Plots of the potential energy vs interatomic spacing, r, are shown below for all diatom sets associated with the interatomic potential. This calculation provides insights into the functional form of the potential's two-body interactions. A system consisting of only two atoms is created, and the potential energy is evaluated for the atoms separated by 0.02 Å <= r <= 6.0> Å in intervals of 0.02 Å. Two plots are shown: one for the "standard" interaction distance range, and one for small values of r. The small r plot is useful for determining whether the potential is suitable for radiation studies.
The calculation method used is available as the iprPy diatom_scan calculation method.
Clicking on the image of a plot will open an interactive version of it in a new tab. The underlying data for the plots can be downloaded by clicking on the links above each plot.
Notes and Disclaimers:
Version Information:
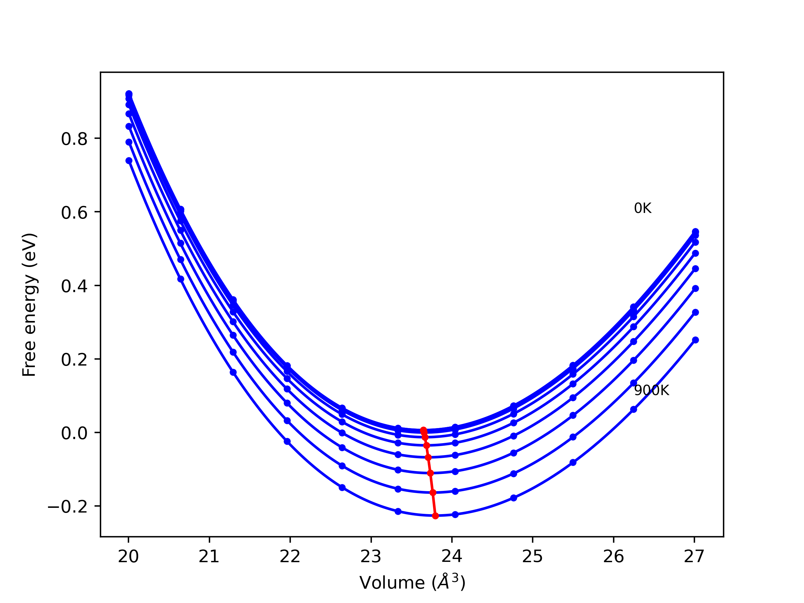
Plots of potential energy vs interatomic spacing, r, are shown below for a number of crystal structures. The structures are generated based on the ideal atomic positions and b/a and c/a lattice parameter ratios for a given crystal prototype. The size of the system is then uniformly scaled, and the energy calculated without relaxing the system. To obtain these plots, values of r are evaluated every 0.02 Å up to 6 Å.
The calculation method used is available as the iprPy E_vs_r_scan calculation method.
Clicking on the image of a plot will open an interactive version of it in a new tab. The underlying data for the plots can be downloaded by clicking on the links above each plot.
Notes and Disclaimers:
Version Information:
Computed lattice constants and cohesive/potential energies are displayed for a variety of crystal structures. The values displayed here are obtained using the following process.
The calculation methods used are implemented into iprPy as the following calculation styles
Notes and Disclaimers:
Version Information:
Download raw data (including filtered results)
Reference structure matches:
A1--Cu--fcc = oqmd-1214512
A15--beta-W = oqmd-1214957
A2--W--bcc = oqmd-1215135
A3'--alpha-La--double-hcp = oqmd-1215403
A3--Mg--hcp = oqmd-1215313
A4--C--dc = mp-66, oqmd-675640
A5--beta-Sn = oqmd-1215581
A6--In--bct = mp-1181996, oqmd-1215670
A7--alpha-As = oqmd-594528
Ah--alpha-Po--sc = mp-998866, oqmd-636457, oqmd-1214601
| prototype | method | Ecoh (eV/atom) | Epot (eV/atom) | a0 (Å) | b0 (Å) | c0 (Å) | α (degrees) | β (degrees) | γ (degrees) | 
|---|---|---|---|---|---|---|---|---|---|
| mp-569416 | dynamic | -7.6352 | -7.6352 | 2.4709 | 2.4709 | 79.4135 | 90.0 | 90.0 | 120.0 | 
| oqmd-589492 | dynamic | -7.6352 | -7.6352 | 2.4709 | 2.4709 | 61.5031 | 90.0 | 90.0 | 120.0 | 
| mp-568806 | dynamic | -7.6352 | -7.6352 | 2.4709 | 2.4709 | 5.1569 | 90.0 | 90.0 | 120.0 | 
| mp-568286 | dynamic | -7.6352 | -7.6352 | 2.4709 | 4.2797 | 10.3235 | 90.0 | 90.0 | 90.0 | 
| mp-937760 | static | -7.6352 | -7.6352 | 2.4709 | 4.2797 | 10.0238 | 90.0 | 90.0 | 90.0 | 
| mp-568363 | static | -7.6352 | -7.6352 | 2.4709 | 4.2797 | 10.5691 | 90.0 | 90.0 | 90.0 | 
| mp-169 | static | -7.6352 | -7.6352 | 4.2797 | 2.4709 | 5.1344 | 90.0 | 103.4 | 90.0 | 
| A7--alpha-As | dynamic | -7.6352 | -7.6352 | 2.4709 | 2.4709 | 15.9957 | 90.0 | 90.0 | 120.0 | 
| mp-169 | dynamic | -7.6352 | -7.6352 | 4.2797 | 2.4709 | 5.4736 | 90.0 | 104.3 | 90.0 | 
| mp-632329 | dynamic | -7.6352 | -7.6352 | 4.2797 | 2.4709 | 5.0513 | 90.0 | 91.0 | 90.0 | 
| mp-632329 | static | -7.6352 | -7.6352 | 4.2797 | 2.4709 | 5.0023 | 90.0 | 91.0 | 90.0 | 
| oqmd-590101 | static | -7.6352 | -7.6352 | 2.4709 | 2.4709 | 10.0002 | 90.0 | 90.0 | 120.0 | 
| oqmd-1214690 | static | -7.6352 | -7.6352 | 2.4709 | 4.2797 | 9.8982 | 90.0 | 90.0 | 90.0 | 
| oqmd-1215046 | dynamic | -7.6352 | -7.6352 | 2.4709 | 2.4709 | 6.112 | 82.8 | 78.8 | 60.0 | 
| mp-48 | dynamic | -7.6352 | -7.6352 | 2.4709 | 2.4709 | 10.0487 | 90.0 | 90.0 | 120.0 | 
| oqmd-589491 | static | -7.6352 | -7.6352 | 2.4709 | 2.4709 | 49.7295 | 90.0 | 90.0 | 120.0 | 
| oqmd-1215937 | static | -7.6352 | -7.6352 | 2.4709 | 2.4709 | 10.0 | 90.0 | 90.0 | 120.0 | 
| oqmd-589491 | dynamic | -7.6352 | -7.6352 | 2.4709 | 2.4709 | 42.5396 | 90.0 | 90.0 | 120.0 | 
| mp-997182 | dynamic | -7.6352 | -7.6352 | 2.4709 | 2.4709 | 12.0458 | 90.0 | 90.0 | 120.0 | 
| mp-990448 | dynamic | -7.6352 | -7.6352 | 2.4709 | 2.4709 | 8.5242 | 90.0 | 90.0 | 120.0 | 
| mp-1040425 | dynamic | -7.6352 | -7.6352 | 2.4709 | 2.4709 | 19.9983 | 90.0 | 90.0 | 120.0 | 
| mp-990448 | static | -7.6352 | -7.6352 | 2.4709 | 2.4709 | 8.5238 | 90.0 | 90.0 | 120.0 | 
| oqmd-589492 | static | -7.6352 | -7.6352 | 2.4709 | 2.4709 | 79.7991 | 90.0 | 90.0 | 120.0 | 
| mp-569304 | dynamic | -7.6352 | -7.6352 | 2.4709 | 2.4709 | 47.7847 | 90.0 | 90.0 | 120.0 | 
| mp-937760 | dynamic | -7.6352 | -7.6352 | 2.4709 | 4.2797 | 10.2064 | 90.0 | 90.0 | 90.0 | 
| mp-568363 | dynamic | -7.6352 | -7.6352 | 2.4709 | 4.2797 | 11.3984 | 90.0 | 90.0 | 90.0 | 
| mp-569304 | static | -7.6352 | -7.6352 | 2.4709 | 2.4709 | 48.5816 | 90.0 | 90.0 | 120.0 | 
| mp-990424 | static | -7.6352 | -7.6352 | 2.4709 | 2.4709 | 35.4759 | 90.0 | 90.0 | 120.0 | 
| oqmd-683819 | static | -7.6352 | -7.6352 | 2.4709 | 4.2797 | 9.9195 | 90.0 | 90.0 | 90.0 | 
| oqmd-683820 | static | -7.6352 | -7.6352 | 2.4709 | 4.2797 | 9.9129 | 90.0 | 90.0 | 90.0 | 
| oqmd-589493 | static | -7.6352 | -7.6352 | 2.4709 | 2.4709 | 43.4671 | 90.0 | 90.0 | 120.0 | 
| mp-568806 | static | -7.6352 | -7.6352 | 2.4709 | 2.4709 | 5.0003 | 90.0 | 90.0 | 120.0 | 
| mp-568286 | static | -7.6352 | -7.6352 | 2.4709 | 4.2797 | 10.1296 | 90.0 | 90.0 | 90.0 | 
| mp-606949 | static | -7.6352 | -7.6352 | 2.4709 | 2.4709 | 42.7538 | 90.0 | 90.0 | 120.0 | 
| mp-569416 | static | -7.6352 | -7.6352 | 2.4709 | 2.4709 | 79.4627 | 90.0 | 90.0 | 120.0 | 
| mp-1096869 | dynamic | -7.5538 | -7.5538 | 25.4705 | 14.5747 | 7.8761 | 90.0 | 90.1 | 90.0 | 
| mp-1096869 | static | -7.5416 | -7.5416 | 25.4967 | 14.704 | 51.5722 | 90.0 | 92.8 | 90.0 | 
| mp-1018088 | box | -7.3816 | -7.3816 | 4.1061 | 4.1061 | 4.1061 | 90.0 | 90.0 | 90.0 | 
| A4--C--dc | dynamic | -7.368 | -7.368 | 3.5673 | 3.5673 | 3.5673 | 90.0 | 90.0 | 90.0 | 
| oqmd-689315 | dynamic | -7.3071 | -7.3071 | 12.2073 | 23.3569 | 18.3201 | 90.0 | 90.0 | 90.0 | 
| mp-683919 | dynamic | -7.3071 | -7.3071 | 13.2251 | 22.3827 | 18.3201 | 90.0 | 90.0 | 90.0 | 
| oqmd-677227 | dynamic | -7.29 | -7.29 | 16.8753 | 16.8753 | 16.8753 | 90.0 | 90.0 | 90.0 | 
| mp-1196583 | dynamic | -7.29 | -7.29 | 17.4641 | 17.4641 | 17.4641 | 90.0 | 90.0 | 90.0 | 
| mp-667273 | dynamic | -7.29 | -7.29 | 17.3343 | 17.3343 | 17.3343 | 90.0 | 90.0 | 90.0 | 
| mp-1196583 | static | -7.2841 | -7.2841 | 16.757 | 16.757 | 16.757 | 90.0 | 90.0 | 90.0 | 
| mp-616440 | dynamic | -7.2623 | -7.2623 | 2.5071 | 2.5071 | 16.8606 | 90.0 | 90.0 | 120.0 | 
| mp-1205283 | dynamic | -7.2603 | -7.2603 | 13.1711 | 18.7797 | 9.2929 | 90.0 | 90.0 | 90.0 | 
| mp-1147718 | dynamic | -7.2603 | -7.2603 | 12.7041 | 18.6768 | 9.2929 | 90.0 | 90.0 | 90.0 | 
| oqmd-603085 | static | -7.2601 | -7.2601 | 16.1325 | 16.1325 | 16.1325 | 90.0 | 90.0 | 90.0 | 
| mp-569567 | dynamic | -7.2475 | -7.2475 | 2.505 | 2.505 | 44.3975 | 90.0 | 90.0 | 120.0 | 
| mp-630227 | dynamic | -7.2315 | -7.2315 | 9.2435 | 9.2968 | 20.7547 | 90.0 | 90.0 | 90.0 | 
| oqmd-595714 | dynamic | -7.2315 | -7.2315 | 9.2435 | 9.2968 | 20.4967 | 90.0 | 90.0 | 90.0 | 
| mp-611448 | dynamic | -7.2279 | -7.2279 | 2.5023 | 2.5023 | 12.7372 | 90.0 | 90.0 | 120.0 | 
| mp-667273 | static | -7.2248 | -7.2248 | 15.507 | 15.507 | 15.507 | 90.0 | 90.0 | 90.0 | 
| mp-630227 | static | -7.2201 | -7.2201 | 9.2704 | 9.293 | 18.7605 | 90.0 | 90.0 | 90.0 | 
| mp-1147718 | static | -7.2177 | -7.2177 | 11.5463 | 16.564 | 9.3354 | 90.0 | 90.0 | 90.0 | 
| oqmd-595714 | static | -7.2144 | -7.2144 | 9.2761 | 9.2886 | 18.2944 | 90.0 | 90.0 | 90.0 | 
| oqmd-684627 | static | -7.2037 | -7.2037 | 9.3022 | 9.3022 | 17.9258 | 90.0 | 90.0 | 90.0 | 
| mp-683919 | static | -7.2029 | -7.2029 | 11.1091 | 18.4767 | 18.7219 | 90.0 | 90.0 | 90.0 | 
| mp-569517 | dynamic | -7.2017 | -7.2017 | 2.4987 | 2.4987 | 32.0175 | 90.0 | 90.0 | 120.0 | 
| oqmd-689315 | static | -7.2016 | -7.2016 | 11.1106 | 18.4236 | 18.7026 | 90.0 | 90.0 | 90.0 | 
| mp-680372 | dynamic | -7.1967 | -7.1967 | 9.2935 | 9.2935 | 32.3419 | 90.0 | 90.0 | 120.0 | 
| oqmd-614417 | dynamic | -7.1967 | -7.1967 | 9.2935 | 9.2935 | 31.8932 | 90.0 | 90.0 | 120.0 | 
| mp-680372 | static | -7.1804 | -7.1804 | 9.2984 | 9.2984 | 29.4776 | 90.0 | 90.0 | 120.0 | 
| oqmd-599492 | box | -7.1736 | -7.1736 | 2.4855 | 2.4855 | 17.3445 | 90.0 | 90.0 | 120.0 | 
| mp-616440 | box | -7.1726 | -7.1726 | 2.4854 | 2.4854 | 17.3476 | 90.0 | 90.0 | 120.0 | 
| mp-1188817 | dynamic | -7.1662 | -7.1662 | 5.24 | 5.24 | 5.24 | 90.0 | 90.0 | 90.0 | 
| oqmd-599490 | dynamic | -7.1626 | -7.1626 | 2.4935 | 2.4935 | 8.6064 | 90.0 | 90.0 | 120.0 | 
| mp-569567 | box | -7.1548 | -7.1548 | 2.4823 | 2.4823 | 45.7425 | 90.0 | 90.0 | 120.0 | 
| oqmd-614417 | static | -7.1476 | -7.1476 | 9.2843 | 9.2843 | 27.9272 | 90.0 | 90.0 | 120.0 | 
| mp-667273 | box | -7.1354 | -7.1354 | 14.7413 | 14.7413 | 14.7413 | 90.0 | 90.0 | 90.0 | 
| mp-611448 | box | -7.1326 | -7.1326 | 2.4786 | 2.4786 | 13.1395 | 90.0 | 90.0 | 120.0 | 
| oqmd-599491 | box | -7.1324 | -7.1324 | 2.4786 | 2.4786 | 13.1397 | 90.0 | 90.0 | 120.0 | 
| mp-569517 | box | -7.1052 | -7.1052 | 2.4742 | 2.4742 | 33.0614 | 90.0 | 90.0 | 120.0 | 
| oqmd-599493 | box | -7.102 | -7.102 | 2.474 | 2.474 | 33.0806 | 90.0 | 90.0 | 120.0 | 
| oqmd-599489 | dynamic | -7.0875 | -7.0875 | 2.4871 | 2.4871 | 4.3554 | 90.0 | 90.0 | 120.0 | 
| mp-611426 | box | -7.0697 | -7.0697 | 2.4691 | 2.4691 | 8.8871 | 90.0 | 90.0 | 120.0 | 
| oqmd-599490 | box | -7.0688 | -7.0688 | 2.4689 | 2.4689 | 8.8892 | 90.0 | 90.0 | 120.0 | 
| mp-630227 | box | -7.0679 | -7.0679 | 9.2418 | 9.2529 | 16.3036 | 90.0 | 90.0 | 90.0 | 
| oqmd-603085 | box | -7.0566 | -7.0566 | 14.279 | 14.279 | 14.279 | 90.0 | 90.0 | 90.0 | 
| mp-683919 | box | -7.0513 | -7.0513 | 10.42 | 18.1136 | 18.4428 | 90.0 | 90.0 | 90.0 | 
| mp-1196583 | box | -7.0404 | -7.0404 | 14.7794 | 14.7794 | 14.7794 | 90.0 | 90.0 | 90.0 | 
| mp-624889 | static | -7.0385 | -7.0385 | 4.6463 | 5.7604 | 7.5106 | 90.0 | 90.0 | 90.0 | 
| mp-624889 | dynamic | -7.0385 | -7.0385 | 4.6463 | 5.7604 | 7.6227 | 90.0 | 90.0 | 90.0 | 
| mp-680372 | box | -7.0246 | -7.0246 | 9.3245 | 9.3245 | 26.564 | 90.0 | 90.0 | 120.0 | 
| mp-568410 | static | -7.0224 | -7.0224 | 4.6172 | 6.0409 | 4.3998 | 90.0 | 90.0 | 90.0 | 
| oqmd-689315 | box | -7.0224 | -7.0224 | 10.4058 | 18.092 | 18.4384 | 90.0 | 90.0 | 90.0 | 
| oqmd-684627 | box | -7.0147 | -7.0147 | 9.2791 | 9.2791 | 15.9121 | 90.0 | 90.0 | 90.0 | 
| mp-568028 | static | -6.9983 | -6.9983 | 8.7189 | 14.1612 | 9.5191 | 90.0 | 90.0 | 90.0 | 
| mp-579909 | dynamic | -6.9975 | -6.9975 | 4.5932 | 5.7448 | 7.9145 | 90.0 | 90.0 | 90.0 | 
| oqmd-610552 | static | -6.9975 | -6.9975 | 4.5932 | 5.7448 | 7.7818 | 90.0 | 90.0 | 90.0 | 
| mp-1147718 | box | -6.9902 | -6.9902 | 10.7177 | 15.1136 | 9.3789 | 90.0 | 90.0 | 90.0 | 
| oqmd-610556 | box | -6.9813 | -6.9813 | 4.6399 | 6.1734 | 4.3516 | 90.0 | 90.0 | 90.0 | 
| mp-568410 | box | -6.9807 | -6.9807 | 4.6394 | 6.1704 | 4.3525 | 90.0 | 90.0 | 90.0 | 
| oqmd-610557 | box | -6.9799 | -6.9799 | 4.6412 | 6.1807 | 4.3495 | 90.0 | 90.0 | 90.0 | 
| oqmd-677227 | box | -6.9793 | -6.9793 | 14.5759 | 14.5759 | 14.5759 | 90.0 | 90.0 | 90.0 | 
| oqmd-637443 | box | -6.9744 | -6.9744 | 5.2978 | 5.2978 | 5.2978 | 90.0 | 90.0 | 90.0 | 
| mp-1188817 | box | -6.9309 | -6.9309 | 5.3072 | 5.3072 | 5.3072 | 90.0 | 90.0 | 90.0 | 
| mp-1078845 | dynamic | -6.9285 | -6.9285 | 4.4564 | 8.9548 | 2.4463 | 90.0 | 90.0 | 90.0 | 
| oqmd-614417 | box | -6.9105 | -6.9105 | 9.3772 | 9.3772 | 25.3734 | 90.0 | 90.0 | 120.0 | 
| oqmd-595714 | box | -6.9021 | -6.9021 | 9.2821 | 9.3906 | 15.2405 | 90.0 | 90.0 | 90.0 | 
| mp-1205283 | static | -6.902 | -6.902 | 10.0436 | 13.8709 | 9.0691 | 90.0 | 90.0 | 90.0 | 
| mp-1080826 | dynamic | -6.8846 | -6.8846 | 9.3805 | 2.5614 | 4.1753 | 90.0 | 96.7 | 90.0 | 
| mp-1190171 | dynamic | -6.8839 | -6.8839 | 9.3098 | 2.5618 | 4.1776 | 90.0 | 90.0 | 90.0 | 
| mp-1078845 | box | -6.8621 | -6.8621 | 4.5969 | 8.7963 | 2.4411 | 90.0 | 90.0 | 90.0 | 
| oqmd-637353 | dynamic | -6.8546 | -6.8546 | 4.5782 | 4.5782 | 2.4112 | 90.0 | 90.0 | 90.0 | 
| oqmd-637352 | box | -6.8489 | -6.8489 | 9.4338 | 2.5685 | 4.1783 | 90.0 | 96.3 | 90.0 | 
| mp-1080826 | box | -6.8488 | -6.8488 | 9.4367 | 2.5681 | 4.1774 | 90.0 | 96.3 | 90.0 | 
| oqmd-637353 | box | -6.8455 | -6.8455 | 4.5775 | 4.5775 | 2.4228 | 90.0 | 90.0 | 90.0 | 
| oqmd-637130 | box | -6.8453 | -6.8453 | 9.3433 | 2.5707 | 4.1876 | 90.0 | 90.0 | 90.0 | 
| mp-1190171 | box | -6.8451 | -6.8451 | 9.3492 | 2.5705 | 4.1858 | 90.0 | 90.0 | 90.0 | 
| mp-1008395 | box | -6.8449 | -6.8449 | 4.5775 | 4.5775 | 2.4232 | 90.0 | 90.0 | 90.0 | 
| mp-1244964 | static | -6.6535 | -6.6535 | 10.0641 | 10.1137 | 11.7118 | 92.4 | 94.2 | 91.5 | 
| mp-1245190 | static | -6.648 | -6.648 | 10.2765 | 10.8243 | 10.8439 | 94.1 | 96.3 | 94.1 | 
| mp-568028 | box | -6.6462 | -6.6462 | 9.0771 | 14.4987 | 9.6826 | 90.0 | 90.0 | 90.0 | 
| mp-1196857 | dynamic | -6.5766 | -6.5766 | 11.8089 | 22.246 | 7.6075 | 90.0 | 90.0 | 90.0 | 
| mp-1244913 | dynamic | -6.5523 | -6.5523 | 11.5279 | 11.9531 | 12.0496 | 93.6 | 90.8 | 95.2 | 
| mp-1182684 | static | -6.531 | -6.531 | 12.2244 | 12.8482 | 20.491 | 90.0 | 90.0 | 90.0 | 
| oqmd-684315 | static | -6.5277 | -6.5277 | 9.9206 | 17.5363 | 9.1993 | 90.0 | 90.0 | 90.0 | 
| mp-1196857 | static | -6.5095 | -6.5095 | 12.0735 | 20.4127 | 6.9588 | 90.0 | 90.0 | 90.0 | 
| mp-1197903 | dynamic | -6.4951 | -6.4951 | 10.2477 | 13.3411 | 28.5231 | 99.3 | 96.0 | 102.9 | 
| mp-1197903 | static | -6.4557 | -6.4557 | 8.7903 | 12.2233 | 22.1406 | 90.6 | 98.7 | 106.8 | 
| mp-1244913 | static | -6.3423 | -6.3423 | 10.6223 | 10.7755 | 11.4547 | 87.1 | 87.5 | 85.0 | 
| oqmd-1215224 | static | -6.3161 | -6.3161 | 5.2386 | 2.4844 | 5.4285 | 90.0 | 117.6 | 90.0 | 
| mp-1182684 | dynamic | -6.226 | -6.226 | 13.9551 | 14.3279 | 20.9097 | 90.0 | 90.0 | 90.0 | 
| mp-570002 | static | -5.6062 | -5.6062 | 5.1674 | 5.1674 | 5.1674 | 90.0 | 90.0 | 90.0 | 
| oqmd-585286 | box | -5.3798 | -5.3798 | 5.2858 | 5.2858 | 5.2858 | 90.0 | 90.0 | 90.0 | 
| mp-570002 | box | -5.3792 | -5.3792 | 5.2861 | 5.2861 | 5.2861 | 90.0 | 90.0 | 90.0 | 
| oqmd-684315 | box | -5.1955 | -5.1955 | 10.7373 | 17.0076 | 9.806 | 90.0 | 90.0 | 90.0 | 
| mp-1245190 | box | -5.114 | -5.114 | 11.1319 | 11.9017 | 12.1332 | 88.4 | 89.2 | 87.5 | 
| mp-1192619 | dynamic | -4.9404 | -4.9404 | 17.3672 | 17.3672 | 17.3672 | 90.0 | 90.0 | 90.0 | 
| mp-1244964 | box | -4.6664 | -4.6664 | 11.4075 | 12.1762 | 12.7797 | 90.6 | 94.2 | 95.1 | 
| mp-1244913 | box | -4.2409 | -4.2409 | 12.2672 | 12.543 | 13.5298 | 87.3 | 83.5 | 86.0 | 
| mp-24 | box | -3.6444 | -3.6444 | 5.0559 | 5.0559 | 5.0559 | 90.0 | 90.0 | 90.0 | 
| mp-1205417 | box | -3.531 | -3.531 | 15.3547 | 15.3547 | 9.0406 | 90.0 | 90.0 | 90.0 | 
| mp-1095633 | box | -3.3845 | -3.3845 | 7.9877 | 7.9877 | 9.0138 | 90.0 | 90.0 | 90.0 | 
| oqmd-1214868 | box | -2.3856 | -2.3856 | 9.1105 | 9.1105 | 9.1105 | 90.0 | 90.0 | 90.0 | 
| mp-1244964 | dynamic | -1.7664 | -1.7664 | 21.9224 | 39.1499 | 102.2039 | 96.4 | 95.2 | 96.3 | 
| A7--alpha-As | box | -1.1256 | -1.1256 | 2.9661 | 2.9661 | 8.5468 | 90.0 | 90.0 | 120.0 | 
| Ah--alpha-Po--sc | static | -0.1156 | -0.1156 | 2.3717 | 2.3717 | 2.3717 | 90.0 | 90.0 | 90.0 | 
| A1--Cu--fcc | static | -0.0617 | -0.0617 | 6.9914 | 6.9914 | 6.9914 | 90.0 | 90.0 | 90.0 | 
| A6--In--bct | box | -0.0614 | -0.0614 | 4.8085 | 4.8085 | 7.2231 | 90.0 | 90.0 | 90.0 | 
| Ah--alpha-Po--sc | static | -0.0613 | -0.0613 | 4.5443 | 4.5443 | 4.5443 | 90.0 | 90.0 | 90.0 | 
| A2--W--bcc | static | -0.0604 | -0.0604 | 5.5221 | 5.5221 | 5.5221 | 90.0 | 90.0 | 90.0 | 
| A15--beta-W | box | -0.0563 | -0.0563 | 8.9155 | 8.9155 | 8.9155 | 90.0 | 90.0 | 90.0 | 
| A15--beta-W | static | -0.0265 | -0.0265 | 8.1069 | 8.1069 | 8.1069 | 90.0 | 90.0 | 90.0 | 
| A3'--alpha-La--double-hcp | box | 0.0825 | 0.0825 | 3.1728 | 3.1728 | 5.6516 | 90.0 | 90.0 | 120.0 | 
| A7--alpha-As | box | 0.1145 | 0.1145 | 5.81 | 5.81 | 17.1262 | 90.0 | 90.0 | 120.0 | 
Download raw data (including filtered results)
Reference structure matches:
| prototype | method | Ecoh (eV/atom) | Epot (eV/atom) | a0 (Å) | b0 (Å) | c0 (Å) | α (degrees) | β (degrees) | γ (degrees) | 
|---|---|---|---|---|---|---|---|---|---|
| oqmd-1232079 | box | -4.5931 | -4.5931 | 4.5189 | 4.5189 | 2.5794 | 90.0 | 90.0 | 90.0 | 
| C1--CaF2--fluorite | box | -1.3519 | -1.3519 | 5.2204 | 5.2204 | 5.2204 | 90.0 | 90.0 | 90.0 | 
| C1--CaF2--fluorite | static | -0.0 | -0.0 | 11.547 | 11.547 | 11.547 | 90.0 | 90.0 | 90.0 | 
Download raw data (including filtered results)
Reference structure matches:
D0_3--BiF3 = oqmd-309890
L1_2--AuCu3 = oqmd-348451
| prototype | method | Ecoh (eV/atom) | Epot (eV/atom) | a0 (Å) | b0 (Å) | c0 (Å) | α (degrees) | β (degrees) | γ (degrees) | 
|---|---|---|---|---|---|---|---|---|---|
| A15--Cr3Si | static | -0.0497 | -0.0497 | 8.944 | 8.944 | 8.944 | 90.0 | 90.0 | 90.0 | 
| A15--Cr3Si | dynamic | -0.0497 | -0.0497 | 8.944 | 8.944 | 8.944 | 90.0 | 90.0 | 90.0 | 
| L1_2--AuCu3 | static | -0.0 | -0.0 | 7.0711 | 7.0711 | 7.0711 | 90.0 | 90.0 | 90.0 | 
| D0_3--BiF3 | static | -0.0 | -0.0 | 11.547 | 11.547 | 11.547 | 90.0 | 90.0 | 90.0 | 
| A15--Cr3Si | static | 0.6508 | 0.6508 | 8.0663 | 8.0663 | 8.0663 | 90.0 | 90.0 | 90.0 | 
Download raw data (including filtered results)
Reference structure matches:
B1--NaCl--rock-salt = oqmd-1104545
B2--CsCl = oqmd-305360
| prototype | method | Ecoh (eV/atom) | Epot (eV/atom) | a0 (Å) | b0 (Å) | c0 (Å) | α (degrees) | β (degrees) | γ (degrees) | 
|---|---|---|---|---|---|---|---|---|---|
| B3--ZnS--cubic-zinc-blende | dynamic | -3.8753 | -3.8753 | 4.4774 | 4.4774 | 4.4774 | 90.0 | 90.0 | 90.0 | 
| B1--NaCl--rock-salt | dynamic | -3.735 | -3.735 | 4.1279 | 4.1279 | 4.1279 | 90.0 | 90.0 | 90.0 | 
| oqmd-1225107 | box | -3.5811 | -3.5811 | 3.3014 | 3.3014 | 4.8246 | 90.0 | 90.0 | 120.0 | 
| B2--CsCl | box | -0.8412 | -0.8412 | 2.8362 | 2.8362 | 2.8362 | 90.0 | 90.0 | 90.0 | 
| L1_0--AuCu | static | -0.0 | -0.0 | 5.1882 | 5.1882 | 6.7945 | 90.0 | 90.0 | 90.0 | 
| B2--CsCl | static | -0.0 | -0.0 | 5.7735 | 5.7735 | 5.7735 | 90.0 | 90.0 | 90.0 | 
| B3--ZnS--cubic-zinc-blende | static | -0.0 | -0.0 | 11.547 | 11.547 | 11.547 | 90.0 | 90.0 | 90.0 | 
| B1--NaCl--rock-salt | static | -0.0 | -0.0 | 10.0 | 10.0 | 10.0 | 90.0 | 90.0 | 90.0 | 
| B2--CsCl | static | 0.3327 | 0.3327 | 4.9437 | 4.9437 | 4.9437 | 90.0 | 90.0 | 90.0 | 
Download raw data (including filtered results)
Reference structure matches:
| prototype | method | Ecoh (eV/atom) | Epot (eV/atom) | a0 (Å) | b0 (Å) | c0 (Å) | α (degrees) | β (degrees) | γ (degrees) | 
|---|---|---|---|---|---|---|---|---|---|
| C1--CaF2--fluorite | dynamic | -2.9644 | -2.9644 | 5.1638 | 5.1638 | 5.1638 | 90.0 | 90.0 | 90.0 | 
| C1--CaF2--fluorite | static | -0.0 | -0.0 | 11.547 | 11.547 | 11.547 | 90.0 | 90.0 | 90.0 | 
| C1--CaF2--fluorite | dynamic | 0.0 | 0.0 | 12.0813 | 12.0813 | 12.0813 | 90.0 | 90.0 | 90.0 | 
Download raw data (including filtered results)
Reference structure matches:
D0_3--BiF3 = oqmd-313423
L1_2--AuCu3 = oqmd-344918
| prototype | method | Ecoh (eV/atom) | Epot (eV/atom) | a0 (Å) | b0 (Å) | c0 (Å) | α (degrees) | β (degrees) | γ (degrees) | 
|---|---|---|---|---|---|---|---|---|---|
| L1_2--AuCu3 | static | -2.5333 | -2.5333 | 3.4547 | 3.4547 | 3.4547 | 90.0 | 90.0 | 90.0 | 
| oqmd-302881 | static | -2.531 | -2.531 | 3.4514 | 3.4514 | 6.9354 | 90.0 | 90.0 | 90.0 | 
| A15--Cr3Si | dynamic | -2.5253 | -2.5253 | 4.3842 | 4.3842 | 4.3842 | 90.0 | 90.0 | 90.0 | 
| D0_3--BiF3 | static | -2.3394 | -2.3394 | 5.509 | 5.509 | 5.509 | 90.0 | 90.0 | 90.0 | 
| L1_2--AuCu3 | box | -0.03 | -0.03 | 7.0382 | 7.0382 | 7.0382 | 90.0 | 90.0 | 90.0 | 
Download raw data (including filtered results)
Reference structure matches:
A1--Cu--fcc = mp-30, oqmd-592441, oqmd-593869, oqmd-594301, oqmd-594302, oqmd-594517, oqmd-594518, oqmd-594519, oqmd-594520, oqmd-598513, oqmd-635950, oqmd-1214520
A15--beta-W = oqmd-1214965
A2--W--bcc = oqmd-637373, oqmd-1215143
A3'--alpha-La--double-hcp = mp-989695, oqmd-1215411
A3--Mg--hcp = mp-989782, oqmd-1215321
A4--C--dc = oqmd-1215500
A5--beta-Sn = oqmd-1215589
A6--In--bct = mp-998890, mp-1010136, oqmd-1215678
| prototype | method | Ecoh (eV/atom) | Epot (eV/atom) | a0 (Å) | b0 (Å) | c0 (Å) | α (degrees) | β (degrees) | γ (degrees) | 
|---|---|---|---|---|---|---|---|---|---|
| A1--Cu--fcc | dynamic | -3.54 | -3.54 | 3.615 | 3.615 | 3.615 | 90.0 | 90.0 | 90.0 | 
| A15--beta-W | dynamic | -3.5396 | -3.5396 | 4.5804 | 4.5804 | 4.5804 | 90.0 | 90.0 | 90.0 | 
| A3'--alpha-La--double-hcp | dynamic | -3.5344 | -3.5344 | 2.5532 | 2.5532 | 8.3755 | 90.0 | 90.0 | 120.0 | 
| oqmd-1216034 | dynamic | -3.5326 | -3.5326 | 2.5523 | 2.5523 | 18.8644 | 90.0 | 90.0 | 120.0 | 
| A3--Mg--hcp | dynamic | -3.529 | -3.529 | 2.5504 | 2.5504 | 4.2007 | 90.0 | 90.0 | 120.0 | 
| oqmd-1215232 | box | -3.5285 | -3.5285 | 2.5446 | 4.4269 | 4.2015 | 90.0 | 90.0 | 90.0 | 
| A2--W--bcc | dynamic | -3.518 | -3.518 | 2.8647 | 2.8647 | 2.8647 | 90.0 | 90.0 | 90.0 | 
| oqmd-1214787 | dynamic | -3.5138 | -3.5138 | 8.8674 | 8.8674 | 8.8674 | 90.0 | 90.0 | 90.0 | 
| oqmd-1214787 | box | -3.4981 | -3.4981 | 8.8642 | 8.8642 | 8.8642 | 90.0 | 90.0 | 90.0 | 
| oqmd-1214876 | box | -3.4788 | -3.4788 | 6.2353 | 6.2353 | 6.2353 | 90.0 | 90.0 | 90.0 | 
| mp-1120774 | dynamic | -3.3001 | -3.3001 | 2.5414 | 2.5414 | 25.1203 | 90.0 | 90.0 | 120.0 | 
| mp-1120774 | static | -3.3001 | -3.3001 | 2.5414 | 2.5414 | 25.1614 | 90.0 | 90.0 | 120.0 | 
| mp-1120774 | box | -3.2984 | -3.2984 | 2.5417 | 2.5417 | 25.2421 | 90.0 | 90.0 | 120.0 | 
| oqmd-1277912 | dynamic | -3.2505 | -3.2505 | 11.4531 | 11.4531 | 11.4531 | 90.0 | 90.0 | 90.0 | 
| oqmd-1277912 | box | -3.2474 | -3.2474 | 11.4751 | 11.4751 | 11.4751 | 90.0 | 90.0 | 90.0 | 
| mp-1059259 | box | -3.207 | -3.207 | 2.4952 | 7.9884 | 2.5373 | 90.0 | 90.0 | 90.0 | 
| oqmd-1215054 | box | -3.1705 | -3.1705 | 4.202 | 9.1007 | 2.6421 | 90.0 | 90.0 | 90.0 | 
| oqmd-1214698 | box | -2.9594 | -2.9594 | 3.565 | 8.6055 | 3.5645 | 90.0 | 90.0 | 90.0 | 
| A5--beta-Sn | box | -2.9174 | -2.9174 | 4.5902 | 4.5902 | 2.4758 | 90.0 | 90.0 | 90.0 | 
| Ah--alpha-Po--sc | static | -2.6073 | -2.6073 | 2.4142 | 2.4142 | 2.4142 | 90.0 | 90.0 | 90.0 | 
| oqmd-1215945 | box | -2.3554 | -2.3554 | 4.0995 | 4.0995 | 4.534 | 90.0 | 90.0 | 120.0 | 
| A4--C--dc | static | -1.9797 | -1.9797 | 5.577 | 5.577 | 5.577 | 90.0 | 90.0 | 90.0 | 
| mp-1056079 | dynamic | -1.4578 | -1.4578 | 11.5651 | 2.3198 | 22.2233 | 90.0 | 101.9 | 90.0 | 
| mp-1056079 | static | -1.4578 | -1.4578 | 11.5703 | 2.3198 | 22.2237 | 90.0 | 101.9 | 90.0 | 
Static elastic constants are displayed for the unique structures identified in Crystal Structure Predictions above. The values displayed here are obtained by measuring the change in virial stresses due to applying small strains to the relaxed crystals. The initial structure and the strained states are all relaxed using force minimization.
The calculation method used is available as the iprPy elastic_constants_static calculation method.
Notes and Disclaimers:
Version Information:
| 28.892 | 27.581 | 27.581 | -0.000 | -0.000 | -0.000 | 
| 27.581 | 28.892 | 27.581 | -0.000 | -0.000 | -0.000 | 
| 27.581 | 27.581 | 28.892 | 0.000 | 0.000 | -0.000 | 
| -0.000 | -0.000 | -0.000 | -1.149 | -0.000 | -0.000 | 
| -0.000 | -0.000 | -0.000 | 0.000 | -1.149 | -0.000 | 
| -0.000 | -0.000 | -0.000 | -0.000 | -0.000 | -1.149 | 
| 28.892 | 27.581 | 27.581 | 0.000 | 0.000 | 0.000 | 
| 27.581 | 28.892 | 27.581 | 0.000 | 0.000 | 0.000 | 
| 27.581 | 27.581 | 28.892 | 0.000 | 0.000 | 0.000 | 
| 0.000 | 0.000 | 0.000 | -1.149 | -0.000 | 0.000 | 
| 0.000 | 0.000 | 0.000 | -0.000 | -1.149 | 0.000 | 
| 0.000 | 0.000 | 0.000 | 0.000 | 0.000 | -1.149 | 
| 28.892 | 27.581 | 27.581 | -0.000 | -0.000 | -0.000 | 
| 27.581 | 28.892 | 27.581 | -0.000 | -0.000 | -0.000 | 
| 27.581 | 27.581 | 28.892 | 0.000 | 0.000 | -0.000 | 
| -0.000 | -0.000 | -0.000 | -1.149 | 0.000 | -0.000 | 
| -0.000 | -0.000 | -0.000 | -0.000 | -1.149 | -0.000 | 
| -0.000 | -0.000 | -0.000 | 0.000 | -0.000 | -1.149 | 
| 28.893 | 27.582 | 27.582 | 0.000 | -0.000 | -0.000 | 
| 27.582 | 28.893 | 27.582 | -0.000 | 0.000 | -0.000 | 
| 27.582 | 27.582 | 28.893 | -0.000 | -0.000 | 0.000 | 
| 0.000 | 0.000 | 0.000 | -1.149 | -0.000 | 0.000 | 
| 0.000 | 0.000 | 0.000 | -0.000 | -1.149 | 0.000 | 
| 0.000 | 0.000 | 0.000 | -0.000 | 0.000 | -1.149 | 
| 28.888 | 27.578 | 27.578 | -0.000 | -0.000 | -0.000 | 
| 27.578 | 28.888 | 27.578 | -0.000 | -0.000 | -0.000 | 
| 27.578 | 27.578 | 28.888 | -0.000 | 0.000 | -0.000 | 
| -0.001 | -0.000 | -0.000 | -1.149 | -0.000 | -0.000 | 
| -0.000 | -0.001 | -0.000 | -0.000 | -1.149 | -0.000 | 
| -0.000 | -0.000 | -0.001 | -0.000 | -0.000 | -1.149 | 
| 28.897 | 27.584 | 27.584 | 0.000 | 0.000 | -0.000 | 
| 27.584 | 28.897 | 27.584 | -0.000 | 0.000 | 0.000 | 
| 27.584 | 27.584 | 28.897 | 0.000 | -0.000 | 0.000 | 
| 0.001 | 0.000 | 0.000 | -1.149 | -0.000 | 0.000 | 
| 0.000 | 0.001 | 0.000 | -0.000 | -1.149 | 0.000 | 
| 0.000 | 0.000 | 0.001 | -0.000 | -0.000 | -1.149 | 
| 144.458 | 180.444 | 180.444 | -0.000 | -0.000 | -0.000 | 
| 180.444 | 144.458 | 180.444 | -0.000 | -0.000 | -0.000 | 
| 180.444 | 180.444 | 144.458 | 0.000 | -0.000 | -0.000 | 
| -0.000 | -0.000 | -0.000 | 23.579 | -0.000 | -0.000 | 
| -0.000 | -0.000 | -0.000 | -0.000 | 23.579 | -0.000 | 
| -0.000 | -0.000 | -0.000 | 0.000 | -0.000 | 23.579 | 
| 144.458 | 180.444 | 180.444 | -0.000 | 0.000 | 0.000 | 
| 180.444 | 144.458 | 180.444 | -0.000 | 0.000 | 0.000 | 
| 180.444 | 180.444 | 144.458 | -0.000 | 0.000 | 0.000 | 
| 0.000 | 0.000 | 0.000 | 23.579 | 0.000 | 0.000 | 
| 0.000 | 0.000 | 0.000 | 0.000 | 23.579 | 0.000 | 
| 0.000 | 0.000 | 0.000 | -0.000 | 0.000 | 23.579 | 
| 144.456 | 180.443 | 180.443 | 0.000 | -0.000 | -0.000 | 
| 180.443 | 144.456 | 180.443 | -0.000 | -0.000 | -0.000 | 
| 180.443 | 180.443 | 144.456 | -0.000 | -0.000 | -0.000 | 
| -0.000 | -0.000 | -0.000 | 23.579 | -0.000 | -0.000 | 
| -0.000 | -0.000 | -0.000 | -0.000 | 23.579 | -0.000 | 
| -0.000 | -0.000 | -0.000 | 0.000 | -0.000 | 23.579 | 
| 144.461 | 180.445 | 180.445 | 0.000 | 0.000 | 0.000 | 
| 180.445 | 144.461 | 180.445 | 0.000 | 0.000 | 0.000 | 
| 180.445 | 180.445 | 144.461 | -0.000 | 0.000 | 0.000 | 
| 0.000 | 0.000 | 0.000 | 23.579 | 0.000 | 0.000 | 
| 0.000 | 0.000 | 0.000 | 0.000 | 23.579 | 0.000 | 
| 0.000 | 0.000 | 0.000 | 0.000 | 0.000 | 23.579 | 
| 144.433 | 180.432 | 180.432 | -0.000 | -0.000 | -0.000 | 
| 180.432 | 144.433 | 180.432 | 0.000 | -0.000 | -0.000 | 
| 180.432 | 180.432 | 144.433 | -0.000 | -0.000 | -0.000 | 
| -0.002 | -0.002 | -0.002 | 23.579 | -0.000 | -0.000 | 
| -0.002 | -0.002 | -0.002 | 0.000 | 23.579 | -0.000 | 
| -0.002 | -0.002 | -0.002 | -0.000 | -0.000 | 23.579 | 
| 144.483 | 180.456 | 180.456 | 0.000 | 0.000 | -0.000 | 
| 180.456 | 144.483 | 180.456 | 0.000 | 0.000 | 0.000 | 
| 180.456 | 180.456 | 144.483 | 0.000 | 0.000 | 0.000 | 
| 0.002 | 0.002 | 0.002 | 23.579 | 0.000 | 0.000 | 
| 0.002 | 0.002 | 0.002 | -0.000 | 23.579 | 0.000 | 
| 0.002 | 0.002 | 0.002 | 0.000 | 0.000 | 23.579 | 
| -27144055.248 | -13670320.810 | -13696104.761 | 8515.270 | -116176.334 | -40604.194 | 
| -14378218.706 | -27507422.435 | -13213773.058 | -50533.719 | -29070.450 | -52392.929 | 
| -13192109.334 | -13224693.810 | -26256152.069 | 43167.839 | 62015.663 | -57776.878 | 
| 0.000 | -0.000 | -0.000 | 1.613 | 0.000 | 0.000 | 
| -0.000 | 0.000 | -0.000 | 0.000 | 1.613 | 0.000 | 
| -0.000 | -0.000 | 0.000 | 0.000 | 0.000 | 1.613 | 
| 16847473.609 | 17052154.499 | 20912366.709 | 467.207 | -277385.639 | -387.847 | 
| 19468593.237 | 15701098.382 | 18285546.173 | 100671.559 | -39644.395 | 186596.429 | 
| 17135027.333 | 21015790.884 | 17618844.103 | 228169.617 | 3093.931 | -33827.142 | 
| -0.000 | 0.000 | 0.000 | 1.613 | -0.000 | -0.000 | 
| 0.000 | -0.000 | 0.000 | -0.000 | 1.613 | -0.000 | 
| 0.000 | 0.000 | -0.000 | -0.000 | -0.000 | 1.613 | 
| -2608697.042 | -1362772.876 | -1299011.040 | 8197.764 | -3570.455 | 30.514 | 
| -1427799.399 | -2659493.041 | -1447871.805 | 2393.838 | -2032.829 | 12835.551 | 
| -1377163.048 | -1460722.247 | -2640682.658 | 17061.770 | -5619.978 | -33.449 | 
| 0.000 | -0.000 | -0.000 | 1.613 | 0.000 | 0.000 | 
| -0.000 | 0.000 | -0.000 | -0.000 | 1.613 | 0.000 | 
| -0.000 | -0.000 | 0.000 | 0.000 | 0.000 | 1.613 | 
| 1656041.287 | 1779633.352 | 2034715.171 | -4042.291 | -48204.508 | -4079.630 | 
| 2094910.422 | 1689704.501 | 1809654.443 | -16445.638 | 733.621 | -10600.275 | 
| 1701526.556 | 2006741.787 | 1664187.259 | -2482.298 | 114.153 | -8913.643 | 
| -0.000 | 0.000 | 0.000 | 1.613 | -0.000 | -0.000 | 
| 0.000 | -0.000 | 0.000 | -0.000 | 1.613 | -0.000 | 
| 0.000 | 0.000 | -0.000 | -0.000 | -0.000 | 1.613 | 
| -255808.618 | -139258.425 | -162459.971 | 309.017 | 601.604 | -458.493 | 
| -152813.269 | -248063.929 | -140896.582 | -27.518 | 1969.664 | 165.781 | 
| -137354.409 | -153782.885 | -260599.362 | -2141.404 | -508.117 | -8.200 | 
| 0.001 | -0.001 | -0.001 | 1.613 | 0.000 | -0.000 | 
| -0.001 | 0.001 | -0.001 | -0.000 | 1.613 | 0.000 | 
| -0.001 | -0.001 | 0.001 | 0.000 | 0.000 | 1.613 | 
| 160862.922 | 170706.586 | 204051.223 | 687.046 | 1326.484 | 968.784 | 
| 210275.071 | 173997.259 | 171810.222 | 1403.425 | -804.707 | -192.482 | 
| 176819.503 | 211968.797 | 171913.570 | -484.641 | -350.817 | -426.692 | 
| -0.001 | 0.001 | 0.001 | 1.613 | -0.000 | -0.000 | 
| 0.001 | -0.001 | 0.001 | -0.000 | 1.613 | -0.000 | 
| 0.001 | 0.001 | -0.001 | -0.000 | 0.000 | 1.613 | 
| 0.724 | 0.800 | 0.800 | -0.000 | -0.000 | 0.000 | 
| 0.800 | 0.724 | 0.800 | -0.000 | -0.000 | 0.000 | 
| 0.800 | 0.800 | 0.724 | -0.000 | -0.000 | -0.000 | 
| 0.000 | 0.000 | 0.000 | -0.596 | 0.000 | -0.000 | 
| 0.000 | 0.000 | 0.000 | 0.000 | -0.596 | -0.000 | 
| 0.000 | 0.000 | 0.000 | 0.000 | -0.000 | -0.596 | 
| 0.724 | 0.800 | 0.800 | 0.000 | 0.000 | 0.000 | 
| 0.800 | 0.724 | 0.800 | 0.000 | 0.000 | 0.000 | 
| 0.800 | 0.800 | 0.724 | 0.000 | 0.000 | -0.000 | 
| -0.000 | -0.000 | -0.000 | -0.596 | -0.000 | -0.000 | 
| -0.000 | -0.000 | -0.000 | -0.000 | -0.596 | -0.000 | 
| -0.000 | -0.000 | -0.000 | -0.000 | -0.000 | -0.596 | 
| 0.724 | 0.800 | 0.800 | -0.000 | -0.000 | -0.000 | 
| 0.800 | 0.724 | 0.800 | -0.000 | -0.000 | -0.000 | 
| 0.800 | 0.800 | 0.724 | -0.000 | -0.000 | -0.000 | 
| -0.000 | 0.000 | -0.000 | -0.596 | -0.000 | 0.000 | 
| 0.000 | -0.000 | -0.000 | 0.000 | -0.596 | -0.000 | 
| 0.000 | -0.000 | -0.000 | -0.000 | 0.000 | -0.596 | 
| 0.724 | 0.800 | 0.800 | 0.000 | 0.000 | 0.000 | 
| 0.800 | 0.724 | 0.800 | 0.000 | 0.000 | 0.000 | 
| 0.800 | 0.800 | 0.724 | 0.000 | 0.000 | -0.000 | 
| 0.000 | -0.000 | 0.000 | -0.596 | 0.000 | 0.000 | 
| -0.000 | 0.000 | 0.000 | 0.000 | -0.596 | 0.000 | 
| -0.000 | 0.000 | 0.000 | 0.000 | 0.000 | -0.596 | 
| 0.724 | 0.800 | 0.800 | -0.000 | 0.000 | 0.000 | 
| 0.800 | 0.724 | 0.800 | 0.000 | -0.000 | 0.000 | 
| 0.800 | 0.800 | 0.724 | 0.000 | 0.000 | -0.000 | 
| -0.000 | 0.000 | -0.000 | -0.596 | -0.000 | 0.000 | 
| 0.000 | -0.000 | -0.000 | -0.000 | -0.596 | 0.000 | 
| 0.000 | -0.000 | -0.000 | -0.000 | 0.000 | -0.596 | 
| 0.724 | 0.800 | 0.800 | 0.000 | 0.000 | 0.000 | 
| 0.800 | 0.724 | 0.800 | 0.000 | 0.000 | 0.000 | 
| 0.800 | 0.800 | 0.724 | 0.000 | 0.000 | 0.000 | 
| 0.000 | -0.000 | 0.000 | -0.596 | 0.000 | 0.000 | 
| -0.000 | 0.000 | 0.000 | 0.000 | -0.596 | 0.000 | 
| -0.000 | 0.000 | 0.000 | 0.000 | 0.000 | -0.596 | 
| -390237689.197 | 608780859.410 | 774896632.627 | -124708233.699 | 21857835.391 | 20938623.162 | 
| 92.035 | 404.376 | -249.248 | 0.000 | 0.000 | -0.000 | 
| -249.246 | -249.246 | 620.907 | 0.000 | 0.000 | -0.000 | 
| -0.002 | 0.002 | -0.000 | -105.414 | 0.000 | 0.000 | 
| -0.002 | 0.002 | -0.000 | 0.000 | -105.414 | 0.000 | 
| -2634728841.893 | -743224402.399 | 734908142.530 | -19504405.016 | 14569445.271 | -1069839794.926 | 
| -1297182399.814 | 572300353.812 | -1057414574.335 | 10292268.471 | -2140590.937 | -83458181.292 | 
| 92.035 | 404.376 | -249.248 | -0.000 | -0.000 | 0.000 | 
| -249.246 | -249.246 | 620.907 | -0.000 | -0.000 | 0.000 | 
| 0.002 | -0.002 | 0.000 | -105.414 | -0.000 | -0.000 | 
| 0.002 | -0.002 | 0.000 | -0.000 | -105.414 | -0.000 | 
| 5040011980.517 | 3938346244.273 | 111360802.295 | 23058892.210 | -19847729.086 | -976219165.813 | 
| -4603080.138 | 71434401.130 | 84321249.612 | -12188202.815 | 195573.136 | 4392946.621 | 
| 113873936.100 | 19868366.279 | 98300396.486 | 706432.499 | -911295.239 | 3401699.346 | 
| -249.246 | -249.246 | 620.907 | 0.000 | 0.000 | -0.000 | 
| 0.000 | -0.000 | -0.000 | -105.414 | 0.000 | 0.000 | 
| -0.000 | 0.000 | -0.000 | 0.000 | -105.414 | 0.000 | 
| 2009881.329 | 93842885.360 | 155006458.335 | -165312.414 | 1310203.280 | -69909172.130 | 
| -139686118.065 | 9475732.048 | -92355974.356 | -1168277.241 | 82365.936 | -4720941.781 | 
| 11991607.924 | -74000834.743 | -84653175.092 | 12393553.282 | 510214.991 | -5076306.334 | 
| -249.246 | -249.247 | 620.907 | -0.000 | -0.000 | -0.000 | 
| -0.000 | 0.000 | 0.000 | -105.414 | -0.000 | -0.000 | 
| 0.000 | -0.000 | 0.000 | -0.000 | -105.414 | -0.000 | 
| 356599110.405 | 70083830.334 | -11835398.199 | 650692.585 | -3259341.443 | -224674471.191 | 
| -43919076.936 | -5078688.798 | 7120975.703 | 1414660.616 | 152397.415 | 41599.991 | 
| 21518723.640 | -18488926.666 | 6309398.310 | -864773.436 | -76479.554 | 1183326.339 | 
| -249.245 | -249.245 | 620.907 | -0.000 | 0.000 | -0.000 | 
| 0.002 | -0.002 | -0.000 | -105.414 | 0.000 | 0.000 | 
| -0.002 | 0.002 | -0.000 | 0.000 | -105.414 | 0.000 | 
| 2363659.194 | 10392017.556 | 11413219.871 | 62840.603 | 274923.076 | -7064780.367 | 
| -21459842.744 | 17725073.001 | -6344928.468 | 918206.760 | 74542.177 | -1140410.341 | 
| 49473098.850 | 9460060.650 | -6872513.030 | -1756706.817 | -152686.377 | 21000.712 | 
| -249.248 | -249.248 | 620.908 | -0.000 | -0.000 | 0.000 | 
| -0.002 | 0.002 | 0.000 | -105.414 | -0.000 | -0.000 | 
| 0.002 | -0.002 | 0.000 | -0.000 | -105.414 | -0.000 | 
| -2297946.479 | -10279314.455 | -11185283.537 | -72344.058 | 292609.246 | -9807893.365 | 
| 1091.912 | 120.393 | 120.393 | -0.000 | -0.000 | -0.000 | 
| 120.393 | 1091.912 | 120.393 | -0.000 | -0.000 | -0.000 | 
| 120.393 | 120.393 | 1091.912 | -0.000 | -0.000 | -0.000 | 
| 0.000 | 0.000 | 0.000 | 660.467 | -0.000 | -0.000 | 
| 0.000 | 0.000 | 0.000 | -0.000 | 660.467 | -0.000 | 
| 0.000 | 0.000 | 0.000 | -0.000 | -0.000 | 660.467 | 
| 1091.912 | 120.393 | 120.393 | 0.000 | 0.000 | 0.000 | 
| 120.393 | 1091.912 | 120.393 | 0.000 | 0.000 | 0.000 | 
| 120.393 | 120.393 | 1091.912 | 0.000 | 0.000 | 0.000 | 
| -0.000 | -0.000 | -0.000 | 660.467 | 0.000 | 0.000 | 
| -0.000 | -0.000 | -0.000 | -0.000 | 660.467 | 0.000 | 
| -0.000 | -0.000 | -0.000 | 0.000 | 0.000 | 660.467 | 
| 1091.912 | 120.393 | 120.393 | -0.000 | -0.000 | -0.000 | 
| 120.393 | 1091.912 | 120.393 | -0.000 | -0.000 | -0.000 | 
| 120.393 | 120.393 | 1091.912 | -0.000 | -0.000 | -0.000 | 
| 0.000 | 0.000 | 0.000 | 660.467 | -0.000 | -0.000 | 
| 0.000 | 0.000 | 0.000 | -0.000 | 660.467 | -0.000 | 
| 0.000 | 0.000 | 0.000 | -0.000 | -0.000 | 660.467 | 
| 1091.912 | 120.393 | 120.393 | 0.000 | 0.000 | 0.000 | 
| 120.393 | 1091.912 | 120.393 | 0.000 | 0.000 | 0.000 | 
| 120.393 | 120.393 | 1091.912 | 0.000 | 0.000 | 0.000 | 
| -0.000 | -0.000 | -0.000 | 660.467 | 0.000 | 0.000 | 
| -0.000 | -0.000 | -0.000 | 0.000 | 660.467 | 0.000 | 
| -0.000 | -0.000 | -0.000 | 0.000 | 0.000 | 660.467 | 
| 1091.916 | 120.393 | 120.393 | -0.000 | -0.000 | -0.000 | 
| 120.393 | 1091.916 | 120.393 | -0.000 | -0.000 | -0.000 | 
| 120.393 | 120.393 | 1091.916 | -0.000 | -0.000 | -0.000 | 
| 0.000 | 0.000 | 0.001 | 653.002 | -0.000 | -0.000 | 
| 0.000 | 0.000 | 0.001 | -0.000 | 653.002 | -0.000 | 
| 0.000 | 0.001 | 0.000 | -0.000 | -0.000 | 653.002 | 
| 1091.908 | 120.394 | 120.394 | 0.000 | 0.000 | 0.000 | 
| 120.394 | 1091.908 | 120.394 | 0.000 | 0.000 | 0.000 | 
| 120.394 | 120.394 | 1091.908 | 0.000 | 0.000 | 0.000 | 
| -0.000 | -0.000 | -0.001 | 653.002 | 0.000 | 0.000 | 
| -0.000 | -0.000 | -0.001 | 0.000 | 653.002 | 0.000 | 
| -0.000 | -0.001 | -0.000 | 0.000 | 0.000 | 653.002 | 
| 26.514 | 27.830 | 52.225 | 0.000 | 0.000 | -0.000 | 
| 27.830 | 26.514 | 52.225 | 0.000 | 0.000 | -0.000 | 
| 52.225 | 52.225 | 98.354 | 0.000 | 0.000 | 0.000 | 
| -0.000 | -0.000 | -0.000 | -14.240 | 0.000 | -0.000 | 
| -0.000 | -0.000 | -0.000 | 0.000 | -14.240 | -0.000 | 
| -0.000 | -0.000 | -0.000 | 0.000 | 0.000 | -1.506 | 
| 26.514 | 27.830 | 52.225 | -0.000 | -0.000 | 0.000 | 
| 27.830 | 26.514 | 52.225 | -0.000 | -0.000 | 0.000 | 
| 52.225 | 52.225 | 98.354 | -0.000 | -0.000 | 0.000 | 
| 0.000 | 0.000 | 0.000 | -14.240 | -0.000 | 0.000 | 
| 0.000 | 0.000 | 0.000 | -0.000 | -14.240 | 0.000 | 
| 0.000 | 0.000 | 0.000 | -0.000 | -0.000 | -1.506 | 
| 26.514 | 27.830 | 52.225 | 0.000 | 0.000 | -0.000 | 
| 27.830 | 26.514 | 52.225 | 0.000 | 0.000 | -0.000 | 
| 52.225 | 52.225 | 98.353 | 0.000 | 0.000 | -0.000 | 
| -0.000 | -0.000 | -0.000 | -14.240 | 0.000 | -0.000 | 
| -0.000 | -0.000 | -0.000 | 0.000 | -14.240 | -0.000 | 
| -0.000 | -0.000 | -0.000 | 0.000 | 0.000 | -1.506 | 
| 26.514 | 27.830 | 52.226 | -0.000 | -0.000 | 0.000 | 
| 27.830 | 26.514 | 52.226 | -0.000 | -0.000 | 0.000 | 
| 52.226 | 52.226 | 98.355 | -0.000 | -0.000 | 0.000 | 
| 0.000 | 0.000 | 0.000 | -14.240 | -0.000 | 0.000 | 
| 0.000 | 0.000 | 0.000 | -0.000 | -14.240 | 0.000 | 
| 0.000 | 0.000 | 0.000 | -0.000 | -0.000 | -1.506 | 
| 26.512 | 27.828 | 52.222 | 0.000 | 0.000 | -0.000 | 
| 27.828 | 26.512 | 52.222 | 0.000 | 0.000 | -0.000 | 
| 52.219 | 52.219 | 98.341 | 0.000 | 0.000 | -0.000 | 
| -0.000 | -0.000 | -0.000 | -14.240 | 0.000 | -0.000 | 
| -0.000 | -0.000 | -0.000 | 0.000 | -14.240 | -0.000 | 
| -0.000 | -0.000 | -0.001 | 0.000 | 0.000 | -1.506 | 
| 26.515 | 27.831 | 52.228 | -0.000 | -0.000 | 0.000 | 
| 27.831 | 26.515 | 52.228 | -0.000 | -0.000 | 0.000 | 
| 52.231 | 52.231 | 98.367 | -0.000 | -0.000 | 0.000 | 
| 0.000 | 0.000 | 0.000 | -14.240 | -0.000 | 0.000 | 
| 0.000 | 0.000 | 0.000 | -0.000 | -14.240 | 0.000 | 
| 0.000 | 0.000 | 0.001 | -0.000 | -0.000 | -1.506 | 
| 554.251 | -62.966 | 0.000 | -0.000 | 0.000 | -0.000 | 
| -62.966 | 554.251 | 0.000 | 0.000 | 0.000 | -0.000 | 
| -0.000 | -0.000 | -0.000 | 0.000 | 0.000 | -0.000 | 
| -0.000 | 0.000 | 0.000 | -0.000 | 0.000 | 0.000 | 
| -0.000 | -0.000 | 0.000 | -0.000 | 0.000 | -0.000 | 
| 0.000 | -0.000 | 0.000 | -0.000 | 0.000 | 284.515 | 
| 530.158 | -38.872 | -0.000 | 0.000 | -0.000 | 0.000 | 
| -62.966 | 554.251 | -0.000 | 0.000 | -0.000 | 0.000 | 
| 0.000 | 0.000 | -0.000 | -0.000 | -0.000 | 0.000 | 
| 0.000 | -0.000 | -0.000 | 0.000 | 0.000 | -0.000 | 
| 0.000 | 0.000 | 0.000 | 0.000 | -0.000 | 0.000 | 
| -0.000 | 0.000 | -0.000 | 0.000 | -0.000 | 284.515 | 
| 530.147 | -38.862 | 0.000 | 0.000 | 0.000 | -0.000 | 
| -38.875 | 530.161 | 0.000 | 0.000 | 0.000 | -0.000 | 
| -0.000 | -0.000 | 0.000 | -0.000 | 0.000 | -0.000 | 
| -0.000 | -0.000 | 0.000 | -0.000 | 0.000 | 0.000 | 
| -0.000 | -0.000 | 0.000 | -0.000 | 0.000 | -0.000 | 
| 0.000 | 0.000 | -0.000 | -0.000 | -0.000 | 308.608 | 
| 554.251 | -62.966 | -0.000 | -0.000 | -0.000 | 0.000 | 
| -38.873 | 530.158 | -0.000 | 0.000 | -0.000 | 0.000 | 
| 0.000 | 0.000 | 0.000 | -0.000 | -0.000 | 0.000 | 
| 0.000 | -0.000 | -0.000 | -0.000 | -0.000 | 0.000 | 
| 0.000 | 0.000 | -0.000 | 0.000 | -0.000 | 0.000 | 
| -0.000 | -0.000 | 0.000 | 0.000 | -0.000 | 308.608 | 
| 554.252 | -62.966 | 0.000 | -0.000 | 0.000 | -0.000 | 
| -38.872 | 530.158 | 0.000 | -0.000 | 0.000 | -0.000 | 
| -0.000 | -0.000 | 0.000 | 0.000 | 0.000 | -0.000 | 
| -0.000 | 0.000 | 0.000 | -0.000 | 0.000 | -0.000 | 
| -0.000 | -0.000 | 0.000 | -0.000 | 0.000 | -0.000 | 
| -0.000 | 0.000 | 0.000 | 0.000 | 0.000 | 284.515 | 
| 530.184 | -38.899 | -0.000 | -0.000 | -0.000 | 0.000 | 
