| 0.000 | 0.000 | -0.000 | 0.000 | 0.000 | 0.000 |
| 0.000 | -0.000 | 0.000 | -0.000 | -0.000 | 0.000 |
| 1.054 | -0.000 | -0.000 | 0.000 | 0.000 | -0.000 |
| -0.000 | 1.054 | -0.000 | -0.000 | -0.000 | -0.000 |
| -0.000 | -0.000 | 1.054 | 0.000 | -0.000 | 0.000 |
| -0.000 | -0.000 | 0.000 | 0.000 | -0.000 | 0.000 |
| -0.000 | -0.000 | 0.000 | -0.000 | 0.000 | 0.000 |
| -0.000 | 0.000 | -0.000 | 0.000 | -0.000 | 0.000 |
| 144.811 | 217.269 | 217.269 | -0.000 | -0.000 | -0.000 |
| 217.269 | 144.811 | 217.269 | -0.000 | -0.000 | 0.000 |
| 217.269 | 217.269 | 144.811 | 0.000 | -0.000 | 0.000 |
| -0.000 | -0.000 | -0.000 | 101.789 | -0.000 | 0.000 |
| -0.000 | -0.000 | -0.000 | -0.000 | 101.789 | 0.000 |
| -0.000 | -0.000 | 0.000 | -0.000 | -0.000 | 101.789 |
| 144.811 | 217.269 | 217.269 | 0.000 | 0.000 | -0.000 |
| 217.269 | 144.811 | 217.269 | 0.000 | 0.000 | -0.000 |
| 217.269 | 217.269 | 144.811 | 0.000 | -0.000 | 0.000 |
| 0.000 | 0.000 | 0.000 | 101.789 | 0.000 | -0.000 |
| 0.000 | 0.000 | 0.000 | -0.000 | 101.789 | -0.000 |
| 0.000 | 0.000 | -0.000 | 0.000 | 0.000 | 101.789 |
| 144.811 | 217.269 | 217.269 | -0.000 | -0.000 | 0.000 |
| 217.269 | 144.811 | 217.269 | -0.000 | -0.000 | 0.000 |
| 217.269 | 217.269 | 144.811 | 0.000 | 0.000 | 0.000 |
| 0.000 | -0.000 | 0.000 | 101.789 | -0.000 | 0.000 |
| -0.000 | 0.000 | 0.000 | -0.000 | 101.789 | 0.000 |
| -0.000 | 0.000 | 0.000 | -0.000 | -0.000 | 101.789 |
| 144.811 | 217.269 | 217.269 | 0.000 | 0.000 | -0.000 |
| 217.269 | 144.811 | 217.269 | 0.000 | 0.000 | -0.000 |
| 217.269 | 217.269 | 144.811 | 0.000 | 0.000 | -0.000 |
| -0.000 | 0.000 | -0.000 | 101.789 | 0.000 | -0.000 |
| 0.000 | -0.000 | -0.000 | 0.000 | 101.789 | -0.000 |
| 0.000 | -0.000 | -0.000 | 0.000 | 0.000 | 101.789 |
| 144.811 | 217.269 | 217.269 | -0.000 | -0.000 | 0.000 |
| 217.269 | 144.811 | 217.269 | -0.000 | -0.000 | 0.000 |
| 217.269 | 217.269 | 144.811 | -0.000 | -0.000 | -0.000 |
| 0.000 | -0.000 | 0.000 | 101.789 | -0.000 | -0.000 |
| -0.000 | 0.000 | 0.000 | -0.000 | 101.789 | 0.000 |
| -0.000 | 0.000 | 0.000 | -0.000 | -0.000 | 101.789 |
| 144.811 | 217.270 | 217.270 | 0.000 | 0.000 | 0.000 |
| 217.270 | 144.811 | 217.270 | 0.000 | 0.000 | -0.000 |
| 217.270 | 217.270 | 144.811 | -0.000 | 0.000 | 0.000 |
| -0.000 | 0.000 | -0.000 | 101.789 | 0.000 | -0.000 |
| 0.000 | -0.000 | -0.000 | 0.000 | 101.789 | -0.000 |
| 0.000 | -0.000 | -0.000 | 0.000 | 0.000 | 101.789 |
| 33.829 | 33.829 | 33.829 | -0.000 | -0.000 | -0.000 |
| 33.829 | 33.829 | 33.829 | 0.000 | -0.000 | -0.000 |
| 33.829 | 33.829 | 33.829 | 0.000 | 0.000 | 0.000 |
| 0.000 | 0.000 | 0.000 | -27.855 | -0.000 | 0.000 |
| 0.000 | 0.000 | 0.000 | -0.000 | -27.855 | 0.000 |
| 0.000 | 0.000 | 0.000 | -0.000 | -0.000 | -27.855 |
| 33.829 | 33.829 | 33.829 | -0.000 | -0.000 | 0.000 |
| 33.829 | 33.829 | 33.829 | -0.000 | 0.000 | 0.000 |
| 33.829 | 33.829 | 33.829 | -0.000 | -0.000 | 0.000 |
| -0.000 | -0.000 | -0.000 | -27.855 | 0.000 | 0.000 |
| -0.000 | -0.000 | -0.000 | 0.000 | -27.855 | -0.000 |
| -0.000 | -0.000 | -0.000 | 0.000 | 0.000 | -27.855 |
| 33.829 | 33.829 | 33.829 | -0.000 | 0.000 | -0.000 |
| 33.829 | 33.829 | 33.829 | 0.000 | -0.000 | -0.000 |
| 33.829 | 33.829 | 33.829 | 0.000 | 0.000 | -0.000 |
| 0.000 | 0.000 | 0.000 | -27.855 | -0.000 | 0.000 |
| 0.000 | 0.000 | 0.000 | -0.000 | -27.855 | 0.000 |
| 0.000 | 0.000 | 0.000 | -0.000 | -0.000 | -27.855 |
| 33.829 | 33.829 | 33.829 | 0.000 | -0.000 | 0.000 |
| 33.829 | 33.829 | 33.829 | -0.000 | 0.000 | 0.000 |
| 33.829 | 33.829 | 33.829 | -0.000 | -0.000 | 0.000 |
| -0.000 | -0.000 | -0.000 | -27.855 | 0.000 | -0.000 |
| -0.000 | -0.000 | -0.000 | 0.000 | -27.855 | -0.000 |
| -0.000 | -0.000 | -0.000 | 0.000 | 0.000 | -27.855 |
| 33.829 | 33.829 | 33.829 | 0.000 | 0.000 | -0.000 |
| 33.829 | 33.829 | 33.829 | 0.000 | 0.000 | -0.000 |
| 33.829 | 33.829 | 33.829 | 0.000 | 0.000 | -0.000 |
| 0.001 | 0.001 | 0.001 | -27.855 | -0.000 | 0.000 |
| 0.001 | 0.001 | 0.001 | -0.000 | -27.855 | -0.000 |
| 0.001 | 0.001 | 0.001 | -0.000 | -0.000 | -27.855 |
| 33.828 | 33.828 | 33.828 | 0.000 | 0.000 | -0.000 |
| 33.828 | 33.828 | 33.828 | -0.000 | 0.000 | -0.000 |
| 33.828 | 33.828 | 33.828 | -0.000 | -0.000 | 0.000 |
| -0.001 | -0.001 | -0.001 | -27.855 | 0.000 | -0.000 |
| -0.001 | -0.001 | -0.001 | 0.000 | -27.855 | -0.000 |
| -0.001 | -0.001 | -0.001 | 0.000 | 0.000 | -27.855 |
| 220.500 | 149.311 | 149.311 | -0.000 | -0.000 | -0.000 |
| 149.311 | 220.500 | 149.311 | -0.000 | 0.000 | -0.000 |
| 149.311 | 149.311 | 220.500 | -0.000 | -0.000 | 0.000 |
| 0.000 | -0.000 | 0.000 | 120.081 | -0.000 | -0.000 |
| 0.000 | -0.000 | -0.000 | -0.000 | 120.081 | -0.000 |
| 0.000 | 0.000 | 0.000 | -0.000 | 0.000 | 120.081 |
| 220.500 | 149.311 | 149.311 | 0.000 | -0.000 | 0.000 |
| 149.311 | 220.500 | 149.311 | 0.000 | 0.000 | 0.000 |
| 149.311 | 149.311 | 220.500 | 0.000 | -0.000 | 0.000 |
| -0.000 | 0.000 | -0.000 | 120.081 | 0.000 | 0.000 |
| -0.000 | -0.000 | 0.000 | 0.000 | 120.081 | 0.000 |
| -0.000 | -0.000 | -0.000 | 0.000 | -0.000 | 120.081 |
| 220.500 | 149.311 | 149.311 | -0.000 | 0.000 | 0.000 |
| 149.311 | 220.500 | 149.311 | -0.000 | -0.000 | -0.000 |
| 149.311 | 149.311 | 220.500 | -0.000 | -0.000 | -0.000 |
| -0.000 | -0.000 | 0.000 | 120.081 | -0.000 | -0.000 |
| -0.000 | -0.000 | 0.000 | 0.000 | 120.081 | -0.000 |
| -0.000 | 0.000 | -0.000 | 0.000 | 0.000 | 120.081 |
| 220.500 | 149.311 | 149.311 | -0.000 | -0.000 | 0.000 |
| 149.311 | 220.500 | 149.311 | 0.000 | -0.000 | 0.000 |
| 149.311 | 149.311 | 220.500 | 0.000 | 0.000 | 0.000 |
| 0.000 | 0.000 | -0.000 | 120.081 | 0.000 | 0.000 |
| 0.000 | 0.000 | -0.000 | 0.000 | 120.081 | 0.000 |
| 0.000 | -0.000 | 0.000 | 0.000 | 0.000 | 120.081 |
| 220.500 | 149.311 | 149.311 | -0.000 | -0.000 | -0.000 |
| 149.311 | 220.500 | 149.311 | -0.000 | 0.000 | -0.000 |
| 149.311 | 149.311 | 220.500 | -0.000 | -0.000 | -0.000 |
| -0.000 | -0.000 | 0.000 | 120.081 | -0.000 | -0.000 |
| -0.000 | -0.000 | 0.000 | -0.000 | 120.081 | -0.000 |
| -0.000 | 0.000 | -0.000 | -0.000 | 0.000 | 120.081 |
| 220.501 | 149.311 | 149.311 | 0.000 | -0.000 | -0.000 |
| 149.311 | 220.501 | 149.311 | -0.000 | 0.000 | 0.000 |
| 149.311 | 149.311 | 220.501 | -0.000 | 0.000 | 0.000 |
| 0.000 | 0.000 | -0.000 | 120.081 | 0.000 | 0.000 |
| 0.000 | 0.000 | -0.000 | 0.000 | 120.081 | 0.000 |
| 0.000 | -0.000 | 0.000 | 0.000 | 0.000 | 120.081 |
| 149.196 | 141.880 | 141.880 | 0.000 | -0.000 | -0.000 |
| 141.880 | 149.196 | 141.880 | -0.000 | 0.000 | 0.000 |
| 141.880 | 141.880 | 149.196 | 0.000 | 0.000 | 0.000 |
| 0.000 | 0.000 | 0.000 | 7.315 | 0.000 | 0.000 |
| 0.000 | 0.000 | 0.000 | 0.000 | 7.315 | -0.000 |
| 0.000 | 0.000 | 0.000 | 0.000 | -0.000 | 7.315 |
| 149.196 | 141.880 | 141.880 | -0.000 | 0.000 | 0.000 |
| 141.880 | 149.196 | 141.880 | 0.000 | -0.000 | -0.000 |
| 141.880 | 141.880 | 149.196 | -0.000 | -0.000 | 0.000 |
| -0.000 | -0.000 | -0.000 | 7.315 | -0.000 | -0.000 |
| -0.000 | -0.000 | -0.000 | -0.000 | 7.315 | 0.000 |
| -0.000 | -0.000 | -0.000 | -0.000 | 0.000 | 7.315 |
| 149.196 | 141.880 | 141.880 | 0.000 | -0.000 | -0.000 |
| 141.880 | 149.196 | 141.880 | -0.000 | 0.000 | 0.000 |
| 141.880 | 141.880 | 149.196 | 0.000 | 0.000 | -0.000 |
| 0.000 | 0.000 | 0.000 | 7.315 | 0.000 | 0.000 |
| 0.000 | 0.000 | 0.000 | 0.000 | 7.315 | -0.000 |
| 0.000 | 0.000 | 0.000 | 0.000 | -0.000 | 7.315 |
| 149.196 | 141.880 | 141.880 | -0.000 | 0.000 | 0.000 |
| 141.880 | 149.196 | 141.880 | 0.000 | -0.000 | -0.000 |
| 141.880 | 141.880 | 149.196 | -0.000 | -0.000 | -0.000 |
| -0.000 | -0.000 | -0.000 | 7.315 | -0.000 | -0.000 |
| -0.000 | -0.000 | -0.000 | -0.000 | 7.315 | 0.000 |
| -0.000 | -0.000 | -0.000 | -0.000 | 0.000 | 7.315 |
| 149.197 | 141.881 | 141.881 | -0.000 | -0.000 | -0.000 |
| 141.881 | 149.197 | 141.881 | -0.000 | 0.000 | -0.000 |
| 141.881 | 141.881 | 149.197 | 0.000 | 0.000 | 0.000 |
| 0.000 | 0.000 | 0.000 | 7.315 | 0.000 | -0.000 |
| 0.000 | 0.000 | 0.000 | 0.000 | 7.315 | -0.000 |
| 0.000 | 0.000 | 0.000 | 0.000 | -0.000 | 7.315 |
| 149.194 | 141.879 | 141.879 | -0.000 | -0.000 | 0.000 |
| 141.879 | 149.194 | 141.879 | -0.000 | -0.000 | -0.000 |
| 141.879 | 141.879 | 149.194 | -0.000 | -0.000 | -0.000 |
| -0.000 | -0.000 | -0.000 | 7.315 | -0.000 | -0.000 |
| -0.000 | -0.000 | -0.000 | -0.000 | 7.315 | 0.000 |
| -0.000 | -0.000 | -0.000 | -0.000 | 0.000 | 7.315 |
| 70.726 | 75.636 | 75.636 | 0.000 | 0.000 | -0.000 |
| 75.636 | 70.726 | 75.636 | 0.000 | 0.000 | -0.000 |
| 75.636 | 75.636 | 70.726 | 0.000 | 0.000 | -0.000 |
| -0.000 | 0.000 | 0.000 | -5.735 | 0.000 | -0.000 |
| 0.000 | -0.000 | 0.000 | 0.000 | -5.735 | -0.000 |
| 0.000 | 0.000 | -0.000 | 0.000 | 0.000 | -5.735 |
| 70.726 | 75.636 | 75.636 | -0.000 | -0.000 | -0.000 |
| 75.636 | 70.726 | 75.636 | -0.000 | -0.000 | -0.000 |
| 75.636 | 75.636 | 70.726 | -0.000 | -0.000 | -0.000 |
| 0.000 | -0.000 | -0.000 | -5.735 | -0.000 | -0.000 |
| -0.000 | 0.000 | -0.000 | -0.000 | -5.735 | 0.000 |
| -0.000 | -0.000 | 0.000 | -0.000 | -0.000 | -5.735 |
| 70.726 | 75.636 | 75.636 | -0.000 | 0.000 | -0.000 |
| 75.636 | 70.726 | 75.636 | 0.000 | 0.000 | -0.000 |
| 75.636 | 75.636 | 70.726 | 0.000 | 0.000 | 0.000 |
| -0.000 | 0.000 | 0.000 | -5.735 | 0.000 | 0.000 |
| 0.000 | -0.000 | 0.000 | 0.000 | -5.735 | -0.000 |
| 0.000 | 0.000 | -0.000 | 0.000 | 0.000 | -5.735 |
| 70.726 | 75.636 | 75.636 | -0.000 | -0.000 | -0.000 |
| 75.636 | 70.726 | 75.636 | -0.000 | -0.000 | -0.000 |
| 75.636 | 75.636 | 70.726 | -0.000 | -0.000 | -0.000 |
| 0.000 | -0.000 | -0.000 | -5.735 | -0.000 | -0.000 |
| -0.000 | 0.000 | -0.000 | -0.000 | -5.735 | 0.000 |
| -0.000 | -0.000 | 0.000 | -0.000 | -0.000 | -5.735 |
| 70.726 | 75.636 | 75.636 | 0.000 | 0.000 | -0.000 |
| 75.636 | 70.726 | 75.636 | 0.000 | 0.000 | 0.000 |
| 75.636 | 75.636 | 70.726 | 0.000 | 0.000 | -0.000 |
| -0.000 | 0.000 | 0.000 | -5.735 | 0.000 | 0.000 |
| 0.000 | -0.000 | 0.000 | 0.000 | -5.735 | -0.000 |
| 0.000 | 0.000 | -0.000 | 0.000 | 0.000 | -5.735 |
| 70.725 | 75.636 | 75.636 | -0.000 | -0.000 | -0.000 |
| 75.636 | 70.725 | 75.636 | -0.000 | 0.000 | -0.000 |
| 75.636 | 75.636 | 70.725 | -0.000 | -0.000 | -0.000 |
| 0.000 | -0.000 | -0.000 | -5.735 | -0.000 | -0.000 |
| -0.000 | 0.000 | -0.000 | -0.000 | -5.735 | 0.000 |
| -0.000 | -0.000 | 0.000 | -0.000 | -0.000 | -5.735 |
| 346.216 | 98.448 | 176.844 | 0.000 | 0.000 | -0.000 |
| 98.448 | 346.216 | 176.844 | 0.000 | 0.000 | -0.000 |
| 176.910 | 176.910 | 235.035 | -0.000 | 0.000 | -0.000 |
| -0.074 | -0.074 | -0.013 | 125.437 | -0.000 | -0.000 |
| -0.074 | -0.074 | -0.013 | -0.000 | 125.437 | -0.000 |
| -0.051 | -0.051 | -0.009 | 0.000 | 0.000 | 39.657 |
| 346.319 | 98.551 | 176.862 | 0.000 | -0.000 | 0.000 |
| 98.551 | 346.319 | 176.862 | -0.000 | -0.000 | 0.000 |
| 177.013 | 177.013 | 235.053 | 0.000 | -0.000 | 0.000 |
| 0.074 | 0.074 | 0.013 | 125.437 | 0.000 | -0.000 |
| 0.074 | 0.074 | 0.013 | -0.000 | 125.437 | 0.000 |
| 0.051 | 0.051 | 0.009 | -0.000 | -0.000 | 39.657 |
| 346.497 | 98.729 | 176.893 | 0.000 | -0.000 | 0.000 |
| 98.729 | 346.497 | 176.893 | 0.000 | 0.000 | -0.000 |
| 177.001 | 177.001 | 235.050 | -0.000 | 0.000 | -0.000 |
| -0.009 | -0.009 | -0.002 | 125.428 | 0.000 | -0.000 |
| -0.009 | -0.009 | -0.002 | 0.000 | 125.428 | -0.000 |
| -0.005 | -0.005 | -0.001 | -0.000 | 0.000 | 39.657 |
| 346.272 | 98.505 | 176.854 | -0.000 | -0.000 | 0.000 |
| 98.505 | 346.272 | 176.854 | -0.000 | -0.000 | 0.000 |
| 176.967 | 176.967 | 235.045 | 0.000 | -0.000 | -0.000 |
| 0.009 | 0.009 | 0.002 | 125.428 | -0.000 | -0.000 |
| 0.009 | 0.009 | 0.002 | 0.000 | 125.428 | 0.000 |
| 0.005 | 0.005 | 0.001 | 0.000 | -0.000 | 39.657 |
| 346.267 | 98.499 | 176.853 | -0.000 | 0.000 | 0.000 |
| 98.499 | 346.267 | 176.853 | -0.000 | 0.000 | -0.000 |
| 176.961 | 176.961 | 235.042 | 0.000 | 0.000 | -0.000 |
| -0.001 | -0.001 | -0.000 | 125.428 | 0.000 | -0.000 |
| -0.001 | -0.001 | -0.000 | 0.000 | 125.428 | -0.000 |
| -0.001 | -0.001 | 0.000 | 0.000 | 0.000 | 39.657 |
| 346.268 | 98.500 | 176.853 | -0.000 | -0.000 | 0.000 |
| 98.500 | 346.268 | 176.853 | -0.000 | -0.000 | -0.000 |
| 177.001 | 177.001 | 235.056 | -0.000 | -0.000 | -0.000 |
| 0.001 | 0.001 | 0.000 | 125.428 | -0.000 | -0.000 |
| 0.001 | 0.001 | 0.000 | 0.000 | 125.428 | 0.000 |
| 0.001 | 0.001 | -0.000 | -0.000 | -0.000 | 39.657 |
| 268.653 | 21.451 | 187.102 | -0.000 | -0.000 | 0.000 |
| 21.451 | 268.653 | 187.102 | -0.000 | -0.000 | 0.000 |
| 99.495 | 99.495 | 241.538 | 0.000 | 0.000 | 0.000 |
| -77.763 | -77.763 | 9.844 | 125.418 | -0.000 | 0.000 |
| -77.763 | -77.763 | 9.844 | 0.000 | 125.418 | 0.000 |
| -0.000 | 0.000 | -0.000 | 0.000 | 0.000 | 40.238 |
| 424.179 | 176.977 | 167.414 | -0.000 | 0.000 | 0.000 |
| 176.977 | 424.179 | 167.414 | 0.000 | -0.000 | -0.000 |
| 255.021 | 255.021 | 221.850 | -0.000 | -0.000 | 0.000 |
| 77.763 | 77.763 | -9.844 | 125.418 | 0.000 | -0.000 |
| 77.763 | 77.763 | -9.844 | -0.000 | 125.418 | 0.000 |
| -0.000 | 0.000 | 0.000 | 0.000 | -0.000 | 40.238 |
| 346.637 | 99.435 | 177.230 | 0.000 | 0.000 | 0.000 |
| 99.435 | 346.637 | 177.230 | 0.000 | -0.000 | -0.000 |
| 177.230 | 177.230 | 231.697 | 0.000 | 0.000 | 0.000 |
| -7.777 | -7.777 | 0.984 | 125.418 | 0.000 | 0.000 |
| -7.777 | -7.777 | 0.984 | 0.000 | 125.418 | -0.000 |
| -0.000 | -0.000 | 0.000 | -0.000 | 0.000 | 40.238 |
| 346.637 | 99.435 | 177.230 | 0.000 | -0.000 | -0.000 |
| 99.435 | 346.637 | 177.230 | -0.000 | -0.000 | -0.000 |
| 185.034 | 185.034 | 230.710 | 0.000 | -0.000 | -0.000 |
| 7.777 | 7.777 | -0.984 | 125.418 | -0.000 | -0.000 |
| 7.777 | 7.777 | -0.984 | -0.000 | 125.418 | 0.000 |
| 0.000 | 0.000 | -0.000 | 0.000 | -0.000 | 40.238 |
| 345.639 | 98.436 | 177.356 | -0.000 | 0.000 | -0.000 |
| 98.436 | 345.639 | 177.356 | 0.000 | 0.000 | -0.000 |
| 176.481 | 176.481 | 231.791 | 0.000 | -0.000 | -0.000 |
| -0.778 | -0.778 | 0.099 | 125.397 | 0.000 | 0.000 |
| -0.778 | -0.778 | 0.099 | -0.000 | 125.397 | -0.000 |
| -0.778 | -0.778 | 0.099 | 0.000 | -0.000 | 40.238 |
| 347.194 | 99.992 | 177.160 | 0.000 | -0.000 | 0.000 |
| 99.992 | 347.194 | 177.160 | -0.000 | -0.000 | 0.000 |
| 177.230 | 177.230 | 231.698 | -0.000 | -0.000 | 0.000 |
| 0.778 | 0.778 | -0.099 | 125.397 | -0.000 | -0.000 |
| 0.778 | 0.778 | -0.099 | 0.000 | 125.397 | 0.000 |
| 0.778 | 0.778 | -0.099 | -0.000 | -0.000 | 40.238 |
| 171.018 | 188.945 | 191.012 | 0.000 | -0.000 | 0.000 |
| 188.945 | 171.018 | 191.012 | 0.000 | -0.000 | 0.000 |
| 188.403 | 188.403 | 168.419 | 0.000 | 0.000 | 0.000 |
| -2.541 | -2.541 | -5.091 | 138.982 | 0.000 | 0.000 |
| -2.541 | -2.541 | -5.091 | 0.000 | 138.982 | 0.000 |
| -2.539 | -2.539 | -5.088 | 0.000 | 0.000 | 142.388 |
| 171.018 | 188.945 | 191.012 | -0.000 | -0.000 | -0.000 |
| 188.945 | 171.018 | 191.012 | -0.000 | 0.000 | -0.000 |
| 191.020 | 191.020 | 173.777 | -0.000 | 0.000 | -0.000 |
| 2.541 | 2.541 | 5.091 | 138.982 | -0.000 | -0.000 |
| 2.541 | 2.541 | 5.091 | -0.000 | 138.982 | -0.000 |
| 2.539 | 2.539 | 5.088 | -0.000 | -0.000 | 142.388 |
| 170.391 | 188.602 | 190.431 | 0.000 | -0.000 | 0.000 |
| 188.602 | 170.391 | 190.431 | 0.000 | 0.000 | 0.000 |
| 191.020 | 191.020 | 173.777 | 0.000 | 0.000 | 0.000 |
| 0.000 | 0.000 | 0.000 | 139.155 | 0.000 | 0.000 |
| 0.000 | 0.000 | 0.000 | 0.000 | 139.155 | 0.000 |
| 0.000 | 0.000 | 0.000 | 0.000 | -0.000 | 142.771 |
| 171.018 | 188.945 | 191.012 | -0.000 | -0.000 | -0.000 |
| 188.945 | 171.018 | 191.012 | -0.000 | 0.000 | -0.000 |
| 191.200 | 191.200 | 174.023 | -0.000 | 0.000 | -0.000 |
| -0.000 | -0.000 | -0.000 | 139.155 | -0.000 | -0.000 |
| -0.000 | -0.000 | -0.000 | -0.000 | 139.155 | -0.000 |
| -0.000 | -0.000 | -0.000 | -0.000 | 0.000 | 142.771 |
| 170.619 | 188.830 | 190.888 | 0.000 | -0.000 | 0.000 |
| 188.830 | 170.619 | 190.888 | 0.000 | -0.000 | 0.000 |
| 190.921 | 190.921 | 173.462 | 0.000 | -0.000 | 0.000 |
| -0.024 | -0.024 | -0.049 | 139.033 | -0.000 | 0.000 |
| -0.024 | -0.024 | -0.049 | 0.000 | 139.033 | 0.000 |
| -0.024 | -0.024 | -0.050 | 0.000 | 0.000 | 142.487 |
| 170.668 | 188.880 | 190.989 | -0.000 | -0.000 | -0.000 |
| 188.880 | 170.668 | 190.989 | -0.000 | -0.000 | -0.000 |
| 190.971 | 190.971 | 173.564 | -0.000 | -0.000 | -0.000 |
| 0.024 | 0.024 | 0.049 | 139.033 | 0.000 | -0.000 |
| 0.024 | 0.024 | 0.049 | -0.000 | 139.033 | -0.000 |
| 0.024 | 0.024 | 0.050 | -0.000 | 0.000 | 142.487 |
| 153.026 | 187.182 | 187.182 | 0.000 | 0.000 | -0.000 |
| 187.182 | 153.026 | 187.182 | 0.000 | 0.000 | -0.000 |
| 187.182 | 187.182 | 153.026 | 0.000 | 0.000 | 0.000 |
| 0.000 | -0.000 | 0.000 | 147.846 | -0.000 | 0.000 |
| 0.000 | 0.000 | 0.000 | 0.000 | 147.846 | 0.000 |
| 0.000 | 0.000 | 0.000 | 0.000 | 0.000 | 147.846 |
| 153.026 | 187.182 | 187.182 | -0.000 | -0.000 | -0.000 |
| 187.182 | 153.026 | 187.182 | -0.000 | -0.000 | 0.000 |
| 187.182 | 187.182 | 153.026 | -0.000 | -0.000 | 0.000 |
| -0.000 | 0.000 | -0.000 | 147.846 | 0.000 | -0.000 |
| -0.000 | -0.000 | -0.000 | 0.000 | 147.846 | -0.000 |
| -0.000 | -0.000 | -0.000 | 0.000 | -0.000 | 147.846 |
| 153.025 | 187.182 | 187.182 | 0.000 | 0.000 | -0.000 |
| 187.182 | 153.025 | 187.182 | 0.000 | 0.000 | 0.000 |
| 187.182 | 187.182 | 153.026 | 0.000 | 0.000 | 0.000 |
| 0.000 | 0.000 | 0.000 | 147.846 | -0.000 | 0.000 |
| 0.000 | 0.000 | 0.000 | 0.000 | 147.846 | 0.000 |
| 0.000 | 0.000 | 0.000 | 0.000 | 0.000 | 147.846 |
| 153.026 | 187.182 | 187.182 | 0.000 | 0.000 | 0.000 |
| 187.182 | 153.026 | 187.182 | -0.000 | -0.000 | -0.000 |
| 187.182 | 187.182 | 153.026 | -0.000 | -0.000 | -0.000 |
| -0.000 | -0.000 | -0.000 | 147.846 | 0.000 | 0.000 |
| -0.000 | -0.000 | -0.000 | 0.000 | 147.846 | -0.000 |
| -0.000 | -0.000 | -0.000 | -0.000 | -0.000 | 147.846 |
| 153.025 | 187.182 | 187.182 | 0.000 | 0.000 | -0.000 |
| 187.182 | 153.025 | 187.182 | 0.000 | 0.000 | 0.000 |
| 187.182 | 187.182 | 153.025 | 0.000 | 0.000 | 0.000 |
| 0.001 | 0.000 | 0.001 | 147.846 | 0.000 | 0.000 |
| 0.000 | 0.001 | 0.001 | 0.000 | 147.846 | 0.000 |
| 0.000 | 0.001 | 0.001 | 0.000 | 0.000 | 147.846 |
| 153.026 | 187.181 | 187.181 | -0.000 | -0.000 | 0.000 |
| 187.181 | 153.026 | 187.181 | 0.000 | 0.000 | 0.000 |
| 187.181 | 187.181 | 153.026 | 0.000 | -0.000 | 0.000 |
| -0.001 | -0.000 | -0.001 | 147.846 | -0.000 | 0.000 |
| -0.000 | -0.001 | -0.001 | -0.000 | 147.846 | -0.000 |
| -0.000 | -0.001 | -0.001 | -0.000 | -0.000 | 147.846 |
| 476.101 | 95.132 | 95.132 | -0.000 | -0.000 | 0.000 |
| 95.132 | 476.101 | 95.132 | 0.000 | 0.000 | -0.000 |
| 95.132 | 95.132 | 476.101 | 0.000 | -0.000 | -0.000 |
| -0.000 | 0.000 | 0.000 | 14.400 | 0.000 | -0.000 |
| -0.000 | 0.000 | 0.000 | 0.000 | 14.400 | 0.000 |
| -0.000 | 0.000 | 0.000 | 0.000 | -0.000 | 14.400 |
| 478.919 | 93.723 | 93.723 | 0.000 | 0.000 | 0.000 |
| 93.723 | 478.919 | 93.723 | 0.000 | -0.000 | 0.000 |
| 93.723 | 93.723 | 478.919 | -0.000 | 0.000 | -0.000 |
| 0.000 | -0.000 | -0.000 | 14.400 | -0.000 | -0.000 |
| 0.000 | -0.000 | -0.000 | -0.000 | 14.400 | -0.000 |
| 0.000 | -0.000 | -0.000 | 0.000 | 0.000 | 14.400 |
| 476.101 | 95.132 | 95.132 | 0.000 | -0.000 | 0.000 |
| 95.132 | 476.101 | 95.132 | 0.000 | 0.000 | -0.000 |
| 95.132 | 95.132 | 476.101 | 0.000 | -0.000 | -0.000 |
| 0.000 | 0.000 | 0.000 | 14.400 | -0.000 | 0.000 |
| 0.000 | 0.000 | 0.000 | 0.000 | 14.400 | -0.000 |
| 0.000 | 0.000 | 0.000 | 0.000 | -0.000 | 14.400 |
| 476.101 | 95.132 | 95.132 | -0.000 | 0.000 | -0.000 |
| 95.132 | 476.101 | 95.132 | 0.000 | 0.000 | 0.000 |
| 95.132 | 95.132 | 476.101 | 0.000 | 0.000 | 0.000 |
| -0.000 | -0.000 | -0.000 | 14.400 | 0.000 | 0.000 |
| -0.000 | -0.000 | -0.000 | -0.000 | 14.400 | 0.000 |
| -0.000 | -0.000 | -0.000 | -0.000 | 0.000 | 14.400 |
| 476.102 | 95.131 | 95.131 | 0.000 | -0.000 | 0.000 |
| 95.131 | 476.102 | 95.131 | 0.000 | -0.000 | -0.000 |
| 95.131 | 95.131 | 476.102 | -0.000 | -0.000 | -0.000 |
| -5111998.545 | -5267028.229 | -5427426.542 | 59291.583 | -93875.210 | 26681.080 |
| -6206994.979 | -5876805.546 | -5327927.000 | -44038.291 | -66454.644 | 51933.057 |
| -5388793.508 | -5910693.763 | -5661482.964 | -74926.331 | 76787.678 | -60623.439 |
| 478.919 | 93.724 | 93.724 | -0.000 | 0.000 | 0.000 |
| 93.724 | 478.919 | 93.724 | 0.000 | -0.000 | -0.000 |
| 93.724 | 93.724 | 478.919 | 0.000 | -0.000 | 0.000 |
| -207324.149 | -262321.968 | -262314.767 | -3601910.607 | 0.000 | -0.000 |
| 6287824.403 | 5626721.422 | 5564158.866 | 31289.455 | -23696.249 | 25805.790 |
| -262321.938 | -262314.740 | -207324.142 | -0.000 | 0.000 | -3601910.554 |
| 11.845 | 9.539 | 9.539 | 0.000 | 0.000 | 0.000 |
| 9.539 | 11.845 | 9.539 | 0.000 | 0.000 | 0.000 |
| 9.539 | 9.539 | 11.845 | 0.000 | 0.000 | 0.000 |
| -0.000 | 0.000 | 0.000 | 2.431 | -0.000 | 0.000 |
| 0.000 | -0.000 | 0.000 | 0.000 | 2.431 | 0.000 |
| 0.000 | 0.000 | -0.000 | 0.000 | 0.000 | 2.431 |
| 11.845 | 9.539 | 9.539 | -0.000 | -0.000 | -0.000 |
| 9.539 | 11.845 | 9.539 | 0.000 | -0.000 | -0.000 |
| 9.539 | 9.539 | 11.845 | 0.000 | 0.000 | -0.000 |
| 0.000 | -0.000 | -0.000 | 2.431 | -0.000 | -0.000 |
| -0.000 | 0.000 | -0.000 | -0.000 | 2.431 | -0.000 |
| -0.000 | -0.000 | 0.000 | -0.000 | -0.000 | 2.431 |
| 11.845 | 9.539 | 9.539 | 0.000 | 0.000 | 0.000 |
| 9.539 | 11.845 | 9.539 | 0.000 | -0.000 | 0.000 |
| 9.539 | 9.539 | 11.845 | 0.000 | -0.000 | 0.000 |
| -0.000 | 0.000 | 0.000 | 2.431 | -0.000 | -0.000 |
| 0.000 | -0.000 | 0.000 | 0.000 | 2.431 | 0.000 |
| 0.000 | 0.000 | -0.000 | 0.000 | -0.000 | 2.431 |
| 11.845 | 9.539 | 9.539 | 0.000 | -0.000 | -0.000 |
| 9.539 | 11.845 | 9.539 | -0.000 | -0.000 | -0.000 |
| 9.539 | 9.539 | 11.845 | -0.000 | -0.000 | -0.000 |
| 0.000 | -0.000 | -0.000 | 2.431 | -0.000 | -0.000 |
| -0.000 | 0.000 | -0.000 | -0.000 | 2.431 | -0.000 |
| -0.000 | -0.000 | 0.000 | -0.000 | -0.000 | 2.431 |
| 11.846 | 9.539 | 9.539 | 0.000 | 0.000 | 0.000 |
| 9.539 | 11.846 | 9.539 | 0.000 | 0.000 | 0.000 |
| 9.539 | 9.539 | 11.846 | 0.000 | 0.000 | 0.000 |
| -0.000 | 0.000 | 0.000 | 2.431 | 0.000 | -0.000 |
| 0.000 | -0.000 | 0.000 | 0.000 | 2.431 | 0.000 |
| 0.000 | 0.000 | -0.000 | 0.000 | 0.000 | 2.431 |
| 11.845 | 9.539 | 9.539 | -0.000 | 0.000 | -0.000 |
| 9.539 | 11.845 | 9.539 | -0.000 | 0.000 | -0.000 |
| 9.539 | 9.539 | 11.845 | -0.000 | 0.000 | -0.000 |
| 0.000 | -0.000 | -0.000 | 2.431 | -0.000 | -0.000 |
| -0.000 | 0.000 | -0.000 | -0.000 | 2.431 | -0.000 |
| -0.000 | -0.000 | 0.000 | -0.000 | 0.000 | 2.431 |
| 1.054 | 0.000 | 0.000 | -0.000 | 0.000 | 0.000 |
| 0.000 | 1.054 | 0.000 | -0.000 | 0.000 | -0.000 |
| 0.000 | 0.000 | 1.054 | -0.000 | 0.000 | -0.000 |
| 0.000 | 0.000 | 0.000 | 0.000 | -0.000 | 0.000 |
| 0.000 | 0.000 | 0.000 | -0.000 | 0.000 | -0.000 |
| 0.000 | 0.000 | 0.000 | -0.000 | 0.000 | 0.000 |
| 1.054 | -0.000 | -0.000 | 0.000 | 0.000 | -0.000 |
| -0.000 | 1.054 | -0.000 | -0.000 | -0.000 | -0.000 |
| -0.000 | -0.000 | 1.054 | -0.000 | 0.000 | 0.000 |
| -0.000 | -0.000 | -0.000 | 0.000 | 0.000 | -0.000 |
| -0.000 | -0.000 | -0.000 | 0.000 | 0.000 | 0.000 |
| -0.000 | -0.000 | -0.000 | 0.000 | -0.000 | 0.000 |
| 1.054 | 0.000 | 0.000 | -0.000 | -0.000 | 0.000 |
| 0.000 | 1.054 | 0.000 | 0.000 | 0.000 | 0.000 |
| 0.000 | 0.000 | 1.054 | 0.000 | -0.000 | -0.000 |
| 0.000 | 0.000 | -0.000 | 0.000 | 0.000 | 0.000 |
| 0.000 | 0.000 | -0.000 | 0.000 | 0.000 | -0.000 |
| 0.000 | -0.000 | 0.000 | -0.000 | 0.000 | 0.000 |
| 1.054 | 0.000 | 0.000 | -0.000 | -0.000 | 0.000 |
| 0.000 | 1.054 | 0.000 | -0.000 | -0.000 | 0.000 |
| 0.000 | 0.000 | 1.054 | 0.000 | -0.000 | 0.000 |
| -0.000 | -0.000 | 0.000 | 0.000 | -0.000 | 0.000 |
| -0.000 | -0.000 | 0.000 | -0.000 | 0.000 | -0.000 |
| -0.000 | 0.000 | -0.000 | 0.000 | 0.000 | 0.000 |
| 1.054 | 0.000 | 0.000 | -0.000 | 0.000 | -0.000 |
| 0.000 | 1.054 | 0.000 | -0.000 | 0.000 | 0.000 |
| 0.000 | 0.000 | 1.054 | 0.000 | -0.000 | -0.000 |
| 0.000 | 0.000 | -0.000 | 0.000 | 0.000 | 0.000 |
| 0.000 | 0.000 | -0.000 | 0.000 | 0.000 | 0.000 |
| 0.000 | -0.000 | 0.000 | -0.000 | -0.000 | 0.000 |
| 1.054 | -0.000 | -0.000 | 0.000 | 0.000 | -0.000 |
| -0.000 | 1.054 | -0.000 | -0.000 | -0.000 | -0.000 |
| -0.000 | -0.000 | 1.054 | 0.000 | -0.000 | 0.000 |
| -0.000 | -0.000 | 0.000 | 0.000 | -0.000 | 0.000 |
| -0.000 | -0.000 | 0.000 | -0.000 | 0.000 | 0.000 |
| -0.000 | 0.000 | -0.000 | 0.000 | -0.000 | 0.000 |
| 120.442 | 214.356 | 214.356 | -0.000 | -0.000 | 0.000 |
| 214.356 | 120.442 | 214.356 | -0.000 | -0.000 | 0.000 |
| 214.356 | 214.356 | 120.442 | -0.000 | -0.000 | 0.000 |
| 0.000 | 0.000 | 0.000 | 98.748 | -0.000 | 0.000 |
| 0.000 | 0.000 | 0.000 | -0.000 | 98.748 | 0.000 |
| 0.000 | -0.000 | 0.000 | -0.000 | -0.000 | 98.748 |
| 120.442 | 214.356 | 214.356 | 0.000 | 0.000 | 0.000 |
| 214.356 | 120.442 | 214.356 | 0.000 | 0.000 | -0.000 |
| 214.356 | 214.356 | 120.442 | 0.000 | 0.000 | 0.000 |
| -0.000 | -0.000 | -0.000 | 98.748 | 0.000 | -0.000 |
| -0.000 | -0.000 | -0.000 | 0.000 | 98.748 | -0.000 |
| -0.000 | -0.000 | -0.000 | 0.000 | 0.000 | 98.748 |
| 120.442 | 214.356 | 214.356 | -0.000 | -0.000 | 0.000 |
| 214.356 | 120.442 | 214.356 | -0.000 | 0.000 | 0.000 |
| 214.356 | 214.356 | 120.442 | -0.000 | -0.000 | 0.000 |
| -0.000 | -0.000 | -0.000 | 98.748 | -0.000 | 0.000 |
| -0.000 | -0.000 | -0.000 | -0.000 | 98.748 | 0.000 |
| -0.000 | -0.000 | -0.000 | -0.000 | -0.000 | 98.748 |
| 120.442 | 214.356 | 214.356 | 0.000 | 0.000 | -0.000 |
| 214.356 | 120.442 | 214.356 | 0.000 | 0.000 | -0.000 |
| 214.356 | 214.356 | 120.442 | 0.000 | 0.000 | -0.000 |
| 0.000 | 0.000 | 0.000 | 98.748 | 0.000 | 0.000 |
| 0.000 | 0.000 | 0.000 | -0.000 | 98.748 | -0.000 |
| 0.000 | 0.000 | 0.000 | -0.000 | 0.000 | 98.748 |
| 120.443 | 214.356 | 214.356 | -0.000 | -0.000 | 0.000 |
| 214.356 | 120.443 | 214.356 | -0.000 | -0.000 | 0.000 |
| 214.356 | 214.356 | 120.443 | -0.000 | -0.000 | -0.000 |
| -0.000 | -0.001 | -0.000 | 98.748 | -0.000 | 0.000 |
| -0.001 | -0.000 | -0.000 | -0.000 | 98.748 | 0.000 |
| -0.001 | -0.000 | -0.000 | 0.000 | -0.000 | 98.748 |
| 120.442 | 214.356 | 214.356 | 0.000 | 0.000 | -0.000 |
| 214.356 | 120.442 | 214.356 | 0.000 | 0.000 | -0.000 |
| 214.356 | 214.356 | 120.442 | 0.000 | 0.000 | -0.000 |
| 0.000 | 0.001 | 0.000 | 98.748 | 0.000 | -0.000 |
| 0.001 | 0.000 | 0.000 | -0.000 | 98.748 | -0.000 |
| 0.001 | 0.000 | 0.000 | 0.000 | 0.000 | 98.748 |
| 0.395 | 0.395 | 0.395 | 0.000 | 0.000 | 0.000 |
| 0.395 | 0.395 | 0.395 | 0.000 | 0.000 | 0.000 |
| 0.395 | 0.395 | 0.395 | 0.000 | 0.000 | 0.000 |
| -0.000 | -0.000 | -0.000 | 0.375 | 0.000 | 0.000 |
| -0.000 | -0.000 | -0.000 | 0.000 | 0.375 | 0.000 |
| -0.000 | -0.000 | -0.000 | 0.000 | 0.000 | 0.375 |
| 0.395 | 0.395 | 0.395 | -0.000 | -0.000 | 0.000 |
| 0.395 | 0.395 | 0.395 | -0.000 | -0.000 | -0.000 |
| 0.395 | 0.395 | 0.395 | -0.000 | -0.000 | -0.000 |
| 0.000 | 0.000 | 0.000 | 0.375 | -0.000 | -0.000 |
| 0.000 | 0.000 | 0.000 | -0.000 | 0.375 | -0.000 |
| 0.000 | 0.000 | 0.000 | -0.000 | -0.000 | 0.375 |
| 0.395 | 0.395 | 0.395 | 0.000 | 0.000 | 0.000 |
| 0.395 | 0.395 | 0.395 | 0.000 | 0.000 | 0.000 |
| 0.395 | 0.395 | 0.395 | 0.000 | 0.000 | 0.000 |
| -0.000 | -0.000 | -0.000 | 0.375 | 0.000 | 0.000 |
| -0.000 | -0.000 | -0.000 | 0.000 | 0.375 | -0.000 |
| -0.000 | -0.000 | -0.000 | 0.000 | 0.000 | 0.375 |
| 0.395 | 0.395 | 0.395 | -0.000 | -0.000 | 0.000 |
| 0.395 | 0.395 | 0.395 | -0.000 | -0.000 | 0.000 |
| 0.395 | 0.395 | 0.395 | -0.000 | -0.000 | -0.000 |
| 0.000 | 0.000 | 0.000 | 0.375 | -0.000 | 0.000 |
| 0.000 | 0.000 | 0.000 | -0.000 | 0.375 | -0.000 |
| 0.000 | 0.000 | 0.000 | -0.000 | -0.000 | 0.375 |
| 0.395 | 0.395 | 0.395 | 0.000 | 0.000 | 0.000 |
| 0.395 | 0.395 | 0.395 | 0.000 | 0.000 | 0.000 |
| 0.395 | 0.395 | 0.395 | 0.000 | 0.000 | 0.000 |
| -0.000 | -0.000 | -0.000 | 0.158 | 0.000 | 0.000 |
| -0.000 | -0.000 | -0.000 | 0.000 | 0.158 | 0.000 |
| -0.000 | -0.000 | -0.000 | 0.000 | 0.000 | 0.158 |
| 0.395 | 0.395 | 0.395 | -0.000 | -0.000 | -0.000 |
| 0.395 | 0.395 | 0.395 | -0.000 | -0.000 | -0.000 |
| 0.395 | 0.395 | 0.395 | -0.000 | -0.000 | -0.000 |
| 0.000 | 0.000 | 0.000 | 0.158 | -0.000 | -0.000 |
| 0.000 | 0.000 | 0.000 | -0.000 | 0.158 | -0.000 |
| 0.000 | 0.000 | 0.000 | -0.000 | -0.000 | 0.158 |
| 254.763 | 180.794 | 180.794 | 0.000 | 0.000 | 0.000 |
| 180.794 | 254.763 | 180.794 | 0.000 | 0.000 | 0.000 |
| 180.794 | 180.794 | 254.763 | -0.000 | 0.000 | -0.000 |
| -0.000 | -0.000 | -0.000 | 137.284 | 0.000 | -0.000 |
| -0.000 | -0.000 | -0.000 | 0.000 | 137.284 | 0.000 |
| -0.000 | -0.000 | 0.000 | 0.000 | 0.000 | 137.284 |
| 254.763 | 180.794 | 180.794 | -0.000 | -0.000 | -0.000 |
| 180.794 | 254.763 | 180.794 | -0.000 | -0.000 | 0.000 |
| 180.794 | 180.794 | 254.763 | -0.000 | -0.000 | -0.000 |
| 0.000 | 0.000 | 0.000 | 137.284 | -0.000 | 0.000 |
| 0.000 | 0.000 | 0.000 | -0.000 | 137.284 | 0.000 |
| 0.000 | 0.000 | -0.000 | -0.000 | -0.000 | 137.284 |
| 254.762 | 180.794 | 180.794 | 0.000 | 0.000 | 0.000 |
| 180.794 | 254.762 | 180.794 | 0.000 | 0.000 | 0.000 |
| 180.794 | 180.794 | 254.762 | 0.000 | 0.000 | -0.000 |
| -0.000 | -0.000 | -0.000 | 137.284 | 0.000 | 0.000 |
| -0.000 | -0.000 | -0.000 | 0.000 | 137.284 | 0.000 |
| -0.000 | -0.000 | -0.000 | 0.000 | 0.000 | 137.284 |
| 254.763 | 180.794 | 180.794 | -0.000 | -0.000 | -0.000 |
| 180.794 | 254.763 | 180.794 | -0.000 | -0.000 | 0.000 |
| 180.794 | 180.794 | 254.763 | -0.000 | -0.000 | -0.000 |
| 0.000 | 0.000 | 0.000 | 137.284 | -0.000 | -0.000 |
| 0.000 | 0.000 | 0.000 | -0.000 | 137.284 | 0.000 |
| 0.000 | 0.000 | 0.000 | -0.000 | -0.000 | 137.284 |
| 254.759 | 180.794 | 180.794 | 0.000 | 0.000 | 0.000 |
| 180.794 | 254.759 | 180.794 | 0.000 | 0.000 | -0.000 |
| 180.794 | 180.794 | 254.759 | 0.000 | 0.000 | 0.000 |
| -0.000 | -0.000 | -0.000 | 137.284 | 0.000 | -0.000 |
| -0.000 | -0.000 | -0.000 | -0.000 | 137.284 | -0.000 |
| -0.000 | -0.000 | -0.000 | 0.000 | 0.000 | 137.284 |
| 254.766 | 180.794 | 180.794 | -0.000 | -0.000 | 0.000 |
| 180.794 | 254.766 | 180.794 | -0.000 | -0.000 | -0.000 |
| 180.794 | 180.794 | 254.766 | 0.000 | -0.000 | 0.000 |
| 0.000 | 0.000 | 0.000 | 137.284 | -0.000 | -0.000 |
| 0.000 | 0.000 | 0.000 | -0.000 | 137.284 | 0.000 |
| 0.000 | 0.000 | 0.000 | -0.000 | -0.000 | 137.284 |
| 0.965 | 0.482 | 0.482 | 0.000 | 0.000 | 0.000 |
| 0.482 | 0.965 | 0.482 | 0.000 | 0.000 | 0.000 |
| 0.482 | 0.482 | 0.965 | -0.000 | 0.000 | -0.000 |
| -0.000 | -0.000 | -0.000 | 0.483 | 0.000 | -0.000 |
| -0.000 | -0.000 | -0.000 | 0.000 | 0.483 | -0.000 |
| -0.000 | -0.000 | -0.000 | -0.000 | 0.000 | 0.483 |
| 0.965 | 0.482 | 0.482 | 0.000 | 0.000 | 0.000 |
| 0.482 | 0.965 | 0.482 | 0.000 | 0.000 | 0.000 |
| 0.482 | 0.482 | 0.965 | 0.000 | 0.000 | 0.000 |
| 0.000 | 0.000 | 0.000 | 0.483 | 0.000 | 0.000 |
| 0.000 | 0.000 | 0.000 | 0.000 | 0.483 | 0.000 |
| 0.000 | 0.000 | 0.000 | 0.000 | 0.000 | 0.483 |
| 0.965 | 0.482 | 0.482 | 0.000 | 0.000 | 0.000 |
| 0.482 | 0.965 | 0.482 | 0.000 | 0.000 | 0.000 |
| 0.482 | 0.482 | 0.965 | 0.000 | 0.000 | -0.000 |
| -0.000 | -0.000 | -0.000 | 0.483 | -0.000 | -0.000 |
| -0.000 | -0.000 | -0.000 | -0.000 | 0.483 | -0.000 |
| -0.000 | -0.000 | -0.000 | -0.000 | -0.000 | 0.483 |
| 0.965 | 0.482 | 0.482 | 0.000 | -0.000 | -0.000 |
| 0.482 | 0.965 | 0.482 | -0.000 | 0.000 | -0.000 |
| 0.482 | 0.482 | 0.965 | -0.000 | -0.000 | 0.000 |
| 0.000 | 0.000 | 0.000 | 0.483 | 0.000 | 0.000 |
| 0.000 | 0.000 | 0.000 | 0.000 | 0.483 | 0.000 |
| 0.000 | 0.000 | 0.000 | 0.000 | 0.000 | 0.483 |
| 0.964 | 0.482 | 0.482 | -0.000 | 0.000 | 0.000 |
| 0.482 | 0.964 | 0.482 | 0.000 | -0.000 | 0.000 |
| 0.482 | 0.482 | 0.964 | 0.000 | 0.000 | -0.000 |
| -0.000 | -0.000 | -0.000 | 0.483 | 0.000 | -0.000 |
| -0.000 | -0.000 | -0.000 | 0.000 | 0.483 | -0.000 |
| -0.000 | -0.000 | -0.000 | 0.000 | -0.000 | 0.483 |
| 0.965 | 0.482 | 0.482 | 0.000 | 0.000 | 0.000 |
| 0.482 | 0.965 | 0.482 | 0.000 | 0.000 | 0.000 |
| 0.482 | 0.482 | 0.965 | 0.000 | 0.000 | 0.000 |
| 0.000 | 0.000 | 0.000 | 0.483 | -0.000 | 0.000 |
| 0.000 | 0.000 | 0.000 | -0.000 | 0.483 | 0.000 |
| 0.000 | 0.000 | 0.000 | -0.000 | 0.000 | 0.483 |
| 319.723 | 171.442 | 99.184 | -0.000 | 0.000 | -0.000 |
| 167.107 | 323.006 | 98.869 | 0.000 | 0.000 | -0.000 |
| 99.171 | 99.171 | 341.590 | -0.000 | -0.000 | -0.000 |
| 0.000 | 0.000 | -0.000 | 44.702 | -0.000 | 0.000 |
| 0.000 | 0.001 | 0.000 | 0.000 | 44.381 | 0.000 |
| -0.000 | 0.000 | -0.000 | 0.000 | 0.000 | 100.026 |
| 323.013 | 167.099 | 98.868 | 0.000 | -0.000 | 0.000 |
| 171.442 | 319.722 | 99.184 | -0.000 | -0.000 | -0.000 |
| 99.171 | 99.171 | 341.590 | 0.000 | 0.000 | -0.000 |
| -0.000 | -0.000 | 0.000 | 44.702 | 0.000 | 0.000 |
| -0.000 | -0.001 | -0.000 | 0.000 | 44.381 | -0.000 |
| 0.000 | -0.000 | 0.000 | -0.000 | -0.000 | 100.026 |
| 345.738 | 145.686 | 99.261 | 0.000 | -0.000 | 0.000 |
| 171.442 | 319.723 | 99.184 | 0.000 | -0.000 | -0.000 |
| 99.171 | 99.171 | 341.590 | -0.000 | -0.000 | 0.000 |
| 0.000 | 0.000 | 0.000 | 44.381 | 0.000 | 0.000 |
| 0.000 | 0.000 | 0.000 | -0.000 | 44.381 | -0.000 |
| -0.000 | 0.000 | -0.000 | -0.000 | 0.000 | 100.026 |
| 319.723 | 171.442 | 99.184 | -0.000 | -0.000 | 0.000 |
| 145.686 | 345.738 | 99.261 | 0.000 | 0.000 | -0.000 |
| 99.261 | 99.261 | 341.644 | 0.000 | 0.000 | -0.000 |
| -0.000 | -0.000 | -0.000 | 44.381 | -0.000 | 0.000 |
| -0.000 | -0.000 | -0.000 | 0.000 | 44.381 | -0.000 |
| 0.000 | -0.000 | 0.000 | 0.000 | -0.000 | 100.026 |
| 323.016 | 167.103 | 98.869 | 0.000 | 0.000 | -0.000 |
| 171.445 | 319.727 | 99.183 | -0.000 | 0.000 | 0.000 |
| 99.261 | 99.261 | 341.642 | -0.000 | -0.000 | -0.000 |
| -0.000 | -0.000 | -0.000 | 44.702 | 0.000 | -0.000 |
| -0.000 | -0.000 | -0.000 | 0.000 | 44.702 | 0.000 |
| -0.000 | 0.001 | -0.000 | -0.000 | 0.000 | 75.509 |
| 323.009 | 167.104 | 98.869 | -0.000 | -0.000 | 0.000 |
| 145.685 | 345.738 | 99.261 | -0.000 | 0.000 | -0.000 |
| 99.261 | 99.261 | 341.645 | 0.000 | 0.000 | -0.000 |
| 0.000 | 0.000 | 0.000 | 44.702 | -0.000 | -0.000 |
| 0.000 | 0.000 | 0.000 | -0.000 | 44.702 | 0.000 |
| 0.000 | -0.001 | 0.000 | 0.000 | -0.000 | 75.509 |
| 337.669 | 140.136 | 96.479 | 0.000 | -0.000 | 0.000 |
| 140.136 | 337.669 | 96.479 | 0.000 | -0.000 | 0.000 |
| 96.488 | 96.488 | 342.715 | -0.000 | -0.000 | 0.000 |
| 0.000 | 0.000 | 0.000 | 44.817 | -0.000 | 0.000 |
| -0.000 | 0.000 | 0.000 | 0.000 | 44.817 | 0.000 |
| -0.000 | 0.000 | 0.000 | 0.000 | -0.000 | 98.767 |
| 337.669 | 140.136 | 96.479 | -0.000 | 0.000 | -0.000 |
| 167.659 | 309.878 | 96.492 | -0.000 | 0.000 | -0.000 |
| 96.488 | 96.488 | 342.715 | -0.000 | 0.000 | -0.000 |
| 0.000 | -0.000 | -0.000 | 44.817 | 0.000 | -0.000 |
| 0.000 | -0.000 | -0.000 | -0.000 | 44.817 | -0.000 |
| 0.000 | -0.000 | -0.000 | -0.000 | 0.000 | 98.767 |
| 337.669 | 140.136 | 96.479 | -0.000 | -0.000 | 0.000 |
| 140.136 | 337.669 | 96.479 | 0.000 | -0.000 | 0.000 |
| 96.488 | 96.488 | 342.715 | 0.000 | -0.000 | 0.000 |
| -0.000 | -0.000 | -0.000 | 44.817 | -0.000 | 0.000 |
| -0.001 | -0.001 | 0.000 | 0.000 | 44.685 | 0.000 |
| -0.000 | -0.000 | 0.000 | 0.000 | -0.000 | 70.906 |
| 337.669 | 140.136 | 96.479 | -0.000 | 0.000 | -0.000 |
| 140.136 | 337.670 | 96.479 | -0.000 | 0.000 | -0.000 |
| 96.493 | 96.493 | 342.714 | -0.000 | 0.000 | -0.000 |
| 0.000 | 0.000 | 0.000 | 44.817 | 0.000 | -0.000 |
| 0.001 | 0.001 | -0.000 | -0.000 | 44.685 | -0.000 |
| 0.000 | 0.000 | -0.000 | -0.000 | 0.000 | 70.906 |
| 337.668 | 140.136 | 96.479 | 0.000 | -0.000 | 0.000 |
| 168.066 | 309.669 | 96.482 | 0.000 | -0.000 | 0.000 |
| 96.493 | 96.493 | 342.713 | 0.000 | -0.000 | 0.000 |
| 0.000 | -0.001 | -0.000 | 44.685 | -0.000 | 0.000 |
| -0.000 | -0.000 | -0.000 | 0.000 | 44.817 | 0.000 |
| -0.000 | -0.000 | -0.000 | 0.000 | -0.000 | 98.767 |
| 309.887 | 167.645 | 96.493 | -0.000 | 0.000 | -0.000 |
| 167.644 | 309.888 | 96.493 | -0.000 | 0.000 | -0.000 |
| 96.493 | 96.493 | 342.715 | 0.000 | 0.000 | -0.000 |
| -0.000 | 0.001 | 0.000 | 44.685 | 0.000 | -0.000 |
| 0.000 | 0.000 | 0.000 | -0.000 | 44.817 | -0.000 |
| 0.000 | 0.000 | 0.000 | -0.000 | 0.000 | 98.767 |
| 337.796 | 140.160 | 96.493 | 0.000 | 0.000 | -0.000 |
| 140.160 | 337.796 | 96.493 | -0.000 | 0.000 | 0.000 |
| 96.493 | 96.493 | 342.698 | -0.000 | 0.000 | 0.000 |
| 0.000 | 0.000 | -0.000 | 44.842 | 0.000 | -0.000 |
| 0.039 | 0.039 | -0.004 | -0.000 | 44.738 | -0.000 |
| 0.022 | 0.022 | -0.002 | -0.000 | 0.000 | 71.028 |
| 337.796 | 140.160 | 96.493 | -0.000 | -0.000 | 0.000 |
| 140.160 | 337.796 | 96.493 | 0.000 | -0.000 | -0.000 |
| 96.489 | 96.489 | 342.698 | 0.000 | -0.000 | -0.000 |
| 0.000 | -0.000 | 0.000 | 44.842 | -0.000 | -0.000 |
| -0.039 | -0.039 | 0.004 | 0.000 | 44.738 | -0.000 |
| -0.022 | -0.022 | 0.002 | -0.000 | -0.000 | 71.028 |
| 337.796 | 140.160 | 96.493 | -0.000 | 0.000 | -0.000 |
| 140.160 | 337.796 | 96.493 | -0.000 | 0.000 | 0.000 |
| 96.499 | 96.499 | 342.697 | -0.000 | 0.000 | 0.000 |
| 0.005 | 0.005 | -0.000 | 44.711 | 0.000 | -0.000 |
| 0.005 | 0.005 | -0.000 | -0.000 | 44.711 | 0.000 |
| 0.002 | 0.002 | -0.000 | -0.000 | 0.000 | 71.023 |
| 310.082 | 167.594 | 96.506 | -0.000 | -0.000 | -0.000 |
| 167.594 | 310.082 | 96.506 | 0.000 | -0.000 | -0.000 |
| 96.497 | 96.497 | 342.698 | -0.000 | -0.000 | 0.000 |
| -0.005 | -0.005 | 0.000 | 44.711 | -0.000 | 0.000 |
| -0.005 | -0.005 | 0.000 | 0.000 | 44.711 | -0.000 |
| -0.002 | -0.002 | 0.000 | 0.000 | -0.000 | 71.023 |
| 310.075 | 167.603 | 96.506 | -0.000 | 0.000 | 0.000 |
| 167.605 | 310.073 | 96.506 | -0.000 | 0.000 | 0.000 |
| 96.493 | 96.493 | 342.697 | -0.000 | 0.000 | -0.000 |
| -0.000 | -0.000 | -0.000 | 44.842 | 0.000 | 0.000 |
| -0.000 | 0.001 | -0.000 | -0.000 | 44.711 | -0.000 |
| -0.002 | -0.001 | -0.000 | -0.000 | 0.000 | 70.790 |
| 310.080 | 167.602 | 96.506 | 0.000 | -0.000 | 0.000 |
| 167.601 | 310.081 | 96.506 | 0.000 | -0.000 | 0.000 |
| 96.493 | 96.493 | 342.699 | 0.000 | -0.000 | 0.000 |
| 0.000 | 0.000 | 0.000 | 44.842 | -0.000 | 0.000 |
| 0.000 | -0.001 | 0.000 | 0.000 | 44.711 | -0.000 |
| 0.002 | 0.001 | 0.000 | 0.000 | -0.000 | 70.790 |
| 246.557 | 169.281 | 170.889 | 0.000 | 0.000 | 0.000 |
| 169.281 | 246.557 | 170.889 | -0.000 | 0.000 | -0.000 |
| 170.889 | 170.889 | 244.291 | 0.000 | 0.000 | -0.000 |
| 0.000 | -0.000 | 0.000 | 136.493 | 0.000 | -0.000 |
| -0.000 | -0.000 | 0.000 | 0.000 | 136.493 | -0.000 |
| -0.000 | -0.000 | 0.000 | 0.000 | 0.000 | 137.111 |
| 246.352 | 169.486 | 170.889 | -0.000 | -0.000 | 0.000 |
| 169.486 | 246.352 | 170.889 | -0.000 | -0.000 | -0.000 |
| 170.889 | 170.889 | 244.292 | -0.000 | -0.000 | 0.000 |
| -0.000 | 0.000 | -0.000 | 136.493 | -0.000 | 0.000 |
| 0.000 | 0.000 | -0.000 | -0.000 | 136.493 | 0.000 |
| -0.000 | 0.000 | -0.000 | -0.000 | -0.000 | 137.111 |
| 246.556 | 169.281 | 170.889 | 0.000 | 0.000 | -0.000 |
| 169.281 | 246.556 | 170.889 | 0.000 | 0.000 | -0.000 |
| 170.889 | 170.889 | 244.291 | -0.000 | -0.000 | -0.000 |
| -0.000 | -0.000 | -0.000 | 136.493 | 0.000 | -0.000 |
| -0.000 | -0.000 | -0.000 | 0.000 | 136.493 | -0.000 |
| -0.000 | -0.000 | -0.000 | 0.000 | 0.000 | 137.111 |
| 246.557 | 169.281 | 170.889 | -0.000 | -0.000 | 0.000 |
| 169.281 | 246.557 | 170.889 | -0.000 | -0.000 | -0.000 |
| 170.889 | 170.889 | 244.292 | 0.000 | -0.000 | 0.000 |
| 0.000 | 0.000 | 0.000 | 136.493 | -0.000 | 0.000 |
| 0.000 | 0.000 | 0.000 | 0.000 | 136.493 | 0.000 |
| 0.000 | 0.000 | 0.000 | -0.000 | -0.000 | 137.111 |
| 246.553 | 169.281 | 170.889 | -0.000 | 0.000 | -0.000 |
| 169.281 | 246.553 | 170.889 | 0.000 | 0.000 | -0.000 |
| 170.889 | 170.889 | 244.288 | -0.000 | 0.000 | 0.000 |
| -0.000 | -0.000 | -0.000 | 136.622 | -0.000 | -0.000 |
| -0.000 | -0.000 | -0.000 | -0.000 | 136.622 | -0.000 |
| -0.000 | -0.000 | -0.000 | 0.000 | 0.000 | 137.111 |
| 246.356 | 169.486 | 170.889 | -0.000 | -0.000 | -0.000 |
| 169.486 | 246.356 | 170.889 | 0.000 | -0.000 | 0.000 |
| 170.889 | 170.889 | 244.295 | 0.000 | -0.000 | 0.000 |
| 0.000 | 0.000 | 0.000 | 136.622 | -0.000 | -0.000 |
| 0.000 | 0.000 | 0.000 | -0.000 | 136.622 | 0.000 |
| 0.000 | 0.000 | 0.000 | -0.000 | -0.000 | 137.111 |
| 321.882 | 168.504 | 98.994 | -0.000 | 0.000 | 0.000 |
| 168.504 | 321.882 | 98.994 | -0.000 | 0.000 | 0.000 |
| 99.187 | 99.187 | 341.461 | -0.000 | -0.000 | 0.000 |
| -0.000 | -0.000 | -0.000 | 44.753 | 0.000 | 0.000 |
| 0.116 | 0.116 | 0.073 | -0.000 | 44.517 | 0.000 |
| 0.207 | 0.207 | 0.130 | -0.000 | 0.000 | 75.839 |
| 345.649 | 145.592 | 99.263 | 0.000 | -0.000 | -0.000 |
| 165.721 | 324.041 | 98.797 | 0.000 | -0.000 | -0.000 |
| 99.229 | 99.229 | 341.487 | 0.000 | -0.000 | -0.000 |
| 0.000 | 0.000 | 0.000 | 44.753 | -0.000 | -0.000 |
| -0.116 | -0.116 | -0.073 | 0.000 | 44.517 | -0.000 |
| -0.207 | -0.207 | -0.130 | 0.000 | -0.000 | 75.839 |
| 345.649 | 145.592 | 99.263 | -0.000 | 0.000 | 0.000 |
| 145.592 | 345.649 | 99.263 | -0.000 | 0.000 | 0.000 |
| 99.229 | 99.229 | 341.487 | -0.000 | -0.000 | 0.000 |
| -0.000 | -0.000 | -0.000 | 44.753 | 0.000 | 0.000 |
| -0.000 | -0.000 | -0.000 | -0.000 | 44.753 | 0.000 |
| -0.000 | 0.000 | -0.000 | -0.000 | 0.000 | 100.029 |
| 345.649 | 145.592 | 99.263 | 0.000 | 0.000 | 0.000 |
| 171.218 | 319.781 | 99.187 | 0.000 | 0.000 | -0.000 |
| 99.139 | 99.139 | 341.431 | 0.000 | 0.000 | -0.000 |
| 0.000 | 0.000 | 0.000 | 44.753 | -0.000 | 0.000 |
| 0.000 | 0.000 | 0.000 | 0.000 | 44.753 | -0.000 |
| 0.000 | -0.000 | 0.000 | 0.000 | -0.000 | 100.029 |
| 345.649 | 145.592 | 99.263 | -0.000 | -0.000 | 0.000 |
| 145.592 | 345.649 | 99.263 | -0.000 | 0.000 | 0.000 |
| 99.229 | 99.229 | 341.486 | -0.000 | 0.000 | 0.000 |
| 0.002 | 0.001 | 0.001 | 44.433 | 0.000 | 0.000 |
| 0.001 | 0.002 | 0.001 | -0.000 | 44.433 | 0.000 |
| 0.001 | 0.002 | 0.001 | -0.000 | 0.000 | 75.587 |
| 319.784 | 171.222 | 99.189 | 0.000 | -0.000 | 0.000 |
| 171.221 | 319.785 | 99.189 | 0.000 | -0.000 | 0.000 |
| 99.143 | 99.143 | 341.435 | 0.000 | 0.000 | -0.000 |
| -0.002 | -0.001 | -0.001 | 44.433 | -0.000 | -0.000 |
| -0.001 | -0.002 | -0.001 | 0.000 | 44.433 | -0.000 |
| -0.001 | -0.002 | -0.001 | 0.000 | -0.000 | 75.587 |
| 223.574 | 70.137 | 149.714 | 0.000 | 0.000 | 0.000 |
| 70.137 | 223.574 | 149.714 | 0.000 | -0.000 | 0.000 |
| 150.127 | 150.127 | 257.665 | 0.000 | -0.000 | 0.000 |
| 0.014 | 0.014 | 0.020 | 93.468 | -0.000 | 0.000 |
| 0.014 | 0.014 | 0.020 | 0.000 | 93.468 | 0.000 |
| 0.027 | 0.027 | 0.038 | 0.000 | -0.000 | 10.767 |
| 223.915 | 70.462 | 150.127 | -0.000 | 0.000 | -0.000 |
| 70.462 | 223.915 | 150.127 | 0.000 | -0.000 | -0.000 |
| 149.721 | 149.721 | 257.124 | 0.000 | -0.000 | 0.000 |
| -0.014 | -0.014 | -0.020 | 93.468 | 0.000 | -0.000 |
| -0.014 | -0.014 | -0.020 | -0.000 | 93.468 | -0.000 |
| -0.027 | -0.027 | -0.038 | -0.000 | 0.000 | 10.767 |
| 223.915 | 70.462 | 150.127 | 0.000 | 0.000 | 0.000 |
| 70.462 | 223.915 | 150.127 | 0.000 | -0.000 | 0.000 |
| 150.127 | 150.127 | 257.665 | 0.000 | -0.000 | 0.000 |
| 0.000 | -0.000 | 0.000 | 93.572 | -0.000 | 0.000 |
| -0.000 | 0.000 | 0.000 | 0.000 | 93.572 | 0.000 |
| -0.001 | -0.001 | -0.001 | 0.000 | -0.000 | 10.738 |
| 223.542 | 70.106 | 149.712 | 0.000 | 0.000 | -0.000 |
| 70.106 | 223.542 | 149.712 | -0.000 | -0.000 | -0.000 |
| 150.127 | 150.127 | 257.664 | -0.000 | 0.000 | -0.000 |
| -0.000 | 0.000 | -0.000 | 93.572 | 0.000 | -0.000 |
| 0.000 | -0.000 | -0.000 | -0.000 | 93.572 | -0.000 |
| 0.001 | 0.001 | 0.001 | -0.000 | 0.000 | 10.738 |
| 223.916 | 70.462 | 150.127 | 0.000 | -0.000 | 0.000 |
| 70.462 | 223.916 | 150.127 | -0.000 | -0.000 | 0.000 |
| 149.713 | 149.713 | 257.137 | 0.000 | -0.000 | 0.000 |
| 0.000 | -0.000 | 0.000 | 93.572 | 0.000 | 0.000 |
| -0.000 | 0.000 | 0.000 | 0.000 | 93.572 | 0.000 |
| 0.000 | 0.000 | 0.000 | 0.000 | 0.000 | 10.933 |
| 223.913 | 70.462 | 150.127 | 0.000 | 0.000 | -0.000 |
| 70.462 | 223.913 | 150.127 | -0.000 | -0.000 | -0.000 |
| 150.126 | 150.126 | 257.660 | -0.000 | -0.000 | -0.000 |
| -0.000 | 0.000 | -0.000 | 93.572 | -0.000 | -0.000 |
| 0.000 | -0.000 | -0.000 | -0.000 | 93.572 | -0.000 |
| -0.000 | -0.000 | -0.000 | -0.000 | 0.000 | 10.933 |
| 222.578 | 69.882 | 149.548 | -0.000 | -0.000 | 0.000 |
| 69.882 | 222.578 | 149.548 | 0.000 | 0.000 | -0.000 |
| 149.572 | 149.572 | 255.474 | -0.000 | 0.000 | -0.000 |
| 0.078 | 0.078 | 0.107 | 93.198 | 0.000 | 0.000 |
| 0.078 | 0.078 | 0.107 | -0.000 | 93.198 | 0.000 |
| 0.126 | 0.126 | 0.172 | -0.000 | 0.000 | 10.294 |
| 222.480 | 69.783 | 149.411 | 0.000 | -0.000 | 0.000 |
| 69.783 | 222.480 | 149.411 | 0.000 | -0.000 | -0.000 |
| 149.920 | 149.920 | 255.927 | -0.000 | -0.000 | 0.000 |
| -0.078 | -0.078 | -0.107 | 93.198 | -0.000 | 0.000 |
| -0.078 | -0.078 | -0.107 | -0.000 | 93.198 | 0.000 |
| -0.126 | -0.126 | -0.172 | -0.000 | -0.000 | 10.294 |
| 222.886 | 70.173 | 149.909 | -0.000 | 0.000 | 0.000 |
| 70.173 | 222.886 | 149.909 | 0.000 | -0.000 | -0.000 |
| 149.920 | 149.920 | 255.927 | 0.000 | 0.000 | 0.000 |
| 0.000 | -0.000 | 0.000 | 93.295 | 0.000 | -0.000 |
| -0.000 | 0.000 | 0.000 | -0.000 | 93.295 | 0.000 |
| -0.005 | -0.005 | -0.007 | 0.000 | 0.000 | 10.222 |
| 222.885 | 70.173 | 149.909 | -0.000 | -0.000 | 0.000 |
| 70.173 | 222.885 | 149.909 | -0.000 | -0.000 | -0.000 |
| 149.513 | 149.513 | 255.393 | 0.000 | -0.000 | -0.000 |
| -0.000 | 0.000 | -0.000 | 93.295 | -0.000 | 0.000 |
| 0.000 | -0.000 | -0.000 | -0.000 | 93.295 | 0.000 |
| 0.005 | 0.005 | 0.007 | -0.000 | -0.000 | 10.222 |
| 222.532 | 69.835 | 149.481 | 0.000 | -0.000 | -0.000 |
| 69.835 | 222.532 | 149.481 | -0.000 | -0.000 | 0.000 |
| 149.921 | 149.921 | 255.932 | 0.000 | 0.000 | -0.000 |
| 0.001 | 0.001 | 0.001 | 93.188 | 0.000 | 0.000 |
| 0.001 | 0.001 | 0.001 | -0.000 | 93.188 | 0.000 |
| 0.000 | -0.000 | -0.000 | 0.000 | 0.000 | 10.222 |
| 222.884 | 70.173 | 149.909 | -0.000 | -0.000 | -0.000 |
| 70.173 | 222.884 | 149.909 | -0.000 | -0.000 | -0.000 |
| 149.919 | 149.919 | 255.922 | -0.000 | -0.000 | -0.000 |
| -0.001 | -0.001 | -0.001 | 93.188 | -0.000 | -0.000 |
| -0.001 | -0.001 | -0.001 | 0.000 | 93.188 | 0.000 |
| -0.000 | 0.000 | 0.000 | -0.000 | -0.000 | 10.222 |
| 168.620 | 195.369 | 196.027 | 0.000 | -0.000 | -0.000 |
| 195.369 | 168.620 | 196.027 | 0.000 | -0.000 | -0.000 |
| 195.954 | 195.954 | 168.189 | -0.000 | -0.000 | -0.000 |
| -0.003 | -0.003 | 0.003 | 143.552 | -0.000 | -0.000 |
| -0.003 | -0.003 | 0.003 | -0.000 | 143.552 | -0.000 |
| 0.000 | 0.000 | 0.000 | 0.000 | 0.000 | 148.343 |
| 168.620 | 195.369 | 196.027 | -0.000 | 0.000 | 0.000 |
| 195.369 | 168.620 | 196.027 | -0.000 | 0.000 | 0.000 |
| 196.014 | 196.014 | 168.688 | 0.000 | 0.000 | 0.000 |
| 0.003 | 0.003 | -0.003 | 143.552 | 0.000 | 0.000 |
| 0.003 | 0.003 | -0.003 | -0.000 | 143.552 | 0.000 |
| -0.000 | -0.000 | -0.000 | -0.000 | 0.000 | 148.343 |
| 168.318 | 195.368 | 195.972 | -0.000 | -0.000 | -0.000 |
| 195.368 | 168.318 | 195.972 | 0.000 | 0.000 | -0.000 |
| 195.958 | 195.958 | 168.186 | -0.000 | -0.000 | -0.000 |
| -0.000 | -0.000 | 0.000 | 143.552 | -0.000 | -0.000 |
| -0.000 | -0.000 | 0.000 | -0.000 | 143.552 | -0.000 |
| 0.000 | 0.000 | 0.000 | 0.000 | -0.000 | 148.343 |
| 168.319 | 195.368 | 195.971 | -0.000 | 0.000 | 0.000 |
| 195.368 | 168.319 | 195.971 | -0.000 | 0.000 | 0.000 |
| 195.959 | 195.959 | 168.185 | -0.000 | 0.000 | 0.000 |
| 0.000 | 0.000 | -0.000 | 143.552 | 0.000 | 0.000 |
| 0.000 | 0.000 | -0.000 | -0.000 | 143.552 | 0.000 |
| -0.000 | -0.000 | -0.000 | -0.000 | 0.000 | 148.343 |
| 168.621 | 195.370 | 196.028 | 0.000 | -0.000 | -0.000 |
| 195.370 | 168.621 | 196.028 | 0.000 | 0.000 | -0.000 |
| 195.959 | 195.959 | 168.186 | 0.000 | 0.000 | -0.000 |
| 0.001 | 0.001 | 0.001 | 143.912 | -0.000 | -0.000 |
| 0.001 | 0.001 | 0.001 | 0.000 | 143.912 | -0.000 |
| 0.001 | 0.001 | 0.001 | 0.000 | -0.000 | 148.343 |
| 168.620 | 195.368 | 196.026 | -0.000 | -0.000 | 0.000 |
| 195.368 | 168.620 | 196.026 | -0.000 | 0.000 | 0.000 |
| 196.013 | 196.013 | 168.688 | -0.000 | 0.000 | 0.000 |
| -0.001 | -0.001 | -0.001 | 143.912 | 0.000 | 0.000 |
| -0.001 | -0.001 | -0.001 | -0.000 | 143.912 | 0.000 |
| -0.001 | -0.001 | -0.001 | -0.000 | 0.000 | 148.343 |
| 156.197 | 21.129 | 1431.872 | -0.000 | 0.000 | -0.000 |
| 21.129 | 156.197 | 1431.872 | -0.000 | 0.000 | -0.000 |
| -57.913 | -57.913 | 1805.947 | -0.000 | 0.000 | -0.000 |
| -166.774 | -166.774 | 1321.698 | 42.178 | 0.000 | -0.000 |
| -166.774 | -166.774 | 1321.698 | -0.000 | 42.178 | -0.000 |
| 57.015 | 57.015 | 1775.566 | -0.000 | 0.000 | 33.054 |
| 489.544 | 354.726 | -1211.510 | 0.000 | -0.000 | 0.000 |
| 354.726 | 489.544 | -1211.510 | 0.000 | -0.000 | -0.000 |
| 95.709 | 95.709 | 499.559 | 0.000 | -0.000 | 0.000 |
| 166.774 | 166.774 | -1321.698 | 42.178 | -0.000 | 0.000 |
| 166.774 | 166.774 | -1321.698 | 0.000 | 42.178 | 0.000 |
| -57.015 | -57.015 | -1775.566 | -0.000 | -0.000 | 33.054 |
| 307.465 | 170.930 | 242.021 | 0.000 | 0.000 | -0.000 |
| 170.930 | 307.465 | 242.021 | -0.000 | 0.000 | -0.000 |
| 92.162 | 92.162 | 616.416 | -0.000 | 0.000 | -0.000 |
| 5.669 | 5.669 | 177.571 | 40.505 | 0.000 | -0.000 |
| 5.669 | 5.669 | 177.571 | -0.000 | 40.505 | -0.000 |
| 5.691 | 5.691 | 177.226 | -0.000 | 0.000 | 33.156 |
| 345.093 | 185.921 | 87.258 | 0.000 | -0.000 | 0.000 |
| 185.921 | 345.093 | 87.258 | 0.000 | -0.000 | 0.000 |
| 100.670 | 100.670 | 305.383 | 0.000 | -0.000 | 0.000 |
| -5.669 | -5.669 | -177.571 | 40.505 | -0.000 | 0.000 |
| -5.669 | -5.669 | -177.571 | 0.000 | 40.505 | 0.000 |
| -5.691 | -5.691 | -177.226 | 0.000 | -0.000 | 33.156 |
| 334.874 | 221.508 | 141.428 | 0.000 | -0.000 | -0.000 |
| 221.508 | 334.874 | 141.428 | 0.000 | -0.000 | -0.000 |
| 103.333 | 103.333 | 491.593 | 0.000 | 0.000 | -0.000 |
| -0.728 | -0.728 | 1.900 | 44.561 | -0.000 | -0.000 |
| -0.728 | -0.728 | 1.900 | -0.000 | 44.561 | -0.000 |
| -1.479 | -1.479 | 11.400 | -0.000 | 0.000 | 43.265 |
| 327.095 | 188.978 | 88.445 | -0.000 | -0.000 | -0.000 |
| 188.978 | 327.095 | 88.445 | 0.000 | 0.000 | -0.000 |
| 89.564 | 89.564 | 466.653 | 0.000 | -0.000 | 0.000 |
| 0.728 | 0.728 | -1.900 | 44.561 | -0.000 | 0.000 |
| 0.728 | 0.728 | -1.900 | -0.000 | 44.561 | 0.000 |
| 1.479 | 1.479 | -11.400 | 0.000 | -0.000 | 43.265 |
| 949.918 | 826.823 | -322.449 | -0.052 | 0.034 | -0.000 |
| 826.823 | 949.918 | -322.449 | -0.052 | 0.034 | -0.000 |
| 93.633 | 93.633 | 501.530 | 0.000 | 0.000 | 0.000 |
| 0.000 | 0.000 | 0.000 | 51.023 | 0.000 | -0.000 |
| 0.000 | 0.000 | 0.000 | 0.000 | 51.023 | -0.000 |
| 269.200 | 269.200 | -135.885 | -0.130 | 0.086 | 78.446 |
| -576.847 | -638.306 | 1448.590 | 0.058 | -0.038 | 0.000 |
| -638.306 | -576.847 | 1448.590 | 0.058 | -0.038 | 0.000 |
| 93.633 | 93.633 | 501.530 | -0.000 | -0.000 | 0.000 |
| -0.000 | -0.000 | -0.000 | 51.023 | 0.000 | 0.000 |
| -0.000 | -0.000 | 0.000 | -0.000 | 51.023 | 0.000 |
| -0.000 | -0.000 | -0.000 | -0.000 | -0.000 | 100.533 |
| 401.160 | 145.690 | 95.343 | 0.000 | 0.000 | -0.000 |
| 145.690 | 401.160 | 95.343 | 0.000 | -0.000 | -0.000 |
| 93.633 | 93.633 | 501.530 | 0.000 | -0.000 | -0.000 |
| 0.000 | 0.000 | 0.000 | 51.023 | 0.000 | -0.000 |
| 0.000 | 0.000 | 0.000 | 0.000 | 51.023 | -0.000 |
| 62.578 | 62.578 | -41.923 | -0.005 | 0.003 | 42.331 |
| 257.835 | 115.937 | 148.609 | 0.003 | -0.002 | 0.000 |
| 115.937 | 257.835 | 148.609 | 0.003 | -0.002 | 0.000 |
| 75.137 | 75.137 | 505.833 | 0.012 | -0.008 | 0.000 |
| -0.000 | -0.000 | -0.000 | 51.023 | 0.000 | 0.000 |
| -0.000 | -0.000 | -0.000 | -0.000 | 51.023 | 0.000 |
| -62.578 | -62.578 | 41.923 | 0.005 | -0.003 | 42.331 |
| 327.369 | 189.608 | 98.417 | -0.001 | 0.000 | -0.000 |
| 189.608 | 327.368 | 98.417 | -0.001 | 0.000 | -0.000 |
| 93.634 | 93.634 | 501.534 | -0.000 | 0.000 | -0.000 |
| 0.000 | 0.000 | 0.000 | 51.023 | 0.000 | 0.000 |
| 0.000 | 0.000 | 0.000 | 0.000 | 51.023 | -0.000 |
| 4.089 | 4.089 | -4.073 | -0.000 | 0.000 | 52.519 |
| 303.627 | 179.315 | 121.769 | 0.000 | -0.000 | 0.000 |
| 179.315 | 303.627 | 121.769 | 0.000 | -0.000 | 0.000 |
| 97.959 | 97.959 | 494.167 | 0.001 | -0.001 | 0.000 |
| -0.000 | -0.000 | -0.000 | 51.023 | -0.000 | 0.000 |
| -0.000 | -0.000 | -0.000 | -0.000 | 51.023 | -0.000 |
| -4.089 | -4.089 | 4.073 | 0.000 | -0.000 | 52.519 |
| 142.771 | 184.129 | 184.129 | -0.000 | -0.000 | 0.000 |
| 184.129 | 142.771 | 184.129 | -0.000 | -0.000 | -0.000 |
| 184.129 | 184.129 | 142.771 | -0.000 | -0.000 | -0.000 |
| 0.000 | -0.000 | -0.000 | 155.658 | -0.000 | 0.000 |
| 0.000 | -0.000 | 0.000 | -0.000 | 155.658 | -0.000 |
| 0.000 | -0.000 | -0.000 | -0.000 | -0.000 | 155.658 |
| 142.551 | 184.172 | 184.172 | 0.000 | 0.000 | -0.000 |
| 184.172 | 142.551 | 184.172 | 0.000 | 0.000 | -0.000 |
| 184.172 | 184.172 | 142.551 | 0.000 | 0.000 | 0.000 |
| -0.000 | 0.000 | 0.000 | 155.658 | 0.000 | 0.000 |
| -0.000 | 0.000 | 0.000 | 0.000 | 155.658 | -0.000 |
| -0.000 | 0.000 | 0.000 | 0.000 | 0.000 | 155.658 |
| 142.771 | 184.129 | 184.129 | -0.000 | -0.000 | 0.000 |
| 184.129 | 142.771 | 184.129 | -0.000 | -0.000 | 0.000 |
| 184.129 | 184.129 | 142.771 | -0.000 | -0.000 | -0.000 |
| 0.000 | 0.000 | 0.000 | 156.011 | -0.000 | -0.000 |
| 0.000 | 0.000 | 0.000 | -0.000 | 156.011 | 0.000 |
| 0.000 | 0.000 | 0.000 | -0.000 | -0.000 | 156.011 |
| 142.771 | 184.129 | 184.129 | 0.000 | 0.000 | 0.000 |
| 184.129 | 142.771 | 184.129 | 0.000 | 0.000 | -0.000 |
| 184.129 | 184.129 | 142.771 | 0.000 | 0.000 | 0.000 |
| -0.000 | -0.000 | -0.000 | 156.011 | 0.000 | -0.000 |
| -0.000 | -0.000 | -0.000 | 0.000 | 156.011 | -0.000 |
| -0.000 | -0.000 | -0.000 | 0.000 | 0.000 | 156.011 |
| 142.550 | 184.173 | 184.173 | -0.000 | -0.000 | 0.000 |
| 184.173 | 142.550 | 184.173 | -0.000 | -0.000 | -0.000 |
| 184.173 | 184.173 | 142.550 | -0.000 | -0.000 | -0.000 |
| 0.001 | 0.000 | 0.001 | 156.011 | -0.000 | 0.000 |
| 0.000 | 0.001 | 0.001 | -0.000 | 156.011 | -0.000 |
| 0.000 | 0.001 | 0.001 | -0.000 | -0.000 | 156.011 |
| 142.551 | 184.171 | 184.171 | 0.000 | 0.000 | -0.000 |
| 184.171 | 142.551 | 184.171 | 0.000 | 0.000 | -0.000 |
| 184.171 | 184.171 | 142.551 | 0.000 | 0.000 | 0.000 |
| -0.001 | -0.000 | -0.001 | 156.011 | 0.000 | 0.000 |
| -0.000 | -0.001 | -0.001 | 0.000 | 156.011 | -0.000 |
| -0.000 | -0.001 | -0.001 | 0.000 | 0.000 | 156.011 |
| 142.571 | 183.552 | 183.552 | 0.000 | 0.000 | 0.000 |
| 183.552 | 142.571 | 183.552 | 0.000 | -0.000 | 0.000 |
| 183.552 | 183.552 | 142.571 | -0.000 | -0.000 | 0.000 |
| 0.037 | 0.037 | 0.037 | 155.072 | -0.000 | 0.000 |
| 0.037 | 0.037 | 0.037 | -0.000 | 155.072 | 0.000 |
| 0.037 | 0.037 | 0.037 | 0.000 | -0.000 | 155.072 |
| 142.297 | 183.547 | 183.547 | 0.000 | 0.000 | -0.000 |
| 183.547 | 142.297 | 183.547 | 0.000 | -0.000 | -0.000 |
| 183.547 | 183.547 | 142.297 | 0.000 | 0.000 | -0.000 |
| -0.037 | -0.037 | -0.037 | 155.072 | 0.000 | -0.000 |
| -0.037 | -0.037 | -0.037 | 0.000 | 155.072 | -0.000 |
| -0.037 | -0.037 | -0.037 | 0.000 | 0.000 | 155.072 |
| 142.354 | 183.603 | 183.603 | -0.000 | 0.000 | 0.000 |
| 183.603 | 142.354 | 183.603 | -0.000 | -0.000 | 0.000 |
| 183.603 | 183.603 | 142.354 | -0.000 | -0.000 | 0.000 |
| 0.004 | 0.004 | 0.004 | 155.083 | -0.000 | 0.000 |
| 0.004 | 0.004 | 0.004 | 0.000 | 155.083 | 0.000 |
| 0.004 | 0.004 | 0.004 | -0.000 | -0.000 | 155.083 |
| 142.571 | 183.552 | 183.552 | -0.000 | -0.000 | -0.000 |
| 183.552 | 142.571 | 183.552 | 0.000 | 0.000 | -0.000 |
| 183.552 | 183.552 | 142.571 | -0.000 | 0.000 | -0.000 |
| -0.004 | -0.004 | -0.004 | 155.083 | 0.000 | -0.000 |
| -0.004 | -0.004 | -0.004 | 0.000 | 155.083 | -0.000 |
| -0.004 | -0.004 | -0.004 | 0.000 | 0.000 | 155.083 |
| 142.349 | 183.599 | 183.599 | -0.000 | -0.000 | 0.000 |
| 183.599 | 142.349 | 183.599 | -0.000 | -0.000 | 0.000 |
| 183.599 | 183.599 | 142.349 | -0.000 | -0.000 | 0.000 |
| 0.001 | 0.001 | 0.001 | 155.083 | -0.000 | 0.000 |
| 0.001 | 0.001 | 0.001 | -0.000 | 155.083 | 0.000 |
| 0.001 | 0.001 | 0.001 | -0.000 | -0.000 | 155.083 |
| 142.571 | 183.552 | 183.552 | 0.000 | 0.000 | -0.000 |
| 183.552 | 142.571 | 183.552 | -0.000 | 0.000 | -0.000 |
| 183.552 | 183.552 | 142.571 | -0.000 | -0.000 | -0.000 |
| -0.001 | -0.001 | -0.001 | 155.083 | 0.000 | -0.000 |
| -0.001 | -0.001 | -0.001 | -0.000 | 155.083 | -0.000 |
| -0.001 | -0.001 | -0.001 | 0.000 | 0.000 | 155.083 |
| 315.228 | 329.798 | -369.836 | 0.000 | 0.000 | 0.000 |
| 329.798 | 315.228 | -369.836 | 0.000 | 0.000 | 0.000 |
| 151.415 | 151.416 | -86.831 | 0.000 | -0.000 | -0.000 |
| 54.071 | 54.071 | -348.289 | 5.824 | 0.000 | 0.000 |
| 54.071 | 54.071 | -348.289 | 0.000 | 5.824 | 0.000 |
| 54.621 | 54.621 | -350.684 | -0.000 | -0.000 | -31.808 |
| 141.351 | 242.157 | 425.037 | 0.000 | 0.000 | -0.000 |
| 242.157 | 141.351 | 425.037 | -0.000 | -0.000 | -0.000 |
| -0.936 | -0.936 | 801.446 | -0.000 | -0.000 | -0.000 |
| -54.071 | -54.071 | 348.289 | 5.824 | -0.000 | -0.000 |
| -54.071 | -54.071 | 348.289 | 0.000 | 5.824 | -0.000 |
| -54.621 | -54.621 | 350.684 | 0.000 | 0.000 | -31.808 |
| 232.906 | 275.577 | 27.754 | 0.000 | -0.000 | 0.000 |
| 275.577 | 232.906 | 27.754 | 0.000 | 0.000 | 0.000 |
| 82.107 | 82.107 | 316.320 | 0.000 | -0.000 | 0.000 |
| 5.557 | 5.558 | -35.477 | -222.591 | -0.000 | 0.000 |
| 5.558 | 5.557 | -35.477 | 0.000 | -222.591 | 0.000 |
| 3.488 | 3.488 | -26.634 | 0.000 | -0.000 | -70.819 |
| 378.013 | 119.620 | 63.569 | -0.000 | -0.000 | -0.000 |
| 119.620 | 378.013 | 63.569 | -0.000 | -0.000 | -0.000 |
| 63.569 | 63.569 | 408.775 | -0.000 | 0.000 | -0.000 |
| -5.557 | -5.558 | 35.477 | -222.591 | 0.000 | -0.000 |
| -5.558 | -5.557 | 35.477 | -0.000 | -222.591 | -0.000 |
| -3.488 | -3.488 | 26.634 | 0.000 | 0.000 | -70.819 |
| 158.899 | 335.927 | 68.637 | 0.000 | 0.000 | 0.000 |
| 335.927 | 158.899 | 68.637 | 0.000 | 0.000 | 0.000 |
| 73.862 | 73.862 | 362.091 | 0.000 | 0.000 | 0.000 |
| 0.674 | 0.674 | -4.062 | -221.261 | 0.000 | 0.000 |
| 0.674 | 0.674 | -4.062 | 0.000 | -221.261 | 0.000 |
| 0.560 | 0.559 | -3.566 | -0.000 | -0.000 | -81.637 |
| 165.170 | 321.850 | 88.704 | -0.000 | 0.000 | -0.000 |
| 321.850 | 165.170 | 88.704 | 0.000 | 0.000 | -0.000 |
| 72.664 | 72.664 | 369.103 | -0.000 | -0.000 | -0.000 |
| -0.674 | -0.674 | 4.062 | -221.261 | -0.000 | -0.000 |
| -0.674 | -0.674 | 4.062 | -0.000 | -221.261 | -0.000 |
| -0.560 | -0.559 | 3.566 | 0.000 | 0.000 | -81.637 |
| 125.685 | 326.477 | 77.181 | 0.000 | 0.000 | 0.000 |
| 326.477 | 125.685 | 77.181 | 0.000 | 0.000 | -0.000 |
| 62.495 | 62.495 | 468.272 | 0.000 | 0.000 | -0.000 |
| -0.025 | -0.025 | 0.079 | -177.204 | 0.000 | 0.000 |
| -0.025 | -0.025 | 0.079 | 0.000 | -177.204 | -0.000 |
| 0.000 | -0.000 | 0.000 | -0.000 | -0.000 | 103.945 |
| 345.995 | 114.322 | 59.858 | -0.000 | -0.000 | 0.000 |
| 114.322 | 345.995 | 59.858 | -0.000 | -0.000 | 0.000 |
| 62.500 | 62.500 | 468.256 | -0.000 | 0.000 | -0.000 |
| 0.025 | 0.025 | -0.079 | -177.204 | -0.000 | 0.000 |
| 0.025 | 0.025 | -0.079 | -0.000 | -177.204 | 0.000 |
| -0.000 | 0.000 | -0.000 | 0.000 | 0.000 | 103.945 |
| 125.682 | 326.488 | 77.170 | 0.000 | 0.000 | -0.000 |
| 326.488 | 125.682 | 77.170 | 0.000 | 0.000 | -0.000 |
| 62.505 | 62.505 | 468.258 | 0.000 | 0.000 | -0.000 |
| 0.000 | 0.000 | -0.000 | 41.131 | -0.000 | 0.000 |
| 0.000 | 0.000 | -0.000 | 0.000 | 41.131 | 0.000 |
| 0.000 | 0.000 | 0.000 | 0.000 | 0.000 | 103.945 |
| 123.546 | 332.708 | 68.479 | -0.000 | -0.000 | -0.000 |
| 332.708 | 123.546 | 68.479 | -0.000 | -0.000 | -0.000 |
| 62.505 | 62.505 | 468.256 | -0.000 | -0.000 | -0.000 |
| -0.000 | -0.000 | 0.000 | 41.131 | 0.000 | 0.000 |
| -0.000 | -0.000 | -0.000 | -0.000 | 41.131 | -0.000 |
| -0.000 | -0.000 | -0.000 | -0.000 | -0.000 | 103.945 |
| 123.540 | 332.719 | 68.481 | 0.000 | -0.000 | 0.000 |
| 332.719 | 123.540 | 68.481 | 0.000 | 0.000 | -0.000 |
| 62.498 | 62.498 | 468.266 | 0.000 | 0.000 | -0.000 |
| -0.006 | 0.008 | -0.004 | -205.083 | 0.000 | 0.000 |
| 0.008 | -0.006 | -0.004 | 0.000 | -205.083 | 0.000 |
| 0.000 | 0.000 | 0.000 | 0.000 | 0.000 | 103.945 |
| 123.545 | 332.707 | 68.480 | -0.000 | -0.000 | -0.000 |
| 332.707 | 123.545 | 68.480 | -0.000 | -0.000 | -0.000 |
| 62.497 | 62.497 | 468.264 | -0.000 | -0.000 | 0.000 |
| 0.006 | -0.008 | 0.004 | -205.083 | -0.000 | -0.000 |
| -0.008 | 0.006 | 0.004 | -0.000 | -205.083 | -0.000 |
| -0.000 | -0.000 | -0.000 | -0.000 | -0.000 | 103.945 |
| 754.860 | 10.797 | 10.797 | 0.000 | -0.000 | -0.000 |
| 10.797 | 754.860 | 10.797 | -0.000 | 0.000 | -0.000 |
| 10.797 | 10.797 | 754.860 | -0.000 | 0.000 | -0.000 |
| 0.000 | -0.000 | -0.000 | -13.763 | -0.000 | -0.000 |
| -0.000 | -0.000 | -0.000 | -0.000 | -13.763 | -0.000 |
| -0.000 | -0.000 | -0.000 | -0.000 | 0.000 | -13.763 |
| 754.859 | 10.797 | 10.797 | -0.000 | -0.000 | 0.000 |
| 10.797 | 754.859 | 10.797 | -0.000 | -0.000 | 0.000 |
| 10.797 | 10.797 | 754.859 | 0.000 | -0.000 | 0.000 |
| -0.000 | 0.000 | 0.000 | -13.763 | 0.000 | 0.000 |
| -0.000 | 0.000 | 0.000 | 0.000 | -13.763 | 0.000 |
| 0.000 | 0.000 | 0.000 | -0.000 | -0.000 | -13.763 |
| 754.860 | 10.797 | 10.797 | 0.000 | -0.000 | -0.000 |
| 10.797 | 754.860 | 10.797 | 0.000 | -0.000 | -0.000 |
| 10.797 | 10.797 | 754.860 | 0.000 | 0.000 | -0.000 |
| -0.000 | 0.000 | -0.000 | -13.763 | -0.000 | -0.000 |
| 0.000 | -0.000 | -0.000 | 0.000 | -13.763 | -0.000 |
| 0.000 | -0.000 | -0.000 | 0.000 | 0.000 | -13.763 |
| 754.859 | 10.797 | 10.797 | -0.000 | 0.000 | 0.000 |
| 10.797 | 754.859 | 10.797 | -0.000 | 0.000 | 0.000 |
| 10.797 | 10.797 | 754.859 | 0.000 | 0.000 | 0.000 |
| 0.000 | -0.000 | 0.000 | -13.763 | 0.000 | 0.000 |
| -0.000 | 0.000 | 0.000 | 0.000 | -13.763 | 0.000 |
| -0.000 | 0.000 | 0.000 | -0.000 | -0.000 | -13.763 |
| 754.865 | 10.797 | 10.797 | 0.000 | 0.000 | -0.000 |
| 10.797 | 754.865 | 10.797 | 0.000 | -0.000 | -0.000 |
| 10.797 | 10.797 | 754.865 | 0.000 | -0.000 | -0.000 |
| -0.000 | 0.000 | -0.000 | -13.763 | -0.000 | -0.000 |
| 0.000 | -0.000 | -0.000 | 0.000 | -13.763 | -0.000 |
| 0.000 | -0.000 | -0.000 | 0.000 | 0.000 | -13.763 |
| 754.854 | 10.796 | 10.796 | -0.000 | -0.000 | 0.000 |
| 10.796 | 754.854 | 10.796 | -0.000 | -0.000 | 0.000 |
| 10.796 | 10.796 | 754.854 | -0.000 | -0.000 | 0.000 |
| 0.000 | -0.000 | 0.000 | -13.763 | 0.000 | 0.000 |
| -0.000 | 0.000 | 0.000 | -0.000 | -13.763 | 0.000 |
| -0.000 | 0.000 | 0.000 | -0.000 | 0.000 | -13.763 |
| 0.079 | 0.000 | 0.000 | 0.000 | 0.000 | 0.000 |
| 0.000 | 0.079 | 0.000 | 0.000 | 0.000 | 0.000 |
| 0.000 | 0.000 | 0.079 | 0.000 | 0.000 | 0.000 |
| 0.000 | 0.000 | 0.000 | -0.000 | 0.000 | 0.000 |
| 0.000 | 0.000 | 0.000 | 0.000 | -0.000 | 0.000 |
| 0.000 | 0.000 | 0.000 | 0.000 | 0.000 | -0.000 |
| 0.079 | 0.000 | 0.000 | -0.000 | -0.000 | -0.000 |
| 0.000 | 0.079 | 0.000 | -0.000 | -0.000 | 0.000 |
| 0.000 | 0.000 | 0.079 | 0.000 | 0.000 | -0.000 |
| -0.000 | -0.000 | -0.000 | -0.000 | -0.000 | -0.000 |
| -0.000 | -0.000 | -0.000 | -0.000 | -0.000 | -0.000 |
| -0.000 | -0.000 | -0.000 | -0.000 | -0.000 | -0.000 |
| 0.079 | 0.000 | 0.000 | 0.000 | 0.000 | 0.000 |
| 0.000 | 0.079 | 0.000 | 0.000 | 0.000 | -0.000 |
| 0.000 | 0.000 | 0.079 | -0.000 | -0.000 | 0.000 |
| 0.000 | 0.000 | -0.000 | -0.000 | 0.000 | 0.000 |
| 0.000 | 0.000 | -0.000 | 0.000 | -0.000 | 0.000 |
| 0.000 | -0.000 | 0.000 | 0.000 | 0.000 | -0.000 |
| 0.079 | 0.000 | 0.000 | -0.000 | -0.000 | -0.000 |
| 0.000 | 0.079 | 0.000 | -0.000 | 0.000 | 0.000 |
| 0.000 | 0.000 | 0.079 | -0.000 | -0.000 | -0.000 |
| -0.000 | -0.000 | 0.000 | -0.000 | -0.000 | -0.000 |
| -0.000 | -0.000 | 0.000 | -0.000 | -0.000 | -0.000 |
| -0.000 | 0.000 | -0.000 | -0.000 | -0.000 | -0.000 |
| 0.079 | 0.000 | 0.000 | 0.000 | -0.000 | -0.000 |
| 0.000 | 0.079 | 0.000 | -0.000 | 0.000 | 0.000 |
| 0.000 | 0.000 | 0.079 | 0.000 | 0.000 | 0.000 |
| 0.000 | 0.000 | -0.000 | -0.000 | 0.000 | 0.000 |
| 0.000 | 0.000 | -0.000 | 0.000 | -0.000 | 0.000 |
| 0.000 | -0.000 | 0.000 | 0.000 | 0.000 | -0.000 |
| 0.078 | 0.000 | 0.000 | -0.000 | -0.000 | -0.000 |
| 0.000 | 0.078 | 0.000 | -0.000 | -0.000 | 0.000 |
| 0.000 | 0.000 | 0.078 | 0.000 | 0.000 | -0.000 |
| -0.000 | -0.000 | 0.000 | -0.000 | -0.000 | -0.000 |
| -0.000 | -0.000 | 0.000 | -0.000 | -0.000 | -0.000 |
| -0.000 | 0.000 | -0.000 | -0.000 | -0.000 | -0.000 |
| 61.494 | 148.541 | 148.541 | -0.000 | -0.000 | -0.000 |
| 148.541 | 61.494 | 148.541 | -0.000 | -0.000 | -0.000 |
| 148.541 | 148.541 | 61.494 | -0.000 | -0.000 | -0.000 |
| 0.000 | -0.000 | -0.000 | 69.915 | -0.000 | -0.000 |
| 0.000 | 0.000 | -0.000 | 0.000 | 69.915 | -0.000 |
| -0.000 | -0.000 | 0.000 | 0.000 | -0.000 | 69.915 |
| 61.494 | 148.541 | 148.541 | 0.000 | 0.000 | 0.000 |
| 148.541 | 61.494 | 148.541 | 0.000 | 0.000 | 0.000 |
| 148.541 | 148.541 | 61.494 | 0.000 | 0.000 | 0.000 |
| -0.000 | 0.000 | 0.000 | 69.915 | -0.000 | 0.000 |
| 0.000 | -0.000 | -0.000 | -0.000 | 69.915 | 0.000 |
| 0.000 | 0.000 | -0.000 | -0.000 | 0.000 | 69.915 |
| 61.494 | 148.541 | 148.541 | 0.000 | -0.000 | -0.000 |
| 148.541 | 61.494 | 148.541 | -0.000 | -0.000 | -0.000 |
| 148.541 | 148.541 | 61.494 | -0.000 | 0.000 | -0.000 |
| 0.000 | -0.000 | -0.000 | 69.915 | -0.000 | -0.000 |
| -0.000 | 0.000 | -0.000 | -0.000 | 69.915 | -0.000 |
| -0.000 | -0.000 | 0.000 | -0.000 | -0.000 | 69.915 |
| 61.494 | 148.541 | 148.541 | 0.000 | 0.000 | 0.000 |
| 148.541 | 61.494 | 148.541 | 0.000 | -0.000 | 0.000 |
| 148.541 | 148.541 | 61.494 | 0.000 | -0.000 | 0.000 |
| -0.000 | 0.000 | 0.000 | 69.915 | 0.000 | -0.000 |
| 0.000 | -0.000 | 0.000 | -0.000 | 69.915 | 0.000 |
| 0.000 | 0.000 | -0.000 | 0.000 | 0.000 | 69.915 |
| 61.493 | 148.541 | 148.541 | -0.000 | 0.000 | -0.000 |
| 148.541 | 61.493 | 148.541 | -0.000 | -0.000 | -0.000 |
| 148.541 | 148.541 | 61.493 | -0.000 | 0.000 | 0.000 |
| 0.000 | -0.000 | -0.000 | 69.915 | 0.000 | 0.000 |
| -0.000 | 0.000 | -0.000 | -0.000 | 69.915 | -0.000 |
| -0.000 | -0.000 | 0.000 | -0.000 | -0.000 | 69.915 |
| 61.494 | 148.541 | 148.541 | 0.000 | -0.000 | 0.000 |
| 148.541 | 61.494 | 148.541 | 0.000 | -0.000 | 0.000 |
| 148.541 | 148.541 | 61.494 | -0.000 | -0.000 | -0.000 |
| -0.000 | 0.000 | 0.000 | 69.915 | -0.000 | 0.000 |
| 0.000 | -0.000 | 0.000 | 0.000 | 69.915 | 0.000 |
| 0.000 | 0.000 | -0.000 | 0.000 | 0.000 | 69.915 |
| 126.609 | 24.631 | 24.631 | 0.000 | -0.000 | -0.000 |
| 24.631 | 126.609 | 24.631 | -0.000 | -0.000 | -0.000 |
| 24.631 | 24.631 | 126.609 | -0.000 | -0.000 | -0.000 |
| 0.000 | 0.000 | 0.000 | 25.536 | -0.000 | 0.000 |
| 0.000 | 0.000 | 0.000 | -0.000 | 25.536 | -0.000 |
| 0.000 | 0.000 | 0.000 | 0.000 | -0.000 | 25.536 |
| 126.609 | 24.631 | 24.631 | 0.000 | 0.000 | 0.000 |
| 24.631 | 126.609 | 24.631 | 0.000 | 0.000 | 0.000 |
| 24.631 | 24.631 | 126.609 | 0.000 | 0.000 | -0.000 |
| -0.000 | -0.000 | -0.000 | 25.536 | 0.000 | 0.000 |
| -0.000 | -0.000 | -0.000 | 0.000 | 25.536 | 0.000 |
| -0.000 | -0.000 | -0.000 | -0.000 | 0.000 | 25.536 |
| 126.609 | 24.631 | 24.631 | -0.000 | -0.000 | 0.000 |
| 24.631 | 126.609 | 24.631 | -0.000 | -0.000 | 0.000 |
| 24.631 | 24.631 | 126.609 | 0.000 | -0.000 | -0.000 |
| 0.000 | 0.000 | 0.000 | 25.536 | -0.000 | 0.000 |
| 0.000 | 0.000 | 0.000 | 0.000 | 25.536 | 0.000 |
| 0.000 | 0.000 | 0.000 | -0.000 | -0.000 | 25.536 |
| 126.609 | 24.631 | 24.631 | -0.000 | 0.000 | -0.000 |
| 24.631 | 126.609 | 24.631 | -0.000 | 0.000 | 0.000 |
| 24.631 | 24.631 | 126.609 | 0.000 | 0.000 | 0.000 |
| -0.000 | -0.000 | -0.000 | 25.536 | 0.000 | 0.000 |
| -0.000 | -0.000 | -0.000 | 0.000 | 25.536 | -0.000 |
| -0.000 | -0.000 | -0.000 | 0.000 | 0.000 | 25.536 |
| 126.608 | 24.631 | 24.631 | 0.000 | -0.000 | -0.000 |
| 24.631 | 126.608 | 24.631 | -0.000 | -0.000 | 0.000 |
| 24.631 | 24.631 | 126.608 | -0.000 | -0.000 | 0.000 |
| 0.000 | 0.000 | 0.000 | 25.536 | -0.000 | -0.000 |
| 0.000 | 0.000 | 0.000 | -0.000 | 25.536 | 0.000 |
| 0.000 | 0.000 | 0.000 | -0.000 | -0.000 | 25.536 |
| 126.610 | 24.631 | 24.631 | 0.000 | 0.000 | 0.000 |
| 24.631 | 126.610 | 24.631 | 0.000 | 0.000 | 0.000 |
| 24.631 | 24.631 | 126.610 | 0.000 | 0.000 | -0.000 |
| -0.000 | -0.000 | -0.000 | 25.536 | 0.000 | -0.000 |
| -0.000 | -0.000 | -0.000 | 0.000 | 25.536 | 0.000 |
| -0.000 | -0.000 | -0.000 | -0.000 | 0.000 | 25.536 |
| 0.046 | 0.046 | 0.046 | 0.000 | 0.000 | 0.000 |
| 0.046 | 0.046 | 0.046 | 0.000 | 0.000 | 0.000 |
| 0.046 | 0.046 | 0.046 | 0.000 | 0.000 | 0.000 |
| 0.000 | 0.000 | 0.000 | 0.046 | 0.000 | 0.000 |
| 0.000 | 0.000 | 0.000 | 0.000 | 0.046 | 0.000 |
| 0.000 | 0.000 | 0.000 | 0.000 | 0.000 | 0.046 |
| 0.046 | 0.046 | 0.046 | 0.000 | 0.000 | 0.000 |
| 0.046 | 0.046 | 0.046 | 0.000 | 0.000 | 0.000 |
| 0.046 | 0.046 | 0.046 | 0.000 | 0.000 | 0.000 |
| -0.000 | -0.000 | -0.000 | 0.046 | -0.000 | 0.000 |
| -0.000 | -0.000 | -0.000 | -0.000 | 0.046 | 0.000 |
| -0.000 | -0.000 | -0.000 | -0.000 | 0.000 | 0.046 |
| 0.046 | 0.046 | 0.046 | 0.000 | -0.000 | -0.000 |
| 0.046 | 0.046 | 0.046 | -0.000 | 0.000 | -0.000 |
| 0.046 | 0.046 | 0.046 | -0.000 | -0.000 | 0.000 |
| 0.000 | 0.000 | 0.000 | 0.046 | 0.000 | 0.000 |
| 0.000 | 0.000 | 0.000 | 0.000 | 0.046 | 0.000 |
| 0.000 | 0.000 | 0.000 | 0.000 | 0.000 | 0.046 |
| 0.046 | 0.046 | 0.046 | -0.000 | 0.000 | -0.000 |
| 0.046 | 0.046 | 0.046 | 0.000 | -0.000 | -0.000 |
| 0.046 | 0.046 | 0.046 | -0.000 | -0.000 | -0.000 |
| -0.000 | -0.000 | -0.000 | 0.046 | -0.000 | -0.000 |
| -0.000 | -0.000 | -0.000 | -0.000 | 0.046 | -0.000 |
| -0.000 | -0.000 | -0.000 | -0.000 | 0.000 | 0.046 |
| 0.046 | 0.046 | 0.046 | 0.000 | 0.000 | 0.000 |
| 0.046 | 0.046 | 0.046 | 0.000 | 0.000 | 0.000 |
| 0.046 | 0.046 | 0.046 | 0.000 | 0.000 | -0.000 |
| 0.000 | 0.000 | 0.000 | 0.046 | 0.000 | -0.000 |
| 0.000 | 0.000 | 0.000 | 0.000 | 0.046 | -0.000 |
| 0.000 | 0.000 | 0.000 | 0.000 | 0.000 | 0.046 |
| 0.046 | 0.046 | 0.046 | -0.000 | -0.000 | -0.000 |
| 0.046 | 0.046 | 0.046 | -0.000 | -0.000 | -0.000 |
| 0.046 | 0.046 | 0.046 | -0.000 | -0.000 | -0.000 |
| -0.000 | -0.000 | -0.000 | 0.046 | 0.000 | -0.000 |
| -0.000 | -0.000 | -0.000 | 0.000 | 0.046 | -0.000 |
| -0.000 | -0.000 | -0.000 | 0.000 | 0.000 | 0.046 |
| 105078.880 | 143524.375 | 143524.453 | 0.042 | 0.052 | -0.053 |
| 143524.246 | 105078.981 | 143524.454 | 0.044 | 0.036 | -0.030 |
| 143524.273 | 143524.399 | 105078.951 | -0.041 | 0.037 | -0.056 |
| -0.018 | 0.035 | 0.092 | -28250.869 | 0.019 | -0.033 |
| -0.067 | 0.047 | 0.076 | 0.048 | -28250.886 | -0.025 |
| -0.065 | 0.027 | 0.067 | 0.035 | 0.049 | -28250.941 |
| 105078.964 | 143524.289 | 143524.274 | -0.020 | 0.036 | 0.051 |
| 143524.411 | 105078.869 | 143524.296 | -0.003 | -0.054 | 0.035 |
| 143524.391 | 143524.279 | 105078.829 | -0.042 | -0.031 | 0.065 |
| 0.074 | -0.038 | -0.146 | -28250.992 | -0.093 | 0.040 |
| 0.053 | -0.023 | -0.154 | -0.110 | -28251.004 | 0.044 |
| 0.037 | -0.027 | -0.139 | -0.082 | -0.076 | -28250.876 |
| 105079.161 | 143524.497 | 143524.521 | 0.022 | 0.016 | -0.003 |
| 143524.484 | 105079.164 | 143524.520 | 0.022 | 0.019 | -0.004 |
| 143524.485 | 143524.497 | 105079.166 | 0.001 | 0.006 | -0.004 |
| 0.049 | 0.122 | 0.120 | -28249.515 | -0.000 | -0.003 |
| 0.113 | 0.056 | 0.120 | 0.001 | -28249.515 | -0.004 |
| 0.114 | 0.118 | 0.062 | 0.007 | 0.009 | -28249.522 |
| 105078.681 | 143524.194 | 143524.190 | -0.002 | -0.004 | 0.004 |
| 143524.199 | 105078.674 | 143524.188 | -0.004 | -0.009 | 0.006 |
| 143524.197 | 143524.196 | 105078.655 | -0.016 | -0.015 | 0.003 |
| -0.042 | -0.120 | -0.116 | -28249.516 | 0.003 | 0.004 |
| -0.113 | -0.051 | -0.117 | 0.001 | -28249.515 | 0.004 |
| -0.114 | -0.117 | -0.063 | -0.012 | -0.010 | -28249.513 |
| 105081.358 | 143525.843 | 143525.843 | -0.000 | -0.000 | -0.000 |
| 143525.841 | 105081.360 | 143525.843 | -0.000 | -0.000 | -0.000 |
| 143525.841 | 143525.843 | 105081.361 | 0.001 | 0.002 | -0.001 |
| 0.505 | 1.203 | 1.162 | -30214.184 | 0.001 | -0.000 |
| 1.202 | 0.506 | 1.162 | 0.001 | -30214.184 | -0.000 |
| 1.202 | 1.161 | 0.507 | 0.001 | 0.001 | -30214.185 |
| 105076.479 | 143522.846 | 143522.845 | -0.001 | -0.000 | 0.001 |
| 143522.847 | 105076.477 | 143522.845 | -0.000 | -0.000 | 0.001 |
| 143522.847 | 143522.846 | 105076.476 | -0.002 | -0.002 | 0.001 |
| -0.505 | -1.203 | -1.162 | -30214.185 | -0.000 | 0.000 |
| -1.202 | -0.506 | -1.162 | -0.001 | -30214.185 | 0.001 |
| -1.202 | -1.162 | -0.507 | -0.001 | -0.001 | -30214.184 |
| 36.456 | 67.043 | 67.043 | -0.000 | -0.000 | -0.000 |
| 67.043 | 36.456 | 67.043 | -0.000 | -0.000 | -0.000 |
| 67.043 | 67.043 | 36.456 | -0.000 | -0.000 | -0.000 |
| 0.000 | 0.000 | 0.000 | -37.273 | -0.000 | -0.000 |
| 0.000 | 0.000 | 0.000 | -0.000 | -37.273 | -0.000 |
| 0.000 | 0.000 | 0.000 | -0.000 | -0.000 | -37.273 |
| 36.456 | 67.043 | 67.043 | 0.000 | 0.000 | 0.000 |
| 67.043 | 36.456 | 67.043 | 0.000 | 0.000 | 0.000 |
| 67.043 | 67.043 | 36.456 | 0.000 | 0.000 | 0.000 |
| -0.000 | -0.000 | -0.000 | -37.273 | 0.000 | 0.000 |
| -0.000 | -0.000 | -0.000 | 0.000 | -37.273 | 0.000 |
| -0.000 | -0.000 | -0.000 | 0.000 | 0.000 | -37.273 |
| 36.456 | 67.044 | 67.044 | -0.000 | -0.000 | -0.000 |
| 67.044 | 36.456 | 67.044 | -0.000 | -0.000 | -0.000 |
| 67.044 | 67.044 | 36.456 | -0.000 | -0.000 | -0.000 |
| 0.000 | 0.000 | 0.000 | 56.355 | -0.000 | 0.000 |
| 0.000 | 0.000 | 0.000 | -0.000 | 56.355 | 0.000 |
| 0.000 | 0.000 | 0.000 | -0.000 | 0.000 | 56.355 |
| 36.455 | 67.043 | 67.043 | 0.000 | 0.000 | 0.000 |
| 67.043 | 36.455 | 67.043 | 0.000 | 0.000 | 0.000 |
| 67.043 | 67.043 | 36.455 | 0.000 | 0.000 | 0.000 |
| -0.000 | -0.000 | -0.000 | 56.355 | -0.000 | -0.000 |
| -0.000 | -0.000 | -0.000 | -0.000 | 56.355 | -0.000 |
| -0.000 | -0.000 | -0.000 | -0.000 | -0.000 | 56.355 |
| 36.457 | 67.044 | 67.044 | -0.000 | -0.000 | -0.000 |
| 67.044 | 36.457 | 67.044 | -0.000 | -0.000 | -0.000 |
| 67.044 | 67.044 | 36.457 | -0.000 | -0.000 | -0.000 |
| 0.000 | 0.001 | 0.001 | -37.273 | -0.000 | -0.000 |
| 0.001 | 0.000 | 0.001 | -0.000 | -37.273 | -0.000 |
| 0.001 | 0.001 | 0.000 | 0.000 | -0.000 | -37.273 |
| 36.454 | 67.043 | 67.043 | 0.000 | 0.000 | 0.000 |
| 67.043 | 36.454 | 67.043 | 0.000 | 0.000 | 0.000 |
| 67.043 | 67.043 | 36.454 | 0.000 | 0.000 | 0.000 |
| -0.000 | -0.001 | -0.001 | -37.273 | 0.000 | 0.000 |
| -0.001 | -0.000 | -0.001 | 0.000 | -37.273 | 0.000 |
| -0.001 | -0.001 | -0.000 | 0.000 | 0.000 | -37.273 |
| 0.011 | 0.011 | 0.011 | -0.000 | -0.000 | -0.000 |
| 0.011 | 0.011 | 0.011 | -0.000 | -0.000 | -0.000 |
| 0.011 | 0.011 | 0.011 | -0.000 | -0.000 | -0.000 |
| 0.000 | 0.000 | 0.000 | 0.011 | -0.000 | -0.000 |
| 0.000 | 0.000 | 0.000 | -0.000 | 0.011 | -0.000 |
| 0.000 | 0.000 | 0.000 | -0.000 | -0.000 | 0.011 |
| 0.011 | 0.011 | 0.011 | 0.000 | 0.000 | 0.000 |
| 0.011 | 0.011 | 0.011 | 0.000 | 0.000 | 0.000 |
| 0.011 | 0.011 | 0.011 | 0.000 | 0.000 | 0.000 |
| -0.000 | -0.000 | -0.000 | 0.011 | 0.000 | 0.000 |
| -0.000 | -0.000 | -0.000 | 0.000 | 0.011 | 0.000 |
| -0.000 | -0.000 | -0.000 | 0.000 | 0.000 | 0.011 |
| 0.011 | 0.011 | 0.011 | -0.000 | -0.000 | -0.000 |
| 0.011 | 0.011 | 0.011 | -0.000 | -0.000 | -0.000 |
| 0.011 | 0.011 | 0.011 | -0.000 | -0.000 | -0.000 |
| 0.000 | 0.000 | 0.000 | 0.011 | -0.000 | -0.000 |
| 0.000 | 0.000 | 0.000 | -0.000 | 0.011 | -0.000 |
| 0.000 | 0.000 | 0.000 | -0.000 | -0.000 | 0.011 |
| 0.011 | 0.011 | 0.011 | 0.000 | 0.000 | 0.000 |
| 0.011 | 0.011 | 0.011 | 0.000 | 0.000 | 0.000 |
| 0.011 | 0.011 | 0.011 | 0.000 | 0.000 | 0.000 |
| -0.000 | -0.000 | -0.000 | 0.011 | 0.000 | 0.000 |
| -0.000 | -0.000 | -0.000 | 0.000 | 0.011 | 0.000 |
| -0.000 | -0.000 | -0.000 | 0.000 | 0.000 | 0.011 |
| 0.011 | 0.011 | 0.011 | -0.000 | -0.000 | -0.000 |
| 0.011 | 0.011 | 0.011 | -0.000 | -0.000 | -0.000 |
| 0.011 | 0.011 | 0.011 | -0.000 | -0.000 | -0.000 |
| 0.000 | 0.000 | 0.000 | 0.010 | -0.000 | -0.000 |
| 0.000 | 0.000 | 0.000 | -0.000 | 0.010 | -0.000 |
| 0.000 | 0.000 | 0.000 | -0.000 | -0.000 | 0.010 |
| 0.011 | 0.011 | 0.011 | -0.000 | 0.000 | 0.000 |
| 0.011 | 0.011 | 0.011 | 0.000 | -0.000 | 0.000 |
| 0.011 | 0.011 | 0.011 | 0.000 | 0.000 | -0.000 |
| -0.000 | -0.000 | -0.000 | 0.010 | 0.000 | 0.000 |
| -0.000 | -0.000 | -0.000 | 0.000 | 0.010 | 0.000 |
| -0.000 | -0.000 | -0.000 | 0.000 | 0.000 | 0.010 |
| 373.356 | 111.258 | 193.242 | 0.000 | 0.000 | 0.000 |
| 111.258 | 373.356 | 193.242 | 0.000 | -0.000 | 0.000 |
| 193.242 | 193.242 | 219.940 | 0.000 | 0.000 | 0.000 |
| 0.000 | 0.000 | 0.000 | 166.765 | 0.000 | 0.000 |
| 0.000 | 0.000 | 0.000 | 0.000 | 166.765 | 0.000 |
| 0.000 | 0.000 | 0.000 | -0.000 | 0.000 | 82.091 |
| 373.356 | 111.258 | 193.242 | -0.000 | -0.000 | -0.000 |
| 111.258 | 373.356 | 193.242 | 0.000 | -0.000 | 0.000 |
| 193.242 | 193.242 | 219.940 | 0.000 | -0.000 | -0.000 |
| -0.000 | -0.000 | -0.000 | 166.765 | 0.000 | -0.000 |
| -0.000 | -0.000 | -0.000 | 0.000 | 166.765 | -0.000 |
| -0.000 | -0.000 | -0.000 | 0.000 | -0.000 | 82.091 |
| 373.356 | 111.258 | 193.242 | 0.000 | 0.000 | -0.000 |
| 111.258 | 373.356 | 193.242 | 0.000 | 0.000 | 0.000 |
| 193.242 | 193.242 | 219.941 | -0.000 | 0.000 | 0.000 |
| 0.000 | 0.000 | 0.000 | 166.765 | 0.000 | -0.000 |
| 0.000 | 0.000 | 0.000 | 0.000 | 166.765 | 0.000 |
| 0.000 | 0.000 | 0.000 | 0.000 | 0.000 | 82.091 |
| 373.356 | 111.258 | 193.242 | 0.000 | -0.000 | -0.000 |
| 111.258 | 373.356 | 193.242 | 0.000 | -0.000 | -0.000 |
| 193.242 | 193.242 | 219.940 | 0.000 | -0.000 | -0.000 |
| -0.000 | -0.000 | -0.000 | 166.765 | -0.000 | -0.000 |
| -0.000 | -0.000 | -0.000 | -0.000 | 166.765 | -0.000 |
| -0.000 | -0.000 | -0.000 | -0.000 | -0.000 | 82.091 |
| 373.357 | 111.258 | 193.243 | 0.000 | 0.000 | 0.000 |
| 111.258 | 373.357 | 193.243 | -0.000 | 0.000 | 0.000 |
| 193.243 | 193.243 | 219.948 | -0.000 | 0.000 | -0.000 |
| 0.001 | 0.000 | 0.002 | 166.765 | 0.000 | 0.000 |
| 0.000 | 0.001 | 0.002 | -0.000 | 166.765 | 0.000 |
| 0.000 | 0.000 | 0.001 | -0.000 | 0.000 | 82.091 |
| 373.355 | 111.258 | 193.241 | 0.000 | -0.000 | -0.000 |
| 111.258 | 373.355 | 193.241 | 0.000 | -0.000 | -0.000 |
| 193.240 | 193.240 | 219.933 | 0.000 | -0.000 | -0.000 |
| -0.001 | -0.000 | -0.002 | 166.765 | -0.000 | -0.000 |
| -0.000 | -0.001 | -0.002 | -0.000 | 166.765 | -0.000 |
| -0.000 | -0.000 | -0.001 | 0.000 | -0.000 | 82.091 |
| 143.575 | 16.322 | 19.603 | 0.000 | 0.000 | 0.000 |
| 16.322 | 143.575 | 19.603 | 0.000 | 0.000 | -0.000 |
| 19.603 | 19.603 | 38.554 | 0.000 | 0.000 | 0.000 |
| 0.000 | 0.000 | 0.000 | 20.574 | 0.000 | -0.000 |
| 0.000 | 0.000 | 0.000 | 0.000 | 20.574 | -0.000 |
| 0.000 | 0.000 | 0.000 | 0.000 | -0.000 | 16.889 |
| 143.575 | 16.322 | 19.602 | -0.000 | -0.000 | 0.000 |
| 16.322 | 143.575 | 19.602 | -0.000 | -0.000 | 0.000 |
| 19.602 | 19.602 | 38.554 | -0.000 | -0.000 | 0.000 |
| -0.000 | -0.000 | -0.000 | 20.574 | -0.000 | 0.000 |
| -0.000 | -0.000 | -0.000 | -0.000 | 20.574 | 0.000 |
| -0.000 | -0.000 | -0.000 | -0.000 | -0.000 | 16.889 |
| 143.575 | 16.322 | 19.603 | 0.000 | 0.000 | -0.000 |
| 16.322 | 143.575 | 19.603 | 0.000 | 0.000 | -0.000 |
| 19.603 | 19.603 | 38.554 | 0.000 | 0.000 | -0.000 |
| 0.000 | 0.000 | 0.000 | 20.574 | 0.000 | -0.000 |
| 0.000 | 0.000 | 0.000 | 0.000 | 20.574 | -0.000 |
| 0.000 | 0.000 | 0.000 | 0.000 | -0.000 | 16.889 |
| 143.576 | 16.322 | 19.602 | -0.000 | -0.000 | 0.000 |
| 16.322 | 143.576 | 19.602 | -0.000 | -0.000 | 0.000 |
| 19.602 | 19.602 | 38.554 | -0.000 | -0.000 | 0.000 |
| -0.000 | -0.000 | -0.000 | 20.574 | -0.000 | 0.000 |
| -0.000 | -0.000 | -0.000 | -0.000 | 20.574 | 0.000 |
| -0.000 | -0.000 | -0.000 | -0.000 | -0.000 | 16.889 |
| 143.570 | 16.322 | 19.603 | 0.000 | 0.000 | 0.000 |
| 16.322 | 143.570 | 19.603 | 0.000 | 0.000 | -0.000 |
| 19.603 | 19.603 | 38.555 | 0.000 | 0.000 | -0.000 |
| 0.000 | 0.000 | 0.000 | 20.574 | 0.000 | -0.000 |
| 0.000 | 0.000 | 0.000 | 0.000 | 20.574 | -0.000 |
| 0.000 | 0.000 | 0.000 | 0.000 | -0.000 | 16.889 |
| 143.581 | 16.322 | 19.602 | -0.000 | -0.000 | 0.000 |
| 16.322 | 143.581 | 19.602 | -0.000 | -0.000 | -0.000 |
| 19.602 | 19.602 | 38.554 | -0.000 | -0.000 | 0.000 |
| -0.000 | -0.000 | -0.000 | 20.574 | -0.000 | 0.000 |
| -0.000 | -0.000 | -0.000 | -0.000 | 20.574 | 0.000 |
| -0.000 | -0.000 | -0.000 | -0.000 | 0.000 | 16.889 |
| 0.031 | 0.031 | 0.053 | 0.000 | 0.000 | 0.000 |
| 0.031 | 0.031 | 0.053 | 0.000 | 0.000 | 0.000 |
| 0.053 | 0.053 | 0.091 | -0.000 | -0.000 | -0.000 |
| 0.000 | 0.000 | 0.000 | 0.053 | 0.000 | -0.000 |
| 0.000 | 0.000 | 0.000 | 0.000 | 0.053 | -0.000 |
| 0.000 | 0.000 | 0.000 | -0.000 | 0.000 | 0.031 |
| 0.031 | 0.031 | 0.053 | 0.000 | 0.000 | 0.000 |
| 0.031 | 0.031 | 0.053 | 0.000 | 0.000 | 0.000 |
| 0.053 | 0.053 | 0.091 | 0.000 | 0.000 | -0.000 |
| -0.000 | -0.000 | -0.000 | 0.053 | 0.000 | 0.000 |
| -0.000 | -0.000 | -0.000 | 0.000 | 0.053 | 0.000 |
| -0.000 | -0.000 | -0.000 | 0.000 | 0.000 | 0.031 |
| 0.031 | 0.031 | 0.053 | -0.000 | -0.000 | -0.000 |
| 0.031 | 0.031 | 0.053 | -0.000 | -0.000 | -0.000 |
| 0.053 | 0.053 | 0.091 | -0.000 | -0.000 | 0.000 |
| 0.000 | 0.000 | 0.000 | 0.053 | -0.000 | 0.000 |
| 0.000 | 0.000 | 0.000 | -0.000 | 0.053 | 0.000 |
| 0.000 | 0.000 | 0.000 | -0.000 | -0.000 | 0.031 |
| 0.031 | 0.031 | 0.053 | 0.000 | 0.000 | -0.000 |
| 0.031 | 0.031 | 0.053 | 0.000 | 0.000 | -0.000 |
| 0.053 | 0.053 | 0.091 | -0.000 | -0.000 | -0.000 |
| -0.000 | -0.000 | -0.000 | 0.053 | 0.000 | -0.000 |
| -0.000 | -0.000 | -0.000 | 0.000 | 0.053 | -0.000 |
| -0.000 | -0.000 | -0.000 | 0.000 | 0.000 | 0.031 |
| 0.031 | 0.031 | 0.053 | -0.000 | -0.000 | 0.000 |
| 0.031 | 0.031 | 0.053 | -0.000 | -0.000 | 0.000 |
| 0.053 | 0.053 | 0.092 | -0.000 | -0.000 | -0.000 |
| 0.000 | 0.000 | 0.000 | 0.053 | -0.000 | 0.000 |
| 0.000 | 0.000 | 0.000 | -0.000 | 0.053 | 0.000 |
| 0.000 | 0.000 | 0.000 | -0.000 | 0.000 | 0.031 |
| 0.031 | 0.031 | 0.053 | 0.000 | 0.000 | 0.000 |
| 0.031 | 0.031 | 0.053 | 0.000 | 0.000 | 0.000 |
| 0.053 | 0.053 | 0.091 | 0.000 | 0.000 | -0.000 |
| -0.000 | -0.000 | -0.000 | 0.053 | -0.000 | -0.000 |
| -0.000 | -0.000 | -0.000 | -0.000 | 0.053 | -0.000 |
| -0.000 | -0.000 | -0.000 | 0.000 | 0.000 | 0.031 |
| 0.031 | 0.031 | 0.053 | 0.000 | 0.000 | 0.000 |
| 0.031 | 0.031 | 0.053 | 0.000 | 0.000 | 0.000 |
| 0.053 | 0.053 | 0.091 | -0.000 | -0.000 | 0.000 |
| 0.000 | 0.000 | 0.000 | 0.053 | 0.000 | 0.000 |
| 0.000 | 0.000 | 0.000 | 0.000 | 0.053 | 0.000 |
| 0.000 | 0.000 | 0.000 | 0.000 | 0.000 | 0.031 |
| 0.031 | 0.031 | 0.053 | -0.000 | -0.000 | -0.000 |
| 0.031 | 0.031 | 0.053 | -0.000 | -0.000 | -0.000 |
| 0.053 | 0.053 | 0.091 | -0.000 | -0.000 | -0.000 |
| -0.000 | -0.000 | -0.000 | 0.053 | -0.000 | -0.000 |
| -0.000 | -0.000 | -0.000 | -0.000 | 0.053 | -0.000 |
| -0.000 | -0.000 | -0.000 | -0.000 | -0.000 | 0.031 |
| 0.031 | 0.031 | 0.053 | 0.000 | 0.000 | 0.000 |
| 0.031 | 0.031 | 0.053 | 0.000 | 0.000 | 0.000 |
| 0.053 | 0.053 | 0.091 | -0.000 | -0.000 | -0.000 |
| 0.000 | 0.000 | 0.000 | 0.053 | 0.000 | 0.000 |
| 0.000 | 0.000 | 0.000 | 0.000 | 0.053 | 0.000 |
| 0.000 | 0.000 | 0.000 | 0.000 | -0.000 | 0.031 |
| 0.031 | 0.031 | 0.053 | -0.000 | -0.000 | 0.000 |
| 0.031 | 0.031 | 0.053 | -0.000 | -0.000 | 0.000 |
| 0.053 | 0.053 | 0.091 | -0.000 | -0.000 | -0.000 |
| -0.000 | -0.000 | -0.000 | 0.053 | -0.000 | -0.000 |
| -0.000 | -0.000 | -0.000 | -0.000 | 0.053 | -0.000 |
| -0.000 | -0.000 | -0.000 | -0.000 | -0.000 | 0.031 |
| 0.031 | 0.031 | 0.053 | 0.000 | -0.000 | 0.000 |
| 0.031 | 0.031 | 0.053 | -0.000 | 0.000 | 0.000 |
| 0.053 | 0.053 | 0.092 | 0.000 | 0.000 | 0.000 |
| 0.000 | 0.000 | 0.000 | 0.053 | -0.000 | -0.000 |
| 0.000 | 0.000 | 0.000 | -0.000 | 0.053 | -0.000 |
| 0.000 | 0.000 | 0.000 | 0.000 | -0.000 | 0.031 |
| 0.031 | 0.031 | 0.053 | -0.000 | -0.000 | -0.000 |
| 0.031 | 0.031 | 0.053 | -0.000 | -0.000 | -0.000 |
| 0.053 | 0.053 | 0.091 | 0.000 | 0.000 | -0.000 |
| -0.000 | -0.000 | -0.000 | 0.053 | -0.000 | -0.000 |
| -0.000 | -0.000 | -0.000 | -0.000 | 0.053 | -0.000 |
| -0.000 | -0.000 | -0.000 | -0.000 | 0.000 | 0.031 |
| 102.722 | 127.153 | 127.153 | 0.000 | 0.000 | -0.000 |
| 127.153 | 102.722 | 127.153 | 0.000 | -0.000 | 0.000 |
| 127.153 | 127.153 | 102.722 | 0.000 | -0.000 | -0.000 |
| 0.000 | -0.000 | 0.000 | 103.178 | -0.000 | 0.000 |
| -0.000 | 0.000 | 0.000 | 0.000 | 103.178 | 0.000 |
| -0.000 | 0.000 | 0.000 | 0.000 | -0.000 | 103.178 |
| 102.722 | 127.153 | 127.153 | -0.000 | 0.000 | 0.000 |
| 127.153 | 102.722 | 127.153 | -0.000 | 0.000 | 0.000 |
| 127.153 | 127.153 | 102.722 | -0.000 | 0.000 | 0.000 |
| -0.000 | 0.000 | -0.000 | 103.178 | 0.000 | 0.000 |
| 0.000 | -0.000 | -0.000 | -0.000 | 103.178 | 0.000 |
| 0.000 | -0.000 | -0.000 | -0.000 | 0.000 | 103.178 |
| 102.721 | 127.153 | 127.153 | 0.000 | -0.000 | 0.000 |
| 127.153 | 102.721 | 127.153 | 0.000 | -0.000 | 0.000 |
| 127.153 | 127.153 | 102.721 | 0.000 | 0.000 | -0.000 |
| -0.000 | -0.000 | -0.000 | -25.779 | -0.000 | -0.000 |
| -0.000 | -0.000 | -0.000 | 0.000 | -25.779 | 0.000 |
| -0.000 | -0.000 | -0.000 | 0.000 | -0.000 | -25.779 |
| 102.722 | 127.153 | 127.153 | -0.000 | 0.000 | 0.000 |
| 127.153 | 102.722 | 127.153 | -0.000 | -0.000 | 0.000 |
| 127.153 | 127.153 | 102.722 | -0.000 | 0.000 | 0.000 |
| 0.000 | 0.000 | 0.000 | -25.779 | 0.000 | -0.000 |
| 0.000 | 0.000 | 0.000 | -0.000 | -25.779 | -0.000 |
| 0.000 | 0.000 | 0.000 | -0.000 | 0.000 | -25.779 |
| 102.719 | 127.153 | 127.153 | 0.000 | -0.000 | -0.000 |
| 127.153 | 102.719 | 127.153 | 0.000 | -0.000 | -0.000 |
| 127.153 | 127.153 | 102.719 | 0.000 | -0.000 | -0.000 |
| -0.000 | -0.001 | -0.001 | -25.779 | -0.000 | 0.000 |
| -0.001 | -0.000 | -0.001 | 0.000 | -25.779 | -0.000 |
| -0.001 | -0.001 | -0.000 | 0.000 | -0.000 | -25.779 |
| 102.724 | 127.153 | 127.153 | -0.000 | 0.000 | 0.000 |
| 127.153 | 102.724 | 127.153 | -0.000 | 0.000 | 0.000 |
| 127.153 | 127.153 | 102.724 | 0.000 | 0.000 | -0.000 |
| 0.000 | 0.001 | 0.001 | -25.779 | -0.000 | -0.000 |
| 0.001 | 0.000 | 0.001 | -0.000 | -25.779 | -0.000 |
| 0.001 | 0.001 | 0.000 | -0.000 | 0.000 | -25.779 |
| 8.281 | 5.941 | 5.941 | 0.000 | 0.000 | 0.000 |
| 5.941 | 8.281 | 5.941 | 0.000 | 0.000 | 0.000 |
| 5.941 | 5.941 | 8.281 | 0.000 | 0.000 | 0.000 |
| 0.000 | 0.000 | -0.000 | 1.488 | -0.000 | 0.000 |
| 0.000 | 0.000 | -0.000 | 0.000 | 1.488 | 0.000 |
| 0.000 | 0.000 | 0.000 | 0.000 | 0.000 | 1.488 |
| 8.281 | 5.941 | 5.941 | -0.000 | -0.000 | -0.000 |
| 5.941 | 8.281 | 5.941 | -0.000 | -0.000 | -0.000 |
| 5.941 | 5.941 | 8.281 | -0.000 | -0.000 | -0.000 |
| -0.000 | -0.000 | 0.000 | 1.488 | 0.000 | -0.000 |
| -0.000 | -0.000 | 0.000 | 0.000 | 1.488 | 0.000 |
| -0.000 | -0.000 | -0.000 | -0.000 | -0.000 | 1.488 |
| 8.281 | 5.941 | 5.941 | 0.000 | -0.000 | 0.000 |
| 5.941 | 8.281 | 5.941 | 0.000 | 0.000 | 0.000 |
| 5.941 | 5.941 | 8.281 | 0.000 | 0.000 | 0.000 |
| 0.000 | 0.000 | 0.000 | 1.488 | 0.000 | 0.000 |
| 0.000 | 0.000 | 0.000 | 0.000 | 1.488 | 0.000 |
| 0.000 | 0.000 | 0.000 | -0.000 | 0.000 | 1.488 |
| 8.281 | 5.941 | 5.941 | -0.000 | -0.000 | -0.000 |
| 5.941 | 8.281 | 5.941 | -0.000 | -0.000 | 0.000 |
| 5.941 | 5.941 | 8.281 | 0.000 | 0.000 | -0.000 |
| -0.000 | -0.000 | -0.000 | 1.488 | -0.000 | -0.000 |
| -0.000 | -0.000 | -0.000 | -0.000 | 1.488 | -0.000 |
| -0.000 | -0.000 | -0.000 | -0.000 | -0.000 | 1.488 |
| 8.281 | 5.942 | 5.942 | 0.000 | 0.000 | 0.000 |
| 5.942 | 8.281 | 5.942 | 0.000 | 0.000 | 0.000 |
| 5.942 | 5.942 | 8.281 | 0.000 | 0.000 | 0.000 |
| 0.000 | 0.000 | 0.000 | 1.488 | -0.000 | 0.000 |
| 0.000 | 0.000 | 0.000 | -0.000 | 1.488 | 0.000 |
| 0.000 | 0.000 | 0.000 | -0.000 | -0.000 | 1.488 |
| 8.280 | 5.941 | 5.941 | -0.000 | -0.000 | -0.000 |
| 5.941 | 8.280 | 5.941 | -0.000 | -0.000 | -0.000 |
| 5.941 | 5.941 | 8.280 | -0.000 | -0.000 | -0.000 |
| -0.000 | -0.000 | -0.000 | 1.488 | 0.000 | -0.000 |
| -0.000 | -0.000 | -0.000 | -0.000 | 1.488 | -0.000 |
| -0.000 | -0.000 | -0.000 | 0.000 | -0.000 | 1.488 |
| 0.023 | 0.023 | 0.023 | 0.000 | 0.000 | 0.000 |
| 0.023 | 0.023 | 0.023 | 0.000 | 0.000 | 0.000 |
| 0.023 | 0.023 | 0.023 | 0.000 | 0.000 | 0.000 |
| 0.000 | 0.000 | 0.000 | 0.023 | -0.000 | -0.000 |
| 0.000 | 0.000 | 0.000 | -0.000 | 0.023 | -0.000 |
| 0.000 | 0.000 | 0.000 | 0.000 | 0.000 | 0.023 |
| 0.023 | 0.023 | 0.023 | 0.000 | 0.000 | 0.000 |
| 0.023 | 0.023 | 0.023 | 0.000 | 0.000 | 0.000 |
| 0.023 | 0.023 | 0.023 | 0.000 | 0.000 | 0.000 |
| -0.000 | -0.000 | -0.000 | 0.023 | 0.000 | 0.000 |
| -0.000 | -0.000 | -0.000 | 0.000 | 0.023 | 0.000 |
| -0.000 | -0.000 | -0.000 | 0.000 | 0.000 | 0.023 |
| 0.023 | 0.023 | 0.023 | -0.000 | -0.000 | -0.000 |
| 0.023 | 0.023 | 0.023 | -0.000 | -0.000 | -0.000 |
| 0.023 | 0.023 | 0.023 | -0.000 | -0.000 | -0.000 |
| 0.000 | 0.000 | 0.000 | 0.023 | -0.000 | -0.000 |
| 0.000 | 0.000 | 0.000 | -0.000 | 0.023 | -0.000 |
| 0.000 | 0.000 | 0.000 | -0.000 | 0.000 | 0.023 |
| 0.023 | 0.023 | 0.023 | 0.000 | -0.000 | 0.000 |
| 0.023 | 0.023 | 0.023 | -0.000 | 0.000 | 0.000 |
| 0.023 | 0.023 | 0.023 | 0.000 | 0.000 | 0.000 |
| -0.000 | -0.000 | -0.000 | 0.023 | 0.000 | 0.000 |
| -0.000 | -0.000 | -0.000 | 0.000 | 0.023 | 0.000 |
| -0.000 | -0.000 | -0.000 | 0.000 | 0.000 | 0.023 |
| 0.023 | 0.023 | 0.023 | -0.000 | -0.000 | -0.000 |
| 0.023 | 0.023 | 0.023 | -0.000 | -0.000 | -0.000 |
| 0.023 | 0.023 | 0.023 | -0.000 | -0.000 | -0.000 |
| 0.000 | 0.000 | 0.000 | 0.020 | 0.000 | -0.000 |
| 0.000 | 0.000 | 0.000 | 0.000 | 0.020 | -0.000 |
| 0.000 | 0.000 | 0.000 | 0.000 | -0.000 | 0.020 |
| 0.023 | 0.023 | 0.023 | 0.000 | 0.000 | 0.000 |
| 0.023 | 0.023 | 0.023 | 0.000 | 0.000 | 0.000 |
| 0.023 | 0.023 | 0.023 | 0.000 | 0.000 | 0.000 |
| -0.000 | -0.000 | -0.000 | 0.020 | -0.000 | 0.000 |
| -0.000 | -0.000 | -0.000 | -0.000 | 0.020 | 0.000 |
| -0.000 | -0.000 | -0.000 | -0.000 | 0.000 | 0.020 |
| 227.273 | 156.190 | 156.190 | -0.000 | -0.000 | -0.000 |
| 156.190 | 227.273 | 156.190 | -0.000 | 0.000 | -0.000 |
| 156.190 | 156.190 | 227.273 | -0.000 | -0.000 | -0.000 |
| -0.000 | -0.000 | 0.000 | 52.859 | 0.000 | -0.000 |
| 0.000 | -0.000 | 0.000 | -0.000 | 52.859 | -0.000 |
| 0.000 | -0.000 | -0.000 | -0.000 | -0.000 | 52.859 |
| 227.273 | 156.190 | 156.190 | 0.000 | 0.000 | 0.000 |
| 156.190 | 227.273 | 156.190 | 0.000 | -0.000 | 0.000 |
| 156.190 | 156.190 | 227.273 | 0.000 | 0.000 | 0.000 |
| 0.000 | 0.000 | -0.000 | 52.859 | 0.000 | 0.000 |
| -0.000 | 0.000 | -0.000 | 0.000 | 52.859 | 0.000 |
| -0.000 | 0.000 | 0.000 | 0.000 | 0.000 | 52.859 |
| 227.273 | 156.190 | 156.190 | -0.000 | 0.000 | -0.000 |
| 156.190 | 227.273 | 156.190 | -0.000 | -0.000 | 0.000 |
| 156.190 | 156.190 | 227.273 | -0.000 | -0.000 | -0.000 |
| -107076567.667 | -107182482.096 | -107457383.764 | -14692540.997 | -686109.563 | 863152.143 |
| -104112533.554 | -103776057.368 | -103792264.541 | -89855.415 | -15762863.444 | 313867.299 |
| -103889013.021 | -104257727.025 | -104391370.053 | 56906.722 | 618258.936 | -16268476.848 |
| 227.273 | 156.191 | 156.191 | 0.000 | 0.000 | 0.000 |
| 156.191 | 227.273 | 156.191 | 0.000 | 0.000 | 0.000 |
| 156.191 | 156.191 | 227.273 | 0.000 | 0.000 | 0.000 |
| 106778141.096 | 108541697.105 | 108454230.466 | -14257706.068 | -1055114.924 | -1109841.812 |
| 110028363.897 | 108284770.094 | 109619919.771 | 388729.003 | -14450779.973 | 179522.062 |
| 108257013.900 | 107370805.808 | 106205967.976 | -83529.869 | 364177.494 | -13882883.828 |
| 227.272 | 156.188 | 156.188 | -0.000 | -0.000 | -0.000 |
| 156.188 | 227.272 | 156.188 | -0.000 | -0.000 | -0.000 |
| 156.188 | 156.188 | 227.272 | -0.000 | -0.000 | -0.000 |
| -10583210.249 | -10698504.652 | -10666882.187 | -1632870.600 | 50361.586 | -145884.225 |
| -10638216.489 | -10692763.304 | -10706670.762 | 32795.473 | -1584016.951 | -82047.281 |
| -10633700.487 | -10705535.973 | -10790359.812 | 81410.337 | -68605.897 | -1597293.621 |
| 227.274 | 156.192 | 156.192 | 0.000 | 0.000 | 0.000 |
| 156.192 | 227.274 | 156.192 | 0.000 | 0.000 | 0.000 |
| 156.192 | 156.192 | 227.274 | 0.000 | -0.000 | 0.000 |
| 10722323.045 | 10825107.943 | 10854486.593 | -1408000.670 | 67530.514 | 31731.120 |
| 11058391.415 | 10851449.132 | 11098492.791 | 155035.232 | -1436722.256 | 59346.683 |
| 10786904.149 | 10741691.396 | 10596684.369 | 43142.120 | 50134.620 | -1481691.781 |
| 70.675 | 155.289 | 155.289 | -0.000 | -0.000 | 0.000 |
| 155.289 | 70.675 | 155.289 | -0.000 | 0.000 | 0.000 |
| 155.289 | 155.289 | 70.675 | -0.000 | -0.000 | 0.000 |
| -0.000 | -0.000 | -0.000 | 86.731 | -0.000 | 0.000 |
| -0.000 | -0.000 | -0.000 | -0.000 | 86.731 | 0.000 |
| 0.000 | -0.000 | -0.000 | -0.000 | -0.000 | 86.731 |
| 70.675 | 155.289 | 155.289 | 0.000 | 0.000 | -0.000 |
| 155.289 | 70.675 | 155.289 | 0.000 | -0.000 | -0.000 |
| 155.289 | 155.289 | 70.675 | 0.000 | 0.000 | -0.000 |
| 0.000 | 0.000 | -0.000 | 86.731 | -0.000 | -0.000 |
| 0.000 | 0.000 | -0.000 | 0.000 | 86.731 | -0.000 |
| 0.000 | 0.000 | 0.000 | 0.000 | 0.000 | 86.731 |
| 70.675 | 155.289 | 155.289 | -0.000 | -0.000 | 0.000 |
| 155.289 | 70.675 | 155.289 | -0.000 | -0.000 | 0.000 |
| 155.289 | 155.289 | 70.675 | -0.000 | 0.000 | 0.000 |
| 0.000 | 0.000 | 0.000 | 86.549 | -0.000 | 0.000 |
| 0.000 | 0.000 | 0.000 | -0.000 | 86.549 | 0.000 |
| 0.000 | 0.000 | 0.000 | -0.000 | -0.000 | 86.549 |
| 70.675 | 155.289 | 155.289 | 0.000 | -0.000 | -0.000 |
| 155.289 | 70.675 | 155.289 | 0.000 | 0.000 | -0.000 |
| 155.289 | 155.289 | 70.675 | 0.000 | 0.000 | -0.000 |
| -0.000 | -0.000 | -0.000 | 86.549 | 0.000 | 0.000 |
| -0.000 | -0.000 | -0.000 | 0.000 | 86.549 | -0.000 |
| -0.000 | -0.000 | -0.000 | 0.000 | 0.000 | 86.549 |
| 70.676 | 155.290 | 155.290 | -0.000 | 0.000 | 0.000 |
| 155.290 | 70.676 | 155.290 | -0.000 | -0.000 | 0.000 |
| 155.290 | 155.290 | 70.676 | 0.000 | 0.000 | 0.000 |
| 0.001 | 0.000 | 0.000 | 86.549 | -0.000 | 0.000 |
| 0.000 | 0.001 | 0.000 | -0.000 | 86.549 | 0.000 |
| 0.000 | 0.000 | 0.001 | -0.000 | -0.000 | 86.549 |
| 70.674 | 155.289 | 155.289 | 0.000 | 0.000 | -0.000 |
| 155.289 | 70.674 | 155.289 | 0.000 | 0.000 | -0.000 |
| 155.289 | 155.289 | 70.674 | 0.000 | -0.000 | -0.000 |
| -0.001 | -0.000 | -0.000 | 86.549 | 0.000 | -0.000 |
| -0.000 | -0.001 | -0.000 | 0.000 | 86.549 | -0.000 |
| -0.000 | -0.000 | -0.001 | 0.000 | 0.000 | 86.549 |
| 925.287 | 65.801 | 65.801 | 0.000 | 0.000 | -0.000 |
| 65.801 | 925.287 | 65.801 | 0.000 | 0.000 | -0.000 |
| 65.801 | 65.801 | 925.287 | 0.000 | 0.000 | -0.000 |
| 0.000 | -0.000 | -0.000 | -18.153 | -0.000 | -0.000 |
| -0.000 | 0.000 | -0.000 | 0.000 | -18.153 | -0.000 |
| -0.000 | -0.000 | -0.000 | 0.000 | -0.000 | -18.153 |
| 925.287 | 65.801 | 65.801 | -0.000 | 0.000 | 0.000 |
| 65.801 | 925.287 | 65.801 | -0.000 | -0.000 | 0.000 |
| 65.801 | 65.801 | 925.287 | 0.000 | 0.000 | 0.000 |
| -0.000 | 0.000 | 0.000 | -18.153 | 0.000 | 0.000 |
| 0.000 | -0.000 | 0.000 | 0.000 | -18.153 | 0.000 |
| 0.000 | 0.000 | 0.000 | 0.000 | 0.000 | -18.153 |
| 925.285 | 65.801 | 65.801 | 0.000 | 0.000 | -0.000 |
| 65.801 | 925.285 | 65.801 | 0.000 | 0.000 | -0.000 |
| 65.801 | 65.801 | 925.285 | 0.000 | 0.000 | -0.000 |
| 0.000 | -0.000 | -0.000 | -18.153 | -0.000 | -0.000 |
| -0.000 | 0.000 | -0.000 | 0.000 | -18.153 | -0.000 |
| -0.000 | -0.000 | 0.000 | -0.000 | -0.000 | -18.153 |
| 925.288 | 65.801 | 65.801 | -0.000 | 0.000 | 0.000 |
| 65.801 | 925.288 | 65.801 | -0.000 | 0.000 | 0.000 |
| 65.801 | 65.801 | 925.288 | -0.000 | 0.000 | 0.000 |
| -0.000 | 0.000 | 0.000 | -18.153 | 0.000 | 0.000 |
| 0.000 | -0.000 | 0.000 | 0.000 | -18.153 | 0.000 |
| 0.000 | 0.000 | -0.000 | 0.000 | 0.000 | -18.153 |
| 925.271 | 65.801 | 65.801 | 0.000 | 0.000 | -0.000 |
| 65.801 | 925.271 | 65.801 | 0.000 | -0.000 | -0.000 |
| 65.801 | 65.801 | 925.271 | 0.000 | 0.000 | -0.000 |
| 0.001 | -0.000 | -0.001 | -18.153 | -0.000 | 0.000 |
| -0.000 | 0.001 | -0.001 | 0.000 | -18.153 | -0.000 |
| -0.000 | -0.001 | 0.001 | 0.000 | -0.000 | -18.153 |
| 925.302 | 65.801 | 65.801 | -0.000 | 0.000 | 0.000 |
| 65.801 | 925.302 | 65.801 | -0.000 | -0.000 | 0.000 |
| 65.801 | 65.801 | 925.302 | -0.000 | 0.000 | 0.000 |
| -0.001 | 0.000 | 0.001 | -18.153 | 0.000 | 0.000 |
| 0.000 | -0.001 | 0.001 | -0.000 | -18.153 | 0.000 |
| 0.000 | 0.001 | -0.001 | 0.000 | 0.000 | -18.153 |
| 0.188 | 0.188 | 0.188 | 0.000 | -0.000 | -0.000 |
| 0.188 | 0.188 | 0.188 | -0.000 | 0.000 | -0.000 |
| 0.188 | 0.188 | 0.188 | 0.000 | 0.000 | 0.000 |
| 0.000 | 0.000 | 0.000 | 0.173 | -0.000 | 0.000 |
| 0.000 | 0.000 | 0.000 | -0.000 | 0.173 | 0.000 |
| 0.000 | 0.000 | 0.000 | 0.000 | -0.000 | 0.173 |
| 0.188 | 0.188 | 0.188 | -0.000 | 0.000 | 0.000 |
| 0.188 | 0.188 | 0.188 | 0.000 | -0.000 | 0.000 |
| 0.188 | 0.188 | 0.188 | 0.000 | 0.000 | 0.000 |
| -0.000 | -0.000 | -0.000 | 0.173 | -0.000 | -0.000 |
| -0.000 | -0.000 | -0.000 | -0.000 | 0.173 | -0.000 |
| -0.000 | -0.000 | -0.000 | -0.000 | 0.000 | 0.173 |
| 0.188 | 0.188 | 0.188 | -0.000 | 0.000 | 0.000 |
| 0.188 | 0.188 | 0.188 | 0.000 | 0.000 | 0.000 |
| 0.188 | 0.188 | 0.188 | 0.000 | 0.000 | -0.000 |
| 0.000 | 0.000 | 0.000 | 0.116 | 0.000 | -0.000 |
| 0.000 | 0.000 | 0.000 | 0.000 | 0.116 | -0.000 |
| 0.000 | 0.000 | 0.000 | 0.000 | -0.000 | 0.116 |
| 0.188 | 0.188 | 0.188 | 0.000 | 0.000 | 0.000 |
| 0.188 | 0.188 | 0.188 | 0.000 | 0.000 | 0.000 |
| 0.188 | 0.188 | 0.188 | 0.000 | 0.000 | 0.000 |
| -0.000 | -0.000 | -0.000 | 0.116 | -0.000 | 0.000 |
| -0.000 | -0.000 | -0.000 | -0.000 | 0.116 | 0.000 |
| -0.000 | -0.000 | -0.000 | -0.000 | 0.000 | 0.116 |
| 0.189 | 0.189 | 0.189 | 0.000 | 0.000 | -0.000 |
| 0.189 | 0.189 | 0.189 | 0.000 | 0.000 | -0.000 |
| 0.189 | 0.189 | 0.189 | -0.000 | -0.000 | -0.000 |
| -0.000 | -0.000 | -0.000 | -0.244 | -0.000 | -0.000 |
| -0.000 | -0.000 | -0.000 | -0.000 | -0.244 | -0.000 |
| -0.000 | -0.000 | -0.000 | -0.000 | 0.000 | -0.244 |
| 0.188 | 0.188 | 0.188 | 0.000 | -0.000 | 0.000 |
| 0.188 | 0.188 | 0.188 | -0.000 | 0.000 | 0.000 |
| 0.188 | 0.188 | 0.188 | 0.000 | -0.000 | 0.000 |
| 0.000 | 0.000 | 0.000 | -0.244 | 0.000 | 0.000 |
| 0.000 | 0.000 | 0.000 | 0.000 | -0.244 | 0.000 |
| 0.000 | 0.000 | 0.000 | 0.000 | 0.000 | -0.244 |
| 119.928 | 166.659 | 166.659 | -0.000 | 0.000 | -0.000 |
| 166.659 | 119.928 | 166.659 | 0.000 | 0.000 | -0.000 |
| 166.659 | 166.659 | 119.928 | -0.000 | -0.000 | -0.000 |
| 0.000 | 0.000 | 0.000 | 132.513 | 0.000 | -0.000 |
| 0.000 | 0.000 | 0.000 | 0.000 | 132.513 | -0.000 |
| 0.000 | 0.000 | 0.000 | 0.000 | 0.000 | 132.513 |
| 119.928 | 166.659 | 166.659 | 0.000 | -0.000 | 0.000 |
| 166.659 | 119.928 | 166.659 | 0.000 | -0.000 | 0.000 |
| 166.659 | 166.659 | 119.928 | -0.000 | -0.000 | -0.000 |
| -0.000 | -0.000 | 0.000 | 132.513 | -0.000 | -0.000 |
| -0.000 | -0.000 | -0.000 | -0.000 | 132.513 | 0.000 |
| -0.000 | -0.000 | -0.000 | -0.000 | -0.000 | 132.513 |
| 119.928 | 166.659 | 166.659 | -0.000 | 0.000 | -0.000 |
| 166.659 | 119.928 | 166.659 | -0.000 | 0.000 | -0.000 |
| 166.659 | 166.659 | 119.928 | 0.000 | 0.000 | -0.000 |
| 0.000 | 0.000 | 0.000 | 132.513 | 0.000 | 0.000 |
| 0.000 | 0.000 | 0.000 | 0.000 | 132.513 | -0.000 |
| 0.000 | 0.000 | 0.000 | 0.000 | 0.000 | 132.513 |
| 119.928 | 166.659 | 166.659 | 0.000 | 0.000 | -0.000 |
| 166.659 | 119.928 | 166.659 | -0.000 | 0.000 | 0.000 |
| 166.659 | 166.659 | 119.928 | -0.000 | -0.000 | 0.000 |
| -0.000 | -0.000 | -0.000 | 132.513 | -0.000 | 0.000 |
| -0.000 | -0.000 | -0.000 | 0.000 | 132.513 | 0.000 |
| -0.000 | -0.000 | -0.000 | -0.000 | -0.000 | 132.513 |
| 119.928 | 166.660 | 166.660 | 0.000 | -0.000 | 0.000 |
| 166.660 | 119.928 | 166.660 | 0.000 | 0.000 | -0.000 |
| 166.660 | 166.660 | 119.928 | 0.000 | 0.000 | -0.000 |
| 0.001 | 0.000 | 0.001 | 132.513 | 0.000 | 0.000 |
| 0.000 | 0.001 | 0.001 | -0.000 | 132.513 | -0.000 |
| 0.000 | 0.001 | 0.001 | -0.000 | 0.000 | 132.513 |
| 119.927 | 166.659 | 166.659 | 0.000 | -0.000 | 0.000 |
| 166.659 | 119.927 | 166.659 | -0.000 | -0.000 | 0.000 |
| 166.659 | 166.659 | 119.927 | -0.000 | -0.000 | -0.000 |
| -0.001 | -0.000 | -0.001 | 132.513 | -0.000 | 0.000 |
| -0.000 | -0.001 | -0.001 | 0.000 | 132.513 | 0.000 |
| -0.000 | -0.001 | -0.001 | 0.000 | -0.000 | 132.513 |
| 613.041 | 602.288 | 602.288 | -0.000 | -0.000 | -0.000 |
| 602.288 | 613.041 | 602.288 | -0.000 | -0.000 | -0.000 |
| 602.288 | 602.288 | 613.041 | -0.000 | -0.000 | -0.000 |
| 0.000 | 0.000 | 0.000 | -1.331 | -0.000 | -0.000 |
| 0.000 | 0.000 | 0.000 | -0.000 | -1.331 | -0.000 |
| 0.000 | 0.000 | 0.000 | -0.000 | -0.000 | -1.331 |
| 613.041 | 602.288 | 602.288 | 0.000 | 0.000 | 0.000 |
| 602.288 | 613.041 | 602.288 | 0.000 | 0.000 | 0.000 |
| 602.288 | 602.288 | 613.041 | 0.000 | 0.000 | 0.000 |
| -0.000 | -0.000 | -0.000 | -1.331 | 0.000 | -0.000 |
| -0.000 | -0.000 | -0.000 | 0.000 | -1.331 | 0.000 |
| -0.000 | -0.000 | -0.000 | 0.000 | 0.000 | -1.331 |
| 613.041 | 602.287 | 602.287 | -0.000 | 0.000 | -0.000 |
| 602.287 | 613.041 | 602.287 | -0.000 | -0.000 | -0.000 |
| 602.287 | 602.287 | 613.041 | -0.000 | -0.000 | -0.000 |
| 0.000 | 0.000 | 0.000 | -1.331 | -0.000 | -0.000 |
| 0.000 | 0.000 | 0.000 | -0.000 | -1.331 | 0.000 |
| 0.000 | 0.000 | 0.000 | -0.000 | -0.000 | -1.331 |
| 613.041 | 602.288 | 602.288 | 0.000 | 0.000 | 0.000 |
| 602.288 | 613.041 | 602.288 | 0.000 | 0.000 | -0.000 |
| 602.288 | 602.288 | 613.041 | 0.000 | 0.000 | 0.000 |
| -0.000 | -0.000 | -0.000 | -1.331 | 0.000 | 0.000 |
| -0.000 | -0.000 | -0.000 | 0.000 | -1.331 | -0.000 |
| -0.000 | -0.000 | -0.000 | 0.000 | 0.000 | -1.331 |
| 613.040 | 602.284 | 602.284 | -0.000 | -0.000 | -0.000 |
| 602.284 | 613.040 | 602.284 | -0.000 | -0.000 | 0.000 |
| 602.284 | 602.284 | 613.040 | -0.000 | -0.000 | -0.000 |
| 0.000 | 0.000 | 0.000 | -1.331 | -0.000 | -0.000 |
| 0.000 | 0.000 | 0.000 | -0.000 | -1.331 | -0.000 |
| 0.000 | 0.000 | 0.000 | -0.000 | -0.000 | -1.331 |
| 613.042 | 602.291 | 602.291 | 0.000 | 0.000 | 0.000 |
| 602.291 | 613.042 | 602.291 | 0.000 | 0.000 | 0.000 |
| 602.291 | 602.291 | 613.042 | 0.000 | 0.000 | -0.000 |
| -0.000 | -0.000 | -0.000 | -1.331 | 0.000 | 0.000 |
| -0.000 | -0.000 | -0.000 | 0.000 | -1.331 | 0.000 |
| -0.000 | -0.000 | -0.000 | 0.000 | 0.000 | -1.331 |
| 44.897 | 44.897 | 44.897 | -0.000 | -0.000 | 0.000 |
| 44.897 | 44.897 | 44.897 | -0.000 | -0.000 | 0.000 |
| 44.897 | 44.897 | 44.897 | -0.000 | -0.000 | -0.000 |
| 0.000 | 0.000 | 0.000 | 0.125 | -0.000 | 0.000 |
| 0.000 | 0.000 | 0.000 | 0.000 | 0.125 | 0.000 |
| 0.000 | 0.000 | 0.000 | 0.000 | -0.000 | 0.125 |
| 44.897 | 44.897 | 44.897 | 0.000 | 0.000 | -0.000 |
| 44.897 | 44.897 | 44.897 | 0.000 | 0.000 | -0.000 |
| 44.897 | 44.897 | 44.897 | -0.000 | 0.000 | -0.000 |
| -0.000 | -0.000 | -0.000 | 0.125 | 0.000 | 0.000 |
| -0.000 | -0.000 | -0.000 | -0.000 | 0.125 | -0.000 |
| -0.000 | -0.000 | -0.000 | -0.000 | 0.000 | 0.125 |
| 44.897 | 44.897 | 44.897 | 0.000 | -0.000 | 0.000 |
| 44.897 | 44.897 | 44.897 | -0.000 | -0.000 | 0.000 |
| 44.897 | 44.897 | 44.897 | -0.000 | -0.000 | 0.000 |
| 0.000 | 0.000 | 0.000 | 0.099 | -0.000 | 0.000 |
| 0.000 | 0.000 | 0.000 | -0.000 | 0.099 | -0.000 |
| 0.000 | 0.000 | 0.000 | -0.000 | -0.000 | 0.099 |
| 44.897 | 44.897 | 44.897 | -0.000 | 0.000 | -0.000 |
| 44.897 | 44.897 | 44.897 | -0.000 | 0.000 | -0.000 |
| 44.897 | 44.897 | 44.897 | 0.000 | 0.000 | -0.000 |
| -0.000 | -0.000 | -0.000 | 0.099 | 0.000 | 0.000 |
| -0.000 | -0.000 | -0.000 | 0.000 | 0.099 | -0.000 |
| -0.000 | -0.000 | -0.000 | 0.000 | 0.000 | 0.099 |
| 44.897 | 44.897 | 44.897 | -0.000 | -0.000 | 0.000 |
| 44.897 | 44.897 | 44.897 | -0.000 | -0.000 | 0.000 |
| 44.897 | 44.897 | 44.897 | 0.000 | -0.000 | 0.000 |
| 0.000 | 0.000 | 0.000 | 0.125 | -0.000 | 0.000 |
| 0.000 | 0.000 | 0.000 | 0.000 | 0.125 | 0.000 |
| 0.000 | 0.000 | 0.000 | 0.000 | -0.000 | 0.125 |
| 44.896 | 44.896 | 44.896 | -0.000 | 0.000 | -0.000 |
| 44.896 | 44.896 | 44.896 | 0.000 | 0.000 | -0.000 |
| 44.896 | 44.896 | 44.896 | 0.000 | 0.000 | 0.000 |
| -0.000 | -0.000 | -0.000 | 0.125 | 0.000 | -0.000 |
| -0.000 | -0.000 | -0.000 | -0.000 | 0.125 | -0.000 |
| -0.000 | -0.000 | -0.000 | -0.000 | 0.000 | 0.125 |
| 0.051 | 0.051 | 0.051 | -0.000 | -0.000 | -0.000 |
| 0.051 | 0.051 | 0.051 | -0.000 | -0.000 | -0.000 |
| 0.051 | 0.051 | 0.051 | -0.000 | -0.000 | -0.000 |
| 0.000 | 0.000 | 0.000 | 0.051 | -0.000 | -0.000 |
| 0.000 | 0.000 | 0.000 | -0.000 | 0.051 | -0.000 |
| 0.000 | 0.000 | 0.000 | 0.000 | -0.000 | 0.051 |
| 0.051 | 0.051 | 0.051 | 0.000 | 0.000 | 0.000 |
| 0.051 | 0.051 | 0.051 | 0.000 | 0.000 | 0.000 |
| 0.051 | 0.051 | 0.051 | -0.000 | -0.000 | -0.000 |
| -0.000 | -0.000 | -0.000 | 0.051 | 0.000 | 0.000 |
| -0.000 | -0.000 | -0.000 | 0.000 | 0.051 | 0.000 |
| -0.000 | -0.000 | -0.000 | 0.000 | -0.000 | 0.051 |
| 0.051 | 0.051 | 0.051 | -0.000 | -0.000 | -0.000 |
| 0.051 | 0.051 | 0.051 | -0.000 | -0.000 | -0.000 |
| 0.051 | 0.051 | 0.051 | -0.000 | -0.000 | -0.000 |
| 0.000 | 0.000 | 0.000 | 0.051 | -0.000 | -0.000 |
| 0.000 | 0.000 | 0.000 | -0.000 | 0.051 | -0.000 |
| 0.000 | 0.000 | 0.000 | -0.000 | -0.000 | 0.051 |
| 0.051 | 0.051 | 0.051 | 0.000 | 0.000 | 0.000 |
| 0.051 | 0.051 | 0.051 | 0.000 | 0.000 | 0.000 |
| 0.051 | 0.051 | 0.051 | 0.000 | 0.000 | 0.000 |
| -0.000 | -0.000 | -0.000 | 0.051 | 0.000 | 0.000 |
| -0.000 | -0.000 | -0.000 | 0.000 | 0.051 | 0.000 |
| -0.000 | -0.000 | -0.000 | 0.000 | -0.000 | 0.051 |
| 0.052 | 0.052 | 0.052 | -0.000 | -0.000 | -0.000 |
| 0.052 | 0.052 | 0.052 | -0.000 | -0.000 | -0.000 |
| 0.052 | 0.052 | 0.052 | -0.000 | -0.000 | -0.000 |
| 0.000 | 0.000 | 0.000 | 0.051 | -0.000 | -0.000 |
| 0.000 | 0.000 | 0.000 | -0.000 | 0.051 | -0.000 |
| 0.000 | 0.000 | 0.000 | 0.000 | 0.000 | 0.051 |
| 0.051 | 0.051 | 0.051 | 0.000 | 0.000 | 0.000 |
| 0.051 | 0.051 | 0.051 | 0.000 | 0.000 | 0.000 |
| 0.051 | 0.051 | 0.051 | 0.000 | 0.000 | 0.000 |
| -0.000 | -0.000 | -0.000 | 0.051 | 0.000 | 0.000 |
| -0.000 | -0.000 | -0.000 | 0.000 | 0.051 | 0.000 |
| -0.000 | -0.000 | -0.000 | 0.000 | 0.000 | 0.051 |
| 91.502 | 156.290 | 156.290 | 0.000 | 0.000 | 0.000 |
| 156.290 | 91.502 | 156.290 | 0.000 | 0.000 | -0.000 |
| 156.290 | 156.290 | 91.502 | 0.000 | 0.000 | -0.000 |
| 0.000 | 0.000 | -0.000 | 109.450 | 0.000 | -0.000 |
| 0.000 | 0.000 | 0.000 | 0.000 | 109.450 | -0.000 |
| 0.000 | 0.000 | -0.000 | 0.000 | 0.000 | 109.450 |
| 91.502 | 156.290 | 156.290 | -0.000 | -0.000 | 0.000 |
| 156.290 | 91.502 | 156.290 | 0.000 | -0.000 | 0.000 |
| 156.290 | 156.290 | 91.502 | 0.000 | -0.000 | 0.000 |
| -0.000 | -0.000 | -0.000 | 109.450 | -0.000 | -0.000 |
| -0.000 | -0.000 | -0.000 | -0.000 | 109.450 | 0.000 |
| -0.000 | -0.000 | -0.000 | -0.000 | -0.000 | 109.450 |
| 91.502 | 156.291 | 156.291 | 0.000 | 0.000 | 0.000 |
| 156.291 | 91.502 | 156.291 | 0.000 | 0.000 | 0.000 |
| 156.291 | 156.291 | 91.502 | 0.000 | 0.000 | -0.000 |
| 0.000 | 0.000 | 0.000 | 109.450 | 0.000 | -0.000 |
| 0.000 | 0.000 | 0.000 | 0.000 | 109.450 | -0.000 |
| 0.000 | 0.000 | 0.000 | 0.000 | 0.000 | 109.450 |
| 91.502 | 156.290 | 156.290 | -0.000 | -0.000 | 0.000 |
| 156.290 | 91.502 | 156.290 | -0.000 | -0.000 | 0.000 |
| 156.290 | 156.290 | 91.502 | -0.000 | -0.000 | 0.000 |
| -0.000 | -0.000 | -0.000 | 109.450 | -0.000 | -0.000 |
| -0.000 | -0.000 | -0.000 | -0.000 | 109.450 | 0.000 |
| -0.000 | -0.000 | -0.000 | -0.000 | -0.000 | 109.450 |
| 91.503 | 156.291 | 156.291 | 0.000 | 0.000 | -0.000 |
| 156.291 | 91.503 | 156.291 | 0.000 | 0.000 | -0.000 |
| 156.291 | 156.291 | 91.503 | 0.000 | 0.000 | -0.000 |
| 0.001 | 0.000 | 0.001 | 109.450 | 0.000 | -0.000 |
| 0.000 | 0.001 | 0.001 | 0.000 | 109.450 | -0.000 |
| 0.000 | 0.001 | 0.001 | 0.000 | 0.000 | 109.450 |
| 91.501 | 156.290 | 156.290 | 0.000 | -0.000 | 0.000 |
| 156.290 | 91.501 | 156.290 | -0.000 | -0.000 | 0.000 |
| 156.290 | 156.290 | 91.501 | 0.000 | -0.000 | -0.000 |
| -0.001 | -0.000 | -0.001 | 109.450 | -0.000 | -0.000 |
| -0.000 | -0.001 | -0.001 | -0.000 | 109.450 | 0.000 |
| -0.000 | -0.001 | -0.001 | -0.000 | -0.000 | 109.450 |
| 27.029 | -2.491 | -2.491 | 0.000 | -0.000 | -0.000 |
| -2.491 | 27.029 | -2.491 | 0.000 | 0.000 | -0.000 |
| -2.491 | -2.491 | 27.029 | -0.000 | -0.000 | -0.000 |
| 0.000 | 0.000 | -0.000 | -3.513 | -0.000 | -0.000 |
| 0.000 | 0.000 | -0.000 | -0.000 | -3.513 | -0.000 |
| 0.000 | 0.000 | -0.000 | -0.000 | -0.000 | -3.513 |
| 27.029 | -2.491 | -2.491 | 0.000 | 0.000 | 0.000 |
| -2.491 | 27.029 | -2.491 | 0.000 | 0.000 | 0.000 |
| -2.491 | -2.491 | 27.029 | -0.000 | -0.000 | -0.000 |
| 0.000 | -0.000 | 0.000 | -3.513 | 0.000 | 0.000 |
| -0.000 | -0.000 | 0.000 | 0.000 | -3.513 | 0.000 |
| -0.000 | -0.000 | 0.000 | 0.000 | 0.000 | -3.513 |
| 27.030 | -2.491 | -2.491 | -0.000 | -0.000 | -0.000 |
| -2.491 | 27.030 | -2.491 | -0.000 | -0.000 | -0.000 |
| -2.491 | -2.491 | 27.030 | -0.000 | -0.000 | -0.000 |
| -714975.127 | -545347.457 | -1682429.893 | 71185.700 | 98876.713 | 14911.951 |
| -545448.252 | -692613.581 | -1645209.834 | 76161.483 | 77824.444 | 41840.140 |
| -501119.263 | -1734473.405 | -763112.378 | 85585.720 | 1482.138 | 67671.868 |
| 27.029 | -2.491 | -2.491 | -0.000 | -0.000 | 0.000 |
| -2.491 | 27.029 | -2.491 | -0.000 | -0.000 | 0.000 |
| -2.491 | -2.491 | 27.029 | 0.000 | 0.000 | 0.000 |
| 810095.540 | 597633.699 | 1893400.202 | 19697.489 | -95818.295 | 14483.010 |
| 611324.627 | 776196.349 | 1942313.264 | -95015.982 | -35864.619 | 12147.551 |
| 619339.897 | 2014570.512 | 805426.606 | -67899.052 | 21582.477 | 45064.878 |
| 27.032 | -2.491 | -2.491 | 0.000 | 0.000 | -0.000 |
| -2.491 | 27.032 | -2.491 | 0.000 | 0.000 | -0.000 |
| -2.491 | -2.491 | 27.032 | -0.000 | -0.000 | -0.000 |
| -51069.661 | -35623.585 | -231256.589 | 8016.375 | 4732.452 | -7667.889 |
| -34209.057 | -54646.435 | -240050.514 | 3012.159 | 5071.562 | -5786.703 |
| -37551.267 | -227855.802 | -54967.063 | 2153.402 | -6846.727 | 5128.486 |
| 27.027 | -2.491 | -2.491 | -0.000 | -0.000 | 0.000 |
| -2.491 | 27.027 | -2.491 | -0.000 | -0.000 | 0.000 |
| -2.491 | -2.491 | 27.027 | 0.000 | 0.000 | 0.000 |
| 57186.501 | 47450.694 | 230908.815 | 5664.077 | -7416.893 | 4082.966 |
| 43885.772 | 53089.827 | 219745.770 | -982.686 | 7576.248 | 2296.966 |
| 43541.578 | 221046.190 | 61105.180 | -5030.100 | 4814.410 | -1929.184 |
| 449.409 | 89.552 | 89.552 | 0.000 | -0.000 | -0.000 |
| 89.552 | 449.409 | 89.552 | 0.000 | 0.000 | -0.000 |
| 89.552 | 89.552 | 449.409 | 0.000 | 0.000 | -0.000 |
| -0.000 | -0.000 | -0.000 | 44.369 | 0.000 | -0.000 |
| -0.000 | -0.000 | -0.000 | 0.000 | 44.369 | -0.000 |
| -0.000 | -0.000 | -0.000 | 0.000 | 0.000 | 44.369 |
| 449.409 | 89.552 | 89.552 | -0.000 | -0.000 | 0.000 |
| 89.552 | 449.409 | 89.552 | -0.000 | -0.000 | 0.000 |
| 89.552 | 89.552 | 449.409 | -0.000 | -0.000 | 0.000 |
| 0.000 | -0.000 | 0.000 | 44.369 | -0.000 | 0.000 |
| 0.000 | 0.000 | 0.000 | -0.000 | 44.369 | 0.000 |
| 0.000 | 0.000 | 0.000 | -0.000 | -0.000 | 44.369 |
| 449.409 | 89.552 | 89.552 | 0.000 | 0.000 | -0.000 |
| 89.552 | 449.409 | 89.552 | 0.000 | 0.000 | -0.000 |
| 89.552 | 89.552 | 449.409 | 0.000 | 0.000 | -0.000 |
| 0.000 | 0.000 | 0.000 | 44.369 | 0.000 | -0.000 |
| 0.000 | 0.000 | 0.000 | 0.000 | 44.369 | -0.000 |
| 0.000 | 0.000 | 0.000 | 0.000 | 0.000 | 44.369 |
| 449.409 | 89.552 | 89.552 | -0.000 | -0.000 | 0.000 |
| 89.552 | 449.409 | 89.552 | 0.000 | 0.000 | 0.000 |
| 89.552 | 89.552 | 449.409 | 0.000 | -0.000 | 0.000 |
| -0.000 | -0.000 | -0.000 | 44.369 | -0.000 | 0.000 |
| -0.000 | -0.000 | -0.000 | -0.000 | 44.369 | 0.000 |
| -0.000 | -0.000 | -0.000 | -0.000 | -0.000 | 44.369 |
| 449.411 | 89.552 | 89.552 | 0.000 | 0.000 | -0.000 |
| 89.552 | 449.411 | 89.552 | 0.000 | 0.000 | -0.000 |
| 89.552 | 89.552 | 449.411 | -0.000 | -0.000 | -0.000 |
| 0.000 | 0.000 | 0.000 | 64.963 | 0.000 | -0.000 |
| 0.000 | 0.000 | 0.000 | -0.000 | 64.963 | -0.000 |
| 0.000 | 0.000 | 0.000 | 0.000 | 0.000 | 64.963 |
| 450.675 | 88.917 | 88.917 | -0.000 | -0.000 | 0.000 |
| 88.917 | 450.675 | 88.917 | -0.000 | 0.000 | 0.000 |
| 88.917 | 88.917 | 450.675 | 0.000 | -0.000 | 0.000 |
| -0.000 | -0.000 | -0.000 | 64.963 | -0.000 | 0.000 |
| -0.000 | -0.000 | -0.000 | -0.000 | 64.963 | 0.000 |
| -0.000 | -0.000 | -0.000 | -0.000 | -0.000 | 64.963 |
| 31.273 | 24.250 | 24.250 | -0.000 | 0.000 | 0.000 |
| 24.250 | 31.273 | 24.250 | 0.000 | 0.000 | 0.000 |
| 24.250 | 24.250 | 31.273 | -0.000 | 0.000 | 0.000 |
| 0.000 | 0.000 | 0.000 | -2.099 | 0.000 | 0.000 |
| 0.000 | 0.000 | 0.000 | 0.000 | -2.099 | 0.000 |
| 0.000 | 0.000 | 0.000 | 0.000 | 0.000 | -2.099 |
| 31.272 | 24.250 | 24.250 | 0.000 | -0.000 | -0.000 |
| 24.250 | 31.272 | 24.250 | -0.000 | -0.000 | -0.000 |
| 24.250 | 24.250 | 31.272 | -0.000 | -0.000 | -0.000 |
| -0.000 | -0.000 | -0.000 | -2.099 | -0.000 | -0.000 |
| -0.000 | -0.000 | -0.000 | -0.000 | -2.099 | -0.000 |
| -0.000 | -0.000 | -0.000 | -0.000 | -0.000 | -2.099 |
| 31.273 | 24.250 | 24.250 | -0.000 | 0.000 | 0.000 |
| 24.250 | 31.273 | 24.250 | 0.000 | 0.000 | 0.000 |
| 24.250 | 24.250 | 31.273 | 0.000 | 0.000 | 0.000 |
| 0.000 | 0.000 | 0.000 | -2.099 | 0.000 | 0.000 |
| 0.000 | 0.000 | 0.000 | 0.000 | -2.099 | 0.000 |
| 0.000 | 0.000 | 0.000 | 0.000 | 0.000 | -2.099 |
| 31.272 | 24.250 | 24.250 | 0.000 | -0.000 | -0.000 |
| 24.250 | 31.272 | 24.250 | -0.000 | -0.000 | -0.000 |
| 24.250 | 24.250 | 31.272 | 0.000 | -0.000 | -0.000 |
| -0.000 | -0.000 | -0.000 | -2.099 | -0.000 | -0.000 |
| -0.000 | -0.000 | -0.000 | -0.000 | -2.099 | -0.000 |
| -0.000 | -0.000 | -0.000 | -0.000 | -0.000 | -2.099 |
| 31.276 | 24.251 | 24.251 | 0.000 | 0.000 | 0.000 |
| 24.251 | 31.276 | 24.251 | 0.000 | 0.000 | 0.000 |
| 24.251 | 24.251 | 31.276 | 0.000 | 0.000 | 0.000 |
| 0.000 | 0.001 | 0.000 | -2.099 | 0.000 | 0.000 |
| 0.001 | 0.000 | 0.000 | 0.000 | -2.099 | 0.000 |
| 0.001 | 0.000 | 0.000 | 0.000 | 0.000 | -2.099 |
| 31.269 | 24.250 | 24.250 | 0.000 | -0.000 | -0.000 |
| 24.250 | 31.269 | 24.250 | -0.000 | -0.000 | -0.000 |
| 24.250 | 24.250 | 31.269 | 0.000 | -0.000 | -0.000 |
| -0.000 | -0.001 | -0.000 | -2.099 | -0.000 | -0.000 |
| -0.001 | -0.000 | -0.000 | -0.000 | -2.099 | -0.000 |
| -0.001 | -0.000 | -0.000 | -0.000 | -0.000 | -2.099 |
| 92.358 | 146.855 | 146.855 | -0.000 | 0.000 | 0.000 |
| 146.855 | 92.358 | 146.855 | -0.000 | 0.000 | 0.000 |
| 146.855 | 146.855 | 92.358 | 0.000 | 0.000 | 0.000 |
| 0.000 | 0.000 | 0.000 | 103.255 | 0.000 | 0.000 |
| 0.000 | 0.000 | 0.000 | 0.000 | 103.255 | 0.000 |
| 0.000 | 0.000 | 0.000 | 0.000 | 0.000 | 103.255 |
| 92.358 | 146.855 | 146.855 | 0.000 | -0.000 | -0.000 |
| 146.855 | 92.358 | 146.855 | 0.000 | 0.000 | -0.000 |
| 146.855 | 146.855 | 92.358 | -0.000 | -0.000 | -0.000 |
| -0.000 | -0.000 | -0.000 | 103.255 | -0.000 | 0.000 |
| -0.000 | -0.000 | -0.000 | -0.000 | 103.255 | -0.000 |
| -0.000 | -0.000 | -0.000 | -0.000 | -0.000 | 103.255 |
| 92.358 | 146.855 | 146.855 | -0.000 | -0.000 | 0.000 |
| 146.855 | 92.358 | 146.855 | -0.000 | 0.000 | 0.000 |
| 146.855 | 146.855 | 92.358 | 0.000 | -0.000 | 0.000 |
| 0.000 | 0.000 | 0.000 | 103.255 | 0.000 | 0.000 |
| 0.000 | 0.000 | 0.000 | 0.000 | 103.255 | 0.000 |
| 0.000 | 0.000 | 0.000 | -0.000 | 0.000 | 103.255 |
| 92.358 | 146.855 | 146.855 | 0.000 | -0.000 | -0.000 |
| 146.855 | 92.358 | 146.855 | -0.000 | -0.000 | -0.000 |
| 146.855 | 146.855 | 92.358 | 0.000 | 0.000 | -0.000 |
| -0.000 | -0.000 | -0.000 | 103.255 | -0.000 | -0.000 |
| -0.000 | -0.000 | -0.000 | -0.000 | 103.255 | -0.000 |
| -0.000 | -0.000 | -0.000 | 0.000 | -0.000 | 103.255 |
| 92.359 | 146.856 | 146.856 | -0.000 | -0.000 | 0.000 |
| 146.856 | 92.359 | 146.856 | -0.000 | 0.000 | 0.000 |
| 146.856 | 146.856 | 92.359 | 0.000 | 0.000 | 0.000 |
| 0.001 | 0.000 | 0.001 | 105.324 | -0.000 | -0.000 |
| 0.000 | 0.001 | 0.001 | -0.000 | 105.324 | 0.000 |
| 0.000 | 0.001 | 0.001 | -0.000 | -0.000 | 105.324 |
| 92.357 | 146.855 | 146.855 | 0.000 | -0.000 | -0.000 |
| 146.855 | 92.357 | 146.855 | 0.000 | -0.000 | -0.000 |
| 146.855 | 146.855 | 92.357 | -0.000 | -0.000 | -0.000 |
| -0.001 | -0.000 | -0.001 | 105.324 | -0.000 | -0.000 |
| -0.000 | -0.001 | -0.001 | -0.000 | 105.324 | -0.000 |
| -0.000 | -0.001 | -0.001 | 0.000 | -0.000 | 105.324 |
| 12.465 | 12.476 | 12.476 | -0.000 | -0.000 | 0.000 |
| 12.476 | 12.465 | 12.476 | -0.000 | -0.000 | 0.000 |
| 12.476 | 12.476 | 12.465 | 0.000 | 0.000 | 0.000 |
| -0.000 | -0.000 | -0.000 | -21.775 | -0.000 | 0.000 |
| -0.000 | -0.000 | -0.000 | 0.000 | -21.775 | 0.000 |
| -0.000 | -0.000 | -0.000 | 0.000 | 0.000 | -21.775 |
| 12.465 | 12.476 | 12.476 | 0.000 | 0.000 | -0.000 |
| 12.476 | 12.465 | 12.476 | 0.000 | 0.000 | -0.000 |
| 12.476 | 12.476 | 12.465 | 0.000 | 0.000 | -0.000 |
| 0.000 | 0.000 | 0.000 | -21.775 | 0.000 | -0.000 |
| 0.000 | 0.000 | 0.000 | -0.000 | -21.775 | -0.000 |
| 0.000 | 0.000 | 0.000 | -0.000 | 0.000 | -21.775 |
| 12.465 | 12.476 | 12.476 | -0.000 | -0.000 | 0.000 |
| 12.476 | 12.465 | 12.476 | -0.000 | -0.000 | 0.000 |
| 12.476 | 12.476 | 12.465 | -0.000 | -0.000 | 0.000 |
| -0.000 | -0.000 | -0.000 | -21.775 | -0.000 | 0.000 |
| -0.000 | -0.000 | -0.000 | 0.000 | -21.775 | 0.000 |
| -0.000 | -0.000 | -0.000 | 0.000 | -0.000 | -21.775 |
| 12.464 | 12.476 | 12.476 | 0.000 | 0.000 | -0.000 |
| 12.476 | 12.464 | 12.476 | 0.000 | 0.000 | -0.000 |
| 12.476 | 12.476 | 12.464 | -0.000 | -0.000 | -0.000 |
| 0.000 | 0.000 | 0.000 | -21.775 | 0.000 | -0.000 |
| 0.000 | 0.000 | 0.000 | -0.000 | -21.775 | -0.000 |
| 0.000 | 0.000 | 0.000 | -0.000 | 0.000 | -21.775 |
| 12.466 | 12.476 | 12.476 | -0.000 | -0.000 | 0.000 |
| 12.476 | 12.466 | 12.476 | -0.000 | -0.000 | 0.000 |
| 12.476 | 12.476 | 12.466 | 0.000 | -0.000 | 0.000 |
| -0.006 | -0.000 | -0.000 | -27.870 | -0.000 | 0.000 |
| -0.000 | -0.006 | -0.000 | 0.000 | -27.870 | 0.000 |
| -0.000 | -0.000 | -0.006 | 0.000 | 0.000 | -27.870 |
| 12.463 | 12.475 | 12.475 | 0.000 | 0.000 | -0.000 |
| 12.475 | 12.463 | 12.475 | 0.000 | 0.000 | -0.000 |
| 12.475 | 12.475 | 12.463 | 0.000 | 0.000 | -0.000 |
| 0.006 | 0.000 | 0.000 | -27.870 | 0.000 | -0.000 |
| 0.000 | 0.006 | 0.000 | -0.000 | -27.870 | -0.000 |
| 0.000 | 0.000 | 0.006 | -0.000 | 0.000 | -27.870 |
| 214.758 | 154.838 | 154.838 | -0.000 | -0.000 | 0.000 |
| 154.838 | 214.758 | 154.838 | -0.000 | 0.000 | 0.000 |
| 154.838 | 154.838 | 214.758 | -0.000 | -0.000 | 0.000 |
| 0.000 | -0.000 | 0.000 | 118.924 | 0.000 | 0.000 |
| -0.000 | -0.000 | -0.000 | -0.000 | 118.924 | 0.000 |
| 0.000 | 0.000 | 0.000 | -0.000 | -0.000 | 118.924 |
| 214.758 | 154.838 | 154.838 | 0.000 | -0.000 | -0.000 |
| 154.838 | 214.758 | 154.838 | 0.000 | 0.000 | -0.000 |
| 154.838 | 154.838 | 214.758 | 0.000 | -0.000 | -0.000 |
| 0.000 | 0.000 | -0.000 | 118.924 | 0.000 | -0.000 |
| 0.000 | 0.000 | -0.000 | 0.000 | 118.924 | -0.000 |
| -0.000 | -0.000 | -0.000 | 0.000 | -0.000 | 118.924 |
| 214.758 | 154.838 | 154.838 | -0.000 | 0.000 | 0.000 |
| 154.838 | 214.758 | 154.838 | -0.000 | 0.000 | 0.000 |
| 154.838 | 154.838 | 214.758 | -0.000 | -0.000 | -0.000 |
| 0.000 | -0.000 | -0.000 | 118.924 | -0.000 | 0.000 |
| -0.000 | 0.000 | -0.000 | -0.000 | 118.924 | 0.000 |
| -0.000 | -0.000 | 0.000 | -0.000 | 0.000 | 118.924 |
| 214.758 | 154.838 | 154.838 | -0.000 | -0.000 | -0.000 |
| 154.838 | 214.758 | 154.838 | 0.000 | -0.000 | -0.000 |
| 154.838 | 154.838 | 214.758 | 0.000 | 0.000 | -0.000 |
| -0.000 | 0.000 | 0.000 | 118.924 | 0.000 | -0.000 |
| 0.000 | -0.000 | 0.000 | 0.000 | 118.924 | -0.000 |
| 0.000 | 0.000 | -0.000 | 0.000 | -0.000 | 118.924 |
| 214.756 | 154.838 | 154.838 | -0.000 | 0.000 | 0.000 |
| 154.838 | 214.756 | 154.838 | 0.000 | 0.000 | 0.000 |
| 154.838 | 154.838 | 214.756 | 0.000 | -0.000 | 0.000 |
| 0.000 | -0.000 | -0.000 | 118.924 | -0.000 | -0.000 |
| -0.000 | 0.000 | -0.000 | -0.000 | 118.924 | 0.000 |
| -0.000 | -0.000 | 0.000 | -0.000 | 0.000 | 118.924 |
| 214.761 | 154.838 | 154.838 | -0.000 | 0.000 | -0.000 |
| 154.838 | 214.761 | 154.838 | -0.000 | -0.000 | -0.000 |
| 154.838 | 154.838 | 214.761 | 0.000 | -0.000 | -0.000 |
| -0.000 | 0.000 | 0.000 | 118.924 | 0.000 | -0.000 |
| 0.000 | -0.000 | 0.000 | 0.000 | 118.924 | -0.000 |
| 0.000 | 0.000 | -0.000 | 0.000 | 0.000 | 118.924 |
| 42.120 | 21.217 | 21.217 | 0.000 | 0.000 | 0.000 |
| 21.217 | 42.120 | 21.217 | 0.000 | 0.000 | -0.000 |
| 21.217 | 21.217 | 42.120 | 0.000 | -0.000 | 0.000 |
| -0.000 | -0.000 | -0.000 | 19.062 | 0.000 | 0.000 |
| -0.000 | -0.000 | 0.000 | 0.000 | 19.062 | -0.000 |
| -0.000 | 0.000 | -0.000 | 0.000 | -0.000 | 19.062 |
| 42.120 | 21.217 | 21.217 | -0.000 | -0.000 | -0.000 |
| 21.217 | 42.120 | 21.217 | -0.000 | -0.000 | 0.000 |
| 21.217 | 21.217 | 42.120 | -0.000 | -0.000 | 0.000 |
| 0.000 | 0.000 | 0.000 | 19.062 | -0.000 | 0.000 |
| 0.000 | 0.000 | 0.000 | -0.000 | 19.062 | 0.000 |
| 0.000 | 0.000 | 0.000 | -0.000 | 0.000 | 19.062 |
| 42.120 | 21.217 | 21.217 | 0.000 | 0.000 | -0.000 |
| 21.217 | 42.120 | 21.217 | 0.000 | 0.000 | -0.000 |
| 21.217 | 21.217 | 42.120 | 0.000 | -0.000 | -0.000 |
| -0.000 | -0.000 | 0.000 | 19.062 | 0.000 | 0.000 |
| -0.000 | -0.000 | 0.000 | 0.000 | 19.062 | -0.000 |
| -0.000 | 0.000 | -0.000 | 0.000 | -0.000 | 19.062 |
| 42.120 | 21.217 | 21.217 | -0.000 | 0.000 | 0.000 |
| 21.217 | 42.120 | 21.217 | 0.000 | -0.000 | 0.000 |
| 21.217 | 21.217 | 42.120 | -0.000 | 0.000 | 0.000 |
| 0.000 | 0.000 | -0.000 | 19.062 | -0.000 | 0.000 |
| 0.000 | 0.000 | -0.000 | -0.000 | 19.062 | 0.000 |
| 0.000 | -0.000 | 0.000 | -0.000 | 0.000 | 19.062 |
| 42.120 | 21.217 | 21.217 | 0.000 | 0.000 | 0.000 |
| 21.217 | 42.120 | 21.217 | 0.000 | 0.000 | 0.000 |
| 21.217 | 21.217 | 42.120 | 0.000 | 0.000 | 0.000 |
| -0.000 | -0.000 | 0.000 | 19.062 | 0.000 | -0.000 |
| -0.000 | -0.000 | 0.000 | 0.000 | 19.062 | -0.000 |
| -0.000 | 0.000 | -0.000 | 0.000 | -0.000 | 19.062 |
| 42.120 | 21.217 | 21.217 | -0.000 | -0.000 | 0.000 |
| 21.217 | 42.120 | 21.217 | -0.000 | -0.000 | 0.000 |
| 21.217 | 21.217 | 42.120 | -0.000 | -0.000 | 0.000 |
| 0.000 | 0.000 | -0.000 | 19.062 | -0.000 | 0.000 |
| 0.000 | 0.000 | -0.000 | -0.000 | 19.062 | 0.000 |
| 0.000 | -0.000 | 0.000 | -0.000 | 0.000 | 19.062 |
| -1993.853 | -2098.901 | -2792.500 | -0.000 | -0.000 | -0.000 |
| -2098.901 | -1993.853 | -2792.500 | -0.000 | 0.000 | -0.000 |
| 73.070 | 73.070 | 161.260 | -0.000 | -0.000 | -0.000 |
| -2258.788 | -2258.788 | -2861.028 | 38.253 | 0.000 | -0.000 |
| -0.000 | -0.000 | 0.000 | -0.000 | 40.170 | -0.000 |
| -2260.509 | -2260.509 | -2863.208 | -0.000 | 0.000 | 53.211 |
| 2551.114 | 2397.677 | 2933.604 | 0.000 | 0.000 | 0.000 |
| 126.554 | 305.441 | 73.070 | 0.000 | 0.000 | 0.000 |
| 2330.345 | 2330.345 | 3020.370 | -0.000 | 0.000 | 0.000 |
| 2258.788 | 2258.788 | 2861.028 | 38.253 | 0.000 | 0.000 |
| 0.000 | 0.000 | -0.000 | 0.000 | 40.170 | 0.000 |
| 2260.509 | 2260.509 | 2863.208 | 0.000 | -0.000 | 53.211 |
| 64.469 | -88.960 | -216.027 | -0.000 | -0.000 | -0.000 |
| -64.677 | 40.404 | -215.889 | -0.000 | 0.000 | -0.000 |
| -155.487 | -155.487 | -128.237 | -0.000 | -0.000 | 0.000 |
| -226.064 | -226.064 | -286.337 | 38.252 | 0.000 | -0.000 |
| -226.051 | -226.051 | -286.321 | -0.000 | 32.867 | -0.000 |
| -0.000 | 0.000 | -0.000 | -0.000 | 0.000 | 89.444 |
| 492.446 | 387.366 | 356.678 | 0.000 | -0.000 | 0.000 |
| 126.554 | 305.441 | 73.070 | -0.000 | 0.000 | 0.000 |
| 73.070 | 73.070 | 161.260 | -0.000 | 0.000 | 0.000 |
| 226.064 | 226.064 | 286.337 | 38.252 | 0.000 | 0.000 |
| 226.051 | 226.051 | 286.321 | 0.000 | 32.867 | 0.000 |
| 0.000 | -0.000 | 0.000 | 0.000 | 0.000 | 89.444 |
| 266.975 | 114.229 | 40.904 | -0.000 | -0.000 | -0.000 |
| 114.229 | 266.975 | 40.904 | -0.000 | -0.000 | -0.000 |
| 47.783 | 47.783 | 129.228 | -0.000 | -0.000 | -0.000 |
| -22.732 | -22.732 | -28.792 | 38.241 | -0.000 | -0.000 |
| -0.000 | 0.000 | 0.000 | -0.000 | 40.170 | -0.000 |
| -0.000 | 0.000 | -0.000 | -0.000 | -0.000 | 89.444 |
| 313.506 | 161.062 | 100.033 | 0.000 | 0.000 | 0.000 |
| 126.554 | 305.441 | 73.070 | 0.000 | -0.000 | 0.000 |
| 92.992 | 92.992 | 186.493 | -0.000 | 0.000 | 0.000 |
| 22.732 | 22.732 | 28.792 | 38.241 | 0.000 | 0.000 |
| 0.000 | -0.000 | -0.000 | 0.000 | 40.170 | -0.000 |
| 0.000 | -0.000 | 0.000 | 0.000 | 0.000 | 89.444 |
| 272.953 | 150.236 | 68.903 | -0.000 | -0.000 | -0.000 |
| 126.508 | 305.408 | 75.308 | -0.000 | 0.000 | -0.000 |
| 75.073 | 75.073 | 164.046 | -0.000 | 0.000 | -0.000 |
| 0.000 | -0.000 | 0.000 | 33.333 | 0.000 | -0.000 |
| -0.000 | 0.000 | 0.000 | 0.000 | 42.126 | -0.000 |
| -0.000 | 0.000 | 0.000 | 0.000 | 0.000 | 52.514 |
| 272.953 | 150.236 | 68.903 | 0.000 | -0.000 | 0.000 |
| 150.236 | 272.953 | 68.903 | 0.000 | -0.000 | 0.000 |
| 75.073 | 75.073 | 164.046 | 0.000 | -0.000 | 0.000 |
| -0.000 | 0.000 | -0.000 | 33.333 | -0.000 | 0.000 |
| -0.000 | -0.000 | -0.000 | -0.000 | 42.126 | 0.000 |
| 0.000 | 0.000 | -0.000 | -0.000 | -0.000 | 52.514 |
| 305.408 | 126.508 | 75.308 | 0.000 | 0.000 | -0.000 |
| 126.508 | 305.408 | 75.308 | 0.000 | 0.000 | -0.000 |
| 72.041 | 72.041 | 159.595 | -0.000 | 0.000 | -0.000 |
| 0.000 | -0.000 | 0.000 | 33.333 | 0.000 | -0.000 |
| 0.000 | 0.000 | 0.000 | -0.000 | 42.126 | -0.000 |
| -0.000 | 0.000 | -0.000 | -0.000 | 0.000 | 52.514 |
| 305.408 | 126.508 | 75.308 | -0.000 | -0.000 | 0.000 |
| 126.508 | 305.408 | 75.308 | 0.000 | -0.000 | -0.000 |
| 75.073 | 75.073 | 164.046 | -0.000 | -0.000 | 0.000 |
| -0.000 | 0.000 | -0.000 | 33.333 | -0.000 | 0.000 |
| -0.000 | -0.000 | -0.000 | 0.000 | 42.126 | -0.000 |
| 0.000 | -0.000 | 0.000 | 0.000 | -0.000 | 52.514 |
| 272.953 | 150.235 | 68.903 | 0.000 | 0.000 | -0.000 |
| 160.602 | 266.527 | 71.795 | -0.000 | 0.000 | -0.000 |
| 72.041 | 72.041 | 159.596 | -0.000 | 0.000 | -0.000 |
| 0.000 | -0.000 | 0.000 | 33.333 | 0.000 | -0.000 |
| -0.000 | 0.000 | 0.000 | -0.000 | 33.333 | -0.000 |
| -0.000 | 0.000 | 0.000 | -0.000 | 0.000 | 89.450 |
| 305.407 | 126.508 | 75.308 | 0.000 | -0.000 | 0.000 |
| 126.508 | 305.407 | 75.308 | -0.000 | -0.000 | 0.000 |
| 75.072 | 75.072 | 164.045 | -0.000 | -0.000 | 0.000 |
| -0.000 | 0.000 | -0.000 | 33.333 | -0.000 | 0.000 |
| 0.000 | -0.000 | -0.000 | 0.000 | 33.333 | 0.000 |
| 0.000 | -0.000 | -0.000 | 0.000 | -0.000 | 89.450 |
| 59.196 | 169.512 | 169.512 | 0.000 | 0.000 | 0.000 |
| 169.512 | 59.196 | 169.512 | 0.000 | 0.000 | 0.000 |
| 169.512 | 169.512 | 59.196 | -0.000 | 0.000 | 0.000 |
| 0.000 | 0.000 | 0.000 | 67.257 | -0.000 | 0.000 |
| 0.000 | 0.000 | 0.000 | 0.000 | 67.257 | 0.000 |
| 0.000 | 0.000 | 0.000 | 0.000 | 0.000 | 67.257 |
| 59.196 | 169.512 | 169.512 | -0.000 | 0.000 | -0.000 |
| 169.512 | 59.196 | 169.512 | -0.000 | -0.000 | -0.000 |
| 169.512 | 169.512 | 59.196 | 0.000 | 0.000 | -0.000 |
| -0.000 | -0.000 | -0.000 | 67.257 | 0.000 | -0.000 |
| -0.000 | -0.000 | -0.000 | -0.000 | 67.257 | -0.000 |
| -0.000 | -0.000 | -0.000 | -0.000 | -0.000 | 67.257 |
| 59.196 | 169.512 | 169.512 | 0.000 | 0.000 | 0.000 |
| 169.512 | 59.196 | 169.512 | 0.000 | -0.000 | 0.000 |
| 169.512 | 169.512 | 59.196 | -0.000 | -0.000 | -0.000 |
| 0.000 | 0.000 | 0.000 | 69.142 | -0.000 | -0.000 |
| 0.000 | 0.000 | 0.000 | 0.000 | 69.142 | 0.000 |
| 0.000 | 0.000 | 0.000 | 0.000 | 0.000 | 69.142 |
| 59.196 | 169.512 | 169.512 | -0.000 | 0.000 | -0.000 |
| 169.512 | 59.196 | 169.512 | -0.000 | -0.000 | -0.000 |
| 169.512 | 169.512 | 59.196 | -0.000 | -0.000 | -0.000 |
| -0.000 | -0.000 | -0.000 | 69.142 | 0.000 | -0.000 |
| -0.000 | -0.000 | -0.000 | -0.000 | 69.142 | -0.000 |
| -0.000 | -0.000 | -0.000 | -0.000 | -0.000 | 69.142 |
| 59.195 | 169.512 | 169.512 | 0.000 | -0.000 | 0.000 |
| 169.512 | 59.195 | 169.512 | 0.000 | 0.000 | 0.000 |
| 169.512 | 169.512 | 59.195 | -0.000 | -0.000 | 0.000 |
| 0.001 | 0.000 | 0.000 | 67.257 | 0.000 | 0.000 |
| 0.000 | 0.001 | 0.000 | 0.000 | 67.257 | 0.000 |
| 0.000 | 0.000 | 0.001 | 0.000 | 0.000 | 67.257 |
| 59.197 | 169.511 | 169.511 | -0.000 | 0.000 | -0.000 |
| 169.511 | 59.197 | 169.511 | -0.000 | -0.000 | -0.000 |
| 169.511 | 169.511 | 59.197 | 0.000 | 0.000 | -0.000 |
| -0.001 | -0.000 | -0.000 | 67.257 | -0.000 | 0.000 |
| -0.000 | -0.001 | -0.000 | -0.000 | 67.257 | -0.000 |
| -0.000 | -0.000 | -0.001 | -0.000 | -0.000 | 67.257 |
| 148.516 | 160.948 | 160.948 | -0.000 | -0.000 | -0.000 |
| 160.948 | 148.516 | 160.948 | -0.000 | -0.000 | -0.000 |
| 160.948 | 160.948 | 148.516 | -0.000 | -0.000 | -0.000 |
| 0.000 | -0.000 | 0.000 | 161.197 | -0.000 | -0.000 |
| -0.000 | 0.000 | 0.000 | -0.000 | 161.197 | -0.000 |
| -0.000 | 0.000 | 0.000 | -0.000 | -0.000 | 161.197 |
| 148.515 | 160.948 | 160.948 | 0.000 | 0.000 | 0.000 |
| 160.948 | 148.515 | 160.948 | 0.000 | 0.000 | 0.000 |
| 160.948 | 160.948 | 148.515 | 0.000 | 0.000 | 0.000 |
| -0.000 | 0.000 | -0.000 | 161.197 | 0.000 | 0.000 |
| 0.000 | -0.000 | -0.000 | 0.000 | 161.197 | 0.000 |
| 0.000 | -0.000 | -0.000 | 0.000 | 0.000 | 161.197 |
| 148.517 | 160.948 | 160.948 | -0.000 | -0.000 | -0.000 |
| 160.948 | 148.517 | 160.948 | -0.000 | -0.000 | -0.000 |
| 160.948 | 160.948 | 148.517 | -0.000 | -0.000 | -0.000 |
| 0.000 | 0.000 | -0.000 | -487.640 | -0.000 | -0.000 |
| 0.000 | 0.000 | -0.000 | -0.000 | -487.640 | -0.000 |
| 0.000 | -0.000 | 0.000 | -0.000 | -0.000 | -487.640 |
| 148.514 | 160.948 | 160.948 | 0.000 | 0.000 | 0.000 |
| 160.948 | 148.514 | 160.948 | 0.000 | 0.000 | 0.000 |
| 160.948 | 160.948 | 148.514 | 0.000 | 0.000 | 0.000 |
| -0.000 | -0.000 | 0.000 | -487.640 | 0.000 | 0.000 |
| -0.000 | -0.000 | 0.000 | 0.000 | -487.640 | 0.000 |
| -0.000 | 0.000 | -0.000 | 0.000 | 0.000 | -487.640 |
| 148.534 | 160.948 | 160.948 | -0.000 | -0.000 | -0.000 |
| 160.948 | 148.534 | 160.948 | -0.000 | -0.000 | -0.000 |
| 160.948 | 160.948 | 148.534 | -0.000 | -0.000 | -0.000 |
| 0.001 | 0.000 | -0.001 | -487.640 | -0.000 | -0.000 |
| 0.000 | 0.001 | -0.001 | -0.000 | -487.640 | -0.000 |
| 0.000 | -0.001 | 0.001 | -0.000 | 0.000 | -487.640 |
| 148.498 | 160.948 | 160.948 | 0.000 | 0.000 | 0.000 |
| 160.948 | 148.498 | 160.948 | 0.000 | 0.000 | 0.000 |
| 160.948 | 160.948 | 148.498 | -0.000 | -0.000 | 0.000 |
| -0.001 | -0.000 | 0.001 | -487.640 | 0.000 | -0.000 |
| -0.000 | -0.001 | 0.001 | 0.000 | -487.640 | -0.000 |
| -0.000 | 0.001 | -0.001 | 0.000 | 0.000 | -487.640 |
| 3.247 | 3.247 | 3.247 | 0.000 | 0.000 | -0.000 |
| 3.247 | 3.247 | 3.247 | 0.000 | 0.000 | -0.000 |
| 3.247 | 3.247 | 3.247 | 0.000 | 0.000 | -0.000 |
| 0.000 | 0.000 | 0.000 | 3.247 | -0.000 | -0.000 |
| 0.000 | 0.000 | 0.000 | -0.000 | 3.247 | -0.000 |
| 0.000 | 0.000 | 0.000 | -0.000 | -0.000 | 3.247 |
| 3.247 | 3.247 | 3.247 | -0.000 | -0.000 | 0.000 |
| 3.247 | 3.247 | 3.247 | -0.000 | -0.000 | 0.000 |
| 3.247 | 3.247 | 3.247 | -0.000 | -0.000 | 0.000 |
| -0.000 | -0.000 | -0.000 | 3.247 | -0.000 | 0.000 |
| -0.000 | -0.000 | -0.000 | -0.000 | 3.247 | 0.000 |
| -0.000 | -0.000 | -0.000 | -0.000 | -0.000 | 3.247 |
| 3.247 | 3.247 | 3.247 | -0.000 | 0.000 | -0.000 |
| 3.247 | 3.247 | 3.247 | 0.000 | -0.000 | -0.000 |
| 3.247 | 3.247 | 3.247 | 0.000 | 0.000 | -0.000 |
| 0.000 | 0.000 | 0.000 | 3.079 | 0.000 | -0.000 |
| 0.000 | 0.000 | 0.000 | 0.000 | 3.079 | -0.000 |
| 0.000 | 0.000 | 0.000 | 0.000 | -0.000 | 3.079 |
| 3.247 | 3.247 | 3.247 | -0.000 | -0.000 | 0.000 |
| 3.247 | 3.247 | 3.247 | -0.000 | -0.000 | 0.000 |
| 3.247 | 3.247 | 3.247 | -0.000 | -0.000 | 0.000 |
| -0.000 | -0.000 | -0.000 | 3.079 | -0.000 | 0.000 |
| -0.000 | -0.000 | -0.000 | -0.000 | 3.079 | 0.000 |
| -0.000 | -0.000 | -0.000 | -0.000 | -0.000 | 3.079 |
| 3.248 | 3.248 | 3.248 | -0.000 | 0.000 | -0.000 |
| 3.248 | 3.248 | 3.248 | 0.000 | 0.000 | -0.000 |
| 3.248 | 3.248 | 3.248 | 0.000 | 0.000 | -0.000 |
| 0.000 | 0.000 | 0.000 | 3.079 | 0.000 | -0.000 |
| 0.000 | 0.000 | 0.000 | 0.000 | 3.079 | -0.000 |
| 0.000 | 0.000 | 0.000 | 0.000 | -0.000 | 3.079 |
| 3.247 | 3.247 | 3.247 | -0.000 | -0.000 | 0.000 |
| 3.247 | 3.247 | 3.247 | -0.000 | -0.000 | 0.000 |
| 3.247 | 3.247 | 3.247 | -0.000 | -0.000 | 0.000 |
| -0.000 | -0.000 | -0.000 | 3.079 | -0.000 | 0.000 |
| -0.000 | -0.000 | -0.000 | -0.000 | 3.079 | 0.000 |
| -0.000 | -0.000 | -0.000 | -0.000 | 0.000 | 3.079 |
| 151.360 | 183.485 | 183.485 | -0.000 | -0.000 | -0.000 |
| 183.485 | 151.360 | 183.485 | -0.000 | -0.000 | -0.000 |
| 183.485 | 183.485 | 151.360 | -0.000 | -0.000 | -0.000 |
| 0.000 | -0.000 | -0.000 | 180.166 | -0.000 | 0.000 |
| -0.000 | -0.000 | -0.000 | -0.000 | 180.166 | -0.000 |
| -0.000 | -0.000 | -0.000 | -0.000 | -0.000 | 180.166 |
| 151.360 | 183.485 | 183.485 | 0.000 | 0.000 | 0.000 |
| 183.485 | 151.360 | 183.485 | 0.000 | 0.000 | 0.000 |
| 183.485 | 183.485 | 151.360 | -0.000 | 0.000 | -0.000 |
| -0.000 | 0.000 | 0.000 | 180.166 | 0.000 | 0.000 |
| 0.000 | -0.000 | 0.000 | 0.000 | 180.166 | 0.000 |
| 0.000 | -0.000 | 0.000 | 0.000 | 0.000 | 180.166 |
| 151.360 | 183.485 | 183.485 | 0.000 | -0.000 | -0.000 |
| 183.485 | 151.360 | 183.485 | -0.000 | -0.000 | -0.000 |
| 183.485 | 183.485 | 151.360 | -0.000 | -0.000 | 0.000 |
| 0.000 | 0.000 | 0.000 | 180.166 | -0.000 | 0.000 |
| 0.000 | 0.000 | 0.000 | -0.000 | 180.166 | -0.000 |
| 0.000 | 0.000 | 0.000 | -0.000 | -0.000 | 180.166 |
| 151.360 | 183.485 | 183.485 | 0.000 | 0.000 | 0.000 |
| 183.485 | 151.360 | 183.485 | 0.000 | 0.000 | 0.000 |
| 183.485 | 183.485 | 151.360 | 0.000 | 0.000 | 0.000 |
| -0.000 | -0.000 | -0.000 | 180.166 | 0.000 | 0.000 |
| -0.000 | -0.000 | -0.000 | 0.000 | 180.166 | 0.000 |
| -0.000 | -0.000 | -0.000 | 0.000 | 0.000 | 180.166 |
| 151.360 | 183.486 | 183.486 | -0.000 | -0.000 | -0.000 |
| 183.486 | 151.360 | 183.486 | -0.000 | -0.000 | -0.000 |
| 183.486 | 183.486 | 151.360 | 0.000 | -0.000 | -0.000 |
| 0.001 | 0.000 | 0.001 | 180.166 | -0.000 | -0.000 |
| 0.000 | 0.001 | 0.001 | -0.000 | 180.166 | -0.000 |
| 0.000 | 0.001 | 0.001 | -0.000 | -0.000 | 180.166 |
| 151.360 | 183.484 | 183.484 | 0.000 | 0.000 | -0.000 |
| 183.484 | 151.360 | 183.484 | 0.000 | 0.000 | 0.000 |
| 183.484 | 183.484 | 151.360 | 0.000 | 0.000 | 0.000 |
| -0.001 | -0.000 | -0.001 | 180.166 | 0.000 | 0.000 |
| -0.000 | -0.001 | -0.001 | 0.000 | 180.166 | 0.000 |
| -0.000 | -0.001 | -0.001 | 0.000 | 0.000 | 180.166 |
| 76.940 | 81.527 | 81.527 | 0.000 | 0.000 | 0.000 |
| 81.527 | 76.940 | 81.527 | 0.000 | 0.000 | 0.000 |
| 81.527 | 81.527 | 76.940 | 0.000 | -0.000 | 0.000 |
| 0.000 | 0.000 | 0.000 | 2.766 | -0.000 | 0.000 |
| 0.000 | 0.000 | 0.000 | -0.000 | 2.766 | 0.000 |
| 0.000 | 0.000 | 0.000 | -0.000 | -0.000 | 2.766 |
| 76.940 | 81.527 | 81.527 | -0.000 | 0.000 | -0.000 |
| 81.527 | 76.940 | 81.527 | -0.000 | -0.000 | -0.000 |
| 81.527 | 81.527 | 76.940 | -0.000 | 0.000 | -0.000 |
| -0.000 | -0.000 | -0.000 | 2.766 | 0.000 | -0.000 |
| -0.000 | -0.000 | -0.000 | 0.000 | 2.766 | 0.000 |
| -0.000 | -0.000 | -0.000 | -0.000 | 0.000 | 2.766 |
| 76.940 | 81.527 | 81.527 | 0.000 | -0.000 | 0.000 |
| 81.527 | 76.940 | 81.527 | 0.000 | 0.000 | -0.000 |
| 81.527 | 81.527 | 76.940 | 0.000 | -0.000 | 0.000 |
| 0.000 | 0.000 | 0.000 | 2.046 | -0.000 | 0.000 |
| 0.000 | 0.000 | 0.000 | -0.000 | 2.046 | -0.000 |
| 0.000 | 0.000 | 0.000 | -0.000 | -0.000 | 2.046 |
| 76.940 | 81.526 | 81.526 | 0.000 | 0.000 | -0.000 |
| 81.526 | 76.940 | 81.526 | -0.000 | 0.000 | 0.000 |
| 81.526 | 81.526 | 76.940 | -0.000 | 0.000 | 0.000 |
| -0.000 | -0.000 | -0.000 | 2.046 | 0.000 | -0.000 |
| -0.000 | -0.000 | -0.000 | -0.000 | 2.046 | -0.000 |
| -0.000 | -0.000 | -0.000 | -0.000 | 0.000 | 2.046 |
| 76.943 | 81.528 | 81.528 | 0.000 | 0.000 | 0.000 |
| 81.528 | 76.943 | 81.528 | 0.000 | 0.000 | 0.000 |
| 81.528 | 81.528 | 76.943 | -0.000 | -0.000 | 0.000 |
| 0.000 | 0.000 | 0.000 | 3.045 | -0.000 | 0.000 |
| 0.000 | 0.000 | 0.000 | -0.000 | 3.045 | 0.000 |
| 0.000 | 0.000 | 0.000 | -0.000 | -0.000 | 3.045 |
| 76.937 | 81.525 | 81.525 | -0.000 | 0.000 | -0.000 |
| 81.525 | 76.937 | 81.525 | -0.000 | 0.000 | -0.000 |
| 81.525 | 81.525 | 76.937 | 0.000 | 0.000 | -0.000 |
| -0.000 | -0.000 | -0.000 | 3.045 | 0.000 | 0.000 |
| -0.000 | -0.000 | -0.000 | 0.000 | 3.045 | -0.000 |
| -0.000 | -0.000 | -0.000 | -0.000 | 0.000 | 3.045 |
| 56.893 | 56.893 | 56.893 | 0.000 | 0.000 | -0.000 |
| 56.893 | 56.893 | 56.893 | 0.000 | 0.000 | -0.000 |
| 56.893 | 56.893 | 56.893 | 0.000 | 0.000 | 0.000 |
| -0.000 | -0.000 | -0.000 | -38.437 | -0.000 | 0.000 |
| -0.000 | -0.000 | -0.000 | -0.000 | -38.437 | 0.000 |
| -0.000 | -0.000 | -0.000 | 0.000 | -0.000 | -38.437 |
| 56.893 | 56.893 | 56.893 | -0.000 | -0.000 | 0.000 |
| 56.893 | 56.893 | 56.893 | -0.000 | -0.000 | -0.000 |
| 56.893 | 56.893 | 56.893 | -0.000 | -0.000 | 0.000 |
| 0.000 | 0.000 | 0.000 | -38.437 | -0.000 | -0.000 |
| 0.000 | 0.000 | 0.000 | -0.000 | -38.437 | -0.000 |
| 0.000 | 0.000 | 0.000 | -0.000 | -0.000 | -38.437 |
| 56.893 | 56.893 | 56.893 | 0.000 | 0.000 | -0.000 |
| 56.893 | 56.893 | 56.893 | 0.000 | 0.000 | -0.000 |
| 56.893 | 56.893 | 56.893 | 0.000 | 0.000 | 0.000 |
| -0.000 | -0.000 | -0.000 | -7.601 | 0.000 | -0.000 |
| -0.000 | -0.000 | -0.000 | 0.000 | -7.601 | -0.000 |
| -0.000 | -0.000 | -0.000 | 0.000 | 0.000 | -7.601 |
| 56.893 | 56.893 | 56.893 | -0.000 | -0.000 | -0.000 |
| 56.893 | 56.893 | 56.893 | -0.000 | -0.000 | 0.000 |
| 56.893 | 56.893 | 56.893 | -0.000 | -0.000 | 0.000 |
| 0.000 | 0.000 | 0.000 | -7.601 | -0.000 | -0.000 |
| 0.000 | 0.000 | 0.000 | -0.000 | -7.601 | -0.000 |
| 0.000 | 0.000 | 0.000 | -0.000 | 0.000 | -7.601 |
| 56.892 | 56.892 | 56.892 | 0.000 | 0.000 | -0.000 |
| 56.892 | 56.892 | 56.892 | 0.000 | 0.000 | -0.000 |
| 56.892 | 56.892 | 56.892 | 0.000 | 0.000 | -0.000 |
| -276775.639 | -269873.518 | -272885.614 | -91451.994 | -61.914 | -248.919 |
| -271954.770 | -278216.590 | -274491.356 | 82.279 | -91777.942 | -73.784 |
| -271786.687 | -275032.257 | -277765.340 | 184.815 | 229.388 | -92324.266 |
| 56.893 | 56.893 | 56.893 | -0.000 | -0.000 | -0.000 |
| 56.893 | 56.893 | 56.893 | -0.000 | -0.000 | 0.000 |
| 56.893 | 56.893 | 56.893 | -0.000 | -0.000 | 0.000 |
| 257512.449 | 253895.207 | 259302.655 | -88439.216 | 102.491 | 78.886 |
| 251879.637 | 256585.195 | 258194.361 | 113.931 | -88690.898 | -176.284 |
| 250800.005 | 257726.485 | 255728.030 | 76.895 | 87.340 | -88453.874 |
| 316.024 | 92.523 | 127.216 | -0.000 | -0.019 | -0.000 |
| 247.891 | 361.636 | 198.222 | -0.000 | -23.870 | 0.000 |
| 288.070 | 175.627 | 410.513 | 0.000 | -23.907 | 0.000 |
| 120.498 | 74.546 | 101.629 | 49.760 | -10.850 | -0.627 |
| 116.982 | 75.153 | 107.126 | 0.000 | 57.205 | 0.000 |
| 158.937 | 88.718 | 111.422 | -0.208 | -24.193 | 51.710 |
| 316.024 | 92.523 | 127.216 | -0.000 | -0.019 | 0.000 |
| -41.514 | 190.771 | -21.326 | 0.000 | 16.035 | -0.000 |
| 26.228 | 11.966 | 179.728 | -0.000 | 14.224 | -0.000 |
| -120.498 | -74.546 | -101.629 | 49.760 | 10.850 | -0.627 |
| -0.310 | -0.258 | -0.946 | -0.000 | 93.022 | 0.000 |
| -158.937 | -88.718 | -111.422 | -0.208 | 24.193 | 51.710 |
| 303.657 | 96.825 | 152.935 | 0.000 | 1.610 | 0.000 |
| 101.913 | 280.786 | 96.590 | -0.000 | -0.794 | 0.000 |
| 145.700 | 95.862 | 310.025 | 0.000 | -2.152 | 0.000 |
| 11.996 | 7.425 | 10.145 | 49.722 | -1.060 | -0.635 |
| -0.310 | -0.258 | -0.946 | 0.000 | 93.022 | -0.000 |
| -0.000 | 0.000 | 0.000 | -0.129 | -0.000 | 53.457 |
| 316.024 | 92.523 | 127.216 | -0.000 | -0.019 | 0.000 |
| 73.118 | 264.124 | 75.732 | 0.000 | 2.733 | 0.000 |
| 112.738 | 77.704 | 287.474 | -0.000 | 2.797 | -0.000 |
| -11.996 | -7.425 | -10.145 | 49.722 | 1.060 | -0.635 |
| -0.310 | -0.258 | -0.946 | -0.000 | 93.022 | 0.000 |
| 0.000 | -0.000 | -0.000 | -0.129 | 0.000 | 53.457 |
| 294.189 | 89.456 | 140.516 | 0.000 | 3.618 | 0.000 |
| 92.446 | 277.375 | 91.089 | -0.000 | -0.220 | -0.000 |
| 127.262 | 91.211 | 310.096 | -0.000 | -0.946 | -0.000 |
| 1.264 | 0.842 | 1.124 | 49.605 | -0.124 | -0.630 |
| -0.309 | -0.258 | -0.946 | 0.000 | 93.022 | -0.000 |
| 2.355 | 1.315 | 1.651 | -0.246 | -0.358 | 50.869 |
| 316.022 | 92.523 | 127.215 | -0.000 | -0.019 | 0.000 |
| 87.403 | 272.200 | 85.821 | 0.000 | 0.558 | -0.000 |
| 140.764 | 85.404 | 283.556 | -0.000 | 0.589 | 0.000 |
| -1.264 | -0.842 | -1.124 | 49.605 | 0.124 | -0.630 |
| 2.334 | 0.335 | 0.062 | -0.000 | 70.242 | -0.000 |
| -2.355 | -1.315 | -1.651 | -0.246 | 0.358 | 50.869 |
| 322.175 | 141.419 | 189.034 | 0.000 | -9.919 | 0.000 |
| 114.053 | 329.090 | 142.654 | -0.000 | -6.681 | 0.000 |
| 160.464 | 140.203 | 357.836 | 0.000 | -6.211 | -0.000 |
| 31.266 | 54.340 | 61.181 | 50.866 | -6.727 | -0.180 |
| 27.210 | 56.709 | 57.736 | 0.000 | 68.078 | 0.000 |
| 27.461 | 52.559 | 49.296 | -0.624 | -14.915 | 48.722 |
| 314.844 | 92.136 | 126.927 | -0.000 | -0.637 | 0.000 |
| 60.554 | 220.430 | 35.536 | -0.000 | 12.620 | -0.000 |
| 110.476 | 33.139 | 237.319 | -0.000 | 12.336 | -0.000 |
| -31.266 | -54.340 | -61.181 | 50.866 | 6.727 | -0.180 |
| -30.006 | -53.928 | -60.727 | -0.000 | 88.976 | 0.000 |
| -27.461 | -52.559 | -49.296 | -0.624 | 14.915 | 48.722 |
| 314.844 | 92.136 | 126.927 | 0.000 | -0.637 | -0.000 |
| 92.136 | 277.885 | 90.910 | 0.000 | -0.205 | -0.000 |
| 140.670 | 91.474 | 292.785 | -0.000 | 0.001 | 0.000 |
| 3.226 | 5.606 | 6.312 | 50.801 | -0.694 | -0.183 |
| 4.889 | 7.002 | 6.823 | -0.000 | 71.032 | 0.000 |
| 2.753 | 5.254 | 4.922 | -0.626 | -1.499 | 48.707 |
| 288.757 | 83.684 | 136.440 | -0.000 | 4.128 | -0.000 |
| 84.864 | 267.481 | 79.936 | -0.000 | 1.104 | 0.000 |
| 137.508 | 80.539 | 280.986 | -0.000 | 1.776 | -0.000 |
| -3.226 | -5.606 | -6.312 | 50.801 | 0.694 | -0.183 |
| -0.349 | -4.289 | -4.441 | 0.000 | 70.763 | -0.000 |
| -2.753 | -5.254 | -4.922 | -0.626 | 1.499 | 48.707 |
| 314.845 | 92.136 | 126.927 | -0.000 | -0.637 | -0.000 |
| 88.896 | 274.037 | 87.168 | 0.000 | 0.288 | -0.000 |
| 141.573 | 86.272 | 285.198 | 0.000 | 0.414 | 0.000 |
| 0.283 | 0.533 | 0.502 | 49.059 | -0.145 | -0.615 |
| 2.570 | 1.272 | 0.798 | 0.000 | 68.707 | 0.000 |
| 0.256 | 0.632 | 0.620 | -0.625 | -0.087 | 48.766 |
| 299.329 | 86.459 | 128.301 | -0.000 | 1.730 | 0.000 |
| 88.202 | 272.942 | 85.971 | -0.000 | 0.425 | -0.000 |
| 139.776 | 85.037 | 285.012 | 0.000 | 0.918 | -0.000 |
| -0.283 | -0.533 | -0.502 | 49.059 | 0.145 | -0.615 |
| 2.183 | 0.461 | 0.060 | 0.000 | 69.450 | -0.000 |
| -0.256 | -0.632 | -0.620 | -0.625 | 0.087 | 48.766 |
| 325.087 | 133.913 | 110.817 | -34.058 | 39.233 | 26.342 |
| 100.082 | 232.408 | 52.244 | 33.656 | 44.212 | -16.807 |
| 88.884 | 9.186 | 289.988 | -26.010 | 44.239 | -17.009 |
| -51.618 | -62.177 | -53.553 | 45.276 | 43.992 | -16.118 |
| 0.510 | 0.378 | 0.335 | 0.308 | 71.917 | -34.578 |
| -0.260 | -0.133 | -0.653 | 0.328 | -9.165 | 83.100 |
| 325.087 | 133.913 | 110.817 | -34.058 | 39.233 | 26.342 |
| 86.849 | 507.502 | 145.801 | 112.004 | -73.351 | 25.156 |
| 123.661 | 202.181 | 396.587 | 25.538 | -43.203 | 15.575 |
| -16.838 | 130.820 | 53.051 | 96.824 | -43.450 | 16.466 |
| 18.096 | 96.888 | 53.838 | 26.042 | 27.204 | -18.053 |
| 17.266 | 96.064 | 52.769 | 26.044 | -53.004 | 98.365 |
| 316.967 | 119.977 | 101.005 | -36.473 | 43.106 | 24.341 |
| 121.590 | 335.976 | 110.099 | 60.310 | 0.487 | -0.189 |
| 104.546 | 96.045 | 337.981 | -2.814 | 4.890 | -2.346 |
| -35.966 | 24.670 | -5.582 | 68.471 | 4.643 | -1.455 |
| 8.590 | -16.623 | -1.204 | -6.593 | 78.233 | -36.604 |
| -0.260 | -0.133 | -0.653 | 0.328 | -9.165 | 83.100 |
| 325.087 | 133.913 | 110.817 | -34.058 | 39.233 | 26.342 |
| 121.590 | 335.975 | 110.099 | 60.310 | 0.487 | -0.189 |
| 107.998 | 115.321 | 348.593 | 2.341 | -3.854 | 0.912 |
| -34.435 | 34.925 | -0.130 | 71.841 | 0.308 | 0.219 |
| 2.445 | 10.040 | 5.867 | 2.845 | 66.551 | -32.715 |
| -0.260 | -0.133 | -0.653 | 0.328 | -9.165 | 83.100 |
| 318.737 | 128.791 | 105.943 | -34.162 | 39.193 | 25.818 |
| 119.002 | 326.669 | 106.040 | 58.624 | 1.181 | -0.854 |
| 106.163 | 104.768 | 342.872 | -0.496 | 0.959 | -0.883 |
| -34.435 | 34.925 | -0.129 | 71.841 | 0.308 | 0.219 |
| 0.510 | 0.378 | 0.335 | 0.308 | 71.917 | -34.578 |
| -0.260 | -0.133 | -0.653 | 0.328 | -9.165 | 83.100 |
| 325.086 | 133.913 | 110.817 | -34.057 | 39.233 | 26.342 |
| 117.098 | 328.952 | 105.610 | 59.710 | -0.292 | -0.408 |
| 106.335 | 106.539 | 343.613 | 0.018 | 0.088 | -0.554 |
| -34.053 | 35.298 | 0.287 | 71.314 | -0.170 | 0.338 |
| 0.885 | 1.364 | 1.078 | 0.527 | 70.463 | -34.175 |
| 0.055 | 0.538 | 0.009 | 0.530 | -9.728 | 82.223 |
| 75.577 | 150.435 | 150.435 | 0.000 | -0.000 | -0.000 |
| 150.435 | 75.577 | 150.435 | 0.000 | -0.000 | -0.000 |
| 150.435 | 150.435 | 75.577 | 0.000 | -0.000 | 0.000 |
| 0.000 | 0.000 | 0.000 | 116.130 | -0.000 | -0.000 |
| 0.000 | 0.000 | 0.000 | 0.000 | 116.130 | 0.000 |
| 0.000 | 0.000 | 0.000 | -0.000 | -0.000 | 116.130 |
| 75.577 | 150.435 | 150.435 | -0.000 | -0.000 | 0.000 |
| 150.435 | 75.577 | 150.435 | -0.000 | -0.000 | -0.000 |
| 150.435 | 150.435 | 75.577 | 0.000 | 0.000 | -0.000 |
| -0.000 | -0.000 | 0.000 | 116.130 | 0.000 | 0.000 |
| -0.000 | -0.000 | 0.000 | 0.000 | 116.130 | 0.000 |
| -0.000 | -0.000 | -0.000 | 0.000 | -0.000 | 116.130 |
| 75.578 | 150.435 | 150.435 | 0.000 | 0.000 | -0.000 |
| 150.435 | 75.578 | 150.435 | 0.000 | -0.000 | -0.000 |
| 150.435 | 150.435 | 75.578 | -0.000 | -0.000 | -0.000 |
| 0.000 | 0.000 | 0.000 | 116.130 | -0.000 | 0.000 |
| 0.000 | 0.000 | 0.000 | -0.000 | 116.130 | -0.000 |
| 0.000 | 0.000 | 0.000 | -0.000 | 0.000 | 116.130 |
| 75.577 | 150.435 | 150.435 | -0.000 | -0.000 | 0.000 |
| 150.435 | 75.577 | 150.435 | -0.000 | -0.000 | 0.000 |
| 150.435 | 150.435 | 75.577 | 0.000 | -0.000 | -0.000 |
| -0.000 | -0.000 | -0.000 | 116.130 | 0.000 | 0.000 |
| -0.000 | -0.000 | -0.000 | 0.000 | 116.130 | -0.000 |
| -0.000 | -0.000 | -0.000 | 0.000 | -0.000 | 116.130 |
| 75.578 | 150.436 | 150.436 | 0.000 | -0.000 | -0.000 |
| 150.436 | 75.578 | 150.436 | -0.000 | 0.000 | -0.000 |
| 150.436 | 150.436 | 75.578 | 0.000 | 0.000 | -0.000 |
| 0.001 | 0.000 | 0.001 | 118.339 | -0.000 | -0.000 |
| 0.000 | 0.001 | 0.001 | -0.000 | 118.339 | -0.000 |
| 0.000 | 0.001 | 0.001 | -0.000 | -0.000 | 118.339 |
| 75.577 | 150.435 | 150.435 | 0.000 | -0.000 | 0.000 |
| 150.435 | 75.577 | 150.435 | -0.000 | 0.000 | 0.000 |
| 150.435 | 150.435 | 75.577 | -0.000 | -0.000 | 0.000 |
| -0.001 | -0.000 | -0.001 | 118.339 | -0.000 | 0.000 |
| -0.000 | -0.001 | -0.001 | -0.000 | 118.339 | 0.000 |
| -0.000 | -0.001 | -0.001 | 0.000 | -0.000 | 118.339 |
| 563.803 | 10.048 | 10.048 | 0.000 | 0.000 | 0.000 |
| 10.048 | 563.803 | 10.048 | 0.000 | 0.000 | 0.000 |
| 10.048 | 10.048 | 563.803 | 0.000 | 0.000 | 0.000 |
| -0.000 | -0.000 | 0.000 | 9.317 | 0.000 | 0.000 |
| -0.000 | -0.000 | 0.000 | 0.000 | 9.317 | 0.000 |
| -0.000 | -0.000 | 0.000 | 0.000 | 0.000 | 9.317 |
| 563.803 | 10.048 | 10.048 | -0.000 | -0.000 | -0.000 |
| 10.048 | 563.803 | 10.048 | -0.000 | -0.000 | -0.000 |
| 10.048 | 10.048 | 563.803 | -0.000 | -0.000 | -0.000 |
| 0.000 | 0.000 | -0.000 | 9.317 | -0.000 | -0.000 |
| 0.000 | -0.000 | -0.000 | -0.000 | 9.317 | -0.000 |
| 0.000 | 0.000 | -0.000 | -0.000 | -0.000 | 9.317 |
| 563.802 | 10.048 | 10.048 | 0.000 | 0.000 | 0.000 |
| 10.048 | 563.802 | 10.048 | 0.000 | 0.000 | 0.000 |
| 10.048 | 10.048 | 563.802 | -0.000 | 0.000 | 0.000 |
| -0.000 | -0.000 | -0.000 | 9.317 | 0.000 | 0.000 |
| -0.000 | -0.000 | -0.000 | 0.000 | 9.317 | 0.000 |
| -0.000 | -0.000 | -0.000 | 0.000 | 0.000 | 9.317 |
| 563.803 | 10.048 | 10.048 | 0.000 | -0.000 | -0.000 |
| 10.048 | 563.803 | 10.048 | 0.000 | -0.000 | -0.000 |
| 10.048 | 10.048 | 563.803 | 0.000 | -0.000 | -0.000 |
| 0.000 | 0.000 | 0.000 | 9.317 | -0.000 | -0.000 |
| 0.000 | 0.000 | 0.000 | -0.000 | 9.317 | -0.000 |
| 0.000 | 0.000 | 0.000 | -0.000 | -0.000 | 9.317 |
| 563.799 | 10.047 | 10.047 | 0.000 | 0.000 | 0.000 |
| 10.047 | 563.799 | 10.047 | 0.000 | 0.000 | 0.000 |
| 10.047 | 10.047 | 563.799 | 0.000 | 0.000 | 0.000 |
| -0.000 | -0.001 | -0.001 | 9.317 | 0.000 | 0.000 |
| -0.001 | -0.000 | -0.001 | 0.000 | 9.317 | 0.000 |
| -0.001 | -0.001 | -0.000 | 0.000 | 0.000 | 9.317 |
| 563.806 | 10.049 | 10.049 | -0.000 | 0.000 | -0.000 |
| 10.049 | 563.806 | 10.049 | -0.000 | -0.000 | -0.000 |
| 10.049 | 10.049 | 563.806 | -0.000 | -0.000 | -0.000 |
| 0.000 | 0.001 | 0.001 | 9.317 | -0.000 | -0.000 |
| 0.001 | 0.000 | 0.001 | 0.000 | 9.317 | -0.000 |
| 0.001 | 0.001 | 0.000 | -0.000 | -0.000 | 9.317 |
| 435.354 | 134.173 | 134.173 | 0.000 | 0.000 | -0.000 |
| 134.173 | 435.354 | 134.173 | 0.000 | 0.000 | -0.000 |
| 134.173 | 134.173 | 435.354 | -0.000 | -0.000 | -0.000 |
| -0.000 | 0.000 | -0.000 | 146.381 | -0.000 | 0.000 |
| 0.000 | -0.000 | -0.000 | -0.000 | 146.381 | 0.000 |
| 0.000 | 0.000 | -0.000 | 0.000 | 0.000 | 146.381 |
| 435.354 | 134.173 | 134.173 | -0.000 | 0.000 | 0.000 |
| 134.173 | 435.354 | 134.173 | -0.000 | -0.000 | 0.000 |
| 134.173 | 134.173 | 435.354 | 0.000 | 0.000 | 0.000 |
| 0.000 | -0.000 | 0.000 | 146.381 | 0.000 | -0.000 |
| -0.000 | 0.000 | 0.000 | -0.000 | 146.381 | -0.000 |
| -0.000 | -0.000 | 0.000 | 0.000 | -0.000 | 146.381 |
| 435.354 | 134.173 | 134.173 | 0.000 | 0.000 | -0.000 |
| 134.173 | 435.354 | 134.173 | 0.000 | -0.000 | -0.000 |
| 134.173 | 134.173 | 435.354 | 0.000 | 0.000 | 0.000 |
| -0.000 | 0.000 | 0.000 | 146.381 | 0.000 | 0.000 |
| 0.000 | -0.000 | 0.000 | 0.000 | 146.381 | 0.000 |
| 0.000 | 0.000 | -0.000 | 0.000 | -0.000 | 146.381 |
| 435.354 | 134.173 | 134.173 | -0.000 | -0.000 | 0.000 |
| 134.173 | 435.354 | 134.173 | -0.000 | -0.000 | 0.000 |
| 134.173 | 134.173 | 435.354 | -0.000 | -0.000 | -0.000 |
| 0.000 | -0.000 | -0.000 | 146.381 | -0.000 | -0.000 |
| -0.000 | 0.000 | -0.000 | -0.000 | 146.381 | -0.000 |
| -0.000 | -0.000 | 0.000 | -0.000 | -0.000 | 146.381 |
| 435.353 | 134.172 | 134.172 | 0.000 | 0.000 | -0.000 |
| 134.172 | 435.353 | 134.172 | 0.000 | -0.000 | -0.000 |
| 134.172 | 134.172 | 435.353 | -0.000 | 0.000 | -0.000 |
| -0.000 | 0.000 | 0.000 | 146.381 | 0.000 | -0.000 |
| 0.000 | -0.000 | 0.000 | 0.000 | 146.381 | 0.000 |
| 0.000 | 0.000 | -0.000 | 0.000 | 0.000 | 146.381 |
| 435.355 | 134.173 | 134.173 | -0.000 | 0.000 | 0.000 |
| 134.173 | 435.355 | 134.173 | -0.000 | -0.000 | 0.000 |
| 134.173 | 134.173 | 435.355 | 0.000 | 0.000 | 0.000 |
| 0.000 | -0.000 | -0.000 | 146.381 | -0.000 | 0.000 |
| -0.000 | 0.000 | -0.000 | -0.000 | 146.381 | -0.000 |
| -0.000 | -0.000 | 0.000 | -0.000 | -0.000 | 146.381 |
| 89.939 | 40.572 | 40.572 | -0.000 | 0.000 | 0.000 |
| 40.572 | 89.939 | 40.572 | -0.000 | -0.000 | 0.000 |
| 40.572 | 40.572 | 89.939 | -0.000 | 0.000 | 0.000 |
| -0.000 | 0.000 | 0.000 | 39.850 | -0.000 | 0.000 |
| 0.000 | 0.000 | 0.000 | -0.000 | 39.850 | 0.000 |
| 0.000 | 0.000 | 0.000 | -0.000 | -0.000 | 39.850 |
| 89.939 | 40.572 | 40.572 | 0.000 | -0.000 | -0.000 |
| 40.572 | 89.939 | 40.572 | 0.000 | 0.000 | -0.000 |
| 40.572 | 40.572 | 89.939 | -0.000 | -0.000 | -0.000 |
| 0.000 | -0.000 | -0.000 | 39.850 | 0.000 | -0.000 |
| -0.000 | -0.000 | -0.000 | 0.000 | 39.850 | -0.000 |
| -0.000 | -0.000 | -0.000 | 0.000 | 0.000 | 39.850 |
| 89.939 | 40.572 | 40.572 | -0.000 | -0.000 | 0.000 |
| 40.572 | 89.939 | 40.572 | -0.000 | -0.000 | 0.000 |
| 40.572 | 40.572 | 89.939 | -0.000 | -0.000 | 0.000 |
| -0.000 | 0.000 | 0.000 | 39.850 | -0.000 | 0.000 |
| 0.000 | -0.000 | 0.000 | -0.000 | 39.850 | 0.000 |
| 0.000 | 0.000 | -0.000 | -0.000 | -0.000 | 39.850 |
| 89.939 | 40.572 | 40.572 | 0.000 | -0.000 | -0.000 |
| 40.572 | 89.939 | 40.572 | 0.000 | 0.000 | -0.000 |
| 40.572 | 40.572 | 89.939 | 0.000 | -0.000 | -0.000 |
| 0.000 | -0.000 | -0.000 | 39.850 | 0.000 | -0.000 |
| -0.000 | 0.000 | -0.000 | 0.000 | 39.850 | -0.000 |
| -0.000 | -0.000 | 0.000 | 0.000 | 0.000 | 39.850 |
| 89.939 | 40.572 | 40.572 | -0.000 | -0.000 | 0.000 |
| 40.572 | 89.939 | 40.572 | -0.000 | -0.000 | 0.000 |
| 40.572 | 40.572 | 89.939 | -0.000 | -0.000 | 0.000 |
| -0.000 | 0.000 | 0.000 | 39.850 | -0.000 | 0.000 |
| 0.000 | -0.000 | 0.000 | -0.000 | 39.850 | 0.000 |
| 0.000 | 0.000 | -0.000 | -0.000 | -0.000 | 39.850 |
| 89.939 | 40.571 | 40.571 | 0.000 | 0.000 | -0.000 |
| 40.571 | 89.939 | 40.571 | 0.000 | 0.000 | -0.000 |
| 40.571 | 40.571 | 89.939 | 0.000 | 0.000 | -0.000 |
| 0.000 | -0.000 | -0.000 | 39.850 | 0.000 | -0.000 |
| -0.000 | 0.000 | -0.000 | 0.000 | 39.850 | -0.000 |
| -0.000 | -0.000 | 0.000 | 0.000 | 0.000 | 39.850 |
| 451.222 | -0.413 | -0.413 | 0.000 | 0.000 | 0.000 |
| -0.413 | 451.222 | -0.413 | 0.000 | 0.000 | 0.000 |
| -0.413 | -0.413 | 451.222 | -0.000 | -0.000 | 0.000 |
| -0.000 | -0.000 | -0.000 | -0.000 | 0.000 | 0.000 |
| -0.000 | -0.000 | -0.000 | 0.000 | -0.000 | 0.000 |
| -0.000 | -0.000 | -0.000 | 0.000 | 0.000 | -0.000 |
| 451.222 | -0.413 | -0.413 | -0.000 | -0.000 | -0.000 |
| -0.413 | 451.222 | -0.413 | -0.000 | -0.000 | -0.000 |
| -0.413 | -0.413 | 451.222 | -0.000 | -0.000 | -0.000 |
| 0.000 | -0.000 | 0.000 | -0.000 | -0.000 | -0.000 |
| -0.000 | 0.000 | 0.000 | -0.000 | -0.000 | -0.000 |
| -0.000 | 0.000 | 0.000 | -0.000 | -0.000 | -0.000 |
| 451.221 | -0.413 | -0.413 | 0.000 | 0.000 | 0.000 |
| -0.413 | 451.221 | -0.413 | 0.000 | 0.000 | 0.000 |
| -0.413 | -0.413 | 451.221 | 0.000 | 0.000 | 0.000 |
| -0.000 | -0.000 | -0.000 | -0.000 | 0.000 | 0.000 |
| -0.000 | -0.000 | -0.000 | 0.000 | -0.000 | 0.000 |
| -0.000 | -0.000 | -0.000 | 0.000 | 0.000 | -0.000 |
| 451.223 | -0.413 | -0.413 | -0.000 | -0.000 | -0.000 |
| -0.413 | 451.223 | -0.413 | -0.000 | 0.000 | 0.000 |
| -0.413 | -0.413 | 451.223 | -0.000 | -0.000 | -0.000 |
| 0.000 | 0.000 | 0.000 | -0.000 | -0.000 | -0.000 |
| 0.000 | 0.000 | 0.000 | -0.000 | -0.000 | -0.000 |
| 0.000 | 0.000 | 0.000 | -0.000 | -0.000 | -0.000 |
| 451.213 | -0.413 | -0.413 | 0.000 | -0.000 | -0.000 |
| -0.413 | 451.213 | -0.413 | -0.000 | -0.000 | 0.000 |
| -0.413 | -0.413 | 451.213 | 0.000 | -0.000 | 0.000 |
| 0.000 | 0.000 | -0.000 | -0.000 | 0.000 | 0.000 |
| 0.000 | 0.000 | -0.000 | 0.000 | -0.000 | 0.000 |
| 0.000 | -0.000 | 0.000 | 0.000 | 0.000 | -0.000 |
| 451.231 | -0.413 | -0.413 | -0.000 | 0.000 | -0.000 |
| -0.413 | 451.231 | -0.413 | 0.000 | 0.000 | 0.000 |
| -0.413 | -0.413 | 451.231 | 0.000 | 0.000 | -0.000 |
| -0.000 | -0.000 | 0.000 | -0.000 | -0.000 | -0.000 |
| -0.000 | -0.000 | 0.000 | -0.000 | -0.000 | -0.000 |
| -0.000 | 0.000 | -0.000 | -0.000 | -0.000 | -0.000 |
| 8.744 | -0.000 | -0.000 | 0.000 | -0.000 | -0.000 |
| -0.000 | 8.744 | -0.000 | -0.000 | 0.000 | -0.000 |
| -0.000 | -0.000 | 8.744 | 0.000 | 0.000 | 0.000 |
| -0.000 | -0.000 | -0.000 | 0.000 | 0.000 | -0.000 |
| -0.000 | -0.000 | -0.000 | 0.000 | 0.000 | -0.000 |
| -0.000 | -0.000 | -0.000 | 0.000 | 0.000 | 0.000 |
| 8.744 | -0.000 | -0.000 | -0.000 | -0.000 | -0.000 |
| -0.000 | 8.744 | -0.000 | -0.000 | -0.000 | 0.000 |
| -0.000 | -0.000 | 8.744 | 0.000 | 0.000 | -0.000 |
| 0.000 | 0.000 | 0.000 | 0.000 | -0.000 | -0.000 |
| 0.000 | 0.000 | 0.000 | -0.000 | 0.000 | 0.000 |
| 0.000 | 0.000 | 0.000 | -0.000 | 0.000 | 0.000 |
| 8.745 | -0.000 | -0.000 | -0.000 | -0.000 | -0.000 |
| -0.000 | 8.745 | -0.000 | -0.000 | -0.000 | 0.000 |
| -0.000 | -0.000 | 8.745 | 0.000 | 0.000 | -0.000 |
| -0.000 | -0.000 | -0.000 | 0.000 | -0.000 | -0.000 |
| -0.000 | -0.000 | -0.000 | 0.000 | 0.000 | -0.000 |
| -0.000 | -0.000 | -0.000 | 0.000 | 0.000 | 0.000 |
| 8.744 | -0.000 | -0.000 | 0.000 | -0.000 | -0.000 |
| -0.000 | 8.744 | -0.000 | -0.000 | 0.000 | -0.000 |
| -0.000 | -0.000 | 8.744 | -0.000 | -0.000 | 0.000 |
| 0.000 | 0.000 | 0.000 | 0.000 | 0.000 | 0.000 |
| 0.000 | 0.000 | 0.000 | -0.000 | 0.000 | 0.000 |
| 0.000 | 0.000 | 0.000 | -0.000 | 0.000 | 0.000 |
| 8.745 | -0.000 | -0.000 | -0.000 | 0.000 | 0.000 |
| -0.000 | 8.745 | -0.000 | 0.000 | -0.000 | 0.000 |
| -0.000 | -0.000 | 8.745 | 0.000 | 0.000 | 0.000 |
| -0.000 | -0.000 | -0.000 | 0.000 | 0.000 | -0.000 |
| -0.000 | -0.000 | -0.000 | -0.000 | 0.000 | -0.000 |
| -0.000 | -0.000 | -0.000 | -0.000 | -0.000 | 0.000 |
| 8.744 | -0.000 | -0.000 | 0.000 | -0.000 | -0.000 |
| -0.000 | 8.744 | -0.000 | -0.000 | 0.000 | 0.000 |
| -0.000 | -0.000 | 8.744 | 0.000 | 0.000 | 0.000 |
| 0.000 | 0.000 | 0.000 | 0.000 | -0.000 | -0.000 |
| 0.000 | 0.000 | 0.000 | 0.000 | 0.000 | 0.000 |
| 0.000 | 0.000 | 0.000 | 0.000 | 0.000 | 0.000 |
| 90.348 | 204.328 | 204.328 | 0.000 | 0.000 | -0.000 |
| 204.328 | 90.348 | 204.328 | -0.000 | 0.000 | -0.000 |
| 204.328 | 204.328 | 90.348 | -0.000 | 0.000 | -0.000 |
| -0.000 | -0.000 | -0.000 | 77.353 | 0.000 | -0.000 |
| -0.000 | 0.000 | 0.000 | -0.000 | 77.353 | -0.000 |
| -0.000 | -0.000 | 0.000 | -0.000 | 0.000 | 77.353 |
| 90.348 | 204.328 | 204.328 | -0.000 | -0.000 | 0.000 |
| 204.328 | 90.348 | 204.328 | 0.000 | -0.000 | 0.000 |
| 204.328 | 204.328 | 90.348 | -0.000 | -0.000 | 0.000 |
| -0.000 | 0.000 | 0.000 | 77.353 | -0.000 | -0.000 |
| 0.000 | -0.000 | 0.000 | 0.000 | 77.353 | -0.000 |
| 0.000 | 0.000 | -0.000 | 0.000 | -0.000 | 77.353 |
| 90.348 | 204.328 | 204.328 | -0.000 | 0.000 | 0.000 |
| 204.328 | 90.348 | 204.328 | -0.000 | 0.000 | -0.000 |
| 204.328 | 204.328 | 90.348 | -0.000 | -0.000 | 0.000 |
| 0.000 | -0.000 | -0.000 | 77.353 | -0.000 | 0.000 |
| -0.000 | 0.000 | -0.000 | -0.000 | 77.353 | -0.000 |
| -0.000 | -0.000 | 0.000 | -0.000 | 0.000 | 77.353 |
| 90.348 | 204.328 | 204.328 | 0.000 | 0.000 | -0.000 |
| 204.328 | 90.348 | 204.328 | 0.000 | 0.000 | 0.000 |
| 204.328 | 204.328 | 90.348 | -0.000 | 0.000 | 0.000 |
| -0.000 | 0.000 | 0.000 | 77.353 | 0.000 | 0.000 |
| 0.000 | -0.000 | 0.000 | 0.000 | 77.353 | -0.000 |
| 0.000 | 0.000 | -0.000 | 0.000 | 0.000 | 77.353 |
| 90.349 | 204.328 | 204.328 | -0.000 | 0.000 | 0.000 |
| 204.328 | 90.349 | 204.328 | 0.000 | -0.000 | -0.000 |
| 204.328 | 204.328 | 90.349 | -0.000 | 0.000 | -0.000 |
| 0.000 | -0.000 | -0.000 | 77.353 | 0.000 | -0.000 |
| -0.000 | 0.000 | -0.000 | -0.000 | 77.353 | 0.000 |
| -0.000 | -0.000 | 0.000 | 0.000 | 0.000 | 77.353 |
| 90.348 | 204.328 | 204.328 | 0.000 | 0.000 | 0.000 |
| 204.328 | 90.348 | 204.328 | -0.000 | 0.000 | -0.000 |
| 204.328 | 204.328 | 90.348 | 0.000 | -0.000 | 0.000 |
| -0.000 | 0.000 | 0.000 | 77.353 | -0.000 | 0.000 |
| 0.000 | -0.000 | 0.000 | -0.000 | 77.353 | -0.000 |
| 0.000 | 0.000 | -0.000 | -0.000 | -0.000 | 77.353 |
| 520.729 | 479.371 | 479.371 | -0.000 | -0.000 | -0.000 |
| 479.371 | 520.729 | 479.371 | -0.000 | -0.000 | -0.000 |
| 479.371 | 479.371 | 520.729 | -0.000 | -0.000 | -0.000 |
| 0.000 | -0.000 | 0.000 | 480.581 | -0.000 | -0.000 |
| -0.000 | 0.000 | 0.000 | -0.000 | 480.581 | -0.000 |
| -0.000 | 0.000 | 0.000 | -0.000 | -0.000 | 480.581 |
| 520.730 | 479.371 | 479.371 | 0.000 | 0.000 | 0.000 |
| 479.371 | 520.730 | 479.371 | 0.000 | 0.000 | 0.000 |
| 479.371 | 479.371 | 520.730 | 0.000 | 0.000 | 0.000 |
| -0.000 | 0.000 | -0.000 | 480.581 | 0.000 | 0.000 |
| 0.000 | -0.000 | -0.000 | 0.000 | 480.581 | 0.000 |
| 0.000 | -0.000 | -0.000 | 0.000 | 0.000 | 480.581 |
| 520.724 | 479.371 | 479.371 | -0.000 | -0.000 | -0.000 |
| 479.371 | 520.724 | 479.371 | -0.000 | -0.000 | -0.000 |
| 479.371 | 479.371 | 520.724 | -0.000 | -0.000 | -0.000 |
| -0.000 | -0.000 | -0.000 | 480.581 | -0.000 | -0.000 |
| -0.000 | -0.000 | -0.000 | -0.000 | 480.581 | -0.000 |
| -0.000 | -0.000 | -0.000 | -0.000 | -0.000 | 480.581 |
| 520.734 | 479.371 | 479.371 | 0.000 | 0.000 | 0.000 |
| 479.371 | 520.734 | 479.371 | 0.000 | 0.000 | 0.000 |
| 479.371 | 479.371 | 520.734 | 0.000 | 0.000 | 0.000 |
| 0.000 | 0.000 | 0.000 | 480.581 | 0.000 | 0.000 |
| 0.000 | 0.000 | 0.000 | 0.000 | 480.581 | 0.000 |
| 0.000 | 0.000 | 0.000 | 0.000 | 0.000 | 480.581 |
| 520.677 | 479.371 | 479.371 | -0.000 | -0.000 | -0.000 |
| 479.371 | 520.677 | 479.371 | -0.000 | -0.000 | -0.000 |
| 479.371 | 479.371 | 520.677 | -0.000 | -0.000 | -0.000 |
| -0.000 | -0.001 | -0.000 | 480.581 | -0.000 | -0.000 |
| -0.001 | -0.000 | -0.000 | -0.000 | 480.581 | -0.000 |
| -0.001 | -0.000 | -0.000 | -0.000 | -0.000 | 480.581 |
| 520.781 | 479.371 | 479.371 | 0.000 | 0.000 | 0.000 |
| 479.371 | 520.781 | 479.371 | 0.000 | 0.000 | 0.000 |
| 479.371 | 479.371 | 520.781 | 0.000 | 0.000 | 0.000 |
| 0.000 | 0.001 | 0.000 | 480.581 | 0.000 | 0.000 |
| 0.001 | 0.000 | 0.000 | 0.000 | 480.581 | 0.000 |
| 0.001 | 0.000 | 0.000 | 0.000 | 0.000 | 480.581 |
| 5.049 | 5.049 | 5.049 | 0.000 | 0.000 | -0.000 |
| 5.049 | 5.049 | 5.049 | 0.000 | 0.000 | -0.000 |
| 5.049 | 5.049 | 5.049 | 0.000 | 0.000 | -0.000 |
| 0.000 | 0.000 | 0.000 | 5.049 | -0.000 | -0.000 |
| 0.000 | 0.000 | 0.000 | -0.000 | 5.049 | -0.000 |
| 0.000 | 0.000 | 0.000 | -0.000 | 0.000 | 5.049 |
| 5.049 | 5.049 | 5.049 | -0.000 | -0.000 | -0.000 |
| 5.049 | 5.049 | 5.049 | -0.000 | -0.000 | -0.000 |
| 5.049 | 5.049 | 5.049 | -0.000 | -0.000 | 0.000 |
| -0.000 | -0.000 | -0.000 | 5.049 | -0.000 | -0.000 |
| -0.000 | -0.000 | -0.000 | -0.000 | 5.049 | -0.000 |
| -0.000 | -0.000 | -0.000 | 0.000 | -0.000 | 5.049 |
| 5.049 | 5.049 | 5.049 | -0.000 | 0.000 | 0.000 |
| 5.049 | 5.049 | 5.049 | 0.000 | -0.000 | 0.000 |
| 5.049 | 5.049 | 5.049 | 0.000 | 0.000 | -0.000 |
| 0.000 | 0.000 | 0.000 | 5.049 | -0.000 | -0.000 |
| 0.000 | 0.000 | 0.000 | -0.000 | 5.049 | -0.000 |
| 0.000 | 0.000 | 0.000 | 0.000 | -0.000 | 5.049 |
| 5.049 | 5.049 | 5.049 | 0.000 | 0.000 | 0.000 |
| 5.049 | 5.049 | 5.049 | 0.000 | 0.000 | 0.000 |
| 5.049 | 5.049 | 5.049 | 0.000 | 0.000 | -0.000 |
| -0.000 | -0.000 | -0.000 | 5.049 | 0.000 | -0.000 |
| -0.000 | -0.000 | -0.000 | 0.000 | 5.049 | -0.000 |
| -0.000 | -0.000 | -0.000 | 0.000 | 0.000 | 5.049 |
| 5.049 | 5.049 | 5.049 | 0.000 | 0.000 | 0.000 |
| 5.049 | 5.049 | 5.049 | 0.000 | 0.000 | 0.000 |
| 5.049 | 5.049 | 5.049 | -0.000 | -0.000 | -0.000 |
| 0.000 | 0.000 | 0.000 | 5.049 | -0.000 | -0.000 |
| 0.000 | 0.000 | 0.000 | -0.000 | 5.049 | -0.000 |
| 0.000 | 0.000 | 0.000 | -0.000 | 0.000 | 5.049 |
| 5.049 | 5.049 | 5.049 | 0.000 | 0.000 | -0.000 |
| 5.049 | 5.049 | 5.049 | 0.000 | 0.000 | -0.000 |
| 5.049 | 5.049 | 5.049 | 0.000 | 0.000 | 0.000 |
| -0.000 | -0.000 | -0.000 | 5.049 | 0.000 | -0.000 |
| -0.000 | -0.000 | -0.000 | 0.000 | 5.049 | -0.000 |
| -0.000 | -0.000 | -0.000 | 0.000 | -0.000 | 5.049 |
| 180919.550 | 202973.428 | 202973.422 | -0.024 | -0.040 | -0.031 |
| 202973.492 | 180919.476 | 202973.429 | -0.020 | 0.036 | -0.040 |
| 202973.501 | 202973.433 | 180919.591 | 0.075 | 0.149 | -0.031 |
| -0.021 | -0.011 | 0.054 | 210.778 | -0.041 | -0.009 |
| 0.055 | -0.012 | 0.061 | 0.035 | 210.786 | -0.029 |
| 0.067 | -0.029 | 0.041 | -0.036 | -0.028 | 210.692 |
| 180919.484 | 202973.469 | 202973.449 | 0.016 | 0.020 | 0.007 |
| 202973.439 | 180919.510 | 202973.446 | -0.006 | 0.092 | 0.013 |
| 202973.421 | 202973.453 | 180919.439 | -0.035 | 0.002 | 0.019 |
| -0.076 | 0.007 | -0.060 | 210.678 | -0.050 | 0.030 |
| -0.038 | 0.000 | -0.029 | -0.016 | 210.717 | -0.001 |
| -0.067 | 0.021 | -0.098 | -0.057 | -0.049 | 210.746 |
| 180919.505 | 202973.512 | 202973.517 | 0.003 | 0.003 | -0.002 |
| 202973.518 | 180919.499 | 202973.518 | 0.004 | 0.006 | -0.003 |
| 202973.518 | 202973.510 | 180919.503 | 0.002 | -0.002 | -0.003 |
| 0.003 | 0.043 | 0.035 | -38744.870 | 0.000 | -0.004 |
| 0.049 | -0.005 | 0.035 | 0.000 | -38744.869 | -0.004 |
| 0.047 | 0.036 | -0.001 | 0.000 | -0.002 | -38744.868 |
| 180919.485 | 202973.379 | 202973.381 | 0.005 | -0.001 | 0.000 |
| 202973.375 | 180919.495 | 202973.383 | 0.003 | 0.003 | 0.001 |
| 202973.373 | 202973.381 | 180919.496 | 0.001 | 0.007 | 0.002 |
| 0.001 | -0.045 | -0.036 | -38744.866 | -0.007 | 0.002 |
| -0.050 | 0.003 | -0.038 | 0.002 | -38744.865 | 0.003 |
| -0.047 | -0.036 | 0.005 | 0.004 | -0.001 | -38744.863 |
| 180919.543 | 202974.114 | 202974.114 | -0.000 | 0.000 | -0.000 |
| 202974.115 | 180919.543 | 202974.114 | -0.000 | -0.000 | -0.000 |
| 202974.115 | 202974.114 | 180919.543 | -0.001 | -0.001 | -0.000 |
| 0.044 | 0.320 | 0.332 | 210.726 | -0.000 | -0.000 |
| 0.321 | 0.043 | 0.332 | -0.000 | 210.726 | -0.000 |
| 0.321 | 0.332 | 0.044 | -0.000 | -0.000 | 210.726 |
| 180919.451 | 202972.778 | 202972.778 | 0.000 | 0.001 | 0.000 |
| 202972.778 | 180919.452 | 202972.778 | 0.000 | 0.000 | 0.000 |
| 202972.778 | 202972.778 | 180919.452 | 0.000 | 0.001 | 0.000 |
| -0.045 | -0.320 | -0.332 | 210.727 | -0.000 | 0.000 |
| -0.321 | -0.044 | -0.332 | 0.000 | 210.726 | 0.000 |
| -0.321 | -0.332 | -0.044 | 0.000 | 0.000 | 210.727 |
| 26.060 | 58.862 | 58.862 | 0.000 | 0.000 | 0.000 |
| 58.862 | 26.060 | 58.862 | 0.000 | 0.000 | 0.000 |
| 58.862 | 58.862 | 26.060 | 0.000 | -0.000 | 0.000 |
| -0.000 | -0.000 | -0.000 | -54.466 | -0.000 | 0.000 |
| 0.000 | -0.000 | -0.000 | 0.000 | -54.466 | 0.000 |
| 0.000 | -0.000 | -0.000 | 0.000 | -0.000 | -54.466 |
| 26.060 | 58.862 | 58.862 | -0.000 | -0.000 | -0.000 |
| 58.862 | 26.060 | 58.862 | -0.000 | -0.000 | -0.000 |
| 58.862 | 58.862 | 26.060 | -0.000 | 0.000 | -0.000 |
| -0.000 | 0.000 | 0.000 | -54.466 | 0.000 | -0.000 |
| -0.000 | -0.000 | 0.000 | -0.000 | -54.466 | -0.000 |
| -0.000 | 0.000 | 0.000 | -0.000 | 0.000 | -54.466 |
| 26.060 | 58.862 | 58.862 | 0.000 | 0.000 | 0.000 |
| 58.862 | 26.060 | 58.862 | 0.000 | -0.000 | 0.000 |
| 58.862 | 58.862 | 26.060 | 0.000 | 0.000 | 0.000 |
| 0.000 | -0.000 | 0.000 | 56.590 | -0.000 | 0.000 |
| -0.000 | 0.000 | 0.000 | -0.000 | 56.590 | 0.000 |
| -0.000 | 0.000 | 0.000 | 0.000 | -0.000 | 56.590 |
| 26.060 | 58.862 | 58.862 | 0.000 | -0.000 | -0.000 |
| 58.862 | 26.060 | 58.862 | -0.000 | 0.000 | -0.000 |
| 58.862 | 58.862 | 26.060 | -0.000 | -0.000 | 0.000 |
| -0.000 | 0.000 | -0.000 | 56.590 | 0.000 | -0.000 |
| 0.000 | -0.000 | -0.000 | 0.000 | 56.590 | -0.000 |
| 0.000 | -0.000 | -0.000 | 0.000 | 0.000 | 56.590 |
| 26.060 | 58.862 | 58.862 | 0.000 | 0.000 | 0.000 |
| 58.862 | 26.060 | 58.862 | 0.000 | 0.000 | 0.000 |
| 58.862 | 58.862 | 26.060 | 0.000 | 0.000 | 0.000 |
| -0.000 | -0.000 | -0.000 | -54.467 | -0.000 | 0.000 |
| -0.000 | -0.000 | -0.000 | 0.000 | -54.467 | 0.000 |
| -0.000 | -0.000 | -0.000 | 0.000 | 0.000 | -54.467 |
| 26.060 | 58.862 | 58.862 | -0.000 | 0.000 | -0.000 |
| 58.862 | 26.060 | 58.862 | -0.000 | -0.000 | -0.000 |
| 58.862 | 58.862 | 26.060 | -0.000 | 0.000 | -0.000 |
| 0.000 | 0.000 | 0.000 | -54.467 | 0.000 | -0.000 |
| 0.000 | 0.000 | 0.000 | -0.000 | -54.467 | -0.000 |
| 0.000 | 0.000 | 0.000 | -0.000 | -0.000 | -54.467 |
| 25.702 | 25.702 | 25.702 | 0.000 | -0.000 | -0.000 |
| 25.702 | 25.702 | 25.702 | -0.000 | 0.000 | -0.000 |
| 25.702 | 25.702 | 25.702 | -0.000 | -0.000 | -0.000 |
| -0.000 | -0.000 | -0.000 | 0.000 | -0.000 | -0.000 |
| -0.000 | -0.000 | -0.000 | -0.000 | 0.000 | -0.000 |
| -0.000 | -0.000 | -0.000 | -0.000 | -0.000 | 0.000 |
| 25.702 | 25.702 | 25.702 | 0.000 | 0.000 | 0.000 |
| 25.702 | 25.702 | 25.702 | 0.000 | 0.000 | 0.000 |
| 25.702 | 25.702 | 25.702 | 0.000 | 0.000 | 0.000 |
| 0.000 | 0.000 | 0.000 | 0.000 | -0.000 | -0.000 |
| 0.000 | 0.000 | 0.000 | -0.000 | 0.000 | -0.000 |
| 0.000 | 0.000 | 0.000 | -0.000 | -0.000 | 0.000 |
| 25.702 | 25.702 | 25.702 | -0.000 | -0.000 | -0.000 |
| 25.702 | 25.702 | 25.702 | -0.000 | -0.000 | -0.000 |
| 25.702 | 25.702 | 25.702 | -0.000 | -0.000 | -0.000 |
| -0.000 | -0.000 | -0.000 | 0.000 | 0.000 | -0.000 |
| -0.000 | -0.000 | -0.000 | 0.000 | 0.000 | -0.000 |
| -0.000 | -0.000 | -0.000 | 0.000 | -0.000 | -0.000 |
| 25.702 | 25.702 | 25.702 | -0.000 | 0.000 | 0.000 |
| 25.702 | 25.702 | 25.702 | 0.000 | -0.000 | 0.000 |
| 25.702 | 25.702 | 25.702 | 0.000 | 0.000 | -0.000 |
| 0.000 | 0.000 | 0.000 | 0.000 | -0.000 | 0.000 |
| 0.000 | 0.000 | 0.000 | -0.000 | 0.000 | 0.000 |
| 0.000 | 0.000 | 0.000 | -0.000 | 0.000 | 0.000 |
| 25.702 | 25.702 | 25.702 | -0.000 | -0.000 | -0.000 |
| 25.702 | 25.702 | 25.702 | -0.000 | -0.000 | -0.000 |
| 25.702 | 25.702 | 25.702 | -0.000 | -0.000 | -0.000 |
| -0.000 | -0.000 | -0.000 | -0.000 | -0.000 | -0.000 |
| -0.000 | -0.000 | -0.000 | -0.000 | -0.000 | -0.000 |
| -0.000 | -0.000 | -0.000 | -0.000 | -0.000 | -0.000 |
| 25.703 | 25.703 | 25.703 | -0.000 | 0.000 | 0.000 |
| 25.703 | 25.703 | 25.703 | 0.000 | -0.000 | 0.000 |
| 25.703 | 25.703 | 25.703 | 0.000 | 0.000 | -0.000 |
| 0.000 | 0.000 | 0.000 | -0.000 | -0.000 | 0.000 |
| 0.000 | 0.000 | 0.000 | -0.000 | -0.000 | 0.000 |
| 0.000 | 0.000 | 0.000 | -0.000 | 0.000 | -0.000 |
| 1.262 | 1.262 | 1.262 | 0.000 | -0.000 | -0.000 |
| 1.262 | 1.262 | 1.262 | -0.000 | 0.000 | -0.000 |
| 1.262 | 1.262 | 1.262 | -0.000 | -0.000 | 0.000 |
| 0.000 | 0.000 | 0.000 | 0.229 | 0.000 | 0.000 |
| 0.000 | 0.000 | 0.000 | 0.000 | 0.229 | 0.000 |
| 0.000 | 0.000 | 0.000 | 0.000 | 0.000 | 0.229 |
| 1.262 | 1.262 | 1.262 | -0.000 | -0.000 | -0.000 |
| 1.262 | 1.262 | 1.262 | -0.000 | -0.000 | -0.000 |
| 1.262 | 1.262 | 1.262 | -0.000 | -0.000 | -0.000 |
| -0.000 | -0.000 | -0.000 | 0.229 | -0.000 | -0.000 |
| -0.000 | -0.000 | -0.000 | -0.000 | 0.229 | -0.000 |
| -0.000 | -0.000 | -0.000 | -0.000 | -0.000 | 0.229 |
| 1.262 | 1.262 | 1.262 | 0.000 | 0.000 | 0.000 |
| 1.262 | 1.262 | 1.262 | 0.000 | 0.000 | 0.000 |
| 1.262 | 1.262 | 1.262 | 0.000 | 0.000 | 0.000 |
| -0.000 | -0.000 | -0.000 | 0.042 | 0.000 | 0.000 |
| -0.000 | -0.000 | -0.000 | 0.000 | 0.042 | 0.000 |
| -0.000 | -0.000 | -0.000 | 0.000 | 0.000 | 0.042 |
| 1.262 | 1.262 | 1.262 | -0.000 | -0.000 | -0.000 |
| 1.262 | 1.262 | 1.262 | -0.000 | -0.000 | -0.000 |
| 1.262 | 1.262 | 1.262 | 0.000 | 0.000 | -0.000 |
| 0.000 | 0.000 | 0.000 | 0.042 | -0.000 | -0.000 |
| 0.000 | 0.000 | 0.000 | -0.000 | 0.042 | -0.000 |
| 0.000 | 0.000 | 0.000 | -0.000 | -0.000 | 0.042 |
| 1.262 | 1.262 | 1.262 | 0.000 | 0.000 | 0.000 |
| 1.262 | 1.262 | 1.262 | 0.000 | 0.000 | 0.000 |
| 1.262 | 1.262 | 1.262 | 0.000 | 0.000 | 0.000 |
| -0.000 | -0.000 | -0.000 | 0.008 | 0.000 | 0.000 |
| -0.000 | -0.000 | -0.000 | 0.000 | 0.008 | 0.000 |
| -0.000 | -0.000 | -0.000 | 0.000 | 0.000 | 0.008 |
| 1.262 | 1.262 | 1.262 | 0.000 | 0.000 | 0.000 |
| 1.262 | 1.262 | 1.262 | 0.000 | 0.000 | 0.000 |
| 1.262 | 1.262 | 1.262 | 0.000 | 0.000 | 0.000 |
| 0.000 | 0.000 | 0.000 | 0.008 | -0.000 | -0.000 |
| 0.000 | 0.000 | 0.000 | -0.000 | 0.008 | -0.000 |
| 0.000 | 0.000 | 0.000 | -0.000 | -0.000 | 0.008 |
| 216.915 | -1.540 | 77.797 | -0.000 | -0.000 | 0.000 |
| -1.540 | 216.915 | 77.797 | -0.000 | -0.000 | 0.000 |
| 77.797 | 77.797 | 158.253 | -0.000 | -0.000 | 0.000 |
| 0.000 | -0.000 | 0.000 | 107.889 | -0.000 | 0.000 |
| -0.000 | -0.000 | -0.000 | 0.000 | 107.889 | 0.000 |
| 0.000 | -0.000 | -0.000 | -0.000 | -0.000 | 40.681 |
| 216.915 | -1.540 | 77.797 | -0.000 | 0.000 | -0.000 |
| -1.540 | 216.915 | 77.797 | 0.000 | 0.000 | -0.000 |
| 77.797 | 77.797 | 158.253 | 0.000 | 0.000 | -0.000 |
| -0.000 | 0.000 | 0.000 | 107.889 | 0.000 | -0.000 |
| 0.000 | 0.000 | 0.000 | 0.000 | 107.889 | -0.000 |
| 0.000 | 0.000 | 0.000 | 0.000 | 0.000 | 40.681 |
| 216.915 | -1.540 | 77.797 | -0.000 | -0.000 | 0.000 |
| -1.540 | 216.915 | 77.797 | -0.000 | -0.000 | 0.000 |
| 77.797 | 77.797 | 158.253 | -0.000 | -0.000 | 0.000 |
| 0.000 | -0.000 | 0.000 | 107.889 | -0.000 | 0.000 |
| -0.000 | 0.000 | 0.000 | 0.000 | 107.889 | 0.000 |
| -0.000 | -0.000 | 0.000 | -0.000 | -0.000 | 40.681 |
| 216.915 | -1.540 | 77.797 | -0.000 | 0.000 | -0.000 |
| -1.540 | 216.915 | 77.797 | 0.000 | 0.000 | -0.000 |
| 77.797 | 77.797 | 158.253 | 0.000 | 0.000 | -0.000 |
| -0.000 | 0.000 | -0.000 | 107.889 | 0.000 | -0.000 |
| 0.000 | -0.000 | -0.000 | 0.000 | 107.889 | -0.000 |
| 0.000 | 0.000 | -0.000 | -0.000 | 0.000 | 40.681 |
| 216.914 | -1.542 | 77.796 | -0.000 | -0.000 | 0.000 |
| -1.542 | 216.914 | 77.796 | 0.000 | -0.000 | 0.000 |
| 77.796 | 77.796 | 158.252 | -0.000 | -0.000 | 0.000 |
| 0.000 | -0.000 | 0.000 | 107.889 | -0.000 | 0.000 |
| -0.000 | 0.000 | 0.000 | -0.000 | 107.889 | 0.000 |
| -0.000 | -0.000 | 0.000 | -0.000 | -0.000 | 40.681 |
| 216.916 | -1.538 | 77.798 | 0.000 | 0.000 | -0.000 |
| -1.538 | 216.916 | 77.798 | 0.000 | 0.000 | -0.000 |
| 77.798 | 77.798 | 158.254 | 0.000 | 0.000 | -0.000 |
| -0.000 | 0.000 | -0.000 | 107.889 | 0.000 | -0.000 |
| 0.000 | -0.000 | -0.000 | -0.000 | 107.889 | -0.000 |
| 0.000 | 0.000 | -0.000 | 0.000 | 0.000 | 40.681 |
| 1182.460 | 370.440 | 685.898 | -0.000 | -0.000 | -0.000 |
| 370.440 | 1182.460 | 685.898 | -0.000 | -0.000 | -0.000 |
| 685.898 | 685.898 | 1141.253 | -0.000 | -0.000 | -0.000 |
| -0.000 | -0.000 | -0.000 | 668.122 | -0.000 | -0.000 |
| -0.000 | -0.000 | -0.000 | -0.000 | 668.122 | -0.000 |
| -0.000 | -0.000 | -0.000 | -0.000 | -0.000 | 381.880 |
| 1182.460 | 370.440 | 685.898 | 0.000 | 0.000 | 0.000 |
| 370.440 | 1182.460 | 685.898 | 0.000 | 0.000 | 0.000 |
| 685.898 | 685.898 | 1141.253 | 0.000 | 0.000 | 0.000 |
| 0.000 | 0.000 | 0.000 | 668.122 | 0.000 | 0.000 |
| 0.000 | 0.000 | 0.000 | 0.000 | 668.122 | 0.000 |
| 0.000 | 0.000 | 0.000 | 0.000 | 0.000 | 381.880 |
| 1182.462 | 370.440 | 685.898 | -0.000 | -0.000 | -0.000 |
| 370.440 | 1182.462 | 685.898 | -0.000 | -0.000 | -0.000 |
| 685.898 | 685.898 | 1141.252 | -0.000 | -0.000 | -0.000 |
| -0.000 | -0.000 | -0.001 | 668.122 | -0.000 | -0.000 |
| -0.000 | -0.000 | -0.001 | -0.000 | 668.122 | -0.000 |
| -0.000 | -0.000 | -0.000 | -0.000 | -0.000 | 381.880 |
| 1182.459 | 370.440 | 685.898 | 0.000 | 0.000 | 0.000 |
| 370.440 | 1182.459 | 685.898 | 0.000 | 0.000 | 0.000 |
| 685.899 | 685.899 | 1141.254 | 0.000 | 0.000 | 0.000 |
| 0.000 | 0.000 | 0.001 | 668.122 | 0.000 | 0.000 |
| 0.000 | 0.000 | 0.001 | 0.000 | 668.122 | 0.000 |
| 0.000 | 0.000 | 0.000 | 0.000 | 0.000 | 381.880 |
| 1182.474 | 370.439 | 685.895 | -0.000 | -0.000 | -0.000 |
| 370.439 | 1182.474 | 685.895 | -0.000 | -0.000 | -0.000 |
| 685.893 | 685.893 | 1141.242 | -0.000 | -0.000 | -0.000 |
| -0.003 | -0.005 | -0.006 | 668.122 | -0.000 | -0.000 |
| -0.005 | -0.003 | -0.006 | -0.000 | 668.122 | -0.000 |
| -0.003 | -0.002 | -0.003 | -0.000 | -0.000 | 381.880 |
| 1182.446 | 370.441 | 685.901 | 0.000 | 0.000 | 0.000 |
| 370.441 | 1182.446 | 685.901 | 0.000 | 0.000 | 0.000 |
| 685.903 | 685.903 | 1141.264 | -0.000 | -0.000 | 0.000 |
| 0.003 | 0.005 | 0.006 | 668.122 | 0.000 | 0.000 |
| 0.005 | 0.003 | 0.006 | 0.000 | 668.122 | 0.000 |
| 0.003 | 0.002 | 0.003 | 0.000 | 0.000 | 381.880 |
| 3.463 | 3.463 | 5.943 | 0.000 | 0.000 | 0.000 |
| 3.463 | 3.463 | 5.943 | 0.000 | 0.000 | 0.000 |
| 5.943 | 5.943 | 10.197 | 0.000 | 0.000 | -0.000 |
| 0.000 | 0.000 | 0.000 | 5.943 | 0.000 | -0.000 |
| 0.000 | 0.000 | 0.000 | 0.000 | 5.943 | -0.000 |
| 0.000 | 0.000 | 0.000 | 0.000 | -0.000 | 3.463 |
| 3.463 | 3.463 | 5.943 | -0.000 | 0.000 | 0.000 |
| 3.463 | 3.463 | 5.943 | 0.000 | -0.000 | 0.000 |
| 5.943 | 5.943 | 10.197 | -0.000 | -0.000 | 0.000 |
| -0.000 | -0.000 | -0.000 | 5.943 | -0.000 | 0.000 |
| -0.000 | -0.000 | -0.000 | -0.000 | 5.943 | 0.000 |
| -0.000 | -0.000 | -0.000 | -0.000 | 0.000 | 3.463 |
| 3.463 | 3.463 | 5.943 | 0.000 | 0.000 | 0.000 |
| 3.463 | 3.463 | 5.943 | 0.000 | 0.000 | 0.000 |
| 5.943 | 5.943 | 10.197 | 0.000 | 0.000 | -0.000 |
| 0.000 | 0.000 | 0.000 | 5.943 | 0.000 | -0.000 |
| 0.000 | 0.000 | 0.000 | 0.000 | 5.943 | -0.000 |
| 0.000 | 0.000 | 0.000 | 0.000 | 0.000 | 3.463 |
| 3.463 | 3.463 | 5.943 | -0.000 | -0.000 | -0.000 |
| 3.463 | 3.463 | 5.943 | -0.000 | -0.000 | -0.000 |
| 5.943 | 5.943 | 10.197 | -0.000 | -0.000 | 0.000 |
| -0.000 | -0.000 | -0.000 | 5.943 | -0.000 | 0.000 |
| -0.000 | -0.000 | -0.000 | -0.000 | 5.943 | 0.000 |
| -0.000 | -0.000 | -0.000 | -0.000 | -0.000 | 3.463 |
| 3.463 | 3.463 | 5.943 | 0.000 | -0.000 | -0.000 |
| 3.463 | 3.463 | 5.943 | -0.000 | 0.000 | -0.000 |
| 5.943 | 5.943 | 10.197 | 0.000 | 0.000 | -0.000 |
| 0.000 | 0.000 | 0.000 | 5.943 | 0.000 | -0.000 |
| 0.000 | 0.000 | 0.000 | 0.000 | 5.943 | -0.000 |
| 0.000 | 0.000 | 0.000 | 0.000 | -0.000 | 3.463 |
| 3.463 | 3.463 | 5.942 | -0.000 | 0.000 | 0.000 |
| 3.463 | 3.463 | 5.942 | 0.000 | -0.000 | 0.000 |
| 5.942 | 5.942 | 10.196 | -0.000 | -0.000 | 0.000 |
| -0.000 | -0.000 | -0.000 | 5.943 | -0.000 | 0.000 |
| -0.000 | -0.000 | -0.000 | -0.000 | 5.943 | 0.000 |
| -0.000 | -0.000 | -0.000 | -0.000 | 0.000 | 3.463 |
| 3.465 | 3.465 | 5.941 | 0.000 | 0.000 | 0.000 |
| 3.465 | 3.465 | 5.941 | 0.000 | 0.000 | 0.000 |
| 5.941 | 5.941 | 10.186 | 0.000 | 0.000 | 0.000 |
| 0.000 | 0.000 | 0.000 | 5.941 | 0.000 | -0.000 |
| 0.000 | 0.000 | 0.000 | 0.000 | 5.941 | -0.000 |
| 0.000 | 0.000 | 0.000 | -0.000 | 0.000 | 3.466 |
| 3.465 | 3.465 | 5.941 | -0.000 | -0.000 | 0.000 |
| 3.465 | 3.465 | 5.941 | -0.000 | -0.000 | 0.000 |
| 5.941 | 5.941 | 10.186 | -0.000 | -0.000 | 0.000 |
| -0.000 | -0.000 | -0.000 | 5.941 | -0.000 | 0.000 |
| -0.000 | -0.000 | -0.000 | -0.000 | 5.941 | 0.000 |
| -0.000 | -0.000 | -0.000 | -0.000 | 0.000 | 3.466 |
| 3.465 | 3.465 | 5.941 | 0.000 | 0.000 | -0.000 |
| 3.465 | 3.465 | 5.941 | 0.000 | 0.000 | -0.000 |
| 5.941 | 5.941 | 10.186 | 0.000 | 0.000 | 0.000 |
| 0.000 | 0.000 | 0.000 | 5.941 | 0.000 | -0.000 |
| 0.000 | 0.000 | 0.000 | 0.000 | 5.941 | -0.000 |
| 0.000 | 0.000 | 0.000 | 0.000 | -0.000 | 3.466 |
| 3.465 | 3.465 | 5.941 | -0.000 | -0.000 | 0.000 |
| 3.465 | 3.465 | 5.941 | -0.000 | -0.000 | 0.000 |
| 5.941 | 5.941 | 10.186 | -0.000 | -0.000 | 0.000 |
| -0.000 | -0.000 | -0.000 | 5.941 | -0.000 | 0.000 |
| -0.000 | -0.000 | -0.000 | -0.000 | 5.941 | 0.000 |
| -0.000 | -0.000 | -0.000 | -0.000 | 0.000 | 3.466 |
| 3.465 | 3.465 | 5.941 | 0.000 | 0.000 | -0.000 |
| 3.465 | 3.465 | 5.941 | 0.000 | 0.000 | -0.000 |
| 5.941 | 5.941 | 10.186 | 0.000 | 0.000 | 0.000 |
| 0.000 | 0.000 | 0.000 | 5.941 | 0.000 | 0.000 |
| 0.000 | 0.000 | 0.000 | 0.000 | 5.941 | 0.000 |
| 0.000 | 0.000 | 0.000 | 0.000 | -0.000 | 3.466 |
| 3.465 | 3.465 | 5.941 | -0.000 | 0.000 | 0.000 |
| 3.465 | 3.465 | 5.941 | 0.000 | -0.000 | 0.000 |
| 5.941 | 5.941 | 10.185 | -0.000 | -0.000 | 0.000 |
| -0.000 | -0.000 | -0.000 | 5.941 | -0.000 | 0.000 |
| -0.000 | -0.000 | -0.000 | -0.000 | 5.941 | 0.000 |
| -0.000 | -0.000 | -0.000 | -0.000 | -0.000 | 3.466 |
| 3.727 | 3.727 | 5.779 | 0.000 | -0.000 | -0.000 |
| 3.727 | 3.727 | 5.779 | -0.000 | 0.000 | -0.000 |
| 5.779 | 5.779 | 8.961 | 0.000 | 0.000 | -0.000 |
| 0.000 | 0.000 | 0.000 | 5.779 | -0.000 | -0.000 |
| 0.000 | 0.000 | 0.000 | -0.000 | 5.779 | -0.000 |
| 0.000 | 0.000 | 0.000 | 0.000 | 0.000 | 3.727 |
| 3.727 | 3.727 | 5.779 | 0.000 | -0.000 | 0.000 |
| 3.727 | 3.727 | 5.779 | -0.000 | 0.000 | 0.000 |
| 5.779 | 5.779 | 8.961 | -0.000 | -0.000 | 0.000 |
| -0.000 | -0.000 | -0.000 | 5.779 | 0.000 | 0.000 |
| -0.000 | -0.000 | -0.000 | 0.000 | 5.779 | 0.000 |
| -0.000 | -0.000 | -0.000 | -0.000 | -0.000 | 3.727 |
| 3.727 | 3.727 | 5.779 | -0.000 | -0.000 | -0.000 |
| 3.727 | 3.727 | 5.779 | -0.000 | -0.000 | -0.000 |
| 5.779 | 5.779 | 8.961 | 0.000 | 0.000 | -0.000 |
| 0.000 | 0.000 | 0.000 | 5.779 | 0.000 | -0.000 |
| 0.000 | 0.000 | 0.000 | 0.000 | 5.779 | -0.000 |
| 0.000 | 0.000 | 0.000 | 0.000 | 0.000 | 3.727 |
| 3.727 | 3.727 | 5.779 | -0.000 | 0.000 | 0.000 |
| 3.727 | 3.727 | 5.779 | 0.000 | -0.000 | 0.000 |
| 5.779 | 5.779 | 8.961 | 0.000 | 0.000 | -0.000 |
| -0.000 | -0.000 | -0.000 | 5.779 | 0.000 | 0.000 |
| -0.000 | -0.000 | -0.000 | 0.000 | 5.779 | 0.000 |
| -0.000 | -0.000 | -0.000 | -0.000 | -0.000 | 3.727 |
| 3.727 | 3.727 | 5.779 | -0.000 | -0.000 | -0.000 |
| 3.727 | 3.727 | 5.779 | -0.000 | -0.000 | -0.000 |
| 5.779 | 5.779 | 8.962 | -0.000 | -0.000 | -0.000 |
| 0.000 | 0.000 | 0.000 | 5.779 | -0.000 | -0.000 |
| 0.000 | 0.000 | 0.000 | -0.000 | 5.779 | -0.000 |
| 0.000 | 0.000 | 0.000 | 0.000 | -0.000 | 3.727 |
| 3.727 | 3.727 | 5.779 | -0.000 | 0.000 | 0.000 |
| 3.727 | 3.727 | 5.779 | 0.000 | -0.000 | 0.000 |
| 5.779 | 5.779 | 8.961 | -0.000 | -0.000 | 0.000 |
| -0.000 | -0.000 | -0.000 | 5.779 | 0.000 | 0.000 |
| -0.000 | -0.000 | -0.000 | 0.000 | 5.779 | 0.000 |
| -0.000 | -0.000 | -0.000 | -0.000 | -0.000 | 3.727 |
| 84.209 | 127.765 | 127.765 | 0.000 | -0.000 | 0.000 |
| 127.765 | 84.209 | 127.765 | 0.000 | -0.000 | 0.000 |
| 127.765 | 127.765 | 84.209 | -0.000 | -0.000 | 0.000 |
| 0.000 | 0.000 | -0.000 | -65.907 | -0.000 | -0.000 |
| -0.000 | 0.000 | -0.000 | -0.000 | -65.907 | 0.000 |
| -0.000 | -0.000 | -0.000 | 0.000 | -0.000 | -65.907 |
| 84.209 | 127.765 | 127.765 | 0.000 | -0.000 | 0.000 |
| 127.765 | 84.209 | 127.765 | 0.000 | -0.000 | -0.000 |
| 127.765 | 127.765 | 84.209 | 0.000 | 0.000 | -0.000 |
| -0.000 | -0.000 | 0.000 | -65.907 | -0.000 | -0.000 |
| 0.000 | -0.000 | 0.000 | 0.000 | -65.907 | 0.000 |
| 0.000 | -0.000 | 0.000 | -0.000 | 0.000 | -65.907 |
| 84.209 | 127.765 | 127.765 | 0.000 | -0.000 | -0.000 |
| 127.765 | 84.209 | 127.765 | -0.000 | -0.000 | -0.000 |
| 127.765 | 127.765 | 84.209 | -0.000 | -0.000 | 0.000 |
| 0.000 | 0.000 | -0.000 | -65.907 | 0.000 | 0.000 |
| 0.000 | 0.000 | -0.000 | -0.000 | -65.907 | 0.000 |
| 0.000 | -0.000 | 0.000 | -0.000 | -0.000 | -65.907 |
| 84.209 | 127.765 | 127.765 | 0.000 | 0.000 | 0.000 |
| 127.765 | 84.209 | 127.765 | -0.000 | 0.000 | -0.000 |
| 127.765 | 127.765 | 84.209 | -0.000 | -0.000 | 0.000 |
| -0.000 | -0.000 | 0.000 | -65.907 | 0.000 | -0.000 |
| -0.000 | -0.000 | 0.000 | 0.000 | -65.907 | -0.000 |
| -0.000 | 0.000 | -0.000 | 0.000 | 0.000 | -65.907 |
| 84.210 | 127.765 | 127.765 | 0.000 | -0.000 | -0.000 |
| 127.765 | 84.210 | 127.765 | -0.000 | -0.000 | -0.000 |
| 127.765 | 127.765 | 84.210 | 0.000 | -0.000 | -0.000 |
| 0.001 | 0.000 | -0.000 | -65.907 | -0.000 | 0.000 |
| 0.000 | 0.001 | -0.000 | 0.000 | -65.907 | 0.000 |
| 0.000 | -0.000 | 0.001 | -0.000 | -0.000 | -65.907 |
| 84.208 | 127.764 | 127.764 | 0.000 | 0.000 | 0.000 |
| 127.764 | 84.208 | 127.764 | -0.000 | 0.000 | 0.000 |
| 127.764 | 127.764 | 84.208 | 0.000 | 0.000 | 0.000 |
| -0.001 | -0.000 | 0.000 | -65.907 | 0.000 | -0.000 |
| -0.000 | -0.001 | 0.000 | 0.000 | -65.907 | 0.000 |
| -0.000 | 0.000 | -0.001 | 0.000 | 0.000 | -65.907 |
| 237.687 | 240.046 | 240.046 | -0.000 | -0.000 | -0.000 |
| 240.046 | 237.687 | 240.046 | -0.000 | -0.000 | -0.000 |
| 240.046 | 240.046 | 237.687 | -0.000 | -0.000 | 0.000 |
| 0.000 | -0.000 | -0.000 | -2.359 | -0.000 | 0.000 |
| -0.000 | 0.000 | -0.000 | -0.000 | -2.359 | 0.000 |
| -0.000 | -0.000 | 0.000 | -0.000 | -0.000 | -2.359 |
| 237.687 | 240.046 | 240.046 | 0.000 | 0.000 | 0.000 |
| 240.046 | 237.687 | 240.046 | 0.000 | 0.000 | 0.000 |
| 240.046 | 240.046 | 237.687 | 0.000 | 0.000 | -0.000 |
| -0.000 | 0.000 | 0.000 | -2.359 | 0.000 | -0.000 |
| 0.000 | -0.000 | 0.000 | 0.000 | -2.359 | -0.000 |
| 0.000 | 0.000 | -0.000 | 0.000 | 0.000 | -2.359 |
| 237.687 | 240.046 | 240.046 | -0.000 | -0.000 | 0.000 |
| 240.046 | 237.687 | 240.046 | -0.000 | -0.000 | 0.000 |
| 240.046 | 240.046 | 237.687 | -0.000 | -0.000 | -0.000 |
| 0.000 | -0.000 | -0.000 | -2.359 | -0.000 | 0.000 |
| -0.000 | 0.000 | -0.000 | -0.000 | -2.359 | 0.000 |
| -0.000 | -0.000 | 0.000 | -0.000 | -0.000 | -2.359 |
| 237.687 | 240.046 | 240.046 | 0.000 | 0.000 | -0.000 |
| 240.046 | 237.687 | 240.046 | 0.000 | 0.000 | -0.000 |
| 240.046 | 240.046 | 237.687 | 0.000 | 0.000 | 0.000 |
| -0.000 | 0.000 | 0.000 | -2.359 | 0.000 | -0.000 |
| 0.000 | -0.000 | 0.000 | 0.000 | -2.359 | -0.000 |
| 0.000 | 0.000 | -0.000 | 0.000 | 0.000 | -2.359 |
| 237.687 | 240.046 | 240.046 | -0.000 | -0.000 | 0.000 |
| 240.046 | 237.687 | 240.046 | -0.000 | -0.000 | 0.000 |
| 240.046 | 240.046 | 237.687 | -0.000 | -0.000 | 0.000 |
| 0.001 | -0.000 | -0.000 | -2.347 | -0.000 | -0.000 |
| -0.000 | 0.001 | -0.000 | -0.000 | -2.347 | -0.000 |
| -0.000 | -0.000 | 0.001 | -0.000 | -0.000 | -2.347 |
| 237.687 | 240.046 | 240.046 | 0.000 | 0.000 | -0.000 |
| 240.046 | 237.687 | 240.046 | 0.000 | 0.000 | -0.000 |
| 240.046 | 240.046 | 237.687 | 0.000 | 0.000 | 0.000 |
| -0.001 | 0.000 | 0.000 | -2.347 | 0.000 | -0.000 |
| 0.000 | -0.001 | 0.000 | 0.000 | -2.347 | -0.000 |
| 0.000 | 0.000 | -0.001 | 0.000 | 0.000 | -2.347 |
| 2.524 | 2.524 | 2.524 | -0.000 | -0.000 | -0.000 |
| 2.524 | 2.524 | 2.524 | -0.000 | -0.000 | -0.000 |
| 2.524 | 2.524 | 2.524 | -0.000 | -0.000 | -0.000 |
| 0.000 | 0.000 | 0.000 | 1.491 | -0.000 | -0.000 |
| 0.000 | 0.000 | 0.000 | -0.000 | 1.491 | -0.000 |
| 0.000 | 0.000 | 0.000 | -0.000 | -0.000 | 1.491 |
| 2.524 | 2.524 | 2.524 | 0.000 | 0.000 | 0.000 |
| 2.524 | 2.524 | 2.524 | 0.000 | 0.000 | 0.000 |
| 2.524 | 2.524 | 2.524 | 0.000 | 0.000 | 0.000 |
| -0.000 | -0.000 | -0.000 | 1.491 | 0.000 | 0.000 |
| -0.000 | -0.000 | -0.000 | 0.000 | 1.491 | 0.000 |
| -0.000 | -0.000 | -0.000 | 0.000 | 0.000 | 1.491 |
| 2.524 | 2.524 | 2.524 | -0.000 | -0.000 | -0.000 |
| 2.524 | 2.524 | 2.524 | -0.000 | -0.000 | -0.000 |
| 2.524 | 2.524 | 2.524 | -0.000 | -0.000 | -0.000 |
| 0.000 | 0.000 | 0.000 | 0.881 | 0.000 | -0.000 |
| 0.000 | 0.000 | 0.000 | 0.000 | 0.881 | -0.000 |
| 0.000 | 0.000 | 0.000 | 0.000 | 0.000 | 0.881 |
| 2.524 | 2.524 | 2.524 | 0.000 | 0.000 | 0.000 |
| 2.524 | 2.524 | 2.524 | 0.000 | 0.000 | 0.000 |
| 2.524 | 2.524 | 2.524 | 0.000 | 0.000 | 0.000 |
| -0.000 | -0.000 | -0.000 | 0.881 | -0.000 | 0.000 |
| -0.000 | -0.000 | -0.000 | -0.000 | 0.881 | 0.000 |
| -0.000 | -0.000 | -0.000 | -0.000 | -0.000 | 0.881 |
| 2.524 | 2.524 | 2.524 | -0.000 | -0.000 | -0.000 |
| 2.524 | 2.524 | 2.524 | -0.000 | -0.000 | -0.000 |
| 2.524 | 2.524 | 2.524 | -0.000 | -0.000 | -0.000 |
| -0.000 | -0.000 | -0.000 | 0.182 | 0.000 | -0.000 |
| -0.000 | -0.000 | -0.000 | 0.000 | 0.182 | -0.000 |
| -0.000 | -0.000 | -0.000 | 0.000 | 0.000 | 0.182 |
| 2.524 | 2.524 | 2.524 | 0.000 | 0.000 | 0.000 |
| 2.524 | 2.524 | 2.524 | 0.000 | 0.000 | 0.000 |
| 2.524 | 2.524 | 2.524 | 0.000 | 0.000 | 0.000 |
| 0.000 | 0.000 | 0.000 | 0.182 | -0.000 | 0.000 |
| 0.000 | 0.000 | 0.000 | -0.000 | 0.182 | 0.000 |
| 0.000 | 0.000 | 0.000 | -0.000 | -0.000 | 0.182 |
| 100.599 | 198.548 | 198.548 | -0.000 | -0.000 | -0.000 |
| 198.548 | 100.599 | 198.548 | 0.000 | -0.000 | -0.000 |
| 198.548 | 198.548 | 100.599 | 0.000 | 0.000 | -0.000 |
| 0.000 | 0.000 | 0.000 | 126.826 | -0.000 | -0.000 |
| 0.000 | 0.000 | 0.000 | -0.000 | 126.826 | -0.000 |
| 0.000 | 0.000 | 0.000 | -0.000 | -0.000 | 126.826 |
| 100.599 | 198.548 | 198.548 | 0.000 | 0.000 | 0.000 |
| 198.548 | 100.599 | 198.548 | 0.000 | 0.000 | 0.000 |
| 198.548 | 198.548 | 100.599 | -0.000 | -0.000 | 0.000 |
| -0.000 | -0.000 | 0.000 | 126.826 | 0.000 | 0.000 |
| -0.000 | -0.000 | 0.000 | 0.000 | 126.826 | 0.000 |
| -0.000 | -0.000 | -0.000 | 0.000 | 0.000 | 126.826 |
| 100.599 | 198.548 | 198.548 | -0.000 | 0.000 | -0.000 |
| 198.548 | 100.599 | 198.548 | 0.000 | -0.000 | -0.000 |
| 198.548 | 198.548 | 100.599 | 0.000 | 0.000 | -0.000 |
| 0.000 | 0.000 | 0.000 | 126.826 | -0.000 | -0.000 |
| 0.000 | 0.000 | 0.000 | -0.000 | 126.826 | -0.000 |
| 0.000 | 0.000 | 0.000 | -0.000 | -0.000 | 126.826 |
| 100.599 | 198.548 | 198.548 | 0.000 | 0.000 | 0.000 |
| 198.548 | 100.599 | 198.548 | 0.000 | 0.000 | 0.000 |
| 198.548 | 198.548 | 100.599 | 0.000 | 0.000 | 0.000 |
| -0.000 | -0.000 | -0.000 | 126.826 | 0.000 | 0.000 |
| -0.000 | -0.000 | -0.000 | 0.000 | 126.826 | 0.000 |
| -0.000 | -0.000 | -0.000 | -0.000 | 0.000 | 126.826 |
| 100.599 | 198.548 | 198.548 | -0.000 | -0.000 | -0.000 |
| 198.548 | 100.599 | 198.548 | -0.000 | 0.000 | -0.000 |
| 198.548 | 198.548 | 100.599 | 0.000 | -0.000 | -0.000 |
| 0.001 | 0.000 | 0.000 | 125.522 | -0.000 | -0.000 |
| 0.000 | 0.001 | 0.000 | 0.000 | 125.522 | -0.000 |
| 0.000 | 0.000 | 0.001 | -0.000 | -0.000 | 125.522 |
| 100.599 | 198.547 | 198.547 | 0.000 | 0.000 | 0.000 |
| 198.547 | 100.599 | 198.547 | 0.000 | 0.000 | 0.000 |
| 198.547 | 198.547 | 100.599 | 0.000 | 0.000 | 0.000 |
| -0.001 | -0.000 | -0.000 | 125.522 | 0.000 | 0.000 |
| -0.000 | -0.001 | -0.000 | -0.000 | 125.522 | 0.000 |
| -0.000 | -0.000 | -0.001 | 0.000 | 0.000 | 125.522 |
| 1417.107 | 1437.361 | 1437.361 | -0.000 | -0.000 | 0.000 |
| 1437.361 | 1417.107 | 1437.361 | -0.000 | -0.000 | 0.000 |
| 1437.361 | 1437.361 | 1417.107 | 0.000 | 0.000 | 0.000 |
| -88734660.368 | -52542614.474 | -51294032.760 | -27248716.976 | -931654.278 | -779126.481 |
| -52711048.450 | -87630148.587 | -55111763.838 | -661845.655 | -24357820.337 | -430168.460 |
| -53131334.187 | -52618173.364 | -96461800.491 | -952651.282 | -567458.770 | -36019434.550 |
| 1417.107 | 1437.361 | 1437.361 | 0.000 | 0.000 | -0.000 |
| 1437.361 | 1417.107 | 1437.361 | 0.000 | -0.000 | -0.000 |
| 1437.361 | 1437.361 | 1417.107 | -0.000 | -0.000 | -0.000 |
| 91364043.537 | 53817551.483 | 55596402.346 | -28544722.263 | -247931.261 | -468363.211 |
| 54695832.252 | 88902045.621 | 52680771.139 | 230885.115 | -27066504.283 | -990688.794 |
| 54023385.682 | 53978618.305 | 89393108.275 | -823888.402 | 468368.492 | -26819985.101 |
| 1417.105 | 1437.359 | 1437.359 | -0.000 | -0.000 | -0.000 |
| 1437.359 | 1417.105 | 1437.359 | -0.000 | -0.000 | -0.000 |
| 1437.359 | 1437.359 | 1417.105 | -0.000 | 0.000 | 0.000 |
| 0.000 | 0.000 | 0.000 | -1.176 | 0.000 | 0.000 |
| 0.000 | 0.000 | 0.000 | -0.000 | -1.176 | 0.000 |
| 0.000 | 0.000 | 0.000 | 0.000 | 0.000 | -1.176 |
| 1417.108 | 1437.363 | 1437.363 | 0.000 | 0.000 | -0.000 |
| 1437.363 | 1417.108 | 1437.363 | 0.000 | -0.000 | -0.000 |
| 1437.363 | 1437.363 | 1417.108 | -0.000 | 0.000 | -0.000 |
| -0.000 | -0.000 | -0.000 | -1.176 | -0.000 | -0.000 |
| -0.000 | -0.000 | -0.000 | -0.000 | -1.176 | -0.000 |
| -0.000 | -0.000 | -0.000 | 0.000 | 0.000 | -1.176 |
| 1417.092 | 1437.340 | 1437.340 | 0.000 | -0.000 | 0.000 |
| 1437.340 | 1417.092 | 1437.340 | -0.000 | 0.000 | -0.000 |
| 1437.340 | 1437.340 | 1417.092 | 0.000 | -0.000 | 0.000 |
| -1083573.761 | -502847.734 | -540071.877 | -526157.173 | -17067.969 | -8393.325 |
| -548593.571 | -1123893.177 | -552933.188 | -17446.009 | -533409.845 | -21853.868 |
| -515771.155 | -527581.620 | -1131891.168 | -12825.089 | -7743.246 | -544224.663 |
| 1417.121 | 1437.382 | 1437.382 | -0.000 | -0.000 | 0.000 |
| 1437.382 | 1417.121 | 1437.382 | 0.000 | -0.000 | 0.000 |
| 1437.382 | 1437.382 | 1417.121 | -0.000 | -0.000 | -0.000 |
| 1081252.368 | 577274.420 | 543621.776 | -463794.718 | 4892.112 | -7851.466 |
| 552948.020 | 1029533.632 | 521855.810 | 1103.005 | -438030.272 | -5670.060 |
| 529295.656 | 519192.034 | 1048194.955 | 7843.257 | 10495.730 | -457444.802 |
| 303.461 | 303.461 | 303.461 | 0.000 | 0.000 | 0.000 |
| 303.461 | 303.461 | 303.461 | 0.000 | 0.000 | 0.000 |
| 303.461 | 303.461 | 303.461 | 0.000 | 0.000 | -0.000 |
| 0.000 | 0.000 | 0.000 | 1.505 | -0.000 | -0.000 |
| 0.000 | 0.000 | 0.000 | -0.000 | 1.505 | -0.000 |
| 0.000 | 0.000 | 0.000 | -0.000 | -0.000 | 1.505 |
| 303.461 | 303.461 | 303.461 | -0.000 | 0.000 | 0.000 |
| 303.461 | 303.461 | 303.461 | 0.000 | -0.000 | 0.000 |
| 303.461 | 303.461 | 303.461 | -0.000 | -0.000 | 0.000 |
| -0.000 | -0.000 | -0.000 | 1.505 | 0.000 | 0.000 |
| -0.000 | -0.000 | -0.000 | 0.000 | 1.505 | 0.000 |
| -0.000 | -0.000 | -0.000 | 0.000 | 0.000 | 1.505 |
| 303.462 | 303.462 | 303.462 | 0.000 | 0.000 | -0.000 |
| 303.462 | 303.462 | 303.462 | 0.000 | 0.000 | 0.000 |
| 303.462 | 303.462 | 303.462 | 0.000 | 0.000 | -0.000 |
| 0.032 | 0.032 | 0.032 | -179.035 | -0.000 | 0.000 |
| 0.032 | 0.032 | 0.032 | -0.000 | -179.035 | 0.000 |
| 0.032 | 0.032 | 0.032 | -0.000 | -0.000 | -179.035 |
| 303.460 | 303.460 | 303.460 | -0.000 | -0.000 | 0.000 |
| 303.460 | 303.460 | 303.460 | -0.000 | -0.000 | 0.000 |
| 303.460 | 303.460 | 303.460 | -0.000 | -0.000 | 0.000 |
| -0.032 | -0.032 | -0.032 | -179.035 | -0.000 | 0.000 |
| -0.032 | -0.032 | -0.032 | -0.000 | -179.035 | 0.000 |
| -0.032 | -0.032 | -0.032 | -0.000 | -0.000 | -179.035 |
| 303.472 | 303.472 | 303.472 | 0.000 | 0.000 | -0.000 |
| 303.472 | 303.472 | 303.472 | 0.000 | 0.000 | -0.000 |
| 303.472 | 303.472 | 303.472 | 0.000 | 0.000 | -0.000 |
| 0.319 | 0.319 | 0.319 | -179.028 | 0.000 | -0.000 |
| 0.319 | 0.319 | 0.319 | 0.000 | -179.028 | 0.000 |
| 0.319 | 0.319 | 0.319 | 0.000 | 0.000 | -179.028 |
| 303.451 | 303.450 | 303.450 | -0.000 | -0.000 | 0.000 |
| 303.450 | 303.451 | 303.450 | -0.000 | -0.000 | 0.000 |
| 303.450 | 303.450 | 303.451 | -0.000 | -0.000 | -0.000 |
| -0.319 | -0.319 | -0.319 | -179.028 | 0.000 | 0.000 |
| -0.319 | -0.319 | -0.319 | -0.000 | -179.028 | 0.000 |
| -0.319 | -0.319 | -0.319 | -0.000 | 0.000 | -179.028 |
| 47.210 | 169.180 | 169.180 | -0.000 | 0.000 | 0.000 |
| 169.180 | 47.210 | 169.180 | 0.000 | 0.000 | 0.000 |
| 169.180 | 169.180 | 47.210 | -0.000 | 0.000 | 0.000 |
| 0.000 | 0.000 | 0.000 | 77.453 | 0.000 | 0.000 |
| 0.000 | 0.000 | 0.000 | -0.000 | 77.453 | 0.000 |
| 0.000 | 0.000 | 0.000 | -0.000 | 0.000 | 77.453 |
| 47.210 | 169.180 | 169.180 | 0.000 | -0.000 | -0.000 |
| 169.180 | 47.210 | 169.180 | -0.000 | -0.000 | -0.000 |
| 169.180 | 169.180 | 47.210 | 0.000 | -0.000 | -0.000 |
| -0.000 | -0.000 | -0.000 | 77.453 | -0.000 | -0.000 |
| -0.000 | -0.000 | -0.000 | -0.000 | 77.453 | -0.000 |
| -0.000 | -0.000 | -0.000 | 0.000 | -0.000 | 77.453 |
| 47.210 | 169.180 | 169.180 | -0.000 | 0.000 | 0.000 |
| 169.180 | 47.210 | 169.180 | -0.000 | 0.000 | 0.000 |
| 169.180 | 169.180 | 47.210 | -0.000 | 0.000 | -0.000 |
| 0.000 | 0.000 | 0.000 | 76.992 | 0.000 | 0.000 |
| 0.000 | 0.000 | 0.000 | 0.000 | 76.992 | 0.000 |
| 0.000 | 0.000 | 0.000 | 0.000 | 0.000 | 76.992 |
| 47.210 | 169.180 | 169.180 | -0.000 | -0.000 | -0.000 |
| 169.180 | 47.210 | 169.180 | 0.000 | 0.000 | -0.000 |
| 169.180 | 169.180 | 47.210 | 0.000 | 0.000 | -0.000 |
| -0.000 | -0.000 | -0.000 | 76.992 | -0.000 | -0.000 |
| -0.000 | -0.000 | -0.000 | -0.000 | 76.992 | -0.000 |
| -0.000 | -0.000 | -0.000 | -0.000 | -0.000 | 76.992 |
| 47.211 | 169.180 | 169.180 | 0.000 | 0.000 | 0.000 |
| 169.180 | 47.211 | 169.180 | -0.000 | 0.000 | 0.000 |
| 169.180 | 169.180 | 47.211 | -0.000 | 0.000 | 0.000 |
| 0.001 | 0.000 | 0.001 | 77.453 | -0.000 | 0.000 |
| 0.000 | 0.001 | 0.001 | -0.000 | 77.453 | 0.000 |
| 0.000 | 0.001 | 0.001 | -0.000 | 0.000 | 77.453 |
| 47.209 | 169.180 | 169.180 | 0.000 | -0.000 | -0.000 |
| 169.180 | 47.209 | 169.180 | 0.000 | -0.000 | -0.000 |
| 169.180 | 169.180 | 47.209 | -0.000 | -0.000 | -0.000 |
| -0.001 | -0.000 | -0.001 | 77.453 | 0.000 | -0.000 |
| -0.000 | -0.001 | -0.001 | 0.000 | 77.453 | -0.000 |
| -0.000 | -0.001 | -0.001 | 0.000 | -0.000 | 77.453 |
| 30.244 | 52.523 | 52.523 | -0.000 | 0.000 | -0.000 |
| 52.523 | 30.244 | 52.523 | 0.000 | -0.000 | -0.000 |
| 52.523 | 52.523 | 30.244 | 0.000 | 0.000 | -0.000 |
| 0.001 | 0.000 | 0.000 | -3526.948 | 0.000 | -0.000 |
| 0.000 | 0.001 | 0.000 | 0.000 | -3526.948 | -0.000 |
| 0.000 | 0.000 | 0.001 | 0.000 | 0.000 | -3526.948 |
| 30.244 | 52.523 | 52.523 | -0.000 | -0.000 | 0.000 |
| 52.523 | 30.244 | 52.523 | -0.000 | -0.000 | 0.000 |
| 52.523 | 52.523 | 30.244 | -0.000 | -0.000 | 0.000 |
| -0.001 | -0.000 | -0.000 | -3526.948 | -0.000 | 0.000 |
| -0.000 | -0.001 | -0.000 | -0.000 | -3526.948 | 0.000 |
| -0.000 | -0.000 | -0.001 | -0.000 | 0.000 | -3526.948 |
| 30.244 | 52.523 | 52.523 | 0.000 | -0.000 | 0.000 |
| 52.523 | 30.244 | 52.523 | -0.000 | 0.000 | 0.000 |
| 52.523 | 52.523 | 30.244 | 0.000 | 0.000 | 0.000 |
| 0.006 | 0.001 | 0.001 | -3526.948 | 0.000 | 0.000 |
| 0.001 | 0.006 | 0.001 | 0.000 | -3526.948 | -0.000 |
| 0.001 | 0.001 | 0.006 | 0.000 | 0.000 | -3526.948 |
| 30.245 | 52.523 | 52.523 | -0.000 | -0.000 | 0.000 |
| 52.523 | 30.245 | 52.523 | -0.000 | 0.000 | 0.000 |
| 52.523 | 52.523 | 30.245 | -0.000 | -0.000 | 0.000 |
| -0.006 | -0.001 | -0.001 | -3526.948 | -0.000 | 0.000 |
| -0.001 | -0.006 | -0.001 | -0.000 | -3526.948 | 0.000 |
| -0.001 | -0.001 | -0.006 | -0.000 | -0.000 | -3526.948 |
| 30.237 | 52.523 | 52.523 | 0.000 | -0.000 | 0.000 |
| 52.523 | 30.237 | 52.523 | -0.000 | -0.000 | -0.000 |
| 52.523 | 52.523 | 30.237 | 0.000 | 0.000 | -0.000 |
| 0.059 | 0.014 | 0.007 | -3526.949 | 0.000 | 0.000 |
| 0.014 | 0.059 | 0.007 | 0.000 | -3526.949 | -0.000 |
| 0.014 | 0.007 | 0.059 | 0.000 | 0.000 | -3526.949 |
| 30.252 | 52.523 | 52.523 | -0.000 | -0.000 | -0.000 |
| 52.523 | 30.252 | 52.523 | -0.000 | -0.000 | 0.000 |
| 52.523 | 52.523 | 30.252 | -0.000 | -0.000 | 0.000 |
| -0.059 | -0.014 | -0.007 | -3526.949 | -0.000 | -0.000 |
| -0.014 | -0.059 | -0.007 | -0.000 | -3526.949 | -0.000 |
| -0.014 | -0.007 | -0.059 | -0.000 | -0.000 | -3526.949 |
| 2.718 | 2.718 | 2.718 | -0.000 | 0.000 | -0.000 |
| 2.718 | 2.718 | 2.718 | 0.000 | -0.000 | -0.000 |
| 2.718 | 2.718 | 2.718 | -0.000 | -0.000 | -0.000 |
| 0.000 | 0.000 | 0.000 | 2.718 | -0.000 | -0.000 |
| 0.000 | 0.000 | 0.000 | -0.000 | 2.718 | -0.000 |
| 0.000 | 0.000 | 0.000 | -0.000 | 0.000 | 2.718 |
| 2.718 | 2.718 | 2.718 | -0.000 | 0.000 | -0.000 |
| 2.718 | 2.718 | 2.718 | 0.000 | -0.000 | -0.000 |
| 2.718 | 2.718 | 2.718 | 0.000 | 0.000 | -0.000 |
| -0.000 | -0.000 | -0.000 | 2.718 | -0.000 | -0.000 |
| -0.000 | -0.000 | -0.000 | -0.000 | 2.718 | -0.000 |
| -0.000 | -0.000 | -0.000 | 0.000 | -0.000 | 2.718 |
| 2.718 | 2.718 | 2.718 | -0.000 | -0.000 | -0.000 |
| 2.718 | 2.718 | 2.718 | -0.000 | -0.000 | -0.000 |
| 2.718 | 2.718 | 2.718 | -0.000 | -0.000 | 0.000 |
| 0.000 | 0.000 | 0.000 | 2.718 | 0.000 | -0.000 |
| 0.000 | 0.000 | 0.000 | 0.000 | 2.718 | -0.000 |
| 0.000 | 0.000 | 0.000 | -0.000 | -0.000 | 2.718 |
| 2.718 | 2.718 | 2.718 | 0.000 | -0.000 | 0.000 |
| 2.718 | 2.718 | 2.718 | -0.000 | 0.000 | 0.000 |
| 2.718 | 2.718 | 2.718 | 0.000 | 0.000 | 0.000 |
| -0.000 | -0.000 | -0.000 | 2.718 | -0.000 | 0.000 |
| -0.000 | -0.000 | -0.000 | -0.000 | 2.718 | 0.000 |
| -0.000 | -0.000 | -0.000 | -0.000 | -0.000 | 2.718 |
| 2.718 | 2.718 | 2.718 | -0.000 | -0.000 | -0.000 |
| 2.718 | 2.718 | 2.718 | -0.000 | -0.000 | -0.000 |
| 2.718 | 2.718 | 2.718 | -0.000 | -0.000 | 0.000 |
| -0.000 | -0.000 | -0.000 | 1.965 | -0.000 | -0.000 |
| -0.000 | -0.000 | -0.000 | -0.000 | 1.965 | -0.000 |
| -0.000 | -0.000 | -0.000 | -0.000 | -0.000 | 1.965 |
| 2.718 | 2.718 | 2.718 | 0.000 | -0.000 | 0.000 |
| 2.718 | 2.718 | 2.718 | -0.000 | 0.000 | 0.000 |
| 2.718 | 2.718 | 2.718 | 0.000 | 0.000 | -0.000 |
| 0.000 | 0.000 | 0.000 | 1.965 | 0.000 | 0.000 |
| 0.000 | 0.000 | 0.000 | 0.000 | 1.965 | 0.000 |
| 0.000 | 0.000 | 0.000 | 0.000 | -0.000 | 1.965 |
| 288.979 | 56.528 | 56.528 | 0.000 | 0.000 | 0.000 |
| 56.528 | 288.979 | 56.528 | 0.000 | 0.000 | 0.000 |
| 56.528 | 56.528 | 288.979 | 0.000 | 0.000 | 0.000 |
| 0.000 | -0.000 | -0.000 | 25.935 | -0.000 | 0.000 |
| 0.000 | -0.000 | 0.000 | -0.000 | 25.935 | 0.000 |
| 0.000 | -0.000 | -0.000 | -0.000 | 0.000 | 25.935 |
| 288.069 | 56.983 | 56.983 | 0.000 | 0.000 | -0.000 |
| 56.983 | 288.070 | 56.983 | 0.000 | -0.000 | -0.000 |
| 56.983 | 56.983 | 288.070 | 0.000 | 0.000 | 0.000 |
| -0.000 | -0.000 | -0.000 | 25.935 | 0.000 | 0.000 |
| -0.000 | -0.000 | -0.000 | 0.000 | 25.935 | -0.000 |
| -0.000 | -0.000 | 0.000 | -0.000 | -0.000 | 25.935 |
| 288.070 | 56.983 | 56.983 | -0.000 | -0.000 | 0.000 |
| 56.983 | 288.070 | 56.983 | -0.000 | 0.000 | 0.000 |
| 56.983 | 56.983 | 288.070 | -0.000 | -0.000 | 0.000 |
| 0.000 | -0.000 | -0.000 | -14.765 | 0.000 | 0.000 |
| -0.000 | 0.000 | -0.000 | -0.000 | -14.765 | 0.000 |
| -0.000 | -0.000 | 0.000 | 0.000 | 0.000 | -14.765 |
| 288.979 | 56.528 | 56.528 | -0.000 | -0.000 | -0.000 |
| 56.528 | 288.979 | 56.528 | 0.000 | -0.000 | -0.000 |
| 56.528 | 56.528 | 288.979 | 0.000 | 0.000 | 0.000 |
| -0.000 | 0.000 | 0.000 | -14.765 | -0.000 | 0.000 |
| 0.000 | -0.000 | 0.000 | -0.000 | -14.765 | -0.000 |
| 0.000 | 0.000 | -0.000 | -0.000 | -0.000 | -14.765 |
| 288.072 | 56.984 | 56.984 | -0.000 | -0.000 | -0.000 |
| 56.984 | 288.072 | 56.984 | -0.000 | -0.000 | 0.000 |
| 56.984 | 56.984 | 288.072 | 0.000 | 0.000 | 0.000 |
| -0.002 | 0.002 | 0.000 | -16.100 | 0.000 | -0.000 |
| 0.002 | -0.002 | 0.000 | 0.000 | -16.100 | 0.000 |
| 0.002 | 0.000 | -0.002 | -0.000 | 0.000 | -16.100 |
| 288.068 | 56.983 | 56.983 | -0.000 | 0.000 | -0.000 |
| 56.983 | 288.068 | 56.983 | 0.000 | -0.000 | -0.000 |
| 56.983 | 56.983 | 288.068 | 0.000 | -0.000 | -0.000 |
| 0.002 | -0.002 | -0.000 | -16.100 | -0.000 | -0.000 |
| -0.002 | 0.002 | -0.000 | -0.000 | -16.100 | -0.000 |
| -0.002 | -0.000 | 0.002 | 0.000 | -0.000 | -16.100 |
| 1064.446 | 856.571 | 856.571 | 0.000 | 0.000 | -0.000 |
| 856.571 | 1064.446 | 856.571 | 0.000 | -0.000 | -0.000 |
| 856.571 | 856.571 | 1064.446 | 0.000 | -0.000 | -0.000 |
| -0.000 | -0.000 | -0.000 | 454.900 | -0.000 | -0.000 |
| -0.000 | -0.000 | -0.000 | -0.000 | 454.900 | -0.000 |
| -0.000 | -0.000 | -0.000 | -0.000 | -0.000 | 454.900 |
| 1855.649 | 460.970 | 460.970 | 0.000 | 0.000 | 0.000 |
| 460.970 | 1855.649 | 460.970 | 0.000 | 0.000 | 0.000 |
| 460.970 | 460.970 | 1855.649 | 0.000 | 0.000 | 0.000 |
| 0.000 | 0.000 | 0.000 | 454.900 | 0.000 | 0.000 |
| 0.000 | -0.000 | 0.000 | 0.000 | 454.900 | 0.000 |
| 0.000 | 0.000 | 0.000 | 0.000 | -0.000 | 454.900 |
| 1855.648 | 460.969 | 460.969 | -0.000 | -0.000 | -0.000 |
| 460.969 | 1855.648 | 460.969 | -0.000 | -0.000 | -0.000 |
| 460.969 | 460.969 | 1855.648 | -0.000 | -0.000 | -0.000 |
| -0.000 | -0.000 | -0.000 | 86.988 | -0.000 | -0.000 |
| -0.000 | -0.000 | -0.000 | 0.000 | 86.988 | -0.000 |
| -0.000 | -0.000 | -0.000 | 0.000 | -0.000 | 86.988 |
| 1855.650 | 460.970 | 460.970 | 0.000 | 0.000 | 0.000 |
| 460.970 | 1855.650 | 460.970 | 0.000 | 0.000 | 0.000 |
| 460.970 | 460.970 | 1855.650 | 0.000 | 0.000 | 0.000 |
| 0.000 | 0.000 | 0.000 | 86.988 | 0.000 | 0.000 |
| 0.000 | 0.000 | 0.000 | -0.000 | 86.988 | 0.000 |
| 0.000 | 0.000 | 0.000 | -0.000 | 0.000 | 86.988 |
| 1064.452 | 856.563 | 856.563 | 0.000 | -0.000 | 0.000 |
| 856.563 | 1064.452 | 856.563 | 0.000 | -0.000 | -0.000 |
| 856.563 | 856.563 | 1064.452 | 0.000 | 0.000 | -0.000 |
| -0.001 | -0.000 | -0.000 | 86.999 | -0.000 | -0.000 |
| -0.000 | -0.001 | -0.000 | -0.000 | 86.999 | -0.000 |
| -0.000 | -0.000 | -0.001 | 0.000 | -0.000 | 86.999 |
| 1064.478 | 856.560 | 856.560 | -0.000 | -0.000 | 0.000 |
| 856.560 | 1064.478 | 856.560 | -0.000 | 0.000 | 0.000 |
| 856.560 | 856.560 | 1064.478 | -0.000 | 0.000 | 0.000 |
| 0.001 | 0.000 | 0.000 | 86.999 | 0.000 | 0.000 |
| 0.000 | 0.001 | 0.000 | 0.000 | 86.999 | 0.000 |
| 0.000 | 0.000 | 0.001 | -0.000 | 0.000 | 86.999 |
| 3.100 | -0.000 | -0.000 | 0.000 | 0.000 | -0.000 |
| -0.000 | 3.100 | -0.000 | -0.000 | 0.000 | 0.000 |
| -0.000 | -0.000 | 3.100 | 0.000 | -0.000 | 0.000 |
| -0.000 | 0.000 | -0.000 | 0.000 | 0.000 | 0.000 |
| 0.000 | -0.000 | -0.000 | 0.000 | 0.000 | 0.000 |
| 0.000 | -0.000 | -0.000 | 0.000 | 0.000 | 0.000 |
| 3.100 | 0.000 | 0.000 | -0.000 | -0.000 | -0.000 |
| 0.000 | 3.100 | 0.000 | 0.000 | -0.000 | -0.000 |
| 0.000 | 0.000 | 3.100 | 0.000 | -0.000 | -0.000 |
| 0.000 | -0.000 | 0.000 | 0.000 | -0.000 | -0.000 |
| -0.000 | 0.000 | 0.000 | -0.000 | 0.000 | -0.000 |
| -0.000 | 0.000 | 0.000 | -0.000 | -0.000 | 0.000 |
| 3.100 | -0.000 | -0.000 | 0.000 | 0.000 | -0.000 |
| -0.000 | 3.100 | -0.000 | 0.000 | 0.000 | 0.000 |
| -0.000 | -0.000 | 3.100 | 0.000 | -0.000 | 0.000 |
| -0.000 | 0.000 | -0.000 | 0.000 | -0.000 | -0.000 |
| 0.000 | -0.000 | -0.000 | -0.000 | 0.000 | -0.000 |
| 0.000 | -0.000 | -0.000 | 0.000 | 0.000 | 0.000 |
| 3.100 | 0.000 | 0.000 | -0.000 | -0.000 | -0.000 |
| 0.000 | 3.100 | 0.000 | -0.000 | -0.000 | -0.000 |
| 0.000 | 0.000 | 3.100 | -0.000 | -0.000 | -0.000 |
| 0.000 | -0.000 | 0.000 | 0.000 | 0.000 | 0.000 |
| -0.000 | 0.000 | 0.000 | 0.000 | 0.000 | -0.000 |
| -0.000 | 0.000 | 0.000 | -0.000 | -0.000 | 0.000 |
| 3.100 | -0.000 | -0.000 | 0.000 | -0.000 | -0.000 |
| -0.000 | 3.100 | -0.000 | -0.000 | 0.000 | -0.000 |
| -0.000 | -0.000 | 3.100 | -0.000 | -0.000 | 0.000 |
| -0.000 | 0.000 | -0.000 | 0.000 | -0.000 | 0.000 |
| 0.000 | -0.000 | -0.000 | -0.000 | 0.000 | 0.000 |
| 0.000 | -0.000 | -0.000 | 0.000 | 0.000 | 0.000 |
| 3.100 | 0.000 | 0.000 | -0.000 | -0.000 | -0.000 |
| 0.000 | 3.100 | 0.000 | -0.000 | -0.000 | 0.000 |
| 0.000 | 0.000 | 3.100 | 0.000 | -0.000 | -0.000 |
| 0.000 | -0.000 | 0.000 | 0.000 | 0.000 | 0.000 |
| -0.000 | 0.000 | 0.000 | 0.000 | 0.000 | 0.000 |
| -0.000 | 0.000 | 0.000 | -0.000 | -0.000 | 0.000 |
| 56.985 | 168.380 | 168.380 | -0.000 | -0.000 | 0.000 |
| 168.380 | 56.985 | 168.380 | -0.000 | 0.000 | 0.000 |
| 168.380 | 168.380 | 56.985 | -0.000 | 0.000 | -0.000 |
| 0.000 | -0.000 | 0.000 | 62.064 | 0.000 | -0.000 |
| 0.000 | -0.000 | 0.000 | -0.000 | 62.064 | 0.000 |
| 0.000 | 0.000 | 0.000 | -0.000 | -0.000 | 62.064 |
| 56.985 | 168.380 | 168.380 | 0.000 | 0.000 | -0.000 |
| 168.380 | 56.985 | 168.380 | 0.000 | -0.000 | -0.000 |
| 168.380 | 168.380 | 56.985 | 0.000 | -0.000 | -0.000 |
| -0.000 | -0.000 | -0.000 | 62.064 | -0.000 | -0.000 |
| -0.000 | 0.000 | -0.000 | 0.000 | 62.064 | -0.000 |
| -0.000 | 0.000 | -0.000 | 0.000 | 0.000 | 62.064 |
| 56.985 | 168.380 | 168.380 | -0.000 | 0.000 | -0.000 |
| 168.380 | 56.985 | 168.380 | -0.000 | -0.000 | 0.000 |
| 168.380 | 168.380 | 56.985 | -0.000 | 0.000 | -0.000 |
| 0.000 | -0.000 | -0.000 | 61.764 | 0.000 | -0.000 |
| -0.000 | 0.000 | -0.000 | -0.000 | 61.764 | 0.000 |
| -0.000 | -0.000 | 0.000 | -0.000 | -0.000 | 61.764 |
| 56.985 | 168.380 | 168.380 | 0.000 | -0.000 | -0.000 |
| 168.380 | 56.985 | 168.380 | 0.000 | 0.000 | -0.000 |
| 168.380 | 168.380 | 56.985 | 0.000 | -0.000 | 0.000 |
| -0.000 | 0.000 | 0.000 | 61.764 | -0.000 | -0.000 |
| 0.000 | -0.000 | 0.000 | 0.000 | 61.764 | -0.000 |
| 0.000 | 0.000 | -0.000 | 0.000 | 0.000 | 61.764 |
| 56.983 | 168.380 | 168.380 | -0.000 | 0.000 | -0.000 |
| 168.380 | 56.983 | 168.380 | -0.000 | -0.000 | 0.000 |
| 168.380 | 168.380 | 56.983 | -0.000 | 0.000 | 0.000 |
| 0.000 | -0.000 | -0.000 | 62.064 | -0.000 | 0.000 |
| -0.000 | 0.000 | -0.000 | -0.000 | 62.064 | 0.000 |
| -0.000 | -0.000 | 0.000 | -0.000 | 0.000 | 62.064 |
| 56.987 | 168.380 | 168.380 | 0.000 | 0.000 | -0.000 |
| 168.380 | 56.987 | 168.380 | 0.000 | -0.000 | -0.000 |
| 168.380 | 168.380 | 56.987 | 0.000 | 0.000 | 0.000 |
| -0.000 | 0.000 | 0.000 | 62.064 | 0.000 | 0.000 |
| 0.000 | -0.000 | 0.000 | 0.000 | 62.064 | -0.000 |
| 0.000 | 0.000 | -0.000 | -0.000 | -0.000 | 62.064 |
| 410.658 | 362.577 | 362.577 | -0.000 | -0.000 | 0.000 |
| 362.577 | 410.658 | 362.577 | -0.000 | -0.000 | 0.000 |
| 362.577 | 362.577 | 410.658 | -0.000 | -0.000 | -0.000 |
| -0.000 | -0.000 | 0.000 | 313.472 | -0.000 | -0.000 |
| -0.000 | -0.000 | 0.000 | -0.000 | 313.472 | -0.000 |
| -0.000 | 0.000 | -0.000 | 0.000 | 0.000 | 313.472 |
| 410.658 | 362.577 | 362.577 | 0.000 | -0.000 | -0.000 |
| 362.577 | 410.658 | 362.577 | -0.000 | 0.000 | -0.000 |
| 362.577 | 362.577 | 410.658 | 0.000 | 0.000 | 0.000 |
| 0.000 | 0.000 | -0.000 | 313.472 | 0.000 | 0.000 |
| 0.000 | 0.000 | -0.000 | 0.000 | 313.472 | 0.000 |
| 0.000 | -0.000 | 0.000 | 0.000 | -0.000 | 313.472 |
| 410.656 | 362.577 | 362.577 | -0.000 | 0.000 | 0.000 |
| 362.577 | 410.656 | 362.577 | 0.000 | -0.000 | 0.000 |
| 362.577 | 362.577 | 410.656 | -0.000 | -0.000 | -0.000 |
| 0.000 | 0.000 | 0.000 | 313.472 | -0.000 | 0.000 |
| 0.000 | 0.000 | 0.000 | -0.000 | 313.472 | 0.000 |
| 0.000 | 0.000 | 0.000 | -0.000 | 0.000 | 313.472 |
| 410.661 | 362.577 | 362.577 | 0.000 | -0.000 | -0.000 |
| 362.577 | 410.661 | 362.577 | -0.000 | 0.000 | -0.000 |
| 362.577 | 362.577 | 410.661 | 0.000 | 0.000 | -0.000 |
| -0.000 | -0.000 | -0.000 | 313.472 | 0.000 | -0.000 |
| -0.000 | -0.000 | -0.000 | 0.000 | 313.472 | -0.000 |
| -0.000 | -0.000 | -0.000 | -0.000 | -0.000 | 313.472 |
| 410.633 | 362.578 | 362.578 | -0.000 | -0.000 | 0.000 |
| 362.578 | 410.633 | 362.578 | -0.000 | -0.000 | -0.000 |
| 362.578 | 362.578 | 410.633 | -0.000 | -0.000 | -0.000 |
| 0.000 | 0.000 | 0.001 | 313.472 | -0.000 | -0.000 |
| 0.000 | 0.000 | 0.001 | -0.000 | 313.472 | -0.000 |
| 0.000 | 0.001 | 0.000 | 0.000 | 0.000 | 313.472 |
| 410.684 | 362.575 | 362.575 | -0.000 | -0.000 | 0.000 |
| 362.575 | 410.684 | 362.575 | -0.000 | 0.000 | 0.000 |
| 362.575 | 362.575 | 410.684 | 0.000 | 0.000 | 0.000 |
| -0.000 | -0.000 | -0.001 | 313.472 | 0.000 | 0.000 |
| -0.000 | -0.000 | -0.001 | 0.000 | 313.472 | 0.000 |
| -0.000 | -0.001 | -0.000 | -0.000 | -0.000 | 313.472 |
| 6.104 | 6.104 | 6.104 | 0.000 | 0.000 | -0.000 |
| 6.104 | 6.104 | 6.104 | 0.000 | 0.000 | -0.000 |
| 6.104 | 6.104 | 6.104 | 0.000 | 0.000 | -0.000 |
| 0.000 | 0.000 | 0.000 | 6.104 | 0.000 | -0.000 |
| 0.000 | 0.000 | 0.000 | 0.000 | 6.104 | -0.000 |
| 0.000 | 0.000 | 0.000 | 0.000 | 0.000 | 6.104 |
| 6.104 | 6.104 | 6.104 | 0.000 | -0.000 | 0.000 |
| 6.104 | 6.104 | 6.104 | -0.000 | 0.000 | 0.000 |
| 6.104 | 6.104 | 6.104 | -0.000 | -0.000 | 0.000 |
| -0.000 | -0.000 | -0.000 | 6.104 | -0.000 | -0.000 |
| -0.000 | -0.000 | -0.000 | -0.000 | 6.104 | -0.000 |
| -0.000 | -0.000 | -0.000 | -0.000 | 0.000 | 6.104 |
| 6.104 | 6.104 | 6.104 | 0.000 | 0.000 | -0.000 |
| 6.104 | 6.104 | 6.104 | 0.000 | 0.000 | -0.000 |
| 6.104 | 6.104 | 6.104 | 0.000 | 0.000 | -0.000 |
| 0.000 | 0.000 | 0.000 | 6.104 | 0.000 | -0.000 |
| 0.000 | 0.000 | 0.000 | 0.000 | 6.104 | -0.000 |
| 0.000 | 0.000 | 0.000 | 0.000 | 0.000 | 6.104 |
| 6.104 | 6.104 | 6.104 | -0.000 | -0.000 | 0.000 |
| 6.104 | 6.104 | 6.104 | -0.000 | -0.000 | 0.000 |
| 6.104 | 6.104 | 6.104 | -0.000 | -0.000 | 0.000 |
| -0.000 | -0.000 | -0.000 | 6.104 | -0.000 | 0.000 |
| -0.000 | -0.000 | -0.000 | -0.000 | 6.104 | 0.000 |
| -0.000 | -0.000 | -0.000 | -0.000 | 0.000 | 6.104 |
| 6.104 | 6.104 | 6.104 | 0.000 | 0.000 | -0.000 |
| 6.104 | 6.104 | 6.104 | 0.000 | 0.000 | -0.000 |
| 6.104 | 6.104 | 6.104 | 0.000 | 0.000 | 0.000 |
| 0.000 | 0.000 | 0.000 | 5.941 | 0.000 | -0.000 |
| 0.000 | 0.000 | 0.000 | 0.000 | 5.941 | -0.000 |
| 0.000 | 0.000 | 0.000 | 0.000 | 0.000 | 5.941 |
| 6.104 | 6.104 | 6.104 | -0.000 | -0.000 | 0.000 |
| 6.104 | 6.104 | 6.104 | -0.000 | -0.000 | 0.000 |
| 6.104 | 6.104 | 6.104 | -0.000 | -0.000 | 0.000 |
| -0.000 | -0.000 | -0.000 | 5.941 | -0.000 | 0.000 |
| -0.000 | -0.000 | -0.000 | -0.000 | 5.941 | 0.000 |
| -0.000 | -0.000 | -0.000 | -0.000 | 0.000 | 5.941 |
| 186.822 | -27.462 | -27.462 | -0.000 | -0.000 | -0.000 |
| -27.462 | 186.822 | -27.462 | 0.000 | -0.000 | -0.000 |
| -27.462 | -27.462 | 186.822 | -0.000 | -0.000 | -0.000 |
| 0.000 | 0.000 | 0.000 | 157.792 | -0.000 | -0.000 |
| 0.000 | 0.000 | 0.000 | 0.000 | 157.792 | -0.000 |
| 0.000 | 0.000 | 0.000 | -0.000 | -0.000 | 157.792 |
| 186.822 | -27.462 | -27.462 | -0.000 | 0.000 | 0.000 |
| -27.462 | 186.822 | -27.462 | 0.000 | 0.000 | 0.000 |
| -27.462 | -27.462 | 186.822 | 0.000 | 0.000 | 0.000 |
| 0.000 | -0.000 | -0.000 | 157.792 | 0.000 | 0.000 |
| -0.000 | -0.000 | -0.000 | 0.000 | 157.792 | 0.000 |
| -0.000 | -0.000 | 0.000 | 0.000 | 0.000 | 157.792 |
| 186.823 | -27.461 | -27.461 | -0.000 | -0.000 | -0.000 |
| -27.461 | 186.823 | -27.461 | -0.000 | -0.000 | -0.000 |
| -27.461 | -27.461 | 186.823 | -0.000 | -0.000 | -0.000 |
| 0.000 | 0.000 | 0.000 | 157.792 | -0.000 | -0.000 |
| 0.000 | 0.000 | 0.000 | -0.000 | 157.792 | -0.000 |
| 0.000 | 0.000 | 0.000 | -0.000 | -0.000 | 157.792 |
| 186.821 | -27.462 | -27.462 | 0.000 | 0.000 | 0.000 |
| -27.462 | 186.821 | -27.462 | 0.000 | 0.000 | 0.000 |
| -27.462 | -27.462 | 186.821 | 0.000 | 0.000 | 0.000 |
| -0.000 | -0.000 | -0.000 | 157.792 | 0.000 | 0.000 |
| -0.000 | -0.000 | -0.000 | 0.000 | 157.792 | 0.000 |
| -0.000 | -0.000 | -0.000 | 0.000 | 0.000 | 157.792 |
| 186.834 | -27.459 | -27.459 | -0.000 | -0.000 | -0.000 |
| -27.459 | 186.834 | -27.459 | 0.000 | -0.000 | -0.000 |
| -27.459 | -27.459 | 186.834 | -0.000 | -0.000 | -0.000 |
| 0.000 | 0.002 | 0.002 | 157.792 | 0.000 | -0.000 |
| 0.002 | 0.000 | 0.002 | -0.000 | 157.792 | -0.000 |
| 0.002 | 0.002 | 0.000 | -0.000 | -0.000 | 157.792 |
| 186.811 | -27.464 | -27.464 | 0.000 | 0.000 | 0.000 |
| -27.464 | 186.811 | -27.464 | 0.000 | 0.000 | 0.000 |
| -27.464 | -27.464 | 186.811 | -0.000 | 0.000 | 0.000 |
| -0.000 | -0.002 | -0.002 | 157.792 | 0.000 | 0.000 |
| -0.002 | -0.000 | -0.002 | 0.000 | 157.792 | 0.000 |
| -0.002 | -0.002 | -0.000 | -0.000 | 0.000 | 157.792 |
| 87.582 | 24.848 | 24.848 | -0.000 | -0.000 | 0.000 |
| 24.848 | 87.582 | 24.848 | 0.000 | -0.000 | 0.000 |
| 24.848 | 24.848 | 87.582 | -0.000 | -0.000 | 0.000 |
| 0.000 | 0.000 | 0.000 | 94.686 | 0.000 | 0.000 |
| 0.000 | 0.000 | 0.000 | 0.000 | 94.686 | 0.000 |
| 0.000 | 0.000 | 0.000 | 0.000 | -0.000 | 94.686 |
| 87.582 | 24.848 | 24.848 | 0.000 | 0.000 | -0.000 |
| 24.848 | 87.582 | 24.848 | 0.000 | -0.000 | -0.000 |
| 24.848 | 24.848 | 87.582 | 0.000 | 0.000 | -0.000 |
| -0.000 | -0.000 | -0.000 | 94.686 | -0.000 | -0.000 |
| -0.000 | -0.000 | 0.000 | 0.000 | 94.686 | -0.000 |
| -0.000 | -0.000 | -0.000 | -0.000 | 0.000 | 94.686 |
| 87.582 | 24.848 | 24.848 | 0.000 | -0.000 | 0.000 |
| 24.848 | 87.582 | 24.848 | 0.000 | -0.000 | 0.000 |
| 24.848 | 24.848 | 87.582 | 0.000 | -0.000 | 0.000 |
| 0.000 | -0.000 | 0.000 | 94.686 | 0.000 | 0.000 |
| -0.000 | -0.000 | 0.000 | 0.000 | 94.686 | 0.000 |
| -0.000 | 0.000 | -0.000 | 0.000 | -0.000 | 94.686 |
| 87.582 | 24.848 | 24.848 | 0.000 | 0.000 | -0.000 |
| 24.848 | 87.582 | 24.848 | 0.000 | 0.000 | -0.000 |
| 24.848 | 24.848 | 87.582 | -0.000 | -0.000 | -0.000 |
| -0.000 | 0.000 | -0.000 | 94.686 | -0.000 | -0.000 |
| 0.000 | 0.000 | -0.000 | 0.000 | 94.686 | -0.000 |
| 0.000 | -0.000 | 0.000 | -0.000 | 0.000 | 94.686 |
| 87.581 | 24.847 | 24.847 | 0.000 | -0.000 | 0.000 |
| 24.847 | 87.581 | 24.847 | -0.000 | 0.000 | 0.000 |
| 24.847 | 24.847 | 87.581 | -0.000 | -0.000 | 0.000 |
| -0.000 | -0.000 | 0.000 | 94.686 | -0.000 | 0.000 |
| -0.000 | -0.000 | 0.000 | 0.000 | 94.686 | 0.000 |
| -0.000 | 0.000 | -0.000 | -0.000 | -0.000 | 94.686 |
| 87.583 | 24.849 | 24.849 | 0.000 | 0.000 | -0.000 |
| 24.849 | 87.583 | 24.849 | 0.000 | 0.000 | -0.000 |
| 24.849 | 24.849 | 87.583 | 0.000 | 0.000 | -0.000 |
| 0.000 | 0.000 | -0.000 | 94.686 | 0.000 | -0.000 |
| 0.000 | 0.000 | -0.000 | 0.000 | 94.686 | -0.000 |
| 0.000 | -0.000 | 0.000 | 0.000 | 0.000 | 94.686 |
| 83.868 | 4.384 | 4.384 | 0.000 | 0.000 | -0.000 |
| 4.384 | 83.868 | 4.384 | 0.000 | 0.000 | -0.000 |
| 4.384 | 4.384 | 83.868 | 0.000 | -0.000 | 0.000 |
| 0.000 | -0.000 | -0.000 | 1.481 | -0.000 | -0.000 |
| -0.000 | -0.000 | -0.000 | 0.000 | 1.481 | -0.000 |
| -0.000 | -0.000 | -0.000 | 0.000 | -0.000 | 1.481 |
| 83.868 | 4.384 | 4.384 | -0.000 | 0.000 | 0.000 |
| 4.384 | 83.868 | 4.384 | -0.000 | 0.000 | 0.000 |
| 4.384 | 4.384 | 83.868 | -0.000 | 0.000 | 0.000 |
| -0.000 | 0.000 | 0.000 | 1.481 | -0.000 | -0.000 |
| 0.000 | 0.000 | 0.000 | -0.000 | 1.481 | 0.000 |
| 0.000 | 0.000 | 0.000 | -0.000 | 0.000 | 1.481 |
| 83.867 | 4.384 | 4.384 | 0.000 | 0.000 | -0.000 |
| 4.384 | 83.867 | 4.384 | 0.000 | 0.000 | -0.000 |
| 4.384 | 4.384 | 83.867 | -0.000 | -0.000 | 0.000 |
| 0.000 | -0.000 | -0.000 | 1.481 | -0.000 | -0.000 |
| -0.000 | 0.000 | -0.000 | -0.000 | 1.481 | -0.000 |
| -0.000 | -0.000 | -0.000 | 0.000 | -0.000 | 1.481 |
| 83.869 | 4.384 | 4.384 | -0.000 | -0.000 | 0.000 |
| 4.384 | 83.869 | 4.384 | -0.000 | 0.000 | -0.000 |
| 4.384 | 4.384 | 83.869 | -0.000 | -0.000 | 0.000 |
| -0.000 | 0.000 | 0.000 | 1.481 | 0.000 | 0.000 |
| 0.000 | -0.000 | 0.000 | -0.000 | 1.481 | 0.000 |
| 0.000 | 0.000 | 0.000 | -0.000 | -0.000 | 1.481 |
| 83.861 | 4.384 | 4.384 | 0.000 | 0.000 | -0.000 |
| 4.384 | 83.861 | 4.384 | 0.000 | -0.000 | -0.000 |
| 4.384 | 4.384 | 83.861 | -0.000 | -0.000 | -0.000 |
| 0.000 | -0.000 | -0.000 | 1.481 | 0.000 | 0.000 |
| -0.000 | 0.000 | -0.000 | 0.000 | 1.481 | -0.000 |
| -0.000 | -0.000 | 0.000 | 0.000 | 0.000 | 1.481 |
| 83.875 | 4.384 | 4.384 | -0.000 | -0.000 | 0.000 |
| 4.384 | 83.875 | 4.384 | -0.000 | -0.000 | -0.000 |
| 4.384 | 4.384 | 83.875 | -0.000 | 0.000 | 0.000 |
| -0.000 | 0.000 | 0.000 | 1.481 | 0.000 | 0.000 |
| 0.000 | -0.000 | 0.000 | -0.000 | 1.481 | -0.000 |
| 0.000 | 0.000 | -0.000 | -0.000 | -0.000 | 1.481 |
| 1929.840 | 967.967 | 967.967 | -0.000 | 0.000 | 0.000 |
| 967.967 | 1929.840 | 967.967 | 0.000 | -0.000 | 0.000 |
| 967.967 | 967.967 | 1929.840 | 0.000 | 0.000 | 0.000 |
| -0.000 | -0.000 | -0.000 | 972.580 | 0.000 | 0.000 |
| -0.000 | -0.000 | -0.000 | 0.000 | 972.580 | 0.000 |
| -0.000 | -0.000 | -0.000 | 0.000 | 0.000 | 972.580 |
| 1929.840 | 967.967 | 967.967 | -0.000 | -0.000 | -0.000 |
| 967.967 | 1929.840 | 967.967 | -0.000 | -0.000 | -0.000 |
| 967.967 | 967.967 | 1929.840 | -0.000 | -0.000 | -0.000 |
| 0.000 | 0.000 | -0.000 | 972.580 | -0.000 | -0.000 |
| 0.000 | 0.000 | 0.000 | -0.000 | 972.580 | -0.000 |
| 0.000 | 0.000 | 0.000 | -0.000 | -0.000 | 972.580 |
| 1929.840 | 967.968 | 967.968 | 0.000 | -0.000 | -0.000 |
| 967.968 | 1929.840 | 967.968 | -0.000 | 0.000 | 0.000 |
| 967.968 | 967.968 | 1929.840 | 0.000 | 0.000 | 0.000 |
| -0.000 | 0.000 | 0.000 | 972.580 | 0.000 | 0.000 |
| 0.000 | -0.000 | 0.000 | 0.000 | 972.580 | 0.000 |
| 0.000 | 0.000 | -0.000 | 0.000 | 0.000 | 972.580 |
| 1929.839 | 967.967 | 967.967 | -0.000 | -0.000 | -0.000 |
| 967.967 | 1929.839 | 967.967 | -0.000 | -0.000 | -0.000 |
| 967.967 | 967.967 | 1929.839 | -0.000 | -0.000 | -0.000 |
| 0.000 | -0.000 | -0.000 | 972.580 | -0.000 | -0.000 |
| -0.000 | 0.000 | -0.000 | -0.000 | 972.580 | -0.000 |
| -0.000 | -0.000 | 0.000 | -0.000 | -0.000 | 972.580 |
| 1929.842 | 967.971 | 967.971 | -0.000 | -0.000 | 0.000 |
| 967.971 | 1929.842 | 967.971 | -0.000 | -0.000 | 0.000 |
| 967.971 | 967.971 | 1929.842 | 0.000 | 0.000 | 0.000 |
| -0.001 | 0.000 | 0.002 | 972.580 | 0.000 | 0.000 |
| 0.000 | -0.001 | 0.002 | 0.000 | 972.580 | 0.000 |
| 0.000 | 0.002 | -0.001 | 0.000 | 0.000 | 972.580 |
| 1929.837 | 967.964 | 967.964 | -0.000 | -0.000 | -0.000 |
| 967.964 | 1929.837 | 967.964 | -0.000 | -0.000 | -0.000 |
| 967.964 | 967.964 | 1929.837 | -0.000 | -0.000 | -0.000 |
| 0.001 | -0.000 | -0.002 | 972.580 | -0.000 | -0.000 |
| -0.000 | 0.001 | -0.002 | -0.000 | 972.580 | -0.000 |
| -0.000 | -0.002 | 0.001 | -0.000 | -0.000 | 972.580 |
| 14.952 | 7.476 | 7.476 | -0.000 | -0.000 | -0.000 |
| 7.476 | 14.952 | 7.476 | -0.000 | -0.000 | -0.000 |
| 7.476 | 7.476 | 14.952 | -0.000 | -0.000 | -0.000 |
| -0.000 | 0.000 | 0.000 | 7.476 | -0.000 | -0.000 |
| 0.000 | -0.000 | 0.000 | -0.000 | 7.476 | 0.000 |
| 0.000 | 0.000 | -0.000 | -0.000 | 0.000 | 7.476 |
| 14.952 | 7.476 | 7.476 | 0.000 | 0.000 | 0.000 |
| 7.476 | 14.952 | 7.476 | 0.000 | 0.000 | 0.000 |
| 7.476 | 7.476 | 14.952 | 0.000 | 0.000 | 0.000 |
| 0.000 | -0.000 | -0.000 | 7.476 | 0.000 | 0.000 |
| -0.000 | 0.000 | -0.000 | 0.000 | 7.476 | 0.000 |
| -0.000 | -0.000 | 0.000 | 0.000 | 0.000 | 7.476 |
| 14.952 | 7.476 | 7.476 | -0.000 | -0.000 | -0.000 |
| 7.476 | 14.952 | 7.476 | -0.000 | -0.000 | -0.000 |
| 7.476 | 7.476 | 14.952 | -0.000 | -0.000 | -0.000 |
| -0.000 | 0.000 | 0.000 | 7.476 | -0.000 | -0.000 |
| 0.000 | -0.000 | 0.000 | -0.000 | 7.476 | -0.000 |
| 0.000 | 0.000 | -0.000 | -0.000 | -0.000 | 7.476 |
| 14.952 | 7.476 | 7.476 | 0.000 | 0.000 | 0.000 |
| 7.476 | 14.952 | 7.476 | 0.000 | 0.000 | 0.000 |
| 7.476 | 7.476 | 14.952 | 0.000 | 0.000 | 0.000 |
| 0.000 | -0.000 | -0.000 | 7.476 | 0.000 | 0.000 |
| -0.000 | 0.000 | -0.000 | 0.000 | 7.476 | 0.000 |
| -0.000 | -0.000 | 0.000 | 0.000 | 0.000 | 7.476 |
| 14.953 | 7.476 | 7.476 | -0.000 | -0.000 | -0.000 |
| 7.476 | 14.953 | 7.476 | -0.000 | -0.000 | -0.000 |
| 7.476 | 7.476 | 14.953 | -0.000 | -0.000 | -0.000 |
| -0.000 | 0.000 | 0.000 | 7.476 | -0.000 | -0.000 |
| 0.000 | -0.000 | 0.000 | -0.000 | 7.476 | -0.000 |
| 0.000 | 0.000 | -0.000 | -0.000 | -0.000 | 7.476 |
| 14.951 | 7.476 | 7.476 | 0.000 | 0.000 | 0.000 |
| 7.476 | 14.951 | 7.476 | 0.000 | 0.000 | 0.000 |
| 7.476 | 7.476 | 14.951 | 0.000 | 0.000 | 0.000 |
| 0.000 | -0.000 | -0.000 | 7.476 | 0.000 | 0.000 |
| -0.000 | 0.000 | -0.000 | 0.000 | 7.476 | -0.000 |
| -0.000 | -0.000 | 0.000 | 0.000 | 0.000 | 7.476 |
| 173.900 | 227.332 | 227.332 | -0.000 | -0.000 | -0.000 |
| 227.332 | 173.900 | 227.332 | -0.000 | -0.000 | -0.000 |
| 227.332 | 227.332 | 173.900 | -0.000 | -0.000 | -0.000 |
| 0.000 | -0.000 | 0.000 | 186.167 | -0.000 | -0.000 |
| 0.000 | -0.000 | 0.000 | -0.000 | 186.167 | -0.000 |
| 0.000 | 0.000 | 0.000 | -0.000 | -0.000 | 186.167 |
| 173.900 | 227.332 | 227.332 | 0.000 | -0.000 | 0.000 |
| 227.332 | 173.900 | 227.332 | -0.000 | 0.000 | 0.000 |
| 227.332 | 227.332 | 173.900 | -0.000 | 0.000 | 0.000 |
| -0.000 | -0.000 | -0.000 | 186.167 | -0.000 | 0.000 |
| -0.000 | 0.000 | -0.000 | -0.000 | 186.167 | 0.000 |
| -0.000 | 0.000 | -0.000 | 0.000 | 0.000 | 186.167 |
| 173.900 | 227.333 | 227.333 | -0.000 | -0.000 | -0.000 |
| 227.333 | 173.900 | 227.333 | 0.000 | -0.000 | -0.000 |
| 227.333 | 227.333 | 173.900 | 0.000 | 0.000 | -0.000 |
| 0.000 | 0.000 | 0.000 | 186.167 | 0.000 | -0.000 |
| 0.000 | 0.000 | 0.000 | 0.000 | 186.167 | -0.000 |
| 0.000 | 0.000 | 0.000 | 0.000 | 0.000 | 186.167 |
| 173.900 | 227.332 | 227.332 | -0.000 | 0.000 | 0.000 |
| 227.332 | 173.900 | 227.332 | 0.000 | 0.000 | 0.000 |
| 227.332 | 227.332 | 173.900 | 0.000 | 0.000 | 0.000 |
| -0.000 | -0.000 | -0.000 | 186.167 | -0.000 | 0.000 |
| -0.000 | -0.000 | -0.000 | -0.000 | 186.167 | 0.000 |
| -0.000 | -0.000 | -0.000 | -0.000 | 0.000 | 186.167 |
| 173.901 | 227.334 | 227.334 | 0.000 | -0.000 | -0.000 |
| 227.334 | 173.901 | 227.334 | 0.000 | -0.000 | -0.000 |
| 227.334 | 227.334 | 173.901 | 0.000 | 0.000 | -0.000 |
| 0.001 | 0.000 | 0.001 | 186.167 | -0.000 | -0.000 |
| 0.000 | 0.001 | 0.001 | 0.000 | 186.167 | -0.000 |
| 0.000 | 0.001 | 0.001 | 0.000 | 0.000 | 186.167 |
| 173.899 | 227.331 | 227.331 | 0.000 | 0.000 | 0.000 |
| 227.331 | 173.899 | 227.331 | 0.000 | 0.000 | 0.000 |
| 227.331 | 227.331 | 173.899 | -0.000 | 0.000 | 0.000 |
| -0.001 | -0.000 | -0.001 | 186.167 | 0.000 | 0.000 |
| -0.000 | -0.001 | -0.001 | 0.000 | 186.167 | 0.000 |
| -0.000 | -0.001 | -0.001 | -0.000 | 0.000 | 186.167 |
| 2141.667 | 2121.873 | 2121.873 | 0.000 | -0.000 | 0.000 |
| 2121.873 | 2141.667 | 2121.873 | -0.000 | -0.000 | 0.000 |
| 2121.873 | 2121.873 | 2141.667 | 0.000 | 0.000 | 0.000 |
| 0.000 | 0.000 | 0.000 | 1.071 | -0.000 | 0.000 |
| 0.000 | 0.000 | 0.000 | 0.000 | 1.071 | 0.000 |
| 0.000 | 0.000 | 0.000 | 0.000 | 0.000 | 1.071 |
| 2141.667 | 2121.874 | 2121.874 | -0.000 | 0.000 | -0.000 |
| 2121.874 | 2141.667 | 2121.874 | 0.000 | 0.000 | -0.000 |
| 2121.874 | 2121.874 | 2141.667 | -0.000 | 0.000 | -0.000 |
| -0.000 | -0.000 | -0.000 | 1.071 | -0.000 | -0.000 |
| -0.000 | -0.000 | -0.000 | -0.000 | 1.071 | -0.000 |
| -0.000 | -0.000 | -0.000 | 0.000 | -0.000 | 1.071 |
| 2141.668 | 2121.872 | 2121.872 | 0.000 | 0.000 | 0.000 |
| 2121.872 | 2141.668 | 2121.872 | 0.000 | 0.000 | 0.000 |
| 2121.872 | 2121.872 | 2141.668 | 0.000 | 0.000 | 0.000 |
| 0.000 | 0.000 | 0.000 | 1.071 | 0.000 | 0.000 |
| 0.000 | 0.000 | 0.000 | 0.000 | 1.071 | 0.000 |
| 0.000 | 0.000 | 0.000 | 0.000 | 0.000 | 1.071 |
| 2141.666 | 2121.875 | 2121.875 | 0.000 | 0.000 | -0.000 |
| 2121.875 | 2141.666 | 2121.875 | -0.000 | 0.000 | -0.000 |
| 2121.875 | 2121.875 | 2141.666 | -0.000 | -0.000 | -0.000 |
| -0.000 | -0.000 | -0.000 | 1.071 | 0.000 | -0.000 |
| -0.000 | -0.000 | -0.000 | 0.000 | 1.071 | -0.000 |
| -0.000 | -0.000 | -0.000 | -0.000 | 0.000 | 1.071 |
| 2141.678 | 2121.858 | 2121.858 | 0.000 | -0.000 | 0.000 |
| 2121.858 | 2141.678 | 2121.858 | 0.000 | 0.000 | 0.000 |
| 2121.858 | 2121.858 | 2141.678 | 0.000 | 0.000 | 0.000 |
| 1224611.175 | 1221655.911 | 1220708.918 | 0.973 | 0.000 | -0.000 |
| 1221655.924 | 1224611.187 | 1220708.931 | -0.000 | 0.974 | 0.000 |
| 1221655.919 | 1220708.926 | 1224611.182 | 0.000 | 0.000 | 0.973 |
| 2141.656 | 2121.889 | 2121.889 | -0.000 | -0.000 | -0.000 |
| 2121.889 | 2141.656 | 2121.889 | -0.000 | -0.000 | -0.000 |
| 2121.889 | 2121.889 | 2141.656 | 0.000 | 0.000 | -0.000 |
| -1220708.915 | -1221655.942 | -1224611.213 | -11.317 | -0.001 | -0.005 |
| -1223719.403 | -1223953.134 | -1225122.246 | 0.000 | -0.424 | 0.000 |
| -1221893.473 | -1224456.788 | -1220747.267 | -0.111 | 0.052 | -912.384 |
| 467.848 | 467.848 | 467.848 | -0.000 | -0.000 | 0.000 |
| 467.848 | 467.848 | 467.848 | 0.000 | -0.000 | 0.000 |
| 467.848 | 467.848 | 467.848 | -0.000 | -0.000 | -0.000 |
| 0.000 | 0.000 | 0.000 | 0.972 | 0.000 | 0.000 |
| 0.000 | 0.000 | 0.000 | 0.000 | 0.972 | 0.000 |
| 0.000 | 0.000 | 0.000 | 0.000 | -0.000 | 0.972 |
| 467.848 | 467.848 | 467.848 | 0.000 | 0.000 | 0.000 |
| 467.848 | 467.848 | 467.848 | 0.000 | 0.000 | 0.000 |
| 467.848 | 467.848 | 467.848 | 0.000 | 0.000 | 0.000 |
| -0.000 | -0.000 | -0.000 | 0.972 | 0.000 | -0.000 |
| -0.000 | -0.000 | -0.000 | 0.000 | 0.972 | -0.000 |
| -0.000 | -0.000 | -0.000 | 0.000 | 0.000 | 0.972 |
| 467.849 | 467.849 | 467.849 | -0.000 | -0.000 | -0.000 |
| 467.849 | 467.849 | 467.849 | -0.000 | -0.000 | -0.000 |
| 467.849 | 467.849 | 467.849 | -0.000 | -0.000 | -0.000 |
| 0.000 | 0.000 | 0.000 | 0.972 | 0.000 | 0.000 |
| 0.000 | 0.000 | 0.000 | -0.000 | 0.972 | 0.000 |
| 0.000 | 0.000 | 0.000 | 0.000 | -0.000 | 0.972 |
| 467.847 | 467.847 | 467.847 | 0.000 | 0.000 | -0.000 |
| 467.847 | 467.847 | 467.847 | 0.000 | 0.000 | -0.000 |
| 467.847 | 467.847 | 467.847 | 0.000 | 0.000 | 0.000 |
| -0.000 | -0.000 | -0.000 | 0.972 | -0.000 | 0.000 |
| -0.000 | -0.000 | -0.000 | -0.000 | 0.972 | 0.000 |
| -0.000 | -0.000 | -0.000 | -0.000 | 0.000 | 0.972 |
| 467.858 | 467.859 | 467.859 | -0.000 | 0.000 | 0.000 |
| 467.859 | 467.858 | 467.859 | 0.000 | -0.000 | 0.000 |
| 467.859 | 467.859 | 467.858 | -0.000 | -0.000 | -0.000 |
| 0.114 | 0.114 | 0.114 | -71.009 | -0.000 | -0.000 |
| 0.114 | 0.114 | 0.114 | 0.000 | -71.009 | -0.000 |
| 0.114 | 0.114 | 0.114 | -0.000 | -0.000 | -71.008 |
| 467.837 | 467.836 | 467.836 | 0.000 | 0.000 | 0.000 |
| 467.836 | 467.837 | 467.836 | 0.000 | 0.000 | 0.000 |
| 467.836 | 467.836 | 467.837 | 0.000 | 0.000 | 0.000 |
| -0.114 | -0.114 | -0.114 | -71.105 | 0.000 | 0.000 |
| -0.114 | -0.114 | -0.114 | -0.000 | -71.105 | -0.000 |
| -0.114 | -0.114 | -0.114 | -0.000 | 0.000 | -71.105 |
| 51.220 | 155.464 | 155.464 | 0.000 | -0.000 | -0.000 |
| 155.464 | 51.220 | 155.464 | 0.000 | 0.000 | -0.000 |
| 155.464 | 155.464 | 51.220 | 0.000 | -0.000 | -0.000 |
| 0.000 | 0.000 | -0.000 | 98.671 | 0.000 | -0.000 |
| 0.000 | 0.000 | 0.000 | 0.000 | 98.671 | -0.000 |
| 0.000 | 0.000 | 0.000 | 0.000 | -0.000 | 98.671 |
| 51.220 | 155.464 | 155.464 | 0.000 | 0.000 | 0.000 |
| 155.464 | 51.220 | 155.464 | -0.000 | 0.000 | 0.000 |
| 155.464 | 155.464 | 51.220 | 0.000 | -0.000 | -0.000 |
| -0.000 | -0.000 | -0.000 | 98.671 | -0.000 | -0.000 |
| -0.000 | -0.000 | -0.000 | 0.000 | 98.671 | 0.000 |
| -0.000 | -0.000 | -0.000 | -0.000 | -0.000 | 98.671 |
| 51.220 | 155.464 | 155.464 | -0.000 | -0.000 | -0.000 |
| 155.464 | 51.220 | 155.464 | -0.000 | -0.000 | -0.000 |
| 155.464 | 155.464 | 51.220 | 0.000 | 0.000 | -0.000 |
| 0.000 | 0.000 | 0.000 | 98.530 | -0.000 | -0.000 |
| 0.000 | 0.000 | 0.000 | -0.000 | 98.530 | -0.000 |
| 0.000 | 0.000 | 0.000 | -0.000 | 0.000 | 98.530 |
| 51.220 | 155.464 | 155.464 | -0.000 | 0.000 | 0.000 |
| 155.464 | 51.220 | 155.464 | 0.000 | 0.000 | 0.000 |
| 155.464 | 155.464 | 51.220 | 0.000 | 0.000 | -0.000 |
| -0.000 | -0.000 | -0.000 | 98.530 | 0.000 | 0.000 |
| -0.000 | -0.000 | -0.000 | 0.000 | 98.530 | 0.000 |
| -0.000 | -0.000 | -0.000 | 0.000 | 0.000 | 98.530 |
| 51.221 | 155.465 | 155.465 | 0.000 | -0.000 | -0.000 |
| 155.465 | 51.221 | 155.465 | 0.000 | 0.000 | -0.000 |
| 155.465 | 155.465 | 51.221 | 0.000 | -0.000 | 0.000 |
| 0.001 | 0.000 | 0.001 | 98.530 | -0.000 | -0.000 |
| 0.000 | 0.001 | 0.001 | -0.000 | 98.530 | -0.000 |
| 0.000 | 0.001 | 0.001 | -0.000 | -0.000 | 98.530 |
| 51.219 | 155.464 | 155.464 | 0.000 | -0.000 | 0.000 |
| 155.464 | 51.219 | 155.464 | 0.000 | 0.000 | 0.000 |
| 155.464 | 155.464 | 51.219 | -0.000 | 0.000 | -0.000 |
| -0.001 | -0.000 | -0.001 | 98.530 | 0.000 | 0.000 |
| -0.000 | -0.001 | -0.001 | 0.000 | 98.530 | 0.000 |
| -0.000 | -0.001 | -0.001 | 0.000 | 0.000 | 98.530 |
| 244.244 | 3.327 | 3.327 | -0.000 | -0.000 | -0.000 |
| 3.327 | 244.244 | 3.327 | -0.000 | -0.000 | -0.000 |
| 3.327 | 3.327 | 244.244 | -0.000 | -0.000 | -0.000 |
| -0.000 | -0.000 | 0.000 | -6.051 | -0.000 | -0.000 |
| -0.000 | -0.000 | 0.000 | 0.000 | -6.051 | -0.000 |
| -0.000 | -0.000 | -0.000 | -0.000 | -0.000 | -6.051 |
| 244.244 | 3.327 | 3.327 | 0.000 | 0.000 | 0.000 |
| 3.327 | 244.244 | 3.327 | 0.000 | 0.000 | 0.000 |
| 3.327 | 3.327 | 244.244 | 0.000 | 0.000 | 0.000 |
| 0.000 | 0.000 | -0.000 | -6.051 | 0.000 | 0.000 |
| 0.000 | 0.000 | -0.000 | -0.000 | -6.051 | 0.000 |
| 0.000 | 0.000 | 0.000 | 0.000 | 0.000 | -6.051 |
| 244.243 | 3.327 | 3.327 | -0.000 | -0.000 | -0.000 |
| 3.327 | 244.243 | 3.327 | -0.000 | -0.000 | -0.000 |
| 3.327 | 3.327 | 244.243 | 0.000 | 0.000 | -0.000 |
| 0.000 | 0.000 | 0.000 | 8.591 | -0.000 | -0.000 |
| 0.000 | 0.000 | 0.000 | 0.000 | 8.591 | 0.000 |
| 0.000 | 0.000 | 0.000 | 0.000 | -0.000 | 8.591 |
| 244.245 | 3.327 | 3.327 | 0.000 | 0.000 | 0.000 |
| 3.327 | 244.245 | 3.327 | 0.000 | 0.000 | 0.000 |
| 3.327 | 3.327 | 244.245 | 0.000 | -0.000 | 0.000 |
| -0.000 | -0.000 | -0.000 | 8.591 | 0.000 | -0.000 |
| -0.000 | -0.000 | -0.000 | -0.000 | 8.591 | -0.000 |
| -0.000 | -0.000 | -0.000 | -0.000 | 0.000 | 8.591 |
| 244.235 | 3.327 | 3.327 | -0.000 | -0.000 | -0.000 |
| 3.327 | 244.235 | 3.327 | -0.000 | -0.000 | -0.000 |
| 3.327 | 3.327 | 244.235 | -0.000 | -0.000 | -0.000 |
| -0.002 | -0.000 | -0.000 | -8.637 | 0.000 | -0.000 |
| -0.000 | -0.002 | -0.000 | 0.000 | -8.637 | -0.000 |
| -0.000 | -0.000 | -0.002 | 0.000 | -0.000 | -8.637 |
| 244.252 | 3.327 | 3.327 | 0.000 | 0.000 | 0.000 |
| 3.327 | 244.252 | 3.327 | 0.000 | 0.000 | 0.000 |
| 3.327 | 3.327 | 244.252 | 0.000 | 0.000 | 0.000 |
| 0.002 | 0.000 | 0.000 | -8.637 | -0.000 | 0.000 |
| 0.000 | 0.002 | 0.000 | -0.000 | -8.637 | -0.000 |
| 0.000 | 0.000 | 0.002 | -0.000 | 0.000 | -8.637 |
| 897.495 | 5.899 | 5.899 | 0.000 | -0.000 | -0.000 |
| 5.899 | 897.495 | 5.899 | -0.000 | 0.000 | 0.000 |
| 5.899 | 5.899 | 897.495 | 0.000 | -0.000 | 0.000 |
| 0.000 | 0.000 | 0.000 | -64.615 | 0.000 | 0.000 |
| 0.000 | 0.000 | 0.000 | 0.000 | -64.615 | 0.000 |
| 0.000 | -0.000 | 0.000 | 0.000 | 0.000 | -64.615 |
| 897.495 | 5.899 | 5.899 | 0.000 | 0.000 | 0.000 |
| 5.899 | 897.495 | 5.899 | 0.000 | -0.000 | -0.000 |
| 5.899 | 5.899 | 897.495 | -0.000 | -0.000 | -0.000 |
| -0.000 | 0.000 | 0.000 | -64.615 | 0.000 | -0.000 |
| -0.000 | -0.000 | -0.000 | -0.000 | -64.615 | -0.000 |
| -0.000 | 0.000 | -0.000 | -0.000 | -0.000 | -64.615 |
| 897.495 | 5.899 | 5.899 | -0.000 | 0.000 | 0.000 |
| 5.899 | 897.495 | 5.899 | 0.000 | -0.000 | 0.000 |
| 5.899 | 5.899 | 897.495 | -0.000 | 0.000 | 0.000 |
| -0.000 | -0.000 | -0.000 | -64.615 | 0.000 | 0.000 |
| -0.000 | -0.000 | -0.000 | 0.000 | -64.615 | 0.000 |
| -0.000 | -0.000 | -0.000 | -0.000 | 0.000 | -64.615 |
| 897.494 | 5.899 | 5.899 | -0.000 | -0.000 | -0.000 |
| 5.899 | 897.494 | 5.899 | 0.000 | -0.000 | 0.000 |
| 5.899 | 5.899 | 897.494 | 0.000 | -0.000 | -0.000 |
| 0.000 | 0.000 | 0.000 | -64.615 | -0.000 | -0.000 |
| 0.000 | 0.000 | 0.000 | 0.000 | -64.615 | -0.000 |
| 0.000 | 0.000 | 0.000 | -0.000 | -0.000 | -64.615 |
| 897.497 | 5.899 | 5.899 | -0.000 | -0.000 | 0.000 |
| 5.899 | 897.497 | 5.899 | 0.000 | 0.000 | 0.000 |
| 5.899 | 5.899 | 897.497 | -0.000 | 0.000 | 0.000 |
| -0.000 | -0.000 | -0.001 | -64.615 | 0.000 | 0.000 |
| -0.000 | -0.000 | -0.001 | -0.000 | -64.615 | 0.000 |
| -0.000 | -0.001 | -0.000 | 0.000 | 0.000 | -64.615 |
| 897.492 | 5.899 | 5.899 | -0.000 | -0.000 | -0.000 |
| 5.899 | 897.492 | 5.899 | 0.000 | 0.000 | -0.000 |
| 5.899 | 5.899 | 897.492 | -0.000 | -0.000 | -0.000 |
| 0.000 | 0.000 | 0.001 | -64.615 | -0.000 | -0.000 |
| 0.000 | 0.000 | 0.001 | -0.000 | -64.615 | -0.000 |
| 0.000 | 0.001 | 0.000 | -0.000 | -0.000 | -64.615 |
| 70.868 | 4.784 | 4.784 | -0.000 | -0.000 | -0.000 |
| 4.784 | 70.868 | 4.784 | -0.000 | -0.000 | -0.000 |
| 4.784 | 4.784 | 70.868 | -0.000 | -0.000 | -0.000 |
| -0.000 | -0.000 | -0.000 | -0.000 | -0.000 | -0.000 |
| -0.000 | 0.000 | -0.000 | -0.000 | -0.000 | -0.000 |
| -0.000 | -0.000 | 0.000 | -0.000 | 0.000 | -0.000 |
| 70.868 | 4.784 | 4.784 | -0.000 | -0.000 | 0.000 |
| 4.784 | 70.868 | 4.784 | -0.000 | 0.000 | -0.000 |
| 4.784 | 4.784 | 70.868 | 0.000 | 0.000 | 0.000 |
| 0.000 | 0.000 | 0.000 | -0.000 | -0.000 | 0.000 |
| 0.000 | 0.000 | 0.000 | -0.000 | -0.000 | 0.000 |
| 0.000 | 0.000 | -0.000 | 0.000 | -0.000 | -0.000 |
| 70.868 | 4.784 | 4.784 | 0.000 | 0.000 | 0.000 |
| 4.784 | 70.868 | 4.784 | 0.000 | 0.000 | -0.000 |
| 4.784 | 4.784 | 70.868 | 0.000 | 0.000 | -0.000 |
| -0.000 | -0.000 | -0.000 | 0.000 | 0.000 | -0.000 |
| -0.000 | -0.000 | -0.000 | 0.000 | 0.000 | -0.000 |
| -0.000 | -0.000 | -0.000 | 0.000 | 0.000 | 0.000 |
| 70.867 | 4.784 | 4.784 | -0.000 | -0.000 | 0.000 |
| 4.784 | 70.867 | 4.784 | 0.000 | 0.000 | 0.000 |
| 4.784 | 4.784 | 70.867 | 0.000 | 0.000 | -0.000 |
| 0.000 | 0.000 | 0.000 | 0.000 | 0.000 | -0.000 |
| 0.000 | 0.000 | 0.000 | 0.000 | 0.000 | 0.000 |
| 0.000 | 0.000 | 0.000 | -0.000 | -0.000 | 0.000 |
| 70.869 | 4.784 | 4.784 | -0.000 | 0.000 | 0.000 |
| 4.784 | 70.869 | 4.784 | 0.000 | -0.000 | -0.000 |
| 4.784 | 4.784 | 70.869 | -0.000 | -0.000 | -0.000 |
| -0.000 | -0.000 | -0.000 | 0.000 | 0.000 | -0.000 |
| -0.000 | -0.000 | -0.000 | 0.000 | 0.000 | 0.000 |
| -0.000 | -0.000 | -0.000 | 0.000 | 0.000 | 0.000 |
| 70.866 | 4.784 | 4.784 | -0.000 | -0.000 | -0.000 |
| 4.784 | 70.866 | 4.784 | -0.000 | 0.000 | -0.000 |
| 4.784 | 4.784 | 70.866 | 0.000 | -0.000 | 0.000 |
| 0.000 | 0.000 | 0.000 | 0.000 | -0.000 | 0.000 |
| 0.000 | 0.000 | 0.000 | -0.000 | 0.000 | -0.000 |
| 0.000 | 0.000 | 0.000 | -0.000 | -0.000 | 0.000 |
| 126.383 | 174.365 | 174.365 | 0.000 | 0.000 | 0.000 |
| 174.365 | 126.383 | 174.365 | 0.000 | 0.000 | 0.000 |
| 174.365 | 174.365 | 126.383 | 0.000 | 0.000 | -0.000 |
| 0.000 | -0.000 | 0.000 | 161.122 | 0.000 | 0.000 |
| 0.000 | 0.000 | 0.000 | 0.000 | 161.122 | -0.000 |
| 0.000 | 0.000 | 0.000 | 0.000 | 0.000 | 161.122 |
| 126.383 | 174.365 | 174.365 | -0.000 | -0.000 | -0.000 |
| 174.365 | 126.383 | 174.365 | -0.000 | -0.000 | -0.000 |
| 174.365 | 174.365 | 126.383 | -0.000 | -0.000 | 0.000 |
| -0.000 | -0.000 | -0.000 | 161.122 | -0.000 | 0.000 |
| -0.000 | -0.000 | -0.000 | -0.000 | 161.122 | 0.000 |
| -0.000 | -0.000 | -0.000 | -0.000 | -0.000 | 161.122 |
| 126.383 | 174.366 | 174.366 | 0.000 | 0.000 | 0.000 |
| 174.366 | 126.383 | 174.366 | 0.000 | 0.000 | -0.000 |
| 174.366 | 174.366 | 126.383 | 0.000 | 0.000 | 0.000 |
| 0.000 | 0.000 | 0.000 | 161.122 | 0.000 | -0.000 |
| 0.000 | 0.000 | 0.000 | 0.000 | 161.122 | -0.000 |
| 0.000 | 0.000 | 0.000 | 0.000 | 0.000 | 161.122 |
| 126.383 | 174.365 | 174.365 | 0.000 | 0.000 | 0.000 |
| 174.365 | 126.383 | 174.365 | -0.000 | -0.000 | 0.000 |
| 174.365 | 174.365 | 126.383 | -0.000 | -0.000 | 0.000 |
| -0.000 | -0.000 | -0.000 | 161.122 | -0.000 | 0.000 |
| -0.000 | -0.000 | -0.000 | -0.000 | 161.122 | 0.000 |
| -0.000 | -0.000 | -0.000 | -0.000 | -0.000 | 161.122 |
| 126.383 | 174.366 | 174.366 | 0.000 | -0.000 | -0.000 |
| 174.366 | 126.383 | 174.366 | 0.000 | 0.000 | -0.000 |
| 174.366 | 174.366 | 126.383 | 0.000 | 0.000 | 0.000 |
| 0.001 | 0.000 | 0.001 | 161.122 | 0.000 | -0.000 |
| 0.000 | 0.001 | 0.001 | 0.000 | 161.122 | -0.000 |
| 0.000 | 0.001 | 0.001 | 0.000 | 0.000 | 161.122 |
| 126.382 | 174.365 | 174.365 | -0.000 | -0.000 | 0.000 |
| 174.365 | 126.382 | 174.365 | -0.000 | -0.000 | 0.000 |
| 174.365 | 174.365 | 126.382 | -0.000 | -0.000 | -0.000 |
| -0.001 | -0.000 | -0.001 | 161.122 | -0.000 | -0.000 |
| -0.000 | -0.001 | -0.001 | -0.000 | 161.122 | -0.000 |
| -0.000 | -0.001 | -0.001 | -0.000 | -0.000 | 161.122 |
| 58.488 | 58.488 | 58.488 | -0.000 | -0.000 | -0.000 |
| 58.488 | 58.488 | 58.488 | -0.000 | -0.000 | -0.000 |
| 58.488 | 58.488 | 58.488 | -0.000 | -0.000 | 0.000 |
| 0.000 | 0.000 | 0.000 | 19.634 | 0.000 | 0.000 |
| 0.000 | 0.000 | 0.000 | 0.000 | 19.634 | 0.000 |
| 0.000 | 0.000 | 0.000 | -0.000 | 0.000 | 19.634 |
| 58.488 | 58.488 | 58.488 | 0.000 | 0.000 | -0.000 |
| 58.488 | 58.488 | 58.488 | 0.000 | 0.000 | -0.000 |
| 58.488 | 58.488 | 58.488 | 0.000 | 0.000 | -0.000 |
| -0.000 | -0.000 | -0.000 | 19.634 | -0.000 | 0.000 |
| -0.000 | -0.000 | -0.000 | -0.000 | 19.634 | 0.000 |
| -0.000 | -0.000 | -0.000 | -0.000 | -0.000 | 19.634 |
| 58.488 | 58.488 | 58.488 | -0.000 | 0.000 | -0.000 |
| 58.488 | 58.488 | 58.488 | 0.000 | -0.000 | -0.000 |
| 58.488 | 58.488 | 58.488 | -0.000 | -0.000 | 0.000 |
| 0.000 | 0.000 | 0.000 | 19.634 | 0.000 | -0.000 |
| 0.000 | 0.000 | 0.000 | 0.000 | 19.634 | -0.000 |
| 0.000 | 0.000 | 0.000 | 0.000 | 0.000 | 19.634 |
| 58.488 | 58.488 | 58.488 | 0.000 | -0.000 | -0.000 |
| 58.488 | 58.488 | 58.488 | -0.000 | 0.000 | -0.000 |
| 58.488 | 58.488 | 58.488 | 0.000 | 0.000 | 0.000 |
| -0.000 | -0.000 | -0.000 | 19.634 | -0.000 | -0.000 |
| -0.000 | -0.000 | -0.000 | -0.000 | 19.634 | -0.000 |
| -0.000 | -0.000 | -0.000 | -0.000 | -0.000 | 19.634 |
| 58.489 | 58.489 | 58.489 | 0.000 | 0.000 | 0.000 |
| 58.489 | 58.489 | 58.489 | 0.000 | 0.000 | 0.000 |
| 58.489 | 58.489 | 58.489 | 0.000 | 0.000 | 0.000 |
| 0.000 | 0.000 | 0.000 | 19.634 | 0.000 | 0.000 |
| 0.000 | 0.000 | 0.000 | 0.000 | 19.634 | 0.000 |
| 0.000 | 0.000 | 0.000 | 0.000 | 0.000 | 19.634 |
| 58.487 | 58.487 | 58.487 | 0.000 | 0.000 | -0.000 |
| 58.487 | 58.487 | 58.487 | 0.000 | 0.000 | -0.000 |
| 58.487 | 58.487 | 58.487 | 0.000 | 0.000 | -0.000 |
| -0.000 | -0.000 | -0.000 | 19.634 | -0.000 | 0.000 |
| -0.000 | -0.000 | -0.000 | -0.000 | 19.634 | 0.000 |
| -0.000 | -0.000 | -0.000 | -0.000 | -0.000 | 19.634 |
| 230.275 | 322.592 | 322.592 | 0.000 | 0.000 | 0.000 |
| 322.592 | 230.275 | 322.592 | 0.000 | 0.000 | -0.000 |
| 322.592 | 322.592 | 230.275 | 0.000 | 0.000 | -0.000 |
| -0.000 | -0.000 | -0.000 | -82.764 | 0.000 | -0.000 |
| -0.000 | -0.000 | -0.000 | 0.000 | -82.764 | -0.000 |
| -0.000 | -0.000 | 0.000 | 0.000 | 0.000 | -82.764 |
| 230.275 | 322.592 | 322.592 | -0.000 | -0.000 | 0.000 |
| 322.592 | 230.275 | 322.592 | -0.000 | -0.000 | 0.000 |
| 322.592 | 322.592 | 230.275 | -0.000 | -0.000 | -0.000 |
| 0.000 | 0.000 | 0.000 | -82.764 | -0.000 | 0.000 |
| 0.000 | 0.000 | -0.000 | -0.000 | -82.764 | 0.000 |
| 0.000 | 0.000 | 0.000 | -0.000 | -0.000 | -82.764 |
| 230.275 | 322.592 | 322.592 | 0.000 | 0.000 | 0.000 |
| 322.592 | 230.275 | 322.592 | 0.000 | 0.000 | -0.000 |
| 322.592 | 322.592 | 230.275 | 0.000 | 0.000 | 0.000 |
| -0.000 | -0.000 | -0.000 | -82.764 | 0.000 | -0.000 |
| -0.000 | -0.000 | -0.000 | 0.000 | -82.764 | -0.000 |
| -0.000 | -0.000 | -0.000 | 0.000 | 0.000 | -82.764 |
| 230.275 | 322.592 | 322.592 | -0.000 | -0.000 | 0.000 |
| 322.592 | 230.275 | 322.592 | -0.000 | -0.000 | 0.000 |
| 322.592 | 322.592 | 230.275 | -0.000 | -0.000 | 0.000 |
| 0.000 | 0.000 | 0.000 | -82.764 | 0.000 | 0.000 |
| 0.000 | 0.000 | 0.000 | -0.000 | -82.764 | 0.000 |
| 0.000 | 0.000 | 0.000 | -0.000 | -0.000 | -82.764 |
| 230.274 | 322.592 | 322.592 | 0.000 | 0.000 | -0.000 |
| 322.592 | 230.274 | 322.592 | 0.000 | 0.000 | -0.000 |
| 322.592 | 322.592 | 230.274 | 0.000 | 0.000 | -0.000 |
| -0.001 | -0.001 | -0.001 | -82.764 | 0.000 | -0.000 |
| -0.001 | -0.001 | -0.001 | 0.000 | -82.764 | -0.000 |
| -0.001 | -0.001 | -0.001 | 0.000 | 0.000 | -82.764 |
| 230.275 | 322.591 | 322.591 | -0.000 | -0.000 | 0.000 |
| 322.591 | 230.275 | 322.591 | -0.000 | -0.000 | 0.000 |
| 322.591 | 322.591 | 230.275 | -0.000 | -0.000 | 0.000 |
| 0.001 | 0.001 | 0.001 | -82.764 | -0.000 | 0.000 |
| 0.001 | 0.001 | 0.001 | -0.000 | -82.764 | 0.000 |
| 0.001 | 0.001 | 0.001 | -0.000 | -0.000 | -82.764 |
| 18.947 | 18.947 | 18.947 | -0.000 | 0.000 | 0.000 |
| 18.947 | 18.947 | 18.947 | 0.000 | -0.000 | 0.000 |
| 18.947 | 18.947 | 18.947 | 0.000 | 0.000 | -0.000 |
| -0.000 | -0.000 | -0.000 | -0.000 | -0.000 | 0.000 |
| -0.000 | -0.000 | -0.000 | -0.000 | -0.000 | 0.000 |
| -0.000 | -0.000 | -0.000 | -0.000 | 0.000 | -0.000 |
| 18.947 | 18.947 | 18.947 | 0.000 | -0.000 | -0.000 |
| 18.947 | 18.947 | 18.947 | -0.000 | 0.000 | -0.000 |
| 18.947 | 18.947 | 18.947 | -0.000 | -0.000 | 0.000 |
| -0.000 | -0.000 | -0.000 | 0.000 | 0.000 | -0.000 |
| -0.000 | -0.000 | -0.000 | 0.000 | 0.000 | -0.000 |
| -0.000 | -0.000 | -0.000 | 0.000 | -0.000 | 0.000 |
| 18.947 | 18.947 | 18.947 | -0.000 | 0.000 | 0.000 |
| 18.947 | 18.947 | 18.947 | 0.000 | -0.000 | 0.000 |
| 18.947 | 18.947 | 18.947 | 0.000 | 0.000 | -0.000 |
| -0.000 | -0.000 | -0.000 | -0.000 | -0.000 | 0.000 |
| -0.000 | -0.000 | -0.000 | -0.000 | -0.000 | 0.000 |
| -0.000 | -0.000 | -0.000 | -0.000 | 0.000 | -0.000 |
| 18.947 | 18.947 | 18.947 | 0.000 | -0.000 | -0.000 |
| 18.947 | 18.947 | 18.947 | -0.000 | 0.000 | -0.000 |
| 18.947 | 18.947 | 18.947 | -0.000 | -0.000 | 0.000 |
| 0.000 | 0.000 | 0.000 | -0.000 | 0.000 | -0.000 |
| 0.000 | 0.000 | 0.000 | 0.000 | -0.000 | -0.000 |
| 0.000 | 0.000 | 0.000 | 0.000 | -0.000 | -0.000 |
| 18.947 | 18.947 | 18.947 | -0.000 | 0.000 | 0.000 |
| 18.947 | 18.947 | 18.947 | 0.000 | -0.000 | 0.000 |
| 18.947 | 18.947 | 18.947 | 0.000 | 0.000 | -0.000 |
| -0.000 | -0.000 | -0.000 | -0.000 | -0.000 | 0.000 |
| -0.000 | -0.000 | -0.000 | -0.000 | -0.000 | 0.000 |
| -0.000 | -0.000 | -0.000 | -0.000 | 0.000 | -0.000 |
| 18.947 | 18.947 | 18.947 | 0.000 | -0.000 | -0.000 |
| 18.947 | 18.947 | 18.947 | -0.000 | 0.000 | -0.000 |
| 18.947 | 18.947 | 18.947 | -0.000 | -0.000 | 0.000 |
| 0.000 | 0.000 | 0.000 | -0.000 | 0.000 | -0.000 |
| 0.000 | 0.000 | 0.000 | 0.000 | -0.000 | -0.000 |
| 0.000 | 0.000 | 0.000 | 0.000 | -0.000 | -0.000 |
| 245.662 | 84.518 | 152.544 | -0.000 | 0.000 | -0.000 |
| 84.518 | 245.662 | 152.544 | 0.000 | 0.000 | 0.000 |
| 152.544 | 152.544 | 275.288 | 0.000 | 0.000 | -0.000 |
| 0.000 | -0.000 | 0.000 | 108.787 | -0.000 | 0.000 |
| -0.000 | 0.000 | 0.000 | 0.000 | 108.787 | -0.000 |
| 0.000 | -0.000 | 0.000 | 0.000 | 0.000 | 20.053 |
| 245.662 | 84.518 | 152.544 | -0.000 | -0.000 | 0.000 |
| 84.518 | 245.662 | 152.544 | 0.000 | -0.000 | -0.000 |
| 152.544 | 152.544 | 275.288 | 0.000 | 0.000 | -0.000 |
| -0.000 | 0.000 | -0.000 | 108.787 | -0.000 | 0.000 |
| 0.000 | -0.000 | -0.000 | -0.000 | 108.787 | 0.000 |
| -0.000 | 0.000 | -0.000 | -0.000 | -0.000 | 20.053 |
| 245.662 | 84.518 | 152.544 | -0.000 | 0.000 | -0.000 |
| 84.518 | 245.662 | 152.544 | 0.000 | 0.000 | -0.000 |
| 152.544 | 152.544 | 275.288 | -0.000 | 0.000 | -0.000 |
| 0.000 | -0.000 | 0.000 | 108.787 | 0.000 | -0.000 |
| -0.000 | 0.000 | 0.000 | 0.000 | 108.787 | -0.000 |
| 0.000 | -0.000 | 0.000 | -0.000 | 0.000 | 20.053 |
| 245.662 | 84.518 | 152.544 | -0.000 | -0.000 | -0.000 |
| 84.518 | 245.662 | 152.544 | -0.000 | -0.000 | 0.000 |
| 152.544 | 152.544 | 275.288 | 0.000 | 0.000 | 0.000 |
| -0.000 | 0.000 | -0.000 | 108.787 | -0.000 | -0.000 |
| 0.000 | -0.000 | -0.000 | -0.000 | 108.787 | 0.000 |
| -0.000 | 0.000 | -0.000 | -0.000 | -0.000 | 20.053 |
| 245.663 | 84.517 | 152.544 | -0.000 | 0.000 | -0.000 |
| 84.517 | 245.663 | 152.544 | -0.000 | 0.000 | -0.000 |
| 152.545 | 152.545 | 275.292 | -0.000 | 0.000 | -0.000 |
| 0.000 | -0.000 | 0.000 | 108.787 | 0.000 | -0.000 |
| -0.000 | 0.000 | 0.000 | 0.000 | 108.787 | -0.000 |
| 0.000 | -0.000 | 0.000 | 0.000 | 0.000 | 20.053 |
| 245.661 | 84.518 | 152.544 | 0.000 | -0.000 | 0.000 |
| 84.518 | 245.661 | 152.544 | -0.000 | 0.000 | -0.000 |
| 152.544 | 152.544 | 275.284 | -0.000 | -0.000 | 0.000 |
| -0.000 | 0.000 | -0.000 | 108.787 | -0.000 | 0.000 |
| 0.000 | -0.000 | -0.000 | -0.000 | 108.787 | 0.000 |
| -0.000 | 0.000 | -0.000 | 0.000 | -0.000 | 20.053 |
| 66.292 | 54.631 | 66.705 | -0.000 | -0.000 | -0.000 |
| 54.631 | 66.292 | 66.705 | -0.000 | -0.000 | -0.000 |
| 66.705 | 66.705 | 81.520 | -0.000 | -0.000 | -0.000 |
| 0.000 | 0.000 | 0.000 | 21.004 | -0.000 | -0.000 |
| 0.000 | 0.000 | 0.000 | -0.000 | 21.004 | -0.000 |
| 0.000 | 0.000 | 0.000 | -0.000 | -0.000 | 16.457 |
| 66.292 | 54.631 | 66.705 | 0.000 | 0.000 | 0.000 |
| 54.631 | 66.292 | 66.705 | 0.000 | 0.000 | 0.000 |
| 66.705 | 66.705 | 81.520 | 0.000 | 0.000 | 0.000 |
| -0.000 | -0.000 | -0.000 | 21.004 | 0.000 | 0.000 |
| -0.000 | -0.000 | -0.000 | 0.000 | 21.004 | 0.000 |
| -0.000 | -0.000 | -0.000 | 0.000 | 0.000 | 16.457 |
| 66.292 | 54.632 | 66.706 | -0.000 | -0.000 | -0.000 |
| 54.632 | 66.292 | 66.706 | -0.000 | -0.000 | -0.000 |
| 66.706 | 66.706 | 81.521 | -0.000 | -0.000 | -0.000 |
| 0.000 | 0.000 | 0.000 | 21.004 | -0.000 | -0.000 |
| 0.000 | 0.000 | 0.000 | -0.000 | 21.004 | -0.000 |
| 0.000 | 0.000 | 0.000 | -0.000 | -0.000 | 16.457 |
| 66.292 | 54.631 | 66.705 | 0.000 | 0.000 | 0.000 |
| 54.631 | 66.292 | 66.705 | 0.000 | 0.000 | 0.000 |
| 66.705 | 66.705 | 81.520 | 0.000 | 0.000 | 0.000 |
| -0.000 | -0.000 | -0.000 | 21.004 | 0.000 | 0.000 |
| -0.000 | -0.000 | -0.000 | 0.000 | 21.004 | 0.000 |
| -0.000 | -0.000 | -0.000 | 0.000 | 0.000 | 16.457 |
| 66.296 | 54.633 | 66.707 | -0.000 | -0.000 | -0.000 |
| 54.633 | 66.296 | 66.707 | -0.000 | -0.000 | -0.000 |
| 66.707 | 66.707 | 81.522 | -0.000 | -0.000 | -0.000 |
| 0.000 | 0.000 | 0.001 | 21.004 | -0.000 | -0.000 |
| 0.000 | 0.000 | 0.001 | -0.000 | 21.004 | -0.000 |
| 0.000 | 0.000 | 0.000 | -0.000 | -0.000 | 16.457 |
| 66.288 | 54.630 | 66.704 | 0.000 | 0.000 | 0.000 |
| 54.630 | 66.288 | 66.704 | 0.000 | 0.000 | 0.000 |
| 66.704 | 66.704 | 81.519 | 0.000 | 0.000 | 0.000 |
| -0.000 | -0.000 | -0.001 | 21.004 | 0.000 | 0.000 |
| -0.000 | -0.000 | -0.001 | 0.000 | 21.004 | 0.000 |
| -0.000 | -0.000 | -0.000 | 0.000 | 0.000 | 16.457 |
| 170.470 | 220.207 | 214.107 | -0.000 | -0.000 | 0.000 |
| 220.207 | 328.329 | 81.250 | 0.000 | -0.000 | -0.000 |
| 214.107 | 81.250 | 277.386 | 0.000 | 0.000 | -0.000 |
| -0.000 | -0.000 | -0.000 | -26.262 | -0.000 | -0.000 |
| -0.000 | -0.000 | 0.000 | 0.000 | 103.131 | -0.000 |
| 0.000 | 0.000 | -0.000 | -0.000 | -0.000 | 97.630 |
| 170.470 | 220.207 | 214.107 | -0.000 | 0.000 | 0.000 |
| 220.207 | 328.329 | 81.250 | 0.000 | 0.000 | 0.000 |
| 214.107 | 81.250 | 277.386 | 0.000 | 0.000 | 0.000 |
| 0.000 | 0.000 | 0.000 | -26.262 | 0.000 | 0.000 |
| 0.000 | 0.000 | -0.000 | -0.000 | 103.131 | 0.000 |
| -0.000 | -0.000 | 0.000 | 0.000 | 0.000 | 97.630 |
| 170.470 | 220.207 | 214.107 | 0.000 | -0.000 | -0.000 |
| 220.207 | 328.329 | 81.250 | 0.000 | -0.000 | -0.000 |
| 214.107 | 81.250 | 277.386 | 0.000 | -0.000 | -0.000 |
| -0.000 | -0.000 | -0.000 | -26.262 | 0.000 | -0.000 |
| -0.000 | -0.000 | 0.000 | 0.000 | 103.131 | -0.000 |
| -0.000 | 0.000 | -0.000 | 0.000 | -0.000 | 97.630 |
| 170.470 | 220.207 | 214.107 | 0.000 | 0.000 | 0.000 |
| 220.207 | 328.329 | 81.250 | -0.000 | 0.000 | 0.000 |
| 214.107 | 81.250 | 277.386 | -0.000 | 0.000 | -0.000 |
| 0.000 | 0.000 | 0.000 | -26.262 | 0.000 | 0.000 |
| 0.000 | 0.000 | -0.000 | 0.000 | 103.131 | 0.000 |
| 0.000 | -0.000 | 0.000 | -0.000 | 0.000 | 97.630 |
| 170.469 | 220.206 | 214.106 | -0.000 | -0.000 | 0.000 |
| 220.206 | 328.327 | 81.249 | -0.000 | -0.000 | -0.000 |
| 214.107 | 81.249 | 277.386 | 0.000 | -0.000 | 0.000 |
| -0.000 | -0.000 | -0.000 | -26.262 | -0.000 | -0.000 |
| -0.000 | -0.000 | 0.000 | 0.000 | 103.131 | -0.000 |
| -0.000 | 0.000 | -0.000 | -0.000 | -0.000 | 97.630 |
| 170.471 | 220.208 | 214.107 | 0.000 | 0.000 | 0.000 |
| 220.208 | 328.331 | 81.251 | -0.000 | 0.000 | -0.000 |
| 214.107 | 81.251 | 277.386 | -0.000 | 0.000 | 0.000 |
| 0.000 | 0.000 | 0.000 | -26.262 | 0.000 | 0.000 |
| 0.000 | 0.000 | -0.000 | 0.000 | 103.131 | 0.000 |
| 0.000 | -0.000 | 0.000 | 0.000 | 0.000 | 97.630 |
| 171.363 | 177.116 | 177.116 | -0.000 | -0.000 | -0.000 |
| 177.116 | 171.363 | 177.116 | -0.000 | -0.000 | -0.000 |
| 177.116 | 177.116 | 171.363 | -0.000 | -0.000 | -0.000 |
| -8.623 | -8.623 | -8.623 | 153.883 | -0.000 | 0.000 |
| -8.623 | -8.623 | -8.623 | -0.000 | 153.883 | -0.000 |
| -8.623 | -8.623 | -8.623 | -0.000 | -0.000 | 153.883 |
| 180.162 | 185.746 | 185.746 | 0.000 | 0.000 | 0.000 |
| 185.746 | 180.162 | 185.746 | 0.000 | 0.000 | -0.000 |
| 185.746 | 185.746 | 180.162 | 0.000 | 0.000 | 0.000 |
| 8.623 | 8.623 | 8.623 | 153.883 | 0.000 | 0.000 |
| 8.623 | 8.623 | 8.623 | 0.000 | 153.883 | 0.000 |
| 8.623 | 8.623 | 8.623 | 0.000 | 0.000 | 153.883 |
| 180.162 | 185.746 | 185.746 | -0.000 | -0.000 | -0.000 |
| 185.746 | 180.162 | 185.746 | -0.000 | -0.000 | 0.000 |
| 185.746 | 185.746 | 180.162 | 0.000 | 0.000 | -0.000 |
| 0.000 | 0.000 | 0.000 | 153.956 | -0.000 | -0.000 |
| 0.000 | 0.000 | 0.000 | -0.000 | 153.956 | -0.000 |
| 0.000 | 0.000 | 0.000 | -0.000 | -0.000 | 153.956 |
| 180.162 | 185.746 | 185.746 | 0.000 | 0.000 | -0.000 |
| 185.746 | 180.162 | 185.746 | 0.000 | 0.000 | -0.000 |
| 185.746 | 185.746 | 180.162 | 0.000 | 0.000 | 0.000 |
| -0.000 | -0.000 | -0.000 | 153.956 | 0.000 | 0.000 |
| -0.000 | -0.000 | -0.000 | 0.000 | 153.956 | 0.000 |
| -0.000 | -0.000 | -0.000 | 0.000 | 0.000 | 153.956 |
| 179.901 | 185.654 | 185.654 | -0.000 | -0.000 | -0.000 |
| 185.654 | 179.901 | 185.654 | -0.000 | -0.000 | 0.000 |
| 185.654 | 185.654 | 179.901 | -0.000 | -0.000 | -0.000 |
| 0.001 | 0.001 | 0.001 | 153.956 | -0.000 | 0.000 |
| 0.001 | 0.001 | 0.001 | -0.000 | 153.956 | -0.000 |
| 0.001 | 0.001 | 0.001 | -0.000 | -0.000 | 153.956 |
| 180.075 | 185.822 | 185.822 | 0.000 | 0.000 | -0.000 |
| 185.822 | 180.075 | 185.822 | 0.000 | 0.000 | -0.000 |
| 185.822 | 185.822 | 180.075 | 0.000 | 0.000 | 0.000 |
| -0.001 | -0.001 | -0.001 | 153.956 | 0.000 | 0.000 |
| -0.001 | -0.001 | -0.001 | 0.000 | 153.956 | 0.000 |
| -0.001 | -0.001 | -0.001 | 0.000 | 0.000 | 153.956 |
| 151.796 | 153.743 | 153.743 | 0.000 | 0.000 | -0.000 |
| 153.743 | 151.796 | 153.743 | 0.000 | 0.000 | -0.000 |
| 153.743 | 153.743 | 151.796 | 0.000 | 0.000 | -0.000 |
| 0.000 | 0.000 | -0.000 | 32.950 | -0.000 | 0.000 |
| 0.000 | -0.000 | -0.000 | 0.000 | 32.950 | -0.000 |
| 0.000 | -0.000 | -0.000 | 0.000 | 0.000 | 32.950 |
| 151.796 | 153.743 | 153.743 | -0.000 | -0.000 | 0.000 |
| 153.743 | 151.796 | 153.743 | -0.000 | -0.000 | -0.000 |
| 153.743 | 153.743 | 151.796 | -0.000 | 0.000 | 0.000 |
| -0.000 | 0.000 | 0.000 | 32.950 | 0.000 | 0.000 |
| -0.000 | -0.000 | 0.000 | -0.000 | 32.950 | 0.000 |
| -0.000 | -0.000 | 0.000 | -0.000 | 0.000 | 32.950 |
| 151.796 | 153.743 | 153.743 | 0.000 | 0.000 | -0.000 |
| 153.743 | 151.796 | 153.743 | 0.000 | 0.000 | -0.000 |
| 153.743 | 153.743 | 151.796 | 0.000 | -0.000 | -0.000 |
| 0.000 | 0.000 | 0.000 | 170.176 | 0.000 | -0.000 |
| 0.000 | 0.000 | 0.000 | 0.000 | 170.176 | -0.000 |
| 0.000 | 0.000 | 0.000 | 0.000 | 0.000 | 170.176 |
| 151.796 | 153.743 | 153.743 | -0.000 | -0.000 | -0.000 |
| 153.743 | 151.796 | 153.743 | -0.000 | -0.000 | 0.000 |
| 153.743 | 153.743 | 151.796 | -0.000 | 0.000 | 0.000 |
| -0.000 | -0.000 | -0.000 | 170.176 | -0.000 | 0.000 |
| -0.000 | -0.000 | -0.000 | -0.000 | 170.176 | 0.000 |
| -0.000 | -0.000 | -0.000 | -0.000 | -0.000 | 170.176 |
| 151.799 | 153.744 | 153.744 | -0.000 | 0.000 | -0.000 |
| 153.744 | 151.799 | 153.744 | 0.000 | -0.000 | -0.000 |
| 153.744 | 153.744 | 151.799 | 0.000 | -0.000 | -0.000 |
| 0.001 | 0.000 | 0.000 | 170.176 | 0.000 | -0.000 |
| 0.000 | 0.001 | 0.000 | 0.000 | 170.176 | -0.000 |
| 0.000 | 0.000 | 0.001 | 0.000 | -0.000 | 170.176 |
| 151.793 | 153.743 | 153.743 | -0.000 | 0.000 | 0.000 |
| 153.743 | 151.793 | 153.743 | -0.000 | 0.000 | 0.000 |
| 153.743 | 153.743 | 151.793 | -0.000 | -0.000 | 0.000 |
| -0.001 | -0.000 | -0.000 | 170.176 | -0.000 | -0.000 |
| -0.000 | -0.001 | -0.000 | -0.000 | 170.176 | 0.000 |
| -0.000 | -0.000 | -0.001 | -0.000 | -0.000 | 170.176 |
| 202.525 | 54.156 | 54.156 | -0.000 | -0.000 | -0.000 |
| 54.156 | 202.525 | 54.156 | -0.000 | -0.000 | -0.000 |
| 54.156 | 54.156 | 202.525 | -0.000 | -0.000 | -0.000 |
| -0.000 | -0.000 | -0.000 | 39.764 | -0.000 | -0.000 |
| -0.000 | -0.000 | -0.000 | -0.000 | 39.764 | -0.000 |
| -0.000 | -0.000 | -0.000 | -0.000 | -0.000 | 39.764 |
| 202.525 | 54.156 | 54.156 | 0.000 | 0.000 | 0.000 |
| 54.156 | 202.525 | 54.156 | 0.000 | 0.000 | 0.000 |
| 54.156 | 54.156 | 202.525 | 0.000 | 0.000 | 0.000 |
| 0.000 | 0.000 | 0.000 | 39.764 | 0.000 | 0.000 |
| 0.000 | 0.000 | 0.000 | 0.000 | 39.764 | 0.000 |
| 0.000 | 0.000 | 0.000 | 0.000 | 0.000 | 39.764 |
| 202.526 | 54.156 | 54.156 | -0.000 | -0.000 | -0.000 |
| 54.156 | 202.526 | 54.156 | -0.000 | -0.000 | -0.000 |
| 54.156 | 54.156 | 202.526 | -0.000 | -0.000 | -0.000 |
| -0.000 | -0.000 | -0.000 | 53.652 | -0.000 | -0.000 |
| -0.000 | -0.000 | -0.000 | -0.000 | 53.652 | -0.000 |
| -0.000 | -0.000 | -0.000 | -0.000 | -0.000 | 53.652 |
| 202.525 | 54.156 | 54.156 | 0.000 | 0.000 | 0.000 |
| 54.156 | 202.525 | 54.156 | 0.000 | 0.000 | 0.000 |
| 54.156 | 54.156 | 202.525 | 0.000 | 0.000 | 0.000 |
| 0.000 | 0.000 | 0.000 | 53.652 | 0.000 | 0.000 |
| 0.000 | 0.000 | 0.000 | 0.000 | 53.652 | 0.000 |
| 0.000 | 0.000 | 0.000 | 0.000 | 0.000 | 53.652 |
| 202.529 | 54.156 | 54.156 | -0.000 | -0.000 | -0.000 |
| 54.156 | 202.529 | 54.156 | -0.000 | -0.000 | -0.000 |
| 54.156 | 54.156 | 202.529 | -0.000 | -0.000 | -0.000 |
| 0.000 | -0.000 | -0.000 | 39.764 | -0.000 | -0.000 |
| -0.000 | 0.000 | -0.000 | -0.000 | 39.764 | -0.000 |
| -0.000 | -0.000 | 0.000 | -0.000 | -0.000 | 39.764 |
| 202.521 | 54.156 | 54.156 | 0.000 | 0.000 | 0.000 |
| 54.156 | 202.521 | 54.156 | 0.000 | 0.000 | 0.000 |
| 54.156 | 54.156 | 202.521 | 0.000 | 0.000 | 0.000 |
| -0.000 | 0.000 | 0.000 | 39.764 | 0.000 | 0.000 |
| 0.000 | -0.000 | 0.000 | 0.000 | 39.764 | 0.000 |
| 0.000 | 0.000 | -0.000 | 0.000 | 0.000 | 39.764 |
| 31.244 | 31.244 | 31.244 | -0.000 | 0.000 | -0.000 |
| 31.244 | 31.244 | 31.244 | 0.000 | -0.000 | -0.000 |
| 31.244 | 31.244 | 31.244 | -0.000 | -0.000 | 0.000 |
| -0.000 | -0.000 | -0.000 | -0.000 | -0.000 | 0.000 |
| -0.000 | -0.000 | -0.000 | -0.000 | -0.000 | 0.000 |
| -0.000 | -0.000 | -0.000 | -0.000 | -0.000 | 0.000 |
| 31.244 | 31.244 | 31.244 | -0.000 | 0.000 | -0.000 |
| 31.244 | 31.244 | 31.244 | 0.000 | -0.000 | -0.000 |
| 31.244 | 31.244 | 31.244 | 0.000 | 0.000 | -0.000 |
| 0.000 | 0.000 | 0.000 | 0.000 | 0.000 | -0.000 |
| 0.000 | 0.000 | 0.000 | 0.000 | 0.000 | -0.000 |
| 0.000 | 0.000 | 0.000 | 0.000 | 0.000 | -0.000 |
| 31.244 | 31.244 | 31.244 | -0.000 | 0.000 | -0.000 |
| 31.244 | 31.244 | 31.244 | 0.000 | -0.000 | -0.000 |
| 31.244 | 31.244 | 31.244 | -0.000 | -0.000 | -0.000 |
| -0.000 | -0.000 | -0.000 | -0.000 | -0.000 | -0.000 |
| -0.000 | -0.000 | -0.000 | -0.000 | -0.000 | -0.000 |
| -0.000 | -0.000 | -0.000 | -0.000 | -0.000 | 0.000 |
| 31.244 | 31.244 | 31.244 | 0.000 | -0.000 | 0.000 |
| 31.244 | 31.244 | 31.244 | -0.000 | 0.000 | 0.000 |
| 31.244 | 31.244 | 31.244 | 0.000 | 0.000 | -0.000 |
| 0.000 | 0.000 | 0.000 | 0.000 | 0.000 | -0.000 |
| 0.000 | 0.000 | 0.000 | 0.000 | 0.000 | -0.000 |
| 0.000 | 0.000 | 0.000 | 0.000 | 0.000 | -0.000 |
| 31.244 | 31.244 | 31.244 | -0.000 | -0.000 | -0.000 |
| 31.244 | 31.244 | 31.244 | -0.000 | -0.000 | -0.000 |
| 31.244 | 31.244 | 31.244 | -0.000 | -0.000 | 0.000 |
| -0.000 | -0.000 | -0.000 | 0.000 | -0.000 | -0.000 |
| -0.000 | -0.000 | -0.000 | -0.000 | 0.000 | -0.000 |
| -0.000 | -0.000 | -0.000 | -0.000 | -0.000 | 0.000 |
| 31.245 | 31.245 | 31.245 | 0.000 | -0.000 | 0.000 |
| 31.245 | 31.245 | 31.245 | -0.000 | 0.000 | 0.000 |
| 31.245 | 31.245 | 31.245 | 0.000 | 0.000 | 0.000 |
| 0.000 | 0.000 | 0.000 | 0.000 | 0.000 | 0.000 |
| 0.000 | 0.000 | 0.000 | 0.000 | 0.000 | 0.000 |
| 0.000 | 0.000 | 0.000 | 0.000 | 0.000 | 0.000 |
| 147.378 | 188.062 | 188.062 | -0.000 | -0.000 | -0.000 |
| 188.062 | 147.378 | 188.062 | 0.000 | 0.000 | -0.000 |
| 188.062 | 188.062 | 147.378 | -0.000 | -0.000 | 0.000 |
| 0.000 | 0.000 | -0.000 | 181.307 | 0.000 | 0.000 |
| -0.000 | 0.000 | -0.000 | 0.000 | 181.307 | 0.000 |
| -0.000 | 0.000 | -0.000 | 0.000 | 0.000 | 181.307 |
| 147.378 | 188.062 | 188.062 | -0.000 | -0.000 | 0.000 |
| 188.062 | 147.378 | 188.062 | 0.000 | 0.000 | 0.000 |
| 188.062 | 188.062 | 147.378 | 0.000 | -0.000 | 0.000 |
| -0.000 | -0.000 | 0.000 | 181.307 | 0.000 | -0.000 |
| 0.000 | -0.000 | 0.000 | -0.000 | 181.307 | -0.000 |
| 0.000 | -0.000 | 0.000 | -0.000 | -0.000 | 181.307 |
| 147.378 | 188.062 | 188.062 | -0.000 | 0.000 | 0.000 |
| 188.062 | 147.378 | 188.062 | -0.000 | -0.000 | 0.000 |
| 188.062 | 188.062 | 147.378 | -0.000 | -0.000 | -0.000 |
| 0.000 | 0.000 | 0.000 | 181.307 | 0.000 | 0.000 |
| 0.000 | 0.000 | 0.000 | 0.000 | 181.307 | 0.000 |
| 0.000 | 0.000 | 0.000 | 0.000 | 0.000 | 181.307 |
| 147.378 | 188.062 | 188.062 | 0.000 | -0.000 | -0.000 |
| 188.062 | 147.378 | 188.062 | 0.000 | 0.000 | -0.000 |
| 188.062 | 188.062 | 147.378 | 0.000 | -0.000 | 0.000 |
| -0.000 | -0.000 | -0.000 | 181.307 | -0.000 | 0.000 |
| -0.000 | -0.000 | -0.000 | -0.000 | 181.307 | -0.000 |
| -0.000 | -0.000 | -0.000 | -0.000 | -0.000 | 181.307 |
| 147.379 | 188.063 | 188.063 | -0.000 | -0.000 | -0.000 |
| 188.063 | 147.379 | 188.063 | -0.000 | -0.000 | 0.000 |
| 188.063 | 188.063 | 147.379 | -0.000 | -0.000 | 0.000 |
| 0.001 | 0.000 | 0.001 | 181.307 | -0.000 | 0.000 |
| 0.000 | 0.001 | 0.001 | -0.000 | 181.307 | 0.000 |
| 0.000 | 0.001 | 0.001 | 0.000 | 0.000 | 181.307 |
| 147.377 | 188.061 | 188.061 | -0.000 | -0.000 | 0.000 |
| 188.061 | 147.377 | 188.061 | 0.000 | 0.000 | -0.000 |
| 188.061 | 188.061 | 147.377 | 0.000 | 0.000 | -0.000 |
| -0.001 | -0.000 | -0.001 | 181.307 | 0.000 | 0.000 |
| -0.000 | -0.001 | -0.001 | -0.000 | 181.307 | -0.000 |
| -0.000 | -0.001 | -0.001 | -0.000 | -0.000 | 181.307 |
| 34.318 | 34.318 | 34.318 | -0.000 | -0.000 | -0.000 |
| 34.318 | 34.318 | 34.318 | -0.000 | -0.000 | -0.000 |
| 34.318 | 34.318 | 34.318 | -0.000 | -0.000 | -0.000 |
| -0.000 | -0.000 | -0.000 | 8.728 | -0.000 | -0.000 |
| -0.000 | -0.000 | -0.000 | -0.000 | 8.728 | -0.000 |
| -0.000 | -0.000 | -0.000 | -0.000 | 0.000 | 8.728 |
| 34.318 | 34.318 | 34.318 | 0.000 | 0.000 | 0.000 |
| 34.318 | 34.318 | 34.318 | 0.000 | -0.000 | 0.000 |
| 34.318 | 34.318 | 34.318 | -0.000 | -0.000 | 0.000 |
| 0.000 | 0.000 | 0.000 | 8.728 | 0.000 | 0.000 |
| 0.000 | 0.000 | 0.000 | 0.000 | 8.728 | 0.000 |
| 0.000 | 0.000 | 0.000 | -0.000 | -0.000 | 8.728 |
| 34.318 | 34.318 | 34.318 | 0.000 | -0.000 | -0.000 |
| 34.318 | 34.318 | 34.318 | -0.000 | 0.000 | -0.000 |
| 34.318 | 34.318 | 34.318 | -0.000 | -0.000 | -0.000 |
| -0.000 | -0.000 | -0.000 | 8.728 | -0.000 | -0.000 |
| -0.000 | -0.000 | -0.000 | -0.000 | 8.728 | -0.000 |
| -0.000 | -0.000 | -0.000 | -0.000 | -0.000 | 8.728 |
| 34.318 | 34.318 | 34.318 | 0.000 | 0.000 | 0.000 |
| 34.318 | 34.318 | 34.318 | 0.000 | 0.000 | 0.000 |
| 34.318 | 34.318 | 34.318 | -0.000 | -0.000 | -0.000 |
| 0.000 | 0.000 | 0.000 | 8.728 | 0.000 | -0.000 |
| 0.000 | 0.000 | 0.000 | 0.000 | 8.728 | -0.000 |
| 0.000 | 0.000 | 0.000 | 0.000 | -0.000 | 8.728 |
| 34.318 | 34.318 | 34.318 | -0.000 | -0.000 | -0.000 |
| 34.318 | 34.318 | 34.318 | -0.000 | -0.000 | -0.000 |
| 34.318 | 34.318 | 34.318 | -0.000 | -0.000 | 0.000 |
| -0.000 | -0.000 | -0.000 | 8.728 | 0.000 | -0.000 |
| -0.000 | -0.000 | -0.000 | -0.000 | 8.728 | -0.000 |
| -0.000 | -0.000 | -0.000 | -0.000 | 0.000 | 8.728 |
| 34.318 | 34.318 | 34.318 | 0.000 | 0.000 | 0.000 |
| 34.318 | 34.318 | 34.318 | 0.000 | 0.000 | 0.000 |
| 34.318 | 34.318 | 34.318 | 0.000 | 0.000 | -0.000 |
| 0.000 | 0.000 | 0.000 | 8.728 | 0.000 | 0.000 |
| 0.000 | 0.000 | 0.000 | 0.000 | 8.728 | 0.000 |
| 0.000 | 0.000 | 0.000 | -0.000 | 0.000 | 8.728 |
| 460.419 | 131.385 | 131.385 | -0.000 | 0.000 | 0.000 |
| 131.385 | 460.419 | 131.385 | -0.000 | 0.000 | 0.000 |
| 131.385 | 131.385 | 460.419 | -0.000 | 0.000 | 0.000 |
| 0.000 | -0.000 | -0.000 | -16.684 | 0.000 | -0.000 |
| -0.000 | 0.000 | -0.000 | -0.000 | -16.684 | 0.000 |
| -0.000 | -0.000 | -0.000 | -0.000 | 0.000 | -16.684 |
| 459.893 | 131.648 | 131.648 | 0.000 | -0.000 | -0.000 |
| 131.648 | 459.893 | 131.648 | 0.000 | -0.000 | -0.000 |
| 131.648 | 131.648 | 459.893 | 0.000 | -0.000 | -0.000 |
| -0.000 | -0.000 | 0.000 | -16.684 | -0.000 | -0.000 |
| 0.000 | 0.000 | 0.000 | 0.000 | -16.684 | -0.000 |
| 0.000 | 0.000 | 0.000 | 0.000 | -0.000 | -16.684 |
| 459.893 | 131.648 | 131.648 | -0.000 | 0.000 | 0.000 |
| 131.648 | 459.893 | 131.648 | -0.000 | -0.000 | 0.000 |
| 131.648 | 131.648 | 459.893 | -0.000 | 0.000 | 0.000 |
| -0.000 | -0.000 | -0.000 | 19.879 | 0.000 | 0.000 |
| -0.000 | -0.000 | -0.000 | -0.000 | 19.879 | 0.000 |
| -0.000 | -0.000 | -0.000 | -0.000 | 0.000 | 19.879 |
| 459.893 | 131.648 | 131.648 | 0.000 | -0.000 | -0.000 |
| 131.648 | 459.893 | 131.648 | 0.000 | -0.000 | 0.000 |
| 131.648 | 131.648 | 459.893 | 0.000 | -0.000 | -0.000 |
| 0.000 | 0.000 | 0.000 | 19.879 | -0.000 | -0.000 |
| 0.000 | 0.000 | 0.000 | 0.000 | 19.879 | -0.000 |
| 0.000 | 0.000 | 0.000 | 0.000 | -0.000 | 19.879 |
| 459.894 | 131.648 | 131.648 | -0.000 | 0.000 | 0.000 |
| 131.648 | 459.894 | 131.648 | -0.000 | 0.000 | 0.000 |
| 131.648 | 131.648 | 459.894 | -0.000 | 0.000 | 0.000 |
| -0.001 | -0.002 | -0.002 | -32.961 | 0.000 | 0.000 |
| -0.161 | 0.242 | -0.084 | -0.000 | -30.598 | 0.000 |
| -0.161 | -0.084 | 0.242 | -0.000 | 0.000 | -30.598 |
| 459.892 | 131.648 | 131.648 | 0.000 | 0.000 | -0.000 |
| 131.648 | 459.892 | 131.648 | 0.000 | -0.000 | -0.000 |
| 131.648 | 131.648 | 459.892 | 0.000 | -0.000 | -0.000 |
| 0.001 | 0.002 | 0.002 | -32.961 | -0.000 | -0.000 |
| 0.161 | -0.242 | 0.085 | 0.000 | -30.595 | -0.000 |
| 0.161 | 0.085 | -0.242 | 0.000 | -0.000 | -30.591 |
| 324.946 | 384.006 | 384.006 | 0.000 | -0.000 | -0.000 |
| 384.006 | 324.946 | 384.006 | 0.000 | 0.000 | -0.000 |
| 384.006 | 384.006 | 324.946 | 0.000 | 0.000 | -0.000 |
| -0.000 | 0.000 | 0.000 | -74.788 | 0.000 | -0.000 |
| 0.000 | -0.000 | 0.000 | 0.000 | -74.788 | -0.000 |
| 0.000 | 0.000 | -0.000 | 0.000 | 0.000 | -74.788 |
| 352.868 | 370.045 | 370.045 | 0.000 | -0.000 | 0.000 |
| 370.045 | 352.868 | 370.045 | 0.000 | 0.000 | 0.000 |
| 370.045 | 370.045 | 352.868 | 0.000 | -0.000 | 0.000 |
| 0.000 | -0.000 | -0.000 | -74.788 | -0.000 | 0.000 |
| -0.000 | 0.000 | -0.000 | -0.000 | -74.788 | 0.000 |
| -0.000 | -0.000 | 0.000 | -0.000 | -0.000 | -74.788 |
| 405.837 | 343.559 | 343.559 | 0.000 | 0.000 | -0.000 |
| 343.559 | 405.837 | 343.559 | 0.000 | 0.000 | -0.000 |
| 343.559 | 343.559 | 405.837 | 0.000 | 0.000 | -0.000 |
| -0.000 | 0.000 | -0.000 | -33.609 | 0.000 | -0.000 |
| 0.000 | -0.000 | -0.000 | 0.000 | -33.609 | -0.000 |
| 0.000 | -0.000 | -0.000 | -0.000 | 0.000 | -33.609 |
| 352.870 | 370.046 | 370.046 | 0.000 | -0.000 | 0.000 |
| 370.046 | 352.870 | 370.046 | -0.000 | -0.000 | 0.000 |
| 370.046 | 370.046 | 352.870 | -0.000 | -0.000 | 0.000 |
| 0.000 | -0.000 | 0.000 | -33.609 | 0.000 | 0.000 |
| -0.000 | 0.000 | 0.000 | -0.000 | -33.609 | 0.000 |
| -0.000 | 0.000 | 0.000 | -0.000 | -0.000 | -33.609 |
| 379.341 | 356.791 | 356.791 | 0.000 | 0.000 | -0.000 |
| 356.791 | 379.341 | 356.791 | -0.000 | 0.000 | -0.000 |
| 356.791 | 356.791 | 379.341 | 0.000 | -0.000 | -0.000 |
| -1851579.446 | -1209824.781 | -1286991.013 | -18611.493 | 61086.509 | -45294.825 |
| -1186012.791 | -1816278.186 | -1160181.446 | 44842.074 | -130700.296 | 7429.493 |
| -1381766.564 | -1277939.561 | -1756071.180 | -9412.061 | -31535.883 | -107302.150 |
| 310.254 | 391.370 | 391.370 | -0.000 | -0.000 | 0.000 |
| 391.370 | 310.254 | 391.370 | 0.000 | -0.000 | 0.000 |
| 391.370 | 391.370 | 310.254 | 0.000 | -0.000 | 0.000 |
| 1711245.277 | 1221451.188 | 1171773.694 | -16610.062 | 31537.789 | 69637.096 |
| 1203684.491 | 1639245.959 | 1194295.400 | -33929.548 | -37816.815 | -8047.619 |
| 1198438.782 | 1334060.481 | 1910430.419 | 13098.400 | 32499.540 | -41827.747 |
| -19.173 | 40.782 | 40.782 | 0.000 | 0.000 | 0.000 |
| 40.782 | -19.173 | 40.782 | 0.000 | 0.000 | 0.000 |
| 40.782 | 40.782 | -19.173 | 0.000 | 0.000 | 0.000 |
| -0.000 | -0.000 | -0.000 | -62.927 | 0.000 | 0.000 |
| -0.000 | -0.000 | -0.000 | 0.000 | -62.927 | 0.000 |
| -0.000 | -0.000 | -0.000 | 0.000 | 0.000 | -62.927 |
| -22.056 | 42.224 | 42.224 | -0.000 | -0.000 | -0.000 |
| 42.224 | -22.056 | 42.224 | -0.000 | -0.000 | -0.000 |
| 42.224 | 42.224 | -22.056 | -0.000 | -0.000 | -0.000 |
| 0.000 | 0.000 | 0.000 | -62.927 | -0.000 | -0.000 |
| 0.000 | 0.000 | 0.000 | -0.000 | -62.927 | -0.000 |
| 0.000 | 0.000 | 0.000 | -0.000 | -0.000 | -62.927 |
| -22.056 | 42.224 | 42.224 | 0.000 | 0.000 | 0.000 |
| 42.224 | -22.056 | 42.224 | 0.000 | 0.000 | 0.000 |
| 42.224 | 42.224 | -22.056 | 0.000 | 0.000 | 0.000 |
| -0.000 | -0.000 | -0.000 | -62.927 | 0.000 | 0.000 |
| -0.000 | -0.000 | -0.000 | 0.000 | -62.927 | 0.000 |
| -0.000 | -0.000 | -0.000 | 0.000 | 0.000 | -62.927 |
| -22.056 | 42.224 | 42.224 | -0.000 | -0.000 | -0.000 |
| 42.224 | -22.056 | 42.224 | -0.000 | -0.000 | -0.000 |
| 42.224 | 42.224 | -22.056 | -0.000 | -0.000 | -0.000 |
| 0.000 | 0.000 | 0.000 | -62.927 | -0.000 | -0.000 |
| 0.000 | 0.000 | 0.000 | -0.000 | -62.927 | -0.000 |
| 0.000 | 0.000 | 0.000 | -0.000 | -0.000 | -62.927 |
| -19.175 | 40.782 | 40.782 | 0.000 | 0.000 | 0.000 |
| 40.782 | -19.175 | 40.782 | 0.000 | 0.000 | 0.000 |
| 40.782 | 40.782 | -19.175 | 0.000 | 0.000 | 0.000 |
| -0.001 | -0.002 | -0.002 | -62.927 | 0.000 | 0.000 |
| -0.002 | -0.001 | -0.002 | 0.000 | -62.927 | 0.000 |
| -0.002 | -0.002 | -0.001 | 0.000 | 0.000 | -62.927 |
| -22.054 | 42.224 | 42.224 | -0.000 | -0.000 | -0.000 |
| 42.224 | -22.054 | 42.224 | -0.000 | -0.000 | 0.000 |
| 42.224 | 42.224 | -22.054 | -0.000 | -0.000 | -0.000 |
| 0.001 | 0.002 | 0.002 | -62.927 | -0.000 | -0.000 |
| 0.002 | 0.001 | 0.002 | -0.000 | -62.927 | -0.000 |
| 0.002 | 0.002 | 0.001 | -0.000 | -0.000 | -62.927 |
| 194.834 | 86.380 | 86.380 | -0.000 | 0.000 | 0.000 |
| 86.380 | 194.834 | 86.380 | -0.000 | 0.000 | -0.000 |
| 86.380 | 86.380 | 194.834 | -0.000 | 0.000 | 0.000 |
| 0.000 | 0.000 | 0.000 | 81.606 | 0.000 | -0.000 |
| 0.000 | 0.000 | 0.000 | -0.000 | 81.606 | 0.000 |
| 0.000 | 0.000 | 0.000 | -0.000 | -0.000 | 81.606 |
| 200.459 | 83.567 | 83.567 | -0.000 | -0.000 | -0.000 |
| 83.567 | 200.459 | 83.567 | -0.000 | -0.000 | -0.000 |
| 83.567 | 83.567 | 200.459 | -0.000 | -0.000 | 0.000 |
| -0.000 | -0.000 | -0.000 | 81.606 | -0.000 | -0.000 |
| -0.000 | -0.000 | -0.000 | 0.000 | 81.606 | -0.000 |
| -0.000 | -0.000 | -0.000 | 0.000 | -0.000 | 81.606 |
| 200.460 | 83.567 | 83.567 | 0.000 | 0.000 | 0.000 |
| 83.567 | 200.460 | 83.567 | 0.000 | 0.000 | 0.000 |
| 83.567 | 83.567 | 200.460 | 0.000 | 0.000 | 0.000 |
| 0.000 | 0.000 | 0.000 | 81.606 | 0.000 | -0.000 |
| 0.000 | 0.000 | 0.000 | -0.000 | 81.606 | -0.000 |
| 0.000 | 0.000 | 0.000 | 0.000 | -0.000 | 81.606 |
| -71257830.568 | -71539503.904 | -71736985.924 | -57501.970 | 80223.987 | 148918.835 |
| -72297265.597 | -69680500.989 | -71937351.598 | 11916.010 | -37868.028 | -55199.991 |
| -72412623.017 | -71054949.972 | -71553722.012 | 246713.199 | -86981.961 | -187493.322 |
| -0.000 | -0.000 | -0.000 | 81.606 | -0.000 | -0.000 |
| -0.000 | -0.000 | -0.000 | 0.000 | 81.606 | 0.000 |
| -0.000 | -0.000 | -0.000 | 0.000 | 0.000 | 81.606 |
| 7363356.810 | 6538391.329 | 6793675.184 | -1067.347 | 14146.219 | -3367.725 |
| 6844457.919 | 7377452.300 | 6536338.687 | 2785.630 | -24390.240 | 5872.722 |
| 6429127.015 | 7032875.030 | 7356159.273 | -1245.986 | -25461.277 | -24104.872 |
| 0.001 | 0.002 | 0.002 | 81.606 | 0.000 | 0.000 |
| 0.002 | 0.001 | 0.002 | -0.000 | 81.606 | 0.000 |
| 0.002 | 0.002 | 0.001 | -0.000 | -0.000 | 81.606 |
| -7118915.313 | -6981467.153 | -7119772.329 | 21793.255 | -15990.650 | 19168.340 |
| -7158437.313 | -7191629.091 | -6954770.233 | 7060.725 | 1636.428 | -1529.675 |
| -7014579.126 | -7215597.329 | -7074502.682 | 20978.155 | -1151.460 | 11210.966 |
| -0.001 | -0.002 | -0.002 | 81.606 | -0.000 | 0.000 |
| -0.002 | -0.001 | -0.002 | 0.000 | 81.606 | -0.000 |
| -0.002 | -0.002 | -0.001 | 0.000 | -0.000 | 81.606 |
| 11.143 | 0.000 | 0.000 | -0.000 | -0.000 | 0.000 |
| 0.000 | 11.143 | 0.000 | 0.000 | -0.000 | 0.000 |
| 0.000 | 0.000 | 11.143 | 0.000 | -0.000 | 0.000 |
| 0.000 | -0.000 | -0.000 | 0.000 | -0.000 | 0.000 |
| 0.000 | 0.000 | -0.000 | 0.000 | 0.000 | 0.000 |
| -0.000 | -0.000 | 0.000 | 0.000 | -0.000 | 0.000 |
| 11.143 | 0.000 | 0.000 | -0.000 | 0.000 | -0.000 |
| 0.000 | 11.143 | 0.000 | -0.000 | 0.000 | 0.000 |
| 0.000 | 0.000 | 11.143 | -0.000 | -0.000 | -0.000 |
| -0.000 | 0.000 | 0.000 | 0.000 | 0.000 | -0.000 |
| 0.000 | -0.000 | 0.000 | -0.000 | 0.000 | -0.000 |
| 0.000 | 0.000 | -0.000 | -0.000 | 0.000 | 0.000 |
| 11.143 | 0.000 | 0.000 | 0.000 | -0.000 | 0.000 |
| 0.000 | 11.143 | 0.000 | 0.000 | -0.000 | -0.000 |
| 0.000 | 0.000 | 11.143 | 0.000 | -0.000 | 0.000 |
| 0.000 | 0.000 | -0.000 | 0.000 | 0.000 | 0.000 |
| 0.000 | 0.000 | -0.000 | -0.000 | 0.000 | 0.000 |
| 0.000 | -0.000 | 0.000 | 0.000 | -0.000 | 0.000 |
| 11.144 | -0.000 | -0.000 | -0.000 | 0.000 | -0.000 |
| -0.000 | 11.144 | -0.000 | -0.000 | 0.000 | 0.000 |
| -0.000 | -0.000 | 11.144 | 0.000 | 0.000 | -0.000 |
| -0.000 | -0.000 | 0.000 | 0.000 | -0.000 | -0.000 |
| -0.000 | -0.000 | 0.000 | 0.000 | 0.000 | -0.000 |
| -0.000 | 0.000 | -0.000 | -0.000 | 0.000 | 0.000 |
| 11.140 | 0.000 | 0.000 | 0.000 | -0.000 | 0.000 |
| 0.000 | 11.140 | 0.000 | 0.000 | -0.000 | -0.000 |
| 0.000 | 0.000 | 11.140 | -0.000 | -0.000 | 0.000 |
| 0.000 | -0.000 | -0.000 | 0.000 | 0.000 | 0.000 |
| -0.000 | 0.000 | -0.000 | -0.000 | 0.000 | 0.000 |
| -0.000 | -0.000 | 0.000 | 0.000 | -0.000 | 0.000 |
| 11.147 | -0.000 | -0.000 | -0.000 | 0.000 | -0.000 |
| -0.000 | 11.147 | -0.000 | -0.000 | 0.000 | -0.000 |
| -0.000 | -0.000 | 11.147 | -0.000 | -0.000 | -0.000 |
| -0.000 | -0.000 | 0.000 | 0.000 | -0.000 | -0.000 |
| -0.000 | -0.000 | 0.000 | 0.000 | 0.000 | -0.000 |
| -0.000 | 0.000 | -0.000 | -0.000 | 0.000 | 0.000 |
| 206.393 | 221.732 | 221.732 | -0.000 | -0.000 | -0.000 |
| 221.732 | 206.393 | 221.732 | -0.000 | -0.000 | -0.000 |
| 221.732 | 221.732 | 206.393 | -0.000 | -0.000 | -0.000 |
| 0.000 | 0.000 | 0.000 | 167.020 | -0.000 | -0.000 |
| 0.000 | 0.000 | 0.000 | -0.000 | 167.020 | -0.000 |
| 0.000 | 0.000 | 0.000 | -0.000 | 0.000 | 167.020 |
| 206.393 | 221.732 | 221.732 | 0.000 | 0.000 | 0.000 |
| 221.732 | 206.393 | 221.732 | 0.000 | 0.000 | 0.000 |
| 221.732 | 221.732 | 206.393 | 0.000 | 0.000 | 0.000 |
| -0.000 | -0.000 | -0.000 | 167.020 | 0.000 | 0.000 |
| -0.000 | -0.000 | -0.000 | 0.000 | 167.020 | 0.000 |
| -0.000 | -0.000 | -0.000 | 0.000 | -0.000 | 167.020 |
| 206.393 | 221.732 | 221.732 | -0.000 | 0.000 | -0.000 |
| 221.732 | 206.393 | 221.732 | -0.000 | -0.000 | -0.000 |
| 221.732 | 221.732 | 206.393 | -0.000 | -0.000 | -0.000 |
| 0.000 | 0.000 | 0.000 | 167.020 | -0.000 | -0.000 |
| 0.000 | 0.000 | 0.000 | -0.000 | 167.020 | -0.000 |
| 0.000 | 0.000 | 0.000 | -0.000 | 0.000 | 167.020 |
| 206.393 | 221.732 | 221.732 | 0.000 | 0.000 | 0.000 |
| 221.732 | 206.393 | 221.732 | 0.000 | 0.000 | 0.000 |
| 221.732 | 221.732 | 206.393 | 0.000 | 0.000 | 0.000 |
| -0.000 | -0.000 | -0.000 | 167.020 | 0.000 | 0.000 |
| -0.000 | -0.000 | -0.000 | 0.000 | 167.020 | 0.000 |
| -0.000 | -0.000 | -0.000 | 0.000 | 0.000 | 167.020 |
| 206.393 | 221.733 | 221.733 | -0.000 | -0.000 | -0.000 |
| 221.733 | 206.393 | 221.733 | -0.000 | -0.000 | -0.000 |
| 221.733 | 221.733 | 206.393 | -0.000 | 0.000 | -0.000 |
| 0.001 | 0.001 | 0.001 | 167.344 | 0.000 | -0.000 |
| 0.001 | 0.001 | 0.001 | -0.000 | 167.344 | -0.000 |
| 0.001 | 0.001 | 0.001 | -0.000 | 0.000 | 167.344 |
| 206.394 | 221.732 | 221.732 | 0.000 | 0.000 | 0.000 |
| 221.732 | 206.394 | 221.732 | 0.000 | -0.000 | 0.000 |
| 221.732 | 221.732 | 206.394 | 0.000 | -0.000 | 0.000 |
| -0.001 | -0.001 | -0.001 | 167.344 | -0.000 | 0.000 |
| -0.001 | -0.001 | -0.001 | 0.000 | 167.344 | 0.000 |
| -0.001 | -0.001 | -0.001 | 0.000 | 0.000 | 167.344 |
| 3.704 | 3.704 | 3.704 | 0.000 | 0.000 | -0.000 |
| 3.704 | 3.704 | 3.704 | 0.000 | 0.000 | -0.000 |
| 3.704 | 3.704 | 3.704 | -0.000 | -0.000 | -0.000 |
| 0.000 | 0.000 | 0.000 | 3.701 | 0.000 | -0.000 |
| 0.000 | 0.000 | 0.000 | 0.000 | 3.701 | -0.000 |
| 0.000 | 0.000 | 0.000 | 0.000 | 0.000 | 3.701 |
| 3.704 | 3.704 | 3.704 | -0.000 | -0.000 | 0.000 |
| 3.704 | 3.704 | 3.704 | -0.000 | -0.000 | 0.000 |
| 3.704 | 3.704 | 3.704 | -0.000 | -0.000 | 0.000 |
| -0.000 | -0.000 | -0.000 | 3.701 | -0.000 | 0.000 |
| -0.000 | -0.000 | -0.000 | -0.000 | 3.701 | 0.000 |
| -0.000 | -0.000 | -0.000 | -0.000 | -0.000 | 3.701 |
| 3.704 | 3.704 | 3.704 | -0.000 | 0.000 | -0.000 |
| 3.704 | 3.704 | 3.704 | 0.000 | -0.000 | -0.000 |
| 3.704 | 3.704 | 3.704 | -0.000 | -0.000 | 0.000 |
| 0.000 | 0.000 | 0.000 | 3.309 | 0.000 | -0.000 |
| 0.000 | 0.000 | 0.000 | -0.000 | 3.309 | -0.000 |
| 0.000 | 0.000 | 0.000 | -0.000 | 0.000 | 3.155 |
| 3.704 | 3.704 | 3.704 | -0.000 | -0.000 | 0.000 |
| 3.704 | 3.704 | 3.704 | -0.000 | -0.000 | 0.000 |
| 3.704 | 3.704 | 3.704 | -0.000 | -0.000 | 0.000 |
| -0.000 | -0.000 | -0.000 | 3.309 | 0.000 | 0.000 |
| -0.000 | -0.000 | -0.000 | 0.000 | 3.309 | 0.000 |
| -0.000 | -0.000 | -0.000 | -0.000 | 0.000 | 3.155 |
| 3.704 | 3.704 | 3.704 | 0.000 | 0.000 | 0.000 |
| 3.704 | 3.704 | 3.704 | 0.000 | 0.000 | 0.000 |
| 3.704 | 3.704 | 3.704 | 0.000 | 0.000 | -0.000 |
| 0.000 | 0.000 | 0.000 | 3.095 | -0.000 | -0.000 |
| 0.000 | 0.000 | 0.000 | -0.000 | 3.095 | -0.000 |
| 0.000 | 0.000 | 0.000 | -0.000 | 0.000 | 3.095 |
| 3.703 | 3.703 | 3.703 | -0.000 | -0.000 | 0.000 |
| 3.703 | 3.703 | 3.703 | -0.000 | -0.000 | 0.000 |
| 3.703 | 3.703 | 3.703 | -0.000 | -0.000 | 0.000 |
| -0.000 | -0.000 | -0.000 | 3.095 | 0.000 | 0.000 |
| -0.000 | -0.000 | -0.000 | 0.000 | 3.095 | -0.000 |
| -0.000 | -0.000 | -0.000 | 0.000 | -0.000 | 3.095 |
| 171.509 | 140.845 | 140.845 | -0.000 | 0.000 | 0.000 |
| 140.845 | 171.509 | 140.845 | -0.000 | 0.000 | 0.000 |
| 140.845 | 140.845 | 171.509 | -0.000 | 0.000 | -0.000 |
| -0.000 | 0.000 | 0.000 | 81.220 | -0.000 | 0.000 |
| 0.000 | -0.000 | 0.000 | 0.000 | 81.220 | 0.000 |
| 0.000 | 0.000 | 0.000 | 0.000 | 0.000 | 81.220 |
| 171.509 | 140.845 | 140.845 | 0.000 | -0.000 | -0.000 |
| 140.845 | 171.509 | 140.845 | -0.000 | -0.000 | -0.000 |
| 140.845 | 140.845 | 171.509 | 0.000 | -0.000 | -0.000 |
| -0.000 | -0.000 | -0.000 | 81.220 | 0.000 | -0.000 |
| -0.000 | 0.000 | -0.000 | -0.000 | 81.220 | -0.000 |
| -0.000 | -0.000 | 0.000 | -0.000 | -0.000 | 81.220 |
| 171.509 | 140.845 | 140.845 | 0.000 | 0.000 | -0.000 |
| 140.845 | 171.509 | 140.845 | 0.000 | 0.000 | 0.000 |
| 140.845 | 140.845 | 171.509 | -0.000 | 0.000 | 0.000 |
| -0.000 | 0.000 | 0.000 | 81.220 | -0.000 | 0.000 |
| 0.000 | -0.000 | 0.000 | -0.000 | 81.220 | 0.000 |
| 0.000 | 0.000 | -0.000 | 0.000 | 0.000 | 81.220 |
| 171.509 | 140.845 | 140.845 | 0.000 | -0.000 | -0.000 |
| 140.845 | 171.509 | 140.845 | 0.000 | -0.000 | -0.000 |
| 140.845 | 140.845 | 171.509 | -0.000 | -0.000 | -0.000 |
| 0.000 | -0.000 | -0.000 | 81.220 | 0.000 | -0.000 |
| -0.000 | 0.000 | -0.000 | 0.000 | 81.220 | -0.000 |
| -0.000 | -0.000 | 0.000 | -0.000 | -0.000 | 81.220 |
| 171.512 | 140.846 | 140.846 | -0.000 | 0.000 | 0.000 |
| 140.846 | 171.512 | 140.846 | -0.000 | 0.000 | 0.000 |
| 140.846 | 140.846 | 171.512 | -0.000 | 0.000 | 0.000 |
| -0.000 | 0.000 | 0.000 | 81.220 | 0.000 | 0.000 |
| 0.000 | -0.000 | 0.000 | -0.000 | 81.220 | 0.000 |
| 0.000 | 0.000 | -0.000 | -0.000 | 0.000 | 81.220 |
| 171.506 | 140.845 | 140.845 | 0.000 | -0.000 | -0.000 |
| 140.845 | 171.506 | 140.845 | 0.000 | -0.000 | 0.000 |
| 140.845 | 140.845 | 171.506 | 0.000 | -0.000 | -0.000 |
| 0.000 | -0.000 | -0.000 | 81.220 | -0.000 | 0.000 |
| -0.000 | 0.000 | -0.000 | -0.000 | 81.220 | -0.000 |
| -0.000 | -0.000 | 0.000 | -0.000 | -0.000 | 81.220 |
| 300.637 | 302.366 | 302.366 | 0.000 | 0.000 | -0.000 |
| 302.366 | 300.637 | 302.366 | 0.000 | 0.000 | -0.000 |
| 302.366 | 302.366 | 300.637 | 0.000 | 0.000 | -0.000 |
| -0.000 | -0.000 | -0.000 | 0.719 | 0.000 | -0.000 |
| -0.000 | -0.000 | -0.000 | 0.000 | 0.719 | -0.000 |
| -0.000 | -0.000 | -0.000 | 0.000 | 0.000 | 0.719 |
| 300.638 | 302.366 | 302.366 | -0.000 | -0.000 | 0.000 |
| 302.366 | 300.638 | 302.366 | -0.000 | -0.000 | 0.000 |
| 302.366 | 302.366 | 300.638 | -0.000 | -0.000 | 0.000 |
| 0.000 | 0.000 | 0.000 | 0.719 | -0.000 | -0.000 |
| 0.000 | 0.000 | 0.000 | -0.000 | 0.719 | 0.000 |
| 0.000 | 0.000 | 0.000 | -0.000 | -0.000 | 0.719 |
| 300.636 | 302.365 | 302.365 | 0.000 | -0.000 | -0.000 |
| 302.365 | 300.636 | 302.365 | 0.000 | 0.000 | -0.000 |
| 302.365 | 302.365 | 300.636 | 0.000 | 0.000 | -0.000 |
| -0.000 | -0.000 | -0.000 | 0.719 | 0.000 | -0.000 |
| -0.000 | -0.000 | -0.000 | 0.000 | 0.719 | -0.000 |
| -0.000 | -0.000 | -0.000 | 0.000 | 0.000 | 0.719 |
| 300.639 | 302.367 | 302.367 | -0.000 | -0.000 | 0.000 |
| 302.367 | 300.639 | 302.367 | -0.000 | -0.000 | 0.000 |
| 302.367 | 302.367 | 300.639 | -0.000 | -0.000 | 0.000 |
| 0.000 | 0.000 | 0.000 | 0.719 | -0.000 | 0.000 |
| 0.000 | 0.000 | 0.000 | -0.000 | 0.719 | 0.000 |
| 0.000 | 0.000 | 0.000 | -0.000 | -0.000 | 0.719 |
| 300.624 | 302.355 | 302.355 | 0.000 | 0.000 | -0.000 |
| 302.355 | 300.624 | 302.355 | 0.000 | 0.000 | -0.000 |
| 302.355 | 302.355 | 300.624 | 0.000 | 0.000 | -0.000 |
| -0.000 | -0.001 | -0.000 | 0.719 | 0.000 | -0.000 |
| -0.001 | -0.000 | -0.000 | 0.000 | 0.719 | -0.000 |
| -0.001 | -0.000 | -0.000 | 0.000 | 0.000 | 0.719 |
| 300.650 | 302.377 | 302.377 | -0.000 | -0.000 | 0.000 |
| 302.377 | 300.650 | 302.377 | -0.000 | -0.000 | 0.000 |
| 302.377 | 302.377 | 300.650 | 0.000 | -0.000 | 0.000 |
| 0.000 | 0.001 | 0.000 | 0.719 | 0.000 | -0.000 |
| 0.001 | 0.000 | 0.000 | -0.000 | 0.719 | 0.000 |
| 0.001 | 0.000 | 0.000 | -0.000 | -0.000 | 0.719 |
| 84.412 | 46.725 | 46.725 | 0.000 | 0.000 | 0.000 |
| 46.725 | 84.412 | 46.725 | 0.000 | 0.000 | 0.000 |
| 46.725 | 46.725 | 84.412 | 0.000 | 0.000 | 0.000 |
| 0.000 | -0.000 | -0.000 | 46.236 | 0.000 | 0.000 |
| -0.000 | 0.000 | -0.000 | 0.000 | 46.236 | 0.000 |
| -0.000 | -0.000 | 0.000 | 0.000 | 0.000 | 46.236 |
| 84.412 | 46.725 | 46.725 | -0.000 | -0.000 | -0.000 |
| 46.725 | 84.412 | 46.725 | -0.000 | -0.000 | -0.000 |
| 46.725 | 46.725 | 84.412 | -0.000 | -0.000 | -0.000 |
| -0.000 | 0.000 | 0.000 | 46.236 | -0.000 | -0.000 |
| 0.000 | -0.000 | 0.000 | -0.000 | 46.236 | -0.000 |
| 0.000 | 0.000 | -0.000 | -0.000 | -0.000 | 46.236 |
| 84.411 | 46.725 | 46.725 | 0.000 | 0.000 | 0.000 |
| 46.725 | 84.411 | 46.725 | 0.000 | 0.000 | 0.000 |
| 46.725 | 46.725 | 84.411 | 0.000 | 0.000 | 0.000 |
| -0.000 | -0.000 | -0.000 | 46.236 | 0.000 | -0.000 |
| -0.000 | -0.000 | -0.000 | 0.000 | 46.236 | 0.000 |
| -0.000 | -0.000 | -0.000 | 0.000 | 0.000 | 46.236 |
| 84.414 | 46.725 | 46.725 | -0.000 | -0.000 | -0.000 |
| 46.725 | 84.414 | 46.725 | -0.000 | -0.000 | -0.000 |
| 46.725 | 46.725 | 84.414 | -0.000 | -0.000 | -0.000 |
| 0.000 | 0.000 | 0.000 | 46.236 | -0.000 | 0.000 |
| 0.000 | 0.000 | 0.000 | -0.000 | 46.236 | -0.000 |
| 0.000 | 0.000 | 0.000 | -0.000 | -0.000 | 46.236 |
| 84.399 | 46.725 | 46.725 | 0.000 | 0.000 | 0.000 |
| 46.725 | 84.399 | 46.725 | 0.000 | 0.000 | 0.000 |
| 46.725 | 46.725 | 84.399 | 0.000 | 0.000 | 0.000 |
| -0.000 | -0.001 | -0.001 | 46.236 | 0.000 | 0.000 |
| -0.001 | -0.000 | -0.001 | 0.000 | 46.236 | 0.000 |
| -0.001 | -0.001 | -0.000 | 0.000 | 0.000 | 46.236 |
| 84.425 | 46.726 | 46.726 | -0.000 | -0.000 | -0.000 |
| 46.726 | 84.425 | 46.726 | -0.000 | -0.000 | -0.000 |
| 46.726 | 46.726 | 84.425 | -0.000 | -0.000 | 0.000 |
| 0.000 | 0.001 | 0.001 | 46.236 | -0.000 | -0.000 |
| 0.001 | 0.000 | 0.001 | -0.000 | 46.236 | 0.000 |
| 0.001 | 0.001 | 0.000 | -0.000 | -0.000 | 46.236 |
| 9.136 | 4.562 | 4.562 | 0.000 | 0.000 | 0.000 |
| 4.562 | 9.136 | 4.562 | 0.000 | 0.000 | 0.000 |
| 4.562 | 4.562 | 9.136 | 0.000 | 0.000 | 0.000 |
| 0.000 | 0.000 | 0.000 | 4.565 | 0.000 | 0.000 |
| 0.000 | 0.000 | 0.000 | 0.000 | 4.565 | 0.000 |
| 0.000 | 0.000 | 0.000 | 0.000 | 0.000 | 4.565 |
| 9.136 | 4.562 | 4.562 | -0.000 | -0.000 | -0.000 |
| 4.562 | 9.136 | 4.562 | -0.000 | 0.000 | -0.000 |
| 4.562 | 4.562 | 9.136 | -0.000 | -0.000 | -0.000 |
| -0.000 | -0.000 | -0.000 | 4.565 | -0.000 | -0.000 |
| -0.000 | -0.000 | -0.000 | -0.000 | 4.565 | -0.000 |
| -0.000 | -0.000 | -0.000 | -0.000 | -0.000 | 4.565 |
| 9.136 | 4.562 | 4.562 | 0.000 | 0.000 | 0.000 |
| 4.562 | 9.136 | 4.562 | 0.000 | 0.000 | 0.000 |
| 4.562 | 4.562 | 9.136 | 0.000 | 0.000 | 0.000 |
| -0.000 | 0.000 | 0.000 | 4.565 | 0.000 | 0.000 |
| 0.000 | -0.000 | 0.000 | 0.000 | 4.565 | 0.000 |
| 0.000 | 0.000 | -0.000 | 0.000 | 0.000 | 4.565 |
| 9.136 | 4.562 | 4.562 | -0.000 | -0.000 | -0.000 |
| 4.562 | 9.136 | 4.562 | -0.000 | -0.000 | -0.000 |
| 4.562 | 4.562 | 9.136 | -0.000 | -0.000 | -0.000 |
| 0.000 | -0.000 | -0.000 | 4.565 | -0.000 | -0.000 |
| -0.000 | 0.000 | -0.000 | -0.000 | 4.565 | -0.000 |
| -0.000 | -0.000 | 0.000 | -0.000 | -0.000 | 4.565 |
| 9.139 | 4.563 | 4.563 | 0.000 | -0.000 | 0.000 |
| 4.563 | 9.139 | 4.563 | 0.000 | 0.000 | -0.000 |
| 4.563 | 4.563 | 9.139 | 0.000 | 0.000 | 0.000 |
| -0.000 | 0.001 | 0.001 | 4.565 | 0.000 | 0.000 |
| 0.001 | -0.000 | 0.001 | 0.000 | 4.565 | 0.000 |
| 0.001 | 0.001 | -0.000 | 0.000 | -0.000 | 4.565 |
| 9.133 | 4.561 | 4.561 | -0.000 | -0.000 | -0.000 |
| 4.561 | 9.133 | 4.561 | 0.000 | -0.000 | -0.000 |
| 4.561 | 4.561 | 9.133 | -0.000 | -0.000 | -0.000 |
| 0.000 | -0.001 | -0.001 | 4.565 | -0.000 | 0.000 |
| -0.001 | 0.000 | -0.001 | -0.000 | 4.565 | -0.000 |
| -0.001 | -0.001 | 0.000 | -0.000 | -0.000 | 4.565 |
| 328.819 | 38.757 | 197.274 | 0.000 | 0.000 | 0.000 |
| 38.757 | 328.819 | 197.274 | 0.000 | 0.000 | 0.000 |
| 197.274 | 197.274 | 174.877 | 0.000 | 0.000 | 0.000 |
| 0.000 | 0.000 | 0.000 | 136.014 | 0.000 | 0.000 |
| 0.000 | 0.000 | 0.000 | 0.000 | 136.014 | 0.000 |
| 0.000 | 0.000 | 0.000 | 0.000 | 0.000 | -11.303 |
| 328.819 | 38.757 | 197.274 | -0.000 | 0.000 | -0.000 |
| 38.757 | 328.819 | 197.274 | -0.000 | -0.000 | -0.000 |
| 197.274 | 197.274 | 174.877 | -0.000 | -0.000 | -0.000 |
| -0.000 | -0.000 | -0.000 | 136.014 | -0.000 | -0.000 |
| -0.000 | -0.000 | -0.000 | -0.000 | 136.014 | -0.000 |
| -0.000 | -0.000 | -0.000 | -0.000 | -0.000 | -11.303 |
| 328.819 | 38.757 | 197.274 | 0.000 | 0.000 | -0.000 |
| 38.757 | 328.819 | 197.274 | 0.000 | 0.000 | 0.000 |
| 197.274 | 197.274 | 174.877 | 0.000 | 0.000 | 0.000 |
| -0.000 | 0.000 | 0.000 | 136.014 | -0.000 | 0.000 |
| 0.000 | -0.000 | 0.000 | 0.000 | 136.014 | 0.000 |
| 0.000 | 0.000 | -0.000 | 0.000 | 0.000 | -11.303 |
| 328.819 | 38.757 | 197.274 | -0.000 | -0.000 | -0.000 |
| 38.757 | 328.819 | 197.274 | -0.000 | -0.000 | -0.000 |
| 197.274 | 197.274 | 174.876 | -0.000 | 0.000 | -0.000 |
| 0.000 | -0.000 | -0.000 | 136.014 | -0.000 | 0.000 |
| -0.000 | 0.000 | -0.000 | -0.000 | 136.014 | -0.000 |
| -0.000 | -0.000 | 0.000 | -0.000 | -0.000 | -11.303 |
| 328.823 | 38.756 | 197.275 | 0.000 | 0.000 | -0.000 |
| 38.756 | 328.823 | 197.275 | 0.000 | 0.000 | 0.000 |
| 197.274 | 197.274 | 174.877 | 0.000 | -0.000 | 0.000 |
| -0.000 | 0.002 | 0.001 | 136.014 | 0.000 | -0.000 |
| 0.002 | -0.000 | 0.001 | -0.000 | 136.014 | 0.000 |
| 0.000 | 0.000 | -0.000 | 0.000 | 0.000 | -11.303 |
| 328.815 | 38.757 | 197.272 | -0.000 | -0.000 | -0.000 |
| 38.757 | 328.815 | 197.272 | -0.000 | -0.000 | -0.000 |
| 197.273 | 197.273 | 174.876 | -0.000 | -0.000 | -0.000 |
| 0.000 | -0.002 | -0.001 | 136.014 | -0.000 | -0.000 |
| -0.002 | 0.000 | -0.001 | 0.000 | 136.014 | -0.000 |
| -0.000 | -0.000 | 0.000 | -0.000 | -0.000 | -11.303 |
| 326.108 | 42.428 | 168.982 | -0.000 | 0.000 | -0.000 |
| 42.428 | 326.108 | 168.982 | 0.000 | -0.000 | -0.000 |
| 168.982 | 168.982 | 245.860 | -0.000 | 0.000 | -0.000 |
| -0.000 | 0.000 | 0.000 | 101.743 | -0.000 | -0.000 |
| 0.000 | 0.000 | 0.000 | 0.000 | 101.743 | -0.000 |
| 0.000 | 0.000 | 0.000 | 0.000 | 0.000 | -31.558 |
| 326.108 | 42.428 | 168.982 | 0.000 | 0.000 | 0.000 |
| 42.428 | 326.108 | 168.982 | 0.000 | 0.000 | 0.000 |
| 168.982 | 168.982 | 245.860 | 0.000 | 0.000 | 0.000 |
| -0.000 | -0.000 | -0.000 | 101.743 | 0.000 | 0.000 |
| -0.000 | -0.000 | -0.000 | 0.000 | 101.743 | 0.000 |
| -0.000 | -0.000 | -0.000 | 0.000 | 0.000 | -31.558 |
| 326.109 | 42.428 | 168.983 | 0.000 | -0.000 | -0.000 |
| 42.428 | 326.109 | 168.983 | -0.000 | 0.000 | -0.000 |
| 168.983 | 168.983 | 245.861 | -0.000 | 0.000 | -0.000 |
| -0.000 | 0.000 | 0.000 | 101.743 | -0.000 | -0.000 |
| 0.000 | -0.000 | 0.000 | -0.000 | 101.743 | -0.000 |
| 0.000 | 0.000 | -0.000 | -0.000 | -0.000 | -31.558 |
| 326.108 | 42.428 | 168.982 | 0.000 | 0.000 | 0.000 |
| 42.428 | 326.108 | 168.982 | -0.000 | 0.000 | 0.000 |
| 168.982 | 168.982 | 245.860 | 0.000 | 0.000 | 0.000 |
| 0.000 | -0.000 | -0.000 | 101.743 | 0.000 | 0.000 |
| -0.000 | 0.000 | -0.000 | 0.000 | 101.743 | 0.000 |
| -0.000 | -0.000 | 0.000 | 0.000 | -0.000 | -31.558 |
| 326.114 | 42.428 | 168.985 | -0.000 | -0.000 | -0.000 |
| 42.428 | 326.114 | 168.985 | -0.000 | -0.000 | -0.000 |
| 168.983 | 168.983 | 245.862 | -0.000 | -0.000 | -0.000 |
| -0.000 | 0.002 | 0.001 | 101.743 | -0.000 | -0.000 |
| 0.002 | -0.000 | 0.001 | -0.000 | 101.743 | -0.000 |
| 0.000 | 0.000 | -0.000 | -0.000 | 0.000 | -31.558 |
| 326.103 | 42.429 | 168.980 | 0.000 | 0.000 | 0.000 |
| 42.429 | 326.103 | 168.980 | 0.000 | -0.000 | 0.000 |
| 168.981 | 168.981 | 245.859 | 0.000 | 0.000 | 0.000 |
| 0.000 | -0.002 | -0.001 | 101.743 | -0.000 | 0.000 |
| -0.002 | 0.000 | -0.001 | 0.000 | 101.743 | 0.000 |
| -0.000 | -0.000 | 0.000 | 0.000 | 0.000 | -31.558 |
| 168.479 | 182.264 | 182.264 | -0.000 | -0.000 | -0.000 |
| 182.264 | 168.479 | 182.264 | -0.000 | -0.000 | -0.000 |
| 182.264 | 182.264 | 168.479 | -0.000 | -0.000 | -0.000 |
| 0.000 | 0.000 | 0.000 | 141.173 | -0.000 | -0.000 |
| 0.000 | 0.000 | 0.000 | -0.000 | 141.173 | -0.000 |
| 0.000 | 0.000 | 0.000 | -0.000 | -0.000 | 141.173 |
| 168.479 | 182.264 | 182.264 | 0.000 | 0.000 | 0.000 |
| 182.264 | 168.479 | 182.264 | 0.000 | 0.000 | 0.000 |
| 182.264 | 182.264 | 168.479 | -0.000 | -0.000 | 0.000 |
| -0.000 | -0.000 | -0.000 | 141.173 | 0.000 | 0.000 |
| -0.000 | -0.000 | -0.000 | 0.000 | 141.173 | 0.000 |
| -0.000 | -0.000 | -0.000 | 0.000 | 0.000 | 141.173 |
| 168.479 | 182.264 | 182.264 | -0.000 | -0.000 | -0.000 |
| 182.264 | 168.479 | 182.264 | -0.000 | -0.000 | -0.000 |
| 182.264 | 182.264 | 168.479 | -0.000 | -0.000 | -0.000 |
| 0.000 | 0.000 | 0.000 | 141.173 | -0.000 | -0.000 |
| 0.000 | 0.000 | 0.000 | -0.000 | 141.173 | -0.000 |
| 0.000 | 0.000 | 0.000 | -0.000 | -0.000 | 141.173 |
| 168.479 | 182.264 | 182.264 | 0.000 | -0.000 | 0.000 |
| 182.264 | 168.479 | 182.264 | 0.000 | 0.000 | 0.000 |
| 182.264 | 182.264 | 168.479 | 0.000 | 0.000 | 0.000 |
| -0.000 | -0.000 | -0.000 | 141.173 | 0.000 | 0.000 |
| -0.000 | -0.000 | -0.000 | 0.000 | 141.173 | 0.000 |
| -0.000 | -0.000 | -0.000 | 0.000 | 0.000 | 141.173 |
| 168.480 | 182.265 | 182.265 | -0.000 | -0.000 | -0.000 |
| 182.265 | 168.480 | 182.265 | -0.000 | -0.000 | -0.000 |
| 182.265 | 182.265 | 168.480 | -0.000 | -0.000 | -0.000 |
| 0.001 | 0.001 | 0.001 | 141.173 | -0.000 | -0.000 |
| 0.001 | 0.001 | 0.001 | -0.000 | 141.173 | -0.000 |
| 0.001 | 0.001 | 0.001 | -0.000 | -0.000 | 141.173 |
| 168.478 | 182.263 | 182.263 | 0.000 | 0.000 | 0.000 |
| 182.263 | 168.478 | 182.263 | 0.000 | 0.000 | 0.000 |
| 182.263 | 182.263 | 168.478 | 0.000 | -0.000 | 0.000 |
| -0.001 | -0.001 | -0.001 | 141.173 | 0.000 | 0.000 |
| -0.001 | -0.001 | -0.001 | 0.000 | 141.173 | 0.000 |
| -0.001 | -0.001 | -0.001 | 0.000 | 0.000 | 141.173 |
| 105.206 | 170.905 | 170.905 | -0.000 | -0.000 | 0.000 |
| 170.905 | 105.206 | 170.905 | -0.000 | 0.000 | 0.000 |
| 170.905 | 170.905 | 105.206 | -0.000 | -0.000 | 0.000 |
| 0.000 | -0.000 | -0.000 | 146.153 | 0.000 | 0.000 |
| -0.000 | -0.000 | -0.000 | -0.000 | 146.153 | 0.000 |
| -0.000 | -0.000 | -0.000 | -0.000 | -0.000 | 146.153 |
| 105.206 | 170.905 | 170.905 | 0.000 | 0.000 | -0.000 |
| 170.905 | 105.206 | 170.905 | 0.000 | 0.000 | -0.000 |
| 170.905 | 170.905 | 105.206 | 0.000 | 0.000 | -0.000 |
| -0.000 | 0.000 | 0.000 | 146.153 | -0.000 | 0.000 |
| 0.000 | 0.000 | 0.000 | 0.000 | 146.153 | -0.000 |
| 0.000 | 0.000 | 0.000 | 0.000 | 0.000 | 146.153 |
| 105.206 | 170.905 | 170.905 | -0.000 | -0.000 | 0.000 |
| 170.905 | 105.206 | 170.905 | -0.000 | 0.000 | 0.000 |
| 170.905 | 170.905 | 105.206 | -0.000 | -0.000 | 0.000 |
| 0.000 | 0.000 | 0.000 | 146.532 | -0.000 | 0.000 |
| 0.000 | 0.000 | 0.000 | -0.000 | 146.532 | 0.000 |
| 0.000 | 0.000 | 0.000 | -0.000 | -0.000 | 146.532 |
| 105.206 | 170.905 | 170.905 | 0.000 | 0.000 | -0.000 |
| 170.905 | 105.206 | 170.905 | 0.000 | 0.000 | -0.000 |
| 170.905 | 170.905 | 105.206 | 0.000 | -0.000 | -0.000 |
| -0.000 | -0.000 | -0.000 | 146.532 | -0.000 | -0.000 |
| -0.000 | -0.000 | -0.000 | 0.000 | 146.532 | -0.000 |
| -0.000 | -0.000 | -0.000 | 0.000 | 0.000 | 146.532 |
| 105.206 | 170.905 | 170.905 | -0.000 | -0.000 | 0.000 |
| 170.905 | 105.206 | 170.905 | -0.000 | -0.000 | 0.000 |
| 170.905 | 170.905 | 105.206 | -0.000 | -0.000 | 0.000 |
| 0.001 | 0.000 | 0.001 | 146.153 | -0.000 | 0.000 |
| 0.000 | 0.001 | 0.001 | -0.000 | 146.153 | 0.000 |
| 0.000 | 0.001 | 0.001 | -0.000 | -0.000 | 146.153 |
| 105.206 | 170.905 | 170.905 | 0.000 | 0.000 | -0.000 |
| 170.905 | 105.206 | 170.905 | 0.000 | 0.000 | -0.000 |
| 170.905 | 170.905 | 105.206 | 0.000 | 0.000 | 0.000 |
| -0.001 | -0.000 | -0.001 | 146.153 | 0.000 | -0.000 |
| -0.000 | -0.001 | -0.001 | 0.000 | 146.153 | -0.000 |
| -0.000 | -0.001 | -0.001 | 0.000 | 0.000 | 146.153 |
| 134.076 | 7.861 | 7.861 | -0.000 | -0.000 | -0.000 |
| 7.861 | 134.076 | 7.861 | -0.000 | -0.000 | -0.000 |
| 7.861 | 7.861 | 134.076 | -0.000 | -0.000 | -0.000 |
| 0.000 | -0.000 | -0.000 | -3.840 | -0.000 | -0.000 |
| -0.000 | 0.000 | -0.000 | -0.000 | -3.840 | -0.000 |
| -0.000 | -0.000 | -0.000 | -0.000 | -0.000 | -3.840 |
| 134.075 | 7.861 | 7.861 | 0.000 | 0.000 | 0.000 |
| 7.861 | 134.075 | 7.861 | 0.000 | 0.000 | 0.000 |
| 7.861 | 7.861 | 134.075 | -0.000 | -0.000 | 0.000 |
| -0.000 | 0.000 | 0.000 | -3.840 | 0.000 | 0.000 |
| -0.000 | -0.000 | 0.000 | 0.000 | -3.840 | 0.000 |
| -0.000 | 0.000 | 0.000 | 0.000 | 0.000 | -3.840 |
| 134.077 | 7.861 | 7.861 | -0.000 | -0.000 | -0.000 |
| 7.861 | 134.077 | 7.861 | -0.000 | -0.000 | -0.000 |
| 7.861 | 7.861 | 134.077 | 0.000 | 0.000 | -0.000 |
| 0.000 | -0.000 | -0.000 | -4.325 | -0.000 | -0.000 |
| -0.000 | 0.000 | -0.000 | -0.000 | -4.325 | -0.000 |
| -0.000 | -0.000 | 0.000 | -0.000 | -0.000 | -4.325 |
| 134.074 | 7.861 | 7.861 | 0.000 | 0.000 | 0.000 |
| 7.861 | 134.074 | 7.861 | 0.000 | 0.000 | 0.000 |
| 7.861 | 7.861 | 134.074 | 0.000 | 0.000 | 0.000 |
| -0.000 | 0.000 | 0.000 | -4.325 | 0.000 | 0.000 |
| 0.000 | -0.000 | 0.000 | 0.000 | -4.325 | 0.000 |
| 0.000 | 0.000 | -0.000 | 0.000 | 0.000 | -4.325 |
| 134.086 | 7.861 | 7.861 | -0.000 | -0.000 | -0.000 |
| 7.861 | 134.086 | 7.861 | -0.000 | -0.000 | -0.000 |
| 7.861 | 7.861 | 134.086 | -0.000 | -0.000 | -0.000 |
| 0.000 | -0.000 | -0.000 | -3.840 | -0.000 | -0.000 |
| -0.000 | 0.000 | -0.000 | -0.000 | -3.840 | -0.000 |
| -0.000 | -0.000 | 0.000 | -0.000 | -0.000 | -3.840 |
| 134.065 | 7.860 | 7.860 | -0.000 | 0.000 | 0.000 |
| 7.860 | 134.065 | 7.860 | 0.000 | 0.000 | 0.000 |
| 7.860 | 7.860 | 134.065 | 0.000 | 0.000 | 0.000 |
| -0.000 | 0.000 | 0.000 | -3.840 | 0.000 | 0.000 |
| 0.000 | -0.000 | 0.000 | 0.000 | -3.840 | 0.000 |
| 0.000 | 0.000 | -0.000 | 0.000 | 0.000 | -3.840 |
| 1.818 | 1.818 | 1.818 | -0.000 | -0.000 | -0.000 |
| 1.818 | 1.818 | 1.818 | -0.000 | -0.000 | -0.000 |
| 1.818 | 1.818 | 1.818 | -0.000 | -0.000 | -0.000 |
| -0.000 | -0.000 | -0.000 | 2.000 | -0.000 | 0.000 |
| -0.000 | -0.000 | -0.000 | -0.000 | 2.000 | 0.000 |
| -0.000 | -0.000 | -0.000 | -0.000 | -0.000 | 2.000 |
| 1.818 | 1.818 | 1.818 | 0.000 | -0.000 | -0.000 |
| 1.818 | 1.818 | 1.818 | -0.000 | 0.000 | -0.000 |
| 1.818 | 1.818 | 1.818 | -0.000 | -0.000 | -0.000 |
| 0.000 | 0.000 | 0.000 | 2.000 | 0.000 | -0.000 |
| 0.000 | 0.000 | 0.000 | 0.000 | 2.000 | -0.000 |
| 0.000 | 0.000 | 0.000 | -0.000 | -0.000 | 2.000 |
| 1.818 | 1.818 | 1.818 | -0.000 | -0.000 | 0.000 |
| 1.818 | 1.818 | 1.818 | -0.000 | -0.000 | 0.000 |
| 1.818 | 1.818 | 1.818 | -0.000 | -0.000 | -0.000 |
| -0.000 | -0.000 | -0.000 | 1.480 | -0.000 | -0.000 |
| -0.000 | -0.000 | -0.000 | -0.000 | 1.480 | -0.000 |
| -0.000 | -0.000 | -0.000 | -0.000 | -0.000 | 1.480 |
| 1.818 | 1.818 | 1.818 | -0.000 | 0.000 | 0.000 |
| 1.818 | 1.818 | 1.818 | 0.000 | -0.000 | 0.000 |
| 1.818 | 1.818 | 1.818 | 0.000 | 0.000 | -0.000 |
| 0.000 | 0.000 | 0.000 | 1.480 | 0.000 | -0.000 |
| 0.000 | 0.000 | 0.000 | 0.000 | 1.480 | -0.000 |
| 0.000 | 0.000 | 0.000 | 0.000 | 0.000 | 1.480 |
| 1.818 | 1.818 | 1.818 | -0.000 | 0.000 | -0.000 |
| 1.818 | 1.818 | 1.818 | 0.000 | -0.000 | -0.000 |
| 1.818 | 1.818 | 1.818 | -0.000 | -0.000 | -0.000 |
| 0.000 | 0.000 | 0.000 | 0.555 | -0.000 | 0.000 |
| 0.000 | 0.000 | 0.000 | -0.000 | 0.555 | 0.000 |
| 0.000 | 0.000 | 0.000 | -0.000 | 0.000 | 0.555 |
| 1.818 | 1.818 | 1.818 | 0.000 | -0.000 | -0.000 |
| 1.818 | 1.818 | 1.818 | -0.000 | 0.000 | -0.000 |
| 1.818 | 1.818 | 1.818 | 0.000 | 0.000 | 0.000 |
| -0.000 | -0.000 | -0.000 | 0.555 | 0.000 | 0.000 |
| -0.000 | -0.000 | -0.000 | 0.000 | 0.555 | 0.000 |
| -0.000 | -0.000 | -0.000 | 0.000 | 0.000 | 0.555 |
| 805.408 | 14.966 | 14.966 | -0.000 | -0.000 | -0.000 |
| 14.966 | 805.408 | 14.966 | -0.000 | -0.000 | -0.000 |
| 14.966 | 14.966 | 805.408 | -0.000 | -0.000 | -0.000 |
| 0.000 | 0.000 | 0.000 | -11.307 | -0.000 | -0.000 |
| -0.000 | -0.000 | 0.000 | 0.000 | -11.307 | -0.000 |
| 0.000 | -0.000 | 0.000 | -0.000 | -0.000 | -11.307 |
| 805.408 | 14.966 | 14.966 | -0.000 | 0.000 | 0.000 |
| 14.966 | 805.408 | 14.966 | -0.000 | 0.000 | 0.000 |
| 14.966 | 14.966 | 805.408 | -0.000 | 0.000 | 0.000 |
| -0.000 | 0.000 | -0.000 | -11.307 | 0.000 | -0.000 |
| 0.000 | 0.000 | -0.000 | -0.000 | -11.307 | 0.000 |
| 0.000 | 0.000 | 0.000 | 0.000 | 0.000 | -11.307 |
| 805.409 | 14.966 | 14.966 | 0.000 | -0.000 | -0.000 |
| 14.966 | 805.409 | 14.966 | -0.000 | -0.000 | 0.000 |
| 14.966 | 14.966 | 805.409 | 0.000 | -0.000 | 0.000 |
| -0.000 | -0.000 | -0.000 | -11.307 | -0.000 | -0.000 |
| -0.000 | -0.000 | -0.000 | -0.000 | -11.307 | -0.000 |
| -0.000 | -0.000 | -0.000 | -0.000 | -0.000 | -11.307 |
| 805.408 | 14.966 | 14.966 | -0.000 | 0.000 | 0.000 |
| 14.966 | 805.408 | 14.966 | -0.000 | 0.000 | 0.000 |
| 14.966 | 14.966 | 805.408 | -0.000 | 0.000 | 0.000 |
| 0.000 | 0.000 | 0.000 | -11.307 | 0.000 | 0.000 |
| 0.000 | 0.000 | 0.000 | -0.000 | -11.307 | 0.000 |
| 0.000 | 0.000 | 0.000 | 0.000 | 0.000 | -11.307 |
| 805.414 | 14.966 | 14.966 | -0.000 | -0.000 | -0.000 |
| 14.966 | 805.414 | 14.966 | -0.000 | -0.000 | 0.000 |
| 14.966 | 14.966 | 805.414 | 0.000 | -0.000 | -0.000 |
| -0.000 | -0.000 | -0.001 | -11.307 | -0.000 | -0.000 |
| -0.000 | -0.000 | -0.001 | 0.000 | -11.307 | -0.000 |
| -0.000 | -0.001 | -0.000 | -0.000 | -0.000 | -11.307 |
| 805.402 | 14.966 | 14.966 | -0.000 | 0.000 | 0.000 |
| 14.966 | 805.402 | 14.966 | 0.000 | 0.000 | 0.000 |
| 14.966 | 14.966 | 805.402 | -0.000 | 0.000 | -0.000 |
| 0.000 | 0.000 | 0.001 | -11.307 | 0.000 | 0.000 |
| 0.000 | 0.000 | 0.001 | 0.000 | -11.307 | 0.000 |
| 0.000 | 0.001 | 0.000 | 0.000 | 0.000 | -11.307 |
| 48.036 | 157.304 | 157.304 | -0.000 | 0.000 | -0.000 |
| 157.304 | 48.036 | 157.304 | -0.000 | -0.000 | -0.000 |
| 157.304 | 157.304 | 48.036 | -0.000 | 0.000 | -0.000 |
| -0.000 | -0.000 | -0.000 | 78.154 | 0.000 | -0.000 |
| -0.000 | -0.000 | -0.000 | 0.000 | 78.154 | 0.000 |
| -0.000 | -0.000 | -0.000 | -0.000 | -0.000 | 78.154 |
| 48.036 | 157.304 | 157.304 | 0.000 | 0.000 | 0.000 |
| 157.304 | 48.036 | 157.304 | -0.000 | 0.000 | 0.000 |
| 157.304 | 157.304 | 48.036 | -0.000 | 0.000 | 0.000 |
| 0.000 | 0.000 | 0.000 | 78.154 | -0.000 | 0.000 |
| 0.000 | 0.000 | 0.000 | -0.000 | 78.154 | -0.000 |
| 0.000 | 0.000 | 0.000 | -0.000 | 0.000 | 78.154 |
| 48.035 | 157.304 | 157.304 | 0.000 | -0.000 | 0.000 |
| 157.304 | 48.035 | 157.304 | 0.000 | -0.000 | -0.000 |
| 157.304 | 157.304 | 48.035 | 0.000 | 0.000 | 0.000 |
| 0.000 | -0.000 | -0.000 | 78.154 | 0.000 | 0.000 |
| -0.000 | 0.000 | -0.000 | 0.000 | 78.154 | 0.000 |
| -0.000 | -0.000 | 0.000 | 0.000 | -0.000 | 78.154 |
| 48.036 | 157.304 | 157.304 | 0.000 | -0.000 | -0.000 |
| 157.304 | 48.036 | 157.304 | -0.000 | 0.000 | -0.000 |
| 157.304 | 157.304 | 48.036 | -0.000 | 0.000 | 0.000 |
| -0.000 | 0.000 | 0.000 | 78.154 | 0.000 | -0.000 |
| 0.000 | -0.000 | 0.000 | -0.000 | 78.154 | 0.000 |
| 0.000 | 0.000 | -0.000 | -0.000 | 0.000 | 78.154 |
| 48.034 | 157.303 | 157.303 | 0.000 | 0.000 | -0.000 |
| 157.303 | 48.034 | 157.303 | -0.000 | -0.000 | -0.000 |
| 157.303 | 157.303 | 48.034 | 0.000 | 0.000 | -0.000 |
| 0.000 | -0.000 | -0.000 | 78.154 | 0.000 | 0.000 |
| -0.000 | 0.000 | -0.000 | 0.000 | 78.154 | 0.000 |
| -0.000 | -0.000 | 0.000 | -0.000 | 0.000 | 78.154 |
| 48.037 | 157.305 | 157.305 | -0.000 | 0.000 | 0.000 |
| 157.305 | 48.037 | 157.305 | -0.000 | -0.000 | 0.000 |
| 157.305 | 157.305 | 48.037 | 0.000 | 0.000 | 0.000 |
| -0.000 | 0.000 | 0.000 | 78.154 | -0.000 | -0.000 |
| 0.000 | -0.000 | 0.000 | -0.000 | 78.154 | -0.000 |
| 0.000 | 0.000 | -0.000 | -0.000 | 0.000 | 78.154 |
| 73384.331 | 127802.071 | 127802.111 | -0.029 | 0.004 | 0.001 |
| 127802.083 | 73384.361 | 127802.121 | -0.007 | 0.011 | -0.002 |
| 127802.147 | 127802.064 | 73384.452 | 0.005 | 0.024 | -0.001 |
| 0.097 | 0.017 | 0.091 | 127802.091 | 0.032 | 0.016 |
| 0.075 | -0.005 | 0.092 | 0.050 | 127802.100 | 0.002 |
| -0.002 | 0.039 | 0.129 | 0.047 | 0.058 | 127802.068 |
| 73384.297 | 127802.095 | 127802.091 | 0.043 | 0.097 | 0.011 |
| 127801.934 | 73384.328 | 127802.096 | 0.076 | 0.045 | 0.022 |
| 127801.905 | 127802.079 | 73384.248 | 0.052 | 0.047 | 0.032 |
| -0.073 | 0.005 | -0.085 | 127802.041 | -0.056 | -0.000 |
| -0.037 | -0.000 | -0.062 | -0.026 | 127802.046 | -0.011 |
| -0.076 | 0.004 | -0.109 | -0.081 | -0.043 | 127802.063 |
| 73384.409 | 127802.109 | 127802.112 | 0.000 | -0.001 | 0.001 |
| 127802.117 | 73384.393 | 127802.112 | 0.004 | -0.000 | -0.001 |
| 127802.114 | 127802.105 | 73384.395 | -0.000 | -0.003 | 0.003 |
| -0.006 | 0.021 | 0.023 | -41461.125 | 0.006 | -0.002 |
| 0.023 | -0.019 | 0.024 | 0.003 | -41461.126 | -0.000 |
| 0.023 | 0.012 | -0.016 | -0.002 | -0.002 | -41461.125 |
| 73384.231 | 127802.010 | 127802.010 | 0.002 | 0.007 | 0.001 |
| 127802.001 | 73384.236 | 127802.008 | 0.003 | 0.005 | 0.001 |
| 127801.996 | 127802.011 | 73384.230 | 0.000 | 0.001 | 0.003 |
| 0.012 | -0.020 | -0.019 | -41461.125 | -0.005 | 0.000 |
| -0.022 | 0.021 | -0.020 | -0.001 | -41461.127 | 0.000 |
| -0.029 | -0.009 | 0.016 | 0.001 | -0.000 | -41461.127 |
| 73385.077 | 127802.527 | 127802.527 | -0.001 | -0.001 | 0.000 |
| 127802.528 | 73385.077 | 127802.527 | -0.001 | -0.001 | -0.000 |
| 127802.528 | 127802.527 | 73385.078 | 0.000 | 0.001 | -0.000 |
| -0.213 | 0.189 | 0.132 | -42214.893 | 0.000 | 0.000 |
| 0.189 | -0.213 | 0.133 | 0.000 | -42214.892 | 0.000 |
| 0.190 | 0.132 | -0.213 | -0.001 | -0.000 | -42214.893 |
| 73383.554 | 127801.594 | 127801.592 | -0.001 | -0.000 | -0.000 |
| 127801.593 | 73383.554 | 127801.592 | -0.001 | -0.001 | 0.000 |
| 127801.593 | 127801.593 | 73383.553 | 0.000 | 0.000 | 0.000 |
| 0.213 | -0.189 | -0.133 | -42214.893 | -0.000 | -0.000 |
| -0.190 | 0.213 | -0.132 | -0.000 | -42214.893 | 0.000 |
| -0.190 | -0.131 | 0.213 | 0.000 | 0.000 | -42214.893 |
| 28.639 | 63.562 | 63.562 | -0.000 | -0.000 | -0.000 |
| 63.562 | 28.639 | 63.562 | -0.000 | -0.000 | -0.000 |
| 63.562 | 63.562 | 28.639 | -0.000 | -0.000 | -0.000 |
| 0.000 | 0.000 | 0.000 | 54.933 | 0.000 | -0.000 |
| 0.000 | 0.000 | 0.000 | 0.000 | 54.933 | -0.000 |
| 0.000 | 0.000 | 0.000 | 0.000 | -0.000 | 54.933 |
| 28.639 | 63.562 | 63.562 | 0.000 | 0.000 | 0.000 |
| 63.562 | 28.639 | 63.562 | 0.000 | 0.000 | 0.000 |
| 63.562 | 63.562 | 28.639 | 0.000 | 0.000 | 0.000 |
| 0.000 | -0.000 | 0.000 | 54.933 | 0.000 | 0.000 |
| -0.000 | -0.000 | 0.000 | 0.000 | 54.933 | 0.000 |
| -0.000 | -0.000 | 0.000 | 0.000 | 0.000 | 54.933 |
| 28.639 | 63.562 | 63.562 | -0.000 | -0.000 | -0.000 |
| 63.562 | 28.639 | 63.562 | -0.000 | -0.000 | -0.000 |
| 63.562 | 63.562 | 28.639 | -0.000 | -0.000 | -0.000 |
| 0.000 | 0.000 | 0.000 | -34.859 | -0.000 | -0.000 |
| 0.000 | 0.000 | 0.000 | -0.000 | -34.859 | -0.000 |
| 0.000 | 0.000 | 0.000 | -0.000 | -0.000 | -34.859 |
| 28.639 | 63.562 | 63.562 | 0.000 | 0.000 | 0.000 |
| 63.562 | 28.639 | 63.562 | 0.000 | 0.000 | 0.000 |
| 63.562 | 63.562 | 28.639 | 0.000 | 0.000 | 0.000 |
| -0.000 | -0.000 | -0.000 | -34.859 | 0.000 | 0.000 |
| -0.000 | -0.000 | -0.000 | 0.000 | -34.859 | 0.000 |
| -0.000 | -0.000 | -0.000 | 0.000 | 0.000 | -34.859 |
| 28.640 | 63.563 | 63.563 | -0.000 | -0.000 | -0.000 |
| 63.563 | 28.640 | 63.563 | -0.000 | -0.000 | -0.000 |
| 63.563 | 63.563 | 28.640 | -0.000 | -0.000 | -0.000 |
| 0.000 | 0.000 | 0.000 | -34.859 | -0.000 | -0.000 |
| 0.000 | 0.000 | 0.000 | -0.000 | -34.859 | -0.000 |
| 0.000 | 0.000 | 0.000 | -0.000 | -0.000 | -34.859 |
| 28.637 | 63.562 | 63.562 | 0.000 | 0.000 | 0.000 |
| 63.562 | 28.637 | 63.562 | 0.000 | 0.000 | 0.000 |
| 63.562 | 63.562 | 28.637 | 0.000 | 0.000 | 0.000 |
| -0.000 | -0.000 | -0.000 | -34.859 | 0.000 | 0.000 |
| -0.000 | -0.000 | -0.000 | 0.000 | -34.859 | 0.000 |
| -0.000 | -0.000 | -0.000 | 0.000 | 0.000 | -34.859 |
| 339.263 | 74.183 | 170.853 | -0.000 | 0.000 | 0.000 |
| 74.183 | 339.263 | 170.853 | -0.000 | -0.000 | 0.000 |
| 170.853 | 170.853 | 249.918 | 0.000 | 0.000 | 0.000 |
| -0.000 | -0.000 | -0.000 | 132.785 | -0.000 | 0.000 |
| -0.000 | 0.000 | -0.000 | 0.000 | 132.785 | 0.000 |
| -0.000 | -0.000 | -0.000 | 0.000 | 0.000 | 39.575 |
| 339.263 | 74.183 | 170.853 | 0.000 | -0.000 | -0.000 |
| 74.183 | 339.263 | 170.853 | 0.000 | 0.000 | 0.000 |
| 170.853 | 170.853 | 249.918 | 0.000 | -0.000 | -0.000 |
| 0.000 | 0.000 | 0.000 | 132.785 | 0.000 | -0.000 |
| 0.000 | -0.000 | 0.000 | -0.000 | 132.785 | 0.000 |
| 0.000 | 0.000 | 0.000 | 0.000 | -0.000 | 39.575 |
| 339.262 | 74.183 | 170.853 | -0.000 | 0.000 | 0.000 |
| 74.183 | 339.262 | 170.853 | -0.000 | 0.000 | 0.000 |
| 170.853 | 170.853 | 249.917 | 0.000 | 0.000 | 0.000 |
| -0.000 | -0.000 | -0.000 | 132.785 | 0.000 | 0.000 |
| -0.000 | -0.000 | -0.000 | -0.000 | 132.785 | 0.000 |
| -0.000 | -0.000 | -0.000 | 0.000 | 0.000 | 39.575 |
| 339.263 | 74.183 | 170.853 | -0.000 | -0.000 | 0.000 |
| 74.183 | 339.263 | 170.853 | -0.000 | 0.000 | 0.000 |
| 170.853 | 170.853 | 249.918 | -0.000 | -0.000 | 0.000 |
| 0.000 | 0.000 | 0.000 | 132.785 | -0.000 | -0.000 |
| 0.000 | 0.000 | 0.000 | 0.000 | 132.785 | -0.000 |
| 0.000 | 0.000 | 0.000 | -0.000 | -0.000 | 39.575 |
| 339.261 | 74.182 | 170.853 | -0.000 | 0.000 | -0.000 |
| 74.182 | 339.261 | 170.853 | -0.000 | 0.000 | -0.000 |
| 170.853 | 170.853 | 249.914 | 0.000 | 0.000 | -0.000 |
| -0.000 | -0.000 | -0.000 | 132.785 | 0.000 | 0.000 |
| -0.000 | -0.000 | -0.000 | 0.000 | 132.785 | 0.000 |
| -0.001 | -0.001 | -0.000 | 0.000 | 0.000 | 39.575 |
| 339.264 | 74.183 | 170.853 | 0.000 | -0.000 | 0.000 |
| 74.183 | 339.264 | 170.853 | -0.000 | -0.000 | 0.000 |
| 170.853 | 170.853 | 249.922 | 0.000 | -0.000 | -0.000 |
| 0.000 | 0.000 | 0.000 | 132.785 | -0.000 | -0.000 |
| 0.000 | 0.000 | 0.000 | 0.000 | 132.785 | 0.000 |
| 0.001 | 0.001 | 0.000 | -0.000 | -0.000 | 39.575 |
| 292.836 | 118.961 | 131.093 | -0.000 | -0.000 | 0.000 |
| 118.961 | 339.574 | 46.478 | 0.000 | 0.000 | 0.000 |
| 131.093 | 46.478 | 372.098 | -0.000 | -0.000 | 0.000 |
| -0.000 | 0.000 | -0.000 | -49.984 | 0.000 | 0.000 |
| 0.000 | 0.000 | 0.000 | -0.000 | 78.482 | -0.000 |
| 0.000 | 0.000 | -0.000 | -0.000 | 0.000 | 70.761 |
| 292.836 | 118.961 | 131.093 | 0.000 | 0.000 | 0.000 |
| 118.961 | 339.574 | 46.478 | 0.000 | 0.000 | -0.000 |
| 131.093 | 46.478 | 372.098 | -0.000 | -0.000 | 0.000 |
| 0.000 | -0.000 | 0.000 | -49.984 | -0.000 | 0.000 |
| -0.000 | -0.000 | -0.000 | 0.000 | 78.482 | -0.000 |
| -0.000 | -0.000 | 0.000 | 0.000 | 0.000 | 70.761 |
| 292.836 | 118.961 | 131.093 | 0.000 | -0.000 | -0.000 |
| 118.961 | 339.575 | 46.478 | 0.000 | 0.000 | 0.000 |
| 131.093 | 46.478 | 372.099 | -0.000 | -0.000 | 0.000 |
| -0.000 | -0.000 | -0.000 | -49.984 | 0.000 | 0.000 |
| 0.000 | -0.000 | 0.000 | 0.000 | 78.482 | -0.000 |
| 0.000 | 0.000 | -0.000 | 0.000 | -0.000 | 70.761 |
| 292.836 | 118.961 | 131.093 | -0.000 | 0.000 | -0.000 |
| 118.961 | 339.574 | 46.478 | -0.000 | 0.000 | 0.000 |
| 131.093 | 46.478 | 372.098 | -0.000 | 0.000 | -0.000 |
| 0.000 | 0.000 | 0.000 | -49.984 | -0.000 | -0.000 |
| -0.000 | 0.000 | -0.000 | -0.000 | 78.482 | -0.000 |
| -0.000 | -0.000 | 0.000 | -0.000 | 0.000 | 70.761 |
| 292.837 | 118.962 | 131.093 | 0.000 | -0.000 | 0.000 |
| 118.963 | 339.577 | 46.477 | 0.000 | -0.000 | 0.000 |
| 131.094 | 46.478 | 372.102 | -0.000 | 0.000 | 0.000 |
| -0.000 | -0.000 | -0.000 | -49.984 | -0.000 | 0.000 |
| 0.000 | -0.000 | 0.001 | 0.000 | 78.482 | -0.000 |
| 0.000 | 0.001 | -0.000 | 0.000 | -0.000 | 70.761 |
| 292.835 | 118.961 | 131.092 | -0.000 | 0.000 | -0.000 |
| 118.960 | 339.571 | 46.478 | -0.000 | 0.000 | -0.000 |
| 131.091 | 46.477 | 372.095 | -0.000 | 0.000 | 0.000 |
| 0.000 | 0.000 | 0.000 | -49.984 | 0.000 | -0.000 |
| -0.000 | 0.000 | -0.001 | -0.000 | 78.482 | -0.000 |
| -0.000 | -0.001 | 0.000 | -0.000 | 0.000 | 70.761 |
| 70.076 | 170.740 | 187.638 | -0.000 | -0.000 | -0.000 |
| 170.740 | 199.554 | 33.874 | -0.000 | 0.000 | -0.000 |
| 187.638 | 33.874 | 228.372 | -0.000 | 0.000 | 0.000 |
| -0.000 | 0.000 | -0.000 | -56.094 | -0.000 | 0.000 |
| 0.000 | 0.000 | 0.000 | -0.000 | 92.046 | -0.000 |
| 0.000 | 0.000 | -0.000 | -0.000 | 0.000 | 83.851 |
| 70.076 | 170.740 | 187.638 | 0.000 | 0.000 | -0.000 |
| 170.740 | 199.554 | 33.874 | 0.000 | 0.000 | 0.000 |
| 187.638 | 33.874 | 228.372 | -0.000 | 0.000 | 0.000 |
| 0.000 | -0.000 | 0.000 | -56.094 | 0.000 | 0.000 |
| -0.000 | 0.000 | -0.000 | 0.000 | 92.046 | -0.000 |
| -0.000 | -0.000 | 0.000 | -0.000 | 0.000 | 83.851 |
| 70.076 | 170.740 | 187.638 | -0.000 | 0.000 | -0.000 |
| 170.740 | 199.555 | 33.874 | 0.000 | 0.000 | -0.000 |
| 187.638 | 33.874 | 228.372 | -0.000 | 0.000 | -0.000 |
| -0.000 | 0.000 | 0.000 | -56.094 | -0.000 | -0.000 |
| 0.000 | -0.000 | 0.000 | -0.000 | 92.046 | -0.000 |
| 0.000 | 0.000 | -0.000 | 0.000 | 0.000 | 83.851 |
| 70.076 | 170.740 | 187.638 | -0.000 | -0.000 | -0.000 |
| 170.740 | 199.554 | 33.874 | 0.000 | -0.000 | 0.000 |
| 187.637 | 33.874 | 228.371 | 0.000 | -0.000 | -0.000 |
| 0.000 | -0.000 | -0.000 | -56.094 | 0.000 | 0.000 |
| -0.000 | 0.000 | -0.000 | -0.000 | 92.046 | 0.000 |
| -0.000 | -0.000 | 0.000 | 0.000 | -0.000 | 83.851 |
| 70.076 | 170.740 | 187.638 | -0.000 | -0.000 | -0.000 |
| 170.741 | 199.556 | 33.874 | -0.000 | -0.000 | -0.000 |
| 187.639 | 33.874 | 228.374 | 0.000 | -0.000 | -0.000 |
| -0.000 | 0.000 | 0.000 | -56.094 | 0.000 | -0.000 |
| 0.000 | -0.000 | 0.001 | -0.000 | 92.046 | -0.000 |
| 0.000 | 0.001 | -0.000 | -0.000 | -0.000 | 83.851 |
| 70.076 | 170.739 | 187.637 | 0.000 | -0.000 | 0.000 |
| 170.738 | 199.553 | 33.873 | -0.000 | 0.000 | -0.000 |
| 187.636 | 33.873 | 228.369 | -0.000 | -0.000 | -0.000 |
| 0.000 | -0.000 | -0.000 | -56.094 | -0.000 | 0.000 |
| -0.000 | 0.000 | -0.001 | 0.000 | 92.046 | 0.000 |
| -0.000 | -0.001 | 0.000 | 0.000 | 0.000 | 83.851 |
| 341.446 | 138.719 | 112.249 | -44.119 | 0.000 | 0.000 |
| 138.719 | 341.446 | 112.249 | 44.119 | 0.000 | -0.000 |
| 112.249 | 112.249 | 384.934 | -0.000 | -0.000 | -0.000 |
| -44.119 | 44.119 | -0.000 | 70.394 | 0.000 | -0.000 |
| -0.000 | -0.000 | -0.000 | -0.000 | 70.394 | -44.119 |
| -0.000 | -0.000 | -0.000 | 0.000 | -44.119 | 101.363 |
| 341.446 | 138.719 | 112.249 | -44.119 | -0.000 | -0.000 |
| 138.719 | 341.446 | 112.249 | 44.119 | -0.000 | 0.000 |
| 112.249 | 112.249 | 384.934 | -0.000 | -0.000 | 0.000 |
| -44.119 | 44.119 | 0.000 | 70.394 | -0.000 | 0.000 |
| 0.000 | 0.000 | 0.000 | 0.000 | 70.394 | -44.119 |
| 0.000 | 0.000 | 0.000 | 0.000 | -44.119 | 101.363 |
| 341.446 | 138.719 | 112.249 | -44.119 | 0.000 | -0.000 |
| 138.719 | 341.446 | 112.249 | 44.119 | 0.000 | -0.000 |
| 112.249 | 112.249 | 384.934 | 0.000 | 0.000 | 0.000 |
| -44.119 | 44.119 | -0.000 | 70.394 | -0.000 | -0.000 |
| -0.000 | -0.000 | -0.000 | -0.000 | 70.394 | -44.119 |
| -0.000 | -0.000 | -0.000 | -0.000 | -44.119 | 101.363 |
| 341.446 | 138.719 | 112.249 | -44.119 | -0.000 | 0.000 |
| 138.719 | 341.446 | 112.249 | 44.119 | -0.000 | 0.000 |
| 112.249 | 112.249 | 384.934 | 0.000 | 0.000 | -0.000 |
| -44.119 | 44.119 | 0.000 | 70.394 | -0.000 | 0.000 |
| 0.000 | 0.000 | 0.000 | 0.000 | 70.394 | -44.119 |
| 0.000 | 0.000 | 0.000 | 0.000 | -44.119 | 101.363 |
| 341.445 | 138.719 | 112.248 | -44.120 | -0.000 | -0.000 |
| 138.719 | 341.445 | 112.248 | 44.120 | 0.000 | -0.000 |
| 112.248 | 112.248 | 384.933 | 0.000 | 0.000 | -0.000 |
| -44.120 | 44.119 | -0.001 | 70.394 | 0.000 | -0.000 |
| -0.001 | -0.000 | -0.001 | -0.000 | 70.394 | -44.119 |
| -0.000 | -0.000 | -0.000 | -0.000 | -44.119 | 101.363 |
| 341.447 | 138.719 | 112.249 | -44.119 | -0.000 | 0.000 |
| 138.719 | 341.447 | 112.249 | 44.119 | 0.000 | 0.000 |
| 112.249 | 112.249 | 384.935 | -0.000 | 0.000 | 0.000 |
| -44.119 | 44.120 | 0.001 | 70.394 | -0.000 | 0.000 |
| 0.001 | 0.000 | 0.001 | 0.000 | 70.394 | -44.119 |
| 0.000 | 0.000 | 0.000 | 0.000 | -44.119 | 101.363 |
| 272.836 | 85.904 | 85.941 | 0.000 | -0.000 | 0.000 |
| 85.399 | 305.143 | 163.247 | 0.000 | 0.000 | 0.000 |
| 85.309 | 151.499 | 328.180 | 0.000 | -0.000 | 0.000 |
| 0.000 | 0.000 | -0.000 | 77.072 | 0.000 | 0.000 |
| 0.000 | 0.000 | -0.000 | 0.000 | 41.689 | 0.000 |
| 0.000 | 0.000 | -0.000 | -0.000 | -0.000 | 42.703 |
| 272.836 | 85.904 | 85.941 | -0.000 | -0.000 | -0.000 |
| 85.399 | 305.143 | 163.247 | -0.000 | -0.000 | -0.000 |
| 86.166 | 164.818 | 318.784 | -0.000 | -0.000 | -0.000 |
| -0.000 | -0.000 | 0.000 | 77.072 | -0.000 | -0.000 |
| -0.000 | -0.000 | 0.000 | -0.000 | 41.689 | -0.000 |
| -0.000 | -0.000 | 0.000 | -0.000 | 0.000 | 42.703 |
| 272.836 | 85.904 | 85.941 | 0.000 | 0.000 | 0.000 |
| 86.051 | 331.148 | 140.592 | 0.000 | -0.000 | 0.000 |
| 86.499 | 140.592 | 343.858 | 0.000 | 0.000 | 0.000 |
| -0.000 | -0.000 | 0.000 | 76.814 | 0.000 | 0.000 |
| -0.000 | -0.000 | -0.000 | 0.000 | 42.812 | 0.000 |
| -0.000 | -0.000 | -0.000 | 0.000 | -0.000 | 42.703 |
| 272.836 | 85.904 | 85.941 | -0.000 | -0.000 | -0.000 |
| 85.665 | 304.681 | 164.818 | -0.000 | -0.000 | -0.000 |
| 85.309 | 151.499 | 328.180 | -0.000 | -0.000 | -0.000 |
| 0.000 | 0.000 | -0.000 | 76.814 | -0.000 | -0.000 |
| 0.000 | 0.000 | 0.000 | 0.000 | 42.812 | -0.000 |
| 0.000 | 0.000 | 0.000 | -0.000 | -0.000 | 42.703 |
| 273.001 | 86.051 | 86.499 | 0.000 | -0.000 | 0.000 |
| 85.664 | 304.678 | 164.818 | 0.000 | 0.000 | 0.000 |
| 86.165 | 164.819 | 318.783 | 0.000 | -0.000 | 0.000 |
| -0.000 | -0.001 | 0.001 | 76.814 | 0.000 | 0.000 |
| -0.000 | -0.000 | -0.000 | 0.000 | 41.689 | 0.000 |
| -0.000 | -0.000 | -0.000 | 0.000 | -0.000 | 42.703 |
| 272.835 | 85.665 | 86.166 | -0.000 | -0.000 | -0.000 |
| 85.665 | 304.683 | 164.818 | -0.000 | 0.000 | -0.000 |
| 86.166 | 164.817 | 318.786 | -0.000 | -0.000 | -0.000 |
| 0.000 | 0.001 | -0.001 | 76.814 | -0.000 | -0.000 |
| 0.000 | 0.000 | 0.000 | -0.000 | 41.689 | -0.000 |
| 0.000 | 0.000 | 0.000 | -0.000 | 0.000 | 42.703 |
| 273.048 | 84.806 | 87.003 | 0.000 | -0.000 | -0.000 |
| 83.679 | 311.506 | 158.921 | 0.000 | 0.000 | -0.000 |
| 87.713 | 161.788 | 325.765 | -0.000 | -0.000 | -0.000 |
| -0.192 | 0.200 | -0.829 | 73.114 | -0.000 | -0.000 |
| -0.000 | -0.000 | -0.000 | 0.000 | 44.297 | -0.000 |
| -0.000 | -0.000 | -0.000 | 0.000 | 0.000 | 40.870 |
| 273.291 | 84.932 | 87.712 | -0.000 | 0.000 | 0.000 |
| 84.030 | 310.349 | 161.138 | -0.000 | -0.000 | 0.000 |
| 87.792 | 161.306 | 326.462 | -0.000 | -0.000 | 0.000 |
| 0.192 | -0.200 | 0.829 | 73.114 | 0.000 | 0.000 |
| 0.000 | 0.000 | 0.000 | -0.000 | 44.297 | 0.000 |
| 0.000 | 0.000 | 0.000 | -0.000 | 0.000 | 40.870 |
| 273.085 | 84.764 | 87.167 | 0.000 | -0.000 | -0.000 |
| 84.593 | 338.120 | 138.320 | 0.000 | -0.000 | -0.000 |
| 87.749 | 161.571 | 326.079 | -0.000 | 0.000 | -0.000 |
| 0.041 | 0.038 | 0.104 | 72.698 | 0.000 | -0.000 |
| -0.004 | 0.021 | -0.033 | 0.000 | 43.006 | -0.000 |
| -0.004 | 0.005 | -0.019 | -0.000 | 0.000 | 40.870 |
| 273.094 | 84.755 | 87.203 | 0.000 | 0.000 | 0.000 |
| 84.593 | 338.119 | 138.320 | -0.000 | -0.000 | 0.000 |
| 87.757 | 161.523 | 326.149 | -0.000 | -0.000 | 0.000 |
| -0.041 | -0.038 | -0.104 | 72.698 | -0.000 | 0.000 |
| 0.004 | -0.021 | 0.033 | -0.000 | 43.006 | 0.000 |
| 0.004 | -0.005 | 0.019 | 0.000 | -0.000 | 40.870 |
| 273.289 | 84.932 | 87.712 | -0.000 | 0.000 | -0.000 |
| 84.040 | 310.595 | 160.956 | 0.000 | -0.000 | -0.000 |
| 87.960 | 138.908 | 346.967 | 0.000 | -0.000 | -0.000 |
| -0.002 | 0.001 | -0.008 | 72.960 | 0.000 | -0.000 |
| -0.000 | -0.000 | -0.000 | 0.000 | 44.297 | -0.000 |
| -0.001 | 0.000 | -0.002 | 0.000 | -0.000 | 40.870 |
| 273.086 | 84.378 | 87.508 | -0.000 | -0.000 | 0.000 |
| 84.041 | 310.583 | 160.963 | -0.000 | 0.000 | 0.000 |
| 86.837 | 149.671 | 333.589 | -0.000 | -0.000 | 0.000 |
| 0.002 | -0.001 | 0.008 | 72.960 | -0.000 | 0.000 |
| 0.000 | 0.000 | 0.000 | -0.000 | 44.297 | 0.000 |
| 0.001 | -0.000 | 0.002 | 0.000 | 0.000 | 40.870 |
| 205.495 | 75.796 | -34.020 | -0.000 | -0.000 | 0.000 |
| 164.416 | 116.875 | -34.020 | -0.000 | -0.000 | 0.000 |
| -34.018 | -34.018 | 465.385 | -0.000 | -0.000 | -0.000 |
| 0.000 | 0.000 | -0.000 | -43.754 | -0.000 | 0.000 |
| -0.000 | -0.000 | -0.000 | 0.000 | -43.754 | 0.000 |
| 0.000 | -0.000 | -0.000 | -0.000 | -0.000 | 64.850 |
| 205.495 | 75.796 | -34.020 | 0.000 | 0.000 | -0.000 |
| 75.796 | 205.495 | -34.020 | 0.000 | 0.000 | -0.000 |
| -34.018 | -34.018 | 465.385 | -0.000 | 0.000 | 0.000 |
| -0.000 | 0.000 | 0.000 | -43.754 | 0.000 | -0.000 |
| -0.000 | 0.000 | 0.000 | -0.000 | -43.754 | -0.000 |
| -0.000 | 0.000 | 0.000 | 0.000 | 0.000 | 64.850 |
| 205.495 | 75.796 | -34.020 | -0.000 | 0.000 | 0.000 |
| 164.417 | 116.875 | -34.020 | -0.000 | -0.000 | 0.000 |
| -34.018 | -34.018 | 465.385 | -0.000 | -0.000 | 0.000 |
| 0.000 | 0.000 | -0.000 | -43.754 | -0.000 | 0.000 |
| 0.000 | 0.000 | -0.000 | -0.000 | -43.754 | 0.000 |
| -46815007.110 | -38207592.111 | -56467859.212 | 264201.071 | -161000.546 | 2264492.883 |
| 205.495 | 75.796 | -34.020 | 0.000 | 0.000 | -0.000 |
| 164.415 | 116.876 | -34.020 | 0.000 | 0.000 | 0.000 |
| -34.018 | -34.018 | 465.384 | -0.000 | -0.000 | -0.000 |
| -0.000 | -0.000 | 0.000 | -43.754 | 0.000 | -0.000 |
| -0.000 | -0.000 | 0.000 | 0.000 | -43.754 | -0.000 |
| 46952397.256 | 39874664.855 | 59244479.667 | 220048.389 | 14088.596 | 2385656.090 |
| 205.496 | 75.796 | -34.020 | -0.000 | -0.000 | 0.000 |
| 164.417 | 116.874 | -34.020 | -0.000 | -0.000 | 0.000 |
| -34.018 | -34.018 | 465.390 | -0.000 | -0.000 | -0.000 |
| 0.000 | 0.000 | -0.000 | -43.754 | -0.000 | 0.000 |
| 0.000 | 0.000 | -0.000 | -0.000 | -43.754 | 0.000 |
| -4906963.482 | -3928997.483 | -6104371.279 | -17804.381 | 7207.420 | 109820.694 |
| 4728829.707 | 2826756.271 | 5405565.321 | -73912.366 | 3247.560 | 27785.921 |
| 164.410 | 116.882 | -34.020 | 0.000 | 0.000 | 0.000 |
| -34.018 | -34.018 | 465.380 | -0.000 | 0.000 | -0.000 |
| -0.000 | -0.000 | 0.000 | -43.754 | 0.000 | -0.000 |
| -0.000 | -0.000 | 0.000 | 0.000 | -43.754 | -0.000 |
| 4694289.220 | 3756473.220 | 5997720.828 | 25372.896 | -14924.007 | 297907.404 |
| 303.759 | 162.673 | 96.368 | -0.000 | 0.000 | 0.000 |
| 162.673 | 303.759 | 96.368 | -0.000 | 0.000 | 0.000 |
| 96.368 | 96.368 | 295.302 | -0.000 | 0.000 | 0.000 |
| 0.000 | -0.000 | 0.000 | 42.382 | 0.000 | 0.000 |
| -0.000 | 0.000 | 0.000 | -0.000 | 42.382 | 0.000 |
| -0.000 | 0.000 | -0.000 | -0.000 | 0.000 | 96.512 |
| 329.728 | 136.704 | 96.368 | 0.000 | -0.000 | -0.000 |
| 162.673 | 303.759 | 96.368 | 0.000 | -0.000 | -0.000 |
| 96.368 | 96.368 | 295.302 | -0.000 | -0.000 | -0.000 |
| -0.000 | 0.000 | -0.000 | 42.382 | -0.000 | -0.000 |
| 0.000 | -0.000 | -0.000 | -0.000 | 42.382 | -0.000 |
| 0.000 | -0.000 | 0.000 | 0.000 | -0.000 | 96.512 |
| 329.728 | 136.704 | 96.368 | -0.000 | 0.000 | 0.000 |
| 136.704 | 329.728 | 96.368 | -0.000 | 0.000 | 0.000 |
| 96.368 | 96.368 | 295.302 | -0.000 | 0.000 | -0.000 |
| -0.000 | -0.000 | -0.000 | 42.382 | 0.000 | 0.000 |
| -0.000 | -0.000 | -0.000 | 0.000 | 42.382 | 0.000 |
| -0.000 | 0.000 | -0.000 | -0.000 | 0.000 | 96.512 |
| 303.759 | 162.673 | 96.368 | 0.000 | -0.000 | -0.000 |
| 136.704 | 329.728 | 96.368 | 0.000 | -0.000 | 0.000 |
| 96.368 | 96.368 | 295.302 | 0.000 | -0.000 | -0.000 |
| 0.000 | 0.000 | 0.000 | 42.382 | -0.000 | -0.000 |
| 0.000 | 0.000 | 0.000 | 0.000 | 42.382 | -0.000 |
| 0.000 | -0.000 | 0.000 | 0.000 | -0.000 | 96.512 |
| 303.758 | 162.672 | 96.367 | 0.000 | 0.000 | 0.000 |
| 136.704 | 329.727 | 96.368 | 0.000 | 0.000 | 0.000 |
| 96.368 | 96.368 | 295.300 | -0.000 | 0.000 | -0.000 |
| -0.000 | -0.000 | -0.000 | 42.382 | 0.000 | 0.000 |
| -0.000 | -0.000 | -0.000 | -0.000 | 42.382 | 0.000 |
| -0.001 | -0.000 | -0.000 | 0.000 | 0.000 | 70.543 |
| 329.728 | 136.704 | 96.368 | 0.000 | -0.000 | -0.000 |
| 136.704 | 329.729 | 96.368 | -0.000 | -0.000 | -0.000 |
| 96.368 | 96.368 | 295.304 | -0.000 | -0.000 | -0.000 |
| 0.000 | 0.000 | 0.000 | 42.382 | -0.000 | -0.000 |
| 0.000 | 0.000 | 0.000 | 0.000 | 42.382 | -0.000 |
| 0.001 | 0.000 | 0.000 | -0.000 | -0.000 | 70.543 |
| 103.930 | 136.201 | 136.201 | 0.000 | 0.000 | 0.000 |
| 136.201 | 103.930 | 136.201 | 0.000 | 0.000 | 0.000 |
| 136.201 | 136.201 | 103.930 | 0.000 | -0.000 | 0.000 |
| 0.000 | 0.000 | 0.000 | -23.686 | 0.000 | 0.000 |
| 0.000 | 0.000 | 0.000 | 0.000 | -23.686 | 0.000 |
| 0.000 | 0.000 | 0.000 | 0.000 | 0.000 | -23.686 |
| 103.930 | 136.201 | 136.201 | -0.000 | -0.000 | -0.000 |
| 136.201 | 103.930 | 136.201 | -0.000 | -0.000 | -0.000 |
| 136.201 | 136.201 | 103.930 | -0.000 | 0.000 | -0.000 |
| -0.000 | -0.000 | -0.000 | -23.687 | -0.000 | -0.000 |
| -0.000 | -0.000 | -0.000 | -0.000 | -23.687 | -0.000 |
| -0.000 | -0.000 | -0.000 | -0.000 | -0.000 | -23.687 |
| 103.930 | 136.201 | 136.201 | -0.000 | 0.000 | 0.000 |
| 136.201 | 103.930 | 136.201 | 0.000 | 0.000 | 0.000 |
| 136.201 | 136.201 | 103.930 | 0.000 | -0.000 | 0.000 |
| 0.000 | -0.000 | -0.000 | -23.686 | 0.000 | 0.000 |
| -0.000 | 0.000 | -0.000 | 0.000 | -23.686 | 0.000 |
| -0.000 | -0.000 | 0.000 | 0.000 | 0.000 | -23.686 |
| 103.930 | 136.201 | 136.201 | -0.000 | -0.000 | -0.000 |
| 136.201 | 103.930 | 136.201 | -0.000 | -0.000 | -0.000 |
| 136.201 | 136.201 | 103.930 | -0.000 | 0.000 | -0.000 |
| -0.000 | 0.000 | 0.000 | -23.686 | 0.000 | -0.000 |
| 0.000 | -0.000 | 0.000 | 0.000 | -23.686 | -0.000 |
| 0.000 | 0.000 | -0.000 | -0.000 | -0.000 | -23.686 |
| 103.930 | 136.201 | 136.201 | 0.000 | -0.000 | 0.000 |
| 136.201 | 103.930 | 136.201 | -0.000 | -0.000 | 0.000 |
| 136.201 | 136.201 | 103.930 | 0.000 | 0.000 | 0.000 |
| 0.000 | -0.000 | 0.000 | 118.597 | 0.000 | 0.000 |
| -0.000 | 0.000 | 0.000 | 0.000 | 118.597 | 0.000 |
| -0.000 | 0.000 | 0.000 | 0.000 | 0.000 | 118.597 |
| 103.930 | 136.200 | 136.200 | 0.000 | 0.000 | -0.000 |
| 136.200 | 103.930 | 136.200 | -0.000 | -0.000 | -0.000 |
| 136.200 | 136.200 | 103.930 | -0.000 | -0.000 | -0.000 |
| -0.000 | 0.000 | -0.000 | 118.597 | -0.000 | -0.000 |
| 0.000 | -0.000 | -0.000 | -0.000 | 118.597 | -0.000 |
| 0.000 | -0.000 | -0.000 | -0.000 | -0.000 | 118.597 |
| 513.401 | 107.541 | 107.541 | 0.000 | -0.000 | 0.000 |
| 107.541 | 513.401 | 107.541 | 0.000 | -0.000 | 0.000 |
| 107.541 | 107.541 | 513.401 | 0.000 | 0.000 | -0.000 |
| 0.000 | 0.000 | -0.000 | 58.015 | -0.000 | -0.000 |
| 0.000 | 0.000 | 0.000 | 0.000 | 58.015 | 0.000 |
| 0.000 | 0.000 | 0.000 | 0.000 | 0.000 | 58.015 |
| 513.401 | 107.541 | 107.541 | -0.000 | 0.000 | 0.000 |
| 107.541 | 513.401 | 107.541 | -0.000 | 0.000 | 0.000 |
| 107.541 | 107.541 | 513.401 | -0.000 | -0.000 | 0.000 |
| -0.000 | -0.000 | -0.000 | 58.015 | 0.000 | -0.000 |
| -0.000 | 0.000 | -0.000 | -0.000 | 58.015 | 0.000 |
| -0.000 | -0.000 | -0.000 | -0.000 | -0.000 | 58.015 |
| 514.608 | 106.938 | 106.938 | 0.000 | 0.000 | -0.000 |
| 106.938 | 514.608 | 106.938 | 0.000 | -0.000 | -0.000 |
| 106.938 | 106.938 | 514.608 | 0.000 | 0.000 | -0.000 |
| 0.000 | -0.000 | -0.000 | 75.260 | -0.000 | -0.000 |
| -0.000 | 0.000 | -0.000 | 0.000 | 75.260 | -0.000 |
| -0.000 | -0.000 | 0.000 | 0.000 | 0.000 | 75.260 |
| 514.608 | 106.938 | 106.938 | -0.000 | 0.000 | 0.000 |
| 106.938 | 514.608 | 106.938 | -0.000 | -0.000 | 0.000 |
| 106.938 | 106.938 | 514.608 | 0.000 | -0.000 | 0.000 |
| -0.000 | 0.000 | 0.000 | 75.260 | 0.000 | 0.000 |
| 0.000 | -0.000 | 0.000 | 0.000 | 75.260 | -0.000 |
| 0.000 | 0.000 | -0.000 | -0.000 | -0.000 | 75.260 |
| 514.609 | 106.938 | 106.938 | 0.000 | -0.000 | 0.000 |
| 106.938 | 514.609 | 106.938 | 0.000 | 0.000 | -0.000 |
| 106.938 | 106.938 | 514.609 | -0.000 | -0.000 | -0.000 |
| 0.000 | -0.000 | -0.000 | 75.260 | 0.000 | -0.000 |
| -0.000 | 0.000 | -0.000 | 0.000 | 75.260 | -0.000 |
| -0.000 | -0.000 | 0.000 | -0.000 | 0.000 | 75.260 |
| 514.607 | 106.938 | 106.938 | -0.000 | 0.000 | 0.000 |
| 106.938 | 514.607 | 106.938 | -0.000 | 0.000 | -0.000 |
| 106.938 | 106.938 | 514.607 | -0.000 | -0.000 | 0.000 |
| -0.000 | 0.000 | 0.000 | 75.260 | -0.000 | 0.000 |
| 0.000 | -0.000 | 0.000 | -0.000 | 75.260 | 0.000 |
| 0.000 | 0.000 | -0.000 | 0.000 | -0.000 | 75.260 |
| 0.548 | -0.000 | -0.000 | 0.000 | -0.000 | 0.000 |
| -0.000 | 0.548 | -0.000 | 0.000 | 0.000 | 0.000 |
| -0.000 | -0.000 | 0.548 | 0.000 | -0.000 | 0.000 |
| 0.000 | 0.000 | -0.000 | 0.000 | 0.000 | -0.000 |
| 0.000 | 0.000 | -0.000 | -0.000 | 0.000 | -0.000 |
| 0.000 | -0.000 | 0.000 | 0.000 | -0.000 | 0.000 |
| 0.548 | -0.000 | -0.000 | -0.000 | 0.000 | 0.000 |
| -0.000 | 0.548 | -0.000 | -0.000 | 0.000 | -0.000 |
| -0.000 | -0.000 | 0.548 | 0.000 | -0.000 | -0.000 |
| -0.000 | -0.000 | 0.000 | 0.000 | -0.000 | -0.000 |
| -0.000 | -0.000 | 0.000 | -0.000 | 0.000 | 0.000 |
| -0.000 | 0.000 | -0.000 | -0.000 | 0.000 | 0.000 |
| 0.548 | 0.000 | 0.000 | 0.000 | -0.000 | 0.000 |
| 0.000 | 0.548 | 0.000 | -0.000 | 0.000 | 0.000 |
| 0.000 | 0.000 | 0.548 | 0.000 | -0.000 | 0.000 |
| 0.000 | 0.000 | -0.000 | 0.000 | -0.000 | -0.000 |
| 0.000 | 0.000 | -0.000 | -0.000 | 0.000 | -0.000 |
| 0.000 | -0.000 | 0.000 | 0.000 | -0.000 | 0.000 |
| 0.548 | -0.000 | -0.000 | -0.000 | -0.000 | 0.000 |
| -0.000 | 0.548 | -0.000 | 0.000 | -0.000 | 0.000 |
| -0.000 | -0.000 | 0.548 | -0.000 | -0.000 | -0.000 |
| -0.000 | -0.000 | 0.000 | 0.000 | 0.000 | -0.000 |
| -0.000 | -0.000 | 0.000 | 0.000 | 0.000 | 0.000 |
| -0.000 | 0.000 | -0.000 | -0.000 | 0.000 | 0.000 |
| 0.548 | 0.000 | 0.000 | 0.000 | 0.000 | 0.000 |
| 0.000 | 0.548 | 0.000 | 0.000 | 0.000 | 0.000 |
| 0.000 | 0.000 | 0.548 | 0.000 | -0.000 | 0.000 |
| 0.000 | 0.000 | -0.000 | 0.000 | -0.000 | 0.000 |
| 0.000 | 0.000 | -0.000 | -0.000 | 0.000 | -0.000 |
| 0.000 | -0.000 | 0.000 | 0.000 | -0.000 | 0.000 |
| 0.548 | -0.000 | -0.000 | 0.000 | 0.000 | -0.000 |
| -0.000 | 0.548 | -0.000 | -0.000 | 0.000 | -0.000 |
| -0.000 | -0.000 | 0.548 | -0.000 | 0.000 | 0.000 |
| -0.000 | -0.000 | 0.000 | 0.000 | 0.000 | -0.000 |
| -0.000 | -0.000 | 0.000 | 0.000 | 0.000 | 0.000 |
| -0.000 | 0.000 | -0.000 | -0.000 | 0.000 | 0.000 |
| 73.127 | 158.850 | 158.850 | 0.000 | 0.000 | -0.000 |
| 158.850 | 73.127 | 158.850 | 0.000 | 0.000 | -0.000 |
| 158.850 | 158.850 | 73.127 | -0.000 | -0.000 | -0.000 |
| 0.000 | -0.000 | -0.000 | 121.308 | -0.000 | 0.000 |
| -0.000 | 0.000 | -0.000 | 0.000 | 121.308 | -0.000 |
| -0.000 | -0.000 | -0.000 | -0.000 | 0.000 | 121.308 |
| 73.127 | 158.850 | 158.850 | -0.000 | 0.000 | 0.000 |
| 158.850 | 73.127 | 158.850 | -0.000 | -0.000 | 0.000 |
| 158.850 | 158.850 | 73.127 | -0.000 | -0.000 | 0.000 |
| -0.000 | 0.000 | 0.000 | 121.308 | -0.000 | 0.000 |
| 0.000 | -0.000 | -0.000 | -0.000 | 121.308 | 0.000 |
| 0.000 | 0.000 | 0.000 | 0.000 | 0.000 | 121.308 |
| 73.127 | 158.850 | 158.850 | 0.000 | -0.000 | -0.000 |
| 158.850 | 73.127 | 158.850 | 0.000 | 0.000 | -0.000 |
| 158.850 | 158.850 | 73.127 | -0.000 | -0.000 | -0.000 |
| 0.000 | 0.000 | 0.000 | 120.655 | 0.000 | -0.000 |
| 0.000 | 0.000 | 0.000 | 0.000 | 120.655 | -0.000 |
| 0.000 | 0.000 | 0.000 | 0.000 | -0.000 | 120.655 |
| 73.126 | 158.850 | 158.850 | -0.000 | 0.000 | 0.000 |
| 158.850 | 73.126 | 158.850 | -0.000 | -0.000 | 0.000 |
| 158.850 | 158.850 | 73.126 | -0.000 | -0.000 | 0.000 |
| -0.000 | -0.000 | -0.000 | 120.655 | -0.000 | 0.000 |
| -0.000 | -0.000 | -0.000 | -0.000 | 120.655 | 0.000 |
| -0.000 | -0.000 | -0.000 | -0.000 | 0.000 | 120.655 |
| 73.127 | 158.850 | 158.850 | 0.000 | 0.000 | -0.000 |
| 158.850 | 73.127 | 158.850 | 0.000 | 0.000 | -0.000 |
| 158.850 | 158.850 | 73.127 | 0.000 | 0.000 | -0.000 |
| 0.001 | 0.000 | 0.001 | 121.308 | -0.000 | -0.000 |
| 0.000 | 0.001 | 0.001 | 0.000 | 121.308 | -0.000 |
| 0.000 | 0.001 | 0.001 | 0.000 | 0.000 | 121.308 |
| 73.126 | 158.849 | 158.849 | -0.000 | 0.000 | 0.000 |
| 158.849 | 73.126 | 158.849 | -0.000 | -0.000 | 0.000 |
| 158.849 | 158.849 | 73.126 | -0.000 | -0.000 | 0.000 |
| -0.001 | -0.000 | -0.001 | 121.308 | 0.000 | 0.000 |
| -0.000 | -0.001 | -0.001 | -0.000 | 121.308 | 0.000 |
| -0.000 | -0.001 | -0.001 | -0.000 | -0.000 | 121.308 |
| 0.515 | 0.515 | 0.515 | -0.000 | -0.000 | 0.000 |
| 0.515 | 0.515 | 0.515 | -0.000 | -0.000 | 0.000 |
| 0.515 | 0.515 | 0.515 | -0.000 | -0.000 | -0.000 |
| -0.000 | -0.000 | -0.000 | 0.509 | -0.000 | -0.000 |
| -0.000 | -0.000 | -0.000 | -0.000 | 0.509 | -0.000 |
| -0.000 | -0.000 | -0.000 | -0.000 | -0.000 | 0.509 |
| 0.515 | 0.515 | 0.515 | 0.000 | 0.000 | 0.000 |
| 0.515 | 0.515 | 0.515 | 0.000 | 0.000 | 0.000 |
| 0.515 | 0.515 | 0.515 | 0.000 | 0.000 | 0.000 |
| 0.000 | 0.000 | 0.000 | 0.509 | 0.000 | 0.000 |
| 0.000 | 0.000 | 0.000 | 0.000 | 0.509 | 0.000 |
| 0.000 | 0.000 | 0.000 | 0.000 | -0.000 | 0.509 |
| 0.515 | 0.515 | 0.515 | -0.000 | -0.000 | -0.000 |
| 0.515 | 0.515 | 0.515 | -0.000 | -0.000 | -0.000 |
| 0.515 | 0.515 | 0.515 | -0.000 | -0.000 | -0.000 |
| -0.000 | -0.000 | -0.000 | 0.429 | -0.000 | -0.000 |
| -0.000 | -0.000 | -0.000 | -0.000 | 0.429 | -0.000 |
| -0.000 | -0.000 | -0.000 | -0.000 | -0.000 | 0.429 |
| 0.515 | 0.515 | 0.515 | 0.000 | 0.000 | 0.000 |
| 0.515 | 0.515 | 0.515 | 0.000 | 0.000 | 0.000 |
| 0.515 | 0.515 | 0.515 | 0.000 | 0.000 | 0.000 |
| 0.000 | 0.000 | 0.000 | 0.429 | 0.000 | 0.000 |
| 0.000 | 0.000 | 0.000 | 0.000 | 0.429 | 0.000 |
| 0.000 | 0.000 | 0.000 | 0.000 | -0.000 | 0.429 |
| 0.515 | 0.515 | 0.515 | -0.000 | -0.000 | -0.000 |
| 0.515 | 0.515 | 0.515 | -0.000 | -0.000 | -0.000 |
| 0.515 | 0.515 | 0.515 | -0.000 | -0.000 | -0.000 |
| -0.000 | -0.000 | -0.000 | 0.017 | 0.000 | -0.000 |
| -0.000 | -0.000 | -0.000 | 0.000 | 0.017 | -0.000 |
| -0.000 | -0.000 | -0.000 | -0.000 | -0.000 | 0.017 |
| 0.515 | 0.515 | 0.515 | 0.000 | 0.000 | 0.000 |
| 0.515 | 0.515 | 0.515 | 0.000 | 0.000 | 0.000 |
| 0.515 | 0.515 | 0.515 | 0.000 | 0.000 | 0.000 |
| 0.000 | 0.000 | 0.000 | 0.017 | -0.000 | 0.000 |
| 0.000 | 0.000 | 0.000 | -0.000 | 0.017 | 0.000 |
| 0.000 | 0.000 | 0.000 | 0.000 | 0.000 | 0.017 |
| 244.726 | 158.541 | 158.541 | 0.000 | -0.000 | 0.000 |
| 158.541 | 244.726 | 158.541 | -0.000 | -0.000 | -0.000 |
| 158.541 | 158.541 | 244.726 | -0.000 | -0.000 | 0.000 |
| 0.000 | -0.000 | -0.000 | 128.481 | 0.000 | -0.000 |
| -0.000 | -0.000 | -0.000 | -0.000 | 128.481 | 0.000 |
| -0.000 | -0.000 | -0.000 | -0.000 | -0.000 | 128.481 |
| 244.726 | 158.541 | 158.541 | 0.000 | 0.000 | 0.000 |
| 158.541 | 244.726 | 158.541 | 0.000 | 0.000 | -0.000 |
| 158.541 | 158.541 | 244.726 | -0.000 | 0.000 | 0.000 |
| -0.000 | 0.000 | 0.000 | 128.481 | -0.000 | 0.000 |
| 0.000 | 0.000 | 0.000 | 0.000 | 128.481 | -0.000 |
| 0.000 | 0.000 | 0.000 | 0.000 | 0.000 | 128.481 |
| 244.726 | 158.541 | 158.541 | -0.000 | -0.000 | 0.000 |
| 158.541 | 244.726 | 158.541 | -0.000 | -0.000 | 0.000 |
| 158.541 | 158.541 | 244.726 | 0.000 | -0.000 | -0.000 |
| -0.000 | -0.000 | -0.000 | 128.481 | -0.000 | -0.000 |
| -0.000 | -0.000 | -0.000 | 0.000 | 128.481 | -0.000 |
| -0.000 | -0.000 | -0.000 | -0.000 | -0.000 | 128.481 |
| 244.727 | 158.541 | 158.541 | 0.000 | 0.000 | -0.000 |
| 158.541 | 244.727 | 158.541 | 0.000 | 0.000 | 0.000 |
| 158.541 | 158.541 | 244.727 | -0.000 | 0.000 | -0.000 |
| 0.000 | 0.000 | 0.000 | 128.481 | 0.000 | -0.000 |
| 0.000 | 0.000 | 0.000 | -0.000 | 128.481 | 0.000 |
| 0.000 | 0.000 | 0.000 | 0.000 | 0.000 | 128.481 |
| 244.723 | 158.541 | 158.541 | 0.000 | -0.000 | -0.000 |
| 158.541 | 244.723 | 158.541 | -0.000 | -0.000 | 0.000 |
| 158.541 | 158.541 | 244.723 | 0.000 | -0.000 | -0.000 |
| -0.000 | -0.000 | -0.000 | 128.481 | -0.000 | -0.000 |
| -0.000 | -0.000 | -0.000 | 0.000 | 128.481 | 0.000 |
| -0.000 | -0.000 | -0.000 | -0.000 | -0.000 | 128.481 |
| 244.730 | 158.541 | 158.541 | 0.000 | 0.000 | 0.000 |
| 158.541 | 244.730 | 158.541 | 0.000 | 0.000 | -0.000 |
| 158.541 | 158.541 | 244.730 | 0.000 | 0.000 | -0.000 |
| 0.000 | 0.000 | 0.000 | 128.481 | 0.000 | -0.000 |
| 0.000 | 0.000 | 0.000 | -0.000 | 128.481 | -0.000 |
| 0.000 | 0.000 | 0.000 | 0.000 | 0.000 | 128.481 |
| 1.077 | 0.531 | 0.531 | 0.000 | -0.000 | -0.000 |
| 0.531 | 1.077 | 0.531 | -0.000 | 0.000 | 0.000 |
| 0.531 | 0.531 | 1.077 | -0.000 | -0.000 | -0.000 |
| -0.000 | 0.000 | 0.000 | 0.534 | 0.000 | 0.000 |
| 0.000 | -0.000 | 0.000 | 0.000 | 0.534 | 0.000 |
| 0.000 | 0.000 | -0.000 | 0.000 | 0.000 | 0.534 |
| 1.077 | 0.531 | 0.531 | -0.000 | 0.000 | -0.000 |
| 0.531 | 1.077 | 0.531 | 0.000 | -0.000 | -0.000 |
| 0.531 | 0.531 | 1.077 | 0.000 | 0.000 | -0.000 |
| 0.000 | -0.000 | -0.000 | 0.534 | -0.000 | -0.000 |
| -0.000 | 0.000 | -0.000 | -0.000 | 0.534 | -0.000 |
| -0.000 | -0.000 | 0.000 | -0.000 | 0.000 | 0.534 |
| 1.077 | 0.531 | 0.531 | 0.000 | 0.000 | 0.000 |
| 0.531 | 1.077 | 0.531 | 0.000 | 0.000 | 0.000 |
| 0.531 | 0.531 | 1.077 | 0.000 | 0.000 | 0.000 |
| 0.000 | 0.000 | 0.000 | 0.534 | 0.000 | 0.000 |
| 0.000 | 0.000 | 0.000 | 0.000 | 0.534 | 0.000 |
| 0.000 | 0.000 | 0.000 | 0.000 | 0.000 | 0.534 |
| 1.077 | 0.531 | 0.531 | -0.000 | -0.000 | -0.000 |
| 0.531 | 1.077 | 0.531 | -0.000 | -0.000 | -0.000 |
| 0.531 | 0.531 | 1.077 | -0.000 | -0.000 | -0.000 |
| -0.000 | -0.000 | -0.000 | 0.534 | -0.000 | -0.000 |
| -0.000 | -0.000 | -0.000 | -0.000 | 0.534 | -0.000 |
| -0.000 | -0.000 | -0.000 | -0.000 | 0.000 | 0.534 |
| 1.078 | 0.532 | 0.532 | -0.000 | 0.000 | 0.000 |
| 0.532 | 1.078 | 0.532 | 0.000 | -0.000 | 0.000 |
| 0.532 | 0.532 | 1.078 | -0.000 | -0.000 | 0.000 |
| 0.000 | 0.000 | 0.000 | 0.534 | -0.000 | -0.000 |
| 0.000 | 0.000 | 0.000 | -0.000 | 0.534 | -0.000 |
| 0.000 | 0.000 | 0.000 | 0.000 | -0.000 | 0.534 |
| 1.077 | 0.531 | 0.531 | -0.000 | -0.000 | -0.000 |
| 0.531 | 1.077 | 0.531 | -0.000 | -0.000 | -0.000 |
| 0.531 | 0.531 | 1.077 | -0.000 | -0.000 | -0.000 |
| -0.000 | -0.000 | -0.000 | 0.534 | -0.000 | 0.000 |
| -0.000 | -0.000 | -0.000 | -0.000 | 0.534 | -0.000 |
| -0.000 | -0.000 | -0.000 | -0.000 | -0.000 | 0.534 |
| 2020.391 | 1869.748 | 879.663 | 0.000 | 0.000 | -0.000 |
| 1849.744 | 2037.193 | 878.908 | 0.000 | 0.000 | 0.000 |
| 1784.368 | 1784.368 | 1001.138 | 0.000 | 0.000 | 0.000 |
| 0.000 | -0.000 | 0.000 | 40.043 | 0.000 | -0.000 |
| 1713.948 | 1713.948 | 808.501 | 0.000 | 39.891 | -0.000 |
| 1714.665 | 1714.665 | 808.839 | 0.000 | 0.000 | 75.821 |
| -1392.317 | -1579.753 | -738.852 | -0.000 | -0.000 | -0.000 |
| 130.192 | 330.902 | 70.892 | 0.000 | -0.000 | 0.000 |
| 70.906 | 70.906 | 192.867 | -0.000 | -0.000 | 0.000 |
| 0.000 | -0.000 | -0.000 | 40.043 | -0.000 | 0.000 |
| -1713.948 | -1713.948 | -808.501 | -0.000 | 39.891 | -0.000 |
| -1714.665 | -1714.665 | -808.839 | -0.000 | -0.000 | 75.821 |
| 494.665 | 307.218 | 151.270 | 0.000 | 0.000 | 0.000 |
| 307.383 | 494.817 | 151.344 | 0.000 | 0.000 | 0.000 |
| 70.906 | 70.906 | 192.866 | 0.000 | 0.000 | -0.000 |
| -0.000 | -0.000 | -0.000 | 40.043 | 0.000 | -0.000 |
| -0.000 | -0.000 | -0.000 | 0.000 | 40.043 | 0.000 |
| 171.423 | 171.423 | 80.863 | 0.000 | 0.000 | 93.723 |
| 151.768 | -35.674 | -10.480 | -0.000 | -0.000 | 0.000 |
| -17.196 | 133.443 | -10.444 | -0.000 | -0.000 | 0.000 |
| -100.975 | -100.975 | 111.788 | -0.000 | -0.000 | 0.000 |
| 0.000 | 0.000 | 0.000 | 40.043 | -0.000 | 0.000 |
| 0.000 | 0.000 | 0.000 | -0.000 | 40.043 | 0.000 |
| -171.423 | -171.423 | -80.863 | -0.000 | -0.000 | 93.723 |
| 321.983 | 171.342 | 78.492 | -0.000 | 0.000 | 0.000 |
| 153.359 | 340.561 | 78.633 | -0.000 | 0.000 | -0.000 |
| 87.559 | 87.559 | 200.721 | 0.000 | 0.000 | 0.000 |
| -0.000 | -0.000 | -0.000 | 40.043 | 0.000 | -0.000 |
| -0.000 | -0.000 | -0.000 | 0.000 | 40.043 | 0.000 |
| -0.000 | 0.001 | -0.000 | 0.000 | -0.000 | 100.355 |
| 305.712 | 118.473 | 62.187 | -0.000 | -0.000 | -0.000 |
| 118.484 | 305.737 | 62.195 | -0.000 | -0.000 | -0.000 |
| 53.281 | 53.281 | 184.554 | -0.000 | -0.000 | 0.000 |
| 0.000 | 0.000 | 0.000 | 40.043 | -0.000 | -0.000 |
| 0.000 | 0.000 | 0.000 | -0.000 | 40.043 | 0.000 |
| 0.000 | -0.001 | 0.000 | 0.000 | 0.000 | 100.355 |
| 310.894 | 144.934 | 69.667 | -0.000 | 0.000 | -0.000 |
| 130.200 | 330.961 | 70.934 | -0.000 | 0.000 | -0.000 |
| 70.934 | 70.934 | 193.073 | 0.000 | 0.000 | -0.000 |
| -0.000 | -0.000 | -0.000 | 40.082 | 0.000 | 0.000 |
| -0.000 | 0.000 | -0.000 | -0.000 | 40.082 | 0.000 |
| -0.000 | 0.000 | 0.000 | -0.000 | 0.000 | 100.381 |
| 310.903 | 144.920 | 69.666 | 0.000 | -0.000 | 0.000 |
| 144.920 | 310.903 | 69.666 | 0.000 | -0.000 | 0.000 |
| 70.934 | 70.934 | 193.073 | 0.000 | -0.000 | 0.000 |
| -0.000 | 0.000 | 0.000 | 40.082 | -0.000 | -0.000 |
| 0.000 | 0.000 | 0.000 | 0.000 | 40.082 | -0.000 |
| 0.000 | -0.000 | -0.000 | 0.000 | -0.000 | 100.381 |
| 310.899 | 144.927 | 69.667 | -0.000 | 0.000 | 0.000 |
| 144.928 | 310.898 | 69.667 | -0.000 | 0.000 | -0.000 |
| 70.452 | 70.452 | 192.843 | -0.000 | 0.000 | -0.000 |
| -0.000 | -0.000 | -0.000 | 40.082 | 0.000 | 0.000 |
| -0.000 | -0.000 | -0.000 | -0.000 | 40.082 | -0.000 |
| -0.000 | 0.000 | -0.000 | -0.000 | 0.000 | 100.381 |
| 310.899 | 144.926 | 69.667 | 0.000 | -0.000 | -0.000 |
| 130.199 | 330.961 | 70.934 | -0.000 | -0.000 | -0.000 |
| 70.934 | 70.934 | 193.073 | 0.000 | -0.000 | 0.000 |
| 0.000 | 0.000 | 0.000 | 40.082 | -0.000 | 0.000 |
| 0.000 | 0.000 | 0.000 | -0.000 | 40.082 | -0.000 |
| 0.000 | -0.000 | 0.000 | 0.000 | -0.000 | 100.381 |
| 310.901 | 144.926 | 69.667 | -0.000 | 0.000 | -0.000 |
| 144.928 | 310.900 | 69.667 | -0.000 | 0.000 | 0.000 |
| 70.934 | 70.934 | 193.071 | 0.000 | 0.000 | 0.000 |
| 0.000 | -0.000 | -0.000 | 39.431 | 0.000 | 0.000 |
| -0.000 | 0.000 | -0.000 | -0.000 | 39.431 | 0.000 |
| -0.000 | 0.001 | -0.000 | -0.000 | 0.000 | 77.194 |
| 310.896 | 144.927 | 69.667 | 0.000 | 0.000 | -0.000 |
| 130.199 | 330.959 | 70.934 | 0.000 | -0.000 | -0.000 |
| 70.934 | 70.934 | 193.074 | 0.000 | -0.000 | 0.000 |
| -0.000 | 0.000 | 0.000 | 39.431 | -0.000 | -0.000 |
| 0.000 | -0.000 | 0.000 | 0.000 | 39.431 | 0.000 |
| 0.000 | -0.001 | 0.000 | 0.000 | -0.000 | 77.194 |
| 237.663 | 147.626 | 146.752 | -0.000 | -0.000 | 0.000 |
| 147.626 | 237.663 | 146.752 | -0.000 | -0.000 | 0.000 |
| 146.752 | 146.752 | 233.140 | -0.000 | -0.000 | 0.000 |
| 0.000 | -0.000 | 0.000 | 127.644 | -0.000 | 0.000 |
| -0.000 | -0.000 | -0.000 | -0.000 | 127.644 | 0.000 |
| -0.000 | -0.000 | -0.000 | -0.000 | -0.000 | 128.286 |
| 237.859 | 147.430 | 146.752 | 0.000 | 0.000 | -0.000 |
| 147.430 | 237.859 | 146.752 | 0.000 | 0.000 | -0.000 |
| 146.752 | 146.752 | 233.141 | 0.000 | 0.000 | -0.000 |
| 0.000 | 0.000 | 0.000 | 127.644 | -0.000 | -0.000 |
| 0.000 | 0.000 | 0.000 | 0.000 | 127.644 | -0.000 |
| 0.000 | 0.000 | 0.000 | 0.000 | 0.000 | 128.286 |
| 237.858 | 147.430 | 146.752 | -0.000 | 0.000 | 0.000 |
| 147.430 | 237.858 | 146.752 | -0.000 | -0.000 | 0.000 |
| 146.752 | 146.752 | 233.140 | -0.000 | -0.000 | 0.000 |
| 0.000 | -0.000 | -0.000 | 127.528 | -0.000 | 0.000 |
| -0.000 | 0.000 | -0.000 | -0.000 | 127.528 | 0.000 |
| -0.000 | -0.000 | 0.000 | -0.000 | -0.000 | 128.286 |
| 237.859 | 147.430 | 146.752 | 0.000 | 0.000 | -0.000 |
| 147.430 | 237.859 | 146.752 | 0.000 | 0.000 | -0.000 |
| 146.752 | 146.752 | 233.141 | 0.000 | 0.000 | -0.000 |
| -0.000 | 0.000 | 0.000 | 127.528 | 0.000 | -0.000 |
| 0.000 | -0.000 | 0.000 | 0.000 | 127.528 | -0.000 |
| 0.000 | 0.000 | -0.000 | 0.000 | 0.000 | 128.286 |
| 237.855 | 147.430 | 146.752 | 0.000 | 0.000 | 0.000 |
| 147.430 | 237.855 | 146.752 | -0.000 | 0.000 | 0.000 |
| 146.752 | 146.752 | 233.137 | -0.000 | -0.000 | 0.000 |
| 0.000 | -0.000 | -0.000 | 127.528 | -0.000 | 0.000 |
| -0.000 | 0.000 | -0.000 | -0.000 | 127.528 | 0.000 |
| -0.000 | -0.000 | 0.000 | -0.000 | 0.000 | 128.286 |
| 237.862 | 147.430 | 146.752 | 0.000 | 0.000 | -0.000 |
| 147.430 | 237.862 | 146.752 | 0.000 | 0.000 | 0.000 |
| 146.752 | 146.752 | 233.144 | 0.000 | 0.000 | -0.000 |
| -0.000 | 0.000 | 0.000 | 127.528 | 0.000 | -0.000 |
| 0.000 | -0.000 | 0.000 | 0.000 | 127.528 | -0.000 |
| 0.000 | 0.000 | -0.000 | 0.000 | 0.000 | 128.286 |
| 330.532 | 130.038 | 71.007 | 0.000 | 0.000 | 0.000 |
| 130.038 | 330.532 | 71.007 | 0.000 | 0.000 | 0.000 |
| 70.979 | 70.978 | 193.201 | 0.000 | 0.000 | 0.000 |
| 0.365 | 0.365 | 0.176 | 39.611 | 0.000 | 0.000 |
| 0.365 | 0.365 | 0.176 | -0.000 | 39.611 | 0.000 |
| -0.000 | -0.000 | 0.000 | 0.000 | 0.000 | 100.247 |
| 311.130 | 143.912 | 69.677 | -0.000 | -0.000 | -0.000 |
| 130.038 | 330.532 | 71.007 | -0.000 | -0.000 | -0.000 |
| 70.398 | 70.398 | 192.921 | 0.000 | -0.000 | -0.000 |
| -0.365 | -0.365 | -0.176 | 39.611 | -0.000 | -0.000 |
| -0.365 | -0.365 | -0.176 | 0.000 | 39.611 | -0.000 |
| 0.000 | -0.000 | -0.000 | -0.000 | -0.000 | 100.247 |
| 304.674 | 153.854 | 70.516 | -0.000 | 0.000 | 0.000 |
| 130.038 | 330.532 | 71.007 | 0.000 | 0.000 | 0.000 |
| 70.512 | 70.512 | 192.976 | -0.000 | 0.000 | 0.000 |
| -0.000 | -0.000 | -0.000 | 40.144 | 0.000 | 0.000 |
| -0.000 | -0.000 | -0.000 | -0.000 | 40.144 | 0.000 |
| 0.012 | 0.012 | 0.006 | -0.000 | 0.000 | 75.363 |
| 304.654 | 153.833 | 70.506 | 0.000 | -0.000 | -0.000 |
| 144.732 | 310.574 | 69.741 | 0.000 | -0.000 | -0.000 |
| 70.979 | 70.979 | 193.201 | 0.000 | -0.000 | -0.000 |
| 0.000 | 0.000 | 0.000 | 40.144 | -0.000 | -0.000 |
| 0.000 | 0.000 | 0.000 | 0.000 | 40.144 | -0.000 |
| -0.012 | -0.012 | -0.006 | 0.000 | -0.000 | 75.363 |
| 304.666 | 153.844 | 70.511 | -0.000 | 0.000 | 0.000 |
| 130.039 | 330.533 | 71.007 | 0.000 | 0.000 | 0.000 |
| 70.978 | 70.978 | 193.199 | 0.000 | 0.000 | 0.000 |
| -0.000 | -0.000 | -0.000 | 40.144 | 0.000 | 0.000 |
| -0.000 | -0.000 | -0.000 | -0.000 | 40.144 | 0.000 |
| 0.003 | 0.004 | 0.002 | 0.000 | 0.000 | 77.153 |
| 310.516 | 144.816 | 69.748 | -0.000 | -0.000 | -0.000 |
| 130.037 | 330.530 | 71.007 | -0.000 | -0.000 | -0.000 |
| 70.979 | 70.979 | 193.202 | 0.000 | -0.000 | -0.000 |
| 0.000 | 0.000 | 0.000 | 40.144 | -0.000 | -0.000 |
| 0.000 | 0.000 | 0.000 | 0.000 | 40.144 | -0.000 |
| -0.003 | -0.004 | -0.002 | -0.000 | -0.000 | 77.153 |
| 198.764 | 140.529 | 140.529 | -0.000 | -0.000 | -0.000 |
| 140.529 | 198.764 | 140.529 | 0.000 | -0.000 | -0.000 |
| 140.529 | 140.529 | 198.764 | -0.000 | -0.000 | -0.000 |
| 0.000 | -0.000 | 0.000 | 111.738 | -0.000 | -0.000 |
| -0.000 | 0.000 | 0.000 | -0.000 | 111.738 | -0.000 |
| -0.000 | 0.000 | 0.000 | -0.000 | -0.000 | 111.738 |
| 198.764 | 140.529 | 140.529 | -0.000 | 0.000 | 0.000 |
| 140.529 | 198.764 | 140.529 | -0.000 | 0.000 | 0.000 |
| 140.529 | 140.529 | 198.764 | 0.000 | 0.000 | 0.000 |
| 0.000 | 0.000 | -0.000 | 111.738 | 0.000 | 0.000 |
| 0.000 | -0.000 | -0.000 | -0.000 | 111.738 | 0.000 |
| 0.000 | -0.000 | -0.000 | 0.000 | 0.000 | 111.738 |
| 198.763 | 140.529 | 140.529 | -0.000 | -0.000 | 0.000 |
| 140.529 | 198.763 | 140.529 | 0.000 | -0.000 | -0.000 |
| 140.529 | 140.529 | 198.763 | -0.000 | -0.000 | -0.000 |
| -0.000 | -0.000 | -0.000 | 111.738 | -0.000 | -0.000 |
| -0.000 | -0.000 | -0.000 | -0.000 | 111.738 | -0.000 |
| -0.000 | -0.000 | 0.000 | 0.000 | -0.000 | 111.738 |
| 198.764 | 140.529 | 140.529 | 0.000 | 0.000 | 0.000 |
| 140.529 | 198.764 | 140.529 | -0.000 | 0.000 | 0.000 |
| 140.529 | 140.529 | 198.764 | -0.000 | 0.000 | 0.000 |
| 0.000 | 0.000 | 0.000 | 111.738 | 0.000 | 0.000 |
| 0.000 | 0.000 | 0.000 | -0.000 | 111.738 | 0.000 |
| 0.000 | 0.000 | -0.000 | -0.000 | 0.000 | 111.738 |
| 198.761 | 140.529 | 140.529 | 0.000 | -0.000 | -0.000 |
| 140.529 | 198.761 | 140.529 | -0.000 | -0.000 | 0.000 |
| 140.529 | 140.529 | 198.761 | -0.000 | -0.000 | -0.000 |
| -0.000 | -0.000 | -0.000 | 111.738 | -0.000 | -0.000 |
| -0.000 | -0.000 | -0.000 | 0.000 | 111.738 | -0.000 |
| -0.000 | -0.000 | -0.000 | 0.000 | -0.000 | 111.738 |
| 198.766 | 140.529 | 140.529 | -0.000 | 0.000 | 0.000 |
| 140.529 | 198.766 | 140.529 | 0.000 | 0.000 | 0.000 |
| 140.529 | 140.529 | 198.766 | -0.000 | 0.000 | 0.000 |
| 0.000 | 0.000 | 0.000 | 111.738 | 0.000 | 0.000 |
| 0.000 | 0.000 | 0.000 | -0.000 | 111.738 | 0.000 |
| 0.000 | 0.000 | 0.000 | -0.000 | 0.000 | 111.738 |
| 391.440 | 85.500 | 85.500 | -0.000 | -0.000 | 0.000 |
| 85.500 | 391.440 | 85.500 | -0.000 | 0.000 | 0.000 |
| 85.500 | 85.500 | 391.440 | 0.000 | -0.000 | 0.000 |
| 0.000 | 0.000 | -0.000 | 48.858 | 0.000 | 0.000 |
| 0.000 | -0.000 | -0.000 | -0.000 | 48.858 | 0.000 |
| 0.000 | -0.000 | -0.000 | -0.000 | -0.000 | 48.858 |
| 391.440 | 85.500 | 85.500 | 0.000 | -0.000 | 0.000 |
| 85.500 | 391.440 | 85.500 | 0.000 | 0.000 | -0.000 |
| 85.500 | 85.500 | 391.440 | -0.000 | -0.000 | -0.000 |
| -0.000 | -0.000 | 0.000 | 48.858 | -0.000 | -0.000 |
| -0.000 | 0.000 | 0.000 | 0.000 | 48.858 | -0.000 |
| -0.000 | 0.000 | 0.000 | 0.000 | -0.000 | 48.858 |
| 390.528 | 85.956 | 85.956 | -0.000 | -0.000 | 0.000 |
| 85.956 | 390.528 | 85.956 | -0.000 | 0.000 | 0.000 |
| 85.956 | 85.956 | 390.528 | -0.000 | 0.000 | 0.000 |
| 0.000 | -0.000 | -0.000 | 26.233 | 0.000 | 0.000 |
| -0.000 | 0.000 | -0.000 | 0.000 | 26.233 | 0.000 |
| -0.000 | -0.000 | 0.000 | -0.000 | 0.000 | 26.233 |
| 391.440 | 85.500 | 85.500 | 0.000 | 0.000 | 0.000 |
| 85.500 | 391.440 | 85.500 | 0.000 | -0.000 | 0.000 |
| 85.500 | 85.500 | 391.440 | 0.000 | -0.000 | -0.000 |
| -0.000 | 0.000 | 0.000 | 26.233 | -0.000 | -0.000 |
| 0.000 | -0.000 | 0.000 | 0.000 | 26.233 | -0.000 |
| 0.000 | 0.000 | -0.000 | 0.000 | -0.000 | 26.233 |
| 390.529 | 85.956 | 85.956 | -0.000 | 0.000 | 0.000 |
| 85.956 | 390.529 | 85.956 | -0.000 | 0.000 | 0.000 |
| 85.956 | 85.956 | 390.529 | -0.000 | 0.000 | 0.000 |
| 0.000 | -0.000 | -0.000 | 26.233 | 0.000 | -0.000 |
| -0.000 | 0.000 | -0.000 | -0.000 | 26.233 | 0.000 |
| -0.000 | -0.000 | 0.000 | -0.000 | 0.000 | 26.233 |
| 391.439 | 85.500 | 85.500 | 0.000 | 0.000 | 0.000 |
| 85.500 | 391.439 | 85.500 | 0.000 | -0.000 | 0.000 |
| 85.500 | 85.500 | 391.439 | 0.000 | -0.000 | 0.000 |
| -0.000 | 0.000 | 0.000 | 26.233 | -0.000 | -0.000 |
| 0.000 | -0.000 | 0.000 | 0.000 | 26.233 | -0.000 |
| 0.000 | 0.000 | -0.000 | 0.000 | -0.000 | 26.233 |
| 172.917 | 172.316 | 172.316 | -0.000 | -0.000 | 0.000 |
| 172.316 | 172.917 | 172.316 | 0.000 | 0.000 | 0.000 |
| 172.316 | 172.316 | 172.917 | 0.000 | 0.000 | 0.000 |
| 0.000 | 0.000 | 0.000 | 137.014 | 0.000 | 0.000 |
| 0.000 | 0.000 | 0.000 | -0.000 | 137.014 | 0.000 |
| 0.000 | 0.000 | 0.000 | 0.000 | 0.000 | 137.014 |
| 172.917 | 172.316 | 172.316 | -0.000 | -0.000 | -0.000 |
| 172.316 | 172.917 | 172.316 | 0.000 | -0.000 | -0.000 |
| 172.316 | 172.316 | 172.917 | 0.000 | -0.000 | 0.000 |
| -0.000 | -0.000 | -0.000 | 137.014 | -0.000 | -0.000 |
| -0.000 | -0.000 | -0.000 | 0.000 | 137.014 | -0.000 |
| -0.000 | -0.000 | -0.000 | -0.000 | -0.000 | 137.014 |
| 172.917 | 172.316 | 172.316 | -0.000 | 0.000 | 0.000 |
| 172.316 | 172.917 | 172.316 | 0.000 | -0.000 | 0.000 |
| 172.316 | 172.316 | 172.917 | -0.000 | 0.000 | 0.000 |
| 0.000 | 0.000 | 0.000 | 137.014 | 0.000 | 0.000 |
| 0.000 | 0.000 | 0.000 | 0.000 | 137.014 | 0.000 |
| 0.000 | 0.000 | 0.000 | 0.000 | 0.000 | 137.014 |
| 172.917 | 172.316 | 172.316 | 0.000 | -0.000 | -0.000 |
| 172.316 | 172.917 | 172.316 | 0.000 | -0.000 | -0.000 |
| 172.316 | 172.316 | 172.917 | 0.000 | -0.000 | -0.000 |
| -0.000 | -0.000 | -0.000 | 137.014 | -0.000 | 0.000 |
| -0.000 | -0.000 | -0.000 | -0.000 | 137.014 | -0.000 |
| -0.000 | -0.000 | -0.000 | -0.000 | -0.000 | 137.014 |
| 172.918 | 172.315 | 172.315 | 0.000 | 0.000 | -0.000 |
| 172.315 | 172.918 | 172.315 | 0.000 | 0.000 | -0.000 |
| 172.315 | 172.315 | 172.918 | 0.000 | 0.000 | 0.000 |
| 0.001 | 0.000 | 0.001 | 137.014 | 0.000 | 0.000 |
| 0.000 | 0.001 | 0.001 | -0.000 | 137.014 | 0.000 |
| 0.000 | 0.001 | 0.001 | 0.000 | 0.000 | 137.014 |
| 172.916 | 172.316 | 172.316 | 0.000 | -0.000 | 0.000 |
| 172.316 | 172.916 | 172.316 | 0.000 | -0.000 | 0.000 |
| 172.316 | 172.316 | 172.916 | -0.000 | 0.000 | 0.000 |
| -0.001 | -0.000 | -0.001 | 137.014 | 0.000 | -0.000 |
| -0.000 | -0.001 | -0.001 | 0.000 | 137.014 | -0.000 |
| -0.000 | -0.001 | -0.001 | -0.000 | -0.000 | 137.014 |
| 240.648 | 144.819 | 75.648 | -0.000 | -0.000 | -0.000 |
| 144.819 | 240.648 | 75.648 | 0.000 | -0.000 | -0.000 |
| 75.648 | 75.648 | 238.794 | -0.000 | -0.000 | -0.000 |
| -0.000 | 0.000 | 0.000 | 53.498 | -0.000 | 0.000 |
| -0.000 | 0.000 | 0.000 | -0.000 | 53.498 | -0.000 |
| -0.000 | 0.000 | 0.000 | 0.000 | 0.000 | 84.434 |
| 277.167 | 108.300 | 75.648 | -0.000 | -0.000 | 0.000 |
| 108.300 | 277.167 | 75.648 | -0.000 | -0.000 | 0.000 |
| 75.648 | 75.648 | 238.794 | 0.000 | -0.000 | 0.000 |
| 0.000 | -0.000 | -0.000 | 53.498 | 0.000 | 0.000 |
| 0.000 | -0.000 | -0.000 | -0.000 | 53.498 | -0.000 |
| 0.000 | -0.000 | -0.000 | -0.000 | -0.000 | 84.434 |
| 277.167 | 108.300 | 75.648 | -0.000 | 0.000 | 0.000 |
| 144.819 | 240.647 | 75.648 | -0.000 | 0.000 | -0.000 |
| 75.649 | 75.649 | 238.794 | 0.000 | -0.000 | 0.000 |
| 0.000 | -0.000 | 0.000 | 53.498 | 0.000 | -0.000 |
| -0.000 | 0.000 | 0.000 | -0.000 | 53.498 | -0.000 |
| -0.000 | -0.000 | 0.000 | -0.000 | 0.000 | 84.434 |
| 277.167 | 108.300 | 75.648 | 0.000 | -0.000 | -0.000 |
| 144.819 | 240.648 | 75.648 | -0.000 | -0.000 | 0.000 |
| 75.648 | 75.648 | 238.794 | -0.000 | -0.000 | 0.000 |
| -0.000 | 0.000 | -0.000 | 53.498 | -0.000 | -0.000 |
| 0.000 | -0.000 | -0.000 | 0.000 | 53.498 | 0.000 |
| 0.000 | 0.000 | -0.000 | -0.000 | -0.000 | 84.434 |
| 240.647 | 144.818 | 75.648 | -0.000 | 0.000 | -0.000 |
| 144.820 | 240.645 | 75.648 | 0.000 | 0.000 | -0.000 |
| 75.649 | 75.649 | 238.798 | -0.000 | 0.000 | -0.000 |
| 0.000 | -0.000 | 0.001 | 53.498 | -0.000 | 0.000 |
| -0.000 | 0.000 | 0.001 | 0.000 | 53.498 | -0.000 |
| -0.000 | -0.000 | 0.000 | -0.000 | 0.000 | 84.434 |
| 277.167 | 108.300 | 75.648 | -0.000 | -0.000 | -0.000 |
| 144.818 | 240.650 | 75.649 | -0.000 | 0.000 | -0.000 |
| 75.648 | 75.648 | 238.790 | -0.000 | -0.000 | -0.000 |
| -0.000 | 0.000 | -0.001 | 53.498 | 0.000 | 0.000 |
| 0.000 | -0.000 | -0.001 | -0.000 | 53.498 | 0.000 |
| 0.000 | 0.000 | -0.000 | 0.000 | -0.000 | 84.434 |
| 251.841 | 151.317 | 104.415 | -0.000 | 0.000 | 0.000 |
| 151.317 | 251.841 | 104.415 | 0.000 | -0.000 | 0.000 |
| 104.415 | 104.415 | 269.954 | 0.000 | 0.000 | 0.000 |
| 0.000 | -0.000 | 0.000 | 86.995 | 0.000 | 0.000 |
| 0.000 | 0.000 | 0.000 | 0.000 | 86.995 | 0.000 |
| 0.000 | -0.000 | 0.000 | -0.000 | 0.000 | 50.262 |
| 251.841 | 151.317 | 104.415 | -0.000 | -0.000 | -0.000 |
| 110.852 | 292.306 | 104.415 | -0.000 | 0.000 | 0.000 |
| 104.415 | 104.415 | 269.954 | 0.000 | 0.000 | -0.000 |
| -0.000 | -0.000 | -0.000 | 86.995 | 0.000 | 0.000 |
| -0.000 | 0.000 | -0.000 | 0.000 | 86.995 | -0.000 |
| -0.000 | 0.000 | -0.000 | 0.000 | -0.000 | 50.262 |
| 251.841 | 151.317 | 104.415 | -0.000 | 0.000 | 0.000 |
| 151.317 | 251.841 | 104.415 | 0.000 | -0.000 | 0.000 |
| 104.415 | 104.415 | 269.954 | -0.000 | 0.000 | 0.000 |
| 0.000 | 0.000 | 0.000 | 86.995 | -0.000 | 0.000 |
| 0.000 | 0.000 | 0.000 | -0.000 | 86.995 | -0.000 |
| -0.000 | -0.000 | -0.000 | -0.000 | 0.000 | 50.262 |
| 292.306 | 110.852 | 104.415 | 0.000 | 0.000 | -0.000 |
| 110.852 | 292.306 | 104.415 | -0.000 | -0.000 | -0.000 |
| 104.415 | 104.415 | 269.953 | 0.000 | -0.000 | -0.000 |
| -0.000 | -0.000 | -0.000 | 86.995 | 0.000 | -0.000 |
| -0.000 | -0.000 | -0.000 | 0.000 | 86.995 | -0.000 |
| 0.000 | 0.000 | 0.000 | 0.000 | 0.000 | 50.262 |
| 251.841 | 151.316 | 104.415 | -0.000 | -0.000 | 0.000 |
| 110.852 | 292.305 | 104.415 | -0.000 | 0.000 | -0.000 |
| 104.416 | 104.416 | 269.958 | -0.000 | -0.000 | 0.000 |
| 0.000 | 0.000 | 0.001 | 86.995 | -0.000 | 0.000 |
| -0.000 | 0.000 | 0.001 | -0.000 | 86.995 | 0.000 |
| -0.001 | -0.000 | -0.000 | -0.000 | 0.000 | 50.262 |
| 251.843 | 151.317 | 104.415 | -0.000 | 0.000 | -0.000 |
| 151.318 | 251.842 | 104.415 | -0.000 | -0.000 | -0.000 |
| 104.414 | 104.414 | 269.950 | 0.000 | 0.000 | -0.000 |
| -0.000 | -0.000 | -0.001 | 86.995 | -0.000 | 0.000 |
| 0.000 | -0.000 | -0.001 | 0.000 | 86.995 | -0.000 |