| -38.873 | 530.158 | -0.000 | 0.000 | -0.000 | 0.000 | 
| 0.000 | 0.000 | -0.000 | 0.000 | -0.000 | 0.000 | 
| 0.000 | 0.000 | -0.000 | 0.000 | -0.000 | 0.000 | 
| 0.000 | 0.000 | 0.000 | 0.000 | -0.000 | 0.000 | 
| 0.000 | -0.000 | -0.000 | -0.000 | -0.000 | 284.515 | 
| 148.869 | -2.506 | 96.407 | -11.759 | 0.000 | -0.000 | 
| -139.489 | 296.098 | 27.425 | 105.458 | -0.000 | 0.000 | 
| -81.885 | -81.884 | 2.356 | -0.000 | -0.000 | -0.000 | 
| -5.427 | 5.429 | -0.000 | 10.762 | 0.000 | 0.000 | 
| 0.000 | 0.001 | -0.000 | -0.000 | 76.720 | -105.459 | 
| 0.000 | 0.001 | -0.000 | -0.000 | -5.427 | 66.086 | 
| 296.097 | -139.490 | 27.426 | -105.458 | -0.000 | -0.000 | 
| -2.507 | 148.868 | 96.407 | 11.759 | 0.000 | 0.000 | 
| -81.885 | -81.886 | 2.356 | 0.000 | -0.000 | -0.000 | 
| -105.459 | 105.458 | 0.000 | 76.720 | -0.000 | 0.000 | 
| -0.000 | -0.001 | 0.000 | 0.000 | 76.720 | -105.459 | 
| -0.000 | -0.001 | 0.000 | 0.000 | -5.427 | 66.086 | 
| 148.870 | -2.507 | 96.407 | -11.759 | -0.000 | 0.000 | 
| -2.507 | 148.870 | 96.407 | 11.759 | -0.000 | 0.000 | 
| -56.851 | -56.851 | -334.730 | -0.000 | -0.000 | 0.000 | 
| -5.430 | 5.430 | -0.000 | 10.764 | -0.000 | 0.000 | 
| 0.000 | 0.000 | -0.000 | -0.000 | 10.762 | -5.427 | 
| 0.000 | 0.000 | -0.000 | 0.000 | -5.427 | 66.086 | 
| 142.530 | 10.360 | 52.459 | -5.427 | -0.000 | -0.000 | 
| -2.506 | 148.868 | 96.407 | 11.758 | 0.000 | -0.000 | 
| -56.822 | -56.822 | -335.117 | 0.000 | 0.000 | -0.000 | 
| -5.428 | 5.428 | 0.000 | 10.762 | 0.000 | 0.000 | 
| -0.000 | -0.000 | 0.000 | 0.000 | 10.762 | -5.427 | 
| -0.000 | -0.000 | 0.000 | -0.000 | -5.427 | 66.086 | 
| 142.554 | 10.331 | 52.517 | -5.444 | -0.000 | 0.000 | 
| -139.489 | 296.099 | 27.426 | 105.459 | 0.000 | -0.000 | 
| -56.855 | -56.855 | -334.675 | -0.000 | -0.000 | 0.000 | 
| -105.459 | 105.459 | 0.000 | 76.721 | -0.000 | 0.000 | 
| 0.000 | -0.000 | 0.000 | -0.001 | 76.720 | -105.459 | 
| 0.002 | 0.001 | -0.001 | 0.000 | -5.427 | 66.086 | 
| 296.095 | -139.489 | 27.425 | -105.459 | 0.000 | 0.000 | 
| 10.363 | 142.523 | 52.462 | 5.425 | 0.000 | -0.000 | 
| -56.860 | -56.861 | -334.605 | 0.000 | 0.000 | 0.000 | 
| -5.405 | 5.405 | 0.000 | 10.747 | 0.000 | -0.000 | 
| -0.000 | 0.000 | -0.000 | 0.001 | 76.720 | -105.459 | 
| -0.002 | -0.001 | 0.001 | -0.000 | -5.427 | 66.086 | 
| -0.064 | 1.142 | 1.008 | 0.833 | 0.000 | -0.000 | 
| 1.142 | -0.064 | 1.008 | -0.833 | -0.000 | -0.000 | 
| 0.961 | 0.961 | 1.174 | 0.000 | 0.000 | -0.000 | 
| 0.833 | -0.833 | 0.000 | -1.488 | 0.000 | -0.000 | 
| 0.000 | 0.000 | -0.000 | 0.000 | -1.488 | 0.833 | 
| 0.000 | 0.000 | 0.000 | 0.000 | 0.833 | -0.603 | 
| -0.064 | 1.142 | 1.008 | 0.833 | -0.000 | 0.000 | 
| 1.142 | -0.064 | 1.008 | -0.833 | -0.000 | 0.000 | 
| 0.961 | 0.961 | 1.174 | 0.000 | -0.000 | 0.000 | 
| 0.833 | -0.833 | 0.000 | -1.488 | -0.000 | 0.000 | 
| -0.000 | -0.000 | 0.000 | -0.000 | -1.488 | 0.833 | 
| -0.000 | -0.000 | -0.000 | -0.000 | 0.833 | -0.603 | 
| -0.064 | 1.142 | 1.008 | 0.833 | -0.000 | -0.000 | 
| 1.142 | -0.064 | 1.008 | -0.833 | -0.000 | -0.000 | 
| 0.961 | 0.961 | 1.174 | 0.000 | 0.000 | -0.000 | 
| 0.833 | -0.833 | -0.000 | -1.488 | -0.000 | -0.000 | 
| -0.000 | 0.000 | -0.000 | 0.000 | -1.488 | 0.833 | 
| -0.000 | 0.000 | -0.000 | 0.000 | 0.833 | -0.603 | 
| -0.064 | 1.142 | 1.008 | 0.833 | -0.000 | 0.000 | 
| 1.142 | -0.064 | 1.008 | -0.833 | -0.000 | 0.000 | 
| 0.961 | 0.961 | 1.174 | -0.000 | 0.000 | 0.000 | 
| 0.833 | -0.833 | 0.000 | -1.488 | -0.000 | 0.000 | 
| 0.000 | -0.000 | 0.000 | -0.000 | -1.488 | 0.833 | 
| 0.000 | -0.000 | 0.000 | -0.000 | 0.833 | -0.603 | 
| -0.064 | 1.142 | 1.008 | 0.833 | 0.000 | -0.000 | 
| 1.142 | -0.064 | 1.008 | -0.833 | 0.000 | -0.000 | 
| 0.961 | 0.961 | 1.174 | 0.000 | -0.000 | -0.000 | 
| 0.833 | -0.833 | -0.000 | -1.488 | 0.000 | -0.000 | 
| -0.000 | 0.000 | -0.000 | 0.000 | -1.488 | 0.833 | 
| -0.000 | 0.000 | -0.000 | 0.000 | 0.833 | -0.603 | 
| -0.064 | 1.142 | 1.008 | 0.833 | 0.000 | 0.000 | 
| 1.142 | -0.064 | 1.008 | -0.833 | -0.000 | 0.000 | 
| 0.961 | 0.961 | 1.174 | -0.000 | -0.000 | 0.000 | 
| 0.833 | -0.833 | 0.000 | -1.488 | -0.000 | 0.000 | 
| 0.000 | -0.000 | 0.000 | -0.000 | -1.488 | 0.833 | 
| 0.000 | -0.000 | 0.000 | -0.000 | 0.833 | -0.603 | 
| -89.287 | 127.280 | 127.280 | -0.000 | -0.000 | 0.000 | 
| 127.280 | -89.287 | 127.280 | -0.000 | -0.000 | -0.000 | 
| 127.280 | 127.280 | -89.287 | -0.000 | -0.000 | 0.000 | 
| 0.000 | 0.000 | 0.000 | 238.143 | 0.000 | 0.000 | 
| 0.000 | 0.000 | 0.000 | -0.000 | 238.143 | -0.000 | 
| 0.000 | 0.000 | 0.000 | -0.000 | -0.000 | 238.143 | 
| -89.287 | 127.280 | 127.280 | 0.000 | -0.000 | -0.000 | 
| 127.280 | -89.287 | 127.280 | 0.000 | -0.000 | 0.000 | 
| 127.280 | 127.280 | -89.287 | 0.000 | 0.000 | -0.000 | 
| -0.000 | -0.000 | -0.000 | 238.143 | 0.000 | 0.000 | 
| -0.000 | -0.000 | -0.000 | 0.000 | 238.143 | 0.000 | 
| -0.000 | -0.000 | -0.000 | 0.000 | -0.000 | 238.143 | 
| -89.287 | 127.280 | 127.280 | -0.000 | -0.000 | 0.000 | 
| 127.280 | -89.287 | 127.280 | -0.000 | 0.000 | 0.000 | 
| 127.280 | 127.280 | -89.287 | -0.000 | -0.000 | 0.000 | 
| -0.000 | 0.000 | 0.000 | 238.143 | -0.000 | 0.000 | 
| 0.000 | -0.000 | 0.000 | -0.000 | 238.143 | -0.000 | 
| 0.000 | 0.000 | -0.000 | -0.000 | -0.000 | 238.143 | 
| -89.287 | 127.280 | 127.280 | 0.000 | -0.000 | 0.000 | 
| 127.280 | -89.287 | 127.280 | 0.000 | 0.000 | -0.000 | 
| 127.280 | 127.280 | -89.287 | 0.000 | 0.000 | 0.000 | 
| 0.000 | -0.000 | -0.000 | 238.143 | 0.000 | -0.000 | 
| -0.000 | 0.000 | -0.000 | 0.000 | 238.143 | 0.000 | 
| -0.000 | -0.000 | 0.000 | 0.000 | 0.000 | 238.143 | 
| -89.287 | 127.280 | 127.280 | -0.000 | 0.000 | 0.000 | 
| 127.280 | -89.287 | 127.280 | -0.000 | -0.000 | 0.000 | 
| 127.280 | 127.280 | -89.287 | -0.000 | 0.000 | -0.000 | 
| -0.000 | 0.000 | 0.001 | 238.143 | -0.000 | -0.000 | 
| 0.000 | -0.000 | 0.001 | -0.000 | 238.143 | -0.000 | 
| 0.000 | 0.001 | -0.000 | -0.000 | 0.000 | 238.143 | 
| -89.288 | 127.280 | 127.280 | 0.000 | 0.000 | 0.000 | 
| 127.280 | -89.288 | 127.280 | 0.000 | 0.000 | 0.000 | 
| 127.280 | 127.280 | -89.288 | 0.000 | 0.000 | -0.000 | 
| 0.000 | -0.000 | -0.001 | 238.143 | -0.000 | -0.000 | 
| -0.000 | 0.000 | -0.001 | 0.000 | 238.143 | 0.000 | 
| -0.000 | -0.001 | 0.000 | 0.000 | 0.000 | 238.143 | 
| -1.455 | 1.547 | 1.547 | -0.000 | -0.000 | 0.000 | 
| 1.547 | -1.455 | 1.547 | -0.000 | -0.000 | -0.000 | 
| 1.547 | 1.547 | -1.455 | -0.000 | -0.000 | -0.000 | 
| -0.000 | 0.000 | -0.000 | -0.039 | 0.000 | -0.000 | 
| 0.000 | -0.000 | -0.000 | 0.000 | -0.039 | 0.000 | 
| 0.000 | -0.000 | -0.000 | -0.000 | 0.000 | -0.039 | 
| -1.455 | 1.547 | 1.547 | -0.000 | -0.000 | 0.000 | 
| 1.547 | -1.455 | 1.547 | 0.000 | 0.000 | -0.000 | 
| 1.547 | 1.547 | -1.455 | -0.000 | 0.000 | 0.000 | 
| 0.000 | 0.000 | 0.000 | -0.039 | -0.000 | -0.000 | 
| 0.000 | 0.000 | -0.000 | -0.000 | -0.039 | 0.000 | 
| 0.000 | -0.000 | 0.000 | -0.000 | -0.000 | -0.039 | 
| -1.455 | 1.547 | 1.547 | -0.000 | -0.000 | 0.000 | 
| 1.547 | -1.455 | 1.547 | -0.000 | 0.000 | 0.000 | 
| 1.547 | 1.547 | -1.455 | 0.000 | 0.000 | -0.000 | 
| -0.000 | -0.000 | 0.000 | -0.039 | 0.000 | -0.000 | 
| -0.000 | -0.000 | 0.000 | -0.000 | -0.039 | 0.000 | 
| -0.000 | 0.000 | -0.000 | 0.000 | 0.000 | -0.039 | 
| -1.455 | 1.547 | 1.547 | 0.000 | -0.000 | -0.000 | 
| 1.547 | -1.455 | 1.547 | -0.000 | 0.000 | 0.000 | 
| 1.547 | 1.547 | -1.455 | -0.000 | -0.000 | 0.000 | 
| 0.000 | 0.000 | -0.000 | -0.039 | 0.000 | 0.000 | 
| 0.000 | 0.000 | -0.000 | 0.000 | -0.039 | -0.000 | 
| 0.000 | -0.000 | 0.000 | -0.000 | 0.000 | -0.039 | 
| -1.455 | 1.547 | 1.547 | -0.000 | -0.000 | 0.000 | 
| 1.547 | -1.455 | 1.547 | 0.000 | -0.000 | 0.000 | 
| 1.547 | 1.547 | -1.455 | 0.000 | 0.000 | -0.000 | 
| -0.000 | -0.000 | 0.000 | -0.039 | -0.000 | 0.000 | 
| -0.000 | -0.000 | 0.000 | 0.000 | -0.039 | -0.000 | 
| -0.000 | 0.000 | -0.000 | -0.000 | -0.000 | -0.039 | 
| -1.455 | 1.547 | 1.547 | -0.000 | 0.000 | 0.000 | 
| 1.547 | -1.455 | 1.547 | -0.000 | -0.000 | -0.000 | 
| 1.547 | 1.547 | -1.455 | -0.000 | -0.000 | -0.000 | 
| 0.000 | 0.000 | -0.000 | -0.039 | -0.000 | -0.000 | 
| 0.000 | 0.000 | -0.000 | -0.000 | -0.039 | -0.000 | 
| 0.000 | -0.000 | 0.000 | -0.000 | -0.000 | -0.039 | 
| 1867.864 | -67.025 | -562.690 | -0.000 | -0.000 | -0.000 | 
| -67.025 | 1867.864 | -562.690 | -0.000 | -0.000 | -0.000 | 
| -464.182 | -464.182 | 1899.382 | -0.000 | -0.000 | -0.000 | 
| 0.001 | 0.002 | -0.004 | 472.605 | -0.000 | -0.000 | 
| 0.002 | 0.001 | -0.004 | -0.000 | 472.605 | -0.000 | 
| 0.001 | 0.001 | -0.004 | -0.000 | -0.000 | 613.687 | 
| 1292.077 | 449.115 | -476.064 | 0.000 | 0.000 | 0.000 | 
| 449.115 | 1292.077 | -476.064 | 0.000 | 0.000 | 0.000 | 
| -550.806 | -550.806 | 2150.993 | 0.000 | 0.000 | 0.000 | 
| -0.001 | -0.002 | 0.004 | 472.605 | 0.000 | 0.000 | 
| -0.002 | -0.001 | 0.004 | 0.000 | 472.605 | 0.000 | 
| -0.001 | -0.001 | 0.004 | 0.000 | 0.000 | 613.687 | 
| 1292.791 | 448.451 | -476.136 | -0.000 | 0.000 | -0.000 | 
| 448.451 | 1292.791 | -476.136 | 0.000 | -0.000 | -0.000 | 
| -464.183 | -464.183 | 1899.387 | -0.000 | -0.000 | -0.000 | 
| -0.000 | 0.000 | -0.000 | 472.605 | -0.000 | -0.000 | 
| 0.000 | -0.000 | -0.000 | -0.000 | 472.605 | -0.000 | 
| 0.000 | 0.000 | -0.000 | -0.000 | -0.000 | 613.687 | 
| 1292.083 | 449.110 | -476.067 | -0.000 | 0.000 | 0.000 | 
| 449.110 | 1292.083 | -476.067 | 0.000 | 0.000 | 0.000 | 
| -550.806 | -550.806 | 2150.992 | 0.000 | 0.000 | 0.000 | 
| 0.000 | -0.000 | 0.000 | 472.605 | 0.000 | 0.000 | 
| -0.000 | 0.000 | 0.000 | 0.000 | 472.605 | 0.000 | 
| -0.000 | -0.000 | 0.000 | 0.000 | 0.000 | 613.687 | 
| 1292.011 | 449.187 | -476.062 | -0.000 | -0.000 | -0.000 | 
| 449.187 | 1292.011 | -476.062 | 0.000 | -0.000 | -0.000 | 
| -464.193 | -464.193 | 1899.419 | -0.000 | -0.000 | -0.000 | 
| -0.002 | 0.001 | 0.001 | 472.605 | -0.000 | -0.000 | 
| 0.001 | -0.002 | 0.001 | -0.000 | 472.605 | -0.000 | 
| -0.000 | 0.001 | -0.000 | -0.000 | -0.000 | 613.687 | 
| 1296.202 | 466.760 | -507.690 | 0.000 | 0.000 | 0.000 | 
| 466.760 | 1296.202 | -507.690 | 0.000 | 0.000 | 0.000 | 
| -464.172 | -464.172 | 1899.349 | 0.000 | 0.000 | 0.000 | 
| 0.002 | -0.001 | -0.001 | 472.605 | 0.000 | 0.000 | 
| -0.001 | 0.002 | -0.001 | 0.000 | 472.605 | 0.000 | 
| 0.000 | -0.001 | 0.000 | 0.000 | 0.000 | 613.687 | 
| 281.956 | 157.289 | 157.289 | 0.000 | -0.000 | 0.000 | 
| 157.289 | 281.956 | 157.289 | -0.000 | -0.000 | 0.000 | 
| 157.289 | 157.289 | 281.956 | 0.000 | -0.000 | 0.000 | 
| -0.000 | -0.000 | -0.000 | 393.949 | 0.000 | 0.000 | 
| -0.000 | 0.000 | -0.000 | 0.000 | 393.949 | -0.000 | 
| -0.000 | 0.000 | -0.000 | 0.000 | 0.000 | 393.949 | 
| 296.997 | 149.768 | 149.768 | 0.000 | 0.000 | -0.000 | 
| 149.768 | 296.997 | 149.768 | -0.000 | -0.000 | -0.000 | 
| 149.768 | 149.768 | 296.997 | -0.000 | -0.000 | -0.000 | 
| 0.000 | 0.000 | 0.000 | 393.949 | 0.000 | -0.000 | 
| 0.000 | 0.000 | 0.000 | -0.000 | 393.949 | -0.000 | 
| 0.000 | -0.000 | -0.000 | -0.000 | -0.000 | 393.949 | 
| 296.998 | 149.768 | 149.768 | 0.000 | 0.000 | 0.000 | 
| 149.768 | 296.998 | 149.768 | 0.000 | 0.000 | -0.000 | 
| 149.768 | 149.768 | 296.998 | 0.000 | 0.000 | 0.000 | 
| 0.000 | -0.000 | 0.000 | 393.949 | 0.000 | 0.000 | 
| -0.000 | 0.000 | 0.000 | -0.000 | 393.949 | 0.000 | 
| -0.000 | 0.000 | 0.000 | 0.000 | 0.000 | 393.949 | 
| 281.956 | 157.289 | 157.289 | -0.000 | -0.000 | -0.000 | 
| 157.289 | 281.956 | 157.289 | -0.000 | -0.000 | -0.000 | 
| 157.289 | 157.289 | 281.956 | -0.000 | -0.000 | -0.000 | 
| -0.000 | 0.000 | -0.000 | 393.949 | -0.000 | -0.000 | 
| 0.000 | -0.000 | -0.000 | 0.000 | 393.949 | 0.000 | 
| 0.000 | -0.000 | -0.000 | -0.000 | -0.000 | 393.949 | 
| 281.956 | 157.289 | 157.289 | 0.000 | -0.000 | 0.000 | 
| 157.289 | 281.956 | 157.289 | 0.000 | 0.000 | 0.000 | 
| 157.289 | 157.289 | 281.956 | 0.000 | 0.000 | 0.000 | 
| 0.000 | -0.000 | 0.001 | 393.949 | 0.000 | 0.000 | 
| -0.000 | 0.000 | 0.001 | 0.000 | 393.949 | 0.000 | 
| -0.000 | 0.001 | 0.000 | 0.000 | 0.000 | 393.949 | 
| 281.956 | 157.289 | 157.289 | 0.000 | -0.000 | -0.000 | 
| 157.289 | 281.956 | 157.289 | -0.000 | 0.000 | -0.000 | 
| 157.289 | 157.289 | 281.956 | -0.000 | -0.000 | -0.000 | 
| -0.000 | 0.000 | -0.001 | 393.949 | -0.000 | -0.000 | 
| 0.000 | -0.000 | -0.001 | -0.000 | 393.949 | -0.000 | 
| 0.000 | -0.001 | -0.000 | 0.000 | 0.000 | 393.949 | 
| -5816.903 | 9624.619 | -6294.747 | 0.001 | 0.000 | -0.000 | 
| -6972.624 | 10537.144 | -6180.289 | 0.000 | 0.000 | -0.000 | 
| -18064.098 | 12482.866 | 4620.288 | 0.000 | 0.000 | -0.000 | 
| -17533.616 | 12435.385 | 3032.190 | 468.055 | 0.000 | -0.000 | 
| -17533.639 | 12435.401 | 3032.194 | 0.000 | 504.043 | -0.000 | 
| -17533.841 | 12435.544 | 3032.229 | 0.000 | 0.000 | 590.434 | 
| 7862.915 | -7669.357 | 4655.449 | -0.001 | -0.000 | 0.000 | 
| 6523.359 | -6660.800 | 4880.962 | -0.000 | 0.000 | 0.000 | 
| 6025.368 | -7945.278 | 6628.398 | -0.000 | -0.000 | -0.000 | 
| 17533.616 | -12435.385 | -3032.190 | 468.054 | -0.000 | 0.000 | 
| 17533.639 | -12435.401 | -3032.194 | -0.000 | 504.042 | 0.000 | 
| 17533.841 | -12435.544 | -3032.229 | -0.000 | -0.000 | 590.434 | 
| 719.012 | 1124.808 | -892.724 | 0.000 | 0.000 | -0.000 | 
| -264.280 | 1519.650 | -41.440 | 0.000 | -0.000 | -0.000 | 
| -977.311 | 665.957 | 1135.228 | 0.000 | 0.000 | 0.000 | 
| -1754.323 | 1244.220 | 303.385 | 468.051 | 0.000 | -0.000 | 
| -1754.543 | 1244.377 | 303.423 | 0.000 | 504.000 | -0.000 | 
| -714.290 | 933.942 | -598.649 | 0.000 | 0.000 | 524.457 | 
| 2694.476 | -1045.423 | 40.060 | -0.000 | 0.000 | -0.000 | 
| 1849.091 | 67.591 | -525.354 | -0.000 | -0.000 | 0.000 | 
| 295.158 | -898.531 | 2132.358 | -0.000 | -0.000 | -0.000 | 
| 1754.323 | -1244.220 | -303.385 | 468.050 | -0.000 | 0.000 | 
| 636.361 | -782.540 | 499.276 | -0.000 | 498.071 | 0.000 | 
| 714.290 | -933.942 | 598.649 | -0.000 | -0.000 | 524.457 | 
| 1450.279 | 229.969 | -353.337 | 0.000 | 0.000 | -0.000 | 
| 138.720 | 1269.881 | -202.334 | 0.000 | 0.000 | -0.000 | 
| -405.211 | -40.736 | 1588.769 | 0.000 | 0.000 | -0.000 | 
| -0.000 | -0.000 | 0.001 | 475.308 | 0.000 | 0.000 | 
| -62.923 | 79.664 | -51.401 | 0.000 | 499.330 | -0.000 | 
| -61.550 | 77.691 | -52.430 | 0.000 | 0.000 | 565.604 | 
| 1565.003 | 79.504 | -290.278 | -0.000 | -0.000 | 0.000 | 
| 225.380 | 1091.064 | -70.793 | -0.000 | -0.000 | 0.000 | 
| -282.523 | -203.152 | 1693.166 | -0.000 | -0.000 | -0.000 | 
| 0.000 | 0.000 | -0.001 | 475.308 | -0.000 | 0.000 | 
| 62.923 | -79.664 | 51.401 | -0.000 | 499.330 | 0.000 | 
| 61.550 | -77.691 | 52.430 | -0.000 | -0.000 | 565.604 | 
| 1925.920 | -223.549 | -622.827 | -0.000 | -0.000 | -0.000 | 
| -278.825 | 1658.632 | -63.927 | -0.000 | -0.000 | -0.000 | 
| -670.631 | -56.455 | 1946.222 | 0.000 | 0.000 | 0.000 | 
| 0.000 | 0.000 | -0.000 | 508.762 | -0.000 | 0.000 | 
| 0.000 | 0.000 | -0.000 | -0.001 | 524.714 | -0.000 | 
| 0.000 | 0.000 | 0.000 | -0.000 | -0.000 | 669.535 | 
| 936.017 | 299.461 | -224.234 | 0.000 | 0.000 | 0.000 | 
| -278.825 | 1658.632 | -63.927 | 0.001 | 0.000 | 0.000 | 
| -670.631 | -56.455 | 1946.222 | 0.001 | 0.000 | 0.000 | 
| -0.000 | -0.000 | 0.000 | 508.763 | 0.000 | -0.000 | 
| -0.000 | -0.000 | 0.000 | 0.000 | 524.714 | -0.000 | 
| -0.000 | -0.000 | -0.000 | 0.000 | 0.000 | 669.535 | 
| 1099.082 | 197.741 | -262.754 | -0.000 | -0.000 | -0.000 | 
| 183.118 | 1362.366 | -200.380 | -0.000 | -0.000 | -0.000 | 
| -280.446 | -128.637 | 1629.137 | -0.000 | -0.000 | 0.000 | 
| 0.000 | -0.000 | 0.000 | 508.763 | -0.000 | 0.000 | 
| -0.000 | 0.000 | 0.000 | -0.000 | 524.714 | -0.000 | 
| -0.000 | 0.000 | 0.000 | -0.000 | -0.000 | 669.535 | 
| 1076.580 | 212.363 | -258.461 | 0.000 | 0.000 | -0.000 | 
| 161.797 | 1377.096 | -197.450 | 0.000 | 0.000 | -0.000 | 
| -670.631 | -56.455 | 1946.222 | 0.000 | 0.000 | -0.000 | 
| -0.000 | 0.000 | -0.000 | 508.763 | 0.000 | -0.000 | 
| 0.000 | -0.000 | -0.000 | 0.000 | 524.714 | -0.000 | 
| 0.000 | -0.000 | -0.000 | 0.000 | 0.000 | 669.535 | 
| 1061.551 | 179.399 | -226.550 | -0.000 | 0.000 | 0.000 | 
| 128.632 | 1353.919 | -141.461 | -0.000 | -0.000 | -0.000 | 
| -268.578 | -137.072 | 1631.019 | -0.000 | -0.000 | 0.000 | 
| -0.000 | -0.000 | 0.001 | 508.763 | -0.000 | -0.000 | 
| -0.001 | 0.000 | 0.002 | -0.000 | 524.714 | -0.000 | 
| 5.577 | -3.081 | -2.253 | -0.000 | -0.000 | 558.063 | 
| 1059.843 | 180.593 | -226.550 | 0.000 | 0.000 | -0.000 | 
| 126.459 | 1355.101 | -140.945 | 0.000 | 0.000 | -0.000 | 
| -241.890 | -207.871 | 1674.133 | 0.000 | 0.000 | 0.000 | 
| 0.000 | 0.000 | -0.001 | 508.763 | 0.000 | 0.000 | 
| 0.001 | -0.000 | -0.002 | 0.000 | 524.714 | 0.000 | 
| -5.577 | 3.081 | 2.253 | 0.000 | 0.000 | 558.063 | 
| 968.371 | 65.391 | 81.320 | 0.000 | 160.428 | -0.000 | 
| 80.611 | 1221.922 | -90.909 | 0.000 | 124.179 | 0.000 | 
| 52.335 | -69.487 | 1232.524 | 0.000 | -233.412 | 0.000 | 
| 47.656 | -17.547 | -19.929 | 503.974 | 67.397 | -55.837 | 
| 215.624 | 39.873 | -233.412 | 0.000 | 855.359 | 0.000 | 
| -0.000 | 0.000 | 0.000 | -64.237 | -0.000 | 388.692 | 
| 892.425 | 63.046 | 129.067 | -0.000 | 71.805 | -0.000 | 
| 18.975 | 1224.786 | -61.214 | -0.000 | 31.414 | -0.000 | 
| 100.522 | -68.538 | 1181.199 | -0.000 | -170.374 | -0.000 | 
| -47.656 | 17.547 | 19.929 | 503.974 | -67.397 | -55.837 | 
| 51.441 | 105.474 | -159.499 | -0.000 | 631.307 | -0.000 | 
| 0.000 | -0.000 | -0.000 | -64.237 | 0.000 | 388.692 | 
| 954.067 | 70.429 | 87.126 | 0.000 | 139.472 | 0.000 | 
| 47.090 | 1219.234 | -73.809 | 0.000 | 71.239 | 0.000 | 
| 133.283 | -74.207 | 1171.149 | 0.000 | -129.974 | 0.000 | 
| 0.000 | 0.000 | 0.000 | 533.282 | 0.000 | -59.489 | 
| 78.358 | 95.439 | -170.882 | 0.000 | 669.178 | 0.000 | 
| -0.000 | 0.000 | 0.000 | -64.237 | 0.000 | 388.692 | 
| 949.821 | 71.990 | 88.900 | -0.000 | 133.464 | 0.000 | 
| 42.343 | 1220.802 | -71.814 | -0.000 | 64.766 | -0.000 | 
| 124.386 | -74.347 | 1171.512 | -0.000 | -138.870 | -0.000 | 
| -0.000 | -0.000 | -0.000 | 533.282 | -0.000 | -59.489 | 
| 45.908 | 72.242 | -137.538 | -0.000 | 624.452 | -0.000 | 
| 0.000 | -0.000 | -0.000 | -64.237 | -0.000 | 388.692 | 
| 921.483 | 55.668 | 116.831 | 0.000 | 108.807 | 0.000 | 
| 44.973 | 1219.973 | -72.926 | 0.000 | 68.369 | 0.000 | 
| 127.814 | -75.467 | 1170.381 | 0.000 | -134.713 | 0.000 | 
| 0.000 | 0.001 | 0.000 | 533.282 | 0.000 | -59.489 | 
| 48.726 | 73.215 | -135.343 | 0.000 | 627.080 | 0.000 | 
| -0.741 | 0.517 | 0.266 | -51.811 | -1.028 | 354.277 | 
| 921.725 | 54.421 | 115.240 | -0.000 | 109.326 | -0.000 | 
| 45.683 | 1219.757 | -72.155 | -0.000 | 67.843 | -0.000 | 
| 127.265 | -75.316 | 1170.597 | -0.000 | -135.414 | -0.000 | 
| -0.000 | -0.001 | -0.000 | 533.282 | -0.000 | -59.489 | 
| 48.157 | 73.351 | -135.108 | -0.000 | 626.356 | -0.000 | 
| 0.741 | -0.517 | -0.266 | -51.811 | 1.028 | 354.277 | 
| 198.473 | 0.382 | 17.454 | 0.000 | -0.000 | -0.000 | 
| 0.382 | 198.473 | 17.454 | 0.000 | -0.000 | -0.000 | 
| 29.172 | 29.172 | 24.600 | 0.000 | -0.000 | -0.000 | 
| 12.816 | 12.817 | -79.437 | -84.018 | -0.000 | 0.000 | 
| 12.816 | 12.816 | -79.437 | -0.000 | -84.018 | 0.000 | 
| 0.000 | -0.000 | 0.000 | 0.000 | -0.000 | 60.453 | 
| 198.473 | 0.382 | 17.454 | -0.000 | 0.000 | -0.000 | 
| 0.382 | 198.473 | 17.454 | -0.000 | 0.000 | 0.000 | 
| 25.883 | 25.883 | 55.382 | 0.000 | 0.000 | 0.000 | 
| -12.816 | -12.816 | 79.435 | -84.014 | 0.000 | -0.000 | 
| -12.816 | -12.816 | 79.435 | 0.000 | -84.014 | -0.000 | 
| -0.000 | 0.000 | -0.000 | -0.000 | -0.000 | 60.453 | 
| -103.990 | -1.399 | 22.951 | -0.000 | -0.000 | -0.000 | 
| -1.399 | -103.990 | 22.951 | -0.000 | -0.000 | -0.000 | 
| 27.672 | 27.672 | 38.580 | 0.000 | -0.000 | -0.000 | 
| 0.100 | 0.100 | -0.787 | 23.958 | -0.000 | -0.000 | 
| 0.100 | 0.100 | -0.787 | -0.000 | 23.958 | -0.000 | 
| 0.184 | 0.184 | -1.456 | -0.000 | -0.000 | 29.958 | 
| -108.869 | -8.538 | 39.612 | 0.000 | 0.000 | -0.000 | 
| -8.538 | -108.869 | 39.612 | 0.000 | 0.000 | 0.000 | 
| 14.778 | 14.778 | -34.877 | 0.000 | 0.000 | -0.000 | 
| -0.100 | -0.100 | 0.787 | 23.958 | 0.000 | 0.000 | 
| -0.100 | -0.100 | 0.787 | -0.000 | 23.958 | 0.000 | 
| -0.184 | -0.184 | 1.456 | 0.000 | 0.000 | 29.958 | 
| -108.561 | -7.869 | 36.414 | -0.000 | -0.000 | 0.000 | 
| -7.869 | -108.561 | 36.414 | -0.000 | -0.000 | -0.000 | 
| 26.919 | 26.919 | -35.815 | -0.000 | -0.000 | 0.000 | 
| -1572408.098 | -1613746.766 | -8031721.210 | 984687.294 | -4833.784 | 12958.266 | 
| -1629426.507 | -1565274.459 | -8057530.178 | -59739.198 | 991230.851 | 18051.325 | 
| -1966146.890 | -2024055.151 | -9248800.751 | -30721.569 | 1014.436 | 117740.276 | 
| -109.336 | -13.248 | 22.801 | 0.000 | 0.000 | -0.000 | 
| -13.248 | -109.336 | 22.801 | 0.000 | 0.000 | -0.000 | 
| 26.865 | 26.865 | -35.402 | 0.000 | 0.000 | 0.000 | 
| 1605192.535 | 1616195.215 | 8038199.457 | 936708.249 | -22254.835 | -21295.125 | 
| 1659251.279 | 1609375.805 | 8064589.515 | -26988.516 | 955809.979 | -31186.007 | 
| 2078570.485 | 1968498.382 | 9165277.338 | -34946.975 | -51011.737 | 97280.230 | 
| 583.130 | 506.217 | 314.784 | -0.000 | 19.878 | -0.000 | 
| 128.240 | 927.411 | 316.037 | -0.000 | -17.130 | -0.000 | 
| 4.594 | 11.838 | 8.692 | 0.000 | -1.272 | -0.000 | 
| 0.000 | -0.000 | -0.000 | 20.890 | 0.000 | -3.973 | 
| 480.189 | 1376.699 | 264.873 | -0.000 | -51.501 | 0.000 | 
| 642.898 | 1672.757 | 281.638 | 8.260 | -20.950 | 100.300 | 
| 114.990 | -719.941 | -321.861 | 0.000 | 45.961 | 0.000 | 
| 89.551 | -24.630 | -115.317 | -0.000 | 21.303 | -0.000 | 
| 4.594 | 11.839 | 8.692 | -0.000 | -1.272 | 0.000 | 
| -0.000 | 0.000 | 0.000 | 20.890 | -0.000 | -3.973 | 
| -5.637 | 0.427 | -1.272 | -0.000 | 21.553 | 0.000 | 
| -642.898 | -1672.757 | -281.638 | 8.260 | 20.950 | 100.300 | 
| 378.653 | -42.937 | 4.593 | -0.000 | -5.628 | 0.000 | 
| -42.937 | 361.583 | 11.839 | -0.000 | 0.427 | 0.000 | 
| 4.594 | 11.839 | 8.692 | 0.000 | -1.272 | -0.000 | 
| 7.781 | 20.083 | 10.077 | -9.041 | -0.207 | -1.682 | 
| 12.738 | 16.572 | 9.244 | -0.000 | -8.075 | -0.000 | 
| 0.583 | 1.593 | 1.204 | -2.590 | -0.216 | 181.557 | 
| 378.653 | -42.937 | 4.593 | -0.000 | -5.628 | 0.000 | 
| -42.937 | 361.583 | 11.839 | -0.000 | 0.427 | -0.000 | 
| 4.594 | 11.839 | 8.692 | -0.000 | -1.272 | 0.000 | 
| -7.781 | -20.083 | -10.077 | -9.041 | 0.207 | -1.682 | 
| -5.637 | 0.427 | -1.272 | -0.000 | 21.553 | -0.000 | 
| -0.583 | -1.593 | -1.204 | -2.590 | 0.216 | 181.557 | 
| 360.740 | -27.238 | 4.942 | 0.000 | -4.747 | 0.000 | 
| -34.970 | 298.796 | 6.765 | -0.000 | 1.466 | 0.000 | 
| 4.735 | 12.506 | 2.363 | -0.000 | -0.065 | -0.000 | 
| 0.362 | 0.941 | 0.501 | 5.337 | -0.024 | -2.043 | 
| 0.080 | 0.351 | 0.753 | -0.000 | 5.517 | 0.000 | 
| 0.961 | 2.532 | 0.960 | 0.689 | 0.007 | 166.750 | 
| 347.816 | -33.359 | 3.611 | 0.000 | 2.050 | -0.000 | 
| -27.026 | 343.558 | 11.756 | 0.000 | 0.282 | -0.000 | 
| 4.594 | 11.838 | 8.692 | -0.000 | -1.272 | -0.000 | 
| -0.362 | -0.941 | -0.501 | 5.337 | 0.024 | -2.043 | 
| -5.637 | 0.427 | -1.272 | -0.000 | 21.553 | 0.000 | 
| -0.961 | -2.532 | -0.960 | 0.689 | -0.007 | 166.750 | 
| 936.051 | 2707.775 | -1741.992 | 0.000 | 0.000 | 0.000 | 
| 1142.366 | 5683.157 | -1392.728 | 0.000 | 0.000 | -0.000 | 
| 2198.701 | 10274.941 | -2155.680 | 0.000 | -0.000 | 0.000 | 
| 583.158 | 2666.568 | -1753.166 | 177.036 | 0.000 | 0.000 | 
| 1583.130 | 8594.746 | -2357.557 | -0.000 | 20.308 | 0.000 | 
| 5591.299 | 12041.544 | -2145.201 | 0.000 | 0.000 | -56.942 | 
| -230.258 | -2625.355 | 1764.335 | -0.000 | 0.000 | -0.000 | 
| -547.643 | -2284.888 | 1764.182 | -0.000 | -0.000 | -0.000 | 
| -7632.673 | -13235.785 | 1756.040 | -0.000 | 0.000 | -0.000 | 
| -583.158 | -2666.568 | 1753.166 | 177.036 | -0.000 | -0.000 | 
| -1583.130 | -8594.746 | 2357.557 | 0.000 | 20.308 | -0.000 | 
| -5591.299 | -12041.544 | 2145.201 | -0.000 | -0.000 | -56.942 | 
| 287.284 | 586.459 | -121.831 | -0.000 | -0.000 | 0.000 | 
| 202.495 | 976.867 | -230.799 | -0.000 | -0.000 | -0.000 | 
| 573.211 | 1141.882 | 53.888 | 0.000 | 0.000 | -0.000 | 
| 110.077 | 542.988 | -141.038 | 98.336 | 0.000 | 0.000 | 
| 156.891 | 851.751 | -234.134 | 0.000 | 22.063 | -0.000 | 
| 642.319 | 1179.792 | -175.001 | 0.000 | -0.000 | 49.374 | 
| -852.470 | -1309.021 | 84.808 | -0.000 | -0.000 | -0.000 | 
| -23.019 | 113.904 | 187.027 | -0.000 | -0.000 | -0.000 | 
| 6.583 | 13.220 | 428.179 | -0.000 | -0.000 | -0.000 | 
| -110.077 | -542.988 | 141.038 | 98.336 | -0.000 | -0.000 | 
| -156.891 | -851.751 | 234.134 | 0.000 | 22.063 | -0.000 | 
| -642.319 | -1179.792 | 175.001 | -0.000 | 0.000 | 49.374 | 
| 404.606 | 38.394 | -2.286 | -0.000 | -0.000 | 0.000 | 
| 45.145 | 396.137 | -8.372 | 0.000 | 0.000 | 0.000 | 
| 27.080 | 54.847 | 362.518 | 0.000 | 0.000 | 0.000 | 
| 17.006 | 77.173 | -19.974 | 62.828 | 0.000 | 0.000 | 
| 10.336 | 50.393 | -16.089 | -0.000 | 115.338 | 0.000 | 
| 57.854 | 108.639 | -15.604 | 0.000 | -0.000 | -2.599 | 
| 43.813 | -45.345 | 10.463 | -0.000 | 0.000 | -0.000 | 
| -44.759 | 50.686 | -12.141 | -0.000 | 0.000 | -0.000 | 
| -64.793 | -99.805 | 211.825 | 0.000 | 0.000 | -0.000 | 
| -17.006 | -77.173 | 19.974 | 62.828 | -0.000 | 0.000 | 
| -10.336 | -50.393 | 16.089 | -0.000 | 115.338 | -0.000 | 
| -39.072 | -108.496 | 28.868 | 0.000 | -0.000 | 5.814 | 
| 926.661 | -25.887 | -25.887 | -0.000 | -0.000 | -0.000 | 
| -25.887 | 926.661 | -25.887 | -0.000 | -0.000 | -0.000 | 
| -25.887 | -25.887 | 926.661 | -0.000 | -0.000 | 0.000 | 
| -0.376 | -0.376 | -0.377 | 370.538 | 0.000 | -0.000 | 
| -0.376 | -0.376 | -0.377 | -0.000 | 370.538 | -0.000 | 
| -0.376 | -0.376 | -0.377 | -0.000 | -0.000 | 370.538 | 
| 901.371 | -16.496 | -16.496 | 0.000 | 0.000 | 0.000 | 
| -16.496 | 901.371 | -16.496 | 0.000 | 0.000 | 0.000 | 
| -16.496 | -16.496 | 901.371 | 0.000 | 0.000 | -0.000 | 
| 0.376 | 0.376 | 0.377 | 370.538 | 0.000 | 0.000 | 
| 0.376 | 0.376 | 0.377 | -0.000 | 370.538 | -0.000 | 
| 0.376 | 0.376 | 0.377 | 0.000 | 0.000 | 370.538 | 
| 926.578 | -25.526 | -25.526 | -0.000 | -0.000 | 0.000 | 
| -25.526 | 926.578 | -25.526 | -0.000 | -0.000 | 0.000 | 
| -25.526 | -25.526 | 926.578 | -0.000 | -0.000 | 0.000 | 
| 0.000 | -0.000 | 0.000 | 412.922 | -0.000 | -0.000 | 
| -0.000 | 0.000 | 0.000 | -0.000 | 412.922 | -0.000 | 
| -0.000 | 0.000 | 0.000 | -0.000 | -0.000 | 412.922 | 
| 926.504 | -25.419 | -25.419 | 0.000 | 0.000 | 0.000 | 
| -25.419 | 926.504 | -25.419 | 0.000 | 0.000 | 0.000 | 
| -25.419 | -25.419 | 926.504 | 0.000 | 0.000 | 0.000 | 
| -0.000 | 0.000 | -0.000 | 412.922 | 0.000 | -0.000 | 
| -0.000 | -0.000 | -0.000 | 0.000 | 412.922 | 0.000 | 
| 0.000 | -0.000 | -0.000 | 0.000 | 0.000 | 412.922 | 
| 902.567 | -15.693 | -15.693 | -0.000 | -0.000 | 0.000 | 
| -15.693 | 902.567 | -15.693 | 0.000 | 0.000 | 0.000 | 
| -15.693 | -15.693 | 902.567 | -0.000 | -0.000 | 0.000 | 
| 0.008 | 0.007 | 0.007 | 365.607 | -0.000 | 0.000 | 
| 0.007 | 0.008 | 0.007 | -0.000 | 365.607 | -0.000 | 
| 0.007 | 0.007 | 0.008 | -0.000 | -0.000 | 365.607 | 
| 902.605 | -15.718 | -15.718 | 0.000 | 0.000 | 0.000 | 
| -15.718 | 902.605 | -15.718 | 0.000 | 0.000 | -0.000 | 
| -15.718 | -15.718 | 902.605 | -0.000 | -0.000 | 0.000 | 
| -0.008 | -0.007 | -0.007 | 365.607 | -0.000 | -0.000 | 
| -0.007 | -0.008 | -0.007 | 0.000 | 365.607 | 0.000 | 
| -0.007 | -0.007 | -0.008 | 0.000 | 0.000 | 365.607 | 
| 1021.495 | -103.659 | -103.659 | -0.000 | -0.000 | -0.000 | 
| -103.659 | 1021.495 | -103.659 | 0.000 | -0.000 | -0.000 | 
| -103.659 | -103.659 | 1021.495 | 0.000 | 0.000 | 0.000 | 
| 0.000 | -0.000 | -0.000 | 386.216 | 0.000 | -0.000 | 
| 0.000 | 0.000 | -0.000 | 0.000 | 386.216 | -0.000 | 
| 0.000 | -0.000 | -0.000 | -0.000 | -0.000 | 386.216 | 
| 853.090 | -20.863 | -20.863 | 0.000 | 0.000 | -0.000 | 
| -20.863 | 853.090 | -20.863 | -0.000 | -0.000 | -0.000 | 
| -20.863 | -20.863 | 853.090 | 0.000 | 0.000 | -0.000 | 
| 0.000 | 0.000 | 0.000 | 386.216 | 0.000 | -0.000 | 
| 0.000 | -0.000 | 0.000 | -0.000 | 386.216 | 0.000 | 
| -0.000 | 0.000 | 0.000 | 0.000 | 0.000 | 386.216 | 
| 853.124 | -20.856 | -20.856 | -0.000 | -0.000 | -0.000 | 
| -20.856 | 853.124 | -20.856 | -0.000 | -0.000 | -0.000 | 
| -20.856 | -20.856 | 853.124 | -0.000 | -0.000 | 0.000 | 
| 0.000 | 0.000 | 0.000 | 386.216 | -0.000 | 0.000 | 
| 0.000 | 0.000 | 0.000 | 0.000 | 386.216 | 0.000 | 
| -0.000 | 0.000 | 0.000 | 0.000 | -0.000 | 386.216 | 
| 853.121 | -20.859 | -20.859 | -0.000 | 0.000 | -0.000 | 
| -20.859 | 853.121 | -20.859 | 0.000 | 0.000 | -0.000 | 
| -20.859 | -20.859 | 853.121 | 0.000 | 0.000 | 0.000 | 
| -0.000 | 0.000 | -0.000 | 386.216 | 0.000 | -0.000 | 
| 0.000 | -0.000 | -0.000 | -0.000 | 386.216 | -0.000 | 
| 0.000 | -0.000 | -0.000 | -0.000 | 0.000 | 386.216 | 
| 828.011 | -9.799 | -9.799 | 0.000 | -0.000 | -0.000 | 
| -9.799 | 828.011 | -9.799 | 0.000 | 0.000 | -0.000 | 
| -9.799 | -9.799 | 828.011 | -0.000 | -0.000 | 0.000 | 
| 0.000 | -0.000 | 0.000 | 386.216 | 0.000 | -0.000 | 
| -0.000 | 0.000 | 0.000 | 0.000 | 386.216 | -0.000 | 
| -0.000 | 0.000 | 0.000 | -0.000 | -0.000 | 386.216 | 
| 827.839 | -9.718 | -9.718 | -0.000 | 0.000 | -0.000 | 
| -9.718 | 827.839 | -9.718 | -0.000 | 0.000 | -0.000 | 
| -9.718 | -9.718 | 827.839 | -0.000 | 0.000 | -0.000 | 
| -0.000 | 0.000 | -0.000 | 386.216 | 0.000 | -0.000 | 
| 0.000 | -0.000 | -0.000 | -0.000 | 386.216 | -0.000 | 
| 0.000 | -0.000 | -0.000 | 0.000 | 0.000 | 386.216 | 
| 5330.298 | 844.340 | -3442.081 | 0.000 | 0.000 | 0.000 | 
| 26.879 | 1242.143 | -58.645 | 0.000 | -0.000 | 0.000 | 
| 3077.479 | -867.409 | -603.799 | 0.000 | 0.000 | 0.000 | 
| 3064.356 | -789.230 | -1869.814 | 519.976 | 0.000 | 0.000 | 
| 4420.434 | 768.224 | -4376.501 | 0.000 | 484.089 | 0.000 | 
| 4441.310 | 755.354 | -4382.256 | 0.000 | -0.000 | 354.661 | 
| -3663.723 | -718.082 | 3787.139 | -0.000 | 0.000 | -0.000 | 
| 26.879 | 1242.143 | -58.645 | -0.000 | 0.000 | -0.000 | 
| -3054.821 | 711.977 | 3137.583 | -0.000 | 0.000 | 0.000 | 
| -3064.356 | 789.230 | 1869.814 | 519.976 | -0.000 | -0.000 | 
| -4420.434 | -768.224 | 4376.501 | -0.000 | 484.089 | -0.000 | 
| -4441.310 | -755.355 | 4382.256 | -0.000 | 0.000 | 354.661 | 
| 1436.464 | 114.436 | -339.118 | 0.000 | 0.000 | 0.000 | 
| 26.879 | 1242.144 | -58.645 | 0.000 | -0.000 | -0.000 | 
| 601.845 | 2.676 | 781.979 | -0.000 | -0.000 | 0.000 | 
| 415.343 | 49.021 | -390.884 | 473.867 | 0.000 | -0.000 | 
| 247.112 | -63.644 | -150.783 | 0.000 | 540.074 | 0.000 | 
| 430.594 | 71.309 | -344.490 | 0.000 | -0.000 | 303.452 | 
| 1198.700 | 25.831 | -60.573 | -0.000 | 0.000 | -0.000 | 
| 26.879 | 1242.143 | -58.645 | -0.000 | 0.000 | 0.000 | 
| -321.320 | -138.688 | 1593.635 | -0.000 | 0.000 | -0.000 | 
| -415.343 | -49.021 | 390.884 | 473.867 | -0.000 | 0.000 | 
| -247.112 | 63.644 | 150.783 | -0.000 | 540.074 | -0.000 | 
| -430.594 | -71.309 | 344.490 | 0.000 | 0.000 | 303.452 | 
| 1029.015 | 74.342 | 40.377 | 0.000 | -0.000 | 0.000 | 
| 84.671 | 1196.029 | -90.481 | 0.000 | -0.000 | 0.000 | 
| 156.910 | -57.842 | 1120.056 | 0.000 | 0.000 | 0.000 | 
| 16.246 | 3.678 | -13.439 | 487.963 | -0.000 | 0.000 | 
| 24.958 | -0.779 | -17.762 | 0.000 | 559.983 | 0.000 | 
| 51.244 | -13.198 | -31.268 | 0.000 | -0.000 | 358.979 | 
| 901.539 | 47.744 | 158.240 | -0.000 | 0.000 | -0.000 | 
| 29.375 | 1194.397 | -51.135 | -0.000 | -0.000 | -0.000 | 
| 69.751 | -73.252 | 1217.889 | -0.000 | 0.000 | -0.000 | 
| -16.246 | -3.678 | 13.439 | 487.963 | 0.000 | 0.000 | 
| -24.958 | 0.779 | 17.762 | -0.000 | 559.983 | -0.000 | 
| -51.244 | 13.198 | 31.268 | 0.000 | 0.000 | 358.979 | 
| 118.431 | 50.484 | -3.456 | -0.000 | -6.395 | -0.000 | 
| -9.433 | 107.061 | -0.810 | -0.000 | -59.310 | -0.000 | 
| 14.564 | 27.717 | 26.792 | -0.000 | 19.888 | -0.000 | 
| -0.000 | -0.000 | 0.000 | 38.388 | 0.000 | 12.670 | 
| -104.506 | 170.943 | -39.863 | -0.000 | -156.167 | -0.000 | 
| 0.000 | -0.000 | 0.000 | 12.670 | 0.000 | 61.928 | 
| 326.567 | -345.220 | 110.411 | 0.000 | 373.070 | 0.000 | 
| 123.442 | -170.115 | 46.097 | 0.000 | 166.585 | 0.000 | 
| 14.564 | 27.717 | 26.792 | 0.000 | 19.888 | 0.000 | 
| 0.000 | 0.000 | -0.000 | 38.388 | -0.000 | 12.670 | 
| 47.255 | -11.973 | 19.888 | 0.000 | 39.479 | 0.000 | 
| 0.000 | 0.000 | -0.000 | 12.670 | -0.000 | 61.928 | 
| -34.609 | 32.598 | -4.983 | -0.000 | -29.532 | -0.000 | 
| -21.046 | 8.828 | -10.916 | -0.000 | -21.898 | -0.000 | 
| -5.050 | 15.555 | -0.641 | -0.000 | -9.980 | -0.000 | 
| -0.000 | -0.000 | 0.000 | 38.388 | 0.000 | 12.670 | 
| 47.255 | -11.973 | 19.888 | -0.000 | 39.479 | -0.000 | 
| -1.516 | 5.324 | -2.258 | 9.197 | -5.916 | 41.226 | 
| 163.677 | 2.077 | 19.092 | 0.000 | 56.243 | 0.000 | 
| 5.194 | 42.627 | 18.097 | 0.000 | 1.036 | 0.000 | 
| 14.919 | 13.018 | 21.381 | 0.000 | 21.217 | 0.000 | 
| 0.000 | -0.000 | -0.000 | 38.388 | -0.000 | 12.670 | 
| 90.004 | -71.259 | -2.337 | 0.000 | 52.396 | 0.000 | 
| 1.516 | -5.324 | 2.258 | 9.197 | 5.916 | 41.226 | 
| -4.460 | -1.076 | -3.414 | -0.000 | -4.403 | -0.000 | 
| -0.968 | 2.593 | -0.104 | -0.000 | -1.650 | -0.000 | 
| 6.768 | 1.271 | 4.897 | -0.000 | 6.293 | -0.000 | 
| -2.632 | 2.106 | -0.721 | 0.285 | -2.448 | 2.517 | 
| 3.986 | 4.893 | -0.456 | -0.000 | -2.085 | -0.000 | 
| -2.967 | 2.260 | -0.791 | 1.544 | -2.674 | 0.684 | 
| 8.846 | -1.152 | 5.534 | 0.000 | 8.803 | 0.000 | 
| 2.772 | 0.083 | 1.565 | 0.000 | 2.309 | 0.000 | 
| 9.426 | -0.829 | 6.689 | 0.000 | 10.025 | 0.000 | 
| 2.632 | -2.106 | 0.721 | 0.285 | 2.448 | 2.517 | 
| 23.440 | -1.299 | 9.092 | -0.000 | 16.029 | 0.000 | 
| 2.967 | -2.260 | 0.791 | 1.544 | 2.674 | 0.684 | 
| 397.480 | 15.302 | 15.302 | -0.000 | -0.000 | 0.000 | 
| 15.302 | 397.480 | 15.302 | 0.000 | -0.000 | 0.000 | 
| 15.302 | 15.302 | 397.480 | -0.000 | -0.000 | -0.000 | 
| -0.000 | -0.000 | 0.000 | 181.589 | -0.000 | -0.000 | 
| -0.000 | -0.000 | 0.000 | 0.000 | 181.589 | 0.000 | 
| -0.000 | 0.000 | 0.000 | -0.000 | -0.000 | 181.589 | 
| 397.480 | 15.302 | 15.302 | 0.000 | 0.000 | -0.000 | 
| 15.302 | 397.480 | 15.302 | 0.000 | 0.000 | -0.000 | 
| 15.302 | 15.302 | 397.480 | -0.000 | 0.000 | -0.000 | 
| 0.000 | 0.000 | -0.000 | 181.589 | 0.000 | -0.000 | 
| 0.000 | 0.000 | -0.000 | 0.000 | 181.589 | -0.000 | 
| 0.000 | 0.000 | -0.000 | 0.000 | 0.000 | 181.589 | 
| 242.012 | -7.485 | -7.485 | 0.015 | 0.091 | -0.058 | 
| -7.482 | 242.012 | -7.482 | 0.015 | 0.091 | -0.058 | 
| -7.480 | -7.480 | 242.012 | 0.015 | 0.091 | -0.058 | 
| -10.861 | -10.880 | -10.893 | 121.774 | -0.855 | 0.549 | 
| -10.821 | -10.840 | -10.853 | -0.136 | 121.279 | 0.547 | 
| -10.900 | -10.919 | -10.932 | -0.137 | -0.858 | 122.249 | 
| 294.582 | 42.417 | 42.418 | -0.003 | -0.017 | 0.011 | 
| 42.414 | 294.585 | 42.416 | -0.003 | -0.017 | 0.011 | 
| 42.413 | 42.415 | 294.587 | -0.003 | -0.017 | 0.011 | 
| 10.876 | 10.896 | 10.909 | 121.963 | 0.856 | -0.550 | 
| 10.917 | 10.936 | 10.949 | 0.137 | 122.462 | -0.552 | 
| 10.838 | 10.857 | 10.870 | 0.136 | 0.853 | 121.489 | 
| 317.094 | 28.220 | 28.219 | -0.012 | -0.078 | 0.050 | 
| 28.221 | 317.097 | 28.218 | -0.012 | -0.078 | 0.050 | 
| 28.221 | 28.219 | 317.098 | -0.012 | -0.078 | 0.050 | 
| 0.000 | 0.000 | 0.000 | 181.589 | -0.000 | 0.000 | 
| 0.000 | 0.000 | 0.000 | -0.000 | 181.589 | -0.000 | 
| 0.000 | 0.000 | 0.000 | -0.000 | -0.000 | 181.589 | 
| 217.686 | 25.857 | 25.857 | 0.002 | 0.014 | -0.009 | 
| 25.856 | 217.686 | 25.857 | 0.002 | 0.014 | -0.009 | 
| 25.856 | 25.856 | 217.687 | 0.002 | 0.014 | -0.009 | 
| -0.000 | -0.000 | -0.000 | 181.589 | 0.000 | 0.000 | 
| -0.000 | -0.000 | -0.000 | 0.000 | 181.589 | -0.000 | 
| -0.000 | -0.000 | -0.000 | -0.000 | 0.000 | 181.589 | 
| 226.391 | 18.360 | 18.360 | 0.000 | 0.000 | -0.000 | 
| 18.360 | 226.391 | 18.360 | 0.000 | -0.000 | -0.000 | 
| 18.360 | 18.360 | 226.391 | 0.000 | -0.000 | 0.000 | 
| 0.000 | -0.000 | -0.000 | 104.016 | 0.000 | 0.000 | 
| -0.000 | 0.000 | -0.000 | 0.000 | 104.016 | 0.000 | 
| -0.000 | 0.000 | 0.000 | 0.000 | 0.000 | 104.016 | 
| 601.296 | 445.309 | 445.309 | 0.000 | -0.000 | -0.000 | 
| 445.309 | 601.296 | 445.309 | 0.000 | -0.000 | 0.000 | 
| 445.309 | 445.309 | 601.296 | 0.000 | -0.000 | -0.000 | 
| 0.000 | 0.000 | -0.000 | 104.016 | 0.000 | 0.000 | 
| -0.000 | -0.000 | -0.000 | -0.000 | 104.016 | 0.000 | 
| -0.000 | -0.000 | 0.000 | -0.000 | 0.000 | 104.016 | 
| -239.255 | -284.693 | -284.693 | -0.000 | 0.000 | -0.000 | 
| -284.693 | -239.255 | -284.693 | 0.000 | 0.000 | 0.000 | 
| -284.693 | -284.693 | -239.255 | 0.000 | 0.000 | -0.000 | 
| -42.125 | -42.125 | -42.125 | 77.945 | 0.000 | 0.000 | 
| -42.125 | -42.125 | -42.125 | -0.000 | 77.945 | 0.000 | 
| -42.125 | -42.125 | -42.125 | -0.000 | 0.000 | 77.945 | 
| 295.112 | 191.919 | 191.919 | -0.000 | 0.000 | 0.000 | 
| 191.919 | 295.112 | 191.919 | -0.000 | -0.000 | 0.000 | 
| 191.919 | 191.919 | 295.112 | -0.000 | -0.000 | -0.000 | 
| 42.125 | 42.125 | 42.125 | 77.945 | -0.000 | -0.000 | 
| 42.125 | 42.125 | 42.125 | 0.000 | 77.945 | -0.000 | 
| 42.125 | 42.125 | 42.125 | 0.000 | -0.000 | 77.945 | 
| 13.057 | -13.445 | -13.445 | 0.000 | 0.000 | -0.000 | 
| -13.445 | 13.057 | -13.445 | 0.000 | 0.000 | 0.000 | 
| -13.445 | -13.445 | 13.057 | 0.000 | 0.000 | -0.000 | 
| -18.128 | -18.128 | -18.128 | 47.543 | 0.000 | 0.000 | 
| -18.128 | -18.128 | -18.128 | 0.000 | 47.543 | -0.000 | 
| -18.128 | -18.128 | -18.128 | 0.000 | 0.000 | 47.543 | 
| 97.517 | 50.120 | 50.120 | -0.000 | -0.000 | 0.000 | 
| 50.120 | 97.517 | 50.120 | -0.000 | -0.000 | 0.000 | 
| 50.120 | 50.120 | 97.517 | -0.000 | -0.000 | 0.000 | 
| 18.128 | 18.128 | 18.128 | 47.543 | -0.000 | 0.000 | 
| 18.128 | 18.128 | 18.128 | -0.000 | 47.543 | -0.000 | 
| 18.128 | 18.128 | 18.128 | -0.000 | -0.000 | 47.543 | 
| 9.752 | 1.336 | -10.749 | -0.000 | 0.000 | 0.000 | 
| 1.337 | 9.750 | -10.749 | -0.000 | 0.000 | 0.000 | 
| 1.645 | 1.643 | 14.316 | -0.001 | 0.000 | -0.000 | 
| -94751015.319 | -94095875.807 | 21801275.861 | -15368.610 | -5504.056 | 32715.843 | 
| -94882498.268 | -94342251.819 | 21754975.810 | -39251.934 | 20106.193 | 35222.831 | 
| -0.143 | -0.145 | -0.198 | -0.001 | 0.001 | -1.812 | 
| 10.028 | 1.612 | -10.424 | -0.000 | -0.000 | -0.000 | 
| 1.611 | 10.029 | -10.424 | -0.000 | -0.000 | -0.000 | 
| 1.920 | 1.922 | 14.687 | 0.001 | -0.000 | 0.000 | 
| 94859660.984 | 94300857.790 | -22439533.514 | 34260.444 | -7698.221 | -24265.813 | 
| 94709277.404 | 94264006.356 | -22029899.072 | 27172.334 | 18247.348 | -38945.915 | 
| 0.143 | 0.145 | 0.198 | 0.001 | -0.001 | -1.812 | 
| -9296017.530 | -9877096.865 | 2096048.210 | -1136.750 | -617.969 | 4639.466 | 
| 2.005 | 10.141 | -10.466 | -0.001 | 0.000 | 0.000 | 
| 1.783 | 1.783 | 14.560 | -0.000 | 0.000 | 0.000 | 
| -0.041 | -0.043 | -0.005 | 9.698 | 0.000 | 0.000 | 
| -0.041 | -0.043 | -0.005 | -0.000 | 9.698 | 0.000 | 
| -0.014 | -0.014 | -0.020 | -0.000 | 0.000 | -1.718 | 
| 9870115.152 | 9275194.982 | -1356230.058 | 294.174 | -70.559 | 2614.352 | 
| 9366686.832 | 9951721.619 | -1823702.730 | 208.105 | 566.210 | 178.929 | 
| 1.804 | 1.804 | 14.603 | 0.000 | -0.000 | -0.000 | 
| 0.041 | 0.043 | 0.005 | 9.698 | -0.000 | -0.000 | 
| 0.041 | 0.043 | 0.005 | 0.000 | 9.698 | -0.000 | 
| 0.014 | 0.014 | 0.020 | 0.000 | -0.000 | -1.718 | 
| 9.881 | 1.580 | -10.626 | -0.000 | 0.000 | 0.000 | 
| 1.580 | 9.881 | -10.626 | -0.000 | 0.000 | 0.000 | 
| 1.791 | 1.791 | 14.581 | -0.000 | 0.000 | 0.000 | 
| -0.004 | -0.004 | -0.000 | 9.709 | 0.000 | 0.000 | 
| -951703.991 | -945379.260 | 252274.207 | -193.761 | 70.447 | 387.929 | 
| -0.001 | -0.001 | -0.002 | -0.000 | 0.000 | -1.717 | 
| 10.630 | 2.480 | -10.381 | 0.001 | -0.000 | 0.000 | 
| 870708.659 | 1026893.163 | 94890.789 | 0.608 | -3.830 | -42.513 | 
| 1.796 | 1.796 | 14.583 | 0.000 | -0.000 | -0.000 | 
| 0.004 | 0.004 | 0.000 | 9.709 | -0.000 | -0.000 | 
| 0.004 | 0.004 | 0.000 | 0.000 | 9.709 | 0.000 | 
| 0.001 | 0.001 | 0.002 | 0.000 | -0.000 | -1.717 | 
| -8398.590 | 21137.873 | -3409.848 | -7901.903 | -6355.611 | -5399.684 | 
| 63.473 | 419.708 | 66.558 | -36.716 | 30.300 | 25.145 | 
| -12862.097 | 28844.962 | -3836.096 | -11160.831 | -9409.692 | -8750.496 | 
| -11958.169 | 27197.815 | -3937.930 | -10569.677 | -8853.685 | -7983.356 | 
| -1383.317 | 4928.261 | 144.195 | -1698.241 | -830.197 | -1167.556 | 
| -9598.867 | 22016.932 | -3563.325 | -8635.641 | -7275.526 | -6251.833 | 
| 11835.172 | -27364.058 | 4216.190 | 10599.305 | 8831.249 | 7764.413 | 
| 13084.948 | -29059.550 | 3902.322 | 11276.691 | 9533.230 | 8900.653 | 
| 3534.888 | -5646.742 | 2676.237 | 2508.661 | 3106.605 | 1707.977 | 
| 7391.593 | -17132.697 | 2689.533 | 6684.617 | 5571.178 | 4793.523 | 
| 170.417 | 31.608 | 252.741 | 27.588 | 275.685 | 35.022 | 
| 37.038 | 25.332 | 26.618 | 34.939 | 24.158 | 139.090 | 
| 336.102 | 59.917 | 170.282 | 28.374 | 134.604 | 25.580 | 
| -1304.154 | 3063.890 | -442.643 | -1197.232 | -975.939 | -862.987 | 
| 130.693 | 73.522 | 339.091 | -13.686 | 165.028 | -14.070 | 
| -829.794 | 1933.639 | -317.308 | -726.882 | -629.938 | -532.430 | 
| 166.514 | 31.105 | 246.523 | 26.608 | 270.982 | 34.279 | 
| -1221.251 | 2759.274 | -382.048 | -1064.558 | -891.591 | -787.279 | 
| 333.362 | -1176.127 | -96.477 | 393.203 | 132.333 | 277.002 | 
| 268.722 | -402.156 | 258.449 | 168.998 | 236.161 | 136.220 | 
| 1287.815 | -2786.528 | 479.605 | 1093.587 | 936.547 | 836.909 | 
| 34.630 | -30.956 | 7.986 | 135.907 | 27.573 | 36.176 | 
| 167.420 | 31.066 | 247.933 | 26.945 | 271.999 | 34.474 | 
| 669.857 | -2349.536 | 144.947 | 722.889 | 450.109 | 515.355 | 
| -8.270 | 127.761 | -8.219 | -55.813 | -56.203 | -39.621 | 
| -102.297 | 332.927 | -0.092 | -117.679 | -76.377 | -78.294 | 
| -26.432 | 135.963 | 59.763 | -45.166 | -32.771 | -34.438 | 
| -15.957 | -5.090 | -15.890 | 63.372 | -23.622 | -1.879 | 
| -125.356 | 295.773 | -25.488 | -113.850 | -62.814 | -92.293 | 
| -116.578 | 260.471 | -47.663 | -95.159 | -91.899 | -57.093 | 
| 173.784 | -262.971 | 70.920 | 98.961 | 88.200 | 77.145 | 
| 32.078 | 121.826 | 43.504 | -6.755 | 15.907 | -5.556 | 
| 152.083 | -247.024 | 127.998 | 102.386 | 103.858 | 71.809 | 
| 105.905 | -276.108 | 37.200 | 124.122 | 83.803 | 82.940 | 
| 115.566 | -263.098 | 47.631 | 102.168 | 110.258 | 72.068 | 
| 101.462 | -245.493 | 34.107 | 101.156 | 74.220 | 78.364 | 
| 245.390 | 77.476 | 66.037 | -51.841 | -77.942 | 64.184 | 
| 40.854 | 193.449 | 86.781 | -53.456 | -21.040 | -0.088 | 
| 38.416 | 67.118 | 279.958 | -40.100 | -17.527 | 17.685 | 
| -30.602 | -87.989 | -13.449 | 95.049 | -6.517 | -37.616 | 
| -0.465 | 20.823 | 9.199 | -14.456 | 65.243 | -2.196 | 
| 62.577 | 21.430 | 27.180 | -14.485 | -47.247 | 67.287 | 
| 8.724 | 491.267 | 382.208 | -179.772 | 79.808 | 148.808 | 
| 91.232 | 156.125 | 25.335 | -52.694 | 14.454 | 69.468 | 
| -36.179 | -46.242 | 40.278 | 48.156 | 23.828 | -22.418 | 
| 39.752 | 67.100 | 0.219 | -10.756 | -11.553 | 45.137 | 
| 11.303 | 139.796 | -67.918 | 9.252 | 85.464 | 54.143 | 
| 49.466 | 490.973 | 388.203 | -167.655 | 87.310 | 209.021 | 
| 126.065 | -12.378 | 1.718 | -12.595 | -15.180 | -2.274 | 
| 13.168 | 6.654 | -15.340 | 0.366 | 15.386 | 9.415 | 
| 16.499 | 37.968 | 157.052 | -13.380 | -13.466 | -0.586 | 
| -3.172 | -22.431 | -11.749 | 81.317 | 6.791 | -8.752 | 
| -5.062 | 4.144 | -10.398 | -0.459 | 46.481 | 6.920 | 
| 1.417 | -11.506 | 0.130 | 10.190 | 2.421 | 36.525 | 
| 88.453 | 48.148 | 28.533 | -15.452 | 3.319 | 26.909 | 
| 35.901 | 98.429 | 26.364 | -28.961 | 8.853 | 20.873 | 
| 4.046 | 18.411 | 140.228 | -1.012 | -7.998 | -11.207 | 
| 6.931 | -26.205 | -15.057 | 47.745 | -1.783 | 7.580 | 
| -5.475 | 11.072 | -21.497 | 1.393 | 36.333 | 6.867 | 
| 24.567 | 22.321 | -3.773 | -7.807 | 2.946 | 64.367 | 
| 117.894 | 25.282 | 23.323 | -10.295 | -5.327 | 12.925 | 
| 20.533 | 111.712 | 22.725 | -22.821 | 10.162 | 13.139 | 
| 17.727 | 14.951 | 98.107 | -2.742 | -16.977 | -8.621 | 
| -6.320 | -22.934 | -5.723 | 48.617 | 3.225 | 0.416 | 
| -7.519 | 5.341 | -15.797 | 0.364 | 32.492 | 3.081 | 
| 9.689 | 10.052 | -3.490 | 1.096 | 4.798 | 54.803 | 
| 123.061 | 28.815 | 27.683 | -7.432 | -0.134 | 13.129 | 
| 17.574 | 111.099 | 22.625 | -21.893 | 11.968 | 11.794 | 
| 18.525 | 29.399 | 112.337 | -5.142 | -15.648 | -7.083 | 
| -15.232 | -15.962 | 1.114 | 37.613 | 0.964 | -0.092 | 
| -7.654 | 8.082 | -15.748 | 0.456 | 33.886 | 3.656 | 
| 13.799 | 15.792 | -5.995 | 1.538 | 3.302 | 53.800 | 
| -7.812 | -312.934 | 221.213 | 461.376 | 303.372 | 189.302 | 
| 17.090 | 197.614 | 9.129 | -13.911 | -58.824 | 19.540 | 
| -124.636 | 42.313 | 159.239 | 175.598 | -96.377 | 4.477 | 
| -138.117 | -234.376 | 217.704 | 597.295 | 364.913 | 157.106 | 
| -175.643 | -266.087 | 206.542 | 523.556 | 403.353 | 160.062 | 
| -9.678 | -17.448 | -48.428 | 26.369 | -66.408 | 159.391 | 
| 231.799 | 41.971 | -38.460 | -165.948 | 56.592 | 1.285 | 
| 7.598 | 222.156 | 91.680 | 4.839 | 84.300 | -40.194 | 
| 2.722 | 33.713 | 266.539 | -17.530 | 86.551 | -38.453 | 
| 140.967 | 23.547 | -46.535 | -143.321 | 88.777 | -2.514 | 
| 130.714 | -17.514 | -70.650 | -167.625 | 113.963 | -5.999 | 
| 244.803 | 37.240 | -129.427 | -180.640 | 59.913 | 63.749 | 
| 65.179 | -3.355 | 32.541 | 17.816 | -2.243 | -7.104 | 
| -7.597 | 68.328 | 41.904 | 44.278 | 17.949 | 14.047 | 
| -19.336 | 38.347 | 131.105 | -1.152 | -11.579 | -5.568 | 
| -15.812 | -6.622 | -4.530 | 44.353 | 0.141 | -1.509 | 
| -47.155 | -44.601 | -4.827 | 40.241 | 64.195 | 5.136 | 
| -48.604 | -16.844 | 26.076 | 26.323 | 9.900 | 40.764 | 
| 128.504 | 36.522 | -8.312 | -48.378 | -45.838 | -23.673 | 
| 17.523 | 176.105 | 40.871 | -12.062 | 15.354 | 3.592 | 
| 52.753 | 56.969 | 91.477 | -15.939 | -13.605 | -0.105 | 
| 0.049 | 45.014 | -12.793 | 215.989 | -19.378 | -3.363 | 
| 21.787 | 19.633 | -24.621 | -2.373 | 43.578 | 2.101 | 
| 9.460 | 14.212 | -6.173 | -7.891 | -2.057 | 30.932 | 
| 108.153 | 10.654 | 13.472 | -1.480 | -12.315 | -10.515 | 
| 10.600 | 105.276 | 40.273 | 1.396 | 1.386 | 5.838 | 
| 12.290 | 37.896 | 135.397 | -5.619 | -7.564 | 3.661 | 
| -3.190 | 1.912 | -9.224 | 61.594 | 4.278 | 0.143 | 
| -24.862 | -7.672 | -7.780 | 7.596 | 48.797 | -3.368 | 
| -9.879 | 5.121 | -1.577 | 8.595 | -7.667 | 57.506 | 
| 114.542 | 16.902 | 12.193 | -4.941 | -11.514 | -10.844 | 
| 11.627 | 97.666 | 27.073 | -1.810 | -6.791 | 1.404 | 
| 14.821 | 33.867 | 128.541 | -10.632 | -12.761 | 3.201 | 
| 0.932 | 8.300 | -9.649 | 50.164 | 4.401 | -3.597 | 
| -22.992 | -7.638 | -13.666 | -2.140 | 37.842 | -8.832 | 
| -10.568 | 7.753 | 0.121 | 0.840 | -5.690 | 45.041 | 
| 408.834 | 118.128 | 118.128 | 0.000 | -0.000 | 0.000 | 
| 10055843041.422 | -2405030131.989 | -1564309409.278 | 16023421.502 | 55893081.710 | -6180632.201 | 
| 118.128 | 118.128 | 408.834 | 0.000 | -0.000 | 0.000 | 
| 0.000 | 0.000 | -0.000 | 733.402 | -0.000 | 0.000 | 
| 0.000 | -0.000 | -0.000 | 0.000 | 733.402 | 0.000 | 
| 0.000 | 0.000 | -0.000 | 0.000 | -0.000 | 733.402 | 
| -9645929329.140 | 1608191743.016 | 1535603538.712 | 2299231.275 | 41775707.494 | 9613128.236 | 
| 1431407390.226 | -9655204929.357 | 1774161854.309 | 16876031.144 | -275895.203 | 20909043.292 | 
| 1773396458.501 | 1520486516.747 | -9576219189.765 | -30433406.556 | 18633868.572 | 45861022.545 | 
| -0.000 | -0.000 | 0.000 | 733.402 | 0.000 | -0.000 | 
| 0.000 | 0.000 | 0.000 | -0.000 | 733.402 | -0.000 | 
| -0.000 | -0.000 | 0.000 | -0.000 | 0.000 | 733.402 | 
| -176113374.767 | -150776993.199 | 964944991.198 | 2324878.250 | -2418116.651 | -796175.002 | 
| 979037120.126 | -176641022.048 | -154435400.736 | 1699236.000 | 5737044.690 | -927219.825 | 
| -143051876.254 | 955938720.719 | -139781348.889 | -2880354.036 | 733842.314 | 108585.875 | 
| -330076269.282 | 33457333.375 | 931537887.441 | -62189768.094 | -353329.076 | 103304.125 | 
| 902289460.267 | -222548454.810 | 11678164.041 | -1185466.551 | -41864875.456 | -1127177.366 | 
| 23319550.214 | 925920386.721 | -308441624.943 | 1972961.550 | -2340717.844 | -64840614.205 | 
| -980597722.940 | 190514006.747 | 149367654.620 | -1037246.475 | 232531.852 | 1053468.316 | 
| 142096068.649 | -965388954.793 | 172262201.501 | 4057867.203 | -457828.892 | 4521398.977 | 
| 175348084.849 | 156708856.713 | -960125479.086 | -2942509.539 | -544782.851 | 3215657.893 | 
| 233997140.136 | -32037302.302 | -892456061.187 | -51914044.697 | -3084279.941 | -1776543.556 | 
| -897206523.987 | 186946805.182 | 2044044.074 | 1322288.150 | -49977045.534 | -578768.083 | 
| -5276411.946 | -932226446.293 | 254505345.807 | 3714942.500 | 3117588.897 | -47633083.191 | 
| -19529596.059 | -15198824.743 | 97483172.969 | -253826.248 | -166917.259 | 137494.565 | 
| 98332976.184 | -18279739.216 | -15431563.287 | -5174.966 | 903270.148 | -25727.247 | 
| -14540231.263 | 95936562.415 | -14815976.236 | -247446.174 | -78946.627 | -32247.751 | 
| -31898984.700 | 2681680.406 | 93259779.533 | -6192969.406 | 179665.993 | 20398.195 | 
| 91177077.024 | -31129549.325 | 2933030.306 | -95954.773 | -5418626.817 | 126811.704 | 
| 1263720.589 | 87343006.469 | -18530655.184 | -107127.722 | -569559.458 | -5672353.449 | 
| -99261470.306 | 21093832.486 | 15136377.057 | -94374.683 | 109521.431 | 256511.363 | 
| 14840495.700 | -98872443.331 | 21563114.689 | 260381.147 | 120490.709 | 193174.594 | 
| 22405393.810 | 15295200.638 | -97990365.158 | -395086.286 | 232572.876 | 54109.771 | 
| 33812033.591 | -3870344.321 | -91393215.192 | -6560785.668 | -148603.810 | 254342.451 | 
| -92076982.570 | 23890484.214 | -304313.050 | 457174.648 | -4739330.280 | -151590.981 | 
| 129616.485 | -93628850.363 | 24957298.641 | 231492.093 | 403607.712 | -4322898.606 | 
| -2448.478 | 443.973 | 216.388 | 0.000 | 0.000 | -0.000 | 
| -323.483 | 1014.260 | -693.400 | 0.000 | 0.000 | 0.000 | 
| -2688.130 | 527.384 | 433.586 | -0.000 | -0.000 | 0.000 | 
| 0.000 | 0.000 | 0.000 | 260.482 | 0.000 | 0.000 | 
| -2749.167 | 482.525 | 187.762 | 0.000 | 194.324 | 0.000 | 
| 0.000 | 0.000 | -0.000 | 0.000 | 0.000 | 223.744 | 
| 546.232 | -19.994 | -6.591 | -0.000 | 0.000 | 0.000 | 
| -41.801 | 565.746 | 17.898 | -0.000 | 0.000 | -0.000 | 
| 2812.225 | -438.545 | 53.280 | -0.000 | -0.000 | -0.000 | 
| -0.000 | -0.000 | -0.000 | 260.482 | 0.000 | -0.000 | 
| 2749.167 | -482.525 | -187.762 | 0.000 | 194.324 | -0.000 | 
| -0.000 | -0.000 | -0.000 | 0.000 | 0.000 | 223.744 | 
| 35.080 | 5.203 | 36.438 | -0.000 | -0.000 | 0.000 | 
| -41.801 | 565.746 | 17.898 | -0.000 | -0.000 | -0.000 | 
| -280.585 | 131.562 | 99.054 | -0.000 | -0.000 | -0.000 | 
| -29.338 | 53.042 | -72.076 | 213.938 | 0.000 | -0.000 | 
| -333.718 | 107.775 | -55.988 | -0.000 | 103.595 | 0.000 | 
| -326.660 | 107.021 | -57.194 | 0.000 | -0.000 | 0.937 | 
| 493.257 | -58.457 | 91.536 | -0.000 | 0.000 | -0.000 | 
| 211.916 | 292.533 | -0.234 | 0.000 | 0.000 | 0.000 | 
| 67.457 | -2.282 | 455.952 | -0.000 | 0.000 | 0.000 | 
| 29.338 | -53.042 | 72.076 | 213.938 | -0.000 | 0.000 | 
| 333.718 | -107.775 | 55.988 | 0.000 | 103.595 | -0.000 | 
| 326.660 | -107.021 | 57.194 | -0.000 | 0.000 | 0.937 | 
| 366.620 | -16.268 | 9.310 | 0.000 | -0.000 | -0.000 | 
| -62.987 | 401.465 | 12.522 | 0.000 | 0.000 | 0.000 | 
| 11.563 | 52.556 | 306.239 | 0.000 | 0.000 | 0.000 | 
| -3.261 | 5.895 | -8.010 | 208.753 | -0.000 | 0.000 | 
| -2.369 | 4.283 | -5.820 | 0.000 | 237.747 | 0.000 | 
| -15.805 | 5.417 | -3.008 | 0.000 | 0.000 | 125.722 | 
| 476.611 | -14.826 | 27.624 | 0.000 | 0.000 | 0.000 | 
| -101.425 | 205.618 | -77.389 | -0.000 | -0.000 | -0.000 | 
| 44.135 | 30.025 | 251.517 | 0.000 | -0.000 | -0.000 | 
| 3.261 | -5.895 | 8.010 | 208.753 | -0.000 | 0.000 | 
| 2.369 | -4.283 | 5.820 | 0.000 | 237.747 | -0.000 | 
| 15.805 | -5.417 | 3.008 | -0.000 | -0.000 | 125.722 | 
| 548.316 | -40.494 | 0.000 | 0.000 | 0.000 | -0.000 | 
| -39.868 | 547.690 | 0.000 | 0.000 | 0.000 | -0.000 | 
| 0.313 | -0.313 | 0.000 | 0.000 | 0.000 | -0.000 | 
| 0.313 | -0.313 | 0.000 | 0.000 | 0.000 | -0.000 | 
| 0.313 | -0.313 | 0.000 | 0.000 | 0.000 | -0.000 | 
| 0.313 | -0.313 | 0.000 | 0.000 | 0.000 | 294.092 | 
| 572.907 | -65.085 | -0.000 | -0.000 | -0.000 | -0.000 | 
| -40.494 | 548.316 | -0.000 | -0.000 | -0.000 | -0.000 | 
| -0.313 | 0.313 | -0.000 | -0.000 | -0.000 | 0.000 | 
| -0.313 | 0.313 | -0.000 | -0.000 | -0.000 | 0.000 | 
| -0.313 | 0.313 | -0.000 | -0.000 | -0.000 | 0.000 | 
| -0.313 | 0.313 | -0.000 | -0.000 | -0.000 | 294.092 | 
| 548.035 | -40.212 | 0.000 | 0.000 | 0.000 | 0.000 | 
| -40.150 | 547.972 | 0.000 | 0.000 | 0.000 | -0.000 | 
| 0.031 | -0.031 | 0.000 | 0.000 | 0.000 | -0.000 | 
| 0.031 | -0.031 | 0.000 | 0.000 | 0.000 | -0.000 | 
| 0.031 | -0.031 | 0.000 | 0.000 | 0.000 | -0.000 | 
| 0.031 | -0.031 | 0.000 | 0.000 | 0.000 | 294.092 | 
| 547.972 | -40.149 | -0.000 | -0.000 | -0.000 | 0.000 | 
| -40.212 | 548.035 | -0.000 | -0.000 | -0.000 | -0.000 | 
| -0.031 | 0.031 | -0.000 | -0.000 | -0.000 | 0.000 | 
| -0.031 | 0.031 | -0.000 | -0.000 | -0.000 | 0.000 | 
| -0.031 | 0.031 | -0.000 | -0.000 | -0.000 | -0.000 | 
| -0.031 | 0.031 | -0.000 | -0.000 | -0.000 | 294.092 | 
| 548.009 | -40.186 | 0.000 | 0.000 | 0.000 | 0.000 | 
| -40.177 | 548.000 | 0.000 | 0.000 | 0.000 | -0.000 | 
| 0.003 | -0.003 | 0.000 | 0.000 | 0.000 | -0.000 | 
| 0.003 | -0.003 | 0.000 | 0.000 | 0.000 | -0.000 | 
| 0.003 | -0.003 | 0.000 | 0.000 | 0.000 | -0.000 | 
| 0.003 | -0.003 | 0.000 | 0.000 | 0.000 | 294.092 | 
| 547.998 | -40.176 | -0.000 | -0.000 | -0.000 | -0.000 | 
| -40.185 | 548.007 | -0.000 | -0.000 | -0.000 | 0.000 | 
| -0.003 | 0.003 | -0.000 | -0.000 | -0.000 | 0.000 | 
| -0.003 | 0.003 | -0.000 | -0.000 | -0.000 | 0.000 | 
| -0.003 | 0.003 | -0.000 | -0.000 | -0.000 | -0.000 | 
| -0.003 | 0.003 | -0.000 | -0.000 | -0.000 | 294.092 | 
| 559.217 | -63.530 | 0.000 | 0.000 | 0.000 | -0.000 | 
| -39.221 | 534.908 | 0.000 | 0.000 | 0.000 | 0.000 | 
| -0.000 | 0.000 | 0.000 | 0.000 | 0.000 | -0.000 | 
| -0.000 | 0.000 | 0.000 | 0.000 | 0.000 | 0.000 | 
| -0.000 | 0.000 | 0.000 | 0.000 | 0.000 | -0.000 | 
| -0.000 | 0.000 | 0.000 | 0.000 | 0.000 | 287.064 | 
| 559.217 | -63.530 | -0.000 | -0.000 | -0.000 | 0.000 | 
| -39.221 | 534.908 | -0.000 | -0.000 | -0.000 | 0.000 | 
| 0.000 | -0.000 | -0.000 | -0.000 | -0.000 | 0.000 | 
| 0.000 | -0.000 | -0.000 | -0.000 | -0.000 | -0.000 | 
| 0.000 | -0.000 | -0.000 | -0.000 | -0.000 | 0.000 | 
| 0.000 | -0.000 | -0.000 | -0.000 | -0.000 | 287.064 | 
| 534.908 | -39.221 | 0.000 | 0.000 | 0.000 | -0.000 | 
| -39.221 | 534.908 | 0.000 | 0.000 | 0.000 | 0.000 | 
| -0.000 | 0.000 | 0.000 | 0.000 | 0.000 | -0.000 | 
| -0.000 | 0.000 | 0.000 | 0.000 | 0.000 | 0.000 | 
| -0.000 | 0.000 | 0.000 | 0.000 | 0.000 | 0.000 | 
| -0.000 | 0.000 | 0.000 | 0.000 | 0.000 | 287.064 | 
| 534.908 | -39.221 | -0.000 | -0.000 | -0.000 | 0.000 | 
| -39.221 | 534.908 | -0.000 | -0.000 | -0.000 | 0.000 | 
| 0.000 | -0.000 | -0.000 | -0.000 | -0.000 | 0.000 | 
| 0.000 | -0.000 | -0.000 | -0.000 | -0.000 | -0.000 | 
| 0.000 | -0.000 | -0.000 | -0.000 | -0.000 | 0.000 | 
| 0.000 | -0.000 | -0.000 | -0.000 | -0.000 | 287.064 | 
| 534.910 | -39.222 | 0.000 | 0.000 | 0.000 | -0.000 | 
| -39.220 | 534.908 | 0.000 | 0.000 | 0.000 | -0.000 | 
| -0.000 | 0.000 | 0.000 | 0.000 | 0.000 | -0.000 | 
| -0.000 | 0.000 | 0.000 | 0.000 | 0.000 | 0.000 | 
| -0.000 | 0.000 | 0.000 | 0.000 | 0.000 | -0.000 | 
| -0.000 | 0.000 | 0.000 | 0.000 | 0.000 | 287.064 | 
| 534.905 | -39.219 | -0.000 | -0.000 | -0.000 | -0.000 | 
| -39.222 | 534.908 | -0.000 | -0.000 | -0.000 | 0.000 | 
| 0.000 | -0.000 | -0.000 | -0.000 | -0.000 | 0.000 | 
| 0.000 | -0.000 | -0.000 | -0.000 | -0.000 | -0.000 | 
| 0.000 | -0.000 | -0.000 | -0.000 | -0.000 | -0.000 | 
| 0.000 | -0.000 | -0.000 | -0.000 | -0.000 | 287.064 | 
| 293.760 | -2719.722 | 3153.768 | 0.000 | 0.000 | 0.000 | 
| -1082.742 | -1854.608 | 3390.567 | 0.000 | 0.000 | 0.000 | 
| -188.570 | -61.167 | 1290.631 | 0.000 | 0.000 | 0.000 | 
| -1314.692 | -4163.286 | 5094.529 | 315.834 | 0.000 | 0.000 | 
| -1125.759 | -3102.196 | 4187.993 | 0.000 | 518.960 | 0.000 | 
| -1314.697 | -4163.301 | 5094.546 | 0.000 | 0.000 | 209.813 | 
| 2491.343 | 3963.060 | -5228.944 | -0.000 | -0.000 | -0.000 | 
| -157.752 | 791.277 | -61.166 | -0.000 | -0.000 | -0.000 | 
| 1003.424 | 3225.522 | -3149.807 | -0.000 | -0.000 | -0.000 | 
| 1314.692 | 4163.286 | -5094.529 | 315.834 | -0.000 | 0.000 | 
| 1125.759 | 3102.196 | -4187.993 | -0.000 | 518.960 | -0.000 | 
| 1314.697 | 4163.301 | -5094.546 | -0.000 | -0.000 | 209.813 | 
| 1046.112 | -613.677 | 371.387 | 0.000 | 0.000 | 0.000 | 
| -322.017 | 270.564 | 578.412 | 0.000 | 0.000 | 0.000 | 
| -218.361 | -147.142 | 1395.791 | 0.000 | 0.000 | 0.000 | 
| -131.465 | -416.315 | 509.437 | 315.837 | 0.000 | -0.000 | 
| -87.411 | -249.460 | 325.517 | 0.000 | 492.076 | 0.000 | 
| -88.113 | -251.812 | 328.299 | 0.000 | 0.000 | 202.350 | 
| 1285.843 | 104.982 | -542.070 | -0.000 | -0.000 | 0.000 | 
| -113.133 | 916.170 | -222.071 | -0.000 | -0.000 | -0.000 | 
| -10.526 | 431.465 | 622.289 | -0.000 | -0.000 | 0.000 | 
| 131.465 | 416.315 | -509.437 | 315.837 | -0.000 | -0.000 | 
| 87.411 | 249.460 | -325.517 | -0.000 | 492.076 | -0.000 | 
| 88.113 | 251.812 | -328.299 | -0.000 | -0.000 | 202.350 | 
| 1161.983 | -236.302 | -81.290 | 0.000 | 0.000 | -0.000 | 
| -213.948 | 630.415 | 153.260 | 0.000 | 0.000 | 0.000 | 
| -134.246 | 90.661 | 1082.497 | 0.000 | 0.000 | -0.000 | 
| -6.552 | -17.580 | 23.859 | 299.843 | 0.000 | -0.000 | 
| -11.154 | -30.758 | 41.481 | 0.000 | 498.919 | 0.000 | 
| -8.742 | -24.835 | 32.502 | 0.000 | 0.000 | 201.812 | 
| 1184.493 | -174.270 | -165.045 | -0.000 | -0.000 | -0.000 | 
| -191.546 | 692.086 | 70.169 | -0.000 | -0.000 | 0.000 | 
| -111.866 | 152.238 | 999.282 | -0.000 | -0.000 | 0.000 | 
| 6.552 | 17.580 | -23.859 | 299.843 | -0.000 | -0.000 | 
| 11.154 | 30.758 | -41.481 | -0.000 | 498.919 | -0.000 | 
| 8.742 | 24.835 | -32.502 | -0.000 | -0.000 | 201.812 | 
| 1179.996 | -143.021 | -211.468 | -0.000 | -0.000 | 0.000 | 
| -132.294 | 684.038 | -68.189 | -0.000 | 0.000 | -0.000 | 
| -98.887 | 241.847 | 956.534 | -0.000 | 0.000 | -0.000 | 
| 0.000 | 0.000 | -0.000 | 402.351 | -0.000 | -0.000 | 
| 38.529 | 93.039 | -120.808 | -0.000 | 490.278 | -0.000 | 
| 38.652 | 93.311 | -121.144 | -0.000 | 0.000 | 184.437 | 
| 1179.996 | -143.021 | -211.468 | 0.000 | 0.000 | 0.000 | 
| -136.681 | 682.227 | -59.650 | 0.000 | -0.000 | 0.000 | 
| -222.023 | -76.546 | 1355.018 | 0.000 | -0.000 | 0.000 | 
| -0.000 | -0.000 | 0.000 | 402.351 | 0.000 | -0.000 | 
| -38.529 | -93.039 | 120.808 | 0.000 | 490.278 | 0.000 | 
| -38.652 | -93.311 | 121.144 | 0.000 | 0.000 | 184.437 | 
| 1179.996 | -143.021 | -211.468 | -0.000 | 0.000 | -0.000 | 
| -180.018 | 572.386 | 79.472 | -0.000 | 0.000 | -0.000 | 
| -162.279 | 73.529 | 1164.031 | -0.000 | -0.000 | -0.000 | 
| 0.913 | 2.134 | -2.805 | 280.428 | -0.000 | 0.000 | 
| 3.853 | 9.303 | -12.080 | -0.000 | 490.269 | -0.000 | 
| 10.836 | 26.381 | -34.141 | -0.000 | 0.000 | 192.912 | 
| 1179.995 | -143.021 | -211.468 | 0.000 | 0.000 | 0.000 | 
| -136.680 | 682.226 | -59.650 | 0.000 | 0.000 | 0.000 | 
| -168.012 | 59.875 | 1181.913 | 0.000 | -0.000 | 0.000 | 
| -0.913 | -2.134 | 2.805 | 280.428 | 0.000 | 0.000 | 
| -3.853 | -9.303 | 12.080 | 0.000 | 490.269 | 0.000 | 
| -10.836 | -26.381 | 34.141 | 0.000 | 0.000 | 192.912 | 
| 1154.545 | -210.728 | -127.979 | -0.000 | -0.000 | -0.000 | 
| -204.919 | 499.688 | 164.783 | -0.000 | -0.000 | -0.000 | 
| -137.096 | 149.844 | 1076.081 | -0.000 | -0.000 | -0.000 | 
| -0.079 | -0.202 | 0.257 | 280.259 | -0.000 | 0.000 | 
| 0.586 | 1.427 | -1.846 | 0.000 | 508.223 | -0.000 | 
| 0.387 | 0.932 | -1.211 | -0.000 | 0.000 | 183.986 | 
| 1153.766 | -212.597 | -125.554 | -0.000 | 0.000 | 0.000 | 
| -205.670 | 497.864 | 167.142 | 0.000 | 0.000 | 0.000 | 
| -137.717 | 148.166 | 1078.215 | -0.000 | -0.000 | 0.000 | 
| 0.079 | 0.202 | -0.257 | 280.259 | 0.000 | -0.000 | 
| -0.586 | -1.427 | 1.846 | -0.000 | 508.223 | -0.000 | 
| -0.387 | -0.932 | 1.211 | 0.000 | 0.000 | 183.986 | 
| 416.747 | -30.557 | 0.000 | 0.000 | 0.000 | -0.000 | 
| -30.557 | 416.747 | 0.000 | 0.000 | 0.000 | -0.000 | 
| 0.000 | -0.000 | 0.000 | 0.000 | 0.000 | 0.000 | 
| 0.000 | -0.000 | 0.000 | 0.000 | 0.000 | 0.000 | 
| 0.000 | -0.000 | 0.000 | 0.000 | 0.000 | 0.000 | 
| 0.000 | -0.000 | 0.000 | 0.000 | 0.000 | 223.652 | 
| 416.747 | -30.557 | -0.000 | -0.000 | -0.000 | -0.000 | 
| -30.557 | 416.747 | -0.000 | -0.000 | -0.000 | -0.000 | 
| -0.000 | 0.000 | -0.000 | -0.000 | -0.000 | -0.000 | 
| -0.000 | 0.000 | -0.000 | -0.000 | -0.000 | -0.000 | 
| -0.000 | 0.000 | -0.000 | -0.000 | -0.000 | -0.000 | 
| -0.000 | 0.000 | -0.000 | -0.000 | -0.000 | 223.652 | 
| 435.686 | -49.496 | 0.000 | 0.000 | 0.000 | 0.000 | 
| -30.557 | 416.747 | 0.000 | 0.000 | 0.000 | 0.000 | 
| 0.000 | -0.000 | 0.000 | 0.000 | 0.000 | 0.000 | 
| 0.000 | -0.000 | 0.000 | 0.000 | 0.000 | 0.000 | 
| 0.000 | -0.000 | 0.000 | 0.000 | 0.000 | 0.000 | 
| 0.000 | 0.000 | 0.000 | 0.000 | 0.000 | 242.591 | 
| 416.755 | -30.565 | -0.000 | -0.000 | -0.000 | -0.000 | 
| -30.557 | 416.747 | -0.000 | -0.000 | -0.000 | 0.000 | 
| -0.000 | 0.000 | -0.000 | -0.000 | -0.000 | -0.000 | 
| -0.000 | 0.000 | -0.000 | -0.000 | -0.000 | -0.000 | 
| -0.000 | 0.000 | -0.000 | -0.000 | -0.000 | -0.000 | 
| -0.000 | -0.000 | -0.000 | -0.000 | -0.000 | 242.591 | 
| 435.687 | -49.497 | 0.000 | 0.000 | 0.000 | 0.000 | 
| -30.562 | 416.753 | 0.000 | 0.000 | 0.000 | 0.000 | 
| 0.000 | -0.000 | 0.000 | 0.000 | 0.000 | 0.000 | 
| 0.000 | -0.000 | 0.000 | 0.000 | 0.000 | 0.000 | 
| 0.000 | -0.000 | 0.000 | 0.000 | 0.000 | 0.000 | 
| -0.000 | 0.000 | 0.000 | 0.000 | 0.000 | 223.652 | 
| 416.767 | -30.578 | -0.000 | -0.000 | -0.000 | -0.000 | 
| -30.557 | 416.746 | -0.000 | -0.000 | -0.000 | -0.000 | 
| -0.000 | 0.000 | -0.000 | -0.000 | -0.000 | -0.000 | 
| -0.000 | 0.000 | -0.000 | -0.000 | -0.000 | -0.000 | 
| -0.000 | 0.000 | -0.000 | -0.000 | -0.000 | -0.000 | 
| 0.000 | -0.000 | -0.000 | -0.000 | -0.000 | 223.652 | 
| 446.727 | -50.751 | -0.000 | 0.000 | -0.000 | -0.000 | 
| -50.751 | 446.727 | -0.000 | -0.000 | -0.000 | -0.000 | 
| 0.000 | 0.000 | -0.000 | -0.000 | -0.000 | -0.000 | 
| 0.000 | -0.000 | -0.000 | 0.000 | -0.000 | -0.000 | 
| -0.000 | 0.000 | -0.000 | 0.000 | 0.000 | 0.000 | 
| -0.012 | 0.014 | 0.000 | -0.000 | -0.000 | 229.330 | 
| 446.727 | -50.751 | 0.000 | 0.000 | 0.000 | 0.000 | 
| -50.751 | 446.727 | 0.000 | -0.000 | 0.000 | 0.000 | 
| 0.000 | 0.000 | 0.000 | -0.000 | 0.000 | 0.000 | 
| 0.000 | -0.000 | 0.000 | 0.000 | 0.000 | 0.000 | 
| 0.000 | -0.000 | 0.000 | -0.000 | 0.000 | 0.000 | 
| 0.012 | -0.014 | -0.000 | 0.000 | 0.000 | 229.331 | 
| 427.307 | -31.330 | 0.000 | -0.000 | -0.000 | -0.000 | 
| -31.332 | 427.309 | 0.000 | -0.000 | -0.000 | -0.000 | 
| 0.000 | 0.000 | -0.000 | 0.000 | -0.000 | -0.000 | 
| 0.000 | -0.000 | -0.000 | 0.000 | -0.000 | -0.000 | 
| -0.000 | 0.000 | -0.000 | 0.000 | 0.000 | 0.000 | 
| 0.000 | 0.000 | -0.000 | 0.000 | 0.000 | 248.739 | 
| 427.308 | -31.332 | -0.000 | 0.000 | 0.000 | 0.000 | 
| -10.062 | 406.039 | -0.000 | 0.000 | 0.000 | 0.000 | 
| 0.000 | 0.000 | 0.000 | -0.000 | 0.000 | 0.000 | 
| 0.000 | -0.000 | 0.000 | 0.000 | 0.000 | 0.000 | 
| 0.000 | -0.000 | 0.000 | -0.000 | 0.000 | 0.000 | 
| -0.000 | -0.000 | 0.000 | -0.000 | 0.000 | 248.739 | 
| 427.084 | -31.107 | 0.000 | -0.000 | -0.000 | -0.000 | 
| -31.195 | 427.172 | 0.000 | 0.000 | -0.000 | -0.000 | 
| 0.000 | 0.000 | 0.000 | -0.000 | -0.000 | -0.000 | 
| 0.000 | -0.000 | -0.000 | 0.000 | -0.000 | -0.000 | 
| -0.000 | 0.000 | -0.000 | 0.000 | 0.000 | 0.000 | 
| -0.000 | 0.000 | 0.000 | -0.000 | -0.000 | 229.094 | 
| 427.081 | -31.105 | -0.000 | -0.000 | 0.000 | 0.000 | 
| -31.105 | 427.081 | -0.000 | 0.000 | 0.000 | 0.000 | 
| 0.000 | 0.000 | 0.000 | -0.000 | 0.000 | 0.000 | 
| 0.000 | -0.000 | 0.000 | 0.000 | 0.000 | 0.000 | 
| 0.000 | -0.000 | 0.000 | -0.000 | 0.000 | 0.000 | 
| 0.000 | -0.000 | -0.000 | 0.000 | -0.000 | 229.094 | 
| 520.210 | -38.143 | 0.000 | 0.000 | 0.000 | 0.000 | 
| -61.784 | 543.851 | 0.000 | -0.000 | 0.000 | 0.000 | 
| -0.000 | -0.000 | 0.000 | -0.000 | 0.000 | -0.000 | 
| 0.000 | -0.000 | 0.000 | 0.000 | 0.000 | 0.000 | 
| -0.000 | -0.000 | 0.000 | 0.000 | 0.000 | 0.000 | 
| -0.000 | 0.000 | 0.000 | 0.000 | 0.000 | 302.818 | 
| 543.851 | -61.784 | -0.000 | 0.000 | -0.000 | 0.000 | 
| 43.938 | 438.129 | -0.000 | 0.000 | -0.000 | -0.000 | 
| -0.000 | -0.000 | -0.000 | -0.000 | 0.000 | 0.000 | 
| 0.000 | -0.000 | -0.000 | 0.000 | 0.000 | -0.000 | 
| 0.000 | 0.000 | -0.000 | -0.000 | 0.000 | 0.000 | 
| 0.000 | -0.000 | -0.000 | 0.000 | 0.000 | 302.818 | 
| 543.851 | -61.784 | 0.000 | 0.000 | 0.000 | -0.000 | 
| -37.141 | 519.208 | 0.000 | 0.000 | 0.000 | 0.000 | 
| -0.000 | -0.000 | 0.000 | 0.000 | -0.000 | -0.000 | 
| 0.000 | -0.000 | 0.000 | 0.000 | -0.000 | 0.000 | 
| -0.000 | -0.000 | 0.000 | 0.000 | 0.000 | 0.000 | 
| 0.000 | 0.000 | 0.000 | 0.000 | 0.000 | 302.818 | 
| 543.851 | -61.784 | -0.000 | 0.000 | 0.000 | 0.000 | 
| -37.141 | 519.208 | -0.000 | 0.000 | -0.000 | -0.000 | 
| -0.000 | -0.000 | -0.000 | -0.000 | -0.000 | 0.000 | 
| 0.000 | -0.000 | -0.000 | 0.000 | 0.000 | 0.000 | 
| 0.000 | 0.000 | -0.000 | -0.000 | 0.000 | 0.000 | 
| -0.000 | -0.000 | -0.000 | -0.000 | 0.000 | 302.818 | 
| 520.202 | -38.135 | 0.000 | -0.000 | 0.000 | 0.000 | 
| -38.241 | 520.309 | 0.000 | -0.000 | 0.000 | 0.000 | 
| -0.000 | -0.000 | 0.000 | 0.000 | 0.000 | -0.000 | 
| -0.000 | 0.000 | 0.000 | 0.000 | 0.000 | 0.000 | 
| 0.000 | -0.000 | 0.000 | 0.000 | 0.000 | -0.000 | 
| 0.000 | -0.000 | 0.000 | 0.000 | 0.000 | 279.177 | 
| 520.208 | -38.141 | -0.000 | -0.000 | -0.000 | -0.000 | 
| -38.134 | 520.200 | -0.000 | 0.000 | 0.000 | -0.000 | 
| -0.000 | -0.000 | -0.000 | -0.000 | -0.000 | 0.000 | 
| -0.000 | 0.000 | -0.000 | -0.000 | -0.000 | -0.000 | 
| -0.000 | 0.000 | -0.000 | -0.000 | -0.000 | -0.000 | 
| -0.000 | 0.000 | -0.000 | -0.000 | -0.000 | 279.177 | 
| 1439.417 | 347.381 | -421.982 | 15.696 | -0.000 | -0.000 | 
| 3606.969 | 4697.865 | -7927.453 | -14.370 | -0.001 | 0.000 | 
| 6146.129 | 6146.129 | -12787.278 | 0.000 | -0.001 | 0.000 | 
| 6192.427 | 6163.466 | -13897.428 | 537.020 | -0.001 | 0.000 | 
| 3380.676 | 3380.676 | -7775.445 | 0.000 | 531.733 | 14.370 | 
| 3377.793 | 3377.793 | -7768.971 | 0.000 | 14.369 | 545.448 | 
| -2062.318 | -3153.214 | 7620.882 | 14.369 | 0.001 | -0.000 | 
| -3153.354 | -2062.457 | 7621.191 | -14.370 | 0.001 | -0.000 | 
| -352.679 | -352.679 | 1817.716 | -0.000 | 0.001 | 0.000 | 
| -6163.466 | -6192.427 | 13897.427 | 537.020 | 0.002 | -0.000 | 
| -3380.676 | -3380.676 | 7775.445 | -0.000 | 531.735 | 14.370 | 
| -3377.793 | -3377.793 | 7768.971 | -0.000 | 14.371 | 545.448 | 
| 1655.428 | 564.534 | -929.925 | 14.374 | -0.000 | 0.000 | 
| 564.534 | 1655.428 | -929.925 | -14.374 | -0.000 | -0.000 | 
| -352.680 | -352.680 | 1817.719 | 0.000 | -0.000 | 0.000 | 
| 632.018 | 603.056 | -1389.163 | 537.044 | -0.000 | -0.000 | 
| 348.689 | 348.688 | -813.199 | 0.000 | 549.867 | 14.691 | 
| 617.816 | 617.816 | -1389.790 | -0.000 | 14.480 | 545.662 | 
| 970.680 | -118.995 | 657.232 | 14.741 | 0.000 | -0.000 | 
| -401.494 | 689.912 | 1256.936 | -14.622 | 0.000 | -0.000 | 
| -352.679 | -352.679 | 1817.717 | 0.000 | 0.000 | -0.000 | 
| -603.056 | -632.018 | 1389.163 | 537.044 | 0.000 | -0.000 | 
| -348.689 | -348.688 | 813.199 | -0.000 | 549.868 | 14.691 | 
| -617.816 | -617.816 | 1389.790 | 0.000 | 14.480 | 545.662 | 
| 1439.421 | 347.382 | -421.987 | 15.696 | -0.000 | 0.000 | 
| 263.127 | 1354.035 | -236.443 | -14.375 | -0.000 | 0.000 | 
| -58.945 | -58.945 | 1164.461 | -0.000 | -0.000 | -0.000 | 
| 50.166 | 21.138 | -82.762 | 540.434 | -0.000 | -0.000 | 
| 35.652 | 35.651 | -82.761 | -0.000 | 540.432 | 14.515 | 
| 35.354 | 35.354 | -83.269 | -0.000 | 14.923 | 544.528 | 
| 1272.281 | 180.656 | -50.614 | 15.001 | 0.000 | -0.000 | 
| 180.656 | 1272.281 | -50.614 | -15.001 | 0.000 | -0.000 | 
| -352.678 | -352.678 | 1817.708 | -0.000 | 0.000 | -0.000 | 
| -45.747 | -74.768 | 135.550 | 538.461 | 0.000 | -0.000 | 
| -35.652 | -35.651 | 82.761 | 0.000 | 540.432 | 14.515 | 
| -35.354 | -35.354 | 83.269 | 0.000 | 14.923 | 544.528 | 
| -3051.891 | -4165.799 | 9012.298 | 10.547 | 0.000 | 0.000 | 
| 281.312 | 1396.834 | -318.943 | -11.004 | -0.000 | 0.000 | 
| -258.503 | -258.503 | 1654.771 | -0.000 | -0.001 | 0.000 | 
| 11.004 | -11.004 | -0.010 | 577.420 | -0.001 | 0.000 | 
| -0.000 | 0.000 | -0.009 | 0.000 | 577.420 | 11.004 | 
| -0.000 | 0.000 | -0.009 | 0.000 | 11.004 | 557.761 | 
| 1396.834 | 281.312 | -318.947 | 11.004 | 0.000 | -0.000 | 
| 281.312 | 1396.834 | -318.946 | -11.004 | -0.000 | -0.000 | 
| -258.503 | -258.503 | 1654.766 | -0.000 | 0.000 | 0.000 | 
| 11.004 | -11.004 | 0.008 | 577.419 | -0.000 | -0.000 | 
| 0.000 | -0.000 | 0.009 | -0.000 | 577.420 | 11.004 | 
| 0.000 | -0.000 | 0.009 | 0.000 | 11.004 | 557.761 | 
| 1396.834 | 281.312 | -318.947 | 11.004 | -0.000 | 0.000 | 
| -545.967 | 569.085 | 1500.342 | -10.767 | -0.000 | 0.000 | 
| -912.068 | -912.068 | 3080.523 | 0.000 | -0.000 | 0.000 | 
| 11.004 | -11.004 | -0.001 | 577.420 | -0.000 | 0.000 | 
| -434.922 | -434.922 | 911.473 | 0.000 | 513.792 | 10.548 | 
| 0.000 | 0.000 | -0.000 | -0.000 | 11.004 | 557.761 | 
| 2111.272 | 996.326 | -1885.106 | 10.713 | 0.000 | -0.000 | 
| 281.312 | 1396.833 | -318.947 | -11.004 | 0.000 | -0.000 | 
| 379.362 | 379.362 | 293.346 | 0.000 | -0.000 | -0.000 | 
| 777.993 | 756.501 | -1684.499 | 547.920 | 0.000 | -0.000 | 
| 432.811 | 432.811 | -913.836 | 0.000 | 550.750 | 10.966 | 
| -0.000 | -0.000 | 0.000 | 0.000 | 11.004 | 557.761 | 
| 1250.400 | 135.231 | 4.047 | 10.824 | 0.000 | 0.000 | 
| 147.311 | 1261.304 | -26.072 | -10.565 | -0.000 | 0.000 | 
| -104.056 | -104.056 | 1307.557 | -0.000 | 0.000 | 0.000 | 
| -70.186 | -91.649 | 177.657 | 546.308 | 0.000 | 0.000 | 
| 0.001 | 0.001 | -0.001 | -0.000 | 577.419 | 11.004 | 
| 0.000 | 0.001 | -0.000 | -0.000 | 11.004 | 557.761 | 
| 1316.496 | 201.709 | -139.526 | 10.635 | -0.000 | -0.000 | 
| 236.715 | 1350.650 | -214.054 | -10.559 | 0.000 | -0.000 | 
| -15.206 | -15.206 | 1119.678 | 0.000 | -0.000 | -0.000 | 
| 91.878 | 70.415 | -178.158 | 546.220 | -0.000 | -0.000 | 
| -0.001 | -0.001 | 0.001 | 0.000 | 577.419 | 11.004 | 
| -0.000 | -0.001 | 0.000 | 0.000 | 11.004 | 557.761 | 
| 445.598 | 166.445 | 166.445 | 0.000 | 0.000 | -0.000 | 
| 166.445 | 445.598 | 166.445 | 0.000 | 0.000 | 0.000 | 
| 166.445 | 166.445 | 445.598 | 0.000 | -0.000 | 0.000 | 
| 0.000 | -0.000 | 0.000 | 523.552 | 0.000 | -0.000 | 
| 0.000 | -0.000 | 0.000 | 0.000 | 523.552 | 0.000 | 
| 0.000 | 0.000 | 0.000 | -0.000 | 0.000 | 523.552 | 
| 468.301 | 183.117 | 183.117 | -0.000 | -0.000 | 0.000 | 
| 183.117 | 468.301 | 183.117 | -0.000 | 0.000 | 0.000 | 
| 183.117 | 183.117 | 468.301 | -0.000 | -0.000 | -0.000 | 
| -0.000 | 0.000 | -0.000 | 523.552 | 0.000 | -0.000 | 
| -0.000 | 0.000 | -0.000 | 0.000 | 523.552 | 0.000 | 
| -0.000 | -0.000 | -0.000 | 0.000 | -0.000 | 523.552 | 
| 445.598 | 166.445 | 166.445 | 0.000 | -0.000 | 0.000 | 
| 166.445 | 445.598 | 166.445 | -0.000 | 0.000 | -0.000 | 
| 166.445 | 166.445 | 445.598 | -0.000 | 0.000 | 0.000 | 
| 0.000 | -0.000 | 0.000 | 447.847 | 0.000 | 0.000 | 
| -0.000 | 0.000 | 0.000 | 0.000 | 447.847 | 0.000 | 
| -0.000 | 0.000 | 0.000 | 0.000 | -0.000 | 447.847 | 
| 445.598 | 166.445 | 166.445 | -0.000 | 0.000 | -0.000 | 
| 166.445 | 445.598 | 166.445 | -0.000 | 0.000 | -0.000 | 
| 166.445 | 166.445 | 445.598 | -0.000 | 0.000 | -0.000 | 
| -0.000 | 0.000 | -0.000 | 447.847 | -0.000 | 0.000 | 
| 0.000 | -0.000 | -0.000 | 0.000 | 447.847 | -0.000 | 
| 0.000 | -0.000 | -0.000 | 0.000 | 0.000 | 447.847 | 
| 446.734 | 164.445 | 164.445 | -0.000 | 0.000 | 0.000 | 
| 164.445 | 446.734 | 164.445 | -0.000 | -0.000 | -0.000 | 
| 164.445 | 164.445 | 446.734 | -0.000 | -0.000 | 0.000 | 
| 0.000 | -0.000 | 0.001 | 447.533 | 0.000 | -0.000 | 
| -0.000 | 0.000 | 0.001 | -0.000 | 447.533 | 0.000 | 
| -0.000 | 0.001 | 0.000 | -0.000 | 0.000 | 447.533 | 
| 446.714 | 164.431 | 164.431 | 0.000 | 0.000 | 0.000 | 
| 164.431 | 446.714 | 164.431 | -0.000 | -0.000 | -0.000 | 
| 164.431 | 164.431 | 446.714 | 0.000 | 0.000 | -0.000 | 
| -0.000 | 0.000 | -0.001 | 447.533 | -0.000 | -0.000 | 
| 0.000 | -0.000 | -0.001 | 0.000 | 447.533 | -0.000 | 
| 0.000 | -0.001 | -0.000 | -0.000 | 0.000 | 447.533 | 
| 357.509 | 142.815 | 142.815 | 0.000 | 0.000 | -0.000 | 
| 142.815 | 357.509 | 142.815 | 0.000 | 0.000 | -0.000 | 
| 142.815 | 142.815 | 357.509 | 0.000 | 0.000 | -0.000 | 
| 0.000 | 0.000 | 0.000 | 453.583 | 0.000 | -0.000 | 
| 0.000 | 0.000 | 0.000 | 0.000 | 453.583 | -0.000 | 
| 0.000 | -0.000 | 0.000 | 0.000 | 0.000 | 453.583 | 
| 368.833 | 154.000 | 154.000 | -0.000 | -0.000 | 0.000 | 
| 154.000 | 368.833 | 154.000 | -0.000 | -0.000 | 0.000 | 
| 154.000 | 154.000 | 368.833 | -0.000 | -0.000 | 0.000 | 
| 0.000 | -0.000 | -0.000 | 453.583 | -0.000 | 0.000 | 
| -0.000 | -0.000 | -0.000 | -0.000 | 453.583 | 0.000 | 
| -0.000 | 0.000 | -0.000 | -0.000 | -0.000 | 453.583 | 
| 357.246 | 142.734 | 142.734 | 0.000 | 0.000 | -0.000 | 
| 142.734 | 357.246 | 142.734 | 0.000 | 0.000 | 0.000 | 
| 142.734 | 142.734 | 357.246 | 0.000 | 0.000 | -0.000 | 
| 0.023 | 0.023 | 0.023 | 391.867 | 0.000 | -0.000 | 
| 0.023 | 0.023 | 0.023 | 0.000 | 391.867 | -0.000 | 
| 0.023 | 0.023 | 0.023 | 0.000 | 0.000 | 391.867 | 
| 357.271 | 142.578 | 142.578 | -0.000 | -0.000 | 0.000 | 
| 142.578 | 357.271 | 142.578 | -0.000 | -0.000 | 0.000 | 
| 142.578 | 142.578 | 357.271 | -0.000 | -0.000 | 0.000 | 
| -0.023 | -0.023 | -0.023 | 391.867 | -0.000 | 0.000 | 
| -0.023 | -0.023 | -0.023 | -0.000 | 391.867 | 0.000 | 
| -0.023 | -0.023 | -0.023 | -0.000 | -0.000 | 391.867 | 
| 357.297 | 142.601 | 142.601 | 0.000 | 0.000 | -0.000 | 
| 142.601 | 357.297 | 142.601 | 0.000 | 0.000 | -0.000 | 
| 142.601 | 142.601 | 357.297 | 0.000 | 0.000 | -0.000 | 
| 0.003 | 0.002 | 0.003 | 391.867 | 0.000 | -0.000 | 
| 0.002 | 0.003 | 0.003 | 0.000 | 391.867 | -0.000 | 
| 0.002 | 0.003 | 0.003 | 0.000 | 0.000 | 391.867 | 
| 357.289 | 142.597 | 142.597 | -0.000 | -0.000 | 0.000 | 
| 142.597 | 357.289 | 142.597 | -0.000 | -0.000 | 0.000 | 
| 142.597 | 142.597 | 357.289 | -0.000 | -0.000 | 0.000 | 
| -0.003 | -0.002 | -0.003 | 391.867 | -0.000 | 0.000 | 
| -0.002 | -0.003 | -0.003 | -0.000 | 391.867 | 0.000 | 
| -0.002 | -0.003 | -0.003 | -0.000 | -0.000 | 391.867 | 
| 394.239 | -28.907 | 0.000 | -0.000 | 0.000 | 0.000 | 
| -46.823 | 412.156 | 0.000 | -0.000 | 0.000 | 0.000 | 
| 0.000 | 0.000 | 0.000 | -0.000 | 0.000 | 0.000 | 
| -0.000 | 0.000 | 0.000 | -0.000 | 0.000 | 0.000 | 
| -0.000 | 0.000 | 0.000 | -0.000 | 0.000 | -0.000 | 
| -0.000 | 0.000 | 0.000 | -0.000 | 0.000 | 229.489 | 
| 394.239 | -28.906 | -0.000 | 0.000 | -0.000 | -0.000 | 
| -28.907 | 394.239 | -0.000 | 0.000 | -0.000 | -0.000 | 
| 0.000 | 0.000 | 0.000 | 0.000 | -0.000 | -0.000 | 
| 0.000 | -0.000 | -0.000 | 0.000 | -0.000 | -0.000 | 
| 0.000 | -0.000 | -0.000 | 0.000 | -0.000 | -0.000 | 
| 0.000 | -0.000 | -0.000 | 0.000 | 0.000 | 229.489 | 
| 394.239 | -28.907 | 0.000 | -0.000 | 0.000 | 0.000 | 
| -28.906 | 394.239 | 0.000 | -0.000 | 0.000 | 0.000 | 
| 0.000 | 0.000 | 0.000 | -0.000 | 0.000 | 0.000 | 
| -0.000 | 0.000 | 0.000 | -0.000 | -0.000 | 0.000 | 
| -0.000 | 0.000 | 0.000 | -0.000 | 0.000 | 0.000 | 
| 0.000 | 0.000 | 0.000 | -0.000 | 0.000 | 229.489 | 
| 412.155 | -46.823 | -0.000 | 0.000 | -0.000 | 0.000 | 
| -28.907 | 394.239 | -0.000 | 0.000 | -0.000 | -0.000 | 
| 0.000 | 0.000 | -0.000 | 0.000 | -0.000 | -0.000 | 
| 0.000 | -0.000 | -0.000 | 0.000 | -0.000 | -0.000 | 
| 0.000 | -0.000 | -0.000 | 0.000 | -0.000 | -0.000 | 
| -0.000 | -0.000 | -0.000 | 0.000 | 0.000 | 229.489 | 
| 394.235 | -28.902 | 0.000 | -0.000 | 0.000 | 0.000 | 
| -46.823 | 412.157 | 0.000 | -0.000 | 0.000 | 0.000 | 
| 0.000 | 0.000 | 0.000 | -0.000 | 0.000 | 0.000 | 
| -0.000 | 0.000 | 0.000 | -0.000 | 0.000 | 0.000 | 
| -0.000 | 0.000 | -0.000 | -0.000 | 0.000 | 0.000 | 
| 0.000 | 0.000 | 0.000 | -0.000 | 0.000 | 229.489 | 
| 394.320 | -28.988 | -0.000 | 0.000 | -0.000 | -0.000 | 
| -28.825 | 394.157 | -0.000 | 0.000 | -0.000 | -0.000 | 
| 0.000 | 0.000 | -0.000 | 0.000 | -0.000 | -0.000 | 
| 0.000 | -0.000 | -0.000 | 0.000 | -0.000 | -0.000 | 
| 0.000 | -0.000 | -0.000 | 0.000 | -0.000 | -0.000 | 
| -0.000 | -0.000 | -0.000 | 0.000 | 0.000 | 229.489 | 
| 457.877 | -33.573 | 0.000 | 0.000 | -0.000 | -0.000 | 
| -33.573 | 457.877 | 0.000 | 0.000 | -0.000 | -0.000 | 
| 0.000 | 0.000 | 0.000 | -0.000 | 0.000 | 0.000 | 
| 0.000 | -0.000 | 0.000 | -0.000 | -0.000 | -0.000 | 
| 0.000 | 0.000 | -0.000 | -0.000 | -0.000 | 0.000 | 
| 0.000 | -0.000 | 0.000 | -0.000 | 0.000 | 245.725 | 
| 457.877 | -33.573 | -0.000 | -0.000 | -0.000 | 0.000 | 
| -33.573 | 457.877 | -0.000 | 0.000 | 0.000 | 0.000 | 
| -0.000 | -0.000 | -0.000 | -0.000 | -0.000 | -0.000 | 
| -0.000 | 0.000 | -0.000 | 0.000 | -0.000 | 0.000 | 
| -0.000 | 0.000 | -0.000 | 0.000 | -0.000 | -0.000 | 
| -0.000 | 0.000 | -0.000 | 0.000 | 0.000 | 245.725 | 
| 457.878 | -33.573 | 0.000 | -0.000 | 0.000 | -0.000 | 
| -33.573 | 457.877 | 0.000 | 0.000 | -0.000 | -0.000 | 
| 0.000 | 0.000 | 0.000 | 0.000 | 0.000 | 0.000 | 
| 0.000 | -0.000 | 0.000 | -0.000 | -0.000 | -0.000 | 
| 0.000 | -0.000 | 0.000 | -0.000 | -0.000 | -0.000 | 
| 0.000 | 0.000 | 0.000 | -0.000 | -0.000 | 266.534 | 
| 478.686 | -54.381 | -0.000 | -0.000 | -0.000 | 0.000 | 
| -33.573 | 457.877 | -0.000 | 0.000 | 0.000 | 0.000 | 
| -0.000 | -0.000 | -0.000 | -0.000 | -0.000 | -0.000 | 
| -0.000 | 0.000 | -0.000 | -0.000 | -0.000 | 0.000 | 
| -0.000 | 0.000 | -0.000 | -0.000 | 0.000 | -0.000 | 
| -0.000 | -0.000 | -0.000 | 0.000 | -0.000 | 266.534 | 
| 457.879 | -33.574 | 0.000 | -0.000 | 0.000 | -0.000 | 
| -54.382 | 478.687 | 0.000 | 0.000 | 0.000 | -0.000 | 
| 0.000 | 0.000 | 0.000 | 0.000 | 0.000 | 0.000 | 
| 0.000 | -0.000 | 0.000 | 0.000 | 0.000 | -0.000 | 
| 0.000 | -0.000 | 0.000 | 0.000 | -0.000 | -0.000 | 
| -0.000 | 0.000 | 0.000 | -0.000 | 0.000 | 245.725 | 
| 457.875 | -33.571 | -0.000 | 0.000 | 0.000 | 0.000 | 
| -33.574 | 457.878 | -0.000 | 0.000 | -0.000 | 0.000 | 
| -0.000 | -0.000 | -0.000 | -0.000 | -0.000 | -0.000 | 
| -0.000 | 0.000 | -0.000 | -0.000 | -0.000 | 0.000 | 
| -0.000 | -0.000 | -0.000 | 0.000 | 0.000 | -0.000 | 
| 0.000 | -0.000 | -0.000 | 0.000 | 0.000 | 245.725 | 
| 1472.606 | 401.980 | -507.697 | -0.000 | -0.000 | 0.000 | 
| 6339.678 | 7407.716 | -16286.952 | -0.000 | 0.000 | 0.000 | 
| -434.449 | -434.449 | 1974.600 | -0.000 | -0.000 | -0.000 | 
| 0.000 | 0.000 | -0.000 | 611.802 | 0.000 | -0.000 | 
| 2697.857 | 2697.857 | -8817.226 | -0.000 | 533.606 | 0.000 | 
| 6462.238 | 6462.238 | -16889.019 | -0.000 | 0.000 | 534.046 | 
| 1472.605 | 401.980 | -507.698 | 0.000 | -0.000 | 0.000 | 
| 401.980 | 1472.605 | -507.698 | 0.000 | -0.000 | 0.000 | 
| -2808.432 | -2808.432 | 10064.748 | 0.000 | -0.000 | 0.000 | 
| -0.000 | -0.000 | 0.000 | 611.802 | -0.000 | -0.000 | 
| -2697.857 | -2697.857 | 8817.226 | 0.000 | 533.605 | 0.000 | 
| -6462.239 | -6462.238 | 16889.019 | 0.000 | -0.000 | 534.046 | 
| 1596.068 | 528.108 | -1066.083 | -0.000 | 0.000 | 0.000 | 
| 401.980 | 1472.606 | -507.698 | -0.000 | 0.000 | 0.000 | 
| -434.450 | -434.450 | 1974.601 | -0.000 | 0.000 | -0.000 | 
| 0.000 | 0.000 | -0.000 | 611.802 | 0.000 | -0.000 | 
| 635.008 | 635.008 | -1659.590 | 0.000 | 429.257 | -0.000 | 
| 269.499 | 269.499 | -881.102 | -0.000 | 0.000 | 533.980 | 
| 494.737 | -573.979 | 1850.349 | 0.000 | -0.000 | -0.000 | 
| -573.979 | 494.737 | 1850.349 | 0.000 | -0.000 | 0.000 | 
| 215.425 | 215.425 | 741.816 | -0.000 | -0.000 | -0.000 | 
| -0.000 | -0.000 | 0.000 | 611.802 | -0.000 | -0.000 | 
| -635.008 | -635.008 | 1659.590 | -0.000 | 429.257 | 0.000 | 
| -269.499 | -269.499 | 881.102 | 0.000 | -0.000 | 533.980 | 
| 1472.610 | 401.981 | -507.698 | 0.000 | 0.000 | 0.000 | 
| 249.894 | 1319.865 | -176.745 | -0.000 | 0.000 | 0.000 | 
| -83.513 | -83.513 | 1159.209 | -0.000 | 0.000 | 0.000 | 
| 1.663 | 1.665 | -30.461 | 527.197 | 0.000 | 0.000 | 
| 26.968 | 26.966 | -88.115 | -0.000 | 533.612 | 0.000 | 
| 64.578 | 64.579 | -168.774 | -0.000 | 0.000 | 534.047 | 
| 1302.327 | 234.364 | -102.964 | 0.000 | 0.000 | -0.000 | 
| 231.263 | 1299.145 | -95.837 | 0.000 | -0.000 | -0.000 | 
| -137.782 | -137.782 | 1336.240 | 0.000 | -0.000 | 0.000 | 
| -1.657 | -1.658 | 30.449 | 527.201 | -0.000 | -0.000 | 
| -26.968 | -26.966 | 88.115 | 0.000 | 533.612 | -0.000 | 
| -64.578 | -64.579 | 168.774 | 0.000 | -0.000 | 534.047 | 
| 1280.765 | 176.088 | -67.357 | 0.000 | 0.000 | -0.000 | 
| 309.788 | 1414.777 | -362.777 | -0.000 | 0.000 | -0.000 | 
| -298.402 | -298.402 | 1724.119 | 0.000 | 0.000 | -0.000 | 
| -43.700 | -43.700 | 94.421 | 541.334 | 0.000 | -0.000 | 