| 0.001 | 0.000 | 0.000 | 0.000 | -0.000 | 50.262 |
| 251.949 | 151.347 | 104.429 | 0.000 | 0.000 | -0.000 |
| 151.346 | 251.949 | 104.429 | 0.000 | 0.000 | -0.000 |
| 104.423 | 104.423 | 269.828 | 0.000 | 0.000 | -0.000 |
| -0.000 | 0.000 | 0.000 | 86.964 | 0.000 | -0.000 |
| -0.000 | 0.000 | 0.000 | 0.000 | 86.964 | -0.000 |
| -0.000 | 0.000 | 0.000 | 0.000 | 0.000 | 50.301 |
| 292.386 | 110.910 | 104.429 | -0.000 | -0.000 | 0.000 |
| 110.910 | 292.386 | 104.429 | -0.000 | -0.000 | 0.000 |
| 104.423 | 104.423 | 269.827 | -0.000 | -0.000 | 0.000 |
| 0.000 | -0.000 | -0.000 | 86.964 | -0.000 | 0.000 |
| 0.000 | -0.000 | -0.000 | -0.000 | 86.964 | 0.000 |
| 0.000 | -0.000 | -0.000 | -0.000 | -0.000 | 50.301 |
| 251.949 | 151.346 | 104.429 | 0.000 | -0.000 | -0.000 |
| 110.910 | 292.386 | 104.429 | 0.000 | 0.000 | -0.000 |
| 104.423 | 104.423 | 269.828 | -0.000 | 0.000 | -0.000 |
| 0.000 | 0.000 | 0.000 | 86.964 | 0.000 | -0.000 |
| -0.000 | 0.000 | 0.000 | -0.000 | 86.964 | -0.000 |
| -0.000 | -0.000 | -0.000 | -0.000 | 0.000 | 50.301 |
| 292.386 | 110.910 | 104.429 | -0.000 | -0.000 | 0.000 |
| 110.910 | 292.386 | 104.429 | -0.000 | -0.000 | 0.000 |
| 104.423 | 104.423 | 269.827 | -0.000 | -0.000 | 0.000 |
| -0.000 | -0.000 | -0.000 | 86.964 | 0.000 | 0.000 |
| 0.000 | -0.000 | -0.000 | 0.000 | 86.964 | 0.000 |
| 0.000 | 0.000 | 0.000 | 0.000 | -0.000 | 50.301 |
| 292.385 | 110.910 | 104.429 | 0.000 | 0.000 | -0.000 |
| 151.347 | 251.947 | 104.429 | 0.000 | 0.000 | -0.000 |
| 104.424 | 104.424 | 269.831 | 0.000 | -0.000 | -0.000 |
| 0.000 | 0.000 | 0.001 | 86.964 | 0.000 | -0.000 |
| -0.000 | 0.000 | 0.001 | 0.000 | 86.964 | -0.000 |
| -0.001 | -0.000 | -0.000 | 0.000 | 0.000 | 50.301 |
| 251.950 | 151.348 | 104.429 | 0.000 | -0.000 | 0.000 |
| 151.346 | 251.952 | 104.429 | -0.000 | -0.000 | 0.000 |
| 104.422 | 104.422 | 269.824 | -0.000 | -0.000 | 0.000 |
| -0.000 | -0.000 | -0.001 | 86.964 | -0.000 | 0.000 |
| 0.000 | -0.000 | -0.001 | -0.000 | 86.964 | 0.000 |
| 0.001 | 0.000 | 0.000 | -0.000 | -0.000 | 50.301 |
| 53598.488 | 92074.130 | 92074.224 | 0.038 | 0.065 | -0.006 |
| 92074.223 | 53598.379 | 92074.223 | 0.038 | 0.096 | -0.015 |
| 92074.228 | 92074.175 | 53598.445 | 0.030 | 0.061 | 0.008 |
| -0.118 | -0.010 | 0.050 | -35293.217 | 0.100 | 0.047 |
| 0.045 | -0.034 | 0.033 | 0.090 | -35293.185 | 0.036 |
| 0.073 | -0.003 | 0.025 | 0.081 | 0.104 | -35293.272 |
| 53598.245 | 92074.199 | 92074.171 | -0.065 | -0.094 | -0.052 |
| 92074.175 | 53598.272 | 92074.169 | -0.072 | -0.098 | -0.066 |
| 92074.119 | 92074.212 | 53598.203 | -0.125 | -0.180 | -0.057 |
| -0.040 | 0.008 | -0.015 | -35293.384 | -0.092 | -0.047 |
| -0.069 | -0.004 | -0.023 | -0.081 | -35293.418 | -0.057 |
| -0.054 | 0.022 | -0.019 | -0.057 | -0.114 | -35293.364 |
| 53598.856 | 92074.146 | 92074.156 | 0.008 | 0.009 | -0.001 |
| 92074.149 | 53598.857 | 92074.156 | 0.008 | 0.007 | -0.001 |
| 92074.146 | 92074.146 | 53598.862 | 0.004 | 0.008 | -0.000 |
| -0.090 | -0.063 | -0.064 | -35289.558 | 0.011 | 0.004 |
| -0.062 | -0.086 | -0.065 | 0.009 | -35289.555 | 0.004 |
| -0.055 | -0.070 | -0.083 | 0.008 | 0.011 | -35289.561 |
| 53597.844 | 92074.200 | 92074.196 | -0.006 | -0.012 | -0.006 |
| 92074.198 | 53597.849 | 92074.197 | -0.008 | -0.009 | -0.006 |
| 92074.197 | 92074.197 | 53597.839 | -0.015 | -0.020 | -0.004 |
| 0.082 | 0.065 | 0.064 | -35289.574 | -0.014 | -0.004 |
| 0.061 | 0.088 | 0.065 | -0.009 | -35289.578 | -0.005 |
| 0.062 | 0.071 | 0.082 | -0.012 | -0.014 | -35289.570 |
| 53603.415 | 92073.917 | 92073.917 | 0.001 | 0.002 | 0.001 |
| 92073.917 | 53603.416 | 92073.917 | 0.001 | 0.001 | 0.001 |
| 92073.917 | 92073.916 | 53603.417 | 0.002 | 0.002 | 0.001 |
| -0.874 | -0.637 | -0.688 | -35298.430 | 0.001 | 0.000 |
| -0.636 | -0.874 | -0.688 | 0.001 | -35298.430 | 0.000 |
| -0.636 | -0.688 | -0.873 | 0.001 | 0.001 | -35298.431 |
| 53593.292 | 92074.430 | 92074.429 | -0.001 | -0.001 | -0.001 |
| 92074.429 | 53593.293 | 92074.428 | -0.001 | -0.002 | -0.001 |
| 92074.428 | 92074.429 | 53593.292 | -0.001 | -0.001 | -0.001 |
| 0.873 | 0.636 | 0.688 | -35298.432 | -0.001 | -0.000 |
| 0.636 | 0.874 | 0.688 | -0.001 | -35298.432 | -0.000 |
| 0.636 | 0.688 | 0.873 | -0.001 | -0.001 | -35298.432 |
| 745.848 | 1268.503 | 1268.503 | -0.000 | -0.000 | -0.000 |
| 1268.503 | 745.848 | 1268.503 | -0.000 | -0.000 | 0.000 |
| 1268.503 | 1268.503 | 745.848 | -0.000 | -0.000 | -0.000 |
| -0.000 | 0.000 | 0.000 | 818.251 | 0.000 | 0.000 |
| 0.000 | 0.000 | 0.000 | 0.000 | 818.251 | 0.000 |
| 0.000 | 0.000 | -0.000 | 0.000 | -0.000 | 818.251 |
| 745.847 | 1268.502 | 1268.502 | 0.000 | 0.000 | 0.000 |
| 1268.502 | 745.847 | 1268.502 | 0.000 | 0.000 | -0.000 |
| 1268.502 | 1268.502 | 745.847 | 0.000 | 0.000 | 0.000 |
| -0.000 | -0.000 | -0.000 | 818.251 | -0.000 | 0.000 |
| 0.000 | -0.000 | -0.000 | -0.000 | 818.251 | 0.000 |
| -0.000 | -0.000 | -0.000 | -0.000 | 0.000 | 818.250 |
| 745.854 | 1268.507 | 1268.507 | -0.000 | -0.000 | 0.000 |
| 1268.507 | 745.854 | 1268.507 | -0.000 | -0.000 | 0.000 |
| 1268.507 | 1268.507 | 745.854 | -0.000 | -0.000 | -0.000 |
| 0.000 | 0.001 | 0.001 | 818.251 | -0.000 | 0.000 |
| 0.001 | 0.000 | 0.001 | -0.000 | 818.251 | -0.000 |
| 0.001 | 0.001 | 0.000 | -0.000 | -0.000 | 818.251 |
| 745.841 | 1268.498 | 1268.498 | 0.000 | 0.000 | 0.000 |
| 1268.498 | 745.841 | 1268.498 | 0.000 | 0.000 | 0.000 |
| 1268.498 | 1268.498 | 745.841 | 0.000 | 0.000 | 0.000 |
| -0.000 | -0.001 | -0.001 | 818.251 | -0.000 | -0.000 |
| -0.001 | -0.000 | -0.001 | -0.000 | 818.251 | 0.000 |
| -0.001 | -0.001 | -0.000 | -0.000 | 0.000 | 818.251 |
| 745.909 | 1268.549 | 1268.549 | -0.000 | -0.000 | 0.000 |
| 1268.549 | 745.909 | 1268.549 | -0.000 | -0.000 | 0.000 |
| 1268.549 | 1268.549 | 745.909 | -0.000 | -0.000 | -0.000 |
| 0.005 | 0.012 | 0.011 | -620.469 | -0.000 | 0.000 |
| 0.012 | 0.005 | 0.011 | -0.000 | -620.469 | 0.000 |
| 0.012 | 0.011 | 0.005 | 0.000 | -0.000 | -620.469 |
| 745.786 | 1268.455 | 1268.455 | -0.000 | 0.000 | 0.000 |
| 1268.455 | 745.786 | 1268.455 | 0.000 | 0.000 | 0.000 |
| 1268.455 | 1268.455 | 745.786 | 0.000 | 0.000 | 0.000 |
| -0.005 | -0.012 | -0.011 | -620.469 | 0.000 | 0.000 |
| -0.012 | -0.005 | -0.011 | 0.000 | -620.469 | -0.000 |
| -0.012 | -0.011 | -0.005 | 0.000 | 0.000 | -620.469 |
| 35.485 | 71.830 | 71.830 | 0.000 | -0.000 | -0.000 |
| 71.830 | 35.485 | 71.830 | -0.000 | -0.000 | -0.000 |
| 71.830 | 71.830 | 35.485 | -0.000 | -0.000 | -0.000 |
| -0.000 | 0.000 | 0.000 | -47.918 | -0.000 | 0.000 |
| -0.000 | -0.000 | 0.000 | 0.000 | -47.918 | 0.000 |
| -0.000 | -0.000 | 0.000 | 0.000 | 0.000 | -47.918 |
| 35.486 | 71.830 | 71.830 | -0.000 | 0.000 | 0.000 |
| 71.830 | 35.486 | 71.830 | 0.000 | 0.000 | 0.000 |
| 71.830 | 71.830 | 35.486 | 0.000 | 0.000 | 0.000 |
| 0.000 | 0.000 | -0.000 | -47.918 | -0.000 | 0.000 |
| 0.000 | -0.000 | -0.000 | -0.000 | -47.918 | -0.000 |
| 0.000 | 0.000 | -0.000 | -0.000 | -0.000 | -47.918 |
| 35.485 | 71.830 | 71.830 | -0.000 | -0.000 | -0.000 |
| 71.830 | 35.485 | 71.830 | -0.000 | -0.000 | -0.000 |
| 71.830 | 71.830 | 35.485 | -0.000 | -0.000 | -0.000 |
| 0.000 | -0.000 | -0.000 | 61.841 | 0.000 | 0.000 |
| -0.000 | 0.000 | -0.000 | 0.000 | 61.841 | 0.000 |
| -0.000 | -0.000 | 0.000 | 0.000 | 0.000 | 61.841 |
| 35.486 | 71.830 | 71.830 | -0.000 | 0.000 | 0.000 |
| 71.830 | 35.486 | 71.830 | 0.000 | 0.000 | 0.000 |
| 71.830 | 71.830 | 35.486 | 0.000 | 0.000 | -0.000 |
| -0.000 | 0.000 | 0.000 | 61.841 | -0.000 | -0.000 |
| 0.000 | -0.000 | 0.000 | -0.000 | 61.841 | -0.000 |
| 0.000 | 0.000 | -0.000 | -0.000 | -0.000 | 61.841 |
| 35.482 | 71.830 | 71.830 | -0.000 | -0.000 | -0.000 |
| 71.830 | 35.482 | 71.830 | -0.000 | -0.000 | -0.000 |
| 71.830 | 71.830 | 35.482 | -0.000 | -0.000 | -0.000 |
| -0.000 | -0.000 | -0.000 | -47.918 | 0.000 | -0.000 |
| -0.000 | -0.000 | -0.000 | 0.000 | -47.918 | -0.000 |
| -0.000 | -0.000 | -0.000 | 0.000 | -0.000 | -47.918 |
| 35.489 | 71.830 | 71.830 | -0.000 | 0.000 | 0.000 |
| 71.830 | 35.489 | 71.830 | 0.000 | 0.000 | -0.000 |
| 71.830 | 71.830 | 35.489 | 0.000 | 0.000 | 0.000 |
| 0.000 | 0.000 | 0.000 | -47.918 | -0.000 | -0.000 |
| 0.000 | 0.000 | 0.000 | -0.000 | -47.918 | -0.000 |
| 0.000 | 0.000 | 0.000 | -0.000 | -0.000 | -47.918 |
| 572.997 | -30.435 | 17.676 | 0.000 | -0.000 | -0.000 |
| -30.435 | 572.997 | 17.676 | 0.000 | -0.000 | 0.000 |
| 17.676 | 17.676 | 494.386 | 0.000 | -0.000 | 0.000 |
| -0.000 | 0.000 | 0.000 | -44.459 | -0.000 | 0.000 |
| 0.000 | -0.000 | 0.000 | 0.000 | -44.459 | 0.000 |
| 0.000 | -0.000 | 0.000 | 0.000 | -0.000 | -57.370 |
| 572.997 | -30.435 | 17.676 | -0.000 | 0.000 | -0.000 |
| -30.435 | 572.997 | 17.676 | -0.000 | 0.000 | 0.000 |
| 17.676 | 17.676 | 494.386 | -0.000 | 0.000 | 0.000 |
| 0.000 | -0.000 | -0.000 | -44.459 | 0.000 | 0.000 |
| -0.000 | 0.000 | -0.000 | -0.000 | -44.459 | 0.000 |
| -0.000 | 0.000 | -0.000 | 0.000 | -0.000 | -57.370 |
| -619.829 | 1162.393 | 17.681 | 0.000 | -0.000 | 0.000 |
| 1162.393 | -619.829 | 17.681 | -0.000 | -0.000 | -0.000 |
| 17.676 | 17.676 | 494.386 | 0.000 | -0.000 | -0.000 |
| 0.000 | 0.000 | 0.000 | -44.459 | 0.000 | -0.000 |
| 0.000 | 0.000 | 0.000 | 0.000 | -44.459 | 0.000 |
| 0.000 | 0.000 | 0.000 | 0.000 | -0.000 | -57.370 |
| -619.830 | 1162.389 | 17.672 | -0.000 | 0.000 | 0.000 |
| 1162.389 | -619.830 | 17.672 | -0.000 | 0.000 | 0.000 |
| 17.676 | 17.676 | 494.385 | -0.000 | 0.000 | -0.000 |
| -0.000 | -0.000 | -0.000 | -44.459 | 0.000 | -0.000 |
| -0.000 | -0.000 | -0.000 | 0.000 | -44.459 | -0.000 |
| -0.000 | -0.000 | -0.000 | -0.000 | 0.000 | -57.370 |
| -2543.527 | 3086.293 | 17.937 | 0.000 | -0.000 | 0.000 |
| 3086.313 | -2543.547 | 17.937 | -0.000 | -0.000 | -0.000 |
| 17.677 | 17.677 | 494.391 | 0.000 | -0.000 | -0.000 |
| 0.000 | 0.001 | 0.001 | -44.459 | -0.000 | -0.000 |
| 0.001 | 0.000 | 0.001 | 0.000 | -44.459 | -0.000 |
| 0.000 | 0.001 | 0.000 | 0.000 | -0.000 | -57.370 |
| -1809.765 | 2352.209 | 17.520 | 0.000 | -0.000 | -0.000 |
| 2352.209 | -1809.765 | 17.520 | -0.000 | 0.000 | 0.000 |
| 17.676 | 17.676 | 494.380 | -0.000 | 0.000 | -0.000 |
| -0.000 | -0.001 | -0.001 | -44.459 | 0.000 | -0.000 |
| -0.001 | -0.000 | -0.001 | -0.000 | -44.459 | -0.000 |
| -0.000 | -0.001 | -0.000 | 0.000 | -0.000 | -57.370 |
| 47.995 | 8.884 | 43.266 | -27.551 | -0.000 | 0.000 |
| 8.884 | 47.995 | 43.266 | 27.551 | -0.000 | 0.000 |
| 32.987 | 32.987 | -41.198 | -0.000 | 0.000 | 0.000 |
| -27.551 | 27.551 | 0.001 | 41.930 | -0.000 | -0.000 |
| 0.000 | -0.000 | 0.000 | 0.000 | 41.929 | -27.551 |
| 0.000 | 0.000 | 0.001 | 0.000 | -27.551 | 19.555 |
| 47.995 | 8.885 | 43.266 | -27.551 | 0.000 | -0.000 |
| 8.884 | 47.995 | 43.266 | 27.551 | 0.000 | 0.000 |
| 32.987 | 32.987 | -41.201 | -0.000 | 0.000 | -0.000 |
| -27.551 | 27.551 | -0.000 | 41.930 | 0.000 | -0.000 |
| -0.000 | 0.000 | -0.000 | 0.000 | 41.930 | -27.551 |
| -0.000 | -0.000 | -0.001 | -0.000 | -27.551 | 19.555 |
| 47.995 | 8.884 | 43.266 | -27.551 | 0.000 | -0.000 |
| 8.884 | 47.995 | 43.266 | 27.551 | 0.000 | 0.000 |
| 32.987 | 32.987 | -41.199 | -0.000 | -0.000 | 0.000 |
| -27.551 | 27.551 | 0.000 | 41.930 | -0.000 | -0.000 |
| 0.000 | 0.000 | 0.000 | -0.000 | 41.930 | -27.551 |
| -0.000 | 0.000 | -0.000 | -0.000 | -27.551 | 19.555 |
| 47.995 | 8.884 | 43.266 | -27.551 | 0.000 | -0.000 |
| 8.884 | 47.995 | 43.265 | 27.551 | 0.000 | -0.000 |
| 32.987 | 32.987 | -41.199 | 0.000 | 0.000 | -0.000 |
| -27.551 | 27.551 | -0.000 | 41.930 | 0.000 | -0.000 |
| -0.000 | -0.000 | -0.000 | 0.000 | 41.930 | -27.551 |
| 0.000 | -0.000 | 0.000 | 0.000 | -27.551 | 19.555 |
| 47.995 | 8.884 | 43.266 | -27.551 | -0.000 | 0.000 |
| 8.885 | 47.994 | 43.266 | 27.551 | -0.000 | 0.000 |
| 32.987 | 32.987 | -41.199 | 0.000 | -0.000 | -0.000 |
| -27.551 | 27.551 | 0.000 | 41.930 | -0.000 | -0.000 |
| -0.000 | -0.000 | 0.000 | -0.000 | 41.930 | -27.551 |
| -0.000 | 0.000 | -0.000 | -0.000 | -27.551 | 19.555 |
| 47.995 | 8.885 | 43.266 | -27.550 | 0.000 | -0.000 |
| 8.884 | 47.996 | 43.266 | 27.550 | 0.000 | -0.000 |
| 32.987 | 32.987 | -41.199 | -0.000 | 0.000 | -0.000 |
| -27.551 | 27.551 | -0.000 | 41.929 | -0.000 | -0.000 |
| 0.000 | 0.000 | -0.000 | 0.000 | 41.930 | -27.551 |
| 0.000 | -0.000 | 0.000 | 0.000 | -27.551 | 19.555 |
| 517.267 | 5.011 | 5.011 | 0.000 | 0.000 | 0.000 |
| 5.011 | 517.267 | 5.011 | -0.000 | -0.000 | 0.000 |
| 5.011 | 5.011 | 517.267 | 0.000 | 0.000 | 0.000 |
| 0.000 | 0.000 | -0.000 | -15.247 | -0.000 | 0.000 |
| 0.000 | 0.000 | 0.000 | 0.000 | -15.247 | 0.000 |
| 0.000 | 0.000 | 0.000 | 0.000 | 0.000 | -15.247 |
| 517.266 | 5.011 | 5.011 | 0.000 | -0.000 | -0.000 |
| 5.011 | 517.266 | 5.011 | 0.000 | -0.000 | -0.000 |
| 5.011 | 5.011 | 517.266 | 0.000 | -0.000 | -0.000 |
| -0.000 | -0.000 | -0.000 | -15.247 | 0.000 | 0.000 |
| -0.000 | -0.000 | -0.000 | -0.000 | -15.247 | -0.000 |
| -0.000 | -0.000 | -0.000 | -0.000 | -0.000 | -15.247 |
| 517.267 | 5.011 | 5.011 | -0.000 | 0.000 | 0.000 |
| 5.011 | 517.267 | 5.011 | -0.000 | -0.000 | 0.000 |
| 5.011 | 5.011 | 517.267 | -0.000 | 0.000 | 0.000 |
| 0.000 | 0.000 | 0.000 | -15.247 | 0.000 | 0.000 |
| 0.000 | 0.000 | 0.000 | -0.000 | -15.247 | 0.000 |
| 0.000 | 0.000 | 0.000 | -0.000 | 0.000 | -15.247 |
| 517.266 | 5.011 | 5.011 | -0.000 | 0.000 | -0.000 |
| 5.011 | 517.266 | 5.011 | 0.000 | -0.000 | -0.000 |
| 5.011 | 5.011 | 517.266 | 0.000 | -0.000 | 0.000 |
| -0.000 | -0.000 | -0.000 | -15.247 | -0.000 | -0.000 |
| -0.000 | -0.000 | -0.000 | -0.000 | -15.247 | -0.000 |
| -0.000 | -0.000 | -0.000 | 0.000 | 0.000 | -15.247 |
| 517.273 | 5.011 | 5.011 | 0.000 | 0.000 | 0.000 |
| 5.011 | 517.273 | 5.011 | 0.000 | 0.000 | 0.000 |
| 5.011 | 5.011 | 517.273 | 0.000 | 0.000 | -0.000 |
| 0.000 | 0.001 | 0.000 | -15.247 | -0.000 | 0.000 |
| 0.001 | 0.000 | 0.000 | 0.000 | -15.247 | 0.000 |
| 0.001 | 0.000 | 0.000 | 0.000 | -0.000 | -15.247 |
| 517.260 | 5.010 | 5.010 | -0.000 | -0.000 | -0.000 |
| 5.010 | 517.260 | 5.010 | -0.000 | -0.000 | -0.000 |
| 5.010 | 5.010 | 517.260 | -0.000 | -0.000 | -0.000 |
| -0.000 | -0.001 | -0.000 | -15.247 | 0.000 | -0.000 |
| -0.001 | -0.000 | -0.000 | 0.000 | -15.247 | -0.000 |
| -0.001 | -0.000 | -0.000 | -0.000 | -0.000 | -15.247 |
| -1339.495 | 1675.904 | 598.115 | -0.000 | -0.000 | 0.000 |
| -1592.502 | 1783.827 | 600.784 | 0.000 | 0.000 | 0.000 |
| -1672.818 | 1598.257 | 691.967 | -0.000 | -0.000 | 0.000 |
| -1734.465 | 1542.282 | 545.265 | 46.817 | -0.000 | -0.000 |
| -1734.465 | 1542.282 | 545.265 | -0.000 | 23.345 | 0.000 |
| -1734.868 | 1542.640 | 545.392 | -0.000 | -0.000 | 35.102 |
| 2129.436 | -1408.659 | -492.415 | 0.000 | 0.000 | 0.000 |
| 104.326 | 275.012 | 67.351 | -0.000 | 0.000 | 0.000 |
| 48.341 | 67.807 | 150.884 | -0.000 | 0.000 | -0.000 |
| 1734.465 | -1542.282 | -545.265 | 46.817 | 0.000 | -0.000 |
| 1734.465 | -1542.282 | -545.265 | 0.000 | 23.345 | 0.000 |
| 1734.868 | -1542.640 | -545.392 | 0.000 | 0.000 | 35.102 |
| 437.298 | 95.985 | 39.544 | 0.000 | -0.000 | 0.000 |
| -31.483 | 395.774 | 110.045 | 0.000 | -0.000 | 0.000 |
| -111.799 | 210.204 | 201.228 | -0.000 | -0.000 | 0.000 |
| -173.446 | 154.228 | 54.527 | 46.817 | -0.000 | 0.000 |
| -173.447 | 154.228 | 54.527 | -0.000 | 23.345 | -0.000 |
| -173.447 | 154.228 | 54.527 | 0.000 | -0.000 | 7.932 |
| 568.417 | -20.606 | -1.676 | 0.000 | 0.000 | -0.000 |
| 315.410 | 87.317 | 0.992 | 0.000 | 0.000 | -0.000 |
| 235.094 | -98.253 | 92.175 | 0.000 | 0.000 | -0.000 |
| 173.446 | -154.228 | -54.527 | 46.817 | 0.000 | 0.000 |
| 173.447 | -154.228 | -54.527 | 0.000 | 23.345 | -0.000 |
| 173.447 | -154.228 | -54.527 | -0.000 | 0.000 | 7.932 |
| 377.631 | 149.045 | 58.303 | -0.000 | 0.000 | 0.000 |
| 104.326 | 275.014 | 67.351 | 0.000 | 0.000 | 0.000 |
| 48.342 | 67.808 | 150.885 | -0.000 | -0.000 | 0.000 |
| -0.000 | 0.000 | 0.001 | 48.127 | -0.000 | 0.000 |
| -17.345 | 15.423 | 5.453 | -0.000 | 23.345 | 0.000 |
| -17.346 | 15.423 | 5.453 | 0.000 | -0.000 | 7.931 |
| 412.311 | 118.200 | 47.397 | 0.000 | 0.000 | -0.000 |
| 159.307 | 226.121 | 50.066 | 0.000 | -0.000 | -0.000 |
| 78.992 | 40.553 | 141.250 | 0.000 | 0.000 | -0.000 |
| 0.000 | -0.000 | -0.001 | 48.127 | 0.000 | -0.000 |
| 17.345 | -15.423 | -5.453 | -0.000 | 23.345 | 0.000 |
| 17.346 | -15.423 | -5.453 | -0.000 | 0.000 | 7.931 |
| 264.449 | 134.862 | 80.801 | 0.000 | -0.000 | 0.000 |
| 134.862 | 264.449 | 80.801 | 0.000 | -0.000 | 0.000 |
| 79.014 | 79.014 | 364.931 | 0.000 | -0.000 | 0.000 |
| 0.000 | -0.000 | 0.000 | 48.730 | -0.000 | 0.000 |
| 0.000 | 0.000 | -0.000 | 0.000 | 48.730 | 0.000 |
| 0.313 | 0.313 | 0.811 | 0.000 | 0.000 | 50.037 |
| 312.072 | 104.796 | 79.015 | -0.000 | 0.000 | -0.000 |
| 104.796 | 312.072 | 79.015 | -0.000 | 0.000 | -0.000 |
| 79.014 | 79.014 | 364.930 | -0.000 | 0.000 | -0.000 |
| -0.000 | 0.000 | -0.000 | 48.730 | -0.000 | -0.000 |
| -0.000 | 0.000 | -0.000 | -0.000 | 48.730 | -0.000 |
| -0.313 | -0.313 | -0.811 | -0.000 | -0.000 | 50.037 |
| 312.072 | 104.796 | 79.015 | 0.000 | -0.000 | 0.000 |
| 104.796 | 312.072 | 79.015 | 0.000 | -0.000 | 0.000 |
| 79.427 | 79.427 | 362.592 | 0.000 | -0.000 | 0.000 |
| 0.076 | 0.076 | 0.197 | 39.425 | -0.000 | 0.000 |
| 0.076 | 0.076 | 0.197 | 0.000 | 39.425 | 0.000 |
| 0.000 | 0.000 | -0.000 | 0.000 | -0.000 | 75.525 |
| 264.866 | 133.880 | 79.626 | -0.000 | -0.000 | -0.000 |
| 133.880 | 264.866 | 79.626 | -0.000 | -0.000 | -0.000 |
| 79.014 | 79.014 | 364.930 | -0.000 | -0.000 | -0.000 |
| -0.076 | -0.076 | -0.197 | 39.425 | -0.000 | -0.000 |
| -0.076 | -0.076 | -0.197 | -0.000 | 39.425 | -0.000 |
| -0.000 | -0.000 | 0.000 | -0.000 | -0.000 | 75.525 |
| 312.073 | 104.797 | 79.015 | 0.000 | -0.000 | 0.000 |
| 104.797 | 312.073 | 79.015 | 0.000 | 0.000 | 0.000 |
| 79.014 | 79.014 | 364.932 | 0.000 | -0.000 | 0.000 |
| -0.000 | 0.000 | -0.000 | 48.730 | -0.000 | 0.000 |
| 0.000 | -0.000 | -0.000 | 0.000 | 48.730 | 0.000 |
| 0.003 | 0.003 | 0.008 | 0.000 | 0.000 | 50.517 |
| 250.816 | 148.092 | 78.606 | -0.000 | -0.000 | -0.000 |
| 148.092 | 250.816 | 78.606 | -0.000 | -0.000 | -0.000 |
| 79.413 | 79.413 | 362.465 | -0.000 | 0.000 | -0.000 |
| 0.000 | -0.000 | 0.000 | 48.730 | -0.000 | -0.000 |
| -0.000 | 0.000 | 0.000 | -0.000 | 48.730 | -0.000 |
| -0.003 | -0.003 | -0.008 | -0.000 | -0.000 | 50.517 |
| 155.066 | -4.508 | 575.854 | 0.000 | -0.000 | 0.000 |
| -4.508 | 155.066 | 575.854 | -0.000 | -0.000 | 0.000 |
| -41.547 | -41.547 | 866.487 | 0.000 | -0.000 | 0.000 |
| -331.642 | -331.642 | 2114.762 | 9.135 | -0.000 | 0.000 |
| -331.642 | -331.642 | 2114.762 | 0.000 | 9.135 | 0.000 |
| 0.000 | 0.000 | -0.000 | 0.000 | -0.000 | 72.707 |
| 297.461 | 98.825 | 77.971 | 0.000 | -0.000 | -0.000 |
| 98.825 | 297.461 | 77.971 | 0.000 | -0.000 | -0.000 |
| 75.582 | 75.582 | 369.937 | -0.000 | 0.000 | -0.000 |
| 331.642 | 331.642 | -2114.762 | 9.135 | -0.000 | -0.000 |
| 331.642 | 331.642 | -2114.762 | -0.000 | 9.135 | -0.000 |
| -0.000 | -0.000 | 0.000 | -0.000 | 0.000 | 72.707 |
| 231.267 | 162.695 | 174.164 | -0.000 | -0.000 | 0.000 |
| 162.695 | 231.267 | 174.164 | 0.000 | -0.000 | 0.000 |
| 90.017 | 90.017 | 465.585 | 0.000 | -0.000 | 0.000 |
| 14.776 | 14.776 | 97.318 | 36.632 | -0.000 | 0.000 |
| 14.776 | 14.776 | 97.318 | -0.000 | 36.632 | 0.000 |
| 0.000 | 0.000 | -0.000 | 0.000 | -0.000 | 72.707 |
| 202.098 | 133.746 | -18.357 | -0.000 | -0.000 | -0.000 |
| 133.746 | 202.098 | -18.357 | 0.000 | -0.000 | -0.000 |
| 60.478 | 60.478 | 270.903 | -0.000 | -0.000 | -0.000 |
| -14.776 | -14.776 | -97.318 | 36.632 | -0.000 | -0.000 |
| -14.776 | -14.776 | -97.318 | -0.000 | 36.632 | -0.000 |
| -0.000 | -0.000 | 0.000 | 0.000 | -0.000 | 72.707 |
| 265.326 | 114.085 | 84.355 | 0.000 | 0.000 | 0.000 |
| 114.085 | 265.326 | 84.355 | 0.000 | -0.000 | 0.000 |
| 76.552 | 76.552 | 377.657 | -0.000 | 0.000 | 0.000 |
| 2.797 | 2.797 | 10.847 | 24.447 | 0.000 | 0.000 |
| 2.797 | 2.797 | 10.847 | -0.000 | 24.447 | 0.000 |
| -1.363 | -1.363 | 5.794 | 0.000 | -0.000 | 53.073 |
| 233.177 | 136.660 | 70.741 | -0.000 | 0.000 | -0.000 |
| 136.660 | 233.177 | 70.741 | -0.000 | -0.000 | -0.000 |
| 75.582 | 75.582 | 369.935 | 0.000 | -0.000 | -0.000 |
| -2.797 | -2.797 | -10.847 | 24.447 | -0.000 | -0.000 |
| -2.797 | -2.797 | -10.847 | -0.000 | 24.447 | -0.000 |
| 1.363 | 1.363 | -5.794 | -0.000 | 0.000 | 53.073 |
| 303.469 | 82.465 | 82.465 | 0.000 | -0.000 | -0.000 |
| 82.465 | 303.469 | 82.465 | 0.000 | -0.000 | -0.000 |
| 82.465 | 82.465 | 303.469 | -0.000 | 0.000 | 0.000 |
| 0.000 | -0.000 | -0.000 | 51.123 | 0.000 | -0.000 |
| 0.000 | -0.000 | 0.000 | -0.000 | 51.123 | -0.000 |
| 0.000 | -0.000 | 0.000 | 0.000 | 0.000 | 51.123 |
| 303.469 | 82.465 | 82.465 | -0.000 | -0.000 | 0.000 |
| 82.465 | 303.469 | 82.465 | 0.000 | 0.000 | 0.000 |
| 82.465 | 82.465 | 303.469 | 0.000 | -0.000 | -0.000 |
| -0.000 | 0.000 | 0.000 | 51.123 | -0.000 | 0.000 |
| -0.000 | 0.000 | 0.000 | 0.000 | 51.123 | 0.000 |
| -0.000 | 0.000 | 0.000 | 0.000 | 0.000 | 51.123 |
| 259.309 | 97.262 | 97.262 | 0.000 | 0.000 | 0.000 |
| 97.262 | 259.309 | 97.262 | 0.000 | 0.000 | 0.000 |
| 97.262 | 97.262 | 259.309 | 0.000 | -0.000 | 0.000 |
| -0.000 | 0.000 | 0.000 | 51.123 | -0.000 | -0.000 |
| 0.000 | -0.000 | -0.000 | -0.000 | 51.123 | -0.000 |
| 0.000 | 0.000 | -0.000 | -0.000 | -0.000 | 51.123 |
| 303.469 | 82.465 | 82.465 | -0.000 | -0.000 | 0.000 |
| 82.465 | 303.469 | 82.465 | 0.000 | -0.000 | 0.000 |
| 82.465 | 82.465 | 303.469 | 0.000 | 0.000 | 0.000 |
| 0.000 | -0.000 | 0.000 | 51.123 | 0.000 | 0.000 |
| -0.000 | 0.000 | 0.000 | 0.000 | 51.123 | 0.000 |
| -0.000 | 0.000 | 0.000 | -0.000 | -0.000 | 51.123 |
| 260.196 | 97.319 | 97.319 | 0.000 | 0.000 | 0.000 |
| 97.319 | 260.196 | 97.319 | 0.000 | 0.000 | 0.000 |
| 97.319 | 97.319 | 260.196 | 0.000 | 0.000 | 0.000 |
| -0.000 | 0.000 | 0.000 | 51.123 | 0.000 | -0.000 |
| 0.000 | -0.000 | 0.000 | 0.000 | 51.123 | -0.000 |
| 0.000 | 0.000 | -0.000 | -0.000 | -0.000 | 51.123 |
| 247.059 | 97.213 | 97.213 | -0.000 | -0.000 | -0.000 |
| 97.213 | 247.059 | 97.213 | -0.000 | -0.000 | -0.000 |
| 97.213 | 97.213 | 247.059 | -0.000 | 0.000 | -0.000 |
| 0.000 | -0.000 | -0.000 | 51.123 | -0.000 | 0.000 |
| -0.000 | 0.000 | -0.000 | 0.000 | 51.123 | 0.000 |
| -0.000 | -0.000 | 0.000 | 0.000 | 0.000 | 51.123 |
| 296.240 | 81.597 | 81.597 | 0.000 | -0.000 | -0.000 |
| 81.597 | 296.240 | 81.597 | -0.000 | 0.000 | -0.000 |
| 81.597 | 81.597 | 296.240 | -0.000 | 0.000 | -0.000 |
| -22.251 | -22.251 | -22.251 | 27.791 | 0.000 | -0.000 |
| -22.251 | -22.251 | -22.251 | -0.000 | 27.791 | -0.000 |
| -22.251 | -22.251 | -22.251 | -0.000 | 0.000 | 27.791 |
| 287.827 | 114.337 | 114.337 | -0.000 | 0.000 | 0.000 |
| 114.337 | 287.827 | 114.337 | -0.000 | -0.000 | 0.000 |
| 114.337 | 114.337 | 287.827 | -0.000 | -0.000 | 0.000 |
| 22.251 | 22.251 | 22.251 | 27.791 | -0.000 | 0.000 |
| 22.251 | 22.251 | 22.251 | -0.000 | 27.791 | 0.000 |
| 22.251 | 22.251 | 22.251 | -0.000 | -0.000 | 27.791 |
| 296.240 | 81.597 | 81.597 | -0.000 | 0.000 | -0.000 |
| 81.597 | 296.240 | 81.597 | 0.000 | 0.000 | -0.000 |
| 81.597 | 81.597 | 296.240 | 0.000 | 0.000 | -0.000 |
| -0.000 | -0.000 | -0.000 | 51.078 | 0.000 | -0.000 |
| -0.000 | -0.000 | -0.000 | 0.000 | 51.078 | -0.000 |
| -0.000 | -0.000 | -0.000 | 0.000 | 0.000 | 51.078 |
| 296.240 | 81.597 | 81.597 | -0.000 | 0.000 | 0.000 |
| 81.597 | 296.240 | 81.597 | -0.000 | -0.000 | 0.000 |
| 81.597 | 81.597 | 296.240 | 0.000 | -0.000 | 0.000 |
| 0.000 | 0.000 | 0.000 | 51.078 | -0.000 | 0.000 |
| 0.000 | 0.000 | 0.000 | -0.000 | 51.078 | 0.000 |
| 0.000 | 0.000 | 0.000 | -0.000 | -0.000 | 51.078 |
| 296.241 | 81.597 | 81.597 | -0.000 | -0.000 | -0.000 |
| 81.597 | 296.241 | 81.597 | 0.000 | 0.000 | -0.000 |
| 81.597 | 81.597 | 296.241 | 0.000 | 0.000 | -0.000 |
| -0.222 | -0.222 | -0.223 | 27.800 | 0.000 | -0.000 |
| -0.222 | -0.222 | -0.223 | -0.000 | 27.800 | -0.000 |
| -0.222 | -0.223 | -0.222 | 0.000 | 0.000 | 27.800 |
| 296.238 | 81.596 | 81.596 | -0.000 | -0.000 | 0.000 |
| 81.596 | 296.238 | 81.596 | -0.000 | -0.000 | 0.000 |
| 81.596 | 81.596 | 296.238 | -0.000 | -0.000 | 0.000 |
| 0.222 | 0.222 | 0.223 | 27.800 | -0.000 | 0.000 |
| 0.222 | 0.222 | 0.223 | 0.000 | 27.800 | 0.000 |
| 0.222 | 0.223 | 0.222 | -0.000 | -0.000 | 27.800 |
| 637.326 | 542.388 | 542.388 | -0.000 | 0.000 | -0.000 |
| 542.388 | 637.326 | 542.388 | 0.000 | 0.000 | -0.000 |
| 542.388 | 542.388 | 637.326 | 0.000 | 0.000 | -0.000 |
| 175.655 | 175.655 | 175.655 | 86.993 | 0.000 | 0.000 |
| 175.655 | 175.655 | 175.655 | 0.000 | 86.993 | 0.000 |
| 175.655 | 175.655 | 175.655 | 0.000 | 0.000 | 86.993 |
| 239.797 | 122.187 | 122.187 | -0.000 | 0.000 | -0.000 |
| 122.187 | 239.797 | 122.187 | 0.000 | 0.000 | -0.000 |
| 122.187 | 122.187 | 239.797 | 0.000 | -0.000 | -0.000 |
| -175.655 | -175.655 | -175.655 | 86.993 | -0.000 | -0.000 |
| -175.655 | -175.655 | -175.655 | -0.000 | 86.993 | -0.000 |
| -175.655 | -175.655 | -175.655 | -0.000 | -0.000 | 86.993 |
| 265.746 | 170.804 | 170.804 | -0.000 | 0.000 | -0.000 |
| 170.804 | 265.746 | 170.804 | 0.000 | 0.000 | -0.000 |
| 170.804 | 170.804 | 265.746 | 0.000 | 0.000 | -0.000 |
| 41.280 | 41.280 | 41.280 | 58.856 | 0.000 | -0.000 |
| 41.280 | 41.280 | 41.280 | 0.000 | 58.856 | -0.000 |
| 41.280 | 41.280 | 41.280 | 0.000 | 0.000 | 58.856 |
| 183.207 | 88.256 | 88.256 | -0.000 | -0.000 | 0.000 |
| 88.256 | 183.207 | 88.256 | -0.000 | -0.000 | 0.000 |
| 88.256 | 88.256 | 183.207 | 0.000 | -0.000 | 0.000 |
| -41.280 | -41.280 | -41.280 | 58.856 | -0.000 | 0.000 |
| -41.280 | -41.280 | -41.280 | 0.000 | 58.856 | 0.000 |
| -41.280 | -41.280 | -41.280 | -0.000 | -0.000 | 58.856 |
| 228.744 | 133.497 | 133.497 | 0.000 | 0.000 | -0.000 |
| 133.497 | 228.744 | 133.497 | 0.000 | 0.000 | -0.000 |
| 133.497 | 133.497 | 228.744 | 0.000 | 0.000 | -0.000 |
| 4.035 | 4.035 | 4.035 | 59.599 | 0.000 | -0.000 |
| 4.035 | 4.035 | 4.035 | 0.000 | 59.599 | -0.000 |
| 4.035 | 4.035 | 4.035 | 0.000 | 0.000 | 59.599 |
| 206.680 | 135.860 | 135.860 | -0.000 | -0.000 | 0.000 |
| 135.860 | 206.680 | 135.860 | -0.000 | -0.000 | 0.000 |
| 135.860 | 135.860 | 206.680 | -0.000 | -0.000 | 0.000 |
| -4.035 | -4.035 | -4.035 | 59.599 | -0.000 | 0.000 |
| -4.035 | -4.035 | -4.035 | -0.000 | 59.599 | 0.000 |
| -4.035 | -4.035 | -4.035 | 0.000 | -0.000 | 59.599 |
| 239.544 | 121.779 | 121.779 | -0.000 | 0.000 | 0.000 |
| 121.779 | 239.544 | 121.779 | -0.000 | 0.000 | 0.000 |
| 121.779 | 121.779 | 239.544 | -0.000 | 0.000 | 0.000 |
| -0.000 | 0.000 | 0.000 | 91.653 | 0.000 | 0.000 |
| -0.000 | 0.000 | 0.000 | -0.000 | 91.653 | 0.000 |
| -0.000 | -0.000 | 0.000 | -0.000 | 0.000 | 91.653 |
| 210.401 | 135.845 | 135.845 | -0.000 | -0.000 | -0.000 |
| 135.845 | 210.401 | 135.845 | -0.000 | -0.000 | -0.000 |
| 135.845 | 135.845 | 210.400 | -0.000 | -0.000 | -0.000 |
| 0.000 | 0.000 | -0.000 | 91.653 | -0.000 | 0.000 |
| 0.000 | 0.000 | -0.000 | 0.000 | 91.653 | -0.000 |
| 0.000 | -0.000 | -0.000 | 0.000 | -0.000 | 91.653 |
| 239.544 | 121.779 | 121.779 | -0.000 | 0.000 | 0.000 |
| 121.779 | 239.544 | 121.779 | -0.000 | 0.000 | 0.000 |
| 121.779 | 121.779 | 239.544 | -0.000 | 0.000 | -0.000 |
| 0.000 | -0.000 | 0.000 | 91.653 | 0.000 | 0.000 |
| -0.000 | 0.000 | 0.000 | -0.000 | 91.653 | 0.000 |
| -0.000 | 0.000 | 0.000 | -0.000 | 0.000 | 91.653 |
| 227.747 | 127.412 | 127.412 | -0.000 | -0.000 | -0.000 |
| 127.412 | 227.747 | 127.412 | -0.000 | -0.000 | -0.000 |
| 127.412 | 127.412 | 227.747 | -0.000 | -0.000 | -0.000 |
| -0.000 | 0.000 | -0.000 | 91.653 | -0.000 | 0.000 |
| 0.000 | -0.000 | -0.000 | 0.000 | 91.653 | 0.000 |
| 0.000 | -0.000 | -0.000 | 0.000 | -0.000 | 91.653 |
| 227.720 | 127.410 | 127.410 | 0.000 | 0.000 | 0.000 |
| 127.410 | 227.720 | 127.410 | 0.000 | 0.000 | 0.000 |
| 127.410 | 127.410 | 227.720 | 0.000 | 0.000 | 0.000 |
| 0.000 | -0.000 | 0.000 | 91.653 | 0.000 | 0.000 |
| -0.000 | 0.000 | 0.000 | 0.000 | 91.653 | 0.000 |
| -0.000 | 0.000 | 0.000 | -0.000 | 0.000 | 91.653 |
| 239.544 | 121.778 | 121.778 | 0.000 | -0.000 | -0.000 |
| 121.778 | 239.544 | 121.778 | 0.000 | -0.000 | -0.000 |
| 121.778 | 121.778 | 239.544 | 0.000 | -0.000 | 0.000 |
| -0.000 | 0.000 | -0.000 | 91.653 | 0.000 | -0.000 |
| 0.000 | -0.000 | -0.000 | 0.000 | 91.653 | -0.000 |
| 0.000 | -0.000 | -0.000 | -0.000 | -0.000 | 91.653 |
| 248.829 | 141.482 | 81.549 | 17.808 | -0.000 | -0.000 |
| 141.482 | 248.829 | 81.549 | -17.808 | -0.000 | -0.000 |
| 81.946 | 81.946 | 236.274 | 0.000 | -0.000 | -0.000 |
| 17.808 | -17.808 | 0.000 | 59.530 | -0.000 | -0.000 |
| 0.000 | 0.000 | 0.000 | 0.000 | 60.502 | 12.215 |
| -0.000 | -0.000 | 0.000 | 0.000 | 17.808 | 53.673 |
| 248.829 | 141.482 | 81.549 | 17.808 | 0.000 | 0.000 |
| 109.449 | 281.127 | 81.422 | -12.215 | 0.000 | 0.000 |
| 81.946 | 81.946 | 236.274 | -0.000 | 0.000 | 0.000 |
| 12.215 | -12.215 | -0.000 | 60.502 | 0.000 | 0.000 |
| -0.000 | 0.000 | -0.000 | -0.000 | 60.502 | 12.215 |
| 0.000 | 0.000 | -0.000 | -0.000 | 17.808 | 53.673 |
| 249.865 | 139.727 | 81.896 | 17.566 | -0.000 | -0.000 |
| 139.727 | 249.865 | 81.896 | -17.566 | -0.000 | -0.000 |
| 81.818 | 81.818 | 236.397 | 0.000 | -0.000 | -0.000 |
| 12.215 | -12.215 | 0.000 | 60.502 | -0.000 | -0.000 |
| 0.000 | 0.000 | 0.000 | 0.000 | 60.502 | 12.215 |
| -0.000 | -0.000 | -0.000 | 0.000 | 17.808 | 53.673 |
| 281.127 | 109.449 | 81.422 | 12.215 | 0.000 | 0.000 |
| 109.449 | 281.127 | 81.422 | -12.215 | 0.000 | 0.000 |
| 81.946 | 81.946 | 236.273 | -0.000 | 0.000 | 0.000 |
| 17.808 | -17.808 | -0.000 | 59.530 | 0.000 | 0.000 |
| -0.000 | -0.000 | -0.000 | -0.000 | 60.502 | 12.215 |
| 0.000 | 0.000 | 0.000 | -0.000 | 17.808 | 53.673 |
| 249.864 | 139.726 | 81.896 | 17.566 | -0.000 | -0.000 |
| 109.449 | 281.126 | 81.422 | -12.215 | 0.000 | -0.000 |
| 81.947 | 81.947 | 236.278 | 0.000 | 0.000 | -0.000 |
| 17.809 | -17.809 | 0.001 | 59.529 | -0.000 | -0.000 |
| -0.000 | 0.000 | 0.001 | 0.000 | 59.530 | 17.808 |
| -0.001 | -0.000 | -0.000 | 0.000 | 17.808 | 53.673 |
| 249.866 | 139.727 | 81.896 | 17.565 | 0.000 | 0.000 |
| 141.481 | 248.831 | 81.550 | -17.808 | 0.000 | 0.000 |
| 81.817 | 81.817 | 236.393 | -0.000 | 0.000 | 0.000 |
| 12.215 | -12.215 | -0.001 | 60.502 | 0.000 | 0.000 |
| 0.000 | -0.000 | -0.001 | -0.000 | 59.530 | 17.808 |
| 0.001 | 0.000 | 0.000 | -0.000 | 17.808 | 53.673 |
| 282.196 | 109.438 | 85.330 | 12.691 | -0.000 | -0.000 |
| 134.522 | 290.455 | 72.434 | -14.224 | -0.000 | -0.000 |
| 85.330 | 85.330 | 250.148 | -0.000 | -0.000 | -0.000 |
| 12.691 | -12.691 | 0.000 | 64.292 | -0.000 | -0.000 |
| 16.767 | 16.767 | -12.970 | -0.000 | 64.014 | 14.219 |
| 16.820 | 16.820 | -13.011 | -0.000 | 14.224 | 77.967 |
| 232.755 | 125.051 | 98.413 | 18.619 | 0.000 | -0.000 |
| 100.880 | 256.816 | 98.456 | -14.224 | 0.000 | 0.000 |
| 85.330 | 85.330 | 250.148 | -0.000 | 0.000 | 0.000 |
| 12.691 | -12.691 | -0.000 | 64.292 | 0.000 | 0.000 |
| -16.767 | -16.767 | 12.970 | -0.000 | 64.014 | 14.219 |
| -16.820 | -16.820 | 13.011 | 0.000 | 14.224 | 77.967 |
| 272.944 | 122.812 | 83.736 | 14.753 | -0.000 | -0.000 |
| 143.493 | 251.196 | 84.148 | -18.619 | -0.000 | 0.000 |
| 87.122 | 87.122 | 248.763 | 0.000 | -0.000 | -0.000 |
| 20.295 | -16.942 | -1.297 | 63.212 | -0.000 | -0.000 |
| 1.676 | 1.677 | -1.297 | 0.000 | 63.212 | 18.619 |
| -0.000 | -0.000 | 0.000 | 0.000 | 12.691 | 86.379 |
| 282.196 | 109.438 | 85.330 | 12.691 | 0.000 | -0.000 |
| 140.140 | 247.843 | 86.742 | -18.619 | 0.000 | -0.000 |
| 83.768 | 83.768 | 251.356 | 0.000 | 0.000 | 0.000 |
| 12.541 | -15.931 | 1.311 | 64.011 | 0.000 | 0.000 |
| -1.676 | -1.677 | 1.297 | -0.000 | 63.212 | 18.619 |
| 0.000 | 0.000 | -0.000 | -0.000 | 12.691 | 86.379 |
| 249.765 | 142.011 | 85.274 | 18.614 | -0.000 | -0.000 |
| 141.984 | 249.685 | 85.315 | -18.619 | 0.000 | -0.000 |
| 85.614 | 85.614 | 249.933 | 0.000 | -0.000 | -0.000 |
| 12.691 | -12.691 | 0.001 | 64.292 | -0.000 | -0.000 |
| 0.301 | 0.301 | -0.232 | 0.000 | 63.793 | 15.432 |
| 0.611 | 0.611 | -0.473 | 0.000 | 18.266 | 55.790 |
| 282.197 | 109.438 | 85.330 | 12.691 | 0.000 | 0.000 |
| 141.648 | 249.355 | 85.575 | -18.618 | 0.000 | 0.000 |
| 85.276 | 85.276 | 250.185 | -0.000 | 0.000 | 0.000 |
| 18.451 | -18.786 | 0.129 | 63.213 | 0.000 | 0.000 |
| -0.301 | -0.301 | 0.232 | -0.000 | 63.793 | 15.432 |
| -0.611 | -0.611 | 0.473 | -0.000 | 18.266 | 55.790 |
| -1264.925 | -1266.812 | -4123.862 | -0.000 | -0.000 | -0.000 |
| -1266.812 | -1264.925 | -4123.862 | -0.000 | 0.000 | 0.000 |
| -639.793 | -639.793 | 2527.822 | -0.000 | -0.000 | 0.000 |
| -1124.742 | -1124.742 | 2328.294 | 44.846 | -0.000 | 0.000 |
| -1124.742 | -1124.742 | 2328.294 | -0.000 | 44.846 | 0.000 |
| -1124.743 | -1124.743 | 2328.296 | -0.000 | -0.000 | 56.200 |
| 300.231 | 99.749 | 77.860 | 0.000 | 0.000 | -0.000 |
| 99.749 | 300.231 | 77.860 | 0.000 | 0.000 | -0.000 |
| 555.060 | 555.060 | -779.669 | 0.000 | 0.000 | -0.000 |
| 1124.742 | 1124.742 | -2328.294 | 44.846 | 0.000 | -0.000 |
| 1124.742 | 1124.742 | -2328.294 | -0.000 | 44.846 | -0.000 |
| 1124.743 | 1124.743 | -2328.296 | 0.000 | 0.000 | 56.200 |
| 162.956 | 1.398 | 310.538 | -0.000 | -0.000 | 0.000 |
| 1.398 | 162.956 | 310.538 | -0.000 | -0.000 | 0.000 |
| -36.249 | -36.249 | 597.283 | -0.000 | -0.000 | -0.000 |
| -112.480 | -112.480 | 232.841 | 44.846 | -0.000 | 0.000 |
| -112.480 | -112.480 | 232.841 | -0.000 | 44.846 | 0.000 |
| -146.491 | -146.490 | -419.630 | -0.000 | -0.000 | 34.483 |
| 315.113 | 206.688 | -138.650 | -0.000 | -0.000 | -0.000 |
| 206.688 | 315.113 | -138.650 | 0.000 | 0.000 | -0.000 |
| 188.663 | 188.663 | 131.710 | 0.000 | 0.000 | -0.000 |
| 112.480 | 112.480 | -232.841 | 44.846 | 0.000 | -0.000 |
| 112.480 | 112.480 | -232.841 | 0.000 | 44.846 | 0.000 |
| 146.491 | 146.490 | 419.630 | 0.000 | 0.000 | 34.483 |
| 239.802 | 125.787 | 99.444 | -0.000 | -0.000 | 0.000 |
| 125.787 | 239.802 | 99.444 | -0.000 | -0.000 | 0.000 |
| 64.939 | 64.939 | 387.766 | -0.000 | -0.000 | -0.000 |
| -6.259 | -6.258 | -41.620 | 29.842 | -0.000 | -0.000 |
| -6.258 | -6.259 | -41.620 | -0.000 | 29.842 | 0.000 |
| -11.389 | -11.389 | 23.576 | -0.000 | -0.000 | 55.988 |
| 211.089 | 187.335 | 115.222 | 0.000 | 0.000 | -0.000 |
| 187.335 | 211.089 | 115.222 | 0.000 | 0.000 | -0.000 |
| 83.137 | 83.137 | 341.878 | 0.000 | 0.000 | -0.000 |
| 6.259 | 6.258 | 41.620 | 29.842 | 0.000 | 0.000 |
| 6.258 | 6.259 | 41.620 | 0.000 | 29.842 | 0.000 |
| 11.389 | 11.389 | -23.576 | 0.000 | 0.000 | 55.988 |
| 203.626 | 87.763 | 69.198 | 0.000 | -0.000 | -0.000 |
| 87.763 | 203.626 | 69.198 | 0.000 | 0.000 | 0.000 |
| 69.198 | 69.198 | 407.536 | -0.000 | -0.000 | -0.000 |
| 0.000 | 0.000 | 0.000 | 36.717 | -0.000 | 0.000 |
| 0.000 | 0.000 | 0.000 | 0.000 | 36.717 | 0.000 |
| 0.000 | 0.000 | -0.000 | 0.000 | -0.000 | 57.932 |
| 203.626 | 87.763 | 69.198 | -0.000 | 0.000 | 0.000 |
| 87.763 | 203.626 | 69.198 | -0.000 | 0.000 | -0.000 |
| 69.198 | 69.198 | 407.536 | 0.000 | 0.000 | -0.000 |
| -0.000 | -0.000 | -0.000 | 36.717 | -0.000 | 0.000 |
| -0.000 | -0.000 | -0.000 | -0.000 | 36.717 | -0.000 |
| -0.000 | -0.000 | 0.000 | -0.000 | 0.000 | 57.932 |
| 193.503 | 97.886 | 69.198 | -0.000 | -0.000 | -0.000 |
| 97.886 | 193.503 | 69.198 | -0.000 | -0.000 | 0.000 |
| 69.198 | 69.198 | 407.536 | -0.000 | -0.000 | -0.000 |
| -0.000 | -0.000 | 0.000 | -171.814 | -0.000 | 0.000 |
| -0.000 | -0.000 | 0.000 | -0.000 | -171.814 | -0.000 |
| -0.000 | -0.000 | -0.000 | -0.000 | -0.000 | 47.809 |
| 193.503 | 97.886 | 69.198 | 0.000 | 0.000 | -0.000 |
| 97.886 | 193.503 | 69.198 | 0.000 | 0.000 | 0.000 |
| 69.198 | 69.198 | 407.535 | 0.000 | 0.000 | 0.000 |
| 0.000 | 0.000 | -0.000 | -171.814 | 0.000 | 0.000 |
| 0.000 | 0.000 | -0.000 | 0.000 | -171.814 | 0.000 |
| 0.000 | 0.000 | 0.000 | 0.000 | 0.000 | 47.809 |
| 203.626 | 87.763 | 69.198 | 0.000 | -0.000 | 0.000 |
| 97.885 | 193.503 | 69.198 | -0.000 | -0.000 | 0.000 |
| 69.199 | 69.199 | 407.541 | -0.000 | -0.000 | 0.000 |
| 0.000 | 0.000 | 0.001 | 36.717 | -0.000 | 0.000 |
| -0.000 | -0.000 | 0.001 | -0.000 | -171.814 | -0.000 |
| -0.000 | -0.000 | -0.000 | -0.000 | -0.000 | 47.809 |
| 193.503 | 97.885 | 69.198 | 0.000 | 0.000 | 0.000 |
| 97.886 | 193.503 | 69.198 | 0.000 | 0.000 | -0.000 |
| 69.197 | 69.197 | 407.531 | 0.000 | 0.000 | 0.000 |
| -0.000 | -0.000 | -0.001 | 36.717 | -0.000 | -0.000 |
| 0.000 | 0.000 | -0.001 | 0.000 | -171.814 | 0.000 |
| 0.000 | 0.000 | 0.000 | 0.000 | 0.000 | 47.809 |
| 149.470 | 140.195 | 140.195 | -0.000 | 0.000 | -0.000 |
| 140.195 | 149.470 | 140.195 | -0.000 | 0.000 | -0.000 |
| 140.195 | 140.195 | 149.470 | -0.000 | 0.000 | -0.000 |
| -0.000 | -0.000 | 0.000 | -18.226 | 0.000 | -0.000 |
| -0.000 | -0.000 | -0.000 | -0.000 | -18.226 | -0.000 |
| -0.000 | -0.000 | -0.000 | -0.000 | 0.000 | -18.226 |
| 149.470 | 140.195 | 140.195 | 0.000 | -0.000 | 0.000 |
| 140.195 | 149.470 | 140.195 | 0.000 | -0.000 | -0.000 |
| 140.195 | 140.195 | 149.470 | 0.000 | 0.000 | 0.000 |
| 0.000 | 0.000 | -0.000 | -18.226 | -0.000 | 0.000 |
| 0.000 | 0.000 | -0.000 | 0.000 | -18.226 | 0.000 |
| 0.000 | 0.000 | 0.000 | 0.000 | -0.000 | -18.226 |
| 149.470 | 140.195 | 140.195 | 0.000 | 0.000 | -0.000 |
| 140.195 | 149.470 | 140.195 | -0.000 | -0.000 | 0.000 |
| 140.195 | 140.195 | 149.470 | 0.000 | 0.000 | -0.000 |
| 0.000 | 0.000 | 0.000 | 104.591 | -0.000 | -0.000 |
| 0.000 | 0.000 | 0.000 | -0.000 | 104.591 | -0.000 |
| 0.000 | 0.000 | 0.000 | -0.000 | 0.000 | 104.591 |
| 149.470 | 140.195 | 140.195 | 0.000 | 0.000 | 0.000 |
| 140.195 | 149.470 | 140.195 | 0.000 | 0.000 | -0.000 |
| 140.195 | 140.195 | 149.470 | 0.000 | -0.000 | -0.000 |
| -0.000 | -0.000 | -0.000 | 104.591 | 0.000 | 0.000 |
| -0.000 | -0.000 | -0.000 | 0.000 | 104.591 | -0.000 |
| -0.000 | -0.000 | -0.000 | 0.000 | -0.000 | 104.591 |
| 149.471 | 140.195 | 140.195 | -0.000 | -0.000 | 0.000 |
| 140.195 | 149.471 | 140.195 | 0.000 | -0.000 | 0.000 |
| 140.195 | 140.195 | 149.471 | -0.000 | -0.000 | -0.000 |
| 0.000 | -0.000 | -0.000 | -18.226 | -0.000 | -0.000 |
| -0.000 | 0.000 | -0.000 | -0.000 | -18.226 | -0.000 |
| -0.000 | -0.000 | 0.000 | -0.000 | -0.000 | -18.226 |
| 149.469 | 140.194 | 140.194 | 0.000 | 0.000 | 0.000 |
| 140.194 | 149.469 | 140.194 | 0.000 | -0.000 | 0.000 |
| 140.194 | 140.194 | 149.469 | 0.000 | 0.000 | 0.000 |
| -0.000 | 0.000 | 0.000 | -18.226 | 0.000 | 0.000 |
| 0.000 | -0.000 | 0.000 | 0.000 | -18.226 | 0.000 |
| 0.000 | 0.000 | -0.000 | 0.000 | -0.000 | -18.226 |
| 0.664 | 0.664 | 0.664 | -0.000 | -0.000 | 0.000 |
| 0.664 | 0.664 | 0.664 | -0.000 | -0.000 | 0.000 |
| 0.664 | 0.664 | 0.664 | -0.000 | -0.000 | -0.000 |
| 0.000 | 0.000 | 0.000 | 0.592 | 0.000 | -0.000 |
| 0.000 | 0.000 | 0.000 | 0.000 | 0.592 | -0.000 |
| 0.000 | 0.000 | 0.000 | -0.000 | 0.000 | 0.592 |
| 0.664 | 0.664 | 0.664 | -0.000 | -0.000 | -0.000 |
| 0.664 | 0.664 | 0.664 | -0.000 | -0.000 | -0.000 |
| 0.664 | 0.664 | 0.664 | -0.000 | -0.000 | -0.000 |
| -0.000 | -0.000 | -0.000 | 0.592 | -0.000 | -0.000 |
| -0.000 | -0.000 | -0.000 | -0.000 | 0.592 | -0.000 |
| -0.000 | -0.000 | -0.000 | -0.000 | -0.000 | 0.592 |
| 0.664 | 0.664 | 0.664 | 0.000 | 0.000 | 0.000 |
| 0.664 | 0.664 | 0.664 | 0.000 | 0.000 | 0.000 |
| 0.664 | 0.664 | 0.664 | 0.000 | 0.000 | 0.000 |
| 0.000 | 0.000 | 0.000 | 0.592 | 0.000 | 0.000 |
| 0.000 | 0.000 | 0.000 | 0.000 | 0.592 | 0.000 |
| 0.000 | 0.000 | 0.000 | -0.000 | 0.000 | 0.592 |
| 0.664 | 0.664 | 0.664 | -0.000 | -0.000 | 0.000 |
| 0.664 | 0.664 | 0.664 | -0.000 | -0.000 | 0.000 |
| 0.664 | 0.664 | 0.664 | -0.000 | -0.000 | -0.000 |
| -0.000 | -0.000 | -0.000 | 0.420 | 0.000 | -0.000 |
| -0.000 | -0.000 | -0.000 | 0.000 | 0.420 | -0.000 |
| -0.000 | -0.000 | -0.000 | 0.000 | -0.000 | 0.420 |
| 0.664 | 0.664 | 0.664 | 0.000 | 0.000 | -0.000 |
| 0.664 | 0.664 | 0.664 | 0.000 | 0.000 | -0.000 |
| 0.664 | 0.664 | 0.664 | 0.000 | 0.000 | 0.000 |
| -0.000 | -0.000 | -0.000 | 0.060 | 0.000 | 0.000 |
| -0.000 | -0.000 | -0.000 | 0.000 | 0.060 | 0.000 |
| -0.000 | -0.000 | -0.000 | 0.000 | 0.000 | 0.060 |
| 0.664 | 0.664 | 0.664 | 0.000 | -0.000 | -0.000 |
| 0.664 | 0.664 | 0.664 | -0.000 | 0.000 | -0.000 |
| 0.664 | 0.664 | 0.664 | -0.000 | -0.000 | 0.000 |
| 0.000 | 0.000 | 0.000 | 0.060 | -0.000 | -0.000 |
| 0.000 | 0.000 | 0.000 | -0.000 | 0.060 | -0.000 |
| 0.000 | 0.000 | 0.000 | -0.000 | -0.000 | 0.060 |
| 166.306 | 192.576 | 192.576 | 0.000 | -0.000 | -0.000 |
| 192.576 | 166.306 | 192.576 | 0.000 | 0.000 | -0.000 |
| 192.576 | 192.576 | 166.306 | 0.000 | 0.000 | -0.000 |
| -0.000 | 0.000 | -0.000 | 151.028 | -0.000 | 0.000 |
| 0.000 | 0.000 | -0.000 | 0.000 | 151.028 | -0.000 |
| 0.000 | 0.000 | 0.000 | 0.000 | -0.000 | 151.028 |
| 166.306 | 192.576 | 192.576 | -0.000 | -0.000 | -0.000 |
| 192.576 | 166.306 | 192.576 | -0.000 | 0.000 | 0.000 |
| 192.576 | 192.576 | 166.306 | 0.000 | 0.000 | -0.000 |
| 0.000 | -0.000 | 0.000 | 151.028 | 0.000 | 0.000 |
| 0.000 | -0.000 | 0.000 | 0.000 | 151.028 | 0.000 |
| 0.000 | -0.000 | -0.000 | 0.000 | 0.000 | 151.028 |
| 166.306 | 192.576 | 192.576 | 0.000 | -0.000 | -0.000 |
| 192.576 | 166.306 | 192.576 | 0.000 | 0.000 | -0.000 |
| 192.576 | 192.576 | 166.306 | -0.000 | -0.000 | -0.000 |
| 0.000 | 0.000 | 0.000 | 147.978 | -0.000 | -0.000 |
| 0.000 | 0.000 | 0.000 | -0.000 | 147.978 | -0.000 |
| 0.000 | 0.000 | 0.000 | 0.000 | -0.000 | 147.978 |
| 166.306 | 192.576 | 192.576 | -0.000 | 0.000 | 0.000 |
| 192.576 | 166.306 | 192.576 | -0.000 | -0.000 | 0.000 |
| 192.576 | 192.576 | 166.306 | 0.000 | 0.000 | 0.000 |
| -0.000 | -0.000 | -0.000 | 147.978 | 0.000 | 0.000 |
| -0.000 | -0.000 | -0.000 | -0.000 | 147.978 | 0.000 |
| -0.000 | -0.000 | -0.000 | -0.000 | 0.000 | 147.978 |
| 166.307 | 192.576 | 192.576 | 0.000 | 0.000 | -0.000 |
| 192.576 | 166.307 | 192.576 | -0.000 | -0.000 | -0.000 |
| 192.576 | 192.576 | 166.307 | 0.000 | -0.000 | -0.000 |
| 0.001 | 0.000 | 0.001 | 151.028 | -0.000 | -0.000 |
| 0.000 | 0.001 | 0.001 | 0.000 | 151.028 | -0.000 |
| 0.000 | 0.001 | 0.001 | -0.000 | -0.000 | 151.028 |
| 166.305 | 192.576 | 192.576 | -0.000 | -0.000 | 0.000 |
| 192.576 | 166.305 | 192.576 | -0.000 | 0.000 | -0.000 |
| 192.576 | 192.576 | 166.305 | -0.000 | 0.000 | 0.000 |
| -0.001 | -0.000 | -0.001 | 151.028 | 0.000 | 0.000 |
| -0.000 | -0.001 | -0.001 | 0.000 | 151.028 | 0.000 |
| -0.000 | -0.001 | -0.001 | 0.000 | 0.000 | 151.028 |
| 2308.115 | 2299.566 | 2299.566 | 0.000 | -0.000 | -0.000 |
| 2299.566 | 2308.115 | 2299.566 | -0.000 | -0.000 | -0.000 |
| 2299.566 | 2299.566 | 2308.115 | -0.000 | -0.000 | -0.000 |
| 0.000 | 0.000 | 0.000 | -3.765 | -0.000 | -0.000 |
| 0.000 | 0.000 | 0.000 | -0.000 | -3.765 | -0.000 |
| 0.000 | 0.000 | 0.000 | -0.000 | -0.000 | -3.765 |
| 2308.116 | 2299.567 | 2299.567 | 0.000 | 0.000 | 0.000 |
| 2299.567 | 2308.116 | 2299.567 | 0.000 | 0.000 | 0.000 |
| 2299.567 | 2299.567 | 2308.116 | 0.000 | 0.000 | 0.000 |
| -0.000 | -0.000 | -0.000 | -3.765 | 0.000 | 0.000 |
| -0.000 | -0.000 | -0.000 | 0.000 | -3.765 | 0.000 |
| -0.000 | -0.000 | -0.000 | 0.000 | 0.000 | -3.765 |
| 2308.112 | 2299.562 | 2299.562 | -0.000 | -0.000 | -0.000 |
| 2299.562 | 2308.112 | 2299.562 | -0.000 | 0.000 | -0.000 |
| 2299.562 | 2299.562 | 2308.112 | -0.000 | -0.000 | -0.000 |
| 0.000 | 0.000 | 0.000 | -5.370 | 0.000 | -0.000 |
| 0.000 | 0.000 | 0.000 | -0.000 | -5.370 | -0.000 |
| 0.000 | 0.000 | 0.000 | -0.000 | -0.000 | -5.370 |
| 2308.119 | 2299.571 | 2299.571 | -0.000 | -0.000 | 0.000 |
| 2299.571 | 2308.119 | 2299.571 | -0.000 | -0.000 | 0.000 |
| 2299.571 | 2299.571 | 2308.119 | 0.000 | 0.000 | 0.000 |
| -0.000 | -0.000 | -0.000 | -5.370 | 0.000 | 0.000 |
| -0.000 | -0.000 | -0.000 | 0.000 | -5.370 | 0.000 |
| -0.000 | -0.000 | -0.000 | 0.000 | 0.000 | -5.370 |
| 2308.081 | 2299.524 | 2299.524 | -0.000 | -0.000 | -0.000 |
| 2299.524 | 2308.081 | 2299.524 | -0.000 | 0.000 | -0.000 |
| 2299.524 | 2299.524 | 2308.081 | -0.000 | -0.000 | -0.000 |
| -0.000 | -0.000 | -0.000 | -3.765 | -0.000 | -0.000 |
| -0.000 | -0.000 | -0.000 | -0.000 | -3.765 | -0.000 |
| -0.000 | -0.000 | -0.000 | -0.000 | -0.000 | -3.765 |
| 2308.151 | 2299.610 | 2299.610 | -0.000 | -0.000 | 0.000 |
| 2299.610 | 2308.151 | 2299.610 | 0.000 | -0.000 | 0.000 |
| 2299.610 | 2299.610 | 2308.151 | 0.000 | 0.000 | 0.000 |
| 0.000 | 0.000 | 0.000 | -3.765 | 0.000 | 0.000 |
| 0.000 | 0.000 | 0.000 | 0.000 | -3.765 | 0.000 |
| 0.000 | 0.000 | 0.000 | 0.000 | 0.000 | -3.765 |
| 130.216 | 169.452 | 169.452 | -0.000 | -0.000 | -0.000 |
| 169.452 | 130.216 | 169.452 | -0.000 | -0.000 | -0.000 |
| 169.452 | 169.452 | 130.216 | -0.000 | 0.000 | -0.000 |
| -0.000 | -0.000 | 0.000 | 125.446 | 0.000 | -0.000 |
| -0.000 | -0.000 | 0.000 | -0.000 | 125.446 | -0.000 |
| -0.000 | -0.000 | -0.000 | -0.000 | 0.000 | 125.446 |
| 130.216 | 169.452 | 169.452 | 0.000 | -0.000 | 0.000 |
| 169.452 | 130.216 | 169.452 | 0.000 | 0.000 | 0.000 |
| 169.452 | 169.452 | 130.216 | 0.000 | -0.000 | 0.000 |
| 0.000 | 0.000 | -0.000 | 125.446 | -0.000 | 0.000 |
| 0.000 | 0.000 | -0.000 | 0.000 | 125.446 | 0.000 |
| 0.000 | 0.000 | 0.000 | 0.000 | -0.000 | 125.446 |
| 130.216 | 169.452 | 169.452 | -0.000 | 0.000 | -0.000 |
| 169.452 | 130.216 | 169.452 | -0.000 | -0.000 | -0.000 |
| 169.452 | 169.452 | 130.216 | -0.000 | 0.000 | -0.000 |
| 0.000 | 0.000 | 0.000 | 125.446 | -0.000 | -0.000 |
| 0.000 | 0.000 | 0.000 | -0.000 | 125.446 | -0.000 |
| 0.000 | 0.000 | 0.000 | -0.000 | 0.000 | 125.446 |
| 130.215 | 169.452 | 169.452 | 0.000 | 0.000 | 0.000 |
| 169.452 | 130.215 | 169.452 | -0.000 | -0.000 | 0.000 |
| 169.452 | 169.452 | 130.215 | -0.000 | -0.000 | 0.000 |
| -0.000 | -0.000 | -0.000 | 125.446 | -0.000 | 0.000 |
| -0.000 | -0.000 | -0.000 | 0.000 | 125.446 | 0.000 |
| -0.000 | -0.000 | -0.000 | 0.000 | -0.000 | 125.446 |
| 130.217 | 169.452 | 169.452 | -0.000 | 0.000 | -0.000 |
| 169.452 | 130.217 | 169.452 | -0.000 | -0.000 | -0.000 |
| 169.452 | 169.452 | 130.217 | -0.000 | -0.000 | -0.000 |
| 0.001 | 0.000 | 0.001 | 125.446 | -0.000 | -0.000 |
| 0.000 | 0.001 | 0.001 | -0.000 | 125.446 | -0.000 |
| 0.000 | 0.001 | 0.001 | -0.000 | 0.000 | 125.446 |
| 130.214 | 169.451 | 169.451 | 0.000 | -0.000 | 0.000 |
| 169.451 | 130.214 | 169.451 | 0.000 | -0.000 | 0.000 |
| 169.451 | 169.451 | 130.214 | 0.000 | -0.000 | 0.000 |
| -0.001 | -0.000 | -0.001 | 125.446 | 0.000 | 0.000 |
| -0.000 | -0.001 | -0.001 | 0.000 | 125.446 | 0.000 |
| -0.000 | -0.001 | -0.001 | 0.000 | -0.000 | 125.446 |
| 145.870 | 1.245 | 1.245 | -0.000 | 0.000 | -0.000 |
| 1.245 | 145.870 | 1.245 | -0.000 | 0.000 | -0.000 |
| 1.245 | 1.245 | 145.870 | -0.000 | 0.000 | -0.000 |
| 0.000 | 0.000 | -0.000 | -19.958 | -0.000 | -0.000 |
| 0.000 | 0.000 | -0.000 | -0.000 | -19.958 | -0.000 |
| 0.000 | 0.000 | -0.000 | -0.000 | -0.000 | -19.958 |
| 145.870 | 1.245 | 1.245 | 0.000 | -0.000 | 0.000 |
| 1.245 | 145.870 | 1.245 | 0.000 | 0.000 | 0.000 |
| 1.245 | 1.245 | 145.870 | 0.000 | -0.000 | 0.000 |
| -0.000 | -0.000 | 0.000 | -19.958 | 0.000 | 0.000 |
| -0.000 | -0.000 | 0.000 | 0.000 | -19.958 | 0.000 |
| -0.000 | -0.000 | 0.000 | 0.000 | 0.000 | -19.958 |
| 145.871 | 1.245 | 1.245 | -0.000 | 0.000 | -0.000 |
| 1.245 | 145.871 | 1.245 | -0.000 | -0.000 | -0.000 |
| 1.245 | 1.245 | 145.871 | -0.000 | 0.000 | -0.000 |
| 0.000 | 0.000 | 0.000 | -19.958 | 0.000 | -0.000 |
| 0.000 | 0.000 | 0.000 | -0.000 | -19.958 | -0.000 |
| 0.000 | 0.000 | 0.000 | -0.000 | -0.000 | -19.958 |
| 145.870 | 1.245 | 1.245 | 0.000 | -0.000 | 0.000 |
| 1.245 | 145.870 | 1.245 | 0.000 | -0.000 | 0.000 |
| 1.245 | 1.245 | 145.870 | 0.000 | -0.000 | 0.000 |
| -0.000 | -0.000 | -0.000 | -19.958 | -0.000 | -0.000 |
| -0.000 | -0.000 | -0.000 | 0.000 | -19.958 | 0.000 |
| -0.000 | -0.000 | -0.000 | 0.000 | 0.000 | -19.958 |
| 145.874 | 1.246 | 1.246 | -0.000 | 0.000 | 0.000 |
| 1.246 | 145.874 | 1.246 | -0.000 | -0.000 | 0.000 |
| 1.246 | 1.246 | 145.874 | -0.000 | 0.000 | 0.000 |
| 0.000 | 0.000 | 0.000 | -19.958 | 0.000 | 0.000 |
| 0.000 | 0.000 | 0.000 | -0.000 | -19.958 | -0.000 |
| 0.000 | 0.000 | 0.000 | -0.000 | -0.000 | -19.958 |
| 145.866 | 1.244 | 1.244 | 0.000 | 0.000 | -0.000 |
| 1.244 | 145.866 | 1.244 | 0.000 | 0.000 | -0.000 |
| 1.244 | 1.244 | 145.866 | 0.000 | -0.000 | 0.000 |
| -0.000 | -0.000 | -0.000 | -19.958 | -0.000 | 0.000 |
| -0.000 | -0.000 | -0.000 | 0.000 | -19.958 | 0.000 |
| -0.000 | -0.000 | -0.000 | 0.000 | 0.000 | -19.958 |
| 137.119 | 113.394 | 113.394 | 0.000 | 0.000 | 0.000 |
| 113.394 | 137.119 | 113.394 | 0.000 | 0.000 | 0.000 |
| 113.394 | 113.394 | 137.119 | -0.000 | 0.000 | 0.000 |
| 0.000 | -0.000 | -0.000 | -1.543 | -0.000 | 0.000 |
| 0.000 | 0.000 | -0.000 | -0.000 | -1.543 | 0.000 |
| 0.000 | -0.000 | 0.000 | -0.000 | 0.000 | -1.543 |
| 137.119 | 113.394 | 113.394 | -0.000 | 0.000 | -0.000 |
| 113.394 | 137.119 | 113.394 | 0.000 | -0.000 | -0.000 |
| 113.394 | 113.394 | 137.119 | -0.000 | 0.000 | -0.000 |
| -0.000 | 0.000 | 0.000 | -1.543 | 0.000 | -0.000 |
| -0.000 | -0.000 | 0.000 | 0.000 | -1.543 | -0.000 |
| -0.000 | 0.000 | 0.000 | 0.000 | 0.000 | -1.543 |
| 137.119 | 113.394 | 113.394 | 0.000 | 0.000 | 0.000 |
| 113.394 | 137.119 | 113.394 | 0.000 | -0.000 | 0.000 |
| 113.394 | 113.394 | 137.119 | -0.000 | -0.000 | 0.000 |
| 0.000 | -0.000 | -0.000 | -1.543 | 0.000 | 0.000 |
| -0.000 | 0.000 | -0.000 | -0.000 | -1.543 | 0.000 |
| -0.000 | -0.000 | 0.000 | -0.000 | -0.000 | -1.543 |
| 137.119 | 113.394 | 113.394 | -0.000 | -0.000 | -0.000 |
| 113.394 | 137.119 | 113.394 | 0.000 | 0.000 | -0.000 |
| 113.394 | 113.394 | 137.119 | 0.000 | 0.000 | -0.000 |
| -0.000 | 0.000 | 0.000 | -1.543 | -0.000 | -0.000 |
| 0.000 | -0.000 | 0.000 | 0.000 | -1.543 | -0.000 |
| 0.000 | 0.000 | -0.000 | 0.000 | 0.000 | -1.543 |
| 137.118 | 113.394 | 113.394 | 0.000 | 0.000 | 0.000 |
| 113.394 | 137.118 | 113.394 | 0.000 | 0.000 | 0.000 |
| 113.394 | 113.394 | 137.118 | -0.000 | -0.000 | 0.000 |
| 0.000 | 0.000 | 0.000 | 99.251 | -0.000 | 0.000 |
| 0.000 | 0.000 | 0.000 | -0.000 | 99.251 | 0.000 |
| 0.000 | 0.000 | 0.000 | -0.000 | -0.000 | 99.251 |
| 137.120 | 113.393 | 113.393 | -0.000 | -0.000 | -0.000 |
| 113.393 | 137.120 | 113.393 | -0.000 | -0.000 | -0.000 |
| 113.393 | 113.393 | 137.120 | 0.000 | 0.000 | -0.000 |
| -0.000 | -0.000 | -0.000 | 99.251 | 0.000 | -0.000 |
| -0.000 | -0.000 | -0.000 | 0.000 | 99.251 | -0.000 |
| -0.000 | -0.000 | -0.000 | 0.000 | -0.000 | 99.251 |
| 200.014 | 206.716 | 206.716 | 0.000 | 0.000 | 0.000 |
| 206.716 | 200.014 | 206.716 | 0.000 | 0.000 | 0.000 |
| 206.716 | 206.716 | 200.014 | 0.000 | 0.000 | 0.000 |
| 0.000 | 0.000 | 0.000 | -3.428 | 0.000 | 0.000 |
| 0.000 | 0.000 | 0.000 | 0.000 | -3.428 | 0.000 |
| 0.000 | 0.000 | 0.000 | 0.000 | 0.000 | -3.428 |
| 200.014 | 206.716 | 206.716 | -0.000 | -0.000 | -0.000 |
| 206.716 | 200.014 | 206.716 | -0.000 | -0.000 | -0.000 |
| 206.716 | 206.716 | 200.014 | -0.000 | -0.000 | -0.000 |
| -0.000 | -0.000 | -0.000 | -3.428 | -0.000 | 0.000 |
| -0.000 | -0.000 | -0.000 | -0.000 | -3.428 | -0.000 |
| -0.000 | -0.000 | -0.000 | -0.000 | -0.000 | -3.428 |
| 200.014 | 206.716 | 206.716 | 0.000 | 0.000 | 0.000 |
| 206.716 | 200.014 | 206.716 | 0.000 | 0.000 | 0.000 |
| 206.716 | 206.716 | 200.014 | 0.000 | 0.000 | 0.000 |
| -2563497.872 | -734235.934 | -352849.119 | -538539.125 | -222.252 | 19474.099 |
| -740956.865 | -2572497.866 | -345469.138 | 64472.666 | -587920.408 | 8185.473 |
| 26621492.654 | 26621494.137 | 21542918.883 | 0.001 | -0.000 | 7416373.335 |
| 200.014 | 206.716 | 206.716 | -0.000 | -0.000 | 0.000 |
| 206.716 | 200.014 | 206.716 | -0.000 | -0.000 | 0.000 |
| 206.716 | 206.716 | 200.014 | -0.000 | -0.000 | -0.000 |
| -21542918.886 | -26621492.658 | -26621494.141 | 7416373.337 | -0.001 | 0.001 |
| 496753.099 | 2590559.223 | 193579.457 | -2171.117 | -468667.651 | 12941.583 |
| -26621492.655 | -26621494.138 | -21542918.884 | -0.000 | 0.001 | 7416373.335 |
| 200.013 | 206.716 | 206.716 | 0.000 | 0.000 | -0.000 |
| 206.716 | 200.013 | 206.716 | 0.000 | 0.000 | 0.000 |
| 206.716 | 206.716 | 200.013 | 0.000 | 0.000 | 0.000 |
| 2154301.686 | 2662153.088 | 2662154.572 | 741634.062 | -0.000 | -0.000 |
| 2662153.088 | 2154301.686 | 2662154.572 | 0.000 | 741634.062 | -0.000 |
| 2662153.088 | 2662154.572 | 2154301.686 | 0.000 | -0.000 | 741634.062 |
| 200.015 | 206.716 | 206.716 | -0.000 | -0.000 | -0.000 |
| 206.716 | 200.015 | 206.716 | -0.000 | -0.000 | 0.000 |
| 206.716 | 206.716 | 200.015 | -0.000 | -0.000 | 0.000 |
| -2154301.686 | -2662153.088 | -2662154.572 | 741634.062 | -0.000 | 0.000 |
| -2662153.088 | -2154301.686 | -2662154.572 | -0.000 | 741634.062 | 0.000 |
| -2662153.088 | -2662154.572 | -2154301.686 | -0.000 | 0.000 | 741634.062 |
| 49.900 | 49.900 | 49.900 | -0.000 | 0.000 | 0.000 |
| 49.900 | 49.900 | 49.900 | 0.000 | -0.000 | 0.000 |
| 49.900 | 49.900 | 49.900 | -0.000 | -0.000 | -0.000 |
| 0.000 | 0.000 | 0.000 | 0.618 | 0.000 | 0.000 |
| 0.000 | 0.000 | 0.000 | 0.000 | 0.618 | 0.000 |
| 0.000 | 0.000 | 0.000 | -0.000 | 0.000 | 0.618 |
| 49.900 | 49.900 | 49.900 | 0.000 | 0.000 | -0.000 |
| 49.900 | 49.900 | 49.900 | 0.000 | 0.000 | -0.000 |
| 49.900 | 49.900 | 49.900 | 0.000 | -0.000 | 0.000 |
| -0.000 | -0.000 | -0.000 | 0.618 | -0.000 | -0.000 |
| -0.000 | -0.000 | -0.000 | 0.000 | 0.618 | -0.000 |
| -0.000 | -0.000 | -0.000 | 0.000 | 0.000 | 0.618 |
| 49.900 | 49.900 | 49.900 | 0.000 | 0.000 | -0.000 |
| 49.900 | 49.900 | 49.900 | 0.000 | -0.000 | -0.000 |
| 49.900 | 49.900 | 49.900 | -0.000 | -0.000 | 0.000 |
| 0.000 | 0.000 | 0.000 | 0.553 | 0.000 | -0.000 |
| 0.000 | 0.000 | 0.000 | 0.000 | 0.553 | -0.000 |
| 0.000 | 0.000 | 0.000 | -0.000 | 0.000 | 0.553 |
| 49.900 | 49.900 | 49.900 | -0.000 | 0.000 | -0.000 |
| 49.900 | 49.900 | 49.900 | 0.000 | -0.000 | -0.000 |
| 49.900 | 49.900 | 49.900 | 0.000 | -0.000 | 0.000 |
| -0.000 | -0.000 | -0.000 | 0.553 | 0.000 | -0.000 |
| -0.000 | -0.000 | -0.000 | -0.000 | 0.553 | -0.000 |
| -0.000 | -0.000 | -0.000 | 0.000 | 0.000 | 0.553 |
| 49.900 | 49.900 | 49.900 | 0.000 | -0.000 | -0.000 |
| 49.900 | 49.900 | 49.900 | -0.000 | 0.000 | 0.000 |
| 49.900 | 49.900 | 49.900 | -0.000 | 0.000 | -0.000 |
| 0.000 | 0.000 | 0.000 | 0.618 | -0.000 | 0.000 |
| 0.000 | 0.000 | 0.000 | -0.000 | 0.618 | 0.000 |
| 0.000 | 0.000 | 0.000 | -0.000 | 0.000 | 0.618 |
| 49.900 | 49.900 | 49.900 | -0.000 | 0.000 | -0.000 |
| 49.900 | 49.900 | 49.900 | 0.000 | -0.000 | -0.000 |
| 49.900 | 49.900 | 49.900 | 0.000 | 0.000 | -0.000 |
| -0.000 | -0.000 | -0.000 | 0.618 | -0.000 | -0.000 |
| -0.000 | -0.000 | -0.000 | -0.000 | 0.618 | -0.000 |
| -0.000 | -0.000 | -0.000 | 0.000 | -0.000 | 0.618 |
| 355.373 | 191.411 | 191.411 | -0.000 | -0.000 | -0.000 |
| 191.411 | 355.373 | 191.411 | -0.000 | -0.000 | -0.000 |
| 191.411 | 191.411 | 355.373 | 0.000 | -0.000 | -0.000 |
| -0.000 | -0.000 | 0.000 | 116.034 | 0.000 | -0.000 |
| 0.000 | -0.000 | 0.000 | 0.000 | 116.034 | -0.000 |
| 0.000 | -0.000 | -0.000 | 0.000 | 0.000 | 116.034 |
| 355.373 | 191.411 | 191.411 | 0.000 | 0.000 | 0.000 |
| 191.411 | 355.373 | 191.411 | -0.000 | 0.000 | 0.000 |
| 191.411 | 191.411 | 355.373 | -0.000 | -0.000 | 0.000 |
| 0.000 | 0.000 | -0.000 | 116.034 | -0.000 | 0.000 |
| 0.000 | 0.000 | -0.000 | -0.000 | 116.034 | 0.000 |
| 0.000 | 0.000 | 0.000 | -0.000 | -0.000 | 116.034 |
| 355.374 | 191.411 | 191.411 | 0.000 | -0.000 | -0.000 |
| 191.411 | 355.374 | 191.411 | -0.000 | 0.000 | -0.000 |
| 191.411 | 191.411 | 355.374 | 0.000 | 0.000 | -0.000 |
| -0.000 | 0.000 | 0.000 | 116.034 | 0.000 | -0.000 |
| 0.000 | -0.000 | 0.000 | 0.000 | 116.034 | -0.000 |
| 0.000 | 0.000 | -0.000 | 0.000 | 0.000 | 116.034 |
| 355.373 | 191.411 | 191.411 | -0.000 | -0.000 | 0.000 |
| 191.411 | 355.373 | 191.411 | -0.000 | -0.000 | 0.000 |
| 191.411 | 191.411 | 355.373 | -0.000 | -0.000 | 0.000 |
| 0.000 | -0.000 | -0.000 | 116.034 | -0.000 | 0.000 |
| -0.000 | 0.000 | -0.000 | -0.000 | 116.034 | 0.000 |
| -0.000 | -0.000 | 0.000 | -0.000 | -0.000 | 116.034 |
| 355.375 | 191.410 | 191.410 | -0.000 | -0.000 | -0.000 |
| 191.410 | 355.375 | 191.410 | 0.000 | -0.000 | -0.000 |
| 191.410 | 191.410 | 355.375 | 0.000 | 0.000 | -0.000 |
| -0.000 | 0.000 | 0.000 | 116.034 | 0.000 | -0.000 |
| 0.000 | -0.000 | 0.000 | 0.000 | 116.034 | -0.000 |
| 0.000 | 0.000 | -0.000 | 0.000 | 0.000 | 116.034 |
| 355.372 | 191.412 | 191.412 | 0.000 | -0.000 | 0.000 |
| 191.412 | 355.372 | 191.412 | -0.000 | 0.000 | 0.000 |
| 191.412 | 191.412 | 355.372 | -0.000 | 0.000 | 0.000 |
| 0.000 | -0.000 | -0.000 | 116.034 | -0.000 | 0.000 |
| -0.000 | 0.000 | -0.000 | -0.000 | 116.034 | 0.000 |
| -0.000 | -0.000 | 0.000 | -0.000 | -0.000 | 116.034 |
| 24.255 | 27.383 | 27.383 | -0.000 | -0.000 | -0.000 |
| 27.383 | 24.255 | 27.383 | -0.000 | -0.000 | -0.000 |
| 27.383 | 27.383 | 24.255 | -0.000 | -0.000 | -0.000 |
| 0.000 | -0.000 | -0.000 | -4.465 | -0.000 | -0.000 |
| 0.000 | -0.000 | -0.000 | -0.000 | -4.465 | -0.000 |
| 0.000 | -0.000 | -0.000 | -0.000 | -0.000 | -4.465 |
| 24.255 | 27.383 | 27.383 | 0.000 | 0.000 | 0.000 |
| 27.383 | 24.255 | 27.383 | 0.000 | 0.000 | 0.000 |
| 27.383 | 27.383 | 24.255 | 0.000 | 0.000 | 0.000 |
| -0.000 | 0.000 | 0.000 | -4.465 | 0.000 | 0.000 |
| -0.000 | 0.000 | 0.000 | 0.000 | -4.465 | 0.000 |
| -0.000 | 0.000 | 0.000 | 0.000 | 0.000 | -4.465 |
| 24.255 | 27.383 | 27.383 | -0.000 | -0.000 | -0.000 |
| 27.383 | 24.255 | 27.383 | -0.000 | -0.000 | -0.000 |
| 27.383 | 27.383 | 24.255 | -0.000 | -0.000 | -0.000 |
| -0.000 | -0.000 | -0.000 | -4.465 | -0.000 | -0.000 |
| -0.000 | -0.000 | -0.000 | -0.000 | -4.465 | -0.000 |
| -0.000 | -0.000 | -0.000 | -0.000 | -0.000 | -4.465 |
| 24.255 | 27.383 | 27.383 | 0.000 | 0.000 | 0.000 |
| 27.383 | 24.255 | 27.383 | 0.000 | 0.000 | 0.000 |
| 27.383 | 27.383 | 24.255 | 0.000 | 0.000 | 0.000 |
| 0.000 | 0.000 | 0.000 | -4.465 | 0.000 | 0.000 |
| 0.000 | 0.000 | 0.000 | 0.000 | -4.465 | 0.000 |
| 0.000 | 0.000 | 0.000 | 0.000 | 0.000 | -4.465 |
| 24.255 | 27.383 | 27.383 | -0.000 | -0.000 | -0.000 |
| 27.383 | 24.255 | 27.383 | -0.000 | 0.000 | -0.000 |
| 27.383 | 27.383 | 24.255 | -0.000 | -0.000 | 0.000 |
| -0.000 | -0.000 | -0.000 | -4.465 | -0.000 | -0.000 |
| -0.000 | -0.000 | -0.000 | -0.000 | -4.465 | -0.000 |
| -0.000 | -0.000 | -0.000 | -0.000 | -0.000 | -4.465 |
| 24.255 | 27.383 | 27.383 | 0.000 | 0.000 | 0.000 |
| 27.383 | 24.255 | 27.383 | 0.000 | 0.000 | 0.000 |
| 27.383 | 27.383 | 24.255 | 0.000 | 0.000 | 0.000 |
| 0.000 | 0.000 | 0.000 | -4.465 | 0.000 | 0.000 |
| 0.000 | 0.000 | 0.000 | 0.000 | -4.465 | 0.000 |
| 0.000 | 0.000 | 0.000 | 0.000 | 0.000 | -4.465 |
| 339.595 | 273.599 | 162.029 | -5.509 | 0.000 | -0.000 |
| 198.869 | 428.018 | 155.659 | 4.943 | 0.000 | -0.000 |
| 155.280 | 155.280 | 484.952 | 0.000 | 0.000 | -0.000 |
| -27.934 | -11.155 | 22.732 | -24.981 | 0.000 | 0.000 |
| 0.000 | -0.000 | 0.000 | -0.000 | 18.124 | -4.943 |
| -0.000 | 0.000 | 0.000 | 0.000 | -4.943 | 114.574 |
| 428.018 | 198.869 | 155.659 | -4.943 | -0.000 | 0.000 |
| 198.869 | 428.018 | 155.659 | 4.943 | 0.000 | 0.000 |
| 165.568 | 165.568 | 475.118 | 0.000 | 0.000 | 0.000 |
| -4.943 | 4.943 | -0.000 | 18.124 | 0.000 | -0.000 |
| -0.000 | 0.000 | -0.000 | -0.000 | 18.124 | -4.943 |
| 0.000 | -0.000 | -0.000 | -0.000 | -4.943 | 114.574 |
| 428.018 | 198.869 | 155.659 | -4.943 | 0.000 | -0.000 |
| 198.869 | 428.018 | 155.659 | 4.943 | 0.000 | -0.000 |
| 160.902 | 160.902 | 478.494 | -0.000 | -0.000 | -0.000 |
| -83986660.504 | -91788587.155 | -88443061.470 | -1433275.927 | -35517.936 | 268604.592 |
| 0.000 | 0.000 | -0.000 | -0.000 | 18.124 | -4.943 |
| 0.000 | 0.000 | 0.000 | -0.000 | -4.943 | 114.574 |
| 428.018 | 198.869 | 155.660 | -4.943 | -0.000 | 0.000 |
| 198.869 | 428.018 | 155.660 | 4.943 | 0.000 | 0.000 |
| 155.659 | 155.659 | 485.108 | -0.000 | -0.000 | 0.000 |
| -8.771 | 25.822 | -7.262 | -101.471 | 0.000 | -0.000 |
| -0.000 | -0.000 | 0.000 | 0.000 | 18.124 | -4.943 |
| -0.000 | -0.000 | -0.000 | 0.000 | -4.943 | 114.574 |
| 342.992 | 277.900 | 158.754 | -5.512 | -0.000 | -0.000 |
| 198.870 | 428.020 | 155.659 | 4.943 | -0.000 | -0.000 |
| 155.657 | 155.657 | 485.106 | -0.000 | 0.000 | -0.000 |
| -8468181.797 | -8986029.661 | -8828533.634 | -117534.991 | -6021.903 | -9237.687 |
| -0.013 | -0.013 | 0.011 | 0.000 | 16.256 | -5.136 |
| 0.000 | 0.001 | 0.000 | -0.000 | -4.943 | 114.574 |
| 428.015 | 198.869 | 155.660 | -4.943 | -0.000 | 0.000 |
| 292.282 | 324.059 | 162.168 | 6.043 | 0.000 | 0.000 |
| 155.660 | 155.660 | 485.110 | 0.000 | -0.000 | 0.000 |
| -10.554 | 11.335 | -0.366 | -45.272 | -0.000 | 0.000 |
| 0.013 | 0.013 | -0.011 | -0.000 | 16.256 | -5.136 |
| -0.000 | -0.001 | -0.000 | 0.000 | -4.943 | 114.574 |
| 877.944 | 924.419 | -464.249 | -5.581 | -0.000 | -0.000 |
| 924.419 | 877.944 | -464.249 | 5.581 | 0.000 | -0.000 |
| 154.244 | 154.244 | 489.775 | 0.000 | 0.000 | -0.000 |
| 534.415 | 545.197 | -592.605 | 4.410 | 0.000 | 0.000 |
| 0.000 | -0.000 | -0.000 | -0.000 | 15.086 | -4.632 |
| 0.000 | 0.000 | 0.000 | -0.000 | -4.632 | 111.030 |
| -296.885 | -185.736 | 754.929 | -5.393 | -0.000 | 0.000 |
| 195.477 | 417.538 | 155.166 | 4.632 | 0.000 | 0.000 |
| -379.213 | -379.213 | 1075.448 | 0.000 | 0.000 | 0.000 |
| -545.197 | -534.415 | 592.605 | 4.410 | 0.000 | 0.000 |
| 0.000 | -0.000 | -0.000 | 0.000 | 15.086 | -4.632 |
| -0.000 | -0.000 | 0.000 | 0.000 | -4.632 | 111.030 |
| 417.538 | 195.477 | 155.166 | -4.632 | 0.000 | -0.000 |
| 350.698 | 330.558 | 116.517 | 5.185 | -0.000 | -0.000 |
| 154.244 | 154.244 | 489.775 | -0.000 | -0.000 | -0.000 |
| -4.632 | 4.632 | -0.000 | 15.086 | -0.000 | -0.000 |
| 0.000 | 0.000 | -0.000 | 0.000 | 15.086 | -4.632 |
| 42.414 | 42.414 | -46.563 | 0.000 | -5.228 | -19.663 |
| 417.537 | 195.477 | 155.166 | -4.632 | 0.000 | 0.000 |
| 195.477 | 417.537 | 155.166 | 4.632 | -0.000 | 0.000 |
| 106.518 | 106.518 | 542.207 | -0.000 | -0.000 | 0.000 |
| -60.432 | -49.620 | 60.408 | 4.203 | 0.000 | 0.000 |
| -0.000 | -0.000 | 0.000 | 0.000 | 15.086 | -4.632 |
| -42.414 | -42.414 | 46.563 | -0.000 | -5.228 | -19.663 |
| 417.541 | 195.477 | 155.166 | -4.632 | -0.000 | -0.000 |
| 195.477 | 417.540 | 155.166 | 4.632 | -0.000 | -0.000 |
| 167.126 | 167.126 | 476.359 | -0.000 | 0.000 | -0.000 |
| -4.632 | 4.632 | -0.000 | 15.086 | 0.000 | -0.000 |
| 15.085 | 15.085 | -16.560 | 0.000 | -14.749 | -6.754 |
| -8285346.309 | -7935661.564 | -9113405.784 | 9933.735 | -1316.983 | -247945.123 |
| 327.596 | 272.830 | 161.252 | -5.014 | 0.000 | 0.000 |
| 279.731 | 309.139 | 167.957 | 5.652 | 0.000 | 0.000 |
| 155.090 | 155.090 | 488.906 | 0.000 | 0.000 | 0.000 |
| -4.632 | 4.631 | 0.000 | 15.086 | -0.000 | 0.000 |
| -15.085 | -15.085 | 16.560 | -0.000 | -14.749 | -6.754 |
| 8202401.820 | 8018899.713 | 9118768.044 | -33459.307 | -13025.411 | -308642.691 |
| 164.819 | 174.631 | 174.631 | 0.000 | 0.000 | -0.000 |
| 174.631 | 164.819 | 174.631 | 0.000 | 0.000 | -0.000 |
| 174.631 | 174.631 | 164.819 | 0.000 | -0.000 | -0.000 |
| 0.000 | -0.000 | 0.000 | 174.219 | 0.000 | -0.000 |
| -0.000 | 0.000 | 0.000 | 0.000 | 174.219 | -0.000 |
| -0.000 | 0.000 | 0.000 | 0.000 | 0.000 | 174.219 |
| 164.819 | 174.631 | 174.631 | 0.000 | -0.000 | 0.000 |
| 174.631 | 164.819 | 174.631 | -0.000 | -0.000 | 0.000 |
| 174.631 | 174.631 | 164.819 | -0.000 | -0.000 | 0.000 |
| -0.000 | -0.000 | -0.000 | 174.219 | -0.000 | 0.000 |
| 0.000 | -0.000 | -0.000 | -0.000 | 174.219 | 0.000 |
| 0.000 | -0.000 | -0.000 | -0.000 | -0.000 | 174.219 |
| 164.819 | 174.631 | 174.631 | 0.000 | 0.000 | -0.000 |
| 174.631 | 164.819 | 174.631 | 0.000 | -0.000 | -0.000 |
| 174.631 | 174.631 | 164.819 | 0.000 | 0.000 | -0.000 |
| 0.000 | 0.000 | 0.000 | 177.837 | -0.000 | -0.000 |
| 0.000 | 0.000 | 0.000 | 0.000 | 177.837 | -0.000 |
| 0.000 | 0.000 | 0.000 | 0.000 | 0.000 | 177.837 |
| 164.819 | 174.631 | 174.631 | -0.000 | 0.000 | 0.000 |
| 174.631 | 164.819 | 174.631 | -0.000 | -0.000 | 0.000 |
| 174.631 | 174.631 | 164.819 | -0.000 | -0.000 | 0.000 |
| -0.000 | -0.000 | -0.000 | 177.837 | 0.000 | 0.000 |
| -0.000 | -0.000 | -0.000 | 0.000 | 177.837 | 0.000 |
| -0.000 | -0.000 | -0.000 | -0.000 | -0.000 | 177.837 |
| 164.821 | 174.632 | 174.632 | 0.000 | 0.000 | -0.000 |
| 174.632 | 164.821 | 174.632 | 0.000 | 0.000 | -0.000 |
| 174.632 | 174.632 | 164.821 | 0.000 | 0.000 | -0.000 |
| 0.001 | 0.000 | 0.001 | 177.837 | 0.000 | -0.000 |
| 0.000 | 0.001 | 0.001 | 0.000 | 177.837 | -0.000 |
| 0.000 | 0.001 | 0.001 | 0.000 | 0.000 | 177.837 |
| 164.817 | 174.631 | 174.631 | -0.000 | -0.000 | 0.000 |
| 174.631 | 164.817 | 174.631 | -0.000 | -0.000 | 0.000 |
| 174.631 | 174.631 | 164.817 | -0.000 | 0.000 | 0.000 |
| -0.001 | -0.000 | -0.001 | 177.837 | -0.000 | 0.000 |
| -0.000 | -0.001 | -0.001 | -0.000 | 177.837 | 0.000 |
| -0.000 | -0.001 | -0.001 | -0.000 | -0.000 | 177.837 |
| 220.334 | 221.528 | 221.528 | 0.000 | 0.000 | -0.000 |
| 221.528 | 220.334 | 221.528 | -0.000 | 0.000 | -0.000 |
| 221.528 | 221.528 | 220.334 | 0.000 | 0.000 | -0.000 |
| 0.000 | 0.000 | 0.000 | -0.984 | 0.000 | -0.000 |
| 0.000 | 0.000 | 0.000 | 0.000 | -0.984 | -0.000 |
| 0.000 | 0.000 | 0.000 | 0.000 | 0.000 | -0.984 |
| 220.334 | 221.528 | 221.528 | -0.000 | -0.000 | 0.000 |
| 221.528 | 220.334 | 221.528 | -0.000 | -0.000 | 0.000 |
| 221.528 | 221.528 | 220.334 | -0.000 | -0.000 | 0.000 |
| -0.000 | -0.000 | -0.000 | -0.984 | -0.000 | 0.000 |
| -0.000 | -0.000 | -0.000 | 0.000 | -0.984 | 0.000 |
| -0.000 | -0.000 | -0.000 | -0.000 | -0.000 | -0.984 |
| 220.334 | 221.528 | 221.528 | 0.000 | 0.000 | -0.000 |
| 221.528 | 220.334 | 221.528 | 0.000 | 0.000 | -0.000 |
| 221.528 | 221.528 | 220.334 | 0.000 | 0.000 | -0.000 |
| 0.000 | 0.000 | 0.000 | -1.452 | 0.000 | -0.000 |
| 0.000 | 0.000 | 0.000 | 0.000 | -1.452 | -0.000 |
| 0.000 | 0.000 | 0.000 | 0.000 | -0.000 | -1.452 |
| 220.334 | 221.528 | 221.528 | -0.000 | -0.000 | 0.000 |
| 221.528 | 220.334 | 221.528 | -0.000 | -0.000 | 0.000 |
| 221.528 | 221.528 | 220.334 | -0.000 | -0.000 | 0.000 |
| -0.000 | -0.000 | -0.000 | -1.452 | -0.000 | 0.000 |
| -0.000 | -0.000 | -0.000 | -0.000 | -1.452 | 0.000 |
| -0.000 | -0.000 | -0.000 | 0.000 | 0.000 | -1.452 |
| 220.333 | 221.528 | 221.528 | 0.000 | -0.000 | -0.000 |
| 221.528 | 220.333 | 221.528 | -0.000 | -0.000 | -0.000 |
| 221.528 | 221.528 | 220.333 | -0.000 | -0.000 | -0.000 |
| -503137.781 | 151884.562 | 80183.524 | -7157.381 | -4340.795 | -6962.136 |
| 157371.881 | -466181.772 | 84653.217 | 856.031 | 3029.784 | -6016.098 |
| 164876.023 | 70250.172 | -476880.867 | -2088.762 | 948.734 | -3730.877 |
| 220.335 | 221.528 | 221.528 | -0.000 | -0.000 | 0.000 |
| 221.528 | 220.335 | 221.528 | -0.000 | -0.000 | 0.000 |
| 221.528 | 221.528 | 220.335 | 0.000 | 0.000 | 0.000 |
| 578442.733 | -150534.131 | -45889.891 | -47250.805 | 111.075 | -5224.289 |
| -150354.731 | 580391.152 | -44271.092 | 1134.145 | -41460.247 | -6384.596 |
| -145466.702 | -32115.622 | 594518.151 | -3601.192 | -1223.004 | -35295.180 |
| 50.104 | 50.104 | 50.104 | 0.000 | 0.000 | 0.000 |
| 50.104 | 50.104 | 50.104 | 0.000 | 0.000 | 0.000 |
| 50.104 | 50.104 | 50.104 | 0.000 | -0.000 | 0.000 |
| -0.000 | -0.000 | -0.000 | 0.802 | -0.000 | 0.000 |
| -0.000 | 0.000 | 0.000 | 0.000 | 0.802 | 0.000 |
| -0.000 | -0.000 | -0.000 | -0.000 | -0.000 | 0.802 |
| 50.104 | 50.104 | 50.104 | -0.000 | 0.000 | -0.000 |
| 50.104 | 50.104 | 50.104 | -0.000 | 0.000 | -0.000 |
| 50.104 | 50.104 | 50.104 | -0.000 | -0.000 | 0.000 |
| 0.000 | 0.000 | 0.000 | 0.802 | -0.000 | -0.000 |
| 0.000 | -0.000 | -0.000 | 0.000 | 0.802 | -0.000 |
| -0.000 | -0.000 | -0.000 | -0.000 | -0.000 | 0.802 |
| 50.104 | 50.104 | 50.104 | 0.000 | 0.000 | 0.000 |
| 50.104 | 50.104 | 50.104 | 0.000 | -0.000 | -0.000 |
| 50.104 | 50.104 | 50.104 | 0.000 | 0.000 | -0.000 |
| 0.000 | 0.000 | 0.000 | 0.802 | 0.000 | 0.000 |
| 0.000 | 0.000 | 0.000 | 0.000 | 0.802 | 0.000 |
| 0.000 | 0.000 | 0.000 | -0.000 | -0.000 | 0.802 |
| 50.104 | 50.104 | 50.104 | -0.000 | 0.000 | -0.000 |
| 50.104 | 50.104 | 50.104 | -0.000 | -0.000 | 0.000 |
| 50.104 | 50.104 | 50.104 | -0.000 | -0.000 | -0.000 |
| -0.000 | -0.000 | -0.000 | 0.802 | 0.000 | -0.000 |
| -0.000 | -0.000 | -0.000 | 0.000 | 0.802 | -0.000 |
| -0.000 | -0.000 | -0.000 | -0.000 | 0.000 | 0.802 |
| 50.104 | 50.104 | 50.104 | 0.000 | 0.000 | 0.000 |
| 50.104 | 50.104 | 50.104 | 0.000 | 0.000 | 0.000 |
| 50.104 | 50.104 | 50.104 | 0.000 | 0.000 | 0.000 |
| 0.000 | 0.000 | 0.000 | 0.802 | 0.000 | 0.000 |
| 0.000 | 0.000 | 0.000 | 0.000 | 0.802 | 0.000 |
| 0.000 | 0.000 | 0.000 | 0.000 | -0.000 | 0.802 |
| 50.104 | 50.104 | 50.104 | -0.000 | -0.000 | 0.000 |
| 50.104 | 50.104 | 50.104 | -0.000 | -0.000 | -0.000 |
| 50.104 | 50.104 | 50.104 | -0.000 | -0.000 | -0.000 |
| -0.000 | -0.000 | -0.000 | 0.802 | -0.000 | -0.000 |
| -0.000 | -0.000 | -0.000 | -0.000 | 0.802 | -0.000 |
| -0.000 | -0.000 | -0.000 | -0.000 | 0.000 | 0.802 |
| 106.224 | 124.301 | 124.301 | 0.000 | -0.000 | 0.000 |
| 124.301 | 106.224 | 124.301 | 0.000 | -0.000 | -0.000 |
| 124.301 | 124.301 | 106.224 | 0.000 | -0.000 | 0.000 |
| 0.000 | 0.000 | 0.000 | -14.941 | -0.000 | 0.000 |
| 0.000 | 0.000 | 0.000 | 0.000 | -14.941 | 0.000 |
| 0.000 | 0.000 | 0.000 | 0.000 | -0.000 | -14.941 |
| 106.224 | 124.301 | 124.301 | -0.000 | 0.000 | -0.000 |
| 124.301 | 106.224 | 124.301 | -0.000 | 0.000 | -0.000 |
| 124.301 | 124.301 | 106.224 | -0.000 | 0.000 | -0.000 |
| -0.000 | -0.000 | -0.000 | -14.941 | 0.000 | -0.000 |
| -0.000 | -0.000 | -0.000 | -0.000 | -14.941 | -0.000 |
| -0.000 | -0.000 | -0.000 | -0.000 | 0.000 | -14.941 |
| 106.224 | 124.301 | 124.301 | 0.000 | -0.000 | 0.000 |
| 124.301 | 106.224 | 124.301 | 0.000 | -0.000 | 0.000 |
| 124.301 | 124.301 | 106.224 | 0.000 | 0.000 | 0.000 |
| 0.000 | 0.000 | 0.000 | 107.699 | -0.000 | 0.000 |
| 0.000 | 0.000 | 0.000 | 0.000 | 107.699 | 0.000 |
| 0.000 | 0.000 | 0.000 | 0.000 | -0.000 | 107.699 |
| 106.224 | 124.301 | 124.301 | -0.000 | 0.000 | -0.000 |
| 124.301 | 106.224 | 124.301 | -0.000 | 0.000 | -0.000 |
| 124.301 | 124.301 | 106.224 | -0.000 | -0.000 | -0.000 |
| -0.000 | -0.000 | -0.000 | 107.699 | 0.000 | -0.000 |
| -0.000 | -0.000 | -0.000 | -0.000 | 107.699 | -0.000 |
| -0.000 | -0.000 | -0.000 | -0.000 | 0.000 | 107.699 |
| 106.224 | 124.301 | 124.301 | 0.000 | -0.000 | 0.000 |
| 124.301 | 106.224 | 124.301 | 0.000 | -0.000 | 0.000 |
| 124.301 | 124.301 | 106.224 | 0.000 | -0.000 | 0.000 |
| 0.000 | 0.000 | 0.000 | 107.699 | -0.000 | 0.000 |
| 0.000 | 0.000 | 0.000 | -0.000 | 107.699 | 0.000 |
| 0.000 | 0.000 | 0.000 | 0.000 | -0.000 | 107.699 |
| 106.223 | 124.300 | 124.300 | -0.000 | 0.000 | -0.000 |
| 124.300 | 106.223 | 124.300 | -0.000 | 0.000 | -0.000 |
| 124.300 | 124.300 | 106.223 | -0.000 | 0.000 | -0.000 |
| -0.000 | -0.000 | -0.000 | 107.699 | 0.000 | -0.000 |
| -0.000 | -0.000 | -0.000 | -0.000 | 107.699 | -0.000 |
| -0.000 | -0.000 | -0.000 | -0.000 | 0.000 | 107.699 |
| 251.017 | 95.418 | 95.418 | -0.000 | 0.000 | 0.000 |
| 95.418 | 251.017 | 95.418 | 0.000 | 0.000 | -0.000 |
| 95.418 | 95.418 | 251.017 | 0.000 | 0.000 | 0.000 |
| -0.000 | 0.000 | 0.000 | 88.269 | -0.000 | 0.000 |
| -0.000 | 0.000 | 0.000 | -0.000 | 88.269 | 0.000 |
| -0.000 | 0.000 | -0.000 | -0.000 | -0.000 | 88.269 |
| 251.017 | 95.418 | 95.418 | -0.000 | -0.000 | 0.000 |
| 95.418 | 251.017 | 95.418 | 0.000 | -0.000 | 0.000 |
| 95.418 | 95.418 | 251.017 | 0.000 | 0.000 | 0.000 |
| 0.000 | -0.000 | -0.000 | 88.269 | 0.000 | 0.000 |
| 0.000 | -0.000 | -0.000 | 0.000 | 88.269 | 0.000 |
| 0.000 | -0.000 | -0.000 | 0.000 | 0.000 | 88.269 |
| 251.017 | 95.417 | 95.417 | 0.000 | -0.000 | 0.000 |
| 95.417 | 251.017 | 95.417 | 0.000 | 0.000 | -0.000 |
| 95.417 | 95.417 | 251.017 | 0.000 | -0.000 | -0.000 |
| -0.000 | 0.000 | 0.000 | 96.106 | -0.000 | -0.000 |
| 0.000 | -0.000 | 0.000 | 0.000 | 96.106 | -0.000 |
| 0.000 | 0.000 | -0.000 | 0.000 | 0.000 | 96.106 |
| 251.017 | 95.418 | 95.418 | 0.000 | -0.000 | -0.000 |
| 95.418 | 251.017 | 95.418 | -0.000 | 0.000 | 0.000 |
| 95.418 | 95.418 | 251.017 | -0.000 | -0.000 | 0.000 |
| 0.000 | -0.000 | -0.000 | 96.106 | -0.000 | 0.000 |
| -0.000 | 0.000 | -0.000 | -0.000 | 96.106 | -0.000 |
| -0.000 | -0.000 | 0.000 | -0.000 | -0.000 | 96.106 |
| 251.017 | 95.417 | 95.417 | 0.000 | 0.000 | -0.000 |
| 95.417 | 251.017 | 95.417 | 0.000 | 0.000 | 0.000 |
| 95.417 | 95.417 | 251.017 | 0.000 | 0.000 | 0.000 |
| -0.000 | 0.000 | 0.000 | 96.106 | 0.000 | 0.000 |
| 0.000 | -0.000 | 0.000 | 0.000 | 96.106 | -0.000 |
| 0.000 | 0.000 | -0.000 | 0.000 | 0.000 | 96.106 |
| 251.018 | 95.418 | 95.418 | 0.000 | -0.000 | 0.000 |
| 95.418 | 251.018 | 95.418 | -0.000 | 0.000 | 0.000 |
| 95.418 | 95.418 | 251.018 | -0.000 | -0.000 | -0.000 |
| 0.000 | -0.000 | -0.000 | 96.106 | -0.000 | 0.000 |
| -0.000 | 0.000 | -0.000 | -0.000 | 96.106 | 0.000 |
| -0.000 | -0.000 | 0.000 | -0.000 | -0.000 | 96.106 |
| 43.178 | 109.067 | 93.512 | -0.000 | -0.000 | -0.000 |
| 109.067 | 43.178 | 93.512 | 0.000 | 0.000 | -0.000 |
| 91.089 | 91.089 | 87.244 | 0.000 | -0.000 | 0.000 |
| 0.737 | 0.737 | -2.817 | -56.497 | -0.000 | 0.000 |
| 0.737 | 0.737 | -2.817 | -0.000 | -56.497 | -0.000 |
| 0.500 | 0.500 | -1.913 | 0.000 | -0.000 | 93.307 |
| 50.831 | 116.547 | 64.574 | -0.000 | -0.000 | -0.000 |
| 116.547 | 50.831 | 64.574 | -0.000 | 0.000 | 0.000 |
| 60.564 | 60.564 | 203.975 | -0.000 | 0.000 | -0.000 |
| -0.737 | -0.737 | 2.817 | -56.497 | 0.000 | -0.000 |
| -0.737 | -0.737 | 2.817 | 0.000 | -56.497 | 0.000 |
| -0.500 | -0.500 | 1.913 | 0.000 | 0.000 | 93.307 |
| 42.814 | 108.703 | 94.903 | 0.000 | -0.000 | -0.000 |
| 108.703 | 42.814 | 94.903 | 0.000 | -0.000 | -0.000 |
| 60.565 | 60.565 | 203.976 | 0.000 | -0.000 | -0.000 |
| 0.074 | 0.074 | -0.282 | -56.528 | -0.000 | 0.000 |
| 0.074 | 0.074 | -0.282 | 0.000 | -56.528 | 0.000 |
| 0.050 | 0.050 | -0.191 | -0.000 | -0.000 | 93.301 |
| 42.733 | 108.622 | 95.213 | -0.000 | 0.000 | -0.000 |
| 108.622 | 42.733 | 95.213 | -0.000 | -0.000 | 0.000 |
| 90.639 | 90.639 | 88.966 | -0.000 | 0.000 | 0.000 |
| -0.074 | -0.074 | 0.282 | -56.528 | 0.000 | -0.000 |
| -0.074 | -0.074 | 0.282 | -0.000 | -56.528 | -0.000 |
| -0.050 | -0.050 | 0.191 | -0.000 | 0.000 | 93.301 |
| 42.778 | 108.667 | 95.043 | -0.000 | -0.000 | 0.000 |
| 108.667 | 42.778 | 95.043 | 0.000 | 0.000 | -0.000 |
| 90.684 | 90.684 | 88.797 | 0.000 | -0.000 | 0.000 |
| 0.007 | 0.008 | -0.028 | -56.528 | -0.000 | 0.000 |
| 0.008 | 0.007 | -0.028 | 0.000 | -56.528 | -0.000 |
| 0.005 | 0.005 | -0.019 | 0.000 | -0.000 | 93.301 |
| 42.769 | 108.658 | 95.073 | 0.000 | 0.000 | 0.000 |
| 108.658 | 42.769 | 95.073 | 0.000 | 0.000 | -0.000 |
| 90.675 | 90.675 | 88.822 | 0.000 | 0.000 | 0.000 |
| -0.007 | -0.008 | 0.028 | -56.528 | 0.000 | 0.000 |
| -0.008 | -0.007 | 0.028 | 0.000 | -56.528 | 0.000 |
| -0.005 | -0.005 | 0.019 | 0.000 | 0.000 | 93.301 |
| 13.481 | 16.312 | 16.312 | -0.000 | 0.000 | 0.000 |
| 16.312 | 13.481 | 16.312 | 0.000 | 0.000 | 0.000 |
| 16.312 | 16.312 | 13.481 | 0.000 | 0.000 | -0.000 |
| -0.000 | -0.000 | -0.000 | -4.103 | 0.000 | 0.000 |
| -0.000 | -0.000 | -0.000 | 0.000 | -4.103 | 0.000 |
| -0.000 | -0.000 | -0.000 | 0.000 | 0.000 | -4.103 |
| 13.481 | 16.312 | 16.312 | -0.000 | -0.000 | -0.000 |
| 16.312 | 13.481 | 16.312 | -0.000 | -0.000 | -0.000 |
| 16.312 | 16.312 | 13.481 | -0.000 | -0.000 | -0.000 |
| 0.000 | 0.000 | 0.000 | -4.103 | -0.000 | -0.000 |
| 0.000 | 0.000 | 0.000 | -0.000 | -4.103 | -0.000 |
| 0.000 | 0.000 | 0.000 | -0.000 | -0.000 | -4.103 |
| 13.481 | 16.312 | 16.312 | 0.000 | 0.000 | 0.000 |
| 16.312 | 13.481 | 16.312 | 0.000 | 0.000 | 0.000 |
| 16.312 | 16.312 | 13.481 | 0.000 | 0.000 | 0.000 |
| -0.000 | -0.000 | -0.000 | -4.103 | 0.000 | 0.000 |
| -0.000 | -0.000 | -0.000 | 0.000 | -4.103 | 0.000 |
| -0.000 | -0.000 | -0.000 | 0.000 | 0.000 | -4.103 |
| 13.481 | 16.312 | 16.312 | -0.000 | -0.000 | -0.000 |
| 16.312 | 13.481 | 16.312 | -0.000 | -0.000 | -0.000 |
| 16.312 | 16.312 | 13.481 | -0.000 | -0.000 | -0.000 |
| 0.000 | 0.000 | 0.000 | -4.103 | -0.000 | -0.000 |
| 0.000 | 0.000 | 0.000 | -0.000 | -4.103 | -0.000 |
| 0.000 | 0.000 | 0.000 | -0.000 | -0.000 | -4.103 |
| 13.481 | 16.312 | 16.312 | 0.000 | 0.000 | 0.000 |
| 16.312 | 13.481 | 16.312 | 0.000 | 0.000 | 0.000 |
| 16.312 | 16.312 | 13.481 | 0.000 | 0.000 | 0.000 |
| 0.000 | -0.000 | 0.000 | 16.180 | -0.000 | -0.000 |
| -0.000 | 0.000 | 0.000 | -0.000 | 16.180 | -0.000 |
| -0.000 | 0.000 | 0.000 | -0.000 | 0.000 | 16.180 |
| 13.481 | 16.312 | 16.312 | -0.000 | -0.000 | -0.000 |
| 16.312 | 13.481 | 16.312 | -0.000 | -0.000 | -0.000 |
| 16.312 | 16.312 | 13.481 | -0.000 | -0.000 | -0.000 |
| -0.000 | 0.000 | -0.000 | 16.180 | 0.000 | -0.000 |
| 0.000 | -0.000 | -0.000 | 0.000 | 16.180 | -0.000 |
| 0.000 | -0.000 | -0.000 | 0.000 | 0.000 | 16.180 |
| 357.730 | 61.496 | 61.496 | -0.000 | -0.000 | -0.000 |
| 61.496 | 357.730 | 61.496 | 0.000 | -0.000 | -0.000 |
| 61.496 | 61.496 | 357.730 | -0.000 | -0.000 | -0.000 |
| 0.000 | 0.000 | 0.000 | 1.535 | -0.000 | -0.000 |
| 0.000 | 0.000 | 0.000 | -0.000 | 1.535 | -0.000 |
| 0.000 | 0.000 | 0.000 | -0.000 | -0.000 | 1.535 |
| 357.730 | 61.496 | 61.496 | 0.000 | 0.000 | 0.000 |
| 61.496 | 357.730 | 61.496 | 0.000 | 0.000 | 0.000 |
| 61.496 | 61.496 | 357.730 | 0.000 | 0.000 | 0.000 |
| -0.000 | -0.000 | -0.000 | 1.535 | 0.000 | -0.000 |
| -0.000 | -0.000 | -0.000 | -0.000 | 1.535 | 0.000 |
| -0.000 | -0.000 | -0.000 | -0.000 | 0.000 | 1.535 |
| 357.730 | 61.496 | 61.496 | 0.000 | -0.000 | -0.000 |
| 61.496 | 357.730 | 61.496 | -0.000 | -0.000 | -0.000 |
| 61.496 | 61.496 | 357.730 | 0.000 | -0.000 | 0.000 |
| 0.000 | 0.000 | -0.000 | 1.535 | -0.000 | 0.000 |
| 0.000 | 0.000 | -0.000 | -0.000 | 1.535 | 0.000 |
| 0.000 | -0.000 | 0.000 | -0.000 | -0.000 | 1.535 |
| 355.589 | 62.566 | 62.566 | -0.000 | 0.000 | 0.000 |
| 62.566 | 355.589 | 62.566 | 0.000 | 0.000 | -0.000 |
| 62.566 | 62.566 | 355.589 | 0.000 | 0.000 | 0.000 |
| -0.000 | -0.000 | 0.000 | 1.535 | 0.000 | 0.000 |
| -0.000 | -0.000 | 0.000 | -0.000 | 1.535 | 0.000 |
| -0.000 | 0.000 | -0.000 | 0.000 | 0.000 | 1.535 |
| 355.591 | 62.567 | 62.567 | -0.000 | -0.000 | -0.000 |
| 62.567 | 355.591 | 62.567 | -0.000 | -0.000 | -0.000 |
| 62.567 | 62.567 | 355.591 | -0.000 | -0.000 | -0.000 |
| 0.000 | 0.000 | -0.000 | 1.535 | -0.000 | 0.000 |
| 0.000 | 0.000 | -0.000 | -0.000 | 1.535 | 0.000 |
| 0.000 | -0.000 | 0.000 | -0.000 | -0.000 | 1.535 |
| 357.728 | 61.496 | 61.496 | 0.000 | 0.000 | -0.000 |
| 61.496 | 357.728 | 61.496 | 0.000 | 0.000 | 0.000 |
| 61.496 | 61.496 | 357.728 | 0.000 | 0.000 | 0.000 |
| -0.000 | -0.000 | 0.000 | 1.535 | 0.000 | -0.000 |
| -0.000 | -0.000 | 0.000 | 0.000 | 1.535 | 0.000 |
| -0.000 | 0.000 | -0.000 | -0.000 | 0.000 | 1.535 |
| 137.857 | 165.966 | 165.966 | 0.000 | 0.000 | 0.000 |
| 165.966 | 137.857 | 165.966 | 0.000 | 0.000 | 0.000 |
| 165.966 | 165.966 | 137.857 | 0.000 | 0.000 | -0.000 |
| -0.000 | -0.000 | -0.000 | 123.026 | -0.000 | 0.000 |
| -0.000 | -0.000 | -0.000 | -0.000 | 123.026 | 0.000 |
| -0.000 | -0.000 | 0.000 | 0.000 | 0.000 | 123.026 |
| 137.857 | 165.966 | 165.966 | 0.000 | 0.000 | 0.000 |
| 165.966 | 137.857 | 165.966 | 0.000 | -0.000 | 0.000 |
| 165.966 | 165.966 | 137.857 | -0.000 | -0.000 | -0.000 |
| 0.000 | 0.000 | 0.000 | 123.026 | 0.000 | -0.000 |
| 0.000 | 0.000 | -0.000 | -0.000 | 123.026 | 0.000 |
| 0.000 | 0.000 | -0.000 | -0.000 | -0.000 | 123.026 |
| 137.857 | 165.966 | 165.966 | 0.000 | -0.000 | 0.000 |
| 165.966 | 137.857 | 165.966 | -0.000 | -0.000 | 0.000 |
| 165.966 | 165.966 | 137.857 | 0.000 | 0.000 | -0.000 |
| 0.000 | 0.000 | 0.000 | 123.026 | 0.000 | 0.000 |
| 0.000 | 0.000 | 0.000 | 0.000 | 123.026 | 0.000 |
| 0.000 | 0.000 | 0.000 | 0.000 | 0.000 | 123.026 |
| 137.857 | 165.965 | 165.965 | 0.000 | -0.000 | -0.000 |
| 165.965 | 137.857 | 165.965 | -0.000 | 0.000 | -0.000 |
| 165.965 | 165.965 | 137.857 | -0.000 | -0.000 | 0.000 |
| -0.000 | -0.000 | -0.000 | 123.026 | 0.000 | 0.000 |
| -0.000 | -0.000 | -0.000 | -0.000 | 123.026 | 0.000 |
| -0.000 | -0.000 | -0.000 | -0.000 | -0.000 | 123.026 |
| 137.858 | 165.966 | 165.966 | 0.000 | 0.000 | 0.000 |
| 165.966 | 137.858 | 165.966 | 0.000 | 0.000 | 0.000 |
| 165.966 | 165.966 | 137.858 | 0.000 | 0.000 | 0.000 |
| 0.001 | 0.000 | 0.001 | 122.429 | 0.000 | 0.000 |
| 0.000 | 0.001 | 0.001 | 0.000 | 122.429 | 0.000 |
| 0.000 | 0.001 | 0.001 | -0.000 | 0.000 | 122.429 |
| 137.856 | 165.965 | 165.965 | -0.000 | -0.000 | 0.000 |
| 165.965 | 137.856 | 165.965 | 0.000 | 0.000 | -0.000 |
| 165.965 | 165.965 | 137.856 | -0.000 | -0.000 | -0.000 |
| -0.001 | -0.000 | -0.001 | 122.429 | -0.000 | -0.000 |
| -0.000 | -0.001 | -0.001 | 0.000 | 122.429 | -0.000 |
| -0.000 | -0.001 | -0.001 | 0.000 | 0.000 | 122.429 |
| 139.364 | 16.223 | 16.223 | 0.000 | 0.000 | 0.000 |
| 16.223 | 139.364 | 16.223 | 0.000 | 0.000 | 0.000 |
| 16.223 | 16.223 | 139.364 | 0.000 | 0.000 | 0.000 |
| 0.000 | 0.000 | 0.000 | -27.178 | 0.000 | 0.000 |
| 0.000 | 0.000 | 0.000 | 0.000 | -27.178 | 0.000 |
| 0.000 | 0.000 | 0.000 | 0.000 | 0.000 | -27.178 |
| 139.364 | 16.223 | 16.222 | -0.000 | -0.000 | -0.000 |
| 16.223 | 139.364 | 16.222 | -0.000 | -0.000 | -0.000 |
| 16.223 | 16.223 | 139.364 | -0.000 | -0.000 | -0.000 |
| -0.000 | -0.000 | -0.000 | -27.178 | -0.000 | -0.000 |
| -0.000 | -0.000 | -0.000 | -0.000 | -27.178 | -0.000 |
| -0.000 | -0.000 | -0.000 | -0.000 | -0.000 | -27.178 |
| 139.364 | 16.223 | 16.223 | 0.000 | 0.000 | 0.000 |
| 16.223 | 139.364 | 16.223 | 0.000 | 0.000 | 0.000 |
| 16.223 | 16.223 | 139.364 | 0.000 | 0.000 | 0.000 |
| -0.000 | -0.000 | -0.000 | -27.183 | 0.000 | 0.000 |
| -0.000 | -0.000 | -0.000 | 0.000 | -27.183 | 0.000 |
| -0.000 | -0.000 | -0.000 | 0.000 | 0.000 | -27.183 |
| 139.365 | 16.222 | 16.222 | -0.000 | -0.000 | -0.000 |
| 16.222 | 139.365 | 16.222 | -0.000 | -0.000 | -0.000 |
| 16.222 | 16.222 | 139.365 | -0.000 | -0.000 | -0.000 |
| 0.000 | 0.000 | 0.000 | -27.183 | -0.000 | -0.000 |
| 0.000 | 0.000 | 0.000 | -0.000 | -27.183 | -0.000 |
| 0.000 | 0.000 | 0.000 | -0.000 | -0.000 | -27.183 |
| 139.362 | 16.223 | 16.223 | 0.000 | 0.000 | 0.000 |
| 16.223 | 139.362 | 16.223 | 0.000 | -0.000 | 0.000 |
| 16.223 | 16.223 | 139.362 | 0.000 | 0.000 | 0.000 |
| -0.000 | -0.000 | -0.000 | -27.178 | 0.000 | 0.000 |
| -0.000 | -0.000 | -0.000 | 0.000 | -27.178 | 0.000 |
| -0.000 | -0.000 | -0.000 | 0.000 | 0.000 | -27.178 |
| 139.367 | 16.222 | 16.222 | -0.000 | 0.000 | -0.000 |
| 16.222 | 139.367 | 16.222 | -0.000 | -0.000 | -0.000 |
| 16.222 | 16.222 | 139.367 | -0.000 | 0.000 | -0.000 |
| 0.000 | 0.000 | 0.000 | -27.178 | -0.000 | -0.000 |
| 0.000 | 0.000 | 0.000 | -0.000 | -27.178 | -0.000 |
| 0.000 | 0.000 | 0.000 | -0.000 | -0.000 | -27.178 |
| 0.007 | 0.007 | 0.007 | -0.000 | 0.000 | 0.000 |
| 0.007 | 0.007 | 0.007 | -0.000 | -0.000 | 0.000 |
| 0.007 | 0.007 | 0.007 | -0.000 | -0.000 | -0.000 |
| 0.000 | 0.000 | 0.000 | 0.007 | -0.000 | -0.000 |
| 0.000 | 0.000 | 0.000 | -0.000 | 0.007 | -0.000 |
| 0.000 | 0.000 | 0.000 | -0.000 | -0.000 | 0.007 |
| 0.007 | 0.007 | 0.007 | 0.000 | 0.000 | 0.000 |
| 0.007 | 0.007 | 0.007 | 0.000 | 0.000 | 0.000 |
| 0.007 | 0.007 | 0.007 | 0.000 | 0.000 | 0.000 |
| -0.000 | -0.000 | -0.000 | 0.007 | 0.000 | -0.000 |
| -0.000 | -0.000 | -0.000 | 0.000 | 0.007 | -0.000 |
| -0.000 | -0.000 | -0.000 | -0.000 | -0.000 | 0.007 |
| 0.007 | 0.007 | 0.007 | -0.000 | -0.000 | 0.000 |
| 0.007 | 0.007 | 0.007 | -0.000 | -0.000 | 0.000 |
| 0.007 | 0.007 | 0.007 | -0.000 | -0.000 | -0.000 |
| 21845.064 | 21844.566 | 21844.031 | -290.495 | -243.646 | -157.894 |
| 21965.436 | 21969.123 | 21964.888 | -331.524 | -195.725 | -301.766 |
| 21894.240 | 21896.702 | 21889.882 | -185.398 | 270.727 | -51.469 |
| 0.007 | 0.007 | 0.007 | -0.000 | 0.000 | -0.000 |
| 0.007 | 0.007 | 0.007 | -0.000 | -0.000 | -0.000 |
| 0.007 | 0.007 | 0.007 | -0.000 | -0.000 | -0.000 |
| -22002.595 | -22000.376 | -21990.735 | 828.000 | 130.278 | -149.363 |
| -21952.083 | -21961.385 | -21957.775 | 213.691 | 848.933 | -86.025 |
| -22047.807 | -22041.045 | -22045.572 | 71.025 | 250.983 | 850.669 |
| 0.007 | 0.007 | 0.007 | -0.000 | 0.000 | 0.000 |
| 0.007 | 0.007 | 0.007 | -0.000 | -0.000 | 0.000 |
| 0.007 | 0.007 | 0.007 | 0.000 | 0.000 | 0.000 |
| 2148.065 | 2146.952 | 2148.348 | 11.359 | -12.658 | -3.231 |
| 2141.289 | 2142.694 | 2141.728 | -2.375 | -14.536 | -3.595 |
| 2141.589 | 2141.759 | 2142.338 | -2.936 | -13.573 | -18.124 |
| 0.007 | 0.007 | 0.007 | -0.000 | 0.000 | -0.000 |
| 0.007 | 0.007 | 0.007 | 0.000 | -0.000 | -0.000 |
| 0.007 | 0.007 | 0.007 | 0.000 | 0.000 | -0.000 |
| -2136.904 | -2136.193 | -2136.651 | 91.192 | -24.915 | 2.772 |
| -2134.503 | -2136.771 | -2136.531 | -12.304 | 73.786 | 17.361 |
| -2128.795 | -2129.494 | -2129.420 | 17.492 | 9.011 | 71.052 |
| 155.034 | 85.367 | 85.367 | -0.000 | 0.000 | -0.000 |
| 85.367 | 155.034 | 85.367 | -0.000 | 0.000 | -0.000 |
| 85.367 | 85.367 | 155.034 | -0.000 | 0.000 | 0.000 |
| -0.000 | -0.000 | 0.000 | 103.697 | 0.000 | 0.000 |
| -0.000 | 0.000 | 0.000 | -0.000 | 103.697 | 0.000 |
| -0.000 | 0.000 | 0.000 | 0.000 | 0.000 | 103.697 |
| 155.034 | 85.367 | 85.367 | 0.000 | -0.000 | -0.000 |
| 85.367 | 155.034 | 85.367 | -0.000 | -0.000 | 0.000 |
| 85.367 | 85.367 | 155.034 | 0.000 | -0.000 | 0.000 |
| -0.000 | 0.000 | -0.000 | 103.697 | -0.000 | -0.000 |
| -0.000 | -0.000 | -0.000 | -0.000 | 103.697 | -0.000 |
| -0.000 | -0.000 | -0.000 | -0.000 | -0.000 | 103.697 |
| 155.034 | 85.367 | 85.367 | -0.000 | 0.000 | -0.000 |
| 85.367 | 155.034 | 85.367 | 0.000 | 0.000 | -0.000 |
| 85.367 | 85.367 | 155.034 | -0.000 | 0.000 | 0.000 |
| 0.000 | -0.000 | 0.000 | 103.697 | 0.000 | 0.000 |
| -0.000 | 0.000 | 0.000 | -0.000 | 103.697 | 0.000 |
| -0.000 | 0.000 | 0.000 | 0.000 | 0.000 | 103.697 |
| 155.034 | 85.367 | 85.367 | 0.000 | -0.000 | -0.000 |
| 85.367 | 155.034 | 85.367 | 0.000 | -0.000 | -0.000 |
| 85.367 | 85.367 | 155.034 | -0.000 | -0.000 | 0.000 |
| -0.000 | 0.000 | -0.000 | 103.697 | -0.000 | -0.000 |
| 0.000 | -0.000 | -0.000 | 0.000 | 103.697 | -0.000 |
| 0.000 | -0.000 | -0.000 | -0.000 | -0.000 | 103.697 |
| 155.033 | 85.367 | 85.367 | 0.000 | 0.000 | -0.000 |
| 85.367 | 155.033 | 85.367 | -0.000 | 0.000 | 0.000 |
| 85.367 | 85.367 | 155.033 | -0.000 | 0.000 | -0.000 |
| 0.000 | -0.000 | 0.000 | 103.697 | 0.000 | -0.000 |
| -0.000 | 0.000 | 0.000 | -0.000 | 103.697 | 0.000 |
| -0.000 | 0.000 | 0.000 | -0.000 | 0.000 | 103.697 |
| 155.035 | 85.368 | 85.368 | 0.000 | -0.000 | -0.000 |
| 85.368 | 155.035 | 85.368 | 0.000 | 0.000 | 0.000 |
| 85.368 | 85.368 | 155.035 | 0.000 | -0.000 | -0.000 |
| -0.000 | 0.000 | -0.000 | 103.697 | -0.000 | -0.000 |
| 0.000 | -0.000 | -0.000 | 0.000 | 103.697 | -0.000 |
| 0.000 | -0.000 | -0.000 | 0.000 | -0.000 | 103.697 |
| 0.018 | 0.009 | 0.009 | -0.000 | -0.000 | -0.000 |
| 0.009 | 0.018 | 0.009 | -0.000 | -0.000 | -0.000 |
| 0.009 | 0.009 | 0.018 | -0.000 | -0.000 | -0.000 |
| -0.000 | 0.000 | 0.000 | 0.009 | -0.000 | -0.000 |
| 0.000 | -0.000 | 0.000 | -0.000 | 0.009 | -0.000 |
| 0.000 | 0.000 | -0.000 | -0.000 | -0.000 | 0.009 |
| 0.018 | 0.009 | 0.009 | 0.000 | 0.000 | 0.000 |
| 0.009 | 0.018 | 0.009 | 0.000 | 0.000 | 0.000 |
| 0.009 | 0.009 | 0.018 | 0.000 | 0.000 | 0.000 |
| -0.000 | -0.000 | -0.000 | 0.009 | 0.000 | 0.000 |
| -0.000 | 0.000 | -0.000 | 0.000 | 0.009 | 0.000 |
| -0.000 | -0.000 | -0.000 | 0.000 | 0.000 | 0.009 |
| 0.018 | 0.009 | 0.009 | -0.000 | -0.000 | -0.000 |
| 0.009 | 0.018 | 0.009 | -0.000 | -0.000 | -0.000 |
| 0.009 | 0.009 | 0.018 | -0.000 | -0.000 | -0.000 |
| -0.000 | 0.000 | 0.000 | 0.009 | -0.000 | -0.000 |
| 0.000 | -0.000 | 0.000 | -0.000 | 0.009 | -0.000 |
| 0.000 | 0.000 | -0.000 | -0.000 | -0.000 | 0.009 |
| 0.018 | 0.009 | 0.009 | 0.000 | 0.000 | 0.000 |
| 0.009 | 0.018 | 0.009 | 0.000 | 0.000 | 0.000 |
| 0.009 | 0.009 | 0.018 | 0.000 | 0.000 | 0.000 |
| 0.000 | -0.000 | -0.000 | 0.009 | 0.000 | 0.000 |
| -0.000 | 0.000 | -0.000 | 0.000 | 0.009 | 0.000 |
| -0.000 | -0.000 | 0.000 | 0.000 | 0.000 | 0.009 |
| 0.018 | 0.009 | 0.009 | -0.000 | -0.000 | -0.000 |
| 0.009 | 0.018 | 0.009 | -0.000 | -0.000 | -0.000 |
| 0.009 | 0.009 | 0.018 | -0.000 | -0.000 | -0.000 |
| -0.000 | 0.000 | 0.000 | 0.009 | -0.000 | -0.000 |
| 0.000 | -0.000 | 0.000 | -0.000 | 0.009 | -0.000 |
| 0.000 | 0.000 | -0.000 | -0.000 | -0.000 | 0.009 |
| 0.018 | 0.009 | 0.009 | 0.000 | 0.000 | 0.000 |
| 0.009 | 0.018 | 0.009 | 0.000 | 0.000 | 0.000 |
| 0.009 | 0.009 | 0.018 | 0.000 | 0.000 | 0.000 |
| 0.000 | -0.000 | -0.000 | 0.009 | 0.000 | 0.000 |
| -0.000 | 0.000 | -0.000 | 0.000 | 0.009 | 0.000 |
| -0.000 | -0.000 | 0.000 | 0.000 | 0.000 | 0.009 |
| 392.136 | 90.796 | 90.796 | -0.000 | 0.000 | 0.000 |
| 90.796 | 392.136 | 90.796 | -0.000 | -0.000 | 0.000 |
| 90.796 | 90.796 | 392.136 | -0.000 | 0.000 | 0.000 |
| 0.000 | -0.000 | -0.000 | -13.422 | -0.000 | 0.000 |
| -0.000 | -0.000 | 0.000 | -0.000 | -13.422 | 0.000 |
| -0.000 | -0.000 | -0.000 | -0.000 | -0.000 | -13.422 |
| 392.136 | 90.796 | 90.796 | 0.000 | 0.000 | -0.000 |
| 90.796 | 392.136 | 90.796 | 0.000 | -0.000 | -0.000 |
| 90.796 | 90.796 | 392.136 | 0.000 | -0.000 | -0.000 |
| -0.000 | -0.000 | 0.000 | -13.422 | -0.000 | -0.000 |
| 0.000 | -0.000 | 0.000 | 0.000 | -13.422 | -0.000 |
| 0.000 | 0.000 | -0.000 | 0.000 | 0.000 | -13.422 |
| 392.137 | 90.796 | 90.796 | -0.000 | -0.000 | -0.000 |
| 90.796 | 392.137 | 90.796 | -0.000 | -0.000 | -0.000 |
| 90.796 | 90.796 | 392.137 | -0.000 | 0.000 | -0.000 |
| 0.000 | -0.000 | -0.000 | -13.422 | 0.000 | 0.000 |
| -0.000 | 0.000 | -0.000 | -0.000 | -13.422 | 0.000 |
| -0.000 | -0.000 | 0.000 | -0.000 | 0.000 | -13.422 |
| 394.843 | 89.443 | 89.443 | 0.000 | 0.000 | -0.000 |
| 89.443 | 394.843 | 89.443 | 0.000 | -0.000 | -0.000 |
| 89.443 | 89.443 | 394.843 | 0.000 | -0.000 | -0.000 |
| -0.000 | 0.000 | 0.000 | -13.422 | -0.000 | 0.000 |
| 0.000 | -0.000 | 0.000 | 0.000 | -13.422 | -0.000 |
| 0.000 | 0.000 | -0.000 | 0.000 | -0.000 | -13.422 |
| 394.844 | 89.443 | 89.443 | -0.000 | 0.000 | -0.000 |
| 89.443 | 394.844 | 89.443 | -0.000 | -0.000 | 0.000 |
| 89.443 | 89.443 | 394.844 | -0.000 | 0.000 | 0.000 |
| 0.000 | -0.000 | -0.000 | -13.422 | 0.000 | -0.000 |
| -0.000 | 0.000 | -0.000 | -0.000 | -13.422 | 0.000 |
| -0.000 | -0.000 | 0.000 | -0.000 | -0.000 | -13.422 |
| 394.843 | 89.443 | 89.443 | 0.000 | -0.000 | 0.000 |
| 89.443 | 394.843 | 89.443 | 0.000 | 0.000 | 0.000 |
| 89.443 | 89.443 | 394.843 | 0.000 | -0.000 | 0.000 |
| -0.000 | 0.000 | 0.000 | -13.422 | -0.000 | 0.000 |
| 0.000 | -0.000 | 0.000 | 0.000 | -13.422 | -0.000 |
| 0.000 | 0.000 | -0.000 | 0.000 | 0.000 | -13.422 |
| 530.415 | 538.630 | 538.630 | -0.000 | 0.000 | 0.000 |
| 538.630 | 530.415 | 538.630 | -0.000 | -0.000 | -0.000 |
| 538.630 | 538.630 | 530.415 | -0.000 | -0.000 | -0.000 |
| 0.000 | 0.000 | 0.000 | -4.523 | 0.000 | 0.000 |
| 0.000 | 0.000 | 0.000 | -0.000 | -4.523 | -0.000 |
| 0.000 | 0.000 | 0.000 | -0.000 | -0.000 | -4.523 |
| 530.415 | 538.630 | 538.630 | 0.000 | 0.000 | -0.000 |
| 538.630 | 530.415 | 538.630 | 0.000 | -0.000 | 0.000 |
| 538.630 | 538.630 | 530.415 | 0.000 | -0.000 | -0.000 |
| -0.000 | -0.000 | -0.000 | -4.523 | -0.000 | 0.000 |
| -0.000 | -0.000 | -0.000 | 0.000 | -4.523 | 0.000 |
| 0.000 | 0.000 | -0.000 | 0.000 | 0.000 | -4.523 |
| 530.415 | 538.630 | 538.630 | -0.000 | -0.000 | -0.000 |
| 538.630 | 530.415 | 538.630 | -0.000 | 0.000 | 0.000 |
| 538.630 | 538.630 | 530.415 | -0.000 | -0.000 | 0.000 |
| 604313.078 | 272387.931 | -112825.648 | -100749.181 | -7707.746 | -156837.184 |
| -455112.642 | 99878.291 | 301675.879 | -20079.000 | -50979.770 | 141102.418 |
| -481323.769 | -469490.863 | 130745.604 | -24168.011 | -130737.516 | -115843.964 |
| 5611052.238 | -1546719.673 | -1583596.923 | -339638.747 | 37735.620 | -43129.104 |
| -1350692.137 | 6010247.791 | -1134289.610 | 50412.878 | -391987.169 | 75308.410 |
| -1411604.782 | -1604864.639 | 5687756.514 | -52349.170 | 106938.743 | -391177.464 |
| 571010.572 | 632686.904 | -253859.291 | -265611.443 | 228524.364 | 61492.577 |
| 292639.633 | -689659.698 | -233830.375 | -127149.731 | -395457.092 | -65600.838 |
| 87541.825 | -213880.785 | 113884.395 | -87729.855 | 251966.631 | -517830.672 |
| 2695125.002 | 10594115.718 | 10594115.717 | 0.000 | -0.000 | -0.000 |
| 80116.596 | 77053.733 | 57867.065 | -11332.576 | 37705.543 | -12710.713 |
| 68047.759 | 83275.360 | 65165.666 | 5396.147 | -9338.013 | 41249.376 |
| 83004.959 | -29174.439 | -16076.041 | -66882.704 | -8696.065 | -8492.068 |
| -71645.492 | 67021.984 | -6405.127 | -3710.563 | -50283.222 | 8578.495 |
| -27206.490 | 19699.295 | 128529.527 | -14860.870 | -4295.245 | -23655.206 |
| -12163109.109 | -5357599.464 | -5357599.470 | -0.000 | 0.000 | -0.000 |
| -137687.110 | 640688.693 | -175410.737 | -5589.077 | -41640.721 | 5315.959 |
| -5357599.465 | -5357599.470 | -12163109.109 | -0.000 | -0.000 | -0.000 |
| -144614.287 | 30278.357 | 13726.516 | -15773.932 | 6086.166 | 11085.253 |
| 53714.856 | -92205.991 | -71529.511 | 7730.332 | -14047.844 | 13148.584 |
| 38021.056 | 30802.802 | -153026.544 | -20183.914 | -8664.936 | 2603.874 |
| 94.597 | 95.944 | 95.944 | -0.000 | -0.000 | -0.000 |
| 95.944 | 94.597 | 95.944 | -0.000 | 0.000 | 0.000 |
| 95.944 | 95.944 | 94.597 | -0.000 | -0.000 | -0.000 |
| 0.000 | 0.000 | 0.000 | 0.310 | 0.000 | -0.000 |
| 0.000 | 0.000 | 0.000 | -0.000 | 0.310 | -0.000 |
| 0.000 | 0.000 | 0.000 | -0.000 | 0.000 | 0.310 |
| 94.597 | 95.944 | 95.944 | 0.000 | 0.000 | -0.000 |
| 95.944 | 94.597 | 95.944 | 0.000 | 0.000 | 0.000 |
| 95.931 | 95.931 | 94.624 | 0.000 | -0.000 | -0.000 |
| -0.000 | -0.000 | -0.000 | 0.310 | -0.000 | -0.000 |
| -0.000 | -0.000 | -0.000 | 0.000 | 0.310 | -0.000 |
| -0.000 | -0.000 | -0.000 | 0.000 | 0.000 | 0.310 |
| 94.625 | 95.931 | 95.931 | -0.000 | 0.000 | -0.000 |
| 95.931 | 94.625 | 95.931 | -0.000 | -0.000 | 0.000 |
| 95.931 | 95.931 | 94.625 | 0.000 | 0.000 | -0.000 |
| 0.000 | 0.000 | 0.000 | 0.285 | -0.000 | -0.000 |
| 0.000 | 0.000 | 0.000 | 0.000 | 0.285 | 0.000 |
| 0.000 | 0.000 | 0.000 | -0.000 | 0.000 | 0.285 |
| 94.624 | 95.930 | 95.930 | 0.000 | -0.000 | 0.000 |
| 95.930 | 94.624 | 95.930 | 0.000 | -0.000 | -0.000 |
| 95.930 | 95.930 | 94.624 | 0.000 | 0.000 | 0.000 |
| -0.000 | -0.000 | -0.000 | 0.285 | -0.000 | 0.000 |
| -0.000 | -0.000 | -0.000 | 0.000 | 0.285 | 0.000 |
| -0.000 | -0.000 | -0.000 | 0.000 | -0.000 | 0.285 |
| -24016.368 | -23172.299 | -21534.308 | -740.564 | -481.113 | 792.857 |
| -20228.198 | -26205.065 | -19923.744 | 1104.779 | -469.196 | 1133.481 |
| -17583.668 | -20330.845 | -24915.279 | 1006.346 | 1573.617 | -648.975 |
| -0.001 | 0.000 | 0.000 | 0.052 | -0.000 | 0.000 |
| 0.000 | 0.000 | 0.000 | -0.000 | 0.285 | -0.000 |
| 0.000 | 0.000 | -0.001 | -0.000 | 0.000 | 0.052 |
| 24090.690 | -1851.218 | 2201.047 | -897.934 | 1661.437 | 1308.729 |
| 3753.282 | 27171.361 | 953.274 | 1156.452 | 25.356 | -18.945 |
| 740.188 | 1752.293 | 23454.055 | 935.967 | -495.995 | 205.287 |
| -0.000 | -0.000 | -0.000 | 0.285 | -0.000 | -0.000 |
| -0.000 | -0.000 | -0.000 | 0.000 | 0.285 | -0.000 |
| -0.000 | -0.000 | -0.000 | -0.000 | 0.000 | 0.285 |
| 176.832 | 179.154 | 179.154 | -0.000 | 0.000 | -0.000 |
| 179.154 | 176.832 | 179.154 | -0.000 | -0.000 | 0.000 |
| 179.154 | 179.154 | 176.832 | -0.000 | 0.000 | 0.000 |
| -0.000 | -0.000 | -0.000 | 164.278 | 0.000 | -0.000 |
| -0.000 | -0.000 | -0.000 | -0.000 | 164.278 | -0.000 |
| -0.000 | -0.000 | -0.000 | -0.000 | 0.000 | 164.278 |
| 176.832 | 179.154 | 179.154 | 0.000 | -0.000 | -0.000 |
| 179.154 | 176.832 | 179.154 | 0.000 | -0.000 | 0.000 |
| 179.154 | 179.154 | 176.832 | 0.000 | -0.000 | 0.000 |
| 0.000 | 0.000 | 0.000 | 164.278 | -0.000 | 0.000 |
| 0.000 | -0.000 | 0.000 | 0.000 | 164.278 | -0.000 |
| 0.000 | -0.000 | 0.000 | 0.000 | -0.000 | 164.278 |
| 176.832 | 179.154 | 179.154 | -0.000 | 0.000 | -0.000 |
| 179.154 | 176.832 | 179.154 | -0.000 | 0.000 | -0.000 |
| 179.154 | 179.154 | 176.832 | -0.000 | 0.000 | -0.000 |
| 0.000 | 0.000 | 0.000 | 157.982 | 0.000 | -0.000 |
| 0.000 | 0.000 | 0.000 | -0.000 | 157.982 | -0.000 |
| 0.000 | 0.000 | 0.000 | -0.000 | 0.000 | 157.982 |
| 176.832 | 179.154 | 179.154 | 0.000 | -0.000 | 0.000 |
| 179.154 | 176.832 | 179.154 | 0.000 | -0.000 | 0.000 |
| 179.154 | 179.154 | 176.832 | 0.000 | -0.000 | 0.000 |
| -0.000 | -0.000 | -0.000 | 157.982 | -0.000 | 0.000 |
| -0.000 | -0.000 | -0.000 | 0.000 | 157.982 | 0.000 |
| -0.000 | -0.000 | -0.000 | 0.000 | -0.000 | 157.982 |
| 176.833 | 179.154 | 179.154 | -0.000 | 0.000 | 0.000 |
| 179.154 | 176.833 | 179.154 | -0.000 | 0.000 | 0.000 |
| 179.154 | 179.154 | 176.833 | -0.000 | 0.000 | -0.000 |
| 0.001 | 0.000 | 0.001 | 164.278 | 0.000 | -0.000 |
| 0.000 | 0.001 | 0.001 | -0.000 | 164.278 | -0.000 |
| 0.000 | 0.001 | 0.001 | -0.000 | 0.000 | 164.278 |
| 176.831 | 179.153 | 179.153 | 0.000 | -0.000 | 0.000 |
| 179.153 | 176.831 | 179.153 | 0.000 | -0.000 | 0.000 |
| 179.153 | 179.153 | 176.831 | 0.000 | -0.000 | 0.000 |
| -0.001 | -0.000 | -0.001 | 164.278 | -0.000 | 0.000 |
| -0.000 | -0.001 | -0.001 | 0.000 | 164.278 | 0.000 |
| -0.000 | -0.001 | -0.001 | 0.000 | -0.000 | 164.278 |
| 386.731 | 385.889 | 385.889 | -0.000 | -0.000 | 0.000 |
| 385.889 | 386.731 | 385.889 | -0.000 | -0.000 | -0.000 |
| 385.889 | 385.889 | 386.731 | 0.000 | 0.000 | 0.000 |
| 0.000 | 0.000 | 0.000 | -4.570 | 0.000 | 0.000 |
| 0.000 | 0.000 | 0.000 | -0.000 | -4.570 | 0.000 |
| 0.000 | 0.000 | 0.000 | -0.000 | -0.000 | -4.570 |
| 386.731 | 385.889 | 385.889 | 0.000 | -0.000 | -0.000 |
| 385.889 | 386.731 | 385.889 | 0.000 | 0.000 | 0.000 |
| 385.889 | 385.889 | 386.731 | 0.000 | -0.000 | 0.000 |
| -0.000 | -0.000 | -0.000 | -4.570 | -0.000 | -0.000 |
| -0.000 | -0.000 | -0.000 | 0.000 | -4.570 | 0.000 |
| -0.000 | -0.000 | -0.000 | -0.000 | -0.000 | -4.570 |
| 386.731 | 385.889 | 385.889 | 0.000 | -0.000 | 0.000 |
| 385.889 | 386.731 | 385.889 | 0.000 | -0.000 | 0.000 |
| 385.889 | 385.889 | 386.731 | 0.000 | -0.000 | 0.000 |
| 0.000 | 0.000 | 0.000 | -4.530 | -0.000 | 0.000 |
| 0.000 | 0.000 | 0.000 | -0.000 | -4.530 | 0.000 |
| 0.000 | 0.000 | 0.000 | 0.000 | 0.000 | -4.530 |
| 386.731 | 385.889 | 385.889 | -0.000 | -0.000 | -0.000 |
| 385.889 | 386.731 | 385.889 | -0.000 | -0.000 | -0.000 |
| 385.889 | 385.889 | 386.731 | 0.000 | 0.000 | 0.000 |
| -0.000 | -0.000 | -0.000 | -4.530 | 0.000 | -0.000 |
| -0.000 | -0.000 | -0.000 | 0.000 | -4.530 | -0.000 |
| -0.000 | -0.000 | -0.000 | -0.000 | 0.000 | -4.530 |
| 386.731 | 385.888 | 385.888 | -0.000 | -0.000 | 0.000 |
| 385.888 | 386.731 | 385.888 | 0.000 | 0.000 | 0.000 |
| 385.888 | 385.888 | 386.731 | 0.000 | 0.000 | 0.000 |
| 0.000 | 0.000 | 0.000 | -4.530 | -0.000 | 0.000 |
| 0.000 | 0.000 | 0.000 | 0.000 | -4.530 | 0.000 |
| 0.000 | 0.000 | 0.000 | 0.000 | 0.000 | -4.530 |
| 386.731 | 385.891 | 385.891 | -0.000 | 0.000 | -0.000 |
| 385.891 | 386.731 | 385.891 | -0.000 | 0.000 | -0.000 |
| 385.891 | 385.891 | 386.731 | 0.000 | -0.000 | -0.000 |
| -0.000 | -0.000 | -0.000 | -4.530 | -0.000 | -0.000 |
| -0.000 | -0.000 | -0.000 | -0.000 | -4.530 | -0.000 |
| -0.000 | -0.000 | -0.000 | -0.000 | 0.000 | -4.530 |
| 47.537 | 47.537 | 47.537 | -0.000 | -0.000 | 0.000 |
| 47.537 | 47.537 | 47.537 | -0.000 | -0.000 | 0.000 |
| 47.537 | 47.537 | 47.537 | -0.000 | -0.000 | -0.000 |
| 0.000 | 0.000 | 0.000 | 0.547 | -0.000 | 0.000 |
| 0.000 | 0.000 | 0.000 | -0.000 | 0.547 | 0.000 |
| 0.000 | 0.000 | 0.000 | -0.000 | -0.000 | 0.547 |
| 47.537 | 47.537 | 47.537 | 0.000 | 0.000 | -0.000 |
| 47.537 | 47.537 | 47.537 | 0.000 | -0.000 | 0.000 |
| 47.537 | 47.537 | 47.537 | 0.000 | 0.000 | -0.000 |
| -0.000 | -0.000 | -0.000 | 0.547 | 0.000 | -0.000 |
| -0.000 | -0.000 | -0.000 | 0.000 | 0.547 | 0.000 |
| -0.000 | -0.000 | -0.000 | 0.000 | 0.000 | 0.547 |
| 47.537 | 47.537 | 47.537 | -0.000 | -0.000 | -0.000 |
| 47.537 | 47.537 | 47.537 | -0.000 | -0.000 | -0.000 |
| 47.537 | 47.537 | 47.537 | -0.000 | -0.000 | -0.000 |
| 0.000 | 0.000 | 0.000 | 0.526 | -0.000 | -0.000 |
| 0.000 | 0.000 | 0.000 | 0.000 | 0.526 | 0.000 |
| 0.000 | 0.000 | 0.000 | -0.000 | -0.000 | 0.526 |
| 47.537 | 47.537 | 47.537 | 0.000 | 0.000 | -0.000 |
| 47.537 | 47.537 | 47.537 | 0.000 | 0.000 | 0.000 |
| 47.537 | 47.537 | 47.537 | 0.000 | 0.000 | 0.000 |
| -0.000 | -0.000 | -0.000 | 0.526 | 0.000 | 0.000 |
| -0.000 | -0.000 | -0.000 | -0.000 | 0.526 | 0.000 |
| -0.000 | -0.000 | -0.000 | 0.000 | 0.000 | 0.526 |
| 47.538 | 47.538 | 47.538 | -0.000 | -0.000 | 0.000 |
| 47.538 | 47.538 | 47.538 | -0.000 | -0.000 | -0.000 |
| 47.538 | 47.538 | 47.538 | -0.000 | -0.000 | 0.000 |
| 0.000 | 0.000 | 0.000 | 0.536 | 0.000 | -0.000 |
| 0.000 | 0.000 | 0.000 | -0.000 | 0.536 | 0.000 |
| 0.000 | 0.000 | 0.000 | -0.000 | -0.000 | 0.536 |
| 47.537 | 47.537 | 47.537 | 0.000 | 0.000 | 0.000 |
| 47.537 | 47.537 | 47.537 | 0.000 | 0.000 | 0.000 |
| 47.537 | 47.537 | 47.537 | 0.000 | -0.000 | -0.000 |
| -0.000 | -0.000 | -0.000 | 0.536 | -0.000 | 0.000 |
| -0.000 | -0.000 | -0.000 | -0.000 | 0.536 | -0.000 |
| -0.000 | -0.000 | -0.000 | 0.000 | 0.000 | 0.536 |
| 186.442 | 114.995 | 114.995 | -0.000 | -0.000 | -0.000 |
| 114.995 | 186.442 | 114.995 | -0.000 | 0.000 | -0.000 |
| 114.995 | 114.995 | 186.442 | -0.000 | -0.000 | -0.000 |
| 0.000 | 0.000 | 0.000 | 98.701 | 0.000 | -0.000 |
| 0.000 | -0.000 | 0.000 | 0.000 | 98.701 | -0.000 |
| 0.000 | 0.000 | 0.000 | -0.000 | 0.000 | 98.701 |
| 186.442 | 114.995 | 114.995 | -0.000 | -0.000 | 0.000 |
| 114.995 | 186.442 | 114.995 | 0.000 | -0.000 | 0.000 |
| 114.995 | 114.995 | 186.442 | 0.000 | -0.000 | 0.000 |
| 0.000 | -0.000 | -0.000 | 98.701 | -0.000 | -0.000 |
| -0.000 | 0.000 | -0.000 | -0.000 | 98.701 | 0.000 |
| -0.000 | -0.000 | -0.000 | -0.000 | -0.000 | 98.701 |
| 186.442 | 114.995 | 114.995 | -0.000 | 0.000 | -0.000 |
| 114.995 | 186.442 | 114.995 | 0.000 | 0.000 | -0.000 |
| 114.995 | 114.995 | 186.442 | 0.000 | 0.000 | -0.000 |
| -0.000 | 0.000 | 0.000 | 98.701 | -0.000 | -0.000 |
| 0.000 | -0.000 | 0.000 | -0.000 | 98.701 | -0.000 |
| 0.000 | 0.000 | -0.000 | 0.000 | 0.000 | 98.701 |
| 186.442 | 114.995 | 114.995 | 0.000 | 0.000 | 0.000 |
| 114.995 | 186.442 | 114.995 | 0.000 | -0.000 | 0.000 |
| 114.995 | 114.995 | 186.442 | 0.000 | -0.000 | 0.000 |
| 0.000 | -0.000 | -0.000 | 98.701 | 0.000 | 0.000 |
| -0.000 | 0.000 | -0.000 | -0.000 | 98.701 | 0.000 |
| -0.000 | -0.000 | 0.000 | 0.000 | 0.000 | 98.701 |
| 186.443 | 114.995 | 114.995 | 0.000 | 0.000 | -0.000 |
| 114.995 | 186.443 | 114.995 | 0.000 | -0.000 | -0.000 |
| 114.995 | 114.995 | 186.443 | 0.000 | 0.000 | -0.000 |
| -0.000 | 0.000 | 0.000 | 98.701 | 0.000 | -0.000 |
| 0.000 | -0.000 | 0.000 | -0.000 | 98.701 | -0.000 |
| 0.000 | 0.000 | -0.000 | 0.000 | 0.000 | 98.701 |
| 186.441 | 114.995 | 114.995 | -0.000 | -0.000 | 0.000 |
| 114.995 | 186.441 | 114.995 | -0.000 | 0.000 | 0.000 |
| 114.995 | 114.995 | 186.441 | -0.000 | -0.000 | 0.000 |
| 0.000 | -0.000 | -0.000 | 98.701 | -0.000 | -0.000 |
| -0.000 | 0.000 | -0.000 | 0.000 | 98.701 | 0.000 |
| -0.000 | -0.000 | 0.000 | 0.000 | -0.000 | 98.701 |
| 550.993 | 551.274 | 551.274 | -0.000 | 0.000 | -0.000 |
| 551.274 | 550.993 | 551.274 | 0.000 | 0.000 | -0.000 |
| 551.274 | 551.274 | 550.993 | 0.000 | 0.000 | -0.000 |
| 0.000 | 0.000 | 0.000 | -0.043 | 0.000 | -0.000 |
| 0.000 | 0.000 | 0.000 | 0.000 | -0.043 | -0.000 |
| 0.000 | 0.000 | 0.000 | 0.000 | 0.000 | -0.043 |
| 550.993 | 551.274 | 551.274 | -0.000 | 0.000 | 0.000 |
| 551.274 | 550.993 | 551.274 | 0.000 | 0.000 | 0.000 |
| 551.274 | 551.274 | 550.993 | -0.000 | -0.000 | 0.000 |
| -0.000 | -0.000 | -0.000 | -0.043 | 0.000 | 0.000 |
| -0.000 | -0.000 | -0.000 | 0.000 | -0.043 | -0.000 |
| -0.000 | -0.000 | -0.000 | 0.000 | 0.000 | -0.043 |
| 550.993 | 551.273 | 551.273 | -0.000 | -0.000 | -0.000 |
| 551.273 | 550.993 | 551.273 | 0.000 | -0.000 | -0.000 |
| 551.273 | 551.273 | 550.993 | 0.000 | 0.000 | -0.000 |
| 0.000 | 0.000 | 0.000 | -0.043 | 0.000 | -0.000 |
| 0.000 | 0.000 | 0.000 | 0.000 | -0.043 | -0.000 |
| 0.000 | 0.000 | 0.000 | 0.000 | 0.000 | -0.043 |
| 550.994 | 551.274 | 551.274 | -0.000 | -0.000 | 0.000 |
| 551.274 | 550.994 | 551.274 | -0.000 | -0.000 | -0.000 |
| 551.274 | 551.274 | 550.994 | -0.000 | -0.000 | 0.000 |
| -0.000 | -0.000 | -0.000 | -0.043 | -0.000 | 0.000 |
| -0.000 | -0.000 | -0.000 | 0.000 | -0.043 | 0.000 |
| -0.000 | -0.000 | -0.000 | 0.000 | 0.000 | -0.043 |
| 550.990 | 551.270 | 551.270 | -0.000 | 0.000 | -0.000 |
| 551.270 | 550.990 | 551.270 | 0.000 | 0.000 | 0.000 |
| 551.270 | 551.270 | 550.990 | 0.000 | -0.000 | -0.000 |
| 0.000 | 0.000 | 0.000 | -0.043 | 0.000 | -0.000 |
| 0.000 | 0.000 | 0.000 | 0.000 | -0.043 | -0.000 |
| 0.000 | 0.000 | 0.000 | -0.000 | 0.000 | -0.043 |
| 550.997 | 551.278 | 551.278 | 0.000 | 0.000 | 0.000 |
| 551.278 | 550.997 | 551.278 | -0.000 | -0.000 | 0.000 |
| 551.278 | 551.278 | 550.997 | -0.000 | -0.000 | 0.000 |
| -0.000 | -0.000 | -0.000 | -0.043 | -0.000 | 0.000 |
| -0.000 | -0.000 | -0.000 | -0.000 | -0.043 | 0.000 |
| -0.000 | -0.000 | -0.000 | 0.000 | -0.000 | -0.043 |
| 89.890 | 90.112 | 90.112 | 0.000 | 0.000 | 0.000 |
| 90.112 | 89.890 | 90.112 | 0.000 | -0.000 | 0.000 |
| 90.112 | 90.112 | 89.890 | 0.000 | 0.000 | 0.000 |
| 0.000 | 0.000 | 0.000 | 0.017 | 0.000 | 0.000 |
| 0.000 | 0.000 | 0.000 | 0.000 | 0.017 | 0.000 |
| 0.000 | 0.000 | 0.000 | 0.000 | -0.000 | 0.017 |
| 89.890 | 90.112 | 90.112 | -0.000 | 0.000 | 0.000 |
| 90.112 | 89.890 | 90.112 | 0.000 | -0.000 | 0.000 |
| 90.112 | 90.112 | 89.890 | -0.000 | 0.000 | -0.000 |
| -0.000 | -0.000 | -0.000 | 0.017 | -0.000 | 0.000 |
| -0.000 | -0.000 | -0.000 | -0.000 | 0.017 | -0.000 |
| -0.000 | -0.000 | -0.000 | 0.000 | 0.000 | 0.017 |
| 89.890 | 90.112 | 90.112 | -0.000 | 0.000 | 0.000 |
| 90.112 | 89.890 | 90.112 | 0.000 | -0.000 | 0.000 |
| 90.112 | 90.112 | 89.890 | 0.000 | 0.000 | 0.000 |
| 0.000 | 0.000 | 0.000 | 0.017 | -0.000 | 0.000 |
| 0.000 | 0.000 | 0.000 | 0.000 | 0.017 | -0.000 |
| 0.000 | 0.000 | 0.000 | 0.000 | -0.000 | 0.017 |
| 89.889 | 90.112 | 90.112 | -0.000 | 0.000 | -0.000 |
| 90.112 | 89.889 | 90.112 | -0.000 | -0.000 | -0.000 |
| 90.112 | 90.112 | 89.889 | -0.000 | 0.000 | -0.000 |
| -0.000 | -0.000 | -0.000 | 0.017 | 0.000 | -0.000 |
| -0.000 | -0.000 | -0.000 | -0.000 | 0.017 | -0.000 |
| -0.000 | -0.000 | -0.000 | -0.000 | 0.000 | 0.017 |
| 89.891 | 90.114 | 90.114 | 0.000 | 0.000 | 0.000 |
| 90.114 | 89.891 | 90.114 | 0.000 | 0.000 | -0.000 |
| 90.114 | 90.114 | 89.891 | 0.000 | -0.000 | 0.000 |
| 0.000 | 0.000 | 0.000 | 0.017 | 0.000 | 0.000 |
| 0.000 | 0.000 | 0.000 | 0.000 | 0.017 | 0.000 |
| 0.000 | 0.000 | 0.000 | 0.000 | 0.000 | 0.017 |
| 89.888 | 90.111 | 90.111 | -0.000 | -0.000 | -0.000 |
| 90.111 | 89.888 | 90.111 | -0.000 | -0.000 | -0.000 |
| 90.111 | 90.111 | 89.888 | -0.000 | -0.000 | -0.000 |
| -0.000 | -0.000 | -0.000 | 0.017 | 0.000 | -0.000 |
| -0.000 | -0.000 | -0.000 | -0.000 | 0.017 | -0.000 |
| -0.000 | -0.000 | -0.000 | -0.000 | -0.000 | 0.017 |
| 205.802 | 137.747 | 134.573 | 0.000 | 0.000 | 0.000 |
| 137.747 | 205.802 | 134.573 | 0.000 | 0.000 | 0.000 |
| 134.573 | 134.573 | 215.893 | 0.000 | 0.000 | 0.000 |
| -0.000 | -0.000 | 0.000 | 102.040 | 0.000 | 0.000 |
| -0.000 | -0.000 | 0.000 | 0.000 | 102.040 | 0.000 |
| 0.000 | 0.000 | 0.000 | 0.000 | 0.000 | 98.824 |
| 210.026 | 133.523 | 134.573 | -0.000 | -0.000 | -0.000 |
| 133.523 | 210.026 | 134.573 | -0.000 | -0.000 | -0.000 |
| 134.573 | 134.573 | 215.893 | 0.000 | -0.000 | -0.000 |
| 0.000 | 0.000 | -0.000 | 102.040 | -0.000 | -0.000 |
| 0.000 | 0.000 | -0.000 | -0.000 | 102.040 | -0.000 |
| -0.000 | -0.000 | -0.000 | -0.000 | -0.000 | 98.824 |
| 210.026 | 133.523 | 134.573 | 0.000 | 0.000 | 0.000 |
| 133.523 | 210.026 | 134.573 | 0.000 | -0.000 | 0.000 |
| 134.573 | 134.573 | 215.893 | 0.000 | 0.000 | 0.000 |
| -0.000 | -0.000 | 0.000 | 102.040 | 0.000 | 0.000 |
| -0.000 | -0.000 | 0.000 | 0.000 | 102.040 | 0.000 |
| 0.000 | 0.000 | -0.000 | 0.000 | 0.000 | 98.824 |
| 210.026 | 133.523 | 134.573 | -0.000 | -0.000 | -0.000 |
| 133.523 | 210.026 | 134.573 | -0.000 | -0.000 | -0.000 |
| 134.573 | 134.573 | 215.892 | -0.000 | -0.000 | -0.000 |
| 0.000 | 0.000 | -0.000 | 102.040 | -0.000 | -0.000 |
| 0.000 | 0.000 | -0.000 | -0.000 | 102.040 | -0.000 |
| -0.000 | -0.000 | 0.000 | -0.000 | -0.000 | 98.824 |
| 205.802 | 137.747 | 134.573 | 0.000 | 0.000 | 0.000 |
| 137.747 | 205.802 | 134.573 | -0.000 | 0.000 | 0.000 |
| 134.573 | 134.573 | 215.893 | 0.000 | 0.000 | 0.000 |
| -0.000 | -0.000 | 0.000 | 104.608 | 0.000 | 0.000 |
| -0.000 | -0.000 | 0.000 | 0.000 | 104.608 | 0.000 |
| 0.000 | 0.000 | -0.000 | 0.000 | 0.000 | 98.824 |
| 205.801 | 137.747 | 134.572 | 0.000 | -0.000 | -0.000 |
| 137.747 | 205.801 | 134.572 | -0.000 | -0.000 | -0.000 |
| 134.572 | 134.572 | 215.892 | -0.000 | -0.000 | -0.000 |
| 0.000 | 0.000 | -0.000 | 104.608 | -0.000 | -0.000 |
| 0.000 | 0.000 | -0.000 | -0.000 | 104.608 | -0.000 |
| -0.000 | -0.000 | 0.000 | -0.000 | -0.000 | 98.824 |
| 299.477 | 134.415 | 97.220 | 0.000 | 0.000 | -0.000 |
| 134.415 | 299.477 | 97.220 | 0.000 | -0.000 | -0.000 |
| 90.757 | 90.757 | 223.320 | 0.000 | -0.000 | -0.000 |
| 0.001 | 0.001 | 0.001 | 44.402 | 0.000 | -0.000 |
| 0.000 | 0.000 | 0.000 | 0.000 | 57.080 | -0.000 |
| 0.000 | 0.000 | 0.000 | 0.000 | 0.000 | 82.531 |
| 299.477 | 134.415 | 97.220 | 0.000 | -0.000 | 0.000 |
| 155.689 | 270.106 | 90.805 | -0.000 | 0.000 | 0.000 |
| 97.220 | 97.220 | 233.559 | -0.000 | -0.000 | 0.000 |
| -0.001 | -0.001 | -0.001 | 44.402 | -0.000 | 0.000 |
| -0.000 | -0.000 | -0.000 | -0.000 | 57.080 | 0.000 |
| -0.000 | -0.000 | -0.000 | -0.000 | -0.000 | 82.531 |
| 299.477 | 134.415 | 97.220 | 0.000 | 0.000 | -0.000 |
| 134.415 | 299.477 | 97.220 | 0.000 | -0.000 | -0.000 |
| 90.757 | 90.757 | 223.320 | 0.000 | 0.000 | -0.000 |
| 0.000 | 0.000 | 0.000 | 57.080 | 0.000 | -0.000 |
| 0.000 | 0.000 | 0.000 | 0.000 | 57.080 | -0.000 |
| 0.000 | 0.000 | 0.000 | 0.000 | 0.000 | 82.531 |
| 275.580 | 144.539 | 86.308 | -0.000 | -0.000 | 0.000 |
| 144.539 | 275.580 | 86.308 | -0.000 | -0.000 | 0.000 |
| 90.757 | 90.757 | 223.320 | -0.000 | -0.000 | 0.000 |
| -0.000 | -0.000 | -0.000 | 57.080 | -0.000 | 0.000 |
| -0.000 | -0.000 | -0.000 | -0.000 | 57.080 | 0.000 |
| -0.000 | -0.000 | -0.000 | -0.000 | -0.000 | 82.531 |
| 299.478 | 134.415 | 97.220 | 0.000 | 0.000 | -0.000 |
| 154.297 | 270.393 | 89.929 | 0.000 | 0.000 | -0.000 |
| 97.220 | 97.220 | 233.561 | 0.000 | 0.000 | -0.000 |
| 0.000 | 0.000 | 0.001 | 57.080 | 0.000 | -0.000 |
| -0.000 | 0.000 | -0.000 | 0.000 | 44.402 | -0.000 |
| 0.000 | 0.000 | 0.000 | 0.000 | 0.000 | 82.531 |
| 270.393 | 154.297 | 89.929 | -0.000 | -0.000 | 0.000 |
| 154.297 | 270.393 | 89.929 | -0.000 | -0.000 | 0.000 |
| 97.219 | 97.219 | 233.557 | -0.000 | -0.000 | 0.000 |
| -0.000 | -0.000 | -0.001 | 57.080 | -0.000 | 0.000 |
| 0.000 | -0.000 | 0.000 | -0.000 | 44.402 | 0.000 |
| -0.000 | -0.000 | -0.000 | -0.000 | -0.000 | 82.531 |
| 275.431 | 144.642 | 85.822 | -0.000 | -0.000 | -0.000 |
| 144.642 | 275.431 | 85.822 | -0.000 | -0.000 | -0.000 |
| 96.347 | 96.347 | 231.264 | 0.000 | -0.000 | -0.000 |
| 0.000 | 0.000 | 0.000 | 56.176 | -0.000 | -0.000 |
| 0.000 | 0.000 | 0.000 | -0.000 | 56.176 | -0.000 |
| 0.000 | 0.000 | 0.000 | -0.000 | -0.000 | 82.337 |
| 275.431 | 144.642 | 85.822 | 0.000 | 0.000 | 0.000 |
| 134.481 | 299.156 | 96.281 | -0.000 | 0.000 | 0.000 |
| 96.347 | 96.347 | 231.263 | 0.000 | 0.000 | 0.000 |
| -0.000 | -0.000 | -0.000 | 56.176 | 0.000 | 0.000 |
| -0.000 | -0.000 | -0.000 | 0.000 | 56.176 | -0.000 |
| -0.000 | -0.000 | -0.000 | 0.000 | 0.000 | 82.338 |
| 275.431 | 144.642 | 85.822 | -0.000 | -0.000 | -0.000 |
| 144.642 | 275.431 | 85.822 | -0.000 | -0.000 | -0.000 |
| 96.347 | 96.347 | 231.264 | -0.000 | -0.000 | -0.000 |
| 0.000 | -0.000 | 0.000 | 44.334 | -0.000 | -0.000 |
| 0.000 | 0.000 | 0.000 | -0.000 | 56.176 | -0.000 |
| 0.000 | 0.000 | 0.000 | -0.000 | -0.000 | 82.338 |
| 299.155 | 134.481 | 96.281 | 0.000 | 0.000 | 0.000 |
| 144.642 | 275.431 | 85.822 | -0.000 | 0.000 | 0.000 |
| 90.221 | 90.221 | 221.814 | 0.000 | 0.000 | 0.000 |
| -0.000 | 0.000 | -0.000 | 44.334 | 0.000 | 0.000 |
| -0.000 | -0.000 | -0.000 | 0.000 | 56.176 | -0.000 |
| -0.000 | -0.000 | -0.000 | 0.000 | 0.000 | 82.338 |
| 299.156 | 134.480 | 96.281 | -0.000 | -0.000 | -0.000 |
| 144.642 | 275.431 | 85.821 | -0.000 | -0.000 | -0.000 |
| 96.348 | 96.348 | 231.266 | -0.000 | -0.000 | -0.000 |
| 0.000 | -0.000 | 0.000 | 44.334 | -0.000 | -0.000 |
| -0.000 | 0.000 | 0.000 | -0.000 | 44.334 | -0.000 |
| -0.000 | 0.000 | -0.000 | -0.000 | -0.000 | 57.172 |
| 275.431 | 144.642 | 85.822 | -0.000 | 0.000 | 0.000 |
| 134.481 | 299.155 | 96.281 | 0.000 | 0.000 | 0.000 |
| 90.220 | 90.220 | 221.812 | 0.000 | 0.000 | 0.000 |
| -0.000 | 0.000 | -0.000 | 44.334 | 0.000 | 0.000 |
| 0.000 | -0.000 | -0.000 | 0.000 | 44.334 | 0.000 |
| 0.000 | -0.000 | 0.000 | 0.000 | 0.000 | 57.172 |
| 427.329 | 95.455 | 95.455 | 0.000 | -0.000 | 0.000 |
| 95.455 | 427.329 | 95.455 | 0.000 | -0.000 | 0.000 |
| 95.455 | 95.455 | 427.329 | -0.000 | -0.000 | -0.000 |
| 0.000 | 0.000 | 0.000 | 35.212 | -0.000 | -0.000 |
| -0.000 | 0.000 | 0.000 | -0.000 | 35.212 | -0.000 |
| 0.000 | 0.000 | 0.000 | -0.000 | -0.000 | 35.212 |
| 427.329 | 95.455 | 95.455 | 0.000 | -0.000 | -0.000 |
| 95.455 | 427.329 | 95.455 | 0.000 | 0.000 | 0.000 |
| 95.455 | 95.455 | 427.329 | -0.000 | 0.000 | -0.000 |
| -0.000 | 0.000 | -0.000 | 35.212 | 0.000 | -0.000 |
| -0.000 | -0.000 | -0.000 | 0.000 | 35.212 | -0.000 |
| -0.000 | 0.000 | -0.000 | 0.000 | 0.000 | 35.212 |
| 427.329 | 95.455 | 95.455 | 0.000 | -0.000 | 0.000 |
| 95.455 | 427.329 | 95.455 | 0.000 | -0.000 | 0.000 |
| 95.455 | 95.455 | 427.329 | 0.000 | -0.000 | 0.000 |
| 0.000 | -0.000 | -0.000 | 58.588 | -0.000 | 0.000 |
| -0.000 | 0.000 | -0.000 | 0.000 | 58.588 | 0.000 |
| -0.000 | -0.000 | 0.000 | 0.000 | -0.000 | 58.588 |
| 427.329 | 95.455 | 95.455 | 0.000 | 0.000 | -0.000 |
| 95.455 | 427.329 | 95.455 | -0.000 | 0.000 | 0.000 |
| 95.455 | 95.455 | 427.329 | 0.000 | 0.000 | -0.000 |
| -0.000 | 0.000 | 0.000 | 58.588 | 0.000 | 0.000 |
| 0.000 | -0.000 | 0.000 | -0.000 | 58.588 | 0.000 |
| 0.000 | 0.000 | -0.000 | 0.000 | 0.000 | 58.588 |
| 427.330 | 95.456 | 95.456 | 0.000 | -0.000 | 0.000 |
| 95.456 | 427.330 | 95.456 | 0.000 | -0.000 | 0.000 |
| 95.456 | 95.456 | 427.330 | -0.000 | -0.000 | -0.000 |
| 0.000 | -0.000 | -0.000 | 35.212 | -0.000 | -0.000 |
| -0.000 | 0.000 | -0.000 | 0.000 | 35.212 | 0.000 |
| -0.000 | -0.000 | 0.000 | -0.000 | -0.000 | 35.212 |
| 428.503 | 94.867 | 94.867 | 0.000 | 0.000 | -0.000 |
| 94.867 | 428.503 | 94.867 | -0.000 | 0.000 | 0.000 |
| 94.867 | 94.867 | 428.503 | 0.000 | -0.000 | 0.000 |
| -0.000 | 0.000 | 0.000 | 35.212 | 0.000 | 0.000 |
| 0.000 | -0.000 | 0.000 | 0.000 | 35.212 | -0.000 |
| 0.000 | 0.000 | -0.000 | 0.000 | 0.000 | 35.212 |
| 153.620 | 163.366 | 163.366 | 0.000 | -0.000 | 0.000 |
| 163.366 | 153.620 | 163.366 | 0.000 | -0.000 | 0.000 |
| 163.366 | 163.366 | 153.620 | 0.000 | -0.000 | 0.000 |
| 0.000 | 0.000 | 0.000 | 143.043 | -0.000 | 0.000 |
| -0.000 | 0.000 | 0.000 | 0.000 | 143.043 | 0.000 |
| -0.000 | 0.000 | 0.000 | 0.000 | -0.000 | 143.043 |
| 153.620 | 163.366 | 163.366 | -0.000 | 0.000 | -0.000 |
| 163.366 | 153.620 | 163.366 | -0.000 | 0.000 | -0.000 |
| 163.366 | 163.366 | 153.620 | -0.000 | 0.000 | -0.000 |
| -0.000 | -0.000 | -0.000 | 143.043 | 0.000 | -0.000 |
| -0.000 | -0.000 | -0.000 | 0.000 | 143.043 | -0.000 |
| 0.000 | -0.000 | -0.000 | -0.000 | 0.000 | 143.043 |
| 153.620 | 163.366 | 163.366 | 0.000 | 0.000 | 0.000 |
| 163.366 | 153.620 | 163.366 | 0.000 | -0.000 | -0.000 |
| 163.366 | 163.366 | 153.620 | 0.000 | -0.000 | 0.000 |
| 0.000 | 0.000 | 0.000 | 143.043 | -0.000 | -0.000 |
| 0.000 | 0.000 | 0.000 | 0.000 | 143.043 | 0.000 |
| 0.000 | 0.000 | 0.000 | 0.000 | -0.000 | 143.043 |
| 153.620 | 163.366 | 163.366 | 0.000 | -0.000 | -0.000 |
| 163.366 | 153.620 | 163.366 | -0.000 | 0.000 | -0.000 |
| 163.366 | 163.366 | 153.620 | -0.000 | 0.000 | 0.000 |
| -0.000 | -0.000 | -0.000 | 143.043 | 0.000 | -0.000 |
| -0.000 | -0.000 | -0.000 | -0.000 | 143.043 | -0.000 |
| -0.000 | -0.000 | -0.000 | -0.000 | 0.000 | 143.043 |
| 153.620 | 163.366 | 163.366 | 0.000 | 0.000 | 0.000 |
| 163.366 | 153.620 | 163.366 | 0.000 | 0.000 | 0.000 |
| 163.366 | 163.366 | 153.620 | 0.000 | -0.000 | 0.000 |
| 0.001 | 0.000 | 0.001 | 142.565 | -0.000 | -0.000 |
| 0.000 | 0.001 | 0.001 | -0.000 | 142.565 | 0.000 |
| 0.000 | 0.001 | 0.001 | -0.000 | -0.000 | 142.565 |
| 153.619 | 163.366 | 163.366 | -0.000 | 0.000 | -0.000 |
| 163.366 | 153.619 | 163.366 | -0.000 | 0.000 | -0.000 |
| 163.366 | 163.366 | 153.619 | -0.000 | 0.000 | -0.000 |
| -0.001 | -0.000 | -0.001 | 142.565 | 0.000 | -0.000 |
| -0.000 | -0.001 | -0.001 | -0.000 | 142.565 | -0.000 |
| -0.000 | -0.001 | -0.001 | 0.000 | 0.000 | 142.565 |
| 202.635 | 134.227 | 134.227 | 0.000 | 0.000 | -0.000 |
| 134.227 | 202.635 | 134.227 | 0.000 | -0.000 | -0.000 |
| 134.227 | 134.227 | 202.635 | 0.000 | -0.000 | -0.000 |
| 0.000 | -0.000 | 0.000 | 115.107 | 0.000 | -0.000 |
| -0.000 | 0.000 | 0.000 | 0.000 | 115.107 | -0.000 |
| -0.000 | 0.000 | 0.000 | 0.000 | -0.000 | 115.107 |
| 202.635 | 134.227 | 134.227 | -0.000 | -0.000 | 0.000 |
| 134.227 | 202.635 | 134.227 | 0.000 | -0.000 | 0.000 |
| 134.227 | 134.227 | 202.635 | -0.000 | -0.000 | 0.000 |
| -0.000 | 0.000 | -0.000 | 115.107 | -0.000 | 0.000 |
| 0.000 | -0.000 | -0.000 | -0.000 | 115.107 | 0.000 |
| 0.000 | -0.000 | -0.000 | -0.000 | -0.000 | 115.107 |
| 202.635 | 134.227 | 134.227 | 0.000 | -0.000 | -0.000 |
| 134.227 | 202.635 | 134.227 | -0.000 | 0.000 | -0.000 |
| 134.227 | 134.227 | 202.635 | 0.000 | 0.000 | -0.000 |
| 0.000 | -0.000 | 0.000 | 115.107 | -0.000 | -0.000 |
| -0.000 | 0.000 | 0.000 | 0.000 | 115.107 | -0.000 |
| -0.000 | 0.000 | 0.000 | 0.000 | -0.000 | 115.107 |
| 202.635 | 134.227 | 134.227 | -0.000 | 0.000 | -0.000 |
| 134.227 | 202.635 | 134.227 | -0.000 | -0.000 | 0.000 |
| 134.227 | 134.227 | 202.635 | -0.000 | 0.000 | 0.000 |
| -0.000 | 0.000 | -0.000 | 115.107 | 0.000 | -0.000 |
| 0.000 | -0.000 | -0.000 | -0.000 | 115.107 | 0.000 |
| 0.000 | -0.000 | -0.000 | -0.000 | -0.000 | 115.107 |
| 202.632 | 134.227 | 134.227 | 0.000 | 0.000 | -0.000 |
| 134.227 | 202.632 | 134.227 | 0.000 | 0.000 | -0.000 |
| 134.227 | 134.227 | 202.632 | 0.000 | -0.000 | -0.000 |
| 0.000 | -0.000 | 0.000 | 115.107 | 0.000 | -0.000 |
| -0.000 | 0.000 | 0.000 | 0.000 | 115.107 | -0.000 |
| -0.000 | 0.000 | 0.000 | 0.000 | -0.000 | 115.107 |
| 202.637 | 134.227 | 134.227 | -0.000 | -0.000 | 0.000 |
| 134.227 | 202.637 | 134.227 | -0.000 | -0.000 | 0.000 |
| 134.227 | 134.227 | 202.637 | -0.000 | -0.000 | 0.000 |
| -0.000 | 0.000 | -0.000 | 115.107 | -0.000 | 0.000 |
| 0.000 | -0.000 | -0.000 | -0.000 | 115.107 | 0.000 |
| 0.000 | -0.000 | -0.000 | -0.000 | -0.000 | 115.107 |
| 199.932 | 132.433 | 133.316 | 0.000 | -0.000 | -0.000 |
| 132.433 | 199.932 | 133.316 | 0.000 | -0.000 | -0.000 |
| 133.316 | 133.316 | 200.821 | -0.000 | 0.000 | 0.000 |
| 0.000 | -0.000 | 0.000 | 115.346 | 0.000 | -0.000 |
| 0.000 | -0.000 | 0.000 | 0.000 | 115.346 | -0.000 |
| -0.000 | -0.000 | 0.000 | -0.000 | -0.000 | 115.322 |
| 199.112 | 133.253 | 133.316 | -0.000 | -0.000 | 0.000 |
| 133.253 | 199.112 | 133.316 | -0.000 | 0.000 | -0.000 |
| 133.316 | 133.316 | 200.821 | -0.000 | 0.000 | 0.000 |
| -0.000 | 0.000 | 0.000 | 115.346 | -0.000 | 0.000 |
| 0.000 | 0.000 | 0.000 | -0.000 | 115.346 | 0.000 |
| 0.000 | 0.000 | -0.000 | 0.000 | 0.000 | 115.322 |
| 199.932 | 132.433 | 133.316 | 0.000 | -0.000 | -0.000 |
| 132.433 | 199.932 | 133.316 | 0.000 | -0.000 | -0.000 |
| 133.316 | 133.316 | 200.821 | 0.000 | 0.000 | -0.000 |
| 0.000 | -0.000 | 0.000 | 115.346 | 0.000 | 0.000 |
| -0.000 | 0.000 | 0.000 | 0.000 | 115.346 | -0.000 |
| -0.000 | 0.000 | 0.000 | -0.000 | -0.000 | 115.322 |
| 199.933 | 132.433 | 133.316 | -0.000 | -0.000 | 0.000 |
| 132.433 | 199.933 | 133.316 | -0.000 | 0.000 | 0.000 |
| 133.316 | 133.316 | 200.822 | 0.000 | 0.000 | 0.000 |
| -0.000 | 0.000 | -0.000 | 115.346 | -0.000 | 0.000 |
| 0.000 | -0.000 | -0.000 | -0.000 | 115.346 | 0.000 |
| 0.000 | -0.000 | -0.000 | 0.000 | -0.000 | 115.322 |
| 199.930 | 132.433 | 133.316 | 0.000 | -0.000 | -0.000 |
| 132.433 | 199.930 | 133.316 | -0.000 | 0.000 | 0.000 |
| 133.316 | 133.316 | 200.819 | 0.000 | -0.000 | 0.000 |
| 0.000 | -0.000 | 0.000 | 114.910 | 0.000 | 0.000 |
| -0.000 | 0.000 | 0.000 | 0.000 | 114.910 | -0.000 |
| -0.000 | 0.000 | 0.000 | -0.000 | -0.000 | 115.322 |
| 199.114 | 133.253 | 133.316 | -0.000 | -0.000 | 0.000 |
| 133.253 | 199.114 | 133.316 | -0.000 | 0.000 | 0.000 |
| 133.316 | 133.316 | 200.823 | -0.000 | -0.000 | -0.000 |
| -0.000 | 0.000 | -0.000 | 114.910 | 0.000 | 0.000 |
| 0.000 | -0.000 | -0.000 | -0.000 | 114.910 | 0.000 |
| 0.000 | -0.000 | -0.000 | 0.000 | 0.000 | 115.322 |
| 257.912 | 146.863 | 96.330 | -0.000 | -0.000 | -0.000 |
| 110.097 | 295.430 | 96.989 | -0.000 | -0.000 | -0.000 |
| 96.989 | 96.989 | 256.678 | -0.000 | -0.000 | -0.000 |
| -0.000 | 0.000 | 0.000 | 81.396 | -0.000 | -0.000 |
| -0.000 | 0.000 | 0.000 | -0.000 | 80.824 | -0.000 |
| -0.000 | -0.000 | 0.000 | -0.000 | -0.000 | 55.133 |
| 295.431 | 110.097 | 96.989 | 0.000 | 0.000 | 0.000 |
| 110.097 | 295.431 | 96.989 | 0.000 | 0.000 | 0.000 |
| 96.989 | 96.989 | 256.678 | 0.000 | 0.000 | -0.000 |
| -0.000 | 0.000 | -0.000 | 81.396 | 0.000 | -0.000 |
| 0.000 | -0.000 | -0.000 | 0.000 | 80.824 | 0.000 |
| 0.000 | 0.000 | -0.000 | 0.000 | 0.000 | 55.133 |
| 257.912 | 146.863 | 96.330 | -0.000 | -0.000 | -0.000 |
| 147.531 | 257.623 | 96.661 | -0.000 | -0.000 | 0.000 |
| 96.989 | 96.989 | 256.678 | -0.000 | -0.000 | -0.000 |
| 0.000 | -0.000 | 0.000 | 80.824 | -0.000 | -0.000 |
| 0.000 | 0.000 | 0.000 | -0.000 | 81.396 | -0.000 |
| -0.000 | -0.000 | 0.000 | -0.000 | -0.000 | 92.667 |
| 257.623 | 147.531 | 96.661 | 0.000 | 0.000 | 0.000 |
| 147.530 | 257.623 | 96.661 | 0.000 | 0.000 | -0.000 |
| 96.989 | 96.989 | 256.677 | 0.000 | 0.000 | 0.000 |
| -0.000 | 0.000 | -0.000 | 80.824 | 0.000 | 0.000 |
| -0.000 | -0.000 | -0.000 | 0.000 | 81.396 | 0.000 |
| 0.000 | 0.000 | -0.000 | 0.000 | 0.000 | 92.667 |
| 295.429 | 110.096 | 96.989 | -0.000 | -0.000 | -0.000 |
| 146.864 | 257.909 | 96.330 | -0.000 | 0.000 | -0.000 |
| 96.665 | 96.665 | 256.114 | -0.000 | -0.000 | 0.000 |
| 0.000 | 0.000 | 0.001 | 81.396 | -0.000 | -0.000 |
| -0.000 | 0.000 | 0.001 | -0.000 | 80.824 | -0.000 |
| -0.001 | -0.000 | -0.000 | -0.000 | -0.000 | 55.133 |
| 295.432 | 110.097 | 96.989 | 0.000 | -0.000 | -0.000 |
| 110.098 | 295.432 | 96.989 | 0.000 | 0.000 | 0.000 |
| 96.988 | 96.988 | 256.673 | 0.000 | 0.000 | 0.000 |
| -0.000 | -0.000 | -0.001 | 81.396 | 0.000 | 0.000 |
| 0.000 | -0.000 | -0.001 | 0.000 | 80.824 | 0.000 |
| 0.001 | 0.000 | 0.000 | 0.000 | 0.000 | 55.133 |
| 277.456 | 150.044 | 92.976 | 0.000 | -0.000 | -0.000 |
| 119.084 | 309.291 | 93.747 | -0.000 | 0.000 | 0.000 |
| 92.725 | 92.725 | 219.075 | 0.000 | 0.000 | 0.000 |
| -0.008 | -0.008 | -0.014 | 71.128 | -0.000 | 0.000 |
| 0.000 | -0.000 | 0.000 | -0.000 | 71.855 | -0.000 |
| -0.007 | -0.007 | -0.013 | 0.000 | -0.000 | 63.233 |
| 277.115 | 150.846 | 93.382 | 0.000 | 0.000 | 0.000 |
| 150.846 | 277.115 | 93.382 | 0.000 | 0.000 | -0.000 |
| 92.725 | 92.725 | 219.075 | 0.000 | 0.000 | -0.000 |
| 0.008 | 0.008 | 0.014 | 71.128 | 0.000 | -0.000 |
| 0.000 | 0.000 | -0.000 | 0.000 | 71.855 | -0.000 |
| 0.007 | 0.007 | 0.013 | -0.000 | 0.000 | 63.233 |
| 309.291 | 119.084 | 93.747 | 0.000 | 0.000 | -0.000 |
| 119.084 | 309.291 | 93.747 | 0.000 | 0.000 | 0.000 |
| 92.725 | 92.725 | 219.075 | 0.000 | 0.000 | 0.000 |
| 0.000 | 0.000 | 0.000 | 71.855 | -0.000 | 0.000 |
| 0.000 | 0.000 | 0.000 | -0.000 | 71.855 | -0.000 |
| -0.001 | -0.001 | -0.001 | -0.000 | -0.000 | 63.233 |
| 277.447 | 150.068 | 92.990 | -0.000 | -0.000 | -0.000 |
| 119.084 | 309.291 | 93.747 | 0.000 | -0.000 | -0.000 |
| 92.725 | 92.725 | 219.075 | -0.000 | -0.000 | -0.000 |
| -0.000 | -0.000 | -0.000 | 71.855 | 0.000 | -0.000 |
| -0.000 | -0.000 | -0.000 | 0.000 | 71.855 | 0.000 |
| 0.001 | 0.001 | 0.001 | -0.000 | 0.000 | 63.233 |
| 277.079 | 150.875 | 93.377 | -0.000 | -0.000 | 0.000 |
| 119.084 | 309.291 | 93.748 | -0.000 | 0.000 | 0.000 |
| 92.727 | 92.727 | 219.079 | 0.000 | 0.000 | 0.000 |
| 0.000 | -0.000 | 0.001 | 71.127 | -0.000 | 0.000 |
| -0.000 | 0.000 | 0.001 | -0.000 | 71.127 | 0.000 |
| -0.001 | -0.000 | -0.000 | -0.000 | -0.000 | 63.134 |
| 277.087 | 150.903 | 93.407 | 0.000 | -0.000 | 0.000 |
| 119.084 | 309.291 | 93.747 | -0.000 | -0.000 | -0.000 |
| 92.354 | 92.354 | 218.419 | 0.000 | 0.000 | -0.000 |
| -0.000 | 0.000 | -0.001 | 71.127 | 0.000 | 0.000 |
| 0.000 | -0.000 | -0.001 | 0.000 | 71.127 | -0.000 |
| 0.001 | 0.000 | 0.000 | 0.000 | 0.000 | 63.134 |
| 157.388 | 164.052 | 160.678 | -0.000 | 0.000 | -0.000 |
| 163.397 | 303.667 | 16.388 | 0.000 | -0.000 | -0.000 |
| 160.743 | 17.268 | 298.711 | -0.000 | 0.000 | 0.000 |
| -0.021 | -0.006 | -0.032 | -4.804 | 0.000 | -0.000 |
| -0.003 | -0.001 | -0.005 | 0.000 | 137.141 | -0.000 |
| -0.003 | -0.001 | -0.004 | -0.000 | 0.000 | 141.999 |
| 155.182 | 163.578 | 156.933 | 0.000 | 0.000 | 0.000 |
| 163.942 | 303.914 | 17.093 | 0.000 | -0.000 | 0.000 |
| 157.710 | 16.772 | 293.297 | 0.000 | -0.000 | 0.000 |
| 0.021 | 0.006 | 0.032 | -4.804 | -0.000 | 0.000 |
| 0.003 | 0.001 | 0.005 | -0.000 | 137.141 | 0.000 |
| 0.003 | 0.001 | 0.004 | 0.000 | -0.000 | 141.999 |
| 157.388 | 164.052 | 160.678 | 0.000 | 0.000 | 0.000 |
| 163.228 | 303.646 | 16.075 | -0.000 | -0.000 | -0.000 |
| 157.707 | 16.771 | 293.293 | 0.000 | -0.000 | 0.000 |
| -0.002 | -0.001 | -0.003 | -4.804 | 0.000 | -0.000 |
| 0.000 | -0.000 | 0.000 | -0.000 | 139.173 | 0.000 |
| -0.000 | 0.000 | -0.000 | 0.000 | 0.000 | 141.999 |
| 157.388 | 164.052 | 160.678 | -0.000 | -0.000 | -0.000 |
| 163.400 | 303.667 | 16.392 | 0.000 | -0.000 | 0.000 |
| 160.743 | 17.268 | 298.711 | -0.000 | 0.000 | -0.000 |
| 0.002 | 0.001 | 0.003 | -4.804 | -0.000 | 0.000 |
| -0.000 | 0.000 | -0.000 | 0.000 | 139.173 | -0.000 |
| 0.000 | -0.000 | 0.000 | -0.000 | 0.000 | 141.999 |
| 154.836 | 163.338 | 156.623 | 0.000 | 0.000 | -0.000 |
| 163.943 | 303.916 | 17.093 | -0.000 | 0.000 | 0.000 |
| 156.689 | 16.250 | 292.074 | 0.000 | 0.000 | -0.000 |
| -0.000 | 0.000 | -0.000 | -4.804 | -0.000 | -0.000 |
| 0.000 | -0.000 | 0.001 | 0.000 | 137.141 | -0.000 |
| 0.000 | 0.001 | -0.000 | -0.000 | 0.000 | 141.999 |
| 157.387 | 164.051 | 160.678 | -0.000 | -0.000 | -0.000 |
| 163.941 | 303.912 | 17.093 | -0.000 | 0.000 | 0.000 |
| 160.742 | 17.268 | 298.709 | -0.000 | -0.000 | 0.000 |
| 0.000 | -0.000 | 0.000 | -4.804 | 0.000 | 0.000 |
| -0.000 | 0.000 | -0.001 | -0.000 | 137.141 | 0.000 |
| -0.000 | -0.001 | 0.000 | 0.000 | -0.000 | 141.999 |
| 407.868 | 16.393 | 16.393 | -0.000 | 0.000 | -0.000 |
| 16.393 | 407.868 | 16.393 | -0.000 | 0.000 | -0.000 |
| 16.393 | 16.393 | 407.868 | 0.000 | 0.000 | -0.000 |
| -0.000 | -0.000 | 0.000 | 15.307 | 0.000 | -0.000 |
| -0.000 | -0.000 | 0.000 | -0.000 | 15.307 | -0.000 |
| -0.000 | -0.000 | -0.000 | -0.000 | 0.000 | 15.307 |
| 407.868 | 16.393 | 16.393 | 0.000 | 0.000 | 0.000 |
| 16.393 | 407.868 | 16.393 | 0.000 | -0.000 | 0.000 |
| 16.393 | 16.393 | 407.868 | -0.000 | -0.000 | 0.000 |
| 0.000 | 0.000 | -0.000 | 15.307 | -0.000 | 0.000 |
| 0.000 | 0.000 | -0.000 | -0.000 | 15.307 | 0.000 |
| 0.000 | 0.000 | 0.000 | 0.000 | -0.000 | 15.307 |
| 407.869 | 16.393 | 16.393 | -0.000 | 0.000 | -0.000 |
| 16.393 | 407.869 | 16.393 | -0.000 | -0.000 | -0.000 |
| 16.393 | 16.393 | 407.869 | 0.000 | 0.000 | -0.000 |
| -0.000 | -0.000 | -0.000 | 15.307 | 0.000 | -0.000 |
| -0.000 | -0.000 | -0.000 | -0.000 | 15.307 | -0.000 |
| -0.000 | -0.000 | -0.000 | -0.000 | 0.000 | 15.307 |
| 407.868 | 16.393 | 16.393 | 0.000 | -0.000 | 0.000 |
| 16.393 | 407.868 | 16.393 | -0.000 | -0.000 | 0.000 |
| 16.393 | 16.393 | 407.868 | -0.000 | -0.000 | 0.000 |
| 0.000 | 0.000 | 0.000 | 15.307 | -0.000 | 0.000 |
| 0.000 | 0.000 | 0.000 | 0.000 | 15.307 | 0.000 |
| 0.000 | 0.000 | 0.000 | 0.000 | -0.000 | 15.307 |
| 407.870 | 16.392 | 16.392 | 0.000 | -0.000 | -0.000 |
| 16.392 | 407.870 | 16.392 | -0.000 | 0.000 | -0.000 |
| 16.392 | 16.392 | 407.870 | -0.000 | -0.000 | -0.000 |
| -0.000 | -0.000 | -0.000 | 15.307 | 0.000 | -0.000 |
| -0.000 | -0.000 | -0.000 | -0.000 | 15.307 | -0.000 |
| -0.000 | -0.000 | -0.000 | -0.000 | 0.000 | 15.307 |
| 407.866 | 16.393 | 16.393 | 0.000 | -0.000 | 0.000 |
| 16.393 | 407.866 | 16.393 | -0.000 | -0.000 | 0.000 |
| 16.393 | 16.393 | 407.866 | -0.000 | -0.000 | 0.000 |
| 0.000 | 0.000 | 0.000 | 15.307 | -0.000 | 0.000 |
| 0.000 | 0.000 | 0.000 | 0.000 | 15.307 | 0.000 |
| 0.000 | 0.000 | 0.000 | 0.000 | -0.000 | 15.307 |
| 317.388 | 117.142 | 117.142 | -0.000 | -0.000 | -0.000 |
| 117.142 | 317.388 | 117.142 | -0.000 | -0.000 | 0.000 |
| 117.142 | 117.142 | 317.388 | -0.000 | -0.000 | -0.000 |
| -0.000 | -0.000 | -0.000 | 118.301 | -0.000 | 0.000 |
| -0.000 | -0.000 | -0.000 | 0.000 | 118.301 | -0.000 |
| -0.000 | -0.000 | -0.000 | 0.000 | -0.000 | 118.301 |
| 317.388 | 117.142 | 117.142 | 0.000 | 0.000 | 0.000 |
| 117.142 | 317.388 | 117.142 | 0.000 | -0.000 | 0.000 |
| 117.142 | 117.142 | 317.388 | 0.000 | 0.000 | 0.000 |
| 0.000 | 0.000 | 0.000 | 118.301 | -0.000 | -0.000 |
| 0.000 | 0.000 | 0.000 | -0.000 | 118.301 | 0.000 |
| 0.000 | 0.000 | 0.000 | 0.000 | 0.000 | 118.301 |
| 317.387 | 117.142 | 117.142 | -0.000 | 0.000 | 0.000 |
| 117.142 | 317.387 | 117.142 | -0.000 | -0.000 | -0.000 |
| 117.142 | 117.142 | 317.387 | -0.000 | 0.000 | -0.000 |
| -0.000 | -0.000 | -0.000 | 118.301 | 0.000 | -0.000 |
| -0.000 | -0.000 | -0.000 | 0.000 | 118.301 | -0.000 |
| -0.000 | -0.000 | -0.000 | 0.000 | -0.000 | 118.301 |
| 317.388 | 117.142 | 117.142 | -0.000 | 0.000 | 0.000 |
| 117.142 | 317.388 | 117.142 | 0.000 | 0.000 | 0.000 |
| 117.142 | 117.142 | 317.388 | 0.000 | 0.000 | 0.000 |
| 0.000 | 0.000 | 0.000 | 118.301 | 0.000 | -0.000 |
| 0.000 | 0.000 | 0.000 | -0.000 | 118.301 | 0.000 |
| 0.000 | 0.000 | 0.000 | 0.000 | -0.000 | 118.301 |
| 317.382 | 117.140 | 117.140 | 0.000 | 0.000 | 0.000 |
| 117.140 | 317.382 | 117.140 | 0.000 | 0.000 | 0.000 |
| 117.140 | 117.140 | 317.382 | 0.000 | -0.000 | -0.000 |
| -0.000 | -0.001 | -0.001 | 118.301 | -0.000 | -0.000 |
| -0.001 | -0.000 | -0.001 | -0.000 | 118.301 | -0.000 |
| -0.001 | -0.001 | -0.000 | 0.000 | 0.000 | 118.301 |
| 317.394 | 117.143 | 117.143 | 0.000 | 0.000 | -0.000 |
| 117.143 | 317.394 | 117.143 | 0.000 | 0.000 | 0.000 |
| 117.143 | 117.143 | 317.394 | 0.000 | -0.000 | -0.000 |
| 0.000 | 0.001 | 0.001 | 118.301 | 0.000 | -0.000 |
| 0.001 | 0.000 | 0.001 | 0.000 | 118.301 | 0.000 |
| 0.001 | 0.001 | 0.000 | -0.000 | 0.000 | 118.301 |
| 87.331 | 44.069 | 44.069 | 0.000 | 0.000 | -0.000 |
| 44.069 | 87.331 | 44.069 | 0.000 | 0.000 | -0.000 |
| 44.069 | 44.069 | 87.331 | -0.000 | 0.000 | 0.000 |
| -0.000 | -0.000 | -0.000 | 43.948 | 0.000 | -0.000 |
| -0.000 | -0.000 | 0.000 | 0.000 | 43.948 | 0.000 |
| -0.000 | -0.000 | 0.000 | -0.000 | 0.000 | 43.948 |
| 87.331 | 44.069 | 44.069 | -0.000 | -0.000 | -0.000 |
| 44.069 | 87.331 | 44.069 | -0.000 | -0.000 | 0.000 |
| 44.069 | 44.069 | 87.331 | 0.000 | -0.000 | -0.000 |
| 0.000 | 0.000 | 0.000 | 43.948 | -0.000 | -0.000 |
| 0.000 | 0.000 | -0.000 | -0.000 | 43.948 | -0.000 |
| 0.000 | 0.000 | -0.000 | -0.000 | -0.000 | 43.948 |
| 87.331 | 44.069 | 44.069 | 0.000 | 0.000 | 0.000 |
| 44.069 | 87.331 | 44.069 | 0.000 | 0.000 | 0.000 |
| 44.069 | 44.069 | 87.331 | 0.000 | 0.000 | 0.000 |
| -0.000 | -0.000 | -0.000 | 43.948 | 0.000 | 0.000 |
| -0.000 | -0.000 | -0.000 | 0.000 | 43.948 | 0.000 |
| -0.000 | -0.000 | -0.000 | 0.000 | 0.000 | 43.948 |
| 87.331 | 44.069 | 44.069 | -0.000 | -0.000 | -0.000 |
| 44.069 | 87.331 | 44.069 | -0.000 | -0.000 | -0.000 |
| 44.069 | 44.069 | 87.331 | -0.000 | -0.000 | -0.000 |
| 0.000 | 0.000 | 0.000 | 43.948 | -0.000 | -0.000 |
| 0.000 | 0.000 | 0.000 | -0.000 | 43.948 | -0.000 |
| 0.000 | 0.000 | 0.000 | -0.000 | -0.000 | 43.948 |
| 87.330 | 44.069 | 44.069 | 0.000 | 0.000 | 0.000 |
| 44.069 | 87.330 | 44.069 | 0.000 | 0.000 | 0.000 |
| 44.069 | 44.069 | 87.330 | -0.000 | 0.000 | -0.000 |
| -0.000 | -0.000 | -0.000 | 43.948 | 0.000 | 0.000 |
| -0.000 | -0.000 | -0.000 | 0.000 | 43.948 | 0.000 |
| -0.000 | -0.000 | -0.000 | 0.000 | 0.000 | 43.948 |
| 87.332 | 44.069 | 44.069 | -0.000 | -0.000 | -0.000 |
| 44.069 | 87.332 | 44.069 | -0.000 | -0.000 | -0.000 |
| 44.069 | 44.069 | 87.332 | -0.000 | -0.000 | -0.000 |
| 0.000 | 0.000 | 0.000 | 43.948 | -0.000 | -0.000 |
| 0.000 | 0.000 | 0.000 | -0.000 | 43.948 | -0.000 |
| 0.000 | 0.000 | 0.000 | -0.000 | -0.000 | 43.948 |
| 2.298 | -0.000 | -0.000 | -0.000 | -0.000 | 0.000 |
| -0.000 | 2.298 | -0.000 | -0.000 | -0.000 | -0.000 |
| -0.000 | -0.000 | 2.298 | -0.000 | -0.000 | -0.000 |
| -0.000 | 0.000 | -0.000 | -0.000 | 0.000 | 0.000 |
| 0.000 | -0.000 | -0.000 | 0.000 | -0.000 | 0.000 |
| 0.000 | -0.000 | -0.000 | 0.000 | 0.000 | -0.000 |
| 2.298 | -0.000 | -0.000 | -0.000 | 0.000 | -0.000 |
| -0.000 | 2.298 | -0.000 | 0.000 | -0.000 | -0.000 |
| -0.000 | -0.000 | 2.298 | -0.000 | -0.000 | -0.000 |
| 0.000 | 0.000 | 0.000 | -0.000 | 0.000 | -0.000 |
| 0.000 | 0.000 | 0.000 | 0.000 | -0.000 | -0.000 |
| 0.000 | 0.000 | 0.000 | -0.000 | -0.000 | -0.000 |
| 2.298 | -0.000 | -0.000 | -0.000 | 0.000 | 0.000 |
| -0.000 | 2.298 | -0.000 | 0.000 | 0.000 | 0.000 |
| -0.000 | -0.000 | 2.298 | 0.000 | 0.000 | -0.000 |
| -0.000 | -0.000 | -0.000 | 0.000 | 0.000 | 0.000 |
| -0.000 | -0.000 | -0.000 | 0.000 | 0.000 | 0.000 |
| -0.000 | -0.000 | -0.000 | 0.000 | 0.000 | 0.000 |
| 2.298 | -0.000 | -0.000 | 0.000 | 0.000 | 0.000 |
| -0.000 | 2.298 | -0.000 | 0.000 | 0.000 | 0.000 |
| -0.000 | -0.000 | 2.298 | 0.000 | 0.000 | 0.000 |
| 0.000 | -0.000 | 0.000 | 0.000 | -0.000 | -0.000 |
| -0.000 | 0.000 | 0.000 | -0.000 | 0.000 | -0.000 |
| -0.000 | 0.000 | 0.000 | -0.000 | -0.000 | 0.000 |
| 2.299 | -0.000 | -0.000 | 0.000 | -0.000 | -0.000 |
| -0.000 | 2.299 | -0.000 | -0.000 | 0.000 | -0.000 |
| -0.000 | -0.000 | 2.299 | -0.000 | -0.000 | 0.000 |
| 0.000 | 0.000 | -0.000 | 0.000 | 0.000 | 0.000 |
| 0.000 | 0.000 | -0.000 | 0.000 | 0.000 | 0.000 |
| 0.000 | -0.000 | 0.000 | 0.000 | 0.000 | 0.000 |
| 2.298 | -0.000 | -0.000 | -0.000 | -0.000 | -0.000 |
| -0.000 | 2.298 | -0.000 | -0.000 | -0.000 | -0.000 |
| -0.000 | -0.000 | 2.298 | -0.000 | -0.000 | -0.000 |
| -0.000 | 0.000 | 0.000 | 0.000 | -0.000 | -0.000 |
| 0.000 | -0.000 | 0.000 | -0.000 | 0.000 | -0.000 |
| 0.000 | 0.000 | -0.000 | 0.000 | -0.000 | 0.000 |
| 85.294 | 152.092 | 152.092 | -0.000 | -0.000 | 0.000 |
| 152.092 | 85.294 | 152.092 | -0.000 | -0.000 | 0.000 |
| 152.092 | 152.092 | 85.294 | -0.000 | -0.000 | 0.000 |
| 0.000 | 0.000 | 0.000 | 101.320 | -0.000 | 0.000 |
| 0.000 | 0.000 | 0.000 | -0.000 | 101.320 | 0.000 |
| 0.000 | 0.000 | 0.000 | -0.000 | -0.000 | 101.320 |
| 85.294 | 152.092 | 152.092 | 0.000 | 0.000 | -0.000 |
| 152.092 | 85.294 | 152.092 | 0.000 | 0.000 | -0.000 |
| 152.092 | 152.092 | 85.294 | 0.000 | 0.000 | -0.000 |
| -0.000 | -0.000 | -0.000 | 101.320 | 0.000 | -0.000 |
| -0.000 | -0.000 | -0.000 | 0.000 | 101.320 | -0.000 |
| -0.000 | -0.000 | -0.000 | 0.000 | 0.000 | 101.320 |
| 85.294 | 152.092 | 152.092 | -0.000 | -0.000 | 0.000 |
| 152.092 | 85.294 | 152.092 | -0.000 | -0.000 | 0.000 |
| 152.092 | 152.092 | 85.294 | -0.000 | -0.000 | 0.000 |
| 0.000 | 0.000 | 0.000 | 101.320 | -0.000 | 0.000 |
| 0.000 | 0.000 | 0.000 | -0.000 | 101.320 | 0.000 |
| 0.000 | 0.000 | 0.000 | -0.000 | -0.000 | 101.320 |
| 85.294 | 152.092 | 152.092 | 0.000 | 0.000 | -0.000 |
| 152.092 | 85.294 | 152.092 | 0.000 | 0.000 | -0.000 |
| 152.092 | 152.092 | 85.294 | 0.000 | 0.000 | -0.000 |
| -0.000 | -0.000 | -0.000 | 101.320 | 0.000 | -0.000 |
| -0.000 | -0.000 | -0.000 | 0.000 | 101.320 | -0.000 |
| -0.000 | -0.000 | -0.000 | 0.000 | 0.000 | 101.320 |
| 85.295 | 152.092 | 152.092 | -0.000 | -0.000 | 0.000 |
| 152.092 | 85.295 | 152.092 | -0.000 | -0.000 | 0.000 |
| 152.092 | 152.092 | 85.295 | -0.000 | -0.000 | 0.000 |
| 0.001 | 0.000 | 0.001 | 101.320 | -0.000 | 0.000 |
| 0.000 | 0.001 | 0.001 | -0.000 | 101.320 | 0.000 |
| 0.000 | 0.001 | 0.001 | -0.000 | -0.000 | 101.320 |
| 85.293 | 152.091 | 152.091 | 0.000 | 0.000 | -0.000 |
| 152.091 | 85.293 | 152.091 | 0.000 | 0.000 | -0.000 |
| 152.091 | 152.091 | 85.293 | 0.000 | -0.000 | -0.000 |
| -0.001 | -0.000 | -0.001 | 101.320 | 0.000 | -0.000 |
| -0.000 | -0.001 | -0.001 | 0.000 | 101.320 | -0.000 |
| -0.000 | -0.001 | -0.001 | 0.000 | 0.000 | 101.320 |
| 687.921 | 53.938 | 53.938 | 0.000 | 0.000 | 0.000 |
| 53.938 | 687.921 | 53.938 | 0.000 | 0.000 | -0.000 |
| 53.938 | 53.938 | 687.921 | 0.000 | 0.000 | 0.000 |
| -0.000 | -0.000 | -0.000 | 56.536 | 0.000 | 0.000 |
| -0.000 | -0.000 | -0.000 | 0.000 | 56.536 | -0.000 |
| -0.000 | -0.000 | -0.000 | 0.000 | 0.000 | 56.536 |
| 687.921 | 53.938 | 53.938 | -0.000 | -0.000 | 0.000 |
| 53.938 | 687.921 | 53.938 | -0.000 | -0.000 | -0.000 |
| 53.938 | 53.938 | 687.921 | -0.000 | -0.000 | 0.000 |
| 0.000 | 0.000 | 0.000 | 56.536 | -0.000 | 0.000 |
| 0.000 | 0.000 | 0.000 | -0.000 | 56.536 | 0.000 |
| 0.000 | 0.000 | 0.000 | -0.000 | -0.000 | 56.536 |
| 687.920 | 53.937 | 53.937 | 0.000 | 0.000 | -0.000 |
| 53.937 | 687.920 | 53.937 | 0.000 | 0.000 | 0.000 |
| 53.937 | 53.937 | 687.920 | 0.000 | 0.000 | -0.000 |
| -0.000 | -0.000 | -0.000 | 56.536 | 0.000 | 0.000 |
| -0.000 | -0.000 | -0.000 | 0.000 | 56.536 | 0.000 |
| -0.000 | -0.000 | -0.000 | 0.000 | 0.000 | 56.536 |
| 687.922 | 53.938 | 53.938 | -0.000 | -0.000 | 0.000 |
| 53.938 | 687.922 | 53.938 | -0.000 | -0.000 | -0.000 |
| 53.938 | 53.938 | 687.922 | -0.000 | -0.000 | 0.000 |
| 0.000 | 0.000 | 0.000 | 56.536 | -0.000 | 0.000 |
| 0.000 | 0.000 | 0.000 | -0.000 | 56.536 | -0.000 |
| 0.000 | 0.000 | 0.000 | -0.000 | -0.000 | 56.536 |
| 687.909 | 53.936 | 53.936 | 0.000 | 0.000 | -0.000 |
| 53.936 | 687.909 | 53.936 | 0.000 | 0.000 | 0.000 |
| 53.936 | 53.936 | 687.909 | 0.000 | 0.000 | -0.000 |
| -0.001 | -0.001 | -0.002 | 56.536 | 0.000 | 0.000 |
| -0.001 | -0.001 | -0.002 | 0.000 | 56.536 | -0.000 |
| -0.001 | -0.002 | -0.001 | 0.000 | 0.000 | 56.536 |
| 687.933 | 53.939 | 53.939 | -0.000 | -0.000 | -0.000 |
| 53.939 | 687.933 | 53.939 | -0.000 | -0.000 | -0.000 |
| 53.939 | 53.939 | 687.933 | -0.000 | -0.000 | 0.000 |
| 0.001 | 0.001 | 0.002 | 56.536 | -0.000 | -0.000 |
| 0.001 | 0.001 | 0.002 | -0.000 | 56.536 | 0.000 |
| 0.001 | 0.002 | 0.001 | -0.000 | -0.000 | 56.536 |
| 1.327 | 1.327 | 1.327 | -0.000 | -0.000 | 0.000 |
| 1.327 | 1.327 | 1.327 | -0.000 | -0.000 | 0.000 |
| 1.327 | 1.327 | 1.327 | -0.000 | -0.000 | 0.000 |
| 0.000 | 0.000 | 0.000 | 1.327 | -0.000 | 0.000 |
| 0.000 | 0.000 | 0.000 | -0.000 | 1.327 | 0.000 |
| 0.000 | 0.000 | 0.000 | 0.000 | -0.000 | 1.327 |
| 1.327 | 1.327 | 1.327 | 0.000 | -0.000 | -0.000 |
| 1.327 | 1.327 | 1.327 | -0.000 | 0.000 | -0.000 |
| 1.327 | 1.327 | 1.327 | 0.000 | 0.000 | -0.000 |
| -0.000 | -0.000 | -0.000 | 1.327 | 0.000 | 0.000 |
| -0.000 | -0.000 | -0.000 | 0.000 | 1.327 | 0.000 |
| -0.000 | -0.000 | -0.000 | 0.000 | 0.000 | 1.327 |
| 1.327 | 1.327 | 1.327 | -0.000 | -0.000 | -0.000 |
| 1.327 | 1.327 | 1.327 | -0.000 | -0.000 | -0.000 |
| 1.327 | 1.327 | 1.327 | -0.000 | -0.000 | -0.000 |
| 0.000 | 0.000 | 0.000 | 1.327 | -0.000 | -0.000 |
| 0.000 | 0.000 | 0.000 | -0.000 | 1.327 | -0.000 |
| 0.000 | 0.000 | 0.000 | -0.000 | -0.000 | 1.327 |
| 1.327 | 1.327 | 1.327 | 0.000 | 0.000 | -0.000 |
| 1.327 | 1.327 | 1.327 | 0.000 | 0.000 | -0.000 |
| 1.327 | 1.327 | 1.327 | 0.000 | 0.000 | -0.000 |
| -0.000 | -0.000 | -0.000 | 1.327 | 0.000 | 0.000 |
| -0.000 | -0.000 | -0.000 | 0.000 | 1.327 | 0.000 |
| -0.000 | -0.000 | -0.000 | 0.000 | -0.000 | 1.327 |
| 1.327 | 1.327 | 1.327 | -0.000 | -0.000 | -0.000 |
| 1.327 | 1.327 | 1.327 | -0.000 | -0.000 | -0.000 |
| 1.327 | 1.327 | 1.327 | -0.000 | -0.000 | -0.000 |
| 0.000 | 0.000 | 0.000 | 1.327 | 0.000 | -0.000 |
| 0.000 | 0.000 | 0.000 | 0.000 | 1.327 | -0.000 |
| 0.000 | 0.000 | 0.000 | 0.000 | 0.000 | 1.327 |
| 1.327 | 1.327 | 1.327 | 0.000 | 0.000 | 0.000 |
| 1.327 | 1.327 | 1.327 | 0.000 | 0.000 | 0.000 |
| 1.327 | 1.327 | 1.327 | 0.000 | 0.000 | 0.000 |
| -0.000 | -0.000 | -0.000 | 1.327 | 0.000 | 0.000 |
| -0.000 | -0.000 | -0.000 | 0.000 | 1.327 | 0.000 |
| -0.000 | -0.000 | -0.000 | 0.000 | 0.000 | 1.327 |
| 88600.549 | 115240.151 | 115240.087 | 0.021 | 0.011 | 0.054 |
| 115240.170 | 88600.530 | 115240.085 | 0.024 | -0.006 | 0.073 |
| 115240.145 | 115240.168 | 88600.463 | -0.029 | -0.052 | 0.069 |
| 0.025 | 0.033 | 0.019 | 115240.135 | 0.010 | 0.033 |
| 0.045 | 0.007 | 0.018 | -0.006 | 115240.126 | 0.034 |
| 0.049 | 0.050 | 0.017 | 0.027 | 0.013 | 115240.130 |
| 88600.242 | 115240.047 | 115240.063 | -0.064 | -0.052 | -0.071 |
| 115240.134 | 88600.295 | 115240.074 | -0.054 | -0.040 | -0.067 |
| 115240.140 | 115240.063 | 88600.313 | -0.057 | -0.025 | -0.078 |
| -0.024 | -0.026 | -0.020 | 115240.077 | 0.002 | -0.049 |
| -0.039 | -0.016 | -0.012 | -0.010 | 115240.109 | -0.031 |
| -0.049 | -0.047 | -0.037 | -0.055 | -0.028 | 115240.076 |
| 88601.413 | 115240.363 | 115240.361 | 0.003 | 0.006 | 0.005 |
| 115240.359 | 88601.416 | 115240.360 | 0.004 | -0.002 | 0.007 |
| 115240.359 | 115240.362 | 88601.411 | 0.003 | 0.004 | 0.004 |
| 0.067 | 0.221 | 0.244 | 115240.105 | 0.003 | 0.005 |
| 0.224 | 0.072 | 0.243 | 0.001 | 115240.103 | 0.004 |
| 0.222 | 0.246 | 0.073 | 0.004 | 0.004 | 115240.109 |
| 88599.390 | 115239.848 | 115239.854 | -0.001 | 0.003 | -0.005 |
| 115239.849 | 88599.392 | 115239.854 | -0.000 | -0.001 | -0.006 |
| 115239.847 | 115239.849 | 88599.400 | -0.003 | 0.008 | -0.006 |
| -0.063 | -0.220 | -0.247 | 115240.103 | -0.003 | -0.001 |
| -0.221 | -0.069 | -0.246 | -0.002 | 115240.104 | -0.004 |
| -0.223 | -0.249 | -0.065 | 0.001 | 0.001 | 115240.103 |
| 88610.506 | 115242.654 | 115242.653 | -0.000 | -0.000 | 0.001 |
| 115242.654 | 88610.506 | 115242.653 | 0.000 | -0.000 | 0.001 |
| 115242.653 | 115242.654 | 88610.506 | 0.001 | 0.001 | 0.001 |
| 0.471 | 2.225 | 2.150 | -43978.023 | 0.001 | 0.001 |
| 2.225 | 0.471 | 2.150 | -0.000 | -43978.024 | 0.001 |
| 2.225 | 2.150 | 0.471 | 0.000 | 0.000 | -43978.023 |
| 88590.301 | 115237.556 | 115237.556 | 0.000 | 0.000 | -0.000 |
| 115237.555 | 88590.301 | 115237.556 | 0.000 | -0.000 | -0.000 |
| 115237.555 | 115237.556 | 88590.301 | 0.000 | 0.000 | -0.000 |
| -0.471 | -2.225 | -2.150 | -43978.024 | -0.000 | -0.001 |
| -2.225 | -0.471 | -2.150 | -0.000 | -43978.024 | -0.000 |
| -2.225 | -2.150 | -0.470 | -0.000 | 0.000 | -43978.024 |
| 24228.972 | 14447.480 | 14447.485 | -0.005 | -0.001 | -0.002 |
| 14447.488 | 24228.972 | 14447.485 | -0.004 | -0.003 | -0.002 |
| 14447.489 | 14447.480 | 24228.974 | -0.003 | 0.001 | 0.000 |
| 0.001 | 0.001 | 0.002 | 10863.445 | -0.002 | -0.001 |
| 0.007 | 0.001 | 0.004 | -0.001 | 10863.446 | -0.001 |
| 0.005 | 0.001 | 0.001 | -0.002 | -0.002 | 10863.446 |
| 24228.958 | 14447.479 | 14447.475 | 0.005 | 0.001 | 0.001 |
| 14447.471 | 24228.958 | 14447.476 | 0.003 | 0.003 | 0.002 |
| 14447.472 | 14447.480 | 24228.962 | 0.002 | 0.002 | 0.000 |
| -0.005 | -0.001 | -0.003 | 10863.450 | 0.002 | -0.000 |
| -0.006 | -0.001 | -0.001 | 0.002 | 10863.449 | 0.001 |
| -0.007 | -0.001 | 0.000 | 0.003 | 0.001 | 10863.449 |
| 24229.025 | 14447.486 | 14447.487 | -0.000 | -0.000 | -0.000 |
| 14447.486 | 24229.025 | 14447.487 | -0.000 | -0.000 | -0.000 |
| 14447.486 | 14447.486 | 24229.025 | -0.000 | -0.000 | -0.000 |
| 0.003 | 0.004 | 0.006 | 10850.016 | -0.000 | -0.000 |
| 0.004 | 0.003 | 0.006 | -0.000 | 10850.016 | -0.000 |
| 0.004 | 0.006 | 0.003 | -0.000 | -0.000 | 10850.016 |
| 24228.906 | 14447.474 | 14447.473 | 0.000 | 0.000 | 0.000 |
| 14447.473 | 24228.907 | 14447.474 | 0.000 | 0.000 | -0.000 |
| 14447.473 | 14447.474 | 24228.907 | 0.001 | -0.000 | 0.000 |
| -0.003 | -0.004 | -0.006 | 10850.016 | -0.000 | 0.000 |
| -0.004 | -0.003 | -0.006 | -0.000 | 10850.016 | 0.000 |
| -0.004 | -0.006 | -0.003 | -0.000 | 0.000 | 10850.016 |
| 24229.555 | 14447.541 | 14447.541 | -0.000 | -0.000 | -0.000 |
| 14447.541 | 24229.555 | 14447.541 | -0.000 | 0.000 | -0.000 |
| 14447.541 | 14447.541 | 24229.555 | -0.000 | 0.000 | -0.000 |
| -0.002 | 0.018 | 0.042 | 14447.477 | 0.000 | 0.000 |
| 0.018 | -0.002 | 0.042 | -0.000 | 14447.477 | 0.000 |
| 0.018 | 0.042 | -0.002 | 0.000 | 0.000 | 14447.477 |
| 24228.376 | 14447.419 | 14447.419 | 0.000 | 0.000 | 0.000 |
| 14447.419 | 24228.376 | 14447.419 | 0.000 | -0.000 | 0.000 |
| 14447.419 | 14447.419 | 24228.376 | 0.000 | 0.000 | 0.000 |
| 0.002 | -0.018 | -0.042 | 14447.477 | -0.000 | 0.000 |
| -0.018 | 0.002 | -0.042 | 0.000 | 14447.477 | -0.000 |
| -0.018 | -0.042 | 0.002 | 0.000 | 0.000 | 14447.477 |
| 80.203 | 90.949 | 90.949 | 0.000 | 0.000 | -0.000 |
| 90.949 | 80.203 | 90.949 | -0.000 | 0.000 | -0.000 |
| 90.949 | 90.949 | 80.203 | 0.000 | -0.000 | -0.000 |
| 0.000 | 0.000 | 0.000 | -45.024 | -0.000 | -0.000 |
| 0.000 | -0.000 | 0.000 | -0.000 | -45.024 | -0.000 |
| 0.000 | -0.000 | 0.000 | -0.000 | -0.000 | -45.024 |
| 80.203 | 90.949 | 90.949 | -0.000 | -0.000 | 0.000 |
| 90.949 | 80.203 | 90.949 | -0.000 | -0.000 | 0.000 |
| 90.949 | 90.949 | 80.203 | -0.000 | -0.000 | 0.000 |
| -0.000 | 0.000 | -0.000 | -45.024 | -0.000 | 0.000 |
| -0.000 | 0.000 | -0.000 | 0.000 | -45.024 | 0.000 |
| -0.000 | 0.000 | -0.000 | 0.000 | 0.000 | -45.024 |
| 80.203 | 90.949 | 90.949 | -0.000 | 0.000 | -0.000 |
| 90.949 | 80.203 | 90.949 | 0.000 | 0.000 | -0.000 |
| 90.949 | 90.949 | 80.203 | 0.000 | 0.000 | 0.000 |
| -0.000 | -0.000 | -0.000 | -45.024 | 0.000 | -0.000 |
| -0.000 | -0.000 | -0.000 | -0.000 | -45.024 | -0.000 |
| -0.000 | -0.000 | -0.000 | -0.000 | -0.000 | -45.024 |
| 80.204 | 90.949 | 90.949 | -0.000 | -0.000 | 0.000 |
| 90.949 | 80.204 | 90.949 | -0.000 | -0.000 | 0.000 |
| 90.949 | 90.949 | 80.204 | -0.000 | -0.000 | -0.000 |
| 0.000 | 0.000 | 0.000 | -45.024 | 0.000 | 0.000 |
| 0.000 | 0.000 | 0.000 | 0.000 | -45.024 | 0.000 |
| 0.000 | 0.000 | 0.000 | 0.000 | 0.000 | -45.024 |
| 80.201 | 90.949 | 90.949 | 0.000 | -0.000 | 0.000 |
| 90.949 | 80.201 | 90.949 | 0.000 | 0.000 | 0.000 |
| 90.949 | 90.949 | 80.201 | 0.000 | -0.000 | -0.000 |
| -0.000 | -0.000 | -0.000 | -45.024 | -0.000 | -0.000 |
| -0.000 | -0.000 | -0.000 | 0.000 | -45.024 | -0.000 |
| -0.000 | -0.000 | -0.000 | -0.000 | -0.000 | -45.024 |
| 80.205 | 90.949 | 90.949 | -0.000 | 0.000 | -0.000 |
| 90.949 | 80.205 | 90.949 | -0.000 | -0.000 | 0.000 |
| 90.949 | 90.949 | 80.205 | -0.000 | -0.000 | -0.000 |
| 0.000 | 0.000 | 0.000 | -45.024 | -0.000 | 0.000 |
| 0.000 | 0.000 | 0.000 | -0.000 | -45.024 | 0.000 |
| 0.000 | 0.000 | 0.000 | 0.000 | 0.000 | -45.024 |
| 53.253 | 17.685 | 17.685 | 0.000 | 0.000 | 0.000 |
| 17.685 | 53.253 | 17.685 | 0.000 | 0.000 | 0.000 |
| 17.685 | 17.685 | 53.253 | 0.000 | 0.000 | 0.000 |
| 444323473.508 | -49370795.545 | -49370805.135 | -479460442.633 | -0.064 | -0.064 |
| -49370795.545 | 444323473.508 | -49370805.135 | -0.064 | -479460442.633 | -0.064 |
| -49370795.549 | -49370805.139 | 444323473.517 | -0.066 | -0.067 | -479460442.642 |
| 53.253 | 17.685 | 17.685 | -0.000 | -0.000 | -0.000 |
| 17.685 | 53.253 | 17.685 | -0.000 | -0.000 | -0.000 |
| 17.685 | 17.685 | 53.253 | -0.000 | -0.000 | -0.000 |
| -444323473.513 | 49370795.548 | 49370805.137 | -479460442.638 | -0.001 | 0.000 |
| 49370795.548 | -444323473.513 | 49370805.137 | -0.001 | -479460442.638 | -0.000 |
| 49370795.545 | 49370805.134 | -444323473.506 | -0.004 | 0.003 | -479460442.632 |
| 53.253 | 17.685 | 17.685 | 0.000 | 0.000 | 0.000 |
| 17.685 | 53.253 | 17.685 | -0.000 | 0.000 | 0.000 |
| 17.685 | 17.685 | 53.253 | 0.000 | 0.000 | 0.000 |
| 44432352.768 | -4937064.393 | -4937073.983 | -47946009.107 | -0.009 | -0.009 |
| -4937064.393 | 44432352.768 | -4937073.983 | -0.009 | -47946009.107 | -0.009 |
| -4937064.394 | -4937073.983 | 44432352.768 | -0.009 | -0.009 | -47946009.108 |
| 53.253 | 17.685 | 17.685 | -0.000 | -0.000 | -0.000 |
| 17.685 | 53.253 | 17.685 | -0.000 | -0.000 | -0.000 |
| 17.685 | 17.685 | 53.253 | -0.000 | -0.000 | -0.000 |
| -44432352.769 | 4937064.394 | 4937073.983 | -47946009.108 | 0.000 | -0.000 |
| 4937064.394 | -44432352.769 | 4937073.983 | 0.000 | -47946009.108 | -0.000 |
| 4937064.394 | 4937073.983 | -44432352.769 | -0.000 | 0.000 | -47946009.108 |
| 53.252 | 17.685 | 17.685 | 0.000 | 0.000 | 0.000 |
| 17.685 | 53.252 | 17.685 | 0.000 | 0.000 | 0.000 |
| 17.685 | 17.685 | 53.252 | 0.000 | 0.000 | 0.000 |
| 4443240.801 | -493691.326 | -493700.915 | -4794565.854 | -0.001 | -0.001 |
| -493691.326 | 4443240.801 | -493700.915 | -0.001 | -4794565.854 | -0.001 |
| -493691.326 | -493700.915 | 4443240.801 | -0.002 | -0.002 | -4794565.854 |
| 53.254 | 17.686 | 17.686 | -0.000 | -0.000 | -0.000 |
| 17.686 | 53.254 | 17.686 | -0.000 | -0.000 | -0.000 |
| 17.686 | 17.686 | 53.254 | -0.000 | -0.000 | -0.000 |
| -4443240.801 | 493691.326 | 493700.915 | -4794565.855 | 0.000 | -0.000 |
| 493691.326 | -4443240.801 | 493700.915 | 0.000 | -4794565.855 | -0.000 |
| 493691.326 | 493700.915 | -4443240.801 | 0.000 | -0.000 | -4794565.855 |
| 0.332 | 0.332 | 0.332 | -0.000 | -0.000 | -0.000 |
| 0.332 | 0.332 | 0.332 | -0.000 | -0.000 | -0.000 |
| 0.332 | 0.332 | 0.332 | -0.000 | -0.000 | -0.000 |
| 0.000 | 0.000 | 0.000 | 0.260 | -0.000 | -0.000 |
| 0.000 | 0.000 | 0.000 | -0.000 | 0.260 | -0.000 |
| 0.000 | 0.000 | 0.000 | -0.000 | -0.000 | 0.260 |
| 0.332 | 0.332 | 0.332 | 0.000 | 0.000 | 0.000 |
| 0.332 | 0.332 | 0.332 | 0.000 | 0.000 | 0.000 |
| 0.332 | 0.332 | 0.332 | 0.000 | 0.000 | 0.000 |
| -0.000 | -0.000 | -0.000 | 0.260 | 0.000 | 0.000 |
| -0.000 | -0.000 | -0.000 | 0.000 | 0.260 | 0.000 |
| -0.000 | -0.000 | -0.000 | 0.000 | 0.000 | 0.260 |
| 0.332 | 0.332 | 0.332 | 0.000 | -0.000 | -0.000 |
| 0.332 | 0.332 | 0.332 | -0.000 | 0.000 | -0.000 |
| 0.332 | 0.332 | 0.332 | -0.000 | -0.000 | 0.000 |
| 0.000 | 0.000 | 0.000 | 0.098 | -0.000 | -0.000 |
| 0.000 | 0.000 | 0.000 | -0.000 | 0.098 | -0.000 |
| 0.000 | 0.000 | 0.000 | -0.000 | -0.000 | 0.098 |
| 0.332 | 0.332 | 0.332 | 0.000 | 0.000 | 0.000 |
| 0.332 | 0.332 | 0.332 | 0.000 | 0.000 | 0.000 |
| 0.332 | 0.332 | 0.332 | 0.000 | 0.000 | 0.000 |
| -0.000 | -0.000 | -0.000 | 0.098 | 0.000 | 0.000 |
| -0.000 | -0.000 | -0.000 | 0.000 | 0.098 | 0.000 |
| -0.000 | -0.000 | -0.000 | 0.000 | 0.000 | 0.098 |
| 0.332 | 0.332 | 0.332 | -0.000 | -0.000 | -0.000 |
| 0.332 | 0.332 | 0.332 | -0.000 | -0.000 | -0.000 |
| 0.332 | 0.332 | 0.332 | -0.000 | -0.000 | -0.000 |
| -0.000 | -0.000 | -0.000 | 0.014 | -0.000 | -0.000 |
| -0.000 | -0.000 | -0.000 | -0.000 | 0.014 | -0.000 |
| -0.000 | -0.000 | -0.000 | -0.000 | -0.000 | 0.014 |
| 0.332 | 0.332 | 0.332 | 0.000 | 0.000 | 0.000 |
| 0.332 | 0.332 | 0.332 | 0.000 | 0.000 | 0.000 |
| 0.332 | 0.332 | 0.332 | 0.000 | 0.000 | 0.000 |
| 0.000 | 0.000 | 0.000 | 0.014 | 0.000 | 0.000 |
| 0.000 | 0.000 | 0.000 | 0.000 | 0.014 | 0.000 |
| 0.000 | 0.000 | 0.000 | 0.000 | 0.000 | 0.014 |
| 156.535 | -77.759 | 25.602 | -0.000 | -0.000 | -0.000 |
| -77.759 | 156.535 | 25.602 | -0.000 | -0.000 | 0.000 |
| 25.602 | 25.602 | 146.145 | -0.000 | -0.000 | 0.000 |
| 0.000 | 0.000 | 0.000 | 108.908 | 0.000 | 0.000 |
| 0.000 | 0.000 | 0.000 | -0.000 | 108.908 | -0.000 |
| 0.000 | 0.000 | 0.000 | -0.000 | -0.000 | 46.026 |
| 156.535 | -77.759 | 25.602 | 0.000 | 0.000 | 0.000 |
| -77.759 | 156.535 | 25.602 | 0.000 | 0.000 | 0.000 |
| 25.602 | 25.602 | 146.145 | 0.000 | 0.000 | 0.000 |
| -0.000 | 0.000 | -0.000 | 108.908 | -0.000 | -0.000 |
| -0.000 | -0.000 | -0.000 | 0.000 | 108.908 | -0.000 |
| -0.000 | -0.000 | -0.000 | 0.000 | 0.000 | 46.026 |
| 156.536 | -77.759 | 25.602 | 0.000 | 0.000 | -0.000 |
| -77.759 | 156.536 | 25.602 | -0.000 | -0.000 | -0.000 |
| 25.602 | 25.602 | 146.145 | -0.000 | -0.000 | -0.000 |
| 0.000 | -0.000 | 0.000 | 108.908 | -0.000 | 0.000 |
| -0.000 | 0.000 | 0.000 | -0.000 | 108.908 | 0.000 |
| -0.000 | -0.000 | 0.000 | -0.000 | -0.000 | 46.026 |
| 156.535 | -77.759 | 25.602 | -0.000 | 0.000 | -0.000 |
| -77.759 | 156.535 | 25.602 | 0.000 | -0.000 | -0.000 |
| 25.602 | 25.602 | 146.145 | 0.000 | 0.000 | 0.000 |
| -0.000 | 0.000 | -0.000 | 108.908 | -0.000 | 0.000 |
| 0.000 | -0.000 | -0.000 | 0.000 | 108.908 | -0.000 |
| 0.000 | 0.000 | -0.000 | 0.000 | 0.000 | 46.026 |
| 156.539 | -77.759 | 25.602 | -0.000 | 0.000 | -0.000 |
| -77.759 | 156.539 | 25.602 | -0.000 | -0.000 | 0.000 |
| 25.602 | 25.602 | 146.146 | -0.000 | -0.000 | -0.000 |
| 0.000 | -0.000 | 0.000 | 108.908 | -0.000 | -0.000 |
| -0.000 | 0.000 | 0.000 | -0.000 | 108.908 | -0.000 |
| -0.000 | -0.000 | 0.000 | -0.000 | -0.000 | 46.026 |
| 156.531 | -77.758 | 25.602 | 0.000 | 0.000 | -0.000 |
| -77.758 | 156.531 | 25.602 | 0.000 | 0.000 | 0.000 |
| 25.602 | 25.602 | 146.143 | 0.000 | 0.000 | 0.000 |
| -0.000 | 0.000 | -0.000 | 108.908 | 0.000 | -0.000 |
| 0.000 | -0.000 | -0.000 | 0.000 | 108.908 | -0.000 |
| 0.000 | 0.000 | -0.000 | 0.000 | 0.000 | 46.026 |
| 0.910 | 0.910 | 1.562 | 0.000 | 0.000 | 0.000 |
| 0.910 | 0.910 | 1.562 | 0.000 | 0.000 | 0.000 |
| 1.562 | 1.562 | 2.681 | 0.000 | 0.000 | 0.000 |
| 0.000 | 0.000 | 0.000 | 1.562 | -0.000 | 0.000 |
| 0.000 | 0.000 | 0.000 | -0.000 | 1.562 | 0.000 |
| 0.000 | 0.000 | 0.000 | 0.000 | -0.000 | 0.910 |
| 0.910 | 0.910 | 1.562 | -0.000 | -0.000 | -0.000 |
| 0.910 | 0.910 | 1.562 | -0.000 | -0.000 | -0.000 |
| 1.562 | 1.562 | 2.681 | -0.000 | -0.000 | -0.000 |
| -0.000 | -0.000 | -0.000 | 1.562 | -0.000 | -0.000 |
| -0.000 | -0.000 | -0.000 | -0.000 | 1.562 | -0.000 |
| -0.000 | -0.000 | -0.000 | -0.000 | -0.000 | 0.910 |
| 0.910 | 0.910 | 1.562 | 0.000 | 0.000 | 0.000 |
| 0.910 | 0.910 | 1.562 | 0.000 | 0.000 | 0.000 |
| 1.562 | 1.562 | 2.681 | 0.000 | 0.000 | 0.000 |
| 0.000 | 0.000 | 0.000 | 1.562 | 0.000 | 0.000 |
| 0.000 | 0.000 | 0.000 | 0.000 | 1.562 | 0.000 |
| 0.000 | 0.000 | 0.000 | -0.000 | -0.000 | 0.910 |
| 0.910 | 0.910 | 1.562 | -0.000 | -0.000 | -0.000 |
| 0.910 | 0.910 | 1.562 | -0.000 | -0.000 | -0.000 |
| 1.562 | 1.562 | 2.681 | -0.000 | -0.000 | 0.000 |
| -0.000 | -0.000 | -0.000 | 1.562 | -0.000 | 0.000 |
| -0.000 | -0.000 | -0.000 | -0.000 | 1.562 | 0.000 |
| -0.000 | -0.000 | -0.000 | -0.000 | -0.000 | 0.910 |
| 0.910 | 0.910 | 1.562 | 0.000 | 0.000 | 0.000 |
| 0.910 | 0.910 | 1.562 | 0.000 | 0.000 | 0.000 |
| 1.562 | 1.562 | 2.681 | 0.000 | 0.000 | 0.000 |
| 0.000 | 0.000 | 0.000 | 1.562 | 0.000 | 0.000 |
| 0.000 | 0.000 | 0.000 | 0.000 | 1.562 | 0.000 |
| 0.000 | 0.000 | 0.000 | 0.000 | 0.000 | 0.910 |
| 0.910 | 0.910 | 1.562 | -0.000 | -0.000 | -0.000 |
| 0.910 | 0.910 | 1.562 | -0.000 | -0.000 | -0.000 |
| 1.562 | 1.562 | 2.681 | -0.000 | -0.000 | 0.000 |
| -0.000 | -0.000 | -0.000 | 1.562 | -0.000 | -0.000 |
| -0.000 | -0.000 | -0.000 | -0.000 | 1.562 | -0.000 |
| -0.000 | -0.000 | -0.000 | -0.000 | -0.000 | 0.910 |
| 0.911 | 0.911 | 1.561 | 0.000 | -0.000 | 0.000 |
| 0.911 | 0.911 | 1.561 | -0.000 | 0.000 | 0.000 |
| 1.561 | 1.561 | 2.674 | 0.000 | 0.000 | -0.000 |
| 0.000 | 0.000 | 0.000 | 1.561 | -0.000 | -0.000 |
| 0.000 | 0.000 | 0.000 | -0.000 | 1.561 | -0.000 |
| 0.000 | 0.000 | 0.000 | 0.000 | 0.000 | 0.911 |
| 0.911 | 0.911 | 1.561 | -0.000 | -0.000 | 0.000 |
| 0.911 | 0.911 | 1.561 | -0.000 | -0.000 | 0.000 |
| 1.561 | 1.561 | 2.674 | 0.000 | 0.000 | 0.000 |
| -0.000 | -0.000 | -0.000 | 1.561 | -0.000 | 0.000 |
| -0.000 | -0.000 | -0.000 | -0.000 | 1.561 | 0.000 |
| -0.000 | -0.000 | -0.000 | -0.000 | -0.000 | 0.911 |
| 0.911 | 0.911 | 1.561 | 0.000 | 0.000 | 0.000 |
| 0.911 | 0.911 | 1.561 | 0.000 | 0.000 | 0.000 |
| 1.561 | 1.561 | 2.674 | 0.000 | 0.000 | -0.000 |
| 0.000 | 0.000 | 0.000 | 1.561 | 0.000 | -0.000 |
| 0.000 | 0.000 | 0.000 | 0.000 | 1.561 | -0.000 |
| 0.000 | 0.000 | 0.000 | 0.000 | 0.000 | 0.911 |
| 0.911 | 0.911 | 1.561 | -0.000 | -0.000 | 0.000 |
| 0.911 | 0.911 | 1.561 | -0.000 | -0.000 | 0.000 |
| 1.561 | 1.561 | 2.674 | -0.000 | -0.000 | -0.000 |
| -0.000 | -0.000 | -0.000 | 1.561 | -0.000 | 0.000 |
| -0.000 | -0.000 | -0.000 | -0.000 | 1.561 | 0.000 |
| -0.000 | -0.000 | -0.000 | -0.000 | -0.000 | 0.911 |
| 0.911 | 0.911 | 1.561 | 0.000 | 0.000 | -0.000 |
| 0.911 | 0.911 | 1.561 | 0.000 | 0.000 | -0.000 |
| 1.561 | 1.561 | 2.674 | -0.000 | -0.000 | -0.000 |
| 0.000 | 0.000 | 0.000 | 1.561 | 0.000 | -0.000 |
| 0.000 | 0.000 | 0.000 | 0.000 | 1.561 | -0.000 |
| 0.000 | 0.000 | 0.000 | 0.000 | 0.000 | 0.911 |
| 0.911 | 0.911 | 1.561 | -0.000 | -0.000 | 0.000 |
| 0.911 | 0.911 | 1.561 | -0.000 | -0.000 | 0.000 |
| 1.561 | 1.561 | 2.674 | -0.000 | -0.000 | 0.000 |
| -0.000 | -0.000 | -0.000 | 1.561 | -0.000 | 0.000 |
| -0.000 | -0.000 | -0.000 | -0.000 | 1.561 | 0.000 |
| -0.000 | -0.000 | -0.000 | -0.000 | -0.000 | 0.911 |
| 0.987 | 0.987 | 1.514 | 0.000 | 0.000 | -0.000 |
| 0.987 | 0.987 | 1.514 | 0.000 | 0.000 | -0.000 |
| 1.514 | 1.514 | 2.323 | 0.000 | 0.000 | -0.000 |
| 0.000 | 0.000 | 0.000 | 1.514 | 0.000 | -0.000 |
| 0.000 | 0.000 | 0.000 | 0.000 | 1.514 | -0.000 |
| 0.000 | 0.000 | 0.000 | 0.000 | 0.000 | 0.987 |
| 0.987 | 0.987 | 1.514 | -0.000 | -0.000 | 0.000 |
| 0.987 | 0.987 | 1.514 | -0.000 | -0.000 | 0.000 |
| 1.514 | 1.514 | 2.323 | -0.000 | -0.000 | 0.000 |
| -0.000 | -0.000 | -0.000 | 1.514 | -0.000 | 0.000 |
| -0.000 | -0.000 | -0.000 | -0.000 | 1.514 | 0.000 |
| -0.000 | -0.000 | -0.000 | -0.000 | -0.000 | 0.987 |
| 0.987 | 0.987 | 1.514 | 0.000 | 0.000 | -0.000 |
| 0.987 | 0.987 | 1.514 | 0.000 | 0.000 | -0.000 |
| 1.514 | 1.514 | 2.323 | 0.000 | 0.000 | -0.000 |
| 0.000 | 0.000 | 0.000 | 1.514 | 0.000 | -0.000 |
| 0.000 | 0.000 | 0.000 | 0.000 | 1.514 | -0.000 |
| 0.000 | 0.000 | 0.000 | 0.000 | 0.000 | 0.987 |
| 0.987 | 0.987 | 1.514 | -0.000 | -0.000 | 0.000 |
| 0.987 | 0.987 | 1.514 | -0.000 | -0.000 | 0.000 |
| 1.514 | 1.514 | 2.323 | -0.000 | -0.000 | 0.000 |
| -0.000 | -0.000 | -0.000 | 1.514 | -0.000 | -0.000 |
| -0.000 | -0.000 | -0.000 | -0.000 | 1.514 | -0.000 |
| -0.000 | -0.000 | -0.000 | -0.000 | -0.000 | 0.987 |
| 0.987 | 0.987 | 1.514 | 0.000 | 0.000 | -0.000 |
| 0.987 | 0.987 | 1.514 | 0.000 | 0.000 | -0.000 |
| 1.514 | 1.514 | 2.323 | 0.000 | 0.000 | -0.000 |
| 0.000 | 0.000 | 0.000 | 1.514 | 0.000 | -0.000 |
| 0.000 | 0.000 | 0.000 | 0.000 | 1.514 | -0.000 |
| 0.000 | 0.000 | 0.000 | 0.000 | 0.000 | 0.987 |
| 0.987 | 0.987 | 1.514 | -0.000 | -0.000 | 0.000 |
| 0.987 | 0.987 | 1.514 | -0.000 | -0.000 | 0.000 |
| 1.514 | 1.514 | 2.323 | -0.000 | -0.000 | 0.000 |
| -0.000 | -0.000 | -0.000 | 1.514 | -0.000 | 0.000 |
| -0.000 | -0.000 | -0.000 | -0.000 | 1.514 | 0.000 |
| -0.000 | -0.000 | -0.000 | -0.000 | -0.000 | 0.987 |
| 150.432 | 127.066 | 127.066 | 0.000 | -0.000 | -0.000 |
| 127.066 | 150.432 | 127.066 | -0.000 | 0.000 | -0.000 |
| 127.066 | 127.066 | 150.432 | -0.000 | -0.000 | 0.000 |
| 0.000 | -0.000 | 0.000 | -28.711 | -0.000 | -0.000 |
| -0.000 | 0.000 | 0.000 | -0.000 | -28.711 | -0.000 |
| -0.000 | -0.000 | 0.000 | 0.000 | -0.000 | -28.711 |
| 150.432 | 127.066 | 127.066 | 0.000 | 0.000 | 0.000 |
| 127.066 | 150.432 | 127.066 | 0.000 | -0.000 | 0.000 |
| 127.066 | 127.066 | 150.432 | 0.000 | 0.000 | 0.000 |
| -0.000 | 0.000 | -0.000 | -28.711 | 0.000 | 0.000 |
| 0.000 | -0.000 | -0.000 | -0.000 | -28.711 | 0.000 |
| 0.000 | -0.000 | -0.000 | 0.000 | 0.000 | -28.711 |
| 150.432 | 127.066 | 127.066 | 0.000 | -0.000 | -0.000 |
| 127.066 | 150.432 | 127.066 | 0.000 | -0.000 | -0.000 |
| 127.066 | 127.066 | 150.432 | -0.000 | -0.000 | 0.000 |
| 0.000 | -0.000 | 0.000 | 102.949 | -0.000 | -0.000 |
| -0.000 | 0.000 | 0.000 | -0.000 | 102.949 | -0.000 |
| -0.000 | 0.000 | 0.000 | -0.000 | -0.000 | 102.949 |
| 150.432 | 127.066 | 127.066 | -0.000 | 0.000 | 0.000 |
| 127.066 | 150.432 | 127.066 | -0.000 | 0.000 | 0.000 |
| 127.066 | 127.066 | 150.432 | 0.000 | -0.000 | 0.000 |
| -0.000 | -0.000 | -0.000 | 102.949 | 0.000 | 0.000 |
| 0.000 | -0.000 | -0.000 | 0.000 | 102.949 | 0.000 |
| 0.000 | -0.000 | -0.000 | 0.000 | 0.000 | 102.949 |
| 150.433 | 127.066 | 127.066 | -0.000 | -0.000 | 0.000 |
| 127.066 | 150.433 | 127.066 | -0.000 | -0.000 | 0.000 |
| 127.066 | 127.066 | 150.433 | 0.000 | -0.000 | 0.000 |
| 0.001 | -0.000 | -0.000 | -28.711 | 0.000 | -0.000 |
| -0.000 | 0.001 | -0.000 | 0.000 | -28.711 | -0.000 |
| -0.000 | -0.000 | 0.001 | 0.000 | -0.000 | -28.711 |
| 150.431 | 127.066 | 127.066 | 0.000 | 0.000 | 0.000 |
| 127.066 | 150.431 | 127.066 | -0.000 | 0.000 | 0.000 |
| 127.066 | 127.066 | 150.431 | -0.000 | 0.000 | 0.000 |
| -0.001 | 0.000 | 0.000 | -28.711 | -0.000 | 0.000 |
| 0.000 | -0.001 | 0.000 | 0.000 | -28.711 | 0.000 |
| 0.000 | 0.000 | -0.001 | 0.000 | 0.000 | -28.711 |
| 486.069 | 19.893 | 19.893 | 0.000 | 0.000 | 0.000 |
| 19.893 | 486.069 | 19.893 | 0.000 | 0.000 | 0.000 |
| 19.893 | 19.893 | 486.069 | 0.000 | -0.000 | 0.000 |
| 0.000 | 0.000 | 0.000 | 20.414 | 0.000 | 0.000 |
| 0.000 | 0.000 | 0.000 | 0.000 | 20.414 | 0.000 |
| 0.000 | 0.000 | 0.000 | 0.000 | 0.000 | 20.414 |
| 486.069 | 19.893 | 19.893 | -0.000 | 0.000 | 0.000 |
| 19.893 | 486.069 | 19.893 | -0.000 | -0.000 | -0.000 |
| 19.893 | 19.893 | 486.069 | -0.000 | -0.000 | -0.000 |
| -0.000 | -0.000 | -0.000 | 20.414 | -0.000 | 0.000 |
| -0.000 | -0.000 | -0.000 | -0.000 | 20.414 | -0.000 |
| -0.000 | -0.000 | -0.000 | -0.000 | -0.000 | 20.414 |
| 486.069 | 19.893 | 19.893 | 0.000 | 0.000 | 0.000 |
| 19.893 | 486.069 | 19.893 | 0.000 | 0.000 | 0.000 |
| 19.893 | 19.893 | 486.069 | -0.000 | -0.000 | 0.000 |
| 0.000 | 0.000 | 0.000 | 21.334 | 0.000 | -0.000 |
| 0.000 | 0.000 | 0.000 | 0.000 | 21.334 | 0.000 |
| 0.000 | 0.000 | 0.000 | 0.000 | 0.000 | 21.334 |
| 486.068 | 19.893 | 19.893 | -0.000 | -0.000 | -0.000 |
| 19.893 | 486.068 | 19.893 | -0.000 | -0.000 | 0.000 |
| 19.893 | 19.893 | 486.068 | -0.000 | -0.000 | -0.000 |
| -0.000 | -0.000 | -0.000 | 21.334 | 0.000 | -0.000 |
| -0.000 | -0.000 | -0.000 | -0.000 | 21.334 | -0.000 |
| -0.000 | -0.000 | -0.000 | -0.000 | -0.000 | 21.334 |
| 486.072 | 19.893 | 19.893 | 0.000 | 0.000 | 0.000 |
| 19.893 | 486.072 | 19.893 | 0.000 | 0.000 | 0.000 |
| 19.893 | 19.893 | 486.072 | 0.000 | 0.000 | 0.000 |
| 0.000 | 0.000 | 0.000 | 21.334 | 0.000 | -0.000 |
| 0.000 | 0.000 | 0.000 | 0.000 | 21.334 | 0.000 |
| 0.000 | 0.000 | 0.000 | 0.000 | 0.000 | 21.334 |
| 486.066 | 19.893 | 19.893 | -0.000 | -0.000 | -0.000 |
| 19.893 | 486.066 | 19.893 | -0.000 | -0.000 | -0.000 |
| 19.893 | 19.893 | 486.066 | -0.000 | -0.000 | -0.000 |
| -0.000 | -0.000 | -0.000 | 21.334 | -0.000 | -0.000 |
| -0.000 | -0.000 | -0.000 | -0.000 | 21.334 | -0.000 |
| -0.000 | -0.000 | -0.000 | -0.000 | -0.000 | 21.334 |
| 0.663 | 0.663 | 0.663 | -0.000 | -0.000 | -0.000 |
| 0.663 | 0.663 | 0.663 | -0.000 | -0.000 | -0.000 |
| 0.663 | 0.663 | 0.663 | -0.000 | -0.000 | 0.000 |
| 0.000 | 0.000 | 0.000 | 0.592 | 0.000 | -0.000 |
| 0.000 | 0.000 | 0.000 | 0.000 | 0.592 | -0.000 |
| 0.000 | 0.000 | 0.000 | -0.000 | 0.000 | 0.592 |
| 0.663 | 0.663 | 0.663 | -0.000 | -0.000 | 0.000 |
| 0.663 | 0.663 | 0.663 | -0.000 | -0.000 | 0.000 |
| 0.663 | 0.663 | 0.663 | -0.000 | -0.000 | -0.000 |
| -0.000 | -0.000 | -0.000 | 0.592 | 0.000 | 0.000 |
| -0.000 | -0.000 | -0.000 | 0.000 | 0.592 | 0.000 |
| -0.000 | -0.000 | -0.000 | 0.000 | -0.000 | 0.592 |
| 0.663 | 0.663 | 0.663 | -0.000 | 0.000 | -0.000 |
| 0.663 | 0.663 | 0.663 | 0.000 | -0.000 | -0.000 |
| 0.663 | 0.663 | 0.663 | 0.000 | 0.000 | 0.000 |
| 0.000 | 0.000 | 0.000 | 0.188 | -0.000 | -0.000 |
| 0.000 | 0.000 | 0.000 | -0.000 | 0.188 | -0.000 |
| 0.000 | 0.000 | 0.000 | 0.000 | 0.000 | 0.188 |
| 0.663 | 0.663 | 0.663 | 0.000 | -0.000 | 0.000 |
| 0.663 | 0.663 | 0.663 | -0.000 | 0.000 | 0.000 |
| 0.663 | 0.663 | 0.663 | 0.000 | 0.000 | 0.000 |
| -0.000 | -0.000 | -0.000 | 0.188 | 0.000 | 0.000 |
| -0.000 | -0.000 | -0.000 | 0.000 | 0.188 | 0.000 |
| -0.000 | -0.000 | -0.000 | -0.000 | 0.000 | 0.188 |
| 0.663 | 0.663 | 0.663 | -0.000 | 0.000 | -0.000 |
| 0.663 | 0.663 | 0.663 | 0.000 | -0.000 | -0.000 |
| 0.663 | 0.663 | 0.663 | 0.000 | 0.000 | -0.000 |
| -0.000 | -0.000 | -0.000 | 0.048 | 0.000 | -0.000 |
| -0.000 | -0.000 | -0.000 | 0.000 | 0.048 | -0.000 |
| -0.000 | -0.000 | -0.000 | -0.000 | -0.000 | 0.048 |
| 0.663 | 0.663 | 0.663 | -0.000 | 0.000 | 0.000 |
| 0.663 | 0.663 | 0.663 | 0.000 | -0.000 | 0.000 |
| 0.663 | 0.663 | 0.663 | 0.000 | 0.000 | -0.000 |
| 0.000 | 0.000 | 0.000 | 0.048 | -0.000 | 0.000 |
| 0.000 | 0.000 | 0.000 | -0.000 | 0.048 | 0.000 |
| 0.000 | 0.000 | 0.000 | 0.000 | 0.000 | 0.048 |
| 170.336 | 228.925 | 228.925 | 0.000 | -0.000 | -0.000 |
| 228.925 | 170.336 | 228.925 | 0.000 | 0.000 | 0.000 |
| 228.925 | 228.925 | 170.336 | 0.000 | 0.000 | 0.000 |
| 0.000 | 0.000 | -0.000 | 158.236 | -0.000 | 0.000 |
| -0.000 | 0.000 | -0.000 | 0.000 | 158.236 | 0.000 |
| -0.000 | 0.000 | -0.000 | -0.000 | -0.000 | 158.236 |
| 170.336 | 228.925 | 228.925 | -0.000 | 0.000 | -0.000 |
| 228.925 | 170.336 | 228.925 | -0.000 | -0.000 | -0.000 |
| 228.925 | 228.925 | 170.336 | -0.000 | -0.000 | -0.000 |
| -0.000 | -0.000 | 0.000 | 158.236 | 0.000 | -0.000 |
| 0.000 | -0.000 | 0.000 | -0.000 | 158.236 | -0.000 |
| 0.000 | -0.000 | 0.000 | 0.000 | 0.000 | 158.236 |
| 170.336 | 228.925 | 228.925 | 0.000 | 0.000 | 0.000 |
| 228.925 | 170.336 | 228.925 | 0.000 | -0.000 | 0.000 |
| 228.925 | 228.925 | 170.336 | 0.000 | 0.000 | 0.000 |
| 0.000 | 0.000 | 0.000 | 151.596 | 0.000 | 0.000 |
| 0.000 | 0.000 | 0.000 | -0.000 | 151.596 | 0.000 |
| 0.000 | 0.000 | 0.000 | 0.000 | -0.000 | 151.596 |
| 170.336 | 228.925 | 228.925 | -0.000 | -0.000 | -0.000 |
| 228.925 | 170.336 | 228.925 | -0.000 | 0.000 | -0.000 |
| 228.925 | 228.925 | 170.336 | -0.000 | -0.000 | -0.000 |
| -0.000 | -0.000 | -0.000 | 151.596 | -0.000 | -0.000 |
| -0.000 | -0.000 | -0.000 | -0.000 | 151.596 | -0.000 |
| -0.000 | -0.000 | -0.000 | -0.000 | -0.000 | 151.596 |
| 170.338 | 228.926 | 228.926 | 0.000 | 0.000 | 0.000 |
| 228.926 | 170.338 | 228.926 | 0.000 | -0.000 | 0.000 |
| 228.926 | 228.926 | 170.338 | 0.000 | 0.000 | 0.000 |
| 0.001 | 0.000 | 0.001 | 158.236 | -0.000 | 0.000 |
| 0.000 | 0.001 | 0.001 | 0.000 | 158.236 | 0.000 |
| 0.000 | 0.001 | 0.001 | 0.000 | -0.000 | 158.236 |
| 170.333 | 228.924 | 228.924 | -0.000 | -0.000 | -0.000 |
| 228.924 | 170.333 | 228.924 | -0.000 | -0.000 | -0.000 |
| 228.924 | 228.924 | 170.333 | -0.000 | -0.000 | -0.000 |
| -0.001 | -0.000 | -0.001 | 158.236 | 0.000 | -0.000 |
| -0.000 | -0.001 | -0.001 | -0.000 | 158.236 | -0.000 |
| -0.000 | -0.001 | -0.001 | -0.000 | 0.000 | 158.236 |
| 923.913 | 686.447 | 686.447 | 0.000 | 0.000 | 0.000 |
| 686.447 | 923.913 | 686.447 | 0.000 | 0.000 | 0.000 |
| 686.447 | 686.447 | 923.913 | 0.000 | 0.000 | 0.000 |
| 0.000 | 0.000 | -0.000 | 17.841 | -0.000 | 0.000 |
| 0.000 | 0.000 | -0.000 | -0.000 | 17.841 | 0.000 |
| 0.000 | 0.000 | -0.000 | -0.000 | -0.000 | 17.841 |
| 923.913 | 686.447 | 686.447 | -0.000 | 0.000 | -0.000 |
| 686.447 | 923.913 | 686.447 | -0.000 | -0.000 | -0.000 |
| 686.447 | 686.447 | 923.913 | -0.000 | 0.000 | -0.000 |
| -0.000 | -0.000 | 0.000 | 17.841 | 0.000 | -0.000 |
| -0.000 | -0.000 | 0.000 | 0.000 | 17.841 | -0.000 |
| -0.000 | -0.000 | -0.000 | 0.000 | 0.000 | 17.841 |
| 923.912 | 686.446 | 686.446 | 0.000 | 0.000 | 0.000 |
| 686.446 | 923.912 | 686.446 | 0.000 | 0.000 | 0.000 |
| 686.446 | 686.446 | 923.912 | -0.000 | 0.000 | 0.000 |
| 0.000 | 0.000 | 0.000 | 17.844 | 0.000 | -0.000 |
| 0.000 | 0.000 | 0.000 | 0.000 | 17.844 | 0.000 |
| 0.000 | 0.000 | 0.000 | -0.000 | -0.000 | 17.844 |
| 923.914 | 686.448 | 686.448 | 0.000 | 0.000 | -0.000 |
| 686.448 | 923.914 | 686.448 | -0.000 | 0.000 | -0.000 |
| 686.448 | 686.448 | 923.914 | -0.000 | 0.000 | -0.000 |
| -0.000 | -0.000 | -0.000 | 17.844 | 0.000 | -0.000 |
| -0.000 | -0.000 | -0.000 | -0.000 | 17.844 | -0.000 |
| -0.000 | -0.000 | -0.000 | 0.000 | 0.000 | 17.844 |
| 923.905 | 686.432 | 686.432 | 0.000 | -0.000 | 0.000 |
| 686.432 | 923.905 | 686.432 | 0.000 | 0.000 | 0.000 |
| 686.432 | 686.432 | 923.905 | 0.000 | 0.000 | 0.000 |
| 0.000 | 0.000 | 0.000 | 17.841 | -0.000 | 0.000 |
| 0.000 | 0.000 | 0.000 | -0.000 | 17.841 | 0.000 |
| 0.000 | 0.000 | 0.000 | -0.000 | -0.000 | 17.841 |
| 923.921 | 686.462 | 686.462 | 0.000 | -0.000 | -0.000 |
| 686.462 | 923.921 | 686.462 | -0.000 | -0.000 | -0.000 |
| 686.462 | 686.462 | 923.921 | 0.000 | -0.000 | -0.000 |
| -0.000 | -0.000 | -0.000 | 17.841 | 0.000 | -0.000 |
| -0.000 | -0.000 | -0.000 | 0.000 | 17.841 | -0.000 |
| -0.000 | -0.000 | -0.000 | 0.000 | 0.000 | 17.841 |
| 323.864 | 323.864 | 323.864 | -0.000 | 0.000 | -0.000 |
| 323.864 | 323.864 | 323.864 | 0.000 | 0.000 | -0.000 |
| 323.864 | 323.864 | 323.864 | 0.000 | 0.000 | -0.000 |
| 0.000 | 0.000 | 0.000 | -34.773 | 0.000 | -0.000 |
| 0.000 | 0.000 | 0.000 | -0.000 | -34.773 | 0.000 |
| 0.000 | 0.000 | 0.000 | -0.000 | 0.000 | -34.773 |
| 323.864 | 323.864 | 323.864 | 0.000 | 0.000 | 0.000 |
| 323.864 | 323.864 | 323.864 | 0.000 | -0.000 | 0.000 |
| 323.864 | 323.864 | 323.864 | 0.000 | 0.000 | -0.000 |
| -0.000 | -0.000 | -0.000 | -34.773 | -0.000 | -0.000 |
| -0.000 | -0.000 | -0.000 | -0.000 | -34.773 | -0.000 |
| -0.000 | -0.000 | -0.000 | 0.000 | 0.000 | -34.773 |
| 323.865 | 323.865 | 323.865 | -0.000 | 0.000 | -0.000 |
| 323.865 | 323.865 | 323.865 | 0.000 | -0.000 | -0.000 |
| 323.865 | 323.865 | 323.865 | 0.000 | 0.000 | -0.000 |
| 0.003 | 0.003 | 0.003 | -34.773 | -0.000 | -0.000 |
| 0.003 | 0.003 | 0.003 | -0.000 | -34.773 | -0.000 |
| 0.003 | 0.003 | 0.003 | -0.000 | -0.000 | -34.773 |
| 323.863 | 323.863 | 323.863 | 0.000 | 0.000 | 0.000 |
| 323.863 | 323.863 | 323.863 | 0.000 | -0.000 | 0.000 |
| 323.863 | 323.863 | 323.863 | 0.000 | 0.000 | -0.000 |
| -0.003 | -0.003 | -0.003 | -34.773 | -0.000 | 0.000 |
| -0.003 | -0.003 | -0.003 | 0.000 | -34.773 | 0.000 |
| -0.003 | -0.003 | -0.003 | 0.000 | 0.000 | -34.773 |
| 323.875 | 323.876 | 323.876 | 0.000 | 0.000 | -0.000 |
| 323.876 | 323.875 | 323.876 | 0.000 | 0.000 | -0.000 |
| 323.876 | 323.876 | 323.875 | 0.000 | -0.000 | -0.000 |
| 229611.836 | 247023.729 | 240647.318 | 22284.732 | 808.286 | -8988.891 |
| 248547.055 | 231381.114 | 240137.465 | 12.033 | 23152.200 | -10105.190 |
| 246117.142 | 232850.046 | 223880.279 | 29.638 | -3190.384 | 17477.624 |
| 323.853 | 323.852 | 323.852 | -0.000 | -0.000 | -0.000 |
| 323.852 | 323.853 | 323.852 | 0.000 | -0.000 | -0.000 |
| 323.852 | 323.852 | 323.853 | 0.000 | 0.000 | 0.000 |
| -279942.494 | -281008.879 | -277593.535 | 11505.721 | 1472.765 | -1073.074 |
| -267886.164 | -270653.075 | -268802.098 | -939.910 | 3449.603 | 5731.766 |
| -274297.009 | -268718.772 | -273683.182 | 690.189 | -4003.120 | 14248.278 |
| 78.221 | 152.975 | 152.975 | -0.000 | 0.000 | -0.000 |
| 152.975 | 78.221 | 152.975 | -0.000 | -0.000 | -0.000 |
| 152.975 | 152.975 | 78.221 | -0.000 | -0.000 | -0.000 |
| 0.000 | 0.000 | -0.000 | 109.444 | 0.000 | -0.000 |
| -0.000 | -0.000 | -0.000 | 0.000 | 109.444 | -0.000 |
| 0.000 | 0.000 | -0.000 | 0.000 | 0.000 | 109.444 |
| 78.221 | 152.975 | 152.975 | 0.000 | -0.000 | 0.000 |
| 152.975 | 78.221 | 152.975 | 0.000 | 0.000 | 0.000 |
| 152.975 | 152.975 | 78.221 | 0.000 | 0.000 | 0.000 |
| -0.000 | -0.000 | 0.000 | 109.444 | -0.000 | 0.000 |
| -0.000 | 0.000 | 0.000 | 0.000 | 109.444 | 0.000 |
| -0.000 | -0.000 | 0.000 | -0.000 | -0.000 | 109.444 |
| 78.221 | 152.975 | 152.975 | -0.000 | 0.000 | -0.000 |
| 152.975 | 78.221 | 152.975 | -0.000 | 0.000 | -0.000 |
| 152.975 | 152.975 | 78.221 | -0.000 | -0.000 | -0.000 |
| 0.000 | 0.000 | 0.000 | 109.444 | 0.000 | -0.000 |
| 0.000 | 0.000 | 0.000 | -0.000 | 109.444 | -0.000 |
| 0.000 | 0.000 | 0.000 | -0.000 | 0.000 | 109.444 |
| 78.221 | 152.975 | 152.975 | 0.000 | 0.000 | 0.000 |
| 152.975 | 78.221 | 152.975 | 0.000 | -0.000 | 0.000 |
| 152.975 | 152.975 | 78.221 | 0.000 | -0.000 | 0.000 |
| -0.000 | -0.000 | -0.000 | 109.444 | -0.000 | 0.000 |
| -0.000 | -0.000 | -0.000 | 0.000 | 109.444 | 0.000 |
| -0.000 | -0.000 | -0.000 | 0.000 | -0.000 | 109.444 |
| 78.222 | 152.975 | 152.975 | -0.000 | -0.000 | -0.000 |
| 152.975 | 78.222 | 152.975 | -0.000 | 0.000 | -0.000 |
| 152.975 | 152.975 | 78.222 | -0.000 | -0.000 | -0.000 |
| 0.001 | 0.000 | 0.000 | 109.444 | 0.000 | -0.000 |
| 0.000 | 0.001 | 0.000 | -0.000 | 109.444 | -0.000 |
| 0.000 | 0.000 | 0.001 | 0.000 | 0.000 | 109.444 |
| 78.220 | 152.974 | 152.974 | 0.000 | 0.000 | 0.000 |
| 152.974 | 78.220 | 152.974 | 0.000 | -0.000 | 0.000 |
| 152.974 | 152.974 | 78.220 | 0.000 | -0.000 | 0.000 |
| -0.001 | -0.000 | -0.000 | 109.444 | -0.000 | 0.000 |
| -0.000 | -0.001 | -0.000 | 0.000 | 109.444 | 0.000 |
| -0.000 | -0.000 | -0.001 | -0.000 | -0.000 | 109.444 |
| 385.375 | 18.214 | 18.214 | -0.000 | -0.000 | 0.000 |
| 18.214 | 385.375 | 18.214 | -0.000 | -0.000 | -0.000 |
| 18.214 | 18.214 | 385.375 | -0.000 | -0.000 | 0.000 |
| 0.000 | 0.000 | -0.000 | 22.931 | -0.000 | 0.000 |
| 0.000 | 0.000 | -0.000 | -0.000 | 22.931 | 0.000 |
| 0.000 | -0.000 | -0.000 | -0.000 | -0.000 | 22.931 |
| 385.376 | 18.214 | 18.214 | 0.000 | 0.000 | -0.000 |
| 18.214 | 385.376 | 18.214 | 0.000 | 0.000 | -0.000 |
| 18.214 | 18.214 | 385.376 | 0.000 | 0.000 | -0.000 |
| -0.000 | -0.000 | 0.000 | 22.931 | 0.000 | -0.000 |
| -0.000 | -0.000 | 0.000 | 0.000 | 22.931 | -0.000 |
| -0.000 | 0.000 | 0.000 | 0.000 | 0.000 | 22.931 |
| 385.374 | 18.214 | 18.214 | -0.000 | -0.000 | 0.000 |
| 18.214 | 385.374 | 18.214 | -0.000 | -0.000 | 0.000 |
| 18.214 | 18.214 | 385.374 | -0.000 | 0.000 | 0.000 |
| 0.000 | 0.000 | 0.000 | 22.931 | -0.000 | -0.000 |
| 0.000 | 0.000 | 0.000 | -0.000 | 22.931 | 0.000 |
| 0.000 | 0.000 | 0.000 | -0.000 | -0.000 | 22.931 |
| 385.377 | 18.214 | 18.214 | 0.000 | 0.000 | -0.000 |
| 18.214 | 385.377 | 18.214 | 0.000 | 0.000 | -0.000 |
| 18.214 | 18.214 | 385.377 | 0.000 | 0.000 | -0.000 |
| -0.000 | -0.000 | -0.000 | 22.931 | 0.000 | -0.000 |