| -43.700 | -43.700 | 94.422 | 0.000 | 541.334 | -0.000 | 
| -43.619 | -43.619 | 94.247 | 0.000 | 0.000 | 552.223 | 
| 1414.777 | 309.788 | -362.778 | -0.000 | -0.000 | 0.000 | 
| 309.789 | 1414.777 | -362.778 | -0.000 | -0.000 | 0.000 | 
| -298.402 | -298.402 | 1724.118 | 0.000 | -0.000 | 0.000 | 
| 43.700 | 43.700 | -94.421 | 541.334 | -0.000 | 0.000 | 
| 43.700 | 43.700 | -94.421 | -0.000 | 541.334 | 0.000 | 
| 43.619 | 43.619 | -94.247 | -0.000 | -0.000 | 552.223 | 
| 1310.145 | 206.309 | -133.248 | 0.000 | 0.000 | -0.000 | 
| 207.459 | 1312.160 | -135.657 | 0.000 | 0.000 | -0.000 | 
| -77.108 | -77.108 | 1232.664 | 0.000 | 0.000 | -0.000 | 
| 0.000 | 0.000 | -0.000 | 583.113 | 0.000 | -0.000 | 
| 0.000 | 0.000 | -0.000 | 0.000 | 583.113 | -0.000 | 
| -5.435 | -5.435 | 11.743 | -0.000 | 0.000 | 552.156 | 
| 1315.319 | 210.623 | -142.403 | -0.000 | -0.000 | 0.000 | 
| 210.202 | 1314.309 | -140.872 | -0.000 | -0.000 | 0.000 | 
| -71.923 | -71.923 | 1221.645 | -0.000 | 0.000 | 0.000 | 
| -0.000 | -0.000 | 0.000 | 583.113 | -0.000 | 0.000 | 
| -0.000 | -0.000 | 0.000 | -0.000 | 583.113 | 0.000 | 
| 5.435 | 5.435 | -11.743 | -0.000 | -0.000 | 552.156 | 
| 1414.781 | 309.789 | -362.778 | 0.000 | 0.000 | -0.000 | 
| 209.245 | 1313.949 | -139.498 | 0.000 | 0.000 | -0.000 | 
| -75.901 | -75.901 | 1230.111 | 0.000 | 0.000 | -0.000 | 
| 0.001 | 0.001 | -0.001 | 583.113 | 0.000 | -0.000 | 
| 0.001 | 0.001 | -0.001 | 0.000 | 583.113 | -0.000 | 
| 4.408 | 4.408 | -10.223 | 0.000 | 0.000 | 549.110 | 
| 1414.773 | 309.788 | -362.777 | -0.000 | -0.000 | 0.000 | 
| 208.599 | 1312.682 | -137.740 | -0.000 | 0.000 | 0.000 | 
| -73.462 | -73.462 | 1224.656 | -0.000 | -0.000 | 0.000 | 
| -0.001 | -0.001 | 0.001 | 583.113 | -0.000 | 0.000 | 
| -0.001 | -0.001 | 0.001 | 0.000 | 583.113 | 0.000 | 
| -4.408 | -4.408 | 10.223 | -0.000 | -0.000 | 549.110 | 
| 1100.283 | 42.919 | 228.021 | 0.000 | 0.000 | -0.000 | 
| 145.389 | 1200.263 | 22.568 | -0.000 | 0.000 | -0.000 | 
| -513.497 | -513.497 | 2473.758 | 0.000 | 0.000 | -0.000 | 
| 0.000 | 0.000 | -0.000 | 537.620 | 0.000 | -0.000 | 
| 0.000 | 0.000 | -0.000 | 0.000 | 537.620 | -0.000 | 
| 0.000 | 0.000 | -0.000 | 0.000 | 0.000 | 530.460 | 
| 1349.993 | 289.073 | -339.966 | -0.000 | -0.000 | 0.000 | 
| 139.756 | 1197.139 | -23.707 | 0.000 | -0.000 | 0.000 | 
| -339.965 | -339.965 | 2061.940 | -0.000 | -0.000 | 0.000 | 
| -0.000 | -0.000 | 0.000 | 537.620 | -0.000 | -0.000 | 
| -0.000 | -0.000 | 0.000 | -0.000 | 537.619 | 0.000 | 
| -0.000 | -0.000 | 0.000 | -0.000 | -0.000 | 530.460 | 
| 1349.994 | 289.074 | -339.966 | -0.000 | 0.000 | -0.000 | 
| 190.229 | 1245.090 | -110.595 | 0.000 | 0.000 | -0.000 | 
| -339.965 | -339.965 | 2061.940 | 0.000 | 0.000 | -0.000 | 
| -31.533 | -31.533 | 73.465 | 475.652 | 0.000 | 0.000 | 
| -2.767 | -2.767 | 9.971 | 0.000 | 474.916 | -0.000 | 
| -4.798 | -4.798 | 14.397 | -0.000 | 0.000 | 527.424 | 
| 1349.993 | 289.073 | -339.966 | -0.000 | -0.000 | 0.000 | 
| 217.439 | 1274.011 | -178.897 | 0.000 | -0.000 | -0.000 | 
| -47.234 | -47.234 | 1412.073 | -0.000 | -0.000 | 0.000 | 
| 31.533 | 31.533 | -73.465 | 475.652 | -0.000 | 0.000 | 
| 2.767 | 2.767 | -9.971 | -0.000 | 474.916 | 0.000 | 
| 4.798 | 4.798 | -14.397 | 0.000 | -0.000 | 527.424 | 
| 1248.684 | 189.543 | -117.357 | 0.000 | 0.000 | -0.000 | 
| 188.603 | 1247.728 | -115.255 | 0.000 | 0.000 | -0.000 | 
| -126.557 | -126.557 | 1589.673 | 0.000 | 0.000 | 0.000 | 
| -0.669 | -0.668 | 1.931 | 469.680 | 0.000 | -0.000 | 
| 0.001 | 0.001 | -0.001 | 0.000 | 537.620 | -0.000 | 
| 0.000 | 0.001 | -0.000 | 0.000 | 0.000 | 530.460 | 
| 1349.989 | 289.073 | -339.965 | -0.000 | -0.000 | 0.000 | 
| 193.346 | 1252.540 | -126.035 | -0.000 | -0.000 | -0.000 | 
| -339.964 | -339.964 | 2061.930 | -0.000 | -0.000 | -0.000 | 
| 0.668 | 0.667 | -1.930 | 469.680 | -0.000 | -0.000 | 
| -0.001 | -0.001 | 0.001 | -0.000 | 537.620 | 0.000 | 
| -0.000 | -0.001 | 0.000 | -0.000 | -0.000 | 530.460 | 
| 1382.049 | 259.023 | -284.699 | -0.000 | -0.000 | -0.000 | 
| 259.023 | 1382.049 | -284.699 | -0.000 | -0.000 | 0.000 | 
| -228.514 | -228.514 | 1608.167 | 0.000 | -0.000 | -0.000 | 
| -4732.955 | -4732.955 | 10417.182 | 544.840 | 0.000 | -0.000 | 
| 0.000 | -0.000 | 0.000 | -0.000 | 572.542 | 0.000 | 
| 0.000 | -0.000 | 0.000 | -0.000 | -0.000 | 561.513 | 
| 1382.049 | 259.023 | -284.699 | 0.000 | -0.000 | -0.000 | 
| 259.023 | 1382.049 | -284.699 | -0.000 | 0.000 | -0.000 | 
| -228.514 | -228.514 | 1608.166 | 0.000 | -0.000 | 0.000 | 
| 4732.955 | 4732.955 | -10417.182 | 544.840 | -0.000 | 0.000 | 
| -0.000 | 0.000 | 0.000 | 0.000 | 572.542 | 0.000 | 
| -0.000 | 0.000 | -0.000 | 0.000 | 0.000 | 561.513 | 
| 1382.049 | 259.023 | -284.698 | 0.000 | 0.000 | -0.000 | 
| -50.617 | 1070.272 | 404.840 | -0.000 | 0.000 | -0.000 | 
| -589.154 | -589.154 | 2394.789 | -0.000 | 0.000 | -0.000 | 
| 0.000 | 0.000 | -0.000 | 572.542 | -0.000 | -0.000 | 
| -474.121 | -474.121 | 1043.536 | -0.000 | 544.791 | -0.000 | 
| -473.312 | -473.312 | 1041.755 | -0.000 | 0.000 | 561.176 | 
| 1812.248 | 690.052 | -1230.582 | 0.000 | -0.000 | 0.000 | 
| 412.876 | 1533.764 | -626.893 | -0.000 | 0.000 | 0.000 | 
| 357.867 | 357.867 | 314.436 | 0.000 | -0.000 | 0.000 | 
| -0.000 | -0.000 | 0.000 | 572.542 | 0.000 | 0.000 | 
| 474.121 | 474.121 | -1043.536 | 0.000 | 544.791 | 0.000 | 
| 473.312 | 473.312 | -1041.755 | 0.000 | -0.000 | 561.176 | 
| 1382.053 | 259.024 | -284.699 | -0.000 | -0.000 | 0.000 | 
| 146.545 | 1269.131 | -35.632 | -0.000 | -0.000 | -0.000 | 
| -82.683 | -82.683 | 1284.261 | -0.000 | 0.000 | 0.000 | 
| 0.001 | 0.001 | -0.001 | 572.542 | 0.000 | -0.000 | 
| 0.001 | 0.001 | -0.001 | 0.000 | 572.542 | 0.000 | 
| -47.556 | -47.556 | 104.671 | -0.000 | 0.000 | 561.174 | 
| 1320.155 | 197.679 | -147.835 | 0.000 | 0.000 | 0.000 | 
| 198.138 | 1320.618 | -148.859 | 0.000 | -0.000 | -0.000 | 
| -27.412 | -27.412 | 1163.870 | 0.000 | -0.000 | 0.000 | 
| -0.001 | -0.001 | 0.001 | 572.542 | -0.000 | -0.000 | 
| -0.001 | -0.001 | 0.001 | -0.000 | 572.542 | -0.000 | 
| 47.556 | 47.556 | -104.671 | 0.000 | 0.000 | 561.174 | 
| 293.635 | 24.898 | 25.002 | -0.000 | 0.000 | 0.000 | 
| 8.655 | 350.650 | 34.493 | -0.000 | 0.000 | 0.000 | 
| -5.795 | 42.585 | 252.442 | 0.000 | 0.000 | 0.000 | 
| -27.267 | 1.011 | 2.634 | 131.925 | 0.000 | -0.000 | 
| -4.934 | -24.713 | -4.159 | -0.000 | 102.210 | -0.000 | 
| -27.183 | 1.008 | 2.626 | -0.000 | -0.000 | 146.376 | 
| 342.633 | 25.754 | 20.610 | 0.000 | 0.000 | -0.000 | 
| 8.655 | 350.650 | 34.493 | 0.000 | 0.000 | -0.000 | 
| 16.728 | 34.493 | 295.160 | 0.000 | -0.000 | -0.000 | 
| 27.267 | -1.011 | -2.634 | 131.925 | 0.000 | 0.000 | 
| 4.934 | 24.713 | 4.159 | 0.000 | 102.210 | -0.000 | 
| 27.183 | -1.008 | -2.626 | 0.000 | -0.000 | 146.376 | 
| 293.551 | 32.227 | 25.947 | 0.000 | 0.000 | -0.000 | 
| 34.558 | 273.229 | 47.894 | -0.000 | 0.000 | 0.000 | 
| 16.728 | 34.493 | 295.160 | 0.000 | -0.000 | 0.000 | 
| 1.560 | -5.784 | -1.217 | 81.795 | 0.000 | -0.000 | 
| -4.208 | 0.156 | 0.407 | -0.000 | 109.457 | 0.000 | 
| -3.962 | 0.147 | 0.383 | 0.000 | 0.000 | 136.762 | 
| 361.093 | 8.655 | 16.728 | -0.000 | 0.000 | 0.000 | 
| 36.805 | 290.680 | 44.030 | 0.000 | -0.000 | -0.000 | 
| 16.728 | 34.493 | 295.160 | -0.000 | -0.000 | -0.000 | 
| -1.560 | 5.784 | 1.217 | 81.795 | -0.000 | -0.000 | 
| 4.208 | -0.156 | -0.407 | 0.000 | 109.457 | -0.000 | 
| 3.962 | -0.147 | -0.383 | -0.000 | -0.000 | 136.762 | 
| 198.271 | 40.058 | 32.678 | 0.000 | 0.000 | -0.000 | 
| 37.814 | 276.908 | 46.789 | -0.000 | 0.000 | 0.000 | 
| -13.581 | -2.628 | 15.638 | 0.000 | -0.000 | 0.000 | 
| 0.000 | 0.000 | 0.000 | 153.938 | 0.000 | 0.000 | 
| -0.000 | 0.000 | 0.000 | -0.000 | 145.391 | 0.000 | 
| -0.435 | 0.016 | 0.042 | -0.000 | 0.000 | 133.793 | 
| 223.827 | 43.305 | 34.331 | 0.000 | -0.000 | -0.000 | 
| 39.482 | 199.455 | 44.661 | 0.000 | 0.000 | 0.000 | 
| 16.728 | 34.493 | 295.159 | 0.000 | 0.000 | -0.000 | 
| -0.000 | -0.000 | -0.000 | 153.938 | -0.000 | -0.000 | 
| 0.000 | -0.000 | -0.000 | 0.000 | 145.391 | -0.000 | 
| 0.435 | -0.016 | -0.042 | -0.000 | -0.000 | 133.793 | 
| 7454.360 | -1264.424 | 4152.374 | -0.000 | -0.000 | -0.000 | 
| 1379.292 | -505.280 | 2169.617 | -0.000 | -0.000 | 0.000 | 
| 7221.346 | -1223.789 | 4290.863 | -0.000 | 0.000 | -0.000 | 
| 7162.733 | -1261.939 | 4091.310 | 111.238 | -0.000 | -0.000 | 
| -0.000 | 0.000 | 0.000 | -0.000 | 213.155 | 0.000 | 
| 7162.484 | -1261.941 | 4091.265 | -0.000 | -0.000 | 159.598 | 
| -6872.658 | 1259.317 | -4030.327 | 0.000 | 0.000 | 0.000 | 
| -1339.599 | 1259.316 | -2084.598 | -0.000 | 0.000 | -0.000 | 
| -7105.245 | 1300.176 | -3892.574 | 0.000 | 0.000 | 0.000 | 
| -7162.733 | 1261.939 | -4091.310 | 111.238 | 0.000 | 0.000 | 
| 0.000 | 0.000 | -0.000 | 0.000 | 213.155 | -0.000 | 
| -7162.484 | 1261.941 | -4091.265 | 0.000 | 0.000 | 159.598 | 
| 522.485 | -68.711 | 273.152 | -0.000 | -0.000 | 0.000 | 
| -11.325 | 475.075 | 22.455 | -0.000 | -0.000 | -0.000 | 
| 196.268 | -56.839 | 542.864 | 0.000 | -0.000 | 0.000 | 
| 1068.204 | -182.658 | 671.642 | 97.482 | -0.000 | -0.000 | 
| 135.896 | -88.201 | 212.633 | 0.000 | 160.160 | 0.000 | 
| 135.655 | -88.045 | 212.256 | -0.000 | -0.000 | 167.134 | 
| -812.479 | 175.402 | -616.427 | -0.000 | 0.000 | 0.000 | 
| -727.768 | 436.150 | -362.673 | -0.000 | 0.000 | 0.000 | 
| -75.879 | 119.698 | 117.454 | 0.000 | 0.000 | -0.000 | 
| -1068.204 | 182.658 | -671.642 | 97.482 | 0.000 | 0.000 | 
| -135.896 | 88.201 | -212.633 | 0.000 | 160.160 | -0.000 | 
| -135.655 | 88.045 | -212.256 | -0.000 | 0.000 | 167.134 | 
| 381.769 | 1.138 | 114.750 | 0.000 | -0.000 | 0.000 | 
| 64.526 | 303.332 | 88.042 | 0.000 | -0.000 | -0.000 | 
| 111.449 | 23.594 | 285.149 | 0.000 | -0.000 | -0.000 | 
| 126.427 | -13.831 | 80.530 | 81.013 | -0.000 | 0.000 | 
| 106.932 | -19.451 | 67.374 | 0.000 | 104.003 | -0.000 | 
| 77.924 | -16.563 | 46.625 | -0.000 | -0.000 | 114.185 | 
| 174.521 | 41.255 | 30.991 | 0.000 | 0.000 | -0.000 | 
| -37.770 | 331.233 | 13.040 | -0.000 | 0.000 | 0.000 | 
| -15.200 | 58.764 | 107.494 | 0.000 | 0.000 | -0.000 | 
| -126.427 | 13.831 | -80.530 | 81.013 | 0.000 | -0.000 | 
| -106.932 | 19.451 | -67.374 | 0.000 | 104.003 | 0.000 | 
| -77.924 | 16.563 | -46.625 | 0.000 | 0.000 | 114.185 | 
| 565.192 | -41.441 | 0.000 | 0.000 | 0.000 | -0.000 | 
| -41.441 | 565.192 | 0.000 | 0.000 | 0.000 | -0.000 | 
| 0.000 | -0.000 | 0.000 | 0.000 | 0.000 | -0.000 | 
| 0.000 | -0.000 | 0.000 | 0.000 | 0.000 | -0.000 | 
| 0.000 | -0.000 | 0.000 | 0.000 | 0.000 | -0.000 | 
| 0.000 | -0.000 | 0.000 | 0.000 | 0.000 | 303.316 | 
| 565.192 | -41.441 | -0.000 | -0.000 | -0.000 | 0.000 | 
| -41.441 | 565.192 | -0.000 | -0.000 | -0.000 | 0.000 | 
| -0.000 | 0.000 | -0.000 | -0.000 | -0.000 | 0.000 | 
| -0.000 | 0.000 | -0.000 | -0.000 | -0.000 | 0.000 | 
| -0.000 | 0.000 | -0.000 | -0.000 | -0.000 | 0.000 | 
| -0.000 | 0.000 | -0.000 | -0.000 | -0.000 | 303.316 | 
| 565.192 | -41.441 | 0.000 | 0.000 | -0.000 | -0.000 | 
| -41.441 | 565.192 | 0.000 | 0.000 | -0.000 | -0.000 | 
| 0.000 | -0.000 | 0.000 | 0.000 | 0.000 | -0.000 | 
| 0.000 | -0.000 | 0.000 | 0.000 | 0.000 | -0.000 | 
| 0.000 | -0.000 | 0.000 | 0.000 | 0.000 | -0.000 | 
| 0.000 | 0.000 | 0.000 | 0.000 | 0.000 | 303.316 | 
| 565.192 | -41.441 | -0.000 | -0.000 | 0.000 | 0.000 | 
| -41.441 | 565.191 | -0.000 | -0.000 | 0.000 | 0.000 | 
| -0.000 | 0.000 | -0.000 | -0.000 | -0.000 | 0.000 | 
| -0.000 | 0.000 | -0.000 | -0.000 | -0.000 | 0.000 | 
| -0.000 | 0.000 | -0.000 | -0.000 | -0.000 | 0.000 | 
| -0.000 | -0.000 | -0.000 | -0.000 | -0.000 | 303.316 | 
| 565.192 | -41.440 | 0.000 | 0.000 | -0.000 | -0.000 | 
| -41.443 | 565.194 | 0.000 | 0.000 | -0.000 | -0.000 | 
| 0.000 | -0.000 | 0.000 | 0.000 | 0.000 | -0.000 | 
| 0.000 | -0.000 | 0.000 | 0.000 | 0.000 | -0.000 | 
| 0.000 | -0.000 | 0.000 | 0.000 | 0.000 | -0.000 | 
| 0.000 | 0.000 | 0.000 | -0.000 | 0.000 | 303.316 | 
| 565.192 | -41.442 | -0.000 | -0.000 | 0.000 | 0.000 | 
| -41.440 | 565.189 | -0.000 | -0.000 | 0.000 | 0.000 | 
| -0.000 | 0.000 | -0.000 | -0.000 | -0.000 | 0.000 | 
| -0.000 | 0.000 | -0.000 | -0.000 | -0.000 | 0.000 | 
| -0.000 | 0.000 | -0.000 | -0.000 | -0.000 | 0.000 | 
| -0.000 | -0.000 | -0.000 | -0.000 | -0.000 | 303.316 | 
| 7852.542 | 7527.433 | 7527.433 | -0.000 | -0.000 | -0.000 | 
| 7527.433 | 7852.542 | 7527.433 | -0.000 | -0.000 | -0.000 | 
| 7527.433 | 7527.433 | 7852.542 | -0.000 | -0.000 | 0.000 | 
| 16427.350 | 16427.350 | 16427.350 | 82.933 | -0.000 | 0.000 | 
| 16427.350 | 16427.350 | 16427.350 | -0.000 | 82.933 | -0.000 | 
| 16427.350 | 16427.350 | 16427.350 | -0.000 | -0.000 | 82.933 | 
| -16234.734 | -16480.010 | -16480.009 | 0.000 | 0.000 | 0.000 | 
| -16480.009 | -16234.734 | -16480.010 | 0.000 | 0.000 | -0.000 | 
| -16480.010 | -16480.009 | -16234.734 | 0.000 | -0.000 | 0.000 | 
| -16427.350 | -16427.350 | -16427.350 | 82.933 | 0.000 | 0.000 | 
| -16427.350 | -16427.350 | -16427.350 | 0.000 | 82.933 | 0.000 | 
| -16427.350 | -16427.350 | -16427.350 | 0.000 | 0.000 | 82.933 | 
| 2001.718 | 1794.343 | 1794.343 | -0.000 | -0.000 | 0.000 | 
| 1794.343 | 2001.718 | 1794.343 | -0.000 | -0.000 | 0.000 | 
| 1794.343 | 1794.343 | 2001.718 | -0.000 | -0.000 | -0.000 | 
| 754.336 | 754.336 | 754.336 | 136.247 | -0.000 | -0.000 | 
| 754.336 | 754.336 | 754.336 | -0.000 | 136.247 | -0.000 | 
| 754.336 | 754.336 | 754.336 | -0.000 | -0.000 | 136.247 | 
| -440.298 | -764.730 | -764.730 | 0.000 | 0.000 | -0.000 | 
| -764.730 | -440.298 | -764.730 | 0.000 | 0.000 | -0.000 | 
| -764.730 | -764.730 | -440.298 | 0.000 | 0.000 | 0.000 | 
| -754.336 | -754.336 | -754.336 | 136.247 | 0.000 | -0.000 | 
| -754.336 | -754.336 | -754.336 | 0.000 | 136.247 | -0.000 | 
| -754.336 | -754.336 | -754.336 | 0.000 | 0.000 | 136.247 | 
| 400.855 | 53.522 | 53.522 | -0.000 | -0.000 | 0.000 | 
| 53.522 | 400.855 | 53.522 | -0.000 | -0.000 | 0.000 | 
| 53.522 | 53.522 | 400.855 | -0.000 | -0.000 | 0.000 | 
| 109.499 | 109.499 | 109.499 | 84.419 | -0.000 | 0.000 | 
| 185.532 | 185.533 | 185.532 | -0.000 | 78.799 | 0.000 | 
| 109.499 | 109.499 | 109.499 | -0.000 | -0.000 | 84.419 | 
| 21.213 | -209.524 | -209.524 | 0.000 | 0.000 | -0.000 | 
| -209.524 | 21.213 | -209.524 | 0.000 | 0.000 | -0.000 | 
| -209.524 | -209.524 | 21.213 | 0.000 | 0.000 | 0.000 | 
| -109.499 | -109.499 | -109.499 | 84.419 | 0.000 | 0.000 | 
| -185.532 | -185.533 | -185.532 | 0.000 | 78.799 | -0.000 | 
| -109.499 | -109.499 | -109.499 | 0.000 | 0.000 | 84.419 | 
| 514.213 | -5.066 | 36.152 | 6.080 | -0.000 | 0.000 | 
| 5254.663 | 5643.984 | 2594.481 | 3.031 | 0.000 | -0.000 | 
| 2464.395 | 2464.393 | 1832.664 | -0.000 | -0.000 | 0.000 | 
| 2433.154 | 2434.220 | 1410.912 | 150.327 | 0.000 | 0.000 | 
| 5243.939 | 5243.939 | 2534.228 | -0.000 | 131.138 | -3.014 | 
| 0.000 | -0.000 | 0.001 | 0.000 | 6.080 | 259.640 | 
| -2012.464 | -2403.028 | -1356.461 | -0.536 | 0.000 | -0.000 | 
| -5240.478 | -4850.770 | -2478.151 | 3.017 | -0.000 | 0.000 | 
| -5220.125 | -5220.125 | -2146.940 | 0.000 | 0.000 | 0.000 | 
| -5246.953 | -5240.925 | -2534.228 | 131.138 | 0.000 | 0.000 | 
| -5243.939 | -5243.939 | -2534.228 | 0.000 | 131.138 | -3.014 | 
| -0.000 | 0.000 | -0.001 | -0.000 | 6.080 | 259.640 | 
| 917.801 | 528.624 | 309.805 | -3.007 | -0.000 | -0.000 | 
| 272.230 | 664.123 | 194.526 | 0.469 | -0.000 | 0.000 | 
| 273.802 | 273.801 | 563.036 | -0.000 | -0.000 | 0.000 | 
| 242.780 | 243.845 | 141.058 | 150.339 | 0.000 | 0.000 | 
| 243.312 | 243.312 | 141.058 | -0.000 | 150.339 | -0.533 | 
| 243.127 | 243.127 | 140.951 | -0.000 | -0.528 | 195.373 | 
| 514.213 | -5.066 | 36.151 | 6.080 | 0.000 | 0.000 | 
| -521.330 | -132.105 | -197.569 | 3.061 | -0.000 | 0.000 | 
| 12.419 | 12.419 | 527.565 | -0.000 | 0.000 | 0.000 | 
| -243.365 | -242.325 | -140.788 | 150.438 | 0.000 | -0.000 | 
| -243.312 | -243.312 | -141.058 | 0.000 | 150.339 | -0.533 | 
| -243.127 | -243.127 | -140.951 | 0.000 | -0.528 | 195.373 | 
| 444.322 | 62.124 | 82.068 | -2.941 | 0.000 | 0.000 | 
| 48.522 | 454.848 | 65.103 | -0.273 | -0.000 | 0.000 | 
| 52.377 | 52.377 | 443.041 | -0.000 | -0.000 | 0.000 | 
| 23.429 | 24.219 | 13.812 | 151.414 | -0.000 | 0.000 | 
| 0.000 | 0.000 | 0.000 | -0.000 | 201.941 | 6.080 | 
| 49.632 | 49.633 | 24.470 | 0.000 | -3.020 | 191.260 | 
| 277.928 | -46.912 | 17.793 | -8.266 | 0.000 | -0.000 | 
| 7.518 | 395.862 | 40.994 | 0.651 | 0.000 | -0.000 | 
| 7.154 | 7.155 | 412.410 | 0.000 | -0.000 | -0.000 | 
| 6.080 | -6.080 | -0.000 | 201.941 | 0.000 | 0.000 | 
| -0.000 | -0.000 | -0.000 | 0.000 | 201.941 | 6.080 | 
| -49.632 | -49.633 | -24.470 | -0.000 | -3.020 | 191.260 | 
| -480.270 | 632.773 | -23.070 | 0.000 | -0.000 | 0.000 | 
| -5074.112 | 1383.278 | 6812.547 | 0.000 | 0.000 | 0.000 | 
| -788.446 | 612.089 | 405.030 | 0.000 | -0.000 | 0.000 | 
| -805.157 | 589.900 | -31.810 | 189.796 | -0.000 | 0.000 | 
| -806.188 | 590.656 | -31.850 | 0.000 | 152.803 | 0.000 | 
| -805.166 | 589.907 | -31.810 | 0.000 | -0.000 | 129.660 | 
| 389.306 | 40.321 | -12.061 | -0.000 | -0.000 | 0.000 | 
| 1421.517 | 205.215 | -1912.452 | -0.000 | 0.000 | 0.000 | 
| 5629.596 | -1096.743 | -13885.292 | -0.000 | 0.000 | -0.000 | 
| 805.157 | -589.900 | 31.810 | 189.796 | 0.000 | 0.000 | 
| 806.188 | -590.656 | 31.850 | -0.000 | 152.803 | -0.000 | 
| 805.166 | -589.907 | 31.810 | -0.000 | 0.000 | 129.660 | 
| 124.280 | 57.420 | 208.007 | -0.000 | -0.000 | 0.000 | 
| 37.756 | 426.416 | -3.934 | 0.000 | 0.000 | 0.000 | 
| -711.251 | 139.333 | 1496.265 | 0.000 | 0.000 | 0.000 | 
| -80.535 | 59.004 | -3.182 | 189.787 | -0.000 | 0.000 | 
| -80.534 | 59.003 | -3.182 | -0.000 | 152.850 | 0.000 | 
| -0.000 | 0.000 | 0.000 | 0.000 | -0.000 | 173.636 | 
| 389.306 | 40.321 | -12.061 | -0.000 | 0.000 | 0.000 | 
| 119.191 | 311.920 | 20.678 | -0.000 | 0.000 | -0.000 | 
| 98.419 | -35.801 | 437.054 | -0.000 | 0.000 | -0.000 | 
| 80.535 | -59.004 | 3.182 | 189.787 | 0.000 | -0.000 | 
| 80.534 | -59.003 | 3.182 | -0.000 | 152.850 | -0.000 | 
| 0.000 | -0.000 | -0.000 | -0.000 | -0.000 | 173.636 | 
| 204.384 | 49.149 | 43.509 | 0.000 | -0.000 | -0.000 | 
| -24.738 | 161.771 | 107.229 | 0.000 | -0.000 | -0.000 | 
| 2.889 | 25.841 | 446.706 | 0.000 | -0.000 | 0.000 | 
| -39.968 | 10.387 | 50.631 | 124.768 | 0.000 | 0.000 | 
| -15.871 | 0.693 | 23.562 | 0.000 | 118.785 | 0.000 | 
| -8.761 | 6.419 | -0.346 | 0.000 | -0.000 | 125.786 | 
| 325.412 | 35.991 | 12.158 | -0.000 | 0.000 | -0.000 | 
| 73.512 | 199.537 | -22.730 | -0.000 | 0.000 | 0.000 | 
| 40.114 | 22.937 | 339.932 | -0.000 | 0.000 | 0.000 | 
| 39.968 | -10.387 | -50.631 | 124.768 | -0.000 | 0.000 | 
| 15.871 | -0.693 | -23.562 | -0.000 | 118.785 | 0.000 | 
| 8.761 | -6.419 | 0.346 | -0.000 | 0.000 | 125.786 | 
| 215.345 | 8.576 | 10.571 | 0.000 | 0.000 | 0.000 | 
| 63.635 | 144.969 | 38.202 | 0.000 | 0.000 | 0.000 | 
| 5.859 | 9.084 | 301.457 | -0.000 | 0.000 | 0.000 | 
| 0.000 | -0.000 | -0.000 | 121.370 | 0.000 | 0.000 | 
| 0.000 | -0.000 | -0.000 | -0.000 | 116.660 | 0.000 | 
| 0.000 | -0.000 | -0.000 | -0.000 | 0.000 | 102.898 | 
| 138.515 | 50.947 | 25.571 | -0.000 | 0.000 | -0.000 | 
| -10.450 | 214.272 | 29.290 | -0.000 | 0.000 | -0.000 | 
| 5.859 | 9.084 | 301.457 | 0.000 | -0.000 | -0.000 | 
| -0.000 | 0.000 | 0.000 | 121.370 | -0.000 | -0.000 | 
| -0.000 | 0.000 | 0.000 | 0.000 | 116.660 | 0.000 | 
| -0.000 | 0.000 | 0.000 | 0.000 | -0.000 | 102.898 | 
| -159.319 | 32.797 | 27.693 | -0.000 | 0.000 | 0.000 | 
| 36.229 | 183.785 | 21.868 | 0.000 | 0.000 | -0.000 | 
| 5.859 | 9.084 | 301.457 | -0.000 | -0.000 | 0.000 | 
| 0.000 | -0.000 | 0.000 | 121.370 | 0.000 | 0.000 | 
| 0.000 | 0.000 | 0.000 | -0.000 | 116.660 | 0.000 | 
| 4.342 | -2.266 | -0.858 | 0.000 | -0.000 | 71.788 | 
| 164.512 | 33.724 | 20.716 | -0.000 | 0.000 | -0.000 | 
| 22.625 | 74.629 | 17.306 | 0.000 | 0.000 | 0.000 | 
| 5.859 | 9.084 | 301.457 | -0.000 | -0.000 | -0.000 | 
| -0.000 | 0.000 | -0.000 | 121.370 | 0.000 | -0.000 | 
| -0.000 | -0.000 | -0.000 | 0.000 | 116.660 | 0.000 | 
| -4.342 | 2.266 | 0.858 | -0.000 | -0.000 | 71.788 | 
| 229.689 | 25.706 | 5.859 | -0.000 | 0.000 | 0.000 | 
| 25.706 | 239.993 | 9.084 | -0.000 | 0.000 | 0.000 | 
| 27.655 | 21.535 | 161.000 | -0.000 | -0.000 | -0.000 | 
| 0.000 | 0.000 | 0.000 | 121.370 | 0.000 | 0.000 | 
| 0.000 | 0.000 | 0.000 | -0.000 | 116.660 | -0.000 | 
| -0.000 | 0.000 | 0.000 | -0.000 | 0.000 | 102.898 | 
| 159.392 | 32.475 | 22.026 | -0.000 | -0.000 | 0.000 | 
| 27.855 | 76.045 | 21.901 | 0.000 | 0.000 | -0.000 | 
| 5.859 | 9.084 | 301.457 | 0.000 | -0.000 | -0.000 | 
| -0.000 | -0.000 | -0.000 | 121.370 | -0.000 | -0.000 | 
| -0.000 | -0.000 | -0.000 | 0.000 | 116.660 | -0.000 | 
| 0.000 | -0.000 | -0.000 | 0.000 | -0.000 | 102.898 | 
| 573.740 | -44.430 | 0.000 | 0.000 | 0.000 | -0.000 | 
| -39.332 | 568.642 | 0.000 | 0.000 | 0.000 | 0.000 | 
| -0.000 | 0.000 | 0.000 | 0.000 | 0.000 | 0.000 | 
| 0.000 | 0.000 | 0.000 | 0.000 | 0.000 | 0.000 | 
| -0.000 | 0.000 | 0.000 | 0.000 | 0.000 | -0.000 | 
| 2.549 | -2.549 | 0.000 | 0.000 | 0.000 | 306.536 | 
| 597.149 | -67.839 | -0.000 | -0.000 | -0.000 | 0.000 | 
| -44.430 | 573.740 | -0.000 | -0.000 | -0.000 | -0.000 | 
| 0.000 | -0.000 | -0.000 | -0.000 | -0.000 | -0.000 | 
| -0.000 | -0.000 | -0.000 | -0.000 | -0.000 | -0.000 | 
| -0.000 | -0.000 | -0.000 | -0.000 | -0.000 | -0.000 | 
| -2.549 | 2.549 | -0.000 | -0.000 | -0.000 | 306.536 | 
| 571.446 | -42.136 | 0.000 | 0.000 | 0.000 | 0.000 | 
| -41.638 | 570.948 | 0.000 | 0.000 | 0.000 | -0.000 | 
| -0.000 | 0.000 | 0.000 | 0.000 | 0.000 | 0.000 | 
| -0.000 | 0.000 | 0.000 | 0.000 | 0.000 | 0.000 | 
| 0.000 | 0.000 | 0.000 | 0.000 | 0.000 | 0.000 | 
| 0.255 | -0.255 | 0.000 | 0.000 | 0.000 | 306.536 | 
| 570.936 | -41.626 | -0.000 | -0.000 | -0.000 | -0.000 | 
| -42.136 | 571.446 | -0.000 | -0.000 | -0.000 | 0.000 | 
| 0.000 | -0.000 | -0.000 | -0.000 | -0.000 | -0.000 | 
| -0.000 | -0.000 | -0.000 | -0.000 | -0.000 | 0.000 | 
| -0.000 | -0.000 | -0.000 | -0.000 | -0.000 | 0.000 | 
| -0.255 | 0.255 | -0.000 | -0.000 | -0.000 | 306.536 | 
| 571.219 | -41.908 | 0.000 | 0.000 | 0.000 | -0.000 | 
| -41.855 | 571.165 | 0.000 | 0.000 | 0.000 | -0.000 | 
| -0.000 | -0.000 | 0.000 | 0.000 | 0.000 | 0.000 | 
| -0.000 | 0.000 | 0.000 | 0.000 | 0.000 | -0.000 | 
| 0.000 | 0.000 | 0.000 | 0.000 | 0.000 | -0.000 | 
| 0.025 | -0.025 | 0.000 | 0.000 | 0.000 | 306.536 | 
| 571.163 | -41.854 | -0.000 | -0.000 | -0.000 | -0.000 | 
| -41.906 | 571.215 | -0.000 | -0.000 | -0.000 | -0.000 | 
| -0.000 | -0.000 | -0.000 | -0.000 | -0.000 | -0.000 | 
| -0.000 | -0.000 | -0.000 | -0.000 | -0.000 | 0.000 | 
| -0.000 | -0.000 | -0.000 | -0.000 | -0.000 | 0.000 | 
| -0.025 | 0.025 | -0.000 | -0.000 | -0.000 | 306.536 | 
| 597.120 | -67.836 | 0.000 | 0.000 | 0.000 | 0.000 | 
| -41.879 | 571.164 | 0.000 | 0.000 | 0.000 | 0.000 | 
| -0.000 | 0.000 | 0.000 | 0.000 | 0.000 | 0.000 | 
| -0.000 | 0.000 | 0.000 | 0.000 | 0.000 | 0.000 | 
| -0.000 | 0.000 | 0.000 | 0.000 | 0.000 | 0.000 | 
| -0.000 | 0.000 | 0.000 | 0.000 | 0.000 | 306.521 | 
| 597.120 | -67.836 | -0.000 | -0.000 | -0.000 | -0.000 | 
| -41.879 | 571.164 | -0.000 | -0.000 | -0.000 | -0.000 | 
| 0.000 | -0.000 | -0.000 | -0.000 | -0.000 | -0.000 | 
| 0.000 | -0.000 | -0.000 | -0.000 | -0.000 | -0.000 | 
| 0.000 | -0.000 | -0.000 | -0.000 | -0.000 | -0.000 | 
| 0.000 | -0.000 | -0.000 | -0.000 | -0.000 | 306.521 | 
| 571.164 | -41.879 | 0.000 | 0.000 | 0.000 | 0.000 | 
| -41.891 | 571.176 | 0.000 | 0.000 | 0.000 | 0.000 | 
| -0.000 | 0.000 | 0.000 | 0.000 | 0.000 | 0.000 | 
| -0.000 | 0.000 | 0.000 | 0.000 | 0.000 | 0.000 | 
| -0.000 | 0.000 | 0.000 | 0.000 | 0.000 | 0.000 | 
| -0.000 | 0.000 | 0.000 | 0.000 | 0.000 | 306.521 | 
| 571.163 | -41.879 | -0.000 | -0.000 | -0.000 | -0.000 | 
| -41.879 | 571.164 | -0.000 | -0.000 | -0.000 | -0.000 | 
| 0.000 | -0.000 | -0.000 | -0.000 | -0.000 | -0.000 | 
| 0.000 | -0.000 | -0.000 | -0.000 | -0.000 | -0.000 | 
| 0.000 | -0.000 | -0.000 | -0.000 | -0.000 | -0.000 | 
| 0.000 | -0.000 | -0.000 | -0.000 | -0.000 | 306.521 | 
| 571.166 | -41.881 | 0.000 | 0.000 | 0.000 | 0.000 | 
| -41.878 | 571.163 | 0.000 | 0.000 | 0.000 | 0.000 | 
| -0.000 | 0.000 | 0.000 | 0.000 | 0.000 | 0.000 | 
| -0.000 | 0.000 | 0.000 | 0.000 | 0.000 | 0.000 | 
| -0.000 | 0.000 | 0.000 | 0.000 | 0.000 | 0.000 | 
| -0.000 | 0.000 | 0.000 | 0.000 | 0.000 | 306.521 | 
| 571.161 | -41.877 | -0.000 | -0.000 | -0.000 | -0.000 | 
| -41.880 | 571.164 | -0.000 | -0.000 | -0.000 | -0.000 | 
| 0.000 | -0.000 | -0.000 | -0.000 | -0.000 | -0.000 | 
| 0.000 | -0.000 | -0.000 | -0.000 | -0.000 | -0.000 | 
| 0.000 | -0.000 | -0.000 | -0.000 | -0.000 | -0.000 | 
| 0.000 | -0.000 | -0.000 | -0.000 | -0.000 | 306.521 | 
| 49.549 | 61.757 | 61.757 | 0.000 | -0.000 | -0.000 | 
| 61.757 | 49.549 | 61.757 | 0.000 | -0.000 | -0.000 | 
| 61.757 | 61.757 | 49.549 | 0.000 | -0.000 | -0.000 | 
| -366266988.273 | -294453510.586 | -267219157.346 | -20696979.382 | -4728637.207 | -1476471.220 | 
| -277429397.709 | -364819865.167 | -314600138.080 | -2146730.606 | -7898298.577 | -3565117.518 | 
| -312932476.087 | -276877586.839 | -368200002.509 | -3424533.246 | -586564.899 | -9982872.267 | 
| 62.280 | 64.240 | 64.240 | -0.000 | 0.000 | 0.000 | 
| 64.240 | 62.280 | 64.240 | -0.000 | 0.000 | 0.000 | 
| 64.240 | 64.240 | 62.280 | -0.000 | -0.000 | -0.000 | 
| 373978021.054 | 289743574.088 | 280596874.937 | -21656559.614 | -2042983.355 | -879520.238 | 
| -67.554 | -67.554 | -67.554 | -0.000 | -31.240 | 0.000 | 
| -0.000 | -0.000 | -0.000 | -0.000 | -0.000 | 50.070 | 
| -17326160.557 | -12593090.455 | -18151981.663 | 79920.593 | 107200.464 | -368578.873 | 
| -18494412.482 | -17693915.576 | -13373408.423 | -32819.272 | -29510.085 | 266049.725 | 
| -12781427.034 | -18143392.721 | -17391379.030 | 195987.992 | -349135.910 | -201915.311 | 
| -39305181.037 | -25070141.187 | -27007441.509 | -3123910.095 | -22438.312 | -13072.895 | 
| -26372266.471 | -39170567.288 | -24691838.516 | -1215.564 | -3314981.912 | 55581.201 | 
| -25089242.778 | -26717874.182 | -39161781.790 | -104264.920 | -46164.091 | -3128744.415 | 
| 62.280 | 64.240 | 64.240 | -0.000 | 0.000 | -0.000 | 
| 64.240 | 62.280 | 64.240 | 0.000 | 0.000 | -0.000 | 
| 64.240 | 64.240 | 62.280 | 0.000 | 0.000 | -0.000 | 
| 39466713.872 | 25429073.596 | 25682664.095 | -3278263.796 | -82872.601 | -82947.571 | 
| 25798309.910 | 39437394.263 | 25173666.844 | -61933.366 | -3307128.011 | -21213.813 | 
| 25162625.373 | 25956043.657 | 39396628.017 | 39485.493 | 19887.691 | -3264794.316 | 
| -2263063.044 | -2229601.790 | -2435263.868 | 9137.551 | 29725.011 | -3572.990 | 
| -1992281.387 | -2330507.592 | -2041612.055 | -18240.805 | -12394.035 | -46371.862 | 
| -2440095.731 | -2309766.828 | -1996496.592 | 2808.656 | -41889.749 | 5250.978 | 
| -3971713.184 | -2498719.093 | -2614309.449 | -341063.806 | -7396.974 | -5135.932 | 
| -2577195.968 | -3942399.843 | -2489557.236 | -1930.967 | -332211.192 | -1766.324 | 
| -2429973.214 | -2604450.024 | -3924860.132 | -149.892 | -2710.294 | -328534.382 | 
| 3460749.098 | 2166538.049 | 2247821.224 | 6720.063 | 24.587 | 9194.371 | 
| 2214443.308 | 3472510.545 | 2194216.894 | 4200.206 | 834.948 | 6095.100 | 
| 2242876.489 | 2208253.769 | 3469774.102 | 9312.276 | -297.169 | 6063.684 | 
| 3957713.780 | 2480421.798 | 2510992.715 | -348221.079 | 979.741 | -13988.507 | 
| 2548257.944 | 3966955.546 | 2521976.638 | 2315.189 | -346280.699 | -1591.314 | 
| 2533258.678 | 2596931.631 | 3946209.770 | -2526.956 | -7600.819 | -332093.802 | 
| 358.288 | 143.029 | 143.029 | -0.000 | 0.000 | -0.000 | 
| 143.029 | 358.288 | 143.029 | -0.000 | 0.000 | 0.000 | 
| 143.029 | 143.029 | 358.288 | -0.000 | 0.000 | -0.000 | 
| 0.248 | 0.248 | 0.248 | 392.350 | 0.000 | -0.000 | 
| 0.248 | 0.248 | 0.248 | -0.000 | 392.350 | -0.000 | 
| 0.248 | 0.248 | 0.248 | -0.000 | 0.000 | 392.350 | 
| 357.829 | 142.569 | 142.569 | 0.000 | -0.000 | -0.000 | 
| 142.569 | 357.829 | 142.569 | 0.000 | -0.000 | -0.000 | 
| 142.569 | 142.569 | 357.829 | 0.000 | -0.000 | -0.000 | 
| -0.248 | -0.248 | -0.248 | 392.350 | -0.000 | -0.000 | 
| -0.248 | -0.248 | -0.248 | 0.000 | 392.350 | -0.000 | 
| -0.248 | -0.248 | -0.248 | 0.000 | -0.000 | 392.350 | 
| 358.009 | 142.942 | 142.942 | -0.000 | 0.000 | -0.000 | 
| 142.942 | 358.009 | 142.942 | -0.000 | 0.000 | 0.000 | 
| 142.942 | 142.942 | 358.009 | -0.000 | 0.000 | -0.000 | 
| 0.025 | 0.025 | 0.025 | 392.349 | -0.000 | -0.000 | 
| 0.025 | 0.025 | 0.025 | -0.000 | 392.349 | -0.000 | 
| 0.025 | 0.025 | 0.025 | -0.000 | -0.000 | 392.349 | 
| 358.035 | 142.776 | 142.776 | 0.000 | -0.000 | -0.000 | 
| 142.776 | 358.035 | 142.776 | 0.000 | -0.000 | -0.000 | 
| 142.776 | 142.776 | 358.035 | 0.000 | -0.000 | -0.000 | 
| -0.025 | -0.025 | -0.025 | 392.349 | -0.000 | 0.000 | 
| -0.025 | -0.025 | -0.025 | 0.000 | 392.349 | -0.000 | 
| -0.025 | -0.025 | -0.025 | 0.000 | -0.000 | 392.349 | 
| 369.658 | 154.249 | 154.249 | -0.000 | 0.000 | -0.000 | 
| 154.249 | 369.658 | 154.249 | -0.000 | 0.000 | 0.000 | 
| 154.249 | 154.249 | 369.658 | -0.000 | 0.000 | 0.000 | 
| 0.003 | 0.002 | 0.003 | 392.349 | -0.000 | 0.000 | 
| 0.002 | 0.003 | 0.003 | -0.000 | 392.349 | -0.000 | 
| 0.002 | 0.003 | 0.003 | -0.000 | 0.000 | 392.349 | 
| 358.054 | 142.797 | 142.797 | 0.000 | -0.000 | 0.000 | 
| 142.797 | 358.054 | 142.797 | 0.000 | -0.000 | -0.000 | 
| 142.797 | 142.797 | 358.054 | 0.000 | -0.000 | 0.000 | 
| -0.003 | -0.002 | -0.003 | 392.349 | -0.000 | -0.000 | 
| -0.002 | -0.003 | -0.003 | 0.000 | 392.349 | -0.000 | 
| -0.002 | -0.003 | -0.003 | 0.000 | -0.000 | 392.349 | 
| 424.804 | -30.876 | 0.003 | -0.000 | -0.000 | 0.000 | 
| 327.912 | 66.016 | 0.003 | 0.000 | -0.000 | -0.000 | 
| -0.000 | -0.000 | 0.000 | -0.000 | 0.000 | -0.000 | 
| 0.000 | -0.000 | -0.000 | 0.000 | 0.000 | 0.000 | 
| -0.000 | -0.000 | -0.000 | 0.000 | 0.000 | 0.000 | 
| 0.008 | 0.008 | 0.003 | -0.000 | -0.000 | -130.948 | 
| 66.001 | 327.897 | -0.003 | -0.000 | 0.000 | 0.000 | 
| -30.891 | 424.789 | -0.003 | 0.000 | 0.000 | 0.000 | 
| 0.000 | 0.000 | 0.000 | 0.000 | -0.000 | 0.000 | 
| 0.000 | -0.000 | 0.000 | 0.000 | -0.000 | 0.000 | 
| 0.000 | 0.000 | 0.000 | -0.000 | 0.000 | 0.000 | 
| -0.008 | -0.008 | -0.003 | 0.000 | -0.000 | -130.948 | 
| 444.399 | -50.486 | 0.000 | 0.000 | -0.000 | -0.000 | 
| -31.180 | 425.094 | 0.000 | 0.000 | -0.000 | -0.000 | 
| -0.000 | -0.000 | -0.000 | 0.000 | 0.000 | -0.000 | 
| -0.001 | 0.003 | 0.000 | -0.000 | -0.000 | -0.000 | 
| -0.000 | -0.000 | -0.000 | -0.000 | 0.000 | 0.000 | 
| 0.000 | 0.000 | -0.000 | 0.000 | 0.000 | 247.442 | 
| 315.024 | 78.888 | -0.000 | -0.000 | -0.000 | 0.000 | 
| -50.486 | 444.399 | 0.000 | -0.000 | 0.000 | 0.000 | 
| -0.000 | -0.000 | 0.000 | -0.000 | -0.000 | 0.000 | 
| 0.000 | -0.000 | 0.000 | 0.000 | 0.000 | 0.000 | 
| 0.000 | 0.000 | 0.000 | -0.000 | 0.000 | 0.000 | 
| -0.000 | -0.000 | 0.000 | -0.000 | 0.000 | 247.442 | 
| 425.082 | -31.168 | 0.000 | -0.000 | -0.000 | -0.000 | 
| -50.486 | 444.400 | 0.000 | -0.000 | -0.000 | -0.000 | 
| -0.000 | -0.000 | -0.000 | -0.000 | -0.000 | -0.000 | 
| -0.002 | 0.002 | 0.000 | -0.000 | -0.000 | -0.000 | 
| 0.000 | 0.000 | 0.000 | -0.000 | -0.000 | -0.002 | 
| 0.000 | 0.000 | -0.000 | 0.000 | 0.000 | 247.442 | 
| 425.077 | -31.165 | -0.000 | 0.000 | 0.000 | 0.000 | 
| -29.604 | 423.516 | -0.000 | 0.000 | -0.000 | 0.000 | 
| -0.000 | -0.000 | 0.000 | 0.000 | 0.000 | 0.000 | 
| -0.002 | 0.002 | -0.000 | 0.000 | 0.000 | 0.000 | 
| -0.000 | -0.000 | -0.000 | 0.000 | 0.000 | -0.002 | 
| -0.000 | -0.000 | 0.000 | -0.000 | 0.000 | 247.442 | 
| 576.599 | -65.505 | -0.000 | 0.000 | -0.000 | -0.000 | 
| -40.438 | 551.533 | 0.000 | 0.000 | -0.000 | 0.000 | 
| -0.000 | -0.000 | 0.000 | -0.000 | -0.000 | -0.000 | 
| 0.000 | 0.000 | -0.000 | 0.000 | -0.000 | -0.000 | 
| 0.000 | 0.000 | -0.000 | 0.000 | -0.000 | 0.000 | 
| 0.000 | 0.000 | -0.000 | 0.000 | 0.000 | 321.052 | 
| 551.533 | -40.438 | -0.000 | -0.000 | 0.000 | 0.000 | 
| -65.505 | 576.599 | -0.000 | -0.000 | -0.000 | -0.000 | 
| -0.000 | -0.000 | 0.000 | -0.000 | -0.000 | 0.000 | 
| -0.000 | -0.000 | 0.000 | -0.000 | -0.000 | 0.000 | 
| 0.000 | -0.000 | 0.000 | 0.000 | 0.000 | -0.000 | 
| -0.000 | -0.000 | 0.000 | -0.000 | 0.000 | 321.052 | 
| 576.599 | -65.505 | -0.000 | 0.000 | -0.000 | 0.000 | 
| -40.440 | 551.534 | 0.000 | 0.000 | -0.000 | -0.000 | 
| -0.000 | -0.000 | -0.000 | -0.000 | 0.000 | -0.000 | 
| 0.000 | 0.000 | -0.000 | 0.000 | 0.000 | 0.000 | 
| -0.000 | 0.000 | -0.000 | -0.000 | 0.000 | -0.000 | 
| 0.000 | 0.000 | -0.000 | 0.000 | 0.000 | 321.052 | 
| 576.599 | -65.505 | 0.000 | 0.000 | -0.000 | -0.000 | 
| -65.505 | 576.599 | 0.000 | -0.000 | 0.000 | 0.000 | 
| -0.000 | -0.000 | -0.000 | -0.000 | 0.000 | 0.000 | 
| -0.000 | 0.000 | 0.000 | -0.000 | -0.000 | 0.000 | 
| 0.000 | -0.000 | 0.000 | 0.000 | 0.000 | -0.000 | 
| -0.000 | -0.000 | 0.000 | -0.000 | 0.000 | 321.052 | 
| 551.535 | -40.440 | 0.000 | -0.000 | -0.000 | 0.000 | 
| -40.439 | 551.534 | 0.000 | 0.000 | 0.000 | -0.000 | 
| -0.000 | -0.000 | -0.000 | 0.000 | 0.000 | -0.000 | 
| 0.000 | -0.000 | -0.000 | 0.000 | 0.000 | -0.000 | 
| -0.000 | 0.000 | -0.000 | 0.000 | -0.000 | 0.000 | 
| -0.000 | 0.000 | 0.000 | -0.000 | 0.000 | 295.987 | 
| 551.533 | -40.439 | -0.000 | -0.000 | -0.000 | -0.000 | 
| -40.441 | 551.535 | -0.000 | -0.000 | -0.000 | 0.000 | 
| -0.000 | -0.000 | 0.000 | -0.000 | -0.000 | 0.000 | 
| 0.000 | -0.000 | 0.000 | -0.000 | -0.000 | 0.000 | 
| 0.000 | -0.000 | 0.000 | 0.000 | 0.000 | 0.000 | 
| 0.000 | -0.000 | -0.000 | 0.000 | 0.000 | 295.987 | 
| 390.192 | -28.609 | 0.000 | -0.000 | 0.000 | -0.000 | 
| -28.611 | 390.194 | 0.000 | -0.000 | 0.000 | -0.000 | 
| 0.000 | 0.000 | 0.000 | 0.000 | 0.000 | 0.000 | 
| -0.000 | -0.000 | 0.000 | 0.000 | 0.000 | 0.000 | 
| -0.000 | -0.000 | 0.000 | 0.000 | 0.000 | 0.000 | 
| -0.001 | 0.001 | 0.000 | -0.000 | 0.000 | 209.401 | 
| 390.194 | -28.611 | -0.000 | 0.000 | -0.000 | 0.000 | 
| -46.342 | 407.925 | -0.000 | -0.000 | -0.000 | -0.000 | 
| 0.000 | 0.000 | -0.000 | -0.000 | -0.000 | -0.000 | 
| 0.000 | 0.000 | -0.000 | -0.000 | -0.000 | -0.000 | 
| 0.000 | 0.000 | -0.000 | -0.000 | -0.000 | -0.000 | 
| 0.001 | -0.001 | -0.000 | 0.000 | -0.000 | 209.401 | 
| 390.191 | -28.608 | 0.000 | -0.000 | 0.000 | -0.000 | 
| -28.610 | 390.193 | 0.000 | -0.000 | 0.000 | -0.000 | 
| 0.000 | 0.000 | 0.000 | 0.000 | 0.000 | 0.000 | 
| -0.000 | -0.000 | 0.000 | 0.000 | 0.000 | 0.000 | 
| -0.000 | -0.000 | 0.000 | 0.000 | 0.000 | 0.000 | 
| 0.000 | 0.000 | 0.000 | 0.000 | 0.000 | 227.134 | 
| 407.925 | -46.342 | -0.000 | 0.000 | -0.000 | -0.000 | 
| -28.608 | 390.191 | 0.000 | 0.000 | -0.000 | 0.000 | 
| 0.000 | 0.000 | 0.000 | -0.000 | -0.000 | -0.000 | 
| 0.000 | 0.000 | -0.000 | -0.000 | -0.000 | -0.000 | 
| 0.000 | 0.000 | -0.000 | -0.000 | -0.000 | -0.000 | 
| -0.000 | -0.000 | -0.000 | -0.000 | 0.000 | 227.134 | 
| 390.189 | -28.605 | 0.000 | -0.000 | 0.000 | -0.000 | 
| -46.343 | 407.926 | 0.000 | -0.000 | 0.000 | 0.000 | 
| 0.000 | 0.000 | 0.000 | -0.000 | 0.000 | 0.000 | 
| -0.000 | -0.000 | 0.000 | 0.000 | 0.000 | 0.000 | 
| -0.000 | -0.000 | 0.000 | 0.000 | 0.000 | 0.000 | 
| 0.000 | 0.000 | 0.000 | 0.000 | 0.000 | 227.134 | 
| 407.924 | -46.342 | -0.000 | 0.000 | -0.000 | -0.000 | 
| -28.605 | 390.187 | -0.000 | 0.000 | -0.000 | 0.000 | 
| 0.000 | 0.000 | 0.000 | 0.000 | -0.000 | -0.000 | 
| 0.000 | 0.000 | -0.000 | -0.000 | -0.000 | -0.000 | 
| 0.000 | 0.000 | -0.000 | -0.000 | -0.000 | -0.000 | 
| -0.000 | -0.000 | -0.000 | -0.000 | 0.000 | 227.134 | 
| -1972.356 | -996.505 | -861.862 | -0.000 | -0.000 | 0.000 | 
| -268.035 | 223.514 | 491.243 | -0.000 | 0.000 | -0.000 | 
| -273.459 | -33.633 | 689.908 | -0.000 | 0.000 | -0.000 | 
| 0.000 | 0.000 | -0.000 | 153.923 | 0.000 | 0.000 | 
| -296.257 | -76.148 | 447.064 | -0.000 | 115.808 | -0.000 | 
| -296.252 | -76.147 | 447.057 | -0.000 | -0.000 | 140.609 | 
| 602.023 | 105.117 | -422.511 | 0.000 | 0.000 | -0.000 | 
| 584.668 | 648.019 | -11.647 | 0.000 | -0.000 | 0.000 | 
| 319.188 | 118.630 | -203.975 | 0.000 | -0.000 | -0.000 | 
| -0.000 | -0.000 | -0.000 | 153.923 | -0.000 | 0.000 | 
| 296.257 | 76.148 | -447.065 | 0.000 | 115.808 | -0.000 | 
| 296.252 | 76.147 | -447.057 | 0.000 | -0.000 | 140.609 | 
| 274.445 | 21.654 | 70.205 | -0.000 | -0.000 | 0.000 | 
| 8.654 | 350.617 | 34.490 | 0.000 | 0.000 | 0.000 | 
| -205.688 | -71.768 | -152.308 | -0.000 | -0.000 | 0.000 | 
| 0.000 | 0.000 | 0.000 | 153.923 | 0.000 | 0.000 | 
| -0.000 | 0.000 | 0.000 | -0.000 | 145.377 | 0.000 | 
| -29.755 | -7.648 | 44.902 | -0.000 | 0.000 | 140.491 | 
| 361.060 | 8.654 | 16.726 | 0.000 | -0.000 | 0.000 | 
| 239.510 | 239.586 | 124.437 | 0.000 | 0.000 | -0.000 | 
| 82.186 | 81.148 | 162.977 | 0.000 | -0.000 | -0.000 | 
| -0.000 | -0.000 | -0.000 | 153.923 | -0.000 | -0.000 | 
| 0.000 | -0.000 | -0.000 | 0.000 | 145.377 | 0.000 | 
| 29.755 | 7.648 | -44.902 | 0.000 | -0.000 | 140.491 | 
| 361.061 | 8.654 | 16.726 | -0.000 | 0.000 | 0.000 | 
| 37.540 | 217.609 | 47.828 | -0.000 | 0.000 | -0.000 | 
| 13.290 | 37.083 | 18.511 | -0.000 | -0.000 | 0.000 | 
| -3.609 | -0.928 | 5.447 | 119.865 | 0.000 | 0.000 | 
| -0.000 | 0.000 | 0.000 | -0.000 | 145.377 | 0.000 | 
| -6.734 | -4.793 | 1.304 | -0.000 | -0.000 | 103.462 | 
| 289.029 | 37.756 | 21.142 | 0.000 | -0.000 | -0.000 | 
| 48.835 | 233.222 | 45.805 | 0.000 | -0.000 | 0.000 | 
| 30.737 | 46.560 | 217.492 | 0.000 | -0.000 | 0.000 | 
| 3.609 | 0.928 | -5.447 | 119.865 | -0.000 | 0.000 | 
| 0.000 | -0.000 | -0.000 | 0.000 | 145.377 | 0.000 | 
| 6.734 | 4.793 | -1.304 | 0.000 | -0.000 | 103.462 | 
| 492.992 | -15.217 | 47.794 | 0.000 | 0.000 | -0.000 | 
| 83.248 | 926.063 | 2031.096 | 0.000 | 0.000 | 0.000 | 
| 183.892 | -2066.258 | 5887.727 | 0.000 | -0.000 | -0.000 | 
| -1159.819 | -3240.101 | 5985.481 | -35.696 | 0.000 | 0.000 | 
| -1159.526 | -3239.734 | 5985.253 | 0.000 | 8.495 | 0.000 | 
| 69.367 | 513.356 | 1991.010 | 0.000 | 0.000 | 197.393 | 
| 369.039 | -504.275 | -1941.050 | -0.000 | 0.000 | -0.000 | 
| -55.626 | -100.947 | -1952.933 | -0.000 | -0.000 | -0.000 | 
| -38.455 | -501.738 | -1536.909 | -0.000 | -0.000 | -0.000 | 
| 1159.819 | 3240.101 | -5985.481 | -35.696 | -0.000 | -0.000 | 
| 1159.526 | 3239.734 | -5985.253 | -0.000 | 8.495 | -0.000 | 
| -69.367 | -513.356 | -1991.010 | -0.000 | -0.000 | 197.393 | 
| 117.679 | -527.953 | 974.766 | 0.000 | 0.000 | -0.000 | 
| -36.130 | -416.409 | 954.006 | 0.000 | 0.000 | -0.000 | 
| 37.885 | 63.266 | 655.758 | 0.000 | 0.000 | 0.000 | 
| -76.145 | -566.594 | 955.833 | 21.270 | 0.000 | -0.000 | 
| -73.925 | -576.010 | 969.684 | 0.000 | 45.575 | -0.000 | 
| -78.554 | -558.813 | 944.150 | 0.000 | -0.000 | 110.270 | 
| 492.992 | -15.217 | 47.794 | -0.000 | -0.000 | -0.000 | 
| -4.700 | 542.291 | -495.349 | -0.000 | -0.000 | 0.000 | 
| 9.200 | 249.172 | -206.790 | -0.000 | 0.000 | 0.000 | 
| 76.145 | 566.594 | -955.833 | 21.270 | -0.000 | 0.000 | 
| 73.925 | 576.010 | -969.684 | -0.000 | 45.575 | 0.000 | 
| 78.554 | 558.813 | -944.150 | -0.000 | 0.000 | 110.270 | 
| 284.216 | -22.017 | 104.731 | 0.000 | 0.000 | 0.000 | 
| -10.608 | 482.173 | 23.485 | 0.000 | -0.000 | 0.000 | 
| 31.696 | 17.476 | 478.429 | 0.000 | 0.000 | 0.000 | 
| 0.707 | 5.234 | 20.301 | 159.372 | 0.000 | 0.000 | 
| 16.314 | -45.769 | 120.616 | 0.000 | 70.941 | -0.000 | 
| 0.681 | 5.039 | 19.544 | 0.000 | 0.000 | 198.254 | 
| 219.709 | 76.804 | -60.001 | -0.000 | 0.000 | 0.000 | 
| 11.494 | 252.354 | -105.061 | -0.000 | -0.000 | -0.000 | 
| -50.430 | 20.769 | 152.756 | -0.000 | -0.000 | 0.000 | 
| -0.707 | -5.234 | -20.301 | 159.372 | -0.000 | -0.000 | 
| -16.314 | 45.769 | -120.616 | -0.000 | 70.941 | 0.000 | 
| -0.681 | -5.039 | -19.544 | -0.000 | -0.000 | 198.254 | 
| 1266.496 | 321.198 | -274.189 | -0.000 | 0.000 | 0.000 | 
| 321.198 | 1266.496 | -274.189 | -0.000 | 0.000 | 0.000 | 
| -804.116 | -804.116 | 3057.750 | -0.000 | 0.000 | 0.000 | 
| -0.001 | -0.001 | 0.003 | 460.640 | 0.000 | 0.000 | 
| -0.001 | -0.001 | 0.003 | -0.000 | 460.640 | 0.000 | 
| -0.004 | -0.004 | 0.010 | 0.000 | 0.000 | 472.393 | 
| 1266.496 | 321.197 | -274.188 | 0.000 | 0.000 | 0.000 | 
| 321.197 | 1266.496 | -274.188 | 0.000 | 0.000 | -0.000 | 
| -274.261 | -274.261 | 1903.411 | 0.000 | -0.000 | -0.000 | 