| -0.000 | -0.000 | -0.000 | 0.000 | 22.931 | -0.000 |
| -0.000 | -0.000 | -0.000 | 0.000 | 0.000 | 22.931 |
| 385.364 | 18.214 | 18.214 | -0.000 | -0.000 | -0.000 |
| 18.214 | 385.364 | 18.214 | -0.000 | -0.000 | 0.000 |
| 18.214 | 18.214 | 385.364 | -0.000 | -0.000 | -0.000 |
| 0.000 | 0.000 | 0.000 | 22.931 | -0.000 | 0.000 |
| 0.000 | 0.000 | 0.000 | -0.000 | 22.931 | 0.000 |
| 0.000 | 0.000 | 0.000 | -0.000 | -0.000 | 22.931 |
| 385.387 | 18.214 | 18.214 | 0.000 | 0.000 | -0.000 |
| 18.214 | 385.387 | 18.214 | 0.000 | 0.000 | -0.000 |
| 18.214 | 18.214 | 385.387 | -0.000 | -0.000 | -0.000 |
| -0.000 | -0.000 | -0.000 | 22.931 | 0.000 | -0.000 |
| -0.000 | -0.000 | -0.000 | 0.000 | 22.931 | -0.000 |
| -0.000 | -0.000 | -0.000 | 0.000 | 0.000 | 22.931 |
| 0.879 | 0.879 | 0.879 | 0.000 | 0.000 | -0.000 |
| 0.879 | 0.879 | 0.879 | 0.000 | 0.000 | -0.000 |
| 0.879 | 0.879 | 0.879 | -0.000 | -0.000 | -0.000 |
| 0.000 | 0.000 | 0.000 | 0.879 | -0.000 | -0.000 |
| 0.000 | 0.000 | 0.000 | -0.000 | 0.879 | -0.000 |
| 0.000 | 0.000 | 0.000 | 0.000 | 0.000 | 0.879 |
| 0.879 | 0.879 | 0.879 | 0.000 | 0.000 | 0.000 |
| 0.879 | 0.879 | 0.879 | 0.000 | 0.000 | 0.000 |
| 0.879 | 0.879 | 0.879 | 0.000 | 0.000 | 0.000 |
| -0.000 | -0.000 | -0.000 | 0.879 | 0.000 | 0.000 |
| -0.000 | -0.000 | -0.000 | 0.000 | 0.879 | 0.000 |
| -0.000 | -0.000 | -0.000 | 0.000 | 0.000 | 0.879 |
| 0.879 | 0.879 | 0.879 | -0.000 | -0.000 | -0.000 |
| 0.879 | 0.879 | 0.879 | -0.000 | -0.000 | -0.000 |
| 0.879 | 0.879 | 0.879 | -0.000 | -0.000 | -0.000 |
| 0.000 | 0.000 | 0.000 | 0.834 | -0.000 | -0.000 |
| 0.000 | 0.000 | 0.000 | -0.000 | 0.834 | -0.000 |
| 0.000 | 0.000 | 0.000 | 0.000 | 0.000 | 0.834 |
| 0.879 | 0.879 | 0.879 | 0.000 | -0.000 | 0.000 |
| 0.879 | 0.879 | 0.879 | -0.000 | 0.000 | 0.000 |
| 0.879 | 0.879 | 0.879 | 0.000 | 0.000 | 0.000 |
| -0.000 | -0.000 | -0.000 | 0.834 | -0.000 | 0.000 |
| -0.000 | -0.000 | -0.000 | -0.000 | 0.834 | 0.000 |
| -0.000 | -0.000 | -0.000 | 0.000 | -0.000 | 0.834 |
| 0.880 | 0.880 | 0.880 | 0.000 | -0.000 | -0.000 |
| 0.880 | 0.880 | 0.880 | -0.000 | 0.000 | -0.000 |
| 0.880 | 0.880 | 0.880 | -0.000 | -0.000 | -0.000 |
| 0.000 | 0.000 | 0.000 | 0.780 | 0.000 | -0.000 |
| 0.000 | 0.000 | 0.000 | 0.000 | 0.780 | -0.000 |
| 0.000 | 0.000 | 0.000 | 0.000 | -0.000 | 0.780 |
| 0.879 | 0.879 | 0.879 | 0.000 | 0.000 | 0.000 |
| 0.879 | 0.879 | 0.879 | 0.000 | 0.000 | 0.000 |
| 0.879 | 0.879 | 0.879 | 0.000 | 0.000 | 0.000 |
| -0.000 | -0.000 | -0.000 | 0.780 | -0.000 | 0.000 |
| -0.000 | -0.000 | -0.000 | -0.000 | 0.780 | 0.000 |
| -0.000 | -0.000 | -0.000 | -0.000 | 0.000 | 0.780 |
| 255.145 | 65.142 | 65.142 | -0.000 | -0.000 | 0.000 |
| 65.142 | 255.145 | 65.142 | -0.000 | 0.000 | 0.000 |
| 65.142 | 65.142 | 255.145 | -0.000 | 0.000 | -0.000 |
| -0.000 | 0.000 | -0.000 | 23.144 | 0.000 | 0.000 |
| 0.000 | -0.000 | -0.000 | -0.000 | 23.144 | -0.000 |
| 0.000 | -0.000 | -0.000 | -0.000 | 0.000 | 23.144 |
| 255.145 | 65.142 | 65.142 | 0.000 | -0.000 | 0.000 |
| 65.142 | 255.145 | 65.142 | 0.000 | -0.000 | -0.000 |
| 65.142 | 65.142 | 255.145 | 0.000 | 0.000 | 0.000 |
| 0.000 | 0.000 | 0.000 | 23.144 | -0.000 | -0.000 |
| 0.000 | 0.000 | 0.000 | 0.000 | 23.144 | 0.000 |
| 0.000 | 0.000 | 0.000 | -0.000 | -0.000 | 23.144 |
| 255.145 | 65.142 | 65.142 | -0.000 | 0.000 | -0.000 |
| 65.142 | 255.145 | 65.142 | -0.000 | -0.000 | -0.000 |
| 65.142 | 65.142 | 255.145 | 0.000 | 0.000 | 0.000 |
| 0.000 | 0.000 | 0.000 | 23.144 | 0.000 | -0.000 |
| 0.000 | 0.000 | 0.000 | -0.000 | 23.144 | -0.000 |
| 0.000 | 0.000 | 0.000 | -0.000 | 0.000 | 23.144 |
| 254.508 | 65.460 | 65.460 | 0.000 | -0.000 | -0.000 |
| 65.460 | 254.508 | 65.460 | -0.000 | -0.000 | 0.000 |
| 65.460 | 65.460 | 254.508 | 0.000 | -0.000 | -0.000 |
| -0.000 | -0.000 | -0.000 | 23.144 | -0.000 | 0.000 |
| -0.000 | -0.000 | -0.000 | 0.000 | 23.144 | 0.000 |
| -0.000 | -0.000 | -0.000 | 0.000 | -0.000 | 23.144 |
| 255.146 | 65.142 | 65.142 | -0.000 | 0.000 | -0.000 |
| 65.142 | 255.146 | 65.142 | -0.000 | 0.000 | -0.000 |
| 65.142 | 65.142 | 255.146 | -0.000 | 0.000 | -0.000 |
| 0.000 | 0.000 | 0.000 | -41.068 | 0.000 | -0.000 |
| 0.009 | -0.037 | 0.028 | -0.000 | -27.812 | 0.000 |
| 0.000 | 0.000 | 0.000 | -0.000 | 0.000 | -41.068 |
| 254.507 | 65.460 | 65.460 | 0.000 | -0.000 | -0.000 |
| 65.460 | 254.507 | 65.460 | 0.000 | -0.000 | -0.000 |
| 65.460 | 65.460 | 254.507 | 0.000 | -0.000 | 0.000 |
| -0.000 | -0.000 | -0.000 | -41.068 | -0.000 | -0.000 |
| -0.009 | 0.037 | -0.028 | 0.000 | -27.812 | -0.000 |
| -0.000 | -0.000 | -0.000 | 0.000 | -0.000 | -41.068 |
| 5957776.278 | 24898630.798 | 7328095.717 | 683815.710 | 450777.491 | -1878685.367 |
| 12481853.989 | 1149906.402 | 29266967.110 | -810427.477 | -3600060.238 | -1211438.182 |
| 19920476.560 | 19890460.467 | 12031264.766 | 361683.134 | -570262.466 | -812787.993 |
| -0.000 | -0.000 | -0.000 | 163.636 | 0.000 | 0.000 |
| -0.000 | -0.000 | -0.000 | -0.000 | 163.636 | 0.000 |
| -0.000 | -0.000 | -0.000 | -0.000 | 0.000 | 163.636 |
| -62298459.187 | 73378920.149 | 65731692.453 | 1762314.229 | -5552964.317 | 4017669.075 |
| 85205122.656 | -57825136.917 | 36275354.103 | 2582741.868 | 4550040.447 | -2624886.888 |
| 16450930.139 | 68843322.302 | -75094842.203 | -807487.120 | 562877.532 | 336526.945 |
| 0.000 | 0.000 | 0.000 | 163.636 | -0.000 | -0.000 |
| 0.000 | 0.000 | 0.000 | 0.000 | 163.636 | -0.000 |
| 0.000 | 0.000 | 0.000 | -0.000 | -0.000 | 163.636 |
| 449168.997 | 2564301.116 | 1661103.367 | 351372.513 | -136627.100 | -64473.146 |
| 100873.246 | -672318.769 | 2493875.663 | 406399.158 | 544591.938 | 130767.994 |
| 930679.360 | -545665.801 | -493195.009 | -127649.227 | -39167.940 | 223779.645 |
| -0.000 | -0.000 | -0.000 | 163.636 | 0.000 | 0.000 |
| -0.000 | -0.000 | -0.000 | -0.000 | 163.636 | 0.000 |
| -0.000 | -0.000 | -0.000 | 0.000 | 0.000 | 163.636 |
| -5151419.775 | -1387092.172 | 1845168.413 | 192924.015 | -66753.846 | 17418.862 |
| 2139744.507 | -6107582.957 | -275727.310 | 59268.902 | 133081.487 | 166008.221 |
| -1038536.411 | 2209920.207 | -5090299.614 | 65915.294 | 31450.463 | 45015.953 |
| 0.000 | 0.000 | 0.000 | 163.636 | -0.000 | -0.000 |
| 0.000 | 0.000 | 0.000 | -0.000 | 163.636 | -0.000 |
| 0.000 | 0.000 | 0.000 | 0.000 | -0.000 | 163.636 |
| -18900.905 | 141012.086 | 235992.786 | -24740.264 | 9118.317 | -7721.021 |
| 120903.031 | 95363.119 | 192035.492 | -31928.858 | -25039.532 | -3232.742 |
| 346168.779 | 44165.309 | 48549.646 | -8725.480 | -22633.196 | 12132.500 |
| -0.002 | -0.002 | -0.002 | 163.645 | 0.000 | 0.000 |
| -0.002 | -0.002 | -0.002 | 0.000 | 163.645 | 0.000 |
| -0.002 | -0.002 | -0.002 | 0.000 | 0.000 | 163.645 |
| -470483.097 | 394174.302 | 725201.413 | 18919.540 | -23481.559 | -40713.606 |
| 362008.810 | -597798.743 | 213968.529 | 5343.077 | 2884.725 | 9421.093 |
| 110717.785 | 451499.643 | -395140.304 | 23157.592 | -203.581 | 3602.295 |
| 0.002 | 0.002 | 0.002 | 163.645 | -0.000 | -0.000 |
| 0.002 | 0.002 | 0.002 | -0.000 | 163.645 | -0.000 |
| 0.002 | 0.002 | 0.002 | -0.000 | -0.000 | 163.645 |
| 3.100 | -0.000 | -0.000 | 0.000 | -0.000 | 0.000 |
| -0.000 | 3.100 | -0.000 | 0.000 | -0.000 | -0.000 |
| -0.000 | -0.000 | 3.100 | -0.000 | 0.000 | 0.000 |
| -0.000 | -0.000 | -0.000 | -0.000 | -0.000 | 0.000 |
| -0.000 | -0.000 | -0.000 | 0.000 | -0.000 | 0.000 |
| -0.000 | -0.000 | -0.000 | 0.000 | -0.000 | -0.000 |
| 3.100 | 0.000 | 0.000 | -0.000 | -0.000 | -0.000 |
| 0.000 | 3.100 | 0.000 | -0.000 | 0.000 | 0.000 |
| 0.000 | 0.000 | 3.100 | -0.000 | 0.000 | -0.000 |
| 0.000 | 0.000 | 0.000 | -0.000 | 0.000 | 0.000 |
| 0.000 | 0.000 | 0.000 | -0.000 | -0.000 | -0.000 |
| 0.000 | 0.000 | 0.000 | -0.000 | 0.000 | -0.000 |
| 3.100 | -0.000 | -0.000 | 0.000 | -0.000 | 0.000 |
| -0.000 | 3.100 | -0.000 | 0.000 | -0.000 | -0.000 |
| -0.000 | -0.000 | 3.100 | -0.000 | -0.000 | 0.000 |
| -0.000 | -0.000 | -0.000 | 0.000 | 0.000 | 0.000 |
| -0.000 | -0.000 | -0.000 | -0.000 | 0.000 | 0.000 |
| -0.000 | -0.000 | -0.000 | 0.000 | -0.000 | 0.000 |
| 3.100 | 0.000 | 0.000 | 0.000 | -0.000 | -0.000 |
| 0.000 | 3.100 | 0.000 | 0.000 | 0.000 | 0.000 |
| 0.000 | 0.000 | 3.100 | 0.000 | 0.000 | -0.000 |
| 0.000 | 0.000 | 0.000 | 0.000 | -0.000 | -0.000 |
| 0.000 | 0.000 | 0.000 | 0.000 | 0.000 | -0.000 |
| 0.000 | 0.000 | 0.000 | -0.000 | 0.000 | 0.000 |
| 3.100 | -0.000 | -0.000 | 0.000 | -0.000 | 0.000 |
| -0.000 | 3.100 | -0.000 | -0.000 | -0.000 | 0.000 |
| -0.000 | -0.000 | 3.100 | 0.000 | 0.000 | 0.000 |
| -0.000 | -0.000 | -0.000 | 0.000 | 0.000 | 0.000 |
| -0.000 | -0.000 | -0.000 | -0.000 | 0.000 | 0.000 |
| -0.000 | -0.000 | -0.000 | 0.000 | -0.000 | 0.000 |
| 3.100 | 0.000 | 0.000 | -0.000 | 0.000 | -0.000 |
| 0.000 | 3.100 | 0.000 | -0.000 | 0.000 | 0.000 |
| 0.000 | 0.000 | 3.100 | 0.000 | -0.000 | -0.000 |
| 0.000 | 0.000 | 0.000 | 0.000 | 0.000 | -0.000 |
| 0.000 | 0.000 | 0.000 | 0.000 | 0.000 | -0.000 |
| 0.000 | 0.000 | 0.000 | 0.000 | 0.000 | 0.000 |
| 60.236 | 156.810 | 156.810 | 0.000 | 0.000 | 0.000 |
| 156.810 | 60.236 | 156.810 | 0.000 | -0.000 | -0.000 |
| 156.810 | 156.810 | 60.236 | -0.000 | -0.000 | 0.000 |
| -0.000 | 0.000 | 0.000 | 65.044 | -0.000 | 0.000 |
| -0.000 | 0.000 | -0.000 | 0.000 | 65.044 | 0.000 |
| -0.000 | 0.000 | -0.000 | 0.000 | -0.000 | 65.044 |
| 60.236 | 156.810 | 156.810 | 0.000 | 0.000 | -0.000 |
| 156.810 | 60.236 | 156.810 | 0.000 | 0.000 | -0.000 |
| 156.810 | 156.810 | 60.236 | 0.000 | -0.000 | 0.000 |
| -0.000 | 0.000 | -0.000 | 65.044 | 0.000 | 0.000 |
| 0.000 | -0.000 | -0.000 | 0.000 | 65.044 | -0.000 |
| 0.000 | -0.000 | 0.000 | -0.000 | 0.000 | 65.044 |
| 60.236 | 156.810 | 156.810 | 0.000 | -0.000 | 0.000 |
| 156.810 | 60.236 | 156.810 | 0.000 | 0.000 | -0.000 |
| 156.810 | 156.810 | 60.236 | 0.000 | -0.000 | 0.000 |
| 0.000 | 0.000 | 0.000 | 65.044 | 0.000 | -0.000 |
| 0.000 | 0.000 | 0.000 | 0.000 | 65.044 | 0.000 |
| 0.000 | 0.000 | 0.000 | -0.000 | -0.000 | 65.044 |
| 60.236 | 156.810 | 156.810 | -0.000 | -0.000 | -0.000 |
| 156.810 | 60.236 | 156.810 | -0.000 | -0.000 | 0.000 |
| 156.810 | 156.810 | 60.236 | 0.000 | 0.000 | -0.000 |
| -0.000 | -0.000 | -0.000 | 65.044 | 0.000 | -0.000 |
| -0.000 | -0.000 | -0.000 | -0.000 | 65.044 | -0.000 |
| -0.000 | -0.000 | -0.000 | 0.000 | 0.000 | 65.044 |
| 60.237 | 156.811 | 156.811 | 0.000 | 0.000 | 0.000 |
| 156.811 | 60.237 | 156.811 | 0.000 | 0.000 | 0.000 |
| 156.811 | 156.811 | 60.237 | -0.000 | -0.000 | 0.000 |
| 0.001 | 0.000 | 0.001 | 65.044 | 0.000 | 0.000 |
| 0.000 | 0.001 | 0.001 | -0.000 | 65.044 | 0.000 |
| 0.000 | 0.001 | 0.001 | 0.000 | -0.000 | 65.044 |
| 60.235 | 156.809 | 156.809 | -0.000 | -0.000 | -0.000 |
| 156.809 | 60.235 | 156.809 | -0.000 | -0.000 | 0.000 |
| 156.809 | 156.809 | 60.235 | 0.000 | 0.000 | 0.000 |
| -0.001 | -0.000 | -0.001 | 65.044 | -0.000 | -0.000 |
| -0.000 | -0.001 | -0.001 | -0.000 | 65.044 | -0.000 |
| -0.000 | -0.001 | -0.001 | -0.000 | -0.000 | 65.044 |
| 312.192 | 31.071 | 31.071 | 0.000 | 0.000 | 0.000 |
| 31.071 | 312.192 | 31.071 | 0.000 | 0.000 | -0.000 |
| 31.071 | 31.071 | 312.192 | 0.000 | 0.000 | 0.000 |
| 0.000 | 0.000 | 0.000 | 22.373 | 0.000 | -0.000 |
| 0.000 | 0.000 | 0.000 | 0.000 | 22.373 | 0.000 |
| 0.000 | 0.000 | 0.000 | 0.000 | 0.000 | 22.373 |
| 312.192 | 31.071 | 31.071 | -0.000 | -0.000 | -0.000 |
| 31.071 | 312.192 | 31.071 | -0.000 | -0.000 | -0.000 |
| 31.071 | 31.071 | 312.192 | -0.000 | -0.000 | 0.000 |
| -0.000 | -0.000 | -0.000 | 22.373 | -0.000 | 0.000 |
| -0.000 | -0.000 | -0.000 | -0.000 | 22.373 | -0.000 |
| -0.000 | -0.000 | -0.000 | -0.000 | -0.000 | 22.373 |
| 312.192 | 31.071 | 31.071 | 0.000 | 0.000 | -0.000 |
| 31.071 | 312.192 | 31.071 | 0.000 | 0.000 | -0.000 |
| 31.071 | 31.071 | 312.192 | -0.000 | -0.000 | 0.000 |
| -0.000 | -0.000 | -0.000 | 22.373 | 0.000 | 0.000 |
| -0.000 | -0.000 | -0.000 | 0.000 | 22.373 | -0.000 |
| -0.000 | -0.000 | 0.000 | 0.000 | 0.000 | 22.373 |
| 312.192 | 31.071 | 31.071 | -0.000 | -0.000 | -0.000 |
| 31.071 | 312.192 | 31.071 | -0.000 | -0.000 | 0.000 |
| 31.071 | 31.071 | 312.192 | -0.000 | -0.000 | -0.000 |
| 0.000 | 0.000 | 0.000 | 22.373 | -0.000 | 0.000 |
| 0.000 | 0.000 | 0.000 | -0.000 | 22.373 | 0.000 |
| 0.000 | 0.000 | -0.000 | -0.000 | -0.000 | 22.373 |
| 312.191 | 31.071 | 31.071 | 0.000 | 0.000 | -0.000 |
| 31.071 | 312.191 | 31.071 | 0.000 | 0.000 | 0.000 |
| 31.071 | 31.071 | 312.191 | 0.000 | 0.000 | 0.000 |
| -0.000 | -0.000 | -0.000 | 22.373 | 0.000 | -0.000 |
| -0.000 | -0.000 | -0.000 | 0.000 | 22.373 | 0.000 |
| -0.000 | -0.000 | -0.000 | 0.000 | 0.000 | 22.373 |
| 312.193 | 31.071 | 31.071 | -0.000 | -0.000 | -0.000 |
| 31.071 | 312.193 | 31.071 | -0.000 | -0.000 | -0.000 |
| 31.071 | 31.071 | 312.193 | -0.000 | -0.000 | -0.000 |
| 0.000 | 0.000 | 0.000 | 22.373 | -0.000 | 0.000 |
| 0.000 | 0.000 | 0.000 | -0.000 | 22.373 | -0.000 |
| 0.000 | 0.000 | 0.000 | -0.000 | -0.000 | 22.373 |
| 44.053 | 49.210 | 49.210 | 0.000 | 0.000 | 0.000 |
| 49.210 | 44.053 | 49.210 | 0.000 | 0.000 | 0.000 |
| 49.210 | 49.210 | 44.053 | 0.000 | 0.000 | 0.000 |
| -0.000 | -0.000 | -0.000 | -549.604 | -0.000 | -0.000 |
| -0.000 | -0.000 | -0.000 | -0.000 | -549.604 | -0.000 |
| -0.000 | -0.000 | -0.000 | 0.000 | 0.000 | -549.604 |
| 44.053 | 49.210 | 49.210 | -0.000 | 0.000 | 0.000 |
| 49.210 | 44.053 | 49.210 | 0.000 | -0.000 | 0.000 |
| 49.210 | 49.210 | 44.053 | -0.000 | -0.000 | -0.000 |
| 0.000 | 0.000 | 0.000 | -549.604 | -0.000 | -0.000 |
| 0.000 | 0.000 | 0.000 | -0.000 | -549.604 | -0.000 |
| 0.000 | 0.000 | 0.000 | -0.000 | 0.000 | -549.604 |
| 44.053 | 49.210 | 49.210 | 0.000 | -0.000 | -0.000 |
| 49.210 | 44.053 | 49.210 | -0.000 | 0.000 | -0.000 |
| 49.210 | 49.210 | 44.053 | 0.000 | 0.000 | 0.000 |
| -0.002 | -0.000 | -0.000 | -549.604 | 0.000 | -0.000 |
| -0.000 | -0.002 | -0.000 | 0.000 | -549.604 | -0.000 |
| -0.000 | -0.000 | -0.002 | 0.000 | -0.000 | -549.604 |
| 44.053 | 49.210 | 49.210 | -0.000 | 0.000 | 0.000 |
| 49.210 | 44.053 | 49.210 | 0.000 | -0.000 | 0.000 |
| 49.210 | 49.210 | 44.053 | -0.000 | -0.000 | -0.000 |
| 0.002 | 0.000 | 0.000 | -549.604 | 0.000 | 0.000 |
| 0.000 | 0.002 | 0.000 | 0.000 | -549.604 | 0.000 |
| 0.000 | 0.000 | 0.002 | 0.000 | 0.000 | -549.604 |
| 44.051 | 49.210 | 49.210 | -0.000 | -0.000 | -0.000 |
| 49.210 | 44.051 | 49.210 | -0.000 | -0.000 | -0.000 |
| 49.210 | 49.210 | 44.051 | -0.000 | -0.000 | -0.000 |
| -0.024 | -0.001 | -0.002 | -549.536 | 0.000 | -0.000 |
| -0.001 | -0.024 | -0.002 | 0.000 | -549.536 | -0.000 |
| -0.001 | -0.002 | -0.024 | 0.000 | -0.000 | -549.536 |
| 44.056 | 49.210 | 49.210 | 0.000 | 0.000 | 0.000 |
| 49.210 | 44.056 | 49.210 | 0.000 | 0.000 | 0.000 |
| 49.210 | 49.210 | 44.056 | 0.000 | 0.000 | 0.000 |
| 0.024 | 0.001 | 0.002 | -549.536 | 0.000 | 0.000 |
| 0.001 | 0.024 | 0.002 | 0.000 | -549.536 | 0.000 |
| 0.001 | 0.002 | 0.024 | 0.000 | 0.000 | -549.536 |
| 4.207 | 4.207 | 4.207 | 0.000 | 0.000 | 0.000 |
| 4.207 | 4.207 | 4.207 | 0.000 | 0.000 | 0.000 |
| 4.207 | 4.207 | 4.207 | 0.000 | 0.000 | -0.000 |
| 0.000 | 0.000 | 0.000 | 4.207 | 0.000 | 0.000 |
| 0.000 | 0.000 | 0.000 | 0.000 | 4.207 | 0.000 |
| 0.000 | 0.000 | 0.000 | 0.000 | 0.000 | 4.207 |
| 4.207 | 4.207 | 4.207 | 0.000 | 0.000 | -0.000 |
| 4.207 | 4.207 | 4.207 | 0.000 | 0.000 | -0.000 |
| 4.207 | 4.207 | 4.207 | 0.000 | 0.000 | -0.000 |
| -0.000 | -0.000 | -0.000 | 4.207 | -0.000 | -0.000 |
| -0.000 | -0.000 | -0.000 | -0.000 | 4.207 | -0.000 |
| -0.000 | -0.000 | -0.000 | -0.000 | -0.000 | 4.207 |
| 4.207 | 4.207 | 4.207 | -0.000 | 0.000 | 0.000 |
| 4.207 | 4.207 | 4.207 | 0.000 | -0.000 | 0.000 |
| 4.207 | 4.207 | 4.207 | -0.000 | -0.000 | -0.000 |
| -0.000 | -0.000 | -0.000 | 3.804 | -0.000 | 0.000 |
| -0.000 | -0.000 | -0.000 | -0.000 | 3.804 | 0.000 |
| -0.000 | -0.000 | -0.000 | 0.000 | 0.000 | 3.804 |
| 4.207 | 4.207 | 4.207 | -0.000 | -0.000 | -0.000 |
| 4.207 | 4.207 | 4.207 | -0.000 | -0.000 | -0.000 |
| 4.207 | 4.207 | 4.207 | -0.000 | -0.000 | -0.000 |
| 0.000 | 0.000 | 0.000 | 3.804 | 0.000 | 0.000 |
| 0.000 | 0.000 | 0.000 | 0.000 | 3.804 | 0.000 |
| 0.000 | 0.000 | 0.000 | -0.000 | -0.000 | 3.804 |
| 4.207 | 4.207 | 4.207 | -0.000 | -0.000 | 0.000 |
| 4.207 | 4.207 | 4.207 | -0.000 | -0.000 | 0.000 |
| 4.207 | 4.207 | 4.207 | -0.000 | -0.000 | 0.000 |
| -0.000 | -0.000 | -0.000 | 3.622 | 0.000 | -0.000 |
| -0.000 | -0.000 | -0.000 | 0.000 | 3.622 | -0.000 |
| -0.000 | -0.000 | -0.000 | 0.000 | 0.000 | 3.622 |
| 4.207 | 4.207 | 4.207 | 0.000 | 0.000 | 0.000 |
| 4.207 | 4.207 | 4.207 | 0.000 | 0.000 | 0.000 |
| 4.207 | 4.207 | 4.207 | 0.000 | 0.000 | 0.000 |
| 0.000 | 0.000 | 0.000 | 3.622 | -0.000 | -0.000 |
| 0.000 | 0.000 | 0.000 | -0.000 | 3.622 | -0.000 |
| 0.000 | 0.000 | 0.000 | -0.000 | -0.000 | 3.622 |
| 86.898 | 15.535 | 15.535 | -0.000 | 0.000 | 0.000 |
| 15.535 | 86.898 | 15.535 | 0.000 | 0.000 | 0.000 |
| 15.535 | 15.535 | 86.898 | -0.000 | -0.000 | 0.000 |
| -0.000 | 0.000 | -0.000 | 94.563 | -0.000 | -0.000 |
| 0.000 | 0.000 | 0.000 | -0.000 | 94.563 | 0.000 |
| 0.000 | 0.000 | -0.000 | -0.000 | -0.000 | 94.563 |
| 86.898 | 15.535 | 15.535 | -0.000 | -0.000 | -0.000 |
| 15.535 | 86.898 | 15.535 | 0.000 | -0.000 | -0.000 |
| 15.535 | 15.535 | 86.898 | -0.000 | -0.000 | -0.000 |
| -0.000 | -0.000 | -0.000 | 94.563 | 0.000 | -0.000 |
| -0.000 | -0.000 | -0.000 | 0.000 | 94.563 | -0.000 |
| -0.000 | -0.000 | 0.000 | 0.000 | 0.000 | 94.563 |
| 86.898 | 15.535 | 15.535 | 0.000 | 0.000 | -0.000 |
| 15.535 | 86.898 | 15.535 | 0.000 | 0.000 | 0.000 |
| 15.535 | 15.535 | 86.898 | -0.000 | 0.000 | 0.000 |
| 0.000 | 0.000 | 0.000 | 94.563 | 0.000 | 0.000 |
| 0.000 | 0.000 | 0.000 | -0.000 | 94.563 | -0.000 |
| 0.000 | 0.000 | 0.000 | -0.000 | 0.000 | 94.563 |
| 86.898 | 15.535 | 15.535 | 0.000 | 0.000 | -0.000 |
| 15.535 | 86.898 | 15.535 | 0.000 | -0.000 | -0.000 |
| 15.535 | 15.535 | 86.898 | -0.000 | -0.000 | 0.000 |
| -0.000 | -0.000 | -0.000 | 94.563 | 0.000 | -0.000 |
| -0.000 | -0.000 | -0.000 | -0.000 | 94.563 | -0.000 |
| -0.000 | -0.000 | -0.000 | 0.000 | 0.000 | 94.563 |
| 86.898 | 15.535 | 15.535 | -0.000 | -0.000 | 0.000 |
| 15.535 | 86.898 | 15.535 | 0.000 | -0.000 | 0.000 |
| 15.535 | 15.535 | 86.898 | -0.000 | -0.000 | -0.000 |
| 0.000 | 0.000 | 0.000 | 94.563 | -0.000 | 0.000 |
| 0.000 | 0.000 | 0.000 | -0.000 | 94.563 | 0.000 |
| 0.000 | 0.000 | 0.000 | -0.000 | -0.000 | 94.563 |
| 86.898 | 15.536 | 15.536 | -0.000 | 0.000 | 0.000 |
| 15.536 | 86.898 | 15.536 | -0.000 | -0.000 | -0.000 |
| 15.536 | 15.536 | 86.898 | 0.000 | -0.000 | -0.000 |
| -0.000 | -0.000 | -0.000 | 94.563 | 0.000 | -0.000 |
| -0.000 | -0.000 | -0.000 | -0.000 | 94.563 | -0.000 |
| -0.000 | -0.000 | -0.000 | -0.000 | -0.000 | 94.563 |
| 210.423 | 119.585 | 119.585 | -0.000 | -0.000 | -0.000 |
| 119.585 | 210.423 | 119.585 | -0.000 | -0.000 | -0.000 |
| 119.585 | 119.585 | 210.423 | -0.000 | -0.000 | -0.000 |
| -0.000 | 0.000 | 0.000 | 106.303 | -0.000 | -0.000 |
| 0.000 | 0.000 | 0.000 | -0.000 | 106.303 | -0.000 |
| 0.000 | 0.000 | 0.000 | -0.000 | 0.000 | 106.303 |
| 210.423 | 119.585 | 119.585 | -0.000 | 0.000 | -0.000 |
| 119.585 | 210.423 | 119.585 | 0.000 | 0.000 | 0.000 |
| 119.585 | 119.585 | 210.423 | 0.000 | -0.000 | 0.000 |
| -0.000 | -0.000 | -0.000 | 106.303 | 0.000 | -0.000 |
| -0.000 | 0.000 | -0.000 | 0.000 | 106.303 | 0.000 |
| -0.000 | -0.000 | -0.000 | -0.000 | 0.000 | 106.303 |
| 210.424 | 119.586 | 119.586 | 0.000 | 0.000 | 0.000 |
| 119.586 | 210.424 | 119.586 | 0.000 | -0.000 | 0.000 |
| 119.586 | 119.586 | 210.424 | -0.000 | -0.000 | 0.000 |
| 0.000 | 0.000 | 0.000 | 106.303 | -0.000 | 0.000 |
| 0.000 | 0.000 | 0.000 | -0.000 | 106.303 | -0.000 |
| 0.000 | 0.000 | 0.000 | -0.000 | 0.000 | 106.303 |
| 210.423 | 119.585 | 119.585 | -0.000 | 0.000 | -0.000 |
| 119.585 | 210.423 | 119.585 | 0.000 | 0.000 | 0.000 |
| 119.585 | 119.585 | 210.423 | 0.000 | 0.000 | 0.000 |
| -0.000 | -0.000 | -0.000 | 106.303 | 0.000 | 0.000 |
| -0.000 | -0.000 | -0.000 | 0.000 | 106.303 | -0.000 |
| -0.000 | -0.000 | -0.000 | 0.000 | 0.000 | 106.303 |
| 210.430 | 119.589 | 119.589 | -0.000 | -0.000 | -0.000 |
| 119.589 | 210.430 | 119.589 | -0.000 | -0.000 | -0.000 |
| 119.589 | 119.589 | 210.430 | -0.000 | -0.000 | -0.000 |
| 0.000 | 0.003 | 0.004 | 106.303 | -0.000 | -0.000 |
| 0.003 | 0.000 | 0.004 | -0.000 | 106.303 | 0.000 |
| 0.003 | 0.004 | 0.000 | -0.000 | -0.000 | 106.303 |
| 210.417 | 119.582 | 119.582 | 0.000 | 0.000 | 0.000 |
| 119.582 | 210.417 | 119.582 | 0.000 | 0.000 | -0.000 |
| 119.582 | 119.582 | 210.417 | 0.000 | 0.000 | 0.000 |
| -0.000 | -0.003 | -0.004 | 106.303 | 0.000 | -0.000 |
| -0.003 | -0.000 | -0.004 | 0.000 | 106.303 | -0.000 |
| -0.003 | -0.004 | -0.000 | -0.000 | 0.000 | 106.303 |
| 10.305 | 5.152 | 5.152 | 0.000 | -0.000 | -0.000 |
| 5.152 | 10.305 | 5.152 | -0.000 | -0.000 | -0.000 |
| 5.152 | 5.152 | 10.305 | -0.000 | -0.000 | -0.000 |
| -0.000 | 0.000 | 0.000 | 5.153 | 0.000 | -0.000 |
| 0.000 | -0.000 | 0.000 | -0.000 | 5.153 | -0.000 |
| 0.000 | 0.000 | -0.000 | -0.000 | -0.000 | 5.153 |
| 10.305 | 5.152 | 5.152 | -0.000 | -0.000 | 0.000 |
| 5.152 | 10.305 | 5.152 | -0.000 | -0.000 | 0.000 |
| 5.152 | 5.152 | 10.305 | 0.000 | 0.000 | 0.000 |
| 0.000 | -0.000 | -0.000 | 5.153 | -0.000 | -0.000 |
| -0.000 | 0.000 | -0.000 | 0.000 | 5.153 | 0.000 |
| -0.000 | -0.000 | 0.000 | 0.000 | 0.000 | 5.153 |
| 10.305 | 5.152 | 5.152 | 0.000 | -0.000 | -0.000 |
| 5.152 | 10.305 | 5.152 | -0.000 | -0.000 | -0.000 |
| 5.152 | 5.152 | 10.305 | 0.000 | -0.000 | -0.000 |
| -0.000 | 0.000 | 0.000 | 5.153 | 0.000 | -0.000 |
| 0.000 | -0.000 | 0.000 | -0.000 | 5.153 | -0.000 |
| 0.000 | 0.000 | -0.000 | -0.000 | -0.000 | 5.153 |
| 10.305 | 5.152 | 5.152 | -0.000 | 0.000 | 0.000 |
| 5.152 | 10.305 | 5.152 | 0.000 | -0.000 | 0.000 |
| 5.152 | 5.152 | 10.305 | 0.000 | 0.000 | -0.000 |
| 0.000 | -0.000 | -0.000 | 5.153 | -0.000 | 0.000 |
| -0.000 | 0.000 | -0.000 | 0.000 | 5.153 | 0.000 |
| -0.000 | -0.000 | 0.000 | 0.000 | 0.000 | 5.153 |
| 10.305 | 5.153 | 5.153 | 0.000 | -0.000 | -0.000 |
| 5.153 | 10.305 | 5.153 | -0.000 | -0.000 | -0.000 |
| 5.153 | 5.153 | 10.305 | 0.000 | -0.000 | -0.000 |
| -0.000 | 0.000 | 0.000 | 5.153 | 0.000 | -0.000 |
| 0.000 | -0.000 | 0.000 | -0.000 | 5.153 | -0.000 |
| 0.000 | 0.000 | -0.000 | -0.000 | -0.000 | 5.153 |
| 10.305 | 5.152 | 5.152 | -0.000 | 0.000 | 0.000 |
| 5.152 | 10.305 | 5.152 | 0.000 | -0.000 | 0.000 |
| 5.152 | 5.152 | 10.305 | 0.000 | 0.000 | 0.000 |
| 0.000 | -0.000 | -0.000 | 5.153 | -0.000 | 0.000 |
| -0.000 | 0.000 | -0.000 | 0.000 | 5.153 | 0.000 |
| -0.000 | -0.000 | 0.000 | 0.000 | 0.000 | 5.153 |
| 218.903 | 233.009 | 233.009 | -0.000 | 0.000 | 0.000 |
| 233.009 | 218.903 | 233.009 | -0.000 | 0.000 | 0.000 |
| 233.009 | 233.009 | 218.903 | -0.000 | 0.000 | 0.000 |
| 0.000 | 0.000 | 0.000 | 198.925 | 0.000 | 0.000 |
| 0.000 | 0.000 | 0.000 | -0.000 | 198.925 | 0.000 |
| 0.000 | 0.000 | 0.000 | -0.000 | 0.000 | 198.925 |
| 218.903 | 233.009 | 233.009 | 0.000 | -0.000 | -0.000 |
| 233.009 | 218.903 | 233.009 | 0.000 | -0.000 | 0.000 |
| 233.009 | 233.009 | 218.903 | 0.000 | -0.000 | -0.000 |
| -0.000 | -0.000 | -0.000 | 198.925 | -0.000 | -0.000 |
| -0.000 | -0.000 | -0.000 | 0.000 | 198.925 | -0.000 |
| -0.000 | -0.000 | -0.000 | 0.000 | -0.000 | 198.925 |
| 218.904 | 233.009 | 233.009 | -0.000 | 0.000 | 0.000 |
| 233.009 | 218.904 | 233.009 | -0.000 | 0.000 | -0.000 |
| 233.009 | 233.009 | 218.904 | -0.000 | 0.000 | 0.000 |
| 0.000 | 0.000 | 0.000 | 198.925 | 0.000 | 0.000 |
| 0.000 | 0.000 | 0.000 | -0.000 | 198.925 | 0.000 |
| 0.000 | 0.000 | 0.000 | -0.000 | 0.000 | 198.925 |
| 218.903 | 233.009 | 233.009 | 0.000 | -0.000 | -0.000 |
| 233.009 | 218.903 | 233.009 | 0.000 | -0.000 | -0.000 |
| 233.009 | 233.009 | 218.903 | 0.000 | -0.000 | 0.000 |
| -0.000 | -0.000 | -0.000 | 198.925 | -0.000 | -0.000 |
| -0.000 | -0.000 | -0.000 | 0.000 | 198.925 | -0.000 |
| -0.000 | -0.000 | -0.000 | 0.000 | -0.000 | 198.925 |
| 218.906 | 233.010 | 233.010 | -0.000 | 0.000 | 0.000 |
| 233.010 | 218.906 | 233.010 | -0.000 | 0.000 | 0.000 |
| 233.010 | 233.010 | 218.906 | -0.000 | 0.000 | 0.000 |
| 0.001 | 0.000 | 0.001 | 198.925 | 0.000 | 0.000 |
| 0.000 | 0.001 | 0.001 | -0.000 | 198.925 | 0.000 |
| 0.000 | 0.001 | 0.001 | -0.000 | 0.000 | 198.925 |
| 218.901 | 233.008 | 233.008 | 0.000 | -0.000 | -0.000 |
| 233.008 | 218.901 | 233.008 | 0.000 | -0.000 | -0.000 |
| 233.008 | 233.008 | 218.901 | 0.000 | -0.000 | -0.000 |
| -0.001 | -0.000 | -0.001 | 198.925 | -0.000 | 0.000 |
| -0.000 | -0.001 | -0.001 | 0.000 | 198.925 | -0.000 |
| -0.000 | -0.001 | -0.001 | 0.000 | -0.000 | 198.925 |
| 2724.051 | 2723.686 | 2723.686 | -0.000 | -0.000 | -0.000 |
| 2723.686 | 2724.051 | 2723.686 | -0.000 | -0.000 | 0.000 |
| 2723.686 | 2723.686 | 2724.051 | -0.000 | -0.000 | -0.000 |
| 0.000 | 0.000 | 0.000 | -1.797 | -0.000 | -0.000 |
| 0.000 | 0.000 | 0.000 | -0.000 | -1.797 | -0.000 |
| 0.000 | 0.000 | 0.000 | -0.000 | -0.000 | -1.797 |
| 2724.052 | 2723.687 | 2723.687 | 0.000 | 0.000 | -0.000 |
| 2723.687 | 2724.052 | 2723.687 | 0.000 | 0.000 | -0.000 |
| 2723.687 | 2723.687 | 2724.052 | 0.000 | 0.000 | -0.000 |
| -0.000 | -0.000 | -0.000 | -1.797 | 0.000 | -0.000 |
| -0.000 | -0.000 | -0.000 | 0.000 | -1.797 | -0.000 |
| -0.000 | -0.000 | -0.000 | 0.000 | 0.000 | -1.797 |
| 2724.047 | 2723.682 | 2723.682 | 0.000 | 0.000 | 0.000 |
| 2723.682 | 2724.047 | 2723.682 | 0.000 | 0.000 | -0.000 |
| 2723.682 | 2723.682 | 2724.047 | -0.000 | -0.000 | 0.000 |
| 0.000 | 0.000 | 0.000 | -2.360 | -0.000 | 0.000 |
| 0.000 | 0.000 | 0.000 | -0.000 | -2.360 | 0.000 |
| 0.000 | 0.000 | 0.000 | -0.000 | -0.000 | -2.360 |
| 2724.056 | 2723.691 | 2723.691 | 0.000 | 0.000 | -0.000 |
| 2723.691 | 2724.056 | 2723.691 | 0.000 | 0.000 | 0.000 |
| 2723.691 | 2723.691 | 2724.056 | 0.000 | 0.000 | 0.000 |
| -0.000 | -0.000 | -0.000 | -2.361 | 0.000 | 0.000 |
| -0.000 | -0.000 | -0.000 | 0.000 | -2.361 | -0.000 |
| -0.000 | -0.000 | -0.000 | 0.000 | 0.000 | -2.361 |
| 2724.003 | 2723.643 | 2723.643 | -0.000 | -0.000 | 0.000 |
| 2723.643 | 2724.003 | 2723.643 | -0.000 | -0.000 | 0.000 |
| 2723.643 | 2723.643 | 2724.003 | -0.000 | -0.000 | -0.000 |
| 0.001 | 0.001 | 0.001 | -1.720 | -0.000 | -0.000 |
| 0.001 | 0.001 | 0.001 | -0.000 | -1.720 | 0.000 |
| 0.001 | 0.001 | 0.001 | -0.000 | -0.000 | -1.720 |
| 2724.100 | 2723.730 | 2723.730 | 0.000 | 0.000 | -0.000 |
| 2723.730 | 2724.100 | 2723.730 | 0.000 | 0.000 | -0.000 |
| 2723.730 | 2723.730 | 2724.100 | 0.000 | 0.000 | 0.000 |
| -0.001 | -0.001 | -0.001 | -1.720 | 0.000 | -0.000 |
| -0.001 | -0.001 | -0.001 | 0.000 | -1.720 | -0.000 |
| -0.001 | -0.001 | -0.001 | 0.000 | 0.000 | -1.720 |
| 416.853 | 416.853 | 416.853 | 0.000 | 0.000 | -0.000 |
| 416.853 | 416.853 | 416.853 | 0.000 | 0.000 | -0.000 |
| 416.853 | 416.853 | 416.853 | 0.000 | 0.000 | -0.000 |
| 0.000 | 0.000 | 0.000 | 0.887 | 0.000 | -0.000 |
| 0.000 | 0.000 | 0.000 | 0.000 | 0.887 | -0.000 |
| 0.000 | 0.000 | 0.000 | 0.000 | 0.000 | 0.887 |
| 416.852 | 416.852 | 416.852 | -0.000 | -0.000 | -0.000 |
| 416.852 | 416.852 | 416.852 | -0.000 | -0.000 | 0.000 |
| 416.852 | 416.852 | 416.852 | -0.000 | -0.000 | 0.000 |
| -0.000 | -0.000 | -0.000 | 0.887 | -0.000 | 0.000 |
| -0.000 | -0.000 | -0.000 | -0.000 | 0.887 | 0.000 |
| -0.000 | -0.000 | -0.000 | -0.000 | -0.000 | 0.887 |
| 416.853 | 416.853 | 416.853 | 0.000 | 0.000 | -0.000 |
| 416.853 | 416.853 | 416.853 | 0.000 | 0.000 | -0.000 |
| 416.853 | 416.853 | 416.853 | 0.000 | 0.000 | 0.000 |
| 0.001 | 0.001 | 0.001 | -7.238 | 0.000 | 0.000 |
| 0.001 | 0.001 | 0.001 | 0.000 | -7.238 | 0.000 |
| 0.001 | 0.001 | 0.001 | 0.000 | -0.000 | -7.238 |
| 416.851 | 416.851 | 416.851 | -0.000 | -0.000 | 0.000 |
| 416.851 | 416.851 | 416.851 | -0.000 | -0.000 | 0.000 |
| 416.851 | 416.851 | 416.851 | -0.000 | -0.000 | 0.000 |
| -0.001 | -0.001 | -0.001 | -7.238 | -0.000 | 0.000 |
| -0.001 | -0.001 | -0.001 | 0.000 | -7.238 | -0.000 |
| -0.001 | -0.001 | -0.001 | 0.000 | -0.000 | -7.238 |
| 416.862 | 416.863 | 416.863 | 0.000 | -0.000 | -0.000 |
| 416.863 | 416.862 | 416.863 | 0.000 | 0.000 | -0.000 |
| 416.863 | 416.863 | 416.862 | 0.000 | 0.000 | -0.000 |
| 0.011 | 0.011 | 0.011 | -7.237 | 0.000 | 0.000 |
| 0.011 | 0.011 | 0.011 | -0.000 | -7.237 | -0.000 |
| 0.011 | 0.011 | 0.011 | 0.000 | 0.000 | -7.237 |
| 416.843 | 416.842 | 416.842 | -0.000 | -0.000 | 0.000 |
| 416.842 | 416.843 | 416.842 | -0.000 | -0.000 | 0.000 |
| 416.842 | 416.842 | 416.843 | -0.000 | -0.000 | -0.000 |
| -0.011 | -0.011 | -0.011 | -7.237 | -0.000 | 0.000 |
| -0.011 | -0.011 | -0.011 | -0.000 | -7.237 | 0.000 |
| -0.011 | -0.011 | -0.011 | -0.000 | -0.000 | -7.237 |
| 127.914 | 174.661 | 174.661 | -0.000 | 0.000 | -0.000 |
| 174.661 | 127.914 | 174.661 | 0.000 | -0.000 | -0.000 |
| 174.661 | 174.661 | 127.914 | -0.000 | 0.000 | -0.000 |
| 0.000 | 0.000 | 0.000 | 136.398 | 0.000 | -0.000 |
| 0.000 | 0.000 | 0.000 | 0.000 | 136.398 | -0.000 |
| 0.000 | 0.000 | 0.000 | -0.000 | 0.000 | 136.398 |
| 127.914 | 174.661 | 174.661 | -0.000 | -0.000 | 0.000 |
| 174.661 | 127.914 | 174.661 | -0.000 | -0.000 | 0.000 |
| 174.661 | 174.661 | 127.914 | -0.000 | -0.000 | 0.000 |
| -0.000 | -0.000 | -0.000 | 136.398 | -0.000 | 0.000 |
| -0.000 | -0.000 | -0.000 | -0.000 | 136.398 | 0.000 |
| -0.000 | -0.000 | -0.000 | 0.000 | 0.000 | 136.398 |
| 127.914 | 174.661 | 174.661 | 0.000 | 0.000 | -0.000 |
| 174.661 | 127.914 | 174.661 | 0.000 | -0.000 | -0.000 |
| 174.661 | 174.661 | 127.914 | 0.000 | -0.000 | -0.000 |
| 0.000 | 0.000 | 0.000 | 136.398 | 0.000 | -0.000 |
| 0.000 | 0.000 | 0.000 | 0.000 | 136.398 | -0.000 |
| 0.000 | 0.000 | 0.000 | 0.000 | -0.000 | 136.398 |
| 127.914 | 174.661 | 174.661 | -0.000 | -0.000 | 0.000 |
| 174.661 | 127.914 | 174.661 | -0.000 | -0.000 | 0.000 |
| 174.661 | 174.661 | 127.914 | -0.000 | -0.000 | 0.000 |
| -0.000 | -0.000 | -0.000 | 136.398 | -0.000 | 0.000 |
| -0.000 | -0.000 | -0.000 | -0.000 | 136.398 | 0.000 |
| -0.000 | -0.000 | -0.000 | -0.000 | -0.000 | 136.398 |
| 127.915 | 174.662 | 174.662 | 0.000 | 0.000 | -0.000 |
| 174.662 | 127.915 | 174.662 | 0.000 | 0.000 | 0.000 |
| 174.662 | 174.662 | 127.915 | 0.000 | -0.000 | -0.000 |
| 0.001 | 0.000 | 0.001 | 137.026 | -0.000 | -0.000 |
| 0.000 | 0.001 | 0.001 | -0.000 | 137.026 | -0.000 |
| 0.000 | 0.001 | 0.001 | 0.000 | 0.000 | 137.026 |
| 127.913 | 174.660 | 174.660 | -0.000 | -0.000 | 0.000 |
| 174.660 | 127.913 | 174.660 | -0.000 | 0.000 | 0.000 |
| 174.660 | 174.660 | 127.913 | 0.000 | 0.000 | 0.000 |
| -0.001 | -0.000 | -0.001 | 137.026 | 0.000 | 0.000 |
| -0.000 | -0.001 | -0.001 | -0.000 | 137.026 | 0.000 |
| -0.000 | -0.001 | -0.001 | -0.000 | -0.000 | 137.026 |
| 648.147 | -6.960 | -6.960 | -0.000 | -0.000 | -0.000 |
| -6.960 | 648.147 | -6.960 | -0.000 | 0.000 | -0.000 |
| -6.960 | -6.960 | 648.147 | -0.000 | -0.000 | -0.000 |
| -0.000 | -0.000 | -0.000 | -58.698 | -0.000 | -0.000 |
| -0.000 | -0.000 | -0.000 | -0.000 | -58.698 | -0.000 |
| -0.000 | -0.000 | -0.000 | -0.000 | 0.000 | -58.698 |
| 648.147 | -6.960 | -6.960 | 0.000 | 0.000 | 0.000 |
| -6.960 | 648.147 | -6.960 | 0.000 | -0.000 | 0.000 |
| -6.960 | -6.960 | 648.147 | 0.000 | -0.000 | 0.000 |
| 0.000 | -0.000 | 0.000 | -58.698 | 0.000 | 0.000 |
| 0.000 | 0.000 | 0.000 | 0.000 | -58.698 | 0.000 |
| 0.000 | 0.000 | 0.000 | 0.000 | -0.000 | -58.698 |
| 648.148 | -6.960 | -6.960 | -0.000 | 0.000 | -0.000 |
| -6.960 | 648.148 | -6.960 | -0.000 | -0.000 | -0.000 |
| -6.960 | -6.960 | 648.148 | -0.000 | 0.000 | -0.000 |
| 0.000 | 0.000 | -0.000 | -58.698 | 0.000 | -0.000 |
| 0.000 | 0.000 | -0.000 | -0.000 | -58.698 | -0.000 |
| 0.000 | -0.000 | 0.000 | -0.000 | 0.000 | -58.698 |
| 648.147 | -6.960 | -6.960 | -0.000 | 0.000 | 0.000 |
| -6.960 | 648.147 | -6.960 | 0.000 | -0.000 | 0.000 |
| -6.960 | -6.960 | 648.147 | 0.000 | 0.000 | 0.000 |
| -0.000 | -0.000 | 0.000 | -58.698 | -0.000 | 0.000 |
| -0.000 | -0.000 | 0.000 | 0.000 | -58.698 | 0.000 |
| -0.000 | 0.000 | -0.000 | 0.000 | -0.000 | -58.698 |
| 648.151 | -6.960 | -6.960 | -0.000 | 0.000 | -0.000 |
| -6.960 | 648.151 | -6.960 | -0.000 | 0.000 | -0.000 |
| -6.960 | -6.960 | 648.151 | 0.000 | 0.000 | -0.000 |
| 0.000 | 0.000 | -0.000 | -58.698 | -0.000 | -0.000 |
| 0.000 | 0.000 | -0.000 | -0.000 | -58.698 | -0.000 |
| 0.000 | -0.000 | 0.000 | -0.000 | 0.000 | -58.698 |
| 648.144 | -6.960 | -6.960 | -0.000 | -0.000 | 0.000 |
| -6.960 | 648.144 | -6.960 | -0.000 | -0.000 | 0.000 |
| -6.960 | -6.960 | 648.144 | 0.000 | 0.000 | 0.000 |
| -0.000 | -0.000 | 0.000 | -58.698 | -0.000 | 0.000 |
| -0.000 | -0.000 | 0.000 | 0.000 | -58.698 | 0.000 |
| -0.000 | 0.000 | -0.000 | 0.000 | -0.000 | -58.698 |
| 144.358 | 152.411 | 152.411 | -0.000 | -0.000 | -0.000 |
| 152.411 | 144.358 | 152.411 | -0.000 | -0.000 | -0.000 |
| 152.411 | 152.411 | 144.358 | -0.000 | -0.000 | -0.000 |
| -0.000 | -0.000 | -0.000 | -0.000 | -0.000 | -0.000 |
| -0.000 | -0.000 | -0.000 | -0.000 | -0.000 | -0.000 |
| -0.000 | -0.000 | -0.000 | -0.000 | -0.000 | -0.000 |
| 144.358 | 152.411 | 152.411 | -0.000 | -0.000 | 0.000 |
| 152.411 | 144.358 | 152.411 | -0.000 | -0.000 | 0.000 |
| 152.411 | 152.411 | 144.358 | -0.000 | -0.000 | 0.000 |
| 0.000 | 0.000 | 0.000 | -0.000 | 0.000 | 0.000 |
| 0.000 | 0.000 | 0.000 | 0.000 | -0.000 | 0.000 |
| 0.000 | 0.000 | 0.000 | 0.000 | 0.000 | -0.000 |
| 144.358 | 152.411 | 152.411 | -0.000 | -0.000 | 0.000 |
| 152.411 | 144.358 | 152.411 | -0.000 | -0.000 | 0.000 |
| 152.411 | 152.411 | 144.358 | -0.000 | -0.000 | -0.000 |
| -0.000 | -0.000 | -0.000 | 0.000 | 0.000 | -0.000 |
| -0.000 | -0.000 | -0.000 | -0.000 | 0.000 | -0.000 |
| -0.000 | -0.000 | -0.000 | -0.000 | 0.000 | 0.000 |
| 144.358 | 152.411 | 152.411 | -0.000 | -0.000 | -0.000 |
| 152.411 | 144.358 | 152.411 | -0.000 | -0.000 | -0.000 |
| 152.411 | 152.411 | 144.358 | -0.000 | -0.000 | 0.000 |
| 0.000 | 0.000 | 0.000 | 0.000 | -0.000 | 0.000 |
| 0.000 | 0.000 | 0.000 | -0.000 | 0.000 | 0.000 |
| 0.000 | 0.000 | 0.000 | 0.000 | -0.000 | 0.000 |
| 144.360 | 152.411 | 152.411 | -0.000 | -0.000 | -0.000 |
| 152.411 | 144.360 | 152.411 | -0.000 | -0.000 | -0.000 |
| 152.411 | 152.411 | 144.360 | -0.000 | -0.000 | 0.000 |
| -0.000 | -0.000 | -0.000 | 0.000 | 0.000 | -0.000 |
| -0.000 | -0.000 | -0.000 | 0.000 | 0.000 | -0.000 |
| -0.000 | -0.000 | -0.000 | 0.000 | 0.000 | 0.000 |
| 144.356 | 152.411 | 152.411 | -0.000 | -0.000 | 0.000 |
| 152.411 | 144.356 | 152.411 | -0.000 | -0.000 | -0.000 |
| 152.411 | 152.411 | 144.356 | -0.000 | -0.000 | 0.000 |
| 0.000 | 0.000 | 0.000 | 0.000 | -0.000 | -0.000 |
| 0.000 | 0.000 | 0.000 | -0.000 | 0.000 | -0.000 |
| 0.000 | 0.000 | 0.000 | -0.000 | -0.000 | 0.000 |
| 48.987 | 45.266 | 45.266 | -0.000 | 0.000 | -0.000 |
| 45.266 | 48.987 | 45.266 | -0.000 | -0.000 | -0.000 |
| 45.266 | 45.266 | 48.987 | 0.000 | -0.000 | 0.000 |
| -0.000 | -0.000 | -0.000 | 0.000 | 0.000 | -0.000 |
| -0.000 | -0.000 | -0.000 | 0.000 | 0.000 | -0.000 |
| -0.000 | -0.000 | -0.000 | 0.000 | 0.000 | 0.000 |
| 48.987 | 45.266 | 45.266 | -0.000 | -0.000 | -0.000 |
| 45.266 | 48.987 | 45.266 | 0.000 | -0.000 | 0.000 |
| 45.266 | 45.266 | 48.987 | 0.000 | 0.000 | -0.000 |
| 0.000 | 0.000 | 0.000 | 0.000 | -0.000 | 0.000 |
| 0.000 | 0.000 | 0.000 | -0.000 | 0.000 | 0.000 |
| 0.000 | 0.000 | 0.000 | -0.000 | -0.000 | 0.000 |
| 48.987 | 45.266 | 45.266 | -0.000 | -0.000 | 0.000 |
| 45.266 | 48.987 | 45.266 | -0.000 | -0.000 | 0.000 |
| 45.266 | 45.266 | 48.987 | -0.000 | -0.000 | 0.000 |
| -0.000 | -0.000 | -0.000 | 0.000 | 0.000 | -0.000 |
| -0.000 | -0.000 | -0.000 | 0.000 | 0.000 | 0.000 |
| -0.000 | -0.000 | -0.000 | -0.000 | 0.000 | 0.000 |
| 48.987 | 45.266 | 45.266 | -0.000 | -0.000 | -0.000 |
| 45.266 | 48.987 | 45.266 | -0.000 | -0.000 | -0.000 |
| 45.266 | 45.266 | 48.987 | -0.000 | -0.000 | 0.000 |
| 0.000 | 0.000 | 0.000 | 0.000 | -0.000 | -0.000 |
| 0.000 | 0.000 | 0.000 | -0.000 | 0.000 | -0.000 |
| 0.000 | 0.000 | 0.000 | -0.000 | -0.000 | 0.000 |
| 48.987 | 45.266 | 45.266 | -0.000 | -0.000 | 0.000 |
| 45.266 | 48.987 | 45.266 | -0.000 | -0.000 | 0.000 |
| 45.266 | 45.266 | 48.987 | -0.000 | -0.000 | 0.000 |
| -0.000 | -0.000 | -0.000 | 0.000 | 0.000 | -0.000 |
| -0.000 | -0.000 | -0.000 | 0.000 | 0.000 | -0.000 |
| -0.000 | -0.000 | -0.000 | -0.000 | 0.000 | 0.000 |
| 48.987 | 45.266 | 45.266 | 0.000 | -0.000 | -0.000 |
| 45.266 | 48.987 | 45.266 | -0.000 | -0.000 | 0.000 |
| 45.266 | 45.266 | 48.987 | -0.000 | -0.000 | -0.000 |
| 0.000 | 0.000 | 0.000 | 0.000 | -0.000 | 0.000 |
| 0.000 | 0.000 | 0.000 | -0.000 | 0.000 | -0.000 |
| 0.000 | 0.000 | 0.000 | -0.000 | 0.000 | 0.000 |
| 188.558 | 177.692 | 177.692 | 0.000 | 0.000 | -0.000 |
| 177.692 | 188.558 | 177.692 | 0.000 | -0.000 | -0.000 |
| 177.692 | 177.692 | 188.558 | -0.000 | 0.000 | -0.000 |
| 0.000 | 0.000 | 0.000 | 198.924 | 0.000 | -0.000 |
| 0.000 | 0.000 | 0.000 | -0.000 | 198.924 | -0.000 |
| 0.000 | 0.000 | 0.000 | 0.000 | 0.000 | 198.924 |
| 188.558 | 177.692 | 177.692 | 0.000 | -0.000 | 0.000 |
| 177.692 | 188.558 | 177.692 | 0.000 | -0.000 | 0.000 |
| 177.692 | 177.692 | 188.558 | 0.000 | -0.000 | 0.000 |
| -0.000 | -0.000 | -0.000 | 198.924 | -0.000 | -0.000 |
| -0.000 | -0.000 | -0.000 | -0.000 | 198.924 | 0.000 |
| -0.000 | -0.000 | -0.000 | 0.000 | -0.000 | 198.924 |
| 188.558 | 177.692 | 177.692 | -0.000 | 0.000 | -0.000 |
| 177.692 | 188.558 | 177.692 | 0.000 | -0.000 | -0.000 |
| 177.692 | 177.692 | 188.558 | -0.000 | 0.000 | -0.000 |
| 0.000 | 0.000 | 0.000 | 198.924 | 0.000 | -0.000 |
| 0.000 | 0.000 | 0.000 | 0.000 | 198.924 | -0.000 |
| 0.000 | 0.000 | 0.000 | -0.000 | 0.000 | 198.924 |
| 188.558 | 177.692 | 177.692 | -0.000 | -0.000 | 0.000 |
| 177.692 | 188.558 | 177.692 | 0.000 | -0.000 | 0.000 |
| 177.692 | 177.692 | 188.558 | -0.000 | -0.000 | 0.000 |
| -0.000 | -0.000 | -0.000 | 198.924 | -0.000 | 0.000 |
| -0.000 | -0.000 | -0.000 | 0.000 | 198.924 | 0.000 |
| -0.000 | -0.000 | -0.000 | 0.000 | -0.000 | 198.924 |
| 188.560 | 177.693 | 177.693 | -0.000 | 0.000 | -0.000 |
| 177.693 | 188.560 | 177.693 | -0.000 | 0.000 | -0.000 |
| 177.693 | 177.693 | 188.560 | 0.000 | 0.000 | -0.000 |
| 0.001 | 0.000 | 0.001 | 198.924 | 0.000 | -0.000 |
| 0.000 | 0.001 | 0.001 | 0.000 | 198.924 | -0.000 |
| 0.000 | 0.001 | 0.001 | -0.000 | 0.000 | 198.924 |
| 188.556 | 177.691 | 177.691 | 0.000 | -0.000 | 0.000 |
| 177.691 | 188.556 | 177.691 | 0.000 | -0.000 | 0.000 |
| 177.691 | 177.691 | 188.556 | 0.000 | -0.000 | 0.000 |
| -0.001 | -0.000 | -0.001 | 198.924 | -0.000 | 0.000 |
| -0.000 | -0.001 | -0.001 | 0.000 | 198.924 | 0.000 |
| -0.000 | -0.001 | -0.001 | 0.000 | -0.000 | 198.924 |
| 981.006 | 979.359 | 979.359 | 0.000 | 0.000 | 0.000 |
| 979.359 | 981.006 | 979.359 | 0.000 | 0.000 | 0.000 |
| 979.359 | 979.359 | 981.006 | 0.000 | 0.000 | 0.000 |
| 0.000 | 0.000 | 0.000 | -0.689 | 0.000 | 0.000 |
| 0.000 | 0.000 | 0.000 | 0.000 | -0.689 | -0.000 |
| 0.000 | 0.000 | 0.000 | 0.000 | 0.000 | -0.689 |
| 981.006 | 979.359 | 979.359 | -0.000 | -0.000 | -0.000 |
| 979.359 | 981.006 | 979.359 | -0.000 | -0.000 | -0.000 |
| 979.359 | 979.359 | 981.006 | -0.000 | -0.000 | -0.000 |
| -0.000 | -0.000 | -0.000 | -0.689 | -0.000 | -0.000 |
| -0.000 | -0.000 | -0.000 | -0.000 | -0.689 | -0.000 |
| -0.000 | -0.000 | -0.000 | 0.000 | -0.000 | -0.689 |
| 981.005 | 979.358 | 979.358 | 0.000 | 0.000 | 0.000 |
| 979.358 | 981.005 | 979.358 | 0.000 | 0.000 | 0.000 |
| 979.358 | 979.358 | 981.005 | 0.000 | 0.000 | 0.000 |
| 0.000 | 0.000 | 0.000 | -0.689 | 0.000 | 0.000 |
| 0.000 | 0.000 | 0.000 | 0.000 | -0.689 | -0.000 |
| 0.000 | 0.000 | 0.000 | 0.000 | 0.000 | -0.689 |
| 981.007 | 979.359 | 979.359 | -0.000 | -0.000 | -0.000 |
| 979.359 | 981.007 | 979.359 | -0.000 | -0.000 | 0.000 |
| 979.359 | 979.359 | 981.007 | -0.000 | -0.000 | -0.000 |
| -0.000 | -0.000 | -0.000 | -0.689 | -0.000 | -0.000 |
| -0.000 | -0.000 | -0.000 | -0.000 | -0.689 | 0.000 |
| -0.000 | -0.000 | -0.000 | -0.000 | -0.000 | -0.689 |
| 980.999 | 979.351 | 979.351 | 0.000 | 0.000 | 0.000 |
| 979.351 | 980.999 | 979.351 | 0.000 | 0.000 | 0.000 |
| 979.351 | 979.351 | 980.999 | 0.000 | 0.000 | -0.000 |
| 0.001 | 0.001 | 0.001 | -0.689 | 0.000 | 0.000 |
| 0.001 | 0.001 | 0.001 | 0.000 | -0.689 | -0.000 |
| 0.001 | 0.001 | 0.001 | 0.000 | 0.000 | -0.689 |
| 981.014 | 979.366 | 979.366 | -0.000 | -0.000 | -0.000 |
| 979.366 | 981.014 | 979.366 | -0.000 | -0.000 | -0.000 |
| 979.366 | 979.366 | 981.014 | -0.000 | -0.000 | -0.000 |
| -0.001 | -0.001 | -0.001 | -0.689 | -0.000 | -0.000 |
| -0.001 | -0.001 | -0.001 | -0.000 | -0.689 | 0.000 |
| -0.001 | -0.001 | -0.001 | 0.000 | -0.000 | -0.689 |
| 100.002 | 100.002 | 100.002 | -0.000 | -0.000 | 0.000 |
| 100.002 | 100.002 | 100.002 | -0.000 | -0.000 | 0.000 |
| 100.002 | 100.002 | 100.002 | -0.000 | -0.000 | 0.000 |
| 0.000 | 0.000 | 0.000 | 1.471 | -0.000 | 0.000 |
| 0.000 | 0.000 | 0.000 | -0.000 | 1.471 | 0.000 |
| 0.000 | 0.000 | 0.000 | -0.000 | -0.000 | 1.471 |
| 100.002 | 100.002 | 100.002 | 0.000 | 0.000 | -0.000 |
| 100.002 | 100.002 | 100.002 | 0.000 | 0.000 | -0.000 |
| 100.002 | 100.002 | 100.002 | 0.000 | 0.000 | -0.000 |
| -0.000 | -0.000 | -0.000 | 1.471 | 0.000 | -0.000 |
| -0.000 | -0.000 | -0.000 | 0.000 | 1.471 | -0.000 |
| -0.000 | -0.000 | -0.000 | 0.000 | 0.000 | 1.471 |
| 100.002 | 100.002 | 100.002 | -0.000 | -0.000 | 0.000 |
| 100.002 | 100.002 | 100.002 | -0.000 | -0.000 | 0.000 |
| 100.002 | 100.002 | 100.002 | -0.000 | -0.000 | 0.000 |
| 0.000 | 0.000 | 0.000 | 1.471 | -0.000 | 0.000 |
| 0.000 | 0.000 | 0.000 | -0.000 | 1.471 | 0.000 |
| 0.000 | 0.000 | 0.000 | -0.000 | -0.000 | 1.471 |
| 100.002 | 100.002 | 100.002 | 0.000 | 0.000 | -0.000 |
| 100.002 | 100.002 | 100.002 | 0.000 | 0.000 | -0.000 |
| 100.002 | 100.002 | 100.002 | 0.000 | 0.000 | -0.000 |
| -0.000 | -0.000 | -0.000 | 1.471 | 0.000 | -0.000 |
| -0.000 | -0.000 | -0.000 | 0.000 | 1.471 | -0.000 |
| -0.000 | -0.000 | -0.000 | 0.000 | 0.000 | 1.471 |
| 100.003 | 100.003 | 100.003 | -0.000 | -0.000 | 0.000 |
| 100.003 | 100.003 | 100.003 | -0.000 | -0.000 | 0.000 |
| 100.003 | 100.003 | 100.003 | -0.000 | -0.000 | 0.000 |
| 0.000 | 0.000 | 0.000 | 1.471 | -0.000 | 0.000 |
| 0.000 | 0.000 | 0.000 | -0.000 | 1.471 | 0.000 |
| 0.000 | 0.000 | 0.000 | -0.000 | -0.000 | 1.471 |
| 100.002 | 100.001 | 100.001 | 0.000 | 0.000 | -0.000 |
| 100.001 | 100.002 | 100.001 | 0.000 | 0.000 | -0.000 |
| 100.001 | 100.001 | 100.002 | 0.000 | 0.000 | -0.000 |
| -0.000 | -0.000 | -0.000 | 1.471 | 0.000 | -0.000 |
| -0.000 | -0.000 | -0.000 | 0.000 | 1.471 | -0.000 |
| -0.000 | -0.000 | -0.000 | 0.000 | 0.000 | 1.471 |
| 250.745 | 331.449 | 331.449 | -0.000 | -0.000 | -0.000 |
| 331.449 | 250.745 | 331.449 | -0.000 | -0.000 | -0.000 |
| 331.449 | 331.449 | 250.745 | -0.000 | -0.000 | -0.000 |
| 0.000 | 0.000 | -0.000 | -118.023 | -0.000 | -0.000 |
| -0.000 | 0.000 | -0.000 | -0.000 | -118.023 | -0.000 |
| -0.000 | 0.000 | -0.000 | -0.000 | -0.000 | -118.023 |
| 250.745 | 331.449 | 331.449 | 0.000 | 0.000 | 0.000 |
| 331.449 | 250.745 | 331.449 | 0.000 | 0.000 | 0.000 |
| 331.449 | 331.449 | 250.745 | 0.000 | 0.000 | 0.000 |
| -0.000 | -0.000 | 0.000 | -118.023 | 0.000 | 0.000 |
| 0.000 | -0.000 | 0.000 | 0.000 | -118.023 | 0.000 |
| 0.000 | -0.000 | 0.000 | 0.000 | 0.000 | -118.023 |
| 250.745 | 331.449 | 331.449 | -0.000 | -0.000 | -0.000 |
| 331.449 | 250.745 | 331.449 | -0.000 | 0.000 | -0.000 |
| 331.449 | 331.449 | 250.745 | -0.000 | -0.000 | -0.000 |
| 0.000 | 0.000 | 0.000 | -118.023 | -0.000 | -0.000 |
| 0.000 | 0.000 | 0.000 | -0.000 | -118.023 | -0.000 |
| 0.000 | 0.000 | 0.000 | -0.000 | -0.000 | -118.023 |
| 250.745 | 331.449 | 331.449 | 0.000 | 0.000 | 0.000 |
| 331.449 | 250.745 | 331.449 | 0.000 | 0.000 | 0.000 |
| 331.449 | 331.449 | 250.745 | 0.000 | -0.000 | 0.000 |
| -0.000 | -0.000 | -0.000 | -118.023 | 0.000 | 0.000 |
| -0.000 | -0.000 | -0.000 | 0.000 | -118.023 | 0.000 |
| -0.000 | -0.000 | -0.000 | 0.000 | 0.000 | -118.023 |
| 250.747 | 331.450 | 331.450 | -0.000 | -0.000 | -0.000 |
| 331.450 | 250.747 | 331.450 | -0.000 | -0.000 | -0.000 |
| 331.450 | 331.450 | 250.747 | -0.000 | -0.000 | -0.000 |
| 0.001 | 0.001 | 0.001 | -118.023 | -0.000 | -0.000 |
| 0.001 | 0.001 | 0.001 | -0.000 | -118.023 | -0.000 |
| 0.001 | 0.001 | 0.001 | -0.000 | -0.000 | -118.023 |
| 250.743 | 331.448 | 331.448 | 0.000 | 0.000 | 0.000 |
| 331.448 | 250.743 | 331.448 | 0.000 | 0.000 | 0.000 |
| 331.448 | 331.448 | 250.743 | 0.000 | 0.000 | 0.000 |
| -0.001 | -0.001 | -0.001 | -118.023 | 0.000 | 0.000 |
| -0.001 | -0.001 | -0.001 | 0.000 | -118.023 | 0.000 |
| -0.001 | -0.001 | -0.001 | 0.000 | 0.000 | -118.023 |
| 27.132 | 27.132 | 27.132 | 0.000 | 0.000 | 0.000 |
| 27.132 | 27.132 | 27.132 | 0.000 | 0.000 | 0.000 |
| 27.132 | 27.132 | 27.132 | 0.000 | 0.000 | 0.000 |
| 0.000 | 0.000 | 0.000 | -1.084 | 0.000 | 0.000 |
| 0.000 | 0.000 | 0.000 | 0.000 | -1.084 | 0.000 |
| 0.000 | 0.000 | 0.000 | 0.000 | 0.000 | -1.084 |
| 27.132 | 27.132 | 27.132 | -0.000 | -0.000 | -0.000 |
| 27.132 | 27.132 | 27.132 | -0.000 | -0.000 | -0.000 |
| 27.132 | 27.132 | 27.132 | -0.000 | -0.000 | -0.000 |
| -0.000 | -0.000 | -0.000 | -1.084 | -0.000 | -0.000 |
| -0.000 | -0.000 | -0.000 | -0.000 | -1.084 | -0.000 |
| -0.000 | -0.000 | -0.000 | -0.000 | -0.000 | -1.084 |
| 27.132 | 27.132 | 27.132 | 0.000 | 0.000 | 0.000 |
| 27.132 | 27.132 | 27.132 | 0.000 | 0.000 | 0.000 |
| 27.132 | 27.132 | 27.132 | 0.000 | 0.000 | 0.000 |
| 0.000 | 0.000 | 0.000 | -1.084 | 0.000 | 0.000 |
| 0.000 | 0.000 | 0.000 | 0.000 | -1.084 | 0.000 |
| 0.000 | 0.000 | 0.000 | 0.000 | 0.000 | -1.084 |
| 27.132 | 27.132 | 27.132 | -0.000 | -0.000 | -0.000 |
| 27.132 | 27.132 | 27.132 | -0.000 | -0.000 | -0.000 |
| 27.132 | 27.132 | 27.132 | -0.000 | -0.000 | -0.000 |
| -0.000 | -0.000 | -0.000 | -1.084 | -0.000 | -0.000 |
| -0.000 | -0.000 | -0.000 | -0.000 | -1.084 | -0.000 |
| -0.000 | -0.000 | -0.000 | -0.000 | -0.000 | -1.084 |
| 27.132 | 27.132 | 27.132 | 0.000 | 0.000 | 0.000 |
| 27.132 | 27.132 | 27.132 | 0.000 | 0.000 | 0.000 |
| 27.132 | 27.132 | 27.132 | 0.000 | 0.000 | 0.000 |
| 256634.571 | 257968.974 | 257969.011 | 18553.562 | 0.000 | 0.000 |
| 257968.974 | 256634.571 | 257969.011 | 0.000 | 18553.562 | 0.000 |
| 257968.974 | 257969.011 | 256634.571 | 0.000 | 0.000 | 18553.562 |
| 27.132 | 27.132 | 27.132 | -0.000 | -0.000 | -0.000 |
| 27.132 | 27.132 | 27.132 | -0.000 | -0.000 | -0.000 |
| 27.132 | 27.132 | 27.132 | -0.000 | -0.000 | -0.000 |
| -256634.571 | -257968.974 | -257969.011 | 18553.562 | 0.000 | 0.000 |
| -257968.974 | -256634.571 | -257969.011 | 0.000 | 18553.562 | 0.000 |
| -257968.974 | -257969.011 | -256634.571 | 0.000 | 0.000 | 18553.562 |
| 11.834 | 11.834 | 11.834 | -0.000 | -0.000 | -0.000 |
| 11.834 | 11.834 | 11.834 | -0.000 | -0.000 | -0.000 |
| 11.834 | 11.834 | 11.834 | -0.000 | -0.000 | -0.000 |
| -0.000 | -0.000 | -0.000 | 0.558 | -0.000 | -0.000 |
| -0.000 | -0.000 | -0.000 | -0.000 | 0.558 | -0.000 |
| -0.000 | -0.000 | -0.000 | -0.000 | -0.000 | 0.558 |
| 11.834 | 11.834 | 11.834 | 0.000 | 0.000 | 0.000 |
| 11.834 | 11.834 | 11.834 | 0.000 | 0.000 | 0.000 |
| 11.834 | 11.834 | 11.834 | 0.000 | 0.000 | 0.000 |
| 0.000 | 0.000 | 0.000 | 0.558 | 0.000 | 0.000 |
| 0.000 | 0.000 | 0.000 | 0.000 | 0.558 | 0.000 |
| 0.000 | 0.000 | 0.000 | 0.000 | 0.000 | 0.558 |
| 11.834 | 11.834 | 11.834 | -0.000 | -0.000 | -0.000 |
| 11.834 | 11.834 | 11.834 | -0.000 | -0.000 | -0.000 |
| 11.834 | 11.834 | 11.834 | -0.000 | -0.000 | -0.000 |
| -0.000 | -0.000 | -0.000 | 0.558 | -0.000 | -0.000 |
| -0.000 | -0.000 | -0.000 | -0.000 | 0.558 | -0.000 |
| -0.000 | -0.000 | -0.000 | -0.000 | -0.000 | 0.558 |
| 11.834 | 11.834 | 11.834 | 0.000 | 0.000 | 0.000 |
| 11.834 | 11.834 | 11.834 | 0.000 | 0.000 | 0.000 |
| 11.834 | 11.834 | 11.834 | 0.000 | 0.000 | 0.000 |
| 0.000 | 0.000 | 0.000 | 0.558 | 0.000 | 0.000 |
| 0.000 | 0.000 | 0.000 | 0.000 | 0.558 | 0.000 |
| 0.000 | 0.000 | 0.000 | 0.000 | 0.000 | 0.558 |
| 11.834 | 11.834 | 11.834 | -0.000 | -0.000 | -0.000 |
| 11.834 | 11.834 | 11.834 | -0.000 | -0.000 | -0.000 |
| 11.834 | 11.834 | 11.834 | -0.000 | -0.000 | -0.000 |
| -0.000 | -0.000 | -0.000 | 0.114 | -0.000 | -0.000 |
| -0.000 | -0.000 | -0.000 | -0.000 | 0.114 | -0.000 |
| -0.000 | -0.000 | -0.000 | -0.000 | -0.000 | 0.114 |
| 11.834 | 11.834 | 11.834 | 0.000 | 0.000 | 0.000 |
| 11.834 | 11.834 | 11.834 | 0.000 | 0.000 | 0.000 |
| 11.834 | 11.834 | 11.834 | 0.000 | 0.000 | 0.000 |
| 0.000 | 0.000 | 0.000 | 0.114 | 0.000 | 0.000 |
| 0.000 | 0.000 | 0.000 | 0.000 | 0.114 | 0.000 |
| 0.000 | 0.000 | 0.000 | 0.000 | 0.000 | 0.114 |
| 239.893 | 81.956 | 137.326 | -0.000 | -0.000 | -0.000 |
| 81.956 | 239.893 | 137.326 | -0.000 | -0.000 | -0.000 |
| 137.326 | 137.326 | 239.497 | -0.000 | -0.000 | 0.000 |
| 0.000 | 0.000 | 0.000 | 87.948 | 0.000 | 0.000 |
| -0.000 | 0.000 | 0.000 | -0.000 | 87.948 | 0.000 |
| 0.000 | 0.000 | 0.000 | -0.000 | 0.000 | 13.110 |
| 239.893 | 81.956 | 137.326 | 0.000 | 0.000 | -0.000 |
| 81.956 | 239.893 | 137.326 | -0.000 | 0.000 | -0.000 |
| 137.326 | 137.326 | 239.497 | 0.000 | -0.000 | -0.000 |
| -0.000 | -0.000 | -0.000 | 87.948 | -0.000 | 0.000 |
| 0.000 | -0.000 | -0.000 | 0.000 | 87.948 | -0.000 |
| -0.000 | -0.000 | -0.000 | -0.000 | -0.000 | 13.110 |
| 239.893 | 81.956 | 137.326 | -0.000 | -0.000 | 0.000 |
| 81.956 | 239.893 | 137.326 | -0.000 | 0.000 | 0.000 |
| 137.326 | 137.326 | 239.497 | -0.000 | -0.000 | 0.000 |
| 0.000 | -0.000 | 0.000 | 87.948 | -0.000 | 0.000 |
| -0.000 | 0.000 | 0.000 | -0.000 | 87.948 | 0.000 |
| 0.000 | 0.000 | 0.000 | -0.000 | 0.000 | 13.110 |
| 239.893 | 81.956 | 137.326 | 0.000 | 0.000 | -0.000 |
| 81.956 | 239.893 | 137.326 | 0.000 | -0.000 | -0.000 |
| 137.326 | 137.326 | 239.496 | 0.000 | -0.000 | 0.000 |
| -0.000 | 0.000 | -0.000 | 87.948 | 0.000 | -0.000 |
| 0.000 | -0.000 | -0.000 | 0.000 | 87.948 | -0.000 |
| -0.000 | -0.000 | -0.000 | 0.000 | -0.000 | 13.110 |
| 239.894 | 81.956 | 137.325 | -0.000 | 0.000 | 0.000 |
| 81.956 | 239.894 | 137.325 | -0.000 | 0.000 | 0.000 |
| 137.326 | 137.326 | 239.500 | -0.000 | -0.000 | 0.000 |
| 0.000 | -0.000 | 0.000 | 87.948 | 0.000 | 0.000 |
| -0.000 | 0.000 | 0.000 | -0.000 | 87.948 | 0.000 |
| 0.001 | 0.000 | 0.000 | -0.000 | 0.000 | 13.110 |
| 239.892 | 81.957 | 137.326 | 0.000 | 0.000 | -0.000 |
| 81.957 | 239.892 | 137.326 | 0.000 | -0.000 | 0.000 |
| 137.326 | 137.326 | 239.493 | 0.000 | -0.000 | 0.000 |
| -0.000 | 0.000 | -0.000 | 87.948 | -0.000 | -0.000 |
| 0.000 | -0.000 | -0.000 | 0.000 | 87.948 | -0.000 |
| -0.001 | -0.000 | -0.000 | 0.000 | 0.000 | 13.110 |
| -129.301 | 24.804 | 43.076 | -0.000 | 0.000 | -0.000 |
| 24.804 | -129.301 | 43.076 | 0.000 | -0.000 | -0.000 |
| 43.076 | 43.076 | 74.815 | -0.000 | -0.000 | -0.000 |
| 0.000 | 0.000 | 0.000 | 43.046 | -0.000 | -0.000 |
| 0.000 | 0.000 | 0.000 | -0.000 | 43.046 | -0.000 |
| 0.000 | 0.000 | 0.000 | -0.000 | 0.000 | 24.779 |
| -129.301 | 24.804 | 43.076 | 0.000 | -0.000 | -0.000 |
| 24.804 | -129.301 | 43.076 | -0.000 | 0.000 | -0.000 |
| 43.076 | 43.076 | 74.815 | 0.000 | 0.000 | 0.000 |
| -0.000 | -0.000 | -0.000 | 43.046 | 0.000 | 0.000 |
| -0.000 | -0.000 | -0.000 | 0.000 | 43.046 | 0.000 |
| -0.000 | -0.000 | -0.000 | 0.000 | -0.000 | 24.779 |
| -129.301 | 24.804 | 43.076 | -0.000 | 0.000 | 0.000 |
| 24.804 | -129.301 | 43.076 | 0.000 | -0.000 | 0.000 |
| 43.076 | 43.076 | 74.815 | -0.000 | -0.000 | -0.000 |
| 0.000 | 0.000 | 0.000 | 43.046 | -0.000 | 0.000 |
| 0.000 | 0.000 | 0.000 | -0.000 | 43.046 | 0.000 |
| 0.000 | 0.000 | 0.000 | 0.000 | -0.000 | 24.779 |
| -129.300 | 24.804 | 43.076 | 0.000 | -0.000 | 0.000 |
| 24.804 | -129.300 | 43.076 | -0.000 | 0.000 | 0.000 |
| 43.076 | 43.076 | 74.815 | 0.000 | 0.000 | 0.000 |
| -0.000 | -0.000 | -0.000 | 43.046 | 0.000 | -0.000 |
| -0.000 | -0.000 | -0.000 | 0.000 | 43.046 | -0.000 |
| -0.000 | -0.000 | -0.000 | 0.000 | -0.000 | 24.779 |
| -129.306 | 24.804 | 43.076 | -0.000 | -0.000 | -0.000 |
| 24.804 | -129.306 | 43.076 | -0.000 | -0.000 | -0.000 |
| 43.076 | 43.076 | 74.816 | -0.000 | -0.000 | -0.000 |
| 0.000 | 0.000 | 0.001 | 43.046 | -0.000 | 0.000 |
| 0.000 | 0.000 | 0.001 | -0.000 | 43.046 | 0.000 |
| 0.000 | 0.000 | 0.000 | -0.000 | -0.000 | 24.779 |
| -129.295 | 24.804 | 43.075 | 0.000 | 0.000 | 0.000 |
| 24.804 | -129.295 | 43.075 | 0.000 | 0.000 | 0.000 |
| 43.075 | 43.075 | 74.814 | 0.000 | 0.000 | 0.000 |
| -0.000 | -0.000 | -0.001 | 43.046 | 0.000 | -0.000 |
| -0.000 | -0.000 | -0.001 | 0.000 | 43.046 | -0.000 |
| -0.000 | -0.000 | -0.000 | -0.000 | -0.000 | 24.779 |
| 282.075 | 280.226 | -171.644 | -0.000 | 0.000 | 0.000 |
| 280.226 | 282.075 | -171.644 | 0.000 | -0.000 | -0.000 |
| -171.644 | -171.644 | 114.332 | -0.000 | -0.000 | -0.000 |
| 0.000 | 0.000 | -0.000 | 3.017 | -0.000 | -0.000 |
| 0.000 | 0.000 | -0.000 | -0.000 | 3.017 | -0.000 |
| 0.000 | 0.000 | -0.000 | 0.000 | 0.000 | 1.920 |
| 282.075 | 280.226 | -171.644 | 0.000 | -0.000 | 0.000 |
| 280.226 | 282.075 | -171.644 | -0.000 | 0.000 | 0.000 |
| -171.644 | -171.644 | 114.332 | 0.000 | 0.000 | -0.000 |
| -0.000 | -0.000 | 0.000 | 3.017 | 0.000 | 0.000 |
| -0.000 | -0.000 | 0.000 | 0.000 | 3.017 | 0.000 |
| -0.000 | -0.000 | 0.000 | -0.000 | -0.000 | 1.920 |
| 282.074 | 280.226 | -171.644 | -0.000 | 0.000 | 0.000 |
| 280.226 | 282.074 | -171.644 | 0.000 | -0.000 | -0.000 |
| -171.644 | -171.644 | 114.332 | -0.000 | -0.000 | -0.000 |
| 0.000 | 0.000 | -0.000 | 3.017 | -0.000 | -0.000 |
| 0.000 | 0.000 | -0.000 | -0.000 | 3.017 | -0.000 |
| 0.000 | 0.000 | 0.000 | 0.000 | 0.000 | 1.920 |
| 282.075 | 280.226 | -171.644 | 0.000 | 0.000 | 0.000 |
| 280.226 | 282.075 | -171.644 | 0.000 | 0.000 | 0.000 |
| -171.644 | -171.644 | 114.332 | 0.000 | 0.000 | 0.000 |
| -0.000 | -0.000 | 0.000 | 3.017 | 0.000 | -0.000 |
| -0.000 | -0.000 | 0.000 | 0.000 | 3.017 | 0.000 |
| -0.000 | -0.000 | -0.000 | 0.000 | -0.000 | 1.920 |
| 282.071 | 280.224 | -171.642 | -0.000 | 0.000 | -0.000 |
| 280.224 | 282.071 | -171.642 | 0.000 | -0.000 | -0.000 |
| -171.645 | -171.645 | 114.332 | -0.000 | -0.000 | -0.000 |
| 0.000 | 0.000 | -0.000 | 3.017 | -0.000 | 0.000 |
| 0.000 | 0.000 | -0.000 | -0.000 | 3.017 | -0.000 |
| 0.000 | 0.000 | 0.000 | 0.000 | 0.000 | 1.920 |
| 282.078 | 280.228 | -171.646 | 0.000 | 0.000 | 0.000 |
| 280.228 | 282.078 | -171.646 | 0.000 | 0.000 | 0.000 |
| -171.643 | -171.643 | 114.333 | 0.000 | 0.000 | 0.000 |
| -0.000 | -0.000 | 0.000 | 3.017 | -0.000 | 0.000 |
| -0.000 | -0.000 | 0.000 | -0.000 | 3.017 | 0.000 |
| -0.000 | -0.000 | -0.000 | 0.000 | 0.000 | 1.920 |
| 150.697 | 167.416 | 176.835 | -0.000 | 0.000 | 0.000 |
| 167.416 | 306.619 | 31.949 | -0.000 | 0.000 | -0.000 |
| 176.835 | 31.949 | 294.889 | -0.000 | 0.000 | -0.000 |
| -0.000 | 0.000 | 0.000 | 3.755 | -0.000 | -0.000 |
| 0.000 | 0.000 | 0.000 | 0.000 | 146.834 | 0.000 |
| 0.000 | 0.000 | 0.000 | -0.000 | 0.000 | 135.307 |
| 150.697 | 167.416 | 176.835 | 0.000 | -0.000 | 0.000 |
| 167.416 | 306.619 | 31.949 | -0.000 | -0.000 | -0.000 |
| 176.835 | 31.949 | 294.889 | -0.000 | -0.000 | 0.000 |
| 0.000 | -0.000 | -0.000 | 3.755 | -0.000 | 0.000 |
| -0.000 | -0.000 | -0.000 | 0.000 | 146.834 | -0.000 |
| -0.000 | -0.000 | -0.000 | -0.000 | -0.000 | 135.307 |
| 150.697 | 167.416 | 176.835 | 0.000 | -0.000 | -0.000 |
| 167.416 | 306.619 | 31.949 | -0.000 | 0.000 | 0.000 |
| 176.835 | 31.949 | 294.889 | -0.000 | 0.000 | 0.000 |
| -0.000 | 0.000 | -0.000 | 3.755 | -0.000 | 0.000 |
| 0.000 | -0.000 | 0.000 | -0.000 | 146.834 | 0.000 |
| 0.000 | 0.000 | -0.000 | -0.000 | 0.000 | 135.307 |
| 150.697 | 167.416 | 176.835 | -0.000 | -0.000 | -0.000 |
| 167.416 | 306.618 | 31.949 | 0.000 | -0.000 | -0.000 |
| 176.835 | 31.949 | 294.889 | -0.000 | 0.000 | -0.000 |
| 0.000 | -0.000 | 0.000 | 3.755 | 0.000 | -0.000 |
| -0.000 | 0.000 | -0.000 | -0.000 | 146.834 | -0.000 |
| -0.000 | -0.000 | 0.000 | 0.000 | -0.000 | 135.307 |
| 150.697 | 167.416 | 176.836 | 0.000 | 0.000 | 0.000 |
| 167.417 | 306.621 | 31.949 | 0.000 | -0.000 | -0.000 |
| 176.837 | 31.949 | 294.891 | -0.000 | -0.000 | -0.000 |
| -0.000 | 0.000 | -0.000 | 3.755 | -0.000 | 0.000 |
| 0.001 | -0.000 | 0.002 | -0.000 | 146.834 | 0.000 |
| 0.001 | 0.002 | -0.000 | -0.000 | 0.000 | 135.307 |
| 150.697 | 167.415 | 176.835 | 0.000 | -0.000 | -0.000 |
| 167.415 | 306.616 | 31.949 | 0.000 | 0.000 | 0.000 |
| 176.834 | 31.949 | 294.887 | 0.000 | -0.000 | 0.000 |
| 0.000 | -0.000 | 0.000 | 3.755 | 0.000 | -0.000 |
| -0.001 | 0.000 | -0.002 | 0.000 | 146.834 | -0.000 |
| -0.001 | -0.002 | 0.000 | 0.000 | -0.000 | 135.307 |
| 315.276 | 118.841 | 115.019 | 0.000 | -0.000 | 0.000 |
| 136.483 | 299.954 | 161.650 | -0.000 | -0.000 | 0.000 |
| 130.022 | 154.458 | 294.285 | 0.000 | -0.000 | 0.000 |
| 20.737 | 15.452 | 18.047 | 44.088 | 0.000 | 0.000 |
| 22.380 | 13.103 | 22.955 | -0.000 | 57.630 | -0.000 |
| 21.116 | 12.362 | 21.658 | 0.000 | -0.000 | 59.068 |
| 315.276 | 118.841 | 115.019 | -0.000 | 0.000 | -0.000 |
| 118.841 | 293.056 | 140.215 | -0.000 | 0.000 | -0.000 |
| 115.019 | 140.215 | 284.210 | 0.000 | -0.000 | -0.000 |
| -20.737 | -15.452 | -18.047 | 44.088 | -0.000 | -0.000 |
| -22.380 | -13.103 | -22.955 | 0.000 | 57.630 | -0.000 |
| -21.116 | -12.362 | -21.658 | 0.000 | 0.000 | 59.068 |
| 309.298 | 116.079 | 108.170 | 0.000 | -0.000 | 0.000 |
| 113.691 | 280.890 | 143.840 | 0.000 | -0.000 | 0.000 |
| 104.558 | 140.808 | 266.941 | -0.000 | -0.000 | 0.000 |
| 2.050 | 1.533 | 1.780 | 44.093 | 0.000 | 0.000 |
| 2.341 | 1.608 | 2.170 | 0.000 | 47.120 | 0.000 |
| 2.112 | 1.236 | 2.166 | 0.000 | -0.000 | 59.068 |
| 305.137 | 113.636 | 103.907 | -0.000 | 0.000 | -0.000 |
| 118.841 | 293.056 | 140.215 | -0.000 | 0.000 | -0.000 |
| 115.019 | 140.215 | 284.210 | 0.000 | 0.000 | -0.000 |
| -2.050 | -1.533 | -1.780 | 44.093 | -0.000 | -0.000 |
| -2.341 | -1.608 | -2.170 | 0.000 | 47.120 | -0.000 |
| -2.112 | -1.236 | -2.166 | -0.000 | 0.000 | 59.068 |
| 307.368 | 115.980 | 105.185 | 0.000 | 0.000 | 0.000 |
| 118.841 | 293.058 | 140.215 | -0.000 | -0.000 | 0.000 |
| 105.212 | 151.161 | 257.909 | 0.000 | 0.000 | 0.000 |
| -0.009 | 0.039 | -0.052 | 44.087 | 0.000 | 0.000 |
| 0.266 | 0.178 | 0.251 | 0.000 | 47.036 | 0.000 |
| 0.211 | 0.124 | 0.217 | 0.000 | -0.000 | 59.068 |
| 307.017 | 114.738 | 105.834 | -0.000 | 0.000 | 0.000 |
| 115.617 | 276.867 | 150.827 | -0.000 | -0.000 | -0.000 |
| 103.163 | 138.964 | 266.508 | 0.000 | 0.000 | -0.000 |
| 0.009 | -0.039 | 0.052 | 44.087 | -0.000 | -0.000 |
| -0.266 | -0.178 | -0.251 | -0.000 | 47.036 | -0.000 |
| -0.211 | -0.124 | -0.217 | -0.000 | 0.000 | 59.068 |
| 306.310 | 118.410 | 113.109 | -0.000 | 0.000 | 0.000 |
| 115.645 | 241.249 | 147.042 | -0.000 | 0.000 | 0.000 |
| 110.487 | 145.984 | 319.857 | -0.000 | 0.000 | 0.000 |
| 0.000 | 0.000 | 0.000 | 74.043 | 0.000 | 0.000 |
| -0.004 | 0.192 | -0.078 | -0.000 | 45.067 | 0.000 |
| -0.004 | 0.232 | -0.094 | -0.000 | 0.000 | 58.549 |
| 306.310 | 118.293 | 113.154 | 0.000 | -0.000 | -0.000 |
| 115.500 | 240.766 | 147.044 | 0.000 | -0.000 | -0.000 |
| 110.549 | 145.881 | 319.973 | 0.000 | -0.000 | -0.000 |
| -0.000 | -0.000 | -0.000 | 74.043 | -0.000 | -0.000 |
| 0.004 | -0.192 | 0.078 | 0.000 | 45.067 | -0.000 |
| 0.004 | -0.232 | 0.094 | 0.000 | -0.000 | 58.549 |
| 313.978 | 122.404 | 121.237 | -0.000 | -0.000 | 0.000 |
| 119.697 | 234.401 | 154.759 | -0.000 | 0.000 | 0.000 |
| 111.002 | 151.096 | 318.553 | -0.000 | 0.000 | 0.000 |
| -0.000 | 0.024 | -0.010 | 42.152 | 0.000 | 0.000 |
| 0.000 | 0.021 | -0.008 | -0.000 | 44.554 | 0.000 |
| 0.000 | -0.000 | -0.000 | -0.000 | 0.000 | 58.549 |
| 306.310 | 118.346 | 113.134 | -0.000 | -0.000 | -0.000 |
| 119.697 | 234.354 | 154.777 | 0.000 | -0.000 | -0.000 |
| 111.002 | 151.049 | 318.570 | 0.000 | -0.000 | -0.000 |
| 0.000 | -0.024 | 0.010 | 42.152 | -0.000 | -0.000 |
| -0.000 | -0.021 | 0.008 | 0.000 | 44.554 | -0.000 |
| -0.000 | 0.000 | 0.000 | 0.000 | -0.000 | 58.549 |
| 306.311 | 118.353 | 113.132 | 0.000 | 0.000 | 0.000 |
| 119.697 | 234.380 | 154.767 | -0.000 | 0.000 | 0.000 |
| 111.002 | 151.074 | 318.562 | -0.000 | 0.000 | 0.000 |
| -0.000 | -0.000 | 0.000 | 74.043 | 0.000 | 0.000 |
| 0.000 | 0.002 | -0.001 | -0.000 | 44.554 | 0.000 |
| 0.000 | -0.000 | -0.000 | 0.000 | 0.000 | 58.549 |
| 306.308 | 118.188 | 113.192 | 0.000 | -0.000 | -0.000 |
| 119.697 | 234.375 | 154.769 | 0.000 | -0.000 | -0.000 |
| 111.002 | 151.070 | 318.560 | 0.000 | -0.000 | -0.000 |
| 0.000 | 0.000 | -0.000 | 74.043 | -0.000 | -0.000 |
| -0.000 | -0.002 | 0.001 | 0.000 | 44.554 | -0.000 |
| -0.000 | 0.000 | 0.000 | -0.000 | -0.000 | 58.549 |
| 218.004 | 87.544 | 70.204 | 0.000 | -0.000 | -0.000 |
| 112.861 | 192.687 | 70.204 | -0.000 | -0.000 | -0.000 |
| 70.204 | 70.204 | 244.741 | -0.000 | -0.000 | -0.000 |
| 0.000 | 0.000 | 0.000 | 50.614 | -0.000 | -0.000 |
| 0.000 | 0.000 | 0.000 | 0.000 | 50.614 | -0.000 |
| 0.000 | 0.000 | -0.000 | 0.000 | -0.000 | 65.230 |
| 192.687 | 112.861 | 70.204 | -0.000 | 0.000 | 0.000 |
| 112.861 | 192.687 | 70.204 | -0.000 | 0.000 | 0.000 |
| 70.204 | 70.204 | 244.741 | -0.000 | 0.000 | 0.000 |
| -0.000 | -0.000 | -0.000 | 50.614 | 0.000 | 0.000 |
| -0.000 | -0.000 | -0.000 | -0.000 | 50.614 | 0.000 |
| -0.000 | -0.000 | 0.000 | -0.000 | 0.000 | 65.230 |
| 218.004 | 87.544 | 70.204 | 0.000 | -0.000 | -0.000 |
| 112.861 | 192.687 | 70.204 | 0.000 | -0.000 | -0.000 |
| 70.204 | 70.204 | 244.741 | 0.000 | -0.000 | -0.000 |
| 0.000 | 0.000 | 0.000 | 50.614 | -0.000 | -0.000 |
| 0.000 | 0.000 | 0.000 | 0.000 | 50.614 | -0.000 |
| 0.000 | 0.000 | 0.000 | 0.000 | -0.000 | 39.913 |
| 192.687 | 112.861 | 70.204 | -0.000 | 0.000 | 0.000 |
| 87.544 | 218.004 | 70.204 | -0.000 | 0.000 | 0.000 |
| 70.204 | 70.204 | 244.741 | -0.000 | 0.000 | 0.000 |
| -0.000 | -0.000 | -0.000 | 50.614 | 0.000 | -0.000 |
| -0.000 | -0.000 | -0.000 | -0.000 | 50.614 | 0.000 |
| -0.000 | -0.000 | -0.000 | 0.000 | 0.000 | 39.913 |
| 218.006 | 87.544 | 70.204 | 0.000 | -0.000 | -0.000 |
| 112.861 | 192.689 | 70.204 | 0.000 | -0.000 | -0.000 |
| 70.204 | 70.204 | 244.742 | 0.000 | -0.000 | -0.000 |
| 0.000 | 0.000 | 0.000 | 50.614 | -0.000 | 0.000 |
| 0.000 | 0.000 | 0.000 | 0.000 | 50.614 | -0.000 |
| 0.000 | 0.001 | 0.000 | 0.000 | -0.000 | 39.913 |
| 192.685 | 112.861 | 70.204 | -0.000 | 0.000 | 0.000 |
| 112.861 | 192.685 | 70.204 | 0.000 | 0.000 | 0.000 |
| 70.203 | 70.203 | 244.740 | -0.000 | 0.000 | 0.000 |
| -0.000 | -0.000 | -0.000 | 50.614 | 0.000 | 0.000 |
| -0.000 | -0.000 | -0.000 | -0.000 | 50.614 | 0.000 |
| -0.000 | -0.001 | -0.000 | -0.000 | 0.000 | 39.913 |
| 254.760 | 117.159 | 89.119 | -28.515 | 0.000 | -0.000 |
| 117.159 | 254.760 | 89.119 | 28.515 | 0.000 | 0.000 |
| 89.119 | 89.119 | 253.407 | -0.000 | 0.000 | 0.000 |
| -28.515 | 28.515 | 0.000 | 49.253 | -0.000 | 0.000 |
| 0.000 | 0.000 | 0.000 | 0.000 | 49.253 | -28.515 |
| 0.000 | 0.000 | 0.000 | -0.000 | -28.515 | 68.800 |
| 254.760 | 117.159 | 89.119 | -28.515 | -0.000 | 0.000 |
| 117.159 | 254.760 | 89.119 | 28.515 | -0.000 | 0.000 |
| 89.119 | 89.119 | 253.407 | 0.000 | -0.000 | -0.000 |
| -28.515 | 28.515 | -0.000 | 49.253 | 0.000 | 0.000 |
| -0.000 | -0.000 | -0.000 | 0.000 | 49.253 | -28.515 |
| -0.000 | -0.000 | -0.000 | 0.000 | -28.515 | 68.800 |
| 254.760 | 117.159 | 89.119 | -28.515 | 0.000 | 0.000 |
| 117.159 | 254.760 | 89.119 | 28.515 | 0.000 | 0.000 |
| 89.119 | 89.119 | 253.407 | -0.000 | 0.000 | 0.000 |
| -28.515 | 28.515 | 0.000 | 49.253 | 0.000 | 0.000 |
| 0.000 | 0.000 | 0.000 | 0.000 | 49.253 | -28.515 |
| 0.000 | 0.000 | 0.000 | 0.000 | -28.515 | 68.800 |
| 254.760 | 117.159 | 89.119 | -28.515 | -0.000 | -0.000 |
| 117.159 | 254.760 | 89.119 | 28.515 | 0.000 | -0.000 |
| 89.119 | 89.119 | 253.407 | 0.000 | 0.000 | 0.000 |
| -28.515 | 28.515 | -0.000 | 49.253 | 0.000 | -0.000 |
| -0.000 | -0.000 | -0.000 | -0.000 | 49.253 | -28.515 |
| -0.000 | -0.000 | -0.000 | -0.000 | -28.515 | 68.800 |
| 254.761 | 117.159 | 89.119 | -28.515 | 0.000 | 0.000 |
| 117.159 | 254.761 | 89.119 | 28.515 | 0.000 | 0.000 |
| 89.120 | 89.120 | 253.409 | -0.000 | -0.000 | 0.000 |
| -28.515 | 28.516 | 0.001 | 49.253 | 0.000 | -0.000 |
| 0.000 | 0.000 | 0.001 | 0.000 | 49.253 | -28.515 |
| 0.000 | 0.000 | 0.000 | 0.000 | -28.515 | 68.800 |
| 254.758 | 117.159 | 89.119 | -28.515 | -0.000 | -0.000 |
| 117.159 | 254.759 | 89.119 | 28.516 | -0.000 | -0.000 |
| 89.118 | 89.118 | 253.405 | 0.000 | 0.000 | -0.000 |
| -28.515 | 28.515 | -0.001 | 49.253 | 0.000 | 0.000 |
| -0.000 | -0.000 | -0.001 | -0.000 | 49.253 | -28.515 |
| -0.000 | -0.000 | -0.000 | -0.000 | -28.515 | 68.800 |
| 180.271 | 156.263 | 156.263 | -0.000 | 0.000 | -0.000 |
| 156.263 | 180.271 | 156.263 | 0.000 | 0.000 | -0.000 |
| 156.263 | 156.263 | 180.271 | -0.000 | 0.000 | 0.000 |
| -0.000 | 0.000 | 0.000 | 167.640 | 0.000 | 0.000 |
| -0.000 | -0.000 | 0.000 | -0.000 | 167.640 | 0.000 |
| -0.000 | 0.000 | -0.000 | 0.000 | 0.000 | 167.640 |
| 180.271 | 156.263 | 156.263 | 0.000 | -0.000 | -0.000 |
| 156.263 | 180.271 | 156.263 | 0.000 | 0.000 | -0.000 |
| 156.263 | 156.263 | 180.271 | -0.000 | -0.000 | -0.000 |
| -0.000 | -0.000 | -0.000 | 167.640 | -0.000 | -0.000 |
| 0.000 | 0.000 | -0.000 | 0.000 | 167.640 | -0.000 |
| 0.000 | -0.000 | 0.000 | -0.000 | -0.000 | 167.640 |
| 180.272 | 156.263 | 156.263 | -0.000 | 0.000 | 0.000 |
| 156.263 | 180.272 | 156.263 | -0.000 | -0.000 | 0.000 |
| 156.263 | 156.263 | 180.272 | -0.000 | 0.000 | 0.000 |
| 0.000 | -0.000 | 0.000 | 167.640 | 0.000 | 0.000 |
| -0.000 | 0.000 | 0.000 | 0.000 | 167.640 | 0.000 |
| -0.000 | 0.000 | 0.000 | 0.000 | 0.000 | 167.640 |
| 180.271 | 156.263 | 156.263 | 0.000 | -0.000 | -0.000 |
| 156.263 | 180.271 | 156.263 | -0.000 | -0.000 | -0.000 |
| 156.263 | 156.263 | 180.271 | 0.000 | 0.000 | -0.000 |
| -0.000 | 0.000 | -0.000 | 167.640 | -0.000 | 0.000 |
| 0.000 | -0.000 | -0.000 | -0.000 | 167.640 | -0.000 |
| 0.000 | -0.000 | -0.000 | -0.000 | -0.000 | 167.640 |
| 180.274 | 156.263 | 156.263 | -0.000 | -0.000 | 0.000 |
| 156.263 | 180.274 | 156.263 | -0.000 | 0.000 | -0.000 |
| 156.263 | 156.263 | 180.274 | -0.000 | 0.000 | 0.000 |
| 0.001 | -0.000 | -0.000 | 36.767 | 0.000 | 0.000 |
| -0.000 | 0.001 | -0.000 | 0.000 | 36.767 | 0.000 |
| -0.000 | -0.000 | 0.001 | 0.000 | 0.000 | 36.767 |
| 180.269 | 156.262 | 156.262 | 0.000 | -0.000 | -0.000 |
| 156.262 | 180.269 | 156.262 | -0.000 | -0.000 | -0.000 |
| 156.262 | 156.262 | 180.269 | 0.000 | 0.000 | -0.000 |
| -0.001 | 0.000 | 0.000 | 36.767 | -0.000 | -0.000 |
| 0.000 | -0.001 | 0.000 | -0.000 | 36.767 | -0.000 |
| 0.000 | 0.000 | -0.001 | -0.000 | -0.000 | 36.767 |
| 20.332 | 10.735 | 10.735 | 0.000 | 0.000 | 0.000 |
| 10.735 | 20.332 | 10.735 | 0.000 | 0.000 | 0.000 |
| 10.735 | 10.735 | 20.332 | 0.000 | 0.000 | 0.000 |
| -0.000 | 0.000 | -0.000 | 11.376 | 0.000 | 0.000 |
| -0.000 | -0.000 | -0.000 | 0.000 | 11.376 | -0.000 |
| 0.000 | -0.000 | -0.000 | 0.000 | 0.000 | 11.376 |
| 20.331 | 10.735 | 10.735 | -0.000 | -0.000 | 0.000 |
| 10.735 | 20.331 | 10.735 | 0.000 | -0.000 | 0.000 |
| 10.735 | 10.735 | 20.331 | -0.000 | -0.000 | 0.000 |
| 0.000 | -0.000 | 0.000 | 11.376 | -0.000 | -0.000 |
| -0.000 | 0.000 | 0.000 | 0.000 | 11.376 | 0.000 |
| 0.000 | 0.000 | 0.000 | -0.000 | -0.000 | 11.376 |
| 20.333 | 10.735 | 10.735 | 0.000 | 0.000 | -0.000 |
| 10.735 | 20.333 | 10.735 | 0.000 | 0.000 | -0.000 |
| 10.735 | 10.735 | 20.333 | -0.000 | 0.000 | -0.000 |
| 0.000 | 0.000 | 0.000 | 7.855 | 0.000 | -0.000 |
| 0.000 | 0.000 | 0.000 | -0.000 | 7.855 | -0.000 |
| 0.000 | 0.000 | 0.000 | -0.000 | 0.000 | 7.855 |
| 20.330 | 10.735 | 10.735 | 0.000 | -0.000 | 0.000 |
| 10.735 | 20.330 | 10.735 | 0.000 | -0.000 | -0.000 |
| 10.735 | 10.735 | 20.330 | -0.000 | -0.000 | 0.000 |
| -0.000 | -0.000 | -0.000 | 7.855 | -0.000 | 0.000 |
| -0.000 | -0.000 | -0.000 | 0.000 | 7.855 | 0.000 |
| -0.000 | -0.000 | -0.000 | 0.000 | 0.000 | 7.855 |
| 20.344 | 10.735 | 10.735 | 0.000 | 0.000 | 0.000 |
| 10.735 | 20.344 | 10.735 | -0.000 | 0.000 | -0.000 |
| 10.735 | 10.735 | 20.344 | -0.000 | -0.000 | 0.000 |
| 0.001 | 0.000 | 0.000 | 7.855 | 0.000 | -0.000 |
| 0.000 | 0.001 | 0.000 | 0.000 | 7.855 | -0.000 |
| 0.000 | 0.000 | 0.001 | -0.000 | -0.000 | 7.855 |
| 20.319 | 10.735 | 10.735 | -0.000 | -0.000 | -0.000 |
| 10.735 | 20.319 | 10.735 | -0.000 | -0.000 | -0.000 |
| 10.735 | 10.735 | 20.319 | -0.000 | -0.000 | -0.000 |
| -0.001 | -0.000 | -0.000 | 7.855 | -0.000 | -0.000 |
| -0.000 | -0.001 | -0.000 | 0.000 | 7.855 | 0.000 |
| -0.000 | -0.000 | -0.001 | 0.000 | -0.000 | 7.855 |
| 275.912 | 280.605 | 280.605 | -0.000 | -0.000 | -0.000 |
| 280.605 | 275.912 | 280.605 | -0.000 | -0.000 | -0.000 |
| 280.605 | 280.605 | 275.912 | -0.000 | -0.000 | -0.000 |
| -0.000 | -0.000 | -0.000 | 0.885 | -0.000 | -0.000 |
| -0.000 | -0.000 | -0.000 | -0.000 | 0.885 | -0.000 |
| -0.000 | 0.000 | 0.000 | -0.000 | -0.000 | 0.885 |
| 275.912 | 280.605 | 280.605 | 0.000 | 0.000 | 0.000 |
| 280.605 | 275.912 | 280.605 | 0.000 | 0.000 | 0.000 |
| 280.605 | 280.605 | 275.912 | 0.000 | 0.000 | 0.000 |
| 0.000 | 0.000 | 0.000 | 0.885 | 0.000 | 0.000 |
| 0.000 | 0.000 | 0.000 | 0.000 | 0.885 | 0.000 |
| 0.000 | 0.000 | -0.000 | 0.000 | 0.000 | 0.885 |
| 275.914 | 280.606 | 280.606 | -0.000 | -0.000 | -0.000 |
| 280.606 | 275.914 | 280.606 | -0.000 | -0.000 | -0.000 |
| 280.606 | 280.606 | 275.914 | -0.000 | -0.000 | -0.000 |
| 0.000 | 0.000 | 0.000 | 0.885 | -0.000 | -0.000 |
| 0.000 | 0.000 | 0.000 | -0.000 | 0.885 | -0.000 |
| 0.000 | 0.000 | 0.000 | -0.000 | -0.000 | 0.885 |
| 275.911 | 280.605 | 280.605 | 0.000 | 0.000 | 0.000 |
| 280.605 | 275.911 | 280.605 | 0.000 | 0.000 | 0.000 |
| 280.605 | 280.605 | 275.911 | 0.000 | 0.000 | 0.000 |
| -0.000 | -0.000 | -0.000 | 0.885 | 0.000 | 0.000 |
| -0.000 | -0.000 | -0.000 | 0.000 | 0.885 | 0.000 |
| -0.000 | -0.000 | -0.000 | 0.000 | 0.000 | 0.885 |
| 275.927 | 280.610 | 280.610 | -0.000 | -0.000 | -0.000 |
| 280.610 | 275.927 | 280.610 | -0.000 | -0.000 | -0.000 |
| 280.610 | 280.610 | 275.927 | -0.000 | -0.000 | -0.000 |
| 0.000 | 0.000 | 0.000 | 0.885 | -0.000 | -0.000 |
| 0.000 | 0.000 | 0.000 | -0.000 | 0.885 | -0.000 |
| 0.000 | 0.000 | 0.000 | -0.000 | -0.000 | 0.885 |
| 275.897 | 280.601 | 280.601 | 0.000 | 0.000 | 0.000 |
| 280.601 | 275.897 | 280.601 | 0.000 | 0.000 | 0.000 |
| 280.601 | 280.601 | 275.897 | 0.000 | 0.000 | 0.000 |
| -0.000 | -0.000 | -0.000 | 0.885 | 0.000 | -0.000 |
| -0.000 | -0.000 | -0.000 | 0.000 | 0.885 | 0.000 |
| -0.000 | -0.000 | -0.000 | 0.000 | 0.000 | 0.885 |
| 23.740 | 23.740 | 23.740 | -0.000 | -0.000 | -0.000 |
| 23.740 | 23.740 | 23.740 | -0.000 | -0.000 | -0.000 |
| 23.740 | 23.740 | 23.740 | -0.000 | -0.000 | -0.000 |
| -0.000 | -0.000 | -0.000 | 1.208 | 0.000 | -0.000 |
| -0.000 | -0.000 | -0.000 | 0.000 | 1.208 | -0.000 |
| -0.000 | -0.000 | -0.000 | -0.000 | -0.000 | 1.208 |
| 23.740 | 23.740 | 23.740 | 0.000 | 0.000 | 0.000 |
| 23.740 | 23.740 | 23.740 | 0.000 | 0.000 | 0.000 |
| 23.740 | 23.740 | 23.740 | 0.000 | 0.000 | 0.000 |
| 0.000 | 0.000 | 0.000 | 1.208 | 0.000 | 0.000 |
| 0.000 | 0.000 | 0.000 | 0.000 | 1.208 | 0.000 |
| 0.000 | 0.000 | 0.000 | 0.000 | 0.000 | 1.208 |
| 23.740 | 23.740 | 23.740 | -0.000 | -0.000 | -0.000 |
| 23.740 | 23.740 | 23.740 | -0.000 | -0.000 | -0.000 |
| 23.740 | 23.740 | 23.740 | -0.000 | -0.000 | -0.000 |
| -0.000 | -0.000 | -0.000 | 1.208 | -0.000 | -0.000 |
| -0.000 | -0.000 | -0.000 | -0.000 | 1.208 | -0.000 |
| -0.000 | -0.000 | -0.000 | -0.000 | -0.000 | 1.208 |
| 23.740 | 23.740 | 23.740 | 0.000 | -0.000 | 0.000 |
| 23.740 | 23.740 | 23.740 | -0.000 | 0.000 | 0.000 |
| 23.740 | 23.740 | 23.740 | 0.000 | 0.000 | 0.000 |
| 0.000 | 0.000 | 0.000 | 1.208 | 0.000 | 0.000 |
| 0.000 | 0.000 | 0.000 | 0.000 | 1.208 | 0.000 |
| 0.000 | 0.000 | 0.000 | 0.000 | 0.000 | 1.208 |
| 23.740 | 23.740 | 23.740 | -0.000 | -0.000 | -0.000 |
| 23.740 | 23.740 | 23.740 | -0.000 | -0.000 | -0.000 |
| 23.740 | 23.740 | 23.740 | -0.000 | -0.000 | -0.000 |
| -0.000 | -0.000 | -0.000 | 0.994 | -0.000 | 0.000 |
| -0.000 | -0.000 | -0.000 | -0.000 | 0.994 | 0.000 |
| -0.000 | -0.000 | -0.000 | 0.000 | -0.000 | 0.994 |
| 23.740 | 23.740 | 23.740 | 0.000 | 0.000 | 0.000 |
| 23.740 | 23.740 | 23.740 | 0.000 | 0.000 | 0.000 |
| 23.740 | 23.740 | 23.740 | 0.000 | 0.000 | 0.000 |
| 0.000 | 0.000 | 0.000 | 0.994 | -0.000 | 0.000 |
| 0.000 | 0.000 | 0.000 | -0.000 | 0.994 | 0.000 |
| 0.000 | 0.000 | 0.000 | 0.000 | 0.000 | 0.994 |
| 400.954 | 417.309 | 417.309 | 0.000 | 0.000 | -0.000 |
| 417.309 | 400.954 | 417.309 | 0.000 | 0.000 | -0.000 |
| 417.309 | 417.309 | 400.954 | 0.000 | 0.000 | -0.000 |
| -0.000 | 0.000 | 0.000 | 25.615 | 0.000 | -0.000 |
| -0.000 | -0.000 | 0.000 | -0.000 | 25.615 | -0.000 |
| -0.000 | 0.000 | 0.000 | 0.000 | 0.000 | 25.615 |
| 400.954 | 417.309 | 417.309 | -0.000 | 0.000 | 0.000 |
| 417.309 | 400.954 | 417.309 | -0.000 | -0.000 | 0.000 |
| 417.309 | 417.309 | 400.954 | 0.000 | -0.000 | 0.000 |
| 0.000 | -0.000 | -0.000 | 25.615 | 0.000 | 0.000 |
| 0.000 | -0.000 | -0.000 | -0.000 | 25.615 | 0.000 |
| 0.000 | -0.000 | -0.000 | -0.000 | -0.000 | 25.615 |
| 400.954 | 417.309 | 417.309 | 0.000 | 0.000 | -0.000 |
| 417.309 | 400.954 | 417.309 | 0.000 | 0.000 | -0.000 |
| 417.309 | 417.309 | 400.954 | -0.000 | -0.000 | -0.000 |
| 0.000 | 0.000 | 0.000 | -134.555 | 0.000 | -0.000 |
| 0.000 | 0.000 | 0.000 | 0.000 | -134.555 | -0.000 |
| 0.000 | 0.000 | 0.000 | 0.000 | 0.000 | -134.555 |
| 400.953 | 417.309 | 417.309 | -0.000 | -0.000 | 0.000 |
| 417.309 | 400.953 | 417.309 | 0.000 | 0.000 | 0.000 |
| 417.309 | 417.309 | 400.953 | -0.000 | -0.000 | 0.000 |
| -0.000 | -0.000 | -0.000 | -134.555 | 0.000 | 0.000 |
| -0.000 | -0.000 | -0.000 | -0.000 | -134.555 | 0.000 |
| -0.000 | -0.000 | -0.000 | -0.000 | -0.000 | -134.555 |
| 400.956 | 417.309 | 417.309 | 0.000 | 0.000 | -0.000 |
| 417.309 | 400.956 | 417.309 | 0.000 | 0.000 | -0.000 |
| 417.309 | 417.309 | 400.956 | 0.000 | 0.000 | -0.000 |
| 0.001 | 0.003 | 0.003 | -134.555 | 0.000 | -0.000 |
| 0.003 | 0.001 | 0.003 | 0.000 | -134.555 | -0.000 |
| 0.003 | 0.003 | 0.001 | -0.000 | -0.000 | -134.555 |
| 400.951 | 417.308 | 417.308 | -0.000 | -0.000 | 0.000 |
| 417.308 | 400.951 | 417.308 | 0.000 | -0.000 | 0.000 |
| 417.308 | 417.308 | 400.951 | -0.000 | -0.000 | 0.000 |
| -0.001 | -0.003 | -0.003 | -134.555 | -0.000 | 0.000 |
| -0.003 | -0.001 | -0.003 | -0.000 | -134.555 | 0.000 |
| -0.003 | -0.003 | -0.001 | -0.000 | -0.000 | -134.555 |
| -43.249 | -40.058 | -40.058 | 0.001 | 0.000 | 0.001 |
| -40.058 | -43.249 | -40.058 | 0.001 | 0.000 | 0.001 |
| -40.058 | -40.058 | -43.249 | 0.001 | 0.000 | 0.001 |
| 17464112.948 | -161656735.673 | -162250688.118 | -172660269.408 | 1822843.084 | 785401.391 |
| -143682404.680 | 9952443.314 | -143650062.744 | 703714.047 | -149777834.921 | 1412669.900 |
| -162054977.732 | -161653709.435 | 17509063.997 | 179917.120 | 484815.374 | -172331328.220 |
| -43.249 | -40.058 | -40.058 | -0.000 | 0.000 | 0.000 |
| -40.058 | -43.249 | -40.058 | 0.000 | -0.000 | 0.000 |
| -40.058 | -40.058 | -43.249 | 0.000 | 0.000 | -0.000 |
| -20609934.723 | 153560412.532 | 153663025.943 | -166082678.315 | 105302.909 | -228808.682 |
| 150346253.560 | -12526173.227 | 150313163.489 | 289589.873 | -158399915.341 | -50977.224 |
| 155554765.461 | 155140031.242 | -20384164.018 | 1378502.930 | -988864.106 | -167837263.348 |
| -43.249 | -40.058 | -40.058 | 0.000 | 0.000 | 0.000 |
| -40.058 | -43.249 | -40.058 | 0.000 | 0.000 | 0.000 |
| -40.058 | -40.058 | -43.249 | 0.000 | 0.000 | 0.000 |
| 1446969.472 | -16452305.255 | -16480460.302 | -17318380.021 | 460.247 | 25906.249 |
| -14334284.127 | 764488.719 | -14352157.163 | 105615.541 | -14788877.135 | 121484.237 |
| -16997176.877 | -16950602.489 | 1523790.630 | -17523.997 | -85265.561 | -17891153.946 |
| -43.249 | -40.058 | -40.058 | -0.000 | -0.000 | -0.000 |
| -40.058 | -43.249 | -40.058 | -0.000 | -0.000 | -0.000 |
| -40.058 | -40.058 | -43.249 | -0.000 | -0.000 | -0.000 |
| -2080420.091 | 15615620.366 | 15666765.613 | -16889938.332 | 18933.344 | -54979.328 |
| 15003164.314 | -1329952.136 | 15008139.468 | -56806.627 | -15867598.146 | 45605.326 |
| 15689597.844 | 15644477.299 | -2150205.548 | -36033.159 | 3354.372 | -16957058.836 |
| 189.411 | 186.380 | 186.380 | -0.000 | 0.000 | 0.000 |
| 186.380 | 189.411 | 186.380 | -0.000 | 0.000 | 0.000 |
| 186.380 | 186.380 | 189.411 | -0.000 | 0.000 | 0.000 |
| 0.000 | 0.000 | 0.000 | 202.109 | 0.000 | -0.000 |
| 0.000 | 0.000 | -0.000 | 0.000 | 202.109 | 0.000 |
| 0.000 | 0.000 | -0.000 | -0.000 | 0.000 | 202.109 |
| 189.411 | 186.380 | 186.380 | 0.000 | -0.000 | -0.000 |
| 186.380 | 189.411 | 186.380 | 0.000 | -0.000 | -0.000 |
| 186.380 | 186.380 | 189.411 | 0.000 | 0.000 | -0.000 |
| -0.000 | -0.000 | 0.000 | 202.109 | -0.000 | -0.000 |
| -0.000 | -0.000 | 0.000 | 0.000 | 202.109 | -0.000 |
| -0.000 | -0.000 | 0.000 | 0.000 | 0.000 | 202.109 |
| 189.411 | 186.380 | 186.380 | -0.000 | 0.000 | 0.000 |
| 186.380 | 189.411 | 186.380 | -0.000 | 0.000 | 0.000 |
| 186.380 | 186.380 | 189.411 | 0.000 | 0.000 | 0.000 |
| 0.000 | 0.000 | 0.000 | 201.827 | 0.000 | -0.000 |
| 0.000 | 0.000 | 0.000 | -0.000 | 201.827 | 0.000 |
| 0.000 | 0.000 | 0.000 | -0.000 | 0.000 | 201.827 |
| 189.411 | 186.380 | 186.380 | 0.000 | 0.000 | -0.000 |
| 186.380 | 189.411 | 186.380 | 0.000 | 0.000 | -0.000 |
| 186.380 | 186.380 | 189.411 | 0.000 | -0.000 | -0.000 |
| -0.000 | -0.000 | -0.000 | 201.827 | -0.000 | -0.000 |
| -0.000 | -0.000 | -0.000 | 0.000 | 201.827 | -0.000 |
| -0.000 | -0.000 | -0.000 | 0.000 | 0.000 | 201.827 |
| 189.412 | 186.380 | 186.380 | -0.000 | 0.000 | 0.000 |
| 186.380 | 189.412 | 186.380 | -0.000 | 0.000 | 0.000 |
| 186.380 | 186.380 | 189.412 | -0.000 | -0.000 | 0.000 |
| 0.001 | 0.000 | 0.001 | 202.109 | 0.000 | 0.000 |
| 0.000 | 0.001 | 0.001 | 0.000 | 202.109 | 0.000 |
| 0.000 | 0.001 | 0.001 | -0.000 | 0.000 | 202.109 |
| 189.410 | 186.379 | 186.379 | 0.000 | 0.000 | -0.000 |
| 186.379 | 189.410 | 186.379 | 0.000 | -0.000 | 0.000 |
| 186.379 | 186.379 | 189.410 | 0.000 | 0.000 | -0.000 |
| -0.001 | -0.000 | -0.001 | 202.109 | -0.000 | -0.000 |
| -0.000 | -0.001 | -0.001 | -0.000 | 202.109 | -0.000 |
| -0.000 | -0.001 | -0.001 | 0.000 | -0.000 | 202.109 |
| 179.307 | 198.081 | 198.081 | -0.000 | 0.000 | 0.000 |
| 198.081 | 179.307 | 198.081 | 0.000 | 0.000 | 0.000 |
| 198.081 | 198.081 | 179.307 | 0.000 | 0.000 | 0.000 |
| 0.000 | 0.000 | 0.000 | 1.281 | 0.000 | 0.000 |
| 0.000 | 0.000 | 0.000 | 0.000 | 1.281 | 0.000 |
| 0.000 | 0.000 | 0.000 | 0.000 | -0.000 | 1.281 |
| 179.307 | 198.080 | 198.080 | -0.000 | 0.000 | -0.000 |
| 198.080 | 179.307 | 198.080 | -0.000 | -0.000 | -0.000 |
| 198.080 | 198.080 | 179.307 | -0.000 | 0.000 | -0.000 |
| -0.000 | -0.000 | -0.000 | 1.281 | -0.000 | -0.000 |
| -0.000 | -0.000 | -0.000 | 0.000 | 1.281 | -0.000 |
| -0.000 | -0.000 | -0.000 | -0.000 | 0.000 | 1.281 |
| 179.308 | 198.081 | 198.081 | 0.000 | 0.000 | 0.000 |
| 198.081 | 179.308 | 198.081 | 0.000 | -0.000 | 0.000 |
| 198.081 | 198.081 | 179.308 | 0.000 | 0.000 | 0.000 |
| 0.000 | 0.000 | 0.000 | 1.281 | -0.000 | 0.000 |
| 0.000 | 0.000 | 0.000 | 0.000 | 1.281 | 0.000 |
| 0.000 | 0.000 | 0.000 | 0.000 | -0.000 | 1.281 |
| 179.306 | 198.080 | 198.080 | -0.000 | -0.000 | -0.000 |
| 198.080 | 179.306 | 198.080 | -0.000 | -0.000 | -0.000 |
| 198.080 | 198.080 | 179.306 | -0.000 | -0.000 | -0.000 |
| -0.000 | -0.000 | -0.000 | 1.281 | 0.000 | -0.000 |
| -0.000 | -0.000 | -0.000 | -0.000 | 1.281 | -0.000 |
| -0.000 | -0.000 | -0.000 | -0.000 | 0.000 | 1.281 |
| 179.321 | 198.085 | 198.085 | 0.000 | 0.000 | 0.000 |
| 198.085 | 179.321 | 198.085 | 0.000 | -0.000 | 0.000 |
| 198.085 | 198.085 | 179.321 | 0.000 | -0.000 | 0.000 |
| 0.000 | 0.000 | 0.000 | 1.281 | -0.000 | 0.000 |
| 0.000 | 0.000 | 0.000 | -0.000 | 1.281 | 0.000 |
| 0.000 | 0.000 | 0.000 | 0.000 | -0.000 | 1.281 |
| 179.294 | 198.076 | 198.076 | -0.000 | 0.000 | -0.000 |
| 198.076 | 179.294 | 198.076 | -0.000 | 0.000 | -0.000 |
| 198.076 | 198.076 | 179.294 | -0.000 | 0.000 | -0.000 |
| -0.000 | -0.000 | -0.000 | 1.281 | 0.000 | -0.000 |
| -0.000 | -0.000 | -0.000 | 0.000 | 1.281 | -0.000 |
| -0.000 | -0.000 | -0.000 | -0.000 | -0.000 | 1.281 |
| 20.521 | 20.521 | 20.521 | 0.000 | 0.000 | -0.000 |
| 20.521 | 20.521 | 20.521 | -0.000 | 0.000 | 0.000 |
| 20.521 | 20.521 | 20.521 | 0.000 | 0.000 | 0.000 |
| 0.000 | 0.000 | 0.000 | 2.140 | 0.000 | -0.000 |
| 0.000 | 0.000 | 0.000 | 0.000 | 2.140 | 0.000 |
| 0.000 | 0.000 | 0.000 | 0.000 | 0.000 | 2.140 |
| 20.521 | 20.521 | 20.521 | -0.000 | -0.000 | 0.000 |
| 20.521 | 20.521 | 20.521 | -0.000 | -0.000 | 0.000 |
| 20.521 | 20.521 | 20.521 | 0.000 | -0.000 | 0.000 |
| -0.000 | -0.000 | -0.000 | 2.140 | -0.000 | 0.000 |
| -0.000 | -0.000 | -0.000 | -0.000 | 2.140 | -0.000 |
| -0.000 | -0.000 | -0.000 | 0.000 | 0.000 | 2.140 |
| 20.521 | 20.521 | 20.521 | 0.000 | 0.000 | -0.000 |
| 20.521 | 20.521 | 20.521 | -0.000 | -0.000 | 0.000 |
| 20.521 | 20.521 | 20.521 | 0.000 | 0.000 | -0.000 |
| 0.000 | 0.000 | 0.000 | 2.140 | 0.000 | 0.000 |
| 0.000 | 0.000 | 0.000 | 0.000 | 2.140 | 0.000 |
| 0.000 | 0.000 | 0.000 | -0.000 | 0.000 | 2.140 |
| 20.521 | 20.521 | 20.521 | 0.000 | 0.000 | 0.000 |
| 20.521 | 20.521 | 20.521 | -0.000 | 0.000 | -0.000 |
| 20.521 | 20.521 | 20.521 | -0.000 | -0.000 | 0.000 |
| -0.000 | -0.000 | -0.000 | 2.140 | -0.000 | -0.000 |
| -0.000 | -0.000 | -0.000 | -0.000 | 2.140 | 0.000 |
| -0.000 | -0.000 | -0.000 | -0.000 | -0.000 | 2.140 |
| 20.521 | 20.521 | 20.521 | -0.000 | -0.000 | 0.000 |
| 20.521 | 20.521 | 20.521 | -0.000 | -0.000 | 0.000 |
| 20.521 | 20.521 | 20.521 | -0.000 | -0.000 | 0.000 |
| 0.000 | 0.000 | 0.000 | 2.140 | -0.000 | 0.000 |
| 0.000 | 0.000 | 0.000 | 0.000 | 2.140 | 0.000 |
| 0.000 | 0.000 | 0.000 | 0.000 | -0.000 | 2.140 |
| 20.521 | 20.521 | 20.521 | -0.000 | -0.000 | -0.000 |
| 20.521 | 20.521 | 20.521 | -0.000 | 0.000 | 0.000 |
| 20.521 | 20.521 | 20.521 | -0.000 | -0.000 | -0.000 |
| -0.000 | -0.000 | -0.000 | 2.140 | -0.000 | -0.000 |
| -0.000 | -0.000 | -0.000 | -0.000 | 2.140 | -0.000 |
| -0.000 | -0.000 | -0.000 | -0.000 | -0.000 | 2.140 |
| 0.045 | 0.045 | 0.045 | 0.000 | 0.000 | 0.000 |
| 0.045 | 0.045 | 0.045 | 0.000 | 0.000 | 0.000 |
| 0.045 | 0.045 | 0.045 | 0.000 | 0.000 | 0.000 |
| 0.000 | 0.000 | 0.000 | 0.045 | 0.000 | 0.000 |
| 0.000 | 0.000 | 0.000 | 0.000 | 0.045 | 0.000 |
| 0.000 | 0.000 | 0.000 | 0.000 | 0.000 | 0.045 |
| 0.045 | 0.045 | 0.045 | -0.000 | -0.000 | 0.000 |
| 0.045 | 0.045 | 0.045 | -0.000 | -0.000 | 0.000 |
| 0.045 | 0.045 | 0.045 | -0.000 | -0.000 | -0.000 |
| -0.000 | -0.000 | -0.000 | 0.045 | -0.000 | -0.000 |
| -0.000 | -0.000 | -0.000 | -0.000 | 0.045 | -0.000 |
| -0.000 | -0.000 | -0.000 | -0.000 | -0.000 | 0.045 |
| 0.045 | 0.045 | 0.045 | -0.000 | 0.000 | -0.000 |
| 0.045 | 0.045 | 0.045 | 0.000 | -0.000 | -0.000 |
| 0.045 | 0.045 | 0.045 | 0.000 | 0.000 | 0.000 |
| 0.000 | 0.000 | 0.000 | 0.045 | 0.000 | 0.000 |
| 0.000 | 0.000 | 0.000 | 0.000 | 0.045 | 0.000 |
| 0.000 | 0.000 | 0.000 | 0.000 | -0.000 | 0.045 |
| 0.045 | 0.045 | 0.045 | -0.000 | -0.000 | 0.000 |
| 0.045 | 0.045 | 0.045 | -0.000 | -0.000 | 0.000 |
| 0.045 | 0.045 | 0.045 | -0.000 | -0.000 | -0.000 |
| -0.000 | -0.000 | -0.000 | 0.045 | -0.000 | 0.000 |
| -0.000 | -0.000 | -0.000 | -0.000 | 0.045 | 0.000 |
| -0.000 | -0.000 | -0.000 | 0.000 | -0.000 | 0.045 |
| 0.045 | 0.045 | 0.045 | 0.000 | 0.000 | -0.000 |
| 0.045 | 0.045 | 0.045 | 0.000 | 0.000 | -0.000 |
| 0.045 | 0.045 | 0.045 | 0.000 | 0.000 | 0.000 |
| 0.000 | 0.000 | 0.000 | 0.045 | 0.000 | 0.000 |
| 0.000 | 0.000 | 0.000 | 0.000 | 0.045 | 0.000 |
| 0.000 | 0.000 | 0.000 | -0.000 | -0.000 | 0.045 |
| 0.045 | 0.045 | 0.045 | -0.000 | -0.000 | 0.000 |
| 0.045 | 0.045 | 0.045 | -0.000 | -0.000 | 0.000 |
| 0.045 | 0.045 | 0.045 | -0.000 | -0.000 | -0.000 |
| -0.000 | -0.000 | -0.000 | 0.045 | -0.000 | 0.000 |
| -0.000 | -0.000 | -0.000 | -0.000 | 0.045 | 0.000 |
| -0.000 | -0.000 | -0.000 | -0.000 | -0.000 | 0.045 |
| 458.242 | 157.168 | 157.168 | 0.000 | 0.000 | -0.000 |
| 157.168 | 458.242 | 157.168 | -0.000 | 0.000 | -0.000 |
| 157.168 | 157.168 | 458.242 | 0.000 | 0.000 | -0.000 |
| 0.000 | -0.000 | -0.000 | 5.815 | 0.000 | -0.000 |
| 0.000 | 0.000 | -0.000 | 0.000 | 5.815 | -0.000 |
| 0.000 | -0.000 | -0.000 | 0.000 | 0.000 | 5.815 |
| 458.242 | 157.168 | 157.168 | -0.000 | -0.000 | 0.000 |
| 157.168 | 458.242 | 157.168 | 0.000 | -0.000 | -0.000 |
| 157.168 | 157.168 | 458.242 | 0.000 | -0.000 | 0.000 |
| 0.000 | 0.000 | 0.000 | 5.815 | -0.000 | 0.000 |
| -0.000 | 0.000 | 0.000 | -0.000 | 5.815 | 0.000 |
| -0.000 | 0.000 | 0.000 | -0.000 | -0.000 | 5.815 |
| 458.242 | 157.168 | 157.168 | 0.000 | 0.000 | -0.000 |
| 157.168 | 458.242 | 157.168 | 0.000 | 0.000 | -0.000 |
| 157.168 | 157.168 | 458.242 | 0.000 | 0.000 | -0.000 |
| -0.000 | -0.000 | -0.000 | 5.815 | 0.000 | -0.000 |
| -0.000 | -0.000 | -0.000 | 0.000 | 5.815 | -0.000 |
| -0.000 | -0.000 | -0.000 | 0.000 | 0.000 | 5.815 |
| 457.991 | 157.293 | 157.293 | -0.000 | -0.000 | 0.000 |
| 157.293 | 457.991 | 157.293 | 0.000 | -0.000 | 0.000 |
| 157.293 | 157.293 | 457.991 | -0.000 | -0.000 | 0.000 |
| 0.000 | 0.000 | 0.000 | 5.815 | -0.000 | 0.000 |
| 0.000 | 0.000 | 0.000 | -0.000 | 5.815 | 0.000 |
| 0.000 | 0.000 | 0.000 | -0.000 | -0.000 | 5.815 |
| 458.241 | 157.168 | 157.168 | -0.000 | 0.000 | -0.000 |
| 157.168 | 458.241 | 157.168 | 0.000 | 0.000 | -0.000 |
| 157.168 | 157.168 | 458.241 | 0.000 | 0.000 | -0.000 |
| -0.004 | -0.009 | -0.009 | -62.105 | 0.000 | -0.000 |
| -0.009 | -0.005 | -0.009 | 0.000 | -62.104 | -0.000 |
| -0.009 | -0.009 | -0.004 | 0.000 | 0.000 | -62.105 |
| 457.991 | 157.293 | 157.293 | 0.000 | -0.000 | 0.000 |
| 157.293 | 457.991 | 157.293 | -0.000 | -0.000 | 0.000 |
| 157.293 | 157.293 | 457.991 | -0.000 | -0.000 | 0.000 |
| 0.004 | 0.009 | 0.009 | -62.104 | -0.000 | 0.000 |
| 0.009 | 0.004 | 0.009 | -0.000 | -62.106 | 0.000 |
| 0.009 | 0.009 | 0.004 | -0.000 | -0.000 | -62.104 |
| 139.257 | 235.625 | 235.625 | 0.000 | -0.000 | -0.000 |
| 235.625 | 139.257 | 235.625 | 0.000 | -0.000 | -0.000 |
| 235.625 | 235.625 | 139.257 | -0.000 | -0.000 | -0.000 |
| 0.000 | 0.000 | 0.000 | 113.544 | -0.000 | -0.000 |
| 0.000 | 0.000 | 0.000 | 0.000 | 113.544 | -0.000 |
| 0.000 | 0.000 | 0.000 | -0.000 | 0.000 | 113.544 |
| 139.257 | 235.624 | 235.624 | 0.000 | 0.000 | 0.000 |
| 235.624 | 139.257 | 235.624 | -0.000 | 0.000 | 0.000 |
| 235.624 | 235.624 | 139.257 | 0.000 | 0.000 | 0.000 |
| -0.000 | -0.000 | -0.000 | 113.544 | -0.000 | 0.000 |
| -0.000 | -0.000 | -0.000 | -0.000 | 113.544 | 0.000 |
| -0.000 | -0.000 | -0.000 | 0.000 | 0.000 | 113.544 |
| 139.257 | 235.627 | 235.627 | 0.000 | -0.000 | -0.000 |
| 235.627 | 139.257 | 235.627 | 0.000 | 0.000 | -0.000 |
| 235.627 | 235.627 | 139.257 | -0.000 | -0.000 | -0.000 |
| 0.000 | 0.000 | 0.000 | 113.544 | -0.000 | -0.000 |
| 0.000 | 0.000 | 0.000 | -0.000 | 113.544 | -0.000 |
| 0.000 | 0.000 | 0.000 | -0.000 | -0.000 | 113.544 |
| 139.258 | 235.622 | 235.622 | 0.000 | 0.000 | 0.000 |
| 235.622 | 139.258 | 235.622 | -0.000 | 0.000 | 0.000 |
| 235.622 | 235.622 | 139.258 | 0.000 | 0.000 | 0.000 |
| -0.000 | -0.000 | -0.000 | 113.544 | -0.000 | 0.000 |
| -0.000 | -0.000 | -0.000 | 0.000 | 113.544 | 0.000 |
| -0.000 | -0.000 | -0.000 | 0.000 | 0.000 | 113.544 |
| 139.252 | 235.648 | 235.648 | -0.000 | -0.000 | -0.000 |
| 235.648 | 139.252 | 235.648 | 0.000 | -0.000 | -0.000 |
| 235.648 | 235.648 | 139.252 | 0.000 | -0.000 | -0.000 |
| 0.001 | 0.002 | 0.002 | 113.544 | -0.000 | -0.000 |
| 0.002 | 0.001 | 0.002 | 0.000 | 113.544 | -0.000 |
| 0.002 | 0.002 | 0.001 | 0.000 | -0.000 | 113.544 |
| 139.263 | 235.602 | 235.602 | 0.000 | 0.000 | 0.000 |
| 235.602 | 139.263 | 235.602 | -0.000 | 0.000 | 0.000 |
| 235.602 | 235.602 | 139.263 | 0.000 | 0.000 | 0.000 |
| -0.001 | -0.002 | -0.002 | 113.544 | 0.000 | 0.000 |
| -0.002 | -0.001 | -0.002 | 0.000 | 113.544 | 0.000 |
| -0.002 | -0.002 | -0.001 | -0.000 | 0.000 | 113.544 |
| 11.143 | 0.000 | 0.000 | -0.000 | -0.000 | 0.000 |
| 0.000 | 11.143 | 0.000 | 0.000 | -0.000 | 0.000 |
| 0.000 | 0.000 | 11.143 | 0.000 | -0.000 | 0.000 |
| 0.000 | -0.000 | -0.000 | 0.000 | -0.000 | 0.000 |
| 0.000 | 0.000 | -0.000 | 0.000 | 0.000 | 0.000 |
| -0.000 | -0.000 | 0.000 | 0.000 | -0.000 | 0.000 |
| 11.143 | 0.000 | 0.000 | -0.000 | 0.000 | -0.000 |
| 0.000 | 11.143 | 0.000 | -0.000 | 0.000 | 0.000 |
| 0.000 | 0.000 | 11.143 | -0.000 | -0.000 | -0.000 |
| -0.000 | 0.000 | 0.000 | 0.000 | 0.000 | -0.000 |
| 0.000 | -0.000 | 0.000 | -0.000 | 0.000 | -0.000 |
| 0.000 | 0.000 | -0.000 | -0.000 | 0.000 | 0.000 |
| 11.143 | 0.000 | 0.000 | 0.000 | -0.000 | 0.000 |
| 0.000 | 11.143 | 0.000 | 0.000 | -0.000 | -0.000 |
| 0.000 | 0.000 | 11.143 | 0.000 | -0.000 | 0.000 |
| 0.000 | 0.000 | -0.000 | 0.000 | 0.000 | 0.000 |
| 0.000 | 0.000 | -0.000 | -0.000 | 0.000 | 0.000 |
| 0.000 | -0.000 | 0.000 | 0.000 | -0.000 | 0.000 |
| 11.144 | -0.000 | -0.000 | -0.000 | 0.000 | -0.000 |
| -0.000 | 11.144 | -0.000 | -0.000 | 0.000 | 0.000 |
| -0.000 | -0.000 | 11.144 | 0.000 | 0.000 | -0.000 |
| -0.000 | -0.000 | 0.000 | 0.000 | -0.000 | -0.000 |
| -0.000 | -0.000 | 0.000 | 0.000 | 0.000 | -0.000 |
| -0.000 | 0.000 | -0.000 | -0.000 | 0.000 | 0.000 |
| 11.140 | 0.000 | 0.000 | 0.000 | -0.000 | 0.000 |
| 0.000 | 11.140 | 0.000 | 0.000 | -0.000 | -0.000 |
| 0.000 | 0.000 | 11.140 | -0.000 | -0.000 | 0.000 |
| 0.000 | -0.000 | -0.000 | 0.000 | 0.000 | 0.000 |
| -0.000 | 0.000 | -0.000 | -0.000 | 0.000 | 0.000 |
| -0.000 | -0.000 | 0.000 | 0.000 | -0.000 | 0.000 |
| 11.147 | -0.000 | -0.000 | -0.000 | 0.000 | -0.000 |
| -0.000 | 11.147 | -0.000 | -0.000 | 0.000 | -0.000 |
| -0.000 | -0.000 | 11.147 | -0.000 | -0.000 | -0.000 |
| -0.000 | -0.000 | 0.000 | 0.000 | -0.000 | -0.000 |
| -0.000 | -0.000 | 0.000 | 0.000 | 0.000 | -0.000 |
| -0.000 | 0.000 | -0.000 | -0.000 | 0.000 | 0.000 |
| 198.712 | 200.191 | 200.191 | 0.000 | 0.000 | 0.000 |
| 200.191 | 198.712 | 200.191 | -0.000 | 0.000 | 0.000 |
| 200.191 | 200.191 | 198.712 | 0.000 | 0.000 | 0.000 |
| 0.000 | -0.000 | 0.000 | 180.391 | 0.000 | 0.000 |
| 0.000 | 0.000 | 0.000 | 0.000 | 180.391 | 0.000 |
| 0.000 | 0.000 | 0.000 | 0.000 | 0.000 | 180.391 |
| 198.712 | 200.191 | 200.191 | -0.000 | -0.000 | 0.000 |
| 200.191 | 198.712 | 200.191 | -0.000 | 0.000 | -0.000 |
| 200.191 | 200.191 | 198.712 | -0.000 | -0.000 | -0.000 |
| -0.000 | 0.000 | -0.000 | 180.391 | -0.000 | -0.000 |
| -0.000 | -0.000 | -0.000 | -0.000 | 180.391 | -0.000 |
| -0.000 | 0.000 | -0.000 | -0.000 | -0.000 | 180.391 |
| 198.712 | 200.191 | 200.191 | 0.000 | -0.000 | 0.000 |
| 200.191 | 198.712 | 200.191 | -0.000 | 0.000 | 0.000 |
| 200.191 | 200.191 | 198.712 | 0.000 | 0.000 | 0.000 |
| 0.000 | 0.000 | 0.000 | 180.391 | 0.000 | 0.000 |
| 0.000 | 0.000 | 0.000 | 0.000 | 180.391 | 0.000 |
| 0.000 | 0.000 | 0.000 | 0.000 | 0.000 | 180.391 |
| 198.712 | 200.191 | 200.191 | -0.000 | -0.000 | -0.000 |
| 200.191 | 198.712 | 200.191 | -0.000 | -0.000 | -0.000 |
| 200.191 | 200.191 | 198.712 | -0.000 | -0.000 | -0.000 |
| -0.000 | -0.000 | -0.000 | 180.391 | -0.000 | 0.000 |
| -0.000 | -0.000 | -0.000 | -0.000 | 180.391 | -0.000 |
| -0.000 | -0.000 | -0.000 | -0.000 | -0.000 | 180.391 |
| 198.713 | 200.191 | 200.191 | -0.000 | 0.000 | 0.000 |
| 200.191 | 198.713 | 200.191 | -0.000 | 0.000 | 0.000 |
| 200.191 | 200.191 | 198.713 | -0.000 | 0.000 | 0.000 |
| 0.001 | 0.000 | 0.001 | 180.391 | 0.000 | 0.000 |
| 0.000 | 0.001 | 0.001 | -0.000 | 180.391 | 0.000 |
| 0.000 | 0.001 | 0.001 | 0.000 | 0.000 | 180.391 |
| 198.711 | 200.190 | 200.190 | -0.000 | -0.000 | -0.000 |
| 200.190 | 198.711 | 200.190 | -0.000 | -0.000 | -0.000 |
| 200.190 | 200.190 | 198.711 | -0.000 | -0.000 | -0.000 |
| -0.001 | -0.000 | -0.001 | 180.391 | -0.000 | 0.000 |
| -0.000 | -0.001 | -0.001 | -0.000 | 180.391 | -0.000 |
| -0.000 | -0.001 | -0.001 | -0.000 | -0.000 | 180.391 |
| 29.014 | 104.974 | 104.974 | 0.000 | -0.000 | -0.000 |
| 104.974 | 29.014 | 104.974 | 0.000 | 0.000 | 0.000 |
| 104.974 | 104.974 | 29.014 | 0.000 | 0.000 | -0.000 |
| 0.000 | 0.000 | 0.000 | 39.155 | 0.000 | -0.000 |
| -0.000 | 0.000 | 0.000 | 0.000 | 39.155 | -0.000 |
| 0.000 | 0.000 | 0.000 | 0.000 | 0.000 | 39.155 |
| 29.014 | 104.974 | 104.974 | -0.000 | 0.000 | 0.000 |
| 104.974 | 29.014 | 104.974 | -0.000 | -0.000 | 0.000 |
| 104.974 | 104.974 | 29.014 | 0.000 | -0.000 | 0.000 |
| -0.000 | 0.000 | -0.000 | 39.155 | -0.000 | 0.000 |
| -0.000 | -0.000 | -0.000 | -0.000 | 39.155 | 0.000 |
| 0.000 | -0.000 | -0.000 | -0.000 | -0.000 | 39.155 |
| 29.014 | 104.974 | 104.974 | 0.000 | 0.000 | -0.000 |
| 104.974 | 29.014 | 104.974 | 0.000 | 0.000 | -0.000 |
| 104.974 | 104.974 | 29.014 | -0.000 | -0.000 | -0.000 |
| 80536719.437 | 93271917.905 | 96283532.562 | 34636198.811 | -259724.272 | -75166.155 |
| 94048974.673 | 79362439.422 | 95517752.943 | 820265.636 | 33121726.583 | 347033.055 |
| 94042901.776 | 96551895.223 | 81243911.577 | 1149532.289 | 1931128.346 | 35468056.905 |
| 29.014 | 104.974 | 104.974 | -0.000 | 0.000 | 0.000 |
| 104.974 | 29.014 | 104.974 | 0.000 | -0.000 | -0.000 |
| 104.974 | 104.974 | 29.014 | -0.000 | -0.000 | 0.000 |
| -78275468.971 | -91132818.202 | -92918613.556 | 34929154.701 | -31050.177 | 102861.435 |
| -91139095.959 | -78579284.701 | -93122227.783 | 565277.268 | 35113556.483 | -925891.672 |
| -91998957.083 | -94431228.398 | -80743368.119 | -408420.685 | 598530.660 | 35225920.878 |
| 29.015 | 104.974 | 104.974 | -0.000 | 0.000 | -0.000 |
| 104.974 | 29.015 | 104.974 | 0.000 | -0.000 | -0.000 |
| 104.974 | 104.974 | 29.015 | 0.000 | 0.000 | -0.000 |
| 2703532.931 | 359567.895 | 359558.219 | -4837693.340 | 0.000 | 0.000 |
| 359567.895 | 2703532.931 | 359558.219 | 0.000 | -4837693.340 | 0.000 |
| 359567.895 | 359558.219 | 2703532.931 | 0.000 | 0.000 | -4837693.340 |
| 29.014 | 104.974 | 104.974 | -0.000 | -0.000 | 0.000 |
| 104.974 | 29.014 | 104.974 | -0.000 | -0.000 | 0.000 |
| 104.974 | 104.974 | 29.014 | -0.000 | -0.000 | 0.000 |
| -2703532.932 | -359567.895 | -359558.219 | -4837693.340 | 0.000 | 0.000 |
| -359567.895 | -2703532.932 | -359558.219 | 0.000 | -4837693.340 | 0.000 |
| -359567.895 | -359558.219 | -2703532.932 | 0.000 | 0.000 | -4837693.340 |
| 229.971 | -20.356 | -20.356 | -0.000 | -0.000 | -0.000 |
| -20.356 | 229.971 | -20.356 | -0.000 | -0.000 | -0.000 |
| -20.356 | -20.356 | 229.971 | -0.000 | -0.000 | 0.000 |
| 0.000 | 0.000 | -0.000 | -19.040 | -0.000 | 0.000 |
| 0.000 | 0.000 | -0.000 | -0.000 | -19.040 | -0.000 |
| 0.000 | 0.000 | -0.000 | -0.000 | -0.000 | -19.040 |
| 229.971 | -20.356 | -20.356 | 0.000 | 0.000 | 0.000 |
| -20.356 | 229.971 | -20.356 | 0.000 | 0.000 | 0.000 |
| -20.356 | -20.356 | 229.971 | 0.000 | 0.000 | 0.000 |
| -0.000 | -0.000 | 0.000 | -19.040 | 0.000 | 0.000 |
| -0.000 | -0.000 | 0.000 | 0.000 | -19.040 | 0.000 |
| -0.000 | -0.000 | 0.000 | 0.000 | 0.000 | -19.040 |
| 229.971 | -20.356 | -20.356 | -0.000 | -0.000 | -0.000 |
| -20.356 | 229.971 | -20.356 | -0.000 | -0.000 | -0.000 |
| -20.356 | -20.356 | 229.971 | -0.000 | -0.000 | -0.000 |
| 0.000 | 0.000 | -0.000 | -19.040 | -0.000 | -0.000 |
| 0.000 | 0.000 | -0.000 | -0.000 | -19.040 | -0.000 |
| 0.000 | -0.000 | 0.000 | -0.000 | -0.000 | -19.040 |
| 229.970 | -20.356 | -20.356 | 0.000 | 0.000 | 0.000 |
| -20.356 | 229.970 | -20.356 | 0.000 | 0.000 | 0.000 |
| -20.356 | -20.356 | 229.970 | 0.000 | 0.000 | 0.000 |
| -0.000 | -0.000 | 0.000 | -19.040 | 0.000 | 0.000 |
| -0.000 | -0.000 | 0.000 | 0.000 | -19.040 | 0.000 |
| -0.000 | 0.000 | -0.000 | 0.000 | 0.000 | -19.040 |
| 229.972 | -20.356 | -20.356 | -0.000 | -0.000 | -0.000 |
| -20.356 | 229.972 | -20.356 | -0.000 | -0.000 | -0.000 |
| -20.356 | -20.356 | 229.972 | -0.000 | -0.000 | -0.000 |
| -0.000 | -0.000 | -0.000 | -28.523 | 0.000 | -0.000 |
| -0.000 | -0.000 | -0.000 | -0.000 | -28.523 | -0.000 |
| -0.000 | -0.000 | -0.000 | -0.000 | -0.000 | -28.523 |
| 229.969 | -20.356 | -20.356 | 0.000 | 0.000 | 0.000 |
| -20.356 | 229.969 | -20.356 | 0.000 | 0.000 | 0.000 |
| -20.356 | -20.356 | 229.969 | 0.000 | 0.000 | 0.000 |
| 0.000 | 0.000 | 0.000 | -28.523 | 0.000 | 0.000 |
| 0.000 | 0.000 | 0.000 | 0.000 | -28.523 | 0.000 |
| 0.000 | 0.000 | 0.000 | 0.000 | 0.000 | -28.523 |
| 14.377 | 14.377 | 14.377 | 0.000 | -0.000 | 0.000 |
| 14.377 | 14.377 | 14.377 | -0.000 | 0.000 | 0.000 |
| 14.377 | 14.377 | 14.377 | -0.000 | -0.000 | 0.000 |
| -0.000 | -0.000 | -0.000 | -21.290 | 0.000 | 0.000 |
| -0.000 | -0.000 | -0.000 | 0.000 | -21.290 | 0.000 |
| -0.000 | -0.000 | -0.000 | 0.000 | -0.000 | -21.290 |
| 14.377 | 14.377 | 14.377 | -0.000 | 0.000 | -0.000 |
| 14.377 | 14.377 | 14.377 | 0.000 | -0.000 | -0.000 |
| 14.377 | 14.377 | 14.377 | 0.000 | 0.000 | -0.000 |
| 0.000 | 0.000 | 0.000 | -21.290 | -0.000 | -0.000 |
| 0.000 | 0.000 | 0.000 | -0.000 | -21.290 | -0.000 |
| 0.000 | 0.000 | 0.000 | -0.000 | -0.000 | -21.290 |
| 14.377 | 14.377 | 14.377 | 0.000 | -0.000 | 0.000 |
| 14.377 | 14.377 | 14.377 | -0.000 | 0.000 | 0.000 |
| 14.377 | 14.377 | 14.377 | -0.000 | -0.000 | 0.000 |
| -0.000 | -0.000 | -0.000 | -21.290 | 0.000 | 0.000 |
| -0.000 | -0.000 | -0.000 | 0.000 | -21.290 | 0.000 |
| -0.000 | -0.000 | -0.000 | 0.000 | 0.000 | -21.290 |
| 14.377 | 14.377 | 14.377 | -0.000 | 0.000 | -0.000 |
| 14.377 | 14.377 | 14.377 | 0.000 | -0.000 | -0.000 |
| 14.377 | 14.377 | 14.377 | 0.000 | 0.000 | -0.000 |
| 0.000 | 0.000 | 0.000 | -21.290 | -0.000 | 0.000 |
| 0.000 | 0.000 | 0.000 | -0.000 | -21.290 | 0.000 |
| 0.000 | 0.000 | 0.000 | -0.000 | -0.000 | -21.290 |
| 14.377 | 14.377 | 14.377 | 0.000 | -0.000 | 0.000 |
| 14.377 | 14.377 | 14.377 | -0.000 | 0.000 | 0.000 |
| 14.377 | 14.377 | 14.377 | -0.000 | -0.000 | -0.000 |
| -0.001 | -0.001 | -0.001 | -21.290 | 0.000 | 0.000 |
| -0.001 | -0.001 | -0.001 | 0.000 | -21.290 | 0.000 |
| -0.001 | -0.001 | -0.001 | 0.000 | 0.000 | -21.290 |
| 14.377 | 14.377 | 14.377 | -0.000 | 0.000 | -0.000 |
| 14.377 | 14.377 | 14.377 | 0.000 | -0.000 | -0.000 |
| 14.377 | 14.377 | 14.377 | 0.000 | 0.000 | 0.000 |
| 0.001 | 0.001 | 0.001 | -21.290 | -0.000 | 0.000 |
| 0.001 | 0.001 | 0.001 | -0.000 | -21.290 | 0.000 |
| 0.001 | 0.001 | 0.001 | -0.000 | 0.000 | -21.290 |
| 176.538 | 151.946 | 151.946 | 0.000 | 0.000 | 0.000 |
| 151.946 | 176.538 | 151.946 | 0.000 | -0.000 | 0.000 |
| 151.946 | 151.946 | 176.538 | 0.000 | -0.000 | 0.000 |
| 0.000 | 0.000 | 0.000 | 74.996 | -0.000 | 0.000 |
| 0.000 | 0.000 | 0.000 | 0.000 | 74.996 | 0.000 |
| 0.000 | 0.000 | 0.000 | 0.000 | -0.000 | 74.996 |
| 176.538 | 151.946 | 151.946 | -0.000 | 0.000 | -0.000 |
| 151.946 | 176.538 | 151.946 | -0.000 | 0.000 | -0.000 |
| 151.946 | 151.946 | 176.538 | -0.000 | 0.000 | -0.000 |
| -0.000 | -0.000 | -0.000 | 74.996 | 0.000 | -0.000 |
| -0.000 | -0.000 | -0.000 | -0.000 | 74.996 | -0.000 |
| -0.000 | -0.000 | -0.000 | -0.000 | -0.000 | 74.996 |
| 176.539 | 151.946 | 151.946 | 0.000 | -0.000 | 0.000 |
| 151.946 | 176.539 | 151.946 | 0.000 | -0.000 | 0.000 |
| 151.946 | 151.946 | 176.539 | 0.000 | -0.000 | 0.000 |
| -0.000 | 0.000 | 0.000 | 74.996 | -0.000 | 0.000 |
| 0.000 | -0.000 | 0.000 | 0.000 | 74.996 | 0.000 |
| 0.000 | 0.000 | -0.000 | 0.000 | -0.000 | 74.996 |
| 176.538 | 151.946 | 151.946 | -0.000 | 0.000 | -0.000 |
| 151.946 | 176.538 | 151.946 | 0.000 | 0.000 | -0.000 |
| 151.946 | 151.946 | 176.538 | -0.000 | 0.000 | -0.000 |
| 0.000 | -0.000 | -0.000 | 74.996 | 0.000 | -0.000 |
| -0.000 | 0.000 | -0.000 | -0.000 | 74.996 | -0.000 |
| -0.000 | -0.000 | 0.000 | -0.000 | 0.000 | 74.996 |
| 176.543 | 151.946 | 151.946 | 0.000 | -0.000 | 0.000 |
| 151.946 | 176.543 | 151.946 | 0.000 | -0.000 | 0.000 |
| 151.946 | 151.946 | 176.543 | 0.000 | -0.000 | 0.000 |
| -0.000 | 0.000 | 0.001 | 74.996 | 0.000 | 0.000 |
| 0.000 | -0.000 | 0.001 | 0.000 | 74.996 | 0.000 |
| 0.000 | 0.001 | -0.000 | 0.000 | 0.000 | 74.996 |
| 176.534 | 151.945 | 151.945 | -0.000 | 0.000 | -0.000 |
| 151.945 | 176.534 | 151.945 | -0.000 | 0.000 | -0.000 |
| 151.945 | 151.945 | 176.534 | -0.000 | 0.000 | -0.000 |
| 0.000 | -0.000 | -0.001 | 74.996 | -0.000 | -0.000 |
| -0.000 | 0.000 | -0.001 | -0.000 | 74.996 | -0.000 |
| -0.000 | -0.001 | 0.000 | -0.000 | 0.000 | 74.996 |
| 366.314 | 359.751 | 359.751 | -0.000 | -0.000 | 0.000 |
| 359.751 | 366.314 | 359.751 | -0.000 | 0.000 | 0.000 |
| 359.751 | 359.751 | 366.314 | -0.000 | 0.000 | 0.000 |
| -0.000 | -0.000 | -0.000 | 7.994 | -0.000 | 0.000 |
| -0.000 | -0.000 | -0.000 | -0.000 | 7.994 | 0.000 |
| -0.000 | -0.000 | -0.000 | -0.000 | 0.000 | 7.994 |
| 366.315 | 359.752 | 359.752 | 0.000 | -0.000 | -0.000 |
| 359.752 | 366.315 | 359.752 | 0.000 | 0.000 | -0.000 |
| 359.752 | 359.752 | 366.315 | 0.000 | -0.000 | -0.000 |
| 0.000 | 0.000 | 0.000 | 7.994 | -0.000 | -0.000 |
| 0.000 | 0.000 | 0.000 | -0.000 | 7.994 | -0.000 |
| 0.000 | 0.000 | 0.000 | -0.000 | -0.000 | 7.994 |
| 366.313 | 359.750 | 359.750 | 0.000 | 0.000 | 0.000 |
| 359.750 | 366.313 | 359.750 | 0.000 | -0.000 | 0.000 |
| 359.750 | 359.750 | 366.313 | -0.000 | 0.000 | 0.000 |
| -0.000 | -0.000 | -0.000 | 7.994 | 0.000 | 0.000 |
| -0.000 | -0.000 | -0.000 | -0.000 | 7.994 | 0.000 |
| -0.000 | -0.000 | -0.000 | -0.000 | 0.000 | 7.994 |
| 366.316 | 359.752 | 359.752 | -0.000 | 0.000 | -0.000 |
| 359.752 | 366.316 | 359.752 | 0.000 | -0.000 | -0.000 |
| 359.752 | 359.752 | 366.316 | 0.000 | 0.000 | -0.000 |
| 0.000 | 0.000 | 0.000 | 7.994 | -0.000 | -0.000 |
| 0.000 | 0.000 | 0.000 | 0.000 | 7.994 | -0.000 |
| 0.000 | 0.000 | 0.000 | 0.000 | -0.000 | 7.994 |
| 366.302 | 359.741 | 359.741 | -0.000 | 0.000 | 0.000 |
| 359.741 | 366.302 | 359.741 | -0.000 | 0.000 | 0.000 |
| 359.741 | 359.741 | 366.302 | -0.000 | 0.000 | -0.000 |
| -0.000 | -0.001 | -0.001 | 7.994 | -0.000 | -0.000 |
| -0.001 | -0.000 | -0.001 | -0.000 | 7.994 | 0.000 |
| -0.001 | -0.001 | -0.000 | 0.000 | 0.000 | 7.994 |
| 366.327 | 359.761 | 359.761 | 0.000 | 0.000 | -0.000 |
| 359.761 | 366.327 | 359.761 | 0.000 | 0.000 | -0.000 |
| 359.761 | 359.761 | 366.327 | 0.000 | 0.000 | 0.000 |
| 0.000 | 0.001 | 0.001 | 7.994 | 0.000 | -0.000 |
| 0.001 | 0.000 | 0.001 | 0.000 | 7.994 | -0.000 |
| 0.001 | 0.001 | 0.000 | 0.000 | -0.000 | 7.994 |
| 151.073 | 85.942 | 85.942 | -0.000 | -0.000 | 0.000 |
| 85.942 | 151.073 | 85.942 | -0.000 | -0.000 | 0.000 |
| 85.942 | 85.942 | 151.073 | -0.000 | -0.000 | 0.000 |
| 0.000 | 0.000 | 0.000 | 80.812 | -0.000 | 0.000 |
| 0.000 | -0.000 | 0.000 | -0.000 | 80.812 | 0.000 |
| 0.000 | 0.000 | -0.000 | -0.000 | -0.000 | 80.812 |
| 151.073 | 85.942 | 85.942 | 0.000 | 0.000 | -0.000 |
| 85.942 | 151.073 | 85.942 | 0.000 | 0.000 | -0.000 |
| 85.942 | 85.942 | 151.073 | -0.000 | 0.000 | -0.000 |
| -0.000 | -0.000 | -0.000 | 80.812 | 0.000 | -0.000 |
| -0.000 | 0.000 | -0.000 | 0.000 | 80.812 | -0.000 |
| -0.000 | -0.000 | -0.000 | 0.000 | 0.000 | 80.812 |
| 151.073 | 85.942 | 85.942 | -0.000 | -0.000 | 0.000 |
| 85.942 | 151.073 | 85.942 | 0.000 | -0.000 | -0.000 |
| 85.942 | 85.942 | 151.073 | -0.000 | -0.000 | 0.000 |
| -0.000 | 0.000 | 0.000 | 80.812 | -0.000 | 0.000 |
| 0.000 | -0.000 | 0.000 | -0.000 | 80.812 | 0.000 |
| 0.000 | 0.000 | -0.000 | -0.000 | -0.000 | 80.812 |
| 151.073 | 85.942 | 85.942 | 0.000 | 0.000 | -0.000 |
| 85.942 | 151.073 | 85.942 | 0.000 | 0.000 | -0.000 |
| 85.942 | 85.942 | 151.073 | 0.000 | 0.000 | -0.000 |
| 0.000 | -0.000 | -0.000 | 80.812 | 0.000 | 0.000 |
| -0.000 | 0.000 | -0.000 | 0.000 | 80.812 | -0.000 |
| -0.000 | -0.000 | 0.000 | 0.000 | 0.000 | 80.812 |
| 151.075 | 85.943 | 85.943 | 0.000 | 0.000 | 0.000 |
| 85.943 | 151.075 | 85.943 | 0.000 | -0.000 | -0.000 |
| 85.943 | 85.943 | 151.075 | -0.000 | -0.000 | -0.000 |
| -0.000 | 0.001 | 0.001 | 80.812 | -0.000 | 0.000 |
| 0.001 | -0.000 | 0.001 | -0.000 | 80.812 | 0.000 |
| 0.001 | 0.001 | -0.000 | -0.000 | -0.000 | 80.812 |
| 151.071 | 85.941 | 85.941 | 0.000 | 0.000 | 0.000 |
| 85.941 | 151.071 | 85.941 | 0.000 | 0.000 | -0.000 |
| 85.941 | 85.941 | 151.071 | 0.000 | 0.000 | 0.000 |
| 0.000 | -0.001 | -0.001 | 80.812 | 0.000 | -0.000 |
| -0.001 | 0.000 | -0.001 | -0.000 | 80.812 | -0.000 |
| -0.001 | -0.001 | 0.000 | 0.000 | 0.000 | 80.812 |
| 35.199 | 17.594 | 17.594 | 0.000 | -0.000 | -0.000 |
| 17.594 | 35.199 | 17.594 | -0.000 | 0.000 | 0.000 |
| 17.594 | 17.594 | 35.199 | 0.000 | 0.000 | 0.000 |
| -0.000 | 0.000 | 0.000 | 17.596 | 0.000 | 0.000 |
| 0.000 | -0.000 | 0.000 | 0.000 | 17.596 | -0.000 |
| 0.000 | 0.000 | -0.000 | -0.000 | -0.000 | 17.596 |
| 35.199 | 17.594 | 17.594 | -0.000 | 0.000 | 0.000 |
| 17.594 | 35.199 | 17.594 | 0.000 | -0.000 | -0.000 |
| 17.594 | 17.594 | 35.199 | -0.000 | -0.000 | -0.000 |
| 0.000 | -0.000 | -0.000 | 17.596 | -0.000 | -0.000 |
| -0.000 | 0.000 | -0.000 | -0.000 | 17.596 | 0.000 |
| -0.000 | -0.000 | 0.000 | 0.000 | 0.000 | 17.596 |
| 35.199 | 17.594 | 17.594 | 0.000 | 0.000 | 0.000 |
| 17.594 | 35.199 | 17.594 | -0.000 | 0.000 | -0.000 |
| 17.594 | 17.594 | 35.199 | 0.000 | -0.000 | 0.000 |
| -0.000 | 0.000 | 0.000 | 17.596 | 0.000 | 0.000 |
| 0.000 | -0.000 | 0.000 | 0.000 | 17.596 | -0.000 |
| 0.000 | 0.000 | -0.000 | -0.000 | -0.000 | 17.596 |
| 35.198 | 17.594 | 17.594 | 0.000 | -0.000 | -0.000 |
| 17.594 | 35.198 | 17.594 | 0.000 | 0.000 | -0.000 |
| 17.594 | 17.594 | 35.198 | -0.000 | -0.000 | 0.000 |
| 0.000 | -0.000 | -0.000 | 17.596 | -0.000 | -0.000 |
| -0.000 | 0.000 | -0.000 | -0.000 | 17.596 | 0.000 |
| -0.000 | -0.000 | 0.000 | 0.000 | 0.000 | 17.596 |
| 35.199 | 17.594 | 17.594 | 0.000 | 0.000 | 0.000 |
| 17.594 | 35.199 | 17.594 | -0.000 | 0.000 | 0.000 |
| 17.594 | 17.594 | 35.199 | 0.000 | 0.000 | 0.000 |
| -0.000 | 0.000 | 0.000 | 17.596 | 0.000 | -0.000 |
| 0.000 | -0.000 | 0.000 | 0.000 | 17.596 | -0.000 |
| 0.000 | 0.000 | -0.000 | -0.000 | -0.000 | 17.596 |
| 35.198 | 17.594 | 17.594 | -0.000 | 0.000 | 0.000 |
| 17.594 | 35.198 | 17.594 | 0.000 | -0.000 | -0.000 |
| 17.594 | 17.594 | 35.198 | -0.000 | -0.000 | -0.000 |
| 0.000 | -0.000 | -0.000 | 17.596 | 0.000 | -0.000 |
| -0.000 | 0.000 | -0.000 | 0.000 | 17.596 | 0.000 |
| -0.000 | -0.000 | 0.000 | 0.000 | 0.000 | 17.596 |
| 156.150 | 146.565 | 147.496 | 0.000 | -0.000 | -0.000 |
| 146.565 | 156.150 | 147.496 | 0.000 | -0.000 | -0.000 |
| 147.496 | 147.496 | 251.757 | 0.000 | 0.000 | -0.000 |
| -0.000 | 0.000 | 0.000 | 86.469 | 0.000 | -0.000 |
| 0.000 | -0.000 | 0.000 | 0.000 | 86.469 | -0.000 |
| -0.000 | 0.000 | 0.000 | 0.000 | -0.000 | 72.250 |
| 156.150 | 146.565 | 147.496 | -0.000 | 0.000 | 0.000 |
| 146.565 | 156.150 | 147.496 | 0.000 | 0.000 | 0.000 |
| 147.496 | 147.496 | 251.757 | 0.000 | 0.000 | 0.000 |
| 0.000 | -0.000 | -0.000 | 86.469 | 0.000 | 0.000 |
| -0.000 | 0.000 | -0.000 | -0.000 | 86.469 | 0.000 |
| 0.000 | -0.000 | -0.000 | 0.000 | 0.000 | 72.250 |
| 160.513 | 142.202 | 147.496 | 0.000 | -0.000 | -0.000 |
| 142.202 | 160.513 | 147.496 | -0.000 | -0.000 | -0.000 |
| 147.496 | 147.496 | 251.758 | -0.000 | -0.000 | -0.000 |
| -0.000 | 0.000 | 0.000 | 84.107 | -0.000 | -0.000 |
| 0.000 | -0.000 | 0.000 | 0.000 | 84.107 | -0.000 |
| 0.000 | 0.000 | -0.000 | 0.000 | -0.000 | 72.250 |
| 160.512 | 142.202 | 147.496 | 0.000 | 0.000 | 0.000 |
| 142.202 | 160.512 | 147.496 | 0.000 | 0.000 | 0.000 |
| 147.496 | 147.496 | 251.757 | 0.000 | 0.000 | 0.000 |
| 0.000 | -0.000 | -0.000 | 84.107 | -0.000 | 0.000 |
| -0.000 | 0.000 | -0.000 | -0.000 | 84.107 | 0.000 |
| -0.000 | -0.000 | 0.000 | 0.000 | 0.000 | 72.250 |
| 156.153 | 146.565 | 147.497 | 0.000 | -0.000 | -0.000 |
| 146.565 | 156.153 | 147.497 | 0.000 | -0.000 | -0.000 |
| 147.497 | 147.497 | 251.764 | 0.000 | -0.000 | -0.000 |
| -0.000 | 0.000 | 0.001 | 84.107 | -0.000 | -0.000 |
| 0.000 | -0.000 | 0.001 | 0.000 | 84.107 | -0.000 |
| 0.000 | 0.000 | -0.000 | -0.000 | -0.000 | 72.250 |
| 156.147 | 146.564 | 147.496 | 0.000 | 0.000 | 0.000 |
| 146.564 | 156.147 | 147.496 | 0.000 | 0.000 | 0.000 |
| 147.495 | 147.495 | 251.750 | -0.000 | 0.000 | 0.000 |
| 0.000 | -0.000 | -0.001 | 84.107 | -0.000 | 0.000 |
| -0.000 | 0.000 | -0.001 | -0.000 | 84.107 | 0.000 |
| -0.000 | -0.000 | 0.000 | -0.000 | 0.000 | 72.250 |
| 203.555 | 146.643 | 122.516 | 0.000 | 0.000 | -0.000 |
| 146.592 | 203.380 | 122.382 | 0.000 | 0.000 | -0.000 |
| 122.579 | 122.579 | 379.000 | 0.000 | 0.000 | -0.000 |
| -1.049 | -1.050 | -1.243 | 61.136 | 0.000 | 0.000 |
| 0.000 | 0.000 | 0.000 | 0.000 | 65.704 | 0.000 |
| 0.000 | 0.000 | -0.000 | 0.000 | 0.000 | 52.957 |
| 217.573 | 129.799 | 120.842 | -0.000 | -0.000 | 0.000 |
| 148.689 | 205.477 | 124.866 | -0.000 | -0.000 | 0.000 |
| 128.773 | 128.773 | 386.336 | -0.000 | -0.000 | -0.000 |
| 1.049 | 1.049 | 1.243 | 61.136 | -0.000 | -0.000 |
| -0.000 | -0.000 | -0.000 | -0.000 | 65.704 | 0.000 |
| -0.000 | -0.000 | 0.000 | -0.000 | -0.000 | 52.957 |
| 233.339 | 127.424 | 128.773 | 0.000 | -0.000 | -0.000 |
| 127.424 | 233.339 | 128.773 | -0.000 | 0.000 | -0.000 |
| 123.524 | 123.524 | 380.119 | 0.000 | 0.000 | -0.000 |
| -0.300 | -0.300 | -0.355 | 61.150 | 0.000 | -0.000 |
| -0.105 | -0.105 | -0.124 | 0.000 | 61.136 | -0.000 |
| 0.000 | 0.000 | 0.000 | 0.000 | 0.000 | 52.957 |
| 233.339 | 127.424 | 128.773 | 0.000 | 0.000 | 0.000 |
| 127.424 | 233.339 | 128.773 | -0.000 | -0.000 | 0.000 |
| 123.734 | 123.734 | 380.367 | 0.000 | -0.000 | 0.000 |
| 0.300 | 0.300 | 0.355 | 61.150 | -0.000 | 0.000 |
| 0.105 | 0.105 | 0.124 | -0.000 | 61.136 | 0.000 |
| -0.000 | -0.000 | -0.000 | -0.000 | 0.000 | 52.957 |
| 233.341 | 127.424 | 128.773 | -0.000 | 0.000 | 0.000 |
| 127.424 | 233.340 | 128.773 | -0.000 | 0.000 | -0.000 |
| 128.773 | 128.773 | 386.337 | 0.000 | 0.000 | 0.000 |
| 0.000 | 0.000 | 0.000 | 65.704 | 0.000 | -0.000 |
| -0.030 | -0.030 | -0.035 | 0.000 | 61.136 | -0.000 |
| 0.000 | 0.001 | 0.000 | 0.000 | 0.000 | 52.957 |
| 218.617 | 127.640 | 120.183 | 0.000 | -0.000 | 0.000 |
| 127.424 | 233.337 | 128.773 | -0.000 | 0.000 | 0.000 |
| 123.639 | 123.639 | 380.254 | -0.000 | 0.000 | 0.000 |
| -0.000 | -0.000 | -0.000 | 65.704 | -0.000 | 0.000 |
| 0.030 | 0.030 | 0.035 | -0.000 | 61.136 | 0.000 |
| -0.000 | -0.001 | -0.000 | -0.000 | -0.000 | 52.957 |
| 216.296 | 127.650 | 119.870 | 0.000 | -0.000 | -0.000 |
| 148.119 | 202.186 | 123.614 | 0.000 | 0.000 | -0.000 |
| 123.446 | 123.446 | 378.903 | -0.000 | 0.000 | -0.000 |
| 0.395 | 0.395 | 0.465 | 60.628 | 0.000 | -0.000 |
| 0.395 | 0.395 | 0.465 | 0.000 | 60.628 | -0.000 |
| -0.045 | -0.045 | -0.053 | 0.000 | 0.000 | 26.983 |
| 216.459 | 127.174 | 119.686 | 0.000 | -0.000 | 0.000 |
| 127.174 | 216.459 | 119.686 | -0.000 | -0.000 | 0.000 |
| 123.169 | 123.169 | 378.577 | 0.000 | 0.000 | 0.000 |
| -0.395 | -0.395 | -0.465 | 60.628 | -0.000 | -0.000 |
| -0.395 | -0.395 | -0.465 | -0.000 | 60.628 | 0.000 |
| 0.045 | 0.045 | 0.053 | 0.000 | -0.000 | 26.983 |
| 231.399 | 127.155 | 128.468 | -0.000 | 0.000 | -0.000 |
| 127.431 | 216.376 | 119.788 | -0.000 | 0.000 | -0.000 |
| 123.321 | 123.321 | 378.757 | -0.000 | 0.000 | -0.000 |
| 0.000 | 0.000 | 0.000 | 65.136 | 0.000 | -0.000 |
| 0.040 | 0.040 | 0.047 | 0.000 | 60.605 | -0.000 |
| 0.000 | 0.000 | 0.000 | 0.000 | -0.000 | 52.122 |
| 216.392 | 127.383 | 119.770 | 0.000 | 0.000 | 0.000 |
| 127.155 | 231.399 | 128.468 | 0.000 | 0.000 | 0.000 |
| 123.294 | 123.294 | 378.724 | 0.000 | -0.000 | 0.000 |
| -0.000 | -0.000 | -0.000 | 65.136 | -0.000 | -0.000 |
| -0.040 | -0.040 | -0.047 | 0.000 | 60.605 | -0.000 |
| -0.000 | -0.000 | -0.000 | 0.000 | -0.000 | 52.122 |
| 231.401 | 127.155 | 128.469 | 0.000 | -0.000 | -0.000 |
| 147.898 | 201.842 | 123.279 | 0.000 | -0.000 | -0.000 |
| 128.494 | 128.494 | 384.846 | -0.000 | -0.000 | -0.000 |
| 0.004 | 0.004 | 0.005 | 60.605 | 0.000 | -0.000 |
| 0.004 | 0.004 | 0.005 | 0.000 | 60.605 | -0.000 |
| 0.000 | 0.001 | 0.000 | 0.000 | -0.000 | 52.122 |
| 231.397 | 127.155 | 128.468 | 0.000 | 0.000 | 0.000 |
| 147.975 | 202.039 | 123.444 | -0.000 | -0.000 | 0.000 |
| 123.306 | 123.306 | 378.737 | -0.000 | -0.000 | 0.000 |
| -0.004 | -0.004 | -0.005 | 60.605 | 0.000 | 0.000 |
| -0.004 | -0.004 | -0.005 | -0.000 | 60.605 | 0.000 |
| -0.000 | -0.001 | -0.000 | -0.000 | -0.000 | 52.122 |
| -360.457 | 186.337 | -798.231 | -0.000 | -0.000 | 0.000 |
| -384.603 | 401.730 | -937.491 | -0.000 | -0.000 | 0.000 |
| -400.063 | 31.700 | -610.473 | -0.000 | -0.000 | 0.000 |
| -552.292 | 4.929 | -930.337 | -0.678 | -0.000 | 0.000 |
| -550.961 | 5.475 | -927.920 | -0.000 | 141.375 | 0.000 |
| -576.899 | -5.863 | -975.220 | 0.000 | -0.000 | 162.418 |
| 224.151 | 195.126 | 190.907 | 0.000 | 0.000 | -0.000 |
| 195.126 | 408.871 | 42.902 | 0.000 | 0.000 | -0.000 |
| 190.906 | 42.900 | 390.148 | 0.000 | 0.000 | -0.000 |
| 552.292 | -4.929 | 930.337 | -0.678 | 0.000 | -0.000 |
| 550.961 | -5.475 | 927.920 | 0.000 | 141.375 | -0.000 |
| 576.899 | 5.863 | 975.220 | -0.000 | 0.000 | 162.418 |
| 146.106 | 186.090 | 56.407 | -0.000 | -0.000 | 0.000 |
| 130.368 | 405.179 | -67.515 | -0.000 | -0.000 | 0.000 |
| 94.213 | 26.013 | 221.736 | -0.000 | 0.000 | 0.000 |
| -54.782 | 0.689 | -92.218 | -0.687 | 0.000 | 0.000 |
| 0.000 | 0.000 | 0.000 | -0.000 | 159.343 | 0.000 |
| -55.231 | 0.491 | -93.038 | 0.000 | -0.000 | 162.418 |
| 224.151 | 195.125 | 190.907 | 0.000 | 0.000 | -0.000 |
| 240.830 | 404.197 | 118.561 | 0.000 | 0.000 | -0.000 |
| 234.786 | 38.118 | 462.695 | 0.000 | 0.000 | -0.000 |
| 54.782 | -0.689 | 92.218 | -0.687 | -0.000 | -0.000 |
| -0.000 | -0.000 | -0.000 | 0.000 | 159.343 | -0.000 |
| 55.231 | -0.491 | 93.038 | 0.000 | 0.000 | 162.418 |
| 209.181 | 191.836 | 164.618 | 0.000 | -0.000 | 0.000 |
| 195.128 | 408.876 | 42.902 | -0.000 | -0.000 | 0.000 |
| 165.955 | 36.124 | 345.937 | 0.000 | -0.000 | 0.000 |
| -5.771 | -0.058 | -9.756 | -0.629 | 0.000 | 0.000 |
| -6.292 | -0.064 | -10.635 | -0.000 | 155.599 | 0.000 |
| 0.001 | 0.002 | 0.000 | -0.000 | -0.000 | 162.418 |
| 221.616 | 191.577 | 185.528 | 0.000 | 0.000 | -0.000 |
| 198.061 | 407.606 | 47.463 | 0.000 | 0.000 | -0.000 |
| 175.707 | 33.272 | 361.502 | 0.000 | 0.000 | -0.000 |
| 5.771 | 0.058 | 9.756 | -0.629 | -0.000 | -0.000 |
| 6.292 | 0.064 | 10.635 | 0.000 | 155.599 | -0.000 |
| -0.001 | -0.002 | -0.000 | 0.000 | 0.000 | 162.418 |
| 166.068 | 198.957 | 178.334 | 0.000 | -0.000 | 0.000 |
| 205.151 | 352.255 | 46.414 | -0.000 | -0.000 | 0.000 |
| 213.836 | 45.696 | 357.594 | 0.000 | -0.000 | 0.000 |
| -0.000 | 0.000 | 0.000 | 10.617 | -0.000 | 0.000 |
| 0.000 | -0.000 | 0.000 | 0.000 | 173.739 | 0.000 |
| -0.704 | -0.076 | -1.014 | -0.000 | -0.000 | 165.038 |
| 172.498 | 201.152 | 187.594 | 0.000 | 0.000 | -0.000 |
| 205.151 | 352.255 | 46.414 | 0.000 | 0.000 | -0.000 |
| 181.179 | 38.055 | 310.557 | -0.000 | 0.000 | -0.000 |
| 0.000 | -0.000 | -0.000 | 10.617 | 0.000 | -0.000 |
| -0.000 | 0.000 | -0.000 | -0.000 | 173.740 | -0.000 |
| 0.704 | 0.076 | 1.014 | -0.000 | 0.000 | 165.038 |
| 190.886 | 204.676 | 214.080 | 0.000 | -0.000 | 0.000 |
| 205.152 | 352.256 | 46.415 | -0.000 | -0.000 | 0.000 |
| 186.780 | 40.668 | 318.624 | 0.000 | -0.000 | 0.000 |
| -1.413 | -0.153 | -2.035 | 9.312 | -0.000 | 0.000 |
| -0.185 | -0.020 | -0.267 | 0.000 | 160.699 | 0.000 |
| -0.070 | -0.007 | -0.101 | 0.000 | -0.000 | 165.038 |
| 190.886 | 204.676 | 214.079 | -0.000 | 0.000 | -0.000 |
| 205.151 | 352.255 | 46.414 | -0.000 | 0.000 | -0.000 |
| 213.836 | 45.696 | 357.594 | -0.000 | 0.000 | -0.000 |
| 1.413 | 0.153 | 2.035 | 9.312 | 0.000 | -0.000 |
| 0.185 | 0.020 | 0.267 | -0.000 | 160.699 | -0.000 |
| 0.070 | 0.007 | 0.101 | -0.000 | 0.000 | 165.038 |
| 190.888 | 204.677 | 214.080 | 0.000 | -0.000 | 0.000 |
| 205.153 | 352.259 | 46.415 | 0.000 | -0.000 | 0.000 |
| 213.838 | 45.696 | 357.597 | 0.000 | -0.000 | 0.000 |
| -0.000 | 0.001 | 0.000 | 10.617 | -0.000 | 0.000 |
| -0.018 | -0.002 | -0.025 | 0.000 | 160.696 | 0.000 |
| 0.001 | 0.002 | -0.000 | 0.000 | -0.000 | 165.038 |
| 172.129 | 201.183 | 187.066 | -0.000 | 0.000 | -0.000 |
| 205.149 | 352.252 | 46.414 | -0.000 | 0.000 | -0.000 |
| 179.922 | 37.812 | 308.747 | -0.000 | 0.000 | -0.000 |
| 0.000 | -0.001 | -0.000 | 10.617 | 0.000 | -0.000 |
| 0.018 | 0.002 | 0.025 | -0.000 | 160.696 | -0.000 |
| -0.001 | -0.002 | 0.000 | -0.000 | 0.000 | 165.038 |
| 146.454 | 133.529 | 133.529 | -0.000 | -0.000 | -0.000 |
| 133.529 | 146.454 | 133.529 | -0.000 | 0.000 | -0.000 |
| 133.529 | 133.529 | 146.454 | 0.000 | 0.000 | -0.000 |
| 0.000 | 0.000 | 0.000 | 144.266 | -0.000 | 0.000 |
| 0.000 | 0.000 | 0.000 | 0.000 | 144.266 | -0.000 |
| 0.000 | 0.000 | 0.000 | 0.000 | 0.000 | 144.266 |
| 146.454 | 133.529 | 133.529 | 0.000 | 0.000 | 0.000 |
| 133.529 | 146.454 | 133.529 | 0.000 | 0.000 | 0.000 |
| 133.529 | 133.529 | 146.454 | -0.000 | -0.000 | 0.000 |
| -0.000 | -0.000 | -0.000 | 144.266 | 0.000 | 0.000 |
| -0.000 | -0.000 | -0.000 | 0.000 | 144.266 | 0.000 |
| -0.000 | -0.000 | -0.000 | -0.000 | 0.000 | 144.266 |
| 146.454 | 133.529 | 133.529 | -0.000 | -0.000 | -0.000 |
| 133.529 | 146.454 | 133.529 | 0.000 | -0.000 | -0.000 |
| 133.529 | 133.529 | 146.454 | 0.000 | -0.000 | -0.000 |
| 0.000 | -0.000 | -0.000 | 14.973 | -0.000 | -0.000 |
| -0.000 | 0.000 | -0.000 | -0.000 | 14.973 | -0.000 |
| -0.000 | -0.000 | 0.000 | 0.000 | -0.000 | 14.973 |
| 146.454 | 133.529 | 133.529 | 0.000 | -0.000 | 0.000 |
| 133.529 | 146.454 | 133.529 | 0.000 | -0.000 | 0.000 |
| 133.529 | 133.529 | 146.454 | -0.000 | -0.000 | 0.000 |
| -0.000 | 0.000 | 0.000 | 14.973 | -0.000 | 0.000 |
| 0.000 | -0.000 | 0.000 | 0.000 | 14.973 | 0.000 |
| 0.000 | 0.000 | -0.000 | 0.000 | 0.000 | 14.973 |
| 146.454 | 133.529 | 133.529 | -0.000 | 0.000 | -0.000 |
| 133.529 | 146.454 | 133.529 | -0.000 | -0.000 | -0.000 |
| 133.529 | 133.529 | 146.454 | -0.000 | -0.000 | -0.000 |
| -0.000 | -0.001 | -0.000 | 20.888 | -0.000 | -0.000 |
| -0.001 | -0.000 | -0.000 | -0.000 | 20.888 | -0.000 |
| -0.001 | -0.000 | -0.000 | -0.000 | -0.000 | 20.888 |
| 146.454 | 133.529 | 133.529 | -0.000 | 0.000 | 0.000 |
| 133.529 | 146.454 | 133.529 | 0.000 | -0.000 | 0.000 |
| 133.529 | 133.529 | 146.454 | 0.000 | -0.000 | 0.000 |
| 0.000 | 0.001 | 0.000 | 20.888 | 0.000 | 0.000 |
| 0.001 | 0.000 | 0.000 | -0.000 | 20.888 | 0.000 |
| 0.001 | 0.000 | 0.000 | 0.000 | 0.000 | 20.888 |
| 137.446 | 118.940 | 118.940 | -0.000 | -0.000 | -0.000 |
| 118.940 | 137.446 | 118.940 | -0.000 | -0.000 | -0.000 |
| 118.940 | 118.940 | 137.446 | -0.000 | -0.000 | -0.000 |
| 0.000 | 0.000 | -0.000 | 107.502 | -0.000 | -0.000 |
| 0.000 | 0.000 | -0.000 | -0.000 | 107.502 | -0.000 |
| 0.000 | 0.000 | 0.000 | -0.000 | -0.000 | 107.502 |
| 137.446 | 118.940 | 118.940 | 0.000 | 0.000 | 0.000 |
| 118.940 | 137.446 | 118.940 | 0.000 | 0.000 | 0.000 |
| 118.940 | 118.940 | 137.446 | 0.000 | 0.000 | 0.000 |
| -0.000 | -0.000 | 0.000 | 107.502 | 0.000 | 0.000 |
| -0.000 | -0.000 | 0.000 | 0.000 | 107.502 | 0.000 |
| -0.000 | -0.000 | 0.000 | 0.000 | 0.000 | 107.502 |
| 137.446 | 118.940 | 118.940 | -0.000 | -0.000 | -0.000 |
| 118.940 | 137.446 | 118.940 | -0.000 | -0.000 | 0.000 |
| 118.940 | 118.940 | 137.446 | -0.000 | -0.000 | -0.000 |
| -0.000 | -0.000 | -0.000 | -4.655 | -0.000 | -0.000 |
| -0.000 | -0.000 | -0.000 | -0.000 | -4.655 | -0.000 |
| -0.000 | -0.000 | -0.000 | -0.000 | -0.000 | -4.655 |
| 137.446 | 118.940 | 118.940 | 0.000 | 0.000 | 0.000 |
| 118.940 | 137.446 | 118.940 | 0.000 | 0.000 | 0.000 |
| 118.940 | 118.940 | 137.446 | 0.000 | 0.000 | 0.000 |
| 0.000 | 0.000 | 0.000 | -4.655 | 0.000 | 0.000 |
| 0.000 | 0.000 | 0.000 | 0.000 | -4.655 | 0.000 |
| 0.000 | 0.000 | 0.000 | 0.000 | 0.000 | -4.655 |
| 137.447 | 118.940 | 118.940 | -0.000 | -0.000 | -0.000 |
| 118.940 | 137.447 | 118.940 | -0.000 | -0.000 | -0.000 |
| 118.940 | 118.940 | 137.447 | -0.000 | -0.000 | -0.000 |
| 0.000 | 0.000 | 0.000 | 107.502 | -0.000 | -0.000 |
| 0.000 | 0.000 | 0.000 | -0.000 | 107.502 | -0.000 |
| 0.000 | 0.000 | 0.000 | -0.000 | -0.000 | 107.502 |
| 137.445 | 118.940 | 118.940 | 0.000 | 0.000 | 0.000 |
| 118.940 | 137.445 | 118.940 | 0.000 | 0.000 | 0.000 |
| 118.940 | 118.940 | 137.445 | 0.000 | 0.000 | 0.000 |
| -0.000 | -0.000 | -0.000 | 107.502 | 0.000 | 0.000 |
| -0.000 | -0.000 | -0.000 | 0.000 | 107.502 | 0.000 |
| -0.000 | -0.000 | -0.000 | 0.000 | 0.000 | 107.502 |
| 134.101 | 133.190 | 133.190 | 0.000 | 0.000 | -0.000 |
| 133.190 | 134.101 | 133.190 | 0.000 | 0.000 | -0.000 |
| 133.190 | 133.190 | 134.101 | 0.000 | 0.000 | -0.000 |
| 0.000 | -0.000 | 0.000 | 8.401 | 0.000 | 0.000 |
| -0.000 | 0.000 | 0.000 | -0.000 | 8.401 | -0.000 |
| -0.000 | -0.000 | 0.000 | -0.000 | 0.000 | 8.401 |
| 134.101 | 133.190 | 133.190 | -0.000 | -0.000 | 0.000 |
| 133.190 | 134.101 | 133.190 | -0.000 | 0.000 | 0.000 |
| 133.190 | 133.190 | 134.101 | 0.000 | -0.000 | 0.000 |
| -0.000 | -0.000 | -0.000 | 8.401 | 0.000 | 0.000 |
| 0.000 | -0.000 | -0.000 | -0.000 | 8.401 | -0.000 |
| 0.000 | 0.000 | -0.000 | 0.000 | -0.000 | 8.401 |
| 134.101 | 133.190 | 133.190 | 0.000 | 0.000 | -0.000 |
| 133.190 | 134.101 | 133.190 | 0.000 | -0.000 | -0.000 |
| 133.190 | 133.190 | 134.101 | 0.000 | 0.000 | -0.000 |
| 0.000 | -0.000 | -0.000 | 8.401 | 0.000 | -0.000 |
| -0.000 | 0.000 | -0.000 | 0.000 | 8.401 | -0.000 |
| -0.000 | -0.000 | 0.000 | -0.000 | 0.000 | 8.401 |
| 134.101 | 133.190 | 133.190 | -0.000 | -0.000 | 0.000 |
| 133.190 | 134.101 | 133.190 | -0.000 | -0.000 | 0.000 |
| 133.190 | 133.190 | 134.101 | 0.000 | 0.000 | -0.000 |
| -0.000 | 0.000 | 0.000 | 8.401 | 0.000 | 0.000 |
| 0.000 | -0.000 | 0.000 | 0.000 | 8.401 | 0.000 |
| 0.000 | 0.000 | -0.000 | 0.000 | 0.000 | 8.401 |
| 134.101 | 133.191 | 133.191 | 0.000 | -0.000 | -0.000 |
| 133.191 | 134.101 | 133.191 | 0.000 | 0.000 | 0.000 |
| 133.191 | 133.191 | 134.101 | -0.000 | -0.000 | -0.000 |
| 0.000 | -0.000 | -0.000 | 8.401 | -0.000 | 0.000 |
| -0.000 | 0.000 | -0.000 | -0.000 | 8.401 | -0.000 |
| -0.000 | -0.000 | 0.000 | 0.000 | 0.000 | 8.401 |
| 134.102 | 133.190 | 133.190 | -0.000 | -0.000 | 0.000 |
| 133.190 | 134.102 | 133.190 | -0.000 | 0.000 | -0.000 |
| 133.190 | 133.190 | 134.102 | 0.000 | -0.000 | -0.000 |
| -0.000 | 0.000 | 0.000 | 8.401 | 0.000 | -0.000 |
| 0.000 | -0.000 | 0.000 | 0.000 | 8.401 | 0.000 |
| 0.000 | 0.000 | -0.000 | -0.000 | -0.000 | 8.401 |
| 167.103 | 187.207 | 187.207 | -0.000 | 0.000 | -0.000 |
| 187.207 | 167.103 | 187.207 | -0.000 | 0.000 | -0.000 |
| 187.207 | 187.207 | 167.103 | -0.000 | 0.000 | -0.000 |
| 0.000 | 0.000 | 0.000 | 167.674 | -0.000 | -0.000 |
| 0.000 | 0.000 | 0.000 | -0.000 | 167.674 | -0.000 |
| 0.000 | 0.000 | 0.000 | -0.000 | 0.000 | 167.674 |
| 167.103 | 187.207 | 187.207 | 0.000 | -0.000 | 0.000 |
| 187.207 | 167.103 | 187.207 | 0.000 | -0.000 | 0.000 |
| 187.207 | 187.207 | 167.103 | 0.000 | -0.000 | 0.000 |
| -0.000 | -0.000 | -0.000 | 167.674 | 0.000 | -0.000 |
| -0.000 | -0.000 | -0.000 | 0.000 | 167.674 | 0.000 |
| -0.000 | -0.000 | -0.000 | 0.000 | 0.000 | 167.674 |
| 167.104 | 187.207 | 187.207 | -0.000 | 0.000 | 0.000 |
| 187.207 | 167.104 | 187.207 | -0.000 | 0.000 | -0.000 |
| 187.207 | 187.207 | 167.104 | 0.000 | 0.000 | -0.000 |
| 0.000 | 0.000 | 0.000 | 167.674 | -0.000 | -0.000 |
| 0.000 | 0.000 | 0.000 | -0.000 | 167.674 | -0.000 |
| 0.000 | 0.000 | 0.000 | -0.000 | -0.000 | 167.674 |
| 167.103 | 187.207 | 187.207 | 0.000 | 0.000 | -0.000 |
| 187.207 | 167.103 | 187.207 | 0.000 | 0.000 | -0.000 |
| 187.207 | 187.207 | 167.103 | 0.000 | -0.000 | 0.000 |
| -0.000 | -0.000 | -0.000 | 167.674 | 0.000 | 0.000 |
| -0.000 | -0.000 | -0.000 | 0.000 | 167.674 | 0.000 |
| -0.000 | -0.000 | -0.000 | 0.000 | -0.000 | 167.674 |
| 167.105 | 187.208 | 187.208 | -0.000 | -0.000 | -0.000 |
| 187.208 | 167.105 | 187.208 | -0.000 | -0.000 | -0.000 |
| 187.208 | 187.208 | 167.105 | -0.000 | -0.000 | -0.000 |
| 0.001 | 0.000 | 0.001 | 173.050 | 0.000 | 0.000 |
| 0.000 | 0.001 | 0.001 | -0.000 | 173.050 | -0.000 |
| 0.000 | 0.001 | 0.001 | -0.000 | -0.000 | 173.050 |
| 167.102 | 187.207 | 187.207 | 0.000 | 0.000 | -0.000 |
| 187.207 | 167.102 | 187.207 | 0.000 | 0.000 | 0.000 |
| 187.207 | 187.207 | 167.102 | 0.000 | 0.000 | 0.000 |
| -0.001 | -0.000 | -0.001 | 173.050 | -0.000 | 0.000 |
| -0.000 | -0.001 | -0.001 | 0.000 | 173.050 | 0.000 |
| -0.000 | -0.001 | -0.001 | 0.000 | -0.000 | 173.050 |
| 36.989 | 7.680 | 7.680 | 0.000 | -0.000 | 0.000 |
| 7.680 | 36.989 | 7.680 | 0.000 | -0.000 | 0.000 |
| 7.680 | 7.680 | 36.989 | 0.000 | -0.000 | -0.000 |
| -0.000 | 0.000 | 0.000 | -0.552 | -0.000 | 0.000 |
| 0.000 | -0.000 | 0.000 | 0.000 | -0.552 | -0.000 |
| 0.000 | 0.000 | 0.000 | 0.000 | -0.000 | -0.552 |
| 36.989 | 7.680 | 7.680 | 0.000 | 0.000 | -0.000 |
| 7.680 | 36.989 | 7.680 | 0.000 | 0.000 | -0.000 |
| 7.680 | 7.680 | 36.989 | -0.000 | 0.000 | 0.000 |
| 0.000 | -0.000 | -0.000 | -0.552 | 0.000 | 0.000 |
| -0.000 | 0.000 | -0.000 | -0.000 | -0.552 | 0.000 |
| -0.000 | -0.000 | -0.000 | -0.000 | 0.000 | -0.552 |
| 36.989 | 7.680 | 7.680 | 0.000 | -0.000 | 0.000 |
| 7.680 | 36.989 | 7.680 | 0.000 | 0.000 | 0.000 |
| 7.680 | 7.680 | 36.989 | 0.000 | -0.000 | 0.000 |
| -0.000 | -0.000 | -0.000 | -4.074 | -0.000 | -0.000 |
| -0.000 | -0.000 | -0.000 | 0.000 | -4.074 | 0.000 |
| -0.000 | -0.000 | -0.000 | 0.000 | -0.000 | -4.074 |
| 36.989 | 7.680 | 7.680 | 0.000 | 0.000 | -0.000 |
| 7.680 | 36.989 | 7.680 | 0.000 | 0.000 | -0.000 |
| 7.680 | 7.680 | 36.989 | -0.000 | -0.000 | 0.000 |
| 0.000 | 0.000 | 0.000 | -4.074 | 0.000 | -0.000 |
| 0.000 | 0.000 | 0.000 | -0.000 | -4.074 | 0.000 |
| 0.000 | 0.000 | 0.000 | -0.000 | 0.000 | -4.074 |
| 36.992 | 7.680 | 7.680 | -0.000 | -0.000 | -0.000 |
| 7.680 | 36.992 | 7.680 | 0.000 | -0.000 | 0.000 |
| 7.680 | 7.680 | 36.992 | 0.000 | -0.000 | 0.000 |
| -0.001 | 0.000 | 0.000 | -5.597 | 0.000 | -0.000 |
| 0.000 | -0.001 | 0.000 | 0.000 | -5.597 | -0.000 |
| 0.000 | 0.000 | -0.001 | 0.000 | -0.000 | -5.597 |
| 36.986 | 7.680 | 7.680 | 0.000 | 0.000 | -0.000 |
| 7.680 | 36.986 | 7.680 | 0.000 | 0.000 | -0.000 |
| 7.680 | 7.680 | 36.986 | 0.000 | 0.000 | -0.000 |
| 0.001 | -0.000 | -0.000 | -5.597 | -0.000 | -0.000 |
| -0.000 | 0.001 | -0.000 | -0.000 | -5.597 | -0.000 |
| -0.000 | -0.000 | 0.001 | -0.000 | 0.000 | -5.597 |
| 1.426 | 1.426 | 1.426 | 0.000 | 0.000 | -0.000 |
| 1.426 | 1.426 | 1.426 | -0.000 | 0.000 | -0.000 |
| 1.426 | 1.426 | 1.426 | -0.000 | -0.000 | -0.000 |
| 0.000 | 0.000 | 0.000 | 1.381 | 0.000 | -0.000 |
| 0.000 | 0.000 | 0.000 | 0.000 | 1.381 | -0.000 |
| 0.000 | 0.000 | 0.000 | 0.000 | -0.000 | 1.381 |
| 1.426 | 1.426 | 1.426 | -0.000 | -0.000 | 0.000 |
| 1.426 | 1.426 | 1.426 | 0.000 | -0.000 | 0.000 |
| 1.426 | 1.426 | 1.426 | -0.000 | -0.000 | 0.000 |
| -0.000 | -0.000 | -0.000 | 1.381 | -0.000 | 0.000 |
| -0.000 | -0.000 | -0.000 | -0.000 | 1.381 | 0.000 |
| -0.000 | -0.000 | -0.000 | -0.000 | -0.000 | 1.381 |
| 1.426 | 1.426 | 1.426 | -0.000 | 0.000 | -0.000 |
| 1.426 | 1.426 | 1.426 | 0.000 | 0.000 | -0.000 |
| 1.426 | 1.426 | 1.426 | 0.000 | 0.000 | -0.000 |
| 0.000 | 0.000 | 0.000 | 1.381 | 0.000 | -0.000 |
| 0.000 | 0.000 | 0.000 | 0.000 | 1.381 | -0.000 |
| 0.000 | 0.000 | 0.000 | 0.000 | -0.000 | 1.381 |
| 1.426 | 1.426 | 1.426 | 0.000 | 0.000 | 0.000 |
| 1.426 | 1.426 | 1.426 | 0.000 | -0.000 | 0.000 |
| 1.426 | 1.426 | 1.426 | 0.000 | 0.000 | 0.000 |
| -0.000 | -0.000 | -0.000 | 1.381 | -0.000 | 0.000 |
| -0.000 | -0.000 | -0.000 | -0.000 | 1.381 | 0.000 |
| -0.000 | -0.000 | -0.000 | -0.000 | 0.000 | 1.381 |
| 1.426 | 1.426 | 1.426 | 0.000 | -0.000 | -0.000 |
| 1.426 | 1.426 | 1.426 | -0.000 | 0.000 | -0.000 |
| 1.426 | 1.426 | 1.426 | 0.000 | 0.000 | -0.000 |
| 0.000 | 0.000 | 0.000 | 0.960 | -0.000 | -0.000 |
| 0.000 | 0.000 | 0.000 | -0.000 | 0.960 | -0.000 |
| 0.000 | 0.000 | 0.000 | -0.000 | -0.000 | 0.960 |
| 1.425 | 1.425 | 1.425 | -0.000 | -0.000 | 0.000 |
| 1.425 | 1.425 | 1.425 | 0.000 | -0.000 | 0.000 |
| 1.425 | 1.425 | 1.425 | -0.000 | -0.000 | 0.000 |
| -0.000 | -0.000 | -0.000 | 0.960 | 0.000 | 0.000 |
| -0.000 | -0.000 | -0.000 | 0.000 | 0.960 | 0.000 |
| -0.000 | -0.000 | -0.000 | 0.000 | -0.000 | 0.960 |
| 558.410 | 7.511 | 7.512 | 0.000 | 0.000 | 0.000 |
| 7.512 | 558.410 | 7.512 | 0.000 | 0.000 | 0.000 |
| 7.512 | 7.512 | 558.410 | 0.000 | -0.000 | 0.000 |
| -0.000 | -0.000 | -0.000 | -14.993 | -0.000 | 0.000 |
| 0.000 | -0.000 | -0.000 | -0.000 | -14.993 | 0.000 |
| 0.000 | -0.000 | 0.000 | -0.000 | -0.000 | -14.993 |
| 558.410 | 7.512 | 7.511 | -0.000 | -0.000 | -0.000 |
| 7.512 | 558.410 | 7.512 | -0.000 | 0.000 | -0.000 |
| 7.512 | 7.512 | 558.410 | 0.000 | 0.000 | -0.000 |
| 0.000 | 0.000 | 0.000 | -14.993 | 0.000 | -0.000 |
| -0.000 | 0.000 | 0.000 | 0.000 | -14.993 | -0.000 |
| -0.000 | 0.000 | -0.000 | 0.000 | 0.000 | -14.993 |
| 558.410 | 7.512 | 7.512 | -0.000 | -0.000 | 0.000 |
| 7.512 | 558.410 | 7.512 | 0.000 | -0.000 | 0.000 |
| 7.512 | 7.512 | 558.410 | -0.000 | -0.000 | 0.000 |
| 0.000 | 0.000 | -0.000 | -14.993 | -0.000 | 0.000 |
| 0.000 | 0.000 | -0.000 | -0.000 | -14.993 | 0.000 |
| 0.000 | -0.000 | 0.000 | -0.000 | -0.000 | -14.993 |
| 558.410 | 7.511 | 7.511 | -0.000 | 0.000 | -0.000 |
| 7.511 | 558.410 | 7.511 | 0.000 | 0.000 | -0.000 |
| 7.511 | 7.511 | 558.410 | 0.000 | -0.000 | -0.000 |
| -0.000 | -0.000 | 0.000 | -14.993 | 0.000 | -0.000 |
| -0.000 | -0.000 | 0.000 | 0.000 | -14.993 | -0.000 |
| -0.000 | 0.000 | -0.000 | 0.000 | 0.000 | -14.993 |
| 558.414 | 7.512 | 7.512 | -0.000 | 0.000 | 0.000 |
| 7.512 | 558.414 | 7.512 | -0.000 | -0.000 | 0.000 |
| 7.512 | 7.512 | 558.414 | 0.000 | 0.000 | 0.000 |
| 0.000 | 0.000 | -0.000 | -14.993 | -0.000 | 0.000 |
| 0.000 | 0.000 | -0.000 | 0.000 | -14.993 | 0.000 |
| 0.000 | -0.000 | 0.000 | -0.000 | 0.000 | -14.993 |
| 558.406 | 7.511 | 7.511 | -0.000 | -0.000 | -0.000 |
| 7.511 | 558.406 | 7.511 | 0.000 | 0.000 | -0.000 |
| 7.511 | 7.511 | 558.406 | 0.000 | 0.000 | -0.000 |
| -0.000 | -0.000 | 0.000 | -14.993 | 0.000 | -0.000 |
| -0.000 | -0.000 | 0.000 | 0.000 | -14.993 | -0.000 |
| -0.000 | 0.000 | -0.000 | 0.000 | 0.000 | -14.993 |
| 140.491 | 160.900 | 160.900 | -0.000 | 0.000 | 0.000 |
| 160.900 | 140.491 | 160.900 | -0.000 | -0.000 | 0.000 |
| 160.900 | 160.900 | 140.491 | -0.000 | -0.000 | 0.000 |
| 0.000 | 0.000 | 0.000 | 148.871 | 0.000 | -0.000 |
| 0.000 | 0.000 | 0.000 | 0.000 | 148.871 | 0.000 |
| 0.000 | 0.000 | 0.000 | 0.000 | 0.000 | 148.871 |
| 140.491 | 160.900 | 160.900 | 0.000 | -0.000 | -0.000 |
| 160.900 | 140.491 | 160.900 | -0.000 | -0.000 | 0.000 |
| 160.900 | 160.900 | 140.491 | -0.000 | -0.000 | -0.000 |
| -0.000 | -0.000 | -0.000 | 148.871 | -0.000 | -0.000 |
| -0.000 | -0.000 | -0.000 | 0.000 | 148.871 | -0.000 |
| -0.000 | -0.000 | -0.000 | -0.000 | -0.000 | 148.871 |
| 140.491 | 160.900 | 160.900 | 0.000 | 0.000 | -0.000 |
| 160.900 | 140.491 | 160.900 | -0.000 | 0.000 | -0.000 |
| 160.900 | 160.900 | 140.491 | 0.000 | 0.000 | 0.000 |
| 0.000 | 0.000 | 0.000 | 148.871 | 0.000 | 0.000 |
| 0.000 | 0.000 | 0.000 | 0.000 | 148.871 | -0.000 |
| 0.000 | 0.000 | 0.000 | 0.000 | 0.000 | 148.871 |
| 140.491 | 160.900 | 160.900 | -0.000 | 0.000 | 0.000 |
| 160.900 | 140.491 | 160.900 | 0.000 | -0.000 | 0.000 |
| 160.900 | 160.900 | 140.491 | -0.000 | -0.000 | -0.000 |
| -0.000 | -0.000 | -0.000 | 148.871 | -0.000 | 0.000 |
| -0.000 | -0.000 | -0.000 | -0.000 | 148.871 | -0.000 |
| -0.000 | -0.000 | -0.000 | 0.000 | -0.000 | 148.871 |
| 140.491 | 160.900 | 160.900 | -0.000 | 0.000 | -0.000 |
| 160.900 | 140.491 | 160.900 | -0.000 | 0.000 | 0.000 |
| 160.900 | 160.900 | 140.491 | -0.000 | 0.000 | 0.000 |
| 0.001 | 0.000 | 0.001 | 148.871 | 0.000 | 0.000 |
| 0.000 | 0.001 | 0.001 | 0.000 | 148.871 | 0.000 |
| 0.000 | 0.001 | 0.001 | 0.000 | 0.000 | 148.871 |
| 140.490 | 160.900 | 160.900 | -0.000 | -0.000 | -0.000 |
| 160.900 | 140.490 | 160.900 | 0.000 | -0.000 | -0.000 |
| 160.900 | 160.900 | 140.490 | 0.000 | -0.000 | -0.000 |
| -0.001 | -0.000 | -0.001 | 148.871 | -0.000 | 0.000 |
| -0.000 | -0.001 | -0.001 | -0.000 | 148.871 | -0.000 |
| -0.000 | -0.001 | -0.001 | -0.000 | -0.000 | 148.871 |
| 45750.557 | 98430.802 | 98430.787 | -0.083 | -0.068 | -0.067 |
| 98430.831 | 45750.458 | 98430.789 | -0.084 | -0.060 | -0.083 |
| 98430.812 | 98430.811 | 45750.398 | -0.131 | -0.139 | -0.081 |
| 0.021 | 0.027 | 0.018 | -28356.775 | -0.076 | -0.081 |
| 0.050 | 0.035 | 0.026 | -0.119 | -28356.783 | -0.078 |
| 0.041 | 0.033 | -0.037 | -0.123 | -0.106 | -28356.769 |
| 45750.251 | 98430.755 | 98430.801 | 0.053 | 0.040 | 0.017 |
| 98430.749 | 45750.215 | 98430.809 | 0.043 | 0.081 | 0.004 |
| 98430.736 | 98430.757 | 45750.177 | -0.029 | -0.033 | -0.013 |
| 0.028 | -0.014 | 0.018 | -28356.584 | 0.064 | 0.093 |
| -0.033 | -0.010 | -0.019 | 0.091 | -28356.601 | 0.098 |
| -0.036 | -0.030 | 0.021 | 0.111 | 0.093 | -28356.602 |
| 45751.564 | 98431.014 | 98431.010 | -0.010 | -0.012 | -0.009 |
| 98431.010 | 45751.559 | 98431.009 | -0.011 | -0.006 | -0.010 |
| 98431.014 | 98431.014 | 45751.554 | -0.016 | -0.019 | -0.008 |
| 0.050 | 0.211 | 0.208 | -28359.490 | -0.005 | -0.007 |
| 0.211 | 0.047 | 0.207 | -0.006 | -28359.489 | -0.009 |
| 0.213 | 0.209 | 0.045 | -0.007 | -0.007 | -28359.492 |
| 45749.100 | 98430.556 | 98430.554 | 0.007 | 0.005 | 0.009 |
| 98430.554 | 45749.098 | 98430.553 | 0.008 | 0.006 | 0.007 |
| 98430.556 | 98430.557 | 45749.109 | 0.020 | 0.020 | 0.008 |
| -0.051 | -0.212 | -0.207 | -28359.476 | 0.005 | 0.010 |
| -0.212 | -0.047 | -0.208 | 0.006 | -28359.479 | 0.008 |
| -0.212 | -0.209 | -0.050 | 0.002 | 0.004 | -28359.476 |
| 45762.630 | 98433.066 | 98433.066 | -0.001 | -0.001 | -0.001 |
| 98433.066 | 45762.630 | 98433.066 | -0.001 | -0.001 | -0.001 |
| 98433.066 | 98433.066 | 45762.629 | -0.001 | -0.001 | -0.001 |
| 0.465 | 2.104 | 2.078 | -26016.486 | -0.001 | -0.001 |
| 2.104 | 0.465 | 2.078 | -0.001 | -26016.486 | -0.001 |
| 2.104 | 2.078 | 0.465 | -0.000 | -0.000 | -26016.486 |
| 45738.029 | 98428.503 | 98428.503 | 0.000 | 0.000 | 0.000 |
| 98428.503 | 45738.029 | 98428.503 | 0.000 | 0.000 | 0.000 |
| 98428.503 | 98428.503 | 45738.029 | -0.000 | -0.001 | 0.000 |
| -0.465 | -2.104 | -2.078 | -26016.485 | 0.000 | 0.001 |
| -2.104 | -0.465 | -2.078 | 0.001 | -26016.485 | 0.001 |
| -2.104 | -2.078 | -0.466 | 0.000 | -0.000 | -26016.485 |
| 609.953 | 1148.015 | 1148.015 | 0.000 | 0.000 | 0.001 |
| 1148.014 | 609.953 | 1148.015 | 0.000 | 0.001 | 0.001 |
| 1148.014 | 1148.015 | 609.953 | 0.000 | 0.000 | 0.001 |
| -0.000 | 0.000 | 0.000 | 879.750 | 0.000 | 0.000 |
| -0.000 | 0.000 | 0.000 | -0.000 | 879.750 | 0.000 |
| -0.000 | 0.000 | 0.000 | -0.000 | 0.000 | 879.750 |
| 609.953 | 1148.015 | 1148.015 | -0.000 | -0.001 | -0.001 |
| 1148.015 | 609.953 | 1148.015 | -0.000 | -0.001 | -0.000 |
| 1148.015 | 1148.015 | 609.953 | -0.000 | -0.000 | -0.000 |
| 0.000 | -0.000 | -0.000 | 879.750 | 0.000 | -0.000 |
| 0.000 | -0.000 | -0.000 | 0.000 | 879.750 | -0.000 |
| 0.000 | -0.000 | -0.000 | 0.000 | -0.000 | 879.750 |
| 609.953 | 1148.014 | 1148.014 | 0.000 | 0.000 | 0.000 |
| 1148.014 | 609.953 | 1148.014 | 0.000 | 0.000 | 0.000 |
| 1148.014 | 1148.014 | 609.953 | 0.000 | 0.000 | 0.000 |
| 0.000 | 0.000 | 0.001 | 879.750 | 0.000 | 0.000 |
| 0.000 | 0.000 | 0.001 | -0.000 | 879.750 | 0.000 |
| 0.000 | 0.001 | 0.000 | -0.000 | -0.000 | 879.750 |
| 609.953 | 1148.015 | 1148.015 | -0.000 | -0.000 | -0.000 |
| 1148.015 | 609.953 | 1148.015 | -0.000 | -0.000 | -0.000 |
| 1148.015 | 1148.015 | 609.953 | -0.000 | -0.000 | -0.000 |
| -0.000 | -0.000 | -0.001 | 879.750 | 0.000 | -0.000 |
| -0.000 | -0.000 | -0.001 | 0.000 | 879.750 | -0.000 |
| -0.000 | -0.001 | -0.000 | 0.000 | -0.000 | 879.750 |
| 609.953 | 1148.009 | 1148.009 | 0.000 | 0.000 | 0.000 |
| 1148.009 | 609.953 | 1148.009 | 0.000 | 0.000 | 0.000 |
| 1148.009 | 1148.009 | 609.953 | 0.000 | 0.000 | 0.000 |
| 0.001 | 0.005 | 0.004 | -662.499 | 0.000 | 0.000 |
| 0.005 | 0.001 | 0.004 | 0.000 | -662.499 | 0.000 |
| 0.005 | 0.004 | 0.001 | 0.000 | 0.000 | -662.499 |
| 609.952 | 1148.021 | 1148.021 | -0.000 | -0.000 | -0.000 |
| 1148.021 | 609.952 | 1148.021 | -0.000 | -0.000 | -0.000 |
| 1148.021 | 1148.021 | 609.952 | -0.000 | -0.000 | -0.000 |
| -0.001 | -0.005 | -0.004 | -662.499 | -0.000 | -0.000 |
| -0.005 | -0.001 | -0.004 | -0.000 | -662.499 | -0.000 |
| -0.005 | -0.004 | -0.001 | -0.000 | -0.000 | -662.499 |
| 22.520 | 70.175 | 70.175 | 0.000 | 0.000 | 0.000 |
| 70.175 | 22.520 | 70.175 | 0.000 | 0.000 | 0.000 |
| 70.175 | 70.175 | 22.520 | 0.000 | 0.000 | 0.000 |
| -0.000 | 0.000 | -0.000 | 62.704 | 0.000 | -0.000 |
| -0.000 | 0.000 | 0.000 | 0.000 | 62.704 | -0.000 |
| -0.000 | 0.000 | 0.000 | -0.000 | 0.000 | 62.704 |
| 22.520 | 70.175 | 70.175 | -0.000 | -0.000 | -0.000 |
| 70.175 | 22.520 | 70.175 | -0.000 | -0.000 | -0.000 |
| 70.175 | 70.175 | 22.520 | -0.000 | -0.000 | -0.000 |
| -0.000 | 0.000 | -0.000 | 62.704 | -0.000 | 0.000 |
| 0.000 | -0.000 | 0.000 | 0.000 | 62.704 | 0.000 |
| 0.000 | 0.000 | -0.000 | 0.000 | -0.000 | 62.704 |
| 22.520 | 70.175 | 70.175 | 0.000 | 0.000 | 0.000 |
| 70.175 | 22.520 | 70.175 | 0.000 | 0.000 | 0.000 |
| 70.175 | 70.175 | 22.520 | 0.000 | 0.000 | 0.000 |
| -0.000 | -0.000 | -0.000 | -44.651 | 0.000 | 0.000 |
| -0.000 | -0.000 | -0.000 | 0.000 | -44.651 | 0.000 |
| -0.000 | -0.000 | -0.000 | 0.000 | 0.000 | -44.651 |
| 22.520 | 70.175 | 70.175 | -0.000 | -0.000 | -0.000 |
| 70.175 | 22.520 | 70.175 | -0.000 | -0.000 | -0.000 |
| 70.175 | 70.175 | 22.520 | -0.000 | -0.000 | -0.000 |
| 0.000 | 0.000 | 0.000 | -44.651 | -0.000 | -0.000 |
| 0.000 | 0.000 | 0.000 | -0.000 | -44.651 | -0.000 |
| 0.000 | 0.000 | 0.000 | -0.000 | -0.000 | -44.651 |
| 22.518 | 70.175 | 70.175 | 0.000 | 0.000 | 0.000 |
| 70.175 | 22.518 | 70.175 | 0.000 | 0.000 | 0.000 |
| 70.175 | 70.175 | 22.518 | 0.000 | 0.000 | 0.000 |
| -0.000 | -0.000 | -0.000 | -44.651 | 0.000 | 0.000 |
| -0.000 | -0.000 | -0.000 | 0.000 | -44.651 | -0.000 |
| -0.000 | -0.000 | -0.000 | 0.000 | 0.000 | -44.651 |
| 22.522 | 70.175 | 70.175 | -0.000 | -0.000 | -0.000 |
| 70.175 | 22.522 | 70.175 | -0.000 | -0.000 | -0.000 |
| 70.175 | 70.175 | 22.522 | -0.000 | -0.000 | -0.000 |
| 0.000 | 0.000 | 0.000 | -44.651 | -0.000 | -0.000 |
| 0.000 | 0.000 | 0.000 | -0.000 | -44.651 | 0.000 |
| 0.000 | 0.000 | 0.000 | -0.000 | -0.000 | -44.651 |
| 293.465 | 55.743 | 134.488 | -0.000 | 0.000 | -0.000 |
| 55.743 | 293.465 | 134.488 | -0.000 | 0.000 | -0.000 |
| 134.488 | 134.488 | 211.906 | -0.000 | 0.000 | 0.000 |
| -0.000 | -0.000 | 0.000 | 118.184 | -0.000 | -0.000 |
| -0.000 | -0.000 | 0.000 | -0.000 | 118.184 | 0.000 |
| -0.000 | -0.000 | -0.000 | -0.000 | -0.000 | 39.944 |
| 293.465 | 55.743 | 134.488 | 0.000 | -0.000 | 0.000 |
| 55.743 | 293.465 | 134.488 | 0.000 | -0.000 | 0.000 |
| 134.488 | 134.488 | 211.906 | 0.000 | 0.000 | 0.000 |
| 0.000 | 0.000 | 0.000 | 118.184 | 0.000 | -0.000 |
| 0.000 | 0.000 | -0.000 | 0.000 | 118.184 | 0.000 |
| 0.000 | 0.000 | 0.000 | 0.000 | 0.000 | 39.944 |
| 293.465 | 55.743 | 134.488 | -0.000 | 0.000 | -0.000 |
| 55.743 | 293.465 | 134.488 | -0.000 | 0.000 | -0.000 |
| 134.488 | 134.488 | 211.905 | -0.000 | 0.000 | -0.000 |
| -0.000 | -0.000 | -0.000 | 118.184 | -0.000 | 0.000 |
| -0.000 | -0.000 | -0.000 | -0.000 | 118.184 | -0.000 |
| -0.000 | -0.000 | -0.000 | 0.000 | 0.000 | 39.944 |
| 293.465 | 55.743 | 134.488 | 0.000 | -0.000 | -0.000 |
| 55.743 | 293.465 | 134.488 | 0.000 | 0.000 | -0.000 |
| 134.489 | 134.489 | 211.906 | 0.000 | 0.000 | -0.000 |
| 0.000 | 0.000 | 0.000 | 118.184 | 0.000 | -0.000 |
| 0.000 | 0.000 | 0.000 | -0.000 | 118.184 | -0.000 |
| 0.000 | 0.000 | 0.000 | -0.000 | 0.000 | 39.944 |
| 293.463 | 55.742 | 134.488 | -0.000 | 0.000 | -0.000 |
| 55.742 | 293.463 | 134.488 | -0.000 | 0.000 | -0.000 |
| 134.488 | 134.488 | 211.903 | -0.000 | 0.000 | -0.000 |
| -0.000 | -0.000 | -0.000 | 118.184 | 0.000 | 0.000 |
| -0.000 | -0.000 | -0.000 | -0.000 | 118.184 | -0.000 |
| -0.001 | -0.001 | -0.000 | -0.000 | -0.000 | 39.944 |
| 293.467 | 55.744 | 134.489 | 0.000 | -0.000 | 0.000 |
| 55.744 | 293.467 | 134.489 | 0.000 | 0.000 | -0.000 |
| 134.489 | 134.489 | 211.909 | -0.000 | -0.000 | 0.000 |
| 0.000 | 0.000 | 0.000 | 118.184 | -0.000 | -0.000 |
| 0.000 | 0.000 | 0.000 | 0.000 | 118.184 | 0.000 |
| 0.001 | 0.001 | 0.000 | 0.000 | 0.000 | 39.944 |
| 285.267 | 101.426 | 74.899 | -37.509 | -0.000 | -0.000 |
| 101.426 | 285.267 | 74.899 | 37.509 | -0.000 | -0.000 |
| 74.899 | 74.899 | 311.204 | -0.000 | -0.000 | -0.000 |
| -37.509 | 37.509 | -0.000 | 65.723 | 0.000 | -0.000 |
| -0.000 | 0.000 | -0.000 | 0.000 | 65.723 | -37.509 |
| -0.000 | -0.000 | 0.000 | 0.000 | -37.509 | 91.920 |
| 285.267 | 101.426 | 74.899 | -37.509 | -0.000 | 0.000 |
| 101.426 | 285.267 | 74.899 | 37.509 | 0.000 | 0.000 |
| 74.899 | 74.899 | 311.204 | -0.000 | -0.000 | 0.000 |
| -37.509 | 37.509 | 0.000 | 65.723 | 0.000 | 0.000 |
| 0.000 | -0.000 | 0.000 | 0.000 | 65.723 | -37.509 |
| 0.000 | 0.000 | 0.000 | -0.000 | -37.509 | 91.921 |
| 285.267 | 101.426 | 74.899 | -37.509 | 0.000 | -0.000 |
| 101.426 | 285.267 | 74.899 | 37.509 | -0.000 | -0.000 |
| 74.899 | 74.899 | 311.204 | 0.000 | -0.000 | -0.000 |
| -37.509 | 37.509 | -0.000 | 65.723 | -0.000 | -0.000 |
| -0.000 | -0.000 | -0.000 | -0.000 | 65.723 | -37.509 |
| -0.000 | -0.000 | -0.000 | -0.000 | -37.509 | 91.921 |
| 285.267 | 101.426 | 74.899 | -37.509 | 0.000 | 0.000 |
| 101.426 | 285.267 | 74.899 | 37.509 | -0.000 | 0.000 |
| 74.899 | 74.899 | 311.204 | 0.000 | 0.000 | 0.000 |
| -37.509 | 37.509 | 0.000 | 65.723 | 0.000 | 0.000 |
| 0.000 | 0.000 | 0.000 | 0.000 | 65.723 | -37.509 |
| 0.000 | 0.000 | 0.000 | 0.000 | -37.509 | 91.921 |
| 285.265 | 101.426 | 74.899 | -37.509 | -0.000 | 0.000 |
| 101.425 | 285.265 | 74.899 | 37.509 | -0.000 | -0.000 |
| 74.898 | 74.898 | 311.203 | 0.000 | -0.000 | -0.000 |
| -37.509 | 37.508 | -0.001 | 65.723 | 0.000 | -0.000 |
| -0.001 | -0.000 | -0.001 | -0.000 | 65.723 | -37.509 |
| -0.000 | -0.000 | -0.000 | -0.000 | -37.509 | 91.921 |
| 285.269 | 101.426 | 74.900 | -37.508 | 0.000 | 0.000 |
| 101.427 | 285.269 | 74.900 | 37.508 | 0.000 | 0.000 |
| 74.900 | 74.900 | 311.206 | -0.000 | 0.000 | 0.000 |
| -37.509 | 37.509 | 0.001 | 65.723 | 0.000 | 0.000 |
| 0.001 | 0.000 | 0.001 | 0.000 | 65.723 | -37.509 |
| 0.000 | 0.000 | 0.000 | 0.000 | -37.509 | 91.921 |
| 242.228 | 89.571 | 89.677 | 0.000 | 0.000 | -0.000 |
| 89.233 | 265.397 | 144.867 | -0.000 | 0.000 | -0.000 |
| 89.148 | 143.425 | 267.184 | -0.000 | 0.000 | -0.000 |
| 0.000 | 0.000 | 0.000 | 60.438 | 0.000 | -0.000 |
| 0.000 | 0.000 | -0.000 | 0.000 | 74.114 | -0.000 |
| 0.000 | 0.000 | 0.000 | 0.000 | 0.000 | 75.765 |
| 242.228 | 89.571 | 89.677 | 0.000 | 0.000 | 0.000 |
| 89.233 | 265.397 | 144.867 | -0.000 | -0.000 | 0.000 |
| 90.074 | 110.592 | 300.951 | 0.000 | -0.000 | 0.000 |
| -0.000 | -0.000 | -0.000 | 60.438 | -0.000 | 0.000 |
| -0.000 | -0.000 | 0.000 | -0.000 | 74.114 | 0.000 |
| -0.000 | -0.000 | -0.000 | -0.000 | -0.000 | 75.765 |
| 242.228 | 89.571 | 89.677 | -0.000 | 0.000 | -0.000 |
| 89.233 | 265.397 | 144.867 | -0.000 | 0.000 | -0.000 |
| 89.891 | 145.008 | 266.314 | -0.000 | 0.000 | -0.000 |
| -0.000 | -0.000 | 0.000 | 60.438 | 0.000 | -0.000 |
| 0.000 | 0.000 | 0.000 | 0.000 | 74.114 | -0.000 |
| 0.000 | 0.000 | 0.000 | 0.000 | 0.000 | 75.765 |
| 242.885 | 89.806 | 90.074 | 0.000 | -0.000 | 0.000 |
| 89.233 | 265.397 | 144.867 | 0.000 | -0.000 | 0.000 |
| 89.891 | 145.008 | 266.314 | -0.000 | 0.000 | 0.000 |
| 0.000 | 0.000 | -0.000 | 60.438 | -0.000 | 0.000 |
| -0.000 | -0.000 | -0.000 | -0.000 | 74.114 | 0.000 |
| -0.000 | -0.000 | -0.000 | -0.000 | -0.000 | 75.765 |
| 242.890 | 89.808 | 90.075 | -0.000 | -0.000 | -0.000 |
| 89.355 | 265.372 | 145.009 | -0.000 | 0.000 | -0.000 |
| 90.074 | 110.592 | 300.952 | -0.000 | 0.000 | -0.000 |
| -0.000 | -0.000 | 0.001 | 60.377 | -0.000 | -0.000 |
| 0.001 | 0.000 | 0.000 | 0.000 | 74.103 | -0.000 |
| 0.001 | 0.000 | 0.000 | 0.000 | 0.000 | 75.765 |
| 242.882 | 89.805 | 90.073 | 0.000 | -0.000 | 0.000 |
| 89.356 | 265.374 | 145.009 | 0.000 | -0.000 | 0.000 |
| 89.891 | 145.007 | 266.314 | 0.000 | 0.000 | 0.000 |
| 0.000 | 0.000 | -0.001 | 60.377 | 0.000 | 0.000 |
| -0.001 | -0.000 | -0.000 | -0.000 | 74.103 | 0.000 |
| -0.001 | -0.000 | -0.000 | -0.000 | -0.000 | 75.765 |
| 229.907 | 83.480 | 89.004 | 0.000 | -0.000 | -0.000 |
| 83.024 | 303.830 | 137.443 | 0.000 | -0.000 | -0.000 |
| 88.025 | 136.852 | 288.873 | 0.000 | -0.000 | -0.000 |
| -0.135 | -0.303 | 0.114 | 54.953 | -0.000 | -0.000 |
| 0.000 | 0.000 | 0.000 | 0.000 | 76.444 | -0.000 |
| -0.056 | -0.126 | 0.048 | 0.000 | -0.000 | 66.783 |
| 229.996 | 83.734 | 88.885 | -0.000 | 0.000 | 0.000 |
| 83.269 | 304.290 | 137.310 | -0.000 | 0.000 | 0.000 |
| 88.197 | 138.017 | 288.092 | -0.000 | 0.000 | 0.000 |
| 0.135 | 0.303 | -0.114 | 54.953 | 0.000 | 0.000 |
| -0.000 | -0.000 | -0.000 | -0.000 | 76.444 | 0.000 |
| 0.056 | 0.126 | -0.048 | -0.000 | 0.000 | 66.783 |
| 229.948 | 83.591 | 88.954 | 0.000 | -0.000 | -0.000 |
| 83.134 | 304.022 | 137.396 | 0.000 | -0.000 | -0.000 |
| 88.100 | 137.387 | 288.510 | 0.000 | -0.000 | -0.000 |
| -0.013 | -0.030 | 0.011 | 54.932 | -0.000 | -0.000 |
| 0.000 | 0.000 | 0.000 | 0.000 | 76.444 | -0.000 |
| -0.005 | -0.013 | 0.005 | 0.000 | -0.000 | 66.783 |
| 230.623 | 83.029 | 90.082 | -0.000 | -0.000 | 0.000 |
| 83.159 | 304.067 | 137.383 | -0.000 | 0.000 | 0.000 |
| 88.722 | 139.211 | 287.637 | -0.000 | -0.000 | 0.000 |
| 0.013 | 0.030 | -0.011 | 54.932 | 0.000 | 0.000 |
| -0.000 | -0.000 | -0.000 | -0.000 | 76.444 | 0.000 |
| 0.005 | 0.013 | -0.005 | 0.000 | 0.000 | 66.783 |
| 230.628 | 83.030 | 90.083 | 0.000 | 0.000 | -0.000 |
| 83.250 | 304.029 | 137.507 | 0.000 | 0.000 | -0.000 |
| 88.717 | 139.182 | 287.654 | 0.000 | 0.000 | -0.000 |
| 0.002 | -0.003 | 0.004 | 54.883 | 0.000 | -0.000 |
| 0.000 | -0.002 | 0.002 | 0.000 | 74.953 | -0.000 |
| 0.001 | -0.001 | 0.001 | 0.000 | -0.000 | 66.783 |
| 230.620 | 83.028 | 90.081 | -0.000 | -0.000 | 0.000 |
| 83.251 | 304.027 | 137.505 | -0.000 | -0.000 | 0.000 |
| 88.718 | 139.187 | 287.654 | -0.000 | -0.000 | 0.000 |
| -0.002 | 0.003 | -0.004 | 54.883 | -0.000 | 0.000 |
| -0.000 | 0.002 | -0.002 | -0.000 | 74.953 | 0.000 |
| -0.001 | 0.001 | -0.001 | -0.000 | 0.000 | 66.783 |
| 189.960 | 66.657 | -37.722 | -0.000 | 0.000 | 0.000 |
| 154.893 | 101.724 | -37.722 | -0.000 | 0.000 | -0.000 |
| -37.680 | -37.680 | 405.051 | -0.000 | 0.000 | 0.000 |
| -0.000 | 0.000 | 0.000 | -43.838 | -0.000 | -0.000 |
| 0.000 | -0.000 | -0.000 | -0.000 | -43.838 | 0.000 |
| 0.000 | -0.000 | 0.000 | -0.000 | 0.000 | 61.652 |
| 189.960 | 66.657 | -37.722 | 0.000 | 0.000 | -0.000 |
| 154.893 | 101.724 | -37.722 | 0.000 | -0.000 | 0.000 |
| -37.680 | -37.680 | 405.051 | 0.000 | 0.000 | -0.000 |
| 0.000 | -0.000 | -0.000 | -43.838 | 0.000 | -0.000 |
| 0.000 | 0.000 | -0.000 | 0.000 | -43.838 | 0.000 |
| -0.000 | 0.000 | -0.000 | 0.000 | -0.000 | 61.652 |
| 189.960 | 66.657 | -37.722 | -0.000 | 0.000 | 0.000 |
| 66.657 | 189.960 | -37.722 | -0.000 | 0.000 | -0.000 |
| -37.680 | -37.680 | 405.051 | 0.000 | 0.000 | -0.000 |
| -0.000 | -0.000 | -0.000 | -43.838 | 0.000 | -0.000 |
| -0.000 | -0.000 | -0.000 | -0.000 | -43.838 | 0.000 |
| -0.000 | -0.000 | -0.000 | 0.000 | 0.000 | -26.585 |
| 101.039 | 155.578 | -37.722 | 0.000 | 0.000 | 0.000 |
| 66.657 | 189.960 | -37.722 | 0.000 | -0.000 | -0.000 |
| -37.680 | -37.680 | 405.051 | 0.000 | -0.000 | 0.000 |
| 0.000 | 0.000 | 0.000 | -43.838 | -0.000 | -0.000 |
| 0.000 | 0.000 | 0.000 | -0.000 | -43.838 | 0.000 |
| 0.000 | 0.000 | 0.000 | -0.000 | -0.000 | -26.585 |
| 189.960 | 66.657 | -37.722 | -0.000 | 0.000 | -0.000 |
| -6464061.418 | -5603730.222 | -6602524.031 | -81478.448 | -6848.420 | 34197.250 |
| -37.680 | -37.680 | 405.055 | -0.000 | -0.000 | -0.000 |
| -0.000 | -0.000 | -0.000 | -43.838 | 0.000 | 0.000 |
| -0.000 | -0.000 | -0.000 | 0.000 | -43.838 | 0.000 |
| -0.000 | -0.000 | -0.000 | 0.000 | 0.000 | -26.585 |
| 189.960 | 66.656 | -37.721 | 0.000 | 0.000 | -0.000 |
| 154.888 | 101.729 | -37.721 | -0.000 | -0.000 | -0.000 |
| -37.680 | -37.680 | 405.047 | -0.000 | -0.000 | -0.000 |
| 0.000 | 0.000 | 0.000 | -43.838 | -0.000 | -0.000 |
| 0.000 | 0.000 | 0.000 | 0.000 | -43.838 | -0.000 |
| 0.000 | 0.000 | 0.000 | -0.000 | -0.000 | -26.585 |
| 255.785 | 132.478 | 75.963 | -0.000 | -0.000 | 0.000 |
| 132.478 | 255.785 | 75.963 | -0.000 | -0.000 | 0.000 |
| 75.963 | 75.963 | 240.868 | -0.000 | -0.000 | 0.000 |
| 0.000 | 0.000 | 0.000 | 79.192 | -0.000 | 0.000 |
| 0.000 | 0.000 | 0.000 | -0.000 | 79.192 | 0.000 |
| 0.000 | 0.000 | 0.000 | -0.000 | -0.000 | 98.333 |
| 255.785 | 132.478 | 75.963 | 0.000 | 0.000 | -0.000 |
| 132.478 | 255.785 | 75.963 | 0.000 | 0.000 | -0.000 |
| 75.963 | 75.963 | 240.868 | 0.000 | -0.000 | -0.000 |
| -0.000 | -0.000 | -0.000 | 79.192 | 0.000 | 0.000 |
| -0.000 | -0.000 | -0.000 | 0.000 | 79.192 | -0.000 |
| -0.000 | -0.000 | -0.000 | 0.000 | -0.000 | 98.333 |
| 292.465 | 95.799 | 75.963 | -0.000 | 0.000 | 0.000 |
| 95.799 | 292.465 | 75.963 | -0.000 | -0.000 | 0.000 |
| 75.963 | 75.963 | 240.869 | -0.000 | -0.000 | 0.000 |
| 0.000 | 0.000 | 0.000 | 79.192 | -0.000 | 0.000 |
| -0.000 | 0.000 | 0.000 | -0.000 | 79.192 | 0.000 |
| -0.000 | 0.000 | -0.000 | -0.000 | -0.000 | 61.654 |
| 255.785 | 132.478 | 75.963 | 0.000 | 0.000 | -0.000 |
| 132.478 | 255.785 | 75.963 | 0.000 | 0.000 | -0.000 |
| 75.963 | 75.963 | 240.868 | 0.000 | 0.000 | -0.000 |
| -0.000 | -0.000 | -0.000 | 79.192 | 0.000 | -0.000 |
| 0.000 | -0.000 | -0.000 | 0.000 | 79.192 | -0.000 |
| 0.000 | -0.000 | 0.000 | 0.000 | 0.000 | 61.654 |
| 255.788 | 132.480 | 75.963 | -0.000 | 0.000 | 0.000 |
| 132.480 | 255.787 | 75.963 | -0.000 | -0.000 | 0.000 |
| 75.964 | 75.964 | 240.872 | -0.000 | -0.000 | 0.000 |
| 0.000 | 0.000 | 0.001 | 79.192 | 0.000 | 0.000 |
| 0.000 | 0.000 | 0.001 | -0.000 | 79.192 | 0.000 |
| -0.000 | 0.001 | -0.000 | -0.000 | -0.000 | 61.654 |
| 255.781 | 132.478 | 75.963 | 0.000 | 0.000 | 0.000 |
| 95.798 | 292.461 | 75.963 | 0.000 | -0.000 | -0.000 |
| 75.962 | 75.962 | 240.864 | 0.000 | 0.000 | -0.000 |
| -0.000 | -0.000 | -0.001 | 79.192 | 0.000 | 0.000 |
| -0.000 | -0.000 | -0.001 | 0.000 | 79.192 | -0.000 |
| 0.000 | -0.001 | 0.000 | 0.000 | 0.000 | 61.654 |
| 129.746 | 136.817 | 136.817 | 0.000 | 0.000 | 0.000 |
| 136.817 | 129.746 | 136.817 | 0.000 | 0.000 | 0.000 |
| 136.817 | 136.817 | 129.746 | 0.000 | -0.000 | 0.000 |
| 0.000 | 0.000 | 0.000 | -0.874 | 0.000 | 0.000 |
| 0.000 | 0.000 | 0.000 | 0.000 | -0.874 | 0.000 |
| 0.000 | 0.000 | 0.000 | 0.000 | 0.000 | -0.874 |
| 129.746 | 136.817 | 136.817 | -0.000 | -0.000 | -0.000 |
| 136.817 | 129.746 | 136.817 | 0.000 | 0.000 | -0.000 |
| 136.817 | 136.817 | 129.746 | -0.000 | -0.000 | -0.000 |
| -0.000 | 0.000 | -0.000 | -0.874 | -0.000 | -0.000 |
| -0.000 | -0.000 | -0.000 | -0.000 | -0.874 | -0.000 |
| -0.000 | -0.000 | -0.000 | -0.000 | -0.000 | -0.874 |
| 129.746 | 136.817 | 136.817 | 0.000 | -0.000 | 0.000 |
| 136.817 | 129.746 | 136.817 | 0.000 | 0.000 | 0.000 |
| 136.817 | 136.817 | 129.746 | 0.000 | -0.000 | 0.000 |
| 0.000 | 0.000 | 0.000 | 123.727 | 0.000 | 0.000 |
| 0.000 | 0.000 | 0.000 | 0.000 | 123.727 | 0.000 |
| 0.000 | 0.000 | 0.000 | 0.000 | 0.000 | 123.727 |
| 129.745 | 136.817 | 136.817 | 0.000 | -0.000 | -0.000 |
| 136.817 | 129.745 | 136.817 | 0.000 | 0.000 | -0.000 |
| 136.817 | 136.817 | 129.745 | 0.000 | -0.000 | -0.000 |
| -0.000 | -0.000 | -0.000 | 123.727 | -0.000 | -0.000 |
| -0.000 | -0.000 | -0.000 | 0.000 | 123.727 | -0.000 |
| -0.000 | -0.000 | -0.000 | -0.000 | -0.000 | 123.727 |
| 129.749 | 136.817 | 136.817 | -0.000 | -0.000 | 0.000 |
| 136.817 | 129.749 | 136.817 | -0.000 | 0.000 | 0.000 |
| 136.817 | 136.817 | 129.749 | 0.000 | 0.000 | 0.000 |
| 0.000 | -0.000 | -0.000 | -0.874 | 0.000 | 0.000 |
| -0.000 | 0.000 | -0.000 | -0.000 | -0.874 | 0.000 |
| -0.000 | -0.000 | 0.000 | 0.000 | 0.000 | -0.874 |
| 129.742 | 136.816 | 136.816 | 0.000 | -0.000 | -0.000 |
| 136.816 | 129.742 | 136.816 | -0.000 | -0.000 | -0.000 |
| 136.816 | 136.816 | 129.742 | 0.000 | -0.000 | -0.000 |
| -0.000 | 0.000 | 0.000 | -0.874 | -0.000 | -0.000 |
| 0.000 | -0.000 | 0.000 | -0.000 | -0.874 | -0.000 |
| 0.000 | 0.000 | -0.000 | -0.000 | -0.000 | -0.874 |
| 317.442 | 142.190 | 142.190 | -0.000 | 0.000 | -0.000 |
| 142.190 | 317.442 | 142.190 | 0.000 | 0.000 | -0.000 |
| 142.190 | 142.190 | 317.442 | 0.000 | -0.000 | -0.000 |
| -0.000 | 0.000 | 0.000 | 95.418 | 0.000 | -0.000 |
| 0.000 | -0.000 | 0.000 | 0.000 | 95.418 | -0.000 |
| 0.000 | 0.000 | -0.000 | 0.000 | 0.000 | 95.418 |
| 317.442 | 142.190 | 142.190 | 0.000 | 0.000 | 0.000 |
| 142.190 | 317.442 | 142.190 | -0.000 | 0.000 | 0.000 |
| 142.190 | 142.190 | 317.442 | -0.000 | 0.000 | 0.000 |
| -0.000 | 0.000 | -0.000 | 95.418 | -0.000 | 0.000 |
| -0.000 | 0.000 | -0.000 | -0.000 | 95.418 | 0.000 |
| -0.000 | 0.000 | 0.000 | -0.000 | -0.000 | 95.418 |
| 317.442 | 142.190 | 142.190 | 0.000 | 0.000 | -0.000 |
| 142.190 | 317.442 | 142.190 | 0.000 | 0.000 | -0.000 |
| 142.190 | 142.190 | 317.442 | 0.000 | -0.000 | -0.000 |
| -0.000 | 0.000 | 0.000 | 100.665 | -0.000 | -0.000 |
| 0.000 | -0.000 | 0.000 | -0.000 | 100.665 | -0.000 |
| 0.000 | 0.000 | -0.000 | 0.000 | 0.000 | 100.665 |
| 317.442 | 142.190 | 142.190 | 0.000 | -0.000 | 0.000 |
| 142.190 | 317.442 | 142.190 | -0.000 | 0.000 | 0.000 |
| 142.190 | 142.190 | 317.442 | -0.000 | 0.000 | 0.000 |
| 0.000 | -0.000 | -0.000 | 100.665 | -0.000 | 0.000 |
| -0.000 | 0.000 | -0.000 | -0.000 | 100.665 | 0.000 |
| -0.000 | -0.000 | 0.000 | -0.000 | 0.000 | 100.665 |
| 317.444 | 142.191 | 142.191 | 0.000 | 0.000 | -0.000 |
| 142.191 | 317.444 | 142.191 | 0.000 | -0.000 | -0.000 |
| 142.191 | 142.191 | 317.444 | 0.000 | 0.000 | -0.000 |
| -0.000 | 0.000 | 0.000 | 100.665 | -0.000 | -0.000 |
| 0.000 | -0.000 | 0.000 | 0.000 | 100.665 | -0.000 |
| 0.000 | 0.000 | -0.000 | 0.000 | 0.000 | 100.665 |
| 317.440 | 142.190 | 142.190 | 0.000 | 0.000 | 0.000 |
| 142.190 | 317.440 | 142.190 | -0.000 | -0.000 | 0.000 |
| 142.190 | 142.190 | 317.440 | 0.000 | -0.000 | 0.000 |
| 0.000 | -0.000 | -0.000 | 100.665 | 0.000 | 0.000 |
| -0.000 | 0.000 | -0.000 | 0.000 | 100.665 | 0.000 |
| -0.000 | -0.000 | 0.000 | -0.000 | 0.000 | 100.665 |
| 298.615 | 135.808 | 58.156 | -0.000 | -0.000 | -0.000 |
| 135.808 | 221.462 | 136.476 | 0.000 | -0.000 | -0.000 |
| 58.156 | 136.476 | 300.129 | 0.000 | -0.000 | -0.000 |
| 0.000 | -0.000 | 0.000 | 120.777 | -0.000 | -0.000 |
| 13.898 | 154.497 | -20.313 | 0.000 | 43.325 | -0.000 |
| 0.000 | 0.000 | 0.000 | 0.000 | -0.000 | 120.801 |
| 298.615 | 135.808 | 58.156 | -0.000 | 0.000 | 0.000 |
| 135.808 | 221.462 | 136.476 | 0.000 | 0.000 | 0.000 |
| 44.268 | -17.912 | 320.428 | -0.000 | 0.000 | -0.000 |
| -0.000 | 0.000 | -0.000 | 120.777 | -0.000 | -0.000 |
| -13.898 | -154.497 | 20.313 | 0.000 | 43.325 | -0.000 |
| -0.000 | -0.000 | -0.000 | -0.000 | 0.000 | 120.801 |
| 298.615 | 135.808 | 58.156 | 0.000 | 0.000 | -0.000 |
| 137.124 | 236.087 | 134.554 | 0.000 | 0.000 | 0.000 |
| 59.555 | 152.035 | 298.084 | 0.000 | -0.000 | 0.000 |
| 0.000 | -0.000 | 0.000 | 120.777 | -0.000 | -0.000 |
| -0.000 | 0.000 | -0.000 | 0.000 | 43.331 | -0.000 |
| -0.000 | 0.000 | 0.000 | -0.000 | -0.000 | 120.801 |
| 298.615 | 135.808 | 58.156 | 0.000 | 0.000 | 0.000 |
| 135.808 | 221.462 | 136.476 | 0.000 | 0.000 | 0.000 |
| 56.776 | 121.135 | 302.146 | 0.000 | 0.000 | -0.000 |
| -0.000 | 0.000 | -0.000 | 120.777 | -0.000 | 0.000 |
| 0.000 | -0.000 | 0.000 | -0.000 | 43.331 | 0.000 |
| 0.000 | -0.000 | -0.000 | 0.000 | 0.000 | 120.801 |
| 298.745 | 137.279 | 57.962 | 0.000 | 0.000 | -0.000 |
| 135.808 | 221.460 | 136.477 | 0.000 | -0.000 | -0.000 |
| 58.304 | 138.130 | 299.914 | 0.000 | 0.000 | -0.000 |
| 0.139 | 1.545 | -0.203 | 120.047 | -0.000 | -0.000 |
| 0.138 | 1.546 | -0.204 | 0.000 | 43.325 | -0.000 |
| 0.139 | 1.545 | -0.203 | 0.000 | -0.000 | 120.801 |
| 298.617 | 135.808 | 58.157 | -0.000 | 0.000 | 0.000 |
| 135.595 | 219.095 | 136.788 | -0.000 | -0.000 | -0.000 |
| 58.027 | 135.040 | 300.316 | -0.000 | -0.000 | -0.000 |
| -0.139 | -1.545 | 0.203 | 120.047 | 0.000 | 0.000 |
| -0.138 | -1.546 | 0.204 | -0.000 | 43.325 | 0.000 |
| -0.139 | -1.545 | 0.203 | -0.000 | 0.000 | 120.801 |
| 302.008 | 151.856 | 57.013 | -0.000 | 0.000 | -0.000 |
| 137.560 | 232.801 | 134.630 | -0.000 | 0.000 | -0.000 |
| 60.820 | 152.734 | 298.815 | 0.000 | 0.000 | -0.000 |
| 0.000 | -0.000 | -0.000 | 120.862 | -0.000 | -0.000 |
| 1.822 | 16.049 | -1.943 | -0.000 | 44.207 | -0.000 |
| 0.000 | -0.000 | -0.000 | 0.000 | 0.000 | 120.794 |
| 298.365 | 119.758 | 60.898 | -0.000 | -0.000 | 0.000 |
| 133.917 | 200.703 | 138.516 | -0.000 | 0.000 | 0.000 |
| 57.177 | 120.636 | 302.700 | 0.000 | -0.000 | 0.000 |
| -0.000 | 0.000 | 0.000 | 120.862 | 0.000 | 0.000 |
| -1.822 | -16.049 | 1.943 | -0.000 | 44.207 | 0.000 |
| -0.000 | -0.000 | 0.000 | -0.000 | -0.000 | 120.794 |
| 300.198 | 135.911 | 58.943 | 0.000 | 0.000 | -0.000 |
| 135.842 | 217.670 | 136.462 | -0.000 | 0.000 | -0.000 |
| 59.181 | 138.289 | 300.563 | -0.000 | -0.000 | -0.000 |
| 0.000 | -0.000 | 0.000 | 120.862 | 0.000 | 0.000 |
| 0.182 | 1.608 | -0.195 | 0.000 | 44.207 | -0.000 |
| -0.000 | 0.000 | 0.000 | -0.000 | 0.000 | 120.794 |
| 300.005 | 134.202 | 59.150 | 0.000 | -0.000 | 0.000 |
| 135.842 | 217.671 | 136.462 | -0.000 | -0.000 | 0.000 |
| 58.816 | 135.080 | 300.952 | 0.000 | 0.000 | 0.000 |
| -0.000 | 0.000 | -0.000 | 120.862 | -0.000 | 0.000 |
| -0.182 | -1.608 | 0.195 | 0.000 | 44.207 | 0.000 |
| 0.000 | -0.000 | -0.000 | 0.000 | -0.000 | 120.794 |
| 300.203 | 135.967 | 58.935 | 0.000 | 0.000 | -0.000 |
| 135.756 | 216.910 | 136.554 | 0.000 | 0.000 | -0.000 |
| 58.985 | 136.573 | 300.771 | 0.000 | 0.000 | -0.000 |
| 0.018 | 0.160 | -0.019 | 120.049 | 0.000 | -0.000 |
| -0.001 | 0.000 | -0.001 | -0.000 | 44.217 | -0.000 |
| -0.000 | -0.000 | -0.000 | 0.000 | 0.000 | 120.794 |
| 300.201 | 135.911 | 58.944 | 0.000 | -0.000 | 0.000 |
| 135.720 | 216.598 | 136.593 | -0.000 | -0.000 | 0.000 |
| 58.987 | 136.573 | 300.772 | 0.000 | 0.000 | 0.000 |
| -0.018 | -0.160 | 0.019 | 120.049 | -0.000 | 0.000 |
| 0.001 | -0.000 | 0.001 | 0.000 | 44.217 | 0.000 |
| 0.000 | 0.000 | 0.000 | -0.000 | -0.000 | 120.794 |
| 13.550 | 15.892 | 15.892 | -0.000 | 0.000 | 0.000 |
| 15.892 | 13.550 | 15.892 | 0.000 | -0.000 | 0.000 |
| 15.892 | 15.892 | 13.550 | 0.000 | 0.000 | -0.000 |
| -0.000 | 0.000 | 0.000 | 15.861 | 0.000 | 0.000 |
| 0.000 | 0.000 | 0.000 | 0.000 | 15.861 | 0.000 |
| 0.000 | 0.000 | 0.000 | 0.000 | 0.000 | 15.861 |
| 13.550 | 15.892 | 15.892 | -0.000 | -0.000 | -0.000 |
| 15.892 | 13.550 | 15.892 | -0.000 | -0.000 | -0.000 |
| 15.892 | 15.892 | 13.550 | -0.000 | -0.000 | -0.000 |
| 0.000 | -0.000 | -0.000 | 15.861 | -0.000 | -0.000 |
| -0.000 | -0.000 | -0.000 | -0.000 | 15.861 | -0.000 |
| -0.000 | -0.000 | -0.000 | 0.000 | -0.000 | 15.861 |
| 13.550 | 15.892 | 15.892 | 0.000 | 0.000 | 0.000 |
| 15.892 | 13.550 | 15.892 | 0.000 | 0.000 | 0.000 |
| 15.892 | 15.892 | 13.550 | 0.000 | 0.000 | 0.000 |
| 0.000 | 0.000 | 0.000 | 15.861 | -0.000 | 0.000 |
| 0.000 | 0.000 | 0.000 | 0.000 | 15.861 | 0.000 |
| 0.000 | 0.000 | 0.000 | -0.000 | -0.000 | 15.861 |
| 13.550 | 15.892 | 15.892 | -0.000 | -0.000 | -0.000 |
| 15.892 | 13.550 | 15.892 | -0.000 | -0.000 | -0.000 |
| 15.892 | 15.892 | 13.550 | -0.000 | -0.000 | -0.000 |
| -0.000 | -0.000 | -0.000 | 15.861 | 0.000 | -0.000 |
| -0.000 | -0.000 | -0.000 | -0.000 | 15.861 | -0.000 |
| -0.000 | -0.000 | -0.000 | -0.000 | -0.000 | 15.861 |
| 13.550 | 15.892 | 15.892 | 0.000 | 0.000 | 0.000 |
| 15.892 | 13.550 | 15.892 | 0.000 | 0.000 | 0.000 |
| 15.892 | 15.892 | 13.550 | 0.000 | 0.000 | 0.000 |
| -0.000 | 0.000 | 0.000 | -3.264 | 0.000 | 0.000 |
| 0.000 | -0.000 | 0.000 | 0.000 | -3.264 | 0.000 |
| 0.000 | 0.000 | -0.000 | 0.000 | 0.000 | -3.264 |
| 13.550 | 15.891 | 15.891 | -0.000 | -0.000 | -0.000 |
| 15.891 | 13.550 | 15.891 | -0.000 | -0.000 | -0.000 |
| 15.891 | 15.891 | 13.550 | -0.000 | -0.000 | -0.000 |
| 0.000 | -0.000 | -0.000 | -3.264 | -0.000 | -0.000 |
| -0.000 | 0.000 | -0.000 | -0.000 | -3.264 | -0.000 |
| -0.000 | -0.000 | 0.000 | -0.000 | -0.000 | -3.264 |
| 446.953 | 94.846 | 94.846 | 0.000 | -0.000 | -0.000 |
| 94.846 | 446.953 | 94.846 | 0.000 | 0.000 | 0.000 |
| 94.846 | 94.846 | 446.953 | -0.000 | 0.000 | 0.000 |
| -0.000 | -0.000 | 0.000 | 57.684 | 0.000 | -0.000 |
| -0.000 | 0.000 | 0.000 | 0.000 | 57.683 | 0.000 |
| -0.000 | -0.000 | 0.000 | 0.000 | -0.000 | 57.684 |
| 446.953 | 94.846 | 94.846 | -0.000 | 0.000 | -0.000 |
| 94.846 | 446.953 | 94.846 | -0.000 | 0.000 | -0.000 |
| 94.846 | 94.846 | 446.953 | 0.000 | -0.000 | -0.000 |
| -0.000 | -0.000 | -0.000 | 57.683 | 0.000 | -0.000 |
| 0.000 | -0.000 | -0.000 | -0.000 | 57.684 | -0.000 |
| -0.000 | 0.000 | -0.000 | -0.000 | 0.000 | 57.683 |
| 446.135 | 95.255 | 95.255 | -0.000 | 0.000 | 0.000 |
| 95.255 | 446.135 | 95.255 | -0.000 | -0.000 | 0.000 |
| 95.255 | 95.255 | 446.135 | -0.000 | -0.000 | 0.000 |
| 0.000 | 0.000 | 0.000 | 57.684 | -0.000 | -0.000 |
| 0.000 | 0.000 | 0.000 | 0.000 | 57.683 | 0.000 |
| 0.000 | -0.000 | 0.000 | 0.000 | 0.000 | 57.683 |
| 446.953 | 94.846 | 94.846 | -0.000 | -0.000 | -0.000 |
| 94.846 | 446.953 | 94.846 | -0.000 | 0.000 | -0.000 |
| 94.846 | 94.846 | 446.953 | -0.000 | -0.000 | -0.000 |
| -0.000 | -0.000 | -0.000 | 57.683 | 0.000 | -0.000 |
| -0.000 | -0.000 | -0.000 | 0.000 | 57.683 | -0.000 |
| -0.000 | 0.000 | -0.000 | -0.000 | -0.000 | 57.683 |
| 446.140 | 95.255 | 95.255 | -0.000 | -0.000 | 0.000 |
| 95.255 | 446.140 | 95.255 | 0.000 | -0.000 | 0.000 |
| 95.255 | 95.255 | 446.140 | 0.000 | -0.000 | 0.000 |
| 0.000 | 0.000 | 0.000 | 40.780 | -0.000 | 0.000 |
| 0.000 | 0.000 | 0.000 | 0.000 | 40.780 | 0.000 |
| 0.000 | 0.000 | 0.000 | -0.000 | 0.000 | 40.780 |
| 446.952 | 94.845 | 94.845 | -0.000 | 0.000 | -0.000 |
| 94.845 | 446.952 | 94.845 | -0.000 | 0.000 | -0.000 |
| 94.845 | 94.845 | 446.952 | -0.000 | -0.000 | 0.000 |
| -0.000 | -0.000 | -0.000 | 40.780 | 0.000 | -0.000 |
| -0.000 | -0.000 | -0.000 | -0.000 | 40.780 | -0.000 |
| -0.000 | -0.000 | -0.000 | -0.000 | -0.000 | 40.780 |
| 0.548 | 0.000 | 0.000 | -0.000 | -0.000 | -0.000 |
| 0.000 | 0.548 | 0.000 | -0.000 | 0.000 | -0.000 |
| 0.000 | 0.000 | 0.548 | -0.000 | -0.000 | -0.000 |
| 0.000 | -0.000 | -0.000 | -0.000 | 0.000 | -0.000 |
| -0.000 | 0.000 | -0.000 | 0.000 | -0.000 | 0.000 |
| -0.000 | -0.000 | 0.000 | 0.000 | -0.000 | -0.000 |
| 0.548 | 0.000 | 0.000 | -0.000 | 0.000 | -0.000 |
| 0.000 | 0.548 | 0.000 | 0.000 | 0.000 | -0.000 |
| 0.000 | 0.000 | 0.548 | 0.000 | -0.000 | -0.000 |
| -0.000 | 0.000 | 0.000 | -0.000 | -0.000 | -0.000 |
| -0.000 | -0.000 | 0.000 | -0.000 | -0.000 | 0.000 |
| 0.000 | 0.000 | -0.000 | -0.000 | 0.000 | -0.000 |
| 0.548 | 0.000 | 0.000 | -0.000 | -0.000 | -0.000 |
| 0.000 | 0.548 | 0.000 | -0.000 | 0.000 | -0.000 |
| 0.000 | 0.000 | 0.548 | 0.000 | -0.000 | -0.000 |
| 0.000 | -0.000 | -0.000 | -0.000 | -0.000 | -0.000 |
| 0.000 | 0.000 | -0.000 | -0.000 | -0.000 | -0.000 |
| -0.000 | -0.000 | 0.000 | 0.000 | -0.000 | -0.000 |
| 0.548 | 0.000 | 0.000 | -0.000 | 0.000 | 0.000 |
| 0.000 | 0.548 | 0.000 | 0.000 | 0.000 | -0.000 |
| 0.000 | 0.000 | 0.548 | -0.000 | -0.000 | -0.000 |
| -0.000 | 0.000 | 0.000 | -0.000 | -0.000 | 0.000 |
| 0.000 | -0.000 | 0.000 | 0.000 | -0.000 | 0.000 |
| 0.000 | 0.000 | -0.000 | -0.000 | 0.000 | -0.000 |
| 0.548 | 0.000 | 0.000 | -0.000 | -0.000 | -0.000 |
| 0.000 | 0.548 | 0.000 | -0.000 | 0.000 | -0.000 |
| 0.000 | 0.000 | 0.548 | -0.000 | 0.000 | -0.000 |
| 0.000 | 0.000 | -0.000 | 0.000 | 0.000 | -0.000 |
| -0.000 | 0.000 | -0.000 | -0.000 | 0.000 | 0.000 |
| 0.000 | -0.000 | 0.000 | 0.000 | -0.000 | 0.000 |
| 0.548 | 0.000 | 0.000 | -0.000 | 0.000 | -0.000 |
| 0.000 | 0.548 | 0.000 | 0.000 | 0.000 | -0.000 |
| 0.000 | 0.000 | 0.548 | -0.000 | -0.000 | -0.000 |
| -0.000 | 0.000 | 0.000 | 0.000 | -0.000 | -0.000 |
| 0.000 | -0.000 | 0.000 | 0.000 | 0.000 | 0.000 |
| 0.000 | 0.000 | -0.000 | -0.000 | 0.000 | 0.000 |
| 127.214 | 157.947 | 157.947 | 0.000 | 0.000 | 0.000 |
| 157.947 | 127.214 | 157.947 | 0.000 | 0.000 | -0.000 |
| 157.947 | 157.947 | 127.214 | 0.000 | 0.000 | 0.000 |
| -0.000 | -0.000 | 0.000 | 155.081 | 0.000 | -0.000 |
| -0.000 | -0.000 | 0.000 | 0.000 | 155.081 | -0.000 |
| -0.000 | 0.000 | -0.000 | 0.000 | 0.000 | 155.081 |
| 127.214 | 157.947 | 157.947 | -0.000 | -0.000 | 0.000 |
| 157.947 | 127.214 | 157.947 | -0.000 | -0.000 | 0.000 |
| 157.947 | 157.947 | 127.214 | 0.000 | -0.000 | 0.000 |
| 0.000 | -0.000 | -0.000 | 155.081 | -0.000 | -0.000 |
| 0.000 | 0.000 | 0.000 | -0.000 | 155.081 | 0.000 |
| 0.000 | 0.000 | 0.000 | -0.000 | -0.000 | 155.081 |
| 127.214 | 157.947 | 157.947 | 0.000 | 0.000 | -0.000 |
| 157.947 | 127.214 | 157.947 | 0.000 | 0.000 | -0.000 |
| 157.947 | 157.947 | 127.214 | 0.000 | 0.000 | -0.000 |
| 0.000 | 0.000 | 0.000 | 155.571 | 0.000 | -0.000 |
| 0.000 | 0.000 | 0.000 | 0.000 | 155.571 | -0.000 |
| 0.000 | 0.000 | 0.000 | -0.000 | -0.000 | 155.571 |
| 127.214 | 157.947 | 157.947 | -0.000 | -0.000 | 0.000 |
| 157.947 | 127.214 | 157.947 | -0.000 | -0.000 | 0.000 |
| 157.947 | 157.947 | 127.214 | -0.000 | -0.000 | 0.000 |
| -0.000 | -0.000 | -0.000 | 155.571 | -0.000 | 0.000 |
| -0.000 | -0.000 | -0.000 | -0.000 | 155.571 | 0.000 |
| -0.000 | -0.000 | -0.000 | -0.000 | 0.000 | 155.571 |
| 127.215 | 157.947 | 157.947 | 0.000 | 0.000 | -0.000 |
| 157.947 | 127.215 | 157.947 | 0.000 | 0.000 | -0.000 |
| 157.947 | 157.947 | 127.215 | 0.000 | 0.000 | 0.000 |
| 0.001 | 0.000 | 0.001 | 155.571 | 0.000 | 0.000 |
| 0.000 | 0.001 | 0.001 | 0.000 | 155.571 | -0.000 |
| 0.000 | 0.001 | 0.001 | -0.000 | -0.000 | 155.571 |
| 127.214 | 157.947 | 157.947 | -0.000 | -0.000 | -0.000 |
| 157.947 | 127.214 | 157.947 | -0.000 | -0.000 | 0.000 |
| 157.947 | 157.947 | 127.214 | -0.000 | -0.000 | 0.000 |
| -0.001 | -0.000 | -0.001 | 155.571 | 0.000 | 0.000 |
| -0.000 | -0.001 | -0.001 | -0.000 | 155.571 | 0.000 |
| -0.000 | -0.001 | -0.001 | 0.000 | 0.000 | 155.571 |
| 228.451 | 139.120 | 139.120 | -0.000 | -0.000 | 0.000 |
| 139.120 | 228.451 | 139.120 | -0.000 | -0.000 | 0.000 |
| 139.120 | 139.120 | 228.451 | -0.000 | -0.000 | 0.000 |
| -0.000 | -0.000 | -0.000 | 121.004 | -0.000 | -0.000 |
| -0.000 | 0.000 | -0.000 | -0.000 | 121.004 | 0.000 |
| -0.000 | -0.000 | -0.000 | -0.000 | -0.000 | 121.004 |
| 228.451 | 139.120 | 139.120 | 0.000 | 0.000 | -0.000 |
| 139.120 | 228.451 | 139.120 | 0.000 | 0.000 | -0.000 |
| 139.120 | 139.120 | 228.451 | 0.000 | 0.000 | -0.000 |
| 0.000 | 0.000 | 0.000 | 121.004 | 0.000 | -0.000 |
| 0.000 | -0.000 | 0.000 | 0.000 | 121.004 | 0.000 |
| 0.000 | 0.000 | 0.000 | -0.000 | 0.000 | 121.004 |
| 228.451 | 139.120 | 139.120 | -0.000 | -0.000 | 0.000 |
| 139.120 | 228.451 | 139.120 | 0.000 | -0.000 | 0.000 |
| 139.120 | 139.120 | 228.451 | -0.000 | -0.000 | 0.000 |
| -0.000 | -0.000 | -0.000 | 121.004 | -0.000 | -0.000 |
| -0.000 | -0.000 | -0.000 | 0.000 | 121.004 | 0.000 |
| -0.000 | -0.000 | -0.000 | -0.000 | -0.000 | 121.004 |
| 228.451 | 139.121 | 139.121 | 0.000 | 0.000 | 0.000 |
| 139.121 | 228.451 | 139.121 | 0.000 | 0.000 | -0.000 |
| 139.121 | 139.121 | 228.451 | 0.000 | 0.000 | 0.000 |
| 0.000 | 0.000 | 0.000 | 121.004 | 0.000 | 0.000 |
| 0.000 | 0.000 | 0.000 | 0.000 | 121.004 | -0.000 |
| 0.000 | 0.000 | 0.000 | 0.000 | 0.000 | 121.004 |
| 228.447 | 139.120 | 139.120 | 0.000 | -0.000 | 0.000 |
| 139.120 | 228.447 | 139.120 | -0.000 | -0.000 | 0.000 |
| 139.120 | 139.120 | 228.447 | -0.000 | -0.000 | 0.000 |
| -0.000 | -0.001 | -0.000 | 121.004 | -0.000 | 0.000 |
| -0.001 | -0.000 | -0.000 | -0.000 | 121.004 | 0.000 |
| -0.001 | -0.000 | -0.000 | -0.000 | -0.000 | 121.004 |
| 228.454 | 139.121 | 139.121 | 0.000 | 0.000 | -0.000 |
| 139.121 | 228.454 | 139.121 | 0.000 | 0.000 | -0.000 |
| 139.121 | 139.121 | 228.454 | 0.000 | 0.000 | -0.000 |
| 0.000 | 0.001 | 0.000 | 121.004 | 0.000 | 0.000 |
| 0.001 | 0.000 | 0.000 | 0.000 | 121.004 | -0.000 |
| 0.001 | 0.000 | 0.000 | 0.000 | 0.000 | 121.004 |
| 226.553 | 138.157 | 137.800 | 0.000 | 0.000 | -0.000 |
| 138.157 | 226.553 | 137.800 | 0.000 | 0.000 | -0.000 |
| 137.800 | 137.800 | 225.586 | -0.000 | 0.000 | 0.000 |
| -0.000 | 0.000 | 0.000 | 121.198 | -0.000 | -0.000 |
| -0.000 | -0.000 | 0.000 | -0.000 | 121.198 | 0.000 |
| -0.000 | 0.000 | -0.000 | -0.000 | 0.000 | 121.424 |
| 227.151 | 137.559 | 137.800 | 0.000 | 0.000 | 0.000 |
| 137.559 | 227.151 | 137.800 | 0.000 | -0.000 | -0.000 |
| 137.800 | 137.800 | 225.586 | -0.000 | -0.000 | -0.000 |
| 0.000 | -0.000 | -0.000 | 121.198 | -0.000 | -0.000 |
| 0.000 | 0.000 | -0.000 | 0.000 | 121.198 | 0.000 |
| 0.000 | -0.000 | 0.000 | 0.000 | -0.000 | 121.424 |
| 227.151 | 137.559 | 137.800 | 0.000 | 0.000 | 0.000 |
| 137.559 | 227.151 | 137.800 | 0.000 | 0.000 | 0.000 |
| 137.800 | 137.800 | 225.586 | -0.000 | -0.000 | 0.000 |
| 0.000 | -0.000 | 0.000 | 121.198 | 0.000 | 0.000 |
| -0.000 | 0.000 | 0.000 | -0.000 | 121.198 | 0.000 |
| -0.000 | 0.000 | 0.000 | -0.000 | 0.000 | 121.424 |
| 227.151 | 137.559 | 137.800 | 0.000 | -0.000 | -0.000 |
| 137.559 | 227.151 | 137.800 | 0.000 | -0.000 | 0.000 |
| 137.800 | 137.800 | 225.586 | 0.000 | -0.000 | -0.000 |
| -0.000 | 0.000 | -0.000 | 121.198 | -0.000 | -0.000 |
| 0.000 | -0.000 | -0.000 | 0.000 | 121.198 | -0.000 |
| 0.000 | -0.000 | -0.000 | 0.000 | -0.000 | 121.424 |
| 227.149 | 137.559 | 137.800 | 0.000 | -0.000 | -0.000 |
| 137.559 | 227.149 | 137.800 | -0.000 | 0.000 | 0.000 |
| 137.800 | 137.800 | 225.584 | -0.000 | 0.000 | 0.000 |
| 0.000 | -0.000 | 0.000 | 121.198 | 0.000 | 0.000 |
| -0.000 | 0.000 | 0.000 | 0.000 | 121.198 | 0.000 |
| -0.000 | 0.000 | 0.000 | -0.000 | 0.000 | 121.424 |
| 226.555 | 138.157 | 137.800 | 0.000 | -0.000 | -0.000 |
| 138.157 | 226.555 | 137.800 | 0.000 | -0.000 | 0.000 |
| 137.800 | 137.800 | 225.589 | 0.000 | 0.000 | 0.000 |
| -0.000 | 0.000 | -0.000 | 121.198 | -0.000 | 0.000 |
| 0.000 | -0.000 | -0.000 | 0.000 | 121.198 | 0.000 |
| 0.000 | -0.000 | -0.000 | 0.000 | 0.000 | 121.424 |
| 304.136 | 111.128 | 89.216 | 37.737 | 0.000 | 0.000 |
| 110.943 | 303.921 | 88.179 | -37.692 | -0.000 | 0.000 |
| 88.235 | 88.235 | 338.832 | 0.000 | 0.000 | 0.000 |
| 37.560 | -37.560 | 0.000 | 74.097 | 0.000 | -0.000 |
| -0.000 | -0.000 | -0.000 | 0.000 | 74.623 | 37.737 |
| 0.000 | 0.000 | 0.000 | 0.000 | 37.560 | 96.445 |
| 303.921 | 110.943 | 88.179 | 37.692 | -0.000 | -0.000 |
| 110.943 | 303.922 | 88.179 | -37.692 | 0.000 | -0.000 |
| 88.235 | 88.235 | 338.832 | 0.000 | -0.000 | 0.000 |
| 37.560 | -37.560 | -0.000 | 74.097 | -0.000 | -0.000 |
| 0.000 | 0.000 | 0.000 | 0.000 | 74.623 | 37.737 |
| -0.000 | -0.000 | -0.000 | 0.000 | 37.560 | 96.445 |
| 304.136 | 111.128 | 89.216 | 37.737 | 0.000 | -0.000 |
| 111.128 | 304.136 | 89.216 | -37.737 | 0.000 | -0.000 |
| 88.235 | 88.235 | 338.832 | 0.000 | -0.000 | -0.000 |
| 37.737 | -37.737 | 0.000 | 74.623 | -0.000 | 0.000 |
| -0.000 | -0.000 | -0.000 | 0.000 | 74.097 | 37.560 |
| -0.000 | 0.000 | -0.000 | 0.000 | 37.737 | 96.504 |
| 303.922 | 110.943 | 88.179 | 37.692 | -0.000 | -0.000 |
| 111.128 | 304.136 | 89.216 | -37.737 | 0.000 | 0.000 |
| 88.235 | 88.235 | 338.832 | -0.000 | 0.000 | -0.000 |
| 37.560 | -37.560 | 0.000 | 74.097 | -0.000 | 0.000 |
| 0.000 | 0.000 | 0.000 | -0.000 | 74.097 | 37.560 |
| 0.000 | -0.000 | 0.000 | -0.000 | 37.737 | 96.504 |
| 303.921 | 110.943 | 88.179 | 37.692 | 0.000 | 0.000 |
| 111.127 | 304.136 | 89.215 | -37.738 | -0.000 | 0.000 |
| 88.235 | 88.235 | 338.833 | -0.000 | 0.000 | 0.000 |
| 37.737 | -37.737 | 0.000 | 74.622 | 0.000 | -0.000 |
| -0.000 | -0.000 | -0.000 | 0.000 | 74.097 | 37.560 |
| -0.000 | 0.000 | -0.000 | 0.000 | 37.560 | 96.445 |
| 304.136 | 111.128 | 89.216 | 37.737 | -0.000 | 0.000 |
| 110.998 | 303.888 | 88.235 | -37.560 | 0.000 | -0.000 |
| 89.216 | 89.216 | 343.925 | -0.000 | -0.000 | 0.000 |
| 37.560 | -37.560 | 0.000 | 74.097 | -0.000 | 0.000 |
| 0.000 | 0.000 | 0.000 | -0.000 | 74.097 | 37.560 |
| 0.000 | -0.000 | 0.000 | -0.000 | 37.560 | 96.445 |
| 303.454 | 110.639 | 89.128 | 38.271 | 0.000 | 0.000 |
| 110.409 | 303.186 | 87.885 | -38.215 | 0.000 | 0.000 |
| 88.886 | 88.886 | 345.266 | 0.000 | 0.000 | -0.000 |
| 38.271 | -38.271 | 0.000 | 74.518 | 0.000 | -0.000 |
| 0.000 | 0.000 | 0.000 | 0.000 | 74.518 | 38.271 |
| 0.001 | 0.001 | 0.005 | 0.000 | 38.050 | 96.333 |
| 303.185 | 110.408 | 87.883 | 38.215 | -0.000 | -0.000 |
| 110.408 | 303.185 | 87.883 | -38.215 | -0.000 | 0.000 |
| 88.886 | 88.886 | 345.266 | -0.000 | -0.000 | -0.000 |
| 38.271 | -38.271 | -0.000 | 74.518 | -0.000 | -0.000 |
| -0.000 | -0.000 | -0.000 | -0.000 | 74.518 | 38.271 |
| -0.001 | -0.001 | -0.005 | -0.000 | 38.050 | 96.333 |
| 303.454 | 110.639 | 89.128 | 38.271 | 0.000 | 0.000 |
| 110.477 | 303.144 | 87.951 | -38.050 | 0.000 | -0.000 |
| 88.886 | 88.886 | 345.267 | 0.000 | 0.000 | -0.000 |
| 38.050 | -38.050 | 0.000 | 73.860 | 0.000 | 0.000 |
| -0.000 | -0.000 | 0.000 | 0.000 | 74.518 | 38.271 |
| 0.000 | 0.000 | 0.000 | 0.000 | 38.050 | 96.333 |
| 303.144 | 110.477 | 87.951 | 38.050 | -0.000 | 0.000 |
| 110.409 | 303.186 | 87.884 | -38.215 | -0.000 | -0.000 |
| 87.709 | 87.709 | 339.394 | -0.000 | -0.000 | 0.000 |
| 38.050 | -38.050 | -0.000 | 73.860 | -0.000 | -0.000 |
| 0.000 | 0.000 | 0.000 | -0.000 | 74.518 | 38.271 |
| -0.000 | -0.000 | -0.000 | -0.000 | 38.050 | 96.333 |
| 303.454 | 110.639 | 89.127 | 38.271 | 0.000 | -0.000 |
| 110.408 | 303.185 | 87.884 | -38.215 | 0.000 | 0.000 |
| 87.708 | 87.708 | 339.395 | 0.000 | 0.000 | -0.000 |
| 38.271 | -38.271 | 0.000 | 74.518 | 0.000 | -0.000 |
| -0.000 | -0.000 | 0.000 | 0.000 | 74.518 | 38.271 |
| -0.000 | 0.000 | -0.000 | 0.000 | 38.271 | 96.407 |
| 303.454 | 110.639 | 89.128 | 38.271 | -0.000 | 0.000 |
| 110.409 | 303.186 | 87.885 | -38.214 | -0.000 | 0.000 |
| 88.886 | 88.886 | 345.265 | -0.000 | -0.000 | 0.000 |
| 38.050 | -38.050 | 0.000 | 73.860 | -0.000 | -0.000 |
| 0.000 | 0.000 | -0.000 | -0.000 | 74.518 | 38.271 |