| 0.001 | 0.001 | -0.003 | 460.640 | -0.000 | -0.000 | 
| 0.001 | 0.001 | -0.003 | 0.000 | 460.640 | -0.000 | 
| 0.004 | 0.004 | -0.010 | -0.000 | -0.000 | 472.393 | 
| 1265.627 | 320.329 | -272.295 | -0.000 | 0.000 | -0.000 | 
| 564.404 | 1509.776 | -804.116 | -0.000 | -0.000 | 0.000 | 
| -274.218 | -274.218 | 1903.319 | -0.000 | 0.000 | 0.000 | 
| -0.000 | -0.000 | 0.001 | 460.640 | 0.000 | 0.000 | 
| -0.000 | -0.000 | 0.001 | -0.000 | 460.640 | -0.000 | 
| 0.000 | 0.000 | -0.000 | 0.000 | 0.000 | 472.685 | 
| 1266.498 | 321.200 | -274.194 | 0.000 | 0.000 | 0.000 | 
| 321.189 | 1266.487 | -274.170 | 0.000 | -0.000 | -0.000 | 
| -274.297 | -274.297 | 1903.490 | -0.000 | -0.000 | -0.000 | 
| 0.000 | 0.000 | -0.001 | 460.640 | -0.000 | 0.000 | 
| 0.000 | 0.000 | -0.001 | 0.000 | 460.640 | 0.000 | 
| -0.000 | -0.000 | 0.000 | 0.000 | -0.000 | 472.685 | 
| 1266.500 | 321.198 | -274.189 | -0.000 | 0.000 | 0.000 | 
| 311.328 | 1256.342 | -252.372 | -0.000 | 0.000 | 0.000 | 
| -273.862 | -273.862 | 1902.548 | -0.000 | 0.000 | -0.000 | 
| 0.001 | 0.002 | -0.002 | 611.796 | 0.000 | -0.000 | 
| -0.001 | -0.002 | 0.004 | -0.000 | 460.640 | 0.000 | 
| 0.001 | 0.001 | -0.001 | 0.000 | 0.000 | 472.393 | 
| 1265.816 | 320.588 | -272.789 | 0.000 | -0.000 | -0.000 | 
| 321.486 | 1266.267 | -274.257 | 0.000 | 0.000 | -0.000 | 
| -274.653 | -274.653 | 1904.260 | 0.000 | -0.000 | -0.000 | 
| -0.001 | -0.002 | 0.002 | 611.796 | -0.000 | 0.000 | 
| 0.001 | 0.002 | -0.004 | 0.000 | 460.640 | -0.000 | 
| -0.001 | -0.001 | 0.001 | 0.000 | -0.000 | 472.393 | 
| 7395.609 | 6327.677 | -17155.169 | -0.000 | -0.000 | -0.000 | 
| 3263.128 | 4331.087 | -10491.570 | -0.000 | 0.000 | -0.000 | 
| 2894.469 | 2894.469 | -9060.105 | -0.000 | 0.000 | -0.000 | 
| 6531.389 | 6531.389 | -17947.252 | 416.782 | 0.000 | -0.000 | 
| 3003.003 | 3003.002 | -10303.108 | -0.000 | 480.297 | -0.000 | 
| 2995.589 | 2995.589 | -10287.250 | -0.000 | 0.000 | 533.979 | 
| 1472.609 | 401.984 | -507.702 | 0.000 | -0.000 | 0.000 | 
| -2741.021 | -1673.107 | 10112.594 | 0.000 | -0.000 | 0.000 | 
| -3110.920 | -3110.920 | 11545.311 | 0.000 | -0.000 | 0.000 | 
| -6531.389 | -6531.389 | 17947.252 | 416.782 | -0.000 | 0.000 | 
| -3003.002 | -3003.002 | 10303.108 | 0.000 | 480.297 | 0.000 | 
| -2995.589 | -2995.589 | 10287.250 | -0.000 | -0.000 | 533.979 | 
| 1472.609 | 401.984 | -507.703 | -0.000 | -0.000 | -0.000 | 
| 558.693 | 1626.586 | -1214.785 | -0.000 | 0.000 | -0.000 | 
| 189.823 | 189.823 | 217.069 | -0.000 | 0.000 | -0.000 | 
| 280.217 | 280.217 | -984.920 | 484.296 | 0.000 | -0.000 | 
| 280.217 | 280.217 | -984.920 | -0.000 | 484.296 | -0.000 | 
| 300.568 | 300.568 | -1030.938 | -0.000 | 0.000 | 533.946 | 
| 1472.608 | 401.984 | -507.702 | 0.000 | -0.000 | 0.000 | 
| -42.425 | 1025.467 | 847.059 | 0.000 | -0.000 | 0.000 | 
| 290.309 | 290.309 | 658.584 | 0.000 | -0.000 | 0.000 | 
| -280.217 | -280.217 | 984.920 | 484.296 | -0.000 | 0.000 | 
| -280.217 | -280.217 | 984.920 | 0.000 | 484.296 | 0.000 | 
| -300.568 | -300.568 | 1030.938 | 0.000 | -0.000 | 533.946 | 
| 1472.613 | 401.985 | -507.703 | -0.000 | 0.000 | -0.000 | 
| 234.807 | 1304.714 | -145.994 | -0.000 | 0.000 | -0.000 | 
| -80.435 | -80.435 | 1144.342 | -0.000 | -0.000 | -0.000 | 
| 38.678 | 38.680 | -106.284 | 496.307 | 0.000 | -0.000 | 
| 38.680 | 38.678 | -106.284 | -0.000 | 496.307 | -0.000 | 
| 29.437 | 29.437 | -101.754 | -0.000 | 0.000 | 533.979 | 
| 1295.997 | 228.044 | -80.732 | 0.000 | -0.000 | 0.000 | 
| 228.040 | 1295.992 | -80.727 | 0.000 | -0.000 | 0.000 | 
| -119.146 | -119.146 | 1282.720 | -0.000 | -0.000 | 0.000 | 
| -38.678 | -38.680 | 106.284 | 496.307 | -0.000 | 0.000 | 
| -38.680 | -38.678 | 106.284 | 0.000 | 496.307 | 0.000 | 
| -29.437 | -29.437 | 101.754 | 0.000 | -0.000 | 533.979 | 
| 4067.345 | 3063.633 | -6454.850 | -0.000 | -0.000 | -0.000 | 
| 399.447 | 1403.693 | -516.036 | -0.000 | -0.000 | 0.000 | 
| -516.036 | -516.036 | 2432.672 | -0.000 | 0.000 | 0.000 | 
| 2808.440 | 2808.440 | -6258.470 | 424.096 | -0.000 | 0.000 | 
| 2803.496 | 2803.496 | -6249.998 | -0.000 | 515.937 | 0.000 | 
| 2810.074 | 2810.074 | -6261.804 | 0.000 | -0.000 | 501.174 | 
| -1546.000 | -2548.349 | 6054.840 | -0.000 | -0.000 | -0.000 | 
| -2540.671 | -1536.960 | 6039.154 | -0.000 | -0.000 | -0.000 | 
| -3004.162 | -3004.162 | 7979.553 | 0.000 | -0.000 | -0.000 | 
| -2808.440 | -2808.440 | 6258.470 | 424.096 | 0.000 | -0.000 | 
| -2803.496 | -2803.496 | 6249.998 | 0.000 | 515.937 | -0.000 | 
| -2810.074 | -2810.074 | 6261.804 | -0.000 | -0.000 | 501.174 | 
| 1545.055 | 542.570 | -832.953 | -0.000 | -0.000 | 0.000 | 
| 542.510 | 1545.326 | -833.165 | 0.000 | -0.000 | 0.000 | 
| 71.772 | 71.772 | 1122.195 | 0.000 | 0.000 | 0.000 | 
| 0.000 | 0.000 | -0.000 | 563.054 | 0.000 | 0.000 | 
| 292.300 | 292.300 | -651.642 | 0.000 | 513.928 | -0.000 | 
| 279.577 | 279.577 | -623.277 | -0.000 | -0.000 | 501.856 | 
| 983.151 | -19.245 | 419.094 | -0.000 | -0.000 | -0.000 | 
| 399.447 | 1403.692 | -516.036 | -0.000 | 0.000 | -0.000 | 
| -486.889 | -486.889 | 2367.648 | -0.000 | 0.000 | -0.000 | 
| -0.000 | -0.000 | 0.000 | 563.054 | -0.000 | -0.000 | 
| -292.300 | -292.300 | 651.642 | -0.000 | 513.928 | 0.000 | 
| -279.577 | -279.577 | 623.277 | 0.000 | 0.000 | 501.856 | 
| 1291.755 | 288.045 | -267.062 | 0.000 | -0.000 | -0.000 | 
| 289.173 | 1292.889 | -269.584 | 0.000 | -0.000 | 0.000 | 
| -179.481 | -179.481 | 1682.331 | 0.000 | -0.000 | 0.000 | 
| 24.053 | 24.054 | -53.605 | 457.743 | 0.000 | 0.000 | 
| 0.002 | 0.001 | -0.002 | -0.000 | 563.054 | 0.000 | 
| 28.839 | 28.839 | -64.291 | 0.000 | -0.000 | 501.848 | 
| 1236.170 | 233.584 | -144.504 | -0.000 | 0.000 | 0.000 | 
| 233.171 | 1236.879 | -144.736 | -0.000 | 0.000 | -0.000 | 
| -235.707 | -235.707 | 1807.670 | -0.000 | -0.000 | -0.000 | 
| -24.053 | -24.054 | 53.605 | 457.743 | -0.000 | -0.000 | 
| -0.002 | -0.001 | 0.002 | 0.000 | 563.054 | 0.000 | 
| -28.839 | -28.839 | 64.291 | -0.000 | 0.000 | 501.848 | 
| 1126.755 | 23.925 | 227.451 | -0.000 | 0.000 | -0.000 | 
| 309.730 | 1414.453 | -362.670 | -0.000 | -0.000 | -0.000 | 
| -298.781 | -298.781 | 1727.351 | -0.000 | 0.000 | 0.000 | 
| 0.000 | 0.000 | -0.000 | 582.899 | -0.000 | 0.000 | 
| 0.000 | 0.000 | -0.000 | -0.000 | 582.899 | 0.000 | 
| 0.000 | 0.000 | -0.000 | -0.000 | -0.000 | 552.361 | 
| 1480.901 | 377.882 | -472.766 | -0.000 | 0.000 | -0.000 | 
| 309.730 | 1414.452 | -362.670 | 0.000 | -0.000 | -0.000 | 
| 142.796 | 142.796 | 754.447 | -0.000 | -0.000 | 0.000 | 
| -0.000 | -0.000 | 0.000 | 582.899 | 0.000 | -0.000 | 
| -0.000 | -0.000 | 0.000 | 0.000 | 582.899 | -0.000 | 
| -0.000 | -0.000 | 0.001 | 0.000 | -0.000 | 552.361 | 
| 1293.352 | 188.918 | -95.141 | -0.000 | 0.000 | 0.000 | 
| 309.730 | 1414.453 | -362.670 | 0.000 | -0.000 | 0.000 | 
| -94.179 | -94.179 | 1272.519 | 0.000 | -0.000 | 0.000 | 
| 0.000 | 0.000 | -0.000 | 582.899 | -0.000 | 0.000 | 
| 0.000 | 0.000 | -0.000 | 0.000 | 582.899 | -0.000 | 
| -17.591 | -17.591 | 34.421 | 0.000 | 0.000 | 551.389 | 
| 1331.132 | 226.709 | -177.605 | -0.000 | -0.000 | -0.000 | 
| 309.730 | 1414.452 | -362.670 | -0.000 | -0.000 | 0.000 | 
| -54.750 | -54.750 | 1188.976 | 0.000 | 0.000 | -0.000 | 
| -0.000 | -0.000 | 0.000 | 582.899 | 0.000 | 0.000 | 
| -0.000 | -0.000 | 0.000 | -0.000 | 582.899 | -0.000 | 
| 17.591 | 17.591 | -34.421 | -0.000 | -0.000 | 551.389 | 
| 1308.575 | 204.778 | -129.604 | 0.000 | -0.000 | -0.000 | 
| 205.838 | 1310.271 | -132.070 | 0.000 | 0.000 | 0.000 | 
| -78.116 | -78.116 | 1237.501 | -0.000 | 0.000 | -0.000 | 
| 0.001 | 0.001 | -0.001 | 582.899 | 0.000 | -0.000 | 
| -5.063 | -5.064 | 10.675 | 0.000 | 533.083 | 0.000 | 
| -7.140 | -7.140 | 15.603 | 0.000 | -0.000 | 551.850 | 
| 1315.649 | 211.219 | -143.876 | 0.000 | 0.000 | -0.000 | 
| 309.730 | 1414.448 | -362.670 | 0.000 | -0.000 | 0.000 | 
| -74.610 | -74.610 | 1229.848 | -0.000 | 0.000 | -0.000 | 
| -0.001 | -0.001 | 0.001 | 582.899 | -0.000 | 0.000 | 
| 5.063 | 5.064 | -10.675 | 0.000 | 533.083 | -0.000 | 
| 7.140 | 7.140 | -15.603 | 0.000 | -0.000 | 551.850 | 
| 1381.482 | 258.748 | -284.277 | -0.000 | 0.000 | 0.000 | 
| 556.334 | 1676.724 | -520.303 | 0.000 | 0.000 | -0.000 | 
| 1635.964 | 1635.963 | -2302.426 | 0.000 | -0.000 | -0.000 | 
| 452.747 | 452.747 | -590.013 | 509.377 | -0.000 | -0.000 | 
| 0.000 | -0.000 | -0.001 | 0.000 | 572.166 | -0.000 | 
| 0.000 | -0.000 | -0.000 | 0.000 | -0.000 | 561.367 | 
| 1381.482 | 258.748 | -284.274 | 0.000 | -0.000 | 0.000 | 
| -609.763 | 510.451 | 1190.342 | -0.000 | -0.000 | 0.000 | 
| -1325.163 | -1325.163 | 3729.224 | -0.000 | 0.000 | 0.000 | 
| -452.747 | -452.747 | 590.013 | 509.377 | 0.000 | 0.000 | 
| -0.000 | 0.000 | 0.001 | -0.000 | 572.166 | 0.000 | 
| -0.000 | 0.000 | 0.000 | -0.000 | 0.000 | 561.367 | 
| 1381.956 | 262.656 | -246.201 | -0.000 | -0.000 | -0.000 | 
| 293.997 | 1414.224 | -318.173 | 0.000 | 0.000 | -0.000 | 
| 24.323 | 24.323 | 1087.977 | 0.000 | 0.000 | -0.000 | 
| 149.001 | 149.002 | -305.603 | 507.789 | -0.000 | -0.000 | 
| 0.000 | 0.000 | -0.000 | 0.000 | 572.166 | -0.000 | 
| 161.647 | 161.647 | -331.538 | 0.000 | -0.000 | 560.494 | 
| 1227.206 | 106.690 | 16.045 | -0.000 | 0.000 | -0.000 | 
| 107.087 | 1227.604 | 15.188 | -0.000 | 0.000 | 0.000 | 
| -148.903 | -148.903 | 1391.868 | -0.000 | -0.000 | 0.000 | 
| -149.001 | -149.002 | 305.603 | 507.789 | 0.000 | -0.000 | 
| -0.000 | -0.000 | 0.000 | -0.000 | 572.166 | 0.000 | 
| -161.647 | -161.647 | 331.538 | -0.000 | 0.000 | 560.494 | 
| 1309.251 | 186.940 | -124.287 | 0.000 | -0.000 | -0.000 | 
| 258.748 | 1381.486 | -284.276 | 0.000 | 0.000 | -0.000 | 
| -49.870 | -49.870 | 1219.404 | -0.000 | -0.000 | 0.000 | 
| 0.001 | 0.001 | -0.001 | 572.166 | 0.000 | -0.000 | 
| 8.258 | 8.257 | -16.935 | 0.000 | 536.489 | -0.000 | 
| 15.829 | 15.829 | -32.464 | 0.000 | -0.000 | 560.512 | 
| 1294.499 | 173.327 | -96.820 | -0.000 | 0.000 | 0.000 | 
| 173.449 | 1293.549 | -98.099 | -0.000 | -0.000 | 0.000 | 
| -228.990 | -228.990 | 1613.576 | -0.000 | 0.000 | 0.000 | 
| -0.001 | -0.001 | 0.001 | 572.166 | -0.000 | 0.000 | 
| -8.258 | -8.257 | 16.935 | -0.000 | 536.489 | 0.000 | 
| -15.829 | -15.829 | 32.464 | -0.000 | 0.000 | 560.512 | 
| 1327.470 | 232.573 | -253.817 | -0.000 | 0.000 | 0.000 | 
| 232.573 | 1327.470 | -253.818 | 0.000 | 0.000 | 0.000 | 
| -253.816 | -253.816 | 1877.791 | 0.000 | 0.000 | -0.000 | 
| -83.490 | -83.490 | 184.393 | 513.010 | -0.000 | -0.000 | 
| 0.000 | 0.000 | -0.000 | -0.000 | 537.038 | 0.000 | 
| -62.932 | -62.932 | 138.352 | -0.000 | 0.000 | 544.710 | 
| 1299.149 | 208.515 | -194.951 | 0.000 | -0.000 | 0.000 | 
| 232.573 | 1327.470 | -253.817 | 0.000 | -0.000 | 0.000 | 
| -26.210 | -26.210 | 1373.768 | -0.000 | 0.000 | -0.000 | 
| 83.490 | 83.490 | -184.393 | 513.010 | 0.000 | -0.000 | 
| -0.000 | -0.000 | 0.000 | 0.000 | 537.038 | 0.000 | 
| 62.932 | 62.932 | -138.352 | -0.000 | -0.000 | 544.710 | 
| 1246.728 | 154.236 | -77.571 | -0.000 | -0.000 | 0.000 | 
| 232.573 | 1327.471 | -253.818 | 0.000 | 0.000 | -0.000 | 
| -99.501 | -99.501 | 1535.692 | -0.000 | -0.000 | -0.000 | 
| 0.000 | 0.000 | -0.000 | 537.038 | 0.000 | -0.000 | 
| 0.000 | 0.000 | -0.000 | -0.000 | 537.038 | 0.000 | 
| -5.291 | -5.290 | 11.590 | -0.000 | -0.000 | 544.199 | 
| 1327.470 | 232.573 | -253.818 | 0.000 | -0.000 | -0.000 | 
| 232.573 | 1327.470 | -253.818 | -0.000 | -0.000 | 0.000 | 
| -253.816 | -253.816 | 1877.790 | -0.000 | -0.000 | 0.000 | 
| -0.000 | -0.000 | 0.000 | 537.038 | -0.000 | -0.000 | 
| -0.000 | -0.000 | 0.000 | 0.000 | 537.038 | -0.000 | 
| 5.291 | 5.290 | -11.590 | 0.000 | -0.000 | 544.199 | 
| 1327.474 | 232.574 | -253.818 | -0.000 | 0.000 | 0.000 | 
| 159.950 | 1252.460 | -90.210 | 0.000 | 0.000 | -0.000 | 
| -93.974 | -93.974 | 1523.488 | 0.000 | 0.000 | -0.000 | 
| 0.001 | 0.001 | -0.001 | 537.038 | 0.000 | -0.000 | 
| 0.001 | 0.001 | -0.001 | 0.000 | 537.038 | 0.000 | 
| 0.000 | 0.001 | 0.000 | 0.000 | 0.000 | 547.449 | 
| 1253.692 | 161.188 | -92.947 | 0.000 | -0.000 | 0.000 | 
| 162.804 | 1250.467 | -91.550 | -0.000 | 0.000 | -0.000 | 
| -253.815 | -253.815 | 1877.783 | -0.000 | -0.000 | 0.000 | 
| -0.001 | -0.001 | 0.001 | 537.038 | -0.000 | -0.000 | 
| -0.001 | -0.001 | 0.001 | -0.000 | 537.038 | -0.000 | 
| -0.000 | -0.001 | -0.000 | -0.000 | -0.000 | 547.449 | 
| 3974.565 | 2885.268 | -2353.467 | 14.471 | -0.000 | -0.000 | 
| 4410.538 | 5501.603 | -7613.440 | -13.937 | 0.000 | -0.000 | 
| 4706.294 | 4706.295 | -7612.995 | -0.000 | 0.000 | 0.000 | 
| -1367.462 | -1396.532 | 6502.560 | 540.157 | -0.000 | -0.000 | 
| -0.000 | 0.000 | 0.002 | -0.000 | 595.566 | 15.687 | 
| -1382.031 | -1382.031 | 6502.638 | -0.000 | 14.535 | 544.883 | 
| 1439.450 | 347.354 | -421.967 | 15.687 | 0.001 | -0.000 | 
| -4341.062 | -3249.988 | 8173.612 | -13.951 | 0.000 | 0.000 | 
| 585.237 | 585.237 | -3814.566 | 0.000 | 0.000 | -0.000 | 
| -2526.822 | -2555.787 | 1941.736 | 541.245 | -0.001 | 0.000 | 
| 0.000 | -0.000 | -0.002 | 0.000 | 595.566 | 15.687 | 
| 1382.031 | 1382.031 | -6502.637 | 0.000 | 14.535 | 544.883 | 
| 1547.590 | 456.539 | -478.262 | 13.911 | 0.000 | -0.000 | 
| 347.354 | 1439.451 | -421.963 | -15.687 | -0.000 | -0.000 | 
| -140.339 | -140.339 | 1616.500 | -0.000 | -0.000 | -0.000 | 
| 255.855 | 228.530 | -180.015 | 535.354 | 0.000 | -0.000 | 
| 437.058 | 437.058 | -788.467 | -0.000 | 511.697 | 13.946 | 
| 0.000 | 0.000 | 0.000 | -0.000 | 15.687 | 546.048 | 
| 714.407 | -376.721 | 1014.432 | 14.044 | -0.000 | 0.000 | 
| 347.354 | 1439.450 | -421.964 | -15.687 | 0.000 | 0.000 | 
| -60.992 | -60.992 | 989.536 | 0.000 | 0.000 | -0.000 | 
| -240.869 | -269.831 | 196.833 | 541.198 | 0.000 | 0.000 | 
| -437.058 | -437.058 | 788.467 | 0.000 | 511.697 | 13.946 | 
| -0.000 | -0.000 | -0.000 | 0.000 | 15.687 | 546.048 | 
| 1439.454 | 347.355 | -421.964 | 15.687 | -0.000 | -0.000 | 
| 267.088 | 1357.440 | -213.508 | -13.836 | 0.000 | -0.000 | 
| -56.452 | -56.452 | 1165.794 | -0.000 | -0.000 | 0.000 | 
| 52.937 | 24.654 | -69.987 | 521.118 | -0.000 | -0.000 | 
| 28.052 | 28.051 | -25.331 | -0.000 | 538.350 | 14.422 | 
| 0.000 | 0.001 | 0.000 | -0.000 | 15.687 | 546.048 | 
| 1299.164 | 209.919 | -151.143 | 14.498 | 0.000 | 0.000 | 
| 211.978 | 1302.551 | -144.295 | -14.046 | -0.000 | 0.000 | 
| -109.220 | -109.220 | 1236.038 | -0.000 | -0.000 | 0.000 | 
| -24.628 | -52.915 | 69.944 | 521.164 | -0.000 | -0.000 | 
| -28.052 | -28.051 | 25.331 | 0.000 | 538.350 | 14.422 | 
| -0.000 | -0.001 | -0.000 | 0.000 | 15.687 | 546.048 | 
| 1371.381 | 333.249 | -410.610 | 18.713 | -0.000 | 0.000 | 
| 312.032 | 1347.833 | -361.168 | -17.186 | -0.000 | 0.000 | 
| -52.057 | -52.057 | 1414.332 | -0.000 | -0.000 | 0.000 | 
| 18.714 | -18.714 | 0.001 | 547.780 | -0.000 | 0.000 | 
| 0.000 | -0.000 | 0.001 | 0.000 | 547.780 | 18.714 | 
| -0.000 | -0.000 | 0.001 | -0.000 | 18.713 | 519.066 | 
| 1371.381 | 333.249 | -410.610 | 18.714 | 0.000 | 0.000 | 
| 333.249 | 1371.381 | -410.610 | -18.713 | 0.000 | -0.000 | 
| -410.608 | -410.608 | 2210.710 | 0.000 | 0.000 | -0.000 | 
| -114.824 | -150.183 | 294.796 | 505.443 | 0.000 | -0.000 | 
| 0.000 | 0.000 | -0.001 | 0.000 | 547.780 | 18.714 | 
| 0.000 | 0.000 | -0.001 | 0.000 | 18.714 | 519.066 | 
| 1371.381 | 333.249 | -410.610 | 18.714 | -0.000 | -0.000 | 
| 230.574 | 1267.494 | -181.013 | -17.919 | -0.000 | -0.000 | 
| -147.914 | -147.914 | 1626.945 | 0.000 | -0.000 | -0.000 | 
| 39.023 | 5.035 | -49.010 | 477.394 | -0.000 | -0.000 | 
| 0.000 | 0.000 | -0.000 | -0.000 | 547.780 | 18.714 | 
| 14.761 | 14.761 | -32.841 | -0.000 | 17.561 | 518.187 | 
| 1371.381 | 333.248 | -410.610 | 18.714 | 0.000 | 0.000 | 
| 209.965 | 1246.882 | -135.162 | -17.917 | 0.000 | -0.000 | 
| -169.737 | -169.737 | 1675.198 | 0.000 | 0.000 | -0.000 | 
| -5.035 | -39.023 | 49.010 | 477.394 | 0.000 | -0.000 | 
| -0.000 | -0.000 | 0.000 | 0.000 | 547.780 | 18.714 | 
| -14.761 | -14.761 | 32.841 | 0.000 | 17.562 | 518.187 | 
| 1258.415 | 221.491 | -160.807 | 17.919 | -0.000 | -0.000 | 
| 333.249 | 1371.386 | -410.611 | -18.714 | -0.000 | -0.000 | 
| -158.322 | -158.322 | 1649.809 | -0.000 | -0.000 | -0.000 | 
| 9.697 | -21.265 | 12.862 | 464.996 | -0.000 | -0.000 | 
| 2.276 | 2.275 | -5.062 | -0.000 | 475.054 | 16.937 | 
| -1.885 | -1.884 | 4.190 | -0.000 | 16.016 | 517.050 | 
| 1256.307 | 219.391 | -156.135 | 17.919 | -0.000 | -0.000 | 
| 333.248 | 1371.376 | -410.609 | -18.714 | 0.000 | -0.000 | 
| -160.569 | -160.569 | 1654.797 | 0.000 | 0.000 | -0.000 | 
| 21.269 | -9.699 | -12.864 | 465.039 | 0.000 | -0.000 | 
| -0.001 | -0.001 | 0.001 | 0.000 | 547.780 | 18.714 | 
| 1.885 | 1.884 | -4.190 | 0.000 | 16.016 | 517.050 | 
| 3815.811 | 2741.931 | -5545.843 | 11.252 | 0.000 | -0.000 | 
| 256.788 | 1337.030 | -290.751 | -12.099 | 0.000 | -0.000 | 
| -4151.901 | -4151.901 | 10930.473 | 0.000 | -0.000 | 0.000 | 
| 12.099 | -12.099 | -0.001 | 537.193 | 0.000 | 0.000 | 
| 0.000 | 0.000 | -0.000 | 0.000 | 537.193 | 12.099 | 
| 6013.602 | 6013.602 | -12872.600 | 0.000 | 11.867 | 536.455 | 
| 1337.030 | 256.788 | -290.753 | 12.099 | 0.000 | 0.000 | 
| 3536.069 | 4610.285 | -7973.025 | -12.085 | -0.000 | 0.000 | 
| -290.753 | -290.753 | 1956.765 | -0.000 | -0.000 | 0.000 | 
| 12.099 | -12.099 | 0.000 | 537.193 | 0.000 | 0.000 | 
| -0.000 | -0.000 | -0.000 | -0.000 | 537.193 | 12.099 | 
| -6013.602 | -6013.602 | 12872.600 | -0.000 | 11.866 | 536.455 | 
| 1337.030 | 256.788 | -290.753 | 12.099 | -0.000 | 0.000 | 
| 280.940 | 1354.820 | -312.675 | -11.252 | 0.000 | 0.000 | 
| 521.203 | 521.203 | 181.151 | 0.000 | 0.000 | -0.000 | 
| -258.518 | -282.740 | 642.232 | 497.403 | 0.000 | -0.000 | 
| -270.629 | -270.629 | 642.232 | 0.000 | 497.403 | 12.111 | 
| 0.000 | 0.000 | 0.000 | 0.000 | 12.099 | 540.121 | 
| 1047.440 | -23.605 | 299.304 | 11.272 | -0.000 | 0.000 | 
| 774.152 | 1848.136 | -1468.595 | -11.813 | -0.000 | -0.000 | 
| -290.753 | -290.753 | 1956.766 | -0.000 | -0.000 | 0.000 | 
| 12.099 | -12.099 | 0.000 | 537.193 | -0.000 | -0.000 | 
| 270.629 | 270.629 | -642.232 | -0.000 | 497.403 | 12.111 | 
| -0.000 | -0.000 | -0.000 | -0.000 | 12.099 | 540.121 | 
| 1295.025 | 221.407 | -202.355 | 11.384 | -0.000 | -0.000 | 
| 221.434 | 1295.053 | -202.414 | -11.384 | 0.000 | -0.000 | 
| 11.617 | 11.617 | 1287.878 | 0.000 | 0.000 | 0.000 | 
| 12.099 | -12.097 | -0.001 | 537.193 | 0.000 | -0.000 | 
| 0.001 | 0.001 | -0.001 | -0.000 | 537.193 | 12.099 | 
| 0.000 | 0.001 | 0.000 | -0.000 | 12.099 | 540.121 | 
| 1337.026 | 256.787 | -290.753 | 12.099 | -0.000 | 0.000 | 
| 256.787 | 1337.025 | -290.753 | -12.099 | 0.000 | 0.000 | 
| -290.752 | -290.752 | 1956.758 | -0.000 | -0.000 | -0.000 | 
| -50.852 | -74.536 | 134.402 | 485.741 | 0.000 | -0.000 | 
| -0.001 | -0.001 | 0.001 | 0.000 | 537.193 | 12.099 | 
| -0.000 | -0.001 | -0.000 | 0.000 | 12.099 | 540.121 | 
| 2354.861 | 2009.706 | 2009.706 | -0.000 | -0.000 | 0.000 | 
| 2009.706 | 2354.861 | 2009.706 | 0.000 | -0.000 | 0.000 | 
| 2009.706 | 2009.706 | 2354.861 | 0.000 | -0.000 | 0.000 | 
| 0.000 | -0.000 | -0.000 | 211.671 | -0.000 | 0.000 | 
| 0.000 | 0.000 | 0.000 | -0.000 | 211.670 | -0.000 | 
| 0.000 | -0.000 | -0.000 | -0.000 | -0.000 | 211.671 | 
| -7676.560 | -7926.564 | -7926.564 | -0.000 | 0.000 | -0.000 | 
| -7926.564 | -7676.560 | -7926.564 | -0.000 | 0.000 | -0.000 | 
| -7926.564 | -7926.564 | -7676.560 | -0.000 | 0.000 | -0.000 | 
| -0.000 | -0.000 | 0.000 | 211.671 | 0.000 | 0.000 | 
| -0.000 | -0.000 | 0.000 | 0.000 | 211.671 | -0.000 | 
| -0.000 | 0.000 | 0.000 | -0.000 | 0.000 | 211.671 | 
| 561.506 | 215.510 | 215.510 | 0.000 | -0.000 | 0.000 | 
| 215.510 | 561.506 | 215.510 | 0.000 | -0.000 | 0.000 | 
| 215.510 | 215.510 | 561.506 | 0.000 | -0.000 | 0.000 | 
| 199.225 | 199.225 | 199.225 | 153.996 | -0.000 | 0.000 | 
| 199.225 | 199.225 | 199.225 | 0.000 | 153.996 | 0.000 | 
| 199.225 | 199.225 | 199.225 | -0.000 | -0.000 | 153.996 | 
| 161.665 | -182.636 | -182.637 | -0.000 | 0.000 | -0.000 | 
| -182.637 | 161.665 | -182.636 | -0.000 | 0.000 | -0.000 | 
| -182.636 | -182.637 | 161.665 | -0.000 | 0.000 | -0.000 | 
| -199.225 | -199.225 | -199.225 | 153.996 | 0.000 | -0.000 | 
| -199.225 | -199.225 | -199.225 | -0.000 | 153.996 | -0.000 | 
| -199.225 | -199.225 | -199.225 | 0.000 | 0.000 | 153.996 | 
| 399.454 | 33.412 | 33.412 | 0.000 | -0.000 | 0.000 | 
| 33.412 | 399.454 | 33.412 | 0.000 | -0.000 | 0.000 | 
| 33.412 | 33.412 | 399.454 | -0.000 | -0.000 | -0.000 | 
| 19.061 | 19.061 | 19.061 | 156.490 | -0.000 | 0.000 | 
| 19.061 | 19.061 | 19.061 | 0.000 | 156.490 | 0.000 | 
| 19.061 | 19.061 | 19.061 | 0.000 | -0.000 | 156.490 | 
| 455.359 | 5.126 | 5.125 | 0.000 | 0.000 | 0.000 | 
| 5.125 | 455.359 | 5.126 | -0.000 | 0.000 | 0.000 | 
| 5.126 | 5.125 | 455.359 | 0.000 | 0.000 | -0.000 | 
| -19.061 | -19.061 | -19.061 | 156.490 | 0.000 | -0.000 | 
| -19.061 | -19.061 | -19.061 | 0.000 | 156.490 | -0.000 | 
| -19.061 | -19.061 | -19.061 | -0.000 | 0.000 | 156.490 | 
| 1335.980 | 211.866 | -690.115 | -0.000 | 0.000 | 0.000 | 
| -122.409 | 596.937 | -44.875 | -0.000 | 0.000 | 0.000 | 
| -12.171 | 413.709 | 710.337 | -0.000 | 0.000 | 0.000 | 
| 172.847 | 388.911 | -521.501 | 347.087 | 0.000 | 0.000 | 
| 0.000 | -0.000 | -0.000 | -0.000 | 580.713 | 0.000 | 
| 171.688 | 386.303 | -518.003 | -0.000 | 0.000 | 205.705 | 
| 992.980 | -559.750 | 344.683 | 0.000 | -0.000 | -0.000 | 
| -133.701 | 665.062 | -59.378 | 0.000 | -0.000 | -0.000 | 
| -209.715 | 63.434 | 1259.082 | 0.000 | -0.000 | -0.000 | 
| -172.847 | -388.911 | 521.501 | 347.087 | -0.000 | -0.000 | 
| -0.000 | 0.000 | 0.000 | 0.000 | 580.712 | -0.000 | 
| -171.688 | -386.303 | 518.003 | 0.000 | -0.000 | 205.705 | 
| 1177.763 | -140.783 | -214.451 | -0.000 | 0.000 | 0.000 | 
| -190.599 | 516.162 | 122.893 | -0.000 | 0.000 | 0.000 | 
| -157.411 | 87.227 | 1148.384 | -0.000 | 0.000 | 0.000 | 
| 25.823 | 58.103 | -77.912 | 322.094 | 0.000 | 0.000 | 
| 8.187 | 14.140 | -22.426 | -0.000 | 485.479 | 0.000 | 
| 20.918 | 47.065 | -63.111 | -0.000 | 0.000 | 203.571 | 
| 1143.404 | -222.427 | -108.816 | 0.000 | -0.000 | -0.000 | 
| -213.203 | 460.700 | 192.840 | 0.000 | -0.000 | -0.000 | 
| -146.800 | 144.355 | 1099.878 | 0.000 | -0.000 | -0.000 | 
| -25.823 | -58.103 | 77.912 | 322.094 | -0.000 | -0.000 | 
| -8.187 | -14.140 | 22.426 | 0.000 | 485.479 | -0.000 | 
| -20.918 | -47.065 | 63.111 | 0.000 | -0.000 | 203.571 | 
| 1160.125 | -184.242 | -159.318 | -0.000 | 0.000 | 0.000 | 
| -205.410 | 470.830 | 173.099 | -0.000 | 0.000 | 0.000 | 
| -138.012 | 156.745 | 1077.392 | -0.000 | 0.000 | 0.000 | 
| -0.913 | -2.683 | 3.089 | 276.909 | 0.000 | 0.000 | 
| 2.376 | 5.346 | -7.168 | -0.000 | 506.518 | 0.000 | 
| 0.465 | 0.489 | -1.106 | -0.000 | 0.000 | 180.845 | 
| 1149.796 | -214.104 | -125.018 | 0.000 | -0.000 | -0.000 | 
| -206.764 | 469.141 | 176.493 | 0.000 | -0.000 | -0.000 | 
| -138.579 | 157.172 | 1078.115 | 0.000 | -0.000 | -0.000 | 
| 0.913 | 2.683 | -3.089 | 276.909 | -0.000 | -0.000 | 
| -2.376 | -5.346 | 7.168 | 0.000 | 506.518 | -0.000 | 
| -0.465 | -0.489 | 1.106 | 0.000 | -0.000 | 180.845 | 
| 1392.188 | 330.297 | -855.529 | -0.000 | -0.000 | -0.000 | 
| 66.356 | 1084.925 | -646.616 | -0.000 | -0.000 | -0.000 | 
| -28.705 | 311.010 | 796.119 | -0.000 | -0.000 | -0.000 | 
| 0.000 | 0.000 | -0.000 | 395.815 | -0.000 | -0.000 | 
| 0.000 | 0.000 | -0.000 | -0.000 | 579.604 | -0.000 | 
| 228.992 | 503.935 | -682.380 | -0.000 | -0.000 | 204.789 | 
| 1176.786 | -139.898 | -215.499 | 0.000 | -0.000 | 0.000 | 
| -316.867 | 305.853 | 461.885 | 0.000 | 0.000 | 0.000 | 
| -228.795 | 65.995 | 1296.066 | 0.000 | 0.000 | 0.000 | 
| -0.000 | -0.000 | 0.000 | 395.815 | 0.000 | 0.000 | 
| -0.000 | -0.000 | 0.000 | 0.000 | 579.604 | 0.000 | 
| -228.992 | -503.935 | 682.380 | 0.000 | 0.000 | 204.790 | 
| 1186.670 | -124.960 | -241.658 | -0.000 | 0.000 | -0.000 | 
| -201.749 | 468.791 | 164.956 | -0.000 | 0.000 | -0.000 | 
| -130.767 | 165.729 | 1060.360 | -0.000 | 0.000 | -0.000 | 
| 31.054 | 68.340 | -92.539 | 327.768 | -0.000 | -0.000 | 
| 0.000 | 0.000 | 0.000 | 0.000 | 579.604 | -0.000 | 
| 25.926 | 57.055 | -77.258 | -0.000 | -0.000 | 203.479 | 
| 1139.768 | -223.822 | -104.265 | 0.000 | 0.000 | 0.000 | 
| -195.132 | 510.527 | 132.092 | -0.000 | 0.000 | 0.000 | 
| -227.854 | -78.990 | 1363.819 | 0.000 | 0.000 | 0.000 | 
| -31.054 | -68.340 | 92.539 | 327.768 | 0.000 | 0.000 | 
| -0.000 | -0.000 | -0.000 | -0.000 | 579.604 | 0.000 | 
| -25.926 | -57.055 | 77.258 | 0.000 | 0.000 | 203.479 | 
| 1176.787 | -139.898 | -215.498 | -0.000 | -0.000 | -0.000 | 
| -205.935 | 457.916 | 177.709 | 0.000 | -0.000 | -0.000 | 
| -138.244 | 159.701 | 1077.378 | 0.000 | 0.000 | -0.000 | 
| -1.059 | -3.265 | 3.629 | 275.587 | -0.000 | -0.000 | 
| 3.150 | 6.930 | -9.384 | -0.000 | 505.903 | -0.000 | 
| 7.115 | 15.657 | -21.201 | -0.000 | -0.000 | 183.898 | 
| 1148.095 | -214.686 | -124.629 | -0.000 | 0.000 | 0.000 | 
| -207.269 | 457.211 | 180.548 | -0.000 | 0.000 | 0.000 | 
| -139.942 | 157.921 | 1081.565 | 0.000 | -0.000 | 0.000 | 
| 1.059 | 3.265 | -3.629 | 275.587 | 0.000 | 0.000 | 
| -3.150 | -6.930 | 9.384 | 0.000 | 505.903 | 0.000 | 
| -7.115 | -15.657 | 21.201 | 0.000 | 0.000 | 183.898 | 
| -4597.874 | -4855.492 | 3132.653 | 6.779 | -0.000 | 0.000 | 
| -4855.492 | -4597.874 | 3132.653 | -6.779 | -0.000 | -0.000 | 
| -4851.370 | -4851.370 | 3216.848 | 0.000 | -0.000 | -0.000 | 
| -4880.854 | -4894.422 | 3082.964 | 92.908 | -0.000 | 0.000 | 
| -4890.153 | -4890.153 | 3080.869 | -0.000 | 92.870 | 6.782 | 
| -4889.582 | -4889.582 | 3081.343 | -0.000 | 6.783 | 128.874 | 
| 5180.308 | 4922.395 | -3031.124 | 6.787 | 0.000 | 0.000 | 
| 4925.090 | 5182.930 | -3028.866 | -6.785 | -0.000 | -0.000 | 
| 4923.823 | 4923.823 | -2947.857 | 0.000 | 0.000 | -0.000 | 
| 4894.422 | 4880.854 | -3082.964 | 92.908 | 0.000 | 0.000 | 
| 4890.153 | 4890.153 | -3080.869 | 0.000 | 92.870 | 6.782 | 
| 4889.582 | 4889.582 | -3081.343 | 0.000 | 6.783 | 128.874 | 
| -1391.860 | -1651.562 | -2922.179 | 9.915 | -0.000 | -0.000 | 
| -454.000 | -197.355 | 360.210 | -6.752 | 0.000 | 0.000 | 
| 21.563 | 21.563 | 328.166 | -0.000 | -0.000 | 0.000 | 
| -208.773 | -226.593 | 534.147 | 133.841 | -0.000 | 0.000 | 
| -217.683 | -217.683 | 534.147 | -0.000 | 133.841 | 8.910 | 
| -217.652 | -217.652 | 534.070 | -0.000 | 8.910 | 165.626 | 
| 582.903 | 251.510 | -497.690 | 8.914 | 0.000 | -0.000 | 
| 1584.538 | 1774.879 | 2114.425 | -6.783 | 0.000 | -0.000 | 
| 1110.462 | 1110.462 | 907.156 | -0.000 | -0.000 | -0.000 | 
| 1564.353 | 1550.743 | 2075.140 | 25.113 | -0.000 | 0.000 | 
| 217.683 | 217.683 | -534.147 | 0.000 | 133.841 | 8.910 | 
| 217.652 | 217.652 | -534.070 | 0.000 | 8.910 | 165.626 | 
| 340.781 | 12.492 | 91.417 | 8.832 | 0.000 | 0.000 | 
| -11.799 | 237.862 | 84.567 | -6.558 | 0.000 | -0.000 | 
| -174.829 | -174.829 | -320.320 | 0.000 | -0.000 | -0.000 | 
| 10.959 | -10.959 | 0.000 | 163.236 | -0.000 | 0.000 | 
| 0.000 | 0.000 | 0.000 | -0.000 | 163.236 | 10.959 | 
| -0.000 | 0.000 | 0.000 | 0.000 | 10.959 | 204.208 | 
| 421.921 | 13.507 | 21.564 | 10.959 | 0.000 | 0.000 | 
| 56.259 | 387.150 | -18.166 | -8.901 | 0.000 | -0.000 | 
| 122.318 | 122.318 | 149.104 | 0.000 | -0.000 | -0.000 | 
| 31.030 | 13.282 | -54.366 | 133.318 | 0.000 | -0.000 | 
| -0.000 | -0.000 | -0.000 | 0.000 | 163.236 | 10.959 | 
| 0.000 | -0.000 | -0.000 | -0.000 | 10.959 | 204.208 | 
| 567.862 | -2.271 | 17.456 | 22.772 | -0.001 | -0.000 | 
| -2.271 | 567.862 | 17.456 | -22.771 | -0.000 | 0.000 | 
| -1.003 | -1.003 | 536.483 | 0.000 | 0.000 | -0.000 | 
| -644.538 | -687.508 | -1249.037 | 134.029 | -0.000 | -0.000 | 
| -0.000 | -0.000 | 0.000 | 0.000 | 194.662 | 22.771 | 
| 0.000 | -0.000 | 0.000 | -0.000 | 22.771 | 285.066 | 
| 1125.665 | 697.021 | 1283.556 | 21.493 | 0.000 | 0.000 | 
| -2.271 | 567.862 | 17.456 | -22.772 | 0.000 | 0.000 | 
| -97.440 | -97.473 | 2936.673 | -0.001 | -0.000 | 0.001 | 
| 2429.760 | 2358.367 | -1796.668 | 78.782 | 0.000 | -0.001 | 
| 0.000 | 0.000 | 0.000 | -0.000 | 194.662 | 22.771 | 
| -0.000 | 0.000 | -0.000 | -0.000 | 22.771 | 285.066 | 
| 517.387 | 41.697 | -221.471 | 23.070 | -0.000 | -0.000 | 
| 41.737 | 517.341 | -221.706 | -23.070 | -0.000 | -0.000 | 
| 17.154 | 17.158 | 240.054 | 0.000 | -0.000 | -0.000 | 
| 33.516 | -12.617 | -245.681 | 167.280 | -0.000 | -0.000 | 
| -66.871 | -66.871 | -124.725 | 0.000 | 133.879 | 21.484 | 
| 10.441 | 10.444 | -245.525 | 0.000 | 23.068 | 238.118 | 
| 567.861 | -2.271 | 17.456 | 22.771 | -0.000 | 0.000 | 
| 20.430 | 497.194 | 269.522 | -23.066 | 0.000 | 0.000 | 
| -1.003 | -1.003 | 536.483 | 0.000 | -0.000 | 0.000 | 
| 12.621 | -33.519 | 245.681 | 167.280 | 0.000 | 0.000 | 
| 66.871 | 66.871 | 124.725 | -0.000 | 133.879 | 21.484 | 
| -10.441 | -10.444 | 245.525 | -0.000 | 23.068 | 238.119 | 
| 430.844 | 30.559 | 22.380 | 21.128 | -0.000 | -0.000 | 
| -2.271 | 567.863 | 17.456 | -22.771 | -0.000 | -0.000 | 
| 8.048 | 8.048 | 456.535 | 0.000 | -0.000 | -0.000 | 
| 12.339 | -29.799 | -10.327 | 123.592 | 0.000 | -0.000 | 
| 0.000 | 0.000 | 0.000 | 0.000 | 194.662 | 22.771 | 
| 1.069 | 1.069 | -25.129 | 0.000 | 23.075 | 237.016 | 
| 463.156 | 42.093 | 47.489 | 21.496 | 0.000 | 0.000 | 
| 83.351 | 410.860 | 20.698 | -28.116 | -0.000 | 0.000 | 
| 31.139 | 31.138 | 357.404 | -0.000 | 0.000 | 0.000 | 
| 21.961 | -24.226 | 26.632 | 164.979 | 0.000 | 0.000 | 
| -0.000 | -0.000 | -0.000 | -0.000 | 194.662 | 22.771 | 
| -1.069 | -1.069 | 25.129 | -0.000 | 23.075 | 237.016 | 
| 1228.488 | 27.775 | -62.083 | -0.000 | 0.000 | -0.000 | 
| 27.774 | 1273.547 | -57.233 | -0.000 | -0.000 | -0.000 | 
| 54.356 | -39.465 | 1229.536 | -0.000 | 0.010 | 0.000 | 
| -60.813 | 24.500 | 41.064 | 501.592 | 0.018 | 0.000 | 
| -61.992 | 26.140 | 39.474 | 0.000 | 575.135 | 0.000 | 
| -79.347 | 31.532 | 46.005 | 0.000 | 0.021 | 380.043 | 
| 1228.488 | 27.775 | -62.083 | 0.000 | -0.000 | 0.000 | 
| 147.754 | 1216.455 | -124.983 | -0.000 | -0.019 | -0.000 | 
| 121.085 | -114.624 | 1230.632 | 0.000 | -0.020 | 0.000 | 
| 60.813 | -24.500 | -41.064 | 501.592 | -0.018 | 0.000 | 
| 61.992 | -26.140 | -39.474 | -0.000 | 575.099 | -0.000 | 
| 79.347 | -31.532 | -46.005 | -0.000 | -0.021 | 380.043 | 
| 1032.576 | 83.815 | 54.904 | -0.000 | 0.002 | -0.000 | 
| 27.774 | 1273.547 | -57.233 | 0.000 | -0.000 | -0.000 | 
| 95.006 | -68.017 | 1223.181 | 0.000 | 0.002 | 0.000 | 
| -6.210 | 2.466 | 4.249 | 498.617 | 0.005 | 0.000 | 
| 0.000 | 0.000 | 0.000 | 0.000 | 766.957 | -0.000 | 
| 0.000 | 0.000 | -0.000 | -0.000 | 0.000 | 388.588 | 
| 1042.544 | 79.186 | 49.228 | -0.000 | -0.002 | 0.000 | 
| 69.195 | 1226.678 | -76.961 | 0.000 | -0.002 | -0.000 | 
| 72.212 | -92.765 | 1257.864 | -0.000 | -0.002 | 0.000 | 
| 6.210 | -2.466 | -4.249 | 498.617 | -0.005 | -0.000 | 
| -0.000 | -0.000 | -0.000 | 0.000 | 766.957 | 0.000 | 
| -0.000 | -0.000 | 0.000 | 0.000 | -0.000 | 388.588 | 
| 988.040 | 63.063 | 92.677 | -0.000 | 0.000 | 0.000 | 
| 84.371 | 1239.961 | -87.908 | -0.000 | 0.000 | -0.000 | 
| 67.779 | -90.279 | 1260.111 | 0.000 | 0.000 | -0.000 | 
| -0.706 | 0.227 | 0.489 | 498.618 | 0.000 | -0.000 | 
| -0.755 | 0.295 | 0.504 | 0.000 | 573.692 | -0.000 | 
| 0.000 | 0.001 | -0.000 | 0.000 | 0.000 | 388.588 | 
| 972.757 | 63.174 | 112.488 | 0.000 | -0.000 | -0.000 | 
| 63.368 | 1228.841 | -73.275 | 0.000 | -0.000 | 0.000 | 
| 105.059 | -69.729 | 1198.397 | 0.000 | -0.000 | -0.000 | 
| 0.706 | -0.227 | -0.489 | 498.618 | -0.000 | -0.000 | 
| 0.755 | -0.295 | -0.504 | -0.000 | 573.692 | -0.000 | 
| -0.000 | -0.001 | 0.000 | -0.000 | -0.000 | 388.588 | 
| 2185.622 | -197.197 | -600.234 | -0.000 | -0.000 | 0.000 | 
| 1552.230 | 668.450 | -908.911 | -0.000 | -0.000 | -0.000 | 
| -61.057 | -60.013 | 1320.044 | -0.000 | -0.000 | -0.000 | 
| 0.000 | 0.000 | 0.000 | 545.194 | 0.000 | -0.000 | 
| 1499.108 | -551.579 | -836.008 | -0.000 | 561.433 | 0.000 | 
| 2184.546 | -89.346 | -1709.384 | -0.000 | -0.000 | 356.740 | 
| -1105.877 | 184.284 | 1760.471 | 0.000 | -0.000 | 0.000 | 
| 25.706 | 1243.935 | -58.777 | 0.000 | -0.000 | 0.000 | 
| -1481.780 | 478.070 | 2100.858 | 0.000 | 0.000 | -0.000 | 
| -0.000 | -0.000 | -0.000 | 545.194 | 0.000 | 0.000 | 
| -1499.108 | 551.579 | 836.008 | 0.000 | 561.433 | -0.000 | 
| -2184.546 | 89.346 | 1709.384 | 0.000 | 0.000 | 356.740 | 
| 1123.815 | 50.006 | -17.779 | -0.000 | -0.000 | 0.000 | 
| 266.144 | 1196.644 | -236.890 | -0.000 | -0.000 | 0.000 | 
| 187.329 | -138.532 | 1171.897 | -0.000 | -0.000 | -0.000 | 
| 209.709 | 2.746 | -180.244 | 485.831 | 0.001 | 0.000 | 
| 225.943 | -14.870 | -173.979 | -0.000 | 588.972 | 0.000 | 
| 0.000 | 0.000 | -0.000 | -0.000 | -0.000 | 380.548 | 
| 1194.535 | 25.368 | -60.159 | 0.000 | 0.000 | -0.000 | 
| -127.269 | 1274.886 | 28.664 | 0.000 | 0.000 | -0.000 | 
| 15.001 | -44.745 | 1238.021 | 0.000 | 0.000 | 0.000 | 
| -128.957 | 25.342 | 74.789 | 454.228 | 0.000 | -0.000 | 
| -225.943 | 14.870 | 173.979 | 0.000 | 588.972 | -0.000 | 
| -0.000 | -0.000 | 0.000 | 0.000 | 0.000 | 380.548 | 
| 1016.038 | 75.181 | 46.463 | -0.000 | -0.000 | 0.000 | 
| 75.940 | 1197.156 | -81.333 | -0.000 | -0.000 | 0.000 | 
| 117.364 | -75.766 | 1186.050 | -0.000 | -0.000 | 0.000 | 
| 3.437 | 0.176 | -2.103 | 491.881 | -0.000 | -0.000 | 
| 12.104 | -3.448 | -6.880 | -0.000 | 562.517 | 0.000 | 
| 16.527 | -2.238 | -11.367 | -0.000 | -0.000 | 348.519 | 
| 942.152 | 63.232 | 101.498 | 0.000 | 0.000 | -0.000 | 
| 42.618 | 1196.155 | -49.575 | 0.000 | 0.000 | -0.000 | 
| 83.389 | -71.054 | 1209.164 | 0.000 | 0.000 | -0.000 | 
| -3.437 | -0.176 | 2.103 | 491.881 | 0.000 | 0.000 | 
| -12.104 | 3.448 | 6.880 | 0.000 | 562.517 | 0.000 | 
| -16.527 | 2.238 | 11.367 | 0.000 | 0.000 | 348.519 | 
| 710.697 | 372.097 | 150.488 | 0.000 | -45.585 | -0.000 | 
| 125.044 | 1383.569 | -168.477 | 0.000 | 365.619 | 0.000 | 
| 194.555 | 104.360 | 1072.685 | 0.000 | 157.392 | 0.000 | 
| -207.421 | 291.322 | -70.786 | 488.811 | -152.607 | -49.616 | 
| -240.197 | 401.142 | -71.159 | 0.000 | 406.253 | 0.000 | 
| 0.000 | 0.000 | 0.000 | -63.836 | 0.000 | 400.586 | 
| 1014.821 | -146.325 | 268.204 | -0.000 | 63.985 | -0.000 | 
| 176.388 | 968.170 | -38.381 | -0.000 | 57.914 | 0.000 | 
| 210.674 | -272.830 | 1300.954 | -0.000 | -150.447 | 0.000 | 
| 207.421 | -291.322 | 70.786 | 488.811 | 152.607 | -49.616 | 
| -160.958 | 8.618 | 32.680 | -0.000 | 169.700 | -0.000 | 
| -0.000 | -0.000 | 0.000 | -63.836 | -0.000 | 400.586 | 
| 969.165 | 91.135 | 100.558 | 0.000 | 126.858 | -0.000 | 
| 83.012 | 1238.720 | -81.736 | 0.000 | 129.829 | 0.000 | 
| 55.804 | -54.591 | 1232.294 | 0.000 | -219.173 | 0.000 | 
| -2.520 | 20.684 | -6.503 | 499.600 | 15.399 | -59.199 | 
| 63.551 | 104.717 | -144.702 | 0.000 | 660.015 | 0.000 | 
| -2.637 | 21.648 | -6.806 | -58.982 | 16.117 | 371.178 | 
| 978.610 | 72.708 | 101.911 | -0.000 | 125.394 | 0.000 | 
| 98.738 | 1206.179 | -79.625 | -0.000 | 130.818 | 0.000 | 
| 55.804 | -54.591 | 1232.293 | -0.000 | -219.173 | 0.000 | 
| 2.520 | -20.684 | 6.503 | 499.600 | -15.399 | -59.199 | 
| 225.911 | 36.353 | -219.173 | -0.000 | 882.181 | -0.000 | 
| 2.637 | -21.648 | 6.806 | -58.982 | -16.117 | 371.178 | 
| 965.992 | 62.107 | 115.229 | 0.000 | 132.772 | -0.000 | 
| 49.098 | 1235.921 | -62.751 | 0.000 | 69.670 | 0.000 | 
| 129.653 | -59.574 | 1169.109 | 0.000 | -119.760 | -0.000 | 
| -1.938 | 2.742 | -0.667 | 492.127 | -1.406 | -50.520 | 
| 55.040 | 70.652 | -123.795 | 0.000 | 647.778 | 0.000 | 
| 0.000 | 0.001 | -0.000 | -63.836 | 0.000 | 400.586 | 
| 967.971 | 55.976 | 115.692 | -0.000 | 132.249 | 0.000 | 
| 51.270 | 1231.496 | -60.452 | -0.000 | 68.643 | 0.000 | 
| 131.844 | -63.761 | 1172.290 | -0.000 | -120.385 | 0.000 | 
| 1.938 | -2.742 | 0.667 | 492.127 | 1.406 | -50.520 | 
| 56.627 | 66.953 | -123.004 | -0.000 | 646.937 | 0.000 | 
| -0.000 | -0.001 | 0.000 | -63.836 | -0.000 | 400.586 | 
| 2200.655 | 319.029 | -1296.547 | 0.000 | 2311.588 | -0.000 | 
| 13.134 | 1266.918 | -66.692 | -0.000 | 35.013 | -0.000 | 
| 1747.061 | 7.586 | -640.247 | 0.000 | 2474.036 | -0.000 | 
| 1300.697 | 259.556 | -1422.382 | 492.122 | 2230.901 | -52.339 | 
| 1541.481 | 171.052 | -1870.253 | 0.000 | 3108.081 | 0.000 | 
| 0.000 | -0.000 | -0.000 | -64.241 | 0.000 | 388.585 | 
| 1078.718 | 19.503 | 30.943 | -0.000 | 300.871 | 0.000 | 
| 13.133 | 1266.918 | -66.692 | -0.000 | 35.013 | 0.000 | 
| 52.203 | -69.400 | 1232.329 | -0.000 | -233.466 | 0.000 | 
| -1300.697 | -259.556 | 1422.382 | 492.122 | -2230.901 | -52.339 | 
| -1268.748 | -185.065 | 1292.721 | -0.000 | -1626.592 | 0.000 | 
| -0.000 | 0.000 | 0.000 | -64.241 | -0.000 | 388.585 | 
| 1100.240 | 47.983 | -51.358 | 0.000 | 397.586 | -0.000 | 
| 13.133 | 1266.918 | -66.692 | -0.000 | 35.013 | -0.000 | 
| 291.292 | -67.326 | 988.424 | 0.000 | 127.083 | -0.000 | 
| 129.649 | 26.654 | -142.574 | 491.916 | 222.719 | -52.292 | 
| 208.675 | 75.297 | -290.430 | 0.000 | 890.119 | -0.000 | 
| 202.724 | -48.838 | -130.810 | -61.056 | 307.648 | 371.789 | 
| 1078.718 | 19.503 | 30.943 | -0.000 | 300.871 | 0.000 | 
| 13.133 | 1266.918 | -66.692 | -0.000 | 35.013 | 0.000 | 
| 52.203 | -69.400 | 1232.329 | -0.000 | -233.466 | 0.000 | 
| -129.649 | -26.654 | 142.574 | 491.916 | -222.719 | -52.292 | 
| -93.055 | 46.382 | 10.628 | -0.000 | 388.819 | 0.000 | 
| -202.724 | 48.838 | 130.810 | -61.056 | -307.648 | 371.789 | 
| 936.828 | 56.579 | 99.292 | 0.000 | 134.966 | -0.000 | 
| 67.853 | 1228.509 | -88.013 | -0.000 | 107.312 | -0.000 | 
| 52.204 | -69.401 | 1232.334 | -0.000 | -233.467 | -0.000 | 
| 8.342 | 6.067 | -13.601 | 487.849 | 16.282 | -50.997 | 
| 64.056 | 74.163 | -154.095 | -0.000 | 653.329 | -0.000 | 
| 15.230 | 1.054 | -17.524 | -50.679 | 25.144 | 354.001 | 
| 904.922 | 52.035 | 131.132 | 0.000 | 83.522 | 0.000 | 
| 29.002 | 1219.160 | -54.096 | -0.000 | 40.525 | 0.000 | 
| 111.669 | -76.487 | 1191.028 | -0.000 | -163.026 | 0.000 | 
| -8.342 | -6.067 | 13.601 | 487.849 | -16.282 | -50.997 | 
| 62.378 | 100.015 | -161.792 | -0.000 | 645.547 | 0.000 | 
| -15.230 | -1.054 | 17.524 | -50.679 | -25.144 | 354.001 | 
| 1292.049 | 449.103 | -476.038 | 0.000 | 0.000 | -0.000 | 
| 449.103 | 1292.049 | -476.038 | -0.000 | 0.000 | -0.000 | 
| -550.793 | -550.793 | 2151.053 | -0.000 | 0.000 | -0.000 | 
| 0.001 | 0.002 | -0.005 | 472.629 | 0.000 | -0.000 | 
| 0.002 | 0.002 | -0.005 | 0.000 | 472.629 | -0.000 | 
| 0.000 | -0.000 | 0.000 | 0.000 | 0.000 | 707.676 | 
| 1292.049 | 449.100 | -476.033 | -0.000 | -0.000 | 0.000 | 
| 449.100 | 1292.049 | -476.033 | 0.000 | -0.000 | 0.000 | 
| -550.793 | -550.793 | 2151.053 | -0.000 | -0.000 | 0.000 | 
| -0.002 | -0.002 | 0.005 | 472.629 | -0.000 | 0.000 | 
| -0.002 | -0.002 | 0.005 | -0.000 | 472.629 | 0.000 | 
| -0.000 | 0.000 | -0.000 | -0.000 | -0.000 | 707.676 | 
| 1867.819 | -67.027 | -562.655 | -0.000 | 0.000 | -0.000 | 
| -67.027 | 1867.819 | -562.655 | -0.000 | 0.000 | -0.000 | 
| -550.793 | -550.793 | 2151.054 | -0.000 | 0.000 | -0.000 | 
| -0.000 | -0.000 | 0.000 | 513.566 | 0.000 | -0.000 | 
| -0.000 | -0.000 | 0.000 | 0.000 | 513.566 | -0.000 | 
| 0.000 | 0.000 | -0.000 | -0.000 | 0.000 | 613.700 | 
| 1291.332 | 449.770 | -475.966 | 0.000 | -0.000 | 0.000 | 
| 449.770 | 1291.332 | -475.966 | 0.000 | -0.000 | 0.000 | 
| -464.173 | -464.173 | 1899.445 | -0.000 | -0.000 | 0.000 | 
| 0.000 | 0.000 | -0.000 | 513.566 | -0.000 | 0.000 | 
| 0.000 | 0.000 | -0.000 | -0.000 | 513.566 | 0.000 | 
| -0.000 | -0.000 | 0.000 | 0.000 | -0.000 | 613.700 | 
| 1291.983 | 449.172 | -476.031 | 0.000 | 0.000 | -0.000 | 
| 449.172 | 1291.983 | -476.031 | 0.000 | 0.000 | -0.000 | 
| -464.184 | -464.184 | 1899.483 | -0.000 | 0.000 | -0.000 | 
| -0.002 | 0.001 | 0.001 | 472.629 | 0.000 | -0.000 | 
| 0.001 | -0.002 | 0.001 | -0.000 | 472.629 | -0.000 | 
| 0.000 | 0.001 | 0.000 | 0.000 | 0.000 | 707.676 | 
| 1292.114 | 449.027 | -476.032 | 0.000 | -0.000 | 0.000 | 
| 449.027 | 1292.114 | -476.032 | 0.000 | -0.000 | 0.000 | 
| -464.163 | -464.163 | 1899.414 | -0.000 | -0.000 | 0.000 | 
| 0.002 | -0.001 | -0.001 | 472.629 | -0.000 | 0.000 | 
| -0.001 | 0.002 | -0.001 | 0.000 | 472.629 | 0.000 | 
| -0.000 | -0.001 | -0.000 | -0.000 | -0.000 | 707.676 | 
| 1833.523 | -67.264 | -541.140 | -0.000 | 0.000 | -0.000 | 
| -67.264 | 1833.523 | -541.140 | -0.000 | 0.000 | -0.000 | 
| -541.140 | -541.140 | 2173.659 | 0.000 | 0.000 | -0.000 | 
| -0.000 | 0.000 | -0.000 | 483.963 | 0.000 | 0.000 | 
| 0.000 | -0.000 | -0.000 | 0.000 | 483.963 | -0.000 | 
| 0.000 | 0.000 | -0.000 | 0.000 | 0.000 | 618.327 | 
| 1833.523 | -67.264 | -541.140 | 0.000 | -0.000 | 0.000 | 
| -67.264 | 1833.523 | -541.140 | -0.000 | -0.000 | 0.000 | 
| -541.140 | -541.140 | 2173.659 | -0.000 | -0.000 | 0.000 | 
| -0.000 | -0.000 | 0.000 | 483.962 | -0.000 | 0.000 | 
| -0.000 | -0.000 | 0.000 | -0.000 | 483.962 | 0.000 | 
| -0.000 | -0.000 | 0.000 | -0.000 | -0.000 | 618.327 | 
| 1833.524 | -67.264 | -541.141 | 0.000 | 0.000 | -0.000 | 
| -67.264 | 1833.524 | -541.141 | -0.000 | 0.000 | -0.000 | 
| -457.094 | -457.094 | 1925.790 | 0.000 | 0.000 | -0.000 | 
| -0.000 | 0.000 | 0.000 | 483.963 | 0.000 | -0.000 | 
| 0.000 | -0.000 | 0.000 | -0.000 | 483.963 | -0.000 | 
| 0.000 | 0.000 | 0.000 | 0.000 | 0.000 | 710.194 | 
| 1269.944 | 439.318 | -457.093 | -0.000 | -0.000 | 0.000 | 
| 439.318 | 1269.944 | -457.093 | 0.000 | -0.000 | 0.000 | 
| -457.092 | -457.092 | 1925.783 | -0.000 | -0.000 | 0.000 | 
| 0.000 | -0.000 | -0.000 | 483.963 | -0.000 | -0.000 | 
| -0.000 | 0.000 | -0.000 | -0.000 | 483.963 | 0.000 | 
| -0.000 | -0.000 | -0.000 | 0.000 | -0.000 | 710.194 | 
| 1269.873 | 439.393 | -457.088 | 0.000 | 0.000 | -0.000 | 
| 439.393 | 1269.873 | -457.088 | 0.000 | 0.000 | -0.000 | 
| -457.103 | -457.103 | 1925.821 | 0.000 | 0.000 | -0.000 | 
| -0.000 | -0.001 | 0.002 | 524.946 | 0.000 | -0.000 | 
| -0.001 | -0.000 | 0.002 | 0.000 | 524.946 | -0.000 | 
| -0.000 | 0.001 | -0.000 | 0.000 | 0.000 | 618.327 | 
| 1270.002 | 439.256 | -457.097 | -0.000 | -0.000 | 0.000 | 
| 439.256 | 1270.002 | -457.097 | 0.000 | -0.000 | 0.000 | 
| -457.083 | -457.083 | 1925.752 | -0.000 | -0.000 | 0.000 | 
| 0.000 | 0.001 | -0.002 | 524.946 | -0.000 | 0.000 | 
| 0.001 | 0.000 | -0.002 | -0.000 | 524.946 | 0.000 | 
| 0.000 | -0.001 | 0.000 | -0.000 | -0.000 | 618.327 | 
| 829.140 | -12.435 | -12.435 | -0.000 | 0.000 | -0.000 | 
| -12.435 | 829.140 | -12.435 | 0.000 | -0.000 | -0.000 | 
| -12.435 | -12.435 | 829.140 | 0.000 | 0.000 | -0.000 | 
| -2.054 | -2.054 | -2.054 | 343.406 | -0.000 | -0.000 | 
| -2.054 | -2.054 | -2.054 | -0.000 | 343.406 | -0.000 | 
| -2.054 | -2.054 | -2.054 | 0.000 | -0.000 | 343.406 | 
| 1025.564 | -104.147 | -104.147 | 0.000 | 0.000 | 0.000 | 
| -104.147 | 1025.564 | -104.147 | -0.000 | 0.000 | 0.000 | 
| -104.147 | -104.147 | 1025.564 | 0.000 | 0.000 | 0.000 | 
| 2.054 | 2.054 | 2.054 | 343.406 | -0.000 | 0.000 | 
| 2.054 | 2.054 | 2.054 | 0.000 | 343.406 | 0.000 | 
| 2.054 | 2.054 | 2.054 | -0.000 | -0.000 | 343.406 | 
| 832.612 | -10.630 | -10.630 | 0.000 | -0.000 | -0.000 | 
| -10.630 | 832.612 | -10.630 | -0.000 | 0.000 | -0.000 | 
| -10.630 | -10.630 | 832.612 | 0.000 | 0.000 | -0.000 | 
| -0.032 | -0.032 | -0.032 | 347.495 | -0.000 | -0.000 | 
| -0.032 | -0.032 | -0.032 | 0.000 | 347.495 | -0.000 | 
| -0.032 | -0.032 | -0.032 | 0.000 | 0.000 | 347.495 | 
| 1025.563 | -104.147 | -104.147 | -0.000 | -0.000 | 0.000 | 
| -104.147 | 1025.563 | -104.147 | -0.000 | -0.000 | 0.000 | 
| -104.147 | -104.147 | 1025.563 | -0.000 | 0.000 | 0.000 | 
| 0.032 | 0.032 | 0.032 | 347.495 | -0.000 | 0.000 | 
| 0.032 | 0.032 | 0.032 | -0.000 | 347.495 | 0.000 | 
| 0.032 | 0.032 | 0.032 | -0.000 | -0.000 | 347.495 | 
| 832.801 | -10.506 | -10.506 | -0.000 | -0.000 | -0.000 | 
| -10.506 | 832.801 | -10.506 | -0.000 | -0.000 | -0.000 | 
| -10.506 | -10.506 | 832.801 | 0.000 | -0.000 | -0.000 | 
| -0.003 | -0.003 | -0.003 | 347.469 | 0.000 | -0.000 | 
| -0.003 | -0.003 | -0.003 | 0.000 | 347.469 | -0.000 | 
| -0.003 | -0.003 | -0.003 | 0.000 | -0.000 | 347.469 | 
| 831.288 | -10.028 | -10.028 | -0.000 | 0.000 | 0.000 | 
| -10.028 | 831.288 | -10.028 | -0.000 | 0.000 | 0.000 | 
| -10.028 | -10.028 | 831.288 | -0.000 | 0.000 | 0.000 | 
| 0.003 | 0.003 | 0.003 | 347.469 | 0.000 | 0.000 | 
| 0.003 | 0.003 | 0.003 | -0.000 | 347.469 | 0.000 | 
| 0.003 | 0.003 | 0.003 | 0.000 | -0.000 | 347.469 | 
| 425.604 | 11.631 | 11.631 | 0.000 | -0.000 | -0.000 | 
| 11.631 | 425.604 | 11.631 | -0.000 | -0.000 | 0.000 | 
| 11.631 | 11.631 | 425.604 | 0.000 | -0.000 | -0.000 | 
| 0.000 | 0.000 | 0.000 | 193.767 | -0.000 | 0.000 | 
| 0.000 | 0.000 | 0.000 | 0.000 | 193.767 | -0.000 | 
| 0.000 | 0.000 | 0.000 | 0.000 | -0.000 | 193.767 | 
| 425.604 | 11.631 | 11.631 | -0.000 | 0.000 | 0.000 | 
| 11.631 | 425.604 | 11.631 | -0.000 | 0.000 | -0.000 | 
| 11.631 | 11.631 | 425.604 | -0.000 | 0.000 | 0.000 | 
| -0.000 | -0.000 | -0.000 | 193.767 | 0.000 | -0.000 | 
| -0.000 | -0.000 | -0.000 | 0.000 | 193.767 | -0.000 | 
| -0.000 | -0.000 | -0.000 | 0.000 | 0.000 | 193.767 | 
| 425.604 | 11.631 | 11.631 | 0.000 | -0.000 | 0.000 | 
| 64.690 | 397.680 | 64.586 | -0.551 | -2.137 | -1.641 | 
| 11.631 | 11.631 | 425.604 | 0.000 | 0.000 | 0.000 | 
| 40.054 | 40.079 | 39.952 | 145.737 | -2.100 | -1.612 | 
| 39.992 | 40.016 | 39.890 | -0.541 | 144.256 | -1.610 | 
| 40.009 | 40.033 | 39.907 | -0.541 | -2.097 | 144.721 | 
| 318.521 | -16.258 | -16.132 | 0.539 | 2.090 | 1.605 | 
| -16.233 | 318.499 | -16.131 | 0.539 | 2.090 | 1.605 | 
| -16.236 | -16.261 | 318.611 | 0.539 | 2.090 | 1.605 | 
| -40.099 | -40.124 | -39.997 | 146.767 | 2.102 | 1.614 | 
| -40.165 | -40.190 | -40.063 | 0.543 | 148.252 | 1.617 | 
| -0.000 | -0.000 | -0.000 | -0.000 | 0.000 | 193.767 | 
| 110.746 | -24.152 | -24.157 | -0.017 | -0.063 | -0.048 | 
| -24.154 | 110.748 | -24.158 | -0.017 | -0.063 | -0.048 | 
| 11.662 | 11.663 | 92.937 | -0.037 | -0.150 | -0.115 | 
| 5.737 | 5.737 | 5.733 | 109.640 | -0.066 | -0.051 | 
| 5.741 | 5.742 | 5.738 | -0.017 | 109.561 | -0.051 | 
| 5.740 | 5.741 | 5.737 | -0.017 | -0.066 | 109.586 | 
| 121.785 | -20.046 | -20.036 | 0.045 | 0.176 | 0.135 | 
| -20.044 | 121.785 | -20.037 | 0.045 | 0.176 | 0.135 | 
| -20.043 | -20.044 | 121.787 | 0.045 | 0.176 | 0.135 | 
| -5.734 | -5.734 | -5.730 | 109.694 | 0.065 | 0.050 | 
| -5.729 | -5.730 | -5.725 | 0.017 | 109.772 | 0.050 | 
| -5.730 | -5.731 | -5.727 | 0.017 | 0.065 | 109.748 | 
| 226.418 | 18.362 | 18.362 | -0.000 | 0.000 | 0.000 | 
| 18.362 | 226.418 | 18.362 | -0.000 | 0.000 | 0.000 | 
| 18.362 | 18.362 | 226.418 | -0.000 | 0.000 | 0.000 | 
| -0.000 | -0.000 | 0.000 | 104.028 | 0.000 | -0.000 | 
| 0.000 | -0.000 | 0.000 | -0.000 | 104.028 | -0.000 | 
| 0.000 | -0.000 | -0.000 | -0.000 | -0.000 | 104.028 | 
| 226.418 | 18.362 | 18.362 | 0.000 | 0.000 | 0.000 | 
| 18.362 | 226.418 | 18.362 | 0.000 | -0.000 | -0.000 | 
| 18.362 | 18.362 | 226.418 | 0.000 | -0.000 | -0.000 | 
| -0.000 | 0.000 | 0.000 | 104.028 | -0.000 | -0.000 | 
| -0.000 | 0.000 | -0.000 | 0.000 | 104.028 | -0.000 | 
| -0.000 | 0.000 | -0.000 | 0.000 | 0.000 | 104.028 | 
| 158.080 | 24.516 | 24.516 | 0.000 | 0.000 | -0.000 | 
| 24.516 | 158.080 | 24.516 | 0.000 | 0.000 | -0.000 | 
| 24.516 | 24.516 | 158.080 | 0.000 | 0.000 | -0.000 | 
| -10.657 | -10.657 | -10.657 | 26.487 | 0.000 | -0.000 | 
| -10.657 | -10.657 | -10.657 | 0.000 | 26.488 | -0.000 | 
| -10.657 | -10.657 | -10.657 | 0.000 | 0.000 | 26.487 | 
| 170.071 | 29.601 | 29.601 | -0.000 | -0.000 | 0.000 | 
| 29.601 | 170.071 | 29.601 | -0.000 | -0.000 | 0.000 | 
| 29.601 | 29.601 | 170.071 | -0.000 | -0.000 | 0.000 | 
| 10.657 | 10.657 | 10.657 | 26.487 | -0.000 | 0.000 | 
| 10.657 | 10.657 | 10.657 | -0.000 | 26.488 | 0.000 | 
| 10.657 | 10.657 | 10.657 | -0.000 | -0.000 | 26.487 | 
| 43.495 | 17.564 | 17.564 | 0.000 | 0.000 | -0.000 | 
| 17.564 | 43.495 | 17.564 | 0.000 | 0.000 | -0.000 | 
| 17.564 | 17.564 | 43.495 | 0.000 | 0.000 | -0.000 | 
| -0.854 | -0.854 | -0.854 | 33.030 | 0.000 | -0.000 | 
| -0.854 | -0.854 | -0.854 | 0.000 | 33.030 | -0.000 | 
| -0.854 | -0.854 | -0.854 | 0.000 | 0.000 | 33.030 | 
| 226.417 | 18.362 | 18.362 | 0.000 | 0.000 | -0.000 | 
| 18.362 | 226.417 | 18.362 | 0.000 | -0.000 | -0.000 | 
| 18.362 | 18.362 | 226.417 | 0.000 | -0.000 | -0.000 | 
| 0.854 | 0.854 | 0.854 | 33.030 | -0.000 | 0.000 | 
| 0.854 | 0.854 | 0.854 | -0.000 | 33.030 | 0.000 | 
| 0.854 | 0.854 | 0.854 | -0.000 | -0.000 | 33.030 | 
| 569.890 | -41.738 | 0.000 | 0.000 | 0.000 | 0.000 | 
| -41.840 | 569.992 | 0.000 | 0.000 | 0.000 | 0.000 | 
| -0.051 | 0.051 | 0.000 | 0.000 | 0.000 | 0.000 | 
| -0.051 | 0.051 | 0.000 | 0.000 | 0.000 | 0.000 | 
| -0.051 | 0.051 | 0.000 | 0.000 | 0.000 | 0.000 | 
| -0.051 | 0.051 | 0.000 | 0.000 | 0.000 | 305.865 | 
| 595.842 | -67.691 | -0.000 | -0.000 | -0.000 | 0.000 | 
| -67.691 | 595.842 | -0.000 | -0.000 | -0.000 | -0.000 | 
| 0.051 | -0.051 | -0.000 | -0.000 | -0.000 | -0.000 | 
| 0.051 | -0.051 | -0.000 | -0.000 | -0.000 | -0.000 | 
| 0.051 | -0.051 | -0.000 | -0.000 | -0.000 | -0.000 | 
| 0.051 | -0.051 | -0.000 | -0.000 | -0.000 | 305.865 | 
| 569.936 | -41.785 | 0.000 | 0.000 | 0.000 | 0.000 | 
| -41.794 | 569.946 | 0.000 | 0.000 | 0.000 | 0.000 | 
| -0.005 | 0.005 | 0.000 | 0.000 | 0.000 | 0.000 | 
| -0.005 | 0.005 | 0.000 | 0.000 | 0.000 | 0.000 | 
| -0.005 | 0.005 | 0.000 | 0.000 | 0.000 | 0.000 | 
| -0.005 | 0.005 | 0.000 | 0.000 | 0.000 | 305.865 | 
| 595.842 | -67.691 | -0.000 | -0.000 | -0.000 | -0.000 | 
| -67.691 | 595.842 | -0.000 | -0.000 | -0.000 | 0.000 | 
| 0.005 | -0.005 | -0.000 | -0.000 | -0.000 | -0.000 | 
| 0.005 | -0.005 | -0.000 | -0.000 | -0.000 | -0.000 | 
| 0.005 | -0.005 | -0.000 | -0.000 | -0.000 | -0.000 | 
| 0.005 | -0.005 | -0.000 | -0.000 | -0.000 | 305.865 | 
| 569.823 | -41.671 | 0.000 | 0.000 | 0.000 | 0.000 | 
| -41.789 | 569.941 | 0.000 | 0.000 | 0.000 | 0.000 | 
| -0.001 | 0.000 | 0.000 | 0.000 | 0.000 | 0.000 | 
| -0.001 | 0.001 | 0.000 | 0.000 | 0.000 | 0.000 | 
| -0.001 | 0.001 | 0.000 | 0.000 | 0.000 | 0.000 | 
| -0.001 | 0.001 | 0.000 | 0.000 | 0.000 | 305.865 | 
| 569.939 | -41.788 | -0.000 | -0.000 | -0.000 | -0.000 | 
| -41.790 | 569.940 | -0.000 | -0.000 | -0.000 | -0.000 | 
| 0.001 | -0.001 | -0.000 | -0.000 | -0.000 | -0.000 | 
| 0.001 | -0.001 | -0.000 | -0.000 | -0.000 | -0.000 | 
| 0.001 | -0.001 | -0.000 | -0.000 | -0.000 | -0.000 | 
| 0.001 | -0.001 | -0.000 | -0.000 | -0.000 | 305.865 | 
| 596.239 | -67.736 | 0.000 | 0.000 | 0.000 | -0.000 | 
| -41.817 | 570.320 | 0.000 | 0.000 | 0.000 | -0.000 | 
| 0.000 | -0.000 | 0.000 | 0.000 | 0.000 | -0.000 | 
| 0.000 | -0.000 | 0.000 | 0.000 | 0.000 | -0.000 | 
| 0.000 | -0.000 | 0.000 | 0.000 | 0.000 | -0.000 | 
| 0.000 | 0.000 | 0.000 | 0.000 | 0.000 | 306.069 | 
| 596.239 | -67.736 | -0.000 | -0.000 | -0.000 | 0.000 | 
| -41.817 | 570.320 | -0.000 | -0.000 | -0.000 | 0.000 | 
| -0.000 | 0.000 | -0.000 | -0.000 | -0.000 | 0.000 | 
| 0.000 | 0.000 | -0.000 | -0.000 | -0.000 | 0.000 | 
| -0.000 | 0.000 | -0.000 | -0.000 | -0.000 | 0.000 | 
| -0.000 | -0.000 | -0.000 | -0.000 | -0.000 | 306.069 | 
| 570.320 | -41.817 | 0.000 | 0.000 | 0.000 | -0.000 | 
| -67.736 | 596.239 | 0.000 | 0.000 | 0.000 | -0.000 | 
| 0.000 | -0.000 | 0.000 | 0.000 | 0.000 | -0.000 | 
| -0.000 | 0.000 | 0.000 | 0.000 | 0.000 | -0.000 | 
| 0.000 | -0.000 | 0.000 | 0.000 | 0.000 | -0.000 | 
| -0.000 | 0.000 | 0.000 | 0.000 | 0.000 | 306.069 | 
| 570.320 | -41.817 | -0.000 | -0.000 | -0.000 | 0.000 | 
| -41.817 | 570.320 | -0.000 | -0.000 | -0.000 | 0.000 | 
| -0.000 | -0.000 | -0.000 | -0.000 | -0.000 | 0.000 | 
| -0.000 | 0.000 | -0.000 | -0.000 | -0.000 | 0.000 | 
| -0.000 | 0.000 | -0.000 | -0.000 | -0.000 | 0.000 | 
| 0.000 | -0.000 | -0.000 | -0.000 | -0.000 | 306.069 | 
| 570.323 | -41.819 | 0.000 | 0.000 | 0.000 | -0.000 | 
| -41.936 | 570.439 | 0.000 | 0.000 | 0.000 | -0.000 | 
| 0.000 | -0.000 | 0.000 | 0.000 | 0.000 | -0.000 | 
| 0.000 | -0.000 | 0.000 | 0.000 | 0.000 | -0.000 | 
| 0.000 | -0.000 | 0.000 | 0.000 | 0.000 | -0.000 | 
| -0.000 | 0.000 | 0.000 | 0.000 | 0.000 | 306.069 | 
| 570.318 | -41.816 | -0.000 | -0.000 | -0.000 | 0.000 | 
| -41.699 | 570.201 | -0.000 | -0.000 | -0.000 | 0.000 | 
| 0.000 | -0.000 | -0.000 | -0.000 | -0.000 | 0.000 | 
| 0.000 | 0.000 | -0.000 | -0.000 | -0.000 | 0.000 | 
| -0.000 | 0.000 | -0.000 | -0.000 | -0.000 | 0.000 | 
| 0.000 | -0.000 | -0.000 | -0.000 | -0.000 | 306.069 | 
| -410.442 | 1262.424 | 1402.958 | 0.000 | 0.000 | 0.000 | 
| -401.212 | 579.565 | 3516.150 | -0.000 | 0.000 | -0.000 | 
| 506.865 | 1340.441 | 4196.468 | -0.000 | 0.000 | -0.000 | 
| -610.791 | 1218.867 | 1387.024 | 152.527 | 0.000 | 0.000 | 
| -432.990 | 425.939 | 3483.439 | -0.000 | 66.555 | -0.000 | 
| -610.794 | 1218.873 | 1387.030 | -0.000 | 0.000 | 110.297 | 
| 235.521 | 53.007 | 2.242 | 0.000 | -0.000 | 0.000 | 
| -2824.970 | -284.769 | -2392.497 | 0.000 | -0.000 | -0.000 | 
| -434.529 | -1272.991 | -3845.571 | 0.000 | -0.000 | -0.000 | 
| 610.791 | -1218.867 | -1387.024 | 152.527 | 0.000 | -0.000 | 
| 432.990 | -425.939 | -3483.439 | 0.000 | 66.555 | 0.000 | 
| 610.794 | -1218.873 | -1387.030 | 0.000 | 0.000 | 110.297 | 
| 138.737 | 166.630 | 155.950 | -0.000 | 0.000 | -0.000 | 
| -11.407 | 191.502 | 383.144 | -0.000 | 0.000 | 0.000 | 
| -15.824 | 71.417 | 616.338 | -0.000 | 0.000 | -0.000 | 
| -43.298 | 42.556 | 348.545 | 106.828 | 0.000 | -0.000 | 
| -43.270 | 42.455 | 348.738 | 0.000 | 66.474 | -0.000 | 
| 146.773 | -612.078 | 176.663 | -0.000 | 0.000 | 69.731 | 
| 235.521 | 53.007 | 2.242 | -0.000 | -0.000 | -0.000 | 
| -290.669 | -422.963 | -271.644 | -0.000 | 0.000 | 0.000 | 
| 68.967 | -14.984 | -72.194 | 0.000 | 0.000 | 0.000 | 
| 43.298 | -42.556 | -348.545 | 106.828 | -0.000 | 0.000 | 
| 43.270 | -42.455 | -348.738 | 0.000 | 66.474 | 0.000 | 
| -146.773 | 612.078 | -176.663 | 0.000 | -0.000 | 69.731 | 
| 187.733 | 57.824 | 35.520 | -0.000 | 0.000 | 0.000 | 
| 19.513 | -108.327 | 34.868 | -0.000 | -0.000 | 0.000 | 
| 36.216 | 18.669 | 200.417 | -0.000 | -0.000 | 0.000 | 
| 0.130 | -49.194 | -5.850 | -22.378 | 0.000 | -0.000 | 
| -7.023 | 14.014 | 15.948 | -0.000 | 106.274 | -0.000 | 
| 26.450 | -19.845 | 21.730 | -0.000 | 0.000 | -18.174 | 
| 29.992 | 91.448 | 1.345 | 0.000 | -0.000 | 0.000 | 
| -24.039 | -105.013 | -9.249 | 0.000 | -0.000 | -0.000 | 
| 22.559 | 10.963 | 195.281 | -0.000 | -0.000 | -0.000 | 
| -0.130 | 49.194 | 5.850 | -22.378 | 0.000 | 0.000 | 
| 7.023 | -14.014 | -15.948 | 0.000 | 106.274 | -0.000 | 
| -26.450 | 19.845 | -21.730 | 0.000 | -0.000 | -18.174 | 
| 976.003 | 524.589 | 849.017 | 0.000 | -0.000 | 0.000 | 
| 524.589 | 976.003 | 849.017 | -0.000 | -0.000 | 0.000 | 
| 3738.025 | 3738.025 | 9128.372 | 0.000 | 0.000 | -0.000 | 
| 3662.866 | 3662.866 | 9209.044 | 43.504 | 0.000 | 0.000 | 
| 3662.866 | 3662.866 | 9209.044 | 0.000 | 43.504 | -0.000 | 
| 532.712 | 532.712 | 791.455 | 0.000 | -0.000 | 189.538 | 
| -3486.297 | -3663.620 | -9096.084 | 0.000 | 0.000 | 0.000 | 
| -3663.620 | -3486.297 | -9096.084 | -0.000 | 0.000 | 0.000 | 
| -1282.640 | -1282.640 | -2956.012 | -0.000 | 0.000 | -0.000 | 
| -3662.866 | -3662.866 | -9209.044 | 43.504 | 0.000 | 0.000 | 
| -3662.866 | -3662.866 | -9209.044 | -0.000 | 43.504 | 0.000 | 
| -532.712 | -532.712 | -791.455 | -0.000 | 0.000 | 189.538 | 
| 496.952 | 45.286 | 136.956 | 0.000 | -0.000 | 0.000 | 
| 45.286 | 496.952 | 136.956 | 0.000 | -0.000 | 0.000 | 
| 101.482 | 101.482 | 429.864 | 0.000 | 0.000 | 0.000 | 
| -0.000 | 0.000 | 0.000 | 210.803 | -0.000 | -0.000 | 
| 0.000 | -0.000 | 0.000 | 0.000 | 210.803 | -0.000 | 
| 318.038 | 318.038 | 867.527 | 0.000 | 0.000 | 5.010 | 
| -177.883 | -309.233 | -745.160 | -0.000 | -0.000 | -0.000 | 
| -309.233 | -177.883 | -745.160 | -0.000 | 0.000 | -0.000 | 
| -4.917 | -4.917 | 266.282 | -0.000 | 0.000 | -0.000 | 
| 0.000 | -0.000 | -0.000 | 210.803 | 0.000 | 0.000 | 
| -0.000 | 0.000 | -0.000 | -0.000 | 210.803 | 0.000 | 
| -318.038 | -318.038 | -867.527 | -0.000 | 0.000 | 5.010 | 
| 439.188 | 2.243 | 70.508 | 0.000 | 0.000 | 0.000 | 
| 2.243 | 439.188 | 70.508 | 0.000 | 0.000 | 0.000 | 
| 83.166 | 83.166 | 254.939 | 0.000 | 0.000 | 0.000 | 
| 5.957 | 5.957 | 8.851 | 173.594 | -0.000 | 0.000 | 
| 5.957 | 5.957 | 8.851 | 0.000 | 173.594 | 0.000 | 
| 5.657 | 5.657 | 8.405 | 0.000 | 0.000 | 187.198 | 
| 242.445 | -38.893 | 12.746 | -0.000 | -0.000 | 0.000 | 
| -9.899 | 422.905 | 51.766 | -0.000 | 0.000 | -0.000 | 
| 65.967 | 65.967 | 26.278 | -0.000 | -0.000 | -0.000 | 
| -5.957 | -5.957 | -8.851 | 173.594 | 0.000 | -0.000 | 
| -5.957 | -5.957 | -8.851 | -0.000 | 173.594 | -0.000 | 
| -5.657 | -5.657 | -8.405 | -0.000 | 0.000 | 187.198 | 
| 391.221 | 40.158 | -12.518 | 0.000 | 0.000 | 0.000 | 
| -3245.063 | 4123.476 | -1356.552 | 0.004 | -0.177 | -0.001 | 
| -3258.946 | 3781.095 | -947.092 | 0.004 | -0.176 | -0.001 | 
| -5870.299 | 4857.146 | 918.789 | 164.317 | -0.070 | -0.000 | 
| -3282.279 | 3759.665 | -1377.194 | 0.004 | 145.072 | -0.001 | 
| -3513.667 | 8298.770 | -684.274 | 0.001 | 0.083 | -25.458 | 
| 3596.789 | -3716.037 | 1389.171 | -0.004 | 0.177 | 0.001 | 
| 3319.545 | -3395.803 | 1397.814 | -0.004 | 0.176 | 0.001 | 
| 3552.061 | -8238.233 | 828.919 | -0.001 | -0.082 | -0.000 | 
| 5870.299 | -4857.146 | -918.789 | 164.315 | 0.070 | 0.000 | 
| 3282.280 | -3759.666 | 1377.194 | -0.004 | 145.425 | 0.001 | 
| 3513.667 | -8298.770 | 684.274 | -0.001 | -0.083 | -25.459 | 
| -323.446 | 528.678 | 100.675 | 0.000 | -0.007 | -0.000 | 
| -641.443 | 1083.531 | 9.890 | 0.000 | -0.005 | -0.000 | 
| 112.650 | 867.307 | -333.144 | 0.000 | -0.022 | -0.000 | 
| -351.008 | 829.188 | -68.543 | 84.026 | 0.008 | 0.000 | 
| 565.032 | 461.974 | -423.511 | 0.000 | 14.487 | -0.000 | 
| -328.248 | 375.990 | -137.728 | 0.000 | -0.018 | 122.001 | 
| 642.968 | -332.405 | 149.661 | -0.000 | 0.018 | 0.000 | 
| -119.625 | -785.475 | 484.144 | -0.000 | 0.020 | 0.000 | 
| 352.122 | -353.992 | 566.303 | -0.000 | 0.018 | 0.000 | 
| 351.008 | -829.188 | 68.543 | 84.026 | -0.008 | -0.000 | 
| -565.033 | -461.970 | 423.506 | -0.000 | 14.484 | 0.000 | 
| 328.248 | -375.990 | 137.728 | -0.000 | 0.018 | 122.002 | 
| 45.272 | 58.278 | -24.730 | 0.000 | -0.001 | -0.000 | 
| -18.066 | 351.923 | 26.447 | 0.000 | -0.000 | -0.000 | 
| -14.704 | 56.712 | 426.377 | 0.000 | -0.001 | -0.000 | 
| -46.165 | 82.681 | -2.175 | 103.162 | -0.002 | -0.000 | 
| 5.699 | 77.489 | -41.060 | 0.000 | -1.581 | -0.000 | 
| 54.166 | 45.958 | -43.020 | 0.000 | -0.001 | -1.739 | 
| -24.175 | -86.101 | 39.645 | -0.000 | 0.001 | 0.000 | 
| 107.061 | 248.776 | 7.490 | -0.000 | 0.001 | 0.000 | 
| -16.946 | -13.694 | 190.578 | -0.000 | 0.001 | 0.000 | 
| 46.165 | -82.681 | 2.175 | 103.162 | 0.002 | 0.000 | 
| -26.268 | -50.968 | 33.745 | -0.000 | -3.112 | 0.000 | 
| -54.167 | -45.957 | 43.020 | -0.000 | 0.001 | -1.736 | 
| 229.707 | 25.708 | 5.860 | 0.000 | -0.000 | -0.000 | 
| 25.708 | 240.013 | 9.085 | 0.000 | -0.000 | -0.000 | 
| 5.860 | 9.085 | 301.482 | 0.000 | -0.000 | -0.000 | 
| 25.146 | 126.796 | -116.005 | 95.174 | -0.000 | -0.000 | 
| -0.000 | 0.000 | 0.000 | 0.000 | 116.669 | 0.000 | 
| -0.000 | 0.000 | 0.000 | 0.000 | -0.000 | 102.906 | 
| -1.722 | -7.616 | 115.320 | -0.000 | 0.000 | 0.000 | 
| 25.708 | 240.013 | 9.085 | -0.000 | 0.000 | 0.000 | 
| 5.860 | 9.085 | 301.482 | -0.000 | 0.000 | 0.000 | 
| -25.146 | -126.796 | 116.005 | 95.174 | 0.000 | 0.000 | 
| 0.000 | -0.000 | -0.000 | -0.000 | 116.669 | 0.000 | 
| 0.000 | -0.000 | -0.000 | -0.000 | 0.000 | 102.906 | 
| 180.248 | 44.073 | 5.503 | 0.000 | -0.000 | -0.000 | 
| 25.708 | 240.013 | 9.085 | 0.000 | -0.000 | -0.000 | 
| 18.810 | 31.073 | 253.120 | 0.000 | -0.000 | -0.000 | 
| 0.000 | -0.000 | 0.000 | 121.380 | -0.000 | -0.000 | 
| 2.594 | 13.082 | -11.969 | 0.000 | 91.097 | 0.000 | 
| 2.649 | 13.358 | -12.221 | 0.000 | -0.000 | 75.200 | 
| 229.707 | 25.708 | 5.860 | -0.000 | 0.000 | 0.000 | 
| 27.597 | 189.388 | 29.739 | -0.000 | 0.000 | -0.000 | 
| 5.860 | 9.085 | 301.482 | 0.000 | 0.000 | 0.000 | 
| -0.000 | -0.000 | -0.000 | 121.380 | 0.000 | 0.000 | 
| -2.594 | -13.082 | 11.969 | -0.000 | 91.097 | 0.000 | 
| -2.649 | -13.358 | 12.221 | -0.000 | 0.000 | 75.200 | 
| 166.421 | 33.279 | 18.998 | 0.000 | -0.000 | -0.000 | 
| 25.708 | 240.013 | 9.085 | 0.000 | -0.000 | -0.000 | 
| 17.745 | 18.586 | 105.350 | 0.000 | -0.000 | -0.000 | 
| 0.276 | 1.392 | -1.274 | 92.609 | -0.000 | -0.000 | 
| 0.282 | 1.424 | -1.303 | 0.000 | 88.829 | -0.000 | 
| 0.304 | 1.532 | -1.402 | 0.000 | -0.000 | 71.120 | 
| 23.704 | -3.721 | 4.388 | -0.000 | 0.000 | 0.000 | 
| 17.158 | 62.964 | 15.477 | -0.000 | 0.000 | 0.000 | 
| 4.421 | 11.909 | 135.018 | -0.000 | 0.000 | -0.000 | 
| -0.276 | -1.392 | 1.274 | 92.609 | 0.000 | -0.000 | 
| -0.282 | -1.424 | 1.303 | -0.000 | 88.829 | -0.000 | 
| -0.304 | -1.532 | 1.402 | -0.000 | 0.000 | 71.120 | 
| -1047.760 | 722.510 | 722.510 | 0.000 | -0.000 | 0.000 | 
| 722.510 | -1047.760 | 722.510 | 0.000 | -0.000 | 0.000 | 
| 722.510 | 722.510 | -1047.760 | 0.000 | -0.000 | 0.000 | 
| 556077938.071 | -216907702.359 | -215522592.850 | -105880348.824 | 305503.908 | 1145484.391 | 
| -220766011.134 | 556491861.398 | -212609806.559 | 502730.615 | -102086492.166 | -11280019.114 | 
| -223560806.640 | -238454591.359 | 564137315.074 | 5200381.995 | -9036520.695 | -102709078.900 | 
| -1047.760 | 722.510 | 722.510 | -0.000 | 0.000 | -0.000 | 
| 722.510 | -1047.760 | 722.510 | -0.000 | -0.000 | -0.000 | 
| 722.510 | 722.510 | -1047.760 | 0.000 | 0.000 | -0.000 | 
| -563014877.244 | 272671188.571 | 277593859.403 | -129315490.500 | 13116453.921 | 14763595.439 | 
| 283545967.707 | -562730286.539 | 291314567.827 | 18071946.324 | -136823170.118 | 11872039.025 | 
| 274597513.576 | 285717725.117 | -565192959.975 | 18969316.345 | 9351920.366 | -133437618.592 | 
| -1047.760 | 722.510 | 722.510 | 0.000 | -0.000 | 0.000 | 
| 722.510 | -1047.760 | 722.510 | 0.000 | -0.000 | 0.000 | 
| 722.510 | 722.510 | -1047.760 | 0.000 | -0.000 | 0.000 | 
| -126397908.655 | -46327956.539 | -45419951.591 | -61436113.685 | 324411.212 | -150950.116 | 
| -44523713.591 | -128167172.479 | -45399034.017 | 39994.616 | -62785323.939 | 157625.469 | 
| -44692046.752 | -45618281.146 | -123916926.524 | 49259.324 | 240645.015 | -60961725.062 | 
| -1047.760 | 722.510 | 722.510 | 0.000 | 0.000 | -0.000 | 
| 722.510 | -1047.760 | 722.510 | -0.000 | -0.000 | -0.000 | 
| 722.510 | 722.510 | -1047.760 | 0.000 | -0.000 | -0.000 | 
| 101540558.109 | 45454151.291 | 45264330.446 | -56116022.692 | -697350.674 | -1028659.666 | 
| 44024255.349 | 98339569.623 | 43624382.099 | -335235.156 | -55941878.615 | -689511.922 | 
| 46186180.944 | 45860110.376 | 130019113.295 | -368372.229 | -533775.867 | -67125050.765 | 
| -12626865.556 | -12432516.307 | -12208122.246 | 320724.580 | 382934.203 | 72428.654 | 
| -12460949.652 | -12560789.907 | -12185657.368 | 336270.913 | 302787.976 | 110253.683 | 
| -12486756.995 | -12577254.179 | -12340295.519 | 342640.339 | 336806.082 | 53623.177 | 
| -6650089.669 | -3659822.623 | -3683344.597 | -5114280.282 | -82945.569 | -34128.760 | 
| -3687007.114 | -6955911.484 | -3669809.795 | -38734.927 | -5171513.069 | -75897.286 | 
| -3443079.565 | -3352591.434 | 4825648.172 | -182907.398 | -46098.395 | -2770649.450 | 
| -1047.760 | 722.511 | 722.511 | -0.000 | -0.000 | -0.000 | 
| 722.511 | -1047.760 | 722.511 | -0.000 | 0.000 | 0.000 | 
| 722.511 | 722.511 | -1047.760 | -0.000 | 0.000 | -0.000 | 
| 9801736.795 | 3863864.852 | 3864133.912 | -5916441.879 | 224869.048 | 220808.316 | 
| 3870547.068 | 9425547.622 | 3835617.009 | 274736.765 | -5804780.132 | 217167.303 | 
| 3596091.856 | 3696294.014 | 7522720.717 | 238090.521 | 195737.216 | -5327791.885 | 
| 1763.761 | 1763.761 | 1763.761 | 0.000 | 0.000 | -0.000 | 
| 1763.761 | 1763.761 | 1763.761 | 0.000 | 0.000 | -0.000 | 
| 1763.761 | 1763.761 | 1763.761 | 0.000 | 0.000 | 0.000 | 
| 2770.031 | 2770.032 | 2770.032 | 173.245 | -5.407 | -13.055 | 
| 2770.029 | 2770.028 | 2770.029 | -5.406 | 173.238 | -13.048 | 
| 4820.268 | 4820.268 | 4820.267 | -13.412 | 16.658 | -4173.419 | 
| -0.000 | -0.000 | -0.000 | -0.000 | -0.000 | -0.000 | 
| -0.000 | -0.000 | -0.000 | -0.000 | -0.000 | -0.000 | 
| -0.000 | -0.000 | -0.000 | -0.000 | -0.000 | -0.000 | 
| -2697.457 | -2697.457 | -2697.457 | 161.142 | -9.979 | -18.680 | 
| -2697.457 | -2697.457 | -2697.457 | -9.979 | 161.142 | -18.680 | 
| -4804.721 | -4804.721 | -4804.720 | 11.329 | 5.972 | -4165.176 | 
| 1963.389 | 1963.389 | 1963.389 | 0.000 | 0.000 | 0.000 | 
| 1963.389 | 1963.389 | 1963.389 | 0.000 | 0.000 | 0.000 | 
| 1963.389 | 1963.389 | 1963.389 | 0.000 | 0.000 | 0.000 | 
| 282.016 | 282.016 | 282.016 | -6.961 | 1.109 | 0.849 | 
| 282.016 | 282.016 | 282.016 | 1.109 | -6.961 | 0.849 | 
| 500.616 | 500.616 | 500.616 | 1.677 | -0.027 | -66.323 | 
| -0.000 | -0.000 | -0.000 | -0.000 | -0.000 | -0.000 | 
| -0.000 | -0.000 | -0.000 | -0.000 | -0.000 | -0.000 | 
| -0.000 | -0.000 | -0.000 | -0.000 | -0.000 | -0.000 | 
| -224.994 | -224.994 | -224.994 | 15.771 | -0.663 | -0.397 | 
| -224.994 | -224.994 | -224.994 | -0.663 | 15.771 | -0.397 | 
| -521.434 | -521.434 | -521.434 | -2.019 | -4.239 | -72.044 | 
| 2162.883 | 2162.888 | 2162.888 | 0.000 | 0.000 | -0.000 | 
| 2162.888 | 2162.883 | 2162.888 | 0.000 | 0.000 | -0.000 | 
| 2162.888 | 2162.888 | 2162.883 | 0.000 | 0.000 | 0.000 | 
| 24.149 | 24.149 | 24.149 | 1.483 | 0.017 | -0.013 | 
| 24.149 | 24.149 | 24.149 | 0.017 | 1.483 | -0.013 | 
| 24.093 | 24.093 | 24.093 | 0.009 | 0.015 | 1.596 | 
| -0.000 | -0.000 | -0.000 | -0.000 | -0.000 | -0.000 | 
| -0.000 | -0.000 | -0.000 | -0.000 | -0.000 | -0.000 | 
| -0.000 | -0.000 | -0.000 | -0.000 | -0.000 | -0.000 | 
| -24.156 | -24.156 | -24.156 | 1.452 | -0.013 | -0.015 | 
| -24.156 | -24.156 | -24.156 | -0.013 | 1.452 | -0.015 | 
| -24.075 | -24.075 | -24.075 | -0.025 | -0.017 | 1.486 | 
| 184.368 | 112.628 | 20.074 | 0.000 | -0.000 | -0.000 | 
| 112.628 | 184.368 | 20.074 | 0.000 | -0.000 | -0.000 | 
| 33.079 | 33.079 | 279.718 | -0.000 | -0.000 | 0.000 | 
| 3.545 | 3.545 | -6.253 | -13.801 | 0.000 | -0.000 | 
| 3.545 | 3.545 | -6.253 | -0.000 | -13.801 | -0.000 | 
| 1.823 | 1.823 | -3.216 | 0.000 | 0.000 | 262.866 | 
| 176.149 | 102.339 | 36.399 | 0.000 | 0.000 | -0.000 | 
| 102.339 | 176.149 | 36.399 | -0.000 | -0.000 | -0.000 | 
| 28.501 | 28.501 | 287.795 | 0.000 | 0.000 | 0.000 | 
| -3.545 | -3.545 | 6.253 | -13.801 | 0.000 | -0.000 | 
| -3.545 | -3.545 | 6.253 | -0.000 | -13.801 | -0.000 | 
| -1.823 | -1.823 | 3.216 | 0.000 | -0.000 | 262.866 | 
| 178.667 | 104.856 | 31.958 | 0.000 | 0.000 | 0.000 | 
| 104.856 | 178.667 | 31.958 | 0.000 | 0.000 | -0.000 | 
| 31.019 | 31.019 | 283.352 | -0.000 | -0.000 | -0.000 | 
| 0.362 | 0.362 | -0.639 | -14.303 | -0.000 | 0.000 | 
| 0.362 | 0.362 | -0.639 | 0.000 | -14.303 | 0.000 | 
| 0.181 | 0.181 | -0.320 | -0.000 | -0.000 | 262.959 | 
| 178.209 | 104.398 | 32.766 | 0.000 | 0.000 | 0.000 | 
| 104.398 | 178.209 | 32.766 | -0.000 | 0.000 | -0.000 | 
| 30.562 | 30.562 | 284.160 | -0.000 | 0.000 | -0.000 | 
| -0.362 | -0.362 | 0.639 | -14.303 | 0.000 | -0.000 | 
| -0.362 | -0.362 | 0.639 | 0.000 | -14.303 | -0.000 | 
| -0.181 | -0.181 | 0.320 | 0.000 | 0.000 | 262.959 | 
| 178.461 | 104.650 | 32.322 | 0.000 | -0.000 | 0.000 | 
| 104.650 | 178.461 | 32.322 | 0.000 | 0.000 | 0.000 | 
| 30.813 | 30.813 | 283.716 | -0.000 | -0.000 | 0.000 | 
| 0.036 | 0.036 | -0.064 | -14.308 | -0.000 | 0.000 | 
| 0.036 | 0.036 | -0.064 | 0.000 | -14.308 | 0.000 | 
| 0.018 | 0.018 | -0.032 | -0.000 | -0.000 | 262.960 | 
| 178.415 | 104.604 | 32.403 | 0.000 | -0.000 | -0.000 | 
| 104.604 | 178.415 | 32.403 | -0.000 | 0.000 | -0.000 | 
| 30.767 | 30.767 | 283.796 | 0.000 | 0.000 | -0.000 | 
| -0.036 | -0.036 | 0.064 | -14.308 | -0.000 | -0.000 | 
| -0.036 | -0.036 | 0.064 | 0.000 | -14.308 | 0.000 | 
| -0.018 | -0.018 | 0.032 | 0.000 | 0.000 | 262.960 | 
| 108.739 | 149.026 | 149.026 | -0.000 | 0.000 | 0.000 | 
| 149.026 | 108.739 | 149.026 | 0.000 | -0.000 | 0.000 | 
| 149.026 | 149.026 | 108.739 | 0.000 | 0.000 | 0.000 | 
| -0.000 | -0.000 | -0.000 | 77.586 | -0.000 | -0.000 | 
| -0.000 | -0.000 | -0.000 | -0.000 | 77.586 | 0.000 | 
| -0.000 | -0.000 | -0.000 | -0.000 | -0.000 | 77.586 | 
| 108.739 | 149.027 | 149.027 | 0.000 | 0.000 | -0.000 | 
| 149.027 | 108.739 | 149.027 | -0.000 | 0.000 | -0.000 | 
| 149.027 | 149.027 | 108.739 | 0.000 | 0.000 | 0.000 | 
| 0.000 | 0.000 | 0.000 | 77.586 | 0.000 | -0.000 | 
| 0.000 | 0.000 | 0.000 | 0.000 | 77.586 | -0.000 | 
| 0.000 | 0.000 | 0.000 | 0.000 | 0.000 | 77.586 | 
| 108.741 | 149.025 | 149.025 | -0.000 | -0.000 | -0.000 | 
| 149.025 | 108.741 | 149.025 | 0.000 | -0.000 | 0.000 | 
| 149.025 | 149.025 | 108.741 | -0.000 | -0.000 | -0.000 | 
| -0.000 | -0.000 | -0.000 | 77.586 | -0.000 | -0.000 | 
| -0.000 | -0.000 | -0.000 | -0.000 | 77.586 | -0.000 | 
| -0.000 | -0.000 | -0.000 | -0.000 | 0.000 | 77.586 | 
| 108.736 | 149.028 | 149.028 | 0.000 | -0.000 | -0.000 | 
| 149.028 | 108.736 | 149.028 | -0.000 | 0.000 | -0.000 | 
| 149.028 | 149.028 | 108.736 | 0.000 | 0.000 | -0.000 | 
| 0.000 | 0.000 | 0.000 | 77.586 | 0.000 | -0.000 | 
| 0.000 | 0.000 | 0.000 | 0.000 | 77.586 | -0.000 | 
| 0.000 | 0.000 | 0.000 | 0.000 | 0.000 | 77.586 | 
| 108.763 | 149.010 | 149.010 | -0.000 | -0.000 | 0.000 | 
| 149.010 | 108.763 | 149.010 | 0.000 | -0.000 | 0.000 | 
| 149.010 | 149.010 | 108.763 | 0.000 | -0.000 | -0.000 | 
| -0.004 | -0.001 | -0.001 | 77.586 | -0.000 | -0.000 | 
| -0.001 | -0.004 | -0.001 | -0.000 | 77.586 | -0.000 | 
| -0.001 | -0.001 | -0.004 | -0.000 | -0.000 | 77.586 | 
| 108.714 | 149.042 | 149.042 | -0.000 | 0.000 | -0.000 | 
| 149.042 | 108.714 | 149.042 | -0.000 | -0.000 | -0.000 | 
| 149.042 | 149.042 | 108.714 | 0.000 | 0.000 | -0.000 | 
| 0.004 | 0.001 | 0.001 | 77.586 | 0.000 | -0.000 | 
| 0.001 | 0.004 | 0.001 | 0.000 | 77.586 | 0.000 | 
| 0.001 | 0.001 | 0.004 | 0.000 | -0.000 | 77.586 | 
| -1850.309 | -1850.309 | -1850.309 | 0.010 | 0.002 | -0.000 | 
| -1850.309 | -1850.309 | -1850.309 | 0.002 | 0.010 | -0.000 | 
| -1850.309 | -1850.309 | -1850.309 | 0.010 | 0.010 | 0.001 | 
| 1510085.098 | -1569416.708 | -1558227.879 | -670421.634 | 151379.834 | 5180.783 | 
| -1364368.826 | 1775951.332 | -1330954.833 | -133599.346 | -536857.851 | -66708.774 | 
| -3628362.632 | -3620127.902 | 695838.388 | 21400.117 | 29292.714 | 1558071.763 | 
| -0.000 | -0.000 | -0.000 | -0.000 | -0.000 | -0.000 | 
| -0.000 | -0.000 | -0.000 | -0.000 | -0.000 | -0.000 | 
| -0.000 | -0.000 | -0.000 | -0.000 | -0.000 | -0.000 | 
| -2104170.525 | 1203054.845 | 1175230.523 | -981926.944 | 20426.416 | 16252.752 | 
| 1348609.694 | -1940574.280 | 1341208.918 | -220070.751 | -931569.956 | -178705.768 | 
| 3837716.775 | 3857011.457 | -490639.880 | 64564.874 | -18548.560 | 1224995.961 | 
| 7981.529 | -17535.402 | -18159.532 | -28634.493 | 21108.340 | 1780.990 | 
| -153484.245 | -128226.606 | -154033.674 | 3443.767 | -10227.129 | -24831.912 | 
| -67409.102 | -68926.118 | -47289.817 | 16973.543 | 11465.165 | 1949.703 | 
| -201870.672 | -71048.592 | -113487.123 | 9324.207 | -2216.605 | 56068.846 | 
| -119160.806 | -253880.121 | -176625.993 | -5889.404 | 10677.031 | -28343.085 | 
| 13429.653 | -31985.638 | -29282.492 | -18761.511 | 26902.127 | 27982.290 | 
| -0.000 | -0.000 | -0.000 | -0.000 | -0.000 | -0.000 | 
| -0.000 | -0.000 | -0.000 | -0.000 | -0.000 | -0.000 | 
| -0.000 | -0.000 | -0.000 | -0.000 | -0.000 | -0.000 | 
| 169319.904 | 86121.291 | 102465.857 | 26049.268 | 11935.633 | 11411.052 | 
| 45264.810 | 131721.559 | 68896.696 | 27770.313 | -27428.687 | 5165.994 | 
| 47685.584 | 83081.646 | 48303.248 | -12378.806 | 4737.446 | -8108.042 | 
| -128.761 | -128.762 | -128.762 | 0.000 | 0.000 | -0.000 | 
| -128.762 | -128.761 | -128.762 | 0.000 | 0.000 | -0.000 | 
| -128.762 | -128.762 | -128.761 | 0.000 | 0.000 | 0.000 | 
| 131.985 | -42130.892 | -42170.709 | 175.614 | -638.299 | -784.158 | 
| -41629.918 | 1093.308 | -41727.349 | -421.624 | 69.419 | 322.507 | 
| -24765.074 | -24662.236 | 11087.610 | 955.040 | -506.047 | -5842.735 | 
| -0.000 | -0.000 | -0.000 | -0.000 | -0.000 | -0.000 | 
| -0.000 | -0.000 | -0.000 | -0.000 | -0.000 | -0.000 | 
| -0.000 | -0.000 | -0.000 | -0.000 | -0.000 | -0.000 | 
| -3724.050 | 38031.809 | 38081.092 | 1925.323 | -214.257 | 1039.333 | 
| 39861.696 | -2048.624 | 39878.000 | 571.847 | 2408.183 | 564.009 | 
| 42480.615 | 42457.691 | -705.661 | 932.094 | -294.172 | 14342.517 | 
| -46412.262 | -23206.131 | -23206.131 | -0.000 | -0.000 | -0.000 | 
| -23206.131 | -46412.262 | -23206.131 | -0.000 | -0.000 | 0.000 | 
| -23206.131 | -23206.131 | -46412.262 | -0.000 | -0.000 | 0.000 | 
| 0.000 | -14459.494 | -14459.494 | -14459.494 | -0.000 | -0.000 | 
| -14459.494 | 0.000 | -14459.494 | -0.000 | -14459.494 | 0.000 | 
| -14459.494 | -14459.494 | 0.000 | 0.000 | 0.000 | -14459.494 | 
| -0.000 | -0.000 | -0.000 | -0.000 | -0.000 | -0.000 | 
| -0.000 | -0.000 | -0.000 | -0.000 | -0.000 | -0.000 | 
| -0.000 | -0.000 | -0.000 | -0.000 | -0.000 | -0.000 | 
| -0.000 | 14459.494 | 14459.494 | -14459.494 | 0.000 | 0.000 | 
| 14459.494 | -0.000 | 14459.494 | 0.000 | -14459.494 | -0.000 | 
| 14459.494 | 14459.494 | -0.000 | 0.000 | -0.000 | -14459.494 | 
| -38071.792 | -19035.900 | -19035.900 | 0.000 | -0.000 | -0.000 | 
| -19035.900 | -38071.792 | -19035.900 | -0.000 | 0.000 | -0.000 | 
| -19035.900 | -19035.900 | -38071.792 | -0.000 | -0.000 | -0.000 | 
| 0.000 | -12044.303 | -12044.305 | -12044.304 | -0.000 | 0.000 | 
| -12044.303 | 0.000 | -12044.305 | -0.000 | -12044.304 | 0.000 | 
| -12044.303 | -12044.305 | 0.000 | 0.000 | 0.000 | -12044.304 | 
| -0.000 | -0.000 | -0.000 | -0.000 | -0.000 | -0.000 | 
| -0.000 | -0.000 | -0.000 | -0.000 | -0.000 | -0.000 | 
| -0.000 | -0.000 | -0.000 | -0.000 | -0.000 | -0.000 | 
| -0.000 | 12044.303 | 12044.305 | -12044.304 | -0.000 | 0.000 | 
| 12044.303 | -0.000 | 12044.305 | -0.000 | -12044.304 | 0.000 | 
| 12044.303 | 12044.305 | -0.000 | 0.000 | 0.000 | -12044.304 | 
| -29729.028 | -14864.545 | -14864.545 | 0.000 | -0.000 | -0.000 | 
| -14864.545 | -29729.028 | -14864.545 | -0.000 | 0.000 | 0.000 | 
| -14864.545 | -14864.545 | -29729.028 | -0.000 | -0.000 | -0.000 | 
| 0.000 | -9628.351 | -9628.371 | -9628.361 | 0.000 | -0.000 | 
| -9628.351 | 0.000 | -9628.371 | 0.000 | -9628.361 | 0.000 | 
| -9628.351 | -9628.371 | 0.000 | 0.000 | 0.000 | -9628.361 | 
| -0.000 | -0.000 | -0.000 | -0.000 | -0.000 | -0.000 | 
| -0.000 | -0.000 | -0.000 | -0.000 | -0.000 | -0.000 | 
| -0.000 | -0.000 | -0.000 | -0.000 | -0.000 | -0.000 | 
| -0.000 | 9628.351 | 9628.371 | -9628.361 | 0.000 | -0.000 | 
| 9628.351 | -0.000 | 9628.371 | 0.000 | -9628.361 | -0.000 | 
| 9628.351 | 9628.371 | -0.000 | -0.000 | -0.000 | -9628.361 | 
| 429.203 | 70.701 | 70.701 | 0.000 | 0.000 | 0.000 | 
| 70.701 | 429.203 | 70.701 | 0.000 | 0.000 | -0.000 | 
| 70.701 | 70.701 | 429.203 | 0.000 | -0.000 | 0.000 | 
| 0.000 | 0.000 | 0.000 | 20.870 | 0.000 | 0.000 | 
| 0.000 | 0.000 | 0.000 | 0.000 | 20.870 | 0.000 | 
| 0.000 | 0.000 | 0.000 | -0.000 | 0.000 | 20.870 | 
| 429.203 | 70.701 | 70.701 | 0.000 | 0.000 | -0.000 | 
| 70.701 | 429.203 | 70.701 | -0.000 | 0.000 | 0.000 | 
| 70.701 | 70.701 | 429.203 | -0.000 | 0.000 | 0.000 | 
| -0.000 | -0.000 | -0.000 | 20.870 | -0.000 | 0.000 | 
| -0.000 | -0.000 | -0.000 | 0.000 | 20.870 | -0.000 | 
| -0.000 | -0.000 | -0.000 | -0.000 | -0.000 | 20.870 | 
| 429.204 | 70.701 | 70.701 | 0.000 | -0.000 | 0.000 | 
| 70.701 | 429.204 | 70.701 | -0.000 | -0.000 | 0.000 | 
| 70.701 | 70.701 | 429.204 | 0.000 | 0.000 | 0.000 | 
| -0.000 | -0.000 | -0.000 | 20.870 | 0.000 | 0.000 | 
| -0.000 | -0.000 | -0.000 | -0.000 | 20.870 | 0.000 | 
| -0.000 | -0.000 | -0.000 | -0.000 | 0.000 | 20.870 | 
| 429.203 | 70.701 | 70.701 | 0.000 | 0.000 | -0.000 | 
| 70.701 | 429.203 | 70.701 | -0.000 | -0.000 | -0.000 | 
| 70.701 | 70.701 | 429.203 | 0.000 | 0.000 | -0.000 | 
| 0.000 | 0.000 | 0.000 | 20.870 | -0.000 | -0.000 | 
| 0.000 | 0.000 | 0.000 | -0.000 | 20.870 | -0.000 | 
| 0.000 | 0.000 | 0.000 | 0.000 | -0.000 | 20.870 | 
| 429.205 | 70.701 | 70.701 | -0.000 | 0.000 | -0.000 | 
| 70.701 | 429.205 | 70.701 | -0.000 | 0.000 | 0.000 | 
| 70.701 | 70.701 | 429.205 | -0.000 | -0.000 | 0.000 | 
| -0.000 | -0.000 | -0.000 | 20.870 | 0.000 | 0.000 | 
| -0.000 | -0.000 | -0.000 | 0.000 | 20.870 | 0.000 | 
| -0.000 | -0.000 | -0.000 | -0.000 | -0.000 | 20.870 | 
| 429.202 | 70.701 | 70.701 | 0.000 | 0.000 | -0.000 | 
| 70.701 | 429.202 | 70.701 | -0.000 | 0.000 | 0.000 | 
| 70.701 | 70.701 | 429.202 | -0.000 | 0.000 | -0.000 | 
| 0.000 | 0.000 | 0.000 | 20.870 | 0.000 | -0.000 | 
| 0.000 | 0.000 | 0.000 | 0.000 | 20.870 | -0.000 | 
| 0.000 | 0.000 | 0.000 | 0.000 | 0.000 | 20.870 | 
| -45707.629 | -0.000 | -0.000 | 0.000 | 0.000 | -0.000 | 
| -0.000 | -45707.629 | -0.000 | 0.000 | -0.000 | -0.000 | 
| -0.000 | -0.000 | -45707.629 | 0.000 | -0.000 | -0.000 | 
| 0.000 | -0.000 | 0.000 | 0.000 | 0.000 | -0.000 | 
| -0.000 | 0.000 | 0.000 | 0.000 | 0.000 | -0.000 | 
| -0.000 | 0.000 | 0.000 | 0.000 | 0.000 | 0.000 | 
| -0.000 | 0.000 | 0.000 | 0.000 | -0.000 | -0.000 | 
| 0.000 | -0.000 | 0.000 | -0.000 | 0.000 | 0.000 | 
| 0.000 | 0.000 | -0.000 | -0.000 | -0.000 | 0.000 | 
| -0.000 | 0.000 | 0.000 | 0.000 | -0.000 | 0.000 | 
| 0.000 | -0.000 | 0.000 | -0.000 | 0.000 | 0.000 | 
| 0.000 | 0.000 | -0.000 | -0.000 | -0.000 | 0.000 | 
| -37225.175 | -0.000 | -0.000 | 0.000 | -0.000 | -0.000 | 
| -0.000 | -37225.175 | -0.000 | 0.000 | 0.000 | 0.000 | 
| -0.000 | -0.000 | -37225.175 | 0.000 | 0.000 | -0.000 | 
| -0.000 | -0.000 | 0.000 | 0.000 | 0.000 | 0.000 | 
| -0.000 | -0.000 | 0.000 | 0.000 | 0.000 | -0.000 | 
| -0.000 | 0.000 | -0.000 | 0.000 | 0.000 | -0.000 | 
| -0.000 | 0.000 | 0.000 | 0.000 | -0.000 | 0.000 | 
| 0.000 | -0.000 | 0.000 | -0.000 | 0.000 | 0.000 | 
| 0.000 | 0.000 | -0.000 | -0.000 | -0.000 | 0.000 | 
| 0.000 | 0.000 | -0.000 | -0.000 | -0.000 | 0.000 | 
| 0.000 | 0.000 | -0.000 | -0.000 | -0.000 | 0.000 | 
| 0.000 | -0.000 | 0.000 | -0.000 | -0.000 | 0.000 | 
| -28738.321 | 0.000 | 0.000 | 0.000 | 0.000 | 0.000 | 
| 0.000 | -28738.321 | 0.000 | 0.000 | 0.000 | 0.000 | 
| 0.000 | 0.000 | -28738.321 | 0.000 | 0.000 | 0.000 | 
| -0.000 | -0.000 | 0.000 | 0.000 | 0.000 | 0.000 | 
| -0.000 | -0.000 | 0.000 | 0.000 | 0.000 | 0.000 | 
| -0.000 | 0.000 | -0.000 | 0.000 | 0.000 | -0.000 | 
| -0.000 | 0.000 | 0.000 | 0.000 | -0.000 | 0.000 | 
| 0.000 | -0.000 | 0.000 | -0.000 | 0.000 | 0.000 | 
| 0.000 | 0.000 | -0.000 | -0.000 | -0.000 | 0.000 | 
| 0.000 | 0.000 | -0.000 | -0.000 | -0.000 | -0.000 | 
| 0.000 | 0.000 | -0.000 | -0.000 | -0.000 | 0.000 | 
| 0.000 | -0.000 | 0.000 | -0.000 | 0.000 | 0.000 | 
| -1196.660 | 794.699 | 794.699 | -0.000 | 0.000 | 0.000 | 
| 794.699 | -1196.660 | 794.699 | 0.000 | -0.000 | -0.000 | 
| 794.699 | 794.699 | -1196.660 | 0.000 | 0.000 | -0.000 | 
| 0.000 | -0.000 | -0.000 | -305.586 | 0.000 | 0.000 | 
| -0.000 | 0.000 | -0.000 | 0.000 | -305.586 | -0.000 | 
| -0.000 | -0.000 | 0.000 | 0.000 | -0.000 | -305.586 | 
| -1196.659 | 794.699 | 794.699 | -0.000 | -0.000 | 0.000 | 
| 794.699 | -1196.659 | 794.699 | -0.000 | -0.000 | 0.000 | 
| 794.699 | 794.699 | -1196.659 | 0.000 | -0.000 | -0.000 | 
| -0.000 | 0.000 | 0.000 | -305.586 | -0.000 | -0.000 | 
| 0.000 | -0.000 | 0.000 | -0.000 | -305.586 | 0.000 | 
| 0.000 | 0.000 | -0.000 | -0.000 | -0.000 | -305.586 | 
| -1196.660 | 794.699 | 794.699 | 0.000 | 0.000 | -0.000 | 
| 794.699 | -1196.660 | 794.699 | 0.000 | 0.000 | -0.000 | 
| 794.699 | 794.699 | -1196.660 | 0.000 | 0.000 | -0.000 | 
| 0.000 | -0.000 | -0.000 | -305.586 | 0.000 | 0.000 | 
| -0.000 | 0.000 | -0.000 | 0.000 | -305.586 | 0.000 | 
| -0.000 | -0.000 | 0.000 | 0.000 | -0.000 | -305.586 | 
| -1196.659 | 794.699 | 794.699 | -0.000 | -0.000 | -0.000 | 
| 794.699 | -1196.659 | 794.699 | -0.000 | -0.000 | -0.000 | 
| 794.699 | 794.699 | -1196.659 | 0.000 | -0.000 | -0.000 | 
| -0.000 | 0.000 | 0.000 | -305.586 | -0.000 | -0.000 | 
| 0.000 | -0.000 | 0.000 | -0.000 | -305.586 | -0.000 | 
| 0.000 | 0.000 | -0.000 | -0.000 | -0.000 | -305.586 | 
| -1196.663 | 794.699 | 794.699 | 0.000 | 0.000 | -0.000 | 
| 794.699 | -1196.663 | 794.699 | 0.000 | 0.000 | -0.000 | 
| 794.699 | 794.699 | -1196.663 | 0.000 | 0.000 | 0.000 | 
| 0.002 | -0.001 | -0.001 | -305.586 | 0.000 | 0.000 | 
| -0.001 | 0.002 | -0.001 | 0.000 | -305.586 | -0.000 | 
| -0.001 | -0.001 | 0.002 | 0.000 | 0.000 | -305.586 | 
| -1196.656 | 794.698 | 794.698 | -0.000 | -0.000 | -0.000 | 
| 794.698 | -1196.656 | 794.698 | -0.000 | 0.000 | -0.000 | 
| 794.698 | 794.698 | -1196.656 | 0.000 | -0.000 | 0.000 | 
| -0.002 | 0.001 | 0.001 | -305.586 | -0.000 | -0.000 | 
| 0.001 | -0.002 | 0.001 | -0.000 | -305.586 | 0.000 | 