| 0.000 | -0.000 | 0.000 | -0.000 | 38.271 | 96.407 |
| 284.049 | 145.418 | 82.735 | 0.000 | -0.000 | -0.000 |
| 114.539 | 315.401 | 83.268 | 0.000 | -0.000 | -0.000 |
| 83.268 | 83.268 | 228.497 | 0.000 | 0.000 | -0.000 |
| 0.000 | 0.000 | 0.000 | 70.041 | -0.000 | -0.000 |
| 0.000 | 0.000 | 0.000 | 0.000 | 69.404 | -0.000 |
| 0.000 | 0.000 | 0.000 | 0.000 | -0.000 | 68.871 |
| 315.401 | 114.539 | 83.268 | -0.000 | 0.000 | 0.000 |
| 146.088 | 283.692 | 83.088 | -0.000 | 0.000 | 0.000 |
| 83.081 | 83.081 | 228.076 | -0.000 | 0.000 | 0.000 |
| -0.000 | -0.000 | -0.000 | 70.041 | 0.000 | -0.000 |
| -0.000 | -0.000 | -0.000 | -0.000 | 69.404 | 0.000 |
| -0.000 | -0.000 | -0.000 | -0.000 | 0.000 | 68.871 |
| 283.693 | 146.088 | 83.088 | 0.000 | -0.000 | -0.000 |
| 114.539 | 315.401 | 83.268 | -0.000 | -0.000 | 0.000 |
| 83.081 | 83.081 | 228.077 | 0.000 | -0.000 | -0.000 |
| 0.000 | 0.000 | 0.000 | 69.404 | -0.000 | -0.000 |
| 0.000 | 0.000 | 0.000 | 0.000 | 70.041 | 0.000 |
| 0.000 | 0.000 | 0.000 | -0.000 | -0.000 | 100.431 |
| 315.400 | 114.539 | 83.268 | -0.000 | 0.000 | 0.000 |
| 114.539 | 315.401 | 83.268 | -0.000 | 0.000 | 0.000 |
| 83.267 | 83.267 | 228.497 | -0.000 | -0.000 | 0.000 |
| -0.000 | -0.000 | -0.000 | 69.404 | -0.000 | 0.000 |
| -0.000 | -0.000 | -0.000 | -0.000 | 70.041 | 0.000 |
| -0.000 | -0.000 | -0.000 | 0.000 | 0.000 | 100.431 |
| 283.690 | 146.081 | 83.074 | 0.000 | -0.000 | -0.000 |
| 114.540 | 315.404 | 83.268 | 0.000 | -0.000 | -0.000 |
| 83.082 | 83.082 | 228.080 | -0.000 | -0.000 | -0.000 |
| 0.000 | 0.000 | 0.001 | 70.041 | -0.000 | -0.000 |
| -0.000 | 0.000 | 0.001 | 0.000 | 69.404 | -0.000 |
| -0.000 | 0.001 | -0.000 | 0.000 | -0.000 | 68.871 |
| 315.397 | 114.539 | 83.267 | -0.000 | 0.000 | 0.000 |
| 146.086 | 283.691 | 83.088 | 0.000 | 0.000 | 0.000 |
| 83.267 | 83.267 | 228.493 | -0.000 | 0.000 | 0.000 |
| -0.000 | -0.000 | -0.001 | 70.041 | 0.000 | -0.000 |
| 0.000 | -0.000 | -0.001 | -0.000 | 69.404 | 0.000 |
| 0.000 | -0.001 | 0.000 | -0.000 | 0.000 | 68.871 |
| 282.366 | 145.480 | 82.533 | 0.000 | 0.000 | -0.000 |
| 145.480 | 282.366 | 82.533 | -0.000 | -0.000 | -0.000 |
| 82.519 | 82.519 | 225.209 | 0.000 | -0.000 | -0.000 |
| 0.000 | -0.000 | 0.000 | 68.596 | 0.000 | -0.000 |
| 0.000 | 0.000 | 0.000 | -0.000 | 68.596 | -0.000 |
| 0.000 | 0.000 | -0.000 | 0.000 | 0.000 | 99.812 |
| 282.366 | 145.480 | 82.533 | -0.000 | 0.000 | 0.000 |
| 144.785 | 282.735 | 82.171 | 0.000 | 0.000 | 0.000 |
| 82.711 | 82.711 | 225.634 | 0.000 | 0.000 | 0.000 |
| -0.000 | 0.000 | -0.000 | 68.596 | 0.000 | 0.000 |
| -0.000 | -0.000 | -0.000 | 0.000 | 68.596 | 0.000 |
| -0.000 | -0.000 | 0.000 | -0.000 | -0.000 | 99.812 |
| 282.360 | 145.473 | 82.518 | 0.000 | 0.000 | -0.000 |
| 144.785 | 282.735 | 82.171 | -0.000 | -0.000 | -0.000 |
| 82.519 | 82.519 | 225.210 | -0.000 | -0.000 | -0.000 |
| 0.000 | 0.000 | 0.000 | 69.241 | -0.000 | -0.000 |
| -0.000 | 0.000 | 0.000 | -0.000 | 68.596 | -0.000 |
| 0.000 | 0.000 | 0.000 | 0.000 | 0.000 | 99.812 |
| 282.735 | 144.785 | 82.171 | 0.000 | 0.000 | 0.000 |
| 114.194 | 313.818 | 82.717 | -0.000 | 0.000 | 0.000 |
| 82.711 | 82.711 | 225.634 | -0.000 | 0.000 | -0.000 |
| -0.000 | -0.000 | -0.000 | 69.241 | 0.000 | 0.000 |
| 0.000 | -0.000 | -0.000 | 0.000 | 68.596 | 0.000 |
| -0.000 | -0.000 | -0.000 | -0.000 | -0.000 | 99.812 |
| 313.823 | 114.194 | 82.717 | 0.000 | -0.000 | -0.000 |
| 145.482 | 282.368 | 82.533 | -0.000 | -0.000 | -0.000 |
| 82.712 | 82.712 | 225.638 | -0.000 | -0.000 | -0.000 |
| 0.000 | 0.000 | 0.001 | 69.241 | 0.000 | -0.000 |
| 0.000 | 0.000 | 0.001 | 0.000 | 69.241 | -0.000 |
| -0.000 | 0.001 | -0.000 | -0.000 | 0.000 | 68.514 |
| 282.731 | 144.785 | 82.172 | -0.000 | 0.000 | 0.000 |
| 144.783 | 282.733 | 82.172 | 0.000 | -0.000 | 0.000 |
| 82.710 | 82.710 | 225.630 | -0.000 | -0.000 | 0.000 |
| -0.000 | -0.000 | -0.001 | 69.241 | -0.000 | -0.000 |
| -0.000 | -0.000 | -0.001 | 0.000 | 69.241 | 0.000 |
| 0.000 | -0.001 | 0.000 | 0.000 | 0.000 | 68.514 |
| 170.321 | 121.969 | 121.969 | -0.000 | 0.000 | 0.000 |
| 121.969 | 170.321 | 121.969 | -0.000 | 0.000 | -0.000 |
| 121.969 | 121.969 | 170.321 | -0.000 | 0.000 | 0.000 |
| -0.000 | 0.000 | 0.000 | 76.294 | 0.000 | 0.000 |
| -0.000 | -0.000 | 0.000 | -0.000 | 76.294 | 0.000 |
| -0.000 | -0.000 | -0.000 | -0.000 | 0.000 | 76.294 |
| 170.321 | 121.969 | 121.969 | 0.000 | -0.000 | -0.000 |
| 121.969 | 170.321 | 121.969 | -0.000 | -0.000 | -0.000 |
| 121.969 | 121.969 | 170.321 | 0.000 | -0.000 | -0.000 |
| 0.000 | 0.000 | -0.000 | 76.294 | -0.000 | -0.000 |
| 0.000 | 0.000 | -0.000 | 0.000 | 76.294 | -0.000 |
| 0.000 | -0.000 | 0.000 | 0.000 | -0.000 | 76.294 |
| 170.321 | 121.969 | 121.969 | 0.000 | 0.000 | 0.000 |
| 121.969 | 170.321 | 121.969 | -0.000 | 0.000 | 0.000 |
| 121.969 | 121.969 | 170.321 | 0.000 | -0.000 | 0.000 |
| -0.000 | -0.000 | 0.000 | 76.294 | -0.000 | 0.000 |
| -0.000 | -0.000 | 0.000 | -0.000 | 76.294 | 0.000 |
| -0.000 | 0.000 | -0.000 | -0.000 | 0.000 | 76.294 |
| 170.321 | 121.969 | 121.969 | 0.000 | -0.000 | -0.000 |
| 121.969 | 170.321 | 121.969 | 0.000 | -0.000 | -0.000 |
| 121.969 | 121.969 | 170.321 | 0.000 | -0.000 | -0.000 |
| 0.000 | 0.000 | -0.000 | 76.294 | -0.000 | -0.000 |
| 0.000 | 0.000 | -0.000 | 0.000 | 76.294 | -0.000 |
| 0.000 | -0.000 | 0.000 | 0.000 | -0.000 | 76.294 |
| 170.321 | 121.969 | 121.969 | -0.000 | 0.000 | 0.000 |
| 121.969 | 170.321 | 121.969 | -0.000 | -0.000 | 0.000 |
| 121.969 | 121.969 | 170.321 | -0.000 | -0.000 | 0.000 |
| -0.000 | -0.000 | 0.000 | 76.294 | -0.000 | 0.000 |
| -0.000 | -0.000 | 0.000 | -0.000 | 76.294 | 0.000 |
| -0.000 | 0.000 | -0.000 | 0.000 | 0.000 | 76.294 |
| 170.321 | 121.969 | 121.969 | 0.000 | -0.000 | -0.000 |
| 121.969 | 170.321 | 121.969 | -0.000 | 0.000 | -0.000 |
| 121.969 | 121.969 | 170.321 | 0.000 | -0.000 | -0.000 |
| 0.000 | 0.000 | -0.000 | 76.294 | 0.000 | -0.000 |
| 0.000 | 0.000 | -0.000 | 0.000 | 76.294 | -0.000 |
| 0.000 | -0.000 | 0.000 | 0.000 | -0.000 | 76.294 |
| 153.928 | 13.994 | 13.994 | 0.000 | -0.000 | -0.000 |
| 13.994 | 153.928 | 13.994 | 0.000 | 0.000 | -0.000 |
| 13.994 | 13.994 | 153.928 | 0.000 | -0.000 | 0.000 |
| -0.000 | 0.000 | 0.000 | 11.235 | 0.000 | 0.000 |
| -0.000 | 0.000 | 0.000 | 0.000 | 11.235 | -0.000 |
| -0.000 | 0.000 | -0.000 | 0.000 | -0.000 | 11.235 |
| 153.928 | 13.994 | 13.994 | -0.000 | 0.000 | 0.000 |
| 13.994 | 153.928 | 13.994 | -0.000 | 0.000 | 0.000 |
| 13.994 | 13.994 | 153.928 | -0.000 | 0.000 | 0.000 |
| 0.000 | -0.000 | 0.000 | 11.235 | -0.000 | 0.000 |
| -0.000 | -0.000 | 0.000 | -0.000 | 11.235 | 0.000 |
| 0.000 | -0.000 | 0.000 | -0.000 | 0.000 | 11.235 |
| 153.927 | 13.994 | 13.994 | 0.000 | -0.000 | -0.000 |
| 13.994 | 153.927 | 13.994 | 0.000 | -0.000 | -0.000 |
| 13.994 | 13.994 | 153.927 | 0.000 | 0.000 | -0.000 |
| -0.000 | 0.000 | -0.000 | 11.235 | 0.000 | 0.000 |
| 0.000 | 0.000 | -0.000 | 0.000 | 11.235 | -0.000 |
| 0.000 | -0.000 | -0.000 | 0.000 | -0.000 | 11.235 |
| 153.928 | 13.994 | 13.994 | -0.000 | 0.000 | 0.000 |
| 13.994 | 153.928 | 13.994 | -0.000 | -0.000 | 0.000 |
| 13.994 | 13.994 | 153.928 | -0.000 | 0.000 | -0.000 |
| 0.000 | -0.000 | 0.000 | 11.235 | -0.000 | 0.000 |
| -0.000 | -0.000 | 0.000 | -0.000 | 11.235 | 0.000 |
| -0.000 | 0.000 | 0.000 | -0.000 | 0.000 | 11.235 |
| 153.923 | 13.994 | 13.994 | 0.000 | 0.000 | -0.000 |
| 13.994 | 153.923 | 13.994 | 0.000 | 0.000 | -0.000 |
| 13.994 | 13.994 | 153.923 | 0.000 | 0.000 | 0.000 |
| -0.000 | 0.000 | -0.000 | 11.235 | -0.000 | -0.000 |
| 0.000 | -0.000 | -0.000 | 0.000 | 11.235 | -0.000 |
| 0.000 | -0.000 | -0.000 | 0.000 | -0.000 | 11.235 |
| 153.932 | 13.994 | 13.994 | -0.000 | -0.000 | -0.000 |
| 13.994 | 153.932 | 13.994 | -0.000 | -0.000 | 0.000 |
| 13.994 | 13.994 | 153.932 | -0.000 | 0.000 | -0.000 |
| 0.000 | -0.000 | 0.000 | 11.235 | 0.000 | 0.000 |
| -0.000 | 0.000 | 0.000 | -0.000 | 11.235 | 0.000 |
| -0.000 | 0.000 | 0.000 | -0.000 | -0.000 | 11.235 |
| 2114.826 | 1057.413 | 1057.413 | -0.000 | -0.000 | -0.000 |
| 1057.413 | 2114.826 | 1057.413 | -0.000 | -0.000 | -0.000 |
| 1057.413 | 1057.413 | 2114.826 | -0.000 | -0.000 | -0.000 |
| -0.000 | -0.000 | -0.000 | 1057.413 | -0.000 | -0.000 |
| -0.000 | -0.000 | -0.000 | -0.000 | 1057.413 | -0.000 |
| -0.000 | -0.000 | -0.000 | -0.000 | -0.000 | 1057.413 |
| 2114.827 | 1057.413 | 1057.413 | 0.000 | 0.000 | 0.000 |
| 1057.413 | 2114.827 | 1057.413 | 0.000 | 0.000 | 0.000 |
| 1057.413 | 1057.413 | 2114.827 | 0.000 | 0.000 | 0.000 |
| 0.000 | 0.000 | 0.000 | 1057.413 | 0.000 | 0.000 |
| 0.000 | 0.000 | 0.000 | 0.000 | 1057.413 | 0.000 |
| 0.000 | 0.000 | 0.000 | 0.000 | 0.000 | 1057.413 |
| 2114.826 | 1057.413 | 1057.413 | -0.000 | -0.000 | -0.000 |
| 1057.413 | 2114.826 | 1057.413 | -0.000 | -0.000 | -0.000 |
| 1057.413 | 1057.413 | 2114.826 | -0.000 | -0.000 | -0.000 |
| -0.000 | -0.001 | -0.000 | 1057.413 | -0.000 | -0.000 |
| -0.001 | -0.000 | -0.000 | -0.000 | 1057.413 | -0.000 |
| -0.001 | -0.000 | -0.000 | -0.000 | -0.000 | 1057.413 |
| 2114.827 | 1057.413 | 1057.413 | 0.000 | 0.000 | 0.000 |
| 1057.413 | 2114.827 | 1057.413 | 0.000 | 0.000 | 0.000 |
| 1057.413 | 1057.413 | 2114.827 | 0.000 | 0.000 | 0.000 |
| 0.000 | 0.001 | 0.000 | 1057.413 | 0.000 | 0.000 |
| 0.001 | 0.000 | 0.000 | 0.000 | 1057.413 | 0.000 |
| 0.001 | 0.000 | 0.000 | 0.000 | 0.000 | 1057.413 |
| 2114.818 | 1057.411 | 1057.411 | -0.000 | 0.000 | 0.000 |
| 1057.411 | 2114.818 | 1057.411 | 0.000 | -0.000 | -0.000 |
| 1057.411 | 1057.411 | 2114.818 | -0.000 | -0.000 | -0.000 |
| -0.001 | -0.005 | -0.004 | 1057.413 | -0.000 | -0.000 |
| -0.005 | -0.001 | -0.004 | -0.000 | 1057.413 | -0.000 |
| -0.005 | -0.004 | -0.001 | -0.000 | -0.000 | 1057.413 |
| 2114.835 | 1057.415 | 1057.415 | 0.000 | 0.000 | 0.000 |
| 1057.415 | 2114.835 | 1057.415 | 0.000 | 0.000 | 0.000 |
| 1057.415 | 1057.415 | 2114.835 | 0.000 | 0.000 | 0.000 |
| 0.001 | 0.005 | 0.004 | 1057.413 | 0.000 | 0.000 |
| 0.005 | 0.001 | 0.004 | 0.000 | 1057.413 | 0.000 |
| 0.005 | 0.004 | 0.001 | 0.000 | 0.000 | 1057.413 |
| 17.540 | 8.770 | 8.770 | -0.000 | -0.000 | -0.000 |
| 8.770 | 17.540 | 8.770 | -0.000 | -0.000 | -0.000 |
| 8.770 | 8.770 | 17.540 | -0.000 | -0.000 | -0.000 |
| -0.000 | 0.000 | 0.000 | 8.770 | -0.000 | -0.000 |
| 0.000 | -0.000 | 0.000 | -0.000 | 8.770 | -0.000 |
| 0.000 | 0.000 | -0.000 | -0.000 | -0.000 | 8.770 |
| 17.540 | 8.770 | 8.770 | 0.000 | 0.000 | 0.000 |
| 8.770 | 17.540 | 8.770 | 0.000 | 0.000 | 0.000 |
| 8.770 | 8.770 | 17.540 | 0.000 | 0.000 | 0.000 |
| 0.000 | -0.000 | -0.000 | 8.770 | 0.000 | 0.000 |
| -0.000 | 0.000 | -0.000 | 0.000 | 8.770 | 0.000 |
| -0.000 | -0.000 | 0.000 | 0.000 | 0.000 | 8.770 |
| 17.540 | 8.770 | 8.770 | -0.000 | -0.000 | -0.000 |
| 8.770 | 17.540 | 8.770 | -0.000 | -0.000 | -0.000 |
| 8.770 | 8.770 | 17.540 | -0.000 | -0.000 | -0.000 |
| -0.000 | 0.000 | 0.000 | 8.770 | -0.000 | -0.000 |
| 0.000 | -0.000 | 0.000 | -0.000 | 8.770 | -0.000 |
| 0.000 | 0.000 | -0.000 | -0.000 | -0.000 | 8.770 |
| 17.540 | 8.770 | 8.770 | 0.000 | 0.000 | 0.000 |
| 8.770 | 17.540 | 8.770 | 0.000 | 0.000 | 0.000 |
| 8.770 | 8.770 | 17.540 | 0.000 | 0.000 | 0.000 |
| 0.000 | -0.000 | -0.000 | 8.770 | 0.000 | 0.000 |
| -0.000 | 0.000 | -0.000 | 0.000 | 8.770 | 0.000 |
| -0.000 | -0.000 | 0.000 | 0.000 | 0.000 | 8.770 |
| 17.541 | 8.771 | 8.771 | -0.000 | 0.000 | 0.000 |
| 8.771 | 17.541 | 8.771 | 0.000 | -0.000 | -0.000 |
| 8.771 | 8.771 | 17.541 | -0.000 | -0.000 | -0.000 |
| -0.000 | 0.000 | 0.000 | 8.770 | -0.000 | -0.000 |
| 0.000 | -0.000 | 0.000 | -0.000 | 8.770 | -0.000 |
| 0.000 | 0.000 | -0.000 | -0.000 | -0.000 | 8.770 |
| 17.540 | 8.770 | 8.770 | 0.000 | 0.000 | 0.000 |
| 8.770 | 17.540 | 8.770 | 0.000 | 0.000 | 0.000 |
| 8.770 | 8.770 | 17.540 | 0.000 | 0.000 | 0.000 |
| 0.000 | -0.000 | -0.000 | 8.770 | 0.000 | 0.000 |
| -0.000 | 0.000 | -0.000 | 0.000 | 8.770 | 0.000 |
| -0.000 | -0.000 | 0.000 | 0.000 | 0.000 | 8.770 |
| 252.042 | 53.971 | 53.971 | -0.000 | -0.000 | -0.000 |
| 53.971 | 252.042 | 53.971 | -0.000 | -0.000 | 0.000 |
| 53.971 | 53.971 | 252.042 | -0.000 | -0.000 | -0.000 |
| 0.000 | 0.000 | -0.000 | -27.027 | 0.000 | 0.000 |
| 0.000 | -0.000 | -0.000 | -0.000 | -27.027 | 0.000 |
| 0.000 | -0.000 | 0.000 | -0.000 | -0.000 | -27.027 |
| 252.042 | 53.971 | 53.971 | 0.000 | 0.000 | 0.000 |
| 53.971 | 252.042 | 53.971 | 0.000 | 0.000 | -0.000 |
| 53.971 | 53.971 | 252.042 | 0.000 | 0.000 | 0.000 |
| -0.000 | -0.000 | 0.000 | -27.027 | 0.000 | -0.000 |
| -0.000 | 0.000 | 0.000 | 0.000 | -27.027 | -0.000 |
| -0.000 | 0.000 | -0.000 | 0.000 | 0.000 | -27.027 |
| 253.415 | 53.285 | 53.285 | -0.000 | -0.000 | 0.000 |
| 53.285 | 253.415 | 53.285 | -0.000 | -0.000 | -0.000 |
| 53.285 | 53.285 | 253.415 | -0.000 | -0.000 | -0.000 |
| 0.000 | 0.000 | -0.000 | -27.027 | -0.000 | 0.000 |
| 0.000 | 0.000 | -0.000 | -0.000 | -27.027 | 0.000 |
| 0.000 | -0.000 | 0.000 | -0.000 | -0.000 | -27.027 |
| 252.042 | 53.971 | 53.971 | 0.000 | 0.000 | -0.000 |
| 53.971 | 252.042 | 53.971 | 0.000 | 0.000 | 0.000 |
| 53.971 | 53.971 | 252.042 | 0.000 | 0.000 | -0.000 |
| -0.000 | -0.000 | 0.000 | -27.027 | 0.000 | 0.000 |
| -0.000 | -0.000 | 0.000 | 0.000 | -27.027 | -0.000 |
| -0.000 | 0.000 | -0.000 | 0.000 | 0.000 | -27.027 |
| 253.416 | 53.285 | 53.285 | 0.000 | -0.000 | -0.000 |
| 53.285 | 253.416 | 53.285 | -0.000 | -0.000 | -0.000 |
| 53.285 | 53.285 | 253.416 | -0.000 | -0.000 | 0.000 |
| 0.000 | 0.000 | -0.000 | -27.027 | -0.000 | -0.000 |
| 0.000 | 0.000 | -0.000 | -0.000 | -27.027 | 0.000 |
| 0.000 | -0.000 | 0.000 | -0.000 | -0.000 | -27.027 |
| 253.414 | 53.285 | 53.285 | 0.000 | 0.000 | 0.000 |
| 53.285 | 253.414 | 53.285 | 0.000 | 0.000 | -0.000 |
| 53.285 | 53.285 | 253.414 | 0.000 | 0.000 | -0.000 |
| -0.000 | -0.000 | 0.000 | -27.027 | 0.000 | -0.000 |
| -0.000 | -0.000 | 0.000 | 0.000 | -27.027 | 0.000 |
| -0.000 | 0.000 | -0.000 | 0.000 | 0.000 | -27.027 |
| 182.115 | -22.572 | -22.572 | 0.000 | 0.000 | -0.000 |
| -22.572 | 182.115 | -22.572 | 0.000 | 0.000 | -0.000 |
| -22.572 | -22.572 | 182.115 | 0.000 | 0.000 | -0.000 |
| 0.000 | 0.000 | -0.000 | 49.725 | -0.000 | -0.000 |
| 0.000 | 0.000 | 0.000 | 0.000 | 49.725 | -0.000 |
| 0.000 | 0.000 | -0.000 | -0.000 | 0.000 | 49.725 |
| 182.115 | -22.572 | -22.572 | -0.000 | -0.000 | 0.000 |
| -22.572 | 182.115 | -22.572 | -0.000 | -0.000 | 0.000 |
| -22.572 | -22.572 | 182.115 | -0.000 | 0.000 | 0.000 |
| -0.000 | -0.000 | -0.000 | 49.725 | 0.000 | 0.000 |
| -0.000 | 0.000 | -0.000 | -0.000 | 49.725 | 0.000 |
| -0.000 | -0.000 | 0.000 | -0.000 | -0.000 | 49.725 |
| -135608773.693 | 2085479.004 | 15503712.987 | -66147588.084 | 1070969.508 | 259324.266 |
| 13188599.384 | -148636046.822 | 13518511.974 | 766791.320 | -69272279.891 | 2783304.091 |
| 2981037.179 | 16927333.525 | -142432742.368 | 1443419.002 | -727057.275 | -68806250.059 |
| -0.019 | 0.453 | 0.453 | -12932.897 | 0.000 | 0.000 |
| 0.453 | -0.019 | 0.453 | 0.000 | -12932.897 | 0.000 |
| 0.453 | 0.453 | -0.019 | 0.000 | 0.000 | -12932.897 |
| -65303304.293 | 97116824.087 | 99066142.410 | 2758808.535 | 1278133.527 | -1643457.943 |
| 92799364.749 | -58746648.330 | 104480006.876 | -2004497.521 | 6561811.432 | 2647231.565 |
| 139449060.947 | 72179186.298 | -61109209.756 | 290954.116 | -85879.232 | 635357.447 |
| 0.019 | -0.453 | -0.453 | -12932.897 | -0.000 | -0.000 |
| -0.453 | 0.019 | -0.453 | -0.000 | -12932.897 | 0.000 |
| -0.453 | -0.453 | 0.019 | -0.000 | -0.000 | -12932.897 |
| -23260240.416 | 1817719.632 | 1872357.049 | -6354772.746 | 763643.508 | 507408.912 |
| 3018682.901 | -25334857.590 | 1947170.427 | -669393.644 | -6786829.182 | -946563.238 |
| 2068052.803 | 1805801.432 | -24800365.288 | 1393938.022 | 277348.347 | -8214581.751 |
| -0.187 | 4.534 | 4.525 | -12932.971 | 0.000 | -0.000 |
| 4.534 | -0.187 | 4.525 | 0.000 | -12932.971 | 0.000 |
| 4.534 | 4.525 | -0.187 | 0.000 | -0.000 | -12932.971 |
| -6348043.721 | 6437819.029 | 12402671.952 | -189560.681 | -366160.210 | -8761.144 |
| 9709069.874 | -6595845.606 | 9491890.954 | 80109.128 | 39746.025 | 137624.718 |
| 10856910.444 | 8839780.595 | -7046607.080 | -250034.763 | 1375.556 | -199063.433 |
| 0.187 | -4.534 | -4.525 | -12932.971 | -0.000 | 0.000 |
| -4.534 | 0.187 | -4.525 | -0.000 | -12932.971 | -0.000 |
| -4.534 | -4.525 | 0.187 | -0.000 | -0.000 | -12932.971 |
| 4.115 | 1.390 | 1.390 | -0.000 | -0.000 | -0.000 |
| 1.390 | 4.115 | 1.390 | -0.000 | -0.000 | -0.000 |
| 1.390 | 1.390 | 4.115 | 0.000 | 0.000 | -0.000 |
| -0.000 | 0.000 | 0.000 | 1.450 | 0.000 | 0.000 |
| 0.000 | 0.000 | 0.000 | -0.000 | 1.450 | -0.000 |
| 0.000 | 0.000 | -0.000 | -0.000 | -0.000 | 1.450 |
| 3.587 | 1.654 | 1.654 | -0.000 | -0.000 | -0.000 |
| 1.654 | 3.587 | 1.654 | -0.000 | 0.000 | 0.000 |
| 1.654 | 1.654 | 3.587 | -0.000 | 0.000 | 0.000 |
| 0.000 | -0.000 | -0.000 | 1.450 | -0.000 | 0.000 |
| -0.000 | -0.000 | -0.000 | -0.000 | 1.450 | 0.000 |
| -0.000 | -0.000 | 0.000 | 0.000 | 0.000 | 1.450 |
| 6394122.673 | 5041270.606 | 2729805.482 | -8298.835 | -9705.298 | 6543.507 |
| 2862413.283 | 6354374.096 | 5105946.526 | -18807.611 | 14736.363 | 14836.296 |
| 5366415.220 | 2927524.524 | 6414919.666 | -40134.250 | -1342.687 | 3682.310 |
| 0.000 | -0.000 | -0.000 | 0.583 | 0.000 | -0.000 |
| -0.000 | 0.000 | -0.000 | 0.000 | 0.583 | -0.000 |
| -0.000 | -0.000 | 0.000 | 0.000 | 0.000 | 0.583 |
| -6693053.659 | -2154994.006 | -4006710.439 | -6577.443 | 7346.071 | 14363.788 |
| -4090056.136 | -6752545.027 | -2152302.829 | 6375.735 | -14959.138 | 3027.043 |
| -2297947.164 | -4030853.169 | -6856699.690 | -14236.349 | 11839.942 | 47627.354 |
| -0.000 | 0.000 | 0.000 | 0.583 | 0.000 | 0.000 |
| 0.000 | -0.000 | 0.000 | -0.000 | 0.583 | 0.000 |
| 0.000 | 0.000 | -0.000 | -0.000 | -0.000 | 0.583 |
| -29994.034 | 988757.486 | 988757.485 | 0.000 | 0.000 | 0.000 |
| 988757.485 | -29994.034 | 988757.486 | 0.000 | 0.000 | 0.000 |
| 988757.486 | 988757.485 | -29994.034 | 0.000 | 0.000 | -0.000 |
| 0.000 | -0.000 | -0.000 | 0.225 | 0.000 | 0.000 |
| -0.000 | 0.000 | -0.000 | 0.000 | 0.225 | 0.000 |
| -0.000 | -0.000 | 0.000 | 0.000 | 0.000 | 0.225 |
| -2003099.880 | 8643.387 | 8643.388 | -0.000 | 0.000 | 0.000 |
| 8643.388 | -2003099.880 | 8643.387 | 0.000 | -0.000 | 0.000 |
| 8643.387 | 8643.388 | -2003099.880 | 0.000 | -0.000 | 0.000 |
| -0.000 | 0.000 | 0.000 | 0.225 | -0.000 | 0.000 |
| 0.000 | -0.000 | 0.000 | -0.000 | 0.225 | 0.000 |
| 0.000 | 0.000 | -0.000 | -0.000 | -0.000 | 0.225 |
| 3.100 | -0.000 | -0.000 | 0.000 | 0.000 | -0.000 |
| -0.000 | 3.100 | -0.000 | -0.000 | 0.000 | 0.000 |
| -0.000 | -0.000 | 3.100 | 0.000 | -0.000 | 0.000 |
| -0.000 | 0.000 | -0.000 | 0.000 | 0.000 | 0.000 |
| 0.000 | -0.000 | -0.000 | 0.000 | 0.000 | 0.000 |
| 0.000 | -0.000 | -0.000 | 0.000 | 0.000 | 0.000 |
| 3.100 | 0.000 | 0.000 | -0.000 | -0.000 | -0.000 |
| 0.000 | 3.100 | 0.000 | 0.000 | -0.000 | -0.000 |
| 0.000 | 0.000 | 3.100 | 0.000 | -0.000 | -0.000 |
| 0.000 | -0.000 | 0.000 | 0.000 | -0.000 | -0.000 |
| -0.000 | 0.000 | 0.000 | -0.000 | 0.000 | -0.000 |
| -0.000 | 0.000 | 0.000 | -0.000 | -0.000 | 0.000 |
| 3.100 | -0.000 | -0.000 | 0.000 | 0.000 | -0.000 |
| -0.000 | 3.100 | -0.000 | 0.000 | 0.000 | 0.000 |
| -0.000 | -0.000 | 3.100 | 0.000 | -0.000 | 0.000 |
| -0.000 | 0.000 | -0.000 | 0.000 | -0.000 | -0.000 |
| 0.000 | -0.000 | -0.000 | -0.000 | 0.000 | -0.000 |
| 0.000 | -0.000 | -0.000 | 0.000 | 0.000 | 0.000 |
| 3.100 | 0.000 | 0.000 | -0.000 | -0.000 | -0.000 |
| 0.000 | 3.100 | 0.000 | -0.000 | -0.000 | -0.000 |
| 0.000 | 0.000 | 3.100 | -0.000 | -0.000 | -0.000 |
| 0.000 | -0.000 | 0.000 | 0.000 | 0.000 | 0.000 |
| -0.000 | 0.000 | 0.000 | 0.000 | 0.000 | -0.000 |
| -0.000 | 0.000 | 0.000 | -0.000 | -0.000 | 0.000 |
| 3.100 | -0.000 | -0.000 | 0.000 | -0.000 | -0.000 |
| -0.000 | 3.100 | -0.000 | -0.000 | 0.000 | -0.000 |
| -0.000 | -0.000 | 3.100 | -0.000 | -0.000 | 0.000 |
| -0.000 | 0.000 | -0.000 | 0.000 | -0.000 | 0.000 |
| 0.000 | -0.000 | -0.000 | -0.000 | 0.000 | 0.000 |
| 0.000 | -0.000 | -0.000 | 0.000 | 0.000 | 0.000 |
| 3.100 | 0.000 | 0.000 | -0.000 | -0.000 | -0.000 |
| 0.000 | 3.100 | 0.000 | -0.000 | -0.000 | 0.000 |
| 0.000 | 0.000 | 3.100 | 0.000 | -0.000 | -0.000 |
| 0.000 | -0.000 | 0.000 | 0.000 | 0.000 | 0.000 |
| -0.000 | 0.000 | 0.000 | 0.000 | 0.000 | 0.000 |
| -0.000 | 0.000 | 0.000 | -0.000 | -0.000 | 0.000 |
| 31.790 | 131.708 | 131.708 | -0.000 | -0.000 | 0.000 |
| 131.708 | 31.790 | 131.708 | -0.000 | -0.000 | 0.000 |
| 131.708 | 131.708 | 31.790 | -0.000 | -0.000 | -0.000 |
| 0.000 | 0.000 | -0.000 | 51.997 | -0.000 | 0.000 |
| -0.000 | 0.000 | -0.000 | -0.000 | 51.997 | 0.000 |
| -0.000 | 0.000 | -0.000 | -0.000 | 0.000 | 51.997 |
| 31.790 | 131.708 | 131.708 | 0.000 | 0.000 | -0.000 |
| 131.708 | 31.790 | 131.708 | 0.000 | -0.000 | 0.000 |
| 131.708 | 131.708 | 31.790 | 0.000 | 0.000 | -0.000 |
| -0.000 | -0.000 | 0.000 | 51.997 | 0.000 | -0.000 |
| -0.000 | -0.000 | 0.000 | 0.000 | 51.997 | -0.000 |
| 0.000 | -0.000 | 0.000 | 0.000 | -0.000 | 51.997 |
| 31.790 | 131.708 | 131.708 | -0.000 | 0.000 | 0.000 |
| 131.708 | 31.790 | 131.708 | -0.000 | 0.000 | 0.000 |
| 131.708 | 131.708 | 31.790 | -0.000 | 0.000 | 0.000 |
| 0.000 | -0.000 | 0.000 | 51.997 | -0.000 | 0.000 |
| -0.000 | 0.000 | 0.000 | -0.000 | 51.997 | 0.000 |
| -0.000 | 0.000 | 0.000 | -0.000 | 0.000 | 51.997 |
| 31.790 | 131.708 | 131.708 | 0.000 | -0.000 | 0.000 |
| 131.708 | 31.790 | 131.708 | 0.000 | 0.000 | -0.000 |
| 131.708 | 131.708 | 31.790 | 0.000 | -0.000 | -0.000 |
| -0.000 | 0.000 | -0.000 | 51.997 | 0.000 | -0.000 |
| 0.000 | -0.000 | -0.000 | 0.000 | 51.997 | -0.000 |
| 0.000 | -0.000 | -0.000 | 0.000 | -0.000 | 51.997 |
| 31.790 | 131.708 | 131.708 | -0.000 | 0.000 | -0.000 |
| 131.708 | 31.790 | 131.708 | -0.000 | -0.000 | 0.000 |
| 131.708 | 131.708 | 31.790 | -0.000 | 0.000 | 0.000 |
| 0.000 | -0.000 | 0.000 | 51.997 | -0.000 | 0.000 |
| -0.000 | 0.000 | 0.000 | -0.000 | 51.997 | 0.000 |
| -0.000 | 0.000 | 0.000 | -0.000 | -0.000 | 51.997 |
| 31.790 | 131.707 | 131.707 | 0.000 | -0.000 | 0.000 |
| 131.707 | 31.790 | 131.707 | 0.000 | -0.000 | 0.000 |
| 131.707 | 131.707 | 31.790 | 0.000 | -0.000 | -0.000 |
| -0.000 | 0.000 | -0.000 | 51.997 | 0.000 | -0.000 |
| 0.000 | -0.000 | -0.000 | 0.000 | 51.997 | -0.000 |
| 0.000 | -0.000 | -0.000 | 0.000 | -0.000 | 51.997 |
| 426.839 | 369.892 | 369.892 | -0.000 | -0.000 | -0.000 |
| 369.892 | 426.839 | 369.892 | -0.000 | -0.000 | -0.000 |
| 369.892 | 369.892 | 426.839 | -0.000 | -0.000 | -0.000 |
| -0.000 | -0.000 | -0.000 | 369.892 | -0.000 | -0.000 |
| -0.000 | -0.000 | -0.000 | -0.000 | 369.892 | -0.000 |
| -0.000 | -0.000 | -0.000 | -0.000 | -0.000 | 369.892 |
| 426.839 | 369.892 | 369.892 | 0.000 | 0.000 | 0.000 |
| 369.892 | 426.839 | 369.892 | 0.000 | 0.000 | 0.000 |
| 369.892 | 369.892 | 426.839 | 0.000 | 0.000 | 0.000 |
| 0.000 | 0.000 | 0.000 | 369.892 | 0.000 | 0.000 |
| 0.000 | 0.000 | 0.000 | 0.000 | 369.892 | 0.000 |
| 0.000 | 0.000 | 0.000 | 0.000 | 0.000 | 369.892 |
| 426.839 | 369.892 | 369.892 | -0.000 | -0.000 | -0.000 |
| 369.892 | 426.839 | 369.892 | -0.000 | -0.000 | -0.000 |
| 369.892 | 369.892 | 426.839 | -0.000 | -0.000 | -0.000 |
| -0.000 | -0.000 | -0.000 | 369.892 | -0.000 | -0.000 |
| -0.000 | -0.000 | -0.000 | -0.000 | 369.892 | -0.000 |
| -0.000 | -0.000 | -0.000 | -0.000 | -0.000 | 369.892 |
| 426.839 | 369.892 | 369.892 | 0.000 | 0.000 | 0.000 |
| 369.892 | 426.839 | 369.892 | 0.000 | 0.000 | 0.000 |
| 369.892 | 369.892 | 426.839 | 0.000 | 0.000 | 0.000 |
| 0.000 | 0.000 | 0.000 | 369.892 | 0.000 | 0.000 |
| 0.000 | 0.000 | 0.000 | 0.000 | 369.892 | 0.000 |
| 0.000 | 0.000 | 0.000 | 0.000 | 0.000 | 369.892 |
| 426.837 | 369.891 | 369.891 | -0.000 | -0.000 | 0.000 |
| 369.891 | 426.837 | 369.891 | -0.000 | -0.000 | 0.000 |
| 369.891 | 369.891 | 426.837 | -0.000 | -0.000 | -0.000 |
| -0.001 | -0.002 | -0.001 | 369.892 | -0.000 | -0.000 |
| -0.002 | -0.001 | -0.001 | -0.000 | 369.892 | -0.000 |
| -0.002 | -0.001 | -0.001 | -0.000 | -0.000 | 369.892 |
| 426.840 | 369.892 | 369.892 | 0.000 | 0.000 | 0.000 |
| 369.892 | 426.840 | 369.892 | 0.000 | 0.000 | 0.000 |
| 369.892 | 369.892 | 426.840 | 0.000 | 0.000 | 0.000 |
| 0.001 | 0.002 | 0.001 | 369.892 | 0.000 | 0.000 |
| 0.002 | 0.001 | 0.001 | 0.000 | 369.892 | 0.000 |
| 0.002 | 0.001 | 0.001 | 0.000 | 0.000 | 369.892 |
| 7.161 | 7.161 | 7.161 | -0.000 | -0.000 | -0.000 |
| 7.161 | 7.161 | 7.161 | -0.000 | -0.000 | -0.000 |
| 7.161 | 7.161 | 7.161 | -0.000 | -0.000 | -0.000 |
| 0.000 | 0.000 | 0.000 | 7.161 | -0.000 | -0.000 |
| 0.000 | 0.000 | 0.000 | -0.000 | 7.161 | -0.000 |
| 0.000 | 0.000 | 0.000 | -0.000 | -0.000 | 7.161 |
| 7.161 | 7.161 | 7.161 | 0.000 | 0.000 | 0.000 |
| 7.161 | 7.161 | 7.161 | 0.000 | 0.000 | 0.000 |
| 7.161 | 7.161 | 7.161 | 0.000 | 0.000 | 0.000 |
| -0.000 | -0.000 | -0.000 | 7.161 | 0.000 | 0.000 |
| -0.000 | -0.000 | -0.000 | 0.000 | 7.161 | 0.000 |
| -0.000 | -0.000 | -0.000 | 0.000 | 0.000 | 7.161 |
| 7.161 | 7.161 | 7.161 | -0.000 | -0.000 | -0.000 |
| 7.161 | 7.161 | 7.161 | -0.000 | -0.000 | -0.000 |
| 7.161 | 7.161 | 7.161 | -0.000 | -0.000 | -0.000 |
| 0.000 | 0.000 | 0.000 | 7.161 | -0.000 | -0.000 |
| 0.000 | 0.000 | 0.000 | -0.000 | 7.161 | -0.000 |
| 0.000 | 0.000 | 0.000 | -0.000 | -0.000 | 7.161 |
| 7.161 | 7.161 | 7.161 | 0.000 | 0.000 | 0.000 |
| 7.161 | 7.161 | 7.161 | 0.000 | 0.000 | 0.000 |
| 7.161 | 7.161 | 7.161 | 0.000 | 0.000 | 0.000 |
| -0.000 | -0.000 | -0.000 | 7.161 | 0.000 | 0.000 |
| -0.000 | -0.000 | -0.000 | 0.000 | 7.161 | 0.000 |
| -0.000 | -0.000 | -0.000 | 0.000 | 0.000 | 7.161 |
| 7.161 | 7.161 | 7.161 | -0.000 | -0.000 | -0.000 |
| 7.161 | 7.161 | 7.161 | -0.000 | -0.000 | -0.000 |
| 7.161 | 7.161 | 7.161 | -0.000 | -0.000 | -0.000 |
| 0.000 | 0.000 | 0.000 | 7.161 | -0.000 | -0.000 |
| 0.000 | 0.000 | 0.000 | -0.000 | 7.161 | -0.000 |
| 0.000 | 0.000 | 0.000 | -0.000 | -0.000 | 7.161 |
| 7.160 | 7.160 | 7.160 | 0.000 | -0.000 | 0.000 |
| 7.160 | 7.160 | 7.160 | -0.000 | 0.000 | 0.000 |
| 7.160 | 7.160 | 7.160 | 0.000 | 0.000 | 0.000 |
| -0.000 | -0.000 | -0.000 | 7.161 | 0.000 | 0.000 |
| -0.000 | -0.000 | -0.000 | 0.000 | 7.161 | 0.000 |
| -0.000 | -0.000 | -0.000 | 0.000 | 0.000 | 7.161 |
| 210.752 | 116.794 | 88.044 | -0.000 | 0.000 | 0.000 |
| 116.794 | 210.752 | 88.044 | -0.000 | 0.000 | 0.000 |
| 88.044 | 88.044 | 227.973 | -0.000 | 0.000 | 0.000 |
| -0.000 | -0.000 | -0.000 | 42.337 | 0.000 | 0.000 |
| -0.000 | -0.000 | -0.000 | -0.000 | 42.337 | 0.000 |
| -0.000 | -0.000 | -0.000 | 0.000 | 0.000 | 59.165 |
| 210.752 | 116.794 | 88.044 | -0.000 | -0.000 | -0.000 |
| 116.794 | 210.752 | 88.044 | -0.000 | -0.000 | -0.000 |
| 88.044 | 88.044 | 227.973 | 0.000 | -0.000 | -0.000 |
| 0.000 | 0.000 | 0.000 | 42.337 | -0.000 | 0.000 |
| 0.000 | 0.000 | 0.000 | 0.000 | 42.337 | -0.000 |
| 0.000 | 0.000 | 0.000 | 0.000 | -0.000 | 59.165 |
| 222.938 | 104.607 | 88.044 | -0.000 | 0.000 | 0.000 |
| 104.607 | 222.938 | 88.044 | 0.000 | 0.000 | 0.000 |
| 88.044 | 88.044 | 227.973 | -0.000 | 0.000 | 0.000 |
| -0.000 | -0.000 | 0.000 | 42.337 | 0.000 | 0.000 |
| -0.000 | -0.000 | -0.000 | -0.000 | 42.337 | 0.000 |
| -0.000 | 0.000 | -0.000 | -0.000 | 0.000 | 59.165 |
| 210.752 | 116.794 | 88.044 | -0.000 | 0.000 | -0.000 |
| 116.794 | 210.752 | 88.044 | 0.000 | -0.000 | -0.000 |
| 88.044 | 88.044 | 227.973 | -0.000 | -0.000 | -0.000 |
| 0.000 | 0.000 | -0.000 | 42.337 | -0.000 | -0.000 |
| 0.000 | 0.000 | -0.000 | -0.000 | 42.337 | -0.000 |
| 0.000 | -0.000 | 0.000 | 0.000 | -0.000 | 59.165 |
| 210.752 | 116.794 | 88.044 | -0.000 | 0.000 | 0.000 |
| 104.608 | 222.938 | 88.044 | -0.000 | 0.000 | 0.000 |
| 88.044 | 88.044 | 227.973 | -0.000 | 0.000 | 0.000 |
| 0.000 | -0.000 | 0.000 | 42.337 | 0.000 | 0.000 |
| -0.000 | 0.000 | 0.000 | 0.000 | 42.337 | 0.000 |
| -0.000 | 0.000 | -0.000 | 0.000 | 0.000 | 46.979 |
| 210.752 | 116.794 | 88.044 | -0.000 | -0.000 | -0.000 |
| 104.607 | 222.938 | 88.044 | -0.000 | -0.000 | -0.000 |
| 88.044 | 88.044 | 227.974 | 0.000 | -0.000 | -0.000 |
| -0.000 | 0.000 | -0.000 | 42.337 | -0.000 | -0.000 |
| 0.000 | -0.000 | -0.000 | 0.000 | 42.337 | -0.000 |
| 0.000 | -0.000 | 0.000 | -0.000 | -0.000 | 46.979 |
| 2643.533 | 881.178 | 704.942 | -0.000 | -0.000 | 0.000 |
| 881.178 | 2643.533 | 704.942 | -0.000 | -0.000 | 0.000 |
| 704.942 | 704.942 | 2819.769 | 0.000 | 0.000 | 0.000 |
| 0.000 | -0.000 | -0.000 | 704.942 | 0.000 | 0.000 |
| -0.000 | 0.000 | -0.000 | 0.000 | 704.942 | 0.000 |
| -0.000 | -0.000 | -0.000 | -0.000 | 0.000 | 793.060 |
| 2555.416 | 969.295 | 704.942 | 0.000 | 0.000 | -0.000 |
| 969.295 | 2555.416 | 704.942 | 0.000 | -0.000 | -0.000 |
| 704.942 | 704.942 | 2819.769 | -0.000 | -0.000 | -0.000 |
| 0.000 | 0.000 | 0.000 | 704.942 | -0.000 | -0.000 |
| 0.000 | -0.000 | 0.000 | -0.000 | 704.942 | 0.000 |
| 0.000 | 0.000 | 0.000 | 0.000 | -0.000 | 793.060 |
| 2643.532 | 881.178 | 704.942 | 0.000 | 0.000 | 0.000 |
| 881.177 | 2643.532 | 704.942 | -0.000 | -0.000 | 0.000 |
| 704.942 | 704.942 | 2819.767 | 0.000 | 0.000 | 0.000 |
| -0.000 | -0.000 | -0.000 | 704.942 | 0.000 | 0.000 |
| -0.000 | -0.000 | -0.000 | 0.000 | 704.942 | -0.000 |
| -0.000 | -0.000 | -0.000 | -0.000 | -0.000 | 793.060 |
| 2643.535 | 881.178 | 704.942 | -0.000 | 0.000 | -0.000 |
| 881.178 | 2643.535 | 704.942 | -0.000 | 0.000 | -0.000 |
| 704.942 | 704.942 | 2819.770 | -0.000 | -0.000 | -0.000 |
| 0.000 | 0.000 | 0.000 | 704.942 | -0.000 | -0.000 |
| 0.000 | 0.000 | 0.000 | -0.000 | 704.942 | 0.000 |
| 0.000 | 0.000 | 0.000 | 0.000 | 0.000 | 793.060 |
| 2555.398 | 969.297 | 704.942 | -0.000 | 0.000 | 0.000 |
| 969.291 | 2555.404 | 704.942 | -0.000 | 0.000 | 0.000 |
| 704.940 | 704.940 | 2819.755 | 0.000 | 0.000 | 0.000 |
| -0.001 | -0.002 | -0.004 | 704.942 | 0.000 | 0.000 |
| -0.002 | -0.001 | -0.004 | -0.000 | 704.942 | 0.000 |
| -0.003 | -0.005 | -0.001 | -0.000 | 0.000 | 793.060 |
| 2555.432 | 969.294 | 704.943 | 0.000 | 0.000 | -0.000 |
| 969.300 | 2555.427 | 704.943 | 0.000 | -0.000 | -0.000 |
| 704.944 | 704.944 | 2819.783 | -0.000 | -0.000 | -0.000 |
| 0.001 | 0.002 | 0.004 | 704.942 | -0.000 | -0.000 |
| 0.002 | 0.001 | 0.004 | 0.000 | 704.942 | -0.000 |
| 0.003 | 0.005 | 0.001 | 0.000 | -0.000 | 793.060 |
| 21.926 | 7.309 | 5.847 | 0.000 | 0.000 | 0.000 |
| 7.627 | 21.607 | 5.847 | 0.000 | -0.000 | -0.000 |
| 5.847 | 5.847 | 23.387 | -0.000 | -0.000 | 0.000 |
| 0.000 | 0.000 | 0.000 | 5.847 | -0.000 | -0.000 |
| 0.000 | 0.000 | 0.000 | -0.000 | 5.847 | -0.000 |
| 0.000 | 0.000 | 0.000 | -0.000 | 0.000 | 7.308 |
| 21.607 | 7.627 | 5.847 | -0.000 | 0.000 | 0.000 |
| 7.309 | 21.925 | 5.847 | -0.000 | -0.000 | -0.000 |
| 5.847 | 5.847 | 23.387 | 0.000 | 0.000 | 0.000 |
| -0.000 | -0.000 | -0.000 | 5.847 | 0.000 | -0.000 |
| -0.000 | -0.000 | -0.000 | 0.000 | 5.847 | -0.000 |
| -0.000 | -0.000 | -0.000 | 0.000 | 0.000 | 7.308 |
| 21.926 | 7.309 | 5.847 | -0.000 | 0.000 | -0.000 |
| 7.309 | 21.926 | 5.847 | -0.000 | 0.000 | -0.000 |
| 5.847 | 5.847 | 23.387 | -0.000 | -0.000 | -0.000 |
| 0.000 | 0.000 | 0.000 | 5.847 | -0.000 | -0.000 |
| 0.000 | 0.000 | 0.000 | -0.000 | 5.847 | 0.000 |
| 0.000 | 0.000 | 0.000 | -0.000 | 0.000 | 7.308 |
| 21.925 | 7.309 | 5.847 | 0.000 | -0.000 | -0.000 |
| 7.309 | 21.925 | 5.847 | 0.000 | -0.000 | 0.000 |
| 5.847 | 5.847 | 23.387 | 0.000 | 0.000 | 0.000 |
| -0.000 | -0.000 | -0.000 | 5.847 | 0.000 | 0.000 |
| -0.000 | -0.000 | -0.000 | 0.000 | 5.847 | -0.000 |
| -0.000 | -0.000 | -0.000 | 0.000 | 0.000 | 7.308 |
| 21.328 | 7.908 | 5.847 | -0.000 | -0.000 | -0.000 |
| 7.807 | 21.429 | 5.847 | 0.000 | -0.000 | -0.000 |
| 5.847 | 5.847 | 23.388 | -0.000 | -0.000 | -0.000 |
| 0.000 | 0.000 | 0.000 | 5.847 | 0.000 | 0.000 |
| 0.000 | 0.000 | 0.000 | 0.000 | 5.847 | -0.000 |
| 0.000 | 0.000 | 0.000 | 0.000 | -0.000 | 6.811 |
| 21.426 | 7.806 | 5.847 | -0.000 | 0.000 | 0.000 |
| 7.965 | 21.268 | 5.847 | 0.000 | 0.000 | 0.000 |
| 5.847 | 5.847 | 23.386 | 0.000 | 0.000 | 0.000 |
| -0.000 | -0.000 | -0.000 | 5.847 | -0.000 | -0.000 |
| -0.000 | -0.000 | -0.000 | -0.000 | 5.847 | -0.000 |
| -0.000 | -0.000 | -0.000 | -0.000 | 0.000 | 6.811 |
| 230.429 | 110.792 | 95.527 | 0.000 | 0.000 | -0.000 |
| 110.792 | 230.429 | 95.527 | 0.000 | -0.000 | -0.000 |
| 95.527 | 95.527 | 223.674 | -0.000 | 0.000 | -0.000 |
| -0.000 | 0.000 | 0.000 | 43.943 | 0.000 | -0.000 |
| 0.000 | 0.000 | 0.000 | -0.000 | 43.943 | -0.000 |
| -0.000 | 0.000 | 0.000 | -0.000 | 0.000 | 49.820 |
| 220.430 | 120.791 | 95.527 | 0.000 | -0.000 | 0.000 |
| 120.791 | 220.430 | 95.527 | -0.000 | -0.000 | 0.000 |
| 95.527 | 95.527 | 223.674 | 0.000 | 0.000 | 0.000 |
| -0.000 | -0.000 | -0.000 | 43.943 | -0.000 | -0.000 |
| 0.000 | -0.000 | -0.000 | -0.000 | 43.943 | 0.000 |
| 0.000 | -0.000 | -0.000 | 0.000 | -0.000 | 49.820 |
| 230.429 | 110.792 | 95.527 | -0.000 | 0.000 | -0.000 |
| 120.791 | 220.430 | 95.527 | -0.000 | 0.000 | -0.000 |
| 95.527 | 95.527 | 223.674 | 0.000 | -0.000 | -0.000 |
| 0.000 | -0.000 | 0.000 | 43.943 | 0.000 | -0.000 |
| -0.000 | 0.000 | 0.000 | -0.000 | 43.943 | -0.000 |
| -0.000 | 0.000 | -0.000 | -0.000 | 0.000 | 49.820 |
| 220.430 | 120.791 | 95.527 | -0.000 | 0.000 | -0.000 |
| 120.791 | 220.430 | 95.527 | 0.000 | 0.000 | 0.000 |
| 95.527 | 95.527 | 223.674 | 0.000 | 0.000 | 0.000 |
| -0.000 | 0.000 | -0.000 | 43.943 | -0.000 | -0.000 |
| 0.000 | -0.000 | -0.000 | 0.000 | 43.943 | 0.000 |
| 0.000 | -0.000 | 0.000 | 0.000 | -0.000 | 49.820 |
| 220.430 | 120.791 | 95.528 | -0.000 | 0.000 | -0.000 |
| 120.791 | 220.430 | 95.528 | -0.000 | -0.000 | -0.000 |
| 95.528 | 95.528 | 223.674 | -0.000 | -0.000 | -0.000 |
| 0.000 | -0.000 | 0.000 | 43.943 | 0.000 | -0.000 |
| -0.000 | 0.000 | 0.000 | -0.000 | 43.943 | -0.000 |
| -0.000 | 0.000 | -0.000 | -0.000 | -0.000 | 49.820 |
| 220.430 | 120.791 | 95.527 | 0.000 | 0.000 | 0.000 |
| 110.792 | 230.429 | 95.527 | 0.000 | 0.000 | 0.000 |
| 95.527 | 95.527 | 223.674 | -0.000 | 0.000 | 0.000 |
| -0.000 | 0.000 | -0.000 | 43.943 | -0.000 | 0.000 |
| 0.000 | -0.000 | -0.000 | -0.000 | 43.943 | 0.000 |
| 0.000 | -0.000 | 0.000 | 0.000 | 0.000 | 49.820 |
| 79.983 | 48.784 | 53.149 | 0.000 | 0.000 | -0.000 |
| 33.571 | 95.195 | 53.149 | -0.000 | 0.000 | -0.000 |
| 53.149 | 53.149 | 75.618 | -0.000 | 0.000 | 0.000 |
| -0.000 | -0.000 | -0.000 | 50.389 | 0.000 | 0.000 |
| -0.000 | -0.000 | -0.000 | -0.000 | 50.389 | -0.000 |
| 0.000 | -0.000 | 0.000 | 0.000 | 0.000 | 15.600 |
| 79.983 | 48.784 | 53.149 | -0.000 | -0.000 | -0.000 |
| 48.784 | 79.983 | 53.149 | -0.000 | -0.000 | 0.000 |
| 53.149 | 53.149 | 75.618 | -0.000 | -0.000 | -0.000 |
| 0.000 | 0.000 | 0.000 | 50.389 | -0.000 | 0.000 |
| 0.000 | 0.000 | 0.000 | -0.000 | 50.389 | 0.000 |
| -0.000 | 0.000 | -0.000 | -0.000 | -0.000 | 15.600 |
| 79.983 | 48.784 | 53.149 | 0.000 | 0.000 | 0.000 |
| 48.784 | 79.983 | 53.149 | 0.000 | 0.000 | -0.000 |
| 53.149 | 53.149 | 75.618 | 0.000 | 0.000 | -0.000 |
| -0.000 | -0.000 | -0.000 | 50.389 | 0.000 | -0.000 |
| -0.000 | -0.000 | -0.000 | 0.000 | 50.389 | -0.000 |
| 0.000 | -0.000 | -0.000 | 0.000 | 0.000 | 15.600 |
| 79.983 | 48.784 | 53.149 | -0.000 | -0.000 | -0.000 |
| 48.784 | 79.983 | 53.149 | -0.000 | -0.000 | -0.000 |
| 53.149 | 53.149 | 75.618 | 0.000 | -0.000 | -0.000 |
| 0.000 | 0.000 | 0.000 | 50.389 | -0.000 | -0.000 |
| 0.000 | 0.000 | 0.000 | 0.000 | 50.389 | 0.000 |
| -0.000 | 0.000 | 0.000 | -0.000 | -0.000 | 15.600 |
| 79.982 | 48.784 | 53.148 | 0.000 | 0.000 | -0.000 |
| 48.783 | 79.983 | 53.148 | 0.000 | 0.000 | -0.000 |
| 53.148 | 53.148 | 75.618 | 0.000 | 0.000 | 0.000 |
| -0.000 | -0.001 | -0.000 | 50.389 | -0.000 | 0.000 |
| -0.001 | -0.000 | -0.000 | -0.000 | 50.389 | 0.000 |
| 0.000 | -0.000 | -0.000 | 0.000 | 0.000 | 15.600 |
| 79.984 | 48.784 | 53.149 | -0.000 | -0.000 | 0.000 |
| 48.784 | 79.984 | 53.149 | -0.000 | -0.000 | 0.000 |
| 53.149 | 53.149 | 75.618 | 0.000 | -0.000 | -0.000 |
| 0.000 | 0.001 | 0.000 | 50.389 | -0.000 | 0.000 |
| 0.001 | 0.000 | 0.000 | -0.000 | 50.389 | -0.000 |
| -0.000 | 0.000 | 0.000 | -0.000 | -0.000 | 15.600 |
| 2643.533 | 881.178 | 704.942 | 0.000 | -0.000 | 0.000 |
| 881.178 | 2643.533 | 704.942 | 0.000 | -0.000 | -0.000 |
| 704.942 | 704.942 | 2819.768 | 0.000 | -0.000 | -0.000 |
| 0.000 | -0.000 | -0.000 | 704.942 | -0.000 | -0.000 |
| -0.000 | -0.000 | -0.000 | -0.000 | 704.942 | -0.000 |
| -0.000 | -0.000 | -0.000 | 0.000 | -0.000 | 793.060 |
| 2643.533 | 881.178 | 704.942 | -0.000 | -0.000 | -0.000 |
| 969.295 | 2555.415 | 704.942 | -0.000 | 0.000 | 0.000 |
| 704.942 | 704.942 | 2819.769 | -0.000 | 0.000 | 0.000 |
| -0.000 | 0.000 | 0.000 | 704.942 | 0.000 | 0.000 |
| 0.000 | 0.000 | 0.000 | 0.000 | 704.942 | -0.000 |
| 0.000 | 0.000 | 0.000 | -0.000 | 0.000 | 793.060 |
| 2555.413 | 969.296 | 704.942 | -0.000 | -0.000 | -0.000 |
| 969.295 | 2555.414 | 704.942 | -0.000 | -0.000 | -0.000 |
| 704.942 | 704.942 | 2819.767 | 0.000 | -0.000 | -0.000 |
| -0.000 | -0.000 | -0.000 | 704.942 | -0.000 | -0.000 |
| -0.000 | -0.000 | -0.000 | 0.000 | 704.942 | -0.000 |
| -0.000 | -0.000 | -0.000 | 0.000 | -0.000 | 793.060 |
| 2643.535 | 881.178 | 704.942 | -0.000 | -0.000 | -0.000 |
| 969.296 | 2555.416 | 704.942 | 0.000 | 0.000 | 0.000 |
| 704.942 | 704.942 | 2819.770 | -0.000 | 0.000 | 0.000 |
| 0.000 | 0.000 | 0.000 | 704.942 | 0.000 | 0.000 |
| 0.000 | 0.000 | 0.000 | -0.000 | 704.942 | 0.000 |
| 0.000 | 0.000 | 0.000 | -0.000 | 0.000 | 793.060 |
| 2555.396 | 969.298 | 704.942 | -0.000 | -0.000 | -0.000 |
| 969.289 | 2555.405 | 704.942 | 0.000 | -0.000 | -0.000 |
| 704.940 | 704.940 | 2819.755 | 0.000 | -0.000 | -0.000 |
| -0.001 | -0.002 | -0.004 | 704.942 | -0.000 | -0.000 |
| -0.002 | -0.001 | -0.004 | -0.000 | 704.942 | -0.000 |
| -0.003 | -0.005 | -0.001 | -0.000 | -0.000 | 793.060 |
| 2555.434 | 969.293 | 704.943 | 0.000 | 0.000 | 0.000 |
| 969.302 | 2555.425 | 704.943 | -0.000 | 0.000 | 0.000 |
| 704.944 | 704.944 | 2819.783 | -0.000 | 0.000 | 0.000 |
| 0.001 | 0.002 | 0.004 | 704.942 | 0.000 | 0.000 |
| 0.002 | 0.001 | 0.004 | 0.000 | 704.942 | 0.000 |
| 0.003 | 0.005 | 0.001 | 0.000 | -0.000 | 793.060 |
| 21.926 | 7.309 | 5.847 | 0.000 | 0.000 | -0.000 |
| 7.309 | 21.925 | 5.847 | -0.000 | 0.000 | 0.000 |
| 5.847 | 5.847 | 23.387 | -0.000 | 0.000 | 0.000 |
| 0.000 | 0.000 | 0.000 | 5.847 | 0.000 | 0.000 |
| 0.000 | 0.000 | 0.000 | -0.000 | 5.847 | 0.000 |
| 0.000 | 0.000 | 0.000 | -0.000 | -0.000 | 6.672 |
| 21.289 | 7.945 | 5.847 | 0.000 | 0.000 | -0.000 |
| 7.309 | 21.925 | 5.847 | -0.000 | -0.000 | -0.000 |
| 5.847 | 5.847 | 23.387 | -0.000 | -0.000 | -0.000 |
| -0.000 | -0.000 | -0.000 | 5.847 | -0.000 | -0.000 |
| -0.000 | -0.000 | -0.000 | 0.000 | 5.847 | -0.000 |
| -0.000 | -0.000 | -0.000 | 0.000 | -0.000 | 6.672 |
| 21.289 | 7.945 | 5.847 | 0.000 | -0.000 | 0.000 |
| 7.309 | 21.926 | 5.847 | 0.000 | 0.000 | 0.000 |
| 5.847 | 5.847 | 23.387 | 0.000 | 0.000 | 0.000 |
| 0.000 | 0.000 | 0.000 | 5.847 | 0.000 | 0.000 |
| 0.000 | 0.000 | 0.000 | 0.000 | 5.847 | -0.000 |
| 0.000 | 0.000 | -0.000 | 0.000 | 0.000 | 6.672 |
| 21.925 | 7.309 | 5.847 | -0.000 | 0.000 | -0.000 |
| 7.945 | 21.289 | 5.847 | 0.000 | -0.000 | -0.000 |
| 5.847 | 5.847 | 23.387 | -0.000 | -0.000 | -0.000 |
| -0.000 | -0.000 | -0.000 | 5.847 | -0.000 | -0.000 |
| -0.000 | -0.000 | -0.000 | -0.000 | 5.847 | -0.000 |
| -0.000 | -0.000 | 0.000 | -0.000 | 0.000 | 6.672 |
| 21.291 | 7.945 | 5.847 | 0.000 | -0.000 | 0.000 |
| 7.945 | 21.291 | 5.847 | -0.000 | 0.000 | 0.000 |
| 5.847 | 5.847 | 23.388 | 0.000 | 0.000 | 0.000 |
| 0.000 | 0.000 | 0.000 | 5.847 | 0.000 | 0.000 |
| 0.000 | 0.000 | 0.000 | -0.000 | 5.847 | 0.000 |
| 0.000 | 0.000 | -0.000 | -0.000 | 0.000 | 6.590 |
| 21.195 | 8.038 | 5.847 | -0.000 | -0.000 | -0.000 |
| 8.027 | 21.206 | 5.847 | -0.000 | 0.000 | -0.000 |
| 5.847 | 5.847 | 23.386 | -0.000 | -0.000 | -0.000 |
| -0.000 | -0.000 | -0.000 | 5.847 | -0.000 | -0.000 |
| -0.000 | -0.000 | -0.000 | 0.000 | 5.847 | -0.000 |
| -0.000 | -0.000 | 0.000 | -0.000 | 0.000 | 6.590 |
| 158158.830 | 160168.725 | 160168.708 | -0.173 | -0.139 | -0.152 |
| 160168.809 | 158158.898 | 160168.706 | -0.131 | -0.193 | -0.116 |
| 160168.799 | 160168.684 | 158158.851 | -0.135 | -0.135 | -0.148 |
| -0.024 | 0.023 | -0.021 | 160168.644 | -0.025 | -0.041 |
| 0.103 | 0.005 | -0.024 | -0.048 | 160168.653 | -0.030 |
| 0.058 | -0.040 | -0.009 | -0.009 | -0.041 | 160168.681 |
| 158158.801 | 160168.751 | 160168.764 | 0.049 | -0.015 | 0.030 |
| 160168.628 | 158158.846 | 160168.756 | 0.044 | -0.016 | 0.042 |
| 160168.555 | 160168.759 | 158158.946 | 0.076 | 0.038 | 0.032 |
| 0.028 | -0.021 | 0.036 | 160168.792 | 0.069 | 0.046 |
| -0.082 | 0.003 | 0.059 | 0.072 | 160168.781 | 0.030 |
| -0.061 | -0.001 | 0.024 | 0.077 | 0.038 | 160168.753 |
| 158158.672 | 160168.835 | 160168.826 | -0.010 | -0.007 | -0.004 |
| 160168.835 | 158158.664 | 160168.828 | -0.010 | -0.007 | -0.004 |
| 160168.838 | 160168.829 | 158158.665 | -0.005 | -0.003 | -0.005 |
| -0.026 | 0.057 | 0.048 | -38265.250 | -0.011 | -0.012 |
| 0.069 | -0.018 | 0.049 | -0.014 | -38265.249 | -0.011 |
| 0.067 | 0.048 | -0.024 | -0.016 | -0.013 | -38265.246 |
| 158159.080 | 160168.656 | 160168.664 | 0.010 | 0.012 | 0.006 |
| 160168.649 | 158159.084 | 160168.665 | 0.010 | 0.010 | 0.004 |
| 160168.650 | 160168.657 | 158159.086 | 0.006 | 0.005 | 0.004 |
| -0.002 | -0.062 | -0.047 | -38265.220 | 0.014 | 0.010 |
| -0.065 | 0.018 | -0.048 | 0.014 | -38265.221 | 0.010 |
| -0.061 | -0.054 | 0.026 | 0.016 | 0.016 | -38265.222 |
| 158156.824 | 160169.640 | 160169.640 | -0.001 | -0.001 | -0.001 |
| 160169.641 | 158156.824 | 160169.640 | -0.001 | -0.001 | -0.001 |
| 160169.640 | 160169.639 | 158156.823 | -0.002 | -0.002 | -0.001 |
| -0.170 | 0.591 | 0.518 | -36681.061 | -0.002 | -0.001 |
| 0.592 | -0.171 | 0.518 | -0.001 | -36681.062 | -0.001 |
| 0.592 | 0.519 | -0.171 | -0.001 | -0.001 | -36681.061 |
| 158160.929 | 160167.851 | 160167.852 | 0.001 | 0.000 | 0.001 |
| 160167.850 | 158160.930 | 160167.852 | 0.000 | 0.001 | 0.001 |
| 160167.851 | 160167.852 | 158160.931 | 0.001 | 0.001 | 0.001 |
| 0.169 | -0.591 | -0.518 | -36681.058 | 0.002 | 0.001 |
| -0.592 | 0.171 | -0.518 | 0.002 | -36681.058 | 0.001 |
| -0.592 | -0.519 | 0.171 | 0.001 | 0.001 | -36681.059 |
| 45826.719 | 26706.170 | 26706.172 | 0.000 | 0.000 | 0.000 |
| 26706.178 | 45826.709 | 26706.169 | 0.000 | -0.003 | -0.002 |
| 26706.178 | 26706.166 | 45826.712 | -0.001 | 0.001 | -0.003 |
| -0.000 | -0.006 | -0.001 | 26706.173 | -0.003 | 0.000 |
| 0.001 | -0.008 | -0.003 | -0.001 | 26706.174 | -0.002 |
| 0.001 | -0.002 | 0.002 | -0.000 | -0.002 | 26706.172 |
| 45826.733 | 26706.175 | 26706.175 | -0.000 | -0.003 | -0.001 |
| 26706.172 | 45826.740 | 26706.171 | 0.001 | -0.003 | -0.001 |
| 26706.173 | 26706.174 | 45826.737 | -0.001 | 0.002 | 0.003 |
| -0.006 | 0.003 | 0.002 | 26706.173 | 0.005 | 0.000 |
| 0.001 | 0.003 | 0.002 | 0.002 | 26706.175 | 0.000 |
| 0.000 | 0.005 | -0.001 | 0.000 | -0.000 | 26706.174 |
| 45826.597 | 26706.157 | 26706.157 | 0.000 | 0.000 | -0.000 |
| 26706.157 | 45826.596 | 26706.157 | -0.000 | 0.000 | -0.000 |
| 26706.157 | 26706.157 | 45826.597 | 0.000 | 0.000 | 0.000 |
| -0.002 | -0.024 | -0.019 | 26706.173 | 0.000 | 0.000 |
| -0.023 | -0.003 | -0.019 | 0.000 | 26706.173 | -0.000 |
| -0.023 | -0.020 | -0.002 | 0.000 | -0.000 | 26706.173 |
| 45826.855 | 26706.188 | 26706.188 | -0.000 | -0.000 | -0.001 |
| 26706.189 | 45826.855 | 26706.188 | -0.000 | -0.000 | -0.000 |
| 26706.189 | 26706.188 | 45826.854 | 0.000 | 0.000 | -0.000 |
| 0.002 | 0.024 | 0.019 | 26706.173 | 0.000 | -0.000 |
| 0.023 | 0.003 | 0.019 | -0.000 | 26706.173 | -0.000 |
| 0.023 | 0.019 | 0.002 | 0.000 | 0.000 | 26706.173 |
| 45825.435 | 26706.017 | 26706.017 | 0.000 | 0.000 | 0.000 |
| 26706.017 | 45825.435 | 26706.017 | -0.000 | 0.000 | 0.000 |
| 26706.017 | 26706.017 | 45825.435 | -0.000 | -0.000 | 0.000 |
| -0.051 | -0.247 | -0.206 | 25488.428 | 0.000 | -0.000 |
| -0.247 | -0.051 | -0.206 | -0.000 | 25488.428 | -0.000 |
| -0.247 | -0.206 | -0.051 | 0.000 | -0.000 | 25488.428 |
| 45828.016 | 26706.329 | 26706.329 | 0.000 | 0.000 | -0.000 |
| 26706.329 | 45828.016 | 26706.329 | 0.000 | -0.000 | 0.000 |
| 26706.329 | 26706.329 | 45828.016 | -0.000 | 0.000 | -0.000 |
| 0.051 | 0.247 | 0.206 | 25488.428 | -0.000 | -0.000 |
| 0.247 | 0.051 | 0.206 | 0.000 | 25488.428 | 0.000 |
| 0.247 | 0.206 | 0.051 | 0.000 | -0.000 | 25488.428 |
| 77.259 | 57.649 | 57.649 | 0.000 | 0.000 | 0.000 |
| 57.649 | 77.259 | 57.649 | 0.000 | 0.000 | 0.000 |
| 57.649 | 57.649 | 77.259 | 0.000 | 0.000 | 0.000 |
| -0.000 | -0.000 | -0.000 | -44.426 | 0.000 | 0.000 |
| -0.000 | -0.000 | -0.000 | 0.000 | -44.426 | 0.000 |
| -0.000 | -0.000 | -0.000 | 0.000 | 0.000 | -44.426 |
| 77.259 | 57.649 | 57.649 | -0.000 | -0.000 | -0.000 |
| 57.649 | 77.259 | 57.649 | -0.000 | -0.000 | -0.000 |
| 57.649 | 57.649 | 77.259 | -0.000 | -0.000 | -0.000 |
| 0.000 | 0.000 | 0.000 | -44.426 | -0.000 | -0.000 |
| -0.000 | 0.000 | 0.000 | -0.000 | -44.426 | -0.000 |
| -0.000 | 0.000 | 0.000 | -0.000 | -0.000 | -44.426 |
| 77.259 | 57.649 | 57.649 | 0.000 | 0.000 | 0.000 |
| 57.649 | 77.259 | 57.649 | 0.000 | 0.000 | 0.000 |
| 57.649 | 57.649 | 77.259 | 0.000 | 0.000 | 0.000 |
| -0.000 | -0.000 | -0.000 | -44.426 | 0.000 | 0.000 |
| -0.000 | -0.000 | -0.000 | 0.000 | -44.426 | 0.000 |
| -0.000 | -0.000 | -0.000 | 0.000 | 0.000 | -44.426 |
| 77.259 | 57.649 | 57.649 | -0.000 | -0.000 | -0.000 |
| 57.649 | 77.259 | 57.649 | -0.000 | -0.000 | -0.000 |
| 57.649 | 57.649 | 77.259 | -0.000 | -0.000 | -0.000 |
| 0.000 | 0.000 | 0.000 | -44.426 | -0.000 | -0.000 |
| 0.000 | 0.000 | 0.000 | -0.000 | -44.426 | -0.000 |
| 0.000 | 0.000 | 0.000 | -0.000 | -0.000 | -44.426 |
| 77.259 | 57.649 | 57.649 | 0.000 | 0.000 | 0.000 |
| 57.649 | 77.259 | 57.649 | 0.000 | 0.000 | 0.000 |
| 57.649 | 57.649 | 77.259 | 0.000 | 0.000 | 0.000 |
| 0.000 | -0.000 | -0.000 | 52.835 | 0.000 | 0.000 |
| -0.000 | 0.000 | -0.000 | 0.000 | 52.835 | 0.000 |
| -0.000 | -0.000 | 0.000 | 0.000 | 0.000 | 52.835 |
| 77.259 | 57.649 | 57.649 | -0.000 | -0.000 | -0.000 |
| 57.649 | 77.259 | 57.649 | -0.000 | -0.000 | -0.000 |
| 57.649 | 57.649 | 77.259 | -0.000 | -0.000 | -0.000 |
| -0.000 | 0.000 | 0.000 | 52.835 | -0.000 | -0.000 |
| 0.000 | -0.000 | 0.000 | -0.000 | 52.835 | -0.000 |
| 0.000 | 0.000 | -0.000 | -0.000 | -0.000 | 52.835 |
| 125.509 | 52.311 | 52.311 | 0.000 | -0.000 | -0.000 |
| 52.311 | 125.509 | 52.311 | -0.000 | 0.000 | -0.000 |
| 52.311 | 52.311 | 125.509 | 0.000 | 0.000 | -0.000 |
| 222575098.958 | -274669130.928 | -274669140.827 | -494938502.715 | 0.103 | 0.088 |
| -274669130.928 | 222575098.957 | -274669140.827 | 0.103 | -494938502.715 | 0.088 |
| -274669130.928 | -274669140.827 | 222575098.958 | 0.103 | 0.087 | -494938502.715 |
| 125.509 | 52.311 | 52.311 | 0.000 | 0.000 | 0.000 |
| 52.311 | 125.509 | 52.311 | 0.000 | 0.000 | 0.000 |
| 52.311 | 52.311 | 125.509 | 0.000 | 0.000 | 0.000 |
| -222575098.961 | 274669130.927 | 274669140.826 | -494938502.715 | -0.030 | -0.060 |
| 274669130.927 | -222575098.962 | 274669140.826 | -0.030 | -494938502.715 | -0.060 |
| 274669130.927 | 274669140.826 | -222575098.962 | -0.031 | -0.061 | -494938502.715 |
| 125.509 | 52.311 | 52.311 | -0.000 | -0.000 | -0.000 |
| 52.311 | 125.509 | 52.311 | -0.000 | -0.000 | -0.000 |
| 52.311 | 52.311 | 125.509 | -0.000 | -0.000 | -0.000 |
| 22257498.160 | -27466898.882 | -27466908.781 | -49493782.361 | 0.001 | 0.001 |
| -27466898.882 | 22257498.160 | -27466908.781 | 0.001 | -49493782.361 | 0.001 |
| -27466898.882 | -27466908.781 | 22257498.160 | 0.001 | 0.001 | -49493782.361 |
| 125.508 | 52.311 | 52.311 | -0.000 | 0.000 | 0.000 |
| 52.311 | 125.508 | 52.311 | 0.000 | -0.000 | 0.000 |
| 52.311 | 52.311 | 125.508 | -0.000 | -0.000 | -0.000 |
| -22257498.160 | 27466898.882 | 27466908.781 | -49493782.361 | 0.003 | 0.003 |
| 27466898.882 | -22257498.160 | 27466908.781 | 0.003 | -49493782.361 | 0.003 |
| 27466898.882 | 27466908.781 | -22257498.160 | 0.003 | 0.003 | -49493782.361 |
| 125.511 | 52.312 | 52.312 | -0.000 | -0.000 | -0.000 |
| 52.312 | 125.511 | 52.312 | -0.000 | -0.000 | -0.000 |
| 52.312 | 52.312 | 125.511 | -0.000 | -0.000 | -0.000 |
| 2225738.074 | -2746675.678 | -2746685.577 | -4949310.325 | 0.000 | 0.000 |
| -2746675.678 | 2225738.074 | -2746685.577 | 0.000 | -4949310.325 | 0.000 |
| -2746675.678 | -2746685.577 | 2225738.074 | 0.000 | 0.000 | -4949310.325 |
| 125.507 | 52.310 | 52.310 | 0.000 | 0.000 | 0.000 |
| 52.310 | 125.507 | 52.310 | 0.000 | 0.000 | 0.000 |
| 52.310 | 52.310 | 125.507 | 0.000 | 0.000 | 0.000 |
| -2225738.074 | 2746675.678 | 2746685.577 | -4949310.325 | 0.000 | 0.000 |
| 2746675.678 | -2225738.074 | 2746685.577 | 0.000 | -4949310.325 | 0.000 |
| 2746675.678 | 2746685.577 | -2225738.074 | 0.000 | 0.000 | -4949310.325 |
| 17.966 | 17.966 | 17.966 | 0.000 | 0.000 | 0.000 |
| 17.966 | 17.966 | 17.966 | 0.000 | 0.000 | 0.000 |
| 17.966 | 17.966 | 17.966 | 0.000 | 0.000 | 0.000 |
| -0.000 | -0.000 | -0.000 | 0.000 | 0.000 | 0.000 |
| -0.000 | -0.000 | -0.000 | 0.000 | 0.000 | 0.000 |
| -0.000 | -0.000 | -0.000 | 0.000 | 0.000 | 0.000 |
| 17.966 | 17.966 | 17.966 | -0.000 | -0.000 | -0.000 |
| 17.966 | 17.966 | 17.966 | -0.000 | -0.000 | -0.000 |
| 17.966 | 17.966 | 17.966 | -0.000 | -0.000 | -0.000 |
| 0.000 | 0.000 | 0.000 | -0.000 | -0.000 | -0.000 |
| 0.000 | 0.000 | 0.000 | -0.000 | -0.000 | -0.000 |
| 0.000 | 0.000 | 0.000 | -0.000 | -0.000 | -0.000 |
| 17.966 | 17.966 | 17.966 | 0.000 | 0.000 | 0.000 |
| 17.966 | 17.966 | 17.966 | 0.000 | 0.000 | 0.000 |
| 17.966 | 17.966 | 17.966 | 0.000 | 0.000 | 0.000 |
| -0.000 | -0.000 | -0.000 | -0.000 | 0.000 | 0.000 |
| -0.000 | -0.000 | -0.000 | 0.000 | -0.000 | 0.000 |
| -0.000 | -0.000 | -0.000 | 0.000 | 0.000 | -0.000 |
| 17.966 | 17.966 | 17.966 | -0.000 | -0.000 | -0.000 |
| 17.966 | 17.966 | 17.966 | -0.000 | -0.000 | -0.000 |
| 17.966 | 17.966 | 17.966 | -0.000 | -0.000 | -0.000 |
| 0.000 | 0.000 | 0.000 | -0.000 | -0.000 | -0.000 |
| 0.000 | 0.000 | 0.000 | -0.000 | -0.000 | -0.000 |
| 0.000 | 0.000 | 0.000 | -0.000 | -0.000 | -0.000 |
| 17.966 | 17.966 | 17.966 | 0.000 | 0.000 | 0.000 |
| 17.966 | 17.966 | 17.966 | 0.000 | 0.000 | 0.000 |
| 17.966 | 17.966 | 17.966 | 0.000 | 0.000 | 0.000 |
| -0.000 | -0.000 | -0.000 | -0.000 | 0.000 | 0.000 |
| -0.000 | -0.000 | -0.000 | 0.000 | -0.000 | 0.000 |
| -0.000 | -0.000 | -0.000 | 0.000 | 0.000 | -0.000 |
| 17.966 | 17.966 | 17.966 | -0.000 | -0.000 | -0.000 |
| 17.966 | 17.966 | 17.966 | -0.000 | -0.000 | -0.000 |
| 17.966 | 17.966 | 17.966 | -0.000 | -0.000 | -0.000 |
| 0.000 | 0.000 | 0.000 | -0.000 | -0.000 | -0.000 |
| 0.000 | 0.000 | 0.000 | -0.000 | -0.000 | -0.000 |
| 0.000 | 0.000 | 0.000 | -0.000 | -0.000 | -0.000 |
| 1.790 | 1.790 | 1.790 | 0.000 | -0.000 | -0.000 |
| 1.790 | 1.790 | 1.790 | 0.000 | -0.000 | -0.000 |
| 1.790 | 1.790 | 1.790 | 0.000 | -0.000 | -0.000 |
| -0.000 | -0.000 | -0.000 | 0.000 | -0.000 | -0.000 |
| -0.000 | -0.000 | -0.000 | -0.000 | -0.000 | -0.000 |
| -0.000 | -0.000 | -0.000 | -0.000 | -0.000 | -0.000 |
| 1.790 | 1.790 | 1.790 | -0.000 | -0.000 | -0.000 |
| 1.790 | 1.790 | 1.790 | 0.000 | -0.000 | -0.000 |
| 1.790 | 1.790 | 1.790 | 0.000 | -0.000 | -0.000 |
| 0.000 | 0.000 | 0.000 | -0.000 | 0.000 | 0.000 |
| 0.000 | 0.000 | 0.000 | -0.000 | 0.000 | 0.000 |
| 0.000 | 0.000 | 0.000 | -0.000 | 0.000 | 0.000 |
| 1.790 | 1.790 | 1.790 | -0.000 | -0.000 | -0.000 |
| 1.790 | 1.790 | 1.790 | 0.000 | -0.000 | -0.000 |
| 1.790 | 1.790 | 1.790 | 0.000 | -0.000 | -0.000 |
| -0.000 | -0.000 | -0.000 | -0.000 | -0.000 | -0.000 |
| -0.000 | -0.000 | -0.000 | 0.000 | -0.000 | -0.000 |
| -0.000 | -0.000 | -0.000 | 0.000 | -0.000 | -0.000 |
| 1.790 | 1.790 | 1.790 | -0.000 | -0.000 | -0.000 |
| 1.790 | 1.790 | 1.790 | 0.000 | -0.000 | -0.000 |
| 1.790 | 1.790 | 1.790 | 0.000 | -0.000 | -0.000 |
| 0.000 | 0.000 | 0.000 | -0.000 | 0.000 | 0.000 |
| 0.000 | 0.000 | 0.000 | -0.000 | 0.000 | 0.000 |
| 0.000 | 0.000 | 0.000 | -0.000 | 0.000 | 0.000 |
| 1.790 | 1.790 | 1.790 | -0.000 | -0.000 | -0.000 |
| 1.790 | 1.790 | 1.790 | 0.000 | -0.000 | -0.000 |
| 1.790 | 1.790 | 1.790 | 0.000 | -0.000 | -0.000 |
| -0.000 | -0.000 | -0.000 | 0.000 | -0.000 | -0.000 |
| -0.000 | -0.000 | -0.000 | 0.000 | -0.000 | -0.000 |
| -0.000 | -0.000 | -0.000 | -0.000 | -0.000 | -0.000 |
| 1.790 | 1.790 | 1.790 | -0.000 | -0.000 | -0.000 |
| 1.790 | 1.790 | 1.790 | 0.000 | -0.000 | -0.000 |
| 1.790 | 1.790 | 1.790 | 0.000 | -0.000 | -0.000 |
| 0.000 | 0.000 | 0.000 | -0.000 | 0.000 | 0.000 |
| 0.000 | 0.000 | 0.000 | 0.000 | 0.000 | 0.000 |
| 0.000 | 0.000 | 0.000 | 0.000 | 0.000 | 0.000 |
| -6413.963 | 20002.136 | 336.723 | -0.000 | 0.000 | 0.000 |
| 20002.136 | -6413.963 | 336.723 | -0.000 | 0.000 | 0.000 |
| 336.760 | 336.760 | 11286.891 | 0.000 | 0.000 | 0.000 |
| -0.000 | -0.000 | -0.000 | 670.438 | 0.000 | 0.000 |
| -0.000 | -0.000 | -0.000 | -0.000 | 670.438 | 0.000 |
| -0.000 | -0.000 | -0.000 | -0.000 | 0.000 | 2597.601 |
| 11309.275 | 2278.919 | 336.761 | 0.000 | -0.000 | -0.000 |
| 2278.919 | 11309.275 | 336.761 | 0.000 | -0.000 | -0.000 |
| 336.761 | 336.761 | 11286.893 | -0.000 | -0.000 | -0.000 |
| 0.000 | 0.000 | 0.000 | 670.438 | -0.000 | -0.000 |
| 0.000 | 0.000 | 0.000 | 0.000 | 670.438 | -0.000 |
| 0.000 | 0.000 | 0.000 | 0.000 | -0.000 | 2597.601 |
| -6414.226 | 20002.221 | 336.384 | -0.000 | 0.000 | 0.000 |
| 20002.221 | -6414.226 | 336.384 | 0.000 | -0.000 | 0.000 |
| 336.759 | 336.759 | 11286.883 | -0.000 | 0.000 | 0.000 |
| -0.002 | -0.006 | -0.004 | -315.415 | 0.000 | 0.000 |
| -0.006 | -0.002 | -0.004 | -0.000 | -315.415 | 0.000 |
| -0.004 | -0.004 | -0.002 | -0.000 | 0.000 | 2597.601 |
| -6413.641 | 20002.032 | 337.137 | 0.000 | 0.000 | -0.000 |
| 20002.032 | -6413.641 | 337.137 | -0.000 | -0.000 | -0.000 |
| 336.762 | 336.762 | 11286.901 | -0.000 | -0.000 | -0.000 |
| 0.002 | 0.006 | 0.004 | -315.415 | -0.000 | -0.000 |
| 0.006 | 0.002 | 0.004 | 0.000 | -315.415 | -0.000 |
| 0.004 | 0.004 | 0.002 | -0.000 | -0.000 | 2597.601 |
| -6416.858 | 20003.069 | 332.992 | -0.000 | 0.000 | 0.000 |
| 20003.069 | -6416.858 | 332.992 | -0.000 | 0.000 | 0.000 |
| 336.742 | 336.742 | 11286.805 | 0.000 | 0.000 | 0.000 |
| -0.019 | -0.055 | -0.041 | -315.415 | 0.000 | 0.000 |
| -0.055 | -0.019 | -0.041 | 0.000 | -315.415 | 0.000 |
| -0.051 | -0.034 | -0.019 | -0.000 | -0.000 | 2597.601 |
| -6411.007 | 20001.181 | 340.527 | 0.000 | -0.000 | -0.000 |
| 20001.181 | -6411.007 | 340.527 | 0.000 | 0.000 | -0.000 |
| 336.779 | 336.779 | 11286.980 | 0.000 | 0.000 | -0.000 |
| 0.019 | 0.055 | 0.041 | -315.415 | -0.000 | -0.000 |
| 0.055 | 0.019 | 0.041 | -0.000 | -315.415 | -0.000 |
| 0.051 | 0.034 | 0.019 | 0.000 | -0.000 | 2597.601 |
| -1147866122.820 | 1499842721.310 | 76766154.579 | -0.000 | -0.000 | -0.000 |
| 1499842721.310 | -1147866122.820 | 76766154.579 | 0.000 | -0.000 | -0.000 |
| -22.268 | -22.268 | 125.453 | -0.000 | -0.000 | -0.000 |
| 0.000 | -0.000 | -0.000 | -48.143 | -0.000 | 0.000 |
| 0.000 | -0.000 | -0.000 | 0.000 | -48.143 | -0.000 |
| 0.000 | -0.000 | -0.000 | -0.000 | -0.000 | 8.484 |
| 293.367 | 8.769 | -22.268 | -0.000 | 0.000 | 0.000 |
| 8.769 | 293.367 | -22.268 | 0.000 | 0.000 | -0.000 |
| -22.268 | -22.268 | 125.453 | 0.000 | 0.000 | 0.000 |
| -0.000 | 0.000 | 0.000 | -48.143 | -0.000 | 0.000 |
| -0.000 | 0.000 | 0.000 | 0.000 | -48.143 | 0.000 |
| -0.000 | 0.000 | 0.000 | 0.000 | 0.000 | 8.484 |
| 293.367 | 8.769 | -22.268 | 0.000 | 0.000 | -0.000 |
| 8.769 | 293.367 | -22.268 | -0.000 | -0.000 | -0.000 |
| -22.268 | -22.268 | 125.453 | -0.000 | 0.000 | 0.000 |
| -0.000 | -0.000 | -0.000 | -48.143 | -0.000 | -0.000 |
| -0.000 | -0.000 | -0.000 | 0.000 | -48.143 | -0.000 |
| -0.000 | -0.000 | -0.000 | 0.000 | -0.000 | 8.484 |
| 293.367 | 8.769 | -22.268 | 0.000 | 0.000 | 0.000 |
| 8.769 | 293.367 | -22.268 | 0.000 | 0.000 | -0.000 |
| -22.268 | -22.268 | 125.453 | -0.000 | 0.000 | 0.000 |
| 0.000 | 0.000 | 0.000 | -48.143 | 0.000 | -0.000 |
| 0.000 | 0.000 | 0.000 | -0.000 | -48.143 | 0.000 |
| 0.000 | 0.000 | 0.000 | -0.000 | 0.000 | 8.484 |
| -11478508.470 | 14998474.188 | 767687.488 | 0.000 | -0.000 | 0.000 |
| 14998474.188 | -11478508.470 | 767687.488 | 0.000 | -0.000 | -0.000 |
| -22.268 | -22.268 | 125.454 | -0.000 | -0.000 | -0.000 |
| -0.000 | -0.000 | -0.001 | -48.143 | 0.000 | 0.000 |
| -0.000 | -0.000 | -0.001 | 0.000 | -48.143 | -0.000 |
| -0.000 | -0.000 | -0.000 | -0.000 | 0.000 | 8.484 |
| -14997758.386 | 11478683.744 | -767638.969 | -0.000 | 0.000 | 0.000 |
| 11478683.744 | -14997758.386 | -767638.969 | -0.000 | 0.000 | -0.000 |
| -22.268 | -22.268 | 125.452 | -0.000 | 0.000 | 0.000 |
| 0.000 | 0.000 | 0.001 | -48.143 | 0.000 | -0.000 |
| 0.000 | 0.000 | 0.001 | 0.000 | -48.143 | 0.000 |
| 0.000 | 0.000 | 0.000 | 0.000 | 0.000 | 8.484 |
| 120.275 | 129.847 | -2.552 | 0.000 | 0.000 | 0.000 |
| 129.847 | 120.275 | -2.552 | 0.000 | -0.000 | -0.000 |
| -2.552 | -2.552 | 125.356 | 0.000 | 0.000 | 0.000 |
| 0.000 | 0.000 | 0.000 | 1.418 | -0.000 | 0.000 |
| 0.000 | 0.000 | 0.000 | 0.000 | 1.418 | 0.000 |
| -0.000 | -0.000 | -0.000 | 0.000 | -0.000 | 127.394 |
| 120.275 | 129.847 | -2.552 | -0.000 | -0.000 | 0.000 |
| 129.847 | 120.275 | -2.552 | -0.000 | 0.000 | -0.000 |
| -2.552 | -2.552 | 125.356 | -0.000 | -0.000 | 0.000 |
| -0.000 | -0.000 | -0.000 | 1.418 | 0.000 | 0.000 |
| -0.000 | -0.000 | -0.000 | -0.000 | 1.418 | 0.000 |
| 0.000 | 0.000 | 0.000 | -0.000 | -0.000 | 127.394 |
| 75.855 | 174.267 | -2.552 | -0.000 | -0.000 | 0.000 |
| 174.267 | 75.855 | -2.552 | 0.000 | 0.000 | 0.000 |
| -2.552 | -2.552 | 125.356 | 0.000 | 0.000 | 0.000 |
| -0.000 | 0.000 | 0.000 | 1.418 | 0.000 | -0.000 |
| 0.000 | -0.000 | 0.000 | 0.000 | 1.418 | -0.000 |
| -0.000 | -0.000 | -0.000 | 0.000 | 0.000 | 127.394 |
| -2.673 | 252.794 | -2.552 | -0.000 | 0.000 | -0.000 |
| 252.794 | -2.673 | -2.552 | -0.000 | -0.000 | 0.000 |
| -2.552 | -2.552 | 125.356 | -0.000 | -0.000 | -0.000 |
| 0.000 | -0.000 | -0.000 | 1.418 | -0.000 | -0.000 |
| -0.000 | 0.000 | -0.000 | -0.000 | 1.418 | 0.000 |
| 0.000 | 0.000 | 0.000 | -0.000 | -0.000 | 127.394 |
| -376379.819 | -514867.136 | -1256526.394 | 25813.335 | -15859.530 | 70474.222 |
| -577011.296 | -612021.925 | -1461742.826 | 4743.584 | -7386.696 | -19328.677 |
| -2.552 | -2.552 | 125.358 | -0.000 | 0.000 | -0.000 |
| -0.004 | 0.011 | 0.001 | -71.238 | 0.000 | -0.000 |
| 0.011 | -0.004 | 0.001 | 0.000 | -71.238 | 0.000 |
| -0.001 | -0.000 | -0.000 | 0.000 | 0.000 | 127.394 |
| 716550.443 | 588842.500 | 1500327.962 | -729.782 | -16308.569 | 26423.242 |
| 390995.852 | 568704.420 | 1263802.515 | -5615.489 | 8866.628 | -96387.369 |
| -2.552 | -2.552 | 125.354 | -0.000 | -0.000 | 0.000 |
| 0.004 | -0.011 | -0.001 | -71.238 | -0.000 | -0.000 |
| -0.011 | 0.004 | -0.001 | -0.000 | -71.238 | 0.000 |
| 0.001 | 0.000 | 0.000 | -0.000 | -0.000 | 127.394 |
| -42.379 | -42.039 | -10.003 | -0.000 | 0.000 | -0.000 |
| -42.039 | -42.379 | -10.003 | -0.000 | -0.000 | -0.000 |
| -10.003 | -10.003 | -2.371 | -0.000 | -0.000 | -0.000 |
| -0.000 | -0.000 | -0.000 | -0.042 | -0.000 | 0.000 |
| -0.000 | -0.000 | -0.000 | -0.000 | -0.042 | -0.000 |
| 0.000 | 0.000 | 0.000 | 0.000 | 0.000 | 0.000 |
| -42.379 | -42.039 | -10.003 | 0.000 | 0.000 | 0.000 |
| -42.039 | -42.379 | -10.003 | 0.000 | 0.000 | 0.000 |
| -10.003 | -10.003 | -2.371 | -0.000 | 0.000 | -0.000 |
| 0.000 | 0.000 | 0.000 | -0.042 | 0.000 | -0.000 |
| 0.000 | 0.000 | 0.000 | 0.000 | -0.042 | -0.000 |
| -0.000 | -0.000 | -0.000 | -0.000 | 0.000 | 0.000 |
| -42.377 | -42.041 | -10.003 | 0.000 | -0.000 | -0.000 |
| -42.041 | -42.377 | -10.003 | 0.000 | -0.000 | -0.000 |
| -10.003 | -10.003 | -2.371 | 0.000 | -0.000 | -0.000 |
| -0.000 | -0.000 | -0.000 | -0.040 | -0.000 | -0.000 |
| -0.000 | -0.000 | -0.000 | 0.000 | -0.040 | -0.000 |
| 0.000 | 0.000 | 0.000 | 0.000 | -0.000 | 0.000 |
| -42.379 | -42.039 | -10.003 | 0.000 | 0.000 | -0.000 |
| -42.039 | -42.379 | -10.003 | 0.000 | 0.000 | 0.000 |
| -10.003 | -10.003 | -2.371 | 0.000 | 0.000 | -0.000 |
| 0.000 | 0.000 | 0.000 | -0.040 | 0.000 | -0.000 |
| 0.000 | 0.000 | 0.000 | -0.000 | -0.040 | -0.000 |
| -0.000 | -0.000 | -0.000 | -0.000 | -0.000 | 0.000 |
| -42.380 | -42.039 | -10.003 | -0.000 | -0.000 | -0.000 |
| -42.039 | -42.380 | -10.003 | -0.000 | -0.000 | -0.000 |
| -10.003 | -10.003 | -2.371 | 0.000 | -0.000 | -0.000 |
| -0.000 | -0.000 | -0.000 | -0.040 | -0.000 | 0.000 |
| -0.000 | -0.000 | -0.000 | 0.000 | -0.040 | -0.000 |
| 0.000 | 0.000 | 0.000 | -0.000 | 0.000 | -0.000 |
| -42.381 | -42.037 | -10.003 | -0.000 | 0.000 | -0.000 |
| -42.037 | -42.381 | -10.003 | 0.000 | -0.000 | -0.000 |
| -10.003 | -10.003 | -2.371 | 0.000 | 0.000 | 0.000 |
| 0.000 | 0.000 | 0.000 | -0.040 | 0.000 | -0.000 |
| 0.000 | 0.000 | 0.000 | -0.000 | -0.040 | -0.000 |
| -0.000 | -0.000 | -0.000 | -0.000 | 0.000 | -0.000 |
| 159.074 | 159.074 | 21.210 | -0.000 | -0.000 | 0.000 |
| 159.074 | 159.074 | 21.210 | -0.000 | -0.000 | 0.000 |
| 21.210 | 21.210 | 364.810 | -0.000 | -0.000 | 0.000 |
| 0.000 | -0.000 | 0.000 | -0.000 | -0.000 | 0.000 |
| 0.000 | -0.000 | 0.000 | 0.000 | -0.000 | -0.000 |
| 0.000 | -0.000 | 0.000 | -0.000 | -0.000 | -0.000 |
| 159.074 | 159.074 | 21.210 | 0.000 | 0.000 | 0.000 |
| 159.074 | 159.074 | 21.210 | 0.000 | 0.000 | 0.000 |
| 21.210 | 21.210 | 364.810 | 0.000 | 0.000 | -0.000 |
| -0.000 | 0.000 | -0.000 | -0.000 | 0.000 | 0.000 |
| -0.000 | 0.000 | -0.000 | -0.000 | -0.000 | -0.000 |
| -0.000 | 0.000 | -0.000 | 0.000 | 0.000 | -0.000 |
| 159.074 | 159.074 | 21.210 | -0.000 | -0.000 | 0.000 |
| 159.074 | 159.074 | 21.210 | -0.000 | -0.000 | -0.000 |
| 21.210 | 21.210 | 364.810 | -0.000 | -0.000 | -0.000 |
| -0.000 | 0.000 | -0.000 | 0.000 | -0.000 | 0.000 |
| 0.000 | -0.000 | -0.000 | -0.000 | 0.000 | 0.000 |
| -0.000 | -0.000 | -0.000 | -0.000 | 0.000 | 0.000 |
| 159.074 | 159.074 | 21.210 | 0.000 | 0.000 | 0.000 |
| 159.074 | 159.074 | 21.210 | 0.000 | 0.000 | 0.000 |
| 21.210 | 21.210 | 364.810 | 0.000 | 0.000 | -0.000 |
| 0.000 | -0.000 | 0.000 | -0.000 | 0.000 | 0.000 |
| -0.000 | 0.000 | 0.000 | 0.000 | 0.000 | 0.000 |
| 0.000 | 0.000 | 0.000 | 0.000 | -0.000 | 0.000 |
| 159.072 | 159.074 | 21.210 | -0.000 | 0.000 | -0.000 |
| 159.074 | 159.072 | 21.210 | 0.000 | -0.000 | -0.000 |
| 21.210 | 21.210 | 364.807 | -0.000 | -0.000 | 0.000 |
| -0.000 | 0.000 | -0.000 | -0.000 | -0.000 | 0.000 |
| 0.000 | -0.000 | -0.000 | -0.000 | -0.000 | 0.000 |
| -0.000 | -0.000 | -0.000 | -0.000 | 0.000 | 0.000 |
| 159.076 | 159.074 | 21.210 | 0.000 | 0.000 | -0.000 |
| 159.074 | 159.076 | 21.210 | 0.000 | 0.000 | 0.000 |
| 21.210 | 21.210 | 364.812 | 0.000 | 0.000 | 0.000 |
| 0.000 | -0.000 | 0.000 | -0.000 | 0.000 | 0.000 |
| -0.000 | 0.000 | 0.000 | 0.000 | -0.000 | 0.000 |
| 0.000 | 0.000 | 0.000 | 0.000 | -0.000 | 0.000 |
| 9.424 | 1.340 | 0.829 | 0.000 | 0.000 | -0.000 |
| 1.340 | 9.424 | 0.829 | 0.000 | 0.000 | -0.000 |
| 0.829 | 0.829 | 0.128 | 0.000 | 0.000 | 0.000 |
| 0.000 | -0.000 | 0.000 | 0.000 | 0.000 | 0.000 |
| 0.000 | -0.000 | 0.000 | 0.000 | 0.000 | 0.000 |
| 0.000 | -0.000 | -0.000 | 0.000 | 0.000 | 0.000 |
| 9.424 | 1.340 | 0.829 | -0.000 | -0.000 | -0.000 |
| 1.340 | 9.424 | 0.829 | -0.000 | -0.000 | -0.000 |
| 0.829 | 0.829 | 0.128 | -0.000 | -0.000 | -0.000 |
| -0.000 | 0.000 | -0.000 | -0.000 | -0.000 | 0.000 |
| -0.000 | 0.000 | -0.000 | -0.000 | -0.000 | 0.000 |
| -0.000 | 0.000 | 0.000 | -0.000 | -0.000 | 0.000 |
| 6.348 | 4.416 | 0.829 | 0.000 | 0.000 | -0.000 |
| 4.416 | 6.348 | 0.829 | 0.000 | 0.000 | 0.000 |
| 0.829 | 0.829 | 0.128 | 0.000 | 0.000 | 0.000 |
| 0.000 | -0.000 | -0.000 | 0.000 | 0.000 | 0.000 |
| -0.000 | 0.000 | -0.000 | 0.000 | 0.000 | 0.000 |
| -0.000 | -0.000 | -0.000 | 0.000 | 0.000 | 0.000 |
| 5.927 | 4.837 | 0.829 | -0.000 | -0.000 | -0.000 |
| 4.837 | 5.927 | 0.829 | -0.000 | -0.000 | -0.000 |
| 0.829 | 0.829 | 0.128 | -0.000 | -0.000 | 0.000 |
| -0.000 | 0.000 | 0.000 | 0.000 | -0.000 | 0.000 |
| 0.000 | -0.000 | 0.000 | -0.000 | 0.000 | 0.000 |
| 0.000 | 0.000 | 0.000 | -0.000 | 0.000 | 0.000 |
| 5.512 | 5.252 | 0.829 | 0.000 | 0.000 | -0.000 |
| 5.252 | 5.512 | 0.829 | 0.000 | 0.000 | -0.000 |
| 0.829 | 0.829 | 0.128 | 0.000 | 0.000 | -0.000 |
| 0.000 | -0.000 | -0.000 | -0.000 | 0.000 | 0.000 |
| -0.000 | 0.000 | -0.000 | 0.000 | -0.000 | 0.000 |
| 0.000 | -0.000 | -0.000 | 0.000 | -0.000 | 0.000 |
| 5.455 | 5.308 | 0.829 | -0.000 | -0.000 | 0.000 |
| 5.308 | 5.455 | 0.829 | -0.000 | -0.000 | 0.000 |
| 0.829 | 0.829 | 0.128 | -0.000 | -0.000 | -0.000 |
| -0.000 | 0.000 | 0.000 | -0.000 | -0.000 | 0.000 |
| 0.000 | -0.000 | 0.000 | -0.000 | -0.000 | 0.000 |
| -0.000 | 0.000 | 0.000 | -0.000 | -0.000 | 0.000 |
| 10.874 | -0.000 | 0.822 | 0.000 | 0.000 | -0.000 |
| -0.000 | 10.874 | 0.822 | 0.000 | 0.000 | -0.000 |
| 0.822 | 0.822 | 0.124 | 0.000 | 0.000 | 0.000 |
| 0.000 | -0.000 | 0.000 | 0.000 | 0.000 | -0.000 |
| 0.000 | -0.000 | 0.000 | 0.000 | 0.000 | -0.000 |
| 0.000 | -0.000 | -0.000 | 0.000 | 0.000 | -0.000 |
| 9.544 | 1.330 | 0.822 | 0.000 | -0.000 | -0.000 |
| 1.330 | 9.544 | 0.822 | -0.000 | 0.000 | -0.000 |
| 0.822 | 0.822 | 0.124 | -0.000 | 0.000 | -0.000 |
| -0.000 | 0.000 | -0.000 | 0.000 | -0.000 | -0.000 |
| -0.000 | 0.000 | -0.000 | -0.000 | 0.000 | -0.000 |
| -0.000 | 0.000 | 0.000 | -0.000 | 0.000 | -0.000 |
| 6.447 | 4.427 | 0.822 | 0.000 | -0.000 | -0.000 |
| 4.427 | 6.447 | 0.822 | 0.000 | 0.000 | -0.000 |
| 0.822 | 0.822 | 0.124 | 0.000 | -0.000 | -0.000 |
| 0.000 | -0.000 | -0.000 | 0.000 | 0.000 | 0.000 |
| -0.000 | 0.000 | -0.000 | 0.000 | 0.000 | -0.000 |
| -0.000 | -0.000 | -0.000 | -0.000 | -0.000 | 0.000 |
| 6.774 | 4.100 | 0.822 | -0.000 | -0.000 | 0.000 |
| 4.100 | 6.774 | 0.822 | -0.000 | -0.000 | 0.000 |
| 0.822 | 0.822 | 0.124 | -0.000 | 0.000 | 0.000 |
| -0.000 | 0.000 | 0.000 | 0.000 | -0.000 | 0.000 |
| 0.000 | -0.000 | 0.000 | -0.000 | 0.000 | -0.000 |
| 0.000 | 0.000 | 0.000 | -0.000 | -0.000 | 0.000 |
| 5.579 | 5.296 | 0.822 | 0.000 | 0.000 | -0.000 |
| 5.296 | 5.579 | 0.822 | 0.000 | 0.000 | -0.000 |
| 0.822 | 0.822 | 0.124 | 0.000 | -0.000 | 0.000 |
| 0.000 | -0.000 | -0.000 | 0.000 | -0.000 | 0.000 |
| -0.000 | 0.000 | -0.000 | 0.000 | -0.000 | -0.000 |
| 0.000 | -0.000 | -0.000 | 0.000 | -0.000 | 0.000 |
| 5.625 | 5.249 | 0.822 | -0.000 | -0.000 | -0.000 |
| 5.249 | 5.625 | 0.822 | -0.000 | -0.000 | -0.000 |
| 0.822 | 0.822 | 0.124 | -0.000 | -0.000 | -0.000 |
| -0.000 | 0.000 | 0.000 | 0.000 | 0.000 | 0.000 |
| 0.000 | -0.000 | 0.000 | -0.000 | -0.000 | -0.000 |
| -0.000 | 0.000 | 0.000 | -0.000 | 0.000 | 0.000 |
| 66.819 | 77.860 | 38.324 | -0.000 | 0.000 | 0.000 |
| 77.860 | 66.819 | 38.324 | 0.000 | 0.000 | 0.000 |
| 38.324 | 38.324 | 180.171 | 0.000 | 0.000 | -0.000 |
| -0.000 | -0.000 | -0.000 | 29.423 | -0.000 | -0.000 |
| -0.000 | -0.000 | -0.000 | 0.000 | 29.423 | -0.000 |
| -0.000 | -0.000 | 0.000 | 0.000 | 0.000 | 74.585 |
| 66.819 | 77.860 | 38.324 | 0.000 | -0.000 | 0.000 |
| 77.860 | 66.819 | 38.324 | -0.000 | -0.000 | 0.000 |
| 38.324 | 38.324 | 180.171 | 0.000 | -0.000 | -0.000 |
| 0.000 | 0.000 | 0.000 | 29.423 | 0.000 | -0.000 |
| 0.000 | 0.000 | 0.000 | -0.000 | 29.423 | 0.000 |
| 0.000 | 0.000 | -0.000 | -0.000 | -0.000 | 74.585 |
| 66.819 | 77.860 | 38.324 | -0.000 | 0.000 | -0.000 |
| 77.860 | 66.819 | 38.324 | 0.000 | 0.000 | -0.000 |
| 38.324 | 38.324 | 180.171 | 0.000 | 0.000 | 0.000 |
| -0.000 | -0.000 | -0.000 | 29.423 | -0.000 | 0.000 |
| -0.000 | 0.000 | -0.000 | -0.000 | 29.423 | -0.000 |
| -0.000 | -0.000 | 0.000 | 0.000 | 0.000 | 74.585 |
| 66.819 | 77.860 | 38.324 | 0.000 | 0.000 | 0.000 |
| 77.860 | 66.819 | 38.324 | 0.000 | 0.000 | 0.000 |
| 38.324 | 38.324 | 180.171 | -0.000 | -0.000 | -0.000 |
| -0.000 | 0.000 | 0.000 | 29.423 | -0.000 | -0.000 |
| 0.000 | -0.000 | 0.000 | -0.000 | 29.423 | -0.000 |
| 0.000 | 0.000 | -0.000 | -0.000 | -0.000 | 74.585 |
| 66.817 | 77.860 | 38.324 | -0.000 | 0.000 | -0.000 |
| 77.860 | 66.817 | 38.324 | 0.000 | 0.000 | -0.000 |
| 38.324 | 38.324 | 180.171 | 0.000 | 0.000 | 0.000 |
| 0.000 | -0.000 | -0.000 | 29.423 | 0.000 | -0.000 |
| -0.000 | 0.000 | -0.000 | -0.000 | 29.423 | -0.000 |
| -0.000 | -0.000 | 0.000 | 0.000 | 0.000 | 74.585 |
| 66.821 | 77.860 | 38.324 | 0.000 | -0.000 | -0.000 |
| 77.860 | 66.821 | 38.324 | -0.000 | -0.000 | -0.000 |
| 38.324 | 38.324 | 180.170 | -0.000 | -0.000 | 0.000 |
| -0.000 | 0.000 | 0.000 | 29.423 | 0.000 | -0.000 |
| 0.000 | -0.000 | 0.000 | 0.000 | 29.423 | -0.000 |
| 0.000 | 0.000 | -0.000 | -0.000 | -0.000 | 74.585 |
| 16.444 | -0.050 | -0.114 | 0.000 | 0.000 | -0.000 |
| -0.050 | 16.444 | -0.114 | 0.000 | 0.000 | -0.000 |
| -0.114 | -0.114 | -0.257 | -0.000 | -0.000 | 0.000 |
| -0.000 | -0.000 | -0.000 | -0.114 | -0.000 | -0.000 |
| -0.000 | -0.000 | -0.000 | -0.000 | -0.114 | -0.000 |
| -0.000 | -0.000 | -0.000 | -0.000 | 0.000 | -0.050 |
| 16.444 | -0.050 | -0.114 | 0.000 | -0.000 | 0.000 |
| -0.050 | 16.444 | -0.114 | -0.000 | 0.000 | 0.000 |
| -0.114 | -0.114 | -0.257 | 0.000 | 0.000 | -0.000 |
| 0.000 | 0.000 | 0.000 | -0.114 | -0.000 | 0.000 |
| 0.000 | 0.000 | 0.000 | -0.000 | -0.114 | 0.000 |
| 0.000 | 0.000 | 0.000 | 0.000 | -0.000 | -0.050 |
| 16.445 | -0.050 | -0.114 | -0.000 | -0.000 | 0.000 |
| -0.050 | 16.445 | -0.114 | -0.000 | 0.000 | 0.000 |
| -0.114 | -0.114 | -0.257 | -0.000 | -0.000 | -0.000 |
| -0.000 | -0.000 | -0.000 | -0.114 | -0.000 | -0.000 |
| -0.000 | -0.000 | -0.000 | -0.000 | -0.114 | -0.000 |
| -0.000 | -0.000 | -0.000 | -0.000 | 0.000 | -0.050 |
| 16.444 | -0.050 | -0.114 | 0.000 | -0.000 | -0.000 |
| -0.050 | 16.444 | -0.114 | -0.000 | 0.000 | -0.000 |
| -0.114 | -0.114 | -0.257 | -0.000 | -0.000 | -0.000 |
| 0.000 | 0.000 | 0.000 | -0.114 | 0.000 | 0.000 |
| 0.000 | 0.000 | 0.000 | 0.000 | -0.114 | 0.000 |
| 0.000 | 0.000 | 0.000 | 0.000 | -0.000 | -0.050 |
| 16.446 | -0.051 | -0.114 | -0.000 | -0.000 | -0.000 |
| -0.051 | 16.446 | -0.114 | -0.000 | -0.000 | -0.000 |
| -0.114 | -0.114 | -0.258 | -0.000 | -0.000 | -0.000 |
| -0.000 | -0.000 | -0.000 | -0.114 | -0.000 | 0.000 |
| -0.000 | -0.000 | -0.000 | -0.000 | -0.114 | 0.000 |
| -0.000 | -0.000 | -0.000 | -0.000 | 0.000 | -0.050 |
| 16.443 | -0.050 | -0.114 | 0.000 | -0.000 | -0.000 |
| -0.050 | 16.443 | -0.114 | -0.000 | 0.000 | -0.000 |
| -0.113 | -0.113 | -0.257 | 0.000 | 0.000 | -0.000 |
| 0.000 | 0.000 | 0.000 | -0.114 | -0.000 | 0.000 |
| 0.000 | 0.000 | 0.000 | 0.000 | -0.114 | 0.000 |
| 0.000 | 0.000 | 0.000 | 0.000 | -0.000 | -0.050 |
| 112.963 | 42.546 | 27.820 | 8.198 | -0.000 | 0.000 |
| 42.546 | 112.963 | 27.820 | -8.198 | -0.000 | 0.000 |
| 16.053 | 16.053 | 96.374 | 0.000 | -0.000 | 0.000 |
| 2.343 | -2.268 | 0.137 | 16.506 | -0.000 | 0.000 |
| 0.000 | 0.000 | 0.000 | 0.000 | 26.425 | 8.198 |
| 0.000 | 0.000 | 0.000 | 0.000 | 8.198 | 35.208 |
| 108.389 | 39.562 | 14.104 | 6.860 | 0.000 | -0.000 |
| 39.562 | 108.389 | 14.104 | -6.860 | 0.000 | -0.000 |
| 27.820 | 27.820 | 139.084 | -0.000 | 0.000 | -0.000 |
| 8.198 | -8.198 | -0.000 | 26.425 | 0.000 | -0.000 |
| -0.000 | -0.000 | -0.000 | -0.000 | 26.425 | 8.198 |
| -0.000 | -0.000 | -0.000 | -0.000 | 8.198 | 35.208 |
| 106.219 | 42.803 | 16.048 | 2.305 | -0.000 | 0.000 |
| 42.546 | 112.963 | 27.820 | -8.198 | -0.000 | 0.000 |
| 16.046 | 16.046 | 96.350 | 0.000 | -0.000 | 0.000 |
| 2.309 | -2.302 | 0.014 | 16.506 | -0.000 | -0.000 |
| 0.004 | 0.004 | 0.014 | -0.000 | 16.506 | 2.305 |
| 0.004 | 0.004 | 0.014 | 0.000 | 2.305 | 31.708 |
| 108.394 | 39.568 | 14.124 | 6.859 | 0.000 | 0.000 |
| 42.546 | 112.963 | 27.820 | -8.198 | 0.000 | -0.000 |
| 27.820 | 27.820 | 139.084 | -0.000 | 0.000 | 0.000 |
| 2.302 | -2.309 | -0.014 | 16.506 | 0.000 | 0.000 |
| -0.004 | -0.004 | -0.014 | 0.000 | 16.506 | 2.305 |
| -0.004 | -0.004 | -0.014 | -0.000 | 2.305 | 31.708 |
| 112.963 | 42.546 | 27.820 | 8.198 | -0.000 | 0.000 |
| 42.546 | 112.963 | 27.820 | -8.198 | -0.000 | 0.000 |
| 27.820 | 27.820 | 139.087 | 0.000 | -0.000 | -0.000 |
| 2.306 | -2.305 | 0.002 | 16.506 | -0.000 | 0.000 |
| 0.001 | 0.000 | 0.002 | -0.000 | 16.506 | 2.305 |
| -0.000 | -0.000 | 0.000 | 0.000 | 8.198 | 35.208 |
| 112.963 | 42.546 | 27.819 | 8.198 | 0.000 | -0.000 |
| 42.546 | 112.963 | 27.819 | -8.198 | 0.000 | 0.000 |
| 16.044 | 16.044 | 96.342 | -0.000 | 0.000 | -0.000 |
| 2.305 | -2.306 | -0.002 | 16.505 | 0.000 | 0.000 |
| -0.001 | -0.000 | -0.002 | 0.000 | 16.506 | 2.305 |
| 0.000 | 0.000 | -0.000 | -0.000 | 8.198 | 35.208 |
| 139.458 | 33.192 | 50.075 | -39.602 | 0.000 | 0.000 |
| 33.191 | 139.458 | 50.075 | 39.602 | 0.000 | 0.000 |
| 49.048 | 49.047 | 80.564 | -0.000 | 0.000 | 0.000 |
| -39.602 | 39.602 | 0.000 | 67.033 | -0.000 | 0.000 |
| 0.000 | 0.000 | 0.000 | -0.000 | 67.033 | -39.602 |
| 0.000 | 0.000 | 0.000 | -0.000 | -39.602 | 53.133 |
| 139.458 | 33.192 | 50.075 | -39.602 | 0.000 | -0.000 |
| 33.192 | 139.458 | 50.075 | 39.602 | -0.000 | -0.000 |
| 49.048 | 49.048 | 80.563 | 0.000 | 0.000 | -0.000 |
| -39.602 | 39.602 | -0.000 | 67.033 | -0.000 | -0.000 |
| -0.000 | -0.000 | -0.000 | 0.000 | 67.033 | -39.602 |
| -0.000 | -0.000 | -0.000 | 0.000 | -39.602 | 53.133 |
| 139.458 | 33.192 | 50.075 | -39.602 | 0.000 | 0.000 |
| 33.192 | 139.458 | 50.075 | 39.602 | 0.000 | 0.000 |
| 49.048 | 49.048 | 80.563 | -0.000 | -0.000 | 0.000 |
| -39.602 | 39.602 | -0.000 | 67.033 | -0.000 | 0.000 |
| -0.000 | 0.000 | -0.000 | -0.000 | 67.033 | -39.602 |
| 0.000 | 0.000 | 0.000 | -0.000 | -39.602 | 53.133 |
| 139.458 | 33.192 | 50.075 | -39.602 | -0.000 | -0.000 |
| 33.192 | 139.458 | 50.075 | 39.602 | 0.000 | -0.000 |
| 49.048 | 49.048 | 80.563 | 0.000 | 0.000 | -0.000 |
| -39.602 | 39.602 | 0.000 | 67.033 | 0.000 | -0.000 |
| -0.000 | -0.000 | 0.000 | 0.000 | 67.033 | -39.602 |
| -0.000 | -0.000 | -0.000 | 0.000 | -39.602 | 53.133 |
| 139.459 | 33.192 | 50.075 | -39.602 | 0.000 | 0.000 |
| 33.192 | 139.459 | 50.075 | 39.602 | -0.000 | 0.000 |
| 49.047 | 49.047 | 80.564 | 0.000 | -0.000 | 0.000 |
| -39.602 | 39.602 | -0.000 | 67.033 | -0.000 | 0.000 |
| -0.000 | 0.000 | -0.000 | -0.000 | 67.033 | -39.602 |
| 0.000 | 0.000 | 0.000 | -0.000 | -39.602 | 53.133 |
| 139.457 | 33.191 | 50.074 | -39.602 | -0.000 | -0.000 |
| 33.191 | 139.457 | 50.074 | 39.602 | -0.000 | -0.000 |
| 49.048 | 49.048 | 80.563 | 0.000 | -0.000 | -0.000 |
| -39.602 | 39.602 | 0.000 | 67.032 | -0.000 | -0.000 |
| 0.000 | -0.000 | 0.000 | 0.000 | 67.033 | -39.602 |
| -0.000 | -0.000 | -0.000 | 0.000 | -39.602 | 53.133 |
| 476.238 | 39.125 | 39.125 | 0.000 | 0.000 | 0.000 |
| 39.125 | 476.238 | 39.125 | -0.000 | 0.000 | 0.000 |
| 39.125 | 39.125 | 476.238 | -0.000 | 0.000 | 0.000 |
| -0.000 | -0.000 | -0.000 | 39.079 | 0.000 | 0.000 |
| -0.000 | -0.000 | -0.000 | 0.000 | 39.079 | 0.000 |
| -0.000 | -0.000 | -0.000 | 0.000 | 0.000 | 39.079 |
| 476.238 | 39.125 | 39.125 | -0.000 | -0.000 | -0.000 |
| 39.125 | 476.238 | 39.125 | 0.000 | -0.000 | -0.000 |
| 39.125 | 39.125 | 476.238 | -0.000 | -0.000 | -0.000 |
| 0.000 | 0.000 | 0.000 | 39.079 | -0.000 | -0.000 |
| 0.000 | 0.000 | 0.000 | -0.000 | 39.079 | -0.000 |
| 0.000 | 0.000 | 0.000 | 0.000 | -0.000 | 39.079 |
| 476.239 | 39.125 | 39.125 | 0.000 | 0.000 | 0.000 |
| 39.125 | 476.239 | 39.125 | 0.000 | 0.000 | 0.000 |
| 39.125 | 39.125 | 476.239 | 0.000 | 0.000 | 0.000 |
| -0.000 | -0.000 | -0.000 | 39.079 | 0.000 | 0.000 |
| -0.000 | -0.000 | -0.000 | 0.000 | 39.079 | 0.000 |
| -0.000 | -0.000 | -0.000 | 0.000 | 0.000 | 39.079 |
| 476.238 | 39.125 | 39.125 | 0.000 | -0.000 | -0.000 |
| 39.125 | 476.238 | 39.125 | -0.000 | -0.000 | -0.000 |
| 39.125 | 39.125 | 476.238 | 0.000 | -0.000 | -0.000 |
| 0.000 | 0.000 | 0.000 | 39.079 | -0.000 | 0.000 |
| 0.000 | 0.000 | 0.000 | -0.000 | 39.079 | -0.000 |
| 0.000 | 0.000 | 0.000 | -0.000 | -0.000 | 39.079 |
| 476.241 | 39.125 | 39.125 | -0.000 | 0.000 | -0.000 |
| 39.125 | 476.241 | 39.125 | 0.000 | 0.000 | 0.000 |
| 39.125 | 39.125 | 476.241 | 0.000 | -0.000 | 0.000 |
| -0.000 | -0.000 | -0.000 | 39.079 | 0.000 | 0.000 |
| -0.000 | -0.000 | -0.000 | 0.000 | 39.079 | 0.000 |
| -0.000 | -0.000 | -0.000 | 0.000 | 0.000 | 39.079 |
| 476.235 | 39.125 | 39.125 | 0.000 | -0.000 | -0.000 |
| 39.125 | 476.235 | 39.125 | -0.000 | -0.000 | -0.000 |
| 39.125 | 39.125 | 476.235 | -0.000 | -0.000 | -0.000 |
| 0.000 | 0.000 | 0.000 | 39.079 | -0.000 | -0.000 |
| 0.000 | 0.000 | 0.000 | 0.000 | 39.079 | -0.000 |
| 0.000 | 0.000 | 0.000 | -0.000 | -0.000 | 39.079 |
| 156.251 | 63.437 | 63.437 | -0.000 | -0.000 | -0.000 |
| 63.437 | 156.251 | 63.437 | -0.000 | -0.000 | -0.000 |
| 63.437 | 63.437 | 156.251 | -0.000 | -0.000 | -0.000 |
| -0.000 | -0.000 | -0.000 | 63.201 | -0.000 | -0.000 |
| -0.000 | -0.000 | -0.000 | -0.000 | 63.201 | 0.000 |
| -0.000 | -0.000 | -0.000 | -0.000 | -0.000 | 63.201 |
| 156.251 | 63.437 | 63.437 | 0.000 | 0.000 | 0.000 |
| 63.437 | 156.251 | 63.437 | 0.000 | 0.000 | 0.000 |
| 63.437 | 63.437 | 156.251 | 0.000 | 0.000 | 0.000 |
| 0.000 | 0.000 | 0.000 | 63.201 | 0.000 | 0.000 |
| 0.000 | 0.000 | 0.000 | 0.000 | 63.201 | -0.000 |
| 0.000 | 0.000 | 0.000 | 0.000 | 0.000 | 63.201 |
| 156.251 | 63.437 | 63.437 | -0.000 | 0.000 | 0.000 |
| 63.437 | 156.251 | 63.437 | 0.000 | -0.000 | -0.000 |
| 63.437 | 63.437 | 156.251 | -0.000 | -0.000 | -0.000 |
| -0.000 | -0.000 | -0.000 | 63.201 | -0.000 | -0.000 |
| -0.000 | -0.000 | -0.000 | -0.000 | 63.201 | 0.000 |
| -0.000 | -0.000 | -0.000 | -0.000 | -0.000 | 63.201 |
| 156.251 | 63.437 | 63.437 | 0.000 | 0.000 | 0.000 |
| 63.437 | 156.251 | 63.437 | 0.000 | 0.000 | 0.000 |
| 63.437 | 63.437 | 156.251 | 0.000 | 0.000 | 0.000 |
| 0.000 | 0.000 | 0.000 | 63.201 | 0.000 | 0.000 |
| 0.000 | 0.000 | 0.000 | 0.000 | 63.201 | -0.000 |
| 0.000 | 0.000 | 0.000 | 0.000 | 0.000 | 63.201 |
| 156.250 | 63.437 | 63.437 | -0.000 | -0.000 | -0.000 |
| 63.437 | 156.250 | 63.437 | -0.000 | -0.000 | -0.000 |
| 63.437 | 63.437 | 156.250 | -0.000 | -0.000 | -0.000 |
| -0.000 | -0.000 | -0.000 | 63.201 | -0.000 | -0.000 |
| -0.000 | -0.000 | -0.000 | -0.000 | 63.201 | -0.000 |
| -0.000 | -0.000 | -0.000 | -0.000 | -0.000 | 63.201 |
| 156.252 | 63.437 | 63.437 | 0.000 | 0.000 | -0.000 |
| 63.437 | 156.252 | 63.437 | -0.000 | 0.000 | 0.000 |
| 63.437 | 63.437 | 156.252 | 0.000 | 0.000 | 0.000 |
| 0.000 | 0.000 | 0.000 | 63.201 | 0.000 | 0.000 |
| 0.000 | 0.000 | 0.000 | 0.000 | 63.201 | -0.000 |
| 0.000 | 0.000 | 0.000 | 0.000 | 0.000 | 63.201 |
| 339.358 | -0.000 | -0.000 | -0.000 | 0.000 | 0.000 |
| -0.000 | 339.358 | -0.000 | 0.000 | -0.000 | 0.000 |
| -0.000 | -0.000 | 339.358 | 0.000 | 0.000 | -0.000 |
| 0.000 | -0.000 | 0.000 | 0.000 | 0.000 | 0.000 |
| -0.000 | 0.000 | 0.000 | 0.000 | 0.000 | 0.000 |
| -0.000 | 0.000 | 0.000 | 0.000 | 0.000 | 0.000 |
| 339.358 | -0.000 | -0.000 | -0.000 | 0.000 | 0.000 |
| -0.000 | 339.358 | -0.000 | 0.000 | -0.000 | 0.000 |
| -0.000 | -0.000 | 339.358 | 0.000 | 0.000 | 0.000 |
| -0.000 | 0.000 | -0.000 | 0.000 | -0.000 | -0.000 |
| 0.000 | -0.000 | -0.000 | -0.000 | 0.000 | -0.000 |
| 0.000 | -0.000 | -0.000 | -0.000 | -0.000 | 0.000 |
| 339.358 | -0.000 | -0.000 | -0.000 | -0.000 | -0.000 |
| -0.000 | 339.358 | -0.000 | 0.000 | -0.000 | 0.000 |
| -0.000 | -0.000 | 339.358 | 0.000 | 0.000 | -0.000 |
| 0.000 | -0.000 | -0.000 | 0.000 | 0.000 | 0.000 |
| -0.000 | 0.000 | -0.000 | 0.000 | 0.000 | 0.000 |
| -0.000 | -0.000 | 0.000 | 0.000 | 0.000 | 0.000 |
| 339.358 | -0.000 | -0.000 | 0.000 | 0.000 | -0.000 |
| -0.000 | 339.358 | -0.000 | 0.000 | 0.000 | 0.000 |
| -0.000 | -0.000 | 339.358 | 0.000 | 0.000 | -0.000 |
| -0.000 | 0.000 | 0.000 | 0.000 | 0.000 | -0.000 |
| 0.000 | -0.000 | 0.000 | 0.000 | 0.000 | -0.000 |
| 0.000 | 0.000 | -0.000 | -0.000 | -0.000 | 0.000 |
| 339.356 | -0.000 | -0.000 | -0.000 | 0.000 | 0.000 |
| -0.000 | 339.356 | -0.000 | 0.000 | -0.000 | -0.000 |
| -0.000 | -0.000 | 339.356 | -0.000 | -0.000 | -0.000 |
| 0.000 | 0.000 | -0.000 | 0.000 | -0.000 | 0.000 |
| 0.000 | 0.000 | -0.000 | -0.000 | 0.000 | 0.000 |
| 0.000 | -0.000 | 0.000 | -0.000 | 0.000 | 0.000 |
| 339.360 | -0.000 | -0.000 | 0.000 | 0.000 | -0.000 |
| -0.000 | 339.360 | -0.000 | 0.000 | 0.000 | 0.000 |
| -0.000 | -0.000 | 339.360 | 0.000 | 0.000 | 0.000 |
| -0.000 | 0.000 | 0.000 | 0.000 | 0.000 | -0.000 |
| 0.000 | -0.000 | 0.000 | 0.000 | 0.000 | -0.000 |
| 0.000 | 0.000 | -0.000 | 0.000 | -0.000 | 0.000 |
| 12.402 | -0.000 | -0.000 | -0.000 | 0.000 | 0.000 |
| -0.000 | 12.402 | -0.000 | 0.000 | -0.000 | 0.000 |
| -0.000 | -0.000 | 12.402 | 0.000 | 0.000 | -0.000 |
| -0.000 | -0.000 | -0.000 | 0.000 | 0.000 | 0.000 |
| -0.000 | -0.000 | -0.000 | 0.000 | 0.000 | 0.000 |
| -0.000 | -0.000 | -0.000 | 0.000 | 0.000 | 0.000 |
| 12.402 | -0.000 | -0.000 | 0.000 | -0.000 | -0.000 |
| -0.000 | 12.402 | -0.000 | -0.000 | 0.000 | 0.000 |
| -0.000 | -0.000 | 12.402 | -0.000 | -0.000 | 0.000 |
| 0.000 | -0.000 | 0.000 | 0.000 | -0.000 | -0.000 |
| -0.000 | 0.000 | 0.000 | -0.000 | 0.000 | -0.000 |
| -0.000 | 0.000 | 0.000 | -0.000 | -0.000 | 0.000 |
| 12.402 | -0.000 | -0.000 | 0.000 | 0.000 | 0.000 |
| -0.000 | 12.402 | -0.000 | 0.000 | 0.000 | 0.000 |
| -0.000 | -0.000 | 12.402 | 0.000 | 0.000 | 0.000 |
| -0.000 | -0.000 | -0.000 | 0.000 | -0.000 | 0.000 |
| -0.000 | -0.000 | -0.000 | -0.000 | 0.000 | 0.000 |
| -0.000 | -0.000 | -0.000 | 0.000 | 0.000 | 0.000 |
| 12.402 | -0.000 | -0.000 | -0.000 | -0.000 | -0.000 |
| -0.000 | 12.402 | -0.000 | 0.000 | -0.000 | -0.000 |
| -0.000 | -0.000 | 12.402 | -0.000 | -0.000 | -0.000 |
| 0.000 | 0.000 | 0.000 | 0.000 | 0.000 | -0.000 |
| 0.000 | 0.000 | 0.000 | 0.000 | 0.000 | -0.000 |
| 0.000 | 0.000 | 0.000 | -0.000 | -0.000 | 0.000 |
| 12.403 | -0.000 | -0.000 | -0.000 | 0.000 | 0.000 |
| -0.000 | 12.403 | -0.000 | 0.000 | -0.000 | -0.000 |
| -0.000 | -0.000 | 12.403 | -0.000 | -0.000 | -0.000 |
| -0.000 | 0.000 | -0.000 | 0.000 | 0.000 | 0.000 |
| 0.000 | -0.000 | -0.000 | 0.000 | 0.000 | 0.000 |
| 0.000 | -0.000 | -0.000 | 0.000 | 0.000 | 0.000 |
| 12.401 | -0.000 | -0.000 | 0.000 | 0.000 | 0.000 |
| -0.000 | 12.401 | -0.000 | 0.000 | -0.000 | -0.000 |
| -0.000 | -0.000 | 12.401 | -0.000 | -0.000 | 0.000 |
| 0.000 | 0.000 | 0.000 | 0.000 | -0.000 | -0.000 |
| 0.000 | 0.000 | 0.000 | -0.000 | 0.000 | -0.000 |
| 0.000 | 0.000 | 0.000 | -0.000 | -0.000 | 0.000 |
| 223.923 | 80.804 | 89.173 | 0.000 | 2.855 | 0.000 |
| 81.323 | 489.465 | 45.593 | 0.000 | 0.821 | 0.000 |
| 88.499 | 46.444 | 241.961 | 0.000 | 0.746 | 0.000 |
| 0.000 | -0.000 | -0.000 | 40.443 | 0.000 | 0.093 |
| 2.258 | 0.871 | 0.879 | -0.000 | 65.524 | 0.000 |
| 0.000 | -0.000 | -0.000 | 0.238 | 0.000 | 57.053 |
| 226.808 | 77.691 | 88.189 | -0.000 | 3.014 | -0.000 |
| 81.323 | 489.465 | 45.593 | 0.000 | 0.821 | -0.000 |
| 88.499 | 46.444 | 241.961 | 0.000 | 0.746 | 0.000 |
| -0.000 | 0.000 | 0.000 | 40.443 | -0.000 | 0.093 |
| 2.258 | 0.871 | 0.879 | 0.000 | 65.524 | -0.000 |
| -0.000 | 0.000 | 0.000 | 0.238 | -0.000 | 57.053 |
| 223.923 | 80.804 | 89.173 | 0.000 | 2.855 | 0.000 |
| 81.323 | 489.465 | 45.593 | -0.000 | 0.821 | 0.000 |
| 88.499 | 46.444 | 241.961 | 0.000 | 0.746 | 0.000 |
| 0.000 | 0.000 | 0.000 | 40.443 | 0.000 | 0.093 |
| 2.258 | 0.871 | 0.879 | 0.000 | 65.524 | 0.000 |
| 0.000 | 0.000 | -0.000 | 0.238 | 0.000 | 57.053 |
| 226.808 | 77.691 | 88.189 | -0.000 | 3.014 | -0.000 |
| 78.216 | 492.827 | 46.658 | 0.000 | 0.632 | -0.000 |
| 89.483 | 45.377 | 241.621 | 0.000 | 0.812 | 0.000 |
| -0.000 | -0.000 | -0.000 | 40.443 | -0.000 | 0.093 |
| 2.258 | 0.871 | 0.879 | 0.000 | 65.524 | 0.000 |
| -0.000 | -0.000 | 0.000 | 0.238 | -0.000 | 57.053 |
| 223.925 | 80.804 | 89.173 | 0.000 | 2.854 | 0.000 |
| 81.323 | 489.471 | 45.594 | 0.000 | 0.821 | 0.000 |
| 89.475 | 45.379 | 241.622 | 0.000 | 0.824 | 0.000 |
| 0.000 | 0.001 | 0.000 | 40.443 | 0.000 | 0.093 |
| 2.453 | 0.678 | 0.824 | 0.000 | 65.501 | 0.000 |
| 0.000 | 0.000 | -0.000 | 0.238 | -0.000 | 57.053 |
| 226.806 | 77.691 | 88.188 | 0.000 | 3.014 | -0.000 |
| 81.323 | 489.459 | 45.592 | -0.000 | 0.821 | -0.000 |
| 89.483 | 45.376 | 241.620 | 0.000 | 0.812 | -0.000 |
| -0.000 | -0.001 | -0.000 | 40.443 | -0.000 | 0.093 |
| 2.580 | 0.488 | 0.746 | -0.000 | 65.608 | 0.000 |
| -0.000 | -0.000 | 0.000 | 0.238 | 0.000 | 57.053 |
| 103.753 | 45.814 | 64.988 | 10.140 | 0.000 | -0.000 |
| 45.814 | 103.753 | 64.988 | -10.140 | 0.000 | -0.000 |
| -112.611 | -112.611 | -311.077 | -0.000 | 0.000 | -0.000 |
| 10.386 | -10.386 | 0.000 | 17.853 | 0.000 | -0.000 |
| 0.000 | 0.000 | 0.000 | -0.000 | 17.853 | 10.386 |
| 0.000 | 0.000 | 0.000 | 0.000 | 10.386 | 29.101 |
| 100.272 | 42.071 | 29.564 | 10.386 | -0.000 | -0.000 |
| 42.071 | 100.272 | 29.564 | -10.386 | -0.000 | 0.000 |
| 29.564 | 29.564 | 94.758 | 0.000 | -0.000 | -0.000 |
| 10.386 | -10.386 | -0.000 | 17.853 | -0.000 | -0.000 |
| -0.000 | -0.000 | -0.000 | 0.000 | 17.853 | 10.386 |
| -0.000 | -0.000 | -0.000 | 0.000 | 10.386 | 29.101 |
| 100.272 | 42.071 | 29.564 | 10.386 | 0.000 | 0.000 |
| 42.071 | 100.272 | 29.564 | -10.386 | 0.000 | 0.000 |
| -9.085 | -9.085 | -30.273 | -0.000 | 0.000 | 0.000 |
| 10.386 | -10.386 | 0.000 | 17.853 | 0.000 | 0.000 |
| -0.000 | 0.000 | 0.000 | 0.000 | 17.853 | 10.386 |
| -0.000 | 0.000 | 0.000 | 0.000 | 10.386 | 29.101 |
| 98.912 | 40.956 | 23.034 | 10.156 | -0.000 | -0.000 |
| 42.482 | 99.443 | 25.083 | -9.235 | -0.000 | 0.000 |
| 29.564 | 29.564 | 94.758 | -0.000 | -0.000 | 0.000 |
| 9.685 | -10.591 | -3.894 | 17.381 | -0.000 | 0.000 |
| 0.000 | -0.000 | -0.000 | -0.000 | 17.853 | 10.386 |
| 0.000 | -0.000 | -0.000 | -0.000 | 10.386 | 29.101 |
| 100.272 | 42.071 | 29.564 | 10.386 | 0.000 | 0.000 |
| 42.071 | 100.272 | 29.564 | -10.386 | 0.000 | -0.000 |
| 7.684 | 7.684 | 21.978 | -0.000 | 0.000 | 0.000 |
| 10.386 | -10.386 | 0.000 | 17.853 | 0.000 | -0.000 |
| -0.000 | 0.000 | 0.000 | 0.000 | 17.853 | 10.386 |
| -0.000 | 0.000 | 0.000 | 0.000 | 10.386 | 29.101 |
| 100.272 | 42.071 | 29.564 | 10.386 | -0.000 | -0.000 |
| 42.071 | 100.273 | 29.564 | -10.386 | -0.000 | -0.000 |
| 23.235 | 23.235 | 70.601 | 0.000 | -0.000 | 0.000 |
| 9.603 | -9.845 | -1.039 | 16.594 | -0.000 | -0.000 |
| 0.000 | -0.000 | -0.000 | -0.000 | 17.853 | 10.386 |
| 0.000 | -0.000 | -0.000 | -0.000 | 10.386 | 29.101 |
| 98.621 | 40.735 | 32.317 | 10.096 | -0.000 | -0.000 |
| 40.735 | 98.621 | 32.317 | -10.096 | -0.000 | -0.000 |
| -59.257 | -59.257 | -178.373 | 0.000 | 0.000 | -0.000 |
| 10.385 | -10.385 | -0.000 | 17.851 | -0.000 | -0.000 |
| -0.000 | -0.000 | -0.000 | 0.000 | 17.851 | 10.385 |
| -0.430 | -0.430 | 6.050 | 0.000 | 10.113 | 28.952 |
| 100.261 | 42.066 | 29.561 | 10.385 | -0.000 | 0.000 |
| 42.066 | 100.261 | 29.561 | -10.385 | 0.000 | 0.000 |
| 26.882 | 26.882 | 77.933 | 0.000 | -0.000 | 0.000 |
| 10.385 | -10.385 | 0.000 | 17.851 | -0.000 | 0.000 |
| 0.000 | 0.000 | 0.000 | 0.000 | 17.851 | 10.385 |
| 0.430 | 0.430 | -6.050 | 0.000 | 10.113 | 28.952 |
| 100.261 | 42.066 | 29.561 | 10.385 | -0.000 | -0.000 |
| 42.066 | 100.261 | 29.561 | -10.385 | 0.000 | -0.000 |
| 29.561 | 29.561 | 94.748 | -0.000 | 0.000 | -0.000 |
| 2.296 | -12.305 | -14.310 | 12.043 | -0.000 | -0.000 |
| -0.000 | -0.000 | 0.000 | 0.000 | 17.851 | 10.385 |
| -0.000 | 0.000 | -0.000 | 0.000 | 10.385 | 29.098 |
| 100.261 | 42.066 | 29.561 | 10.385 | -0.000 | 0.000 |
| 42.066 | 100.261 | 29.561 | -10.385 | 0.000 | 0.000 |
| 29.561 | 29.561 | 94.748 | 0.000 | 0.000 | 0.000 |
| 13.767 | 0.999 | 22.896 | 10.550 | 0.000 | 0.000 |
| 0.000 | 0.000 | -0.000 | -0.000 | 17.851 | 10.385 |
| 0.000 | -0.000 | 0.000 | -0.000 | 10.385 | 29.098 |
| 100.261 | 42.066 | 29.561 | 10.385 | -0.000 | -0.000 |
| 34.704 | 89.682 | 0.603 | -7.411 | -0.000 | -0.000 |
| 9.236 | 9.236 | 26.301 | 0.000 | -0.000 | -0.000 |
| 6.602 | -7.805 | -1.876 | 11.871 | 0.000 | -0.000 |
| -0.000 | 0.000 | 0.000 | 0.000 | 17.851 | 10.385 |
| -0.000 | 0.000 | 0.000 | 0.000 | 10.385 | 29.098 |
| 100.261 | 42.066 | 29.561 | 10.385 | -0.000 | 0.000 |
| 42.066 | 100.262 | 29.561 | -10.385 | 0.000 | 0.000 |
| 10.856 | 10.856 | 31.139 | -0.000 | 0.000 | 0.000 |
| 7.805 | -6.602 | 1.876 | 11.871 | 0.000 | 0.000 |
| 0.000 | -0.000 | -0.000 | -0.000 | 17.851 | 10.385 |
| 0.000 | -0.000 | -0.000 | -0.000 | 10.385 | 29.098 |
| -16.460 | -74.303 | -632.052 | -9.998 | -0.000 | 0.000 |
| -74.307 | -16.464 | -632.074 | 9.998 | -0.000 | 0.000 |
| 29.653 | 29.653 | 94.904 | 0.000 | -0.000 | 0.000 |
| 103.728 | 107.097 | -22.208 | 2.949 | -0.000 | 0.000 |
| -128.538 | -128.538 | -754.544 | 0.000 | 16.675 | -9.762 |
| -115.212 | -115.212 | -656.473 | 0.000 | -9.998 | 28.921 |
| 213.964 | 156.121 | 680.893 | -9.998 | 0.000 | -0.000 |
| 42.153 | 100.427 | 29.671 | 10.401 | -0.000 | -0.000 |
| 29.653 | 29.653 | 94.904 | -0.000 | 0.000 | -0.000 |
| 105.213 | 125.209 | 656.467 | 17.116 | 0.000 | -0.000 |
| 128.538 | 128.538 | 754.544 | -0.000 | 16.675 | -9.762 |
| 115.212 | 115.212 | 656.473 | -0.000 | -9.998 | 28.921 |
| 100.427 | 42.153 | 29.671 | -10.401 | -0.000 | 0.000 |
| 42.153 | 100.427 | 29.671 | 10.401 | -0.000 | 0.000 |
| 12.716 | 12.716 | 8.614 | 0.000 | -0.000 | 0.000 |
| -22.626 | -3.106 | -75.537 | 16.672 | -0.000 | 0.000 |
| -11.525 | -11.525 | -65.671 | -0.000 | 17.116 | -9.998 |
| -0.000 | 0.000 | -0.000 | -0.000 | -10.401 | 29.137 |
| 100.427 | 42.153 | 29.671 | -10.401 | 0.000 | -0.000 |
| 42.153 | 100.427 | 29.671 | 10.401 | 0.000 | -0.000 |
| 35.765 | 35.765 | 148.376 | -0.000 | 0.000 | -0.000 |
| 1.528 | 21.523 | 65.671 | 17.116 | 0.000 | -0.000 |
| 11.525 | 11.525 | 65.671 | 0.000 | 17.116 | -9.998 |
| 0.000 | -0.000 | 0.000 | 0.000 | -10.401 | 29.137 |
| 100.427 | 42.153 | 29.671 | -10.401 | 0.000 | 0.000 |
| 39.620 | 97.435 | 17.198 | 9.971 | -0.000 | 0.000 |
| 12.233 | 12.233 | 34.959 | 0.000 | -0.000 | 0.000 |
| -11.178 | 8.788 | -6.808 | 17.087 | -0.000 | 0.000 |
| -1.195 | -1.195 | -6.808 | -0.000 | 17.087 | -9.983 |
| -0.000 | 0.000 | -0.000 | -0.000 | -10.401 | 29.137 |
| 100.427 | 42.153 | 29.672 | -10.401 | 0.000 | -0.000 |
| 42.153 | 100.427 | 29.672 | 10.401 | 0.000 | -0.000 |
| 29.653 | 29.653 | 94.904 | -0.000 | 0.000 | -0.000 |
| -7.139 | -0.011 | -7.577 | 6.001 | 0.000 | -0.000 |
| 1.195 | 1.195 | 6.808 | 0.000 | 17.087 | -9.983 |
| 0.000 | -0.000 | 0.000 | 0.000 | -10.401 | 29.137 |
| 258.716 | 62.131 | 167.743 | -0.000 | 0.000 | -0.000 |
| 113.563 | 201.096 | 113.567 | 0.000 | 0.000 | 0.000 |
| 167.742 | 62.130 | 258.764 | 0.000 | 0.000 | 0.000 |
| 40.788 | -98.748 | 40.791 | 10.400 | 0.000 | 0.000 |
| 66.807 | -161.719 | 66.812 | 0.000 | 159.835 | -0.000 |
| 40.310 | -97.591 | 40.313 | -0.000 | 0.000 | 26.248 |
| 212.262 | 174.590 | 121.287 | 0.000 | -0.000 | -0.000 |
| 59.064 | 333.027 | 59.064 | 0.000 | -0.000 | 0.000 |
| 121.289 | 174.589 | 212.306 | -0.000 | -0.000 | 0.000 |
| -40.788 | 98.748 | -40.791 | 10.400 | -0.000 | 0.000 |
| -66.807 | 161.719 | -66.812 | 0.000 | 159.835 | 0.000 |
| -40.310 | 97.591 | -40.313 | 0.000 | -0.000 | 26.248 |
| 256.115 | 68.421 | 165.143 | 0.000 | 0.000 | -0.000 |
| 76.854 | 289.969 | 76.855 | 0.000 | 0.000 | 0.000 |
| 167.743 | 62.130 | 258.764 | -0.000 | 0.000 | -0.000 |
| 6.699 | -16.217 | 6.700 | 32.900 | 0.000 | -0.000 |
| 6.681 | -16.172 | 6.681 | 0.000 | 159.835 | -0.000 |
| 6.699 | -16.217 | 6.700 | 0.000 | 0.000 | 29.832 |
| 258.715 | 62.131 | 167.743 | -0.000 | -0.000 | 0.000 |
| 59.064 | 333.027 | 59.064 | -0.000 | -0.000 | 0.000 |
| 167.742 | 62.130 | 258.763 | -0.000 | -0.000 | -0.000 |
| -6.699 | 16.217 | -6.700 | 32.900 | -0.000 | 0.000 |
| -6.681 | 16.172 | -6.681 | 0.000 | 159.835 | -0.000 |
| -6.699 | 16.217 | -6.700 | 0.000 | -0.000 | 29.832 |
| 258.719 | 62.131 | 167.745 | -0.000 | 0.000 | -0.000 |
| 73.183 | 298.857 | 73.184 | 0.000 | 0.000 | 0.000 |
| 160.418 | 79.859 | 251.441 | -0.000 | 0.000 | -0.000 |
| 0.837 | -2.025 | 0.837 | 30.959 | 0.000 | 0.000 |
| 0.001 | -0.000 | 0.001 | -0.000 | 159.835 | -0.000 |
| 0.408 | -0.988 | 0.408 | 0.000 | 0.000 | 7.333 |
| 250.523 | 81.950 | 159.553 | 0.000 | -0.000 | -0.000 |
| 74.063 | 296.722 | 74.064 | 0.000 | -0.000 | 0.000 |
| 159.552 | 81.950 | 250.570 | -0.000 | -0.000 | 0.000 |
| -0.837 | 2.025 | -0.837 | 30.959 | -0.000 | -0.000 |
| -0.001 | 0.000 | -0.001 | -0.000 | 159.835 | -0.000 |
| -0.408 | 0.988 | -0.408 | 0.000 | -0.000 | 7.333 |
| 151.753 | 71.415 | 71.415 | -0.000 | -0.000 | 0.000 |
| 71.415 | 151.753 | 71.415 | 0.000 | -0.000 | 0.000 |
| 71.415 | 71.415 | 151.753 | -0.000 | -0.000 | -0.000 |
| 8.454 | 8.454 | 8.454 | 5.102 | -0.000 | -0.000 |
| 8.454 | 8.454 | 8.454 | -0.000 | 5.102 | 0.000 |
| 8.454 | 8.454 | 8.454 | -0.000 | -0.000 | 5.102 |
| 172.428 | 52.403 | 52.403 | 0.000 | 0.000 | -0.000 |
| 52.403 | 172.428 | 52.403 | 0.000 | 0.000 | -0.000 |
| 52.403 | 52.403 | 172.428 | 0.000 | 0.000 | -0.000 |
| -8.454 | -8.454 | -8.454 | 5.102 | 0.000 | -0.000 |
| -8.454 | -8.454 | -8.454 | -0.000 | 5.102 | 0.000 |
| -8.454 | -8.454 | -8.454 | 0.000 | 0.000 | 5.102 |
| 172.429 | 52.403 | 52.403 | 0.000 | -0.000 | 0.000 |
| 52.403 | 172.429 | 52.403 | -0.000 | -0.000 | -0.000 |
| 52.403 | 52.403 | 172.429 | -0.000 | -0.000 | 0.000 |
| 0.000 | 0.000 | 0.000 | 28.184 | -0.000 | -0.000 |
| 0.000 | -0.000 | 0.000 | -0.000 | 28.184 | 0.000 |
| 0.000 | 0.000 | -0.000 | 0.000 | -0.000 | 28.184 |
| 172.428 | 52.403 | 52.403 | -0.000 | 0.000 | 0.000 |
| 52.403 | 172.428 | 52.403 | 0.000 | 0.000 | -0.000 |
| 52.403 | 52.403 | 172.428 | 0.000 | 0.000 | 0.000 |
| -0.000 | -0.000 | -0.000 | 28.184 | 0.000 | 0.000 |
| -0.000 | -0.000 | -0.000 | 0.000 | 28.184 | -0.000 |
| -0.000 | -0.000 | -0.000 | 0.000 | 0.000 | 28.184 |
| 172.430 | 52.403 | 52.403 | -0.000 | -0.000 | -0.000 |
| 52.403 | 172.430 | 52.403 | -0.000 | 0.000 | -0.000 |
| 52.403 | 52.403 | 172.430 | -0.000 | -0.000 | 0.000 |
| -0.000 | 0.000 | 0.000 | 28.184 | -0.000 | -0.000 |
| 0.000 | -0.000 | 0.000 | 0.000 | 28.184 | 0.000 |
| 0.000 | 0.000 | -0.000 | 0.000 | -0.000 | 28.184 |
| 152.996 | 57.289 | 57.289 | 0.000 | 0.000 | -0.000 |
| 57.289 | 152.996 | 57.289 | 0.000 | 0.000 | 0.000 |
| 57.289 | 57.289 | 152.996 | 0.000 | -0.000 | -0.000 |
| 0.000 | -0.000 | -0.000 | 28.184 | 0.000 | -0.000 |
| -0.000 | 0.000 | -0.000 | 0.000 | 28.184 | -0.000 |
| -0.000 | -0.000 | 0.000 | 0.000 | 0.000 | 28.184 |
| 135.465 | 85.022 | 85.022 | -0.000 | -0.000 | -0.000 |
| 85.022 | 135.465 | 85.022 | -0.000 | -0.000 | -0.000 |
| 85.022 | 85.022 | 135.465 | -0.000 | -0.000 | -0.000 |
| 0.000 | 0.000 | 0.000 | 49.727 | -0.000 | 0.000 |
| 0.000 | 0.000 | 0.000 | -0.000 | 49.727 | 0.000 |
| 0.000 | 0.000 | 0.000 | 0.000 | -0.000 | 49.727 |
| 135.465 | 85.022 | 85.022 | 0.000 | 0.000 | 0.000 |
| 85.022 | 135.465 | 85.022 | 0.000 | 0.000 | 0.000 |
| 116.998 | 117.025 | 155.504 | -0.001 | 0.007 | -0.017 |
| -0.000 | 0.000 | -0.000 | 49.727 | -0.000 | -0.000 |
| -0.000 | 0.000 | -0.000 | 0.000 | 49.727 | 0.000 |
| -0.000 | 0.000 | -0.000 | 0.000 | 0.000 | 49.727 |
| 135.465 | 85.022 | 85.022 | -0.000 | -0.000 | -0.000 |
| 85.022 | 135.465 | 85.022 | -0.000 | -0.000 | -0.000 |
| 85.022 | 85.022 | 135.465 | -0.000 | -0.000 | -0.000 |
| -1.920 | -1.917 | -1.925 | 30.185 | 0.001 | -0.002 |
| -1.920 | -1.917 | -1.925 | -0.000 | 30.185 | -0.002 |
| -1.920 | -1.917 | -1.924 | -0.000 | 0.001 | 30.185 |
| 135.464 | 85.022 | 85.022 | 0.000 | 0.000 | 0.000 |
| 85.022 | 135.464 | 85.022 | 0.000 | 0.000 | 0.000 |
| 85.022 | 85.022 | 135.464 | 0.000 | 0.000 | 0.000 |
| 1.920 | 1.917 | 1.925 | 30.185 | -0.001 | 0.002 |
| 1.920 | 1.917 | 1.924 | 0.000 | 30.185 | 0.002 |
| 1.920 | 1.917 | 1.925 | 0.000 | -0.001 | 30.185 |
| 135.465 | 85.022 | 85.022 | -0.000 | -0.000 | 0.000 |
| 85.022 | 135.465 | 85.022 | -0.000 | -0.000 | -0.000 |
| 85.022 | 85.022 | 135.465 | -0.000 | -0.000 | 0.000 |
| 0.000 | 0.000 | 0.000 | 49.727 | -0.000 | -0.000 |
| 0.000 | 0.000 | 0.000 | -0.000 | 49.727 | 0.000 |
| 0.000 | 0.000 | 0.000 | -0.000 | -0.000 | 49.727 |
| 135.464 | 85.022 | 85.022 | 0.000 | 0.000 | 0.000 |
| 85.022 | 135.464 | 85.022 | 0.000 | 0.000 | 0.000 |
| 85.022 | 85.022 | 135.464 | 0.000 | 0.000 | 0.000 |
| -0.000 | -0.000 | -0.000 | 49.727 | -0.000 | -0.000 |
| -0.000 | -0.000 | -0.000 | -0.000 | 49.727 | 0.000 |
| -0.000 | -0.000 | -0.000 | 0.000 | -0.000 | 49.727 |
| 134.595 | 84.255 | 84.255 | 0.000 | 0.000 | 0.000 |
| 84.255 | 134.595 | 84.255 | 0.000 | 0.000 | 0.000 |
| 84.255 | 84.255 | 134.595 | 0.000 | 0.000 | 0.000 |
| -0.000 | 0.000 | 0.000 | 49.509 | 0.000 | -0.000 |
| -0.000 | -0.000 | 0.000 | -0.000 | 49.509 | 0.000 |
| -0.000 | 0.000 | -0.000 | -0.000 | 0.000 | 49.509 |
| 134.595 | 84.255 | 84.255 | 0.000 | 0.000 | -0.000 |
| 84.255 | 134.595 | 84.255 | -0.000 | -0.000 | -0.000 |
| 84.255 | 84.255 | 134.595 | -0.000 | -0.000 | -0.000 |
| 0.000 | 0.000 | -0.000 | 49.509 | 0.000 | -0.000 |
| 0.000 | -0.000 | -0.000 | 0.000 | 49.509 | -0.000 |
| -0.000 | -0.000 | -0.000 | -0.000 | 0.000 | 49.509 |
| 110.130 | 83.820 | 83.820 | 0.000 | -0.000 | -0.000 |
| 83.820 | 110.130 | 83.820 | 0.000 | -0.000 | -0.000 |
| 83.820 | 83.820 | 110.130 | 0.000 | -0.000 | -0.000 |
| 0.000 | 0.000 | 0.000 | 49.509 | 0.000 | 0.000 |
| 0.000 | 0.000 | 0.000 | -0.000 | 49.509 | 0.000 |
| 0.000 | 0.000 | 0.000 | 0.000 | 0.000 | 49.509 |
| 134.594 | 84.255 | 84.255 | -0.000 | 0.000 | 0.000 |
| 84.255 | 134.594 | 84.255 | 0.000 | -0.000 | -0.000 |
| 84.255 | 84.255 | 134.594 | 0.000 | 0.000 | 0.000 |
| -0.000 | -0.000 | -0.000 | 49.509 | -0.000 | 0.000 |
| -0.000 | -0.000 | -0.000 | 0.000 | 49.509 | -0.000 |
| -0.000 | -0.000 | -0.000 | 0.000 | -0.000 | 49.509 |
| 134.595 | 84.255 | 84.255 | -0.000 | 0.000 | 0.000 |
| 84.255 | 134.595 | 84.255 | -0.000 | 0.000 | 0.000 |
| 84.255 | 84.255 | 134.595 | -0.000 | 0.000 | 0.000 |
| -0.059 | -0.059 | -0.059 | 30.329 | 0.000 | -0.000 |
| -0.059 | -0.059 | -0.059 | 0.000 | 30.329 | -0.000 |
| -0.059 | -0.059 | -0.059 | 0.000 | 0.000 | 30.329 |
| 134.594 | 84.254 | 84.254 | -0.000 | -0.000 | -0.000 |
| 84.254 | 134.594 | 84.254 | 0.000 | 0.000 | -0.000 |
| 84.254 | 84.254 | 134.594 | -0.000 | -0.000 | -0.000 |
| 0.059 | 0.059 | 0.059 | 30.329 | -0.000 | 0.000 |
| 0.059 | 0.059 | 0.059 | -0.000 | 30.329 | 0.000 |
| 0.059 | 0.059 | 0.059 | -0.000 | -0.000 | 30.329 |
| 160.585 | -21.614 | 72.184 | 0.000 | 0.000 | -0.000 |
| -22.639 | 276.295 | 36.629 | 0.000 | -0.000 | -0.000 |
| 73.280 | 38.751 | 178.546 | 0.000 | -0.000 | -0.000 |
| -0.000 | 0.000 | 0.000 | 18.363 | -0.000 | 0.000 |
| 0.000 | 0.000 | 0.000 | -0.000 | 53.152 | 0.000 |
| 0.000 | 0.000 | 0.000 | 0.000 | -0.000 | -46.267 |
| 160.585 | -21.614 | 72.184 | -0.000 | 0.000 | 0.000 |
| -22.639 | 276.294 | 36.629 | -0.000 | -0.000 | 0.000 |
| 76.530 | 53.445 | 174.350 | -0.000 | 0.000 | -0.000 |
| 0.000 | 0.000 | -0.000 | 18.363 | 0.000 | 0.000 |
| -0.000 | -0.000 | -0.000 | 0.000 | 53.152 | -0.000 |
| -0.000 | -0.000 | -0.000 | -0.000 | 0.000 | -46.267 |
| 158.069 | -32.992 | 75.434 | 0.000 | 0.000 | -0.000 |
| -34.018 | 224.840 | 51.323 | 0.000 | -0.000 | -0.000 |
| 73.280 | 38.751 | 178.546 | 0.000 | -0.000 | -0.000 |
| 0.000 | 0.000 | 0.000 | 18.363 | -0.000 | 0.000 |
| 0.000 | 0.000 | 0.000 | 0.000 | 53.152 | 0.000 |
| 20779959.698 | -80236727.544 | -4346470.222 | 0.000 | -0.000 | -7141785.202 |
| 160.585 | -21.614 | 72.184 | -0.000 | 0.000 | 0.000 |
| -22.639 | 276.294 | 36.629 | -0.000 | -0.000 | 0.000 |
| 76.530 | 53.445 | 174.350 | -0.000 | 0.000 | -0.000 |
| -0.000 | -0.000 | -0.000 | 18.363 | 0.000 | 0.000 |
| -0.000 | -0.000 | -0.000 | -0.000 | 53.152 | 0.000 |
| -20779959.715 | 80236727.617 | 4346470.255 | -0.000 | -0.000 | -7141785.105 |
| 160.587 | -21.613 | 72.185 | 0.000 | -0.000 | -0.000 |
| -34.018 | 224.842 | 51.324 | 0.000 | -0.000 | 0.000 |
| 76.530 | 53.446 | 174.351 | 0.000 | -0.000 | 0.000 |
| 0.001 | 0.001 | 0.000 | -17.770 | -0.000 | 0.000 |
| 0.001 | 0.000 | 0.000 | 0.000 | 53.152 | 0.000 |
| 2077977.919 | -8023603.942 | -434634.610 | 0.000 | -0.000 | -714243.627 |
| 158.067 | -32.993 | 75.433 | 0.000 | -0.000 | -0.000 |
| -34.021 | 224.825 | 51.325 | -0.000 | -0.000 | -0.000 |
| 76.530 | 53.445 | 174.349 | -0.000 | 0.000 | 0.000 |
| -0.001 | -0.001 | -0.000 | -17.770 | 0.000 | -0.000 |
| -0.001 | -0.000 | -0.000 | -0.000 | 53.152 | -0.000 |
| -2077977.918 | 8023603.941 | 434634.610 | -0.000 | 0.000 | -714243.628 |
| 220.821 | 120.509 | 95.060 | -0.000 | 0.000 | -0.000 |
| 118.251 | 223.541 | 95.656 | -0.000 | 0.000 | -0.000 |
| 93.968 | 96.822 | 223.766 | -0.000 | -0.000 | -0.000 |
| -1.480 | 1.458 | 0.005 | 44.402 | -0.000 | -0.000 |
| -1.480 | 1.458 | 0.005 | -0.000 | 43.413 | -0.000 |
| -1.508 | 1.486 | 0.005 | -0.000 | -0.000 | 48.899 |
| 223.782 | 117.592 | 95.050 | 0.000 | -0.000 | 0.000 |
| 109.980 | 231.689 | 95.684 | 0.000 | -0.000 | 0.000 |
| 96.929 | 93.905 | 223.756 | 0.000 | 0.000 | 0.000 |
| 1.480 | -1.458 | -0.005 | 44.402 | 0.000 | 0.000 |
| 1.480 | -1.458 | -0.005 | 0.000 | 43.413 | 0.000 |
| 1.508 | -1.486 | -0.005 | 0.000 | 0.000 | 48.899 |
| 222.154 | 119.197 | 95.056 | -0.000 | -0.000 | -0.000 |
| 119.583 | 222.229 | 95.651 | -0.000 | 0.000 | -0.000 |
| 95.301 | 95.509 | 223.761 | -0.000 | 0.000 | -0.000 |
| -0.147 | 0.145 | 0.001 | 44.402 | 0.000 | -0.000 |
| -0.148 | 0.146 | 0.001 | -0.000 | 43.413 | -0.000 |
| -0.151 | 0.149 | 0.001 | -0.000 | -0.000 | 48.894 |
| 222.450 | 118.905 | 95.054 | 0.000 | -0.000 | 0.000 |
| 119.879 | 221.937 | 95.650 | 0.000 | -0.000 | 0.000 |
| 95.597 | 95.218 | 223.760 | 0.000 | -0.000 | 0.000 |
| 0.147 | -0.145 | -0.001 | 44.402 | 0.000 | 0.000 |
| 0.148 | -0.146 | -0.001 | 0.000 | 43.413 | 0.000 |
| 0.151 | -0.149 | -0.001 | 0.000 | 0.000 | 48.894 |
| 232.201 | 109.300 | 95.021 | -0.000 | -0.000 | -0.000 |
| 109.981 | 231.690 | 95.684 | -0.000 | -0.000 | -0.000 |
| 95.434 | 95.379 | 223.761 | -0.000 | -0.000 | -0.000 |
| -0.010 | 0.010 | 0.000 | 44.402 | 0.000 | -0.000 |
| -0.015 | 0.015 | 0.000 | -0.000 | 43.413 | -0.000 |
| -0.000 | 0.000 | 0.000 | -0.000 | -0.000 | 59.039 |
| 222.316 | 119.036 | 95.055 | 0.000 | 0.000 | 0.000 |
| 119.746 | 222.068 | 95.650 | 0.000 | 0.000 | 0.000 |
| 95.463 | 95.348 | 223.760 | 0.000 | 0.000 | 0.000 |
| 0.010 | -0.010 | -0.000 | 44.402 | 0.000 | 0.000 |
| 0.015 | -0.015 | -0.000 | 0.000 | 43.413 | 0.000 |
| 0.000 | -0.000 | -0.000 | 0.000 | -0.000 | 59.039 |
| 227.199 | 108.591 | 92.354 | 8.634 | -0.000 | -0.000 |
| 118.086 | 217.622 | 92.535 | -8.846 | -0.000 | -0.000 |
| 92.392 | 92.392 | 228.406 | -0.000 | 0.000 | -0.000 |
| 8.850 | -8.850 | -0.000 | 42.709 | -0.000 | -0.000 |
| 0.000 | 0.000 | 0.000 | -0.000 | 42.713 | 8.634 |
| -0.000 | -0.000 | 0.000 | -0.000 | 8.634 | 59.304 |
| 217.622 | 118.086 | 92.535 | 8.846 | 0.000 | 0.000 |
| 118.086 | 217.622 | 92.535 | -8.846 | -0.000 | 0.000 |
| 92.392 | 92.392 | 228.406 | 0.000 | 0.000 | 0.000 |
| 8.850 | -8.850 | -0.000 | 42.709 | 0.000 | 0.000 |
| -0.000 | 0.000 | -0.000 | 0.000 | 42.714 | 8.635 |
| 0.000 | 0.000 | -0.000 | 0.000 | 8.634 | 59.304 |
| 227.199 | 108.591 | 92.354 | 8.634 | -0.000 | -0.000 |
| 108.591 | 227.199 | 92.354 | -8.634 | 0.000 | -0.000 |
| 92.354 | 92.354 | 228.575 | -0.000 | 0.000 | -0.000 |
| 8.634 | -8.634 | 0.000 | 42.714 | 0.000 | -0.000 |
| -0.000 | 0.000 | 0.000 | 0.000 | 42.709 | 8.850 |
| -0.000 | 0.000 | -0.000 | -0.000 | 8.634 | 59.304 |
| 217.622 | 118.086 | 92.535 | 8.846 | 0.000 | 0.000 |
| 108.591 | 227.199 | 92.354 | -8.634 | 0.000 | 0.000 |
| 92.392 | 92.392 | 228.406 | -0.000 | 0.000 | 0.000 |
| 8.850 | -8.850 | -0.000 | 42.709 | 0.000 | 0.000 |
| 0.000 | -0.000 | -0.000 | -0.000 | 42.709 | 8.850 |
| 0.000 | -0.000 | 0.000 | 0.000 | 8.634 | 59.304 |
| 217.622 | 118.087 | 92.535 | 8.846 | -0.000 | -0.000 |
| 118.087 | 217.622 | 92.535 | -8.846 | -0.000 | -0.000 |
| 92.355 | 92.355 | 228.575 | -0.000 | 0.000 | -0.000 |
| 8.850 | -8.850 | 0.000 | 42.709 | -0.000 | -0.000 |
| -0.000 | 0.000 | 0.000 | 0.000 | 42.714 | 8.634 |
| -0.000 | 0.000 | 0.000 | -0.000 | 8.850 | 49.612 |
| 227.198 | 108.591 | 92.354 | 8.634 | 0.000 | 0.000 |
| 108.591 | 227.198 | 92.354 | -8.634 | -0.000 | 0.000 |
| 92.392 | 92.392 | 228.406 | 0.000 | -0.000 | 0.000 |
| 8.850 | -8.850 | -0.000 | 42.709 | -0.000 | 0.000 |
| 0.000 | -0.000 | -0.000 | -0.000 | 42.714 | 8.634 |
| 0.000 | -0.000 | -0.000 | 0.000 | 8.850 | 49.612 |
| 89.743 | 31.554 | 31.554 | -0.000 | -0.000 | -0.000 |
| 31.554 | 89.743 | 31.554 | -0.000 | 0.000 | -0.000 |
| 31.554 | 31.554 | 89.743 | -0.000 | 0.000 | 0.000 |
| -0.000 | -0.000 | -0.000 | 14.218 | 0.000 | -0.000 |
| -0.000 | -0.000 | -0.000 | -0.000 | 14.218 | 0.000 |
| -0.000 | -0.000 | 0.000 | -0.000 | 0.000 | 14.218 |
| 89.743 | 31.554 | 31.554 | 0.000 | -0.000 | -0.000 |
| 31.554 | 89.743 | 31.554 | 0.000 | -0.000 | -0.000 |
| 31.554 | 31.554 | 89.743 | 0.000 | -0.000 | -0.000 |
| 0.000 | 0.000 | 0.000 | 14.218 | -0.000 | 0.000 |
| 0.000 | 0.000 | 0.000 | 0.000 | 14.218 | 0.000 |
| 0.000 | 0.000 | -0.000 | 0.000 | -0.000 | 14.218 |
| -173.167 | -113.721 | -113.721 | -0.000 | 0.000 | 0.000 |
| -113.721 | -173.167 | -113.721 | -0.000 | 0.000 | 0.000 |
| -113.721 | -113.721 | -173.167 | -0.000 | 0.000 | -0.000 |
| -179.886 | -179.886 | -179.886 | -24.050 | 0.000 | -0.000 |
| -179.886 | -179.886 | -179.886 | -0.000 | -24.050 | -0.000 |
| -179.886 | -179.886 | -179.886 | 0.000 | 0.000 | -24.050 |
| 89.743 | 31.554 | 31.554 | 0.000 | 0.000 | -0.000 |
| 31.554 | 89.743 | 31.554 | 0.000 | -0.000 | 0.000 |
| 31.554 | 31.554 | 89.743 | -0.000 | -0.000 | 0.000 |
| 179.886 | 179.886 | 179.886 | -24.050 | -0.000 | -0.000 |
| 179.886 | 179.886 | 179.886 | 0.000 | -24.050 | -0.000 |
| 179.886 | 179.886 | 179.886 | 0.000 | -0.000 | -24.050 |
| 89.743 | 31.554 | 31.554 | -0.000 | 0.000 | 0.000 |
| 31.554 | 89.743 | 31.554 | -0.000 | 0.000 | 0.000 |
| 31.554 | 31.554 | 89.743 | -0.000 | 0.000 | 0.000 |
| -0.000 | -0.000 | -0.000 | 14.218 | 0.000 | 0.000 |
| -0.000 | -0.000 | -0.000 | -0.000 | 14.218 | 0.000 |
| -0.000 | -0.000 | -0.000 | -0.000 | 0.000 | 14.218 |
| 89.743 | 31.554 | 31.554 | 0.000 | 0.000 | -0.000 |
| 31.554 | 89.743 | 31.554 | 0.000 | -0.000 | 0.000 |
| 31.554 | 31.554 | 89.743 | 0.000 | -0.000 | -0.000 |
| 0.000 | 0.000 | 0.000 | 14.218 | -0.000 | -0.000 |
| 0.000 | 0.000 | 0.000 | 0.000 | 14.218 | -0.000 |
| 0.000 | 0.000 | 0.000 | 0.000 | -0.000 | 14.218 |
| 25.661 | 27.996 | 27.996 | -0.000 | 0.000 | -0.000 |
| 27.996 | 25.661 | 27.996 | 0.000 | 0.000 | 0.000 |
| 27.996 | 27.996 | 25.661 | 0.000 | 0.000 | -0.000 |
| -0.000 | -0.000 | -0.000 | -10.015 | 0.000 | -0.000 |
| -0.000 | -0.000 | -0.000 | 0.000 | -10.015 | -0.000 |
| -0.000 | -0.000 | -0.000 | -0.000 | 0.000 | -10.015 |
| 25.661 | 27.996 | 27.996 | -0.000 | -0.000 | 0.000 |
| 27.996 | 25.661 | 27.996 | -0.000 | -0.000 | 0.000 |
| 27.996 | 27.996 | 25.661 | 0.000 | 0.000 | 0.000 |
| 0.000 | 0.000 | 0.000 | -10.015 | -0.000 | 0.000 |
| 0.000 | 0.000 | 0.000 | -0.000 | -10.015 | 0.000 |
| 0.000 | 0.000 | 0.000 | 0.000 | -0.000 | -10.015 |
| 25.661 | 27.996 | 27.996 | 0.000 | -0.000 | -0.000 |
| 27.996 | 25.661 | 27.996 | 0.000 | -0.000 | -0.000 |
| 27.996 | 27.996 | 25.661 | 0.000 | 0.000 | -0.000 |
| -0.000 | -0.000 | -0.000 | -10.015 | 0.000 | -0.000 |
| -0.000 | -0.000 | -0.000 | 0.000 | -10.015 | -0.000 |
| -0.000 | -0.000 | -0.000 | 0.000 | 0.000 | -10.015 |
| 25.662 | 27.996 | 27.996 | -0.000 | -0.000 | 0.000 |
| 27.996 | 25.662 | 27.996 | -0.000 | -0.000 | 0.000 |
| 27.996 | 27.996 | 25.662 | -0.000 | -0.000 | 0.000 |
| 0.000 | 0.000 | 0.000 | -10.015 | -0.000 | 0.000 |
| 0.000 | 0.000 | 0.000 | -0.000 | -10.015 | 0.000 |
| 0.000 | 0.000 | 0.000 | -0.000 | -0.000 | -10.015 |
| 25.660 | 27.996 | 27.996 | 0.000 | 0.000 | -0.000 |
| 27.996 | 25.660 | 27.996 | 0.000 | 0.000 | -0.000 |
| 27.996 | 27.996 | 25.660 | -0.000 | -0.000 | -0.000 |
| -0.000 | -0.000 | -0.000 | -10.015 | 0.000 | 0.000 |
| -0.000 | -0.000 | -0.000 | 0.000 | -10.015 | -0.000 |
| -0.000 | -0.000 | -0.000 | 0.000 | 0.000 | -10.015 |
| 25.663 | 27.996 | 27.996 | -0.000 | -0.000 | 0.000 |
| 27.996 | 25.663 | 27.996 | -0.000 | -0.000 | 0.000 |
| 27.996 | 27.996 | 25.663 | -0.000 | -0.000 | -0.000 |
| 0.000 | 0.000 | 0.000 | -10.015 | -0.000 | 0.000 |
| 0.000 | 0.000 | 0.000 | 0.000 | -10.015 | 0.000 |
| 0.000 | 0.000 | 0.000 | -0.000 | -0.000 | -10.015 |
| 1218.573 | 1185.943 | 1185.943 | 0.000 | 0.000 | -0.000 |
| 1185.943 | 1218.573 | 1185.943 | 0.000 | 0.000 | -0.000 |
| 1185.943 | 1185.943 | 1218.573 | 0.000 | 0.000 | -0.000 |
| 0.000 | 0.000 | 0.000 | 1.528 | 0.000 | -0.000 |
| 0.000 | 0.000 | 0.000 | 0.000 | 1.528 | -0.000 |
| 0.000 | 0.000 | 0.000 | 0.000 | 0.000 | 1.528 |
| 1218.573 | 1185.944 | 1185.944 | -0.000 | -0.000 | -0.000 |
| 1185.944 | 1218.573 | 1185.944 | -0.000 | -0.000 | 0.000 |
| 1185.944 | 1185.944 | 1218.573 | -0.000 | -0.000 | -0.000 |
| -0.000 | -0.000 | -0.000 | 1.528 | -0.000 | 0.000 |
| -0.000 | -0.000 | -0.000 | -0.000 | 1.528 | 0.000 |
| -0.000 | -0.000 | -0.000 | -0.000 | -0.000 | 1.528 |
| 1218.571 | 1185.941 | 1185.941 | 0.000 | 0.000 | 0.000 |
| 1185.941 | 1218.571 | 1185.941 | 0.000 | 0.000 | -0.000 |
| 1185.941 | 1185.941 | 1218.571 | 0.000 | 0.000 | -0.000 |
| 0.000 | 0.000 | 0.000 | 1.528 | 0.000 | -0.000 |
| 0.000 | 0.000 | 0.000 | 0.000 | 1.528 | -0.000 |
| 0.000 | 0.000 | 0.000 | 0.000 | 0.000 | 1.528 |
| 1218.575 | 1185.945 | 1185.945 | -0.000 | -0.000 | -0.000 |
| 1185.945 | 1218.575 | 1185.945 | -0.000 | -0.000 | -0.000 |
| 1185.945 | 1185.945 | 1218.575 | -0.000 | -0.000 | -0.000 |
| -0.000 | -0.000 | -0.000 | 1.528 | -0.000 | -0.000 |
| -0.000 | -0.000 | -0.000 | -0.000 | 1.528 | 0.000 |
| -0.000 | -0.000 | -0.000 | -0.000 | -0.000 | 1.528 |
| 1218.552 | 1185.921 | 1185.921 | 0.000 | 0.000 | -0.000 |
| 1185.921 | 1218.552 | 1185.921 | 0.000 | 0.000 | -0.000 |
| 1185.921 | 1185.921 | 1218.552 | -0.000 | -0.000 | -0.000 |
| 0.000 | 0.000 | 0.000 | 1.528 | 0.000 | -0.000 |
| 0.000 | 0.000 | 0.000 | 0.000 | 1.528 | -0.000 |
| 0.000 | 0.000 | 0.000 | 0.000 | 0.000 | 1.528 |
| 1218.595 | 1185.965 | 1185.965 | -0.000 | -0.000 | 0.000 |
| 1185.965 | 1218.595 | 1185.965 | -0.000 | -0.000 | -0.000 |
| 1185.965 | 1185.965 | 1218.595 | -0.000 | -0.000 | -0.000 |
| -0.000 | -0.000 | -0.000 | 1.528 | -0.000 | 0.000 |
| -0.000 | -0.000 | -0.000 | -0.000 | 1.528 | 0.000 |
| -0.000 | -0.000 | -0.000 | -0.000 | -0.000 | 1.528 |
| 349.399 | 349.399 | 349.399 | 0.000 | 0.000 | 0.000 |
| 349.399 | 349.399 | 349.399 | 0.000 | 0.000 | 0.000 |
| 349.399 | 349.399 | 349.399 | 0.000 | 0.000 | -0.000 |
| 0.000 | 0.000 | 0.000 | 0.908 | 0.000 | -0.000 |
| 0.000 | 0.000 | 0.000 | -0.000 | 0.908 | -0.000 |
| 0.000 | 0.000 | 0.000 | -0.000 | 0.000 | 0.908 |
| 349.399 | 349.399 | 349.399 | -0.000 | -0.000 | -0.000 |
| 349.399 | 349.399 | 349.399 | -0.000 | -0.000 | -0.000 |
| 349.399 | 349.399 | 349.399 | -0.000 | -0.000 | -0.000 |
| -0.000 | -0.000 | -0.000 | 0.908 | -0.000 | 0.000 |
| -0.000 | -0.000 | -0.000 | -0.000 | 0.908 | 0.000 |
| -0.000 | -0.000 | -0.000 | -0.000 | 0.000 | 0.908 |
| 349.400 | 349.401 | 349.401 | 0.000 | 0.000 | -0.000 |
| 349.401 | 349.400 | 349.401 | 0.000 | 0.000 | -0.000 |
| 349.401 | 349.401 | 349.400 | 0.000 | 0.000 | 0.000 |
| 0.000 | 0.000 | 0.000 | 0.908 | -0.000 | 0.000 |
| 0.000 | 0.000 | 0.000 | -0.000 | 0.908 | 0.000 |
| 0.000 | 0.000 | 0.000 | -0.000 | -0.000 | 0.908 |
| 349.398 | 349.398 | 349.398 | -0.000 | -0.000 | -0.000 |
| 349.398 | 349.398 | 349.398 | -0.000 | -0.000 | 0.000 |
| 349.398 | 349.398 | 349.398 | -0.000 | -0.000 | 0.000 |
| -0.000 | -0.000 | -0.000 | 0.908 | -0.000 | 0.000 |
| -0.000 | -0.000 | -0.000 | -0.000 | 0.908 | -0.000 |
| -0.000 | -0.000 | -0.000 | -0.000 | 0.000 | 0.908 |
| 349.411 | 349.412 | 349.412 | 0.000 | -0.000 | -0.000 |
| 349.412 | 349.411 | 349.412 | -0.000 | 0.000 | -0.000 |
| 349.412 | 349.412 | 349.411 | 0.000 | 0.000 | -0.000 |
| 0.003 | 0.003 | 0.003 | 1.097 | 0.000 | -0.000 |
| 0.003 | 0.003 | 0.003 | 0.000 | 1.097 | -0.000 |
| 0.003 | 0.003 | 0.003 | 0.000 | -0.000 | 1.097 |
| 349.387 | 349.387 | 349.387 | -0.000 | 0.000 | 0.000 |
| 349.387 | 349.387 | 349.387 | 0.000 | -0.000 | 0.000 |
| 349.387 | 349.387 | 349.387 | 0.000 | 0.000 | 0.000 |
| -0.003 | -0.003 | -0.003 | 1.097 | -0.000 | 0.000 |
| -0.003 | -0.003 | -0.003 | -0.000 | 1.097 | 0.000 |
| -0.003 | -0.003 | -0.003 | -0.000 | 0.000 | 1.097 |
| 174.056 | 234.828 | 234.828 | -0.000 | 0.000 | 0.000 |
| 234.828 | 174.056 | 234.828 | -0.000 | -0.000 | 0.000 |
| 234.828 | 234.828 | 174.056 | -0.000 | 0.000 | 0.000 |
| 0.000 | -0.000 | -0.000 | 167.476 | -0.000 | 0.000 |
| 0.000 | -0.000 | -0.000 | -0.000 | 167.476 | 0.000 |
| 0.000 | -0.000 | -0.000 | -0.000 | -0.000 | 167.476 |
| 174.056 | 234.828 | 234.828 | 0.000 | 0.000 | -0.000 |
| 234.828 | 174.056 | 234.828 | 0.000 | 0.000 | -0.000 |
| 234.828 | 234.828 | 174.056 | -0.000 | 0.000 | -0.000 |
| -0.000 | 0.000 | 0.000 | 167.476 | 0.000 | -0.000 |
| -0.000 | 0.000 | 0.000 | -0.000 | 167.476 | -0.000 |
| -0.000 | 0.000 | 0.000 | 0.000 | 0.000 | 167.476 |
| 174.056 | 234.828 | 234.828 | -0.000 | -0.000 | 0.000 |
| 234.828 | 174.056 | 234.828 | -0.000 | -0.000 | 0.000 |
| 234.828 | 234.828 | 174.056 | -0.000 | -0.000 | 0.000 |
| 0.000 | 0.000 | 0.000 | 167.476 | -0.000 | 0.000 |
| 0.000 | 0.000 | 0.000 | -0.000 | 167.476 | 0.000 |
| 0.000 | 0.000 | 0.000 | -0.000 | -0.000 | 167.476 |
| 174.056 | 234.828 | 234.828 | 0.000 | 0.000 | -0.000 |
| 234.828 | 174.056 | 234.828 | 0.000 | 0.000 | -0.000 |
| 234.828 | 234.828 | 174.056 | -0.000 | -0.000 | -0.000 |
| -0.000 | -0.000 | -0.000 | 167.476 | 0.000 | -0.000 |
| -0.000 | -0.000 | -0.000 | 0.000 | 167.476 | -0.000 |
| -0.000 | -0.000 | -0.000 | 0.000 | 0.000 | 167.476 |
| 174.058 | 234.830 | 234.830 | 0.000 | -0.000 | 0.000 |
| 234.830 | 174.058 | 234.830 | 0.000 | -0.000 | 0.000 |
| 234.830 | 234.830 | 174.058 | -0.000 | -0.000 | 0.000 |
| 0.001 | 0.000 | 0.001 | 171.317 | -0.000 | 0.000 |
| 0.000 | 0.001 | 0.001 | -0.000 | 171.317 | 0.000 |
| 0.000 | 0.001 | 0.001 | 0.000 | -0.000 | 171.317 |
| 174.054 | 234.827 | 234.827 | 0.000 | 0.000 | -0.000 |
| 234.827 | 174.054 | 234.827 | 0.000 | 0.000 | -0.000 |
| 234.827 | 234.827 | 174.054 | -0.000 | -0.000 | -0.000 |
| -0.001 | -0.000 | -0.001 | 171.317 | 0.000 | -0.000 |
| -0.000 | -0.001 | -0.001 | 0.000 | 171.317 | -0.000 |
| -0.000 | -0.001 | -0.001 | 0.000 | 0.000 | 171.317 |
| 1248.098 | 1238.113 | 1238.113 | 0.000 | -0.000 | 0.000 |
| 1238.113 | 1248.098 | 1238.113 | 0.000 | -0.000 | -0.000 |
| 1238.113 | 1238.113 | 1248.098 | 0.000 | -0.000 | 0.000 |
| 0.000 | 0.000 | 0.000 | -1.055 | -0.000 | 0.000 |
| 0.000 | 0.000 | 0.000 | -0.000 | -1.055 | 0.000 |
| 0.000 | 0.000 | 0.000 | 0.000 | -0.000 | -1.055 |
| 1248.099 | 1238.114 | 1238.114 | -0.000 | 0.000 | 0.000 |
| 1238.114 | 1248.099 | 1238.114 | -0.000 | -0.000 | -0.000 |
| 1238.114 | 1238.114 | 1248.099 | -0.000 | 0.000 | -0.000 |
| -0.000 | -0.000 | -0.000 | -1.055 | 0.000 | 0.000 |
| -0.000 | -0.000 | -0.000 | -0.000 | -1.055 | -0.000 |
| -0.000 | -0.000 | -0.000 | -0.000 | 0.000 | -1.055 |
| 1248.096 | 1238.111 | 1238.111 | -0.000 | -0.000 | 0.000 |
| 1238.111 | 1248.096 | 1238.111 | 0.000 | -0.000 | -0.000 |
| 1238.111 | 1238.111 | 1248.096 | -0.000 | -0.000 | 0.000 |
| 0.000 | 0.000 | 0.000 | -0.069 | -0.000 | 0.000 |
| 0.000 | 0.000 | 0.000 | -0.000 | -0.069 | 0.000 |
| 0.000 | 0.000 | 0.000 | 0.000 | -0.000 | -0.069 |
| 1248.101 | 1238.116 | 1238.116 | -0.000 | -0.000 | -0.000 |
| 1238.116 | 1248.101 | 1238.116 | -0.000 | -0.000 | -0.000 |
| 1238.116 | 1238.116 | 1248.101 | -0.000 | 0.000 | -0.000 |
| -0.000 | -0.000 | -0.000 | -0.069 | 0.000 | -0.000 |
| -0.000 | -0.000 | -0.000 | -0.000 | -0.069 | -0.000 |
| -0.000 | -0.000 | -0.000 | -0.000 | 0.000 | -0.069 |
| 1248.075 | 1238.091 | 1238.091 | 0.000 | 0.000 | 0.000 |
| 1238.091 | 1248.075 | 1238.091 | 0.000 | 0.000 | 0.000 |
| 1238.091 | 1238.091 | 1248.075 | -0.000 | -0.000 | -0.000 |
| 0.001 | 0.001 | 0.001 | -0.069 | -0.000 | -0.000 |
| 0.001 | 0.001 | 0.001 | 0.000 | -0.069 | 0.000 |
| 0.001 | 0.001 | 0.001 | 0.000 | -0.000 | -0.069 |
| 1248.121 | 1238.135 | 1238.135 | -0.000 | 0.000 | -0.000 |
| 1238.135 | 1248.121 | 1238.135 | -0.000 | 0.000 | -0.000 |
| 1238.135 | 1238.135 | 1248.121 | 0.000 | 0.000 | -0.000 |
| -0.001 | -0.001 | -0.001 | -0.069 | 0.000 | -0.000 |
| -0.001 | -0.001 | -0.001 | 0.000 | -0.069 | -0.000 |
| -0.001 | -0.001 | -0.001 | -0.000 | 0.000 | -0.069 |
| 336.410 | 336.410 | 336.410 | 0.000 | -0.000 | -0.000 |
| 336.410 | 336.410 | 336.410 | -0.000 | 0.000 | 0.000 |
| 336.410 | 336.410 | 336.410 | 0.000 | 0.000 | -0.000 |
| 0.000 | 0.000 | 0.000 | -21.519 | 0.000 | -0.000 |
| 0.000 | 0.000 | 0.000 | 0.000 | -21.519 | -0.000 |
| 0.000 | 0.000 | 0.000 | 0.000 | 0.000 | -21.519 |
| 336.410 | 336.410 | 336.410 | -0.000 | -0.000 | -0.000 |
| 336.410 | 336.410 | 336.410 | -0.000 | -0.000 | 0.000 |
| 336.410 | 336.410 | 336.410 | -0.000 | -0.000 | 0.000 |
| -0.000 | -0.000 | -0.000 | -21.519 | -0.000 | -0.000 |
| -0.000 | -0.000 | -0.000 | -0.000 | -21.519 | -0.000 |
| -0.000 | -0.000 | -0.000 | -0.000 | 0.000 | -21.519 |
| 336.411 | 336.411 | 336.411 | 0.000 | 0.000 | -0.000 |
| 336.411 | 336.411 | 336.411 | 0.000 | 0.000 | -0.000 |
| 336.411 | 336.411 | 336.411 | 0.000 | 0.000 | 0.000 |
| 0.000 | 0.000 | 0.000 | 0.907 | 0.000 | -0.000 |
| 0.000 | 0.000 | 0.000 | 0.000 | 0.907 | -0.000 |
| 0.000 | 0.000 | 0.000 | 0.000 | 0.000 | 0.907 |
| 336.409 | 336.409 | 336.409 | -0.000 | -0.000 | 0.000 |
| 336.409 | 336.409 | 336.409 | -0.000 | -0.000 | 0.000 |
| 336.409 | 336.409 | 336.409 | -0.000 | -0.000 | 0.000 |
| -0.000 | -0.000 | -0.000 | 0.907 | -0.000 | -0.000 |
| -0.000 | -0.000 | -0.000 | -0.000 | 0.907 | -0.000 |
| -0.000 | -0.000 | -0.000 | -0.000 | 0.000 | 0.907 |
| 336.422 | 336.422 | 336.422 | 0.000 | 0.000 | -0.000 |
| 336.422 | 336.422 | 336.422 | 0.000 | 0.000 | -0.000 |
| 336.422 | 336.422 | 336.422 | 0.000 | 0.000 | -0.000 |
| 0.485 | 0.485 | 0.485 | -156.334 | 0.000 | 0.000 |
| 0.485 | 0.485 | 0.485 | 0.000 | -156.334 | 0.000 |
| 0.485 | 0.485 | 0.485 | -0.000 | -0.000 | -156.334 |
| 336.398 | 336.398 | 336.398 | -0.000 | -0.000 | -0.000 |
| 336.398 | 336.398 | 336.398 | -0.000 | -0.000 | -0.000 |
| 336.398 | 336.398 | 336.398 | -0.000 | -0.000 | 0.000 |
| -0.485 | -0.485 | -0.485 | -156.334 | -0.000 | 0.000 |
| -0.485 | -0.485 | -0.485 | 0.000 | -156.334 | -0.000 |
| -0.485 | -0.485 | -0.485 | 0.000 | -0.000 | -156.334 |
| 121.060 | 123.308 | 123.308 | 0.000 | -0.000 | -0.000 |
| 123.308 | 121.060 | 123.308 | -0.000 | -0.000 | 0.000 |
| 123.308 | 123.308 | 121.060 | 0.000 | -0.000 | -0.000 |
| 0.000 | 0.000 | 0.000 | -42.211 | -0.000 | -0.000 |
| -0.000 | 0.000 | -0.000 | -0.000 | -42.211 | -0.000 |
| -0.000 | 0.000 | 0.000 | 0.000 | -0.000 | -42.211 |
| 121.060 | 123.308 | 123.308 | 0.000 | 0.000 | -0.000 |
| 123.308 | 121.060 | 123.308 | 0.000 | 0.000 | 0.000 |
| 123.308 | 123.308 | 121.060 | 0.000 | 0.000 | -0.000 |
| -0.000 | -0.000 | -0.000 | -42.211 | 0.000 | 0.000 |
| 0.000 | -0.000 | -0.000 | -0.000 | -42.211 | -0.000 |
| 0.000 | 0.000 | -0.000 | -0.000 | 0.000 | -42.211 |
| 121.060 | 123.308 | 123.308 | -0.000 | -0.000 | -0.000 |
| 123.308 | 121.060 | 123.308 | 0.000 | -0.000 | 0.000 |
| 123.308 | 123.308 | 121.060 | 0.000 | -0.000 | -0.000 |
| 0.000 | 0.000 | 0.000 | -42.211 | -0.000 | -0.000 |
| 0.000 | 0.000 | 0.000 | 0.000 | -42.211 | -0.000 |
| 0.000 | 0.000 | 0.000 | 0.000 | -0.000 | -42.211 |
| 121.060 | 123.308 | 123.308 | 0.000 | 0.000 | -0.000 |
| 123.308 | 121.060 | 123.308 | 0.000 | 0.000 | 0.000 |
| 123.308 | 123.308 | 121.060 | -0.000 | 0.000 | 0.000 |
| -0.000 | -0.000 | -0.000 | -42.211 | -0.000 | 0.000 |
| -0.000 | -0.000 | -0.000 | -0.000 | -42.211 | 0.000 |
| -0.000 | -0.000 | -0.000 | 0.000 | 0.000 | -42.211 |
| 121.061 | 123.309 | 123.309 | -0.000 | 0.000 | -0.000 |
| 123.309 | 121.061 | 123.309 | -0.000 | 0.000 | 0.000 |
| 123.309 | 123.309 | 121.061 | 0.000 | -0.000 | -0.000 |
| 0.001 | 0.000 | 0.000 | -42.211 | -0.000 | 0.000 |
| 0.000 | 0.001 | 0.000 | -0.000 | -42.211 | -0.000 |
| 0.000 | 0.000 | 0.001 | -0.000 | -0.000 | -42.211 |
| 121.058 | 123.308 | 123.308 | 0.000 | 0.000 | -0.000 |
| 123.308 | 121.058 | 123.308 | -0.000 | 0.000 | 0.000 |
| 123.308 | 123.308 | 121.058 | 0.000 | 0.000 | -0.000 |
| -0.001 | -0.000 | -0.000 | -42.211 | 0.000 | 0.000 |
| -0.000 | -0.001 | -0.000 | 0.000 | -42.211 | -0.000 |
| -0.000 | -0.000 | -0.001 | 0.000 | 0.000 | -42.211 |
| 247.171 | 1.163 | 1.163 | -0.000 | -0.000 | 0.000 |
| 1.163 | 247.171 | 1.163 | -0.000 | -0.000 | 0.000 |
| 1.163 | 1.163 | 247.171 | 0.000 | 0.000 | 0.000 |
| 0.000 | 0.000 | 0.000 | 4.223 | -0.000 | 0.000 |
| 0.000 | 0.000 | 0.000 | 0.000 | 4.223 | 0.000 |
| 0.000 | 0.000 | 0.000 | 0.000 | 0.000 | 4.223 |
| 247.171 | 1.163 | 1.163 | 0.000 | 0.000 | -0.000 |
| 1.163 | 247.171 | 1.163 | 0.000 | 0.000 | -0.000 |
| 1.163 | 1.163 | 247.171 | -0.000 | 0.000 | -0.000 |
| -0.000 | -0.000 | -0.000 | 4.223 | 0.000 | -0.000 |
| -0.000 | -0.000 | -0.000 | -0.000 | 4.223 | -0.000 |
| -0.000 | -0.000 | -0.000 | -0.000 | -0.000 | 4.223 |
| 247.171 | 1.163 | 1.163 | -0.000 | -0.000 | 0.000 |
| 1.163 | 247.171 | 1.163 | -0.000 | -0.000 | -0.000 |
| 1.163 | 1.163 | 247.171 | 0.000 | 0.000 | 0.000 |
| 0.000 | 0.000 | 0.000 | 4.223 | 0.000 | 0.000 |
| 0.000 | 0.000 | 0.000 | 0.000 | 4.223 | 0.000 |
| 0.000 | 0.000 | 0.000 | -0.000 | -0.000 | 4.223 |
| 247.171 | 1.163 | 1.163 | 0.000 | 0.000 | -0.000 |
| 1.163 | 247.171 | 1.163 | 0.000 | 0.000 | -0.000 |
| 1.163 | 1.163 | 247.171 | -0.000 | -0.000 | -0.000 |
| -0.000 | -0.000 | -0.000 | 4.223 | -0.000 | -0.000 |
| -0.000 | -0.000 | -0.000 | -0.000 | 4.223 | -0.000 |
| -0.000 | -0.000 | -0.000 | -0.000 | 0.000 | 4.223 |
| 247.170 | 1.163 | 1.163 | -0.000 | -0.000 | 0.000 |
| 1.163 | 247.170 | 1.163 | -0.000 | -0.000 | 0.000 |
| 1.163 | 1.163 | 247.170 | 0.000 | 0.000 | 0.000 |
| 0.000 | 0.000 | 0.000 | 4.223 | 0.000 | 0.000 |
| 0.000 | 0.000 | 0.000 | 0.000 | 4.223 | 0.000 |
| 0.000 | 0.000 | 0.000 | -0.000 | -0.000 | 4.223 |
| 247.173 | 1.163 | 1.163 | 0.000 | 0.000 | -0.000 |
| 1.163 | 247.173 | 1.163 | 0.000 | 0.000 | -0.000 |
| 1.163 | 1.163 | 247.173 | -0.000 | -0.000 | -0.000 |
| -0.000 | -0.000 | -0.000 | 4.223 | -0.000 | 0.000 |
| -0.000 | -0.000 | -0.000 | -0.000 | 4.223 | -0.000 |
| -0.000 | -0.000 | -0.000 | 0.000 | 0.000 | 4.223 |
| 0.255 | 0.255 | 0.255 | -0.000 | -0.000 | -0.000 |
| 0.255 | 0.255 | 0.255 | -0.000 | -0.000 | -0.000 |
| 0.255 | 0.255 | 0.255 | -0.000 | -0.000 | -0.000 |
| 0.000 | 0.000 | 0.000 | 0.255 | -0.000 | -0.000 |
| 0.000 | 0.000 | 0.000 | -0.000 | 0.255 | -0.000 |
| 0.000 | 0.000 | 0.000 | -0.000 | -0.000 | 0.255 |
| 0.255 | 0.255 | 0.255 | 0.000 | 0.000 | 0.000 |
| 0.255 | 0.255 | 0.255 | 0.000 | 0.000 | 0.000 |
| 0.255 | 0.255 | 0.255 | 0.000 | 0.000 | 0.000 |
| -0.000 | -0.000 | -0.000 | 0.255 | 0.000 | 0.000 |
| -0.000 | -0.000 | -0.000 | 0.000 | 0.255 | 0.000 |
| -0.000 | -0.000 | -0.000 | 0.000 | -0.000 | 0.255 |
| 0.255 | 0.255 | 0.255 | -0.000 | -0.000 | -0.000 |
| 0.255 | 0.255 | 0.255 | -0.000 | -0.000 | -0.000 |
| 0.255 | 0.255 | 0.255 | -0.000 | -0.000 | -0.000 |
| 0.000 | 0.000 | 0.000 | 0.206 | -0.000 | -0.000 |
| 0.000 | 0.000 | 0.000 | -0.000 | 0.206 | -0.000 |
| 0.000 | 0.000 | 0.000 | 0.000 | 0.000 | 0.206 |
| 0.255 | 0.255 | 0.255 | 0.000 | 0.000 | 0.000 |
| 0.255 | 0.255 | 0.255 | 0.000 | 0.000 | 0.000 |
| 0.255 | 0.255 | 0.255 | 0.000 | 0.000 | 0.000 |
| -0.000 | -0.000 | -0.000 | 0.206 | 0.000 | 0.000 |
| -0.000 | -0.000 | -0.000 | 0.000 | 0.206 | 0.000 |
| -0.000 | -0.000 | -0.000 | 0.000 | 0.000 | 0.206 |
| 0.255 | 0.255 | 0.255 | -0.000 | 0.000 | -0.000 |
| 0.255 | 0.255 | 0.255 | 0.000 | -0.000 | -0.000 |
| 0.255 | 0.255 | 0.255 | -0.000 | -0.000 | -0.000 |
| 0.000 | 0.000 | 0.000 | 0.038 | 0.000 | -0.000 |
| 0.000 | 0.000 | 0.000 | 0.000 | 0.038 | -0.000 |
| 0.000 | 0.000 | 0.000 | 0.000 | -0.000 | 0.038 |
| 0.255 | 0.255 | 0.255 | -0.000 | 0.000 | 0.000 |
| 0.255 | 0.255 | 0.255 | 0.000 | -0.000 | 0.000 |
| 0.255 | 0.255 | 0.255 | -0.000 | -0.000 | 0.000 |
| -0.000 | -0.000 | -0.000 | 0.038 | -0.000 | 0.000 |
| -0.000 | -0.000 | -0.000 | -0.000 | 0.038 | 0.000 |
| -0.000 | -0.000 | -0.000 | -0.000 | -0.000 | 0.038 |
| -303298770.319 | -282874380.742 | -423342645.614 | 80171.927 | 7762234.193 | 469943.030 |
| -274135986.898 | -307197882.826 | -429369457.377 | 3769039.860 | -3874971.144 | 307789.660 |
| 77.605 | 77.605 | 141.271 | 0.000 | 0.000 | -0.000 |
| -1.220 | -1.220 | 4.630 | 0.420 | -0.000 | -0.000 |
| -1.220 | -1.220 | 4.630 | -0.000 | 0.420 | -0.000 |
| -0.746 | -0.746 | 2.832 | -0.000 | 0.000 | 79.483 |
| 42.986 | 87.979 | 83.073 | 0.000 | -0.000 | 0.000 |
| 87.979 | 42.986 | 83.073 | -0.000 | -0.000 | 0.000 |
| 79.064 | 79.064 | 135.733 | 0.000 | -0.000 | 0.000 |
| 1.220 | 1.220 | -4.630 | 0.420 | -0.000 | 0.000 |
| 1.220 | 1.220 | -4.630 | -0.000 | 0.420 | 0.000 |
| 0.746 | 0.746 | -2.832 | -0.000 | -0.000 | 79.483 |
| 50.443 | 91.636 | 61.973 | -0.000 | 0.000 | -0.000 |
| 91.636 | 50.443 | 61.973 | 0.000 | 0.000 | -0.000 |
| 60.893 | 60.893 | 204.721 | -0.000 | 0.000 | -0.000 |
| -0.122 | -0.122 | 0.464 | 0.291 | 0.000 | -0.000 |
| -0.122 | -0.122 | 0.464 | -0.000 | 0.291 | -0.000 |
| -0.075 | -0.075 | 0.283 | 0.000 | 0.000 | 79.480 |
| 42.742 | 87.418 | 84.599 | 0.000 | -0.000 | 0.000 |
| 87.418 | 42.742 | 84.599 | -0.000 | -0.000 | 0.000 |
| 60.893 | 60.893 | 204.720 | 0.000 | 0.000 | 0.000 |
| 0.122 | 0.122 | -0.464 | 0.291 | -0.000 | 0.000 |
| 0.122 | 0.122 | -0.464 | 0.000 | 0.291 | 0.000 |
| 0.075 | 0.075 | -0.283 | -0.000 | -0.000 | 79.480 |
| -2887518.796 | -3151645.543 | -4384579.408 | -34699.690 | -28683.347 | 17015.484 |
| -3227395.255 | -2954941.280 | -4356287.570 | 4596.734 | 52315.353 | 68695.185 |
| 78.328 | 78.328 | 138.530 | -0.000 | 0.000 | -0.000 |
| -0.012 | -0.012 | 0.047 | 0.290 | 0.000 | -0.000 |
| -0.012 | -0.012 | 0.047 | -0.000 | 0.290 | -0.000 |
| -0.007 | -0.007 | 0.029 | 0.000 | 0.000 | 79.480 |
| 42.709 | 87.361 | 84.767 | 0.000 | -0.000 | 0.000 |
| 87.361 | 42.709 | 84.767 | 0.000 | -0.000 | 0.000 |
| 78.341 | 78.341 | 138.474 | -0.000 | -0.000 | 0.000 |
| 0.012 | 0.012 | -0.047 | 0.290 | -0.000 | 0.000 |
| 0.012 | 0.012 | -0.047 | 0.000 | 0.290 | 0.000 |
| 0.007 | 0.007 | -0.029 | 0.000 | -0.000 | 79.480 |
| 274.492 | 102.115 | 79.704 | 0.315 | -0.000 | 0.000 |
| 102.115 | 274.492 | 79.704 | -0.315 | -0.000 | 0.000 |
| 80.670 | 80.670 | 392.107 | -0.000 | -0.000 | 0.000 |
| 0.315 | -0.315 | 0.000 | 56.013 | -0.000 | 0.000 |
| -0.000 | 0.000 | 0.000 | -0.000 | 56.013 | 0.315 |
| 0.000 | -0.000 | 0.000 | -0.000 | 0.314 | 86.189 |
| 454.520 | 375.838 | 71.611 | -4.952 | 0.000 | -0.000 |
| 102.115 | 274.492 | 79.704 | -0.315 | 0.000 | -0.000 |
| 80.670 | 80.670 | 392.107 | 0.000 | 0.000 | -0.000 |
| 0.315 | -0.315 | -0.000 | 56.013 | 0.000 | -0.000 |
| -0.000 | 0.000 | -0.000 | 0.000 | 56.013 | 0.315 |
| -0.000 | 0.000 | -0.000 | 0.000 | 0.315 | 86.189 |
| 274.492 | 102.115 | 79.704 | 0.315 | -0.000 | 0.000 |
| 102.115 | 274.492 | 79.704 | -0.315 | -0.000 | 0.000 |
| 71.475 | 71.475 | 358.716 | -0.000 | -0.000 | 0.000 |
| 0.315 | -0.315 | 0.000 | 56.013 | -0.000 | 0.000 |
| 0.000 | 0.000 | 0.000 | -0.000 | 56.013 | 0.315 |
| -24.912 | -24.912 | 2.317 | -0.000 | -5.308 | 36.173 |
| 274.492 | 102.115 | 79.704 | 0.315 | 0.000 | -0.000 |
| 168.253 | 243.367 | 91.583 | 5.153 | 0.000 | -0.000 |
| 80.670 | 80.670 | 392.106 | 0.000 | 0.000 | -0.000 |
| 0.315 | -0.315 | -0.000 | 56.013 | 0.000 | 0.000 |
| -0.000 | -0.000 | -0.000 | 0.000 | 56.013 | 0.315 |
| 24.912 | 24.912 | -2.317 | 0.000 | -5.308 | 36.173 |
| 274.493 | 102.115 | 79.704 | 0.315 | -0.000 | 0.000 |
| 102.115 | 274.493 | 79.704 | -0.315 | -0.000 | 0.000 |
| 98.822 | 98.822 | 332.161 | -0.000 | -0.000 | 0.000 |
| 0.315 | -0.315 | 0.000 | 56.013 | -0.000 | 0.000 |
| -4.527 | -4.527 | 0.421 | 0.000 | 9.992 | -9.903 |
| -4.286 | -4.286 | 0.399 | -0.000 | -9.359 | 0.146 |
| 176.736 | 184.007 | 105.390 | -9.784 | 0.000 | -0.000 |
| 102.114 | 274.491 | 79.704 | -0.315 | 0.000 | -0.000 |
| 80.670 | 80.670 | 392.104 | 0.000 | 0.000 | -0.000 |
| 0.315 | -0.315 | -0.000 | 56.013 | 0.000 | 0.000 |
| 4.527 | 4.527 | -0.421 | -0.000 | 9.992 | -9.903 |
| 4.286 | 4.286 | -0.399 | 0.000 | -9.359 | 0.146 |
| 304.584 | 70.041 | 70.041 | -0.000 | -0.000 | -0.000 |
| 70.041 | 304.584 | 70.041 | -0.000 | -0.000 | -0.000 |
| 70.041 | 70.041 | 304.584 | -0.000 | 0.000 | -0.000 |
| -0.000 | 0.000 | -0.000 | 24.692 | 0.000 | 0.000 |
| 0.000 | -0.000 | 0.000 | -0.000 | 24.692 | -0.000 |
| -0.000 | -0.000 | 0.000 | 0.000 | -0.000 | 24.692 |
| 304.584 | 70.041 | 70.041 | 0.000 | -0.000 | 0.000 |
| 70.041 | 304.584 | 70.041 | 0.000 | 0.000 | 0.000 |
| 70.041 | 70.041 | 304.584 | 0.000 | -0.000 | -0.000 |
| 0.000 | 0.000 | 0.000 | 24.692 | -0.000 | 0.000 |
| 0.000 | 0.000 | -0.000 | 0.000 | 24.692 | 0.000 |
| -0.000 | 0.000 | -0.000 | -0.000 | 0.000 | 24.692 |
| 305.944 | 69.361 | 69.361 | 0.000 | -0.000 | -0.000 |
| 69.361 | 305.944 | 69.361 | 0.000 | -0.000 | -0.000 |
| 69.361 | 69.361 | 305.944 | -0.000 | 0.000 | -0.000 |
| -0.000 | -0.000 | -0.000 | -14.657 | -0.000 | -0.000 |
| -0.000 | -0.000 | -0.000 | -0.000 | -14.657 | -0.000 |
| -0.000 | -0.000 | -0.000 | -0.000 | -0.000 | -14.657 |
| 305.944 | 69.361 | 69.361 | -0.000 | 0.000 | 0.000 |
| 69.361 | 305.944 | 69.361 | 0.000 | 0.000 | 0.000 |
| 69.361 | 69.361 | 305.944 | -0.000 | 0.000 | 0.000 |
| 0.000 | 0.000 | 0.000 | -14.657 | 0.000 | 0.000 |
| 0.000 | 0.000 | 0.000 | 0.000 | -14.657 | 0.000 |
| 0.000 | 0.000 | 0.000 | 0.000 | 0.000 | -14.657 |
| 304.585 | 70.041 | 70.041 | -0.000 | 0.000 | -0.000 |
| 70.041 | 304.585 | 70.041 | 0.000 | -0.000 | -0.000 |
| 70.041 | 70.041 | 304.585 | -0.000 | 0.000 | 0.000 |
| -0.000 | -0.000 | -0.000 | 24.692 | -0.000 | -0.000 |
| -0.000 | -0.000 | -0.000 | -0.000 | 24.692 | -0.000 |
| -0.000 | -0.000 | -0.000 | 0.000 | -0.000 | 24.692 |
| 304.584 | 70.041 | 70.041 | 0.000 | -0.000 | 0.000 |
| 70.041 | 304.584 | 70.041 | 0.000 | -0.000 | 0.000 |
| 70.041 | 70.041 | 304.584 | 0.000 | -0.000 | 0.000 |
| 0.000 | 0.000 | 0.000 | 24.692 | 0.000 | -0.000 |
| 0.000 | 0.000 | 0.000 | 0.000 | 24.692 | 0.000 |
| 0.000 | 0.000 | 0.000 | -0.000 | 0.000 | 24.692 |
| 3396.822 | 3410.526 | 3410.526 | 0.000 | -0.000 | 0.000 |
| 3410.526 | 3396.822 | 3410.526 | 0.000 | 0.000 | 0.000 |
| 3410.526 | 3410.526 | 3396.822 | 0.000 | 0.000 | 0.000 |
| 0.000 | 0.000 | 0.000 | 8.704 | 0.000 | 0.000 |
| 0.000 | 0.000 | 0.000 | 0.000 | 8.704 | 0.000 |
| 0.000 | 0.000 | 0.000 | 0.000 | 0.000 | 8.704 |
| 189372164.414 | 123115920.130 | 111889330.884 | -6272931.993 | -2465549.434 | 26287.632 |
| 119569308.231 | 196702409.620 | 114924116.123 | 4468895.818 | -7401793.541 | 4941563.165 |
| 124434387.288 | 144316161.713 | 185059388.868 | 4673197.037 | -741264.311 | -5083991.894 |
| -0.000 | -0.000 | -0.000 | 8.704 | -0.000 | -0.000 |
| -0.000 | -0.000 | -0.000 | -0.000 | 8.704 | -0.000 |
| -0.000 | -0.000 | -0.000 | -0.000 | -0.000 | 8.704 |
| -12028339.381 | -18312825.328 | -16418055.953 | -1047746.430 | -873169.736 | 27120.968 |
| -17076631.884 | -12401676.002 | -17517683.660 | 726214.784 | 223231.136 | -235749.589 |
| -18756057.981 | -16750942.114 | -11121111.664 | 136762.230 | 663797.127 | -58640.086 |
| 0.000 | 0.000 | 0.000 | 8.704 | 0.000 | 0.000 |
| 0.000 | 0.000 | 0.000 | 0.000 | 8.704 | 0.000 |
| 0.000 | 0.000 | 0.000 | 0.000 | -0.000 | 8.704 |
| 16946818.653 | 10256311.554 | 9422040.516 | 775386.319 | 144152.755 | -70877.893 |
| 11542676.238 | 20141569.898 | 11867629.835 | -449786.682 | 492043.438 | 310810.367 |
| 11854633.055 | 11611909.817 | 18223195.706 | -664832.081 | -481001.689 | 5490.942 |
| -0.000 | -0.000 | -0.000 | 8.704 | -0.000 | -0.000 |
| -0.000 | -0.000 | -0.000 | -0.000 | 8.704 | -0.000 |
| -0.000 | -0.000 | -0.000 | -0.000 | 0.000 | 8.704 |
| -1104708.093 | -1725865.830 | -1762950.052 | -14350.142 | 83683.295 | 7201.994 |
| -1662043.178 | -995672.457 | -1597393.285 | -33857.846 | -28401.957 | -70596.908 |
| -1502501.092 | -1723002.100 | -970263.955 | -77474.692 | -112059.301 | -3423.651 |
| 0.002 | 0.002 | 0.002 | 8.704 | 0.000 | 0.000 |
| 0.002 | 0.002 | 0.002 | 0.000 | 8.704 | 0.000 |
| 0.002 | 0.002 | 0.002 | -0.000 | 0.000 | 8.704 |
| 1866566.964 | 1305278.459 | 1340841.296 | -65082.399 | -15923.256 | -75875.477 |
| 1284763.553 | 1763388.879 | 1211407.293 | -87866.531 | -29609.801 | -54056.374 |
| 1309056.349 | 1323606.487 | 1949010.180 | -833.081 | 34371.286 | 95989.265 |
| -0.002 | -0.002 | -0.002 | 8.704 | -0.000 | -0.000 |
| -0.002 | -0.002 | -0.002 | -0.000 | 8.704 | -0.000 |
| -0.002 | -0.002 | -0.002 | -0.000 | -0.000 | 8.704 |
| 20183494.290 | 19889833.379 | 19020837.706 | 11355.326 | -87662.903 | 12721.804 |
| 24657331.761 | 25457216.807 | 25355854.432 | -20921.773 | 33727.732 | 96414.577 |
| 24001105.188 | 23105252.735 | 24369364.305 | 4095.517 | -29730.265 | 8597.876 |
| 0.000 | 0.000 | 0.000 | 0.942 | -0.000 | 0.000 |
| 0.000 | 0.000 | 0.000 | -0.000 | 0.942 | -0.000 |
| 0.000 | 0.000 | 0.000 | -0.000 | 0.000 | 0.942 |
| 510.426 | 509.904 | 509.904 | 0.000 | -0.000 | -0.000 |
| 509.904 | 510.426 | 509.904 | -0.000 | -0.000 | 0.000 |
| 509.904 | 509.904 | 510.426 | -0.000 | -0.000 | 0.000 |
| -0.000 | -0.000 | -0.000 | 0.942 | -0.000 | 0.000 |
| -0.000 | -0.000 | -0.000 | -0.000 | 0.942 | -0.000 |
| -0.000 | -0.000 | -0.000 | -0.000 | -0.000 | 0.942 |
| 510.430 | 509.906 | 509.906 | 0.000 | 0.000 | 0.000 |
| 509.906 | 510.430 | 509.906 | 0.000 | 0.000 | -0.000 |
| 509.906 | 509.906 | 510.430 | 0.000 | 0.000 | -0.000 |
| 0.000 | 0.000 | 0.000 | 1.472 | -0.000 | 0.000 |
| 0.000 | 0.000 | 0.000 | 0.000 | 1.472 | 0.000 |
| 0.000 | 0.000 | 0.000 | 0.000 | 0.000 | 1.472 |
| 510.423 | 509.902 | 509.902 | 0.000 | -0.000 | 0.000 |
| 509.902 | 510.423 | 509.902 | -0.000 | -0.000 | 0.000 |
| 509.902 | 509.902 | 510.423 | -0.000 | -0.000 | 0.000 |
| -0.000 | -0.000 | -0.000 | 1.472 | -0.000 | 0.000 |
| -0.000 | -0.000 | -0.000 | -0.000 | 1.472 | 0.000 |
| -0.000 | -0.000 | -0.000 | -0.000 | -0.000 | 1.472 |
| 242653.243 | 231522.826 | 236406.634 | -940.346 | 688.286 | -210.541 |
| 276201.227 | 277022.054 | 256677.657 | 490.441 | -1991.580 | 50.088 |
| 226642.547 | 233833.626 | 241627.120 | -1009.426 | 593.993 | -975.664 |
| 0.001 | -0.001 | -0.001 | 0.108 | 0.000 | 0.000 |
| -0.001 | 0.001 | -0.001 | 0.000 | 0.108 | -0.000 |
| -0.001 | -0.001 | 0.001 | 0.000 | 0.000 | 0.108 |
| -241128.168 | -242729.690 | -253323.045 | -660.480 | 1123.969 | -3323.213 |
| -221240.931 | -220223.066 | -222037.829 | -1277.843 | 455.207 | 1041.978 |
| -209922.300 | -209879.066 | -206062.452 | 1562.174 | -2671.601 | 191.097 |
| -0.001 | 0.001 | 0.001 | 0.108 | -0.000 | 0.000 |
| 0.001 | -0.001 | 0.001 | 0.000 | 0.109 | -0.000 |
| 0.001 | 0.001 | -0.001 | 0.000 | -0.000 | 0.108 |
| 3.100 | -0.000 | -0.000 | 0.000 | 0.000 | -0.000 |
| -0.000 | 3.100 | -0.000 | -0.000 | 0.000 | 0.000 |
| -0.000 | -0.000 | 3.100 | 0.000 | -0.000 | 0.000 |
| -0.000 | 0.000 | -0.000 | 0.000 | 0.000 | 0.000 |
| 0.000 | -0.000 | -0.000 | 0.000 | 0.000 | 0.000 |
| 0.000 | -0.000 | -0.000 | 0.000 | 0.000 | 0.000 |
| 3.100 | 0.000 | 0.000 | -0.000 | -0.000 | -0.000 |
| 0.000 | 3.100 | 0.000 | 0.000 | -0.000 | -0.000 |
| 0.000 | 0.000 | 3.100 | 0.000 | -0.000 | -0.000 |
| 0.000 | -0.000 | 0.000 | 0.000 | -0.000 | -0.000 |
| -0.000 | 0.000 | 0.000 | -0.000 | 0.000 | -0.000 |
| -0.000 | 0.000 | 0.000 | -0.000 | -0.000 | 0.000 |
| 3.100 | -0.000 | -0.000 | 0.000 | 0.000 | -0.000 |
| -0.000 | 3.100 | -0.000 | 0.000 | 0.000 | 0.000 |
| -0.000 | -0.000 | 3.100 | 0.000 | -0.000 | 0.000 |
| -0.000 | 0.000 | -0.000 | 0.000 | -0.000 | -0.000 |
| 0.000 | -0.000 | -0.000 | -0.000 | 0.000 | -0.000 |
| 0.000 | -0.000 | -0.000 | 0.000 | 0.000 | 0.000 |
| 3.100 | 0.000 | 0.000 | -0.000 | -0.000 | -0.000 |
| 0.000 | 3.100 | 0.000 | -0.000 | -0.000 | -0.000 |
| 0.000 | 0.000 | 3.100 | -0.000 | -0.000 | -0.000 |
| 0.000 | -0.000 | 0.000 | 0.000 | 0.000 | 0.000 |
| -0.000 | 0.000 | 0.000 | 0.000 | 0.000 | -0.000 |
| -0.000 | 0.000 | 0.000 | -0.000 | -0.000 | 0.000 |
| 3.100 | -0.000 | -0.000 | 0.000 | -0.000 | -0.000 |
| -0.000 | 3.100 | -0.000 | -0.000 | 0.000 | -0.000 |
| -0.000 | -0.000 | 3.100 | -0.000 | -0.000 | 0.000 |
| -0.000 | 0.000 | -0.000 | 0.000 | -0.000 | 0.000 |
| 0.000 | -0.000 | -0.000 | -0.000 | 0.000 | 0.000 |
| 0.000 | -0.000 | -0.000 | 0.000 | 0.000 | 0.000 |
| 3.100 | 0.000 | 0.000 | -0.000 | -0.000 | -0.000 |
| 0.000 | 3.100 | 0.000 | -0.000 | -0.000 | 0.000 |
| 0.000 | 0.000 | 3.100 | 0.000 | -0.000 | -0.000 |
| 0.000 | -0.000 | 0.000 | 0.000 | 0.000 | 0.000 |
| -0.000 | 0.000 | 0.000 | 0.000 | 0.000 | 0.000 |
| -0.000 | 0.000 | 0.000 | -0.000 | -0.000 | 0.000 |
| 79.299 | 167.622 | 167.622 | 0.000 | 0.000 | -0.000 |
| 167.622 | 79.299 | 167.622 | 0.000 | 0.000 | -0.000 |
| 167.622 | 167.622 | 79.299 | -0.000 | 0.000 | -0.000 |
| 0.000 | 0.000 | 0.000 | 135.696 | 0.000 | -0.000 |
| 0.000 | 0.000 | 0.000 | 0.000 | 135.696 | -0.000 |
| 0.000 | 0.000 | -0.000 | 0.000 | 0.000 | 135.696 |
| 79.299 | 167.622 | 167.622 | -0.000 | -0.000 | 0.000 |
| 167.622 | 79.299 | 167.622 | -0.000 | -0.000 | 0.000 |
| 167.622 | 167.622 | 79.299 | -0.000 | -0.000 | 0.000 |
| -0.000 | -0.000 | -0.000 | 135.696 | -0.000 | 0.000 |
| -0.000 | -0.000 | -0.000 | -0.000 | 135.696 | 0.000 |
| -0.000 | -0.000 | 0.000 | -0.000 | -0.000 | 135.696 |
| 79.299 | 167.622 | 167.622 | 0.000 | 0.000 | -0.000 |
| 167.622 | 79.299 | 167.622 | 0.000 | 0.000 | 0.000 |
| 167.622 | 167.622 | 79.299 | 0.000 | 0.000 | -0.000 |
| 0.000 | 0.000 | 0.000 | 135.696 | 0.000 | -0.000 |
| 0.000 | 0.000 | 0.000 | 0.000 | 135.696 | -0.000 |
| 0.000 | 0.000 | 0.000 | 0.000 | 0.000 | 135.696 |
| 79.299 | 167.622 | 167.622 | -0.000 | -0.000 | 0.000 |
| 167.622 | 79.299 | 167.622 | -0.000 | -0.000 | 0.000 |
| 167.622 | 167.622 | 79.299 | -0.000 | -0.000 | -0.000 |
| -0.000 | -0.000 | -0.000 | 135.696 | -0.000 | 0.000 |
| -0.000 | -0.000 | -0.000 | -0.000 | 135.696 | 0.000 |
| -0.000 | -0.000 | -0.000 | -0.000 | -0.000 | 135.696 |
| 79.299 | 167.622 | 167.622 | 0.000 | 0.000 | -0.000 |
| 167.622 | 79.299 | 167.622 | 0.000 | 0.000 | -0.000 |
| 167.622 | 167.622 | 79.299 | 0.000 | -0.000 | -0.000 |
| 0.001 | 0.000 | 0.000 | 131.702 | 0.000 | 0.000 |
| 0.000 | 0.001 | 0.000 | 0.000 | 131.702 | -0.000 |
| 0.000 | 0.000 | 0.001 | 0.000 | 0.000 | 131.702 |
| 79.300 | 167.621 | 167.621 | -0.000 | -0.000 | 0.000 |
| 167.621 | 79.300 | 167.621 | -0.000 | -0.000 | 0.000 |
| 167.621 | 167.621 | 79.300 | 0.000 | -0.000 | 0.000 |
| -0.001 | -0.000 | -0.000 | 131.702 | -0.000 | 0.000 |
| -0.000 | -0.001 | -0.000 | -0.000 | 131.702 | 0.000 |
| -0.000 | -0.000 | -0.001 | -0.000 | -0.000 | 131.702 |
| 1969.429 | 1936.002 | 1936.002 | -0.000 | -0.000 | 0.000 |
| 1936.002 | 1969.429 | 1936.002 | -0.000 | -0.000 | -0.000 |
| 1936.002 | 1936.002 | 1969.429 | -0.000 | -0.000 | -0.000 |
| -0.000 | -0.000 | -0.000 | -2.518 | -0.000 | 0.000 |
| -0.000 | -0.000 | -0.000 | -0.000 | -2.518 | -0.000 |
| -0.000 | -0.000 | -0.000 | -0.000 | -0.000 | -2.518 |
| 1969.429 | 1936.003 | 1936.003 | 0.000 | 0.000 | -0.000 |
| 1936.003 | 1969.429 | 1936.003 | 0.000 | 0.000 | -0.000 |
| 1936.003 | 1936.003 | 1969.429 | 0.000 | 0.000 | -0.000 |
| 0.000 | 0.000 | 0.000 | -2.518 | 0.000 | -0.000 |
| 0.000 | 0.000 | 0.000 | 0.000 | -2.518 | 0.000 |
| 0.000 | 0.000 | 0.000 | 0.000 | 0.000 | -2.518 |
| 1969.427 | 1935.999 | 1935.999 | -0.000 | -0.000 | 0.000 |
| 1935.999 | 1969.427 | 1935.999 | -0.000 | -0.000 | -0.000 |
| 1935.999 | 1935.999 | 1969.427 | -0.000 | -0.000 | -0.000 |
| -0.000 | -0.000 | -0.000 | -2.518 | -0.000 | -0.000 |
| -0.000 | -0.000 | -0.000 | -0.000 | -2.518 | 0.000 |
| -0.000 | -0.000 | -0.000 | -0.000 | -0.000 | -2.518 |
| 1969.431 | 1936.006 | 1936.006 | 0.000 | 0.000 | 0.000 |
| 1936.006 | 1969.431 | 1936.006 | 0.000 | 0.000 | -0.000 |
| 1936.006 | 1936.006 | 1969.431 | 0.000 | 0.000 | -0.000 |
| 0.000 | 0.000 | 0.000 | -2.518 | 0.000 | 0.000 |
| 0.000 | 0.000 | 0.000 | 0.000 | -2.518 | -0.000 |
| 0.000 | 0.000 | 0.000 | 0.000 | 0.000 | -2.518 |
| 1969.408 | 1935.966 | 1935.966 | -0.000 | -0.000 | 0.000 |
| 1935.966 | 1969.408 | 1935.966 | -0.000 | -0.000 | 0.000 |
| 1935.966 | 1935.966 | 1969.408 | -0.000 | -0.000 | -0.000 |
| -0.001 | -0.001 | -0.001 | -2.518 | -0.000 | 0.000 |
| -0.001 | -0.001 | -0.001 | -0.000 | -2.518 | -0.000 |
| -0.001 | -0.001 | -0.001 | -0.000 | -0.000 | -2.518 |
| 1969.449 | 1936.038 | 1936.038 | 0.000 | 0.000 | 0.000 |
| 1936.038 | 1969.449 | 1936.038 | 0.000 | 0.000 | -0.000 |
| 1936.038 | 1936.038 | 1969.449 | 0.000 | 0.000 | 0.000 |
| 0.001 | 0.001 | 0.001 | -2.518 | 0.000 | 0.000 |
| 0.001 | 0.001 | 0.001 | 0.000 | -2.518 | 0.000 |
| 0.001 | 0.001 | 0.001 | 0.000 | 0.000 | -2.518 |
| 604.170 | 118.637 | 118.637 | -0.000 | 0.000 | -0.000 |
| 118.637 | 604.170 | 118.637 | -0.000 | 0.000 | -0.000 |
| 118.637 | 118.637 | 604.170 | 0.000 | 0.000 | -0.000 |
| 0.000 | 0.000 | 0.000 | 220.472 | 0.000 | -0.000 |
| 0.000 | 0.000 | 0.000 | -0.000 | 220.472 | -0.000 |
| 0.000 | 0.000 | 0.000 | -0.000 | -0.000 | 220.472 |
| 604.170 | 118.637 | 118.637 | -0.000 | -0.000 | 0.000 |
| 118.637 | 604.170 | 118.637 | 0.000 | -0.000 | 0.000 |
| 118.637 | 118.637 | 604.170 | 0.000 | -0.000 | 0.000 |
| -0.000 | -0.000 | -0.000 | 220.472 | -0.000 | 0.000 |
| -0.000 | -0.000 | -0.000 | 0.000 | 220.472 | 0.000 |
| -0.000 | -0.000 | -0.000 | 0.000 | 0.000 | 220.472 |
| 604.172 | 118.638 | 118.638 | -0.000 | 0.000 | -0.000 |
| 118.638 | 604.172 | 118.638 | -0.000 | 0.000 | -0.000 |
| 118.638 | 118.638 | 604.172 | 0.000 | 0.000 | -0.000 |
| 0.000 | 0.000 | 0.000 | 220.472 | 0.000 | -0.000 |
| 0.000 | 0.000 | 0.000 | -0.000 | 220.472 | -0.000 |
| 0.000 | 0.000 | 0.000 | -0.000 | -0.000 | 220.472 |
| 604.169 | 118.637 | 118.637 | 0.000 | 0.000 | 0.000 |
| 118.637 | 604.169 | 118.637 | 0.000 | -0.000 | 0.000 |
| 118.637 | 118.637 | 604.169 | 0.000 | 0.000 | 0.000 |
| -0.000 | -0.000 | -0.000 | 220.472 | -0.000 | 0.000 |
| -0.000 | -0.000 | -0.000 | 0.000 | 220.472 | 0.000 |
| -0.000 | -0.000 | -0.000 | 0.000 | 0.000 | 220.472 |
| 604.185 | 118.641 | 118.641 | 0.000 | 0.000 | -0.000 |
| 118.641 | 604.185 | 118.641 | -0.000 | 0.000 | -0.000 |
| 118.641 | 118.641 | 604.185 | -0.000 | 0.000 | -0.000 |
| 0.000 | 0.002 | 0.002 | 220.472 | 0.000 | -0.000 |
| 0.002 | 0.000 | 0.002 | 0.000 | 220.472 | -0.000 |
| 0.002 | 0.002 | 0.000 | -0.000 | -0.000 | 220.472 |
| 604.155 | 118.633 | 118.633 | -0.000 | -0.000 | 0.000 |
| 118.633 | 604.155 | 118.633 | -0.000 | -0.000 | 0.000 |
| 118.633 | 118.633 | 604.155 | -0.000 | -0.000 | 0.000 |
| -0.000 | -0.002 | -0.002 | 220.472 | -0.000 | 0.000 |
| -0.002 | -0.000 | -0.002 | 0.000 | 220.472 | 0.000 |
| -0.002 | -0.002 | -0.000 | 0.000 | 0.000 | 220.472 |
| 151.711 | 117.170 | 117.170 | 0.000 | -0.000 | -0.000 |
| 117.170 | 151.711 | 117.170 | -0.000 | 0.000 | 0.000 |
| 117.170 | 117.170 | 151.711 | -0.000 | -0.000 | -0.000 |
| -0.000 | 0.000 | -0.000 | 59.918 | -0.000 | -0.000 |
| -0.000 | -0.000 | -0.000 | 0.000 | 59.918 | -0.000 |
| -0.000 | 0.000 | 0.000 | 0.000 | -0.000 | 59.918 |
| 151.711 | 117.170 | 117.170 | 0.000 | -0.000 | 0.000 |
| 117.170 | 151.711 | 117.170 | -0.000 | 0.000 | 0.000 |
| 117.170 | 117.170 | 151.711 | 0.000 | -0.000 | 0.000 |
| 0.000 | 0.000 | 0.000 | 59.918 | 0.000 | 0.000 |
| 0.000 | 0.000 | 0.000 | 0.000 | 59.918 | 0.000 |
| 0.000 | -0.000 | 0.000 | -0.000 | 0.000 | 59.918 |
| 151.711 | 117.169 | 117.169 | -0.000 | -0.000 | -0.000 |
| 117.169 | 151.711 | 117.169 | -0.000 | -0.000 | -0.000 |
| 117.169 | 117.169 | 151.711 | 0.000 | -0.000 | -0.000 |
| -0.000 | -0.000 | -0.000 | 59.918 | -0.000 | -0.000 |
| -0.000 | -0.000 | -0.000 | -0.000 | 59.918 | 0.000 |
| -0.000 | -0.000 | -0.000 | 0.000 | -0.000 | 59.918 |
| 151.711 | 117.170 | 117.170 | 0.000 | 0.000 | 0.000 |
| 117.170 | 151.711 | 117.170 | -0.000 | -0.000 | 0.000 |
| 117.170 | 117.170 | 151.711 | 0.000 | -0.000 | 0.000 |
| 0.000 | 0.000 | 0.000 | 59.918 | 0.000 | -0.000 |
| 0.000 | 0.000 | 0.000 | -0.000 | 59.918 | 0.000 |
| 0.000 | 0.000 | 0.000 | -0.000 | 0.000 | 59.918 |
| 151.707 | 117.167 | 117.167 | 0.000 | -0.000 | -0.000 |
| 117.167 | 151.707 | 117.167 | -0.000 | 0.000 | -0.000 |
| 117.167 | 117.167 | 151.707 | -0.000 | -0.000 | 0.000 |
| -0.000 | -0.000 | -0.000 | 59.918 | -0.000 | -0.000 |
| -0.000 | -0.000 | -0.000 | -0.000 | 59.918 | -0.000 |
| -0.000 | -0.000 | -0.000 | -0.000 | -0.000 | 59.918 |
| 151.715 | 117.172 | 117.172 | -0.000 | 0.000 | 0.000 |
| 117.172 | 151.715 | 117.172 | -0.000 | 0.000 | 0.000 |
| 117.172 | 117.172 | 151.715 | 0.000 | -0.000 | 0.000 |
| 0.000 | 0.000 | 0.000 | 59.918 | 0.000 | 0.000 |
| 0.000 | 0.000 | 0.000 | 0.000 | 59.918 | 0.000 |
| 0.000 | 0.000 | 0.000 | 0.000 | 0.000 | 59.918 |
| 3090.323 | 3090.051 | 3090.051 | 0.000 | 0.000 | 0.000 |
| 3090.051 | 3090.323 | 3090.051 | 0.000 | 0.000 | 0.000 |
| 3090.051 | 3090.051 | 3090.323 | 0.000 | -0.000 | 0.000 |
| -0.000 | -0.000 | -0.000 | -0.978 | 0.000 | -0.000 |
| -0.000 | -0.000 | -0.000 | 0.000 | -0.978 | 0.000 |
| -0.000 | -0.000 | -0.000 | 0.000 | 0.000 | -0.978 |
| 3090.324 | 3090.052 | 3090.052 | -0.000 | -0.000 | -0.000 |
| 3090.052 | 3090.324 | 3090.052 | -0.000 | -0.000 | -0.000 |
| 3090.052 | 3090.052 | 3090.324 | -0.000 | -0.000 | -0.000 |
| 0.000 | 0.000 | 0.000 | -0.978 | -0.000 | -0.000 |
| 0.000 | 0.000 | 0.000 | -0.000 | -0.978 | -0.000 |
| 0.000 | 0.000 | 0.000 | -0.000 | -0.000 | -0.978 |
| 3090.314 | 3090.042 | 3090.042 | 0.000 | 0.000 | -0.000 |
| 3090.042 | 3090.314 | 3090.042 | 0.000 | 0.000 | 0.000 |
| 3090.042 | 3090.042 | 3090.314 | -0.000 | -0.000 | 0.000 |
| 0.000 | 0.000 | 0.000 | -0.978 | 0.000 | -0.000 |
| 0.000 | 0.000 | 0.000 | 0.000 | -0.978 | 0.000 |
| 0.000 | 0.000 | 0.000 | 0.000 | 0.000 | -0.978 |
| 3090.333 | 3090.061 | 3090.061 | -0.000 | -0.000 | -0.000 |
| 3090.061 | 3090.333 | 3090.061 | -0.000 | -0.000 | -0.000 |
| 3090.061 | 3090.061 | 3090.333 | -0.000 | -0.000 | 0.000 |
| -0.000 | -0.000 | -0.000 | -0.978 | -0.000 | -0.000 |
| -0.000 | -0.000 | -0.000 | -0.000 | -0.978 | -0.000 |
| -0.000 | -0.000 | -0.000 | -0.000 | -0.000 | -0.978 |
| 3090.231 | 3089.961 | 3089.961 | 0.000 | 0.000 | 0.000 |
| 3089.961 | 3090.231 | 3089.961 | 0.000 | 0.000 | 0.000 |
| 3089.961 | 3089.961 | 3090.231 | 0.000 | 0.000 | 0.000 |
| 0.000 | 0.000 | 0.000 | -0.978 | 0.000 | -0.000 |
| 0.000 | 0.000 | 0.000 | 0.000 | -0.978 | 0.000 |
| 0.000 | 0.000 | 0.000 | 0.000 | 0.000 | -0.978 |
| 3090.417 | 3090.142 | 3090.142 | -0.000 | -0.000 | -0.000 |
| 3090.142 | 3090.417 | 3090.142 | -0.000 | -0.000 | 0.000 |
| 3090.142 | 3090.142 | 3090.417 | 0.000 | 0.000 | -0.000 |
| -0.000 | -0.000 | -0.000 | -0.978 | -0.000 | 0.000 |
| -0.000 | -0.000 | -0.000 | -0.000 | -0.978 | -0.000 |
| -0.000 | -0.000 | -0.000 | -0.000 | -0.000 | -0.978 |
| 437.335 | 437.204 | 437.204 | 0.000 | 0.000 | -0.000 |
| 437.204 | 437.335 | 437.204 | 0.000 | 0.000 | 0.000 |
| 437.204 | 437.204 | 437.335 | 0.000 | 0.000 | 0.000 |
| 0.000 | 0.000 | 0.000 | 2.649 | 0.000 | 0.000 |
| 0.000 | 0.000 | 0.000 | 0.000 | 2.649 | 0.000 |
| 0.000 | 0.000 | 0.000 | 0.000 | 0.000 | 2.649 |
| 437.335 | 437.203 | 437.203 | -0.000 | -0.000 | 0.000 |
| 437.203 | 437.335 | 437.203 | -0.000 | -0.000 | -0.000 |
| 437.203 | 437.203 | 437.335 | -0.000 | -0.000 | -0.000 |
| -0.000 | -0.000 | -0.000 | 2.649 | -0.000 | -0.000 |
| -0.000 | -0.000 | -0.000 | -0.000 | 2.649 | -0.000 |
| -0.000 | -0.000 | -0.000 | -0.000 | 0.000 | 2.649 |
| 437.337 | 437.206 | 437.206 | 0.000 | 0.000 | -0.000 |
| 437.206 | 437.337 | 437.206 | 0.000 | 0.000 | 0.000 |
| 437.206 | 437.206 | 437.337 | 0.000 | 0.000 | 0.000 |
| 0.000 | 0.000 | 0.000 | 2.649 | 0.000 | -0.000 |
| 0.000 | 0.000 | 0.000 | 0.000 | 2.649 | 0.000 |
| 0.000 | 0.000 | 0.000 | -0.000 | 0.000 | 2.649 |
| 437.332 | 437.202 | 437.202 | -0.000 | -0.000 | -0.000 |
| 437.202 | 437.332 | 437.202 | -0.000 | -0.000 | 0.000 |
| 437.202 | 437.202 | 437.332 | -0.000 | -0.000 | -0.000 |
| -0.000 | -0.000 | -0.000 | 2.649 | -0.000 | 0.000 |
| -0.000 | -0.000 | -0.000 | -0.000 | 2.649 | 0.000 |
| -0.000 | -0.000 | -0.000 | 0.000 | 0.000 | 2.649 |
| 437.361 | 437.224 | 437.224 | 0.000 | 0.000 | 0.000 |
| 437.224 | 437.361 | 437.224 | 0.000 | 0.000 | 0.000 |
| 437.224 | 437.224 | 437.361 | 0.000 | 0.000 | 0.000 |
| 0.003 | 0.003 | 0.003 | 2.649 | 0.000 | -0.000 |
| 0.003 | 0.003 | 0.003 | 0.000 | 2.649 | -0.000 |
| 0.003 | 0.003 | 0.003 | 0.000 | -0.000 | 2.649 |
| 437.309 | 437.183 | 437.183 | -0.000 | -0.000 | -0.000 |
| 437.183 | 437.309 | 437.183 | -0.000 | -0.000 | -0.000 |
| 437.183 | 437.183 | 437.309 | -0.000 | -0.000 | -0.000 |
| -0.003 | -0.003 | -0.003 | 2.649 | -0.000 | -0.000 |
| -0.003 | -0.003 | -0.003 | -0.000 | 2.649 | -0.000 |
| -0.003 | -0.003 | -0.003 | -0.000 | 0.000 | 2.649 |
| 356.827 | 252.908 | 200.774 | 0.000 | -0.000 | 0.000 |
| 252.908 | 356.827 | 200.774 | -0.000 | -0.000 | 0.000 |
| 200.318 | 200.318 | 325.247 | 0.000 | 0.000 | 0.000 |
| 0.000 | 0.000 | 0.000 | 49.339 | 0.000 | 0.000 |
| -0.298 | -0.298 | -0.281 | 0.000 | 48.344 | 0.000 |
| -0.000 | -0.000 | -0.000 | 0.000 | 0.000 | 51.959 |
| 341.440 | 267.872 | 200.574 | 0.000 | 0.000 | -0.000 |
| 252.908 | 356.827 | 200.774 | 0.000 | 0.000 | -0.000 |
| 200.745 | 200.745 | 325.649 | -0.000 | -0.000 | -0.000 |
| -0.000 | -0.000 | -0.000 | 49.339 | -0.000 | -0.000 |
| 0.298 | 0.298 | 0.281 | -0.000 | 48.344 | 0.000 |
| 0.000 | -0.000 | 0.000 | -0.000 | -0.000 | 51.959 |
| 356.827 | 252.908 | 200.774 | -0.000 | 0.000 | -0.000 |
| 262.114 | 345.971 | 199.996 | 0.000 | 0.000 | 0.000 |
| 200.745 | 200.745 | 325.649 | -0.000 | -0.000 | -0.000 |
| -0.035 | -0.035 | -0.033 | 48.160 | -0.000 | -0.000 |
| -0.000 | 0.000 | 0.000 | 0.000 | 49.339 | -0.000 |
| -0.000 | 0.000 | -0.000 | 0.000 | 0.000 | 51.959 |
| 345.829 | 262.363 | 200.046 | -0.000 | 0.000 | 0.000 |
| 252.908 | 356.827 | 200.774 | -0.000 | -0.000 | -0.000 |
| 200.745 | 200.745 | 325.649 | -0.000 | 0.000 | 0.000 |
| 0.035 | 0.035 | 0.033 | 48.160 | 0.000 | 0.000 |
| 0.000 | -0.000 | -0.000 | 0.000 | 49.339 | -0.000 |
| 0.000 | -0.000 | 0.000 | -0.000 | -0.000 | 51.959 |
| 356.824 | 252.905 | 200.772 | -0.000 | 0.000 | -0.000 |
| 267.693 | 341.322 | 200.435 | -0.000 | -0.000 | -0.000 |
| 200.449 | 200.449 | 325.371 | 0.000 | 0.000 | 0.000 |
| -0.003 | -0.004 | -0.003 | 48.157 | -0.000 | 0.000 |
| -0.004 | -0.003 | -0.003 | 0.000 | 48.157 | 0.000 |
| -0.000 | 0.000 | -0.000 | 0.000 | 0.000 | 51.959 |
| 356.830 | 252.911 | 200.775 | 0.000 | -0.000 | -0.000 |
| 252.911 | 356.830 | 200.775 | -0.000 | -0.000 | -0.000 |
| 200.745 | 200.745 | 325.649 | 0.000 | 0.000 | 0.000 |
| 0.003 | 0.004 | 0.003 | 48.157 | 0.000 | -0.000 |
| 0.004 | 0.003 | 0.003 | -0.000 | 48.157 | -0.000 |
| 0.000 | -0.000 | 0.000 | -0.000 | -0.000 | 51.959 |
| 356.872 | 252.872 | 200.357 | -0.000 | 0.000 | 0.000 |
| 252.872 | 356.872 | 200.357 | -0.000 | 0.000 | -0.000 |
| 200.357 | 200.357 | 324.932 | -0.000 | -0.000 | -0.000 |
| -1.217 | -1.217 | -1.149 | 48.725 | 0.000 | 0.000 |
| 0.000 | 0.000 | 0.000 | -0.000 | 49.199 | 0.000 |
| -0.000 | 0.000 | -0.000 | -0.000 | 0.000 | 52.000 |
| 342.670 | 268.808 | 201.175 | 0.000 | -0.000 | 0.000 |
| 261.190 | 351.429 | 201.713 | -0.000 | -0.000 | 0.000 |
| 201.202 | 201.202 | 325.729 | 0.000 | -0.000 | -0.000 |
| 1.217 | 1.217 | 1.149 | 48.725 | -0.000 | 0.000 |
| 0.000 | -0.000 | -0.000 | 0.000 | 49.199 | 0.000 |
| 0.000 | -0.000 | 0.000 | 0.000 | -0.000 | 52.000 |
| 341.155 | 267.839 | 200.002 | -0.000 | 0.000 | 0.000 |
| 252.872 | 356.872 | 200.357 | -0.000 | 0.000 | -0.000 |
| 200.357 | 200.357 | 324.932 | -0.000 | 0.000 | 0.000 |
| 0.000 | -0.000 | 0.000 | 49.199 | 0.000 | -0.000 |
| -0.000 | 0.000 | 0.000 | -0.000 | 49.199 | 0.000 |
| -0.000 | 0.000 | -0.000 | -0.000 | 0.000 | 52.000 |
| 345.441 | 263.195 | 199.834 | 0.000 | -0.000 | 0.000 |
| 252.872 | 356.872 | 200.357 | 0.000 | -0.000 | -0.000 |
| 200.357 | 200.357 | 324.931 | 0.000 | -0.000 | 0.000 |
| -0.000 | 0.000 | -0.000 | 49.199 | 0.000 | -0.000 |
| 0.000 | -0.000 | -0.000 | 0.000 | 49.199 | -0.000 |
| 0.000 | -0.000 | 0.000 | 0.000 | -0.000 | 52.000 |
| 341.360 | 267.638 | 200.005 | -0.000 | 0.000 | -0.000 |
| 262.063 | 346.023 | 199.574 | -0.000 | -0.000 | -0.000 |
| 200.048 | 200.048 | 324.641 | -0.000 | 0.000 | -0.000 |
| 0.000 | -0.000 | 0.000 | 49.199 | 0.000 | 0.000 |
| -0.000 | 0.000 | 0.000 | -0.000 | 49.199 | -0.000 |
| -0.014 | -0.014 | -0.013 | -0.000 | 0.000 | 36.805 |
| 345.901 | 262.276 | 199.617 | 0.000 | 0.000 | -0.000 |
| 252.873 | 356.873 | 200.357 | 0.000 | 0.000 | 0.000 |
| 200.356 | 200.356 | 324.930 | 0.000 | -0.000 | 0.000 |
| -0.000 | 0.000 | -0.000 | 49.199 | -0.000 | 0.000 |
| 0.000 | -0.000 | -0.000 | 0.000 | 49.199 | 0.000 |
| 0.033 | 0.033 | 0.032 | 0.000 | -0.000 | 40.470 |
| 149.209 | 249.258 | 280.817 | -0.000 | -0.000 | 0.000 |
| 189.599 | 325.549 | 72.087 | -0.000 | -0.000 | 0.000 |
| 279.008 | 156.446 | 413.356 | 0.000 | -0.000 | 0.000 |
| -0.000 | -0.000 | -0.000 | -41.121 | 0.000 | -0.000 |
| 1.392 | 1.010 | 2.007 | -0.000 | 74.879 | 0.000 |
| 0.596 | 0.432 | 0.859 | 0.000 | -0.000 | 100.978 |
| 65.046 | 188.176 | 159.502 | 0.000 | 0.000 | -0.000 |
| 249.653 | 369.134 | 158.650 | 0.000 | 0.000 | -0.000 |
| 279.008 | 156.446 | 413.356 | -0.000 | 0.000 | 0.000 |
| 0.000 | 0.000 | 0.000 | -41.121 | -0.000 | -0.000 |
| -1.392 | -1.010 | -2.007 | 0.000 | 74.879 | -0.000 |
| -0.596 | -0.432 | -0.859 | 0.000 | 0.000 | 100.978 |
| 65.701 | 188.651 | 160.446 | 0.000 | -0.000 | 0.000 |
| 249.653 | 369.134 | 158.650 | 0.000 | -0.000 | 0.000 |
| 158.611 | 69.068 | 239.813 | -0.000 | -0.000 | -0.000 |
| -0.000 | -0.000 | -0.000 | -41.121 | -0.000 | 0.000 |
| 0.139 | 0.101 | 0.201 | -0.000 | 74.866 | 0.000 |
| 0.060 | 0.043 | 0.086 | 0.000 | -0.000 | 100.978 |
| 65.582 | 188.565 | 160.275 | 0.000 | 0.000 | -0.000 |
| 188.944 | 325.074 | 71.143 | -0.000 | 0.000 | -0.000 |
| 158.492 | 68.982 | 239.642 | -0.000 | 0.000 | -0.000 |
| 0.000 | 0.000 | 0.000 | -41.121 | 0.000 | 0.000 |
| -0.139 | -0.101 | -0.201 | -0.000 | 74.866 | -0.000 |
| -0.060 | -0.043 | -0.086 | -0.000 | 0.000 | 100.978 |
| 65.646 | 188.611 | 160.367 | -0.000 | -0.000 | 0.000 |
| 249.654 | 369.135 | 158.650 | 0.000 | -0.000 | 0.000 |
| 158.555 | 69.027 | 239.732 | 0.000 | -0.000 | 0.000 |
| -0.000 | -0.000 | -0.000 | -41.121 | -0.000 | 0.000 |
| 0.013 | 0.010 | 0.019 | 0.000 | 74.866 | 0.000 |
| 0.006 | 0.006 | 0.008 | -0.000 | -0.000 | 100.978 |
| 65.635 | 188.603 | 160.351 | -0.000 | 0.000 | -0.000 |
| 188.997 | 325.112 | 71.222 | -0.000 | 0.000 | -0.000 |
| 158.548 | 69.023 | 239.723 | 0.000 | 0.000 | -0.000 |
| 0.000 | 0.000 | 0.000 | -41.121 | 0.000 | -0.000 |
| -0.013 | -0.010 | -0.019 | -0.000 | 74.866 | -0.000 |
| -0.006 | -0.006 | -0.008 | 0.000 | 0.000 | 100.978 |
| 231.041 | 171.775 | 113.765 | -0.000 | -0.000 | 0.000 |
| 171.775 | 231.041 | 113.765 | -0.000 | 0.000 | 0.000 |
| 113.765 | 113.765 | 164.183 | 0.000 | 0.000 | 0.000 |
| -0.000 | 0.000 | 0.000 | 77.257 | -0.000 | -0.000 |
| 0.000 | 0.000 | 0.000 | -0.000 | 77.257 | 0.000 |
| 0.000 | 0.000 | 0.000 | 0.000 | 0.000 | 63.729 |
| 231.041 | 171.775 | 113.765 | -0.000 | -0.000 | -0.000 |
| 171.775 | 231.041 | 113.765 | -0.000 | -0.000 | 0.000 |
| 113.765 | 113.765 | 164.183 | -0.000 | -0.000 | 0.000 |
| 0.000 | -0.000 | -0.000 | 77.257 | 0.000 | -0.000 |
| -0.000 | -0.000 | -0.000 | -0.000 | 77.257 | -0.000 |
| -0.000 | -0.000 | -0.000 | -0.000 | -0.000 | 63.729 |
| 231.260 | 171.556 | 113.765 | -0.000 | 0.000 | 0.000 |
| 171.556 | 231.260 | 113.765 | -0.000 | 0.000 | 0.000 |
| 113.765 | 113.765 | 164.183 | 0.000 | 0.000 | 0.000 |
| -0.000 | 0.000 | 0.000 | 77.429 | -0.000 | 0.000 |
| 0.000 | -0.000 | 0.000 | -0.000 | 77.429 | 0.000 |
| -0.000 | -0.000 | -0.000 | 0.000 | 0.000 | 63.729 |
| 231.041 | 171.775 | 113.765 | 0.000 | 0.000 | -0.000 |
| 171.775 | 231.041 | 113.765 | -0.000 | -0.000 | -0.000 |
| 113.765 | 113.765 | 164.183 | -0.000 | 0.000 | -0.000 |
| 0.000 | -0.000 | -0.000 | 77.429 | 0.000 | -0.000 |
| -0.000 | 0.000 | -0.000 | -0.000 | 77.429 | -0.000 |
| 0.000 | 0.000 | 0.000 | -0.000 | -0.000 | 63.729 |
| 231.039 | 171.774 | 113.765 | -0.000 | 0.000 | 0.000 |
| 171.774 | 231.039 | 113.765 | -0.000 | 0.000 | 0.000 |
| 113.765 | 113.765 | 164.186 | 0.000 | 0.000 | 0.000 |
| -0.000 | 0.000 | 0.000 | 77.429 | -0.000 | 0.000 |
| 0.000 | -0.000 | 0.000 | -0.000 | 77.429 | 0.000 |
| -0.000 | -0.000 | -0.000 | 0.000 | -0.000 | 63.729 |
| 231.261 | 171.557 | 113.765 | -0.000 | -0.000 | -0.000 |
| 171.557 | 231.261 | 113.765 | 0.000 | -0.000 | -0.000 |
| 113.765 | 113.765 | 164.180 | 0.000 | -0.000 | -0.000 |
| 0.000 | -0.000 | -0.000 | 77.429 | -0.000 | -0.000 |
| -0.000 | 0.000 | -0.000 | 0.000 | 77.429 | -0.000 |
| 0.000 | 0.000 | 0.000 | -0.000 | -0.000 | 63.729 |
| 284.311 | 68.806 | 68.806 | -0.000 | 0.000 | -0.000 |
| 68.806 | 284.311 | 68.806 | -0.000 | -0.000 | -0.000 |
| 68.806 | 68.806 | 284.311 | -0.000 | 0.000 | -0.000 |
| -0.000 | 0.000 | -0.000 | 28.011 | -0.000 | -0.000 |
| -0.000 | -0.000 | -0.000 | -0.000 | 28.011 | -0.000 |
| -0.000 | -0.000 | -0.000 | 0.000 | 0.000 | 28.011 |
| 284.311 | 68.806 | 68.806 | 0.000 | 0.000 | 0.000 |
| 68.806 | 284.311 | 68.806 | 0.000 | -0.000 | 0.000 |
| 68.806 | 68.806 | 284.311 | 0.000 | 0.000 | 0.000 |
| 0.000 | 0.000 | 0.000 | 28.011 | -0.000 | 0.000 |
| 0.000 | 0.000 | -0.000 | -0.000 | 28.011 | 0.000 |
| 0.000 | -0.000 | 0.000 | -0.000 | -0.000 | 28.011 |
| 285.152 | 68.386 | 68.386 | 0.000 | 0.000 | -0.000 |
| 68.386 | 285.152 | 68.386 | -0.000 | 0.000 | -0.000 |
| 68.386 | 68.386 | 285.152 | -0.000 | 0.000 | -0.000 |
| 0.000 | 0.000 | -0.000 | -15.115 | 0.000 | -0.000 |
| 0.000 | 0.000 | -0.000 | -0.000 | -15.115 | -0.000 |
| 0.000 | -0.000 | 0.000 | -0.000 | -0.000 | -15.115 |
| 284.311 | 68.806 | 68.806 | 0.000 | -0.000 | 0.000 |
| 68.806 | 284.311 | 68.806 | 0.000 | 0.000 | 0.000 |
| 68.806 | 68.806 | 284.311 | -0.000 | 0.000 | 0.000 |
| -0.000 | -0.000 | 0.000 | -15.115 | -0.000 | 0.000 |
| -0.000 | -0.000 | 0.000 | -0.000 | -15.115 | 0.000 |
| -0.000 | 0.000 | -0.000 | 0.000 | -0.000 | -15.115 |
| 284.312 | 68.806 | 68.806 | -0.000 | -0.000 | -0.000 |
| 68.806 | 284.312 | 68.806 | -0.000 | -0.000 | -0.000 |
| 68.806 | 68.806 | 284.312 | 0.000 | 0.000 | -0.000 |
| 0.001 | 0.000 | -0.001 | -15.115 | 0.000 | -0.000 |
| 0.000 | 0.001 | -0.001 | 0.000 | -15.115 | -0.000 |
| 0.000 | -0.001 | 0.001 | -0.000 | 0.000 | -15.115 |
| 284.309 | 68.806 | 68.806 | 0.000 | 0.000 | 0.000 |
| 68.806 | 284.309 | 68.806 | -0.000 | 0.000 | 0.000 |
| 68.806 | 68.806 | 284.309 | 0.000 | -0.000 | 0.000 |
| -0.001 | -0.000 | 0.001 | -15.115 | -0.000 | 0.000 |
| -0.000 | -0.001 | 0.001 | 0.000 | -15.115 | 0.000 |
| -0.000 | 0.001 | -0.001 | 0.000 | -0.000 | -15.115 |
| 224707756.735 | 264912287.766 | 268976359.832 | 585426.737 | -1679445.043 | 9619905.062 |
| 288385455.263 | 241965002.236 | 269588678.121 | 6525550.934 | 1849671.866 | 6337350.339 |
| 260959125.747 | 255214985.772 | 218970314.011 | 5133310.635 | -1785636.186 | 12252416.837 |
| -0.000 | 0.000 | 0.000 | 49.777 | -0.000 | -0.000 |
| 0.000 | -0.000 | 0.000 | -0.000 | 49.777 | 0.000 |
| 0.000 | 0.000 | -0.000 | -0.000 | 0.000 | 49.777 |
| -5676610.333 | -91439307.286 | -87716213.706 | 16759038.548 | -3936858.827 | -2981282.799 |
| -68501995.506 | 34564694.224 | -62806836.672 | -710921.894 | -5471365.058 | 276139.186 |
| -63728634.349 | -62188155.367 | 27167645.252 | 7303650.636 | -1744427.620 | 1562713.705 |
| 0.000 | -0.000 | -0.000 | 49.777 | -0.000 | -0.000 |
| -0.000 | 0.000 | -0.000 | 0.000 | 49.777 | 0.000 |
| -0.000 | -0.000 | 0.000 | -0.000 | -0.000 | 49.777 |
| 22406142.890 | 24481041.931 | 26254245.301 | -401847.095 | 42904.168 | 57050.307 |
| 24190090.836 | 20731476.416 | 26704431.191 | -167172.191 | 489097.273 | 58253.450 |
| 25093329.080 | 25304704.647 | 21440477.788 | 47396.678 | -584995.876 | -263013.114 |
| -0.000 | 0.000 | 0.000 | 49.777 | 0.000 | 0.000 |
| 0.000 | -0.000 | 0.000 | -0.000 | 49.777 | -0.000 |
| 0.000 | 0.000 | -0.000 | -0.000 | -0.000 | 49.777 |
| -647098.707 | -4692834.600 | -6360438.112 | -360934.329 | 459838.621 | 40363.250 |
| -9142276.056 | -1297693.620 | -7745297.441 | -380770.461 | 490165.805 | -462267.518 |
| -10866472.136 | -9030310.455 | -630674.616 | 325459.455 | 251250.461 | 608902.801 |
| 0.000 | -0.000 | -0.000 | 49.777 | 0.000 | 0.000 |
| -0.000 | 0.000 | -0.000 | 0.000 | 49.777 | 0.000 |
| -0.000 | -0.000 | 0.000 | 0.000 | -0.000 | 49.777 |
| 1965096.121 | 2052306.841 | 2212491.302 | 23582.483 | 129573.120 | -89264.960 |
| 2650410.203 | 2409812.192 | 2837295.447 | -10894.395 | -69376.434 | -119146.671 |
| 2643483.910 | 2668710.006 | 2304822.274 | -124182.859 | 61595.100 | -18731.063 |
| -0.001 | 0.000 | 0.000 | 49.777 | 0.000 | -0.000 |
| 0.000 | -0.001 | 0.000 | -0.000 | 49.777 | -0.000 |
| 0.000 | 0.000 | -0.001 | 0.000 | 0.000 | 49.777 |
| 350386.088 | -534019.387 | -653368.207 | 33487.986 | 449.748 | 60984.916 |
| -631504.165 | 417255.572 | -588232.668 | -49690.571 | -61503.613 | 34759.331 |
| -474288.090 | -567339.883 | 240974.106 | 103021.868 | 94429.611 | 81233.503 |
| 0.001 | -0.000 | -0.000 | 49.777 | 0.000 | 0.000 |
| -0.000 | 0.001 | -0.000 | 0.000 | 49.777 | 0.000 |
| -0.000 | -0.000 | 0.001 | -0.000 | 0.000 | 49.777 |
| 3.100 | -0.000 | -0.000 | 0.000 | 0.000 | -0.000 |
| -0.000 | 3.100 | -0.000 | -0.000 | 0.000 | 0.000 |
| -0.000 | -0.000 | 3.100 | 0.000 | -0.000 | 0.000 |
| -0.000 | 0.000 | -0.000 | 0.000 | 0.000 | 0.000 |
| 0.000 | -0.000 | -0.000 | 0.000 | 0.000 | 0.000 |
| 0.000 | -0.000 | -0.000 | 0.000 | 0.000 | 0.000 |
| 3.100 | 0.000 | 0.000 | -0.000 | -0.000 | -0.000 |
| 0.000 | 3.100 | 0.000 | 0.000 | -0.000 | -0.000 |
| 0.000 | 0.000 | 3.100 | 0.000 | -0.000 | -0.000 |
| 0.000 | -0.000 | 0.000 | 0.000 | -0.000 | -0.000 |
| -0.000 | 0.000 | 0.000 | -0.000 | 0.000 | -0.000 |
| -0.000 | 0.000 | 0.000 | -0.000 | -0.000 | 0.000 |
| 3.100 | -0.000 | -0.000 | 0.000 | 0.000 | -0.000 |
| -0.000 | 3.100 | -0.000 | 0.000 | 0.000 | 0.000 |
| -0.000 | -0.000 | 3.100 | 0.000 | -0.000 | 0.000 |
| -0.000 | 0.000 | -0.000 | 0.000 | -0.000 | -0.000 |
| 0.000 | -0.000 | -0.000 | -0.000 | 0.000 | -0.000 |
| 0.000 | -0.000 | -0.000 | 0.000 | 0.000 | 0.000 |
| 3.100 | 0.000 | 0.000 | -0.000 | -0.000 | -0.000 |
| 0.000 | 3.100 | 0.000 | -0.000 | -0.000 | -0.000 |
| 0.000 | 0.000 | 3.100 | -0.000 | -0.000 | -0.000 |
| 0.000 | -0.000 | 0.000 | 0.000 | 0.000 | 0.000 |
| -0.000 | 0.000 | 0.000 | 0.000 | 0.000 | -0.000 |
| -0.000 | 0.000 | 0.000 | -0.000 | -0.000 | 0.000 |
| 3.100 | -0.000 | -0.000 | 0.000 | -0.000 | -0.000 |
| -0.000 | 3.100 | -0.000 | -0.000 | 0.000 | -0.000 |
| -0.000 | -0.000 | 3.100 | -0.000 | -0.000 | 0.000 |
| -0.000 | 0.000 | -0.000 | 0.000 | -0.000 | 0.000 |
| 0.000 | -0.000 | -0.000 | -0.000 | 0.000 | 0.000 |
| 0.000 | -0.000 | -0.000 | 0.000 | 0.000 | 0.000 |
| 3.100 | 0.000 | 0.000 | -0.000 | -0.000 | -0.000 |
| 0.000 | 3.100 | 0.000 | -0.000 | -0.000 | 0.000 |
| 0.000 | 0.000 | 3.100 | 0.000 | -0.000 | -0.000 |
| 0.000 | -0.000 | 0.000 | 0.000 | 0.000 | 0.000 |
| -0.000 | 0.000 | 0.000 | 0.000 | 0.000 | 0.000 |
| -0.000 | 0.000 | 0.000 | -0.000 | -0.000 | 0.000 |
| 53.696 | 160.314 | 160.314 | -0.000 | 0.000 | 0.000 |
| 160.314 | 53.696 | 160.314 | -0.000 | 0.000 | 0.000 |
| 160.314 | 160.314 | 53.696 | -0.000 | 0.000 | 0.000 |
| 0.000 | 0.000 | 0.000 | 70.366 | -0.000 | 0.000 |
| 0.000 | 0.000 | 0.000 | -0.000 | 70.366 | 0.000 |
| 0.000 | 0.000 | 0.000 | 0.000 | 0.000 | 70.366 |
| 53.696 | 160.314 | 160.314 | 0.000 | -0.000 | -0.000 |
| 160.314 | 53.696 | 160.314 | 0.000 | -0.000 | -0.000 |
| 160.314 | 160.314 | 53.696 | 0.000 | 0.000 | -0.000 |
| -0.000 | -0.000 | -0.000 | 70.366 | -0.000 | -0.000 |
| -0.000 | -0.000 | -0.000 | 0.000 | 70.366 | -0.000 |
| -0.000 | -0.000 | -0.000 | 0.000 | -0.000 | 70.366 |
| 53.696 | 160.314 | 160.314 | -0.000 | 0.000 | 0.000 |
| 160.314 | 53.696 | 160.314 | -0.000 | 0.000 | 0.000 |
| 160.314 | 160.314 | 53.696 | -0.000 | 0.000 | 0.000 |
| 0.000 | 0.000 | 0.000 | 70.366 | 0.000 | 0.000 |
| 0.000 | 0.000 | 0.000 | -0.000 | 70.366 | 0.000 |
| 0.000 | 0.000 | 0.000 | -0.000 | 0.000 | 70.366 |
| 53.696 | 160.314 | 160.314 | 0.000 | -0.000 | -0.000 |
| 160.314 | 53.696 | 160.314 | 0.000 | -0.000 | -0.000 |
| 160.314 | 160.314 | 53.696 | 0.000 | -0.000 | -0.000 |
| -0.000 | -0.000 | -0.000 | 70.366 | -0.000 | -0.000 |
| -0.000 | -0.000 | -0.000 | 0.000 | 70.366 | -0.000 |
| -0.000 | -0.000 | -0.000 | 0.000 | -0.000 | 70.366 |
| 53.697 | 160.315 | 160.315 | -0.000 | 0.000 | 0.000 |
| 160.315 | 53.697 | 160.315 | -0.000 | 0.000 | 0.000 |
| 160.315 | 160.315 | 53.697 | -0.000 | -0.000 | 0.000 |
| 0.001 | 0.000 | 0.001 | 70.366 | 0.000 | -0.000 |
| 0.000 | 0.001 | 0.001 | 0.000 | 70.366 | 0.000 |
| 0.000 | 0.001 | 0.001 | -0.000 | 0.000 | 70.366 |
| 53.695 | 160.313 | 160.313 | 0.000 | -0.000 | -0.000 |
| 160.313 | 53.695 | 160.313 | 0.000 | -0.000 | -0.000 |
| 160.313 | 160.313 | 53.695 | -0.000 | -0.000 | -0.000 |
| -0.001 | -0.000 | -0.001 | 70.366 | 0.000 | -0.000 |
| -0.000 | -0.001 | -0.001 | 0.000 | 70.366 | -0.000 |
| -0.000 | -0.001 | -0.001 | 0.000 | -0.000 | 70.366 |
| 367.895 | -89.956 | -89.956 | 0.000 | 0.000 | 0.000 |
| -89.956 | 367.895 | -89.956 | 0.000 | 0.000 | 0.000 |
| -89.956 | -89.956 | 367.895 | 0.000 | 0.000 | 0.000 |
| 29539192.471 | -163891180.031 | -163788190.865 | 71219281.598 | 6077.607 | -8310.750 |
| -163764132.516 | 29338067.376 | -163689891.866 | 18419.762 | 71649578.742 | -7285.465 |
| -163936305.188 | -163865766.409 | 29331304.333 | -9338.759 | -19552.129 | 71108901.044 |
| 367.895 | -89.956 | -89.956 | -0.000 | -0.000 | 0.000 |
| -89.956 | 367.895 | -89.956 | -0.000 | -0.000 | 0.000 |
| -89.956 | -89.956 | 367.895 | -0.000 | -0.000 | -0.000 |
| -29547321.522 | 163127726.358 | 163111594.660 | 70387318.582 | -18639.905 | 17043.271 |
| 163144738.073 | -29545969.789 | 163142135.755 | -2357.269 | 70370636.240 | -9294.390 |
| 162960983.491 | 163100209.558 | -29466357.681 | -54587.597 | 58656.055 | 70293977.086 |
| 367.895 | -89.956 | -89.956 | 0.000 | 0.000 | -0.000 |
| -89.956 | 367.895 | -89.956 | 0.000 | 0.000 | -0.000 |
| -89.956 | -89.956 | 367.895 | 0.000 | 0.000 | 0.000 |
| 2924913.479 | -16403058.637 | -16396341.585 | 7095961.886 | -2685.036 | -3016.438 |
| -16392920.126 | 2916598.566 | -16378125.711 | -397.592 | 7095713.480 | -615.621 |
| -16387686.417 | -16367341.337 | 2885603.087 | 399.156 | -2662.593 | 7126411.351 |
| 367.895 | -89.956 | -89.956 | -0.000 | -0.000 | 0.000 |
| -89.956 | 367.895 | -89.956 | -0.000 | -0.000 | -0.000 |
| -89.956 | -89.956 | 367.895 | -0.000 | -0.000 | 0.000 |
| -2943348.593 | 16386347.905 | 16394952.666 | 7160000.484 | -34.428 | 598.766 |
| 16367944.364 | -2954583.514 | 16360542.008 | 467.931 | 7143742.120 | -410.264 |
| 16363100.469 | 16375865.414 | -2924786.437 | 2245.180 | -2915.337 | 7146437.497 |
| 367.747 | -89.957 | -89.957 | 0.000 | 0.000 | 0.000 |
| -89.957 | 367.747 | -89.957 | 0.000 | 0.000 | -0.000 |
| -89.957 | -89.957 | 367.747 | 0.000 | 0.000 | -0.000 |
| 293803.803 | -1637833.812 | -1638324.148 | 709840.170 | -11.392 | -39.529 |
| -1638003.494 | 293314.679 | -1638693.297 | 34.493 | 709756.026 | 3.973 |
| -1638395.662 | -1640094.260 | 291239.149 | 183.442 | 212.991 | 711932.604 |
| 367.897 | -89.955 | -89.955 | -0.000 | -0.000 | 0.000 |
| -89.955 | 367.897 | -89.955 | -0.000 | -0.000 | 0.000 |
| -89.955 | -89.955 | 367.897 | -0.000 | -0.000 | 0.000 |
| -290181.718 | 1638557.887 | 1638437.761 | 718240.089 | 16.395 | -92.229 |
| 1632225.338 | -292677.215 | 1633454.541 | 24.899 | 718015.341 | 27.178 |
| 1636224.583 | 1636111.749 | -294164.583 | -49.021 | 65.774 | 716935.366 |
| 3.785 | 3.785 | 3.785 | 0.000 | 0.000 | 0.000 |
| 3.785 | 3.785 | 3.785 | 0.000 | 0.000 | 0.000 |
| 3.785 | 3.785 | 3.785 | 0.000 | 0.000 | 0.000 |
| 0.000 | 0.000 | 0.000 | 3.785 | 0.000 | 0.000 |
| 0.000 | 0.000 | 0.000 | 0.000 | 3.785 | 0.000 |
| 0.000 | 0.000 | 0.000 | 0.000 | -0.000 | 3.785 |
| 3.785 | 3.785 | 3.785 | -0.000 | -0.000 | -0.000 |
| 3.785 | 3.785 | 3.785 | -0.000 | -0.000 | -0.000 |
| 3.785 | 3.785 | 3.785 | 0.000 | 0.000 | -0.000 |
| -0.000 | -0.000 | -0.000 | 3.785 | -0.000 | 0.000 |
| -0.000 | -0.000 | -0.000 | -0.000 | 3.785 | 0.000 |
| -0.000 | -0.000 | -0.000 | -0.000 | 0.000 | 3.785 |
| 3.785 | 3.785 | 3.785 | 0.000 | -0.000 | 0.000 |
| 3.785 | 3.785 | 3.785 | -0.000 | 0.000 | 0.000 |
| 3.785 | 3.785 | 3.785 | 0.000 | 0.000 | 0.000 |
| 0.000 | 0.000 | 0.000 | 2.269 | -0.000 | 0.000 |
| 0.000 | 0.000 | 0.000 | -0.000 | 2.269 | 0.000 |
| 0.000 | 0.000 | 0.000 | -0.000 | -0.000 | 2.269 |
| 3.785 | 3.785 | 3.785 | 0.000 | -0.000 | 0.000 |
| 3.785 | 3.785 | 3.785 | -0.000 | 0.000 | 0.000 |
| 3.785 | 3.785 | 3.785 | -0.000 | -0.000 | -0.000 |
| -0.000 | -0.000 | -0.000 | 2.269 | 0.000 | -0.000 |
| -0.000 | -0.000 | -0.000 | 0.000 | 2.269 | -0.000 |
| -0.000 | -0.000 | -0.000 | 0.000 | 0.000 | 2.269 |
| 3.785 | 3.785 | 3.785 | 0.000 | 0.000 | 0.000 |
| 3.785 | 3.785 | 3.785 | 0.000 | 0.000 | 0.000 |
| 3.785 | 3.785 | 3.785 | 0.000 | 0.000 | 0.000 |
| 0.000 | 0.000 | 0.000 | 2.190 | -0.000 | 0.000 |
| 0.000 | 0.000 | 0.000 | -0.000 | 2.190 | 0.000 |
| 0.000 | 0.000 | 0.000 | -0.000 | -0.000 | 2.190 |
| 3.785 | 3.785 | 3.785 | -0.000 | -0.000 | 0.000 |
| 3.785 | 3.785 | 3.785 | -0.000 | -0.000 | -0.000 |
| 3.785 | 3.785 | 3.785 | -0.000 | -0.000 | 0.000 |
| -0.000 | -0.000 | -0.000 | 2.190 | 0.000 | -0.000 |
| -0.000 | -0.000 | -0.000 | 0.000 | 2.190 | -0.000 |
| -0.000 | -0.000 | -0.000 | 0.000 | 0.000 | 2.190 |
| 395.050 | 53.054 | 53.054 | 0.000 | 0.000 | 0.000 |
| 53.054 | 395.050 | 53.054 | 0.000 | 0.000 | 0.000 |
| 53.054 | 53.054 | 395.050 | 0.000 | 0.000 | 0.000 |
| 0.000 | 0.000 | 0.000 | 188.209 | 0.000 | 0.000 |
| 0.000 | 0.000 | 0.000 | 0.000 | 188.209 | 0.000 |
| 0.000 | 0.000 | -0.000 | 0.000 | 0.000 | 188.209 |
| 395.050 | 53.054 | 53.054 | -0.000 | -0.000 | -0.000 |
| 53.054 | 395.050 | 53.054 | -0.000 | -0.000 | -0.000 |
| 53.054 | 53.054 | 395.050 | -0.000 | -0.000 | -0.000 |
| -0.000 | -0.000 | -0.000 | 188.209 | -0.000 | -0.000 |
| -0.000 | -0.000 | -0.000 | -0.000 | 188.209 | -0.000 |
| -0.000 | -0.000 | 0.000 | -0.000 | -0.000 | 188.209 |
| 395.051 | 53.054 | 53.054 | 0.000 | 0.000 | 0.000 |
| 53.054 | 395.051 | 53.054 | 0.000 | 0.000 | 0.000 |
| 53.054 | 53.054 | 395.051 | 0.000 | 0.000 | 0.000 |
| 0.000 | 0.000 | 0.000 | 188.209 | 0.000 | 0.000 |
| 0.000 | 0.000 | 0.000 | 0.000 | 188.209 | 0.000 |
| 0.000 | 0.000 | 0.000 | 0.000 | 0.000 | 188.209 |
| 395.049 | 53.053 | 53.053 | 0.000 | -0.000 | -0.000 |
| 53.053 | 395.049 | 53.053 | -0.000 | -0.000 | -0.000 |
| 53.053 | 53.053 | 395.049 | -0.000 | -0.000 | -0.000 |
| -0.000 | -0.000 | -0.000 | 188.209 | -0.000 | -0.000 |
| -0.000 | -0.000 | -0.000 | -0.000 | 188.209 | -0.000 |
| -0.000 | -0.000 | -0.000 | -0.000 | -0.000 | 188.209 |
| 395.063 | 53.056 | 53.056 | 0.000 | 0.000 | 0.000 |
| 53.056 | 395.063 | 53.056 | 0.000 | 0.000 | 0.000 |
| 53.056 | 53.056 | 395.063 | 0.000 | 0.000 | 0.000 |
| 0.000 | 0.001 | 0.001 | 188.209 | 0.000 | 0.000 |
| 0.001 | 0.000 | 0.001 | 0.000 | 188.209 | 0.000 |
| 0.001 | 0.001 | 0.000 | 0.000 | 0.000 | 188.209 |
| 395.038 | 53.051 | 53.051 | -0.000 | -0.000 | -0.000 |
| 53.051 | 395.038 | 53.051 | -0.000 | -0.000 | -0.000 |
| 53.051 | 53.051 | 395.038 | -0.000 | -0.000 | -0.000 |
| -0.000 | -0.001 | -0.001 | 188.209 | -0.000 | -0.000 |
| -0.001 | -0.000 | -0.001 | -0.000 | 188.209 | -0.000 |
| -0.001 | -0.001 | -0.000 | -0.000 | -0.000 | 188.209 |
| 9.272 | 4.636 | 4.636 | 0.000 | 0.000 | 0.000 |
| 4.636 | 9.272 | 4.636 | 0.000 | 0.000 | 0.000 |
| 4.636 | 4.636 | 9.272 | 0.000 | 0.000 | 0.000 |
| 0.000 | 0.000 | 0.000 | 4.636 | 0.000 | 0.000 |
| 0.000 | 0.000 | 0.000 | 0.000 | 4.636 | 0.000 |
| 0.000 | 0.000 | 0.000 | 0.000 | 0.000 | 4.636 |
| 9.272 | 4.636 | 4.636 | -0.000 | 0.000 | -0.000 |
| 4.636 | 9.272 | 4.636 | 0.000 | -0.000 | -0.000 |
| 4.636 | 4.636 | 9.272 | -0.000 | -0.000 | -0.000 |
| -0.000 | -0.000 | -0.000 | 4.636 | -0.000 | -0.000 |
| -0.000 | -0.000 | -0.000 | -0.000 | 4.636 | -0.000 |
| -0.000 | -0.000 | -0.000 | -0.000 | -0.000 | 4.636 |
| 9.272 | 4.636 | 4.636 | 0.000 | -0.000 | -0.000 |
| 4.636 | 9.272 | 4.636 | -0.000 | 0.000 | 0.000 |
| 4.636 | 4.636 | 9.272 | 0.000 | 0.000 | 0.000 |
| -0.000 | 0.000 | 0.000 | 4.636 | 0.000 | 0.000 |
| 0.000 | -0.000 | 0.000 | 0.000 | 4.636 | 0.000 |
| 0.000 | 0.000 | -0.000 | 0.000 | 0.000 | 4.636 |
| 9.272 | 4.636 | 4.636 | -0.000 | -0.000 | -0.000 |
| 4.636 | 9.272 | 4.636 | -0.000 | -0.000 | -0.000 |
| 4.636 | 4.636 | 9.272 | -0.000 | -0.000 | -0.000 |
| 0.000 | -0.000 | -0.000 | 4.636 | -0.000 | -0.000 |
| -0.000 | 0.000 | -0.000 | -0.000 | 4.636 | -0.000 |
| -0.000 | -0.000 | 0.000 | -0.000 | -0.000 | 4.636 |
| 9.272 | 4.636 | 4.636 | 0.000 | 0.000 | 0.000 |
| 4.636 | 9.272 | 4.636 | 0.000 | 0.000 | 0.000 |
| 4.636 | 4.636 | 9.272 | 0.000 | 0.000 | 0.000 |
| -0.000 | 0.000 | 0.000 | 4.636 | 0.000 | 0.000 |
| 0.000 | -0.000 | 0.000 | 0.000 | 4.636 | 0.000 |
| 0.000 | 0.000 | -0.000 | 0.000 | 0.000 | 4.636 |
| 9.271 | 4.636 | 4.636 | -0.000 | -0.000 | -0.000 |
| 4.636 | 9.271 | 4.636 | -0.000 | -0.000 | -0.000 |
| 4.636 | 4.636 | 9.271 | -0.000 | -0.000 | -0.000 |
| 0.000 | -0.000 | -0.000 | 4.636 | -0.000 | -0.000 |
| -0.000 | 0.000 | -0.000 | -0.000 | 4.636 | -0.000 |
| -0.000 | -0.000 | 0.000 | -0.000 | -0.000 | 4.636 |
| 57.649 | 150.225 | 171.137 | -0.000 | 0.000 | 0.000 |
| 150.615 | 172.462 | 37.159 | -0.000 | 0.000 | 0.000 |
| 170.817 | 36.449 | 210.949 | -0.000 | 0.000 | 0.000 |
| 49.711 | 5.070 | 82.782 | -48.413 | 0.000 | -0.000 |
| 49.698 | 5.069 | 82.761 | -0.000 | 61.999 | 0.000 |
| 49.698 | 5.069 | 82.761 | -0.000 | 0.000 | 66.809 |
| 57.649 | 150.225 | 171.137 | -0.000 | 0.000 | -0.000 |
| 150.615 | 172.462 | 37.159 | 0.000 | -0.000 | -0.000 |
| 170.817 | 36.449 | 210.949 | 0.000 | -0.000 | -0.000 |
| -49.711 | -5.070 | -82.782 | -48.413 | -0.000 | -0.000 |
| -49.698 | -5.069 | -82.761 | 0.000 | 61.999 | -0.000 |
| -49.698 | -5.069 | -82.761 | 0.000 | -0.000 | 66.809 |