| 0.001 | 0.001 | -0.002 | -0.000 | -0.000 | -305.586 | 
| 334.498 | 7.992 | 7.992 | -0.000 | -0.000 | -0.000 | 
| 7.992 | 334.498 | 7.992 | -0.000 | -0.000 | -0.000 | 
| 7.992 | 7.992 | 334.498 | -0.000 | -0.000 | -0.000 | 
| 0.000 | 0.000 | 0.000 | -3.779 | -0.000 | -0.000 | 
| 0.000 | 0.000 | 0.000 | -0.000 | -3.779 | -0.000 | 
| 0.000 | 0.000 | 0.000 | -0.000 | -0.000 | -3.779 | 
| 334.498 | 7.992 | 7.992 | 0.000 | 0.000 | 0.000 | 
| 7.992 | 334.498 | 7.992 | 0.000 | 0.000 | 0.000 | 
| 7.992 | 7.992 | 334.498 | 0.000 | 0.000 | -0.000 | 
| -0.000 | -0.000 | -0.000 | -3.779 | 0.000 | 0.000 | 
| -0.000 | -0.000 | -0.000 | 0.000 | -3.779 | 0.000 | 
| -0.000 | -0.000 | -0.000 | 0.000 | 0.000 | -3.779 | 
| 334.495 | 7.992 | 7.992 | -0.000 | -0.000 | -0.000 | 
| 7.992 | 334.495 | 7.992 | -0.000 | -0.000 | -0.000 | 
| 7.992 | 7.992 | 334.495 | -0.000 | -0.000 | -0.000 | 
| -0.000 | -0.000 | -0.000 | -3.779 | -0.000 | -0.000 | 
| -0.000 | -0.000 | -0.000 | -0.000 | -3.779 | -0.000 | 
| -0.000 | -0.000 | -0.000 | -0.000 | -0.000 | -3.779 | 
| 334.501 | 7.992 | 7.992 | 0.000 | 0.000 | -0.000 | 
| 7.992 | 334.501 | 7.992 | 0.000 | 0.000 | 0.000 | 
| 7.992 | 7.992 | 334.501 | 0.000 | 0.000 | 0.000 | 
| 0.000 | 0.000 | 0.000 | -3.779 | 0.000 | 0.000 | 
| 0.000 | 0.000 | 0.000 | 0.000 | -3.779 | 0.000 | 
| 0.000 | 0.000 | 0.000 | 0.000 | 0.000 | -3.779 | 
| 334.469 | 7.991 | 7.991 | -0.000 | -0.000 | 0.000 | 
| 7.991 | 334.469 | 7.991 | -0.000 | -0.000 | -0.000 | 
| 7.991 | 7.991 | 334.469 | -0.000 | -0.000 | -0.000 | 
| -0.000 | -0.000 | -0.000 | -3.779 | -0.000 | -0.000 | 
| -0.000 | -0.000 | -0.000 | -0.000 | -3.779 | 0.000 | 
| -0.000 | -0.000 | -0.000 | -0.000 | -0.000 | -3.779 | 
| 334.527 | 7.993 | 7.993 | 0.000 | 0.000 | 0.000 | 
| 7.993 | 334.527 | 7.993 | 0.000 | 0.000 | -0.000 | 
| 7.993 | 7.993 | 334.527 | 0.000 | 0.000 | 0.000 | 
| 0.000 | 0.000 | 0.000 | -3.779 | 0.000 | 0.000 | 
| 0.000 | 0.000 | 0.000 | 0.000 | -3.779 | 0.000 | 
| 0.000 | 0.000 | 0.000 | 0.000 | 0.000 | -3.779 | 
| -21610.780 | -21610.780 | -21610.780 | 0.000 | 0.000 | 0.000 | 
| -21610.780 | -21610.780 | -21610.780 | 0.000 | 0.000 | 0.000 | 
| -21610.780 | -21610.780 | -21610.780 | 0.000 | 0.000 | -0.000 | 
| -12128.470 | -12128.469 | -12128.470 | -12128.470 | 0.000 | 0.000 | 
| -12128.469 | -12128.470 | -12128.470 | 0.000 | -12128.470 | 0.000 | 
| -12128.469 | -12128.470 | -12128.470 | 0.000 | 0.000 | -12128.470 | 
| -0.000 | -0.000 | -0.000 | -0.000 | -0.000 | -0.000 | 
| -0.000 | -0.000 | -0.000 | -0.000 | -0.000 | -0.000 | 
| -0.000 | -0.000 | -0.000 | -0.000 | -0.000 | -0.000 | 
| 12128.470 | 12128.469 | 12128.470 | -12128.470 | -0.000 | 0.000 | 
| 12128.469 | 12128.470 | 12128.470 | -0.000 | -12128.470 | 0.000 | 
| 12128.469 | 12128.470 | 12128.470 | -0.000 | 0.000 | -12128.470 | 
| -17556.222 | -17556.225 | -17556.225 | 0.000 | 0.000 | 0.000 | 
| -17556.225 | -17556.222 | -17556.225 | 0.000 | 0.000 | 0.000 | 
| -17556.225 | -17556.225 | -17556.222 | 0.000 | 0.000 | 0.000 | 
| -9953.001 | -9952.999 | -9953.001 | -9953.000 | 0.000 | 0.000 | 
| -9952.999 | -9953.001 | -9953.001 | 0.000 | -9953.000 | 0.000 | 
| -9952.999 | -9953.001 | -9953.001 | -0.000 | -0.000 | -9953.000 | 
| -0.000 | -0.000 | -0.000 | -0.000 | -0.000 | -0.000 | 
| -0.000 | -0.000 | -0.000 | -0.000 | -0.000 | -0.000 | 
| -0.000 | -0.000 | -0.000 | -0.000 | -0.000 | -0.000 | 
| 9953.001 | 9952.999 | 9953.001 | -9953.000 | -0.000 | 0.000 | 
| 9952.999 | 9953.001 | 9953.001 | -0.000 | -9953.000 | 0.000 | 
| 9952.999 | 9953.001 | 9953.001 | 0.000 | -0.000 | -9953.000 | 
| -13500.964 | -13500.991 | -13500.991 | 0.000 | 0.000 | -0.000 | 
| -13500.991 | -13500.964 | -13500.991 | 0.000 | 0.000 | -0.000 | 
| -13500.991 | -13500.991 | -13500.964 | 0.000 | 0.000 | 0.000 | 
| -7777.132 | -7777.115 | -7777.131 | -7777.123 | 0.000 | 0.000 | 
| -7777.115 | -7777.132 | -7777.131 | 0.000 | -7777.123 | 0.000 | 
| -7777.115 | -7777.131 | -7777.132 | -0.000 | -0.000 | -7777.123 | 
| -0.000 | -0.000 | -0.000 | -0.000 | -0.000 | -0.000 | 
| -0.000 | -0.000 | -0.000 | -0.000 | -0.000 | -0.000 | 
| -0.000 | -0.000 | -0.000 | -0.000 | -0.000 | -0.000 | 
| 7777.132 | 7777.115 | 7777.131 | -7777.123 | -0.000 | 0.000 | 
| 7777.115 | 7777.132 | 7777.131 | -0.000 | -7777.123 | 0.000 | 
| 7777.115 | 7777.131 | 7777.132 | 0.000 | -0.000 | -7777.123 | 
| 121.397 | 117.600 | 117.600 | 0.000 | 0.000 | 0.000 | 
| 117.600 | 121.397 | 117.600 | 0.000 | 0.000 | 0.000 | 
| 117.600 | 117.600 | 121.397 | 0.000 | 0.000 | 0.000 | 
| -0.000 | -0.000 | -0.000 | 25.670 | 0.000 | 0.000 | 
| -0.000 | -0.000 | -0.000 | 0.000 | 25.670 | 0.000 | 
| -0.000 | -0.000 | -0.000 | 0.000 | 0.000 | 25.670 | 
| 121.397 | 117.600 | 117.600 | -0.000 | -0.000 | -0.000 | 
| 117.600 | 121.397 | 117.600 | -0.000 | -0.000 | -0.000 | 
| 117.600 | 117.600 | 121.397 | -0.000 | -0.000 | -0.000 | 
| 0.000 | 0.000 | 0.000 | 25.670 | -0.000 | -0.000 | 
| 0.000 | 0.000 | 0.000 | -0.000 | 25.670 | -0.000 | 
| 0.000 | 0.000 | 0.000 | -0.000 | -0.000 | 25.670 | 
| 121.397 | 117.600 | 117.600 | 0.000 | 0.000 | 0.000 | 
| 117.600 | 121.397 | 117.600 | 0.000 | 0.000 | 0.000 | 
| 117.600 | 117.600 | 121.397 | 0.000 | 0.000 | 0.000 | 
| -0.000 | -0.000 | -0.000 | 25.670 | 0.000 | 0.000 | 
| -0.000 | -0.000 | -0.000 | 0.000 | 25.670 | 0.000 | 
| -0.000 | -0.000 | -0.000 | 0.000 | 0.000 | 25.670 | 
| 121.397 | 117.600 | 117.600 | -0.000 | -0.000 | -0.000 | 
| 117.600 | 121.397 | 117.600 | -0.000 | -0.000 | -0.000 | 
| 117.600 | 117.600 | 121.397 | -0.000 | -0.000 | -0.000 | 
| 0.000 | 0.000 | 0.000 | 25.670 | -0.000 | -0.000 | 
| 0.000 | 0.000 | 0.000 | -0.000 | 25.670 | -0.000 | 
| 0.000 | 0.000 | 0.000 | -0.000 | -0.000 | 25.670 | 
| 121.397 | 117.600 | 117.600 | 0.000 | 0.000 | 0.000 | 
| 117.600 | 121.397 | 117.600 | 0.000 | 0.000 | 0.000 | 
| 117.600 | 117.600 | 121.397 | 0.000 | 0.000 | 0.000 | 
| -0.000 | -0.000 | -0.000 | 25.670 | 0.000 | 0.000 | 
| -0.000 | -0.000 | -0.000 | 0.000 | 25.670 | 0.000 | 
| -0.000 | -0.000 | -0.000 | 0.000 | 0.000 | 25.670 | 
| 121.397 | 117.599 | 117.599 | -0.000 | -0.000 | -0.000 | 
| 117.599 | 121.397 | 117.599 | -0.000 | -0.000 | -0.000 | 
| 117.599 | 117.599 | 121.397 | -0.000 | -0.000 | -0.000 | 
| 0.000 | 0.000 | 0.000 | 25.670 | -0.000 | -0.000 | 
| 0.000 | 0.000 | 0.000 | -0.000 | 25.670 | -0.000 | 
| 0.000 | 0.000 | 0.000 | -0.000 | -0.000 | 25.670 | 
| 278.391 | 278.391 | 278.391 | -0.008 | 0.000 | 0.001 | 
| 278.391 | 278.391 | 278.391 | 0.000 | -0.008 | 0.001 | 
| 278.391 | 278.391 | 278.391 | 0.000 | 0.000 | -0.008 | 
| 80.190 | 80.190 | 80.190 | 80.190 | 0.000 | 0.000 | 
| 80.190 | 80.190 | 80.190 | 0.000 | 80.190 | 0.000 | 
| 80.190 | 80.190 | 80.190 | 0.000 | 0.000 | 80.190 | 
| -0.000 | -0.000 | -0.000 | -0.000 | -0.000 | -0.000 | 
| -0.000 | -0.000 | -0.000 | -0.000 | -0.000 | -0.000 | 
| -0.000 | -0.000 | -0.000 | -0.000 | -0.000 | -0.000 | 
| -80.190 | -80.190 | -80.190 | 80.190 | 0.000 | -0.000 | 
| -80.190 | -80.190 | -80.190 | 0.000 | 80.190 | -0.000 | 
| -80.190 | -80.190 | -80.190 | 0.000 | -0.000 | 80.190 | 
| 462.904 | 462.904 | 462.904 | -0.000 | -0.000 | 0.000 | 
| 462.904 | 462.904 | 462.904 | -0.000 | -0.000 | 0.000 | 
| 462.904 | 462.904 | 462.904 | 0.000 | 0.000 | -0.000 | 
| 112.557 | 112.557 | 112.557 | -111.491 | 0.274 | -0.165 | 
| 112.557 | 112.557 | 112.557 | 0.274 | -111.491 | -0.165 | 
| 112.584 | 112.584 | 112.584 | 0.216 | -0.104 | -111.609 | 
| -0.000 | -0.000 | -0.000 | -0.000 | -0.000 | -0.000 | 
| -0.000 | -0.000 | -0.000 | -0.000 | -0.000 | -0.000 | 
| -0.000 | -0.000 | -0.000 | -0.000 | -0.000 | -0.000 | 
| -112.109 | -112.109 | -112.109 | -111.256 | 0.049 | -0.055 | 
| -112.109 | -112.109 | -112.109 | 0.049 | -111.256 | -0.055 | 
| -112.084 | -112.084 | -112.084 | -0.052 | -0.089 | -111.285 | 
| 647.373 | 647.374 | 647.374 | 0.000 | 0.000 | 0.000 | 
| 647.374 | 647.373 | 647.374 | 0.000 | 0.000 | 0.000 | 
| 647.374 | 647.374 | 647.373 | 0.000 | 0.000 | 0.000 | 
| 4.145 | 4.145 | 4.145 | 4.145 | 0.000 | 0.000 | 
| 4.145 | 4.145 | 4.145 | 0.000 | 4.145 | 0.000 | 
| 4.145 | 4.145 | 4.145 | -0.000 | -0.000 | 4.145 | 
| -0.000 | -0.000 | -0.000 | -0.000 | -0.000 | -0.000 | 
| -0.000 | -0.000 | -0.000 | -0.000 | -0.000 | -0.000 | 
| -0.000 | -0.000 | -0.000 | -0.000 | -0.000 | -0.000 | 
| -4.145 | -4.145 | -4.145 | 4.145 | 0.000 | -0.000 | 
| -4.145 | -4.145 | -4.145 | 0.000 | 4.145 | -0.000 | 
| -4.145 | -4.145 | -4.145 | -0.000 | 0.000 | 4.145 | 
| -29456355.938 | -29487222.204 | 1806074.212 | -394598.221 | -87070.617 | -286928.758 | 
| -29607917.636 | -29578052.084 | 1622949.467 | -65432.571 | 97348.530 | -463358.374 | 
| -27520276.123 | -27518875.056 | 1688997.714 | 239570.109 | -247759.759 | -84165.185 | 
| -11055.779 | -11055.778 | -18961.237 | -14478.648 | 0.000 | 0.000 | 
| -11055.778 | -11055.779 | -18961.237 | 0.000 | -14478.648 | 0.000 | 
| -8295.327 | -8295.327 | -14226.918 | 0.000 | 0.000 | -8295.327 | 
| -0.000 | -0.000 | -0.000 | -0.000 | -0.000 | 0.000 | 
| -0.000 | -0.000 | -0.000 | -0.000 | -0.000 | 0.000 | 
| -0.000 | -0.000 | -0.000 | -0.000 | -0.000 | 0.000 | 
| 11055.779 | 11055.778 | 18961.237 | -14478.648 | -0.000 | 0.000 | 
| 11055.778 | 11055.779 | 18961.237 | -0.000 | -14478.648 | 0.000 | 
| 8295.327 | 8295.327 | 14226.918 | -0.000 | 0.000 | -8295.327 | 
| -2891005.294 | -2899776.645 | 241003.820 | 2662.622 | 17051.609 | 30730.755 | 
| -2847989.045 | -2838544.010 | 328887.463 | 202.737 | 7131.024 | 17820.776 | 
| -3064103.661 | -3063931.496 | 78949.617 | 2736.725 | 6190.694 | 5100.909 | 
| -9070.924 | -9070.921 | -15557.107 | -11879.280 | 0.000 | 0.000 | 
| -9070.921 | -9070.924 | -15557.107 | 0.000 | -11879.280 | 0.000 | 
| -6826.385 | -6826.386 | -11707.609 | 0.000 | 0.000 | -6826.386 | 
| -0.000 | -0.000 | -0.000 | -0.000 | -0.000 | 0.000 | 
| -0.000 | -0.000 | -0.000 | -0.000 | -0.000 | 0.000 | 
| -0.000 | -0.000 | -0.000 | -0.000 | -0.000 | 0.000 | 
| 9070.924 | 9070.921 | 15557.107 | -11879.280 | 0.000 | -0.000 | 
| 9070.921 | 9070.924 | 15557.107 | 0.000 | -11879.280 | -0.000 | 
| 6826.385 | 6826.386 | 11707.609 | -0.000 | 0.000 | -6826.386 | 
| -290087.992 | -290691.033 | 25100.144 | 24.553 | 71.388 | 174.746 | 
| -292045.147 | -291530.864 | 23213.389 | 1464.389 | -847.245 | -823.419 | 
| -285744.661 | -285757.427 | 19765.016 | 2741.345 | -3616.845 | -2642.211 | 
| -7085.684 | -7085.664 | -12152.315 | -9279.398 | 0.000 | 0.000 | 
| -7085.664 | -7085.684 | -12152.315 | 0.000 | -9279.398 | 0.000 | 
| -5357.212 | -5357.223 | -9187.916 | 0.000 | 0.000 | -5357.217 | 
| -0.000 | -0.000 | -0.000 | -0.000 | -0.000 | 0.000 | 
| -0.000 | -0.000 | -0.000 | -0.000 | -0.000 | 0.000 | 
| -0.000 | -0.000 | -0.000 | -0.000 | -0.000 | 0.000 | 
| 7085.684 | 7085.664 | 12152.315 | -9279.398 | -0.000 | 0.000 | 
| 7085.664 | 7085.684 | 12152.315 | -0.000 | -9279.398 | 0.000 | 
| 5357.212 | 5357.223 | 9187.916 | -0.000 | 0.000 | -5357.217 | 
| 144.862 | 134.784 | 158.707 | 0.000 | 0.000 | -0.000 | 
| 62.298 | 296.031 | 26.818 | 0.000 | 0.000 | 0.000 | 
| 49.404 | 49.404 | 125.459 | -0.000 | 0.000 | 0.000 | 
| -0.000 | 0.000 | 0.000 | 39.372 | 0.000 | 0.000 | 
| 0.000 | 0.000 | 0.000 | -0.000 | 39.372 | -0.000 | 
| -0.000 | 0.000 | 0.000 | -0.000 | 0.000 | 116.867 | 
| 164.909 | 169.888 | 66.263 | -0.000 | -0.000 | 0.000 | 
| 62.298 | 296.031 | 26.818 | 0.000 | -0.000 | -0.000 | 
| 49.404 | 49.404 | 125.459 | 0.000 | -0.000 | -0.000 | 
| -0.000 | 0.000 | -0.000 | 39.372 | -0.000 | -0.000 | 
| 0.000 | -0.000 | -0.000 | 0.000 | 39.372 | -0.000 | 
| -0.000 | -0.000 | -0.000 | 0.000 | 0.000 | 116.867 | 
| 164.720 | 169.899 | 66.561 | 0.000 | 0.000 | -0.000 | 
| 169.900 | 164.719 | 66.561 | -0.000 | 0.000 | -0.000 | 
| 179.942 | 179.942 | -312.153 | 0.000 | 0.000 | -0.000 | 
| -0.000 | -0.000 | 0.000 | 39.372 | 0.000 | 0.000 | 
| -0.000 | -0.000 | 0.000 | -0.000 | 39.372 | 0.000 | 
| -0.007 | -0.007 | 0.023 | -0.000 | 0.000 | 5.131 | 
| 144.469 | 136.011 | 157.309 | 0.000 | -0.000 | 0.000 | 
| 169.897 | 164.755 | 66.506 | 0.000 | -0.000 | 0.000 | 
| 179.992 | 179.992 | -312.319 | 0.000 | -0.000 | 0.000 | 
| 0.000 | 0.000 | -0.000 | 39.372 | 0.000 | -0.000 | 
| 0.000 | 0.000 | -0.000 | 0.000 | 39.372 | -0.000 | 
| 0.007 | 0.007 | -0.023 | 0.000 | -0.000 | 5.131 | 
| 144.356 | 136.057 | 157.421 | 0.000 | 0.000 | -0.000 | 
| 135.025 | 145.086 | 157.927 | -0.000 | 0.000 | -0.000 | 
| 179.977 | 179.977 | -312.270 | 0.000 | 0.000 | -0.000 | 
| -0.001 | -0.001 | 0.002 | 28.612 | 0.000 | -0.000 | 
| -0.001 | -0.001 | 0.002 | 0.000 | 28.612 | -0.000 | 
| 0.000 | 0.000 | 0.000 | -0.000 | 0.000 | 116.867 | 
| 144.595 | 135.868 | 157.338 | 0.000 | 0.000 | -0.000 | 
| 135.013 | 145.107 | 157.910 | 0.000 | -0.000 | 0.000 | 
| 179.951 | 179.951 | -312.184 | 0.000 | -0.000 | 0.000 | 
| 0.001 | 0.001 | -0.002 | 28.612 | -0.000 | 0.000 | 
| 0.001 | 0.001 | -0.002 | 0.000 | 28.612 | 0.000 | 
| -0.000 | -0.000 | -0.000 | 0.000 | -0.000 | 116.867 | 
| 230.257 | 131.162 | 131.162 | -0.000 | -0.000 | -0.000 | 
| 131.162 | 230.257 | 131.162 | -0.000 | -0.000 | -0.000 | 
| 131.162 | 131.162 | 230.257 | -0.000 | -0.000 | 0.000 | 
| -0.000 | 0.000 | 0.000 | 40.630 | -0.000 | 0.000 | 
| 0.000 | -0.000 | 0.000 | 0.000 | 40.630 | -0.000 | 
| 0.000 | 0.000 | -0.000 | -0.000 | -0.000 | 40.630 | 
| 230.257 | 131.162 | 131.162 | -0.000 | 0.000 | 0.000 | 
| 131.162 | 230.257 | 131.162 | 0.000 | 0.000 | -0.000 | 
| 131.162 | 131.162 | 230.257 | 0.000 | 0.000 | -0.000 | 
| 0.000 | -0.000 | -0.000 | 40.630 | 0.000 | 0.000 | 
| -0.000 | 0.000 | -0.000 | -0.000 | 40.630 | 0.000 | 
| -0.000 | -0.000 | 0.000 | 0.000 | 0.000 | 40.630 | 
| 230.257 | 131.162 | 131.162 | -0.000 | -0.000 | -0.000 | 
| 131.162 | 230.257 | 131.162 | -0.000 | -0.000 | -0.000 | 
| 131.162 | 131.162 | 230.257 | -0.000 | -0.000 | 0.000 | 
| -0.000 | 0.000 | 0.000 | 40.630 | -0.000 | -0.000 | 
| 0.000 | -0.000 | 0.000 | 0.000 | 40.630 | -0.000 | 
| 0.000 | 0.000 | -0.000 | 0.000 | -0.000 | 40.630 | 
| 230.257 | 131.162 | 131.162 | -0.000 | 0.000 | 0.000 | 
| 131.162 | 230.257 | 131.162 | -0.000 | 0.000 | 0.000 | 
| 131.162 | 131.162 | 230.257 | 0.000 | 0.000 | 0.000 | 
| 0.000 | -0.000 | -0.000 | 40.630 | 0.000 | -0.000 | 
| -0.000 | 0.000 | -0.000 | -0.000 | 40.630 | -0.000 | 
| -0.000 | -0.000 | 0.000 | -0.000 | 0.000 | 40.630 | 
| 230.258 | 131.163 | 131.163 | -0.000 | -0.000 | -0.000 | 
| 131.163 | 230.258 | 131.163 | 0.000 | -0.000 | 0.000 | 
| 131.163 | 131.163 | 230.258 | -0.000 | -0.000 | -0.000 | 
| -0.000 | 0.000 | 0.000 | 40.630 | -0.000 | -0.000 | 
| 0.000 | -0.000 | 0.000 | -0.000 | 40.630 | 0.000 | 
| 0.000 | 0.000 | -0.000 | 0.000 | -0.000 | 40.630 | 
| 230.257 | 131.162 | 131.162 | 0.000 | 0.000 | 0.000 | 
| 131.162 | 230.257 | 131.162 | -0.000 | 0.000 | -0.000 | 
| 131.162 | 131.162 | 230.257 | 0.000 | 0.000 | -0.000 | 
| 0.000 | -0.000 | -0.000 | 40.630 | 0.000 | -0.000 | 
| -0.000 | 0.000 | -0.000 | 0.000 | 40.630 | -0.000 | 
| -0.000 | -0.000 | 0.000 | -0.000 | 0.000 | 40.630 | 
| -12012.369 | -12012.369 | -12012.369 | 0.000 | 0.000 | 0.000 | 
| -12012.369 | -12012.369 | -12012.369 | 0.000 | 0.000 | 0.000 | 
| -12012.369 | -12012.369 | -12012.369 | 0.000 | 0.000 | -0.000 | 
| 92728.205 | 91338.547 | 91184.216 | 72322.041 | 31281.586 | 31032.572 | 
| 61479.403 | 60966.778 | 61474.185 | -5000.096 | -18288.039 | -4524.853 | 
| 231.606 | 230.916 | -92.972 | 409.043 | 434.158 | -5667.508 | 
| -0.000 | -0.000 | -0.000 | -0.000 | -0.000 | -0.000 | 
| -0.000 | -0.000 | -0.000 | -0.000 | -0.000 | -0.000 | 
| -0.000 | -0.000 | -0.000 | -0.000 | -0.000 | -0.000 | 
| -3954.940 | -4218.838 | -4219.789 | -3788.262 | 297.178 | -168.887 | 
| 78317.598 | 88904.854 | 78345.309 | -112438.073 | -139610.594 | 113332.525 | 
| -63465.819 | -63501.143 | -62544.289 | 19919.756 | -18632.204 | -57761.848 | 
| -9815.692 | -9815.694 | -9815.694 | 0.000 | 0.000 | 0.000 | 
| -9815.694 | -9815.692 | -9815.694 | 0.000 | 0.000 | 0.000 | 
| -9815.694 | -9815.694 | -9815.692 | 0.000 | 0.000 | 0.000 | 
| 1005.323 | 1048.143 | 1048.031 | -914.590 | -11.531 | 33.538 | 
| -345.813 | -390.582 | -346.000 | 51.366 | -1488.950 | 98.113 | 
| 559.447 | 559.486 | 512.237 | -108.375 | -18.569 | -2853.538 | 
| -0.000 | -0.000 | -0.000 | -0.000 | -0.000 | -0.000 | 
| -0.000 | -0.000 | -0.000 | -0.000 | -0.000 | -0.000 | 
| -0.000 | -0.000 | -0.000 | -0.000 | -0.000 | -0.000 | 
| 202.602 | 171.504 | 171.513 | -594.303 | 20.620 | -8.162 | 
| 800.204 | 840.486 | 800.235 | -96.063 | -1485.217 | 61.555 | 
| 1189.829 | 1189.997 | 1231.260 | -100.703 | 102.536 | -1928.684 | 
| -7618.619 | -7618.634 | -7618.634 | 0.000 | 0.000 | -0.000 | 
| -7618.634 | -7618.619 | -7618.634 | 0.000 | 0.000 | -0.000 | 
| -7618.634 | -7618.634 | -7618.619 | 0.000 | 0.000 | 0.000 | 
| 53.272 | 1720.245 | 1720.248 | 1720.246 | 14.223 | 14.223 | 
| 1720.245 | 53.272 | 1720.248 | 14.224 | 1720.246 | 14.224 | 
| -19.750 | -19.737 | -24.592 | 11.613 | 6.436 | -161.979 | 
| -0.000 | -0.000 | -0.000 | -0.000 | -0.000 | -0.000 | 
| -0.000 | -0.000 | -0.000 | -0.000 | -0.000 | -0.000 | 
| -0.000 | -0.000 | -0.000 | -0.000 | -0.000 | -0.000 | 
| -41248.789 | -41510.988 | -41511.494 | 29280.737 | -425.159 | 2389.699 | 
| 20.296 | 24.449 | 20.281 | -0.098 | -90.363 | -0.592 | 
| -1721.214 | -1721.217 | -54.229 | -3.664 | 3.664 | 1721.216 | 
| 334.065 | 120.676 | 120.676 | -0.000 | -0.000 | 0.000 | 
| 120.676 | 334.065 | 120.676 | 0.000 | 0.000 | 0.000 | 
| 120.676 | 120.676 | 334.065 | 0.000 | -0.000 | -0.000 | 
| -0.000 | 0.000 | 0.000 | 32.064 | -0.000 | -0.000 | 
| 0.000 | -0.000 | 0.000 | 0.000 | 32.064 | 0.000 | 
| -0.000 | -0.000 | 0.000 | 0.000 | -0.000 | 32.064 | 
| 334.065 | 120.676 | 120.676 | 0.000 | 0.000 | 0.000 | 
| 120.676 | 334.065 | 120.676 | 0.000 | -0.000 | -0.000 | 
| 120.676 | 120.676 | 334.065 | 0.000 | 0.000 | -0.000 | 
| 0.000 | -0.000 | -0.000 | 32.064 | 0.000 | 0.000 | 
| -0.000 | -0.000 | -0.000 | 0.000 | 32.064 | 0.000 | 
| -0.000 | -0.000 | -0.000 | -0.000 | 0.000 | 32.064 | 
| 334.065 | 120.676 | 120.676 | 0.000 | -0.000 | 0.000 | 
| 120.676 | 334.065 | 120.676 | 0.000 | -0.000 | 0.000 | 
| 120.676 | 120.676 | 334.065 | 0.000 | -0.000 | 0.000 | 
| 0.000 | 0.000 | 0.000 | 32.064 | -0.000 | -0.000 | 
| 0.000 | 0.000 | 0.000 | -0.000 | 32.064 | 0.000 | 
| 0.000 | 0.000 | 0.000 | -0.000 | -0.000 | 32.064 | 
| 334.065 | 120.676 | 120.676 | -0.000 | 0.000 | 0.000 | 
| 120.676 | 334.065 | 120.676 | -0.000 | 0.000 | -0.000 | 
| 120.676 | 120.676 | 334.065 | -0.000 | 0.000 | -0.000 | 
| -0.000 | -0.000 | -0.000 | 32.064 | 0.000 | 0.000 | 
| -0.000 | -0.000 | -0.000 | -0.000 | 32.064 | 0.000 | 
| -0.000 | -0.000 | -0.000 | 0.000 | 0.000 | 32.064 | 
| 334.067 | 120.676 | 120.676 | 0.000 | 0.000 | 0.000 | 
| 120.676 | 334.067 | 120.676 | -0.000 | 0.000 | 0.000 | 
| 120.676 | 120.676 | 334.067 | 0.000 | -0.000 | -0.000 | 
| 0.000 | 0.000 | 0.000 | 32.064 | -0.000 | 0.000 | 
| 0.000 | 0.000 | 0.000 | -0.000 | 32.064 | -0.000 | 
| 0.000 | 0.000 | 0.000 | -0.000 | -0.000 | 32.064 | 
| 334.064 | 120.675 | 120.675 | -0.000 | 0.000 | -0.000 | 
| 120.675 | 334.064 | 120.675 | -0.000 | -0.000 | -0.000 | 
| 120.675 | 120.675 | 334.064 | -0.000 | 0.000 | 0.000 | 
| -0.000 | -0.000 | -0.000 | 32.064 | 0.000 | 0.000 | 
| -0.000 | -0.000 | -0.000 | 0.000 | 32.064 | -0.000 | 
| -0.000 | -0.000 | -0.000 | -0.000 | 0.000 | 32.064 | 
| -193.446 | 371.328 | 371.328 | 0.000 | 0.000 | 0.000 | 
| 371.328 | -193.446 | 371.328 | 0.000 | 0.000 | 0.000 | 
| 371.328 | 371.328 | -193.446 | 0.000 | 0.000 | 0.000 | 
| 0.000 | 0.000 | -0.000 | 18.421 | -0.000 | -0.000 | 
| 0.000 | 0.000 | -0.000 | -0.000 | 18.421 | -0.000 | 
| -0.000 | 0.000 | 0.000 | -0.000 | 0.000 | 18.421 | 
| -193.446 | 371.328 | 371.328 | -0.000 | -0.000 | 0.000 | 
| 371.328 | -193.446 | 371.328 | -0.000 | -0.000 | -0.000 | 
| 371.328 | 371.328 | -193.446 | 0.000 | -0.000 | 0.000 | 
| -0.000 | 0.000 | -0.000 | 18.421 | -0.000 | -0.000 | 
| 0.000 | -0.000 | -0.000 | -0.000 | 18.421 | 0.000 | 
| -0.000 | -0.000 | -0.000 | -0.000 | -0.000 | 18.421 | 
| -193.446 | 371.328 | 371.328 | -0.000 | 0.000 | -0.000 | 
| 371.328 | -193.446 | 371.328 | 0.000 | -0.000 | 0.000 | 
| 371.328 | 371.328 | -193.446 | 0.000 | 0.000 | 0.000 | 
| 0.000 | 0.000 | 0.000 | -35.088 | 0.000 | 0.000 | 
| 0.000 | 0.000 | 0.000 | 0.000 | -35.088 | 0.000 | 
| 0.000 | 0.000 | 0.000 | -0.000 | 0.000 | -35.088 | 
| -193.446 | 371.327 | 371.327 | -0.000 | -0.000 | -0.000 | 
| 371.327 | -193.446 | 371.327 | -0.000 | -0.000 | -0.000 | 
| 371.327 | 371.327 | -193.446 | -0.000 | -0.000 | 0.000 | 
| -0.000 | -0.000 | -0.000 | -35.088 | -0.000 | 0.000 | 
| -0.000 | -0.000 | -0.000 | -0.000 | -35.088 | -0.000 | 
| -0.000 | -0.000 | -0.000 | 0.000 | -0.000 | -35.088 | 
| -193.447 | 371.329 | 371.329 | 0.000 | 0.000 | 0.000 | 
| 371.329 | -193.447 | 371.329 | 0.000 | 0.000 | 0.000 | 
| 371.329 | 371.329 | -193.447 | 0.000 | 0.000 | 0.000 | 
| 0.001 | 0.000 | 0.001 | -35.088 | 0.000 | 0.000 | 
| 0.000 | 0.001 | 0.001 | 0.000 | -35.088 | 0.000 | 
| 0.000 | 0.001 | 0.001 | 0.000 | 0.000 | -35.088 | 
| -193.445 | 371.327 | 371.327 | -0.000 | -0.000 | 0.000 | 
| 371.327 | -193.445 | 371.327 | -0.000 | -0.000 | -0.000 | 
| 371.327 | 371.327 | -193.445 | -0.000 | -0.000 | -0.000 | 
| -0.001 | -0.000 | -0.001 | -35.088 | -0.000 | -0.000 | 
| -0.000 | -0.001 | -0.001 | -0.000 | -35.088 | -0.000 | 
| -0.000 | -0.001 | -0.001 | 0.000 | -0.000 | -35.088 | 
| 243.002 | 173.182 | 173.182 | -0.000 | -0.000 | 0.000 | 
| 173.182 | 243.002 | 173.182 | -0.000 | -0.000 | -0.000 | 
| 173.182 | 173.182 | 243.002 | -0.000 | -0.000 | 0.000 | 
| 0.000 | -0.000 | 0.000 | 72.761 | -0.000 | -0.000 | 
| 0.000 | 0.000 | 0.000 | -0.000 | 72.761 | 0.000 | 
| 0.000 | 0.000 | 0.000 | 0.000 | -0.000 | 72.761 | 
| 243.002 | 173.182 | 173.182 | 0.000 | 0.000 | -0.000 | 
| 173.182 | 243.002 | 173.182 | 0.000 | 0.000 | -0.000 | 
| 173.182 | 173.182 | 243.002 | 0.000 | 0.000 | -0.000 | 
| -0.000 | -0.000 | -0.000 | 72.761 | 0.000 | 0.000 | 
| -0.000 | 0.000 | -0.000 | 0.000 | 72.761 | -0.000 | 
| -0.000 | -0.000 | -0.000 | 0.000 | 0.000 | 72.761 | 
| 243.002 | 173.182 | 173.182 | -0.000 | -0.000 | -0.000 | 
| 173.182 | 243.002 | 173.182 | 0.000 | -0.000 | 0.000 | 
| 173.182 | 173.182 | 243.002 | -0.000 | 0.000 | 0.000 | 
| -0.000 | 0.000 | 0.000 | 72.761 | -0.000 | -0.000 | 
| 0.000 | -0.000 | 0.000 | -0.000 | 72.761 | 0.000 | 
| 0.000 | 0.000 | -0.000 | -0.000 | -0.000 | 72.761 | 
| 243.002 | 173.182 | 173.182 | -0.000 | 0.000 | 0.000 | 
| 173.182 | 243.002 | 173.182 | -0.000 | 0.000 | -0.000 | 
| 173.182 | 173.182 | 243.002 | -0.000 | 0.000 | -0.000 | 
| 0.000 | -0.000 | -0.000 | 72.761 | -0.000 | 0.000 | 
| -0.000 | 0.000 | -0.000 | -0.000 | 72.761 | 0.000 | 
| -0.000 | -0.000 | 0.000 | 0.000 | 0.000 | 72.761 | 
| 243.003 | 173.183 | 173.183 | 0.000 | 0.000 | -0.000 | 
| 173.183 | 243.003 | 173.183 | -0.000 | -0.000 | 0.000 | 
| 173.183 | 173.183 | 243.003 | -0.000 | -0.000 | 0.000 | 
| -0.000 | 0.000 | 0.000 | 72.761 | -0.000 | 0.000 | 
| 0.000 | -0.000 | 0.000 | -0.000 | 72.761 | 0.000 | 
| 0.000 | 0.000 | -0.000 | -0.000 | -0.000 | 72.761 | 
| 243.002 | 173.181 | 173.181 | 0.000 | 0.000 | -0.000 | 
| 173.181 | 243.002 | 173.181 | 0.000 | 0.000 | 0.000 | 
| 173.181 | 173.181 | 243.002 | 0.000 | 0.000 | -0.000 | 
| 0.000 | -0.000 | -0.000 | 72.761 | 0.000 | -0.000 | 
| -0.000 | 0.000 | -0.000 | 0.000 | 72.761 | -0.000 | 
| -0.000 | -0.000 | 0.000 | 0.000 | 0.000 | 72.761 | 
| 752.715 | 277.102 | 286.957 | -1.372 | 48.241 | 38.612 | 
| 277.229 | 766.963 | 301.871 | 34.292 | -4.321 | 38.313 | 
| 287.148 | 301.990 | 788.121 | 28.656 | 39.678 | 2.653 | 
| -1.156 | 34.738 | 28.657 | 385.216 | 9.364 | 6.577 | 
| 13618966.198 | 19875109.416 | 34021032.575 | 20206117.080 | 11587649.360 | 477364.574 | 
| 11442829.093 | 19094948.479 | 32004294.465 | 20719018.456 | 12843502.998 | 113967.618 | 
| -13514883.082 | -21557731.124 | -35200058.913 | -18897464.921 | -12511220.693 | -525350.026 | 
| -11469010.842 | -19168190.242 | -32030626.352 | -20719871.047 | -12843401.118 | -114203.917 | 
| -14213418.293 | -20874722.470 | -33190326.698 | -20580766.035 | -11393826.969 | -244764.318 | 
| -11442060.026 | -19094918.111 | -32003667.039 | -20718739.130 | -12842768.769 | -113290.003 | 
| -13785199.404 | -20254231.107 | -34686175.305 | -19718112.765 | -11407105.067 | -757526.561 | 
| -13780466.133 | -20615104.403 | -33208029.989 | -20621264.424 | -11611024.742 | -492853.913 | 
| 752.694 | 277.103 | 286.969 | -1.359 | 48.251 | 38.617 | 
| 277.229 | 766.936 | 301.882 | 34.296 | -4.306 | 38.311 | 
| 287.149 | 301.994 | 788.111 | 28.663 | 39.687 | 2.668 | 
| 1145276.145 | 1909062.195 | 3202996.153 | 2071837.149 | 1282877.817 | 13056.141 | 
| 48.549 | -4.194 | 39.687 | 9.364 | 371.383 | 6.956 | 
| 38.656 | 38.261 | 2.678 | 6.433 | 6.949 | 359.204 | 
| -1144371.331 | -1917944.191 | -3202724.801 | -2073143.296 | -1282642.663 | -10843.612 | 
| -1147241.671 | -1913788.901 | -3207590.829 | -2072933.167 | -1283746.484 | -12590.153 | 
| -1173449.402 | -1915856.423 | -3236465.233 | -2072430.820 | -1258792.728 | -14597.344 | 
| -1238355.584 | -2128727.362 | -3520086.705 | -1853086.108 | -1244685.256 | 19420.465 | 
| -1159508.924 | -1907212.029 | -3215170.203 | -2069171.991 | -1269745.051 | -19588.576 | 
| -1256541.712 | -1986091.095 | -3232648.823 | -2095722.361 | -1272710.907 | -41347.091 | 
| 206.523 | 209.387 | 173.960 | 0.000 | 0.000 | 0.000 | 
| 209.387 | 206.523 | 173.960 | 0.000 | 0.000 | 0.000 | 
| 173.960 | 173.960 | 247.422 | 0.000 | -0.000 | 0.000 | 
| 0.000 | 0.000 | 0.000 | 62.750 | 0.000 | -0.000 | 
| 0.000 | -0.000 | 0.000 | 0.000 | 62.750 | 0.000 | 
| 0.000 | 0.000 | 0.000 | -0.000 | -0.000 | 73.438 | 
| 206.523 | 209.386 | 173.960 | -0.000 | -0.000 | -0.000 | 
| 209.386 | 206.523 | 173.960 | -0.000 | -0.000 | -0.000 | 
| 173.960 | 173.960 | 247.422 | -0.000 | -0.000 | -0.000 | 
| -0.000 | -0.000 | -0.000 | 62.750 | -0.000 | -0.000 | 
| -0.000 | -0.000 | 0.000 | -0.000 | 62.750 | -0.000 | 
| -0.000 | -0.000 | -0.000 | 0.000 | -0.000 | 73.438 | 
| 206.523 | 209.387 | 173.960 | 0.000 | 0.000 | 0.000 | 
| 209.387 | 206.523 | 173.960 | 0.000 | 0.000 | 0.000 | 
| 173.960 | 173.960 | 247.422 | 0.000 | 0.000 | 0.000 | 
| 0.000 | 0.000 | 0.000 | 62.750 | 0.000 | 0.000 | 
| 0.000 | 0.000 | 0.000 | 0.000 | 62.750 | 0.000 | 
| 0.000 | 0.000 | -0.000 | -0.000 | 0.000 | 73.438 | 
| 206.523 | 209.386 | 173.960 | 0.000 | 0.000 | -0.000 | 
| 209.386 | 206.523 | 173.960 | 0.000 | -0.000 | -0.000 | 
| 173.960 | 173.960 | 247.422 | 0.000 | -0.000 | -0.000 | 
| -0.000 | -0.000 | -0.000 | 62.750 | -0.000 | -0.000 | 
| -0.000 | -0.000 | -0.000 | -0.000 | 62.750 | -0.000 | 
| -0.000 | -0.000 | 0.000 | -0.000 | -0.000 | 73.438 | 
| 206.524 | 209.387 | 173.961 | 0.000 | 0.000 | 0.000 | 
| 209.387 | 206.524 | 173.961 | 0.000 | 0.000 | 0.000 | 
| 173.961 | 173.961 | 247.423 | 0.000 | 0.000 | -0.000 | 
| 0.000 | 0.000 | 0.000 | 62.750 | 0.000 | 0.000 | 
| 0.000 | 0.000 | 0.000 | 0.000 | 62.750 | 0.000 | 
| 0.000 | 0.000 | -0.000 | -0.000 | 0.000 | 73.438 | 
| 206.523 | 209.386 | 173.960 | -0.000 | -0.000 | -0.000 | 
| 209.386 | 206.523 | 173.960 | -0.000 | -0.000 | -0.000 | 
| 173.960 | 173.960 | 247.421 | -0.000 | -0.000 | -0.000 | 
| -0.000 | -0.000 | -0.000 | 62.750 | -0.000 | -0.000 | 
| -0.000 | -0.000 | -0.000 | -0.000 | 62.750 | -0.000 | 
| -0.000 | -0.000 | 0.000 | 0.000 | -0.000 | 73.438 | 
| 188.361 | 118.925 | 118.925 | -0.000 | 0.000 | 0.000 | 
| 118.925 | 188.361 | 118.925 | -0.000 | -0.000 | -0.000 | 
| 118.925 | 118.925 | 188.361 | -0.000 | -0.000 | -0.000 | 
| -0.000 | 0.000 | 0.000 | 72.240 | 0.000 | 0.000 | 
| 0.000 | -0.000 | 0.000 | 0.000 | 72.240 | -0.000 | 
| 0.000 | 0.000 | -0.000 | 0.000 | -0.000 | 72.240 | 
| 188.361 | 118.925 | 118.925 | -0.000 | -0.000 | -0.000 | 
| 118.925 | 188.361 | 118.925 | -0.000 | -0.000 | -0.000 | 
| 118.925 | 118.925 | 188.361 | -0.000 | -0.000 | -0.000 | 
| 0.000 | -0.000 | -0.000 | 72.240 | -0.000 | -0.000 | 
| -0.000 | 0.000 | -0.000 | -0.000 | 72.240 | -0.000 | 
| -0.000 | -0.000 | 0.000 | -0.000 | -0.000 | 72.240 | 
| 188.361 | 118.925 | 118.925 | -0.000 | 0.000 | 0.000 | 
| 118.925 | 188.361 | 118.925 | 0.000 | -0.000 | 0.000 | 
| 118.925 | 118.925 | 188.361 | 0.000 | 0.000 | 0.000 | 
| -0.000 | 0.000 | 0.000 | 72.240 | 0.000 | 0.000 | 
| 0.000 | -0.000 | 0.000 | 0.000 | 72.240 | 0.000 | 
| 0.000 | 0.000 | -0.000 | 0.000 | 0.000 | 72.240 | 
| 188.361 | 118.925 | 118.925 | -0.000 | -0.000 | -0.000 | 
| 118.925 | 188.361 | 118.925 | -0.000 | -0.000 | -0.000 | 
| 118.925 | 118.925 | 188.361 | -0.000 | -0.000 | -0.000 | 
| 0.000 | -0.000 | -0.000 | 72.240 | -0.000 | -0.000 | 
| -0.000 | 0.000 | -0.000 | -0.000 | 72.240 | -0.000 | 
| -0.000 | -0.000 | 0.000 | -0.000 | -0.000 | 72.240 | 
| 188.361 | 118.925 | 118.925 | 0.000 | -0.000 | -0.000 | 
| 118.925 | 188.361 | 118.925 | -0.000 | 0.000 | 0.000 | 
| 118.925 | 118.925 | 188.361 | 0.000 | 0.000 | 0.000 | 
| -0.000 | 0.000 | 0.000 | 72.240 | 0.000 | 0.000 | 
| 0.000 | -0.000 | 0.000 | 0.000 | 72.240 | 0.000 | 
| 0.000 | 0.000 | -0.000 | 0.000 | 0.000 | 72.240 | 
| 188.360 | 118.924 | 118.924 | -0.000 | 0.000 | 0.000 | 
| 118.924 | 188.360 | 118.924 | 0.000 | -0.000 | -0.000 | 
| 118.924 | 118.924 | 188.360 | -0.000 | -0.000 | 0.000 | 
| 0.000 | -0.000 | -0.000 | 72.240 | -0.000 | -0.000 | 
| -0.000 | 0.000 | -0.000 | -0.000 | 72.240 | -0.000 | 
| -0.000 | -0.000 | 0.000 | -0.000 | -0.000 | 72.240 | 
| 278.572 | 67.753 | 67.753 | 0.000 | -0.000 | 0.000 | 
| 67.753 | 278.572 | 67.753 | 0.000 | 0.000 | 0.000 | 
| 67.753 | 67.753 | 278.572 | 0.000 | 0.000 | 0.000 | 
| -0.000 | -0.000 | 0.000 | 73.989 | 0.000 | 0.000 | 
| -0.000 | -0.000 | 0.000 | 0.000 | 73.989 | 0.000 | 
| -0.000 | -0.000 | 0.000 | 0.000 | 0.000 | 73.989 | 
| 278.572 | 67.753 | 67.753 | -0.000 | -0.000 | -0.000 | 
| 67.753 | 278.572 | 67.753 | -0.000 | 0.000 | -0.000 | 
| 67.753 | 67.753 | 278.572 | -0.000 | -0.000 | -0.000 | 
| 0.000 | 0.000 | -0.000 | 73.989 | -0.000 | -0.000 | 
| 0.000 | 0.000 | -0.000 | -0.000 | 73.989 | -0.000 | 
| 0.000 | 0.000 | 0.000 | -0.000 | -0.000 | 73.989 | 
| 278.572 | 67.753 | 67.753 | 0.000 | 0.000 | 0.000 | 
| 67.753 | 278.572 | 67.753 | 0.000 | 0.000 | 0.000 | 
| 67.753 | 67.753 | 278.572 | 0.000 | 0.000 | 0.000 | 
| -0.000 | 0.000 | 0.000 | 73.989 | 0.000 | -0.000 | 
| 0.000 | -0.000 | 0.000 | 0.000 | 73.989 | 0.000 | 
| 0.000 | 0.000 | -0.000 | 0.000 | 0.000 | 73.989 | 
| 278.572 | 67.753 | 67.753 | -0.000 | 0.000 | -0.000 | 
| 67.753 | 278.572 | 67.753 | -0.000 | -0.000 | -0.000 | 
| 67.753 | 67.753 | 278.572 | -0.000 | 0.000 | -0.000 | 
| 0.000 | -0.000 | -0.000 | 73.989 | -0.000 | -0.000 | 
| -0.000 | 0.000 | -0.000 | -0.000 | 73.989 | -0.000 | 
| -0.000 | -0.000 | 0.000 | -0.000 | -0.000 | 73.989 | 
| 279.172 | 67.454 | 67.454 | -0.000 | -0.000 | 0.000 | 
| 67.454 | 279.172 | 67.454 | 0.000 | 0.000 | 0.000 | 
| 67.454 | 67.454 | 279.172 | 0.000 | 0.000 | 0.000 | 
| -0.000 | 0.000 | 0.000 | 73.989 | 0.000 | 0.000 | 
| 0.000 | -0.000 | 0.000 | 0.000 | 73.989 | 0.000 | 
| 0.000 | 0.000 | -0.000 | 0.000 | 0.000 | 73.989 | 
| 278.571 | 67.753 | 67.753 | -0.000 | 0.000 | -0.000 | 
| 67.753 | 278.571 | 67.753 | -0.000 | -0.000 | -0.000 | 
| 67.753 | 67.753 | 278.571 | -0.000 | -0.000 | -0.000 | 
| 0.000 | -0.000 | -0.000 | 73.989 | -0.000 | -0.000 | 
| -0.000 | 0.000 | -0.000 | -0.000 | 73.989 | -0.000 | 
| -0.000 | -0.000 | 0.000 | -0.000 | -0.000 | 73.989 | 
| 211.406 | 105.119 | 105.119 | -0.000 | 0.000 | 0.000 | 
| 105.119 | 211.406 | 105.119 | 0.000 | 0.000 | 0.000 | 
| 105.119 | 105.119 | 211.406 | 0.000 | 0.000 | 0.000 | 
| 0.000 | -0.000 | 0.000 | 116.948 | 0.000 | -0.000 | 
| 0.000 | 0.000 | 0.000 | 0.000 | 116.948 | 0.000 | 
| 0.000 | 0.000 | 0.000 | 0.000 | 0.000 | 116.948 | 
| 211.406 | 105.119 | 105.119 | 0.000 | -0.000 | -0.000 | 
| 105.119 | 211.406 | 105.119 | -0.000 | -0.000 | 0.000 | 
| 105.119 | 105.119 | 211.406 | -0.000 | -0.000 | -0.000 | 
| -0.000 | 0.000 | -0.000 | 116.948 | -0.000 | -0.000 | 
| -0.000 | -0.000 | -0.000 | 0.000 | 116.948 | -0.000 | 
| -0.000 | -0.000 | -0.000 | -0.000 | -0.000 | 116.948 | 
| 211.406 | 105.119 | 105.119 | 0.000 | 0.000 | 0.000 | 
| 105.119 | 211.406 | 105.119 | 0.000 | 0.000 | -0.000 | 
| 105.119 | 105.119 | 211.406 | 0.000 | 0.000 | 0.000 | 
| 0.000 | -0.000 | 0.000 | 116.948 | 0.000 | -0.000 | 
| -0.000 | 0.000 | 0.000 | 0.000 | 116.948 | 0.000 | 
| -0.000 | 0.000 | 0.000 | 0.000 | 0.000 | 116.948 | 
| 211.406 | 105.119 | 105.119 | 0.000 | -0.000 | -0.000 | 
| 105.119 | 211.406 | 105.119 | 0.000 | -0.000 | -0.000 | 
| 105.119 | 105.119 | 211.406 | 0.000 | -0.000 | -0.000 | 
| -0.000 | 0.000 | -0.000 | 116.948 | -0.000 | -0.000 | 
| 0.000 | -0.000 | -0.000 | -0.000 | 116.948 | -0.000 | 
| -0.000 | -0.000 | -0.000 | 0.000 | -0.000 | 116.948 | 
| 211.407 | 105.119 | 105.119 | -0.000 | 0.000 | 0.000 | 
| 105.119 | 211.407 | 105.119 | -0.000 | 0.000 | 0.000 | 
| 105.119 | 105.119 | 211.407 | -0.000 | 0.000 | -0.000 | 
| 0.000 | -0.000 | 0.000 | 116.948 | 0.000 | 0.000 | 
| -0.000 | 0.000 | 0.000 | 0.000 | 116.948 | 0.000 | 
| -0.000 | 0.000 | 0.000 | -0.000 | 0.000 | 116.948 | 
| 211.405 | 105.119 | 105.119 | -0.000 | 0.000 | -0.000 | 
| 105.119 | 211.405 | 105.119 | 0.000 | 0.000 | -0.000 | 
| 105.119 | 105.119 | 211.405 | -0.000 | -0.000 | -0.000 | 
| -0.000 | 0.000 | -0.000 | 116.948 | -0.000 | -0.000 | 
| 0.000 | -0.000 | -0.000 | -0.000 | 116.948 | -0.000 | 
| 0.000 | -0.000 | -0.000 | 0.000 | 0.000 | 116.948 | 
| 222.202 | 111.882 | 91.744 | 0.000 | 0.000 | 0.000 | 
| 105.899 | 228.184 | 91.744 | 0.000 | -0.000 | -0.000 | 
| 91.744 | 91.744 | 239.347 | 0.000 | -0.000 | 0.000 | 
| 0.000 | -0.000 | 0.000 | 46.970 | -0.000 | -0.000 | 
| -0.000 | -0.000 | 0.000 | 0.000 | 46.970 | -0.000 | 
| 0.000 | -0.000 | -0.000 | 0.000 | 0.000 | 55.160 | 
| 222.202 | 111.882 | 91.744 | -0.000 | -0.000 | -0.000 | 
| 111.882 | 222.202 | 91.744 | -0.000 | -0.000 | -0.000 | 
| 91.744 | 91.744 | 239.347 | -0.000 | 0.000 | 0.000 | 
| -0.000 | 0.000 | -0.000 | 46.970 | 0.000 | -0.000 | 
| 0.000 | 0.000 | -0.000 | -0.000 | 46.970 | 0.000 | 
| -0.000 | 0.000 | 0.000 | -0.000 | -0.000 | 55.160 | 
| 228.184 | 105.899 | 91.744 | 0.000 | -0.000 | -0.000 | 
| 105.899 | 228.184 | 91.744 | 0.000 | -0.000 | -0.000 | 
| 91.745 | 91.745 | 239.347 | 0.000 | -0.000 | 0.000 | 
| 0.000 | -0.000 | 0.000 | 46.970 | -0.000 | 0.000 | 
| -0.000 | 0.000 | 0.000 | 0.000 | 46.970 | -0.000 | 
| -0.000 | 0.000 | -0.000 | 0.000 | -0.000 | 55.160 | 
| 222.202 | 111.882 | 91.744 | -0.000 | 0.000 | -0.000 | 
| 105.899 | 228.184 | 91.744 | -0.000 | -0.000 | 0.000 | 
| 91.744 | 91.744 | 239.347 | -0.000 | 0.000 | 0.000 | 
| -0.000 | 0.000 | -0.000 | 46.970 | 0.000 | 0.000 | 
| 0.000 | -0.000 | -0.000 | -0.000 | 46.970 | -0.000 | 
| 0.000 | -0.000 | 0.000 | -0.000 | 0.000 | 55.160 | 
| 222.203 | 111.882 | 91.745 | 0.000 | 0.000 | 0.000 | 
| 111.883 | 222.203 | 91.745 | 0.000 | -0.000 | 0.000 | 
| 91.745 | 91.745 | 239.348 | 0.000 | -0.000 | -0.000 | 
| 0.000 | -0.000 | 0.000 | 46.970 | 0.000 | 0.000 | 
| -0.000 | 0.000 | 0.000 | 0.000 | 46.970 | 0.000 | 
| -0.000 | 0.000 | 0.000 | 0.000 | -0.000 | 61.142 | 
| 222.201 | 111.882 | 91.744 | -0.000 | 0.000 | -0.000 | 
| 111.881 | 222.201 | 91.744 | -0.000 | -0.000 | -0.000 | 
| 91.744 | 91.744 | 239.346 | -0.000 | 0.000 | 0.000 | 
| -0.000 | 0.000 | -0.000 | 46.970 | -0.000 | -0.000 | 
| 0.000 | -0.000 | -0.000 | -0.000 | 46.970 | -0.000 | 
| 0.000 | -0.000 | -0.000 | -0.000 | -0.000 | 61.142 | 
| 225.026 | 110.743 | 89.665 | 0.000 | -0.000 | 0.000 | 
| 110.743 | 225.026 | 89.665 | -0.000 | 0.000 | 0.000 | 
| 89.665 | 89.665 | 240.232 | -0.000 | -0.000 | -0.000 | 
| -0.000 | 0.000 | 0.000 | 46.751 | -0.000 | -0.000 | 
| -0.000 | 0.000 | 0.000 | 0.000 | 46.751 | 0.000 | 
| -0.000 | 0.000 | -0.000 | 0.000 | -0.000 | 57.142 | 
| 230.383 | 105.386 | 89.665 | 0.000 | 0.000 | 0.000 | 
| 105.386 | 230.383 | 89.665 | 0.000 | 0.000 | 0.000 | 
| 89.665 | 89.665 | 240.232 | -0.000 | -0.000 | 0.000 | 
| -0.000 | 0.000 | -0.000 | 46.751 | 0.000 | 0.000 | 
| 0.000 | -0.000 | -0.000 | -0.000 | 46.751 | 0.000 | 
| 0.000 | -0.000 | 0.000 | -0.000 | -0.000 | 57.142 | 
| 225.027 | 110.743 | 89.665 | -0.000 | -0.000 | 0.000 | 
| 110.743 | 225.026 | 89.665 | -0.000 | -0.000 | 0.000 | 
| 89.665 | 89.665 | 240.233 | -0.000 | 0.000 | 0.000 | 
| 0.000 | -0.000 | 0.000 | 46.751 | 0.000 | -0.000 | 
| -0.000 | 0.000 | 0.000 | -0.000 | 46.751 | -0.000 | 
| -0.000 | 0.000 | 0.000 | -0.000 | -0.000 | 62.498 | 
| 225.026 | 110.743 | 89.665 | 0.000 | -0.000 | -0.000 | 
| 110.743 | 225.026 | 89.665 | 0.000 | -0.000 | -0.000 | 
| 89.665 | 89.665 | 240.232 | -0.000 | 0.000 | 0.000 | 
| -0.000 | 0.000 | -0.000 | 46.751 | 0.000 | 0.000 | 
| 0.000 | -0.000 | -0.000 | 0.000 | 46.751 | -0.000 | 
| 0.000 | -0.000 | -0.000 | 0.000 | -0.000 | 62.498 | 
| 225.028 | 110.744 | 89.665 | 0.000 | 0.000 | 0.000 | 
| 105.387 | 230.384 | 89.665 | -0.000 | -0.000 | -0.000 | 
| 89.665 | 89.665 | 240.233 | 0.000 | -0.000 | -0.000 | 
| 0.000 | -0.000 | 0.000 | 46.751 | 0.000 | 0.000 | 
| -0.000 | 0.000 | 0.000 | 0.000 | 46.751 | 0.000 | 
| -0.000 | 0.000 | -0.000 | 0.000 | -0.000 | 57.142 | 
| 225.025 | 110.743 | 89.665 | -0.000 | 0.000 | -0.000 | 
| 110.743 | 225.026 | 89.665 | -0.000 | 0.000 | 0.000 | 
| 89.664 | 89.664 | 240.232 | -0.000 | -0.000 | 0.000 | 
| -0.000 | 0.000 | -0.000 | 46.751 | 0.000 | 0.000 | 
| 0.000 | -0.000 | -0.000 | -0.000 | 46.751 | -0.000 | 
| 0.000 | -0.000 | 0.000 | 0.000 | -0.000 | 57.142 | 
| 32.458 | 35.114 | 35.114 | 0.000 | 0.000 | 0.000 | 
| 35.114 | 32.458 | 35.114 | 0.000 | 0.000 | 0.000 | 
| 35.114 | 35.114 | 32.458 | -0.000 | 0.000 | 0.000 | 
| -0.000 | 0.000 | 0.000 | -0.310 | 0.000 | 0.000 | 
| 0.000 | -0.000 | -0.000 | 0.000 | -0.310 | 0.000 | 
| -0.000 | -0.000 | -0.000 | 0.000 | 0.000 | -0.310 | 
| 32.458 | 35.114 | 35.114 | -0.000 | -0.000 | -0.000 | 
| 35.114 | 32.458 | 35.114 | -0.000 | -0.000 | -0.000 | 
| 35.114 | 35.114 | 32.458 | -0.000 | -0.000 | -0.000 | 
| 0.000 | 0.000 | 0.000 | -0.310 | -0.000 | -0.000 | 
| 0.000 | 0.000 | 0.000 | -0.000 | -0.310 | -0.000 | 
| 0.000 | 0.000 | 0.000 | -0.000 | -0.000 | -0.310 | 
| 32.458 | 35.114 | 35.114 | 0.000 | 0.000 | 0.000 | 
| 35.114 | 32.458 | 35.114 | 0.000 | 0.000 | 0.000 | 
| 35.114 | 35.114 | 32.458 | -0.000 | -0.000 | 0.000 | 
| -0.000 | -0.000 | -0.000 | -0.310 | 0.000 | 0.000 | 
| -0.000 | -0.000 | -0.000 | 0.000 | -0.310 | 0.000 | 
| -0.000 | -0.000 | -0.000 | 0.000 | 0.000 | -0.310 | 
| 32.458 | 35.114 | 35.114 | 0.000 | -0.000 | -0.000 | 
| 35.114 | 32.458 | 35.114 | -0.000 | 0.000 | -0.000 | 
| 35.114 | 35.114 | 32.458 | -0.000 | -0.000 | -0.000 | 
| 0.000 | 0.000 | 0.000 | -0.310 | 0.000 | -0.000 | 
| 0.000 | 0.000 | 0.000 | 0.000 | -0.310 | -0.000 | 
| 0.000 | 0.000 | 0.000 | 0.000 | -0.000 | -0.310 | 
| 32.458 | 35.114 | 35.114 | -0.000 | 0.000 | 0.000 | 
| 35.114 | 32.458 | 35.114 | 0.000 | -0.000 | 0.000 | 
| 35.114 | 35.114 | 32.458 | -0.000 | -0.000 | -0.000 | 
| -0.000 | -0.000 | -0.000 | -0.310 | 0.000 | 0.000 | 
| -0.000 | -0.000 | -0.000 | 0.000 | -0.310 | 0.000 | 
| -0.000 | -0.000 | -0.000 | 0.000 | -0.000 | -0.310 | 
| 32.458 | 35.114 | 35.114 | 0.000 | 0.000 | -0.000 | 
| 35.114 | 32.458 | 35.114 | 0.000 | 0.000 | -0.000 | 
| 35.114 | 35.114 | 32.458 | -0.000 | -0.000 | 0.000 | 
| 0.000 | 0.000 | 0.000 | -0.310 | -0.000 | -0.000 | 
| 0.000 | 0.000 | 0.000 | -0.000 | -0.310 | -0.000 | 
| 0.000 | 0.000 | 0.000 | -0.000 | -0.000 | -0.310 | 
| -214.396 | 477.524 | 42.236 | 0.000 | -0.000 | 0.000 | 
| 477.524 | -214.396 | 42.236 | 0.000 | -0.000 | 0.000 | 
| 42.236 | 42.236 | 212.657 | 0.000 | 0.000 | 0.000 | 
| -0.000 | 0.000 | 0.000 | -12.992 | -0.000 | 0.000 | 
| 0.000 | -0.000 | 0.000 | 0.000 | -12.992 | 0.000 | 
| 0.000 | -0.000 | 0.000 | 0.000 | 0.000 | -58.216 | 
| -214.396 | 477.524 | 42.236 | 0.000 | -0.000 | -0.000 | 
| 477.524 | -214.396 | 42.236 | -0.000 | -0.000 | -0.000 | 
| 42.236 | 42.236 | 212.657 | -0.000 | 0.000 | 0.000 | 
| 0.000 | -0.000 | -0.000 | -12.992 | 0.000 | 0.000 | 
| -0.000 | 0.000 | 0.000 | -0.000 | -12.992 | -0.000 | 
| -0.000 | 0.000 | -0.000 | -0.000 | 0.000 | -58.216 | 
| -214.395 | 477.524 | 42.235 | 0.000 | 0.000 | 0.000 | 
| 477.524 | -214.395 | 42.235 | 0.000 | -0.000 | 0.000 | 
| 42.236 | 42.236 | 212.657 | 0.000 | -0.000 | 0.000 | 
| -0.000 | 0.000 | -0.000 | -12.992 | 0.000 | 0.000 | 
| 0.000 | -0.000 | -0.000 | 0.000 | -12.992 | 0.000 | 
| -0.000 | -0.000 | -0.000 | 0.000 | -0.000 | -58.216 | 
| -214.397 | 477.524 | 42.236 | -0.000 | 0.000 | -0.000 | 
| 477.524 | -214.397 | 42.236 | -0.000 | 0.000 | -0.000 | 
| 42.236 | 42.236 | 212.657 | -0.000 | 0.000 | -0.000 | 
| 0.000 | -0.000 | 0.000 | -12.992 | 0.000 | -0.000 | 
| -0.000 | 0.000 | 0.000 | -0.000 | -12.992 | -0.000 | 
| 0.000 | 0.000 | 0.000 | -0.000 | 0.000 | -58.216 | 
| -214.388 | 477.522 | 42.232 | 0.000 | -0.000 | 0.000 | 
| 477.522 | -214.388 | 42.232 | 0.000 | -0.000 | 0.000 | 
| 42.236 | 42.236 | 212.659 | 0.000 | 0.000 | 0.000 | 
| -0.000 | 0.000 | -0.000 | -12.992 | -0.000 | 0.000 | 
| 0.000 | -0.000 | -0.000 | 0.000 | -12.992 | 0.000 | 
| -0.000 | 0.000 | -0.000 | 0.000 | 0.000 | -58.216 | 
| -214.404 | 477.526 | 42.240 | -0.000 | -0.000 | -0.000 | 
| 477.526 | -214.404 | 42.240 | -0.000 | 0.000 | -0.000 | 
| 42.236 | 42.236 | 212.656 | -0.000 | -0.000 | -0.000 | 
| 0.000 | -0.000 | 0.000 | -12.992 | 0.000 | -0.000 | 
| -0.000 | 0.000 | 0.000 | -0.000 | -12.992 | -0.000 | 
| 0.000 | -0.000 | 0.000 | -0.000 | 0.000 | -58.216 | 
| 220.135 | 14.348 | 14.348 | -0.000 | 0.000 | 0.000 | 
| 14.348 | 220.135 | 14.348 | 0.000 | 0.000 | -0.000 | 
| 14.348 | 14.348 | 220.135 | 0.000 | 0.000 | 0.000 | 
| -0.000 | 0.000 | -0.000 | -40.374 | -0.000 | 0.000 | 
| 0.000 | -0.000 | -0.000 | 0.000 | -40.374 | 0.000 | 
| 0.000 | -0.000 | -0.000 | 0.000 | 0.000 | -40.374 | 
| 220.135 | 14.348 | 14.348 | -0.000 | -0.000 | -0.000 | 
| 14.348 | 220.135 | 14.348 | -0.000 | -0.000 | -0.000 | 
| 14.348 | 14.348 | 220.135 | -0.000 | -0.000 | -0.000 | 
| 0.000 | -0.000 | 0.000 | -40.374 | 0.000 | -0.000 | 
| -0.000 | 0.000 | 0.000 | -0.000 | -40.374 | -0.000 | 
| -0.000 | 0.000 | 0.000 | -0.000 | -0.000 | -40.374 | 
| 220.135 | 14.348 | 14.348 | 0.000 | 0.000 | 0.000 | 
| 14.348 | 220.135 | 14.348 | 0.000 | 0.000 | 0.000 | 
| 14.348 | 14.348 | 220.135 | 0.000 | -0.000 | 0.000 | 
| 0.000 | 0.000 | -0.000 | -40.374 | 0.000 | -0.000 | 
| 0.000 | 0.000 | -0.000 | 0.000 | -40.374 | 0.000 | 
| 0.000 | -0.000 | 0.000 | -0.000 | 0.000 | -40.374 | 
| 220.135 | 14.348 | 14.348 | -0.000 | -0.000 | -0.000 | 
| 14.348 | 220.135 | 14.348 | -0.000 | -0.000 | -0.000 | 
| 14.348 | 14.348 | 220.135 | -0.000 | 0.000 | -0.000 | 
| -0.000 | -0.000 | 0.000 | -40.374 | 0.000 | -0.000 | 
| -0.000 | -0.000 | 0.000 | -0.000 | -40.374 | -0.000 | 
| -0.000 | 0.000 | -0.000 | -0.000 | -0.000 | -40.374 | 
| 220.136 | 14.348 | 14.348 | -0.000 | 0.000 | 0.000 | 
| 14.348 | 220.136 | 14.348 | 0.000 | -0.000 | -0.000 | 
| 14.348 | 14.348 | 220.136 | -0.000 | 0.000 | 0.000 | 
| 0.000 | 0.000 | -0.000 | -40.374 | 0.000 | 0.000 | 
| 0.000 | 0.000 | -0.000 | 0.000 | -40.374 | 0.000 | 
| 0.000 | -0.000 | 0.000 | 0.000 | 0.000 | -40.374 | 
| 220.133 | 14.348 | 14.348 | -0.000 | -0.000 | 0.000 | 
| 14.348 | 220.133 | 14.348 | 0.000 | 0.000 | 0.000 | 
| 14.348 | 14.348 | 220.133 | 0.000 | -0.000 | -0.000 | 
| -0.000 | -0.000 | 0.000 | -40.374 | 0.000 | -0.000 | 
| -0.000 | -0.000 | 0.000 | -0.000 | -40.374 | -0.000 | 
| -0.000 | 0.000 | -0.000 | -0.000 | -0.000 | -40.374 | 
| 204.365 | 59.661 | 114.824 | -0.000 | 0.742 | 0.000 | 
| 61.136 | 197.768 | 35.008 | -0.000 | 0.286 | -0.000 | 
| 115.399 | 34.107 | 210.344 | -0.000 | 0.137 | 0.000 | 
| 0.034 | -0.080 | -0.012 | -7.929 | 0.001 | -0.864 | 
| 0.450 | 0.263 | 0.147 | -0.000 | 68.567 | -0.000 | 
| 0.000 | 0.000 | 0.000 | 0.132 | -0.000 | -1.672 | 
| 204.361 | 59.669 | 114.825 | 0.000 | 0.742 | 0.000 | 
| 61.132 | 197.777 | 35.009 | 0.000 | 0.285 | 0.000 | 
| 115.395 | 34.116 | 210.345 | 0.000 | 0.137 | -0.000 | 
| -0.034 | 0.080 | 0.012 | -7.929 | -0.001 | -0.864 | 
| 0.439 | 0.291 | 0.151 | 0.000 | 68.567 | -0.000 | 
| -0.000 | -0.000 | -0.000 | 0.132 | 0.000 | -1.672 | 
| 204.364 | 59.665 | 114.824 | -0.000 | 0.742 | -0.000 | 
| 61.134 | 197.772 | 35.008 | -0.000 | 0.285 | -0.000 | 
| 115.397 | 34.111 | 210.344 | -0.000 | 0.137 | 0.000 | 
| 0.003 | -0.008 | -0.001 | -7.929 | 0.000 | -0.864 | 
| 0.445 | 0.276 | 0.149 | -0.000 | 68.567 | 0.000 | 
| 0.000 | -0.000 | 0.000 | 0.132 | 0.000 | -1.672 | 
| 204.363 | 59.665 | 114.825 | 0.000 | 0.742 | 0.000 | 
| 61.134 | 197.773 | 35.009 | 0.000 | 0.285 | 0.000 | 
| 115.397 | 34.112 | 210.344 | 0.000 | 0.137 | -0.000 | 
| -0.003 | 0.008 | 0.001 | -7.929 | -0.000 | -0.864 | 
| 0.444 | 0.278 | 0.149 | 0.000 | 68.567 | 0.000 | 
| -0.000 | 0.000 | -0.000 | 0.132 | -0.000 | -1.672 | 
| 204.364 | 59.665 | 114.825 | -0.000 | 0.742 | 0.000 | 
| 61.134 | 197.774 | 35.009 | -0.000 | 0.285 | -0.000 | 
| 115.397 | 34.112 | 210.345 | -0.000 | 0.137 | -0.000 | 
| 0.001 | -0.001 | -0.000 | -7.929 | 0.000 | -0.864 | 
| 0.479 | 0.196 | 0.136 | -0.000 | 68.567 | -0.000 | 
| -11408367.218 | -1612360.175 | -8244920.702 | 193639.707 | 65295.200 | -557138.480 | 
| 204.363 | 59.665 | 114.824 | 0.000 | 0.742 | -0.000 | 
| 61.134 | 197.771 | 35.008 | 0.000 | 0.285 | 0.000 | 
| 115.396 | 34.112 | 210.343 | 0.000 | 0.137 | -0.000 | 
| -0.001 | 0.001 | 0.000 | -7.929 | -0.000 | -0.864 | 
| 0.479 | 0.196 | 0.136 | 0.000 | 68.567 | 0.000 | 
| 10941206.124 | 1589673.144 | 8631478.600 | 181362.609 | -458302.209 | -664778.824 | 
| 114.418 | 53.833 | 38.004 | 6.635 | -0.000 | -0.000 | 
| 50.192 | 110.555 | 28.624 | -6.337 | -0.000 | -0.000 | 
| 37.993 | 37.993 | 96.407 | -0.000 | -0.000 | -0.000 | 
| 6.627 | -6.303 | 0.399 | 17.451 | -0.000 | -0.000 | 
| 0.000 | 0.000 | 0.000 | 0.000 | 17.908 | 6.635 | 
| 0.100 | 0.100 | 0.246 | -0.000 | 6.530 | 30.254 | 
| 114.418 | 53.833 | 38.004 | 6.635 | 0.000 | -0.000 | 
| 53.833 | 114.418 | 38.004 | -6.635 | 0.000 | 0.000 | 
| 37.993 | 37.993 | 96.406 | 0.000 | 0.000 | -0.000 | 
| 2.082 | -5.376 | -4.388 | 10.102 | 0.000 | 0.000 | 
| -0.000 | -0.000 | -0.000 | -0.000 | 17.908 | 6.635 | 
| -0.100 | -0.100 | -0.246 | 0.000 | 6.530 | 30.254 | 
| 107.068 | 46.879 | 20.144 | 6.104 | -0.000 | 0.000 | 
| 53.833 | 114.418 | 38.004 | -6.635 | -0.000 | -0.000 | 
| 19.274 | 19.274 | 49.616 | -0.000 | -0.000 | 0.000 | 
| 5.273 | -4.985 | 0.353 | 13.863 | -0.000 | -0.000 | 
| -0.000 | 0.000 | 0.000 | 0.000 | 17.908 | 6.635 | 
| -0.000 | 0.000 | 0.000 | 0.000 | 6.635 | 30.293 | 
| 107.272 | 47.067 | 20.638 | 6.125 | 0.000 | 0.000 | 
| 41.761 | 101.480 | 6.429 | -5.472 | 0.000 | 0.000 | 
| 19.451 | 19.451 | 50.062 | 0.000 | 0.000 | 0.000 | 
| 6.635 | -6.635 | -0.000 | 17.908 | 0.000 | -0.000 | 
| 0.000 | -0.000 | -0.000 | -0.000 | 17.908 | 6.635 | 
| 0.000 | -0.000 | -0.000 | -0.000 | 6.635 | 30.293 | 
| 107.089 | 46.896 | 20.193 | 6.108 | -0.000 | -0.000 | 
| 53.833 | 114.418 | 38.004 | -6.635 | -0.000 | -0.000 | 
| 0.002 | 0.002 | 0.034 | 0.000 | -0.000 | -0.000 | 
| 4.157 | -4.303 | -0.150 | 11.424 | -0.000 | -0.000 | 
| -0.073 | -0.073 | -0.150 | 0.000 | 11.424 | 4.230 | 
| -0.000 | 0.000 | 0.000 | 0.000 | 6.635 | 30.293 | 
| 114.417 | 53.833 | 38.004 | 6.635 | -0.000 | 0.000 | 
| 46.915 | 107.110 | 20.245 | -6.111 | 0.000 | 0.000 | 
| -0.024 | -0.024 | -0.034 | -0.000 | 0.000 | 0.000 | 
| 5.114 | -5.143 | -0.035 | 13.863 | 0.000 | 0.000 | 
| 0.073 | 0.073 | 0.150 | -0.000 | 11.424 | 4.230 | 
| 0.000 | -0.000 | -0.000 | -0.000 | 6.635 | 30.293 | 
| 38.973 | 87.422 | 35.084 | 0.000 | 0.000 | -0.000 | 
| 4.743 | 229.856 | 4.752 | 0.000 | 0.000 | 0.000 | 
| 35.119 | 87.466 | 38.855 | 0.000 | 0.000 | -0.000 | 
| -47.490 | 25.900 | -47.523 | -41.409 | 0.000 | -0.000 | 
| -51.513 | 28.094 | -51.549 | 0.000 | 72.789 | 0.000 | 
| -47.489 | 25.899 | -47.522 | 0.000 | 0.000 | -44.485 | 
| 154.154 | 24.605 | 150.345 | -0.000 | -0.000 | 0.000 | 
| 107.770 | 173.668 | 107.850 | -0.000 | -0.000 | -0.000 | 
| 138.146 | 31.278 | 141.953 | 0.000 | -0.000 | -0.000 | 
| 47.490 | -25.900 | 47.523 | -41.409 | -0.000 | 0.000 | 
| 51.513 | -28.094 | 51.549 | -0.000 | 72.789 | 0.000 | 
| 47.489 | -25.899 | 47.522 | -0.000 | -0.000 | -44.485 | 
| 85.335 | 62.138 | 81.478 | 0.000 | 0.000 | -0.000 | 
| 51.105 | 204.572 | 51.146 | 0.000 | 0.000 | -0.000 | 
| 81.481 | 62.181 | 85.249 | 0.000 | 0.000 | -0.000 | 
| -5.152 | 2.809 | -5.155 | -371.611 | 0.000 | -0.000 | 
| -5.151 | 2.809 | -5.155 | 0.000 | 72.789 | -0.000 | 
| 0.000 | -0.000 | -0.000 | 0.000 | 0.000 | -1.053 | 
| 95.637 | 56.519 | 91.788 | -0.000 | -0.000 | 0.000 | 
| 61.408 | 198.953 | 61.456 | -0.000 | -0.000 | 0.000 | 
| 91.201 | 56.880 | 94.976 | -0.000 | 0.000 | 0.000 | 
| 5.152 | -2.809 | 5.155 | -371.611 | -0.000 | 0.000 | 
| 5.151 | -2.809 | 5.155 | -0.000 | 72.789 | -0.000 | 
| -0.000 | 0.000 | 0.000 | -0.000 | -0.000 | -1.053 | 
| 89.970 | 59.610 | 86.117 | 0.000 | 0.000 | -0.000 | 
| 55.742 | 202.044 | 55.786 | 0.000 | 0.000 | 0.000 | 
| 86.113 | 59.656 | 89.884 | 0.000 | 0.000 | -0.000 | 
| -0.511 | 0.276 | -0.507 | -371.401 | 0.000 | -0.000 | 
| -0.515 | 0.281 | -0.515 | 0.000 | 72.789 | 0.000 | 
| -0.506 | 0.275 | -0.511 | 0.000 | 0.000 | -375.683 | 
| 91.001 | 59.047 | 87.148 | -0.000 | -0.000 | 0.000 | 
| 56.772 | 201.480 | 56.816 | -0.000 | -0.000 | 0.000 | 
| 87.143 | 59.093 | 90.915 | -0.000 | -0.000 | 0.000 | 
| 0.511 | -0.276 | 0.507 | -371.401 | -0.000 | 0.000 | 
| 0.515 | -0.281 | 0.515 | -0.000 | 72.789 | 0.000 | 
| 0.506 | -0.275 | 0.511 | -0.000 | -0.000 | -375.683 | 
| 245.415 | 84.044 | 84.044 | -0.000 | -0.000 | 0.000 | 
| 84.044 | 245.415 | 84.044 | -0.000 | -0.000 | 0.000 | 
| 84.044 | 84.044 | 245.415 | 0.000 | -0.000 | 0.000 | 
| 5.022 | 5.022 | 5.022 | 64.858 | -0.000 | 0.000 | 
| 5.022 | 5.022 | 5.022 | 0.000 | 64.858 | 0.000 | 
| 5.022 | 5.022 | 5.022 | -0.000 | -0.000 | 64.858 | 
| 245.415 | 84.044 | 84.044 | -0.000 | -0.000 | -0.000 | 
| 84.044 | 245.415 | 84.044 | -0.000 | -0.000 | -0.000 | 
| 84.044 | 84.044 | 245.415 | 0.000 | 0.000 | -0.000 | 
| -5.022 | -5.022 | -5.022 | 64.858 | 0.000 | -0.000 | 
| -5.022 | -5.022 | -5.022 | 0.000 | 64.858 | -0.000 | 
| -5.022 | -5.022 | -5.022 | 0.000 | -0.000 | 64.858 | 
| 235.463 | 89.455 | 89.455 | -0.000 | 0.000 | 0.000 | 
| 89.455 | 235.463 | 89.455 | -0.000 | 0.000 | 0.000 | 
| 89.455 | 89.455 | 235.463 | 0.000 | 0.000 | 0.000 | 
| 0.000 | 0.000 | 0.000 | 70.693 | 0.000 | 0.000 | 
| 0.000 | 0.000 | 0.000 | 0.000 | 70.693 | 0.000 | 
| 0.000 | 0.000 | 0.000 | -0.000 | -0.000 | 70.693 | 
| 234.606 | 87.991 | 87.991 | -0.000 | -0.000 | -0.000 | 
| 87.991 | 234.606 | 87.991 | 0.000 | 0.000 | -0.000 | 
| 87.991 | 87.991 | 234.606 | 0.000 | 0.000 | -0.000 | 
| -0.000 | -0.000 | -0.000 | 70.693 | 0.000 | -0.000 | 
| -0.000 | -0.000 | -0.000 | 0.000 | 70.693 | -0.000 | 
| -0.000 | -0.000 | -0.000 | -0.000 | -0.000 | 70.693 | 
| 245.416 | 84.044 | 84.044 | -0.000 | -0.000 | 0.000 | 
| 84.044 | 245.416 | 84.044 | -0.000 | 0.000 | 0.000 | 
| 84.044 | 84.044 | 245.416 | 0.000 | -0.000 | 0.000 | 
| 0.000 | 0.000 | 0.000 | 70.693 | 0.000 | 0.000 | 
| 0.000 | 0.000 | 0.000 | -0.000 | 70.693 | 0.000 | 
| 0.000 | 0.000 | 0.000 | -0.000 | -0.000 | 70.693 | 
| 232.367 | 89.569 | 89.569 | 0.000 | 0.000 | -0.000 | 
| 89.569 | 232.367 | 89.569 | 0.000 | 0.000 | -0.000 | 
| 89.569 | 89.569 | 232.367 | 0.000 | -0.000 | -0.000 | 
| -0.000 | -0.000 | -0.000 | 70.693 | 0.000 | -0.000 | 
| -0.000 | -0.000 | -0.000 | -0.000 | 70.693 | -0.000 | 
| -0.000 | -0.000 | -0.000 | 0.000 | -0.000 | 70.693 | 
| 1092.403 | 950.278 | 950.278 | 0.000 | 0.000 | -0.000 | 
| 950.278 | 1092.403 | 950.278 | 0.000 | 0.000 | -0.000 | 
| 950.278 | 950.278 | 1092.403 | 0.000 | 0.000 | -0.000 | 
| 907.076 | 907.076 | 907.076 | 60.217 | 0.000 | -0.000 | 
| 907.076 | 907.076 | 907.076 | 0.000 | 60.217 | -0.000 | 
| 907.076 | 907.076 | 907.076 | -0.000 | 0.000 | 60.217 | 
| -675.621 | -818.191 | -818.191 | -0.000 | -0.000 | -0.000 | 
| -818.191 | -675.621 | -818.191 | -0.000 | 0.000 | 0.000 | 
| -818.191 | -818.191 | -675.621 | 0.000 | 0.000 | 0.000 | 
| -907.076 | -907.076 | -907.076 | 60.217 | -0.000 | 0.000 | 
| -907.076 | -907.076 | -907.076 | -0.000 | 60.217 | 0.000 | 
| -907.076 | -907.076 | -907.076 | -0.000 | -0.000 | 60.217 | 
| 321.958 | 179.408 | 179.408 | -0.000 | -0.000 | -0.000 | 
| 179.408 | 321.958 | 179.408 | -0.000 | 0.000 | -0.000 | 
| 179.408 | 179.408 | 321.958 | 0.000 | -0.000 | -0.000 | 
| 90.691 | 90.691 | 90.691 | 59.950 | 0.000 | -0.000 | 
| 90.691 | 90.691 | 90.691 | 0.000 | 59.950 | -0.000 | 
| 90.691 | 90.691 | 90.691 | 0.000 | 0.000 | 59.950 | 
| 140.569 | -1.982 | -1.982 | 0.000 | -0.000 | 0.000 | 
| -1.982 | 140.569 | -1.982 | -0.000 | 0.000 | 0.000 | 
| -1.982 | -1.982 | 140.569 | -0.000 | 0.000 | 0.000 | 
| -90.691 | -90.691 | -90.691 | 59.950 | -0.000 | 0.000 | 
| -90.691 | -90.691 | -90.691 | 0.000 | 59.950 | 0.000 | 
| -90.691 | -90.691 | -90.691 | 0.000 | -0.000 | 59.950 | 
| 239.188 | 97.677 | 97.677 | 0.000 | 0.000 | -0.000 | 
| 97.677 | 239.188 | 97.677 | -0.000 | -0.000 | -0.000 | 
| 97.677 | 97.677 | 239.188 | -0.000 | 0.000 | -0.000 | 
| 9.071 | 9.071 | 9.071 | 59.663 | 0.000 | -0.000 | 
| 9.071 | 9.071 | 9.071 | -0.000 | 59.663 | -0.000 | 
| 9.071 | 9.071 | 9.071 | 0.000 | 0.000 | 59.663 | 
| 221.473 | 80.055 | 80.055 | 0.000 | -0.000 | -0.000 | 
| 80.055 | 221.473 | 80.055 | -0.000 | 0.000 | 0.000 | 
| 80.055 | 80.055 | 221.473 | 0.000 | -0.000 | 0.000 | 
| -9.071 | -9.071 | -9.071 | 59.663 | -0.000 | 0.000 | 
| -9.071 | -9.071 | -9.071 | 0.000 | 59.663 | 0.000 | 
| -9.071 | -9.071 | -9.071 | -0.000 | 0.000 | 59.663 | 
| 168.464 | 112.683 | 112.683 | 0.000 | -0.000 | 0.000 | 
| 112.683 | 168.464 | 112.683 | -0.000 | -0.000 | 0.000 | 
| 112.683 | 112.683 | 168.464 | 0.000 | -0.000 | 0.000 | 
| -2.905 | -2.905 | -2.905 | 45.069 | 0.000 | 0.000 | 
| -2.905 | -2.905 | -2.905 | -0.000 | 45.069 | 0.000 | 
| -2.905 | -2.905 | -2.905 | 0.000 | 0.000 | 45.069 | 
| 174.408 | 118.652 | 118.652 | 0.000 | 0.000 | -0.000 | 
| 118.652 | 174.408 | 118.652 | 0.000 | 0.000 | 0.000 | 
| 118.652 | 118.652 | 174.408 | -0.000 | 0.000 | -0.000 | 
| 2.905 | 2.905 | 2.905 | 45.069 | 0.000 | -0.000 | 
| 2.905 | 2.905 | 2.905 | 0.000 | 45.069 | 0.000 | 
| 2.905 | 2.905 | 2.905 | -0.000 | 0.000 | 45.069 | 
| 173.724 | 113.806 | 113.806 | -0.000 | -0.000 | 0.000 | 
| 113.806 | 173.724 | 113.806 | 0.000 | -0.000 | 0.000 | 
| 113.806 | 113.806 | 173.724 | -0.000 | -0.000 | 0.000 | 
| 0.000 | 0.000 | 0.000 | 64.840 | 0.000 | -0.000 | 
| 0.000 | 0.000 | 0.000 | -0.000 | 64.840 | -0.000 | 
| 0.000 | 0.000 | 0.000 | -0.000 | 0.000 | 64.840 | 
| 173.893 | 114.928 | 114.928 | -0.000 | 0.000 | -0.000 | 
| 114.928 | 173.893 | 114.928 | -0.000 | 0.000 | -0.000 | 
| 114.928 | 114.928 | 173.893 | -0.000 | 0.000 | 0.000 | 
| -0.000 | -0.000 | -0.000 | 64.840 | -0.000 | 0.000 | 
| -0.000 | -0.000 | -0.000 | 0.000 | 64.840 | 0.000 | 
| -0.000 | -0.000 | -0.000 | 0.000 | -0.000 | 64.840 | 
| 179.289 | 112.068 | 112.068 | -0.000 | 0.000 | -0.000 | 
| 116.029 | 170.371 | 116.029 | 0.000 | -0.000 | 0.000 | 
| 116.029 | 116.029 | 170.371 | 0.000 | -0.000 | 0.000 | 
| -0.026 | -0.026 | -0.026 | 45.263 | -0.000 | 0.000 | 
| -0.026 | -0.026 | -0.026 | -0.000 | 45.263 | -0.000 | 
| -0.026 | -0.026 | -0.026 | -0.000 | 0.000 | 45.263 | 
| 170.396 | 116.126 | 116.126 | 0.000 | 0.000 | -0.000 | 
| 116.126 | 170.396 | 116.126 | -0.000 | 0.000 | -0.000 | 
| 116.126 | 116.126 | 170.396 | -0.000 | 0.000 | -0.000 | 
| 0.026 | 0.026 | 0.026 | 45.263 | -0.000 | 0.000 | 
| 0.026 | 0.026 | 0.026 | 0.000 | 45.263 | -0.000 | 
| 0.026 | 0.026 | 0.026 | 0.000 | 0.000 | 45.263 | 
| 241.393 | 24.410 | 100.788 | 0.000 | -0.000 | 0.000 | 
| 24.481 | 239.453 | 59.873 | -0.000 | -0.000 | -0.000 | 
| 101.163 | 59.897 | 174.944 | -0.000 | 0.000 | 0.000 | 
| -0.000 | 0.000 | -0.000 | 9.589 | 0.000 | 0.000 | 
| 0.323 | 0.009 | 0.686 | 0.000 | 82.082 | -0.000 | 
| 0.000 | -0.000 | -0.000 | -0.000 | 0.000 | -42.274 | 
| 238.325 | 24.326 | 94.272 | 0.000 | 0.000 | -0.000 | 
| 23.835 | 239.435 | 58.501 | -0.000 | 0.000 | -0.000 | 
| 95.009 | 59.730 | 161.873 | 0.000 | -0.000 | -0.000 | 
| 0.000 | -0.000 | 0.000 | 9.589 | -0.000 | -0.000 | 
| -0.323 | -0.009 | -0.686 | -0.000 | 82.082 | -0.000 | 
| 0.000 | 0.000 | 0.000 | 0.000 | -0.000 | -42.274 | 
| 238.680 | 24.336 | 95.026 | 0.000 | 0.000 | 0.000 | 
| 24.190 | 239.445 | 59.255 | -0.000 | 0.000 | 0.000 | 
| 95.364 | 59.740 | 162.628 | 0.000 | 0.000 | 0.000 | 
| 0.533 | 0.014 | 1.131 | -332.394 | 0.000 | 0.000 | 
| 0.032 | 0.001 | 0.069 | 0.000 | 82.082 | -0.000 | 
| 0.000 | -0.000 | -0.000 | 0.000 | 0.000 | -42.274 | 
| 238.615 | 24.334 | 94.889 | 0.000 | 0.000 | -0.000 | 
| 24.126 | 239.443 | 59.118 | -0.000 | 0.000 | -0.000 | 
| 101.163 | 59.897 | 174.944 | -0.000 | -0.000 | -0.000 | 
| 0.000 | -0.000 | 0.000 | 9.589 | -0.000 | -0.000 | 
| -0.032 | -0.001 | -0.069 | -0.000 | 82.082 | -0.000 | 
| -0.000 | 0.000 | 0.000 | 0.000 | 0.000 | -42.274 | 
| 238.652 | 24.335 | 94.964 | 0.000 | -0.000 | 0.000 | 
| 24.161 | 239.445 | 59.194 | 0.000 | 0.000 | -0.000 | 
| 95.336 | 59.739 | 162.566 | 0.000 | 0.000 | -0.000 | 
| 0.003 | -0.001 | 0.005 | -353.497 | 0.000 | 0.000 | 
| 0.000 | -0.000 | 0.000 | 0.000 | 82.082 | 0.000 | 
| 0.000 | -0.000 | -0.000 | 0.000 | 0.000 | -42.274 | 
| 238.643 | 24.335 | 94.950 | 0.000 | 0.000 | 0.000 | 
| 24.232 | 239.445 | 59.345 | 0.000 | 0.000 | 0.000 | 
| 95.328 | 59.738 | 162.552 | 0.000 | -0.000 | -0.000 | 
| -0.003 | 0.001 | -0.005 | -353.497 | 0.000 | -0.000 | 
| -0.000 | 0.000 | -0.000 | 0.000 | 82.082 | -0.000 | 
| -0.000 | 0.000 | 0.000 | -0.000 | -0.000 | -42.274 | 
| 221.908 | 115.853 | 89.041 | 0.000 | 0.000 | -0.000 | 
| 103.498 | 230.318 | 89.656 | 0.000 | 0.000 | -0.000 | 
| 83.050 | 96.020 | 239.822 | 0.000 | 0.000 | -0.000 | 
| -6.445 | 6.383 | -0.176 | 46.896 | -0.000 | -0.000 | 
| -6.463 | 6.401 | -0.176 | 0.000 | 46.490 | 0.000 | 
| -6.480 | 6.417 | -0.177 | 0.000 | -0.000 | 56.400 | 
| 234.835 | 103.051 | 89.394 | -0.000 | -0.000 | 0.000 | 
| 116.424 | 217.516 | 90.009 | -0.000 | 0.000 | 0.000 | 
| 95.977 | 83.218 | 240.174 | -0.000 | 0.000 | 0.000 | 
| 6.441 | -6.379 | 0.176 | 46.895 | -0.000 | 0.000 | 
| 6.463 | -6.401 | 0.176 | -0.000 | 46.490 | 0.000 | 
| 6.480 | -6.417 | 0.177 | -0.000 | -0.000 | 56.400 | 
| 227.726 | 110.092 | 89.200 | 0.000 | -0.000 | -0.000 | 
| 109.315 | 224.558 | 89.815 | 0.000 | -0.000 | -0.000 | 
| 88.867 | 90.259 | 239.980 | 0.000 | -0.000 | -0.000 | 
| -0.500 | 0.495 | -0.014 | 46.897 | -0.000 | -0.000 | 
| -0.646 | 0.640 | -0.018 | 0.000 | 46.490 | -0.000 | 
| -0.650 | 0.644 | -0.018 | 0.000 | -0.000 | 56.381 | 
| 229.018 | 108.812 | 89.235 | -0.000 | -0.000 | 0.000 | 
| 110.607 | 223.277 | 89.850 | -0.000 | 0.000 | 0.000 | 
| 90.160 | 88.979 | 240.016 | -0.000 | 0.000 | 0.000 | 
| 0.498 | -0.493 | 0.014 | 46.897 | 0.000 | 0.000 | 
| 0.646 | -0.640 | 0.018 | -0.000 | 46.490 | 0.000 | 
| 0.650 | -0.644 | 0.018 | -0.000 | 0.000 | 56.381 | 
| 228.308 | 109.516 | 89.216 | 0.000 | -0.000 | -0.000 | 
| 109.897 | 223.982 | 89.831 | 0.000 | -0.000 | -0.000 | 
| 89.449 | 89.683 | 239.997 | 0.000 | 0.000 | -0.000 | 
| -0.012 | 0.012 | -0.000 | 46.899 | -0.000 | -0.000 | 
| -0.065 | 0.064 | -0.002 | 0.000 | 46.490 | 0.000 | 
| -0.065 | 0.065 | -0.002 | 0.000 | 0.000 | 56.380 | 
| 228.435 | 109.388 | 89.219 | -0.000 | 0.000 | 0.000 | 
| 110.025 | 223.853 | 89.834 | -0.000 | 0.000 | 0.000 | 
| 89.578 | 89.555 | 239.999 | -0.000 | 0.000 | 0.000 | 
| 0.012 | -0.012 | 0.000 | 46.899 | 0.000 | 0.000 | 
| 0.065 | -0.064 | 0.002 | -0.000 | 46.490 | 0.000 | 
| 0.065 | -0.065 | 0.002 | -0.000 | 0.000 | 56.380 | 
| 95.596 | 89.485 | -1.434 | 0.000 | 0.000 | 0.000 | 
| 25.016 | 160.064 | -1.434 | 0.000 | -0.000 | 0.000 | 
| -1.434 | -1.434 | 159.915 | 0.000 | 0.000 | 0.000 | 
| 0.000 | -0.000 | -0.000 | -39.943 | 0.000 | 0.000 | 
| 0.000 | -0.000 | -0.000 | 0.000 | -39.943 | 0.000 | 
| 0.000 | 0.000 | -0.000 | 0.000 | -0.000 | 67.524 | 
| 876287972.043 | 913663531.599 | 1328871431.867 | -3778080.244 | -3557675.588 | 10859012.564 | 
| 25.016 | 160.064 | -1.434 | -0.000 | -0.000 | -0.000 | 
| -1.434 | -1.434 | 159.915 | -0.000 | -0.000 | -0.000 | 
| -0.000 | -0.000 | 0.000 | -39.943 | -0.000 | -0.000 | 
| -0.000 | 0.000 | 0.000 | -0.000 | -39.943 | -0.000 | 
| -0.000 | -0.000 | 0.000 | -0.000 | 0.000 | 67.524 | 
| 160.064 | 25.016 | -1.434 | -0.000 | -0.000 | 0.000 | 
| 89.485 | 95.596 | -1.434 | 0.000 | 0.000 | 0.000 | 
| -1.434 | -1.434 | 159.915 | 0.000 | 0.000 | 0.000 | 
| 0.000 | 0.000 | -0.000 | -39.943 | 0.000 | 0.000 | 
| 0.000 | -0.000 | -0.000 | 0.000 | -39.943 | 0.000 | 
| 0.000 | 0.000 | -0.000 | 0.000 | -0.000 | 67.524 | 
| 160.064 | 25.016 | -1.434 | -0.000 | 0.000 | -0.000 | 
| 85951625.357 | 91937248.573 | 74324224.784 | -612174.455 | 559327.502 | 128605.363 | 
| -1.434 | -1.434 | 159.915 | -0.000 | -0.000 | -0.000 | 
| -0.000 | -0.000 | 0.000 | -39.943 | 0.000 | -0.000 | 
| -0.000 | 0.000 | 0.000 | -0.000 | -39.943 | -0.000 | 
| -0.000 | -0.000 | 0.000 | -0.000 | -0.000 | 67.524 | 
| -8616103.017 | -9173460.732 | -7349767.604 | 84686.206 | -21691.092 | -37351.801 | 
| 2021681.111 | 5605944.303 | -9230923.120 | 0.002 | 0.000 | -0.000 | 
| -1.434 | -1.434 | 159.916 | 0.000 | 0.000 | 0.000 | 
| 0.000 | 0.000 | -0.000 | -39.943 | 0.000 | 0.000 | 
| 0.000 | 0.000 | -0.000 | 0.000 | -39.943 | 0.000 | 
| -7207125.663 | -7562106.456 | -12633470.406 | -10301.833 | 12735.028 | -148227.126 | 
| -2021461.741 | -5605783.451 | 9230938.642 | -0.002 | -0.000 | 0.000 | 
| 8579824.647 | 9241107.098 | 7692560.149 | -74556.677 | -24736.903 | 36438.284 | 
| -1.434 | -1.434 | 159.914 | -0.000 | -0.000 | -0.000 | 
| -0.000 | -0.000 | 0.000 | -39.943 | 0.000 | -0.000 | 
| -0.000 | -0.000 | 0.000 | -0.000 | -39.943 | -0.000 | 
| 6940264.401 | 7173721.468 | 12473270.351 | -1635.238 | -6723.200 | -117093.900 | 
| 228.914 | 105.725 | 91.047 | 5.821 | 0.000 | 0.000 | 
| 105.725 | 228.914 | 91.047 | -5.821 | 0.000 | -0.000 | 
| 91.047 | 91.047 | 239.645 | 0.000 | 0.000 | -0.000 | 
| 5.817 | -5.817 | 0.000 | 46.895 | 0.000 | -0.000 | 
| 0.000 | -0.000 | 0.000 | 0.000 | 46.895 | 5.817 | 
| 0.000 | 0.000 | -0.000 | 0.000 | 5.817 | 56.542 | 
| 223.942 | 110.655 | 91.053 | 5.817 | -0.000 | 0.000 | 
| 105.725 | 228.914 | 91.047 | -5.821 | -0.000 | 0.000 | 
| 91.048 | 91.048 | 239.644 | 0.000 | -0.000 | -0.000 | 
| 5.821 | -5.821 | -0.000 | 46.895 | -0.000 | 0.000 | 
| -0.000 | 0.000 | -0.000 | -0.000 | 46.895 | 5.817 | 
| -0.000 | -0.000 | 0.000 | -0.000 | 5.817 | 56.542 | 
| 223.942 | 110.655 | 91.053 | 5.817 | 0.000 | -0.000 | 
| 105.725 | 228.914 | 91.047 | -5.821 | 0.000 | -0.000 | 
| 91.048 | 91.048 | 239.644 | 0.000 | 0.000 | -0.000 | 
| 5.817 | -5.817 | 0.000 | 46.895 | 0.000 | -0.000 | 
| -0.000 | 0.000 | 0.000 | 0.000 | 46.895 | 5.821 | 
| -0.000 | 0.000 | -0.000 | 0.000 | 5.817 | 56.542 | 
| 228.914 | 105.725 | 91.047 | 5.821 | -0.000 | 0.000 | 
| 110.655 | 223.942 | 91.053 | -5.817 | -0.000 | -0.000 | 
| 91.048 | 91.048 | 239.644 | -0.000 | -0.000 | -0.000 | 
| 5.817 | -5.817 | -0.000 | 46.895 | -0.000 | 0.000 | 
| 0.000 | -0.000 | -0.000 | -0.000 | 46.895 | 5.821 | 
| 0.000 | -0.000 | 0.000 | -0.000 | 5.817 | 56.542 | 
| 223.943 | 110.655 | 91.053 | 5.817 | 0.000 | -0.000 | 
| 105.726 | 228.915 | 91.047 | -5.821 | 0.000 | -0.000 | 
| 91.048 | 91.048 | 239.645 | 0.000 | 0.000 | 0.000 | 
| 5.817 | -5.817 | 0.000 | 46.895 | 0.000 | 0.000 | 
| -0.000 | 0.000 | 0.000 | 0.000 | 46.895 | 5.821 | 
| -0.000 | 0.000 | 0.000 | 0.000 | 5.821 | 61.595 | 
| 223.857 | 110.774 | 91.048 | 5.817 | -0.000 | -0.000 | 
| 105.725 | 228.913 | 91.047 | -5.821 | -0.000 | -0.000 | 
| 91.046 | 91.046 | 239.644 | -0.000 | -0.000 | 0.000 | 
| 5.821 | -5.821 | -0.000 | 46.895 | -0.000 | -0.000 | 
| 0.000 | -0.000 | -0.000 | -0.000 | 46.895 | 5.821 | 
| 0.000 | -0.000 | -0.000 | -0.000 | 5.821 | 61.595 | 
| 209.640 | 61.668 | 61.668 | 0.000 | 0.000 | -0.000 | 
| 61.668 | 209.640 | 61.668 | 0.000 | 0.000 | -0.000 | 
| 61.668 | 61.668 | 209.640 | -0.000 | -0.000 | -0.000 | 
| -0.000 | 0.000 | -0.000 | 71.247 | 0.000 | -0.000 | 
| 0.000 | 0.000 | -0.000 | 0.000 | 71.247 | 0.000 | 
| -0.000 | 0.000 | -0.000 | 0.000 | 0.000 | 71.247 | 
| 149.064 | 9.543 | 9.543 | -0.000 | 0.000 | 0.000 | 
| 9.543 | 149.064 | 9.543 | 0.000 | -0.000 | 0.000 | 
| 9.543 | 9.543 | 149.064 | -0.000 | 0.000 | -0.000 | 
| 0.000 | -0.000 | 0.000 | 71.247 | 0.000 | 0.000 | 
| 0.000 | -0.000 | 0.000 | -0.000 | 71.247 | 0.000 | 
| 0.000 | -0.000 | 0.000 | -0.000 | -0.000 | 71.247 | 
| 203.166 | 65.283 | 65.283 | -0.000 | -0.000 | -0.000 | 
| 65.283 | 203.166 | 65.283 | -0.000 | -0.000 | -0.000 | 
| 65.283 | 65.283 | 203.166 | -0.000 | 0.000 | -0.000 | 
| 0.000 | 0.000 | 0.000 | 71.247 | -0.000 | -0.000 | 
| 0.000 | 0.000 | 0.000 | -0.000 | 71.247 | -0.000 | 
| 0.000 | 0.000 | 0.000 | 0.000 | 0.000 | 71.247 | 
| 195.532 | 55.741 | 55.741 | -0.000 | -0.000 | 0.000 | 
| 55.741 | 195.532 | 55.741 | 0.000 | 0.000 | 0.000 | 
| 55.741 | 55.741 | 195.532 | 0.000 | 0.000 | -0.000 | 
| -0.000 | -0.000 | -0.000 | 71.247 | -0.000 | 0.000 | 
| -0.000 | -0.000 | -0.000 | 0.000 | 71.247 | 0.000 | 
| -0.000 | -0.000 | -0.000 | -0.000 | -0.000 | 71.247 | 
| 209.641 | 61.668 | 61.668 | 0.000 | 0.000 | -0.000 | 
| 61.668 | 209.641 | 61.668 | 0.000 | 0.000 | -0.000 | 
| 61.668 | 61.668 | 209.641 | 0.000 | -0.000 | -0.000 | 
| 0.000 | 0.000 | 0.000 | 71.247 | -0.000 | -0.000 | 
| 0.000 | 0.000 | 0.000 | -0.000 | 71.247 | -0.000 | 
| 0.000 | 0.000 | 0.000 | 0.000 | 0.000 | 71.247 | 
| 209.639 | 61.668 | 61.668 | -0.000 | -0.000 | 0.000 | 
| 61.668 | 209.639 | 61.668 | -0.000 | -0.000 | 0.000 | 
| 61.668 | 61.668 | 209.639 | 0.000 | 0.000 | -0.000 | 
| -0.000 | -0.000 | -0.000 | 71.247 | -0.000 | 0.000 | 
| -0.000 | -0.000 | -0.000 | -0.000 | 71.247 | 0.000 | 
| -0.000 | -0.000 | -0.000 | -0.000 | -0.000 | 71.247 | 
| 205.078 | 59.409 | 59.409 | 0.000 | 0.000 | -0.000 | 
| 59.409 | 205.078 | 59.409 | 0.000 | -0.000 | 0.000 | 
| 59.409 | 59.409 | 205.078 | 0.000 | 0.000 | -0.000 | 
| -0.000 | -0.000 | 0.000 | 70.104 | -0.000 | -0.000 | 
| 0.000 | -0.000 | 0.000 | 0.000 | 70.104 | -0.000 | 
| 0.000 | -0.000 | -0.000 | -0.000 | -0.000 | 70.104 | 
| 196.466 | 59.147 | 59.147 | -0.000 | 0.000 | 0.000 | 
| 59.147 | 196.466 | 59.147 | 0.000 | 0.000 | 0.000 | 
| 59.147 | 59.147 | 196.466 | -0.000 | -0.000 | 0.000 | 
| 0.000 | 0.000 | -0.000 | 70.104 | 0.000 | 0.000 | 
| -0.000 | 0.000 | -0.000 | 0.000 | 70.104 | 0.000 | 
| -0.000 | 0.000 | 0.000 | 0.000 | 0.000 | 70.104 | 
| 205.079 | 59.409 | 59.409 | -0.000 | -0.000 | -0.000 | 
| 59.409 | 205.079 | 59.409 | -0.000 | -0.000 | 0.000 | 
| 59.409 | 59.409 | 205.079 | 0.000 | 0.000 | -0.000 | 
| 0.000 | 0.000 | 0.000 | 70.104 | 0.000 | -0.000 | 
| 0.000 | 0.000 | 0.000 | -0.000 | 70.104 | -0.000 | 
| 0.000 | 0.000 | 0.000 | -0.000 | -0.000 | 70.104 | 
| 205.078 | 59.409 | 59.409 | 0.000 | 0.000 | 0.000 | 
| 59.409 | 205.078 | 59.409 | 0.000 | 0.000 | 0.000 | 
| 59.409 | 59.409 | 205.078 | 0.000 | 0.000 | 0.000 | 
| -0.000 | -0.000 | -0.000 | 70.104 | -0.000 | 0.000 | 
| -0.000 | -0.000 | -0.000 | 0.000 | 70.104 | 0.000 | 
| -0.000 | -0.000 | -0.000 | 0.000 | -0.000 | 70.104 | 
| 193.840 | 58.160 | 58.160 | -0.000 | -0.000 | -0.000 | 
| 58.160 | 193.840 | 58.160 | 0.000 | -0.000 | -0.000 | 
| 58.160 | 58.160 | 193.840 | -0.000 | -0.000 | -0.000 | 
| 0.000 | 0.000 | 0.000 | 70.104 | -0.000 | -0.000 | 
| 0.000 | 0.000 | 0.000 | 0.000 | 70.104 | -0.000 | 
| 0.000 | 0.000 | 0.000 | -0.000 | -0.000 | 70.104 | 
| 205.078 | 59.409 | 59.409 | -0.000 | 0.000 | 0.000 | 
| 59.409 | 205.078 | 59.409 | 0.000 | 0.000 | 0.000 | 
| 59.409 | 59.409 | 205.078 | 0.000 | 0.000 | 0.000 | 
| -0.000 | -0.000 | -0.000 | 70.104 | 0.000 | 0.000 | 
| -0.000 | -0.000 | -0.000 | -0.000 | 70.104 | 0.000 | 
| -0.000 | -0.000 | -0.000 | 0.000 | 0.000 | 70.104 | 
Phonon band structures and crystal properties estimated from quasi-harmonic approximation (QHA) calculations are displayed for select crystals. The calculations were performed using phonopy and LAMMPS. For the phonon calculations, 3x3 supercells of the potential-specific relaxed crystals were used. The QHA calculations were based on 11 strain states ranging from -0.05 to 0.05.
The calculation method used is available as the iprPy phonon calculation method.
Notes and Disclaimers:
Version Information:


































































































































Static free surface formation energies are displayed for select crystals. The values displayed here are obtained by taking a perfect periodic bulk crystal, slicing along a crystallographic plane, and using force minimization to statically relax the surfaces. The free surface formation energy is computed by comparing the energy of the defect system to the bulk system and dividing by the total surface area created by the cut.
The calculation method used is available as the iprPy surface_energy_static calculation method.
Notes and Disclaimers:
Version Information:
| Surface | γfs (mJ/m2) | 
|---|---|
| (111) 2 | 897.52 | 
| (331) 2 | 1181.36 | 
| (110) | 1313.56 | 
| (221) | 2281.29 | 
| (331) 1 | 2800.49 | 
| (211) | 2835.33 | 
| (321) | 2955.61 | 
| (320) | 3069.28 | 
| (332) | 3093.16 | 
| (311) 1 | 3777.56 | 
| (322) | 3963.09 | 
| (210) | 4239.82 | 
| (311) 2 | 4642.27 | 
| (100) | 4776.55 | 
| (310) | 5451.53 | 
| (111) 1 | 5600.31 | 
| Surface | γfs (mJ/m2) | 
|---|---|
| (111) | 2042.97 | 
| (332) | 2249.45 | 
| (322) | 2274.14 | 
| (221) | 2340.16 | 
| (211) | 2386.38 | 
| (100) | 2406.13 | 
| (331) | 2413.04 | 
| (311) | 2463.65 | 
| (321) | 2467.94 | 
| (110) | 2477.03 | 
| (320) | 2560.00 | 
| (210) | 2565.47 | 
| (310) | 2572.41 | 
| Surface | γfs (mJ/m2) | 
|---|---|
| (211) 2 | 2278.00 | 
| (210) | 2290.13 | 
| (100) | 2291.93 | 
| (311) | 2356.45 | 
| (332) 2 | 2358.17 | 
| (321) 2 | 2360.07 | 
| (321) 1 | 2379.23 | 
| (111) | 2379.55 | 
| (221) | 2381.89 | 
| (322) | 2387.47 | 
| (310) | 2390.21 | 
| (320) | 2395.70 | 
| (331) | 2406.18 | 
| (332) 1 | 2428.67 | 
| (211) 1 | 2436.77 | 
| (110) | 2438.28 | 
| Surface | γfs (mJ/m2) | 
|---|---|
| (110) | 2143.84 | 
| (320) | 2281.13 | 
| (210) | 2328.37 | 
| (100) | 2337.29 | 
| (321) | 2341.75 | 
| (310) | 2351.21 | 
| (211) | 2361.89 | 
| (331) | 2362.34 | 
| (311) | 2397.02 | 
| (221) | 2434.57 | 
| (322) | 2472.67 | 
| (332) | 2483.11 | 
| (111) | 2521.22 | 
Static point defect formation energies, Ef, and elastic dipole tensors, pij, are displayed for select crystals. Relaxed defect configurations are obtained by taking a 12x12x12 supercell of a perfect periodic bulk crystal, inserting the point defect, and using force minimization to statically relax the atomic positions while keeping the system dimensions constant. Ef is computed by comparing the energy of the defect system to the same number of atoms in a perfect bulk crystal. pij is estimated as the difference in the system's global pressure with and without the defect multiplied by the system's volume.
Simple structural comparisons of the unrelaxed and relaxed defect configurations are used to help determine if the defect structure has relaxed to a different configuration. Relaxed structures that are identified as no longer consistent with the ideal defect definition are excluded from the table below. The only exception to this is if the lowest energy interstitial configuration does not coincide with a known ideal defect, its energies and pressure tensor are included under the listing "relaxed interstitial". The full list of calculation results including the transformed structures and the structural comparison values is included in the csv file available from the "Download raw data" link.
The calculation method used is available as the iprPy point_defect_static calculation method.
Notes and Disclaimers:
| Point Defect | Ef (eV) | p11 (eV) | p22 (eV) | p33 (eV) | p12 (eV) | p13 (eV) | p23 (eV) | 
|---|---|---|---|---|---|---|---|
| relaxed interstitial | -26697.066 | 37.585 | 35.602 | 29.099 | 3.495 | -7.488 | -0.611 | 
| vacancy | 8.677 | 22.729 | 22.729 | 22.729 | 0.000 | 0.000 | 0.000 | 
| 1nn divacancy | 10.278 | 25.737 | 25.737 | 25.737 | -16.122 | -16.122 | -16.122 | 
| Point Defect | Ef (eV) | p11 (eV) | p22 (eV) | p33 (eV) | p12 (eV) | p13 (eV) | p23 (eV) | 
|---|---|---|---|---|---|---|---|
| vacancy | 2.264 | -1.786 | -1.786 | -1.786 | -0.000 | -0.000 | -0.000 | 
| 100 dumbbell | 3.820 | 17.471 | 17.471 | 21.662 | -0.000 | -0.000 | -0.000 | 
| 1nn divacancy | 4.334 | -3.205 | -3.188 | -3.188 | 0.000 | 0.000 | 0.123 | 
| tetrahedral interstitial | 4.348 | 19.111 | 19.111 | 19.111 | -0.000 | -0.000 | -0.000 | 
| 2nn divacancy | 4.538 | -3.863 | -3.863 | -3.597 | -0.000 | -0.000 | -0.000 | 
| Point Defect | Ef (eV) | p11 (eV) | p22 (eV) | p33 (eV) | p12 (eV) | p13 (eV) | p23 (eV) | 
|---|---|---|---|---|---|---|---|
| vacancy | 1.738 | -3.073 | -3.073 | -3.073 | 0.000 | -0.000 | 0.000 | 
| 2nn divacancy | 3.384 | -5.655 | -5.655 | -9.141 | 0.000 | -0.000 | 0.000 | 
| 1nn divacancy | 3.527 | -4.900 | -4.900 | -4.900 | 0.594 | 0.594 | 0.594 | 
| relaxed interstitial | 4.074 | 17.854 | 19.622 | 19.622 | 5.163 | 5.163 | 9.342 | 
| 111 dumbbell | 4.113 | 18.788 | 18.788 | 18.788 | 7.227 | 7.227 | 7.227 | 
| crowdion interstitial | 4.114 | 18.793 | 18.793 | 18.793 | 7.224 | 7.224 | 7.224 | 
| 110 dumbbell | 4.413 | 14.679 | 21.889 | 21.889 | 0.000 | 0.000 | 9.354 | 
| 100 dumbbell | 5.842 | 14.950 | 14.950 | 34.985 | 0.000 | -0.000 | 0.000 | 
Plots of the atomic structure of dislocation cores are shown here. The dislocations were constructed using dislocation monopole configurations in which a straight dislocation is created in the center of the system using anisotropic elasticity and the elastic constants computed above. A cylindrical region centered around the dislocation is allowed to relax while the remaining atoms are held fixed. The relaxation consists of 1 million NVT steps at 10 K followed by an energy/force minimization. The final plots show the atomic configuration near the center of the monopole system, and display differential displacement arrows and Nye tensor color maps that are both taken with respect to the Burgers vector direction.
These plots show a wide range of final structures, some corresponding to expected dislocation structures and others not. While the characterizations are dislocation-type dependent, some general classification guidelines are listed here.
The calculation method used is available as the iprPy dislocation_monopole calculation method.
Links are provided above the images allowing for users to download the final defect configuration and a corresponding defect-free configuration if they wish to further analyze the structures or use them for subsequent simulations.
Notes and Disclaimers:
Version Information:
Plots of lattice and elastic constants are shown as a function of temperature. The 0K points were taken from the Crystal Structure Predictions and the Elastic Constants Predictions sections above for the unique crystal structures relaxed with the "dynamic" method. Starting from the 0 K relaxed crystal unit cells, supercell systems are created by replicating all three dimensions by the same multiplier to achieve at least 4000 atoms. The systems are then relaxed at 50 K and zero pressure using 1 million NPT steps. Lattice constants are estimated by averaging the measured box dimensions. Temperatures are iteratively increased by 50 K, with each subsequent relaxation calculation starting from the final atomic configuration at the previous temperature and relaxing for another 1 million steps.
The elastic constants are calculated using the deformation–fluctuation hybrid method. Starting from the final atomic configurations of the dynamic relaxations, the system is allowed to evolve at constant volume with a Langevin thermostat. The Born matrix is computed during this run by evaluating how the atomic forces would vary due to applied linear strain fields. The elastic constants can then be estimated using the averaged Born matrix values and the averaged stresses on the system.
The calculation methods used are available as the iprPy relax_dynamic and elastic_constants_dynamic calculation methods.
Clicking on the image of a plot will open an interactive version of it in a new tab. The underlying data for the plots can be downloaded by clicking on the links above each plot.
Notes and Disclaimers:
Version Information:
Plots of radial distribution functions at different temperatures and the temperature-dependent diffusion and viscosity are shown here for elemental liquids. Melt phases are constructed by starting with a 10x10x10 fcc super cell and relaxing with 50,000 NPT steps at zero pressure and a high melting temperature (3000 K for most potentials and elements). Following the melt, liquid structures are relaxed by running NPT for 10,000 steps over which the temperature is dropped by 50 K, then 50,000 NPT at the target temperature to estimate the equilibrium volume, followed by 20,000 NVT steps at the averaged equilibrium volume and target temperature. Structures from the NVT run are sampled to compute the radial distribution function of the liquid at the corresponding temperature.
The final relaxed configurations at each temperature explored are used as the initial configurations for the diffusion and viscosity calculations. For diffusion, the system is integrated for 100 runs of 2,000 NVT steps during which both the mean squared displacement (MSD) and the velocity auto correlation function (VACF) are computed. From these simulations, three estimates of diffusion are computed: one from the MSD of the full 200,000 step run, one in which the MSD is reset for each short run and then averaged, and one from the VACF computed for each short run and averaged. For viscosity, the Green-Kubo method is used which is evaluated during a 1 million step NVT run.
The calculation methods used are available as the iprPy relax_liquid_redo, diffusion_liquid, and viscosity_green_kubo calculation methods.
Clicking on the image of a plot will open an interactive version of it in a new tab. The underlying data for the plots can be downloaded by clicking on the links above each plot.
Notes and Disclaimers:
Version Information:
Plots of internal energy, Gibbs free energy, entropy, heat capacity and volume are shown here as a function of temperature for various crystal structures and liquid phases. The included crystal structures correspond to those in the Solid Structures vs. Temperature section, and the liquid phases to those in the Liquid Properties section. Internal energy and volume are taken from the associated structure relaxations mentioned in those previous sections. Constant pressure heat capacity is estimated using 3-point numerical derivatives of enthalpy versus temperature. Note that since all simulations done here are at 0 pressure, internal energy and enthalpy are equivalent.
The Gibbs energies of the phases are estimated using thermodynamic integration between the interatomic potential in question and a simpler model with known Gibbs free energy values. For solids, the reference model is an Einstein solid, while for liquids it is the Uhlenbeck-Ford potential. Besides a short run at the start of the solid calculations to estimate Einstein model spring constants, the two calculations proceed similarly. Starting with the final relaxation configurations, the systems are stabilized for 25,000 steps. Then, over the next 50,000 steps the potential is swapped out for the reference potential. The system is then stabilized for another 25,000 steps with the reference model before a reverse swap of 50,000 steps is performed. The simulation ends with one final 25,000 step stabilization period. From the simulation, the irreversible work of transformation is estimated and used to compute the absolute Gibbs free energy of the target phase and potential relative to the reference potential. Entropy is estimated as the difference in enthalpy and Gibbs free energy and divided by temperature.
The calculation methods used are available as the iprPy relax_dynamic, relax_liquid_redo, free_energy, and free_energy_liquid calculation methods.
Clicking on the image of a plot will open an interactive version of it in a new tab. The underlying data for the plots can be downloaded by clicking on the links above each plot.
Notes and Disclaimers:
Version Information:
            
            