| 57.649 | 150.225 | 171.137 | -0.000 | 0.000 | 0.000 |
| 154.543 | 172.863 | 43.700 | -0.000 | -0.000 | 0.000 |
| 170.817 | 36.449 | 210.949 | -0.000 | 0.000 | 0.000 |
| -0.000 | 0.000 | -0.000 | -48.362 | -0.000 | 0.000 |
| -0.000 | -0.000 | 0.000 | -0.000 | 87.093 | 0.000 |
| 4.970 | 0.507 | 8.276 | 0.000 | 0.000 | 66.809 |
| 42.463 | 148.676 | 145.849 | 0.000 | -0.000 | -0.000 |
| 144.603 | 171.849 | 27.148 | -0.000 | 0.000 | -0.000 |
| 148.835 | 34.207 | 174.343 | 0.000 | -0.000 | -0.000 |
| 0.000 | -0.000 | 0.000 | -48.362 | 0.000 | -0.000 |
| 0.000 | 0.000 | -0.000 | 0.000 | 87.093 | -0.000 |
| -4.970 | -0.507 | -8.276 | -0.000 | -0.000 | 66.809 |
| 47.931 | 149.234 | 154.953 | -0.000 | 0.000 | 0.000 |
| 150.617 | 172.465 | 37.160 | -0.000 | -0.000 | -0.000 |
| 170.818 | 36.449 | 210.950 | 0.000 | -0.000 | 0.000 |
| 2.617 | 0.267 | 4.358 | -48.633 | 0.000 | 0.000 |
| 0.497 | 0.051 | 0.828 | -0.000 | 61.999 | 0.000 |
| 0.497 | 0.052 | 0.828 | -0.000 | 0.000 | 66.809 |
| 46.935 | 149.131 | 153.297 | -0.000 | -0.000 | -0.000 |
| 149.075 | 172.303 | 34.596 | -0.000 | -0.000 | -0.000 |
| 153.307 | 34.663 | 181.791 | -0.000 | 0.000 | -0.000 |
| -2.617 | -0.267 | -4.358 | -48.633 | -0.000 | -0.000 |
| -0.497 | -0.051 | -0.828 | 0.000 | 61.999 | -0.000 |
| -0.497 | -0.052 | -0.828 | 0.000 | -0.000 | 66.809 |
| 152.640 | 80.537 | 93.225 | -0.000 | -0.000 | -0.000 |
| 80.537 | 152.640 | 93.225 | -0.000 | -0.000 | -0.000 |
| 93.225 | 93.225 | 174.314 | -0.000 | -0.000 | -0.000 |
| -0.000 | -0.000 | 0.000 | 88.635 | -0.000 | -0.000 |
| -0.000 | -0.000 | 0.000 | -0.000 | 88.635 | -0.000 |
| -0.000 | 0.000 | -0.000 | -0.000 | -0.000 | 89.112 |
| 152.503 | 80.674 | 93.225 | 0.000 | 0.000 | 0.000 |
| 80.674 | 152.503 | 93.225 | 0.000 | 0.000 | 0.000 |
| 93.225 | 93.225 | 174.314 | 0.000 | 0.000 | 0.000 |
| 0.000 | 0.000 | 0.000 | 88.635 | 0.000 | 0.000 |
| 0.000 | 0.000 | -0.000 | 0.000 | 88.635 | 0.000 |
| 0.000 | 0.000 | 0.000 | 0.000 | 0.000 | 89.112 |
| 152.640 | 80.537 | 93.225 | -0.000 | -0.000 | -0.000 |
| 80.537 | 152.640 | 93.225 | -0.000 | -0.000 | -0.000 |
| 93.225 | 93.225 | 174.314 | -0.000 | -0.000 | -0.000 |
| -0.000 | -0.000 | 0.000 | 88.547 | -0.000 | -0.000 |
| -0.000 | -0.000 | 0.000 | -0.000 | 88.547 | -0.000 |
| -0.000 | 0.000 | -0.000 | -0.000 | -0.000 | 89.112 |
| 152.503 | 80.674 | 93.225 | 0.000 | 0.000 | 0.000 |
| 80.674 | 152.503 | 93.225 | 0.000 | 0.000 | 0.000 |
| 93.225 | 93.225 | 174.314 | 0.000 | 0.000 | 0.000 |
| 0.000 | 0.000 | -0.000 | 88.547 | 0.000 | 0.000 |
| 0.000 | 0.000 | -0.000 | 0.000 | 88.547 | 0.000 |
| 0.000 | -0.000 | 0.000 | 0.000 | 0.000 | 89.112 |
| 152.502 | 80.674 | 93.225 | -0.000 | -0.000 | -0.000 |
| 80.674 | 152.502 | 93.225 | 0.000 | -0.000 | -0.000 |
| 93.225 | 93.225 | 174.314 | -0.000 | -0.000 | -0.000 |
| -0.000 | -0.000 | 0.000 | 88.635 | -0.000 | -0.000 |
| -0.000 | -0.000 | 0.000 | -0.000 | 88.635 | -0.000 |
| -0.000 | 0.000 | -0.000 | -0.000 | -0.000 | 89.112 |
| 152.504 | 80.675 | 93.225 | 0.000 | 0.000 | 0.000 |
| 80.675 | 152.504 | 93.225 | 0.000 | 0.000 | 0.000 |
| 93.225 | 93.225 | 174.314 | 0.000 | 0.000 | 0.000 |
| 0.000 | 0.000 | -0.000 | 88.635 | 0.000 | 0.000 |
| 0.000 | 0.000 | -0.000 | 0.000 | 88.635 | 0.000 |
| 0.000 | -0.000 | 0.000 | 0.000 | 0.000 | 89.112 |
| 268.027 | 124.919 | 98.305 | -0.000 | -0.000 | 0.000 |
| 124.919 | 268.027 | 98.305 | -0.000 | -0.000 | 0.000 |
| 23.848 | 23.848 | 281.117 | -0.000 | -0.000 | 0.000 |
| -74.524 | -74.524 | 50.696 | 45.925 | -0.000 | 0.000 |
| 0.000 | 0.000 | -0.000 | -0.000 | 45.958 | 0.000 |
| -74.526 | -74.526 | 50.698 | -0.000 | -0.000 | 69.468 |
| 268.027 | 124.919 | 98.305 | 0.000 | 0.000 | -0.000 |
| 124.919 | 268.027 | 98.305 | 0.000 | -0.000 | -0.000 |
| 172.896 | 172.896 | 179.725 | 0.000 | 0.000 | -0.000 |
| 74.524 | 74.524 | -50.696 | 45.925 | 0.000 | -0.000 |
| -0.000 | -0.000 | 0.000 | 0.000 | 45.958 | -0.000 |
| 74.526 | 74.526 | -50.698 | 0.000 | 0.000 | 69.467 |
| 268.027 | 124.919 | 98.305 | -0.000 | 0.000 | 0.000 |
| 126.774 | 251.071 | 103.442 | -0.000 | -0.000 | 0.000 |
| 98.305 | 98.305 | 230.466 | -0.000 | -0.000 | 0.000 |
| 0.000 | -0.000 | 0.000 | 45.958 | -0.000 | 0.000 |
| -0.000 | 0.000 | 0.000 | -0.000 | 45.958 | 0.000 |
| -0.000 | 0.000 | -0.000 | -0.000 | -0.000 | 71.554 |
| 268.027 | 124.919 | 98.305 | 0.000 | -0.000 | -0.000 |
| 134.387 | 273.310 | 93.288 | 0.000 | 0.000 | -0.000 |
| 98.305 | 98.305 | 230.466 | 0.000 | 0.000 | -0.000 |
| -0.000 | 0.000 | -0.000 | 45.958 | 0.000 | -0.000 |
| 0.000 | -0.000 | -0.000 | 0.000 | 45.958 | -0.000 |
| 0.000 | -0.000 | 0.000 | 0.000 | 0.000 | 71.554 |
| 264.490 | 126.418 | 98.997 | -0.000 | -0.000 | 0.000 |
| 124.918 | 268.026 | 98.305 | -0.000 | -0.000 | 0.000 |
| 97.626 | 97.626 | 230.927 | -0.000 | -0.000 | 0.000 |
| -0.000 | -0.000 | 0.000 | 45.958 | -0.000 | 0.000 |
| -0.000 | -0.000 | 0.000 | -0.000 | 45.958 | 0.000 |
| -0.000 | 0.000 | -0.000 | 0.000 | -0.000 | 71.554 |
| 259.268 | 134.971 | 97.867 | 0.000 | 0.000 | -0.000 |
| 128.575 | 266.103 | 97.717 | 0.000 | 0.000 | -0.000 |
| 98.306 | 98.306 | 230.467 | 0.000 | 0.000 | -0.000 |
| 0.000 | 0.000 | -0.000 | 45.958 | 0.000 | -0.000 |
| 0.000 | 0.000 | -0.000 | 0.000 | 45.958 | -0.000 |
| 0.000 | -0.000 | 0.000 | 0.000 | -0.000 | 71.554 |
| 258.606 | 134.300 | 98.382 | -0.000 | -0.000 | 0.000 |
| 124.950 | 268.063 | 98.345 | -0.000 | -0.000 | 0.000 |
| 98.337 | 98.337 | 230.439 | -0.000 | -0.000 | -0.000 |
| -0.000 | -0.000 | 0.000 | 45.960 | -0.000 | -0.000 |
| 0.000 | -0.000 | 0.000 | -0.000 | 45.960 | -0.000 |
| 0.026 | 0.026 | -0.018 | -0.000 | -0.000 | 62.155 |
| 258.531 | 134.229 | 98.431 | 0.000 | 0.000 | -0.000 |
| 124.950 | 268.063 | 98.345 | 0.000 | 0.000 | -0.000 |
| 98.337 | 98.337 | 230.439 | 0.000 | 0.000 | 0.000 |
| -0.000 | 0.000 | -0.000 | 45.960 | 0.000 | -0.000 |
| -0.000 | 0.000 | -0.000 | 0.000 | 45.960 | 0.000 |
| -0.026 | -0.026 | 0.018 | 0.000 | 0.000 | 62.155 |
| 258.566 | 134.253 | 98.411 | -0.000 | -0.000 | -0.000 |
| 132.471 | 259.827 | 98.589 | -0.000 | -0.000 | 0.000 |
| 98.407 | 98.407 | 230.391 | 0.000 | -0.000 | -0.000 |
| 0.012 | 0.012 | -0.008 | 45.851 | -0.000 | 0.000 |
| 0.012 | 0.012 | -0.008 | -0.000 | 45.851 | -0.000 |
| 0.015 | 0.015 | -0.010 | -0.000 | -0.000 | 62.592 |
| 268.063 | 124.950 | 98.345 | 0.000 | 0.000 | 0.000 |
| 124.950 | 268.063 | 98.345 | 0.000 | 0.000 | -0.000 |
| 98.337 | 98.337 | 230.439 | 0.000 | 0.000 | 0.000 |
| -0.012 | -0.012 | 0.008 | 45.851 | 0.000 | 0.000 |
| -0.012 | -0.012 | 0.008 | 0.000 | 45.851 | 0.000 |
| -0.015 | -0.015 | 0.010 | 0.000 | 0.000 | 62.592 |
| 258.568 | 134.265 | 98.406 | -0.000 | -0.000 | -0.000 |
| 134.265 | 258.567 | 98.406 | -0.000 | -0.000 | -0.000 |
| 98.336 | 98.336 | 230.438 | -0.000 | -0.000 | -0.000 |
| -0.000 | -0.000 | 0.000 | 45.960 | -0.000 | -0.000 |
| -0.000 | -0.000 | 0.000 | -0.000 | 45.960 | -0.000 |
| 0.001 | 0.002 | -0.001 | -0.000 | -0.000 | 62.590 |
| 259.892 | 132.386 | 98.597 | 0.000 | 0.000 | -0.000 |
| 124.951 | 268.064 | 98.346 | 0.000 | 0.000 | 0.000 |
| 98.403 | 98.403 | 230.395 | 0.000 | 0.000 | 0.000 |
| 0.000 | 0.000 | -0.000 | 45.960 | 0.000 | -0.000 |
| 0.000 | 0.000 | -0.000 | 0.000 | 45.960 | -0.000 |
| -0.001 | -0.002 | 0.001 | 0.000 | 0.000 | 62.590 |
| 207.991 | 107.206 | 94.101 | -28.453 | 0.000 | 0.000 |
| 107.207 | 207.991 | 94.101 | 28.453 | 0.000 | 0.000 |
| 67.386 | 67.386 | 209.227 | 0.000 | 0.000 | 0.000 |
| -28.453 | 28.453 | 0.000 | 31.818 | -0.000 | 0.000 |
| 0.000 | 0.000 | 0.000 | -0.000 | 31.818 | -28.453 |
| -18.896 | -18.896 | -21.095 | -0.000 | -28.383 | 50.132 |
| 207.991 | 107.207 | 94.101 | -28.453 | -0.000 | -0.000 |
| 120.414 | 220.677 | 106.891 | 28.383 | -0.000 | -0.000 |
| 93.682 | 93.682 | 240.939 | 0.000 | 0.000 | -0.000 |
| -9.500 | 47.266 | 21.074 | 31.524 | -0.000 | -0.000 |
| -0.000 | -0.000 | -0.000 | 0.000 | 31.818 | -28.453 |
| 18.896 | 18.896 | 21.095 | 0.000 | -28.383 | 50.132 |
| 199.774 | 99.547 | 83.676 | -28.380 | 0.000 | 0.000 |
| 99.426 | 199.822 | 83.036 | 28.391 | 0.000 | 0.000 |
| 85.380 | 85.380 | 227.092 | -0.000 | 0.000 | 0.000 |
| -30.627 | 26.113 | -2.653 | 31.459 | 0.000 | 0.000 |
| -0.000 | -0.000 | 0.000 | -0.000 | 31.818 | -28.453 |
| -0.000 | 0.000 | 0.000 | -0.000 | -28.453 | 50.392 |
| 207.991 | 107.207 | 94.101 | -28.453 | 0.000 | -0.000 |
| 103.130 | 203.341 | 87.560 | 28.377 | -0.000 | -0.000 |
| 89.431 | 89.431 | 232.420 | 0.000 | -0.000 | -0.000 |
| -28.453 | 28.453 | -0.000 | 31.818 | -0.000 | -0.000 |
| 0.000 | 0.000 | -0.000 | 0.000 | 31.818 | -28.453 |
| 0.000 | -0.000 | -0.000 | 0.000 | -28.453 | 50.392 |
| 201.910 | 101.478 | 85.188 | -28.397 | 0.000 | 0.000 |
| 101.924 | 200.992 | 85.583 | 28.354 | 0.000 | 0.000 |
| 93.682 | 93.682 | 240.939 | -0.000 | 0.000 | 0.000 |
| -28.684 | 27.946 | -0.315 | 31.304 | 0.000 | 0.000 |
| -0.369 | -0.369 | -0.315 | -0.000 | 31.304 | -28.315 |
| -0.441 | -0.441 | -0.687 | -0.000 | -28.293 | 49.634 |
| 207.991 | 107.207 | 94.102 | -28.453 | -0.000 | -0.000 |
| 107.207 | 207.992 | 94.102 | 28.453 | -0.000 | -0.000 |
| 87.853 | 87.853 | 230.308 | 0.000 | -0.000 | -0.000 |
| -28.453 | 28.453 | -0.000 | 31.818 | -0.000 | -0.000 |
| 0.369 | 0.369 | 0.315 | 0.000 | 31.304 | -28.315 |
| 0.441 | 0.441 | 0.687 | 0.000 | -28.293 | 49.634 |
| 203.528 | 103.535 | 87.281 | -27.716 | 0.000 | 0.000 |
| 111.557 | 212.139 | 95.860 | 27.787 | 0.000 | 0.000 |
| 95.860 | 95.860 | 241.232 | 0.000 | 0.000 | 0.000 |
| -27.787 | 27.787 | 0.000 | 31.362 | 0.000 | 0.000 |
| -0.056 | -0.056 | 3.070 | 0.000 | 31.199 | -27.754 |
| -0.000 | -0.000 | -0.000 | -0.000 | -27.787 | 50.291 |
| 208.963 | 108.582 | 88.244 | -27.757 | -0.000 | -0.000 |
| 108.582 | 208.963 | 88.244 | 27.757 | -0.000 | -0.000 |
| 95.860 | 95.860 | 241.232 | 0.000 | -0.000 | -0.000 |
| -25.283 | 30.138 | 0.288 | 30.920 | -0.000 | -0.000 |
| 0.056 | 0.056 | -3.070 | -0.000 | 31.198 | -27.754 |
| 0.000 | 0.000 | 0.000 | 0.000 | -27.787 | 50.291 |
| 205.412 | 105.448 | 87.295 | -27.713 | 0.000 | 0.000 |
| 111.557 | 212.138 | 95.860 | 27.787 | 0.000 | 0.000 |
| 95.860 | 95.860 | 241.232 | -0.000 | 0.000 | -0.000 |
| -27.787 | 27.787 | 0.000 | 31.362 | 0.000 | 0.000 |
| -0.013 | -0.013 | 0.684 | -0.000 | 30.998 | -27.713 |
| -0.000 | 0.000 | -0.000 | -0.000 | -27.787 | 50.291 |
| 205.778 | 105.810 | 87.154 | -27.713 | -0.000 | -0.000 |
| 111.557 | 212.139 | 95.860 | 27.787 | -0.000 | -0.000 |
| 89.910 | 89.910 | 230.048 | -0.000 | 0.000 | -0.000 |
| -27.701 | 27.726 | -0.684 | 30.998 | -0.000 | -0.000 |
| 0.013 | 0.013 | -0.684 | 0.000 | 30.998 | -27.713 |
| 0.000 | -0.000 | 0.000 | 0.000 | -27.787 | 50.291 |
| 212.138 | 111.556 | 95.860 | -27.787 | 0.000 | 0.000 |
| 106.032 | 206.247 | 87.049 | 27.733 | 0.000 | 0.000 |
| 89.547 | 89.547 | 229.776 | 0.000 | -0.000 | 0.000 |
| -27.633 | 27.628 | 0.145 | 30.588 | 0.000 | 0.000 |
| -0.003 | -0.003 | 0.145 | -0.000 | 30.588 | -27.630 |
| -0.000 | 0.000 | -0.000 | -0.000 | -27.787 | 50.291 |
| 206.374 | 106.151 | 87.137 | -27.734 | -0.000 | -0.000 |
| 111.557 | 212.139 | 95.861 | 27.787 | -0.000 | -0.000 |
| 87.400 | 87.400 | 227.938 | -0.000 | -0.000 | -0.000 |
| -27.787 | 27.787 | -0.000 | 31.362 | -0.000 | -0.000 |
| 0.003 | 0.003 | -0.145 | 0.000 | 30.588 | -27.630 |
| 0.000 | -0.000 | 0.000 | 0.000 | -27.787 | 50.291 |
| 752.896 | 40.422 | 40.422 | 0.000 | -0.000 | 0.000 |
| 40.422 | 752.896 | 40.422 | 0.000 | 0.000 | 0.000 |
| 40.422 | 40.422 | 752.896 | 0.000 | 0.000 | 0.000 |
| -0.000 | -0.000 | -0.000 | 35.611 | 0.000 | 0.000 |
| -0.000 | -0.000 | 0.000 | 0.000 | 35.611 | 0.000 |
| -0.000 | -0.000 | -0.000 | -0.000 | 0.000 | 35.611 |
| 752.896 | 40.422 | 40.422 | 0.000 | -0.000 | 0.000 |
| 40.422 | 752.896 | 40.422 | 0.000 | 0.000 | -0.000 |
| 40.422 | 40.422 | 752.896 | -0.000 | 0.000 | 0.000 |
| 0.000 | 0.000 | -0.000 | 35.611 | -0.000 | -0.000 |
| 0.000 | 0.000 | -0.000 | -0.000 | 35.611 | -0.000 |
| 0.000 | 0.000 | 0.000 | 0.000 | 0.000 | 35.611 |
| 752.896 | 40.422 | 40.422 | 0.000 | 0.000 | 0.000 |
| 40.422 | 752.896 | 40.422 | 0.000 | 0.000 | 0.000 |
| 40.422 | 40.422 | 752.896 | -0.000 | -0.000 | -0.000 |
| 0.000 | -0.000 | -0.000 | 35.611 | 0.000 | 0.000 |
| -0.000 | 0.000 | -0.000 | 0.000 | 35.611 | 0.000 |
| -0.000 | -0.000 | 0.000 | -0.000 | 0.000 | 35.611 |
| 752.896 | 40.422 | 40.422 | 0.000 | 0.000 | -0.000 |
| 40.422 | 752.896 | 40.422 | 0.000 | 0.000 | -0.000 |
| 40.422 | 40.422 | 752.896 | -0.000 | 0.000 | -0.000 |
| -0.000 | 0.000 | 0.000 | 35.611 | -0.000 | 0.000 |
| 0.000 | -0.000 | 0.000 | 0.000 | 35.611 | -0.000 |
| 0.000 | 0.000 | -0.000 | 0.000 | -0.000 | 35.611 |
| 752.898 | 40.422 | 40.422 | 0.000 | 0.000 | 0.000 |
| 40.422 | 752.898 | 40.422 | -0.000 | 0.000 | 0.000 |
| 40.422 | 40.422 | 752.898 | 0.000 | 0.000 | -0.000 |
| 0.000 | -0.000 | -0.000 | 35.611 | -0.000 | 0.000 |
| -0.000 | 0.000 | -0.000 | 0.000 | 35.611 | 0.000 |
| -0.000 | -0.000 | 0.000 | -0.000 | -0.000 | 35.611 |
| 752.894 | 40.422 | 40.422 | 0.000 | -0.000 | -0.000 |
| 40.422 | 752.894 | 40.422 | 0.000 | 0.000 | -0.000 |
| 40.422 | 40.422 | 752.894 | 0.000 | 0.000 | -0.000 |
| -0.000 | 0.000 | 0.000 | 35.611 | 0.000 | 0.000 |
| 0.000 | -0.000 | 0.000 | -0.000 | 35.611 | -0.000 |
| 0.000 | 0.000 | -0.000 | 0.000 | 0.000 | 35.611 |
| 590.898 | 189.184 | 189.184 | -0.000 | -0.000 | 0.000 |
| 189.184 | 590.898 | 189.184 | -0.000 | -0.000 | 0.000 |
| 189.184 | 189.184 | 590.898 | -0.000 | -0.000 | 0.000 |
| 0.000 | 0.000 | 0.000 | 238.651 | 0.000 | 0.000 |
| 0.000 | -0.000 | 0.000 | -0.000 | 238.651 | 0.000 |
| 0.000 | 0.000 | -0.000 | -0.000 | -0.000 | 238.651 |
| 590.898 | 189.184 | 189.184 | 0.000 | -0.000 | -0.000 |
| 189.184 | 590.898 | 189.184 | 0.000 | -0.000 | -0.000 |
| 189.184 | 189.184 | 590.898 | 0.000 | -0.000 | -0.000 |
| -0.000 | -0.000 | -0.000 | 238.651 | -0.000 | -0.000 |
| -0.000 | 0.000 | -0.000 | 0.000 | 238.651 | -0.000 |
| -0.000 | -0.000 | 0.000 | 0.000 | 0.000 | 238.651 |
| 590.898 | 189.184 | 189.184 | -0.000 | 0.000 | 0.000 |
| 189.184 | 590.898 | 189.184 | -0.000 | 0.000 | 0.000 |
| 189.184 | 189.184 | 590.898 | -0.000 | 0.000 | 0.000 |
| -0.000 | 0.000 | 0.000 | 238.651 | -0.000 | 0.000 |
| 0.000 | -0.000 | 0.000 | -0.000 | 238.651 | 0.000 |
| 0.000 | 0.000 | -0.000 | -0.000 | 0.000 | 238.651 |
| 590.898 | 189.184 | 189.184 | 0.000 | 0.000 | -0.000 |
| 189.184 | 590.898 | 189.184 | 0.000 | -0.000 | -0.000 |
| 189.184 | 189.184 | 590.898 | 0.000 | 0.000 | -0.000 |
| 0.000 | -0.000 | -0.000 | 238.651 | 0.000 | -0.000 |
| -0.000 | 0.000 | -0.000 | 0.000 | 238.651 | -0.000 |
| -0.000 | -0.000 | 0.000 | -0.000 | 0.000 | 238.651 |
| 590.898 | 189.185 | 189.185 | -0.000 | -0.000 | -0.000 |
| 189.185 | 590.898 | 189.185 | -0.000 | -0.000 | 0.000 |
| 189.185 | 189.185 | 590.898 | -0.000 | 0.000 | 0.000 |
| -0.000 | 0.002 | 0.002 | 238.651 | -0.000 | 0.000 |
| 0.002 | -0.000 | 0.002 | -0.000 | 238.651 | 0.000 |
| 0.002 | 0.002 | -0.000 | -0.000 | -0.000 | 238.651 |
| 590.899 | 189.183 | 189.183 | 0.000 | -0.000 | -0.000 |
| 189.183 | 590.899 | 189.183 | 0.000 | -0.000 | -0.000 |
| 189.183 | 189.183 | 590.899 | 0.000 | -0.000 | -0.000 |
| 0.000 | -0.002 | -0.002 | 238.651 | 0.000 | -0.000 |
| -0.002 | 0.000 | -0.002 | 0.000 | 238.651 | -0.000 |
| -0.002 | -0.002 | 0.000 | 0.000 | -0.000 | 238.651 |
| 414.175 | 411.002 | 411.002 | -0.000 | -0.000 | -0.000 |
| 411.002 | 414.175 | 411.002 | -0.000 | -0.000 | 0.000 |
| 411.002 | 411.002 | 414.175 | -0.000 | -0.000 | -0.000 |
| 0.000 | 0.000 | 0.000 | 0.000 | -0.000 | -0.000 |
| 0.000 | 0.000 | 0.000 | -0.000 | 0.000 | -0.000 |
| 0.000 | 0.000 | 0.000 | 0.000 | -0.000 | 0.000 |
| 414.175 | 411.002 | 411.002 | -0.000 | -0.000 | 0.000 |
| 411.002 | 414.175 | 411.002 | 0.000 | -0.000 | 0.000 |
| 411.002 | 411.002 | 414.175 | -0.000 | -0.000 | 0.000 |
| -0.000 | -0.000 | -0.000 | 0.000 | -0.000 | 0.000 |
| -0.000 | -0.000 | -0.000 | 0.000 | 0.000 | 0.000 |
| -0.000 | -0.000 | -0.000 | -0.000 | 0.000 | 0.000 |
| 414.178 | 411.003 | 411.003 | -0.000 | -0.000 | -0.000 |
| 411.003 | 414.178 | 411.003 | -0.000 | -0.000 | -0.000 |
| 411.003 | 411.003 | 414.178 | -0.000 | -0.000 | -0.000 |
| -0.000 | -0.000 | -0.000 | 0.000 | 0.000 | 0.000 |
| -0.000 | -0.000 | -0.000 | 0.000 | 0.000 | -0.000 |
| -0.000 | -0.000 | -0.000 | -0.000 | 0.000 | 0.000 |
| 414.172 | 411.001 | 411.001 | -0.000 | -0.000 | 0.000 |
| 411.001 | 414.172 | 411.001 | -0.000 | -0.000 | -0.000 |
| 411.001 | 411.001 | 414.172 | -0.000 | -0.000 | 0.000 |
| 0.000 | 0.000 | 0.000 | 0.000 | -0.000 | 0.000 |
| 0.000 | 0.000 | 0.000 | -0.000 | 0.000 | 0.000 |
| 0.000 | 0.000 | 0.000 | 0.000 | -0.000 | 0.000 |
| 414.202 | 411.015 | 411.015 | -0.000 | -0.000 | 0.000 |
| 411.015 | 414.202 | 411.015 | -0.000 | -0.000 | 0.000 |
| 411.015 | 411.015 | 414.202 | -0.000 | -0.000 | 0.000 |
| -0.000 | -0.000 | -0.000 | 0.000 | -0.000 | -0.000 |
| -0.000 | -0.000 | -0.000 | 0.000 | 0.000 | -0.000 |
| -0.000 | -0.000 | -0.000 | 0.000 | 0.000 | 0.000 |
| 414.148 | 410.990 | 410.990 | -0.000 | -0.000 | 0.000 |
| 410.990 | 414.148 | 410.990 | -0.000 | -0.000 | 0.000 |
| 410.990 | 410.990 | 414.148 | -0.000 | 0.000 | -0.000 |
| 0.000 | 0.000 | 0.000 | 0.000 | -0.000 | -0.000 |
| 0.000 | 0.000 | 0.000 | -0.000 | 0.000 | 0.000 |
| 0.000 | 0.000 | 0.000 | -0.000 | -0.000 | 0.000 |
| 265.095 | 296.620 | 296.620 | -0.000 | 0.000 | 0.000 |
| 296.620 | 265.095 | 296.620 | -0.000 | 0.000 | -0.000 |
| 296.620 | 296.620 | 265.095 | -0.000 | 0.000 | 0.000 |
| 0.000 | 0.000 | 0.000 | 205.002 | -0.000 | -0.000 |
| 0.000 | 0.000 | 0.000 | 0.000 | 205.002 | 0.000 |
| 0.000 | 0.000 | 0.000 | 0.000 | 0.000 | 205.002 |
| 265.095 | 296.620 | 296.620 | 0.000 | -0.000 | -0.000 |
| 296.620 | 265.095 | 296.620 | 0.000 | 0.000 | -0.000 |
| 296.620 | 296.620 | 265.095 | -0.000 | -0.000 | -0.000 |
| -0.000 | -0.000 | -0.000 | 205.002 | -0.000 | -0.000 |
| -0.000 | -0.000 | -0.000 | 0.000 | 205.002 | -0.000 |
| -0.000 | -0.000 | -0.000 | 0.000 | 0.000 | 205.002 |
| 265.096 | 296.620 | 296.620 | 0.000 | -0.000 | 0.000 |
| 296.620 | 265.096 | 296.620 | -0.000 | -0.000 | 0.000 |
| 296.620 | 296.620 | 265.096 | -0.000 | 0.000 | 0.000 |
| 0.000 | 0.000 | 0.000 | 205.002 | -0.000 | 0.000 |
| 0.000 | 0.000 | 0.000 | -0.000 | 205.002 | 0.000 |
| 0.000 | 0.000 | 0.000 | -0.000 | 0.000 | 205.002 |
| 265.095 | 296.619 | 296.619 | 0.000 | -0.000 | -0.000 |
| 296.619 | 265.095 | 296.619 | -0.000 | -0.000 | -0.000 |
| 296.619 | 296.619 | 265.095 | -0.000 | -0.000 | 0.000 |
| -0.000 | -0.000 | -0.000 | 205.002 | 0.000 | -0.000 |
| -0.000 | -0.000 | -0.000 | 0.000 | 205.002 | -0.000 |
| -0.000 | -0.000 | -0.000 | 0.000 | -0.000 | 205.002 |
| 265.098 | 296.621 | 296.621 | -0.000 | 0.000 | 0.000 |
| 296.621 | 265.098 | 296.621 | -0.000 | -0.000 | 0.000 |
| 296.621 | 296.621 | 265.098 | -0.000 | -0.000 | 0.000 |
| 0.001 | 0.000 | 0.001 | 205.002 | -0.000 | -0.000 |
| 0.000 | 0.001 | 0.001 | -0.000 | 205.002 | -0.000 |
| 0.000 | 0.001 | 0.001 | -0.000 | -0.000 | 205.002 |
| 265.092 | 296.618 | 296.618 | -0.000 | 0.000 | -0.000 |
| 296.618 | 265.092 | 296.618 | 0.000 | 0.000 | 0.000 |
| 296.618 | 296.618 | 265.092 | 0.000 | 0.000 | -0.000 |
| -0.001 | -0.000 | -0.001 | 205.002 | 0.000 | -0.000 |
| -0.000 | -0.001 | -0.001 | 0.000 | 205.002 | -0.000 |
| -0.000 | -0.001 | -0.001 | 0.000 | 0.000 | 205.002 |
| 5377.836 | 5382.822 | 5382.822 | -0.000 | -0.000 | 0.000 |
| 5382.822 | 5377.836 | 5382.822 | -0.000 | -0.000 | -0.000 |
| 5382.822 | 5382.822 | 5377.836 | -0.000 | -0.000 | 0.000 |
| -0.000 | -0.000 | -0.000 | -4.035 | -0.000 | -0.000 |
| -0.000 | -0.000 | -0.000 | -0.000 | -4.035 | 0.000 |
| -0.000 | -0.000 | -0.000 | -0.000 | -0.000 | -4.035 |
| 5377.839 | 5382.825 | 5382.825 | 0.000 | 0.000 | -0.000 |
| 5382.825 | 5377.839 | 5382.825 | 0.000 | 0.000 | -0.000 |
| 5382.825 | 5382.825 | 5377.839 | -0.000 | 0.000 | -0.000 |
| 0.000 | 0.000 | 0.000 | -4.035 | 0.000 | 0.000 |
| 0.000 | 0.000 | 0.000 | 0.000 | -4.035 | -0.000 |
| 0.000 | 0.000 | 0.000 | 0.000 | 0.000 | -4.035 |
| 5377.823 | 5382.811 | 5382.811 | -0.000 | -0.000 | 0.000 |
| 5382.811 | 5377.823 | 5382.811 | -0.000 | -0.000 | -0.000 |
| 5382.811 | 5382.811 | 5377.823 | -0.000 | -0.000 | 0.000 |
| 0.000 | 0.000 | 0.000 | -4.035 | -0.000 | 0.000 |
| 0.000 | 0.000 | 0.000 | -0.000 | -4.035 | 0.000 |
| 0.000 | 0.000 | 0.000 | -0.000 | -0.000 | -4.035 |
| 5377.852 | 5382.836 | 5382.836 | 0.000 | 0.000 | 0.000 |
| 5382.836 | 5377.852 | 5382.836 | 0.000 | 0.000 | -0.000 |
| 5382.836 | 5382.836 | 5377.852 | 0.000 | 0.000 | 0.000 |
| -0.000 | -0.000 | -0.000 | -4.035 | 0.000 | -0.000 |
| -0.000 | -0.000 | -0.000 | 0.000 | -4.035 | -0.000 |
| -0.000 | -0.000 | -0.000 | 0.000 | 0.000 | -4.035 |
| 5377.696 | 5382.695 | 5382.695 | 0.000 | -0.000 | 0.000 |
| 5382.695 | 5377.696 | 5382.695 | -0.000 | -0.000 | 0.000 |
| 5382.695 | 5382.695 | 5377.696 | -0.000 | -0.000 | -0.000 |
| 0.002 | 0.002 | 0.002 | -4.035 | -0.000 | 0.000 |
| 0.002 | 0.002 | 0.002 | -0.000 | -4.035 | 0.000 |
| 0.002 | 0.002 | 0.002 | 0.000 | -0.000 | -4.035 |
| 5377.980 | 5382.952 | 5382.952 | 0.000 | 0.000 | 0.000 |
| 5382.952 | 5377.980 | 5382.952 | 0.000 | 0.000 | -0.000 |
| 5382.952 | 5382.952 | 5377.980 | -0.000 | 0.000 | 0.000 |
| -0.002 | -0.002 | -0.002 | -4.035 | 0.000 | -0.000 |
| -0.002 | -0.002 | -0.002 | 0.000 | -4.035 | 0.000 |
| -0.002 | -0.002 | -0.002 | 0.000 | 0.000 | -4.035 |
| 698.666 | 698.666 | 698.666 | 0.000 | -0.000 | 0.000 |
| 698.666 | 698.666 | 698.666 | -0.000 | 0.000 | 0.000 |
| 698.666 | 698.666 | 698.666 | 0.000 | 0.000 | 0.000 |
| 0.000 | 0.000 | 0.000 | 2.191 | -0.000 | 0.000 |
| 0.000 | 0.000 | 0.000 | -0.000 | 2.191 | 0.000 |
| 0.000 | 0.000 | 0.000 | -0.000 | -0.000 | 2.191 |
| 698.665 | 698.665 | 698.665 | -0.000 | 0.000 | -0.000 |
| 698.665 | 698.665 | 698.665 | 0.000 | -0.000 | -0.000 |
| 698.665 | 698.665 | 698.665 | -0.000 | -0.000 | -0.000 |
| -0.000 | -0.000 | -0.000 | 2.191 | 0.000 | -0.000 |
| -0.000 | -0.000 | -0.000 | 0.000 | 2.191 | -0.000 |
| -0.000 | -0.000 | -0.000 | 0.000 | 0.000 | 2.191 |
| 698.668 | 698.668 | 698.668 | 0.000 | 0.000 | 0.000 |
| 698.668 | 698.668 | 698.668 | 0.000 | 0.000 | 0.000 |
| 698.668 | 698.668 | 698.668 | 0.000 | 0.000 | 0.000 |
| 0.001 | 0.001 | 0.001 | 2.191 | 0.000 | 0.000 |
| 0.001 | 0.001 | 0.001 | 0.000 | 2.191 | 0.000 |
| 0.001 | 0.001 | 0.001 | -0.000 | -0.000 | 2.191 |
| 698.663 | 698.663 | 698.663 | -0.000 | -0.000 | -0.000 |
| 698.663 | 698.663 | 698.663 | -0.000 | -0.000 | -0.000 |
| 698.663 | 698.663 | 698.663 | -0.000 | -0.000 | -0.000 |
| -0.001 | -0.001 | -0.001 | 2.191 | -0.000 | -0.000 |
| -0.001 | -0.001 | -0.001 | -0.000 | 2.191 | -0.000 |
| -0.001 | -0.001 | -0.001 | 0.000 | 0.000 | 2.191 |
| 698.689 | 698.691 | 698.691 | 0.000 | 0.000 | 0.000 |
| 698.691 | 698.689 | 698.691 | 0.000 | 0.000 | 0.000 |
| 698.691 | 698.691 | 698.689 | 0.000 | 0.000 | 0.000 |
| 0.005 | 0.005 | 0.005 | 2.191 | 0.000 | 0.000 |
| 0.005 | 0.005 | 0.005 | 0.000 | 2.191 | 0.000 |
| 0.005 | 0.005 | 0.005 | -0.000 | -0.000 | 2.191 |
| 698.641 | 698.640 | 698.640 | -0.000 | 0.000 | -0.000 |
| 698.640 | 698.641 | 698.640 | 0.000 | -0.000 | -0.000 |
| 698.640 | 698.640 | 698.641 | -0.000 | -0.000 | -0.000 |
| -0.005 | -0.005 | -0.005 | 2.191 | -0.000 | -0.000 |
| -0.005 | -0.005 | -0.005 | -0.000 | 2.191 | -0.000 |
| -0.005 | -0.005 | -0.005 | -0.000 | 0.000 | 2.191 |
| 470.904 | 530.730 | 530.730 | 0.000 | 0.000 | 0.000 |
| 530.730 | 470.904 | 530.730 | 0.000 | 0.000 | 0.000 |
| 530.730 | 530.730 | 470.904 | 0.000 | 0.000 | 0.000 |
| 0.000 | 0.000 | -0.000 | 92.647 | 0.000 | 0.000 |
| 0.000 | -0.000 | -0.000 | -0.000 | 92.647 | 0.000 |
| 0.000 | 0.000 | -0.000 | 0.000 | 0.000 | 92.647 |
| 470.904 | 530.730 | 530.730 | -0.000 | -0.000 | -0.000 |
| 530.730 | 470.904 | 530.730 | -0.000 | -0.000 | -0.000 |
| 530.730 | 530.730 | 470.904 | -0.000 | -0.000 | -0.000 |
| -0.000 | 0.000 | 0.000 | 92.647 | 0.000 | -0.000 |
| -0.000 | 0.000 | 0.000 | 0.000 | 92.647 | -0.000 |
| -0.000 | -0.000 | 0.000 | 0.000 | -0.000 | 92.647 |
| 470.904 | 530.730 | 530.730 | 0.000 | 0.000 | 0.000 |
| 530.730 | 470.904 | 530.730 | 0.000 | 0.000 | 0.000 |
| 530.730 | 530.730 | 470.904 | 0.000 | 0.000 | 0.000 |
| 0.000 | 0.000 | 0.000 | -84.870 | 0.000 | 0.000 |
| 0.000 | 0.000 | 0.000 | 0.000 | -84.870 | 0.000 |
| 0.000 | 0.000 | 0.000 | 0.000 | 0.000 | -84.870 |
| 470.904 | 530.730 | 530.730 | -0.000 | -0.000 | -0.000 |
| 530.730 | 470.904 | 530.730 | -0.000 | -0.000 | -0.000 |
| 530.730 | 530.730 | 470.904 | -0.000 | -0.000 | -0.000 |
| -0.000 | -0.000 | -0.000 | -84.870 | -0.000 | -0.000 |
| -0.000 | -0.000 | -0.000 | -0.000 | -84.870 | -0.000 |
| -0.000 | -0.000 | -0.000 | -0.000 | -0.000 | -84.870 |
| 470.906 | 530.730 | 530.730 | 0.000 | 0.000 | 0.000 |
| 530.730 | 470.906 | 530.730 | 0.000 | 0.000 | 0.000 |
| 530.730 | 530.730 | 470.906 | 0.000 | 0.000 | 0.000 |
| 0.001 | 0.001 | 0.000 | -84.870 | 0.000 | 0.000 |
| 0.001 | 0.001 | 0.000 | 0.000 | -84.870 | 0.000 |
| 0.001 | 0.000 | 0.001 | 0.000 | 0.000 | -84.870 |
| 470.903 | 530.730 | 530.730 | -0.000 | -0.000 | -0.000 |
| 530.730 | 470.903 | 530.730 | -0.000 | -0.000 | -0.000 |
| 530.730 | 530.730 | 470.903 | -0.000 | -0.000 | -0.000 |
| -0.001 | -0.001 | -0.000 | -84.870 | -0.000 | -0.000 |
| -0.001 | -0.001 | -0.000 | -0.000 | -84.870 | -0.000 |
| -0.001 | -0.000 | -0.001 | -0.000 | -0.000 | -84.870 |
| 670.240 | 243.493 | 243.493 | -0.000 | 0.000 | -0.000 |
| 243.493 | 670.240 | 243.493 | -0.000 | -0.000 | -0.000 |
| 243.493 | 243.493 | 670.240 | -0.000 | -0.000 | -0.000 |
| 0.000 | -0.000 | -0.000 | 188.856 | -0.000 | -0.000 |
| 0.000 | -0.000 | -0.000 | -0.000 | 188.856 | -0.000 |
| 0.000 | -0.000 | -0.000 | -0.000 | -0.000 | 188.856 |
| 670.240 | 243.493 | 243.493 | 0.000 | 0.000 | 0.000 |
| 243.493 | 670.240 | 243.493 | 0.000 | 0.000 | 0.000 |
| 243.493 | 243.493 | 670.240 | 0.000 | 0.000 | 0.000 |
| -0.000 | 0.000 | 0.000 | 188.856 | 0.000 | 0.000 |
| -0.000 | 0.000 | 0.000 | 0.000 | 188.856 | 0.000 |
| -0.000 | 0.000 | 0.000 | 0.000 | 0.000 | 188.856 |
| 670.240 | 243.493 | 243.493 | 0.000 | -0.000 | -0.000 |
| 243.493 | 670.240 | 243.493 | -0.000 | -0.000 | -0.000 |
| 243.493 | 243.493 | 670.240 | -0.000 | -0.000 | -0.000 |
| 0.000 | -0.000 | -0.000 | 188.455 | -0.000 | 0.000 |
| -0.000 | 0.000 | -0.000 | -0.000 | 188.455 | 0.000 |
| -0.000 | -0.000 | 0.000 | -0.000 | -0.000 | 188.455 |
| 670.240 | 243.493 | 243.493 | 0.000 | 0.000 | 0.000 |
| 243.493 | 670.240 | 243.493 | 0.000 | 0.000 | 0.000 |
| 243.493 | 243.493 | 670.240 | 0.000 | -0.000 | 0.000 |
| -0.000 | 0.000 | 0.000 | 188.455 | 0.000 | 0.000 |
| 0.000 | -0.000 | 0.000 | 0.000 | 188.455 | 0.000 |
| 0.000 | 0.000 | -0.000 | 0.000 | 0.000 | 188.455 |
| 670.239 | 243.494 | 243.494 | -0.000 | 0.000 | -0.000 |
| 243.494 | 670.239 | 243.494 | 0.000 | -0.000 | -0.000 |
| 243.494 | 243.494 | 670.239 | -0.000 | -0.000 | -0.000 |
| 0.000 | -0.001 | -0.001 | 188.455 | -0.000 | -0.000 |
| -0.001 | 0.000 | -0.001 | -0.000 | 188.455 | -0.000 |
| -0.001 | -0.001 | 0.000 | -0.000 | -0.000 | 188.455 |
| 670.240 | 243.493 | 243.493 | 0.000 | 0.000 | 0.000 |
| 243.493 | 670.240 | 243.493 | 0.000 | 0.000 | 0.000 |
| 243.493 | 243.493 | 670.240 | 0.000 | 0.000 | 0.000 |
| -0.000 | 0.001 | 0.001 | 188.455 | 0.000 | -0.000 |
| 0.001 | -0.000 | 0.001 | 0.000 | 188.455 | 0.000 |
| 0.001 | 0.001 | -0.000 | 0.000 | 0.000 | 188.455 |
| 26.806 | 27.139 | 27.139 | 0.000 | 0.000 | 0.000 |
| 27.139 | 26.806 | 27.139 | 0.000 | 0.000 | 0.000 |
| 27.139 | 27.139 | 26.806 | 0.000 | 0.000 | 0.000 |
| -0.000 | 0.000 | 0.000 | -0.676 | 0.000 | 0.000 |
| 0.000 | -0.000 | 0.000 | 0.000 | -0.676 | 0.000 |
| 0.000 | 0.000 | -0.000 | 0.000 | 0.000 | -0.676 |
| 26.806 | 27.139 | 27.139 | -0.000 | -0.000 | -0.000 |
| 27.139 | 26.806 | 27.139 | -0.000 | -0.000 | -0.000 |
| 27.139 | 27.139 | 26.806 | -0.000 | -0.000 | -0.000 |
| 0.000 | -0.000 | -0.000 | -0.676 | -0.000 | -0.000 |
| -0.000 | 0.000 | -0.000 | -0.000 | -0.676 | -0.000 |
| -0.000 | -0.000 | 0.000 | -0.000 | -0.000 | -0.676 |
| 26.806 | 27.139 | 27.139 | 0.000 | 0.000 | 0.000 |
| 27.139 | 26.806 | 27.139 | 0.000 | 0.000 | 0.000 |
| 27.139 | 27.139 | 26.806 | 0.000 | 0.000 | 0.000 |
| -0.000 | 0.000 | 0.000 | -0.676 | 0.000 | 0.000 |
| 0.000 | -0.000 | 0.000 | 0.000 | -0.676 | 0.000 |
| 0.000 | 0.000 | -0.000 | 0.000 | 0.000 | -0.676 |
| 26.805 | 27.139 | 27.139 | -0.000 | -0.000 | -0.000 |
| 27.139 | 26.805 | 27.139 | -0.000 | -0.000 | -0.000 |
| 27.139 | 27.139 | 26.805 | -0.000 | -0.000 | -0.000 |
| 0.000 | -0.000 | -0.000 | -0.676 | -0.000 | -0.000 |
| -0.000 | 0.000 | -0.000 | -0.000 | -0.676 | -0.000 |
| -0.000 | -0.000 | 0.000 | -0.000 | -0.000 | -0.676 |
| 26.811 | 27.142 | 27.142 | 0.000 | 0.000 | 0.000 |
| 27.142 | 26.811 | 27.142 | 0.000 | 0.000 | 0.000 |
| 27.142 | 27.142 | 26.811 | 0.000 | 0.000 | 0.000 |
| -0.000 | 0.003 | 0.003 | -0.676 | 0.000 | 0.000 |
| 0.003 | -0.000 | 0.003 | 0.000 | -0.676 | 0.000 |
| 0.003 | 0.003 | -0.000 | 0.000 | 0.000 | -0.676 |
| 26.800 | 27.136 | 27.136 | -0.000 | -0.000 | -0.000 |
| 27.136 | 26.800 | 27.136 | -0.000 | -0.000 | -0.000 |
| 27.136 | 27.136 | 26.800 | -0.000 | -0.000 | -0.000 |
| 0.000 | -0.003 | -0.003 | -0.676 | -0.000 | -0.000 |
| -0.003 | 0.000 | -0.003 | -0.000 | -0.676 | -0.000 |
| -0.003 | -0.003 | 0.000 | -0.000 | -0.000 | -0.676 |
| 306.806 | 306.806 | 306.806 | 0.000 | 0.000 | 0.000 |
| 306.806 | 306.806 | 306.806 | 0.000 | 0.000 | 0.000 |
| 306.806 | 306.806 | 306.806 | 0.000 | 0.000 | 0.000 |
| 0.000 | 0.000 | 0.000 | -0.153 | 0.000 | 0.000 |
| 0.000 | 0.000 | 0.000 | 0.000 | -0.153 | 0.000 |
| 0.000 | 0.000 | 0.000 | 0.000 | 0.000 | -0.153 |
| 306.806 | 306.806 | 306.806 | -0.000 | -0.000 | -0.000 |
| 306.806 | 306.806 | 306.806 | -0.000 | -0.000 | -0.000 |
| 306.806 | 306.806 | 306.806 | -0.000 | -0.000 | -0.000 |
| -0.000 | -0.000 | -0.000 | -0.153 | -0.000 | -0.000 |
| -0.000 | -0.000 | -0.000 | -0.000 | -0.153 | -0.000 |
| -0.000 | -0.000 | -0.000 | -0.000 | -0.000 | -0.153 |
| 306.805 | 306.805 | 306.805 | 0.000 | 0.000 | 0.000 |
| 306.805 | 306.805 | 306.805 | 0.000 | 0.000 | 0.000 |
| 306.805 | 306.805 | 306.805 | 0.000 | 0.000 | 0.000 |
| 0.000 | 0.000 | 0.000 | -0.153 | 0.000 | 0.000 |
| 0.000 | 0.000 | 0.000 | 0.000 | -0.153 | 0.000 |
| 0.000 | 0.000 | 0.000 | 0.000 | 0.000 | -0.153 |
| 306.806 | 306.806 | 306.806 | -0.000 | -0.000 | -0.000 |
| 306.806 | 306.806 | 306.806 | -0.000 | -0.000 | -0.000 |
| 306.806 | 306.806 | 306.806 | -0.000 | -0.000 | -0.000 |
| -0.000 | -0.000 | -0.000 | -0.153 | -0.000 | -0.000 |
| -0.000 | -0.000 | -0.000 | -0.000 | -0.153 | -0.000 |
| -0.000 | -0.000 | -0.000 | -0.000 | -0.000 | -0.153 |
| 306.803 | 306.804 | 306.804 | 0.000 | 0.000 | 0.000 |
| 306.804 | 306.803 | 306.804 | 0.000 | 0.000 | 0.000 |
| 306.804 | 306.804 | 306.803 | 0.000 | 0.000 | 0.000 |
| 0.000 | 0.000 | 0.000 | -0.153 | 0.000 | 0.000 |
| 0.000 | 0.000 | 0.000 | 0.000 | -0.153 | 0.000 |
| 0.000 | 0.000 | 0.000 | 0.000 | 0.000 | -0.153 |
| 306.808 | 306.807 | 306.807 | -0.000 | -0.000 | -0.000 |
| 306.807 | 306.808 | 306.807 | -0.000 | -0.000 | -0.000 |
| 306.807 | 306.807 | 306.808 | -0.000 | -0.000 | -0.000 |
| -0.000 | -0.000 | -0.000 | -0.153 | -0.000 | -0.000 |
| -0.000 | -0.000 | -0.000 | -0.000 | -0.153 | -0.000 |
| -0.000 | -0.000 | -0.000 | -0.000 | -0.000 | -0.153 |
| 175.070 | 175.070 | 175.070 | -0.000 | 0.000 | 0.000 |
| 175.070 | 175.070 | 175.070 | 0.000 | -0.000 | 0.000 |
| 175.070 | 175.070 | 175.070 | 0.000 | 0.000 | -0.000 |
| 0.000 | 0.000 | 0.000 | 0.291 | 0.000 | -0.000 |
| 0.000 | 0.000 | 0.000 | 0.000 | 0.291 | -0.000 |
| 0.000 | 0.000 | 0.000 | 0.000 | -0.000 | 0.291 |
| 175.070 | 175.070 | 175.070 | 0.000 | -0.000 | -0.000 |
| 175.070 | 175.070 | 175.070 | -0.000 | 0.000 | -0.000 |
| 175.070 | 175.070 | 175.070 | -0.000 | -0.000 | 0.000 |
| -0.000 | -0.000 | -0.000 | 0.291 | -0.000 | 0.000 |
| -0.000 | -0.000 | -0.000 | -0.000 | 0.291 | 0.000 |
| -0.000 | -0.000 | -0.000 | -0.000 | 0.000 | 0.291 |
| 175.070 | 175.070 | 175.070 | -0.000 | 0.000 | 0.000 |
| 175.070 | 175.070 | 175.070 | 0.000 | -0.000 | 0.000 |
| 175.070 | 175.070 | 175.070 | 0.000 | 0.000 | -0.000 |
| 0.000 | 0.000 | 0.000 | 0.291 | 0.000 | -0.000 |
| 0.000 | 0.000 | 0.000 | 0.000 | 0.291 | -0.000 |
| 0.000 | 0.000 | 0.000 | 0.000 | -0.000 | 0.291 |
| 175.069 | 175.069 | 175.069 | -0.000 | -0.000 | -0.000 |
| 175.069 | 175.069 | 175.069 | -0.000 | -0.000 | -0.000 |
| 175.069 | 175.069 | 175.069 | -0.000 | -0.000 | -0.000 |
| -0.000 | -0.000 | -0.000 | 0.291 | -0.000 | 0.000 |
| -0.000 | -0.000 | -0.000 | -0.000 | 0.291 | 0.000 |
| -0.000 | -0.000 | -0.000 | -0.000 | 0.000 | 0.291 |
| 175.073 | 175.074 | 175.074 | 0.000 | 0.000 | 0.000 |
| 175.074 | 175.073 | 175.074 | 0.000 | 0.000 | 0.000 |
| 175.074 | 175.074 | 175.073 | 0.000 | 0.000 | 0.000 |
| 0.000 | 0.000 | 0.000 | 0.239 | -0.000 | -0.000 |
| 0.000 | 0.000 | 0.000 | -0.000 | 0.239 | -0.000 |
| 0.000 | 0.000 | 0.000 | -0.000 | -0.000 | 0.239 |
| 175.066 | 175.066 | 175.066 | -0.000 | -0.000 | -0.000 |
| 175.066 | 175.066 | 175.066 | -0.000 | -0.000 | -0.000 |
| 175.066 | 175.066 | 175.066 | -0.000 | -0.000 | -0.000 |
| -0.000 | -0.000 | -0.000 | 0.239 | -0.000 | 0.000 |
| -0.000 | -0.000 | -0.000 | -0.000 | 0.239 | 0.000 |
| -0.000 | -0.000 | -0.000 | -0.000 | 0.000 | 0.239 |
| 372.529 | 260.828 | 173.773 | 0.000 | 0.000 | 0.000 |
| 260.828 | 372.529 | 173.773 | 0.000 | 0.000 | -0.000 |
| 173.773 | 173.773 | 270.179 | 0.000 | 0.000 | -0.000 |
| -0.000 | -0.000 | 0.000 | 76.730 | 0.000 | -0.000 |
| -0.000 | -0.000 | 0.000 | 0.000 | 76.730 | -0.000 |
| 0.000 | -0.000 | 0.000 | 0.000 | 0.000 | 25.235 |
| 372.529 | 260.828 | 173.773 | -0.000 | -0.000 | -0.000 |
| 260.828 | 372.529 | 173.773 | -0.000 | -0.000 | -0.000 |
| 173.773 | 173.773 | 270.179 | 0.000 | 0.000 | 0.000 |
| 0.000 | 0.000 | -0.000 | 76.730 | -0.000 | 0.000 |
| 0.000 | 0.000 | -0.000 | -0.000 | 76.730 | 0.000 |
| -0.000 | 0.000 | -0.000 | -0.000 | -0.000 | 25.235 |
| 372.529 | 260.827 | 173.773 | 0.000 | 0.000 | 0.000 |
| 260.827 | 372.529 | 173.773 | 0.000 | -0.000 | 0.000 |
| 173.773 | 173.773 | 270.179 | 0.000 | 0.000 | 0.000 |
| -0.000 | -0.000 | 0.000 | 76.730 | -0.000 | 0.000 |
| -0.000 | -0.000 | 0.000 | 0.000 | 76.730 | 0.000 |
| 0.000 | -0.000 | 0.000 | 0.000 | 0.000 | 25.235 |
| 372.530 | 260.828 | 173.773 | -0.000 | -0.000 | 0.000 |
| 260.828 | 372.530 | 173.773 | -0.000 | -0.000 | -0.000 |
| 173.773 | 173.773 | 270.179 | -0.000 | -0.000 | -0.000 |
| 0.000 | 0.000 | -0.000 | 76.730 | -0.000 | -0.000 |
| 0.000 | 0.000 | -0.000 | -0.000 | 76.730 | -0.000 |
| -0.000 | 0.000 | -0.000 | -0.000 | -0.000 | 25.235 |
| 372.526 | 260.825 | 173.771 | 0.000 | 0.000 | -0.000 |
| 260.825 | 372.526 | 173.771 | 0.000 | 0.000 | -0.000 |
| 173.771 | 173.771 | 270.181 | 0.000 | -0.000 | 0.000 |
| -0.000 | -0.000 | 0.000 | 76.730 | 0.000 | 0.000 |
| -0.000 | -0.000 | 0.000 | 0.000 | 76.730 | 0.000 |
| 0.000 | 0.000 | 0.000 | 0.000 | 0.000 | 25.235 |
| 372.533 | 260.830 | 173.774 | -0.000 | -0.000 | 0.000 |
| 260.830 | 372.533 | 173.774 | -0.000 | 0.000 | 0.000 |
| 173.774 | 173.774 | 270.177 | -0.000 | -0.000 | -0.000 |
| 0.000 | 0.000 | -0.000 | 76.730 | 0.000 | -0.000 |
| 0.000 | 0.000 | -0.000 | -0.000 | 76.730 | 0.000 |
| -0.000 | -0.000 | -0.000 | -0.000 | -0.000 | 25.235 |
| 427.158 | 415.945 | 788.120 | 0.000 | -0.000 | 0.000 |
| 415.945 | 427.158 | 788.120 | -0.000 | 0.000 | 0.000 |
| 788.121 | 788.121 | 1493.326 | 0.000 | 0.000 | 0.000 |
| 0.000 | 0.000 | 0.000 | 2.623 | 0.000 | 0.000 |
| 0.000 | 0.000 | 0.000 | 0.000 | 2.623 | 0.000 |
| 0.000 | 0.000 | 0.000 | 0.000 | 0.000 | 1.466 |
| 427.158 | 415.945 | 788.120 | -0.000 | -0.000 | -0.000 |
| 415.945 | 427.158 | 788.120 | -0.000 | -0.000 | -0.000 |
| 788.120 | 788.120 | 1493.324 | -0.000 | -0.000 | -0.000 |
| -0.000 | -0.000 | -0.000 | 2.623 | -0.000 | -0.000 |
| -0.000 | -0.000 | -0.000 | -0.000 | 2.623 | -0.000 |
| -0.000 | -0.000 | -0.000 | -0.000 | -0.000 | 1.466 |
| 427.158 | 415.946 | 788.122 | 0.000 | -0.000 | 0.000 |
| 415.946 | 427.158 | 788.122 | -0.000 | 0.000 | 0.000 |
| 788.124 | 788.124 | 1493.333 | 0.000 | 0.000 | 0.000 |
| 0.000 | 0.000 | 0.001 | 2.623 | 0.000 | -0.000 |
| 0.000 | 0.000 | 0.001 | 0.000 | 2.623 | 0.000 |
| 0.000 | 0.000 | 0.000 | 0.000 | 0.000 | 1.466 |
| 427.157 | 415.944 | 788.118 | -0.000 | -0.000 | -0.000 |
| 415.944 | 427.157 | 788.118 | -0.000 | -0.000 | -0.000 |
| 788.116 | 788.116 | 1493.318 | -0.000 | -0.000 | -0.000 |
| -0.000 | -0.000 | -0.001 | 2.623 | -0.000 | -0.000 |
| -0.000 | -0.000 | -0.001 | -0.000 | 2.623 | -0.000 |
| -0.000 | -0.000 | -0.000 | -0.000 | -0.000 | 1.466 |
| 427.164 | 415.955 | 788.139 | 0.000 | -0.000 | 0.000 |
| 415.955 | 427.164 | 788.139 | -0.000 | 0.000 | -0.000 |
| 788.161 | 788.161 | 1493.398 | 0.000 | 0.000 | 0.000 |
| 0.004 | 0.004 | 0.008 | 2.623 | 0.000 | 0.000 |
| 0.004 | 0.004 | 0.008 | 0.000 | 2.623 | 0.000 |
| 0.002 | 0.002 | 0.005 | 0.000 | -0.000 | 1.466 |
| 427.152 | 415.935 | 788.102 | -0.000 | 0.000 | -0.000 |
| 415.935 | 427.152 | 788.102 | 0.000 | -0.000 | -0.000 |
| 788.079 | 788.079 | 1493.252 | -0.000 | -0.000 | -0.000 |
| -0.004 | -0.004 | -0.008 | 2.623 | -0.000 | -0.000 |
| -0.004 | -0.004 | -0.008 | -0.000 | 2.623 | -0.000 |
| -0.002 | -0.002 | -0.005 | -0.000 | -0.000 | 1.466 |
| 522.434 | 522.434 | 795.647 | -0.000 | -0.000 | 0.000 |
| 522.434 | 522.434 | 795.647 | -0.000 | -0.000 | 0.000 |
| 795.647 | 795.647 | 1211.738 | -0.000 | -0.000 | 0.000 |
| 0.000 | 0.000 | 0.000 | 2.495 | -0.000 | 0.000 |
| 0.000 | 0.000 | 0.000 | -0.000 | 2.495 | 0.000 |
| 0.000 | 0.000 | 0.000 | -0.000 | -0.000 | 1.638 |
| 522.434 | 522.434 | 795.646 | 0.000 | 0.000 | -0.000 |
| 522.434 | 522.434 | 795.646 | 0.000 | 0.000 | -0.000 |
| 795.646 | 795.646 | 1211.737 | 0.000 | 0.000 | -0.000 |
| -0.000 | -0.000 | -0.000 | 2.495 | 0.000 | -0.000 |
| -0.000 | -0.000 | -0.000 | 0.000 | 2.495 | -0.000 |
| -0.000 | -0.000 | -0.000 | 0.000 | 0.000 | 1.638 |
| 522.436 | 522.436 | 795.649 | -0.000 | -0.000 | 0.000 |
| 522.436 | 522.436 | 795.649 | -0.000 | -0.000 | 0.000 |
| 795.650 | 795.650 | 1211.743 | -0.000 | -0.000 | 0.000 |
| 0.000 | 0.000 | 0.001 | 2.495 | -0.000 | 0.000 |
| 0.000 | 0.000 | 0.001 | -0.000 | 2.495 | 0.000 |
| 0.000 | 0.000 | 0.000 | -0.000 | 0.000 | 1.638 |
| 522.433 | 522.433 | 795.644 | 0.000 | 0.000 | -0.000 |
| 522.433 | 522.433 | 795.644 | 0.000 | 0.000 | -0.000 |
| 795.643 | 795.643 | 1211.732 | 0.000 | 0.000 | -0.000 |
| -0.000 | -0.000 | -0.001 | 2.495 | 0.000 | -0.000 |
| -0.000 | -0.000 | -0.001 | 0.000 | 2.495 | -0.000 |
| -0.000 | -0.000 | -0.000 | 0.000 | -0.000 | 1.638 |
| 522.449 | 522.450 | 795.671 | -0.000 | -0.000 | 0.000 |
| 522.450 | 522.449 | 795.671 | -0.000 | -0.000 | 0.000 |
| 795.684 | 795.684 | 1211.792 | -0.000 | -0.000 | -0.000 |
| 0.005 | 0.005 | 0.007 | 2.495 | -0.000 | 0.000 |
| 0.005 | 0.005 | 0.007 | -0.000 | 2.495 | 0.000 |
| 0.003 | 0.003 | 0.005 | -0.000 | -0.000 | 1.638 |
| 522.419 | 522.418 | 795.622 | 0.000 | 0.000 | -0.000 |
| 522.418 | 522.419 | 795.622 | 0.000 | 0.000 | -0.000 |
| 795.609 | 795.609 | 1211.684 | 0.000 | 0.000 | -0.000 |
| -0.005 | -0.005 | -0.007 | 2.495 | 0.000 | -0.000 |
| -0.005 | -0.005 | -0.007 | 0.000 | 2.495 | -0.000 |
| -0.003 | -0.003 | -0.005 | 0.000 | 0.000 | 1.638 |
| 307.446 | 182.451 | 168.726 | -0.000 | 0.000 | 0.000 |
| 182.451 | 282.604 | 88.581 | 0.000 | -0.000 | 0.000 |
| 168.726 | 88.581 | 203.963 | -0.000 | -0.000 | 0.000 |
| 0.000 | 0.000 | 0.000 | -56.635 | 0.000 | 0.000 |
| -0.000 | 0.000 | 0.000 | 0.000 | 43.908 | 0.000 |
| -0.000 | 0.000 | 0.000 | 0.000 | -0.000 | 50.004 |
| 307.446 | 182.451 | 168.726 | 0.000 | 0.000 | -0.000 |
| 182.451 | 282.603 | 88.581 | 0.000 | 0.000 | 0.000 |
| 168.726 | 88.581 | 203.963 | 0.000 | 0.000 | -0.000 |
| 0.000 | -0.000 | -0.000 | -56.635 | -0.000 | 0.000 |
| 0.000 | -0.000 | -0.000 | -0.000 | 43.908 | -0.000 |
| 0.000 | -0.000 | -0.000 | 0.000 | 0.000 | 50.004 |
| 307.446 | 182.451 | 168.726 | 0.000 | -0.000 | 0.000 |
| 182.451 | 282.604 | 88.581 | -0.000 | -0.000 | -0.000 |
| 168.726 | 88.581 | 203.963 | -0.000 | -0.000 | -0.000 |
| -0.000 | 0.000 | 0.000 | -56.635 | 0.000 | 0.000 |
| -0.000 | -0.000 | 0.000 | -0.000 | 43.908 | 0.000 |
| -0.000 | 0.000 | -0.000 | 0.000 | -0.000 | 50.004 |
| 307.446 | 182.451 | 168.726 | 0.000 | 0.000 | -0.000 |
| 182.451 | 282.603 | 88.581 | -0.000 | -0.000 | 0.000 |
| 168.726 | 88.581 | 203.963 | -0.000 | 0.000 | -0.000 |
| 0.000 | -0.000 | -0.000 | -56.635 | -0.000 | -0.000 |
| 0.000 | 0.000 | -0.000 | -0.000 | 43.908 | -0.000 |
| 0.000 | -0.000 | 0.000 | 0.000 | 0.000 | 50.004 |
| 307.445 | 182.449 | 168.724 | -0.000 | -0.000 | 0.000 |
| 182.450 | 282.605 | 88.580 | -0.000 | -0.000 | 0.000 |
| 168.724 | 88.579 | 203.962 | -0.000 | -0.000 | 0.000 |
| -0.000 | 0.000 | 0.000 | -56.635 | -0.000 | -0.000 |
| -0.000 | -0.000 | 0.000 | 0.000 | 43.908 | 0.000 |
| -0.000 | 0.000 | -0.000 | 0.000 | -0.000 | 50.004 |
| 307.447 | 182.452 | 168.727 | -0.000 | 0.000 | -0.000 |
| 182.451 | 282.602 | 88.582 | 0.000 | 0.000 | -0.000 |
| 168.727 | 88.582 | 203.964 | -0.000 | 0.000 | -0.000 |
| 0.000 | -0.000 | -0.000 | -56.635 | 0.000 | -0.000 |
| 0.000 | 0.000 | -0.000 | -0.000 | 43.908 | -0.000 |
| 0.000 | -0.000 | 0.000 | -0.000 | 0.000 | 50.004 |
| 134.224 | 193.456 | 171.787 | 0.000 | -0.000 | 0.000 |
| 193.456 | 295.200 | 88.010 | 0.000 | 0.000 | 0.000 |
| 171.787 | 88.010 | 203.892 | -0.000 | 0.000 | -0.000 |
| 0.000 | 0.000 | -0.000 | -21.946 | -0.000 | 0.000 |
| 0.000 | 0.000 | 0.000 | 0.000 | 73.655 | 0.000 |
| 0.000 | 0.000 | 0.000 | 0.000 | 0.000 | 66.838 |
| 134.224 | 193.456 | 171.787 | -0.000 | -0.000 | 0.000 |
| 193.456 | 295.200 | 88.010 | -0.000 | -0.000 | -0.000 |
| 171.787 | 88.010 | 203.892 | 0.000 | 0.000 | 0.000 |
| -0.000 | -0.000 | 0.000 | -21.946 | 0.000 | 0.000 |
| -0.000 | -0.000 | -0.000 | 0.000 | 73.655 | 0.000 |
| -0.000 | -0.000 | -0.000 | 0.000 | -0.000 | 66.838 |
| 134.224 | 193.456 | 171.787 | -0.000 | -0.000 | -0.000 |
| 193.456 | 295.200 | 88.009 | -0.000 | 0.000 | 0.000 |
| 171.787 | 88.009 | 203.892 | 0.000 | 0.000 | 0.000 |
| -0.000 | -0.000 | -0.000 | -21.946 | 0.000 | -0.000 |
| -0.000 | -0.000 | 0.000 | -0.000 | 73.655 | 0.000 |
| 0.000 | 0.000 | -0.000 | -0.000 | 0.000 | 66.838 |
| 134.224 | 193.456 | 171.787 | 0.000 | -0.000 | -0.000 |
| 193.456 | 295.201 | 88.010 | 0.000 | 0.000 | 0.000 |
| 171.787 | 88.010 | 203.892 | 0.000 | -0.000 | 0.000 |
| 0.000 | 0.000 | 0.000 | -21.946 | -0.000 | 0.000 |
| 0.000 | 0.000 | -0.000 | 0.000 | 73.655 | -0.000 |
| -0.000 | -0.000 | 0.000 | -0.000 | -0.000 | 66.838 |
| 134.223 | 193.454 | 171.786 | -0.000 | 0.000 | 0.000 |
| 193.455 | 295.200 | 88.008 | 0.000 | 0.000 | 0.000 |
| 171.786 | 88.008 | 203.892 | 0.000 | 0.000 | -0.000 |
| -0.000 | -0.000 | -0.000 | -21.946 | 0.000 | 0.000 |
| -0.000 | -0.000 | 0.001 | 0.000 | 73.655 | 0.000 |
| 0.000 | 0.001 | -0.000 | 0.000 | -0.000 | 66.838 |
| 134.225 | 193.458 | 171.788 | -0.000 | -0.000 | -0.000 |
| 193.458 | 295.201 | 88.012 | -0.000 | 0.000 | -0.000 |
| 171.788 | 88.011 | 203.892 | 0.000 | -0.000 | -0.000 |
| 0.000 | 0.000 | 0.000 | -21.946 | -0.000 | -0.000 |
| 0.000 | 0.000 | -0.001 | -0.000 | 73.655 | 0.000 |
| -0.000 | -0.001 | 0.000 | -0.000 | -0.000 | 66.838 |
| 182.559 | 158.275 | 158.275 | 0.000 | -0.000 | -0.000 |
| 158.275 | 182.559 | 158.275 | -0.000 | 0.000 | -0.000 |
| 158.275 | 158.275 | 182.559 | 0.000 | -0.000 | -0.000 |
| 0.000 | -0.000 | -0.000 | 13.394 | -0.000 | 0.000 |
| -0.000 | -0.000 | -0.000 | -0.000 | 13.394 | 0.000 |
| -0.000 | -0.000 | -0.000 | 0.000 | 0.000 | 13.394 |
| 182.559 | 158.275 | 158.275 | -0.000 | -0.000 | 0.000 |
| 158.275 | 182.559 | 158.275 | 0.000 | 0.000 | -0.000 |
| 158.275 | 158.275 | 182.559 | -0.000 | -0.000 | 0.000 |
| 0.000 | 0.000 | 0.000 | 13.394 | 0.000 | 0.000 |
| 0.000 | 0.000 | 0.000 | 0.000 | 13.394 | 0.000 |
| 0.000 | 0.000 | 0.000 | -0.000 | -0.000 | 13.394 |
| 182.559 | 158.275 | 158.275 | 0.000 | -0.000 | 0.000 |
| 158.275 | 182.559 | 158.275 | -0.000 | 0.000 | -0.000 |
| 158.275 | 158.275 | 182.559 | 0.000 | -0.000 | -0.000 |
| 0.000 | -0.000 | 0.000 | 178.117 | -0.000 | -0.000 |
| -0.000 | 0.000 | 0.000 | -0.000 | 178.117 | 0.000 |
| -0.000 | 0.000 | 0.000 | 0.000 | 0.000 | 178.117 |
| 182.559 | 158.275 | 158.275 | -0.000 | -0.000 | 0.000 |
| 158.275 | 182.559 | 158.275 | 0.000 | -0.000 | 0.000 |
| 158.275 | 158.275 | 182.559 | -0.000 | -0.000 | 0.000 |
| -0.000 | 0.000 | -0.000 | 178.117 | 0.000 | -0.000 |
| 0.000 | -0.000 | -0.000 | 0.000 | 178.117 | 0.000 |
| 0.000 | -0.000 | -0.000 | -0.000 | -0.000 | 178.117 |
| 182.562 | 158.275 | 158.275 | -0.000 | 0.000 | -0.000 |
| 158.275 | 182.562 | 158.275 | 0.000 | 0.000 | -0.000 |
| 158.275 | 158.275 | 182.562 | 0.000 | 0.000 | 0.000 |
| 0.000 | -0.000 | -0.000 | 13.394 | -0.000 | 0.000 |
| -0.000 | 0.000 | -0.000 | 0.000 | 13.394 | -0.000 |
| -0.000 | -0.000 | 0.000 | -0.000 | -0.000 | 13.394 |
| 182.556 | 158.274 | 158.274 | -0.000 | 0.000 | 0.000 |
| 158.274 | 182.556 | 158.274 | 0.000 | -0.000 | 0.000 |
| 158.274 | 158.274 | 182.556 | -0.000 | -0.000 | 0.000 |
| -0.000 | 0.000 | 0.000 | 13.394 | 0.000 | 0.000 |
| 0.000 | -0.000 | 0.000 | 0.000 | 13.394 | 0.000 |
| 0.000 | 0.000 | -0.000 | -0.000 | -0.000 | 13.394 |
| 70.584 | 72.337 | 72.337 | 0.000 | 0.000 | -0.000 |
| 72.337 | 70.584 | 72.337 | 0.000 | 0.000 | -0.000 |
| 72.337 | 72.337 | 70.584 | 0.000 | 0.000 | 0.000 |
| -0.000 | -0.000 | -0.000 | 34.399 | 0.000 | -0.000 |
| -0.000 | -0.000 | -0.000 | 0.000 | 34.399 | -0.000 |
| -0.000 | -0.000 | -0.000 | 0.000 | 0.000 | 34.399 |
| 70.584 | 72.337 | 72.337 | -0.000 | -0.000 | 0.000 |
| 72.337 | 70.584 | 72.337 | -0.000 | -0.000 | 0.000 |
| 72.337 | 72.337 | 70.584 | -0.000 | -0.000 | 0.000 |
| 0.000 | 0.000 | 0.000 | 34.399 | -0.000 | 0.000 |
| 0.000 | 0.000 | 0.000 | -0.000 | 34.399 | 0.000 |
| 0.000 | 0.000 | 0.000 | -0.000 | -0.000 | 34.399 |
| 70.584 | 72.337 | 72.337 | 0.000 | 0.000 | 0.000 |
| 72.337 | 70.584 | 72.337 | 0.000 | 0.000 | 0.000 |
| 72.337 | 72.337 | 70.584 | 0.000 | 0.000 | 0.000 |
| -0.000 | -0.000 | -0.000 | 34.399 | 0.000 | -0.000 |
| -0.000 | -0.000 | -0.000 | 0.000 | 34.399 | -0.000 |
| -0.000 | -0.000 | -0.000 | 0.000 | 0.000 | 34.399 |
| 70.584 | 72.337 | 72.337 | -0.000 | -0.000 | 0.000 |
| 72.337 | 70.584 | 72.337 | -0.000 | -0.000 | 0.000 |
| 72.337 | 72.337 | 70.584 | -0.000 | -0.000 | -0.000 |
| 0.000 | 0.000 | 0.000 | 34.399 | -0.000 | -0.000 |
| 0.000 | 0.000 | 0.000 | -0.000 | 34.399 | 0.000 |
| 0.000 | 0.000 | 0.000 | -0.000 | -0.000 | 34.399 |
| 70.584 | 72.336 | 72.336 | -0.000 | 0.000 | 0.000 |
| 72.336 | 70.584 | 72.336 | 0.000 | 0.000 | -0.000 |
| 72.336 | 72.336 | 70.584 | 0.000 | 0.000 | -0.000 |
| -0.000 | -0.000 | -0.000 | 34.399 | 0.000 | -0.000 |
| -0.000 | -0.000 | -0.000 | 0.000 | 34.399 | 0.000 |
| -0.000 | -0.000 | -0.000 | 0.000 | 0.000 | 34.399 |
| 70.585 | 72.337 | 72.337 | -0.000 | -0.000 | 0.000 |
| 72.337 | 70.585 | 72.337 | -0.000 | -0.000 | 0.000 |
| 72.337 | 72.337 | 70.585 | -0.000 | -0.000 | 0.000 |
| 0.000 | 0.000 | 0.000 | 34.399 | -0.000 | 0.000 |
| 0.000 | 0.000 | 0.000 | -0.000 | 34.399 | 0.000 |
| 0.000 | 0.000 | 0.000 | -0.000 | -0.000 | 34.399 |
| 174.734 | 42.987 | 42.987 | 0.000 | -0.000 | 0.000 |
| 42.987 | 174.734 | 42.987 | -0.000 | -0.000 | 0.000 |
| 42.987 | 42.987 | 174.734 | 0.000 | 0.000 | 0.000 |
| 0.000 | 0.000 | 0.000 | 36.337 | 0.000 | -0.000 |
| 0.000 | 0.000 | 0.000 | 0.000 | 36.337 | -0.000 |
| 0.000 | 0.000 | 0.000 | 0.000 | -0.000 | 36.337 |
| 174.734 | 42.987 | 42.987 | -0.000 | 0.000 | 0.000 |
| 42.987 | 174.734 | 42.987 | -0.000 | 0.000 | 0.000 |
| 42.987 | 42.987 | 174.734 | -0.000 | 0.000 | -0.000 |
| -0.000 | -0.000 | -0.000 | 36.337 | -0.000 | -0.000 |
| -0.000 | -0.000 | -0.000 | -0.000 | 36.337 | -0.000 |
| -0.000 | -0.000 | -0.000 | -0.000 | 0.000 | 36.337 |
| 174.734 | 42.987 | 42.987 | 0.000 | 0.000 | 0.000 |
| 42.987 | 174.734 | 42.987 | 0.000 | -0.000 | 0.000 |
| 42.987 | 42.987 | 174.734 | 0.000 | 0.000 | 0.000 |
| 0.000 | 0.000 | 0.000 | 50.761 | -0.000 | -0.000 |
| 0.000 | 0.000 | 0.000 | 0.000 | 50.761 | -0.000 |
| 0.000 | 0.000 | 0.000 | 0.000 | -0.000 | 50.761 |
| 174.734 | 42.987 | 42.987 | -0.000 | -0.000 | 0.000 |
| 42.987 | 174.734 | 42.987 | -0.000 | -0.000 | 0.000 |
| 42.987 | 42.987 | 174.734 | -0.000 | 0.000 | -0.000 |
| -0.000 | -0.000 | -0.000 | 50.761 | 0.000 | -0.000 |
| -0.000 | -0.000 | -0.000 | -0.000 | 50.761 | 0.000 |
| -0.000 | -0.000 | -0.000 | -0.000 | 0.000 | 50.761 |
| 174.732 | 42.987 | 42.987 | 0.000 | -0.000 | -0.000 |
| 42.987 | 174.732 | 42.987 | -0.000 | -0.000 | -0.000 |
| 42.987 | 42.987 | 174.732 | 0.000 | 0.000 | 0.000 |
| 0.000 | 0.000 | 0.000 | 36.337 | -0.000 | -0.000 |
| 0.000 | 0.000 | 0.000 | 0.000 | 36.337 | 0.000 |
| 0.000 | 0.000 | 0.000 | 0.000 | -0.000 | 36.337 |
| 174.735 | 42.987 | 42.987 | -0.000 | 0.000 | 0.000 |
| 42.987 | 174.735 | 42.987 | -0.000 | 0.000 | 0.000 |
| 42.987 | 42.987 | 174.735 | -0.000 | 0.000 | 0.000 |
| -0.000 | -0.000 | -0.000 | 36.337 | 0.000 | 0.000 |
| -0.000 | -0.000 | -0.000 | -0.000 | 36.337 | 0.000 |
| -0.000 | -0.000 | -0.000 | -0.000 | 0.000 | 36.337 |
| 1974.395 | 1973.999 | 1973.999 | 0.000 | 0.000 | 0.000 |
| 1973.999 | 1974.395 | 1973.999 | 0.000 | -0.000 | 0.000 |
| 1973.999 | 1973.999 | 1974.395 | 0.000 | 0.000 | -0.000 |
| -0.000 | -0.000 | -0.000 | 0.523 | 0.000 | 0.000 |
| -0.000 | -0.000 | -0.000 | 0.000 | 0.523 | -0.000 |
| -0.000 | -0.000 | -0.000 | 0.000 | 0.000 | 0.523 |
| 1974.395 | 1973.999 | 1973.999 | -0.000 | 0.000 | 0.000 |
| 1973.999 | 1974.395 | 1973.999 | -0.000 | -0.000 | 0.000 |
| 1973.999 | 1973.999 | 1974.395 | -0.000 | -0.000 | 0.000 |
| 0.000 | 0.000 | 0.000 | 0.523 | 0.000 | -0.000 |
| 0.000 | 0.000 | 0.000 | -0.000 | 0.523 | -0.000 |
| 0.000 | 0.000 | 0.000 | -0.000 | -0.000 | 0.523 |
| 1974.394 | 1973.997 | 1973.997 | 0.000 | 0.000 | -0.000 |
| 1973.997 | 1974.394 | 1973.997 | 0.000 | 0.000 | -0.000 |
| 1973.997 | 1973.997 | 1974.394 | 0.000 | 0.000 | 0.000 |
| 0.000 | 0.000 | 0.000 | 0.290 | 0.000 | 0.000 |
| 0.000 | 0.000 | 0.000 | 0.000 | 0.290 | 0.000 |
| 0.000 | 0.000 | 0.000 | 0.000 | -0.000 | 0.290 |
| 1974.396 | 1974.001 | 1974.001 | -0.000 | 0.000 | -0.000 |
| 1974.001 | 1974.396 | 1974.001 | -0.000 | -0.000 | -0.000 |
| 1974.001 | 1974.001 | 1974.396 | -0.000 | -0.000 | 0.000 |
| -0.000 | -0.000 | -0.000 | 0.290 | 0.000 | -0.000 |
| -0.000 | -0.000 | -0.000 | -0.000 | 0.290 | 0.000 |
| -0.000 | -0.000 | -0.000 | -0.000 | -0.000 | 0.290 |
| 1974.388 | 1973.979 | 1973.979 | 0.000 | 0.000 | -0.000 |
| 1973.979 | 1974.388 | 1973.979 | 0.000 | 0.000 | -0.000 |
| 1973.979 | 1973.979 | 1974.388 | 0.000 | 0.000 | -0.000 |
| 0.000 | 0.000 | 0.000 | 0.523 | -0.000 | 0.000 |
| 0.000 | 0.000 | 0.000 | 0.000 | 0.523 | -0.000 |
| 0.000 | 0.000 | 0.000 | 0.000 | 0.000 | 0.523 |
| 1974.402 | 1974.019 | 1974.019 | -0.000 | 0.000 | -0.000 |
| 1974.019 | 1974.402 | 1974.019 | -0.000 | 0.000 | 0.000 |
| 1974.019 | 1974.019 | 1974.402 | -0.000 | 0.000 | 0.000 |
| -0.000 | -0.000 | -0.000 | 0.523 | 0.000 | 0.000 |
| -0.000 | -0.000 | -0.000 | -0.000 | 0.523 | 0.000 |
| -0.000 | -0.000 | -0.000 | -0.000 | -0.000 | 0.523 |
| 350.049 | 350.049 | 350.049 | -0.000 | -0.000 | -0.000 |
| 350.049 | 350.049 | 350.049 | -0.000 | -0.000 | -0.000 |
| 350.049 | 350.049 | 350.049 | -0.000 | -0.000 | 0.000 |
| 0.000 | 0.000 | 0.000 | 0.586 | -0.000 | -0.000 |
| 0.000 | 0.000 | 0.000 | -0.000 | 0.586 | -0.000 |
| 0.000 | 0.000 | 0.000 | -0.000 | -0.000 | 0.586 |
| 350.048 | 350.048 | 350.048 | 0.000 | 0.000 | -0.000 |
| 350.048 | 350.048 | 350.048 | 0.000 | 0.000 | -0.000 |
| 350.048 | 350.048 | 350.048 | 0.000 | 0.000 | 0.000 |
| -0.000 | -0.000 | -0.000 | 0.586 | 0.000 | 0.000 |
| -0.000 | -0.000 | -0.000 | 0.000 | 0.586 | 0.000 |
| -0.000 | -0.000 | -0.000 | 0.000 | 0.000 | 0.586 |
| 350.049 | 350.049 | 350.049 | -0.000 | -0.000 | -0.000 |
| 350.049 | 350.049 | 350.049 | -0.000 | -0.000 | -0.000 |
| 350.049 | 350.049 | 350.049 | -0.000 | -0.000 | -0.000 |
| 0.000 | 0.000 | 0.000 | 0.586 | -0.000 | 0.000 |
| 0.000 | 0.000 | 0.000 | -0.000 | 0.586 | 0.000 |
| 0.000 | 0.000 | 0.000 | -0.000 | -0.000 | 0.586 |
| 350.048 | 350.048 | 350.048 | 0.000 | 0.000 | 0.000 |
| 350.048 | 350.048 | 350.048 | 0.000 | 0.000 | 0.000 |
| 350.048 | 350.048 | 350.048 | 0.000 | 0.000 | 0.000 |
| -0.000 | -0.000 | -0.000 | 0.586 | 0.000 | 0.000 |
| -0.000 | -0.000 | -0.000 | 0.000 | 0.586 | 0.000 |
| -0.000 | -0.000 | -0.000 | 0.000 | 0.000 | 0.586 |
| 350.055 | 350.056 | 350.056 | -0.000 | -0.000 | -0.000 |
| 350.056 | 350.055 | 350.056 | -0.000 | -0.000 | -0.000 |
| 350.056 | 350.056 | 350.055 | -0.000 | -0.000 | -0.000 |
| 0.001 | 0.001 | 0.001 | 0.533 | -0.000 | 0.000 |
| 0.001 | 0.001 | 0.001 | -0.000 | 0.533 | 0.000 |
| 0.001 | 0.001 | 0.001 | -0.000 | -0.000 | 0.533 |
| 350.042 | 350.041 | 350.041 | 0.000 | 0.000 | 0.000 |
| 350.041 | 350.042 | 350.041 | 0.000 | 0.000 | 0.000 |
| 350.041 | 350.041 | 350.042 | 0.000 | 0.000 | 0.000 |
| -0.001 | -0.001 | -0.001 | 0.533 | 0.000 | 0.000 |
| -0.001 | -0.001 | -0.001 | 0.000 | 0.533 | 0.000 |
| -0.001 | -0.001 | -0.001 | 0.000 | 0.000 | 0.533 |
| 214.757 | 235.294 | 235.294 | -0.000 | 0.000 | -0.000 |
| 235.294 | 214.757 | 235.294 | -0.000 | 0.000 | -0.000 |
| 235.294 | 235.294 | 214.757 | -0.000 | 0.000 | -0.000 |
| -0.000 | -0.000 | 0.000 | 200.695 | -0.000 | -0.000 |
| 0.000 | 0.000 | -0.000 | -0.000 | 200.695 | -0.000 |
| 0.000 | 0.000 | -0.000 | -0.000 | -0.000 | 200.695 |
| 214.757 | 235.294 | 235.294 | 0.000 | 0.000 | 0.000 |
| 235.294 | 214.757 | 235.294 | 0.000 | 0.000 | 0.000 |
| 235.294 | 235.294 | 214.757 | -0.000 | 0.000 | 0.000 |
| -0.000 | 0.000 | 0.000 | 200.695 | 0.000 | 0.000 |
| -0.000 | 0.000 | -0.000 | 0.000 | 200.695 | 0.000 |
| -0.000 | -0.000 | 0.000 | 0.000 | 0.000 | 200.695 |
| 214.757 | 235.294 | 235.294 | -0.000 | -0.000 | -0.000 |
| 235.294 | 214.757 | 235.294 | -0.000 | -0.000 | -0.000 |
| 235.294 | 235.294 | 214.757 | -0.000 | 0.000 | -0.000 |
| 0.000 | 0.000 | 0.000 | 200.690 | -0.000 | -0.000 |
| 0.000 | 0.000 | 0.000 | -0.000 | 200.690 | -0.000 |
| 0.000 | 0.000 | 0.000 | 0.000 | -0.000 | 200.690 |
| 214.756 | 235.294 | 235.294 | 0.000 | 0.000 | 0.000 |
| 235.294 | 214.756 | 235.294 | -0.000 | 0.000 | 0.000 |
| 235.294 | 235.294 | 214.756 | -0.000 | 0.000 | 0.000 |
| -0.000 | -0.000 | -0.000 | 200.690 | 0.000 | -0.000 |
| -0.000 | -0.000 | -0.000 | 0.000 | 200.690 | 0.000 |
| -0.000 | -0.000 | -0.000 | -0.000 | 0.000 | 200.690 |
| 214.758 | 235.295 | 235.295 | 0.000 | 0.000 | -0.000 |
| 235.295 | 214.758 | 235.295 | -0.000 | -0.000 | -0.000 |
| 235.295 | 235.295 | 214.758 | 0.000 | -0.000 | -0.000 |
| 0.001 | 0.000 | 0.001 | 200.695 | -0.000 | -0.000 |
| 0.000 | 0.001 | 0.001 | -0.000 | 200.695 | -0.000 |
| 0.000 | 0.001 | 0.001 | -0.000 | -0.000 | 200.695 |
| 214.755 | 235.293 | 235.293 | -0.000 | 0.000 | 0.000 |
| 235.293 | 214.755 | 235.293 | 0.000 | 0.000 | 0.000 |
| 235.293 | 235.293 | 214.755 | 0.000 | 0.000 | 0.000 |
| -0.001 | -0.000 | -0.001 | 200.695 | 0.000 | 0.000 |
| -0.000 | -0.001 | -0.001 | 0.000 | 200.695 | 0.000 |
| -0.000 | -0.001 | -0.001 | 0.000 | 0.000 | 200.695 |
| 2043.292 | 2040.848 | 2040.848 | -0.000 | -0.000 | 0.000 |
| 2040.848 | 2043.292 | 2040.848 | -0.000 | -0.000 | 0.000 |
| 2040.848 | 2040.848 | 2043.292 | -0.000 | -0.000 | -0.000 |
| 0.000 | 0.000 | 0.000 | -0.065 | -0.000 | 0.000 |
| 0.000 | 0.000 | 0.000 | -0.000 | -0.065 | -0.000 |
| 0.000 | 0.000 | 0.000 | -0.000 | -0.000 | -0.065 |
| 2043.292 | 2040.848 | 2040.848 | 0.000 | 0.000 | -0.000 |
| 2040.848 | 2043.292 | 2040.848 | 0.000 | 0.000 | -0.000 |
| 2040.848 | 2040.848 | 2043.292 | 0.000 | 0.000 | -0.000 |
| -0.000 | -0.000 | -0.000 | -0.065 | 0.000 | 0.000 |
| -0.000 | -0.000 | -0.000 | 0.000 | -0.065 | 0.000 |
| -0.000 | -0.000 | -0.000 | 0.000 | 0.000 | -0.065 |
| 2043.292 | 2040.846 | 2040.846 | -0.000 | -0.000 | 0.000 |
| 2040.846 | 2043.292 | 2040.846 | -0.000 | -0.000 | 0.000 |
| 2040.846 | 2040.846 | 2043.292 | -0.000 | -0.000 | 0.000 |
| 0.000 | 0.000 | 0.000 | -0.065 | -0.000 | -0.000 |
| 0.000 | 0.000 | 0.000 | -0.000 | -0.065 | -0.000 |
| 0.000 | 0.000 | 0.000 | -0.000 | -0.000 | -0.065 |
| 2043.292 | 2040.850 | 2040.850 | 0.000 | 0.000 | -0.000 |
| 2040.850 | 2043.292 | 2040.850 | 0.000 | 0.000 | 0.000 |
| 2040.850 | 2040.850 | 2043.292 | 0.000 | 0.000 | 0.000 |
| -0.000 | -0.000 | -0.000 | -0.065 | 0.000 | -0.000 |
| -0.000 | -0.000 | -0.000 | 0.000 | -0.065 | 0.000 |
| -0.000 | -0.000 | -0.000 | 0.000 | 0.000 | -0.065 |
| 2043.291 | 2040.830 | 2040.830 | -0.000 | -0.000 | -0.000 |
| 2040.830 | 2043.291 | 2040.830 | -0.000 | -0.000 | -0.000 |
| 2040.830 | 2040.830 | 2043.291 | -0.000 | -0.000 | 0.000 |
| 2282286.083 | 2285685.613 | 2286261.834 | 147.985 | -88.067 | 1857.595 |
| 2269513.160 | 2269599.049 | 2273527.713 | 107.971 | -656.331 | 551.859 |
| 2179864.416 | 2178390.777 | 2181494.136 | 630.750 | -991.905 | 408.696 |
| 2043.293 | 2040.866 | 2040.866 | 0.000 | 0.000 | 0.000 |
| 2040.866 | 2043.293 | 2040.866 | 0.000 | 0.000 | -0.000 |
| 2040.866 | 2040.866 | 2043.293 | 0.000 | 0.000 | -0.000 |
| -2345177.090 | -2349444.499 | -2351592.662 | 366.639 | -1327.594 | 581.695 |
| -2337219.296 | -2342680.519 | -2338136.756 | 822.176 | 666.146 | -657.702 |
| -2318045.079 | -2324490.111 | -2316250.954 | -1658.363 | 1868.308 | -987.680 |
| 352.625 | 352.625 | 352.625 | -0.000 | 0.000 | 0.000 |
| 352.625 | 352.625 | 352.625 | 0.000 | -0.000 | 0.000 |
| 352.625 | 352.625 | 352.625 | -0.000 | -0.000 | 0.000 |
| 0.000 | 0.000 | 0.000 | 0.561 | 0.000 | 0.000 |
| 0.000 | 0.000 | 0.000 | 0.000 | 0.561 | 0.000 |
| 0.000 | 0.000 | 0.000 | 0.000 | -0.000 | 0.561 |
| 352.625 | 352.625 | 352.625 | -0.000 | -0.000 | -0.000 |
| 352.625 | 352.625 | 352.625 | -0.000 | -0.000 | -0.000 |
| 352.625 | 352.625 | 352.625 | -0.000 | -0.000 | -0.000 |
| -0.000 | -0.000 | -0.000 | 0.561 | -0.000 | -0.000 |
| -0.000 | -0.000 | -0.000 | -0.000 | 0.561 | -0.000 |
| -0.000 | -0.000 | -0.000 | -0.000 | 0.000 | 0.561 |
| 352.626 | 352.626 | 352.626 | 0.000 | 0.000 | 0.000 |
| 352.626 | 352.626 | 352.626 | 0.000 | 0.000 | 0.000 |
| 352.626 | 352.626 | 352.626 | 0.000 | 0.000 | 0.000 |
| 0.001 | 0.001 | 0.001 | -6.834 | -0.000 | -0.000 |
| 0.001 | 0.001 | 0.001 | 0.000 | -6.834 | -0.000 |
| 0.001 | 0.001 | 0.001 | -0.000 | -0.000 | -6.834 |
| 352.624 | 352.624 | 352.624 | -0.000 | -0.000 | 0.000 |
| 352.624 | 352.624 | 352.624 | -0.000 | -0.000 | -0.000 |
| 352.624 | 352.624 | 352.624 | -0.000 | -0.000 | -0.000 |
| -0.001 | -0.001 | -0.001 | -6.834 | 0.000 | 0.000 |
| -0.001 | -0.001 | -0.001 | 0.000 | -6.834 | 0.000 |
| -0.001 | -0.001 | -0.001 | -0.000 | 0.000 | -6.834 |
| 352.632 | 352.633 | 352.633 | 0.000 | 0.000 | 0.000 |
| 352.633 | 352.632 | 352.633 | 0.000 | 0.000 | 0.000 |
| 352.633 | 352.633 | 352.632 | 0.000 | 0.000 | 0.000 |
| 0.000 | 0.000 | 0.000 | -0.673 | -0.000 | 0.000 |
| 0.000 | 0.000 | 0.000 | -0.000 | -0.673 | 0.000 |
| 0.000 | 0.000 | 0.000 | -0.000 | 0.000 | -0.673 |
| 352.618 | 352.617 | 352.617 | -0.000 | -0.000 | -0.000 |
| 352.617 | 352.618 | 352.617 | -0.000 | -0.000 | -0.000 |
| 352.617 | 352.617 | 352.618 | -0.000 | -0.000 | -0.000 |
| -0.000 | -0.000 | -0.000 | -0.673 | 0.000 | 0.000 |
| -0.000 | -0.000 | -0.000 | 0.000 | -0.673 | 0.000 |
| -0.000 | -0.000 | -0.000 | 0.000 | 0.000 | -0.673 |
| 449.005 | 116.154 | 116.154 | -0.000 | -0.000 | 0.000 |
| 116.154 | 449.005 | 116.154 | -0.000 | -0.000 | 0.000 |
| 116.154 | 116.154 | 449.005 | -0.000 | 0.000 | 0.000 |
| 0.000 | -0.000 | -0.000 | 31.593 | -0.000 | 0.000 |
| 0.000 | 0.000 | 0.000 | -0.000 | 31.593 | 0.000 |
| 0.000 | 0.000 | 0.000 | 0.000 | -0.000 | 31.593 |
| 449.005 | 116.154 | 116.154 | 0.000 | -0.000 | -0.000 |
| 116.154 | 449.005 | 116.154 | -0.000 | 0.000 | 0.000 |
| 116.154 | 116.154 | 449.005 | 0.000 | 0.000 | -0.000 |
| -0.000 | -0.000 | 0.000 | 31.593 | -0.000 | -0.000 |
| -0.000 | -0.000 | 0.000 | 0.000 | 31.593 | -0.000 |
| -0.000 | -0.000 | -0.000 | 0.000 | -0.000 | 31.593 |
| 447.965 | 116.674 | 116.674 | -0.000 | 0.000 | 0.000 |
| 116.674 | 447.965 | 116.674 | -0.000 | 0.000 | 0.000 |
| 116.674 | 116.674 | 447.965 | -0.000 | -0.000 | 0.000 |
| 0.000 | -0.000 | -0.000 | 31.593 | 0.000 | 0.000 |
| -0.000 | 0.000 | -0.000 | -0.000 | 31.593 | 0.000 |
| -0.000 | -0.000 | 0.000 | 0.000 | 0.000 | 31.593 |
| 447.965 | 116.674 | 116.674 | 0.000 | -0.000 | -0.000 |
| 116.674 | 447.965 | 116.674 | 0.000 | -0.000 | -0.000 |
| 116.674 | 116.674 | 447.965 | 0.000 | 0.000 | 0.000 |
| -0.000 | 0.000 | 0.000 | 31.593 | -0.000 | 0.000 |
| 0.000 | -0.000 | 0.000 | 0.000 | 31.593 | 0.000 |
| 0.000 | 0.000 | -0.000 | 0.000 | -0.000 | 31.593 |
| 449.003 | 116.154 | 116.154 | -0.000 | -0.000 | 0.000 |
| 116.154 | 449.003 | 116.154 | -0.000 | -0.000 | -0.000 |
| 116.154 | 116.154 | 449.003 | -0.000 | 0.000 | 0.000 |
| -0.000 | -0.001 | -0.001 | -5.298 | -0.000 | -0.000 |
| -0.001 | -0.000 | -0.001 | -0.000 | -5.298 | 0.000 |
| -0.001 | -0.001 | -0.000 | -0.000 | -0.000 | -5.298 |
| 449.007 | 116.154 | 116.154 | -0.000 | 0.000 | 0.000 |
| 116.154 | 449.007 | 116.154 | 0.000 | -0.000 | -0.000 |
| 116.154 | 116.154 | 449.007 | 0.000 | 0.000 | 0.000 |
| 0.000 | 0.001 | 0.001 | -5.298 | 0.000 | -0.000 |
| 0.001 | 0.000 | 0.001 | 0.000 | -5.298 | -0.000 |
| 0.001 | 0.001 | 0.000 | 0.000 | 0.000 | -5.298 |
| 591.371 | 564.573 | 564.573 | 0.000 | 0.000 | -0.000 |
| 564.573 | 591.371 | 564.573 | -0.000 | -0.000 | 0.000 |
| 564.573 | 564.573 | 591.371 | -0.000 | -0.000 | -0.000 |
| -193651084.657 | -198515457.285 | -220055011.655 | -5877481.578 | 2417432.761 | 6757743.071 |
| -214351804.105 | -209680505.210 | -203762494.458 | -10209794.753 | -10050623.980 | -6397344.777 |
| -190340839.083 | -204089689.103 | -176271079.660 | -824219.237 | 855039.071 | -4728383.118 |
| 628.273 | 546.123 | 546.123 | 0.000 | -0.000 | -0.000 |
| 546.123 | 628.273 | 546.123 | 0.000 | -0.000 | -0.000 |
| 546.123 | 546.123 | 628.273 | 0.000 | 0.000 | -0.000 |
| 181937041.557 | 183455365.112 | 168068916.208 | -2166553.923 | -3777055.067 | -2794251.703 |
| 226690456.614 | 207935142.600 | 211063758.126 | -7580454.894 | -5337528.632 | 2250514.127 |
| 188921137.248 | 198853379.122 | 210446872.220 | -14031769.897 | 1063743.895 | -6755155.251 |
| 628.271 | 546.122 | 546.122 | -0.000 | 0.000 | 0.000 |
| 546.122 | 628.271 | 546.122 | -0.000 | -0.000 | 0.000 |
| 546.122 | 546.122 | 628.271 | -0.000 | -0.000 | 0.000 |
| -17761723.516 | -18444341.181 | -19157575.174 | -795479.451 | -30280.416 | 101349.937 |
| -22000068.127 | -21457974.140 | -20406206.097 | -188074.848 | -720373.890 | 133385.551 |
| -19310557.463 | -20933483.223 | -19020619.312 | -276139.964 | -295886.855 | -7869.508 |
| 591.372 | 564.575 | 564.575 | 0.000 | 0.000 | 0.000 |
| 564.575 | 591.372 | 564.575 | 0.000 | 0.000 | -0.000 |
| 564.575 | 564.575 | 591.372 | 0.000 | 0.000 | 0.000 |
| 22195360.531 | 21078103.456 | 21834638.485 | -1026992.546 | -651325.530 | -85662.212 |
| 21973806.152 | 20131228.103 | 18769742.773 | 94770.742 | -923420.001 | 252616.903 |
| 18101191.103 | 19950775.487 | 18432477.059 | 1038201.524 | -781465.591 | -711984.951 |
| 591.356 | 564.563 | 564.563 | -0.000 | -0.000 | 0.000 |
| 564.563 | 591.356 | 564.563 | -0.000 | -0.000 | 0.000 |
| 564.563 | 564.563 | 591.356 | -0.000 | -0.000 | 0.000 |
| -2031222.227 | -1866950.451 | -2008939.048 | -71469.661 | 79190.775 | -80996.800 |
| -2200083.734 | -2150164.927 | -2076132.994 | 8175.459 | -121670.760 | -69145.919 |
| -1961158.124 | -1832058.830 | -2039355.420 | -82472.966 | 32927.733 | -40017.543 |
| 628.282 | 546.134 | 546.134 | 0.000 | 0.000 | -0.000 |
| 546.134 | 628.282 | 546.134 | 0.000 | 0.000 | -0.000 |
| 546.134 | 546.134 | 628.282 | 0.000 | 0.000 | -0.000 |
| 2062815.015 | 2106461.187 | 2078332.812 | -167863.320 | 58015.047 | -120589.747 |
| 2253094.659 | 2182360.960 | 2131393.780 | -132147.651 | -108518.084 | 104576.313 |
| 2043455.730 | 2107501.352 | 1971407.870 | -55567.458 | -28568.849 | -24321.587 |
| 2232.968 | 2249.649 | 2249.649 | 0.000 | -0.000 | 0.000 |
| 2249.649 | 2232.968 | 2249.649 | 0.000 | -0.000 | 0.000 |
| 2249.649 | 2249.649 | 2232.968 | 0.000 | -0.000 | 0.000 |
| 0.000 | 0.000 | 0.000 | 0.855 | -0.000 | -0.000 |
| 0.000 | 0.000 | 0.000 | -0.000 | 0.855 | -0.000 |
| 0.000 | 0.000 | 0.000 | -0.000 | -0.000 | 0.855 |
| 2232.976 | 2249.644 | 2249.644 | 0.000 | 0.000 | 0.000 |
| 2249.644 | 2232.976 | 2249.644 | 0.000 | -0.000 | -0.000 |
| 2249.644 | 2249.644 | 2232.976 | 0.000 | -0.000 | -0.000 |
| -0.000 | -0.000 | -0.000 | 0.855 | 0.000 | -0.000 |
| -0.000 | -0.000 | -0.000 | 0.000 | 0.855 | -0.000 |
| -0.000 | -0.000 | -0.000 | 0.000 | -0.000 | 0.855 |
| 2232.929 | 2249.667 | 2249.667 | -0.000 | -0.000 | 0.000 |
| 2249.667 | 2232.929 | 2249.667 | -0.000 | -0.000 | -0.000 |
| 2249.667 | 2249.667 | 2232.929 | -0.000 | 0.000 | 0.000 |
| 0.106 | -0.003 | -0.102 | 0.581 | -0.000 | -0.000 |
| -0.004 | 0.120 | -0.115 | -0.000 | 0.583 | -0.000 |
| -0.004 | -0.100 | 0.104 | -0.000 | -0.000 | 0.581 |
| 2233.015 | 2249.626 | 2249.626 | 0.000 | -0.000 | 0.000 |
| 2249.626 | 2233.015 | 2249.626 | -0.000 | 0.000 | -0.000 |
| 2249.626 | 2249.626 | 2233.015 | 0.000 | -0.000 | -0.000 |
| -0.126 | 0.004 | 0.122 | 0.584 | 0.000 | 0.000 |
| 0.004 | -0.120 | 0.115 | -0.000 | 0.584 | -0.000 |
| 0.004 | 0.120 | -0.126 | 0.000 | -0.000 | 0.584 |
| 2232.986 | 2249.629 | 2249.629 | -0.000 | -0.000 | -0.000 |
| 2249.629 | 2232.986 | 2249.629 | 0.000 | -0.000 | -0.000 |
| 2249.629 | 2249.629 | 2232.986 | -0.000 | 0.000 | -0.000 |
| 0.002 | 0.002 | 0.001 | 0.855 | -0.000 | 0.000 |
| 0.002 | 0.002 | 0.001 | 0.000 | 0.855 | 0.000 |
| 0.002 | 0.001 | 0.002 | 0.000 | 0.000 | 0.855 |
| 2232.958 | 2249.664 | 2249.664 | -0.000 | 0.000 | 0.000 |
| 2249.664 | 2232.958 | 2249.664 | 0.000 | 0.000 | -0.000 |
| 2249.664 | 2249.664 | 2232.958 | -0.000 | 0.000 | -0.000 |
| -0.002 | -0.002 | -0.001 | 0.855 | 0.000 | 0.000 |
| -0.002 | -0.002 | -0.001 | 0.000 | 0.855 | -0.000 |
| -0.002 | -0.001 | -0.002 | 0.000 | 0.000 | 0.855 |
| 955.439 | 923.328 | 923.328 | 0.000 | 0.000 | -0.000 |
| 923.328 | 955.439 | 923.328 | -0.000 | -0.000 | -0.000 |
| 923.328 | 923.328 | 955.439 | -0.000 | 0.000 | 0.000 |
| -0.000 | -0.000 | -0.000 | -0.338 | 0.000 | -0.000 |
| -0.000 | -0.000 | -0.000 | -0.000 | -0.338 | 0.000 |
| -0.000 | -0.000 | -0.000 | -0.000 | 0.000 | -0.338 |
| 955.439 | 923.328 | 923.328 | -0.000 | -0.000 | -0.000 |
| 923.328 | 955.439 | 923.328 | -0.000 | 0.000 | -0.000 |
| 923.328 | 923.328 | 955.439 | 0.000 | -0.000 | -0.000 |
| 0.000 | 0.000 | 0.000 | -0.338 | -0.000 | -0.000 |
| 0.000 | 0.000 | 0.000 | 0.000 | -0.338 | -0.000 |
| 0.000 | 0.000 | 0.000 | 0.000 | -0.000 | -0.338 |
| 955.440 | 923.329 | 923.329 | -0.000 | 0.000 | 0.000 |
| 923.329 | 955.440 | 923.329 | -0.000 | 0.000 | 0.000 |
| 923.329 | 923.329 | 955.440 | 0.000 | 0.000 | 0.000 |
| -0.000 | -0.000 | -0.000 | -0.338 | 0.000 | 0.000 |
| -0.000 | -0.000 | -0.000 | 0.000 | -0.338 | 0.000 |
| -0.000 | -0.000 | -0.000 | 0.000 | 0.000 | -0.338 |
| 955.438 | 923.327 | 923.327 | -0.000 | -0.000 | -0.000 |
| 923.327 | 955.438 | 923.327 | -0.000 | 0.000 | 0.000 |
| 923.327 | 923.327 | 955.438 | 0.000 | -0.000 | -0.000 |
| 0.000 | 0.000 | 0.000 | -0.338 | -0.000 | 0.000 |
| 0.000 | 0.000 | 0.000 | -0.000 | -0.338 | -0.000 |
| 0.000 | 0.000 | 0.000 | -0.000 | -0.000 | -0.338 |
| 955.446 | 923.338 | 923.338 | -0.000 | -0.000 | 0.000 |
| 923.338 | 955.446 | 923.338 | -0.000 | -0.000 | 0.000 |
| 923.338 | 923.338 | 955.446 | -0.000 | 0.000 | 0.000 |
| -0.001 | -0.001 | -0.001 | -0.338 | 0.000 | 0.000 |
| -0.001 | -0.001 | -0.001 | 0.000 | -0.338 | 0.000 |
| -0.001 | -0.001 | -0.001 | 0.000 | 0.000 | -0.338 |
| 955.432 | 923.319 | 923.319 | -0.000 | -0.000 | -0.000 |
| 923.319 | 955.432 | 923.319 | 0.000 | 0.000 | -0.000 |
| 923.319 | 923.319 | 955.432 | -0.000 | -0.000 | -0.000 |
| 0.001 | 0.001 | 0.001 | -0.338 | -0.000 | -0.000 |
| 0.001 | 0.001 | 0.001 | -0.000 | -0.338 | -0.000 |
| 0.001 | 0.001 | 0.001 | -0.000 | -0.000 | -0.338 |
| 11.143 | 0.000 | 0.000 | -0.000 | -0.000 | 0.000 |
| 0.000 | 11.143 | 0.000 | 0.000 | -0.000 | 0.000 |
| 0.000 | 0.000 | 11.143 | 0.000 | -0.000 | 0.000 |
| 0.000 | -0.000 | -0.000 | 0.000 | -0.000 | 0.000 |
| 0.000 | 0.000 | -0.000 | 0.000 | 0.000 | 0.000 |
| -0.000 | -0.000 | 0.000 | 0.000 | -0.000 | 0.000 |
| 11.143 | 0.000 | 0.000 | -0.000 | 0.000 | -0.000 |
| 0.000 | 11.143 | 0.000 | -0.000 | 0.000 | 0.000 |
| 0.000 | 0.000 | 11.143 | -0.000 | -0.000 | -0.000 |
| -0.000 | 0.000 | 0.000 | 0.000 | 0.000 | -0.000 |
| 0.000 | -0.000 | 0.000 | -0.000 | 0.000 | -0.000 |
| 0.000 | 0.000 | -0.000 | -0.000 | 0.000 | 0.000 |
| 11.143 | 0.000 | 0.000 | 0.000 | -0.000 | 0.000 |
| 0.000 | 11.143 | 0.000 | 0.000 | -0.000 | -0.000 |
| 0.000 | 0.000 | 11.143 | 0.000 | -0.000 | 0.000 |
| 0.000 | 0.000 | -0.000 | 0.000 | 0.000 | 0.000 |
| 0.000 | 0.000 | -0.000 | -0.000 | 0.000 | 0.000 |
| 0.000 | -0.000 | 0.000 | 0.000 | -0.000 | 0.000 |
| 11.144 | -0.000 | -0.000 | -0.000 | 0.000 | -0.000 |
| -0.000 | 11.144 | -0.000 | -0.000 | 0.000 | 0.000 |
| -0.000 | -0.000 | 11.144 | 0.000 | 0.000 | -0.000 |
| -0.000 | -0.000 | 0.000 | 0.000 | -0.000 | -0.000 |
| -0.000 | -0.000 | 0.000 | 0.000 | 0.000 | -0.000 |
| -0.000 | 0.000 | -0.000 | -0.000 | 0.000 | 0.000 |
| 11.140 | 0.000 | 0.000 | 0.000 | -0.000 | 0.000 |
| 0.000 | 11.140 | 0.000 | 0.000 | -0.000 | -0.000 |
| 0.000 | 0.000 | 11.140 | -0.000 | -0.000 | 0.000 |
| 0.000 | -0.000 | -0.000 | 0.000 | 0.000 | 0.000 |
| -0.000 | 0.000 | -0.000 | -0.000 | 0.000 | 0.000 |
| -0.000 | -0.000 | 0.000 | 0.000 | -0.000 | 0.000 |
| 11.147 | -0.000 | -0.000 | -0.000 | 0.000 | -0.000 |
| -0.000 | 11.147 | -0.000 | -0.000 | 0.000 | -0.000 |
| -0.000 | -0.000 | 11.147 | -0.000 | -0.000 | -0.000 |
| -0.000 | -0.000 | 0.000 | 0.000 | -0.000 | -0.000 |
| -0.000 | -0.000 | 0.000 | 0.000 | 0.000 | -0.000 |
| -0.000 | 0.000 | -0.000 | -0.000 | 0.000 | 0.000 |
| 285.813 | 298.821 | 298.821 | -0.000 | -0.000 | 0.000 |
| 298.821 | 285.813 | 298.821 | -0.000 | -0.000 | 0.000 |
| 298.821 | 298.821 | 285.813 | -0.000 | -0.000 | 0.000 |
| 0.000 | 0.000 | 0.000 | 187.165 | -0.000 | 0.000 |
| 0.000 | 0.000 | 0.000 | -0.000 | 187.165 | 0.000 |
| 0.000 | 0.000 | 0.000 | -0.000 | -0.000 | 187.165 |
| 285.813 | 298.820 | 298.820 | -0.000 | 0.000 | 0.000 |
| 298.820 | 285.813 | 298.820 | 0.000 | 0.000 | -0.000 |
| 298.820 | 298.820 | 285.813 | -0.000 | 0.000 | -0.000 |
| -0.000 | -0.000 | -0.000 | 187.165 | 0.000 | 0.000 |
| -0.000 | -0.000 | -0.000 | 0.000 | 187.165 | -0.000 |
| -0.000 | -0.000 | -0.000 | 0.000 | 0.000 | 187.165 |
| 285.813 | 298.821 | 298.821 | -0.000 | -0.000 | -0.000 |
| 298.821 | 285.813 | 298.821 | -0.000 | -0.000 | -0.000 |
| 298.821 | 298.821 | 285.813 | -0.000 | -0.000 | 0.000 |
| 0.000 | 0.000 | 0.000 | 187.165 | -0.000 | -0.000 |
| 0.000 | 0.000 | 0.000 | -0.000 | 187.165 | -0.000 |
| 0.000 | 0.000 | 0.000 | -0.000 | -0.000 | 187.165 |
| 285.813 | 298.820 | 298.820 | 0.000 | 0.000 | 0.000 |
| 298.820 | 285.813 | 298.820 | -0.000 | 0.000 | 0.000 |
| 298.820 | 298.820 | 285.813 | 0.000 | 0.000 | 0.000 |
| -0.000 | -0.000 | -0.000 | 187.165 | -0.000 | -0.000 |
| -0.000 | -0.000 | -0.000 | 0.000 | 187.165 | -0.000 |
| -0.000 | -0.000 | -0.000 | 0.000 | 0.000 | 187.165 |
| 285.814 | 298.822 | 298.822 | -0.000 | -0.000 | -0.000 |
| 298.822 | 285.814 | 298.822 | -0.000 | -0.000 | 0.000 |
| 298.822 | 298.822 | 285.814 | 0.000 | -0.000 | -0.000 |
| 0.001 | 0.000 | 0.001 | 188.075 | -0.000 | -0.000 |
| 0.000 | 0.001 | 0.001 | -0.000 | 188.075 | 0.000 |
| 0.000 | 0.001 | 0.001 | -0.000 | -0.000 | 188.075 |
| 285.813 | 298.819 | 298.819 | 0.000 | 0.000 | -0.000 |
| 298.819 | 285.813 | 298.819 | -0.000 | -0.000 | -0.000 |
| 298.819 | 298.819 | 285.813 | 0.000 | 0.000 | -0.000 |
| -0.001 | -0.000 | -0.001 | 188.075 | 0.000 | 0.000 |
| -0.000 | -0.001 | -0.001 | 0.000 | 188.075 | 0.000 |
| -0.000 | -0.001 | -0.001 | -0.000 | 0.000 | 188.075 |
| 1316.446 | 1343.394 | 1343.394 | 0.000 | 0.000 | -0.000 |
| 1343.394 | 1316.446 | 1343.394 | 0.000 | 0.000 | -0.000 |
| 1343.394 | 1343.394 | 1316.446 | 0.000 | 0.000 | -0.000 |
| 0.000 | 0.000 | 0.000 | -15.367 | 0.000 | -0.000 |
| 0.000 | 0.000 | 0.000 | 0.000 | -15.367 | 0.000 |
| 0.000 | 0.000 | 0.000 | 0.000 | 0.000 | -15.367 |
| 1316.446 | 1343.394 | 1343.394 | -0.000 | -0.000 | 0.000 |
| 1343.394 | 1316.446 | 1343.394 | -0.000 | -0.000 | -0.000 |
| 1343.394 | 1343.394 | 1316.446 | -0.000 | -0.000 | 0.000 |
| -0.000 | -0.000 | -0.000 | -15.367 | -0.000 | -0.000 |
| -0.000 | -0.000 | -0.000 | -0.000 | -15.367 | -0.000 |
| -0.000 | -0.000 | -0.000 | -0.000 | 0.000 | -15.367 |
| 1316.446 | 1343.393 | 1343.393 | 0.000 | 0.000 | -0.000 |
| 1343.393 | 1316.446 | 1343.393 | 0.000 | -0.000 | 0.000 |
| 1343.393 | 1343.393 | 1316.446 | 0.000 | 0.000 | -0.000 |
| 137386423.442 | 129169723.209 | 128249172.594 | 12439990.589 | -1379401.831 | 361555.614 |
| 130648778.589 | 150438372.139 | 129071556.903 | -723916.100 | 15876299.867 | -1125163.494 |
| 130204039.097 | 124256097.077 | 152121661.276 | 642516.256 | -1144064.805 | 16630551.512 |
| 1316.446 | 1343.395 | 1343.395 | -0.000 | -0.000 | -0.000 |
| 1343.395 | 1316.446 | 1343.395 | -0.000 | 0.000 | -0.000 |
| 1343.395 | 1343.395 | 1316.446 | -0.000 | -0.000 | 0.000 |
| -139965454.774 | -128601403.111 | -124503791.689 | 15514379.058 | -741797.748 | 359133.753 |
| -133268870.866 | -153994736.354 | -132881131.485 | 84488.809 | 18712282.111 | -488231.769 |
| -132624898.985 | -125446767.442 | -153167828.199 | -997960.066 | 745098.236 | 15885037.814 |
| 1316.444 | 1343.384 | 1343.384 | 0.000 | -0.000 | -0.000 |
| 1343.384 | 1316.444 | 1343.384 | 0.000 | -0.000 | 0.000 |
| 1343.384 | 1343.384 | 1316.444 | 0.000 | 0.000 | 0.000 |
| 13402695.146 | 13218380.493 | 12971063.768 | 1089874.512 | 17785.054 | 129894.350 |
| 13230651.580 | 13680112.572 | 12604046.651 | 161487.716 | 1351574.083 | 303337.669 |
| 12894539.420 | 12821769.609 | 13873135.935 | 69266.342 | -82510.080 | 1115918.870 |
| 1316.448 | 1343.404 | 1343.404 | -0.000 | 0.000 | 0.000 |
| 1343.404 | 1316.448 | 1343.404 | -0.000 | 0.000 | -0.000 |
| 1343.404 | 1343.404 | 1316.448 | -0.000 | -0.000 | -0.000 |
| -13917105.785 | -12980481.820 | -12804989.086 | 1112042.664 | 21529.185 | 29023.131 |
| -13172024.437 | -14104400.277 | -13204086.476 | -149436.100 | 1002650.185 | 56893.801 |
| -13982996.881 | -13282114.641 | -15318735.503 | 44985.882 | -57397.194 | 1790525.087 |
| 21.554 | 55.265 | 55.265 | 0.000 | 0.000 | 0.000 |
| 55.265 | 21.554 | 55.265 | 0.000 | 0.000 | 0.000 |
| 55.265 | 55.265 | 21.554 | 0.000 | 0.000 | -0.000 |
| 0.000 | 0.000 | 0.000 | -11.986 | 0.000 | 0.000 |
| 0.000 | 0.000 | 0.000 | 0.000 | -11.986 | -0.000 |
| 0.000 | 0.000 | 0.000 | 0.000 | 0.000 | -11.986 |
| 21.554 | 55.265 | 55.265 | -0.000 | -0.000 | -0.000 |
| 55.265 | 21.554 | 55.265 | -0.000 | -0.000 | -0.000 |
| 55.265 | 55.265 | 21.554 | -0.000 | -0.000 | 0.000 |
| -0.000 | -0.000 | -0.000 | -11.986 | -0.000 | -0.000 |
| -0.000 | -0.000 | -0.000 | -0.000 | -11.986 | 0.000 |
| -0.000 | -0.000 | -0.000 | -0.000 | -0.000 | -11.986 |
| 21.554 | 55.265 | 55.265 | 0.000 | 0.000 | -0.000 |
| 55.265 | 21.554 | 55.265 | 0.000 | 0.000 | 0.000 |
| 55.265 | 55.265 | 21.554 | 0.000 | 0.000 | 0.000 |
| 2024897.877 | 1794652.696 | 1742278.717 | -308508.409 | 46234.137 | 26345.846 |
| 1802910.287 | 2074795.625 | 1770318.928 | 28840.178 | -319638.725 | 42419.373 |
| 1794004.369 | 1751464.242 | 1991255.755 | 28218.815 | 41908.593 | -288891.650 |
| 21.554 | 55.265 | 55.265 | -0.000 | -0.000 | 0.000 |
| 55.265 | 21.554 | 55.265 | -0.000 | -0.000 | 0.000 |
| 55.265 | 55.265 | 21.554 | -0.000 | -0.000 | -0.000 |
| -1921831.067 | -1720410.652 | -1725620.695 | -302669.244 | 43415.963 | 51280.905 |
| -1688701.329 | -1819660.555 | -1690302.269 | 30349.381 | -286731.919 | -1323.462 |
| -1669213.081 | -1761177.350 | -2011160.232 | 39987.147 | 39225.508 | -271413.710 |
| 21.553 | 55.266 | 55.266 | 0.000 | 0.000 | 0.000 |
| 55.266 | 21.553 | 55.266 | 0.000 | 0.000 | 0.000 |
| 55.266 | 55.266 | 21.553 | 0.000 | 0.000 | 0.000 |
| 199106.014 | 174135.871 | 175794.867 | -26304.059 | 2330.083 | -1137.627 |
| 176812.754 | 196434.940 | 171529.229 | 2508.081 | -22465.897 | -2638.179 |
| 169308.357 | 169597.628 | 187351.102 | 1821.309 | -2611.339 | -28874.320 |
| 21.555 | 55.264 | 55.264 | -0.000 | -0.000 | -0.000 |
| 55.264 | 21.555 | 55.264 | -0.000 | -0.000 | 0.000 |
| 55.264 | 55.264 | 21.555 | -0.000 | -0.000 | 0.000 |
| -203227.698 | -171606.087 | -176873.683 | -25218.486 | 4267.910 | 2889.944 |
| -172662.017 | -203468.755 | -178639.596 | 1165.401 | -26028.548 | 2850.621 |
| -174133.525 | -176971.299 | -196729.094 | 1776.450 | 3206.601 | -29300.254 |
| 0.931 | 0.931 | 0.931 | 0.000 | 0.000 | 0.000 |
| 0.931 | 0.931 | 0.931 | 0.000 | 0.000 | 0.000 |
| 0.931 | 0.931 | 0.931 | 0.000 | 0.000 | -0.000 |
| 0.000 | 0.000 | 0.000 | -1.442 | 0.000 | 0.000 |
| 0.000 | 0.000 | 0.000 | 0.000 | -1.442 | 0.000 |
| 0.000 | 0.000 | 0.000 | 0.000 | -0.000 | -1.442 |
| 0.931 | 0.931 | 0.931 | -0.000 | -0.000 | -0.000 |
| 0.931 | 0.931 | 0.931 | -0.000 | -0.000 | -0.000 |
| 0.931 | 0.931 | 0.931 | -0.000 | -0.000 | -0.000 |
| -0.000 | -0.000 | -0.000 | -1.442 | -0.000 | -0.000 |
| -0.000 | -0.000 | -0.000 | -0.000 | -1.442 | -0.000 |
| -0.000 | -0.000 | -0.000 | -0.000 | 0.000 | -1.442 |
| 0.931 | 0.931 | 0.931 | 0.000 | 0.000 | -0.000 |
| 0.931 | 0.931 | 0.931 | 0.000 | 0.000 | -0.000 |
| 0.931 | 0.931 | 0.931 | 0.000 | 0.000 | 0.000 |
| 0.001 | 0.001 | 0.001 | -6.802 | 0.000 | -0.000 |
| 0.001 | 0.001 | 0.001 | 0.000 | -6.802 | -0.000 |
| 0.001 | 0.001 | 0.001 | -0.000 | 0.000 | -6.802 |
| 0.931 | 0.931 | 0.931 | -0.000 | -0.000 | 0.000 |
| 0.931 | 0.931 | 0.931 | -0.000 | -0.000 | 0.000 |
| 0.931 | 0.931 | 0.931 | -0.000 | -0.000 | -0.000 |
| -0.001 | -0.001 | -0.001 | -6.802 | -0.000 | 0.000 |
| -0.001 | -0.001 | -0.001 | -0.000 | -6.802 | 0.000 |
| -0.001 | -0.001 | -0.001 | -0.000 | -0.000 | -6.802 |
| 0.932 | 0.932 | 0.932 | 0.000 | 0.000 | -0.000 |
| 0.932 | 0.932 | 0.932 | 0.000 | 0.000 | -0.000 |
| 0.932 | 0.932 | 0.932 | 0.000 | 0.000 | 0.000 |
| 0.014 | 0.014 | 0.014 | -7.308 | 0.000 | -0.000 |
| 0.014 | 0.014 | 0.014 | 0.000 | -7.308 | 0.000 |
| 0.014 | 0.014 | 0.014 | 0.000 | 0.000 | -7.308 |
| 0.930 | 0.930 | 0.930 | -0.000 | -0.000 | 0.000 |
| 0.930 | 0.930 | 0.930 | -0.000 | -0.000 | 0.000 |
| 0.930 | 0.930 | 0.930 | -0.000 | -0.000 | -0.000 |
| -0.014 | -0.014 | -0.014 | -7.308 | -0.000 | -0.000 |
| -0.014 | -0.014 | -0.014 | -0.000 | -7.308 | 0.000 |
| -0.014 | -0.014 | -0.014 | -0.000 | 0.000 | -7.308 |
| 169.739 | 187.383 | 187.383 | -0.000 | 0.000 | -0.000 |
| 187.383 | 169.739 | 187.383 | -0.000 | -0.000 | -0.000 |
| 187.383 | 187.383 | 169.739 | 0.000 | 0.000 | -0.000 |
| -0.000 | 0.000 | 0.000 | 45.551 | 0.000 | -0.000 |
| 0.000 | -0.000 | 0.000 | -0.000 | 45.551 | -0.000 |
| 0.000 | 0.000 | -0.000 | -0.000 | 0.000 | 45.551 |
| 169.739 | 187.383 | 187.383 | 0.000 | -0.000 | -0.000 |
| 187.383 | 169.739 | 187.383 | -0.000 | 0.000 | -0.000 |
| 187.383 | 187.383 | 169.739 | -0.000 | -0.000 | 0.000 |
| 0.000 | -0.000 | -0.000 | 45.551 | 0.000 | 0.000 |
| 0.000 | 0.000 | 0.000 | 0.000 | 45.551 | 0.000 |
| -0.000 | -0.000 | 0.000 | 0.000 | -0.000 | 45.551 |
| 169.739 | 187.382 | 187.382 | -0.000 | 0.000 | -0.000 |
| 187.382 | 169.739 | 187.382 | 0.000 | 0.000 | -0.000 |
| 187.382 | 187.382 | 169.739 | -0.000 | -0.000 | -0.000 |
| -0.000 | -0.000 | 0.000 | 45.551 | -0.000 | 0.000 |
| -0.000 | -0.000 | 0.000 | -0.000 | 45.551 | -0.000 |
| -0.000 | 0.000 | -0.000 | -0.000 | -0.000 | 45.551 |
| 169.739 | 187.383 | 187.383 | -0.000 | 0.000 | 0.000 |
| 187.383 | 169.739 | 187.383 | 0.000 | -0.000 | 0.000 |
| 187.383 | 187.383 | 169.739 | -0.000 | 0.000 | -0.000 |
| 0.000 | 0.000 | -0.000 | 45.551 | 0.000 | -0.000 |
| 0.000 | 0.000 | -0.000 | 0.000 | 45.551 | -0.000 |
| 0.000 | -0.000 | 0.000 | 0.000 | 0.000 | 45.551 |
| 169.736 | 187.382 | 187.382 | -0.000 | 0.000 | -0.000 |
| 187.382 | 169.736 | 187.382 | 0.000 | -0.000 | 0.000 |
| 187.382 | 187.382 | 169.736 | -0.000 | -0.000 | -0.000 |
| -0.000 | -0.000 | 0.000 | 45.551 | -0.000 | -0.000 |
| -0.000 | -0.000 | 0.000 | -0.000 | 45.551 | -0.000 |
| -0.000 | 0.000 | -0.000 | 0.000 | -0.000 | 45.551 |
| 169.742 | 187.384 | 187.384 | 0.000 | -0.000 | 0.000 |
| 187.384 | 169.742 | 187.384 | 0.000 | 0.000 | 0.000 |
| 187.384 | 187.384 | 169.742 | 0.000 | -0.000 | 0.000 |
| 0.000 | 0.000 | -0.000 | 45.551 | 0.000 | 0.000 |
| 0.000 | 0.000 | -0.000 | 0.000 | 45.551 | 0.000 |
| 0.000 | -0.000 | 0.000 | -0.000 | -0.000 | 45.551 |
| 482.937 | 383.570 | 383.570 | -0.000 | -0.000 | 0.000 |
| 383.570 | 482.937 | 383.570 | 0.000 | -0.000 | 0.000 |
| 383.570 | 383.570 | 482.937 | -0.000 | -0.000 | 0.000 |
| -0.000 | -0.000 | -0.000 | 4.820 | -0.000 | 0.000 |
| -0.000 | -0.000 | -0.000 | -0.000 | 4.820 | 0.000 |
| -0.000 | -0.000 | -0.000 | -0.000 | -0.000 | 4.820 |
| 482.937 | 383.570 | 383.570 | 0.000 | 0.000 | -0.000 |
| 383.570 | 482.937 | 383.570 | -0.000 | 0.000 | -0.000 |
| 383.570 | 383.570 | 482.937 | 0.000 | -0.000 | -0.000 |
| 0.000 | 0.000 | 0.000 | 4.820 | 0.000 | 0.000 |
| 0.000 | 0.000 | 0.000 | 0.000 | 4.820 | -0.000 |
| 0.000 | 0.000 | 0.000 | -0.000 | 0.000 | 4.820 |
| 482.936 | 383.569 | 383.569 | -0.000 | 0.000 | 0.000 |
| 383.569 | 482.936 | 383.569 | 0.000 | 0.000 | 0.000 |
| 383.569 | 383.569 | 482.936 | -0.000 | -0.000 | 0.000 |
| -0.000 | -0.000 | -0.000 | 4.820 | -0.000 | 0.000 |
| -0.000 | -0.000 | -0.000 | -0.000 | 4.820 | 0.000 |
| -0.000 | -0.000 | -0.000 | -0.000 | -0.000 | 4.820 |
| 482.938 | 383.570 | 383.570 | 0.000 | 0.000 | -0.000 |
| 383.570 | 482.938 | 383.570 | 0.000 | 0.000 | -0.000 |
| 383.570 | 383.570 | 482.938 | 0.000 | 0.000 | -0.000 |
| 0.000 | 0.000 | 0.000 | 4.820 | 0.000 | 0.000 |
| 0.000 | 0.000 | 0.000 | 0.000 | 4.820 | -0.000 |
| 0.000 | 0.000 | 0.000 | 0.000 | 0.000 | 4.820 |
| 482.927 | 383.563 | 383.563 | 0.000 | -0.000 | 0.000 |
| 383.563 | 482.927 | 383.563 | -0.000 | -0.000 | 0.000 |
| 383.563 | 383.563 | 482.927 | -0.000 | -0.000 | 0.000 |
| -0.000 | -0.001 | -0.001 | 4.820 | -0.000 | 0.000 |
| -0.001 | -0.000 | -0.001 | -0.000 | 4.820 | 0.000 |
| -0.001 | -0.001 | -0.000 | -0.000 | -0.000 | 4.820 |
| 482.947 | 383.576 | 383.576 | -0.000 | 0.000 | -0.000 |
| 383.576 | 482.947 | 383.576 | 0.000 | -0.000 | -0.000 |
| 383.576 | 383.576 | 482.947 | -0.000 | 0.000 | -0.000 |
| 0.000 | 0.001 | 0.001 | 4.820 | 0.000 | 0.000 |
| 0.001 | 0.000 | 0.001 | 0.000 | 4.820 | -0.000 |
| 0.001 | 0.001 | 0.000 | 0.000 | 0.000 | 4.820 |
| 2.281 | 1.140 | 1.140 | -0.000 | -0.000 | -0.000 |
| 1.140 | 2.281 | 1.140 | -0.000 | -0.000 | -0.000 |
| 1.140 | 1.140 | 2.281 | 0.000 | -0.000 | -0.000 |
| -0.000 | 0.000 | 0.000 | 1.141 | -0.000 | -0.000 |
| 0.000 | -0.000 | 0.000 | -0.000 | 1.141 | 0.000 |
| 0.000 | 0.000 | -0.000 | -0.000 | 0.000 | 1.141 |
| 2.281 | 1.140 | 1.140 | -0.000 | 0.000 | 0.000 |
| 1.140 | 2.281 | 1.140 | 0.000 | 0.000 | 0.000 |
| 1.140 | 1.140 | 2.281 | -0.000 | 0.000 | 0.000 |
| 0.000 | -0.000 | -0.000 | 1.141 | -0.000 | 0.000 |
| -0.000 | 0.000 | -0.000 | -0.000 | 1.141 | 0.000 |
| -0.000 | -0.000 | 0.000 | -0.000 | 0.000 | 1.141 |
| 2.281 | 1.141 | 1.141 | 0.000 | -0.000 | -0.000 |
| 1.141 | 2.281 | 1.141 | -0.000 | -0.000 | -0.000 |
| 1.141 | 1.141 | 2.281 | -0.000 | -0.000 | -0.000 |
| -0.000 | 0.000 | 0.000 | 1.141 | -0.000 | -0.000 |
| 0.000 | -0.000 | 0.000 | -0.000 | 1.141 | -0.000 |
| 0.000 | 0.000 | -0.000 | -0.000 | -0.000 | 1.141 |
| 2.281 | 1.140 | 1.140 | -0.000 | 0.000 | 0.000 |
| 1.140 | 2.281 | 1.140 | 0.000 | 0.000 | -0.000 |
| 1.140 | 1.140 | 2.281 | -0.000 | -0.000 | 0.000 |
| 0.000 | -0.000 | -0.000 | 1.141 | -0.000 | 0.000 |
| -0.000 | 0.000 | -0.000 | -0.000 | 1.141 | 0.000 |
| -0.000 | -0.000 | 0.000 | -0.000 | 0.000 | 1.141 |
| 2.284 | 1.142 | 1.142 | -0.000 | -0.000 | -0.000 |
| 1.142 | 2.284 | 1.142 | -0.000 | -0.000 | -0.000 |
| 1.142 | 1.142 | 2.284 | -0.000 | -0.000 | -0.000 |
| -0.000 | 0.002 | 0.002 | 1.141 | -0.000 | -0.000 |
| 0.002 | -0.000 | 0.002 | -0.000 | 1.141 | -0.000 |
| 0.002 | 0.002 | -0.000 | -0.000 | -0.000 | 1.141 |
| 2.278 | 1.139 | 1.139 | 0.000 | 0.000 | 0.000 |
| 1.139 | 2.278 | 1.139 | 0.000 | 0.000 | 0.000 |
| 1.139 | 1.139 | 2.278 | 0.000 | 0.000 | 0.000 |
| 0.000 | -0.002 | -0.002 | 1.141 | 0.000 | 0.000 |
| -0.002 | 0.000 | -0.002 | 0.000 | 1.141 | -0.000 |
| -0.002 | -0.002 | 0.000 | 0.000 | -0.000 | 1.141 |
| 180.159 | 168.063 | 148.312 | 0.000 | -0.000 | -0.000 |
| 168.063 | 180.159 | 148.312 | 0.000 | -0.000 | -0.000 |
| 148.312 | 148.312 | 265.482 | 0.000 | -0.000 | -0.000 |
| -0.000 | 0.000 | 0.000 | 69.671 | -0.000 | 0.000 |
| -0.000 | 0.000 | 0.000 | 0.000 | 69.671 | 0.000 |
| -0.000 | -0.000 | -0.000 | -0.000 | -0.000 | 50.948 |
| 180.159 | 168.063 | 148.312 | -0.000 | 0.000 | -0.000 |
| 168.063 | 180.159 | 148.312 | -0.000 | 0.000 | 0.000 |
| 148.312 | 148.312 | 265.482 | -0.000 | 0.000 | 0.000 |
| 0.000 | -0.000 | -0.000 | 69.671 | 0.000 | 0.000 |
| 0.000 | -0.000 | 0.000 | -0.000 | 69.671 | 0.000 |
| 0.000 | -0.000 | -0.000 | 0.000 | 0.000 | 50.948 |
| 179.779 | 168.443 | 148.312 | 0.000 | -0.000 | 0.000 |
| 168.443 | 179.779 | 148.312 | 0.000 | -0.000 | 0.000 |
| 148.312 | 148.312 | 265.483 | 0.000 | -0.000 | 0.000 |
| -0.000 | 0.000 | 0.000 | 69.920 | -0.000 | -0.000 |
| 0.000 | -0.000 | 0.000 | 0.000 | 69.920 | -0.000 |
| -0.000 | -0.000 | -0.000 | -0.000 | -0.000 | 50.948 |
| 179.779 | 168.443 | 148.312 | -0.000 | 0.000 | 0.000 |
| 168.443 | 179.779 | 148.312 | -0.000 | 0.000 | 0.000 |
| 148.312 | 148.312 | 265.481 | -0.000 | 0.000 | -0.000 |
| 0.000 | -0.000 | -0.000 | 69.920 | 0.000 | -0.000 |
| -0.000 | 0.000 | -0.000 | -0.000 | 69.920 | 0.000 |
| 0.000 | 0.000 | 0.000 | 0.000 | 0.000 | 50.948 |
| 179.776 | 168.442 | 148.312 | 0.000 | -0.000 | -0.000 |
| 168.442 | 179.776 | 148.312 | 0.000 | -0.000 | -0.000 |
| 148.312 | 148.312 | 265.488 | 0.000 | -0.000 | -0.000 |
| -0.000 | 0.000 | 0.001 | 69.671 | -0.000 | -0.000 |
| 0.000 | -0.000 | 0.001 | 0.000 | 69.671 | 0.000 |
| -0.000 | -0.000 | -0.000 | -0.000 | -0.000 | 50.948 |
| 180.162 | 168.064 | 148.312 | -0.000 | 0.000 | -0.000 |
| 168.064 | 180.162 | 148.312 | -0.000 | -0.000 | 0.000 |
| 148.311 | 148.311 | 265.476 | -0.000 | 0.000 | -0.000 |
| 0.000 | -0.000 | -0.001 | 69.671 | 0.000 | -0.000 |
| -0.000 | 0.000 | -0.001 | -0.000 | 69.671 | -0.000 |
| 0.000 | 0.000 | 0.000 | -0.000 | 0.000 | 50.948 |
| 280.600 | 137.177 | 104.687 | 25.629 | 0.000 | -0.000 |
| 137.177 | 280.600 | 104.687 | -25.629 | 0.000 | -0.000 |
| 116.648 | 116.648 | 292.925 | -0.000 | -0.000 | -0.000 |
| 25.797 | -25.797 | 0.000 | 46.874 | 0.000 | -0.000 |
| 0.358 | 0.358 | -3.204 | -0.000 | 46.590 | 25.634 |
| 0.356 | 0.356 | -3.187 | -0.000 | 25.635 | 71.715 |
| 279.999 | 136.567 | 111.487 | 25.637 | 0.000 | 0.000 |
| 139.253 | 282.874 | 115.869 | -25.797 | -0.000 | 0.000 |
| 108.476 | 108.476 | 271.286 | 0.000 | -0.000 | 0.000 |
| 25.797 | -25.797 | -0.000 | 46.874 | -0.000 | 0.000 |
| -0.358 | -0.358 | 3.204 | 0.000 | 46.590 | 25.634 |
| -0.356 | -0.356 | 3.187 | 0.000 | 25.635 | 71.715 |
| 279.882 | 136.488 | 106.435 | 25.605 | 0.000 | -0.000 |
| 136.488 | 279.882 | 106.435 | -25.605 | -0.000 | -0.000 |
| 107.878 | 107.878 | 264.452 | -0.000 | 0.000 | -0.000 |
| 25.584 | -25.464 | -0.538 | 46.398 | -0.000 | -0.000 |
| 0.000 | 0.000 | 0.000 | 0.000 | 46.874 | 25.797 |
| 0.045 | 0.045 | -0.401 | -0.000 | 25.593 | 71.690 |
| 282.874 | 139.253 | 115.869 | 25.797 | -0.000 | 0.000 |
| 139.253 | 282.874 | 115.869 | -25.797 | -0.000 | 0.000 |
| 107.897 | 107.897 | 265.506 | 0.000 | -0.000 | 0.000 |
| 25.122 | -24.866 | 0.836 | 45.467 | -0.000 | 0.000 |
| -0.000 | -0.000 | -0.000 | -0.000 | 46.874 | 25.797 |
| -0.045 | -0.045 | 0.401 | 0.000 | 25.593 | 71.690 |
| 279.883 | 136.485 | 106.888 | 25.607 | -0.000 | -0.000 |
| 139.254 | 282.875 | 115.869 | -25.796 | 0.000 | -0.000 |
| 116.648 | 116.648 | 292.925 | -0.000 | 0.000 | -0.000 |
| 25.035 | -25.001 | -0.153 | 45.514 | 0.000 | -0.000 |
| 0.017 | 0.017 | -0.153 | 0.000 | 45.514 | 25.018 |
| 0.000 | 0.000 | 0.000 | -0.000 | 25.797 | 71.810 |
| 282.873 | 139.254 | 115.869 | 25.797 | -0.000 | 0.000 |
| 136.496 | 279.893 | 107.026 | -25.609 | 0.000 | 0.000 |
| 116.649 | 116.649 | 292.925 | 0.000 | 0.000 | 0.000 |
| 25.001 | -25.036 | 0.153 | 45.514 | -0.000 | 0.000 |
| -0.017 | -0.017 | 0.153 | -0.000 | 45.514 | 25.018 |
| -0.000 | -0.000 | -0.000 | 0.000 | 25.797 | 71.810 |
| 280.928 | 135.812 | 115.595 | 26.428 | -0.000 | 0.000 |
| 135.812 | 280.928 | 115.595 | -26.428 | 0.000 | -0.000 |
| 115.595 | 115.595 | 296.129 | -0.000 | 0.000 | -0.000 |
| 26.428 | -26.428 | 0.000 | 50.512 | -0.000 | -0.000 |
| 0.000 | 0.000 | 0.000 | 0.000 | 50.512 | 26.428 |
| -0.158 | -0.158 | -0.261 | 0.000 | 25.883 | 72.229 |
| 278.482 | 133.593 | 107.949 | 26.240 | -0.000 | -0.000 |
| 135.812 | 280.927 | 115.595 | -26.428 | 0.000 | -0.000 |
| 115.595 | 115.595 | 296.129 | 0.000 | 0.000 | -0.000 |
| 26.428 | -26.428 | -0.000 | 50.512 | 0.000 | -0.000 |
| -0.000 | -0.000 | -0.000 | -0.000 | 50.512 | 26.428 |
| 0.158 | 0.158 | 0.261 | 0.000 | 25.883 | 72.229 |
| 278.449 | 133.558 | 107.935 | 26.242 | 0.000 | 0.000 |
| 135.812 | 280.928 | 115.595 | -26.428 | -0.000 | 0.000 |
| 115.595 | 115.595 | 296.129 | 0.000 | 0.000 | -0.000 |
| 26.428 | -26.428 | 0.000 | 50.512 | 0.000 | 0.000 |
| 0.000 | 0.000 | 0.000 | 0.000 | 50.512 | 26.428 |
| -0.022 | -0.022 | -0.036 | -0.000 | 25.678 | 72.106 |
| 280.927 | 135.812 | 115.595 | 26.428 | -0.000 | 0.000 |
| 135.812 | 280.927 | 115.595 | -26.428 | 0.000 | -0.000 |
| 115.595 | 115.595 | 296.129 | 0.000 | -0.000 | -0.000 |
| 25.692 | -25.648 | 0.036 | 49.252 | -0.000 | 0.000 |
| -0.000 | -0.000 | -0.000 | -0.000 | 50.512 | 26.428 |
| 0.022 | 0.022 | 0.036 | 0.000 | 25.678 | 72.106 |
| 278.453 | 133.561 | 107.935 | 26.242 | -0.000 | -0.000 |
| 135.812 | 280.928 | 115.595 | -26.428 | 0.000 | 0.000 |
| 108.101 | 108.101 | 271.035 | -0.000 | 0.000 | 0.000 |
| 26.428 | -26.428 | 0.001 | 50.512 | 0.000 | 0.000 |
| 0.000 | 0.000 | 0.001 | 0.000 | 50.512 | 26.428 |
| 0.000 | 0.000 | 0.000 | -0.000 | 26.428 | 72.558 |
| 278.451 | 133.561 | 107.936 | 26.242 | -0.000 | -0.000 |
| 133.977 | 278.182 | 108.103 | -25.672 | -0.000 | 0.000 |
| 108.101 | 108.101 | 271.034 | 0.000 | 0.000 | 0.000 |
| 26.428 | -26.428 | -0.001 | 50.513 | 0.000 | 0.000 |
| -0.000 | -0.000 | -0.001 | -0.000 | 50.512 | 26.428 |
| -0.000 | -0.000 | -0.000 | 0.000 | 26.428 | 72.558 |
| 157.189 | 139.063 | 139.063 | -0.000 | -0.000 | 0.000 |
| 139.063 | 157.189 | 139.063 | -0.000 | -0.000 | -0.000 |
| 139.063 | 139.063 | 157.189 | -0.000 | -0.000 | 0.000 |
| 0.000 | -0.000 | -0.000 | 149.523 | -0.000 | 0.000 |
| 0.000 | 0.000 | -0.000 | -0.000 | 149.523 | 0.000 |
| 0.000 | 0.000 | -0.000 | -0.000 | -0.000 | 149.523 |
| 157.189 | 139.063 | 139.063 | 0.000 | 0.000 | -0.000 |
| 139.063 | 157.189 | 139.063 | 0.000 | 0.000 | 0.000 |
| 139.063 | 139.063 | 157.189 | 0.000 | 0.000 | 0.000 |
| -0.000 | -0.000 | 0.000 | 149.523 | -0.000 | -0.000 |
| -0.000 | -0.000 | 0.000 | -0.000 | 149.523 | -0.000 |
| -0.000 | -0.000 | 0.000 | 0.000 | 0.000 | 149.523 |
| 157.189 | 139.063 | 139.063 | -0.000 | -0.000 | 0.000 |
| 139.063 | 157.189 | 139.063 | -0.000 | -0.000 | 0.000 |
| 139.063 | 139.063 | 157.189 | -0.000 | -0.000 | 0.000 |
| 0.000 | 0.000 | 0.000 | -1.672 | -0.000 | 0.000 |
| 0.000 | 0.000 | -0.000 | -0.000 | -1.672 | 0.000 |
| 0.000 | 0.000 | 0.000 | -0.000 | -0.000 | -1.672 |
| 157.189 | 139.063 | 139.063 | 0.000 | 0.000 | 0.000 |
| 139.063 | 157.189 | 139.063 | 0.000 | 0.000 | -0.000 |
| 139.063 | 139.063 | 157.189 | 0.000 | 0.000 | -0.000 |
| -0.000 | -0.000 | -0.000 | -1.672 | 0.000 | 0.000 |
| -0.000 | -0.000 | -0.000 | 0.000 | -1.672 | -0.000 |
| -0.000 | -0.000 | -0.000 | 0.000 | 0.000 | -1.672 |
| 157.192 | 139.064 | 139.064 | -0.000 | -0.000 | -0.000 |
| 139.064 | 157.192 | 139.064 | -0.000 | -0.000 | -0.000 |
| 139.064 | 139.064 | 157.192 | -0.000 | -0.000 | 0.000 |
| 0.000 | 0.000 | 0.000 | 5.970 | -0.000 | 0.000 |
| 0.000 | 0.000 | 0.000 | -0.000 | 5.970 | -0.000 |
| 0.000 | 0.000 | 0.000 | -0.000 | -0.000 | 5.970 |
| 157.186 | 139.062 | 139.062 | 0.000 | 0.000 | 0.000 |
| 139.062 | 157.186 | 139.062 | 0.000 | 0.000 | -0.000 |
| 139.062 | 139.062 | 157.186 | 0.000 | 0.000 | -0.000 |
| -0.000 | -0.000 | -0.000 | 5.970 | 0.000 | 0.000 |
| -0.000 | -0.000 | -0.000 | 0.000 | 5.970 | 0.000 |
| -0.000 | -0.000 | -0.000 | 0.000 | 0.000 | 5.970 |
| 103.349 | 97.100 | 97.100 | 0.000 | -0.000 | 0.000 |
| 97.100 | 103.349 | 97.100 | 0.000 | -0.000 | 0.000 |
| 97.100 | 97.100 | 103.349 | -0.000 | -0.000 | -0.000 |
| 0.000 | 0.000 | 0.000 | 100.958 | 0.000 | 0.000 |
| 0.000 | 0.000 | 0.000 | 0.000 | 100.958 | -0.000 |
| 0.000 | 0.000 | 0.000 | -0.000 | -0.000 | 100.958 |
| 103.349 | 97.100 | 97.100 | 0.000 | 0.000 | 0.000 |
| 97.100 | 103.349 | 97.100 | 0.000 | 0.000 | 0.000 |
| 97.100 | 97.100 | 103.349 | -0.000 | 0.000 | -0.000 |
| -0.000 | -0.000 | -0.000 | 100.958 | 0.000 | 0.000 |
| -0.000 | -0.000 | -0.000 | 0.000 | 100.958 | 0.000 |
| -0.000 | -0.000 | -0.000 | -0.000 | 0.000 | 100.958 |
| 103.349 | 97.100 | 97.100 | 0.000 | 0.000 | -0.000 |
| 97.100 | 103.349 | 97.100 | 0.000 | 0.000 | 0.000 |
| 97.100 | 97.100 | 103.349 | -0.000 | -0.000 | -0.000 |
| 0.000 | 0.000 | 0.000 | 100.958 | -0.000 | -0.000 |
| 0.000 | 0.000 | 0.000 | -0.000 | 100.958 | 0.000 |
| 0.000 | 0.000 | 0.000 | -0.000 | -0.000 | 100.958 |
| 103.349 | 97.100 | 97.100 | -0.000 | -0.000 | -0.000 |
| 97.100 | 103.349 | 97.100 | -0.000 | -0.000 | -0.000 |
| 97.100 | 97.100 | 103.349 | -0.000 | 0.000 | 0.000 |
| -0.000 | -0.000 | -0.000 | 100.958 | 0.000 | -0.000 |
| -0.000 | -0.000 | -0.000 | -0.000 | 100.958 | -0.000 |
| -0.000 | -0.000 | -0.000 | -0.000 | 0.000 | 100.958 |
| 103.350 | 97.100 | 97.100 | -0.000 | -0.000 | 0.000 |
| 97.100 | 103.350 | 97.100 | -0.000 | -0.000 | 0.000 |
| 97.100 | 97.100 | 103.350 | 0.000 | -0.000 | -0.000 |
| 0.000 | 0.000 | 0.000 | 100.958 | 0.000 | 0.000 |
| 0.000 | 0.000 | 0.000 | -0.000 | 100.958 | 0.000 |
| 0.000 | 0.000 | 0.000 | 0.000 | -0.000 | 100.958 |
| 103.348 | 97.100 | 97.100 | -0.000 | -0.000 | -0.000 |
| 97.100 | 103.348 | 97.100 | -0.000 | 0.000 | -0.000 |
| 97.100 | 97.100 | 103.348 | 0.000 | 0.000 | 0.000 |
| -0.000 | -0.000 | -0.000 | 100.958 | 0.000 | -0.000 |
| -0.000 | -0.000 | -0.000 | 0.000 | 100.958 | -0.000 |
| -0.000 | -0.000 | -0.000 | -0.000 | 0.000 | 100.958 |
| 154.311 | 128.191 | 128.191 | -0.000 | -0.000 | -0.000 |
| 128.191 | 154.311 | 128.191 | -0.000 | -0.000 | -0.000 |
| 128.191 | 128.191 | 154.311 | -0.000 | -0.000 | -0.000 |
| -0.000 | -0.000 | 0.000 | -3.798 | -0.000 | -0.000 |
| -0.000 | 0.000 | -0.000 | -0.000 | -3.798 | -0.000 |
| -0.000 | -0.000 | -0.000 | -0.000 | -0.000 | -3.798 |
| 154.311 | 128.191 | 128.191 | 0.000 | 0.000 | 0.000 |
| 128.191 | 154.311 | 128.191 | 0.000 | 0.000 | 0.000 |
| 128.191 | 128.191 | 154.311 | 0.000 | 0.000 | 0.000 |
| 0.000 | 0.000 | 0.000 | -3.798 | 0.000 | 0.000 |
| 0.000 | -0.000 | 0.000 | 0.000 | -3.798 | 0.000 |
| 0.000 | 0.000 | 0.000 | 0.000 | 0.000 | -3.798 |
| 154.311 | 128.191 | 128.191 | -0.000 | -0.000 | -0.000 |
| 128.191 | 154.311 | 128.191 | -0.000 | -0.000 | -0.000 |
| 128.191 | 128.191 | 154.311 | -0.000 | -0.000 | -0.000 |
| 0.000 | -0.000 | -0.000 | 4.220 | -0.000 | -0.000 |
| -0.000 | 0.000 | -0.000 | -0.000 | 4.220 | -0.000 |
| -0.000 | -0.000 | 0.000 | -0.000 | -0.000 | 4.220 |
| 154.311 | 128.191 | 128.191 | 0.000 | 0.000 | 0.000 |
| 128.191 | 154.311 | 128.191 | 0.000 | 0.000 | 0.000 |
| 128.191 | 128.191 | 154.311 | 0.000 | 0.000 | 0.000 |
| -0.000 | 0.000 | 0.000 | 4.220 | 0.000 | 0.000 |
| 0.000 | -0.000 | 0.000 | 0.000 | 4.220 | 0.000 |
| 0.000 | 0.000 | -0.000 | 0.000 | 0.000 | 4.220 |
| 154.311 | 128.192 | 128.192 | -0.000 | -0.000 | -0.000 |
| 128.192 | 154.311 | 128.192 | -0.000 | -0.000 | -0.000 |
| 128.192 | 128.192 | 154.311 | -0.000 | -0.000 | -0.000 |
| 0.000 | -0.000 | -0.000 | -3.798 | -0.000 | -0.000 |
| -0.000 | 0.000 | -0.000 | -0.000 | -3.798 | -0.000 |
| -0.000 | -0.000 | 0.000 | -0.000 | -0.000 | -3.798 |
| 154.311 | 128.191 | 128.191 | 0.000 | 0.000 | 0.000 |
| 128.191 | 154.311 | 128.191 | 0.000 | 0.000 | 0.000 |
| 128.191 | 128.191 | 154.311 | 0.000 | 0.000 | 0.000 |
| -0.000 | 0.000 | 0.000 | -3.798 | 0.000 | 0.000 |
| 0.000 | -0.000 | 0.000 | 0.000 | -3.798 | 0.000 |
| 0.000 | 0.000 | -0.000 | 0.000 | 0.000 | -3.798 |
| 159.694 | 202.031 | 202.031 | -0.000 | 0.000 | -0.000 |
| 202.031 | 159.694 | 202.031 | -0.000 | 0.000 | -0.000 |
| 202.031 | 202.031 | 159.694 | -0.000 | 0.000 | -0.000 |
| 0.000 | -0.000 | 0.000 | 160.897 | 0.000 | -0.000 |
| -0.000 | 0.000 | -0.000 | 0.000 | 160.897 | -0.000 |
| 0.000 | 0.000 | 0.000 | 0.000 | 0.000 | 160.897 |
| 159.694 | 202.031 | 202.031 | 0.000 | -0.000 | -0.000 |
| 202.031 | 159.694 | 202.031 | 0.000 | -0.000 | -0.000 |
| 202.031 | 202.031 | 159.694 | 0.000 | 0.000 | 0.000 |
| -0.000 | -0.000 | -0.000 | 160.897 | -0.000 | -0.000 |
| 0.000 | -0.000 | -0.000 | -0.000 | 160.897 | 0.000 |
| -0.000 | -0.000 | -0.000 | -0.000 | -0.000 | 160.897 |
| 159.694 | 202.031 | 202.031 | -0.000 | -0.000 | -0.000 |
| 202.031 | 159.694 | 202.031 | -0.000 | -0.000 | -0.000 |
| 202.031 | 202.031 | 159.694 | -0.000 | 0.000 | -0.000 |
| 0.000 | 0.000 | 0.000 | 160.897 | 0.000 | -0.000 |
| 0.000 | 0.000 | 0.000 | -0.000 | 160.897 | 0.000 |
| 0.000 | 0.000 | 0.000 | -0.000 | -0.000 | 160.897 |
| 159.694 | 202.031 | 202.031 | 0.000 | -0.000 | 0.000 |
| 202.031 | 159.694 | 202.031 | 0.000 | 0.000 | 0.000 |
| 202.031 | 202.031 | 159.694 | 0.000 | -0.000 | 0.000 |
| -0.000 | -0.000 | -0.000 | 160.897 | -0.000 | -0.000 |
| -0.000 | -0.000 | -0.000 | 0.000 | 160.897 | 0.000 |
| -0.000 | -0.000 | -0.000 | 0.000 | -0.000 | 160.897 |
| 159.695 | 202.031 | 202.031 | -0.000 | 0.000 | -0.000 |
| 202.031 | 159.695 | 202.031 | -0.000 | -0.000 | -0.000 |
| 202.031 | 202.031 | 159.695 | -0.000 | 0.000 | -0.000 |
| 0.001 | 0.000 | 0.001 | 163.327 | 0.000 | -0.000 |
| 0.000 | 0.001 | 0.001 | -0.000 | 163.327 | -0.000 |
| 0.000 | 0.001 | 0.001 | -0.000 | 0.000 | 163.327 |
| 159.694 | 202.031 | 202.031 | 0.000 | -0.000 | 0.000 |
| 202.031 | 159.694 | 202.031 | 0.000 | 0.000 | 0.000 |
| 202.031 | 202.031 | 159.694 | 0.000 | -0.000 | 0.000 |
| -0.001 | -0.000 | -0.001 | 163.327 | -0.000 | -0.000 |
| -0.000 | -0.001 | -0.001 | 0.000 | 163.327 | 0.000 |
| -0.000 | -0.001 | -0.001 | 0.000 | -0.000 | 163.327 |
| 1121.171 | 1106.242 | 1106.242 | -0.000 | -0.000 | -0.000 |
| 1106.242 | 1121.171 | 1106.242 | -0.000 | -0.000 | -0.000 |
| 1106.242 | 1106.242 | 1121.171 | -0.000 | -0.000 | -0.000 |
| 0.000 | 0.000 | 0.000 | -4.300 | -0.000 | -0.000 |
| 0.000 | 0.000 | 0.000 | -0.000 | -4.300 | -0.000 |
| 0.000 | 0.000 | 0.000 | -0.000 | -0.000 | -4.300 |
| 1121.171 | 1106.242 | 1106.242 | 0.000 | 0.000 | 0.000 |
| 1106.242 | 1121.171 | 1106.242 | 0.000 | 0.000 | 0.000 |
| 1106.242 | 1106.242 | 1121.171 | 0.000 | 0.000 | 0.000 |
| -0.000 | -0.000 | -0.000 | -4.300 | 0.000 | 0.000 |
| -0.000 | -0.000 | -0.000 | 0.000 | -4.300 | 0.000 |
| -0.000 | -0.000 | -0.000 | 0.000 | 0.000 | -4.300 |
| 1121.171 | 1106.241 | 1106.241 | -0.000 | -0.000 | -0.000 |
| 1106.241 | 1121.171 | 1106.241 | -0.000 | -0.000 | -0.000 |
| 1106.241 | 1106.241 | 1121.171 | -0.000 | -0.000 | -0.000 |
| -0.000 | 0.000 | 0.000 | -4.300 | -0.000 | -0.000 |
| 0.000 | -0.000 | 0.000 | -0.000 | -4.300 | -0.000 |
| 0.000 | 0.000 | -0.000 | -0.000 | -0.000 | -4.300 |
| 1121.172 | 1106.243 | 1106.243 | 0.000 | 0.000 | 0.000 |
| 1106.243 | 1121.172 | 1106.243 | 0.000 | 0.000 | 0.000 |
| 1106.243 | 1106.243 | 1121.172 | 0.000 | 0.000 | 0.000 |
| 0.000 | -0.000 | -0.000 | -4.300 | 0.000 | 0.000 |
| -0.000 | 0.000 | -0.000 | 0.000 | -4.300 | 0.000 |
| -0.000 | -0.000 | 0.000 | 0.000 | 0.000 | -4.300 |
| 1121.167 | 1106.230 | 1106.230 | -0.000 | -0.000 | -0.000 |
| 1106.230 | 1121.167 | 1106.230 | -0.000 | -0.000 | -0.000 |
| 1106.230 | 1106.230 | 1121.167 | -0.000 | -0.000 | -0.000 |
| -819690.486 | 26938.130 | 48066.149 | 364604.328 | 7642.064 | -28909.059 |
| 20617.308 | -822079.300 | 68559.948 | -10976.394 | 334500.161 | 5255.219 |
| 43816.916 | 52360.299 | -840289.707 | -10119.347 | 11767.361 | 398328.653 |
| 1121.176 | 1106.254 | 1106.254 | 0.000 | 0.000 | 0.000 |
| 1106.254 | 1121.176 | 1106.254 | 0.000 | 0.000 | 0.000 |
| 1106.254 | 1106.254 | 1121.176 | 0.000 | 0.000 | 0.000 |
| 902638.166 | -12055.145 | -42710.396 | 356383.722 | -16848.590 | -8790.973 |
| 11487.861 | 801820.656 | -56792.114 | 1304.511 | 363249.037 | 5068.723 |
| -11841.761 | -36767.387 | 943888.813 | -9594.344 | 4863.047 | 394151.409 |
| 504.544 | 492.329 | 492.329 | -0.000 | -0.000 | 0.000 |
| 492.329 | 504.544 | 492.329 | -0.000 | 0.000 | 0.000 |
| 492.329 | 492.329 | 504.544 | -0.000 | 0.000 | 0.000 |
| 0.000 | 0.000 | -0.000 | -7.663 | 0.000 | 0.000 |
| 0.000 | 0.000 | -0.000 | 0.000 | -7.663 | 0.000 |
| 0.000 | 0.000 | 0.000 | -0.000 | 0.000 | -7.663 |
| 504.544 | 492.329 | 492.329 | 0.000 | -0.000 | -0.000 |
| 492.329 | 504.544 | 492.329 | 0.000 | -0.000 | -0.000 |
| 492.329 | 492.329 | 504.544 | 0.000 | -0.000 | -0.000 |
| -0.000 | -0.000 | 0.000 | -7.663 | -0.000 | -0.000 |
| -0.000 | -0.000 | 0.000 | -0.000 | -7.663 | -0.000 |
| -0.000 | -0.000 | -0.000 | 0.000 | -0.000 | -7.663 |
| 504.546 | 492.330 | 492.330 | -0.000 | -0.000 | 0.000 |
| 492.330 | 504.546 | 492.330 | -0.000 | -0.000 | 0.000 |
| 492.330 | 492.330 | 504.546 | 0.000 | 0.000 | 0.000 |
| -1195123.487 | -3172734.440 | -3294106.129 | -2580964.038 | -45258.216 | 50581.726 |
| -3099997.519 | -1175411.012 | -3082489.936 | -26467.971 | -2603398.706 | -16262.169 |
| -3366055.119 | -3278141.122 | -1123639.800 | -13917.266 | 13700.748 | -2782038.255 |
| 504.542 | 492.328 | 492.328 | 0.000 | 0.000 | -0.000 |
| 492.328 | 504.542 | 492.328 | 0.000 | -0.000 | -0.000 |
| 492.328 | 492.328 | 504.542 | 0.000 | 0.000 | -0.000 |
| 1268281.160 | 3379043.702 | 3387330.430 | -2648073.136 | -60310.615 | -29632.743 |
| 3232606.499 | 1292411.018 | 3325456.612 | 55368.030 | -2624518.761 | 23772.009 |
| 3149877.231 | 3151549.678 | 1287682.966 | -55292.674 | -25077.384 | -2403856.653 |
| 504.568 | 492.341 | 492.341 | -0.000 | -0.000 | 0.000 |
| 492.341 | 504.568 | 492.341 | -0.000 | 0.000 | 0.000 |
| 492.341 | 492.341 | 504.568 | -0.000 | -0.000 | 0.000 |
| -103284.064 | -319437.425 | -333800.597 | -269754.703 | -4894.458 | 4397.127 |
| -305416.025 | -111340.997 | -308094.710 | -8428.351 | -255713.003 | -191.808 |
| -315204.965 | -324747.485 | -111600.060 | 2006.327 | 2261.060 | -275335.242 |
| 504.520 | 492.317 | 492.317 | 0.000 | -0.000 | -0.000 |
| 492.317 | 504.520 | 492.317 | 0.000 | 0.000 | -0.000 |
| 492.317 | 492.317 | 504.520 | 0.000 | -0.000 | -0.000 |
| 114201.337 | 292527.408 | 300716.263 | -241568.851 | -334.271 | -4315.416 |
| 303129.477 | 128055.366 | 299144.070 | -7649.807 | -245326.381 | -9843.256 |
| 309299.027 | 311275.915 | 120649.606 | 948.583 | -4005.130 | -246806.425 |
| 0.028 | 0.028 | 0.028 | 0.000 | 0.000 | -0.000 |
| 0.028 | 0.028 | 0.028 | 0.000 | 0.000 | -0.000 |
| 0.028 | 0.028 | 0.028 | 0.000 | 0.000 | -0.000 |
| 0.000 | 0.000 | 0.000 | 0.028 | 0.000 | -0.000 |
| 0.000 | 0.000 | 0.000 | 0.000 | 0.028 | -0.000 |
| 0.000 | 0.000 | 0.000 | -0.000 | 0.000 | 0.028 |
| 0.028 | 0.028 | 0.028 | -0.000 | -0.000 | 0.000 |
| 0.028 | 0.028 | 0.028 | -0.000 | -0.000 | 0.000 |
| 0.028 | 0.028 | 0.028 | 0.000 | 0.000 | 0.000 |
| -0.000 | -0.000 | -0.000 | 0.028 | -0.000 | 0.000 |
| -0.000 | -0.000 | -0.000 | -0.000 | 0.028 | 0.000 |
| -0.000 | -0.000 | -0.000 | -0.000 | 0.000 | 0.028 |
| 0.028 | 0.028 | 0.028 | 0.000 | -0.000 | 0.000 |
| 0.028 | 0.028 | 0.028 | -0.000 | 0.000 | 0.000 |
| 0.028 | 0.028 | 0.028 | 0.000 | 0.000 | 0.000 |
| 0.000 | 0.000 | 0.000 | 0.028 | 0.000 | -0.000 |
| 0.000 | 0.000 | 0.000 | 0.000 | 0.028 | -0.000 |
| 0.000 | 0.000 | 0.000 | 0.000 | 0.000 | 0.028 |
| 0.028 | 0.028 | 0.028 | -0.000 | 0.000 | 0.000 |
| 0.028 | 0.028 | 0.028 | 0.000 | -0.000 | 0.000 |
| 0.028 | 0.028 | 0.028 | 0.000 | 0.000 | -0.000 |
| -0.000 | -0.000 | -0.000 | 0.028 | -0.000 | 0.000 |
| -0.000 | -0.000 | -0.000 | -0.000 | 0.028 | 0.000 |
| -0.000 | -0.000 | -0.000 | 0.000 | -0.000 | 0.028 |
| 0.028 | 0.028 | 0.028 | -0.000 | 0.000 | -0.000 |
| 0.028 | 0.028 | 0.028 | 0.000 | -0.000 | -0.000 |
| 0.028 | 0.028 | 0.028 | -0.000 | -0.000 | -0.000 |
| 0.000 | 0.000 | 0.000 | 0.024 | 0.000 | -0.000 |
| 0.000 | 0.000 | 0.000 | 0.000 | 0.024 | -0.000 |
| 0.000 | 0.000 | 0.000 | 0.000 | -0.000 | 0.024 |
| 0.028 | 0.028 | 0.028 | -0.000 | 0.000 | 0.000 |
| 0.028 | 0.028 | 0.028 | 0.000 | -0.000 | 0.000 |
| 0.028 | 0.028 | 0.028 | 0.000 | 0.000 | 0.000 |
| -0.000 | -0.000 | -0.000 | 0.024 | -0.000 | 0.000 |
| -0.000 | -0.000 | -0.000 | -0.000 | 0.024 | 0.000 |
| -0.000 | -0.000 | -0.000 | -0.000 | -0.000 | 0.024 |
| 423.508 | 10.909 | 10.908 | -0.000 | -0.000 | -0.000 |
| 10.909 | 423.508 | 10.908 | -0.000 | -0.000 | -0.000 |
| 10.909 | 10.909 | 423.508 | -0.000 | -0.000 | 0.000 |
| -0.000 | 0.000 | -0.000 | 9.635 | -0.000 | 0.000 |
| -0.000 | -0.000 | -0.000 | -0.000 | 9.635 | -0.000 |
| -0.000 | -0.000 | -0.000 | -0.000 | -0.000 | 9.635 |
| 423.508 | 10.909 | 10.909 | 0.000 | 0.000 | -0.000 |
| 10.909 | 423.508 | 10.909 | 0.000 | 0.000 | -0.000 |
| 10.909 | 10.909 | 423.508 | 0.000 | 0.000 | 0.000 |
| -0.000 | -0.000 | 0.000 | 9.635 | 0.000 | 0.000 |
| 0.000 | 0.000 | 0.000 | 0.000 | 9.635 | 0.000 |
| -0.000 | 0.000 | 0.000 | 0.000 | 0.000 | 9.635 |
| 423.509 | 10.909 | 10.909 | -0.000 | -0.000 | -0.000 |
| 10.909 | 423.509 | 10.909 | -0.000 | 0.000 | -0.000 |
| 10.909 | 10.909 | 423.509 | -0.000 | -0.000 | 0.000 |
| 0.000 | -0.000 | -0.000 | 9.635 | -0.000 | 0.000 |
| -0.000 | 0.000 | -0.000 | -0.000 | 9.635 | -0.000 |
| -0.000 | -0.000 | -0.000 | -0.000 | -0.000 | 9.635 |
| 423.508 | 10.909 | 10.909 | 0.000 | 0.000 | 0.000 |
| 10.909 | 423.508 | 10.909 | 0.000 | 0.000 | 0.000 |
| 10.909 | 10.909 | 423.508 | 0.000 | 0.000 | 0.000 |
| -0.000 | 0.000 | 0.000 | 9.635 | 0.000 | 0.000 |
| 0.000 | -0.000 | 0.000 | 0.000 | 9.635 | 0.000 |
| 0.000 | 0.000 | 0.000 | 0.000 | 0.000 | 9.635 |
| 423.510 | 10.908 | 10.908 | -0.000 | -0.000 | -0.000 |
| 10.908 | 423.510 | 10.908 | -0.000 | -0.000 | 0.000 |
| 10.908 | 10.908 | 423.510 | -0.000 | -0.000 | 0.000 |
| 0.000 | -0.000 | -0.000 | 9.635 | -0.000 | -0.000 |
| -0.000 | 0.000 | -0.000 | -0.000 | 9.635 | -0.000 |
| -0.000 | -0.000 | 0.000 | -0.000 | -0.000 | 9.635 |
| 423.507 | 10.909 | 10.909 | 0.000 | 0.000 | -0.000 |
| 10.909 | 423.507 | 10.909 | 0.000 | 0.000 | 0.000 |
| 10.909 | 10.909 | 423.507 | 0.000 | 0.000 | 0.000 |
| -0.000 | 0.000 | 0.000 | 9.635 | 0.000 | 0.000 |
| 0.000 | -0.000 | 0.000 | 0.000 | 9.635 | 0.000 |
| 0.000 | 0.000 | -0.000 | 0.000 | 0.000 | 9.635 |
| 581.585 | 204.631 | 204.631 | -0.000 | 0.000 | 0.000 |
| 204.631 | 581.585 | 204.631 | -0.000 | 0.000 | 0.000 |
| 204.631 | 204.631 | 581.585 | -0.000 | -0.000 | 0.000 |
| 0.000 | -0.000 | -0.000 | 206.422 | -0.000 | 0.000 |
| -0.000 | 0.000 | -0.000 | -0.000 | 206.422 | -0.000 |
| -0.000 | -0.000 | -0.000 | -0.000 | -0.000 | 206.422 |
| 581.586 | 204.631 | 204.631 | 0.000 | 0.000 | -0.000 |
| 204.631 | 581.586 | 204.631 | 0.000 | 0.000 | -0.000 |
| 204.631 | 204.631 | 581.586 | 0.000 | 0.000 | -0.000 |
| -0.000 | 0.000 | 0.000 | 206.422 | 0.000 | -0.000 |
| 0.000 | 0.000 | 0.000 | 0.000 | 206.422 | 0.000 |
| 0.000 | 0.000 | -0.000 | 0.000 | 0.000 | 206.422 |
| 581.585 | 204.631 | 204.631 | -0.000 | -0.000 | -0.000 |
| 204.631 | 581.585 | 204.631 | -0.000 | -0.000 | 0.000 |
| 204.631 | 204.631 | 581.585 | -0.000 | -0.000 | 0.000 |
| -0.000 | -0.000 | -0.000 | 206.422 | -0.000 | 0.000 |
| -0.000 | -0.000 | -0.000 | -0.000 | 206.422 | 0.000 |
| -0.000 | -0.000 | -0.000 | -0.000 | -0.000 | 206.422 |
| 581.586 | 204.631 | 204.631 | 0.000 | 0.000 | 0.000 |
| 204.631 | 581.586 | 204.631 | 0.000 | -0.000 | -0.000 |
| 204.631 | 204.631 | 581.586 | 0.000 | 0.000 | -0.000 |
| 0.000 | 0.000 | 0.000 | 206.422 | 0.000 | -0.000 |
| 0.000 | 0.000 | 0.000 | 0.000 | 206.422 | 0.000 |
| 0.000 | 0.000 | 0.000 | 0.000 | 0.000 | 206.422 |
| 581.582 | 204.630 | 204.630 | -0.000 | -0.000 | -0.000 |
| 204.630 | 581.582 | 204.630 | -0.000 | -0.000 | 0.000 |
| 204.630 | 204.630 | 581.582 | 0.000 | 0.000 | -0.000 |
| -0.000 | -0.002 | -0.002 | 206.422 | -0.000 | -0.000 |
| -0.002 | -0.000 | -0.002 | -0.000 | 206.422 | -0.000 |
| -0.002 | -0.002 | -0.000 | -0.000 | -0.000 | 206.422 |
| 581.589 | 204.633 | 204.633 | 0.000 | 0.000 | -0.000 |
| 204.633 | 581.589 | 204.633 | 0.000 | -0.000 | -0.000 |
| 204.633 | 204.633 | 581.589 | 0.000 | 0.000 | -0.000 |
| 0.000 | 0.002 | 0.002 | 206.422 | 0.000 | 0.000 |
| 0.002 | 0.000 | 0.002 | 0.000 | 206.422 | 0.000 |
| 0.002 | 0.002 | 0.000 | 0.000 | 0.000 | 206.422 |
| 75.052 | 37.767 | 37.767 | -0.000 | 0.000 | 0.000 |
| 37.767 | 75.052 | 37.767 | -0.000 | 0.000 | 0.000 |
| 37.767 | 37.767 | 75.052 | -0.000 | 0.000 | 0.000 |
| -0.000 | 0.000 | 0.000 | 37.664 | -0.000 | 0.000 |
| 0.000 | -0.000 | -0.000 | -0.000 | 37.664 | 0.000 |
| 0.000 | 0.000 | -0.000 | -0.000 | -0.000 | 37.664 |
| 75.051 | 37.767 | 37.767 | 0.000 | -0.000 | -0.000 |
| 37.767 | 75.051 | 37.767 | 0.000 | -0.000 | -0.000 |
| 37.767 | 37.767 | 75.051 | 0.000 | -0.000 | -0.000 |
| 0.000 | -0.000 | -0.000 | 37.664 | 0.000 | -0.000 |
| -0.000 | 0.000 | 0.000 | 0.000 | 37.664 | -0.000 |
| -0.000 | -0.000 | 0.000 | 0.000 | -0.000 | 37.664 |
| 75.052 | 37.767 | 37.767 | -0.000 | 0.000 | 0.000 |
| 37.767 | 75.052 | 37.767 | -0.000 | -0.000 | 0.000 |
| 37.767 | 37.767 | 75.052 | -0.000 | -0.000 | 0.000 |
| -0.000 | 0.000 | 0.000 | 37.664 | 0.000 | 0.000 |
| 0.000 | -0.000 | 0.000 | -0.000 | 37.664 | 0.000 |
| 0.000 | 0.000 | -0.000 | -0.000 | 0.000 | 37.664 |
| 75.051 | 37.767 | 37.767 | 0.000 | -0.000 | -0.000 |
| 37.767 | 75.051 | 37.767 | 0.000 | -0.000 | -0.000 |
| 37.767 | 37.767 | 75.051 | -0.000 | -0.000 | -0.000 |
| 0.000 | -0.000 | -0.000 | 37.664 | -0.000 | -0.000 |
| -0.000 | 0.000 | -0.000 | 0.000 | 37.664 | -0.000 |
| -0.000 | -0.000 | 0.000 | 0.000 | -0.000 | 37.664 |
| 75.052 | 37.767 | 37.767 | -0.000 | -0.000 | 0.000 |
| 37.767 | 75.052 | 37.767 | -0.000 | 0.000 | 0.000 |
| 37.767 | 37.767 | 75.052 | -0.000 | -0.000 | 0.000 |
| -0.000 | 0.000 | 0.000 | 37.664 | 0.000 | 0.000 |
| 0.000 | -0.000 | 0.000 | 0.000 | 37.664 | 0.000 |
| 0.000 | 0.000 | -0.000 | -0.000 | 0.000 | 37.664 |
| 75.051 | 37.766 | 37.766 | 0.000 | -0.000 | -0.000 |
| 37.766 | 75.051 | 37.766 | 0.000 | -0.000 | -0.000 |
| 37.766 | 37.766 | 75.051 | -0.000 | -0.000 | -0.000 |
| 0.000 | -0.000 | -0.000 | 37.664 | -0.000 | -0.000 |
| -0.000 | 0.000 | -0.000 | 0.000 | 37.664 | -0.000 |
| -0.000 | -0.000 | 0.000 | 0.000 | -0.000 | 37.664 |
| 0.886 | 0.000 | 0.000 | -0.000 | 0.000 | -0.000 |
| 0.000 | 0.886 | 0.000 | 0.000 | 0.000 | -0.000 |
| 0.000 | 0.000 | 0.886 | -0.000 | -0.000 | 0.000 |
| 0.000 | 0.000 | 0.000 | -0.000 | 0.000 | 0.000 |
| 0.000 | 0.000 | 0.000 | 0.000 | -0.000 | 0.000 |
| 0.000 | 0.000 | 0.000 | 0.000 | 0.000 | -0.000 |
| 0.886 | 0.000 | 0.000 | 0.000 | -0.000 | 0.000 |
| 0.000 | 0.886 | 0.000 | -0.000 | 0.000 | -0.000 |
| 0.000 | 0.000 | 0.886 | -0.000 | -0.000 | 0.000 |
| -0.000 | -0.000 | -0.000 | -0.000 | -0.000 | -0.000 |
| -0.000 | -0.000 | -0.000 | -0.000 | -0.000 | -0.000 |
| -0.000 | -0.000 | -0.000 | -0.000 | -0.000 | -0.000 |
| 0.886 | 0.000 | 0.000 | 0.000 | -0.000 | 0.000 |
| 0.000 | 0.886 | 0.000 | -0.000 | 0.000 | -0.000 |
| 0.000 | 0.000 | 0.886 | -0.000 | -0.000 | 0.000 |
| 0.000 | 0.000 | -0.000 | 0.000 | -0.000 | 0.000 |
| 0.000 | 0.000 | -0.000 | 0.000 | 0.000 | -0.000 |
| 0.000 | -0.000 | 0.000 | 0.000 | 0.000 | 0.000 |
| 0.886 | 0.000 | 0.000 | 0.000 | 0.000 | 0.000 |
| 0.000 | 0.886 | 0.000 | 0.000 | 0.000 | 0.000 |
| 0.000 | 0.000 | 0.886 | 0.000 | 0.000 | 0.000 |
| -0.000 | -0.000 | 0.000 | 0.000 | 0.000 | 0.000 |
| -0.000 | -0.000 | 0.000 | -0.000 | 0.000 | -0.000 |
| -0.000 | 0.000 | -0.000 | -0.000 | -0.000 | 0.000 |
| 0.887 | 0.000 | 0.000 | 0.000 | -0.000 | 0.000 |
| 0.000 | 0.887 | 0.000 | -0.000 | 0.000 | -0.000 |
| 0.000 | 0.000 | 0.887 | -0.000 | -0.000 | 0.000 |
| -0.000 | -0.000 | -0.000 | 0.000 | -0.000 | 0.000 |
| -0.000 | -0.000 | -0.000 | 0.000 | 0.000 | 0.000 |
| -0.000 | -0.000 | -0.000 | 0.000 | 0.000 | 0.000 |
| 0.886 | 0.000 | 0.000 | -0.000 | 0.000 | 0.000 |
| 0.000 | 0.886 | 0.000 | 0.000 | -0.000 | 0.000 |
| 0.000 | 0.000 | 0.886 | 0.000 | 0.000 | -0.000 |
| 0.000 | 0.000 | 0.000 | 0.000 | -0.000 | -0.000 |
| 0.000 | 0.000 | 0.000 | -0.000 | 0.000 | -0.000 |
| 0.000 | 0.000 | 0.000 | -0.000 | -0.000 | 0.000 |
| 71.483 | 153.615 | 153.615 | 0.000 | 0.000 | 0.000 |
| 153.615 | 71.483 | 153.615 | 0.000 | 0.000 | 0.000 |
| 153.615 | 153.615 | 71.483 | 0.000 | 0.000 | -0.000 |
| 0.000 | 0.000 | 0.000 | 118.107 | -0.000 | -0.000 |
| 0.000 | 0.000 | 0.000 | 0.000 | 118.107 | 0.000 |
| 0.000 | 0.000 | 0.000 | 0.000 | 0.000 | 118.107 |
| 71.483 | 153.615 | 153.615 | -0.000 | -0.000 | 0.000 |
| 153.615 | 71.483 | 153.615 | -0.000 | -0.000 | 0.000 |
| 153.615 | 153.615 | 71.483 | -0.000 | -0.000 | 0.000 |
| -0.000 | -0.000 | -0.000 | 118.107 | -0.000 | -0.000 |
| -0.000 | -0.000 | -0.000 | -0.000 | 118.107 | 0.000 |
| -0.000 | -0.000 | -0.000 | -0.000 | -0.000 | 118.107 |
| 71.483 | 153.616 | 153.616 | -0.000 | 0.000 | 0.000 |
| 153.616 | 71.483 | 153.616 | 0.000 | 0.000 | -0.000 |
| 153.616 | 153.616 | 71.483 | 0.000 | 0.000 | -0.000 |
| 0.000 | 0.000 | 0.000 | 118.107 | 0.000 | -0.000 |
| 0.000 | 0.000 | 0.000 | -0.000 | 118.107 | -0.000 |
| 0.000 | 0.000 | 0.000 | 0.000 | 0.000 | 118.107 |
| 71.483 | 153.615 | 153.615 | 0.000 | -0.000 | -0.000 |
| 153.615 | 71.483 | 153.615 | -0.000 | -0.000 | -0.000 |
| 153.615 | 153.615 | 71.483 | -0.000 | -0.000 | 0.000 |
| -0.000 | -0.000 | -0.000 | 118.107 | -0.000 | -0.000 |
| -0.000 | -0.000 | -0.000 | 0.000 | 118.107 | 0.000 |
| -0.000 | -0.000 | -0.000 | 0.000 | -0.000 | 118.107 |
| 71.484 | 153.616 | 153.616 | 0.000 | 0.000 | -0.000 |
| 153.616 | 71.484 | 153.616 | 0.000 | 0.000 | -0.000 |
| 153.616 | 153.616 | 71.484 | -0.000 | 0.000 | -0.000 |
| 0.001 | 0.000 | 0.001 | 118.107 | -0.000 | -0.000 |
| 0.000 | 0.001 | 0.001 | 0.000 | 118.107 | -0.000 |
| 0.000 | 0.001 | 0.001 | 0.000 | 0.000 | 118.107 |
| 71.481 | 153.615 | 153.615 | -0.000 | -0.000 | 0.000 |
| 153.615 | 71.481 | 153.615 | -0.000 | -0.000 | 0.000 |
| 153.615 | 153.615 | 71.481 | -0.000 | -0.000 | 0.000 |
| -0.001 | -0.000 | -0.001 | 118.107 | 0.000 | 0.000 |
| -0.000 | -0.001 | -0.001 | -0.000 | 118.107 | 0.000 |
| -0.000 | -0.001 | -0.001 | -0.000 | -0.000 | 118.107 |
| 150.366 | -6.056 | -6.056 | 0.000 | 0.000 | 0.000 |
| -6.056 | 150.366 | -6.056 | 0.000 | 0.000 | 0.000 |
| -6.056 | -6.056 | 150.366 | 0.000 | 0.000 | 0.000 |
| 0.000 | 0.000 | 0.000 | 6.459 | 0.000 | 0.000 |
| 0.000 | 0.000 | 0.000 | 0.000 | 6.459 | 0.000 |
| 0.000 | 0.000 | 0.000 | 0.000 | 0.000 | 6.459 |
| 150.367 | -6.056 | -6.056 | 0.000 | -0.000 | -0.000 |
| -6.056 | 150.367 | -6.056 | -0.000 | -0.000 | -0.000 |
| -6.056 | -6.056 | 150.367 | -0.000 | -0.000 | -0.000 |
| -0.000 | -0.000 | -0.000 | 6.459 | -0.000 | -0.000 |
| -0.000 | -0.000 | -0.000 | -0.000 | 6.459 | -0.000 |
| -0.000 | -0.000 | -0.000 | -0.000 | -0.000 | 6.459 |
| 150.366 | -6.056 | -6.056 | 0.000 | 0.000 | 0.000 |
| -6.056 | 150.366 | -6.056 | 0.000 | 0.000 | 0.000 |
| -6.056 | -6.056 | 150.366 | 0.000 | 0.000 | 0.000 |
| 0.000 | 0.000 | 0.000 | 6.459 | 0.000 | 0.000 |
| 0.000 | 0.000 | 0.000 | 0.000 | 6.459 | 0.000 |
| 0.000 | 0.000 | 0.000 | 0.000 | 0.000 | 6.459 |
| 150.367 | -6.056 | -6.056 | 0.000 | -0.000 | -0.000 |
| -6.056 | 150.367 | -6.056 | -0.000 | -0.000 | -0.000 |
| -6.056 | -6.056 | 150.367 | -0.000 | -0.000 | -0.000 |
| -0.000 | -0.000 | -0.000 | 6.459 | -0.000 | -0.000 |
| -0.000 | -0.000 | -0.000 | 0.000 | 6.459 | -0.000 |
| -0.000 | -0.000 | -0.000 | 0.000 | -0.000 | 6.459 |
| 150.365 | -6.056 | -6.056 | 0.000 | -0.000 | 0.000 |
| -6.056 | 150.365 | -6.056 | -0.000 | 0.000 | 0.000 |
| -6.056 | -6.056 | 150.365 | 0.000 | 0.000 | 0.000 |
| 0.000 | 0.000 | 0.000 | 6.459 | 0.000 | 0.000 |
| 0.000 | 0.000 | 0.000 | 0.000 | 6.459 | 0.000 |
| 0.000 | 0.000 | 0.000 | 0.000 | 0.000 | 6.459 |
| 150.368 | -6.056 | -6.056 | -0.000 | -0.000 | -0.000 |
| -6.056 | 150.368 | -6.056 | -0.000 | -0.000 | -0.000 |
| -6.056 | -6.056 | 150.368 | -0.000 | -0.000 | -0.000 |
| -0.000 | -0.000 | -0.000 | 6.459 | -0.000 | -0.000 |
| -0.000 | -0.000 | -0.000 | -0.000 | 6.459 | -0.000 |
| -0.000 | -0.000 | -0.000 | -0.000 | -0.000 | 6.459 |
| 0.511 | 0.511 | 0.511 | -0.000 | -0.000 | -0.000 |
| 0.511 | 0.511 | 0.511 | -0.000 | -0.000 | -0.000 |
| 0.511 | 0.511 | 0.511 | -0.000 | -0.000 | -0.000 |
| 0.000 | 0.000 | 0.000 | 0.511 | -0.000 | -0.000 |
| 0.000 | 0.000 | 0.000 | -0.000 | 0.511 | -0.000 |
| 0.000 | 0.000 | 0.000 | -0.000 | -0.000 | 0.511 |
| 0.511 | 0.511 | 0.511 | 0.000 | 0.000 | 0.000 |
| 0.511 | 0.511 | 0.511 | 0.000 | 0.000 | 0.000 |
| 0.511 | 0.511 | 0.511 | 0.000 | 0.000 | -0.000 |
| -0.000 | -0.000 | -0.000 | 0.511 | 0.000 | 0.000 |
| -0.000 | -0.000 | -0.000 | 0.000 | 0.511 | 0.000 |
| -0.000 | -0.000 | -0.000 | -0.000 | -0.000 | 0.511 |
| 0.511 | 0.511 | 0.511 | -0.000 | -0.000 | -0.000 |
| 0.511 | 0.511 | 0.511 | -0.000 | -0.000 | -0.000 |
| 0.511 | 0.511 | 0.511 | -0.000 | -0.000 | -0.000 |
| 0.000 | 0.000 | 0.000 | 0.511 | -0.000 | -0.000 |
| 0.000 | 0.000 | 0.000 | -0.000 | 0.511 | -0.000 |
| 0.000 | 0.000 | 0.000 | -0.000 | 0.000 | 0.511 |
| 0.511 | 0.511 | 0.511 | 0.000 | -0.000 | 0.000 |
| 0.511 | 0.511 | 0.511 | -0.000 | 0.000 | 0.000 |
| 0.511 | 0.511 | 0.511 | -0.000 | -0.000 | 0.000 |
| -0.000 | -0.000 | -0.000 | 0.511 | 0.000 | 0.000 |
| -0.000 | -0.000 | -0.000 | 0.000 | 0.511 | 0.000 |
| -0.000 | -0.000 | -0.000 | -0.000 | -0.000 | 0.511 |
| 0.511 | 0.511 | 0.511 | -0.000 | -0.000 | -0.000 |
| 0.511 | 0.511 | 0.511 | -0.000 | -0.000 | -0.000 |
| 0.511 | 0.511 | 0.511 | -0.000 | -0.000 | -0.000 |
| 0.000 | 0.000 | 0.000 | 0.511 | -0.000 | -0.000 |
| 0.000 | 0.000 | 0.000 | -0.000 | 0.511 | -0.000 |
| 0.000 | 0.000 | 0.000 | -0.000 | -0.000 | 0.511 |
| 0.511 | 0.511 | 0.511 | 0.000 | 0.000 | 0.000 |
| 0.511 | 0.511 | 0.511 | 0.000 | 0.000 | 0.000 |
| 0.511 | 0.511 | 0.511 | 0.000 | 0.000 | 0.000 |
| -0.000 | -0.000 | -0.000 | 0.511 | 0.000 | 0.000 |
| -0.000 | -0.000 | -0.000 | 0.000 | 0.511 | 0.000 |
| -0.000 | -0.000 | -0.000 | 0.000 | 0.000 | 0.511 |
| 64771.168 | 97828.116 | 97827.988 | -0.132 | -0.160 | -0.060 |
| 97828.047 | 64771.199 | 97828.008 | -0.124 | -0.252 | -0.042 |
| 97828.041 | 97828.109 | 64771.134 | -0.115 | -0.149 | -0.054 |
| -0.016 | 0.003 | -0.111 | 97827.910 | -0.157 | 0.010 |
| 0.011 | 0.001 | -0.095 | -0.079 | 97827.823 | -0.003 |
| -0.006 | 0.001 | -0.166 | -0.145 | -0.274 | 97828.023 |
| 64771.048 | 97828.064 | 97828.209 | 0.185 | 0.310 | 0.051 |
| 97828.051 | 64771.074 | 97828.207 | 0.177 | 0.261 | 0.055 |
| 97828.043 | 97828.070 | 64771.070 | 0.018 | 0.139 | 0.037 |
| -0.038 | -0.022 | 0.108 | 97828.133 | 0.195 | -0.022 |
| -0.018 | -0.008 | 0.126 | 0.113 | 97828.223 | -0.002 |
| -0.021 | -0.026 | 0.184 | 0.152 | 0.264 | 97828.005 |
| 64771.531 | 97828.150 | 97828.145 | -0.007 | -0.019 | -0.004 |
| 97828.155 | 64771.533 | 97828.145 | -0.011 | -0.016 | -0.001 |
| 97828.157 | 97828.151 | 64771.522 | -0.016 | -0.026 | -0.004 |
| -0.015 | 0.051 | 0.036 | -60585.534 | -0.016 | -0.004 |
| 0.051 | -0.016 | 0.036 | -0.007 | -60585.544 | -0.004 |
| 0.051 | 0.043 | -0.026 | -0.013 | -0.020 | -60585.531 |
| 64770.727 | 97828.007 | 97828.021 | 0.012 | 0.018 | -0.000 |
| 97828.007 | 64770.728 | 97828.021 | 0.011 | 0.020 | -0.000 |
| 97828.007 | 97828.008 | 64770.734 | 0.004 | 0.011 | -0.002 |
| 0.018 | -0.051 | -0.031 | -60585.515 | 0.012 | 0.003 |
| -0.050 | 0.016 | -0.031 | 0.012 | -60585.506 | 0.003 |
| -0.051 | -0.043 | 0.030 | 0.015 | 0.024 | -60585.524 |
| 64775.142 | 97828.782 | 97828.781 | -0.001 | -0.001 | -0.000 |
| 97828.782 | 64775.141 | 97828.781 | -0.001 | -0.003 | -0.000 |
| 97828.782 | 97828.782 | 64775.142 | -0.000 | -0.002 | -0.001 |
| -0.172 | 0.501 | 0.397 | -59986.093 | -0.002 | -0.001 |
| 0.501 | -0.172 | 0.397 | -0.001 | -59986.093 | -0.000 |
| 0.501 | 0.397 | -0.173 | -0.001 | -0.002 | -59986.092 |
| 64767.118 | 97827.376 | 97827.376 | 0.001 | 0.002 | 0.000 |
| 97827.376 | 64767.119 | 97827.376 | 0.001 | 0.002 | 0.001 |
| 97827.375 | 97827.375 | 64767.121 | 0.003 | 0.003 | 0.000 |
| 0.173 | -0.501 | -0.396 | -59986.091 | 0.002 | 0.000 |
| -0.501 | 0.172 | -0.396 | 0.001 | -59986.090 | 0.000 |
| -0.500 | -0.397 | 0.173 | 0.001 | 0.002 | -59986.091 |
| 20448.361 | 12189.031 | 12189.034 | 0.001 | -0.001 | 0.000 |
| 12189.027 | 20448.350 | 12189.034 | -0.002 | 0.000 | 0.002 |
| 12189.029 | 12189.030 | 20448.348 | -0.000 | 0.003 | 0.000 |
| -0.003 | -0.003 | -0.007 | 8348.650 | -0.006 | -0.000 |
| -0.005 | -0.002 | -0.006 | -0.007 | 8348.654 | -0.002 |
| -0.004 | -0.004 | -0.004 | -0.004 | -0.003 | 8348.653 |
| 20448.368 | 12189.039 | 12189.036 | 0.005 | 0.002 | -0.000 |
| 12189.043 | 20448.375 | 12189.037 | 0.006 | 0.006 | 0.003 |
| 12189.043 | 12189.037 | 20448.377 | 0.006 | 0.000 | 0.001 |
| 0.005 | 0.005 | 0.007 | 8348.659 | 0.003 | 0.003 |
| 0.004 | 0.003 | 0.008 | 0.005 | 8348.659 | 0.000 |
| 0.001 | 0.005 | 0.002 | 0.005 | 0.004 | 8348.655 |
| 20448.263 | 12189.018 | 12189.018 | -0.001 | -0.000 | -0.000 |
| 12189.018 | 20448.263 | 12189.018 | -0.001 | -0.001 | -0.000 |
| 12189.018 | 12189.018 | 20448.263 | -0.000 | -0.000 | -0.000 |
| -0.008 | -0.021 | -0.020 | 8348.654 | -0.001 | -0.000 |
| -0.021 | -0.007 | -0.020 | -0.001 | 8348.654 | 0.000 |
| -0.021 | -0.020 | -0.007 | -0.000 | -0.000 | 8348.655 |
| 20448.465 | 12189.049 | 12189.049 | 0.001 | 0.000 | 0.000 |
| 12189.049 | 20448.465 | 12189.049 | 0.001 | 0.000 | 0.000 |
| 12189.049 | 12189.049 | 20448.465 | 0.000 | -0.000 | 0.000 |
| 0.007 | 0.021 | 0.020 | 8348.655 | -0.000 | 0.000 |
| 0.021 | 0.007 | 0.020 | 0.000 | 8348.655 | 0.000 |
| 0.021 | 0.020 | 0.007 | 0.001 | 0.000 | 8348.655 |
| 20447.356 | 12188.883 | 12188.883 | -0.000 | -0.000 | -0.000 |
| 12188.883 | 20447.356 | 12188.883 | -0.000 | -0.000 | -0.000 |
| 12188.883 | 12188.883 | 20447.356 | -0.000 | -0.000 | -0.000 |
| -0.069 | -0.207 | -0.194 | 8348.415 | -0.000 | 0.000 |
| -0.207 | -0.069 | -0.194 | -0.000 | 8348.415 | 0.000 |
| -0.207 | -0.194 | -0.069 | -0.000 | -0.000 | 8348.415 |
| 20449.372 | 12189.184 | 12189.184 | 0.000 | 0.000 | 0.000 |
| 12189.184 | 20449.372 | 12189.184 | 0.000 | 0.000 | 0.000 |
| 12189.184 | 12189.184 | 20449.372 | 0.000 | 0.000 | 0.000 |
| 0.069 | 0.207 | 0.194 | 8348.415 | 0.000 | 0.000 |
| 0.207 | 0.069 | 0.194 | 0.000 | 8348.415 | 0.000 |
| 0.207 | 0.194 | 0.069 | 0.000 | 0.000 | 8348.415 |
| 67.669 | 92.291 | 92.291 | -0.000 | -0.000 | 0.000 |
| 92.292 | 67.669 | 92.291 | -0.000 | -0.000 | 0.000 |
| 92.292 | 92.291 | 67.669 | -0.000 | -0.000 | 0.000 |
| 0.000 | 0.000 | 0.000 | -50.313 | 0.000 | 0.000 |
| 0.000 | -0.000 | 0.000 | 0.000 | -50.313 | 0.000 |
| 0.000 | 0.000 | 0.000 | -0.000 | 0.000 | -50.313 |
| 67.669 | 92.291 | 92.291 | -0.000 | -0.000 | -0.000 |
| 92.291 | 67.669 | 92.291 | 0.000 | -0.000 | 0.000 |
| 92.291 | 92.291 | 67.669 | 0.000 | 0.000 | -0.000 |
| 0.000 | -0.000 | -0.000 | -50.313 | -0.000 | -0.000 |
| -0.000 | 0.000 | -0.000 | 0.000 | -50.313 | -0.000 |
| -0.000 | -0.000 | -0.000 | -0.000 | -0.000 | -50.313 |
| 67.669 | 92.291 | 92.291 | 0.000 | 0.000 | 0.000 |
| 92.291 | 67.669 | 92.291 | -0.000 | 0.000 | 0.000 |
| 92.291 | 92.291 | 67.669 | -0.000 | -0.000 | 0.000 |
| -0.000 | 0.000 | 0.000 | -50.313 | 0.000 | 0.000 |
| 0.000 | -0.000 | 0.000 | 0.000 | -50.313 | 0.000 |
| 0.000 | 0.000 | -0.000 | 0.000 | 0.000 | -50.313 |
| 67.669 | 92.291 | 92.291 | 0.000 | -0.000 | -0.000 |
| 92.291 | 67.669 | 92.291 | 0.000 | -0.000 | -0.000 |
| 92.291 | 92.291 | 67.669 | 0.000 | 0.000 | -0.000 |
| 0.000 | -0.000 | -0.000 | -50.313 | -0.000 | -0.000 |
| -0.000 | 0.000 | -0.000 | -0.000 | -50.313 | -0.000 |
| -0.000 | -0.000 | 0.000 | 0.000 | -0.000 | -50.313 |
| 67.670 | 92.292 | 92.292 | -0.000 | -0.000 | 0.000 |
| 92.292 | 67.670 | 92.292 | -0.000 | -0.000 | -0.000 |
| 92.292 | 92.292 | 67.670 | -0.000 | 0.000 | -0.000 |
| 0.000 | 0.000 | 0.000 | 71.176 | -0.000 | -0.000 |
| 0.000 | 0.000 | 0.000 | -0.000 | 71.176 | 0.000 |
| 0.000 | 0.000 | 0.000 | -0.000 | 0.000 | 71.176 |
| 67.669 | 92.291 | 92.291 | 0.000 | -0.000 | -0.000 |
| 92.291 | 67.669 | 92.291 | 0.000 | 0.000 | 0.000 |
| 92.291 | 92.291 | 67.669 | 0.000 | -0.000 | -0.000 |
| -0.000 | -0.000 | -0.000 | 71.176 | -0.000 | -0.000 |
| -0.000 | -0.000 | -0.000 | 0.000 | 71.176 | -0.000 |
| -0.000 | -0.000 | -0.000 | 0.000 | -0.000 | 71.176 |
| 39.500 | 10.089 | 10.089 | 0.000 | 0.000 | 0.000 |
| 10.089 | 39.500 | 10.089 | 0.000 | 0.000 | 0.000 |
| 10.089 | 10.089 | 39.500 | 0.000 | 0.000 | 0.000 |
| -70792.524 | -377300205.262 | -375275992.862 | -182264880.462 | 128385.121 | 365341.028 |
| -378715684.134 | 203085.211 | -378248286.824 | 299139.173 | -183421034.374 | 1020893.703 |
| 0.000 | -0.000 | -0.000 | 0.000 | 0.000 | 10.226 |
| 39.500 | 10.089 | 10.089 | -0.000 | -0.000 | -0.000 |
| 10.089 | 39.500 | 10.089 | -0.000 | -0.000 | -0.000 |
| 10.089 | 10.089 | 39.500 | -0.000 | -0.000 | -0.000 |
| 14327611.090 | 376473380.707 | 376198504.476 | -168758612.022 | 137724.571 | -1351013.836 |
| 376316548.008 | 15519436.793 | 373937630.201 | 217567.381 | -165054044.546 | 91087.200 |
| 386606786.328 | 385058732.115 | 15646634.107 | 890058.905 | -6835.942 | -174146379.679 |
| 39.500 | 10.089 | 10.089 | 0.000 | 0.000 | 0.000 |
| 10.089 | 39.500 | 10.089 | 0.000 | 0.000 | 0.000 |
| 10.089 | 10.089 | 39.500 | 0.000 | 0.000 | 0.000 |
| 61247.460 | -37623934.605 | -37824579.150 | -17267534.933 | 24331.369 | -25672.287 |
| -37661459.251 | 53722.745 | -37846682.421 | 495.088 | -17179689.607 | -13632.910 |
| -38088179.362 | -38773598.896 | -114998.009 | 38764.927 | 2490.367 | -17361561.551 |
| 39.501 | 10.089 | 10.089 | -0.000 | -0.000 | -0.000 |
| 10.089 | 39.501 | 10.089 | -0.000 | -0.000 | -0.000 |
| 10.089 | 10.089 | 39.501 | -0.000 | -0.000 | -0.000 |
| 1308647.382 | 40256935.032 | 39879235.519 | -16190659.043 | -67424.934 | -70613.326 |
| 8808563.131 | -31506395.568 | 8808572.130 | -0.003 | -44991508.816 | 0.003 |
| 40323484.709 | 40195602.824 | 1405983.220 | -48400.275 | -23176.327 | -16532615.168 |
| 39.500 | 10.089 | 10.089 | 0.000 | 0.000 | -0.000 |
| 10.089 | 39.500 | 10.089 | 0.000 | 0.000 | -0.000 |
| 10.089 | 10.089 | 39.500 | 0.000 | 0.000 | -0.000 |
| 3150671.043 | -880841.191 | -880850.190 | -4499132.212 | 0.000 | 0.000 |
| -880841.191 | 3150671.043 | -880850.190 | 0.000 | -4499132.212 | 0.000 |
| -880841.191 | -880850.190 | 3150671.043 | 0.000 | 0.000 | -4499132.212 |
| 39.501 | 10.089 | 10.089 | -0.000 | -0.000 | -0.000 |
| 10.089 | 39.501 | 10.089 | -0.000 | -0.000 | -0.000 |
| 10.089 | 10.089 | 39.501 | -0.000 | -0.000 | -0.000 |
| -3150671.045 | 880841.191 | 880850.190 | -4499132.213 | 0.000 | -0.000 |
| 880841.191 | -3150671.045 | 880850.190 | 0.000 | -4499132.213 | -0.000 |
| 880841.191 | 880850.190 | -3150671.044 | 0.000 | -0.000 | -4499132.213 |
| 0.128 | 0.128 | 0.128 | -0.000 | -0.000 | -0.000 |
| 0.128 | 0.128 | 0.128 | -0.000 | -0.000 | -0.000 |
| 0.128 | 0.128 | 0.128 | -0.000 | -0.000 | -0.000 |
| 0.000 | 0.000 | 0.000 | 0.117 | -0.000 | -0.000 |
| 0.000 | 0.000 | 0.000 | -0.000 | 0.117 | -0.000 |
| 0.000 | 0.000 | 0.000 | -0.000 | -0.000 | 0.117 |
| 0.128 | 0.128 | 0.128 | -0.000 | 0.000 | 0.000 |
| 0.128 | 0.128 | 0.128 | 0.000 | -0.000 | 0.000 |
| 0.128 | 0.128 | 0.128 | 0.000 | 0.000 | -0.000 |
| -0.000 | -0.000 | -0.000 | 0.117 | -0.000 | 0.000 |
| -0.000 | -0.000 | -0.000 | -0.000 | 0.117 | 0.000 |
| -0.000 | -0.000 | -0.000 | -0.000 | 0.000 | 0.117 |
| 0.128 | 0.128 | 0.128 | 0.000 | -0.000 | -0.000 |
| 0.128 | 0.128 | 0.128 | -0.000 | 0.000 | -0.000 |
| 0.128 | 0.128 | 0.128 | -0.000 | -0.000 | 0.000 |
| 0.000 | 0.000 | 0.000 | 0.099 | -0.000 | -0.000 |
| 0.000 | 0.000 | 0.000 | -0.000 | 0.099 | -0.000 |
| 0.000 | 0.000 | 0.000 | 0.000 | -0.000 | 0.099 |
| 0.128 | 0.128 | 0.128 | -0.000 | 0.000 | 0.000 |
| 0.128 | 0.128 | 0.128 | 0.000 | -0.000 | 0.000 |
| 0.128 | 0.128 | 0.128 | 0.000 | 0.000 | -0.000 |
| -0.000 | -0.000 | -0.000 | 0.099 | -0.000 | 0.000 |
| -0.000 | -0.000 | -0.000 | -0.000 | 0.099 | 0.000 |
| -0.000 | -0.000 | -0.000 | -0.000 | 0.000 | 0.099 |
| 0.128 | 0.128 | 0.128 | 0.000 | -0.000 | -0.000 |
| 0.128 | 0.128 | 0.128 | -0.000 | 0.000 | -0.000 |
| 0.128 | 0.128 | 0.128 | -0.000 | -0.000 | 0.000 |
| 0.000 | -0.000 | 0.000 | 0.010 | -0.000 | -0.000 |
| -0.000 | 0.000 | 0.000 | -0.000 | 0.010 | -0.000 |
| -0.000 | 0.000 | 0.000 | -0.000 | -0.000 | 0.010 |
| 0.128 | 0.128 | 0.128 | 0.000 | 0.000 | 0.000 |
| 0.128 | 0.128 | 0.128 | 0.000 | 0.000 | 0.000 |
| 0.128 | 0.128 | 0.128 | 0.000 | 0.000 | 0.000 |
| -0.000 | 0.000 | -0.000 | 0.010 | 0.000 | 0.000 |
| 0.000 | -0.000 | -0.000 | 0.000 | 0.010 | 0.000 |
| 0.000 | -0.000 | -0.000 | 0.000 | 0.000 | 0.010 |
| 377.098 | -46.239 | 74.154 | -0.000 | -0.000 | 0.000 |
| -46.239 | 377.098 | 74.154 | -0.000 | 0.000 | 0.000 |
| 74.155 | 74.155 | 361.773 | -0.000 | -0.000 | 0.000 |
| 0.000 | 0.000 | 0.000 | 183.739 | -0.000 | 0.000 |
| 0.000 | 0.000 | 0.000 | 0.000 | 183.739 | 0.000 |
| 0.000 | 0.000 | 0.000 | -0.000 | -0.000 | 117.619 |
| 377.098 | -46.239 | 74.154 | 0.000 | 0.000 | 0.000 |
| -46.239 | 377.098 | 74.154 | 0.000 | -0.000 | 0.000 |
| 74.154 | 74.154 | 361.773 | 0.000 | -0.000 | -0.000 |
| -0.000 | -0.000 | -0.000 | 183.739 | 0.000 | -0.000 |
| -0.000 | -0.000 | -0.000 | 0.000 | 183.739 | -0.000 |
| -0.000 | -0.000 | -0.000 | 0.000 | 0.000 | 117.619 |
| 377.099 | -46.238 | 74.155 | -0.000 | -0.000 | 0.000 |
| -46.238 | 377.099 | 74.155 | -0.000 | -0.000 | 0.000 |
| 74.155 | 74.155 | 361.774 | -0.000 | 0.000 | 0.000 |
| 0.000 | 0.000 | 0.000 | 183.739 | -0.000 | -0.000 |
| 0.000 | 0.000 | 0.000 | -0.000 | 183.739 | 0.000 |
| 0.000 | 0.000 | 0.000 | -0.000 | -0.000 | 117.619 |
| 377.097 | -46.239 | 74.154 | 0.000 | -0.000 | -0.000 |
| -46.239 | 377.097 | 74.154 | 0.000 | 0.000 | -0.000 |
| 74.154 | 74.154 | 361.772 | 0.000 | 0.000 | -0.000 |
| -0.000 | -0.000 | -0.000 | 183.739 | 0.000 | -0.000 |
| -0.000 | -0.000 | -0.000 | 0.000 | 183.739 | 0.000 |
| -0.000 | -0.000 | -0.000 | 0.000 | -0.000 | 117.619 |
| 377.106 | -46.237 | 74.156 | -0.000 | -0.000 | 0.000 |
| -46.237 | 377.106 | 74.156 | -0.000 | 0.000 | 0.000 |
| 74.157 | 74.157 | 361.781 | -0.000 | -0.000 | 0.000 |
| 0.001 | 0.000 | 0.001 | 183.739 | 0.000 | 0.000 |
| 0.000 | 0.001 | 0.001 | -0.000 | 183.739 | -0.000 |
| 0.001 | 0.001 | 0.001 | -0.000 | -0.000 | 117.619 |
| 377.090 | -46.240 | 74.153 | 0.000 | -0.000 | -0.000 |
| -46.240 | 377.090 | 74.153 | 0.000 | 0.000 | 0.000 |
| 74.152 | 74.152 | 361.766 | 0.000 | 0.000 | -0.000 |
| -0.001 | -0.000 | -0.001 | 183.739 | -0.000 | -0.000 |
| -0.000 | -0.001 | -0.001 | 0.000 | 183.739 | -0.000 |
| -0.001 | -0.001 | -0.001 | 0.000 | -0.000 | 117.619 |
| 0.350 | 0.350 | 0.601 | -0.000 | -0.000 | -0.000 |
| 0.350 | 0.350 | 0.601 | -0.000 | -0.000 | -0.000 |
| 0.601 | 0.601 | 1.032 | -0.000 | -0.000 | -0.000 |
| 0.000 | 0.000 | 0.000 | 0.601 | 0.000 | -0.000 |
| 0.000 | 0.000 | 0.000 | 0.000 | 0.601 | -0.000 |
| 0.000 | 0.000 | 0.000 | -0.000 | -0.000 | 0.350 |
| 0.350 | 0.350 | 0.601 | -0.000 | -0.000 | 0.000 |
| 0.350 | 0.350 | 0.601 | -0.000 | -0.000 | 0.000 |
| 0.601 | 0.601 | 1.032 | -0.000 | -0.000 | 0.000 |
| -0.000 | -0.000 | -0.000 | 0.601 | -0.000 | 0.000 |
| -0.000 | -0.000 | -0.000 | -0.000 | 0.601 | 0.000 |
| -0.000 | -0.000 | -0.000 | 0.000 | 0.000 | 0.350 |
| 0.350 | 0.350 | 0.601 | -0.000 | -0.000 | -0.000 |
| 0.350 | 0.350 | 0.601 | -0.000 | -0.000 | -0.000 |
| 0.601 | 0.601 | 1.032 | -0.000 | -0.000 | -0.000 |
| 0.000 | 0.000 | 0.000 | 0.601 | 0.000 | -0.000 |
| 0.000 | 0.000 | 0.000 | 0.000 | 0.601 | -0.000 |
| 0.000 | 0.000 | 0.000 | -0.000 | 0.000 | 0.350 |
| 0.350 | 0.350 | 0.601 | 0.000 | 0.000 | 0.000 |
| 0.350 | 0.350 | 0.601 | 0.000 | 0.000 | 0.000 |
| 0.601 | 0.601 | 1.032 | 0.000 | 0.000 | 0.000 |
| -0.000 | -0.000 | -0.000 | 0.601 | -0.000 | 0.000 |
| -0.000 | -0.000 | -0.000 | -0.000 | 0.601 | 0.000 |
| -0.000 | -0.000 | -0.000 | 0.000 | 0.000 | 0.350 |
| 0.350 | 0.350 | 0.601 | -0.000 | -0.000 | -0.000 |
| 0.350 | 0.350 | 0.601 | -0.000 | -0.000 | -0.000 |
| 0.601 | 0.601 | 1.032 | -0.000 | -0.000 | -0.000 |
| 0.000 | 0.000 | 0.000 | 0.601 | 0.000 | -0.000 |
| 0.000 | 0.000 | 0.000 | 0.000 | 0.601 | -0.000 |
| 0.000 | 0.000 | 0.000 | -0.000 | 0.000 | 0.350 |
| 0.350 | 0.350 | 0.601 | -0.000 | -0.000 | 0.000 |
| 0.350 | 0.350 | 0.601 | -0.000 | -0.000 | 0.000 |
| 0.601 | 0.601 | 1.032 | 0.000 | 0.000 | 0.000 |
| -0.000 | -0.000 | -0.000 | 0.601 | -0.000 | 0.000 |
| -0.000 | -0.000 | -0.000 | -0.000 | 0.601 | 0.000 |
| -0.000 | -0.000 | -0.000 | 0.000 | -0.000 | 0.350 |
| 0.351 | 0.351 | 0.601 | 0.000 | -0.000 | 0.000 |
| 0.351 | 0.351 | 0.601 | -0.000 | 0.000 | 0.000 |
| 0.601 | 0.601 | 1.030 | -0.000 | -0.000 | -0.000 |
| 0.000 | 0.000 | 0.000 | 0.601 | -0.000 | -0.000 |
| 0.000 | 0.000 | 0.000 | -0.000 | 0.601 | -0.000 |
| 0.000 | 0.000 | 0.000 | -0.000 | -0.000 | 0.351 |
| 0.351 | 0.351 | 0.601 | 0.000 | 0.000 | -0.000 |
| 0.351 | 0.351 | 0.601 | 0.000 | 0.000 | -0.000 |
| 0.601 | 0.601 | 1.030 | -0.000 | -0.000 | 0.000 |
| -0.000 | -0.000 | -0.000 | 0.601 | 0.000 | 0.000 |
| -0.000 | -0.000 | -0.000 | 0.000 | 0.601 | 0.000 |
| -0.000 | -0.000 | -0.000 | -0.000 | 0.000 | 0.351 |
| 0.351 | 0.351 | 0.601 | -0.000 | -0.000 | -0.000 |
| 0.351 | 0.351 | 0.601 | -0.000 | -0.000 | -0.000 |
| 0.601 | 0.601 | 1.030 | -0.000 | -0.000 | 0.000 |
| 0.000 | 0.000 | 0.000 | 0.601 | 0.000 | -0.000 |
| 0.000 | 0.000 | 0.000 | 0.000 | 0.601 | -0.000 |
| 0.000 | 0.000 | 0.000 | -0.000 | 0.000 | 0.351 |
| 0.351 | 0.351 | 0.601 | -0.000 | 0.000 | 0.000 |
| 0.351 | 0.351 | 0.601 | 0.000 | -0.000 | 0.000 |
| 0.601 | 0.601 | 1.030 | -0.000 | -0.000 | 0.000 |
| -0.000 | -0.000 | -0.000 | 0.601 | 0.000 | 0.000 |
| -0.000 | -0.000 | -0.000 | 0.000 | 0.601 | 0.000 |
| -0.000 | -0.000 | -0.000 | 0.000 | 0.000 | 0.351 |
| 0.351 | 0.351 | 0.601 | 0.000 | -0.000 | -0.000 |
| 0.351 | 0.351 | 0.601 | -0.000 | 0.000 | -0.000 |
| 0.601 | 0.601 | 1.031 | -0.000 | -0.000 | -0.000 |
| 0.000 | 0.000 | 0.000 | 0.601 | 0.000 | -0.000 |
| 0.000 | 0.000 | 0.000 | 0.000 | 0.601 | -0.000 |
| 0.000 | 0.000 | 0.000 | 0.000 | -0.000 | 0.351 |
| 0.351 | 0.351 | 0.601 | 0.000 | -0.000 | 0.000 |
| 0.351 | 0.351 | 0.601 | -0.000 | 0.000 | 0.000 |
| 0.601 | 0.601 | 1.030 | -0.000 | -0.000 | 0.000 |
| -0.000 | -0.000 | -0.000 | 0.601 | 0.000 | 0.000 |
| -0.000 | -0.000 | -0.000 | 0.000 | 0.601 | 0.000 |
| -0.000 | -0.000 | -0.000 | -0.000 | -0.000 | 0.351 |
| 0.385 | 0.385 | 0.580 | 0.000 | -0.000 | 0.000 |
| 0.385 | 0.385 | 0.580 | -0.000 | 0.000 | 0.000 |
| 0.580 | 0.580 | 0.873 | 0.000 | 0.000 | 0.000 |
| 0.000 | 0.000 | 0.000 | 0.580 | 0.000 | -0.000 |
| 0.000 | 0.000 | 0.000 | 0.000 | 0.580 | -0.000 |
| 0.000 | 0.000 | 0.000 | -0.000 | 0.000 | 0.385 |
| 0.385 | 0.385 | 0.580 | 0.000 | 0.000 | 0.000 |
| 0.385 | 0.385 | 0.580 | 0.000 | 0.000 | 0.000 |
| 0.580 | 0.580 | 0.873 | 0.000 | 0.000 | 0.000 |
| -0.000 | -0.000 | -0.000 | 0.580 | 0.000 | 0.000 |
| -0.000 | -0.000 | -0.000 | 0.000 | 0.580 | 0.000 |
| -0.000 | -0.000 | -0.000 | 0.000 | 0.000 | 0.385 |
| 0.385 | 0.385 | 0.580 | -0.000 | -0.000 | -0.000 |
| 0.385 | 0.385 | 0.580 | -0.000 | -0.000 | -0.000 |
| 0.580 | 0.580 | 0.873 | -0.000 | -0.000 | 0.000 |
| 0.000 | 0.000 | 0.000 | 0.580 | -0.000 | -0.000 |
| 0.000 | 0.000 | 0.000 | -0.000 | 0.580 | 0.000 |
| 0.000 | 0.000 | 0.000 | -0.000 | -0.000 | 0.385 |
| 0.385 | 0.385 | 0.580 | 0.000 | -0.000 | -0.000 |
| 0.385 | 0.385 | 0.580 | -0.000 | 0.000 | -0.000 |
| 0.580 | 0.580 | 0.873 | 0.000 | 0.000 | 0.000 |
| -0.000 | -0.000 | -0.000 | 0.580 | -0.000 | -0.000 |
| -0.000 | -0.000 | -0.000 | -0.000 | 0.580 | -0.000 |
| -0.000 | -0.000 | -0.000 | 0.000 | 0.000 | 0.385 |
| 0.385 | 0.385 | 0.580 | -0.000 | 0.000 | -0.000 |
| 0.385 | 0.385 | 0.580 | 0.000 | -0.000 | -0.000 |
| 0.580 | 0.580 | 0.873 | -0.000 | -0.000 | 0.000 |
| 0.000 | 0.000 | 0.000 | 0.580 | -0.000 | -0.000 |
| 0.000 | 0.000 | 0.000 | -0.000 | 0.580 | -0.000 |
| 0.000 | 0.000 | 0.000 | 0.000 | 0.000 | 0.385 |
| 0.385 | 0.385 | 0.580 | 0.000 | 0.000 | -0.000 |
| 0.385 | 0.385 | 0.580 | 0.000 | 0.000 | -0.000 |
| 0.580 | 0.580 | 0.873 | 0.000 | 0.000 | -0.000 |
| -0.000 | -0.000 | -0.000 | 0.580 | 0.000 | 0.000 |
| -0.000 | -0.000 | -0.000 | 0.000 | 0.580 | 0.000 |
| -0.000 | -0.000 | -0.000 | 0.000 | 0.000 | 0.385 |
| 322.924 | 59.542 | 31.001 | 0.000 | -0.000 | 0.000 |
| 70.368 | 312.099 | 31.001 | -0.000 | -0.000 | 0.000 |
| 31.001 | 31.001 | 205.417 | 0.000 | -0.000 | 0.000 |
| -0.000 | 0.000 | 0.000 | 81.373 | -0.000 | 0.000 |
| -0.000 | 0.000 | 0.000 | -0.000 | 81.373 | -0.000 |
| 0.000 | 0.000 | 0.000 | -0.000 | -0.000 | 131.691 |
| 322.924 | 59.542 | 31.001 | 0.000 | 0.000 | -0.000 |
| 70.368 | 312.098 | 31.001 | 0.000 | 0.000 | 0.000 |
| 31.001 | 31.001 | 205.417 | -0.000 | 0.000 | -0.000 |
| 0.000 | -0.000 | -0.000 | 81.373 | 0.000 | -0.000 |
| 0.000 | -0.000 | -0.000 | -0.000 | 81.373 | 0.000 |
| -0.000 | -0.000 | -0.000 | -0.000 | 0.000 | 131.691 |
| 322.925 | 59.542 | 31.001 | -0.000 | -0.000 | -0.000 |
| 70.368 | 312.099 | 31.001 | -0.000 | -0.000 | 0.000 |
| 31.001 | 31.001 | 205.417 | -0.000 | -0.000 | 0.000 |
| 0.000 | 0.000 | 0.000 | 81.373 | -0.000 | 0.000 |
| 0.000 | 0.000 | 0.000 | -0.000 | 81.373 | -0.000 |
| 0.000 | 0.000 | 0.000 | -0.000 | -0.000 | 131.691 |
| 322.924 | 59.542 | 31.001 | 0.000 | 0.000 | 0.000 |
| 70.368 | 312.098 | 31.001 | 0.000 | 0.000 | -0.000 |
| 31.001 | 31.001 | 205.417 | -0.000 | 0.000 | -0.000 |
| -0.000 | -0.000 | -0.000 | 81.373 | 0.000 | 0.000 |
| -0.000 | -0.000 | -0.000 | -0.000 | 81.373 | -0.000 |
| -0.000 | -0.000 | -0.000 | 0.000 | 0.000 | 131.691 |
| 312.105 | 70.369 | 31.002 | -0.000 | -0.000 | 0.000 |
| 70.370 | 312.103 | 31.002 | -0.000 | -0.000 | -0.000 |
| 31.002 | 31.002 | 205.420 | 0.000 | -0.000 | -0.000 |
| 0.000 | 0.000 | 0.001 | 81.373 | -0.000 | 0.000 |
| 0.000 | 0.000 | 0.001 | -0.000 | 81.373 | 0.000 |
| 0.000 | 0.001 | 0.000 | -0.000 | 0.000 | 131.691 |
| 312.092 | 70.367 | 31.000 | -0.000 | 0.000 | -0.000 |
| 70.365 | 312.094 | 31.000 | 0.000 | 0.000 | -0.000 |
| 31.000 | 31.000 | 205.414 | 0.000 | -0.000 | 0.000 |
| -0.000 | -0.000 | -0.001 | 81.373 | 0.000 | 0.000 |
| -0.000 | -0.000 | -0.001 | 0.000 | 81.373 | -0.000 |
| -0.000 | -0.001 | -0.000 | 0.000 | 0.000 | 131.691 |
| 222.167 | 94.892 | 93.971 | -0.000 | 0.000 | 0.000 |
| 94.892 | 194.851 | -11.277 | -0.000 | 0.000 | 0.000 |
| 93.971 | -11.277 | 179.775 | 0.000 | -0.000 | 0.000 |
| -0.000 | -0.000 | -0.000 | -70.920 | 0.000 | 0.000 |
| -0.000 | -0.000 | -0.000 | 0.000 | 48.451 | 0.000 |
| -0.000 | -0.000 | -0.000 | -0.000 | -0.000 | 49.290 |
| 222.167 | 94.892 | 93.971 | -0.000 | 0.000 | 0.000 |
| 94.892 | 194.851 | -11.277 | -0.000 | 0.000 | -0.000 |
| 93.971 | -11.277 | 179.775 | -0.000 | 0.000 | -0.000 |
| 0.000 | 0.000 | 0.000 | -70.920 | -0.000 | -0.000 |
| 0.000 | 0.000 | 0.000 | -0.000 | 48.451 | -0.000 |
| 0.000 | 0.000 | 0.000 | 0.000 | 0.000 | 49.290 |
| 222.167 | 94.892 | 93.971 | 0.000 | -0.000 | 0.000 |
| 94.892 | 194.851 | -11.277 | 0.000 | 0.000 | 0.000 |
| 93.971 | -11.277 | 179.775 | 0.000 | -0.000 | 0.000 |
| -0.000 | 0.000 | -0.000 | -70.920 | -0.000 | 0.000 |
| -0.000 | -0.000 | 0.000 | 0.000 | 48.451 | 0.000 |
| -0.000 | 0.000 | -0.000 | 0.000 | -0.000 | 49.290 |
| 222.167 | 94.893 | 93.971 | -0.000 | -0.000 | -0.000 |
| 94.893 | 194.851 | -11.277 | -0.000 | 0.000 | 0.000 |
| 93.971 | -11.277 | 179.775 | 0.000 | -0.000 | -0.000 |
| 0.000 | -0.000 | 0.000 | -70.920 | 0.000 | -0.000 |
| 0.000 | 0.000 | -0.000 | -0.000 | 48.451 | -0.000 |
| 0.000 | -0.000 | 0.000 | 0.000 | 0.000 | 49.290 |
| 222.167 | 94.892 | 93.971 | 0.000 | -0.000 | 0.000 |
| 94.892 | 194.851 | -11.277 | -0.000 | -0.000 | 0.000 |
| 93.971 | -11.278 | 179.775 | 0.000 | -0.000 | 0.000 |
| -0.000 | 0.000 | -0.000 | -70.920 | -0.000 | 0.000 |
| -0.000 | -0.000 | 0.000 | -0.000 | 48.451 | 0.000 |
| -0.000 | 0.000 | -0.000 | -0.000 | -0.000 | 49.290 |
| 222.167 | 94.893 | 93.971 | -0.000 | 0.000 | -0.000 |
| 94.893 | 194.851 | -11.277 | -0.000 | -0.000 | -0.000 |
| 93.971 | -11.276 | 179.776 | 0.000 | 0.000 | -0.000 |
| 0.000 | -0.000 | 0.000 | -70.920 | 0.000 | -0.000 |
| 0.000 | 0.000 | -0.000 | 0.000 | 48.451 | -0.000 |
| 0.000 | -0.000 | 0.000 | 0.000 | 0.000 | 49.290 |
| 196.554 | 70.964 | 73.135 | 0.000 | 0.000 | 0.000 |
| 70.377 | 262.169 | 116.124 | 0.000 | 0.000 | 0.000 |
| 74.145 | 113.119 | 264.944 | 0.000 | 0.000 | 0.000 |
| 0.000 | -0.000 | 0.000 | 82.484 | 0.000 | 0.000 |
| -0.000 | -0.000 | 0.000 | 0.000 | 46.718 | 0.000 |
| 0.000 | -0.000 | 0.000 | 0.000 | 0.000 | 46.400 |
| 196.425 | 70.807 | 73.519 | -0.000 | -0.000 | -0.000 |
| 70.377 | 262.169 | 116.124 | -0.000 | -0.000 | -0.000 |
| 74.145 | 113.119 | 264.944 | -0.000 | -0.000 | -0.000 |
| -0.000 | 0.000 | -0.000 | 82.484 | -0.000 | -0.000 |
| 0.000 | 0.000 | -0.000 | -0.000 | 46.718 | -0.000 |
| -0.000 | 0.000 | -0.000 | -0.000 | -0.000 | 46.400 |
| 196.425 | 70.807 | 73.519 | 0.000 | 0.000 | 0.000 |
| 70.377 | 262.169 | 116.123 | 0.000 | 0.000 | 0.000 |
| 73.921 | 116.086 | 262.684 | 0.000 | 0.000 | 0.000 |
| -0.000 | -0.000 | 0.000 | 72.250 | -0.000 | 0.000 |
| 0.000 | -0.000 | -0.000 | 0.000 | 46.718 | 0.000 |
| -0.000 | -0.000 | -0.000 | 0.000 | 0.000 | 46.400 |
| 196.425 | 70.808 | 73.519 | -0.000 | -0.000 | -0.000 |
| 70.377 | 262.169 | 116.124 | -0.000 | -0.000 | -0.000 |
| 73.921 | 116.086 | 262.684 | -0.000 | -0.000 | -0.000 |
| 0.000 | 0.000 | -0.000 | 72.250 | 0.000 | -0.000 |
| -0.000 | 0.000 | 0.000 | -0.000 | 46.718 | -0.000 |
| 0.000 | 0.000 | 0.000 | -0.000 | -0.000 | 46.400 |
| 196.407 | 70.398 | 73.921 | 0.000 | 0.000 | 0.000 |
| 70.398 | 262.163 | 116.084 | 0.000 | 0.000 | 0.000 |
| 73.920 | 116.085 | 262.684 | 0.000 | 0.000 | 0.000 |
| -0.000 | -0.000 | -0.000 | 72.224 | 0.000 | 0.000 |
| 0.000 | -0.000 | -0.000 | 0.000 | 46.718 | 0.000 |
| -0.000 | -0.000 | -0.000 | 0.000 | 0.000 | 46.400 |
| 196.556 | 70.964 | 73.135 | -0.000 | 0.000 | -0.000 |
| 70.378 | 262.171 | 116.125 | -0.000 | -0.000 | -0.000 |
| 73.922 | 116.086 | 262.684 | -0.000 | -0.000 | -0.000 |
| 0.000 | 0.000 | 0.000 | 72.224 | -0.000 | -0.000 |
| -0.000 | 0.000 | 0.000 | -0.000 | 46.718 | -0.000 |
| 0.000 | 0.000 | 0.000 | -0.000 | -0.000 | 46.400 |
| -109.603 | -1712.983 | 2374.151 | -0.000 | 0.000 | 0.000 |
| -208.740 | -239.513 | 1140.084 | -0.000 | -0.000 | -0.000 |
| -233.130 | -1667.366 | 2562.080 | -0.000 | -0.000 | -0.000 |
| -307.574 | -1784.948 | 2299.400 | 72.589 | 0.000 | 0.000 |
| -307.574 | -1784.947 | 2299.399 | -0.000 | 46.104 | -0.000 |
| -307.574 | -1784.948 | 2299.399 | 0.000 | -0.000 | 46.902 |
| 478.898 | 582.039 | -953.634 | 0.000 | -0.000 | 0.000 |
| 72.600 | 273.502 | 108.088 | 0.000 | -0.000 | -0.000 |
| 382.019 | 1902.529 | -2036.718 | 0.000 | -0.000 | -0.000 |
| 307.574 | 1784.948 | -2299.400 | 72.589 | -0.000 | 0.000 |
| 307.574 | 1784.947 | -2299.399 | 0.000 | 46.104 | -0.000 |
| 307.574 | 1784.948 | -2299.399 | 0.000 | -0.000 | 46.902 |
| 169.893 | 21.305 | 177.230 | 0.000 | 0.000 | 0.000 |
| 72.599 | 273.502 | 108.087 | -0.000 | 0.000 | 0.000 |
| 43.687 | -60.913 | 492.621 | -0.000 | 0.000 | 0.000 |
| -30.758 | -178.498 | 229.944 | 72.589 | 0.000 | 0.000 |
| -30.757 | -178.493 | 229.938 | -0.000 | 46.104 | -0.000 |
| -30.757 | -178.495 | 229.940 | -0.000 | 0.000 | 46.902 |
| 228.729 | 250.460 | -155.188 | 0.000 | -0.000 | 0.000 |
| 102.944 | 442.350 | -111.829 | 0.000 | 0.000 | -0.000 |
| 105.202 | 296.076 | 32.741 | 0.000 | -0.000 | -0.000 |
| 30.758 | 178.498 | -229.944 | 72.589 | -0.000 | 0.000 |
| 30.757 | 178.493 | -229.938 | 0.000 | 46.104 | -0.000 |
| 30.757 | 178.495 | -229.940 | -0.000 | -0.000 | 46.902 |
| 194.894 | 54.115 | 97.745 | -0.000 | 0.000 | -0.000 |
| 69.110 | 246.005 | 141.103 | -0.000 | 0.000 | -0.000 |
| 71.368 | 99.731 | 285.674 | -0.000 | -0.000 | -0.000 |
| -2.895 | -5.254 | 10.595 | 79.736 | 0.000 | 0.000 |
| -2.815 | -5.108 | 10.301 | -0.000 | 46.572 | 0.000 |
| -3.076 | -17.850 | 22.994 | 0.000 | 0.000 | 46.902 |
| 198.098 | 72.378 | 74.118 | 0.000 | -0.000 | -0.000 |
| 75.264 | 281.706 | 95.117 | 0.000 | 0.000 | 0.000 |
| 77.297 | 116.276 | 258.444 | -0.000 | -0.000 | -0.000 |
| 2.895 | 5.254 | -10.595 | 79.736 | -0.000 | -0.000 |
| 2.815 | 5.108 | -10.301 | 0.000 | 46.572 | -0.000 |
| 3.076 | 17.850 | -22.994 | 0.000 | -0.000 | 46.902 |
| 56.829 | 153.401 | -25.114 | -0.000 | 0.000 | 0.000 |
| 63.526 | 146.703 | -25.114 | -0.000 | 0.000 | 0.000 |
| -25.111 | -25.111 | 341.142 | 0.000 | 0.000 | 0.000 |
| 0.000 | -0.000 | 0.000 | -31.502 | 0.000 | 0.000 |
| 0.000 | -0.000 | 0.000 | 0.000 | -31.502 | 0.000 |
| 0.000 | 0.000 | 0.000 | -0.000 | 0.000 | 41.589 |
| 56.828 | 153.401 | -25.114 | -0.000 | -0.000 | -0.000 |
| 153.401 | 56.828 | -25.114 | 0.000 | -0.000 | -0.000 |
| -25.111 | -25.111 | 341.142 | 0.000 | 0.000 | -0.000 |
| -0.000 | 0.000 | -0.000 | -31.502 | -0.000 | -0.000 |
| -0.000 | 0.000 | -0.000 | -0.000 | -31.502 | -0.000 |
| -0.000 | -0.000 | -0.000 | 0.000 | 0.000 | 41.589 |
| 56.418 | 153.811 | -25.114 | -0.000 | -0.000 | 0.000 |
| 153.401 | 56.828 | -25.114 | -0.000 | 0.000 | 0.000 |
| -25.111 | -25.111 | 341.142 | 0.000 | 0.000 | 0.000 |
| 0.000 | -0.000 | -0.000 | -31.502 | 0.000 | 0.000 |
| -0.000 | -0.000 | -0.000 | -0.000 | -31.502 | 0.000 |
| -33551384.926 | -30278948.353 | -47291121.442 | -25888.039 | 12858.155 | 4188095.410 |
| 27165039.942 | 26357319.092 | 36354418.971 | -194319.028 | -163524.824 | -547520.095 |
| 153.811 | 56.418 | -25.114 | 0.000 | -0.000 | -0.000 |
| -25.111 | -25.111 | 341.142 | 0.000 | -0.000 | -0.000 |
| -0.000 | 0.000 | 0.000 | -31.502 | -0.000 | -0.000 |
| 0.000 | 0.000 | 0.000 | -0.000 | -31.502 | -0.000 |
| 28163303.537 | 26287101.116 | 43951187.568 | -41934.614 | 210614.100 | 3866298.703 |
| 56.832 | 153.397 | -25.114 | 0.000 | 0.000 | 0.000 |
| 153.406 | 56.824 | -25.114 | -0.000 | 0.000 | 0.000 |
| -25.112 | -25.112 | 341.145 | 0.000 | 0.000 | 0.000 |
| -0.000 | -0.000 | -0.000 | -31.502 | -0.000 | 0.000 |
| -0.000 | -0.000 | -0.000 | 0.000 | -31.502 | 0.000 |
| -0.000 | -0.000 | -0.000 | -0.000 | 0.000 | -48.286 |
| 2238525.094 | 2370716.947 | 3481130.896 | -38279.632 | 20026.431 | -31350.916 |
| 2740193.303 | 2983518.731 | 4074025.348 | 3443.843 | 34997.850 | 15709.884 |
| -25.111 | -25.111 | 341.140 | 0.000 | 0.000 | -0.000 |
| 0.000 | 0.000 | 0.000 | -31.502 | -0.000 | -0.000 |
| 0.000 | 0.000 | 0.000 | -0.000 | -31.502 | -0.000 |
| 0.000 | 0.000 | 0.000 | 0.000 | -0.000 | -48.286 |
| 261.567 | 34.892 | 20.141 | -26.204 | -0.000 | -0.000 |
| 34.892 | 261.567 | 20.141 | 26.204 | -0.000 | -0.000 |
| 20.141 | 20.141 | 266.651 | -0.000 | -0.000 | -0.000 |
| -26.204 | 26.204 | 0.000 | 78.781 | -0.000 | -0.000 |
| 0.000 | -0.000 | 0.000 | 0.000 | 78.781 | -26.204 |
| 0.000 | 0.000 | 0.000 | 0.000 | -26.204 | 113.337 |
| 261.567 | 34.892 | 20.141 | -26.204 | 0.000 | 0.000 |
| 34.892 | 261.567 | 20.141 | 26.204 | 0.000 | -0.000 |
| 20.141 | 20.141 | 266.651 | 0.000 | 0.000 | 0.000 |
| -26.204 | 26.204 | -0.000 | 78.781 | 0.000 | 0.000 |
| -0.000 | -0.000 | -0.000 | 0.000 | 78.781 | -26.204 |
| -0.000 | -0.000 | -0.000 | 0.000 | -26.204 | 113.337 |
| 261.567 | 34.892 | 20.142 | -26.204 | -0.000 | -0.000 |
| 34.892 | 261.567 | 20.142 | 26.204 | -0.000 | 0.000 |
| 20.141 | 20.141 | 266.651 | 0.000 | -0.000 | -0.000 |
| -26.204 | 26.204 | 0.000 | 78.781 | -0.000 | -0.000 |
| 0.000 | 0.000 | 0.000 | 0.000 | 78.781 | -26.204 |
| 0.000 | 0.000 | 0.000 | 0.000 | -26.204 | 113.337 |
| 261.566 | 34.892 | 20.141 | -26.204 | -0.000 | -0.000 |
| 34.892 | 261.566 | 20.141 | 26.204 | 0.000 | 0.000 |
| 20.141 | 20.141 | 266.651 | 0.000 | 0.000 | 0.000 |
| -26.204 | 26.204 | -0.000 | 78.781 | 0.000 | -0.000 |
| -0.000 | -0.000 | -0.000 | -0.000 | 78.781 | -26.204 |
| -0.000 | -0.000 | -0.000 | -0.000 | -26.204 | 113.337 |
| 261.573 | 34.893 | 20.142 | -26.203 | -0.000 | 0.000 |
| 34.894 | 261.572 | 20.142 | 26.203 | -0.000 | -0.000 |
| 20.142 | 20.142 | 266.651 | -0.000 | -0.000 | -0.000 |
| -26.203 | 26.204 | 0.000 | 78.781 | -0.000 | 0.000 |
| 0.000 | 0.000 | 0.000 | 0.000 | 78.781 | -26.204 |
| 0.001 | 0.002 | 0.000 | 0.000 | -26.204 | 113.337 |
| 261.560 | 34.891 | 20.141 | -26.204 | 0.000 | 0.000 |
| 34.890 | 261.561 | 20.141 | 26.204 | 0.000 | 0.000 |
| 20.141 | 20.141 | 266.650 | -0.000 | 0.000 | 0.000 |
| -26.204 | 26.203 | -0.000 | 78.781 | 0.000 | 0.000 |
| -0.000 | -0.000 | -0.000 | -0.000 | 78.781 | -26.204 |
| -0.001 | -0.002 | -0.000 | -0.000 | -26.204 | 113.337 |
| 146.451 | 147.481 | 147.481 | 0.000 | -0.000 | 0.000 |
| 147.481 | 146.451 | 147.481 | 0.000 | -0.000 | -0.000 |
| 147.481 | 147.481 | 146.451 | 0.000 | 0.000 | -0.000 |
| 0.000 | 0.000 | -0.000 | -17.394 | 0.000 | 0.000 |
| 0.000 | 0.000 | -0.000 | 0.000 | -17.394 | -0.000 |
| 0.000 | 0.000 | -0.000 | 0.000 | 0.000 | -17.394 |
| 146.451 | 147.481 | 147.481 | -0.000 | -0.000 | 0.000 |
| 147.481 | 146.451 | 147.481 | -0.000 | -0.000 | -0.000 |
| 147.481 | 147.481 | 146.451 | -0.000 | -0.000 | -0.000 |
| -0.000 | -0.000 | 0.000 | -17.394 | -0.000 | 0.000 |
| -0.000 | -0.000 | 0.000 | -0.000 | -17.394 | 0.000 |
| -0.000 | -0.000 | 0.000 | 0.000 | -0.000 | -17.394 |
| 146.451 | 147.481 | 147.481 | 0.000 | 0.000 | 0.000 |
| 147.481 | 146.451 | 147.481 | 0.000 | 0.000 | -0.000 |
| 147.481 | 147.481 | 146.451 | 0.000 | 0.000 | -0.000 |
| 0.000 | 0.000 | 0.000 | -17.394 | 0.000 | 0.000 |
| 0.000 | 0.000 | 0.000 | 0.000 | -17.394 | -0.000 |
| 0.000 | 0.000 | 0.000 | 0.000 | 0.000 | -17.394 |
| 146.451 | 147.481 | 147.481 | -0.000 | 0.000 | 0.000 |
| 147.481 | 146.451 | 147.481 | -0.000 | 0.000 | 0.000 |
| 147.481 | 147.481 | 146.451 | -0.000 | -0.000 | 0.000 |
| -0.000 | -0.000 | -0.000 | -17.394 | -0.000 | 0.000 |
| -0.000 | -0.000 | -0.000 | -0.000 | -17.394 | 0.000 |
| -0.000 | -0.000 | -0.000 | -0.000 | -0.000 | -17.394 |
| 146.452 | 147.481 | 147.481 | 0.000 | 0.000 | -0.000 |
| 147.481 | 146.452 | 147.481 | 0.000 | 0.000 | 0.000 |
| 147.481 | 147.481 | 146.452 | 0.000 | -0.000 | -0.000 |
| 0.000 | 0.000 | 0.000 | -17.394 | 0.000 | -0.000 |
| 0.000 | 0.000 | 0.000 | 0.000 | -17.394 | -0.000 |
| 0.000 | 0.000 | 0.000 | -0.000 | 0.000 | -17.394 |
| 146.451 | 147.480 | 147.480 | 0.000 | -0.000 | -0.000 |
| 147.480 | 146.451 | 147.480 | -0.000 | -0.000 | 0.000 |
| 147.480 | 147.480 | 146.451 | -0.000 | -0.000 | 0.000 |
| -0.000 | -0.000 | -0.000 | -17.394 | -0.000 | 0.000 |
| -0.000 | -0.000 | -0.000 | -0.000 | -17.394 | 0.000 |
| -0.000 | -0.000 | -0.000 | -0.000 | -0.000 | -17.394 |
| 0.257 | 0.257 | 0.257 | -0.000 | -0.000 | -0.000 |
| 0.257 | 0.257 | 0.257 | -0.000 | -0.000 | -0.000 |
| 0.257 | 0.257 | 0.257 | -0.000 | -0.000 | 0.000 |
| 0.000 | 0.000 | 0.000 | 0.256 | -0.000 | -0.000 |
| 0.000 | 0.000 | 0.000 | -0.000 | 0.256 | -0.000 |
| 0.000 | 0.000 | 0.000 | -0.000 | -0.000 | 0.256 |
| 0.257 | 0.257 | 0.257 | 0.000 | -0.000 | -0.000 |
| 0.257 | 0.257 | 0.257 | -0.000 | 0.000 | -0.000 |
| 0.257 | 0.257 | 0.257 | 0.000 | 0.000 | -0.000 |
| -0.000 | -0.000 | -0.000 | 0.256 | 0.000 | -0.000 |
| -0.000 | -0.000 | -0.000 | 0.000 | 0.256 | -0.000 |
| -0.000 | -0.000 | -0.000 | 0.000 | -0.000 | 0.256 |
| 0.257 | 0.257 | 0.257 | 0.000 | 0.000 | 0.000 |
| 0.257 | 0.257 | 0.257 | 0.000 | 0.000 | 0.000 |
| 0.257 | 0.257 | 0.257 | 0.000 | 0.000 | 0.000 |
| 0.000 | 0.000 | 0.000 | 0.235 | -0.000 | 0.000 |
| 0.000 | 0.000 | 0.000 | -0.000 | 0.235 | 0.000 |
| 0.000 | 0.000 | 0.000 | -0.000 | 0.000 | 0.235 |
| 0.257 | 0.257 | 0.257 | 0.000 | 0.000 | -0.000 |
| 0.257 | 0.257 | 0.257 | 0.000 | 0.000 | -0.000 |
| 0.257 | 0.257 | 0.257 | 0.000 | 0.000 | -0.000 |
| -0.000 | -0.000 | -0.000 | 0.235 | 0.000 | -0.000 |
| -0.000 | -0.000 | -0.000 | 0.000 | 0.235 | -0.000 |
| -0.000 | -0.000 | -0.000 | 0.000 | 0.000 | 0.235 |
| 0.257 | 0.257 | 0.257 | 0.000 | -0.000 | 0.000 |
| 0.257 | 0.257 | 0.257 | -0.000 | 0.000 | 0.000 |
| 0.257 | 0.257 | 0.257 | -0.000 | -0.000 | 0.000 |
| 0.000 | 0.000 | 0.000 | 0.033 | -0.000 | 0.000 |
| 0.000 | 0.000 | 0.000 | -0.000 | 0.033 | 0.000 |
| 0.000 | 0.000 | 0.000 | -0.000 | -0.000 | 0.033 |
| 0.256 | 0.256 | 0.256 | 0.000 | 0.000 | -0.000 |
| 0.256 | 0.256 | 0.256 | 0.000 | 0.000 | -0.000 |
| 0.256 | 0.256 | 0.256 | 0.000 | 0.000 | -0.000 |
| -0.000 | -0.000 | -0.000 | 0.033 | 0.000 | -0.000 |
| -0.000 | -0.000 | -0.000 | 0.000 | 0.033 | -0.000 |
| -0.000 | -0.000 | -0.000 | 0.000 | 0.000 | 0.033 |
| 11.084 | 12.952 | 12.952 | -0.000 | -0.000 | -0.000 |
| 12.952 | 11.084 | 12.952 | -0.000 | -0.000 | -0.000 |
| 12.952 | 12.952 | 11.084 | -0.000 | -0.000 | -0.000 |
| 0.000 | -0.000 | 0.000 | 12.754 | -0.000 | -0.000 |
| 0.000 | -0.000 | 0.000 | -0.000 | 12.754 | -0.000 |
| 0.000 | -0.000 | 0.000 | -0.000 | -0.000 | 12.754 |
| 11.084 | 12.952 | 12.952 | -0.000 | 0.000 | 0.000 |
| 12.952 | 11.084 | 12.952 | 0.000 | -0.000 | 0.000 |
| 12.952 | 12.952 | 11.084 | 0.000 | 0.000 | -0.000 |
| -0.000 | 0.000 | -0.000 | 12.754 | 0.000 | 0.000 |
| -0.000 | -0.000 | -0.000 | 0.000 | 12.754 | 0.000 |
| -0.000 | 0.000 | -0.000 | 0.000 | 0.000 | 12.754 |
| 11.084 | 12.952 | 12.952 | 0.000 | -0.000 | -0.000 |
| 12.952 | 11.084 | 12.952 | -0.000 | -0.000 | -0.000 |
| 12.952 | 12.952 | 11.084 | -0.000 | -0.000 | -0.000 |
| -0.000 | -0.000 | -0.000 | -2.693 | -0.000 | -0.000 |
| -0.000 | -0.000 | -0.000 | -0.000 | -2.693 | -0.000 |
| -0.000 | -0.000 | -0.000 | -0.000 | -0.000 | -2.693 |
| 11.084 | 12.952 | 12.952 | 0.000 | 0.000 | 0.000 |
| 12.952 | 11.084 | 12.952 | 0.000 | 0.000 | 0.000 |
| 12.952 | 12.952 | 11.084 | 0.000 | -0.000 | 0.000 |
| 0.000 | 0.000 | 0.000 | -2.693 | 0.000 | 0.000 |
| 0.000 | 0.000 | 0.000 | 0.000 | -2.693 | 0.000 |
| 0.000 | 0.000 | 0.000 | -0.000 | 0.000 | -2.693 |
| 11.084 | 12.952 | 12.952 | -0.000 | -0.000 | -0.000 |
| 12.952 | 11.084 | 12.952 | -0.000 | -0.000 | -0.000 |
| 12.952 | 12.952 | 11.084 | -0.000 | -0.000 | -0.000 |
| -0.000 | -0.000 | -0.000 | -2.693 | 0.000 | -0.000 |
| -0.000 | -0.000 | -0.000 | -0.000 | -2.693 | -0.000 |
| -0.000 | -0.000 | -0.000 | -0.000 | -0.000 | -2.693 |
| 11.084 | 12.952 | 12.952 | 0.000 | 0.000 | 0.000 |
| 12.952 | 11.084 | 12.952 | 0.000 | 0.000 | 0.000 |
| 12.952 | 12.952 | 11.084 | 0.000 | 0.000 | 0.000 |
| 0.000 | 0.000 | 0.000 | -2.693 | 0.000 | 0.000 |
| 0.000 | 0.000 | 0.000 | 0.000 | -2.693 | 0.000 |
| 0.000 | 0.000 | 0.000 | 0.000 | 0.000 | -2.693 |
| 424.436 | 76.392 | 76.392 | 0.000 | -0.000 | 0.000 |
| 76.392 | 424.436 | 76.392 | 0.000 | 0.000 | 0.000 |
| 76.392 | 76.392 | 424.436 | -0.000 | -0.000 | 0.000 |
| 0.000 | -0.000 | 0.000 | 20.304 | 0.000 | 0.000 |
| -0.000 | -0.000 | 0.000 | 0.000 | 20.304 | 0.000 |
| 0.000 | -0.000 | 0.000 | 0.000 | -0.000 | 20.304 |
| 424.436 | 76.392 | 76.392 | -0.000 | -0.000 | -0.000 |
| 76.392 | 424.436 | 76.392 | -0.000 | -0.000 | -0.000 |
| 76.392 | 76.392 | 424.436 | -0.000 | -0.000 | -0.000 |
| -0.000 | 0.000 | -0.000 | 20.304 | 0.000 | -0.000 |
| 0.000 | 0.000 | -0.000 | -0.000 | 20.304 | -0.000 |
| 0.000 | 0.000 | -0.000 | -0.000 | 0.000 | 20.304 |
| 424.436 | 76.392 | 76.392 | 0.000 | -0.000 | 0.000 |
| 76.392 | 424.436 | 76.392 | 0.000 | -0.000 | 0.000 |
| 76.392 | 76.392 | 424.436 | -0.000 | -0.000 | 0.000 |
| 0.000 | 0.000 | 0.000 | 20.304 | -0.000 | 0.000 |
| 0.000 | 0.000 | 0.000 | -0.000 | 20.304 | 0.000 |
| 0.000 | 0.000 | 0.000 | -0.000 | -0.000 | 20.304 |
| 422.529 | 77.345 | 77.345 | -0.000 | -0.000 | -0.000 |
| 77.345 | 422.529 | 77.345 | -0.000 | -0.000 | -0.000 |
| 77.345 | 77.345 | 422.529 | -0.000 | 0.000 | -0.000 |
| -0.000 | -0.000 | -0.000 | 20.304 | 0.000 | -0.000 |
| -0.000 | -0.000 | -0.000 | 0.000 | 20.304 | -0.000 |
| -0.000 | -0.000 | -0.000 | -0.000 | 0.000 | 20.304 |
| 422.531 | 77.346 | 77.346 | 0.000 | 0.000 | 0.000 |
| 77.346 | 422.531 | 77.346 | 0.000 | -0.000 | 0.000 |
| 77.346 | 77.346 | 422.531 | 0.000 | 0.000 | 0.000 |
| 0.000 | 0.000 | 0.000 | 20.304 | -0.000 | -0.000 |
| 0.000 | 0.000 | 0.000 | 0.000 | 20.304 | 0.000 |
| 0.000 | 0.000 | 0.000 | -0.000 | -0.000 | 20.304 |
| 424.435 | 76.392 | 76.392 | -0.000 | -0.000 | -0.000 |
| 76.392 | 424.435 | 76.392 | -0.000 | -0.000 | -0.000 |
| 76.392 | 76.392 | 424.435 | -0.000 | 0.000 | -0.000 |
| -0.000 | -0.000 | -0.000 | 20.304 | 0.000 | -0.000 |
| -0.000 | -0.000 | -0.000 | -0.000 | 20.304 | -0.000 |
| -0.000 | -0.000 | -0.000 | 0.000 | 0.000 | 20.304 |
| 0.548 | 0.000 | 0.000 | -0.000 | -0.000 | -0.000 |
| 0.000 | 0.548 | 0.000 | 0.000 | -0.000 | -0.000 |
| 0.000 | 0.000 | 0.548 | 0.000 | -0.000 | -0.000 |
| 0.000 | 0.000 | -0.000 | -0.000 | -0.000 | -0.000 |
| 0.000 | 0.000 | -0.000 | -0.000 | -0.000 | -0.000 |
| 0.000 | -0.000 | 0.000 | -0.000 | 0.000 | -0.000 |
| 0.548 | -0.000 | -0.000 | 0.000 | 0.000 | 0.000 |
| -0.000 | 0.548 | -0.000 | -0.000 | 0.000 | 0.000 |
| -0.000 | -0.000 | 0.548 | 0.000 | -0.000 | 0.000 |
| -0.000 | -0.000 | 0.000 | -0.000 | 0.000 | 0.000 |
| -0.000 | -0.000 | 0.000 | 0.000 | -0.000 | -0.000 |
| -0.000 | 0.000 | -0.000 | 0.000 | 0.000 | -0.000 |
| 0.548 | 0.000 | 0.000 | -0.000 | -0.000 | 0.000 |
| 0.000 | 0.548 | 0.000 | 0.000 | -0.000 | -0.000 |
| 0.000 | 0.000 | 0.548 | 0.000 | 0.000 | -0.000 |
| 0.000 | 0.000 | -0.000 | 0.000 | -0.000 | -0.000 |
| 0.000 | 0.000 | -0.000 | 0.000 | 0.000 | 0.000 |
| 0.000 | -0.000 | 0.000 | -0.000 | 0.000 | 0.000 |
| 0.548 | -0.000 | -0.000 | 0.000 | 0.000 | 0.000 |
| -0.000 | 0.548 | -0.000 | -0.000 | 0.000 | 0.000 |
| -0.000 | -0.000 | 0.548 | 0.000 | -0.000 | 0.000 |
| -0.000 | -0.000 | 0.000 | 0.000 | 0.000 | -0.000 |
| -0.000 | -0.000 | 0.000 | -0.000 | 0.000 | -0.000 |
| -0.000 | 0.000 | -0.000 | 0.000 | -0.000 | 0.000 |
| 0.548 | 0.000 | 0.000 | -0.000 | 0.000 | 0.000 |
| 0.000 | 0.548 | 0.000 | 0.000 | -0.000 | 0.000 |
| 0.000 | 0.000 | 0.548 | -0.000 | -0.000 | -0.000 |
| 0.000 | 0.000 | -0.000 | 0.000 | 0.000 | 0.000 |
| 0.000 | 0.000 | -0.000 | 0.000 | 0.000 | 0.000 |
| 0.000 | -0.000 | 0.000 | -0.000 | 0.000 | 0.000 |
| 0.548 | -0.000 | -0.000 | 0.000 | 0.000 | -0.000 |
| -0.000 | 0.548 | -0.000 | 0.000 | 0.000 | 0.000 |
| -0.000 | -0.000 | 0.548 | 0.000 | 0.000 | 0.000 |
| -0.000 | -0.000 | 0.000 | 0.000 | -0.000 | 0.000 |
| -0.000 | -0.000 | 0.000 | -0.000 | 0.000 | -0.000 |
| -0.000 | 0.000 | -0.000 | 0.000 | -0.000 | 0.000 |
| 114.941 | 173.607 | 173.607 | -0.000 | 0.000 | -0.000 |
| 173.607 | 114.941 | 173.607 | -0.000 | -0.000 | -0.000 |
| 173.607 | 173.607 | 114.941 | -0.000 | 0.000 | -0.000 |
| 0.000 | -0.000 | -0.000 | 138.884 | 0.000 | 0.000 |
| 0.000 | 0.000 | -0.000 | -0.000 | 138.884 | -0.000 |
| 0.000 | -0.000 | 0.000 | -0.000 | 0.000 | 138.884 |
| 114.941 | 173.607 | 173.607 | 0.000 | -0.000 | 0.000 |
| 173.607 | 114.941 | 173.607 | 0.000 | -0.000 | 0.000 |
| 173.607 | 173.607 | 114.941 | 0.000 | 0.000 | 0.000 |
| -0.000 | 0.000 | 0.000 | 138.884 | -0.000 | 0.000 |
| -0.000 | -0.000 | 0.000 | 0.000 | 138.884 | 0.000 |
| -0.000 | -0.000 | 0.000 | 0.000 | 0.000 | 138.884 |
| 114.941 | 173.607 | 173.607 | -0.000 | -0.000 | -0.000 |
| 173.607 | 114.941 | 173.607 | -0.000 | -0.000 | -0.000 |
| 173.607 | 173.607 | 114.941 | -0.000 | -0.000 | -0.000 |
| 0.000 | 0.000 | 0.000 | 138.884 | -0.000 | -0.000 |
| 0.000 | 0.000 | 0.000 | -0.000 | 138.884 | -0.000 |
| 0.000 | 0.000 | 0.000 | -0.000 | -0.000 | 138.884 |
| 114.941 | 173.607 | 173.607 | 0.000 | 0.000 | 0.000 |
| 173.607 | 114.941 | 173.607 | -0.000 | -0.000 | 0.000 |
| 173.607 | 173.607 | 114.941 | 0.000 | -0.000 | 0.000 |
| -0.000 | -0.000 | -0.000 | 138.884 | 0.000 | -0.000 |
| -0.000 | -0.000 | -0.000 | 0.000 | 138.884 | 0.000 |
| -0.000 | -0.000 | -0.000 | 0.000 | 0.000 | 138.884 |
| 114.942 | 173.607 | 173.607 | -0.000 | -0.000 | -0.000 |
| 173.607 | 114.942 | 173.607 | -0.000 | -0.000 | -0.000 |
| 173.607 | 173.607 | 114.942 | 0.000 | 0.000 | 0.000 |
| 0.001 | 0.000 | 0.001 | 138.893 | -0.000 | -0.000 |
| 0.000 | 0.001 | 0.001 | -0.000 | 138.893 | -0.000 |
| 0.000 | 0.001 | 0.001 | -0.000 | -0.000 | 138.893 |
| 114.940 | 173.607 | 173.607 | 0.000 | 0.000 | 0.000 |
| 173.607 | 114.940 | 173.607 | -0.000 | 0.000 | 0.000 |
| 173.607 | 173.607 | 114.940 | 0.000 | 0.000 | 0.000 |
| -0.001 | -0.000 | -0.001 | 138.893 | 0.000 | -0.000 |
| -0.000 | -0.001 | -0.001 | 0.000 | 138.893 | 0.000 |
| -0.000 | -0.001 | -0.001 | 0.000 | 0.000 | 138.893 |
| 81.277 | 71.760 | 71.760 | 0.000 | -0.000 | 0.000 |
| 71.760 | 81.277 | 71.760 | 0.000 | -0.000 | 0.000 |
| 71.760 | 71.760 | 81.277 | 0.000 | -0.000 | 0.000 |
| 0.000 | 0.000 | 0.000 | -10.104 | -0.000 | 0.000 |
| 0.000 | 0.000 | 0.000 | 0.000 | -10.104 | 0.000 |
| 0.000 | 0.000 | 0.000 | -0.000 | -0.000 | -10.104 |
| 81.277 | 71.760 | 71.760 | 0.000 | 0.000 | -0.000 |
| 71.760 | 81.277 | 71.760 | 0.000 | -0.000 | -0.000 |
| 71.760 | 71.760 | 81.277 | -0.000 | -0.000 | -0.000 |
| -0.000 | -0.000 | -0.000 | -10.104 | 0.000 | -0.000 |
| -0.000 | -0.000 | -0.000 | 0.000 | -10.104 | -0.000 |
| -0.000 | -0.000 | -0.000 | 0.000 | 0.000 | -10.104 |
| 81.276 | 71.760 | 71.760 | 0.000 | -0.000 | 0.000 |
| 71.760 | 81.276 | 71.760 | 0.000 | 0.000 | 0.000 |
| 71.760 | 71.760 | 81.276 | 0.000 | -0.000 | 0.000 |
| 0.000 | 0.000 | 0.000 | -10.104 | -0.000 | 0.000 |
| 0.000 | 0.000 | 0.000 | -0.000 | -10.104 | 0.000 |
| 0.000 | 0.000 | 0.000 | 0.000 | -0.000 | -10.104 |
| 81.277 | 71.760 | 71.760 | 0.000 | 0.000 | -0.000 |
| 71.760 | 81.277 | 71.760 | 0.000 | -0.000 | -0.000 |
| 71.760 | 71.760 | 81.277 | 0.000 | 0.000 | -0.000 |
| -0.000 | -0.000 | -0.000 | -10.104 | 0.000 | -0.000 |
| -0.000 | -0.000 | -0.000 | -0.000 | -10.104 | -0.000 |
| -0.000 | -0.000 | -0.000 | -0.000 | 0.000 | -10.104 |
| 81.274 | 71.761 | 71.761 | 0.000 | -0.000 | 0.000 |
| 71.761 | 81.274 | 71.761 | 0.000 | -0.000 | 0.000 |
| 71.761 | 71.761 | 81.274 | 0.000 | -0.000 | 0.000 |
| -69733.590 | -23283.671 | -27014.727 | -36408.105 | 1507.650 | -633.022 |
| -20551.332 | -79129.110 | -30823.511 | 1749.769 | -37378.207 | -2501.646 |
| -409110.201 | -409111.077 | 904308.851 | 0.000 | -0.000 | -437923.593 |
| 81.280 | 71.760 | 71.760 | 0.000 | 0.000 | -0.000 |
| 71.760 | 81.280 | 71.760 | 0.000 | 0.000 | -0.000 |
| 71.760 | 71.760 | 81.280 | 0.000 | 0.000 | -0.000 |
| -88876.457 | 217862.973 | 220214.104 | -305208.508 | -240.539 | 1178.483 |
| 215576.394 | -88886.580 | 220540.355 | -142.063 | -302749.465 | -310.741 |
| 219987.414 | 219107.540 | -87126.042 | -1592.801 | -2360.369 | -307955.401 |
| 179.728 | 76.670 | 76.670 | -0.000 | 0.000 | 0.000 |
| 76.670 | 179.728 | 76.670 | -0.000 | -0.000 | -0.000 |
| 76.670 | 76.670 | 179.728 | -0.000 | -0.000 | 0.000 |
| -0.000 | -0.000 | 0.000 | 115.977 | -0.000 | 0.000 |
| 0.000 | -0.000 | 0.000 | -0.000 | 115.977 | 0.000 |
| -0.000 | -0.000 | -0.000 | -0.000 | -0.000 | 115.977 |
| 179.728 | 76.670 | 76.670 | 0.000 | 0.000 | -0.000 |
| 76.670 | 179.728 | 76.670 | 0.000 | 0.000 | -0.000 |
| 76.670 | 76.670 | 179.728 | 0.000 | 0.000 | 0.000 |
| 0.000 | 0.000 | -0.000 | 115.977 | 0.000 | -0.000 |
| -0.000 | 0.000 | -0.000 | 0.000 | 115.977 | -0.000 |
| 0.000 | 0.000 | 0.000 | 0.000 | 0.000 | 115.977 |
| 179.728 | 76.670 | 76.670 | -0.000 | -0.000 | 0.000 |
| 76.670 | 179.728 | 76.670 | -0.000 | 0.000 | 0.000 |
| 76.670 | 76.670 | 179.728 | -0.000 | 0.000 | 0.000 |
| 0.000 | -0.000 | 0.000 | 115.977 | -0.000 | 0.000 |
| -0.000 | 0.000 | 0.000 | -0.000 | 115.977 | -0.000 |
| -0.000 | 0.000 | 0.000 | -0.000 | -0.000 | 115.977 |
| 179.728 | 76.670 | 76.670 | 0.000 | 0.000 | -0.000 |
| 76.670 | 179.728 | 76.670 | 0.000 | 0.000 | -0.000 |
| 76.670 | 76.670 | 179.728 | 0.000 | 0.000 | -0.000 |
| -0.000 | 0.000 | -0.000 | 115.977 | 0.000 | 0.000 |
| 0.000 | -0.000 | -0.000 | 0.000 | 115.977 | -0.000 |
| 0.000 | -0.000 | -0.000 | 0.000 | 0.000 | 115.977 |
| 179.726 | 76.669 | 76.669 | -0.000 | -0.000 | 0.000 |
| 76.669 | 179.726 | 76.669 | -0.000 | -0.000 | 0.000 |
| 76.669 | 76.669 | 179.726 | -0.000 | -0.000 | 0.000 |
| 0.000 | -0.000 | 0.000 | 115.977 | -0.000 | 0.000 |
| -0.000 | 0.000 | 0.000 | -0.000 | 115.977 | 0.000 |
| -0.000 | 0.000 | 0.000 | -0.000 | -0.000 | 115.977 |
| 179.729 | 76.670 | 76.670 | 0.000 | -0.000 | -0.000 |
| 76.670 | 179.729 | 76.670 | 0.000 | 0.000 | 0.000 |
| 76.670 | 76.670 | 179.729 | 0.000 | 0.000 | -0.000 |
| -0.000 | 0.000 | -0.000 | 115.977 | 0.000 | -0.000 |
| 0.000 | -0.000 | -0.000 | 0.000 | 115.977 | 0.000 |
| 0.000 | -0.000 | -0.000 | 0.000 | 0.000 | 115.977 |
| -1255.417 | -338.015 | -2132.031 | -0.000 | -0.000 | 0.000 |
| -1192.942 | -231.400 | -2284.925 | 0.000 | -0.000 | 0.000 |
| -1203.416 | -501.384 | -2033.942 | 0.000 | -0.000 | 0.000 |
| -1306.445 | -451.550 | -2235.025 | -30.261 | -0.000 | 0.000 |
| -1306.443 | -451.549 | -2235.020 | -0.000 | 114.590 | 0.000 |
| -1306.443 | -451.549 | -2235.020 | -0.000 | -0.000 | 136.828 |
| 1357.468 | 565.084 | 2338.010 | -0.000 | 0.000 | -0.000 |
| 117.378 | 221.489 | -43.272 | 0.000 | 0.000 | -0.000 |
| 122.218 | -43.201 | 233.910 | -0.000 | 0.000 | -0.000 |
| 1306.445 | 451.550 | 2235.025 | -30.261 | 0.000 | -0.000 |
| 1306.443 | 451.549 | 2235.020 | 0.000 | 114.590 | -0.000 |
| 1306.443 | 451.549 | 2235.020 | 0.000 | 0.000 | 136.828 |
| -79.619 | 68.380 | -120.512 | 0.000 | -0.000 | 0.000 |
| 117.378 | 221.489 | -43.272 | -0.000 | -0.000 | 0.000 |
| -27.618 | -94.989 | -22.424 | 0.000 | -0.000 | 0.000 |
| -130.693 | -45.172 | -223.586 | -33.410 | -0.000 | 0.000 |
| -130.644 | -45.155 | -223.502 | -0.000 | 114.590 | 0.000 |
| -130.644 | -45.155 | -223.502 | -0.000 | -0.000 | 136.828 |
| 181.670 | 158.690 | 326.492 | -0.000 | 0.000 | -0.000 |
| 244.145 | 265.304 | 173.597 | 0.000 | 0.000 | 0.000 |
| 122.218 | -43.201 | 233.909 | 0.000 | 0.000 | 0.000 |
| 130.693 | 45.172 | 223.586 | -33.410 | 0.000 | -0.000 |
| 130.644 | 45.155 | 223.502 | 0.000 | 114.590 | -0.000 |
| 130.644 | 45.155 | 223.502 | 0.000 | 0.000 | 136.828 |
| 37.961 | 109.019 | 80.639 | 0.000 | -0.000 | 0.000 |
| 117.378 | 221.490 | -43.273 | -0.000 | -0.000 | 0.000 |
| 122.218 | -43.201 | 233.911 | 0.000 | -0.000 | 0.000 |
| -13.559 | -4.686 | -23.197 | -33.480 | -0.000 | 0.000 |
| 0.000 | -0.000 | 0.001 | 0.000 | 131.699 | 0.000 |
| -13.064 | -4.514 | -22.350 | 0.000 | -0.000 | 136.828 |
| 64.090 | 118.050 | 125.340 | -0.000 | 0.000 | -0.000 |
| 126.565 | 224.664 | -27.554 | 0.000 | 0.000 | -0.000 |
| 116.090 | -45.318 | 223.426 | 0.000 | 0.000 | -0.000 |
| 13.559 | 4.686 | 23.197 | -33.480 | 0.000 | -0.000 |
| -0.000 | 0.000 | -0.001 | -0.000 | 131.699 | -0.000 |
| 13.064 | 4.514 | 22.350 | -0.000 | 0.000 | 136.828 |
| 203.139 | 92.721 | 102.236 | -0.000 | -0.000 | -0.000 |
| 92.721 | 203.139 | 102.236 | -0.000 | 0.000 | -0.000 |
| 102.236 | 102.236 | 223.537 | -0.000 | -0.000 | 0.000 |
| -0.000 | -0.000 | 0.000 | 115.662 | -0.000 | -0.000 |
| -0.000 | -0.000 | 0.000 | -0.000 | 115.662 | -0.000 |
| -0.000 | -0.000 | -0.000 | -0.000 | -0.000 | 116.771 |
| 203.139 | 92.721 | 102.236 | 0.000 | 0.000 | 0.000 |
| 92.721 | 203.139 | 102.236 | 0.000 | 0.000 | 0.000 |
| 102.236 | 102.236 | 223.537 | 0.000 | -0.000 | -0.000 |
| 0.000 | 0.000 | -0.000 | 115.662 | 0.000 | 0.000 |
| 0.000 | 0.000 | -0.000 | 0.000 | 115.662 | 0.000 |
| 0.000 | 0.000 | 0.000 | 0.000 | 0.000 | 116.771 |
| 203.139 | 92.721 | 102.236 | -0.000 | -0.000 | 0.000 |
| 92.721 | 203.139 | 102.236 | -0.000 | 0.000 | -0.000 |
| 102.236 | 102.236 | 223.537 | -0.000 | -0.000 | -0.000 |
| 0.000 | -0.000 | 0.000 | 115.662 | -0.000 | -0.000 |
| -0.000 | 0.000 | 0.000 | -0.000 | 115.662 | -0.000 |
| -0.000 | 0.000 | 0.000 | -0.000 | -0.000 | 116.771 |
| 203.140 | 92.721 | 102.236 | 0.000 | 0.000 | -0.000 |
| 92.721 | 203.140 | 102.236 | 0.000 | 0.000 | 0.000 |
| 102.236 | 102.236 | 223.537 | 0.000 | -0.000 | -0.000 |
| -0.000 | 0.000 | -0.000 | 115.662 | 0.000 | 0.000 |
| 0.000 | -0.000 | -0.000 | 0.000 | 115.662 | 0.000 |
| 0.000 | -0.000 | -0.000 | 0.000 | 0.000 | 116.771 |
| 203.138 | 92.721 | 102.236 | -0.000 | 0.000 | 0.000 |
| 92.721 | 203.138 | 102.236 | -0.000 | -0.000 | 0.000 |
| 102.236 | 102.236 | 223.536 | -0.000 | -0.000 | -0.000 |
| 0.000 | -0.000 | 0.000 | 115.662 | -0.000 | -0.000 |
| -0.000 | 0.000 | 0.000 | -0.000 | 115.662 | -0.000 |
| -0.000 | 0.000 | 0.000 | -0.000 | -0.000 | 116.771 |
| 202.829 | 93.033 | 102.236 | 0.000 | 0.000 | 0.000 |
| 93.033 | 202.829 | 102.236 | 0.000 | -0.000 | -0.000 |
| 102.236 | 102.236 | 223.538 | 0.000 | 0.000 | -0.000 |
| -0.000 | 0.000 | -0.000 | 115.662 | 0.000 | 0.000 |
| 0.000 | -0.000 | -0.000 | 0.000 | 115.662 | 0.000 |
| 0.000 | -0.000 | -0.000 | 0.000 | 0.000 | 116.771 |
| 290.706 | 103.016 | 54.090 | 0.000 | 0.000 | 0.000 |
| 165.866 | 323.832 | 21.099 | 0.000 | 0.000 | 0.000 |
| 102.912 | 102.912 | 116.409 | 0.000 | 0.000 | 0.000 |
| 0.000 | -0.000 | -0.000 | 44.269 | -0.000 | 0.000 |
| 0.000 | -0.000 | -0.000 | -0.000 | 44.269 | 0.000 |
| 48.507 | 48.507 | -33.348 | 0.000 | -0.000 | 89.584 |
| 290.706 | 103.016 | 54.090 | -0.000 | -0.000 | -0.000 |
| 68.910 | 226.876 | 87.755 | -0.000 | 0.000 | -0.000 |
| 54.098 | 54.098 | 149.969 | 0.000 | 0.000 | -0.000 |
| 0.000 | 0.000 | 0.000 | 44.269 | -0.000 | -0.000 |
| -0.000 | 0.000 | 0.000 | 0.000 | 44.269 | -0.000 |
| -48.507 | -48.507 | 33.348 | -0.000 | 0.000 | 89.584 |
| 290.706 | 103.016 | 54.090 | 0.000 | 0.000 | 0.000 |
| 112.265 | 290.812 | 50.874 | 0.000 | -0.000 | 0.000 |
| 59.283 | 59.283 | 146.404 | -0.000 | 0.000 | 0.000 |
| 4.857 | 4.857 | -3.339 | 44.151 | -0.000 | 0.000 |
| 4.857 | 4.857 | -3.339 | 0.000 | 44.151 | 0.000 |
| 5.137 | 5.137 | -3.532 | 0.000 | -0.000 | 89.332 |
| 270.438 | 112.610 | 57.759 | -0.000 | 0.000 | -0.000 |
| 112.537 | 270.502 | 57.762 | -0.000 | 0.000 | 0.000 |
| 49.587 | 49.587 | 153.070 | -0.000 | -0.000 | -0.000 |
| -4.857 | -4.857 | 3.339 | 44.151 | 0.000 | -0.000 |
| -4.857 | -4.857 | 3.339 | -0.000 | 44.151 | -0.000 |
| -5.137 | -5.137 | 3.532 | -0.000 | 0.000 | 89.332 |
| 275.790 | 117.918 | 54.094 | 0.000 | -0.000 | 0.000 |
| 103.016 | 290.706 | 54.089 | 0.000 | 0.000 | 0.000 |
| 54.097 | 54.097 | 149.968 | -0.000 | 0.000 | 0.000 |
| 0.571 | 0.571 | -0.393 | 44.130 | -0.000 | 0.000 |
| 0.485 | 0.485 | -0.333 | 0.000 | 43.758 | 0.000 |
| -0.000 | 0.000 | -0.000 | 0.000 | 0.000 | 93.845 |
| 290.706 | 103.016 | 54.091 | -0.000 | -0.000 | -0.000 |
| 109.266 | 280.745 | 55.367 | -0.000 | 0.000 | -0.000 |
| 54.099 | 54.099 | 149.971 | -0.000 | -0.000 | 0.000 |
| -0.571 | -0.571 | 0.393 | 44.130 | 0.000 | 0.000 |
| -0.485 | -0.485 | 0.333 | -0.000 | 43.758 | -0.000 |
| 0.000 | -0.000 | 0.000 | -0.000 | -0.000 | 93.845 |
| 278.189 | 112.933 | 54.977 | 0.000 | 0.000 | -0.000 |
| 103.001 | 290.682 | 54.094 | 0.000 | 0.000 | 0.000 |
| 54.094 | 54.094 | 149.892 | 0.000 | 0.000 | -0.000 |
| 0.004 | 0.004 | -0.003 | 43.758 | 0.000 | -0.000 |
| 0.000 | -0.000 | -0.000 | 0.000 | 44.269 | 0.000 |
| 0.003 | 0.003 | -0.002 | 0.000 | 0.000 | 80.066 |
| 290.682 | 103.001 | 54.094 | 0.000 | -0.000 | 0.000 |
| 112.914 | 278.201 | 54.980 | -0.000 | -0.000 | 0.000 |
| 54.094 | 54.094 | 149.892 | -0.000 | -0.000 | -0.000 |
| -0.004 | -0.004 | 0.003 | 43.758 | -0.000 | 0.000 |
| -0.000 | 0.000 | 0.000 | -0.000 | 44.269 | 0.000 |
| -0.003 | -0.003 | 0.002 | -0.000 | -0.000 | 80.066 |
| 290.682 | 103.001 | 54.094 | 0.000 | 0.000 | -0.000 |
| 112.925 | 278.195 | 54.978 | 0.000 | 0.000 | -0.000 |
| 54.094 | 54.094 | 149.892 | 0.000 | 0.000 | 0.000 |
| -0.000 | -0.000 | -0.000 | 44.269 | 0.000 | 0.000 |
| 0.000 | 0.000 | -0.000 | 0.000 | 43.758 | -0.000 |
| -0.000 | 0.000 | -0.000 | 0.000 | 0.000 | 93.840 |
| 275.291 | 117.362 | 54.450 | -0.000 | -0.000 | 0.000 |
| 103.001 | 290.682 | 54.094 | 0.000 | -0.000 | -0.000 |
| 54.094 | 54.094 | 149.892 | 0.000 | -0.000 | 0.000 |
| 0.000 | 0.000 | 0.000 | 44.269 | -0.000 | -0.000 |
| -0.000 | -0.000 | 0.000 | -0.000 | 43.758 | 0.000 |
| 0.000 | -0.000 | 0.000 | -0.000 | -0.000 | 93.840 |
| 290.682 | 103.001 | 54.094 | 0.000 | 0.000 | 0.000 |
| 103.001 | 290.682 | 54.094 | 0.000 | 0.000 | -0.000 |
| 54.094 | 54.094 | 149.890 | 0.000 | 0.000 | -0.000 |
| 0.000 | -0.000 | -0.000 | 43.758 | 0.000 | -0.000 |
| -0.000 | -0.000 | -0.000 | 0.000 | 44.269 | 0.000 |
| -0.000 | 0.000 | -0.000 | 0.000 | 0.000 | 93.840 |
| 275.279 | 117.457 | 54.422 | -0.000 | -0.000 | 0.000 |
| 103.002 | 290.682 | 54.095 | 0.000 | -0.000 | -0.000 |
| 54.431 | 54.431 | 149.662 | -0.000 | -0.000 | -0.000 |
| -0.000 | 0.000 | 0.000 | 43.758 | -0.000 | 0.000 |
| 0.000 | 0.000 | 0.000 | -0.000 | 44.269 | 0.000 |
| 0.000 | -0.000 | 0.000 | -0.000 | -0.000 | 93.840 |
| 189.997 | 159.244 | 159.244 | 0.000 | 0.000 | -0.000 |
| 159.244 | 189.997 | 159.244 | 0.000 | 0.000 | -0.000 |
| 159.244 | 159.244 | 189.997 | -0.000 | 0.000 | -0.000 |
| -0.000 | 0.000 | 0.000 | 76.861 | 0.000 | 0.000 |
| -0.000 | -0.000 | 0.000 | 0.000 | 76.861 | -0.000 |
| 0.000 | 0.000 | -0.000 | 0.000 | 0.000 | 76.861 |
| 189.997 | 159.244 | 159.244 | -0.000 | -0.000 | -0.000 |
| 159.244 | 189.997 | 159.244 | -0.000 | -0.000 | 0.000 |
| 159.244 | 159.244 | 189.997 | -0.000 | -0.000 | 0.000 |
| 0.000 | -0.000 | -0.000 | 76.861 | 0.000 | 0.000 |
| 0.000 | 0.000 | -0.000 | 0.000 | 76.861 | 0.000 |
| -0.000 | -0.000 | 0.000 | -0.000 | 0.000 | 76.861 |
| 189.998 | 159.244 | 159.244 | -0.000 | -0.000 | -0.000 |
| 159.244 | 189.998 | 159.244 | -0.000 | 0.000 | -0.000 |
| 159.244 | 159.244 | 189.998 | 0.000 | 0.000 | 0.000 |
| -0.000 | 0.000 | 0.000 | 76.861 | 0.000 | -0.000 |
| 0.000 | -0.000 | 0.000 | -0.000 | 76.861 | -0.000 |
| 0.000 | 0.000 | -0.000 | 0.000 | 0.000 | 76.861 |
| 189.996 | 159.244 | 159.244 | -0.000 | -0.000 | 0.000 |
| 159.244 | 189.996 | 159.244 | -0.000 | -0.000 | 0.000 |
| 159.244 | 159.244 | 189.996 | -0.000 | -0.000 | 0.000 |
| 0.000 | -0.000 | -0.000 | 76.861 | 0.000 | -0.000 |
| -0.000 | 0.000 | -0.000 | 0.000 | 76.861 | 0.000 |
| -0.000 | -0.000 | 0.000 | -0.000 | -0.000 | 76.861 |
| 190.005 | 159.245 | 159.245 | 0.000 | 0.000 | 0.000 |
| 159.245 | 190.005 | 159.245 | -0.000 | 0.000 | -0.000 |
| 159.245 | 159.245 | 190.005 | -0.000 | -0.000 | -0.000 |
| -0.000 | 0.001 | 0.001 | 76.861 | 0.000 | 0.000 |
| 0.001 | -0.000 | 0.001 | -0.000 | 76.861 | -0.000 |
| 0.001 | 0.001 | -0.000 | -0.000 | 0.000 | 76.861 |
| 189.990 | 159.243 | 159.243 | 0.000 | -0.000 | 0.000 |
| 159.243 | 189.990 | 159.243 | -0.000 | 0.000 | 0.000 |
| 159.243 | 159.243 | 189.990 | 0.000 | 0.000 | 0.000 |
| 0.000 | -0.001 | -0.001 | 76.861 | -0.000 | -0.000 |
| -0.001 | 0.000 | -0.001 | 0.000 | 76.861 | 0.000 |
| -0.001 | -0.001 | 0.000 | 0.000 | -0.000 | 76.861 |
| 1164.551 | 1129.389 | 1129.389 | -0.000 | -0.000 | -0.000 |
| 1129.389 | 1164.551 | 1129.389 | -0.000 | -0.000 | -0.000 |
| 1129.389 | 1129.389 | 1164.551 | -0.000 | -0.000 | -0.000 |
| 0.000 | -0.000 | 0.000 | 59.323 | 0.000 | -0.000 |
| -0.000 | 0.000 | 0.000 | -0.000 | 59.323 | -0.000 |
| 0.000 | -0.000 | 0.000 | 0.000 | -0.000 | 59.323 |
| 1164.551 | 1129.389 | 1129.389 | 0.000 | 0.000 | 0.000 |
| 1129.389 | 1164.551 | 1129.389 | -0.000 | -0.000 | 0.000 |
| 1129.389 | 1129.389 | 1164.551 | 0.000 | -0.000 | 0.000 |
| -0.000 | 0.000 | -0.000 | 59.323 | 0.000 | 0.000 |
| 0.000 | -0.000 | 0.000 | 0.000 | 59.323 | 0.000 |
| 0.000 | 0.000 | -0.000 | 0.000 | 0.000 | 59.323 |
| 1164.550 | 1129.388 | 1129.388 | -0.000 | 0.000 | -0.000 |
| 1129.388 | 1164.550 | 1129.388 | 0.000 | -0.000 | -0.000 |
| 1129.388 | 1129.388 | 1164.550 | 0.000 | -0.000 | -0.000 |
| 0.000 | -0.000 | 0.000 | 59.323 | -0.000 | -0.000 |
| -0.000 | 0.000 | 0.000 | -0.000 | 59.323 | -0.000 |
| -0.000 | 0.000 | 0.000 | -0.000 | -0.000 | 59.323 |
| 1164.552 | 1129.390 | 1129.390 | 0.000 | 0.000 | 0.000 |
| 1129.390 | 1164.552 | 1129.390 | 0.000 | -0.000 | 0.000 |
| 1129.390 | 1129.390 | 1164.552 | 0.000 | 0.000 | 0.000 |
| -0.000 | 0.000 | -0.000 | 59.323 | 0.000 | 0.000 |
| 0.000 | -0.000 | -0.000 | -0.000 | 59.323 | 0.000 |
| 0.000 | -0.000 | -0.000 | 0.000 | 0.000 | 59.323 |
| 1164.538 | 1129.378 | 1129.378 | -0.000 | -0.000 | -0.000 |
| 1129.378 | 1164.538 | 1129.378 | -0.000 | -0.000 | -0.000 |
| 1129.378 | 1129.378 | 1164.538 | 0.000 | -0.000 | -0.000 |
| 0.001 | -0.000 | 0.000 | 59.323 | -0.000 | -0.000 |
| -0.000 | 0.001 | 0.000 | -0.000 | 59.323 | -0.000 |
| -0.000 | 0.000 | 0.001 | 0.000 | -0.000 | 59.323 |
| 1164.564 | 1129.401 | 1129.401 | -0.000 | 0.000 | 0.000 |
| 1129.401 | 1164.564 | 1129.401 | 0.000 | 0.000 | 0.000 |
| 1129.401 | 1129.401 | 1164.564 | -0.000 | 0.000 | 0.000 |
| -0.001 | 0.000 | -0.000 | 59.323 | 0.000 | 0.000 |
| 0.000 | -0.001 | -0.000 | 0.000 | 59.323 | 0.000 |
| 0.000 | -0.000 | -0.001 | 0.000 | 0.000 | 59.323 |
| 402.921 | 218.276 | 218.276 | -0.000 | -0.000 | 0.000 |
| 218.276 | 402.921 | 218.276 | -0.000 | -0.000 | -0.000 |
| 218.276 | 218.276 | 402.921 | -0.000 | -0.000 | -0.000 |
| 0.000 | 0.000 | 0.000 | 218.407 | -0.000 | -0.000 |
| 0.000 | 0.000 | 0.000 | -0.000 | 218.407 | 0.000 |
| 0.000 | 0.000 | 0.000 | -0.000 | 0.000 | 218.407 |
| 402.922 | 218.276 | 218.276 | 0.000 | 0.000 | 0.000 |
| 218.276 | 402.922 | 218.276 | 0.000 | 0.000 | 0.000 |
| 218.276 | 218.276 | 402.922 | 0.000 | 0.000 | 0.000 |
| -0.000 | -0.000 | -0.000 | 218.407 | 0.000 | 0.000 |
| -0.000 | -0.000 | -0.000 | -0.000 | 218.407 | -0.000 |
| -0.000 | -0.000 | -0.000 | -0.000 | -0.000 | 218.407 |
| 402.920 | 218.276 | 218.276 | -0.000 | -0.000 | -0.000 |
| 218.276 | 402.920 | 218.276 | -0.000 | -0.000 | -0.000 |
| 218.276 | 218.276 | 402.920 | -0.000 | -0.000 | -0.000 |
| -0.000 | 0.000 | 0.000 | 218.407 | -0.000 | -0.000 |
| 0.000 | -0.000 | 0.000 | -0.000 | 218.407 | 0.000 |
| 0.000 | 0.000 | -0.000 | -0.000 | 0.000 | 218.407 |
| 402.923 | 218.275 | 218.275 | 0.000 | 0.000 | 0.000 |
| 218.275 | 402.923 | 218.275 | 0.000 | 0.000 | 0.000 |
| 218.275 | 218.275 | 402.923 | 0.000 | 0.000 | 0.000 |
| 0.000 | -0.000 | -0.000 | 218.407 | 0.000 | 0.000 |
| -0.000 | 0.000 | -0.000 | -0.000 | 218.407 | -0.000 |
| -0.000 | -0.000 | 0.000 | 0.000 | -0.000 | 218.407 |
| 402.902 | 218.280 | 218.280 | -0.000 | -0.000 | -0.000 |
| 218.280 | 402.902 | 218.280 | -0.000 | -0.000 | -0.000 |
| 218.280 | 218.280 | 402.902 | -0.000 | -0.000 | -0.000 |
| -0.000 | 0.004 | 0.004 | 218.407 | -0.000 | -0.000 |
| 0.004 | -0.000 | 0.004 | -0.000 | 218.407 | 0.000 |
| 0.004 | 0.004 | -0.000 | -0.000 | 0.000 | 218.407 |
| 402.940 | 218.271 | 218.271 | 0.000 | 0.000 | 0.000 |
| 218.271 | 402.940 | 218.271 | 0.000 | 0.000 | 0.000 |
| 218.271 | 218.271 | 402.940 | 0.000 | 0.000 | 0.000 |
| 0.000 | -0.004 | -0.004 | 218.407 | 0.000 | 0.000 |
| -0.004 | 0.000 | -0.004 | 0.000 | 218.407 | -0.000 |
| -0.004 | -0.004 | 0.000 | 0.000 | -0.000 | 218.407 |
| 62.896 | 31.449 | 31.449 | -0.000 | 0.000 | 0.000 |
| 31.449 | 62.896 | 31.449 | 0.000 | -0.000 | -0.000 |
| 31.449 | 31.449 | 62.896 | -0.000 | -0.000 | -0.000 |
| -0.000 | -0.000 | -0.000 | 31.448 | -0.000 | -0.000 |
| -0.000 | -0.000 | -0.000 | -0.000 | 31.448 | -0.000 |
| -0.000 | -0.000 | -0.000 | -0.000 | -0.000 | 31.448 |
| 62.897 | 31.449 | 31.449 | 0.000 | 0.000 | 0.000 |
| 31.449 | 62.897 | 31.449 | -0.000 | 0.000 | 0.000 |
| 31.449 | 31.449 | 62.897 | 0.000 | 0.000 | 0.000 |
| 0.000 | 0.000 | 0.000 | 31.448 | 0.000 | 0.000 |
| 0.000 | 0.000 | 0.000 | 0.000 | 31.448 | 0.000 |
| 0.000 | 0.000 | 0.000 | 0.000 | 0.000 | 31.448 |
| 62.896 | 31.448 | 31.448 | -0.000 | -0.000 | -0.000 |
| 31.448 | 62.896 | 31.448 | -0.000 | -0.000 | -0.000 |
| 31.448 | 31.448 | 62.896 | -0.000 | -0.000 | -0.000 |
| -0.000 | -0.000 | -0.000 | 31.448 | -0.000 | -0.000 |
| -0.000 | -0.000 | -0.000 | -0.000 | 31.448 | -0.000 |
| -0.000 | -0.000 | -0.000 | 0.000 | -0.000 | 31.448 |
| 62.898 | 31.449 | 31.449 | 0.000 | 0.000 | 0.000 |
| 31.449 | 62.898 | 31.449 | 0.000 | 0.000 | 0.000 |
| 31.449 | 31.449 | 62.898 | 0.000 | 0.000 | 0.000 |
| 0.000 | 0.000 | 0.000 | 31.448 | 0.000 | 0.000 |
| 0.000 | 0.000 | 0.000 | -0.000 | 31.448 | 0.000 |
| 0.000 | 0.000 | 0.000 | -0.000 | 0.000 | 31.448 |
| 62.887 | 31.444 | 31.444 | -0.000 | -0.000 | -0.000 |
| 31.444 | 62.887 | 31.444 | -0.000 | -0.000 | -0.000 |
| 31.444 | 31.444 | 62.887 | -0.000 | -0.000 | -0.000 |
| -0.000 | -0.005 | -0.005 | 31.448 | -0.000 | -0.000 |
| -0.005 | -0.000 | -0.005 | -0.000 | 31.448 | -0.000 |
| -0.005 | -0.005 | -0.000 | -0.000 | -0.000 | 31.448 |
| 62.906 | 31.453 | 31.453 | 0.000 | 0.000 | 0.000 |
| 31.453 | 62.906 | 31.453 | 0.000 | 0.000 | 0.000 |
| 31.453 | 31.453 | 62.906 | 0.000 | 0.000 | 0.000 |
| 0.000 | 0.005 | 0.005 | 31.448 | 0.000 | 0.000 |
| 0.005 | 0.000 | 0.005 | 0.000 | 31.448 | 0.000 |
| 0.005 | 0.005 | 0.000 | 0.000 | 0.000 | 31.448 |
| 522.983 | 181.883 | 181.883 | -0.000 | -0.000 | -0.000 |
| 181.883 | 522.983 | 181.883 | 0.000 | -0.000 | -0.000 |
| 181.883 | 181.883 | 522.983 | 0.000 | -0.000 | 0.000 |
| -0.000 | -0.000 | -0.000 | -71.914 | -0.000 | -0.000 |
| -0.000 | -0.000 | 0.000 | 0.000 | -71.914 | 0.000 |
| -0.000 | -0.000 | 0.000 | 0.000 | -0.000 | -71.914 |
| 522.304 | 182.222 | 182.222 | -0.000 | 0.000 | 0.000 |
| 182.222 | 522.304 | 182.222 | -0.000 | 0.000 | 0.000 |
| 182.222 | 182.222 | 522.304 | -0.000 | -0.000 | 0.000 |
| 0.000 | 0.000 | -0.000 | -71.914 | 0.000 | -0.000 |
| 0.000 | 0.000 | -0.000 | 0.000 | -71.914 | 0.000 |
| 0.000 | 0.000 | -0.000 | -0.000 | 0.000 | -71.914 |
| 522.983 | 181.883 | 181.883 | 0.000 | -0.000 | 0.000 |
| 181.883 | 522.983 | 181.883 | 0.000 | -0.000 | 0.000 |
| 181.883 | 181.883 | 522.983 | -0.000 | 0.000 | 0.000 |
| -0.000 | -0.000 | -0.000 | -71.914 | -0.000 | 0.000 |
| -0.000 | -0.000 | -0.000 | 0.000 | -71.914 | -0.000 |
| -0.000 | -0.000 | -0.000 | 0.000 | -0.000 | -71.914 |
| 522.983 | 181.883 | 181.883 | -0.000 | 0.000 | 0.000 |
| 181.883 | 522.983 | 181.883 | 0.000 | 0.000 | -0.000 |
| 181.883 | 181.883 | 522.983 | -0.000 | 0.000 | 0.000 |
| 0.000 | 0.000 | 0.000 | -71.914 | 0.000 | -0.000 |
| 0.000 | 0.000 | 0.000 | -0.000 | -71.914 | 0.000 |
| 0.000 | 0.000 | 0.000 | -0.000 | 0.000 | -71.914 |
| 522.983 | 181.883 | 181.883 | 0.000 | -0.000 | 0.000 |
| 181.883 | 522.983 | 181.883 | 0.000 | -0.000 | 0.000 |
| 181.883 | 181.883 | 522.983 | 0.000 | -0.000 | 0.000 |
| -0.001 | -0.002 | -0.002 | -71.914 | -0.000 | -0.000 |
| -0.002 | -0.001 | -0.002 | 0.000 | -71.914 | -0.000 |
| -0.002 | -0.002 | -0.001 | 0.000 | -0.000 | -71.914 |
| 522.983 | 181.882 | 181.882 | -0.000 | -0.000 | 0.000 |
| 181.882 | 522.983 | 181.882 | -0.000 | 0.000 | -0.000 |
| 181.882 | 181.882 | 522.983 | -0.000 | 0.000 | 0.000 |
| 0.001 | 0.002 | 0.002 | -71.914 | 0.000 | -0.000 |
| 0.002 | 0.001 | 0.002 | -0.000 | -71.914 | 0.000 |
| 0.002 | 0.002 | 0.001 | -0.000 | 0.000 | -71.914 |
| 463.275 | 462.256 | 462.256 | -0.000 | 0.000 | -0.000 |
| 462.256 | 463.275 | 462.256 | -0.000 | 0.000 | -0.000 |
| 462.256 | 462.256 | 463.275 | -0.000 | 0.000 | -0.000 |
| -0.000 | -0.000 | -0.000 | -40.709 | 0.000 | -0.000 |
| -0.000 | -0.000 | -0.000 | -0.000 | -40.709 | -0.000 |
| -0.000 | -0.000 | -0.000 | -0.000 | 0.000 | -40.709 |
| 463.275 | 462.256 | 462.256 | 0.000 | -0.000 | 0.000 |
| 462.256 | 463.275 | 462.256 | -0.000 | -0.000 | 0.000 |
| 462.256 | 462.256 | 463.275 | 0.000 | -0.000 | 0.000 |
| 0.000 | 0.000 | 0.000 | -40.709 | -0.000 | 0.000 |
| 0.000 | 0.000 | 0.000 | 0.000 | -40.709 | 0.000 |
| 0.000 | 0.000 | 0.000 | 0.000 | 0.000 | -40.709 |
| 463.275 | 462.255 | 462.255 | -0.000 | 0.000 | -0.000 |
| 462.255 | 463.275 | 462.255 | -0.000 | 0.000 | -0.000 |
| 462.255 | 462.255 | 463.275 | -0.000 | -0.000 | -0.000 |
| -0.000 | -0.000 | -0.000 | -48.527 | 0.000 | -0.000 |
| -0.000 | -0.000 | -0.000 | -0.000 | -48.527 | -0.000 |
| -0.000 | -0.000 | -0.000 | -0.000 | 0.000 | -48.527 |
| 2500337.246 | 3574118.777 | 2352644.953 | -392993.926 | 497205.794 | 119782.061 |
| 1301854.755 | 2272419.298 | 1497263.134 | 3435.001 | -451756.839 | 234274.165 |
| 1555351.550 | 268557.217 | 248184.124 | 496673.033 | -19948.732 | -435677.251 |
| 0.000 | 0.000 | 0.000 | -48.527 | 0.000 | 0.000 |
| 0.000 | 0.000 | 0.000 | -0.000 | -48.527 | 0.000 |
| 0.000 | 0.000 | 0.000 | -0.000 | -0.000 | -48.527 |
| -904280.320 | -586178.703 | -483461.568 | 38638.002 | 38438.414 | -20357.626 |
| -360288.881 | -732079.737 | -478341.761 | 16563.832 | -24363.375 | 57174.326 |
| -547580.456 | -534286.190 | -638124.235 | -17146.253 | -22315.170 | -41682.325 |
| -0.000 | -0.000 | -0.000 | -40.709 | 0.000 | -0.000 |
| -0.000 | -0.000 | -0.000 | -0.000 | -40.709 | -0.000 |
| -0.000 | -0.000 | -0.000 | -0.000 | 0.000 | -40.709 |
| 24054.022 | 114063.418 | 15255.635 | -23137.459 | 40085.506 | 6600.850 |
| 111909.431 | 233690.810 | 147813.552 | -20676.041 | -1974.869 | 15500.345 |
| 109202.754 | 43298.026 | 73859.822 | -14457.054 | -12150.401 | -79036.773 |
| 0.000 | 0.000 | 0.000 | -40.709 | -0.000 | 0.000 |
| 0.000 | 0.000 | 0.000 | 0.000 | -40.709 | 0.000 |
| 0.000 | 0.000 | 0.000 | 0.000 | -0.000 | -40.709 |
| 304.659 | 83.150 | 83.150 | -0.000 | 0.000 | 0.000 |
| 83.150 | 304.659 | 83.150 | -0.000 | -0.000 | -0.000 |
| 83.150 | 83.150 | 304.659 | -0.000 | 0.000 | 0.000 |
| 0.000 | 0.000 | 0.000 | -20.914 | -0.000 | 0.000 |
| 0.000 | 0.000 | 0.000 | -0.000 | -20.914 | 0.000 |
| 0.000 | 0.000 | 0.000 | -0.000 | 0.000 | -20.914 |
| 279.425 | 95.767 | 95.767 | 0.000 | 0.000 | 0.000 |
| 95.767 | 279.425 | 95.767 | 0.000 | 0.000 | 0.000 |
| 95.767 | 95.767 | 279.425 | -0.000 | 0.000 | -0.000 |
| -0.000 | -0.000 | -0.000 | -20.914 | -0.000 | 0.000 |
| -0.000 | -0.000 | -0.000 | -0.000 | -20.914 | 0.000 |
| -0.000 | -0.000 | -0.000 | 0.000 | 0.000 | -20.914 |
| 279.426 | 95.767 | 95.767 | -0.000 | -0.000 | -0.000 |
| 95.767 | 279.426 | 95.767 | -0.000 | 0.000 | 0.000 |
| 95.767 | 95.767 | 279.426 | -0.000 | -0.000 | -0.000 |
| 0.000 | 0.000 | 0.000 | 59.492 | -0.000 | -0.000 |
| 0.000 | 0.000 | 0.000 | -0.000 | 59.492 | 0.000 |
| 0.000 | 0.000 | 0.000 | -0.000 | 0.000 | 59.492 |
| 279.425 | 95.767 | 95.767 | 0.000 | 0.000 | 0.000 |
| 95.767 | 279.425 | 95.767 | 0.000 | 0.000 | -0.000 |
| 95.767 | 95.767 | 279.425 | 0.000 | 0.000 | -0.000 |
| -0.000 | -0.000 | -0.000 | 59.492 | -0.000 | -0.000 |
| -0.000 | -0.000 | -0.000 | 0.000 | 59.492 | -0.000 |
| -0.000 | -0.000 | -0.000 | 0.000 | -0.000 | 59.492 |
| 279.432 | 95.768 | 95.768 | -0.000 | -0.000 | -0.000 |
| 95.768 | 279.432 | 95.768 | -0.000 | -0.000 | -0.000 |
| 95.768 | 95.768 | 279.432 | -0.000 | 0.000 | -0.000 |
| 0.002 | 0.004 | 0.004 | -20.914 | -0.000 | 0.000 |
| 0.004 | 0.002 | 0.004 | 0.000 | -20.914 | -0.000 |
| 0.004 | 0.004 | 0.002 | -0.000 | -0.000 | -20.914 |
| 279.418 | 95.766 | 95.766 | 0.000 | -0.000 | 0.000 |
| 95.766 | 279.418 | 95.766 | 0.000 | 0.000 | 0.000 |
| 95.766 | 95.766 | 279.418 | 0.000 | -0.000 | 0.000 |
| -0.002 | -0.004 | -0.004 | -20.914 | 0.000 | 0.000 |
| -0.004 | -0.002 | -0.004 | 0.000 | -20.914 | 0.000 |
| -0.004 | -0.004 | -0.002 | 0.000 | 0.000 | -20.914 |
| 11.143 | 0.000 | 0.000 | -0.000 | -0.000 | 0.000 |
| 0.000 | 11.143 | 0.000 | 0.000 | -0.000 | 0.000 |
| 0.000 | 0.000 | 11.143 | 0.000 | -0.000 | 0.000 |
| 0.000 | -0.000 | -0.000 | 0.000 | -0.000 | 0.000 |
| 0.000 | 0.000 | -0.000 | 0.000 | 0.000 | 0.000 |
| -0.000 | -0.000 | 0.000 | 0.000 | -0.000 | 0.000 |
| 11.143 | 0.000 | 0.000 | -0.000 | 0.000 | -0.000 |
| 0.000 | 11.143 | 0.000 | -0.000 | 0.000 | 0.000 |
| 0.000 | 0.000 | 11.143 | -0.000 | -0.000 | -0.000 |
| -0.000 | 0.000 | 0.000 | 0.000 | 0.000 | -0.000 |
| 0.000 | -0.000 | 0.000 | -0.000 | 0.000 | -0.000 |
| 0.000 | 0.000 | -0.000 | -0.000 | 0.000 | 0.000 |
| 11.143 | 0.000 | 0.000 | 0.000 | -0.000 | 0.000 |
| 0.000 | 11.143 | 0.000 | 0.000 | -0.000 | -0.000 |
| 0.000 | 0.000 | 11.143 | 0.000 | -0.000 | 0.000 |
| 0.000 | 0.000 | -0.000 | 0.000 | 0.000 | 0.000 |
| 0.000 | 0.000 | -0.000 | -0.000 | 0.000 | 0.000 |
| 0.000 | -0.000 | 0.000 | 0.000 | -0.000 | 0.000 |
| 11.144 | -0.000 | -0.000 | -0.000 | 0.000 | -0.000 |
| -0.000 | 11.144 | -0.000 | -0.000 | 0.000 | 0.000 |
| -0.000 | -0.000 | 11.144 | 0.000 | 0.000 | -0.000 |
| -0.000 | -0.000 | 0.000 | 0.000 | -0.000 | -0.000 |
| -0.000 | -0.000 | 0.000 | 0.000 | 0.000 | -0.000 |
| -0.000 | 0.000 | -0.000 | -0.000 | 0.000 | 0.000 |
| 11.140 | 0.000 | 0.000 | 0.000 | -0.000 | 0.000 |
| 0.000 | 11.140 | 0.000 | 0.000 | -0.000 | -0.000 |
| 0.000 | 0.000 | 11.140 | -0.000 | -0.000 | 0.000 |
| 0.000 | -0.000 | -0.000 | 0.000 | 0.000 | 0.000 |
| -0.000 | 0.000 | -0.000 | -0.000 | 0.000 | 0.000 |
| -0.000 | -0.000 | 0.000 | 0.000 | -0.000 | 0.000 |
| 11.147 | -0.000 | -0.000 | -0.000 | 0.000 | -0.000 |
| -0.000 | 11.147 | -0.000 | -0.000 | 0.000 | -0.000 |
| -0.000 | -0.000 | 11.147 | -0.000 | -0.000 | -0.000 |
| -0.000 | -0.000 | 0.000 | 0.000 | -0.000 | -0.000 |
| -0.000 | -0.000 | 0.000 | 0.000 | 0.000 | -0.000 |
| -0.000 | 0.000 | -0.000 | -0.000 | 0.000 | 0.000 |
| 185.029 | 187.448 | 187.448 | 0.000 | -0.000 | -0.000 |
| 187.448 | 185.029 | 187.448 | 0.000 | -0.000 | -0.000 |
| 187.448 | 187.448 | 185.029 | 0.000 | -0.000 | -0.000 |
| 0.000 | 0.000 | 0.000 | 164.908 | -0.000 | -0.000 |
| 0.000 | 0.000 | 0.000 | 0.000 | 164.908 | -0.000 |
| 0.000 | 0.000 | 0.000 | -0.000 | -0.000 | 164.908 |
| 185.029 | 187.448 | 187.448 | -0.000 | 0.000 | 0.000 |
| 187.448 | 185.029 | 187.448 | -0.000 | -0.000 | 0.000 |
| 187.448 | 187.448 | 185.029 | -0.000 | 0.000 | 0.000 |
| -0.000 | -0.000 | -0.000 | 164.908 | 0.000 | 0.000 |
| -0.000 | -0.000 | -0.000 | -0.000 | 164.908 | 0.000 |
| -0.000 | -0.000 | -0.000 | 0.000 | 0.000 | 164.908 |
| 185.028 | 187.448 | 187.448 | -0.000 | -0.000 | -0.000 |
| 187.448 | 185.028 | 187.448 | -0.000 | -0.000 | -0.000 |
| 187.448 | 187.448 | 185.028 | 0.000 | 0.000 | -0.000 |
| 0.000 | 0.000 | 0.000 | 164.908 | -0.000 | -0.000 |
| 0.000 | 0.000 | 0.000 | -0.000 | 164.908 | -0.000 |
| 0.000 | 0.000 | 0.000 | 0.000 | -0.000 | 164.908 |
| 185.029 | 187.448 | 187.448 | -0.000 | 0.000 | 0.000 |
| 187.448 | 185.029 | 187.448 | -0.000 | -0.000 | 0.000 |
| 187.448 | 187.448 | 185.029 | -0.000 | 0.000 | 0.000 |
| -0.000 | -0.000 | -0.000 | 164.908 | 0.000 | 0.000 |
| -0.000 | -0.000 | -0.000 | 0.000 | 164.908 | 0.000 |
| -0.000 | -0.000 | -0.000 | 0.000 | 0.000 | 164.908 |
| 185.027 | 187.449 | 187.449 | 0.000 | -0.000 | -0.000 |
| 187.449 | 185.027 | 187.449 | 0.000 | -0.000 | -0.000 |
| 187.449 | 187.449 | 185.027 | -0.000 | -0.000 | -0.000 |
| 0.001 | 0.000 | 0.001 | 164.908 | -0.000 | -0.000 |
| 0.000 | 0.001 | 0.001 | 0.000 | 164.908 | -0.000 |
| 0.000 | 0.001 | 0.001 | 0.000 | -0.000 | 164.908 |
| 185.031 | 187.447 | 187.447 | 0.000 | 0.000 | 0.000 |
| 187.447 | 185.031 | 187.447 | -0.000 | 0.000 | 0.000 |
| 187.447 | 187.447 | 185.031 | 0.000 | 0.000 | 0.000 |
| -0.001 | -0.000 | -0.001 | 164.908 | 0.000 | 0.000 |
| -0.000 | -0.001 | -0.001 | -0.000 | 164.908 | 0.000 |
| -0.000 | -0.001 | -0.001 | -0.000 | 0.000 | 164.908 |
| 38.209 | 172.419 | 172.419 | 0.000 | -0.000 | 0.000 |
| 172.419 | 38.209 | 172.419 | -0.000 | -0.000 | -0.000 |
| 172.419 | 172.419 | 38.209 | 0.000 | -0.000 | -0.000 |
| -0.000 | -0.000 | 0.000 | 172.471 | -0.000 | -0.000 |
| -0.000 | -0.000 | 0.000 | 0.000 | 172.471 | -0.000 |
| -0.000 | -0.000 | 0.000 | -0.000 | -0.000 | 172.471 |
| 38.209 | 172.419 | 172.419 | 0.000 | 0.000 | 0.000 |
| 172.419 | 38.209 | 172.419 | 0.000 | -0.000 | 0.000 |
| 172.419 | 172.419 | 38.209 | -0.000 | -0.000 | 0.000 |
| 0.000 | 0.000 | -0.000 | 172.471 | 0.000 | 0.000 |
| 0.000 | 0.000 | -0.000 | -0.000 | 172.471 | 0.000 |
| 0.000 | 0.000 | -0.000 | 0.000 | 0.000 | 172.471 |
| 38.209 | 172.419 | 172.419 | 0.000 | 0.000 | -0.000 |
| 172.419 | 38.209 | 172.419 | 0.000 | 0.000 | -0.000 |
| 172.419 | 172.419 | 38.209 | 0.000 | 0.000 | -0.000 |
| -0.000 | -0.000 | -0.000 | 172.471 | -0.000 | -0.000 |
| -0.000 | -0.000 | -0.000 | -0.000 | 172.471 | -0.000 |
| -0.000 | -0.000 | -0.000 | 0.000 | -0.000 | 172.471 |
| 38.209 | 172.419 | 172.419 | 0.000 | 0.000 | 0.000 |
| 172.419 | 38.209 | 172.419 | 0.000 | 0.000 | 0.000 |
| 172.419 | 172.419 | 38.209 | -0.000 | 0.000 | -0.000 |
| 0.000 | 0.000 | 0.000 | 172.471 | -0.000 | 0.000 |
| 0.000 | 0.000 | 0.000 | -0.000 | 172.471 | 0.000 |
| 0.000 | 0.000 | 0.000 | 0.000 | 0.000 | 172.471 |
| 38.207 | 172.419 | 172.419 | 0.000 | -0.000 | -0.000 |
| 172.419 | 38.207 | 172.419 | -0.000 | -0.000 | -0.000 |
| 172.419 | 172.419 | 38.207 | 0.000 | 0.000 | -0.000 |
| -0.001 | -0.001 | -0.000 | 172.471 | -0.000 | -0.000 |
| -0.001 | -0.001 | -0.000 | 0.000 | 172.471 | -0.000 |
| -0.001 | -0.000 | -0.001 | -0.000 | -0.000 | 172.471 |
| 38.211 | 172.420 | 172.420 | -0.000 | -0.000 | 0.000 |
| 172.420 | 38.211 | 172.420 | -0.000 | 0.000 | 0.000 |
| 172.420 | 172.420 | 38.211 | -0.000 | 0.000 | 0.000 |
| 0.001 | 0.001 | 0.000 | 172.471 | 0.000 | 0.000 |
| 0.001 | 0.001 | 0.000 | -0.000 | 172.471 | -0.000 |
| 0.001 | 0.000 | 0.001 | -0.000 | 0.000 | 172.471 |
| 206.411 | -51.851 | -51.851 | -0.000 | 0.000 | -0.000 |
| -51.851 | 206.411 | -51.851 | -0.000 | -0.000 | -0.000 |
| -51.851 | -51.851 | 206.411 | -0.000 | -0.000 | -0.000 |
| -0.000 | -0.000 | -0.000 | -51.821 | -0.000 | -0.000 |
| -0.000 | -0.000 | -0.000 | -0.000 | -51.821 | -0.000 |
| -0.000 | -0.000 | -0.000 | -0.000 | 0.000 | -51.821 |
| 206.410 | -51.851 | -51.851 | 0.000 | -0.000 | 0.000 |
| -51.851 | 206.410 | -51.851 | -0.000 | -0.000 | 0.000 |
| -51.851 | -51.851 | 206.410 | -0.000 | -0.000 | 0.000 |
| 0.000 | 0.000 | 0.000 | -51.821 | 0.000 | 0.000 |
| 0.000 | 0.000 | 0.000 | -0.000 | -51.821 | 0.000 |
| 0.000 | 0.000 | 0.000 | 0.000 | -0.000 | -51.821 |
| 206.413 | -51.851 | -51.851 | 0.000 | 0.000 | -0.000 |
| -51.851 | 206.413 | -51.851 | 0.000 | 0.000 | -0.000 |
| -51.851 | -51.851 | 206.413 | -0.000 | 0.000 | -0.000 |
| -0.000 | 0.000 | -0.000 | -51.821 | 0.000 | -0.000 |
| 0.000 | -0.000 | -0.000 | 0.000 | -51.821 | -0.000 |
| 0.000 | -0.000 | -0.000 | 0.000 | 0.000 | -51.821 |
| 206.408 | -51.851 | -51.851 | -0.000 | -0.000 | 0.000 |
| -51.851 | 206.408 | -51.851 | 0.000 | -0.000 | 0.000 |
| -51.851 | -51.851 | 206.408 | 0.000 | 0.000 | 0.000 |
| 0.000 | -0.000 | 0.000 | -51.821 | -0.000 | 0.000 |
| -0.000 | 0.000 | 0.000 | -0.000 | -51.821 | 0.000 |
| -0.000 | 0.000 | 0.000 | -0.000 | -0.000 | -51.821 |
| 206.431 | -51.851 | -51.851 | -0.000 | 0.000 | -0.000 |
| -51.851 | 206.431 | -51.851 | 0.000 | 0.000 | -0.000 |
| -51.851 | -51.851 | 206.431 | -0.000 | -0.000 | -0.000 |
| -0.000 | 0.000 | -0.000 | -51.821 | -0.000 | -0.000 |
| 0.000 | -0.000 | -0.000 | 0.000 | -51.821 | -0.000 |
| 0.000 | -0.000 | -0.000 | -0.000 | 0.000 | -51.821 |
| 206.390 | -51.851 | -51.851 | -0.000 | -0.000 | 0.000 |
| -51.851 | 206.390 | -51.851 | -0.000 | -0.000 | 0.000 |
| -51.851 | -51.851 | 206.390 | 0.000 | 0.000 | 0.000 |
| 0.000 | -0.000 | 0.000 | -51.821 | 0.000 | 0.000 |
| -0.000 | 0.000 | 0.000 | 0.000 | -51.821 | 0.000 |
| -0.000 | 0.000 | 0.000 | 0.000 | 0.000 | -51.821 |
| 25.702 | 25.702 | 25.702 | 0.000 | 0.000 | 0.000 |
| 25.702 | 25.702 | 25.702 | 0.000 | 0.000 | 0.000 |
| 25.702 | 25.702 | 25.702 | 0.000 | 0.000 | 0.000 |
| -0.000 | -0.000 | -0.000 | 25.702 | 0.000 | 0.000 |
| -0.000 | -0.000 | -0.000 | 0.000 | 25.702 | 0.000 |
| -0.000 | -0.000 | -0.000 | -0.000 | -0.000 | 25.702 |
| 25.702 | 25.702 | 25.702 | -0.000 | -0.000 | 0.000 |
| 25.702 | 25.702 | 25.702 | -0.000 | -0.000 | 0.000 |
| 25.702 | 25.702 | 25.702 | -0.000 | -0.000 | 0.000 |
| 0.000 | 0.000 | 0.000 | 25.702 | -0.000 | 0.000 |
| 0.000 | 0.000 | 0.000 | -0.000 | 25.702 | 0.000 |
| 0.000 | 0.000 | 0.000 | 0.000 | 0.000 | 25.702 |
| 25.702 | 25.702 | 25.702 | 0.000 | -0.000 | 0.000 |
| 25.702 | 25.702 | 25.702 | -0.000 | 0.000 | 0.000 |
| 25.702 | 25.702 | 25.702 | 0.000 | 0.000 | 0.000 |
| -0.000 | -0.000 | -0.000 | 25.702 | 0.000 | 0.000 |
| -0.000 | -0.000 | -0.000 | 0.000 | 25.702 | 0.000 |
| -0.000 | -0.000 | -0.000 | -0.000 | -0.000 | 25.702 |
| 25.702 | 25.702 | 25.702 | -0.000 | 0.000 | -0.000 |
| 25.702 | 25.702 | 25.702 | 0.000 | -0.000 | -0.000 |
| 25.702 | 25.702 | 25.702 | -0.000 | -0.000 | -0.000 |
| 0.000 | 0.000 | 0.000 | 25.702 | -0.000 | -0.000 |
| 0.000 | 0.000 | 0.000 | -0.000 | 25.702 | -0.000 |
| 0.000 | 0.000 | 0.000 | 0.000 | 0.000 | 25.702 |
| 25.699 | 25.699 | 25.699 | 0.000 | -0.000 | 0.000 |
| 25.699 | 25.699 | 25.699 | -0.000 | 0.000 | 0.000 |
| 25.699 | 25.699 | 25.699 | 0.000 | 0.000 | 0.000 |
| -0.003 | -0.003 | -0.003 | 25.702 | 0.000 | 0.000 |
| -0.003 | -0.003 | -0.003 | 0.000 | 25.702 | 0.000 |
| -0.003 | -0.003 | -0.003 | 0.000 | -0.000 | 25.702 |
| 25.705 | 25.705 | 25.705 | -0.000 | 0.000 | -0.000 |
| 25.705 | 25.705 | 25.705 | 0.000 | -0.000 | -0.000 |
| 25.705 | 25.705 | 25.705 | -0.000 | -0.000 | 0.000 |
| 0.003 | 0.003 | 0.003 | 25.702 | -0.000 | 0.000 |
| 0.003 | 0.003 | 0.003 | -0.000 | 25.702 | 0.000 |
| 0.003 | 0.003 | 0.003 | 0.000 | 0.000 | 25.702 |
| 154.431 | 142.410 | 114.035 | 0.000 | 0.000 | 0.000 |
| 107.402 | 189.439 | 114.035 | 0.000 | 0.000 | 0.000 |
| 114.035 | 114.035 | 343.796 | 0.000 | -0.000 | 0.000 |
| 0.000 | 0.000 | 0.000 | 48.323 | -0.000 | 0.000 |
| 0.000 | 0.000 | 0.000 | 0.000 | 48.323 | 0.000 |
| 0.000 | 0.000 | 0.000 | 0.000 | -0.000 | 41.019 |
| 189.439 | 107.402 | 114.035 | -0.000 | 0.000 | -0.000 |
| 142.410 | 154.431 | 114.035 | -0.000 | 0.000 | -0.000 |
| 114.035 | 114.035 | 343.796 | -0.000 | 0.000 | -0.000 |
| -0.000 | -0.000 | -0.000 | 48.323 | -0.000 | -0.000 |
| -0.000 | -0.000 | -0.000 | -0.000 | 48.323 | -0.000 |
| -0.000 | -0.000 | -0.000 | 0.000 | 0.000 | 41.019 |
| 154.431 | 142.410 | 114.035 | -0.000 | 0.000 | 0.000 |
| 142.410 | 154.431 | 114.035 | 0.000 | -0.000 | 0.000 |
| 114.035 | 114.035 | 343.796 | 0.000 | 0.000 | 0.000 |
| 0.000 | 0.000 | 0.000 | 48.323 | -0.000 | 0.000 |
| 0.000 | 0.000 | 0.000 | -0.000 | 48.323 | 0.000 |
| 0.000 | 0.000 | 0.000 | -0.000 | -0.000 | 41.019 |
| 189.439 | 107.402 | 114.035 | -0.000 | -0.000 | -0.000 |
| 142.410 | 154.430 | 114.035 | -0.000 | -0.000 | -0.000 |
| 114.035 | 114.035 | 343.795 | -0.000 | 0.000 | -0.000 |
| -0.000 | -0.000 | -0.000 | 48.323 | 0.000 | -0.000 |
| -0.000 | -0.000 | -0.000 | -0.000 | 48.323 | -0.000 |
| -0.000 | -0.000 | -0.000 | 0.000 | 0.000 | 41.019 |
| 189.442 | 107.402 | 114.035 | 0.000 | -0.000 | 0.000 |
| 107.403 | 189.442 | 114.035 | 0.000 | -0.000 | 0.000 |
| 114.036 | 114.036 | 343.798 | 0.000 | -0.000 | 0.000 |
| 0.000 | 0.000 | 0.001 | 48.323 | 0.000 | 0.000 |
| 0.000 | 0.000 | 0.001 | 0.000 | 48.323 | 0.000 |
| 0.000 | 0.001 | 0.000 | 0.000 | -0.000 | 41.019 |
| 189.436 | 107.401 | 114.034 | -0.000 | 0.000 | -0.000 |
| 142.410 | 154.425 | 114.033 | -0.000 | 0.000 | -0.000 |
| 114.034 | 114.034 | 343.793 | -0.000 | 0.000 | -0.000 |
| -0.000 | -0.000 | -0.001 | 48.323 | -0.000 | -0.000 |
| -0.000 | -0.000 | -0.001 | -0.000 | 48.323 | -0.000 |
| -0.000 | -0.001 | -0.000 | -0.000 | -0.000 | 41.019 |
| 424.588 | 353.047 | 311.535 | 0.000 | -0.000 | -0.000 |
| 353.047 | 424.588 | 311.535 | 0.000 | -0.000 | -0.000 |
| 311.535 | 311.535 | 342.627 | -0.000 | -0.000 | -0.000 |
| 0.000 | 0.000 | -0.000 | 74.517 | -0.000 | -0.000 |
| 0.000 | 0.000 | -0.000 | -0.000 | 74.517 | -0.000 |
| 0.000 | 0.000 | 0.000 | 0.000 | -0.000 | 64.224 |
| 453.041 | 324.593 | 311.535 | -0.000 | 0.000 | 0.000 |
| 324.593 | 453.041 | 311.535 | -0.000 | 0.000 | 0.000 |
| 311.535 | 311.535 | 342.627 | -0.000 | 0.000 | 0.000 |
| -0.000 | -0.000 | 0.000 | 74.517 | 0.000 | 0.000 |
| -0.000 | -0.000 | 0.000 | 0.000 | 74.517 | 0.000 |
| -0.000 | -0.000 | -0.000 | -0.000 | 0.000 | 64.224 |
| 424.588 | 353.046 | 311.535 | 0.000 | -0.000 | -0.000 |
| 353.046 | 424.588 | 311.535 | 0.000 | -0.000 | -0.000 |
| 311.535 | 311.535 | 342.627 | 0.000 | -0.000 | -0.000 |
| 0.000 | 0.000 | -0.000 | 74.517 | -0.000 | -0.000 |
| 0.000 | 0.000 | -0.000 | 0.000 | 74.517 | -0.000 |
| 0.000 | 0.000 | 0.000 | -0.000 | -0.000 | 64.224 |
| 424.588 | 353.047 | 311.536 | -0.000 | 0.000 | 0.000 |
| 353.047 | 424.588 | 311.536 | -0.000 | 0.000 | 0.000 |
| 311.536 | 311.536 | 342.628 | -0.000 | 0.000 | 0.000 |
| -0.000 | -0.000 | 0.000 | 74.517 | 0.000 | 0.000 |
| -0.000 | -0.000 | 0.000 | -0.000 | 74.517 | 0.000 |
| -0.000 | -0.000 | -0.000 | -0.000 | 0.000 | 64.224 |
| 453.040 | 324.589 | 311.532 | 0.000 | -0.000 | -0.000 |
| 324.590 | 453.039 | 311.532 | 0.000 | -0.000 | -0.000 |
| 311.532 | 311.532 | 342.622 | 0.000 | -0.000 | -0.000 |
| 0.000 | 0.000 | -0.000 | 74.517 | -0.000 | -0.000 |
| 0.000 | 0.000 | -0.000 | 0.000 | 74.517 | -0.000 |
| -0.001 | 0.001 | -0.000 | 0.000 | -0.000 | 35.771 |
| 453.043 | 324.597 | 311.538 | -0.000 | 0.000 | 0.000 |
| 353.049 | 424.592 | 311.539 | -0.000 | 0.000 | 0.000 |
| 311.539 | 311.539 | 342.632 | -0.000 | 0.000 | -0.000 |
| -0.000 | -0.000 | 0.000 | 74.517 | 0.000 | 0.000 |
| -0.000 | -0.000 | 0.000 | -0.000 | 74.517 | 0.000 |
| 0.001 | -0.001 | 0.000 | -0.000 | 0.000 | 35.771 |
| 502.711 | 202.542 | 134.220 | -0.000 | 0.000 | -0.000 |
| 202.542 | 502.711 | 134.220 | 0.000 | -0.000 | -0.000 |
| 134.220 | 134.220 | 571.033 | 0.000 | 0.000 | -0.000 |
| -0.000 | -0.000 | 0.000 | 134.351 | 0.000 | -0.000 |
| -0.000 | -0.000 | 0.000 | 0.000 | 134.351 | 0.000 |
| -0.000 | 0.000 | -0.000 | -0.000 | 0.000 | 150.084 |
| 502.711 | 202.542 | 134.220 | -0.000 | -0.000 | 0.000 |
| 202.542 | 502.711 | 134.220 | -0.000 | 0.000 | 0.000 |
| 134.220 | 134.220 | 571.033 | -0.000 | -0.000 | 0.000 |
| 0.000 | 0.000 | -0.000 | 134.351 | -0.000 | 0.000 |
| 0.000 | 0.000 | -0.000 | -0.000 | 134.351 | 0.000 |
| 0.000 | -0.000 | 0.000 | 0.000 | 0.000 | 150.084 |
| 502.711 | 202.542 | 134.219 | -0.000 | 0.000 | -0.000 |
| 176.248 | 529.006 | 134.220 | 0.000 | -0.000 | 0.000 |
| 134.220 | 134.220 | 571.034 | 0.000 | 0.000 | -0.000 |
| 0.000 | -0.000 | 0.000 | 134.351 | 0.000 | -0.000 |
| -0.000 | 0.000 | 0.000 | -0.000 | 134.351 | -0.000 |
| -0.001 | 0.000 | -0.000 | -0.000 | -0.000 | 150.084 |
| 529.004 | 176.248 | 134.220 | -0.000 | 0.000 | 0.000 |
| 202.541 | 502.711 | 134.220 | -0.000 | -0.000 | 0.000 |
| 134.220 | 134.220 | 571.032 | -0.000 | -0.000 | 0.000 |
| -0.000 | 0.000 | -0.000 | 134.351 | -0.000 | 0.000 |
| 0.000 | -0.000 | -0.000 | 0.000 | 134.351 | 0.000 |
| 0.001 | -0.000 | 0.000 | -0.000 | -0.000 | 150.084 |
| 529.015 | 176.247 | 134.217 | 0.000 | 0.000 | 0.000 |
| 202.553 | 502.704 | 134.214 | 0.000 | 0.000 | -0.000 |
| 134.221 | 134.221 | 571.044 | 0.000 | 0.000 | -0.000 |
| -0.001 | -0.003 | 0.000 | 134.351 | 0.000 | -0.000 |
| -0.003 | -0.001 | 0.000 | 0.000 | 134.351 | -0.000 |
| -0.005 | 0.003 | -0.004 | -0.000 | 0.000 | 150.084 |
| 502.706 | 202.542 | 134.226 | 0.000 | -0.000 | 0.000 |
| 202.531 | 502.717 | 134.226 | 0.000 | -0.000 | 0.000 |
| 134.219 | 134.219 | 571.022 | -0.000 | 0.000 | 0.000 |
| 0.001 | 0.003 | -0.000 | 134.351 | -0.000 | -0.000 |
| 0.003 | 0.001 | -0.000 | -0.000 | 134.351 | 0.000 |
| 0.005 | -0.003 | 0.004 | 0.000 | -0.000 | 150.084 |
| 76.000 | 28.828 | 20.966 | 0.000 | 0.000 | -0.000 |
| 28.828 | 76.000 | 20.966 | 0.000 | 0.000 | -0.000 |
| 20.966 | 20.966 | 83.862 | 0.000 | -0.000 | -0.000 |
| -0.000 | -0.000 | -0.000 | 20.965 | -0.000 | -0.000 |
| -0.000 | -0.000 | -0.000 | 0.000 | 20.965 | -0.000 |
| -0.000 | -0.000 | -0.000 | 0.000 | 0.000 | 23.586 |
| 76.000 | 28.828 | 20.966 | -0.000 | 0.000 | 0.000 |
| 28.828 | 76.000 | 20.966 | -0.000 | 0.000 | 0.000 |
| 20.966 | 20.966 | 83.862 | -0.000 | 0.000 | 0.000 |
| 0.000 | 0.000 | 0.000 | 20.965 | 0.000 | 0.000 |
| 0.000 | 0.000 | 0.000 | -0.000 | 20.965 | 0.000 |
| 0.000 | 0.000 | 0.000 | -0.000 | 0.000 | 23.586 |
| 75.998 | 28.828 | 20.966 | 0.000 | -0.000 | -0.000 |
| 28.827 | 75.998 | 20.966 | 0.000 | -0.000 | -0.000 |
| 20.966 | 20.966 | 83.860 | 0.000 | -0.000 | -0.000 |
| -0.000 | -0.000 | -0.000 | 20.965 | -0.000 | -0.000 |
| -0.000 | -0.000 | -0.000 | 0.000 | 20.965 | -0.000 |
| -0.000 | -0.001 | -0.000 | 0.000 | -0.000 | 23.586 |
| 76.002 | 28.828 | 20.966 | -0.000 | -0.000 | 0.000 |
| 28.829 | 76.001 | 20.966 | -0.000 | 0.000 | 0.000 |
| 20.966 | 20.966 | 83.864 | -0.000 | 0.000 | 0.000 |
| 0.000 | 0.000 | 0.000 | 20.965 | 0.000 | 0.000 |
| 0.000 | 0.000 | 0.000 | -0.000 | 20.965 | 0.000 |
| 0.000 | 0.001 | 0.000 | -0.000 | -0.000 | 23.586 |
| 75.980 | 28.826 | 20.965 | 0.000 | -0.000 | -0.000 |
| 28.822 | 75.984 | 20.965 | 0.000 | -0.000 | -0.000 |
| 20.962 | 20.962 | 83.845 | 0.000 | -0.000 | -0.000 |
| -0.001 | -0.001 | -0.004 | 20.965 | -0.000 | -0.000 |
| -0.001 | -0.001 | -0.004 | 0.000 | 20.965 | -0.000 |
| -0.002 | -0.005 | -0.000 | 0.000 | 0.000 | 23.586 |
| 76.020 | 28.830 | 20.967 | -0.000 | 0.000 | 0.000 |
| 28.834 | 76.016 | 20.967 | -0.000 | -0.000 | 0.000 |
| 20.970 | 20.970 | 83.879 | -0.000 | 0.000 | 0.000 |
| 0.001 | 0.001 | 0.004 | 20.965 | -0.000 | 0.000 |
| 0.001 | 0.001 | 0.004 | -0.000 | 20.965 | 0.000 |
| 0.002 | 0.005 | 0.000 | -0.000 | 0.000 | 23.586 |
| 144.608 | 90.815 | 131.694 | -0.000 | -0.000 | -0.000 |
| 126.041 | 109.382 | 131.694 | 0.000 | 0.000 | -0.000 |
| 131.694 | 131.694 | 439.040 | -0.000 | -0.000 | -0.000 |
| 0.000 | -0.000 | 0.000 | 70.535 | -0.000 | 0.000 |
| 0.000 | -0.000 | 0.000 | 0.000 | 70.535 | -0.000 |
| -0.000 | 0.000 | -0.000 | -0.000 | 0.000 | 26.897 |
| 109.382 | 126.041 | 131.694 | 0.000 | 0.000 | -0.000 |
| 126.041 | 109.382 | 131.694 | 0.000 | -0.000 | -0.000 |
| 131.694 | 131.694 | 439.040 | -0.000 | 0.000 | 0.000 |
| -0.000 | 0.000 | -0.000 | 70.535 | 0.000 | 0.000 |
| -0.000 | 0.000 | -0.000 | -0.000 | 70.535 | 0.000 |
| 0.000 | -0.000 | 0.000 | 0.000 | 0.000 | 26.897 |
| 109.382 | 126.041 | 131.694 | 0.000 | 0.000 | -0.000 |
| 90.815 | 144.608 | 131.694 | -0.000 | -0.000 | -0.000 |
| 131.694 | 131.694 | 439.040 | -0.000 | -0.000 | -0.000 |
| 0.000 | -0.000 | 0.000 | 70.535 | 0.000 | 0.000 |
| -0.000 | 0.000 | 0.000 | 0.000 | 70.535 | -0.000 |
| 0.000 | 0.000 | -0.000 | -0.000 | 0.000 | -8.329 |
| 144.608 | 90.815 | 131.694 | 0.000 | 0.000 | 0.000 |
| 90.815 | 144.608 | 131.694 | 0.000 | 0.000 | 0.000 |
| 131.694 | 131.694 | 439.040 | -0.000 | 0.000 | 0.000 |
| -0.000 | 0.000 | -0.000 | 70.535 | 0.000 | 0.000 |
| 0.000 | -0.000 | -0.000 | -0.000 | 70.535 | 0.000 |
| -0.000 | -0.000 | 0.000 | 0.000 | 0.000 | -8.329 |
| 109.384 | 126.040 | 131.694 | 0.000 | -0.000 | -0.000 |
| 90.815 | 144.609 | 131.694 | -0.000 | -0.000 | -0.000 |
| 131.694 | 131.694 | 439.043 | 0.000 | -0.000 | -0.000 |
| 0.000 | -0.000 | 0.001 | 70.535 | -0.000 | -0.000 |
| -0.000 | 0.000 | 0.001 | 0.000 | 70.535 | -0.000 |
| -0.000 | 0.000 | -0.000 | -0.000 | -0.000 | 26.897 |
| 144.607 | 90.815 | 131.694 | 0.000 | -0.000 | 0.000 |
| 90.814 | 144.607 | 131.694 | 0.000 | 0.000 | 0.000 |
| 131.693 | 131.693 | 439.037 | -0.000 | -0.000 | 0.000 |
| -0.000 | 0.000 | -0.001 | 70.535 | 0.000 | -0.000 |
| 0.000 | -0.000 | -0.001 | -0.000 | 70.535 | 0.000 |
| 0.000 | -0.000 | 0.000 | 0.000 | 0.000 | 26.897 |
| 144.564 | 90.816 | 131.699 | -0.000 | 0.000 | 0.000 |
| 90.816 | 144.564 | 131.699 | 0.000 | 0.000 | -0.000 |
| 131.700 | 131.700 | 438.969 | 0.000 | 0.000 | 0.000 |
| -0.000 | 0.000 | -0.000 | 70.527 | 0.000 | 0.000 |
| -0.000 | 0.000 | 0.000 | -0.000 | 70.527 | 0.000 |
| -0.000 | 0.000 | -0.000 | 0.000 | 0.000 | -8.368 |
| 109.322 | 126.058 | 131.699 | -0.000 | -0.000 | 0.000 |
| 90.816 | 144.564 | 131.699 | 0.000 | -0.000 | -0.000 |
| 131.700 | 131.700 | 438.969 | -0.000 | -0.000 | -0.000 |
| 0.000 | -0.000 | -0.000 | 70.527 | -0.000 | -0.000 |
| 0.000 | -0.000 | -0.000 | -0.000 | 70.527 | 0.000 |
| 0.000 | -0.000 | 0.000 | 0.000 | -0.000 | -8.368 |
| 144.564 | 90.816 | 131.699 | 0.000 | 0.000 | 0.000 |
| 126.058 | 109.322 | 131.699 | -0.000 | 0.000 | -0.000 |
| 131.700 | 131.700 | 438.970 | -0.000 | 0.000 | 0.000 |
| 0.000 | -0.000 | 0.000 | 70.527 | 0.000 | -0.000 |
| -0.000 | 0.000 | 0.000 | 0.000 | 70.527 | 0.000 |
| 0.000 | 0.000 | -0.000 | 0.000 | 0.000 | -8.368 |
| 109.322 | 126.058 | 131.699 | -0.000 | -0.000 | 0.000 |
| 126.058 | 109.322 | 131.699 | -0.000 | -0.000 | 0.000 |
| 131.700 | 131.700 | 438.969 | 0.000 | -0.000 | -0.000 |
| -0.000 | 0.000 | -0.000 | 70.527 | -0.000 | 0.000 |
| 0.000 | -0.000 | -0.000 | -0.000 | 70.527 | 0.000 |
| -0.000 | -0.000 | 0.000 | -0.000 | -0.000 | -8.368 |
| 109.324 | 126.057 | 131.699 | 0.000 | 0.000 | -0.000 |
| 126.058 | 109.323 | 131.699 | 0.000 | 0.000 | -0.000 |
| 131.700 | 131.700 | 438.972 | 0.000 | 0.000 | -0.000 |
| 0.000 | -0.000 | 0.001 | 70.527 | 0.000 | -0.000 |
| -0.000 | 0.000 | 0.001 | -0.000 | 70.527 | -0.000 |
| 0.000 | 0.000 | -0.000 | 0.000 | 0.000 | -8.368 |
| 109.320 | 126.058 | 131.699 | 0.000 | -0.000 | 0.000 |
| 90.816 | 144.563 | 131.699 | 0.000 | -0.000 | 0.000 |
| 131.699 | 131.699 | 438.967 | 0.000 | -0.000 | -0.000 |
| -0.000 | 0.000 | -0.001 | 70.527 | -0.000 | -0.000 |
| 0.000 | -0.000 | -0.001 | 0.000 | 70.527 | 0.000 |
| -0.000 | -0.000 | 0.000 | -0.000 | -0.000 | -8.368 |
| 528.888 | 580.475 | 507.529 | -0.000 | -0.000 | 0.000 |
| 580.475 | 528.888 | 507.529 | -0.000 | -0.000 | 0.000 |
| 507.529 | 507.529 | 397.523 | 0.000 | -0.000 | 0.000 |
| -0.000 | -0.000 | -0.000 | 22.683 | -0.000 | 0.000 |
| -0.000 | -0.000 | 0.000 | -0.000 | 22.683 | 0.000 |
| -0.000 | -0.000 | 0.000 | 0.000 | 0.000 | -13.611 |
| 528.888 | 580.475 | 507.529 | 0.000 | 0.000 | -0.000 |
| 580.475 | 528.888 | 507.529 | 0.000 | 0.000 | -0.000 |
| 507.529 | 507.529 | 397.523 | 0.000 | -0.000 | -0.000 |
| 0.000 | 0.000 | -0.000 | 22.683 | 0.000 | -0.000 |
| 0.000 | 0.000 | 0.000 | 0.000 | 22.683 | -0.000 |
| 0.000 | 0.000 | -0.000 | -0.000 | 0.000 | -13.611 |
| 541.069 | 568.291 | 507.528 | 0.000 | -0.000 | 0.000 |
| 580.474 | 528.887 | 507.528 | -0.000 | -0.000 | 0.000 |
| 507.528 | 507.528 | 397.523 | -0.000 | -0.000 | 0.000 |
| -0.000 | -0.000 | -0.000 | 22.683 | -0.000 | 0.000 |
| -0.000 | -0.000 | -0.000 | -0.000 | 22.683 | 0.000 |
| -0.000 | -0.000 | -0.000 | -0.000 | -0.000 | -25.793 |
| 541.072 | 568.293 | 507.529 | 0.000 | 0.000 | -0.000 |
| 580.476 | 528.889 | 507.529 | 0.000 | -0.000 | -0.000 |
| 507.529 | 507.529 | 397.523 | 0.000 | 0.000 | -0.000 |
| 0.000 | 0.000 | 0.000 | 22.683 | 0.000 | -0.000 |
| 0.000 | 0.000 | 0.000 | 0.000 | 22.683 | -0.000 |
| 0.000 | 0.000 | 0.000 | -0.000 | 0.000 | -25.793 |
| 541.058 | 568.283 | 507.521 | 0.000 | -0.000 | 0.000 |
| 580.465 | 528.875 | 507.521 | -0.000 | -0.000 | 0.000 |
| 507.524 | 507.524 | 397.520 | -0.000 | -0.000 | 0.000 |
| -0.000 | -0.001 | -0.000 | 22.683 | -0.000 | 0.000 |
| -0.001 | -0.000 | -0.000 | -0.000 | 22.683 | 0.000 |
| -0.001 | -0.001 | -0.001 | -0.000 | -0.000 | -25.793 |
| 528.901 | 580.484 | 507.537 | -0.000 | -0.000 | -0.000 |
| 580.484 | 528.901 | 507.537 | 0.000 | 0.000 | -0.000 |
| 507.533 | 507.533 | 397.526 | 0.000 | 0.000 | -0.000 |
| 0.000 | 0.001 | 0.000 | 22.683 | 0.000 | -0.000 |
| 0.001 | 0.000 | 0.000 | 0.000 | 22.683 | -0.000 |
| 0.001 | 0.001 | 0.001 | 0.000 | 0.000 | -25.793 |
| 529.005 | 176.248 | 134.220 | -0.000 | -0.000 | -0.000 |
| 176.248 | 529.005 | 134.220 | -0.000 | -0.000 | 0.000 |
| 134.220 | 134.220 | 571.033 | -0.000 | 0.000 | -0.000 |
| -0.000 | -0.000 | -0.000 | 134.351 | 0.000 | -0.000 |
| -0.000 | -0.000 | -0.000 | 0.000 | 134.351 | -0.000 |
| -0.000 | 0.000 | -0.000 | -0.000 | -0.000 | 150.084 |
| 529.005 | 176.248 | 134.220 | 0.000 | -0.000 | -0.000 |
| 202.542 | 502.711 | 134.220 | 0.000 | -0.000 | 0.000 |
| 134.220 | 134.220 | 571.033 | 0.000 | -0.000 | 0.000 |
| 0.000 | 0.000 | 0.000 | 134.351 | -0.000 | 0.000 |
| 0.000 | 0.000 | 0.000 | -0.000 | 134.351 | -0.000 |
| 0.000 | -0.000 | 0.000 | -0.000 | -0.000 | 150.084 |
| 529.006 | 176.248 | 134.220 | -0.000 | -0.000 | 0.000 |
| 202.544 | 502.710 | 134.219 | 0.000 | 0.000 | -0.000 |
| 134.220 | 134.220 | 571.034 | -0.000 | 0.000 | -0.000 |
| 0.000 | -0.000 | 0.000 | 134.351 | -0.000 | -0.000 |
| -0.000 | 0.000 | 0.000 | -0.000 | 134.351 | -0.000 |
| -0.001 | 0.000 | -0.000 | -0.000 | -0.000 | 150.084 |
| 502.710 | 202.543 | 134.220 | -0.000 | -0.000 | 0.000 |
| 176.247 | 529.005 | 134.220 | 0.000 | 0.000 | -0.000 |
| 134.220 | 134.220 | 571.032 | 0.000 | -0.000 | 0.000 |
| -0.000 | 0.000 | -0.000 | 134.351 | -0.000 | 0.000 |
| 0.000 | -0.000 | -0.000 | 0.000 | 134.351 | 0.000 |
| 0.001 | -0.000 | 0.000 | 0.000 | -0.000 | 150.084 |
| 502.720 | 202.538 | 134.214 | -0.000 | 0.000 | -0.000 |
| 202.555 | 502.702 | 134.214 | -0.000 | 0.000 | -0.000 |
| 134.221 | 134.221 | 571.044 | -0.000 | 0.000 | -0.000 |
| -0.001 | -0.003 | 0.000 | 134.351 | -0.000 | 0.000 |
| -0.003 | -0.001 | 0.000 | -0.000 | 134.351 | -0.000 |
| -0.005 | 0.003 | -0.004 | -0.000 | -0.000 | 150.084 |
| 502.730 | 202.518 | 134.226 | -0.000 | -0.000 | 0.000 |
| 202.529 | 502.719 | 134.226 | -0.000 | -0.000 | 0.000 |
| 134.219 | 134.219 | 571.022 | 0.000 | -0.000 | 0.000 |
| 0.001 | 0.003 | -0.000 | 134.351 | 0.000 | -0.000 |
| 0.003 | 0.001 | -0.000 | 0.000 | 134.351 | -0.000 |
| 0.005 | -0.003 | 0.004 | -0.000 | -0.000 | 150.084 |
| 76.000 | 28.828 | 20.966 | 0.000 | 0.000 | 0.000 |
| 28.828 | 76.000 | 20.966 | 0.000 | 0.000 | 0.000 |
| 20.966 | 20.966 | 83.862 | 0.000 | 0.000 | 0.000 |
| -0.000 | -0.000 | -0.000 | 20.965 | 0.000 | 0.000 |
| -0.000 | -0.000 | -0.000 | -0.000 | 20.965 | 0.000 |
| -0.000 | -0.000 | -0.000 | -0.000 | 0.000 | 23.586 |
| 76.000 | 28.828 | 20.966 | -0.000 | -0.000 | -0.000 |
| 28.828 | 76.000 | 20.966 | -0.000 | -0.000 | -0.000 |
| 20.966 | 20.966 | 83.862 | -0.000 | -0.000 | -0.000 |
| 0.000 | 0.000 | 0.000 | 20.965 | 0.000 | -0.000 |
| 0.000 | 0.000 | 0.000 | -0.000 | 20.965 | -0.000 |
| 0.000 | 0.000 | 0.000 | -0.000 | -0.000 | 23.586 |
| 75.998 | 28.828 | 20.966 | 0.000 | 0.000 | 0.000 |
| 28.827 | 75.998 | 20.966 | 0.000 | -0.000 | 0.000 |
| 20.966 | 20.966 | 83.860 | 0.000 | 0.000 | 0.000 |
| -0.000 | -0.000 | -0.000 | 20.965 | 0.000 | 0.000 |
| -0.000 | -0.000 | -0.000 | 0.000 | 20.965 | 0.000 |
| -0.000 | -0.001 | -0.000 | 0.000 | 0.000 | 23.586 |
| 76.002 | 28.828 | 20.966 | -0.000 | -0.000 | -0.000 |
| 28.829 | 76.001 | 20.966 | -0.000 | -0.000 | -0.000 |
| 20.966 | 20.966 | 83.864 | -0.000 | -0.000 | -0.000 |
| 0.000 | 0.000 | 0.000 | 20.965 | -0.000 | -0.000 |
| 0.000 | 0.000 | 0.000 | -0.000 | 20.965 | -0.000 |
| 0.000 | 0.001 | 0.000 | -0.000 | -0.000 | 23.586 |
| 75.980 | 28.826 | 20.965 | 0.000 | -0.000 | 0.000 |
| 28.822 | 75.984 | 20.965 | 0.000 | 0.000 | 0.000 |
| 20.962 | 20.962 | 83.845 | 0.000 | -0.000 | 0.000 |
| -0.001 | -0.001 | -0.004 | 20.965 | 0.000 | 0.000 |
| -0.001 | -0.001 | -0.004 | 0.000 | 20.965 | 0.000 |
| -0.002 | -0.005 | -0.000 | 0.000 | 0.000 | 23.586 |
| 76.020 | 28.830 | 20.967 | -0.000 | -0.000 | -0.000 |
| 28.834 | 76.016 | 20.967 | -0.000 | -0.000 | -0.000 |
| 20.970 | 20.970 | 83.879 | -0.000 | 0.000 | -0.000 |
| 0.001 | 0.001 | 0.004 | 20.965 | -0.000 | -0.000 |
| 0.001 | 0.001 | 0.004 | -0.000 | 20.965 | -0.000 |
| 0.002 | 0.005 | 0.000 | -0.000 | -0.000 | 23.586 |
| 164.626 | 285.958 | 285.958 | -0.000 | 0.000 | 0.000 |
| 285.958 | 164.626 | 285.958 | 0.000 | 0.000 | 0.000 |
| 285.958 | 285.958 | 164.626 | 0.000 | 0.000 | 0.000 |
| -0.000 | -0.000 | -0.000 | -81.895 | -0.000 | -0.000 |
| -0.000 | -0.000 | -0.000 | 0.000 | -81.895 | -0.000 |
| -0.000 | 0.000 | -0.000 | 0.000 | 0.000 | -81.895 |
| 164.625 | 285.958 | 285.958 | -0.000 | -0.000 | 0.000 |
| 285.958 | 164.625 | 285.958 | -0.000 | -0.000 | 0.000 |
| 285.958 | 285.958 | 164.625 | -0.000 | -0.000 | -0.000 |
| 0.000 | 0.000 | 0.000 | -81.895 | -0.000 | -0.000 |
| 0.000 | 0.000 | 0.000 | -0.000 | -81.895 | 0.000 |
| 0.000 | 0.000 | 0.000 | -0.000 | -0.000 | -81.895 |
| 164.626 | 285.959 | 285.959 | 0.000 | 0.000 | -0.000 |
| 285.959 | 164.626 | 285.959 | 0.000 | -0.000 | 0.000 |
| 285.959 | 285.959 | 164.626 | 0.000 | -0.000 | -0.000 |
| 0.000 | 0.000 | 0.000 | 70.264 | -0.000 | 0.000 |
| 0.000 | 0.000 | 0.000 | -0.000 | 70.264 | -0.000 |
| 0.000 | 0.000 | 0.000 | 0.000 | -0.000 | 70.264 |
| 164.625 | 285.958 | 285.958 | -0.000 | -0.000 | -0.000 |
| 285.958 | 164.625 | 285.958 | -0.000 | -0.000 | 0.000 |
| 285.958 | 285.958 | 164.625 | -0.000 | -0.000 | -0.000 |
| -0.000 | -0.000 | -0.000 | 70.264 | -0.000 | 0.000 |
| -0.000 | -0.000 | -0.000 | -0.000 | 70.264 | 0.000 |
| -0.000 | -0.000 | -0.000 | 0.000 | 0.000 | 70.264 |
| 164.631 | 285.960 | 285.960 | 0.000 | 0.000 | -0.000 |
| 285.960 | 164.631 | 285.960 | 0.000 | 0.000 | -0.000 |
| 285.960 | 285.960 | 164.631 | 0.000 | 0.000 | -0.000 |
| -0.000 | -0.000 | -0.000 | -81.895 | 0.000 | -0.000 |
| -0.000 | -0.000 | -0.000 | 0.000 | -81.895 | -0.000 |
| -0.000 | -0.000 | -0.000 | 0.000 | 0.000 | -81.895 |
| 164.620 | 285.957 | 285.957 | -0.000 | 0.000 | 0.000 |
| 285.957 | 164.620 | 285.957 | -0.000 | -0.000 | 0.000 |
| 285.957 | 285.957 | 164.620 | -0.000 | -0.000 | 0.000 |
| 0.000 | 0.000 | 0.000 | -81.895 | -0.000 | 0.000 |
| 0.000 | 0.000 | 0.000 | -0.000 | -81.895 | 0.000 |
| 0.000 | 0.000 | 0.000 | -0.000 | -0.000 | -81.895 |
| 49.502 | 49.502 | 49.502 | -0.000 | -0.000 | -0.000 |
| 49.502 | 49.502 | 49.502 | -0.000 | -0.000 | -0.000 |
| 49.502 | 49.502 | 49.502 | -0.000 | -0.000 | -0.000 |
| 0.000 | 0.000 | 0.000 | -0.000 | -0.000 | -0.000 |
| 0.000 | 0.000 | 0.000 | -0.000 | -0.000 | -0.000 |
| 0.000 | 0.000 | 0.000 | -0.000 | -0.000 | -0.000 |
| 49.502 | 49.502 | 49.502 | 0.000 | 0.000 | 0.000 |
| 49.502 | 49.502 | 49.502 | 0.000 | 0.000 | 0.000 |
| 49.502 | 49.502 | 49.502 | 0.000 | 0.000 | 0.000 |
| 0.000 | 0.000 | 0.000 | 0.000 | 0.000 | 0.000 |
| 0.000 | 0.000 | 0.000 | 0.000 | 0.000 | 0.000 |
| -0.000 | -0.000 | -0.000 | 0.000 | 0.000 | 0.000 |
| 49.502 | 49.502 | 49.502 | -0.000 | -0.000 | -0.000 |
| 49.502 | 49.502 | 49.502 | -0.000 | -0.000 | -0.000 |
| 49.502 | 49.502 | 49.502 | -0.000 | -0.000 | -0.000 |
| -0.000 | -0.000 | -0.000 | -0.000 | -0.000 | -0.000 |
| -0.000 | -0.000 | -0.000 | -0.000 | -0.000 | -0.000 |
| -0.000 | -0.000 | -0.000 | -0.000 | -0.000 | -0.000 |
| 49.502 | 49.502 | 49.502 | 0.000 | 0.000 | 0.000 |
| 49.502 | 49.502 | 49.502 | 0.000 | 0.000 | 0.000 |
| 49.502 | 49.502 | 49.502 | 0.000 | 0.000 | 0.000 |
| 0.000 | 0.000 | 0.000 | 0.000 | 0.000 | 0.000 |
| 0.000 | 0.000 | 0.000 | 0.000 | 0.000 | 0.000 |
| 0.000 | 0.000 | 0.000 | 0.000 | 0.000 | 0.000 |
| 49.502 | 49.502 | 49.502 | -0.000 | -0.000 | -0.000 |
| 49.502 | 49.502 | 49.502 | -0.000 | -0.000 | -0.000 |
| 49.502 | 49.502 | 49.502 | -0.000 | -0.000 | -0.000 |
| -0.000 | -0.000 | -0.000 | -0.000 | -0.000 | -0.000 |
| -0.000 | -0.000 | -0.000 | -0.000 | -0.000 | -0.000 |
| -0.000 | -0.000 | -0.000 | -0.000 | -0.000 | -0.000 |
| 49.502 | 49.502 | 49.502 | 0.000 | 0.000 | 0.000 |
| 49.502 | 49.502 | 49.502 | 0.000 | 0.000 | 0.000 |
| 49.502 | 49.502 | 49.502 | 0.000 | 0.000 | 0.000 |
| 0.000 | 0.000 | 0.000 | -0.000 | 0.000 | 0.000 |
| 0.000 | 0.000 | 0.000 | 0.000 | -0.000 | 0.000 |
| 0.000 | 0.000 | 0.000 | 0.000 | 0.000 | -0.000 |
| 6.431 | 6.431 | 6.431 | 0.000 | 0.000 | 0.000 |
| 6.431 | 6.431 | 6.431 | 0.000 | 0.000 | 0.000 |
| 6.431 | 6.431 | 6.431 | 0.000 | 0.000 | 0.000 |
| 0.000 | 0.000 | 0.000 | 0.000 | 0.000 | 0.000 |
| 0.000 | 0.000 | 0.000 | 0.000 | 0.000 | 0.000 |
| 0.000 | 0.000 | 0.000 | 0.000 | 0.000 | 0.000 |
| 6.431 | 6.431 | 6.431 | -0.000 | -0.000 | -0.000 |
| 6.431 | 6.431 | 6.431 | -0.000 | -0.000 | -0.000 |
| 6.431 | 6.431 | 6.431 | -0.000 | -0.000 | -0.000 |
| -0.000 | -0.000 | -0.000 | -0.000 | -0.000 | -0.000 |
| -0.000 | -0.000 | -0.000 | -0.000 | -0.000 | -0.000 |
| -0.000 | -0.000 | -0.000 | -0.000 | -0.000 | -0.000 |
| 6.431 | 6.431 | 6.431 | 0.000 | 0.000 | 0.000 |
| 6.431 | 6.431 | 6.431 | 0.000 | 0.000 | 0.000 |
| 6.431 | 6.431 | 6.431 | 0.000 | 0.000 | 0.000 |
| -0.000 | -0.000 | -0.000 | 0.000 | 0.000 | 0.000 |
| -0.000 | -0.000 | -0.000 | 0.000 | 0.000 | 0.000 |
| -0.000 | -0.000 | -0.000 | 0.000 | 0.000 | 0.000 |
| 6.431 | 6.431 | 6.431 | -0.000 | -0.000 | -0.000 |
| 6.431 | 6.431 | 6.431 | -0.000 | -0.000 | -0.000 |
| 6.431 | 6.431 | 6.431 | -0.000 | -0.000 | -0.000 |
| 0.000 | 0.000 | 0.000 | -0.000 | -0.000 | -0.000 |
| 0.000 | 0.000 | 0.000 | -0.000 | -0.000 | -0.000 |
| 0.000 | 0.000 | 0.000 | -0.000 | -0.000 | -0.000 |
| 6.430 | 6.430 | 6.430 | 0.000 | 0.000 | 0.000 |
| 6.430 | 6.430 | 6.430 | 0.000 | 0.000 | 0.000 |
| 6.430 | 6.430 | 6.430 | 0.000 | 0.000 | 0.000 |
| -0.000 | -0.000 | -0.000 | 0.000 | 0.000 | 0.000 |
| -0.000 | -0.000 | -0.000 | 0.000 | 0.000 | 0.000 |
| -0.000 | -0.000 | -0.000 | 0.000 | 0.000 | 0.000 |
| 6.432 | 6.432 | 6.432 | -0.000 | -0.000 | -0.000 |
| 6.432 | 6.432 | 6.432 | -0.000 | -0.000 | -0.000 |
| 6.432 | 6.432 | 6.432 | -0.000 | -0.000 | -0.000 |
| 0.000 | 0.000 | 0.000 | 0.000 | -0.000 | -0.000 |
| 0.000 | 0.000 | 0.000 | -0.000 | 0.000 | -0.000 |
| 0.000 | 0.000 | 0.000 | -0.000 | -0.000 | 0.000 |
| 334.279 | 1177.628 | 309.927 | -0.000 | -0.000 | 0.000 |
| 1177.628 | 334.279 | 309.927 | -0.000 | -0.000 | 0.000 |
| 309.927 | 309.927 | 994.955 | -0.000 | 0.000 | -0.000 |
| -0.000 | -0.000 | -0.000 | 44.459 | 0.000 | -0.000 |
| 0.000 | -0.000 | -0.000 | -0.000 | 44.459 | -0.000 |
| -0.000 | -0.000 | -0.000 | -0.000 | 0.000 | -31.775 |
| 334.279 | 1177.628 | 309.927 | 0.000 | -0.000 | -0.000 |
| 1177.628 | 334.279 | 309.927 | 0.000 | 0.000 | -0.000 |
| 309.927 | 309.927 | 994.955 | -0.000 | -0.000 | -0.000 |
| 0.000 | 0.000 | 0.000 | 44.459 | 0.000 | -0.000 |
| -0.000 | 0.000 | 0.000 | -0.000 | 44.459 | 0.000 |
| 0.000 | 0.000 | 0.000 | 0.000 | -0.000 | -31.775 |
| 334.278 | 1177.629 | 309.927 | -0.000 | 0.000 | 0.000 |
| 1177.629 | 334.278 | 309.927 | 0.000 | -0.000 | 0.000 |
| 309.927 | 309.927 | 994.956 | 0.000 | 0.000 | 0.000 |
| -0.000 | 0.000 | -0.000 | -13.363 | -0.000 | 0.000 |
| 0.000 | -0.000 | -0.000 | -0.000 | -13.363 | 0.000 |
| 0.000 | -0.000 | -0.000 | -0.000 | 0.000 | -31.775 |
| 334.280 | 1177.627 | 309.927 | 0.000 | -0.000 | -0.000 |
| 1177.627 | 334.280 | 309.927 | -0.000 | 0.000 | -0.000 |
| 309.927 | 309.927 | 994.955 | 0.000 | -0.000 | -0.000 |
| 0.000 | -0.000 | 0.000 | -13.363 | 0.000 | 0.000 |
| -0.000 | 0.000 | 0.000 | 0.000 | -13.363 | 0.000 |
| -0.000 | 0.000 | 0.000 | 0.000 | -0.000 | -31.775 |
| 334.268 | 1177.638 | 309.929 | -0.000 | 0.000 | 0.000 |
| 1177.638 | 334.268 | 309.929 | 0.000 | -0.000 | 0.000 |
| 309.928 | 309.928 | 994.961 | -0.000 | -0.000 | 0.000 |
| -0.000 | 0.000 | -0.001 | -13.363 | -0.000 | -0.000 |
| 0.000 | -0.000 | -0.001 | -0.000 | -13.363 | 0.000 |
| -0.000 | 0.000 | -0.000 | -0.000 | 0.000 | -31.775 |
| 334.290 | 1177.618 | 309.925 | 0.000 | -0.000 | 0.000 |
| 1177.618 | 334.290 | 309.925 | -0.000 | 0.000 | -0.000 |
| 309.926 | 309.926 | 994.950 | 0.000 | 0.000 | -0.000 |
| 0.000 | -0.000 | 0.001 | -13.363 | 0.000 | 0.000 |
| -0.000 | 0.000 | 0.001 | 0.000 | -13.363 | 0.000 |
| 0.000 | -0.000 | 0.000 | 0.000 | 0.000 | -31.775 |
| 133.587 | 88.073 | 34.095 | -0.000 | -0.000 | -0.000 |
| 88.073 | 133.587 | 34.095 | -0.000 | -0.000 | -0.000 |
| 34.095 | 34.095 | 163.163 | 0.000 | -0.000 | -0.000 |
| 0.000 | -0.000 | -0.000 | 7.002 | 0.000 | -0.000 |
| -0.000 | 0.000 | -0.000 | -0.000 | 7.002 | -0.000 |
| -0.000 | -0.000 | -0.000 | 0.000 | -0.000 | 0.000 |
| 133.588 | 88.072 | 34.095 | 0.000 | -0.000 | 0.000 |
| 88.072 | 133.588 | 34.095 | -0.000 | 0.000 | 0.000 |
| 34.095 | 34.095 | 163.163 | -0.000 | 0.000 | -0.000 |
| -0.000 | 0.000 | 0.000 | 7.002 | -0.000 | 0.000 |
| 0.000 | -0.000 | 0.000 | 0.000 | 7.002 | 0.000 |
| 0.000 | 0.000 | 0.000 | -0.000 | -0.000 | 0.000 |
| 133.586 | 88.073 | 34.093 | -0.000 | 0.000 | 0.000 |
| 88.073 | 133.586 | 34.093 | 0.000 | -0.000 | 0.000 |
| 34.095 | 34.095 | 163.162 | 0.000 | 0.000 | -0.000 |
| 0.000 | -0.001 | -0.001 | 7.002 | 0.000 | 0.000 |
| -0.001 | 0.000 | -0.001 | 0.000 | 7.002 | -0.000 |
| -0.000 | -0.000 | -0.000 | 0.000 | -0.000 | -0.000 |
| 133.589 | 88.072 | 34.097 | 0.000 | -0.000 | -0.000 |
| 88.072 | 133.589 | 34.097 | -0.000 | 0.000 | -0.000 |
| 34.096 | 34.096 | 163.164 | 0.000 | -0.000 | -0.000 |
| -0.000 | 0.001 | 0.001 | 7.002 | -0.000 | 0.000 |
| 0.001 | -0.000 | 0.001 | -0.000 | 7.002 | 0.000 |
| 0.000 | 0.000 | 0.000 | -0.000 | -0.000 | -0.000 |
| 133.568 | 88.081 | 34.078 | -0.000 | 0.000 | 0.000 |
| 88.081 | 133.568 | 34.078 | 0.000 | -0.000 | -0.000 |
| 34.092 | 34.092 | 163.153 | 0.000 | 0.000 | 0.000 |
| 0.001 | -0.006 | -0.006 | 7.002 | 0.000 | 0.000 |
| -0.006 | 0.001 | -0.006 | 0.000 | 7.002 | -0.000 |
| -0.000 | -0.000 | -0.000 | -0.000 | 0.000 | 0.000 |
| 133.607 | 88.064 | 34.113 | 0.000 | -0.000 | 0.000 |
| 88.064 | 133.607 | 34.113 | -0.000 | 0.000 | 0.000 |
| 34.098 | 34.098 | 163.173 | -0.000 | 0.000 | 0.000 |
| -0.001 | 0.006 | 0.006 | 7.002 | -0.000 | 0.000 |
| 0.006 | -0.001 | 0.006 | -0.000 | 7.002 | -0.000 |
| 0.000 | 0.000 | 0.000 | 0.000 | 0.000 | 0.000 |
| 21.133 | 17.421 | 2.987 | -0.000 | -0.000 | -0.000 |
| 17.421 | 21.133 | 2.987 | -0.000 | -0.000 | -0.000 |
| 2.987 | 2.987 | 0.463 | -0.000 | -0.000 | -0.000 |
| -0.000 | 0.000 | 0.000 | 0.000 | -0.000 | 0.000 |
| 0.000 | -0.000 | 0.000 | -0.000 | -0.000 | 0.000 |
| 0.000 | -0.000 | -0.000 | -0.000 | 0.000 | 0.000 |
| 21.133 | 17.421 | 2.987 | 0.000 | 0.000 | 0.000 |
| 17.421 | 21.133 | 2.987 | 0.000 | 0.000 | 0.000 |
| 2.987 | 2.987 | 0.463 | 0.000 | 0.000 | -0.000 |
| 0.000 | -0.000 | -0.000 | 0.000 | 0.000 | 0.000 |
| -0.000 | 0.000 | -0.000 | 0.000 | 0.000 | 0.000 |
| -0.000 | 0.000 | 0.000 | 0.000 | 0.000 | 0.000 |
| 19.456 | 19.098 | 2.987 | 0.000 | -0.000 | 0.000 |
| 19.098 | 19.456 | 2.987 | 0.000 | 0.000 | 0.000 |
| 2.987 | 2.987 | 0.463 | -0.000 | -0.000 | 0.000 |
| -0.000 | 0.000 | -0.000 | -0.000 | 0.000 | 0.000 |
| 0.000 | -0.000 | -0.000 | 0.000 | -0.000 | 0.000 |
| -0.000 | -0.000 | -0.000 | -0.000 | 0.000 | 0.000 |
| 21.133 | 17.422 | 2.987 | 0.000 | 0.000 | 0.000 |
| 17.422 | 21.133 | 2.987 | 0.000 | 0.000 | -0.000 |
| 2.987 | 2.987 | 0.463 | 0.000 | 0.000 | -0.000 |
| 0.000 | -0.000 | 0.000 | -0.000 | -0.000 | 0.000 |
| -0.000 | 0.000 | 0.000 | -0.000 | -0.000 | 0.000 |
| 0.000 | 0.000 | 0.000 | 0.000 | -0.000 | 0.000 |
| 19.454 | 19.095 | 2.986 | 0.000 | 0.000 | 0.000 |
| 19.095 | 19.454 | 2.986 | 0.000 | 0.000 | 0.000 |
| 2.987 | 2.987 | 0.463 | -0.000 | -0.000 | -0.000 |
| -0.000 | 0.000 | -0.000 | -0.000 | -0.000 | 0.000 |
| 0.000 | -0.000 | -0.000 | -0.000 | -0.000 | 0.000 |
| -0.000 | -0.000 | -0.000 | -0.000 | 0.000 | 0.000 |
| 19.458 | 19.102 | 2.987 | -0.000 | -0.000 | -0.000 |
| 19.102 | 19.458 | 2.987 | -0.000 | -0.000 | 0.000 |
| 2.987 | 2.987 | 0.463 | 0.000 | 0.000 | 0.000 |
| 0.000 | -0.000 | 0.000 | -0.000 | 0.000 | 0.000 |
| -0.000 | 0.000 | 0.000 | 0.000 | -0.000 | 0.000 |
| 0.000 | 0.000 | 0.000 | 0.000 | 0.000 | 0.000 |
| 21.708 | 17.279 | 2.958 | 0.000 | -0.000 | 0.000 |
| 17.279 | 21.708 | 2.958 | -0.000 | 0.000 | -0.000 |
| 2.958 | 2.958 | 0.449 | 0.000 | 0.000 | -0.000 |
| -0.000 | 0.000 | 0.000 | 0.000 | 0.000 | 0.000 |
| 0.000 | -0.000 | 0.000 | 0.000 | 0.000 | -0.000 |
| -0.000 | 0.000 | -0.000 | 0.000 | -0.000 | -0.000 |
| 38.987 | 0.000 | 2.958 | 0.000 | -0.000 | 0.000 |
| 0.000 | 38.987 | 2.958 | -0.000 | -0.000 | -0.000 |
| 2.958 | 2.958 | 0.449 | -0.000 | -0.000 | 0.000 |
| 0.000 | -0.000 | -0.000 | -0.000 | -0.000 | 0.000 |
| -0.000 | 0.000 | -0.000 | -0.000 | -0.000 | -0.000 |
| 0.000 | -0.000 | 0.000 | -0.000 | -0.000 | -0.000 |
| 19.745 | 19.242 | 2.958 | -0.000 | -0.000 | 0.000 |
| 19.242 | 19.745 | 2.958 | -0.000 | -0.000 | 0.000 |
| 2.958 | 2.958 | 0.449 | 0.000 | 0.000 | -0.000 |
| -0.000 | 0.000 | -0.000 | 0.000 | 0.000 | 0.000 |
| 0.000 | -0.000 | -0.000 | 0.000 | 0.000 | -0.000 |
| -0.000 | -0.000 | -0.000 | -0.000 | -0.000 | 0.000 |
| 19.745 | 19.242 | 2.958 | 0.000 | 0.000 | 0.000 |
| 19.242 | 19.745 | 2.958 | 0.000 | 0.000 | -0.000 |
| 2.958 | 2.958 | 0.449 | -0.000 | -0.000 | 0.000 |
| 0.000 | -0.000 | 0.000 | 0.000 | -0.000 | 0.000 |
| -0.000 | 0.000 | 0.000 | -0.000 | -0.000 | -0.000 |
| 0.000 | 0.000 | 0.000 | -0.000 | -0.000 | 0.000 |
| 19.519 | 19.462 | 2.958 | 0.000 | 0.000 | -0.000 |
| 19.462 | 19.519 | 2.958 | 0.000 | 0.000 | -0.000 |
| 2.958 | 2.958 | 0.449 | 0.000 | 0.000 | -0.000 |
| -0.000 | 0.000 | -0.000 | -0.000 | 0.000 | 0.000 |
| 0.000 | -0.000 | -0.000 | 0.000 | -0.000 | -0.000 |
| -0.000 | -0.000 | -0.000 | 0.000 | 0.000 | 0.000 |
| 19.525 | 19.468 | 2.958 | -0.000 | -0.000 | 0.000 |
| 19.468 | 19.525 | 2.958 | -0.000 | -0.000 | 0.000 |
| 2.958 | 2.958 | 0.449 | -0.000 | -0.000 | 0.000 |
| 0.000 | -0.000 | 0.000 | -0.000 | -0.000 | 0.000 |
| -0.000 | 0.000 | 0.000 | -0.000 | -0.000 | -0.000 |
| 0.000 | 0.000 | 0.000 | -0.000 | -0.000 | 0.000 |
| 59.300 | 0.000 | 0.000 | 0.000 | 0.000 | -0.000 |
| 0.000 | 59.300 | 0.000 | 0.000 | 0.000 | 0.000 |
| -0.000 | -0.000 | 0.000 | 0.000 | 0.000 | -0.000 |
| -0.000 | -0.000 | 0.000 | 0.000 | 0.000 | -0.000 |
| -0.000 | -0.000 | 0.000 | 0.000 | 0.000 | -0.000 |
| -0.000 | -0.000 | 0.000 | 0.000 | 0.000 | 0.000 |
| 59.300 | 0.000 | -0.000 | -0.000 | -0.000 | 0.000 |
| 0.000 | 59.300 | -0.000 | -0.000 | -0.000 | -0.000 |
| 0.000 | 0.000 | -0.000 | -0.000 | -0.000 | 0.000 |
| 0.000 | 0.000 | -0.000 | -0.000 | -0.000 | 0.000 |
| 0.000 | 0.000 | -0.000 | -0.000 | -0.000 | 0.000 |
| 0.000 | 0.000 | -0.000 | -0.000 | -0.000 | 0.000 |
| 59.298 | 0.000 | 0.000 | 0.000 | 0.000 | 0.000 |
| 0.000 | 59.298 | 0.000 | 0.000 | 0.000 | 0.000 |
| -0.000 | -0.000 | 0.000 | 0.000 | 0.000 | -0.000 |
| -0.000 | -0.000 | 0.000 | 0.000 | 0.000 | -0.000 |
| -0.000 | -0.000 | 0.000 | 0.000 | 0.000 | -0.000 |
| -0.000 | -0.000 | 0.000 | 0.000 | 0.000 | 0.000 |
| 59.302 | 0.000 | -0.000 | -0.000 | -0.000 | 0.000 |
| 0.000 | 59.302 | -0.000 | -0.000 | -0.000 | -0.000 |
| 0.000 | 0.000 | -0.000 | -0.000 | -0.000 | 0.000 |
| 0.000 | 0.000 | -0.000 | -0.000 | -0.000 | 0.000 |
| 0.000 | 0.000 | -0.000 | -0.000 | -0.000 | 0.000 |
| 0.000 | 0.000 | -0.000 | -0.000 | -0.000 | 0.000 |
| 59.282 | 0.000 | 0.000 | 0.000 | 0.000 | -0.000 |
| 0.000 | 59.282 | 0.000 | 0.000 | 0.000 | 0.000 |
| -0.000 | -0.000 | 0.000 | 0.000 | 0.000 | -0.000 |
| -0.000 | -0.000 | 0.000 | 0.000 | 0.000 | -0.000 |
| -0.000 | -0.000 | 0.000 | 0.000 | 0.000 | -0.000 |
| -0.000 | -0.000 | 0.000 | 0.000 | 0.000 | 0.000 |
| 59.318 | 0.000 | -0.000 | -0.000 | -0.000 | -0.000 |
| 0.000 | 59.318 | -0.000 | -0.000 | -0.000 | 0.000 |
| 0.000 | 0.000 | -0.000 | -0.000 | -0.000 | 0.000 |
| 0.000 | 0.000 | -0.000 | -0.000 | -0.000 | 0.000 |
| 0.000 | 0.000 | -0.000 | -0.000 | -0.000 | 0.000 |
| 0.000 | 0.000 | -0.000 | -0.000 | -0.000 | 0.000 |
| -0.032 | -0.032 | -0.022 | -0.000 | 0.000 | -0.000 |
| -0.032 | -0.032 | -0.022 | 0.000 | 0.000 | -0.000 |
| -0.032 | -0.032 | -0.022 | 0.000 | 0.000 | -0.000 |
| -0.022 | -0.022 | -0.015 | -0.000 | 0.000 | -0.000 |
| -0.022 | -0.022 | -0.015 | -0.000 | -0.000 | 0.000 |
| -0.022 | -0.022 | -0.015 | -0.000 | 0.000 | -0.000 |
| 0.032 | 0.032 | 0.022 | 0.000 | -0.000 | 0.000 |
| 0.032 | 0.032 | 0.022 | -0.000 | -0.000 | 0.000 |
| 0.032 | 0.032 | 0.022 | -0.000 | -0.000 | 0.000 |
| 0.022 | 0.022 | 0.015 | -0.000 | -0.000 | 0.000 |
| 0.022 | 0.022 | 0.015 | 0.000 | -0.000 | 0.000 |
| 0.022 | 0.022 | 0.015 | 0.000 | 0.000 | -0.000 |
| -0.003 | -0.003 | -0.002 | -0.000 | 0.000 | -0.000 |
| -0.003 | -0.003 | -0.002 | 0.000 | 0.000 | -0.000 |
| -0.003 | -0.003 | -0.002 | 0.000 | 0.000 | -0.000 |
| -0.002 | -0.002 | -0.001 | 0.000 | 0.000 | -0.000 |
| -0.002 | -0.002 | -0.001 | -0.000 | -0.000 | 0.000 |
| -0.002 | -0.002 | -0.002 | -0.000 | 0.000 | -0.000 |
| 0.003 | 0.003 | 0.002 | 0.000 | 0.000 | -0.000 |
| 0.003 | 0.003 | 0.002 | -0.000 | -0.000 | 0.000 |
| 0.003 | 0.003 | 0.002 | -0.000 | -0.000 | 0.000 |
| 0.002 | 0.002 | 0.001 | -0.000 | -0.000 | 0.000 |
| 0.002 | 0.002 | 0.001 | 0.000 | -0.000 | 0.000 |
| 0.002 | 0.002 | 0.002 | 0.000 | 0.000 | -0.000 |
| 0.003 | 0.000 | 0.001 | -0.001 | 0.000 | -0.000 |
| 0.000 | 0.004 | 0.002 | 0.002 | 0.000 | -0.000 |
| 0.000 | 0.000 | 0.000 | 0.000 | -0.000 | 0.000 |
| -0.001 | 0.001 | 0.000 | 0.001 | 0.000 | -0.000 |
| 0.000 | -0.000 | 0.000 | -0.000 | -0.000 | 0.000 |
| 0.000 | -0.000 | 0.000 | -0.000 | 0.000 | -0.000 |
| -0.003 | -0.000 | -0.001 | 0.001 | 0.000 | -0.000 |
| -0.000 | -0.004 | -0.002 | -0.002 | 0.000 | -0.000 |
| -0.000 | -0.000 | -0.000 | -0.000 | -0.000 | 0.000 |
| 0.001 | -0.001 | -0.000 | -0.001 | -0.000 | 0.000 |
| -0.000 | 0.000 | -0.000 | 0.000 | -0.000 | 0.000 |
| -0.000 | 0.000 | -0.000 | 0.000 | 0.000 | -0.000 |
| 961.011 | 25.351 | 25.351 | -0.000 | 0.000 | 0.000 |
| 25.351 | 961.011 | 25.351 | -0.000 | 0.000 | 0.000 |
| 25.351 | 25.351 | 961.011 | 0.000 | 0.000 | -0.000 |
| -0.000 | -0.000 | -0.000 | -128.509 | 0.000 | -0.000 |
| -0.000 | -0.000 | -0.000 | -0.000 | -128.509 | -0.000 |
| -0.000 | -0.000 | -0.000 | -0.000 | 0.000 | -128.509 |
| 961.011 | 25.351 | 25.351 | -0.000 | -0.000 | -0.000 |
| 25.351 | 961.011 | 25.351 | 0.000 | 0.000 | -0.000 |
| 25.351 | 25.351 | 961.011 | -0.000 | -0.000 | 0.000 |
| 0.000 | 0.000 | 0.000 | -128.509 | -0.000 | 0.000 |
| -0.000 | 0.000 | 0.000 | 0.000 | -128.509 | -0.000 |
| 0.000 | 0.000 | 0.000 | 0.000 | -0.000 | -128.509 |
| 961.012 | 25.351 | 25.351 | 0.000 | -0.000 | 0.000 |
| 25.351 | 961.012 | 25.351 | -0.000 | 0.000 | -0.000 |
| 25.351 | 25.351 | 961.012 | -0.000 | -0.000 | 0.000 |
| 0.000 | 0.000 | -0.000 | -128.509 | -0.000 | 0.000 |
| 0.000 | 0.000 | -0.000 | -0.000 | -128.509 | -0.000 |
| 0.000 | -0.000 | 0.000 | 0.000 | 0.000 | -128.509 |
| 961.011 | 25.351 | 25.351 | 0.000 | -0.000 | -0.000 |
| 25.351 | 961.011 | 25.351 | -0.000 | -0.000 | 0.000 |
| 25.351 | 25.351 | 961.011 | -0.000 | -0.000 | -0.000 |
| -0.000 | -0.000 | 0.000 | -128.509 | -0.000 | -0.000 |
| -0.000 | -0.000 | 0.000 | -0.000 | -128.509 | 0.000 |
| -0.000 | 0.000 | -0.000 | 0.000 | -0.000 | -128.509 |
| 961.016 | 25.353 | 25.353 | 0.000 | -0.000 | 0.000 |
| 25.353 | 961.016 | 25.353 | -0.000 | 0.000 | 0.000 |
| 25.353 | 25.353 | 961.016 | -0.000 | 0.000 | -0.000 |
| 0.001 | 0.000 | -0.000 | -128.509 | 0.000 | 0.000 |
| 0.000 | 0.001 | -0.000 | -0.000 | -128.509 | 0.000 |
| 0.000 | -0.000 | 0.001 | 0.000 | 0.000 | -128.509 |
| 961.006 | 25.349 | 25.349 | -0.000 | -0.000 | -0.000 |
| 25.349 | 961.006 | 25.349 | 0.000 | 0.000 | -0.000 |
| 25.349 | 25.349 | 961.006 | 0.000 | 0.000 | -0.000 |
| -0.001 | -0.000 | 0.000 | -128.509 | -0.000 | -0.000 |
| -0.000 | -0.001 | 0.000 | -0.000 | -128.509 | -0.000 |
| -0.000 | 0.000 | -0.001 | -0.000 | 0.000 | -128.509 |
| 170.964 | 66.896 | 66.896 | 0.000 | -0.000 | -0.000 |
| 66.896 | 170.964 | 66.896 | 0.000 | -0.000 | 0.000 |
| 66.896 | 66.896 | 170.964 | 0.000 | 0.000 | -0.000 |
| -0.000 | -0.000 | -0.000 | -2.899 | 0.000 | -0.000 |
| -0.000 | -0.000 | -0.000 | 0.000 | -2.899 | 0.000 |
| -0.000 | -0.000 | -0.000 | 0.000 | -0.000 | -2.899 |
| 170.964 | 66.896 | 66.896 | 0.000 | -0.000 | 0.000 |
| 66.896 | 170.964 | 66.896 | -0.000 | 0.000 | -0.000 |
| 66.896 | 66.896 | 170.964 | 0.000 | 0.000 | -0.000 |
| 0.000 | 0.000 | 0.000 | -2.899 | -0.000 | 0.000 |
| 0.000 | 0.000 | 0.000 | -0.000 | -2.899 | 0.000 |
| 0.000 | 0.000 | 0.000 | -0.000 | -0.000 | -2.899 |
| 170.964 | 66.896 | 66.896 | 0.000 | 0.000 | -0.000 |
| 66.896 | 170.964 | 66.896 | 0.000 | 0.000 | -0.000 |
| 66.896 | 66.896 | 170.964 | 0.000 | -0.000 | 0.000 |
| -0.000 | -0.000 | -0.000 | -2.899 | 0.000 | 0.000 |
| -0.000 | -0.000 | -0.000 | 0.000 | -2.899 | -0.000 |
| -0.000 | -0.000 | -0.000 | 0.000 | -0.000 | -2.899 |
| 170.965 | 66.896 | 66.896 | -0.000 | 0.000 | -0.000 |
| 66.896 | 170.965 | 66.896 | -0.000 | -0.000 | 0.000 |
| 66.896 | 66.896 | 170.965 | -0.000 | 0.000 | -0.000 |
| 0.000 | 0.000 | 0.000 | -2.899 | -0.000 | -0.000 |
| 0.000 | 0.000 | 0.000 | -0.000 | -2.899 | -0.000 |
| 0.000 | 0.000 | 0.000 | -0.000 | -0.000 | -2.899 |
| 170.961 | 66.895 | 66.895 | 0.000 | 0.000 | 0.000 |
| 66.895 | 170.961 | 66.895 | 0.000 | 0.000 | 0.000 |
| 66.895 | 66.895 | 170.961 | -0.000 | -0.000 | 0.000 |
| -0.000 | -0.000 | -0.000 | -2.899 | 0.000 | -0.000 |
| -0.000 | -0.000 | -0.000 | -0.000 | -2.899 | -0.000 |
| -0.000 | -0.000 | -0.000 | 0.000 | 0.000 | -2.899 |
| 170.967 | 66.898 | 66.898 | 0.000 | -0.000 | 0.000 |
| 66.898 | 170.967 | 66.898 | -0.000 | -0.000 | 0.000 |
| 66.898 | 66.898 | 170.967 | -0.000 | -0.000 | -0.000 |
| 0.000 | 0.000 | 0.000 | -2.899 | 0.000 | -0.000 |
| 0.000 | 0.000 | 0.000 | -0.000 | -2.899 | 0.000 |
| 0.000 | 0.000 | 0.000 | -0.000 | 0.000 | -2.899 |
| 319.560 | -12.190 | -12.190 | -0.000 | -0.000 | -0.000 |
| -12.190 | 319.560 | -12.190 | -0.000 | -0.000 | -0.000 |
| -12.190 | -12.190 | 319.560 | -0.000 | -0.000 | -0.000 |
| 0.000 | -0.000 | 0.000 | -12.165 | -0.000 | 0.000 |
| -0.000 | 0.000 | 0.000 | 0.000 | -12.165 | 0.000 |
| -0.000 | 0.000 | 0.000 | 0.000 | 0.000 | -12.165 |
| 319.560 | -12.190 | -12.190 | -0.000 | 0.000 | -0.000 |
| -12.190 | 319.560 | -12.190 | 0.000 | -0.000 | -0.000 |
| -12.190 | -12.190 | 319.560 | 0.000 | 0.000 | -0.000 |
| -0.000 | -0.000 | -0.000 | -12.165 | 0.000 | 0.000 |
| -0.000 | -0.000 | -0.000 | 0.000 | -12.165 | 0.000 |
| -0.000 | -0.000 | -0.000 | -0.000 | 0.000 | -12.165 |
| 319.560 | -12.190 | -12.190 | -0.000 | 0.000 | 0.000 |
| -12.190 | 319.560 | -12.190 | -0.000 | -0.000 | 0.000 |
| -12.190 | -12.190 | 319.560 | -0.000 | -0.000 | 0.000 |
| 0.000 | 0.000 | -0.000 | -12.165 | -0.000 | -0.000 |
| 0.000 | 0.000 | -0.000 | -0.000 | -12.165 | -0.000 |
| 0.000 | -0.000 | 0.000 | 0.000 | 0.000 | -12.165 |
| 319.560 | -12.190 | -12.190 | -0.000 | -0.000 | 0.000 |
| -12.190 | 319.560 | -12.190 | 0.000 | 0.000 | -0.000 |
| -12.190 | -12.190 | 319.560 | -0.000 | -0.000 | -0.000 |
| -0.000 | -0.000 | 0.000 | -12.165 | 0.000 | 0.000 |
| -0.000 | -0.000 | 0.000 | 0.000 | -12.165 | -0.000 |
| -0.000 | 0.000 | -0.000 | -0.000 | 0.000 | -12.165 |
| 319.561 | -12.190 | -12.190 | -0.000 | 0.000 | -0.000 |
| -12.190 | 319.561 | -12.190 | 0.000 | -0.000 | 0.000 |
| -12.190 | -12.190 | 319.561 | -0.000 | 0.000 | -0.000 |
| 0.000 | 0.000 | -0.000 | -12.165 | -0.000 | -0.000 |
| 0.000 | 0.000 | -0.000 | -0.000 | -12.165 | -0.000 |
| 0.000 | -0.000 | 0.000 | -0.000 | -0.000 | -12.165 |
| 319.559 | -12.190 | -12.190 | 0.000 | 0.000 | -0.000 |
| -12.190 | 319.559 | -12.190 | -0.000 | 0.000 | -0.000 |
| -12.190 | -12.190 | 319.559 | 0.000 | 0.000 | 0.000 |
| -0.000 | -0.000 | 0.000 | -12.165 | 0.000 | 0.000 |
| -0.000 | -0.000 | 0.000 | 0.000 | -12.165 | 0.000 |
| -0.000 | 0.000 | -0.000 | -0.000 | 0.000 | -12.165 |
| 44.536 | 0.000 | 0.000 | -0.000 | -0.000 | -0.000 |
| 0.000 | 44.536 | 0.000 | -0.000 | -0.000 | -0.000 |
| 0.000 | 0.000 | 44.536 | -0.000 | -0.000 | -0.000 |
| -0.000 | -0.000 | -0.000 | -0.000 | -0.000 | -0.000 |
| -0.000 | -0.000 | -0.000 | -0.000 | -0.000 | -0.000 |
| -0.000 | -0.000 | -0.000 | -0.000 | -0.000 | -0.000 |
| 44.537 | 0.000 | 0.000 | 0.000 | -0.000 | -0.000 |
| 0.000 | 44.537 | 0.000 | -0.000 | 0.000 | 0.000 |
| 0.000 | 0.000 | 44.537 | 0.000 | 0.000 | 0.000 |
| 0.000 | -0.000 | 0.000 | -0.000 | 0.000 | 0.000 |
| -0.000 | 0.000 | 0.000 | 0.000 | -0.000 | 0.000 |
| -0.000 | 0.000 | 0.000 | 0.000 | 0.000 | -0.000 |
| 44.535 | 0.000 | 0.000 | -0.000 | -0.000 | -0.000 |
| 0.000 | 44.535 | 0.000 | 0.000 | -0.000 | -0.000 |
| 0.000 | 0.000 | 44.535 | 0.000 | -0.000 | -0.000 |
| -0.000 | -0.000 | -0.000 | 0.000 | 0.000 | -0.000 |
| -0.000 | -0.000 | -0.000 | -0.000 | 0.000 | -0.000 |
| -0.000 | -0.000 | -0.000 | -0.000 | -0.000 | 0.000 |
| 44.538 | 0.000 | 0.000 | -0.000 | -0.000 | -0.000 |
| 0.000 | 44.538 | 0.000 | -0.000 | -0.000 | -0.000 |
| 0.000 | 0.000 | 44.538 | -0.000 | -0.000 | 0.000 |
| 0.000 | 0.000 | 0.000 | 0.000 | 0.000 | 0.000 |
| 0.000 | 0.000 | 0.000 | 0.000 | 0.000 | 0.000 |
| 0.000 | 0.000 | 0.000 | 0.000 | 0.000 | 0.000 |
| 44.523 | 0.000 | 0.000 | -0.000 | -0.000 | 0.000 |
| 0.000 | 44.523 | 0.000 | -0.000 | -0.000 | -0.000 |
| 0.000 | 0.000 | 44.523 | -0.000 | -0.000 | -0.000 |
| -0.000 | 0.000 | -0.000 | 0.000 | 0.000 | -0.000 |
| 0.000 | -0.000 | -0.000 | 0.000 | 0.000 | -0.000 |
| 0.000 | -0.000 | -0.000 | -0.000 | -0.000 | 0.000 |
| 44.550 | 0.000 | 0.000 | 0.000 | 0.000 | -0.000 |
| 0.000 | 44.550 | 0.000 | -0.000 | 0.000 | 0.000 |
| 0.000 | 0.000 | 44.550 | 0.000 | 0.000 | -0.000 |
| 0.000 | 0.000 | 0.000 | 0.000 | 0.000 | 0.000 |
| 0.000 | 0.000 | 0.000 | 0.000 | 0.000 | 0.000 |
| 0.000 | 0.000 | 0.000 | 0.000 | 0.000 | 0.000 |
| 915.405 | 448.695 | 394.134 | -0.000 | 0.000 | -0.000 |
| 448.695 | 915.405 | 394.134 | -0.000 | 0.000 | -0.000 |
| 394.134 | 394.134 | 1624.780 | 0.000 | 0.000 | 0.000 |
| 0.000 | 0.000 | -0.000 | 16.340 | -0.000 | -0.000 |
| 0.000 | 0.000 | -0.000 | 0.000 | 16.340 | -0.000 |
| 0.000 | 0.000 | 0.000 | -0.000 | -0.000 | 233.355 |
| 915.405 | 448.695 | 394.133 | 0.000 | 0.000 | 0.000 |
| 448.695 | 915.405 | 394.133 | 0.000 | 0.000 | 0.000 |
| 394.133 | 394.133 | 1624.780 | -0.000 | -0.000 | 0.000 |
| -0.000 | -0.000 | -0.000 | 16.340 | 0.000 | 0.000 |
| -0.000 | -0.000 | 0.000 | -0.000 | 16.340 | 0.000 |
| -0.000 | -0.000 | -0.000 | 0.000 | -0.000 | 233.355 |
| 915.406 | 448.695 | 394.134 | -0.000 | -0.000 | -0.000 |
| 448.695 | 915.406 | 394.134 | -0.000 | 0.000 | -0.000 |
| 394.134 | 394.134 | 1624.781 | 0.000 | 0.000 | -0.000 |
| 0.000 | 0.000 | -0.000 | 16.340 | -0.000 | -0.000 |
| 0.000 | 0.000 | -0.000 | 0.000 | 16.340 | -0.000 |
| 0.000 | 0.000 | 0.000 | 0.000 | -0.000 | 233.355 |
| 915.404 | 448.695 | 394.133 | 0.000 | 0.000 | 0.000 |
| 448.694 | 915.404 | 394.133 | 0.000 | 0.000 | 0.000 |
| 394.133 | 394.133 | 1624.779 | -0.000 | -0.000 | 0.000 |
| -0.000 | -0.000 | 0.000 | 16.340 | -0.000 | 0.000 |
| -0.000 | -0.000 | 0.000 | 0.000 | 16.340 | 0.000 |
| -0.000 | -0.000 | -0.000 | -0.000 | -0.000 | 233.355 |
| 915.414 | 448.697 | 394.137 | -0.000 | 0.000 | -0.000 |
| 448.699 | 915.413 | 394.137 | -0.000 | 0.000 | -0.000 |
| 394.138 | 394.138 | 1624.788 | -0.000 | 0.000 | 0.000 |
| 0.000 | 0.000 | -0.001 | 16.340 | -0.000 | -0.000 |
| 0.000 | 0.000 | -0.001 | 0.000 | 16.340 | -0.000 |
| 0.000 | 0.002 | 0.000 | -0.000 | 0.000 | 233.355 |
| 915.395 | 448.692 | 394.130 | 0.000 | -0.000 | 0.000 |
| 448.690 | 915.397 | 394.130 | 0.000 | 0.000 | 0.000 |
| 394.129 | 394.129 | 1624.771 | 0.000 | 0.000 | 0.000 |
| -0.000 | -0.000 | 0.001 | 16.340 | -0.000 | 0.000 |
| -0.000 | -0.000 | 0.001 | 0.000 | 16.340 | 0.000 |
| -0.000 | -0.002 | -0.000 | 0.000 | 0.000 | 233.355 |
| 444.924 | 170.634 | 163.621 | -0.000 | 0.000 | 0.000 |
| 170.634 | 444.924 | 163.621 | -0.000 | -0.000 | 0.000 |
| 162.595 | 162.595 | 532.563 | 0.000 | -0.000 | 0.000 |
| 0.000 | 0.000 | -0.000 | 40.865 | 0.000 | 0.000 |
| 0.000 | 0.000 | -0.000 | -0.000 | 40.865 | 0.000 |
| 91.246 | 91.246 | -12.371 | 0.000 | -0.000 | 19.644 |
| 444.923 | 170.634 | 163.621 | 0.000 | -0.000 | -0.000 |
| 170.634 | 444.923 | 163.621 | -0.000 | -0.000 | -0.000 |
| 162.595 | 162.595 | 532.563 | -0.000 | 0.000 | -0.000 |
| -0.000 | -0.000 | 0.000 | 40.865 | -0.000 | -0.000 |
| -0.000 | -0.000 | 0.000 | -0.000 | 40.865 | -0.000 |
| -91.246 | -91.246 | 12.371 | -0.000 | 0.000 | 19.644 |
| 444.924 | 170.634 | 163.621 | -0.000 | 0.000 | 0.000 |
| 170.634 | 444.924 | 163.621 | -0.000 | -0.000 | 0.000 |
| 162.595 | 162.595 | 532.563 | -0.000 | -0.000 | 0.000 |
| -0.000 | 0.000 | -0.000 | 40.865 | -0.000 | 0.000 |
| 0.000 | -0.000 | -0.000 | 0.000 | 40.865 | 0.000 |
| 0.000 | 0.000 | -0.000 | 0.000 | 0.000 | 64.297 |
| 444.923 | 170.633 | 163.621 | -0.000 | -0.000 | -0.000 |
| 170.633 | 444.923 | 163.621 | -0.000 | 0.000 | -0.000 |
| 162.595 | 162.595 | 532.563 | 0.000 | 0.000 | -0.000 |
| 0.000 | -0.000 | 0.000 | 40.865 | 0.000 | -0.000 |
| -0.000 | 0.000 | 0.000 | -0.000 | 40.865 | -0.000 |
| -0.000 | -0.000 | 0.000 | 0.000 | -0.000 | 64.297 |
| 300.932 | 293.528 | 159.363 | 0.000 | 0.000 | 0.000 |
| 293.528 | 300.932 | 159.363 | -0.000 | -0.000 | 0.000 |
| 160.807 | 160.807 | 519.189 | 0.000 | -0.000 | 0.000 |
| -0.000 | 0.001 | -0.000 | 40.865 | 0.000 | 0.000 |
| 0.001 | -0.000 | -0.000 | 0.000 | 40.865 | 0.000 |
| -1.145 | -1.145 | 0.848 | 0.000 | 0.000 | 3.726 |
| 380.839 | 222.613 | 165.236 | -0.000 | 0.000 | -0.000 |
| 222.613 | 380.839 | 165.236 | -0.000 | -0.000 | -0.000 |
| 162.819 | 162.819 | 523.801 | -0.000 | -0.000 | -0.000 |
| 0.000 | -0.001 | 0.000 | 40.865 | 0.000 | -0.000 |
| -0.001 | 0.000 | 0.000 | -0.000 | 40.865 | -0.000 |
| 1.145 | 1.145 | -0.848 | -0.000 | -0.000 | 3.726 |
| 2320136.480 | -40219060.597 | -19888097.540 | -13812676.841 | 325027.137 | -18817195.870 |
| 2309465.071 | -40249985.531 | -19900128.916 | -13822170.471 | 334670.110 | -18835458.447 |
| 2311904.846 | -40241252.066 | -19896288.908 | -13820046.822 | 331884.855 | -18831256.502 |
| 2310631.155 | -40247270.556 | -19899307.946 | -13821239.680 | 333739.146 | -18833632.600 |
| 2315273.808 | -40233180.479 | -19894227.069 | -13816692.736 | 329817.315 | -18824756.348 |
| 2311513.912 | -40240205.818 | -19895192.284 | -13820302.926 | 331215.443 | -18831783.980 |
| -2311194.999 | 40239925.869 | 19894087.060 | 13820916.845 | -330292.826 | 18832955.521 |
| -2311057.846 | 40245811.419 | 19899366.538 | 13820631.039 | -333518.800 | 18832140.530 |
| -2312298.859 | 40238624.569 | 19894986.208 | 13819580.962 | -330808.966 | 18830471.593 |
| -2313429.586 | 40237486.560 | 19895472.034 | 13818575.951 | -331149.257 | 18828364.752 |
| -2313290.605 | 40235498.184 | 19893711.631 | 13818767.057 | -329975.633 | 18828795.714 |
| -2310133.652 | 40255560.769 | 19906061.333 | 13821487.041 | -337984.048 | 18833482.157 |
| 231639.620 | -4025567.878 | -1991030.226 | -1381770.841 | 33979.691 | -1882556.662 |
| 230378.951 | -4025857.178 | -1989573.987 | -1382973.495 | 33449.612 | -1885098.010 |
| 231552.323 | -4023295.232 | -1989165.991 | -1381795.964 | 32962.211 | -1882715.520 |
| 230976.342 | -4024678.107 | -1989822.932 | -1382116.195 | 33304.110 | -1883459.888 |
| 231741.596 | -4022695.415 | -1989156.254 | -1381475.466 | 32759.951 | -1882102.631 |
| 230477.748 | -4025282.149 | -1989319.646 | -1382737.267 | 33031.630 | -1884606.681 |
| -230847.530 | 4024275.458 | 1989766.566 | 1382077.816 | -33224.329 | 1883260.302 |
| -232410.127 | 4021712.872 | 1989572.553 | 1380595.741 | -32679.932 | 1880402.416 |
| -230697.714 | 4025191.481 | 1990017.569 | 1382383.610 | -33348.013 | 1883868.008 |
| -232011.523 | 4021490.924 | 1988435.242 | 1381377.440 | -32257.007 | 1881781.694 |
| -231693.747 | 4022789.345 | 1989253.574 | 1381549.585 | -32865.684 | 1882252.499 |
| -232288.988 | 4021332.564 | 1988865.933 | 1381038.157 | -32490.313 | 1881256.232 |
| 23661.646 | -401781.320 | -198697.563 | -137896.091 | 3122.066 | -187789.414 |
| 22294.876 | -404688.891 | -199277.525 | -138977.834 | 3649.725 | -190144.555 |
| 23483.977 | -401832.021 | -198741.335 | -137943.576 | 3248.815 | -187834.169 |
| 22983.803 | -402910.678 | -199190.917 | -138255.779 | 3458.190 | -188527.409 |
| 22881.545 | -402888.461 | -198938.996 | -138433.545 | 3325.233 | -188777.640 |
| 22380.321 | -404082.325 | -199095.865 | -138803.837 | 3421.595 | -189676.116 |
| -22651.260 | 403006.049 | 199221.881 | 138400.310 | -3454.928 | 188707.662 |
| -24127.079 | 401351.299 | 199264.565 | 136779.330 | -2561.310 | 186516.890 |
| -22768.597 | 403094.863 | 199249.574 | 138418.357 | -3399.839 | 188778.463 |
| -23237.316 | 402147.530 | 198899.643 | 138156.573 | -3266.667 | 188108.173 |
| -23397.796 | 401902.667 | 198958.416 | 137912.989 | -3252.454 | 187803.750 |
| -23967.577 | 401400.779 | 199207.330 | 137261.174 | -3081.846 | 186931.504 |
| 227.572 | 106.996 | 137.266 | -0.000 | -0.000 | -0.000 |
| 108.011 | 156.399 | 148.941 | -0.000 | -0.000 | 0.000 |
| 137.853 | 148.518 | 441.609 | -0.000 | -0.000 | -0.000 |
| -0.000 | 0.000 | 0.000 | 83.672 | -0.000 | 0.000 |
| 0.000 | 0.000 | 0.000 | -0.000 | 73.882 | 0.000 |
| -0.000 | 0.000 | 0.000 | -0.000 | -0.000 | -5.551 |
| 245.505 | 89.691 | 136.582 | 0.000 | 0.000 | -0.000 |
| 108.011 | 156.399 | 148.941 | 0.000 | 0.000 | -0.000 |
| 137.853 | 148.518 | 441.609 | 0.000 | 0.000 | -0.000 |
| 0.000 | -0.000 | -0.000 | 83.672 | -0.000 | 0.000 |
| -0.000 | -0.000 | -0.000 | 0.000 | 73.882 | 0.000 |
| 0.000 | -0.000 | -0.000 | 0.000 | -0.000 | -5.551 |
| 227.573 | 106.996 | 137.266 | -0.000 | 0.000 | -0.000 |
| 108.011 | 156.399 | 148.941 | -0.000 | -0.000 | 0.000 |
| 137.855 | 148.515 | 441.610 | -0.000 | -0.000 | 0.000 |
| 0.000 | -0.000 | 0.000 | 83.672 | -0.000 | -0.000 |
| 0.000 | 0.000 | 0.000 | -0.000 | 73.882 | 0.000 |
| 0.000 | 0.000 | 0.000 | -0.000 | 0.000 | -5.552 |
| 227.572 | 106.996 | 137.265 | 0.000 | 0.000 | 0.000 |
| 108.011 | 156.399 | 148.941 | 0.000 | -0.000 | 0.000 |
| 137.855 | 148.515 | 441.609 | 0.000 | -0.000 | -0.000 |
| -0.000 | 0.000 | -0.000 | 83.672 | -0.000 | 0.000 |
| -0.000 | -0.000 | -0.000 | 0.000 | 73.882 | -0.000 |
| -0.000 | -0.000 | -0.000 | 0.000 | 0.000 | -5.552 |
| 227.577 | 106.996 | 137.266 | -0.000 | 0.000 | -0.000 |
| 108.011 | 156.399 | 148.941 | -0.000 | -0.000 | 0.000 |
| 137.856 | 148.516 | 441.612 | -0.000 | 0.000 | 0.000 |
| 0.000 | -0.000 | 0.001 | 83.672 | -0.000 | -0.000 |
| 0.000 | 0.000 | 0.001 | -0.000 | 73.882 | -0.000 |
| 0.001 | 0.001 | 0.000 | -0.000 | -0.000 | -5.552 |
| 245.501 | 89.691 | 136.582 | 0.000 | 0.000 | 0.000 |
| 108.011 | 156.400 | 148.941 | 0.000 | -0.000 | 0.000 |
| 137.855 | 148.514 | 441.607 | 0.000 | 0.000 | -0.000 |
| -0.000 | 0.000 | -0.001 | 83.672 | 0.000 | 0.000 |
| -0.000 | -0.000 | -0.001 | 0.000 | 73.882 | -0.000 |
| -0.001 | -0.001 | -0.000 | 0.000 | 0.000 | -5.552 |
| 126.954 | 128.227 | 145.889 | 0.000 | -0.000 | 0.000 |
| 128.227 | 241.300 | 146.123 | 0.000 | -0.000 | 0.000 |
| 145.889 | 146.123 | 442.107 | 0.000 | -0.000 | 0.000 |
| 0.000 | 0.000 | 0.000 | 80.039 | -0.000 | 0.000 |
| -0.000 | 0.000 | 0.000 | 0.000 | 83.855 | 0.000 |
| -0.000 | 0.000 | 0.000 | 0.000 | 0.000 | 23.531 |
| 126.954 | 128.227 | 145.889 | -0.000 | 0.000 | -0.000 |
| 128.227 | 241.300 | 146.123 | -0.000 | 0.000 | -0.000 |
| 145.889 | 146.123 | 442.107 | -0.000 | 0.000 | 0.000 |
| -0.000 | -0.000 | -0.000 | 80.039 | 0.000 | 0.000 |
| 0.000 | -0.000 | -0.000 | -0.000 | 83.855 | -0.000 |
| 0.000 | -0.000 | 0.000 | -0.000 | 0.000 | 23.531 |
| 126.954 | 128.227 | 145.889 | 0.000 | 0.000 | 0.000 |
| 120.808 | 242.902 | 144.976 | -0.000 | -0.000 | 0.000 |
| 151.204 | 144.976 | 442.929 | -0.000 | -0.000 | 0.000 |
| -0.000 | 0.000 | 0.000 | 80.039 | -0.000 | 0.000 |
| -0.000 | -0.000 | 0.000 | 0.000 | 83.855 | 0.000 |
| -0.000 | 0.000 | -0.000 | 0.000 | -0.000 | 23.531 |
| 126.954 | 128.227 | 145.889 | -0.000 | 0.000 | -0.000 |
| 128.227 | 241.300 | 146.123 | -0.000 | 0.000 | -0.000 |
| 145.889 | 146.123 | 442.107 | -0.000 | 0.000 | 0.000 |
| 0.000 | -0.000 | -0.000 | 80.039 | 0.000 | 0.000 |
| 0.000 | 0.000 | -0.000 | -0.000 | 83.855 | 0.000 |
| 0.000 | -0.000 | 0.000 | -0.000 | 0.000 | 23.531 |
| 126.952 | 128.226 | 145.888 | 0.000 | -0.000 | 0.000 |
| 128.226 | 241.305 | 146.123 | 0.000 | -0.000 | 0.000 |
| 145.889 | 146.123 | 442.109 | 0.000 | -0.000 | 0.000 |
| -0.000 | 0.000 | 0.001 | 80.065 | -0.000 | -0.000 |
| -0.000 | -0.000 | 0.001 | 0.000 | 83.855 | 0.000 |
| -0.001 | 0.000 | -0.000 | 0.000 | 0.000 | 23.531 |
| 126.956 | 128.227 | 145.889 | -0.000 | 0.000 | -0.000 |
| 128.227 | 241.296 | 146.122 | -0.000 | 0.000 | -0.000 |
| 145.888 | 146.122 | 442.104 | -0.000 | 0.000 | -0.000 |
| 0.000 | -0.000 | -0.001 | 80.065 | 0.000 | -0.000 |
| 0.000 | 0.000 | -0.001 | -0.000 | 83.855 | -0.000 |
| 0.001 | -0.000 | 0.000 | -0.000 | 0.000 | 23.531 |
| 266.187 | 152.781 | 152.781 | -0.001 | -0.000 | -0.000 |
| 152.781 | 266.187 | 152.781 | -0.001 | -0.000 | -0.000 |
| 152.781 | 152.781 | 266.187 | -0.001 | -0.000 | -0.000 |
| 125.915 | 125.915 | 125.915 | 24.737 | -0.000 | -0.000 |
| 125.915 | 125.915 | 125.915 | -0.000 | 24.737 | -0.000 |
| 125.915 | 125.915 | 125.915 | -0.000 | -0.000 | 24.737 |
| 215.738 | 51.096 | 51.096 | 0.000 | 0.000 | 0.000 |
| 51.096 | 215.738 | 51.096 | 0.000 | 0.000 | 0.000 |
| 51.096 | 51.096 | 215.738 | 0.000 | 0.000 | 0.000 |
| -125.915 | -125.915 | -125.915 | 24.738 | 0.000 | 0.000 |
| -125.915 | -125.915 | -125.915 | 0.000 | 24.738 | 0.000 |
| -125.915 | -125.915 | -125.915 | 0.000 | 0.000 | 24.738 |
| 290.840 | 181.892 | 181.892 | -0.000 | -0.000 | -0.000 |
| 181.892 | 290.840 | 181.892 | -0.000 | -0.000 | -0.000 |
| 181.892 | 181.892 | 290.840 | -0.000 | -0.000 | -0.000 |
| 12.612 | 12.612 | 12.612 | 24.711 | -0.000 | -0.000 |
| 12.612 | 12.612 | 12.612 | -0.000 | 24.711 | -0.000 |
| 12.612 | 12.612 | 12.612 | -0.000 | -0.000 | 24.711 |
| 328.990 | 164.388 | 164.388 | 0.000 | 0.000 | 0.000 |
| 164.388 | 328.990 | 164.388 | 0.000 | 0.000 | 0.000 |
| 164.388 | 164.388 | 328.990 | 0.000 | 0.000 | 0.000 |
| -12.612 | -12.612 | -12.612 | 24.711 | 0.000 | 0.000 |
| -12.612 | -12.612 | -12.612 | 0.000 | 24.711 | 0.000 |
| -12.612 | -12.612 | -12.612 | 0.000 | 0.000 | 24.711 |
| 361.222 | 170.492 | 170.492 | -0.000 | 0.000 | -0.000 |
| 170.492 | 361.222 | 170.492 | -0.000 | -0.000 | -0.000 |
| 170.492 | 170.492 | 361.222 | -0.000 | 0.000 | -0.000 |
| 1.400 | 1.400 | 1.400 | 22.923 | -0.000 | -0.000 |
| 1.400 | 1.400 | 1.400 | -0.000 | 22.923 | -0.000 |
| 1.400 | 1.400 | 1.400 | -0.000 | -0.000 | 22.923 |
| 336.562 | 176.684 | 176.684 | 0.000 | 0.000 | 0.000 |
| 176.684 | 336.562 | 176.684 | 0.000 | 0.000 | 0.000 |
| 176.684 | 176.684 | 336.562 | 0.000 | 0.000 | 0.000 |
| -1.400 | -1.400 | -1.400 | 22.923 | 0.000 | 0.000 |
| -1.400 | -1.400 | -1.400 | 0.000 | 22.923 | 0.000 |
| -1.400 | -1.400 | -1.400 | 0.000 | 0.000 | 22.923 |
| 244.889 | 179.702 | 179.702 | 0.000 | -0.000 | 0.000 |
| 179.703 | 244.888 | 179.702 | 0.000 | -0.000 | 0.000 |
| 179.703 | 179.702 | 244.889 | 0.000 | -0.000 | 0.000 |
| 4.747 | 4.747 | 4.747 | 48.413 | -0.000 | 0.000 |
| 4.747 | 4.747 | 4.747 | 0.000 | 48.413 | 0.000 |
| 4.747 | 4.747 | 4.747 | 0.000 | -0.000 | 48.414 |
| 241.652 | 179.312 | 179.311 | -0.000 | 0.000 | -0.000 |
| 179.311 | 241.652 | 179.311 | -0.000 | 0.000 | -0.000 |
| 179.311 | 179.312 | 241.652 | -0.000 | 0.000 | -0.000 |
| -4.747 | -4.747 | -4.747 | 48.413 | 0.000 | -0.000 |
| -4.747 | -4.747 | -4.747 | -0.000 | 48.414 | -0.000 |
| -4.747 | -4.747 | -4.747 | -0.000 | 0.000 | 48.413 |
| 259.166 | 178.195 | 178.195 | -0.000 | 0.000 | -0.000 |
| 178.195 | 259.166 | 178.195 | 0.000 | 0.000 | -0.000 |
| 178.195 | 178.195 | 259.166 | -0.000 | 0.000 | 0.000 |
| 0.000 | 0.000 | 0.000 | 92.133 | 0.000 | -0.000 |
| 0.000 | 0.000 | 0.000 | 0.000 | 92.133 | -0.000 |
| 0.000 | 0.000 | 0.000 | 0.000 | 0.000 | 92.133 |
| 259.165 | 178.195 | 178.195 | -0.000 | -0.000 | 0.000 |
| 178.195 | 259.165 | 178.195 | -0.000 | -0.000 | 0.000 |
| 178.195 | 178.195 | 259.165 | 0.000 | -0.000 | 0.000 |
| -0.000 | -0.000 | -0.000 | 92.133 | 0.000 | 0.000 |
| -0.000 | -0.000 | -0.000 | 0.000 | 92.133 | 0.000 |
| -0.000 | -0.000 | -0.000 | -0.000 | -0.000 | 92.133 |
| 259.169 | 178.196 | 178.196 | -0.000 | 0.000 | 0.000 |
| 178.196 | 259.169 | 178.196 | 0.000 | 0.000 | -0.000 |
| 178.196 | 178.196 | 259.169 | 0.000 | 0.000 | -0.000 |
| 0.000 | 0.000 | 0.001 | 92.133 | 0.000 | 0.000 |
| 0.000 | 0.000 | 0.001 | 0.000 | 92.133 | -0.000 |
| 0.000 | 0.001 | 0.000 | -0.000 | 0.000 | 92.133 |
| 259.163 | 178.194 | 178.194 | 0.000 | -0.000 | 0.000 |
| 178.194 | 259.163 | 178.194 | -0.000 | -0.000 | 0.000 |
| 178.194 | 178.194 | 259.163 | 0.000 | -0.000 | 0.000 |
| -0.000 | -0.000 | -0.001 | 92.133 | 0.000 | 0.000 |
| -0.000 | -0.000 | -0.001 | 0.000 | 92.133 | 0.000 |
| -0.000 | -0.001 | -0.000 | -0.000 | -0.000 | 92.133 |
| 524.611 | 424.273 | 424.054 | 0.058 | 0.012 | -0.236 |
| 424.277 | 524.618 | 424.050 | 0.058 | 0.012 | -0.236 |
| 424.166 | 424.158 | 524.827 | 0.059 | 0.013 | -0.240 |
| 0.000 | 0.000 | 0.000 | 85.947 | 0.000 | -0.000 |
| 0.000 | 0.000 | 0.000 | 0.000 | 85.947 | -0.000 |
| 0.000 | 0.000 | 0.000 | -0.000 | 0.000 | 85.947 |
| -18.282 | -22.570 | -22.936 | 0.103 | 0.015 | -0.420 |
| -22.549 | -18.286 | -22.929 | 0.103 | 0.015 | -0.420 |
| -22.359 | -22.372 | -18.397 | 0.103 | 0.015 | -0.420 |
| -0.000 | -0.000 | -0.000 | 85.947 | 0.000 | 0.000 |
| -0.000 | -0.000 | -0.000 | 0.000 | 85.947 | 0.000 |
| -0.000 | -0.000 | -0.000 | -0.000 | -0.000 | 85.947 |
| 240.409 | 170.542 | 170.542 | -0.000 | 0.000 | -0.000 |
| 170.542 | 240.409 | 170.542 | 0.000 | 0.000 | -0.000 |
| 170.542 | 170.542 | 240.409 | 0.000 | -0.000 | -0.000 |
| 0.000 | 0.000 | 0.000 | 85.947 | -0.000 | -0.000 |
| 0.000 | 0.000 | 0.000 | -0.000 | 85.947 | -0.000 |
| 0.000 | 0.000 | 0.000 | 0.000 | -0.000 | 85.947 |
| 207.608 | 164.633 | 164.618 | 0.004 | 0.001 | -0.017 |
| 164.633 | 207.608 | 164.618 | 0.004 | 0.001 | -0.017 |
| 164.637 | 164.637 | 207.614 | 0.004 | 0.001 | -0.017 |
| -0.000 | -0.000 | -0.000 | 85.947 | -0.000 | 0.000 |
| -0.000 | -0.000 | -0.000 | -0.000 | 85.947 | 0.000 |
| -0.000 | -0.000 | -0.000 | 0.000 | -0.000 | 85.947 |
| 216.362 | 162.056 | 162.057 | -0.000 | -0.000 | 0.001 |
| 162.056 | 216.362 | 162.057 | -0.000 | -0.000 | 0.001 |
| 162.056 | 162.056 | 216.363 | -0.000 | -0.000 | 0.001 |
| 0.000 | 0.000 | 0.000 | 85.947 | 0.000 | -0.000 |
| 0.000 | 0.000 | 0.000 | 0.000 | 85.947 | -0.000 |
| 0.000 | 0.000 | 0.000 | 0.000 | -0.000 | 85.947 |
| 240.407 | 170.542 | 170.542 | 0.000 | 0.000 | 0.000 |
| 170.542 | 240.407 | 170.542 | 0.000 | 0.000 | 0.000 |
| 170.542 | 170.542 | 240.407 | -0.000 | -0.000 | 0.000 |
| -0.000 | -0.000 | -0.000 | 85.947 | 0.000 | 0.000 |
| -0.000 | -0.000 | -0.000 | 0.000 | 85.947 | 0.000 |
| -0.000 | -0.000 | -0.000 | 0.000 | -0.000 | 85.947 |
| 401.875 | 367.977 | 295.396 | -0.000 | 0.000 | -0.000 |
| 362.615 | 806.783 | 236.464 | -0.000 | 0.000 | -0.000 |
| 297.612 | 231.945 | 1045.079 | -0.000 | 0.000 | -0.000 |
| -0.022 | 0.017 | 0.017 | -143.546 | 0.000 | -0.000 |
| 0.000 | 0.000 | 0.000 | -0.000 | 115.315 | -0.000 |
| 0.000 | 0.000 | -0.000 | 0.000 | 0.000 | 210.536 |
| 401.875 | 367.977 | 295.396 | 0.000 | 0.000 | 0.000 |
| 369.447 | 801.541 | 231.200 | 0.000 | -0.000 | 0.000 |
| 290.752 | 237.209 | 1050.364 | 0.000 | -0.000 | 0.000 |
| 0.022 | -0.017 | -0.017 | -143.546 | -0.000 | 0.000 |
| -0.000 | -0.000 | -0.000 | 0.000 | 115.315 | 0.000 |
| -0.000 | -0.000 | 0.000 | -0.000 | -0.000 | 210.536 |
| 401.876 | 367.977 | 295.397 | -0.000 | 0.000 | -0.000 |
| 362.616 | 806.784 | 236.464 | -0.000 | 0.000 | -0.000 |
| 297.612 | 231.946 | 1045.080 | 0.000 | 0.000 | -0.000 |
| 0.000 | 0.000 | -0.000 | -50.625 | 0.000 | -0.000 |
| 0.000 | 0.000 | 0.000 | -0.000 | 115.315 | -0.000 |
| 0.000 | 0.000 | 0.000 | -0.000 | 0.000 | 210.536 |
| 401.875 | 367.977 | 295.396 | 0.000 | -0.000 | 0.000 |
| 362.615 | 806.783 | 236.463 | 0.000 | -0.000 | 0.000 |
| 290.752 | 237.209 | 1050.363 | -0.000 | -0.000 | 0.000 |
| -0.000 | -0.000 | 0.000 | -50.625 | -0.000 | 0.000 |
| -0.000 | -0.000 | -0.000 | 0.000 | 115.315 | 0.000 |
| -0.000 | -0.000 | -0.000 | 0.000 | -0.000 | 210.536 |
| 410.783 | 361.147 | 288.539 | -0.000 | -0.000 | -0.000 |
| 369.451 | 801.548 | 231.201 | -0.000 | -0.000 | -0.000 |
| 297.616 | 231.948 | 1045.089 | -0.000 | 0.000 | -0.000 |
| -3007008.360 | 6478395.952 | -22150317.659 | 6952566.876 | 0.000 | -0.000 |
| 0.001 | 0.000 | 0.002 | -0.000 | 115.315 | -0.000 |
| 0.000 | 0.002 | 0.000 | -0.000 | 0.000 | 210.536 |
| 401.870 | 367.975 | 295.394 | 0.000 | 0.000 | 0.000 |
| 369.443 | 801.533 | 231.198 | -0.000 | 0.000 | 0.000 |
| 290.748 | 237.207 | 1050.354 | 0.000 | 0.000 | 0.000 |
| 3007008.360 | -6478395.952 | 22150317.659 | 6952566.876 | -0.000 | 0.000 |
| -0.001 | -0.000 | -0.002 | 0.000 | 115.315 | 0.000 |
| -0.000 | -0.002 | -0.000 | 0.000 | -0.000 | 210.536 |
| 364.738 | 377.315 | 298.564 | -0.000 | -0.000 | -0.000 |
| 377.635 | 807.619 | 234.443 | -0.000 | -0.000 | 0.000 |
| 291.146 | 239.510 | 1060.933 | -0.000 | -0.000 | 0.000 |
| 0.000 | -0.000 | 0.000 | 19.816 | -0.000 | 0.000 |
| 1.233 | -0.806 | -0.827 | 0.000 | 6.505 | 0.000 |
| 0.194 | -0.127 | -0.130 | -0.000 | -0.000 | 217.545 |
| 364.350 | 377.568 | 298.824 | -0.000 | 0.000 | 0.000 |
| 370.086 | 812.556 | 239.510 | -0.000 | -0.000 | -0.000 |
| 291.146 | 239.510 | 1060.933 | 0.000 | 0.000 | -0.000 |
| -0.000 | -0.000 | -0.000 | 19.816 | 0.000 | 0.000 |
| -1.233 | 0.806 | 0.827 | 0.000 | 6.505 | -0.000 |
| -0.194 | 0.127 | 0.130 | 0.000 | 0.000 | 217.545 |
| 364.564 | 377.429 | 298.681 | -0.000 | -0.000 | 0.000 |
| 377.461 | 807.734 | 234.561 | -0.000 | -0.000 | -0.000 |
| 298.713 | 234.561 | 1055.856 | 0.000 | -0.000 | -0.000 |
| 0.000 | 0.000 | 0.000 | 19.816 | -0.000 | 0.000 |
| 0.000 | 0.000 | 0.000 | -0.000 | 115.187 | 0.000 |
| 0.000 | 0.000 | 0.000 | 0.000 | -0.000 | 217.545 |
| 364.524 | 377.454 | 298.707 | 0.000 | 0.000 | 0.000 |
| 377.422 | 807.758 | 234.586 | -0.000 | 0.000 | 0.000 |
| 291.146 | 239.509 | 1060.932 | 0.000 | 0.000 | -0.000 |
| -0.000 | -0.000 | -0.000 | 19.816 | 0.000 | -0.000 |
| -0.000 | -0.000 | -0.000 | 0.000 | 115.187 | -0.000 |
| -0.000 | -0.000 | -0.000 | -0.000 | 0.000 | 217.545 |
| 375.793 | 370.088 | 291.149 | -0.000 | -0.000 | 0.000 |
| 377.447 | 807.751 | 234.574 | 0.000 | -0.000 | 0.000 |
| 298.700 | 234.575 | 1055.877 | -0.000 | -0.000 | -0.000 |
| 0.000 | 0.001 | 0.001 | 19.816 | -0.000 | -0.000 |
| 0.013 | -0.007 | -0.007 | 0.000 | 6.391 | -0.000 |
| 0.000 | 0.002 | 0.000 | -0.000 | -0.000 | 217.545 |
| 364.538 | 377.441 | 298.693 | -0.000 | -0.000 | 0.000 |
| 377.436 | 807.740 | 234.573 | 0.000 | -0.000 | 0.000 |
| 298.688 | 234.572 | 1055.858 | 0.000 | -0.000 | 0.000 |
| -0.000 | -0.001 | -0.001 | 19.816 | 0.000 | 0.000 |
| -0.013 | 0.007 | 0.007 | -0.000 | 6.391 | -0.000 |
| -0.000 | -0.002 | -0.000 | 0.000 | 0.000 | 217.545 |
| 355.427 | 113.991 | 137.078 | -0.000 | 0.000 | 0.000 |
| 112.040 | 192.518 | 146.090 | -0.000 | 0.000 | 0.000 |
| 141.243 | 149.529 | 392.140 | 0.000 | -0.000 | -0.000 |
| 0.000 | 0.000 | 0.000 | 77.056 | 0.000 | -0.000 |
| -2.424 | 3.629 | 0.435 | -0.000 | 70.068 | -0.000 |
| -2.995 | 4.484 | 0.538 | -0.000 | 0.000 | 6.422 |
| 360.274 | 106.733 | 136.207 | 0.000 | -0.000 | -0.000 |
| 116.888 | 185.260 | 145.219 | 0.000 | -0.000 | -0.000 |
| 145.018 | 143.876 | 391.461 | 0.000 | 0.000 | 0.000 |
| 0.000 | -0.000 | -0.000 | 77.056 | -0.000 | -0.000 |
| 2.424 | -3.629 | -0.435 | 0.000 | 70.068 | 0.000 |
| 2.995 | -4.484 | -0.538 | 0.000 | -0.000 | 6.422 |
| 357.609 | 110.725 | 136.686 | -0.000 | 0.000 | 0.000 |
| 114.222 | 189.252 | 145.698 | -0.000 | 0.000 | 0.000 |
| 142.352 | 147.868 | 391.941 | -0.000 | 0.000 | 0.000 |
| 0.000 | -0.000 | 0.000 | 77.056 | 0.000 | 0.000 |
| -0.242 | 0.363 | 0.044 | -0.000 | 70.068 | 0.000 |
| -0.304 | 0.455 | 0.055 | -0.000 | 0.000 | 6.194 |
| 365.373 | 99.096 | 135.291 | 0.000 | -0.000 | -0.000 |
| 103.198 | 205.757 | 147.679 | 0.000 | -0.000 | -0.000 |
| 141.243 | 149.528 | 392.139 | 0.000 | 0.000 | 0.000 |
| -0.000 | 0.000 | -0.000 | 77.056 | -0.000 | 0.000 |
| 0.242 | -0.363 | -0.044 | 0.000 | 70.068 | -0.000 |
| 0.304 | -0.455 | -0.055 | 0.000 | -0.000 | 6.194 |
| 357.838 | 110.398 | 136.648 | -0.000 | 0.000 | 0.000 |
| 114.440 | 188.924 | 145.659 | -0.000 | 0.000 | 0.000 |
| 142.571 | 147.542 | 391.904 | -0.000 | 0.000 | 0.000 |
| -0.005 | 0.008 | 0.002 | 77.042 | 0.000 | 0.000 |
| -0.024 | 0.036 | 0.005 | -0.000 | 70.068 | 0.000 |
| -0.029 | 0.046 | 0.006 | -0.000 | 0.000 | 6.191 |
| 357.863 | 110.325 | 136.637 | -0.000 | -0.000 | -0.000 |
| 114.488 | 188.854 | 145.650 | 0.000 | -0.000 | -0.000 |
| 142.618 | 147.468 | 391.890 | 0.000 | -0.000 | -0.000 |
| 0.005 | -0.008 | -0.002 | 77.042 | -0.000 | 0.000 |
| 0.024 | -0.036 | -0.005 | 0.000 | 70.068 | -0.000 |
| 0.029 | -0.046 | -0.006 | 0.000 | -0.000 | 6.191 |
| 172.500 | 102.433 | 119.785 | 12.467 | -0.000 | 0.000 |
| 132.920 | 144.789 | 125.148 | -22.033 | 0.000 | 0.000 |
| 119.076 | 119.076 | 372.242 | -0.000 | -0.000 | 0.000 |
| 12.467 | -12.467 | 0.000 | 53.521 | -0.000 | 0.000 |
| 0.000 | 0.000 | 0.000 | -0.000 | 53.521 | 12.467 |
| 3.256 | 3.256 | 12.584 | -0.000 | 14.608 | 28.522 |
| 163.220 | 104.249 | 105.360 | 14.291 | 0.000 | -0.000 |
| 102.433 | 172.500 | 119.785 | -12.467 | 0.000 | -0.000 |
| 119.785 | 119.785 | 374.983 | 0.000 | 0.000 | -0.000 |
| 19.913 | -24.152 | -8.192 | 50.377 | 0.000 | -0.000 |
| -0.000 | -0.000 | -0.000 | 0.000 | 53.522 | 12.467 |
| -3.256 | -3.256 | -12.584 | -0.000 | 14.608 | 28.522 |
| 172.501 | 102.433 | 119.785 | 12.467 | -0.000 | 0.000 |
| 131.012 | 142.882 | 117.775 | -22.033 | -0.000 | 0.000 |
| 117.168 | 117.168 | 364.869 | -0.000 | -0.000 | 0.000 |
| 18.977 | -17.258 | 3.322 | 51.664 | -0.000 | 0.000 |
| 0.000 | 0.000 | 0.000 | 0.000 | 53.521 | 12.467 |
| 1.343 | 1.343 | 5.189 | -0.000 | 21.294 | 8.182 |
| 172.500 | 102.433 | 119.785 | 12.467 | 0.000 | -0.000 |
| 130.588 | 142.457 | 116.137 | -22.033 | 0.000 | -0.000 |
| 119.785 | 119.785 | 374.983 | 0.000 | 0.000 | -0.000 |
| 21.821 | -22.245 | -0.819 | 50.377 | 0.000 | -0.000 |
| -0.000 | -0.000 | -0.000 | -0.000 | 53.521 | 12.467 |
| -1.343 | -1.343 | -5.189 | 0.000 | 21.294 | 8.182 |
| 153.845 | 115.733 | 109.431 | 17.720 | -0.000 | 0.000 |
| 115.734 | 153.845 | 109.431 | -17.720 | -0.000 | 0.000 |
| 116.978 | 116.978 | 364.134 | -0.000 | -0.000 | 0.000 |
| 22.103 | -21.814 | 0.559 | 50.401 | -0.000 | 0.000 |
| 0.145 | 0.145 | 0.559 | 0.000 | 50.401 | 21.958 |
| 0.022 | 0.022 | 0.082 | -0.000 | 22.033 | 5.935 |
| 172.498 | 102.433 | 119.785 | 12.467 | 0.000 | -0.000 |
| 114.985 | 154.521 | 109.303 | -17.486 | 0.000 | -0.000 |
| 119.784 | 119.784 | 374.981 | -0.000 | 0.000 | -0.000 |
| 21.814 | -22.103 | -0.559 | 50.402 | 0.000 | -0.000 |
| -0.145 | -0.145 | -0.559 | -0.000 | 50.401 | 21.958 |
| -0.022 | -0.022 | -0.082 | 0.000 | 22.033 | 5.935 |
| 153.983 | 115.557 | 110.367 | 17.575 | -0.000 | -0.000 |
| 130.717 | 142.691 | 117.922 | -21.847 | 0.000 | -0.000 |
| 120.546 | 120.546 | 377.143 | -0.000 | -0.000 | 0.000 |
| 21.847 | -21.847 | 0.000 | 51.229 | 0.000 | 0.000 |
| 0.000 | 0.000 | 0.000 | 0.000 | 51.229 | 21.847 |
| 0.000 | 0.000 | 0.000 | -0.000 | 12.476 | 35.000 |
| 172.415 | 102.415 | 120.698 | 12.476 | -0.000 | 0.000 |
| 115.556 | 153.983 | 110.367 | -17.575 | 0.000 | 0.000 |
| 117.769 | 117.769 | 366.297 | 0.000 | -0.000 | 0.000 |
| 21.847 | -21.847 | -0.000 | 51.229 | 0.000 | 0.000 |
| -0.000 | -0.000 | -0.000 | -0.000 | 51.229 | 21.847 |
| -0.000 | -0.000 | -0.000 | 0.000 | 12.476 | 35.000 |
| 172.415 | 102.415 | 120.698 | 12.476 | 0.000 | -0.000 |
| 102.415 | 172.415 | 120.698 | -12.476 | -0.000 | -0.000 |
| 117.770 | 117.770 | 366.298 | -0.000 | -0.000 | -0.000 |
| 12.476 | -12.476 | 0.000 | 54.256 | -0.000 | -0.000 |
| 0.000 | 0.000 | 0.000 | 0.000 | 51.229 | 21.847 |
| 0.000 | 0.000 | 0.000 | -0.000 | 21.847 | 5.987 |
| 172.414 | 102.415 | 120.698 | 12.476 | 0.000 | 0.000 |
| 102.415 | 172.414 | 120.698 | -12.476 | -0.000 | 0.000 |
| 120.546 | 120.546 | 377.143 | 0.000 | -0.000 | -0.000 |
| 12.476 | -12.476 | -0.000 | 54.256 | 0.000 | -0.000 |
| -0.000 | -0.000 | -0.000 | -0.000 | 51.229 | 21.847 |
| -0.000 | -0.000 | -0.000 | 0.000 | 21.847 | 5.987 |
| 172.417 | 102.415 | 120.699 | 12.476 | 0.000 | 0.000 |
| 102.415 | 172.417 | 120.699 | -12.476 | 0.000 | 0.000 |
| 120.547 | 120.547 | 377.146 | -0.000 | -0.000 | -0.000 |
| 21.847 | -21.847 | 0.001 | 51.229 | 0.000 | 0.000 |
| 0.000 | 0.000 | 0.001 | 0.000 | 51.229 | 21.847 |
| 0.001 | 0.001 | 0.000 | -0.000 | 21.847 | 5.987 |
| 142.687 | 130.717 | 117.921 | 21.847 | -0.000 | 0.000 |
| 102.414 | 172.413 | 120.698 | -12.476 | -0.000 | 0.000 |
| 117.769 | 117.769 | 366.294 | 0.000 | -0.000 | 0.000 |
| 21.847 | -21.848 | -0.001 | 51.229 | -0.000 | 0.000 |
| -0.000 | -0.000 | -0.001 | -0.000 | 51.229 | 21.847 |
| -0.001 | -0.001 | -0.000 | 0.000 | 21.847 | 5.987 |
| -61.641 | -122.005 | -937.068 | 0.000 | -0.000 | 0.000 |
| -122.005 | -61.641 | -937.068 | 0.000 | 0.000 | 0.000 |
| -79.231 | -79.231 | 96.443 | -0.000 | 0.000 | 0.000 |
| -389.268 | -389.268 | -1094.935 | 24.756 | -0.000 | 0.000 |
| -389.268 | -389.268 | -1094.935 | 0.000 | 24.756 | 0.000 |
| -0.000 | 0.000 | -0.000 | -0.000 | 0.000 | 64.449 |
| 631.012 | 454.232 | 589.333 | 0.000 | -0.000 | -0.000 |
| 454.232 | 631.012 | 589.333 | -0.000 | 0.000 | -0.000 |
| 549.266 | 549.266 | 1613.188 | -0.000 | -0.000 | -0.000 |
| 389.268 | 389.268 | 1094.935 | 24.756 | -0.000 | -0.000 |
| 389.268 | 389.268 | 1094.935 | -0.000 | 24.756 | -0.000 |
| -0.000 | 0.000 | -0.000 | -0.000 | -0.000 | 64.449 |
| 365.211 | 189.036 | 120.441 | 0.000 | 0.000 | 0.000 |
| 189.036 | 365.211 | 120.441 | -0.000 | 0.000 | 0.000 |
| 161.393 | 161.393 | 533.017 | -0.000 | -0.000 | 0.000 |
| -38.963 | -38.963 | -109.637 | 24.735 | 0.000 | 0.000 |
| -38.963 | -38.963 | -109.637 | -0.000 | 24.735 | 0.000 |
| -38.645 | -38.645 | -108.857 | 0.000 | 0.000 | -8.988 |
| 369.338 | 304.266 | 268.082 | -0.000 | -0.000 | -0.000 |
| 304.266 | 369.338 | 268.082 | 0.000 | -0.000 | -0.000 |
| 199.030 | 199.030 | 627.643 | -0.000 | -0.000 | -0.000 |
| 38.963 | 38.963 | 109.637 | 24.735 | -0.000 | -0.000 |
| 38.963 | 38.963 | 109.637 | 0.000 | 24.735 | -0.000 |
| 38.645 | 38.645 | 108.857 | -0.000 | -0.000 | -8.988 |
| 168.536 | 348.149 | 122.904 | -0.000 | -0.000 | 0.000 |
| 348.149 | 168.536 | 122.904 | 0.000 | 0.000 | 0.000 |
| 160.079 | 160.079 | 518.147 | -0.000 | 0.000 | 0.000 |
| -0.000 | 0.001 | -0.000 | 41.168 | -0.000 | 0.000 |
| 0.001 | -0.000 | -0.000 | -0.000 | 41.168 | 0.000 |
| -9.368 | -9.368 | -10.103 | 0.000 | 0.000 | -4.327 |
| 441.249 | 169.551 | 162.103 | 0.000 | 0.000 | -0.000 |
| 169.551 | 441.249 | 162.103 | -0.000 | -0.000 | -0.000 |
| 164.092 | 164.092 | 529.782 | -0.000 | 0.000 | -0.000 |
| 0.000 | -0.001 | 0.000 | 41.168 | 0.000 | -0.000 |
| -0.001 | 0.000 | 0.000 | -0.000 | 41.168 | -0.000 |
| 9.368 | 9.368 | 10.103 | -0.000 | -0.000 | -4.327 |
| 960.905 | 25.237 | 25.246 | 0.000 | -0.000 | -0.000 |
| 25.237 | 960.905 | 25.246 | 0.000 | -0.000 | -0.000 |
| 25.266 | 25.266 | 961.043 | 0.000 | 0.000 | -0.000 |
| 0.000 | 0.000 | 0.000 | -128.493 | 0.000 | 0.000 |
| 0.000 | 0.000 | 0.000 | 0.000 | -128.493 | -0.000 |
| 0.000 | 0.000 | 0.000 | -0.000 | -0.000 | -128.530 |
| 960.905 | 25.237 | 25.246 | -0.000 | 0.000 | 0.000 |
| 25.237 | 960.905 | 25.246 | 0.000 | -0.000 | 0.000 |
| 25.266 | 25.266 | 961.042 | -0.000 | 0.000 | 0.000 |
| -0.000 | -0.000 | -0.000 | -128.493 | -0.000 | 0.000 |
| -0.000 | -0.000 | -0.000 | -0.000 | -128.493 | 0.000 |
| -0.000 | -0.000 | -0.000 | 0.000 | 0.000 | -128.530 |
| 960.905 | 25.237 | 25.246 | 0.000 | -0.000 | -0.000 |
| 25.237 | 960.905 | 25.246 | 0.000 | 0.000 | -0.000 |
| 25.266 | 25.266 | 961.043 | -0.000 | 0.000 | 0.000 |
| 0.000 | 0.000 | -0.000 | -128.493 | 0.000 | 0.000 |
| 0.000 | 0.000 | -0.000 | -0.000 | -128.493 | -0.000 |
| 0.000 | -0.000 | 0.000 | 0.000 | -0.000 | -128.530 |
| 960.904 | 25.237 | 25.246 | -0.000 | 0.000 | 0.000 |
| 25.237 | 960.904 | 25.246 | 0.000 | -0.000 | 0.000 |
| 25.266 | 25.266 | 961.042 | -0.000 | -0.000 | 0.000 |
| -0.000 | -0.000 | 0.000 | -128.493 | -0.000 | 0.000 |
| -0.000 | -0.000 | 0.000 | 0.000 | -128.493 | 0.000 |
| -0.000 | 0.000 | -0.000 | -0.000 | 0.000 | -128.530 |
| 960.910 | 25.239 | 25.248 | -0.000 | -0.000 | -0.000 |
| 25.239 | 960.910 | 25.248 | 0.000 | 0.000 | -0.000 |
| 25.268 | 25.268 | 961.045 | -0.000 | 0.000 | -0.000 |
| 0.001 | 0.000 | -0.000 | -128.493 | 0.000 | -0.000 |
| 0.000 | 0.001 | -0.000 | 0.000 | -128.493 | -0.000 |
| 0.000 | -0.000 | 0.001 | 0.000 | 0.000 | -128.530 |
| 960.900 | 25.235 | 25.244 | 0.000 | -0.000 | 0.000 |
| 25.235 | 960.900 | 25.244 | -0.000 | -0.000 | -0.000 |
| 25.264 | 25.264 | 961.040 | -0.000 | 0.000 | 0.000 |
| -0.001 | -0.000 | 0.000 | -128.493 | -0.000 | 0.000 |
| -0.000 | -0.001 | 0.000 | 0.000 | -128.493 | 0.000 |
| -0.000 | 0.000 | -0.001 | 0.000 | 0.000 | -128.530 |
| 173.722 | 161.759 | 161.759 | -0.000 | 0.000 | -0.000 |
| 161.759 | 173.722 | 161.759 | 0.000 | -0.000 | -0.000 |
| 161.759 | 161.759 | 173.722 | -0.000 | -0.000 | -0.000 |
| 0.000 | -0.000 | -0.000 | 35.278 | -0.000 | -0.000 |
| 0.000 | -0.000 | 0.000 | 0.000 | 35.278 | -0.000 |
| 0.000 | -0.000 | -0.000 | 0.000 | -0.000 | 35.278 |
| 173.722 | 161.759 | 161.759 | 0.000 | 0.000 | 0.000 |
| 161.759 | 173.722 | 161.759 | 0.000 | 0.000 | 0.000 |
| 161.759 | 161.759 | 173.722 | -0.000 | 0.000 | 0.000 |
| -0.000 | 0.000 | 0.000 | 35.278 | 0.000 | 0.000 |
| -0.000 | 0.000 | 0.000 | -0.000 | 35.278 | 0.000 |
| -0.000 | 0.000 | 0.000 | -0.000 | -0.000 | 35.278 |
| 173.722 | 161.759 | 161.759 | 0.000 | -0.000 | -0.000 |
| 161.759 | 173.722 | 161.759 | 0.000 | 0.000 | -0.000 |
| 161.759 | 161.759 | 173.722 | 0.000 | -0.000 | -0.000 |
| 0.000 | -0.000 | -0.000 | 35.278 | 0.000 | -0.000 |
| -0.000 | 0.000 | -0.000 | 0.000 | 35.278 | -0.000 |
| -0.000 | -0.000 | 0.000 | 0.000 | -0.000 | 35.278 |
| 173.722 | 161.759 | 161.759 | -0.000 | 0.000 | 0.000 |
| 161.759 | 173.722 | 161.759 | -0.000 | 0.000 | 0.000 |
| 161.759 | 161.759 | 173.722 | 0.000 | 0.000 | 0.000 |
| -0.000 | 0.000 | 0.000 | 35.278 | -0.000 | 0.000 |
| 0.000 | -0.000 | 0.000 | -0.000 | 35.278 | 0.000 |
| 0.000 | 0.000 | -0.000 | -0.000 | 0.000 | 35.278 |
| 173.721 | 161.759 | 161.759 | 0.000 | 0.000 | -0.000 |
| 161.759 | 173.721 | 161.759 | 0.000 | -0.000 | -0.000 |
| 161.759 | 161.759 | 173.721 | 0.000 | 0.000 | -0.000 |
| 0.000 | -0.000 | 0.000 | 171.658 | -0.000 | -0.000 |
| -0.000 | 0.000 | 0.000 | -0.000 | 171.658 | -0.000 |
| -0.000 | 0.000 | 0.000 | 0.000 | -0.000 | 171.658 |
| 173.723 | 161.758 | 161.758 | -0.000 | 0.000 | 0.000 |
| 161.758 | 173.723 | 161.758 | -0.000 | 0.000 | 0.000 |
| 161.758 | 161.758 | 173.723 | -0.000 | -0.000 | 0.000 |
| -0.000 | 0.000 | -0.000 | 171.658 | 0.000 | 0.000 |
| 0.000 | -0.000 | -0.000 | 0.000 | 171.658 | 0.000 |
| 0.000 | -0.000 | -0.000 | -0.000 | 0.000 | 171.658 |
| 124.063 | 32.181 | 32.181 | -0.000 | -0.000 | -0.000 |
| 32.181 | 124.063 | 32.181 | -0.000 | -0.000 | -0.000 |
| 32.181 | 32.181 | 124.063 | -0.000 | -0.000 | 0.000 |
| 0.000 | 0.000 | -0.000 | 26.388 | -0.000 | 0.000 |
| 0.000 | 0.000 | -0.000 | -0.000 | 26.388 | -0.000 |
| 0.000 | 0.000 | -0.000 | -0.000 | -0.000 | 26.388 |
| 124.063 | 32.181 | 32.181 | 0.000 | 0.000 | -0.000 |
| 32.181 | 124.063 | 32.181 | 0.000 | 0.000 | 0.000 |
| 32.181 | 32.181 | 124.063 | 0.000 | 0.000 | 0.000 |
| -0.000 | -0.000 | 0.000 | 26.388 | 0.000 | -0.000 |
| -0.000 | -0.000 | 0.000 | 0.000 | 26.388 | -0.000 |
| -0.000 | -0.000 | 0.000 | 0.000 | 0.000 | 26.388 |
| 124.063 | 32.181 | 32.181 | -0.000 | -0.000 | 0.000 |
| 32.181 | 124.063 | 32.181 | -0.000 | -0.000 | -0.000 |
| 32.181 | 32.181 | 124.063 | -0.000 | -0.000 | 0.000 |
| 0.000 | -0.000 | -0.000 | 26.388 | -0.000 | -0.000 |
| -0.000 | 0.000 | -0.000 | -0.000 | 26.388 | 0.000 |
| -0.000 | -0.000 | 0.000 | -0.000 | -0.000 | 26.388 |
| 124.062 | 32.181 | 32.181 | 0.000 | 0.000 | 0.000 |
| 32.181 | 124.062 | 32.181 | 0.000 | 0.000 | -0.000 |
| 32.181 | 32.181 | 124.062 | 0.000 | 0.000 | -0.000 |
| -0.000 | 0.000 | 0.000 | 26.388 | 0.000 | 0.000 |
| 0.000 | -0.000 | 0.000 | 0.000 | 26.388 | -0.000 |
| 0.000 | 0.000 | -0.000 | 0.000 | 0.000 | 26.388 |
| 124.067 | 32.181 | 32.181 | -0.000 | -0.000 | -0.000 |
| 32.181 | 124.067 | 32.181 | -0.000 | -0.000 | 0.000 |
| 32.181 | 32.181 | 124.067 | 0.000 | 0.000 | -0.000 |
| 0.000 | -0.000 | -0.000 | 26.388 | -0.000 | -0.000 |
| -0.000 | 0.000 | -0.000 | -0.000 | 26.388 | 0.000 |
| -0.000 | -0.000 | 0.000 | -0.000 | -0.000 | 26.388 |
| 124.058 | 32.181 | 32.181 | 0.000 | 0.000 | 0.000 |
| 32.181 | 124.058 | 32.181 | 0.000 | 0.000 | 0.000 |
| 32.181 | 32.181 | 124.058 | 0.000 | 0.000 | 0.000 |
| -0.000 | 0.000 | 0.000 | 26.388 | 0.000 | -0.000 |
| 0.000 | -0.000 | 0.000 | 0.000 | 26.388 | -0.000 |
| 0.000 | 0.000 | -0.000 | 0.000 | 0.000 | 26.388 |
| 2.492 | 2.492 | 2.492 | 0.000 | 0.000 | 0.000 |
| 2.492 | 2.492 | 2.492 | 0.000 | 0.000 | 0.000 |
| 2.492 | 2.492 | 2.492 | 0.000 | 0.000 | -0.000 |
| -0.000 | -0.000 | -0.000 | 1.629 | -0.000 | 0.000 |
| -0.000 | -0.000 | -0.000 | -0.000 | 1.629 | 0.000 |
| -0.000 | -0.000 | -0.000 | -0.000 | -0.000 | 1.629 |
| 2.492 | 2.492 | 2.492 | -0.000 | -0.000 | 0.000 |
| 2.492 | 2.492 | 2.492 | -0.000 | -0.000 | 0.000 |
| 2.492 | 2.492 | 2.492 | -0.000 | -0.000 | 0.000 |
| 0.000 | 0.000 | 0.000 | 1.629 | 0.000 | 0.000 |
| 0.000 | 0.000 | 0.000 | 0.000 | 1.629 | 0.000 |
| 0.000 | 0.000 | 0.000 | 0.000 | 0.000 | 1.629 |
| 2.492 | 2.492 | 2.492 | -0.000 | -0.000 | -0.000 |
| 2.492 | 2.492 | 2.492 | -0.000 | -0.000 | -0.000 |
| 2.492 | 2.492 | 2.492 | -0.000 | -0.000 | -0.000 |
| -0.000 | -0.000 | -0.000 | 1.629 | -0.000 | -0.000 |
| -0.000 | -0.000 | -0.000 | -0.000 | 1.629 | -0.000 |
| -0.000 | -0.000 | -0.000 | -0.000 | -0.000 | 1.629 |
| 2.492 | 2.492 | 2.492 | -0.000 | -0.000 | 0.000 |
| 2.492 | 2.492 | 2.492 | -0.000 | -0.000 | 0.000 |
| 2.492 | 2.492 | 2.492 | 0.000 | 0.000 | 0.000 |
| 0.000 | 0.000 | 0.000 | 1.629 | 0.000 | -0.000 |
| 0.000 | 0.000 | 0.000 | 0.000 | 1.629 | -0.000 |
| 0.000 | 0.000 | 0.000 | 0.000 | 0.000 | 1.629 |
| 2.492 | 2.492 | 2.492 | -0.000 | -0.000 | 0.000 |
| 2.492 | 2.492 | 2.492 | -0.000 | -0.000 | -0.000 |
| 2.492 | 2.492 | 2.492 | -0.000 | -0.000 | 0.000 |
| -0.000 | -0.000 | -0.000 | 0.331 | -0.000 | -0.000 |
| -0.000 | -0.000 | -0.000 | -0.000 | 0.331 | -0.000 |
| -0.000 | -0.000 | -0.000 | -0.000 | -0.000 | 0.331 |
| 2.493 | 2.493 | 2.493 | -0.000 | -0.000 | -0.000 |
| 2.493 | 2.493 | 2.493 | -0.000 | -0.000 | -0.000 |
| 2.493 | 2.493 | 2.493 | -0.000 | -0.000 | -0.000 |
| 0.000 | 0.000 | 0.000 | 0.331 | 0.000 | 0.000 |
| 0.000 | 0.000 | 0.000 | 0.000 | 0.331 | 0.000 |
| 0.000 | 0.000 | 0.000 | 0.000 | 0.000 | 0.331 |
| 0.016 | 0.016 | 0.016 | 0.000 | 0.000 | 0.000 |
| 0.016 | 0.016 | 0.016 | 0.000 | 0.000 | 0.000 |
| 0.016 | 0.016 | 0.016 | 0.000 | 0.000 | 0.000 |
| 0.000 | 0.000 | 0.000 | 0.016 | 0.000 | 0.000 |
| 0.000 | 0.000 | 0.000 | 0.000 | 0.016 | 0.000 |
| 0.000 | 0.000 | 0.000 | 0.000 | 0.000 | 0.016 |
| 0.016 | 0.016 | 0.016 | -0.000 | -0.000 | -0.000 |
| 0.016 | 0.016 | 0.016 | -0.000 | -0.000 | -0.000 |
| 0.016 | 0.016 | 0.016 | -0.000 | -0.000 | -0.000 |
| -0.000 | -0.000 | -0.000 | 0.016 | -0.000 | -0.000 |
| -0.000 | -0.000 | -0.000 | -0.000 | 0.016 | -0.000 |
| -0.000 | -0.000 | -0.000 | -0.000 | -0.000 | 0.016 |
| 0.016 | 0.016 | 0.016 | 0.000 | 0.000 | 0.000 |
| 0.016 | 0.016 | 0.016 | 0.000 | 0.000 | 0.000 |
| 0.016 | 0.016 | 0.016 | 0.000 | 0.000 | 0.000 |
| 0.000 | 0.000 | 0.000 | 0.016 | 0.000 | 0.000 |
| 0.000 | 0.000 | 0.000 | 0.000 | 0.016 | 0.000 |
| 0.000 | 0.000 | 0.000 | 0.000 | 0.000 | 0.016 |
| 0.016 | 0.016 | 0.016 | -0.000 | -0.000 | -0.000 |
| 0.016 | 0.016 | 0.016 | -0.000 | -0.000 | -0.000 |
| 0.016 | 0.016 | 0.016 | -0.000 | -0.000 | -0.000 |
| -0.000 | -0.000 | -0.000 | 0.016 | -0.000 | -0.000 |
| -0.000 | -0.000 | -0.000 | -0.000 | 0.016 | -0.000 |
| -0.000 | -0.000 | -0.000 | -0.000 | -0.000 | 0.016 |
| 0.016 | 0.016 | 0.016 | 0.000 | 0.000 | 0.000 |
| 0.016 | 0.016 | 0.016 | 0.000 | 0.000 | 0.000 |
| 0.016 | 0.016 | 0.016 | 0.000 | 0.000 | 0.000 |
| 0.000 | 0.000 | 0.000 | 0.016 | 0.000 | 0.000 |
| 0.000 | 0.000 | 0.000 | 0.000 | 0.016 | 0.000 |
| 0.000 | 0.000 | 0.000 | 0.000 | -0.000 | 0.016 |
| 0.016 | 0.016 | 0.016 | -0.000 | -0.000 | -0.000 |
| 0.016 | 0.016 | 0.016 | -0.000 | -0.000 | -0.000 |
| 0.016 | 0.016 | 0.016 | -0.000 | -0.000 | -0.000 |
| -0.000 | -0.000 | -0.000 | 0.016 | -0.000 | -0.000 |
| -0.000 | -0.000 | -0.000 | -0.000 | 0.016 | -0.000 |
| -0.000 | -0.000 | -0.000 | 0.000 | -0.000 | 0.016 |
| 420.360 | 277.241 | 277.241 | 0.000 | 0.000 | 0.000 |
| 277.241 | 420.360 | 277.241 | 0.000 | 0.000 | 0.000 |
| 277.241 | 277.241 | 420.360 | 0.000 | 0.000 | 0.000 |
| -0.000 | 0.000 | 0.000 | 152.672 | 0.000 | 0.000 |
| -0.000 | 0.000 | 0.000 | 0.000 | 152.672 | 0.000 |
| -0.000 | 0.000 | 0.000 | 0.000 | 0.000 | 152.672 |
| 420.360 | 277.241 | 277.241 | -0.000 | -0.000 | -0.000 |
| 277.241 | 420.360 | 277.241 | -0.000 | -0.000 | -0.000 |
| 277.241 | 277.241 | 420.360 | -0.000 | -0.000 | -0.000 |
| 0.000 | -0.000 | -0.000 | 152.672 | -0.000 | -0.000 |
| 0.000 | -0.000 | -0.000 | -0.000 | 152.672 | -0.000 |
| 0.000 | -0.000 | -0.000 | -0.000 | -0.000 | 152.671 |
| 420.360 | 277.241 | 277.241 | 0.000 | 0.000 | 0.000 |
| 277.241 | 420.360 | 277.241 | 0.000 | 0.000 | 0.000 |
| 277.241 | 277.241 | 420.360 | 0.000 | 0.000 | 0.000 |
| -0.000 | -0.000 | 0.000 | 152.671 | 0.000 | 0.000 |
| -0.000 | -0.000 | 0.000 | 0.000 | 152.671 | 0.000 |
| -0.000 | 0.000 | -0.000 | 0.000 | 0.000 | 152.671 |
| 420.360 | 277.241 | 277.241 | -0.000 | -0.000 | -0.000 |
| 277.241 | 420.360 | 277.241 | -0.000 | -0.000 | -0.000 |
| 277.241 | 277.241 | 420.360 | -0.000 | -0.000 | -0.000 |
| 0.000 | 0.000 | -0.000 | 152.671 | -0.000 | -0.000 |
| 0.000 | 0.000 | -0.000 | -0.000 | 152.671 | -0.000 |
| 0.000 | -0.000 | 0.000 | -0.000 | -0.000 | 152.671 |
| 420.359 | 277.242 | 277.242 | 0.000 | 0.000 | 0.000 |
| 277.242 | 420.359 | 277.242 | 0.000 | 0.000 | 0.000 |
| 277.242 | 277.242 | 420.359 | 0.000 | 0.000 | 0.000 |
| -0.000 | -0.000 | 0.000 | 152.672 | 0.000 | 0.000 |
| -0.000 | -0.000 | 0.000 | 0.000 | 152.672 | 0.000 |
| -0.000 | 0.000 | -0.000 | 0.000 | 0.000 | 152.672 |
| 420.361 | 277.240 | 277.240 | -0.000 | -0.000 | -0.000 |
| 277.240 | 420.361 | 277.240 | -0.000 | -0.000 | -0.000 |
| 277.240 | 277.240 | 420.361 | -0.000 | -0.000 | -0.000 |
| 0.000 | 0.000 | -0.000 | 152.672 | -0.000 | -0.000 |
| 0.000 | 0.000 | -0.000 | -0.000 | 152.672 | -0.000 |
| 0.000 | -0.000 | 0.000 | -0.000 | -0.000 | 152.672 |
| 338.379 | 163.481 | 144.552 | 21.228 | 0.000 | 0.000 |
| 163.481 | 338.379 | 144.552 | -21.228 | 0.000 | 0.000 |
| 144.552 | 144.552 | 345.524 | -0.000 | 0.000 | 0.000 |
| 21.352 | -21.330 | 0.027 | 68.318 | 0.000 | 0.000 |
| 0.011 | 0.011 | 0.027 | -0.000 | 68.318 | 21.341 |
| 0.000 | 0.000 | 0.000 | -0.000 | 21.228 | 87.449 |
| 338.379 | 163.481 | 144.552 | 21.228 | -0.000 | -0.000 |
| 158.965 | 333.858 | 133.279 | -21.249 | -0.000 | -0.000 |
| 144.552 | 144.552 | 345.524 | -0.000 | -0.000 | -0.000 |
| 21.330 | -21.352 | -0.027 | 68.318 | -0.000 | -0.000 |
| -0.011 | -0.011 | -0.027 | -0.000 | 68.318 | 21.341 |
| -0.000 | -0.000 | -0.000 | 0.000 | 21.227 | 87.449 |
| 338.380 | 163.481 | 144.552 | 21.227 | 0.000 | 0.000 |
| 158.968 | 333.860 | 133.285 | -21.249 | 0.000 | -0.000 |
| 144.552 | 144.552 | 345.525 | -0.000 | 0.000 | 0.000 |
| 21.342 | -21.340 | 0.003 | 68.318 | 0.000 | 0.000 |
| 0.000 | 0.000 | 0.000 | -0.000 | 69.163 | 21.228 |
| 0.001 | 0.001 | 0.003 | -0.000 | 21.341 | 87.434 |
| 338.379 | 163.481 | 144.552 | 21.228 | -0.000 | -0.000 |
| 163.481 | 338.379 | 144.552 | -21.228 | -0.000 | -0.000 |
| 133.290 | 133.290 | 317.426 | 0.000 | -0.000 | -0.000 |
| 21.227 | -21.228 | -0.000 | 69.163 | -0.000 | -0.000 |
| -0.000 | -0.000 | -0.000 | 0.000 | 69.163 | 21.228 |
| -0.001 | -0.001 | -0.003 | 0.000 | 21.341 | 87.434 |
| 333.864 | 158.968 | 133.285 | 21.248 | 0.000 | -0.000 |
| 158.969 | 333.863 | 133.285 | -21.248 | 0.000 | 0.000 |
| 144.553 | 144.553 | 345.527 | -0.000 | 0.000 | 0.000 |
| 21.341 | -21.340 | 0.001 | 68.318 | 0.000 | 0.000 |
| 0.001 | 0.000 | 0.001 | -0.000 | 69.163 | 21.228 |
| 0.000 | 0.001 | 0.000 | -0.000 | 21.228 | 87.449 |
| 333.856 | 158.967 | 133.283 | 21.249 | -0.000 | -0.000 |
| 158.981 | 333.847 | 133.289 | -21.342 | -0.000 | -0.000 |
| 133.289 | 133.289 | 317.425 | 0.000 | -0.000 | -0.000 |
| 21.227 | -21.228 | -0.001 | 69.163 | -0.000 | -0.000 |
| -0.001 | -0.000 | -0.001 | 0.000 | 69.163 | 21.228 |
| -0.000 | -0.001 | -0.000 | 0.000 | 21.228 | 87.449 |
| 339.927 | 160.919 | 143.131 | -20.378 | -0.000 | -0.000 |
| 165.022 | 344.035 | 153.272 | 20.364 | 0.000 | -0.000 |
| 142.186 | 142.186 | 336.138 | 0.000 | 0.000 | -0.000 |
| -20.480 | 20.386 | -0.116 | 77.304 | 0.000 | -0.000 |
| 0.000 | 0.000 | 0.000 | 0.000 | 77.669 | -20.364 |
| -0.045 | -0.045 | -0.112 | 0.000 | -20.431 | 89.494 |
| 344.035 | 165.022 | 153.272 | -20.364 | -0.000 | 0.000 |
| 165.022 | 344.035 | 153.272 | 20.364 | -0.000 | 0.000 |
| 152.308 | 152.308 | 361.140 | -0.000 | -0.000 | 0.000 |
| -20.386 | 20.480 | 0.116 | 77.304 | -0.000 | 0.000 |
| -0.000 | -0.000 | -0.000 | -0.000 | 77.669 | -20.364 |
| 0.045 | 0.045 | 0.112 | -0.000 | -20.431 | 89.494 |
| 344.036 | 165.022 | 153.272 | -20.364 | 0.000 | 0.000 |
| 160.928 | 339.936 | 143.151 | 20.378 | 0.000 | -0.000 |
| 142.194 | 142.194 | 336.158 | 0.000 | -0.000 | -0.000 |
| -20.438 | 20.428 | -0.011 | 77.303 | 0.000 | -0.000 |
| 0.000 | 0.000 | 0.000 | 0.000 | 77.669 | -20.364 |
| -0.005 | -0.005 | -0.012 | 0.000 | -20.433 | 89.494 |
| 344.035 | 165.022 | 153.271 | -20.364 | -0.000 | 0.000 |
| 165.022 | 344.035 | 153.271 | 20.364 | 0.000 | 0.000 |
| 152.308 | 152.308 | 361.140 | 0.000 | -0.000 | 0.000 |
| -20.428 | 20.438 | 0.011 | 77.303 | -0.000 | 0.000 |
| -0.000 | -0.000 | -0.000 | -0.000 | 77.669 | -20.364 |
| 0.005 | 0.005 | 0.012 | -0.000 | -20.433 | 89.494 |
| 339.940 | 160.929 | 143.154 | -20.377 | 0.000 | -0.000 |
| 160.929 | 339.939 | 143.154 | 20.377 | 0.000 | -0.000 |
| 152.309 | 152.309 | 361.142 | 0.000 | 0.000 | -0.000 |
| -20.364 | 20.365 | 0.001 | 77.669 | 0.000 | -0.000 |
| 0.001 | 0.000 | 0.001 | 0.000 | 77.669 | -20.364 |
| 0.000 | 0.001 | 0.000 | 0.000 | -20.364 | 89.506 |
| 344.032 | 165.022 | 153.271 | -20.365 | -0.000 | 0.000 |
| 165.022 | 344.032 | 153.271 | 20.365 | 0.000 | 0.000 |
| 142.194 | 142.194 | 336.158 | 0.000 | -0.000 | 0.000 |
| -20.365 | 20.364 | -0.001 | 77.669 | 0.000 | 0.000 |
| -0.001 | -0.000 | -0.001 | -0.000 | 77.669 | -20.364 |
| -0.000 | -0.001 | -0.000 | -0.000 | -20.364 | 89.506 |
| -2714.755 | -2724.430 | 4181.060 | -16.686 | -0.000 | 0.000 |
| -2723.934 | -2714.226 | 4180.342 | 16.683 | -0.000 | -0.000 |
| -3862.254 | -3862.254 | 7699.295 | -0.000 | -0.000 | -0.000 |
| -2922.576 | -2889.248 | 4066.094 | 10.726 | -0.000 | 0.000 |
| -2905.912 | -2905.912 | 4066.094 | -0.000 | 10.726 | -16.664 |
| -3995.656 | -3995.656 | 7409.680 | -0.000 | -15.666 | -46.047 |
| 4149.056 | 4204.618 | -7273.205 | 8.268 | 0.000 | -0.000 |
| 4221.479 | 4129.385 | -7270.853 | 15.666 | 0.000 | -0.000 |
| 3044.059 | 3044.059 | -3762.639 | 0.000 | 0.000 | 0.000 |
| 4002.899 | 3988.583 | -7410.433 | -89.267 | 0.000 | -0.000 |
| 2905.912 | 2905.912 | -4066.094 | 0.000 | 10.726 | -16.664 |
| 3995.656 | 3995.656 | -7409.680 | 0.000 | -15.665 | -46.047 |
| -252.998 | -195.047 | 888.859 | 8.535 | -0.000 | -0.000 |
| -108.719 | -101.872 | 523.062 | 16.925 | -0.000 | 0.000 |
| -156.504 | -156.504 | 720.148 | -0.000 | -0.000 | -0.000 |
| -0.398 | 0.398 | 0.000 | 61.495 | -0.000 | -0.000 |
| -292.157 | -292.157 | 408.800 | 0.000 | 10.453 | -16.752 |
| -399.900 | -399.900 | 742.882 | -0.000 | -15.628 | -46.276 |
| 484.893 | 473.818 | -295.091 | -16.568 | 0.000 | 0.000 |
| 112.672 | 315.525 | 72.421 | 0.398 | 0.000 | 0.000 |
| 67.951 | 67.951 | 436.872 | -0.000 | 0.000 | -0.000 |
| 275.405 | 308.909 | -408.800 | 10.453 | 0.000 | -0.000 |
| 292.157 | 292.157 | -408.800 | -0.000 | 10.453 | -16.752 |
| 399.900 | 399.900 | -742.882 | 0.000 | -15.628 | -46.276 |
| 315.527 | 112.673 | 72.421 | -0.398 | -0.000 | -0.000 |
| 189.272 | 88.855 | 221.429 | 14.108 | -0.000 | -0.000 |
| 74.911 | 74.911 | 396.328 | -0.000 | -0.000 | -0.000 |
| -57.634 | -28.017 | 84.422 | -35.729 | -0.000 | -0.000 |
| -37.670 | -37.670 | 52.709 | 0.000 | -4.317 | -21.484 |
| -49.468 | -49.469 | 96.171 | -0.000 | 23.365 | -243.004 |
| 200.201 | 241.393 | 67.689 | -20.975 | 0.000 | -0.000 |
| 112.672 | 315.524 | 72.421 | 0.397 | 0.000 | 0.000 |
| 174.068 | 174.068 | 232.413 | 0.000 | 0.000 | 0.000 |
| -0.398 | 0.398 | -0.000 | 61.496 | 0.000 | -0.000 |
| 37.670 | 37.670 | -52.709 | -0.000 | -4.317 | -21.484 |
| 49.468 | 49.469 | -96.171 | 0.000 | 23.365 | -243.004 |
| 473.662 | 157.244 | 157.244 | 0.000 | 0.000 | -0.000 |
| 157.244 | 473.662 | 157.244 | 0.000 | 0.000 | 0.000 |
| 157.244 | 157.244 | 473.662 | -0.000 | 0.000 | -0.000 |
| -0.000 | -0.000 | -0.000 | -6.615 | 0.000 | 0.000 |
| -0.000 | 0.000 | -0.000 | 0.000 | -6.615 | 0.000 |
| -0.000 | -0.000 | -0.000 | 0.000 | 0.000 | -6.615 |
| 473.662 | 157.244 | 157.244 | -0.000 | -0.000 | -0.000 |
| 157.244 | 473.662 | 157.244 | -0.000 | -0.000 | -0.000 |
| 157.244 | 157.244 | 473.662 | 0.000 | -0.000 | -0.000 |
| -0.000 | 0.000 | 0.000 | -6.615 | -0.000 | 0.000 |
| 0.000 | 0.000 | -0.000 | -0.000 | -6.615 | -0.000 |
| 0.000 | 0.000 | -0.000 | 0.000 | -0.000 | -6.615 |
| 473.662 | 157.244 | 157.244 | 0.000 | 0.000 | -0.000 |
| 157.244 | 473.662 | 157.244 | 0.000 | 0.000 | 0.000 |
| 157.244 | 157.244 | 473.662 | 0.000 | 0.000 | 0.000 |
| 0.002 | -0.001 | -0.001 | -28.065 | 0.000 | 0.000 |
| -0.001 | 0.002 | -0.001 | -0.000 | -28.072 | 0.000 |
| -0.001 | -0.001 | 0.002 | -0.000 | 0.000 | -28.065 |
| 473.662 | 157.244 | 157.244 | 0.000 | -0.000 | -0.000 |
| 157.244 | 473.662 | 157.244 | -0.000 | -0.000 | -0.000 |
| 157.244 | 157.244 | 473.662 | 0.000 | -0.000 | -0.000 |
| -0.002 | 0.001 | 0.002 | -28.073 | -0.000 | -0.000 |
| 0.001 | -0.003 | 0.003 | 0.000 | -28.071 | -0.000 |
| 0.001 | 0.002 | -0.002 | 0.000 | -0.000 | -28.074 |
| 473.662 | 157.244 | 157.244 | -0.000 | 0.000 | 0.000 |
| 157.244 | 473.662 | 157.244 | 0.000 | 0.000 | 0.000 |
| 157.244 | 157.244 | 473.662 | 0.000 | 0.000 | 0.000 |
| -0.000 | -0.001 | -0.001 | -6.615 | 0.000 | 0.000 |
| -0.001 | -0.000 | -0.001 | 0.000 | -6.615 | 0.000 |
| -0.001 | -0.001 | -0.000 | -0.000 | 0.000 | -6.615 |
| 474.025 | 157.062 | 157.062 | -0.000 | -0.000 | -0.000 |
| 157.062 | 474.025 | 157.062 | -0.000 | -0.000 | 0.000 |
| 157.062 | 157.062 | 474.025 | 0.000 | -0.000 | 0.000 |
| 0.000 | 0.001 | 0.001 | -6.615 | -0.000 | -0.000 |
| 0.001 | 0.000 | 0.001 | -0.000 | -6.615 | -0.000 |
| 0.001 | 0.001 | 0.000 | 0.000 | -0.000 | -6.615 |
| 67.264 | 216.781 | 216.781 | -0.000 | -0.000 | 0.000 |
| 216.781 | 67.264 | 216.781 | -0.000 | -0.000 | 0.000 |
| 216.781 | 216.781 | 67.264 | -0.000 | -0.000 | 0.000 |
| -197119506.313 | -110573444.269 | -96365178.702 | -8218899.289 | -2031085.909 | 8005013.661 |
| -96062606.130 | -179125093.669 | -118867581.127 | 1321541.937 | -16902718.277 | 3596027.788 |
| -63207832.361 | -97387611.684 | -196077973.365 | 1815794.648 | 2926333.879 | -8952238.756 |
| 140.368 | 180.229 | 180.229 | -0.000 | -0.000 | -0.000 |
| 180.229 | 140.368 | 180.229 | -0.000 | -0.000 | -0.000 |
| 180.229 | 180.229 | 140.368 | 0.000 | -0.000 | -0.000 |
| 216068479.582 | 114337513.196 | 105787682.400 | -34209307.446 | -220501.160 | 7451145.804 |
| 92100891.691 | 215241313.217 | 105243138.915 | -1571294.485 | -7349613.673 | 3270919.456 |
| 116506776.754 | 115921640.198 | 246833397.811 | -610128.068 | 837044.017 | -22430003.726 |
| 140.367 | 180.228 | 180.228 | -0.000 | -0.000 | 0.000 |
| 180.228 | 140.367 | 180.228 | -0.000 | 0.000 | 0.000 |
| 180.228 | 180.228 | 140.367 | -0.000 | -0.000 | 0.000 |
| 0.000 | 0.000 | 0.000 | -44.225 | 0.000 | 0.000 |
| 0.000 | 0.000 | 0.000 | -0.000 | -44.225 | 0.000 |
| 0.000 | 0.000 | 0.000 | -0.000 | -0.000 | -44.225 |
| 140.369 | 180.230 | 180.230 | 0.000 | 0.000 | -0.000 |
| 180.230 | 140.369 | 180.230 | 0.000 | -0.000 | -0.000 |
| 180.230 | 180.230 | 140.369 | 0.000 | -0.000 | -0.000 |
| -0.000 | -0.000 | -0.000 | -44.225 | -0.000 | -0.000 |
| -0.000 | -0.000 | -0.000 | -0.000 | -44.225 | -0.000 |
| -0.000 | -0.000 | -0.000 | 0.000 | -0.000 | -44.225 |
| 204.010 | 148.395 | 148.395 | -0.000 | 0.000 | 0.000 |
| 148.395 | 204.010 | 148.395 | -0.000 | 0.000 | 0.000 |
| 148.395 | 148.395 | 204.010 | 0.000 | 0.000 | 0.000 |
| -2134203.848 | -1130392.869 | -1122969.608 | -39307.193 | 35756.465 | 33899.729 |
| -924764.838 | -1681344.775 | -1209223.104 | 32802.457 | 4656.240 | 24827.436 |
| -971299.928 | -1034991.201 | -2148426.855 | 26858.306 | 5482.909 | -188430.567 |
| 172.200 | 164.326 | 164.326 | 0.000 | -0.000 | -0.000 |
| 164.326 | 172.200 | 164.326 | 0.000 | -0.000 | -0.000 |
| 164.326 | 164.326 | 172.200 | -0.000 | -0.000 | -0.000 |
| 2004869.175 | 946052.870 | 1136704.595 | -433421.336 | 24327.135 | 3618.849 |
| 750594.571 | 2124210.055 | 769039.221 | 9485.776 | -185830.148 | 5266.209 |
| 992135.345 | 1041835.260 | 2098876.792 | 4736.030 | 23420.451 | -412077.236 |
| -277.349 | 291.447 | 291.447 | 0.000 | 0.000 | 0.000 |
| 291.447 | -277.349 | 291.447 | 0.000 | 0.000 | 0.000 |
| 291.447 | 291.447 | -277.349 | 0.000 | 0.000 | 0.000 |
| 0.000 | 0.000 | 0.000 | 59.098 | 0.000 | -0.000 |
| 0.000 | 0.000 | 0.000 | 0.000 | 59.098 | 0.000 |
| 0.000 | 0.000 | 0.000 | -0.000 | 0.000 | 59.098 |
| -277.346 | 291.446 | 291.446 | -0.000 | 0.000 | -0.000 |
| 291.446 | -277.346 | 291.446 | -0.000 | -0.000 | 0.000 |
| 291.446 | 291.446 | -277.346 | -0.000 | -0.000 | -0.000 |
| -0.000 | -0.000 | -0.000 | 59.098 | -0.000 | -0.000 |
| -0.000 | -0.000 | -0.000 | -0.000 | 59.098 | -0.000 |
| -0.000 | -0.000 | -0.000 | -0.000 | 0.000 | 59.098 |
| -277.364 | 291.453 | 291.453 | 0.000 | 0.000 | 0.000 |
| 291.453 | -277.364 | 291.453 | 0.000 | 0.000 | 0.000 |
| 291.453 | 291.453 | -277.364 | 0.000 | 0.000 | 0.000 |
| 0.000 | 0.000 | 0.000 | 59.098 | 0.000 | 0.000 |
| 0.000 | 0.000 | 0.000 | -0.000 | 59.098 | 0.000 |
| 0.000 | 0.000 | 0.000 | 0.000 | 0.000 | 59.098 |
| -277.330 | 291.441 | 291.441 | -0.000 | -0.000 | -0.000 |
| 291.441 | -277.330 | 291.441 | -0.000 | -0.000 | -0.000 |
| 291.441 | 291.441 | -277.330 | -0.000 | -0.000 | -0.000 |
| -0.000 | -0.000 | -0.000 | 59.098 | 0.000 | 0.000 |
| -0.000 | -0.000 | -0.000 | -0.000 | 59.098 | -0.000 |
| -0.000 | -0.000 | -0.000 | -0.000 | -0.000 | 59.098 |
| -277.518 | 291.508 | 291.508 | 0.000 | 0.000 | 0.000 |
| 291.508 | -277.518 | 291.508 | 0.000 | 0.000 | -0.000 |
| 291.508 | 291.508 | -277.518 | 0.000 | 0.000 | 0.000 |
| 0.002 | 0.001 | 0.001 | 59.098 | 0.000 | 0.000 |
| 0.001 | 0.002 | 0.001 | 0.000 | 59.098 | 0.000 |
| 0.001 | 0.001 | 0.002 | 0.000 | 0.000 | 59.098 |
| -277.177 | 291.385 | 291.385 | -0.000 | 0.000 | -0.000 |
| 291.385 | -277.177 | 291.385 | -0.000 | -0.000 | -0.000 |
| 291.385 | 291.385 | -277.177 | -0.000 | -0.000 | 0.000 |
| -0.002 | -0.001 | -0.001 | 59.098 | -0.000 | -0.000 |
| -0.001 | -0.002 | -0.001 | -0.000 | 59.098 | -0.000 |
| -0.001 | -0.001 | -0.002 | -0.000 | -0.000 | 59.098 |
| 11.143 | 0.000 | 0.000 | -0.000 | -0.000 | 0.000 |
| 0.000 | 11.143 | 0.000 | 0.000 | -0.000 | 0.000 |
| 0.000 | 0.000 | 11.143 | 0.000 | -0.000 | 0.000 |
| 0.000 | -0.000 | -0.000 | 0.000 | -0.000 | 0.000 |
| 0.000 | 0.000 | -0.000 | 0.000 | 0.000 | 0.000 |
| -0.000 | -0.000 | 0.000 | 0.000 | -0.000 | 0.000 |
| 11.143 | 0.000 | 0.000 | -0.000 | 0.000 | -0.000 |
| 0.000 | 11.143 | 0.000 | -0.000 | 0.000 | 0.000 |
| 0.000 | 0.000 | 11.143 | -0.000 | -0.000 | -0.000 |
| -0.000 | 0.000 | 0.000 | 0.000 | 0.000 | -0.000 |
| 0.000 | -0.000 | 0.000 | -0.000 | 0.000 | -0.000 |
| 0.000 | 0.000 | -0.000 | -0.000 | 0.000 | 0.000 |
| 11.143 | 0.000 | 0.000 | 0.000 | -0.000 | 0.000 |
| 0.000 | 11.143 | 0.000 | 0.000 | -0.000 | -0.000 |
| 0.000 | 0.000 | 11.143 | 0.000 | -0.000 | 0.000 |
| 0.000 | 0.000 | -0.000 | 0.000 | 0.000 | 0.000 |
| 0.000 | 0.000 | -0.000 | -0.000 | 0.000 | 0.000 |
| 0.000 | -0.000 | 0.000 | 0.000 | -0.000 | 0.000 |
| 11.144 | -0.000 | -0.000 | -0.000 | 0.000 | -0.000 |
| -0.000 | 11.144 | -0.000 | -0.000 | 0.000 | 0.000 |
| -0.000 | -0.000 | 11.144 | 0.000 | 0.000 | -0.000 |
| -0.000 | -0.000 | 0.000 | 0.000 | -0.000 | -0.000 |
| -0.000 | -0.000 | 0.000 | 0.000 | 0.000 | -0.000 |
| -0.000 | 0.000 | -0.000 | -0.000 | 0.000 | 0.000 |
| 11.140 | 0.000 | 0.000 | 0.000 | -0.000 | 0.000 |
| 0.000 | 11.140 | 0.000 | 0.000 | -0.000 | -0.000 |
| 0.000 | 0.000 | 11.140 | -0.000 | -0.000 | 0.000 |
| 0.000 | -0.000 | -0.000 | 0.000 | 0.000 | 0.000 |
| -0.000 | 0.000 | -0.000 | -0.000 | 0.000 | 0.000 |
| -0.000 | -0.000 | 0.000 | 0.000 | -0.000 | 0.000 |
| 11.147 | -0.000 | -0.000 | -0.000 | 0.000 | -0.000 |
| -0.000 | 11.147 | -0.000 | -0.000 | 0.000 | -0.000 |
| -0.000 | -0.000 | 11.147 | -0.000 | -0.000 | -0.000 |
| -0.000 | -0.000 | 0.000 | 0.000 | -0.000 | -0.000 |
| -0.000 | -0.000 | 0.000 | 0.000 | 0.000 | -0.000 |
| -0.000 | 0.000 | -0.000 | -0.000 | 0.000 | 0.000 |
| 199.854 | 209.486 | 209.486 | 0.000 | -0.000 | 0.000 |
| 209.486 | 199.854 | 209.486 | -0.000 | -0.000 | -0.000 |
| 209.486 | 209.486 | 199.854 | -0.000 | 0.000 | 0.000 |
| 0.000 | -0.000 | -0.000 | 191.111 | 0.000 | -0.000 |
| 0.000 | -0.000 | -0.000 | 0.000 | 191.111 | -0.000 |
| 0.000 | 0.000 | -0.000 | 0.000 | 0.000 | 191.111 |
| 199.854 | 209.486 | 209.486 | 0.000 | 0.000 | -0.000 |
| 209.486 | 199.854 | 209.486 | 0.000 | -0.000 | 0.000 |
| 209.486 | 209.486 | 199.854 | -0.000 | 0.000 | 0.000 |
| -0.000 | -0.000 | 0.000 | 191.111 | -0.000 | 0.000 |
| -0.000 | 0.000 | 0.000 | -0.000 | 191.111 | 0.000 |
| -0.000 | 0.000 | 0.000 | -0.000 | -0.000 | 191.111 |
| 199.855 | 209.486 | 209.486 | 0.000 | -0.000 | -0.000 |
| 209.486 | 199.855 | 209.486 | 0.000 | 0.000 | 0.000 |
| 209.486 | 209.486 | 199.855 | 0.000 | -0.000 | -0.000 |
| 0.000 | 0.000 | 0.000 | 191.111 | 0.000 | -0.000 |
| 0.000 | 0.000 | 0.000 | 0.000 | 191.111 | -0.000 |
| 0.000 | 0.000 | 0.000 | 0.000 | 0.000 | 191.111 |
| 199.854 | 209.486 | 209.486 | -0.000 | 0.000 | 0.000 |
| 209.486 | 199.854 | 209.486 | -0.000 | 0.000 | 0.000 |
| 209.486 | 209.486 | 199.854 | -0.000 | -0.000 | 0.000 |
| -0.000 | -0.000 | -0.000 | 191.110 | -0.000 | -0.000 |
| -0.000 | -0.000 | -0.000 | -0.000 | 191.111 | 0.000 |
| -0.000 | -0.000 | -0.000 | -0.000 | -0.000 | 191.111 |
| 199.855 | 209.487 | 209.487 | 0.000 | 0.000 | -0.000 |
| 209.487 | 199.855 | 209.487 | 0.000 | -0.000 | -0.000 |
| 209.487 | 209.487 | 199.855 | -0.000 | 0.000 | -0.000 |
| 0.001 | 0.000 | 0.001 | 188.758 | 0.000 | -0.000 |
| 0.000 | 0.001 | 0.001 | 0.000 | 188.758 | -0.000 |
| 0.000 | 0.001 | 0.001 | 0.000 | 0.000 | 188.758 |
| 199.854 | 209.486 | 209.486 | -0.000 | -0.000 | 0.000 |
| 209.486 | 199.854 | 209.486 | -0.000 | -0.000 | 0.000 |
| 209.486 | 209.486 | 199.854 | -0.000 | 0.000 | 0.000 |
| -0.001 | -0.000 | -0.001 | 188.758 | 0.000 | -0.000 |
| -0.000 | -0.001 | -0.001 | -0.000 | 188.758 | 0.000 |
| -0.000 | -0.001 | -0.001 | -0.000 | -0.000 | 188.758 |
| 23.355 | 68.458 | 68.458 | -0.000 | -0.000 | 0.000 |
| 68.458 | 23.355 | 68.458 | -0.000 | -0.000 | -0.000 |
| 68.458 | 68.458 | 23.355 | -0.000 | -0.000 | 0.000 |
| -0.001 | 0.000 | 0.000 | -415.249 | -0.000 | -0.000 |
| 0.000 | -0.001 | 0.000 | -0.000 | -415.249 | 0.000 |
| 0.000 | 0.000 | -0.001 | -0.000 | -0.000 | -415.249 |
| 23.355 | 68.458 | 68.458 | -0.000 | 0.000 | 0.000 |
| 68.458 | 23.355 | 68.458 | 0.000 | -0.000 | 0.000 |
| 68.458 | 68.458 | 23.355 | 0.000 | 0.000 | -0.000 |
| 0.001 | -0.000 | -0.000 | -415.249 | 0.000 | -0.000 |
| -0.000 | 0.001 | -0.000 | -0.000 | -415.249 | 0.000 |
| -0.000 | -0.000 | 0.001 | 0.000 | 0.000 | -415.249 |
| 23.355 | 68.458 | 68.458 | -0.000 | -0.000 | -0.000 |
| 68.458 | 23.355 | 68.458 | -0.000 | 0.000 | 0.000 |
| 68.458 | 68.458 | 23.355 | -0.000 | -0.000 | 0.000 |
| 0.000 | 0.000 | 0.000 | 68.885 | -0.000 | 0.000 |
| 0.000 | 0.000 | 0.000 | -0.000 | 68.885 | 0.000 |
| 0.000 | 0.000 | 0.000 | -0.000 | -0.000 | 68.885 |
| 23.354 | 68.458 | 68.458 | 0.000 | 0.000 | 0.000 |
| 68.458 | 23.354 | 68.458 | 0.000 | 0.000 | 0.000 |
| 68.458 | 68.458 | 23.354 | -0.000 | 0.000 | 0.000 |
| -0.000 | -0.000 | -0.000 | 68.885 | 0.000 | 0.000 |
| -0.000 | -0.000 | -0.000 | 0.000 | 68.885 | -0.000 |
| -0.000 | -0.000 | -0.000 | 0.000 | -0.000 | 68.885 |
| 23.358 | 68.458 | 68.458 | -0.000 | -0.000 | -0.000 |
| 68.458 | 23.358 | 68.458 | -0.000 | -0.000 | -0.000 |
| 68.458 | 68.458 | 23.358 | 0.000 | -0.000 | -0.000 |
| -0.132 | 0.035 | 0.034 | -415.249 | -0.000 | -0.000 |
| 0.035 | -0.132 | 0.034 | -0.000 | -415.249 | 0.000 |
| 0.035 | 0.034 | -0.132 | -0.000 | 0.000 | -415.249 |
| 23.351 | 68.457 | 68.457 | 0.000 | 0.000 | -0.000 |
| 68.457 | 23.351 | 68.457 | 0.000 | 0.000 | 0.000 |
| 68.457 | 68.457 | 23.351 | -0.000 | -0.000 | -0.000 |
| 0.132 | -0.035 | -0.034 | -415.249 | 0.000 | -0.000 |
| -0.035 | 0.132 | -0.034 | 0.000 | -415.249 | -0.000 |
| -0.035 | -0.034 | 0.132 | 0.000 | 0.000 | -415.249 |
| 13.428 | 13.428 | 13.428 | 0.000 | 0.000 | -0.000 |
| 13.428 | 13.428 | 13.428 | 0.000 | 0.000 | -0.000 |
| 13.428 | 13.428 | 13.428 | 0.000 | 0.000 | -0.000 |
| -0.000 | -0.000 | -0.000 | -0.591 | 0.000 | 0.000 |
| -0.000 | -0.000 | -0.000 | 0.000 | -0.591 | 0.000 |
| -0.000 | -0.000 | -0.000 | 0.000 | 0.000 | -0.591 |
| 13.428 | 13.428 | 13.428 | -0.000 | -0.000 | 0.000 |
| 13.428 | 13.428 | 13.428 | -0.000 | -0.000 | 0.000 |
| 13.428 | 13.428 | 13.428 | -0.000 | -0.000 | 0.000 |
| 0.000 | 0.000 | 0.000 | -0.591 | -0.000 | -0.000 |
| 0.000 | 0.000 | 0.000 | -0.000 | -0.591 | -0.000 |
| 0.000 | 0.000 | 0.000 | 0.000 | 0.000 | -0.591 |
| 13.428 | 13.428 | 13.428 | 0.000 | 0.000 | -0.000 |
| 13.428 | 13.428 | 13.428 | 0.000 | 0.000 | -0.000 |
| 13.428 | 13.428 | 13.428 | 0.000 | 0.000 | -0.000 |
| -0.000 | -0.000 | -0.000 | -0.591 | 0.000 | 0.000 |
| -0.000 | -0.000 | -0.000 | 0.000 | -0.591 | 0.000 |
| -0.000 | -0.000 | -0.000 | 0.000 | 0.000 | -0.591 |
| 13.428 | 13.428 | 13.428 | -0.000 | -0.000 | 0.000 |
| 13.428 | 13.428 | 13.428 | -0.000 | -0.000 | 0.000 |
| 13.428 | 13.428 | 13.428 | -0.000 | -0.000 | 0.000 |
| 0.000 | 0.000 | 0.000 | -0.591 | -0.000 | 0.000 |
| 0.000 | 0.000 | 0.000 | -0.000 | -0.591 | 0.000 |
| 0.000 | 0.000 | 0.000 | -0.000 | -0.000 | -0.591 |
| 13.429 | 13.429 | 13.429 | 0.000 | 0.000 | -0.000 |
| 13.429 | 13.429 | 13.429 | 0.000 | 0.000 | -0.000 |
| 13.429 | 13.429 | 13.429 | 0.000 | 0.000 | -0.000 |
| -0.001 | -0.001 | -0.001 | -0.591 | 0.000 | -0.000 |
| -0.001 | -0.001 | -0.001 | 0.000 | -0.591 | -0.000 |
| -0.001 | -0.001 | -0.001 | 0.000 | 0.000 | -0.591 |
| 13.426 | 13.426 | 13.426 | -0.000 | 0.000 | 0.000 |
| 13.426 | 13.426 | 13.426 | 0.000 | -0.000 | 0.000 |
| 13.426 | 13.426 | 13.426 | -0.000 | -0.000 | 0.000 |
| 0.001 | 0.001 | 0.001 | -0.591 | -0.000 | -0.000 |
| 0.001 | 0.001 | 0.001 | -0.000 | -0.591 | -0.000 |
| 0.001 | 0.001 | 0.001 | -0.000 | -0.000 | -0.591 |
| 219.565 | 152.526 | 152.526 | -0.000 | 0.000 | -0.000 |
| 152.526 | 219.565 | 152.526 | -0.000 | -0.000 | -0.000 |
| 152.526 | 152.526 | 219.565 | -0.000 | -0.000 | -0.000 |
| -0.000 | 0.000 | 0.000 | 84.765 | 0.000 | -0.000 |
| 0.000 | -0.000 | 0.000 | 0.000 | 84.765 | -0.000 |
| 0.000 | 0.000 | 0.000 | 0.000 | -0.000 | 84.765 |
| 219.565 | 152.526 | 152.526 | 0.000 | 0.000 | -0.000 |
| 152.526 | 219.565 | 152.526 | 0.000 | -0.000 | 0.000 |
| 152.526 | 152.526 | 219.565 | 0.000 | 0.000 | 0.000 |
| 0.000 | -0.000 | -0.000 | 84.765 | -0.000 | -0.000 |
| -0.000 | 0.000 | -0.000 | 0.000 | 84.765 | 0.000 |
| -0.000 | -0.000 | -0.000 | -0.000 | 0.000 | 84.765 |
| 219.565 | 152.526 | 152.526 | -0.000 | -0.000 | -0.000 |
| 152.526 | 219.565 | 152.526 | -0.000 | -0.000 | -0.000 |
| 152.526 | 152.526 | 219.565 | -0.000 | -0.000 | 0.000 |
| -0.000 | 0.000 | 0.000 | 84.765 | 0.000 | 0.000 |
| 0.000 | -0.000 | 0.000 | -0.000 | 84.765 | -0.000 |
| 0.000 | 0.000 | -0.000 | -0.000 | -0.000 | 84.765 |
| 219.564 | 152.526 | 152.526 | 0.000 | 0.000 | -0.000 |
| 152.526 | 219.564 | 152.526 | 0.000 | 0.000 | -0.000 |
| 152.526 | 152.526 | 219.564 | 0.000 | 0.000 | -0.000 |
| 0.000 | -0.000 | -0.000 | 84.765 | -0.000 | 0.000 |
| -0.000 | 0.000 | -0.000 | 0.000 | 84.765 | 0.000 |
| -0.000 | -0.000 | 0.000 | 0.000 | 0.000 | 84.765 |
| 219.570 | 152.526 | 152.526 | -0.000 | 0.000 | 0.000 |
| 152.526 | 219.570 | 152.526 | -0.000 | -0.000 | -0.000 |
| 152.526 | 152.526 | 219.570 | -0.000 | -0.000 | 0.000 |
| -0.000 | 0.000 | 0.001 | 84.765 | -0.000 | -0.000 |
| 0.000 | -0.000 | 0.001 | -0.000 | 84.765 | -0.000 |
| 0.000 | 0.001 | -0.000 | 0.000 | -0.000 | 84.765 |
| 219.560 | 152.525 | 152.525 | 0.000 | 0.000 | -0.000 |
| 152.525 | 219.560 | 152.525 | 0.000 | -0.000 | 0.000 |
| 152.525 | 152.525 | 219.560 | 0.000 | 0.000 | 0.000 |
| 0.000 | -0.000 | -0.001 | 84.765 | 0.000 | 0.000 |
| -0.000 | 0.000 | -0.001 | -0.000 | 84.765 | 0.000 |
| -0.000 | -0.001 | 0.000 | -0.000 | 0.000 | 84.765 |
| 421.489 | 430.435 | 430.435 | 0.000 | 0.000 | -0.000 |
| 430.435 | 421.489 | 430.435 | 0.000 | 0.000 | -0.000 |
| 430.435 | 430.435 | 421.489 | 0.000 | 0.000 | -0.000 |
| -0.000 | -0.000 | -0.000 | -0.242 | -0.000 | -0.000 |
| -0.000 | -0.000 | -0.000 | 0.000 | -0.242 | -0.000 |
| -0.000 | -0.000 | -0.000 | 0.000 | -0.000 | -0.242 |
| 421.490 | 430.435 | 430.435 | -0.000 | 0.000 | 0.000 |
| 430.435 | 421.490 | 430.435 | -0.000 | 0.000 | 0.000 |
| 430.435 | 430.435 | 421.490 | -0.000 | 0.000 | 0.000 |
| 0.000 | 0.000 | 0.000 | -0.242 | 0.000 | 0.000 |
| 0.000 | 0.000 | 0.000 | -0.000 | -0.242 | 0.000 |
| 0.000 | 0.000 | 0.000 | -0.000 | 0.000 | -0.242 |
| 421.488 | 430.434 | 430.434 | 0.000 | -0.000 | -0.000 |
| 430.434 | 421.488 | 430.434 | -0.000 | -0.000 | 0.000 |
| 430.434 | 430.434 | 421.488 | 0.000 | 0.000 | -0.000 |
| -0.000 | -0.000 | -0.000 | -0.242 | -0.000 | -0.000 |
| -0.000 | -0.000 | -0.000 | -0.000 | -0.242 | -0.000 |
| -0.000 | -0.000 | -0.000 | 0.000 | -0.000 | -0.242 |
| 421.491 | 430.436 | 430.436 | -0.000 | -0.000 | 0.000 |
| 430.436 | 421.491 | 430.436 | 0.000 | -0.000 | 0.000 |
| 430.436 | 430.436 | 421.491 | -0.000 | -0.000 | 0.000 |
| 0.000 | 0.000 | 0.000 | -0.242 | 0.000 | 0.000 |
| 0.000 | 0.000 | 0.000 | -0.000 | -0.242 | 0.000 |
| 0.000 | 0.000 | 0.000 | -0.000 | 0.000 | -0.242 |
| 421.477 | 430.423 | 430.423 | 0.000 | -0.000 | -0.000 |
| 430.423 | 421.477 | 430.423 | 0.000 | -0.000 | -0.000 |
| 430.423 | 430.423 | 421.477 | 0.000 | -0.000 | -0.000 |
| -0.000 | -0.001 | -0.001 | -0.242 | 0.000 | -0.000 |
| -0.001 | -0.000 | -0.001 | 0.000 | -0.242 | -0.000 |
| -0.001 | -0.001 | -0.000 | 0.000 | -0.000 | -0.242 |
| 421.502 | 430.446 | 430.446 | -0.000 | 0.000 | 0.000 |
| 430.446 | 421.502 | 430.446 | -0.000 | 0.000 | 0.000 |
| 430.446 | 430.446 | 421.502 | -0.000 | 0.000 | 0.000 |
| 0.000 | 0.001 | 0.001 | -0.242 | -0.000 | 0.000 |
| 0.001 | 0.000 | 0.001 | -0.000 | -0.242 | 0.000 |
| 0.001 | 0.001 | 0.000 | -0.000 | 0.000 | -0.242 |
| 161.010 | 83.778 | 83.778 | -0.000 | -0.000 | -0.000 |
| 83.778 | 161.010 | 83.778 | -0.000 | -0.000 | 0.000 |
| 83.778 | 83.778 | 161.010 | -0.000 | -0.000 | -0.000 |
| 0.000 | 0.000 | 0.000 | 82.212 | -0.000 | -0.000 |
| 0.000 | 0.000 | 0.000 | -0.000 | 82.212 | -0.000 |
| 0.000 | 0.000 | 0.000 | -0.000 | -0.000 | 82.212 |
| 161.010 | 83.778 | 83.778 | 0.000 | 0.000 | -0.000 |
| 83.778 | 161.010 | 83.778 | 0.000 | 0.000 | 0.000 |
| 83.778 | 83.778 | 161.010 | 0.000 | 0.000 | 0.000 |
| -0.000 | -0.000 | -0.000 | 82.212 | 0.000 | -0.000 |
| -0.000 | -0.000 | -0.000 | 0.000 | 82.212 | 0.000 |
| -0.000 | -0.000 | -0.000 | 0.000 | 0.000 | 82.212 |
| 161.010 | 83.778 | 83.778 | -0.000 | -0.000 | -0.000 |
| 83.778 | 161.010 | 83.778 | -0.000 | -0.000 | -0.000 |
| 83.778 | 83.778 | 161.010 | -0.000 | -0.000 | 0.000 |
| -0.000 | 0.000 | 0.000 | 82.212 | -0.000 | -0.000 |
| 0.000 | -0.000 | 0.000 | -0.000 | 82.212 | -0.000 |
| 0.000 | 0.000 | -0.000 | -0.000 | -0.000 | 82.212 |
| 161.010 | 83.778 | 83.778 | 0.000 | 0.000 | 0.000 |
| 83.778 | 161.010 | 83.778 | 0.000 | 0.000 | 0.000 |
| 83.778 | 83.778 | 161.010 | 0.000 | 0.000 | 0.000 |
| 0.000 | -0.000 | -0.000 | 82.212 | 0.000 | -0.000 |
| -0.000 | 0.000 | -0.000 | 0.000 | 82.212 | 0.000 |
| -0.000 | -0.000 | 0.000 | 0.000 | 0.000 | 82.212 |
| 161.012 | 83.780 | 83.780 | -0.000 | -0.000 | -0.000 |
| 83.780 | 161.012 | 83.780 | -0.000 | -0.000 | -0.000 |
| 83.780 | 83.780 | 161.012 | -0.000 | -0.000 | -0.000 |
| -0.000 | 0.001 | 0.001 | 82.212 | -0.000 | 0.000 |
| 0.001 | -0.000 | 0.001 | -0.000 | 82.212 | -0.000 |
| 0.001 | 0.001 | -0.000 | -0.000 | -0.000 | 82.212 |
| 161.008 | 83.777 | 83.777 | 0.000 | 0.000 | 0.000 |
| 83.777 | 161.008 | 83.777 | 0.000 | 0.000 | -0.000 |
| 83.777 | 83.777 | 161.008 | 0.000 | 0.000 | 0.000 |
| 0.000 | -0.001 | -0.001 | 82.212 | 0.000 | 0.000 |
| -0.001 | 0.000 | -0.001 | 0.000 | 82.212 | 0.000 |
| -0.001 | -0.001 | 0.000 | 0.000 | 0.000 | 82.212 |
| 32.886 | 16.443 | 16.443 | -0.000 | -0.000 | -0.000 |
| 16.443 | 32.886 | 16.443 | -0.000 | -0.000 | -0.000 |
| 16.443 | 16.443 | 32.886 | -0.000 | -0.000 | -0.000 |
| -0.000 | 0.000 | 0.000 | 16.443 | -0.000 | -0.000 |
| 0.000 | -0.000 | 0.000 | -0.000 | 16.443 | -0.000 |
| 0.000 | 0.000 | -0.000 | -0.000 | -0.000 | 16.443 |
| 32.886 | 16.443 | 16.443 | 0.000 | 0.000 | 0.000 |
| 16.443 | 32.886 | 16.443 | 0.000 | 0.000 | 0.000 |
| 16.443 | 16.443 | 32.886 | 0.000 | 0.000 | 0.000 |
| 0.000 | -0.000 | -0.000 | 16.443 | 0.000 | 0.000 |
| -0.000 | 0.000 | -0.000 | 0.000 | 16.443 | 0.000 |
| -0.000 | -0.000 | 0.000 | 0.000 | 0.000 | 16.443 |
| 32.887 | 16.444 | 16.444 | -0.000 | -0.000 | -0.000 |
| 16.444 | 32.887 | 16.444 | -0.000 | -0.000 | -0.000 |
| 16.444 | 16.444 | 32.887 | -0.000 | -0.000 | -0.000 |
| -0.000 | 0.000 | 0.000 | 16.443 | -0.000 | -0.000 |
| 0.000 | -0.000 | 0.000 | -0.000 | 16.443 | -0.000 |
| 0.000 | 0.000 | -0.000 | -0.000 | -0.000 | 16.443 |
| 32.886 | 16.443 | 16.443 | 0.000 | 0.000 | 0.000 |
| 16.443 | 32.886 | 16.443 | 0.000 | 0.000 | 0.000 |
| 16.443 | 16.443 | 32.886 | 0.000 | 0.000 | 0.000 |
| 0.000 | -0.000 | -0.000 | 16.443 | 0.000 | 0.000 |
| -0.000 | 0.000 | -0.000 | 0.000 | 16.443 | 0.000 |
| -0.000 | -0.000 | 0.000 | 0.000 | 0.000 | 16.443 |
| 32.892 | 16.446 | 16.446 | -0.000 | -0.000 | -0.000 |
| 16.446 | 32.892 | 16.446 | -0.000 | -0.000 | -0.000 |
| 16.446 | 16.446 | 32.892 | 0.000 | -0.000 | -0.000 |
| -0.000 | 0.003 | 0.003 | 16.443 | -0.000 | -0.000 |
| 0.003 | -0.000 | 0.003 | -0.000 | 16.443 | -0.000 |
| 0.003 | 0.003 | -0.000 | -0.000 | -0.000 | 16.443 |
| 32.881 | 16.441 | 16.441 | 0.000 | 0.000 | 0.000 |
| 16.441 | 32.881 | 16.441 | 0.000 | 0.000 | 0.000 |
| 16.441 | 16.441 | 32.881 | 0.000 | 0.000 | 0.000 |
| 0.000 | -0.003 | -0.003 | 16.443 | 0.000 | 0.000 |
| -0.003 | 0.000 | -0.003 | 0.000 | 16.443 | 0.000 |
| -0.003 | -0.003 | 0.000 | 0.000 | 0.000 | 16.443 |
| 190.267 | 202.052 | 210.542 | 0.000 | -0.000 | -0.000 |
| 197.257 | 358.020 | 20.591 | -0.000 | -0.000 | -0.000 |
| 194.960 | 20.342 | 347.398 | -0.000 | 0.000 | 0.000 |
| -0.000 | -0.000 | -0.000 | -6.661 | -0.000 | -0.000 |
| 0.000 | -0.000 | 0.000 | 0.000 | 179.466 | 0.000 |
| 0.020 | 0.008 | 0.026 | -0.000 | -0.000 | 172.217 |
| 178.656 | 197.084 | 195.001 | 0.000 | 0.000 | -0.000 |
| 202.197 | 360.134 | 27.203 | -0.000 | -0.000 | -0.000 |
| 210.455 | 26.971 | 368.137 | 0.000 | -0.000 | -0.000 |
| 0.000 | 0.000 | 0.000 | -6.661 | -0.000 | -0.000 |
| -0.000 | 0.000 | -0.000 | -0.000 | 179.466 | -0.000 |
| -0.020 | -0.008 | -0.026 | 0.000 | -0.000 | 172.217 |
| 190.267 | 202.052 | 210.542 | -0.000 | 0.000 | 0.000 |
| 197.239 | 358.013 | 20.568 | -0.000 | -0.000 | 0.000 |
| 194.943 | 20.334 | 347.375 | 0.000 | -0.000 | 0.000 |
| -0.000 | 0.000 | -0.000 | -6.661 | -0.000 | -0.000 |
| 0.004 | 0.002 | 0.005 | 0.000 | 173.700 | 0.000 |
| 0.002 | 0.001 | 0.003 | 0.000 | 0.000 | 172.217 |
| 178.673 | 197.091 | 195.025 | 0.000 | -0.000 | 0.000 |
| 197.235 | 358.011 | 20.563 | 0.000 | 0.000 | -0.000 |
| 210.455 | 26.971 | 368.137 | 0.000 | 0.000 | -0.000 |
| 0.000 | -0.000 | 0.000 | -6.661 | 0.000 | -0.000 |
| -0.004 | -0.002 | -0.005 | 0.000 | 173.700 | -0.000 |
| -0.002 | -0.001 | -0.003 | 0.000 | -0.000 | 172.217 |
| 178.677 | 197.093 | 195.028 | -0.000 | 0.000 | 0.000 |
| 202.198 | 360.137 | 27.202 | 0.000 | 0.000 | 0.000 |
| 194.943 | 20.333 | 347.375 | -0.000 | -0.000 | 0.000 |
| -0.000 | 0.000 | -0.000 | -6.661 | -0.000 | 0.000 |
| 0.001 | -0.000 | 0.002 | -0.000 | 179.466 | 0.000 |
| 0.001 | 0.002 | 0.000 | -0.000 | 0.000 | 172.217 |
| 178.673 | 197.091 | 195.026 | 0.000 | -0.000 | -0.000 |
| 202.195 | 360.131 | 27.203 | 0.000 | 0.000 | -0.000 |
| 210.454 | 26.972 | 368.134 | 0.000 | 0.000 | -0.000 |
| 0.000 | -0.000 | 0.000 | -6.661 | 0.000 | -0.000 |
| -0.001 | 0.000 | -0.002 | 0.000 | 179.466 | -0.000 |
| -0.001 | -0.002 | -0.000 | 0.000 | 0.000 | 172.217 |
| 303.844 | 143.442 | 125.252 | 21.447 | -0.000 | -0.000 |
| 145.734 | 306.136 | 131.715 | -21.454 | -0.000 | -0.000 |
| 131.715 | 131.715 | 325.862 | -0.000 | 0.000 | -0.000 |
| 21.454 | -21.454 | -0.000 | 66.166 | 0.000 | -0.000 |
| 1.722 | 1.722 | 4.856 | -0.000 | 65.561 | 21.442 |
| 0.986 | 0.986 | 2.781 | -0.000 | 21.447 | 80.201 |
| 301.872 | 141.471 | 119.692 | 21.447 | -0.000 | 0.000 |
| 141.471 | 301.872 | 119.692 | -21.447 | 0.000 | 0.000 |
| 131.715 | 131.715 | 325.862 | -0.000 | -0.000 | 0.000 |
| 21.454 | -21.454 | 0.000 | 66.166 | -0.000 | 0.000 |
| -1.722 | -1.722 | -4.856 | -0.000 | 65.561 | 21.442 |
| -0.986 | -0.986 | -2.781 | 0.000 | 21.447 | 80.201 |
| 306.136 | 145.734 | 131.715 | 21.454 | 0.000 | -0.000 |
| 145.734 | 306.136 | 131.715 | -21.454 | -0.000 | -0.000 |
| 122.571 | 122.571 | 300.074 | 0.000 | 0.000 | -0.000 |
| 21.518 | -21.321 | 0.278 | 64.488 | 0.000 | -0.000 |
| 0.000 | 0.000 | 0.000 | -0.000 | 66.166 | 21.454 |
| 0.103 | 0.103 | 0.289 | -0.000 | 21.447 | 80.201 |
| 302.759 | 142.358 | 122.194 | 21.447 | -0.000 | 0.000 |
| 142.358 | 302.759 | 122.194 | -21.447 | -0.000 | 0.000 |
| 131.715 | 131.715 | 325.862 | -0.000 | -0.000 | 0.000 |
| 20.957 | -21.883 | -1.306 | 64.541 | 0.000 | 0.000 |
| -0.000 | -0.000 | -0.000 | 0.000 | 66.166 | 21.454 |
| -0.103 | -0.103 | -0.289 | 0.000 | 21.447 | 80.201 |
| 306.140 | 145.734 | 131.716 | 21.454 | 0.000 | -0.000 |
| 142.468 | 302.871 | 122.501 | -21.418 | -0.000 | -0.000 |
| 122.483 | 122.483 | 299.826 | 0.000 | -0.000 | -0.000 |
| 21.429 | -21.409 | 0.029 | 64.488 | -0.000 | -0.000 |
| 0.011 | 0.010 | 0.029 | -0.000 | 64.488 | 21.419 |
| 0.000 | 0.001 | 0.000 | -0.000 | 21.454 | 80.201 |
| 302.844 | 142.446 | 122.443 | 21.448 | 0.000 | 0.000 |
| 142.446 | 302.845 | 122.443 | -21.448 | -0.000 | 0.000 |
| 131.714 | 131.714 | 325.860 | -0.000 | 0.000 | 0.000 |
| 21.454 | -21.455 | -0.001 | 66.166 | 0.000 | 0.000 |
| -0.011 | -0.010 | -0.029 | 0.000 | 64.488 | 21.419 |
| -0.000 | -0.001 | -0.000 | 0.000 | 21.454 | 80.201 |
| 306.152 | 145.741 | 131.746 | 21.453 | 0.000 | -0.000 |
| 145.741 | 306.152 | 131.746 | -21.453 | -0.000 | -0.000 |
| 131.743 | 131.743 | 325.924 | 0.000 | -0.000 | -0.000 |
| 21.454 | -21.453 | 0.000 | 66.191 | -0.000 | -0.000 |
| 0.000 | 0.000 | 0.000 | 0.000 | 64.514 | 21.418 |
| 0.000 | 0.000 | 0.000 | 0.000 | 21.453 | 80.206 |
| 306.152 | 145.741 | 131.746 | 21.454 | -0.000 | 0.000 |
| 142.463 | 302.875 | 122.503 | -21.446 | 0.000 | 0.000 |
| 131.743 | 131.743 | 325.924 | -0.000 | 0.000 | 0.000 |
| 21.418 | -21.419 | -0.000 | 64.514 | -0.000 | 0.000 |
| -0.000 | -0.000 | -0.000 | 0.000 | 64.514 | 21.418 |
| -0.000 | -0.000 | -0.000 | 0.000 | 21.454 | 80.206 |
| 306.153 | 145.741 | 131.746 | 21.453 | 0.000 | -0.000 |
| 142.464 | 302.875 | 122.503 | -21.446 | -0.000 | -0.000 |
| 122.501 | 122.501 | 299.860 | 0.000 | 0.000 | -0.000 |
| 21.419 | -21.418 | 0.000 | 64.514 | -0.000 | -0.000 |
| 0.000 | 0.000 | 0.000 | -0.000 | 64.514 | 21.418 |
| 0.000 | 0.000 | 0.000 | -0.000 | 21.418 | 80.205 |
| 302.874 | 142.463 | 122.503 | 21.446 | 0.000 | 0.000 |
| 145.740 | 306.152 | 131.745 | -21.454 | 0.000 | 0.000 |
| 131.743 | 131.743 | 325.923 | -0.000 | 0.000 | 0.000 |
| 21.453 | -21.454 | -0.000 | 66.191 | -0.000 | 0.000 |
| -0.000 | -0.000 | -0.000 | 0.000 | 64.514 | 21.418 |
| -0.000 | -0.000 | -0.000 | 0.000 | 21.418 | 80.205 |
| 302.879 | 142.464 | 122.504 | 21.446 | 0.000 | -0.000 |
| 142.464 | 302.879 | 122.504 | -21.445 | -0.000 | -0.000 |
| 122.502 | 122.502 | 299.863 | -0.000 | -0.000 | -0.000 |
| 21.419 | -21.418 | 0.001 | 64.514 | -0.000 | -0.000 |
| 0.001 | 0.000 | 0.001 | -0.000 | 66.191 | 21.453 |
| 0.000 | 0.001 | 0.000 | -0.000 | 21.453 | 80.206 |
| 302.870 | 142.463 | 122.503 | 21.419 | 0.000 | 0.000 |
| 142.462 | 302.871 | 122.502 | -21.447 | 0.000 | 0.000 |
| 131.742 | 131.742 | 325.921 | 0.000 | 0.000 | 0.000 |
| 21.453 | -21.454 | -0.001 | 66.191 | 0.000 | 0.000 |
| -0.001 | -0.000 | -0.001 | 0.000 | 66.191 | 21.453 |
| -0.000 | -0.001 | -0.000 | 0.000 | 21.453 | 80.206 |
| 305.799 | 143.592 | 127.276 | 21.031 | 0.000 | -0.000 |
| 143.592 | 305.799 | 127.276 | -21.031 | 0.000 | -0.000 |
| 136.032 | 136.032 | 334.434 | -0.000 | 0.000 | 0.000 |
| 21.035 | -21.035 | -0.000 | 70.065 | 0.000 | -0.000 |
| 0.000 | -0.000 | 0.000 | -0.000 | 70.065 | 21.035 |
| 0.000 | 0.000 | -0.000 | -0.000 | 21.035 | 81.104 |
| 309.083 | 146.875 | 136.402 | 21.035 | -0.000 | 0.000 |
| 146.875 | 309.083 | 136.402 | -21.035 | -0.000 | 0.000 |
| 126.906 | 126.906 | 309.072 | 0.000 | -0.000 | 0.000 |
| 21.013 | -21.013 | -0.000 | 68.598 | -0.000 | 0.000 |
| -0.000 | 0.000 | 0.000 | 0.000 | 70.065 | 21.035 |
| -0.000 | -0.000 | 0.000 | 0.000 | 21.035 | 81.104 |
| 309.084 | 146.875 | 136.402 | 21.035 | 0.000 | -0.000 |
| 143.592 | 305.800 | 127.276 | -21.031 | 0.000 | -0.000 |
| 136.032 | 136.032 | 334.434 | -0.000 | 0.000 | 0.000 |
| 21.013 | -21.013 | 0.000 | 68.598 | 0.000 | -0.000 |
| 0.000 | 0.000 | 0.000 | -0.000 | 70.065 | 21.035 |
| 0.000 | 0.000 | 0.000 | -0.000 | 21.013 | 81.104 |
| 309.083 | 146.875 | 136.401 | 21.035 | -0.000 | -0.000 |
| 143.592 | 305.799 | 127.276 | -21.031 | -0.000 | 0.000 |
| 136.031 | 136.031 | 334.434 | 0.000 | -0.000 | 0.000 |
| 21.035 | -21.035 | -0.000 | 70.065 | -0.000 | 0.000 |
| -0.000 | -0.000 | -0.000 | 0.000 | 70.065 | 21.035 |
| -0.000 | -0.000 | -0.000 | 0.000 | 21.013 | 81.104 |
| 305.803 | 143.592 | 127.277 | 21.030 | 0.000 | 0.000 |
| 146.876 | 309.087 | 136.403 | -21.034 | 0.000 | 0.000 |
| 126.907 | 126.907 | 309.075 | -0.000 | 0.000 | -0.000 |
| 21.013 | -21.012 | 0.001 | 68.598 | 0.000 | -0.000 |
| 0.001 | 0.000 | 0.001 | -0.000 | 68.598 | 21.013 |
| 0.000 | 0.001 | 0.000 | -0.000 | 21.035 | 81.104 |
| 305.795 | 143.591 | 127.275 | 21.014 | -0.000 | 0.000 |
| 143.591 | 305.796 | 127.275 | -21.014 | -0.000 | -0.000 |
| 136.030 | 136.030 | 334.431 | 0.000 | -0.000 | -0.000 |
| 21.035 | -21.036 | -0.001 | 70.065 | -0.000 | 0.000 |
| -0.001 | -0.000 | -0.001 | 0.000 | 68.598 | 21.013 |
| -0.000 | -0.001 | -0.000 | 0.000 | 21.035 | 81.104 |
| 224.151 | 154.462 | 147.721 | -0.000 | -0.000 | 0.000 |
| 154.462 | 224.151 | 147.721 | -0.000 | -0.000 | 0.000 |
| 147.721 | 147.721 | 249.744 | 0.000 | -0.000 | 0.000 |
| -0.000 | 0.000 | 0.000 | 91.568 | -0.000 | 0.000 |
| 0.000 | 0.000 | 0.000 | -0.000 | 91.568 | 0.000 |
| 0.000 | 0.000 | -0.000 | -0.000 | -0.000 | 90.351 |
| 224.151 | 154.462 | 147.721 | 0.000 | 0.000 | -0.000 |
| 154.462 | 224.151 | 147.721 | -0.000 | 0.000 | -0.000 |
| 147.721 | 147.721 | 249.743 | 0.000 | 0.000 | -0.000 |
| 0.000 | -0.000 | -0.000 | 91.568 | 0.000 | -0.000 |
| -0.000 | -0.000 | -0.000 | 0.000 | 91.568 | -0.000 |
| -0.000 | -0.000 | 0.000 | 0.000 | 0.000 | 90.351 |
| 222.137 | 156.476 | 147.721 | -0.000 | -0.000 | 0.000 |
| 156.476 | 222.137 | 147.721 | 0.000 | -0.000 | 0.000 |
| 147.721 | 147.721 | 249.744 | -0.000 | -0.000 | 0.000 |
| -0.000 | 0.000 | 0.000 | 90.476 | 0.000 | 0.000 |
| 0.000 | -0.000 | 0.000 | 0.000 | 90.476 | 0.000 |
| 0.000 | 0.000 | -0.000 | 0.000 | -0.000 | 90.351 |
| 224.151 | 154.462 | 147.720 | 0.000 | 0.000 | -0.000 |
| 154.462 | 224.151 | 147.720 | -0.000 | 0.000 | -0.000 |
| 147.720 | 147.720 | 249.743 | 0.000 | 0.000 | -0.000 |
| 0.000 | -0.000 | -0.000 | 90.476 | -0.000 | -0.000 |
| -0.000 | 0.000 | -0.000 | -0.000 | 90.476 | -0.000 |
| -0.000 | -0.000 | 0.000 | -0.000 | 0.000 | 90.351 |
| 224.156 | 154.462 | 147.721 | 0.000 | 0.000 | 0.000 |
| 154.462 | 224.156 | 147.721 | -0.000 | -0.000 | 0.000 |
| 147.721 | 147.721 | 249.750 | -0.000 | -0.000 | 0.000 |
| -0.000 | 0.000 | 0.001 | 90.476 | -0.000 | 0.000 |
| 0.000 | -0.000 | 0.001 | -0.000 | 90.476 | 0.000 |
| 0.000 | 0.001 | -0.000 | 0.000 | -0.000 | 90.351 |
| 222.132 | 156.475 | 147.720 | 0.000 | 0.000 | -0.000 |
| 156.475 | 222.132 | 147.720 | 0.000 | 0.000 | -0.000 |
| 147.720 | 147.720 | 249.737 | 0.000 | 0.000 | -0.000 |
| 0.000 | -0.000 | -0.001 | 90.476 | 0.000 | -0.000 |
| -0.000 | 0.000 | -0.001 | 0.000 | 90.476 | -0.000 |
| -0.000 | -0.001 | 0.000 | -0.000 | 0.000 | 90.351 |
| 4300.621 | 4181.950 | 5150.191 | 0.000 | 0.000 | -0.000 |
| 4195.257 | 4287.559 | 5150.343 | 0.000 | 0.000 | 0.000 |
| 4180.546 | 4180.546 | 5416.977 | 0.000 | 0.000 | -0.000 |
| 4056.350 | 4056.350 | 5025.903 | 67.667 | -0.000 | -0.000 |
| 4056.350 | 4056.350 | 5025.903 | 0.000 | 67.667 | 0.000 |
| 4056.473 | 4056.473 | 5026.056 | 0.000 | 0.000 | 46.151 |
| 249.753 | 124.781 | 127.176 | -0.000 | 0.000 | 0.000 |
| -3917.837 | -3825.549 | -4901.960 | -0.000 | -0.000 | -0.000 |
| -3932.153 | -3932.153 | -4634.828 | -0.000 | -0.000 | 0.000 |
| -4056.350 | -4056.350 | -5025.903 | 67.667 | 0.000 | -0.000 |
| -4056.350 | -4056.350 | -5025.903 | -0.000 | 67.667 | 0.000 |
| -4056.473 | -4056.473 | -5026.056 | -0.000 | 0.000 | 46.151 |
| 249.753 | 124.781 | 127.176 | 0.000 | 0.000 | 0.000 |
| 544.432 | 636.714 | 626.881 | 0.000 | 0.000 | 0.000 |
| 127.086 | 127.086 | 394.654 | 0.000 | 0.000 | -0.000 |
| 405.637 | 405.637 | 502.592 | 66.249 | 0.000 | -0.000 |
| 0.000 | 0.000 | 0.000 | 0.000 | 68.438 | -0.000 |
| 405.635 | 405.635 | 502.590 | 0.000 | 0.000 | 46.145 |
| 249.753 | 124.781 | 127.176 | -0.000 | -0.000 | -0.000 |
| -280.050 | -161.379 | -378.321 | -0.000 | -0.000 | -0.000 |
| -281.438 | -281.438 | -111.516 | 0.000 | 0.000 | 0.000 |
| -405.637 | -405.637 | -502.592 | 66.249 | 0.000 | -0.000 |
| -0.000 | -0.000 | -0.000 | -0.000 | 68.438 | -0.000 |
| -405.635 | -405.635 | -502.590 | -0.000 | -0.000 | 46.145 |
| 284.975 | 166.327 | 174.734 | 0.000 | 0.000 | -0.000 |
| 124.781 | 249.755 | 127.177 | 0.000 | 0.000 | 0.000 |
| 164.761 | 164.761 | 441.335 | 0.000 | 0.000 | 0.000 |
| 0.000 | 0.000 | 0.000 | 68.438 | -0.000 | -0.000 |
| 0.000 | 0.000 | 0.000 | 0.000 | 68.438 | -0.000 |
| 40.707 | 40.707 | 50.436 | 0.000 | 0.000 | 59.325 |
| 249.750 | 124.781 | 127.176 | -0.000 | -0.000 | 0.000 |
| 124.780 | 249.751 | 127.176 | -0.000 | -0.000 | -0.000 |
| 83.633 | 83.633 | 340.814 | -0.000 | -0.000 | -0.000 |
| -0.000 | -0.000 | -0.000 | 68.438 | -0.000 | 0.000 |
| -0.000 | -0.000 | -0.000 | -0.000 | 68.438 | -0.000 |
| -40.707 | -40.707 | -50.436 | -0.000 | -0.000 | 59.325 |
| 236.293 | 127.034 | 121.479 | -0.000 | -0.000 | 0.000 |
| 127.034 | 236.293 | 121.479 | 0.000 | -0.000 | -0.000 |
| 124.068 | 124.068 | 389.309 | 0.000 | -0.000 | 0.000 |
| 1.080 | 1.080 | 1.329 | 65.820 | -0.000 | 0.000 |
| 0.000 | -0.000 | 0.000 | 0.000 | 67.640 | 0.000 |
| 0.000 | 0.000 | 0.000 | -0.000 | -0.000 | 61.543 |
| 247.311 | 124.225 | 126.529 | -0.000 | 0.000 | -0.000 |
| 124.225 | 247.311 | 126.529 | 0.000 | 0.000 | -0.000 |
| 123.165 | 123.165 | 388.198 | -0.000 | 0.000 | -0.000 |
| -1.080 | -1.080 | -1.329 | 65.820 | 0.000 | -0.000 |
| 0.000 | 0.000 | -0.000 | -0.000 | 67.640 | -0.000 |
| -0.000 | -0.000 | 0.000 | 0.000 | 0.000 | 61.543 |
| 236.982 | 125.909 | 121.211 | -0.000 | -0.000 | 0.000 |
| 125.909 | 236.982 | 121.211 | -0.000 | -0.000 | -0.000 |
| 126.529 | 126.529 | 392.338 | 0.000 | -0.000 | 0.000 |
| 0.045 | 0.045 | 0.056 | 65.479 | -0.000 | 0.000 |
| 0.000 | 0.000 | 0.000 | 0.000 | 67.640 | 0.000 |
| 0.214 | 0.214 | 0.264 | -0.000 | -0.000 | 46.227 |
| 247.310 | 124.225 | 126.529 | 0.000 | 0.000 | -0.000 |
| 124.225 | 247.310 | 126.529 | 0.000 | 0.000 | -0.000 |
| 123.571 | 123.571 | 388.698 | 0.000 | 0.000 | -0.000 |
| -0.045 | -0.045 | -0.056 | 65.479 | 0.000 | -0.000 |
| -0.000 | -0.000 | -0.000 | -0.000 | 67.640 | -0.000 |
| -0.214 | -0.214 | -0.264 | -0.000 | 0.000 | 46.227 |
| 237.037 | 125.813 | 121.184 | -0.000 | -0.000 | 0.000 |
| 124.226 | 247.313 | 126.530 | -0.000 | -0.000 | 0.000 |
| 123.622 | 123.622 | 388.761 | -0.000 | -0.000 | 0.000 |
| 0.005 | 0.005 | 0.006 | 65.479 | -0.000 | 0.000 |
| 0.005 | 0.005 | 0.006 | -0.000 | 65.479 | 0.000 |
| 0.022 | 0.022 | 0.026 | 0.000 | -0.000 | 46.212 |
| 228.184 | 138.713 | 123.677 | -0.000 | 0.000 | -0.000 |
| 125.792 | 237.042 | 121.178 | -0.000 | 0.000 | -0.000 |
| 123.612 | 123.612 | 388.747 | 0.000 | 0.000 | -0.000 |
| -0.005 | -0.005 | -0.006 | 65.479 | 0.000 | 0.000 |
| -0.005 | -0.005 | -0.006 | -0.000 | 65.479 | -0.000 |
| -0.022 | -0.022 | -0.026 | -0.000 | 0.000 | 46.212 |
| 290.426 | 100.012 | 144.775 | 0.000 | -0.000 | 0.000 |
| 100.012 | 290.426 | 144.775 | -0.000 | -0.000 | 0.000 |
| 946.551 | 946.552 | 1796.212 | -0.000 | 0.000 | 0.000 |
| 586.569 | 586.569 | 1233.557 | 95.742 | 0.000 | 0.000 |
| 586.569 | 586.569 | 1233.557 | -0.000 | 95.742 | 0.000 |
| 586.567 | 586.567 | 1233.557 | 0.000 | 0.000 | 41.098 |
| -297.692 | -488.106 | -1091.790 | 0.000 | -0.000 | -0.000 |
| -488.106 | -297.692 | -1091.790 | 0.000 | -0.000 | -0.000 |
| -243.360 | -243.360 | -943.425 | -0.000 | -0.000 | -0.000 |
| -586.569 | -586.569 | -1233.557 | 95.742 | -0.000 | -0.000 |
| -586.569 | -586.569 | -1233.557 | 0.000 | 95.742 | -0.000 |
| -586.567 | -586.567 | -1233.557 | -0.000 | -0.000 | 41.098 |
| 290.426 | 100.012 | 144.774 | 0.000 | 0.000 | 0.000 |
| 100.012 | 290.426 | 144.774 | -0.000 | 0.000 | 0.000 |
| 228.888 | 228.888 | 432.564 | 0.000 | 0.000 | 0.000 |
| 85.689 | 85.689 | 164.640 | 95.973 | 0.000 | 0.000 |
| 85.689 | 85.689 | 164.640 | 0.000 | 95.973 | 0.000 |
| 58.659 | 58.659 | 123.364 | -0.000 | 0.000 | 41.098 |
| 203.847 | 13.433 | -21.607 | -0.000 | -0.000 | -0.000 |
| 13.433 | 203.847 | -21.607 | 0.000 | -0.000 | -0.000 |
| 144.940 | 144.940 | 271.779 | -0.000 | -0.000 | -0.000 |
| -85.689 | -85.689 | -164.640 | 95.973 | -0.000 | -0.000 |
| -85.689 | -85.689 | -164.640 | 0.000 | 95.973 | -0.000 |
| -58.659 | -58.659 | -123.364 | 0.000 | 0.000 | 41.098 |
| 293.742 | 103.326 | 155.632 | 0.000 | -0.000 | 0.000 |
| 103.326 | 293.742 | 155.632 | 0.000 | 0.000 | 0.000 |
| 144.940 | 144.940 | 271.784 | 0.000 | 0.000 | 0.000 |
| 0.000 | -0.000 | 0.000 | 96.149 | 0.000 | 0.000 |
| -0.000 | 0.000 | 0.000 | -0.000 | 96.149 | 0.000 |
| 5.866 | 5.866 | 12.336 | -0.000 | -0.000 | 41.098 |
| 290.423 | 100.011 | 144.774 | 0.000 | -0.000 | -0.000 |
| 100.011 | 290.423 | 144.774 | -0.000 | -0.000 | -0.000 |
| 140.183 | 140.183 | 257.370 | -0.000 | 0.000 | -0.000 |
| -0.000 | 0.000 | -0.000 | 96.149 | -0.000 | -0.000 |
| 0.000 | -0.000 | -0.000 | -0.000 | 96.149 | -0.000 |
| -5.866 | -5.866 | -12.336 | -0.000 | -0.000 | 41.098 |
| 729.526 | 541.156 | 855.092 | -0.000 | 0.000 | -0.000 |
| 541.156 | 729.526 | 855.092 | 0.000 | 0.000 | -0.000 |
| 501.362 | 501.362 | 841.596 | -0.000 | 0.000 | -0.000 |
| 442.934 | 442.934 | 711.385 | 96.451 | 0.000 | -0.000 |
| 442.934 | 442.934 | 711.385 | -0.000 | 96.451 | -0.000 |
| 0.000 | 0.000 | 0.000 | -0.000 | 0.000 | 40.212 |
| 287.401 | 99.031 | 145.802 | 0.000 | -0.000 | 0.000 |
| 99.031 | 287.401 | 145.802 | 0.000 | -0.000 | 0.000 |
| 145.802 | 145.802 | 279.055 | 0.000 | -0.000 | 0.000 |
| -442.934 | -442.934 | -711.385 | 96.451 | -0.000 | 0.000 |
| -442.934 | -442.934 | -711.385 | 0.000 | 96.451 | 0.000 |
| -0.000 | -0.000 | -0.000 | 0.000 | -0.000 | 40.212 |
| 330.882 | 142.512 | 214.838 | -0.000 | 0.000 | -0.000 |
| 142.512 | 330.882 | 214.838 | -0.000 | 0.000 | -0.000 |
| 183.055 | 183.055 | 339.947 | -0.000 | 0.000 | -0.000 |
| 0.000 | -0.000 | 0.000 | 96.664 | 0.000 | -0.000 |
| -0.000 | 0.000 | 0.000 | -0.000 | 96.664 | -0.000 |
| 0.000 | 0.000 | 0.000 | -0.000 | 0.000 | 40.212 |
| 287.401 | 99.031 | 145.802 | 0.000 | -0.000 | 0.000 |
| 99.031 | 287.401 | 145.802 | 0.000 | -0.000 | 0.000 |
| 99.476 | 99.476 | 201.870 | 0.000 | -0.000 | 0.000 |
| -0.000 | 0.000 | -0.000 | 96.664 | -0.000 | 0.000 |
| 0.000 | -0.000 | -0.000 | 0.000 | 96.664 | 0.000 |
| -0.000 | -0.000 | -0.000 | 0.000 | -0.000 | 40.212 |
| 290.984 | 102.613 | 150.744 | -0.000 | 0.000 | -0.000 |
| 102.613 | 290.984 | 150.744 | -0.000 | 0.000 | -0.000 |
| 147.828 | 147.828 | 279.711 | -0.000 | 0.000 | -0.000 |
| 3.541 | 3.541 | 5.571 | 96.507 | 0.000 | -0.000 |
| 3.541 | 3.541 | 5.571 | -0.000 | 96.507 | -0.000 |
| 4.430 | 4.430 | 7.114 | -0.000 | 0.000 | 40.212 |
| 283.138 | 94.769 | 139.296 | 0.000 | -0.000 | 0.000 |
| 94.769 | 283.138 | 139.296 | 0.000 | -0.000 | 0.000 |
| 145.801 | 145.801 | 279.050 | 0.000 | -0.000 | 0.000 |
| -3.541 | -3.541 | -5.571 | 96.507 | -0.000 | 0.000 |
| -3.541 | -3.541 | -5.571 | 0.000 | 96.507 | 0.000 |
| -4.430 | -4.430 | -7.114 | 0.000 | -0.000 | 40.212 |
| 673.253 | -24.703 | -24.703 | -0.000 | 0.000 | -0.000 |
| -24.703 | 673.253 | -24.703 | 0.000 | 0.000 | 0.000 |
| -24.703 | -24.703 | 673.253 | -0.000 | -0.000 | 0.000 |
| -0.000 | 0.000 | -0.000 | -60.955 | 0.000 | 0.000 |
| -0.000 | 0.000 | -0.000 | -0.000 | -60.955 | 0.000 |
| -0.000 | -0.000 | 0.000 | -0.000 | 0.000 | -60.955 |
| 673.253 | -24.703 | -24.703 | 0.000 | -0.000 | -0.000 |
| -24.703 | 673.253 | -24.703 | 0.000 | 0.000 | -0.000 |
| -24.703 | -24.703 | 673.253 | -0.000 | -0.000 | 0.000 |
| 0.000 | -0.000 | 0.000 | -60.955 | -0.000 | 0.000 |
| 0.000 | -0.000 | 0.000 | 0.000 | -60.955 | -0.000 |
| 0.000 | 0.000 | 0.000 | 0.000 | -0.000 | -60.955 |
| 673.253 | -24.703 | -24.703 | -0.000 | 0.000 | 0.000 |
| -24.703 | 673.253 | -24.703 | -0.000 | -0.000 | -0.000 |
| -24.703 | -24.703 | 673.253 | 0.000 | 0.000 | 0.000 |
| 0.000 | 0.000 | -0.000 | -60.955 | 0.000 | 0.000 |
| 0.000 | 0.000 | -0.000 | -0.000 | -60.955 | 0.000 |
| 0.000 | -0.000 | 0.000 | -0.000 | 0.000 | -60.955 |
| 673.252 | -24.703 | -24.703 | 0.000 | 0.000 | -0.000 |
| -24.703 | 673.252 | -24.703 | -0.000 | -0.000 | -0.000 |
| -24.703 | -24.703 | 673.252 | -0.000 | -0.000 | 0.000 |
| -0.000 | -0.000 | 0.000 | -60.955 | -0.000 | -0.000 |
| -0.000 | -0.000 | 0.000 | 0.000 | -60.955 | -0.000 |
| -0.000 | 0.000 | -0.000 | 0.000 | -0.000 | -60.955 |
| 673.256 | -24.703 | -24.703 | 0.000 | -0.000 | 0.000 |
| -24.703 | 673.256 | -24.703 | 0.000 | 0.000 | 0.000 |
| -24.703 | -24.703 | 673.256 | 0.000 | 0.000 | 0.000 |
| 0.000 | 0.000 | -0.000 | -60.955 | -0.000 | 0.000 |
| 0.000 | 0.000 | -0.000 | -0.000 | -60.955 | 0.000 |
| 0.000 | -0.000 | 0.000 | -0.000 | 0.000 | -60.955 |
| 673.250 | -24.703 | -24.703 | -0.000 | -0.000 | -0.000 |
| -24.703 | 673.250 | -24.703 | -0.000 | -0.000 | -0.000 |
| -24.703 | -24.703 | 673.250 | -0.000 | 0.000 | -0.000 |
| -0.000 | -0.000 | 0.000 | -60.955 | 0.000 | -0.000 |
| -0.000 | -0.000 | 0.000 | 0.000 | -60.955 | -0.000 |
| -0.000 | 0.000 | -0.000 | 0.000 | -0.000 | -60.955 |
| 8.697 | -0.282 | -0.282 | -0.000 | -0.000 | -0.000 |
| -0.282 | 8.697 | -0.282 | -0.000 | -0.000 | -0.000 |
| -0.282 | -0.282 | 8.697 | -0.000 | -0.000 | -0.000 |
| -0.000 | -0.000 | -0.000 | -0.000 | -0.000 | -0.000 |
| -0.000 | -0.000 | -0.000 | -0.000 | -0.000 | -0.000 |
| -0.000 | -0.000 | -0.000 | -0.000 | 0.000 | -0.000 |
| 8.697 | -0.282 | -0.282 | -0.000 | -0.000 | 0.000 |
| -0.282 | 8.697 | -0.282 | 0.000 | -0.000 | -0.000 |
| -0.282 | -0.282 | 8.697 | -0.000 | -0.000 | 0.000 |
| 0.000 | 0.000 | 0.000 | -0.000 | 0.000 | -0.000 |
| 0.000 | 0.000 | 0.000 | -0.000 | -0.000 | 0.000 |
| 0.000 | 0.000 | 0.000 | 0.000 | -0.000 | -0.000 |
| 8.696 | -0.282 | -0.282 | 0.000 | 0.000 | -0.000 |
| -0.282 | 8.696 | -0.282 | -0.000 | 0.000 | 0.000 |
| -0.282 | -0.282 | 8.696 | 0.000 | 0.000 | 0.000 |
| 0.000 | 0.000 | -0.000 | 0.000 | 0.000 | 0.000 |
| 0.000 | 0.000 | -0.000 | -0.000 | 0.000 | -0.000 |
| 0.000 | -0.000 | 0.000 | -0.000 | -0.000 | 0.000 |
| 8.697 | -0.282 | -0.282 | -0.000 | 0.000 | 0.000 |
| -0.282 | 8.697 | -0.282 | 0.000 | -0.000 | -0.000 |
| -0.282 | -0.282 | 8.697 | -0.000 | -0.000 | -0.000 |
| -0.000 | -0.000 | 0.000 | 0.000 | -0.000 | -0.000 |
| -0.000 | -0.000 | 0.000 | -0.000 | 0.000 | 0.000 |
| -0.000 | 0.000 | -0.000 | 0.000 | -0.000 | 0.000 |
| 8.691 | -0.282 | -0.282 | 0.000 | -0.000 | -0.000 |
| -0.282 | 8.691 | -0.282 | -0.000 | 0.000 | 0.000 |
| -0.282 | -0.282 | 8.691 | 0.000 | 0.000 | 0.000 |
| 0.000 | 0.000 | -0.000 | 0.000 | -0.000 | 0.000 |
| 0.000 | 0.000 | -0.000 | -0.000 | 0.000 | -0.000 |
| 0.000 | -0.000 | 0.000 | 0.000 | -0.000 | 0.000 |
| 8.703 | -0.282 | -0.282 | 0.000 | -0.000 | -0.000 |
| -0.282 | 8.703 | -0.282 | 0.000 | 0.000 | -0.000 |
| -0.282 | -0.282 | 8.703 | -0.000 | -0.000 | 0.000 |
| -0.000 | -0.000 | 0.000 | 0.000 | 0.000 | -0.000 |
| -0.000 | -0.000 | 0.000 | 0.000 | 0.000 | 0.000 |
| -0.000 | 0.000 | -0.000 | -0.000 | -0.000 | 0.000 |
| 0.056 | 0.000 | 0.000 | 0.000 | -0.000 | 0.000 |
| 0.000 | 0.056 | 0.000 | 0.000 | 0.000 | 0.000 |
| 0.000 | 0.000 | 0.056 | 0.000 | 0.000 | 0.000 |
| 0.000 | 0.000 | 0.000 | -0.000 | 0.000 | 0.000 |
| 0.000 | 0.000 | 0.000 | 0.000 | -0.000 | 0.000 |
| 0.000 | 0.000 | 0.000 | 0.000 | -0.000 | -0.000 |
| 0.056 | -0.000 | -0.000 | 0.000 | -0.000 | -0.000 |
| -0.000 | 0.056 | -0.000 | -0.000 | 0.000 | 0.000 |
| -0.000 | -0.000 | 0.056 | -0.000 | -0.000 | -0.000 |
| -0.000 | -0.000 | -0.000 | -0.000 | -0.000 | -0.000 |
| -0.000 | -0.000 | -0.000 | -0.000 | -0.000 | 0.000 |
| -0.000 | -0.000 | -0.000 | -0.000 | -0.000 | -0.000 |
| 0.056 | 0.000 | 0.000 | 0.000 | 0.000 | 0.000 |
| 0.000 | 0.056 | 0.000 | 0.000 | 0.000 | -0.000 |
| 0.000 | 0.000 | 0.056 | -0.000 | -0.000 | 0.000 |
| 0.000 | 0.000 | -0.000 | 0.000 | 0.000 | 0.000 |
| 0.000 | 0.000 | -0.000 | 0.000 | 0.000 | 0.000 |
| 0.000 | -0.000 | 0.000 | 0.000 | -0.000 | 0.000 |
| 0.056 | -0.000 | -0.000 | -0.000 | -0.000 | -0.000 |
| -0.000 | 0.056 | -0.000 | -0.000 | -0.000 | -0.000 |
| -0.000 | -0.000 | 0.056 | -0.000 | -0.000 | -0.000 |
| -0.000 | -0.000 | 0.000 | 0.000 | -0.000 | -0.000 |
| -0.000 | -0.000 | 0.000 | -0.000 | 0.000 | -0.000 |
| -0.000 | 0.000 | -0.000 | -0.000 | 0.000 | 0.000 |
| 0.057 | 0.000 | 0.000 | 0.000 | -0.000 | -0.000 |
| 0.000 | 0.057 | 0.000 | -0.000 | 0.000 | -0.000 |
| 0.000 | 0.000 | 0.057 | -0.000 | -0.000 | 0.000 |
| 0.000 | 0.000 | -0.000 | 0.000 | 0.000 | 0.000 |
| 0.000 | 0.000 | -0.000 | 0.000 | 0.000 | 0.000 |
| 0.000 | -0.000 | 0.000 | 0.000 | -0.000 | 0.000 |
| 0.056 | 0.000 | 0.000 | -0.000 | 0.000 | -0.000 |
| 0.000 | 0.056 | 0.000 | 0.000 | 0.000 | -0.000 |
| 0.000 | 0.000 | 0.056 | -0.000 | -0.000 | -0.000 |
| -0.000 | -0.000 | 0.000 | 0.000 | -0.000 | -0.000 |
| -0.000 | -0.000 | 0.000 | -0.000 | 0.000 | -0.000 |
| -0.000 | 0.000 | -0.000 | -0.000 | 0.000 | 0.000 |
| 179.851 | 187.042 | 187.042 | -0.000 | -0.000 | -0.000 |
| 187.042 | 179.851 | 187.042 | -0.000 | -0.000 | -0.000 |
| 187.042 | 187.042 | 179.851 | -0.000 | -0.000 | -0.000 |
| -0.000 | -0.000 | 0.000 | 203.850 | -0.000 | -0.000 |
| -0.000 | 0.000 | 0.000 | -0.000 | 203.850 | -0.000 |
| -0.000 | 0.000 | 0.000 | -0.000 | -0.000 | 203.850 |
| 179.851 | 187.042 | 187.042 | -0.000 | 0.000 | 0.000 |
| 187.042 | 179.851 | 187.042 | 0.000 | 0.000 | 0.000 |
| 187.042 | 187.042 | 179.851 | 0.000 | 0.000 | -0.000 |
| 0.000 | 0.000 | -0.000 | 203.850 | 0.000 | 0.000 |
| 0.000 | -0.000 | -0.000 | 0.000 | 203.850 | -0.000 |
| 0.000 | -0.000 | -0.000 | 0.000 | 0.000 | 203.850 |
| 179.851 | 187.042 | 187.042 | -0.000 | -0.000 | 0.000 |
| 187.042 | 179.851 | 187.042 | -0.000 | -0.000 | 0.000 |
| 187.042 | 187.042 | 179.851 | -0.000 | -0.000 | -0.000 |
| 0.000 | 0.000 | 0.000 | 203.850 | 0.000 | -0.000 |
| 0.000 | 0.000 | 0.000 | -0.000 | 203.850 | -0.000 |
| 0.000 | 0.000 | 0.000 | -0.000 | -0.000 | 203.850 |
| 179.851 | 187.042 | 187.042 | 0.000 | 0.000 | 0.000 |
| 187.042 | 179.851 | 187.042 | 0.000 | 0.000 | 0.000 |
| 187.042 | 187.042 | 179.851 | 0.000 | 0.000 | 0.000 |
| -0.000 | -0.000 | -0.000 | 203.850 | -0.000 | -0.000 |
| -0.000 | -0.000 | -0.000 | 0.000 | 203.850 | -0.000 |
| -0.000 | -0.000 | -0.000 | 0.000 | 0.000 | 203.850 |
| 179.853 | 187.043 | 187.043 | -0.000 | -0.000 | -0.000 |
| 187.043 | 179.853 | 187.043 | 0.000 | -0.000 | -0.000 |
| 187.043 | 187.043 | 179.853 | -0.000 | 0.000 | 0.000 |
| 0.001 | 0.000 | 0.001 | 203.850 | -0.000 | 0.000 |
| 0.000 | 0.001 | 0.001 | -0.000 | 203.850 | 0.000 |
| 0.000 | 0.001 | 0.001 | -0.000 | -0.000 | 203.850 |
| 179.849 | 187.042 | 187.042 | 0.000 | 0.000 | 0.000 |
| 187.042 | 179.849 | 187.042 | 0.000 | 0.000 | 0.000 |
| 187.042 | 187.042 | 179.849 | -0.000 | 0.000 | 0.000 |
| -0.001 | -0.000 | -0.001 | 203.850 | 0.000 | 0.000 |
| -0.000 | -0.001 | -0.001 | 0.000 | 203.850 | 0.000 |
| -0.000 | -0.001 | -0.001 | 0.000 | 0.000 | 203.850 |
| 52.781 | 13.059 | 13.059 | 0.000 | 0.000 | 0.000 |
| 13.059 | 52.781 | 13.059 | 0.000 | 0.000 | 0.000 |
| 13.059 | 13.059 | 52.781 | 0.000 | 0.000 | -0.000 |
| -0.000 | -0.000 | 0.000 | 27.584 | 0.000 | 0.000 |
| -0.000 | -0.000 | 0.000 | -0.000 | 27.584 | 0.000 |
| -0.000 | -0.000 | 0.000 | 0.000 | 0.000 | 27.584 |
| 52.781 | 13.059 | 13.059 | 0.000 | -0.000 | 0.000 |
| 13.059 | 52.781 | 13.059 | 0.000 | -0.000 | 0.000 |
| 13.059 | 13.059 | 52.781 | -0.000 | -0.000 | 0.000 |
| 0.000 | 0.000 | 0.000 | 27.584 | -0.000 | 0.000 |
| 0.000 | 0.000 | 0.000 | -0.000 | 27.584 | 0.000 |
| 0.000 | 0.000 | -0.000 | -0.000 | -0.000 | 27.584 |
| 52.781 | 13.059 | 13.059 | -0.000 | 0.000 | -0.000 |
| 13.059 | 52.781 | 13.059 | -0.000 | 0.000 | -0.000 |
| 13.059 | 13.059 | 52.781 | 0.000 | 0.000 | -0.000 |
| -0.000 | -0.000 | -0.000 | 27.584 | 0.000 | 0.000 |
| -0.000 | -0.000 | -0.000 | 0.000 | 27.584 | -0.000 |
| -0.000 | -0.000 | -0.000 | 0.000 | 0.000 | 27.584 |
| 52.781 | 13.059 | 13.059 | -0.000 | -0.000 | 0.000 |
| 13.059 | 52.781 | 13.059 | 0.000 | -0.000 | -0.000 |
| 13.059 | 13.059 | 52.781 | 0.000 | -0.000 | 0.000 |
| 0.000 | 0.000 | 0.000 | 27.584 | -0.000 | 0.000 |
| 0.000 | 0.000 | 0.000 | 0.000 | 27.584 | -0.000 |
| 0.000 | 0.000 | 0.000 | 0.000 | -0.000 | 27.584 |
| 52.781 | 13.059 | 13.059 | 0.000 | 0.000 | 0.000 |
| 13.059 | 52.781 | 13.059 | -0.000 | 0.000 | 0.000 |
| 13.059 | 13.059 | 52.781 | 0.000 | 0.000 | -0.000 |
| -0.000 | -0.000 | -0.000 | 27.584 | 0.000 | -0.000 |
| -0.000 | -0.000 | -0.000 | 0.000 | 27.584 | -0.000 |
| -0.000 | -0.000 | -0.000 | 0.000 | 0.000 | 27.584 |
| 52.781 | 13.059 | 13.059 | -0.000 | -0.000 | 0.000 |
| 13.059 | 52.781 | 13.059 | -0.000 | -0.000 | 0.000 |
| 13.059 | 13.059 | 52.781 | -0.000 | -0.000 | 0.000 |
| 0.000 | 0.000 | 0.000 | 27.584 | -0.000 | -0.000 |
| 0.000 | 0.000 | 0.000 | -0.000 | 27.584 | 0.000 |
| 0.000 | 0.000 | 0.000 | -0.000 | -0.000 | 27.584 |
| 5.017 | 5.017 | 5.017 | -0.000 | -0.000 | 0.000 |
| 5.017 | 5.017 | 5.017 | -0.000 | -0.000 | 0.000 |
| 5.017 | 5.017 | 5.017 | -0.000 | -0.000 | 0.000 |
| -0.000 | -0.000 | -0.000 | 5.570 | -0.000 | 0.000 |
| -0.000 | -0.000 | -0.000 | -0.000 | 5.570 | 0.000 |
| -0.000 | -0.000 | -0.000 | -0.000 | -0.000 | 5.570 |
| 5.017 | 5.017 | 5.017 | 0.000 | 0.000 | -0.000 |
| 5.017 | 5.017 | 5.017 | 0.000 | 0.000 | -0.000 |
| 5.017 | 5.017 | 5.017 | 0.000 | 0.000 | -0.000 |
| 0.000 | 0.000 | 0.000 | 5.570 | 0.000 | -0.000 |
| 0.000 | 0.000 | 0.000 | 0.000 | 5.570 | -0.000 |
| 0.000 | 0.000 | 0.000 | 0.000 | 0.000 | 5.570 |
| 5.017 | 5.017 | 5.017 | -0.000 | -0.000 | 0.000 |
| 5.017 | 5.017 | 5.017 | -0.000 | -0.000 | 0.000 |
| 5.017 | 5.017 | 5.017 | -0.000 | -0.000 | 0.000 |
| -0.000 | -0.000 | -0.000 | 5.570 | -0.000 | 0.000 |
| -0.000 | -0.000 | -0.000 | -0.000 | 5.570 | 0.000 |
| -0.000 | -0.000 | -0.000 | -0.000 | -0.000 | 5.570 |
| 5.017 | 5.017 | 5.017 | 0.000 | 0.000 | -0.000 |
| 5.017 | 5.017 | 5.017 | 0.000 | 0.000 | -0.000 |
| 5.017 | 5.017 | 5.017 | 0.000 | 0.000 | 0.000 |
| 0.000 | 0.000 | 0.000 | 5.570 | 0.000 | -0.000 |
| 0.000 | 0.000 | 0.000 | 0.000 | 5.570 | -0.000 |
| 0.000 | 0.000 | 0.000 | 0.000 | 0.000 | 5.570 |
| 5.017 | 5.017 | 5.017 | -0.000 | -0.000 | -0.000 |
| 5.017 | 5.017 | 5.017 | -0.000 | -0.000 | -0.000 |
| 5.017 | 5.017 | 5.017 | -0.000 | -0.000 | 0.000 |
| -0.001 | -0.001 | -0.001 | 5.570 | -0.000 | 0.000 |
| -0.001 | -0.001 | -0.001 | -0.000 | 5.570 | 0.000 |
| -0.001 | -0.001 | -0.001 | -0.000 | -0.000 | 5.570 |
| 5.018 | 5.018 | 5.018 | 0.000 | 0.000 | -0.000 |
| 5.018 | 5.018 | 5.018 | 0.000 | 0.000 | -0.000 |
| 5.018 | 5.018 | 5.018 | 0.000 | 0.000 | -0.000 |
| 0.001 | 0.001 | 0.001 | 5.570 | 0.000 | -0.000 |
| 0.001 | 0.001 | 0.001 | 0.000 | 5.570 | -0.000 |
| 0.001 | 0.001 | 0.001 | 0.000 | 0.000 | 5.570 |
| 0.033 | 0.033 | 0.033 | 0.000 | 0.000 | 0.000 |
| 0.033 | 0.033 | 0.033 | 0.000 | 0.000 | 0.000 |
| 0.033 | 0.033 | 0.033 | 0.000 | 0.000 | 0.000 |
| 0.000 | 0.000 | 0.000 | 0.033 | 0.000 | 0.000 |
| 0.000 | 0.000 | 0.000 | 0.000 | 0.033 | 0.000 |
| 0.000 | 0.000 | 0.000 | 0.000 | 0.000 | 0.033 |
| 0.033 | 0.033 | 0.033 | -0.000 | -0.000 | -0.000 |
| 0.033 | 0.033 | 0.033 | -0.000 | -0.000 | -0.000 |
| 0.033 | 0.033 | 0.033 | -0.000 | -0.000 | -0.000 |
| -0.000 | -0.000 | -0.000 | 0.033 | -0.000 | -0.000 |
| -0.000 | -0.000 | -0.000 | -0.000 | 0.033 | -0.000 |
| -0.000 | -0.000 | -0.000 | -0.000 | -0.000 | 0.033 |
| 0.033 | 0.033 | 0.033 | -0.000 | 0.000 | 0.000 |
| 0.033 | 0.033 | 0.033 | 0.000 | -0.000 | 0.000 |
| 0.033 | 0.033 | 0.033 | 0.000 | 0.000 | 0.000 |
| 0.000 | 0.000 | 0.000 | 0.033 | 0.000 | 0.000 |
| 0.000 | 0.000 | 0.000 | 0.000 | 0.033 | 0.000 |
| 0.000 | 0.000 | 0.000 | 0.000 | 0.000 | 0.033 |
| 0.033 | 0.033 | 0.033 | -0.000 | -0.000 | -0.000 |
| 0.033 | 0.033 | 0.033 | -0.000 | -0.000 | -0.000 |
| 0.033 | 0.033 | 0.033 | -0.000 | -0.000 | -0.000 |
| -0.000 | -0.000 | -0.000 | 0.033 | -0.000 | -0.000 |
| -0.000 | -0.000 | -0.000 | -0.000 | 0.033 | -0.000 |
| -0.000 | -0.000 | -0.000 | -0.000 | -0.000 | 0.033 |
| 0.033 | 0.033 | 0.033 | 0.000 | 0.000 | 0.000 |
| 0.033 | 0.033 | 0.033 | 0.000 | 0.000 | 0.000 |
| 0.033 | 0.033 | 0.033 | 0.000 | 0.000 | 0.000 |
| 0.000 | 0.000 | 0.000 | 0.033 | 0.000 | 0.000 |
| 0.000 | 0.000 | 0.000 | 0.000 | 0.033 | 0.000 |
| 0.000 | 0.000 | 0.000 | 0.000 | 0.000 | 0.033 |
| 0.032 | 0.032 | 0.032 | -0.000 | -0.000 | -0.000 |
| 0.032 | 0.032 | 0.032 | -0.000 | -0.000 | -0.000 |
| 0.032 | 0.032 | 0.032 | -0.000 | -0.000 | -0.000 |
| -0.000 | -0.000 | -0.000 | 0.033 | -0.000 | -0.000 |
| -0.000 | -0.000 | -0.000 | -0.000 | 0.033 | -0.000 |
| -0.000 | -0.000 | -0.000 | -0.000 | 0.000 | 0.033 |
| 196.269 | 278.764 | 278.764 | 0.000 | -0.000 | -0.000 |
| 278.764 | 196.269 | 278.764 | 0.000 | -0.000 | -0.000 |
| 278.764 | 278.764 | 196.269 | 0.000 | -0.000 | 0.000 |
| 0.000 | 0.000 | 0.000 | -107.167 | 0.000 | -0.000 |
| -0.000 | 0.000 | 0.000 | -0.000 | -107.167 | -0.000 |
| -0.000 | 0.000 | 0.000 | -0.000 | -0.000 | -107.167 |
| 196.269 | 278.764 | 278.764 | -0.000 | -0.000 | 0.000 |
| 278.764 | 196.269 | 278.764 | -0.000 | -0.000 | -0.000 |
| 278.764 | 278.764 | 196.269 | 0.000 | 0.000 | -0.000 |
| 0.000 | -0.000 | -0.000 | -107.167 | -0.000 | 0.000 |
| 0.000 | -0.000 | -0.000 | 0.000 | -107.167 | 0.000 |
| 0.000 | -0.000 | -0.000 | 0.000 | 0.000 | -107.167 |
| 196.270 | 278.764 | 278.764 | 0.000 | 0.000 | -0.000 |
| 278.764 | 196.270 | 278.764 | 0.000 | -0.000 | -0.000 |
| 278.764 | 278.764 | 196.270 | 0.000 | 0.000 | -0.000 |
| 0.000 | 0.000 | 0.000 | -107.167 | -0.000 | -0.000 |
| 0.000 | 0.000 | 0.000 | -0.000 | -107.167 | -0.000 |
| 0.000 | 0.000 | 0.000 | -0.000 | -0.000 | -107.167 |
| 196.268 | 278.764 | 278.764 | -0.000 | 0.000 | 0.000 |
| 278.764 | 196.268 | 278.764 | -0.000 | 0.000 | 0.000 |
| 278.764 | 278.764 | 196.268 | 0.000 | 0.000 | 0.000 |
| -0.000 | -0.000 | -0.000 | -107.167 | -0.000 | 0.000 |
| -0.000 | -0.000 | -0.000 | -0.000 | -107.167 | 0.000 |
| -0.000 | -0.000 | -0.000 | 0.000 | 0.000 | -107.167 |
| 196.278 | 278.765 | 278.765 | 0.000 | -0.000 | 0.000 |
| 278.765 | 196.278 | 278.765 | -0.000 | -0.000 | 0.000 |
| 278.765 | 278.765 | 196.278 | 0.000 | -0.000 | -0.000 |
| 0.001 | 0.001 | 0.001 | -107.167 | -0.000 | 0.000 |
| 0.001 | 0.001 | 0.001 | -0.000 | -107.167 | -0.000 |
| 0.001 | 0.001 | 0.001 | -0.000 | -0.000 | -107.167 |
| 196.260 | 278.763 | 278.763 | -0.000 | -0.000 | -0.000 |
| 278.763 | 196.260 | 278.763 | -0.000 | 0.000 | 0.000 |
| 278.763 | 278.763 | 196.260 | -0.000 | -0.000 | 0.000 |
| -0.001 | -0.001 | -0.001 | -107.167 | 0.000 | 0.000 |
| -0.001 | -0.001 | -0.001 | 0.000 | -107.167 | 0.000 |
| -0.001 | -0.001 | -0.001 | 0.000 | 0.000 | -107.167 |
| 0.792 | 0.792 | 0.792 | 0.000 | -0.000 | -0.000 |
| 0.792 | 0.792 | 0.792 | -0.000 | 0.000 | -0.000 |
| 0.792 | 0.792 | 0.792 | -0.000 | -0.000 | 0.000 |
| -0.000 | -0.000 | -0.000 | 0.416 | 0.000 | 0.000 |
| -0.000 | -0.000 | -0.000 | 0.000 | 0.416 | 0.000 |
| -0.000 | -0.000 | -0.000 | 0.000 | 0.000 | 0.416 |
| 0.792 | 0.792 | 0.792 | 0.000 | 0.000 | 0.000 |
| 0.792 | 0.792 | 0.792 | 0.000 | 0.000 | 0.000 |
| 0.792 | 0.792 | 0.792 | -0.000 | -0.000 | 0.000 |
| 0.000 | 0.000 | 0.000 | 0.416 | -0.000 | -0.000 |
| 0.000 | 0.000 | 0.000 | -0.000 | 0.416 | -0.000 |
| 0.000 | 0.000 | 0.000 | -0.000 | -0.000 | 0.416 |
| 0.792 | 0.792 | 0.792 | -0.000 | -0.000 | -0.000 |
| 0.792 | 0.792 | 0.792 | -0.000 | -0.000 | -0.000 |
| 0.792 | 0.792 | 0.792 | -0.000 | -0.000 | -0.000 |
| -0.000 | -0.000 | -0.000 | 0.195 | -0.000 | 0.000 |
| -0.000 | -0.000 | -0.000 | -0.000 | 0.195 | 0.000 |
| -0.000 | -0.000 | -0.000 | -0.000 | 0.000 | 0.195 |
| 0.792 | 0.792 | 0.792 | -0.000 | 0.000 | 0.000 |
| 0.792 | 0.792 | 0.792 | 0.000 | -0.000 | 0.000 |
| 0.792 | 0.792 | 0.792 | 0.000 | 0.000 | -0.000 |
| 0.000 | 0.000 | 0.000 | 0.195 | -0.000 | -0.000 |
| 0.000 | 0.000 | 0.000 | -0.000 | 0.195 | -0.000 |
| 0.000 | 0.000 | 0.000 | -0.000 | -0.000 | 0.195 |
| 0.792 | 0.792 | 0.792 | -0.000 | -0.000 | -0.000 |
| 0.792 | 0.792 | 0.792 | -0.000 | -0.000 | -0.000 |
| 0.792 | 0.792 | 0.792 | -0.000 | -0.000 | -0.000 |
| -0.000 | -0.000 | -0.000 | 0.195 | 0.000 | 0.000 |
| -0.000 | -0.000 | -0.000 | 0.000 | 0.195 | 0.000 |
| -0.000 | -0.000 | -0.000 | 0.000 | 0.000 | 0.195 |
| 0.792 | 0.792 | 0.792 | -0.000 | -0.000 | -0.000 |
| 0.792 | 0.792 | 0.792 | -0.000 | -0.000 | -0.000 |
| 0.792 | 0.792 | 0.792 | 0.000 | 0.000 | -0.000 |
| 0.000 | 0.000 | 0.000 | 0.195 | -0.000 | -0.000 |
| 0.000 | 0.000 | 0.000 | -0.000 | 0.195 | -0.000 |
| 0.000 | 0.000 | 0.000 | -0.000 | -0.000 | 0.195 |
| 0.008 | 0.008 | 0.008 | -0.000 | -0.000 | -0.000 |
| 0.008 | 0.008 | 0.008 | -0.000 | -0.000 | -0.000 |
| 0.008 | 0.008 | 0.008 | -0.000 | -0.000 | -0.000 |
| 0.000 | 0.000 | 0.000 | 0.008 | -0.000 | -0.000 |
| 0.000 | 0.000 | 0.000 | -0.000 | 0.008 | -0.000 |
| 0.000 | 0.000 | 0.000 | -0.000 | -0.000 | 0.008 |
| 0.008 | 0.008 | 0.008 | 0.000 | 0.000 | 0.000 |
| 0.008 | 0.008 | 0.008 | 0.000 | 0.000 | 0.000 |
| 0.008 | 0.008 | 0.008 | 0.000 | 0.000 | 0.000 |
| -0.000 | -0.000 | -0.000 | 0.008 | 0.000 | 0.000 |
| -0.000 | -0.000 | -0.000 | 0.000 | 0.008 | 0.000 |
| -0.000 | -0.000 | -0.000 | 0.000 | 0.000 | 0.008 |
| 0.008 | 0.008 | 0.008 | -0.000 | -0.000 | -0.000 |
| 0.008 | 0.008 | 0.008 | -0.000 | -0.000 | -0.000 |
| 0.008 | 0.008 | 0.008 | -0.000 | -0.000 | -0.000 |
| 0.000 | 0.000 | 0.000 | 0.008 | -0.000 | -0.000 |
| 0.000 | 0.000 | 0.000 | -0.000 | 0.008 | -0.000 |
| 0.000 | 0.000 | 0.000 | -0.000 | -0.000 | 0.008 |
| 0.008 | 0.008 | 0.008 | 0.000 | 0.000 | 0.000 |
| 0.008 | 0.008 | 0.008 | 0.000 | 0.000 | 0.000 |
| 0.008 | 0.008 | 0.008 | 0.000 | 0.000 | 0.000 |
| -0.000 | -0.000 | -0.000 | 0.008 | 0.000 | 0.000 |
| -0.000 | -0.000 | -0.000 | 0.000 | 0.008 | 0.000 |
| -0.000 | -0.000 | -0.000 | 0.000 | 0.000 | 0.008 |
| 0.008 | 0.008 | 0.008 | -0.000 | -0.000 | -0.000 |
| 0.008 | 0.008 | 0.008 | -0.000 | -0.000 | -0.000 |
| 0.008 | 0.008 | 0.008 | -0.000 | -0.000 | -0.000 |
| 0.000 | 0.000 | 0.000 | 0.008 | -0.000 | -0.000 |
| 0.000 | 0.000 | 0.000 | -0.000 | 0.008 | -0.000 |
| 0.000 | 0.000 | 0.000 | -0.000 | -0.000 | 0.008 |
| 0.008 | 0.008 | 0.008 | 0.000 | 0.000 | 0.000 |
| 0.008 | 0.008 | 0.008 | 0.000 | 0.000 | 0.000 |
| 0.008 | 0.008 | 0.008 | 0.000 | 0.000 | 0.000 |
| -0.000 | -0.000 | -0.000 | 0.008 | 0.000 | 0.000 |
| -0.000 | -0.000 | -0.000 | 0.000 | 0.008 | 0.000 |
| -0.000 | -0.000 | -0.000 | 0.000 | 0.000 | 0.008 |
| 292.510 | 98.426 | 138.133 | 0.000 | 0.000 | -0.000 |
| 98.426 | 292.510 | 138.133 | -0.000 | 0.000 | -0.000 |
| 138.133 | 138.133 | 266.379 | -0.000 | -0.000 | 0.000 |
| 0.000 | 0.000 | 0.000 | 97.803 | 0.000 | -0.000 |
| -0.000 | 0.000 | -0.000 | -0.000 | 97.803 | -0.000 |
| 0.000 | 0.000 | 0.000 | -0.000 | 0.000 | 43.505 |
| 292.510 | 98.426 | 138.133 | 0.000 | 0.000 | 0.000 |
| 98.426 | 292.510 | 138.133 | 0.000 | 0.000 | 0.000 |
| 138.133 | 138.133 | 266.379 | 0.000 | -0.000 | 0.000 |
| -0.000 | -0.000 | -0.000 | 97.803 | -0.000 | 0.000 |
| 0.000 | -0.000 | -0.000 | 0.000 | 97.803 | 0.000 |
| -0.000 | -0.000 | -0.000 | 0.000 | -0.000 | 43.505 |
| 292.510 | 98.426 | 138.133 | -0.000 | -0.000 | 0.000 |
| 98.426 | 292.510 | 138.133 | -0.000 | -0.000 | 0.000 |
| 138.133 | 138.133 | 266.379 | -0.000 | 0.000 | 0.000 |
| 0.000 | -0.000 | 0.000 | 97.803 | -0.000 | 0.000 |
| -0.000 | 0.000 | 0.000 | -0.000 | 97.803 | 0.000 |
| 0.000 | 0.000 | 0.000 | -0.000 | -0.000 | 43.505 |
| 292.510 | 98.426 | 138.133 | 0.000 | -0.000 | -0.000 |
| 98.426 | 292.510 | 138.133 | 0.000 | 0.000 | 0.000 |
| 138.133 | 138.133 | 266.379 | 0.000 | -0.000 | -0.000 |
| -0.000 | 0.000 | -0.000 | 97.803 | -0.000 | 0.000 |
| 0.000 | -0.000 | -0.000 | 0.000 | 97.803 | 0.000 |
| -0.000 | -0.000 | -0.000 | 0.000 | 0.000 | 43.505 |
| 292.511 | 98.427 | 138.133 | -0.000 | -0.000 | -0.000 |
| 98.427 | 292.511 | 138.133 | -0.000 | -0.000 | -0.000 |
| 138.134 | 138.134 | 266.382 | -0.000 | 0.000 | -0.000 |
| 0.000 | -0.000 | 0.000 | 97.803 | -0.000 | -0.000 |
| -0.000 | 0.000 | 0.000 | -0.000 | 97.803 | 0.000 |
| 0.001 | 0.001 | 0.000 | -0.000 | -0.000 | 43.505 |
| 292.509 | 98.426 | 138.133 | 0.000 | 0.000 | 0.000 |
| 98.426 | 292.509 | 138.133 | 0.000 | 0.000 | 0.000 |
| 138.133 | 138.133 | 266.376 | -0.000 | -0.000 | 0.000 |
| -0.000 | 0.000 | -0.000 | 97.803 | -0.000 | 0.000 |
| 0.000 | -0.000 | -0.000 | 0.000 | 97.803 | 0.000 |
| -0.001 | -0.001 | -0.000 | 0.000 | 0.000 | 43.505 |
| 40.950 | 4.118 | 5.479 | -0.000 | -0.000 | 0.000 |
| 4.118 | 40.950 | 5.479 | -0.000 | -0.000 | 0.000 |
| 5.479 | 5.479 | 7.289 | -0.000 | -0.000 | -0.000 |
| -0.000 | -0.000 | -0.000 | 6.084 | -0.000 | -0.000 |
| -0.000 | -0.000 | -0.000 | -0.000 | 6.084 | -0.000 |
| -0.000 | -0.000 | -0.000 | -0.000 | -0.000 | 4.574 |
| 40.950 | 4.118 | 5.479 | -0.000 | -0.000 | 0.000 |
| 4.118 | 40.950 | 5.479 | -0.000 | -0.000 | 0.000 |
| 5.479 | 5.479 | 7.289 | -0.000 | -0.000 | -0.000 |
| 0.000 | 0.000 | 0.000 | 6.084 | 0.000 | 0.000 |
| 0.000 | 0.000 | 0.000 | 0.000 | 6.084 | 0.000 |
| 0.000 | 0.000 | 0.000 | -0.000 | 0.000 | 4.574 |
| 40.949 | 4.118 | 5.479 | -0.000 | -0.000 | -0.000 |
| 4.118 | 40.949 | 5.479 | -0.000 | -0.000 | -0.000 |
| 5.479 | 5.479 | 7.289 | 0.000 | 0.000 | -0.000 |
| -0.000 | -0.000 | -0.000 | 6.084 | -0.000 | -0.000 |
| -0.000 | -0.000 | -0.000 | -0.000 | 6.084 | -0.000 |
| -0.000 | -0.000 | -0.000 | -0.000 | -0.000 | 4.574 |
| 40.951 | 4.118 | 5.479 | -0.000 | -0.000 | -0.000 |
| 4.118 | 40.951 | 5.479 | -0.000 | -0.000 | -0.000 |
| 5.479 | 5.479 | 7.289 | 0.000 | 0.000 | 0.000 |
| 0.000 | 0.000 | 0.000 | 6.084 | 0.000 | -0.000 |
| 0.000 | 0.000 | 0.000 | 0.000 | 6.084 | -0.000 |
| 0.000 | 0.000 | 0.000 | -0.000 | 0.000 | 4.574 |
| 40.943 | 4.118 | 5.478 | 0.000 | 0.000 | -0.000 |
| 4.118 | 40.943 | 5.478 | 0.000 | 0.000 | -0.000 |
| 5.478 | 5.478 | 7.288 | -0.000 | -0.000 | -0.000 |
| -0.001 | -0.001 | -0.001 | 6.084 | 0.000 | -0.000 |
| -0.001 | -0.001 | -0.001 | 0.000 | 6.084 | -0.000 |
| -0.000 | -0.000 | -0.001 | 0.000 | -0.000 | 4.574 |
| 40.958 | 4.119 | 5.479 | 0.000 | 0.000 | 0.000 |
| 4.119 | 40.958 | 5.479 | 0.000 | 0.000 | 0.000 |
| 5.480 | 5.480 | 7.290 | 0.000 | 0.000 | -0.000 |
| 0.001 | 0.001 | 0.001 | 6.084 | 0.000 | 0.000 |
| 0.001 | 0.001 | 0.001 | 0.000 | 6.084 | 0.000 |
| 0.000 | 0.000 | 0.001 | 0.000 | 0.000 | 4.574 |
| 30.253 | -1.106 | -2.028 | 0.000 | -0.000 | -0.000 |
| -1.106 | 30.253 | -2.028 | -0.000 | 0.000 | -0.000 |
| -2.028 | -2.028 | -3.720 | 0.000 | 0.000 | -0.000 |
| 0.000 | 0.000 | 0.000 | -1.903 | 0.000 | -0.000 |
| 0.000 | 0.000 | 0.000 | 0.000 | -1.903 | -0.000 |
| 0.000 | 0.000 | 0.000 | 0.000 | 0.000 | -1.037 |
| 30.253 | -1.106 | -2.028 | -0.000 | 0.000 | 0.000 |
| -1.106 | 30.253 | -2.028 | 0.000 | -0.000 | -0.000 |
| -2.028 | -2.028 | -3.720 | -0.000 | -0.000 | 0.000 |
| -0.000 | -0.000 | -0.000 | -1.903 | -0.000 | 0.000 |
| -0.000 | -0.000 | -0.000 | -0.000 | -1.903 | 0.000 |
| -0.000 | -0.000 | -0.000 | -0.000 | -0.000 | -1.037 |
| 30.252 | -1.106 | -2.028 | 0.000 | 0.000 | 0.000 |
| -1.106 | 30.252 | -2.028 | 0.000 | 0.000 | -0.000 |
| -2.028 | -2.028 | -3.720 | 0.000 | 0.000 | -0.000 |
| 0.000 | 0.000 | 0.000 | -1.903 | 0.000 | -0.000 |
| 0.000 | 0.000 | 0.000 | 0.000 | -1.903 | -0.000 |
| 0.000 | 0.000 | 0.000 | 0.000 | 0.000 | -1.037 |
| 30.253 | -1.106 | -2.028 | -0.000 | 0.000 | 0.000 |
| -1.106 | 30.253 | -2.028 | 0.000 | -0.000 | -0.000 |
| -2.029 | -2.029 | -3.721 | -0.000 | -0.000 | -0.000 |
| -0.000 | -0.000 | -0.000 | -1.903 | -0.000 | 0.000 |
| -0.000 | -0.000 | -0.000 | -0.000 | -1.903 | 0.000 |
| -0.000 | -0.000 | -0.000 | -0.000 | -0.000 | -1.037 |
| 30.247 | -1.105 | -2.027 | 0.000 | 0.000 | -0.000 |
| -1.105 | 30.247 | -2.027 | 0.000 | 0.000 | 0.000 |
| -2.026 | -2.026 | -3.717 | 0.000 | 0.000 | -0.000 |
| 0.001 | 0.001 | 0.002 | -1.903 | 0.000 | -0.000 |
| 0.001 | 0.001 | 0.002 | 0.000 | -1.903 | -0.000 |
| 0.001 | 0.001 | 0.001 | 0.000 | 0.000 | -1.037 |
| 30.258 | -1.106 | -2.029 | -0.000 | 0.000 | 0.000 |
| -1.106 | 30.258 | -2.029 | 0.000 | -0.000 | 0.000 |
| -2.030 | -2.030 | -3.724 | -0.000 | -0.000 | 0.000 |
| -0.001 | -0.001 | -0.002 | -1.903 | -0.000 | 0.000 |
| -0.001 | -0.001 | -0.002 | -0.000 | -1.903 | -0.000 |
| -0.001 | -0.001 | -0.001 | -0.000 | -0.000 | -1.037 |
| 28.757 | 0.123 | 0.270 | -0.000 | 0.000 | -0.000 |
| 0.123 | 28.757 | 0.270 | 0.000 | -0.000 | 0.000 |
| 0.270 | 0.270 | 0.593 | 0.000 | 0.000 | 0.000 |
| 0.000 | 0.000 | 0.000 | 0.270 | -0.000 | -0.000 |
| 0.000 | 0.000 | 0.000 | -0.000 | 0.270 | 0.000 |
| 0.000 | 0.000 | 0.000 | -0.000 | 0.000 | 0.123 |
| 28.758 | 0.123 | 0.270 | -0.000 | 0.000 | -0.000 |
| 0.123 | 28.758 | 0.270 | 0.000 | -0.000 | -0.000 |
| 0.270 | 0.270 | 0.593 | 0.000 | 0.000 | 0.000 |
| -0.000 | -0.000 | -0.000 | 0.270 | 0.000 | 0.000 |
| -0.000 | -0.000 | -0.000 | 0.000 | 0.270 | -0.000 |
| -0.000 | -0.000 | -0.000 | -0.000 | 0.000 | 0.123 |
| 28.757 | 0.123 | 0.270 | -0.000 | -0.000 | -0.000 |
| 0.123 | 28.757 | 0.270 | -0.000 | -0.000 | -0.000 |
| 0.270 | 0.270 | 0.594 | 0.000 | 0.000 | 0.000 |
| 0.000 | 0.000 | 0.000 | 0.270 | -0.000 | 0.000 |
| 0.000 | 0.000 | 0.000 | -0.000 | 0.270 | 0.000 |
| 0.000 | 0.000 | 0.000 | -0.000 | -0.000 | 0.123 |
| 28.758 | 0.123 | 0.270 | 0.000 | 0.000 | 0.000 |
| 0.123 | 28.758 | 0.270 | 0.000 | 0.000 | -0.000 |
| 0.270 | 0.270 | 0.593 | 0.000 | 0.000 | -0.000 |
| -0.000 | -0.000 | -0.000 | 0.270 | 0.000 | 0.000 |
| -0.000 | -0.000 | -0.000 | 0.000 | 0.270 | -0.000 |
| -0.000 | -0.000 | -0.000 | -0.000 | 0.000 | 0.123 |
| 28.752 | 0.123 | 0.270 | 0.000 | -0.000 | 0.000 |
| 0.123 | 28.752 | 0.270 | -0.000 | 0.000 | -0.000 |
| 0.271 | 0.271 | 0.596 | 0.000 | 0.000 | 0.000 |
| 0.001 | 0.001 | 0.001 | 0.270 | -0.000 | -0.000 |
| 0.001 | 0.001 | 0.001 | -0.000 | 0.270 | 0.000 |
| 0.000 | 0.000 | 0.001 | 0.000 | -0.000 | 0.123 |
| 28.763 | 0.122 | 0.269 | 0.000 | 0.000 | -0.000 |
| 0.122 | 28.763 | 0.269 | 0.000 | 0.000 | 0.000 |
| 0.269 | 0.269 | 0.591 | 0.000 | 0.000 | -0.000 |
| -0.001 | -0.001 | -0.001 | 0.270 | -0.000 | 0.000 |
| -0.001 | -0.001 | -0.001 | -0.000 | 0.270 | -0.000 |
| -0.000 | -0.000 | -0.001 | 0.000 | 0.000 | 0.123 |
| 0.022 | 0.022 | 0.038 | -0.000 | -0.000 | 0.000 |
| 0.022 | 0.022 | 0.038 | -0.000 | -0.000 | 0.000 |
| 0.038 | 0.038 | 0.066 | -0.000 | -0.000 | -0.000 |
| 0.000 | 0.000 | 0.000 | 0.038 | -0.000 | -0.000 |
| 0.000 | 0.000 | 0.000 | -0.000 | 0.038 | -0.000 |
| 0.000 | 0.000 | 0.000 | -0.000 | 0.000 | 0.022 |
| 0.022 | 0.022 | 0.038 | 0.000 | 0.000 | 0.000 |
| 0.022 | 0.022 | 0.038 | 0.000 | 0.000 | 0.000 |
| 0.038 | 0.038 | 0.066 | 0.000 | 0.000 | -0.000 |
| -0.000 | -0.000 | -0.000 | 0.038 | 0.000 | 0.000 |
| -0.000 | -0.000 | -0.000 | 0.000 | 0.038 | 0.000 |
| -0.000 | -0.000 | -0.000 | 0.000 | 0.000 | 0.022 |
| 0.022 | 0.022 | 0.038 | -0.000 | -0.000 | -0.000 |
| 0.022 | 0.022 | 0.038 | -0.000 | -0.000 | -0.000 |
| 0.038 | 0.038 | 0.066 | -0.000 | -0.000 | -0.000 |
| 0.000 | 0.000 | 0.000 | 0.038 | -0.000 | -0.000 |
| 0.000 | 0.000 | 0.000 | -0.000 | 0.038 | -0.000 |
| 0.000 | 0.000 | 0.000 | -0.000 | -0.000 | 0.022 |
| 0.022 | 0.022 | 0.038 | 0.000 | 0.000 | -0.000 |
| 0.022 | 0.022 | 0.038 | 0.000 | 0.000 | -0.000 |
| 0.038 | 0.038 | 0.066 | 0.000 | 0.000 | 0.000 |
| -0.000 | -0.000 | -0.000 | 0.038 | 0.000 | 0.000 |
| -0.000 | -0.000 | -0.000 | 0.000 | 0.038 | 0.000 |
| -0.000 | -0.000 | -0.000 | 0.000 | 0.000 | 0.022 |
| 0.022 | 0.022 | 0.038 | -0.000 | -0.000 | -0.000 |
| 0.022 | 0.022 | 0.038 | -0.000 | -0.000 | -0.000 |
| 0.038 | 0.038 | 0.066 | -0.000 | -0.000 | -0.000 |
| 0.000 | 0.000 | 0.000 | 0.038 | -0.000 | -0.000 |
| 0.000 | 0.000 | 0.000 | -0.000 | 0.038 | -0.000 |
| 0.000 | 0.000 | 0.000 | -0.000 | 0.000 | 0.022 |
| 0.022 | 0.022 | 0.038 | 0.000 | 0.000 | -0.000 |
| 0.022 | 0.022 | 0.038 | 0.000 | 0.000 | -0.000 |
| 0.038 | 0.038 | 0.066 | 0.000 | 0.000 | 0.000 |
| -0.000 | -0.000 | -0.000 | 0.038 | 0.000 | 0.000 |
| -0.000 | -0.000 | -0.000 | 0.000 | 0.038 | 0.000 |
| -0.000 | -0.000 | -0.000 | -0.000 | 0.000 | 0.022 |
| 0.022 | 0.022 | 0.038 | 0.000 | 0.000 | -0.000 |
| 0.022 | 0.022 | 0.038 | 0.000 | 0.000 | -0.000 |
| 0.038 | 0.038 | 0.066 | -0.000 | -0.000 | -0.000 |
| 0.000 | 0.000 | 0.000 | 0.038 | 0.000 | 0.000 |
| 0.000 | 0.000 | 0.000 | 0.000 | 0.038 | 0.000 |
| 0.000 | 0.000 | 0.000 | 0.000 | 0.000 | 0.022 |
| 0.022 | 0.022 | 0.038 | -0.000 | 0.000 | -0.000 |
| 0.022 | 0.022 | 0.038 | 0.000 | -0.000 | -0.000 |
| 0.038 | 0.038 | 0.066 | -0.000 | -0.000 | -0.000 |
| -0.000 | -0.000 | -0.000 | 0.038 | 0.000 | -0.000 |
| -0.000 | -0.000 | -0.000 | 0.000 | 0.038 | -0.000 |
| -0.000 | -0.000 | -0.000 | 0.000 | -0.000 | 0.022 |
| 0.022 | 0.022 | 0.038 | 0.000 | -0.000 | 0.000 |
| 0.022 | 0.022 | 0.038 | -0.000 | 0.000 | 0.000 |
| 0.038 | 0.038 | 0.066 | 0.000 | 0.000 | -0.000 |
| 0.000 | 0.000 | 0.000 | 0.038 | 0.000 | 0.000 |
| 0.000 | 0.000 | 0.000 | 0.000 | 0.038 | 0.000 |
| 0.000 | 0.000 | 0.000 | 0.000 | 0.000 | 0.022 |
| 0.022 | 0.022 | 0.038 | -0.000 | -0.000 | -0.000 |
| 0.022 | 0.022 | 0.038 | -0.000 | -0.000 | -0.000 |
| 0.038 | 0.038 | 0.066 | -0.000 | -0.000 | -0.000 |
| -0.000 | -0.000 | -0.000 | 0.038 | -0.000 | -0.000 |
| -0.000 | -0.000 | -0.000 | -0.000 | 0.038 | -0.000 |
| -0.000 | -0.000 | -0.000 | -0.000 | -0.000 | 0.022 |
| 0.022 | 0.022 | 0.038 | -0.000 | 0.000 | 0.000 |
| 0.022 | 0.022 | 0.038 | 0.000 | -0.000 | 0.000 |
| 0.038 | 0.038 | 0.066 | 0.000 | 0.000 | -0.000 |
| 0.000 | 0.000 | 0.000 | 0.038 | 0.000 | -0.000 |
| 0.000 | 0.000 | 0.000 | 0.000 | 0.038 | -0.000 |
| 0.000 | 0.000 | 0.000 | 0.000 | -0.000 | 0.022 |
| 0.022 | 0.022 | 0.038 | 0.000 | -0.000 | 0.000 |
| 0.022 | 0.022 | 0.038 | -0.000 | 0.000 | 0.000 |
| 0.038 | 0.038 | 0.066 | -0.000 | -0.000 | 0.000 |
| -0.000 | -0.000 | -0.000 | 0.038 | 0.000 | 0.000 |
| -0.000 | -0.000 | -0.000 | 0.000 | 0.038 | 0.000 |
| -0.000 | -0.000 | -0.000 | 0.000 | -0.000 | 0.022 |
| 145.022 | 180.791 | 190.986 | 0.000 | 0.000 | 0.000 |
| 180.791 | 326.148 | 14.117 | 0.000 | 0.000 | -0.000 |
| 190.986 | 14.117 | 323.147 | -0.000 | 0.000 | -0.000 |
| -0.000 | 0.000 | 0.000 | -12.889 | -0.000 | -0.000 |
| -0.000 | -0.000 | 0.000 | 0.000 | 161.334 | -0.000 |
| 0.000 | 0.000 | 0.000 | 0.000 | 0.000 | 150.812 |
| 145.022 | 180.791 | 190.986 | -0.000 | 0.000 | 0.000 |
| 180.791 | 326.148 | 14.117 | -0.000 | -0.000 | 0.000 |
| 190.986 | 14.117 | 323.147 | 0.000 | -0.000 | 0.000 |
| 0.000 | -0.000 | -0.000 | -12.889 | 0.000 | 0.000 |
| 0.000 | 0.000 | -0.000 | -0.000 | 161.334 | 0.000 |
| -0.000 | -0.000 | -0.000 | -0.000 | -0.000 | 150.812 |
| 145.022 | 180.791 | 190.986 | 0.000 | 0.000 | -0.000 |
| 180.791 | 326.148 | 14.117 | 0.000 | -0.000 | -0.000 |
| 190.986 | 14.117 | 323.148 | 0.000 | 0.000 | 0.000 |
| -0.000 | 0.000 | -0.000 | -12.889 | -0.000 | 0.000 |
| 0.000 | -0.000 | 0.000 | 0.000 | 161.334 | -0.000 |
| 0.000 | 0.000 | -0.000 | 0.000 | 0.000 | 150.812 |
| 145.022 | 180.791 | 190.986 | 0.000 | 0.000 | -0.000 |
| 180.791 | 326.148 | 14.118 | -0.000 | -0.000 | 0.000 |
| 190.985 | 14.118 | 323.147 | 0.000 | -0.000 | -0.000 |
| 0.000 | -0.000 | 0.000 | -12.889 | 0.000 | 0.000 |
| -0.000 | 0.000 | -0.000 | -0.000 | 161.334 | -0.000 |
| -0.000 | -0.000 | 0.000 | -0.000 | -0.000 | 150.812 |
| 145.022 | 180.791 | 190.986 | 0.000 | 0.000 | -0.000 |
| 180.792 | 326.150 | 14.117 | 0.000 | 0.000 | 0.000 |
| 190.987 | 14.117 | 323.150 | 0.000 | 0.000 | 0.000 |
| -0.000 | 0.000 | -0.000 | -12.889 | 0.000 | 0.000 |
| 0.000 | -0.000 | 0.002 | -0.000 | 161.334 | 0.000 |
| 0.000 | 0.002 | -0.000 | -0.000 | 0.000 | 150.812 |
| 145.021 | 180.790 | 190.985 | 0.000 | -0.000 | -0.000 |
| 180.790 | 326.146 | 14.118 | 0.000 | 0.000 | -0.000 |
| 190.984 | 14.118 | 323.145 | -0.000 | -0.000 | -0.000 |
| 0.000 | -0.000 | 0.000 | -12.889 | -0.000 | 0.000 |
| -0.000 | 0.000 | -0.002 | -0.000 | 161.334 | 0.000 |
| -0.000 | -0.002 | 0.000 | 0.000 | -0.000 | 150.812 |
| 315.124 | 137.224 | 112.296 | -20.989 | -0.000 | 0.000 |
| 137.224 | 315.124 | 112.296 | 20.989 | 0.000 | 0.000 |
| 112.296 | 112.296 | 313.478 | -0.000 | -0.000 | 0.000 |
| -20.989 | 20.989 | 0.000 | 74.671 | -0.000 | 0.000 |
| 0.000 | -0.000 | 0.000 | 0.000 | 74.671 | -20.989 |
| 0.000 | 0.000 | 0.000 | 0.000 | -20.989 | 88.950 |
| 315.124 | 137.224 | 112.296 | -20.989 | 0.000 | 0.000 |
| 137.224 | 315.124 | 112.296 | 20.989 | 0.000 | -0.000 |
| 112.296 | 112.296 | 313.478 | -0.000 | 0.000 | -0.000 |
| -20.989 | 20.989 | -0.000 | 74.671 | 0.000 | -0.000 |
| -0.000 | 0.000 | -0.000 | 0.000 | 74.671 | -20.989 |
| -0.000 | -0.000 | 0.000 | -0.000 | -20.989 | 88.950 |
| 315.124 | 137.224 | 112.296 | -20.989 | 0.000 | 0.000 |
| 137.224 | 315.124 | 112.296 | 20.989 | -0.000 | 0.000 |
| 112.296 | 112.296 | 313.478 | -0.000 | -0.000 | 0.000 |
| -20.989 | 20.989 | 0.000 | 74.671 | -0.000 | 0.000 |
| 0.000 | 0.000 | 0.000 | 0.000 | 74.671 | -20.989 |
| 0.000 | 0.000 | 0.000 | 0.000 | -20.989 | 88.950 |
| 315.124 | 137.224 | 112.296 | -20.989 | 0.000 | -0.000 |
| 137.224 | 315.124 | 112.296 | 20.989 | -0.000 | -0.000 |
| 112.296 | 112.296 | 313.478 | -0.000 | 0.000 | -0.000 |
| -20.989 | 20.989 | -0.000 | 74.671 | 0.000 | -0.000 |
| -0.000 | -0.000 | -0.000 | -0.000 | 74.671 | -20.989 |
| -0.000 | -0.000 | -0.000 | -0.000 | -20.989 | 88.950 |
| 315.126 | 137.224 | 112.297 | -20.988 | 0.000 | 0.000 |
| 137.225 | 315.126 | 112.297 | 20.988 | 0.000 | 0.000 |
| 112.297 | 112.297 | 313.480 | -0.000 | -0.000 | 0.000 |
| -20.988 | 20.989 | 0.001 | 74.671 | 0.000 | 0.000 |
| 0.000 | 0.000 | 0.001 | 0.000 | 74.671 | -20.989 |
| 0.000 | 0.001 | 0.000 | 0.000 | -20.989 | 88.950 |
| 315.122 | 137.224 | 112.296 | -20.989 | -0.000 | -0.000 |
| 137.224 | 315.122 | 112.296 | 20.989 | 0.000 | -0.000 |
| 112.296 | 112.296 | 313.476 | -0.000 | 0.000 | -0.000 |
| -20.989 | 20.988 | -0.001 | 74.671 | 0.000 | 0.000 |
| -0.000 | -0.000 | -0.001 | -0.000 | 74.671 | -20.989 |
| -0.000 | -0.001 | -0.000 | -0.000 | -20.989 | 88.950 |
| 318.670 | 125.140 | 93.192 | -0.000 | 0.000 | -0.000 |
| 117.617 | 296.025 | 139.563 | -0.000 | 0.000 | -0.000 |
| 100.844 | 152.265 | 291.473 | -0.000 | -0.000 | -0.000 |
| -8.458 | 8.863 | -16.816 | 69.690 | 0.000 | 0.000 |
| -8.297 | 8.000 | -16.066 | -0.000 | 59.535 | -0.000 |
| 0.000 | -0.000 | 0.000 | -0.000 | 0.000 | 63.261 |
| 331.189 | 116.658 | 115.214 | 0.000 | 0.000 | -0.000 |
| 125.772 | 277.664 | 161.847 | 0.000 | 0.000 | -0.000 |
| 117.792 | 138.077 | 322.960 | 0.000 | -0.000 | -0.000 |
| 8.458 | -8.863 | 16.816 | 69.690 | 0.000 | -0.000 |
| 8.297 | -8.000 | 16.066 | 0.000 | 59.535 | 0.000 |
| -0.000 | -0.000 | -0.000 | 0.000 | 0.000 | 63.261 |
| 326.525 | 115.069 | 109.947 | -0.000 | 0.000 | -0.000 |
| 117.617 | 296.025 | 139.563 | -0.000 | 0.000 | -0.000 |
| 108.321 | 137.789 | 310.446 | -0.000 | 0.000 | -0.000 |
| -0.847 | 0.889 | -1.685 | 69.451 | 0.000 | -0.000 |
| -0.856 | 0.631 | -1.537 | -0.000 | 60.407 | -0.000 |
| -0.845 | 0.878 | -1.675 | -0.000 | 0.000 | 63.261 |
| 328.021 | 115.159 | 111.896 | 0.000 | -0.000 | -0.000 |
| 115.230 | 287.270 | 141.780 | 0.000 | -0.000 | 0.000 |
| 110.138 | 142.611 | 309.898 | 0.000 | -0.000 | 0.000 |
| 0.847 | -0.889 | 1.685 | 69.451 | -0.000 | 0.000 |
| 0.856 | -0.631 | 1.537 | 0.000 | 60.407 | 0.000 |
| 0.845 | -0.878 | 1.675 | 0.000 | -0.000 | 63.261 |
| 327.035 | 116.452 | 109.775 | -0.000 | 0.000 | -0.000 |
| 117.617 | 296.026 | 139.563 | -0.000 | 0.000 | -0.000 |
| 109.096 | 137.812 | 311.471 | -0.000 | 0.000 | -0.000 |
| -0.085 | 0.089 | -0.168 | 69.449 | 0.000 | -0.000 |
| -0.192 | -0.006 | -0.254 | -0.000 | 60.722 | -0.000 |
| -0.084 | 0.088 | -0.167 | -0.000 | -0.000 | 63.261 |
| 327.203 | 116.276 | 110.110 | 0.000 | 0.000 | 0.000 |
| 117.617 | 296.023 | 139.563 | 0.000 | -0.000 | 0.000 |
| 109.377 | 143.401 | 308.389 | 0.000 | -0.000 | -0.000 |
| 0.085 | -0.089 | 0.168 | 69.449 | -0.000 | -0.000 |
| 0.192 | 0.006 | 0.254 | 0.000 | 60.722 | -0.000 |
| 0.084 | -0.088 | 0.167 | 0.000 | -0.000 | 63.261 |
| 301.208 | 99.408 | 84.436 | 0.000 | 0.000 | -0.000 |
| 93.828 | 286.077 | 126.769 | 0.000 | 0.000 | -0.000 |
| 83.743 | 120.360 | 271.861 | -0.000 | 0.000 | -0.000 |
| -24.625 | -16.148 | -23.806 | 78.985 | 0.000 | 0.000 |
| -22.884 | -20.540 | -17.133 | -0.000 | 58.926 | -0.000 |
| -24.261 | -15.909 | -23.454 | 0.000 | 0.000 | 62.965 |
| 329.311 | 117.021 | 112.340 | -0.000 | -0.000 | -0.000 |
| 117.021 | 315.667 | 136.221 | 0.000 | -0.000 | -0.000 |
| 128.850 | 164.218 | 302.590 | -0.000 | -0.000 | 0.000 |
| 24.625 | 16.148 | 23.806 | 78.985 | -0.000 | 0.000 |
| 22.884 | 20.540 | 17.133 | 0.000 | 58.926 | 0.000 |
| 24.261 | 15.909 | 23.454 | 0.000 | -0.000 | 62.965 |
| 322.943 | 113.659 | 105.450 | -0.000 | 0.000 | -0.000 |
| 114.249 | 305.286 | 141.264 | 0.000 | 0.000 | -0.000 |
| 112.340 | 136.221 | 302.114 | 0.000 | 0.000 | 0.000 |
| 0.000 | 0.000 | 0.000 | 82.234 | 0.000 | -0.000 |
| -2.338 | -2.005 | -1.834 | 0.000 | 59.612 | -0.000 |
| -2.426 | -1.591 | -2.345 | 0.000 | 0.000 | 62.965 |
| 327.322 | 118.652 | 107.770 | -0.000 | -0.000 | 0.000 |
| 117.021 | 315.667 | 136.221 | -0.000 | -0.000 | -0.000 |
| 108.429 | 145.009 | 288.095 | -0.000 | -0.000 | 0.000 |
| -0.000 | -0.000 | -0.000 | 82.234 | -0.000 | 0.000 |
| -0.000 | -0.000 | -0.000 | -0.000 | 65.985 | 0.000 |
| 2.426 | 1.591 | 2.345 | 0.000 | -0.000 | 62.965 |
| 324.826 | 116.305 | 105.999 | 0.000 | 0.000 | -0.000 |
| 116.291 | 307.208 | 142.713 | 0.000 | 0.000 | -0.000 |
| 105.702 | 135.873 | 292.088 | 0.000 | 0.000 | -0.000 |
| -0.955 | -0.626 | -0.923 | 69.633 | 0.000 | -0.000 |
| 0.000 | 0.000 | 0.000 | -0.000 | 65.985 | -0.000 |
| 0.000 | 0.000 | 0.000 | 0.000 | 0.000 | 62.965 |
| 329.311 | 117.021 | 112.339 | -0.000 | -0.000 | -0.000 |
| 117.021 | 315.666 | 136.221 | -0.000 | -0.000 | -0.000 |
| 106.386 | 143.088 | 286.644 | 0.000 | -0.000 | 0.000 |
| 0.955 | 0.626 | 0.923 | 69.633 | -0.000 | 0.000 |
| -0.000 | -0.000 | -0.000 | -0.000 | 65.985 | 0.000 |
| -0.000 | -0.000 | -0.000 | -0.000 | -0.000 | 62.965 |
| 125.758 | 65.641 | 24.896 | 0.000 | 0.000 | -0.000 |
| 52.079 | 139.321 | 24.896 | 0.000 | -0.000 | -0.000 |
| 24.896 | 24.896 | 216.244 | 0.000 | 0.000 | -0.000 |
| -0.000 | 0.000 | -0.000 | 9.381 | 0.000 | 0.000 |
| 0.000 | 0.000 | 0.000 | 0.000 | 9.381 | -0.000 |
| -0.000 | 0.000 | -0.000 | 0.000 | 0.000 | 7.199 |
| 125.758 | 65.641 | 24.896 | -0.000 | -0.000 | 0.000 |
| 52.079 | 139.321 | 24.896 | -0.000 | -0.000 | 0.000 |
| 24.896 | 24.896 | 216.244 | -0.000 | -0.000 | 0.000 |
| -0.000 | 0.000 | -0.000 | 9.381 | -0.000 | 0.000 |
| -0.000 | -0.000 | -0.000 | -0.000 | 9.381 | -0.000 |
| 0.000 | -0.000 | 0.000 | -0.000 | -0.000 | 7.199 |
| 139.321 | 52.079 | 24.896 | 0.000 | 0.000 | -0.000 |
| 65.641 | 125.758 | 24.896 | 0.000 | 0.000 | 0.000 |
| 24.896 | 24.896 | 216.244 | 0.000 | 0.000 | -0.000 |
| 0.000 | 0.000 | -0.000 | 9.381 | 0.000 | -0.000 |
| 0.000 | 0.000 | -0.000 | 0.000 | 9.381 | 0.000 |
| -0.000 | 0.000 | 0.000 | 0.000 | 0.000 | 30.059 |
| 139.321 | 52.078 | 24.896 | -0.000 | -0.000 | -0.000 |
| 88.501 | 102.899 | 24.896 | -0.000 | -0.000 | 0.000 |
| 24.896 | 24.896 | 216.244 | -0.000 | -0.000 | -0.000 |
| -0.000 | -0.000 | 0.000 | 9.381 | -0.000 | 0.000 |
| -0.000 | -0.000 | 0.000 | -0.000 | 9.381 | 0.000 |
| 0.000 | -0.000 | -0.000 | -0.000 | -0.000 | 30.059 |
| 120.042 | 71.358 | 24.896 | 0.000 | 0.000 | 0.000 |
| 65.642 | 125.759 | 24.896 | 0.000 | 0.000 | 0.000 |
| 24.895 | 24.895 | 216.247 | 0.000 | -0.000 | 0.000 |
| 0.000 | 0.000 | -0.000 | 9.381 | 0.000 | -0.000 |
| 0.000 | 0.000 | -0.000 | 0.000 | 9.381 | -0.000 |
| 0.000 | 0.000 | 0.000 | 0.000 | 0.000 | 43.621 |
| 73.622 | 117.778 | 24.897 | -0.000 | -0.000 | -0.000 |
| 77.073 | 114.325 | 24.896 | -0.000 | -0.000 | -0.000 |
| 24.896 | 24.896 | 216.241 | -0.000 | -0.000 | -0.000 |
| -0.000 | -0.000 | 0.000 | 9.381 | -0.000 | -0.000 |
| -0.000 | -0.000 | 0.000 | -0.000 | 9.381 | -0.000 |
| -0.000 | -0.000 | -0.000 | -0.000 | -0.000 | 43.621 |
| 274.959 | 111.078 | 82.865 | 0.000 | 0.000 | 0.000 |
| 111.078 | 274.959 | 82.865 | 0.000 | 0.000 | 0.000 |
| 82.865 | 82.865 | 280.723 | 0.000 | 0.000 | 0.000 |
| 0.000 | -0.000 | 0.000 | 58.145 | 0.000 | 0.000 |
| 0.000 | -0.000 | 0.000 | 0.000 | 58.145 | 0.000 |
| 0.000 | 0.000 | 0.000 | 0.000 | 0.000 | 81.941 |
| 274.959 | 111.078 | 82.865 | -0.000 | -0.000 | -0.000 |
| 123.528 | 262.509 | 82.865 | -0.000 | -0.000 | -0.000 |
| 82.865 | 82.865 | 280.723 | -0.000 | -0.000 | -0.000 |
| 0.000 | -0.000 | -0.000 | 58.145 | -0.000 | -0.000 |
| -0.000 | 0.000 | -0.000 | -0.000 | 58.145 | -0.000 |
| -0.000 | -0.000 | -0.000 | -0.000 | -0.000 | 81.941 |
| 274.959 | 111.078 | 82.865 | 0.000 | 0.000 | 0.000 |
| 123.528 | 262.509 | 82.865 | 0.000 | 0.000 | 0.000 |
| 82.865 | 82.865 | 280.723 | 0.000 | 0.000 | 0.000 |
| 0.000 | 0.000 | 0.000 | 58.145 | 0.000 | 0.000 |
| 0.000 | 0.000 | 0.000 | 0.000 | 58.145 | 0.000 |
| 0.000 | 0.000 | 0.000 | 0.000 | 0.000 | 69.491 |
| 274.959 | 111.078 | 82.865 | -0.000 | -0.000 | -0.000 |
| 123.528 | 262.509 | 82.865 | -0.000 | -0.000 | -0.000 |
| 82.865 | 82.865 | 280.723 | -0.000 | -0.000 | -0.000 |
| -0.000 | -0.000 | -0.000 | 58.145 | -0.000 | -0.000 |
| -0.000 | -0.000 | -0.000 | -0.000 | 58.145 | -0.000 |
| -0.000 | -0.000 | -0.000 | -0.000 | -0.000 | 69.491 |
| 274.961 | 111.078 | 82.865 | 0.000 | 0.000 | 0.000 |
| 111.078 | 274.961 | 82.865 | 0.000 | 0.000 | 0.000 |
| 82.866 | 82.866 | 280.723 | 0.000 | 0.000 | 0.000 |
| 0.000 | 0.000 | 0.000 | 58.145 | 0.000 | 0.000 |
| 0.000 | 0.000 | 0.000 | 0.000 | 58.145 | 0.000 |
| 0.000 | 0.001 | 0.000 | 0.000 | 0.000 | 69.491 |
| 262.507 | 123.527 | 82.865 | -0.000 | -0.000 | -0.000 |
| 123.527 | 262.507 | 82.865 | -0.000 | -0.000 | -0.000 |
| 82.865 | 82.865 | 280.723 | -0.000 | -0.000 | -0.000 |
| -0.000 | -0.000 | -0.000 | 58.145 | -0.000 | -0.000 |
| -0.000 | -0.000 | -0.000 | -0.000 | 58.145 | -0.000 |
| -0.000 | -0.001 | -0.000 | -0.000 | -0.000 | 69.491 |
| 137.156 | 124.253 | 124.253 | -0.000 | -0.000 | 0.000 |
| 124.253 | 137.156 | 124.253 | 0.000 | -0.000 | 0.000 |
| 124.253 | 124.253 | 137.156 | 0.000 | -0.000 | 0.000 |
| -0.000 | -0.000 | 0.000 | -8.259 | -0.000 | 0.000 |
| -0.000 | -0.000 | 0.000 | -0.000 | -8.259 | 0.000 |
| -0.000 | -0.000 | 0.000 | -0.000 | -0.000 | -8.259 |
| 137.156 | 124.253 | 124.253 | 0.000 | 0.000 | -0.000 |
| 124.253 | 137.156 | 124.253 | 0.000 | 0.000 | 0.000 |
| 124.253 | 124.253 | 137.156 | 0.000 | 0.000 | -0.000 |
| 0.000 | 0.000 | -0.000 | -8.259 | 0.000 | -0.000 |
| 0.000 | 0.000 | -0.000 | 0.000 | -8.259 | -0.000 |
| 0.000 | 0.000 | -0.000 | -0.000 | 0.000 | -8.259 |
| 137.156 | 124.253 | 124.253 | 0.000 | -0.000 | 0.000 |
| 124.253 | 137.156 | 124.253 | -0.000 | 0.000 | 0.000 |
| 124.253 | 124.253 | 137.156 | 0.000 | -0.000 | 0.000 |
| 0.000 | -0.000 | -0.000 | -8.259 | 0.000 | 0.000 |
| -0.000 | 0.000 | -0.000 | 0.000 | -8.259 | 0.000 |
| -0.000 | -0.000 | 0.000 | 0.000 | -0.000 | -8.259 |
| 137.155 | 124.253 | 124.253 | 0.000 | 0.000 | -0.000 |
| 124.253 | 137.155 | 124.253 | 0.000 | -0.000 | -0.000 |
| 124.253 | 124.253 | 137.155 | -0.000 | 0.000 | -0.000 |
| -0.000 | 0.000 | 0.000 | -8.259 | -0.000 | -0.000 |
| 0.000 | -0.000 | 0.000 | -0.000 | -8.259 | -0.000 |
| 0.000 | 0.000 | -0.000 | -0.000 | 0.000 | -8.259 |
| 137.157 | 124.253 | 124.253 | -0.000 | -0.000 | 0.000 |
| 124.253 | 137.157 | 124.253 | -0.000 | -0.000 | 0.000 |
| 124.253 | 124.253 | 137.157 | 0.000 | -0.000 | 0.000 |
| 0.000 | -0.000 | -0.000 | -8.259 | -0.000 | 0.000 |
| -0.000 | 0.000 | -0.000 | 0.000 | -8.259 | 0.000 |
| -0.000 | -0.000 | 0.000 | 0.000 | -0.000 | -8.259 |
| 137.155 | 124.252 | 124.252 | 0.000 | 0.000 | -0.000 |
| 124.252 | 137.155 | 124.252 | 0.000 | -0.000 | -0.000 |
| 124.252 | 124.252 | 137.155 | 0.000 | 0.000 | -0.000 |
| -0.000 | 0.000 | 0.000 | -8.259 | 0.000 | -0.000 |
| 0.000 | -0.000 | 0.000 | -0.000 | -8.259 | -0.000 |
| 0.000 | 0.000 | -0.000 | -0.000 | 0.000 | -8.259 |
| 1.599 | 1.599 | 1.599 | 0.000 | -0.000 | 0.000 |
| 1.599 | 1.599 | 1.599 | -0.000 | 0.000 | 0.000 |
| 1.599 | 1.599 | 1.599 | 0.000 | 0.000 | -0.000 |
| -0.000 | -0.000 | -0.000 | 1.791 | 0.000 | 0.000 |
| -0.000 | -0.000 | -0.000 | 0.000 | 1.791 | 0.000 |
| -0.000 | -0.000 | -0.000 | 0.000 | 0.000 | 1.791 |
| 1.599 | 1.599 | 1.599 | -0.000 | -0.000 | -0.000 |
| 1.599 | 1.599 | 1.599 | -0.000 | -0.000 | -0.000 |
| 1.599 | 1.599 | 1.599 | -0.000 | -0.000 | -0.000 |
| 0.000 | 0.000 | 0.000 | 1.791 | -0.000 | -0.000 |
| 0.000 | 0.000 | 0.000 | -0.000 | 1.791 | -0.000 |
| 0.000 | 0.000 | 0.000 | -0.000 | -0.000 | 1.791 |
| 1.599 | 1.599 | 1.599 | 0.000 | 0.000 | 0.000 |
| 1.599 | 1.599 | 1.599 | 0.000 | 0.000 | 0.000 |
| 1.599 | 1.599 | 1.599 | 0.000 | 0.000 | 0.000 |
| -0.000 | -0.000 | -0.000 | 0.960 | -0.000 | 0.000 |
| -0.000 | -0.000 | -0.000 | -0.000 | 0.960 | 0.000 |
| -0.000 | -0.000 | -0.000 | -0.000 | -0.000 | 0.960 |
| 1.599 | 1.599 | 1.599 | -0.000 | -0.000 | -0.000 |
| 1.599 | 1.599 | 1.599 | -0.000 | -0.000 | -0.000 |
| 1.599 | 1.599 | 1.599 | -0.000 | -0.000 | -0.000 |
| 0.000 | 0.000 | 0.000 | 0.960 | 0.000 | -0.000 |
| 0.000 | 0.000 | 0.000 | 0.000 | 0.960 | -0.000 |
| 0.000 | 0.000 | 0.000 | 0.000 | 0.000 | 0.960 |
| 1.599 | 1.599 | 1.599 | -0.000 | -0.000 | -0.000 |
| 1.599 | 1.599 | 1.599 | -0.000 | -0.000 | -0.000 |
| 1.599 | 1.599 | 1.599 | 0.000 | 0.000 | -0.000 |
| -0.000 | -0.000 | -0.000 | 0.276 | 0.000 | 0.000 |
| -0.000 | -0.000 | -0.000 | 0.000 | 0.276 | 0.000 |
| -0.000 | -0.000 | -0.000 | 0.000 | 0.000 | 0.276 |
| 1.599 | 1.599 | 1.599 | -0.000 | -0.000 | -0.000 |
| 1.599 | 1.599 | 1.599 | -0.000 | -0.000 | -0.000 |
| 1.599 | 1.599 | 1.599 | -0.000 | -0.000 | -0.000 |
| 0.000 | 0.000 | 0.000 | 0.276 | -0.000 | 0.000 |
| 0.000 | 0.000 | 0.000 | -0.000 | 0.276 | 0.000 |
| 0.000 | 0.000 | 0.000 | -0.000 | 0.000 | 0.276 |
| 0.016 | 0.016 | 0.016 | -0.000 | -0.000 | -0.000 |
| 0.016 | 0.016 | 0.016 | -0.000 | -0.000 | -0.000 |
| 0.016 | 0.016 | 0.016 | -0.000 | -0.000 | -0.000 |
| 0.000 | 0.000 | 0.000 | 0.016 | -0.000 | -0.000 |
| 0.000 | 0.000 | 0.000 | -0.000 | 0.016 | -0.000 |
| 0.000 | 0.000 | 0.000 | -0.000 | -0.000 | 0.016 |
| 0.016 | 0.016 | 0.016 | 0.000 | 0.000 | 0.000 |
| 0.016 | 0.016 | 0.016 | 0.000 | 0.000 | 0.000 |
| 0.016 | 0.016 | 0.016 | 0.000 | 0.000 | 0.000 |
| -0.000 | -0.000 | -0.000 | 0.016 | 0.000 | 0.000 |
| -0.000 | -0.000 | -0.000 | 0.000 | 0.016 | 0.000 |
| -0.000 | -0.000 | -0.000 | 0.000 | 0.000 | 0.016 |
| 0.016 | 0.016 | 0.016 | 0.000 | 0.000 | 0.000 |
| 0.016 | 0.016 | 0.016 | 0.000 | 0.000 | 0.000 |
| 0.016 | 0.016 | 0.016 | -0.000 | -0.000 | -0.000 |
| 0.000 | 0.000 | 0.000 | 0.016 | -0.000 | -0.000 |
| 0.000 | 0.000 | 0.000 | -0.000 | 0.016 | -0.000 |
| 0.000 | 0.000 | 0.000 | -0.000 | -0.000 | 0.016 |
| 0.016 | 0.016 | 0.016 | 0.000 | 0.000 | 0.000 |
| 0.016 | 0.016 | 0.016 | 0.000 | 0.000 | 0.000 |
| 0.016 | 0.016 | 0.016 | 0.000 | 0.000 | 0.000 |
| -0.000 | -0.000 | -0.000 | 0.016 | 0.000 | 0.000 |
| -0.000 | -0.000 | -0.000 | 0.000 | 0.016 | 0.000 |
| -0.000 | -0.000 | -0.000 | 0.000 | 0.000 | 0.016 |
| 0.016 | 0.016 | 0.016 | 0.000 | 0.000 | -0.000 |
| 0.016 | 0.016 | 0.016 | 0.000 | 0.000 | -0.000 |
| 0.016 | 0.016 | 0.016 | -0.000 | -0.000 | -0.000 |
| 0.000 | 0.000 | 0.000 | 0.016 | 0.000 | -0.000 |
| 0.000 | 0.000 | 0.000 | 0.000 | 0.016 | -0.000 |
| 0.000 | 0.000 | 0.000 | 0.000 | -0.000 | 0.016 |
| 0.016 | 0.016 | 0.016 | -0.000 | -0.000 | -0.000 |
| 0.016 | 0.016 | 0.016 | -0.000 | -0.000 | -0.000 |
| 0.016 | 0.016 | 0.016 | -0.000 | -0.000 | 0.000 |
| -0.000 | -0.000 | -0.000 | 0.016 | 0.000 | 0.000 |
| -0.000 | -0.000 | -0.000 | 0.000 | 0.016 | 0.000 |
| -0.000 | -0.000 | -0.000 | 0.000 | -0.000 | 0.016 |
| 411.042 | 215.190 | 215.190 | 0.000 | -0.000 | 0.000 |
| 215.190 | 411.042 | 215.190 | 0.000 | -0.000 | -0.000 |
| 215.190 | 215.190 | 411.042 | 0.000 | -0.000 | 0.000 |
| 0.000 | 0.000 | 0.000 | 138.230 | -0.000 | 0.000 |
| 0.000 | 0.000 | 0.000 | 0.000 | 138.230 | 0.000 |
| 0.000 | 0.000 | 0.000 | 0.000 | -0.000 | 138.230 |
| 411.042 | 215.190 | 215.190 | -0.000 | 0.000 | -0.000 |
| 215.190 | 411.042 | 215.190 | -0.000 | 0.000 | -0.000 |
| 215.190 | 215.190 | 411.042 | -0.000 | 0.000 | -0.000 |
| -0.000 | -0.000 | -0.000 | 138.230 | 0.000 | -0.000 |
| -0.000 | 0.000 | -0.000 | -0.000 | 138.230 | -0.000 |
| -0.000 | -0.000 | 0.000 | -0.000 | 0.000 | 138.230 |
| 411.042 | 215.190 | 215.190 | 0.000 | -0.000 | -0.000 |
| 215.190 | 411.042 | 215.190 | 0.000 | -0.000 | 0.000 |
| 215.190 | 215.190 | 411.042 | 0.000 | -0.000 | 0.000 |
| -0.000 | 0.000 | 0.000 | 131.643 | -0.000 | 0.000 |
| 0.000 | -0.000 | 0.000 | -0.000 | 131.643 | 0.000 |
| 0.000 | 0.000 | -0.000 | -0.000 | -0.000 | 131.643 |
| 411.042 | 215.190 | 215.190 | 0.000 | 0.000 | 0.000 |
| 215.190 | 411.042 | 215.190 | 0.000 | 0.000 | -0.000 |
| 215.190 | 215.190 | 411.042 | 0.000 | 0.000 | 0.000 |
| 0.000 | -0.000 | -0.000 | 131.643 | 0.000 | -0.000 |
| -0.000 | 0.000 | -0.000 | 0.000 | 131.643 | -0.000 |
| -0.000 | -0.000 | 0.000 | 0.000 | 0.000 | 131.643 |
| 411.044 | 215.190 | 215.190 | -0.000 | -0.000 | 0.000 |
| 215.190 | 411.044 | 215.190 | 0.000 | -0.000 | 0.000 |
| 215.190 | 215.190 | 411.044 | 0.000 | -0.000 | -0.000 |
| -0.000 | 0.000 | 0.000 | 138.230 | -0.000 | 0.000 |
| 0.000 | -0.000 | 0.000 | 0.000 | 138.230 | 0.000 |
| 0.000 | 0.000 | -0.000 | 0.000 | -0.000 | 138.230 |
| 411.040 | 215.190 | 215.190 | -0.000 | 0.000 | -0.000 |
| 215.190 | 411.040 | 215.190 | 0.000 | 0.000 | 0.000 |
| 215.190 | 215.190 | 411.040 | 0.000 | 0.000 | 0.000 |
| 0.000 | -0.000 | -0.000 | 138.230 | 0.000 | -0.000 |
| -0.000 | 0.000 | -0.000 | -0.000 | 138.230 | -0.000 |
| -0.000 | -0.000 | 0.000 | -0.000 | 0.000 | 138.230 |
| 29.817 | 32.409 | 32.409 | 0.000 | 0.000 | 0.000 |
| 32.409 | 29.817 | 32.409 | 0.000 | 0.000 | 0.000 |
| 32.409 | 32.409 | 29.817 | 0.000 | 0.000 | 0.000 |
| -0.000 | -0.000 | -0.000 | -3.577 | 0.000 | 0.000 |
| 0.000 | -0.000 | -0.000 | 0.000 | -3.577 | 0.000 |
| -0.000 | -0.000 | -0.000 | 0.000 | 0.000 | -3.577 |
| 29.817 | 32.409 | 32.409 | -0.000 | -0.000 | -0.000 |
| 32.409 | 29.817 | 32.409 | -0.000 | -0.000 | -0.000 |
| 32.409 | 32.409 | 29.817 | -0.000 | -0.000 | -0.000 |
| 0.000 | 0.000 | 0.000 | -3.577 | -0.000 | -0.000 |
| -0.000 | 0.000 | 0.000 | -0.000 | -3.577 | -0.000 |
| -0.000 | 0.000 | 0.000 | -0.000 | -0.000 | -3.577 |
| 29.817 | 32.409 | 32.409 | 0.000 | 0.000 | 0.000 |
| 32.409 | 29.817 | 32.409 | 0.000 | 0.000 | 0.000 |
| 32.409 | 32.409 | 29.817 | 0.000 | 0.000 | 0.000 |
| -0.000 | 0.000 | 0.000 | -3.577 | 0.000 | 0.000 |
| 0.000 | -0.000 | 0.000 | 0.000 | -3.577 | 0.000 |
| 0.000 | 0.000 | -0.000 | 0.000 | 0.000 | -3.577 |
| 29.817 | 32.409 | 32.409 | -0.000 | -0.000 | -0.000 |
| 32.409 | 29.817 | 32.409 | -0.000 | -0.000 | -0.000 |
| 32.409 | 32.409 | 29.817 | -0.000 | -0.000 | -0.000 |
| 0.000 | -0.000 | -0.000 | -3.577 | -0.000 | -0.000 |
| -0.000 | 0.000 | -0.000 | -0.000 | -3.577 | -0.000 |
| -0.000 | -0.000 | 0.000 | -0.000 | -0.000 | -3.577 |
| 29.817 | 32.409 | 32.409 | 0.000 | 0.000 | 0.000 |
| 32.409 | 29.817 | 32.409 | 0.000 | 0.000 | 0.000 |
| 32.409 | 32.409 | 29.817 | 0.000 | 0.000 | 0.000 |
| -0.000 | 0.000 | 0.000 | -3.577 | 0.000 | 0.000 |
| 0.000 | -0.000 | 0.000 | 0.000 | -3.577 | 0.000 |
| 0.000 | 0.000 | -0.000 | 0.000 | 0.000 | -3.577 |
| 29.817 | 32.409 | 32.409 | -0.000 | -0.000 | -0.000 |
| 32.409 | 29.817 | 32.409 | -0.000 | -0.000 | -0.000 |
| 32.409 | 32.409 | 29.817 | -0.000 | -0.000 | -0.000 |
| 0.000 | -0.000 | -0.000 | -3.577 | -0.000 | -0.000 |
| -0.000 | 0.000 | -0.000 | -0.000 | -3.577 | -0.000 |
| -0.000 | -0.000 | 0.000 | -0.000 | -0.000 | -3.577 |
| 455.698 | 103.448 | 103.448 | -0.000 | 0.000 | -0.000 |
| 103.448 | 455.698 | 103.448 | -0.000 | 0.000 | -0.000 |
| 103.448 | 103.448 | 455.698 | -0.000 | 0.000 | 0.000 |
| 0.000 | 0.000 | 0.000 | 46.908 | -0.000 | -0.000 |
| 0.000 | 0.000 | 0.000 | 0.000 | 46.908 | -0.000 |
| 0.000 | 0.000 | 0.000 | 0.000 | 0.000 | 46.908 |
| 455.698 | 103.448 | 103.448 | 0.000 | -0.000 | 0.000 |
| 103.448 | 455.698 | 103.448 | -0.000 | -0.000 | -0.000 |
| 103.448 | 103.448 | 455.698 | -0.000 | -0.000 | 0.000 |
| -0.000 | -0.000 | -0.000 | 46.908 | 0.000 | 0.000 |
| -0.000 | -0.000 | -0.000 | -0.000 | 46.908 | 0.000 |
| -0.000 | -0.000 | -0.000 | -0.000 | -0.000 | 46.908 |
| 455.698 | 103.449 | 103.449 | -0.000 | 0.000 | -0.000 |
| 103.449 | 455.698 | 103.449 | -0.000 | 0.000 | -0.000 |
| 103.449 | 103.449 | 455.698 | -0.000 | -0.000 | 0.000 |
| 0.000 | 0.000 | -0.000 | 46.908 | -0.000 | -0.000 |
| 0.000 | 0.000 | -0.000 | -0.000 | 46.908 | -0.000 |
| 0.000 | -0.000 | 0.000 | 0.000 | 0.000 | 46.908 |
| 458.523 | 102.036 | 102.036 | -0.000 | 0.000 | -0.000 |
| 102.036 | 458.523 | 102.036 | -0.000 | 0.000 | 0.000 |
| 102.036 | 102.036 | 458.523 | 0.000 | 0.000 | -0.000 |
| -0.000 | -0.000 | 0.000 | 46.908 | 0.000 | 0.000 |
| -0.000 | -0.000 | 0.000 | 0.000 | 46.908 | 0.000 |
| -0.000 | 0.000 | -0.000 | -0.000 | -0.000 | 46.908 |
| 455.703 | 103.450 | 103.450 | -0.000 | -0.000 | -0.000 |
| 103.450 | 455.703 | 103.450 | 0.000 | 0.000 | -0.000 |
| 103.450 | 103.450 | 455.703 | -0.000 | -0.000 | -0.000 |
| 0.000 | 0.001 | 0.001 | 4.922 | -0.000 | 0.000 |
| 0.001 | 0.000 | 0.001 | -0.000 | 4.922 | -0.000 |
| 0.001 | 0.001 | 0.000 | -0.000 | -0.000 | 4.922 |
| 455.697 | 103.448 | 103.448 | 0.000 | -0.000 | -0.000 |
| 103.448 | 455.697 | 103.448 | 0.000 | -0.000 | 0.000 |
| 103.448 | 103.448 | 455.697 | -0.000 | -0.000 | 0.000 |
| -0.000 | -0.001 | -0.001 | 4.922 | -0.000 | 0.000 |
| -0.001 | -0.000 | -0.001 | 0.000 | 4.922 | 0.000 |
| -0.001 | -0.001 | -0.000 | 0.000 | 0.000 | 4.922 |
| 7.119 | 2.190 | 2.190 | 0.000 | -0.000 | 0.000 |
| 2.190 | 7.119 | 2.190 | 0.000 | 0.000 | -0.000 |
| 2.190 | 2.190 | 7.119 | 0.000 | 0.000 | -0.000 |
| 0.000 | -0.000 | -0.000 | 2.516 | 0.000 | 0.000 |
| -0.000 | 0.000 | -0.000 | -0.000 | 2.516 | -0.000 |
| -0.000 | -0.000 | 0.000 | 0.000 | 0.000 | 2.516 |
| 7.119 | 2.190 | 2.190 | -0.000 | 0.000 | -0.000 |
| 2.190 | 7.119 | 2.190 | 0.000 | 0.000 | -0.000 |
| 2.190 | 2.190 | 7.119 | -0.000 | -0.000 | 0.000 |
| -0.000 | 0.000 | 0.000 | 2.516 | -0.000 | 0.000 |
| 0.000 | -0.000 | 0.000 | -0.000 | 2.516 | -0.000 |
| 0.000 | 0.000 | 0.000 | -0.000 | 0.000 | 2.516 |
| 6.844 | 2.328 | 2.328 | -0.000 | 0.000 | 0.000 |
| 2.328 | 6.844 | 2.328 | -0.000 | -0.000 | -0.000 |
| 2.328 | 2.328 | 6.844 | 0.000 | 0.000 | -0.000 |
| -0.000 | -0.000 | -0.000 | 2.516 | 0.000 | 0.000 |
| -0.000 | -0.000 | -0.000 | -0.000 | 2.516 | 0.000 |
| -0.000 | -0.000 | -0.000 | -0.000 | 0.000 | 2.516 |
| 6.411 | 2.545 | 2.545 | -0.000 | -0.000 | -0.000 |
| 2.545 | 6.411 | 2.545 | -0.000 | -0.000 | -0.000 |
| 2.545 | 2.545 | 6.411 | -0.000 | -0.000 | 0.000 |
| 0.000 | 0.000 | 0.000 | 2.516 | -0.000 | -0.000 |
| 0.000 | 0.000 | 0.000 | -0.000 | 2.516 | -0.000 |
| 0.000 | 0.000 | 0.000 | 0.000 | -0.000 | 2.516 |
| 8808.676 | 109246.872 | 83508.802 | 331.784 | 662.843 | -95.686 |
| 80501.347 | 922.603 | 89799.429 | 851.417 | 1266.377 | -140.435 |
| 115256.379 | 84119.005 | 9762.084 | 392.944 | -108.537 | -384.827 |
| -0.000 | -0.000 | -0.000 | 2.242 | 0.000 | -0.000 |
| -0.000 | -0.000 | -0.000 | 0.000 | 2.242 | -0.000 |
| -0.000 | -0.000 | -0.000 | -0.000 | -0.000 | 2.242 |
| -516233.437 | -31557.042 | -25313.698 | -82.943 | -567.906 | -617.651 |
| -31976.027 | -482654.292 | -41891.818 | 1279.228 | 3338.081 | -1505.543 |
| -40400.108 | -28876.192 | -515080.902 | 1360.353 | 535.210 | 30.992 |
| 0.000 | 0.000 | 0.000 | 2.242 | -0.000 | -0.000 |
| 0.000 | 0.000 | 0.000 | -0.000 | 2.242 | 0.000 |
| 0.000 | 0.000 | 0.000 | -0.000 | 0.000 | 2.242 |
| 0.548 | 0.000 | 0.000 | -0.000 | -0.000 | -0.000 |
| 0.000 | 0.548 | 0.000 | -0.000 | -0.000 | -0.000 |
| 0.000 | 0.000 | 0.548 | -0.000 | -0.000 | 0.000 |
| 0.000 | 0.000 | -0.000 | 0.000 | -0.000 | -0.000 |
| 0.000 | 0.000 | -0.000 | -0.000 | 0.000 | -0.000 |
| 0.000 | -0.000 | 0.000 | -0.000 | -0.000 | 0.000 |
| 0.548 | -0.000 | -0.000 | 0.000 | 0.000 | 0.000 |
| -0.000 | 0.548 | -0.000 | 0.000 | 0.000 | -0.000 |
| -0.000 | -0.000 | 0.548 | -0.000 | -0.000 | 0.000 |
| -0.000 | -0.000 | 0.000 | 0.000 | 0.000 | 0.000 |
| -0.000 | -0.000 | -0.000 | 0.000 | 0.000 | 0.000 |
| -0.000 | 0.000 | -0.000 | 0.000 | 0.000 | 0.000 |
| 0.548 | 0.000 | 0.000 | -0.000 | 0.000 | -0.000 |
| 0.000 | 0.548 | 0.000 | 0.000 | -0.000 | -0.000 |
| 0.000 | 0.000 | 0.548 | -0.000 | -0.000 | -0.000 |
| 0.000 | 0.000 | -0.000 | 0.000 | -0.000 | -0.000 |
| 0.000 | 0.000 | -0.000 | -0.000 | 0.000 | -0.000 |
| 0.000 | -0.000 | 0.000 | -0.000 | -0.000 | 0.000 |
| 0.548 | -0.000 | -0.000 | 0.000 | 0.000 | 0.000 |
| -0.000 | 0.548 | -0.000 | 0.000 | 0.000 | -0.000 |
| -0.000 | -0.000 | 0.548 | 0.000 | -0.000 | 0.000 |
| -0.000 | -0.000 | 0.000 | 0.000 | 0.000 | 0.000 |
| -0.000 | -0.000 | 0.000 | 0.000 | 0.000 | 0.000 |
| -0.000 | 0.000 | -0.000 | 0.000 | 0.000 | 0.000 |
| 0.548 | 0.000 | 0.000 | -0.000 | -0.000 | -0.000 |
| 0.000 | 0.548 | 0.000 | -0.000 | -0.000 | -0.000 |
| 0.000 | 0.000 | 0.548 | -0.000 | 0.000 | 0.000 |
| 0.000 | 0.000 | -0.000 | 0.000 | 0.000 | -0.000 |
| 0.000 | 0.000 | -0.000 | 0.000 | 0.000 | -0.000 |
| 0.000 | -0.000 | 0.000 | -0.000 | -0.000 | 0.000 |
| 0.548 | -0.000 | -0.000 | 0.000 | -0.000 | 0.000 |
| -0.000 | 0.548 | -0.000 | 0.000 | 0.000 | 0.000 |
| -0.000 | -0.000 | 0.548 | 0.000 | -0.000 | -0.000 |
| -0.000 | -0.000 | 0.000 | 0.000 | -0.000 | 0.000 |
| -0.000 | -0.000 | 0.000 | -0.000 | 0.000 | 0.000 |
| -0.000 | 0.000 | -0.000 | 0.000 | 0.000 | 0.000 |
| 160.207 | 186.293 | 186.293 | -0.000 | -0.000 | 0.000 |
| 186.293 | 160.207 | 186.293 | -0.000 | -0.000 | 0.000 |
| 186.293 | 186.293 | 160.207 | -0.000 | 0.000 | 0.000 |
| -0.000 | -0.000 | 0.000 | 185.358 | -0.000 | 0.000 |
| -0.000 | -0.000 | 0.000 | -0.000 | 185.358 | 0.000 |
| -0.000 | -0.000 | 0.000 | -0.000 | -0.000 | 185.358 |
| 160.207 | 186.293 | 186.293 | -0.000 | 0.000 | -0.000 |
| 186.293 | 160.207 | 186.293 | 0.000 | -0.000 | -0.000 |
| 186.293 | 186.293 | 160.207 | -0.000 | 0.000 | -0.000 |
| 0.000 | 0.000 | -0.000 | 185.358 | 0.000 | -0.000 |
| 0.000 | 0.000 | -0.000 | 0.000 | 185.358 | -0.000 |
| 0.000 | 0.000 | -0.000 | 0.000 | 0.000 | 185.358 |
| 160.208 | 186.293 | 186.293 | 0.000 | 0.000 | 0.000 |
| 186.293 | 160.208 | 186.293 | -0.000 | 0.000 | 0.000 |
| 186.293 | 186.293 | 160.208 | -0.000 | 0.000 | 0.000 |
| 0.000 | 0.000 | 0.000 | 185.358 | 0.000 | 0.000 |
| 0.000 | 0.000 | 0.000 | 0.000 | 185.358 | 0.000 |
| 0.000 | 0.000 | 0.000 | -0.000 | -0.000 | 185.358 |
| 160.207 | 186.293 | 186.293 | -0.000 | -0.000 | -0.000 |
| 186.293 | 160.207 | 186.293 | -0.000 | 0.000 | -0.000 |
| 186.293 | 186.293 | 160.207 | 0.000 | 0.000 | -0.000 |
| -0.000 | -0.000 | -0.000 | 185.358 | -0.000 | -0.000 |
| -0.000 | -0.000 | -0.000 | -0.000 | 185.358 | -0.000 |
| -0.000 | -0.000 | -0.000 | -0.000 | 0.000 | 185.358 |
| 160.209 | 186.294 | 186.294 | 0.000 | 0.000 | 0.000 |
| 186.294 | 160.209 | 186.294 | -0.000 | -0.000 | 0.000 |
| 186.294 | 186.294 | 160.209 | -0.000 | -0.000 | 0.000 |
| 0.001 | 0.000 | 0.001 | 188.267 | 0.000 | 0.000 |
| 0.000 | 0.001 | 0.001 | 0.000 | 188.267 | 0.000 |
| 0.000 | 0.001 | 0.001 | -0.000 | -0.000 | 188.267 |
| 160.206 | 186.293 | 186.293 | -0.000 | 0.000 | -0.000 |
| 186.293 | 160.206 | 186.293 | 0.000 | -0.000 | -0.000 |
| 186.293 | 186.293 | 160.206 | 0.000 | 0.000 | -0.000 |
| -0.001 | -0.000 | -0.001 | 188.267 | -0.000 | -0.000 |
| -0.000 | -0.001 | -0.001 | -0.000 | 188.267 | -0.000 |
| -0.000 | -0.001 | -0.001 | 0.000 | 0.000 | 188.267 |
| 2.206 | 2.206 | 2.206 | 0.000 | 0.000 | -0.000 |
| 2.206 | 2.206 | 2.206 | 0.000 | 0.000 | -0.000 |
| 2.206 | 2.206 | 2.206 | 0.000 | 0.000 | -0.000 |
| 0.000 | 0.000 | 0.000 | 2.208 | 0.000 | -0.000 |
| 0.000 | 0.000 | 0.000 | 0.000 | 2.208 | -0.000 |
| 0.000 | 0.000 | 0.000 | 0.000 | -0.000 | 2.208 |
| 2.206 | 2.206 | 2.206 | -0.000 | 0.000 | 0.000 |
| 2.206 | 2.206 | 2.206 | 0.000 | 0.000 | 0.000 |
| 2.206 | 2.206 | 2.206 | 0.000 | 0.000 | -0.000 |
| -0.000 | -0.000 | -0.000 | 2.208 | -0.000 | 0.000 |
| -0.000 | -0.000 | -0.000 | -0.000 | 2.208 | 0.000 |
| -0.000 | -0.000 | -0.000 | -0.000 | 0.000 | 2.208 |
| 2.206 | 2.206 | 2.206 | 0.000 | 0.000 | 0.000 |
| 2.206 | 2.206 | 2.206 | 0.000 | 0.000 | 0.000 |
| 2.206 | 2.206 | 2.206 | 0.000 | 0.000 | -0.000 |
| 0.000 | 0.000 | 0.000 | 1.943 | 0.000 | -0.000 |
| 0.000 | 0.000 | 0.000 | 0.000 | 1.943 | 0.000 |
| 0.000 | 0.000 | 0.000 | 0.000 | -0.000 | 1.943 |
| 2.206 | 2.206 | 2.206 | -0.000 | -0.000 | 0.000 |
| 2.206 | 2.206 | 2.206 | -0.000 | -0.000 | 0.000 |
| 2.206 | 2.206 | 2.206 | -0.000 | -0.000 | 0.000 |
| -0.000 | -0.000 | -0.000 | 1.943 | -0.000 | 0.000 |
| -0.000 | -0.000 | -0.000 | -0.000 | 1.943 | 0.000 |
| -0.000 | -0.000 | -0.000 | -0.000 | 0.000 | 1.943 |
| 2.206 | 2.206 | 2.206 | 0.000 | 0.000 | -0.000 |
| 2.206 | 2.206 | 2.206 | 0.000 | 0.000 | -0.000 |
| 2.206 | 2.206 | 2.206 | 0.000 | 0.000 | -0.000 |
| 0.000 | 0.000 | 0.000 | 1.943 | 0.000 | 0.000 |
| 0.000 | 0.000 | 0.000 | 0.000 | 1.943 | 0.000 |
| 0.000 | 0.000 | 0.000 | 0.000 | -0.000 | 1.943 |
| 2.206 | 2.206 | 2.206 | 0.000 | 0.000 | 0.000 |
| 2.206 | 2.206 | 2.206 | 0.000 | 0.000 | 0.000 |
| 2.206 | 2.206 | 2.206 | 0.000 | 0.000 | 0.000 |
| -0.000 | -0.000 | -0.000 | 1.943 | -0.000 | 0.000 |
| -0.000 | -0.000 | -0.000 | -0.000 | 1.943 | 0.000 |
| -0.000 | -0.000 | -0.000 | -0.000 | 0.000 | 1.943 |
| 258.272 | 133.435 | 133.435 | -0.000 | 0.000 | 0.000 |
| 133.435 | 258.272 | 133.435 | -0.000 | -0.000 | -0.000 |
| 133.435 | 133.435 | 258.272 | -0.000 | -0.000 | 0.000 |
| -0.000 | -0.000 | -0.000 | 112.063 | -0.000 | -0.000 |
| -0.000 | -0.000 | -0.000 | -0.000 | 112.063 | -0.000 |
| -0.000 | -0.000 | -0.000 | -0.000 | -0.000 | 112.063 |
| 258.272 | 133.435 | 133.435 | 0.000 | 0.000 | -0.000 |
| 133.435 | 258.272 | 133.435 | 0.000 | 0.000 | 0.000 |
| 133.435 | 133.435 | 258.272 | 0.000 | 0.000 | -0.000 |
| 0.000 | 0.000 | 0.000 | 112.063 | 0.000 | 0.000 |
| 0.000 | 0.000 | 0.000 | 0.000 | 112.063 | 0.000 |
| 0.000 | 0.000 | 0.000 | 0.000 | 0.000 | 112.063 |
| 258.272 | 133.435 | 133.435 | -0.000 | -0.000 | -0.000 |
| 133.435 | 258.272 | 133.435 | 0.000 | -0.000 | 0.000 |
| 133.435 | 133.435 | 258.272 | -0.000 | -0.000 | -0.000 |
| -0.000 | -0.000 | 0.000 | 112.063 | -0.000 | -0.000 |
| -0.000 | -0.000 | 0.000 | -0.000 | 112.063 | -0.000 |
| -0.000 | 0.000 | -0.000 | -0.000 | -0.000 | 112.063 |
| 258.272 | 133.435 | 133.435 | 0.000 | 0.000 | 0.000 |
| 133.435 | 258.272 | 133.435 | 0.000 | 0.000 | 0.000 |
| 133.435 | 133.435 | 258.272 | 0.000 | -0.000 | 0.000 |
| 0.000 | 0.000 | -0.000 | 112.063 | 0.000 | 0.000 |
| 0.000 | 0.000 | -0.000 | 0.000 | 112.063 | 0.000 |
| 0.000 | -0.000 | 0.000 | 0.000 | 0.000 | 112.063 |
| 258.272 | 133.435 | 133.435 | -0.000 | -0.000 | -0.000 |
| 133.435 | 258.272 | 133.435 | -0.000 | -0.000 | -0.000 |
| 133.435 | 133.435 | 258.272 | -0.000 | -0.000 | -0.000 |
| -0.000 | -0.000 | 0.000 | 112.063 | 0.000 | -0.000 |
| -0.000 | -0.000 | 0.000 | -0.000 | 112.063 | -0.000 |
| -0.000 | 0.000 | -0.000 | -0.000 | -0.000 | 112.063 |
| 258.272 | 133.434 | 133.434 | 0.000 | -0.000 | -0.000 |
| 133.434 | 258.272 | 133.434 | 0.000 | 0.000 | 0.000 |
| 133.434 | 133.434 | 258.272 | 0.000 | -0.000 | 0.000 |
| 0.000 | 0.000 | -0.000 | 112.063 | -0.000 | 0.000 |
| 0.000 | 0.000 | -0.000 | -0.000 | 112.063 | 0.000 |
| 0.000 | -0.000 | 0.000 | 0.000 | 0.000 | 112.063 |
| 5.418 | 2.696 | 2.696 | 0.000 | -0.000 | 0.000 |
| 2.696 | 5.418 | 2.696 | -0.000 | 0.000 | 0.000 |
| 2.696 | 2.696 | 5.418 | 0.000 | 0.000 | 0.000 |
| -0.000 | 0.000 | 0.000 | 2.961 | 0.000 | 0.000 |
| 0.000 | -0.000 | 0.000 | 0.000 | 2.961 | 0.000 |
| 0.000 | 0.000 | 0.000 | 0.000 | -0.000 | 2.961 |
| 5.418 | 2.696 | 2.696 | -0.000 | 0.000 | -0.000 |
| 2.696 | 5.418 | 2.696 | -0.000 | -0.000 | -0.000 |
| 2.696 | 2.696 | 5.418 | 0.000 | 0.000 | -0.000 |
| 0.000 | -0.000 | -0.000 | 2.961 | -0.000 | -0.000 |
| -0.000 | -0.000 | -0.000 | -0.000 | 2.961 | -0.000 |
| -0.000 | -0.000 | -0.000 | -0.000 | -0.000 | 2.961 |
| 5.418 | 2.696 | 2.696 | 0.000 | 0.000 | 0.000 |
| 2.696 | 5.418 | 2.696 | -0.000 | 0.000 | 0.000 |
| 2.696 | 2.696 | 5.418 | 0.000 | 0.000 | 0.000 |
| -0.000 | 0.000 | 0.000 | 2.961 | -0.000 | 0.000 |
| 0.000 | -0.000 | 0.000 | -0.000 | 2.961 | 0.000 |
| 0.000 | 0.000 | -0.000 | -0.000 | 0.000 | 2.961 |
| 5.418 | 2.696 | 2.696 | -0.000 | -0.000 | -0.000 |
| 2.696 | 5.418 | 2.696 | -0.000 | -0.000 | -0.000 |
| 2.696 | 2.696 | 5.418 | -0.000 | -0.000 | -0.000 |
| 0.000 | -0.000 | -0.000 | 2.961 | 0.000 | -0.000 |
| -0.000 | 0.000 | -0.000 | 0.000 | 2.961 | -0.000 |
| -0.000 | -0.000 | 0.000 | 0.000 | -0.000 | 2.961 |
| 5.418 | 2.696 | 2.696 | 0.000 | 0.000 | 0.000 |
| 2.696 | 5.418 | 2.696 | 0.000 | 0.000 | 0.000 |
| 2.696 | 2.696 | 5.418 | 0.000 | 0.000 | 0.000 |
| -0.000 | 0.000 | 0.000 | 2.961 | -0.000 | 0.000 |
| 0.000 | -0.000 | 0.000 | -0.000 | 2.961 | 0.000 |
| 0.000 | 0.000 | -0.000 | -0.000 | 0.000 | 2.961 |
| 5.418 | 2.696 | 2.696 | -0.000 | 0.000 | -0.000 |
| 2.696 | 5.418 | 2.696 | 0.000 | -0.000 | -0.000 |
| 2.696 | 2.696 | 5.418 | 0.000 | 0.000 | -0.000 |
| 0.000 | -0.000 | -0.000 | 2.961 | 0.000 | -0.000 |
| -0.000 | 0.000 | -0.000 | 0.000 | 2.961 | -0.000 |
| -0.000 | -0.000 | 0.000 | 0.000 | 0.000 | 2.961 |
| 274.493 | 148.698 | 140.646 | 0.000 | -0.000 | 0.000 |
| 148.698 | 274.493 | 140.646 | -0.000 | -0.000 | -0.000 |
| 140.646 | 140.646 | 266.073 | 0.000 | 0.000 | 0.000 |
| -0.000 | -0.000 | 0.000 | 117.409 | 0.000 | 0.000 |
| 0.000 | -0.000 | 0.000 | 0.000 | 117.409 | 0.000 |
| -0.000 | 0.000 | -0.000 | 0.000 | -0.000 | 115.934 |
| 276.369 | 146.823 | 140.646 | -0.000 | 0.000 | 0.000 |
| 146.823 | 276.369 | 140.646 | -0.000 | 0.000 | 0.000 |
| 140.646 | 140.646 | 266.073 | -0.000 | 0.000 | -0.000 |
| 0.000 | 0.000 | -0.000 | 117.409 | -0.000 | -0.000 |
| -0.000 | 0.000 | -0.000 | -0.000 | 117.409 | -0.000 |
| 0.000 | -0.000 | 0.000 | -0.000 | 0.000 | 115.934 |
| 274.493 | 148.698 | 140.646 | 0.000 | -0.000 | 0.000 |
| 148.698 | 274.493 | 140.646 | 0.000 | -0.000 | 0.000 |
| 140.646 | 140.646 | 266.073 | 0.000 | -0.000 | -0.000 |
| -0.000 | -0.000 | 0.000 | 116.217 | -0.000 | 0.000 |
| -0.000 | -0.000 | 0.000 | 0.000 | 116.217 | -0.000 |
| -0.000 | 0.000 | -0.000 | 0.000 | -0.000 | 115.934 |
| 276.369 | 146.823 | 140.646 | -0.000 | 0.000 | -0.000 |
| 146.823 | 276.369 | 140.646 | -0.000 | -0.000 | -0.000 |
| 140.646 | 140.646 | 266.073 | 0.000 | -0.000 | 0.000 |
| 0.000 | 0.000 | -0.000 | 116.217 | 0.000 | 0.000 |
| 0.000 | 0.000 | -0.000 | -0.000 | 116.217 | -0.000 |
| 0.000 | -0.000 | 0.000 | -0.000 | 0.000 | 115.934 |
| 276.369 | 146.823 | 140.646 | 0.000 | -0.000 | -0.000 |
| 146.823 | 276.369 | 140.646 | 0.000 | -0.000 | -0.000 |
| 140.646 | 140.646 | 266.073 | 0.000 | -0.000 | 0.000 |
| -0.000 | -0.000 | 0.000 | 116.217 | -0.000 | 0.000 |
| -0.000 | -0.000 | 0.000 | -0.000 | 116.217 | 0.000 |
| -0.000 | 0.000 | -0.000 | 0.000 | -0.000 | 115.934 |
| 274.493 | 148.698 | 140.646 | -0.000 | 0.000 | 0.000 |
| 148.698 | 274.493 | 140.646 | -0.000 | 0.000 | 0.000 |
| 140.646 | 140.646 | 266.073 | -0.000 | 0.000 | -0.000 |
| 0.000 | 0.000 | -0.000 | 116.217 | 0.000 | 0.000 |
| 0.000 | 0.000 | -0.000 | -0.000 | 116.217 | 0.000 |
| 0.000 | -0.000 | 0.000 | -0.000 | 0.000 | 115.934 |
| 239.416 | -33.688 | 222.050 | -0.000 | -0.000 | 0.000 |
| 88.836 | 328.712 | 130.396 | -0.000 | -0.000 | 0.000 |
| 82.018 | 130.402 | 324.844 | -0.000 | -0.000 | 0.000 |
| 1.863 | -123.090 | 141.736 | 85.259 | -0.000 | -0.000 |
| 0.000 | -0.000 | -0.000 | -0.000 | 55.781 | 0.000 |
| 0.000 | 0.000 | -0.000 | -0.000 | -0.000 | 57.021 |
| 238.902 | 88.709 | 81.885 | 0.000 | 0.000 | 0.000 |
| 88.836 | 328.712 | 130.396 | 0.000 | 0.000 | -0.000 |
| 82.018 | 130.402 | 324.844 | 0.000 | 0.000 | -0.000 |
| -1.863 | 123.090 | -141.736 | 85.259 | 0.000 | -0.000 |
| -0.000 | -0.000 | 0.000 | 0.000 | 55.781 | -0.000 |
| -0.000 | -0.000 | 0.000 | 0.000 | 0.000 | 57.021 |
| 238.902 | 88.709 | 81.885 | -0.000 | -0.000 | 0.000 |
| 86.371 | 309.251 | 141.638 | -0.000 | -0.000 | 0.000 |
| 82.018 | 130.402 | 324.844 | -0.000 | -0.000 | -0.000 |
| 0.247 | -12.341 | 13.926 | 86.096 | -0.000 | 0.000 |
| -1.638 | -9.841 | 7.885 | -0.000 | 53.913 | -0.000 |
| -1.548 | -9.300 | 7.451 | -0.000 | -0.000 | 56.771 |
| 238.902 | 88.709 | 81.885 | 0.000 | 0.000 | -0.000 |
| 89.294 | 327.774 | 127.697 | 0.000 | 0.000 | -0.000 |
| 80.510 | 153.418 | 291.555 | 0.000 | 0.000 | -0.000 |
| -0.247 | 12.341 | -13.926 | 86.096 | 0.000 | -0.000 |
| 1.638 | 9.841 | -7.885 | 0.000 | 53.913 | -0.000 |
| 1.548 | 9.300 | -7.451 | 0.000 | 0.000 | 56.771 |
| 238.902 | 88.709 | 81.885 | -0.000 | -0.000 | -0.000 |
| 89.288 | 314.864 | 142.406 | 0.000 | -0.000 | 0.000 |
| 82.018 | 130.403 | 324.846 | -0.000 | -0.000 | -0.000 |
| 0.064 | -1.157 | 1.424 | 86.286 | -0.000 | 0.000 |
| -0.000 | -0.000 | -0.000 | -0.000 | 55.781 | -0.000 |
| 0.000 | 0.000 | -0.000 | -0.000 | -0.000 | 57.021 |
| 237.651 | 90.429 | 78.656 | 0.000 | 0.000 | -0.000 |
| 89.338 | 317.658 | 138.413 | 0.000 | 0.000 | -0.000 |
| 80.736 | 141.716 | 303.990 | 0.000 | 0.000 | 0.000 |
| -0.064 | 1.157 | -1.424 | 86.286 | 0.000 | -0.000 |
| 0.000 | 0.000 | 0.000 | 0.000 | 55.781 | -0.000 |
| -0.000 | -0.000 | 0.000 | 0.000 | 0.000 | 57.021 |
| 239.410 | 88.612 | 81.877 | -0.000 | -0.000 | 0.000 |
| 87.580 | 345.616 | 137.343 | -0.000 | 0.000 | 0.000 |
| 79.314 | 163.753 | 312.280 | -0.000 | 0.000 | 0.000 |
| 0.000 | 0.000 | 0.000 | 103.279 | -0.000 | 0.000 |
| 0.187 | 26.598 | 5.281 | -0.000 | 54.045 | 0.000 |
| 0.000 | -0.000 | -0.000 | -0.000 | -0.000 | 56.773 |
| 239.413 | 62.080 | 80.382 | 0.000 | -0.000 | -0.000 |
| 90.406 | 291.562 | 138.280 | 0.000 | 0.000 | -0.000 |
| 79.512 | 110.357 | 305.768 | 0.000 | 0.000 | -0.000 |
| -0.000 | -0.000 | -0.000 | 103.279 | 0.000 | 0.000 |
| -0.187 | -26.598 | -5.281 | 0.000 | 54.045 | -0.000 |
| -0.000 | 0.000 | -0.000 | 0.000 | -0.000 | 56.773 |
| 238.072 | 91.808 | 79.964 | -0.000 | -0.000 | 0.000 |
| 89.023 | 319.036 | 140.718 | -0.000 | -0.000 | 0.000 |
| 79.735 | 135.887 | 311.148 | -0.000 | -0.000 | 0.000 |
| -0.241 | 3.242 | -0.296 | 87.091 | 0.000 | -0.000 |
| 0.023 | 3.266 | 0.648 | -0.000 | 53.687 | 0.000 |
| -0.146 | 2.632 | -0.064 | -0.000 | -0.000 | 56.577 |
| 238.271 | 86.205 | 80.534 | 0.000 | 0.000 | 0.000 |
| 87.762 | 316.821 | 133.551 | 0.000 | 0.000 | -0.000 |
| 80.031 | 131.225 | 312.562 | 0.000 | 0.000 | -0.000 |
| 0.241 | -3.242 | 0.296 | 87.091 | 0.000 | -0.000 |
| -0.023 | -3.266 | -0.648 | 0.000 | 53.687 | -0.000 |
| 0.146 | -2.632 | 0.064 | 0.000 | 0.000 | 56.577 |
| 239.410 | 88.612 | 81.877 | -0.000 | 0.000 | 0.000 |
| 89.069 | 316.548 | 141.136 | -0.000 | -0.000 | 0.000 |
| 81.877 | 130.700 | 325.635 | -0.000 | -0.000 | 0.000 |
| 0.002 | 0.304 | 0.061 | 89.764 | -0.000 | 0.000 |
| -0.020 | 0.353 | -0.012 | -0.000 | 53.015 | 0.000 |
| -0.011 | 0.279 | -0.015 | -0.000 | -0.000 | 56.598 |
| 238.179 | 88.818 | 80.022 | 0.000 | 0.000 | 0.000 |
| 87.758 | 318.970 | 134.111 | 0.000 | -0.000 | -0.000 |
| 79.959 | 133.074 | 312.325 | 0.000 | 0.000 | -0.000 |
| -0.002 | -0.304 | -0.061 | 89.764 | 0.000 | -0.000 |
| 0.020 | -0.353 | 0.012 | 0.000 | 53.015 | -0.000 |
| 0.011 | -0.279 | 0.015 | 0.000 | -0.000 | 56.598 |
| 276.836 | 72.170 | -18.317 | 26.004 | -0.000 | -0.000 |
| 72.170 | 276.836 | -18.317 | -26.004 | -0.000 | 0.000 |
| 121.440 | 121.440 | 363.458 | 0.000 | 0.000 | 0.000 |
| 25.988 | -25.988 | -0.000 | 83.593 | -0.000 | 0.000 |
| -0.000 | -0.000 | -0.000 | 0.000 | 83.593 | 25.988 |
| -0.000 | -0.000 | -0.000 | 0.000 | 25.988 | 102.378 |
| 406.860 | 202.194 | 251.553 | 26.004 | 0.000 | -0.000 |
| 139.460 | 344.215 | 121.438 | -25.988 | 0.000 | -0.000 |
| 181.630 | 181.630 | 488.386 | -0.000 | 0.000 | -0.000 |
| 91.015 | 39.007 | 134.933 | 83.588 | 0.000 | -0.000 |
| 0.000 | 0.000 | 0.000 | -0.000 | 83.593 | 25.988 |
| 0.000 | 0.000 | 0.000 | -0.000 | 25.988 | 102.378 |
| 344.215 | 139.460 | 121.438 | 25.988 | -0.000 | 0.000 |
| 130.672 | 335.337 | 103.106 | -26.004 | -0.000 | 0.000 |
| 121.440 | 121.440 | 363.458 | 0.000 | -0.000 | 0.000 |
| 25.988 | -25.988 | -0.000 | 83.593 | -0.000 | 0.000 |
| -0.000 | -0.000 | -0.000 | 0.000 | 83.593 | 25.988 |
| -6.514 | -6.513 | -13.519 | 0.000 | 26.004 | 102.333 |
| 348.191 | 143.841 | 130.111 | 26.059 | -0.000 | -0.000 |
| 143.841 | 348.191 | 130.111 | -26.059 | 0.000 | -0.000 |
| 123.120 | 123.120 | 366.947 | -0.000 | 0.000 | 0.000 |
| 25.988 | -25.988 | 0.000 | 83.593 | 0.000 | -0.000 |
| 0.000 | 0.000 | 0.000 | -0.000 | 83.593 | 25.988 |
| 6.514 | 6.513 | 13.519 | -0.000 | 26.004 | 102.333 |
| 344.216 | 139.460 | 121.438 | 25.988 | 0.000 | 0.000 |
| 139.460 | 344.216 | 121.438 | -25.988 | -0.000 | 0.000 |
| 115.969 | 115.969 | 352.104 | 0.000 | -0.000 | 0.000 |
| 25.988 | -25.988 | -0.000 | 83.593 | -0.000 | 0.000 |
| -0.665 | -0.665 | -1.381 | 0.000 | 83.588 | 26.004 |
| -0.768 | -0.768 | -1.595 | 0.000 | 26.007 | 102.325 |
| 344.214 | 139.460 | 121.438 | 25.988 | 0.000 | -0.000 |
| 139.459 | 344.214 | 121.438 | -25.988 | -0.000 | -0.000 |
| 121.439 | 121.439 | 363.458 | -0.000 | 0.000 | -0.000 |
| 25.988 | -25.988 | 0.000 | 83.593 | 0.000 | -0.000 |
| 0.665 | 0.665 | 1.381 | -0.000 | 83.588 | 26.004 |
| 0.768 | 0.768 | 1.595 | -0.000 | 26.007 | 102.325 |
| 874.153 | 669.539 | 1226.442 | 25.981 | -0.000 | 0.000 |
| 139.395 | 344.094 | 121.329 | -25.966 | 0.000 | 0.000 |
| 121.381 | 121.381 | 363.399 | 0.000 | -0.000 | 0.000 |
| 558.402 | 506.440 | 1109.948 | 83.604 | -0.000 | 0.000 |
| 532.421 | 532.421 | 1109.948 | 0.000 | 83.604 | 25.981 |
| 532.421 | 532.421 | 1109.948 | 0.000 | 25.981 | 102.307 |
| 344.094 | 139.395 | 121.329 | 25.966 | 0.000 | -0.000 |
| 139.395 | 344.094 | 121.329 | -25.966 | 0.000 | -0.000 |
| -415.874 | -415.874 | -756.628 | -0.000 | 0.000 | -0.000 |
| 25.966 | -25.966 | -0.000 | 83.610 | -0.000 | -0.000 |
| -532.421 | -532.421 | -1109.948 | -0.000 | 83.604 | 25.981 |
| -532.421 | -532.421 | -1109.948 | -0.000 | 25.981 | 102.307 |
| 394.976 | 190.362 | 227.492 | 25.981 | -0.000 | 0.000 |
| 190.362 | 394.976 | 227.492 | -25.981 | -0.000 | 0.000 |
| 121.381 | 121.381 | 363.399 | 0.000 | 0.000 | 0.000 |
| 25.966 | -25.966 | 0.000 | 83.610 | -0.000 | 0.000 |
| -0.000 | -0.000 | 0.000 | 0.000 | 83.610 | 25.966 |
| -0.000 | 0.000 | -0.000 | 0.000 | 25.966 | 102.350 |
| 344.094 | 139.395 | 121.329 | 25.966 | 0.000 | -0.000 |
| 139.395 | 344.094 | 121.329 | -25.966 | 0.000 | -0.000 |
| 121.381 | 121.381 | 363.399 | -0.000 | -0.000 | -0.000 |
| 25.966 | -25.966 | -0.000 | 83.610 | 0.000 | -0.000 |
| 0.000 | 0.000 | -0.000 | -0.000 | 83.610 | 25.966 |
| 0.000 | -0.000 | 0.000 | -0.000 | 25.966 | 102.350 |
| 346.907 | 142.593 | 127.594 | 26.034 | -0.000 | 0.000 |
| 139.395 | 344.094 | 121.329 | -25.966 | -0.000 | 0.000 |
| 121.871 | 121.871 | 364.419 | 0.000 | -0.000 | 0.000 |
| 31.359 | -20.710 | 11.100 | 83.585 | -0.000 | 0.000 |
| 5.326 | 5.326 | 11.103 | 0.000 | 83.604 | 25.981 |
| 5.324 | 5.324 | 11.099 | 0.000 | 26.034 | 102.157 |
| 344.093 | 139.394 | 121.329 | 25.966 | 0.000 | -0.000 |
| 131.944 | 336.257 | 105.395 | -26.034 | 0.000 | -0.000 |
| 111.222 | 111.222 | 342.219 | -0.000 | 0.000 | -0.000 |
| 25.966 | -25.965 | -0.000 | 83.610 | 0.000 | -0.000 |
| -5.326 | -5.326 | -11.103 | -0.000 | 83.604 | 25.981 |
| -5.324 | -5.324 | -11.099 | -0.000 | 26.034 | 102.157 |
| 324.771 | 133.446 | 91.348 | 0.000 | -0.000 | -0.000 |
| 133.446 | 324.771 | 91.348 | 0.000 | -0.000 | -0.000 |
| 88.360 | 88.360 | 238.741 | 0.000 | -0.000 | -0.000 |
| -0.909 | -0.909 | -1.017 | 52.894 | -0.000 | -0.000 |
| -1.679 | -1.679 | -1.879 | 0.000 | 54.196 | -0.000 |
| -0.969 | -0.969 | -1.084 | 0.000 | -0.000 | 82.028 |
| 310.193 | 146.138 | 90.293 | -0.000 | 0.000 | 0.000 |
| 142.180 | 311.384 | 88.744 | -0.000 | 0.000 | 0.000 |
| 90.178 | 90.178 | 240.776 | -0.000 | 0.000 | 0.000 |
| 0.909 | 0.909 | 1.017 | 52.894 | 0.000 | -0.000 |
| 1.679 | 1.679 | 1.879 | -0.000 | 54.196 | 0.000 |
| 0.969 | 0.969 | 1.084 | -0.000 | 0.000 | 82.028 |
| 324.771 | 133.446 | 91.348 | 0.000 | -0.000 | 0.000 |
| 145.158 | 309.228 | 89.205 | 0.000 | -0.000 | -0.000 |
| 89.178 | 89.178 | 239.657 | 0.000 | -0.000 | -0.000 |
| -0.299 | -0.299 | -0.335 | 52.929 | -0.000 | -0.000 |
| -0.000 | -0.000 | -0.000 | 0.000 | 55.814 | -0.000 |
| -0.123 | -0.123 | -0.138 | 0.000 | -0.000 | 81.989 |
| 324.771 | 133.446 | 91.348 | -0.000 | 0.000 | 0.000 |
| 138.379 | 313.108 | 87.582 | -0.000 | 0.000 | 0.000 |
| 89.360 | 89.360 | 239.860 | -0.000 | 0.000 | 0.000 |
| 0.299 | 0.299 | 0.335 | 52.929 | 0.000 | 0.000 |
| 0.000 | 0.000 | 0.000 | -0.000 | 55.814 | -0.000 |
| 0.123 | 0.123 | 0.138 | -0.000 | 0.000 | 81.989 |
| 324.772 | 133.446 | 91.348 | 0.000 | -0.000 | -0.000 |
| 138.034 | 313.277 | 87.484 | 0.000 | -0.000 | -0.000 |
| 91.273 | 91.273 | 242.000 | 0.000 | -0.000 | -0.000 |
| -0.009 | -0.009 | -0.010 | 52.894 | -0.000 | -0.000 |
| -0.000 | -0.000 | -0.000 | 0.000 | 55.814 | -0.000 |
| -0.013 | -0.012 | -0.014 | 0.000 | -0.000 | 81.987 |
| 324.770 | 133.446 | 91.348 | -0.000 | 0.000 | 0.000 |
| 145.257 | 309.326 | 89.315 | -0.000 | 0.000 | 0.000 |
| 91.273 | 91.273 | 242.002 | -0.000 | 0.000 | -0.000 |
| 0.009 | 0.009 | 0.010 | 52.894 | 0.000 | 0.000 |
| 0.000 | 0.000 | 0.000 | -0.000 | 55.814 | 0.000 |
| 0.013 | 0.012 | 0.014 | -0.000 | 0.000 | 81.987 |
| 312.898 | 137.982 | 87.267 | 0.000 | 0.000 | -0.000 |
| 133.342 | 324.252 | 91.051 | -0.000 | 0.000 | -0.000 |
| 91.051 | 91.051 | 242.308 | -0.000 | 0.000 | 0.000 |
| 0.000 | -0.000 | 0.000 | 55.550 | 0.000 | 0.000 |
| 0.000 | -0.000 | 0.000 | -0.000 | 55.550 | 0.000 |
| 0.000 | 0.000 | -0.000 | -0.000 | 0.000 | 95.455 |
| 312.898 | 137.982 | 87.267 | -0.000 | -0.000 | -0.000 |
| 145.016 | 309.037 | 89.055 | 0.000 | -0.000 | 0.000 |
| 89.094 | 89.094 | 240.101 | 0.000 | -0.000 | -0.000 |
| 0.000 | 0.000 | -0.000 | 55.550 | -0.000 | 0.000 |
| -0.000 | 0.000 | -0.000 | 0.000 | 55.550 | 0.000 |
| -0.000 | -0.000 | 0.000 | 0.000 | -0.000 | 95.455 |
| 312.898 | 137.982 | 87.267 | 0.000 | 0.000 | 0.000 |
| 133.342 | 324.252 | 91.051 | -0.000 | 0.000 | 0.000 |
| 91.051 | 91.051 | 242.308 | -0.000 | 0.000 | 0.000 |
| 0.000 | -0.000 | 0.000 | 52.693 | 0.000 | 0.000 |
| 0.000 | 0.000 | 0.000 | -0.000 | 55.550 | 0.000 |
| -0.000 | 0.000 | -0.000 | 0.000 | 0.000 | 81.951 |
| 312.897 | 137.982 | 87.267 | -0.000 | -0.000 | -0.000 |
| 137.982 | 312.897 | 87.267 | -0.000 | -0.000 | 0.000 |
| 89.094 | 89.094 | 240.101 | 0.000 | -0.000 | -0.000 |
| -0.000 | 0.000 | -0.000 | 52.693 | -0.000 | 0.000 |
| -0.000 | -0.000 | -0.000 | 0.000 | 55.550 | 0.000 |
| 0.000 | -0.000 | 0.000 | -0.000 | -0.000 | 81.951 |
| 312.899 | 137.982 | 87.267 | 0.000 | 0.000 | 0.000 |
| 137.982 | 312.898 | 87.267 | 0.000 | 0.000 | -0.000 |
| 91.051 | 91.051 | 242.307 | 0.000 | 0.000 | -0.000 |
| 0.000 | 0.000 | 0.000 | 55.550 | 0.000 | 0.000 |
| 0.000 | 0.000 | 0.000 | -0.000 | 55.550 | 0.000 |
| -0.000 | 0.000 | -0.000 | -0.000 | 0.000 | 82.304 |
| 324.251 | 133.342 | 91.051 | 0.000 | -0.000 | -0.000 |
| 137.982 | 312.897 | 87.267 | -0.000 | -0.000 | -0.000 |
| 91.051 | 91.051 | 242.308 | 0.000 | -0.000 | -0.000 |
| -0.000 | -0.000 | -0.000 | 55.550 | -0.000 | -0.000 |
| -0.000 | -0.000 | -0.000 | 0.000 | 55.550 | -0.000 |
| 0.000 | -0.000 | 0.000 | 0.000 | -0.000 | 82.304 |
| 247.992 | 147.877 | 147.877 | 0.000 | 0.000 | -0.000 |
| 147.877 | 247.992 | 147.877 | 0.000 | 0.000 | -0.000 |
| 147.877 | 147.877 | 247.992 | -0.000 | 0.000 | -0.000 |
| 0.000 | -0.000 | 0.000 | 125.044 | -0.000 | -0.000 |
| -0.000 | 0.000 | 0.000 | 0.000 | 125.044 | -0.000 |
| -0.000 | 0.000 | 0.000 | 0.000 | -0.000 | 125.044 |
| 247.992 | 147.877 | 147.877 | -0.000 | -0.000 | 0.000 |
| 147.877 | 247.992 | 147.877 | -0.000 | -0.000 | 0.000 |
| 147.877 | 147.877 | 247.992 | -0.000 | -0.000 | 0.000 |
| -0.000 | 0.000 | -0.000 | 125.044 | -0.000 | 0.000 |
| 0.000 | -0.000 | -0.000 | -0.000 | 125.044 | 0.000 |
| 0.000 | -0.000 | -0.000 | -0.000 | -0.000 | 125.044 |
| 247.991 | 147.877 | 147.877 | 0.000 | 0.000 | -0.000 |
| 147.877 | 247.991 | 147.877 | 0.000 | 0.000 | -0.000 |
| 147.877 | 147.877 | 247.991 | 0.000 | 0.000 | -0.000 |
| -0.000 | -0.000 | 0.000 | 125.044 | 0.000 | -0.000 |
| -0.000 | -0.000 | 0.000 | 0.000 | 125.044 | -0.000 |
| -0.000 | 0.000 | -0.000 | -0.000 | -0.000 | 125.044 |
| 247.992 | 147.877 | 147.877 | -0.000 | -0.000 | 0.000 |
| 147.877 | 247.992 | 147.877 | -0.000 | -0.000 | 0.000 |
| 147.877 | 147.877 | 247.992 | 0.000 | -0.000 | 0.000 |
| 0.000 | 0.000 | -0.000 | 125.044 | -0.000 | 0.000 |
| 0.000 | 0.000 | -0.000 | -0.000 | 125.044 | 0.000 |
| 0.000 | -0.000 | 0.000 | -0.000 | 0.000 | 125.044 |
| 247.989 | 147.877 | 147.877 | 0.000 | 0.000 | -0.000 |
| 147.877 | 247.989 | 147.877 | 0.000 | 0.000 | -0.000 |
| 147.877 | 147.877 | 247.989 | 0.000 | 0.000 | -0.000 |
| -0.000 | -0.000 | 0.000 | 125.044 | 0.000 | -0.000 |
| -0.000 | -0.000 | 0.000 | 0.000 | 125.044 | -0.000 |
| -0.000 | 0.000 | -0.000 | 0.000 | -0.000 | 125.044 |
| 247.994 | 147.876 | 147.876 | -0.000 | -0.000 | 0.000 |
| 147.876 | 247.994 | 147.876 | -0.000 | -0.000 | 0.000 |
| 147.876 | 147.876 | 247.994 | -0.000 | -0.000 | 0.000 |
| 0.000 | 0.000 | -0.000 | 125.044 | -0.000 | 0.000 |
| 0.000 | 0.000 | -0.000 | -0.000 | 125.044 | 0.000 |
| 0.000 | -0.000 | 0.000 | -0.000 | 0.000 | 125.044 |
| 3.095 | 1.548 | 1.548 | -0.000 | -0.000 | -0.000 |
| 1.548 | 3.095 | 1.548 | -0.000 | -0.000 | -0.000 |
| 1.548 | 1.548 | 3.095 | -0.000 | -0.000 | -0.000 |
| -0.000 | 0.000 | 0.000 | 1.548 | -0.000 | 0.000 |
| 0.000 | -0.000 | 0.000 | -0.000 | 1.548 | 0.000 |
| 0.000 | 0.000 | -0.000 | -0.000 | 0.000 | 1.548 |
| 3.095 | 1.548 | 1.548 | 0.000 | 0.000 | 0.000 |
| 1.548 | 3.095 | 1.548 | 0.000 | 0.000 | 0.000 |
| 1.548 | 1.548 | 3.095 | 0.000 | 0.000 | 0.000 |
| 0.000 | -0.000 | -0.000 | 1.548 | 0.000 | -0.000 |
| -0.000 | 0.000 | -0.000 | 0.000 | 1.548 | 0.000 |
| -0.000 | -0.000 | 0.000 | 0.000 | 0.000 | 1.548 |
| 3.095 | 1.548 | 1.548 | -0.000 | -0.000 | -0.000 |
| 1.548 | 3.095 | 1.548 | -0.000 | -0.000 | -0.000 |
| 1.548 | 1.548 | 3.095 | -0.000 | -0.000 | -0.000 |
| -0.000 | 0.000 | 0.000 | 1.548 | -0.000 | -0.000 |
| 0.000 | -0.000 | 0.000 | -0.000 | 1.548 | 0.000 |
| 0.000 | 0.000 | -0.000 | -0.000 | 0.000 | 1.548 |
| 3.095 | 1.548 | 1.548 | 0.000 | 0.000 | 0.000 |
| 1.548 | 3.095 | 1.548 | 0.000 | 0.000 | 0.000 |
| 1.548 | 1.548 | 3.095 | 0.000 | 0.000 | 0.000 |
| 0.000 | -0.000 | -0.000 | 1.548 | 0.000 | 0.000 |
| -0.000 | 0.000 | -0.000 | 0.000 | 1.548 | -0.000 |
| -0.000 | -0.000 | 0.000 | 0.000 | -0.000 | 1.548 |
| 3.096 | 1.548 | 1.548 | -0.000 | -0.000 | -0.000 |
| 1.548 | 3.096 | 1.548 | -0.000 | -0.000 | -0.000 |
| 1.548 | 1.548 | 3.096 | -0.000 | -0.000 | -0.000 |
| -0.000 | 0.000 | 0.000 | 1.548 | -0.000 | 0.000 |
| 0.000 | -0.000 | 0.000 | -0.000 | 1.548 | 0.000 |
| 0.000 | 0.000 | -0.000 | -0.000 | 0.000 | 1.548 |
| 3.095 | 1.548 | 1.548 | 0.000 | 0.000 | 0.000 |
| 1.548 | 3.095 | 1.548 | 0.000 | 0.000 | 0.000 |
| 1.548 | 1.548 | 3.095 | 0.000 | 0.000 | 0.000 |
| 0.000 | -0.000 | -0.000 | 1.548 | 0.000 | -0.000 |
| -0.000 | 0.000 | -0.000 | 0.000 | 1.548 | -0.000 |
| -0.000 | -0.000 | 0.000 | 0.000 | -0.000 | 1.548 |
| 482.683 | 104.730 | 104.730 | -0.000 | 0.000 | 0.000 |
| 104.730 | 482.683 | 104.730 | -0.000 | 0.000 | 0.000 |
| 104.730 | 104.730 | 482.683 | 0.000 | -0.000 | 0.000 |
| 0.000 | -0.000 | 0.000 | 49.969 | -0.000 | -0.000 |
| -0.000 | 0.000 | 0.000 | -0.000 | 49.969 | 0.000 |
| 0.000 | -0.000 | 0.000 | 0.000 | -0.000 | 49.969 |
| 481.616 | 105.264 | 105.264 | 0.000 | 0.000 | -0.000 |
| 105.264 | 481.616 | 105.264 | 0.000 | 0.000 | -0.000 |
| 105.264 | 105.264 | 481.616 | 0.000 | 0.000 | -0.000 |
| -0.000 | 0.000 | -0.000 | 49.969 | 0.000 | -0.000 |
| 0.000 | -0.000 | -0.000 | 0.000 | 49.969 | -0.000 |
| -0.000 | 0.000 | -0.000 | -0.000 | 0.000 | 49.969 |
| 482.683 | 104.730 | 104.730 | -0.000 | -0.000 | 0.000 |
| 104.730 | 482.683 | 104.730 | -0.000 | 0.000 | 0.000 |
| 104.730 | 104.730 | 482.683 | -0.000 | -0.000 | 0.000 |
| 0.000 | 0.000 | -0.000 | 49.969 | -0.000 | -0.000 |
| 0.000 | 0.000 | -0.000 | -0.000 | 49.969 | 0.000 |
| 0.000 | -0.000 | 0.000 | -0.000 | -0.000 | 49.969 |
| 481.616 | 105.264 | 105.264 | 0.000 | 0.000 | -0.000 |
| 105.264 | 481.616 | 105.264 | 0.000 | 0.000 | -0.000 |
| 105.264 | 105.264 | 481.616 | 0.000 | 0.000 | -0.000 |
| -0.000 | -0.000 | 0.000 | 49.969 | 0.000 | -0.000 |
| -0.000 | -0.000 | 0.000 | 0.000 | 49.969 | -0.000 |
| -0.000 | 0.000 | -0.000 | 0.000 | 0.000 | 49.969 |
| 481.618 | 105.264 | 105.264 | 0.000 | 0.000 | 0.000 |
| 105.264 | 481.618 | 105.264 | -0.000 | -0.000 | 0.000 |
| 105.264 | 105.264 | 481.618 | -0.000 | -0.000 | 0.000 |
| 0.000 | 0.000 | -0.000 | 68.307 | -0.000 | 0.000 |
| 0.000 | 0.000 | -0.000 | -0.000 | 68.307 | 0.000 |
| 0.000 | -0.000 | 0.000 | -0.000 | 0.000 | 68.307 |
| 482.682 | 104.730 | 104.730 | 0.000 | 0.000 | -0.000 |
| 104.730 | 482.682 | 104.730 | 0.000 | 0.000 | -0.000 |
| 104.730 | 104.730 | 482.682 | 0.000 | -0.000 | -0.000 |
| -0.000 | -0.000 | 0.000 | 68.307 | 0.000 | -0.000 |
| -0.000 | -0.000 | 0.000 | -0.000 | 68.307 | 0.000 |
| -0.000 | 0.000 | -0.000 | 0.000 | -0.000 | 68.307 |
| 2.519 | 1.346 | 1.346 | -0.000 | -0.000 | 0.000 |
| 1.346 | 2.519 | 1.346 | 0.000 | -0.000 | 0.000 |
| 1.346 | 1.346 | 2.519 | 0.000 | -0.000 | 0.000 |
| -0.000 | -0.000 | -0.000 | 1.347 | -0.000 | 0.000 |
| -0.000 | -0.000 | -0.000 | -0.000 | 1.347 | 0.000 |
| -0.000 | -0.000 | -0.000 | -0.000 | 0.000 | 1.347 |
| 2.519 | 1.346 | 1.346 | 0.000 | 0.000 | -0.000 |
| 1.346 | 2.519 | 1.346 | 0.000 | 0.000 | -0.000 |
| 1.346 | 1.346 | 2.519 | 0.000 | 0.000 | 0.000 |
| 0.000 | 0.000 | 0.000 | 1.347 | 0.000 | 0.000 |
| 0.000 | 0.000 | 0.000 | -0.000 | 1.347 | -0.000 |
| 0.000 | 0.000 | 0.000 | 0.000 | 0.000 | 1.347 |
| 2.521 | 1.345 | 1.345 | 0.000 | -0.000 | 0.000 |
| 1.345 | 2.521 | 1.345 | -0.000 | -0.000 | 0.000 |
| 1.345 | 1.345 | 2.521 | -0.000 | 0.000 | 0.000 |
| -0.000 | -0.000 | -0.000 | 1.344 | 0.000 | 0.000 |
| -0.000 | -0.000 | -0.000 | 0.000 | 1.344 | 0.000 |
| -0.000 | -0.000 | -0.000 | 0.000 | -0.000 | 1.344 |
| 2.519 | 1.346 | 1.346 | -0.000 | 0.000 | -0.000 |
| 1.346 | 2.519 | 1.346 | 0.000 | 0.000 | -0.000 |
| 1.346 | 1.346 | 2.519 | 0.000 | 0.000 | -0.000 |
| 0.000 | 0.000 | 0.000 | 1.344 | 0.000 | 0.000 |
| 0.000 | 0.000 | 0.000 | 0.000 | 1.344 | -0.000 |
| 0.000 | 0.000 | 0.000 | 0.000 | 0.000 | 1.344 |
| 2.519 | 1.346 | 1.346 | -0.000 | 0.000 | 0.000 |
| 1.346 | 2.519 | 1.346 | -0.000 | -0.000 | 0.000 |
| 1.346 | 1.346 | 2.519 | 0.000 | -0.000 | 0.000 |
| -0.000 | -0.000 | -0.000 | 1.344 | 0.000 | -0.000 |
| -0.000 | -0.000 | -0.000 | 0.000 | 1.344 | 0.000 |
| -0.000 | -0.000 | -0.000 | 0.000 | -0.000 | 1.344 |
| 2.521 | 1.345 | 1.345 | 0.000 | -0.000 | -0.000 |
| 1.345 | 2.521 | 1.345 | 0.000 | -0.000 | -0.000 |
| 1.345 | 1.345 | 2.521 | -0.000 | 0.000 | -0.000 |
| 0.000 | 0.000 | 0.000 | 1.344 | 0.000 | -0.000 |
| 0.000 | 0.000 | 0.000 | -0.000 | 1.344 | -0.000 |
| 0.000 | 0.000 | 0.000 | 0.000 | 0.000 | 1.344 |
| 0.548 | 0.000 | 0.000 | 0.000 | 0.000 | 0.000 |
| 0.000 | 0.548 | 0.000 | -0.000 | -0.000 | -0.000 |
| 0.000 | 0.000 | 0.548 | -0.000 | 0.000 | -0.000 |
| 0.000 | 0.000 | -0.000 | -0.000 | 0.000 | 0.000 |
| 0.000 | 0.000 | -0.000 | 0.000 | -0.000 | 0.000 |
| 0.000 | -0.000 | 0.000 | 0.000 | 0.000 | -0.000 |
| 0.548 | 0.000 | 0.000 | 0.000 | -0.000 | -0.000 |
| 0.000 | 0.548 | 0.000 | 0.000 | -0.000 | 0.000 |
| 0.000 | 0.000 | 0.548 | 0.000 | -0.000 | -0.000 |
| -0.000 | -0.000 | 0.000 | -0.000 | -0.000 | -0.000 |
| -0.000 | -0.000 | 0.000 | -0.000 | -0.000 | -0.000 |
| -0.000 | 0.000 | -0.000 | -0.000 | -0.000 | -0.000 |
| 0.548 | 0.000 | 0.000 | 0.000 | 0.000 | -0.000 |
| 0.000 | 0.548 | 0.000 | 0.000 | -0.000 | 0.000 |
| 0.000 | 0.000 | 0.548 | -0.000 | -0.000 | -0.000 |
| 0.000 | 0.000 | -0.000 | 0.000 | 0.000 | 0.000 |
| 0.000 | 0.000 | -0.000 | 0.000 | 0.000 | 0.000 |
| 0.000 | -0.000 | 0.000 | 0.000 | 0.000 | 0.000 |
| 0.548 | 0.000 | 0.000 | 0.000 | -0.000 | -0.000 |
| 0.000 | 0.548 | 0.000 | 0.000 | -0.000 | -0.000 |
| 0.000 | 0.000 | 0.548 | 0.000 | -0.000 | -0.000 |
| -0.000 | -0.000 | 0.000 | 0.000 | -0.000 | -0.000 |
| -0.000 | -0.000 | 0.000 | -0.000 | 0.000 | -0.000 |
| -0.000 | 0.000 | -0.000 | -0.000 | -0.000 | 0.000 |
| 0.548 | 0.000 | 0.000 | 0.000 | 0.000 | 0.000 |
| 0.000 | 0.548 | 0.000 | -0.000 | -0.000 | -0.000 |
| 0.000 | 0.000 | 0.548 | 0.000 | 0.000 | -0.000 |
| 0.000 | 0.000 | -0.000 | 0.000 | -0.000 | 0.000 |
| 0.000 | 0.000 | -0.000 | 0.000 | 0.000 | 0.000 |
| 0.000 | -0.000 | 0.000 | 0.000 | 0.000 | 0.000 |
| 0.548 | 0.000 | 0.000 | 0.000 | -0.000 | -0.000 |
| 0.000 | 0.548 | 0.000 | 0.000 | -0.000 | -0.000 |
| 0.000 | 0.000 | 0.548 | -0.000 | -0.000 | -0.000 |
| -0.000 | -0.000 | 0.000 | 0.000 | 0.000 | -0.000 |
| -0.000 | -0.000 | 0.000 | -0.000 | 0.000 | -0.000 |
| -0.000 | 0.000 | -0.000 | -0.000 | -0.000 | 0.000 |
| 112.175 | 153.718 | 153.718 | -0.000 | 0.000 | -0.000 |
| 153.718 | 112.175 | 153.718 | 0.000 | 0.000 | -0.000 |
| 153.718 | 153.718 | 112.175 | 0.000 | 0.000 | -0.000 |
| 0.000 | 0.000 | 0.000 | 161.787 | 0.000 | -0.000 |
| 0.000 | 0.000 | 0.000 | 0.000 | 161.787 | -0.000 |
| 0.000 | 0.000 | 0.000 | 0.000 | 0.000 | 161.787 |
| 112.175 | 153.718 | 153.718 | -0.000 | -0.000 | 0.000 |
| 153.718 | 112.175 | 153.718 | -0.000 | -0.000 | 0.000 |
| 153.718 | 153.718 | 112.175 | -0.000 | -0.000 | 0.000 |
| -0.000 | -0.000 | -0.000 | 161.787 | -0.000 | 0.000 |
| -0.000 | -0.000 | 0.000 | -0.000 | 161.787 | 0.000 |
| -0.000 | -0.000 | -0.000 | -0.000 | -0.000 | 161.787 |
| 112.175 | 153.718 | 153.718 | 0.000 | 0.000 | -0.000 |
| 153.718 | 112.175 | 153.718 | -0.000 | 0.000 | -0.000 |
| 153.718 | 153.718 | 112.175 | 0.000 | 0.000 | -0.000 |
| 0.000 | 0.000 | 0.000 | 161.787 | 0.000 | -0.000 |
| 0.000 | 0.000 | 0.000 | 0.000 | 161.787 | -0.000 |
| 0.000 | 0.000 | 0.000 | 0.000 | 0.000 | 161.787 |
| 112.175 | 153.718 | 153.718 | 0.000 | -0.000 | 0.000 |
| 153.718 | 112.175 | 153.718 | 0.000 | -0.000 | 0.000 |
| 153.718 | 153.718 | 112.175 | -0.000 | -0.000 | 0.000 |
| -0.000 | -0.000 | -0.000 | 161.787 | -0.000 | 0.000 |
| -0.000 | -0.000 | -0.000 | -0.000 | 161.787 | 0.000 |
| -0.000 | -0.000 | -0.000 | -0.000 | -0.000 | 161.787 |
| 112.176 | 153.718 | 153.718 | 0.000 | 0.000 | -0.000 |
| 153.718 | 112.176 | 153.718 | 0.000 | 0.000 | -0.000 |
| 153.718 | 153.718 | 112.176 | -0.000 | 0.000 | -0.000 |
| 0.001 | 0.000 | 0.001 | 161.787 | 0.000 | -0.000 |
| 0.000 | 0.001 | 0.001 | 0.000 | 161.787 | -0.000 |
| 0.000 | 0.001 | 0.001 | 0.000 | 0.000 | 161.787 |
| 112.175 | 153.718 | 153.718 | -0.000 | -0.000 | 0.000 |
| 153.718 | 112.175 | 153.718 | -0.000 | -0.000 | 0.000 |
| 153.718 | 153.718 | 112.175 | 0.000 | -0.000 | 0.000 |
| -0.001 | -0.000 | -0.001 | 161.787 | -0.000 | -0.000 |
| -0.000 | -0.001 | -0.001 | 0.000 | 161.787 | 0.000 |
| -0.000 | -0.001 | -0.001 | -0.000 | -0.000 | 161.787 |
| 1.264 | 1.264 | 1.264 | -0.000 | -0.000 | -0.000 |
| 1.264 | 1.264 | 1.264 | -0.000 | -0.000 | -0.000 |
| 1.264 | 1.264 | 1.264 | -0.000 | -0.000 | -0.000 |
| 0.000 | 0.000 | 0.000 | 1.264 | -0.000 | 0.000 |
| 0.000 | 0.000 | 0.000 | -0.000 | 1.264 | 0.000 |
| 0.000 | 0.000 | 0.000 | -0.000 | -0.000 | 1.264 |
| 1.264 | 1.264 | 1.264 | 0.000 | 0.000 | -0.000 |
| 1.264 | 1.264 | 1.264 | 0.000 | 0.000 | -0.000 |
| 1.264 | 1.264 | 1.264 | 0.000 | 0.000 | 0.000 |
| -0.000 | -0.000 | -0.000 | 1.264 | 0.000 | 0.000 |
| -0.000 | -0.000 | -0.000 | 0.000 | 1.264 | 0.000 |
| -0.000 | -0.000 | -0.000 | 0.000 | 0.000 | 1.264 |
| 1.264 | 1.264 | 1.264 | -0.000 | -0.000 | -0.000 |
| 1.264 | 1.264 | 1.264 | -0.000 | -0.000 | -0.000 |
| 1.264 | 1.264 | 1.264 | -0.000 | -0.000 | -0.000 |
| 0.000 | 0.000 | 0.000 | 1.264 | -0.000 | -0.000 |
| 0.000 | 0.000 | 0.000 | -0.000 | 1.264 | -0.000 |
| 0.000 | 0.000 | 0.000 | -0.000 | -0.000 | 1.264 |
| 1.264 | 1.264 | 1.264 | 0.000 | 0.000 | 0.000 |
| 1.264 | 1.264 | 1.264 | 0.000 | 0.000 | 0.000 |
| 1.264 | 1.264 | 1.264 | 0.000 | 0.000 | 0.000 |
| -0.000 | -0.000 | -0.000 | 1.264 | 0.000 | 0.000 |
| -0.000 | -0.000 | -0.000 | 0.000 | 1.264 | 0.000 |
| -0.000 | -0.000 | -0.000 | 0.000 | 0.000 | 1.264 |
| 1.264 | 1.264 | 1.264 | -0.000 | -0.000 | -0.000 |
| 1.264 | 1.264 | 1.264 | -0.000 | -0.000 | -0.000 |
| 1.264 | 1.264 | 1.264 | -0.000 | -0.000 | -0.000 |
| 0.000 | 0.000 | 0.000 | 1.264 | -0.000 | -0.000 |
| 0.000 | 0.000 | 0.000 | -0.000 | 1.264 | -0.000 |
| 0.000 | 0.000 | 0.000 | -0.000 | -0.000 | 1.264 |
| 1.264 | 1.264 | 1.264 | 0.000 | 0.000 | -0.000 |
| 1.264 | 1.264 | 1.264 | 0.000 | 0.000 | -0.000 |
| 1.264 | 1.264 | 1.264 | 0.000 | 0.000 | 0.000 |
| -0.000 | -0.000 | -0.000 | 1.264 | 0.000 | -0.000 |
| -0.000 | -0.000 | -0.000 | 0.000 | 1.264 | -0.000 |
| -0.000 | -0.000 | -0.000 | 0.000 | -0.000 | 1.264 |
| 306295.046 | 119051.853 | 81810.218 | -0.186 | -0.356 | -0.015 |
| 119052.329 | 306294.541 | 81810.314 | -0.147 | -0.273 | -0.318 |
| 81810.538 | 81810.617 | 287461.969 | -0.162 | -0.293 | -0.032 |
| 0.033 | -0.103 | -0.403 | 81810.352 | -0.340 | -0.513 |
| -0.004 | -0.069 | -0.295 | -0.168 | 81810.256 | -0.194 |
| 0.060 | -0.014 | -0.135 | -0.125 | -0.201 | 106336.700 |
| 319010.182 | 106336.798 | 81810.946 | 0.218 | 0.380 | 0.292 |
| 119051.964 | 306295.074 | 81810.971 | 0.229 | 0.426 | 0.020 |
| 81810.520 | 81810.672 | 287462.702 | 0.105 | 0.230 | -0.032 |
| -0.016 | 0.113 | 0.383 | 81810.813 | 0.448 | 0.288 |
| -0.051 | 0.040 | 0.232 | 0.149 | 81810.817 | 0.207 |
| -0.004 | 0.059 | 0.122 | 0.105 | 0.189 | 106337.088 |
| 306295.554 | 119051.254 | 81810.363 | -0.012 | -0.024 | -0.030 |
| 118095.891 | 307250.908 | 81810.356 | -0.014 | -0.030 | -0.065 |
| 81810.351 | 81810.348 | 287461.176 | -0.012 | -0.023 | 0.017 |
| -0.068 | -0.207 | -0.245 | 81810.537 | -0.026 | -0.017 |
| -0.199 | -0.069 | -0.251 | -0.021 | 81810.517 | 0.001 |
| -0.066 | -0.029 | -0.109 | -0.024 | -0.045 | 106336.727 |
| 306292.955 | 119054.105 | 81810.783 | 0.016 | 0.033 | 0.031 |
| 106336.718 | 319010.381 | 81810.752 | 0.013 | 0.025 | 0.003 |
| 81810.756 | 81810.769 | 287463.673 | 0.007 | 0.015 | 0.008 |
| 0.069 | 0.204 | 0.249 | 81810.568 | 0.029 | 0.011 |
| 0.195 | 0.064 | 0.250 | 0.020 | 81810.584 | 0.015 |
| 0.069 | 0.029 | 0.106 | 0.027 | 0.045 | 106336.723 |
| 306305.116 | 119040.555 | 81808.724 | -0.002 | -0.004 | -0.003 |
| 119069.964 | 306275.706 | 81808.726 | -0.002 | -0.004 | -0.003 |
| 81808.683 | 81808.683 | 287450.730 | -0.001 | -0.002 | 0.000 |
| -0.637 | -1.976 | -2.198 | 81810.579 | -0.004 | -0.003 |
| -1.976 | -0.632 | -2.195 | -0.002 | 81810.577 | -0.001 |
| -0.396 | -0.082 | -0.730 | -0.002 | -0.004 | 93617.855 |
| 308339.625 | 117008.634 | 81812.399 | 0.002 | 0.004 | 0.003 |
| 119440.922 | 305907.269 | 81812.408 | 0.002 | 0.003 | 0.002 |
| 81812.604 | 81812.605 | 287474.700 | 0.001 | 0.003 | 0.003 |
| 0.637 | 1.974 | 2.199 | 81810.584 | 0.005 | -0.000 |
| 1.977 | 0.633 | 2.195 | 0.002 | 81810.583 | 0.002 |
| 0.397 | 0.082 | 0.730 | 0.002 | 0.003 | 93617.860 |
| 325.342 | 121.193 | 80.560 | 0.000 | 0.000 | -0.000 |
| 143.753 | 302.783 | 80.560 | 0.000 | 0.000 | -0.000 |
| 80.561 | 80.561 | 259.797 | 0.000 | 0.000 | -0.000 |
| -0.000 | -0.000 | 0.000 | 61.722 | 0.000 | 0.000 |
| -0.000 | -0.000 | 0.000 | 0.000 | 61.722 | -0.000 |
| -0.000 | 0.000 | -0.000 | 0.000 | 0.000 | 79.515 |
| 302.782 | 143.753 | 80.561 | -0.000 | -0.000 | -0.000 |
| 121.193 | 325.342 | 80.561 | -0.000 | -0.000 | -0.000 |
| 80.560 | 80.561 | 259.797 | -0.000 | -0.000 | 0.000 |
| 0.000 | 0.000 | -0.000 | 61.722 | -0.000 | 0.000 |
| 0.000 | 0.000 | -0.000 | -0.000 | 61.722 | 0.000 |
| 0.000 | -0.000 | 0.000 | -0.000 | -0.000 | 79.515 |
| 302.783 | 143.753 | 80.560 | 0.000 | 0.000 | 0.000 |
| 143.753 | 302.783 | 80.560 | 0.000 | 0.000 | 0.000 |
| 80.561 | 80.561 | 259.797 | -0.000 | 0.000 | -0.000 |
| 0.000 | -0.000 | 0.000 | 61.722 | 0.000 | -0.000 |
| -0.000 | 0.000 | 0.000 | 0.000 | 61.722 | -0.000 |
| -0.000 | 0.000 | -0.000 | 0.000 | 0.000 | 79.515 |
| 302.782 | 143.753 | 80.561 | -0.000 | -0.000 | 0.000 |
| 143.753 | 302.782 | 80.561 | -0.000 | -0.000 | 0.000 |
| 80.560 | 80.560 | 259.797 | -0.000 | -0.000 | -0.000 |
| -0.000 | 0.000 | -0.000 | 61.722 | -0.000 | 0.000 |
| 0.000 | -0.000 | -0.000 | -0.000 | 61.722 | 0.000 |
| 0.000 | -0.000 | 0.000 | 0.000 | -0.000 | 79.515 |
| 302.785 | 143.753 | 80.560 | -0.000 | 0.000 | -0.000 |
| 143.754 | 302.784 | 80.560 | 0.000 | 0.000 | -0.000 |
| 80.561 | 80.561 | 259.799 | 0.000 | 0.000 | -0.000 |
| 0.000 | -0.000 | 0.001 | 61.722 | 0.000 | -0.000 |
| -0.000 | -0.000 | 0.001 | 0.000 | 61.722 | -0.000 |
| -0.001 | 0.001 | -0.000 | 0.000 | 0.000 | 79.515 |
| 325.339 | 121.193 | 80.561 | -0.000 | -0.000 | 0.000 |
| 143.751 | 302.781 | 80.561 | -0.000 | -0.000 | 0.000 |
| 80.560 | 80.560 | 259.795 | -0.000 | -0.000 | -0.000 |
| -0.000 | 0.000 | -0.001 | 61.722 | -0.000 | 0.000 |
| 0.000 | 0.000 | -0.001 | -0.000 | 61.722 | -0.000 |
| 0.001 | -0.001 | 0.000 | -0.000 | -0.000 | 79.515 |
| 3.869 | 1.290 | 1.032 | -0.000 | -0.000 | -0.000 |
| 1.299 | 3.860 | 1.032 | 0.000 | -0.000 | -0.000 |
| 1.032 | 1.032 | 4.127 | 0.000 | -0.000 | -0.000 |
| 0.000 | 0.000 | 0.000 | 1.032 | 0.000 | 0.000 |
| 0.000 | 0.000 | 0.000 | 0.000 | 1.032 | -0.000 |
| 0.000 | 0.000 | 0.000 | 0.000 | -0.000 | 1.290 |
| 3.869 | 1.290 | 1.032 | -0.000 | 0.000 | 0.000 |
| 1.290 | 3.869 | 1.032 | -0.000 | -0.000 | -0.000 |
| 1.032 | 1.032 | 4.127 | -0.000 | 0.000 | 0.000 |
| -0.000 | -0.000 | -0.000 | 1.032 | -0.000 | -0.000 |
| -0.000 | -0.000 | -0.000 | -0.000 | 1.032 | -0.000 |
| -0.000 | -0.000 | -0.000 | -0.000 | -0.000 | 1.290 |
| 3.869 | 1.290 | 1.032 | 0.000 | -0.000 | 0.000 |
| 1.290 | 3.869 | 1.032 | 0.000 | 0.000 | -0.000 |
| 1.032 | 1.032 | 4.127 | -0.000 | 0.000 | -0.000 |
| 0.000 | 0.000 | 0.000 | 1.032 | 0.000 | 0.000 |
| 0.000 | 0.000 | 0.000 | 0.000 | 1.032 | 0.000 |
| 0.000 | 0.000 | 0.000 | -0.000 | -0.000 | 1.280 |
| 3.869 | 1.290 | 1.032 | 0.000 | 0.000 | 0.000 |
| 1.308 | 3.851 | 1.032 | -0.000 | 0.000 | -0.000 |
| 1.032 | 1.032 | 4.127 | 0.000 | -0.000 | 0.000 |
| -0.000 | -0.000 | -0.000 | 1.032 | -0.000 | 0.000 |
| -0.000 | -0.000 | -0.000 | -0.000 | 1.032 | 0.000 |
| -0.000 | -0.000 | -0.000 | 0.000 | 0.000 | 1.280 |
| 3.870 | 1.290 | 1.032 | 0.000 | 0.000 | 0.000 |
| 1.299 | 3.860 | 1.032 | 0.000 | -0.000 | 0.000 |
| 1.032 | 1.032 | 4.128 | -0.000 | 0.000 | -0.000 |
| 0.000 | 0.000 | 0.000 | 1.032 | 0.000 | 0.000 |
| 0.000 | 0.000 | 0.000 | -0.000 | 1.032 | -0.000 |
| 0.000 | 0.000 | 0.000 | 0.000 | -0.000 | 1.290 |
| 3.859 | 1.299 | 1.032 | 0.000 | -0.000 | -0.000 |
| 1.307 | 3.851 | 1.032 | 0.000 | 0.000 | 0.000 |
| 1.032 | 1.032 | 4.126 | -0.000 | 0.000 | 0.000 |
| -0.000 | -0.000 | -0.000 | 1.032 | -0.000 | -0.000 |
| -0.000 | -0.000 | -0.000 | 0.000 | 1.032 | -0.000 |
| -0.000 | -0.000 | -0.000 | -0.000 | 0.000 | 1.290 |
| 323475.896 | 126944.345 | 87259.120 | 0.028 | 0.076 | 0.004 |
| 126945.047 | 323475.302 | 87258.966 | -0.180 | -0.270 | 0.143 |
| 87258.935 | 87258.959 | 294093.297 | -0.256 | -0.460 | 0.026 |
| -0.060 | -0.019 | -0.023 | 87258.862 | -0.104 | 0.065 |
| -0.063 | -0.007 | -0.138 | -0.208 | 87258.632 | 0.007 |
| -0.008 | 0.027 | -0.114 | -0.151 | -0.226 | 112605.194 |
| 323475.346 | 126945.162 | 87258.807 | 0.030 | 0.020 | -0.170 |
| 127305.034 | 323115.395 | 87258.970 | 0.166 | 0.255 | -0.138 |
| 87259.047 | 87259.088 | 294093.325 | -0.102 | -0.201 | -0.106 |
| 0.038 | 0.036 | 0.001 | 87258.959 | 0.029 | -0.095 |
| -0.031 | 0.021 | 0.112 | 0.179 | 87259.204 | -0.116 |
| 0.016 | 0.017 | 0.149 | 0.178 | 0.268 | 112605.047 |
| 323258.738 | 127161.696 | 87259.216 | -0.015 | -0.022 | 0.012 |
| 126948.219 | 323472.220 | 87259.220 | -0.006 | -0.009 | -0.000 |
| 87259.150 | 87259.153 | 294093.139 | 0.002 | 0.007 | -0.009 |
| 0.074 | 0.202 | 0.137 | 87258.931 | -0.015 | 0.013 |
| 0.203 | 0.064 | 0.142 | -0.006 | 87258.933 | -0.014 |
| -0.053 | 0.024 | 0.076 | -0.005 | -0.003 | 112605.073 |
| 323472.136 | 126948.209 | 87258.737 | 0.000 | -0.001 | -0.017 |
| 112605.082 | 337815.289 | 87258.753 | 0.013 | 0.022 | -0.005 |
| 87258.844 | 87258.846 | 294093.908 | 0.001 | 0.003 | 0.006 |
| -0.066 | -0.200 | -0.139 | 87258.949 | 0.008 | -0.004 |
| -0.201 | -0.068 | -0.143 | 0.006 | 87258.950 | 0.007 |
| 0.051 | -0.022 | -0.071 | 0.007 | 0.008 | 112605.057 |
| 323473.165 | 126947.752 | 87261.344 | 0.000 | 0.000 | 0.001 |
| 126976.064 | 323444.855 | 87261.343 | -0.001 | -0.001 | 0.000 |
| 87260.582 | 87260.581 | 294089.558 | -0.000 | -0.001 | 0.002 |
| 0.747 | 2.024 | 1.393 | 87258.942 | 0.001 | 0.000 |
| 2.057 | 0.715 | 1.392 | -0.002 | 87258.938 | 0.000 |
| -0.264 | 0.313 | 0.751 | -0.000 | -0.001 | 98268.917 |
| 337814.835 | 112605.289 | 87256.671 | 0.002 | 0.003 | -0.001 |
| 127896.862 | 322522.981 | 87256.625 | 0.001 | 0.002 | -0.002 |
| 87255.012 | 87255.012 | 293983.251 | 0.003 | 0.003 | -0.000 |
| -0.747 | -2.024 | -1.393 | 87258.941 | -0.000 | 0.001 |
| -2.056 | -0.714 | -1.392 | 0.002 | 87258.944 | -0.000 |
| 0.264 | -0.313 | -0.751 | 0.001 | 0.001 | 98268.916 |
| 302.103 | 147.606 | 76.887 | 0.000 | 0.000 | 0.000 |
| 147.606 | 302.103 | 76.887 | 0.000 | 0.000 | 0.000 |
| 76.887 | 76.887 | 213.301 | 0.000 | 0.000 | 0.000 |
| 0.000 | -0.000 | 0.000 | 64.255 | 0.000 | 0.000 |
| 0.000 | -0.000 | 0.000 | -0.000 | 64.255 | 0.000 |
| 0.000 | 0.000 | 0.000 | 0.000 | 0.000 | 105.765 |
| 302.103 | 147.606 | 76.887 | -0.000 | 0.000 | -0.000 |
| 147.606 | 302.103 | 76.887 | -0.000 | 0.000 | -0.000 |
| 76.887 | 76.887 | 213.301 | 0.000 | -0.000 | -0.000 |
| -0.000 | 0.000 | -0.000 | 64.255 | 0.000 | -0.000 |
| -0.000 | -0.000 | -0.000 | -0.000 | 64.255 | -0.000 |
| -0.000 | -0.000 | -0.000 | -0.000 | 0.000 | 105.765 |
| 330.620 | 119.090 | 76.887 | -0.000 | 0.000 | 0.000 |
| 147.606 | 302.103 | 76.887 | 0.000 | 0.000 | 0.000 |
| 76.887 | 76.887 | 213.301 | 0.000 | 0.000 | 0.000 |
| 0.000 | -0.000 | 0.000 | 64.255 | -0.000 | 0.000 |
| 0.000 | 0.000 | 0.000 | 0.000 | 64.255 | 0.000 |
| 0.000 | 0.000 | 0.000 | -0.000 | -0.000 | 105.765 |
| 330.619 | 119.090 | 76.887 | 0.000 | 0.000 | -0.000 |
| 119.089 | 330.619 | 76.887 | -0.000 | 0.000 | -0.000 |
| 76.887 | 76.887 | 213.300 | 0.000 | -0.000 | -0.000 |
| -0.000 | 0.000 | -0.000 | 64.255 | 0.000 | -0.000 |
| -0.000 | -0.000 | -0.000 | -0.000 | 64.255 | -0.000 |
| -0.000 | -0.000 | -0.000 | 0.000 | -0.000 | 105.765 |
| 302.106 | 147.605 | 76.887 | 0.000 | -0.000 | 0.000 |
| 147.608 | 302.104 | 76.887 | 0.000 | 0.000 | 0.000 |
| 76.888 | 76.888 | 213.305 | 0.000 | 0.000 | 0.000 |
| 0.000 | -0.000 | 0.001 | 64.255 | 0.000 | 0.000 |
| -0.000 | 0.000 | 0.001 | 0.000 | 64.255 | 0.000 |
| -0.000 | 0.001 | -0.000 | -0.000 | 0.000 | 77.249 |
| 302.099 | 147.606 | 76.887 | 0.000 | 0.000 | -0.000 |
| 147.605 | 302.100 | 76.887 | -0.000 | 0.000 | -0.000 |
| 76.886 | 76.886 | 213.297 | -0.000 | -0.000 | -0.000 |
| -0.000 | 0.000 | -0.001 | 64.255 | -0.000 | -0.000 |
| 0.000 | -0.000 | -0.001 | -0.000 | 64.255 | -0.000 |
| 0.000 | -0.001 | 0.000 | -0.000 | 0.000 | 77.249 |
| 3.869 | 1.290 | 1.032 | -0.000 | 0.000 | 0.000 |
| 1.290 | 3.869 | 1.032 | -0.000 | 0.000 | 0.000 |
| 1.032 | 1.032 | 4.127 | -0.000 | -0.000 | 0.000 |
| 0.000 | 0.000 | 0.000 | 1.032 | -0.000 | 0.000 |
| 0.000 | 0.000 | 0.000 | -0.000 | 1.032 | -0.000 |
| 0.000 | 0.000 | 0.000 | -0.000 | 0.000 | 1.290 |
| 3.869 | 1.290 | 1.032 | 0.000 | 0.000 | -0.000 |
| 1.308 | 3.851 | 1.032 | 0.000 | 0.000 | -0.000 |
| 1.032 | 1.032 | 4.127 | -0.000 | -0.000 | 0.000 |
| -0.000 | -0.000 | -0.000 | 1.032 | -0.000 | -0.000 |
| -0.000 | -0.000 | -0.000 | 0.000 | 1.032 | -0.000 |
| -0.000 | -0.000 | -0.000 | 0.000 | 0.000 | 1.290 |
| 3.869 | 1.290 | 1.032 | -0.000 | -0.000 | -0.000 |
| 1.290 | 3.869 | 1.032 | -0.000 | 0.000 | -0.000 |
| 1.032 | 1.032 | 4.127 | -0.000 | -0.000 | 0.000 |
| 0.000 | 0.000 | 0.000 | 1.032 | -0.000 | 0.000 |
| 0.000 | 0.000 | 0.000 | -0.000 | 1.032 | -0.000 |
| 0.000 | 0.000 | 0.000 | 0.000 | -0.000 | 1.255 |
| 3.869 | 1.290 | 1.032 | 0.000 | -0.000 | 0.000 |
| 1.308 | 3.851 | 1.032 | 0.000 | 0.000 | -0.000 |
| 1.032 | 1.032 | 4.127 | 0.000 | -0.000 | 0.000 |
| -0.000 | -0.000 | -0.000 | 1.032 | -0.000 | -0.000 |
| -0.000 | -0.000 | -0.000 | -0.000 | 1.032 | -0.000 |
| -0.000 | -0.000 | -0.000 | -0.000 | -0.000 | 1.255 |
| 3.811 | 1.349 | 1.032 | 0.000 | -0.000 | -0.000 |
| 1.308 | 3.851 | 1.032 | -0.000 | -0.000 | 0.000 |
| 1.032 | 1.032 | 4.128 | 0.000 | 0.000 | 0.000 |
| 0.000 | 0.000 | 0.000 | 1.032 | 0.000 | 0.000 |
| 0.000 | 0.000 | 0.000 | -0.000 | 1.032 | -0.000 |
| 0.000 | 0.000 | 0.000 | 0.000 | -0.000 | 1.212 |
| 3.850 | 1.308 | 1.032 | 0.000 | 0.000 | -0.000 |
| 1.308 | 3.850 | 1.032 | 0.000 | 0.000 | -0.000 |
| 1.032 | 1.032 | 4.126 | -0.000 | 0.000 | -0.000 |
| -0.000 | -0.000 | -0.000 | 1.032 | -0.000 | -0.000 |
| -0.000 | -0.000 | -0.000 | 0.000 | 1.032 | -0.000 |
| -0.000 | -0.000 | -0.000 | -0.000 | 0.000 | 1.212 |
| 48664.393 | 107647.160 | 107647.094 | -0.100 | -0.080 | -0.045 |
| 107647.139 | 48664.386 | 107647.102 | -0.079 | -0.047 | -0.038 |
| 107647.160 | 107647.149 | 48664.328 | -0.047 | -0.020 | -0.022 |
| 0.003 | 0.019 | -0.003 | 107647.130 | -0.004 | -0.004 |
| 0.007 | 0.003 | -0.006 | -0.024 | 107647.146 | 0.004 |
| 0.051 | 0.021 | -0.033 | -0.042 | -0.020 | 107647.147 |
| 48664.328 | 107647.139 | 107647.160 | 0.050 | 0.048 | 0.021 |
| 107647.234 | 48664.236 | 107647.157 | 0.062 | 0.037 | 0.039 |
| 107647.225 | 107647.106 | 48664.298 | 0.131 | 0.143 | 0.027 |
| -0.015 | -0.006 | -0.016 | 107647.152 | -0.005 | 0.000 |
| -0.001 | -0.013 | -0.001 | 0.018 | 107647.141 | -0.015 |
| 0.018 | -0.025 | 0.002 | 0.013 | 0.016 | 107647.132 |
| 48664.960 | 107647.245 | 107647.238 | -0.007 | -0.005 | -0.005 |
| 107647.253 | 48664.961 | 107647.238 | -0.008 | -0.004 | -0.003 |
| 107647.253 | 107647.243 | 48664.958 | -0.007 | -0.006 | -0.003 |
| -0.015 | 0.064 | 0.086 | 107647.140 | -0.004 | 0.000 |
| 0.060 | -0.002 | 0.085 | -0.005 | 107647.142 | 0.001 |
| 0.066 | 0.088 | -0.011 | -0.005 | -0.002 | 107647.147 |
| 48663.623 | 107647.048 | 107647.051 | 0.006 | 0.004 | 0.003 |
| 107647.046 | 48663.625 | 107647.054 | 0.007 | 0.007 | 0.004 |
| 107647.047 | 107647.050 | 48663.637 | 0.012 | 0.009 | 0.002 |
| 0.005 | -0.067 | -0.086 | 107647.154 | 0.001 | -0.001 |
| -0.066 | 0.007 | -0.087 | 0.006 | 107647.151 | -0.001 |
| -0.067 | -0.089 | 0.008 | 0.005 | 0.004 | 107647.147 |
| 48670.947 | 107648.113 | 107648.112 | -0.001 | -0.001 | -0.000 |
| 107648.113 | 48670.946 | 107648.113 | -0.001 | -0.000 | -0.000 |
| 107648.113 | 107648.113 | 48670.945 | -0.001 | -0.001 | -0.000 |
| -0.112 | 0.824 | 0.808 | -22299.515 | -0.000 | 0.000 |
| 0.824 | -0.113 | 0.808 | -0.001 | -22299.515 | -0.000 |
| 0.824 | 0.808 | -0.113 | -0.001 | -0.000 | -22299.514 |
| 48657.643 | 107646.180 | 107646.180 | 0.001 | 0.000 | 0.000 |
| 107646.179 | 48657.644 | 107646.180 | 0.001 | 0.001 | 0.000 |
| 107646.179 | 107646.180 | 48657.645 | 0.001 | 0.001 | 0.000 |
| 0.111 | -0.824 | -0.808 | -22299.513 | 0.001 | -0.000 |
| -0.823 | 0.113 | -0.808 | 0.001 | -22299.513 | 0.000 |
| -0.823 | -0.809 | 0.113 | 0.001 | 0.000 | -22299.514 |
| 365.429 | 919.355 | 919.355 | 0.000 | 0.000 | -0.000 |
| 919.355 | 365.429 | 919.355 | 0.000 | 0.000 | -0.000 |
| 919.355 | 919.355 | 365.429 | 0.000 | 0.000 | -0.000 |
| 0.000 | -0.000 | 0.000 | -708.684 | 0.000 | -0.000 |
| 0.000 | -0.000 | 0.000 | 0.000 | -708.684 | -0.000 |
| 0.000 | -0.000 | 0.000 | 0.000 | 0.000 | -708.684 |
| 365.428 | 919.355 | 919.355 | -0.000 | -0.000 | -0.000 |
| 919.354 | 365.429 | 919.355 | -0.000 | -0.000 | 0.000 |
| 919.355 | 919.355 | 365.429 | -0.000 | -0.000 | 0.000 |
| -0.000 | 0.000 | -0.000 | -708.684 | -0.000 | 0.000 |
| -0.000 | 0.000 | -0.000 | -0.000 | -708.684 | 0.000 |
| -0.000 | 0.000 | -0.000 | -0.000 | -0.000 | -708.684 |
| 365.430 | 919.354 | 919.354 | 0.000 | 0.000 | -0.000 |
| 919.354 | 365.430 | 919.354 | 0.000 | 0.000 | -0.000 |
| 919.354 | 919.354 | 365.430 | 0.000 | 0.000 | -0.000 |
| 0.000 | 0.000 | 0.000 | -708.684 | 0.000 | -0.000 |
| 0.000 | 0.000 | 0.000 | 0.000 | -708.684 | -0.000 |
| 0.000 | 0.000 | 0.000 | 0.000 | 0.000 | -708.684 |
| 365.428 | 919.356 | 919.356 | -0.000 | -0.000 | 0.000 |
| 919.356 | 365.428 | 919.356 | -0.000 | -0.000 | 0.000 |
| 919.356 | 919.356 | 365.428 | -0.000 | -0.000 | 0.000 |
| -0.000 | -0.000 | -0.000 | -708.684 | 0.000 | 0.000 |
| -0.000 | -0.000 | -0.000 | -0.000 | -708.684 | 0.000 |
| -0.000 | -0.000 | -0.000 | -0.000 | -0.000 | -708.684 |
| 365.437 | 919.346 | 919.346 | 0.000 | 0.000 | -0.000 |
| 919.346 | 365.437 | 919.346 | 0.000 | 0.000 | 0.000 |
| 919.346 | 919.346 | 365.437 | 0.000 | 0.000 | -0.000 |
| 0.003 | 0.005 | 0.003 | -708.610 | 0.000 | -0.000 |
| 0.005 | 0.003 | 0.003 | 0.000 | -708.610 | -0.000 |
| 0.005 | 0.003 | 0.003 | 0.000 | 0.000 | -708.610 |
| 365.421 | 919.363 | 919.363 | -0.000 | -0.000 | 0.000 |
| 919.363 | 365.421 | 919.363 | -0.000 | -0.000 | 0.000 |
| 919.363 | 919.363 | 365.421 | -0.000 | -0.000 | 0.000 |
| -0.003 | -0.005 | -0.003 | -708.610 | 0.000 | 0.000 |
| -0.005 | -0.003 | -0.003 | -0.000 | -708.610 | 0.000 |
| -0.005 | -0.003 | -0.003 | -0.000 | -0.000 | -708.610 |
| 12.357 | 66.809 | 66.809 | 0.000 | 0.000 | -0.000 |
| 66.809 | 12.357 | 66.809 | 0.000 | 0.000 | -0.000 |
| 66.809 | 66.809 | 12.357 | 0.000 | 0.000 | 0.000 |
| -0.000 | -0.000 | 0.000 | -41.220 | -0.000 | -0.000 |
| -0.000 | -0.000 | 0.000 | 0.000 | -41.220 | 0.000 |
| -0.000 | -0.000 | 0.000 | 0.000 | -0.000 | -41.220 |
| 12.357 | 66.809 | 66.809 | -0.000 | 0.000 | -0.000 |
| 66.809 | 12.357 | 66.809 | -0.000 | -0.000 | -0.000 |
| 66.809 | 66.809 | 12.357 | -0.000 | -0.000 | -0.000 |
| 0.000 | 0.000 | -0.000 | -41.220 | -0.000 | -0.000 |
| 0.000 | 0.000 | -0.000 | -0.000 | -41.220 | 0.000 |
| 0.000 | 0.000 | -0.000 | -0.000 | 0.000 | -41.220 |
| 12.357 | 66.809 | 66.809 | 0.000 | -0.000 | 0.000 |
| 66.809 | 12.357 | 66.809 | 0.000 | 0.000 | -0.000 |
| 66.809 | 66.809 | 12.357 | -0.000 | 0.000 | 0.000 |
| 0.000 | 0.000 | 0.000 | -41.220 | -0.000 | 0.000 |
| 0.000 | 0.000 | 0.000 | 0.000 | -41.220 | 0.000 |
| 0.000 | 0.000 | 0.000 | 0.000 | -0.000 | -41.220 |
| 12.357 | 66.809 | 66.809 | -0.000 | 0.000 | 0.000 |
| 66.809 | 12.357 | 66.809 | -0.000 | -0.000 | -0.000 |
| 66.809 | 66.809 | 12.357 | 0.000 | 0.000 | -0.000 |
| -0.000 | -0.000 | -0.000 | -41.220 | -0.000 | -0.000 |
| -0.000 | -0.000 | -0.000 | -0.000 | -41.220 | 0.000 |
| -0.000 | -0.000 | -0.000 | 0.000 | 0.000 | -41.220 |
| 12.357 | 66.810 | 66.810 | 0.000 | 0.000 | -0.000 |
| 66.810 | 12.357 | 66.810 | -0.000 | 0.000 | -0.000 |
| 66.810 | 66.810 | 12.357 | -0.000 | 0.000 | 0.000 |
| 0.000 | 0.001 | 0.001 | -41.220 | 0.000 | -0.000 |
| 0.001 | 0.000 | 0.001 | 0.000 | -41.220 | 0.000 |
| 0.001 | 0.001 | 0.000 | 0.000 | -0.000 | -41.220 |
| 12.358 | 66.809 | 66.809 | -0.000 | -0.000 | 0.000 |
| 66.809 | 12.358 | 66.809 | -0.000 | -0.000 | -0.000 |
| 66.809 | 66.809 | 12.358 | 0.000 | -0.000 | -0.000 |
| -0.000 | -0.001 | -0.001 | -41.220 | 0.000 | -0.000 |
| -0.001 | -0.000 | -0.001 | 0.000 | -41.220 | 0.000 |
| -0.001 | -0.001 | -0.000 | -0.000 | 0.000 | -41.220 |
| 0.316 | 0.316 | 0.316 | 0.000 | 0.000 | 0.000 |
| 0.316 | 0.316 | 0.316 | 0.000 | 0.000 | 0.000 |
| 0.316 | 0.316 | 0.316 | 0.000 | 0.000 | 0.000 |
| 0.000 | 0.000 | 0.000 | 0.256 | 0.000 | 0.000 |
| 0.000 | 0.000 | 0.000 | 0.000 | 0.256 | 0.000 |
| 0.000 | 0.000 | 0.000 | 0.000 | 0.000 | 0.256 |
| 0.316 | 0.316 | 0.316 | -0.000 | -0.000 | -0.000 |
| 0.316 | 0.316 | 0.316 | -0.000 | -0.000 | -0.000 |
| 0.316 | 0.316 | 0.316 | -0.000 | -0.000 | -0.000 |
| -0.000 | -0.000 | -0.000 | 0.256 | -0.000 | -0.000 |
| -0.000 | -0.000 | -0.000 | -0.000 | 0.256 | -0.000 |
| -0.000 | -0.000 | -0.000 | -0.000 | -0.000 | 0.256 |
| 0.316 | 0.316 | 0.316 | 0.000 | 0.000 | 0.000 |
| 0.316 | 0.316 | 0.316 | 0.000 | 0.000 | 0.000 |
| 0.316 | 0.316 | 0.316 | 0.000 | 0.000 | 0.000 |
| 0.000 | 0.000 | 0.000 | 0.256 | 0.000 | 0.000 |
| 0.000 | 0.000 | 0.000 | 0.000 | 0.256 | 0.000 |
| 0.000 | 0.000 | 0.000 | 0.000 | 0.000 | 0.256 |
| 0.316 | 0.316 | 0.316 | -0.000 | -0.000 | -0.000 |
| 0.316 | 0.316 | 0.316 | -0.000 | -0.000 | -0.000 |
| 0.316 | 0.316 | 0.316 | -0.000 | -0.000 | -0.000 |
| -0.000 | -0.000 | -0.000 | 0.256 | -0.000 | -0.000 |
| -0.000 | -0.000 | -0.000 | -0.000 | 0.256 | -0.000 |
| -0.000 | -0.000 | -0.000 | -0.000 | -0.000 | 0.256 |
| 0.316 | 0.316 | 0.316 | 0.000 | 0.000 | 0.000 |
| 0.316 | 0.316 | 0.316 | 0.000 | 0.000 | 0.000 |
| 0.316 | 0.316 | 0.316 | 0.000 | 0.000 | 0.000 |
| -0.000 | -0.000 | -0.000 | 0.031 | -0.000 | -0.000 |
| -0.000 | -0.000 | -0.000 | -0.000 | 0.031 | -0.000 |
| -0.000 | -0.000 | -0.000 | -0.000 | -0.000 | 0.031 |
| 0.316 | 0.316 | 0.316 | -0.000 | -0.000 | -0.000 |
| 0.316 | 0.316 | 0.316 | -0.000 | -0.000 | -0.000 |
| 0.316 | 0.316 | 0.316 | -0.000 | -0.000 | -0.000 |
| 0.000 | 0.000 | 0.000 | 0.031 | 0.000 | 0.000 |
| 0.000 | 0.000 | 0.000 | 0.000 | 0.031 | 0.000 |
| 0.000 | 0.000 | 0.000 | 0.000 | 0.000 | 0.031 |
| -807.088 | 1356.781 | 12.503 | -0.000 | -0.000 | 0.000 |
| 1356.780 | -807.088 | 12.503 | -0.000 | -0.000 | 0.000 |
| 12.502 | 12.502 | 424.833 | -0.000 | -0.000 | -0.000 |
| -0.000 | 0.000 | -0.000 | -17.108 | 0.000 | 0.000 |
| -0.000 | 0.000 | -0.000 | -0.000 | -17.108 | -0.000 |
| -0.000 | 0.000 | 0.000 | 0.000 | 0.000 | -61.887 |
| 576.466 | -26.773 | 12.502 | 0.000 | -0.000 | 0.000 |
| -26.773 | 576.466 | 12.502 | 0.000 | 0.000 | 0.000 |
| 12.502 | 12.502 | 424.833 | 0.000 | 0.000 | -0.000 |
| 0.000 | -0.000 | 0.000 | -17.108 | -0.000 | 0.000 |
| -0.000 | -0.000 | -0.000 | -0.000 | -17.108 | 0.000 |
| 0.000 | -0.000 | 0.000 | 0.000 | 0.000 | -61.887 |
| 576.466 | -26.773 | 12.502 | -0.000 | -0.000 | -0.000 |
| -26.773 | 576.466 | 12.502 | -0.000 | -0.000 | 0.000 |
| 12.502 | 12.502 | 424.833 | -0.000 | -0.000 | -0.000 |
| -0.000 | 0.000 | -0.000 | -58.833 | -0.000 | 0.000 |
| 0.000 | -0.000 | -0.000 | 0.000 | -58.833 | -0.000 |
| 0.000 | -0.000 | -0.000 | 0.000 | -0.000 | -61.887 |
| 576.465 | -26.773 | 12.502 | 0.000 | 0.000 | 0.000 |
| -26.773 | 576.465 | 12.502 | 0.000 | -0.000 | 0.000 |
| 12.502 | 12.502 | 424.832 | -0.000 | 0.000 | 0.000 |
| 0.000 | -0.000 | 0.000 | -58.833 | 0.000 | 0.000 |
| -0.000 | 0.000 | 0.000 | -0.000 | -58.833 | -0.000 |
| -0.000 | 0.000 | 0.000 | -0.000 | -0.000 | -61.887 |
| -12335319.637 | -12324724.909 | -10131977.599 | 150193.095 | -156050.355 | 35264.966 |
| -12385971.380 | -11685776.400 | -9167794.914 | -122071.406 | 210474.356 | -221067.233 |
| 12.502 | 12.502 | 424.837 | -0.000 | -0.000 | -0.000 |
| -0.000 | 0.000 | -0.000 | -58.833 | -0.000 | -0.000 |
| 0.000 | -0.000 | -0.000 | 0.000 | -58.833 | -0.000 |
| -0.000 | 0.001 | -0.000 | -0.000 | 0.000 | -61.887 |
| -9947.058 | 10495.248 | 9.648 | -0.002 | 0.002 | 0.000 |
| 10495.246 | -9947.055 | 9.648 | 0.002 | -0.001 | 0.000 |
| 12.502 | 12.502 | 424.828 | 0.000 | 0.000 | 0.000 |
| 0.000 | -0.000 | 0.000 | -58.833 | -0.000 | -0.000 |
| -0.000 | 0.000 | 0.000 | -0.000 | -58.833 | 0.000 |
| 0.000 | -0.001 | 0.000 | 0.000 | -0.000 | -61.887 |
| 1.486 | 0.000 | 0.180 | -0.000 | -0.000 | -0.000 |
| 0.000 | 1.486 | 0.180 | -0.000 | 0.000 | 0.000 |
| 0.180 | 0.180 | 0.044 | -0.000 | 0.000 | 0.000 |
| 0.000 | 0.000 | 0.000 | 0.134 | 0.000 | 0.000 |
| 0.000 | -0.000 | 0.000 | -0.000 | 0.134 | 0.000 |
| 0.000 | -0.000 | -0.000 | 0.000 | -0.000 | 0.000 |
| 1.440 | 0.046 | 0.180 | 0.000 | 0.000 | 0.000 |
| 0.046 | 1.440 | 0.180 | 0.000 | -0.000 | -0.000 |
| 0.180 | 0.180 | 0.044 | 0.000 | 0.000 | 0.000 |
| -0.000 | -0.000 | -0.000 | 0.134 | -0.000 | 0.000 |
| -0.000 | 0.000 | -0.000 | 0.000 | 0.134 | 0.000 |
| -0.000 | 0.000 | 0.000 | -0.000 | 0.000 | 0.000 |
| 1.397 | 0.089 | 0.180 | 0.000 | -0.000 | -0.000 |
| 0.089 | 1.397 | 0.180 | 0.000 | -0.000 | 0.000 |
| 0.180 | 0.180 | 0.044 | 0.000 | 0.000 | 0.000 |
| -0.000 | 0.000 | 0.000 | 0.180 | 0.000 | 0.000 |
| 0.000 | -0.000 | 0.000 | -0.000 | 0.180 | 0.000 |
| 0.000 | -0.000 | -0.000 | -0.000 | -0.000 | 0.000 |
| 1.319 | 0.167 | 0.180 | -0.000 | 0.000 | -0.000 |
| 0.167 | 1.319 | 0.180 | -0.000 | 0.000 | 0.000 |
| 0.180 | 0.180 | 0.044 | -0.000 | 0.000 | 0.000 |
| 0.000 | -0.000 | -0.000 | 0.180 | -0.000 | -0.000 |
| -0.000 | 0.000 | -0.000 | 0.000 | 0.180 | 0.000 |
| -0.000 | 0.000 | 0.000 | 0.000 | 0.000 | 0.000 |
| 0.805 | 0.681 | 0.180 | 0.000 | -0.000 | -0.000 |
| 0.681 | 0.805 | 0.180 | -0.000 | -0.000 | -0.000 |
| 0.180 | 0.180 | 0.044 | -0.000 | -0.000 | -0.000 |
| 0.000 | -0.000 | -0.000 | 0.013 | 0.000 | -0.000 |
| -0.000 | 0.000 | -0.000 | 0.000 | 0.013 | -0.000 |
| -0.000 | -0.000 | -0.000 | -0.000 | -0.000 | 0.000 |
| 0.853 | 0.633 | 0.180 | 0.000 | -0.000 | -0.000 |
| 0.633 | 0.853 | 0.180 | -0.000 | 0.000 | 0.000 |
| 0.180 | 0.180 | 0.044 | -0.000 | 0.000 | -0.000 |
| -0.000 | 0.000 | 0.000 | 0.013 | -0.000 | -0.000 |
| 0.000 | -0.000 | 0.000 | -0.000 | 0.013 | -0.000 |
| 0.000 | 0.000 | 0.000 | 0.000 | 0.000 | 0.000 |
| 1.817 | 0.000 | 0.152 | 0.000 | -0.000 | -0.000 |
| 0.000 | 1.817 | 0.152 | -0.000 | 0.000 | 0.000 |
| 0.152 | 0.152 | 0.043 | 0.000 | 0.000 | -0.000 |
| 0.000 | 0.000 | 0.000 | 0.112 | -0.000 | -0.000 |
| 0.000 | -0.000 | 0.000 | -0.000 | 0.112 | 0.000 |
| 0.000 | -0.000 | -0.000 | -0.000 | -0.000 | 0.000 |
| 1.777 | 0.040 | 0.152 | 0.000 | 0.000 | 0.000 |
| 0.040 | 1.777 | 0.152 | 0.000 | 0.000 | 0.000 |
| 0.152 | 0.152 | 0.043 | 0.000 | 0.000 | 0.000 |
| -0.000 | -0.000 | -0.000 | 0.112 | 0.000 | -0.000 |
| -0.000 | 0.000 | -0.000 | 0.000 | 0.112 | 0.000 |
| -0.000 | 0.000 | 0.000 | 0.000 | -0.000 | 0.000 |
| 1.777 | 0.040 | 0.152 | -0.000 | 0.000 | -0.000 |
| 0.040 | 1.777 | 0.152 | 0.000 | -0.000 | 0.000 |
| 0.152 | 0.152 | 0.043 | -0.000 | -0.000 | -0.000 |
| 0.000 | 0.000 | 0.000 | 0.112 | -0.000 | -0.000 |
| 0.000 | 0.000 | 0.000 | -0.000 | 0.112 | 0.000 |
| 0.000 | -0.000 | -0.000 | -0.000 | 0.000 | 0.000 |
| 1.702 | 0.115 | 0.152 | 0.000 | 0.000 | 0.000 |
| 0.078 | 1.738 | 0.152 | 0.000 | 0.000 | 0.000 |
| 0.152 | 0.152 | 0.042 | -0.000 | 0.000 | -0.000 |
| -0.000 | -0.000 | -0.000 | 0.112 | 0.000 | -0.000 |
| -0.000 | -0.000 | -0.000 | 0.000 | 0.112 | 0.000 |
| -0.000 | 0.000 | 0.000 | 0.000 | -0.000 | 0.000 |
| 1.045 | 0.772 | 0.152 | -0.000 | -0.000 | -0.000 |
| 0.772 | 1.045 | 0.152 | -0.000 | -0.000 | -0.000 |
| 0.152 | 0.152 | 0.043 | -0.000 | -0.000 | 0.000 |
| 0.000 | -0.000 | -0.000 | 0.013 | -0.000 | 0.000 |
| -0.000 | 0.000 | -0.000 | -0.000 | 0.013 | 0.000 |
| 0.000 | -0.000 | -0.000 | -0.000 | -0.000 | 0.000 |
| 1.012 | 0.804 | 0.152 | 0.000 | 0.000 | -0.000 |
| 0.804 | 1.012 | 0.152 | 0.000 | 0.000 | 0.000 |
| 0.152 | 0.152 | 0.042 | 0.000 | 0.000 | 0.000 |
| -0.000 | 0.000 | 0.000 | 0.013 | 0.000 | 0.000 |
| 0.000 | -0.000 | 0.000 | 0.000 | 0.013 | 0.000 |
| -0.000 | 0.000 | 0.000 | 0.000 | -0.000 | 0.000 |
| 70.237 | 12.492 | 65.222 | -43.927 | 0.000 | 0.000 |
| 12.492 | 70.237 | 65.222 | 43.927 | -0.000 | 0.000 |
| 52.798 | 52.798 | 28.349 | 0.000 | 0.000 | 0.000 |
| -43.928 | 43.927 | 0.000 | 67.493 | 0.000 | 0.000 |
| 0.000 | 0.000 | 0.000 | 0.000 | 67.493 | -43.927 |
| 0.000 | 0.000 | 0.000 | 0.000 | -43.927 | 28.872 |
| 70.237 | 12.493 | 65.222 | -43.927 | 0.000 | -0.000 |
| 12.493 | 70.237 | 65.222 | 43.927 | -0.000 | -0.000 |
| 52.799 | 52.799 | 28.348 | -0.000 | -0.000 | -0.000 |
| -43.927 | 43.927 | -0.000 | 67.493 | -0.000 | -0.000 |
| -0.000 | -0.000 | -0.000 | -0.000 | 67.493 | -43.927 |
| -0.000 | -0.000 | -0.000 | -0.000 | -43.927 | 28.872 |
| 70.237 | 12.492 | 65.222 | -43.927 | 0.000 | 0.000 |
| 12.492 | 70.237 | 65.222 | 43.927 | -0.000 | 0.000 |
| 52.798 | 52.798 | 28.348 | 0.000 | -0.000 | 0.000 |
| -43.927 | 43.927 | 0.000 | 67.493 | 0.000 | 0.000 |
| -0.000 | -0.000 | -0.000 | 0.000 | 67.493 | -43.927 |
| -0.000 | -0.000 | -0.000 | 0.000 | -43.927 | 28.872 |
| 70.237 | 12.492 | 65.222 | -43.927 | -0.000 | -0.000 |
| 12.492 | 70.237 | 65.222 | 43.927 | -0.000 | -0.000 |
| 52.798 | 52.798 | 28.349 | -0.000 | -0.000 | -0.000 |
| -43.927 | 43.927 | -0.000 | 67.493 | -0.000 | -0.000 |
| 0.000 | 0.000 | 0.000 | -0.000 | 67.493 | -43.927 |
| 0.000 | 0.000 | 0.000 | -0.000 | -43.927 | 28.872 |
| 70.235 | 12.492 | 65.222 | -43.927 | 0.000 | 0.000 |
| 12.492 | 70.235 | 65.222 | 43.927 | 0.000 | 0.000 |
| 52.798 | 52.798 | 28.348 | 0.000 | 0.000 | 0.000 |
| -43.927 | 43.927 | -0.000 | 67.493 | 0.000 | 0.000 |
| -0.001 | -0.000 | -0.000 | 0.000 | 67.493 | -43.927 |
| -0.000 | -0.001 | -0.000 | 0.000 | -43.927 | 28.872 |
| 70.239 | 12.493 | 65.222 | -43.927 | -0.000 | -0.000 |
| 12.493 | 70.239 | 65.222 | 43.928 | -0.000 | -0.000 |
| 52.798 | 52.798 | 28.349 | -0.000 | -0.000 | -0.000 |
| -43.927 | 43.928 | 0.000 | 67.493 | -0.000 | -0.000 |
| 0.001 | 0.000 | 0.000 | -0.000 | 67.493 | -43.927 |
| 0.000 | 0.001 | 0.000 | -0.000 | -43.927 | 28.872 |
| 0.374 | 0.125 | 0.276 | -0.186 | -0.000 | 0.000 |
| 2.043 | 2.203 | 2.349 | 0.119 | -0.000 | 0.000 |
| 1.002 | 1.002 | 1.109 | 0.000 | -0.000 | 0.000 |
| 1.281 | 1.557 | 1.571 | 0.205 | -0.000 | 0.000 |
| 0.768 | 0.768 | 0.850 | -0.000 | 0.238 | -0.160 |
| 0.000 | 0.000 | 0.000 | -0.000 | -0.186 | 0.125 |
| -1.147 | -1.333 | -1.372 | -0.138 | 0.000 | -0.000 |
| -1.899 | -1.739 | -2.013 | 0.119 | 0.000 | -0.000 |
| 0.276 | 0.276 | 0.306 | 0.000 | 0.000 | -0.000 |
| -0.928 | -0.608 | -0.850 | 0.238 | 0.000 | -0.000 |
| -0.768 | -0.768 | -0.850 | 0.000 | 0.238 | -0.160 |
| -0.000 | -0.000 | -0.000 | 0.000 | -0.186 | 0.125 |
| 0.374 | 0.125 | 0.276 | -0.186 | -0.000 | 0.000 |
| 0.181 | 0.396 | 0.319 | 0.160 | -0.000 | 0.000 |
| 0.276 | 0.276 | 0.306 | -0.000 | -0.000 | 0.000 |
| -0.186 | 0.186 | 0.000 | 0.276 | -0.000 | 0.000 |
| 0.000 | 0.000 | 0.000 | -0.000 | 0.276 | -0.186 |
| 0.142 | 0.142 | 0.157 | -0.000 | -0.138 | 0.093 |
| 0.035 | -0.125 | -0.050 | -0.119 | 0.000 | -0.000 |
| -0.276 | -0.173 | -0.249 | 0.076 | 0.000 | -0.000 |
| 0.056 | 0.056 | 0.062 | 0.000 | 0.000 | -0.000 |
| -0.186 | 0.186 | -0.000 | 0.276 | 0.000 | -0.000 |
| -0.000 | -0.000 | -0.000 | 0.000 | 0.276 | -0.186 |
| -0.142 | -0.142 | -0.157 | 0.000 | -0.138 | 0.093 |
| 0.175 | 0.073 | 0.137 | -0.076 | -0.000 | 0.000 |
| 0.069 | 0.157 | 0.125 | 0.066 | -0.000 | 0.000 |
| 0.121 | 0.121 | 0.134 | -0.000 | -0.000 | 0.000 |
| -0.020 | 0.094 | 0.041 | 0.084 | -0.000 | 0.000 |
| 0.042 | 0.042 | 0.047 | 0.000 | 0.054 | -0.036 |
| 0.037 | 0.037 | 0.041 | 0.000 | -0.057 | 0.038 |
| 0.023 | -0.026 | -0.002 | -0.036 | 0.000 | -0.000 |
| -0.021 | 0.035 | 0.008 | 0.042 | 0.000 | -0.000 |
| 0.037 | 0.037 | 0.040 | 0.000 | 0.000 | -0.000 |
| -0.094 | 0.020 | -0.041 | 0.084 | 0.000 | -0.000 |
| -0.042 | -0.042 | -0.047 | -0.000 | 0.054 | -0.036 |
| -0.037 | -0.037 | -0.041 | -0.000 | -0.057 | 0.038 |
| 254241.012 | -6787.350 | -6787.373 | 0.010 | 0.012 | -0.001 |
| -6787.343 | 254240.953 | -6787.334 | 0.007 | 0.012 | 0.011 |
| -6787.353 | -6787.374 | 254241.009 | 0.012 | 0.024 | -0.005 |
| 0.009 | -0.031 | 0.006 | -6787.357 | -0.006 | -0.003 |
| -0.013 | 0.002 | -0.024 | -0.016 | -6787.359 | -0.013 |
| 0.004 | -0.020 | 0.016 | 0.003 | 0.005 | -6787.355 |
| 254240.960 | -6787.347 | -6787.370 | -0.014 | -0.019 | 0.029 |
| -6787.338 | 254241.000 | -6787.392 | -0.019 | -0.018 | 0.021 |
| -6787.338 | -6787.313 | 254240.960 | -0.017 | 0.003 | 0.031 |
| -0.012 | 0.021 | -0.004 | -6787.347 | 0.004 | -0.027 |
| -0.008 | 0.006 | -0.004 | 0.015 | -6787.345 | 0.019 |
| 0.004 | 0.014 | -0.012 | 0.001 | 0.001 | -6787.351 |
| 254241.003 | -6787.438 | -6787.435 | -0.001 | -0.001 | -0.005 |
| -6787.436 | 254240.999 | -6787.434 | -0.001 | -0.000 | -0.004 |
| -6787.435 | -6787.436 | 254241.004 | 0.003 | 0.002 | 0.000 |
| -0.028 | -0.089 | -0.098 | -6787.347 | -0.000 | 0.000 |
| -0.085 | -0.029 | -0.098 | 0.000 | -6787.347 | -0.001 |
| -0.085 | -0.102 | -0.026 | -0.001 | 0.001 | -6787.347 |
| 254240.960 | -6787.256 | -6787.260 | 0.000 | -0.001 | -0.000 |
| -6787.259 | 254240.962 | -6787.261 | 0.000 | 0.001 | -0.001 |
| -6787.258 | -6787.257 | 254240.961 | 0.000 | 0.000 | 0.001 |
| 0.027 | 0.090 | 0.101 | -6787.346 | 0.001 | 0.000 |
| 0.087 | 0.029 | 0.101 | 0.000 | -6787.348 | 0.000 |
| 0.087 | 0.102 | 0.026 | 0.001 | 0.000 | -6787.346 |
| 254241.176 | -6788.241 | -6788.240 | 0.000 | -0.000 | -0.000 |
| -6788.240 | 254241.176 | -6788.240 | -0.000 | 0.000 | 0.000 |
| -6788.240 | -6788.241 | 254241.176 | 0.000 | 0.000 | 0.000 |
| -0.277 | -0.873 | -1.017 | -6787.347 | 0.000 | 0.000 |
| -0.873 | -0.277 | -1.017 | -0.000 | -6787.347 | 0.000 |
| -0.873 | -1.017 | -0.277 | 0.000 | 0.000 | -6787.347 |
| 254240.787 | -6786.454 | -6786.454 | 0.000 | -0.000 | 0.000 |
| -6786.454 | 254240.787 | -6786.454 | -0.000 | -0.000 | -0.000 |
| -6786.454 | -6786.454 | 254240.787 | -0.000 | -0.000 | 0.000 |
| 0.277 | 0.873 | 1.017 | -6787.347 | -0.000 | 0.000 |
| 0.873 | 0.277 | 1.017 | 0.000 | -6787.347 | 0.000 |
| 0.873 | 1.017 | 0.277 | -0.000 | 0.000 | -6787.347 |
| 598.068 | 7.690 | 7.690 | -0.000 | -0.000 | 0.000 |
| 7.690 | 598.068 | 7.690 | -0.000 | -0.000 | 0.000 |
| 7.690 | 7.690 | 598.068 | 0.000 | 0.000 | 0.000 |
| -0.000 | -0.000 | 0.000 | -15.241 | -0.000 | 0.000 |
| -0.000 | 0.000 | -0.000 | -0.000 | -15.241 | 0.000 |
| -0.000 | -0.000 | 0.000 | 0.000 | 0.000 | -15.241 |
| 598.068 | 7.690 | 7.690 | 0.000 | -0.000 | -0.000 |
| 7.690 | 598.068 | 7.690 | -0.000 | -0.000 | -0.000 |
| 7.690 | 7.690 | 598.068 | 0.000 | -0.000 | -0.000 |
| 0.000 | 0.000 | 0.000 | -15.241 | 0.000 | -0.000 |
| -0.000 | -0.000 | 0.000 | 0.000 | -15.241 | -0.000 |
| -0.000 | 0.000 | -0.000 | -0.000 | -0.000 | -15.241 |
| 598.068 | 7.690 | 7.690 | -0.000 | -0.000 | 0.000 |
| 7.690 | 598.068 | 7.690 | -0.000 | -0.000 | 0.000 |
| 7.690 | 7.690 | 598.068 | 0.000 | -0.000 | 0.000 |
| -0.000 | -0.000 | -0.000 | -15.241 | -0.000 | 0.000 |
| -0.000 | -0.000 | -0.000 | -0.000 | -15.241 | 0.000 |
| -0.000 | -0.000 | -0.000 | -0.000 | 0.000 | -15.241 |
| 598.067 | 7.690 | 7.690 | 0.000 | -0.000 | -0.000 |
| 7.690 | 598.067 | 7.690 | -0.000 | 0.000 | -0.000 |
| 7.690 | 7.690 | 598.067 | -0.000 | -0.000 | -0.000 |
| 0.000 | 0.000 | 0.000 | -15.241 | 0.000 | -0.000 |
| 0.000 | 0.000 | 0.000 | 0.000 | -15.241 | -0.000 |
| 0.000 | 0.000 | 0.000 | -0.000 | 0.000 | -15.241 |
| 598.069 | 7.690 | 7.690 | -0.000 | 0.000 | 0.000 |
| 7.690 | 598.069 | 7.690 | -0.000 | 0.000 | 0.000 |
| 7.690 | 7.690 | 598.069 | 0.000 | -0.000 | 0.000 |
| -0.000 | -0.000 | -0.001 | -15.241 | 0.000 | 0.000 |
| -0.000 | -0.000 | -0.001 | 0.000 | -15.241 | 0.000 |
| -0.000 | -0.001 | -0.000 | -0.000 | 0.000 | -15.241 |
| 598.066 | 7.690 | 7.690 | 0.000 | -0.000 | -0.000 |
| 7.690 | 598.066 | 7.690 | 0.000 | -0.000 | -0.000 |
| 7.690 | 7.690 | 598.066 | 0.000 | 0.000 | -0.000 |
| 0.000 | 0.000 | 0.001 | -15.241 | -0.000 | -0.000 |
| 0.000 | 0.000 | 0.001 | -0.000 | -15.241 | -0.000 |
| 0.000 | 0.001 | 0.000 | 0.000 | -0.000 | -15.241 |
| 2.190 | 0.000 | 0.000 | -0.000 | 0.000 | -0.000 |
| 0.000 | 2.190 | 0.000 | 0.000 | -0.000 | -0.000 |
| 0.000 | 0.000 | 2.190 | -0.000 | -0.000 | 0.000 |
| -0.000 | 0.000 | -0.000 | 0.000 | -0.000 | 0.000 |
| 0.000 | -0.000 | -0.000 | -0.000 | 0.000 | 0.000 |
| 0.000 | -0.000 | -0.000 | -0.000 | -0.000 | 0.000 |
| 2.190 | 0.000 | 0.000 | 0.000 | -0.000 | 0.000 |
| 0.000 | 2.190 | 0.000 | -0.000 | 0.000 | 0.000 |
| 0.000 | 0.000 | 2.190 | 0.000 | 0.000 | 0.000 |
| 0.000 | 0.000 | 0.000 | 0.000 | 0.000 | -0.000 |
| 0.000 | 0.000 | 0.000 | 0.000 | 0.000 | -0.000 |
| 0.000 | 0.000 | 0.000 | 0.000 | 0.000 | 0.000 |
| 2.190 | 0.000 | 0.000 | 0.000 | 0.000 | -0.000 |
| 0.000 | 2.190 | 0.000 | -0.000 | -0.000 | -0.000 |
| 0.000 | 0.000 | 2.190 | -0.000 | -0.000 | -0.000 |
| 0.000 | -0.000 | -0.000 | 0.000 | -0.000 | 0.000 |
| -0.000 | 0.000 | -0.000 | -0.000 | 0.000 | 0.000 |
| -0.000 | -0.000 | 0.000 | 0.000 | -0.000 | 0.000 |
| 2.190 | 0.000 | 0.000 | -0.000 | 0.000 | 0.000 |
| 0.000 | 2.190 | 0.000 | 0.000 | -0.000 | -0.000 |
| 0.000 | 0.000 | 2.190 | -0.000 | -0.000 | 0.000 |
| -0.000 | -0.000 | 0.000 | 0.000 | -0.000 | -0.000 |
| -0.000 | -0.000 | 0.000 | -0.000 | 0.000 | -0.000 |
| -0.000 | 0.000 | -0.000 | -0.000 | 0.000 | 0.000 |
| 2.191 | 0.000 | 0.000 | -0.000 | 0.000 | 0.000 |
| 0.000 | 2.191 | 0.000 | 0.000 | 0.000 | 0.000 |
| 0.000 | 0.000 | 2.191 | 0.000 | 0.000 | -0.000 |
| -0.000 | -0.000 | -0.000 | 0.000 | -0.000 | 0.000 |
| -0.000 | -0.000 | -0.000 | -0.000 | 0.000 | 0.000 |
| -0.000 | -0.000 | 0.000 | -0.000 | 0.000 | 0.000 |
| 2.190 | 0.000 | 0.000 | 0.000 | -0.000 | -0.000 |
| 0.000 | 2.190 | 0.000 | 0.000 | 0.000 | -0.000 |
| 0.000 | 0.000 | 2.190 | -0.000 | -0.000 | 0.000 |
| -0.000 | 0.000 | 0.000 | 0.000 | 0.000 | -0.000 |
| 0.000 | -0.000 | 0.000 | 0.000 | 0.000 | -0.000 |
| 0.000 | 0.000 | -0.000 | 0.000 | -0.000 | 0.000 |
| 111.637 | -1.793 | -4.831 | -0.000 | -0.000 | -0.000 |
| 6.771 | 24.113 | -4.831 | 0.000 | -0.000 | -0.000 |
| -4.304 | -12.868 | -4.831 | -0.000 | -0.000 | -0.000 |
| -0.292 | -1.741 | -4.086 | -1.212 | -0.000 | -0.000 |
| 417202172.008 | 511436901.016 | -4.776 | 0.004 | -0.760 | -0.000 |
| -0.609 | -3.636 | -8.535 | -0.000 | -0.000 | 17.732 |
| 114.456 | 8.541 | 4.855 | 0.000 | 0.000 | 0.000 |
| 9.367 | 35.120 | 10.932 | 0.000 | 0.000 | 0.000 |
| -0.511 | 0.648 | 6.398 | 0.000 | 0.000 | 0.000 |
| 0.292 | 1.741 | 4.086 | -1.212 | 0.000 | -0.000 |
| -417202172.009 | -511436901.017 | 4.777 | -0.005 | -0.764 | 0.000 |
| 0.609 | 3.636 | 8.535 | -0.000 | 0.000 | 17.732 |
| 112.900 | 2.838 | -0.483 | -0.000 | -0.000 | -0.000 |
| 8.183 | 28.783 | -2.305 | -0.000 | -0.000 | -0.000 |
| -3.041 | -8.237 | -0.484 | -0.000 | -0.000 | -0.000 |
| -0.028 | -0.166 | -0.390 | -0.923 | -0.000 | -0.000 |
| 0.000 | 0.000 | -0.000 | 0.000 | -6.906 | -0.000 |
| -0.061 | -0.364 | -0.853 | -0.000 | -0.000 | 17.732 |
| 113.980 | 7.149 | 4.840 | 0.000 | 0.000 | 0.000 |
| 13.345 | 46.437 | 9.590 | 0.000 | -0.000 | 0.000 |
| -2.761 | -7.208 | 0.484 | 0.000 | 0.000 | -0.000 |
| 0.028 | 0.166 | 0.390 | -0.923 | 0.000 | 0.000 |
| -0.000 | -0.000 | 0.000 | 0.000 | -6.906 | 0.000 |
| 0.061 | 0.364 | 0.853 | 0.000 | 0.000 | 17.732 |
| 113.026 | 3.301 | -0.048 | -0.000 | -0.000 | -0.000 |
| 8.160 | 29.207 | -0.048 | -0.000 | -0.000 | -0.000 |
| -2.915 | -7.774 | -0.057 | -0.000 | -0.000 | 0.000 |
| 4172021.701 | 5114368.992 | -0.047 | -0.006 | 0.001 | -0.000 |
| 4172021.698 | 5114368.980 | -0.021 | 0.000 | -0.017 | -0.000 |
| -0.000 | -0.000 | 0.000 | -0.000 | -0.000 | 17.732 |
| 115.110 | 8.523 | -4.016 | 0.000 | 0.000 | 0.000 |
| 8.270 | 29.322 | -0.991 | 0.000 | 0.000 | 0.000 |
| -2.888 | -7.671 | 0.057 | 0.000 | 0.000 | 0.000 |
| -4172021.705 | -5114368.995 | 0.048 | -0.002 | 0.004 | 0.000 |
| -4172021.698 | -5114368.980 | 0.021 | -0.000 | -0.017 | 0.000 |
| 0.000 | 0.000 | -0.000 | 0.000 | 0.000 | 17.732 |
| 395.669 | -24.270 | 114.510 | -0.000 | -0.000 | -0.000 |
| -24.270 | 395.669 | 114.510 | -0.000 | -0.000 | -0.000 |
| 113.532 | 113.532 | 464.400 | 0.000 | 0.000 | -0.000 |
| 0.001 | 0.001 | -0.001 | -37.481 | 0.000 | -0.000 |
| 0.001 | 0.001 | -0.001 | 0.000 | -37.481 | -0.000 |
| 0.000 | 0.000 | -0.000 | -0.000 | -0.000 | -23.003 |
| 395.668 | -24.270 | 114.510 | 0.000 | 0.000 | 0.000 |
| -24.270 | 395.668 | 114.510 | 0.000 | 0.000 | 0.000 |
| 113.532 | 113.532 | 464.400 | 0.000 | -0.000 | 0.000 |
| -0.001 | -0.001 | 0.001 | -37.481 | -0.000 | 0.000 |
| -0.001 | -0.001 | 0.001 | 0.000 | -37.481 | 0.000 |
| -0.000 | -0.000 | 0.000 | 0.000 | 0.000 | -23.003 |
| 395.669 | -24.270 | 114.510 | -0.000 | 0.000 | -0.000 |
| -24.270 | 395.669 | 114.510 | -0.000 | -0.000 | -0.000 |
| 94.989 | 94.989 | 481.758 | 0.000 | -0.000 | -0.000 |
| 0.000 | 0.000 | -0.000 | -37.481 | 0.000 | -0.000 |
| 0.000 | 0.000 | -0.000 | 0.000 | -37.481 | -0.000 |
| 0.000 | 0.000 | 0.000 | 0.000 | 0.000 | -23.003 |
| 395.668 | -24.270 | 114.510 | 0.000 | 0.000 | 0.000 |
| -24.270 | 395.668 | 114.510 | 0.000 | 0.000 | 0.000 |
| 113.532 | 113.532 | 464.400 | 0.000 | 0.000 | 0.000 |
| -0.000 | -0.000 | 0.000 | -37.481 | -0.000 | 0.000 |
| -0.000 | -0.000 | 0.000 | -0.000 | -37.481 | 0.000 |
| -0.000 | -0.000 | -0.000 | 0.000 | -0.000 | -23.003 |
| 395.675 | -24.269 | 114.511 | -0.000 | 0.000 | -0.000 |
| -24.269 | 395.675 | 114.511 | -0.000 | -0.000 | -0.000 |
| 113.533 | 113.533 | 464.405 | -0.000 | 0.000 | -0.000 |
| -0.001 | 0.000 | 0.001 | -37.481 | -0.000 | -0.000 |
| 0.000 | -0.001 | 0.001 | -0.000 | -37.481 | -0.000 |
| 0.001 | 0.001 | 0.000 | -0.000 | -0.000 | -23.003 |
| 395.663 | -24.270 | 114.509 | 0.000 | 0.000 | 0.000 |
| -24.270 | 395.663 | 114.509 | 0.000 | -0.000 | 0.000 |
| 113.531 | 113.531 | 464.395 | -0.000 | -0.000 | 0.000 |
| 0.001 | -0.000 | -0.001 | -37.481 | 0.000 | 0.000 |
| -0.000 | 0.001 | -0.001 | 0.000 | -37.481 | 0.000 |
| -0.001 | -0.001 | -0.000 | 0.000 | 0.000 | -23.003 |
| 300.883 | 84.385 | 84.385 | -0.000 | -0.000 | -0.000 |
| 84.385 | 300.883 | 84.385 | -0.000 | -0.000 | -0.000 |
| 84.385 | 84.385 | 300.883 | -0.000 | -0.000 | -0.000 |
| -13.996 | -13.996 | -13.996 | 49.022 | -0.000 | -0.000 |
| -13.996 | -13.996 | -13.996 | -0.000 | 49.022 | -0.000 |
| -13.996 | -13.996 | -13.996 | -0.000 | -0.000 | 49.022 |
| 333.955 | 125.327 | 125.327 | 0.000 | 0.000 | 0.000 |
| 125.327 | 333.955 | 125.327 | 0.000 | 0.000 | 0.000 |
| 125.327 | 125.327 | 333.955 | 0.000 | 0.000 | 0.000 |
| 13.996 | 13.996 | 13.996 | 49.022 | 0.000 | 0.000 |
| 13.996 | 13.996 | 13.996 | 0.000 | 49.022 | 0.000 |
| 13.996 | 13.996 | 13.996 | 0.000 | 0.000 | 49.022 |
| 366.632 | 83.828 | 83.828 | 0.000 | -0.000 | -0.000 |
| 83.828 | 366.632 | 83.828 | -0.000 | -0.000 | -0.000 |
| 83.828 | 83.828 | 366.632 | -0.000 | 0.000 | -0.000 |
| -1.753 | -1.753 | -1.753 | 43.976 | -0.000 | -0.000 |
| -1.753 | -1.753 | -1.753 | -0.000 | 43.976 | -0.000 |
| -1.753 | -1.753 | -1.753 | -0.000 | -0.000 | 43.976 |
| 366.632 | 83.828 | 83.828 | 0.000 | 0.000 | 0.000 |
| 83.828 | 366.632 | 83.828 | 0.000 | 0.000 | 0.000 |
| 83.828 | 83.828 | 366.632 | 0.000 | 0.000 | 0.000 |
| 1.753 | 1.753 | 1.753 | 43.976 | 0.000 | 0.000 |
| 1.753 | 1.753 | 1.753 | 0.000 | 43.976 | 0.000 |
| 1.753 | 1.753 | 1.753 | 0.000 | 0.000 | 43.976 |
| 366.634 | 83.828 | 83.828 | -0.000 | -0.000 | -0.000 |
| 83.828 | 366.634 | 83.828 | 0.000 | -0.000 | -0.000 |
| 83.828 | 83.828 | 366.634 | -0.000 | -0.000 | -0.000 |
| -0.198 | -0.198 | -0.198 | 40.776 | -0.000 | -0.000 |
| -0.198 | -0.198 | -0.198 | -0.000 | 40.776 | -0.000 |
| -0.198 | -0.198 | -0.198 | -0.000 | -0.000 | 40.776 |
| 312.167 | 106.651 | 106.651 | 0.000 | 0.000 | 0.000 |
| 106.651 | 312.167 | 106.651 | 0.000 | 0.000 | 0.000 |
| 106.651 | 106.651 | 312.167 | 0.000 | 0.000 | 0.000 |
| 0.198 | 0.198 | 0.198 | 40.776 | 0.000 | 0.000 |
| 0.198 | 0.198 | 0.198 | 0.000 | 40.776 | 0.000 |
| 0.198 | 0.198 | 0.198 | 0.000 | 0.000 | 40.776 |
| 1136.680 | 917.018 | 917.018 | 0.000 | 0.000 | 0.000 |
| 917.018 | 1136.680 | 917.018 | 0.000 | 0.000 | 0.000 |
| 917.018 | 917.018 | 1136.680 | 0.000 | 0.000 | 0.000 |
| 814.673 | 814.673 | 814.673 | 34.424 | 0.000 | 0.000 |
| 814.673 | 814.673 | 814.673 | 0.000 | 34.424 | 0.000 |
| 814.673 | 814.673 | 814.673 | 0.000 | 0.000 | 34.424 |
| 315.986 | 131.822 | 131.822 | -0.000 | -0.000 | -0.000 |
| 131.822 | 315.986 | 131.822 | -0.000 | -0.000 | -0.000 |
| 131.822 | 131.822 | 315.986 | -0.000 | -0.000 | -0.000 |
| -814.673 | -814.673 | -814.673 | 34.424 | -0.000 | -0.000 |
| -814.673 | -814.673 | -814.673 | -0.000 | 34.424 | -0.000 |
| -814.673 | -814.673 | -814.673 | -0.000 | -0.000 | 34.424 |
| 371.544 | 154.686 | 154.686 | 0.000 | 0.000 | 0.000 |
| 154.686 | 371.544 | 154.686 | 0.000 | 0.000 | 0.000 |
| 154.686 | 154.686 | 371.544 | 0.000 | 0.000 | 0.000 |
| 52.555 | 52.555 | 52.555 | 39.069 | 0.000 | 0.000 |
| 52.555 | 52.555 | 52.555 | 0.000 | 39.069 | 0.000 |
| 52.555 | 52.555 | 52.555 | 0.000 | 0.000 | 39.069 |
| 363.385 | 84.091 | 84.091 | -0.000 | -0.000 | -0.000 |
| 84.091 | 363.385 | 84.091 | -0.000 | -0.000 | -0.000 |
| 84.091 | 84.091 | 363.385 | -0.000 | -0.000 | -0.000 |
| -52.555 | -52.555 | -52.555 | 39.069 | -0.000 | -0.000 |
| -52.555 | -52.555 | -52.555 | -0.000 | 39.069 | -0.000 |
| -52.555 | -52.555 | -52.555 | -0.000 | -0.000 | 39.069 |
| 329.269 | 110.882 | 110.882 | 0.000 | 0.000 | 0.000 |
| 110.882 | 329.269 | 110.882 | 0.000 | 0.000 | 0.000 |
| 110.882 | 110.882 | 329.269 | 0.000 | 0.000 | 0.000 |
| 8.002 | 8.002 | 8.002 | 35.026 | 0.000 | 0.000 |
| 8.002 | 8.002 | 8.002 | 0.000 | 35.026 | 0.000 |
| 8.002 | 8.002 | 8.002 | 0.000 | 0.000 | 35.026 |
| 363.384 | 84.091 | 84.091 | -0.000 | -0.000 | -0.000 |
| 84.091 | 363.384 | 84.091 | -0.000 | -0.000 | -0.000 |
| 84.091 | 84.091 | 363.384 | -0.000 | -0.000 | -0.000 |
| -8.002 | -8.002 | -8.002 | 35.026 | -0.000 | -0.000 |
| -8.002 | -8.002 | -8.002 | -0.000 | 35.026 | -0.000 |
| -8.002 | -8.002 | -8.002 | -0.000 | -0.000 | 35.026 |
| 267.127 | 133.655 | 133.655 | -0.000 | -0.000 | -0.000 |
| 133.655 | 267.127 | 133.655 | -0.000 | -0.000 | -0.000 |
| 133.655 | 133.655 | 267.127 | -0.000 | -0.000 | 0.000 |
| -0.000 | -0.000 | 0.000 | 106.932 | -0.000 | 0.000 |
| -0.000 | 0.000 | 0.000 | -0.000 | 106.932 | 0.000 |
| -0.000 | 0.000 | -0.000 | -0.000 | -0.000 | 106.932 |
| 251.818 | 154.723 | 154.724 | 0.000 | -0.000 | 0.001 |
| 154.725 | 251.816 | 154.724 | 0.000 | -0.000 | 0.001 |
| 154.724 | 154.724 | 251.817 | 0.000 | -0.000 | 0.001 |
| 0.000 | -0.000 | -0.000 | 106.932 | 0.000 | 0.000 |
| 0.000 | -0.000 | -0.000 | 0.000 | 106.932 | 0.000 |
| 0.000 | 0.000 | -0.000 | 0.000 | -0.000 | 106.932 |
| 240.362 | 145.116 | 145.116 | -0.000 | 0.000 | -0.000 |
| 145.116 | 240.362 | 145.116 | -0.000 | 0.000 | -0.000 |
| 145.116 | 145.116 | 240.362 | -0.000 | 0.000 | -0.000 |
| -0.000 | -0.000 | 0.000 | 106.932 | 0.000 | 0.000 |
| -0.000 | -0.000 | 0.000 | -0.000 | 106.932 | -0.000 |
| -0.000 | 0.000 | -0.000 | -0.000 | -0.000 | 106.932 |
| 267.127 | 133.655 | 133.655 | 0.000 | 0.000 | 0.000 |
| 133.655 | 267.127 | 133.655 | 0.000 | -0.000 | 0.000 |
| 133.655 | 133.655 | 267.127 | 0.000 | 0.000 | 0.000 |
| 0.000 | 0.000 | -0.000 | 106.932 | 0.000 | -0.000 |
| 0.000 | 0.000 | -0.000 | 0.000 | 106.932 | 0.000 |
| 0.000 | -0.000 | 0.000 | 0.000 | 0.000 | 106.932 |
| 267.127 | 133.655 | 133.655 | -0.000 | -0.000 | -0.000 |
| 133.655 | 267.127 | 133.655 | -0.000 | 0.000 | -0.000 |
| 133.655 | 133.655 | 267.127 | -0.000 | -0.000 | -0.000 |
| -0.013 | -0.013 | -0.013 | 77.658 | 0.000 | -0.000 |
| -0.013 | -0.013 | -0.013 | -0.000 | 77.658 | -0.000 |
| -0.013 | -0.013 | -0.013 | -0.000 | 0.000 | 77.658 |
| 254.574 | 139.772 | 139.772 | 0.000 | -0.000 | 0.000 |
| 139.772 | 254.574 | 139.772 | 0.000 | -0.000 | 0.000 |
| 139.772 | 139.772 | 254.574 | 0.000 | -0.000 | 0.000 |
| 0.013 | 0.013 | 0.013 | 77.658 | -0.000 | 0.000 |
| 0.013 | 0.013 | 0.013 | 0.000 | 77.658 | 0.000 |
| 0.013 | 0.013 | 0.013 | 0.000 | -0.000 | 77.658 |
| 242.271 | 145.342 | 145.342 | -0.000 | -0.000 | -0.000 |
| 145.342 | 242.271 | 145.342 | -0.000 | -0.000 | -0.000 |
| 145.342 | 145.342 | 242.271 | -0.000 | -0.000 | -0.000 |
| -0.000 | -0.000 | -0.000 | 73.412 | -0.000 | -0.000 |
| -0.000 | -0.000 | -0.000 | -0.000 | 73.412 | -0.000 |
| -0.000 | -0.000 | -0.000 | -0.000 | -0.000 | 73.412 |
| 254.466 | 139.653 | 139.653 | 0.000 | 0.000 | -0.000 |
| 139.653 | 254.466 | 139.653 | 0.000 | 0.000 | -0.000 |
| 139.653 | 139.653 | 254.466 | 0.000 | 0.000 | -0.000 |
| 0.000 | 0.000 | 0.000 | 73.412 | 0.000 | 0.000 |
| 0.000 | 0.000 | 0.000 | 0.000 | 73.412 | 0.000 |
| 0.000 | 0.000 | 0.000 | 0.000 | 0.000 | 73.412 |
| 254.466 | 139.653 | 139.653 | -0.000 | -0.000 | 0.000 |
| 139.653 | 254.466 | 139.653 | -0.000 | -0.000 | 0.000 |
| 139.653 | 139.653 | 254.466 | -0.000 | -0.000 | 0.000 |
| -0.000 | -0.000 | 0.000 | 106.911 | -0.000 | 0.000 |
| -0.000 | -0.000 | 0.000 | 0.000 | 106.911 | -0.000 |
| -0.000 | 0.000 | -0.000 | -0.000 | -0.000 | 106.911 |
| 267.009 | 133.567 | 133.567 | -0.000 | 0.000 | 0.000 |
| 133.567 | 267.009 | 133.567 | -0.000 | 0.000 | 0.000 |
| 133.567 | 133.567 | 267.009 | -0.000 | 0.000 | -0.000 |
| 0.000 | 0.000 | -0.000 | 106.911 | 0.000 | 0.000 |
| 0.000 | 0.000 | -0.000 | -0.000 | 106.911 | 0.000 |
| 0.000 | -0.000 | 0.000 | -0.000 | -0.000 | 106.911 |
| 267.009 | 133.567 | 133.567 | 0.000 | -0.000 | 0.000 |
| 133.567 | 267.009 | 133.567 | -0.000 | -0.000 | -0.000 |
| 133.567 | 133.567 | 267.009 | 0.000 | -0.000 | 0.000 |
| -0.000 | -0.000 | 0.000 | 106.911 | 0.000 | -0.000 |
| -0.000 | -0.000 | 0.000 | 0.000 | 106.911 | -0.000 |
| -0.000 | 0.000 | -0.000 | -0.000 | 0.000 | 106.911 |
| 254.466 | 139.653 | 139.653 | 0.000 | 0.000 | -0.000 |
| 139.653 | 254.466 | 139.653 | 0.000 | 0.000 | -0.000 |
| 139.653 | 139.653 | 254.466 | 0.000 | 0.000 | -0.000 |
| 0.000 | 0.000 | -0.000 | 106.911 | 0.000 | 0.000 |
| 0.000 | 0.000 | -0.000 | 0.000 | 106.911 | 0.000 |
| 0.000 | -0.000 | 0.000 | -0.000 | 0.000 | 106.911 |
| 290.012 | 144.421 | 58.948 | -0.000 | -0.000 | -0.000 |
| 146.032 | 344.359 | -56.543 | -0.000 | -0.000 | 0.000 |
| 98.028 | -55.032 | 404.514 | -0.000 | -0.000 | -0.000 |
| 38.954 | 0.945 | 2.843 | -86.226 | -0.000 | 0.000 |
| 55.740 | 1.352 | 4.068 | -0.000 | -4.480 | 0.000 |
| 0.000 | 0.000 | 0.000 | -0.000 | -0.000 | 122.534 |
| 222.309 | 142.780 | 54.007 | 0.000 | 0.000 | -0.000 |
| 146.032 | 344.359 | -56.543 | 0.000 | 0.000 | 0.000 |
| 61.177 | -55.925 | 401.825 | 0.000 | 0.000 | 0.000 |
| -38.954 | -0.945 | -2.843 | -86.226 | 0.000 | 0.000 |
| -55.740 | -1.352 | -4.068 | 0.000 | -4.480 | -0.000 |
| -0.000 | -0.000 | -0.000 | 0.000 | 0.000 | 122.534 |
| 290.012 | 144.422 | 58.948 | -0.000 | -0.000 | 0.000 |
| 146.032 | 344.360 | -56.543 | -0.000 | -0.000 | 0.000 |
| 62.973 | -55.882 | 401.956 | -0.000 | -0.000 | -0.000 |
| 3.945 | 0.096 | 0.288 | -86.227 | -0.000 | 0.000 |
| 3.895 | 0.094 | 0.284 | -0.000 | -169.983 | 0.000 |
| 3.895 | 0.095 | 0.284 | -0.000 | -0.000 | 122.534 |
| 290.012 | 144.421 | 58.948 | 0.000 | 0.000 | -0.000 |
| 141.440 | 344.248 | -56.878 | 0.000 | 0.000 | -0.000 |
| 55.183 | -56.070 | 401.387 | 0.000 | 0.000 | -0.000 |
| -3.945 | -0.096 | -0.288 | -86.227 | 0.000 | -0.000 |
| -3.895 | -0.094 | -0.284 | 0.000 | -169.983 | -0.000 |
| -3.895 | -0.095 | -0.284 | 0.000 | 0.000 | 122.534 |
| 261.648 | 143.734 | 56.878 | -0.000 | -0.000 | 0.000 |
| 146.034 | 344.361 | -56.543 | 0.000 | -0.000 | 0.000 |
| 61.177 | -55.925 | 401.827 | -0.000 | -0.000 | 0.000 |
| -9402585.905 | 8873475.016 | -17035515.167 | -10458856.333 | -0.000 | 0.000 |
| 2.829 | 0.069 | 0.206 | -0.000 | -169.742 | 0.000 |
| 0.390 | 0.010 | 0.028 | -0.000 | -0.000 | 122.534 |
| 260.869 | 143.714 | 56.821 | 0.000 | 0.000 | -0.000 |
| 144.944 | 344.331 | -56.623 | 0.000 | 0.000 | -0.000 |
| 61.176 | -55.925 | 401.822 | 0.000 | 0.000 | -0.000 |
| 9402585.905 | -8873475.016 | 17035515.167 | -10458856.333 | 0.000 | -0.000 |
| -2.829 | -0.069 | -0.206 | 0.000 | -169.742 | -0.000 |
| -0.390 | -0.010 | -0.028 | 0.000 | 0.000 | 122.534 |
| -1544.231 | 1790.451 | 109.603 | 0.000 | -0.000 | -0.000 |
| 113.280 | 324.726 | 77.590 | 0.000 | -0.000 | 0.000 |
| -1795.716 | 1729.788 | 242.939 | 0.000 | -0.000 | 0.000 |
| -1869.266 | 1653.127 | 36.914 | 64.791 | -0.000 | -0.000 |
| 0.000 | 0.000 | 0.000 | 0.000 | 59.536 | 0.000 |
| -1869.296 | 1653.154 | 36.915 | 0.000 | -0.000 | 70.756 |
| 2194.302 | -1515.803 | 35.774 | -0.000 | -0.000 | -0.000 |
| 113.280 | 324.726 | 77.590 | -0.000 | 0.000 | -0.000 |
| 1942.817 | -1576.467 | 169.111 | -0.000 | -0.000 | 0.000 |
| 1869.266 | -1653.127 | -36.914 | 64.791 | -0.000 | -0.000 |
| -0.000 | -0.000 | -0.000 | -0.000 | 59.536 | 0.000 |
| 1869.296 | -1653.154 | -36.915 | -0.000 | 0.000 | 70.756 |
| 138.109 | 302.637 | 76.380 | 0.000 | 0.000 | -0.000 |
| -48.310 | 467.633 | 80.782 | 0.000 | -0.000 | -0.000 |
| -113.376 | 241.973 | 209.717 | 0.000 | -0.000 | -0.000 |
| -186.927 | 165.313 | 3.692 | 64.797 | -0.000 | 0.000 |
| 0.000 | 0.000 | 0.000 | 0.000 | 59.536 | 0.000 |
| -186.927 | 165.313 | 3.691 | -0.000 | -0.000 | 68.675 |
| 511.962 | -27.988 | 68.997 | -0.000 | 0.000 | -0.000 |
| 325.542 | 137.007 | 73.399 | -0.000 | 0.000 | 0.000 |
| 260.477 | -88.652 | 202.333 | -0.000 | 0.000 | 0.000 |
| 186.927 | -165.313 | -3.692 | 64.797 | 0.000 | -0.000 |
| -0.000 | -0.000 | -0.000 | -0.000 | 59.536 | 0.000 |
| 186.927 | -165.313 | -3.691 | 0.000 | 0.000 | 68.675 |
| 306.343 | 153.858 | 73.058 | 0.000 | -0.000 | -0.000 |
| 119.925 | 318.852 | 77.459 | 0.000 | -0.000 | 0.000 |
| 54.859 | 93.193 | 206.398 | 0.000 | -0.000 | -0.000 |
| -18.692 | 16.531 | 0.370 | 64.797 | -0.000 | 0.000 |
| -18.693 | 16.532 | 0.370 | 0.000 | 59.535 | 0.000 |
| -18.692 | 16.532 | 0.369 | -0.000 | -0.000 | 68.675 |
| 343.724 | 120.793 | 72.319 | -0.000 | -0.000 | -0.000 |
| 157.307 | 285.787 | 76.721 | -0.000 | -0.000 | -0.000 |
| 92.242 | 60.128 | 205.652 | -0.000 | 0.000 | 0.000 |
| 18.692 | -16.531 | -0.370 | 64.797 | 0.000 | 0.000 |
| 18.693 | -16.532 | -0.370 | -0.000 | 59.535 | -0.000 |
| 18.692 | -16.532 | -0.369 | 0.000 | 0.000 | 68.675 |
| 273.041 | 100.489 | -33.303 | -0.000 | -0.000 | 0.000 |
| 265.011 | 108.520 | -33.303 | -0.000 | -0.000 | 0.000 |
| -33.303 | -33.303 | 318.450 | 0.000 | -0.000 | 0.000 |
| -0.000 | 0.000 | -0.000 | -55.472 | -0.000 | 0.000 |
| 0.000 | 0.000 | -0.000 | -0.000 | -55.472 | 0.000 |
| 0.000 | 0.000 | -0.000 | -0.000 | -0.000 | -78.246 |
| 15.044 | 358.487 | -33.303 | 0.000 | 0.000 | -0.000 |
| 100.489 | 273.041 | -33.303 | -0.000 | 0.000 | -0.000 |
| -33.303 | -33.303 | 318.450 | 0.000 | 0.000 | -0.000 |
| 0.000 | -0.000 | 0.000 | -55.472 | 0.000 | -0.000 |
| 0.000 | -0.000 | 0.000 | -0.000 | -55.472 | -0.000 |
| 0.000 | -0.000 | 0.000 | 0.000 | 0.000 | -78.246 |
| 273.041 | 100.490 | -33.303 | 0.000 | -0.000 | 0.000 |
| 265.012 | 108.519 | -33.303 | -0.000 | -0.000 | 0.000 |
| -33.303 | -33.303 | 318.450 | 0.000 | -0.000 | 0.000 |
| -0.000 | 0.000 | -0.000 | -55.472 | -0.000 | 0.000 |
| -0.000 | -0.000 | -0.000 | -0.000 | -55.472 | 0.000 |
| -63791841.857 | -68283167.087 | -128790964.316 | 117994.185 | 863698.250 | -3791646.318 |
| 52107957.211 | 58549148.186 | 86237420.440 | -326370.141 | 426256.036 | -911713.843 |
| 75941702.704 | 65541467.945 | 72660610.221 | -507188.227 | 544640.414 | 556767.096 |
| -33.303 | -33.303 | 318.451 | -0.000 | 0.000 | -0.000 |
| 0.000 | -0.000 | 0.000 | -55.472 | 0.000 | -0.000 |
| 0.000 | 0.000 | 0.000 | -0.000 | -55.472 | -0.000 |
| 71963194.166 | 74518303.511 | 141864280.852 | 38486.805 | -25441.103 | -1937293.908 |
| -7609235.983 | -6509786.565 | -7224107.059 | -81188.928 | 20188.582 | -975.110 |
| -5462448.287 | -6371461.577 | -9139713.949 | -32252.605 | -2881.121 | 148829.288 |
| -33.304 | -33.304 | 318.448 | 0.000 | -0.000 | 0.000 |
| -0.000 | 0.000 | -0.001 | -55.472 | -0.000 | 0.000 |
| 0.000 | -0.000 | -0.001 | 0.000 | -55.472 | -0.000 |
| -6905105.249 | -7258872.947 | -12189435.927 | 50261.671 | -5954.990 | -998198.234 |
| 5610042.154 | 6196396.781 | 9664891.442 | -38888.431 | 51184.613 | 160960.742 |
| 265.001 | 108.530 | -33.303 | 0.000 | 0.000 | -0.000 |
| -33.303 | -33.303 | 318.453 | -0.000 | 0.000 | -0.000 |
| 0.000 | -0.000 | 0.001 | -55.472 | 0.000 | -0.000 |
| -0.000 | 0.000 | 0.001 | -0.000 | -55.472 | -0.000 |
| 7515412.648 | 7450764.356 | 14551849.148 | 5864.582 | -21659.863 | -164107.324 |
| 304.375 | 143.073 | 78.262 | 11.083 | 0.000 | -0.000 |
| 120.497 | 326.996 | 78.536 | -12.173 | 0.000 | 0.000 |
| 78.292 | 78.292 | 238.833 | 0.000 | 0.000 | 0.000 |
| 12.173 | -12.173 | 0.000 | 61.741 | 0.000 | -0.000 |
| 0.000 | 0.000 | 0.000 | 0.000 | 61.741 | 12.173 |
| 0.000 | 0.000 | -0.000 | 0.000 | 12.173 | 103.250 |
| 304.510 | 142.844 | 77.698 | 11.092 | -0.000 | -0.000 |
| 142.844 | 304.510 | 77.698 | -11.092 | -0.000 | -0.000 |
| 78.537 | 78.537 | 241.794 | -0.000 | -0.000 | 0.000 |
| 11.180 | -11.159 | 0.124 | 61.692 | -0.000 | 0.000 |
| -0.000 | -0.000 | -0.000 | -0.000 | 61.740 | 12.173 |
| -0.000 | -0.000 | 0.000 | 0.000 | 12.173 | 103.250 |
| 326.996 | 120.497 | 78.536 | 12.173 | 0.000 | -0.000 |
| 142.765 | 304.566 | 77.554 | -11.095 | 0.000 | 0.000 |
| 78.537 | 78.537 | 241.794 | 0.000 | -0.000 | -0.000 |
| 11.083 | -11.085 | -0.013 | 61.688 | -0.000 | -0.000 |
| 0.000 | 0.000 | 0.000 | 0.000 | 61.741 | 12.173 |
| -0.001 | -0.001 | -0.013 | 0.000 | 11.083 | 80.651 |
| 326.996 | 120.497 | 78.536 | 12.173 | -0.000 | 0.000 |
| 120.496 | 326.996 | 78.536 | -12.173 | -0.000 | -0.000 |
| 78.537 | 78.537 | 241.794 | -0.000 | 0.000 | 0.000 |
| 11.085 | -11.083 | 0.013 | 61.688 | 0.000 | 0.000 |
| -0.000 | -0.000 | -0.000 | -0.000 | 61.741 | 12.173 |
| 0.001 | 0.001 | 0.013 | -0.000 | 11.083 | 80.651 |
| 326.999 | 120.497 | 78.536 | 12.173 | 0.000 | 0.000 |
| 143.077 | 304.379 | 78.294 | -11.083 | 0.000 | -0.000 |
| 78.537 | 78.537 | 241.798 | 0.000 | 0.000 | 0.000 |
| 11.083 | -11.083 | -0.000 | 61.688 | 0.000 | 0.000 |
| -0.000 | 0.000 | -0.000 | 0.000 | 61.688 | 11.083 |
| 0.000 | 0.001 | 0.000 | 0.000 | 12.173 | 103.250 |
| 326.993 | 120.496 | 78.536 | 12.173 | -0.000 | -0.000 |
| 142.771 | 304.559 | 77.569 | -11.095 | -0.000 | 0.000 |
| 78.536 | 78.536 | 241.790 | -0.000 | -0.000 | 0.000 |
| 11.083 | -11.083 | 0.000 | 61.688 | -0.000 | -0.000 |
| 0.000 | -0.000 | 0.000 | -0.000 | 61.688 | 11.083 |
| -0.000 | -0.001 | -0.000 | -0.000 | 12.173 | 103.250 |
Phonon band structures and crystal properties estimated from quasi-harmonic approximation (QHA) calculations are displayed for select crystals. The calculations were performed using phonopy and LAMMPS. For the phonon calculations, 3x3 supercells of the potential-specific relaxed crystals were used. The QHA calculations were based on 11 strain states ranging from -0.05 to 0.05.
The calculation method used is available as the iprPy phonon calculation method.
Notes and Disclaimers:
Version Information:





































































































































































































































































































































































































































































































































































































































































































































































































































































Static free surface formation energies are displayed for select crystals. The values displayed here are obtained by taking a perfect periodic bulk crystal, slicing along a crystallographic plane, and using force minimization to statically relax the surfaces. The free surface formation energy is computed by comparing the energy of the defect system to the bulk system and dividing by the total surface area created by the cut.
The calculation method used is available as the iprPy surface_energy_static calculation method.
Notes and Disclaimers:
Version Information:
| Surface | γfs (mJ/m2) |
|---|---|
| (111) | 1561.66 |
| (332) | 1774.10 |
| (322) | 1801.57 |
| (100) | 1874.07 |
| (221) | 1874.62 |
| (211) | 1928.74 |
| (331) | 1963.13 |
| (311) | 2024.83 |
| (110) | 2046.97 |
| (321) | 2053.08 |
| (310) | 2131.05 |
| (320) | 2149.94 |
| (210) | 2173.42 |
| Surface | γfs (mJ/m2) |
|---|---|
| (332) | -58514.14 |
| (322) | -54689.99 |
| (331) | -50895.22 |
| (321) | -49586.15 |
| (310) | -45595.94 |
| (311) | -39671.88 |
| (320) | -39332.48 |
| (221) | -33507.90 |
| (211) | -29897.09 |
| (210) | -25256.37 |
| (111) | -24007.94 |
| (110) | -19178.68 |
| (100) | -13986.04 |
| Surface | γfs (mJ/m2) |
|---|---|
| (111) | 0.42 |
| (332) | 0.46 |
| (322) | 0.47 |
| (221) | 0.48 |
| (100) | 0.48 |
| (211) | 0.49 |
| (331) | 0.50 |
| (311) | 0.51 |
| (110) | 0.51 |
| (310) | 0.53 |
| (320) | 0.53 |
| (210) | 0.54 |
| Surface | γfs (mJ/m2) |
|---|---|
| (100) | 0.03 |
| (310) | 0.04 |
| (210) | 0.04 |
| (320) | 0.04 |
| (110) | 0.04 |
| (311) | 0.05 |
| (321) 2 | 0.05 |
| (321) 1 | 0.05 |
| (331) | 0.05 |
| (211) 2 | 0.05 |
| (211) 1 | 0.05 |
| (221) | 0.05 |
| (322) | 0.05 |
| (332) 1 | 0.05 |
| (332) 2 | 0.05 |
| Surface | γfs (mJ/m2) |
|---|---|
| (110) | 0.25 |
| (321) | 0.29 |
| (331) | 0.29 |
| (211) | 0.29 |
| (320) | 0.30 |
| (221) | 0.30 |
| (322) | 0.31 |
| (332) | 0.31 |
| (111) | 0.31 |
| (210) | 0.32 |
| (311) | 0.33 |
| (310) | 0.34 |
| (100) | 0.36 |
| Surface | γfs (mJ/m2) |
|---|---|
| (0001) | 1569.75 |
| (2021) 1 | 1753.01 |
| (1012) 2 | 1754.18 |
| (1011) 1 | 1789.89 |
| (2021) 2 | 1942.84 |
| (1120) | 2046.60 |
| (2131) 1 | 2046.97 |
| (1010) | 2064.39 |
| (1012) 1 | 2073.63 |
| (2132) 1 | 2075.91 |
| (2132) 2 | 2079.37 |
| (2241) | 2086.84 |
| (1121) | 2115.40 |
| (1011) 2 | 2121.38 |
| (2130) | 2130.84 |
| (2112) | 2137.87 |
| (2131) 2 | 2182.16 |
| Surface | γfs (mJ/m2) |
|---|---|
| (111) 2 | 0.05 |
| (331) 2 | 0.06 |
| (110) | 0.06 |
| (321) | 0.07 |
| (211) | 0.07 |
| (320) | 0.07 |
| (332) | 0.08 |
| (210) | 0.08 |
| (311) 1 | 0.08 |
| (311) 2 | 0.08 |
| (310) | 0.09 |
| (322) | 0.09 |
| (221) | 0.09 |
| (100) | 0.09 |
| (331) 1 | 0.10 |
| (111) 1 | 0.16 |
| Surface | γfs (mJ/m2) |
|---|---|
| (101) 1 | 0.06 |
| (112) | 0.06 |
| (001) | 0.06 |
| (201) | 0.09 |
| (111) | 0.10 |
| (100) | 0.12 |
| (211) 2 | 0.12 |
| (211) 1 | 0.12 |
| (110) | 0.16 |
| (101) 2 | 0.17 |
| Surface | γfs (mJ/m2) |
|---|---|
| (0001) 2 | 0.00 |
| (1011) 2 | 0.05 |
| (2112) 2 | 0.06 |
| (2131) 2 | 0.06 |
| (1121) 2 | 0.06 |
| (2241) 2 | 0.06 |
| (1120) | 0.06 |
| (1012) 2 | 0.06 |
| (2132) 2 | 0.07 |
| (2241) 1 | 0.07 |
| (2130) | 0.07 |
| (2112) 1 | 0.07 |
| (2021) 2 | 0.07 |
| (1010) | 0.07 |
| (1121) 1 | 0.07 |
| (2132) 1 | 0.07 |
| (2021) 1 | 0.08 |
| (1012) 1 | 0.08 |
| (2131) 1 | 0.08 |
| (1011) 1 | 0.10 |
| (0001) 1 | 0.22 |
| Surface | γfs (mJ/m2) |
|---|---|
| (100) | 0.12 |
| (310) | 0.15 |
| (210) | 0.16 |
| (320) | 0.17 |
| (110) | 0.17 |
| (311) | 0.18 |
| (321) | 0.19 |
| (331) | 0.19 |
| (211) | 0.20 |
| (221) | 0.20 |
| (322) | 0.20 |
| (332) | 0.20 |
| (111) | 0.21 |
| Surface | γfs (mJ/m2) |
|---|---|
| (111) | 1645.11 |
| (332) | 1818.16 |
| (322) | 1839.97 |
| (100) | 1878.01 |
| (221) | 1893.97 |
| (211) | 1933.79 |
| (331) | 1955.76 |
| (311) | 2005.67 |
| (110) | 2013.03 |
| (321) | 2027.99 |
| (310) | 2090.93 |
| (320) | 2102.10 |
| (210) | 2120.91 |
| Surface | γfs (mJ/m2) |
|---|---|
| (211) 2 | 1535.24 |
| (322) | 1565.10 |
| (210) | 1596.03 |
| (332) 2 | 1604.23 |
| (332) 1 | 1605.31 |
| (321) 2 | 1630.63 |
| (331) | 1631.81 |
| (311) | 1633.89 |
| (111) | 1645.12 |
| (221) | 1646.29 |
| (321) 1 | 1648.14 |
| (320) | 1672.00 |
| (100) | 1678.09 |
| (310) | 1696.37 |
| (211) 1 | 1751.07 |
| (110) | 1784.66 |
| Surface | γfs (mJ/m2) |
|---|---|
| (0001) | 1641.77 |
| (1012) 2 | 1797.99 |
| (2021) 1 | 1821.17 |
| (1011) 1 | 1841.50 |
| (2021) 2 | 1967.22 |
| (1120) | 2023.77 |
| (2131) 1 | 2038.29 |
| (2132) 2 | 2063.35 |
| (2241) | 2063.59 |
| (2132) 1 | 2066.63 |
| (1010) | 2067.91 |
| (1012) 1 | 2072.49 |
| (1121) | 2091.22 |
| (2130) | 2106.78 |
| (2112) | 2112.16 |
| (1011) 2 | 2116.95 |
| (2131) 2 | 2150.55 |
| Surface | γfs (mJ/m2) |
|---|---|
| (0001) | 1648.38 |
| (1010) 1 | 1816.39 |
| (1011) 2 | 1821.65 |
| (2021) 1 | 1870.01 |
| (1012) 1 | 1993.10 |
| (1012) 2 | 2023.11 |
| (2130) 1 | 2028.74 |
| (2112) | 2040.59 |
| (1120) | 2053.31 |
| (2132) 2 | 2087.39 |
| (2132) 1 | 2088.73 |
| (2131) 2 | 2099.71 |
| (2131) 1 | 2110.31 |
| (2241) | 2125.80 |
| (1121) | 2152.35 |
| (2021) 2 | 2162.02 |
| (2130) 2 | 2260.05 |
| (1011) 1 | 2387.86 |
| (1010) 2 | 2419.57 |
| Surface | γfs (mJ/m2) |
|---|---|
| (111) | 1239.09 |
| (100) | 1247.36 |
| (332) | 1313.32 |
| (322) | 1330.60 |
| (221) | 1344.50 |
| (211) | 1368.38 |
| (331) | 1369.56 |
| (110) | 1379.42 |
| (311) | 1385.39 |
| (310) | 1393.34 |
| (321) | 1405.67 |
| (210) | 1417.62 |
| (320) | 1417.67 |
| Surface | γfs (mJ/m2) |
|---|---|
| (332) | -66703.98 |
| (331) | -64957.36 |
| (322) | -61057.30 |
| (321) | -60064.78 |
| (320) | -56606.62 |
| (310) | -49546.97 |
| (311) | -48155.61 |
| (221) | -43281.80 |
| (210) | -35587.09 |
| (211) | -34739.29 |
| (110) | -22920.69 |
| (100) | -15946.00 |
| (111) | 375.99 |
| Surface | γfs (mJ/m2) |
|---|---|
| (111) | 0.87 |
| (332) | 0.97 |
| (322) | 0.98 |
| (221) | 1.01 |
| (100) | 1.01 |
| (211) | 1.03 |
| (331) | 1.04 |
| (311) | 1.06 |
| (110) | 1.07 |
| (321) | 1.08 |
| (310) | 1.12 |
| (320) | 1.12 |
| (210) | 1.13 |
| Surface | γfs (mJ/m2) |
|---|---|
| (100) | 0.06 |
| (310) | 0.08 |
| (210) | 0.08 |
| (320) | 0.09 |
| (110) | 0.09 |
| (311) | 0.10 |
| (321) 2 | 0.10 |
| (321) 1 | 0.10 |
| (331) | 0.10 |
| (211) 2 | 0.10 |
| (211) 1 | 0.10 |
| (221) | 0.11 |
| (322) | 0.11 |
| (332) 2 | 0.11 |
| (332) 1 | 0.11 |
| (111) | 0.11 |
| Surface | γfs (mJ/m2) |
|---|---|
| (110) | 1039.36 |
| (100) | 1078.36 |
| (111) | 1112.76 |
| (320) | 1114.43 |
| (331) | 1116.59 |
| (211) | 1120.23 |
| (321) | 1126.20 |
| (221) | 1132.41 |
| (322) | 1132.97 |
| (332) | 1135.21 |
| (210) | 1139.61 |
| (310) | 1146.85 |
| (311) | 1152.49 |
| Surface | γfs (mJ/m2) |
|---|---|
| (110) | 0.54 |
| (321) | 0.61 |
| (331) | 0.61 |
| (211) | 0.62 |
| (320) | 0.63 |
| (221) | 0.63 |
| (322) | 0.64 |
| (332) | 0.65 |
| (111) | 0.66 |
| (210) | 0.68 |
| (311) | 0.68 |
| (310) | 0.72 |
| (100) | 0.76 |
| Surface | γfs (mJ/m2) |
|---|---|
| (0001) | 1244.29 |
| (1012) 2 | 1265.49 |
| (1011) 1 | 1324.29 |
| (2021) 1 | 1333.21 |
| (1120) | 1365.19 |
| (2021) 2 | 1381.95 |
| (2241) | 1396.70 |
| (2131) 1 | 1400.54 |
| (2132) 2 | 1405.14 |
| (1121) | 1420.24 |
| (1010) | 1422.49 |
| (1011) 2 | 1426.80 |
| (2130) | 1427.17 |
| (2132) 1 | 1427.65 |
| (2131) 2 | 1444.18 |
| (2112) | 1444.52 |
| (1012) 1 | 1448.72 |
| Surface | γfs (mJ/m2) |
|---|---|
| (0001) | 4018.29 |
| (1012) 2 | 4165.81 |
| (1011) 1 | 4255.20 |
| (2021) 1 | 4264.91 |
| (1120) | 4368.60 |
| (2021) 2 | 4395.63 |
| (2241) | 4444.03 |
| (1010) | 4465.94 |
| (2131) 1 | 4473.73 |
| (2132) 2 | 4477.63 |
| (1121) | 4493.12 |
| (2130) | 4513.91 |
| (2112) | 4515.43 |
| (2132) 1 | 4521.99 |
| (2131) 2 | 4561.61 |
| (1012) 1 | 4574.95 |
| (1011) 2 | 4619.42 |
| Surface | γfs (mJ/m2) |
|---|---|
| (0001) | 1251.11 |
| (1011) 2 | 1278.78 |
| (1010) 1 | 1329.15 |
| (2021) 1 | 1338.02 |
| (1012) 1 | 1351.04 |
| (1120) | 1369.35 |
| (2130) 1 | 1389.77 |
| (2112) | 1413.00 |
| (2131) 2 | 1420.92 |
| (1012) 2 | 1430.88 |
| (2241) | 1431.97 |
| (2132) 2 | 1433.91 |
| (2132) 1 | 1437.58 |
| (2021) 2 | 1445.42 |
| (2131) 1 | 1466.81 |
| (1121) | 1467.22 |
| (2130) 2 | 1483.95 |
| (1010) 2 | 1556.02 |
| (1011) 1 | 1666.95 |
| Surface | γfs (mJ/m2) |
|---|---|
| (0001) | 0.87 |
| (1010) 1 | 0.93 |
| (1011) 2 | 0.96 |
| (2021) 1 | 0.97 |
| (2130) 1 | 1.05 |
| (1012) 1 | 1.06 |
| (1012) 2 | 1.06 |
| (2112) | 1.06 |
| (1120) | 1.07 |
| (2132) 1 | 1.08 |
| (2132) 2 | 1.08 |
| (2131) 2 | 1.09 |
| (2131) 1 | 1.09 |
| (2241) | 1.10 |
| (1121) | 1.11 |
| (2021) 2 | 1.12 |
| (2130) 2 | 1.17 |
| (1011) 1 | 1.23 |
| (1010) 2 | 1.24 |
| Surface | γfs (mJ/m2) |
|---|---|
| (111) 1 | 37.32 |
| (111) 2 | 37.79 |
| (100) | 40.80 |
| (322) | 41.55 |
| (332) | 41.78 |
| (211) | 43.38 |
| (221) | 43.50 |
| (311) 1 | 44.34 |
| (311) 2 | 44.34 |
| (331) 1 | 44.86 |
| (331) 2 | 45.05 |
| (321) | 45.89 |
| (110) | 46.28 |
| (310) | 46.50 |
| (210) | 47.52 |
| (320) | 47.62 |
| Surface | γfs (mJ/m2) |
|---|---|
| (111) 2 | 0.11 |
| (331) 2 | 0.13 |
| (110) | 0.13 |
| (321) | 0.15 |
| (211) | 0.15 |
| (320) | 0.16 |
| (332) | 0.16 |
| (210) | 0.17 |
| (311) 1 | 0.17 |
| (311) 2 | 0.17 |
| (310) | 0.18 |
| (322) | 0.18 |
| (221) | 0.19 |
| (100) | 0.19 |
| (331) 1 | 0.22 |
| (111) 1 | 0.33 |
| Surface | γfs (mJ/m2) |
|---|---|
| (101) 1 | 0.12 |
| (001) | 0.14 |
| (201) | 0.18 |
| (111) | 0.21 |
| (100) | 0.24 |
| (211) 2 | 0.26 |
| (110) | 0.35 |
| (101) 2 | 0.36 |
| Surface | γfs (mJ/m2) |
|---|---|
| (0001) 1 | -3.40 |
| (1012) 2 | 681.95 |
| (1011) 2 | 694.40 |
| (1012) 1 | 705.60 |
| (2021) 2 | 710.66 |
| (2021) 1 | 722.69 |
| (1010) | 725.02 |
| (2112) 1 | 742.24 |
| (1121) 1 | 747.65 |
| (2132) 2 | 749.32 |
| (2241) 1 | 749.33 |
| (1120) | 750.32 |
| (2131) 2 | 752.25 |
| (2132) 1 | 761.53 |
| (2130) | 765.01 |
| (1011) 1 | 766.29 |
| (2241) 2 | 769.56 |
| (2112) 2 | 782.43 |
| (1121) 2 | 788.11 |
| (2131) 1 | 788.50 |
| (0001) 2 | 1492.55 |
| Surface | γfs (mJ/m2) |
|---|---|
| (332) | -11228.21 |
| (311) | -6951.95 |
| (321) | -6665.72 |
| (211) | -3875.55 |
| (331) | 864.45 |
| (100) | 1049.25 |
| (310) | 1160.09 |
| (111) | 1162.90 |
| (110) | 1164.74 |
| (210) | 1182.39 |
| (320) | 1188.03 |
| (221) | 1206.07 |
| (322) | 1207.79 |
| Surface | γfs (mJ/m2) |
|---|---|
| (100) | 118.01 |
| (310) | 149.84 |
| (210) | 159.54 |
| (320) | 165.70 |
| (110) | 170.58 |
| (311) | 179.19 |
| (321) | 191.28 |
| (331) | 191.89 |
| (211) | 195.28 |
| (221) | 198.58 |
| (322) | 202.93 |
| (332) | 203.41 |
| (111) | 208.39 |
| Surface | γfs (mJ/m2) |
|---|---|
| (100) | 283.63 |
| (111) | 314.98 |
| (110) | 324.05 |
| (310) | 324.30 |
| (332) | 330.33 |
| (210) | 331.79 |
| (320) | 332.87 |
| (322) | 333.43 |
| (221) | 334.61 |
| (331) | 335.43 |
| (311) | 335.53 |
| (211) | 338.52 |
| (321) | 344.09 |
| Surface | γfs (mJ/m2) |
|---|---|
| (100) | 0.25 |
| (310) | 0.32 |
| (210) | 0.34 |
| (320) | 0.35 |
| (110) | 0.36 |
| (311) | 0.38 |
| (321) | 0.40 |
| (331) | 0.41 |
| (211) | 0.41 |
| (221) | 0.42 |
| (322) | 0.43 |
| (332) | 0.43 |
| (111) | 0.44 |
| Surface | γfs (mJ/m2) |
|---|---|
| (111) | 1641.16 |
| (332) | 1792.23 |
| (322) | 1814.11 |
| (100) | 1841.90 |
| (221) | 1857.04 |
| (211) | 1895.43 |
| (321) | 1930.51 |
| (310) | 1954.18 |
| (311) | 1960.92 |
| (110) | 1977.97 |
| (210) | 1979.95 |
| (320) | 1989.68 |
| Surface | γfs (mJ/m2) |
|---|---|
| (210) | -550.24 |
| (320) | -545.61 |
| (310) | -544.17 |
| (321) | -524.37 |
| (110) | -521.04 |
| (311) | -517.73 |
| (331) | -505.61 |
| (211) | -499.54 |
| (100) | -490.45 |
| (221) | -489.01 |
| (322) | -473.84 |
| (332) | -468.43 |
| (111) | -421.52 |
| Surface | γfs (mJ/m2) |
|---|---|
| (111) | 2.23 |
| (332) | 2.47 |
| (322) | 2.50 |
| (221) | 2.58 |
| (100) | 2.58 |
| (211) | 2.63 |
| (331) | 2.66 |
| (311) | 2.72 |
| (110) | 2.74 |
| (321) | 2.76 |
| (310) | 2.85 |
| (320) | 2.86 |
| (210) | 2.88 |
| Surface | γfs (mJ/m2) |
|---|---|
| (100) | 0.16 |
| (310) | 0.20 |
| (210) | 0.22 |
| (320) | 0.22 |
| (110) | 0.23 |
| (311) | 0.24 |
| (321) 1 | 0.26 |
| (321) 2 | 0.26 |
| (331) | 0.26 |
| (211) 2 | 0.26 |
| (211) 1 | 0.26 |
| (221) | 0.27 |
| (322) | 0.27 |
| (332) 1 | 0.28 |
| (332) 2 | 0.28 |
| (111) | 0.28 |
| Surface | γfs (mJ/m2) |
|---|---|
| (110) | 1.37 |
| (321) | 1.55 |
| (331) | 1.55 |
| (211) | 1.58 |
| (320) | 1.61 |
| (221) | 1.61 |
| (322) | 1.64 |
| (332) | 1.65 |
| (111) | 1.68 |
| (210) | 1.73 |
| (311) | 1.75 |
| (310) | 1.84 |
| (100) | 1.94 |
| Surface | γfs (mJ/m2) |
|---|---|
| (0001) | 1599.59 |
| (1012) 2 | 1717.40 |
| (2021) 1 | 1743.87 |
| (1011) 1 | 1761.26 |
| (2021) 2 | 1846.11 |
| (2131) 1 | 1893.78 |
| (2132) 2 | 1895.98 |
| (2132) 1 | 1903.90 |
| (1120) | 1906.18 |
| (1010) | 1916.14 |
| (1012) 1 | 1917.40 |
| (2241) | 1926.53 |
| (2130) | 1933.02 |
| (2112) | 1934.54 |
| (1121) | 1935.78 |
| (1011) 2 | 1936.00 |
| (2131) 2 | 1949.37 |
| Surface | γfs (mJ/m2) |
|---|---|
| (2131) 1 | -552.20 |
| (2131) 2 | -552.20 |
| (1011) 2 | -544.85 |
| (1011) 1 | -544.85 |
| (2130) | -540.28 |
| (2112) | -539.88 |
| (1121) | -536.59 |
| (1012) 2 | -530.53 |
| (2241) | -530.40 |
| (2132) 1 | -529.31 |
| (2132) 2 | -528.88 |
| (1010) | -525.99 |
| (1120) | -521.07 |
| (2021) 1 | -501.70 |
| (2021) 2 | -501.70 |
| (1012) 1 | -462.83 |
| (0001) | -421.52 |
| Surface | γfs (mJ/m2) |
|---|---|
| (111) 2 | 0.28 |
| (331) 2 | 0.33 |
| (110) | 0.34 |
| (321) | 0.39 |
| (211) | 0.40 |
| (320) | 0.40 |
| (332) | 0.41 |
| (210) | 0.43 |
| (311) 1 | 0.44 |
| (311) 2 | 0.44 |
| (310) | 0.46 |
| (322) | 0.47 |
| (221) | 0.48 |
| (100) | 0.48 |
| (331) 1 | 0.56 |
| (111) 1 | 0.84 |
| Surface | γfs (mJ/m2) |
|---|---|
| (101) 1 | 0.30 |
| (112) | 0.32 |
| (001) | 0.35 |
| (201) | 0.46 |
| (111) | 0.55 |
| (100) | 0.62 |
| (211) 2 | 0.65 |
| (211) 1 | 0.65 |
| (110) | 0.88 |
| (101) 2 | 0.91 |
| Surface | γfs (mJ/m2) |
|---|---|
| (001) | 0.00 |
| (101) | 0.71 |
| (201) | 0.81 |
| (100) | 0.86 |
| (112) | 0.88 |
| (111) | 1.10 |
| (211) | 1.10 |
| (110) | 1.21 |
| Surface | γfs (mJ/m2) |
|---|---|
| (100) | 0.65 |
| (310) | 0.82 |
| (210) | 0.87 |
| (320) | 0.89 |
| (110) | 0.91 |
| (311) | 0.97 |
| (321) | 1.03 |
| (331) | 1.04 |
| (211) | 1.05 |
| (221) | 1.08 |
| (322) | 1.10 |
| (332) | 1.10 |
| (111) | 1.12 |
| Surface | γfs (mJ/m2) |
|---|---|
| (111) | 1629.86 |
| (332) | 1824.19 |
| (100) | 1877.95 |
| (221) | 1912.03 |
| (211) | 1958.45 |
| (331) | 1985.88 |
| (311) | 2038.48 |
| (110) | 2049.39 |
| (321) | 2069.40 |
| (310) | 2131.97 |
| (320) | 2150.22 |
| (210) | 2170.46 |
| Surface | γfs (mJ/m2) |
|---|---|
| (210) | -2.62 |
| (320) | -2.60 |
| (310) | -2.59 |
| (321) | -2.50 |
| (110) | -2.48 |
| (311) | -2.47 |
| (331) | -2.42 |
| (211) | -2.39 |
| (221) | -2.34 |
| (100) | -2.34 |
| (322) | -2.27 |
| (332) | -2.25 |
| (111) | -2.03 |
| Surface | γfs (mJ/m2) |
|---|---|
| (211) 2 | 1457.04 |
| (332) 2 | 1534.03 |
| (210) | 1544.63 |
| (321) 2 | 1567.65 |
| (111) | 1582.62 |
| (321) 1 | 1583.15 |
| (332) 1 | 1585.67 |
| (221) | 1586.33 |
| (322) | 1601.63 |
| (331) | 1627.49 |
| (100) | 1644.36 |
| (320) | 1664.21 |
| (310) | 1667.17 |
| (211) 1 | 1707.88 |
| (110) | 1744.56 |
| Surface | γfs (mJ/m2) |
|---|---|
| (111) | -0.25 |
| (332) 2 | -0.25 |
| (332) 1 | -0.25 |
| (322) | -0.25 |
| (221) | -0.24 |
| (211) 2 | -0.24 |
| (211) 1 | -0.24 |
| (331) | -0.24 |
| (321) 2 | -0.23 |
| (321) 1 | -0.23 |
| (311) | -0.22 |
| (110) | -0.21 |
| (320) | -0.20 |
| (210) | -0.20 |
| (310) | -0.19 |
| (100) | -0.15 |
| Surface | γfs (mJ/m2) |
|---|---|
| (100) | -1.76 |
| (310) | -1.67 |
| (311) | -1.59 |
| (111) | -1.52 |
| (332) | -1.50 |
| (322) | -1.49 |
| (221) | -1.46 |
| (320) | -1.46 |
| (211) | -1.43 |
| (331) | -1.41 |
| (321) | -1.41 |
| (110) | -1.24 |
| Surface | γfs (mJ/m2) |
|---|---|
| (1011) 2 | 4403662.42 |
| (1011) 1 | 4407406.56 |
| (1010) | 4477644.81 |
| (2112) | 4630472.43 |
| (2132) 1 | 4637875.77 |
| (2132) 2 | 4646629.44 |
| (2131) 2 | 4655966.46 |
| (2131) 1 | 4656532.38 |
| (2130) | 4667305.40 |
| (1121) | 4675502.52 |
| (2241) | 4687305.23 |
| (1012) 1 | 5058972.94 |
| (1012) 2 | 5070944.55 |
| (2021) 2 | 5131279.97 |
| (2021) 1 | 5136182.88 |
| (0001) | 5172848.29 |
| Surface | γfs (mJ/m2) |
|---|---|
| (0001) | 1597.85 |
| (1012) 2 | 1769.01 |
| (2021) 1 | 1795.55 |
| (1011) 1 | 1821.01 |
| (2021) 2 | 1963.10 |
| (1120) | 2035.79 |
| (2131) 1 | 2049.56 |
| (1010) | 2074.90 |
| (2132) 2 | 2077.48 |
| (2241) | 2078.59 |
| (2132) 1 | 2080.92 |
| (1012) 1 | 2083.94 |
| (1121) | 2109.16 |
| (1011) 2 | 2122.10 |
| (2130) | 2127.15 |
| (2112) | 2133.20 |
| (2131) 2 | 2175.38 |
| Surface | γfs (mJ/m2) |
|---|---|
| (1010) 1 | 4518156.44 |
| (1010) 2 | 4521733.06 |
| (1121) | 4670544.34 |
| (2131) 2 | 4678988.50 |
| (2131) 1 | 4679470.15 |
| (2130) 2 | 4687926.41 |
| (2130) 1 | 4692302.09 |
| (2241) | 4710633.94 |
| (1011) 1 | 5095888.67 |
| (1011) 2 | 5098667.33 |
| (2112) | 5139206.72 |
| (1012) 2 | 5140583.66 |
| (1012) 1 | 5150568.78 |
| (2132) 1 | 5170132.62 |
| (2132) 2 | 5173991.13 |
| (2021) 2 | 5177825.20 |
| (2021) 1 | 5178285.65 |
| (0001) | 5204331.01 |
| Surface | γfs (mJ/m2) |
|---|---|
| (0001) | 1567.49 |
| (1010) 1 | 1752.98 |
| (1011) 2 | 1762.72 |
| (2021) 1 | 1812.14 |
| (1012) 1 | 1962.62 |
| (1012) 2 | 1988.45 |
| (2130) 1 | 1996.81 |
| (2112) | 2017.31 |
| (1120) | 2030.56 |
| (2132) 2 | 2062.09 |
| (2132) 1 | 2066.60 |
| (2131) 2 | 2077.92 |
| (2241) | 2107.70 |
| (2021) 2 | 2135.54 |
| (1121) | 2136.27 |
| (2130) 2 | 2258.04 |
| (1011) 1 | 2409.20 |
| (1010) 2 | 2420.00 |
| Surface | γfs (mJ/m2) |
|---|---|
| (111) 1 | -0.76 |
| (331) 1 | -0.50 |
| (100) | -0.44 |
| (221) | -0.44 |
| (322) | -0.43 |
| (310) | -0.42 |
| (311) 1 | -0.40 |
| (311) 2 | -0.40 |
| (210) | -0.39 |
| (332) | -0.37 |
| (320) | -0.37 |
| (211) | -0.36 |
| (321) | -0.35 |
| (110) | -0.31 |
| (331) 2 | -0.30 |
| (111) 2 | -0.25 |
| Surface | γfs (mJ/m2) |
|---|---|
| (101) 2 | -0.81 |
| (110) | -0.67 |
| (211) 2 | -0.53 |
| (211) 1 | -0.53 |
| (100) | -0.47 |
| (111) | -0.47 |
| (201) | -0.38 |
| (001) | -0.33 |
| (112) | -0.29 |
| (101) 1 | -0.27 |
| Surface | γfs (mJ/m2) |
|---|---|
| (0001) 1 | -1.05 |
| (1011) 1 | -0.50 |
| (2131) 1 | -0.39 |
| (1012) 1 | -0.39 |
| (2021) 1 | -0.38 |
| (2132) 1 | -0.35 |
| (1121) 1 | -0.34 |
| (1010) | -0.34 |
| (2021) 2 | -0.34 |
| (2112) 1 | -0.33 |
| (2130) | -0.33 |
| (2241) 1 | -0.32 |
| (2132) 2 | -0.32 |
| (1012) 2 | -0.31 |
| (1120) | -0.30 |
| (2241) 2 | -0.30 |
| (1121) 2 | -0.30 |
| (2131) 2 | -0.29 |
| (2112) 2 | -0.29 |
| (1011) 2 | -0.25 |
| (0001) 2 | 0.00 |
| Surface | γfs (mJ/m2) |
|---|---|
| (111) | -1.01 |
| (332) | -1.00 |
| (322) | -0.99 |
| (221) | -0.98 |
| (211) | -0.96 |
| (331) | -0.94 |
| (321) | -0.94 |
| (311) | -0.88 |
| (110) | -0.83 |
| (320) | -0.81 |
| (210) | -0.79 |
| (310) | -0.74 |
| (100) | -0.59 |
Static point defect formation energies, Ef, and elastic dipole tensors, pij, are displayed for select crystals. Relaxed defect configurations are obtained by taking a 12x12x12 supercell of a perfect periodic bulk crystal, inserting the point defect, and using force minimization to statically relax the atomic positions while keeping the system dimensions constant. Ef is computed by comparing the energy of the defect system to the same number of atoms in a perfect bulk crystal. pij is estimated as the difference in the system's global pressure with and without the defect multiplied by the system's volume.
Simple structural comparisons of the unrelaxed and relaxed defect configurations are used to help determine if the defect structure has relaxed to a different configuration. Relaxed structures that are identified as no longer consistent with the ideal defect definition are excluded from the table below. The only exception to this is if the lowest energy interstitial configuration does not coincide with a known ideal defect, its energies and pressure tensor are included under the listing "relaxed interstitial". The full list of calculation results including the transformed structures and the structural comparison values is included in the csv file available from the "Download raw data" link.
The calculation method used is available as the iprPy point_defect_static calculation method.
Notes and Disclaimers:
| Point Defect | Ef (eV) | p11 (eV) | p22 (eV) | p33 (eV) | p12 (eV) | p13 (eV) | p23 (eV) |
|---|---|---|---|---|---|---|---|
| vacancy | 1.336 | -5.979 | -5.979 | -5.979 | -0.000 | -0.000 | 0.000 |
| 1nn divacancy | 2.615 | -11.834 | -10.933 | -10.933 | -0.000 | -0.000 | -0.257 |
| 2nn divacancy | 2.833 | -11.988 | -11.988 | -12.302 | -0.000 | 0.000 | 0.000 |
| 100 dumbbell | 5.566 | 32.250 | 32.250 | 27.298 | -0.000 | 0.000 | 0.000 |
| octahedral interstitial | 5.676 | 34.846 | 34.846 | 34.846 | -0.000 | 0.000 | 0.000 |
| crowdion interstitial | 5.828 | 29.670 | 29.670 | 31.603 | 19.545 | 0.000 | 0.000 |
| 110 dumbbell | 5.838 | 31.983 | 29.589 | 29.589 | -0.000 | -0.000 | 19.369 |
| 111 dumbbell | 6.413 | 34.036 | 34.036 | 34.036 | 3.613 | 3.613 | 3.613 |
| Point Defect | Ef (eV) | p11 (eV) | p22 (eV) | p33 (eV) | p12 (eV) | p13 (eV) | p23 (eV) |
|---|---|---|---|---|---|---|---|
| relaxed interstitial | -20248.375 | 0.000 | 0.000 | 0.000 | 0.000 | 0.000 | 0.000 |
| vacancy | 0.019 | -0.231 | -0.231 | -0.231 | 0.000 | 0.000 | 0.000 |
| 1nn divacancy | 0.028 | -0.445 | -0.443 | -0.443 | 0.000 | 0.000 | -0.027 |
| Point Defect | Ef (eV) | p11 (eV) | p22 (eV) | p33 (eV) | p12 (eV) | p13 (eV) | p23 (eV) |
|---|---|---|---|---|---|---|---|
| 100 dumbbell | -27.743 | 0.021 | 0.021 | 0.031 | 0.000 | 0.000 | 0.000 |
| vacancy | 0.003 | -0.000 | -0.000 | -0.000 | 0.000 | 0.000 | 0.000 |
| 1nn divacancy | 0.005 | -0.000 | -0.000 | -0.000 | 0.000 | 0.000 | -0.000 |
| 2nn divacancy | 0.006 | -0.000 | -0.000 | -0.000 | 0.000 | -0.000 | -0.000 |
| Point Defect | Ef (eV) | p11 (eV) | p22 (eV) | p33 (eV) | p12 (eV) | p13 (eV) | p23 (eV) |
|---|---|---|---|---|---|---|---|
| 110 dumbbell | -27.760 | 0.000 | 0.000 | 0.000 | 0.000 | 0.000 | -0.000 |
| 111 dumbbell | -3.297 | 1.726 | 1.726 | 1.726 | -0.533 | -0.533 | -0.533 |
| crowdion interstitial | -3.096 | 0.821 | 0.821 | 0.821 | -0.284 | -0.284 | -0.284 |
| vacancy | 0.002 | 0.000 | 0.000 | 0.000 | -0.000 | -0.000 | -0.000 |
| 1nn divacancy | 0.003 | 0.000 | 0.000 | 0.000 | 0.000 | 0.000 | 0.000 |
| 2nn divacancy | 0.004 | 0.000 | 0.000 | 0.000 | -0.000 | -0.000 | -0.000 |
| Point Defect | Ef (eV) | p11 (eV) | p22 (eV) | p33 (eV) | p12 (eV) | p13 (eV) | p23 (eV) |
|---|---|---|---|---|---|---|---|
| tetragonal interstitial | -0.001 | -0.000 | -0.000 | -0.000 | -0.000 | -0.000 | -0.000 |
| vacancy | 0.001 | 0.000 | 0.000 | 0.000 | -0.000 | -0.000 | -0.000 |
| 1nn divacancy | 0.001 | 0.000 | 0.000 | 0.000 | 0.000 | 0.000 | 0.000 |
| Point Defect | Ef (eV) | p11 (eV) | p22 (eV) | p33 (eV) | p12 (eV) | p13 (eV) | p23 (eV) |
|---|---|---|---|---|---|---|---|
| vacancy | 1.378 | -3.133 | -3.133 | -3.133 | -0.000 | -0.000 | 0.000 |
| 1nn divacancy | 2.707 | -6.683 | -5.654 | -5.654 | -0.000 | -0.000 | -0.065 |
| 2nn divacancy | 2.825 | -6.358 | -6.358 | -6.506 | 0.000 | 0.000 | 0.000 |
| 100 dumbbell | 4.423 | 21.710 | 21.710 | 18.947 | 0.000 | 0.000 | 0.000 |
| crowdion interstitial | 4.729 | 18.810 | 18.810 | 20.421 | 15.087 | -0.000 | -0.000 |
| 110 dumbbell | 4.732 | 20.029 | 18.339 | 18.339 | -0.000 | -0.000 | 14.745 |
| Point Defect | Ef (eV) | p11 (eV) | p22 (eV) | p33 (eV) | p12 (eV) | p13 (eV) | p23 (eV) |
|---|---|---|---|---|---|---|---|
| vacancy | 1.337 | -2.979 | -2.979 | -2.926 | 0.000 | 0.000 | -0.000 |
| 0001 dumbbell | 5.443 | 29.282 | 29.282 | 46.829 | -0.000 | -0.000 | -0.000 |
| Point Defect | Ef (eV) | p11 (eV) | p22 (eV) | p33 (eV) | p12 (eV) | p13 (eV) | p23 (eV) |
|---|---|---|---|---|---|---|---|
| vacancy | 1.128 | -3.700 | -3.700 | -3.700 | -0.000 | -0.000 | -0.000 |
| 1nn divacancy | 2.163 | -8.439 | -6.615 | -6.615 | 0.000 | -0.000 | -0.108 |
| 2nn divacancy | 2.243 | -7.498 | -7.498 | -7.624 | -0.000 | -0.000 | -0.000 |
| 100 dumbbell | 3.314 | 20.149 | 20.149 | 16.140 | 0.000 | -0.000 | -0.000 |
| octahedral interstitial | 3.416 | 21.815 | 21.815 | 21.815 | 0.000 | -0.000 | 0.000 |
| Point Defect | Ef (eV) | p11 (eV) | p22 (eV) | p33 (eV) | p12 (eV) | p13 (eV) | p23 (eV) |
|---|---|---|---|---|---|---|---|
| octahedral interstitial | -4.061 | -9.218 | -9.218 | -9.218 | -0.000 | 0.000 | 0.000 |
| vacancy | 1.112 | -2.085 | -2.085 | -2.085 | 0.000 | 0.000 | 0.000 |
| 1nn divacancy | 2.037 | -5.321 | -4.472 | -4.472 | -0.000 | 0.000 | -0.264 |
| 2nn divacancy | 2.287 | -4.202 | -4.202 | -0.808 | 0.000 | 0.000 | 0.000 |
| Point Defect | Ef (eV) | p11 (eV) | p22 (eV) | p33 (eV) | p12 (eV) | p13 (eV) | p23 (eV) |
|---|---|---|---|---|---|---|---|
| 110 dumbbell | -2.776 | 47.525 | 57.673 | 57.673 | 0.000 | 0.000 | -0.526 |
| 100 dumbbell | -1.580 | 10.618 | 10.618 | 15.622 | 0.000 | 0.000 | 0.000 |
| octahedral interstitial | -1.496 | -0.771 | -0.771 | -0.771 | -0.000 | 0.000 | -0.000 |
| vacancy | 0.006 | 0.000 | 0.000 | 0.000 | -0.000 | -0.000 | -0.000 |
| 1nn divacancy | 0.011 | 0.000 | 0.000 | 0.000 | -0.000 | -0.000 | 0.000 |
| 2nn divacancy | 0.012 | 0.000 | 0.000 | 0.000 | -0.000 | -0.000 | -0.000 |
| Point Defect | Ef (eV) | p11 (eV) | p22 (eV) | p33 (eV) | p12 (eV) | p13 (eV) | p23 (eV) |
|---|---|---|---|---|---|---|---|
| relaxed interstitial | -9539.388 | -59790.695 | -59222.036 | -63611.810 | 1106.480 | -28.026 | 1310.426 |
| crowdion interstitial | -0.482 | 18.457 | 18.457 | 18.457 | -9.245 | -9.245 | -9.245 |
| 110 dumbbell | 0.848 | 7.283 | -1.178 | -1.178 | 0.000 | 0.000 | 45.309 |
| 111 dumbbell | 2.862 | 35.429 | 35.429 | 35.429 | -23.539 | -23.539 | -23.539 |
| tetrahedral interstitial | 4.662 | 7.430 | -16.120 | 7.430 | 0.000 | 0.000 | 0.000 |
| vacancy | 7.038 | 0.268 | 0.268 | 0.268 | 0.000 | 0.000 | 0.000 |
| 1nn divacancy | 12.317 | 0.402 | 0.402 | 0.402 | -0.070 | -0.070 | -0.070 |
| 2nn divacancy | 13.131 | 0.591 | 0.591 | 0.718 | 0.000 | 0.000 | 0.000 |
| Point Defect | Ef (eV) | p11 (eV) | p22 (eV) | p33 (eV) | p12 (eV) | p13 (eV) | p23 (eV) |
|---|---|---|---|---|---|---|---|
| vacancy | 0.004 | -0.000 | -0.000 | -0.000 | 0.000 | 0.000 | 0.000 |
| 1nn divacancy | 0.007 | -0.000 | -0.000 | -0.000 | -0.000 | -0.000 | -0.000 |
| 2nn divacancy | 0.008 | -0.000 | -0.000 | -0.000 | 0.000 | 0.000 | 0.000 |
| Point Defect | Ef (eV) | p11 (eV) | p22 (eV) | p33 (eV) | p12 (eV) | p13 (eV) | p23 (eV) |
|---|---|---|---|---|---|---|---|
| vacancy | 1.188 | -3.644 | -3.644 | -3.644 | -0.000 | -0.000 | -0.000 |
| Point Defect | Ef (eV) | p11 (eV) | p22 (eV) | p33 (eV) | p12 (eV) | p13 (eV) | p23 (eV) |
|---|---|---|---|---|---|---|---|
| relaxed interstitial | -2823.206 | 9.142 | 20.846 | 18.048 | 1.026 | 4.675 | 2.416 |
| 0001 dumbbell | -1.864 | 29.266 | 29.266 | 26.476 | -0.000 | 0.000 | 0.000 |
| vacancy | 0.006 | 0.000 | 0.000 | 0.000 | -0.000 | 0.000 | 0.000 |
| Point Defect | Ef (eV) | p11 (eV) | p22 (eV) | p33 (eV) | p12 (eV) | p13 (eV) | p23 (eV) |
|---|---|---|---|---|---|---|---|
| relaxed interstitial | -14.457 | -104.705 | -104.670 | -104.724 | -0.013 | 0.007 | 0.027 |
| bond centered interstitial | -2.322 | 0.000 | 0.000 | 0.000 | 0.000 | 0.000 | 0.000 |
| tetragonal interstitial | -1.085 | 0.030 | 0.030 | 0.030 | 0.000 | 0.000 | 0.000 |
| vacancy | 0.543 | -0.000 | -0.000 | -0.000 | -0.000 | -0.000 | 0.000 |
| 1nn divacancy | 0.814 | -0.000 | -0.000 | -0.000 | -0.000 | -0.000 | -0.000 |
| Point Defect | Ef (eV) | p11 (eV) | p22 (eV) | p33 (eV) | p12 (eV) | p13 (eV) | p23 (eV) |
|---|---|---|---|---|---|---|---|
| bond centered interstitial | -2.899 | -0.540 | -0.540 | -0.540 | -0.000 | -0.000 | -0.000 |
| 100 dumbbell | -1.592 | -0.000 | -0.000 | -0.000 | 0.000 | 0.000 | 0.000 |
| tetragonal interstitial | -0.002 | 0.000 | 0.000 | 0.000 | -0.000 | -0.000 | -0.000 |
| vacancy | 0.002 | -0.000 | -0.000 | -0.000 | -0.000 | -0.000 | -0.000 |
| 1nn divacancy | 0.003 | -0.000 | -0.000 | -0.000 | -0.000 | -0.000 | -0.000 |
| Point Defect | Ef (eV) | p11 (eV) | p22 (eV) | p33 (eV) | p12 (eV) | p13 (eV) | p23 (eV) |
|---|---|---|---|---|---|---|---|
| vacancy | 1.792 | -8.819 | -8.819 | -8.819 | -0.000 | -0.000 | -0.000 |
| 1nn divacancy | 3.450 | -14.880 | -14.534 | -14.534 | -0.000 | -0.000 | -0.544 |
| 2nn divacancy | 3.803 | -15.934 | -15.934 | -16.594 | -0.000 | -0.000 | -0.000 |
| 100 dumbbell | 5.619 | 65.047 | 65.047 | 59.493 | -0.000 | 0.000 | 0.000 |
| Point Defect | Ef (eV) | p11 (eV) | p22 (eV) | p33 (eV) | p12 (eV) | p13 (eV) | p23 (eV) |
|---|---|---|---|---|---|---|---|
| 2nn divacancy | -2.960 | 0.013 | 0.013 | -0.094 | 0.000 | 0.000 | 0.000 |
| 1nn divacancy | -2.713 | -0.145 | 0.053 | 0.053 | 0.000 | 0.000 | -0.016 |
| vacancy | -1.477 | 0.009 | 0.009 | 0.009 | 0.000 | 0.000 | 0.000 |
| crowdion interstitial | 13.143 | 17.621 | 17.621 | 21.700 | 12.350 | 0.000 | 0.000 |
| 111 dumbbell | 25.066 | -16.979 | -16.979 | -16.979 | -0.885 | -0.885 | -0.885 |
| Point Defect | Ef (eV) | p11 (eV) | p22 (eV) | p33 (eV) | p12 (eV) | p13 (eV) | p23 (eV) |
|---|---|---|---|---|---|---|---|
| vacancy | 0.015 | 0.000 | 0.000 | 0.000 | 0.000 | 0.000 | 0.000 |
| 1nn divacancy | 0.028 | 0.000 | 0.000 | 0.000 | 0.000 | 0.000 | -0.000 |
| 2nn divacancy | 0.031 | 0.000 | 0.000 | 0.000 | 0.000 | 0.000 | 0.000 |
| octahedral interstitial | 1.712 | 2.823 | 2.823 | 2.823 | 0.000 | 0.000 | 0.000 |
| 111 dumbbell | 2.408 | 40.900 | 40.900 | 40.900 | 0.185 | 0.185 | 0.185 |
| tetrahedral interstitial | 2.890 | 94.691 | 94.691 | 94.691 | -0.000 | -0.000 | 0.000 |
| 100 dumbbell | 2.919 | 16.464 | 16.464 | 34.173 | 0.000 | -0.000 | 0.000 |
| crowdion interstitial | 5.657 | 338.362 | 338.362 | 357.726 | 36.687 | 0.000 | 0.000 |
| Point Defect | Ef (eV) | p11 (eV) | p22 (eV) | p33 (eV) | p12 (eV) | p13 (eV) | p23 (eV) |
|---|---|---|---|---|---|---|---|
| vacancy | 0.010 | 0.000 | 0.000 | 0.000 | 0.000 | 0.000 | 0.000 |
| 1nn divacancy | 0.018 | 0.000 | 0.000 | 0.000 | 0.000 | 0.000 | 0.000 |
| 2nn divacancy | 0.021 | 0.000 | 0.000 | 0.000 | 0.000 | 0.000 | -0.000 |
| 111 dumbbell | 1.181 | 29.897 | 29.897 | 29.897 | 1.445 | 1.445 | 1.445 |
| tetrahedral interstitial | 1.296 | -37.570 | -37.854 | -37.570 | -0.000 | 0.000 | 0.000 |
| crowdion interstitial | 1.410 | 28.371 | 28.371 | 28.371 | -8.530 | -8.530 | -8.530 |
| 110 dumbbell | 1.460 | -62.212 | -61.073 | -61.073 | -0.000 | 0.000 | -0.697 |
| Point Defect | Ef (eV) | p11 (eV) | p22 (eV) | p33 (eV) | p12 (eV) | p13 (eV) | p23 (eV) |
|---|---|---|---|---|---|---|---|
| tetragonal interstitial | -0.005 | -0.000 | -0.000 | -0.000 | 0.000 | 0.000 | 0.000 |
| vacancy | 0.005 | 0.000 | 0.000 | 0.000 | 0.000 | 0.000 | 0.000 |
| 1nn divacancy | 0.008 | 0.000 | 0.000 | 0.000 | -0.000 | -0.000 | -0.000 |
| bond centered interstitial | 0.568 | -0.000 | -0.000 | -0.000 | 0.000 | -0.000 | -0.000 |
| 100 dumbbell | 1.421 | -0.000 | -0.000 | -0.000 | -0.000 | 0.000 | 0.000 |
| Point Defect | Ef (eV) | p11 (eV) | p22 (eV) | p33 (eV) | p12 (eV) | p13 (eV) | p23 (eV) |
|---|---|---|---|---|---|---|---|
| vacancy | 1.600 | -2.772 | -2.772 | -2.772 | -0.000 | -0.000 | -0.000 |
| 1nn divacancy | 3.063 | -5.706 | -4.949 | -4.949 | -0.000 | -0.000 | -0.068 |
| 2nn divacancy | 3.267 | -5.519 | -5.519 | -5.827 | 0.000 | -0.000 | -0.000 |
| 100 dumbbell | 5.401 | 24.513 | 24.513 | 22.423 | -0.000 | 0.000 | -0.000 |
| 110 dumbbell | 5.819 | 22.769 | 20.756 | 20.756 | 0.000 | 0.000 | 15.753 |
| octahedral interstitial | 5.856 | 26.636 | 26.636 | 26.636 | -0.000 | -0.000 | -0.000 |
| Point Defect | Ef (eV) | p11 (eV) | p22 (eV) | p33 (eV) | p12 (eV) | p13 (eV) | p23 (eV) |
|---|---|---|---|---|---|---|---|
| 111 dumbbell | -34.770 | 0.896 | 0.896 | 0.896 | -0.158 | -0.158 | -0.158 |
| 2nn divacancy | -0.024 | -0.000 | -0.000 | -0.000 | -0.000 | -0.000 | -0.000 |
| 1nn divacancy | -0.022 | -0.000 | -0.000 | -0.000 | -0.000 | -0.000 | -0.000 |
| vacancy | -0.012 | -0.000 | -0.000 | -0.000 | -0.000 | -0.000 | -0.000 |
| Point Defect | Ef (eV) | p11 (eV) | p22 (eV) | p33 (eV) | p12 (eV) | p13 (eV) | p23 (eV) |
|---|---|---|---|---|---|---|---|
| crowdion interstitial | -2.008 | 0.033 | 0.033 | 0.033 | -0.074 | -0.074 | -0.074 |
| 2nn divacancy | -0.016 | -0.000 | -0.000 | -0.000 | 0.000 | 0.000 | 0.000 |
| 1nn divacancy | -0.014 | -0.000 | -0.000 | -0.000 | -0.000 | -0.000 | -0.000 |
| vacancy | -0.008 | -0.000 | -0.000 | -0.000 | 0.000 | 0.000 | 0.000 |
| Point Defect | Ef (eV) | p11 (eV) | p22 (eV) | p33 (eV) | p12 (eV) | p13 (eV) | p23 (eV) |
|---|---|---|---|---|---|---|---|
| vacancy | 141.513 | -20.517 | -20.517 | -17.871 | -0.000 | -0.000 | -0.000 |
| 0001 dumbbell | 300.350 | 1607.760 | 1607.760 | 1927.041 | 0.000 | -0.000 | -0.000 |
| Point Defect | Ef (eV) | p11 (eV) | p22 (eV) | p33 (eV) | p12 (eV) | p13 (eV) | p23 (eV) |
|---|---|---|---|---|---|---|---|
| vacancy | 1.537 | -2.550 | -2.550 | -2.614 | -0.000 | -0.000 | 0.000 |
| Point Defect | Ef (eV) | p11 (eV) | p22 (eV) | p33 (eV) | p12 (eV) | p13 (eV) | p23 (eV) |
|---|---|---|---|---|---|---|---|
| 100 dumbbell | -14.266 | -0.000 | -0.000 | -0.000 | 0.000 | 0.000 | 0.000 |
| 1nn divacancy | -0.006 | -0.000 | -0.000 | -0.000 | -0.000 | -0.000 | -0.000 |
| vacancy | -0.004 | -0.000 | -0.000 | -0.000 | -0.000 | -0.000 | -0.000 |
| tetragonal interstitial | 0.004 | 0.000 | 0.000 | 0.000 | -0.000 | -0.000 | -0.000 |
Plots of the atomic structure of dislocation cores are shown here. The dislocations were constructed using dislocation monopole configurations in which a straight dislocation is created in the center of the system using anisotropic elasticity and the elastic constants computed above. A cylindrical region centered around the dislocation is allowed to relax while the remaining atoms are held fixed. The relaxation consists of 1 million NVT steps at 10 K followed by an energy/force minimization. The final plots show the atomic configuration near the center of the monopole system, and display differential displacement arrows and Nye tensor color maps that are both taken with respect to the Burgers vector direction.
These plots show a wide range of final structures, some corresponding to expected dislocation structures and others not. While the characterizations are dislocation-type dependent, some general classification guidelines are listed here.
The calculation method used is available as the iprPy dislocation_monopole calculation method.
Links are provided above the images allowing for users to download the final defect configuration and a corresponding defect-free configuration if they wish to further analyze the structures or use them for subsequent simulations.
Notes and Disclaimers:
Version Information:
Plots of lattice and elastic constants are shown as a function of temperature. The 0K points were taken from the Crystal Structure Predictions and the Elastic Constants Predictions sections above for the unique crystal structures relaxed with the "dynamic" method. Starting from the 0 K relaxed crystal unit cells, supercell systems are created by replicating all three dimensions by the same multiplier to achieve at least 4000 atoms. The systems are then relaxed at 50 K and zero pressure using 1 million NPT steps. Lattice constants are estimated by averaging the measured box dimensions. Temperatures are iteratively increased by 50 K, with each subsequent relaxation calculation starting from the final atomic configuration at the previous temperature and relaxing for another 1 million steps.
The elastic constants are calculated using the deformation–fluctuation hybrid method. Starting from the final atomic configurations of the dynamic relaxations, the system is allowed to evolve at constant volume with a Langevin thermostat. The Born matrix is computed during this run by evaluating how the atomic forces would vary due to applied linear strain fields. The elastic constants can then be estimated using the averaged Born matrix values and the averaged stresses on the system.
The calculation methods used are available as the iprPy relax_dynamic and elastic_constants_dynamic calculation methods.
Clicking on the image of a plot will open an interactive version of it in a new tab. The underlying data for the plots can be downloaded by clicking on the links above each plot.
Notes and Disclaimers:
Version Information:
Plots of radial distribution functions at different temperatures and the temperature-dependent diffusion and viscosity are shown here for elemental liquids. Melt phases are constructed by starting with a 10x10x10 fcc super cell and relaxing with 50,000 NPT steps at zero pressure and a high melting temperature (3000 K for most potentials and elements). Following the melt, liquid structures are relaxed by running NPT for 10,000 steps over which the temperature is dropped by 50 K, then 50,000 NPT at the target temperature to estimate the equilibrium volume, followed by 20,000 NVT steps at the averaged equilibrium volume and target temperature. Structures from the NVT run are sampled to compute the radial distribution function of the liquid at the corresponding temperature.
The final relaxed configurations at each temperature explored are used as the initial configurations for the diffusion and viscosity calculations. For diffusion, the system is integrated for 100 runs of 2,000 NVT steps during which both the mean squared displacement (MSD) and the velocity auto correlation function (VACF) are computed. From these simulations, three estimates of diffusion are computed: one from the MSD of the full 200,000 step run, one in which the MSD is reset for each short run and then averaged, and one from the VACF computed for each short run and averaged. For viscosity, the Green-Kubo method is used which is evaluated during a 1 million step NVT run.
The calculation methods used are available as the iprPy relax_liquid_redo, diffusion_liquid, and viscosity_green_kubo calculation methods.
Clicking on the image of a plot will open an interactive version of it in a new tab. The underlying data for the plots can be downloaded by clicking on the links above each plot.
Notes and Disclaimers:
Version Information:
Estimated melting temperatures are tabulated below. The melting temperature is computed here using a two-phase solid-liquid atomic configuration. The two-phase configuration is created by starting with a crystalline system in which the c box vector is roughly twice the length of the other two box vectors. Based on some input temperature Tinit, an NPH plus a Berensen thermostat simulation is performed for 10,000 steps in which half the system is subjected to a temperature of 1.25*Tinit and the other half to a temperature of 0.5*Tinit. This is then followed by 10,000 steps during which the temperature of the two regions are both scaled to Tinit. The system is then ran for 200,000 NPH steps to equilibrate the system. For the second half of the final NPH run, the average temperature of the system is calculated and the polyhedral template matching algorithm is used to estimate the number of solid and liquid atoms for a number of configuration snapshots. If the averaged fraction of solid atoms is found to be between 0.25-0.75, then the averaged temperature provides an estimate of the melting temperature.
This calculation is iteratively performed where the Tinit value is adjusted up or down if the fraction of solid atoms is outside the range 0.25-0.75. Iterations are repeated until 10 calculations are performed that produce solid fractions in the target range, or 30 total calculations are performed.
The calculation method used is available as the iprPy melting_temperature calculation method.
Notes and Disclaimers:
Version Information:
| prototype | Tmelt | stderr |
|---|---|---|
| A2--W--bcc | 839.9 | 57.86 |
| prototype | Tmelt | stderr |
|---|---|---|
| A1--Cu--fcc | 1911.76 | 0.96 |
| A3--Mg--hcp | 1908.71 | 2.58 |
| prototype | Tmelt | stderr |
|---|---|---|
| A1--Cu--fcc | 1170.5 | 0.91 |
| A3--Mg--hcp | 1967.1 | 762.92 |
| prototype | Tmelt | stderr |
|---|---|---|
| A1--Cu--fcc | 2728.66 | 2.86 |
| prototype | Tmelt | stderr |
|---|---|---|
| A1--Cu--fcc | 2197.24 | 1.24 |
| A2--W--bcc | 536.21 | 18.18 |
| A3--Mg--hcp | 2187.36 | 2.94 |
Plots of internal energy, Gibbs free energy, entropy, heat capacity and volume are shown here as a function of temperature for various crystal structures and liquid phases. The included crystal structures correspond to those in the Solid Structures vs. Temperature section, and the liquid phases to those in the Liquid Properties section. Internal energy and volume are taken from the associated structure relaxations mentioned in those previous sections. Constant pressure heat capacity is estimated using 3-point numerical derivatives of enthalpy versus temperature. Note that since all simulations done here are at 0 pressure, internal energy and enthalpy are equivalent.
The Gibbs energies of the phases are estimated using thermodynamic integration between the interatomic potential in question and a simpler model with known Gibbs free energy values. For solids, the reference model is an Einstein solid, while for liquids it is the Uhlenbeck-Ford potential. Besides a short run at the start of the solid calculations to estimate Einstein model spring constants, the two calculations proceed similarly. Starting with the final relaxation configurations, the systems are stabilized for 25,000 steps. Then, over the next 50,000 steps the potential is swapped out for the reference potential. The system is then stabilized for another 25,000 steps with the reference model before a reverse swap of 50,000 steps is performed. The simulation ends with one final 25,000 step stabilization period. From the simulation, the irreversible work of transformation is estimated and used to compute the absolute Gibbs free energy of the target phase and potential relative to the reference potential. Entropy is estimated as the difference in enthalpy and Gibbs free energy and divided by temperature.
The calculation methods used are available as the iprPy relax_dynamic, relax_liquid_redo, free_energy, and free_energy_liquid calculation methods.
Clicking on the image of a plot will open an interactive version of it in a new tab. The underlying data for the plots can be downloaded by clicking on the links above each plot.
Notes and Disclaimers:
Version Information:






