Plots of the potential energy vs interatomic spacing, r, are shown below for all diatom sets associated with the interatomic potential. This calculation provides insights into the functional form of the potential's two-body interactions. A system consisting of only two atoms is created, and the potential energy is evaluated for the atoms separated by 0.02 Å <= r <= 6.0> Å in intervals of 0.02 Å. Two plots are shown: one for the "standard" interaction distance range, and one for small values of r. The small r plot is useful for determining whether the potential is suitable for radiation studies.
The calculation method used is available as the iprPy diatom_scan calculation method.
Clicking on the image of a plot will open an interactive version of it in a new tab. The underlying data for the plots can be downloaded by clicking on the links above each plot.
Notes and Disclaimers:
Version Information:
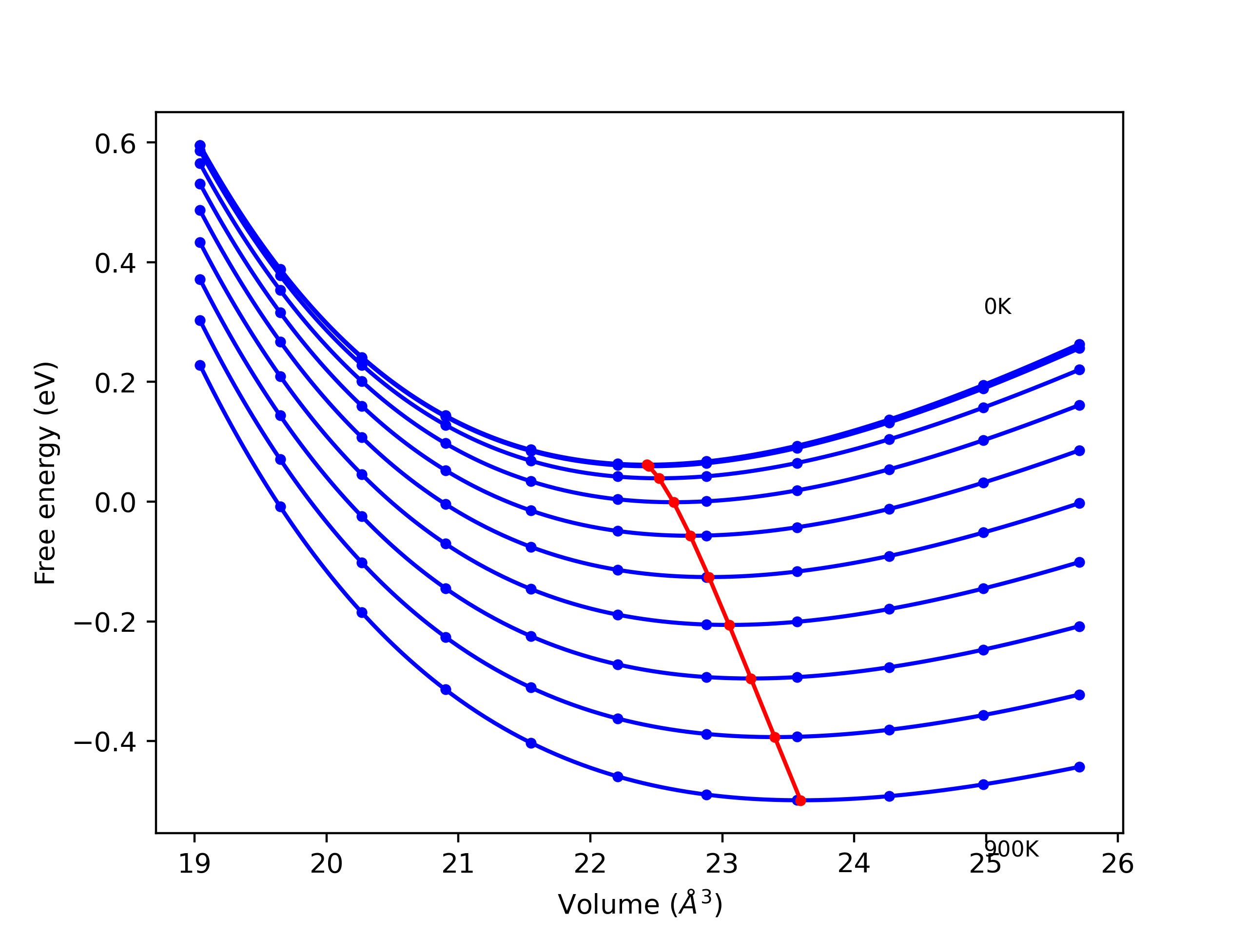
Plots of potential energy vs interatomic spacing, r, are shown below for a number of crystal structures. The structures are generated based on the ideal atomic positions and b/a and c/a lattice parameter ratios for a given crystal prototype. The size of the system is then uniformly scaled, and the energy calculated without relaxing the system. To obtain these plots, values of r are evaluated every 0.02 Å up to 6 Å.
The calculation method used is available as the iprPy E_vs_r_scan calculation method.
Clicking on the image of a plot will open an interactive version of it in a new tab. The underlying data for the plots can be downloaded by clicking on the links above each plot.
Notes and Disclaimers:
Version Information:
Computed lattice constants and cohesive/potential energies are displayed for a variety of crystal structures. The values displayed here are obtained using the following process.
The calculation methods used are implemented into iprPy as the following calculation styles
Notes and Disclaimers:
Version Information:
Download raw data (including filtered results)
Reference structure matches:
A1--Cu--fcc = mp-102, oqmd-592136, oqmd-594128, oqmd-1214517
A15--beta-W = oqmd-1214962, oqmd-1280314
A2--W--bcc = oqmd-1215140, oqmd-1215853
A3'--alpha-La--double-hcp = mp-1183710, oqmd-1215408
A3--Mg--hcp = mp-54, oqmd-592630, oqmd-637416, oqmd-1215318
A4--C--dc = oqmd-1215497
A5--beta-Sn = oqmd-1215586
A6--In--bct = oqmd-1215675
| prototype | method | Ecoh (eV/atom) | Epot (eV/atom) | a0 (Å) | b0 (Å) | c0 (Å) | α (degrees) | β (degrees) | γ (degrees) |
|---|---|---|---|---|---|---|---|---|---|
| A1--Cu--fcc | dynamic | -1.84 | -1.84 | 3.5136 | 3.5136 | 3.5136 | 90.0 | 90.0 | 90.0 |
| A3'--alpha-La--double-hcp | dynamic | -1.838 | -1.838 | 2.4842 | 2.4842 | 8.107 | 90.0 | 90.0 | 120.0 |
| oqmd-1216031 | dynamic | -1.8373 | -1.8373 | 2.4841 | 2.4841 | 18.2388 | 90.0 | 90.0 | 120.0 |
| A3--Mg--hcp | dynamic | -1.8358 | -1.8358 | 2.4837 | 2.4837 | 4.0522 | 90.0 | 90.0 | 120.0 |
| oqmd-1215229 | box | -1.8354 | -1.8354 | 2.4786 | 4.3108 | 4.0528 | 90.0 | 90.0 | 90.0 |
| A2--W--bcc | box | -1.7501 | -1.7501 | 2.8089 | 2.8089 | 2.8089 | 90.0 | 90.0 | 90.0 |
| oqmd-1214873 | dynamic | -1.7159 | -1.7159 | 6.0997 | 6.0997 | 6.0997 | 90.0 | 90.0 | 90.0 |
| oqmd-1214873 | box | -1.713 | -1.713 | 6.099 | 6.099 | 6.099 | 90.0 | 90.0 | 90.0 |
| oqmd-1214784 | dynamic | -1.6977 | -1.6977 | 8.7079 | 8.7079 | 8.7079 | 90.0 | 90.0 | 90.0 |
| oqmd-1214784 | static | -1.6977 | -1.6977 | 8.7074 | 8.7074 | 8.7074 | 90.0 | 90.0 | 90.0 |
| mp-669382 | static | -1.6935 | -1.6935 | 7.906 | 7.906 | 9.6908 | 90.0 | 90.0 | 120.0 |
| mp-669382 | box | -1.6834 | -1.6834 | 7.9337 | 7.9337 | 9.6616 | 90.0 | 90.0 | 120.0 |
| oqmd-594127 | box | -1.6817 | -1.6817 | 7.9682 | 7.9682 | 9.5764 | 90.0 | 90.0 | 120.0 |
| oqmd-1214784 | box | -1.6666 | -1.6666 | 8.7353 | 8.7353 | 8.7353 | 90.0 | 90.0 | 90.0 |
| A15--beta-W | static | -1.6104 | -1.6104 | 4.5387 | 4.5387 | 4.5387 | 90.0 | 90.0 | 90.0 |
| oqmd-631034 | static | -1.6095 | -1.6095 | 8.4994 | 8.4994 | 4.6211 | 90.0 | 90.0 | 90.0 |
| mp-1193227 | box | -1.5891 | -1.5891 | 8.5154 | 8.5154 | 4.6148 | 90.0 | 90.0 | 90.0 |
| oqmd-631034 | box | -1.5885 | -1.5885 | 8.5179 | 8.5179 | 4.6128 | 90.0 | 90.0 | 90.0 |
| mp-1072089 | static | -1.4986 | -1.4986 | 6.671 | 6.671 | 6.671 | 90.0 | 90.0 | 90.0 |
| oqmd-1214695 | box | -1.4965 | -1.4965 | 2.4439 | 2.4439 | 8.471 | 90.0 | 90.0 | 90.0 |
| A5--beta-Sn | box | -1.3581 | -1.3581 | 4.6614 | 4.6614 | 2.4364 | 90.0 | 90.0 | 90.0 |
| Ah--alpha-Po--sc | static | -1.2126 | -1.2126 | 2.4272 | 2.4272 | 2.4272 | 90.0 | 90.0 | 90.0 |
| oqmd-1215942 | box | -0.8754 | -0.8754 | 4.2186 | 4.2186 | 4.747 | 90.0 | 90.0 | 120.0 |
| A7--alpha-As | box | -0.845 | -0.845 | 3.3887 | 3.3887 | 10.9581 | 90.0 | 90.0 | 120.0 |
| A4--C--dc | box | -0.6808 | -0.6808 | 5.6804 | 5.6804 | 5.6804 | 90.0 | 90.0 | 90.0 |
Download raw data (including filtered results)
Reference structure matches:
| prototype | method | Ecoh (eV/atom) | Epot (eV/atom) | a0 (Å) | b0 (Å) | c0 (Å) | α (degrees) | β (degrees) | γ (degrees) |
|---|---|---|---|---|---|---|---|---|---|
| C1--CaF2--fluorite | static | -1.2031 | -1.2031 | 5.6476 | 5.6476 | 5.6476 | 90.0 | 90.0 | 90.0 |
Download raw data (including filtered results)
Reference structure matches:
| prototype | method | Ecoh (eV/atom) | Epot (eV/atom) | a0 (Å) | b0 (Å) | c0 (Å) | α (degrees) | β (degrees) | γ (degrees) |
|---|---|---|---|---|---|---|---|---|---|
| mp-1226444 | box | -1.6506 | -1.6506 | 12.3218 | 12.464 | 4.6328 | 90.0 | 90.0 | 90.0 |
Download raw data (including filtered results)
Reference structure matches:
| prototype | method | Ecoh (eV/atom) | Epot (eV/atom) | a0 (Å) | b0 (Å) | c0 (Å) | α (degrees) | β (degrees) | γ (degrees) |
|---|---|---|---|---|---|---|---|---|---|
| L2_1--AlCu2Mn--heusler | static | -1.7459 | -1.7459 | 5.6659 | 5.6659 | 5.6659 | 90.0 | 90.0 | 90.0 |
Download raw data (including filtered results)
Reference structure matches:
| prototype | method | Ecoh (eV/atom) | Epot (eV/atom) | a0 (Å) | b0 (Å) | c0 (Å) | α (degrees) | β (degrees) | γ (degrees) |
|---|---|---|---|---|---|---|---|---|---|
| L2_1--AlCu2Mn--heusler | static | -1.4707 | -1.4707 | 5.8039 | 5.8039 | 5.8039 | 90.0 | 90.0 | 90.0 |
Download raw data (including filtered results)
Reference structure matches:
| prototype | method | Ecoh (eV/atom) | Epot (eV/atom) | a0 (Å) | b0 (Å) | c0 (Å) | α (degrees) | β (degrees) | γ (degrees) |
|---|---|---|---|---|---|---|---|---|---|
| L2_1--AlCu2Mn--heusler | static | -1.7421 | -1.7421 | 5.6423 | 5.6423 | 5.6423 | 90.0 | 90.0 | 90.0 |
Download raw data (including filtered results)
Reference structure matches:
| prototype | method | Ecoh (eV/atom) | Epot (eV/atom) | a0 (Å) | b0 (Å) | c0 (Å) | α (degrees) | β (degrees) | γ (degrees) |
|---|---|---|---|---|---|---|---|---|---|
| C1--CaF2--fluorite | static | -1.226 | -1.226 | 5.6325 | 5.6325 | 5.6325 | 90.0 | 90.0 | 90.0 |
Download raw data (including filtered results)
Reference structure matches:
| prototype | method | Ecoh (eV/atom) | Epot (eV/atom) | a0 (Å) | b0 (Å) | c0 (Å) | α (degrees) | β (degrees) | γ (degrees) |
|---|---|---|---|---|---|---|---|---|---|
| L2_1--AlCu2Mn--heusler | static | -1.4865 | -1.4865 | 5.7951 | 5.7951 | 5.7951 | 90.0 | 90.0 | 90.0 |
Download raw data (including filtered results)
Reference structure matches:
| prototype | method | Ecoh (eV/atom) | Epot (eV/atom) | a0 (Å) | b0 (Å) | c0 (Å) | α (degrees) | β (degrees) | γ (degrees) |
|---|---|---|---|---|---|---|---|---|---|
| L2_1--AlCu2Mn--heusler | static | -1.7624 | -1.7624 | 5.6331 | 5.6331 | 5.6331 | 90.0 | 90.0 | 90.0 |
Download raw data (including filtered results)
Reference structure matches:
| prototype | method | Ecoh (eV/atom) | Epot (eV/atom) | a0 (Å) | b0 (Å) | c0 (Å) | α (degrees) | β (degrees) | γ (degrees) |
|---|---|---|---|---|---|---|---|---|---|
| C1--CaF2--fluorite | box | -0.9258 | -0.9258 | 5.8612 | 5.8612 | 5.8612 | 90.0 | 90.0 | 90.0 |
Download raw data (including filtered results)
Reference structure matches:
| prototype | method | Ecoh (eV/atom) | Epot (eV/atom) | a0 (Å) | b0 (Å) | c0 (Å) | α (degrees) | β (degrees) | γ (degrees) |
|---|---|---|---|---|---|---|---|---|---|
| L2_1--AlCu2Mn--heusler | static | -1.4762 | -1.4762 | 5.775 | 5.775 | 5.775 | 90.0 | 90.0 | 90.0 |
Download raw data (including filtered results)
Reference structure matches:
| prototype | method | Ecoh (eV/atom) | Epot (eV/atom) | a0 (Å) | b0 (Å) | c0 (Å) | α (degrees) | β (degrees) | γ (degrees) |
|---|---|---|---|---|---|---|---|---|---|
| C1--CaF2--fluorite | static | -1.2408 | -1.2408 | 5.5831 | 5.5831 | 5.5831 | 90.0 | 90.0 | 90.0 |
| oqmd-1232456 | box | -0.867 | -0.867 | 5.2509 | 5.2509 | 4.1114 | 90.0 | 90.0 | 90.0 |
Download raw data (including filtered results)
Reference structure matches:
| prototype | method | Ecoh (eV/atom) | Epot (eV/atom) | a0 (Å) | b0 (Å) | c0 (Å) | α (degrees) | β (degrees) | γ (degrees) |
|---|---|---|---|---|---|---|---|---|---|
| oqmd-426534 | box | -1.2882 | -1.2882 | 6.205 | 6.205 | 12.3746 | 90.0 | 90.0 | 120.0 |
Download raw data (including filtered results)
Reference structure matches:
L1_2--AuCu3 = mp-1008280
| prototype | method | Ecoh (eV/atom) | Epot (eV/atom) | a0 (Å) | b0 (Å) | c0 (Å) | α (degrees) | β (degrees) | γ (degrees) |
|---|---|---|---|---|---|---|---|---|---|
| L1_2--AuCu3 | dynamic | -1.827 | -1.827 | 3.5309 | 3.5309 | 3.5309 | 90.0 | 90.0 | 90.0 |
| mp-1087479 | dynamic | -1.8226 | -1.8226 | 4.9924 | 4.9924 | 4.0728 | 90.0 | 90.0 | 120.0 |
| mp-1226209 | dynamic | -1.8215 | -1.8215 | 2.497 | 2.497 | 8.1433 | 90.0 | 90.0 | 120.0 |
| mp-1226209 | box | -1.8199 | -1.8199 | 2.497 | 2.497 | 8.1476 | 90.0 | 90.0 | 120.0 |
| mp-1087479 | box | -1.8053 | -1.8053 | 5.0132 | 5.0132 | 4.0669 | 90.0 | 90.0 | 120.0 |
| D0_3--BiF3 | static | -1.7369 | -1.7369 | 5.647 | 5.647 | 5.647 | 90.0 | 90.0 | 90.0 |
| A15--Cr3Si | static | -1.6084 | -1.6084 | 4.5573 | 4.5573 | 4.5573 | 90.0 | 90.0 | 90.0 |
Download raw data (including filtered results)
Reference structure matches:
L1_2--AuCu3 = mp-1007852
| prototype | method | Ecoh (eV/atom) | Epot (eV/atom) | a0 (Å) | b0 (Å) | c0 (Å) | α (degrees) | β (degrees) | γ (degrees) |
|---|---|---|---|---|---|---|---|---|---|
| L1_2--AuCu3 | dynamic | -1.848 | -1.848 | 3.5256 | 3.5256 | 3.5256 | 90.0 | 90.0 | 90.0 |
| mp-1225083 | dynamic | -1.848 | -1.848 | 2.4937 | 2.4937 | 7.047 | 90.0 | 90.0 | 90.0 |
| mp-1225083 | box | -1.8465 | -1.8465 | 2.4943 | 2.4943 | 7.0471 | 90.0 | 90.0 | 90.0 |
| D0_3--BiF3 | static | -1.7571 | -1.7571 | 5.6379 | 5.6379 | 5.6379 | 90.0 | 90.0 | 90.0 |
| A15--Cr3Si | box | -1.6254 | -1.6254 | 4.5506 | 4.5506 | 4.5506 | 90.0 | 90.0 | 90.0 |
Download raw data (including filtered results)
Reference structure matches:
| prototype | method | Ecoh (eV/atom) | Epot (eV/atom) | a0 (Å) | b0 (Å) | c0 (Å) | α (degrees) | β (degrees) | γ (degrees) |
|---|---|---|---|---|---|---|---|---|---|
| mp-641526 | box | -1.7741 | -1.7741 | 5.6823 | 5.6823 | 5.6824 | 90.0 | 90.0 | 90.0 |
Download raw data (including filtered results)
Reference structure matches:
| prototype | method | Ecoh (eV/atom) | Epot (eV/atom) | a0 (Å) | b0 (Å) | c0 (Å) | α (degrees) | β (degrees) | γ (degrees) |
|---|---|---|---|---|---|---|---|---|---|
| mp-1084832 | static | -1.7689 | -1.7689 | 5.6672 | 5.6672 | 5.6672 | 90.0 | 90.0 | 90.0 |
Download raw data (including filtered results)
Reference structure matches:
| prototype | method | Ecoh (eV/atom) | Epot (eV/atom) | a0 (Å) | b0 (Å) | c0 (Å) | α (degrees) | β (degrees) | γ (degrees) |
|---|---|---|---|---|---|---|---|---|---|
| L1_2--AuCu3 | dynamic | -1.5503 | -1.5503 | 3.6081 | 3.6081 | 3.6081 | 90.0 | 90.0 | 90.0 |
| D0_3--BiF3 | static | -1.4727 | -1.4727 | 5.7793 | 5.7793 | 5.7793 | 90.0 | 90.0 | 90.0 |
| A15--Cr3Si | static | -1.3818 | -1.3818 | 4.6524 | 4.6524 | 4.6524 | 90.0 | 90.0 | 90.0 |
Download raw data (including filtered results)
Reference structure matches:
D0_3--BiF3 = oqmd-308248
L1_2--AuCu3 = mp-1008349, oqmd-344812
| prototype | method | Ecoh (eV/atom) | Epot (eV/atom) | a0 (Å) | b0 (Å) | c0 (Å) | α (degrees) | β (degrees) | γ (degrees) |
|---|---|---|---|---|---|---|---|---|---|
| oqmd-297717 | dynamic | -1.8457 | -1.8457 | 3.5107 | 3.5107 | 7.0214 | 90.0 | 90.0 | 90.0 |
| L1_2--AuCu3 | dynamic | -1.8457 | -1.8457 | 3.5107 | 3.5107 | 3.5107 | 90.0 | 90.0 | 90.0 |
| mp-1183837 | dynamic | -1.8416 | -1.8416 | 4.9633 | 4.9633 | 4.0487 | 90.0 | 90.0 | 120.0 |
| mp-1226559 | dynamic | -1.8416 | -1.8416 | 2.4816 | 2.4816 | 8.0973 | 90.0 | 90.0 | 120.0 |
| mp-1226559 | box | -1.8412 | -1.8412 | 2.4817 | 2.4817 | 8.0985 | 90.0 | 90.0 | 120.0 |
| oqmd-320326 | box | -1.8406 | -1.8406 | 4.9642 | 4.9642 | 4.0489 | 90.0 | 90.0 | 120.0 |
| mp-1183837 | box | -1.8391 | -1.8391 | 4.9655 | 4.9655 | 4.0489 | 90.0 | 90.0 | 120.0 |
| D0_3--BiF3 | static | -1.7557 | -1.7557 | 5.6129 | 5.6129 | 5.6129 | 90.0 | 90.0 | 90.0 |
| A15--Cr3Si | static | -1.6141 | -1.6141 | 4.5355 | 4.5355 | 4.5355 | 90.0 | 90.0 | 90.0 |
Download raw data (including filtered results)
Reference structure matches:
| prototype | method | Ecoh (eV/atom) | Epot (eV/atom) | a0 (Å) | b0 (Å) | c0 (Å) | α (degrees) | β (degrees) | γ (degrees) |
|---|---|---|---|---|---|---|---|---|---|
| mp-601848 | box | -1.7707 | -1.7707 | 5.6725 | 5.6725 | 5.6716 | 90.0 | 90.0 | 90.0 |
Download raw data (including filtered results)
Reference structure matches:
| prototype | method | Ecoh (eV/atom) | Epot (eV/atom) | a0 (Å) | b0 (Å) | c0 (Å) | α (degrees) | β (degrees) | γ (degrees) |
|---|---|---|---|---|---|---|---|---|---|
| mp-1227307 | box | -1.6322 | -1.6322 | 8.7782 | 8.7782 | 4.6377 | 90.0 | 90.0 | 90.0 |
Download raw data (including filtered results)
Reference structure matches:
| prototype | method | Ecoh (eV/atom) | Epot (eV/atom) | a0 (Å) | b0 (Å) | c0 (Å) | α (degrees) | β (degrees) | γ (degrees) |
|---|---|---|---|---|---|---|---|---|---|
| mp-601842 | box | -1.7674 | -1.7674 | 5.662 | 5.662 | 5.662 | 90.0 | 90.0 | 90.0 |
Download raw data (including filtered results)
Reference structure matches:
| prototype | method | Ecoh (eV/atom) | Epot (eV/atom) | a0 (Å) | b0 (Å) | c0 (Å) | α (degrees) | β (degrees) | γ (degrees) |
|---|---|---|---|---|---|---|---|---|---|
| mp-1096987 | box | -1.2305 | -1.2305 | 5.4412 | 5.4412 | 4.9445 | 90.0 | 90.0 | 90.0 |
Download raw data (including filtered results)
Reference structure matches:
B2--CsCl = mp-1010071
| prototype | method | Ecoh (eV/atom) | Epot (eV/atom) | a0 (Å) | b0 (Å) | c0 (Å) | α (degrees) | β (degrees) | γ (degrees) |
|---|---|---|---|---|---|---|---|---|---|
| L1_0--AuCu | dynamic | -1.8151 | -1.8151 | 2.51 | 2.51 | 3.5441 | 90.0 | 90.0 | 90.0 |
| B2--CsCl | box | -1.7265 | -1.7265 | 2.8374 | 2.8374 | 2.8374 | 90.0 | 90.0 | 90.0 |
| B1--NaCl--rock-salt | static | -1.1956 | -1.1956 | 4.9001 | 4.9001 | 4.9001 | 90.0 | 90.0 | 90.0 |
| B3--ZnS--cubic-zinc-blende | box | -0.6719 | -0.6719 | 5.7363 | 5.7363 | 5.7363 | 90.0 | 90.0 | 90.0 |
Download raw data (including filtered results)
Reference structure matches:
| prototype | method | Ecoh (eV/atom) | Epot (eV/atom) | a0 (Å) | b0 (Å) | c0 (Å) | α (degrees) | β (degrees) | γ (degrees) |
|---|---|---|---|---|---|---|---|---|---|
| mp-1077706 | static | -1.4314 | -1.4314 | 6.8005 | 6.8005 | 6.8005 | 90.0 | 90.0 | 90.0 |
| C1--CaF2--fluorite | static | -1.2282 | -1.2282 | 5.6493 | 5.6493 | 5.6493 | 90.0 | 90.0 | 90.0 |
Download raw data (including filtered results)
Reference structure matches:
| prototype | method | Ecoh (eV/atom) | Epot (eV/atom) | a0 (Å) | b0 (Å) | c0 (Å) | α (degrees) | β (degrees) | γ (degrees) |
|---|---|---|---|---|---|---|---|---|---|
| L2_1--AlCu2Mn--heusler | static | -1.7335 | -1.7335 | 5.695 | 5.695 | 5.695 | 90.0 | 90.0 | 90.0 |
Download raw data (including filtered results)
Reference structure matches:
| prototype | method | Ecoh (eV/atom) | Epot (eV/atom) | a0 (Å) | b0 (Å) | c0 (Å) | α (degrees) | β (degrees) | γ (degrees) |
|---|---|---|---|---|---|---|---|---|---|
| L2_1--AlCu2Mn--heusler | static | -1.4582 | -1.4582 | 5.8349 | 5.8349 | 5.8349 | 90.0 | 90.0 | 90.0 |
Download raw data (including filtered results)
Reference structure matches:
| prototype | method | Ecoh (eV/atom) | Epot (eV/atom) | a0 (Å) | b0 (Å) | c0 (Å) | α (degrees) | β (degrees) | γ (degrees) |
|---|---|---|---|---|---|---|---|---|---|
| L2_1--AlCu2Mn--heusler | static | -1.7319 | -1.7319 | 5.67 | 5.67 | 5.67 | 90.0 | 90.0 | 90.0 |
Download raw data (including filtered results)
Reference structure matches:
| prototype | method | Ecoh (eV/atom) | Epot (eV/atom) | a0 (Å) | b0 (Å) | c0 (Å) | α (degrees) | β (degrees) | γ (degrees) |
|---|---|---|---|---|---|---|---|---|---|
| L1_2--AuCu3 | dynamic | -1.8041 | -1.8041 | 3.5643 | 3.5643 | 3.5643 | 90.0 | 90.0 | 90.0 |
| mp-1025503 | dynamic | -1.7989 | -1.7989 | 5.0401 | 5.0401 | 4.1141 | 90.0 | 90.0 | 120.0 |
| mp-1025503 | box | -1.7944 | -1.7944 | 5.0428 | 5.0428 | 4.1166 | 90.0 | 90.0 | 120.0 |
| D0_3--BiF3 | static | -1.714 | -1.714 | 5.7041 | 5.7041 | 5.7041 | 90.0 | 90.0 | 90.0 |
| A15--Cr3Si | static | -1.5688 | -1.5688 | 4.6125 | 4.6125 | 4.6125 | 90.0 | 90.0 | 90.0 |
Download raw data (including filtered results)
Reference structure matches:
| prototype | method | Ecoh (eV/atom) | Epot (eV/atom) | a0 (Å) | b0 (Å) | c0 (Å) | α (degrees) | β (degrees) | γ (degrees) |
|---|---|---|---|---|---|---|---|---|---|
| L2_1--AlCu2Mn--heusler | static | -1.7525 | -1.7525 | 5.6862 | 5.6862 | 5.6862 | 90.0 | 90.0 | 90.0 |
Download raw data (including filtered results)
Reference structure matches:
| prototype | method | Ecoh (eV/atom) | Epot (eV/atom) | a0 (Å) | b0 (Å) | c0 (Å) | α (degrees) | β (degrees) | γ (degrees) |
|---|---|---|---|---|---|---|---|---|---|
| mp-1096923 | dynamic | -1.8407 | -1.8407 | 10.0114 | 10.0116 | 10.0117 | 90.0 | 120.0 | 120.0 |
| mp-1012640 | dynamic | -1.8362 | -1.8362 | 4.3347 | 4.0839 | 5.0045 | 90.0 | 90.0 | 90.0 |
| mp-1012640 | box | -1.8339 | -1.8339 | 4.3349 | 4.083 | 5.0094 | 90.0 | 90.1 | 90.0 |
Download raw data (including filtered results)
Reference structure matches:
| prototype | method | Ecoh (eV/atom) | Epot (eV/atom) | a0 (Å) | b0 (Å) | c0 (Å) | α (degrees) | β (degrees) | γ (degrees) |
|---|---|---|---|---|---|---|---|---|---|
| L2_1--AlCu2Mn--heusler | static | -1.2558 | -1.2558 | 5.9546 | 5.9546 | 5.9546 | 90.0 | 90.0 | 90.0 |
Download raw data (including filtered results)
Reference structure matches:
| prototype | method | Ecoh (eV/atom) | Epot (eV/atom) | a0 (Å) | b0 (Å) | c0 (Å) | α (degrees) | β (degrees) | γ (degrees) |
|---|---|---|---|---|---|---|---|---|---|
| L2_1--AlCu2Mn--heusler | static | -1.748 | -1.748 | 5.6372 | 5.6372 | 5.6372 | 90.0 | 90.0 | 90.0 |
Download raw data (including filtered results)
Reference structure matches:
B2--CsCl = mp-2090
| prototype | method | Ecoh (eV/atom) | Epot (eV/atom) | a0 (Å) | b0 (Å) | c0 (Å) | α (degrees) | β (degrees) | γ (degrees) |
|---|---|---|---|---|---|---|---|---|---|
| L1_0--AuCu | dynamic | -1.8564 | -1.8564 | 2.502 | 2.502 | 3.5346 | 90.0 | 90.0 | 90.0 |
| B2--CsCl | box | -1.7657 | -1.7657 | 2.8285 | 2.8285 | 2.8285 | 90.0 | 90.0 | 90.0 |
| mp-1225016 | box | -1.7639 | -1.7639 | 2.8281 | 4.0027 | 4.0003 | 90.0 | 90.0 | 90.0 |
| B1--NaCl--rock-salt | box | -1.223 | -1.223 | 4.8858 | 4.8858 | 4.8858 | 90.0 | 90.0 | 90.0 |
| B3--ZnS--cubic-zinc-blende | static | -0.687 | -0.687 | 5.7188 | 5.7188 | 5.7188 | 90.0 | 90.0 | 90.0 |
Download raw data (including filtered results)
Reference structure matches:
| prototype | method | Ecoh (eV/atom) | Epot (eV/atom) | a0 (Å) | b0 (Å) | c0 (Å) | α (degrees) | β (degrees) | γ (degrees) |
|---|---|---|---|---|---|---|---|---|---|
| mp-18695 | box | -1.778 | -1.778 | 5.6921 | 5.6921 | 5.6921 | 90.0 | 90.0 | 90.0 |
Download raw data (including filtered results)
Reference structure matches:
| prototype | method | Ecoh (eV/atom) | Epot (eV/atom) | a0 (Å) | b0 (Å) | c0 (Å) | α (degrees) | β (degrees) | γ (degrees) |
|---|---|---|---|---|---|---|---|---|---|
| C1--CaF2--fluorite | static | -1.2607 | -1.2607 | 5.6291 | 5.6291 | 5.6291 | 90.0 | 90.0 | 90.0 |
Download raw data (including filtered results)
Reference structure matches:
| prototype | method | Ecoh (eV/atom) | Epot (eV/atom) | a0 (Å) | b0 (Å) | c0 (Å) | α (degrees) | β (degrees) | γ (degrees) |
|---|---|---|---|---|---|---|---|---|---|
| L2_1--AlCu2Mn--heusler | static | -1.4902 | -1.4902 | 5.8172 | 5.8172 | 5.8172 | 90.0 | 90.0 | 90.0 |
Download raw data (including filtered results)
Reference structure matches:
| prototype | method | Ecoh (eV/atom) | Epot (eV/atom) | a0 (Å) | b0 (Å) | c0 (Å) | α (degrees) | β (degrees) | γ (degrees) |
|---|---|---|---|---|---|---|---|---|---|
| L2_1--AlCu2Mn--heusler | static | -1.7712 | -1.7712 | 5.6521 | 5.6521 | 5.6521 | 90.0 | 90.0 | 90.0 |
Download raw data (including filtered results)
Reference structure matches:
| prototype | method | Ecoh (eV/atom) | Epot (eV/atom) | a0 (Å) | b0 (Å) | c0 (Å) | α (degrees) | β (degrees) | γ (degrees) |
|---|---|---|---|---|---|---|---|---|---|
| L1_2--AuCu3 | dynamic | -1.8653 | -1.8653 | 3.5485 | 3.5485 | 3.5485 | 90.0 | 90.0 | 90.0 |
| D0_3--BiF3 | static | -1.7725 | -1.7725 | 5.6771 | 5.6771 | 5.6771 | 90.0 | 90.0 | 90.0 |
| mp-601820 | box | -1.7725 | -1.7725 | 4.0146 | 4.0146 | 2.8381 | 90.0 | 90.0 | 90.0 |
| A15--Cr3Si | static | -1.6235 | -1.6235 | 4.5904 | 4.5904 | 4.5904 | 90.0 | 90.0 | 90.0 |
Download raw data (including filtered results)
Reference structure matches:
| prototype | method | Ecoh (eV/atom) | Epot (eV/atom) | a0 (Å) | b0 (Å) | c0 (Å) | α (degrees) | β (degrees) | γ (degrees) |
|---|---|---|---|---|---|---|---|---|---|
| mp-1080603 | box | -1.7765 | -1.7765 | 5.6868 | 5.6868 | 5.6868 | 90.0 | 90.0 | 90.0 |
Download raw data (including filtered results)
Reference structure matches:
| prototype | method | Ecoh (eV/atom) | Epot (eV/atom) | a0 (Å) | b0 (Å) | c0 (Å) | α (degrees) | β (degrees) | γ (degrees) |
|---|---|---|---|---|---|---|---|---|---|
| L2_1--AlCu2Mn--heusler | static | -1.2696 | -1.2696 | 5.9458 | 5.9458 | 5.9458 | 90.0 | 90.0 | 90.0 |
Download raw data (including filtered results)
Reference structure matches:
| prototype | method | Ecoh (eV/atom) | Epot (eV/atom) | a0 (Å) | b0 (Å) | c0 (Å) | α (degrees) | β (degrees) | γ (degrees) |
|---|---|---|---|---|---|---|---|---|---|
| L2_1--AlCu2Mn--heusler | static | -1.7683 | -1.7683 | 5.6281 | 5.6281 | 5.6281 | 90.0 | 90.0 | 90.0 |
Download raw data (including filtered results)
Reference structure matches:
| prototype | method | Ecoh (eV/atom) | Epot (eV/atom) | a0 (Å) | b0 (Å) | c0 (Å) | α (degrees) | β (degrees) | γ (degrees) |
|---|---|---|---|---|---|---|---|---|---|
| L1_0--AuCu | dynamic | -1.3168 | -1.3168 | 2.6258 | 2.6258 | 3.6703 | 90.0 | 90.0 | 90.0 |
| B2--CsCl | box | -1.2612 | -1.2612 | 2.9638 | 2.9638 | 2.9638 | 90.0 | 90.0 | 90.0 |
| B1--NaCl--rock-salt | static | -0.8674 | -0.8674 | 5.1041 | 5.1041 | 5.1041 | 90.0 | 90.0 | 90.0 |
| B3--ZnS--cubic-zinc-blende | static | -0.4922 | -0.4922 | 5.9843 | 5.9843 | 5.9843 | 90.0 | 90.0 | 90.0 |
Download raw data (including filtered results)
Reference structure matches:
| prototype | method | Ecoh (eV/atom) | Epot (eV/atom) | a0 (Å) | b0 (Å) | c0 (Å) | α (degrees) | β (degrees) | γ (degrees) |
|---|---|---|---|---|---|---|---|---|---|
| C1--CaF2--fluorite | static | -0.8502 | -0.8502 | 5.9372 | 5.9372 | 5.9372 | 90.0 | 90.0 | 90.0 |
Download raw data (including filtered results)
Reference structure matches:
| prototype | method | Ecoh (eV/atom) | Epot (eV/atom) | a0 (Å) | b0 (Å) | c0 (Å) | α (degrees) | β (degrees) | γ (degrees) |
|---|---|---|---|---|---|---|---|---|---|
| L2_1--AlCu2Mn--heusler | static | -1.2647 | -1.2647 | 5.923 | 5.923 | 5.923 | 90.0 | 90.0 | 90.0 |
Download raw data (including filtered results)
Reference structure matches:
| prototype | method | Ecoh (eV/atom) | Epot (eV/atom) | a0 (Å) | b0 (Å) | c0 (Å) | α (degrees) | β (degrees) | γ (degrees) |
|---|---|---|---|---|---|---|---|---|---|
| L1_2--AuCu3 | dynamic | -1.1246 | -1.1246 | 3.7873 | 3.7873 | 3.7873 | 90.0 | 90.0 | 90.0 |
| D0_3--BiF3 | static | -1.0748 | -1.0748 | 6.0774 | 6.0774 | 6.0774 | 90.0 | 90.0 | 90.0 |
| A15--Cr3Si | static | -0.9712 | -0.9712 | 4.9125 | 4.9125 | 4.9125 | 90.0 | 90.0 | 90.0 |
Download raw data (including filtered results)
Reference structure matches:
| prototype | method | Ecoh (eV/atom) | Epot (eV/atom) | a0 (Å) | b0 (Å) | c0 (Å) | α (degrees) | β (degrees) | γ (degrees) |
|---|---|---|---|---|---|---|---|---|---|
| L2_1--AlCu2Mn--heusler | static | -1.4814 | -1.4814 | 5.7696 | 5.7696 | 5.7696 | 90.0 | 90.0 | 90.0 |
Download raw data (including filtered results)
Reference structure matches:
B1--NaCl--rock-salt = oqmd-1103760
B2--CsCl = mp-1006883, oqmd-304574
B3--ZnS--cubic-zinc-blende = oqmd-1219291
L1_0--AuCu = oqmd-336116
| prototype | method | Ecoh (eV/atom) | Epot (eV/atom) | a0 (Å) | b0 (Å) | c0 (Å) | α (degrees) | β (degrees) | γ (degrees) |
|---|---|---|---|---|---|---|---|---|---|
| L1_0--AuCu | dynamic | -1.8515 | -1.8515 | 2.4804 | 2.4804 | 3.5077 | 90.0 | 90.0 | 90.0 |
| mp-1226076 | dynamic | -1.8515 | -1.8515 | 2.4804 | 2.4804 | 12.1512 | 90.0 | 90.0 | 120.0 |
| oqmd-1219805 | dynamic | -1.8475 | -1.8475 | 4.0452 | 2.4796 | 4.2946 | 90.0 | 90.0 | 90.0 |
| oqmd-1228970 | dynamic | -1.8475 | -1.8475 | 2.4796 | 2.4796 | 4.0451 | 90.0 | 90.0 | 120.0 |
| oqmd-1219805 | box | -1.847 | -1.847 | 4.0458 | 2.4745 | 4.3035 | 90.0 | 90.0 | 90.0 |
| B2--CsCl | static | -1.7614 | -1.7614 | 2.804 | 2.804 | 2.804 | 90.0 | 90.0 | 90.0 |
| mp-1226063 | box | -1.7613 | -1.7613 | 2.8039 | 3.9655 | 3.9654 | 90.0 | 90.0 | 90.0 |
| B1--NaCl--rock-salt | static | -1.2205 | -1.2205 | 4.8465 | 4.8465 | 4.8465 | 90.0 | 90.0 | 90.0 |
| oqmd-1225484 | box | -0.8969 | -0.8969 | 4.2427 | 4.2427 | 4.916 | 90.0 | 90.0 | 120.0 |
| B3--ZnS--cubic-zinc-blende | static | -0.6852 | -0.6852 | 5.6707 | 5.6707 | 5.6707 | 90.0 | 90.0 | 90.0 |
Download raw data (including filtered results)
Reference structure matches:
| prototype | method | Ecoh (eV/atom) | Epot (eV/atom) | a0 (Å) | b0 (Å) | c0 (Å) | α (degrees) | β (degrees) | γ (degrees) |
|---|---|---|---|---|---|---|---|---|---|
| C1--CaF2--fluorite | static | -1.2401 | -1.2401 | 5.5818 | 5.5818 | 5.5818 | 90.0 | 90.0 | 90.0 |
Download raw data (including filtered results)
Reference structure matches:
D0_3--BiF3 = oqmd-309784
L1_2--AuCu3 = mp-1183751, oqmd-343276
| prototype | method | Ecoh (eV/atom) | Epot (eV/atom) | a0 (Å) | b0 (Å) | c0 (Å) | α (degrees) | β (degrees) | γ (degrees) |
|---|---|---|---|---|---|---|---|---|---|
| oqmd-299242 | dynamic | -1.8573 | -1.8573 | 3.5048 | 3.5048 | 7.0096 | 90.0 | 90.0 | 90.0 |
| L1_2--AuCu3 | dynamic | -1.8573 | -1.8573 | 3.5048 | 3.5048 | 3.5048 | 90.0 | 90.0 | 90.0 |
| mp-1183785 | dynamic | -1.8534 | -1.8534 | 4.9549 | 4.9549 | 4.0416 | 90.0 | 90.0 | 120.0 |
| mp-1183785 | box | -1.8533 | -1.8533 | 4.9549 | 4.9549 | 4.0417 | 90.0 | 90.0 | 120.0 |
| oqmd-318790 | box | -1.8526 | -1.8526 | 4.9555 | 4.9555 | 4.0418 | 90.0 | 90.0 | 120.0 |
| D0_3--BiF3 | box | -1.7671 | -1.7671 | 5.603 | 5.603 | 5.603 | 90.0 | 90.0 | 90.0 |
| A15--Cr3Si | static | -1.6272 | -1.6272 | 4.5262 | 4.5262 | 4.5262 | 90.0 | 90.0 | 90.0 |
Download raw data (including filtered results)
Reference structure matches:
A1--Cu--fcc = mp-8633, oqmd-592135, oqmd-1214518
A15--beta-W = mp-17, oqmd-620565, oqmd-691761, oqmd-1214963, oqmd-1280318
A2--W--bcc = mp-90, oqmd-676284, oqmd-676532, oqmd-677049, oqmd-685486, oqmd-690214, oqmd-691769, oqmd-1215141
A3'--alpha-La--double-hcp = oqmd-1215409
A3--Mg--hcp = mp-89, oqmd-592444, oqmd-622452, oqmd-1215319
A4--C--dc = oqmd-1215498
A5--beta-Sn = oqmd-1215587
A6--In--bct = oqmd-1215676
A7--alpha-As = oqmd-1215765
| prototype | method | Ecoh (eV/atom) | Epot (eV/atom) | a0 (Å) | b0 (Å) | c0 (Å) | α (degrees) | β (degrees) | γ (degrees) |
|---|---|---|---|---|---|---|---|---|---|
| A1--Cu--fcc | dynamic | -1.794 | -1.794 | 3.5804 | 3.5804 | 3.5804 | 90.0 | 90.0 | 90.0 |
| A3'--alpha-La--double-hcp | dynamic | -1.7912 | -1.7912 | 2.5316 | 2.5316 | 8.2682 | 90.0 | 90.0 | 120.0 |
| oqmd-1216032 | dynamic | -1.7903 | -1.7903 | 2.5316 | 2.5316 | 18.604 | 90.0 | 90.0 | 120.0 |
| oqmd-1216032 | box | -1.79 | -1.79 | 2.5316 | 2.5316 | 18.6066 | 90.0 | 90.0 | 120.0 |
| A3--Mg--hcp | dynamic | -1.7885 | -1.7885 | 2.5315 | 2.5315 | 4.1345 | 90.0 | 90.0 | 120.0 |
| A3--Mg--hcp | box | -1.7885 | -1.7885 | 2.5315 | 2.5315 | 4.1345 | 90.0 | 90.0 | 120.0 |
| mp-1059289 | box | -1.7067 | -1.7067 | 2.4876 | 4.4362 | 4.2836 | 90.0 | 90.0 | 90.0 |
| A2--W--bcc | box | -1.7041 | -1.7041 | 2.8659 | 2.8659 | 2.8659 | 90.0 | 90.0 | 90.0 |
| oqmd-691775 | box | -1.7007 | -1.7007 | 2.522 | 2.522 | 6.4556 | 90.0 | 90.0 | 120.0 |
| oqmd-1214874 | dynamic | -1.6714 | -1.6714 | 6.2211 | 6.2211 | 6.2211 | 90.0 | 90.0 | 90.0 |
| oqmd-1214874 | box | -1.6708 | -1.6708 | 6.2201 | 6.2201 | 6.2201 | 90.0 | 90.0 | 90.0 |
| oqmd-1214785 | dynamic | -1.6545 | -1.6545 | 8.8793 | 8.8793 | 8.8793 | 90.0 | 90.0 | 90.0 |
| oqmd-1214785 | static | -1.6541 | -1.6541 | 8.8788 | 8.8788 | 8.8788 | 90.0 | 90.0 | 90.0 |
| oqmd-1214785 | box | -1.6298 | -1.6298 | 8.9038 | 8.9038 | 8.9038 | 90.0 | 90.0 | 90.0 |
| A15--beta-W | static | -1.5693 | -1.5693 | 4.6295 | 4.6295 | 4.6295 | 90.0 | 90.0 | 90.0 |
| oqmd-631035 | static | -1.5681 | -1.5681 | 8.668 | 8.668 | 4.7134 | 90.0 | 90.0 | 90.0 |
| oqmd-1214696 | box | -1.5566 | -1.5566 | 2.5546 | 4.3077 | 9.2028 | 90.0 | 90.0 | 90.0 |
| oqmd-1215052 | box | -1.5492 | -1.5492 | 2.5355 | 9.2401 | 4.3236 | 90.0 | 90.0 | 90.0 |
| mp-1192789 | box | -1.5217 | -1.5217 | 8.7524 | 8.7524 | 4.6874 | 90.0 | 90.0 | 90.0 |
| oqmd-631035 | box | -1.5031 | -1.5031 | 8.7528 | 8.7528 | 4.7126 | 90.0 | 90.0 | 90.0 |
| A5--beta-Sn | box | -1.3239 | -1.3239 | 4.7492 | 4.7492 | 2.4835 | 90.0 | 90.0 | 90.0 |
| Ah--alpha-Po--sc | static | -1.1782 | -1.1782 | 2.473 | 2.473 | 2.473 | 90.0 | 90.0 | 90.0 |
| A7--alpha-As | box | -1.178 | -1.178 | 3.4972 | 3.4972 | 8.5685 | 90.0 | 90.0 | 120.0 |
| A7--alpha-As | box | -0.8209 | -0.8209 | 3.4583 | 3.4583 | 11.1457 | 90.0 | 90.0 | 120.0 |
| A4--C--dc | static | -0.6629 | -0.6629 | 5.7928 | 5.7928 | 5.7928 | 90.0 | 90.0 | 90.0 |
Download raw data (including filtered results)
Reference structure matches:
| prototype | method | Ecoh (eV/atom) | Epot (eV/atom) | a0 (Å) | b0 (Å) | c0 (Å) | α (degrees) | β (degrees) | γ (degrees) |
|---|---|---|---|---|---|---|---|---|---|
| mp-1077708 | static | -1.4725 | -1.4725 | 6.7971 | 6.7971 | 6.7971 | 90.0 | 90.0 | 90.0 |
| C1--CaF2--fluorite | static | -1.222 | -1.222 | 5.6897 | 5.6897 | 5.6897 | 90.0 | 90.0 | 90.0 |
| oqmd-1232501 | box | -0.811 | -0.811 | 5.7826 | 5.7826 | 3.7039 | 90.0 | 90.0 | 90.0 |
| oqmd-1240427 | box | -0.356 | -0.356 | 11.8014 | 11.8014 | 11.8014 | 90.0 | 90.0 | 90.0 |
Download raw data (including filtered results)
Reference structure matches:
| prototype | method | Ecoh (eV/atom) | Epot (eV/atom) | a0 (Å) | b0 (Å) | c0 (Å) | α (degrees) | β (degrees) | γ (degrees) |
|---|---|---|---|---|---|---|---|---|---|
| oqmd-426579 | box | -1.405 | -1.405 | 7.0308 | 7.0308 | 9.4629 | 90.0 | 90.0 | 120.0 |
Download raw data (including filtered results)
Reference structure matches:
| prototype | method | Ecoh (eV/atom) | Epot (eV/atom) | a0 (Å) | b0 (Å) | c0 (Å) | α (degrees) | β (degrees) | γ (degrees) |
|---|---|---|---|---|---|---|---|---|---|
| L2_1--AlCu2Mn--heusler | static | -1.4718 | -1.4718 | 5.8505 | 5.8505 | 5.8505 | 90.0 | 90.0 | 90.0 |
Download raw data (including filtered results)
Reference structure matches:
L2_1--AlCu2Mn--heusler = oqmd-387658
| prototype | method | Ecoh (eV/atom) | Epot (eV/atom) | a0 (Å) | b0 (Å) | c0 (Å) | α (degrees) | β (degrees) | γ (degrees) |
|---|---|---|---|---|---|---|---|---|---|
| L2_1--AlCu2Mn--heusler | static | -1.7386 | -1.7386 | 5.6903 | 5.6903 | 5.6903 | 90.0 | 90.0 | 90.0 |
Download raw data (including filtered results)
Reference structure matches:
| prototype | method | Ecoh (eV/atom) | Epot (eV/atom) | a0 (Å) | b0 (Å) | c0 (Å) | α (degrees) | β (degrees) | γ (degrees) |
|---|---|---|---|---|---|---|---|---|---|
| C1--CaF2--fluorite | box | -0.9279 | -0.9279 | 5.9149 | 5.9149 | 5.9149 | 90.0 | 90.0 | 90.0 |
Download raw data (including filtered results)
Reference structure matches:
| prototype | method | Ecoh (eV/atom) | Epot (eV/atom) | a0 (Å) | b0 (Å) | c0 (Å) | α (degrees) | β (degrees) | γ (degrees) |
|---|---|---|---|---|---|---|---|---|---|
| L2_1--AlCu2Mn--heusler | static | -1.4616 | -1.4616 | 5.8307 | 5.8307 | 5.8307 | 90.0 | 90.0 | 90.0 |
Download raw data (including filtered results)
Reference structure matches:
| prototype | method | Ecoh (eV/atom) | Epot (eV/atom) | a0 (Å) | b0 (Å) | c0 (Å) | α (degrees) | β (degrees) | γ (degrees) |
|---|---|---|---|---|---|---|---|---|---|
| mp-1077252 | static | -1.4306 | -1.4306 | 6.7989 | 6.7989 | 6.7989 | 90.0 | 90.0 | 90.0 |
| C1--CaF2--fluorite | static | -1.2363 | -1.2363 | 5.6403 | 5.6403 | 5.6403 | 90.0 | 90.0 | 90.0 |
| oqmd-1232523 | box | -0.8303 | -0.8303 | 5.5514 | 5.5514 | 3.88 | 90.0 | 90.0 | 90.0 |
| oqmd-1238640 | box | -0.3572 | -0.3572 | 11.6934 | 11.6934 | 11.6934 | 90.0 | 90.0 | 90.0 |
Download raw data (including filtered results)
Reference structure matches:
| prototype | method | Ecoh (eV/atom) | Epot (eV/atom) | a0 (Å) | b0 (Å) | c0 (Å) | α (degrees) | β (degrees) | γ (degrees) |
|---|---|---|---|---|---|---|---|---|---|
| oqmd-426601 | box | -0.6724 | -0.6724 | 8.2913 | 8.2913 | 11.4683 | 90.0 | 90.0 | 120.0 |
Download raw data (including filtered results)
Reference structure matches:
D0_3--BiF3 = mp-1008282, oqmd-310984
L1_2--AuCu3 = mp-1008285, oqmd-343214
| prototype | method | Ecoh (eV/atom) | Epot (eV/atom) | a0 (Å) | b0 (Å) | c0 (Å) | α (degrees) | β (degrees) | γ (degrees) |
|---|---|---|---|---|---|---|---|---|---|
| oqmd-300442 | dynamic | -1.8138 | -1.8138 | 3.5752 | 3.5752 | 7.1505 | 90.0 | 90.0 | 90.0 |
| L1_2--AuCu3 | dynamic | -1.8138 | -1.8138 | 3.5752 | 3.5752 | 3.5752 | 90.0 | 90.0 | 90.0 |
| oqmd-318728 | dynamic | -1.8083 | -1.8083 | 5.0555 | 5.0555 | 4.1281 | 90.0 | 90.0 | 120.0 |
| oqmd-318728 | box | -1.8065 | -1.8065 | 5.0576 | 5.0576 | 4.1276 | 90.0 | 90.0 | 120.0 |
| D0_3--BiF3 | static | -1.723 | -1.723 | 5.7229 | 5.7229 | 5.7229 | 90.0 | 90.0 | 90.0 |
| A15--Cr3Si | static | -1.5851 | -1.5851 | 4.6232 | 4.6232 | 4.6232 | 90.0 | 90.0 | 90.0 |
Download raw data (including filtered results)
Reference structure matches:
| prototype | method | Ecoh (eV/atom) | Epot (eV/atom) | a0 (Å) | b0 (Å) | c0 (Å) | α (degrees) | β (degrees) | γ (degrees) |
|---|---|---|---|---|---|---|---|---|---|
| L1_2--AuCu3 | dynamic | -1.5321 | -1.5321 | 3.6548 | 3.6548 | 3.6548 | 90.0 | 90.0 | 90.0 |
| D0_3--BiF3 | static | -1.4564 | -1.4564 | 5.8591 | 5.8591 | 5.8591 | 90.0 | 90.0 | 90.0 |
| A15--Cr3Si | static | -1.3578 | -1.3578 | 4.7198 | 4.7198 | 4.7198 | 90.0 | 90.0 | 90.0 |
Download raw data (including filtered results)
Reference structure matches:
A15--Cr3Si = oqmd-1280316
D0_3--BiF3 = mp-1008275, oqmd-313086
L1_2--AuCu3 = mp-1008278, oqmd-344860
| prototype | method | Ecoh (eV/atom) | Epot (eV/atom) | a0 (Å) | b0 (Å) | c0 (Å) | α (degrees) | β (degrees) | γ (degrees) |
|---|---|---|---|---|---|---|---|---|---|
| oqmd-302544 | dynamic | -1.8093 | -1.8093 | 3.5616 | 3.5616 | 7.1231 | 90.0 | 90.0 | 90.0 |
| L1_2--AuCu3 | dynamic | -1.8093 | -1.8093 | 3.5616 | 3.5616 | 3.5616 | 90.0 | 90.0 | 90.0 |
| oqmd-320374 | dynamic | -1.8042 | -1.8042 | 5.0362 | 5.0362 | 4.1106 | 90.0 | 90.0 | 120.0 |
| oqmd-320374 | box | -1.7545 | -1.7545 | 5.0798 | 5.0798 | 4.1179 | 90.0 | 90.0 | 120.0 |
| D0_3--BiF3 | static | -1.7189 | -1.7189 | 5.6994 | 5.6994 | 5.6994 | 90.0 | 90.0 | 90.0 |
| A15--Cr3Si | static | -1.572 | -1.572 | 4.6095 | 4.6095 | 4.6095 | 90.0 | 90.0 | 90.0 |
Download raw data (including filtered results)
Reference structure matches:
| prototype | method | Ecoh (eV/atom) | Epot (eV/atom) | a0 (Å) | b0 (Å) | c0 (Å) | α (degrees) | β (degrees) | γ (degrees) |
|---|---|---|---|---|---|---|---|---|---|
| mp-1226243 | box | -1.7149 | -1.7149 | 2.8515 | 4.0377 | 20.176 | 90.0 | 90.0 | 90.0 |
Download raw data (including filtered results)
Reference structure matches:
B1--NaCl--rock-salt = oqmd-1105105
B2--CsCl = oqmd-305920
B3--ZnS--cubic-zinc-blende = oqmd-1219336
L1_0--AuCu = oqmd-337462
| prototype | method | Ecoh (eV/atom) | Epot (eV/atom) | a0 (Å) | b0 (Å) | c0 (Å) | α (degrees) | β (degrees) | γ (degrees) |
|---|---|---|---|---|---|---|---|---|---|
| L1_0--AuCu | dynamic | -1.8338 | -1.8338 | 2.5244 | 2.5244 | 3.57 | 90.0 | 90.0 | 90.0 |
| oqmd-327004 | dynamic | -1.8338 | -1.8338 | 2.5244 | 2.5244 | 12.3669 | 90.0 | 90.0 | 120.0 |
| oqmd-1219850 | dynamic | -1.8283 | -1.8283 | 4.1217 | 2.5241 | 4.3718 | 90.0 | 90.0 | 90.0 |
| oqmd-1229015 | dynamic | -1.8283 | -1.8283 | 2.5241 | 2.5241 | 4.1217 | 90.0 | 90.0 | 120.0 |
| oqmd-1219850 | box | -1.8058 | -1.8058 | 4.1488 | 2.5707 | 4.2958 | 90.0 | 90.0 | 90.0 |
| B2--CsCl | box | -1.7421 | -1.7421 | 2.857 | 2.857 | 2.857 | 90.0 | 90.0 | 90.0 |
| mp-1226211 | box | -1.742 | -1.742 | 2.857 | 4.0405 | 4.0404 | 90.0 | 90.0 | 90.0 |
| B1--NaCl--rock-salt | static | -1.205 | -1.205 | 4.9317 | 4.9317 | 4.9317 | 90.0 | 90.0 | 90.0 |
| oqmd-1225529 | box | -0.6803 | -0.6803 | 4.0801 | 4.0801 | 6.654 | 90.0 | 90.0 | 120.0 |
| B3--ZnS--cubic-zinc-blende | static | -0.6777 | -0.6777 | 5.7752 | 5.7752 | 5.7752 | 90.0 | 90.0 | 90.0 |
Download raw data (including filtered results)
Reference structure matches:
| prototype | method | Ecoh (eV/atom) | Epot (eV/atom) | a0 (Å) | b0 (Å) | c0 (Å) | α (degrees) | β (degrees) | γ (degrees) |
|---|---|---|---|---|---|---|---|---|---|
| C1--CaF2--fluorite | static | -1.2309 | -1.2309 | 5.6845 | 5.6845 | 5.6845 | 90.0 | 90.0 | 90.0 |
| oqmd-1240426 | static | -0.3564 | -0.3564 | 11.8002 | 11.8002 | 11.8002 | 90.0 | 90.0 | 90.0 |
Download raw data (including filtered results)
Reference structure matches:
| prototype | method | Ecoh (eV/atom) | Epot (eV/atom) | a0 (Å) | b0 (Å) | c0 (Å) | α (degrees) | β (degrees) | γ (degrees) |
|---|---|---|---|---|---|---|---|---|---|
| L2_1--AlCu2Mn--heusler | static | -1.4881 | -1.4881 | 5.8415 | 5.8415 | 5.8415 | 90.0 | 90.0 | 90.0 |
Download raw data (including filtered results)
Reference structure matches:
L2_1--AlCu2Mn--heusler = oqmd-527070
| prototype | method | Ecoh (eV/atom) | Epot (eV/atom) | a0 (Å) | b0 (Å) | c0 (Å) | α (degrees) | β (degrees) | γ (degrees) |
|---|---|---|---|---|---|---|---|---|---|
| L2_1--AlCu2Mn--heusler | static | -1.7576 | -1.7576 | 5.6815 | 5.6815 | 5.6815 | 90.0 | 90.0 | 90.0 |
Download raw data (including filtered results)
Reference structure matches:
D0_3--BiF3 = mp-1018067, oqmd-308186
L1_2--AuCu3 = mp-1018081, oqmd-346012
| prototype | method | Ecoh (eV/atom) | Epot (eV/atom) | a0 (Å) | b0 (Å) | c0 (Å) | α (degrees) | β (degrees) | γ (degrees) |
|---|---|---|---|---|---|---|---|---|---|
| oqmd-297657 | dynamic | -1.854 | -1.854 | 3.5649 | 3.5649 | 7.1297 | 90.0 | 90.0 | 90.0 |
| L1_2--AuCu3 | dynamic | -1.854 | -1.854 | 3.5649 | 3.5649 | 3.5649 | 90.0 | 90.0 | 90.0 |
| oqmd-321526 | dynamic | -1.8486 | -1.8486 | 5.0407 | 5.0407 | 4.1153 | 90.0 | 90.0 | 120.0 |
| oqmd-321526 | box | -1.8477 | -1.8477 | 5.0418 | 5.0418 | 4.115 | 90.0 | 90.0 | 120.0 |
| D0_3--BiF3 | static | -1.7614 | -1.7614 | 5.7051 | 5.7051 | 5.7051 | 90.0 | 90.0 | 90.0 |
| A15--Cr3Si | static | -1.6233 | -1.6233 | 4.6077 | 4.6077 | 4.6077 | 90.0 | 90.0 | 90.0 |
Download raw data (including filtered results)
Reference structure matches:
| prototype | method | Ecoh (eV/atom) | Epot (eV/atom) | a0 (Å) | b0 (Å) | c0 (Å) | α (degrees) | β (degrees) | γ (degrees) |
|---|---|---|---|---|---|---|---|---|---|
| mp-1226230 | box | -1.7649 | -1.7649 | 2.8516 | 4.033 | 20.1664 | 90.0 | 90.0 | 90.0 |
Download raw data (including filtered results)
Reference structure matches:
| prototype | method | Ecoh (eV/atom) | Epot (eV/atom) | a0 (Å) | b0 (Å) | c0 (Å) | α (degrees) | β (degrees) | γ (degrees) |
|---|---|---|---|---|---|---|---|---|---|
| L2_1--AlCu2Mn--heusler | static | -1.2655 | -1.2655 | 5.9715 | 5.9715 | 5.9715 | 90.0 | 90.0 | 90.0 |
Download raw data (including filtered results)
Reference structure matches:
| prototype | method | Ecoh (eV/atom) | Epot (eV/atom) | a0 (Å) | b0 (Å) | c0 (Å) | α (degrees) | β (degrees) | γ (degrees) |
|---|---|---|---|---|---|---|---|---|---|
| oqmd-959986 | static | -1.2526 | -1.2526 | 5.6302 | 5.6302 | 5.6302 | 90.0 | 90.0 | 90.0 |
| oqmd-958168 | static | -1.2266 | -1.2266 | 5.6569 | 5.6569 | 5.6569 | 90.0 | 90.0 | 90.0 |
| oqmd-835095 | box | -1.2199 | -1.2199 | 5.6616 | 5.6616 | 5.6616 | 90.0 | 90.0 | 90.0 |
Download raw data (including filtered results)
Reference structure matches:
L2_1--AlCu2Mn--heusler = oqmd-528888
| prototype | method | Ecoh (eV/atom) | Epot (eV/atom) | a0 (Å) | b0 (Å) | c0 (Å) | α (degrees) | β (degrees) | γ (degrees) |
|---|---|---|---|---|---|---|---|---|---|
| L2_1--AlCu2Mn--heusler | static | -1.757 | -1.757 | 5.6561 | 5.6561 | 5.6561 | 90.0 | 90.0 | 90.0 |
Download raw data (including filtered results)
Reference structure matches:
| prototype | method | Ecoh (eV/atom) | Epot (eV/atom) | a0 (Å) | b0 (Å) | c0 (Å) | α (degrees) | β (degrees) | γ (degrees) |
|---|---|---|---|---|---|---|---|---|---|
| L1_0--AuCu | dynamic | -1.3118 | -1.3118 | 2.6388 | 2.6388 | 3.7206 | 90.0 | 90.0 | 90.0 |
| B2--CsCl | box | -1.2521 | -1.2521 | 2.99 | 2.99 | 2.99 | 90.0 | 90.0 | 90.0 |
| B1--NaCl--rock-salt | box | -0.8563 | -0.8563 | 5.1508 | 5.1508 | 5.1508 | 90.0 | 90.0 | 90.0 |
| B3--ZnS--cubic-zinc-blende | static | -0.4867 | -0.4867 | 6.0399 | 6.0399 | 6.0399 | 90.0 | 90.0 | 90.0 |
Download raw data (including filtered results)
Reference structure matches:
| prototype | method | Ecoh (eV/atom) | Epot (eV/atom) | a0 (Å) | b0 (Å) | c0 (Å) | α (degrees) | β (degrees) | γ (degrees) |
|---|---|---|---|---|---|---|---|---|---|
| C1--CaF2--fluorite | static | -0.8349 | -0.8349 | 5.9891 | 5.9891 | 5.9891 | 90.0 | 90.0 | 90.0 |
Download raw data (including filtered results)
Reference structure matches:
| prototype | method | Ecoh (eV/atom) | Epot (eV/atom) | a0 (Å) | b0 (Å) | c0 (Å) | α (degrees) | β (degrees) | γ (degrees) |
|---|---|---|---|---|---|---|---|---|---|
| L2_1--AlCu2Mn--heusler | static | -1.259 | -1.259 | 5.9502 | 5.9502 | 5.9502 | 90.0 | 90.0 | 90.0 |
Download raw data (including filtered results)
Reference structure matches:
| prototype | method | Ecoh (eV/atom) | Epot (eV/atom) | a0 (Å) | b0 (Å) | c0 (Å) | α (degrees) | β (degrees) | γ (degrees) |
|---|---|---|---|---|---|---|---|---|---|
| L1_2--AuCu3 | dynamic | -1.1246 | -1.1246 | 3.8008 | 3.8008 | 3.8008 | 90.0 | 90.0 | 90.0 |
| D0_3--BiF3 | static | -1.0755 | -1.0755 | 6.0992 | 6.0992 | 6.0992 | 90.0 | 90.0 | 90.0 |
| A15--Cr3Si | static | -0.9768 | -0.9768 | 4.9251 | 4.9251 | 4.9251 | 90.0 | 90.0 | 90.0 |
Download raw data (including filtered results)
Reference structure matches:
| prototype | method | Ecoh (eV/atom) | Epot (eV/atom) | a0 (Å) | b0 (Å) | c0 (Å) | α (degrees) | β (degrees) | γ (degrees) |
|---|---|---|---|---|---|---|---|---|---|
| L2_1--AlCu2Mn--heusler | static | -1.4793 | -1.4793 | 5.7942 | 5.7942 | 5.7942 | 90.0 | 90.0 | 90.0 |
Download raw data (including filtered results)
Reference structure matches:
B1--NaCl--rock-salt = oqmd-1106140
B2--CsCl = mp-1226196, oqmd-306955
B3--ZnS--cubic-zinc-blende = oqmd-1219358
L1_0--AuCu = oqmd-338497
| prototype | method | Ecoh (eV/atom) | Epot (eV/atom) | a0 (Å) | b0 (Å) | c0 (Å) | α (degrees) | β (degrees) | γ (degrees) |
|---|---|---|---|---|---|---|---|---|---|
| L1_0--AuCu | dynamic | -1.8258 | -1.8258 | 2.5065 | 2.5065 | 3.5374 | 90.0 | 90.0 | 90.0 |
| mp-1226232 | dynamic | -1.8243 | -1.8243 | 2.5061 | 2.5061 | 12.2623 | 90.0 | 90.0 | 120.0 |
| oqmd-1219872 | dynamic | -1.8212 | -1.8212 | 4.0864 | 2.5059 | 4.3349 | 90.0 | 90.0 | 90.0 |
| oqmd-1219872 | box | -1.8195 | -1.8195 | 4.0888 | 2.4955 | 4.353 | 90.0 | 90.0 | 90.0 |
| oqmd-1229037 | dynamic | -1.8194 | -1.8194 | 2.5056 | 2.5056 | 4.0845 | 90.0 | 90.0 | 120.0 |
| B2--CsCl | box | -1.7374 | -1.7374 | 2.8325 | 2.8325 | 2.8325 | 90.0 | 90.0 | 90.0 |
| B1--NaCl--rock-salt | static | -1.2035 | -1.2035 | 4.8921 | 4.8921 | 4.8921 | 90.0 | 90.0 | 90.0 |
| oqmd-1225551 | box | -0.8861 | -0.8861 | 4.2838 | 4.2838 | 4.9639 | 90.0 | 90.0 | 120.0 |
| B3--ZnS--cubic-zinc-blende | box | -0.6762 | -0.6762 | 5.7265 | 5.7265 | 5.7265 | 90.0 | 90.0 | 90.0 |
Download raw data (including filtered results)
Reference structure matches:
| prototype | method | Ecoh (eV/atom) | Epot (eV/atom) | a0 (Å) | b0 (Å) | c0 (Å) | α (degrees) | β (degrees) | γ (degrees) |
|---|---|---|---|---|---|---|---|---|---|
| mp-784631 | dynamic | -1.8374 | -1.8374 | 2.497 | 3.5258 | 7.4892 | 90.0 | 90.0 | 90.0 |
| mp-784631 | box | -1.8372 | -1.8372 | 2.4968 | 3.5278 | 7.4858 | 90.0 | 90.0 | 90.0 |
| mp-1077077 | static | -1.5479 | -1.5479 | 6.6554 | 6.6554 | 6.6554 | 90.0 | 90.0 | 90.0 |
| C1--CaF2--fluorite | static | -1.2104 | -1.2104 | 5.6373 | 5.6373 | 5.6373 | 90.0 | 90.0 | 90.0 |
| oqmd-1238639 | static | -0.3528 | -0.3528 | 11.7048 | 11.7048 | 11.7048 | 90.0 | 90.0 | 90.0 |
Download raw data (including filtered results)
Reference structure matches:
D0_3--BiF3 = mp-1007975, oqmd-309832
L1_2--AuCu3 = mp-1007974, oqmd-348114
| prototype | method | Ecoh (eV/atom) | Epot (eV/atom) | a0 (Å) | b0 (Å) | c0 (Å) | α (degrees) | β (degrees) | γ (degrees) |
|---|---|---|---|---|---|---|---|---|---|
| oqmd-299290 | dynamic | -1.8437 | -1.8437 | 3.5224 | 3.5224 | 7.0448 | 90.0 | 90.0 | 90.0 |
| L1_2--AuCu3 | dynamic | -1.8437 | -1.8437 | 3.5224 | 3.5224 | 3.5224 | 90.0 | 90.0 | 90.0 |
| mp-1226338 | dynamic | -1.8425 | -1.8425 | 2.4919 | 2.4919 | 24.3904 | 90.0 | 90.0 | 120.0 |
| oqmd-323628 | dynamic | -1.8395 | -1.8395 | 4.9803 | 4.9803 | 4.0622 | 90.0 | 90.0 | 120.0 |
| oqmd-323628 | box | -1.8395 | -1.8395 | 4.9806 | 4.9806 | 4.0619 | 90.0 | 90.0 | 120.0 |
| mp-1226338 | box | -1.839 | -1.839 | 2.492 | 2.492 | 24.417 | 90.0 | 90.0 | 120.0 |
| D0_3--BiF3 | static | -1.7532 | -1.7532 | 5.6326 | 5.6326 | 5.6326 | 90.0 | 90.0 | 90.0 |
| A15--Cr3Si | static | -1.6247 | -1.6247 | 4.545 | 4.545 | 4.545 | 90.0 | 90.0 | 90.0 |
Download raw data (including filtered results)
Reference structure matches:
A1--Cu--fcc = mp-150, oqmd-7505, oqmd-1214525
A15--beta-W = oqmd-1214970
A2--W--bcc = mp-13, oqmd-8568, oqmd-22514, oqmd-1215148
A3'--alpha-La--double-hcp = oqmd-1215416
A3--Mg--hcp = mp-136, oqmd-30158, oqmd-51781, oqmd-1215326, oqmd-1215391
A4--C--dc = oqmd-1215505
A5--beta-Sn = oqmd-1215594
A6--In--bct = oqmd-1215683
Ah--alpha-Po--sc = mp-568345
| prototype | method | Ecoh (eV/atom) | Epot (eV/atom) | a0 (Å) | b0 (Å) | c0 (Å) | α (degrees) | β (degrees) | γ (degrees) |
|---|---|---|---|---|---|---|---|---|---|
| A1--Cu--fcc | dynamic | -1.8745 | -1.8745 | 3.5597 | 3.5597 | 3.5597 | 90.0 | 90.0 | 90.0 |
| A3'--alpha-La--double-hcp | dynamic | -1.8717 | -1.8717 | 2.5169 | 2.5169 | 8.2179 | 90.0 | 90.0 | 120.0 |
| oqmd-1216039 | dynamic | -1.8709 | -1.8709 | 2.5168 | 2.5168 | 18.4902 | 90.0 | 90.0 | 120.0 |
| oqmd-1216039 | box | -1.8708 | -1.8708 | 2.5168 | 2.5168 | 18.4906 | 90.0 | 90.0 | 120.0 |
| A3--Mg--hcp | dynamic | -1.8691 | -1.8691 | 2.5166 | 2.5166 | 4.1089 | 90.0 | 90.0 | 120.0 |
| mp-1245108 | dynamic | -1.7885 | -1.7885 | 9.7515 | 9.7533 | 12.5431 | 87.1 | 82.6 | 88.1 |
| A2--W--bcc | box | -1.781 | -1.781 | 2.8481 | 2.8481 | 2.8481 | 90.0 | 90.0 | 90.0 |
| oqmd-1214881 | dynamic | -1.7467 | -1.7467 | 6.1833 | 6.1833 | 6.1833 | 90.0 | 90.0 | 90.0 |
| oqmd-1214881 | box | -1.7308 | -1.7308 | 6.191 | 6.191 | 6.191 | 90.0 | 90.0 | 90.0 |
| oqmd-1214792 | dynamic | -1.7288 | -1.7288 | 8.8261 | 8.8261 | 8.8261 | 90.0 | 90.0 | 90.0 |
| oqmd-1214792 | box | -1.686 | -1.686 | 8.8649 | 8.8649 | 8.8649 | 90.0 | 90.0 | 90.0 |
| mp-1245108 | static | -1.6803 | -1.6803 | 10.5402 | 10.6109 | 10.8565 | 92.8 | 90.4 | 90.1 |
| A15--beta-W | static | -1.6397 | -1.6397 | 4.6013 | 4.6013 | 4.6013 | 90.0 | 90.0 | 90.0 |
| mp-1194030 | static | -1.6387 | -1.6387 | 8.6157 | 8.6157 | 4.6847 | 90.0 | 90.0 | 90.0 |
| mp-1194030 | box | -1.6239 | -1.6239 | 8.6267 | 8.6267 | 4.6789 | 90.0 | 90.0 | 90.0 |
| oqmd-21053 | box | -1.6216 | -1.6216 | 8.6315 | 8.6315 | 4.676 | 90.0 | 90.0 | 90.0 |
| mp-1245108 | box | -1.6052 | -1.6052 | 10.6114 | 10.7075 | 10.9955 | 91.6 | 90.4 | 91.6 |
| mp-1096950 | static | -1.4807 | -1.4807 | 2.5015 | 2.5015 | 2.4471 | 90.0 | 90.0 | 120.0 |
| A5--beta-Sn | static | -1.3834 | -1.3834 | 4.7219 | 4.7219 | 2.4688 | 90.0 | 90.0 | 90.0 |
| Ah--alpha-Po--sc | static | -1.2325 | -1.2325 | 2.4587 | 2.4587 | 2.4587 | 90.0 | 90.0 | 90.0 |
| oqmd-21731 | box | -1.2324 | -1.2324 | 2.4587 | 2.4587 | 7.3764 | 90.0 | 90.0 | 90.0 |
| oqmd-1215950 | box | -0.8923 | -0.8923 | 4.2547 | 4.8109 | 4.2756 | 90.0 | 119.5 | 90.0 |
| A7--alpha-As | box | -0.8587 | -0.8587 | 3.4366 | 3.4366 | 11.0875 | 90.0 | 90.0 | 120.0 |
| A4--C--dc | static | -0.6928 | -0.6928 | 5.7577 | 5.7577 | 5.7577 | 90.0 | 90.0 | 90.0 |
Download raw data (including filtered results)
Reference structure matches:
| prototype | method | Ecoh (eV/atom) | Epot (eV/atom) | a0 (Å) | b0 (Å) | c0 (Å) | α (degrees) | β (degrees) | γ (degrees) |
|---|---|---|---|---|---|---|---|---|---|
| C1--CaF2--fluorite | static | -0.9513 | -0.9513 | 5.8953 | 5.8953 | 5.8953 | 90.0 | 90.0 | 90.0 |
Download raw data (including filtered results)
Reference structure matches:
| prototype | method | Ecoh (eV/atom) | Epot (eV/atom) | a0 (Å) | b0 (Å) | c0 (Å) | α (degrees) | β (degrees) | γ (degrees) |
|---|---|---|---|---|---|---|---|---|---|
| L2_1--AlCu2Mn--heusler | static | -1.4937 | -1.4937 | 5.8129 | 5.8129 | 5.8129 | 90.0 | 90.0 | 90.0 |
Download raw data (including filtered results)
Reference structure matches:
| prototype | method | Ecoh (eV/atom) | Epot (eV/atom) | a0 (Å) | b0 (Å) | c0 (Å) | α (degrees) | β (degrees) | γ (degrees) |
|---|---|---|---|---|---|---|---|---|---|
| mp-1224697 | dynamic | -1.8687 | -1.8687 | 2.5048 | 2.5048 | 6.1307 | 90.0 | 90.0 | 120.0 |
| mp-1224697 | box | -1.8653 | -1.8653 | 2.5052 | 2.5052 | 6.1366 | 90.0 | 90.0 | 120.0 |
| mp-1077745 | static | -1.4836 | -1.4836 | 6.764 | 6.764 | 6.764 | 90.0 | 90.0 | 90.0 |
| C1--CaF2--fluorite | static | -1.2691 | -1.2691 | 5.6201 | 5.6201 | 5.6201 | 90.0 | 90.0 | 90.0 |
| oqmd-1232964 | box | -0.8483 | -0.8483 | 5.8993 | 5.8993 | 3.424 | 90.0 | 90.0 | 90.0 |
| oqmd-1236414 | static | -0.3652 | -0.3652 | 11.6561 | 11.6561 | 11.6561 | 90.0 | 90.0 | 90.0 |
Download raw data (including filtered results)
Reference structure matches:
| prototype | method | Ecoh (eV/atom) | Epot (eV/atom) | a0 (Å) | b0 (Å) | c0 (Å) | α (degrees) | β (degrees) | γ (degrees) |
|---|---|---|---|---|---|---|---|---|---|
| oqmd-427042 | box | -1.298 | -1.298 | 6.2581 | 6.2581 | 12.3882 | 90.0 | 90.0 | 120.0 |
Download raw data (including filtered results)
Reference structure matches:
| prototype | method | Ecoh (eV/atom) | Epot (eV/atom) | a0 (Å) | b0 (Å) | c0 (Å) | α (degrees) | β (degrees) | γ (degrees) |
|---|---|---|---|---|---|---|---|---|---|
| mp-1221628 | dynamic | -1.5853 | -1.5853 | 2.5752 | 2.5752 | 8.4019 | 90.0 | 90.0 | 120.0 |
| L1_2--AuCu3 | dynamic | -1.5826 | -1.5826 | 3.6393 | 3.6393 | 3.6393 | 90.0 | 90.0 | 90.0 |
| mp-1221628 | box | -1.5746 | -1.5746 | 2.5753 | 2.5753 | 8.4073 | 90.0 | 90.0 | 120.0 |
| D0_3--BiF3 | box | -1.5039 | -1.5039 | 5.8329 | 5.8329 | 5.8329 | 90.0 | 90.0 | 90.0 |
| A15--Cr3Si | static | -1.4036 | -1.4036 | 4.6986 | 4.6986 | 4.6986 | 90.0 | 90.0 | 90.0 |
Download raw data (including filtered results)
Reference structure matches:
| prototype | method | Ecoh (eV/atom) | Epot (eV/atom) | a0 (Å) | b0 (Å) | c0 (Å) | α (degrees) | β (degrees) | γ (degrees) |
|---|---|---|---|---|---|---|---|---|---|
| mp-1221991 | dynamic | -1.1435 | -1.1435 | 6.5389 | 6.5357 | 6.5485 | 90.0 | 90.1 | 90.0 |
| mp-1221991 | box | -1.1383 | -1.1383 | 6.5554 | 6.5188 | 6.5575 | 90.0 | 90.5 | 90.0 |
Download raw data (including filtered results)
Reference structure matches:
D0_3--BiF3 = mp-1007853, oqmd-312075
L1_2--AuCu3 = mp-999189, oqmd-343549
| prototype | method | Ecoh (eV/atom) | Epot (eV/atom) | a0 (Å) | b0 (Å) | c0 (Å) | α (degrees) | β (degrees) | γ (degrees) |
|---|---|---|---|---|---|---|---|---|---|
| L1_2--AuCu3 | dynamic | -1.8707 | -1.8707 | 3.5458 | 3.5458 | 3.5458 | 90.0 | 90.0 | 90.0 |
| oqmd-301533 | dynamic | -1.8707 | -1.8707 | 3.5458 | 3.5458 | 7.0916 | 90.0 | 90.0 | 90.0 |
| mp-1224827 | dynamic | -1.87 | -1.87 | 2.508 | 2.508 | 24.5569 | 90.0 | 90.0 | 120.0 |
| mp-1224827 | box | -1.8697 | -1.8697 | 2.508 | 2.508 | 24.5603 | 90.0 | 90.0 | 120.0 |
| oqmd-319063 | dynamic | -1.8657 | -1.8657 | 5.0136 | 5.0136 | 4.0913 | 90.0 | 90.0 | 120.0 |
| oqmd-319063 | box | -1.8654 | -1.8654 | 5.0143 | 5.0143 | 4.0906 | 90.0 | 90.0 | 120.0 |
| D0_3--BiF3 | static | -1.7778 | -1.7778 | 5.6724 | 5.6724 | 5.6724 | 90.0 | 90.0 | 90.0 |
| mp-1224780 | box | -1.7771 | -1.7771 | 2.8357 | 4.013 | 8.0213 | 90.0 | 90.0 | 90.0 |
| A15--Cr3Si | static | -1.6269 | -1.6269 | 4.5873 | 4.5873 | 4.5873 | 90.0 | 90.0 | 90.0 |
Download raw data (including filtered results)
Reference structure matches:
| prototype | method | Ecoh (eV/atom) | Epot (eV/atom) | a0 (Å) | b0 (Å) | c0 (Å) | α (degrees) | β (degrees) | γ (degrees) |
|---|---|---|---|---|---|---|---|---|---|
| mp-1225009 | dynamic | -1.8687 | -1.8687 | 2.5024 | 2.5024 | 17.6694 | 90.0 | 90.0 | 90.0 |
| mp-1225009 | box | -1.866 | -1.866 | 2.5034 | 2.5034 | 17.6747 | 90.0 | 90.0 | 90.0 |
Download raw data (including filtered results)
Reference structure matches:
| prototype | method | Ecoh (eV/atom) | Epot (eV/atom) | a0 (Å) | b0 (Å) | c0 (Å) | α (degrees) | β (degrees) | γ (degrees) |
|---|---|---|---|---|---|---|---|---|---|
| mp-1221635 | box | -1.5455 | -1.5455 | 2.9021 | 4.1109 | 20.5615 | 90.0 | 90.0 | 90.0 |
Download raw data (including filtered results)
Reference structure matches:
| prototype | method | Ecoh (eV/atom) | Epot (eV/atom) | a0 (Å) | b0 (Å) | c0 (Å) | α (degrees) | β (degrees) | γ (degrees) |
|---|---|---|---|---|---|---|---|---|---|
| L1_0--AuCu | dynamic | -1.3402 | -1.3402 | 2.6321 | 2.6321 | 3.709 | 90.0 | 90.0 | 90.0 |
| B2--CsCl | box | -1.279 | -1.279 | 2.9815 | 2.9815 | 2.9815 | 90.0 | 90.0 | 90.0 |
| B1--NaCl--rock-salt | static | -0.8758 | -0.8758 | 5.1359 | 5.1359 | 5.1359 | 90.0 | 90.0 | 90.0 |
| B3--ZnS--cubic-zinc-blende | box | -0.4974 | -0.4974 | 6.0225 | 6.0225 | 6.0225 | 90.0 | 90.0 | 90.0 |
Download raw data (including filtered results)
Reference structure matches:
| prototype | method | Ecoh (eV/atom) | Epot (eV/atom) | a0 (Å) | b0 (Å) | c0 (Å) | α (degrees) | β (degrees) | γ (degrees) |
|---|---|---|---|---|---|---|---|---|---|
| C1--CaF2--fluorite | static | -0.8499 | -0.8499 | 5.9746 | 5.9746 | 5.9746 | 90.0 | 90.0 | 90.0 |
Download raw data (including filtered results)
Reference structure matches:
| prototype | method | Ecoh (eV/atom) | Epot (eV/atom) | a0 (Å) | b0 (Å) | c0 (Å) | α (degrees) | β (degrees) | γ (degrees) |
|---|---|---|---|---|---|---|---|---|---|
| L2_1--AlCu2Mn--heusler | static | -1.2729 | -1.2729 | 5.9414 | 5.9414 | 5.9414 | 90.0 | 90.0 | 90.0 |
Download raw data (including filtered results)
Reference structure matches:
| prototype | method | Ecoh (eV/atom) | Epot (eV/atom) | a0 (Å) | b0 (Å) | c0 (Å) | α (degrees) | β (degrees) | γ (degrees) |
|---|---|---|---|---|---|---|---|---|---|
| mp-999545 | dynamic | -1.1387 | -1.1387 | 2.6877 | 3.7759 | 5.3882 | 90.0 | 90.0 | 90.0 |
| mp-999545 | box | -1.1385 | -1.1385 | 2.6871 | 3.7817 | 5.3801 | 90.0 | 90.0 | 90.0 |
| L1_2--AuCu3 | dynamic | -1.1367 | -1.1367 | 3.7958 | 3.7958 | 3.7958 | 90.0 | 90.0 | 90.0 |
| D0_3--BiF3 | static | -1.0867 | -1.0867 | 6.091 | 6.091 | 6.091 | 90.0 | 90.0 | 90.0 |
| A15--Cr3Si | static | -0.9864 | -0.9864 | 4.9193 | 4.9193 | 4.9193 | 90.0 | 90.0 | 90.0 |
Download raw data (including filtered results)
Reference structure matches:
| prototype | method | Ecoh (eV/atom) | Epot (eV/atom) | a0 (Å) | b0 (Å) | c0 (Å) | α (degrees) | β (degrees) | γ (degrees) |
|---|---|---|---|---|---|---|---|---|---|
| L2_1--AlCu2Mn--heusler | static | -1.4953 | -1.4953 | 5.7855 | 5.7855 | 5.7855 | 90.0 | 90.0 | 90.0 |
Download raw data (including filtered results)
Reference structure matches:
B1--NaCl--rock-salt = oqmd-1105634
B2--CsCl = oqmd-306449
B3--ZnS--cubic-zinc-blende = oqmd-1222507
L1_0--AuCu = mp-2213, oqmd-17225, oqmd-30230, oqmd-337991
| prototype | method | Ecoh (eV/atom) | Epot (eV/atom) | a0 (Å) | b0 (Å) | c0 (Å) | α (degrees) | β (degrees) | γ (degrees) |
|---|---|---|---|---|---|---|---|---|---|
| L1_0--AuCu | dynamic | -1.8675 | -1.8675 | 2.4984 | 2.4984 | 3.528 | 90.0 | 90.0 | 90.0 |
| mp-1224976 | dynamic | -1.8665 | -1.8665 | 2.4982 | 2.4982 | 12.2277 | 90.0 | 90.0 | 120.0 |
| oqmd-1220313 | dynamic | -1.8629 | -1.8629 | 4.0736 | 2.4978 | 4.3223 | 90.0 | 90.0 | 90.0 |
| oqmd-1229478 | dynamic | -1.8617 | -1.8617 | 2.4976 | 2.4976 | 4.0721 | 90.0 | 90.0 | 120.0 |
| oqmd-1220313 | box | -1.8581 | -1.8581 | 4.0796 | 2.5177 | 4.2882 | 90.0 | 90.0 | 90.0 |
| B2--CsCl | static | -1.7769 | -1.7769 | 2.8236 | 2.8236 | 2.8236 | 90.0 | 90.0 | 90.0 |
| mp-1224965 | box | -1.7745 | -1.7745 | 2.823 | 3.9969 | 3.9935 | 90.0 | 90.0 | 90.0 |
| B1--NaCl--rock-salt | static | -1.231 | -1.231 | 4.8778 | 4.8778 | 4.8778 | 90.0 | 90.0 | 90.0 |
| oqmd-1225992 | box | -0.9059 | -0.9059 | 4.271 | 4.271 | 4.9484 | 90.0 | 90.0 | 120.0 |
| B3--ZnS--cubic-zinc-blende | static | -0.6914 | -0.6914 | 5.709 | 5.709 | 5.709 | 90.0 | 90.0 | 90.0 |
Download raw data (including filtered results)
Reference structure matches:
| prototype | method | Ecoh (eV/atom) | Epot (eV/atom) | a0 (Å) | b0 (Å) | c0 (Å) | α (degrees) | β (degrees) | γ (degrees) |
|---|---|---|---|---|---|---|---|---|---|
| mp-1072076 | static | -1.5609 | -1.5609 | 6.6483 | 6.6483 | 6.6483 | 90.0 | 90.0 | 90.0 |
| C1--CaF2--fluorite | static | -1.2335 | -1.2335 | 5.6222 | 5.6222 | 5.6222 | 90.0 | 90.0 | 90.0 |
| oqmd-1236413 | box | -0.3604 | -0.3604 | 11.6688 | 11.6688 | 11.6688 | 90.0 | 90.0 | 90.0 |
Download raw data (including filtered results)
Reference structure matches:
D0_3--BiF3 = mp-1007854, oqmd-308521
L1_2--AuCu3 = mp-1418, oqmd-7241, oqmd-347103
| prototype | method | Ecoh (eV/atom) | Epot (eV/atom) | a0 (Å) | b0 (Å) | c0 (Å) | α (degrees) | β (degrees) | γ (degrees) |
|---|---|---|---|---|---|---|---|---|---|
| L1_2--AuCu3 | dynamic | -1.865 | -1.865 | 3.517 | 3.517 | 3.517 | 90.0 | 90.0 | 90.0 |
| mp-1007855 | dynamic | -1.865 | -1.865 | 3.517 | 3.517 | 7.034 | 90.0 | 90.0 | 90.0 |
| mp-1225078 | dynamic | -1.8641 | -1.8641 | 2.4877 | 2.4877 | 24.3567 | 90.0 | 90.0 | 120.0 |
| mp-1225078 | box | -1.8625 | -1.8625 | 2.4877 | 2.4877 | 24.3709 | 90.0 | 90.0 | 120.0 |
| oqmd-322617 | dynamic | -1.8608 | -1.8608 | 4.9724 | 4.9724 | 4.0558 | 90.0 | 90.0 | 120.0 |
| mp-1079337 | dynamic | -1.8608 | -1.8608 | 4.0559 | 4.9721 | 4.3063 | 90.0 | 90.0 | 90.0 |
| oqmd-322617 | box | -1.8606 | -1.8606 | 4.973 | 4.973 | 4.0552 | 90.0 | 90.0 | 120.0 |
| mp-1079337 | box | -1.8585 | -1.8585 | 4.0543 | 4.9841 | 4.3012 | 90.0 | 90.0 | 90.0 |
| D0_3--BiF3 | static | -1.7737 | -1.7737 | 5.6234 | 5.6234 | 5.6234 | 90.0 | 90.0 | 90.0 |
| A15--Cr3Si | static | -1.642 | -1.642 | 4.5383 | 4.5383 | 4.5383 | 90.0 | 90.0 | 90.0 |
Download raw data (including filtered results)
Reference structure matches:
A1--Cu--fcc = mp-8634, oqmd-676149
A2--W--bcc = mp-1055908
A5--beta-Sn = mp-1057139
| prototype | method | Ecoh (eV/atom) | Epot (eV/atom) | a0 (Å) | b0 (Å) | c0 (Å) | α (degrees) | β (degrees) | γ (degrees) |
|---|---|---|---|---|---|---|---|---|---|
| A3--Mg--hcp | dynamic | -0.9657 | -0.9657 | 2.7412 | 2.7412 | 4.4875 | 90.0 | 90.0 | 120.0 |
| A3'--alpha-La--double-hcp | dynamic | -0.9651 | -0.9651 | 2.7401 | 2.7401 | 8.9604 | 90.0 | 90.0 | 120.0 |
| A1--Cu--fcc | dynamic | -0.9646 | -0.9646 | 3.8736 | 3.8736 | 3.8736 | 90.0 | 90.0 | 90.0 |
| A2--W--bcc | box | -0.9259 | -0.9259 | 3.1076 | 3.1076 | 3.1076 | 90.0 | 90.0 | 90.0 |
| oqmd-7587 | dynamic | -0.9048 | -0.9048 | 6.7391 | 6.7391 | 6.7391 | 90.0 | 90.0 | 90.0 |
| oqmd-7587 | box | -0.9031 | -0.9031 | 6.7395 | 6.7395 | 6.7395 | 90.0 | 90.0 | 90.0 |
| mp-542909 | box | -0.902 | -0.902 | 6.7403 | 6.7403 | 6.7403 | 90.0 | 90.0 | 90.0 |
| oqmd-7874 | dynamic | -0.893 | -0.893 | 9.6118 | 9.6118 | 9.6118 | 90.0 | 90.0 | 90.0 |
| oqmd-7874 | static | -0.8926 | -0.8926 | 9.6114 | 9.6114 | 9.6114 | 90.0 | 90.0 | 90.0 |
| mp-35 | box | -0.8838 | -0.8838 | 9.6283 | 9.6283 | 9.6283 | 90.0 | 90.0 | 90.0 |
| oqmd-7874 | box | -0.8558 | -0.8558 | 9.6853 | 9.6853 | 9.6853 | 90.0 | 90.0 | 90.0 |
| A15--beta-W | static | -0.8479 | -0.8479 | 5.0076 | 5.0076 | 5.0076 | 90.0 | 90.0 | 90.0 |
| A5--beta-Sn | box | -0.7098 | -0.7098 | 5.1287 | 5.1287 | 2.6878 | 90.0 | 90.0 | 90.0 |
| Ah--alpha-Po--sc | static | -0.6237 | -0.6237 | 2.6807 | 2.6807 | 2.6807 | 90.0 | 90.0 | 90.0 |
| A7--alpha-As | box | -0.4356 | -0.4356 | 3.7506 | 3.7506 | 12.0711 | 90.0 | 90.0 | 120.0 |
| mp-1191484 | box | -0.3903 | -0.3903 | 13.4203 | 13.4203 | 13.4203 | 90.0 | 90.0 | 90.0 |
| A4--C--dc | static | -0.3586 | -0.3586 | 6.2825 | 6.2825 | 6.2825 | 90.0 | 90.0 | 90.0 |
Download raw data (including filtered results)
Reference structure matches:
| prototype | method | Ecoh (eV/atom) | Epot (eV/atom) | a0 (Å) | b0 (Å) | c0 (Å) | α (degrees) | β (degrees) | γ (degrees) |
|---|---|---|---|---|---|---|---|---|---|
| C1--CaF2--fluorite | static | -0.8551 | -0.8551 | 5.9286 | 5.9286 | 5.9286 | 90.0 | 90.0 | 90.0 |
Download raw data (including filtered results)
Reference structure matches:
| prototype | method | Ecoh (eV/atom) | Epot (eV/atom) | a0 (Å) | b0 (Å) | c0 (Å) | α (degrees) | β (degrees) | γ (degrees) |
|---|---|---|---|---|---|---|---|---|---|
| L1_2--AuCu3 | dynamic | -1.1271 | -1.1271 | 3.7848 | 3.7848 | 3.7848 | 90.0 | 90.0 | 90.0 |
| D0_3--BiF3 | static | -1.0771 | -1.0771 | 6.0734 | 6.0734 | 6.0734 | 90.0 | 90.0 | 90.0 |
| A15--Cr3Si | static | -0.9726 | -0.9726 | 4.91 | 4.91 | 4.91 | 90.0 | 90.0 | 90.0 |
Download raw data (including filtered results)
Reference structure matches:
| prototype | method | Ecoh (eV/atom) | Epot (eV/atom) | a0 (Å) | b0 (Å) | c0 (Å) | α (degrees) | β (degrees) | γ (degrees) |
|---|---|---|---|---|---|---|---|---|---|
| L1_0--AuCu | dynamic | -1.3234 | -1.3234 | 2.6233 | 2.6233 | 3.6619 | 90.0 | 90.0 | 90.0 |
| B2--CsCl | static | -1.2682 | -1.2682 | 2.9592 | 2.9592 | 2.9592 | 90.0 | 90.0 | 90.0 |
| B1--NaCl--rock-salt | static | -0.873 | -0.873 | 5.096 | 5.096 | 5.096 | 90.0 | 90.0 | 90.0 |
| B3--ZnS--cubic-zinc-blende | static | -0.4952 | -0.4952 | 5.9746 | 5.9746 | 5.9746 | 90.0 | 90.0 | 90.0 |
Download raw data (including filtered results)
Reference structure matches:
| prototype | method | Ecoh (eV/atom) | Epot (eV/atom) | a0 (Å) | b0 (Å) | c0 (Å) | α (degrees) | β (degrees) | γ (degrees) |
|---|---|---|---|---|---|---|---|---|---|
| C1--CaF2--fluorite | static | -0.9307 | -0.9307 | 5.8512 | 5.8512 | 5.8512 | 90.0 | 90.0 | 90.0 |
Download raw data (including filtered results)
Reference structure matches:
| prototype | method | Ecoh (eV/atom) | Epot (eV/atom) | a0 (Å) | b0 (Å) | c0 (Å) | α (degrees) | β (degrees) | γ (degrees) |
|---|---|---|---|---|---|---|---|---|---|
| L1_2--AuCu3 | dynamic | -1.5631 | -1.5631 | 3.5999 | 3.5999 | 3.5999 | 90.0 | 90.0 | 90.0 |
| D0_3--BiF3 | static | -1.485 | -1.485 | 5.7653 | 5.7653 | 5.7653 | 90.0 | 90.0 | 90.0 |
| A15--Cr3Si | static | -1.3944 | -1.3944 | 4.6407 | 4.6407 | 4.6407 | 90.0 | 90.0 | 90.0 |
Download raw data (including filtered results)
Reference structure matches:
A1--Cu--fcc = mp-23, oqmd-676148, oqmd-1214550
A15--beta-W = oqmd-1214995, oqmd-1280360
A2--W--bcc = mp-1008728, oqmd-22516, oqmd-1215173
A3'--alpha-La--double-hcp = oqmd-1215441
A3--Mg--hcp = mp-10257, oqmd-677944, oqmd-1215351
A4--C--dc = oqmd-1215530
A5--beta-Sn = oqmd-1215619
A6--In--bct = oqmd-1215708
| prototype | method | Ecoh (eV/atom) | Epot (eV/atom) | a0 (Å) | b0 (Å) | c0 (Å) | α (degrees) | β (degrees) | γ (degrees) |
|---|---|---|---|---|---|---|---|---|---|
| A1--Cu--fcc | dynamic | -1.8631 | -1.8631 | 3.5019 | 3.5019 | 3.5019 | 90.0 | 90.0 | 90.0 |
| A3'--alpha-La--double-hcp | dynamic | -1.8613 | -1.8613 | 2.4759 | 2.4759 | 8.0792 | 90.0 | 90.0 | 120.0 |
| oqmd-1216067 | dynamic | -1.8606 | -1.8606 | 2.4757 | 2.4757 | 18.1759 | 90.0 | 90.0 | 120.0 |
| A3--Mg--hcp | dynamic | -1.8593 | -1.8593 | 2.4753 | 2.4753 | 4.0381 | 90.0 | 90.0 | 120.0 |
| oqmd-1215262 | box | -1.8584 | -1.8584 | 2.4675 | 4.3007 | 4.0394 | 90.0 | 90.0 | 90.0 |
| A2--W--bcc | static | -1.7728 | -1.7728 | 2.7991 | 2.7991 | 2.7991 | 90.0 | 90.0 | 90.0 |
| oqmd-1214906 | dynamic | -1.7379 | -1.7379 | 6.0786 | 6.0786 | 6.0786 | 90.0 | 90.0 | 90.0 |
| oqmd-1214906 | box | -1.7333 | -1.7333 | 6.0789 | 6.0789 | 6.0789 | 90.0 | 90.0 | 90.0 |
| oqmd-1214817 | dynamic | -1.7194 | -1.7194 | 8.6781 | 8.6781 | 8.6781 | 90.0 | 90.0 | 90.0 |
| oqmd-1214817 | box | -1.708 | -1.708 | 8.6854 | 8.6854 | 8.6854 | 90.0 | 90.0 | 90.0 |
| A15--beta-W | static | -1.631 | -1.631 | 4.523 | 4.523 | 4.523 | 90.0 | 90.0 | 90.0 |
| oqmd-1215084 | box | -1.6153 | -1.6153 | 2.4853 | 4.2188 | 9.0176 | 90.0 | 90.0 | 90.0 |
| oqmd-1214728 | box | -1.5159 | -1.5159 | 2.435 | 2.435 | 8.4451 | 90.0 | 90.0 | 90.0 |
| A5--beta-Sn | static | -1.3752 | -1.3752 | 4.6461 | 4.6461 | 2.4282 | 90.0 | 90.0 | 90.0 |
| mp-1014111 | static | -1.2589 | -1.2589 | 2.4959 | 2.4959 | 13.7164 | 90.0 | 90.0 | 120.0 |
| mp-1014111 | dynamic | -1.2589 | -1.2589 | 2.4959 | 2.4959 | 13.5947 | 90.0 | 90.0 | 120.0 |
| Ah--alpha-Po--sc | static | -1.2285 | -1.2285 | 2.4193 | 2.4193 | 2.4193 | 90.0 | 90.0 | 90.0 |
| oqmd-1215975 | box | -0.8864 | -0.8864 | 4.2042 | 4.2042 | 4.7307 | 90.0 | 90.0 | 120.0 |
| A7--alpha-As | box | -0.8562 | -0.8562 | 3.3767 | 3.3767 | 10.9252 | 90.0 | 90.0 | 120.0 |
| A4--C--dc | box | -0.6896 | -0.6896 | 5.661 | 5.661 | 5.661 | 90.0 | 90.0 | 90.0 |
Static elastic constants are displayed for the unique structures identified in Crystal Structure Predictions above. The values displayed here are obtained by measuring the change in virial stresses due to applying small strains to the relaxed crystals. The initial structure and the strained states are all relaxed using force minimization.
The calculation method used is available as the iprPy elastic_constants_static calculation method.
Notes and Disclaimers:
Version Information:
| 317.304 | 175.805 | 175.805 | 0.000 | -0.000 | -0.000 |
| 175.805 | 317.304 | 175.805 | 0.000 | -0.000 | -0.000 |
| 175.805 | 175.805 | 317.304 | 0.000 | -0.000 | -0.000 |
| 0.000 | 0.000 | 0.000 | 175.805 | -0.000 | -0.000 |
| 0.000 | -0.000 | 0.000 | 0.000 | 175.805 | -0.000 |
| 0.000 | 0.000 | 0.000 | 0.000 | -0.000 | 175.805 |
| 317.304 | 175.805 | 175.805 | -0.000 | 0.000 | 0.000 |
| 175.805 | 317.304 | 175.805 | -0.000 | 0.000 | 0.000 |
| 175.805 | 175.805 | 317.304 | -0.000 | 0.000 | 0.000 |
| -0.000 | -0.000 | -0.000 | 175.805 | -0.000 | 0.000 |
| -0.000 | -0.000 | -0.000 | -0.000 | 175.805 | 0.000 |
| -0.000 | -0.000 | -0.000 | -0.000 | 0.000 | 175.805 |
| 317.304 | 175.806 | 175.806 | 0.000 | -0.000 | -0.000 |
| 175.806 | 317.304 | 175.806 | 0.000 | -0.000 | -0.000 |
| 175.806 | 175.806 | 317.304 | 0.000 | -0.000 | -0.000 |
| -0.000 | 0.000 | 0.000 | 175.805 | -0.000 | -0.000 |
| 0.000 | -0.000 | 0.000 | 0.000 | 175.805 | -0.000 |
| 0.000 | 0.000 | -0.000 | 0.000 | -0.000 | 175.805 |
| 317.304 | 175.805 | 175.805 | -0.000 | 0.000 | 0.000 |
| 175.805 | 317.304 | 175.805 | -0.000 | 0.000 | 0.000 |
| 175.805 | 175.805 | 317.304 | -0.000 | 0.000 | 0.000 |
| 0.000 | -0.000 | -0.000 | 175.805 | 0.000 | 0.000 |
| -0.000 | 0.000 | -0.000 | -0.000 | 175.805 | 0.000 |
| -0.000 | -0.000 | 0.000 | -0.000 | 0.000 | 175.805 |
| 317.305 | 175.806 | 175.806 | 0.000 | -0.000 | -0.000 |
| 175.806 | 317.305 | 175.806 | 0.000 | -0.000 | -0.000 |
| 175.806 | 175.806 | 317.305 | -0.000 | -0.000 | -0.000 |
| -0.000 | 0.000 | 0.001 | 175.805 | -0.000 | -0.000 |
| 0.000 | -0.000 | 0.001 | 0.000 | 175.805 | -0.000 |
| 0.000 | 0.001 | -0.000 | 0.000 | -0.000 | 175.805 |
| 317.303 | 175.804 | 175.804 | -0.000 | 0.000 | 0.000 |
| 175.804 | 317.303 | 175.804 | -0.000 | 0.000 | 0.000 |
| 175.804 | 175.804 | 317.303 | -0.000 | 0.000 | 0.000 |
| 0.000 | -0.000 | -0.001 | 175.805 | -0.000 | 0.000 |
| -0.000 | 0.000 | -0.001 | -0.000 | 175.805 | 0.000 |
| -0.000 | -0.001 | 0.000 | -0.000 | 0.000 | 175.805 |
| 486.231 | 20.229 | 20.229 | 0.000 | 0.000 | 0.000 |
| 20.229 | 486.231 | 20.229 | 0.000 | -0.000 | 0.000 |
| 20.229 | 20.229 | 486.231 | -0.000 | 0.000 | 0.000 |
| -0.000 | -0.000 | -0.000 | 19.301 | -0.000 | 0.000 |
| -0.000 | 0.000 | 0.000 | 0.000 | 19.301 | 0.000 |
| -0.000 | -0.000 | 0.000 | 0.000 | -0.000 | 19.301 |
| 486.231 | 20.229 | 20.229 | 0.000 | -0.000 | 0.000 |
| 20.229 | 486.231 | 20.229 | -0.000 | -0.000 | 0.000 |
| 20.229 | 20.229 | 486.231 | -0.000 | 0.000 | -0.000 |
| 0.000 | 0.000 | 0.000 | 19.301 | 0.000 | -0.000 |
| 0.000 | -0.000 | 0.000 | -0.000 | 19.301 | -0.000 |
| 0.000 | 0.000 | -0.000 | 0.000 | -0.000 | 19.301 |
| 486.231 | 20.229 | 20.229 | 0.000 | 0.000 | 0.000 |
| 20.229 | 486.231 | 20.229 | 0.000 | 0.000 | 0.000 |
| 20.229 | 20.229 | 486.231 | -0.000 | -0.000 | 0.000 |
| 0.000 | 0.000 | 0.000 | 19.301 | 0.000 | 0.000 |
| 0.000 | 0.000 | 0.000 | 0.000 | 19.301 | 0.000 |
| 0.000 | 0.000 | 0.000 | -0.000 | 0.000 | 19.301 |
| 486.230 | 20.229 | 20.229 | -0.000 | -0.000 | -0.000 |
| 20.229 | 486.230 | 20.229 | -0.000 | -0.000 | -0.000 |
| 20.229 | 20.229 | 486.230 | 0.000 | -0.000 | 0.000 |
| -0.000 | -0.000 | -0.000 | 19.301 | -0.000 | -0.000 |
| -0.000 | -0.000 | -0.000 | 0.000 | 19.301 | -0.000 |
| -0.000 | 0.000 | -0.000 | 0.000 | -0.000 | 19.301 |
| 486.235 | 20.229 | 20.229 | 0.000 | 0.000 | 0.000 |
| 20.229 | 486.235 | 20.229 | 0.000 | 0.000 | 0.000 |
| 20.229 | 20.229 | 486.235 | 0.000 | -0.000 | 0.000 |
| 0.000 | -0.000 | -0.000 | -58.718 | -0.000 | 0.000 |
| -0.000 | 0.000 | -0.000 | -0.000 | -58.718 | 0.000 |
| -0.000 | -0.000 | 0.000 | -0.000 | 0.000 | -58.718 |
| 486.227 | 20.229 | 20.229 | -0.000 | -0.000 | -0.000 |
| 20.229 | 486.227 | 20.229 | 0.000 | -0.000 | 0.000 |
| 20.229 | 20.229 | 486.227 | 0.000 | -0.000 | 0.000 |
| -0.000 | 0.000 | 0.000 | -58.718 | 0.000 | -0.000 |
| 0.000 | -0.000 | 0.000 | 0.000 | -58.718 | -0.000 |
| 0.000 | 0.000 | -0.000 | 0.000 | 0.000 | -58.718 |
| 169.493 | 217.567 | 217.567 | 0.000 | 0.000 | 0.000 |
| 217.567 | 169.493 | 217.567 | 0.000 | 0.000 | -0.000 |
| 217.567 | 217.567 | 169.493 | 0.000 | -0.000 | 0.000 |
| 0.000 | 0.000 | 0.000 | 217.567 | 0.000 | -0.000 |
| 0.000 | 0.000 | 0.000 | 0.000 | 217.567 | 0.000 |
| 0.000 | 0.000 | 0.000 | 0.000 | -0.000 | 217.567 |
| 169.493 | 217.567 | 217.567 | -0.000 | 0.000 | -0.000 |
| 217.567 | 169.493 | 217.567 | -0.000 | -0.000 | -0.000 |
| 217.567 | 217.567 | 169.493 | 0.000 | 0.000 | -0.000 |
| -0.000 | -0.000 | -0.000 | 217.567 | -0.000 | -0.000 |
| -0.000 | -0.000 | -0.000 | -0.000 | 217.567 | -0.000 |
| -0.000 | -0.000 | -0.000 | -0.000 | -0.000 | 217.567 |
| 169.494 | 217.567 | 217.567 | 0.000 | -0.000 | 0.000 |
| 217.567 | 169.494 | 217.567 | 0.000 | -0.000 | 0.000 |
| 217.567 | 217.567 | 169.494 | 0.000 | 0.000 | 0.000 |
| 0.000 | 0.000 | 0.000 | 217.567 | 0.000 | -0.000 |
| 0.000 | 0.000 | 0.000 | 0.000 | 217.567 | 0.000 |
| 0.000 | 0.000 | 0.000 | 0.000 | -0.000 | 217.567 |
| 169.493 | 217.567 | 217.567 | -0.000 | 0.000 | -0.000 |
| 217.567 | 169.493 | 217.567 | -0.000 | -0.000 | 0.000 |
| 217.567 | 217.567 | 169.493 | -0.000 | 0.000 | -0.000 |
| -0.000 | -0.000 | -0.000 | 217.567 | -0.000 | -0.000 |
| -0.000 | -0.000 | -0.000 | -0.000 | 217.567 | -0.000 |
| -0.000 | -0.000 | -0.000 | -0.000 | -0.000 | 217.567 |
| 169.494 | 217.568 | 217.568 | 0.000 | -0.000 | 0.000 |
| 217.568 | 169.494 | 217.568 | -0.000 | 0.000 | -0.000 |
| 217.568 | 217.568 | 169.494 | 0.000 | -0.000 | 0.000 |
| 0.001 | 0.000 | 0.001 | 217.567 | 0.000 | 0.000 |
| 0.000 | 0.001 | 0.001 | -0.000 | 217.567 | 0.000 |
| 0.000 | 0.001 | 0.001 | 0.000 | -0.000 | 217.567 |
| 169.493 | 217.566 | 217.566 | -0.000 | 0.000 | -0.000 |
| 217.566 | 169.493 | 217.566 | -0.000 | -0.000 | -0.000 |
| 217.566 | 217.566 | 169.493 | 0.000 | 0.000 | -0.000 |
| -0.001 | -0.000 | -0.001 | 217.567 | -0.000 | 0.000 |
| -0.000 | -0.001 | -0.001 | -0.000 | 217.567 | -0.000 |
| -0.000 | -0.001 | -0.001 | -0.000 | 0.000 | 217.567 |
| 397.316 | 164.516 | 104.442 | 0.000 | -0.000 | -0.000 |
| 164.516 | 397.316 | 104.442 | 0.000 | -0.000 | 0.000 |
| 104.442 | 104.442 | 451.189 | 0.000 | -0.000 | 0.000 |
| 0.000 | 0.000 | 0.000 | 104.442 | -0.000 | -0.000 |
| 0.000 | 0.000 | 0.000 | -0.000 | 104.442 | 0.000 |
| 0.000 | 0.000 | -0.000 | 0.000 | -0.000 | 116.400 |
| 397.316 | 164.516 | 104.442 | -0.000 | 0.000 | 0.000 |
| 140.458 | 421.374 | 104.442 | -0.000 | 0.000 | 0.000 |
| 104.442 | 104.442 | 451.189 | -0.000 | 0.000 | 0.000 |
| -0.000 | 0.000 | -0.000 | 104.442 | 0.000 | -0.000 |
| -0.000 | -0.000 | -0.000 | -0.000 | 104.442 | -0.000 |
| -0.000 | -0.000 | 0.000 | -0.000 | 0.000 | 116.400 |
| 397.316 | 164.516 | 104.442 | 0.000 | -0.000 | 0.000 |
| 140.458 | 421.374 | 104.442 | 0.000 | -0.000 | -0.000 |
| 104.442 | 104.442 | 451.189 | 0.000 | -0.000 | 0.000 |
| 0.000 | -0.000 | 0.000 | 104.442 | -0.000 | 0.000 |
| -0.000 | 0.000 | 0.000 | 0.000 | 104.442 | 0.000 |
| -0.000 | 0.000 | 0.000 | 0.000 | -0.000 | 140.458 |
| 397.315 | 164.516 | 104.442 | 0.000 | 0.000 | -0.000 |
| 140.458 | 421.374 | 104.442 | 0.000 | 0.000 | 0.000 |
| 104.442 | 104.442 | 451.189 | -0.000 | 0.000 | 0.000 |
| -0.000 | 0.000 | -0.000 | 104.442 | 0.000 | 0.000 |
| 0.000 | -0.000 | -0.000 | 0.000 | 104.442 | -0.000 |
| 0.000 | -0.000 | -0.000 | -0.000 | 0.000 | 140.458 |
| 397.319 | 164.517 | 104.442 | 0.000 | -0.000 | 0.000 |
| 140.459 | 421.376 | 104.442 | 0.000 | -0.000 | -0.000 |
| 104.443 | 104.443 | 451.192 | 0.000 | -0.000 | -0.000 |
| 0.000 | 0.000 | 0.001 | 104.442 | -0.000 | -0.000 |
| -0.000 | 0.000 | 0.001 | 0.000 | 104.442 | 0.000 |
| -0.000 | 0.001 | 0.000 | 0.000 | -0.000 | 140.458 |
| 421.371 | 140.458 | 104.442 | -0.000 | 0.000 | 0.000 |
| 164.515 | 397.313 | 104.442 | 0.000 | 0.000 | -0.000 |
| 104.441 | 104.441 | 451.186 | -0.000 | 0.000 | -0.000 |
| -0.000 | -0.000 | -0.001 | 104.442 | 0.000 | 0.000 |
| 0.000 | -0.000 | -0.001 | -0.000 | 104.442 | -0.000 |
| 0.000 | -0.001 | -0.000 | 0.000 | 0.000 | 140.458 |
| 395.738 | 164.951 | 102.297 | -0.000 | 0.000 | -0.000 |
| 140.172 | 420.516 | 102.297 | 0.000 | -0.000 | -0.000 |
| 102.297 | 102.297 | 448.712 | -0.000 | -0.000 | -0.000 |
| 0.000 | 0.000 | 0.000 | 102.297 | 0.000 | 0.000 |
| 0.000 | 0.000 | 0.000 | -0.000 | 102.297 | -0.000 |
| -0.000 | 0.000 | 0.000 | -0.000 | 0.000 | 115.393 |
| 420.516 | 140.172 | 102.297 | -0.000 | -0.000 | 0.000 |
| 164.951 | 395.738 | 102.297 | -0.000 | -0.000 | 0.000 |
| 102.297 | 102.297 | 448.712 | -0.000 | 0.000 | -0.000 |
| -0.000 | 0.000 | -0.000 | 102.297 | -0.000 | -0.000 |
| 0.000 | -0.000 | -0.000 | 0.000 | 102.297 | -0.000 |
| 0.000 | -0.000 | -0.000 | -0.000 | -0.000 | 115.393 |
| 395.738 | 164.951 | 102.297 | -0.000 | -0.000 | 0.000 |
| 164.951 | 395.738 | 102.297 | 0.000 | 0.000 | 0.000 |
| 102.297 | 102.297 | 448.713 | -0.000 | -0.000 | 0.000 |
| 0.000 | -0.000 | 0.000 | 102.297 | -0.000 | -0.000 |
| -0.000 | 0.000 | 0.000 | -0.000 | 102.297 | -0.000 |
| -0.000 | 0.000 | -0.000 | 0.000 | 0.000 | 115.393 |
| 395.737 | 164.951 | 102.297 | 0.000 | -0.000 | 0.000 |
| 164.951 | 395.737 | 102.297 | -0.000 | -0.000 | -0.000 |
| 102.297 | 102.297 | 448.712 | -0.000 | 0.000 | -0.000 |
| -0.000 | 0.000 | -0.000 | 102.297 | 0.000 | -0.000 |
| 0.000 | -0.000 | -0.000 | 0.000 | 102.297 | -0.000 |
| 0.000 | -0.000 | 0.000 | 0.000 | -0.000 | 115.393 |
| 395.741 | 164.951 | 102.297 | 0.000 | -0.000 | 0.000 |
| 164.952 | 395.740 | 102.297 | 0.000 | 0.000 | -0.000 |
| 102.298 | 102.298 | 448.715 | -0.000 | 0.000 | 0.000 |
| 0.000 | -0.000 | 0.001 | 102.297 | 0.000 | 0.000 |
| -0.000 | 0.000 | 0.001 | -0.000 | 102.297 | 0.000 |
| -0.000 | 0.001 | 0.000 | -0.000 | 0.000 | 140.172 |
| 395.734 | 164.951 | 102.297 | 0.000 | -0.000 | -0.000 |
| 164.949 | 395.735 | 102.297 | -0.000 | -0.000 | 0.000 |
| 102.296 | 102.296 | 448.709 | -0.000 | -0.000 | -0.000 |
| -0.000 | 0.000 | -0.001 | 102.297 | -0.000 | -0.000 |
| 0.000 | -0.000 | -0.001 | -0.000 | 102.297 | 0.000 |
| 0.000 | -0.001 | -0.000 | 0.000 | 0.000 | 140.172 |
| 32.095 | 42.040 | 42.040 | 0.000 | -0.000 | -0.000 |
| 42.040 | 32.095 | 42.040 | -0.000 | -0.000 | -0.000 |
| 42.040 | 42.040 | 32.095 | -0.000 | -0.000 | 0.000 |
| 0.000 | -0.000 | 0.000 | -12.313 | -0.000 | -0.000 |
| -0.000 | -0.000 | 0.000 | 0.000 | -12.313 | -0.000 |
| 0.000 | -0.000 | 0.000 | -0.000 | -0.000 | -12.313 |
| 32.095 | 42.040 | 42.040 | 0.000 | 0.000 | 0.000 |
| 42.040 | 32.095 | 42.040 | 0.000 | 0.000 | 0.000 |
| 42.040 | 42.040 | 32.095 | 0.000 | 0.000 | 0.000 |
| -0.000 | 0.000 | -0.000 | -12.313 | 0.000 | 0.000 |
| -0.000 | 0.000 | -0.000 | -0.000 | -12.313 | 0.000 |
| -0.000 | 0.000 | -0.000 | -0.000 | 0.000 | -12.313 |
| 32.095 | 42.040 | 42.040 | -0.000 | -0.000 | -0.000 |
| 42.040 | 32.095 | 42.040 | -0.000 | 0.000 | -0.000 |
| 42.040 | 42.040 | 32.095 | -0.000 | -0.000 | -0.000 |
| -0.000 | -0.000 | -0.000 | -12.313 | -0.000 | -0.000 |
| -0.000 | -0.000 | -0.000 | -0.000 | -12.313 | -0.000 |
| -0.000 | -0.000 | -0.000 | 0.000 | -0.000 | -12.313 |
| 32.095 | 42.040 | 42.040 | -0.000 | 0.000 | 0.000 |
| 42.040 | 32.095 | 42.040 | 0.000 | 0.000 | 0.000 |
| 42.040 | 42.040 | 32.095 | 0.000 | 0.000 | 0.000 |
| 0.000 | 0.000 | 0.000 | -12.313 | 0.000 | 0.000 |
| 0.000 | 0.000 | 0.000 | 0.000 | -12.313 | 0.000 |
| 0.000 | 0.000 | 0.000 | 0.000 | 0.000 | -12.313 |
| 32.095 | 42.040 | 42.040 | -0.000 | -0.000 | -0.000 |
| 42.040 | 32.095 | 42.040 | -0.000 | -0.000 | -0.000 |
| 42.040 | 42.040 | 32.095 | -0.000 | -0.000 | -0.000 |
| -0.000 | -0.000 | -0.000 | -12.313 | -0.000 | -0.000 |
| -0.000 | -0.000 | -0.000 | 0.000 | -12.313 | -0.000 |
| -0.000 | -0.000 | -0.000 | 0.000 | -0.000 | -12.313 |
| 32.095 | 42.040 | 42.040 | 0.000 | 0.000 | 0.000 |
| 42.040 | 32.095 | 42.040 | 0.000 | 0.000 | 0.000 |
| 42.040 | 42.040 | 32.095 | 0.000 | 0.000 | 0.000 |
| 0.000 | 0.000 | 0.000 | -12.313 | 0.000 | 0.000 |
| 0.000 | 0.000 | 0.000 | -0.000 | -12.313 | -0.000 |
| 0.000 | 0.000 | 0.000 | 0.000 | 0.000 | -12.313 |
| -622.234 | 1016.279 | 8.316 | -0.000 | -0.000 | -0.000 |
| 1016.279 | -622.234 | 8.316 | -0.000 | -0.000 | 0.000 |
| 8.316 | 8.316 | 404.545 | -0.000 | 0.000 | -0.000 |
| -0.000 | 0.000 | -0.000 | -31.045 | -0.000 | -0.000 |
| -0.000 | 0.000 | -0.000 | 0.000 | -31.045 | 0.000 |
| -0.000 | -0.000 | 0.000 | 0.000 | -0.000 | -26.402 |
| -622.234 | 1016.278 | 8.316 | 0.000 | 0.000 | -0.000 |
| 1016.278 | -622.234 | 8.316 | 0.000 | 0.000 | -0.000 |
| 8.316 | 8.316 | 404.545 | 0.000 | -0.000 | 0.000 |
| 0.000 | -0.000 | 0.000 | -31.045 | -0.000 | -0.000 |
| 0.000 | -0.000 | 0.000 | -0.000 | -31.045 | 0.000 |
| 0.000 | 0.000 | -0.000 | -0.000 | 0.000 | -26.402 |
| 420.448 | -26.402 | 8.316 | 0.000 | 0.000 | 0.000 |
| -26.402 | 420.448 | 8.316 | -0.000 | -0.000 | 0.000 |
| 8.316 | 8.316 | 404.546 | -0.000 | 0.000 | 0.000 |
| -0.000 | 0.000 | -0.000 | -31.045 | 0.000 | 0.000 |
| 0.000 | -0.000 | -0.000 | 0.000 | -31.045 | -0.000 |
| -0.000 | -0.000 | -0.000 | -0.000 | 0.000 | -26.402 |
| -622.232 | 1016.277 | 8.316 | 0.000 | -0.000 | -0.000 |
| 1016.277 | -622.232 | 8.316 | -0.000 | 0.000 | -0.000 |
| 8.316 | 8.316 | 404.545 | -0.000 | 0.000 | -0.000 |
| 0.000 | -0.000 | 0.000 | -31.045 | -0.000 | 0.000 |
| -0.000 | 0.000 | 0.000 | -0.000 | -31.045 | -0.000 |
| 0.000 | 0.000 | 0.000 | -0.000 | 0.000 | -26.402 |
| -622.251 | 1016.293 | 8.315 | -0.000 | -0.000 | 0.000 |
| 1016.293 | -622.251 | 8.315 | 0.000 | -0.000 | 0.000 |
| 8.316 | 8.316 | 404.549 | -0.000 | 0.000 | -0.000 |
| -0.000 | 0.000 | -0.000 | -31.045 | -0.000 | -0.000 |
| 0.000 | -0.000 | -0.000 | -0.000 | -31.045 | -0.000 |
| -0.000 | -0.000 | -0.000 | 0.000 | -0.000 | -26.402 |
| -622.217 | 1016.264 | 8.318 | 0.000 | 0.000 | 0.000 |
| 1016.264 | -622.217 | 8.318 | 0.000 | 0.000 | -0.000 |
| 8.316 | 8.316 | 404.541 | -0.000 | 0.000 | 0.000 |
| 0.000 | -0.000 | 0.000 | -31.045 | 0.000 | 0.000 |
| -0.000 | 0.000 | 0.000 | -0.000 | -31.045 | 0.000 |
| 0.000 | 0.000 | 0.000 | -0.000 | -0.000 | -26.402 |
| -13.580 | -20.998 | -3.091 | -11.940 | 0.000 | 0.000 |
| -20.998 | -13.580 | -3.091 | 11.940 | 0.000 | 0.000 |
| -4.400 | -4.400 | 10.022 | -0.000 | -0.000 | 0.000 |
| -11.940 | 11.940 | 0.000 | 18.998 | 0.000 | 0.000 |
| 0.000 | 0.000 | 0.000 | 0.000 | 18.998 | -11.940 |
| 0.000 | 0.000 | 0.000 | -0.000 | -11.940 | 3.709 |
| -13.580 | -20.998 | -3.091 | -11.940 | -0.000 | -0.000 |
| -20.998 | -13.580 | -3.091 | 11.940 | -0.000 | -0.000 |
| -4.400 | -4.400 | 10.022 | 0.000 | 0.000 | -0.000 |
| -11.940 | 11.940 | 0.000 | 18.998 | -0.000 | -0.000 |
| -0.000 | -0.000 | -0.000 | -0.000 | 18.998 | -11.940 |
| 0.000 | -0.000 | -0.000 | 0.000 | -11.940 | 3.709 |
| -13.580 | -20.998 | -3.091 | -11.940 | 0.000 | 0.000 |
| -20.998 | -13.580 | -3.091 | 11.940 | 0.000 | 0.000 |
| -4.400 | -4.400 | 10.022 | 0.000 | 0.000 | 0.000 |
| -11.940 | 11.940 | 0.000 | 18.998 | 0.000 | 0.000 |
| 0.000 | 0.000 | 0.000 | -0.000 | 18.998 | -11.940 |
| 0.000 | 0.000 | 0.000 | -0.000 | -11.940 | 3.709 |
| -13.580 | -20.998 | -3.091 | -11.940 | -0.000 | -0.000 |
| -20.998 | -13.580 | -3.091 | 11.940 | -0.000 | -0.000 |
| -4.400 | -4.400 | 10.022 | 0.000 | -0.000 | -0.000 |
| -11.940 | 11.940 | -0.000 | 18.998 | -0.000 | -0.000 |
| -0.000 | -0.000 | -0.000 | 0.000 | 18.998 | -11.940 |
| -0.000 | -0.000 | -0.000 | 0.000 | -11.940 | 3.709 |
| -13.580 | -20.998 | -3.091 | -11.940 | 0.000 | 0.000 |
| -20.998 | -13.580 | -3.091 | 11.940 | 0.000 | 0.000 |
| -4.400 | -4.400 | 10.022 | -0.000 | 0.000 | 0.000 |
| -11.940 | 11.940 | 0.000 | 18.998 | -0.000 | 0.000 |
| 0.000 | 0.000 | 0.000 | -0.000 | 18.998 | -11.940 |
| 0.000 | -0.000 | 0.000 | -0.000 | -11.940 | 3.709 |
| -13.580 | -20.998 | -3.091 | -11.940 | 0.000 | -0.000 |
| -20.998 | -13.581 | -3.091 | 11.940 | -0.000 | -0.000 |
| -4.400 | -4.400 | 10.022 | 0.000 | -0.000 | -0.000 |
| -11.940 | 11.940 | -0.000 | 18.998 | -0.000 | -0.000 |
| -0.000 | -0.000 | -0.000 | 0.000 | 18.998 | -11.940 |
| -0.000 | 0.000 | -0.000 | 0.000 | -11.940 | 3.709 |
| 396.592 | -22.866 | -22.866 | 0.000 | 0.000 | -0.000 |
| -22.866 | 396.592 | -22.866 | 0.000 | 0.000 | -0.000 |
| -22.866 | -22.866 | 396.592 | 0.000 | 0.000 | -0.000 |
| 0.000 | 0.000 | -0.000 | -22.866 | -0.000 | 0.000 |
| 0.000 | -0.000 | 0.000 | 0.000 | -22.866 | -0.000 |
| 0.000 | -0.000 | 0.000 | 0.000 | 0.000 | -22.866 |
| 396.592 | -22.866 | -22.866 | -0.000 | -0.000 | 0.000 |
| -22.866 | 396.592 | -22.866 | -0.000 | -0.000 | 0.000 |
| -22.866 | -22.866 | 396.592 | 0.000 | -0.000 | -0.000 |
| -0.000 | -0.000 | 0.000 | -22.866 | -0.000 | 0.000 |
| -0.000 | 0.000 | -0.000 | -0.000 | -22.866 | 0.000 |
| -0.000 | 0.000 | -0.000 | -0.000 | -0.000 | -22.866 |
| 396.593 | -22.866 | -22.866 | 0.000 | 0.000 | -0.000 |
| -22.866 | 396.593 | -22.866 | 0.000 | 0.000 | -0.000 |
| -22.866 | -22.866 | 396.593 | 0.000 | 0.000 | -0.000 |
| 0.000 | 0.000 | -0.000 | -22.866 | 0.000 | -0.000 |
| 0.000 | 0.000 | -0.000 | 0.000 | -22.866 | -0.000 |
| 0.000 | -0.000 | 0.000 | 0.000 | 0.000 | -22.866 |
| 396.592 | -22.866 | -22.866 | -0.000 | -0.000 | 0.000 |
| -22.866 | 396.592 | -22.866 | 0.000 | -0.000 | 0.000 |
| -22.866 | -22.866 | 396.592 | -0.000 | 0.000 | -0.000 |
| -0.000 | -0.000 | 0.000 | -22.866 | -0.000 | 0.000 |
| -0.000 | -0.000 | 0.000 | -0.000 | -22.866 | 0.000 |
| -0.000 | 0.000 | -0.000 | -0.000 | -0.000 | -22.866 |
| 396.596 | -22.866 | -22.866 | 0.000 | 0.000 | -0.000 |
| -22.866 | 396.596 | -22.866 | 0.000 | 0.000 | -0.000 |
| -22.866 | -22.866 | 396.596 | 0.000 | 0.000 | -0.000 |
| 0.000 | 0.000 | -0.000 | -22.866 | 0.000 | -0.000 |
| 0.000 | 0.000 | -0.000 | 0.000 | -22.866 | -0.000 |
| 0.000 | -0.000 | 0.000 | 0.000 | 0.000 | -22.866 |
| 396.588 | -22.866 | -22.866 | -0.000 | -0.000 | 0.000 |
| -22.866 | 396.588 | -22.866 | -0.000 | -0.000 | 0.000 |
| -22.866 | -22.866 | 396.588 | 0.000 | -0.000 | -0.000 |
| -0.000 | -0.000 | 0.000 | -22.866 | -0.000 | 0.000 |
| -0.000 | -0.000 | 0.000 | -0.000 | -22.866 | 0.000 |
| -0.000 | 0.000 | -0.000 | -0.000 | -0.000 | -22.866 |
| 227.391 | 116.815 | 116.815 | -0.000 | -0.000 | -0.000 |
| 116.815 | 227.391 | 116.815 | -0.000 | -0.000 | 0.000 |
| 116.815 | 116.815 | 227.391 | -0.000 | -0.000 | 0.000 |
| -0.000 | -0.000 | -0.000 | 116.815 | -0.000 | 0.000 |
| -0.000 | -0.000 | -0.000 | -0.000 | 116.815 | -0.000 |
| -0.000 | -0.000 | -0.000 | -0.000 | -0.000 | 116.815 |
| 227.391 | 116.815 | 116.815 | -0.000 | 0.000 | 0.000 |
| 116.815 | 227.391 | 116.815 | 0.000 | 0.000 | 0.000 |
| 116.815 | 116.815 | 227.391 | 0.000 | 0.000 | -0.000 |
| 0.000 | 0.000 | 0.000 | 116.815 | 0.000 | 0.000 |
| 0.000 | 0.000 | 0.000 | 0.000 | 116.815 | 0.000 |
| 0.000 | 0.000 | 0.000 | 0.000 | 0.000 | 116.815 |
| 227.392 | 116.815 | 116.815 | -0.000 | -0.000 | -0.000 |
| 116.815 | 227.392 | 116.815 | -0.000 | -0.000 | -0.000 |
| 116.815 | 116.815 | 227.392 | -0.000 | -0.000 | 0.000 |
| -0.000 | 0.000 | 0.000 | 115.204 | -0.000 | 0.000 |
| 0.000 | -0.000 | 0.000 | -0.000 | 115.204 | -0.000 |
| 0.000 | 0.000 | -0.000 | -0.000 | -0.000 | 115.204 |
| 227.391 | 116.815 | 116.815 | 0.000 | 0.000 | -0.000 |
| 116.815 | 227.391 | 116.815 | -0.000 | 0.000 | -0.000 |
| 116.815 | 116.815 | 227.391 | -0.000 | 0.000 | 0.000 |
| 0.000 | -0.000 | -0.000 | 115.204 | 0.000 | 0.000 |
| -0.000 | 0.000 | -0.000 | 0.000 | 115.204 | 0.000 |
| -0.000 | -0.000 | 0.000 | 0.000 | 0.000 | 115.204 |
| 227.393 | 116.815 | 116.815 | -0.000 | -0.000 | 0.000 |
| 116.815 | 227.393 | 116.815 | -0.000 | -0.000 | -0.000 |
| 116.815 | 116.815 | 227.393 | -0.000 | -0.000 | -0.000 |
| -0.000 | 0.000 | 0.001 | 115.204 | -0.000 | -0.000 |
| 0.000 | -0.000 | 0.001 | -0.000 | 115.204 | -0.000 |
| 0.000 | 0.001 | -0.000 | -0.000 | -0.000 | 115.204 |
| 227.390 | 116.814 | 116.814 | 0.000 | 0.000 | -0.000 |
| 116.814 | 227.390 | 116.814 | 0.000 | 0.000 | -0.000 |
| 116.814 | 116.814 | 227.390 | -0.000 | 0.000 | -0.000 |
| 0.000 | -0.000 | -0.001 | 115.204 | 0.000 | -0.000 |
| -0.000 | 0.000 | -0.001 | 0.000 | 115.204 | 0.000 |
| -0.000 | -0.001 | 0.000 | 0.000 | 0.000 | 115.204 |
| -568.251 | -752.493 | 421.850 | 0.000 | 0.000 | 0.005 |
| -752.493 | -568.251 | 421.850 | -0.000 | 0.000 | 0.005 |
| -828.172 | -828.172 | 780.934 | 0.000 | 0.000 | 0.005 |
| -879.651 | -879.651 | 370.096 | 42.922 | 0.000 | 0.005 |
| -1095.005 | -1095.005 | 2118.034 | 0.000 | -18.902 | 0.118 |
| -879.651 | -879.651 | 370.098 | -0.000 | -0.000 | 40.405 |
| 1199.559 | 1430.114 | -1946.609 | 0.000 | -0.000 | 0.007 |
| 1430.114 | 1199.559 | -1946.609 | -0.000 | -0.000 | 0.007 |
| 1147.111 | 1147.111 | -1590.045 | -0.000 | -0.000 | -0.008 |
| 879.651 | 879.651 | -370.096 | 42.922 | -0.000 | -0.005 |
| 879.651 | 879.651 | -370.096 | 0.000 | 42.922 | -0.005 |
| 879.651 | 879.651 | -370.098 | -0.000 | -0.000 | 40.394 |
| 138.485 | 79.362 | 253.298 | 0.000 | 0.000 | 0.009 |
| 79.362 | 138.485 | 253.298 | 0.000 | 0.000 | 0.009 |
| 12.710 | 12.710 | 397.301 | 0.000 | 0.000 | 0.001 |
| -109.808 | -109.808 | 200.108 | -3.624 | 0.000 | 0.015 |
| -109.808 | -109.808 | 200.108 | 0.000 | -3.624 | 0.015 |
| -38.695 | -38.695 | -17.759 | 0.000 | 0.000 | 60.821 |
| 356.967 | 298.286 | -150.025 | -0.000 | -0.000 | -0.009 |
| 298.286 | 356.967 | -150.025 | -0.000 | -0.000 | -0.009 |
| 139.412 | 139.412 | 373.790 | -0.000 | -0.000 | -0.001 |
| 109.808 | 109.808 | -200.108 | -3.624 | -0.000 | -0.015 |
| 109.808 | 109.808 | -200.108 | -0.000 | -3.624 | -0.015 |
| 38.695 | 38.695 | 17.759 | -0.000 | -0.000 | 60.819 |
| 232.224 | 182.049 | 71.075 | -0.000 | -0.000 | -0.001 |
| 182.049 | 232.224 | 71.075 | 0.000 | -0.000 | -0.001 |
| 42.776 | 42.776 | 415.193 | 0.000 | 0.000 | 0.000 |
| -11.454 | -11.454 | 20.867 | 13.503 | 0.000 | -0.005 |
| -11.454 | -11.454 | 20.867 | 0.000 | 13.503 | -0.005 |
| -9.312 | -9.312 | 4.312 | -0.000 | -0.000 | 38.295 |
| 265.053 | 182.632 | 39.467 | -0.000 | -0.000 | -0.000 |
| 182.632 | 265.053 | 39.467 | -0.000 | -0.000 | -0.000 |
| 61.250 | 61.250 | 389.972 | -0.000 | -0.000 | 0.000 |
| 5115223.972 | 5152007.107 | 5957616.359 | 160594.155 | -173436.039 | -65933.209 |
| 11.454 | 11.454 | -20.867 | -0.000 | 13.503 | 0.005 |
| 9.312 | 9.312 | -4.312 | -0.000 | -0.000 | 38.295 |
| 385.568 | 155.733 | 84.216 | -0.000 | -0.000 | -0.000 |
| 134.059 | 407.242 | 84.216 | -0.000 | 0.000 | -0.000 |
| 86.668 | 86.668 | 401.346 | -0.000 | -0.000 | -0.000 |
| 0.000 | 0.000 | 0.000 | 91.652 | 0.000 | -0.000 |
| 0.000 | 0.000 | 0.000 | 0.000 | 91.652 | -0.000 |
| -0.000 | 0.000 | 0.000 | 0.000 | 0.000 | 114.918 |
| 407.242 | 134.059 | 84.216 | 0.000 | -0.000 | 0.000 |
| 134.059 | 407.242 | 84.216 | 0.000 | 0.000 | 0.000 |
| 86.668 | 86.668 | 401.346 | 0.000 | 0.000 | 0.000 |
| -0.000 | -0.000 | -0.000 | 91.652 | -0.000 | 0.000 |
| -0.000 | -0.000 | -0.000 | 0.000 | 91.652 | 0.000 |
| 0.000 | -0.000 | -0.000 | -0.000 | 0.000 | 114.918 |
| 407.242 | 134.059 | 84.216 | -0.000 | -0.000 | -0.000 |
| 155.733 | 385.568 | 84.216 | 0.000 | -0.000 | -0.000 |
| 86.668 | 86.668 | 401.347 | 0.000 | -0.000 | -0.000 |
| 0.000 | -0.000 | 0.000 | 91.652 | 0.000 | -0.000 |
| -0.000 | 0.000 | 0.000 | 0.000 | 91.652 | -0.000 |
| -0.000 | 0.000 | -0.000 | -0.000 | -0.000 | 114.918 |
| 385.568 | 155.733 | 84.216 | 0.000 | 0.000 | 0.000 |
| 155.733 | 385.568 | 84.216 | -0.000 | -0.000 | 0.000 |
| 86.667 | 86.667 | 401.346 | 0.000 | 0.000 | 0.000 |
| -0.000 | 0.000 | -0.000 | 91.652 | -0.000 | 0.000 |
| 0.000 | -0.000 | -0.000 | -0.000 | 91.652 | 0.000 |
| 0.000 | -0.000 | 0.000 | 0.000 | 0.000 | 114.918 |
| 407.245 | 134.059 | 84.216 | -0.000 | -0.000 | -0.000 |
| 134.060 | 407.244 | 84.216 | -0.000 | -0.000 | -0.000 |
| 86.668 | 86.668 | 401.349 | -0.000 | -0.000 | -0.000 |
| 0.000 | 0.000 | 0.001 | 91.652 | -0.000 | -0.000 |
| -0.000 | 0.000 | 0.001 | -0.000 | 91.652 | -0.000 |
| -0.000 | 0.001 | -0.000 | -0.000 | -0.000 | 114.918 |
| 385.565 | 155.733 | 84.216 | 0.000 | 0.000 | 0.000 |
| 155.732 | 385.565 | 84.216 | 0.000 | 0.000 | 0.000 |
| 86.667 | 86.667 | 401.344 | -0.000 | -0.000 | 0.000 |
| -0.000 | -0.000 | -0.001 | 91.652 | 0.000 | 0.000 |
| 0.000 | -0.000 | -0.001 | 0.000 | 91.652 | 0.000 |
| 0.000 | -0.001 | 0.000 | 0.000 | 0.000 | 114.918 |
| 445.042 | 263.160 | -120.190 | 0.000 | 0.000 | -0.004 |
| 263.113 | 445.089 | -120.190 | 0.000 | 0.000 | -0.004 |
| 319.448 | 319.498 | 41.340 | 0.000 | 0.000 | -0.004 |
| 0.000 | 0.000 | 0.000 | 61.618 | -0.000 | -0.000 |
| 118.952 | 118.999 | -190.839 | 0.000 | 41.824 | -0.004 |
| 118.989 | 119.036 | -190.897 | 0.000 | 0.000 | 90.956 |
| 359.295 | 117.311 | 63.963 | -0.000 | 0.000 | 0.000 |
| 117.311 | 359.295 | 63.963 | 0.000 | 0.000 | 0.000 |
| 60.950 | 60.950 | 452.268 | -0.000 | 0.000 | 0.000 |
| -118.952 | -118.999 | 190.839 | 41.824 | -0.000 | 0.004 |
| -118.952 | -118.999 | 190.839 | -0.000 | 41.824 | 0.004 |
| -0.000 | -0.000 | -0.000 | -0.000 | 0.000 | 120.992 |
| 346.393 | 177.717 | 27.532 | 0.000 | 0.000 | -0.000 |
| 177.712 | 346.398 | 27.532 | 0.000 | 0.000 | -0.000 |
| 79.350 | 79.355 | 414.071 | 0.000 | 0.000 | -0.000 |
| 25.546 | 25.551 | -40.175 | 53.101 | 0.000 | -0.000 |
| 25.547 | 25.551 | -40.175 | 0.000 | 53.101 | -0.000 |
| 25.400 | 25.405 | -39.945 | 0.000 | 0.000 | 84.692 |
| 313.561 | 132.269 | 90.212 | -0.000 | -0.000 | 0.000 |
| 132.274 | 313.557 | 90.212 | -0.000 | -0.000 | 0.000 |
| 60.950 | 60.950 | 452.267 | 0.000 | 0.000 | 0.000 |
| -25.546 | -25.551 | 40.175 | 53.101 | -0.000 | 0.000 |
| -25.547 | -25.551 | 40.175 | -0.000 | 53.101 | 0.000 |
| -25.400 | -25.405 | 39.945 | -0.000 | -0.000 | 84.692 |
| 327.297 | 150.501 | 63.846 | 0.000 | 0.000 | -0.000 |
| 117.311 | 359.297 | 63.964 | -0.000 | -0.000 | -0.000 |
| 60.950 | 60.950 | 452.272 | 0.000 | -0.000 | -0.000 |
| 0.856 | 0.857 | -1.400 | 36.380 | 0.000 | -0.000 |
| 0.000 | 0.000 | -0.000 | 0.000 | 61.618 | -0.000 |
| 2.211 | 2.211 | -3.477 | 0.000 | 0.000 | 89.395 |
| 280.817 | 184.476 | 87.372 | -0.000 | 0.000 | 0.000 |
| 144.776 | 324.214 | 70.732 | -0.000 | -0.000 | 0.000 |
| 65.224 | 65.224 | 444.230 | 0.000 | 0.000 | 0.000 |
| -0.856 | -0.857 | 1.400 | 36.380 | -0.000 | 0.000 |
| -0.000 | -0.000 | 0.000 | -0.000 | 61.618 | 0.000 |
| -2.211 | -2.211 | 3.477 | -0.000 | -0.000 | 89.395 |
| 403.778 | -12.471 | 60.598 | -0.000 | -0.000 | -0.000 |
| -12.471 | 403.778 | 60.598 | -0.000 | 0.000 | -0.000 |
| 60.226 | 60.226 | 370.259 | -0.000 | -0.000 | 0.000 |
| -0.001 | -0.001 | 0.001 | -52.671 | 0.000 | -0.000 |
| -0.001 | -0.001 | 0.001 | -0.000 | -52.671 | -0.000 |
| -0.000 | -0.000 | 0.000 | -0.000 | 0.000 | 6.547 |
| 403.778 | -12.471 | 60.598 | 0.000 | 0.000 | 0.000 |
| -12.471 | 403.778 | 60.598 | 0.000 | 0.000 | 0.000 |
| 60.227 | 60.227 | 370.258 | 0.000 | -0.000 | -0.000 |
| 0.001 | 0.001 | -0.001 | -52.671 | 0.000 | 0.000 |
| 0.001 | 0.001 | -0.001 | 0.000 | -52.671 | 0.000 |
| 0.000 | 0.000 | -0.000 | 0.000 | -0.000 | 6.547 |
| 403.779 | -12.471 | 60.598 | -0.000 | 0.000 | -0.000 |
| -12.471 | 403.779 | 60.598 | -0.000 | 0.000 | -0.000 |
| 60.226 | 60.226 | 370.259 | -0.000 | -0.000 | 0.000 |
| -0.000 | -0.000 | 0.000 | -52.671 | 0.000 | -0.000 |
| -0.000 | -0.000 | 0.000 | -0.000 | -52.671 | -0.000 |
| -0.000 | -0.000 | 0.000 | -0.000 | 0.000 | 6.547 |
| 403.778 | -12.471 | 60.598 | 0.000 | -0.000 | 0.000 |
| -12.471 | 403.778 | 60.598 | 0.000 | -0.000 | 0.000 |
| 60.226 | 60.226 | 370.258 | 0.000 | -0.000 | 0.000 |
| 0.000 | 0.000 | -0.000 | -52.671 | -0.000 | 0.000 |
| 0.000 | 0.000 | -0.000 | 0.000 | -52.671 | 0.000 |
| 0.000 | 0.000 | -0.000 | 0.000 | -0.000 | 6.547 |
| 403.782 | -12.471 | 60.598 | -0.000 | 0.000 | -0.000 |
| -12.471 | 403.782 | 60.598 | -0.000 | -0.000 | -0.000 |
| 60.227 | 60.227 | 370.261 | -0.000 | 0.000 | -0.000 |
| -0.001 | -0.001 | -0.000 | -52.671 | 0.000 | -0.000 |
| -0.001 | -0.001 | -0.000 | -0.000 | -52.671 | -0.000 |
| -0.000 | -0.000 | 0.000 | -0.000 | 0.000 | 6.547 |
| 403.774 | -12.471 | 60.598 | 0.000 | -0.000 | 0.000 |
| -12.471 | 403.774 | 60.598 | 0.000 | -0.000 | 0.000 |
| 60.226 | 60.226 | 370.256 | 0.000 | -0.000 | -0.000 |
| 0.001 | 0.001 | 0.000 | -52.671 | -0.000 | 0.000 |
| 0.001 | 0.001 | 0.000 | 0.000 | -52.671 | 0.000 |
| 0.000 | 0.000 | -0.000 | 0.000 | -0.000 | 6.547 |
| 407.662 | 84.697 | 84.697 | -0.000 | -0.000 | 0.000 |
| 84.697 | 407.662 | 84.697 | -0.000 | -0.000 | 0.000 |
| 84.697 | 84.697 | 407.662 | -0.000 | 0.000 | 0.000 |
| 0.000 | 0.000 | 0.000 | 84.697 | -0.000 | 0.000 |
| -0.000 | 0.000 | -0.000 | -0.000 | 84.697 | 0.000 |
| 0.000 | 0.000 | 0.000 | -0.000 | -0.000 | 84.697 |
| 360.421 | 108.046 | 108.046 | 0.000 | 0.000 | -0.000 |
| 108.046 | 360.421 | 108.046 | 0.000 | 0.000 | -0.000 |
| 108.046 | 108.046 | 360.421 | 0.000 | 0.000 | -0.000 |
| -0.000 | -0.000 | -0.000 | 84.697 | 0.000 | -0.000 |
| -0.000 | -0.000 | -0.000 | 0.000 | 84.697 | -0.000 |
| 0.000 | -0.000 | 0.000 | 0.000 | 0.000 | 84.697 |
| 407.663 | 84.698 | 84.698 | 0.000 | -0.000 | 0.000 |
| 84.698 | 407.663 | 84.698 | -0.000 | -0.000 | 0.000 |
| 84.698 | 84.698 | 407.663 | -0.000 | -0.000 | 0.000 |
| 0.068 | 0.069 | 0.069 | 26.358 | 0.000 | -0.000 |
| 0.069 | 0.068 | 0.069 | 0.000 | 26.358 | -0.000 |
| 0.069 | 0.069 | 0.068 | 0.000 | -0.000 | 26.358 |
| 407.662 | 84.697 | 84.697 | 0.000 | 0.000 | -0.000 |
| 84.697 | 407.662 | 84.697 | -0.000 | 0.000 | -0.000 |
| 84.697 | 84.697 | 407.662 | 0.000 | 0.000 | -0.000 |
| -0.068 | -0.069 | -0.069 | 26.358 | 0.000 | 0.000 |
| -0.069 | -0.068 | -0.069 | 0.000 | 26.358 | 0.000 |
| -0.069 | -0.069 | -0.068 | 0.000 | 0.000 | 26.358 |
| 360.655 | 108.038 | 108.038 | -0.000 | -0.000 | 0.000 |
| 108.038 | 360.655 | 108.038 | -0.000 | -0.000 | 0.000 |
| 108.038 | 108.038 | 360.655 | 0.000 | -0.000 | 0.000 |
| 0.000 | 0.000 | 0.000 | 84.697 | -0.000 | 0.000 |
| 0.000 | 0.000 | 0.000 | -0.000 | 84.697 | 0.000 |
| 0.000 | 0.000 | 0.000 | -0.000 | -0.000 | 84.697 |
| 360.644 | 108.038 | 108.038 | 0.000 | 0.000 | -0.000 |
| 108.038 | 360.644 | 108.038 | 0.000 | 0.000 | -0.000 |
| 108.038 | 108.038 | 360.644 | -0.000 | 0.000 | -0.000 |
| -0.000 | -0.000 | -0.000 | 84.697 | 0.000 | -0.000 |
| -0.000 | -0.000 | -0.000 | 0.000 | 84.697 | -0.000 |
| -0.000 | -0.000 | -0.000 | 0.000 | 0.000 | 84.697 |
| 335.194 | 100.992 | 100.992 | 0.000 | 0.000 | 0.000 |
| 100.992 | 335.194 | 100.992 | 0.000 | 0.000 | 0.000 |
| 100.992 | 100.992 | 335.194 | 0.000 | 0.000 | 0.000 |
| 0.000 | 0.000 | 0.000 | 80.050 | 0.000 | 0.000 |
| 0.000 | 0.000 | 0.000 | -0.000 | 80.050 | 0.000 |
| 0.000 | 0.000 | 0.000 | -0.000 | -0.000 | 80.050 |
| 332.066 | 99.649 | 99.649 | -0.000 | -0.000 | -0.000 |
| 99.649 | 332.066 | 99.649 | -0.000 | -0.000 | -0.000 |
| 99.649 | 99.649 | 332.066 | -0.000 | -0.000 | -0.000 |
| -0.000 | -0.000 | -0.000 | 80.050 | 0.000 | -0.000 |
| -0.000 | -0.000 | -0.000 | 0.000 | 80.050 | -0.000 |
| -0.000 | -0.000 | -0.000 | 0.000 | 0.000 | 80.050 |
| 381.532 | 76.568 | 76.568 | -0.000 | -0.000 | 0.000 |
| 76.568 | 381.532 | 76.568 | 0.000 | -0.000 | 0.000 |
| 76.568 | 76.568 | 381.532 | 0.000 | -0.000 | 0.000 |
| 0.000 | 0.000 | 0.000 | 80.050 | -0.000 | 0.000 |
| 0.000 | 0.000 | 0.000 | -0.000 | 80.050 | 0.000 |
| 0.000 | 0.000 | 0.000 | -0.000 | -0.000 | 80.050 |
| 336.866 | 98.597 | 98.597 | -0.000 | -0.000 | -0.000 |
| 98.597 | 336.866 | 98.597 | -0.000 | -0.000 | -0.000 |
| 98.597 | 98.597 | 336.866 | -0.000 | -0.000 | -0.000 |
| -0.000 | -0.000 | -0.000 | 80.050 | 0.000 | -0.000 |
| -0.000 | -0.000 | -0.000 | -0.000 | 80.050 | -0.000 |
| -0.000 | -0.000 | -0.000 | -0.000 | 0.000 | 80.050 |
| 337.087 | 98.638 | 98.638 | 0.000 | 0.000 | 0.000 |
| 98.638 | 337.087 | 98.638 | 0.000 | 0.000 | 0.000 |
| 98.638 | 98.638 | 337.087 | 0.000 | 0.000 | 0.000 |
| 0.000 | 0.000 | 0.000 | 80.050 | -0.000 | 0.000 |
| 0.000 | 0.000 | 0.000 | -0.000 | 80.050 | 0.000 |
| 0.000 | 0.000 | 0.000 | -0.000 | -0.000 | 80.050 |
| 381.529 | 76.568 | 76.568 | 0.000 | 0.000 | -0.000 |
| 76.568 | 381.529 | 76.568 | -0.000 | 0.000 | -0.000 |
| 76.568 | 76.568 | 381.529 | 0.000 | 0.000 | -0.000 |
| -0.000 | -0.000 | -0.000 | 80.050 | 0.000 | -0.000 |
| -0.000 | -0.000 | -0.000 | -0.000 | 80.050 | -0.000 |
| -0.000 | -0.000 | -0.000 | -0.000 | 0.000 | 80.050 |
| 285.463 | 149.039 | 148.938 | 0.039 | -0.019 | -0.019 |
| 148.962 | 285.520 | 148.956 | 0.039 | -0.019 | -0.019 |
| 148.943 | 149.038 | 285.460 | 0.039 | -0.019 | -0.019 |
| -0.000 | 0.000 | 0.000 | 139.321 | 0.000 | 0.000 |
| 0.000 | 0.000 | 0.000 | 0.000 | 139.321 | -0.000 |
| 0.000 | 0.000 | 0.000 | -0.000 | 0.000 | 139.321 |
| 305.668 | 139.459 | 139.459 | -0.000 | 0.000 | -0.000 |
| 139.459 | 305.668 | 139.459 | -0.000 | 0.000 | 0.000 |
| 139.459 | 139.459 | 305.668 | -0.000 | -0.000 | 0.000 |
| -0.000 | -0.000 | -0.000 | 139.321 | 0.000 | 0.000 |
| -0.000 | 0.000 | -0.000 | 0.000 | 139.321 | -0.000 |
| -0.000 | -0.000 | -0.000 | -0.000 | 0.000 | 139.321 |
| 285.390 | 148.976 | 148.966 | 0.004 | -0.002 | -0.002 |
| 148.968 | 285.396 | 148.967 | 0.004 | -0.002 | -0.002 |
| 148.966 | 148.976 | 285.390 | 0.004 | -0.002 | -0.002 |
| 0.001 | 0.012 | 0.000 | 89.036 | -0.002 | -0.002 |
| 0.001 | 0.012 | 0.000 | 0.005 | 89.035 | -0.002 |
| 0.001 | 0.012 | 0.000 | 0.005 | -0.002 | 89.035 |
| 305.667 | 139.459 | 139.459 | -0.000 | 0.000 | 0.000 |
| 139.459 | 305.667 | 139.459 | -0.000 | 0.000 | 0.000 |
| 139.459 | 139.459 | 305.667 | -0.000 | -0.000 | 0.000 |
| -0.001 | -0.012 | -0.000 | 89.034 | 0.002 | 0.002 |
| -0.001 | -0.012 | -0.000 | -0.005 | 89.036 | 0.002 |
| -0.001 | -0.012 | -0.000 | -0.005 | 0.002 | 89.036 |
| 272.052 | 154.011 | 154.010 | 0.000 | -0.000 | -0.000 |
| 154.010 | 272.053 | 154.010 | 0.000 | -0.000 | -0.000 |
| 154.010 | 154.011 | 272.052 | 0.000 | -0.000 | -0.000 |
| 0.001 | 0.002 | 0.001 | 81.026 | -0.000 | -0.000 |
| 0.001 | 0.002 | 0.001 | 0.000 | 81.025 | -0.000 |
| 0.001 | 0.002 | 0.001 | 0.000 | -0.000 | 81.025 |
| 272.051 | 154.001 | 154.002 | -0.000 | 0.000 | 0.000 |
| 154.002 | 272.051 | 154.002 | -0.000 | 0.000 | 0.000 |
| 154.002 | 154.001 | 272.051 | -0.000 | 0.000 | 0.000 |
| -0.001 | -0.002 | -0.001 | 81.025 | 0.000 | 0.000 |
| -0.001 | -0.002 | -0.001 | -0.000 | 81.026 | 0.000 |
| -0.001 | -0.002 | -0.001 | -0.000 | 0.000 | 81.026 |
| 304.862 | 139.019 | 139.019 | -0.000 | 0.000 | 0.000 |
| 139.019 | 304.862 | 139.019 | 0.000 | -0.000 | -0.000 |
| 139.019 | 139.019 | 304.862 | 0.000 | -0.000 | 0.000 |
| 0.000 | 0.000 | 0.000 | 139.019 | -0.000 | 0.000 |
| 0.000 | 0.000 | 0.000 | -0.000 | 139.019 | 0.000 |
| 0.000 | 0.000 | 0.000 | 0.000 | 0.000 | 139.019 |
| 304.862 | 139.019 | 139.019 | 0.000 | 0.000 | -0.000 |
| 139.019 | 304.862 | 139.019 | 0.000 | -0.000 | -0.000 |
| 139.019 | 139.019 | 304.862 | 0.000 | 0.000 | -0.000 |
| 0.000 | -0.000 | -0.000 | 139.019 | -0.000 | -0.000 |
| -0.000 | 0.000 | -0.000 | -0.000 | 139.019 | -0.000 |
| -0.000 | 0.000 | -0.000 | 0.000 | -0.000 | 139.019 |
| 304.862 | 139.019 | 139.019 | -0.000 | 0.000 | 0.000 |
| 139.019 | 304.862 | 139.019 | 0.000 | 0.000 | 0.000 |
| 139.019 | 139.019 | 304.862 | -0.000 | -0.000 | 0.000 |
| -5.430 | -5.430 | -5.430 | 79.502 | 0.000 | 0.000 |
| -5.430 | -5.430 | -5.430 | -0.000 | 79.502 | 0.000 |
| -5.430 | -5.430 | -5.430 | -0.000 | 0.000 | 79.502 |
| 304.862 | 139.018 | 139.018 | -0.000 | 0.000 | -0.000 |
| 139.018 | 304.862 | 139.018 | -0.000 | -0.000 | -0.000 |
| 139.018 | 139.018 | 304.862 | 0.000 | 0.000 | -0.000 |
| 5.430 | 5.430 | 5.430 | 79.502 | -0.000 | -0.000 |
| 5.430 | 5.430 | 5.430 | 0.000 | 79.502 | -0.000 |
| 5.430 | 5.430 | 5.430 | 0.000 | -0.000 | 79.502 |
| 304.864 | 139.019 | 139.019 | 0.000 | 0.000 | 0.000 |
| 139.019 | 304.864 | 139.019 | 0.000 | 0.000 | 0.000 |
| 139.019 | 139.019 | 304.864 | 0.000 | -0.000 | 0.000 |
| -0.498 | -0.498 | -0.498 | 76.894 | 0.000 | 0.000 |
| -0.498 | -0.498 | -0.498 | -0.000 | 76.894 | 0.000 |
| -0.498 | -0.498 | -0.498 | -0.000 | 0.000 | 76.894 |
| 304.860 | 139.018 | 139.018 | 0.000 | -0.000 | -0.000 |
| 139.018 | 304.860 | 139.018 | -0.000 | 0.000 | -0.000 |
| 139.018 | 139.018 | 304.860 | 0.000 | -0.000 | -0.000 |
| 0.498 | 0.498 | 0.498 | 76.894 | -0.000 | -0.000 |
| 0.498 | 0.498 | 0.498 | 0.000 | 76.894 | -0.000 |
| 0.498 | 0.498 | 0.498 | 0.000 | -0.000 | 76.894 |
| 398.276 | 169.462 | 100.887 | -0.000 | -0.000 | 0.000 |
| 153.386 | 400.328 | 103.061 | -0.000 | -0.000 | 0.000 |
| 92.911 | 111.161 | 447.944 | -0.000 | -0.000 | 0.000 |
| -8.542 | 8.500 | -0.022 | 103.146 | -0.000 | -0.000 |
| -8.544 | 8.502 | -0.022 | -0.000 | 101.099 | 0.000 |
| -8.695 | 8.652 | -0.023 | -0.000 | -0.000 | 112.532 |
| 415.364 | 152.458 | 100.932 | 0.000 | 0.000 | 0.000 |
| 170.475 | 383.325 | 103.106 | 0.000 | 0.000 | 0.000 |
| 110.000 | 94.157 | 447.988 | 0.000 | 0.000 | -0.000 |
| 8.543 | -8.500 | 0.022 | 103.146 | 0.000 | -0.000 |
| 8.544 | -8.502 | 0.022 | 0.000 | 101.099 | -0.000 |
| 8.695 | -8.652 | 0.023 | 0.000 | 0.000 | 112.532 |
| 405.966 | 161.810 | 100.907 | -0.000 | -0.000 | -0.000 |
| 161.076 | 392.677 | 103.081 | -0.000 | -0.000 | 0.000 |
| 100.601 | 103.509 | 447.964 | -0.000 | 0.000 | -0.000 |
| -0.837 | 0.833 | -0.002 | 103.146 | 0.000 | 0.000 |
| -0.854 | 0.850 | -0.002 | -0.000 | 101.099 | 0.000 |
| -0.871 | 0.867 | -0.002 | -0.000 | -0.000 | 112.479 |
| 407.674 | 160.110 | 100.912 | 0.000 | 0.000 | -0.000 |
| 162.785 | 390.976 | 103.086 | 0.000 | 0.000 | 0.000 |
| 102.310 | 101.809 | 447.968 | 0.000 | -0.000 | 0.000 |
| 0.837 | -0.833 | 0.002 | 103.146 | -0.000 | 0.000 |
| 0.854 | -0.850 | 0.002 | 0.000 | 101.099 | -0.000 |
| 0.871 | -0.867 | 0.002 | 0.000 | 0.000 | 112.479 |
| 406.738 | 161.045 | 100.909 | -0.000 | -0.000 | 0.000 |
| 161.847 | 391.914 | 103.084 | -0.000 | -0.000 | 0.000 |
| 101.371 | 102.745 | 447.968 | -0.000 | 0.000 | 0.000 |
| -0.036 | 0.036 | 0.001 | 103.146 | -0.000 | -0.000 |
| -0.086 | 0.085 | 0.000 | -0.000 | 101.099 | -0.000 |
| -0.087 | 0.088 | -0.000 | -0.000 | -0.000 | 112.479 |
| 406.902 | 160.875 | 100.909 | 0.000 | 0.000 | 0.000 |
| 162.014 | 391.739 | 103.084 | 0.000 | 0.000 | 0.000 |
| 101.540 | 102.573 | 447.963 | 0.000 | 0.000 | 0.000 |
| 0.036 | -0.036 | -0.001 | 103.146 | 0.000 | 0.000 |
| 0.086 | -0.085 | -0.000 | 0.000 | 101.099 | -0.000 |
| 0.087 | -0.088 | 0.000 | 0.000 | -0.000 | 112.479 |
| 306.750 | 153.933 | -65.095 | 0.000 | -0.000 | 0.000 |
| 110.775 | 345.373 | 63.366 | 0.000 | -0.000 | 0.000 |
| 63.500 | 63.500 | 369.685 | 0.000 | -0.000 | 0.000 |
| -266.552 | -266.552 | 1079.322 | -3.989 | -0.000 | 0.000 |
| 4.095 | 4.095 | -132.451 | 0.000 | 45.529 | 0.000 |
| 4.094 | 4.094 | -132.441 | 0.000 | -0.000 | 76.371 |
| 298.484 | 145.815 | 199.793 | -0.000 | 0.000 | -0.000 |
| 110.775 | 345.373 | 63.366 | -0.000 | 0.000 | -0.000 |
| 55.530 | 55.530 | 513.099 | -0.000 | 0.000 | -0.000 |
| 266.552 | 266.552 | -1079.322 | -3.989 | 0.000 | -0.000 |
| -4.095 | -4.095 | 132.451 | -0.000 | 45.529 | -0.000 |
| -4.094 | -4.094 | 132.441 | -0.000 | 0.000 | 76.371 |
| 345.373 | 110.775 | 63.366 | 0.000 | -0.000 | 0.000 |
| 110.775 | 345.373 | 63.366 | 0.000 | -0.000 | 0.000 |
| 55.530 | 55.530 | 513.099 | 0.000 | -0.000 | 0.000 |
| 0.000 | 0.000 | -0.000 | 54.217 | -0.000 | 0.000 |
| 0.410 | 0.410 | -13.261 | 0.000 | 45.519 | 0.000 |
| 23.088 | 23.088 | -63.721 | 0.000 | -0.000 | 79.303 |
| 302.108 | 149.560 | 80.513 | -0.000 | 0.000 | -0.000 |
| 110.775 | 345.373 | 63.366 | -0.000 | 0.000 | -0.000 |
| 55.530 | 55.530 | 513.099 | -0.000 | 0.000 | -0.000 |
| -0.000 | -0.000 | 0.000 | 54.217 | -0.000 | -0.000 |
| -0.410 | -0.410 | 13.261 | -0.000 | 45.519 | -0.000 |
| -23.088 | -23.088 | 63.721 | -0.000 | 0.000 | 79.303 |
| 312.781 | 140.647 | 65.304 | 0.000 | -0.000 | 0.000 |
| 156.605 | 286.564 | 82.426 | 0.000 | -0.000 | 0.000 |
| 55.530 | 55.530 | 513.104 | 0.000 | -0.000 | 0.000 |
| 0.000 | 0.000 | -0.000 | 54.217 | -0.000 | 0.000 |
| 0.000 | 0.000 | -0.000 | 0.000 | 54.217 | 0.000 |
| -4.016 | -4.017 | 21.183 | 0.000 | -0.000 | 40.316 |
| 345.371 | 110.774 | 63.366 | -0.000 | 0.000 | -0.000 |
| 142.385 | 310.740 | 67.563 | -0.000 | 0.000 | -0.000 |
| 55.530 | 55.530 | 513.095 | -0.000 | 0.000 | -0.000 |
| -0.000 | -0.000 | 0.000 | 54.217 | 0.000 | -0.000 |
| -0.000 | -0.000 | 0.000 | -0.000 | 54.217 | 0.000 |
| 4.016 | 4.017 | -21.183 | -0.000 | 0.000 | 40.316 |
| -663.471 | -152.970 | 978.133 | -0.000 | -0.000 | 0.001 |
| -152.970 | -663.471 | 978.133 | 0.000 | -0.000 | 0.000 |
| -90.296 | -90.296 | 185.478 | 0.000 | 0.000 | -0.000 |
| -141.402 | -141.402 | -231.716 | 48.375 | 0.000 | -0.000 |
| -141.402 | -141.402 | -231.716 | 0.000 | 48.375 | -0.000 |
| -593.039 | -593.039 | 656.028 | 0.000 | 0.000 | -23.406 |
| 865.754 | 676.457 | 51.232 | 0.000 | -0.000 | 0.000 |
| 676.457 | 865.754 | 51.232 | -0.000 | 0.000 | 0.000 |
| 50.089 | 50.089 | 421.124 | -0.000 | 0.000 | 0.000 |
| 141.402 | 141.402 | 231.716 | 48.375 | -0.000 | 0.000 |
| 141.402 | 141.402 | 231.716 | -0.000 | 48.375 | 0.000 |
| 593.039 | 593.039 | -656.028 | -0.000 | -0.000 | -23.406 |
| 336.718 | 81.736 | 28.712 | 0.000 | -0.000 | -0.000 |
| 81.736 | 336.718 | 28.712 | 0.000 | -0.000 | -0.000 |
| 36.945 | 36.945 | 394.038 | -0.000 | -0.000 | -0.000 |
| -14.151 | -14.151 | -23.190 | 48.374 | -0.000 | -0.000 |
| -14.151 | -14.151 | -23.190 | 0.000 | 48.374 | -0.000 |
| -55.226 | -55.226 | 0.256 | 0.000 | 0.000 | 42.030 |
| 370.206 | 81.251 | 51.469 | -0.000 | -0.000 | 0.000 |
| 81.251 | 370.206 | 51.469 | -0.000 | -0.000 | 0.000 |
| 106.719 | 106.719 | 412.005 | -0.000 | 0.000 | 0.000 |
| 14.151 | 14.151 | 23.190 | 48.374 | 0.000 | 0.000 |
| 14.151 | 14.151 | 23.190 | -0.000 | 48.374 | 0.000 |
| 55.226 | 55.226 | -0.256 | -0.000 | -0.000 | 42.031 |
| 288.460 | 133.967 | 54.518 | 0.000 | -0.000 | -0.000 |
| 133.967 | 288.460 | 54.518 | 0.000 | -0.000 | -0.000 |
| 43.523 | 43.523 | 413.758 | 0.000 | -0.000 | -0.000 |
| -4.780 | -4.779 | 3.846 | 23.695 | 0.000 | -0.000 |
| -4.779 | -4.780 | 3.846 | -0.000 | 23.695 | -0.000 |
| -4.857 | -4.857 | 1.792 | 0.000 | 0.000 | 24.454 |
| 249.749 | 201.416 | 46.238 | -0.000 | 0.000 | -0.000 |
| 201.416 | 249.749 | 46.238 | -0.000 | 0.000 | -0.000 |
| 52.868 | 52.868 | 418.830 | -0.000 | 0.000 | 0.000 |
| 4.780 | 4.779 | -3.846 | 23.695 | 0.000 | 0.000 |
| 4.779 | 4.780 | -3.846 | -0.000 | 23.695 | 0.000 |
| 4.857 | 4.857 | -1.792 | -0.000 | 0.000 | 24.454 |
| 82.767 | 111.832 | 111.832 | 0.000 | 0.000 | -0.000 |
| 111.832 | 82.767 | 111.832 | 0.000 | 0.000 | -0.000 |
| 111.832 | 111.832 | 82.767 | -0.000 | -0.000 | -0.000 |
| -0.000 | 0.000 | -0.000 | 111.832 | 0.000 | -0.000 |
| -0.000 | 0.000 | -0.000 | 0.000 | 111.832 | -0.000 |
| -0.000 | -0.000 | -0.000 | -0.000 | -0.000 | 111.832 |
| 82.767 | 111.832 | 111.832 | -0.000 | 0.000 | 0.000 |
| 111.832 | 82.767 | 111.832 | -0.000 | -0.000 | 0.000 |
| 111.832 | 111.832 | 82.767 | -0.000 | 0.000 | 0.000 |
| 0.000 | 0.000 | 0.000 | 111.832 | -0.000 | 0.000 |
| 0.000 | -0.000 | 0.000 | -0.000 | 111.832 | 0.000 |
| 0.000 | -0.000 | 0.000 | -0.000 | 0.000 | 111.832 |
| 82.767 | 111.832 | 111.832 | 0.000 | -0.000 | -0.000 |
| 111.832 | 82.767 | 111.832 | -0.000 | 0.000 | -0.000 |
| 111.832 | 111.832 | 82.767 | 0.000 | -0.000 | -0.000 |
| 0.000 | -0.000 | -0.000 | -24.054 | -0.000 | -0.000 |
| -0.000 | 0.000 | -0.000 | 0.000 | -24.054 | -0.000 |
| -0.000 | -0.000 | 0.000 | -0.000 | -0.000 | -24.054 |
| 82.767 | 111.832 | 111.832 | 0.000 | 0.000 | 0.000 |
| 111.832 | 82.767 | 111.832 | 0.000 | -0.000 | 0.000 |
| 111.832 | 111.832 | 82.767 | -0.000 | -0.000 | 0.000 |
| -0.000 | 0.000 | 0.000 | -24.054 | 0.000 | 0.000 |
| 0.000 | -0.000 | 0.000 | 0.000 | -24.054 | 0.000 |
| 0.000 | 0.000 | -0.000 | 0.000 | 0.000 | -24.054 |
| 82.767 | 111.832 | 111.832 | 0.000 | -0.000 | -0.000 |
| 111.832 | 82.767 | 111.832 | 0.000 | 0.000 | -0.000 |
| 111.832 | 111.832 | 82.767 | 0.000 | -0.000 | -0.000 |
| 0.000 | -0.000 | -0.000 | -24.054 | -0.000 | -0.000 |
| -0.000 | 0.000 | -0.000 | -0.000 | -24.054 | -0.000 |
| -0.000 | -0.000 | 0.000 | -0.000 | -0.000 | -24.054 |
| 82.766 | 111.831 | 111.831 | -0.000 | -0.000 | 0.000 |
| 111.831 | 82.766 | 111.831 | -0.000 | 0.000 | 0.000 |
| 111.831 | 111.831 | 82.766 | -0.000 | 0.000 | 0.000 |
| -0.000 | 0.000 | 0.000 | -24.054 | 0.000 | 0.000 |
| 0.000 | -0.000 | 0.000 | -0.000 | -24.054 | 0.000 |
| 0.000 | 0.000 | -0.000 | 0.000 | 0.000 | -24.054 |
| 346.199 | 143.460 | 34.616 | 0.000 | 0.000 | 0.000 |
| 144.099 | 336.556 | 33.748 | 0.000 | 0.000 | 0.000 |
| -228.408 | 320.002 | 424.428 | 0.000 | -0.000 | -0.000 |
| -1105.695 | -252.160 | 1073.367 | -32.803 | -0.000 | 0.000 |
| -272.866 | 279.953 | -0.680 | 0.000 | 28.410 | -0.000 |
| -573.740 | 414.320 | 146.633 | 0.001 | -0.000 | 100.244 |
| 598.719 | -126.451 | 44.169 | -0.000 | 0.000 | 0.000 |
| 736.400 | -131.252 | -85.289 | -0.001 | 0.000 | 0.000 |
| 644.837 | -359.077 | 241.701 | -0.001 | 0.000 | 0.000 |
| 1105.695 | 252.160 | -1073.367 | -32.804 | 0.000 | 0.000 |
| 272.866 | -279.953 | 0.680 | -0.000 | 28.410 | 0.000 |
| 1209.218 | 816.095 | -1588.702 | -0.001 | 0.000 | 2.499 |
| 229.484 | 210.891 | 77.887 | 0.000 | -0.000 | -0.000 |
| 125.589 | 345.762 | 41.387 | 0.000 | -0.000 | -0.000 |
| 16.585 | 68.609 | 425.071 | 0.000 | -0.000 | -0.000 |
| -57.000 | 41.246 | 14.496 | 16.183 | -0.000 | -0.000 |
| -57.046 | 41.306 | 14.485 | 0.000 | 14.915 | -0.000 |
| 0.000 | 0.000 | 0.000 | 0.000 | 0.000 | 146.590 |
| 371.884 | 304.794 | -98.818 | -0.000 | 0.000 | 0.000 |
| 144.098 | 336.556 | 33.748 | -0.000 | -0.000 | -0.000 |
| 72.878 | 11.758 | 424.434 | -0.000 | 0.000 | 0.000 |
| 57.000 | -41.246 | -14.496 | 16.183 | 0.000 | 0.000 |
| -0.000 | -0.000 | -0.000 | -0.000 | 37.022 | -0.000 |
| -0.000 | -0.000 | -0.000 | -0.000 | -0.000 | 146.590 |
| 307.868 | 164.374 | 49.692 | 0.000 | -0.000 | -0.000 |
| 170.235 | 273.524 | 62.748 | 0.000 | -0.000 | -0.000 |
| 45.561 | 51.040 | 414.712 | 0.000 | -0.000 | -0.000 |
| -9.457 | -6.009 | 12.136 | 10.824 | -0.000 | -0.000 |
| -5.377 | 4.135 | 1.160 | 0.000 | 16.762 | -0.000 |
| -5.005 | 0.158 | 3.813 | 0.000 | -0.000 | 85.762 |
| 306.760 | 158.940 | 55.096 | -0.000 | 0.000 | 0.000 |
| 173.160 | 282.320 | 53.110 | -0.000 | 0.000 | 0.000 |
| 125.809 | 113.096 | 282.458 | -0.000 | 0.000 | 0.000 |
| 9.457 | 6.009 | -12.136 | 10.823 | 0.000 | -0.000 |
| 5.377 | -4.135 | -1.160 | -0.000 | 16.762 | 0.000 |
| 5.005 | -0.158 | -3.813 | -0.000 | 0.000 | 85.762 |
| 162.069 | 209.586 | 209.586 | -0.000 | 0.000 | -0.000 |
| 209.586 | 162.069 | 209.586 | 0.000 | 0.000 | 0.000 |
| 209.586 | 209.586 | 162.069 | -0.000 | 0.000 | -0.000 |
| -0.000 | -0.000 | 0.000 | 209.586 | 0.000 | 0.000 |
| -0.000 | -0.000 | 0.000 | -0.000 | 209.586 | -0.000 |
| -0.000 | -0.000 | 0.000 | -0.000 | 0.000 | 209.586 |
| 162.069 | 209.586 | 209.586 | 0.000 | -0.000 | 0.000 |
| 209.586 | 162.069 | 209.586 | -0.000 | 0.000 | 0.000 |
| 209.586 | 209.586 | 162.069 | 0.000 | -0.000 | 0.000 |
| 0.000 | 0.000 | -0.000 | 209.586 | -0.000 | 0.000 |
| 0.000 | 0.000 | -0.000 | -0.000 | 209.586 | 0.000 |
| 0.000 | 0.000 | -0.000 | -0.000 | -0.000 | 209.586 |
| 162.069 | 209.586 | 209.586 | -0.000 | 0.000 | -0.000 |
| 209.586 | 162.069 | 209.586 | 0.000 | -0.000 | -0.000 |
| 209.586 | 209.586 | 162.069 | 0.000 | 0.000 | -0.000 |
| 0.000 | 0.000 | 0.000 | 209.586 | 0.000 | -0.000 |
| 0.000 | 0.000 | 0.000 | 0.000 | 209.586 | -0.000 |
| 0.000 | 0.000 | 0.000 | 0.000 | 0.000 | 209.586 |
| 162.069 | 209.586 | 209.586 | -0.000 | 0.000 | 0.000 |
| 209.586 | 162.069 | 209.586 | -0.000 | 0.000 | -0.000 |
| 209.586 | 209.586 | 162.069 | -0.000 | 0.000 | 0.000 |
| -0.000 | -0.000 | -0.000 | 209.586 | -0.000 | 0.000 |
| -0.000 | -0.000 | -0.000 | -0.000 | 209.586 | 0.000 |
| -0.000 | -0.000 | -0.000 | -0.000 | -0.000 | 209.586 |
| 162.070 | 209.587 | 209.587 | 0.000 | 0.000 | -0.000 |
| 209.587 | 162.070 | 209.587 | 0.000 | 0.000 | -0.000 |
| 209.587 | 209.587 | 162.070 | 0.000 | -0.000 | -0.000 |
| 0.001 | 0.000 | 0.001 | 209.586 | -0.000 | -0.000 |
| 0.000 | 0.001 | 0.001 | -0.000 | 209.586 | -0.000 |
| 0.000 | 0.001 | 0.001 | 0.000 | 0.000 | 209.586 |
| 162.068 | 209.585 | 209.585 | 0.000 | -0.000 | 0.000 |
| 209.585 | 162.068 | 209.585 | -0.000 | 0.000 | -0.000 |
| 209.585 | 209.585 | 162.068 | -0.000 | -0.000 | 0.000 |
| -0.001 | -0.000 | -0.001 | 209.586 | 0.000 | 0.000 |
| -0.000 | -0.001 | -0.001 | -0.000 | 209.586 | 0.000 |
| -0.000 | -0.001 | -0.001 | 0.000 | -0.000 | 209.586 |
| 124.717 | 160.645 | 160.645 | 0.000 | 0.000 | 0.000 |
| 160.645 | 124.717 | 160.645 | 0.000 | 0.000 | 0.000 |
| 160.645 | 160.645 | 124.717 | 0.000 | 0.000 | 0.000 |
| -0.000 | -0.000 | -0.000 | 160.645 | 0.000 | 0.000 |
| -0.000 | 0.000 | -0.000 | -0.000 | 160.645 | 0.000 |
| -0.000 | 0.000 | 0.000 | 0.000 | 0.000 | 160.645 |
| 124.717 | 160.645 | 160.645 | -0.000 | -0.000 | -0.000 |
| 160.645 | 124.717 | 160.645 | -0.000 | -0.000 | -0.000 |
| 160.645 | 160.645 | 124.717 | 0.000 | -0.000 | -0.000 |
| 0.000 | -0.000 | -0.000 | 160.645 | -0.000 | -0.000 |
| 0.000 | -0.000 | -0.000 | -0.000 | 160.645 | -0.000 |
| 0.000 | -0.000 | 0.000 | -0.000 | -0.000 | 160.645 |
| 124.717 | 160.645 | 160.645 | 0.000 | 0.000 | 0.000 |
| 160.645 | 124.717 | 160.645 | 0.000 | 0.000 | 0.000 |
| 160.645 | 160.645 | 124.717 | 0.000 | 0.000 | 0.000 |
| 0.000 | 0.000 | 0.000 | 153.543 | 0.000 | 0.000 |
| 0.000 | 0.000 | 0.000 | 0.000 | 153.543 | 0.000 |
| 0.000 | 0.000 | 0.000 | 0.000 | 0.000 | 153.543 |
| 124.717 | 160.645 | 160.645 | -0.000 | 0.000 | -0.000 |
| 160.645 | 124.717 | 160.645 | -0.000 | -0.000 | -0.000 |
| 160.645 | 160.645 | 124.717 | 0.000 | -0.000 | -0.000 |
| -0.000 | -0.000 | -0.000 | 153.543 | -0.000 | -0.000 |
| -0.000 | -0.000 | -0.000 | -0.000 | 153.543 | -0.000 |
| -0.000 | -0.000 | -0.000 | -0.000 | -0.000 | 153.543 |
| 124.718 | 160.646 | 160.646 | 0.000 | 0.000 | 0.000 |
| 160.646 | 124.718 | 160.646 | 0.000 | 0.000 | -0.000 |
| 160.646 | 160.646 | 124.718 | 0.000 | 0.000 | 0.000 |
| 0.001 | 0.000 | 0.000 | 160.645 | 0.000 | 0.000 |
| 0.000 | 0.001 | 0.000 | 0.000 | 160.645 | 0.000 |
| 0.000 | 0.000 | 0.001 | 0.000 | 0.000 | 160.645 |
| 124.717 | 160.644 | 160.644 | -0.000 | -0.000 | -0.000 |
| 160.644 | 124.717 | 160.644 | 0.000 | -0.000 | -0.000 |
| 160.644 | 160.644 | 124.717 | 0.000 | -0.000 | -0.000 |
| -0.001 | -0.000 | -0.000 | 160.645 | -0.000 | 0.000 |
| -0.000 | -0.001 | -0.000 | -0.000 | 160.645 | -0.000 |
| -0.000 | -0.000 | -0.001 | 0.000 | -0.000 | 160.645 |
| 164.824 | 212.849 | 212.849 | 0.000 | 0.000 | -0.000 |
| 212.849 | 164.824 | 212.849 | 0.000 | 0.000 | -0.000 |
| 212.849 | 212.849 | 164.824 | 0.000 | 0.000 | -0.000 |
| 0.000 | 0.000 | 0.000 | 212.849 | 0.000 | -0.000 |
| 0.000 | 0.000 | 0.000 | 0.000 | 212.849 | -0.000 |
| 0.000 | 0.000 | 0.000 | 0.000 | 0.000 | 212.849 |
| 164.824 | 212.849 | 212.849 | -0.000 | -0.000 | 0.000 |
| 212.849 | 164.824 | 212.849 | -0.000 | -0.000 | 0.000 |
| 212.849 | 212.849 | 164.824 | -0.000 | 0.000 | 0.000 |
| -0.000 | -0.000 | -0.000 | 212.849 | -0.000 | 0.000 |
| -0.000 | -0.000 | -0.000 | -0.000 | 212.849 | 0.000 |
| -0.000 | -0.000 | -0.000 | -0.000 | -0.000 | 212.849 |
| 164.824 | 212.849 | 212.849 | 0.000 | 0.000 | -0.000 |
| 212.849 | 164.824 | 212.849 | 0.000 | 0.000 | -0.000 |
| 212.849 | 212.849 | 164.824 | -0.000 | 0.000 | -0.000 |
| 0.000 | 0.000 | 0.000 | 210.999 | 0.000 | -0.000 |
| 0.000 | 0.000 | 0.000 | 0.000 | 210.999 | -0.000 |
| 0.000 | 0.000 | 0.000 | 0.000 | 0.000 | 210.999 |
| 164.824 | 212.849 | 212.849 | -0.000 | -0.000 | 0.000 |
| 212.849 | 164.824 | 212.849 | 0.000 | -0.000 | 0.000 |
| 212.849 | 212.849 | 164.824 | -0.000 | -0.000 | 0.000 |
| -0.000 | -0.000 | -0.000 | 210.999 | -0.000 | 0.000 |
| -0.000 | -0.000 | -0.000 | -0.000 | 210.999 | 0.000 |
| -0.000 | -0.000 | -0.000 | -0.000 | -0.000 | 210.999 |
| 164.825 | 212.850 | 212.850 | 0.000 | 0.000 | -0.000 |
| 212.850 | 164.825 | 212.850 | -0.000 | 0.000 | -0.000 |
| 212.850 | 212.850 | 164.825 | 0.000 | 0.000 | -0.000 |
| 0.001 | 0.000 | 0.001 | 210.999 | 0.000 | -0.000 |
| 0.000 | 0.001 | 0.001 | -0.000 | 210.999 | -0.000 |
| 0.000 | 0.001 | 0.001 | 0.000 | 0.000 | 210.999 |
| 164.823 | 212.848 | 212.848 | 0.000 | -0.000 | 0.000 |
| 212.848 | 164.823 | 212.848 | 0.000 | -0.000 | 0.000 |
| 212.848 | 212.848 | 164.823 | -0.000 | -0.000 | 0.000 |
| -0.001 | -0.000 | -0.001 | 210.999 | -0.000 | 0.000 |
| -0.000 | -0.001 | -0.001 | 0.000 | 210.999 | 0.000 |
| -0.000 | -0.001 | -0.001 | -0.000 | -0.000 | 210.999 |
| 86.396 | 114.730 | 114.730 | 0.000 | -0.000 | -0.000 |
| 114.730 | 86.396 | 114.730 | 0.000 | 0.000 | 0.000 |
| 114.730 | 114.730 | 86.396 | 0.000 | 0.000 | 0.000 |
| 0.000 | -0.000 | 0.000 | 114.730 | 0.000 | 0.000 |
| 0.000 | -0.000 | 0.000 | 0.000 | 114.730 | 0.000 |
| 0.000 | -0.000 | 0.000 | -0.000 | 0.000 | 114.730 |
| 86.396 | 114.730 | 114.730 | 0.000 | -0.000 | -0.000 |
| 114.730 | 86.396 | 114.730 | -0.000 | -0.000 | -0.000 |
| 114.730 | 114.730 | 86.396 | -0.000 | -0.000 | 0.000 |
| -0.000 | 0.000 | -0.000 | 114.730 | -0.000 | -0.000 |
| -0.000 | 0.000 | -0.000 | 0.000 | 114.730 | -0.000 |
| -0.000 | 0.000 | -0.000 | 0.000 | -0.000 | 114.730 |
| 86.396 | 114.730 | 114.730 | -0.000 | 0.000 | 0.000 |
| 114.730 | 86.396 | 114.730 | 0.000 | 0.000 | -0.000 |
| 114.730 | 114.730 | 86.396 | 0.000 | 0.000 | -0.000 |
| 0.000 | -0.000 | -0.000 | -23.382 | 0.000 | 0.000 |
| -0.000 | 0.000 | -0.000 | -0.000 | -23.382 | 0.000 |
| -0.000 | -0.000 | 0.000 | -0.000 | 0.000 | -23.382 |
| 86.396 | 114.730 | 114.730 | 0.000 | -0.000 | -0.000 |
| 114.730 | 86.396 | 114.730 | 0.000 | -0.000 | -0.000 |
| 114.730 | 114.730 | 86.396 | -0.000 | 0.000 | 0.000 |
| -0.000 | 0.000 | 0.000 | -23.382 | -0.000 | -0.000 |
| 0.000 | -0.000 | 0.000 | 0.000 | -23.382 | -0.000 |
| 0.000 | 0.000 | -0.000 | 0.000 | -0.000 | -23.382 |
| 86.396 | 114.730 | 114.730 | 0.000 | 0.000 | 0.000 |
| 114.730 | 86.396 | 114.730 | -0.000 | 0.000 | -0.000 |
| 114.730 | 114.730 | 86.396 | -0.000 | 0.000 | 0.000 |
| 0.000 | -0.000 | -0.000 | -23.382 | 0.000 | -0.000 |
| -0.000 | 0.000 | -0.000 | 0.000 | -23.382 | 0.000 |
| -0.000 | -0.000 | 0.000 | 0.000 | 0.000 | -23.382 |
| 86.395 | 114.729 | 114.729 | -0.000 | -0.000 | -0.000 |
| 114.729 | 86.395 | 114.729 | -0.000 | -0.000 | 0.000 |
| 114.729 | 114.729 | 86.395 | 0.000 | -0.000 | 0.000 |
| -0.000 | 0.000 | 0.000 | -23.382 | -0.000 | -0.000 |
| 0.000 | -0.000 | 0.000 | 0.000 | -23.382 | -0.000 |
| 0.000 | 0.000 | -0.000 | 0.000 | -0.000 | -23.382 |
| 126.425 | 163.275 | 163.275 | -0.000 | 0.000 | 0.000 |
| 163.275 | 126.425 | 163.275 | -0.000 | -0.000 | 0.000 |
| 163.275 | 163.275 | 126.425 | -0.000 | -0.000 | 0.000 |
| 0.000 | -0.000 | -0.000 | 154.965 | -0.000 | 0.000 |
| -0.000 | -0.000 | -0.000 | -0.000 | 154.965 | 0.000 |
| -0.000 | -0.000 | -0.000 | -0.000 | -0.000 | 154.965 |
| 126.425 | 163.275 | 163.275 | 0.000 | -0.000 | -0.000 |
| 163.275 | 126.425 | 163.275 | 0.000 | -0.000 | -0.000 |
| 163.275 | 163.275 | 126.425 | 0.000 | 0.000 | -0.000 |
| -0.000 | 0.000 | 0.000 | 154.965 | 0.000 | -0.000 |
| 0.000 | 0.000 | 0.000 | 0.000 | 154.965 | -0.000 |
| 0.000 | 0.000 | 0.000 | 0.000 | 0.000 | 154.965 |
| 126.425 | 163.275 | 163.275 | -0.000 | 0.000 | 0.000 |
| 163.275 | 126.425 | 163.275 | -0.000 | -0.000 | 0.000 |
| 163.275 | 163.275 | 126.425 | -0.000 | 0.000 | 0.000 |
| 0.000 | 0.000 | 0.000 | 163.275 | -0.000 | 0.000 |
| 0.000 | 0.000 | 0.000 | -0.000 | 163.275 | 0.000 |
| 0.000 | 0.000 | 0.000 | -0.000 | -0.000 | 163.275 |
| 126.425 | 163.275 | 163.275 | 0.000 | -0.000 | -0.000 |
| 163.275 | 126.425 | 163.275 | 0.000 | -0.000 | -0.000 |
| 163.275 | 163.275 | 126.425 | 0.000 | -0.000 | -0.000 |
| -0.000 | -0.000 | -0.000 | 163.275 | 0.000 | -0.000 |
| -0.000 | -0.000 | -0.000 | 0.000 | 163.275 | -0.000 |
| -0.000 | -0.000 | -0.000 | 0.000 | 0.000 | 163.275 |
| 126.425 | 163.276 | 163.276 | -0.000 | -0.000 | 0.000 |
| 163.276 | 126.425 | 163.276 | -0.000 | -0.000 | 0.000 |
| 163.276 | 163.276 | 126.425 | -0.000 | 0.000 | 0.000 |
| 0.001 | 0.000 | 0.001 | 163.275 | -0.000 | 0.000 |
| 0.000 | 0.001 | 0.001 | -0.000 | 163.275 | 0.000 |
| 0.000 | 0.001 | 0.001 | -0.000 | -0.000 | 163.275 |
| 126.424 | 163.274 | 163.274 | 0.000 | 0.000 | -0.000 |
| 163.274 | 126.424 | 163.274 | 0.000 | -0.000 | -0.000 |
| 163.274 | 163.274 | 126.424 | 0.000 | -0.000 | -0.000 |
| -0.001 | -0.000 | -0.001 | 163.275 | 0.000 | -0.000 |
| -0.000 | -0.001 | -0.001 | 0.000 | 163.275 | -0.000 |
| -0.000 | -0.001 | -0.001 | 0.000 | -0.000 | 163.275 |
| 168.185 | 216.737 | 216.737 | 0.000 | 0.000 | 0.000 |
| 216.737 | 168.185 | 216.737 | 0.000 | -0.000 | 0.000 |
| 216.737 | 216.737 | 168.185 | 0.000 | 0.000 | 0.000 |
| 0.000 | 0.000 | 0.000 | 216.737 | 0.000 | 0.000 |
| 0.000 | 0.000 | 0.000 | 0.000 | 216.737 | 0.000 |
| 0.000 | 0.000 | 0.000 | 0.000 | 0.000 | 216.737 |
| 168.185 | 216.737 | 216.737 | -0.000 | 0.000 | -0.000 |
| 216.737 | 168.185 | 216.737 | -0.000 | 0.000 | 0.000 |
| 216.737 | 216.737 | 168.184 | -0.000 | 0.000 | -0.000 |
| -0.000 | 0.000 | -0.000 | 216.737 | -0.000 | -0.000 |
| 0.000 | -0.000 | -0.000 | -0.000 | 216.737 | -0.000 |
| -0.000 | -0.000 | -0.000 | -0.000 | -0.000 | 216.737 |
| 168.185 | 216.737 | 216.737 | 0.000 | 0.000 | 0.000 |
| 216.737 | 168.185 | 216.737 | 0.000 | -0.000 | 0.000 |
| 216.737 | 216.737 | 168.185 | 0.000 | 0.000 | 0.000 |
| 0.000 | 0.000 | 0.000 | 216.737 | 0.000 | 0.000 |
| 0.000 | 0.000 | 0.000 | 0.000 | 216.737 | 0.000 |
| 0.000 | 0.000 | 0.000 | 0.000 | 0.000 | 216.737 |
| 168.185 | 216.737 | 216.737 | -0.000 | 0.000 | -0.000 |
| 216.737 | 168.185 | 216.737 | -0.000 | -0.000 | -0.000 |
| 216.737 | 216.737 | 168.185 | -0.000 | -0.000 | -0.000 |
| -0.000 | -0.000 | -0.000 | 216.737 | -0.000 | -0.000 |
| -0.000 | -0.000 | -0.000 | -0.000 | 216.737 | -0.000 |
| -0.000 | -0.000 | -0.000 | 0.000 | -0.000 | 216.737 |
| 168.186 | 216.738 | 216.738 | 0.000 | 0.000 | 0.000 |
| 216.738 | 168.186 | 216.738 | 0.000 | -0.000 | 0.000 |
| 216.738 | 216.738 | 168.186 | -0.000 | -0.000 | 0.000 |
| 0.001 | 0.000 | 0.001 | 215.423 | 0.000 | -0.000 |
| 0.000 | 0.001 | 0.001 | 0.000 | 215.423 | 0.000 |
| 0.000 | 0.001 | 0.001 | 0.000 | 0.000 | 215.423 |
| 168.184 | 216.736 | 216.736 | -0.000 | -0.000 | 0.000 |
| 216.736 | 168.184 | 216.736 | -0.000 | 0.000 | -0.000 |
| 216.736 | 216.736 | 168.184 | -0.000 | -0.000 | -0.000 |
| -0.001 | -0.000 | -0.001 | 215.423 | -0.000 | -0.000 |
| -0.000 | -0.001 | -0.001 | -0.000 | 215.423 | -0.000 |
| -0.000 | -0.001 | -0.001 | -0.000 | -0.000 | 215.423 |
| 48.581 | 78.958 | 78.958 | -0.000 | -0.000 | 0.000 |
| 78.958 | 48.581 | 78.958 | -0.000 | 0.000 | -0.000 |
| 78.958 | 78.958 | 48.581 | -0.000 | 0.000 | 0.000 |
| 0.000 | -0.000 | -0.000 | 78.958 | 0.000 | 0.000 |
| -0.000 | -0.000 | -0.000 | -0.000 | 78.958 | 0.000 |
| 0.000 | 0.000 | -0.000 | -0.000 | 0.000 | 78.958 |
| 48.581 | 78.958 | 78.958 | 0.000 | -0.000 | -0.000 |
| 78.958 | 48.581 | 78.958 | 0.000 | -0.000 | 0.000 |
| 78.958 | 78.958 | 48.581 | -0.000 | -0.000 | -0.000 |
| -0.000 | 0.000 | 0.000 | 78.958 | -0.000 | -0.000 |
| 0.000 | 0.000 | 0.000 | 0.000 | 78.958 | -0.000 |
| 0.000 | -0.000 | 0.000 | 0.000 | -0.000 | 78.958 |
| 48.581 | 78.958 | 78.958 | -0.000 | -0.000 | 0.000 |
| 78.958 | 48.581 | 78.958 | -0.000 | 0.000 | 0.000 |
| 78.958 | 78.958 | 48.581 | -0.000 | 0.000 | 0.000 |
| 0.000 | 0.000 | 0.000 | 78.958 | 0.000 | 0.000 |
| 0.000 | 0.000 | 0.000 | -0.000 | 78.958 | 0.000 |
| 0.000 | 0.000 | 0.000 | -0.000 | 0.000 | 78.958 |
| 48.581 | 78.958 | 78.958 | 0.000 | -0.000 | 0.000 |
| 78.958 | 48.581 | 78.958 | 0.000 | 0.000 | -0.000 |
| 78.958 | 78.958 | 48.581 | -0.000 | -0.000 | -0.000 |
| -0.000 | -0.000 | -0.000 | 78.958 | -0.000 | -0.000 |
| -0.000 | -0.000 | -0.000 | 0.000 | 78.958 | -0.000 |
| -0.000 | -0.000 | -0.000 | 0.000 | -0.000 | 78.958 |
| 48.581 | 78.958 | 78.958 | -0.000 | 0.000 | -0.000 |
| 78.958 | 48.581 | 78.958 | -0.000 | 0.000 | 0.000 |
| 78.958 | 78.958 | 48.581 | -0.000 | -0.000 | 0.000 |
| -0.000 | -0.000 | -0.000 | -26.270 | 0.000 | -0.000 |
| -0.000 | -0.000 | -0.000 | -0.000 | -26.270 | 0.000 |
| -0.000 | -0.000 | -0.000 | -0.000 | 0.000 | -26.270 |
| 48.581 | 78.958 | 78.958 | 0.000 | 0.000 | 0.000 |
| 78.958 | 48.581 | 78.958 | 0.000 | -0.000 | -0.000 |
| 78.958 | 78.958 | 48.581 | 0.000 | 0.000 | -0.000 |
| 0.000 | 0.000 | 0.000 | -26.270 | -0.000 | -0.000 |
| 0.000 | 0.000 | 0.000 | -0.000 | -26.270 | -0.000 |
| 0.000 | 0.000 | 0.000 | 0.000 | -0.000 | -26.270 |
| 125.785 | 164.700 | 164.700 | 0.000 | -0.000 | -0.000 |
| 164.700 | 125.785 | 164.700 | 0.000 | 0.000 | -0.000 |
| 164.700 | 164.700 | 125.785 | 0.000 | 0.000 | 0.000 |
| 0.000 | 0.000 | 0.000 | 149.587 | 0.000 | -0.000 |
| 0.000 | 0.000 | 0.000 | 0.000 | 149.587 | -0.000 |
| 0.000 | 0.000 | 0.000 | 0.000 | 0.000 | 149.587 |
| 125.785 | 164.700 | 164.700 | -0.000 | -0.000 | 0.000 |
| 164.700 | 125.785 | 164.700 | -0.000 | -0.000 | 0.000 |
| 164.700 | 164.700 | 125.785 | -0.000 | -0.000 | 0.000 |
| -0.000 | -0.000 | -0.000 | 149.587 | -0.000 | 0.000 |
| -0.000 | -0.000 | -0.000 | -0.000 | 149.587 | 0.000 |
| -0.000 | -0.000 | -0.000 | -0.000 | -0.000 | 149.587 |
| 125.785 | 164.700 | 164.700 | 0.000 | 0.000 | -0.000 |
| 164.700 | 125.785 | 164.700 | 0.000 | 0.000 | -0.000 |
| 164.700 | 164.700 | 125.785 | 0.000 | 0.000 | 0.000 |
| 0.000 | 0.000 | 0.000 | 149.587 | -0.000 | 0.000 |
| 0.000 | 0.000 | 0.000 | 0.000 | 149.587 | -0.000 |
| 0.000 | 0.000 | 0.000 | 0.000 | 0.000 | 149.587 |
| 125.785 | 164.700 | 164.700 | -0.000 | -0.000 | 0.000 |
| 164.700 | 125.785 | 164.700 | -0.000 | -0.000 | 0.000 |
| 164.700 | 164.700 | 125.785 | -0.000 | 0.000 | 0.000 |
| -0.000 | -0.000 | -0.000 | 149.587 | -0.000 | -0.000 |
| -0.000 | -0.000 | -0.000 | -0.000 | 149.587 | 0.000 |
| -0.000 | -0.000 | -0.000 | -0.000 | -0.000 | 149.587 |
| 125.786 | 164.700 | 164.700 | 0.000 | 0.000 | -0.000 |
| 164.700 | 125.786 | 164.700 | 0.000 | 0.000 | 0.000 |
| 164.700 | 164.700 | 125.786 | -0.000 | 0.000 | 0.000 |
| 0.001 | 0.000 | 0.000 | 149.587 | 0.000 | -0.000 |
| 0.000 | 0.001 | 0.000 | 0.000 | 149.587 | -0.000 |
| 0.000 | 0.000 | 0.001 | 0.000 | -0.000 | 149.587 |
| 125.785 | 164.699 | 164.699 | -0.000 | 0.000 | 0.000 |
| 164.699 | 125.785 | 164.699 | -0.000 | -0.000 | 0.000 |
| 164.699 | 164.699 | 125.785 | -0.000 | -0.000 | 0.000 |
| -0.001 | -0.000 | -0.000 | 149.587 | -0.000 | 0.000 |
| -0.000 | -0.001 | -0.000 | -0.000 | 149.587 | 0.000 |
| -0.000 | -0.000 | -0.001 | -0.000 | -0.000 | 149.587 |
| 94.478 | 118.592 | 118.592 | -0.000 | 0.000 | -0.000 |
| 118.592 | 94.478 | 118.592 | -0.000 | -0.000 | -0.000 |
| 118.592 | 118.592 | 94.478 | -0.000 | -0.000 | -0.000 |
| 0.000 | -0.000 | 0.000 | -19.348 | -0.000 | 0.000 |
| -0.000 | -0.000 | 0.000 | -0.000 | -19.348 | -0.000 |
| -0.000 | -0.000 | 0.000 | -0.000 | -0.000 | -19.348 |
| 94.478 | 118.592 | 118.592 | 0.000 | -0.000 | 0.000 |
| 118.592 | 94.478 | 118.592 | 0.000 | 0.000 | 0.000 |
| 118.592 | 118.592 | 94.478 | 0.000 | 0.000 | 0.000 |
| -0.000 | 0.000 | -0.000 | -19.348 | 0.000 | -0.000 |
| 0.000 | 0.000 | -0.000 | 0.000 | -19.348 | 0.000 |
| 0.000 | 0.000 | -0.000 | 0.000 | 0.000 | -19.348 |
| 94.478 | 118.592 | 118.592 | -0.000 | -0.000 | -0.000 |
| 118.592 | 94.478 | 118.592 | -0.000 | -0.000 | -0.000 |
| 118.592 | 118.592 | 94.478 | -0.000 | 0.000 | -0.000 |
| 0.000 | -0.000 | -0.000 | -19.348 | -0.000 | 0.000 |
| -0.000 | 0.000 | -0.000 | -0.000 | -19.348 | -0.000 |
| -0.000 | -0.000 | 0.000 | -0.000 | -0.000 | -19.348 |
| 94.478 | 118.592 | 118.592 | -0.000 | 0.000 | 0.000 |
| 118.592 | 94.478 | 118.592 | 0.000 | 0.000 | 0.000 |
| 118.592 | 118.592 | 94.478 | 0.000 | 0.000 | 0.000 |
| -0.000 | 0.000 | 0.000 | -19.348 | 0.000 | 0.000 |
| 0.000 | -0.000 | 0.000 | 0.000 | -19.348 | 0.000 |
| 0.000 | 0.000 | -0.000 | 0.000 | 0.000 | -19.348 |
| 94.479 | 118.592 | 118.592 | -0.000 | -0.000 | -0.000 |
| 118.592 | 94.479 | 118.592 | 0.000 | -0.000 | -0.000 |
| 118.592 | 118.592 | 94.479 | -0.000 | 0.000 | -0.000 |
| 0.000 | -0.000 | -0.000 | -19.348 | -0.000 | -0.000 |
| -0.000 | 0.000 | -0.000 | -0.000 | -19.348 | -0.000 |
| -0.000 | -0.000 | 0.000 | -0.000 | 0.000 | -19.348 |
| 94.478 | 118.591 | 118.591 | 0.000 | -0.000 | -0.000 |
| 118.591 | 94.478 | 118.591 | 0.000 | 0.000 | 0.000 |
| 118.591 | 118.591 | 94.478 | 0.000 | -0.000 | 0.000 |
| -0.000 | 0.000 | 0.000 | -19.348 | 0.000 | -0.000 |
| 0.000 | -0.000 | 0.000 | 0.000 | -19.348 | 0.000 |
| 0.000 | 0.000 | -0.000 | 0.000 | -0.000 | -19.348 |
| 43.708 | 58.877 | 54.096 | 0.000 | 0.000 | 0.000 |
| 58.877 | 43.708 | 54.096 | 0.000 | 0.000 | 0.000 |
| 49.819 | 49.819 | 126.394 | -0.000 | 0.000 | 0.000 |
| 0.000 | 0.000 | 0.000 | -21.651 | 0.000 | 0.000 |
| 0.000 | 0.000 | 0.000 | -0.000 | -21.651 | 0.000 |
| 0.000 | 0.000 | 0.000 | 0.000 | 0.000 | 61.871 |
| 43.708 | 58.877 | 54.096 | -0.000 | -0.000 | -0.000 |
| 58.877 | 43.708 | 54.096 | 0.000 | -0.000 | -0.000 |
| 49.819 | 49.819 | 126.394 | 0.000 | -0.000 | -0.000 |
| -0.000 | -0.000 | -0.000 | -21.651 | -0.000 | -0.000 |
| -0.000 | -0.000 | -0.000 | -0.000 | -21.651 | -0.000 |
| -0.000 | -0.000 | -0.000 | -0.000 | -0.000 | 61.871 |
| 43.708 | 58.877 | 54.096 | 0.000 | 0.000 | 0.000 |
| 58.877 | 43.708 | 54.096 | 0.000 | 0.000 | 0.000 |
| 49.819 | 49.819 | 126.394 | -0.000 | 0.000 | 0.000 |
| -0.000 | -0.000 | -0.000 | -21.651 | 0.000 | 0.000 |
| -0.000 | -0.000 | -0.000 | 0.000 | -21.651 | 0.000 |
| 0.000 | 0.000 | 0.000 | -0.000 | 0.000 | 61.871 |
| 43.708 | 58.877 | 54.096 | -0.000 | -0.000 | -0.000 |
| 58.877 | 43.708 | 54.096 | -0.000 | -0.000 | -0.000 |
| 49.819 | 49.819 | 126.394 | 0.000 | -0.000 | -0.000 |
| 0.000 | 0.000 | 0.000 | -21.651 | -0.000 | -0.000 |
| 0.000 | 0.000 | 0.000 | -0.000 | -21.651 | -0.000 |
| -0.000 | -0.000 | -0.000 | 0.000 | -0.000 | 61.871 |
| 43.472 | 59.086 | 54.143 | 0.000 | 0.000 | 0.000 |
| 59.086 | 43.472 | 54.143 | -0.000 | 0.000 | 0.000 |
| 49.820 | 49.820 | 126.394 | -0.000 | 0.000 | 0.000 |
| -0.000 | -0.000 | -0.000 | -21.651 | -0.000 | 0.000 |
| -0.000 | -0.000 | -0.000 | 0.000 | -21.651 | 0.000 |
| 0.000 | 0.000 | 0.000 | 0.000 | 0.000 | 61.871 |
| 43.471 | 59.085 | 54.143 | 0.000 | -0.000 | -0.000 |
| 59.085 | 43.471 | 54.143 | 0.000 | -0.000 | -0.000 |
| 49.819 | 49.819 | 126.394 | 0.000 | -0.000 | -0.000 |
| 0.000 | 0.000 | 0.000 | -21.651 | -0.000 | -0.000 |
| 0.000 | 0.000 | 0.000 | -0.000 | -21.651 | -0.000 |
| -0.000 | -0.000 | -0.000 | -0.000 | -0.000 | 61.871 |
| 222.972 | 71.917 | 45.591 | -3.267 | -0.000 | 0.000 |
| 71.917 | 222.972 | 45.591 | 3.267 | -0.000 | 0.000 |
| 77.131 | 77.131 | 215.067 | 0.000 | -0.000 | 0.000 |
| -23.716 | 23.677 | 0.011 | -16.836 | -0.000 | 0.000 |
| 0.004 | 0.004 | 0.015 | -0.000 | -31.957 | -10.606 |
| 0.015 | 0.015 | 0.018 | 0.000 | -6.048 | -35.530 |
| 222.972 | 71.917 | 45.591 | -3.267 | 0.000 | -0.000 |
| 131.078 | 135.541 | 72.554 | 18.243 | -0.000 | -0.000 |
| 77.170 | 77.170 | 215.042 | -0.000 | -0.000 | -0.000 |
| -10.611 | 10.602 | -0.015 | -31.957 | 0.000 | -0.000 |
| -0.004 | -0.004 | -0.015 | 0.000 | -31.957 | -10.606 |
| -0.015 | -0.015 | -0.018 | -0.000 | -6.048 | -35.530 |
| 222.972 | 71.917 | 45.591 | -3.267 | -0.000 | 0.000 |
| 71.917 | 222.972 | 45.591 | 3.267 | -0.000 | 0.000 |
| 42.280 | 42.280 | 313.869 | -0.000 | -0.000 | 0.000 |
| -3.267 | 3.267 | 0.000 | 42.580 | -0.000 | 0.000 |
| 0.000 | 0.000 | 0.000 | 0.000 | 42.580 | -3.267 |
| 0.000 | 0.000 | 0.000 | -0.000 | -3.267 | 75.528 |
| 222.972 | 71.917 | 45.591 | -3.267 | 0.000 | -0.000 |
| 71.917 | 222.972 | 45.591 | 3.267 | 0.000 | -0.000 |
| 42.280 | 42.280 | 313.868 | 0.000 | 0.000 | -0.000 |
| -23.694 | 23.698 | -0.001 | -16.836 | 0.000 | -0.000 |
| -0.000 | -0.000 | -0.000 | -0.000 | 42.580 | -3.267 |
| -0.000 | -0.000 | -0.000 | 0.000 | -3.267 | 75.528 |
| 112.913 | 154.126 | 86.814 | -14.366 | -0.000 | 0.000 |
| 3195289.135 | -2452574.508 | -908769.121 | 1538183.772 | -0.000 | 0.000 |
| 77.293 | 77.293 | 215.043 | 0.000 | -0.000 | 0.000 |
| -3.267 | 3.267 | 0.000 | 42.580 | -0.000 | 0.000 |
| -0.000 | -0.000 | -0.000 | -0.000 | -16.836 | -23.696 |
| 0.000 | 0.000 | 0.000 | -0.000 | -3.267 | 75.528 |
| 222.970 | 71.916 | 45.591 | -3.267 | 0.000 | -0.000 |
| 71.916 | 222.970 | 45.591 | 3.267 | 0.000 | 0.000 |
| 42.280 | 42.280 | 313.866 | 0.000 | 0.000 | -0.000 |
| -3.267 | 3.267 | -0.000 | 42.580 | 0.000 | -0.000 |
| 0.000 | 0.000 | 0.000 | 0.000 | -16.836 | -23.696 |
| -0.000 | -0.000 | -0.000 | 0.000 | -3.267 | 75.528 |
| 472.602 | 23.034 | 23.034 | 0.000 | 0.000 | -0.000 |
| 23.034 | 472.602 | 23.034 | 0.000 | 0.000 | 0.000 |
| 23.034 | 23.034 | 472.602 | -0.000 | -0.000 | 0.000 |
| 0.000 | 0.000 | 0.000 | 21.807 | 0.000 | -0.000 |
| 0.000 | 0.000 | 0.000 | 0.000 | 21.807 | 0.000 |
| 0.000 | 0.000 | 0.000 | 0.000 | 0.000 | 21.807 |
| 475.056 | 21.807 | 21.807 | -0.000 | 0.000 | -0.000 |
| 21.807 | 475.056 | 21.807 | -0.000 | -0.000 | 0.000 |
| 21.807 | 21.807 | 475.056 | 0.000 | 0.000 | -0.000 |
| -0.000 | -0.000 | -0.000 | 21.807 | -0.000 | -0.000 |
| -0.000 | 0.000 | -0.000 | -0.000 | 21.807 | -0.000 |
| -0.000 | -0.000 | -0.000 | -0.000 | -0.000 | 21.807 |
| 472.602 | 23.034 | 23.034 | 0.000 | -0.000 | -0.000 |
| 23.034 | 472.602 | 23.034 | 0.000 | -0.000 | -0.000 |
| 23.034 | 23.034 | 472.602 | -0.000 | -0.000 | -0.000 |
| 0.000 | 0.000 | -0.000 | -120.984 | 0.000 | 0.000 |
| 0.000 | 0.000 | -0.000 | -0.000 | -120.984 | 0.000 |
| 0.000 | -0.000 | 0.000 | -0.000 | -0.000 | -120.984 |
| 475.056 | 21.807 | 21.807 | -0.000 | 0.000 | 0.000 |
| 21.807 | 475.056 | 21.807 | -0.000 | 0.000 | -0.000 |
| 21.807 | 21.807 | 475.056 | -0.000 | 0.000 | -0.000 |
| -0.000 | -0.000 | 0.000 | -120.984 | -0.000 | 0.000 |
| -0.000 | -0.000 | 0.000 | -0.000 | -120.984 | -0.000 |
| -0.000 | 0.000 | -0.000 | -0.000 | 0.000 | -120.984 |
| 475.061 | 21.807 | 21.807 | 0.000 | 0.000 | 0.000 |
| 21.807 | 475.061 | 21.807 | 0.000 | -0.000 | 0.000 |
| 21.807 | 21.807 | 475.061 | 0.000 | -0.000 | 0.000 |
| 0.001 | 0.000 | -0.000 | -120.984 | 0.000 | 0.000 |
| 0.000 | 0.001 | -0.000 | 0.000 | -120.984 | 0.000 |
| 0.000 | -0.000 | 0.001 | 0.000 | -0.000 | -120.984 |
| 472.598 | 23.034 | 23.034 | 0.000 | 0.000 | 0.000 |
| 23.034 | 472.598 | 23.034 | 0.000 | 0.000 | 0.000 |
| 23.034 | 23.034 | 472.598 | 0.000 | -0.000 | -0.000 |
| -0.001 | -0.000 | 0.000 | -120.984 | -0.000 | -0.000 |
| -0.000 | -0.001 | 0.000 | -0.000 | -120.984 | -0.000 |
| -0.000 | 0.000 | -0.001 | -0.000 | 0.000 | -120.984 |
| 163.686 | 211.484 | 211.484 | -0.000 | -0.000 | 0.000 |
| 211.484 | 163.686 | 211.484 | -0.000 | -0.000 | 0.000 |
| 211.484 | 211.484 | 163.685 | 0.000 | -0.000 | 0.000 |
| -0.000 | -0.000 | -0.000 | 211.484 | 0.000 | -0.000 |
| -0.000 | -0.000 | -0.000 | -0.000 | 211.484 | 0.000 |
| -0.000 | -0.000 | -0.000 | 0.000 | -0.000 | 211.484 |
| 163.686 | 211.484 | 211.484 | -0.000 | -0.000 | -0.000 |
| 211.484 | 163.686 | 211.484 | -0.000 | -0.000 | -0.000 |
| 211.484 | 211.484 | 163.686 | -0.000 | -0.000 | -0.000 |
| 0.000 | -0.000 | 0.000 | 211.484 | -0.000 | -0.000 |
| 0.000 | -0.000 | 0.000 | 0.000 | 211.484 | 0.000 |
| 0.000 | 0.000 | 0.000 | -0.000 | -0.000 | 211.484 |
| 163.686 | 211.485 | 211.484 | 0.000 | -0.000 | -0.000 |
| 211.484 | 163.686 | 211.484 | 0.000 | 0.000 | 0.000 |
| 211.484 | 211.484 | 163.686 | 0.000 | 0.000 | 0.000 |
| 0.000 | 0.000 | 0.000 | 210.084 | 0.000 | 0.000 |
| 0.000 | 0.000 | 0.000 | -0.000 | 210.084 | 0.000 |
| 0.000 | 0.000 | 0.000 | 0.000 | 0.000 | 210.084 |
| 163.685 | 211.484 | 211.484 | 0.000 | -0.000 | -0.000 |
| 211.484 | 163.685 | 211.484 | 0.000 | -0.000 | -0.000 |
| 211.484 | 211.484 | 163.685 | -0.000 | -0.000 | 0.000 |
| -0.000 | -0.000 | -0.000 | 210.084 | 0.000 | -0.000 |
| -0.000 | -0.000 | -0.000 | -0.000 | 210.084 | 0.000 |
| -0.000 | -0.000 | -0.000 | -0.000 | 0.000 | 210.084 |
| 163.686 | 211.485 | 211.485 | 0.000 | -0.000 | 0.000 |
| 211.485 | 163.686 | 211.485 | -0.000 | 0.000 | 0.000 |
| 211.485 | 211.485 | 163.686 | 0.000 | -0.000 | -0.000 |
| 0.001 | 0.000 | 0.001 | 210.084 | 0.000 | -0.000 |
| 0.000 | 0.001 | 0.001 | 0.000 | 210.084 | 0.000 |
| 0.000 | 0.001 | 0.001 | 0.000 | -0.000 | 210.084 |
| 163.685 | 211.484 | 211.484 | -0.000 | -0.000 | 0.000 |
| 211.484 | 163.685 | 211.484 | -0.000 | -0.000 | -0.000 |
| 211.484 | 211.484 | 163.685 | 0.000 | 0.000 | 0.000 |
| -0.001 | -0.000 | -0.001 | 210.084 | -0.000 | -0.000 |
| -0.000 | -0.001 | -0.001 | -0.000 | 210.084 | -0.000 |
| -0.000 | -0.001 | -0.001 | -0.000 | 0.000 | 210.084 |
| 314.575 | 174.121 | 174.121 | 0.000 | 0.000 | 0.000 |
| 174.121 | 314.575 | 174.121 | 0.000 | 0.000 | -0.000 |
| 174.121 | 174.121 | 314.575 | 0.000 | 0.000 | -0.000 |
| -0.000 | 0.000 | 0.000 | 174.121 | 0.000 | -0.000 |
| 0.000 | -0.000 | 0.000 | -0.000 | 174.121 | -0.000 |
| 0.000 | 0.000 | 0.000 | -0.000 | 0.000 | 174.121 |
| 314.575 | 174.121 | 174.121 | -0.000 | -0.000 | 0.000 |
| 174.121 | 314.575 | 174.121 | -0.000 | -0.000 | 0.000 |
| 174.121 | 174.121 | 314.575 | 0.000 | 0.000 | -0.000 |
| 0.000 | -0.000 | -0.000 | 174.121 | 0.000 | 0.000 |
| 0.000 | 0.000 | -0.000 | 0.000 | 174.121 | 0.000 |
| -0.000 | -0.000 | -0.000 | 0.000 | -0.000 | 174.121 |
| 314.575 | 174.121 | 174.121 | 0.000 | 0.000 | -0.000 |
| 174.121 | 314.575 | 174.121 | -0.000 | 0.000 | -0.000 |
| 174.121 | 174.121 | 314.575 | 0.000 | 0.000 | -0.000 |
| -0.000 | 0.000 | 0.000 | 174.121 | -0.000 | -0.000 |
| 0.000 | -0.000 | 0.000 | -0.000 | 174.121 | -0.000 |
| 0.000 | 0.000 | -0.000 | -0.000 | 0.000 | 174.121 |
| 314.575 | 174.121 | 174.121 | -0.000 | -0.000 | 0.000 |
| 174.121 | 314.575 | 174.121 | -0.000 | -0.000 | 0.000 |
| 174.121 | 174.121 | 314.575 | -0.000 | -0.000 | 0.000 |
| 0.000 | -0.000 | -0.000 | 174.121 | -0.000 | 0.000 |
| -0.000 | 0.000 | -0.000 | 0.000 | 174.121 | 0.000 |
| -0.000 | -0.000 | 0.000 | 0.000 | -0.000 | 174.121 |
| 314.577 | 174.122 | 174.122 | 0.000 | -0.000 | -0.000 |
| 174.122 | 314.577 | 174.122 | -0.000 | 0.000 | -0.000 |
| 174.122 | 174.122 | 314.577 | 0.000 | 0.000 | -0.000 |
| -0.000 | 0.001 | 0.001 | 174.121 | 0.000 | 0.000 |
| 0.001 | -0.000 | 0.001 | -0.000 | 174.121 | -0.000 |
| 0.001 | 0.001 | -0.000 | -0.000 | 0.000 | 174.121 |
| 314.574 | 174.120 | 174.120 | 0.000 | -0.000 | 0.000 |
| 174.120 | 314.574 | 174.120 | -0.000 | -0.000 | 0.000 |
| 174.120 | 174.120 | 314.574 | -0.000 | -0.000 | 0.000 |
| 0.000 | -0.001 | -0.001 | 174.121 | -0.000 | 0.000 |
| -0.001 | 0.000 | -0.001 | 0.000 | 174.121 | 0.000 |
| -0.001 | -0.001 | 0.000 | 0.000 | -0.000 | 174.121 |
| 391.897 | 160.763 | 100.884 | -0.000 | -0.000 | 0.000 |
| 138.446 | 415.339 | 99.948 | -0.000 | -0.000 | 0.000 |
| 100.198 | 100.198 | 436.813 | -0.000 | 0.000 | 0.000 |
| -0.000 | 0.000 | 0.000 | 99.948 | 0.000 | 0.000 |
| -0.000 | 0.000 | 0.000 | -0.000 | 99.948 | 0.000 |
| 0.000 | 0.000 | -0.000 | -0.000 | 0.000 | 138.446 |
| 390.628 | 162.856 | 100.198 | 0.000 | -0.000 | -0.000 |
| 138.446 | 415.339 | 99.948 | 0.000 | -0.000 | -0.000 |
| 99.948 | 99.948 | 437.230 | -0.000 | -0.000 | -0.000 |
| -0.000 | -0.000 | -0.000 | 99.948 | -0.000 | -0.000 |
| -0.000 | -0.000 | -0.000 | -0.000 | 99.948 | -0.000 |
| 0.000 | -0.000 | 0.000 | 0.000 | 0.000 | 138.446 |
| 391.926 | 160.724 | 100.892 | -0.000 | 0.000 | 0.000 |
| 138.447 | 415.340 | 99.948 | -0.000 | -0.000 | 0.000 |
| 100.197 | 100.197 | 436.816 | -0.000 | 0.000 | 0.000 |
| 0.000 | 0.000 | 0.000 | 99.948 | 0.000 | 0.000 |
| 0.000 | 0.000 | 0.000 | 0.000 | 99.948 | 0.000 |
| 0.001 | 0.001 | -0.001 | -0.000 | 0.000 | 113.891 |
| 391.931 | 160.715 | 100.894 | 0.000 | -0.000 | -0.000 |
| 138.446 | 415.339 | 99.948 | 0.000 | 0.000 | -0.000 |
| 99.948 | 99.948 | 437.230 | -0.000 | -0.000 | -0.000 |
| -0.000 | -0.000 | -0.000 | 99.948 | -0.000 | -0.000 |
| -0.000 | -0.000 | -0.000 | 0.000 | 99.948 | -0.000 |
| -0.001 | -0.001 | 0.001 | 0.000 | -0.000 | 113.891 |
| 390.634 | 162.858 | 100.195 | -0.000 | 0.000 | 0.000 |
| 138.448 | 415.342 | 99.948 | -0.000 | 0.000 | 0.000 |
| 100.197 | 100.197 | 436.819 | 0.000 | 0.000 | 0.000 |
| 0.000 | 0.000 | 0.001 | 99.948 | 0.000 | 0.000 |
| -0.000 | 0.000 | 0.001 | 0.000 | 99.363 | 0.000 |
| 0.000 | 0.001 | -0.000 | -0.000 | 0.000 | 113.891 |
| 415.336 | 138.446 | 99.947 | 0.000 | -0.000 | -0.000 |
| 138.445 | 415.336 | 99.947 | 0.000 | 0.000 | -0.000 |
| 100.195 | 100.195 | 436.813 | 0.000 | -0.000 | -0.000 |
| -0.000 | -0.000 | -0.001 | 99.948 | -0.000 | -0.000 |
| 0.000 | -0.000 | -0.001 | 0.000 | 99.363 | -0.000 |
| -0.000 | -0.001 | 0.000 | 0.000 | -0.000 | 113.891 |
| 390.067 | 162.230 | 100.522 | 0.000 | -0.000 | -0.000 |
| 162.230 | 390.067 | 100.522 | -0.000 | -0.000 | -0.000 |
| 100.051 | 100.051 | 437.507 | -0.000 | -0.000 | -0.000 |
| 0.187 | 0.187 | -0.311 | 99.639 | 0.000 | -0.000 |
| 0.187 | 0.187 | -0.311 | -0.000 | 99.639 | -0.000 |
| 0.091 | 0.091 | -0.152 | -0.000 | -0.000 | 113.639 |
| 393.081 | 158.015 | 101.520 | 0.000 | 0.000 | 0.000 |
| 158.015 | 393.081 | 101.520 | 0.000 | 0.000 | 0.000 |
| 100.051 | 100.051 | 437.507 | 0.000 | 0.000 | 0.000 |
| -0.187 | -0.187 | 0.311 | 99.639 | -0.000 | 0.000 |
| -0.187 | -0.187 | 0.311 | 0.000 | 99.639 | 0.000 |
| -0.091 | -0.091 | 0.152 | 0.000 | 0.000 | 113.639 |
| 391.010 | 160.675 | 101.031 | -0.000 | -0.000 | -0.000 |
| 138.145 | 414.618 | 100.136 | 0.000 | 0.000 | -0.000 |
| 100.310 | 100.310 | 437.078 | -0.000 | -0.000 | -0.000 |
| 0.026 | 0.026 | -0.043 | 99.477 | -0.000 | -0.000 |
| 0.000 | 0.000 | 0.000 | -0.000 | 100.058 | -0.000 |
| 0.038 | 0.038 | -0.063 | -0.000 | -0.000 | 113.652 |
| 389.854 | 162.588 | 100.401 | 0.000 | 0.000 | 0.000 |
| 138.144 | 414.617 | 100.136 | -0.000 | -0.000 | 0.000 |
| 100.291 | 100.291 | 437.108 | 0.000 | 0.000 | -0.000 |
| -0.026 | -0.026 | 0.043 | 99.477 | 0.000 | 0.000 |
| -0.000 | -0.000 | -0.000 | 0.000 | 100.058 | 0.000 |
| -0.038 | -0.038 | 0.063 | 0.000 | 0.000 | 113.652 |
| 391.154 | 160.479 | 101.077 | -0.000 | -0.000 | -0.000 |
| 138.146 | 414.620 | 100.137 | -0.000 | -0.000 | -0.000 |
| 100.052 | 100.052 | 437.510 | -0.000 | -0.000 | -0.000 |
| 0.003 | 0.003 | -0.004 | 99.474 | -0.000 | -0.000 |
| 0.001 | 0.001 | -0.001 | -0.000 | 99.474 | -0.000 |
| 0.004 | 0.005 | -0.006 | -0.000 | -0.000 | 113.645 |
| 414.614 | 138.144 | 100.136 | -0.000 | 0.000 | 0.000 |
| 160.433 | 391.180 | 101.087 | 0.000 | 0.000 | 0.000 |
| 100.050 | 100.050 | 437.504 | 0.000 | 0.000 | 0.000 |
| -0.003 | -0.003 | 0.004 | 99.474 | -0.000 | 0.000 |
| -0.001 | -0.001 | 0.001 | 0.000 | 99.474 | 0.000 |
| -0.004 | -0.005 | 0.006 | 0.000 | 0.000 | 113.645 |
| 414.127 | 137.959 | 98.874 | 0.000 | 0.000 | -0.000 |
| 150.171 | 404.892 | 99.193 | 0.000 | 0.000 | -0.000 |
| 100.505 | 100.505 | 434.394 | 0.000 | 0.000 | -0.000 |
| 1.461 | 1.461 | 0.313 | 99.335 | -0.000 | -0.000 |
| -0.000 | 0.000 | -0.000 | 0.000 | 99.344 | -0.000 |
| -0.000 | 0.000 | -0.000 | 0.000 | -0.000 | 138.084 |
| 414.127 | 137.959 | 98.874 | -0.000 | 0.000 | 0.000 |
| 137.959 | 414.127 | 98.874 | 0.000 | -0.000 | 0.000 |
| 97.583 | 97.583 | 433.768 | -0.000 | -0.000 | 0.000 |
| -1.461 | -1.461 | -0.313 | 99.335 | -0.000 | 0.000 |
| 0.000 | -0.000 | 0.000 | -0.000 | 99.344 | 0.000 |
| 0.000 | -0.000 | 0.000 | 0.000 | 0.000 | 138.084 |
| 414.128 | 137.959 | 98.874 | -0.000 | 0.000 | -0.000 |
| 158.049 | 394.556 | 98.929 | -0.000 | 0.000 | -0.000 |
| 99.046 | 99.046 | 434.082 | 0.000 | 0.000 | -0.000 |
| 0.000 | 0.000 | 0.000 | 99.344 | -0.000 | -0.000 |
| 0.147 | 0.147 | 0.031 | -0.000 | 99.335 | -0.000 |
| 0.272 | 0.272 | 0.058 | -0.000 | 0.000 | 118.639 |
| 414.127 | 137.959 | 98.874 | -0.000 | -0.000 | 0.000 |
| 137.959 | 414.127 | 98.874 | -0.000 | -0.000 | 0.000 |
| 98.898 | 98.898 | 434.049 | 0.000 | -0.000 | 0.000 |
| -0.000 | -0.000 | -0.000 | 99.344 | -0.000 | 0.000 |
| -0.147 | -0.147 | -0.031 | -0.000 | 99.335 | 0.000 |
| -0.272 | -0.272 | -0.058 | 0.000 | 0.000 | 118.639 |
| 390.068 | 162.031 | 98.875 | -0.000 | -0.000 | -0.000 |
| 162.028 | 390.088 | 98.877 | 0.000 | -0.000 | -0.000 |
| 99.047 | 99.047 | 434.084 | 0.000 | 0.000 | -0.000 |
| 0.019 | 0.019 | 0.005 | 99.332 | 0.000 | -0.000 |
| 0.019 | 0.019 | 0.005 | -0.000 | 99.332 | -0.000 |
| 0.000 | 0.001 | 0.000 | 0.000 | 0.000 | 138.084 |
| 390.187 | 161.787 | 98.862 | -0.000 | -0.000 | 0.000 |
| 162.001 | 390.034 | 98.869 | 0.000 | 0.000 | 0.000 |
| 99.045 | 99.045 | 434.078 | -0.000 | -0.000 | 0.000 |
| -0.019 | -0.019 | -0.005 | 99.332 | 0.000 | 0.000 |
| -0.019 | -0.019 | -0.005 | -0.000 | 99.332 | 0.000 |
| -0.000 | -0.001 | -0.000 | 0.000 | 0.000 | 138.084 |
| 481.068 | 22.873 | 22.873 | -0.000 | -0.000 | -0.000 |
| 22.873 | 481.068 | 22.873 | -0.000 | -0.000 | -0.000 |
| 22.873 | 22.873 | 481.068 | -0.000 | -0.000 | -0.000 |
| -0.000 | -0.000 | 0.000 | -125.625 | -0.000 | -0.000 |
| -0.000 | 0.000 | -0.000 | -0.000 | -125.625 | -0.000 |
| 0.000 | 0.000 | -0.000 | -0.000 | -0.000 | -125.625 |
| 481.068 | 22.873 | 22.873 | 0.000 | 0.000 | -0.000 |
| 22.873 | 481.068 | 22.873 | 0.000 | 0.000 | 0.000 |
| 22.873 | 22.873 | 481.068 | 0.000 | 0.000 | 0.000 |
| 0.000 | 0.000 | -0.000 | -125.625 | 0.000 | 0.000 |
| -0.000 | -0.000 | -0.000 | 0.000 | -125.625 | 0.000 |
| -0.000 | -0.000 | -0.000 | 0.000 | 0.000 | -125.625 |
| 481.068 | 22.873 | 22.873 | -0.000 | -0.000 | -0.000 |
| 22.873 | 481.068 | 22.873 | -0.000 | -0.000 | -0.000 |
| 22.873 | 22.873 | 481.068 | -0.000 | -0.000 | -0.000 |
| 0.000 | 0.000 | -0.000 | -125.625 | -0.000 | -0.000 |
| 0.000 | 0.000 | -0.000 | -0.000 | -125.625 | -0.000 |
| 0.000 | -0.000 | 0.000 | 0.000 | -0.000 | -125.625 |
| 481.067 | 22.873 | 22.873 | 0.000 | 0.000 | 0.000 |
| 22.873 | 481.067 | 22.873 | 0.000 | 0.000 | 0.000 |
| 22.873 | 22.873 | 481.067 | -0.000 | 0.000 | 0.000 |
| -0.000 | -0.000 | 0.000 | -125.625 | 0.000 | 0.000 |
| -0.000 | -0.000 | 0.000 | 0.000 | -125.625 | 0.000 |
| -0.000 | 0.000 | -0.000 | 0.000 | 0.000 | -125.625 |
| 481.072 | 22.873 | 22.873 | -0.000 | -0.000 | -0.000 |
| 22.873 | 481.072 | 22.873 | -0.000 | -0.000 | -0.000 |
| 22.873 | 22.873 | 481.072 | -0.000 | -0.000 | -0.000 |
| 0.001 | 0.000 | -0.000 | -125.625 | -0.000 | -0.000 |
| 0.000 | 0.001 | -0.000 | -0.000 | -125.625 | -0.000 |
| 0.000 | -0.000 | 0.001 | -0.000 | -0.000 | -125.625 |
| 481.064 | 22.872 | 22.872 | 0.000 | 0.000 | 0.000 |
| 22.872 | 481.064 | 22.872 | -0.000 | 0.000 | 0.000 |
| 22.872 | 22.872 | 481.064 | 0.000 | 0.000 | 0.000 |
| -0.001 | -0.000 | 0.000 | -125.625 | 0.000 | 0.000 |
| -0.000 | -0.001 | 0.000 | 0.000 | -125.625 | 0.000 |
| -0.000 | 0.000 | -0.001 | 0.000 | 0.000 | -125.625 |
| 166.996 | 215.340 | 215.340 | -0.000 | -0.000 | -0.000 |
| 215.339 | 166.996 | 215.340 | -0.000 | 0.000 | -0.000 |
| 215.339 | 215.339 | 166.996 | -0.000 | -0.000 | -0.000 |
| 0.000 | 0.000 | 0.000 | 215.339 | -0.000 | -0.000 |
| -0.000 | 0.000 | 0.000 | -0.000 | 215.339 | -0.000 |
| -0.000 | 0.000 | 0.000 | -0.000 | 0.000 | 215.339 |
| 166.996 | 215.339 | 215.339 | 0.000 | -0.000 | 0.000 |
| 215.339 | 166.996 | 215.339 | 0.000 | 0.000 | 0.000 |
| 215.339 | 215.339 | 166.996 | 0.000 | -0.000 | 0.000 |
| -0.000 | -0.000 | -0.000 | 215.340 | 0.000 | 0.000 |
| -0.000 | -0.000 | -0.000 | 0.000 | 215.339 | 0.000 |
| -0.000 | -0.000 | -0.000 | 0.000 | -0.000 | 215.339 |
| 166.996 | 215.340 | 215.340 | -0.000 | 0.000 | -0.000 |
| 215.340 | 166.996 | 215.340 | -0.000 | -0.000 | -0.000 |
| 215.340 | 215.340 | 166.996 | -0.000 | 0.000 | 0.000 |
| 0.000 | 0.000 | 0.000 | 214.401 | 0.000 | -0.000 |
| 0.000 | 0.000 | 0.000 | -0.000 | 214.401 | -0.000 |
| 0.000 | 0.000 | 0.000 | -0.000 | -0.000 | 214.401 |
| 166.996 | 215.339 | 215.339 | 0.000 | 0.000 | 0.000 |
| 215.339 | 166.996 | 215.339 | 0.000 | 0.000 | 0.000 |
| 215.339 | 215.339 | 166.996 | 0.000 | 0.000 | 0.000 |
| -0.000 | -0.000 | -0.000 | 214.401 | -0.000 | 0.000 |
| -0.000 | -0.000 | -0.000 | 0.000 | 214.401 | 0.000 |
| -0.000 | -0.000 | -0.000 | 0.000 | 0.000 | 214.401 |
| 166.997 | 215.340 | 215.340 | -0.000 | 0.000 | 0.000 |
| 215.340 | 166.997 | 215.340 | -0.000 | 0.000 | -0.000 |
| 215.340 | 215.340 | 166.997 | -0.000 | 0.000 | -0.000 |
| 0.001 | 0.000 | 0.001 | 215.339 | -0.000 | -0.000 |
| 0.000 | 0.001 | 0.001 | -0.000 | 215.339 | -0.000 |
| 0.000 | 0.001 | 0.001 | -0.000 | 0.000 | 215.339 |
| 166.995 | 215.339 | 215.339 | 0.000 | -0.000 | 0.000 |
| 215.339 | 166.995 | 215.339 | 0.000 | -0.000 | -0.000 |
| 215.339 | 215.339 | 166.995 | 0.000 | -0.000 | -0.000 |
| -0.001 | -0.000 | -0.001 | 215.339 | 0.000 | 0.000 |
| -0.000 | -0.001 | -0.001 | 0.000 | 215.339 | 0.000 |
| -0.000 | -0.001 | -0.001 | 0.000 | -0.000 | 215.339 |
| 318.881 | 176.527 | 176.527 | 0.000 | -0.000 | 0.000 |
| 176.527 | 318.881 | 176.527 | 0.000 | 0.000 | 0.000 |
| 176.527 | 176.527 | 318.881 | 0.000 | 0.000 | 0.000 |
| -0.000 | 0.000 | 0.000 | 176.527 | 0.000 | 0.000 |
| 0.000 | -0.000 | 0.000 | 0.000 | 176.527 | 0.000 |
| 0.000 | 0.000 | -0.000 | 0.000 | 0.000 | 176.527 |
| 318.881 | 176.527 | 176.527 | -0.000 | 0.000 | -0.000 |
| 176.527 | 318.881 | 176.527 | -0.000 | 0.000 | -0.000 |
| 176.527 | 176.527 | 318.881 | -0.000 | -0.000 | -0.000 |
| 0.000 | -0.000 | -0.000 | 176.527 | -0.000 | 0.000 |
| -0.000 | 0.000 | -0.000 | -0.000 | 176.527 | 0.000 |
| -0.000 | -0.000 | 0.000 | -0.000 | -0.000 | 176.527 |
| 318.881 | 176.527 | 176.527 | -0.000 | -0.000 | 0.000 |
| 176.527 | 318.881 | 176.527 | 0.000 | -0.000 | 0.000 |
| 176.527 | 176.527 | 318.881 | 0.000 | 0.000 | 0.000 |
| -0.000 | 0.000 | 0.000 | 176.527 | 0.000 | 0.000 |
| 0.000 | -0.000 | 0.000 | 0.000 | 176.527 | -0.000 |
| 0.000 | 0.000 | -0.000 | 0.000 | 0.000 | 176.527 |
| 318.881 | 176.527 | 176.527 | -0.000 | -0.000 | -0.000 |
| 176.527 | 318.881 | 176.527 | -0.000 | -0.000 | -0.000 |
| 176.527 | 176.527 | 318.881 | -0.000 | -0.000 | -0.000 |
| 0.000 | -0.000 | -0.000 | 176.527 | -0.000 | 0.000 |
| -0.000 | 0.000 | -0.000 | -0.000 | 176.527 | 0.000 |
| -0.000 | -0.000 | 0.000 | -0.000 | -0.000 | 176.527 |
| 318.882 | 176.528 | 176.528 | 0.000 | 0.000 | 0.000 |
| 176.528 | 318.882 | 176.528 | 0.000 | 0.000 | -0.000 |
| 176.528 | 176.528 | 318.882 | 0.000 | 0.000 | 0.000 |
| -0.000 | 0.000 | 0.001 | 176.527 | 0.000 | -0.000 |
| 0.000 | -0.000 | 0.001 | 0.000 | 176.527 | 0.000 |
| 0.000 | 0.001 | -0.000 | 0.000 | 0.000 | 176.527 |
| 318.880 | 176.526 | 176.526 | -0.000 | 0.000 | -0.000 |
| 176.526 | 318.880 | 176.526 | -0.000 | 0.000 | -0.000 |
| 176.526 | 176.526 | 318.880 | -0.000 | -0.000 | -0.000 |
| 0.000 | -0.000 | -0.001 | 176.527 | -0.000 | -0.000 |
| -0.000 | 0.000 | -0.001 | -0.000 | 176.527 | 0.000 |
| -0.000 | -0.001 | 0.000 | -0.000 | -0.000 | 176.527 |
| 423.788 | 71.400 | 176.518 | 0.000 | 0.000 | -0.000 |
| 71.400 | 423.788 | 176.518 | 0.000 | 0.000 | 0.000 |
| 176.518 | 176.518 | 317.906 | 0.000 | 0.000 | -0.000 |
| 0.000 | -0.000 | -0.000 | 176.495 | 0.000 | 0.000 |
| -0.000 | -0.000 | 0.000 | 0.000 | 176.495 | -0.000 |
| -0.000 | -0.000 | -0.000 | 0.000 | 0.000 | 71.405 |
| 423.788 | 71.400 | 176.518 | -0.000 | -0.000 | 0.000 |
| 71.400 | 423.788 | 176.518 | -0.000 | 0.000 | -0.000 |
| 176.504 | 176.504 | 317.950 | -0.000 | -0.000 | 0.000 |
| -0.000 | 0.000 | 0.000 | 176.495 | 0.000 | -0.000 |
| 0.000 | -0.000 | 0.000 | -0.000 | 176.495 | -0.000 |
| 0.000 | 0.000 | 0.000 | -0.000 | -0.000 | 71.405 |
| 423.788 | 71.400 | 176.518 | 0.000 | -0.000 | 0.000 |
| 71.400 | 423.788 | 176.518 | 0.000 | -0.000 | 0.000 |
| 176.518 | 176.518 | 317.906 | 0.000 | -0.000 | -0.000 |
| 0.000 | -0.000 | 0.000 | 176.495 | 0.000 | 0.000 |
| -0.000 | 0.000 | 0.000 | -0.000 | 176.495 | 0.000 |
| 0.000 | -0.000 | 0.000 | 0.000 | -0.000 | 71.405 |
| 423.787 | 71.400 | 176.518 | -0.000 | -0.000 | 0.000 |
| 71.400 | 423.787 | 176.518 | -0.000 | 0.000 | -0.000 |
| 176.518 | 176.518 | 317.906 | -0.000 | -0.000 | -0.000 |
| -0.000 | 0.000 | -0.000 | 176.495 | -0.000 | -0.000 |
| 0.000 | -0.000 | -0.000 | -0.000 | 176.495 | 0.000 |
| -0.000 | 0.000 | -0.000 | -0.000 | -0.000 | 71.405 |
| 423.791 | 71.400 | 176.518 | 0.000 | 0.000 | 0.000 |
| 71.400 | 423.791 | 176.518 | -0.000 | 0.000 | -0.000 |
| 176.519 | 176.519 | 317.907 | 0.000 | 0.000 | 0.000 |
| 0.000 | -0.000 | 0.001 | 176.495 | 0.000 | 0.000 |
| -0.000 | 0.000 | 0.001 | 0.000 | 176.495 | -0.000 |
| 0.000 | -0.000 | 0.000 | 0.000 | 0.000 | 71.405 |
| 423.784 | 71.400 | 176.517 | -0.000 | -0.000 | -0.000 |
| 71.400 | 423.784 | 176.517 | -0.000 | 0.000 | 0.000 |
| 176.517 | 176.517 | 317.905 | -0.000 | 0.000 | -0.000 |
| -0.000 | 0.000 | -0.001 | 176.495 | 0.000 | 0.000 |
| 0.000 | -0.000 | -0.001 | 0.000 | 176.495 | -0.000 |
| -0.000 | 0.000 | -0.000 | -0.000 | -0.000 | 71.405 |
| 421.899 | 71.102 | 175.929 | 0.000 | 0.000 | 0.000 |
| 71.102 | 421.899 | 175.929 | 0.000 | 0.000 | -0.000 |
| 175.893 | 175.893 | 316.805 | 0.000 | -0.000 | 0.000 |
| 0.000 | 0.000 | 0.000 | 176.094 | 0.000 | -0.000 |
| -0.000 | 0.000 | 0.000 | 0.000 | 176.094 | -0.000 |
| 0.000 | 0.000 | 0.000 | 0.000 | 0.000 | 71.368 |
| 421.899 | 71.102 | 175.929 | -0.000 | -0.000 | 0.000 |
| 71.102 | 421.899 | 175.929 | 0.000 | 0.000 | 0.000 |
| 175.893 | 175.893 | 316.805 | -0.000 | -0.000 | 0.000 |
| -0.000 | 0.000 | -0.000 | 176.094 | -0.000 | 0.000 |
| 0.000 | -0.000 | -0.000 | -0.000 | 176.094 | 0.000 |
| -0.000 | -0.000 | -0.000 | -0.000 | -0.000 | 71.368 |
| 421.899 | 71.102 | 175.929 | 0.000 | -0.000 | -0.000 |
| 71.102 | 421.899 | 175.929 | 0.000 | -0.000 | -0.000 |
| 175.893 | 175.893 | 316.805 | -0.000 | 0.000 | -0.000 |
| 0.000 | -0.000 | 0.000 | 176.094 | 0.000 | -0.000 |
| -0.000 | 0.000 | 0.000 | 0.000 | 176.094 | 0.000 |
| 0.000 | -0.000 | 0.000 | 0.000 | 0.000 | 71.368 |
| 421.898 | 71.102 | 175.929 | -0.000 | 0.000 | 0.000 |
| 71.102 | 421.898 | 175.929 | -0.000 | 0.000 | -0.000 |
| 175.893 | 175.893 | 316.805 | 0.000 | 0.000 | 0.000 |
| -0.000 | 0.000 | -0.000 | 176.094 | -0.000 | -0.000 |
| 0.000 | -0.000 | -0.000 | 0.000 | 176.094 | 0.000 |
| -0.000 | 0.000 | -0.000 | -0.000 | 0.000 | 71.368 |
| 421.902 | 71.103 | 175.930 | 0.000 | -0.000 | 0.000 |
| 71.103 | 421.902 | 175.930 | 0.000 | -0.000 | 0.000 |
| 175.894 | 175.894 | 316.806 | -0.000 | -0.000 | -0.000 |
| 0.000 | -0.000 | 0.001 | 176.094 | 0.000 | 0.000 |
| -0.000 | 0.000 | 0.001 | 0.000 | 176.094 | 0.000 |
| 0.000 | -0.000 | 0.000 | 0.000 | -0.000 | 71.368 |
| 421.895 | 71.102 | 175.929 | -0.000 | -0.000 | -0.000 |
| 71.102 | 421.895 | 175.929 | -0.000 | 0.000 | 0.000 |
| 175.877 | 175.877 | 316.847 | 0.000 | -0.000 | 0.000 |
| -0.000 | 0.000 | -0.001 | 176.094 | -0.000 | 0.000 |
| 0.000 | -0.000 | -0.001 | -0.000 | 176.094 | -0.000 |
| -0.000 | 0.000 | -0.000 | -0.000 | 0.000 | 71.368 |
| 162.104 | 210.784 | 210.729 | 0.000 | -0.000 | 0.000 |
| 210.784 | 162.104 | 210.729 | -0.000 | 0.000 | 0.000 |
| 210.729 | 210.729 | 162.208 | 0.000 | -0.000 | 0.000 |
| 0.000 | -0.000 | -0.000 | 210.738 | 0.000 | -0.000 |
| -0.000 | -0.000 | -0.000 | 0.000 | 210.738 | 0.000 |
| -0.000 | -0.000 | 0.000 | 0.000 | -0.000 | 210.793 |
| 162.105 | 210.785 | 210.730 | -0.000 | 0.000 | -0.000 |
| 210.785 | 162.105 | 210.730 | -0.000 | 0.000 | -0.000 |
| 210.729 | 210.729 | 162.208 | -0.000 | 0.000 | -0.000 |
| -0.000 | 0.000 | 0.000 | 210.738 | -0.000 | -0.000 |
| 0.000 | 0.000 | 0.000 | 0.000 | 210.738 | -0.000 |
| -0.000 | 0.000 | -0.000 | -0.000 | 0.000 | 210.793 |
| 162.105 | 210.785 | 210.730 | 0.000 | 0.000 | 0.000 |
| 210.785 | 162.105 | 210.730 | 0.000 | 0.000 | 0.000 |
| 210.729 | 210.729 | 162.208 | 0.000 | -0.000 | 0.000 |
| 0.000 | 0.000 | 0.000 | 210.682 | 0.000 | 0.000 |
| 0.000 | 0.000 | 0.000 | 0.000 | 210.682 | 0.000 |
| 0.000 | 0.000 | 0.000 | 0.000 | -0.000 | 210.735 |
| 162.103 | 210.784 | 210.729 | -0.000 | 0.000 | -0.000 |
| 210.784 | 162.103 | 210.729 | -0.000 | -0.000 | -0.000 |
| 210.730 | 210.730 | 162.209 | -0.000 | 0.000 | -0.000 |
| -0.000 | -0.000 | -0.000 | 210.682 | -0.000 | -0.000 |
| -0.000 | -0.000 | -0.000 | -0.000 | 210.682 | -0.000 |
| -0.000 | -0.000 | -0.000 | -0.000 | 0.000 | 210.735 |
| 162.104 | 210.785 | 210.730 | 0.000 | 0.000 | 0.000 |
| 210.785 | 162.104 | 210.730 | 0.000 | -0.000 | 0.000 |
| 210.731 | 210.731 | 162.210 | 0.000 | -0.000 | 0.000 |
| 0.001 | 0.000 | 0.001 | 210.738 | 0.000 | 0.000 |
| 0.000 | 0.001 | 0.001 | -0.000 | 210.738 | 0.000 |
| 0.000 | 0.001 | 0.001 | 0.000 | -0.000 | 210.793 |
| 162.103 | 210.783 | 210.728 | 0.000 | 0.000 | -0.000 |
| 210.783 | 162.103 | 210.728 | -0.000 | -0.000 | -0.000 |
| 210.730 | 210.730 | 162.208 | -0.000 | 0.000 | -0.000 |
| -0.001 | -0.000 | -0.001 | 210.738 | -0.000 | -0.000 |
| -0.000 | -0.001 | -0.001 | -0.000 | 210.738 | -0.000 |
| -0.000 | -0.001 | -0.001 | -0.000 | 0.000 | 210.793 |
| 163.811 | 212.252 | 212.252 | 0.000 | 0.000 | -0.000 |
| 212.252 | 163.811 | 212.252 | -0.000 | 0.000 | 0.000 |
| 212.252 | 212.252 | 163.811 | 0.000 | 0.000 | 0.000 |
| 0.000 | 0.000 | -0.000 | 212.252 | 0.000 | 0.000 |
| 0.000 | 0.000 | -0.000 | 0.000 | 212.252 | 0.000 |
| 0.000 | 0.000 | -0.000 | 0.000 | 0.000 | 212.252 |
| 163.811 | 212.252 | 212.252 | -0.000 | -0.000 | -0.000 |
| 212.252 | 163.811 | 212.252 | -0.000 | -0.000 | -0.000 |
| 212.252 | 212.252 | 163.811 | -0.000 | -0.000 | 0.000 |
| -0.000 | -0.000 | -0.000 | 212.252 | -0.000 | -0.000 |
| -0.000 | -0.000 | 0.000 | -0.000 | 212.252 | -0.000 |
| -0.000 | -0.000 | 0.000 | -0.000 | -0.000 | 212.252 |
| 163.811 | 212.252 | 212.252 | -0.000 | -0.000 | 0.000 |
| 212.252 | 163.811 | 212.252 | 0.000 | 0.000 | 0.000 |
| 212.252 | 212.252 | 163.811 | -0.000 | 0.000 | -0.000 |
| 0.000 | 0.000 | 0.000 | 212.252 | 0.000 | 0.000 |
| 0.000 | 0.000 | 0.000 | 0.000 | 212.252 | 0.000 |
| 0.000 | 0.000 | 0.000 | 0.000 | 0.000 | 212.252 |
| 163.811 | 212.252 | 212.252 | -0.000 | -0.000 | -0.000 |
| 212.252 | 163.811 | 212.252 | -0.000 | -0.000 | -0.000 |
| 212.252 | 212.252 | 163.811 | -0.000 | -0.000 | -0.000 |
| -0.000 | -0.000 | -0.000 | 212.252 | -0.000 | -0.000 |
| -0.000 | -0.000 | -0.000 | -0.000 | 212.252 | -0.000 |
| -0.000 | -0.000 | -0.000 | -0.000 | -0.000 | 212.252 |
| 163.812 | 212.253 | 212.253 | 0.000 | 0.000 | 0.000 |
| 212.253 | 163.812 | 212.253 | -0.000 | 0.000 | 0.000 |
| 212.253 | 212.253 | 163.812 | -0.000 | 0.000 | -0.000 |
| 0.001 | 0.000 | 0.001 | 212.252 | 0.000 | 0.000 |
| 0.000 | 0.001 | 0.001 | 0.000 | 212.252 | 0.000 |
| 0.000 | 0.001 | 0.001 | 0.000 | 0.000 | 212.252 |
| 163.810 | 212.251 | 212.251 | -0.000 | -0.000 | 0.000 |
| 212.251 | 163.810 | 212.251 | -0.000 | -0.000 | -0.000 |
| 212.251 | 212.251 | 163.810 | -0.000 | -0.000 | -0.000 |
| -0.001 | -0.000 | -0.001 | 212.252 | -0.000 | -0.000 |
| -0.000 | -0.001 | -0.001 | 0.000 | 212.252 | -0.000 |
| -0.000 | -0.001 | -0.001 | -0.000 | -0.000 | 212.252 |
| 369.259 | 25.214 | 25.214 | 0.000 | -0.000 | -0.000 |
| 25.214 | 369.259 | 25.214 | 0.000 | 0.000 | -0.000 |
| 25.214 | 25.214 | 369.259 | 0.000 | 0.000 | -0.000 |
| -0.000 | 0.000 | 0.000 | -86.043 | 0.000 | -0.000 |
| 0.000 | 0.000 | -0.000 | 0.000 | -86.043 | -0.000 |
| 0.000 | 0.000 | -0.000 | 0.000 | 0.000 | -86.043 |
| 369.259 | 25.214 | 25.214 | -0.000 | -0.000 | 0.000 |
| 25.214 | 369.259 | 25.214 | 0.000 | 0.000 | 0.000 |
| 25.214 | 25.214 | 369.259 | -0.000 | -0.000 | 0.000 |
| -0.000 | -0.000 | 0.000 | -86.043 | -0.000 | 0.000 |
| 0.000 | -0.000 | 0.000 | -0.000 | -86.043 | 0.000 |
| -0.000 | 0.000 | 0.000 | -0.000 | -0.000 | -86.043 |
| 373.241 | 23.223 | 23.223 | 0.000 | 0.000 | -0.000 |
| 23.223 | 373.241 | 23.223 | 0.000 | 0.000 | -0.000 |
| 23.223 | 23.223 | 373.241 | 0.000 | -0.000 | 0.000 |
| 0.000 | -0.000 | -0.000 | -86.043 | 0.000 | -0.000 |
| -0.000 | 0.000 | -0.000 | 0.000 | -86.043 | 0.000 |
| -0.000 | -0.000 | 0.000 | 0.000 | 0.000 | -86.043 |
| 369.259 | 25.214 | 25.214 | 0.000 | 0.000 | 0.000 |
| 25.214 | 369.259 | 25.214 | -0.000 | 0.000 | 0.000 |
| 25.214 | 25.214 | 369.259 | -0.000 | -0.000 | -0.000 |
| -0.000 | 0.000 | 0.000 | -86.043 | -0.000 | 0.000 |
| 0.000 | -0.000 | 0.000 | -0.000 | -86.043 | -0.000 |
| 0.000 | 0.000 | -0.000 | -0.000 | -0.000 | -86.043 |
| 369.262 | 25.214 | 25.214 | 0.000 | -0.000 | -0.000 |
| 25.214 | 369.262 | 25.214 | 0.000 | -0.000 | -0.000 |
| 25.214 | 25.214 | 369.262 | 0.000 | -0.000 | 0.000 |
| 0.000 | -0.000 | -0.000 | -86.043 | 0.000 | 0.000 |
| -0.000 | 0.000 | -0.000 | 0.000 | -86.043 | -0.000 |
| -0.000 | -0.000 | 0.000 | 0.000 | 0.000 | -86.043 |
| 369.256 | 25.213 | 25.213 | -0.000 | -0.000 | 0.000 |
| 25.213 | 369.256 | 25.213 | -0.000 | -0.000 | 0.000 |
| 25.213 | 25.213 | 369.256 | 0.000 | 0.000 | -0.000 |
| -0.000 | 0.000 | 0.000 | -86.043 | -0.000 | 0.000 |
| 0.000 | -0.000 | 0.000 | -0.000 | -86.043 | 0.000 |
| 0.000 | 0.000 | -0.000 | -0.000 | -0.000 | -86.043 |
| 125.324 | 163.798 | 163.798 | -0.000 | -0.000 | -0.000 |
| 163.798 | 125.324 | 163.798 | -0.000 | -0.000 | 0.000 |
| 163.798 | 163.798 | 125.325 | 0.000 | 0.000 | -0.000 |
| 0.000 | 0.000 | 0.000 | 163.798 | 0.000 | -0.000 |
| 0.000 | 0.000 | 0.000 | -0.000 | 163.798 | -0.000 |
| 0.000 | 0.000 | 0.000 | -0.000 | 0.000 | 163.798 |
| 125.324 | 163.798 | 163.798 | 0.000 | -0.000 | 0.000 |
| 163.798 | 125.324 | 163.798 | 0.000 | -0.000 | 0.000 |
| 163.798 | 163.798 | 125.324 | 0.000 | -0.000 | 0.000 |
| -0.000 | -0.000 | -0.000 | 163.798 | -0.000 | 0.000 |
| -0.000 | -0.000 | -0.000 | 0.000 | 163.798 | 0.000 |
| -0.000 | -0.000 | -0.000 | 0.000 | -0.000 | 163.798 |
| 125.325 | 163.798 | 163.798 | -0.000 | 0.000 | -0.000 |
| 163.798 | 125.325 | 163.798 | 0.000 | 0.000 | -0.000 |
| 163.798 | 163.798 | 125.325 | -0.000 | 0.000 | -0.000 |
| 0.000 | 0.000 | 0.000 | 163.798 | 0.000 | -0.000 |
| 0.000 | 0.000 | 0.000 | -0.000 | 163.798 | -0.000 |
| 0.000 | 0.000 | 0.000 | -0.000 | 0.000 | 163.798 |
| 125.324 | 163.798 | 163.798 | -0.000 | 0.000 | 0.000 |
| 163.798 | 125.324 | 163.798 | 0.000 | 0.000 | 0.000 |
| 163.798 | 163.798 | 125.324 | 0.000 | -0.000 | 0.000 |
| -0.000 | -0.000 | -0.000 | 163.798 | -0.000 | 0.000 |
| -0.000 | -0.000 | -0.000 | 0.000 | 163.798 | 0.000 |
| -0.000 | -0.000 | -0.000 | 0.000 | -0.000 | 163.798 |
| 125.325 | 163.799 | 163.799 | -0.000 | 0.000 | -0.000 |
| 163.799 | 125.325 | 163.799 | -0.000 | 0.000 | -0.000 |
| 163.799 | 163.799 | 125.325 | -0.000 | 0.000 | -0.000 |
| 0.001 | 0.000 | 0.001 | 163.798 | 0.000 | -0.000 |
| 0.000 | 0.001 | 0.001 | -0.000 | 163.798 | -0.000 |
| 0.000 | 0.001 | 0.001 | -0.000 | 0.000 | 163.798 |
| 125.324 | 163.797 | 163.797 | 0.000 | -0.000 | 0.000 |
| 163.797 | 125.324 | 163.797 | 0.000 | -0.000 | 0.000 |
| 163.797 | 163.797 | 125.324 | -0.000 | -0.000 | 0.000 |
| -0.001 | -0.000 | -0.001 | 163.798 | -0.000 | 0.000 |
| -0.000 | -0.001 | -0.001 | 0.000 | 163.798 | 0.000 |
| -0.000 | -0.001 | -0.001 | 0.000 | -0.000 | 163.798 |
| 249.532 | 138.830 | 138.830 | 0.000 | -0.000 | 0.000 |
| 138.830 | 249.532 | 138.830 | 0.000 | 0.000 | 0.000 |
| 138.830 | 138.830 | 249.532 | 0.000 | -0.000 | 0.000 |
| -0.000 | 0.000 | 0.000 | 138.830 | 0.000 | 0.000 |
| 0.000 | 0.000 | 0.000 | 0.000 | 138.830 | -0.000 |
| 0.000 | 0.000 | 0.000 | 0.000 | -0.000 | 138.830 |
| 249.532 | 138.830 | 138.830 | -0.000 | -0.000 | -0.000 |
| 138.830 | 249.532 | 138.830 | -0.000 | -0.000 | -0.000 |
| 138.830 | 138.830 | 249.532 | -0.000 | -0.000 | -0.000 |
| 0.000 | -0.000 | -0.000 | 138.830 | -0.000 | 0.000 |
| -0.000 | 0.000 | -0.000 | -0.000 | 138.830 | -0.000 |
| -0.000 | -0.000 | -0.000 | -0.000 | -0.000 | 138.830 |
| 249.532 | 138.830 | 138.830 | 0.000 | 0.000 | -0.000 |
| 138.830 | 249.532 | 138.830 | 0.000 | 0.000 | -0.000 |
| 138.830 | 138.830 | 249.532 | 0.000 | 0.000 | 0.000 |
| -0.000 | 0.000 | 0.000 | 138.830 | 0.000 | 0.000 |
| 0.000 | -0.000 | 0.000 | 0.000 | 138.830 | 0.000 |
| 0.000 | 0.000 | -0.000 | 0.000 | 0.000 | 138.830 |
| 249.532 | 138.830 | 138.830 | -0.000 | 0.000 | -0.000 |
| 138.830 | 249.532 | 138.830 | 0.000 | -0.000 | 0.000 |
| 138.830 | 138.830 | 249.532 | -0.000 | -0.000 | -0.000 |
| 0.000 | -0.000 | -0.000 | 138.830 | -0.000 | 0.000 |
| -0.000 | 0.000 | -0.000 | -0.000 | 138.830 | -0.000 |
| -0.000 | -0.000 | 0.000 | -0.000 | -0.000 | 138.830 |
| 249.533 | 138.831 | 138.831 | 0.000 | 0.000 | 0.000 |
| 138.831 | 249.533 | 138.831 | 0.000 | 0.000 | -0.000 |
| 138.831 | 138.831 | 249.533 | 0.000 | 0.000 | 0.000 |
| -0.000 | 0.000 | 0.001 | 138.830 | 0.000 | 0.000 |
| 0.000 | -0.000 | 0.001 | 0.000 | 138.830 | -0.000 |
| 0.000 | 0.001 | -0.000 | 0.000 | -0.000 | 138.830 |
| 249.531 | 138.829 | 138.829 | -0.000 | -0.000 | 0.000 |
| 138.829 | 249.531 | 138.829 | -0.000 | -0.000 | -0.000 |
| 138.829 | 138.829 | 249.531 | -0.000 | -0.000 | -0.000 |
| 0.000 | -0.000 | -0.001 | 138.830 | -0.000 | -0.000 |
| -0.000 | 0.000 | -0.001 | -0.000 | 138.830 | -0.000 |
| -0.000 | -0.001 | 0.000 | -0.000 | -0.000 | 138.830 |
| 491.238 | 19.002 | 19.002 | 0.000 | 0.000 | 0.000 |
| 19.002 | 491.238 | 19.002 | 0.000 | 0.000 | 0.000 |
| 19.002 | 19.002 | 491.238 | 0.000 | 0.000 | -0.000 |
| -0.000 | -0.000 | -0.000 | 19.002 | 0.000 | 0.000 |
| -0.000 | -0.000 | -0.000 | -0.000 | 19.002 | -0.000 |
| -0.000 | -0.000 | -0.000 | 0.000 | 0.000 | 19.002 |
| 489.459 | 19.891 | 19.892 | 0.000 | -0.000 | 0.000 |
| 19.891 | 489.459 | 19.891 | 0.000 | -0.000 | 0.000 |
| 19.891 | 19.891 | 489.459 | 0.000 | -0.000 | 0.000 |
| 0.000 | 0.000 | 0.000 | 19.002 | -0.000 | 0.000 |
| 0.000 | 0.000 | 0.000 | -0.000 | 19.002 | 0.000 |
| 0.000 | 0.000 | 0.000 | -0.000 | -0.000 | 19.002 |
| 489.459 | 19.892 | 19.892 | 0.000 | 0.000 | -0.000 |
| 19.892 | 489.459 | 19.892 | -0.000 | 0.000 | 0.000 |
| 19.892 | 19.892 | 489.459 | 0.000 | 0.000 | -0.000 |
| 0.000 | 0.000 | -0.000 | -132.312 | 0.000 | 0.000 |
| 0.000 | 0.000 | -0.000 | 0.000 | -132.312 | -0.000 |
| 0.000 | -0.000 | 0.000 | 0.000 | 0.000 | -132.312 |
| 489.459 | 19.891 | 19.891 | -0.000 | -0.000 | 0.000 |
| 19.891 | 489.459 | 19.891 | -0.000 | -0.000 | 0.000 |
| 19.891 | 19.891 | 489.459 | -0.000 | -0.000 | 0.000 |
| -0.000 | -0.000 | 0.000 | -132.312 | -0.000 | 0.000 |
| -0.000 | -0.000 | 0.000 | -0.000 | -132.312 | -0.000 |
| -0.000 | 0.000 | -0.000 | -0.000 | -0.000 | -132.312 |
| 489.463 | 19.892 | 19.892 | -0.000 | 0.000 | 0.000 |
| 19.892 | 489.463 | 19.892 | -0.000 | -0.000 | -0.000 |
| 19.892 | 19.892 | 489.463 | 0.000 | 0.000 | -0.000 |
| 0.001 | 0.001 | 0.000 | -177.314 | 0.000 | -0.000 |
| 0.001 | 0.001 | 0.000 | -0.000 | -177.314 | 0.000 |
| 0.001 | 0.000 | 0.001 | 0.000 | 0.000 | -177.314 |
| 491.234 | 19.002 | 19.002 | -0.000 | -0.000 | 0.000 |
| 19.002 | 491.234 | 19.002 | -0.000 | -0.000 | 0.000 |
| 19.002 | 19.002 | 491.234 | 0.000 | -0.000 | 0.000 |
| -0.001 | -0.001 | -0.000 | -177.314 | -0.000 | -0.000 |
| -0.001 | -0.001 | -0.000 | -0.000 | -177.314 | -0.000 |
| -0.001 | -0.000 | -0.001 | -0.000 | -0.000 | -177.314 |
| 170.823 | 219.021 | 219.021 | 0.000 | -0.000 | 0.000 |
| 219.021 | 170.823 | 219.021 | 0.000 | -0.000 | 0.000 |
| 219.021 | 219.021 | 170.823 | 0.000 | -0.000 | 0.000 |
| 0.000 | -0.000 | 0.000 | 218.990 | -0.000 | -0.000 |
| 0.000 | 0.000 | 0.000 | 0.000 | 218.990 | 0.000 |
| 0.000 | 0.000 | 0.000 | 0.000 | -0.000 | 218.990 |
| 170.823 | 219.021 | 219.021 | -0.000 | -0.000 | -0.000 |
| 219.021 | 170.823 | 219.021 | -0.000 | 0.000 | -0.000 |
| 219.021 | 219.021 | 170.823 | -0.000 | 0.000 | -0.000 |
| -0.000 | 0.000 | -0.000 | 218.990 | 0.000 | -0.000 |
| -0.000 | -0.000 | -0.000 | -0.000 | 218.990 | -0.000 |
| -0.000 | -0.000 | -0.000 | -0.000 | 0.000 | 218.990 |
| 170.823 | 219.021 | 219.021 | 0.000 | -0.000 | 0.000 |
| 219.021 | 170.823 | 219.021 | 0.000 | -0.000 | 0.000 |
| 219.021 | 219.021 | 170.823 | -0.000 | 0.000 | 0.000 |
| 0.000 | 0.000 | 0.000 | 219.021 | -0.000 | 0.000 |
| 0.000 | 0.000 | 0.000 | 0.000 | 219.021 | 0.000 |
| 0.000 | 0.000 | 0.000 | 0.000 | -0.000 | 219.021 |
| 170.823 | 219.021 | 219.021 | -0.000 | 0.000 | -0.000 |
| 219.021 | 170.823 | 219.021 | -0.000 | 0.000 | -0.000 |
| 219.021 | 219.021 | 170.823 | -0.000 | -0.000 | -0.000 |
| -0.000 | -0.000 | -0.000 | 219.021 | 0.000 | -0.000 |
| -0.000 | -0.000 | -0.000 | 0.000 | 219.021 | -0.000 |
| -0.000 | -0.000 | -0.000 | -0.000 | 0.000 | 219.021 |
| 170.824 | 219.022 | 219.022 | 0.000 | 0.000 | 0.000 |
| 219.022 | 170.824 | 219.022 | 0.000 | -0.000 | 0.000 |
| 219.022 | 219.022 | 170.824 | -0.000 | -0.000 | 0.000 |
| 0.001 | 0.000 | 0.001 | 219.021 | -0.000 | 0.000 |
| 0.000 | 0.001 | 0.001 | 0.000 | 219.021 | 0.000 |
| 0.000 | 0.001 | 0.001 | 0.000 | -0.000 | 219.021 |
| 170.822 | 219.020 | 219.020 | -0.000 | -0.000 | -0.000 |
| 219.020 | 170.822 | 219.020 | -0.000 | -0.000 | -0.000 |
| 219.020 | 219.020 | 170.822 | -0.000 | -0.000 | -0.000 |
| -0.001 | -0.000 | -0.001 | 219.021 | 0.000 | -0.000 |
| -0.000 | -0.001 | -0.001 | -0.000 | 219.021 | -0.000 |
| -0.000 | -0.001 | -0.001 | -0.000 | 0.000 | 219.021 |
| 318.334 | 176.413 | 176.413 | 0.000 | -0.000 | -0.000 |
| 176.413 | 318.334 | 176.413 | -0.000 | -0.000 | -0.000 |
| 176.413 | 176.413 | 318.334 | -0.000 | -0.000 | -0.000 |
| 0.000 | 0.000 | 0.000 | 176.413 | 0.000 | -0.000 |
| 0.000 | 0.000 | 0.000 | -0.000 | 176.413 | -0.000 |
| 0.000 | 0.000 | -0.000 | -0.000 | 0.000 | 176.413 |
| 318.334 | 176.413 | 176.413 | -0.000 | 0.000 | -0.000 |
| 176.413 | 318.334 | 176.413 | -0.000 | -0.000 | 0.000 |
| 176.413 | 176.413 | 318.334 | -0.000 | 0.000 | 0.000 |
| 0.000 | -0.000 | -0.000 | 176.413 | 0.000 | 0.000 |
| -0.000 | -0.000 | -0.000 | 0.000 | 176.413 | 0.000 |
| -0.000 | -0.000 | 0.000 | 0.000 | 0.000 | 176.413 |
| 318.334 | 176.413 | 176.413 | -0.000 | 0.000 | -0.000 |
| 176.413 | 318.334 | 176.413 | 0.000 | -0.000 | -0.000 |
| 176.413 | 176.413 | 318.334 | -0.000 | -0.000 | -0.000 |
| -0.000 | 0.000 | 0.000 | 176.413 | 0.000 | 0.000 |
| 0.000 | -0.000 | 0.000 | -0.000 | 176.413 | 0.000 |
| 0.000 | 0.000 | -0.000 | 0.000 | 0.000 | 176.413 |
| 318.334 | 176.413 | 176.413 | 0.000 | -0.000 | 0.000 |
| 176.413 | 318.334 | 176.413 | -0.000 | 0.000 | 0.000 |
| 176.413 | 176.413 | 318.334 | 0.000 | 0.000 | 0.000 |
| 0.000 | -0.000 | -0.000 | 176.413 | 0.000 | 0.000 |
| -0.000 | 0.000 | -0.000 | 0.000 | 176.413 | -0.000 |
| -0.000 | -0.000 | 0.000 | -0.000 | -0.000 | 176.413 |
| 318.335 | 176.414 | 176.414 | 0.000 | 0.000 | -0.000 |
| 176.414 | 318.335 | 176.414 | 0.000 | -0.000 | -0.000 |
| 176.414 | 176.414 | 318.335 | 0.000 | 0.000 | -0.000 |
| -0.000 | 0.001 | 0.001 | 176.413 | 0.000 | 0.000 |
| 0.001 | -0.000 | 0.001 | -0.000 | 176.413 | 0.000 |
| 0.001 | 0.001 | -0.000 | 0.000 | 0.000 | 176.413 |
| 318.333 | 176.412 | 176.412 | 0.000 | -0.000 | -0.000 |
| 176.412 | 318.333 | 176.412 | -0.000 | 0.000 | 0.000 |
| 176.412 | 176.412 | 318.333 | 0.000 | -0.000 | -0.000 |
| 0.000 | -0.001 | -0.001 | 176.413 | 0.000 | 0.000 |
| -0.001 | 0.000 | -0.001 | 0.000 | 176.413 | -0.000 |
| -0.001 | -0.001 | 0.000 | -0.000 | -0.000 | 176.413 |
| 421.899 | 140.599 | 102.827 | -0.000 | -0.000 | 0.000 |
| 140.599 | 421.899 | 102.827 | 0.000 | -0.000 | 0.000 |
| 102.820 | 102.820 | 451.258 | 0.000 | 0.000 | 0.000 |
| -0.000 | 0.000 | 0.000 | 102.865 | 0.000 | 0.000 |
| 0.002 | 0.002 | -0.002 | -0.000 | 102.852 | 0.000 |
| 0.002 | 0.002 | -0.003 | -0.000 | 0.000 | 115.735 |
| 421.899 | 140.598 | 102.827 | 0.000 | -0.000 | -0.000 |
| 140.599 | 421.899 | 102.827 | 0.000 | -0.000 | -0.000 |
| 102.825 | 102.825 | 451.250 | 0.000 | -0.000 | -0.000 |
| -0.000 | 0.000 | -0.000 | 102.865 | 0.000 | -0.000 |
| -0.002 | -0.002 | 0.002 | -0.000 | 102.852 | -0.000 |
| -0.002 | -0.002 | 0.003 | 0.000 | -0.000 | 115.735 |
| 421.900 | 140.599 | 102.827 | -0.000 | 0.000 | 0.000 |
| 165.511 | 396.979 | 102.833 | -0.000 | 0.000 | 0.000 |
| 102.820 | 102.820 | 451.258 | -0.000 | 0.000 | 0.000 |
| 0.000 | 0.000 | 0.000 | 102.865 | 0.000 | 0.000 |
| 0.000 | 0.000 | -0.000 | -0.000 | 102.852 | 0.000 |
| 0.000 | 0.000 | -0.000 | -0.000 | 0.000 | 115.734 |
| 421.899 | 140.598 | 102.827 | 0.000 | -0.000 | -0.000 |
| 140.598 | 421.899 | 102.827 | 0.000 | 0.000 | -0.000 |
| 102.820 | 102.820 | 451.258 | 0.000 | 0.000 | -0.000 |
| -0.000 | -0.000 | -0.000 | 102.865 | -0.000 | -0.000 |
| -0.000 | -0.000 | 0.000 | 0.000 | 102.852 | -0.000 |
| -0.000 | -0.000 | 0.000 | 0.000 | -0.000 | 115.734 |
| 397.029 | 165.437 | 102.853 | -0.000 | 0.000 | 0.000 |
| 165.438 | 397.028 | 102.853 | -0.000 | 0.000 | 0.000 |
| 102.821 | 102.821 | 451.261 | -0.000 | 0.000 | 0.000 |
| 0.000 | -0.000 | 0.001 | 102.852 | 0.000 | 0.000 |
| 0.000 | 0.000 | 0.001 | -0.000 | 102.865 | 0.000 |
| -0.000 | 0.001 | 0.000 | -0.000 | 0.000 | 140.650 |
| 421.896 | 140.598 | 102.826 | 0.000 | 0.000 | -0.000 |
| 165.510 | 396.976 | 102.833 | 0.000 | -0.000 | -0.000 |
| 102.825 | 102.825 | 451.246 | 0.000 | -0.000 | -0.000 |
| -0.000 | 0.000 | -0.001 | 102.852 | -0.000 | -0.000 |
| -0.000 | -0.000 | -0.001 | 0.000 | 102.865 | -0.000 |
| 0.000 | -0.001 | -0.000 | 0.000 | -0.000 | 140.650 |
| 396.118 | 164.574 | 100.768 | 0.000 | -0.000 | 0.000 |
| 164.574 | 396.118 | 100.768 | 0.000 | -0.000 | 0.000 |
| 101.063 | 101.063 | 445.978 | 0.000 | 0.000 | -0.000 |
| 0.000 | 0.000 | 0.000 | 101.657 | 0.000 | 0.000 |
| -0.000 | 0.000 | 0.000 | 0.000 | 101.655 | 0.000 |
| -0.000 | 0.000 | 0.000 | 0.000 | 0.000 | 140.324 |
| 396.118 | 164.574 | 100.768 | 0.000 | 0.000 | 0.000 |
| 164.574 | 396.118 | 100.768 | -0.000 | 0.000 | 0.000 |
| 101.063 | 101.063 | 445.978 | -0.000 | -0.000 | 0.000 |
| 0.000 | -0.000 | -0.000 | 101.657 | -0.000 | 0.000 |
| 0.000 | -0.000 | -0.000 | -0.000 | 101.655 | 0.000 |
| 0.000 | -0.000 | -0.000 | 0.000 | -0.000 | 140.324 |
| 396.118 | 164.574 | 100.768 | 0.000 | -0.000 | -0.000 |
| 164.575 | 396.118 | 100.768 | -0.000 | 0.000 | -0.000 |
| 101.062 | 101.062 | 445.977 | -0.000 | -0.000 | 0.000 |
| 0.000 | -0.000 | 0.000 | 101.655 | 0.000 | -0.000 |
| -0.000 | 0.000 | 0.000 | 0.000 | 101.655 | 0.000 |
| -0.000 | 0.000 | 0.000 | 0.000 | 0.000 | 140.324 |
| 396.118 | 164.574 | 100.768 | 0.000 | 0.000 | 0.000 |
| 164.574 | 396.118 | 100.768 | 0.000 | -0.000 | 0.000 |
| 101.063 | 101.063 | 445.978 | 0.000 | 0.000 | 0.000 |
| -0.000 | 0.000 | -0.000 | 101.655 | -0.000 | 0.000 |
| 0.000 | -0.000 | -0.000 | -0.000 | 101.655 | 0.000 |
| 0.000 | -0.000 | -0.000 | -0.000 | 0.000 | 140.324 |
| 396.122 | 164.575 | 100.768 | 0.000 | -0.000 | -0.000 |
| 164.576 | 396.120 | 100.768 | 0.000 | 0.000 | -0.000 |
| 101.063 | 101.063 | 445.980 | 0.000 | -0.000 | -0.000 |
| 0.000 | 0.000 | 0.001 | 101.657 | -0.000 | 0.000 |
| 0.000 | 0.000 | 0.001 | -0.000 | 101.657 | 0.000 |
| -0.000 | 0.001 | -0.000 | 0.000 | 0.000 | 115.770 |
| 420.669 | 140.023 | 100.770 | -0.000 | 0.000 | -0.000 |
| 164.573 | 396.116 | 100.768 | -0.000 | -0.000 | -0.000 |
| 101.061 | 101.061 | 445.974 | -0.000 | -0.000 | 0.000 |
| -0.000 | -0.000 | -0.001 | 101.657 | 0.000 | 0.000 |
| -0.000 | -0.000 | -0.001 | -0.000 | 101.657 | 0.000 |
| 0.000 | -0.001 | 0.000 | 0.000 | 0.000 | 115.770 |
| 318.318 | 176.428 | 176.413 | -0.000 | -0.000 | -0.000 |
| 176.428 | 318.318 | 176.413 | -0.000 | -0.000 | -0.000 |
| 176.413 | 176.413 | 318.334 | 0.000 | -0.000 | -0.000 |
| 0.000 | 0.000 | 0.000 | 176.403 | -0.000 | 0.000 |
| 0.000 | 0.000 | 0.000 | 0.000 | 176.403 | -0.000 |
| 0.000 | 0.000 | -0.000 | 0.000 | -0.000 | 176.412 |
| 318.334 | 176.412 | 176.413 | 0.000 | 0.000 | -0.000 |
| 176.412 | 318.334 | 176.413 | 0.000 | -0.000 | -0.000 |
| 176.413 | 176.413 | 318.334 | 0.000 | 0.000 | 0.000 |
| -0.000 | -0.000 | -0.000 | 176.403 | 0.000 | -0.000 |
| -0.000 | -0.000 | -0.000 | -0.000 | 176.403 | -0.000 |
| -0.000 | -0.000 | 0.000 | 0.000 | 0.000 | 176.412 |
| 318.318 | 176.429 | 176.413 | -0.000 | -0.000 | 0.000 |
| 176.429 | 318.318 | 176.413 | -0.000 | -0.000 | -0.000 |
| 176.413 | 176.413 | 318.334 | 0.000 | -0.000 | -0.000 |
| -0.000 | 0.000 | 0.000 | 176.403 | -0.000 | -0.000 |
| 0.000 | -0.000 | 0.000 | 0.000 | 176.403 | -0.000 |
| 0.000 | 0.000 | -0.000 | -0.000 | -0.000 | 176.412 |
| 318.318 | 176.428 | 176.413 | 0.000 | 0.000 | 0.000 |
| 176.428 | 318.318 | 176.413 | 0.000 | 0.000 | 0.000 |
| 176.413 | 176.413 | 318.334 | 0.000 | 0.000 | 0.000 |
| 0.000 | -0.000 | -0.000 | 176.403 | 0.000 | 0.000 |
| -0.000 | 0.000 | -0.000 | -0.000 | 176.403 | 0.000 |
| -0.000 | -0.000 | 0.000 | 0.000 | 0.000 | 176.412 |
| 318.319 | 176.429 | 176.414 | -0.000 | -0.000 | -0.000 |
| 176.429 | 318.319 | 176.414 | 0.000 | -0.000 | 0.000 |
| 176.414 | 176.414 | 318.335 | 0.000 | 0.000 | -0.000 |
| -0.000 | 0.001 | 0.001 | 176.413 | -0.000 | 0.000 |
| 0.001 | -0.000 | 0.001 | 0.000 | 176.413 | 0.000 |
| 0.001 | 0.001 | -0.000 | -0.000 | -0.000 | 176.412 |
| 318.317 | 176.427 | 176.412 | 0.000 | -0.000 | -0.000 |
| 176.427 | 318.317 | 176.412 | -0.000 | 0.000 | 0.000 |
| 176.412 | 176.412 | 318.333 | -0.000 | -0.000 | 0.000 |
| 0.000 | -0.001 | -0.001 | 176.413 | 0.000 | 0.000 |
| -0.001 | 0.000 | -0.001 | -0.000 | 176.413 | 0.000 |
| -0.001 | -0.001 | 0.000 | 0.000 | 0.000 | 176.412 |
| 397.337 | 165.594 | 102.945 | -0.000 | -0.000 | 0.000 |
| 140.742 | 422.225 | 102.919 | -0.000 | -0.000 | 0.000 |
| 102.925 | 102.925 | 451.560 | -0.000 | -0.000 | 0.000 |
| 0.000 | 0.000 | -0.000 | 102.905 | -0.000 | -0.000 |
| 0.000 | 0.000 | -0.000 | -0.000 | 102.905 | 0.000 |
| 0.000 | 0.000 | -0.000 | -0.000 | -0.000 | 140.742 |
| 397.337 | 165.594 | 102.945 | -0.000 | 0.000 | -0.000 |
| 140.742 | 422.225 | 102.919 | 0.000 | 0.000 | -0.000 |
| 102.924 | 102.924 | 451.560 | 0.000 | 0.000 | -0.000 |
| -0.000 | -0.000 | 0.000 | 102.905 | 0.000 | -0.000 |
| -0.000 | -0.000 | 0.000 | 0.000 | 102.905 | -0.000 |
| -0.000 | -0.000 | 0.000 | 0.000 | 0.000 | 140.742 |
| 422.226 | 140.742 | 102.919 | -0.000 | -0.000 | -0.000 |
| 165.594 | 397.337 | 102.945 | -0.000 | -0.000 | -0.000 |
| 102.925 | 102.925 | 451.561 | -0.000 | -0.000 | -0.000 |
| 0.000 | 0.000 | 0.000 | 102.919 | -0.000 | 0.000 |
| -0.000 | 0.000 | 0.000 | -0.000 | 102.905 | 0.000 |
| -0.000 | 0.000 | -0.000 | -0.000 | -0.000 | 115.810 |
| 422.225 | 140.742 | 102.919 | 0.000 | 0.000 | 0.000 |
| 140.742 | 422.225 | 102.919 | 0.000 | 0.000 | -0.000 |
| 102.918 | 102.918 | 451.569 | 0.000 | -0.000 | 0.000 |
| -0.000 | -0.000 | -0.000 | 102.919 | 0.000 | -0.000 |
| 0.000 | -0.000 | -0.000 | 0.000 | 102.905 | -0.000 |
| 0.000 | -0.000 | 0.000 | 0.000 | 0.000 | 115.810 |
| 397.340 | 165.594 | 102.945 | -0.000 | -0.000 | 0.000 |
| 165.671 | 397.292 | 102.925 | -0.000 | -0.000 | 0.000 |
| 102.920 | 102.920 | 451.572 | 0.000 | 0.000 | 0.000 |
| 0.000 | 0.000 | 0.001 | 102.919 | -0.000 | 0.000 |
| -0.000 | 0.000 | 0.001 | -0.000 | 102.905 | 0.000 |
| -0.000 | 0.001 | -0.000 | -0.000 | -0.000 | 115.810 |
| 397.333 | 165.594 | 102.945 | 0.000 | 0.000 | -0.000 |
| 165.593 | 397.335 | 102.945 | 0.000 | 0.000 | -0.000 |
| 102.924 | 102.924 | 451.557 | 0.000 | 0.000 | -0.000 |
| -0.000 | -0.000 | -0.001 | 102.919 | 0.000 | -0.000 |
| 0.000 | -0.000 | -0.001 | 0.000 | 102.905 | -0.000 |
| 0.000 | -0.001 | 0.000 | 0.000 | 0.000 | 115.810 |
| 396.040 | 164.971 | 102.686 | 0.000 | 0.000 | 0.000 |
| 140.157 | 420.889 | 102.660 | 0.000 | 0.000 | 0.000 |
| 102.610 | 102.610 | 450.575 | 0.000 | 0.000 | 0.000 |
| -0.000 | -0.000 | 0.000 | 102.768 | 0.000 | 0.000 |
| 0.000 | 0.000 | -0.000 | 0.000 | 102.755 | 0.000 |
| 0.000 | 0.000 | -0.000 | 0.000 | 0.000 | 115.475 |
| 396.041 | 164.968 | 102.686 | -0.000 | -0.000 | -0.000 |
| 140.157 | 420.889 | 102.660 | -0.000 | -0.000 | -0.000 |
| 102.610 | 102.610 | 450.575 | 0.000 | -0.000 | -0.000 |
| -0.000 | 0.000 | -0.000 | 102.768 | -0.000 | -0.000 |
| -0.000 | -0.000 | 0.000 | -0.000 | 102.755 | -0.000 |
| -0.000 | -0.000 | 0.000 | -0.000 | -0.000 | 115.475 |
| 396.041 | 164.970 | 102.686 | 0.000 | 0.000 | 0.000 |
| 140.157 | 420.889 | 102.660 | 0.000 | 0.000 | 0.000 |
| 102.616 | 102.616 | 450.567 | 0.000 | 0.000 | 0.000 |
| 0.000 | 0.000 | 0.000 | 102.768 | 0.000 | 0.000 |
| 0.000 | 0.000 | 0.000 | 0.000 | 102.768 | 0.000 |
| 0.000 | 0.000 | -0.000 | 0.000 | 0.000 | 115.475 |
| 420.888 | 140.157 | 102.660 | -0.000 | -0.000 | -0.000 |
| 140.157 | 420.888 | 102.660 | -0.000 | -0.000 | -0.000 |
| 102.615 | 102.616 | 450.566 | -0.000 | -0.000 | -0.000 |
| -0.000 | -0.000 | -0.000 | 102.768 | -0.000 | -0.000 |
| -0.000 | -0.000 | -0.000 | -0.000 | 102.768 | -0.000 |
| -0.000 | -0.000 | 0.000 | -0.000 | -0.000 | 115.475 |
| 395.997 | 165.045 | 102.666 | 0.000 | 0.000 | 0.000 |
| 164.971 | 396.043 | 102.686 | 0.000 | 0.000 | 0.000 |
| 102.611 | 102.611 | 450.578 | -0.000 | 0.000 | 0.000 |
| 0.000 | 0.000 | 0.001 | 102.768 | 0.000 | 0.000 |
| -0.000 | 0.000 | 0.001 | 0.000 | 102.755 | 0.000 |
| -0.000 | 0.001 | -0.000 | 0.000 | 0.000 | 115.475 |
| 396.037 | 164.969 | 102.686 | -0.000 | -0.000 | -0.000 |
| 164.968 | 396.038 | 102.686 | -0.000 | -0.000 | -0.000 |
| 102.615 | 102.615 | 450.564 | -0.000 | 0.000 | -0.000 |
| -0.000 | -0.000 | -0.001 | 102.768 | -0.000 | -0.000 |
| 0.000 | -0.000 | -0.001 | -0.000 | 102.755 | -0.000 |
| 0.000 | -0.001 | 0.000 | -0.000 | -0.000 | 115.475 |
| 421.392 | 70.804 | 175.542 | -0.000 | 0.000 | -0.000 |
| 70.804 | 421.392 | 175.542 | 0.000 | -0.000 | 0.000 |
| 175.526 | 175.526 | 316.678 | 0.000 | -0.000 | -0.000 |
| 0.000 | 0.000 | 0.000 | 175.486 | -0.000 | -0.000 |
| -0.000 | 0.000 | 0.000 | 0.000 | 175.486 | -0.000 |
| -0.000 | 0.000 | 0.000 | 0.000 | -0.000 | 70.780 |
| 421.392 | 70.804 | 175.542 | -0.000 | 0.000 | 0.000 |
| 70.804 | 421.392 | 175.542 | -0.000 | 0.000 | 0.000 |
| 175.526 | 175.526 | 316.678 | -0.000 | 0.000 | 0.000 |
| -0.000 | -0.000 | -0.000 | 175.486 | 0.000 | -0.000 |
| -0.000 | -0.000 | -0.000 | -0.000 | 175.486 | 0.000 |
| 0.000 | -0.000 | -0.000 | -0.000 | 0.000 | 70.780 |
| 421.392 | 70.804 | 175.542 | 0.000 | -0.000 | -0.000 |
| 70.804 | 421.392 | 175.542 | 0.000 | -0.000 | -0.000 |
| 175.526 | 175.526 | 316.678 | 0.000 | -0.000 | 0.000 |
| 0.000 | 0.000 | 0.000 | 175.526 | -0.000 | -0.000 |
| 0.000 | 0.000 | 0.000 | 0.000 | 175.526 | -0.000 |
| 0.000 | 0.000 | 0.000 | -0.000 | -0.000 | 70.728 |
| 421.431 | 70.780 | 175.526 | -0.000 | 0.000 | 0.000 |
| 70.780 | 421.431 | 175.526 | -0.000 | -0.000 | 0.000 |
| 175.542 | 175.542 | 316.644 | -0.000 | 0.000 | 0.000 |
| -0.000 | -0.000 | -0.000 | 175.526 | 0.000 | 0.000 |
| -0.000 | -0.000 | -0.000 | -0.000 | 175.526 | 0.000 |
| -0.000 | -0.000 | -0.000 | 0.000 | 0.000 | 70.728 |
| 421.395 | 70.804 | 175.542 | 0.000 | -0.000 | 0.000 |
| 70.804 | 421.395 | 175.542 | 0.000 | -0.000 | -0.000 |
| 175.527 | 175.527 | 316.679 | 0.000 | -0.000 | -0.000 |
| 0.000 | 0.000 | 0.001 | 175.526 | -0.000 | -0.000 |
| 0.000 | 0.000 | 0.001 | 0.000 | 175.526 | -0.000 |
| 0.000 | 0.000 | 0.000 | 0.000 | -0.000 | 70.780 |
| 421.388 | 70.803 | 175.541 | -0.000 | 0.000 | 0.000 |
| 70.803 | 421.388 | 175.541 | -0.000 | 0.000 | 0.000 |
| 175.541 | 175.541 | 316.643 | -0.000 | 0.000 | 0.000 |
| -0.000 | -0.000 | -0.001 | 175.526 | 0.000 | 0.000 |
| -0.000 | -0.000 | -0.001 | -0.000 | 175.526 | 0.000 |
| -0.000 | -0.000 | -0.000 | -0.000 | 0.000 | 70.780 |
| 419.927 | 70.463 | 174.939 | -0.000 | -0.000 | 0.000 |
| 70.463 | 419.927 | 174.939 | -0.000 | 0.000 | 0.000 |
| 174.923 | 174.923 | 315.698 | -0.000 | -0.000 | 0.000 |
| 0.000 | 0.000 | 0.000 | 175.111 | -0.000 | 0.000 |
| -0.000 | 0.000 | 0.000 | -0.000 | 175.111 | 0.000 |
| 0.000 | -0.000 | -0.000 | -0.000 | -0.000 | 70.667 |
| 419.927 | 70.463 | 174.939 | 0.000 | 0.000 | -0.000 |
| 70.463 | 419.927 | 174.939 | 0.000 | 0.000 | -0.000 |
| 174.923 | 174.923 | 315.698 | -0.000 | 0.000 | -0.000 |
| -0.000 | 0.000 | -0.000 | 175.111 | 0.000 | -0.000 |
| -0.000 | -0.000 | -0.000 | 0.000 | 175.111 | -0.000 |
| -0.000 | 0.000 | 0.000 | 0.000 | 0.000 | 70.667 |
| 419.878 | 70.478 | 174.973 | -0.000 | -0.000 | 0.000 |
| 70.478 | 419.878 | 174.973 | -0.000 | -0.000 | 0.000 |
| 174.923 | 174.923 | 315.698 | -0.000 | -0.000 | 0.000 |
| 0.000 | 0.000 | 0.000 | 175.111 | -0.000 | 0.000 |
| 0.000 | 0.000 | 0.000 | -0.000 | 175.111 | 0.000 |
| 0.000 | 0.000 | 0.000 | -0.000 | -0.000 | 70.667 |
| 419.926 | 70.463 | 174.939 | 0.000 | 0.000 | -0.000 |
| 70.463 | 419.926 | 174.939 | 0.000 | 0.000 | -0.000 |
| 174.923 | 174.923 | 315.698 | 0.000 | -0.000 | -0.000 |
| -0.000 | -0.000 | -0.000 | 175.111 | 0.000 | -0.000 |
| -0.000 | -0.000 | -0.000 | 0.000 | 175.111 | -0.000 |
| -0.000 | -0.000 | -0.000 | 0.000 | 0.000 | 70.667 |
| 419.890 | 70.487 | 174.957 | -0.000 | -0.000 | -0.000 |
| 70.487 | 419.890 | 174.957 | -0.000 | -0.000 | 0.000 |
| 174.939 | 174.939 | 315.668 | -0.000 | -0.000 | -0.000 |
| -0.000 | -0.001 | 0.002 | 175.071 | -0.000 | 0.000 |
| -0.001 | -0.000 | 0.002 | -0.000 | 175.071 | 0.000 |
| -0.001 | -0.001 | 0.002 | -0.000 | -0.000 | 70.609 |
| 419.885 | 70.487 | 174.953 | 0.000 | -0.000 | -0.000 |
| 70.487 | 419.885 | 174.953 | -0.000 | 0.000 | -0.000 |
| 174.922 | 174.922 | 315.696 | 0.000 | 0.000 | -0.000 |
| 0.000 | 0.001 | -0.002 | 175.071 | 0.000 | -0.000 |
| 0.001 | 0.000 | -0.002 | 0.000 | 175.071 | -0.000 |
| 0.001 | 0.001 | -0.002 | 0.000 | 0.000 | 70.609 |
| -298.541 | -537.640 | 1094.617 | 0.000 | 0.000 | -0.000 |
| -537.640 | -298.540 | 1094.617 | 0.000 | -0.000 | -0.000 |
| -701.621 | -701.621 | 1579.738 | 0.000 | 0.000 | -0.000 |
| -485.978 | -485.978 | 774.754 | 26.874 | -0.000 | -0.000 |
| -485.978 | -485.978 | 774.754 | 0.000 | 26.874 | -0.000 |
| 0.000 | 0.000 | 0.000 | 0.000 | 0.000 | 103.684 |
| 867.565 | 604.184 | -729.712 | -0.000 | -0.000 | 0.000 |
| 604.184 | 867.565 | -729.712 | -0.000 | 0.000 | 0.000 |
| 824.152 | 824.152 | -773.694 | 0.000 | -0.000 | 0.000 |
| 485.978 | 485.978 | -774.754 | 26.874 | -0.000 | 0.000 |
| 485.978 | 485.978 | -774.754 | -0.000 | 26.874 | 0.000 |
| -0.000 | -0.000 | -0.000 | -0.000 | -0.000 | 103.684 |
| 200.566 | 62.326 | 232.830 | -0.000 | 0.000 | -0.000 |
| 69.588 | 332.087 | 123.259 | 0.000 | 0.000 | -0.000 |
| -13.383 | -13.383 | 521.155 | 0.000 | -0.000 | -0.000 |
| -66.460 | -66.460 | 104.406 | 22.284 | -0.000 | -0.000 |
| -66.460 | -66.460 | 104.406 | 0.000 | 22.284 | -0.000 |
| -66.900 | -66.900 | 105.073 | 0.000 | -0.000 | 68.385 |
| 408.280 | 244.096 | -73.101 | -0.000 | -0.000 | 0.000 |
| 244.096 | 408.280 | -73.101 | 0.000 | -0.000 | 0.000 |
| 139.709 | 139.709 | 281.749 | 0.000 | -0.000 | 0.000 |
| 66.460 | 66.460 | -104.406 | 22.284 | 0.000 | 0.000 |
| 66.460 | 66.460 | -104.406 | -0.000 | 22.284 | 0.000 |
| 66.900 | 66.900 | -105.073 | -0.000 | -0.000 | 68.385 |
| -1566083.676 | -1652148.432 | 1491191.291 | 169103.746 | 13324.119 | -2.647 |
| -1410802.988 | -1802418.724 | 1520679.265 | 61110.924 | -117496.785 | 148554.229 |
| 35.249 | 35.249 | 447.515 | 0.000 | -0.000 | -0.000 |
| -7.465 | -7.465 | 11.739 | 20.603 | 0.000 | -0.000 |
| -7.465 | -7.465 | 11.739 | 0.000 | 20.603 | -0.000 |
| -8.204 | -8.204 | 12.798 | 0.000 | 0.000 | 57.307 |
| 1468763.181 | 1727803.502 | -1606394.952 | -11649.791 | 53058.737 | -35288.611 |
| 1628196.007 | 1618968.991 | -1599028.077 | -249815.230 | -123900.942 | 68080.168 |
| 54.620 | 54.620 | 414.770 | -0.000 | 0.000 | 0.000 |
| 7.465 | 7.465 | -11.739 | 20.603 | 0.000 | 0.000 |
| 7.465 | 7.465 | -11.739 | -0.000 | 20.603 | 0.000 |
| 8.204 | 8.204 | -12.798 | 0.000 | -0.000 | 57.307 |
| 164.456 | 212.692 | 212.692 | -0.000 | -0.000 | -0.000 |
| 212.692 | 164.456 | 212.692 | -0.000 | -0.000 | -0.000 |
| 212.692 | 212.692 | 164.456 | -0.000 | 0.000 | -0.000 |
| 0.000 | 0.000 | 0.000 | 212.661 | -0.000 | -0.000 |
| 0.000 | 0.000 | 0.000 | -0.000 | 212.661 | -0.000 |
| 0.000 | 0.000 | 0.000 | -0.000 | -0.000 | 212.718 |
| 164.455 | 212.692 | 212.692 | 0.000 | 0.000 | -0.000 |
| 212.692 | 164.455 | 212.692 | 0.000 | 0.000 | -0.000 |
| 212.692 | 212.692 | 164.455 | 0.000 | 0.000 | 0.000 |
| -0.000 | -0.000 | -0.000 | 212.661 | 0.000 | 0.000 |
| -0.000 | -0.000 | -0.000 | 0.000 | 212.661 | 0.000 |
| 0.000 | -0.000 | -0.000 | 0.000 | 0.000 | 212.718 |
| 164.456 | 212.692 | 212.692 | -0.000 | -0.000 | -0.000 |
| 212.692 | 164.456 | 212.692 | -0.000 | 0.000 | 0.000 |
| 212.692 | 212.692 | 164.456 | -0.000 | -0.000 | 0.000 |
| 0.000 | 0.000 | 0.000 | 212.661 | -0.000 | -0.000 |
| 0.000 | 0.000 | 0.000 | -0.000 | 212.661 | -0.000 |
| 0.000 | 0.000 | 0.000 | -0.000 | -0.000 | 212.661 |
| 164.457 | 212.694 | 212.694 | 0.000 | 0.000 | -0.000 |
| 212.694 | 164.457 | 212.694 | 0.000 | 0.000 | 0.000 |
| 212.694 | 212.694 | 164.457 | 0.000 | -0.000 | -0.000 |
| -0.000 | -0.000 | -0.000 | 212.661 | 0.000 | 0.000 |
| -0.000 | -0.000 | -0.000 | 0.000 | 212.661 | 0.000 |
| -0.000 | -0.000 | -0.000 | 0.000 | 0.000 | 212.661 |
| 164.456 | 212.693 | 212.693 | -0.000 | -0.000 | -0.000 |
| 212.693 | 164.456 | 212.693 | -0.000 | -0.000 | 0.000 |
| 212.693 | 212.693 | 164.456 | -0.000 | -0.000 | -0.000 |
| 0.001 | 0.000 | 0.001 | 212.718 | -0.000 | -0.000 |
| 0.000 | 0.001 | 0.001 | -0.000 | 212.718 | -0.000 |
| 0.000 | 0.001 | 0.001 | -0.000 | -0.000 | 212.718 |
| 164.455 | 212.691 | 212.691 | 0.000 | 0.000 | 0.000 |
| 212.691 | 164.455 | 212.691 | 0.000 | 0.000 | 0.000 |
| 212.691 | 212.691 | 164.455 | 0.000 | 0.000 | 0.000 |
| -0.001 | -0.000 | -0.001 | 212.718 | 0.000 | 0.000 |
| -0.000 | -0.001 | -0.001 | 0.000 | 212.718 | 0.000 |
| -0.000 | -0.001 | -0.001 | 0.000 | 0.000 | 212.718 |
| 83.329 | 170.212 | 46.995 | -0.000 | 0.000 | -0.000 |
| 170.212 | 83.329 | 46.995 | -0.000 | 0.000 | -0.000 |
| 43.323 | 43.323 | 301.382 | -0.000 | 0.000 | -0.000 |
| 0.000 | 0.000 | 0.000 | 38.395 | 0.000 | 0.000 |
| 0.000 | 0.000 | 0.000 | -0.000 | 38.395 | -0.000 |
| -0.001 | -0.001 | 0.003 | -0.000 | 0.000 | -32.908 |
| 83.330 | 170.213 | 46.992 | -0.000 | -0.000 | 0.000 |
| 170.213 | 83.330 | 46.992 | 0.000 | -0.000 | -0.000 |
| 43.324 | 43.324 | 301.379 | 0.000 | -0.000 | 0.000 |
| -0.000 | -0.000 | -0.000 | 38.395 | -0.000 | 0.000 |
| -0.000 | -0.000 | -0.000 | 0.000 | 38.395 | 0.000 |
| 0.001 | 0.001 | -0.003 | 0.000 | -0.000 | -32.908 |
| 83.329 | 170.212 | 46.994 | -0.000 | 0.000 | -0.000 |
| 170.212 | 83.329 | 46.994 | -0.000 | 0.000 | -0.000 |
| 43.324 | 43.324 | 301.381 | 0.000 | 0.000 | -0.000 |
| 0.000 | 0.000 | -0.000 | -60.391 | 0.000 | -0.000 |
| 0.000 | 0.000 | -0.000 | -0.000 | -60.391 | -0.000 |
| -0.000 | -0.000 | 0.000 | -0.000 | 0.000 | -32.908 |
| 83.330 | 170.212 | 46.993 | 0.000 | -0.000 | 0.000 |
| 170.212 | 83.330 | 46.993 | 0.000 | -0.000 | 0.000 |
| 43.324 | 43.324 | 301.380 | 0.000 | -0.000 | 0.000 |
| -0.000 | -0.000 | 0.000 | -60.391 | -0.000 | -0.000 |
| -0.000 | -0.000 | 0.000 | 0.000 | -60.391 | -0.000 |
| 0.000 | 0.000 | -0.000 | 0.000 | -0.000 | -32.908 |
| 84.037 | 167.851 | 50.705 | -0.000 | -0.000 | -0.000 |
| 167.851 | 84.037 | 50.705 | -0.000 | 0.000 | -0.000 |
| 43.326 | 43.326 | 301.383 | -0.000 | 0.000 | -0.000 |
| -0.001 | 0.001 | -0.001 | -60.689 | 0.000 | -0.000 |
| 0.001 | -0.001 | -0.001 | -0.000 | -60.689 | 0.000 |
| -0.000 | -0.000 | -0.000 | -0.000 | 0.000 | -32.908 |
| 83.331 | 170.209 | 46.993 | 0.000 | -0.000 | 0.000 |
| 170.209 | 83.331 | 46.993 | 0.000 | -0.000 | -0.000 |
| 43.326 | 43.326 | 301.377 | 0.000 | -0.000 | 0.000 |
| 0.001 | -0.001 | 0.001 | -60.689 | -0.000 | 0.000 |
| -0.001 | 0.001 | 0.001 | 0.000 | -60.689 | -0.000 |
| 0.000 | 0.000 | 0.000 | 0.000 | -0.000 | -32.908 |
| 381.844 | -22.583 | -22.583 | -0.000 | -0.000 | -0.000 |
| -22.583 | 381.844 | -22.583 | -0.000 | -0.000 | 0.000 |
| -22.583 | -22.583 | 381.844 | -0.000 | -0.000 | -0.000 |
| -0.000 | 0.000 | -0.000 | -22.583 | -0.000 | -0.000 |
| -0.000 | -0.000 | -0.000 | -0.000 | -22.583 | -0.000 |
| -0.000 | -0.000 | -0.000 | -0.000 | -0.000 | -22.583 |
| 381.844 | -22.583 | -22.583 | 0.000 | 0.000 | 0.000 |
| -22.583 | 381.844 | -22.583 | 0.000 | 0.000 | 0.000 |
| -22.583 | -22.583 | 381.844 | 0.000 | 0.000 | 0.000 |
| 0.000 | 0.000 | 0.000 | -22.583 | 0.000 | 0.000 |
| 0.000 | -0.000 | 0.000 | 0.000 | -22.583 | 0.000 |
| 0.000 | 0.000 | 0.000 | 0.000 | 0.000 | -22.583 |
| 381.845 | -22.583 | -22.583 | 0.000 | -0.000 | -0.000 |
| -22.583 | 381.845 | -22.583 | -0.000 | -0.000 | -0.000 |
| -22.583 | -22.583 | 381.845 | -0.000 | -0.000 | 0.000 |
| -0.000 | 0.000 | -0.000 | -22.583 | -0.000 | -0.000 |
| 0.000 | 0.000 | -0.000 | -0.000 | -22.583 | -0.000 |
| 0.000 | -0.000 | -0.000 | -0.000 | -0.000 | -22.583 |
| 381.844 | -22.583 | -22.583 | 0.000 | 0.000 | 0.000 |
| -22.583 | 381.844 | -22.583 | 0.000 | 0.000 | 0.000 |
| -22.583 | -22.583 | 381.844 | 0.000 | 0.000 | -0.000 |
| 0.000 | -0.000 | 0.000 | -22.583 | 0.000 | 0.000 |
| -0.000 | -0.000 | 0.000 | 0.000 | -22.583 | 0.000 |
| -0.000 | 0.000 | -0.000 | 0.000 | 0.000 | -22.583 |
| 381.848 | -22.583 | -22.583 | -0.000 | -0.000 | -0.000 |
| -22.583 | 381.848 | -22.583 | -0.000 | -0.000 | -0.000 |
| -22.583 | -22.583 | 381.848 | -0.000 | -0.000 | -0.000 |
| 0.000 | 0.000 | -0.000 | -22.583 | -0.000 | -0.000 |
| 0.000 | 0.000 | -0.000 | -0.000 | -22.583 | -0.000 |
| 0.000 | -0.000 | 0.000 | -0.000 | -0.000 | -22.583 |
| 381.841 | -22.583 | -22.583 | 0.000 | 0.000 | 0.000 |
| -22.583 | 381.841 | -22.583 | 0.000 | 0.000 | 0.000 |
| -22.583 | -22.583 | 381.841 | 0.000 | 0.000 | 0.000 |
| -0.000 | -0.000 | 0.000 | -22.583 | 0.000 | 0.000 |
| -0.000 | -0.000 | 0.000 | 0.000 | -22.583 | 0.000 |
| -0.000 | 0.000 | -0.000 | 0.000 | 0.000 | -22.583 |
| 159.063 | 205.907 | 205.907 | -0.000 | -0.000 | -0.000 |
| 205.907 | 159.063 | 205.907 | -0.000 | 0.000 | 0.000 |
| 205.907 | 205.907 | 159.063 | -0.000 | -0.000 | 0.000 |
| 0.000 | -0.000 | 0.000 | 205.907 | 0.000 | 0.000 |
| 0.000 | 0.000 | 0.000 | -0.000 | 205.907 | 0.000 |
| 0.000 | 0.000 | 0.000 | 0.000 | 0.000 | 205.907 |
| 159.063 | 205.907 | 205.907 | 0.000 | 0.000 | -0.000 |
| 205.907 | 159.063 | 205.907 | 0.000 | 0.000 | 0.000 |
| 205.907 | 205.907 | 159.063 | 0.000 | -0.000 | 0.000 |
| -0.000 | 0.000 | -0.000 | 205.907 | -0.000 | -0.000 |
| -0.000 | -0.000 | -0.000 | -0.000 | 205.907 | -0.000 |
| -0.000 | -0.000 | -0.000 | -0.000 | -0.000 | 205.907 |
| 159.063 | 205.907 | 205.907 | 0.000 | -0.000 | 0.000 |
| 205.907 | 159.063 | 205.907 | -0.000 | -0.000 | 0.000 |
| 205.907 | 205.907 | 159.063 | -0.000 | -0.000 | 0.000 |
| 0.000 | 0.000 | 0.000 | 205.907 | 0.000 | 0.000 |
| 0.000 | 0.000 | 0.000 | -0.000 | 205.907 | 0.000 |
| 0.000 | 0.000 | 0.000 | 0.000 | 0.000 | 205.907 |
| 159.063 | 205.906 | 205.906 | -0.000 | 0.000 | -0.000 |
| 205.906 | 159.063 | 205.906 | -0.000 | -0.000 | -0.000 |
| 205.906 | 205.906 | 159.063 | 0.000 | -0.000 | -0.000 |
| -0.000 | -0.000 | -0.000 | 205.907 | -0.000 | -0.000 |
| -0.000 | -0.000 | -0.000 | -0.000 | 205.907 | -0.000 |
| -0.000 | -0.000 | -0.000 | -0.000 | -0.000 | 205.907 |
| 159.064 | 205.907 | 205.907 | -0.000 | 0.000 | 0.000 |
| 205.907 | 159.064 | 205.907 | -0.000 | 0.000 | 0.000 |
| 205.907 | 205.907 | 159.064 | -0.000 | 0.000 | 0.000 |
| 0.001 | 0.000 | 0.001 | 205.907 | 0.000 | 0.000 |
| 0.000 | 0.001 | 0.001 | -0.000 | 205.907 | 0.000 |
| 0.000 | 0.001 | 0.001 | 0.000 | -0.000 | 205.907 |
| 159.062 | 205.906 | 205.906 | -0.000 | -0.000 | -0.000 |
| 205.906 | 159.062 | 205.906 | -0.000 | -0.000 | -0.000 |
| 205.906 | 205.906 | 159.062 | -0.000 | 0.000 | -0.000 |
| -0.001 | -0.000 | -0.001 | 205.907 | -0.000 | 0.000 |
| -0.000 | -0.001 | -0.001 | -0.000 | 205.907 | -0.000 |
| -0.000 | -0.001 | -0.001 | -0.000 | -0.000 | 205.907 |
| 30.195 | 40.074 | 40.074 | 0.000 | 0.000 | 0.000 |
| 40.074 | 30.195 | 40.074 | 0.000 | 0.000 | 0.000 |
| 40.074 | 40.074 | 30.195 | 0.000 | 0.000 | 0.000 |
| -0.000 | -0.000 | 0.000 | -11.865 | 0.000 | 0.000 |
| -0.000 | -0.000 | 0.000 | 0.000 | -11.865 | 0.000 |
| -0.000 | -0.000 | 0.000 | 0.000 | 0.000 | -11.865 |
| 30.195 | 40.074 | 40.074 | -0.000 | -0.000 | -0.000 |
| 40.074 | 30.195 | 40.074 | -0.000 | -0.000 | -0.000 |
| 40.074 | 40.074 | 30.195 | -0.000 | -0.000 | -0.000 |
| -0.000 | 0.000 | -0.000 | -11.865 | -0.000 | -0.000 |
| 0.000 | 0.000 | -0.000 | -0.000 | -11.865 | -0.000 |
| 0.000 | 0.000 | -0.000 | -0.000 | -0.000 | -11.865 |
| 30.195 | 40.074 | 40.074 | 0.000 | 0.000 | 0.000 |
| 40.074 | 30.195 | 40.074 | 0.000 | 0.000 | 0.000 |
| 40.074 | 40.074 | 30.195 | 0.000 | 0.000 | 0.000 |
| -0.000 | -0.000 | -0.000 | -11.865 | 0.000 | 0.000 |
| -0.000 | -0.000 | -0.000 | 0.000 | -11.865 | 0.000 |
| -0.000 | -0.000 | -0.000 | 0.000 | 0.000 | -11.865 |
| 30.195 | 40.074 | 40.074 | -0.000 | -0.000 | -0.000 |
| 40.074 | 30.195 | 40.074 | -0.000 | -0.000 | -0.000 |
| 40.074 | 40.074 | 30.195 | -0.000 | -0.000 | -0.000 |
| 0.000 | 0.000 | 0.000 | -11.865 | -0.000 | -0.000 |
| 0.000 | 0.000 | 0.000 | -0.000 | -11.865 | -0.000 |
| 0.000 | 0.000 | 0.000 | -0.000 | -0.000 | -11.865 |
| 30.195 | 40.074 | 40.074 | 0.000 | 0.000 | 0.000 |
| 40.074 | 30.195 | 40.074 | 0.000 | 0.000 | 0.000 |
| 40.074 | 40.074 | 30.195 | 0.000 | 0.000 | 0.000 |
| -0.000 | -0.000 | -0.000 | -11.865 | 0.000 | 0.000 |
| -0.000 | -0.000 | -0.000 | 0.000 | -11.865 | 0.000 |
| -0.000 | -0.000 | -0.000 | 0.000 | 0.000 | -11.865 |
| 30.195 | 40.074 | 40.074 | -0.000 | -0.000 | -0.000 |
| 40.074 | 30.195 | 40.074 | -0.000 | -0.000 | -0.000 |
| 40.074 | 40.074 | 30.195 | -0.000 | -0.000 | -0.000 |
| 0.000 | 0.000 | 0.000 | -11.865 | -0.000 | -0.000 |
| 0.000 | 0.000 | 0.000 | -0.000 | -11.865 | -0.000 |
| 0.000 | 0.000 | 0.000 | -0.000 | -0.000 | -11.865 |
| 409.166 | 69.224 | 171.010 | 0.000 | -0.000 | -0.000 |
| 69.224 | 409.166 | 171.010 | 0.000 | 0.000 | 0.000 |
| 171.010 | 171.010 | 307.588 | 0.000 | -0.000 | -0.000 |
| 0.000 | 0.000 | 0.000 | 171.010 | 0.000 | -0.000 |
| 0.000 | 0.000 | 0.000 | 0.000 | 171.010 | -0.000 |
| 0.000 | 0.000 | 0.000 | 0.000 | -0.000 | 69.224 |
| 409.166 | 69.224 | 171.010 | -0.000 | 0.000 | 0.000 |
| 69.224 | 409.166 | 171.010 | -0.000 | -0.000 | 0.000 |
| 171.010 | 171.010 | 307.588 | -0.000 | 0.000 | 0.000 |
| -0.000 | -0.000 | -0.000 | 171.010 | -0.000 | 0.000 |
| -0.000 | -0.000 | -0.000 | -0.000 | 171.010 | 0.000 |
| -0.000 | -0.000 | -0.000 | 0.000 | 0.000 | 69.224 |
| 409.166 | 69.224 | 171.010 | 0.000 | -0.000 | 0.000 |
| 69.224 | 409.166 | 171.010 | 0.000 | 0.000 | 0.000 |
| 171.010 | 171.010 | 307.588 | 0.000 | -0.000 | -0.000 |
| 0.000 | 0.000 | 0.000 | 171.010 | 0.000 | -0.000 |
| 0.000 | 0.000 | 0.000 | 0.000 | 171.010 | 0.000 |
| 0.000 | 0.000 | 0.000 | 0.000 | -0.000 | 69.224 |
| 409.166 | 69.224 | 171.010 | -0.000 | -0.000 | 0.000 |
| 69.224 | 409.166 | 171.010 | -0.000 | 0.000 | 0.000 |
| 171.010 | 171.010 | 307.588 | -0.000 | -0.000 | 0.000 |
| -0.000 | -0.000 | -0.000 | 171.010 | -0.000 | 0.000 |
| -0.000 | -0.000 | -0.000 | -0.000 | 171.010 | 0.000 |
| -0.000 | -0.000 | -0.000 | -0.000 | 0.000 | 69.224 |
| 409.170 | 69.225 | 171.011 | 0.000 | -0.000 | 0.000 |
| 69.225 | 409.170 | 171.011 | 0.000 | 0.000 | 0.000 |
| 171.011 | 171.011 | 307.589 | -0.000 | -0.000 | -0.000 |
| 0.000 | 0.000 | 0.001 | 171.010 | -0.000 | 0.000 |
| 0.000 | 0.000 | 0.001 | 0.000 | 171.010 | -0.000 |
| 0.000 | 0.000 | 0.000 | 0.000 | -0.000 | 69.224 |
| 409.162 | 69.224 | 171.010 | -0.000 | 0.000 | 0.000 |
| 69.224 | 409.162 | 171.010 | -0.000 | -0.000 | 0.000 |
| 171.009 | 171.009 | 307.587 | -0.000 | 0.000 | 0.000 |
| -0.000 | -0.000 | -0.001 | 171.010 | -0.000 | 0.000 |
| -0.000 | -0.000 | -0.001 | -0.000 | 171.010 | 0.000 |
| -0.000 | -0.000 | -0.000 | -0.000 | 0.000 | 69.224 |
| 90.793 | 110.622 | 110.622 | -0.000 | -0.000 | -0.000 |
| 110.622 | 90.793 | 110.622 | -0.000 | -0.000 | -0.000 |
| 110.622 | 110.622 | 90.793 | -0.000 | 0.000 | -0.000 |
| -0.000 | 0.000 | -0.000 | -15.152 | -0.000 | -0.000 |
| -0.000 | 0.000 | -0.000 | -0.000 | -15.152 | -0.000 |
| -0.000 | 0.000 | -0.000 | -0.000 | -0.000 | -15.152 |
| 90.793 | 110.622 | 110.622 | 0.000 | 0.000 | 0.000 |
| 110.622 | 90.793 | 110.622 | 0.000 | 0.000 | 0.000 |
| 110.622 | 110.622 | 90.793 | 0.000 | -0.000 | 0.000 |
| 0.000 | -0.000 | 0.000 | -15.152 | 0.000 | 0.000 |
| 0.000 | -0.000 | 0.000 | 0.000 | -15.152 | 0.000 |
| 0.000 | -0.000 | 0.000 | 0.000 | 0.000 | -15.152 |
| 90.793 | 110.622 | 110.622 | -0.000 | -0.000 | -0.000 |
| 110.622 | 90.793 | 110.622 | -0.000 | -0.000 | -0.000 |
| 110.622 | 110.622 | 90.793 | -0.000 | 0.000 | -0.000 |
| 0.000 | -0.000 | -0.000 | -15.152 | -0.000 | 0.000 |
| -0.000 | 0.000 | -0.000 | -0.000 | -15.152 | -0.000 |
| -0.000 | -0.000 | 0.000 | -0.000 | 0.000 | -15.152 |
| 90.793 | 110.622 | 110.622 | 0.000 | 0.000 | 0.000 |
| 110.622 | 90.793 | 110.622 | 0.000 | 0.000 | 0.000 |
| 110.622 | 110.622 | 90.793 | 0.000 | -0.000 | 0.000 |
| -0.000 | 0.000 | 0.000 | -15.152 | 0.000 | 0.000 |
| 0.000 | -0.000 | 0.000 | 0.000 | -15.152 | 0.000 |
| 0.000 | 0.000 | -0.000 | -0.000 | -0.000 | -15.152 |
| 90.794 | 110.622 | 110.622 | -0.000 | -0.000 | -0.000 |
| 110.622 | 90.794 | 110.622 | -0.000 | -0.000 | -0.000 |
| 110.622 | 110.622 | 90.794 | -0.000 | -0.000 | -0.000 |
| 0.000 | -0.000 | -0.000 | -15.152 | 0.000 | -0.000 |
| -0.000 | 0.000 | -0.000 | -0.000 | -15.152 | -0.000 |
| -0.000 | -0.000 | 0.000 | -0.000 | -0.000 | -15.152 |
| 90.793 | 110.621 | 110.621 | 0.000 | -0.000 | -0.000 |
| 110.621 | 90.793 | 110.621 | 0.000 | 0.000 | 0.000 |
| 110.621 | 110.621 | 90.793 | 0.000 | -0.000 | 0.000 |
| -0.000 | 0.000 | 0.000 | -15.152 | -0.000 | 0.000 |
| 0.000 | -0.000 | 0.000 | 0.000 | -15.152 | 0.000 |
| 0.000 | 0.000 | -0.000 | -0.000 | -0.000 | -15.152 |
| 205.862 | 106.596 | 106.596 | 0.000 | 0.000 | 0.000 |
| 106.596 | 205.862 | 106.596 | -0.000 | 0.000 | 0.000 |
| 106.596 | 106.596 | 205.862 | -0.000 | 0.000 | 0.000 |
| 0.000 | -0.000 | 0.000 | 106.596 | 0.000 | 0.000 |
| 0.000 | -0.000 | 0.000 | 0.000 | 106.596 | 0.000 |
| 0.000 | -0.000 | -0.000 | 0.000 | 0.000 | 106.596 |
| 205.862 | 106.596 | 106.596 | 0.000 | 0.000 | -0.000 |
| 106.596 | 205.862 | 106.596 | 0.000 | -0.000 | -0.000 |
| 106.596 | 106.596 | 205.862 | 0.000 | 0.000 | -0.000 |
| -0.000 | 0.000 | -0.000 | 106.596 | 0.000 | -0.000 |
| -0.000 | -0.000 | -0.000 | -0.000 | 106.596 | -0.000 |
| -0.000 | 0.000 | 0.000 | -0.000 | -0.000 | 106.596 |
| 205.862 | 106.596 | 106.596 | -0.000 | -0.000 | 0.000 |
| 106.596 | 205.862 | 106.596 | 0.000 | 0.000 | 0.000 |
| 106.596 | 106.596 | 205.862 | -0.000 | -0.000 | 0.000 |
| -0.000 | 0.000 | 0.000 | 105.072 | -0.000 | 0.000 |
| 0.000 | -0.000 | 0.000 | 0.000 | 104.744 | 0.000 |
| 0.000 | 0.000 | -0.000 | 0.000 | 0.000 | 104.744 |
| 205.862 | 106.596 | 106.596 | -0.000 | -0.000 | -0.000 |
| 106.596 | 205.862 | 106.596 | -0.000 | 0.000 | -0.000 |
| 106.596 | 106.596 | 205.862 | 0.000 | -0.000 | -0.000 |
| 0.000 | -0.000 | -0.000 | 104.744 | -0.000 | -0.000 |
| -0.000 | 0.000 | -0.000 | 0.000 | 104.744 | -0.000 |
| -0.000 | -0.000 | 0.000 | -0.000 | -0.000 | 104.744 |
| 205.863 | 106.596 | 106.596 | -0.000 | -0.000 | 0.000 |
| 106.596 | 205.863 | 106.596 | 0.000 | -0.000 | 0.000 |
| 106.596 | 106.596 | 205.863 | 0.000 | -0.000 | 0.000 |
| -0.000 | 0.000 | 0.000 | 104.744 | 0.000 | 0.000 |
| 0.000 | -0.000 | 0.000 | 0.000 | 104.744 | 0.000 |
| 0.000 | 0.000 | -0.000 | 0.000 | 0.000 | 104.744 |
| 205.861 | 106.595 | 106.595 | 0.000 | 0.000 | -0.000 |
| 106.595 | 205.861 | 106.595 | -0.000 | -0.000 | -0.000 |
| 106.595 | 106.595 | 205.861 | 0.000 | -0.000 | -0.000 |
| 0.000 | -0.000 | -0.000 | 104.744 | -0.000 | -0.000 |
| -0.000 | 0.000 | -0.000 | -0.000 | 104.744 | -0.000 |
| -0.000 | -0.000 | 0.000 | 0.000 | -0.000 | 104.744 |
| 156.656 | 204.007 | 204.007 | -0.000 | 0.000 | 0.000 |
| 204.007 | 156.656 | 204.007 | 0.000 | 0.000 | 0.000 |
| 204.007 | 204.007 | 156.655 | -0.000 | 0.000 | 0.000 |
| 0.000 | -0.000 | -0.000 | 203.144 | 0.000 | 0.000 |
| -0.000 | 0.000 | -0.000 | 0.000 | 203.144 | 0.000 |
| -0.000 | -0.000 | 0.000 | 0.000 | 0.000 | 203.144 |
| 156.656 | 204.007 | 204.007 | 0.000 | -0.000 | -0.000 |
| 204.007 | 156.656 | 204.007 | -0.000 | -0.000 | -0.000 |
| 204.007 | 204.007 | 156.656 | 0.000 | -0.000 | -0.000 |
| -0.000 | 0.000 | -0.000 | 203.144 | -0.000 | -0.000 |
| 0.000 | -0.000 | 0.000 | 0.000 | 203.144 | -0.000 |
| 0.000 | 0.000 | -0.000 | -0.000 | -0.000 | 203.144 |
| 156.656 | 204.007 | 204.007 | -0.000 | 0.000 | 0.000 |
| 204.007 | 156.656 | 204.007 | -0.000 | -0.000 | -0.000 |
| 204.007 | 204.007 | 156.656 | 0.000 | 0.000 | -0.000 |
| 0.000 | 0.000 | 0.000 | 204.007 | 0.000 | 0.000 |
| 0.000 | 0.000 | 0.000 | -0.000 | 204.007 | 0.000 |
| 0.000 | 0.000 | 0.000 | 0.000 | 0.000 | 204.007 |
| 156.655 | 204.007 | 204.007 | -0.000 | -0.000 | -0.000 |
| 204.007 | 156.655 | 204.007 | 0.000 | -0.000 | -0.000 |
| 204.007 | 204.007 | 156.655 | 0.000 | 0.000 | -0.000 |
| -0.000 | -0.000 | -0.000 | 204.007 | -0.000 | -0.000 |
| -0.000 | -0.000 | -0.000 | 0.000 | 204.007 | -0.000 |
| -0.000 | -0.000 | -0.000 | -0.000 | -0.000 | 204.007 |
| 156.656 | 204.008 | 204.008 | -0.000 | 0.000 | 0.000 |
| 204.008 | 156.656 | 204.008 | -0.000 | -0.000 | -0.000 |
| 204.008 | 204.008 | 156.656 | -0.000 | -0.000 | 0.000 |
| 0.001 | 0.000 | 0.001 | 203.144 | 0.000 | 0.000 |
| 0.000 | 0.001 | 0.001 | -0.000 | 203.144 | 0.000 |
| 0.000 | 0.001 | 0.001 | 0.000 | 0.000 | 203.144 |
| 156.655 | 204.006 | 204.006 | 0.000 | -0.000 | 0.000 |
| 204.006 | 156.655 | 204.006 | -0.000 | -0.000 | -0.000 |
| 204.006 | 204.006 | 156.655 | 0.000 | -0.000 | -0.000 |
| -0.001 | -0.000 | -0.001 | 203.144 | -0.000 | -0.000 |
| -0.000 | -0.001 | -0.001 | -0.000 | 203.144 | -0.000 |
| -0.000 | -0.001 | -0.001 | -0.000 | -0.000 | 203.144 |
| 120.853 | 157.356 | 157.356 | -0.000 | -0.000 | -0.000 |
| 157.356 | 120.853 | 157.356 | -0.000 | -0.000 | -0.000 |
| 157.356 | 157.356 | 120.853 | -0.000 | 0.000 | -0.000 |
| 0.000 | 0.000 | -0.000 | 157.356 | 0.000 | -0.000 |
| -0.000 | 0.000 | -0.000 | 0.000 | 157.356 | -0.000 |
| -0.000 | 0.000 | -0.000 | -0.000 | -0.000 | 157.356 |
| 120.853 | 157.356 | 157.356 | 0.000 | 0.000 | 0.000 |
| 157.356 | 120.853 | 157.356 | 0.000 | 0.000 | 0.000 |
| 157.356 | 157.356 | 120.853 | -0.000 | 0.000 | 0.000 |
| -0.000 | -0.000 | 0.000 | 157.356 | -0.000 | 0.000 |
| -0.000 | -0.000 | 0.000 | -0.000 | 157.356 | 0.000 |
| -0.000 | -0.000 | 0.000 | -0.000 | 0.000 | 157.356 |
| 120.853 | 157.356 | 157.356 | 0.000 | -0.000 | -0.000 |
| 157.356 | 120.853 | 157.356 | -0.000 | -0.000 | 0.000 |
| 157.356 | 157.356 | 120.853 | -0.000 | -0.000 | -0.000 |
| 0.000 | 0.000 | 0.000 | 157.356 | -0.000 | -0.000 |
| 0.000 | 0.000 | 0.000 | -0.000 | 157.356 | -0.000 |
| 0.000 | 0.000 | 0.000 | -0.000 | -0.000 | 157.356 |
| 120.853 | 157.356 | 157.356 | 0.000 | 0.000 | 0.000 |
| 157.356 | 120.853 | 157.356 | 0.000 | 0.000 | 0.000 |
| 157.356 | 157.356 | 120.853 | 0.000 | 0.000 | 0.000 |
| -0.000 | -0.000 | -0.000 | 157.356 | 0.000 | 0.000 |
| -0.000 | -0.000 | -0.000 | -0.000 | 157.356 | 0.000 |
| -0.000 | -0.000 | -0.000 | 0.000 | 0.000 | 157.356 |
| 120.854 | 157.357 | 157.357 | -0.000 | -0.000 | -0.000 |
| 157.357 | 120.854 | 157.357 | -0.000 | -0.000 | -0.000 |
| 157.357 | 157.357 | 120.854 | -0.000 | -0.000 | 0.000 |
| 0.001 | 0.000 | 0.000 | 144.671 | -0.000 | -0.000 |
| 0.000 | 0.001 | 0.000 | -0.000 | 144.671 | -0.000 |
| 0.000 | 0.000 | 0.001 | 0.000 | -0.000 | 144.671 |
| 120.853 | 157.356 | 157.356 | 0.000 | 0.000 | 0.000 |
| 157.356 | 120.853 | 157.356 | 0.000 | 0.000 | 0.000 |
| 157.356 | 157.356 | 120.853 | 0.000 | 0.000 | -0.000 |
| -0.001 | -0.000 | -0.000 | 144.671 | 0.000 | 0.000 |
| -0.000 | -0.001 | -0.000 | 0.000 | 144.671 | 0.000 |
| -0.000 | -0.000 | -0.001 | -0.000 | 0.000 | 144.671 |
| 160.307 | 207.236 | 207.236 | -0.000 | -0.000 | 0.000 |
| 207.236 | 160.307 | 207.236 | -0.000 | 0.000 | 0.000 |
| 207.236 | 207.236 | 160.307 | -0.000 | 0.000 | 0.000 |
| 0.000 | -0.000 | 0.000 | 207.236 | 0.000 | 0.000 |
| 0.000 | 0.000 | 0.000 | -0.000 | 207.236 | 0.000 |
| 0.000 | -0.000 | -0.000 | -0.000 | -0.000 | 207.236 |
| 160.307 | 207.236 | 207.236 | -0.000 | -0.000 | -0.000 |
| 207.236 | 160.307 | 207.236 | 0.000 | 0.000 | 0.000 |
| 207.236 | 207.236 | 160.307 | 0.000 | -0.000 | 0.000 |
| -0.000 | 0.000 | -0.000 | 207.236 | 0.000 | -0.000 |
| 0.000 | 0.000 | -0.000 | 0.000 | 207.236 | -0.000 |
| -0.000 | 0.000 | 0.000 | 0.000 | 0.000 | 207.236 |
| 160.307 | 207.236 | 207.236 | 0.000 | -0.000 | 0.000 |
| 207.236 | 160.307 | 207.236 | -0.000 | 0.000 | 0.000 |
| 207.236 | 207.236 | 160.307 | -0.000 | 0.000 | 0.000 |
| 0.000 | 0.000 | 0.000 | 207.236 | -0.000 | 0.000 |
| 0.000 | 0.000 | 0.000 | -0.000 | 207.236 | 0.000 |
| 0.000 | 0.000 | 0.000 | -0.000 | -0.000 | 207.236 |
| 160.307 | 207.235 | 207.235 | 0.000 | 0.000 | 0.000 |
| 207.235 | 160.307 | 207.235 | 0.000 | 0.000 | 0.000 |
| 207.235 | 207.235 | 160.307 | 0.000 | 0.000 | 0.000 |
| -0.000 | -0.000 | -0.000 | 207.236 | 0.000 | -0.000 |
| -0.000 | -0.000 | -0.000 | 0.000 | 207.236 | -0.000 |
| -0.000 | -0.000 | -0.000 | 0.000 | 0.000 | 207.236 |
| 160.308 | 207.236 | 207.236 | -0.000 | 0.000 | 0.000 |
| 207.236 | 160.308 | 207.236 | 0.000 | 0.000 | 0.000 |
| 207.236 | 207.236 | 160.308 | -0.000 | 0.000 | 0.000 |
| 0.001 | 0.000 | 0.001 | 207.207 | -0.000 | 0.000 |
| 0.000 | 0.001 | 0.001 | -0.000 | 207.207 | 0.000 |
| 0.000 | 0.001 | 0.001 | -0.000 | -0.000 | 207.207 |
| 160.307 | 207.235 | 207.235 | 0.000 | 0.000 | 0.000 |
| 207.235 | 160.307 | 207.235 | 0.000 | -0.000 | -0.000 |
| 207.235 | 207.235 | 160.307 | -0.000 | -0.000 | 0.000 |
| -0.001 | -0.000 | -0.001 | 207.207 | 0.000 | 0.000 |
| -0.000 | -0.001 | -0.001 | 0.000 | 207.207 | -0.000 |
| -0.000 | -0.001 | -0.001 | 0.000 | 0.000 | 207.207 |
| 454.322 | 16.155 | 16.155 | 0.000 | 0.000 | 0.000 |
| 16.155 | 454.322 | 16.155 | 0.000 | 0.000 | -0.000 |
| 16.155 | 16.155 | 454.322 | 0.000 | 0.000 | 0.000 |
| -0.012 | 0.003 | 0.009 | -329.351 | 0.000 | 0.000 |
| -0.003 | -0.020 | 0.023 | 0.000 | -329.290 | 0.000 |
| -0.004 | 0.013 | -0.008 | 0.000 | 0.000 | -329.350 |
| 454.322 | 16.155 | 16.155 | -0.000 | -0.000 | -0.000 |
| 16.155 | 454.322 | 16.155 | -0.000 | -0.000 | -0.000 |
| 16.155 | 16.155 | 454.321 | -0.000 | 0.000 | -0.000 |
| -0.016 | -0.003 | 0.019 | -329.384 | -0.000 | -0.000 |
| 0.003 | 0.020 | -0.023 | -0.000 | -329.273 | -0.000 |
| 0.005 | 0.013 | -0.018 | -0.000 | -0.000 | -329.384 |
| 454.322 | 16.155 | 16.155 | 0.000 | 0.000 | 0.000 |
| 16.155 | 454.322 | 16.155 | 0.000 | -0.000 | -0.000 |
| 16.155 | 16.155 | 454.322 | -0.000 | 0.000 | 0.000 |
| 0.000 | 0.000 | -0.000 | 15.543 | 0.000 | 0.000 |
| 0.000 | 0.000 | -0.000 | 0.000 | 15.543 | -0.000 |
| 0.000 | -0.000 | 0.000 | 0.000 | 0.000 | 15.543 |
| 455.546 | 15.543 | 15.543 | -0.000 | -0.000 | -0.000 |
| 15.543 | 455.546 | 15.543 | -0.000 | -0.000 | -0.000 |
| 15.543 | 15.543 | 455.546 | -0.000 | -0.000 | -0.000 |
| -0.000 | -0.000 | 0.000 | 15.543 | -0.000 | -0.000 |
| -0.000 | -0.000 | 0.000 | -0.000 | 15.543 | -0.000 |
| -0.000 | 0.000 | -0.000 | -0.000 | 0.000 | 15.543 |
| 454.325 | 16.156 | 16.156 | 0.000 | -0.000 | 0.000 |
| 16.156 | 454.325 | 16.156 | 0.000 | -0.000 | 0.000 |
| 16.156 | 16.156 | 454.325 | 0.000 | 0.000 | 0.000 |
| 0.008 | 0.001 | 0.002 | -329.681 | 0.000 | 0.000 |
| 0.001 | 0.008 | 0.002 | 0.000 | -329.681 | 0.000 |
| 0.001 | 0.002 | 0.008 | 0.000 | 0.000 | -329.681 |
| 454.318 | 16.155 | 16.155 | -0.000 | 0.000 | -0.000 |
| 16.155 | 454.318 | 16.155 | -0.000 | -0.000 | 0.000 |
| 16.155 | 16.155 | 454.318 | -0.000 | -0.000 | -0.000 |
| -0.008 | -0.001 | -0.002 | -329.681 | -0.000 | -0.000 |
| -0.001 | -0.008 | -0.002 | -0.000 | -329.682 | -0.000 |
| -0.001 | -0.002 | -0.008 | -0.000 | -0.000 | -329.681 |
| 153.655 | 200.459 | 200.459 | 0.000 | 0.000 | 0.000 |
| 200.459 | 153.655 | 200.459 | 0.000 | 0.000 | 0.000 |
| 200.459 | 200.459 | 153.655 | -0.000 | 0.000 | -0.000 |
| -0.000 | -0.000 | -0.000 | 199.174 | 0.000 | 0.000 |
| -0.000 | -0.000 | 0.000 | 0.000 | 199.174 | -0.000 |
| -0.000 | -0.000 | 0.000 | 0.000 | 0.000 | 199.174 |
| 153.655 | 200.459 | 200.459 | -0.000 | -0.000 | 0.000 |
| 200.459 | 153.655 | 200.459 | -0.000 | -0.000 | -0.000 |
| 200.459 | 200.459 | 153.655 | -0.000 | -0.000 | 0.000 |
| 0.000 | -0.000 | 0.000 | 199.174 | -0.000 | -0.000 |
| 0.000 | 0.000 | -0.000 | -0.000 | 199.174 | -0.000 |
| 0.000 | -0.000 | -0.000 | -0.000 | -0.000 | 199.174 |
| 153.655 | 200.459 | 200.459 | 0.000 | 0.000 | 0.000 |
| 200.459 | 153.655 | 200.459 | 0.000 | 0.000 | 0.000 |
| 200.459 | 200.459 | 153.655 | -0.000 | 0.000 | 0.000 |
| 0.000 | 0.000 | 0.000 | 199.174 | 0.000 | 0.000 |
| 0.000 | 0.000 | 0.000 | 0.000 | 199.174 | 0.000 |
| 0.000 | 0.000 | 0.000 | 0.000 | 0.000 | 199.174 |
| 153.655 | 200.458 | 200.458 | -0.000 | -0.000 | 0.000 |
| 200.458 | 153.655 | 200.458 | -0.000 | -0.000 | -0.000 |
| 200.458 | 200.458 | 153.655 | -0.000 | -0.000 | 0.000 |
| -0.000 | -0.000 | -0.000 | 199.174 | -0.000 | 0.000 |
| -0.000 | -0.000 | -0.000 | -0.000 | 199.174 | -0.000 |
| -0.000 | -0.000 | -0.000 | -0.000 | -0.000 | 199.174 |
| 153.656 | 200.459 | 200.459 | 0.000 | 0.000 | 0.000 |
| 200.459 | 153.656 | 200.459 | 0.000 | 0.000 | 0.000 |
| 200.459 | 200.459 | 153.656 | 0.000 | 0.000 | -0.000 |
| 0.001 | 0.000 | 0.001 | 199.174 | 0.000 | 0.000 |
| 0.000 | 0.001 | 0.001 | 0.000 | 199.174 | -0.000 |
| 0.000 | 0.001 | 0.001 | 0.000 | 0.000 | 199.174 |
| 153.654 | 200.458 | 200.458 | -0.000 | -0.000 | 0.000 |
| 200.458 | 153.654 | 200.458 | -0.000 | -0.000 | -0.000 |
| 200.458 | 200.458 | 153.654 | -0.000 | -0.000 | -0.000 |
| -0.001 | -0.000 | -0.001 | 199.174 | -0.000 | 0.000 |
| -0.000 | -0.001 | -0.001 | -0.000 | 199.174 | -0.000 |
| -0.000 | -0.001 | -0.001 | -0.000 | -0.000 | 199.174 |
| 301.962 | 167.405 | 167.405 | -0.000 | -0.000 | -0.000 |
| 167.405 | 301.962 | 167.405 | -0.000 | 0.000 | -0.000 |
| 167.405 | 167.405 | 301.962 | -0.000 | -0.000 | -0.000 |
| -0.000 | 0.000 | 0.000 | 167.405 | -0.000 | -0.000 |
| 0.000 | -0.000 | 0.000 | -0.000 | 167.405 | -0.000 |
| 0.000 | 0.000 | -0.000 | -0.000 | -0.000 | 167.405 |
| 301.962 | 167.405 | 167.405 | -0.000 | 0.000 | 0.000 |
| 167.405 | 301.962 | 167.405 | 0.000 | 0.000 | 0.000 |
| 167.405 | 167.405 | 301.962 | 0.000 | 0.000 | 0.000 |
| 0.000 | -0.000 | -0.000 | 167.405 | 0.000 | 0.000 |
| -0.000 | 0.000 | -0.000 | 0.000 | 167.405 | 0.000 |
| -0.000 | -0.000 | 0.000 | 0.000 | 0.000 | 167.405 |
| 301.962 | 167.405 | 167.405 | 0.000 | -0.000 | -0.000 |
| 167.405 | 301.962 | 167.405 | -0.000 | -0.000 | -0.000 |
| 167.405 | 167.405 | 301.962 | 0.000 | -0.000 | -0.000 |
| -0.000 | 0.000 | 0.000 | 167.405 | -0.000 | -0.000 |
| 0.000 | -0.000 | 0.000 | -0.000 | 167.405 | -0.000 |
| 0.000 | 0.000 | -0.000 | -0.000 | -0.000 | 167.405 |
| 301.962 | 167.405 | 167.405 | 0.000 | 0.000 | 0.000 |
| 167.405 | 301.962 | 167.405 | 0.000 | -0.000 | 0.000 |
| 167.405 | 167.405 | 301.962 | -0.000 | -0.000 | 0.000 |
| 0.000 | -0.000 | -0.000 | 167.405 | 0.000 | 0.000 |
| -0.000 | 0.000 | -0.000 | -0.000 | 167.405 | 0.000 |
| -0.000 | -0.000 | 0.000 | 0.000 | 0.000 | 167.405 |
| 301.964 | 167.406 | 167.406 | -0.000 | -0.000 | -0.000 |
| 167.406 | 301.964 | 167.406 | -0.000 | -0.000 | -0.000 |
| 167.406 | 167.406 | 301.964 | -0.000 | -0.000 | -0.000 |
| -0.000 | 0.001 | 0.001 | 167.405 | -0.000 | -0.000 |
| 0.001 | -0.000 | 0.001 | 0.000 | 167.405 | -0.000 |
| 0.001 | 0.001 | -0.000 | -0.000 | -0.000 | 167.405 |
| 301.961 | 167.404 | 167.404 | 0.000 | 0.000 | 0.000 |
| 167.404 | 301.961 | 167.404 | 0.000 | 0.000 | 0.000 |
| 167.404 | 167.404 | 301.961 | 0.000 | 0.000 | 0.000 |
| 0.000 | -0.001 | -0.001 | 167.405 | 0.000 | 0.000 |
| -0.001 | 0.000 | -0.001 | 0.000 | 167.405 | 0.000 |
| -0.001 | -0.001 | 0.000 | 0.000 | 0.000 | 167.405 |
| 376.131 | 153.694 | 96.089 | 0.000 | 0.000 | 0.000 |
| 132.715 | 398.144 | 95.189 | 0.000 | -0.000 | -0.000 |
| 95.398 | 95.398 | 416.789 | -0.000 | -0.000 | 0.000 |
| 0.000 | -0.000 | 0.000 | 95.189 | -0.000 | 0.000 |
| 0.000 | 0.000 | 0.000 | 0.000 | 95.189 | 0.000 |
| 0.000 | 0.000 | 0.000 | 0.000 | -0.000 | 132.715 |
| 374.663 | 155.957 | 95.398 | -0.000 | 0.000 | -0.000 |
| 153.694 | 376.131 | 96.089 | -0.000 | 0.000 | 0.000 |
| 95.398 | 95.398 | 416.789 | 0.000 | 0.000 | -0.000 |
| 0.000 | -0.000 | -0.000 | 95.189 | 0.000 | -0.000 |
| -0.000 | -0.000 | -0.000 | -0.000 | 95.189 | 0.000 |
| -0.000 | -0.000 | -0.000 | -0.000 | 0.000 | 132.715 |
| 376.131 | 153.694 | 96.089 | 0.000 | 0.000 | 0.000 |
| 132.715 | 398.145 | 95.189 | 0.000 | -0.000 | 0.000 |
| 95.398 | 95.398 | 416.790 | 0.000 | -0.000 | 0.000 |
| 0.000 | -0.000 | 0.000 | 94.590 | 0.000 | 0.000 |
| -0.000 | 0.000 | 0.000 | 0.000 | 94.590 | 0.000 |
| 0.000 | 0.000 | -0.000 | 0.000 | -0.000 | 109.356 |
| 398.144 | 132.715 | 95.189 | -0.000 | 0.000 | -0.000 |
| 155.957 | 374.662 | 95.398 | -0.000 | 0.000 | -0.000 |
| 95.189 | 95.189 | 417.152 | -0.000 | 0.000 | -0.000 |
| -0.000 | 0.000 | -0.000 | 94.590 | 0.000 | -0.000 |
| 0.000 | -0.000 | -0.000 | -0.000 | 94.590 | -0.000 |
| -0.000 | -0.000 | 0.000 | -0.000 | 0.000 | 109.356 |
| 398.148 | 132.715 | 95.190 | 0.000 | -0.000 | 0.000 |
| 132.716 | 398.147 | 95.190 | -0.000 | 0.000 | 0.000 |
| 95.399 | 95.399 | 416.792 | 0.000 | -0.000 | 0.000 |
| 0.000 | -0.000 | 0.001 | 94.590 | -0.000 | 0.000 |
| 0.000 | 0.000 | 0.001 | 0.000 | 95.189 | 0.000 |
| 0.000 | 0.001 | -0.000 | 0.000 | -0.000 | 109.356 |
| 376.127 | 153.694 | 96.089 | -0.000 | 0.000 | -0.000 |
| 153.693 | 376.128 | 96.089 | -0.000 | -0.000 | -0.000 |
| 95.397 | 95.397 | 416.787 | -0.000 | 0.000 | -0.000 |
| -0.000 | 0.000 | -0.001 | 94.590 | -0.000 | 0.000 |
| -0.000 | -0.000 | -0.001 | -0.000 | 95.189 | 0.000 |
| -0.000 | -0.001 | 0.000 | -0.000 | 0.000 | 109.356 |
| 370.325 | 153.672 | 93.692 | 0.000 | 0.000 | -0.000 |
| 153.672 | 370.325 | 93.692 | 0.000 | 0.000 | -0.000 |
| 93.497 | 93.497 | 412.015 | 0.000 | 0.000 | -0.000 |
| 0.000 | -0.000 | 0.000 | 94.192 | 0.000 | -0.000 |
| 0.000 | -0.000 | 0.000 | 0.000 | 94.192 | -0.000 |
| 0.000 | 0.000 | -0.000 | 0.000 | 0.000 | 108.330 |
| 370.325 | 153.672 | 93.692 | -0.000 | -0.000 | 0.000 |
| 151.427 | 371.782 | 94.378 | -0.000 | -0.000 | 0.000 |
| 93.704 | 93.704 | 411.655 | -0.000 | -0.000 | 0.000 |
| 0.000 | -0.000 | -0.000 | 94.192 | -0.000 | 0.000 |
| -0.000 | 0.000 | -0.000 | -0.000 | 94.192 | 0.000 |
| -0.000 | -0.000 | 0.000 | -0.000 | -0.000 | 108.330 |
| 393.518 | 130.717 | 93.485 | 0.000 | 0.000 | -0.000 |
| 151.428 | 371.782 | 94.378 | 0.000 | 0.000 | -0.000 |
| 93.704 | 93.704 | 411.655 | 0.000 | 0.000 | -0.000 |
| 0.000 | -0.000 | 0.000 | 93.598 | 0.000 | -0.000 |
| 0.000 | 0.000 | 0.000 | 0.000 | 94.192 | -0.000 |
| 0.000 | 0.000 | -0.000 | 0.000 | 0.000 | 108.330 |
| 370.325 | 153.672 | 93.692 | -0.000 | -0.000 | 0.000 |
| 130.717 | 393.518 | 93.485 | -0.000 | -0.000 | 0.000 |
| 93.704 | 93.704 | 411.655 | -0.000 | -0.000 | 0.000 |
| -0.000 | 0.000 | -0.000 | 93.598 | -0.000 | 0.000 |
| -0.000 | -0.000 | -0.000 | -0.000 | 94.192 | 0.000 |
| -0.000 | -0.000 | 0.000 | -0.000 | -0.000 | 108.330 |
| 393.522 | 130.718 | 93.485 | 0.000 | 0.000 | -0.000 |
| 130.718 | 393.521 | 93.485 | 0.000 | 0.000 | -0.000 |
| 93.498 | 93.498 | 412.018 | 0.000 | 0.000 | -0.000 |
| 0.000 | -0.000 | 0.001 | 93.598 | 0.000 | -0.000 |
| 0.000 | 0.000 | 0.001 | 0.000 | 94.192 | -0.000 |
| 0.000 | 0.001 | -0.000 | 0.000 | 0.000 | 108.326 |
| 371.778 | 151.427 | 94.377 | -0.000 | -0.000 | 0.000 |
| 153.671 | 370.322 | 93.692 | -0.000 | -0.000 | 0.000 |
| 93.496 | 93.496 | 412.012 | -0.000 | -0.000 | 0.000 |
| -0.000 | 0.000 | -0.001 | 93.598 | -0.000 | 0.000 |
| -0.000 | -0.000 | -0.001 | -0.000 | 94.192 | 0.000 |
| -0.000 | -0.001 | 0.000 | -0.000 | -0.000 | 108.326 |
| 159.422 | 207.580 | 207.580 | 0.000 | -0.000 | -0.000 |
| 207.580 | 159.422 | 207.580 | 0.000 | -0.000 | 0.000 |
| 207.580 | 207.580 | 159.422 | -0.000 | 0.000 | 0.000 |
| 0.000 | -0.000 | -0.000 | 206.236 | 0.000 | -0.000 |
| -0.000 | -0.000 | -0.000 | -0.000 | 206.236 | 0.000 |
| -0.000 | -0.000 | -0.000 | 0.000 | 0.000 | 206.236 |
| 159.422 | 207.580 | 207.580 | -0.000 | -0.000 | 0.000 |
| 207.580 | 159.422 | 207.580 | 0.000 | 0.000 | 0.000 |
| 207.580 | 207.580 | 159.422 | 0.000 | -0.000 | -0.000 |
| -0.000 | 0.000 | 0.000 | 206.236 | -0.000 | -0.000 |
| 0.000 | 0.000 | 0.000 | 0.000 | 206.236 | -0.000 |
| 0.000 | 0.000 | 0.000 | -0.000 | -0.000 | 206.236 |
| 159.422 | 207.580 | 207.580 | 0.000 | 0.000 | -0.000 |
| 207.580 | 159.422 | 207.580 | 0.000 | -0.000 | 0.000 |
| 207.580 | 207.580 | 159.422 | 0.000 | -0.000 | 0.000 |
| 0.000 | 0.000 | 0.000 | 207.580 | 0.000 | 0.000 |
| 0.000 | 0.000 | 0.000 | 0.000 | 207.580 | 0.000 |
| 0.000 | 0.000 | 0.000 | 0.000 | -0.000 | 207.580 |
| 159.422 | 207.580 | 207.580 | 0.000 | 0.000 | 0.000 |
| 207.580 | 159.422 | 207.580 | 0.000 | 0.000 | 0.000 |
| 207.580 | 207.580 | 159.422 | 0.000 | 0.000 | -0.000 |
| -0.000 | -0.000 | -0.000 | 207.580 | -0.000 | -0.000 |
| -0.000 | -0.000 | -0.000 | -0.000 | 207.580 | -0.000 |
| -0.000 | -0.000 | -0.000 | -0.000 | 0.000 | 207.580 |
| 159.423 | 207.581 | 207.581 | 0.000 | -0.000 | -0.000 |
| 207.581 | 159.423 | 207.581 | -0.000 | -0.000 | 0.000 |
| 207.581 | 207.581 | 159.423 | 0.000 | -0.000 | 0.000 |
| 0.001 | 0.000 | 0.001 | 207.580 | -0.000 | 0.000 |
| 0.000 | 0.001 | 0.001 | 0.000 | 207.580 | 0.000 |
| 0.000 | 0.001 | 0.001 | 0.000 | 0.000 | 207.580 |
| 159.421 | 207.579 | 207.579 | -0.000 | -0.000 | 0.000 |
| 207.579 | 159.421 | 207.579 | -0.000 | 0.000 | -0.000 |
| 207.579 | 207.579 | 159.421 | 0.000 | 0.000 | -0.000 |
| -0.001 | -0.000 | -0.001 | 207.580 | 0.000 | 0.000 |
| -0.000 | -0.001 | -0.001 | 0.000 | 207.580 | -0.000 |
| -0.000 | -0.001 | -0.001 | -0.000 | -0.000 | 207.580 |
| 390.296 | 99.956 | 163.025 | -0.000 | 0.878 | -0.000 |
| 100.365 | 435.366 | 100.112 | 0.000 | -1.039 | -0.000 |
| 163.096 | 100.062 | 390.267 | -0.000 | -0.194 | -0.000 |
| 0.164 | -0.145 | -0.009 | 98.911 | -0.195 | -0.348 |
| 0.488 | -0.356 | -0.128 | -0.000 | 138.445 | -0.000 |
| 0.182 | -0.162 | -0.010 | -0.347 | -0.217 | 99.426 |
| 390.007 | 100.436 | 162.790 | 0.000 | 1.407 | 0.000 |
| 100.044 | 435.722 | 100.059 | 0.000 | -0.657 | 0.000 |
| 162.473 | 100.491 | 390.418 | -0.000 | 0.318 | 0.000 |
| -0.164 | 0.145 | 0.009 | 98.911 | 0.195 | -0.348 |
| 0.790 | -0.753 | 0.016 | 0.000 | 113.352 | 0.000 |
| -0.182 | 0.162 | 0.010 | -0.347 | 0.217 | 99.426 |
| 390.101 | 100.160 | 163.008 | -0.000 | 1.152 | -0.000 |
| 100.189 | 435.490 | 100.162 | -0.000 | -0.938 | -0.000 |
| 163.026 | 100.156 | 390.216 | -0.000 | -0.180 | -0.000 |
| 0.019 | -0.018 | 0.001 | 98.785 | -0.020 | -0.559 |
| 1.099 | -0.848 | -0.190 | 0.000 | 113.171 | -0.000 |
| 0.018 | -0.019 | 0.003 | -0.555 | -0.021 | 99.333 |
| 390.096 | 100.219 | 162.937 | 0.000 | 1.169 | 0.000 |
| 100.179 | 435.570 | 100.083 | 0.000 | -0.817 | 0.000 |
| 162.984 | 100.192 | 390.217 | 0.000 | -0.145 | 0.000 |
| -0.019 | 0.018 | -0.001 | 98.785 | 0.020 | -0.559 |
| 0.933 | -0.904 | 0.044 | 0.000 | 113.297 | 0.000 |
| -0.018 | 0.019 | -0.003 | -0.555 | 0.021 | 99.333 |
| 390.086 | 100.176 | 163.009 | -0.000 | 1.168 | -0.000 |
| 100.179 | 435.506 | 100.161 | -0.000 | -0.854 | -0.000 |
| 163.020 | 100.165 | 390.217 | -0.000 | -0.193 | -0.000 |
| 0.002 | -0.001 | 0.000 | 98.785 | -0.002 | -0.559 |
| 1.082 | -0.833 | -0.188 | 0.000 | 113.184 | -0.000 |
| 0.002 | -0.001 | 0.000 | -0.558 | -0.002 | 99.332 |
| 390.074 | 100.171 | 163.016 | 0.000 | 1.182 | 0.000 |
| 99.783 | 436.382 | 99.637 | -0.000 | -0.356 | 0.000 |
| 163.003 | 100.175 | 390.213 | 0.000 | -0.161 | 0.000 |
| -0.002 | 0.001 | -0.000 | 98.785 | 0.002 | -0.559 |
| 0.949 | -0.923 | 0.048 | 0.000 | 113.293 | 0.000 |
| -0.002 | 0.001 | -0.000 | -0.558 | 0.002 | 99.332 |
| 388.323 | 99.810 | 161.253 | -0.000 | 3.765 | 0.000 |
| 100.044 | 434.495 | 99.828 | -0.000 | 0.561 | -0.000 |
| 157.883 | 100.964 | 387.573 | -0.000 | 0.642 | 0.000 |
| 0.184 | 0.007 | -0.182 | 99.506 | -0.022 | -0.566 |
| 3.742 | 0.292 | 0.211 | -0.000 | 112.851 | 0.000 |
| 0.193 | 0.007 | -0.190 | -0.273 | -0.023 | 99.219 |
| 386.880 | 100.076 | 162.435 | 0.000 | 4.149 | 0.000 |
| 99.401 | 435.443 | 99.485 | 0.000 | 0.039 | -0.000 |
| 161.048 | 100.610 | 384.784 | 0.000 | 0.890 | -0.000 |
| -0.184 | -0.007 | 0.182 | 99.506 | 0.022 | -0.566 |
| 2.662 | 0.421 | 1.173 | 0.000 | 113.422 | -0.000 |
| -0.193 | -0.007 | 0.190 | -0.273 | 0.023 | 99.219 |
| 412.496 | 99.547 | 137.438 | -0.000 | 4.536 | 0.000 |
| 99.838 | 434.586 | 99.932 | -0.000 | 0.525 | -0.000 |
| 137.646 | 99.842 | 408.901 | -0.000 | 0.999 | -0.000 |
| 0.052 | -0.006 | -0.045 | 99.362 | -0.020 | -0.356 |
| 3.235 | 0.188 | 0.838 | -0.000 | 112.913 | 0.000 |
| 0.048 | -0.010 | -0.038 | -0.068 | -0.015 | 99.091 |
| 387.350 | 99.961 | 162.077 | 0.000 | 3.970 | -0.000 |
| 99.749 | 434.553 | 100.057 | 0.000 | 0.600 | 0.000 |
| 162.209 | 100.404 | 383.812 | 0.000 | 0.905 | -0.000 |
| -0.052 | 0.006 | 0.045 | 99.362 | 0.020 | -0.356 |
| 3.097 | 0.201 | 0.962 | 0.000 | 112.963 | -0.000 |
| -0.048 | 0.010 | 0.038 | -0.068 | 0.015 | 99.091 |
| 387.400 | 99.927 | 162.076 | -0.000 | 3.982 | 0.000 |
| 99.793 | 434.550 | 100.022 | -0.000 | 0.510 | -0.000 |
| 162.295 | 100.392 | 383.747 | -0.000 | 0.889 | 0.000 |
| 0.005 | -0.000 | -0.005 | 99.362 | -0.002 | -0.356 |
| 3.174 | 0.194 | 0.894 | -0.000 | 112.936 | 0.000 |
| 0.005 | -0.000 | -0.004 | -0.067 | -0.002 | 99.091 |
| 387.382 | 99.928 | 162.085 | 0.000 | 3.987 | -0.000 |
| 99.780 | 434.545 | 100.029 | 0.000 | 0.539 | 0.000 |
| 162.282 | 100.392 | 383.751 | 0.000 | 0.894 | 0.000 |
| -0.005 | 0.000 | 0.005 | 99.362 | 0.002 | -0.356 |
| 3.159 | 0.195 | 0.906 | 0.000 | 112.941 | 0.000 |
| -0.005 | 0.000 | 0.004 | -0.067 | 0.002 | 99.091 |
| 418.661 | 139.466 | 104.861 | -48.933 | 57.292 | 40.500 |
| 122.158 | 435.942 | 104.862 | 86.085 | 0.052 | -0.063 |
| 104.842 | 104.864 | 453.235 | -0.005 | -0.027 | 0.072 |
| -49.007 | 49.008 | -0.005 | 104.864 | 0.072 | 0.026 |
| 0.003 | 0.026 | -0.027 | 0.072 | 104.841 | -49.007 |
| -0.005 | -0.063 | 0.063 | 0.052 | -11.937 | 122.158 |
| 418.661 | 139.466 | 104.861 | -48.933 | 57.292 | 40.500 |
| 116.676 | 436.802 | 110.516 | 82.289 | 3.889 | 3.708 |
| 99.333 | 106.527 | 458.115 | -3.647 | 3.725 | 3.923 |
| -52.434 | 47.748 | 4.843 | 96.891 | 3.200 | 4.677 |
| -5.731 | 1.454 | 5.326 | -3.511 | 108.296 | -45.135 |
| -0.005 | -0.063 | 0.063 | 0.052 | -11.937 | 122.158 |
| 418.662 | 139.466 | 104.861 | -48.933 | 57.292 | 40.500 |
| 122.739 | 435.611 | 104.571 | 86.768 | -0.258 | -0.586 |
| 105.664 | 104.973 | 452.178 | 0.353 | -0.453 | -0.280 |
| -48.397 | 48.817 | -0.547 | 104.925 | -0.252 | -0.360 |
| 0.603 | -0.099 | -0.615 | 0.490 | 104.117 | -49.338 |
| -0.005 | -0.063 | 0.063 | 0.052 | -11.937 | 122.158 |
| 418.661 | 139.466 | 104.861 | -48.933 | 57.292 | 40.500 |
| 121.860 | 435.529 | 105.654 | 85.563 | 0.468 | 0.268 |
| 104.841 | 104.864 | 453.235 | -0.005 | -0.027 | 0.072 |
| -49.548 | 49.099 | 0.533 | 104.196 | 0.508 | 0.404 |
| -0.301 | -0.112 | 0.429 | -0.659 | 104.820 | -48.570 |
| -0.406 | -0.130 | 0.621 | -0.560 | -11.592 | 122.227 |
| 418.665 | 139.466 | 104.862 | -48.934 | 57.292 | 40.501 |
| 122.485 | 435.391 | 105.055 | 86.020 | 0.021 | -0.174 |
| 104.842 | 104.865 | 453.238 | -0.005 | -0.027 | 0.072 |
| -49.007 | 49.008 | -0.005 | 104.864 | 0.072 | 0.026 |
| 0.003 | 0.026 | -0.026 | 0.072 | 104.841 | -49.007 |
| 0.076 | -0.117 | 0.022 | 0.099 | -12.039 | 121.741 |
| 418.658 | 139.465 | 104.861 | -48.933 | 57.292 | 40.500 |
| 122.157 | 435.939 | 104.861 | 86.085 | 0.052 | -0.063 |
| 105.014 | 105.099 | 452.813 | -0.041 | -0.037 | 0.132 |
| -49.007 | 49.007 | -0.006 | 104.863 | 0.072 | 0.026 |
| 0.005 | 0.020 | -0.021 | 0.069 | 104.490 | -48.966 |
| -0.031 | -0.093 | 0.123 | 0.031 | -11.968 | 121.814 |
| 427.725 | 122.281 | 109.494 | -33.730 | -64.621 | -21.257 |
| 131.255 | 410.644 | 111.431 | 119.754 | -2.940 | 20.379 |
| 101.958 | 99.776 | 441.207 | -2.181 | -0.263 | 0.011 |
| -35.728 | 32.386 | 10.081 | 138.037 | -2.906 | 18.755 |
| -0.016 | -0.085 | -0.263 | -0.085 | 103.331 | -47.720 |
| 0.056 | 1.442 | -0.178 | -0.115 | -11.342 | 120.203 |
| 402.234 | 140.205 | 98.611 | -84.555 | -53.771 | -56.430 |
| 103.279 | 438.371 | 91.686 | 68.584 | 7.962 | -16.912 |
| 92.512 | 105.370 | 437.298 | -38.834 | 2.401 | -16.888 |
| -47.890 | 47.516 | -2.181 | 101.428 | -0.085 | -0.064 |
| -15.830 | 12.461 | -7.696 | -14.247 | 111.132 | -66.108 |
| 0.056 | 1.442 | -0.178 | -0.115 | -11.342 | 120.203 |
| 413.506 | 133.571 | 102.791 | -46.452 | -57.326 | -37.835 |
| 118.905 | 426.268 | 98.874 | 82.883 | -0.136 | 1.449 |
| 103.758 | 98.780 | 441.458 | -0.762 | -1.058 | 1.801 |
| -46.665 | 45.988 | -0.953 | 104.700 | -0.404 | 1.773 |
| 1.364 | -0.588 | -0.316 | 2.872 | 102.613 | -45.784 |
| 1.625 | 0.254 | 0.521 | 1.275 | -12.227 | 121.761 |
| 410.346 | 136.079 | 101.300 | -49.279 | -55.705 | -41.520 |
| 117.887 | 427.268 | 97.946 | 79.009 | 0.117 | -0.376 |
| 101.958 | 99.776 | 441.206 | -2.181 | -0.263 | 0.011 |
| -49.425 | 48.714 | -2.921 | 99.716 | 0.701 | -1.923 |
| -0.986 | 0.440 | -0.591 | -3.783 | 103.223 | -49.421 |
| -1.155 | 3.029 | -1.473 | -3.884 | -11.220 | 117.888 |
| 412.084 | 134.701 | 102.122 | -47.724 | -56.595 | -39.492 |
| 118.906 | 426.270 | 98.875 | 82.884 | -0.136 | 1.449 |
| 102.335 | 99.909 | 440.791 | -2.034 | -0.328 | 0.143 |
| -47.688 | 47.335 | -2.101 | 101.274 | -0.191 | 0.103 |
| 0.077 | -0.149 | -0.212 | 0.248 | 102.931 | -47.569 |
| 0.181 | 1.368 | -0.125 | 0.189 | -11.525 | 119.964 |
| 411.767 | 134.949 | 101.969 | -48.007 | -56.436 | -39.862 |
| 118.903 | 426.264 | 98.873 | 82.883 | -0.136 | 1.449 |
| 102.019 | 100.158 | 440.637 | -2.316 | -0.167 | -0.225 |
| -48.003 | 47.584 | -2.251 | 100.985 | -0.029 | -0.266 |
| -0.144 | 0.055 | -0.364 | -0.495 | 102.916 | -47.907 |
| 0.056 | 1.441 | -0.178 | -0.115 | -11.342 | 120.203 |
| 103.593 | 127.728 | 127.728 | 0.000 | 0.000 | -0.000 |
| 127.728 | 103.593 | 127.728 | 0.000 | 0.000 | -0.000 |
| 127.728 | 127.728 | 103.593 | 0.000 | -0.000 | -0.000 |
| 0.000 | -0.000 | -0.000 | 127.728 | 0.000 | -0.000 |
| 0.000 | 0.000 | -0.000 | 0.000 | 127.728 | -0.000 |
| 0.000 | 0.000 | -0.000 | -0.000 | -0.000 | 127.728 |
| 103.593 | 127.728 | 127.728 | 0.000 | 0.000 | 0.000 |
| 127.728 | 103.593 | 127.728 | 0.000 | -0.000 | 0.000 |
| 127.728 | 127.728 | 103.593 | 0.000 | 0.000 | 0.000 |
| -0.000 | 0.000 | -0.000 | 127.728 | -0.000 | -0.000 |
| -0.000 | -0.000 | 0.000 | -0.000 | 127.728 | 0.000 |
| -0.000 | -0.000 | 0.000 | 0.000 | 0.000 | 127.728 |
| 103.593 | 127.728 | 127.728 | -0.000 | 0.000 | -0.000 |
| 127.728 | 103.593 | 127.728 | -0.000 | -0.000 | 0.000 |
| 127.728 | 127.728 | 103.593 | 0.000 | 0.000 | -0.000 |
| 0.000 | 0.000 | 0.000 | 127.728 | 0.000 | -0.000 |
| 0.000 | 0.000 | 0.000 | 0.000 | 127.728 | -0.000 |
| 0.000 | 0.000 | 0.000 | -0.000 | -0.000 | 127.728 |
| 103.593 | 127.728 | 127.728 | 0.000 | 0.000 | 0.000 |
| 127.728 | 103.593 | 127.728 | 0.000 | 0.000 | 0.000 |
| 127.728 | 127.728 | 103.593 | 0.000 | 0.000 | 0.000 |
| -0.000 | -0.000 | -0.000 | 127.728 | -0.000 | 0.000 |
| -0.000 | -0.000 | -0.000 | -0.000 | 127.728 | 0.000 |
| -0.000 | -0.000 | -0.000 | 0.000 | 0.000 | 127.728 |
| 103.594 | 127.729 | 127.729 | -0.000 | 0.000 | 0.000 |
| 127.729 | 103.594 | 127.729 | 0.000 | -0.000 | -0.000 |
| 127.729 | 127.729 | 103.594 | -0.000 | -0.000 | -0.000 |
| 0.000 | 0.000 | 0.000 | 127.039 | -0.000 | -0.000 |
| 0.000 | 0.000 | 0.000 | -0.000 | 127.039 | -0.000 |
| 0.000 | 0.000 | 0.000 | -0.000 | -0.000 | 127.039 |
| 103.593 | 127.728 | 127.728 | 0.000 | -0.000 | 0.000 |
| 127.728 | 103.593 | 127.728 | 0.000 | 0.000 | -0.000 |
| 127.728 | 127.728 | 103.593 | 0.000 | 0.000 | 0.000 |
| -0.000 | -0.000 | -0.000 | 127.039 | 0.000 | 0.000 |
| -0.000 | -0.000 | -0.000 | 0.000 | 127.039 | 0.000 |
| -0.000 | -0.000 | -0.000 | 0.000 | 0.000 | 127.039 |
| 166.294 | 214.284 | 214.284 | -0.000 | -0.000 | 0.000 |
| 214.284 | 166.294 | 214.284 | -0.000 | 0.000 | 0.000 |
| 214.284 | 214.284 | 166.294 | -0.000 | 0.000 | -0.000 |
| 0.000 | -0.000 | -0.000 | 214.284 | -0.000 | 0.000 |
| 0.000 | -0.000 | -0.000 | -0.000 | 214.284 | 0.000 |
| 0.000 | -0.000 | -0.000 | 0.000 | -0.000 | 214.284 |
| 166.294 | 214.284 | 214.284 | 0.000 | -0.000 | -0.000 |
| 214.284 | 166.294 | 214.284 | 0.000 | 0.000 | -0.000 |
| 214.284 | 214.284 | 166.294 | 0.000 | -0.000 | 0.000 |
| -0.000 | 0.000 | 0.000 | 214.284 | 0.000 | -0.000 |
| -0.000 | 0.000 | 0.000 | 0.000 | 214.284 | -0.000 |
| -0.000 | 0.000 | 0.000 | -0.000 | 0.000 | 214.284 |
| 166.294 | 214.284 | 214.284 | -0.000 | -0.000 | 0.000 |
| 214.284 | 166.294 | 214.284 | -0.000 | -0.000 | 0.000 |
| 214.284 | 214.284 | 166.294 | -0.000 | -0.000 | -0.000 |
| 0.000 | 0.000 | 0.000 | 214.284 | -0.000 | 0.000 |
| 0.000 | 0.000 | 0.000 | 0.000 | 214.284 | 0.000 |
| 0.000 | 0.000 | 0.000 | -0.000 | -0.000 | 214.284 |
| 166.294 | 214.284 | 214.284 | 0.000 | 0.000 | -0.000 |
| 214.284 | 166.294 | 214.284 | 0.000 | 0.000 | -0.000 |
| 214.284 | 214.284 | 166.294 | -0.000 | -0.000 | -0.000 |
| -0.000 | -0.000 | -0.000 | 214.284 | 0.000 | -0.000 |
| -0.000 | -0.000 | -0.000 | 0.000 | 214.284 | -0.000 |
| -0.000 | -0.000 | -0.000 | 0.000 | -0.000 | 214.284 |
| 166.295 | 214.285 | 214.285 | -0.000 | 0.000 | -0.000 |
| 214.285 | 166.295 | 214.285 | -0.000 | -0.000 | 0.000 |
| 214.285 | 214.285 | 166.295 | -0.000 | -0.000 | -0.000 |
| 0.001 | 0.000 | 0.001 | 212.858 | 0.000 | 0.000 |
| 0.000 | 0.001 | 0.001 | -0.000 | 212.858 | 0.000 |
| 0.000 | 0.001 | 0.001 | -0.000 | 0.000 | 212.858 |
| 166.293 | 214.283 | 214.283 | -0.000 | -0.000 | -0.000 |
| 214.283 | 166.293 | 214.283 | 0.000 | -0.000 | -0.000 |
| 214.283 | 214.283 | 166.293 | 0.000 | 0.000 | 0.000 |
| -0.001 | -0.000 | -0.001 | 212.858 | -0.000 | -0.000 |
| -0.000 | -0.001 | -0.001 | 0.000 | 212.858 | -0.000 |
| -0.000 | -0.001 | -0.001 | 0.000 | -0.000 | 212.858 |
| 393.570 | -23.085 | -23.085 | -0.000 | 0.000 | -0.000 |
| -23.085 | 393.570 | -23.085 | -0.000 | 0.000 | -0.000 |
| -23.085 | -23.085 | 393.570 | -0.000 | 0.000 | -0.000 |
| 0.000 | 0.000 | -0.000 | -23.085 | -0.000 | -0.000 |
| -0.000 | -0.000 | -0.000 | -0.000 | -23.085 | -0.000 |
| -0.000 | 0.000 | 0.000 | -0.000 | 0.000 | -23.085 |
| 393.570 | -23.085 | -23.085 | -0.000 | -0.000 | 0.000 |
| -23.085 | 393.570 | -23.085 | 0.000 | -0.000 | -0.000 |
| -23.085 | -23.085 | 393.570 | 0.000 | -0.000 | 0.000 |
| -0.000 | -0.000 | -0.000 | -23.085 | 0.000 | -0.000 |
| 0.000 | -0.000 | -0.000 | 0.000 | -23.085 | 0.000 |
| 0.000 | -0.000 | 0.000 | 0.000 | -0.000 | -23.085 |
| 393.571 | -23.085 | -23.085 | -0.000 | 0.000 | -0.000 |
| -23.085 | 393.571 | -23.085 | -0.000 | 0.000 | -0.000 |
| -23.085 | -23.085 | 393.571 | 0.000 | 0.000 | -0.000 |
| 0.000 | 0.000 | -0.000 | -23.085 | -0.000 | -0.000 |
| 0.000 | 0.000 | -0.000 | -0.000 | -23.085 | -0.000 |
| 0.000 | -0.000 | 0.000 | -0.000 | 0.000 | -23.085 |
| 393.570 | -23.085 | -23.085 | -0.000 | -0.000 | 0.000 |
| -23.085 | 393.570 | -23.085 | 0.000 | -0.000 | 0.000 |
| -23.085 | -23.085 | 393.570 | 0.000 | -0.000 | 0.000 |
| -0.000 | -0.000 | 0.000 | -23.085 | 0.000 | 0.000 |
| -0.000 | -0.000 | 0.000 | -0.000 | -23.085 | 0.000 |
| -0.000 | 0.000 | -0.000 | -0.000 | -0.000 | -23.085 |
| 393.574 | -23.085 | -23.085 | -0.000 | 0.000 | -0.000 |
| -23.085 | 393.574 | -23.085 | -0.000 | 0.000 | -0.000 |
| -23.085 | -23.085 | 393.574 | -0.000 | 0.000 | -0.000 |
| 0.000 | 0.000 | -0.000 | -23.085 | 0.000 | -0.000 |
| 0.000 | 0.000 | -0.000 | -0.000 | -23.085 | -0.000 |
| 0.000 | -0.000 | 0.000 | 0.000 | 0.000 | -23.085 |
| 393.566 | -23.085 | -23.085 | 0.000 | -0.000 | 0.000 |
| -23.085 | 393.566 | -23.085 | -0.000 | -0.000 | 0.000 |
| -23.085 | -23.085 | 393.566 | -0.000 | -0.000 | 0.000 |
| -0.000 | -0.000 | 0.000 | -23.085 | -0.000 | 0.000 |
| -0.000 | -0.000 | 0.000 | -0.000 | -23.085 | 0.000 |
| -0.000 | 0.000 | -0.000 | 0.000 | -0.000 | -23.085 |
| 165.166 | 213.340 | 213.340 | 0.000 | -0.000 | -0.000 |
| 213.340 | 165.166 | 213.340 | -0.000 | -0.000 | -0.000 |
| 213.340 | 213.340 | 165.166 | 0.000 | -0.000 | -0.000 |
| 0.000 | 0.000 | 0.000 | 213.340 | -0.000 | -0.000 |
| 0.000 | 0.000 | 0.000 | 0.000 | 213.340 | -0.000 |
| 0.000 | 0.000 | 0.000 | 0.000 | -0.000 | 213.340 |
| 165.166 | 213.340 | 213.340 | -0.000 | 0.000 | 0.000 |
| 213.340 | 165.166 | 213.340 | -0.000 | 0.000 | -0.000 |
| 213.340 | 213.340 | 165.166 | -0.000 | 0.000 | -0.000 |
| -0.000 | -0.000 | -0.000 | 213.340 | 0.000 | 0.000 |
| -0.000 | -0.000 | -0.000 | 0.000 | 213.340 | 0.000 |
| -0.000 | -0.000 | -0.000 | -0.000 | 0.000 | 213.340 |
| 165.166 | 213.340 | 213.340 | 0.000 | 0.000 | -0.000 |
| 213.340 | 165.166 | 213.340 | 0.000 | -0.000 | -0.000 |
| 213.340 | 213.340 | 165.166 | -0.000 | -0.000 | 0.000 |
| 0.000 | 0.000 | 0.000 | 213.340 | -0.000 | -0.000 |
| 0.000 | 0.000 | 0.000 | 0.000 | 213.340 | -0.000 |
| 0.000 | 0.000 | 0.000 | 0.000 | -0.000 | 213.340 |
| 165.166 | 213.340 | 213.340 | -0.000 | 0.000 | -0.000 |
| 213.340 | 165.166 | 213.340 | 0.000 | 0.000 | 0.000 |
| 213.340 | 213.340 | 165.166 | -0.000 | -0.000 | -0.000 |
| -0.000 | -0.000 | -0.000 | 213.340 | 0.000 | 0.000 |
| -0.000 | -0.000 | -0.000 | -0.000 | 213.340 | 0.000 |
| -0.000 | -0.000 | -0.000 | 0.000 | 0.000 | 213.340 |
| 165.167 | 213.341 | 213.341 | 0.000 | -0.000 | -0.000 |
| 213.341 | 165.167 | 213.341 | -0.000 | -0.000 | -0.000 |
| 213.341 | 213.341 | 165.167 | 0.000 | 0.000 | 0.000 |
| 0.001 | 0.000 | 0.001 | 213.340 | -0.000 | -0.000 |
| 0.000 | 0.001 | 0.001 | 0.000 | 213.340 | -0.000 |
| 0.000 | 0.001 | 0.001 | 0.000 | -0.000 | 213.340 |
| 165.165 | 213.339 | 213.339 | -0.000 | 0.000 | 0.000 |
| 213.339 | 165.165 | 213.339 | 0.000 | 0.000 | 0.000 |
| 213.339 | 213.339 | 165.165 | -0.000 | 0.000 | -0.000 |
| -0.001 | -0.000 | -0.001 | 213.340 | -0.000 | 0.000 |
| -0.000 | -0.001 | -0.001 | -0.000 | 213.340 | 0.000 |
| -0.000 | -0.001 | -0.001 | -0.000 | 0.000 | 213.340 |
| 31.343 | 41.423 | 41.423 | 0.000 | 0.000 | 0.000 |
| 41.423 | 31.343 | 41.423 | 0.000 | 0.000 | 0.000 |
| 41.423 | 41.423 | 31.343 | 0.000 | 0.000 | 0.000 |
| -0.000 | 0.000 | -0.000 | -12.231 | 0.000 | 0.000 |
| -0.000 | 0.000 | -0.000 | 0.000 | -12.231 | 0.000 |
| -0.000 | 0.000 | -0.000 | 0.000 | 0.000 | -12.231 |
| 31.343 | 41.423 | 41.423 | -0.000 | -0.000 | -0.000 |
| 41.423 | 31.343 | 41.423 | -0.000 | -0.000 | -0.000 |
| 41.423 | 41.423 | 31.343 | -0.000 | -0.000 | -0.000 |
| 0.000 | -0.000 | 0.000 | -12.231 | -0.000 | -0.000 |
| 0.000 | -0.000 | 0.000 | -0.000 | -12.231 | -0.000 |
| -0.000 | 0.000 | 0.000 | -0.000 | -0.000 | -12.231 |
| 31.343 | 41.423 | 41.423 | 0.000 | 0.000 | 0.000 |
| 41.423 | 31.343 | 41.423 | 0.000 | 0.000 | 0.000 |
| 41.423 | 41.423 | 31.343 | 0.000 | 0.000 | 0.000 |
| -0.000 | -0.000 | -0.000 | -12.231 | 0.000 | 0.000 |
| -0.000 | -0.000 | -0.000 | 0.000 | -12.231 | 0.000 |
| -0.000 | -0.000 | -0.000 | 0.000 | 0.000 | -12.231 |
| 31.343 | 41.423 | 41.423 | -0.000 | -0.000 | -0.000 |
| 41.423 | 31.343 | 41.423 | -0.000 | -0.000 | -0.000 |
| 41.423 | 41.423 | 31.343 | -0.000 | -0.000 | -0.000 |
| 0.000 | 0.000 | 0.000 | -12.231 | -0.000 | -0.000 |
| 0.000 | 0.000 | 0.000 | -0.000 | -12.231 | -0.000 |
| 0.000 | 0.000 | 0.000 | -0.000 | -0.000 | -12.231 |
| 31.343 | 41.423 | 41.423 | 0.000 | 0.000 | 0.000 |
| 41.423 | 31.343 | 41.423 | 0.000 | 0.000 | 0.000 |
| 41.423 | 41.423 | 31.343 | 0.000 | 0.000 | 0.000 |
| -0.000 | -0.000 | -0.000 | -12.231 | 0.000 | 0.000 |
| -0.000 | -0.000 | -0.000 | 0.000 | -12.231 | 0.000 |
| -0.000 | -0.000 | -0.000 | 0.000 | 0.000 | -12.231 |
| 31.343 | 41.423 | 41.423 | -0.000 | -0.000 | -0.000 |
| 41.423 | 31.343 | 41.423 | -0.000 | -0.000 | -0.000 |
| 41.423 | 41.423 | 31.343 | -0.000 | -0.000 | -0.000 |
| 0.000 | 0.000 | 0.000 | -12.231 | -0.000 | -0.000 |
| 0.000 | 0.000 | 0.000 | -0.000 | -12.231 | -0.000 |
| 0.000 | 0.000 | 0.000 | -0.000 | -0.000 | -12.231 |
| 422.521 | 71.300 | 176.265 | 0.000 | -0.000 | -0.000 |
| 71.300 | 422.521 | 176.265 | 0.000 | -0.000 | -0.000 |
| 176.265 | 176.265 | 317.528 | 0.000 | 0.000 | -0.000 |
| 0.000 | -0.000 | 0.000 | 176.265 | -0.000 | -0.000 |
| 0.000 | 0.000 | 0.000 | -0.000 | 176.265 | 0.000 |
| 0.000 | -0.000 | 0.000 | 0.000 | -0.000 | 71.300 |
| 422.521 | 71.300 | 176.265 | -0.000 | 0.000 | 0.000 |
| 71.300 | 422.521 | 176.265 | -0.000 | -0.000 | 0.000 |
| 176.265 | 176.265 | 317.528 | -0.000 | -0.000 | 0.000 |
| -0.000 | 0.000 | -0.000 | 176.265 | 0.000 | -0.000 |
| -0.000 | -0.000 | -0.000 | -0.000 | 176.265 | 0.000 |
| -0.000 | 0.000 | -0.000 | -0.000 | 0.000 | 71.300 |
| 422.522 | 71.300 | 176.265 | 0.000 | 0.000 | -0.000 |
| 71.300 | 422.522 | 176.265 | -0.000 | -0.000 | 0.000 |
| 176.265 | 176.265 | 317.528 | 0.000 | -0.000 | -0.000 |
| 0.000 | 0.000 | 0.000 | 176.265 | -0.000 | 0.000 |
| 0.000 | 0.000 | 0.000 | 0.000 | 176.265 | -0.000 |
| 0.000 | 0.000 | 0.000 | 0.000 | -0.000 | 71.300 |
| 422.521 | 71.300 | 176.265 | 0.000 | 0.000 | -0.000 |
| 71.300 | 422.521 | 176.265 | 0.000 | 0.000 | 0.000 |
| 176.265 | 176.265 | 317.528 | -0.000 | 0.000 | 0.000 |
| -0.000 | -0.000 | -0.000 | 176.265 | 0.000 | -0.000 |
| -0.000 | -0.000 | -0.000 | -0.000 | 176.265 | 0.000 |
| -0.000 | -0.000 | -0.000 | -0.000 | 0.000 | 71.300 |
| 422.525 | 71.300 | 176.266 | 0.000 | -0.000 | -0.000 |
| 71.300 | 422.525 | 176.266 | 0.000 | -0.000 | -0.000 |
| 176.266 | 176.266 | 317.530 | 0.000 | -0.000 | 0.000 |
| 0.000 | 0.000 | 0.001 | 176.265 | 0.000 | 0.000 |
| 0.000 | 0.000 | 0.001 | 0.000 | 176.265 | -0.000 |
| 0.000 | 0.000 | 0.000 | 0.000 | -0.000 | 71.300 |
| 422.518 | 71.300 | 176.265 | -0.000 | -0.000 | 0.000 |
| 71.300 | 422.518 | 176.265 | -0.000 | 0.000 | 0.000 |
| 176.264 | 176.264 | 317.527 | -0.000 | -0.000 | 0.000 |
| -0.000 | -0.000 | -0.001 | 176.265 | -0.000 | 0.000 |
| -0.000 | -0.000 | -0.001 | -0.000 | 176.265 | 0.000 |
| -0.000 | -0.000 | -0.000 | -0.000 | -0.000 | 71.300 |
| 268.430 | 179.271 | 179.578 | -0.000 | -0.000 | -0.000 |
| 179.271 | 447.776 | -37.868 | 0.000 | 0.000 | -0.000 |
| 179.578 | -37.868 | 447.683 | 0.000 | 0.000 | -0.000 |
| -0.000 | -0.000 | -0.000 | -37.868 | 0.000 | 0.000 |
| -0.000 | -0.000 | 0.000 | -0.000 | 179.578 | -0.000 |
| -0.000 | -0.000 | -0.000 | -0.000 | 0.000 | 179.271 |
| 268.430 | 179.271 | 179.578 | 0.000 | -0.000 | 0.000 |
| 179.271 | 447.776 | -37.868 | -0.000 | -0.000 | 0.000 |
| 179.578 | -37.868 | 447.683 | 0.000 | -0.000 | 0.000 |
| 0.000 | 0.000 | 0.000 | -37.868 | -0.000 | 0.000 |
| 0.000 | 0.000 | -0.000 | 0.000 | 179.578 | 0.000 |
| 0.000 | -0.000 | 0.000 | -0.000 | -0.000 | 179.271 |
| 268.430 | 179.271 | 179.578 | -0.000 | 0.000 | 0.000 |
| 179.271 | 447.776 | -37.868 | 0.000 | 0.000 | -0.000 |
| 179.578 | -37.868 | 447.683 | 0.000 | 0.000 | -0.000 |
| -0.000 | 0.000 | -0.000 | -37.868 | 0.000 | -0.000 |
| 0.000 | -0.000 | 0.000 | -0.000 | 179.578 | -0.000 |
| 0.000 | 0.000 | -0.000 | 0.000 | 0.000 | 179.271 |
| 268.429 | 179.271 | 179.578 | -0.000 | -0.000 | -0.000 |
| 179.270 | 447.776 | -37.868 | -0.000 | -0.000 | -0.000 |
| 179.578 | -37.868 | 447.683 | -0.000 | -0.000 | 0.000 |
| 0.000 | -0.000 | 0.000 | -37.868 | -0.000 | -0.000 |
| -0.000 | 0.000 | -0.000 | 0.000 | 179.578 | -0.000 |
| -0.000 | -0.000 | 0.000 | 0.000 | -0.000 | 179.271 |
| 268.432 | 179.271 | 179.579 | -0.000 | 0.000 | -0.000 |
| 179.272 | 447.779 | -37.868 | -0.000 | 0.000 | -0.000 |
| 179.580 | -37.868 | 447.686 | -0.000 | 0.000 | -0.000 |
| -0.000 | 0.000 | -0.000 | -37.868 | 0.000 | 0.000 |
| 0.000 | -0.000 | 0.001 | -0.000 | 179.578 | -0.000 |
| 0.000 | 0.001 | -0.000 | 0.000 | -0.000 | 179.271 |
| 268.427 | 179.270 | 179.577 | 0.000 | -0.000 | -0.000 |
| 179.269 | 447.773 | -37.868 | 0.000 | -0.000 | 0.000 |
| 179.577 | -37.868 | 447.680 | -0.000 | -0.000 | 0.000 |
| 0.000 | -0.000 | 0.000 | -37.868 | -0.000 | 0.000 |
| -0.000 | 0.000 | -0.001 | 0.000 | 179.578 | -0.000 |
| -0.000 | -0.001 | 0.000 | 0.000 | -0.000 | 179.271 |
| 164.844 | 212.850 | 213.235 | 0.000 | 0.000 | 0.000 |
| 212.850 | 402.049 | -24.460 | 0.000 | 0.000 | -0.000 |
| 213.235 | -24.460 | 402.160 | -0.000 | 0.000 | 0.000 |
| -0.000 | -0.000 | -0.000 | -24.460 | 0.000 | 0.000 |
| -0.000 | 0.000 | 0.000 | 0.000 | 213.235 | 0.000 |
| -0.000 | -0.000 | -0.000 | 0.000 | 0.000 | 212.850 |
| 164.844 | 212.850 | 213.235 | 0.000 | -0.000 | 0.000 |
| 212.850 | 402.049 | -24.460 | -0.000 | 0.000 | 0.000 |
| 213.235 | -24.460 | 402.160 | -0.000 | -0.000 | 0.000 |
| 0.000 | 0.000 | 0.000 | -24.460 | -0.000 | 0.000 |
| 0.000 | -0.000 | -0.000 | -0.000 | 213.235 | -0.000 |
| 0.000 | -0.000 | 0.000 | -0.000 | -0.000 | 212.850 |
| 164.844 | 212.850 | 213.235 | 0.000 | 0.000 | -0.000 |
| 212.850 | 402.049 | -24.460 | 0.000 | 0.000 | -0.000 |
| 213.235 | -24.460 | 402.161 | 0.000 | 0.000 | 0.000 |
| -0.000 | 0.000 | -0.000 | -24.460 | 0.000 | 0.000 |
| 0.000 | -0.000 | 0.000 | -0.000 | 213.235 | 0.000 |
| 0.000 | 0.000 | -0.000 | 0.000 | 0.000 | 212.850 |
| 164.844 | 212.850 | 213.235 | -0.000 | -0.000 | 0.000 |
| 212.850 | 402.049 | -24.460 | 0.000 | -0.000 | 0.000 |
| 213.235 | -24.460 | 402.160 | -0.000 | -0.000 | 0.000 |
| 0.000 | -0.000 | 0.000 | -24.460 | -0.000 | 0.000 |
| -0.000 | 0.000 | -0.000 | -0.000 | 213.235 | 0.000 |
| -0.000 | -0.000 | 0.000 | -0.000 | -0.000 | 212.850 |
| 164.845 | 212.851 | 213.236 | 0.000 | 0.000 | -0.000 |
| 212.852 | 402.052 | -24.460 | 0.000 | 0.000 | -0.000 |
| 213.237 | -24.460 | 402.163 | 0.000 | 0.000 | 0.000 |
| -0.000 | 0.000 | -0.000 | -24.460 | 0.000 | -0.000 |
| 0.000 | -0.000 | 0.001 | 0.000 | 213.235 | -0.000 |
| 0.000 | 0.001 | -0.000 | 0.000 | 0.000 | 212.850 |
| 164.843 | 212.849 | 213.234 | -0.000 | -0.000 | -0.000 |
| 212.848 | 402.046 | -24.460 | 0.000 | -0.000 | 0.000 |
| 213.233 | -24.460 | 402.158 | -0.000 | 0.000 | -0.000 |
| 0.000 | -0.000 | 0.000 | -24.460 | -0.000 | 0.000 |
| -0.000 | 0.000 | -0.001 | -0.000 | 213.235 | 0.000 |
| -0.000 | -0.001 | 0.000 | -0.000 | -0.000 | 212.850 |
| 161.211 | 209.885 | 209.885 | -0.000 | 0.000 | 0.000 |
| 209.885 | 161.211 | 209.885 | -0.000 | 0.000 | 0.000 |
| 209.885 | 209.885 | 161.211 | -0.000 | 0.000 | 0.000 |
| 0.000 | 0.000 | 0.000 | 209.829 | -0.000 | 0.000 |
| 0.000 | 0.000 | 0.000 | -0.000 | 209.829 | 0.000 |
| 0.000 | 0.000 | 0.000 | -0.000 | 0.000 | 209.829 |
| 161.212 | 209.886 | 209.886 | 0.000 | -0.000 | -0.000 |
| 209.886 | 161.212 | 209.886 | -0.000 | 0.000 | -0.000 |
| 209.886 | 209.886 | 161.212 | 0.000 | -0.000 | -0.000 |
| -0.000 | -0.000 | -0.000 | 209.829 | 0.000 | 0.000 |
| -0.000 | -0.000 | -0.000 | 0.000 | 209.829 | -0.000 |
| -0.000 | -0.000 | -0.000 | 0.000 | -0.000 | 209.829 |
| 161.212 | 209.886 | 209.886 | -0.000 | 0.000 | 0.000 |
| 209.886 | 161.212 | 209.886 | -0.000 | -0.000 | 0.000 |
| 209.886 | 209.886 | 161.212 | -0.000 | 0.000 | 0.000 |
| 0.000 | 0.000 | 0.000 | 209.886 | -0.000 | 0.000 |
| 0.000 | 0.000 | 0.000 | -0.000 | 209.886 | 0.000 |
| 0.000 | 0.000 | 0.000 | 0.000 | 0.000 | 209.886 |
| 161.210 | 209.884 | 209.884 | 0.000 | -0.000 | -0.000 |
| 209.884 | 161.210 | 209.884 | 0.000 | -0.000 | -0.000 |
| 209.884 | 209.884 | 161.210 | 0.000 | -0.000 | -0.000 |
| -0.000 | -0.000 | -0.000 | 209.886 | 0.000 | -0.000 |
| -0.000 | -0.000 | -0.000 | 0.000 | 209.886 | -0.000 |
| -0.000 | -0.000 | -0.000 | -0.000 | -0.000 | 209.886 |
| 161.213 | 209.887 | 209.887 | -0.000 | 0.000 | 0.000 |
| 209.887 | 161.213 | 209.887 | -0.000 | 0.000 | 0.000 |
| 209.887 | 209.887 | 161.213 | -0.000 | 0.000 | 0.000 |
| 0.001 | 0.000 | 0.001 | 209.886 | -0.000 | 0.000 |
| 0.000 | 0.001 | 0.001 | 0.000 | 209.886 | 0.000 |
| 0.000 | 0.001 | 0.001 | -0.000 | 0.000 | 209.886 |
| 161.210 | 209.884 | 209.884 | -0.000 | -0.000 | -0.000 |
| 209.884 | 161.210 | 209.884 | 0.000 | -0.000 | -0.000 |
| 209.884 | 209.884 | 161.210 | 0.000 | -0.000 | -0.000 |
| -0.001 | -0.000 | -0.001 | 209.886 | 0.000 | -0.000 |
| -0.000 | -0.001 | -0.001 | 0.000 | 209.886 | -0.000 |
| -0.000 | -0.001 | -0.001 | 0.000 | -0.000 | 209.886 |
| 93.933 | 115.653 | 115.653 | -0.000 | -0.000 | -0.000 |
| 115.653 | 93.933 | 115.653 | -0.000 | -0.000 | -0.000 |
| 115.653 | 115.653 | 93.933 | -0.000 | -0.000 | -0.000 |
| 0.000 | -0.000 | -0.000 | -16.777 | -0.000 | -0.000 |
| 0.000 | 0.000 | 0.000 | -0.000 | -16.777 | -0.000 |
| 0.000 | 0.000 | 0.000 | -0.000 | -0.000 | -16.777 |
| 93.933 | 115.653 | 115.653 | 0.000 | 0.000 | 0.000 |
| 115.653 | 93.933 | 115.653 | 0.000 | 0.000 | -0.000 |
| 115.653 | 115.653 | 93.933 | 0.000 | 0.000 | 0.000 |
| 0.000 | 0.000 | -0.000 | -16.777 | 0.000 | 0.000 |
| 0.000 | -0.000 | -0.000 | 0.000 | -16.777 | 0.000 |
| 0.000 | -0.000 | -0.000 | 0.000 | 0.000 | -16.777 |
| 93.933 | 115.653 | 115.653 | -0.000 | -0.000 | -0.000 |
| 115.653 | 93.933 | 115.653 | -0.000 | -0.000 | -0.000 |
| 115.653 | 115.653 | 93.933 | -0.000 | -0.000 | -0.000 |
| 0.000 | 0.000 | 0.000 | 115.653 | -0.000 | 0.000 |
| 0.000 | 0.000 | 0.000 | -0.000 | 115.653 | -0.000 |
| 0.000 | 0.000 | 0.000 | 0.000 | -0.000 | 115.653 |
| 93.933 | 115.653 | 115.653 | 0.000 | 0.000 | 0.000 |
| 115.653 | 93.933 | 115.653 | 0.000 | 0.000 | 0.000 |
| 115.653 | 115.653 | 93.933 | 0.000 | 0.000 | 0.000 |
| -0.000 | -0.000 | -0.000 | 115.653 | 0.000 | 0.000 |
| -0.000 | -0.000 | -0.000 | 0.000 | 115.653 | 0.000 |
| -0.000 | -0.000 | -0.000 | -0.000 | 0.000 | 115.653 |
| 93.933 | 115.653 | 115.653 | -0.000 | -0.000 | -0.000 |
| 115.653 | 93.933 | 115.653 | -0.000 | -0.000 | -0.000 |
| 115.653 | 115.653 | 93.933 | -0.000 | -0.000 | -0.000 |
| 0.000 | -0.000 | -0.000 | -16.777 | -0.000 | -0.000 |
| -0.000 | 0.000 | -0.000 | -0.000 | -16.777 | -0.000 |
| -0.000 | -0.000 | 0.000 | -0.000 | -0.000 | -16.777 |
| 93.932 | 115.652 | 115.652 | 0.000 | 0.000 | 0.000 |
| 115.652 | 93.932 | 115.652 | 0.000 | 0.000 | 0.000 |
| 115.652 | 115.652 | 93.932 | 0.000 | 0.000 | 0.000 |
| -0.000 | 0.000 | 0.000 | -16.777 | 0.000 | -0.000 |
| 0.000 | -0.000 | 0.000 | 0.000 | -16.777 | 0.000 |
| 0.000 | 0.000 | -0.000 | 0.000 | 0.000 | -16.777 |
| 124.061 | 162.370 | 162.370 | -0.000 | -0.000 | 0.000 |
| 162.370 | 124.062 | 162.370 | 0.000 | -0.000 | -0.000 |
| 162.370 | 162.370 | 124.061 | -0.000 | -0.000 | -0.000 |
| 0.000 | -0.000 | -0.000 | 149.072 | 0.000 | -0.000 |
| 0.000 | 0.000 | 0.000 | 0.000 | 149.072 | -0.000 |
| 0.000 | 0.000 | -0.000 | -0.000 | -0.000 | 149.072 |
| 124.061 | 162.370 | 162.370 | 0.000 | 0.000 | 0.000 |
| 162.370 | 124.061 | 162.370 | 0.000 | 0.000 | -0.000 |
| 162.370 | 162.370 | 124.061 | 0.000 | 0.000 | 0.000 |
| -0.000 | 0.000 | 0.000 | 149.072 | -0.000 | 0.000 |
| -0.000 | -0.000 | -0.000 | 0.000 | 149.072 | 0.000 |
| 0.000 | -0.000 | 0.000 | 0.000 | 0.000 | 149.072 |
| 124.062 | 162.370 | 162.370 | -0.000 | -0.000 | -0.000 |
| 162.370 | 124.062 | 162.370 | -0.000 | -0.000 | 0.000 |
| 162.370 | 162.370 | 124.062 | 0.000 | 0.000 | -0.000 |
| 0.000 | 0.000 | 0.000 | 162.370 | 0.000 | 0.000 |
| 0.000 | 0.000 | 0.000 | -0.000 | 162.370 | -0.000 |
| 0.000 | 0.000 | 0.000 | -0.000 | -0.000 | 162.370 |
| 124.061 | 162.370 | 162.370 | 0.000 | 0.000 | 0.000 |
| 162.370 | 124.061 | 162.370 | 0.000 | 0.000 | -0.000 |
| 162.370 | 162.370 | 124.061 | -0.000 | 0.000 | 0.000 |
| -0.000 | -0.000 | -0.000 | 162.370 | -0.000 | -0.000 |
| -0.000 | -0.000 | -0.000 | 0.000 | 162.370 | 0.000 |
| -0.000 | -0.000 | -0.000 | 0.000 | 0.000 | 162.370 |
| 124.062 | 162.371 | 162.371 | -0.000 | -0.000 | 0.000 |
| 162.371 | 124.062 | 162.371 | -0.000 | -0.000 | 0.000 |
| 162.371 | 162.371 | 124.062 | 0.000 | 0.000 | -0.000 |
| 0.001 | 0.000 | 0.000 | 149.072 | -0.000 | -0.000 |
| 0.000 | 0.001 | 0.000 | -0.000 | 149.072 | -0.000 |
| 0.000 | 0.000 | 0.001 | -0.000 | -0.000 | 149.072 |
| 124.061 | 162.369 | 162.369 | 0.000 | 0.000 | -0.000 |
| 162.369 | 124.061 | 162.369 | 0.000 | 0.000 | -0.000 |
| 162.369 | 162.369 | 124.061 | 0.000 | 0.000 | 0.000 |
| -0.001 | -0.000 | -0.000 | 149.072 | 0.000 | -0.000 |
| -0.000 | -0.001 | -0.000 | 0.000 | 149.072 | 0.000 |
| -0.000 | -0.000 | -0.001 | 0.000 | 0.000 | 149.072 |
| 166.475 | 214.730 | 214.730 | -0.000 | 0.000 | 0.000 |
| 214.730 | 166.475 | 214.730 | -0.000 | 0.000 | 0.000 |
| 214.730 | 214.730 | 166.475 | -0.000 | -0.000 | 0.000 |
| 0.000 | 0.000 | -0.000 | 214.730 | -0.000 | 0.000 |
| -0.000 | 0.000 | -0.000 | -0.000 | 214.730 | 0.000 |
| -0.000 | 0.000 | 0.000 | -0.000 | -0.000 | 214.730 |
| 166.475 | 214.730 | 214.730 | 0.000 | -0.000 | 0.000 |
| 214.730 | 166.475 | 214.730 | 0.000 | -0.000 | 0.000 |
| 214.730 | 214.730 | 166.475 | 0.000 | 0.000 | -0.000 |
| -0.000 | -0.000 | 0.000 | 214.730 | 0.000 | -0.000 |
| -0.000 | -0.000 | 0.000 | 0.000 | 214.730 | -0.000 |
| 0.000 | -0.000 | -0.000 | 0.000 | 0.000 | 214.730 |
| 166.475 | 214.730 | 214.730 | -0.000 | 0.000 | -0.000 |
| 214.730 | 166.475 | 214.730 | -0.000 | 0.000 | 0.000 |
| 214.730 | 214.730 | 166.475 | -0.000 | -0.000 | 0.000 |
| 0.000 | 0.000 | 0.000 | 214.730 | -0.000 | 0.000 |
| 0.000 | 0.000 | 0.000 | -0.000 | 214.730 | 0.000 |
| 0.000 | 0.000 | 0.000 | -0.000 | -0.000 | 214.730 |
| 166.475 | 214.730 | 214.730 | 0.000 | 0.000 | -0.000 |
| 214.730 | 166.475 | 214.730 | 0.000 | -0.000 | -0.000 |
| 214.730 | 214.730 | 166.475 | 0.000 | 0.000 | -0.000 |
| -0.000 | -0.000 | -0.000 | 214.730 | 0.000 | -0.000 |
| -0.000 | -0.000 | -0.000 | 0.000 | 214.730 | -0.000 |
| -0.000 | -0.000 | -0.000 | 0.000 | 0.000 | 214.730 |
| 166.476 | 214.731 | 214.731 | -0.000 | -0.000 | 0.000 |
| 214.731 | 166.476 | 214.731 | -0.000 | 0.000 | -0.000 |
| 214.731 | 214.731 | 166.476 | -0.000 | -0.000 | 0.000 |
| 0.001 | 0.000 | 0.001 | 214.700 | 0.000 | 0.000 |
| 0.000 | 0.001 | 0.001 | -0.000 | 214.700 | 0.000 |
| 0.000 | 0.001 | 0.001 | -0.000 | -0.000 | 214.700 |
| 166.474 | 214.729 | 214.729 | 0.000 | 0.000 | -0.000 |
| 214.729 | 166.474 | 214.729 | 0.000 | -0.000 | -0.000 |
| 214.729 | 214.729 | 166.474 | 0.000 | 0.000 | -0.000 |
| -0.001 | -0.000 | -0.001 | 214.700 | -0.000 | -0.000 |
| -0.000 | -0.001 | -0.001 | -0.000 | 214.700 | -0.000 |
| -0.000 | -0.001 | -0.001 | 0.000 | 0.000 | 214.700 |
| 476.531 | 17.220 | 17.220 | 0.000 | 0.000 | 0.000 |
| 17.220 | 476.531 | 17.220 | 0.000 | 0.000 | -0.000 |
| 17.220 | 17.220 | 476.531 | -0.000 | 0.000 | 0.000 |
| 0.000 | -0.000 | -0.000 | -102.579 | 0.000 | 0.000 |
| -0.000 | -0.000 | 0.000 | 0.000 | -102.579 | 0.000 |
| -0.000 | -0.000 | 0.000 | 0.000 | 0.000 | -102.579 |
| 476.531 | 17.220 | 17.220 | -0.000 | -0.000 | -0.000 |
| 17.220 | 476.531 | 17.220 | 0.000 | -0.000 | -0.000 |
| 17.220 | 17.220 | 476.531 | -0.000 | -0.000 | -0.000 |
| -0.000 | 0.000 | 0.000 | -102.579 | -0.000 | -0.000 |
| 0.000 | 0.000 | -0.000 | -0.000 | -102.579 | -0.000 |
| 0.000 | 0.000 | -0.000 | -0.000 | -0.000 | -102.579 |
| 476.531 | 17.220 | 17.220 | 0.000 | 0.000 | 0.000 |
| 17.220 | 476.531 | 17.220 | 0.000 | 0.000 | 0.000 |
| 17.220 | 17.220 | 476.531 | -0.000 | -0.000 | -0.000 |
| 0.000 | -0.000 | -0.000 | -102.579 | 0.000 | 0.000 |
| -0.000 | 0.000 | -0.000 | 0.000 | -102.579 | 0.000 |
| -0.000 | -0.000 | 0.000 | 0.000 | 0.000 | -102.579 |
| 477.916 | 16.527 | 16.527 | -0.000 | -0.000 | -0.000 |
| 16.527 | 477.916 | 16.527 | -0.000 | -0.000 | 0.000 |
| 16.527 | 16.527 | 477.916 | -0.000 | -0.000 | -0.000 |
| -0.000 | 0.000 | 0.000 | -102.579 | -0.000 | -0.000 |
| 0.000 | -0.000 | 0.000 | -0.000 | -102.579 | -0.000 |
| 0.000 | 0.000 | -0.000 | -0.000 | -0.000 | -102.579 |
| 476.535 | 17.220 | 17.220 | 0.000 | 0.000 | 0.000 |
| 17.220 | 476.535 | 17.220 | 0.000 | 0.000 | 0.000 |
| 17.220 | 17.220 | 476.535 | -0.000 | 0.000 | 0.000 |
| 0.004 | 0.003 | 0.001 | -289.259 | 0.000 | 0.000 |
| 0.003 | 0.004 | 0.001 | -0.000 | -289.260 | 0.000 |
| 0.003 | 0.001 | 0.004 | 0.000 | 0.000 | -289.259 |
| 476.527 | 17.219 | 17.219 | 0.000 | -0.000 | -0.000 |
| 17.219 | 476.527 | 17.219 | 0.000 | -0.000 | -0.000 |
| 17.219 | 17.219 | 476.527 | -0.000 | -0.000 | -0.000 |
| -0.004 | -0.003 | -0.001 | -289.260 | -0.000 | -0.000 |
| -0.003 | -0.004 | -0.001 | -0.000 | -289.260 | -0.000 |
| -0.003 | -0.001 | -0.004 | 0.000 | -0.000 | -289.260 |
| 162.590 | 211.275 | 211.275 | 0.000 | 0.000 | 0.000 |
| 211.275 | 162.590 | 211.275 | 0.000 | 0.000 | 0.000 |
| 211.275 | 211.275 | 162.590 | 0.000 | -0.000 | 0.000 |
| 0.000 | 0.000 | 0.000 | 211.275 | -0.000 | 0.000 |
| -0.000 | 0.000 | 0.000 | 0.000 | 211.275 | -0.000 |
| -0.000 | 0.000 | 0.000 | -0.000 | 0.000 | 211.275 |
| 162.590 | 211.275 | 211.275 | -0.000 | 0.000 | -0.000 |
| 211.275 | 162.590 | 211.275 | 0.000 | 0.000 | -0.000 |
| 211.275 | 211.275 | 162.590 | -0.000 | 0.000 | -0.000 |
| 0.000 | -0.000 | -0.000 | 211.275 | 0.000 | -0.000 |
| 0.000 | -0.000 | -0.000 | -0.000 | 211.275 | -0.000 |
| 0.000 | -0.000 | -0.000 | -0.000 | 0.000 | 211.275 |
| 162.590 | 211.275 | 211.275 | 0.000 | 0.000 | 0.000 |
| 211.275 | 162.590 | 211.275 | 0.000 | -0.000 | -0.000 |
| 211.275 | 211.275 | 162.590 | -0.000 | -0.000 | 0.000 |
| 0.000 | 0.000 | 0.000 | 210.374 | 0.000 | 0.000 |
| 0.000 | 0.000 | 0.000 | 0.000 | 210.374 | 0.000 |
| 0.000 | 0.000 | 0.000 | 0.000 | 0.000 | 210.374 |
| 162.590 | 211.275 | 211.275 | -0.000 | -0.000 | 0.000 |
| 211.275 | 162.590 | 211.275 | -0.000 | -0.000 | -0.000 |
| 211.275 | 211.275 | 162.590 | -0.000 | 0.000 | -0.000 |
| -0.000 | -0.000 | -0.000 | 210.374 | -0.000 | -0.000 |
| -0.000 | -0.000 | -0.000 | 0.000 | 210.374 | 0.000 |
| -0.000 | -0.000 | -0.000 | -0.000 | -0.000 | 210.374 |
| 162.591 | 211.276 | 211.276 | 0.000 | -0.000 | -0.000 |
| 211.276 | 162.591 | 211.276 | -0.000 | 0.000 | -0.000 |
| 211.276 | 211.276 | 162.591 | 0.000 | 0.000 | 0.000 |
| 0.001 | 0.000 | 0.001 | 211.275 | -0.000 | -0.000 |
| 0.000 | 0.001 | 0.001 | 0.000 | 211.275 | -0.000 |
| 0.000 | 0.001 | 0.001 | -0.000 | -0.000 | 211.275 |
| 162.589 | 211.274 | 211.274 | -0.000 | -0.000 | 0.000 |
| 211.274 | 162.589 | 211.274 | 0.000 | 0.000 | 0.000 |
| 211.274 | 211.274 | 162.589 | 0.000 | -0.000 | -0.000 |
| -0.001 | -0.000 | -0.001 | 211.275 | 0.000 | 0.000 |
| -0.000 | -0.001 | -0.001 | -0.000 | 211.275 | -0.000 |
| -0.000 | -0.001 | -0.001 | 0.000 | 0.000 | 211.275 |
| 316.455 | 175.283 | 175.283 | -0.000 | 0.000 | 0.000 |
| 175.283 | 316.455 | 175.283 | 0.000 | 0.000 | 0.000 |
| 175.283 | 175.283 | 316.455 | 0.000 | 0.000 | 0.000 |
| 0.000 | 0.000 | 0.000 | 175.283 | 0.000 | 0.000 |
| 0.000 | -0.000 | 0.000 | -0.000 | 175.283 | 0.000 |
| 0.000 | 0.000 | -0.000 | 0.000 | 0.000 | 175.283 |
| 316.455 | 175.283 | 175.283 | 0.000 | 0.000 | -0.000 |
| 175.283 | 316.455 | 175.283 | -0.000 | -0.000 | 0.000 |
| 175.283 | 175.283 | 316.455 | 0.000 | -0.000 | -0.000 |
| -0.000 | -0.000 | -0.000 | 175.283 | -0.000 | -0.000 |
| -0.000 | 0.000 | -0.000 | -0.000 | 175.283 | -0.000 |
| -0.000 | -0.000 | 0.000 | -0.000 | -0.000 | 175.283 |
| 316.455 | 175.283 | 175.283 | -0.000 | 0.000 | 0.000 |
| 175.283 | 316.455 | 175.283 | -0.000 | 0.000 | 0.000 |
| 175.283 | 175.283 | 316.455 | 0.000 | 0.000 | 0.000 |
| -0.000 | 0.000 | 0.000 | 175.283 | 0.000 | 0.000 |
| 0.000 | -0.000 | 0.000 | 0.000 | 175.283 | 0.000 |
| 0.000 | 0.000 | -0.000 | 0.000 | 0.000 | 175.283 |
| 316.455 | 175.283 | 175.283 | 0.000 | -0.000 | -0.000 |
| 175.283 | 316.455 | 175.283 | 0.000 | -0.000 | -0.000 |
| 175.283 | 175.283 | 316.455 | -0.000 | -0.000 | -0.000 |
| 0.000 | -0.000 | -0.000 | 175.283 | -0.000 | -0.000 |
| -0.000 | 0.000 | -0.000 | 0.000 | 175.283 | -0.000 |
| -0.000 | -0.000 | 0.000 | -0.000 | -0.000 | 175.283 |
| 316.456 | 175.284 | 175.284 | -0.000 | 0.000 | 0.000 |
| 175.284 | 316.456 | 175.284 | 0.000 | 0.000 | 0.000 |
| 175.284 | 175.284 | 316.456 | -0.000 | 0.000 | 0.000 |
| -0.000 | 0.001 | 0.001 | 175.283 | 0.000 | 0.000 |
| 0.001 | -0.000 | 0.001 | 0.000 | 175.283 | 0.000 |
| 0.001 | 0.001 | -0.000 | 0.000 | 0.000 | 175.283 |
| 316.453 | 175.282 | 175.282 | -0.000 | -0.000 | -0.000 |
| 175.282 | 316.453 | 175.282 | 0.000 | -0.000 | -0.000 |
| 175.282 | 175.282 | 316.453 | -0.000 | -0.000 | -0.000 |
| 0.000 | -0.001 | -0.001 | 175.283 | -0.000 | -0.000 |
| -0.001 | 0.000 | -0.001 | 0.000 | 175.283 | -0.000 |
| -0.001 | -0.001 | 0.000 | -0.000 | -0.000 | 175.283 |
| 398.252 | -24.385 | 211.207 | -0.000 | -0.000 | -0.000 |
| -24.385 | 398.252 | 211.207 | -0.000 | -0.000 | -0.000 |
| 211.206 | 211.207 | 162.771 | -0.000 | 0.000 | -0.000 |
| -0.000 | 0.000 | 0.000 | 211.206 | -0.000 | -0.000 |
| 0.000 | 0.000 | 0.000 | -0.000 | 211.206 | -0.000 |
| 0.000 | 0.000 | -0.000 | -0.000 | -0.000 | -24.385 |
| 398.252 | -24.385 | 211.206 | 0.000 | 0.000 | 0.000 |
| -24.385 | 398.252 | 211.206 | 0.000 | 0.000 | 0.000 |
| 211.206 | 211.206 | 162.771 | -0.000 | -0.000 | -0.000 |
| 0.000 | -0.000 | -0.000 | 211.206 | 0.000 | 0.000 |
| -0.000 | -0.000 | -0.000 | 0.000 | 211.206 | 0.000 |
| -0.000 | -0.000 | 0.000 | 0.000 | 0.000 | -24.385 |
| 398.252 | -24.385 | 211.207 | -0.000 | -0.000 | -0.000 |
| -24.385 | 398.252 | 211.207 | -0.000 | -0.000 | 0.000 |
| 211.207 | 211.207 | 162.771 | -0.000 | -0.000 | -0.000 |
| -0.000 | 0.000 | 0.000 | 211.206 | -0.000 | -0.000 |
| 0.000 | -0.000 | 0.000 | -0.000 | 211.206 | -0.000 |
| 0.000 | -0.000 | -0.000 | -0.000 | -0.000 | -24.385 |
| 398.252 | -24.385 | 211.206 | 0.000 | 0.000 | 0.000 |
| -24.385 | 398.252 | 211.206 | 0.000 | 0.000 | 0.000 |
| 211.206 | 211.206 | 162.771 | 0.000 | 0.000 | 0.000 |
| 0.000 | -0.000 | -0.000 | 211.206 | 0.000 | 0.000 |
| -0.000 | 0.000 | -0.000 | 0.000 | 211.206 | 0.000 |
| -0.000 | 0.000 | 0.000 | 0.000 | 0.000 | -24.385 |
| 398.255 | -24.385 | 211.208 | -0.000 | -0.000 | -0.000 |
| -24.385 | 398.255 | 211.208 | -0.000 | -0.000 | -0.000 |
| 211.207 | 211.207 | 162.772 | -0.000 | -0.000 | -0.000 |
| -0.000 | 0.001 | 0.001 | 211.206 | -0.000 | -0.000 |
| 0.001 | -0.000 | 0.001 | -0.000 | 211.206 | -0.000 |
| 0.000 | -0.000 | -0.000 | -0.000 | -0.000 | -24.385 |
| 398.250 | -24.385 | 211.205 | 0.000 | 0.000 | 0.000 |
| -24.385 | 398.250 | 211.205 | 0.000 | 0.000 | 0.000 |
| 211.206 | 211.206 | 162.770 | 0.000 | -0.000 | -0.000 |
| 0.000 | -0.001 | -0.001 | 211.206 | 0.000 | 0.000 |
| -0.001 | 0.000 | -0.001 | 0.000 | 211.206 | 0.000 |
| -0.000 | 0.000 | 0.000 | 0.000 | 0.000 | -24.385 |
| 161.593 | 210.312 | 210.312 | -0.000 | 0.000 | -0.000 |
| 210.312 | 161.593 | 210.312 | -0.000 | 0.000 | 0.000 |
| 210.312 | 210.312 | 161.593 | -0.000 | -0.000 | -0.000 |
| 0.000 | 0.000 | 0.000 | 210.312 | 0.000 | 0.000 |
| 0.000 | 0.000 | 0.000 | 0.000 | 210.312 | 0.000 |
| 0.000 | 0.000 | 0.000 | 0.000 | 0.000 | 210.312 |
| 161.593 | 210.312 | 210.312 | -0.000 | -0.000 | -0.000 |
| 210.312 | 161.593 | 210.312 | -0.000 | 0.000 | -0.000 |
| 210.312 | 210.312 | 161.593 | -0.000 | 0.000 | -0.000 |
| -0.000 | -0.000 | -0.000 | 210.312 | -0.000 | 0.000 |
| 0.000 | -0.000 | -0.000 | -0.000 | 210.312 | -0.000 |
| -0.000 | -0.000 | -0.000 | -0.000 | -0.000 | 210.312 |
| 161.594 | 210.312 | 210.312 | 0.000 | -0.000 | 0.000 |
| 210.312 | 161.594 | 210.312 | 0.000 | 0.000 | 0.000 |
| 210.312 | 210.312 | 161.594 | 0.000 | 0.000 | -0.000 |
| 0.000 | 0.000 | 0.000 | 210.312 | 0.000 | 0.000 |
| 0.000 | 0.000 | 0.000 | 0.000 | 210.312 | 0.000 |
| 0.000 | 0.000 | 0.000 | 0.000 | -0.000 | 210.312 |
| 161.593 | 210.312 | 210.312 | -0.000 | 0.000 | -0.000 |
| 210.312 | 161.593 | 210.312 | -0.000 | -0.000 | -0.000 |
| 210.312 | 210.312 | 161.593 | 0.000 | -0.000 | 0.000 |
| -0.000 | -0.000 | -0.000 | 210.312 | -0.000 | 0.000 |
| -0.000 | -0.000 | -0.000 | -0.000 | 210.312 | -0.000 |
| -0.000 | -0.000 | -0.000 | -0.000 | -0.000 | 210.312 |
| 161.594 | 210.313 | 210.313 | 0.000 | 0.000 | -0.000 |
| 210.313 | 161.594 | 210.313 | 0.000 | 0.000 | 0.000 |
| 210.313 | 210.313 | 161.594 | -0.000 | 0.000 | 0.000 |
| 0.001 | 0.000 | 0.001 | 210.312 | 0.000 | 0.000 |
| 0.000 | 0.001 | 0.001 | 0.000 | 210.312 | 0.000 |
| 0.000 | 0.001 | 0.001 | -0.000 | 0.000 | 210.312 |
| 161.593 | 210.311 | 210.311 | -0.000 | 0.000 | 0.000 |
| 210.311 | 161.593 | 210.311 | -0.000 | -0.000 | -0.000 |
| 210.311 | 210.311 | 161.593 | -0.000 | 0.000 | -0.000 |
| -0.001 | -0.000 | -0.001 | 210.312 | -0.000 | -0.000 |
| -0.000 | -0.001 | -0.001 | -0.000 | 210.312 | -0.000 |
| -0.000 | -0.001 | -0.001 | -0.000 | 0.000 | 210.312 |
| 105.167 | 129.530 | 129.530 | 0.000 | -0.000 | -0.000 |
| 129.530 | 105.167 | 129.530 | 0.000 | -0.000 | 0.000 |
| 129.530 | 129.530 | 105.167 | 0.000 | -0.000 | 0.000 |
| -0.000 | -0.000 | 0.000 | 129.062 | -0.000 | -0.000 |
| -0.000 | -0.000 | 0.000 | -0.000 | 129.062 | -0.000 |
| -0.000 | 0.000 | 0.000 | -0.000 | -0.000 | 129.062 |
| 105.167 | 129.530 | 129.529 | -0.000 | 0.000 | -0.000 |
| 129.530 | 105.167 | 129.529 | -0.000 | -0.000 | 0.000 |
| 129.530 | 129.530 | 105.167 | -0.000 | 0.000 | 0.000 |
| 0.000 | 0.000 | -0.000 | 129.062 | -0.000 | 0.000 |
| 0.000 | 0.000 | -0.000 | -0.000 | 129.062 | 0.000 |
| 0.000 | 0.000 | -0.000 | 0.000 | 0.000 | 129.062 |
| 105.167 | 129.530 | 129.530 | -0.000 | -0.000 | -0.000 |
| 129.530 | 105.167 | 129.530 | 0.000 | -0.000 | -0.000 |
| 129.530 | 129.530 | 105.167 | -0.000 | -0.000 | -0.000 |
| 0.000 | 0.000 | 0.000 | 129.530 | -0.000 | -0.000 |
| 0.000 | 0.000 | 0.000 | 0.000 | 129.530 | -0.000 |
| 0.000 | 0.000 | 0.000 | -0.000 | -0.000 | 129.530 |
| 105.167 | 129.529 | 129.529 | 0.000 | 0.000 | -0.000 |
| 129.529 | 105.167 | 129.529 | -0.000 | 0.000 | -0.000 |
| 129.529 | 129.529 | 105.167 | 0.000 | 0.000 | 0.000 |
| -0.000 | -0.000 | -0.000 | 129.530 | 0.000 | 0.000 |
| -0.000 | -0.000 | -0.000 | 0.000 | 129.530 | 0.000 |
| -0.000 | -0.000 | -0.000 | -0.000 | 0.000 | 129.530 |
| 105.167 | 129.530 | 129.530 | 0.000 | -0.000 | 0.000 |
| 129.530 | 105.167 | 129.530 | 0.000 | -0.000 | 0.000 |
| 129.530 | 129.530 | 105.167 | 0.000 | -0.000 | -0.000 |
| 0.000 | 0.000 | 0.000 | 129.062 | -0.000 | -0.000 |
| 0.000 | 0.000 | 0.000 | -0.000 | 129.062 | -0.000 |
| 0.000 | 0.000 | 0.000 | -0.000 | -0.000 | 129.062 |
| 105.166 | 129.529 | 129.529 | 0.000 | -0.000 | 0.000 |
| 129.529 | 105.166 | 129.529 | 0.000 | 0.000 | 0.000 |
| 129.529 | 129.529 | 105.166 | -0.000 | -0.000 | 0.000 |
| -0.000 | -0.000 | -0.000 | 129.062 | 0.000 | 0.000 |
| -0.000 | -0.000 | -0.000 | 0.000 | 129.062 | -0.000 |
| -0.000 | -0.000 | -0.000 | 0.000 | 0.000 | 129.062 |
| 169.667 | 218.200 | 218.200 | 0.000 | 0.000 | 0.000 |
| 218.200 | 169.667 | 218.200 | 0.000 | 0.000 | 0.000 |
| 218.200 | 218.200 | 169.667 | -0.000 | 0.000 | 0.000 |
| -0.000 | -0.000 | 0.000 | 218.200 | -0.000 | 0.000 |
| -0.000 | 0.000 | -0.000 | 0.000 | 218.200 | 0.000 |
| -0.000 | -0.000 | 0.000 | -0.000 | 0.000 | 218.200 |
| 169.667 | 218.200 | 218.200 | 0.000 | -0.000 | 0.000 |
| 218.200 | 169.667 | 218.200 | 0.000 | -0.000 | 0.000 |
| 218.200 | 218.200 | 169.667 | 0.000 | -0.000 | -0.000 |
| 0.000 | 0.000 | -0.000 | 218.200 | 0.000 | -0.000 |
| 0.000 | 0.000 | 0.000 | 0.000 | 218.200 | -0.000 |
| 0.000 | 0.000 | -0.000 | 0.000 | -0.000 | 218.200 |
| 169.667 | 218.200 | 218.200 | -0.000 | 0.000 | 0.000 |
| 218.200 | 169.667 | 218.200 | -0.000 | 0.000 | 0.000 |
| 218.200 | 218.200 | 169.667 | -0.000 | -0.000 | 0.000 |
| 0.000 | 0.000 | 0.000 | 218.200 | -0.000 | -0.000 |
| 0.000 | 0.000 | 0.000 | 0.000 | 218.200 | 0.000 |
| 0.000 | 0.000 | 0.000 | -0.000 | 0.000 | 218.200 |
| 169.667 | 218.200 | 218.200 | 0.000 | -0.000 | -0.000 |
| 218.200 | 169.667 | 218.200 | 0.000 | -0.000 | -0.000 |
| 218.200 | 218.200 | 169.667 | 0.000 | -0.000 | -0.000 |
| -0.000 | -0.000 | -0.000 | 218.200 | 0.000 | -0.000 |
| -0.000 | -0.000 | -0.000 | -0.000 | 218.200 | -0.000 |
| -0.000 | -0.000 | -0.000 | 0.000 | -0.000 | 218.200 |
| 169.668 | 218.201 | 218.201 | 0.000 | 0.000 | 0.000 |
| 218.201 | 169.668 | 218.201 | -0.000 | 0.000 | 0.000 |
| 218.201 | 218.201 | 169.668 | -0.000 | 0.000 | 0.000 |
| 0.001 | 0.000 | 0.001 | 217.245 | 0.000 | 0.000 |
| 0.000 | 0.001 | 0.001 | -0.000 | 217.245 | 0.000 |
| 0.000 | 0.001 | 0.001 | -0.000 | 0.000 | 217.245 |
| 169.666 | 218.199 | 218.199 | 0.000 | -0.000 | 0.000 |
| 218.199 | 169.666 | 218.199 | 0.000 | -0.000 | -0.000 |
| 218.199 | 218.199 | 169.666 | -0.000 | -0.000 | -0.000 |
| -0.001 | -0.000 | -0.001 | 217.245 | -0.000 | 0.000 |
| -0.000 | -0.001 | -0.001 | 0.000 | 217.245 | -0.000 |
| -0.000 | -0.001 | -0.001 | 0.000 | -0.000 | 217.245 |
| 244.154 | -16.654 | -16.654 | 0.000 | -0.000 | -0.000 |
| -16.654 | 244.154 | -16.654 | -0.000 | -0.000 | -0.000 |
| -16.654 | -16.654 | 244.154 | -0.000 | -0.000 | -0.000 |
| 0.000 | 0.000 | 0.000 | -16.654 | -0.000 | -0.000 |
| 0.000 | 0.000 | 0.000 | 0.000 | -16.654 | -0.000 |
| 0.000 | -0.000 | 0.000 | -0.000 | -0.000 | -16.654 |
| 244.154 | -16.654 | -16.654 | 0.000 | 0.000 | 0.000 |
| -16.654 | 244.154 | -16.654 | 0.000 | 0.000 | 0.000 |
| -16.654 | -16.654 | 244.154 | -0.000 | -0.000 | 0.000 |
| -0.000 | -0.000 | -0.000 | -16.654 | 0.000 | 0.000 |
| -0.000 | -0.000 | -0.000 | -0.000 | -16.654 | 0.000 |
| -0.000 | 0.000 | -0.000 | 0.000 | 0.000 | -16.654 |
| 244.154 | -16.654 | -16.654 | 0.000 | -0.000 | -0.000 |
| -16.654 | 244.154 | -16.654 | 0.000 | -0.000 | -0.000 |
| -16.654 | -16.654 | 244.154 | 0.000 | 0.000 | -0.000 |
| 0.000 | 0.000 | -0.000 | -16.654 | -0.000 | -0.000 |
| 0.000 | 0.000 | -0.000 | 0.000 | -16.654 | -0.000 |
| 0.000 | -0.000 | 0.000 | -0.000 | -0.000 | -16.654 |
| 244.154 | -16.654 | -16.654 | -0.000 | 0.000 | 0.000 |
| -16.654 | 244.154 | -16.654 | -0.000 | 0.000 | 0.000 |
| -16.654 | -16.654 | 244.154 | 0.000 | 0.000 | 0.000 |
| -0.000 | -0.000 | 0.000 | -16.654 | 0.000 | 0.000 |
| -0.000 | -0.000 | 0.000 | -0.000 | -16.654 | 0.000 |
| -0.000 | 0.000 | -0.000 | 0.000 | 0.000 | -16.654 |
| 244.156 | -16.654 | -16.654 | -0.000 | -0.000 | -0.000 |
| -16.654 | 244.156 | -16.654 | -0.000 | -0.000 | -0.000 |
| -16.654 | -16.654 | 244.156 | -0.000 | -0.000 | -0.000 |
| 0.000 | 0.000 | -0.000 | -16.654 | -0.000 | -0.000 |
| 0.000 | 0.000 | -0.000 | -0.000 | -16.654 | -0.000 |
| 0.000 | -0.000 | 0.000 | 0.000 | -0.000 | -16.654 |
| 244.152 | -16.654 | -16.654 | 0.000 | 0.000 | 0.000 |
| -16.654 | 244.152 | -16.654 | 0.000 | 0.000 | 0.000 |
| -16.654 | -16.654 | 244.152 | -0.000 | 0.000 | 0.000 |
| -0.000 | -0.000 | 0.000 | -16.654 | 0.000 | 0.000 |
| -0.000 | -0.000 | 0.000 | -0.000 | -16.654 | 0.000 |
| -0.000 | 0.000 | -0.000 | -0.000 | 0.000 | -16.654 |
| 106.088 | 129.391 | 129.391 | -0.000 | -0.000 | -0.000 |
| 129.391 | 106.088 | 129.391 | -0.000 | -0.000 | -0.000 |
| 129.391 | 129.391 | 106.088 | 0.000 | -0.000 | -0.000 |
| 0.000 | 0.000 | 0.000 | 129.391 | -0.000 | 0.000 |
| 0.000 | 0.000 | 0.000 | -0.000 | 129.391 | -0.000 |
| 0.000 | 0.000 | -0.000 | -0.000 | -0.000 | 129.391 |
| 106.088 | 129.391 | 129.391 | -0.000 | -0.000 | 0.000 |
| 129.391 | 106.088 | 129.391 | -0.000 | -0.000 | 0.000 |
| 129.391 | 129.391 | 106.088 | -0.000 | -0.000 | 0.000 |
| -0.000 | -0.000 | -0.000 | 129.391 | -0.000 | 0.000 |
| -0.000 | -0.000 | -0.000 | -0.000 | 129.391 | 0.000 |
| -0.000 | -0.000 | -0.000 | -0.000 | 0.000 | 129.391 |
| 106.088 | 129.391 | 129.391 | -0.000 | -0.000 | -0.000 |
| 129.391 | 106.088 | 129.391 | -0.000 | -0.000 | -0.000 |
| 129.391 | 129.391 | 106.088 | 0.000 | -0.000 | -0.000 |
| 0.000 | 0.000 | 0.000 | 129.391 | -0.000 | -0.000 |
| 0.000 | 0.000 | 0.000 | 0.000 | 129.391 | -0.000 |
| 0.000 | 0.000 | 0.000 | -0.000 | -0.000 | 129.391 |
| 106.088 | 129.391 | 129.391 | -0.000 | -0.000 | 0.000 |
| 129.391 | 106.088 | 129.391 | 0.000 | 0.000 | 0.000 |
| 129.391 | 129.391 | 106.088 | -0.000 | -0.000 | 0.000 |
| -0.000 | -0.000 | -0.000 | 129.391 | 0.000 | -0.000 |
| -0.000 | -0.000 | -0.000 | -0.000 | 129.391 | 0.000 |
| -0.000 | -0.000 | -0.000 | -0.000 | 0.000 | 129.391 |
| 106.088 | 129.391 | 129.391 | -0.000 | -0.000 | -0.000 |
| 129.391 | 106.088 | 129.391 | -0.000 | -0.000 | -0.000 |
| 129.391 | 129.391 | 106.088 | 0.000 | 0.000 | -0.000 |
| 0.000 | 0.000 | 0.000 | 129.391 | -0.000 | 0.000 |
| 0.000 | 0.000 | 0.000 | 0.000 | 129.391 | -0.000 |
| 0.000 | 0.000 | 0.000 | -0.000 | -0.000 | 129.391 |
| 106.087 | 129.390 | 129.390 | 0.000 | 0.000 | 0.000 |
| 129.390 | 106.087 | 129.390 | 0.000 | -0.000 | -0.000 |
| 129.390 | 129.390 | 106.087 | 0.000 | 0.000 | 0.000 |
| -0.000 | -0.000 | -0.000 | 129.391 | 0.000 | 0.000 |
| -0.000 | -0.000 | -0.000 | 0.000 | 129.391 | 0.000 |
| -0.000 | -0.000 | -0.000 | 0.000 | 0.000 | 129.391 |
| 18.448 | 25.715 | 25.715 | 0.000 | 0.000 | 0.000 |
| 25.715 | 18.448 | 25.715 | 0.000 | 0.000 | 0.000 |
| 25.715 | 25.715 | 18.448 | 0.000 | 0.000 | 0.000 |
| -0.000 | -0.000 | -0.000 | -7.208 | 0.000 | 0.000 |
| -0.000 | -0.000 | -0.000 | 0.000 | -7.208 | 0.000 |
| -0.000 | 0.000 | -0.000 | 0.000 | 0.000 | -7.208 |
| 18.448 | 25.715 | 25.715 | -0.000 | -0.000 | -0.000 |
| 25.715 | 18.448 | 25.715 | -0.000 | -0.000 | -0.000 |
| 25.715 | 25.715 | 18.448 | -0.000 | -0.000 | -0.000 |
| 0.000 | -0.000 | 0.000 | -7.208 | -0.000 | -0.000 |
| 0.000 | -0.000 | 0.000 | -0.000 | -7.208 | -0.000 |
| 0.000 | 0.000 | 0.000 | -0.000 | -0.000 | -7.208 |
| 18.448 | 25.715 | 25.715 | 0.000 | 0.000 | 0.000 |
| 25.715 | 18.448 | 25.715 | 0.000 | 0.000 | 0.000 |
| 25.715 | 25.715 | 18.448 | 0.000 | 0.000 | 0.000 |
| -0.000 | -0.000 | -0.000 | -7.208 | 0.000 | 0.000 |
| -0.000 | -0.000 | -0.000 | 0.000 | -7.208 | 0.000 |
| -0.000 | -0.000 | -0.000 | 0.000 | 0.000 | -7.208 |
| 18.448 | 25.715 | 25.715 | -0.000 | -0.000 | -0.000 |
| 25.715 | 18.448 | 25.715 | -0.000 | -0.000 | -0.000 |
| 25.715 | 25.715 | 18.448 | -0.000 | -0.000 | 0.000 |
| 0.000 | 0.000 | 0.000 | -7.208 | -0.000 | -0.000 |
| 0.000 | 0.000 | 0.000 | -0.000 | -7.208 | -0.000 |
| 0.000 | 0.000 | 0.000 | -0.000 | -0.000 | -7.208 |
| 18.448 | 25.715 | 25.715 | 0.000 | 0.000 | 0.000 |
| 25.715 | 18.448 | 25.715 | 0.000 | 0.000 | 0.000 |
| 25.715 | 25.715 | 18.448 | 0.000 | 0.000 | 0.000 |
| -0.000 | -0.000 | -0.000 | -7.208 | 0.000 | 0.000 |
| -0.000 | -0.000 | -0.000 | 0.000 | -7.208 | 0.000 |
| -0.000 | -0.000 | -0.000 | 0.000 | 0.000 | -7.208 |
| 18.448 | 25.715 | 25.715 | -0.000 | -0.000 | -0.000 |
| 25.715 | 18.448 | 25.715 | -0.000 | -0.000 | -0.000 |
| 25.715 | 25.715 | 18.448 | -0.000 | -0.000 | -0.000 |
| 0.000 | 0.000 | 0.000 | -7.208 | -0.000 | -0.000 |
| 0.000 | 0.000 | 0.000 | -0.000 | -7.208 | -0.000 |
| 0.000 | 0.000 | 0.000 | -0.000 | -0.000 | -7.208 |
| 256.853 | 44.582 | 112.388 | -0.000 | -0.000 | -0.000 |
| 44.582 | 256.853 | 112.388 | 0.000 | 0.000 | 0.000 |
| 112.388 | 112.388 | 193.757 | 0.000 | 0.000 | -0.000 |
| 0.000 | -0.000 | 0.000 | 112.388 | 0.000 | 0.000 |
| -0.000 | 0.000 | 0.000 | 0.000 | 112.388 | 0.000 |
| -0.000 | -0.000 | -0.000 | 0.000 | 0.000 | 44.582 |
| 256.853 | 44.582 | 112.388 | -0.000 | -0.000 | 0.000 |
| 44.582 | 256.853 | 112.388 | -0.000 | -0.000 | -0.000 |
| 112.388 | 112.388 | 193.757 | 0.000 | -0.000 | 0.000 |
| -0.000 | 0.000 | -0.000 | 112.388 | -0.000 | -0.000 |
| -0.000 | -0.000 | -0.000 | -0.000 | 112.388 | 0.000 |
| -0.000 | 0.000 | 0.000 | -0.000 | -0.000 | 44.582 |
| 256.853 | 44.582 | 112.388 | -0.000 | 0.000 | -0.000 |
| 44.582 | 256.853 | 112.388 | 0.000 | 0.000 | 0.000 |
| 112.388 | 112.388 | 193.757 | 0.000 | 0.000 | -0.000 |
| 0.000 | 0.000 | 0.000 | 112.388 | 0.000 | 0.000 |
| 0.000 | 0.000 | 0.000 | 0.000 | 112.388 | 0.000 |
| 0.000 | 0.000 | 0.000 | 0.000 | 0.000 | 44.582 |
| 256.853 | 44.582 | 112.388 | 0.000 | 0.000 | -0.000 |
| 44.582 | 256.853 | 112.388 | 0.000 | 0.000 | 0.000 |
| 112.388 | 112.388 | 193.757 | -0.000 | -0.000 | 0.000 |
| -0.000 | -0.000 | -0.000 | 112.388 | -0.000 | -0.000 |
| -0.000 | -0.000 | -0.000 | -0.000 | 112.388 | -0.000 |
| -0.000 | -0.000 | -0.000 | 0.000 | 0.000 | 44.582 |
| 256.855 | 44.582 | 112.389 | 0.000 | 0.000 | 0.000 |
| 44.582 | 256.855 | 112.389 | 0.000 | 0.000 | 0.000 |
| 112.389 | 112.389 | 193.758 | 0.000 | 0.000 | -0.000 |
| 0.000 | 0.000 | 0.001 | 112.388 | 0.000 | -0.000 |
| 0.000 | 0.000 | 0.001 | -0.000 | 112.388 | 0.000 |
| 0.000 | 0.000 | 0.000 | 0.000 | 0.000 | 44.582 |
| 256.851 | 44.582 | 112.388 | 0.000 | -0.000 | -0.000 |
| 44.582 | 256.851 | 112.388 | -0.000 | 0.000 | 0.000 |
| 112.388 | 112.388 | 193.756 | 0.000 | -0.000 | 0.000 |
| -0.000 | -0.000 | -0.001 | 112.388 | -0.000 | -0.000 |
| -0.000 | -0.000 | -0.001 | -0.000 | 112.388 | -0.000 |
| -0.000 | -0.000 | -0.000 | -0.000 | -0.000 | 44.582 |
| 61.903 | 61.270 | 61.270 | -0.000 | -0.000 | 0.000 |
| 61.270 | 61.903 | 61.270 | 0.000 | 0.000 | 0.000 |
| 61.270 | 61.270 | 61.903 | 0.000 | -0.000 | 0.000 |
| -0.000 | -0.000 | 0.000 | 1.166 | -0.000 | 0.000 |
| -0.000 | -0.000 | 0.000 | -0.000 | 1.166 | 0.000 |
| -0.000 | -0.000 | 0.000 | -0.000 | -0.000 | 1.166 |
| 61.903 | 61.270 | 61.270 | 0.000 | -0.000 | -0.000 |
| 61.270 | 61.903 | 61.270 | 0.000 | 0.000 | -0.000 |
| 61.270 | 61.270 | 61.903 | -0.000 | 0.000 | -0.000 |
| 0.000 | 0.000 | -0.000 | 1.166 | 0.000 | -0.000 |
| 0.000 | 0.000 | -0.000 | 0.000 | 1.166 | -0.000 |
| 0.000 | 0.000 | -0.000 | 0.000 | 0.000 | 1.166 |
| 61.903 | 61.270 | 61.270 | 0.000 | 0.000 | 0.000 |
| 61.270 | 61.903 | 61.270 | 0.000 | -0.000 | 0.000 |
| 61.270 | 61.270 | 61.903 | 0.000 | 0.000 | 0.000 |
| 0.000 | 0.000 | 0.000 | 61.270 | -0.000 | 0.000 |
| 0.000 | 0.000 | 0.000 | -0.000 | 61.270 | 0.000 |
| 0.000 | 0.000 | 0.000 | -0.000 | -0.000 | 61.270 |
| 61.903 | 61.270 | 61.270 | 0.000 | -0.000 | -0.000 |
| 61.270 | 61.903 | 61.270 | 0.000 | -0.000 | -0.000 |
| 61.270 | 61.270 | 61.903 | -0.000 | -0.000 | -0.000 |
| -0.000 | -0.000 | -0.000 | 61.270 | 0.000 | -0.000 |
| -0.000 | -0.000 | -0.000 | 0.000 | 61.270 | -0.000 |
| -0.000 | -0.000 | -0.000 | 0.000 | 0.000 | 61.270 |
| 61.904 | 61.271 | 61.271 | -0.000 | 0.000 | 0.000 |
| 61.271 | 61.904 | 61.271 | 0.000 | 0.000 | 0.000 |
| 61.271 | 61.271 | 61.904 | 0.000 | 0.000 | 0.000 |
| 0.000 | -0.000 | -0.000 | 1.166 | 0.000 | 0.000 |
| -0.000 | 0.000 | -0.000 | -0.000 | 1.166 | 0.000 |
| -0.000 | -0.000 | 0.000 | -0.000 | -0.000 | 1.166 |
| 61.903 | 61.270 | 61.270 | 0.000 | 0.000 | -0.000 |
| 61.270 | 61.903 | 61.270 | -0.000 | 0.000 | -0.000 |
| 61.270 | 61.270 | 61.903 | -0.000 | -0.000 | -0.000 |
| -0.000 | 0.000 | 0.000 | 1.166 | -0.000 | -0.000 |
| 0.000 | -0.000 | 0.000 | 0.000 | 1.166 | -0.000 |
| 0.000 | 0.000 | -0.000 | 0.000 | -0.000 | 1.166 |
| 106.733 | 129.977 | 129.977 | 0.000 | 0.000 | 0.000 |
| 129.977 | 106.733 | 129.977 | 0.000 | 0.000 | 0.000 |
| 129.977 | 129.977 | 106.733 | 0.000 | 0.000 | 0.000 |
| -0.000 | -0.000 | 0.000 | 129.962 | 0.000 | 0.000 |
| -0.000 | -0.000 | 0.000 | 0.000 | 129.962 | 0.000 |
| -0.000 | 0.000 | 0.000 | 0.000 | 0.000 | 129.962 |
| 106.733 | 129.977 | 129.977 | -0.000 | -0.000 | -0.000 |
| 129.977 | 106.733 | 129.977 | -0.000 | -0.000 | 0.000 |
| 129.977 | 129.977 | 106.733 | -0.000 | -0.000 | -0.000 |
| 0.000 | 0.000 | -0.000 | 129.962 | -0.000 | 0.000 |
| 0.000 | 0.000 | -0.000 | -0.000 | 129.962 | -0.000 |
| 0.000 | -0.000 | -0.000 | -0.000 | -0.000 | 129.962 |
| 106.733 | 129.977 | 129.977 | 0.000 | 0.000 | -0.000 |
| 129.977 | 106.733 | 129.977 | 0.000 | 0.000 | 0.000 |
| 129.977 | 129.977 | 106.733 | 0.000 | 0.000 | 0.000 |
| 0.000 | 0.000 | 0.000 | 129.962 | 0.000 | 0.000 |
| 0.000 | 0.000 | 0.000 | 0.000 | 129.962 | 0.000 |
| 0.000 | 0.000 | 0.000 | 0.000 | 0.000 | 129.962 |
| 106.733 | 129.977 | 129.977 | -0.000 | -0.000 | -0.000 |
| 129.977 | 106.733 | 129.977 | -0.000 | -0.000 | -0.000 |
| 129.977 | 129.977 | 106.733 | -0.000 | -0.000 | 0.000 |
| -0.000 | -0.000 | -0.000 | 129.962 | -0.000 | -0.000 |
| -0.000 | -0.000 | -0.000 | 0.000 | 129.962 | -0.000 |
| -0.000 | -0.000 | -0.000 | -0.000 | -0.000 | 129.962 |
| 106.734 | 129.977 | 129.977 | 0.000 | 0.000 | 0.000 |
| 129.977 | 106.734 | 129.977 | 0.000 | 0.000 | 0.000 |
| 129.977 | 129.977 | 106.734 | 0.000 | 0.000 | 0.000 |
| 0.000 | 0.000 | 0.000 | 129.962 | 0.000 | 0.000 |
| 0.000 | 0.000 | 0.000 | -0.000 | 129.962 | 0.000 |
| 0.000 | 0.000 | 0.000 | 0.000 | 0.000 | 129.962 |
| 106.733 | 129.976 | 129.976 | -0.000 | -0.000 | -0.000 |
| 129.976 | 106.733 | 129.976 | -0.000 | -0.000 | 0.000 |
| 129.976 | 129.976 | 106.733 | -0.000 | -0.000 | -0.000 |
| -0.000 | -0.000 | -0.000 | 129.962 | -0.000 | -0.000 |
| -0.000 | -0.000 | -0.000 | -0.000 | 129.962 | -0.000 |
| -0.000 | -0.000 | -0.000 | -0.000 | -0.000 | 129.962 |
| 249.856 | 9.339 | 9.339 | -0.000 | 0.000 | 0.000 |
| 9.339 | 249.856 | 9.339 | 0.000 | 0.000 | 0.000 |
| 9.339 | 9.339 | 249.856 | -0.000 | 0.000 | 0.000 |
| -0.000 | 0.000 | -0.000 | -2.426 | 0.000 | 0.000 |
| -0.000 | 0.000 | -0.000 | -0.000 | -2.426 | 0.000 |
| -0.000 | 0.000 | -0.000 | -0.000 | 0.000 | -2.426 |
| 249.856 | 9.339 | 9.339 | 0.000 | -0.000 | 0.000 |
| 9.339 | 249.856 | 9.339 | 0.000 | -0.000 | -0.000 |
| 9.339 | 9.339 | 249.856 | 0.000 | -0.000 | -0.000 |
| 0.000 | 0.000 | 0.000 | -2.426 | -0.000 | -0.000 |
| 0.000 | -0.000 | 0.000 | 0.000 | -2.426 | -0.000 |
| 0.000 | 0.000 | 0.000 | 0.000 | -0.000 | -2.426 |
| 249.856 | 9.339 | 9.339 | -0.000 | -0.000 | 0.000 |
| 9.339 | 249.856 | 9.339 | -0.000 | 0.000 | -0.000 |
| 9.339 | 9.339 | 249.856 | -0.000 | 0.000 | 0.000 |
| 0.000 | 0.000 | -0.000 | 9.222 | 0.000 | 0.000 |
| 0.000 | 0.000 | -0.000 | -0.000 | 9.222 | 0.000 |
| 0.000 | -0.000 | -0.000 | -0.000 | 0.000 | 9.222 |
| 249.856 | 9.339 | 9.339 | 0.000 | -0.000 | 0.000 |
| 9.339 | 249.856 | 9.339 | 0.000 | -0.000 | 0.000 |
| 9.339 | 9.339 | 249.856 | 0.000 | -0.000 | -0.000 |
| -0.000 | -0.000 | 0.000 | 9.222 | -0.000 | -0.000 |
| -0.000 | -0.000 | 0.000 | 0.000 | 9.222 | -0.000 |
| -0.000 | 0.000 | 0.000 | 0.000 | -0.000 | 9.222 |
| 249.858 | 9.339 | 9.339 | -0.000 | 0.000 | 0.000 |
| 9.339 | 249.858 | 9.339 | 0.000 | 0.000 | 0.000 |
| 9.339 | 9.339 | 249.858 | -0.000 | 0.000 | 0.000 |
| -2237968.416 | -2172283.737 | -2189179.701 | 35752.056 | 58157.765 | -106114.803 |
| -2251629.213 | -2112293.137 | -2117477.231 | -9351.475 | 32232.532 | -5662.610 |
| -2189581.990 | -2217279.633 | -2176867.738 | -32446.313 | -67477.804 | 20839.194 |
| 249.854 | 9.339 | 9.339 | -0.000 | -0.000 | -0.000 |
| 9.339 | 249.854 | 9.339 | 0.000 | -0.000 | -0.000 |
| 9.339 | 9.339 | 249.854 | 0.000 | -0.000 | 0.000 |
| 2189744.594 | 2252797.576 | 2050370.574 | -52100.762 | 22103.466 | -9601.512 |
| 2193983.814 | 2238175.413 | 2136472.419 | 39227.344 | -11503.186 | -7466.638 |
| 2176910.712 | 2166796.166 | 2220396.352 | -14087.365 | 33229.510 | 51422.687 |
| 85.637 | 105.963 | 105.963 | 0.000 | 0.000 | 0.000 |
| 105.963 | 85.637 | 105.963 | -0.000 | -0.000 | 0.000 |
| 105.963 | 105.963 | 85.637 | -0.000 | -0.000 | 0.000 |
| -0.000 | -0.000 | 0.000 | 99.293 | -0.000 | -0.000 |
| -0.000 | -0.000 | 0.000 | -0.000 | 99.293 | 0.000 |
| -0.000 | -0.000 | 0.000 | -0.000 | -0.000 | 99.293 |
| 85.637 | 105.963 | 105.963 | -0.000 | 0.000 | -0.000 |
| 105.963 | 85.637 | 105.963 | -0.000 | 0.000 | -0.000 |
| 105.963 | 105.963 | 85.637 | -0.000 | 0.000 | -0.000 |
| 0.000 | 0.000 | -0.000 | 99.293 | 0.000 | -0.000 |
| 0.000 | 0.000 | -0.000 | 0.000 | 99.293 | -0.000 |
| 0.000 | 0.000 | -0.000 | -0.000 | 0.000 | 99.293 |
| 85.637 | 105.963 | 105.963 | 0.000 | 0.000 | -0.000 |
| 105.963 | 85.637 | 105.963 | 0.000 | -0.000 | 0.000 |
| 105.963 | 105.963 | 85.637 | 0.000 | -0.000 | 0.000 |
| 0.000 | 0.000 | 0.000 | 105.963 | 0.000 | 0.000 |
| 0.000 | 0.000 | 0.000 | 0.000 | 105.963 | 0.000 |
| 0.000 | 0.000 | 0.000 | -0.000 | -0.000 | 105.963 |
| 85.637 | 105.963 | 105.963 | -0.000 | -0.000 | -0.000 |
| 105.963 | 85.637 | 105.963 | -0.000 | -0.000 | -0.000 |
| 105.963 | 105.963 | 85.637 | 0.000 | 0.000 | 0.000 |
| -0.000 | -0.000 | -0.000 | 105.963 | -0.000 | 0.000 |
| -0.000 | -0.000 | -0.000 | -0.000 | 105.963 | -0.000 |
| -0.000 | -0.000 | -0.000 | 0.000 | 0.000 | 105.963 |
| 85.638 | 105.963 | 105.963 | 0.000 | 0.000 | -0.000 |
| 105.963 | 85.638 | 105.963 | 0.000 | -0.000 | 0.000 |
| 105.963 | 105.963 | 85.638 | -0.000 | -0.000 | 0.000 |
| 0.000 | 0.000 | 0.000 | 99.293 | 0.000 | -0.000 |
| 0.000 | 0.000 | 0.000 | 0.000 | 99.293 | -0.000 |
| 0.000 | 0.000 | 0.000 | -0.000 | -0.000 | 99.293 |
| 85.637 | 105.962 | 105.962 | 0.000 | -0.000 | 0.000 |
| 105.962 | 85.637 | 105.962 | -0.000 | 0.000 | -0.000 |
| 105.962 | 105.962 | 85.637 | 0.000 | 0.000 | -0.000 |
| -0.000 | -0.000 | -0.000 | 99.293 | -0.000 | -0.000 |
| -0.000 | -0.000 | -0.000 | 0.000 | 99.293 | 0.000 |
| -0.000 | -0.000 | -0.000 | 0.000 | 0.000 | 99.293 |
| 152.874 | 89.274 | 89.274 | 0.000 | 0.000 | -0.000 |
| 89.274 | 152.874 | 89.274 | 0.000 | 0.000 | -0.000 |
| 89.274 | 89.274 | 152.874 | -0.000 | 0.000 | -0.000 |
| -0.000 | 0.000 | 0.000 | 89.274 | 0.000 | -0.000 |
| 0.000 | -0.000 | 0.000 | -0.000 | 89.274 | -0.000 |
| 0.000 | 0.000 | -0.000 | 0.000 | 0.000 | 89.274 |
| 152.874 | 89.274 | 89.274 | -0.000 | -0.000 | 0.000 |
| 89.274 | 152.874 | 89.274 | -0.000 | -0.000 | 0.000 |
| 89.274 | 89.274 | 152.874 | -0.000 | -0.000 | 0.000 |
| 0.000 | -0.000 | -0.000 | 89.274 | -0.000 | 0.000 |
| -0.000 | 0.000 | -0.000 | -0.000 | 89.274 | 0.000 |
| -0.000 | -0.000 | 0.000 | -0.000 | -0.000 | 89.274 |
| 152.874 | 89.274 | 89.274 | 0.000 | 0.000 | 0.000 |
| 89.274 | 152.874 | 89.274 | 0.000 | 0.000 | -0.000 |
| 89.274 | 89.274 | 152.874 | 0.000 | 0.000 | -0.000 |
| -0.000 | 0.000 | 0.000 | 89.274 | 0.000 | -0.000 |
| 0.000 | -0.000 | 0.000 | -0.000 | 89.274 | -0.000 |
| 0.000 | 0.000 | -0.000 | 0.000 | 0.000 | 89.274 |
| 152.874 | 89.273 | 89.273 | -0.000 | -0.000 | 0.000 |
| 89.273 | 152.874 | 89.273 | -0.000 | -0.000 | 0.000 |
| 89.273 | 89.273 | 152.874 | 0.000 | 0.000 | 0.000 |
| 0.000 | -0.000 | -0.000 | 89.274 | -0.000 | 0.000 |
| -0.000 | 0.000 | -0.000 | 0.000 | 89.274 | 0.000 |
| -0.000 | -0.000 | 0.000 | -0.000 | -0.000 | 89.274 |
| 152.875 | 89.274 | 89.274 | 0.000 | 0.000 | -0.000 |
| 89.274 | 152.875 | 89.274 | -0.000 | 0.000 | -0.000 |
| 89.274 | 89.274 | 152.875 | -0.000 | 0.000 | -0.000 |
| -0.000 | 0.000 | 0.000 | 89.274 | -0.000 | -0.000 |
| 0.000 | -0.000 | 0.000 | 0.000 | 89.274 | -0.000 |
| 0.000 | 0.000 | -0.000 | 0.000 | 0.000 | 89.274 |
| 152.874 | 89.273 | 89.273 | -0.000 | -0.000 | 0.000 |
| 89.273 | 152.874 | 89.273 | -0.000 | -0.000 | 0.000 |
| 89.273 | 89.273 | 152.874 | 0.000 | -0.000 | 0.000 |
| 0.000 | -0.000 | -0.000 | 89.274 | 0.000 | 0.000 |
| -0.000 | 0.000 | -0.000 | -0.000 | 89.274 | 0.000 |
| -0.000 | -0.000 | 0.000 | -0.000 | -0.000 | 89.274 |
| 126.890 | 165.711 | 165.711 | -0.000 | 0.000 | -0.000 |
| 165.711 | 126.890 | 165.711 | 0.000 | 0.000 | -0.000 |
| 165.711 | 165.711 | 126.890 | -0.000 | 0.000 | -0.000 |
| -0.000 | 0.000 | 0.000 | 151.549 | 0.000 | -0.000 |
| -0.000 | -0.000 | 0.000 | 0.000 | 151.549 | -0.000 |
| -0.000 | 0.000 | 0.000 | -0.000 | 0.000 | 151.549 |
| 126.890 | 165.711 | 165.711 | 0.000 | -0.000 | 0.000 |
| 165.711 | 126.890 | 165.711 | 0.000 | -0.000 | 0.000 |
| 165.711 | 165.711 | 126.890 | -0.000 | -0.000 | 0.000 |
| 0.000 | 0.000 | -0.000 | 151.549 | -0.000 | 0.000 |
| 0.000 | 0.000 | -0.000 | -0.000 | 151.549 | 0.000 |
| 0.000 | -0.000 | -0.000 | 0.000 | -0.000 | 151.549 |
| 126.890 | 165.711 | 165.711 | 0.000 | 0.000 | -0.000 |
| 165.711 | 126.890 | 165.711 | -0.000 | 0.000 | -0.000 |
| 165.711 | 165.711 | 126.890 | -0.000 | 0.000 | -0.000 |
| 0.000 | 0.000 | 0.000 | 165.711 | 0.000 | -0.000 |
| 0.000 | 0.000 | 0.000 | 0.000 | 165.711 | -0.000 |
| 0.000 | 0.000 | 0.000 | 0.000 | 0.000 | 165.711 |
| 126.890 | 165.711 | 165.711 | -0.000 | -0.000 | 0.000 |
| 165.711 | 126.890 | 165.711 | 0.000 | -0.000 | 0.000 |
| 165.711 | 165.711 | 126.890 | -0.000 | -0.000 | 0.000 |
| -0.000 | -0.000 | -0.000 | 165.711 | -0.000 | 0.000 |
| -0.000 | -0.000 | -0.000 | -0.000 | 165.711 | 0.000 |
| -0.000 | -0.000 | -0.000 | -0.000 | -0.000 | 165.711 |
| 126.891 | 165.712 | 165.712 | -0.000 | 0.000 | -0.000 |
| 165.712 | 126.891 | 165.712 | -0.000 | 0.000 | -0.000 |
| 165.712 | 165.712 | 126.891 | -0.000 | 0.000 | -0.000 |
| 0.001 | 0.000 | 0.000 | 151.549 | 0.000 | -0.000 |
| 0.000 | 0.001 | 0.000 | 0.000 | 151.549 | -0.000 |
| 0.000 | 0.000 | 0.001 | 0.000 | 0.000 | 151.549 |
| 126.890 | 165.711 | 165.711 | 0.000 | -0.000 | 0.000 |
| 165.711 | 126.890 | 165.711 | -0.000 | -0.000 | 0.000 |
| 165.711 | 165.711 | 126.890 | -0.000 | -0.000 | 0.000 |
| -0.001 | -0.000 | -0.000 | 151.549 | -0.000 | 0.000 |
| -0.000 | -0.001 | -0.000 | -0.000 | 151.549 | 0.000 |
| -0.000 | -0.000 | -0.001 | -0.000 | -0.000 | 151.549 |
| 400.789 | -23.016 | -23.016 | 0.000 | -0.000 | -0.000 |
| -23.016 | 400.789 | -23.016 | 0.000 | -0.000 | -0.000 |
| -23.016 | -23.016 | 400.789 | 0.000 | -0.000 | -0.000 |
| -0.000 | 0.000 | -0.000 | -23.016 | -0.000 | -0.000 |
| -0.000 | 0.000 | -0.000 | 0.000 | -23.016 | -0.000 |
| -0.000 | -0.000 | -0.000 | -0.000 | -0.000 | -23.016 |
| 400.789 | -23.016 | -23.016 | -0.000 | 0.000 | 0.000 |
| -23.016 | 400.789 | -23.016 | -0.000 | 0.000 | 0.000 |
| -23.016 | -23.016 | 400.789 | -0.000 | 0.000 | 0.000 |
| 0.000 | -0.000 | 0.000 | -23.016 | 0.000 | 0.000 |
| 0.000 | -0.000 | 0.000 | -0.000 | -23.016 | 0.000 |
| 0.000 | 0.000 | 0.000 | 0.000 | 0.000 | -23.016 |
| 400.790 | -23.016 | -23.016 | 0.000 | -0.000 | -0.000 |
| -23.016 | 400.790 | -23.016 | 0.000 | -0.000 | -0.000 |
| -23.016 | -23.016 | 400.790 | 0.000 | -0.000 | -0.000 |
| 0.000 | 0.000 | -0.000 | -23.016 | -0.000 | -0.000 |
| 0.000 | 0.000 | -0.000 | 0.000 | -23.016 | -0.000 |
| 0.000 | -0.000 | 0.000 | 0.000 | -0.000 | -23.016 |
| 400.789 | -23.016 | -23.016 | -0.000 | 0.000 | 0.000 |
| -23.016 | 400.789 | -23.016 | -0.000 | 0.000 | 0.000 |
| -23.016 | -23.016 | 400.789 | -0.000 | 0.000 | 0.000 |
| -0.000 | -0.000 | 0.000 | -23.016 | -0.000 | 0.000 |
| -0.000 | -0.000 | 0.000 | -0.000 | -23.016 | 0.000 |
| -0.000 | 0.000 | -0.000 | -0.000 | 0.000 | -23.016 |
| 400.793 | -23.016 | -23.016 | 0.000 | -0.000 | -0.000 |
| -23.016 | 400.793 | -23.016 | 0.000 | -0.000 | -0.000 |
| -23.016 | -23.016 | 400.793 | 0.000 | -0.000 | -0.000 |
| 0.000 | 0.000 | -0.000 | -23.016 | -0.000 | -0.000 |
| 0.000 | 0.000 | -0.000 | 0.000 | -23.016 | -0.000 |
| 0.000 | -0.000 | 0.000 | 0.000 | -0.000 | -23.016 |
| 400.785 | -23.016 | -23.016 | -0.000 | 0.000 | 0.000 |
| -23.016 | 400.785 | -23.016 | -0.000 | 0.000 | 0.000 |
| -23.016 | -23.016 | 400.785 | -0.000 | 0.000 | 0.000 |
| -0.000 | -0.000 | 0.000 | -23.016 | 0.000 | 0.000 |
| -0.000 | -0.000 | 0.000 | -0.000 | -23.016 | 0.000 |
| -0.000 | 0.000 | -0.000 | -0.000 | 0.000 | -23.016 |
| 172.183 | 220.491 | 220.491 | 0.000 | 0.000 | -0.000 |
| 220.491 | 172.183 | 220.491 | 0.000 | 0.000 | 0.000 |
| 220.491 | 220.491 | 172.183 | -0.000 | 0.000 | 0.000 |
| 0.000 | 0.000 | 0.000 | 220.491 | -0.000 | 0.000 |
| 0.000 | 0.000 | -0.000 | -0.000 | 220.491 | -0.000 |
| 0.000 | 0.000 | 0.000 | 0.000 | 0.000 | 220.491 |
| 172.183 | 220.491 | 220.491 | 0.000 | -0.000 | 0.000 |
| 220.491 | 172.183 | 220.491 | 0.000 | -0.000 | 0.000 |
| 220.491 | 220.491 | 172.183 | -0.000 | -0.000 | -0.000 |
| -0.000 | 0.000 | -0.000 | 220.491 | 0.000 | -0.000 |
| -0.000 | -0.000 | -0.000 | 0.000 | 220.491 | 0.000 |
| -0.000 | -0.000 | -0.000 | 0.000 | -0.000 | 220.491 |
| 172.183 | 220.491 | 220.491 | 0.000 | 0.000 | 0.000 |
| 220.491 | 172.183 | 220.491 | -0.000 | -0.000 | 0.000 |
| 220.491 | 220.491 | 172.183 | -0.000 | 0.000 | 0.000 |
| 0.000 | 0.000 | 0.000 | 220.491 | -0.000 | -0.000 |
| 0.000 | 0.000 | 0.000 | -0.000 | 220.491 | -0.000 |
| 0.000 | 0.000 | 0.000 | -0.000 | 0.000 | 220.491 |
| 172.183 | 220.490 | 220.490 | -0.000 | -0.000 | -0.000 |
| 220.490 | 172.183 | 220.490 | -0.000 | 0.000 | -0.000 |
| 220.490 | 220.490 | 172.183 | 0.000 | -0.000 | -0.000 |
| -0.000 | -0.000 | -0.000 | 220.491 | 0.000 | 0.000 |
| -0.000 | -0.000 | -0.000 | 0.000 | 220.491 | 0.000 |
| -0.000 | -0.000 | -0.000 | 0.000 | -0.000 | 220.491 |
| 172.184 | 220.491 | 220.491 | 0.000 | 0.000 | 0.000 |
| 220.491 | 172.184 | 220.491 | -0.000 | 0.000 | -0.000 |
| 220.491 | 220.491 | 172.184 | -0.000 | -0.000 | 0.000 |
| 0.001 | 0.000 | 0.001 | 220.491 | 0.000 | -0.000 |
| 0.000 | 0.001 | 0.001 | -0.000 | 220.491 | -0.000 |
| 0.000 | 0.001 | 0.001 | -0.000 | 0.000 | 220.491 |
| 172.182 | 220.490 | 220.490 | -0.000 | -0.000 | 0.000 |
| 220.490 | 172.182 | 220.490 | -0.000 | -0.000 | 0.000 |
| 220.490 | 220.490 | 172.182 | 0.000 | 0.000 | -0.000 |
| -0.001 | -0.000 | -0.001 | 220.491 | -0.000 | 0.000 |
| -0.000 | -0.001 | -0.001 | -0.000 | 220.491 | -0.000 |
| -0.000 | -0.001 | -0.001 | 0.000 | -0.000 | 220.491 |
| 32.564 | 42.565 | 42.565 | 0.000 | 0.000 | 0.000 |
| 42.565 | 32.564 | 42.565 | 0.000 | 0.000 | 0.000 |
| 42.565 | 42.565 | 32.564 | 0.000 | 0.000 | 0.000 |
| 0.000 | 0.000 | -0.000 | -12.439 | 0.000 | 0.000 |
| 0.000 | -0.000 | -0.000 | 0.000 | -12.439 | 0.000 |
| 0.000 | -0.000 | -0.000 | 0.000 | 0.000 | -12.439 |
| 32.564 | 42.565 | 42.565 | -0.000 | -0.000 | -0.000 |
| 42.565 | 32.564 | 42.565 | -0.000 | -0.000 | -0.000 |
| 42.565 | 42.565 | 32.564 | -0.000 | -0.000 | -0.000 |
| -0.000 | 0.000 | 0.000 | -12.439 | -0.000 | -0.000 |
| -0.000 | 0.000 | -0.000 | -0.000 | -12.439 | -0.000 |
| -0.000 | -0.000 | 0.000 | -0.000 | -0.000 | -12.439 |
| 32.564 | 42.565 | 42.565 | 0.000 | 0.000 | 0.000 |
| 42.565 | 32.564 | 42.565 | 0.000 | 0.000 | 0.000 |
| 42.565 | 42.565 | 32.564 | 0.000 | 0.000 | 0.000 |
| -0.000 | -0.000 | -0.000 | -12.439 | 0.000 | 0.000 |
| -0.000 | -0.000 | -0.000 | 0.000 | -12.439 | 0.000 |
| -0.000 | -0.000 | -0.000 | 0.000 | 0.000 | -12.439 |
| 32.564 | 42.565 | 42.565 | -0.000 | -0.000 | -0.000 |
| 42.565 | 32.564 | 42.565 | -0.000 | -0.000 | -0.000 |
| 42.565 | 42.565 | 32.564 | -0.000 | -0.000 | -0.000 |
| 0.000 | 0.000 | 0.000 | -12.439 | -0.000 | -0.000 |
| 0.000 | 0.000 | 0.000 | -0.000 | -12.439 | -0.000 |
| 0.000 | 0.000 | 0.000 | -0.000 | -0.000 | -12.439 |
| 32.564 | 42.565 | 42.565 | 0.000 | 0.000 | 0.000 |
| 42.565 | 32.564 | 42.565 | 0.000 | -0.000 | 0.000 |
| 42.565 | 42.565 | 32.564 | 0.000 | 0.000 | 0.000 |
| -0.000 | -0.000 | -0.000 | -12.439 | 0.000 | 0.000 |
| -0.000 | -0.000 | -0.000 | 0.000 | -12.439 | 0.000 |
| -0.000 | -0.000 | -0.000 | 0.000 | 0.000 | -12.439 |
| 32.564 | 42.565 | 42.565 | -0.000 | -0.000 | -0.000 |
| 42.565 | 32.564 | 42.565 | -0.000 | -0.000 | -0.000 |
| 42.565 | 42.565 | 32.564 | -0.000 | -0.000 | -0.000 |
| 0.000 | 0.000 | 0.000 | -12.439 | -0.000 | -0.000 |
| 0.000 | 0.000 | 0.000 | -0.000 | -12.439 | -0.000 |
| 0.000 | 0.000 | 0.000 | -0.000 | -0.000 | -12.439 |
| 425.252 | 71.193 | 177.051 | 0.000 | -0.000 | 0.000 |
| 71.193 | 425.252 | 177.051 | -0.000 | -0.000 | 0.000 |
| 177.051 | 177.051 | 319.388 | -0.000 | -0.000 | 0.000 |
| 0.000 | 0.000 | 0.000 | 177.051 | -0.000 | -0.000 |
| 0.000 | 0.000 | 0.000 | -0.000 | 177.051 | 0.000 |
| 0.000 | 0.000 | 0.000 | -0.000 | -0.000 | 71.193 |
| 425.252 | 71.193 | 177.051 | 0.000 | 0.000 | -0.000 |
| 71.193 | 425.252 | 177.051 | 0.000 | -0.000 | 0.000 |
| 177.051 | 177.051 | 319.388 | 0.000 | 0.000 | -0.000 |
| -0.000 | -0.000 | -0.000 | 177.051 | 0.000 | -0.000 |
| -0.000 | -0.000 | -0.000 | 0.000 | 177.051 | -0.000 |
| -0.000 | -0.000 | -0.000 | 0.000 | 0.000 | 71.193 |
| 425.253 | 71.193 | 177.051 | -0.000 | -0.000 | 0.000 |
| 71.193 | 425.253 | 177.051 | -0.000 | -0.000 | 0.000 |
| 177.051 | 177.051 | 319.388 | -0.000 | -0.000 | -0.000 |
| 0.000 | -0.000 | 0.000 | 177.051 | -0.000 | 0.000 |
| -0.000 | 0.000 | 0.000 | -0.000 | 177.051 | 0.000 |
| 0.000 | -0.000 | 0.000 | -0.000 | -0.000 | 71.193 |
| 425.252 | 71.193 | 177.051 | 0.000 | 0.000 | -0.000 |
| 71.193 | 425.252 | 177.051 | -0.000 | 0.000 | -0.000 |
| 177.051 | 177.051 | 319.388 | -0.000 | 0.000 | -0.000 |
| -0.000 | 0.000 | -0.000 | 177.051 | 0.000 | 0.000 |
| 0.000 | -0.000 | -0.000 | 0.000 | 177.051 | -0.000 |
| -0.000 | 0.000 | -0.000 | 0.000 | 0.000 | 71.193 |
| 425.256 | 71.193 | 177.051 | -0.000 | -0.000 | 0.000 |
| 71.193 | 425.256 | 177.051 | -0.000 | -0.000 | -0.000 |
| 177.052 | 177.052 | 319.389 | -0.000 | -0.000 | 0.000 |
| 0.000 | -0.000 | 0.001 | 177.051 | -0.000 | -0.000 |
| -0.000 | 0.000 | 0.001 | -0.000 | 177.051 | 0.000 |
| 0.000 | -0.000 | 0.000 | -0.000 | -0.000 | 71.193 |
| 425.249 | 71.192 | 177.050 | 0.000 | 0.000 | -0.000 |
| 71.192 | 425.249 | 177.050 | 0.000 | 0.000 | 0.000 |
| 177.050 | 177.050 | 319.387 | 0.000 | 0.000 | 0.000 |
| -0.000 | 0.000 | -0.001 | 177.051 | 0.000 | -0.000 |
| 0.000 | -0.000 | -0.001 | 0.000 | 177.051 | 0.000 |
| -0.000 | 0.000 | -0.000 | 0.000 | 0.000 | 71.193 |
| 172.174 | 220.473 | 220.488 | 0.000 | -0.000 | 0.000 |
| 220.473 | 416.810 | -24.167 | 0.000 | -0.000 | 0.000 |
| 220.488 | -24.167 | 416.822 | 0.000 | -0.000 | 0.000 |
| -0.000 | 0.000 | 0.000 | -24.167 | -0.000 | 0.000 |
| 0.000 | -0.000 | 0.000 | 0.000 | 220.488 | 0.000 |
| 0.000 | 0.000 | 0.000 | 0.000 | -0.000 | 220.473 |
| 172.174 | 220.473 | 220.488 | -0.000 | 0.000 | -0.000 |
| 220.473 | 416.809 | -24.167 | 0.000 | 0.000 | -0.000 |
| 220.488 | -24.167 | 416.822 | -0.000 | 0.000 | -0.000 |
| 0.000 | -0.000 | -0.000 | -24.167 | -0.000 | -0.000 |
| -0.000 | 0.000 | -0.000 | -0.000 | 220.488 | -0.000 |
| -0.000 | -0.000 | -0.000 | -0.000 | 0.000 | 220.473 |
| 172.174 | 220.473 | 220.488 | 0.000 | -0.000 | 0.000 |
| 220.473 | 416.810 | -24.167 | -0.000 | -0.000 | 0.000 |
| 220.489 | -24.167 | 416.822 | 0.000 | 0.000 | 0.000 |
| -0.000 | 0.000 | -0.000 | -24.167 | -0.000 | 0.000 |
| 0.000 | -0.000 | 0.000 | 0.000 | 220.488 | 0.000 |
| 0.000 | 0.000 | -0.000 | 0.000 | -0.000 | 220.473 |
| 172.174 | 220.473 | 220.488 | 0.000 | 0.000 | -0.000 |
| 220.473 | 416.809 | -24.167 | -0.000 | 0.000 | -0.000 |
| 220.488 | -24.167 | 416.822 | -0.000 | 0.000 | -0.000 |
| 0.000 | -0.000 | 0.000 | -24.167 | -0.000 | -0.000 |
| -0.000 | 0.000 | -0.000 | -0.000 | 220.488 | -0.000 |
| -0.000 | -0.000 | 0.000 | -0.000 | 0.000 | 220.473 |
| 172.175 | 220.474 | 220.489 | -0.000 | 0.000 | 0.000 |
| 220.475 | 416.812 | -24.167 | 0.000 | -0.000 | 0.000 |
| 220.490 | -24.167 | 416.825 | 0.000 | -0.000 | 0.000 |
| -0.000 | 0.000 | -0.000 | -24.167 | -0.000 | 0.000 |
| 0.000 | -0.000 | 0.001 | -0.000 | 220.488 | 0.000 |
| 0.000 | 0.001 | -0.000 | -0.000 | -0.000 | 220.473 |
| 172.173 | 220.472 | 220.487 | -0.000 | 0.000 | -0.000 |
| 220.471 | 416.807 | -24.167 | 0.000 | 0.000 | -0.000 |
| 220.487 | -24.167 | 416.819 | -0.000 | -0.000 | -0.000 |
| 0.000 | -0.000 | 0.000 | -24.167 | 0.000 | -0.000 |
| -0.000 | 0.000 | -0.001 | -0.000 | 220.488 | -0.000 |
| -0.000 | -0.001 | 0.000 | 0.000 | 0.000 | 220.473 |
| 425.256 | 141.752 | 106.473 | -49.907 | -0.000 | -0.000 |
| 141.752 | 425.256 | 106.473 | 49.907 | -0.000 | -0.000 |
| 106.473 | 106.473 | 460.544 | 0.000 | -0.000 | -0.000 |
| -49.907 | 49.907 | 0.000 | 106.473 | -0.000 | -0.000 |
| 0.000 | 0.000 | 0.000 | -0.000 | 106.473 | -49.907 |
| 0.000 | 0.000 | 0.000 | -0.000 | -49.907 | 141.752 |
| 425.256 | 141.752 | 106.473 | -49.907 | 0.000 | 0.000 |
| 141.752 | 425.256 | 106.473 | 49.907 | 0.000 | 0.000 |
| 106.473 | 106.473 | 460.544 | 0.000 | 0.000 | 0.000 |
| -49.907 | 49.907 | -0.000 | 106.473 | 0.000 | 0.000 |
| -0.000 | -0.000 | -0.000 | 0.000 | 106.473 | -49.907 |
| -0.000 | -0.000 | -0.000 | -0.000 | -49.907 | 141.752 |
| 425.257 | 141.752 | 106.473 | -49.907 | -0.000 | -0.000 |
| 141.752 | 425.257 | 106.473 | 49.907 | -0.000 | -0.000 |
| 106.473 | 106.473 | 460.544 | -0.000 | -0.000 | -0.000 |
| -49.907 | 49.907 | 0.000 | 106.473 | -0.000 | 0.000 |
| -0.000 | 0.000 | 0.000 | -0.000 | 106.473 | -49.907 |
| -0.000 | 0.000 | 0.000 | -0.000 | -49.907 | 141.752 |
| 425.256 | 141.752 | 106.473 | -49.907 | 0.000 | 0.000 |
| 141.752 | 425.256 | 106.473 | 49.907 | 0.000 | 0.000 |
| 106.472 | 106.472 | 460.544 | 0.000 | 0.000 | -0.000 |
| -49.907 | 49.907 | -0.000 | 106.473 | 0.000 | 0.000 |
| 0.000 | -0.000 | -0.000 | 0.000 | 106.473 | -49.907 |
| 0.000 | -0.000 | -0.000 | 0.000 | -49.907 | 141.752 |
| 425.260 | 141.753 | 106.473 | -49.907 | -0.000 | -0.000 |
| 141.753 | 425.259 | 106.473 | 49.907 | -0.000 | -0.000 |
| 106.473 | 106.473 | 460.546 | -0.000 | -0.000 | -0.000 |
| -49.907 | 49.907 | 0.001 | 106.473 | -0.000 | -0.000 |
| -0.000 | 0.000 | 0.001 | -0.000 | 106.473 | -49.907 |
| -0.000 | 0.001 | 0.000 | -0.000 | -49.907 | 141.752 |
| 425.253 | 141.752 | 106.472 | -49.907 | 0.000 | 0.000 |
| 141.751 | 425.254 | 106.472 | 49.907 | 0.000 | 0.000 |
| 106.472 | 106.472 | 460.541 | -0.000 | 0.000 | 0.000 |
| -49.907 | 49.907 | -0.001 | 106.472 | 0.000 | -0.000 |
| 0.000 | -0.000 | -0.001 | 0.000 | 106.473 | -49.907 |
| 0.000 | -0.001 | -0.000 | 0.000 | -49.907 | 141.752 |
| 454.451 | 103.562 | 103.550 | 0.000 | -0.000 | 0.000 |
| 103.581 | 398.952 | 166.324 | 0.000 | -0.000 | 0.000 |
| 103.585 | 166.292 | 398.976 | 0.000 | -0.000 | 0.000 |
| -0.000 | -0.000 | 0.000 | 116.251 | -0.000 | 0.000 |
| 0.000 | -0.000 | 0.000 | -0.000 | 103.504 | 0.000 |
| 0.000 | -0.000 | 0.000 | -0.000 | -0.000 | 103.556 |
| 454.451 | 103.562 | 103.550 | 0.000 | 0.000 | -0.000 |
| 103.581 | 398.952 | 166.324 | 0.000 | 0.000 | -0.000 |
| 103.585 | 166.292 | 398.976 | 0.000 | 0.000 | -0.000 |
| 0.000 | 0.000 | -0.000 | 116.251 | 0.000 | -0.000 |
| -0.000 | 0.000 | -0.000 | -0.000 | 103.504 | -0.000 |
| -0.000 | 0.000 | -0.000 | 0.000 | 0.000 | 103.556 |
| 454.451 | 103.562 | 103.550 | 0.000 | -0.000 | 0.000 |
| 103.556 | 398.902 | 166.408 | -0.000 | -0.000 | 0.000 |
| 103.555 | 166.408 | 398.900 | 0.000 | -0.000 | 0.000 |
| -0.000 | -0.000 | 0.000 | 116.251 | -0.000 | 0.000 |
| 0.000 | 0.000 | -0.000 | 0.000 | 103.504 | 0.000 |
| 0.000 | -0.000 | 0.000 | 0.000 | -0.000 | 103.556 |
| 454.450 | 103.562 | 103.550 | -0.000 | 0.000 | -0.000 |
| 103.556 | 398.902 | 166.408 | -0.000 | 0.000 | -0.000 |
| 103.555 | 166.408 | 398.900 | 0.000 | 0.000 | -0.000 |
| 0.000 | 0.000 | -0.000 | 116.251 | 0.000 | -0.000 |
| -0.000 | -0.000 | 0.000 | -0.000 | 103.504 | -0.000 |
| -0.000 | 0.000 | -0.000 | -0.000 | 0.000 | 103.556 |
| 454.454 | 103.563 | 103.551 | 0.000 | -0.000 | 0.000 |
| 103.557 | 398.905 | 166.408 | -0.000 | -0.000 | 0.000 |
| 103.555 | 166.410 | 398.903 | -0.000 | -0.000 | 0.000 |
| -0.000 | -0.000 | 0.001 | 116.251 | -0.000 | 0.000 |
| 0.001 | 0.000 | -0.000 | -0.000 | 103.504 | 0.000 |
| 0.001 | -0.000 | 0.000 | -0.000 | -0.000 | 103.556 |
| 454.448 | 103.561 | 103.549 | 0.000 | 0.000 | -0.000 |
| 103.556 | 398.898 | 166.408 | 0.000 | 0.000 | -0.000 |
| 103.555 | 166.407 | 398.898 | 0.000 | 0.000 | -0.000 |
| 0.000 | 0.000 | -0.001 | 116.251 | 0.000 | -0.000 |
| -0.001 | -0.000 | 0.000 | 0.000 | 103.504 | -0.000 |
| -0.001 | 0.000 | -0.000 | -0.000 | 0.000 | 103.556 |
| 453.651 | 103.079 | 103.377 | 0.000 | 0.000 | -0.000 |
| 102.200 | 411.562 | 160.727 | 0.000 | 0.000 | 0.000 |
| 104.372 | 164.865 | 393.196 | 0.000 | 0.000 | -0.000 |
| 0.072 | 1.564 | -1.651 | 113.302 | 0.000 | 0.000 |
| 0.073 | 0.351 | -0.449 | 0.000 | 104.773 | 0.000 |
| 0.072 | 0.345 | -0.441 | 0.000 | 0.000 | 101.787 |
| 453.507 | 102.388 | 104.260 | -0.000 | -0.000 | -0.000 |
| 102.055 | 408.481 | 163.981 | -0.000 | -0.000 | 0.000 |
| 104.227 | 161.784 | 396.450 | -0.000 | -0.000 | 0.000 |
| -0.072 | -1.564 | 1.651 | 113.302 | -0.000 | 0.000 |
| -0.073 | -0.351 | 0.449 | -0.000 | 104.773 | -0.000 |
| -0.072 | -0.345 | 0.441 | -0.000 | -0.000 | 101.787 |
| 453.586 | 102.764 | 103.780 | 0.000 | 0.000 | 0.000 |
| 102.135 | 410.176 | 162.191 | 0.000 | 0.000 | -0.000 |
| 104.307 | 163.479 | 394.661 | 0.000 | 0.000 | 0.000 |
| 0.007 | 0.156 | -0.165 | 113.301 | -0.000 | -0.000 |
| 0.014 | 0.066 | -0.085 | 0.000 | 104.761 | 0.000 |
| 0.007 | 0.034 | -0.044 | 0.000 | -0.000 | 101.787 |
| 453.571 | 102.696 | 103.865 | 0.000 | -0.000 | -0.000 |
| 102.122 | 409.866 | 162.515 | -0.000 | -0.000 | -0.000 |
| 104.300 | 163.160 | 394.986 | -0.000 | -0.000 | 0.000 |
| -0.007 | -0.156 | 0.165 | 113.301 | -0.000 | -0.000 |
| -0.014 | -0.066 | 0.085 | -0.000 | 104.761 | -0.000 |
| -0.007 | -0.034 | 0.044 | -0.000 | -0.000 | 101.787 |
| 453.582 | 102.734 | 103.819 | 0.000 | -0.000 | 0.000 |
| 102.128 | 410.041 | 162.338 | 0.000 | 0.000 | 0.000 |
| 104.301 | 163.341 | 394.809 | 0.000 | -0.000 | -0.000 |
| 0.000 | 0.016 | -0.015 | 113.301 | 0.000 | -0.000 |
| 0.001 | 0.012 | -0.013 | 0.000 | 104.750 | 0.000 |
| 0.001 | 0.003 | -0.004 | 0.000 | 0.000 | 101.787 |
| 453.575 | 102.726 | 103.826 | -0.000 | 0.000 | -0.000 |
| 102.127 | 410.002 | 162.370 | -0.000 | -0.000 | -0.000 |
| 104.299 | 163.308 | 394.837 | -0.000 | -0.000 | -0.000 |
| -0.000 | -0.016 | 0.015 | 113.301 | -0.000 | -0.000 |
| -0.001 | -0.012 | 0.013 | -0.000 | 104.750 | -0.000 |
| -0.001 | -0.003 | 0.004 | -0.000 | -0.000 | 101.787 |
| 131.777 | 43.926 | -11.376 | 0.000 | -0.000 | -0.000 |
| 96.409 | 79.294 | -11.376 | 0.000 | -0.000 | 0.000 |
| -11.374 | -11.374 | 236.848 | -0.000 | -0.000 | -0.000 |
| -0.000 | 0.000 | -0.000 | -11.372 | -0.000 | 0.000 |
| -0.000 | 0.000 | -0.000 | -0.000 | -11.372 | -0.000 |
| 0.000 | 0.000 | -0.000 | 0.000 | -0.000 | 43.926 |
| 79.294 | 96.409 | -11.376 | -0.000 | -0.000 | 0.000 |
| 96.409 | 79.294 | -11.376 | -0.000 | 0.000 | 0.000 |
| -11.374 | -11.374 | 236.848 | 0.000 | 0.000 | -0.000 |
| 0.000 | -0.000 | 0.000 | -11.372 | 0.000 | -0.000 |
| 0.000 | -0.000 | 0.000 | 0.000 | -11.372 | 0.000 |
| -0.000 | -0.000 | 0.000 | -0.000 | 0.000 | 43.926 |
| 131.778 | 43.926 | -11.376 | 0.000 | -0.000 | -0.000 |
| 43.926 | 131.778 | -11.376 | 0.000 | -0.000 | -0.000 |
| -11.374 | -11.374 | 236.849 | -0.000 | -0.000 | -0.000 |
| -0.000 | 0.000 | -0.000 | -11.372 | -0.000 | 0.000 |
| 0.000 | -0.000 | -0.000 | -0.000 | -11.372 | -0.000 |
| -0.000 | -0.000 | 0.000 | 0.000 | -0.000 | -8.558 |
| 131.777 | 43.926 | -11.376 | -0.000 | 0.000 | 0.000 |
| 96.409 | 79.294 | -11.376 | -0.000 | 0.000 | 0.000 |
| -11.374 | -11.374 | 236.848 | 0.000 | 0.000 | 0.000 |
| 0.000 | -0.000 | 0.000 | -11.372 | 0.000 | 0.000 |
| -0.000 | 0.000 | 0.000 | -0.000 | -11.372 | 0.000 |
| 0.000 | -0.000 | -0.000 | -0.000 | 0.000 | -8.558 |
| 79.297 | 96.408 | -11.376 | 0.000 | 0.000 | 0.000 |
| 96.412 | 79.292 | -11.376 | 0.000 | -0.000 | -0.000 |
| -11.374 | -11.374 | 236.851 | 0.000 | 0.000 | -0.000 |
| -0.000 | 0.000 | -0.000 | -11.372 | -0.000 | -0.000 |
| 0.000 | -0.000 | -0.000 | -0.000 | -11.372 | -0.000 |
| -0.000 | -0.000 | 0.000 | 0.000 | -0.000 | -8.558 |
| 79.292 | 96.411 | -11.376 | -0.000 | -0.000 | -0.000 |
| 96.406 | 79.296 | -11.376 | -0.000 | 0.000 | 0.000 |
| -11.374 | -11.374 | 236.846 | 0.000 | 0.000 | -0.000 |
| 0.000 | -0.000 | 0.000 | -11.372 | 0.000 | -0.000 |
| -0.000 | 0.000 | 0.000 | 0.000 | -11.372 | 0.000 |
| 0.000 | 0.000 | -0.000 | -0.000 | 0.000 | -8.558 |
| 423.977 | 141.326 | 103.549 | -0.000 | 0.000 | -0.000 |
| 166.398 | 398.906 | 103.549 | 0.000 | 0.000 | -0.000 |
| 103.549 | 103.549 | 454.458 | 0.000 | 0.000 | -0.000 |
| -0.000 | 0.000 | 0.000 | 103.549 | -0.000 | 0.000 |
| -0.000 | 0.000 | 0.000 | -0.000 | 103.549 | -0.000 |
| -0.000 | 0.000 | -0.000 | -0.000 | -0.000 | 116.254 |
| 398.905 | 166.398 | 103.549 | -0.000 | -0.000 | 0.000 |
| 166.398 | 398.905 | 103.549 | 0.000 | -0.000 | 0.000 |
| 103.549 | 103.549 | 454.458 | 0.000 | -0.000 | 0.000 |
| 0.000 | -0.000 | -0.000 | 103.549 | -0.000 | 0.000 |
| 0.000 | -0.000 | -0.000 | 0.000 | 103.549 | 0.000 |
| 0.000 | -0.000 | 0.000 | 0.000 | -0.000 | 116.254 |
| 423.978 | 141.326 | 103.549 | 0.000 | -0.000 | -0.000 |
| 166.398 | 398.906 | 103.549 | 0.000 | 0.000 | -0.000 |
| 103.549 | 103.549 | 454.458 | 0.000 | 0.000 | 0.000 |
| 0.000 | -0.000 | 0.000 | 103.549 | -0.000 | -0.000 |
| -0.000 | 0.000 | 0.000 | -0.000 | 103.549 | -0.000 |
| -0.000 | 0.000 | 0.000 | -0.000 | -0.000 | 141.326 |
| 398.905 | 166.398 | 103.549 | -0.000 | 0.000 | 0.000 |
| 166.397 | 398.905 | 103.549 | -0.000 | -0.000 | 0.000 |
| 103.549 | 103.549 | 454.457 | 0.000 | 0.000 | 0.000 |
| -0.000 | 0.000 | -0.000 | 103.549 | -0.000 | 0.000 |
| 0.000 | -0.000 | -0.000 | -0.000 | 103.549 | 0.000 |
| 0.000 | -0.000 | -0.000 | 0.000 | 0.000 | 141.326 |
| 398.908 | 166.399 | 103.549 | -0.000 | 0.000 | -0.000 |
| 166.399 | 398.908 | 103.549 | -0.000 | -0.000 | 0.000 |
| 103.550 | 103.550 | 454.461 | 0.000 | -0.000 | 0.000 |
| 0.000 | -0.000 | 0.001 | 103.549 | -0.000 | -0.000 |
| 0.000 | 0.000 | 0.001 | -0.000 | 103.549 | -0.000 |
| -0.000 | 0.001 | 0.000 | -0.000 | -0.000 | 141.326 |
| 423.974 | 141.325 | 103.549 | 0.000 | 0.000 | 0.000 |
| 166.396 | 398.903 | 103.549 | -0.000 | 0.000 | 0.000 |
| 103.548 | 103.548 | 454.455 | 0.000 | -0.000 | 0.000 |
| -0.000 | 0.000 | -0.001 | 103.549 | 0.000 | -0.000 |
| -0.000 | -0.000 | -0.001 | -0.000 | 103.549 | 0.000 |
| 0.000 | -0.001 | -0.000 | 0.000 | 0.000 | 141.326 |
| 93.386 | 119.220 | 119.220 | -0.000 | -0.000 | -0.000 |
| 119.220 | 93.386 | 119.220 | -0.000 | -0.000 | -0.000 |
| 119.220 | 119.220 | 93.386 | -0.000 | -0.000 | -0.000 |
| 0.000 | 0.000 | -0.000 | 119.220 | -0.000 | -0.000 |
| 0.000 | 0.000 | -0.000 | -0.000 | 119.220 | -0.000 |
| 0.000 | 0.000 | -0.000 | -0.000 | -0.000 | 119.220 |
| 93.386 | 119.220 | 119.220 | 0.000 | 0.000 | 0.000 |
| 119.220 | 93.386 | 119.220 | 0.000 | 0.000 | 0.000 |
| 119.220 | 119.220 | 93.386 | 0.000 | 0.000 | 0.000 |
| -0.000 | -0.000 | 0.000 | 119.220 | 0.000 | 0.000 |
| 0.000 | -0.000 | 0.000 | 0.000 | 119.220 | 0.000 |
| 0.000 | -0.000 | 0.000 | 0.000 | 0.000 | 119.220 |
| 93.386 | 119.220 | 119.220 | -0.000 | -0.000 | -0.000 |
| 119.220 | 93.386 | 119.220 | -0.000 | -0.000 | -0.000 |
| 119.220 | 119.220 | 93.386 | -0.000 | -0.000 | -0.000 |
| 0.000 | -0.000 | -0.000 | -20.947 | -0.000 | -0.000 |
| -0.000 | 0.000 | -0.000 | -0.000 | -20.947 | -0.000 |
| -0.000 | -0.000 | 0.000 | -0.000 | -0.000 | -20.947 |
| 93.386 | 119.220 | 119.220 | 0.000 | 0.000 | 0.000 |
| 119.220 | 93.386 | 119.220 | 0.000 | 0.000 | 0.000 |
| 119.220 | 119.220 | 93.386 | 0.000 | 0.000 | 0.000 |
| -0.000 | 0.000 | 0.000 | -20.947 | 0.000 | 0.000 |
| 0.000 | -0.000 | 0.000 | 0.000 | -20.947 | 0.000 |
| 0.000 | 0.000 | -0.000 | 0.000 | 0.000 | -20.947 |
| 93.387 | 119.220 | 119.220 | -0.000 | -0.000 | -0.000 |
| 119.220 | 93.387 | 119.220 | -0.000 | -0.000 | -0.000 |
| 119.220 | 119.220 | 93.387 | -0.000 | -0.000 | -0.000 |
| 0.000 | -0.000 | -0.000 | -20.947 | -0.000 | -0.000 |
| -0.000 | 0.000 | -0.000 | -0.000 | -20.947 | -0.000 |
| -0.000 | -0.000 | 0.000 | -0.000 | -0.000 | -20.947 |
| 93.386 | 119.219 | 119.219 | 0.000 | 0.000 | 0.000 |
| 119.219 | 93.386 | 119.219 | 0.000 | 0.000 | 0.000 |
| 119.219 | 119.219 | 93.386 | 0.000 | 0.000 | 0.000 |
| -0.000 | 0.000 | 0.000 | -20.947 | 0.000 | 0.000 |
| 0.000 | -0.000 | 0.000 | 0.000 | -20.947 | 0.000 |
| 0.000 | 0.000 | -0.000 | 0.000 | 0.000 | -20.947 |
| 495.168 | 21.129 | 21.129 | -0.000 | -0.000 | -0.000 |
| 21.129 | 495.168 | 21.129 | 0.000 | -0.000 | -0.000 |
| 21.129 | 21.129 | 495.168 | -0.000 | -0.000 | -0.000 |
| 0.000 | -0.000 | -0.000 | 20.135 | -0.000 | 0.000 |
| 0.000 | -0.000 | -0.000 | 0.000 | 20.135 | -0.000 |
| -0.000 | -0.000 | -0.000 | -0.000 | -0.000 | 20.135 |
| 495.168 | 21.129 | 21.129 | 0.000 | 0.000 | -0.000 |
| 21.129 | 495.168 | 21.129 | 0.000 | 0.000 | -0.000 |
| 21.129 | 21.129 | 495.168 | -0.000 | 0.000 | 0.000 |
| 0.000 | 0.000 | 0.000 | 20.135 | 0.000 | -0.000 |
| 0.000 | -0.000 | -0.000 | 0.000 | 20.135 | -0.000 |
| -0.000 | 0.000 | 0.000 | 0.000 | 0.000 | 20.135 |
| 495.168 | 21.129 | 21.129 | -0.000 | -0.000 | 0.000 |
| 21.129 | 495.168 | 21.129 | -0.000 | -0.000 | 0.000 |
| 21.129 | 21.129 | 495.168 | -0.000 | -0.000 | -0.000 |
| 0.000 | 0.000 | -0.000 | 20.135 | -0.000 | -0.000 |
| 0.000 | 0.000 | -0.000 | 0.000 | 20.135 | -0.000 |
| 0.000 | -0.000 | 0.000 | -0.000 | -0.000 | 20.135 |
| 497.156 | 20.135 | 20.135 | 0.000 | -0.000 | 0.000 |
| 20.135 | 497.156 | 20.135 | -0.000 | -0.000 | -0.000 |
| 20.135 | 20.135 | 497.156 | 0.000 | -0.000 | 0.000 |
| -0.000 | -0.000 | 0.000 | 20.135 | 0.000 | 0.000 |
| -0.000 | -0.000 | 0.000 | -0.000 | 20.135 | 0.000 |
| -0.000 | 0.000 | -0.000 | 0.000 | -0.000 | 20.135 |
| 497.160 | 20.135 | 20.135 | -0.000 | -0.000 | 0.000 |
| 20.135 | 497.160 | 20.135 | -0.000 | -0.000 | -0.000 |
| 20.135 | 20.135 | 497.160 | -0.000 | -0.000 | -0.000 |
| 0.001 | 0.000 | -0.000 | -148.623 | -0.000 | 0.000 |
| 0.000 | 0.001 | -0.000 | -0.000 | -148.623 | -0.000 |
| 0.000 | -0.000 | 0.001 | -0.000 | -0.000 | -148.623 |
| 497.152 | 20.135 | 20.135 | -0.000 | -0.000 | 0.000 |
| 20.135 | 497.152 | 20.135 | 0.000 | 0.000 | 0.000 |
| 20.135 | 20.135 | 497.152 | 0.000 | 0.000 | 0.000 |
| -0.001 | -0.000 | 0.000 | -148.623 | 0.000 | 0.000 |
| -0.000 | -0.001 | 0.000 | 0.000 | -148.623 | -0.000 |
| -0.000 | 0.000 | -0.001 | 0.000 | 0.000 | -148.623 |
| 173.530 | 221.969 | 221.969 | 0.000 | 0.000 | -0.000 |
| 221.969 | 173.530 | 221.969 | 0.000 | 0.000 | 0.000 |
| 221.969 | 221.969 | 173.530 | 0.000 | 0.000 | 0.000 |
| 0.000 | 0.000 | 0.000 | 221.969 | 0.000 | -0.000 |
| 0.000 | 0.000 | 0.000 | 0.000 | 221.969 | -0.000 |
| 0.000 | 0.000 | -0.000 | -0.000 | 0.000 | 221.969 |
| 173.530 | 221.969 | 221.969 | -0.000 | -0.000 | 0.000 |
| 221.969 | 173.530 | 221.969 | -0.000 | -0.000 | 0.000 |
| 221.969 | 221.969 | 173.530 | 0.000 | -0.000 | -0.000 |
| -0.000 | 0.000 | -0.000 | 221.969 | -0.000 | 0.000 |
| -0.000 | -0.000 | -0.000 | -0.000 | 221.969 | 0.000 |
| -0.000 | -0.000 | 0.000 | 0.000 | -0.000 | 221.969 |
| 173.530 | 221.969 | 221.969 | -0.000 | 0.000 | 0.000 |
| 221.969 | 173.530 | 221.969 | -0.000 | 0.000 | -0.000 |
| 221.969 | 221.969 | 173.530 | -0.000 | -0.000 | 0.000 |
| 0.000 | 0.000 | 0.000 | 221.937 | 0.000 | 0.000 |
| 0.000 | 0.000 | 0.000 | -0.000 | 221.937 | -0.000 |
| 0.000 | 0.000 | 0.000 | -0.000 | 0.000 | 221.937 |
| 173.530 | 221.969 | 221.969 | -0.000 | -0.000 | 0.000 |
| 221.969 | 173.530 | 221.969 | -0.000 | -0.000 | -0.000 |
| 221.969 | 221.969 | 173.530 | -0.000 | -0.000 | -0.000 |
| -0.000 | -0.000 | -0.000 | 221.937 | -0.000 | 0.000 |
| -0.000 | -0.000 | -0.000 | -0.000 | 221.937 | 0.000 |
| -0.000 | -0.000 | -0.000 | 0.000 | -0.000 | 221.937 |
| 173.531 | 221.970 | 221.970 | 0.000 | 0.000 | -0.000 |
| 221.970 | 173.531 | 221.970 | -0.000 | 0.000 | 0.000 |
| 221.970 | 221.970 | 173.531 | -0.000 | 0.000 | 0.000 |
| 0.001 | 0.000 | 0.001 | 221.937 | 0.000 | -0.000 |
| 0.000 | 0.001 | 0.001 | -0.000 | 221.937 | 0.000 |
| 0.000 | 0.001 | 0.001 | -0.000 | 0.000 | 221.937 |
| 173.529 | 221.968 | 221.968 | -0.000 | -0.000 | 0.000 |
| 221.968 | 173.529 | 221.968 | -0.000 | -0.000 | -0.000 |
| 221.968 | 221.968 | 173.529 | -0.000 | -0.000 | -0.000 |
| -0.001 | -0.000 | -0.001 | 221.937 | -0.000 | 0.000 |
| -0.000 | -0.001 | -0.001 | 0.000 | 221.937 | 0.000 |
| -0.000 | -0.001 | -0.001 | 0.000 | -0.000 | 221.937 |
| 320.520 | 177.699 | 177.699 | -0.000 | -0.000 | -0.000 |
| 177.699 | 320.520 | 177.699 | -0.000 | -0.000 | -0.000 |
| 177.699 | 177.699 | 320.520 | -0.000 | -0.000 | -0.000 |
| 0.000 | 0.000 | 0.000 | 177.699 | -0.000 | -0.000 |
| 0.000 | -0.000 | 0.000 | -0.000 | 177.699 | -0.000 |
| 0.000 | 0.000 | -0.000 | -0.000 | -0.000 | 177.699 |
| 320.520 | 177.699 | 177.699 | 0.000 | 0.000 | 0.000 |
| 177.699 | 320.520 | 177.699 | 0.000 | 0.000 | 0.000 |
| 177.699 | 177.699 | 320.520 | 0.000 | 0.000 | 0.000 |
| -0.000 | -0.000 | -0.000 | 177.699 | 0.000 | 0.000 |
| -0.000 | 0.000 | -0.000 | 0.000 | 177.699 | 0.000 |
| -0.000 | -0.000 | 0.000 | 0.000 | 0.000 | 177.699 |
| 320.520 | 177.699 | 177.699 | -0.000 | -0.000 | -0.000 |
| 177.699 | 320.520 | 177.699 | -0.000 | -0.000 | -0.000 |
| 177.699 | 177.699 | 320.520 | -0.000 | -0.000 | -0.000 |
| -0.000 | 0.000 | 0.000 | 177.699 | 0.000 | -0.000 |
| 0.000 | -0.000 | 0.000 | -0.000 | 177.699 | -0.000 |
| 0.000 | 0.000 | -0.000 | -0.000 | -0.000 | 177.699 |
| 320.520 | 177.699 | 177.699 | 0.000 | 0.000 | 0.000 |
| 177.699 | 320.520 | 177.699 | 0.000 | 0.000 | 0.000 |
| 177.699 | 177.699 | 320.520 | 0.000 | 0.000 | 0.000 |
| 0.000 | -0.000 | -0.000 | 177.699 | 0.000 | 0.000 |
| -0.000 | 0.000 | -0.000 | 0.000 | 177.699 | 0.000 |
| -0.000 | -0.000 | 0.000 | -0.000 | 0.000 | 177.699 |
| 320.522 | 177.700 | 177.700 | -0.000 | -0.000 | -0.000 |
| 177.700 | 320.522 | 177.700 | -0.000 | -0.000 | -0.000 |
| 177.700 | 177.700 | 320.522 | -0.000 | -0.000 | -0.000 |
| -0.000 | 0.001 | 0.001 | 177.699 | -0.000 | -0.000 |
| 0.001 | -0.000 | 0.001 | -0.000 | 177.699 | -0.000 |
| 0.001 | 0.001 | -0.000 | -0.000 | 0.000 | 177.699 |
| 320.519 | 177.698 | 177.698 | 0.000 | 0.000 | 0.000 |
| 177.698 | 320.519 | 177.698 | 0.000 | 0.000 | 0.000 |
| 177.698 | 177.698 | 320.519 | 0.000 | 0.000 | 0.000 |
| 0.000 | -0.001 | -0.001 | 177.699 | 0.000 | 0.000 |
| -0.001 | 0.000 | -0.001 | 0.000 | 177.699 | 0.000 |
| -0.001 | -0.001 | 0.000 | 0.000 | 0.000 | 177.699 |
| 425.809 | 141.936 | 104.185 | -0.000 | -0.000 | 0.000 |
| 167.085 | 400.623 | 104.211 | 0.000 | -0.000 | 0.000 |
| 104.185 | 104.185 | 457.394 | 0.000 | -0.000 | 0.000 |
| 0.000 | -0.000 | 0.000 | 104.185 | -0.000 | 0.000 |
| 0.000 | 0.000 | 0.000 | 0.000 | 104.185 | 0.000 |
| 0.000 | 0.000 | -0.000 | 0.000 | -0.000 | 116.709 |
| 400.623 | 167.085 | 104.211 | -0.000 | 0.000 | -0.000 |
| 167.085 | 400.623 | 104.211 | -0.000 | 0.000 | -0.000 |
| 104.191 | 104.191 | 457.385 | -0.000 | 0.000 | -0.000 |
| -0.000 | 0.000 | -0.000 | 104.185 | 0.000 | -0.000 |
| -0.000 | -0.000 | -0.000 | -0.000 | 104.185 | -0.000 |
| -0.000 | -0.000 | 0.000 | -0.000 | 0.000 | 116.708 |
| 400.577 | 167.160 | 104.191 | 0.000 | -0.000 | 0.000 |
| 167.085 | 400.623 | 104.211 | 0.000 | -0.000 | 0.000 |
| 104.191 | 104.191 | 457.385 | 0.000 | -0.000 | 0.000 |
| 0.000 | -0.000 | 0.000 | 104.171 | -0.000 | 0.000 |
| 0.000 | 0.000 | 0.000 | 0.000 | 104.185 | 0.000 |
| -0.000 | 0.000 | 0.000 | 0.000 | -0.000 | 141.936 |
| 400.623 | 167.085 | 104.211 | -0.000 | 0.000 | -0.000 |
| 167.085 | 400.623 | 104.211 | -0.000 | 0.000 | -0.000 |
| 104.191 | 104.191 | 457.384 | -0.000 | 0.000 | -0.000 |
| -0.000 | 0.000 | -0.000 | 104.171 | 0.000 | -0.000 |
| -0.000 | -0.000 | -0.000 | -0.000 | 104.185 | -0.000 |
| 0.000 | -0.000 | -0.000 | -0.000 | 0.000 | 141.936 |
| 425.812 | 141.937 | 104.185 | 0.000 | -0.000 | 0.000 |
| 167.086 | 400.626 | 104.212 | 0.000 | -0.000 | 0.000 |
| 104.186 | 104.186 | 457.397 | 0.000 | -0.000 | 0.000 |
| 0.000 | 0.000 | 0.001 | 104.185 | -0.000 | 0.000 |
| -0.000 | 0.000 | 0.001 | 0.000 | 104.171 | 0.000 |
| -0.000 | 0.001 | 0.000 | 0.000 | -0.000 | 141.936 |
| 425.805 | 141.936 | 104.185 | -0.000 | 0.000 | -0.000 |
| 141.935 | 425.806 | 104.185 | -0.000 | 0.000 | -0.000 |
| 104.190 | 104.190 | 457.382 | -0.000 | 0.000 | -0.000 |
| -0.000 | -0.000 | -0.001 | 104.185 | 0.000 | -0.000 |
| 0.000 | -0.000 | -0.001 | -0.000 | 104.171 | -0.000 |
| 0.000 | -0.001 | -0.000 | -0.000 | 0.000 | 141.936 |
| 400.568 | 167.068 | 104.177 | -0.000 | -0.000 | -0.000 |
| 167.069 | 400.568 | 104.177 | -0.000 | -0.000 | -0.000 |
| 104.155 | 104.155 | 457.303 | -0.000 | 0.000 | 0.000 |
| 0.001 | 0.001 | -0.002 | 104.153 | -0.000 | -0.000 |
| 0.001 | 0.001 | -0.002 | -0.000 | 104.153 | 0.000 |
| 0.000 | 0.000 | 0.000 | -0.000 | -0.000 | 141.922 |
| 425.757 | 141.913 | 104.153 | 0.000 | 0.000 | 0.000 |
| 141.913 | 425.757 | 104.153 | 0.000 | -0.000 | -0.000 |
| 104.161 | 104.161 | 457.294 | -0.000 | -0.000 | -0.000 |
| -0.001 | -0.001 | 0.002 | 104.153 | -0.000 | 0.000 |
| -0.001 | -0.001 | 0.002 | 0.000 | 104.153 | 0.000 |
| -0.000 | -0.000 | -0.000 | 0.000 | 0.000 | 141.922 |
| 400.531 | 167.132 | 104.159 | 0.000 | -0.000 | 0.000 |
| 167.058 | 400.576 | 104.179 | -0.000 | 0.000 | -0.000 |
| 104.161 | 104.161 | 457.294 | 0.000 | 0.000 | -0.000 |
| 0.000 | 0.000 | -0.000 | 104.153 | -0.000 | 0.000 |
| 0.000 | 0.000 | 0.000 | -0.000 | 104.166 | 0.000 |
| -0.000 | 0.000 | 0.000 | -0.000 | -0.000 | 141.922 |
| 400.530 | 167.131 | 104.159 | 0.000 | -0.000 | 0.000 |
| 167.131 | 400.530 | 104.159 | -0.000 | 0.000 | 0.000 |
| 104.155 | 104.155 | 457.302 | 0.000 | 0.000 | -0.000 |
| -0.000 | -0.000 | 0.000 | 104.153 | 0.000 | -0.000 |
| -0.000 | -0.000 | -0.000 | 0.000 | 104.166 | -0.000 |
| 0.000 | -0.000 | -0.000 | 0.000 | 0.000 | 141.922 |
| 400.581 | 167.057 | 104.179 | -0.000 | -0.000 | -0.000 |
| 141.914 | 425.760 | 104.153 | -0.000 | -0.000 | -0.000 |
| 104.162 | 104.162 | 457.297 | -0.000 | -0.000 | -0.000 |
| 0.000 | -0.000 | 0.001 | 104.153 | -0.000 | 0.000 |
| 0.000 | 0.000 | 0.001 | -0.000 | 104.166 | -0.000 |
| -0.000 | 0.001 | -0.000 | -0.000 | -0.000 | 116.700 |
| 400.527 | 167.131 | 104.159 | 0.000 | 0.000 | 0.000 |
| 141.912 | 425.754 | 104.152 | 0.000 | 0.000 | -0.000 |
| 104.154 | 104.154 | 457.299 | 0.000 | 0.000 | -0.000 |
| -0.000 | 0.000 | -0.001 | 104.153 | 0.000 | 0.000 |
| -0.000 | -0.000 | -0.001 | 0.000 | 104.166 | 0.000 |
| 0.000 | -0.001 | 0.000 | 0.000 | 0.000 | 116.700 |
| 320.520 | 177.699 | 177.699 | 0.000 | 0.000 | -0.000 |
| 177.699 | 320.520 | 177.699 | 0.000 | 0.000 | 0.000 |
| 177.699 | 177.699 | 320.520 | 0.000 | 0.000 | 0.000 |
| 0.000 | 0.000 | 0.000 | 177.689 | 0.000 | -0.000 |
| 0.000 | 0.000 | 0.000 | 0.000 | 177.689 | -0.000 |
| 0.000 | 0.000 | -0.000 | 0.000 | 0.000 | 177.699 |
| 320.504 | 177.715 | 177.699 | -0.000 | -0.000 | 0.000 |
| 177.715 | 320.504 | 177.699 | -0.000 | 0.000 | 0.000 |
| 177.699 | 177.699 | 320.520 | -0.000 | -0.000 | -0.000 |
| -0.000 | -0.000 | -0.000 | 177.689 | -0.000 | -0.000 |
| -0.000 | -0.000 | -0.000 | -0.000 | 177.689 | 0.000 |
| -0.000 | -0.000 | 0.000 | -0.000 | 0.000 | 177.699 |
| 320.504 | 177.715 | 177.699 | -0.000 | 0.000 | -0.000 |
| 177.715 | 320.504 | 177.699 | -0.000 | -0.000 | -0.000 |
| 177.699 | 177.699 | 320.520 | 0.000 | 0.000 | 0.000 |
| -0.000 | 0.000 | 0.000 | 177.689 | 0.000 | 0.000 |
| 0.000 | -0.000 | 0.000 | 0.000 | 177.689 | -0.000 |
| 0.000 | 0.000 | -0.000 | 0.000 | 0.000 | 177.699 |
| 320.504 | 177.715 | 177.699 | -0.000 | 0.000 | 0.000 |
| 177.715 | 320.504 | 177.699 | -0.000 | 0.000 | 0.000 |
| 177.699 | 177.699 | 320.520 | -0.000 | -0.000 | 0.000 |
| 0.000 | -0.000 | -0.000 | 177.689 | -0.000 | 0.000 |
| -0.000 | 0.000 | -0.000 | -0.000 | 177.689 | 0.000 |
| -0.000 | -0.000 | 0.000 | -0.000 | -0.000 | 177.699 |
| 320.505 | 177.716 | 177.700 | 0.000 | -0.000 | -0.000 |
| 177.716 | 320.505 | 177.700 | 0.000 | 0.000 | -0.000 |
| 177.700 | 177.700 | 320.521 | 0.000 | 0.000 | 0.000 |
| -0.000 | 0.001 | 0.001 | 177.689 | 0.000 | 0.000 |
| 0.001 | -0.000 | 0.001 | 0.000 | 177.689 | -0.000 |
| 0.001 | 0.001 | -0.000 | 0.000 | 0.000 | 177.699 |
| 320.503 | 177.714 | 177.698 | -0.000 | 0.000 | 0.000 |
| 177.714 | 320.503 | 177.698 | -0.000 | -0.000 | 0.000 |
| 177.698 | 177.698 | 320.519 | -0.000 | -0.000 | 0.000 |
| 0.000 | -0.001 | -0.001 | 177.689 | -0.000 | -0.000 |
| -0.001 | 0.000 | -0.001 | -0.000 | 177.689 | 0.000 |
| -0.001 | -0.001 | 0.000 | -0.000 | -0.000 | 177.699 |
| 399.656 | 166.623 | 104.002 | -0.000 | -0.000 | 0.000 |
| 141.502 | 424.813 | 103.977 | 0.000 | -0.000 | 0.000 |
| 103.949 | 103.949 | 456.610 | 0.000 | -0.000 | 0.000 |
| 0.001 | 0.001 | -0.001 | 104.050 | -0.000 | 0.000 |
| 0.000 | 0.000 | 0.000 | 0.000 | 104.063 | 0.000 |
| 0.001 | 0.001 | -0.001 | -0.000 | -0.000 | 116.461 |
| 399.665 | 166.612 | 104.004 | 0.000 | 0.000 | -0.000 |
| 166.612 | 399.665 | 104.004 | 0.000 | 0.000 | -0.000 |
| 103.949 | 103.949 | 456.611 | -0.000 | -0.000 | -0.000 |
| -0.001 | -0.001 | 0.001 | 104.050 | 0.000 | -0.000 |
| -0.000 | -0.000 | -0.000 | -0.000 | 104.063 | -0.000 |
| -0.001 | -0.001 | 0.001 | -0.000 | 0.000 | 116.461 |
| 399.660 | 166.618 | 104.003 | -0.000 | -0.000 | 0.000 |
| 166.618 | 399.660 | 104.003 | -0.000 | -0.000 | 0.000 |
| 103.949 | 103.949 | 456.611 | 0.000 | 0.000 | 0.000 |
| 0.000 | 0.000 | -0.000 | 104.050 | 0.000 | 0.000 |
| 0.000 | 0.000 | 0.000 | 0.000 | 104.063 | 0.000 |
| 0.000 | 0.000 | -0.000 | -0.000 | -0.000 | 116.461 |
| 399.613 | 166.692 | 103.983 | -0.000 | 0.000 | -0.000 |
| 141.501 | 424.813 | 103.977 | -0.000 | 0.000 | -0.000 |
| 103.949 | 103.949 | 456.610 | -0.000 | -0.000 | -0.000 |
| -0.000 | -0.000 | 0.000 | 104.050 | 0.000 | -0.000 |
| -0.000 | -0.000 | -0.000 | 0.000 | 104.063 | -0.000 |
| -0.000 | -0.000 | 0.000 | -0.000 | 0.000 | 116.461 |
| 399.664 | 166.618 | 104.003 | -0.000 | -0.000 | 0.000 |
| 166.619 | 399.663 | 104.003 | 0.000 | -0.000 | 0.000 |
| 103.944 | 103.944 | 456.623 | 0.000 | -0.000 | 0.000 |
| 0.000 | -0.000 | 0.001 | 104.050 | 0.000 | 0.000 |
| -0.000 | 0.000 | 0.001 | 0.000 | 104.050 | 0.000 |
| -0.000 | 0.001 | 0.000 | 0.000 | -0.000 | 141.656 |
| 424.810 | 141.501 | 103.976 | 0.000 | 0.000 | 0.000 |
| 141.500 | 424.811 | 103.976 | -0.000 | 0.000 | -0.000 |
| 103.942 | 103.942 | 456.617 | -0.000 | 0.000 | -0.000 |
| -0.000 | 0.000 | -0.001 | 104.050 | 0.000 | -0.000 |
| 0.000 | -0.000 | -0.001 | 0.000 | 104.050 | -0.000 |
| 0.000 | -0.001 | -0.000 | 0.000 | 0.000 | 141.656 |
| 296.027 | 164.334 | 164.334 | 0.000 | 0.000 | 0.000 |
| 164.334 | 296.027 | 164.334 | 0.000 | 0.000 | 0.000 |
| 164.334 | 164.334 | 296.027 | 0.000 | 0.000 | 0.000 |
| 0.000 | 0.000 | 0.000 | 164.334 | 0.000 | 0.000 |
| 0.000 | 0.000 | 0.000 | 0.000 | 164.334 | 0.000 |
| 0.000 | 0.000 | 0.000 | 0.000 | 0.000 | 164.334 |
| 296.027 | 164.334 | 164.334 | -0.000 | 0.000 | -0.000 |
| 164.334 | 296.027 | 164.334 | 0.000 | -0.000 | -0.000 |
| 164.334 | 164.334 | 296.027 | -0.000 | -0.000 | -0.000 |
| -0.000 | -0.000 | -0.000 | 164.334 | -0.000 | -0.000 |
| -0.000 | -0.000 | -0.000 | -0.000 | 164.334 | -0.000 |
| -0.000 | -0.000 | -0.000 | -0.000 | -0.000 | 164.334 |
| 296.027 | 164.334 | 164.334 | 0.000 | 0.000 | 0.000 |
| 164.334 | 296.027 | 164.334 | -0.000 | 0.000 | 0.000 |
| 164.334 | 164.334 | 296.027 | 0.000 | 0.000 | 0.000 |
| -0.000 | 0.000 | 0.000 | 164.334 | 0.000 | 0.000 |
| 0.000 | -0.000 | 0.000 | 0.000 | 164.334 | 0.000 |
| 0.000 | 0.000 | -0.000 | 0.000 | 0.000 | 164.334 |
| 296.027 | 164.334 | 164.334 | -0.000 | -0.000 | -0.000 |
| 164.334 | 296.027 | 164.334 | -0.000 | -0.000 | -0.000 |
| 164.334 | 164.334 | 296.027 | -0.000 | -0.000 | -0.000 |
| 0.000 | -0.000 | -0.000 | 164.334 | -0.000 | -0.000 |
| -0.000 | 0.000 | -0.000 | -0.000 | 164.334 | -0.000 |
| -0.000 | -0.000 | 0.000 | -0.000 | -0.000 | 164.334 |
| 296.028 | 164.335 | 164.335 | 0.000 | 0.000 | 0.000 |
| 164.335 | 296.028 | 164.335 | 0.000 | 0.000 | 0.000 |
| 164.335 | 164.335 | 296.028 | 0.000 | 0.000 | 0.000 |
| -0.000 | 0.001 | 0.001 | 164.334 | 0.000 | 0.000 |
| 0.001 | -0.000 | 0.001 | 0.000 | 164.334 | 0.000 |
| 0.001 | 0.001 | -0.000 | 0.000 | 0.000 | 164.334 |
| 296.025 | 164.333 | 164.333 | -0.000 | -0.000 | -0.000 |
| 164.333 | 296.025 | 164.333 | -0.000 | -0.000 | -0.000 |
| 164.333 | 164.333 | 296.025 | -0.000 | -0.000 | -0.000 |
| 0.000 | -0.001 | -0.001 | 164.334 | -0.000 | -0.000 |
| -0.001 | 0.000 | -0.001 | -0.000 | 164.334 | -0.000 |
| -0.001 | -0.001 | 0.000 | -0.000 | -0.000 | 164.334 |
| 444.107 | 19.019 | 19.019 | -0.000 | -0.000 | -0.000 |
| 19.019 | 444.107 | 19.019 | 0.000 | -0.000 | -0.000 |
| 19.019 | 19.019 | 444.107 | 0.000 | 0.000 | -0.000 |
| -0.000 | -0.000 | 0.000 | -112.061 | -0.000 | -0.000 |
| -0.000 | -0.000 | 0.000 | 0.000 | -112.061 | -0.000 |
| -0.000 | 0.000 | -0.000 | -0.000 | -0.000 | -112.061 |
| 445.772 | 18.186 | 18.186 | -0.000 | -0.000 | -0.000 |
| 18.186 | 445.772 | 18.186 | -0.000 | 0.000 | -0.000 |
| 18.186 | 18.186 | 445.772 | -0.000 | 0.000 | -0.000 |
| -0.000 | 0.000 | 0.000 | -112.061 | 0.000 | 0.000 |
| 0.000 | -0.000 | 0.000 | -0.000 | -112.061 | 0.000 |
| 0.000 | 0.000 | -0.000 | -0.000 | 0.000 | -112.061 |
| 444.107 | 19.019 | 19.019 | 0.000 | 0.000 | -0.000 |
| 19.019 | 444.107 | 19.019 | 0.000 | -0.000 | -0.000 |
| 19.019 | 19.019 | 444.107 | 0.000 | 0.000 | -0.000 |
| 0.000 | -0.000 | -0.000 | -112.061 | 0.000 | 0.000 |
| -0.000 | 0.000 | -0.000 | 0.000 | -112.061 | -0.000 |
| -0.000 | -0.000 | 0.000 | 0.000 | -0.000 | -112.061 |
| 444.106 | 19.019 | 19.019 | -0.000 | -0.000 | 0.000 |
| 19.019 | 444.106 | 19.019 | -0.000 | -0.000 | 0.000 |
| 19.019 | 19.019 | 444.106 | -0.000 | 0.000 | 0.000 |
| -0.000 | 0.000 | 0.000 | -112.061 | -0.000 | 0.000 |
| 0.000 | -0.000 | 0.000 | -0.000 | -112.061 | 0.000 |
| 0.000 | 0.000 | -0.000 | -0.000 | 0.000 | -112.061 |
| 444.110 | 19.019 | 19.019 | 0.000 | -0.000 | 0.000 |
| 19.019 | 444.110 | 19.019 | 0.000 | -0.000 | -0.000 |
| 19.019 | 19.019 | 444.110 | 0.000 | 0.000 | -0.000 |
| 0.000 | -0.000 | -0.000 | -46.937 | 0.000 | 0.000 |
| -0.000 | 0.000 | -0.000 | 0.000 | -46.937 | -0.000 |
| -0.000 | -0.000 | 0.000 | 0.000 | -0.000 | -46.937 |
| 445.769 | 18.186 | 18.186 | -0.000 | 0.000 | 0.000 |
| 18.186 | 445.769 | 18.186 | -0.000 | 0.000 | 0.000 |
| 18.186 | 18.186 | 445.769 | -0.000 | 0.000 | -0.000 |
| -0.000 | 0.000 | 0.000 | -46.937 | -0.000 | 0.000 |
| 0.000 | -0.000 | 0.000 | -0.000 | -46.937 | -0.000 |
| 0.000 | 0.000 | -0.000 | -0.000 | 0.000 | -46.937 |
| 149.508 | 195.541 | 195.541 | -0.000 | 0.000 | -0.000 |
| 195.541 | 149.508 | 195.541 | 0.000 | 0.000 | -0.000 |
| 195.541 | 195.541 | 149.508 | -0.000 | 0.000 | 0.000 |
| 0.000 | 0.000 | -0.000 | 195.541 | -0.000 | 0.000 |
| 0.000 | 0.000 | 0.000 | 0.000 | 195.541 | 0.000 |
| -0.000 | 0.000 | 0.000 | -0.000 | 0.000 | 195.541 |
| 149.508 | 195.541 | 195.541 | 0.000 | -0.000 | 0.000 |
| 195.541 | 149.508 | 195.541 | 0.000 | -0.000 | -0.000 |
| 195.541 | 195.541 | 149.508 | -0.000 | -0.000 | 0.000 |
| -0.000 | 0.000 | -0.000 | 195.541 | -0.000 | 0.000 |
| 0.000 | -0.000 | -0.000 | 0.000 | 195.541 | -0.000 |
| 0.000 | -0.000 | -0.000 | 0.000 | -0.000 | 195.541 |
| 149.508 | 195.541 | 195.541 | 0.000 | 0.000 | -0.000 |
| 195.541 | 149.508 | 195.541 | 0.000 | -0.000 | 0.000 |
| 195.541 | 195.541 | 149.508 | 0.000 | 0.000 | 0.000 |
| 0.000 | 0.000 | 0.000 | 195.541 | -0.000 | 0.000 |
| 0.000 | 0.000 | 0.000 | -0.000 | 195.541 | 0.000 |
| 0.000 | 0.000 | 0.000 | -0.000 | 0.000 | 195.541 |
| 149.508 | 195.541 | 195.541 | 0.000 | 0.000 | 0.000 |
| 195.541 | 149.508 | 195.541 | 0.000 | -0.000 | -0.000 |
| 195.541 | 195.541 | 149.508 | 0.000 | -0.000 | -0.000 |
| -0.000 | -0.000 | -0.000 | 195.541 | -0.000 | -0.000 |
| -0.000 | -0.000 | -0.000 | 0.000 | 195.541 | -0.000 |
| -0.000 | -0.000 | -0.000 | 0.000 | -0.000 | 195.541 |
| 149.509 | 195.542 | 195.542 | -0.000 | 0.000 | -0.000 |
| 195.542 | 149.509 | 195.542 | 0.000 | 0.000 | 0.000 |
| 195.542 | 195.542 | 149.509 | 0.000 | 0.000 | 0.000 |
| 0.001 | 0.000 | 0.001 | 195.541 | 0.000 | 0.000 |
| 0.000 | 0.001 | 0.001 | -0.000 | 195.541 | 0.000 |
| 0.000 | 0.001 | 0.001 | -0.000 | 0.000 | 195.541 |
| 149.507 | 195.540 | 195.540 | 0.000 | -0.000 | 0.000 |
| 195.540 | 149.507 | 195.540 | 0.000 | -0.000 | -0.000 |
| 195.540 | 195.540 | 149.507 | 0.000 | -0.000 | -0.000 |
| -0.001 | -0.000 | -0.001 | 195.541 | -0.000 | -0.000 |
| -0.000 | -0.001 | -0.001 | 0.000 | 195.541 | 0.000 |
| -0.000 | -0.001 | -0.001 | 0.000 | -0.000 | 195.541 |
| 370.241 | 153.110 | 95.804 | -0.000 | 0.000 | -0.000 |
| 153.110 | 370.241 | 95.804 | -0.000 | -0.000 | -0.000 |
| 95.804 | 95.804 | 413.711 | -0.000 | -0.000 | -0.000 |
| 0.000 | -0.000 | 0.000 | 95.804 | -0.000 | -0.000 |
| 0.000 | -0.000 | 0.000 | -0.000 | 95.804 | -0.000 |
| 0.000 | 0.000 | -0.000 | -0.000 | -0.000 | 130.838 |
| 392.513 | 130.838 | 95.804 | -0.000 | 0.000 | 0.000 |
| 153.110 | 370.241 | 95.804 | 0.000 | 0.000 | 0.000 |
| 95.804 | 95.804 | 413.711 | 0.000 | -0.000 | 0.000 |
| -0.000 | 0.000 | -0.000 | 95.804 | 0.000 | 0.000 |
| -0.000 | 0.000 | -0.000 | 0.000 | 95.804 | 0.000 |
| -0.000 | -0.000 | 0.000 | 0.000 | 0.000 | 130.838 |
| 392.514 | 130.838 | 95.804 | -0.000 | 0.000 | -0.000 |
| 153.110 | 370.241 | 95.804 | -0.000 | -0.000 | -0.000 |
| 95.804 | 95.804 | 413.711 | -0.000 | -0.000 | -0.000 |
| 0.000 | -0.000 | 0.000 | 95.804 | -0.000 | -0.000 |
| 0.000 | 0.000 | 0.000 | -0.000 | 95.804 | -0.000 |
| 0.000 | 0.000 | -0.000 | -0.000 | -0.000 | 108.566 |
| 392.513 | 130.838 | 95.804 | -0.000 | 0.000 | 0.000 |
| 130.838 | 392.513 | 95.804 | 0.000 | 0.000 | 0.000 |
| 95.804 | 95.804 | 413.710 | 0.000 | -0.000 | 0.000 |
| -0.000 | 0.000 | -0.000 | 95.804 | 0.000 | 0.000 |
| -0.000 | -0.000 | -0.000 | 0.000 | 95.804 | 0.000 |
| -0.000 | -0.000 | 0.000 | 0.000 | 0.000 | 108.566 |
| 370.244 | 153.110 | 95.805 | -0.000 | -0.000 | -0.000 |
| 130.839 | 392.516 | 95.805 | -0.000 | -0.000 | -0.000 |
| 95.805 | 95.805 | 413.713 | -0.000 | -0.000 | -0.000 |
| 0.000 | -0.000 | 0.001 | 95.804 | -0.000 | -0.000 |
| -0.000 | 0.000 | 0.001 | -0.000 | 95.804 | -0.000 |
| 0.000 | 0.001 | 0.000 | -0.000 | -0.000 | 130.838 |
| 370.238 | 153.109 | 95.804 | -0.000 | 0.000 | 0.000 |
| 130.837 | 392.510 | 95.804 | -0.000 | 0.000 | 0.000 |
| 95.804 | 95.804 | 413.708 | 0.000 | 0.000 | 0.000 |
| -0.000 | 0.000 | -0.001 | 95.804 | 0.000 | 0.000 |
| 0.000 | -0.000 | -0.001 | 0.000 | 95.804 | 0.000 |
| -0.000 | -0.001 | -0.000 | 0.000 | 0.000 | 130.838 |
| 367.858 | 152.765 | 93.122 | -0.000 | 0.000 | 0.000 |
| 152.765 | 367.858 | 93.122 | -0.000 | 0.000 | -0.000 |
| 93.122 | 93.122 | 408.620 | 0.000 | 0.000 | -0.000 |
| -0.000 | 0.000 | 0.000 | 93.122 | 0.000 | 0.000 |
| -0.000 | 0.000 | 0.000 | -0.000 | 93.122 | -0.000 |
| -0.000 | 0.000 | 0.000 | -0.000 | 0.000 | 107.546 |
| 367.858 | 152.765 | 93.122 | 0.000 | -0.000 | -0.000 |
| 152.765 | 367.858 | 93.122 | 0.000 | -0.000 | 0.000 |
| 93.122 | 93.122 | 408.620 | 0.000 | -0.000 | 0.000 |
| -0.000 | 0.000 | -0.000 | 93.122 | -0.000 | -0.000 |
| 0.000 | -0.000 | -0.000 | 0.000 | 93.122 | -0.000 |
| 0.000 | -0.000 | -0.000 | 0.000 | -0.000 | 107.546 |
| 367.858 | 152.765 | 93.122 | -0.000 | 0.000 | 0.000 |
| 152.765 | 367.858 | 93.122 | -0.000 | 0.000 | -0.000 |
| 93.122 | 93.122 | 408.620 | -0.000 | 0.000 | -0.000 |
| 0.000 | -0.000 | 0.000 | 93.122 | 0.000 | 0.000 |
| -0.000 | 0.000 | 0.000 | -0.000 | 93.122 | -0.000 |
| 0.000 | 0.000 | 0.000 | -0.000 | 0.000 | 130.156 |
| 367.857 | 152.765 | 93.122 | 0.000 | -0.000 | 0.000 |
| 152.765 | 367.858 | 93.122 | 0.000 | -0.000 | -0.000 |
| 93.122 | 93.122 | 408.619 | 0.000 | -0.000 | 0.000 |
| -0.000 | 0.000 | -0.000 | 93.122 | -0.000 | 0.000 |
| 0.000 | -0.000 | -0.000 | 0.000 | 93.122 | -0.000 |
| -0.000 | -0.000 | -0.000 | 0.000 | -0.000 | 130.156 |
| 367.861 | 152.765 | 93.122 | -0.000 | 0.000 | 0.000 |
| 152.766 | 367.861 | 93.122 | -0.000 | 0.000 | 0.000 |
| 93.123 | 93.123 | 408.622 | -0.000 | 0.000 | 0.000 |
| 0.000 | 0.000 | 0.001 | 93.122 | 0.000 | 0.000 |
| -0.000 | 0.000 | 0.001 | -0.000 | 93.122 | 0.000 |
| 0.000 | 0.001 | -0.000 | -0.000 | 0.000 | 107.546 |
| 390.464 | 130.155 | 93.122 | 0.000 | -0.000 | -0.000 |
| 130.155 | 390.464 | 93.122 | 0.000 | -0.000 | -0.000 |
| 93.121 | 93.121 | 408.617 | 0.000 | -0.000 | -0.000 |
| -0.000 | -0.000 | -0.001 | 93.122 | -0.000 | -0.000 |
| 0.000 | -0.000 | -0.001 | 0.000 | 93.122 | 0.000 |
| -0.000 | -0.001 | 0.000 | 0.000 | -0.000 | 107.546 |
| 367.743 | 152.713 | 93.108 | 0.000 | -0.000 | 0.000 |
| 152.713 | 367.743 | 93.108 | -0.000 | -0.000 | 0.000 |
| 93.103 | 93.103 | 408.558 | 0.000 | -0.000 | 0.000 |
| 0.000 | -0.000 | 0.000 | 93.114 | 0.000 | 0.000 |
| -0.000 | -0.000 | 0.000 | 0.000 | 93.114 | 0.000 |
| -0.000 | 0.000 | 0.000 | -0.000 | -0.000 | 130.122 |
| 367.743 | 152.713 | 93.108 | 0.000 | 0.000 | -0.000 |
| 152.713 | 367.743 | 93.108 | -0.000 | 0.000 | -0.000 |
| 93.103 | 93.103 | 408.558 | 0.000 | -0.000 | -0.000 |
| -0.000 | 0.000 | -0.000 | 93.114 | 0.000 | -0.000 |
| 0.000 | 0.000 | -0.000 | -0.000 | 93.114 | -0.000 |
| 0.000 | -0.000 | -0.000 | 0.000 | -0.000 | 130.122 |
| 390.350 | 130.106 | 93.108 | -0.000 | 0.000 | 0.000 |
| 152.713 | 367.743 | 93.108 | 0.000 | 0.000 | 0.000 |
| 93.103 | 93.103 | 408.559 | -0.000 | -0.000 | -0.000 |
| 0.000 | -0.000 | 0.000 | 93.114 | 0.000 | 0.000 |
| -0.000 | 0.000 | 0.000 | -0.000 | 93.114 | 0.000 |
| 0.000 | 0.000 | 0.000 | -0.000 | -0.000 | 130.122 |
| 390.350 | 130.106 | 93.108 | -0.000 | -0.000 | -0.000 |
| 130.106 | 390.350 | 93.108 | -0.000 | 0.000 | 0.000 |
| 93.103 | 93.103 | 408.558 | -0.000 | 0.000 | -0.000 |
| -0.000 | 0.000 | -0.000 | 93.114 | -0.000 | -0.000 |
| 0.000 | -0.000 | -0.000 | -0.000 | 93.114 | -0.000 |
| -0.000 | -0.000 | -0.000 | 0.000 | -0.000 | 130.122 |
| 367.746 | 152.713 | 93.108 | 0.000 | -0.000 | 0.000 |
| 152.714 | 367.746 | 93.108 | 0.000 | 0.000 | 0.000 |
| 93.104 | 93.104 | 408.561 | 0.000 | -0.000 | 0.000 |
| 0.000 | 0.000 | 0.001 | 93.114 | 0.000 | 0.000 |
| -0.000 | 0.000 | 0.001 | 0.000 | 93.114 | 0.000 |
| 0.000 | 0.001 | -0.000 | 0.000 | -0.000 | 107.515 |
| 367.740 | 152.712 | 93.108 | -0.000 | -0.000 | -0.000 |
| 152.712 | 367.740 | 93.108 | -0.000 | -0.000 | -0.000 |
| 93.102 | 93.102 | 408.556 | -0.000 | 0.000 | -0.000 |
| -0.000 | -0.000 | -0.001 | 93.114 | -0.000 | -0.000 |
| 0.000 | -0.000 | -0.001 | -0.000 | 93.114 | -0.000 |
| -0.000 | -0.001 | 0.000 | 0.000 | 0.000 | 107.515 |
| 28.367 | 38.189 | 38.189 | -0.000 | -0.000 | -0.000 |
| 38.189 | 28.367 | 38.189 | -0.000 | -0.000 | -0.000 |
| 38.189 | 38.189 | 28.367 | -0.000 | -0.000 | -0.000 |
| -0.000 | -0.000 | -0.000 | -11.374 | -0.000 | -0.000 |
| -0.000 | -0.000 | -0.000 | -0.000 | -11.374 | -0.000 |
| -0.000 | -0.000 | -0.000 | -0.000 | -0.000 | -11.374 |
| 28.367 | 38.189 | 38.189 | 0.000 | 0.000 | 0.000 |
| 38.189 | 28.367 | 38.189 | 0.000 | 0.000 | 0.000 |
| 38.189 | 38.189 | 28.367 | 0.000 | 0.000 | 0.000 |
| 0.000 | 0.000 | 0.000 | -11.374 | 0.000 | 0.000 |
| 0.000 | 0.000 | 0.000 | 0.000 | -11.374 | 0.000 |
| 0.000 | 0.000 | 0.000 | 0.000 | 0.000 | -11.374 |
| 28.367 | 38.189 | 38.189 | -0.000 | -0.000 | -0.000 |
| 38.189 | 28.367 | 38.189 | -0.000 | -0.000 | -0.000 |
| 38.189 | 38.189 | 28.367 | -0.000 | -0.000 | -0.000 |
| -0.000 | -0.000 | -0.000 | -11.374 | -0.000 | -0.000 |
| -0.000 | -0.000 | -0.000 | -0.000 | -11.374 | -0.000 |
| -0.000 | -0.000 | -0.000 | -0.000 | -0.000 | -11.374 |
| 28.367 | 38.189 | 38.189 | 0.000 | 0.000 | 0.000 |
| 38.189 | 28.367 | 38.189 | 0.000 | 0.000 | 0.000 |
| 38.189 | 38.189 | 28.367 | 0.000 | 0.000 | 0.000 |
| 0.000 | 0.000 | 0.000 | -11.374 | 0.000 | 0.000 |
| 0.000 | 0.000 | 0.000 | 0.000 | -11.374 | 0.000 |
| 0.000 | 0.000 | 0.000 | 0.000 | 0.000 | -11.374 |
| 28.367 | 38.189 | 38.189 | -0.000 | -0.000 | -0.000 |
| 38.189 | 28.367 | 38.189 | -0.000 | -0.000 | -0.000 |
| 38.189 | 38.189 | 28.367 | -0.000 | -0.000 | -0.000 |
| -0.000 | -0.000 | -0.000 | -11.374 | -0.000 | -0.000 |
| -0.000 | -0.000 | -0.000 | -0.000 | -11.374 | -0.000 |
| -0.000 | -0.000 | -0.000 | -0.000 | -0.000 | -11.374 |
| 28.367 | 38.189 | 38.189 | 0.000 | 0.000 | 0.000 |
| 38.189 | 28.367 | 38.189 | 0.000 | 0.000 | 0.000 |
| 38.189 | 38.189 | 28.367 | 0.000 | 0.000 | 0.000 |
| 0.000 | 0.000 | 0.000 | -11.374 | 0.000 | 0.000 |
| 0.000 | 0.000 | 0.000 | 0.000 | -11.374 | 0.000 |
| 0.000 | 0.000 | 0.000 | 0.000 | 0.000 | -11.374 |
| 392.176 | -24.380 | 7.478 | 0.000 | 0.000 | 0.000 |
| -24.380 | 392.176 | 7.478 | 0.000 | 0.000 | 0.000 |
| 7.478 | 7.478 | 371.126 | 0.000 | 0.000 | 0.000 |
| 0.000 | -0.000 | -0.000 | -29.155 | 0.000 | -0.000 |
| 0.000 | -0.000 | -0.000 | 0.000 | -29.155 | 0.000 |
| 0.000 | -0.000 | 0.000 | 0.000 | 0.000 | -24.380 |
| -527.275 | 895.072 | 7.478 | -0.000 | 0.000 | -0.000 |
| 895.071 | -527.275 | 7.478 | 0.000 | -0.000 | -0.000 |
| 7.478 | 7.478 | 371.126 | -0.000 | -0.000 | -0.000 |
| -0.000 | 0.000 | 0.000 | -29.155 | -0.000 | -0.000 |
| -0.000 | 0.000 | 0.000 | -0.000 | -29.155 | -0.000 |
| -0.000 | 0.000 | -0.000 | -0.000 | -0.000 | -24.380 |
| 392.176 | -24.380 | 7.478 | -0.000 | -0.000 | 0.000 |
| -24.380 | 392.176 | 7.478 | 0.000 | -0.000 | 0.000 |
| 7.478 | 7.478 | 371.126 | 0.000 | 0.000 | 0.000 |
| -0.000 | 0.000 | -0.000 | -29.155 | -0.000 | 0.000 |
| 0.000 | -0.000 | -0.000 | 0.000 | -29.155 | 0.000 |
| -0.000 | -0.000 | -0.000 | 0.000 | 0.000 | -24.380 |
| -527.274 | 895.070 | 7.478 | -0.000 | 0.000 | -0.000 |
| 895.070 | -527.274 | 7.478 | 0.000 | -0.000 | -0.000 |
| 7.478 | 7.478 | 371.125 | -0.000 | -0.000 | -0.000 |
| 0.000 | -0.000 | 0.000 | -29.155 | -0.000 | 0.000 |
| -0.000 | 0.000 | 0.000 | -0.000 | -29.155 | -0.000 |
| 0.000 | 0.000 | 0.000 | -0.000 | -0.000 | -24.380 |
| -664.590 | 1032.385 | 7.476 | 0.000 | 0.000 | 0.000 |
| 1032.385 | -664.590 | 7.476 | 0.000 | 0.000 | 0.000 |
| 7.478 | 7.478 | 371.129 | -0.000 | 0.000 | 0.000 |
| -0.000 | 0.000 | -0.000 | -29.155 | 0.000 | 0.000 |
| 0.000 | -0.000 | -0.000 | -0.000 | -29.155 | 0.000 |
| -0.000 | 0.000 | -0.000 | 0.000 | 0.000 | -24.380 |
| -527.260 | 895.059 | 7.479 | -0.000 | 0.000 | -0.000 |
| 895.059 | -527.260 | 7.479 | 0.000 | -0.000 | -0.000 |
| 7.478 | 7.478 | 371.122 | -0.000 | -0.000 | -0.000 |
| 0.000 | -0.000 | 0.000 | -29.155 | -0.000 | -0.000 |
| -0.000 | 0.000 | 0.000 | -0.000 | -29.155 | -0.000 |
| 0.000 | -0.000 | 0.000 | -0.000 | -0.000 | -24.380 |
| -12.749 | -19.419 | -1.147 | -10.989 | -0.000 | -0.000 |
| -19.428 | -12.758 | -1.157 | 10.989 | -0.000 | -0.000 |
| -2.484 | -2.484 | 14.582 | 0.000 | 0.000 | 0.000 |
| -10.998 | 10.980 | -0.011 | 18.932 | -0.000 | -0.000 |
| -0.009 | -0.009 | -0.011 | 0.000 | 18.932 | -10.989 |
| 0.000 | 0.000 | -0.000 | 0.000 | -10.989 | 3.335 |
| -12.740 | -19.409 | -1.136 | -10.989 | -0.000 | 0.000 |
| -19.409 | -12.740 | -1.136 | 10.989 | 0.000 | 0.000 |
| -2.484 | -2.484 | 14.582 | 0.000 | -0.000 | -0.000 |
| -10.980 | 10.998 | 0.011 | 18.932 | 0.000 | 0.000 |
| 0.009 | 0.009 | 0.011 | 0.000 | 18.932 | -10.989 |
| -0.000 | -0.000 | 0.000 | -0.000 | -10.989 | 3.335 |
| -12.750 | -19.420 | -1.148 | -10.989 | -0.000 | -0.000 |
| -19.420 | -12.750 | -1.148 | 10.989 | -0.000 | -0.000 |
| -2.485 | -2.485 | 14.581 | -0.000 | -0.000 | -0.000 |
| -10.989 | 10.989 | 0.000 | 18.932 | 0.000 | -0.000 |
| -0.001 | -0.001 | -0.001 | -0.000 | 18.932 | -10.989 |
| -0.001 | -0.001 | -0.001 | -0.000 | -10.989 | 3.335 |
| -12.749 | -19.419 | -1.147 | -10.989 | 0.000 | 0.000 |
| -19.419 | -12.749 | -1.147 | 10.989 | -0.000 | 0.000 |
| -2.483 | -2.483 | 14.583 | -0.000 | 0.000 | 0.000 |
| -10.989 | 10.989 | -0.000 | 18.932 | 0.000 | 0.000 |
| 0.001 | 0.001 | 0.001 | 0.000 | 18.932 | -10.989 |
| 0.001 | 0.001 | 0.001 | 0.000 | -10.989 | 3.335 |
| -12.749 | -19.419 | -1.147 | -10.989 | -0.000 | -0.000 |
| -19.419 | -12.749 | -1.147 | 10.989 | -0.000 | -0.000 |
| -2.484 | -2.484 | 14.582 | 0.000 | -0.000 | -0.000 |
| -10.989 | 10.989 | -0.000 | 18.932 | -0.000 | 0.000 |
| 0.000 | 0.000 | 0.000 | -0.000 | 18.932 | -10.989 |
| 0.000 | -0.000 | 0.000 | -0.000 | -10.989 | 3.335 |
| -12.749 | -19.419 | -1.147 | -10.989 | 0.000 | 0.000 |
| -19.419 | -12.749 | -1.147 | 10.989 | 0.000 | 0.000 |
| -2.484 | -2.484 | 14.582 | 0.000 | -0.000 | 0.000 |
| -10.989 | 10.989 | -0.000 | 18.932 | 0.000 | 0.000 |
| -0.000 | -0.000 | -0.000 | 0.000 | 18.932 | -10.989 |
| -0.000 | 0.000 | -0.000 | 0.000 | -10.989 | 3.335 |
| 149.656 | 49.862 | 122.212 | -102.223 | 0.000 | -0.000 |
| 49.862 | 149.656 | 122.212 | 102.223 | -0.000 | 0.000 |
| 122.200 | 122.200 | 77.506 | 0.000 | 0.000 | 0.000 |
| -102.223 | 102.223 | 0.000 | 122.224 | -0.000 | 0.000 |
| -0.000 | -0.000 | -0.000 | 0.000 | 122.224 | -102.223 |
| -0.000 | -0.000 | -0.000 | -0.000 | -102.223 | 49.897 |
| 149.656 | 49.862 | 122.212 | -102.223 | -0.000 | 0.000 |
| 49.862 | 149.656 | 122.212 | 102.223 | 0.000 | 0.000 |
| 122.200 | 122.200 | 77.506 | 0.000 | 0.000 | -0.000 |
| -102.223 | 102.223 | 0.000 | 122.224 | -0.000 | 0.000 |
| 0.000 | 0.000 | 0.000 | -0.000 | 122.224 | -102.223 |
| 0.000 | 0.000 | 0.000 | -0.000 | -102.223 | 49.897 |
| 149.656 | 49.862 | 122.212 | -102.223 | 0.000 | 0.000 |
| 49.862 | 149.656 | 122.212 | 102.224 | -0.000 | -0.000 |
| 122.201 | 122.201 | 77.506 | 0.000 | 0.000 | 0.000 |
| -102.223 | 102.223 | 0.000 | 122.224 | -0.000 | 0.000 |
| 0.000 | 0.000 | 0.000 | -0.000 | 122.224 | -102.223 |
| 0.000 | -0.000 | 0.000 | -0.000 | -102.223 | 49.897 |
| 149.656 | 49.862 | 122.212 | -102.223 | -0.000 | -0.000 |
| 49.862 | 149.656 | 122.212 | 102.223 | -0.000 | 0.000 |
| 122.200 | 122.200 | 77.506 | -0.000 | -0.000 | -0.000 |
| -102.223 | 102.223 | -0.000 | 122.224 | 0.000 | 0.000 |
| -0.000 | -0.000 | -0.000 | 0.000 | 122.224 | -102.223 |
| -0.000 | 0.000 | -0.000 | 0.000 | -102.223 | 49.897 |
| 149.657 | 49.863 | 122.213 | -102.224 | 0.000 | 0.000 |
| 49.863 | 149.657 | 122.213 | 102.224 | 0.000 | 0.000 |
| 122.201 | 122.201 | 77.506 | 0.000 | -0.000 | -0.000 |
| -102.223 | 102.224 | 0.000 | 122.224 | 0.000 | -0.000 |
| 0.000 | 0.000 | 0.000 | -0.000 | 122.224 | -102.223 |
| 0.000 | 0.000 | 0.000 | -0.000 | -102.223 | 49.897 |
| 149.655 | 49.862 | 122.211 | -102.223 | -0.000 | 0.000 |
| 49.862 | 149.655 | 122.211 | 102.223 | 0.000 | -0.000 |
| 122.200 | 122.200 | 77.505 | -0.000 | -0.000 | 0.000 |
| -102.224 | 102.223 | -0.000 | 122.223 | -0.000 | 0.000 |
| -0.000 | -0.000 | -0.000 | 0.000 | 122.224 | -102.223 |
| -0.000 | -0.000 | -0.000 | 0.000 | -102.223 | 49.897 |
| 366.904 | -22.391 | -22.391 | 0.000 | -0.000 | 0.000 |
| -22.391 | 366.904 | -22.391 | -0.000 | -0.000 | 0.000 |
| -22.391 | -22.391 | 366.904 | -0.000 | -0.000 | 0.000 |
| 0.000 | 0.000 | -0.000 | -22.391 | -0.000 | 0.000 |
| -0.000 | 0.000 | -0.000 | 0.000 | -22.391 | 0.000 |
| -0.000 | -0.000 | -0.000 | -0.000 | -0.000 | -22.391 |
| 366.904 | -22.391 | -22.391 | -0.000 | 0.000 | -0.000 |
| -22.391 | 366.904 | -22.391 | 0.000 | 0.000 | 0.000 |
| -22.391 | -22.391 | 366.904 | -0.000 | 0.000 | 0.000 |
| -0.000 | -0.000 | 0.000 | -22.391 | 0.000 | 0.000 |
| -0.000 | -0.000 | 0.000 | -0.000 | -22.391 | -0.000 |
| 0.000 | 0.000 | -0.000 | 0.000 | 0.000 | -22.391 |
| 366.905 | -22.391 | -22.391 | -0.000 | -0.000 | 0.000 |
| -22.391 | 366.905 | -22.391 | 0.000 | -0.000 | 0.000 |
| -22.391 | -22.391 | 366.905 | 0.000 | 0.000 | 0.000 |
| 0.000 | 0.000 | -0.000 | -22.391 | -0.000 | -0.000 |
| 0.000 | 0.000 | -0.000 | 0.000 | -22.391 | -0.000 |
| 0.000 | -0.000 | 0.000 | -0.000 | -0.000 | -22.391 |
| 366.904 | -22.391 | -22.391 | -0.000 | -0.000 | -0.000 |
| -22.391 | 366.904 | -22.391 | -0.000 | 0.000 | 0.000 |
| -22.391 | -22.391 | 366.904 | -0.000 | 0.000 | -0.000 |
| -0.000 | -0.000 | 0.000 | -22.391 | 0.000 | -0.000 |
| -0.000 | -0.000 | 0.000 | -0.000 | -22.391 | -0.000 |
| -0.000 | 0.000 | -0.000 | 0.000 | 0.000 | -22.391 |
| 366.908 | -22.391 | -22.391 | 0.000 | -0.000 | -0.000 |
| -22.391 | 366.908 | -22.391 | -0.000 | -0.000 | 0.000 |
| -22.391 | -22.391 | 366.908 | 0.000 | 0.000 | 0.000 |
| 0.000 | 0.000 | -0.000 | -22.391 | 0.000 | -0.000 |
| 0.000 | 0.000 | -0.000 | 0.000 | -22.391 | 0.000 |
| 0.000 | -0.000 | 0.000 | 0.000 | -0.000 | -22.391 |
| 366.901 | -22.391 | -22.391 | -0.000 | 0.000 | 0.000 |
| -22.391 | 366.901 | -22.391 | -0.000 | 0.000 | -0.000 |
| -22.391 | -22.391 | 366.901 | -0.000 | 0.000 | -0.000 |
| -0.000 | -0.000 | 0.000 | -22.391 | -0.000 | 0.000 |
| -0.000 | -0.000 | 0.000 | -0.000 | -22.391 | -0.000 |
| -0.000 | 0.000 | -0.000 | 0.000 | 0.000 | -22.391 |
| 456.947 | 120.958 | 55.150 | 0.000 | -0.000 | 0.000 |
| 128.008 | 335.992 | 65.872 | 0.000 | -0.000 | 0.000 |
| 65.176 | 68.847 | 330.561 | 0.000 | -0.000 | 0.000 |
| -0.000 | 0.000 | 0.000 | 79.276 | -0.000 | 0.000 |
| -0.000 | 0.000 | 0.000 | 0.000 | 69.224 | 0.000 |
| -0.000 | 0.000 | -0.000 | 0.000 | -0.000 | 94.830 |
| 456.947 | 120.958 | 55.150 | -0.000 | -0.000 | -0.000 |
| 128.008 | 335.992 | 65.872 | -0.000 | 0.000 | -0.000 |
| 65.176 | 68.847 | 330.561 | -0.000 | 0.000 | -0.000 |
| 0.000 | -0.000 | -0.000 | 79.276 | 0.000 | -0.000 |
| 0.000 | -0.000 | -0.000 | -0.000 | 69.224 | -0.000 |
| 0.000 | -0.000 | 0.000 | -0.000 | 0.000 | 94.830 |
| 456.948 | 120.958 | 55.150 | 0.000 | -0.000 | 0.000 |
| 128.008 | 335.993 | 65.872 | 0.000 | -0.000 | 0.000 |
| 65.176 | 68.847 | 330.561 | 0.000 | -0.000 | 0.000 |
| 0.000 | 0.000 | 0.000 | 79.276 | -0.000 | 0.000 |
| -0.000 | 0.000 | 0.000 | 0.000 | 69.224 | -0.000 |
| -0.000 | 0.000 | -0.000 | 0.000 | -0.000 | 94.830 |
| 456.947 | 120.958 | 55.150 | -0.000 | 0.000 | -0.000 |
| 128.008 | 335.992 | 65.871 | -0.000 | -0.000 | -0.000 |
| 65.176 | 68.847 | 330.560 | -0.000 | -0.000 | -0.000 |
| -0.000 | -0.000 | -0.000 | 79.276 | 0.000 | -0.000 |
| 0.000 | -0.000 | -0.000 | -0.000 | 69.224 | -0.000 |
| 0.000 | -0.000 | 0.000 | -0.000 | 0.000 | 94.830 |
| 456.952 | 120.958 | 55.150 | 0.000 | -0.000 | -0.000 |
| 128.009 | 335.995 | 65.872 | 0.000 | -0.000 | 0.000 |
| 65.176 | 68.848 | 330.563 | 0.000 | -0.000 | -0.000 |
| 0.000 | 0.000 | 0.001 | 79.276 | -0.000 | 0.000 |
| -0.000 | 0.000 | 0.000 | 0.000 | 69.224 | 0.000 |
| 0.000 | 0.001 | -0.000 | 0.000 | -0.000 | 94.830 |
| 456.943 | 120.957 | 55.150 | -0.000 | 0.000 | -0.000 |
| 128.007 | 335.990 | 65.871 | -0.000 | 0.000 | -0.000 |
| 65.175 | 68.847 | 330.558 | -0.000 | 0.000 | -0.000 |
| -0.000 | -0.000 | -0.001 | 79.276 | 0.000 | -0.000 |
| 0.000 | -0.000 | -0.000 | -0.000 | 69.224 | -0.000 |
| -0.000 | -0.001 | 0.000 | -0.000 | 0.000 | 94.830 |
| 301.927 | 60.516 | 42.593 | 0.000 | 0.000 | -0.000 |
| 60.516 | 301.927 | 42.593 | 0.000 | 0.000 | -0.000 |
| 125.199 | 125.199 | 271.586 | 0.000 | 0.000 | 0.000 |
| 41.450 | 41.450 | -88.148 | 37.601 | 0.000 | 0.000 |
| 41.450 | 41.450 | -88.148 | 0.000 | 37.601 | 0.000 |
| 41.477 | 41.477 | -88.207 | 0.000 | 0.000 | 52.129 |
| 144.633 | 28.678 | 157.932 | -0.000 | -0.000 | -0.000 |
| 28.678 | 144.633 | 157.932 | -0.000 | -0.000 | -0.000 |
| 37.904 | 37.904 | 396.740 | 0.000 | -0.000 | 0.000 |
| -41.450 | -41.450 | 88.148 | 37.601 | -0.000 | -0.000 |
| -41.450 | -41.450 | 88.148 | 0.000 | 37.601 | -0.000 |
| -41.477 | -41.477 | 88.207 | -0.000 | -0.000 | 52.129 |
| 284.416 | 81.950 | 33.534 | 0.000 | 0.000 | 0.000 |
| 81.950 | 284.416 | 33.534 | 0.000 | -0.000 | 0.000 |
| 37.904 | 37.904 | 396.740 | 0.000 | 0.000 | -0.000 |
| 4.245 | 4.245 | -9.028 | 37.539 | 0.000 | 0.000 |
| 8.941 | 8.941 | -11.599 | 0.000 | 29.577 | 0.000 |
| -1.067 | -1.067 | 16.856 | 0.000 | 0.000 | 23.529 |
| 166.355 | 154.348 | 45.096 | -0.000 | -0.000 | -0.000 |
| 105.924 | 225.218 | 54.949 | -0.000 | 0.000 | -0.000 |
| 28.881 | 28.881 | 394.776 | -0.000 | 0.000 | 0.000 |
| -8.941 | -8.941 | 11.599 | 29.577 | -0.000 | -0.000 |
| -1.087 | -1.087 | -16.146 | -0.000 | -1.187 | 0.000 |
| -2.506 | -2.506 | -5.581 | -0.000 | -0.000 | -27.398 |
| 201.969 | 153.519 | 41.406 | 0.000 | 0.000 | 0.000 |
| 153.519 | 201.969 | 41.406 | 0.000 | 0.000 | 0.000 |
| 39.312 | 39.312 | 388.602 | -0.000 | -0.000 | 0.000 |
| 1.110 | 1.110 | -1.268 | 25.845 | 0.000 | -0.000 |
| 1.110 | 1.110 | -1.268 | 0.000 | 25.845 | -0.000 |
| 0.608 | 0.608 | -0.502 | 0.000 | -0.000 | 22.523 |
| 198.631 | 153.516 | 43.083 | -0.000 | -0.000 | -0.000 |
| 153.516 | 198.631 | 43.083 | -0.000 | -0.000 | -0.000 |
| 37.903 | 37.903 | 396.736 | -0.000 | -0.000 | 0.000 |
| -1.110 | -1.110 | 1.268 | 25.845 | -0.000 | 0.000 |
| -1.110 | -1.110 | 1.268 | -0.000 | 25.845 | 0.000 |
| -0.608 | -0.608 | 0.502 | -0.000 | -0.000 | 22.523 |
| 285.104 | 135.981 | 58.834 | -0.000 | 0.000 | -0.000 |
| 125.403 | 380.757 | -31.642 | -0.000 | -0.000 | 0.000 |
| 54.171 | -33.133 | 442.562 | -0.000 | 0.000 | -0.000 |
| 0.000 | -0.000 | 0.000 | -33.144 | 0.000 | -0.000 |
| -9.934 | 0.251 | 1.566 | -0.000 | -66.535 | 0.000 |
| -9.934 | 0.251 | 1.566 | -0.000 | 0.000 | 135.277 |
| 312.235 | 135.296 | 54.557 | 0.000 | -0.000 | 0.000 |
| 134.903 | 380.517 | -33.140 | 0.000 | -0.000 | 0.000 |
| 54.171 | -33.133 | 442.562 | 0.000 | -0.000 | 0.000 |
| -0.000 | 0.000 | -0.000 | -33.144 | -0.000 | -0.000 |
| 9.934 | -0.251 | -1.566 | 0.000 | -66.535 | -0.000 |
| 9.934 | -0.251 | -1.566 | 0.000 | -0.000 | 135.277 |
| 294.044 | 135.755 | 57.425 | -0.000 | 0.000 | 0.000 |
| 134.903 | 380.518 | -33.140 | -0.000 | -0.000 | 0.000 |
| 55.889 | -33.176 | 442.291 | -0.000 | 0.000 | -0.000 |
| -1.199 | 0.030 | 0.189 | -33.157 | 0.000 | -0.000 |
| -0.993 | 0.025 | 0.157 | -0.000 | -66.535 | 0.000 |
| -0.993 | 0.025 | 0.157 | 0.000 | -0.000 | 135.277 |
| 296.030 | 135.705 | 57.112 | -0.000 | 0.000 | 0.000 |
| 136.330 | 380.481 | -33.365 | 0.000 | 0.000 | 0.000 |
| 54.171 | -33.133 | 442.561 | 0.000 | 0.000 | 0.000 |
| 1.199 | -0.030 | -0.189 | -33.157 | -0.000 | 0.000 |
| 0.993 | -0.025 | -0.157 | 0.000 | -66.535 | 0.000 |
| 0.993 | -0.025 | -0.157 | -0.000 | -0.000 | 135.277 |
| 294.941 | 135.733 | 57.284 | 0.000 | 0.000 | 0.000 |
| 135.239 | 380.511 | -33.192 | -0.000 | 0.000 | -0.000 |
| 56.783 | -33.199 | 442.154 | -0.000 | -0.000 | -0.000 |
| -0.000 | 0.000 | -0.000 | -33.144 | -0.000 | -0.000 |
| -0.099 | 0.003 | 0.015 | -0.000 | -66.535 | -0.000 |
| -0.099 | 0.003 | 0.016 | -0.000 | -0.000 | 135.277 |
| 295.134 | 135.727 | 57.253 | -0.000 | 0.000 | 0.000 |
| 135.435 | 380.501 | -33.224 | -0.000 | -0.000 | -0.000 |
| 54.170 | -33.132 | 442.558 | 0.000 | 0.000 | 0.000 |
| 0.000 | -0.000 | 0.000 | -33.144 | -0.000 | -0.000 |
| 0.099 | -0.003 | -0.015 | 0.000 | -66.535 | 0.000 |
| 0.099 | -0.003 | -0.016 | -0.000 | -0.000 | 135.277 |
| 304.750 | 108.959 | 108.959 | -0.000 | -0.000 | -0.000 |
| 108.959 | 304.750 | 108.959 | -0.000 | -0.000 | -0.000 |
| 108.959 | 108.959 | 304.750 | -0.000 | -0.000 | -0.000 |
| -0.000 | 0.000 | -0.000 | 77.703 | 0.000 | -0.000 |
| 0.000 | 0.000 | 0.000 | -0.000 | 77.703 | 0.000 |
| 0.000 | 0.000 | -0.000 | -0.000 | 0.000 | 77.703 |
| 375.505 | 77.703 | 77.703 | -0.000 | -0.000 | 0.000 |
| 77.703 | 375.505 | 77.703 | 0.000 | -0.000 | -0.000 |
| 77.703 | 77.703 | 375.505 | 0.000 | -0.000 | 0.000 |
| 0.000 | -0.000 | 0.000 | 77.703 | -0.000 | 0.000 |
| -0.000 | -0.000 | 0.000 | 0.000 | 77.703 | 0.000 |
| -0.000 | -0.000 | 0.000 | 0.000 | -0.000 | 77.703 |
| 375.506 | 77.703 | 77.703 | 0.000 | 0.000 | 0.000 |
| 77.703 | 375.506 | 77.703 | -0.000 | 0.000 | -0.000 |
| 77.703 | 77.703 | 375.506 | -0.000 | 0.000 | -0.000 |
| -0.169 | -0.169 | -0.169 | 39.141 | -0.000 | -0.000 |
| -0.169 | -0.169 | -0.169 | -0.000 | 39.141 | -0.000 |
| -0.169 | -0.169 | -0.169 | -0.000 | -0.000 | 39.141 |
| 375.505 | 77.703 | 77.703 | -0.000 | -0.000 | 0.000 |
| 77.703 | 375.505 | 77.703 | -0.000 | -0.000 | -0.000 |
| 77.703 | 77.703 | 375.505 | -0.000 | -0.000 | 0.000 |
| 0.169 | 0.169 | 0.169 | 39.141 | 0.000 | 0.000 |
| 0.169 | 0.169 | 0.169 | 0.000 | 39.141 | 0.000 |
| 0.169 | 0.169 | 0.169 | 0.000 | 0.000 | 39.141 |
| 332.269 | 99.173 | 99.173 | -0.000 | -0.000 | -0.000 |
| 99.173 | 332.269 | 99.173 | -0.000 | -0.000 | -0.000 |
| 99.173 | 99.173 | 332.269 | -0.000 | -0.000 | -0.000 |
| -0.007 | -0.007 | -0.007 | 29.126 | -0.000 | -0.000 |
| -0.007 | -0.007 | -0.007 | -0.000 | 29.126 | -0.000 |
| -0.007 | -0.007 | -0.007 | -0.000 | -0.000 | 29.126 |
| 375.503 | 77.702 | 77.702 | 0.000 | -0.000 | -0.000 |
| 77.702 | 375.503 | 77.702 | -0.000 | -0.000 | -0.000 |
| 77.702 | 77.702 | 375.503 | 0.000 | -0.000 | -0.000 |
| 0.007 | 0.007 | 0.007 | 29.126 | 0.000 | 0.000 |
| 0.007 | 0.007 | 0.007 | 0.000 | 29.126 | 0.000 |
| 0.007 | 0.007 | 0.007 | 0.000 | 0.000 | 29.126 |
| 318.762 | 89.805 | 89.805 | -0.000 | -0.000 | -0.000 |
| 89.805 | 318.762 | 89.805 | -0.000 | -0.000 | -0.000 |
| 89.805 | 89.805 | 318.762 | 0.000 | -0.000 | -0.000 |
| 0.524 | 0.524 | 0.524 | 45.018 | -0.000 | -0.000 |
| 0.524 | 0.524 | 0.524 | -0.000 | 45.018 | -0.000 |
| 0.524 | 0.524 | 0.524 | 0.000 | -0.000 | 45.018 |
| 318.826 | 88.074 | 88.074 | 0.000 | 0.000 | 0.000 |
| 88.074 | 318.826 | 88.074 | 0.000 | 0.000 | 0.000 |
| 88.074 | 88.074 | 318.826 | 0.000 | -0.000 | 0.000 |
| -0.524 | -0.524 | -0.524 | 45.018 | 0.000 | 0.000 |
| -0.524 | -0.524 | -0.524 | 0.000 | 45.018 | 0.000 |
| -0.524 | -0.524 | -0.524 | 0.000 | 0.000 | 45.018 |
| 354.564 | 71.152 | 71.152 | -0.000 | -0.000 | -0.000 |
| 71.152 | 354.564 | 71.152 | 0.000 | -0.000 | -0.000 |
| 71.152 | 71.152 | 354.564 | 0.000 | -0.000 | -0.000 |
| 0.000 | 0.000 | 0.000 | 73.980 | -0.000 | -0.000 |
| 0.000 | 0.000 | 0.000 | -0.000 | 73.980 | -0.000 |
| 0.000 | 0.000 | 0.000 | 0.000 | -0.000 | 73.980 |
| 313.695 | 91.362 | 91.362 | 0.000 | 0.000 | 0.000 |
| 91.362 | 313.695 | 91.362 | 0.000 | -0.000 | 0.000 |
| 91.362 | 91.362 | 313.695 | 0.000 | 0.000 | 0.000 |
| -0.000 | -0.000 | -0.000 | 73.980 | 0.000 | 0.000 |
| -0.000 | -0.000 | -0.000 | -0.000 | 73.980 | 0.000 |
| -0.000 | -0.000 | -0.000 | -0.000 | 0.000 | 73.980 |
| 301.589 | 97.191 | 97.191 | -0.000 | -0.000 | -0.000 |
| 97.191 | 301.589 | 97.191 | -0.000 | -0.000 | -0.000 |
| 97.191 | 97.191 | 301.589 | -0.000 | -0.000 | -0.000 |
| -0.003 | -0.003 | -0.003 | 32.890 | -0.000 | -0.000 |
| -0.003 | -0.003 | -0.003 | 0.000 | 32.890 | -0.000 |
| -0.003 | -0.003 | -0.003 | -0.000 | -0.000 | 32.890 |
| 313.493 | 91.547 | 91.547 | 0.000 | 0.000 | 0.000 |
| 91.547 | 313.493 | 91.547 | 0.000 | 0.000 | 0.000 |
| 91.547 | 91.547 | 313.493 | 0.000 | 0.000 | 0.000 |
| 0.003 | 0.003 | 0.003 | 32.890 | 0.000 | 0.000 |
| 0.003 | 0.003 | 0.003 | 0.000 | 32.890 | 0.000 |
| 0.003 | 0.003 | 0.003 | 0.000 | 0.000 | 32.890 |
| 277.540 | 127.768 | 127.768 | -0.000 | 0.000 | 0.000 |
| 127.768 | 277.540 | 127.768 | 0.000 | 0.000 | -0.000 |
| 127.768 | 127.768 | 277.540 | 0.000 | 0.000 | -0.000 |
| 0.000 | -0.000 | 0.000 | 127.609 | 0.000 | -0.000 |
| 0.000 | -0.000 | 0.000 | 0.000 | 127.609 | 0.000 |
| 0.000 | 0.000 | -0.000 | -0.000 | 0.000 | 127.609 |
| 277.540 | 127.768 | 127.768 | -0.000 | 0.000 | 0.000 |
| 127.768 | 277.540 | 127.768 | -0.000 | 0.000 | 0.000 |
| 127.768 | 127.768 | 277.540 | -0.000 | -0.000 | 0.000 |
| -0.000 | 0.000 | -0.000 | 127.609 | -0.000 | 0.000 |
| -0.000 | 0.000 | -0.000 | 0.000 | 127.609 | 0.000 |
| -0.000 | 0.000 | -0.000 | -0.000 | -0.000 | 127.609 |
| 258.769 | 136.407 | 136.407 | 0.000 | 0.000 | 0.000 |
| 136.406 | 258.769 | 136.407 | 0.000 | 0.000 | 0.000 |
| 136.406 | 136.407 | 258.769 | 0.000 | 0.000 | 0.000 |
| -0.229 | -0.228 | -0.228 | 74.354 | 0.000 | 0.000 |
| -0.228 | -0.228 | -0.228 | 0.000 | 74.354 | 0.000 |
| -0.228 | -0.228 | -0.228 | 0.000 | 0.000 | 74.354 |
| 277.540 | 127.768 | 127.768 | -0.000 | -0.000 | 0.000 |
| 127.768 | 277.540 | 127.768 | -0.000 | -0.000 | -0.000 |
| 127.768 | 127.768 | 277.540 | -0.000 | -0.000 | -0.000 |
| 0.229 | 0.228 | 0.228 | 74.354 | -0.000 | -0.000 |
| 0.228 | 0.228 | 0.228 | -0.000 | 74.354 | -0.000 |
| 0.228 | 0.228 | 0.228 | -0.000 | -0.000 | 74.354 |
| 277.542 | 127.769 | 127.769 | 0.000 | 0.000 | 0.000 |
| 127.769 | 277.542 | 127.769 | -0.000 | 0.000 | -0.000 |
| 127.769 | 127.769 | 277.542 | 0.000 | 0.000 | -0.000 |
| -0.014 | -0.014 | -0.014 | 81.662 | 0.000 | 0.000 |
| -0.014 | -0.014 | -0.014 | 0.000 | 81.662 | 0.000 |
| -0.014 | -0.014 | -0.014 | 0.000 | 0.000 | 81.662 |
| 259.023 | 136.487 | 136.487 | -0.000 | -0.000 | -0.000 |
| 136.487 | 259.023 | 136.487 | -0.000 | -0.000 | -0.000 |
| 136.487 | 136.487 | 259.023 | -0.000 | -0.000 | -0.000 |
| 0.014 | 0.014 | 0.014 | 81.662 | -0.000 | -0.000 |
| 0.014 | 0.014 | 0.014 | -0.000 | 81.662 | -0.000 |
| 0.014 | 0.014 | 0.014 | -0.000 | -0.000 | 81.662 |
| -933.109 | -1021.023 | -1021.023 | -0.000 | 0.000 | 0.000 |
| -1021.023 | -933.109 | -1021.023 | -0.000 | 0.000 | 0.000 |
| -1021.023 | -1021.023 | -933.110 | -0.000 | 0.000 | 0.000 |
| -1166.818 | -1166.818 | -1166.818 | 191.996 | -0.000 | -0.000 |
| -1166.818 | -1166.818 | -1166.818 | 0.000 | 191.996 | -0.000 |
| -1166.818 | -1166.818 | -1166.818 | 0.000 | -0.000 | 191.996 |
| 1515.033 | 1255.916 | 1255.916 | -0.000 | 0.000 | 0.000 |
| 1255.916 | 1515.033 | 1255.916 | -0.000 | 0.000 | 0.000 |
| 1255.916 | 1255.916 | 1515.032 | -0.000 | 0.000 | 0.000 |
| 1166.818 | 1166.818 | 1166.818 | 191.996 | 0.000 | 0.000 |
| 1166.818 | 1166.818 | 1166.818 | -0.000 | 191.996 | 0.000 |
| 1166.818 | 1166.818 | 1166.818 | -0.000 | 0.000 | 191.996 |
| 217.936 | -9.153 | -9.153 | 0.000 | -0.000 | -0.000 |
| -9.153 | 217.936 | -9.153 | 0.000 | -0.000 | -0.000 |
| -9.153 | -9.153 | 217.936 | 0.000 | -0.000 | -0.000 |
| -111.244 | -111.244 | -111.244 | 167.318 | -0.000 | -0.000 |
| -111.244 | -111.244 | -111.244 | 0.000 | 167.318 | -0.000 |
| -111.244 | -111.244 | -111.244 | 0.000 | -0.000 | 167.318 |
| 302.260 | 207.011 | 207.011 | 0.000 | -0.000 | -0.000 |
| 207.011 | 302.260 | 207.011 | 0.000 | -0.000 | -0.000 |
| 207.011 | 207.011 | 302.260 | 0.000 | -0.000 | -0.000 |
| 111.244 | 111.244 | 111.244 | 167.318 | 0.000 | 0.000 |
| 111.244 | 111.244 | 111.244 | -0.000 | 167.318 | 0.000 |
| 111.244 | 111.244 | 111.244 | -0.000 | 0.000 | 167.318 |
| 276.619 | 127.264 | 127.264 | 0.000 | -0.000 | 0.000 |
| 127.264 | 276.619 | 127.264 | 0.000 | -0.000 | 0.000 |
| 127.264 | 127.264 | 276.619 | 0.000 | -0.000 | -0.000 |
| -11.570 | -11.570 | -11.570 | 67.640 | 0.000 | 0.000 |
| -11.570 | -11.570 | -11.570 | -0.000 | 67.640 | 0.000 |
| -11.570 | -11.570 | -11.570 | -0.000 | 0.000 | 67.640 |
| 276.616 | 127.263 | 127.263 | -0.000 | 0.000 | -0.000 |
| 127.263 | 276.616 | 127.263 | 0.000 | 0.000 | -0.000 |
| 127.263 | 127.263 | 276.616 | -0.000 | 0.000 | -0.000 |
| 11.570 | 11.570 | 11.570 | 67.640 | -0.000 | -0.000 |
| 11.570 | 11.570 | 11.570 | 0.000 | 67.640 | -0.000 |
| 11.570 | 11.570 | 11.570 | 0.000 | -0.000 | 67.640 |
| 347.278 | 49.360 | 131.364 | 0.000 | 0.000 | 0.000 |
| 53.736 | 426.292 | -33.408 | 0.000 | -0.000 | 0.000 |
| 133.297 | -34.370 | 380.944 | -0.000 | 0.000 | 0.000 |
| -1.324 | 0.161 | 0.040 | -33.220 | -0.000 | 0.000 |
| -0.050 | 0.006 | 0.001 | 0.000 | 131.877 | 0.000 |
| -0.000 | 0.000 | -0.000 | -0.000 | -0.000 | 51.805 |
| 331.244 | 51.311 | 131.843 | -0.000 | 0.000 | -0.000 |
| 53.835 | 426.280 | -33.411 | 0.000 | 0.000 | -0.000 |
| 133.397 | -34.382 | 380.941 | 0.000 | 0.000 | -0.000 |
| 1.324 | -0.161 | -0.040 | -33.220 | 0.000 | -0.000 |
| 0.050 | -0.006 | -0.001 | -0.000 | 131.877 | -0.000 |
| 0.000 | -0.000 | -0.000 | 0.000 | 0.000 | 51.805 |
| 331.189 | 51.318 | 131.845 | -0.000 | -0.000 | 0.000 |
| 53.781 | 426.287 | -33.409 | -0.000 | -0.000 | 0.000 |
| 132.867 | -34.317 | 380.957 | 0.000 | -0.000 | -0.000 |
| -0.132 | 0.016 | 0.004 | -33.220 | -0.000 | 0.000 |
| 0.000 | 0.000 | 0.000 | -0.000 | 131.877 | 0.000 |
| -0.036 | 0.004 | 0.001 | -0.000 | -0.000 | -63.871 |
| 331.199 | 51.316 | 131.844 | 0.000 | 0.000 | -0.000 |
| 53.791 | 426.285 | -33.410 | 0.000 | -0.000 | -0.000 |
| 133.352 | -34.376 | 380.942 | -0.000 | 0.000 | 0.000 |
| 0.132 | -0.016 | -0.004 | -33.220 | 0.000 | -0.000 |
| -0.000 | -0.000 | -0.000 | 0.000 | 131.877 | -0.000 |
| 0.036 | -0.004 | -0.001 | 0.000 | 0.000 | -63.871 |
| 331.197 | 51.317 | 131.845 | -0.000 | 0.000 | 0.000 |
| 53.786 | 426.290 | -33.410 | -0.000 | 0.000 | 0.000 |
| 132.868 | -34.317 | 380.960 | 0.000 | -0.000 | 0.000 |
| -11959702.348 | -8070985.510 | -13199454.744 | 2891824.531 | 184645.744 | -118893.423 |
| -0.000 | 0.000 | 0.001 | 0.000 | 131.877 | 0.000 |
| -0.004 | -0.000 | 0.000 | -0.000 | -0.000 | -63.871 |
| 331.191 | 51.317 | 131.844 | 0.000 | -0.000 | 0.000 |
| 53.786 | 426.282 | -33.409 | -0.000 | 0.000 | -0.000 |
| 133.346 | -34.376 | 380.940 | -0.000 | 0.000 | -0.000 |
| 12486938.958 | 8614462.106 | 13808021.443 | 2995398.155 | -166709.057 | -93159.334 |
| 0.000 | -0.000 | -0.001 | 0.000 | 131.877 | -0.000 |
| 0.004 | 0.000 | -0.000 | 0.000 | 0.000 | -63.871 |
| 371.824 | 150.585 | 94.879 | 14.878 | 0.000 | -0.000 |
| 130.610 | 391.831 | 94.911 | -15.453 | -0.000 | 0.000 |
| 94.910 | 94.911 | 412.014 | 0.000 | -0.000 | -0.000 |
| 14.876 | -14.876 | 0.000 | 94.894 | -0.000 | 0.000 |
| -0.000 | -0.000 | 0.000 | 0.000 | 94.894 | 14.876 |
| -0.000 | -0.000 | 0.000 | 0.000 | 14.876 | 110.558 |
| 371.824 | 150.585 | 94.878 | 14.878 | 0.000 | 0.000 |
| 150.585 | 371.824 | 94.878 | -14.878 | 0.000 | -0.000 |
| 94.910 | 94.910 | 412.014 | 0.000 | -0.000 | 0.000 |
| 14.876 | -14.876 | -0.000 | 94.894 | 0.000 | 0.000 |
| 0.000 | 0.000 | -0.000 | -0.000 | 94.894 | 14.876 |
| 0.000 | 0.000 | -0.000 | 0.000 | 14.876 | 110.558 |
| 371.824 | 150.585 | 94.879 | 14.878 | -0.000 | -0.000 |
| 150.585 | 371.824 | 94.879 | -14.878 | -0.000 | -0.000 |
| 94.911 | 94.911 | 412.014 | 0.000 | -0.000 | 0.000 |
| 15.453 | -15.453 | 0.000 | 94.910 | -0.000 | 0.000 |
| 0.000 | 0.000 | 0.000 | 0.000 | 94.910 | 15.453 |
| 0.000 | 0.000 | -0.000 | -0.000 | 14.876 | 110.558 |
| 391.831 | 130.610 | 94.910 | 15.453 | 0.000 | 0.000 |
| 150.659 | 371.775 | 94.904 | -14.876 | 0.000 | -0.000 |
| 94.904 | 94.904 | 412.001 | -0.000 | 0.000 | 0.000 |
| 15.453 | -15.453 | -0.000 | 94.911 | 0.000 | -0.000 |
| -0.000 | -0.000 | -0.000 | -0.000 | 94.910 | 15.453 |
| -0.000 | -0.000 | 0.000 | 0.000 | 14.876 | 110.558 |
| 371.827 | 150.585 | 94.879 | 14.878 | -0.000 | 0.000 |
| 150.586 | 371.827 | 94.879 | -14.878 | 0.000 | 0.000 |
| 94.911 | 94.911 | 412.016 | 0.000 | -0.000 | 0.000 |
| 15.453 | -15.453 | 0.001 | 94.910 | -0.000 | -0.000 |
| 0.000 | 0.000 | 0.001 | 0.000 | 94.910 | 15.453 |
| 0.000 | 0.001 | -0.000 | -0.000 | 14.876 | 110.558 |
| 371.771 | 150.659 | 94.904 | 14.876 | -0.000 | -0.000 |
| 150.658 | 371.773 | 94.904 | -14.876 | 0.000 | -0.000 |
| 94.910 | 94.910 | 412.011 | -0.000 | 0.000 | -0.000 |
| 14.876 | -14.876 | -0.001 | 94.894 | 0.000 | -0.000 |
| -0.000 | -0.000 | -0.001 | -0.000 | 94.910 | 15.453 |
| -0.000 | -0.001 | 0.000 | 0.000 | 14.876 | 110.558 |
| 371.621 | 150.405 | 94.579 | 14.848 | -0.000 | -0.000 |
| 130.492 | 391.570 | 94.614 | -15.422 | -0.000 | -0.000 |
| 94.646 | 94.646 | 411.248 | 0.000 | -0.000 | -0.000 |
| 14.871 | -14.874 | -0.003 | 94.722 | 0.000 | -0.000 |
| -0.002 | -0.002 | -0.003 | 0.000 | 94.722 | 14.872 |
| -0.000 | -0.000 | 0.000 | 0.000 | 15.422 | 130.539 |
| 391.570 | 130.492 | 94.614 | 15.422 | 0.000 | 0.000 |
| 130.492 | 391.570 | 94.614 | -15.422 | -0.000 | 0.000 |
| 94.646 | 94.646 | 411.249 | -0.000 | -0.000 | 0.000 |
| 14.874 | -14.871 | 0.003 | 94.722 | -0.000 | 0.000 |
| 0.002 | 0.002 | 0.003 | -0.000 | 94.722 | 14.873 |
| 0.000 | -0.000 | -0.000 | -0.000 | 15.422 | 130.539 |
| 371.609 | 150.420 | 94.582 | 14.848 | 0.000 | -0.000 |
| 150.496 | 371.559 | 94.607 | -14.846 | 0.000 | -0.000 |
| 94.653 | 94.653 | 411.262 | 0.000 | 0.000 | -0.000 |
| 15.422 | -15.422 | 0.000 | 94.738 | 0.000 | -0.000 |
| -0.000 | -0.000 | -0.000 | 0.000 | 94.721 | 14.847 |
| 0.000 | 0.000 | 0.000 | 0.000 | 15.422 | 130.539 |
| 371.606 | 150.423 | 94.583 | 14.848 | 0.000 | 0.000 |
| 150.496 | 371.559 | 94.608 | -14.846 | -0.000 | 0.000 |
| 94.646 | 94.646 | 411.249 | 0.000 | 0.000 | 0.000 |
| 14.847 | -14.846 | 0.000 | 94.721 | -0.000 | 0.000 |
| 0.000 | 0.000 | 0.000 | -0.000 | 94.721 | 14.847 |
| -0.000 | -0.000 | -0.000 | -0.000 | 15.422 | 130.539 |
| 371.562 | 150.497 | 94.608 | 14.846 | 0.000 | -0.000 |
| 130.493 | 391.573 | 94.615 | -15.422 | -0.000 | -0.000 |
| 94.647 | 94.647 | 411.251 | 0.000 | 0.000 | -0.000 |
| 15.422 | -15.422 | 0.001 | 94.738 | 0.000 | -0.000 |
| 0.000 | 0.000 | 0.001 | 0.000 | 94.738 | 15.422 |
| 0.000 | 0.001 | 0.000 | 0.000 | 15.422 | 130.539 |
| 371.604 | 150.421 | 94.582 | 14.848 | -0.000 | 0.000 |
| 150.420 | 371.605 | 94.582 | -14.848 | 0.000 | 0.000 |
| 94.652 | 94.652 | 411.259 | -0.000 | -0.000 | 0.000 |
| 15.422 | -15.422 | -0.001 | 94.738 | -0.000 | 0.000 |
| -0.000 | -0.000 | -0.001 | -0.000 | 94.738 | 15.422 |
| -0.000 | -0.001 | -0.000 | -0.000 | 15.422 | 130.539 |
| 290.478 | 258.586 | -136.809 | -0.000 | -0.000 | -0.000 |
| 258.586 | 290.478 | -136.809 | 0.000 | 0.000 | -0.000 |
| 138.389 | 138.389 | -140.283 | 0.000 | -0.000 | -0.000 |
| 105.156 | 105.156 | -174.937 | 23.178 | -0.000 | -0.000 |
| 105.156 | 105.156 | -174.937 | 0.000 | 23.178 | -0.000 |
| 0.000 | 0.000 | -0.000 | 0.000 | 0.000 | 66.631 |
| 296.386 | 59.240 | 38.708 | -0.000 | 0.000 | -0.000 |
| 59.240 | 296.386 | 38.708 | 0.000 | -0.000 | -0.000 |
| 35.808 | 35.808 | 364.320 | 0.000 | 0.000 | -0.000 |
| -105.156 | -105.156 | 174.937 | 23.178 | 0.000 | 0.000 |
| -105.156 | -105.156 | 174.937 | -0.000 | 23.178 | 0.000 |
| -0.000 | -0.000 | 0.000 | -0.000 | -0.000 | 66.631 |
| 280.838 | 89.182 | -11.333 | -0.000 | -0.000 | -0.000 |
| 89.182 | 280.838 | -11.333 | 0.000 | 0.000 | -0.000 |
| 45.448 | 45.448 | 315.996 | 0.000 | -0.000 | 0.000 |
| 10.218 | 10.218 | -50.154 | 37.234 | 0.000 | -0.000 |
| 10.218 | 10.218 | -50.154 | -0.000 | 37.234 | -0.000 |
| 10.265 | 10.265 | -50.383 | -0.000 | -0.000 | 46.563 |
| 260.472 | 68.260 | 90.171 | -0.000 | -0.000 | 0.000 |
| 68.260 | 260.472 | 90.171 | -0.000 | -0.000 | 0.000 |
| 26.247 | 26.247 | 410.089 | 0.000 | 0.000 | 0.000 |
| -10.218 | -10.218 | 50.154 | 37.234 | 0.000 | 0.000 |
| -10.218 | -10.218 | 50.154 | -0.000 | 37.234 | 0.000 |
| -10.265 | -10.265 | 50.383 | -0.000 | 0.000 | 46.563 |
| 213.284 | 128.639 | 36.959 | 0.000 | -0.000 | 0.000 |
| 128.639 | 213.284 | 36.959 | 0.000 | -0.000 | 0.000 |
| 37.319 | 37.319 | 353.873 | 0.000 | 0.000 | -0.000 |
| 1.249 | 1.249 | -6.129 | 36.553 | 0.000 | -0.000 |
| 1.249 | 1.249 | -6.129 | 0.000 | 36.553 | -0.000 |
| 1.327 | 1.327 | -6.511 | 0.000 | 0.000 | 40.697 |
| 194.144 | 150.491 | 39.804 | 0.000 | -0.000 | -0.000 |
| 150.491 | 194.144 | 39.804 | 0.000 | 0.000 | -0.000 |
| 34.275 | 34.275 | 357.906 | 0.000 | 0.000 | -0.000 |
| -1.249 | -1.249 | 6.129 | 36.553 | 0.000 | 0.000 |
| -1.249 | -1.249 | 6.129 | -0.000 | 36.553 | 0.000 |
| -1.327 | -1.327 | 6.511 | -0.000 | 0.000 | 40.697 |
| 381.438 | 127.146 | 57.788 | 0.000 | -0.000 | 0.000 |
| 136.361 | 372.223 | 57.787 | 0.000 | -0.000 | 0.000 |
| 57.787 | 57.787 | 440.536 | 0.000 | 0.000 | 0.000 |
| 0.000 | -0.000 | -0.000 | -91.558 | -0.000 | -0.000 |
| 0.000 | 0.000 | 0.000 | 0.000 | 57.788 | 0.000 |
| 0.000 | 0.000 | -0.000 | 0.000 | 0.000 | 117.931 |
| 372.223 | 136.361 | 57.788 | -0.000 | -0.000 | -0.000 |
| 136.361 | 372.223 | 57.788 | -0.000 | 0.000 | -0.000 |
| 57.787 | 57.787 | 440.536 | 0.000 | 0.000 | -0.000 |
| -0.000 | 0.000 | 0.000 | -91.558 | -0.000 | -0.000 |
| -0.000 | -0.000 | 0.000 | 0.000 | 57.788 | -0.000 |
| -0.000 | -0.000 | 0.000 | 0.000 | 0.000 | 117.931 |
| 381.439 | 127.146 | 57.788 | 0.000 | 0.000 | 0.000 |
| 127.146 | 381.439 | 57.788 | -0.000 | -0.000 | 0.000 |
| 57.788 | 57.788 | 440.536 | -0.000 | -0.000 | 0.000 |
| 0.000 | -0.000 | -0.000 | -91.558 | 0.000 | 0.000 |
| -0.000 | 0.000 | -0.000 | 0.000 | -91.558 | -0.000 |
| 0.000 | 0.000 | -0.000 | 0.000 | 0.000 | 117.931 |
| 381.438 | 127.146 | 57.788 | -0.000 | -0.000 | -0.000 |
| 127.146 | 381.438 | 57.788 | -0.000 | -0.000 | -0.000 |
| 57.787 | 57.787 | 440.535 | 0.000 | -0.000 | -0.000 |
| -0.000 | 0.000 | 0.000 | -91.558 | -0.000 | 0.000 |
| 0.000 | -0.000 | 0.000 | -0.000 | -91.558 | 0.000 |
| -0.000 | -0.000 | 0.000 | -0.000 | 0.000 | 117.931 |
| 372.226 | 136.362 | 57.788 | 0.000 | 0.000 | 0.000 |
| 136.362 | 372.226 | 57.788 | 0.000 | -0.000 | 0.000 |
| 57.788 | 57.788 | 440.539 | -0.000 | 0.000 | 0.000 |
| 0.000 | -0.000 | -0.001 | -91.558 | 0.000 | -0.000 |
| -0.000 | 0.000 | -0.001 | 0.000 | -91.558 | 0.000 |
| 0.000 | 0.001 | 0.000 | 0.000 | 0.000 | 127.146 |
| 372.219 | 136.361 | 57.787 | 0.000 | -0.000 | -0.000 |
| 136.360 | 372.220 | 57.787 | 0.000 | 0.000 | -0.000 |
| 57.787 | 57.787 | 440.533 | 0.000 | -0.000 | -0.000 |
| -0.000 | 0.000 | 0.001 | -91.558 | -0.000 | -0.000 |
| 0.000 | -0.000 | 0.001 | -0.000 | -91.558 | 0.000 |
| -0.000 | -0.001 | -0.000 | -0.000 | -0.000 | 127.146 |
| 84.796 | 108.333 | 108.333 | -0.000 | 0.000 | 0.000 |
| 108.333 | 84.796 | 108.333 | 0.000 | -0.000 | 0.000 |
| 108.333 | 108.333 | 84.796 | 0.000 | 0.000 | 0.000 |
| 0.000 | -0.000 | -0.000 | -18.431 | 0.000 | -0.000 |
| -0.000 | -0.000 | 0.000 | 0.000 | -18.431 | 0.000 |
| -0.000 | -0.000 | 0.000 | 0.000 | 0.000 | -18.431 |
| 84.796 | 108.333 | 108.333 | -0.000 | 0.000 | -0.000 |
| 108.333 | 84.796 | 108.333 | -0.000 | -0.000 | -0.000 |
| 108.333 | 108.333 | 84.796 | -0.000 | -0.000 | -0.000 |
| -0.000 | 0.000 | -0.000 | -18.431 | -0.000 | -0.000 |
| 0.000 | 0.000 | 0.000 | 0.000 | -18.431 | -0.000 |
| 0.000 | 0.000 | -0.000 | 0.000 | -0.000 | -18.431 |
| 84.796 | 108.333 | 108.333 | 0.000 | 0.000 | 0.000 |
| 108.333 | 84.796 | 108.333 | 0.000 | -0.000 | 0.000 |
| 108.333 | 108.333 | 84.796 | -0.000 | 0.000 | 0.000 |
| 0.000 | 0.000 | 0.000 | 108.333 | 0.000 | 0.000 |
| 0.000 | 0.000 | 0.000 | 0.000 | 108.333 | 0.000 |
| 0.000 | 0.000 | 0.000 | 0.000 | 0.000 | 108.333 |
| 84.796 | 108.333 | 108.333 | -0.000 | -0.000 | -0.000 |
| 108.333 | 84.796 | 108.333 | 0.000 | 0.000 | -0.000 |
| 108.333 | 108.333 | 84.796 | 0.000 | -0.000 | -0.000 |
| -0.000 | -0.000 | -0.000 | 108.333 | -0.000 | -0.000 |
| -0.000 | -0.000 | -0.000 | -0.000 | 108.333 | 0.000 |
| -0.000 | -0.000 | -0.000 | -0.000 | -0.000 | 108.333 |
| 84.796 | 108.333 | 108.333 | 0.000 | 0.000 | 0.000 |
| 108.333 | 84.796 | 108.333 | 0.000 | 0.000 | 0.000 |
| 108.333 | 108.333 | 84.796 | -0.000 | 0.000 | 0.000 |
| 0.000 | -0.000 | -0.000 | -18.431 | 0.000 | 0.000 |
| -0.000 | 0.000 | -0.000 | 0.000 | -18.431 | 0.000 |
| -0.000 | -0.000 | 0.000 | -0.000 | 0.000 | -18.431 |
| 84.795 | 108.332 | 108.332 | 0.000 | -0.000 | -0.000 |
| 108.332 | 84.795 | 108.332 | 0.000 | -0.000 | -0.000 |
| 108.332 | 108.332 | 84.795 | -0.000 | -0.000 | -0.000 |
| -0.000 | 0.000 | 0.000 | -18.431 | -0.000 | -0.000 |
| 0.000 | -0.000 | 0.000 | -0.000 | -18.431 | -0.000 |
| 0.000 | 0.000 | -0.000 | -0.000 | -0.000 | -18.431 |
| 213.534 | 109.126 | 109.126 | 0.000 | -0.000 | 0.000 |
| 109.126 | 213.534 | 109.126 | 0.000 | -0.000 | 0.000 |
| 109.126 | 109.126 | 213.534 | 0.000 | -0.000 | -0.000 |
| 0.000 | 0.000 | 0.000 | 109.126 | -0.000 | 0.000 |
| 0.000 | 0.000 | 0.000 | 0.000 | 109.126 | 0.000 |
| 0.000 | 0.000 | 0.000 | 0.000 | -0.000 | 109.126 |
| 213.534 | 109.126 | 109.126 | -0.000 | 0.000 | -0.000 |
| 109.126 | 213.534 | 109.126 | -0.000 | 0.000 | -0.000 |
| 109.126 | 109.126 | 213.534 | -0.000 | 0.000 | -0.000 |
| -0.000 | -0.000 | -0.000 | 109.126 | 0.000 | -0.000 |
| -0.000 | -0.000 | -0.000 | -0.000 | 109.126 | -0.000 |
| -0.000 | -0.000 | -0.000 | -0.000 | 0.000 | 109.126 |
| 213.534 | 109.127 | 109.127 | 0.000 | -0.000 | 0.000 |
| 109.127 | 213.534 | 109.127 | 0.000 | -0.000 | 0.000 |
| 109.127 | 109.127 | 213.534 | 0.000 | -0.000 | 0.000 |
| -0.000 | 0.000 | 0.000 | 107.410 | -0.000 | 0.000 |
| 0.000 | -0.000 | 0.000 | 0.000 | 107.410 | 0.000 |
| 0.000 | 0.000 | -0.000 | 0.000 | -0.000 | 107.410 |
| 213.533 | 109.126 | 109.126 | -0.000 | 0.000 | -0.000 |
| 109.126 | 213.533 | 109.126 | -0.000 | 0.000 | -0.000 |
| 109.126 | 109.126 | 213.533 | -0.000 | 0.000 | 0.000 |
| 0.000 | -0.000 | -0.000 | 107.410 | 0.000 | -0.000 |
| -0.000 | 0.000 | -0.000 | -0.000 | 107.410 | -0.000 |
| -0.000 | -0.000 | 0.000 | -0.000 | 0.000 | 107.410 |
| 213.535 | 109.127 | 109.127 | 0.000 | -0.000 | 0.000 |
| 109.127 | 213.535 | 109.127 | 0.000 | -0.000 | 0.000 |
| 109.127 | 109.127 | 213.535 | 0.000 | -0.000 | 0.000 |
| -0.000 | 0.000 | 0.000 | 107.410 | -0.000 | 0.000 |
| 0.000 | -0.000 | 0.000 | 0.000 | 107.410 | 0.000 |
| 0.000 | 0.000 | -0.000 | 0.000 | -0.000 | 107.410 |
| 213.533 | 109.126 | 109.126 | -0.000 | 0.000 | -0.000 |
| 109.126 | 213.533 | 109.126 | -0.000 | 0.000 | -0.000 |
| 109.126 | 109.126 | 213.533 | -0.000 | 0.000 | -0.000 |
| 0.000 | -0.000 | -0.000 | 107.410 | 0.000 | -0.000 |
| -0.000 | 0.000 | -0.000 | -0.000 | 107.410 | -0.000 |
| -0.000 | -0.000 | 0.000 | -0.000 | 0.000 | 107.410 |
| 37.028 | 56.179 | 63.621 | 0.000 | -0.000 | -0.000 |
| 56.179 | 37.028 | 63.621 | -0.000 | -0.000 | -0.000 |
| 63.387 | 63.387 | 29.669 | -0.000 | 0.000 | -0.000 |
| 0.000 | 0.000 | -0.000 | -19.599 | -0.000 | -0.000 |
| 0.000 | 0.000 | -0.000 | -0.000 | -19.599 | -0.000 |
| 0.000 | 0.000 | -0.000 | -0.000 | 0.000 | 56.450 |
| 37.028 | 56.179 | 63.621 | -0.000 | -0.000 | 0.000 |
| 56.179 | 37.028 | 63.621 | 0.000 | 0.000 | 0.000 |
| 63.387 | 63.387 | 29.669 | 0.000 | 0.000 | 0.000 |
| -0.000 | -0.000 | 0.000 | -19.599 | 0.000 | -0.000 |
| -0.000 | -0.000 | 0.000 | -0.000 | -19.599 | 0.000 |
| -0.000 | -0.000 | 0.000 | 0.000 | 0.000 | 56.450 |
| 36.165 | 58.226 | 62.093 | 0.000 | -0.000 | -0.000 |
| 58.226 | 36.165 | 62.093 | -0.000 | 0.000 | 0.000 |
| 63.387 | 63.387 | 29.670 | 0.000 | -0.000 | -0.000 |
| 0.000 | 0.000 | -0.000 | -19.599 | -0.000 | -0.000 |
| 0.000 | 0.000 | -0.000 | -0.000 | -19.599 | -0.000 |
| 0.000 | 0.000 | 0.000 | 0.000 | -0.000 | 56.450 |
| 37.028 | 56.179 | 63.621 | 0.000 | -0.000 | 0.000 |
| 56.179 | 37.028 | 63.621 | 0.000 | 0.000 | 0.000 |
| 63.387 | 63.387 | 29.669 | -0.000 | -0.000 | -0.000 |
| -0.000 | -0.000 | 0.000 | -19.599 | 0.000 | 0.000 |
| -0.000 | -0.000 | 0.000 | 0.000 | -19.599 | 0.000 |
| -0.000 | -0.000 | -0.000 | -0.000 | 0.000 | 56.450 |
| 37.028 | 56.179 | 63.621 | 0.000 | 0.000 | -0.000 |
| 56.179 | 37.028 | 63.621 | -0.000 | -0.000 | -0.000 |
| 63.387 | 63.387 | 29.670 | -0.000 | -0.000 | -0.000 |
| -0.000 | 0.000 | -0.000 | -19.599 | -0.000 | -0.000 |
| 0.000 | -0.000 | -0.000 | -0.000 | -19.599 | 0.000 |
| -0.000 | 0.000 | 0.000 | 0.000 | -0.000 | 56.450 |
| 37.028 | 56.179 | 63.620 | 0.000 | 0.000 | 0.000 |
| 56.179 | 37.028 | 63.620 | 0.000 | 0.000 | 0.000 |
| 63.387 | 63.387 | 29.669 | 0.000 | 0.000 | 0.000 |
| 0.000 | -0.000 | 0.000 | -19.599 | 0.000 | 0.000 |
| -0.000 | 0.000 | 0.000 | 0.000 | -19.599 | 0.000 |
| 0.000 | -0.000 | -0.000 | 0.000 | 0.000 | 56.450 |
| 5.972 | 6.607 | 6.607 | 0.000 | -0.000 | -0.000 |
| 6.607 | 5.972 | 6.607 | -0.000 | 0.000 | -0.000 |
| 6.607 | 6.607 | 5.972 | -0.000 | -0.000 | 0.000 |
| -0.000 | -0.000 | -0.000 | -0.884 | -0.000 | -0.000 |
| -0.000 | -0.000 | -0.000 | -0.000 | -0.884 | -0.000 |
| -0.000 | -0.000 | -0.000 | -0.000 | -0.000 | -0.884 |
| 5.972 | 6.607 | 6.607 | -0.000 | 0.000 | 0.000 |
| 6.607 | 5.972 | 6.607 | 0.000 | -0.000 | 0.000 |
| 6.607 | 6.607 | 5.972 | 0.000 | 0.000 | -0.000 |
| 0.000 | 0.000 | 0.000 | -0.884 | 0.000 | 0.000 |
| 0.000 | 0.000 | 0.000 | 0.000 | -0.884 | 0.000 |
| 0.000 | 0.000 | 0.000 | 0.000 | 0.000 | -0.884 |
| 5.972 | 6.607 | 6.607 | 0.000 | -0.000 | -0.000 |
| 6.607 | 5.972 | 6.607 | -0.000 | 0.000 | -0.000 |
| 6.607 | 6.607 | 5.972 | -0.000 | -0.000 | 0.000 |
| -0.000 | -0.000 | -0.000 | -0.884 | -0.000 | -0.000 |
| -0.000 | -0.000 | -0.000 | -0.000 | -0.884 | -0.000 |
| -0.000 | -0.000 | -0.000 | -0.000 | -0.000 | -0.884 |
| 5.972 | 6.607 | 6.607 | 0.000 | 0.000 | 0.000 |
| 6.607 | 5.972 | 6.607 | 0.000 | 0.000 | 0.000 |
| 6.607 | 6.607 | 5.972 | 0.000 | 0.000 | 0.000 |
| 0.000 | 0.000 | 0.000 | -0.884 | 0.000 | 0.000 |
| 0.000 | 0.000 | 0.000 | 0.000 | -0.884 | 0.000 |
| 0.000 | 0.000 | 0.000 | 0.000 | 0.000 | -0.884 |
| 5.972 | 6.607 | 6.607 | 0.000 | -0.000 | -0.000 |
| 6.607 | 5.972 | 6.607 | -0.000 | 0.000 | -0.000 |
| 6.607 | 6.607 | 5.972 | -0.000 | -0.000 | 0.000 |
| -0.000 | -0.000 | -0.000 | -0.884 | -0.000 | -0.000 |
| -0.000 | -0.000 | -0.000 | -0.000 | -0.884 | -0.000 |
| -0.000 | -0.000 | -0.000 | -0.000 | -0.000 | -0.884 |
| 5.972 | 6.607 | 6.607 | 0.000 | 0.000 | 0.000 |
| 6.607 | 5.972 | 6.607 | 0.000 | 0.000 | 0.000 |
| 6.607 | 6.607 | 5.972 | 0.000 | 0.000 | 0.000 |
| 0.000 | 0.000 | 0.000 | -0.884 | 0.000 | 0.000 |
| 0.000 | 0.000 | 0.000 | 0.000 | -0.884 | 0.000 |
| 0.000 | 0.000 | 0.000 | 0.000 | 0.000 | -0.884 |
| 273.162 | 89.524 | 26.831 | -3.478 | 0.000 | 0.000 |
| -388.597 | -453.273 | 804.196 | 8.715 | 0.000 | 0.000 |
| -568.208 | -568.208 | 1077.342 | -0.000 | -0.000 | -0.000 |
| -3.478 | 3.478 | -0.000 | 28.113 | -0.000 | 0.000 |
| -0.000 | 0.000 | 0.000 | 0.000 | 28.113 | -3.478 |
| 0.000 | 0.000 | -0.000 | -0.000 | -3.478 | 91.819 |
| 700.357 | 568.066 | -281.256 | -4.413 | -0.000 | -0.000 |
| 782.161 | 777.030 | -740.208 | 8.732 | 0.000 | -0.000 |
| 481.381 | 481.381 | 10.026 | 0.000 | 0.000 | 0.000 |
| -3.478 | 3.478 | 0.000 | 28.113 | 0.000 | -0.000 |
| -0.000 | 0.000 | 0.000 | -0.000 | 28.113 | -3.478 |
| -0.000 | -0.000 | -0.000 | -0.000 | -3.478 | 91.819 |
| 273.162 | 89.525 | 26.831 | -3.478 | 0.000 | 0.000 |
| 141.770 | 100.313 | 103.931 | 8.208 | -0.000 | 0.000 |
| 26.325 | 26.325 | 322.921 | 0.000 | 0.000 | 0.000 |
| -49.802 | -40.974 | 30.954 | 25.397 | -0.000 | -0.000 |
| -45.388 | -45.388 | 30.954 | 0.000 | 25.397 | -4.414 |
| 0.000 | 0.000 | 0.000 | 0.000 | -3.478 | 91.819 |
| 273.162 | 89.524 | 26.831 | -3.478 | -0.000 | -0.000 |
| 160.041 | 292.175 | -2.938 | 4.416 | 0.000 | -0.000 |
| 73.141 | 73.141 | 288.425 | -0.000 | 0.000 | -0.000 |
| -3.478 | 3.478 | 0.000 | 28.113 | 0.000 | -0.000 |
| 45.388 | 45.388 | -30.954 | -0.000 | 25.397 | -4.414 |
| -0.000 | -0.000 | -0.000 | -0.000 | -3.478 | 91.819 |
| 232.850 | 116.114 | 32.499 | -4.697 | -0.000 | 0.000 |
| 179.113 | 168.942 | 37.898 | 7.529 | 0.000 | 0.000 |
| 22.965 | 22.965 | 322.596 | 0.000 | 0.000 | 0.000 |
| -3.478 | 3.479 | -0.000 | 28.113 | -0.000 | 0.000 |
| 0.000 | 0.000 | -0.000 | 0.000 | 28.113 | -3.478 |
| -6.078 | -6.078 | 4.145 | -0.000 | -4.731 | 57.417 |
| 273.159 | 89.524 | 26.830 | -3.478 | -0.000 | -0.000 |
| 188.753 | 181.218 | 25.132 | 7.473 | -0.000 | -0.000 |
| 26.325 | 26.325 | 322.918 | -0.000 | -0.000 | -0.000 |
| 0.322 | 9.252 | -3.265 | 25.248 | 0.000 | 0.000 |
| -0.000 | -0.000 | 0.000 | -0.000 | 28.113 | -3.478 |
| 6.078 | 6.078 | -4.145 | 0.000 | -4.731 | 57.417 |
| 122.349 | 157.262 | 157.262 | -0.000 | -0.000 | -0.000 |
| 157.262 | 122.349 | 157.262 | 0.000 | 0.000 | -0.000 |
| 157.262 | 157.262 | 122.349 | -0.000 | -0.000 | -0.000 |
| 0.000 | 0.000 | 0.000 | 149.695 | -0.000 | -0.000 |
| 0.000 | 0.000 | 0.000 | -0.000 | 149.695 | -0.000 |
| 0.000 | 0.000 | 0.000 | -0.000 | -0.000 | 149.695 |
| 122.349 | 157.262 | 157.262 | 0.000 | 0.000 | 0.000 |
| 157.262 | 122.349 | 157.262 | 0.000 | -0.000 | 0.000 |
| 157.262 | 157.262 | 122.349 | 0.000 | -0.000 | 0.000 |
| -0.000 | -0.000 | -0.000 | 149.695 | 0.000 | 0.000 |
| -0.000 | -0.000 | -0.000 | 0.000 | 149.695 | 0.000 |
| -0.000 | -0.000 | -0.000 | 0.000 | 0.000 | 149.695 |
| 122.349 | 157.262 | 157.262 | -0.000 | -0.000 | -0.000 |
| 157.262 | 122.349 | 157.262 | -0.000 | 0.000 | -0.000 |
| 157.262 | 157.262 | 122.349 | 0.000 | 0.000 | 0.000 |
| 0.000 | 0.000 | 0.000 | 157.262 | -0.000 | 0.000 |
| 0.000 | 0.000 | 0.000 | -0.000 | 157.262 | -0.000 |
| 0.000 | 0.000 | 0.000 | -0.000 | -0.000 | 157.262 |
| 122.349 | 157.262 | 157.262 | 0.000 | -0.000 | 0.000 |
| 157.262 | 122.349 | 157.262 | 0.000 | -0.000 | 0.000 |
| 157.262 | 157.262 | 122.349 | 0.000 | 0.000 | 0.000 |
| -0.000 | -0.000 | -0.000 | 157.262 | 0.000 | 0.000 |
| -0.000 | -0.000 | -0.000 | 0.000 | 157.262 | 0.000 |
| -0.000 | -0.000 | -0.000 | 0.000 | 0.000 | 157.262 |
| 122.349 | 157.263 | 157.263 | -0.000 | 0.000 | -0.000 |
| 157.263 | 122.349 | 157.263 | -0.000 | -0.000 | -0.000 |
| 157.263 | 157.263 | 122.349 | -0.000 | -0.000 | -0.000 |
| 0.001 | 0.000 | 0.000 | 149.695 | -0.000 | -0.000 |
| 0.000 | 0.001 | 0.000 | -0.000 | 149.695 | -0.000 |
| 0.000 | 0.000 | 0.001 | -0.000 | -0.000 | 149.695 |
| 122.348 | 157.261 | 157.261 | 0.000 | 0.000 | 0.000 |
| 157.261 | 122.348 | 157.261 | 0.000 | -0.000 | 0.000 |
| 157.261 | 157.261 | 122.348 | 0.000 | 0.000 | 0.000 |
| -0.001 | -0.000 | -0.000 | 149.695 | 0.000 | 0.000 |
| -0.000 | -0.001 | -0.000 | 0.000 | 149.695 | 0.000 |
| -0.000 | -0.000 | -0.001 | 0.000 | 0.000 | 149.695 |
| 157.750 | 205.278 | 205.278 | 0.000 | 0.000 | -0.000 |
| 205.278 | 157.750 | 205.278 | -0.000 | 0.000 | -0.000 |
| 205.278 | 205.278 | 157.750 | -0.000 | 0.000 | 0.000 |
| 0.000 | 0.000 | 0.000 | 205.278 | 0.000 | 0.000 |
| 0.000 | 0.000 | 0.000 | 0.000 | 205.278 | -0.000 |
| 0.000 | 0.000 | 0.000 | 0.000 | -0.000 | 205.278 |
| 157.750 | 205.278 | 205.278 | -0.000 | -0.000 | 0.000 |
| 205.278 | 157.750 | 205.278 | -0.000 | -0.000 | -0.000 |
| 205.278 | 205.278 | 157.750 | -0.000 | -0.000 | -0.000 |
| -0.000 | -0.000 | -0.000 | 205.278 | -0.000 | 0.000 |
| -0.000 | -0.000 | -0.000 | -0.000 | 205.278 | -0.000 |
| -0.000 | -0.000 | -0.000 | -0.000 | -0.000 | 205.278 |
| 157.750 | 205.278 | 205.278 | -0.000 | 0.000 | -0.000 |
| 205.278 | 157.750 | 205.278 | -0.000 | 0.000 | -0.000 |
| 205.278 | 205.278 | 157.750 | 0.000 | 0.000 | 0.000 |
| 0.000 | 0.000 | 0.000 | 204.071 | 0.000 | -0.000 |
| 0.000 | 0.000 | 0.000 | 0.000 | 204.071 | -0.000 |
| 0.000 | 0.000 | 0.000 | 0.000 | 0.000 | 204.071 |
| 157.750 | 205.278 | 205.278 | -0.000 | -0.000 | 0.000 |
| 205.278 | 157.750 | 205.278 | 0.000 | -0.000 | 0.000 |
| 205.278 | 205.278 | 157.750 | 0.000 | 0.000 | 0.000 |
| -0.000 | -0.000 | -0.000 | 204.071 | -0.000 | 0.000 |
| -0.000 | -0.000 | -0.000 | -0.000 | 204.071 | 0.000 |
| -0.000 | -0.000 | -0.000 | -0.000 | -0.000 | 204.071 |
| 157.751 | 205.279 | 205.279 | 0.000 | 0.000 | -0.000 |
| 205.279 | 157.751 | 205.279 | 0.000 | 0.000 | -0.000 |
| 205.279 | 205.279 | 157.751 | -0.000 | 0.000 | 0.000 |
| 0.001 | 0.000 | 0.001 | 204.071 | -0.000 | -0.000 |
| 0.000 | 0.001 | 0.001 | 0.000 | 204.071 | -0.000 |
| 0.000 | 0.001 | 0.001 | -0.000 | 0.000 | 204.071 |
| 157.749 | 205.277 | 205.277 | -0.000 | -0.000 | 0.000 |
| 205.277 | 157.749 | 205.277 | 0.000 | -0.000 | 0.000 |
| 205.277 | 205.277 | 157.749 | -0.000 | -0.000 | 0.000 |
| -0.001 | -0.000 | -0.001 | 204.071 | 0.000 | 0.000 |
| -0.000 | -0.001 | -0.001 | -0.000 | 204.071 | 0.000 |
| -0.000 | -0.001 | -0.001 | 0.000 | -0.000 | 204.071 |
| 50.560 | 76.575 | 76.575 | -0.000 | -0.000 | 0.000 |
| 76.575 | 50.560 | 76.575 | -0.000 | -0.000 | 0.000 |
| 76.575 | 76.575 | 50.560 | -0.000 | 0.000 | 0.000 |
| 0.000 | 0.000 | -0.000 | -21.191 | 0.000 | -0.000 |
| 0.000 | 0.000 | -0.000 | -0.000 | -21.191 | -0.000 |
| -0.000 | -0.000 | -0.000 | -0.000 | 0.000 | -21.191 |
| 50.560 | 76.575 | 76.575 | 0.000 | 0.000 | 0.000 |
| 76.575 | 50.560 | 76.575 | 0.000 | -0.000 | -0.000 |
| 76.575 | 76.575 | 50.560 | 0.000 | 0.000 | 0.000 |
| 0.000 | 0.000 | 0.000 | -21.191 | 0.000 | 0.000 |
| -0.000 | -0.000 | 0.000 | 0.000 | -21.191 | 0.000 |
| 0.000 | 0.000 | 0.000 | 0.000 | 0.000 | -21.191 |
| 50.560 | 76.575 | 76.575 | -0.000 | -0.000 | -0.000 |
| 76.575 | 50.560 | 76.575 | -0.000 | 0.000 | -0.000 |
| 76.575 | 76.575 | 50.560 | -0.000 | -0.000 | -0.000 |
| 0.000 | 0.000 | 0.000 | 76.575 | -0.000 | -0.000 |
| 0.000 | 0.000 | 0.000 | -0.000 | 76.575 | -0.000 |
| 0.000 | 0.000 | 0.000 | -0.000 | -0.000 | 76.575 |
| 50.560 | 76.575 | 76.575 | 0.000 | 0.000 | 0.000 |
| 76.575 | 50.560 | 76.575 | 0.000 | 0.000 | 0.000 |
| 76.575 | 76.575 | 50.560 | 0.000 | 0.000 | 0.000 |
| -0.000 | -0.000 | -0.000 | 76.575 | 0.000 | 0.000 |
| -0.000 | -0.000 | -0.000 | 0.000 | 76.575 | 0.000 |
| -0.000 | -0.000 | -0.000 | 0.000 | 0.000 | 76.575 |
| 50.560 | 76.576 | 76.576 | -0.000 | -0.000 | -0.000 |
| 76.576 | 50.560 | 76.576 | -0.000 | -0.000 | 0.000 |
| 76.576 | 76.576 | 50.560 | -0.000 | 0.000 | -0.000 |
| 0.000 | -0.000 | -0.000 | -21.191 | -0.000 | -0.000 |
| -0.000 | 0.000 | -0.000 | -0.000 | -21.191 | -0.000 |
| -0.000 | -0.000 | 0.000 | -0.000 | -0.000 | -21.191 |
| 50.559 | 76.575 | 76.575 | 0.000 | -0.000 | 0.000 |
| 76.575 | 50.559 | 76.575 | 0.000 | 0.000 | 0.000 |
| 76.575 | 76.575 | 50.559 | 0.000 | -0.000 | 0.000 |
| -0.000 | 0.000 | 0.000 | -21.191 | 0.000 | 0.000 |
| 0.000 | -0.000 | 0.000 | 0.000 | -21.191 | 0.000 |
| 0.000 | 0.000 | -0.000 | 0.000 | 0.000 | -21.191 |
| 121.157 | 158.120 | 158.120 | 0.000 | 0.000 | -0.000 |
| 158.120 | 121.157 | 158.120 | 0.000 | 0.000 | -0.000 |
| 158.120 | 158.120 | 121.157 | 0.000 | -0.000 | -0.000 |
| -0.000 | -0.000 | 0.000 | 144.314 | 0.000 | -0.000 |
| -0.000 | -0.000 | 0.000 | 0.000 | 144.314 | -0.000 |
| -0.000 | -0.000 | 0.000 | -0.000 | 0.000 | 144.314 |
| 121.157 | 158.120 | 158.120 | -0.000 | 0.000 | 0.000 |
| 158.120 | 121.157 | 158.120 | -0.000 | -0.000 | 0.000 |
| 158.120 | 158.120 | 121.157 | -0.000 | -0.000 | 0.000 |
| 0.000 | 0.000 | -0.000 | 144.314 | -0.000 | -0.000 |
| 0.000 | 0.000 | -0.000 | 0.000 | 144.314 | 0.000 |
| 0.000 | 0.000 | -0.000 | 0.000 | -0.000 | 144.314 |
| 121.157 | 158.120 | 158.120 | -0.000 | 0.000 | -0.000 |
| 158.120 | 121.157 | 158.120 | 0.000 | -0.000 | -0.000 |
| 158.120 | 158.120 | 121.157 | 0.000 | 0.000 | -0.000 |
| 0.000 | 0.000 | 0.000 | 158.120 | 0.000 | -0.000 |
| 0.000 | 0.000 | 0.000 | 0.000 | 158.120 | -0.000 |
| 0.000 | 0.000 | 0.000 | 0.000 | 0.000 | 158.120 |
| 121.157 | 158.120 | 158.120 | -0.000 | -0.000 | -0.000 |
| 158.120 | 121.157 | 158.120 | -0.000 | -0.000 | 0.000 |
| 158.120 | 158.120 | 121.157 | -0.000 | 0.000 | 0.000 |
| -0.000 | -0.000 | -0.000 | 158.120 | -0.000 | 0.000 |
| -0.000 | -0.000 | -0.000 | -0.000 | 158.120 | 0.000 |
| -0.000 | -0.000 | -0.000 | -0.000 | -0.000 | 158.120 |
| 121.157 | 158.121 | 158.121 | 0.000 | 0.000 | -0.000 |
| 158.121 | 121.157 | 158.121 | 0.000 | 0.000 | -0.000 |
| 158.121 | 158.121 | 121.157 | 0.000 | 0.000 | -0.000 |
| 0.001 | 0.000 | 0.000 | 158.120 | 0.000 | -0.000 |
| 0.000 | 0.001 | 0.000 | 0.000 | 158.120 | -0.000 |
| 0.000 | 0.000 | 0.001 | 0.000 | 0.000 | 158.120 |
| 121.156 | 158.120 | 158.120 | -0.000 | -0.000 | 0.000 |
| 158.120 | 121.156 | 158.120 | -0.000 | 0.000 | 0.000 |
| 158.120 | 158.120 | 121.156 | -0.000 | 0.000 | 0.000 |
| -0.001 | -0.000 | -0.000 | 158.120 | -0.000 | 0.000 |
| -0.000 | -0.001 | -0.000 | -0.000 | 158.120 | 0.000 |
| -0.000 | -0.000 | -0.001 | -0.000 | -0.000 | 158.120 |
| 92.748 | 111.743 | 111.743 | -0.000 | -0.000 | 0.000 |
| 111.743 | 92.748 | 111.743 | -0.000 | 0.000 | 0.000 |
| 111.743 | 111.743 | 92.748 | 0.000 | 0.000 | 0.000 |
| 0.000 | 0.000 | -0.000 | -14.470 | -0.000 | -0.000 |
| -0.000 | 0.000 | -0.000 | 0.000 | -14.470 | 0.000 |
| -0.000 | 0.000 | 0.000 | -0.000 | 0.000 | -14.470 |
| 92.748 | 111.743 | 111.743 | -0.000 | 0.000 | -0.000 |
| 111.743 | 92.748 | 111.743 | -0.000 | -0.000 | -0.000 |
| 111.743 | 111.743 | 92.748 | -0.000 | -0.000 | 0.000 |
| -0.000 | -0.000 | 0.000 | -14.470 | 0.000 | -0.000 |
| 0.000 | -0.000 | -0.000 | -0.000 | -14.470 | -0.000 |
| 0.000 | -0.000 | -0.000 | -0.000 | -0.000 | -14.470 |
| 92.748 | 111.743 | 111.743 | 0.000 | -0.000 | -0.000 |
| 111.743 | 92.748 | 111.743 | 0.000 | 0.000 | 0.000 |
| 111.743 | 111.743 | 92.748 | -0.000 | 0.000 | 0.000 |
| 0.000 | -0.000 | -0.000 | -14.470 | 0.000 | 0.000 |
| -0.000 | 0.000 | -0.000 | 0.000 | -14.470 | 0.000 |
| -0.000 | -0.000 | 0.000 | 0.000 | 0.000 | -14.470 |
| 92.748 | 111.743 | 111.743 | 0.000 | -0.000 | -0.000 |
| 111.743 | 92.748 | 111.743 | 0.000 | -0.000 | -0.000 |
| 111.743 | 111.743 | 92.748 | 0.000 | -0.000 | 0.000 |
| -0.000 | 0.000 | 0.000 | -14.470 | -0.000 | -0.000 |
| 0.000 | -0.000 | 0.000 | 0.000 | -14.470 | -0.000 |
| 0.000 | 0.000 | -0.000 | -0.000 | -0.000 | -14.470 |
| 92.749 | 111.744 | 111.744 | -0.000 | 0.000 | 0.000 |
| 111.744 | 92.749 | 111.744 | -0.000 | 0.000 | 0.000 |
| 111.744 | 111.744 | 92.749 | -0.000 | 0.000 | -0.000 |
| 0.000 | -0.000 | -0.000 | -14.470 | 0.000 | 0.000 |
| -0.000 | 0.000 | -0.000 | 0.000 | -14.470 | 0.000 |
| -0.000 | -0.000 | 0.000 | 0.000 | 0.000 | -14.470 |
| 92.748 | 111.743 | 111.743 | 0.000 | -0.000 | -0.000 |
| 111.743 | 92.748 | 111.743 | -0.000 | 0.000 | -0.000 |
| 111.743 | 111.743 | 92.748 | -0.000 | 0.000 | 0.000 |
| -0.000 | 0.000 | 0.000 | -14.470 | -0.000 | -0.000 |
| 0.000 | -0.000 | 0.000 | -0.000 | -14.470 | -0.000 |
| 0.000 | 0.000 | -0.000 | -0.000 | -0.000 | -14.470 |
| 205.529 | 106.718 | 106.718 | -0.000 | 0.000 | -0.000 |
| 106.718 | 205.529 | 106.718 | 0.000 | 0.000 | -0.000 |
| 106.718 | 106.718 | 205.529 | -0.000 | 0.000 | -0.000 |
| -0.000 | 0.000 | 0.000 | 105.240 | 0.000 | -0.000 |
| 0.000 | 0.000 | 0.000 | 0.000 | 105.240 | -0.000 |
| 0.000 | 0.000 | -0.000 | 0.000 | 0.000 | 105.240 |
| 205.529 | 106.718 | 106.718 | -0.000 | -0.000 | 0.000 |
| 106.718 | 205.529 | 106.718 | 0.000 | -0.000 | 0.000 |
| 106.718 | 106.718 | 205.529 | -0.000 | -0.000 | 0.000 |
| -0.000 | -0.000 | -0.000 | 105.240 | -0.000 | 0.000 |
| -0.000 | -0.000 | -0.000 | -0.000 | 105.240 | 0.000 |
| -0.000 | -0.000 | 0.000 | -0.000 | -0.000 | 105.240 |
| 205.529 | 106.718 | 106.718 | -0.000 | 0.000 | -0.000 |
| 106.718 | 205.529 | 106.718 | -0.000 | 0.000 | -0.000 |
| 106.718 | 106.718 | 205.529 | -0.000 | 0.000 | -0.000 |
| -0.000 | 0.000 | 0.000 | 104.811 | 0.000 | -0.000 |
| 0.000 | -0.000 | 0.000 | 0.000 | 104.811 | -0.000 |
| 0.000 | 0.000 | -0.000 | 0.000 | 0.000 | 104.811 |
| 205.529 | 106.718 | 106.718 | -0.000 | -0.000 | 0.000 |
| 106.718 | 205.529 | 106.718 | -0.000 | -0.000 | 0.000 |
| 106.718 | 106.718 | 205.529 | -0.000 | -0.000 | 0.000 |
| 0.000 | -0.000 | -0.000 | 104.811 | -0.000 | 0.000 |
| -0.000 | 0.000 | -0.000 | -0.000 | 104.811 | 0.000 |
| -0.000 | -0.000 | 0.000 | -0.000 | -0.000 | 104.811 |
| 205.530 | 106.719 | 106.719 | 0.000 | 0.000 | -0.000 |
| 106.719 | 205.530 | 106.719 | 0.000 | 0.000 | -0.000 |
| 106.719 | 106.719 | 205.530 | 0.000 | 0.000 | -0.000 |
| -0.000 | 0.000 | 0.000 | 105.240 | 0.000 | -0.000 |
| 0.000 | -0.000 | 0.000 | 0.000 | 105.240 | -0.000 |
| 0.000 | 0.000 | -0.000 | 0.000 | 0.000 | 105.240 |
| 205.528 | 106.718 | 106.718 | -0.000 | -0.000 | 0.000 |
| 106.718 | 205.528 | 106.718 | 0.000 | -0.000 | 0.000 |
| 106.718 | 106.718 | 205.528 | 0.000 | -0.000 | 0.000 |
| 0.000 | -0.000 | -0.000 | 105.240 | -0.000 | 0.000 |
| -0.000 | 0.000 | -0.000 | 0.000 | 105.240 | 0.000 |
| -0.000 | -0.000 | 0.000 | -0.000 | -0.000 | 105.240 |
| 33.127 | 48.394 | 72.582 | 0.000 | -0.000 | 0.000 |
| 48.394 | 33.127 | 72.582 | 0.000 | -0.000 | 0.000 |
| 69.290 | 69.290 | 56.004 | 0.000 | 0.000 | 0.000 |
| 0.000 | 0.000 | -0.000 | -20.863 | -0.000 | 0.000 |
| 0.000 | 0.000 | -0.000 | 0.000 | -20.863 | 0.000 |
| 0.000 | 0.000 | -0.000 | 0.000 | -0.000 | 50.502 |
| 33.126 | 48.394 | 72.583 | -0.000 | 0.000 | -0.000 |
| 48.394 | 33.126 | 72.583 | 0.000 | -0.000 | -0.000 |
| 69.290 | 69.290 | 56.004 | -0.000 | 0.000 | -0.000 |
| -0.000 | -0.000 | 0.000 | -20.863 | 0.000 | -0.000 |
| -0.000 | -0.000 | 0.000 | -0.000 | -20.863 | -0.000 |
| -0.000 | -0.000 | 0.000 | -0.000 | -0.000 | 50.502 |
| 33.127 | 48.394 | 72.583 | 0.000 | 0.000 | 0.000 |
| 48.394 | 33.127 | 72.583 | 0.000 | 0.000 | 0.000 |
| 69.290 | 69.290 | 56.004 | 0.000 | 0.000 | 0.000 |
| 0.000 | 0.000 | -0.000 | -20.863 | -0.000 | 0.000 |
| 0.000 | 0.000 | -0.000 | 0.000 | -20.863 | 0.000 |
| 0.000 | 0.000 | 0.000 | 0.000 | -0.000 | 50.502 |
| 33.126 | 48.394 | 72.583 | 0.000 | 0.000 | -0.000 |
| 48.394 | 33.126 | 72.583 | 0.000 | -0.000 | -0.000 |
| 69.290 | 69.290 | 56.004 | -0.000 | 0.000 | -0.000 |
| -0.000 | -0.000 | 0.000 | -20.863 | -0.000 | -0.000 |
| -0.000 | -0.000 | 0.000 | -0.000 | -20.863 | -0.000 |
| -0.000 | -0.000 | -0.000 | -0.000 | 0.000 | 50.502 |
| 13568.307 | -794299.155 | -4542546.644 | -18460.094 | 25352.225 | -26852.504 |
| -782096.576 | 36203.423 | -4602791.970 | -15766.924 | -106440.635 | -312015.905 |
| 69.290 | 69.290 | 56.005 | 0.000 | 0.000 | 0.000 |
| -0.000 | 0.000 | -0.000 | -20.863 | -0.000 | 0.000 |
| 0.000 | -0.000 | -0.000 | 0.000 | -20.863 | 0.000 |
| -0.000 | 0.000 | 0.000 | 0.000 | 0.000 | 50.502 |
| 33.126 | 48.394 | 72.582 | -0.000 | -0.000 | -0.000 |
| 48.394 | 33.126 | 72.582 | 0.000 | -0.000 | -0.000 |
| 69.290 | 69.290 | 56.002 | -0.000 | -0.000 | -0.000 |
| 0.000 | -0.000 | 0.000 | -20.863 | 0.000 | -0.000 |
| -0.000 | 0.000 | 0.000 | -0.000 | -20.863 | -0.000 |
| 0.000 | -0.000 | -0.000 | -0.000 | 0.000 | 50.502 |
| 6.151 | 6.847 | 6.847 | 0.000 | -0.000 | -0.000 |
| 6.847 | 6.151 | 6.847 | -0.000 | 0.000 | -0.000 |
| 6.847 | 6.847 | 6.151 | -0.000 | -0.000 | 0.000 |
| 0.000 | -0.000 | -0.000 | -0.974 | -0.000 | -0.000 |
| 0.000 | -0.000 | -0.000 | -0.000 | -0.974 | -0.000 |
| 0.000 | -0.000 | -0.000 | -0.000 | -0.000 | -0.974 |
| 6.151 | 6.847 | 6.847 | 0.000 | 0.000 | 0.000 |
| 6.847 | 6.151 | 6.847 | 0.000 | 0.000 | 0.000 |
| 6.847 | 6.847 | 6.151 | 0.000 | 0.000 | 0.000 |
| -0.000 | 0.000 | 0.000 | -0.974 | 0.000 | 0.000 |
| -0.000 | 0.000 | 0.000 | 0.000 | -0.974 | 0.000 |
| -0.000 | 0.000 | 0.000 | 0.000 | 0.000 | -0.974 |
| 6.151 | 6.847 | 6.847 | -0.000 | -0.000 | -0.000 |
| 6.847 | 6.151 | 6.847 | -0.000 | 0.000 | -0.000 |
| 6.847 | 6.847 | 6.151 | -0.000 | -0.000 | 0.000 |
| -0.000 | -0.000 | -0.000 | -0.974 | -0.000 | -0.000 |
| -0.000 | -0.000 | -0.000 | -0.000 | -0.974 | -0.000 |
| -0.000 | -0.000 | -0.000 | -0.000 | -0.000 | -0.974 |
| 6.151 | 6.847 | 6.847 | 0.000 | 0.000 | 0.000 |
| 6.847 | 6.151 | 6.847 | 0.000 | 0.000 | 0.000 |
| 6.847 | 6.847 | 6.151 | 0.000 | 0.000 | 0.000 |
| 0.000 | 0.000 | 0.000 | -0.974 | 0.000 | 0.000 |
| 0.000 | 0.000 | 0.000 | 0.000 | -0.974 | 0.000 |
| 0.000 | 0.000 | 0.000 | 0.000 | 0.000 | -0.974 |
| 6.151 | 6.847 | 6.847 | -0.000 | -0.000 | -0.000 |
| 6.847 | 6.151 | 6.847 | -0.000 | -0.000 | -0.000 |
| 6.847 | 6.847 | 6.151 | -0.000 | -0.000 | -0.000 |
| -0.000 | -0.000 | -0.000 | -0.974 | -0.000 | -0.000 |
| -0.000 | -0.000 | -0.000 | -0.000 | -0.974 | -0.000 |
| -0.000 | -0.000 | -0.000 | -0.000 | -0.000 | -0.974 |
| 6.151 | 6.847 | 6.847 | 0.000 | 0.000 | 0.000 |
| 6.847 | 6.151 | 6.847 | 0.000 | 0.000 | 0.000 |
| 6.847 | 6.847 | 6.151 | 0.000 | 0.000 | 0.000 |
| 0.000 | 0.000 | 0.000 | -0.974 | 0.000 | 0.000 |
| 0.000 | 0.000 | 0.000 | 0.000 | -0.974 | 0.000 |
| 0.000 | 0.000 | 0.000 | 0.000 | 0.000 | -0.974 |
| -5.436 | -12.528 | -10.825 | -0.576 | 0.000 | -0.000 |
| -12.528 | -5.435 | -10.825 | 0.576 | -0.000 | -0.000 |
| -11.425 | -11.425 | -3.198 | 0.000 | 0.000 | -0.000 |
| -0.576 | 0.576 | 0.000 | 4.049 | 0.000 | -0.000 |
| 195.780 | 195.783 | 413.672 | 0.001 | -0.973 | 0.123 |
| 195.732 | 195.734 | 413.570 | 0.001 | 0.123 | -2.762 |
| -5.435 | -12.528 | -10.825 | -0.576 | -0.000 | 0.000 |
| -12.528 | -5.436 | -10.825 | 0.576 | -0.000 | 0.000 |
| -115.908 | -115.922 | -454.499 | -0.007 | -0.001 | 0.001 |
| -90.826 | -96.410 | -426.349 | -10.232 | -0.001 | 0.001 |
| -195.780 | -195.783 | -413.672 | -0.001 | -0.973 | 0.123 |
| -195.732 | -195.734 | -413.570 | -0.001 | 0.123 | -2.762 |
| -2.744 | 6.448 | 24.858 | 0.326 | 0.000 | -0.000 |
| -12.528 | -5.436 | -10.825 | 0.576 | 0.000 | -0.000 |
| -11.425 | -11.425 | -3.198 | 0.000 | 0.000 | -0.000 |
| 20.482 | 20.183 | 42.961 | -1.166 | 0.000 | -0.000 |
| 8.764 | 8.765 | 42.253 | 0.001 | -10.529 | 2.881 |
| 19.852 | 19.852 | 41.946 | 0.000 | 0.133 | -2.852 |
| -41.287 | -27.935 | -63.359 | 2.651 | -0.000 | 0.000 |
| -12.528 | -5.436 | -10.825 | 0.576 | -0.000 | 0.000 |
| -11.425 | -11.425 | -3.199 | -0.000 | 0.000 | 0.000 |
| -0.576 | 0.576 | -0.000 | 4.049 | -0.000 | 0.000 |
| -8.764 | -8.765 | -42.253 | -0.001 | -10.529 | 2.881 |
| -19.852 | -19.852 | -41.946 | -0.000 | 0.133 | -2.852 |
| -31.053 | -17.435 | -14.075 | 3.376 | 0.000 | -0.000 |
| 5879333.099 | 5392241.050 | 5178845.524 | 427035.797 | -2277.179 | -441.799 |
| -11.425 | -11.425 | -3.198 | 0.000 | 0.000 | -0.000 |
| 5969885.810 | 5398512.109 | 5164730.848 | 380392.303 | -4103.262 | 14652.036 |
| 0.000 | 0.000 | 0.000 | 0.000 | 4.049 | -0.576 |
| 0.000 | 0.000 | 0.000 | 0.000 | -0.576 | 3.546 |
| -26.194 | -19.817 | -29.877 | 0.170 | -0.000 | 0.000 |
| -19.817 | -26.194 | -29.877 | -0.170 | -0.000 | 0.000 |
| -22.927 | -22.927 | -32.400 | -0.000 | -0.000 | 0.000 |
| -0.576 | 0.576 | -0.000 | 4.049 | 0.000 | 0.000 |
| -0.000 | -0.000 | -0.000 | -0.000 | 4.049 | -0.576 |
| -0.000 | -0.000 | -0.000 | -0.000 | -0.576 | 3.546 |
| 452.863 | 17.929 | 17.929 | -0.000 | -0.000 | 0.000 |
| 17.929 | 452.863 | 17.929 | -0.000 | -0.000 | 0.000 |
| 17.929 | 17.929 | 452.863 | -0.000 | -0.000 | -0.000 |
| 0.000 | 0.000 | 0.000 | -108.780 | -0.000 | 0.000 |
| 0.000 | 0.000 | -0.000 | -0.000 | -108.780 | -0.000 |
| 0.000 | 0.000 | 0.000 | 0.000 | -0.000 | -108.780 |
| 451.277 | 18.722 | 18.722 | -0.000 | 0.000 | -0.000 |
| 18.722 | 451.277 | 18.722 | 0.000 | 0.000 | -0.000 |
| 18.722 | 18.722 | 451.277 | 0.000 | 0.000 | 0.000 |
| -0.000 | -0.000 | -0.000 | -108.780 | 0.000 | -0.000 |
| -0.000 | -0.000 | 0.000 | 0.000 | -108.780 | 0.000 |
| -0.000 | -0.000 | -0.000 | 0.000 | 0.000 | -108.780 |
| 451.278 | 18.722 | 18.722 | -0.000 | -0.000 | 0.000 |
| 18.722 | 451.278 | 18.722 | 0.000 | -0.000 | 0.000 |
| 18.722 | 18.722 | 451.278 | 0.000 | -0.000 | 0.000 |
| 0.000 | -0.000 | -0.000 | -108.780 | -0.000 | 0.000 |
| -0.000 | 0.000 | -0.000 | -0.000 | -108.780 | 0.000 |
| -0.000 | -0.000 | 0.000 | -0.000 | -0.000 | -108.780 |
| 451.277 | 18.722 | 18.722 | 0.000 | 0.000 | -0.000 |
| 18.722 | 451.277 | 18.722 | 0.000 | 0.000 | -0.000 |
| 18.722 | 18.722 | 451.277 | -0.000 | 0.000 | -0.000 |
| -0.000 | 0.000 | 0.000 | -108.780 | 0.000 | 0.000 |
| 0.000 | -0.000 | 0.000 | -0.000 | -108.780 | 0.000 |
| 0.000 | 0.000 | -0.000 | -0.000 | 0.000 | -108.780 |
| 452.867 | 17.929 | 17.929 | -0.000 | -0.000 | 0.000 |
| 17.929 | 452.867 | 17.929 | -0.000 | -0.000 | -0.000 |
| 17.929 | 17.929 | 452.867 | -0.000 | -0.000 | -0.000 |
| -0.005 | 0.007 | -0.001 | -145.880 | -0.000 | 0.000 |
| 0.007 | -0.006 | -0.001 | 0.000 | -145.880 | 0.000 |
| 0.007 | -0.001 | -0.005 | -0.000 | -0.000 | -145.880 |
| 451.273 | 18.722 | 18.722 | -0.000 | 0.000 | -0.000 |
| 18.722 | 451.273 | 18.722 | 0.000 | 0.000 | -0.000 |
| 18.722 | 18.722 | 451.273 | 0.000 | 0.000 | -0.000 |
| 0.005 | -0.007 | 0.001 | -145.880 | 0.000 | -0.000 |
| -0.007 | 0.006 | 0.001 | -0.000 | -145.880 | -0.000 |
| -0.007 | 0.001 | 0.005 | 0.000 | 0.000 | -145.880 |
| 152.176 | 198.908 | 198.908 | -0.000 | 0.000 | 0.000 |
| 198.908 | 152.176 | 198.908 | -0.000 | -0.000 | 0.000 |
| 198.908 | 198.908 | 152.176 | 0.000 | 0.000 | 0.000 |
| 0.000 | 0.000 | 0.000 | 198.864 | 0.000 | 0.000 |
| 0.000 | 0.000 | 0.000 | 0.000 | 198.864 | 0.000 |
| 0.000 | 0.000 | 0.000 | 0.000 | 0.000 | 198.864 |
| 152.176 | 198.908 | 198.908 | 0.000 | -0.000 | -0.000 |
| 198.908 | 152.176 | 198.908 | -0.000 | -0.000 | -0.000 |
| 198.908 | 198.908 | 152.176 | 0.000 | -0.000 | -0.000 |
| -0.000 | -0.000 | -0.000 | 198.864 | -0.000 | -0.000 |
| -0.000 | -0.000 | -0.000 | 0.000 | 198.863 | -0.000 |
| -0.000 | -0.000 | -0.000 | 0.000 | -0.000 | 198.864 |
| 152.176 | 198.908 | 198.908 | 0.000 | 0.000 | 0.000 |
| 198.908 | 152.176 | 198.908 | -0.000 | -0.000 | -0.000 |
| 198.908 | 198.908 | 152.176 | -0.000 | -0.000 | 0.000 |
| 0.000 | 0.000 | 0.000 | 198.864 | 0.000 | 0.000 |
| 0.000 | 0.000 | 0.000 | -0.000 | 198.864 | 0.000 |
| 0.000 | 0.000 | 0.000 | -0.000 | 0.000 | 198.864 |
| 152.176 | 198.908 | 198.908 | -0.000 | -0.000 | 0.000 |
| 198.908 | 152.176 | 198.908 | 0.000 | -0.000 | 0.000 |
| 198.908 | 198.908 | 152.176 | 0.000 | 0.000 | 0.000 |
| -0.000 | -0.000 | -0.000 | 198.864 | -0.000 | -0.000 |
| -0.000 | -0.000 | -0.000 | 0.000 | 198.864 | -0.000 |
| -0.000 | -0.000 | -0.000 | 0.000 | -0.000 | 198.864 |
| 152.177 | 198.909 | 198.909 | -0.000 | 0.000 | 0.000 |
| 198.909 | 152.177 | 198.909 | -0.000 | 0.000 | -0.000 |
| 198.909 | 198.909 | 152.177 | -0.000 | -0.000 | 0.000 |
| 0.001 | 0.000 | 0.001 | 198.908 | -0.000 | 0.000 |
| 0.000 | 0.001 | 0.001 | -0.000 | 198.908 | -0.000 |
| 0.000 | 0.001 | 0.001 | -0.000 | 0.000 | 198.908 |
| 152.175 | 198.908 | 198.908 | -0.000 | -0.000 | 0.000 |
| 198.908 | 152.175 | 198.908 | 0.000 | -0.000 | 0.000 |
| 198.908 | 198.908 | 152.175 | 0.000 | 0.000 | -0.000 |
| -0.001 | -0.000 | -0.001 | 198.908 | 0.000 | 0.000 |
| -0.000 | -0.001 | -0.001 | 0.000 | 198.908 | 0.000 |
| -0.000 | -0.001 | -0.001 | 0.000 | -0.000 | 198.908 |
| 300.673 | 166.836 | 166.836 | 0.000 | 0.000 | -0.000 |
| 166.836 | 300.673 | 166.836 | 0.000 | 0.000 | 0.000 |
| 166.836 | 166.836 | 300.673 | 0.000 | -0.000 | -0.000 |
| 0.000 | 0.000 | 0.000 | 166.836 | -0.000 | -0.000 |
| 0.000 | -0.000 | 0.000 | 0.000 | 166.836 | -0.000 |
| 0.000 | 0.000 | -0.000 | -0.000 | 0.000 | 166.836 |
| 300.673 | 166.836 | 166.836 | -0.000 | -0.000 | 0.000 |
| 166.836 | 300.673 | 166.836 | -0.000 | -0.000 | 0.000 |
| 166.836 | 166.836 | 300.673 | -0.000 | 0.000 | 0.000 |
| -0.000 | -0.000 | -0.000 | 166.836 | -0.000 | 0.000 |
| -0.000 | 0.000 | -0.000 | -0.000 | 166.836 | 0.000 |
| -0.000 | -0.000 | 0.000 | -0.000 | -0.000 | 166.836 |
| 300.673 | 166.836 | 166.836 | 0.000 | 0.000 | -0.000 |
| 166.836 | 300.673 | 166.836 | 0.000 | 0.000 | -0.000 |
| 166.836 | 166.836 | 300.673 | 0.000 | 0.000 | -0.000 |
| -0.000 | 0.000 | 0.000 | 166.836 | -0.000 | -0.000 |
| 0.000 | -0.000 | 0.000 | 0.000 | 166.836 | -0.000 |
| 0.000 | 0.000 | -0.000 | -0.000 | 0.000 | 166.836 |
| 300.673 | 166.836 | 166.836 | -0.000 | -0.000 | 0.000 |
| 166.836 | 300.673 | 166.836 | -0.000 | 0.000 | 0.000 |
| 166.836 | 166.836 | 300.673 | -0.000 | -0.000 | 0.000 |
| 0.000 | -0.000 | -0.000 | 166.836 | -0.000 | 0.000 |
| -0.000 | 0.000 | -0.000 | -0.000 | 166.836 | 0.000 |
| -0.000 | -0.000 | 0.000 | 0.000 | -0.000 | 166.836 |
| 300.674 | 166.837 | 166.837 | 0.000 | 0.000 | -0.000 |
| 166.837 | 300.674 | 166.837 | 0.000 | 0.000 | -0.000 |
| 166.837 | 166.837 | 300.674 | 0.000 | 0.000 | -0.000 |
| -0.000 | 0.001 | 0.001 | 166.836 | 0.000 | -0.000 |
| 0.001 | -0.000 | 0.001 | 0.000 | 166.836 | -0.000 |
| 0.001 | 0.001 | -0.000 | -0.000 | 0.000 | 166.836 |
| 300.672 | 166.835 | 166.835 | -0.000 | -0.000 | -0.000 |
| 166.835 | 300.672 | 166.835 | -0.000 | 0.000 | 0.000 |
| 166.835 | 166.835 | 300.672 | -0.000 | 0.000 | 0.000 |
| 0.000 | -0.001 | -0.001 | 166.836 | -0.000 | 0.000 |
| -0.001 | 0.000 | -0.001 | -0.000 | 166.836 | 0.000 |
| -0.001 | -0.001 | 0.000 | -0.000 | 0.000 | 166.836 |
| 300.648 | 166.861 | 166.837 | 0.000 | 0.000 | 0.000 |
| 166.861 | 300.648 | 166.837 | -0.000 | 0.000 | 0.000 |
| 166.837 | 166.837 | 300.673 | -0.000 | 0.000 | 0.000 |
| -0.000 | 0.000 | 0.000 | 166.821 | 0.000 | -0.000 |
| 0.000 | -0.000 | 0.000 | -0.000 | 166.821 | -0.000 |
| 0.000 | 0.000 | -0.000 | 0.000 | 0.000 | 166.836 |
| 300.673 | 166.836 | 166.837 | 0.000 | -0.000 | -0.000 |
| 166.836 | 300.673 | 166.837 | 0.000 | 0.000 | -0.000 |
| 166.837 | 166.837 | 300.673 | 0.000 | -0.000 | -0.000 |
| 0.000 | -0.000 | -0.000 | 166.821 | -0.000 | -0.000 |
| -0.000 | 0.000 | -0.000 | 0.000 | 166.821 | -0.000 |
| -0.000 | -0.000 | 0.000 | -0.000 | -0.000 | 166.836 |
| 300.648 | 166.861 | 166.837 | -0.000 | 0.000 | 0.000 |
| 166.861 | 300.648 | 166.837 | -0.000 | 0.000 | -0.000 |
| 166.837 | 166.837 | 300.673 | 0.000 | 0.000 | 0.000 |
| -0.000 | 0.000 | 0.000 | 166.821 | 0.000 | 0.000 |
| 0.000 | -0.000 | 0.000 | 0.000 | 166.821 | -0.000 |
| 0.000 | 0.000 | -0.000 | 0.000 | 0.000 | 166.836 |
| 300.648 | 166.861 | 166.836 | 0.000 | 0.000 | -0.000 |
| 166.861 | 300.648 | 166.836 | 0.000 | -0.000 | -0.000 |
| 166.836 | 166.836 | 300.673 | 0.000 | -0.000 | -0.000 |
| 0.000 | -0.000 | -0.000 | 166.821 | -0.000 | -0.000 |
| -0.000 | 0.000 | -0.000 | -0.000 | 166.821 | -0.000 |
| -0.000 | -0.000 | 0.000 | -0.000 | -0.000 | 166.836 |
| 300.650 | 166.862 | 166.838 | 0.000 | -0.000 | -0.000 |
| 166.862 | 300.650 | 166.838 | -0.000 | 0.000 | 0.000 |
| 166.838 | 166.838 | 300.674 | 0.000 | 0.000 | 0.000 |
| -0.000 | 0.001 | 0.001 | 166.821 | 0.000 | -0.000 |
| 0.001 | -0.000 | 0.001 | -0.000 | 166.821 | 0.000 |
| 0.001 | 0.001 | -0.000 | -0.000 | 0.000 | 166.836 |
| 300.647 | 166.860 | 166.835 | 0.000 | -0.000 | -0.000 |
| 166.860 | 300.647 | 166.835 | 0.000 | -0.000 | -0.000 |
| 166.835 | 166.835 | 300.671 | -0.000 | -0.000 | -0.000 |
| 0.000 | -0.001 | -0.001 | 166.821 | -0.000 | -0.000 |
| -0.001 | 0.000 | -0.001 | 0.000 | 166.821 | -0.000 |
| -0.001 | -0.001 | 0.000 | 0.000 | -0.000 | 166.836 |
| 373.585 | 155.037 | 94.643 | 0.000 | 0.000 | 0.000 |
| 132.173 | 396.519 | 94.608 | 0.000 | 0.000 | 0.000 |
| 94.623 | 94.623 | 415.059 | 0.000 | 0.000 | 0.000 |
| -0.000 | -0.000 | 0.000 | 94.608 | 0.000 | 0.000 |
| 0.000 | -0.000 | 0.000 | 0.000 | 94.608 | 0.000 |
| 0.000 | -0.000 | 0.000 | 0.000 | 0.000 | 132.173 |
| 396.519 | 132.173 | 94.608 | -0.000 | -0.000 | -0.000 |
| 132.173 | 396.519 | 94.608 | -0.000 | -0.000 | -0.000 |
| 94.616 | 94.616 | 415.066 | -0.000 | -0.000 | -0.000 |
| -0.000 | 0.000 | -0.000 | 94.608 | -0.000 | -0.000 |
| 0.000 | 0.000 | -0.000 | -0.000 | 94.608 | -0.000 |
| 0.000 | 0.000 | -0.000 | -0.000 | -0.000 | 132.173 |
| 396.520 | 132.173 | 94.608 | 0.000 | 0.000 | 0.000 |
| 154.945 | 373.650 | 94.657 | 0.000 | 0.000 | 0.000 |
| 94.620 | 94.620 | 415.063 | 0.000 | 0.000 | 0.000 |
| 0.001 | 0.001 | -0.001 | 94.589 | 0.000 | 0.000 |
| 0.001 | 0.001 | -0.001 | 0.000 | 94.589 | 0.000 |
| 0.002 | 0.002 | -0.002 | 0.000 | 0.000 | 109.190 |
| 396.519 | 132.173 | 94.608 | -0.000 | -0.000 | -0.000 |
| 132.173 | 396.519 | 94.608 | -0.000 | -0.000 | -0.000 |
| 94.619 | 94.619 | 415.063 | 0.000 | -0.000 | 0.000 |
| -0.001 | -0.001 | 0.001 | 94.589 | -0.000 | -0.000 |
| -0.001 | -0.001 | 0.001 | -0.000 | 94.589 | -0.000 |
| -0.002 | -0.002 | 0.002 | -0.000 | -0.000 | 109.190 |
| 396.523 | 132.174 | 94.608 | 0.000 | 0.000 | 0.000 |
| 154.936 | 373.660 | 94.659 | 0.000 | 0.000 | 0.000 |
| 94.609 | 94.609 | 415.077 | 0.000 | 0.000 | 0.000 |
| 0.000 | 0.000 | 0.001 | 94.608 | 0.000 | 0.000 |
| 0.000 | 0.000 | 0.001 | 0.000 | 94.608 | 0.000 |
| 0.000 | 0.001 | -0.000 | 0.000 | 0.000 | 109.190 |
| 396.516 | 132.173 | 94.607 | -0.000 | -0.000 | -0.000 |
| 155.148 | 373.518 | 94.619 | -0.000 | -0.000 | -0.000 |
| 94.607 | 94.607 | 415.072 | -0.000 | 0.000 | -0.000 |
| -0.000 | -0.000 | -0.001 | 94.608 | -0.000 | -0.000 |
| -0.000 | -0.000 | -0.001 | -0.000 | 94.608 | -0.000 |
| -0.000 | -0.001 | 0.000 | -0.000 | -0.000 | 109.190 |
| 341.673 | 125.033 | 123.689 | -0.000 | 0.000 | -0.000 |
| 125.033 | 341.673 | 123.689 | -0.000 | -0.000 | 0.000 |
| 65.484 | 65.484 | 443.167 | -0.000 | 0.000 | -0.000 |
| -28.799 | -28.799 | 29.233 | 94.507 | 0.000 | 0.000 |
| -28.799 | -28.799 | 29.233 | -0.000 | 94.507 | 0.000 |
| 0.000 | 0.000 | 0.000 | -0.000 | 0.000 | 131.290 |
| 393.453 | 130.873 | 94.445 | 0.000 | 0.000 | -0.000 |
| 164.843 | 417.060 | 65.221 | 0.000 | -0.000 | -0.000 |
| 123.081 | 123.081 | 384.700 | 0.000 | -0.000 | 0.000 |
| 28.799 | 28.799 | -29.233 | 94.507 | -0.000 | -0.000 |
| 28.799 | 28.799 | -29.233 | 0.000 | 94.507 | -0.000 |
| -0.000 | -0.000 | -0.000 | 0.000 | -0.000 | 131.290 |
| 367.592 | 150.951 | 97.379 | -0.000 | 0.000 | -0.000 |
| 130.873 | 393.453 | 94.445 | -0.000 | 0.000 | -0.000 |
| 91.402 | 91.402 | 416.857 | -0.000 | -0.000 | -0.000 |
| -2.880 | -2.880 | 2.923 | 94.507 | 0.000 | -0.000 |
| 0.000 | 0.000 | 0.000 | -0.000 | 94.513 | -0.000 |
| 0.000 | 0.000 | 0.000 | -0.000 | 0.000 | 131.290 |
| 373.351 | 156.711 | 91.533 | 0.000 | -0.000 | 0.000 |
| 156.711 | 373.351 | 91.533 | 0.000 | -0.000 | -0.000 |
| 94.270 | 94.270 | 413.945 | 0.000 | -0.000 | -0.000 |
| 2.880 | 2.880 | -2.923 | 94.507 | -0.000 | -0.000 |
| -0.000 | -0.000 | -0.000 | 0.000 | 94.513 | -0.000 |
| -0.000 | -0.000 | -0.000 | 0.000 | -0.000 | 131.290 |
| 385.544 | 137.922 | 94.884 | -0.000 | -0.000 | -0.000 |
| 153.544 | 370.186 | 94.749 | -0.000 | 0.000 | 0.000 |
| 93.995 | 93.995 | 414.228 | -0.000 | 0.000 | 0.000 |
| 0.000 | 0.000 | 0.001 | 94.513 | -0.000 | 0.000 |
| 0.000 | 0.000 | 0.001 | -0.000 | 94.513 | -0.000 |
| 0.000 | 0.001 | 0.000 | -0.000 | 0.000 | 131.290 |
| 370.756 | 154.119 | 94.164 | 0.000 | -0.000 | -0.000 |
| 154.118 | 370.757 | 94.164 | 0.000 | -0.000 | 0.000 |
| 94.270 | 94.270 | 413.943 | 0.000 | -0.000 | -0.000 |
| -0.000 | -0.000 | -0.001 | 94.513 | 0.000 | 0.000 |
| -0.000 | -0.000 | -0.001 | 0.000 | 94.513 | 0.000 |
| -0.000 | -0.001 | -0.000 | 0.000 | -0.000 | 131.290 |
| 354.190 | 21.675 | 21.675 | 0.000 | -0.000 | -0.000 |
| 21.675 | 354.190 | 21.675 | -0.000 | -0.000 | 0.000 |
| 21.675 | 21.675 | 354.190 | -0.000 | -0.000 | 0.000 |
| -0.000 | -0.000 | -0.000 | -86.464 | -0.000 | 0.000 |
| -0.000 | -0.000 | -0.000 | -0.000 | -86.464 | 0.000 |
| -0.000 | -0.000 | 0.000 | -0.000 | -0.000 | -86.464 |
| 354.190 | 21.675 | 21.675 | 0.000 | 0.000 | -0.000 |
| 21.675 | 354.190 | 21.675 | 0.000 | 0.000 | -0.000 |
| 21.675 | 21.675 | 354.190 | 0.000 | 0.000 | -0.000 |
| 0.000 | 0.000 | 0.000 | -86.464 | 0.000 | -0.000 |
| 0.000 | 0.000 | 0.000 | -0.000 | -86.464 | -0.000 |
| 0.000 | 0.000 | 0.000 | -0.000 | 0.000 | -86.464 |
| 354.191 | 21.675 | 21.675 | 0.000 | 0.000 | 0.000 |
| 21.675 | 354.191 | 21.675 | -0.000 | -0.000 | 0.000 |
| 21.675 | 21.675 | 354.191 | -0.000 | -0.000 | 0.000 |
| -0.000 | 0.000 | 0.000 | 20.229 | -0.000 | 0.000 |
| 0.000 | -0.000 | 0.000 | -0.000 | 20.229 | 0.000 |
| 0.000 | 0.000 | -0.000 | -0.000 | -0.000 | 20.229 |
| 354.190 | 21.675 | 21.675 | 0.000 | 0.000 | -0.000 |
| 21.675 | 354.190 | 21.675 | 0.000 | 0.000 | 0.000 |
| 21.675 | 21.675 | 354.190 | 0.000 | 0.000 | -0.000 |
| 0.000 | -0.000 | -0.000 | 20.229 | 0.000 | 0.000 |
| -0.000 | 0.000 | 0.000 | 0.000 | 20.229 | -0.000 |
| -0.000 | -0.000 | 0.000 | 0.000 | 0.000 | 20.229 |
| 354.193 | 21.675 | 21.675 | -0.000 | -0.000 | 0.000 |
| 21.675 | 354.193 | 21.675 | 0.000 | -0.000 | 0.000 |
| 21.675 | 21.675 | 354.193 | -0.000 | -0.000 | 0.000 |
| 0.000 | 0.000 | -0.000 | -86.464 | -0.000 | -0.000 |
| 0.000 | 0.000 | -0.000 | -0.000 | -86.464 | 0.000 |
| 0.000 | -0.000 | 0.000 | -0.000 | -0.000 | -86.464 |
| 354.187 | 21.675 | 21.675 | 0.000 | 0.000 | -0.000 |
| 21.675 | 354.187 | 21.675 | 0.000 | 0.000 | -0.000 |
| 21.675 | 21.675 | 354.187 | 0.000 | 0.000 | -0.000 |
| -0.000 | -0.000 | 0.000 | -86.464 | 0.000 | -0.000 |
| -0.000 | -0.000 | 0.000 | 0.000 | -86.464 | -0.000 |
| -0.000 | 0.000 | -0.000 | 0.000 | 0.000 | -86.464 |
| 121.074 | 154.954 | 154.954 | 0.000 | -0.000 | -0.000 |
| 154.954 | 121.074 | 154.954 | 0.000 | 0.000 | 0.000 |
| 154.954 | 154.954 | 121.074 | -0.000 | -0.000 | -0.000 |
| 0.000 | -0.000 | -0.000 | 154.954 | -0.000 | -0.000 |
| -0.000 | -0.000 | -0.000 | -0.000 | 154.954 | 0.000 |
| -0.000 | -0.000 | -0.000 | 0.000 | -0.000 | 154.954 |
| 121.074 | 154.954 | 154.954 | -0.000 | 0.000 | -0.000 |
| 154.954 | 121.074 | 154.954 | 0.000 | 0.000 | -0.000 |
| 154.954 | 154.954 | 121.074 | -0.000 | 0.000 | 0.000 |
| -0.000 | 0.000 | 0.000 | 154.954 | 0.000 | 0.000 |
| 0.000 | 0.000 | 0.000 | 0.000 | 154.954 | 0.000 |
| 0.000 | 0.000 | 0.000 | -0.000 | 0.000 | 154.954 |
| 121.074 | 154.954 | 154.954 | 0.000 | -0.000 | 0.000 |
| 154.954 | 121.074 | 154.954 | 0.000 | -0.000 | -0.000 |
| 154.954 | 154.954 | 121.074 | 0.000 | -0.000 | -0.000 |
| 0.000 | 0.000 | 0.000 | 148.487 | -0.000 | -0.000 |
| 0.000 | 0.000 | 0.000 | 0.000 | 148.487 | 0.000 |
| 0.000 | 0.000 | 0.000 | 0.000 | -0.000 | 148.487 |
| 121.074 | 154.954 | 154.954 | -0.000 | 0.000 | -0.000 |
| 154.954 | 121.074 | 154.954 | -0.000 | -0.000 | -0.000 |
| 154.954 | 154.954 | 121.074 | -0.000 | 0.000 | 0.000 |
| -0.000 | -0.000 | -0.000 | 148.487 | 0.000 | -0.000 |
| -0.000 | -0.000 | -0.000 | -0.000 | 148.487 | 0.000 |
| -0.000 | -0.000 | -0.000 | -0.000 | 0.000 | 148.487 |
| 121.075 | 154.955 | 154.955 | 0.000 | 0.000 | 0.000 |
| 154.955 | 121.075 | 154.955 | 0.000 | -0.000 | 0.000 |
| 154.955 | 154.955 | 121.075 | 0.000 | -0.000 | -0.000 |
| 0.001 | 0.000 | 0.000 | 148.487 | -0.000 | 0.000 |
| 0.000 | 0.001 | 0.000 | 0.000 | 148.487 | 0.000 |
| 0.000 | 0.000 | 0.001 | 0.000 | -0.000 | 148.487 |
| 121.074 | 154.953 | 154.953 | 0.000 | 0.000 | -0.000 |
| 154.953 | 121.074 | 154.953 | -0.000 | 0.000 | -0.000 |
| 154.953 | 154.953 | 121.074 | -0.000 | 0.000 | 0.000 |
| -0.001 | -0.000 | -0.000 | 148.487 | 0.000 | 0.000 |
| -0.000 | -0.001 | -0.000 | -0.000 | 148.487 | -0.000 |
| -0.000 | -0.000 | -0.001 | -0.000 | 0.000 | 148.487 |
| 235.942 | 132.378 | 132.378 | -0.000 | -0.000 | -0.000 |
| 132.378 | 235.942 | 132.378 | -0.000 | -0.000 | -0.000 |
| 132.378 | 132.378 | 235.942 | 0.000 | -0.000 | 0.000 |
| 0.000 | 0.000 | 0.000 | 132.378 | -0.000 | -0.000 |
| 0.000 | -0.000 | 0.000 | 0.000 | 132.378 | -0.000 |
| 0.000 | 0.000 | -0.000 | -0.000 | -0.000 | 132.378 |
| 235.942 | 132.378 | 132.378 | -0.000 | -0.000 | 0.000 |
| 132.378 | 235.942 | 132.378 | -0.000 | 0.000 | -0.000 |
| 132.378 | 132.378 | 235.942 | -0.000 | 0.000 | -0.000 |
| -0.000 | -0.000 | -0.000 | 132.378 | 0.000 | -0.000 |
| -0.000 | 0.000 | -0.000 | -0.000 | 132.378 | 0.000 |
| -0.000 | -0.000 | 0.000 | 0.000 | -0.000 | 132.378 |
| 235.942 | 132.378 | 132.378 | 0.000 | 0.000 | -0.000 |
| 132.378 | 235.942 | 132.378 | 0.000 | -0.000 | -0.000 |
| 132.378 | 132.378 | 235.942 | 0.000 | -0.000 | 0.000 |
| -0.000 | 0.000 | 0.000 | 132.378 | -0.000 | 0.000 |
| 0.000 | -0.000 | 0.000 | 0.000 | 132.378 | -0.000 |
| 0.000 | 0.000 | -0.000 | -0.000 | -0.000 | 132.378 |
| 235.942 | 132.378 | 132.378 | -0.000 | -0.000 | -0.000 |
| 132.378 | 235.942 | 132.378 | -0.000 | 0.000 | 0.000 |
| 132.378 | 132.378 | 235.942 | 0.000 | 0.000 | -0.000 |
| 0.000 | -0.000 | -0.000 | 132.378 | 0.000 | -0.000 |
| -0.000 | 0.000 | -0.000 | 0.000 | 132.378 | 0.000 |
| -0.000 | -0.000 | 0.000 | 0.000 | -0.000 | 132.378 |
| 235.943 | 132.379 | 132.379 | 0.000 | 0.000 | 0.000 |
| 132.379 | 235.943 | 132.379 | 0.000 | -0.000 | -0.000 |
| 132.379 | 132.379 | 235.943 | 0.000 | -0.000 | 0.000 |
| -0.000 | 0.000 | 0.001 | 132.378 | -0.000 | 0.000 |
| 0.000 | -0.000 | 0.001 | -0.000 | 132.378 | -0.000 |
| 0.000 | 0.001 | -0.000 | -0.000 | 0.000 | 132.378 |
| 235.941 | 132.378 | 132.378 | -0.000 | 0.000 | -0.000 |
| 132.378 | 235.941 | 132.378 | -0.000 | 0.000 | 0.000 |
| 132.378 | 132.378 | 235.941 | -0.000 | 0.000 | -0.000 |
| 0.000 | -0.000 | -0.001 | 132.378 | 0.000 | 0.000 |
| -0.000 | 0.000 | -0.001 | 0.000 | 132.378 | -0.000 |
| -0.000 | -0.001 | 0.000 | 0.000 | -0.000 | 132.378 |
| 456.928 | 15.791 | 15.791 | 0.000 | 0.000 | 0.000 |
| 15.791 | 456.928 | 15.791 | 0.000 | -0.000 | -0.000 |
| 15.791 | 15.791 | 456.928 | -0.000 | 0.000 | -0.000 |
| -0.002 | 0.000 | 0.002 | -158.217 | 0.000 | -0.000 |
| 0.000 | 0.002 | -0.002 | -0.000 | -158.217 | -0.000 |
| 0.000 | 0.002 | -0.002 | 0.000 | 0.000 | -158.217 |
| 458.096 | 15.207 | 15.207 | -0.000 | 0.000 | 0.000 |
| 15.791 | 456.928 | 15.791 | 0.000 | -0.000 | 0.000 |
| 15.791 | 15.791 | 456.928 | -0.000 | -0.000 | 0.000 |
| 0.002 | -0.000 | -0.002 | -158.217 | -0.000 | 0.000 |
| -0.000 | -0.000 | 0.000 | 0.000 | -82.517 | 0.000 |
| -0.000 | -0.002 | 0.002 | 0.000 | -0.000 | -158.217 |
| 456.928 | 15.791 | 15.791 | 0.000 | 0.000 | -0.000 |
| 15.791 | 456.928 | 15.791 | 0.000 | 0.000 | -0.000 |
| 15.791 | 15.791 | 456.928 | -0.000 | -0.000 | -0.000 |
| 0.000 | -0.000 | -0.000 | -82.517 | 0.000 | 0.000 |
| 0.001 | -0.001 | 0.000 | -0.000 | -158.217 | -0.000 |
| -0.000 | -0.000 | 0.000 | 0.000 | 0.000 | -82.517 |
| 456.927 | 15.791 | 15.791 | -0.000 | -0.000 | 0.000 |
| 15.791 | 456.927 | 15.791 | -0.000 | -0.000 | 0.000 |
| 15.791 | 15.791 | 456.927 | -0.000 | -0.000 | 0.000 |
| -0.000 | 0.000 | 0.000 | -82.517 | -0.000 | 0.000 |
| -0.001 | -0.000 | 0.001 | 0.000 | -158.217 | 0.000 |
| 0.000 | 0.000 | -0.000 | -0.000 | -0.000 | -82.517 |
| 456.931 | 15.791 | 15.791 | 0.000 | 0.000 | -0.000 |
| 15.791 | 456.931 | 15.791 | -0.000 | 0.000 | -0.000 |
| 15.791 | 15.791 | 456.931 | -0.000 | -0.000 | -0.000 |
| 0.011 | 0.005 | 0.004 | -418.430 | 0.000 | -0.000 |
| 0.005 | 0.011 | 0.004 | 0.000 | -418.430 | -0.000 |
| 0.005 | 0.004 | 0.011 | -0.000 | 0.000 | -418.430 |
| 458.092 | 15.207 | 15.207 | 0.000 | -0.000 | 0.000 |
| 15.207 | 458.092 | 15.207 | -0.000 | -0.000 | 0.000 |
| 15.207 | 15.207 | 458.092 | 0.000 | -0.000 | 0.000 |
| -0.011 | -0.005 | -0.004 | -418.429 | -0.000 | 0.000 |
| -0.005 | -0.011 | -0.004 | 0.000 | -418.431 | 0.000 |
| -0.005 | -0.004 | -0.011 | -0.000 | -0.000 | -418.429 |
| 154.695 | 201.695 | 201.695 | 0.000 | 0.000 | -0.000 |
| 201.695 | 154.695 | 201.695 | 0.000 | 0.000 | 0.000 |
| 201.695 | 201.695 | 154.695 | 0.000 | -0.000 | 0.000 |
| 0.000 | 0.000 | 0.000 | 201.695 | -0.000 | 0.000 |
| 0.000 | -0.000 | 0.000 | 0.000 | 201.695 | 0.000 |
| 0.000 | -0.000 | -0.000 | 0.000 | -0.000 | 201.695 |
| 154.695 | 201.695 | 201.695 | 0.000 | 0.000 | -0.000 |
| 201.695 | 154.695 | 201.695 | -0.000 | -0.000 | 0.000 |
| 201.695 | 201.695 | 154.695 | 0.000 | 0.000 | -0.000 |
| -0.000 | 0.000 | 0.000 | 201.695 | 0.000 | -0.000 |
| 0.000 | 0.000 | -0.000 | 0.000 | 201.695 | -0.000 |
| 0.000 | 0.000 | 0.000 | 0.000 | 0.000 | 201.695 |
| 154.695 | 201.695 | 201.695 | 0.000 | 0.000 | 0.000 |
| 201.695 | 154.695 | 201.695 | -0.000 | 0.000 | -0.000 |
| 201.695 | 201.695 | 154.695 | 0.000 | 0.000 | 0.000 |
| 0.000 | 0.000 | 0.000 | 199.999 | -0.000 | -0.000 |
| 0.000 | 0.000 | 0.000 | 0.000 | 199.999 | 0.000 |
| 0.000 | 0.000 | 0.000 | 0.000 | -0.000 | 199.999 |
| 154.695 | 201.695 | 201.695 | -0.000 | 0.000 | -0.000 |
| 201.695 | 154.695 | 201.695 | -0.000 | 0.000 | -0.000 |
| 201.695 | 201.695 | 154.695 | -0.000 | -0.000 | -0.000 |
| -0.000 | -0.000 | -0.000 | 199.999 | 0.000 | 0.000 |
| -0.000 | -0.000 | -0.000 | -0.000 | 199.999 | 0.000 |
| -0.000 | -0.000 | -0.000 | -0.000 | 0.000 | 199.999 |
| 154.696 | 201.696 | 201.696 | 0.000 | 0.000 | 0.000 |
| 201.696 | 154.696 | 201.696 | -0.000 | -0.000 | -0.000 |
| 201.696 | 201.696 | 154.696 | -0.000 | -0.000 | -0.000 |
| 0.001 | 0.000 | 0.001 | 199.999 | -0.000 | -0.000 |
| 0.000 | 0.001 | 0.001 | -0.000 | 199.999 | -0.000 |
| 0.000 | 0.001 | 0.001 | -0.000 | -0.000 | 199.999 |
| 154.694 | 201.695 | 201.695 | 0.000 | -0.000 | 0.000 |
| 201.695 | 154.694 | 201.695 | -0.000 | 0.000 | -0.000 |
| 201.695 | 201.695 | 154.694 | -0.000 | 0.000 | -0.000 |
| -0.001 | -0.000 | -0.001 | 199.999 | 0.000 | -0.000 |
| -0.000 | -0.001 | -0.001 | -0.000 | 199.999 | -0.000 |
| -0.000 | -0.001 | -0.001 | 0.000 | -0.000 | 199.999 |
| 303.545 | 168.249 | 168.249 | 0.000 | -0.000 | -0.000 |
| 168.249 | 303.545 | 168.249 | 0.000 | 0.000 | -0.000 |
| 168.249 | 168.249 | 303.545 | 0.000 | -0.000 | -0.000 |
| -0.000 | 0.000 | 0.000 | 168.249 | 0.000 | 0.000 |
| 0.000 | 0.000 | 0.000 | 0.000 | 168.249 | -0.000 |
| 0.000 | 0.000 | 0.000 | 0.000 | -0.000 | 168.249 |
| 303.545 | 168.249 | 168.249 | -0.000 | 0.000 | 0.000 |
| 168.249 | 303.545 | 168.249 | -0.000 | -0.000 | 0.000 |
| 168.249 | 168.249 | 303.545 | -0.000 | 0.000 | 0.000 |
| 0.000 | -0.000 | -0.000 | 168.249 | -0.000 | 0.000 |
| -0.000 | -0.000 | -0.000 | -0.000 | 168.249 | 0.000 |
| -0.000 | -0.000 | -0.000 | -0.000 | 0.000 | 168.249 |
| 303.545 | 168.249 | 168.249 | 0.000 | 0.000 | 0.000 |
| 168.249 | 303.545 | 168.249 | 0.000 | 0.000 | -0.000 |
| 168.249 | 168.249 | 303.545 | 0.000 | 0.000 | -0.000 |
| -0.000 | 0.000 | 0.000 | 168.249 | 0.000 | -0.000 |
| 0.000 | -0.000 | 0.000 | 0.000 | 168.249 | -0.000 |
| 0.000 | 0.000 | -0.000 | -0.000 | -0.000 | 168.249 |
| 303.545 | 168.249 | 168.249 | -0.000 | 0.000 | 0.000 |
| 168.249 | 303.545 | 168.249 | 0.000 | -0.000 | -0.000 |
| 168.249 | 168.249 | 303.545 | -0.000 | 0.000 | 0.000 |
| 0.000 | -0.000 | -0.000 | 168.249 | -0.000 | 0.000 |
| -0.000 | 0.000 | -0.000 | -0.000 | 168.249 | 0.000 |
| -0.000 | -0.000 | 0.000 | -0.000 | 0.000 | 168.249 |
| 303.546 | 168.250 | 168.250 | 0.000 | 0.000 | 0.000 |
| 168.250 | 303.546 | 168.250 | 0.000 | 0.000 | 0.000 |
| 168.250 | 168.250 | 303.546 | 0.000 | -0.000 | -0.000 |
| -0.000 | 0.001 | 0.001 | 168.249 | 0.000 | -0.000 |
| 0.001 | -0.000 | 0.001 | 0.000 | 168.249 | -0.000 |
| 0.001 | 0.001 | -0.000 | 0.000 | -0.000 | 168.249 |
| 303.543 | 168.248 | 168.248 | -0.000 | -0.000 | -0.000 |
| 168.248 | 303.543 | 168.248 | 0.000 | -0.000 | -0.000 |
| 168.248 | 168.248 | 303.543 | -0.000 | -0.000 | 0.000 |
| 0.000 | -0.001 | -0.001 | 168.249 | 0.000 | 0.000 |
| -0.001 | 0.000 | -0.001 | -0.000 | 168.249 | -0.000 |
| -0.001 | -0.001 | 0.000 | -0.000 | 0.000 | 168.249 |
| 302.660 | 169.132 | 168.253 | 0.000 | -0.000 | 0.000 |
| 169.132 | 302.660 | 168.253 | 0.000 | 0.000 | 0.000 |
| 168.253 | 168.253 | 303.532 | 0.000 | -0.000 | 0.000 |
| 0.000 | 0.000 | 0.000 | 167.740 | 0.000 | 0.000 |
| 0.000 | 0.000 | 0.000 | -0.000 | 167.740 | 0.000 |
| 0.000 | 0.000 | -0.000 | -0.000 | -0.000 | 168.244 |
| 303.547 | 168.244 | 168.253 | 0.000 | -0.000 | -0.000 |
| 168.244 | 303.547 | 168.253 | -0.000 | -0.000 | -0.000 |
| 168.253 | 168.253 | 303.532 | -0.000 | -0.000 | -0.000 |
| -0.000 | -0.000 | -0.000 | 167.740 | -0.000 | -0.000 |
| -0.000 | -0.000 | -0.000 | 0.000 | 167.740 | -0.000 |
| -0.000 | -0.000 | 0.000 | -0.000 | 0.000 | 168.244 |
| 303.547 | 168.245 | 168.253 | -0.000 | -0.000 | 0.000 |
| 168.245 | 303.547 | 168.253 | -0.000 | 0.000 | 0.000 |
| 168.253 | 168.253 | 303.533 | -0.000 | 0.000 | 0.000 |
| -0.000 | 0.000 | 0.000 | 168.253 | -0.000 | 0.000 |
| 0.000 | -0.000 | 0.000 | -0.000 | 168.253 | 0.000 |
| 0.000 | 0.000 | -0.000 | -0.000 | -0.000 | 168.244 |
| 302.660 | 169.132 | 168.253 | 0.000 | 0.000 | -0.000 |
| 169.132 | 302.660 | 168.253 | 0.000 | 0.000 | -0.000 |
| 168.253 | 168.253 | 303.532 | 0.000 | 0.000 | -0.000 |
| 0.000 | -0.000 | -0.000 | 168.253 | -0.000 | -0.000 |
| -0.000 | 0.000 | -0.000 | 0.000 | 168.253 | -0.000 |
| -0.000 | -0.000 | 0.000 | -0.000 | 0.000 | 168.244 |
| 302.661 | 169.133 | 168.254 | 0.000 | 0.000 | 0.000 |
| 169.133 | 302.661 | 168.254 | 0.000 | -0.000 | 0.000 |
| 168.254 | 168.254 | 303.534 | -0.000 | -0.000 | 0.000 |
| -0.000 | 0.001 | 0.001 | 167.740 | -0.000 | 0.000 |
| 0.001 | -0.000 | 0.001 | 0.000 | 167.740 | 0.000 |
| 0.001 | 0.001 | -0.000 | 0.000 | -0.000 | 168.244 |
| 303.546 | 168.243 | 168.252 | 0.000 | 0.000 | -0.000 |
| 168.243 | 303.546 | 168.252 | -0.000 | -0.000 | -0.000 |
| 168.252 | 168.252 | 303.531 | -0.000 | 0.000 | -0.000 |
| 0.000 | -0.001 | -0.001 | 167.740 | 0.000 | -0.000 |
| -0.001 | 0.000 | -0.001 | -0.000 | 167.740 | -0.000 |
| -0.001 | -0.001 | 0.000 | -0.000 | 0.000 | 168.244 |
| 496.974 | 277.318 | -109.570 | -0.000 | 0.000 | 0.000 |
| 277.318 | 496.974 | -109.570 | -0.000 | -0.000 | -0.000 |
| 216.524 | 216.524 | 213.381 | -0.000 | -0.000 | -0.000 |
| 120.492 | 120.492 | -205.602 | 94.958 | -0.000 | 0.000 |
| 120.492 | 120.492 | -205.602 | -0.000 | 94.958 | -0.000 |
| -0.000 | 0.000 | 0.000 | 0.000 | 0.000 | 133.409 |
| 255.990 | 36.335 | 301.634 | 0.000 | 0.000 | 0.000 |
| 133.409 | 400.227 | 95.753 | 0.000 | -0.000 | 0.000 |
| -24.460 | -24.460 | 624.586 | 0.000 | -0.000 | 0.000 |
| -120.492 | -120.492 | 205.602 | 94.958 | 0.000 | 0.000 |
| -120.492 | -120.492 | 205.602 | 0.000 | 94.958 | 0.000 |
| -0.000 | -0.000 | -0.000 | 0.000 | 0.000 | 133.409 |
| 400.227 | 133.409 | 95.753 | -0.000 | 0.000 | -0.000 |
| 168.876 | 388.531 | 75.472 | -0.000 | 0.000 | -0.000 |
| 108.081 | 108.081 | 398.423 | -0.000 | -0.000 | -0.000 |
| 12.049 | 12.049 | -20.560 | 94.958 | 0.000 | -0.000 |
| 12.049 | 12.049 | -20.560 | -0.000 | 94.958 | -0.000 |
| 12.103 | 12.103 | -20.651 | -0.000 | -0.000 | 128.402 |
| 382.955 | 126.150 | 116.682 | 0.000 | 0.000 | 0.000 |
| 126.150 | 382.955 | 116.682 | 0.000 | 0.000 | 0.000 |
| 83.983 | 83.983 | 439.543 | 0.000 | -0.000 | -0.000 |
| -12.049 | -12.049 | 20.560 | 94.958 | 0.000 | 0.000 |
| -12.049 | -12.049 | 20.560 | 0.000 | 94.958 | 0.000 |
| -12.103 | -12.103 | 20.651 | 0.000 | -0.000 | 128.402 |
| 394.268 | 142.520 | 93.067 | -0.000 | 0.000 | 0.000 |
| 158.033 | 377.689 | 93.976 | -0.000 | -0.000 | -0.000 |
| 97.238 | 97.238 | 416.930 | 0.000 | 0.000 | -0.000 |
| 1.227 | 1.227 | -2.094 | 95.510 | 0.000 | -0.000 |
| 1.205 | 1.205 | -2.055 | -0.000 | 94.958 | -0.000 |
| 1.205 | 1.206 | -2.056 | -0.000 | -0.000 | 109.828 |
| 400.223 | 133.408 | 95.752 | 0.000 | 0.000 | 0.000 |
| 133.408 | 400.224 | 95.752 | -0.000 | 0.000 | 0.000 |
| 94.826 | 94.826 | 421.037 | -0.000 | -0.000 | 0.000 |
| -1.227 | -1.227 | 2.094 | 95.510 | -0.000 | 0.000 |
| -1.205 | -1.205 | 2.055 | 0.000 | 94.958 | 0.000 |
| -1.205 | -1.206 | 2.056 | 0.000 | 0.000 | 109.828 |
| 315.016 | 128.269 | 84.791 | 0.000 | 0.000 | 0.000 |
| 127.614 | 315.209 | 85.173 | 0.000 | 0.000 | 0.000 |
| 82.966 | 82.966 | 377.036 | 0.000 | 0.000 | 0.000 |
| 0.213 | 0.213 | -0.352 | 88.717 | 0.000 | 0.000 |
| 0.213 | 0.213 | -0.352 | 0.000 | 88.717 | 0.000 |
| 0.408 | 0.408 | -0.675 | 0.000 | 0.000 | 94.158 |
| 318.626 | 122.963 | 86.193 | -0.000 | -0.000 | -0.000 |
| 122.963 | 318.626 | 86.193 | -0.000 | -0.000 | 0.000 |
| 82.771 | 82.771 | 377.360 | -0.000 | -0.000 | -0.000 |
| -0.213 | -0.213 | 0.352 | 88.717 | -0.000 | -0.000 |
| -0.213 | -0.213 | 0.352 | -0.000 | 88.717 | -0.000 |
| -0.408 | -0.408 | 0.675 | -0.000 | -0.000 | 94.158 |
| 336.926 | 106.499 | 84.675 | 0.000 | 0.000 | 0.000 |
| 125.796 | 316.374 | 85.713 | 0.000 | 0.000 | -0.000 |
| 82.590 | 82.590 | 377.659 | 0.000 | 0.000 | 0.000 |
| 0.030 | 0.030 | -0.049 | 88.517 | 0.000 | 0.000 |
| 0.010 | 0.010 | -0.016 | 0.000 | 88.514 | 0.000 |
| 0.042 | 0.042 | -0.070 | 0.000 | 0.000 | 93.388 |
| 316.741 | 125.305 | 85.815 | -0.000 | -0.000 | -0.000 |
| 106.499 | 336.926 | 84.675 | -0.000 | -0.000 | -0.000 |
| 82.859 | 82.859 | 377.214 | -0.000 | -0.000 | -0.000 |
| -0.030 | -0.030 | 0.049 | 88.517 | -0.000 | -0.000 |
| -0.010 | -0.010 | 0.016 | -0.000 | 88.514 | -0.000 |
| -0.042 | -0.042 | 0.070 | -0.000 | -0.000 | 93.388 |
| 316.539 | 125.578 | 85.760 | 0.000 | 0.000 | 0.000 |
| 106.500 | 336.928 | 84.676 | 0.000 | 0.000 | 0.000 |
| 82.870 | 82.870 | 377.199 | 0.000 | 0.000 | 0.000 |
| 0.001 | 0.001 | -0.001 | 88.514 | 0.000 | 0.000 |
| 0.003 | 0.003 | -0.004 | 0.000 | 88.514 | 0.000 |
| 0.004 | 0.005 | -0.007 | 0.000 | 0.000 | 93.380 |
| 316.569 | 125.528 | 85.770 | -0.000 | -0.000 | -0.000 |
| 125.527 | 316.570 | 85.770 | 0.000 | -0.000 | -0.000 |
| 82.867 | 82.867 | 377.197 | -0.000 | -0.000 | 0.000 |
| -0.001 | -0.001 | 0.001 | 88.514 | -0.000 | -0.000 |
| -0.003 | -0.003 | 0.004 | -0.000 | 88.514 | -0.000 |
| -0.004 | -0.005 | 0.007 | -0.000 | -0.000 | 93.380 |
| 153.671 | 199.841 | 200.093 | -0.000 | -0.000 | -0.000 |
| 199.815 | 377.249 | -23.718 | -0.000 | -0.000 | -0.000 |
| 200.103 | -23.681 | 377.199 | -0.000 | 0.000 | -0.000 |
| 0.009 | -0.002 | 0.002 | -23.655 | 0.000 | -0.000 |
| -0.000 | 0.000 | -0.000 | -0.000 | 200.170 | -0.000 |
| 0.000 | -0.000 | 0.000 | -0.000 | 0.000 | 199.845 |
| 153.671 | 199.842 | 200.093 | -0.000 | 0.000 | 0.000 |
| 199.815 | 377.249 | -23.718 | -0.000 | -0.000 | 0.000 |
| 200.103 | -23.681 | 377.199 | 0.000 | 0.000 | -0.000 |
| -0.009 | 0.002 | -0.002 | -23.655 | -0.000 | 0.000 |
| 0.000 | -0.000 | 0.000 | 0.000 | 200.170 | 0.000 |
| -0.000 | 0.000 | -0.000 | 0.000 | 0.000 | 199.845 |
| 153.615 | 199.849 | 200.079 | -0.000 | 0.000 | -0.000 |
| 199.815 | 377.249 | -23.718 | -0.000 | 0.000 | -0.000 |
| 200.103 | -23.681 | 377.199 | -0.000 | 0.000 | -0.000 |
| 0.001 | -0.000 | 0.000 | -23.655 | 0.000 | -0.000 |
| 0.000 | -0.000 | 0.000 | -0.000 | 200.055 | -0.000 |
| 0.000 | 0.000 | -0.000 | 0.000 | -0.000 | 199.845 |
| 153.671 | 199.841 | 200.093 | 0.000 | -0.000 | 0.000 |
| 199.821 | 377.248 | -23.716 | -0.000 | -0.000 | 0.000 |
| 200.087 | -23.679 | 377.195 | 0.000 | -0.000 | 0.000 |
| -0.001 | 0.000 | -0.000 | -23.655 | -0.000 | 0.000 |
| -0.000 | 0.000 | -0.000 | 0.000 | 200.055 | 0.000 |
| -0.000 | -0.000 | 0.000 | -0.000 | -0.000 | 199.845 |
| 153.616 | 199.850 | 200.079 | -0.000 | -0.000 | -0.000 |
| 199.816 | 377.252 | -23.718 | 0.000 | -0.000 | -0.000 |
| 200.087 | -23.679 | 377.197 | -0.000 | -0.000 | 0.000 |
| -0.000 | 0.000 | -0.000 | -23.641 | 0.000 | -0.000 |
| 0.000 | -0.000 | 0.001 | 0.000 | 200.170 | -0.000 |
| 0.000 | 0.001 | -0.000 | -0.000 | 0.000 | 199.845 |
| 153.615 | 199.848 | 200.078 | -0.000 | 0.000 | 0.000 |
| 199.822 | 377.246 | -23.715 | 0.000 | 0.000 | 0.000 |
| 200.083 | -23.679 | 377.192 | -0.000 | 0.000 | -0.000 |
| 0.000 | -0.000 | 0.000 | -23.641 | -0.000 | 0.000 |
| -0.000 | 0.000 | -0.001 | -0.000 | 200.170 | 0.000 |
| -0.000 | -0.001 | 0.000 | 0.000 | -0.000 | 199.845 |
| 378.282 | -22.854 | -22.854 | -0.000 | 0.000 | -0.000 |
| -22.854 | 378.282 | -22.854 | -0.000 | 0.000 | -0.000 |
| -22.854 | -22.854 | 378.282 | -0.000 | 0.000 | -0.000 |
| 0.000 | -0.000 | -0.000 | -22.854 | 0.000 | -0.000 |
| -0.000 | -0.000 | -0.000 | 0.000 | -22.854 | -0.000 |
| -0.000 | -0.000 | -0.000 | 0.000 | 0.000 | -22.854 |
| 378.282 | -22.854 | -22.854 | 0.000 | 0.000 | -0.000 |
| -22.854 | 378.282 | -22.854 | -0.000 | 0.000 | -0.000 |
| -22.854 | -22.854 | 378.282 | 0.000 | -0.000 | 0.000 |
| -0.000 | 0.000 | 0.000 | -22.854 | -0.000 | 0.000 |
| 0.000 | 0.000 | 0.000 | 0.000 | -22.854 | 0.000 |
| 0.000 | 0.000 | 0.000 | -0.000 | -0.000 | -22.854 |
| 378.283 | -22.854 | -22.854 | -0.000 | 0.000 | -0.000 |
| -22.854 | 378.283 | -22.854 | -0.000 | -0.000 | -0.000 |
| -22.854 | -22.854 | 378.283 | -0.000 | -0.000 | -0.000 |
| 0.000 | 0.000 | -0.000 | -22.854 | 0.000 | -0.000 |
| 0.000 | 0.000 | -0.000 | -0.000 | -22.854 | -0.000 |
| 0.000 | -0.000 | 0.000 | 0.000 | -0.000 | -22.854 |
| 378.282 | -22.854 | -22.854 | 0.000 | 0.000 | 0.000 |
| -22.854 | 378.282 | -22.854 | -0.000 | 0.000 | 0.000 |
| -22.854 | -22.854 | 378.282 | 0.000 | -0.000 | 0.000 |
| -0.000 | -0.000 | 0.000 | -22.854 | -0.000 | -0.000 |
| -0.000 | -0.000 | 0.000 | 0.000 | -22.854 | 0.000 |
| -0.000 | 0.000 | -0.000 | -0.000 | -0.000 | -22.854 |
| 378.286 | -22.854 | -22.854 | -0.000 | -0.000 | -0.000 |
| -22.854 | 378.286 | -22.854 | -0.000 | -0.000 | -0.000 |
| -22.854 | -22.854 | 378.286 | -0.000 | -0.000 | -0.000 |
| 0.000 | 0.000 | -0.000 | -22.854 | -0.000 | 0.000 |
| 0.000 | 0.000 | -0.000 | -0.000 | -22.854 | -0.000 |
| 0.000 | -0.000 | 0.000 | -0.000 | 0.000 | -22.854 |
| 378.279 | -22.854 | -22.854 | 0.000 | -0.000 | 0.000 |
| -22.854 | 378.279 | -22.854 | -0.000 | 0.000 | 0.000 |
| -22.854 | -22.854 | 378.279 | -0.000 | 0.000 | 0.000 |
| -0.000 | -0.000 | 0.000 | -22.854 | 0.000 | 0.000 |
| -0.000 | -0.000 | 0.000 | 0.000 | -22.854 | 0.000 |
| -0.000 | 0.000 | -0.000 | 0.000 | -0.000 | -22.854 |
| 154.942 | 202.351 | 202.351 | 0.000 | -0.000 | 0.000 |
| 202.351 | 154.942 | 202.351 | 0.000 | -0.000 | 0.000 |
| 202.351 | 202.351 | 154.942 | 0.000 | 0.000 | 0.000 |
| 0.000 | 0.000 | 0.000 | 202.351 | -0.000 | 0.000 |
| 0.000 | 0.000 | 0.000 | 0.000 | 202.351 | 0.000 |
| 0.000 | 0.000 | 0.000 | -0.000 | 0.000 | 202.351 |
| 154.942 | 202.351 | 202.351 | -0.000 | -0.000 | -0.000 |
| 202.351 | 154.942 | 202.351 | -0.000 | -0.000 | -0.000 |
| 202.351 | 202.351 | 154.942 | -0.000 | -0.000 | -0.000 |
| -0.000 | -0.000 | -0.000 | 202.351 | -0.000 | -0.000 |
| -0.000 | -0.000 | -0.000 | -0.000 | 202.351 | -0.000 |
| -0.000 | -0.000 | -0.000 | 0.000 | -0.000 | 202.351 |
| 154.942 | 202.351 | 202.351 | 0.000 | -0.000 | 0.000 |
| 202.351 | 154.942 | 202.351 | 0.000 | 0.000 | 0.000 |
| 202.351 | 202.351 | 154.942 | 0.000 | 0.000 | 0.000 |
| 0.000 | 0.000 | 0.000 | 202.351 | 0.000 | 0.000 |
| 0.000 | 0.000 | 0.000 | 0.000 | 202.351 | 0.000 |
| 0.000 | 0.000 | 0.000 | -0.000 | -0.000 | 202.351 |
| 154.942 | 202.351 | 202.351 | -0.000 | -0.000 | -0.000 |
| 202.351 | 154.942 | 202.351 | -0.000 | -0.000 | -0.000 |
| 202.351 | 202.351 | 154.942 | -0.000 | 0.000 | -0.000 |
| -0.000 | -0.000 | -0.000 | 202.351 | 0.000 | -0.000 |
| -0.000 | -0.000 | -0.000 | -0.000 | 202.351 | -0.000 |
| -0.000 | -0.000 | -0.000 | -0.000 | -0.000 | 202.351 |
| 154.943 | 202.352 | 202.352 | 0.000 | 0.000 | 0.000 |
| 202.352 | 154.943 | 202.352 | 0.000 | 0.000 | 0.000 |
| 202.352 | 202.352 | 154.943 | 0.000 | 0.000 | 0.000 |
| 0.001 | 0.000 | 0.001 | 202.351 | 0.000 | 0.000 |
| 0.000 | 0.001 | 0.001 | 0.000 | 202.351 | 0.000 |
| 0.000 | 0.001 | 0.001 | 0.000 | 0.000 | 202.351 |
| 154.941 | 202.350 | 202.350 | -0.000 | -0.000 | -0.000 |
| 202.350 | 154.941 | 202.350 | -0.000 | 0.000 | -0.000 |
| 202.350 | 202.350 | 154.941 | -0.000 | -0.000 | -0.000 |
| -0.001 | -0.000 | -0.001 | 202.351 | -0.000 | -0.000 |
| -0.000 | -0.001 | -0.001 | -0.000 | 202.351 | -0.000 |
| -0.000 | -0.001 | -0.001 | -0.000 | -0.000 | 202.351 |
| 29.445 | 39.462 | 39.462 | -0.000 | -0.000 | -0.000 |
| 39.462 | 29.445 | 39.462 | -0.000 | -0.000 | -0.000 |
| 39.462 | 39.462 | 29.445 | -0.000 | -0.000 | -0.000 |
| 0.000 | -0.000 | 0.000 | -11.739 | 0.000 | -0.000 |
| -0.000 | 0.000 | 0.000 | -0.000 | -11.739 | -0.000 |
| -0.000 | -0.000 | 0.000 | -0.000 | 0.000 | -11.739 |
| 29.445 | 39.462 | 39.462 | 0.000 | 0.000 | 0.000 |
| 39.462 | 29.445 | 39.462 | 0.000 | 0.000 | 0.000 |
| 39.462 | 39.462 | 29.445 | 0.000 | 0.000 | 0.000 |
| 0.000 | 0.000 | -0.000 | -11.739 | 0.000 | -0.000 |
| 0.000 | 0.000 | -0.000 | 0.000 | -11.739 | -0.000 |
| -0.000 | 0.000 | -0.000 | 0.000 | 0.000 | -11.739 |
| 29.445 | 39.462 | 39.462 | -0.000 | -0.000 | -0.000 |
| 39.462 | 29.445 | 39.462 | -0.000 | -0.000 | -0.000 |
| 39.462 | 39.462 | 29.445 | -0.000 | -0.000 | -0.000 |
| 0.000 | 0.000 | 0.000 | 39.462 | 0.000 | 0.000 |
| 0.000 | 0.000 | 0.000 | 0.000 | 39.462 | 0.000 |
| 0.000 | 0.000 | 0.000 | 0.000 | 0.000 | 39.462 |
| 29.445 | 39.462 | 39.462 | 0.000 | 0.000 | 0.000 |
| 39.462 | 29.445 | 39.462 | 0.000 | 0.000 | 0.000 |
| 39.462 | 39.462 | 29.445 | 0.000 | 0.000 | -0.000 |
| -0.000 | -0.000 | -0.000 | 39.462 | -0.000 | -0.000 |
| -0.000 | -0.000 | -0.000 | 0.000 | 39.462 | -0.000 |
| -0.000 | -0.000 | -0.000 | -0.000 | -0.000 | 39.462 |
| 29.445 | 39.462 | 39.462 | -0.000 | -0.000 | -0.000 |
| 39.462 | 29.445 | 39.462 | -0.000 | -0.000 | 0.000 |
| 39.462 | 39.462 | 29.445 | -0.000 | -0.000 | -0.000 |
| -0.000 | -0.000 | -0.000 | -11.739 | -0.000 | -0.000 |
| -0.000 | -0.000 | -0.000 | -0.000 | -11.739 | -0.000 |
| -0.000 | -0.000 | -0.000 | -0.000 | -0.000 | -11.739 |
| 29.445 | 39.462 | 39.462 | 0.000 | 0.000 | 0.000 |
| 39.462 | 29.445 | 39.462 | 0.000 | 0.000 | -0.000 |
| 39.462 | 39.462 | 29.445 | 0.000 | 0.000 | 0.000 |
| 0.000 | 0.000 | 0.000 | -11.739 | 0.000 | 0.000 |
| 0.000 | 0.000 | 0.000 | 0.000 | -11.739 | -0.000 |
| 0.000 | 0.000 | 0.000 | 0.000 | -0.000 | -11.739 |
| 406.744 | 68.010 | 169.385 | -0.000 | -0.000 | 0.000 |
| 68.010 | 406.744 | 169.385 | 0.000 | 0.000 | 0.000 |
| 169.385 | 169.385 | 305.380 | -0.000 | -0.000 | 0.000 |
| 0.000 | 0.000 | 0.000 | 169.385 | -0.000 | 0.000 |
| 0.000 | 0.000 | 0.000 | 0.000 | 169.385 | 0.000 |
| 0.000 | -0.000 | 0.000 | 0.000 | 0.000 | 68.010 |
| 406.744 | 68.010 | 169.385 | -0.000 | 0.000 | -0.000 |
| 68.010 | 406.744 | 169.385 | -0.000 | -0.000 | -0.000 |
| 169.385 | 169.385 | 305.380 | 0.000 | 0.000 | 0.000 |
| -0.000 | -0.000 | -0.000 | 169.385 | 0.000 | -0.000 |
| -0.000 | -0.000 | -0.000 | -0.000 | 169.385 | -0.000 |
| -0.000 | 0.000 | -0.000 | -0.000 | 0.000 | 68.010 |
| 406.744 | 68.010 | 169.386 | 0.000 | -0.000 | 0.000 |
| 68.010 | 406.744 | 169.386 | 0.000 | -0.000 | 0.000 |
| 169.386 | 169.386 | 305.380 | 0.000 | -0.000 | -0.000 |
| 0.000 | 0.000 | 0.000 | 169.385 | -0.000 | 0.000 |
| 0.000 | 0.000 | 0.000 | 0.000 | 169.385 | 0.000 |
| 0.000 | 0.000 | 0.000 | 0.000 | -0.000 | 68.010 |
| 406.743 | 68.010 | 169.385 | -0.000 | 0.000 | -0.000 |
| 68.010 | 406.743 | 169.385 | -0.000 | -0.000 | 0.000 |
| 169.385 | 169.385 | 305.380 | 0.000 | 0.000 | 0.000 |
| -0.000 | -0.000 | -0.000 | 169.385 | -0.000 | 0.000 |
| -0.000 | -0.000 | -0.000 | -0.000 | 169.385 | -0.000 |
| -0.000 | -0.000 | -0.000 | -0.000 | 0.000 | 68.010 |
| 406.747 | 68.010 | 169.386 | 0.000 | 0.000 | 0.000 |
| 68.010 | 406.747 | 169.386 | 0.000 | 0.000 | 0.000 |
| 169.387 | 169.387 | 305.381 | -0.000 | -0.000 | -0.000 |
| 0.000 | 0.000 | 0.001 | 169.385 | -0.000 | 0.000 |
| 0.000 | 0.000 | 0.001 | -0.000 | 169.385 | 0.000 |
| 0.000 | 0.000 | 0.000 | 0.000 | -0.000 | 68.010 |
| 406.740 | 68.010 | 169.385 | -0.000 | -0.000 | -0.000 |
| 68.010 | 406.740 | 169.385 | -0.000 | -0.000 | -0.000 |
| 169.384 | 169.384 | 305.379 | 0.000 | -0.000 | 0.000 |
| -0.000 | -0.000 | -0.001 | 169.385 | 0.000 | -0.000 |
| -0.000 | -0.000 | -0.001 | -0.000 | 169.385 | -0.000 |
| -0.000 | -0.000 | -0.000 | -0.000 | -0.000 | 68.010 |
| 154.936 | 202.338 | 202.350 | -0.000 | 0.000 | 0.000 |
| 202.338 | 380.987 | -23.713 | -0.000 | 0.000 | 0.000 |
| 202.350 | -23.713 | 380.999 | -0.000 | -0.000 | 0.000 |
| 0.000 | 0.000 | -0.000 | -23.713 | 0.000 | 0.000 |
| 0.000 | 0.000 | 0.000 | -0.000 | 202.350 | 0.000 |
| 0.000 | 0.000 | -0.000 | -0.000 | -0.000 | 202.338 |
| 154.936 | 202.338 | 202.350 | 0.000 | -0.000 | -0.000 |
| 202.338 | 380.987 | -23.713 | 0.000 | -0.000 | -0.000 |
| 202.350 | -23.714 | 380.999 | 0.000 | -0.000 | -0.000 |
| -0.000 | -0.000 | 0.000 | -23.713 | -0.000 | -0.000 |
| -0.000 | -0.000 | -0.000 | 0.000 | 202.350 | -0.000 |
| -0.000 | -0.000 | 0.000 | 0.000 | -0.000 | 202.338 |
| 154.936 | 202.338 | 202.350 | -0.000 | 0.000 | 0.000 |
| 202.338 | 380.987 | -23.713 | -0.000 | 0.000 | 0.000 |
| 202.351 | -23.713 | 380.999 | -0.000 | -0.000 | 0.000 |
| -0.000 | 0.000 | -0.000 | -23.713 | 0.000 | 0.000 |
| 0.000 | -0.000 | 0.000 | -0.000 | 202.350 | 0.000 |
| 0.000 | 0.000 | -0.000 | -0.000 | -0.000 | 202.338 |
| 154.936 | 202.338 | 202.350 | 0.000 | -0.000 | -0.000 |
| 202.338 | 380.987 | -23.713 | 0.000 | -0.000 | -0.000 |
| 202.350 | -23.713 | 380.998 | 0.000 | -0.000 | -0.000 |
| 0.000 | -0.000 | 0.000 | -23.713 | -0.000 | -0.000 |
| -0.000 | -0.000 | -0.000 | 0.000 | 202.350 | -0.000 |
| -0.000 | -0.000 | 0.000 | 0.000 | 0.000 | 202.338 |
| 154.937 | 202.339 | 202.351 | -0.000 | -0.000 | 0.000 |
| 202.339 | 380.989 | -23.713 | -0.000 | 0.000 | 0.000 |
| 202.352 | -23.713 | 381.001 | -0.000 | -0.000 | 0.000 |
| -0.000 | 0.000 | -0.000 | -23.713 | -0.000 | 0.000 |
| 0.000 | -0.000 | 0.001 | -0.000 | 202.350 | 0.000 |
| 0.000 | 0.001 | -0.000 | -0.000 | -0.000 | 202.338 |
| 154.935 | 202.337 | 202.350 | 0.000 | 0.000 | -0.000 |
| 202.336 | 380.985 | -23.714 | 0.000 | -0.000 | -0.000 |
| 202.349 | -23.714 | 380.996 | 0.000 | 0.000 | -0.000 |
| 0.000 | -0.000 | 0.000 | -23.713 | 0.000 | -0.000 |
| -0.000 | 0.000 | -0.001 | 0.000 | 202.350 | -0.000 |
| -0.000 | -0.001 | 0.000 | 0.000 | 0.000 | 202.338 |
| 421.676 | 96.142 | 96.152 | 0.000 | -0.000 | -0.000 |
| 96.177 | 379.445 | 157.378 | -0.000 | 0.000 | -0.000 |
| 96.223 | 157.166 | 379.578 | -0.000 | -0.000 | -0.000 |
| -0.000 | -0.000 | 0.000 | 110.854 | 0.000 | 0.000 |
| 0.000 | -0.000 | 0.000 | 0.000 | 96.082 | -0.000 |
| 0.000 | -0.000 | 0.000 | -0.000 | -0.000 | 96.131 |
| 421.676 | 96.142 | 96.152 | -0.000 | 0.000 | 0.000 |
| 96.177 | 379.445 | 157.378 | 0.000 | -0.000 | 0.000 |
| 96.223 | 157.166 | 379.578 | 0.000 | -0.000 | 0.000 |
| 0.000 | 0.000 | -0.000 | 110.854 | -0.000 | 0.000 |
| -0.000 | 0.000 | -0.000 | 0.000 | 96.082 | -0.000 |
| -0.000 | 0.000 | -0.000 | 0.000 | 0.000 | 96.131 |
| 421.676 | 96.142 | 96.152 | 0.000 | -0.000 | -0.000 |
| 96.136 | 379.340 | 157.565 | 0.000 | 0.000 | -0.000 |
| 96.158 | 157.565 | 379.308 | -0.000 | -0.000 | -0.000 |
| -0.000 | -0.000 | 0.000 | 110.854 | 0.000 | -0.000 |
| 0.000 | 0.000 | 0.000 | -0.000 | 96.082 | -0.000 |
| 0.000 | -0.000 | 0.000 | -0.000 | 0.000 | 96.131 |
| 421.676 | 96.141 | 96.152 | 0.000 | 0.000 | 0.000 |
| 96.136 | 379.339 | 157.565 | 0.000 | 0.000 | 0.000 |
| 96.158 | 157.565 | 379.308 | 0.000 | 0.000 | 0.000 |
| 0.000 | 0.000 | -0.000 | 110.854 | -0.000 | -0.000 |
| -0.000 | -0.000 | -0.000 | -0.000 | 96.082 | 0.000 |
| -0.000 | 0.000 | -0.000 | 0.000 | -0.000 | 96.131 |
| 421.679 | 96.142 | 96.153 | 0.000 | -0.000 | -0.000 |
| 96.137 | 379.343 | 157.566 | -0.000 | -0.000 | -0.000 |
| 96.158 | 157.567 | 379.310 | 0.000 | -0.000 | -0.000 |
| -0.000 | 0.000 | 0.001 | 110.854 | 0.000 | -0.000 |
| 0.001 | 0.000 | -0.000 | 0.000 | 96.082 | -0.000 |
| 0.001 | -0.000 | 0.000 | -0.000 | 0.000 | 96.131 |
| 421.673 | 96.141 | 96.152 | -0.000 | 0.000 | 0.000 |
| 96.136 | 379.335 | 157.565 | 0.000 | 0.000 | 0.000 |
| 96.157 | 157.564 | 379.305 | 0.000 | 0.000 | 0.000 |
| 0.000 | -0.000 | -0.001 | 110.854 | -0.000 | -0.000 |
| -0.001 | -0.000 | 0.000 | 0.000 | 96.082 | 0.000 |
| -0.001 | 0.000 | -0.000 | 0.000 | 0.000 | 96.131 |
| 396.465 | -75.020 | 241.499 | -0.000 | 0.000 | -0.000 |
| 101.721 | -63.454 | 547.170 | -0.000 | 0.000 | -0.000 |
| 84.826 | -174.691 | 774.809 | 0.000 | -0.000 | 0.000 |
| 10.689 | -352.347 | 362.115 | 133.510 | -0.000 | -0.000 |
| 10.694 | -352.540 | 362.315 | -0.000 | 74.237 | 0.000 |
| 10.694 | -352.542 | 362.317 | 0.000 | 0.000 | 97.101 |
| 376.299 | 442.700 | -282.052 | -0.000 | 0.000 | 0.000 |
| 80.333 | 641.630 | -177.464 | -0.000 | -0.000 | 0.000 |
| 63.438 | 530.393 | 50.175 | 0.000 | 0.000 | 0.000 |
| -10.689 | 352.347 | -362.115 | 133.510 | 0.000 | 0.000 |
| -10.694 | 352.540 | -362.315 | 0.000 | 74.237 | 0.000 |
| -10.694 | 352.542 | -362.317 | -0.000 | -0.000 | 97.101 |
| 388.063 | 54.904 | 116.497 | 0.000 | 0.000 | -0.000 |
| 92.097 | 253.834 | 221.084 | -0.000 | -0.000 | -0.000 |
| 75.202 | 142.597 | 448.724 | 0.000 | -0.000 | -0.000 |
| 1.069 | -35.252 | 36.230 | 136.205 | -0.000 | -0.000 |
| 1.069 | -35.240 | 36.217 | -0.000 | 74.237 | 0.000 |
| 1.069 | -35.254 | 36.232 | 0.000 | 0.000 | 97.101 |
| 385.923 | 125.413 | 44.033 | 0.000 | -0.000 | 0.000 |
| 89.958 | 324.342 | 148.621 | 0.000 | -0.000 | 0.000 |
| 73.063 | 213.105 | 376.260 | 0.000 | -0.000 | -0.000 |
| -1.069 | 35.252 | -36.230 | 136.205 | 0.000 | -0.000 |
| -1.069 | 35.240 | -36.217 | 0.000 | 74.237 | 0.000 |
| -1.069 | 35.254 | -36.232 | -0.000 | -0.000 | 97.101 |
| 387.114 | 87.195 | 83.258 | -0.000 | -0.000 | -0.000 |
| 91.135 | 285.565 | 188.476 | -0.000 | -0.000 | -0.000 |
| 74.239 | 174.327 | 416.117 | -0.000 | -0.000 | -0.000 |
| 0.106 | -3.509 | 3.607 | 136.205 | 0.000 | -0.000 |
| 0.107 | -3.525 | 3.623 | -0.000 | 74.255 | 0.000 |
| 0.108 | -3.525 | 3.623 | -0.000 | 0.000 | 97.101 |
| 386.883 | 93.683 | 76.641 | 0.000 | -0.000 | 0.000 |
| 90.920 | 292.610 | 181.229 | 0.000 | 0.000 | 0.000 |
| 74.025 | 181.375 | 408.866 | -0.000 | -0.000 | 0.000 |
| -0.106 | 3.509 | -3.607 | 136.205 | -0.000 | 0.000 |
| -0.107 | 3.525 | -3.623 | -0.000 | 74.255 | 0.000 |
| -0.108 | 3.525 | -3.623 | 0.000 | -0.000 | 97.101 |
| 24.313 | 42.709 | 45.813 | -0.000 | -0.000 | 0.000 |
| 42.709 | 24.313 | 45.813 | -0.000 | -0.000 | 0.000 |
| 10.839 | 10.839 | 87.927 | -0.000 | -0.000 | 0.000 |
| -0.669 | -0.669 | 1.293 | -6.660 | -0.000 | 0.000 |
| -0.000 | -0.000 | 0.000 | 0.000 | 11.004 | -0.000 |
| -0.000 | 0.000 | 0.000 | 0.000 | -0.000 | 25.770 |
| 25.765 | 44.011 | 43.153 | 0.000 | -0.000 | -0.000 |
| 44.011 | 25.765 | 43.153 | 0.000 | 0.000 | -0.000 |
| 47.185 | 47.185 | 17.707 | 0.000 | -0.000 | -0.000 |
| 0.669 | 0.669 | -1.293 | -6.660 | 0.000 | 0.000 |
| 0.000 | 0.000 | -0.000 | -0.000 | 11.004 | -0.000 |
| -0.000 | 0.000 | -0.000 | 0.000 | 0.000 | 25.770 |
| 24.966 | 43.296 | 44.615 | -0.000 | -0.000 | 0.000 |
| 26.099 | 77.639 | 10.346 | -0.000 | -0.000 | 0.000 |
| 10.839 | 10.839 | 87.927 | -0.000 | -0.000 | 0.000 |
| 0.000 | 0.000 | -0.000 | 11.004 | -0.000 | 0.000 |
| 0.000 | 0.000 | -0.000 | 0.000 | 11.004 | -0.000 |
| -0.066 | -0.066 | 0.127 | -0.000 | -0.000 | -8.428 |
| 25.112 | 43.426 | 44.349 | 0.000 | 0.000 | -0.000 |
| 26.099 | 77.638 | 10.346 | 0.000 | 0.000 | -0.000 |
| 46.556 | 46.556 | 18.923 | -0.000 | 0.000 | -0.000 |
| -0.000 | -0.000 | 0.000 | 11.004 | 0.000 | -0.000 |
| -0.000 | -0.000 | 0.000 | 0.000 | 11.004 | -0.000 |
| 0.066 | 0.066 | -0.127 | 0.000 | 0.000 | -8.428 |
| 24.983 | 41.839 | 46.006 | 0.000 | -0.000 | 0.000 |
| 41.840 | 24.981 | 46.007 | -0.000 | -0.000 | 0.000 |
| 46.481 | 46.481 | 19.067 | -0.000 | -0.000 | 0.000 |
| -0.007 | -0.007 | 0.013 | -6.659 | -0.000 | 0.000 |
| -0.007 | -0.007 | 0.013 | 0.000 | -6.659 | 0.000 |
| -0.007 | -0.007 | 0.013 | -0.000 | -0.000 | -8.428 |
| 24.997 | 41.853 | 45.979 | 0.000 | 0.000 | -0.000 |
| 41.852 | 24.999 | 45.977 | 0.000 | 0.000 | -0.000 |
| 46.490 | 46.490 | 19.049 | -0.000 | 0.000 | -0.000 |
| 0.007 | 0.007 | -0.013 | -6.659 | 0.000 | -0.000 |
| 0.007 | 0.007 | -0.013 | -0.000 | -6.659 | -0.000 |
| 0.007 | 0.007 | -0.013 | -0.000 | 0.000 | -8.428 |
| 402.681 | 134.227 | 96.128 | 0.000 | 0.000 | 0.000 |
| 157.567 | 379.340 | 96.128 | 0.000 | -0.000 | -0.000 |
| 96.128 | 96.128 | 421.689 | 0.000 | -0.000 | 0.000 |
| -0.000 | -0.000 | 0.000 | 96.128 | -0.000 | -0.000 |
| -0.000 | 0.000 | -0.000 | 0.000 | 96.128 | 0.000 |
| -0.000 | 0.000 | -0.000 | 0.000 | -0.000 | 110.886 |
| 402.681 | 134.227 | 96.128 | -0.000 | 0.000 | -0.000 |
| 134.227 | 402.681 | 96.128 | -0.000 | 0.000 | -0.000 |
| 96.128 | 96.128 | 421.689 | -0.000 | 0.000 | -0.000 |
| 0.000 | -0.000 | -0.000 | 96.128 | 0.000 | -0.000 |
| 0.000 | 0.000 | 0.000 | -0.000 | 96.128 | -0.000 |
| 0.000 | -0.000 | 0.000 | -0.000 | 0.000 | 110.886 |
| 402.681 | 134.227 | 96.128 | 0.000 | 0.000 | 0.000 |
| 157.568 | 379.341 | 96.128 | 0.000 | -0.000 | 0.000 |
| 96.128 | 96.128 | 421.690 | 0.000 | -0.000 | 0.000 |
| 0.000 | -0.000 | 0.000 | 96.128 | -0.000 | 0.000 |
| -0.000 | 0.000 | 0.000 | 0.000 | 96.128 | 0.000 |
| 0.000 | 0.000 | -0.000 | 0.000 | -0.000 | 110.886 |
| 379.340 | 157.567 | 96.128 | -0.000 | 0.000 | -0.000 |
| 157.567 | 379.340 | 96.128 | -0.000 | 0.000 | -0.000 |
| 96.128 | 96.128 | 421.689 | -0.000 | 0.000 | -0.000 |
| -0.000 | 0.000 | -0.000 | 96.128 | -0.000 | -0.000 |
| 0.000 | -0.000 | -0.000 | -0.000 | 96.128 | 0.000 |
| -0.000 | -0.000 | 0.000 | -0.000 | 0.000 | 110.886 |
| 379.344 | 157.568 | 96.128 | 0.000 | -0.000 | -0.000 |
| 157.569 | 379.343 | 96.128 | 0.000 | 0.000 | -0.000 |
| 96.129 | 96.129 | 421.692 | 0.000 | 0.000 | 0.000 |
| 0.000 | -0.000 | 0.001 | 96.128 | 0.000 | -0.000 |
| -0.000 | 0.000 | 0.001 | 0.000 | 96.128 | 0.000 |
| 0.000 | 0.001 | -0.000 | 0.000 | -0.000 | 110.886 |
| 379.337 | 157.567 | 96.128 | -0.000 | 0.000 | 0.000 |
| 157.566 | 379.338 | 96.128 | -0.000 | 0.000 | 0.000 |
| 96.127 | 96.127 | 421.687 | -0.000 | 0.000 | -0.000 |
| -0.000 | 0.000 | -0.001 | 96.128 | -0.000 | 0.000 |
| 0.000 | -0.000 | -0.001 | -0.000 | 96.128 | 0.000 |
| -0.000 | -0.001 | 0.000 | -0.000 | 0.000 | 110.886 |
| 406.746 | 135.582 | 101.798 | -47.791 | -0.000 | -0.000 |
| 135.582 | 406.746 | 101.798 | 47.791 | -0.000 | -0.000 |
| 101.798 | 101.798 | 440.553 | 0.000 | -0.000 | -0.000 |
| -47.791 | 47.791 | 0.000 | 101.798 | -0.000 | -0.000 |
| 0.000 | -0.000 | 0.000 | 0.000 | 101.798 | -47.791 |
| 0.000 | 0.000 | 0.000 | 0.000 | -47.791 | 135.582 |
| 406.745 | 135.582 | 101.798 | -47.791 | 0.000 | 0.000 |
| 135.582 | 406.745 | 101.798 | 47.791 | 0.000 | 0.000 |
| 101.798 | 101.798 | 440.553 | 0.000 | 0.000 | 0.000 |
| -47.791 | 47.791 | -0.000 | 101.798 | 0.000 | 0.000 |
| -0.000 | -0.000 | -0.000 | 0.000 | 101.798 | -47.791 |
| -0.000 | -0.000 | -0.000 | -0.000 | -47.791 | 135.582 |
| 406.746 | 135.582 | 101.798 | -47.791 | -0.000 | -0.000 |
| 135.582 | 406.746 | 101.798 | 47.791 | -0.000 | -0.000 |
| 101.798 | 101.798 | 440.553 | -0.000 | -0.000 | -0.000 |
| -47.791 | 47.791 | 0.000 | 101.798 | -0.000 | -0.000 |
| 0.000 | 0.000 | 0.000 | -0.000 | 101.798 | -47.791 |
| 0.000 | 0.000 | 0.000 | -0.000 | -47.791 | 135.582 |
| 406.745 | 135.582 | 101.798 | -47.791 | 0.000 | 0.000 |
| 135.582 | 406.745 | 101.798 | 47.791 | 0.000 | 0.000 |
| 101.798 | 101.798 | 440.553 | 0.000 | 0.000 | 0.000 |
| -47.791 | 47.791 | -0.000 | 101.798 | 0.000 | 0.000 |
| -0.000 | -0.000 | -0.000 | 0.000 | 101.798 | -47.791 |
| -0.000 | -0.000 | -0.000 | 0.000 | -47.791 | 135.582 |
| 406.749 | 135.582 | 101.798 | -47.792 | -0.000 | -0.000 |
| 135.583 | 406.748 | 101.798 | 47.792 | -0.000 | -0.000 |
| 101.799 | 101.799 | 440.556 | -0.000 | -0.000 | -0.000 |
| -47.791 | 47.792 | 0.001 | 101.798 | -0.000 | -0.000 |
| 0.000 | 0.000 | 0.001 | -0.000 | 101.798 | -47.791 |
| 0.000 | 0.001 | 0.000 | -0.000 | -47.791 | 135.582 |
| 406.742 | 135.581 | 101.798 | -47.791 | 0.000 | 0.000 |
| 135.581 | 406.743 | 101.798 | 47.791 | 0.000 | 0.000 |
| 101.797 | 101.797 | 440.550 | 0.000 | 0.000 | 0.000 |
| -47.792 | 47.791 | -0.001 | 101.798 | 0.000 | 0.000 |
| -0.000 | -0.000 | -0.001 | 0.000 | 101.798 | -47.791 |
| -0.000 | -0.001 | -0.000 | 0.000 | -47.791 | 135.582 |
| 84.004 | 110.386 | 110.386 | 0.000 | 0.000 | 0.000 |
| 110.386 | 84.004 | 110.386 | 0.000 | 0.000 | 0.000 |
| 110.386 | 110.386 | 84.004 | -0.000 | -0.000 | 0.000 |
| 0.000 | 0.000 | -0.000 | -20.955 | 0.000 | 0.000 |
| 0.000 | -0.000 | -0.000 | 0.000 | -20.955 | 0.000 |
| -0.000 | -0.000 | -0.000 | 0.000 | 0.000 | -20.955 |
| 84.004 | 110.386 | 110.386 | -0.000 | -0.000 | -0.000 |
| 110.386 | 84.004 | 110.386 | -0.000 | -0.000 | -0.000 |
| 110.386 | 110.386 | 84.004 | 0.000 | -0.000 | -0.000 |
| -0.000 | 0.000 | 0.000 | -20.955 | -0.000 | -0.000 |
| 0.000 | -0.000 | 0.000 | -0.000 | -20.955 | -0.000 |
| -0.000 | 0.000 | 0.000 | 0.000 | -0.000 | -20.955 |
| 84.004 | 110.386 | 110.386 | 0.000 | 0.000 | 0.000 |
| 110.386 | 84.004 | 110.386 | 0.000 | 0.000 | 0.000 |
| 110.386 | 110.386 | 84.004 | 0.000 | 0.000 | 0.000 |
| 0.000 | -0.000 | -0.000 | -20.955 | 0.000 | 0.000 |
| -0.000 | 0.000 | -0.000 | -0.000 | -20.955 | 0.000 |
| -0.000 | -0.000 | 0.000 | 0.000 | 0.000 | -20.955 |
| 84.004 | 110.386 | 110.386 | 0.000 | -0.000 | -0.000 |
| 110.386 | 84.004 | 110.386 | -0.000 | -0.000 | -0.000 |
| 110.386 | 110.386 | 84.004 | -0.000 | -0.000 | -0.000 |
| -0.000 | 0.000 | 0.000 | -20.955 | -0.000 | -0.000 |
| 0.000 | -0.000 | 0.000 | 0.000 | -20.955 | -0.000 |
| 0.000 | 0.000 | -0.000 | -0.000 | -0.000 | -20.955 |
| 84.004 | 110.386 | 110.386 | 0.000 | -0.000 | 0.000 |
| 110.386 | 84.004 | 110.386 | 0.000 | 0.000 | 0.000 |
| 110.386 | 110.386 | 84.004 | 0.000 | 0.000 | 0.000 |
| 0.000 | -0.000 | -0.000 | -20.955 | 0.000 | -0.000 |
| -0.000 | 0.000 | -0.000 | 0.000 | -20.955 | 0.000 |
| -0.000 | -0.000 | 0.000 | -0.000 | 0.000 | -20.955 |
| 84.003 | 110.385 | 110.385 | -0.000 | -0.000 | -0.000 |
| 110.385 | 84.003 | 110.385 | 0.000 | -0.000 | -0.000 |
| 110.385 | 110.385 | 84.003 | -0.000 | -0.000 | -0.000 |
| -0.000 | 0.000 | 0.000 | -20.955 | -0.000 | -0.000 |
| 0.000 | -0.000 | 0.000 | -0.000 | -20.955 | -0.000 |
| 0.000 | 0.000 | -0.000 | 0.000 | -0.000 | -20.955 |
| 5.977 | 6.618 | 6.618 | -0.000 | -0.000 | -0.000 |
| 6.618 | 5.977 | 6.618 | 0.000 | 0.000 | -0.000 |
| 6.618 | 6.618 | 5.977 | 0.000 | 0.000 | -0.000 |
| -0.000 | -0.000 | -0.000 | -0.893 | 0.000 | 0.000 |
| -0.000 | -0.000 | -0.000 | 0.000 | -0.893 | 0.000 |
| -0.000 | -0.000 | -0.000 | 0.000 | 0.000 | -0.893 |
| 5.977 | 6.618 | 6.618 | 0.000 | 0.000 | 0.000 |
| 6.618 | 5.977 | 6.618 | -0.000 | 0.000 | 0.000 |
| 6.618 | 6.618 | 5.977 | 0.000 | 0.000 | 0.000 |
| -0.000 | 0.000 | 0.000 | -0.893 | -0.000 | -0.000 |
| 0.000 | 0.000 | 0.000 | -0.000 | -0.893 | -0.000 |
| 0.000 | 0.000 | 0.000 | -0.000 | -0.000 | -0.893 |
| 5.977 | 6.618 | 6.618 | -0.000 | 0.000 | -0.000 |
| 6.618 | 5.977 | 6.618 | 0.000 | 0.000 | -0.000 |
| 6.618 | 6.618 | 5.977 | 0.000 | 0.000 | -0.000 |
| -0.000 | -0.000 | -0.000 | -0.893 | 0.000 | 0.000 |
| -0.000 | -0.000 | -0.000 | 0.000 | -0.893 | 0.000 |
| -0.000 | -0.000 | -0.000 | 0.000 | 0.000 | -0.893 |
| 5.977 | 6.618 | 6.618 | -0.000 | -0.000 | 0.000 |
| 6.618 | 5.977 | 6.618 | -0.000 | -0.000 | 0.000 |
| 6.618 | 6.618 | 5.977 | -0.000 | -0.000 | -0.000 |
| 0.000 | 0.000 | 0.000 | -0.893 | -0.000 | -0.000 |
| 0.000 | 0.000 | 0.000 | -0.000 | -0.893 | -0.000 |
| 0.000 | 0.000 | 0.000 | -0.000 | -0.000 | -0.893 |
| 5.977 | 6.618 | 6.618 | 0.000 | 0.000 | -0.000 |
| 6.618 | 5.977 | 6.618 | 0.000 | 0.000 | -0.000 |
| 6.618 | 6.618 | 5.977 | -0.000 | 0.000 | 0.000 |
| -0.000 | -0.000 | -0.000 | -0.893 | 0.000 | 0.000 |
| -0.000 | -0.000 | -0.000 | 0.000 | -0.893 | 0.000 |
| -0.000 | -0.000 | -0.000 | 0.000 | 0.000 | -0.893 |
| 5.977 | 6.618 | 6.618 | -0.000 | 0.000 | 0.000 |
| 6.618 | 5.977 | 6.618 | -0.000 | -0.000 | 0.000 |
| 6.618 | 6.618 | 5.977 | -0.000 | 0.000 | -0.000 |
| 0.000 | 0.000 | 0.000 | -0.893 | -0.000 | -0.000 |
| 0.000 | 0.000 | 0.000 | -0.000 | -0.893 | -0.000 |
| 0.000 | 0.000 | 0.000 | -0.000 | -0.000 | -0.893 |
| 123.933 | 159.665 | 159.665 | -0.000 | -0.000 | -0.000 |
| 159.665 | 123.933 | 159.665 | -0.000 | 0.000 | -0.000 |
| 159.665 | 159.665 | 123.933 | -0.000 | -0.000 | 0.000 |
| 0.000 | -0.000 | 0.000 | 152.879 | -0.000 | -0.000 |
| -0.000 | -0.000 | 0.000 | -0.000 | 152.879 | -0.000 |
| -0.000 | -0.000 | 0.000 | -0.000 | -0.000 | 152.879 |
| 123.933 | 159.665 | 159.665 | 0.000 | -0.000 | 0.000 |
| 159.665 | 123.933 | 159.665 | 0.000 | 0.000 | 0.000 |
| 159.665 | 159.665 | 123.933 | 0.000 | 0.000 | -0.000 |
| -0.000 | 0.000 | -0.000 | 152.879 | 0.000 | 0.000 |
| 0.000 | 0.000 | -0.000 | 0.000 | 152.879 | 0.000 |
| 0.000 | 0.000 | -0.000 | 0.000 | 0.000 | 152.879 |
| 123.933 | 159.665 | 159.665 | -0.000 | -0.000 | 0.000 |
| 159.665 | 123.933 | 159.665 | -0.000 | -0.000 | -0.000 |
| 159.665 | 159.665 | 123.933 | -0.000 | 0.000 | -0.000 |
| 0.000 | 0.000 | 0.000 | 159.665 | -0.000 | -0.000 |
| 0.000 | 0.000 | 0.000 | -0.000 | 159.665 | -0.000 |
| 0.000 | 0.000 | 0.000 | -0.000 | -0.000 | 159.665 |
| 123.933 | 159.665 | 159.665 | 0.000 | 0.000 | 0.000 |
| 159.665 | 123.933 | 159.665 | 0.000 | -0.000 | 0.000 |
| 159.665 | 159.665 | 123.933 | 0.000 | 0.000 | -0.000 |
| -0.000 | -0.000 | -0.000 | 159.665 | 0.000 | 0.000 |
| -0.000 | -0.000 | -0.000 | 0.000 | 159.665 | 0.000 |
| -0.000 | -0.000 | -0.000 | 0.000 | 0.000 | 159.665 |
| 123.934 | 159.666 | 159.666 | -0.000 | -0.000 | -0.000 |
| 159.666 | 123.934 | 159.666 | -0.000 | -0.000 | -0.000 |
| 159.666 | 159.666 | 123.934 | -0.000 | -0.000 | 0.000 |
| 0.001 | 0.000 | 0.000 | 152.879 | -0.000 | -0.000 |
| 0.000 | 0.001 | 0.000 | -0.000 | 152.879 | -0.000 |
| 0.000 | 0.000 | 0.001 | -0.000 | -0.000 | 152.879 |
| 123.933 | 159.664 | 159.664 | 0.000 | 0.000 | 0.000 |
| 159.664 | 123.933 | 159.664 | 0.000 | 0.000 | 0.000 |
| 159.664 | 159.664 | 123.933 | 0.000 | 0.000 | 0.000 |
| -0.001 | -0.000 | -0.000 | 152.879 | 0.000 | 0.000 |
| -0.000 | -0.001 | -0.000 | 0.000 | 152.879 | 0.000 |
| -0.000 | -0.000 | -0.001 | 0.000 | 0.000 | 152.879 |
| 160.526 | 208.877 | 208.877 | -0.000 | -0.000 | 0.000 |
| 208.877 | 160.526 | 208.877 | -0.000 | -0.000 | 0.000 |
| 208.877 | 208.877 | 160.526 | -0.000 | -0.000 | -0.000 |
| -0.000 | 0.000 | -0.000 | 208.877 | -0.000 | 0.000 |
| 0.000 | 0.000 | 0.000 | -0.000 | 208.877 | 0.000 |
| 0.000 | 0.000 | -0.000 | -0.000 | -0.000 | 208.877 |
| 160.526 | 208.877 | 208.877 | 0.000 | 0.000 | -0.000 |
| 208.877 | 160.526 | 208.877 | 0.000 | -0.000 | -0.000 |
| 208.877 | 208.877 | 160.526 | -0.000 | 0.000 | -0.000 |
| 0.000 | -0.000 | 0.000 | 208.877 | 0.000 | -0.000 |
| -0.000 | -0.000 | 0.000 | 0.000 | 208.877 | -0.000 |
| -0.000 | -0.000 | 0.000 | 0.000 | 0.000 | 208.877 |
| 160.526 | 208.877 | 208.877 | -0.000 | -0.000 | 0.000 |
| 208.877 | 160.526 | 208.877 | -0.000 | -0.000 | 0.000 |
| 208.877 | 208.877 | 160.526 | -0.000 | -0.000 | 0.000 |
| 0.000 | 0.000 | 0.000 | 207.103 | 0.000 | 0.000 |
| 0.000 | 0.000 | 0.000 | -0.000 | 207.103 | 0.000 |
| 0.000 | 0.000 | 0.000 | -0.000 | -0.000 | 207.103 |
| 160.526 | 208.877 | 208.877 | 0.000 | -0.000 | -0.000 |
| 208.877 | 160.526 | 208.877 | 0.000 | 0.000 | 0.000 |
| 208.877 | 208.877 | 160.526 | 0.000 | -0.000 | -0.000 |
| -0.000 | -0.000 | -0.000 | 207.103 | -0.000 | -0.000 |
| -0.000 | -0.000 | -0.000 | 0.000 | 207.103 | -0.000 |
| -0.000 | -0.000 | -0.000 | 0.000 | 0.000 | 207.103 |
| 160.527 | 208.878 | 208.878 | -0.000 | -0.000 | -0.000 |
| 208.878 | 160.527 | 208.878 | -0.000 | 0.000 | 0.000 |
| 208.878 | 208.878 | 160.527 | -0.000 | -0.000 | 0.000 |
| 0.001 | 0.000 | 0.001 | 207.103 | -0.000 | 0.000 |
| 0.000 | 0.001 | 0.001 | -0.000 | 207.103 | 0.000 |
| 0.000 | 0.001 | 0.001 | -0.000 | -0.000 | 207.103 |
| 160.525 | 208.876 | 208.876 | 0.000 | 0.000 | 0.000 |
| 208.876 | 160.525 | 208.876 | 0.000 | 0.000 | 0.000 |
| 208.876 | 208.876 | 160.525 | 0.000 | 0.000 | -0.000 |
| -0.001 | -0.000 | -0.001 | 207.103 | 0.000 | -0.000 |
| -0.000 | -0.001 | -0.001 | 0.000 | 207.103 | -0.000 |
| -0.000 | -0.001 | -0.001 | 0.000 | 0.000 | 207.103 |
| 464.885 | 20.092 | 20.092 | 0.000 | -0.000 | -0.000 |
| 20.092 | 464.885 | 20.092 | 0.000 | -0.000 | 0.000 |
| 20.092 | 20.092 | 464.885 | 0.000 | -0.000 | -0.000 |
| 0.000 | 0.000 | -0.000 | 19.157 | -0.000 | -0.000 |
| 0.000 | 0.000 | -0.000 | -0.000 | 19.157 | 0.000 |
| 0.000 | 0.000 | -0.000 | -0.000 | -0.000 | 19.157 |
| 464.885 | 20.092 | 20.092 | -0.000 | 0.000 | 0.000 |
| 20.092 | 464.885 | 20.092 | -0.000 | 0.000 | 0.000 |
| 20.092 | 20.092 | 464.885 | 0.000 | 0.000 | 0.000 |
| 0.000 | -0.000 | 0.000 | 19.157 | 0.000 | 0.000 |
| -0.000 | -0.000 | 0.000 | -0.000 | 19.157 | 0.000 |
| -0.000 | -0.000 | 0.000 | 0.000 | 0.000 | 19.157 |
| 464.886 | 20.093 | 20.093 | -0.000 | -0.000 | -0.000 |
| 20.093 | 464.886 | 20.093 | 0.000 | -0.000 | 0.000 |
| 20.093 | 20.093 | 464.886 | -0.000 | -0.000 | -0.000 |
| 0.000 | 0.000 | -0.000 | 19.157 | -0.000 | -0.000 |
| 0.000 | 0.000 | -0.000 | -0.000 | 19.157 | -0.000 |
| 0.000 | -0.000 | -0.000 | -0.000 | -0.000 | 19.157 |
| 464.885 | 20.092 | 20.092 | 0.000 | 0.000 | 0.000 |
| 20.092 | 464.885 | 20.092 | -0.000 | 0.000 | -0.000 |
| 20.092 | 20.092 | 464.885 | -0.000 | 0.000 | 0.000 |
| -0.000 | -0.000 | 0.000 | 19.157 | 0.000 | 0.000 |
| -0.000 | -0.000 | 0.000 | 0.000 | 19.157 | 0.000 |
| -0.000 | 0.000 | -0.000 | -0.000 | 0.000 | 19.157 |
| 464.889 | 20.093 | 20.093 | -0.000 | -0.000 | -0.000 |
| 20.093 | 464.889 | 20.093 | -0.000 | -0.000 | 0.000 |
| 20.093 | 20.093 | 464.889 | -0.000 | -0.000 | -0.000 |
| 0.001 | 0.001 | -0.000 | -150.894 | -0.000 | -0.000 |
| 0.001 | 0.001 | -0.000 | -0.000 | -150.894 | -0.000 |
| 0.001 | -0.000 | 0.001 | 0.000 | -0.000 | -150.894 |
| 466.753 | 19.157 | 19.157 | 0.000 | 0.000 | 0.000 |
| 19.157 | 466.753 | 19.157 | 0.000 | 0.000 | 0.000 |
| 19.157 | 19.157 | 466.753 | 0.000 | 0.000 | 0.000 |
| -0.001 | -0.001 | 0.000 | -150.894 | 0.000 | -0.000 |
| -0.001 | -0.001 | 0.000 | -0.000 | -150.894 | 0.000 |
| -0.001 | 0.000 | -0.001 | 0.000 | 0.000 | -150.894 |
| 157.779 | 205.865 | 205.865 | -0.000 | -0.000 | -0.000 |
| 205.865 | 157.779 | 205.865 | -0.000 | -0.000 | -0.000 |
| 205.865 | 205.865 | 157.779 | -0.000 | -0.000 | -0.000 |
| -0.000 | -0.000 | -0.000 | 205.818 | -0.000 | -0.000 |
| -0.000 | -0.000 | -0.000 | -0.000 | 205.818 | -0.000 |
| -0.000 | -0.000 | -0.000 | -0.000 | -0.000 | 205.818 |
| 157.779 | 205.865 | 205.865 | 0.000 | 0.000 | 0.000 |
| 205.865 | 157.779 | 205.865 | -0.000 | 0.000 | -0.000 |
| 205.865 | 205.865 | 157.779 | -0.000 | 0.000 | -0.000 |
| 0.000 | 0.000 | 0.000 | 205.818 | 0.000 | 0.000 |
| 0.000 | -0.000 | 0.000 | 0.000 | 205.818 | 0.000 |
| 0.000 | 0.000 | 0.000 | 0.000 | 0.000 | 205.818 |
| 157.779 | 205.865 | 205.865 | -0.000 | -0.000 | -0.000 |
| 205.865 | 157.779 | 205.865 | -0.000 | -0.000 | -0.000 |
| 205.865 | 205.865 | 157.779 | -0.000 | -0.000 | 0.000 |
| 0.000 | 0.000 | 0.000 | 205.818 | -0.000 | 0.000 |
| 0.000 | 0.000 | 0.000 | 0.000 | 205.818 | -0.000 |
| 0.000 | 0.000 | 0.000 | -0.000 | -0.000 | 205.818 |
| 157.779 | 205.865 | 205.865 | -0.000 | 0.000 | 0.000 |
| 205.865 | 157.779 | 205.865 | -0.000 | 0.000 | 0.000 |
| 205.865 | 205.865 | 157.779 | 0.000 | 0.000 | -0.000 |
| -0.000 | -0.000 | -0.000 | 205.818 | 0.000 | 0.000 |
| -0.000 | -0.000 | -0.000 | -0.000 | 205.818 | 0.000 |
| -0.000 | -0.000 | -0.000 | 0.000 | 0.000 | 205.818 |
| 157.780 | 205.866 | 205.866 | -0.000 | -0.000 | -0.000 |
| 205.866 | 157.780 | 205.866 | -0.000 | -0.000 | -0.000 |
| 205.866 | 205.866 | 157.780 | 0.000 | -0.000 | 0.000 |
| 0.001 | 0.000 | 0.001 | 205.818 | -0.000 | -0.000 |
| 0.000 | 0.001 | 0.001 | -0.000 | 205.818 | -0.000 |
| 0.000 | 0.001 | 0.001 | -0.000 | -0.000 | 205.818 |
| 157.778 | 205.864 | 205.864 | -0.000 | 0.000 | -0.000 |
| 205.864 | 157.778 | 205.864 | 0.000 | 0.000 | 0.000 |
| 205.864 | 205.864 | 157.778 | -0.000 | 0.000 | -0.000 |
| -0.001 | -0.000 | -0.001 | 205.818 | 0.000 | 0.000 |
| -0.000 | -0.001 | -0.001 | 0.000 | 205.818 | 0.000 |
| -0.000 | -0.001 | -0.001 | 0.000 | 0.000 | 205.818 |
| 310.162 | 171.963 | 171.963 | 0.000 | -0.000 | -0.000 |
| 171.963 | 310.162 | 171.963 | 0.000 | -0.000 | -0.000 |
| 171.963 | 171.963 | 310.162 | -0.000 | -0.000 | 0.000 |
| 0.000 | 0.000 | 0.000 | 171.963 | -0.000 | -0.000 |
| 0.000 | 0.000 | 0.000 | 0.000 | 171.963 | -0.000 |
| 0.000 | 0.000 | -0.000 | 0.000 | -0.000 | 171.963 |
| 310.162 | 171.963 | 171.963 | -0.000 | 0.000 | 0.000 |
| 171.963 | 310.162 | 171.963 | 0.000 | 0.000 | -0.000 |
| 171.963 | 171.963 | 310.162 | -0.000 | 0.000 | -0.000 |
| 0.000 | -0.000 | -0.000 | 171.963 | 0.000 | -0.000 |
| -0.000 | -0.000 | -0.000 | -0.000 | 171.963 | 0.000 |
| -0.000 | -0.000 | 0.000 | -0.000 | 0.000 | 171.963 |
| 310.162 | 171.963 | 171.963 | 0.000 | 0.000 | -0.000 |
| 171.963 | 310.162 | 171.963 | 0.000 | -0.000 | -0.000 |
| 171.963 | 171.963 | 310.162 | 0.000 | -0.000 | 0.000 |
| -0.000 | 0.000 | 0.000 | 171.963 | 0.000 | 0.000 |
| 0.000 | -0.000 | 0.000 | 0.000 | 171.963 | -0.000 |
| 0.000 | 0.000 | -0.000 | 0.000 | -0.000 | 171.963 |
| 310.162 | 171.963 | 171.963 | 0.000 | 0.000 | 0.000 |
| 171.963 | 310.162 | 171.963 | -0.000 | 0.000 | 0.000 |
| 171.963 | 171.963 | 310.162 | -0.000 | -0.000 | -0.000 |
| 0.000 | -0.000 | -0.000 | 171.963 | 0.000 | -0.000 |
| -0.000 | 0.000 | -0.000 | -0.000 | 171.963 | 0.000 |
| -0.000 | -0.000 | 0.000 | -0.000 | 0.000 | 171.963 |
| 310.164 | 171.964 | 171.964 | 0.000 | 0.000 | 0.000 |
| 171.964 | 310.164 | 171.964 | -0.000 | 0.000 | 0.000 |
| 171.964 | 171.964 | 310.164 | -0.000 | -0.000 | 0.000 |
| -0.000 | 0.001 | 0.001 | 171.963 | 0.000 | 0.000 |
| 0.001 | -0.000 | 0.001 | 0.000 | 171.963 | 0.000 |
| 0.001 | 0.001 | -0.000 | 0.000 | -0.000 | 171.963 |
| 310.161 | 171.962 | 171.962 | -0.000 | -0.000 | 0.000 |
| 171.962 | 310.161 | 171.962 | -0.000 | -0.000 | -0.000 |
| 171.962 | 171.962 | 310.161 | -0.000 | 0.000 | -0.000 |
| 0.000 | -0.001 | -0.001 | 171.963 | -0.000 | 0.000 |
| -0.001 | 0.000 | -0.001 | -0.000 | 171.963 | 0.000 |
| -0.001 | -0.001 | 0.000 | -0.000 | 0.000 | 171.963 |
| 310.137 | 171.989 | 171.964 | -0.000 | -0.000 | -0.000 |
| 171.989 | 310.137 | 171.964 | -0.000 | -0.000 | -0.000 |
| 171.964 | 171.964 | 310.162 | 0.000 | -0.000 | -0.000 |
| -0.000 | 0.000 | 0.000 | 171.964 | 0.000 | -0.000 |
| -0.000 | -0.000 | 0.000 | 0.000 | 171.964 | -0.000 |
| -0.000 | 0.000 | -0.000 | 0.000 | 0.000 | 171.963 |
| 310.162 | 171.963 | 171.964 | -0.000 | -0.000 | 0.000 |
| 171.963 | 310.162 | 171.964 | -0.000 | -0.000 | 0.000 |
| 171.964 | 171.964 | 310.162 | -0.000 | -0.000 | -0.000 |
| 0.000 | 0.000 | -0.000 | 171.964 | -0.000 | 0.000 |
| 0.000 | 0.000 | -0.000 | -0.000 | 171.964 | 0.000 |
| 0.000 | -0.000 | 0.000 | -0.000 | -0.000 | 171.963 |
| 310.162 | 171.963 | 171.964 | 0.000 | -0.000 | -0.000 |
| 171.963 | 310.162 | 171.964 | 0.000 | 0.000 | -0.000 |
| 171.964 | 171.964 | 310.162 | 0.000 | 0.000 | -0.000 |
| -0.000 | 0.000 | 0.000 | 171.947 | 0.000 | -0.000 |
| 0.000 | -0.000 | 0.000 | 0.000 | 171.947 | -0.000 |
| 0.000 | 0.000 | -0.000 | 0.000 | 0.000 | 171.963 |
| 310.136 | 171.989 | 171.963 | -0.000 | -0.000 | 0.000 |
| 171.989 | 310.136 | 171.963 | -0.000 | -0.000 | 0.000 |
| 171.963 | 171.963 | 310.162 | -0.000 | -0.000 | 0.000 |
| 0.000 | -0.000 | -0.000 | 171.947 | 0.000 | 0.000 |
| -0.000 | 0.000 | -0.000 | -0.000 | 171.947 | 0.000 |
| -0.000 | -0.000 | 0.000 | -0.000 | -0.000 | 171.963 |
| 310.164 | 171.964 | 171.965 | 0.000 | 0.000 | -0.000 |
| 171.964 | 310.164 | 171.965 | 0.000 | 0.000 | -0.000 |
| 171.965 | 171.965 | 310.163 | 0.000 | -0.000 | -0.000 |
| -0.000 | 0.001 | 0.001 | 171.947 | -0.000 | -0.000 |
| 0.001 | -0.000 | 0.001 | 0.000 | 171.947 | -0.000 |
| 0.001 | 0.001 | -0.000 | 0.000 | 0.000 | 171.963 |
| 310.135 | 171.988 | 171.962 | -0.000 | 0.000 | 0.000 |
| 171.988 | 310.135 | 171.962 | -0.000 | 0.000 | 0.000 |
| 171.962 | 171.962 | 310.161 | 0.000 | -0.000 | 0.000 |
| 0.000 | -0.001 | -0.001 | 171.947 | 0.000 | 0.000 |
| -0.001 | 0.000 | -0.001 | -0.000 | 171.947 | 0.000 |
| -0.001 | -0.001 | 0.000 | -0.000 | -0.000 | 171.963 |
| 385.355 | 159.852 | 97.742 | -0.000 | -0.000 | -0.000 |
| 159.852 | 385.355 | 97.742 | -0.000 | 0.000 | -0.000 |
| 97.692 | 97.692 | 428.472 | 0.000 | 0.000 | -0.000 |
| 0.002 | 0.002 | -0.002 | 97.674 | -0.000 | -0.000 |
| 0.002 | 0.002 | -0.002 | -0.000 | 97.674 | -0.000 |
| 0.003 | 0.003 | -0.003 | -0.000 | -0.000 | 112.595 |
| 408.980 | 136.327 | 97.692 | 0.000 | 0.000 | 0.000 |
| 159.809 | 385.387 | 97.748 | 0.000 | -0.000 | 0.000 |
| 97.692 | 97.692 | 428.472 | -0.000 | -0.000 | 0.000 |
| -0.002 | -0.002 | 0.002 | 97.674 | -0.000 | 0.000 |
| -0.002 | -0.002 | 0.002 | -0.000 | 97.674 | 0.000 |
| -0.003 | -0.003 | 0.003 | 0.000 | -0.000 | 112.595 |
| 385.370 | 159.833 | 97.745 | -0.000 | -0.000 | -0.000 |
| 136.327 | 408.981 | 97.692 | -0.000 | -0.000 | -0.000 |
| 97.692 | 97.692 | 428.473 | -0.000 | -0.000 | -0.000 |
| 0.000 | 0.000 | 0.000 | 97.692 | -0.000 | -0.000 |
| 0.000 | 0.000 | -0.000 | -0.000 | 97.674 | -0.000 |
| 0.000 | 0.000 | -0.000 | -0.000 | -0.000 | 112.591 |
| 408.980 | 136.327 | 97.692 | 0.000 | 0.000 | 0.000 |
| 136.327 | 408.980 | 97.692 | 0.000 | 0.000 | 0.000 |
| 97.704 | 97.704 | 428.460 | 0.000 | -0.000 | 0.000 |
| -0.000 | -0.000 | -0.000 | 97.692 | 0.000 | 0.000 |
| -0.000 | -0.000 | -0.000 | 0.000 | 97.692 | -0.000 |
| -0.000 | -0.000 | 0.000 | 0.000 | 0.000 | 112.591 |
| 408.984 | 136.327 | 97.693 | -0.000 | 0.000 | -0.000 |
| 160.052 | 385.235 | 97.705 | -0.000 | -0.000 | -0.000 |
| 97.705 | 97.705 | 428.463 | -0.000 | 0.000 | -0.000 |
| 0.000 | -0.000 | 0.001 | 97.674 | -0.000 | -0.000 |
| -0.000 | 0.000 | 0.001 | -0.000 | 97.674 | -0.000 |
| 0.000 | 0.001 | -0.000 | -0.000 | 0.000 | 112.594 |
| 385.367 | 159.831 | 97.745 | 0.000 | 0.000 | 0.000 |
| 136.326 | 408.978 | 97.692 | 0.000 | 0.000 | -0.000 |
| 97.691 | 97.691 | 428.470 | 0.000 | 0.000 | 0.000 |
| -0.000 | 0.000 | -0.001 | 97.674 | -0.000 | 0.000 |
| 0.000 | -0.000 | -0.001 | 0.000 | 97.674 | 0.000 |
| -0.000 | -0.001 | 0.000 | 0.000 | -0.000 | 112.594 |
| 383.668 | 159.129 | 97.678 | 0.000 | -0.000 | -0.000 |
| 135.610 | 407.288 | 97.628 | 0.000 | -0.000 | 0.000 |
| 97.526 | 97.526 | 427.913 | 0.000 | -0.000 | -0.000 |
| 0.002 | 0.002 | -0.002 | 97.636 | -0.000 | -0.000 |
| 0.002 | 0.002 | -0.002 | 0.000 | 97.636 | -0.000 |
| 0.003 | 0.003 | -0.003 | 0.000 | -0.000 | 112.112 |
| 383.698 | 159.089 | 97.683 | -0.000 | 0.000 | -0.000 |
| 159.089 | 383.698 | 97.683 | -0.000 | 0.000 | 0.000 |
| 97.538 | 97.538 | 427.901 | -0.000 | 0.000 | -0.000 |
| -0.002 | -0.002 | 0.002 | 97.636 | 0.000 | 0.000 |
| -0.002 | -0.002 | 0.002 | 0.000 | 97.636 | 0.000 |
| -0.003 | -0.003 | 0.003 | -0.000 | 0.000 | 112.112 |
| 383.682 | 159.112 | 97.680 | 0.000 | -0.000 | -0.000 |
| 135.610 | 407.288 | 97.628 | 0.000 | 0.000 | -0.000 |
| 97.539 | 97.539 | 427.901 | 0.000 | -0.000 | -0.000 |
| 0.000 | 0.000 | -0.000 | 97.636 | -0.000 | -0.000 |
| 0.000 | 0.000 | -0.000 | 0.000 | 97.636 | -0.000 |
| 0.000 | 0.000 | -0.000 | 0.000 | 0.000 | 112.108 |
| 383.684 | 159.108 | 97.681 | -0.000 | 0.000 | 0.000 |
| 135.610 | 407.287 | 97.628 | -0.000 | -0.000 | 0.000 |
| 97.526 | 97.526 | 427.912 | -0.000 | 0.000 | 0.000 |
| -0.000 | -0.000 | 0.000 | 97.636 | 0.000 | 0.000 |
| -0.000 | -0.000 | 0.000 | -0.000 | 97.636 | 0.000 |
| -0.000 | -0.000 | 0.000 | -0.000 | 0.000 | 112.108 |
| 383.686 | 159.110 | 97.680 | 0.000 | -0.000 | 0.000 |
| 135.611 | 407.291 | 97.628 | 0.000 | 0.000 | -0.000 |
| 97.540 | 97.540 | 427.903 | 0.000 | -0.000 | -0.000 |
| 0.000 | -0.000 | 0.001 | 97.636 | -0.000 | -0.000 |
| -0.000 | 0.000 | 0.001 | 0.000 | 97.636 | -0.000 |
| 0.000 | 0.001 | 0.000 | 0.000 | -0.000 | 135.839 |
| 407.284 | 135.610 | 97.627 | -0.000 | -0.000 | -0.000 |
| 159.109 | 383.680 | 97.680 | 0.000 | 0.000 | 0.000 |
| 97.538 | 97.538 | 427.898 | -0.000 | 0.000 | 0.000 |
| -0.000 | 0.000 | -0.001 | 97.636 | 0.000 | 0.000 |
| 0.000 | -0.000 | -0.001 | -0.000 | 97.636 | 0.000 |
| -0.000 | -0.001 | -0.000 | -0.000 | -0.000 | 135.839 |
| 158.183 | 206.499 | 206.219 | 0.000 | -0.000 | 0.000 |
| 206.478 | 388.916 | -24.177 | 0.000 | -0.000 | -0.000 |
| 206.234 | -24.141 | 388.556 | 0.000 | -0.000 | -0.000 |
| -0.000 | 0.000 | -0.000 | -24.099 | -0.000 | -0.000 |
| -0.000 | -0.000 | -0.000 | 0.000 | 206.318 | 0.000 |
| 0.000 | 0.000 | -0.000 | 0.000 | -0.000 | 206.506 |
| 158.199 | 206.497 | 206.238 | -0.000 | 0.000 | 0.000 |
| 206.478 | 388.915 | -24.177 | 0.000 | 0.000 | -0.000 |
| 206.234 | -24.141 | 388.557 | -0.000 | 0.000 | 0.000 |
| 0.000 | -0.000 | 0.000 | -24.099 | 0.000 | 0.000 |
| 0.000 | 0.000 | 0.000 | 0.000 | 206.318 | -0.000 |
| -0.000 | -0.000 | 0.000 | -0.000 | 0.000 | 206.505 |
| 158.183 | 206.499 | 206.219 | 0.000 | -0.000 | -0.000 |
| 206.478 | 388.916 | -24.177 | -0.000 | -0.000 | -0.000 |
| 206.230 | -24.141 | 388.552 | 0.000 | -0.000 | 0.000 |
| -0.000 | 0.000 | -0.000 | -24.102 | -0.000 | -0.000 |
| 0.000 | -0.000 | 0.000 | -0.000 | 206.286 | 0.000 |
| 0.000 | 0.000 | -0.000 | 0.000 | -0.000 | 206.506 |
| 158.183 | 206.498 | 206.219 | 0.000 | 0.000 | -0.000 |
| 206.476 | 388.915 | -24.179 | 0.000 | 0.000 | -0.000 |
| 206.234 | -24.141 | 388.556 | 0.000 | 0.000 | -0.000 |
| 0.000 | -0.000 | 0.000 | -24.102 | 0.000 | -0.000 |
| -0.000 | 0.000 | -0.000 | 0.000 | 206.286 | -0.000 |
| -0.000 | -0.000 | 0.000 | -0.000 | 0.000 | 206.506 |
| 158.200 | 206.498 | 206.239 | -0.000 | 0.000 | -0.000 |
| 206.479 | 388.918 | -24.177 | 0.000 | -0.000 | 0.000 |
| 206.255 | -24.143 | 388.582 | 0.000 | -0.000 | -0.000 |
| -0.000 | 0.000 | -0.000 | -24.112 | -0.000 | 0.000 |
| 0.000 | -0.000 | 0.001 | 0.000 | 206.286 | 0.000 |
| 0.000 | 0.001 | -0.000 | -0.000 | -0.000 | 206.506 |
| 158.179 | 206.498 | 206.214 | -0.000 | 0.000 | -0.000 |
| 206.474 | 388.913 | -24.179 | 0.000 | 0.000 | -0.000 |
| 206.251 | -24.143 | 388.577 | 0.000 | 0.000 | 0.000 |
| 0.000 | -0.000 | 0.000 | -24.112 | 0.000 | -0.000 |
| -0.000 | 0.000 | -0.001 | -0.000 | 206.286 | -0.000 |
| -0.000 | -0.001 | 0.000 | 0.000 | 0.000 | 206.506 |
| 103.320 | 128.179 | 128.178 | 0.000 | 0.000 | 0.000 |
| 128.179 | 103.320 | 128.178 | 0.000 | 0.000 | 0.000 |
| 128.179 | 128.179 | 103.320 | 0.000 | 0.000 | 0.000 |
| 0.000 | -0.000 | -0.000 | 128.179 | 0.000 | 0.000 |
| 0.000 | 0.000 | -0.000 | 0.000 | 128.179 | 0.000 |
| 0.000 | -0.000 | -0.000 | 0.000 | 0.000 | 128.179 |
| 103.320 | 128.179 | 128.179 | -0.000 | -0.000 | 0.000 |
| 128.179 | 103.320 | 128.179 | -0.000 | -0.000 | 0.000 |
| 128.179 | 128.179 | 103.320 | -0.000 | -0.000 | -0.000 |
| -0.000 | 0.000 | 0.000 | 128.179 | -0.000 | 0.000 |
| -0.000 | -0.000 | 0.000 | -0.000 | 128.178 | -0.000 |
| -0.000 | -0.000 | 0.000 | -0.000 | -0.000 | 128.179 |
| 103.320 | 128.179 | 128.179 | 0.000 | 0.000 | 0.000 |
| 128.179 | 103.320 | 128.179 | 0.000 | 0.000 | 0.000 |
| 128.179 | 128.179 | 103.320 | 0.000 | 0.000 | 0.000 |
| 0.000 | 0.000 | 0.000 | 128.156 | 0.000 | -0.000 |
| 0.000 | 0.000 | 0.000 | 0.000 | 128.156 | 0.000 |
| 0.000 | 0.000 | 0.000 | 0.000 | 0.000 | 128.156 |
| 103.320 | 128.178 | 128.178 | -0.000 | -0.000 | -0.000 |
| 128.178 | 103.320 | 128.178 | -0.000 | -0.000 | -0.000 |
| 128.178 | 128.178 | 103.320 | -0.000 | -0.000 | 0.000 |
| -0.000 | -0.000 | -0.000 | 128.156 | -0.000 | -0.000 |
| -0.000 | -0.000 | -0.000 | -0.000 | 128.156 | 0.000 |
| -0.000 | -0.000 | -0.000 | -0.000 | -0.000 | 128.156 |
| 103.320 | 128.179 | 128.179 | 0.000 | 0.000 | -0.000 |
| 128.179 | 103.320 | 128.179 | 0.000 | 0.000 | -0.000 |
| 128.179 | 128.179 | 103.320 | 0.000 | 0.000 | 0.000 |
| 0.000 | 0.000 | 0.000 | 128.156 | 0.000 | 0.000 |
| 0.000 | 0.000 | 0.000 | 0.000 | 128.156 | -0.000 |
| 0.000 | 0.000 | 0.000 | 0.000 | 0.000 | 128.156 |
| 103.319 | 128.178 | 128.178 | -0.000 | -0.000 | 0.000 |
| 128.178 | 103.319 | 128.178 | -0.000 | -0.000 | -0.000 |
| 128.178 | 128.178 | 103.319 | -0.000 | -0.000 | -0.000 |
| -0.000 | -0.000 | -0.000 | 128.156 | -0.000 | 0.000 |
| -0.000 | -0.000 | -0.000 | -0.000 | 128.156 | 0.000 |
| -0.000 | -0.000 | -0.000 | -0.000 | -0.000 | 128.156 |
| 83.586 | 111.893 | 111.893 | -0.000 | 0.000 | 0.000 |
| 111.893 | 83.586 | 111.893 | -0.000 | -0.000 | 0.000 |
| 111.893 | 111.893 | 83.586 | -0.000 | -0.000 | 0.000 |
| 0.000 | 0.000 | 0.000 | 111.893 | 0.000 | 0.000 |
| 0.000 | 0.000 | 0.000 | -0.000 | 111.893 | 0.000 |
| 0.000 | 0.000 | 0.000 | -0.000 | 0.000 | 111.893 |
| 83.586 | 111.893 | 111.893 | 0.000 | -0.000 | -0.000 |
| 111.893 | 83.586 | 111.893 | 0.000 | -0.000 | -0.000 |
| 111.893 | 111.893 | 83.586 | 0.000 | -0.000 | -0.000 |
| -0.000 | -0.000 | -0.000 | 111.893 | -0.000 | -0.000 |
| -0.000 | -0.000 | -0.000 | 0.000 | 111.893 | -0.000 |
| -0.000 | -0.000 | 0.000 | 0.000 | -0.000 | 111.893 |
| 83.586 | 111.893 | 111.893 | 0.000 | 0.000 | 0.000 |
| 111.893 | 83.586 | 111.893 | -0.000 | 0.000 | 0.000 |
| 111.893 | 111.893 | 83.586 | -0.000 | -0.000 | 0.000 |
| 0.000 | -0.000 | -0.000 | -23.079 | 0.000 | 0.000 |
| -0.000 | 0.000 | -0.000 | -0.000 | -23.079 | 0.000 |
| -0.000 | -0.000 | 0.000 | -0.000 | 0.000 | -23.079 |
| 83.586 | 111.893 | 111.893 | -0.000 | -0.000 | -0.000 |
| 111.893 | 83.586 | 111.893 | 0.000 | -0.000 | -0.000 |
| 111.893 | 111.893 | 83.586 | 0.000 | 0.000 | -0.000 |
| -0.000 | 0.000 | 0.000 | -23.079 | -0.000 | -0.000 |
| 0.000 | -0.000 | 0.000 | -0.000 | -23.079 | -0.000 |
| 0.000 | 0.000 | -0.000 | 0.000 | -0.000 | -23.079 |
| 83.586 | 111.893 | 111.893 | -0.000 | 0.000 | 0.000 |
| 111.893 | 83.586 | 111.893 | -0.000 | 0.000 | 0.000 |
| 111.893 | 111.893 | 83.586 | -0.000 | -0.000 | 0.000 |
| 0.000 | -0.000 | -0.000 | -18.507 | 0.000 | 0.000 |
| -0.000 | 0.000 | -0.000 | -0.000 | -18.507 | 0.000 |
| -0.000 | -0.000 | 0.000 | -0.000 | 0.000 | -18.507 |
| 83.586 | 111.892 | 111.892 | 0.000 | -0.000 | -0.000 |
| 111.892 | 83.586 | 111.892 | 0.000 | -0.000 | -0.000 |
| 111.892 | 111.892 | 83.586 | 0.000 | -0.000 | -0.000 |
| -0.000 | 0.000 | 0.000 | -18.507 | 0.000 | -0.000 |
| 0.000 | -0.000 | 0.000 | 0.000 | -18.507 | -0.000 |
| 0.000 | 0.000 | -0.000 | 0.000 | -0.000 | -18.507 |
| 85.705 | 112.236 | 112.236 | 0.000 | -0.000 | 0.000 |
| 112.236 | 85.705 | 112.236 | 0.000 | -0.000 | 0.000 |
| 112.236 | 112.236 | 85.705 | 0.000 | -0.000 | 0.000 |
| 0.000 | -0.000 | -0.000 | -21.471 | -0.000 | 0.000 |
| 0.000 | -0.000 | -0.000 | 0.000 | -21.471 | -0.000 |
| 0.000 | -0.000 | 0.000 | 0.000 | -0.000 | -21.471 |
| 85.705 | 112.236 | 112.236 | -0.000 | 0.000 | -0.000 |
| 112.236 | 85.705 | 112.236 | -0.000 | -0.000 | -0.000 |
| 112.236 | 112.236 | 85.705 | -0.000 | 0.000 | -0.000 |
| -0.000 | 0.000 | 0.000 | -21.471 | 0.000 | -0.000 |
| -0.000 | 0.000 | 0.000 | -0.000 | -21.471 | -0.000 |
| -0.000 | 0.000 | 0.000 | -0.000 | 0.000 | -21.471 |
| 85.705 | 112.236 | 112.236 | 0.000 | -0.000 | 0.000 |
| 112.236 | 85.705 | 112.236 | 0.000 | 0.000 | -0.000 |
| 112.236 | 112.236 | 85.705 | -0.000 | -0.000 | 0.000 |
| 0.000 | -0.000 | -0.000 | -21.471 | -0.000 | 0.000 |
| -0.000 | 0.000 | -0.000 | 0.000 | -21.471 | 0.000 |
| -0.000 | -0.000 | 0.000 | 0.000 | -0.000 | -21.471 |
| 85.705 | 112.236 | 112.236 | -0.000 | 0.000 | -0.000 |
| 112.236 | 85.705 | 112.236 | -0.000 | -0.000 | 0.000 |
| 112.236 | 112.236 | 85.705 | -0.000 | -0.000 | -0.000 |
| -0.000 | 0.000 | 0.000 | -21.471 | 0.000 | -0.000 |
| 0.000 | -0.000 | 0.000 | -0.000 | -21.471 | 0.000 |
| 0.000 | 0.000 | -0.000 | -0.000 | 0.000 | -21.471 |
| 85.705 | 112.237 | 112.237 | 0.000 | -0.000 | -0.000 |
| 112.237 | 85.705 | 112.237 | 0.000 | -0.000 | 0.000 |
| 112.237 | 112.237 | 85.705 | 0.000 | -0.000 | 0.000 |
| 0.000 | -0.000 | -0.000 | -21.471 | -0.000 | 0.000 |
| -0.000 | 0.000 | -0.000 | 0.000 | -21.471 | 0.000 |
| -0.000 | -0.000 | 0.000 | 0.000 | -0.000 | -21.471 |
| 85.704 | 112.236 | 112.236 | -0.000 | 0.000 | 0.000 |
| 112.236 | 85.704 | 112.236 | -0.000 | 0.000 | 0.000 |
| 112.236 | 112.236 | 85.704 | -0.000 | 0.000 | -0.000 |
| -0.000 | 0.000 | 0.000 | -21.471 | 0.000 | -0.000 |
| 0.000 | -0.000 | 0.000 | -0.000 | -21.471 | -0.000 |
| 0.000 | 0.000 | -0.000 | -0.000 | 0.000 | -21.471 |
| 94.341 | 114.260 | 114.260 | -0.000 | 0.000 | -0.000 |
| 114.260 | 94.341 | 114.260 | -0.000 | 0.000 | -0.000 |
| 114.260 | 114.260 | 94.341 | -0.000 | -0.000 | -0.000 |
| 0.000 | -0.000 | -0.000 | -15.102 | -0.000 | -0.000 |
| -0.000 | -0.000 | -0.000 | -0.000 | -15.102 | -0.000 |
| -0.000 | -0.000 | -0.000 | -0.000 | 0.000 | -15.102 |
| 94.341 | 114.260 | 114.260 | 0.000 | 0.000 | 0.000 |
| 114.260 | 94.341 | 114.260 | 0.000 | -0.000 | 0.000 |
| 114.260 | 114.260 | 94.341 | 0.000 | -0.000 | 0.000 |
| 0.000 | 0.000 | 0.000 | -15.102 | -0.000 | -0.000 |
| 0.000 | 0.000 | 0.000 | 0.000 | -15.102 | 0.000 |
| 0.000 | 0.000 | 0.000 | 0.000 | -0.000 | -15.102 |
| 94.341 | 114.260 | 114.260 | -0.000 | -0.000 | -0.000 |
| 114.260 | 94.341 | 114.260 | -0.000 | -0.000 | -0.000 |
| 114.260 | 114.260 | 94.341 | -0.000 | 0.000 | -0.000 |
| 0.000 | -0.000 | -0.000 | -15.102 | 0.000 | -0.000 |
| -0.000 | 0.000 | -0.000 | -0.000 | -15.102 | -0.000 |
| -0.000 | -0.000 | 0.000 | -0.000 | -0.000 | -15.102 |
| 94.341 | 114.260 | 114.260 | 0.000 | 0.000 | 0.000 |
| 114.260 | 94.341 | 114.260 | 0.000 | -0.000 | 0.000 |
| 114.260 | 114.260 | 94.341 | 0.000 | -0.000 | 0.000 |
| -0.000 | 0.000 | 0.000 | -15.102 | 0.000 | 0.000 |
| 0.000 | -0.000 | 0.000 | 0.000 | -15.102 | 0.000 |
| 0.000 | 0.000 | -0.000 | 0.000 | 0.000 | -15.102 |
| 94.341 | 114.261 | 114.261 | -0.000 | 0.000 | -0.000 |
| 114.261 | 94.341 | 114.261 | -0.000 | 0.000 | -0.000 |
| 114.261 | 114.261 | 94.341 | 0.000 | -0.000 | -0.000 |
| 0.000 | -0.000 | -0.000 | -15.102 | 0.000 | -0.000 |
| -0.000 | 0.000 | -0.000 | -0.000 | -15.102 | -0.000 |
| -0.000 | -0.000 | 0.000 | -0.000 | 0.000 | -15.102 |
| 94.340 | 114.260 | 114.260 | 0.000 | 0.000 | 0.000 |
| 114.260 | 94.340 | 114.260 | 0.000 | 0.000 | 0.000 |
| 114.260 | 114.260 | 94.340 | 0.000 | -0.000 | 0.000 |
| -0.000 | 0.000 | 0.000 | -15.102 | 0.000 | 0.000 |
| 0.000 | -0.000 | 0.000 | -0.000 | -15.102 | 0.000 |
| 0.000 | 0.000 | -0.000 | 0.000 | -0.000 | -15.102 |
| 164.656 | 212.321 | 212.321 | 0.000 | -0.000 | -0.000 |
| 212.321 | 164.656 | 212.321 | 0.000 | 0.000 | -0.000 |
| 212.321 | 212.321 | 164.656 | 0.000 | 0.000 | -0.000 |
| 0.000 | 0.000 | -0.000 | 212.271 | 0.000 | -0.000 |
| 0.000 | 0.000 | -0.000 | 0.000 | 212.271 | -0.000 |
| 0.000 | 0.000 | 0.000 | 0.000 | -0.000 | 212.271 |
| 164.656 | 212.321 | 212.321 | -0.000 | 0.000 | 0.000 |
| 212.321 | 164.656 | 212.321 | -0.000 | -0.000 | 0.000 |
| 212.321 | 212.321 | 164.656 | -0.000 | 0.000 | 0.000 |
| -0.000 | -0.000 | 0.000 | 212.271 | -0.000 | 0.000 |
| -0.000 | -0.000 | -0.000 | -0.000 | 212.271 | 0.000 |
| -0.000 | -0.000 | -0.000 | -0.000 | 0.000 | 212.271 |
| 164.656 | 212.321 | 212.321 | 0.000 | -0.000 | -0.000 |
| 212.321 | 164.656 | 212.321 | 0.000 | 0.000 | -0.000 |
| 212.321 | 212.321 | 164.656 | 0.000 | -0.000 | -0.000 |
| 0.000 | 0.000 | 0.000 | 212.271 | 0.000 | -0.000 |
| 0.000 | 0.000 | 0.000 | 0.000 | 212.271 | -0.000 |
| 0.000 | 0.000 | 0.000 | 0.000 | -0.000 | 212.271 |
| 164.656 | 212.321 | 212.321 | -0.000 | 0.000 | 0.000 |
| 212.321 | 164.656 | 212.321 | -0.000 | -0.000 | 0.000 |
| 212.321 | 212.321 | 164.656 | -0.000 | 0.000 | 0.000 |
| -0.000 | -0.000 | -0.000 | 212.271 | -0.000 | 0.000 |
| -0.000 | -0.000 | -0.000 | 0.000 | 212.271 | 0.000 |
| -0.000 | -0.000 | -0.000 | -0.000 | 0.000 | 212.271 |
| 164.657 | 212.322 | 212.322 | 0.000 | 0.000 | -0.000 |
| 212.322 | 164.657 | 212.322 | -0.000 | 0.000 | -0.000 |
| 212.322 | 212.322 | 164.657 | 0.000 | -0.000 | -0.000 |
| 0.001 | 0.000 | 0.001 | 212.271 | -0.000 | -0.000 |
| 0.000 | 0.001 | 0.001 | 0.000 | 212.271 | -0.000 |
| 0.000 | 0.001 | 0.001 | -0.000 | -0.000 | 212.271 |
| 164.655 | 212.320 | 212.320 | -0.000 | 0.000 | 0.000 |
| 212.320 | 164.655 | 212.320 | -0.000 | 0.000 | 0.000 |
| 212.320 | 212.320 | 164.655 | -0.000 | 0.000 | 0.000 |
| -0.001 | -0.000 | -0.001 | 212.271 | 0.000 | 0.000 |
| -0.000 | -0.001 | -0.001 | -0.000 | 212.271 | 0.000 |
| -0.000 | -0.001 | -0.001 | -0.000 | 0.000 | 212.271 |
| 233.408 | -16.522 | -16.522 | -0.000 | -0.000 | 0.000 |
| -16.522 | 233.408 | -16.522 | -0.000 | -0.000 | -0.000 |
| -16.522 | -16.522 | 233.408 | -0.000 | -0.000 | -0.000 |
| -0.000 | -0.000 | -0.000 | -16.522 | -0.000 | 0.000 |
| 0.000 | 0.000 | -0.000 | -0.000 | -16.522 | 0.000 |
| 0.000 | -0.000 | -0.000 | -0.000 | -0.000 | -16.522 |
| 233.408 | -16.522 | -16.522 | 0.000 | 0.000 | -0.000 |
| -16.522 | 233.408 | -16.522 | 0.000 | 0.000 | -0.000 |
| -16.522 | -16.522 | 233.408 | 0.000 | -0.000 | 0.000 |
| 0.000 | 0.000 | 0.000 | -16.522 | 0.000 | -0.000 |
| 0.000 | -0.000 | 0.000 | 0.000 | -16.522 | -0.000 |
| -0.000 | 0.000 | 0.000 | 0.000 | 0.000 | -16.522 |
| 233.409 | -16.522 | -16.522 | -0.000 | -0.000 | -0.000 |
| -16.522 | 233.409 | -16.522 | -0.000 | -0.000 | 0.000 |
| -16.522 | -16.522 | 233.409 | -0.000 | 0.000 | -0.000 |
| -0.000 | 0.000 | -0.000 | -16.522 | -0.000 | 0.000 |
| 0.000 | 0.000 | -0.000 | 0.000 | -16.522 | 0.000 |
| 0.000 | -0.000 | -0.000 | -0.000 | -0.000 | -16.522 |
| 233.408 | -16.522 | -16.522 | 0.000 | 0.000 | -0.000 |
| -16.522 | 233.408 | -16.522 | 0.000 | 0.000 | -0.000 |
| -16.522 | -16.522 | 233.408 | 0.000 | 0.000 | -0.000 |
| -0.000 | -0.000 | 0.000 | -16.522 | 0.000 | -0.000 |
| -0.000 | -0.000 | 0.000 | -0.000 | -16.522 | -0.000 |
| -0.000 | 0.000 | 0.000 | 0.000 | -0.000 | -16.522 |
| 233.411 | -16.522 | -16.522 | -0.000 | -0.000 | 0.000 |
| -16.522 | 233.411 | -16.522 | -0.000 | -0.000 | -0.000 |
| -16.522 | -16.522 | 233.411 | -0.000 | -0.000 | 0.000 |
| -0.000 | 0.000 | -0.000 | -16.522 | -0.000 | 0.000 |
| 0.000 | -0.000 | -0.000 | -0.000 | -16.522 | 0.000 |
| 0.000 | -0.000 | -0.000 | 0.000 | -0.000 | -16.522 |
| 233.406 | -16.522 | -16.522 | 0.000 | -0.000 | 0.000 |
| -16.522 | 233.406 | -16.522 | -0.000 | -0.000 | -0.000 |
| -16.522 | -16.522 | 233.406 | 0.000 | 0.000 | -0.000 |
| 0.000 | -0.000 | 0.000 | -16.522 | 0.000 | 0.000 |
| -0.000 | 0.000 | 0.000 | 0.000 | -16.522 | -0.000 |
| -0.000 | 0.000 | 0.000 | -0.000 | 0.000 | -16.522 |
| 101.943 | 126.486 | 126.486 | 0.000 | 0.000 | -0.000 |
| 126.486 | 101.943 | 126.486 | -0.000 | -0.000 | 0.000 |
| 126.486 | 126.486 | 101.943 | -0.000 | 0.000 | 0.000 |
| 0.000 | -0.000 | 0.000 | 126.486 | 0.000 | 0.000 |
| -0.000 | 0.000 | 0.000 | 0.000 | 126.486 | 0.000 |
| 0.000 | 0.000 | 0.000 | 0.000 | -0.000 | 126.486 |
| 101.943 | 126.486 | 126.486 | -0.000 | -0.000 | -0.000 |
| 126.486 | 101.943 | 126.486 | -0.000 | 0.000 | 0.000 |
| 126.486 | 126.486 | 101.943 | 0.000 | -0.000 | -0.000 |
| -0.000 | -0.000 | -0.000 | 126.486 | 0.000 | -0.000 |
| -0.000 | -0.000 | -0.000 | -0.000 | 126.486 | -0.000 |
| -0.000 | -0.000 | -0.000 | -0.000 | 0.000 | 126.486 |
| 101.943 | 126.486 | 126.486 | 0.000 | -0.000 | -0.000 |
| 126.486 | 101.943 | 126.486 | 0.000 | 0.000 | 0.000 |
| 126.486 | 126.486 | 101.943 | 0.000 | -0.000 | 0.000 |
| 0.000 | 0.000 | 0.000 | 126.486 | 0.000 | 0.000 |
| 0.000 | 0.000 | 0.000 | 0.000 | 126.486 | -0.000 |
| 0.000 | 0.000 | 0.000 | 0.000 | -0.000 | 126.486 |
| 101.943 | 126.486 | 126.486 | -0.000 | 0.000 | -0.000 |
| 126.486 | 101.943 | 126.486 | -0.000 | 0.000 | 0.000 |
| 126.486 | 126.486 | 101.943 | 0.000 | 0.000 | -0.000 |
| -0.000 | -0.000 | -0.000 | 126.486 | -0.000 | -0.000 |
| -0.000 | -0.000 | -0.000 | -0.000 | 126.486 | -0.000 |
| -0.000 | -0.000 | -0.000 | -0.000 | 0.000 | 126.486 |
| 101.944 | 126.487 | 126.487 | -0.000 | 0.000 | -0.000 |
| 126.487 | 101.944 | 126.487 | 0.000 | 0.000 | 0.000 |
| 126.487 | 126.487 | 101.944 | 0.000 | 0.000 | 0.000 |
| 0.000 | 0.000 | 0.000 | 126.486 | -0.000 | -0.000 |
| 0.000 | 0.000 | 0.000 | 0.000 | 126.486 | 0.000 |
| 0.000 | 0.000 | 0.000 | -0.000 | -0.000 | 126.486 |
| 101.943 | 126.486 | 126.486 | -0.000 | 0.000 | -0.000 |
| 126.486 | 101.943 | 126.486 | 0.000 | 0.000 | -0.000 |
| 126.486 | 126.486 | 101.943 | -0.000 | 0.000 | -0.000 |
| -0.000 | -0.000 | -0.000 | 126.486 | 0.000 | -0.000 |
| -0.000 | -0.000 | -0.000 | 0.000 | 126.486 | 0.000 |
| -0.000 | -0.000 | -0.000 | 0.000 | 0.000 | 126.486 |
| 18.002 | 25.074 | 25.074 | -0.000 | 0.000 | 0.000 |
| 25.074 | 18.002 | 25.074 | 0.000 | -0.000 | -0.000 |
| 25.074 | 25.074 | 18.002 | -0.000 | 0.000 | -0.000 |
| 0.000 | -0.000 | -0.000 | -6.674 | -0.000 | -0.000 |
| -0.000 | -0.000 | -0.000 | -0.000 | -6.674 | -0.000 |
| -0.000 | -0.000 | -0.000 | -0.000 | -0.000 | -6.674 |
| 18.002 | 25.074 | 25.074 | 0.000 | -0.000 | 0.000 |
| 25.074 | 18.002 | 25.074 | -0.000 | 0.000 | 0.000 |
| 25.074 | 25.074 | 18.002 | -0.000 | -0.000 | 0.000 |
| 0.000 | 0.000 | 0.000 | -6.674 | 0.000 | 0.000 |
| 0.000 | 0.000 | 0.000 | 0.000 | -6.674 | 0.000 |
| 0.000 | 0.000 | 0.000 | 0.000 | 0.000 | -6.674 |
| 18.002 | 25.074 | 25.074 | 0.000 | 0.000 | 0.000 |
| 25.074 | 18.002 | 25.074 | 0.000 | -0.000 | 0.000 |
| 25.074 | 25.074 | 18.002 | 0.000 | -0.000 | -0.000 |
| -0.000 | -0.000 | -0.000 | -6.674 | -0.000 | -0.000 |
| -0.000 | -0.000 | -0.000 | -0.000 | -6.674 | -0.000 |
| -0.000 | -0.000 | -0.000 | -0.000 | -0.000 | -6.674 |
| 18.002 | 25.074 | 25.074 | 0.000 | -0.000 | -0.000 |
| 25.074 | 18.002 | 25.074 | -0.000 | 0.000 | 0.000 |
| 25.074 | 25.074 | 18.002 | 0.000 | -0.000 | 0.000 |
| 0.000 | 0.000 | 0.000 | -6.674 | 0.000 | 0.000 |
| 0.000 | 0.000 | 0.000 | 0.000 | -6.674 | 0.000 |
| 0.000 | 0.000 | 0.000 | 0.000 | 0.000 | -6.674 |
| 18.002 | 25.074 | 25.074 | 0.000 | 0.000 | 0.000 |
| 25.074 | 18.002 | 25.074 | 0.000 | 0.000 | -0.000 |
| 25.074 | 25.074 | 18.002 | -0.000 | -0.000 | 0.000 |
| -0.000 | -0.000 | -0.000 | -6.674 | -0.000 | -0.000 |
| -0.000 | -0.000 | -0.000 | -0.000 | -6.674 | -0.000 |
| -0.000 | -0.000 | -0.000 | -0.000 | -0.000 | -6.674 |
| 18.002 | 25.074 | 25.074 | 0.000 | -0.000 | 0.000 |
| 25.074 | 18.002 | 25.074 | -0.000 | 0.000 | -0.000 |
| 25.074 | 25.074 | 18.002 | -0.000 | -0.000 | 0.000 |
| 0.000 | 0.000 | 0.000 | -6.674 | 0.000 | 0.000 |
| 0.000 | 0.000 | 0.000 | 0.000 | -6.674 | 0.000 |
| 0.000 | 0.000 | 0.000 | 0.000 | 0.000 | -6.674 |
| 254.490 | 41.011 | 108.431 | 0.000 | -0.000 | 0.000 |
| 41.011 | 254.490 | 108.431 | -0.000 | -0.000 | -0.000 |
| 108.431 | 108.431 | 188.530 | -0.000 | 0.000 | 0.000 |
| 0.000 | 0.000 | 0.000 | 108.431 | 0.000 | 0.000 |
| -0.000 | 0.000 | 0.000 | 0.000 | 108.431 | 0.000 |
| -0.000 | 0.000 | 0.000 | -0.000 | 0.000 | 41.011 |
| 254.490 | 41.011 | 108.431 | -0.000 | -0.000 | -0.000 |
| 41.011 | 254.490 | 108.431 | 0.000 | -0.000 | -0.000 |
| 108.431 | 108.431 | 188.530 | -0.000 | -0.000 | -0.000 |
| -0.000 | -0.000 | -0.000 | 108.431 | -0.000 | -0.000 |
| -0.000 | -0.000 | -0.000 | -0.000 | 108.431 | 0.000 |
| -0.000 | -0.000 | -0.000 | -0.000 | -0.000 | 41.011 |
| 254.490 | 41.011 | 108.431 | 0.000 | 0.000 | -0.000 |
| 41.011 | 254.490 | 108.431 | 0.000 | 0.000 | 0.000 |
| 108.431 | 108.431 | 188.530 | 0.000 | 0.000 | 0.000 |
| 0.000 | 0.000 | 0.000 | 108.431 | -0.000 | 0.000 |
| 0.000 | 0.000 | 0.000 | 0.000 | 108.431 | 0.000 |
| 0.000 | 0.000 | 0.000 | 0.000 | 0.000 | 41.011 |
| 254.489 | 41.011 | 108.430 | -0.000 | 0.000 | -0.000 |
| 41.011 | 254.489 | 108.430 | 0.000 | -0.000 | -0.000 |
| 108.430 | 108.430 | 188.530 | -0.000 | 0.000 | -0.000 |
| -0.000 | -0.000 | -0.000 | 108.431 | -0.000 | -0.000 |
| -0.000 | -0.000 | -0.000 | -0.000 | 108.431 | -0.000 |
| -0.000 | -0.000 | -0.000 | -0.000 | -0.000 | 41.011 |
| 254.492 | 41.011 | 108.431 | 0.000 | 0.000 | -0.000 |
| 41.011 | 254.492 | 108.431 | 0.000 | 0.000 | 0.000 |
| 108.431 | 108.431 | 188.531 | 0.000 | 0.000 | 0.000 |
| 0.000 | 0.000 | 0.001 | 108.431 | 0.000 | 0.000 |
| 0.000 | 0.000 | 0.001 | 0.000 | 108.431 | 0.000 |
| 0.000 | 0.000 | 0.000 | 0.000 | 0.000 | 41.011 |
| 254.487 | 41.011 | 108.430 | -0.000 | -0.000 | -0.000 |
| 41.011 | 254.487 | 108.430 | -0.000 | -0.000 | -0.000 |
| 108.430 | 108.430 | 188.529 | -0.000 | -0.000 | -0.000 |
| -0.000 | -0.000 | -0.001 | 108.431 | -0.000 | -0.000 |
| -0.000 | -0.000 | -0.001 | -0.000 | 108.431 | -0.000 |
| -0.000 | -0.000 | -0.000 | -0.000 | -0.000 | 41.011 |
| 57.150 | 60.215 | 60.215 | 0.000 | 0.000 | 0.000 |
| 60.215 | 57.150 | 60.215 | 0.000 | -0.000 | 0.000 |
| 60.215 | 60.215 | 57.150 | 0.000 | 0.000 | 0.000 |
| 0.000 | 0.000 | 0.000 | -0.735 | 0.000 | 0.000 |
| 0.000 | 0.000 | 0.000 | -0.000 | -0.735 | 0.000 |
| 0.000 | -0.000 | 0.000 | -0.000 | 0.000 | -0.735 |
| 57.150 | 60.215 | 60.215 | -0.000 | -0.000 | -0.000 |
| 60.215 | 57.150 | 60.215 | -0.000 | -0.000 | -0.000 |
| 60.215 | 60.215 | 57.150 | 0.000 | 0.000 | -0.000 |
| -0.000 | -0.000 | 0.000 | -0.735 | -0.000 | -0.000 |
| -0.000 | -0.000 | 0.000 | 0.000 | -0.735 | -0.000 |
| -0.000 | -0.000 | -0.000 | 0.000 | -0.000 | -0.735 |
| 57.150 | 60.215 | 60.215 | -0.000 | 0.000 | 0.000 |
| 60.215 | 57.150 | 60.215 | 0.000 | -0.000 | 0.000 |
| 60.215 | 60.215 | 57.150 | 0.000 | 0.000 | 0.000 |
| 0.000 | -0.000 | -0.000 | -0.735 | 0.000 | 0.000 |
| -0.000 | 0.000 | -0.000 | -0.000 | -0.735 | 0.000 |
| -0.000 | -0.000 | 0.000 | 0.000 | 0.000 | -0.735 |
| 57.150 | 60.215 | 60.215 | -0.000 | -0.000 | -0.000 |
| 60.215 | 57.150 | 60.215 | 0.000 | -0.000 | -0.000 |
| 60.215 | 60.215 | 57.150 | -0.000 | -0.000 | -0.000 |
| -0.000 | 0.000 | 0.000 | -0.735 | -0.000 | -0.000 |
| 0.000 | -0.000 | 0.000 | 0.000 | -0.735 | -0.000 |
| 0.000 | 0.000 | -0.000 | -0.000 | -0.000 | -0.735 |
| 57.150 | 60.215 | 60.215 | 0.000 | -0.000 | 0.000 |
| 60.215 | 57.150 | 60.215 | 0.000 | -0.000 | 0.000 |
| 60.215 | 60.215 | 57.150 | 0.000 | 0.000 | 0.000 |
| 0.000 | -0.000 | -0.000 | -0.735 | -0.000 | 0.000 |
| -0.000 | 0.000 | -0.000 | 0.000 | -0.735 | 0.000 |
| -0.000 | -0.000 | 0.000 | -0.000 | -0.000 | -0.735 |
| 57.149 | 60.214 | 60.214 | 0.000 | 0.000 | -0.000 |
| 60.214 | 57.149 | 60.214 | -0.000 | -0.000 | -0.000 |
| 60.214 | 60.214 | 57.149 | 0.000 | -0.000 | -0.000 |
| -0.000 | 0.000 | 0.000 | -0.735 | 0.000 | -0.000 |
| 0.000 | -0.000 | 0.000 | 0.000 | -0.735 | -0.000 |
| 0.000 | 0.000 | -0.000 | 0.000 | -0.000 | -0.735 |
| 104.092 | 128.233 | 128.233 | -0.000 | -0.000 | 0.000 |
| 128.233 | 104.092 | 128.233 | -0.000 | -0.000 | -0.000 |
| 128.233 | 128.233 | 104.092 | -0.000 | -0.000 | 0.000 |
| -0.000 | -0.000 | -0.000 | 127.325 | -0.000 | 0.000 |
| -0.000 | 0.000 | -0.000 | -0.000 | 127.325 | 0.000 |
| -0.000 | -0.000 | 0.000 | 0.000 | -0.000 | 127.325 |
| 104.092 | 128.233 | 128.233 | 0.000 | 0.000 | -0.000 |
| 128.233 | 104.091 | 128.233 | -0.000 | 0.000 | -0.000 |
| 128.233 | 128.233 | 104.092 | -0.000 | 0.000 | -0.000 |
| 0.000 | 0.000 | 0.000 | 127.325 | 0.000 | -0.000 |
| 0.000 | -0.000 | 0.000 | -0.000 | 127.325 | -0.000 |
| 0.000 | 0.000 | -0.000 | -0.000 | 0.000 | 127.325 |
| 104.092 | 128.233 | 128.233 | -0.000 | -0.000 | 0.000 |
| 128.233 | 104.092 | 128.233 | 0.000 | 0.000 | 0.000 |
| 128.233 | 128.233 | 104.092 | 0.000 | -0.000 | 0.000 |
| 0.000 | 0.000 | 0.000 | 127.325 | -0.000 | -0.000 |
| 0.000 | 0.000 | 0.000 | 0.000 | 127.325 | 0.000 |
| 0.000 | 0.000 | 0.000 | 0.000 | -0.000 | 127.325 |
| 104.091 | 128.233 | 128.233 | 0.000 | 0.000 | -0.000 |
| 128.233 | 104.091 | 128.233 | -0.000 | 0.000 | 0.000 |
| 128.233 | 128.233 | 104.091 | -0.000 | 0.000 | -0.000 |
| -0.000 | -0.000 | -0.000 | 127.325 | 0.000 | -0.000 |
| -0.000 | -0.000 | -0.000 | 0.000 | 127.325 | -0.000 |
| -0.000 | -0.000 | -0.000 | -0.000 | 0.000 | 127.325 |
| 104.092 | 128.234 | 128.234 | -0.000 | -0.000 | 0.000 |
| 128.234 | 104.092 | 128.234 | -0.000 | -0.000 | 0.000 |
| 128.234 | 128.234 | 104.092 | 0.000 | -0.000 | 0.000 |
| 0.000 | 0.000 | 0.000 | 127.325 | 0.000 | 0.000 |
| 0.000 | 0.000 | 0.000 | 0.000 | 127.325 | 0.000 |
| 0.000 | 0.000 | 0.000 | 0.000 | -0.000 | 127.325 |
| 104.091 | 128.233 | 128.233 | -0.000 | 0.000 | -0.000 |
| 128.233 | 104.091 | 128.233 | -0.000 | 0.000 | -0.000 |
| 128.233 | 128.233 | 104.091 | -0.000 | -0.000 | -0.000 |
| -0.000 | -0.000 | -0.000 | 128.233 | 0.000 | 0.000 |
| -0.000 | -0.000 | -0.000 | 0.000 | 128.233 | -0.000 |
| -0.000 | -0.000 | -0.000 | -0.000 | -0.000 | 127.325 |
| 247.146 | 10.596 | 10.596 | -0.000 | 0.000 | 0.000 |
| 10.596 | 247.146 | 10.596 | -0.000 | 0.000 | -0.000 |
| 10.596 | 10.596 | 247.146 | 0.000 | -0.000 | 0.000 |
| 0.000 | -0.000 | -0.000 | 10.417 | 0.000 | -0.000 |
| 0.000 | 0.000 | -0.000 | 0.000 | 10.417 | 0.000 |
| -0.000 | 0.000 | 0.000 | -0.000 | 0.000 | 10.417 |
| 247.505 | 10.417 | 10.417 | 0.000 | 0.000 | -0.000 |
| 10.417 | 247.505 | 10.417 | 0.000 | 0.000 | 0.000 |
| 10.417 | 10.417 | 247.505 | 0.000 | -0.000 | -0.000 |
| -0.000 | -0.000 | -0.000 | 10.417 | -0.000 | -0.000 |
| -0.000 | -0.000 | -0.000 | 0.000 | 10.417 | 0.000 |
| 0.000 | -0.000 | -0.000 | 0.000 | 0.000 | 10.417 |
| 247.146 | 10.596 | 10.596 | -0.000 | 0.000 | -0.000 |
| 10.596 | 247.146 | 10.596 | 0.000 | 0.000 | 0.000 |
| 10.596 | 10.596 | 247.146 | -0.000 | 0.000 | -0.000 |
| 0.000 | -0.000 | -0.000 | -6.741 | 0.000 | 0.000 |
| -0.000 | 0.000 | -0.000 | -0.000 | -6.741 | 0.000 |
| -0.000 | -0.000 | 0.000 | -0.000 | 0.000 | -6.741 |
| 247.146 | 10.596 | 10.596 | 0.000 | -0.000 | -0.000 |
| 10.596 | 247.146 | 10.596 | 0.000 | -0.000 | -0.000 |
| 10.596 | 10.596 | 247.146 | -0.000 | -0.000 | -0.000 |
| -0.000 | 0.000 | 0.000 | -6.741 | -0.000 | -0.000 |
| 0.000 | -0.000 | 0.000 | 0.000 | -6.741 | -0.000 |
| 0.000 | 0.000 | -0.000 | 0.000 | -0.000 | -6.741 |
| 247.148 | 10.596 | 10.596 | -0.000 | 0.000 | 0.000 |
| 10.596 | 247.148 | 10.596 | -0.000 | -0.000 | -0.000 |
| 10.596 | 10.596 | 247.148 | -0.000 | 0.000 | 0.000 |
| -1714090.025 | -1873368.275 | -1858648.785 | -23423.951 | -5021.577 | -36856.735 |
| -1866157.357 | -1694137.804 | -1751018.743 | -54453.084 | -35454.723 | 15163.280 |
| -1903335.369 | -1847314.720 | -1759612.466 | 63473.705 | -11122.577 | -2764.373 |
| 247.144 | 10.596 | 10.596 | 0.000 | -0.000 | -0.000 |
| 10.596 | 247.144 | 10.596 | 0.000 | 0.000 | -0.000 |
| 10.596 | 10.596 | 247.144 | 0.000 | 0.000 | -0.000 |
| 1836625.517 | 1699034.986 | 1769760.312 | -84946.404 | 51595.318 | 22968.351 |
| 1947199.747 | 1743572.165 | 1869671.421 | -52402.056 | -30640.393 | -66273.206 |
| 1799829.631 | 1683465.424 | 1777111.507 | -3383.099 | -28675.160 | -36804.974 |
| 84.638 | 104.999 | 104.999 | 0.000 | 0.000 | 0.000 |
| 104.999 | 84.638 | 104.999 | 0.000 | 0.000 | 0.000 |
| 104.999 | 104.999 | 84.638 | 0.000 | 0.000 | 0.000 |
| -0.000 | -0.000 | -0.000 | 101.638 | 0.000 | 0.000 |
| -0.000 | -0.000 | -0.000 | 0.000 | 101.638 | 0.000 |
| -0.000 | -0.000 | -0.000 | 0.000 | 0.000 | 101.638 |
| 84.638 | 104.999 | 104.999 | -0.000 | -0.000 | -0.000 |
| 104.999 | 84.638 | 104.999 | -0.000 | -0.000 | -0.000 |
| 104.999 | 104.999 | 84.638 | -0.000 | -0.000 | -0.000 |
| 0.000 | 0.000 | 0.000 | 101.638 | -0.000 | -0.000 |
| 0.000 | 0.000 | 0.000 | -0.000 | 101.638 | -0.000 |
| 0.000 | 0.000 | 0.000 | -0.000 | -0.000 | 101.638 |
| 84.638 | 104.999 | 104.999 | 0.000 | 0.000 | 0.000 |
| 104.999 | 84.638 | 104.999 | 0.000 | 0.000 | 0.000 |
| 104.999 | 104.999 | 84.638 | 0.000 | 0.000 | 0.000 |
| 0.000 | 0.000 | 0.000 | 101.638 | 0.000 | 0.000 |
| 0.000 | 0.000 | 0.000 | 0.000 | 101.638 | 0.000 |
| 0.000 | 0.000 | 0.000 | 0.000 | 0.000 | 101.638 |
| 84.638 | 104.999 | 104.999 | -0.000 | -0.000 | -0.000 |
| 104.999 | 84.638 | 104.999 | -0.000 | -0.000 | -0.000 |
| 104.999 | 104.999 | 84.638 | -0.000 | -0.000 | -0.000 |
| -0.000 | -0.000 | -0.000 | 101.638 | -0.000 | -0.000 |
| -0.000 | -0.000 | -0.000 | -0.000 | 101.638 | -0.000 |
| -0.000 | -0.000 | -0.000 | -0.000 | -0.000 | 101.638 |
| 84.638 | 105.000 | 105.000 | 0.000 | 0.000 | 0.000 |
| 105.000 | 84.638 | 105.000 | 0.000 | 0.000 | 0.000 |
| 105.000 | 105.000 | 84.638 | 0.000 | 0.000 | 0.000 |
| 0.000 | 0.000 | 0.000 | 101.638 | 0.000 | 0.000 |
| 0.000 | 0.000 | 0.000 | 0.000 | 101.638 | 0.000 |
| 0.000 | 0.000 | 0.000 | 0.000 | 0.000 | 101.638 |
| 84.638 | 104.999 | 104.999 | -0.000 | -0.000 | -0.000 |
| 104.999 | 84.638 | 104.999 | -0.000 | -0.000 | -0.000 |
| 104.999 | 104.999 | 84.638 | -0.000 | -0.000 | -0.000 |
| -0.000 | -0.000 | -0.000 | 101.638 | -0.000 | 0.000 |
| -0.000 | -0.000 | -0.000 | -0.000 | 101.638 | -0.000 |
| -0.000 | -0.000 | -0.000 | -0.000 | -0.000 | 101.638 |
| 150.890 | 88.673 | 88.673 | -0.000 | -0.000 | 0.000 |
| 88.673 | 150.890 | 88.673 | -0.000 | 0.000 | -0.000 |
| 88.673 | 88.673 | 150.890 | -0.000 | 0.000 | 0.000 |
| -0.000 | 0.000 | 0.000 | 88.673 | 0.000 | -0.000 |
| 0.000 | -0.000 | 0.000 | 0.000 | 88.673 | 0.000 |
| 0.000 | 0.000 | -0.000 | -0.000 | 0.000 | 88.673 |
| 150.890 | 88.673 | 88.673 | 0.000 | 0.000 | 0.000 |
| 88.673 | 150.890 | 88.673 | 0.000 | -0.000 | 0.000 |
| 88.673 | 88.673 | 150.890 | 0.000 | -0.000 | -0.000 |
| 0.000 | -0.000 | -0.000 | 88.673 | 0.000 | 0.000 |
| -0.000 | 0.000 | -0.000 | -0.000 | 88.673 | -0.000 |
| -0.000 | -0.000 | 0.000 | -0.000 | -0.000 | 88.673 |
| 150.890 | 88.673 | 88.673 | -0.000 | 0.000 | -0.000 |
| 88.673 | 150.890 | 88.673 | -0.000 | -0.000 | -0.000 |
| 88.673 | 88.673 | 150.890 | -0.000 | 0.000 | 0.000 |
| -0.000 | 0.000 | 0.000 | 88.673 | -0.000 | -0.000 |
| 0.000 | -0.000 | 0.000 | 0.000 | 88.673 | 0.000 |
| 0.000 | 0.000 | -0.000 | 0.000 | 0.000 | 88.673 |
| 150.890 | 88.672 | 88.672 | -0.000 | -0.000 | -0.000 |
| 88.672 | 150.890 | 88.672 | 0.000 | -0.000 | 0.000 |
| 88.672 | 88.672 | 150.890 | 0.000 | -0.000 | -0.000 |
| 0.000 | -0.000 | -0.000 | 88.673 | 0.000 | 0.000 |
| -0.000 | 0.000 | -0.000 | 0.000 | 88.673 | -0.000 |
| -0.000 | -0.000 | 0.000 | 0.000 | -0.000 | 88.673 |
| 150.891 | 88.673 | 88.673 | 0.000 | -0.000 | 0.000 |
| 88.673 | 150.891 | 88.673 | 0.000 | 0.000 | 0.000 |
| 88.673 | 88.673 | 150.891 | -0.000 | 0.000 | -0.000 |
| -0.000 | 0.000 | 0.000 | 88.673 | 0.000 | 0.000 |
| 0.000 | -0.000 | 0.000 | -0.000 | 88.673 | -0.000 |
| 0.000 | 0.000 | -0.000 | 0.000 | 0.000 | 88.673 |
| 150.890 | 88.672 | 88.672 | 0.000 | -0.000 | 0.000 |
| 88.672 | 150.890 | 88.672 | 0.000 | 0.000 | -0.000 |
| 88.672 | 88.672 | 150.890 | 0.000 | -0.000 | -0.000 |
| 0.000 | -0.000 | -0.000 | 88.673 | -0.000 | -0.000 |
| -0.000 | 0.000 | -0.000 | 0.000 | 88.673 | -0.000 |
| -0.000 | -0.000 | 0.000 | 0.000 | -0.000 | 88.673 |
| 126.152 | 162.427 | 162.427 | -0.000 | -0.000 | -0.000 |
| 162.427 | 126.152 | 162.427 | -0.000 | -0.000 | -0.000 |
| 162.427 | 162.427 | 126.152 | 0.000 | -0.000 | -0.000 |
| 0.000 | 0.000 | 0.000 | 155.181 | -0.000 | -0.000 |
| 0.000 | 0.000 | 0.000 | -0.000 | 155.181 | -0.000 |
| -0.000 | 0.000 | 0.000 | 0.000 | -0.000 | 155.181 |
| 126.152 | 162.427 | 162.427 | 0.000 | 0.000 | 0.000 |
| 162.427 | 126.152 | 162.427 | -0.000 | 0.000 | 0.000 |
| 162.427 | 162.427 | 126.152 | 0.000 | 0.000 | 0.000 |
| -0.000 | -0.000 | -0.000 | 155.181 | 0.000 | 0.000 |
| -0.000 | -0.000 | -0.000 | 0.000 | 155.181 | 0.000 |
| -0.000 | -0.000 | -0.000 | -0.000 | 0.000 | 155.181 |
| 126.152 | 162.427 | 162.427 | -0.000 | -0.000 | -0.000 |
| 162.427 | 126.152 | 162.427 | -0.000 | -0.000 | -0.000 |
| 162.427 | 162.427 | 126.152 | -0.000 | -0.000 | -0.000 |
| 0.000 | 0.000 | 0.000 | 155.181 | -0.000 | -0.000 |
| 0.000 | 0.000 | 0.000 | -0.000 | 155.181 | -0.000 |
| 0.000 | 0.000 | 0.000 | -0.000 | -0.000 | 155.181 |
| 126.152 | 162.427 | 162.427 | 0.000 | 0.000 | 0.000 |
| 162.427 | 126.152 | 162.427 | 0.000 | 0.000 | 0.000 |
| 162.427 | 162.427 | 126.152 | 0.000 | 0.000 | 0.000 |
| -0.000 | -0.000 | -0.000 | 155.181 | 0.000 | 0.000 |
| -0.000 | -0.000 | -0.000 | 0.000 | 155.181 | 0.000 |
| -0.000 | -0.000 | -0.000 | 0.000 | 0.000 | 155.181 |
| 126.152 | 162.428 | 162.428 | -0.000 | -0.000 | -0.000 |
| 162.428 | 126.152 | 162.428 | -0.000 | -0.000 | -0.000 |
| 162.428 | 162.428 | 126.152 | -0.000 | -0.000 | -0.000 |
| 0.001 | 0.000 | 0.001 | 162.427 | -0.000 | -0.000 |
| 0.000 | 0.001 | 0.001 | 0.000 | 162.427 | -0.000 |
| 0.000 | 0.001 | 0.001 | -0.000 | -0.000 | 162.427 |
| 126.151 | 162.427 | 162.427 | 0.000 | 0.000 | 0.000 |
| 162.427 | 126.151 | 162.427 | 0.000 | 0.000 | 0.000 |
| 162.427 | 162.427 | 126.151 | -0.000 | 0.000 | 0.000 |
| -0.001 | -0.000 | -0.001 | 162.427 | 0.000 | 0.000 |
| -0.000 | -0.001 | -0.001 | -0.000 | 162.427 | 0.000 |
| -0.000 | -0.001 | -0.001 | 0.000 | 0.000 | 162.427 |
| 385.976 | -22.711 | -22.711 | 0.000 | 0.000 | -0.000 |
| -22.711 | 385.976 | -22.711 | -0.000 | 0.000 | -0.000 |
| -22.711 | -22.711 | 385.976 | 0.000 | -0.000 | -0.000 |
| -0.000 | 0.000 | -0.000 | -22.711 | 0.000 | -0.000 |
| -0.000 | 0.000 | -0.000 | -0.000 | -22.711 | -0.000 |
| -0.000 | -0.000 | -0.000 | 0.000 | 0.000 | -22.711 |
| 385.976 | -22.711 | -22.711 | -0.000 | -0.000 | 0.000 |
| -22.711 | 385.976 | -22.711 | 0.000 | -0.000 | 0.000 |
| -22.711 | -22.711 | 385.976 | -0.000 | -0.000 | 0.000 |
| 0.000 | -0.000 | 0.000 | -22.711 | -0.000 | 0.000 |
| 0.000 | -0.000 | 0.000 | 0.000 | -22.711 | 0.000 |
| 0.000 | 0.000 | 0.000 | 0.000 | -0.000 | -22.711 |
| 385.977 | -22.711 | -22.711 | 0.000 | 0.000 | -0.000 |
| -22.711 | 385.977 | -22.711 | 0.000 | 0.000 | -0.000 |
| -22.711 | -22.711 | 385.977 | -0.000 | 0.000 | -0.000 |
| 0.000 | 0.000 | -0.000 | -22.711 | 0.000 | -0.000 |
| 0.000 | 0.000 | -0.000 | -0.000 | -22.711 | -0.000 |
| 0.000 | -0.000 | 0.000 | 0.000 | 0.000 | -22.711 |
| 385.976 | -22.711 | -22.711 | 0.000 | -0.000 | 0.000 |
| -22.711 | 385.976 | -22.711 | 0.000 | 0.000 | 0.000 |
| -22.711 | -22.711 | 385.976 | 0.000 | -0.000 | 0.000 |
| -0.000 | -0.000 | 0.000 | -22.711 | 0.000 | 0.000 |
| -0.000 | -0.000 | 0.000 | 0.000 | -22.711 | 0.000 |
| -0.000 | 0.000 | -0.000 | 0.000 | -0.000 | -22.711 |
| 385.980 | -22.711 | -22.711 | 0.000 | 0.000 | -0.000 |
| -22.711 | 385.980 | -22.711 | 0.000 | 0.000 | -0.000 |
| -22.711 | -22.711 | 385.980 | 0.000 | 0.000 | -0.000 |
| 0.000 | 0.000 | -0.000 | -22.711 | -0.000 | -0.000 |
| 0.000 | 0.000 | -0.000 | 0.000 | -22.711 | -0.000 |
| 0.000 | -0.000 | 0.000 | -0.000 | 0.000 | -22.711 |
| 385.973 | -22.711 | -22.711 | 0.000 | -0.000 | 0.000 |
| -22.711 | 385.973 | -22.711 | 0.000 | 0.000 | 0.000 |
| -22.711 | -22.711 | 385.973 | 0.000 | -0.000 | 0.000 |
| -0.000 | -0.000 | 0.000 | -22.711 | -0.000 | 0.000 |
| -0.000 | -0.000 | 0.000 | -0.000 | -22.711 | 0.000 |
| -0.000 | 0.000 | -0.000 | 0.000 | -0.000 | -22.711 |
| 161.585 | 208.581 | 208.581 | 0.000 | 0.000 | 0.000 |
| 208.581 | 161.585 | 208.581 | -0.000 | -0.000 | 0.000 |
| 208.581 | 208.581 | 161.585 | 0.000 | -0.000 | 0.000 |
| 0.000 | -0.000 | 0.000 | 208.581 | -0.000 | 0.000 |
| 0.000 | 0.000 | 0.000 | 0.000 | 208.581 | 0.000 |
| 0.000 | 0.000 | 0.000 | 0.000 | 0.000 | 208.581 |
| 161.585 | 208.581 | 208.581 | 0.000 | -0.000 | -0.000 |
| 208.581 | 161.585 | 208.581 | -0.000 | 0.000 | -0.000 |
| 208.581 | 208.581 | 161.585 | 0.000 | 0.000 | -0.000 |
| -0.000 | -0.000 | -0.000 | 208.581 | -0.000 | -0.000 |
| -0.000 | -0.000 | -0.000 | -0.000 | 208.581 | -0.000 |
| -0.000 | -0.000 | -0.000 | -0.000 | -0.000 | 208.581 |
| 161.585 | 208.581 | 208.581 | -0.000 | 0.000 | 0.000 |
| 208.581 | 161.585 | 208.581 | -0.000 | 0.000 | -0.000 |
| 208.581 | 208.581 | 161.585 | 0.000 | 0.000 | 0.000 |
| 0.000 | 0.000 | 0.000 | 208.581 | -0.000 | 0.000 |
| 0.000 | 0.000 | 0.000 | -0.000 | 208.581 | 0.000 |
| 0.000 | 0.000 | 0.000 | 0.000 | 0.000 | 208.581 |
| 161.585 | 208.581 | 208.581 | -0.000 | -0.000 | -0.000 |
| 208.581 | 161.585 | 208.581 | -0.000 | 0.000 | -0.000 |
| 208.581 | 208.581 | 161.585 | -0.000 | -0.000 | -0.000 |
| -0.000 | -0.000 | -0.000 | 208.581 | -0.000 | -0.000 |
| -0.000 | -0.000 | -0.000 | -0.000 | 208.581 | -0.000 |
| -0.000 | -0.000 | -0.000 | 0.000 | -0.000 | 208.581 |
| 161.586 | 208.582 | 208.582 | 0.000 | 0.000 | 0.000 |
| 208.582 | 161.586 | 208.582 | -0.000 | -0.000 | 0.000 |
| 208.582 | 208.582 | 161.586 | 0.000 | -0.000 | 0.000 |
| 0.001 | 0.000 | 0.001 | 208.581 | 0.000 | 0.000 |
| 0.000 | 0.001 | 0.001 | 0.000 | 208.581 | 0.000 |
| 0.000 | 0.001 | 0.001 | 0.000 | 0.000 | 208.581 |
| 161.584 | 208.580 | 208.580 | 0.000 | -0.000 | -0.000 |
| 208.580 | 161.584 | 208.580 | -0.000 | 0.000 | -0.000 |
| 208.580 | 208.580 | 161.584 | -0.000 | -0.000 | -0.000 |
| -0.001 | -0.000 | -0.001 | 208.581 | -0.000 | -0.000 |
| -0.000 | -0.001 | -0.001 | -0.000 | 208.581 | -0.000 |
| -0.000 | -0.001 | -0.001 | -0.000 | -0.000 | 208.581 |
| 30.648 | 40.577 | 40.577 | -0.000 | -0.000 | -0.000 |
| 40.577 | 30.648 | 40.577 | -0.000 | -0.000 | -0.000 |
| 40.577 | 40.577 | 30.648 | -0.000 | -0.000 | -0.000 |
| -0.000 | 0.000 | -0.000 | -11.995 | -0.000 | -0.000 |
| -0.000 | 0.000 | -0.000 | -0.000 | -11.995 | -0.000 |
| -0.000 | 0.000 | 0.000 | -0.000 | -0.000 | -11.995 |
| 30.648 | 40.577 | 40.577 | 0.000 | 0.000 | 0.000 |
| 40.577 | 30.648 | 40.577 | 0.000 | 0.000 | 0.000 |
| 40.577 | 40.577 | 30.648 | 0.000 | 0.000 | 0.000 |
| 0.000 | -0.000 | 0.000 | -11.995 | 0.000 | 0.000 |
| 0.000 | -0.000 | -0.000 | 0.000 | -11.995 | 0.000 |
| 0.000 | -0.000 | -0.000 | 0.000 | 0.000 | -11.995 |
| 30.648 | 40.577 | 40.577 | -0.000 | -0.000 | -0.000 |
| 40.577 | 30.648 | 40.577 | -0.000 | -0.000 | -0.000 |
| 40.577 | 40.577 | 30.648 | -0.000 | -0.000 | -0.000 |
| -0.000 | -0.000 | -0.000 | -11.995 | -0.000 | -0.000 |
| -0.000 | -0.000 | -0.000 | -0.000 | -11.995 | -0.000 |
| -0.000 | -0.000 | -0.000 | -0.000 | -0.000 | -11.995 |
| 30.648 | 40.577 | 40.577 | 0.000 | 0.000 | 0.000 |
| 40.577 | 30.648 | 40.577 | 0.000 | 0.000 | 0.000 |
| 40.577 | 40.577 | 30.648 | 0.000 | 0.000 | 0.000 |
| 0.000 | 0.000 | 0.000 | -11.995 | 0.000 | 0.000 |
| 0.000 | 0.000 | 0.000 | 0.000 | -11.995 | 0.000 |
| 0.000 | 0.000 | 0.000 | 0.000 | 0.000 | -11.995 |
| 30.648 | 40.577 | 40.577 | -0.000 | -0.000 | -0.000 |
| 40.577 | 30.648 | 40.577 | -0.000 | -0.000 | -0.000 |
| 40.577 | 40.577 | 30.648 | -0.000 | -0.000 | -0.000 |
| -0.000 | -0.000 | -0.000 | -11.995 | -0.000 | -0.000 |
| -0.000 | -0.000 | -0.000 | -0.000 | -11.995 | -0.000 |
| -0.000 | -0.000 | -0.000 | -0.000 | -0.000 | -11.995 |
| 30.648 | 40.577 | 40.577 | 0.000 | 0.000 | 0.000 |
| 40.577 | 30.648 | 40.577 | 0.000 | 0.000 | 0.000 |
| 40.577 | 40.577 | 30.648 | 0.000 | 0.000 | 0.000 |
| 0.000 | 0.000 | 0.000 | -11.995 | 0.000 | 0.000 |
| 0.000 | 0.000 | 0.000 | 0.000 | -11.995 | 0.000 |
| 0.000 | 0.000 | 0.000 | 0.000 | 0.000 | -11.995 |
| 413.157 | 70.139 | 172.896 | 0.000 | 0.000 | -0.000 |
| 70.139 | 413.157 | 172.896 | -0.000 | -0.000 | -0.000 |
| 172.896 | 172.896 | 310.693 | -0.000 | -0.000 | 0.000 |
| 0.000 | -0.000 | 0.000 | 172.896 | -0.000 | -0.000 |
| 0.000 | 0.000 | 0.000 | 0.000 | 172.896 | -0.000 |
| 0.000 | -0.000 | 0.000 | -0.000 | -0.000 | 70.139 |
| 413.157 | 70.139 | 172.896 | 0.000 | -0.000 | 0.000 |
| 70.139 | 413.157 | 172.896 | -0.000 | -0.000 | 0.000 |
| 172.896 | 172.896 | 310.693 | 0.000 | 0.000 | 0.000 |
| -0.000 | -0.000 | -0.000 | 172.896 | 0.000 | -0.000 |
| -0.000 | -0.000 | -0.000 | 0.000 | 172.896 | -0.000 |
| 0.000 | 0.000 | -0.000 | -0.000 | -0.000 | 70.139 |
| 413.157 | 70.139 | 172.896 | 0.000 | -0.000 | 0.000 |
| 70.139 | 413.157 | 172.896 | 0.000 | 0.000 | -0.000 |
| 172.896 | 172.896 | 310.693 | 0.000 | -0.000 | 0.000 |
| 0.000 | 0.000 | 0.000 | 172.896 | -0.000 | 0.000 |
| 0.000 | 0.000 | 0.000 | -0.000 | 172.896 | 0.000 |
| 0.000 | 0.000 | 0.000 | 0.000 | 0.000 | 70.139 |
| 413.156 | 70.139 | 172.896 | -0.000 | -0.000 | 0.000 |
| 70.139 | 413.156 | 172.896 | 0.000 | 0.000 | 0.000 |
| 172.896 | 172.896 | 310.693 | 0.000 | 0.000 | 0.000 |
| -0.000 | -0.000 | -0.000 | 172.896 | 0.000 | 0.000 |
| -0.000 | -0.000 | -0.000 | 0.000 | 172.896 | -0.000 |
| -0.000 | -0.000 | -0.000 | -0.000 | 0.000 | 70.139 |
| 413.160 | 70.139 | 172.897 | 0.000 | -0.000 | 0.000 |
| 70.139 | 413.160 | 172.897 | -0.000 | -0.000 | 0.000 |
| 172.897 | 172.897 | 310.694 | -0.000 | 0.000 | -0.000 |
| 0.000 | 0.000 | 0.001 | 172.896 | 0.000 | 0.000 |
| 0.000 | 0.000 | 0.001 | -0.000 | 172.896 | -0.000 |
| 0.000 | 0.000 | 0.000 | 0.000 | -0.000 | 70.139 |
| 413.153 | 70.139 | 172.896 | 0.000 | 0.000 | 0.000 |
| 70.139 | 413.153 | 172.896 | 0.000 | -0.000 | 0.000 |
| 172.895 | 172.895 | 310.692 | 0.000 | 0.000 | 0.000 |
| -0.000 | -0.000 | -0.001 | 172.896 | -0.000 | 0.000 |
| -0.000 | -0.000 | -0.001 | 0.000 | 172.896 | 0.000 |
| -0.000 | -0.000 | -0.000 | -0.000 | 0.000 | 70.139 |
| 413.312 | 137.771 | 104.021 | -48.663 | 0.000 | -0.000 |
| 137.771 | 413.312 | 104.021 | 48.663 | -0.000 | 0.000 |
| 104.021 | 104.021 | 448.218 | 0.000 | 0.000 | 0.000 |
| -48.663 | 48.663 | 0.000 | 104.021 | 0.000 | -0.000 |
| -0.000 | -0.000 | 0.000 | -0.000 | 104.021 | -48.663 |
| -0.000 | 0.000 | -0.000 | -0.000 | -48.663 | 137.771 |
| 413.312 | 137.771 | 104.021 | -48.663 | 0.000 | -0.000 |
| 137.771 | 413.312 | 104.021 | 48.663 | 0.000 | 0.000 |
| 104.021 | 104.021 | 448.218 | -0.000 | 0.000 | 0.000 |
| -48.663 | 48.663 | -0.000 | 104.021 | 0.000 | -0.000 |
| 0.000 | 0.000 | 0.000 | 0.000 | 104.021 | -48.663 |
| 0.000 | -0.000 | 0.000 | 0.000 | -48.663 | 137.771 |
| 413.312 | 137.771 | 104.021 | -48.663 | 0.000 | -0.000 |
| 137.771 | 413.312 | 104.021 | 48.663 | -0.000 | 0.000 |
| 104.021 | 104.021 | 448.219 | 0.000 | 0.000 | -0.000 |
| -48.663 | 48.663 | 0.000 | 104.021 | 0.000 | -0.000 |
| 0.000 | 0.000 | 0.000 | -0.000 | 104.021 | -48.663 |
| 0.000 | 0.000 | 0.000 | -0.000 | -48.663 | 137.771 |
| 413.312 | 137.771 | 104.020 | -48.663 | 0.000 | -0.000 |
| 137.771 | 413.312 | 104.020 | 48.663 | 0.000 | 0.000 |
| 104.020 | 104.020 | 448.218 | -0.000 | -0.000 | 0.000 |
| -48.663 | 48.663 | -0.000 | 104.020 | 0.000 | -0.000 |
| -0.000 | -0.000 | -0.000 | 0.000 | 104.021 | -48.663 |
| -0.000 | -0.000 | -0.000 | 0.000 | -48.663 | 137.771 |
| 413.316 | 137.771 | 104.021 | -48.663 | 0.000 | -0.000 |
| 137.772 | 413.315 | 104.021 | 48.663 | 0.000 | -0.000 |
| 104.021 | 104.021 | 448.221 | 0.000 | -0.000 | 0.000 |
| -48.663 | 48.663 | 0.001 | 104.021 | 0.000 | 0.000 |
| 0.000 | 0.000 | 0.001 | -0.000 | 104.021 | -48.663 |
| 0.000 | 0.001 | 0.000 | -0.000 | -48.663 | 137.771 |
| 413.308 | 137.770 | 104.020 | -48.663 | -0.000 | 0.000 |
| 137.769 | 413.309 | 104.020 | 48.663 | -0.000 | 0.000 |
| 104.020 | 104.020 | 448.216 | 0.000 | 0.000 | 0.000 |
| -48.663 | 48.663 | -0.001 | 104.020 | 0.000 | 0.000 |
| -0.000 | -0.000 | -0.001 | 0.000 | 104.021 | -48.663 |
| -0.000 | -0.001 | -0.000 | 0.000 | -48.663 | 137.771 |
| 431.037 | 99.544 | 98.644 | -0.000 | -0.000 | -0.000 |
| 99.222 | 385.660 | 161.384 | -0.000 | -0.000 | -0.000 |
| 98.971 | 161.384 | 386.230 | -0.000 | -0.000 | 0.000 |
| 0.000 | 0.000 | -0.000 | 112.729 | -0.000 | -0.000 |
| 0.000 | 0.000 | -0.000 | -0.000 | 96.017 | 0.000 |
| 0.000 | 0.000 | -0.000 | -0.000 | -0.000 | 99.250 |
| 431.037 | 99.544 | 98.644 | -0.000 | -0.000 | -0.000 |
| 99.222 | 385.660 | 161.384 | 0.000 | 0.000 | -0.000 |
| 98.971 | 161.384 | 386.230 | 0.000 | 0.000 | -0.000 |
| -0.000 | -0.000 | 0.000 | 112.729 | 0.000 | -0.000 |
| -0.000 | -0.000 | 0.000 | 0.000 | 96.017 | -0.000 |
| -0.000 | -0.000 | 0.000 | 0.000 | 0.000 | 99.249 |
| 431.037 | 99.544 | 98.644 | -0.000 | 0.000 | 0.000 |
| 99.222 | 385.661 | 161.384 | -0.000 | -0.000 | -0.000 |
| 98.971 | 161.384 | 386.230 | -0.000 | -0.000 | 0.000 |
| -0.000 | 0.000 | 0.000 | 112.729 | -0.000 | -0.000 |
| 0.000 | 0.000 | -0.000 | -0.000 | 96.017 | 0.000 |
| 0.000 | 0.000 | 0.000 | -0.000 | 0.000 | 99.250 |
| 431.037 | 99.544 | 98.644 | 0.000 | -0.000 | -0.000 |
| 100.392 | 387.855 | 157.792 | 0.000 | 0.000 | -0.000 |
| 98.971 | 161.383 | 386.230 | 0.000 | 0.000 | -0.000 |
| 0.000 | -0.000 | -0.000 | 112.729 | 0.000 | -0.000 |
| -0.000 | -0.000 | 0.000 | 0.000 | 96.017 | 0.000 |
| -0.000 | -0.000 | -0.000 | -0.000 | 0.000 | 99.250 |
| 431.036 | 99.223 | 98.972 | 0.000 | -0.000 | 0.000 |
| 99.222 | 385.664 | 161.384 | -0.000 | 0.000 | -0.000 |
| 98.971 | 161.385 | 386.233 | -0.000 | -0.000 | 0.000 |
| -0.000 | 0.000 | 0.001 | 112.716 | 0.000 | -0.000 |
| 0.001 | 0.000 | -0.000 | 0.000 | 96.011 | 0.000 |
| 0.001 | -0.000 | 0.000 | -0.000 | -0.000 | 99.250 |
| 431.030 | 99.221 | 98.970 | 0.000 | -0.000 | -0.000 |
| 99.221 | 385.656 | 161.383 | 0.000 | 0.000 | -0.000 |
| 98.971 | 161.382 | 386.228 | 0.000 | 0.000 | -0.000 |
| 0.000 | -0.000 | -0.001 | 112.716 | -0.000 | -0.000 |
| -0.001 | -0.000 | 0.000 | 0.000 | 96.011 | -0.000 |
| -0.001 | 0.000 | -0.000 | 0.000 | 0.000 | 99.250 |
| 428.261 | 97.812 | 98.135 | -0.000 | -0.000 | 0.000 |
| 96.282 | 411.007 | 151.661 | 0.000 | -0.000 | 0.000 |
| 100.103 | 156.659 | 374.303 | -0.000 | -0.000 | 0.000 |
| 1.117 | 0.865 | -2.191 | 108.433 | -0.000 | 0.000 |
| 0.653 | 0.505 | -1.281 | 0.000 | 98.389 | 0.000 |
| 0.316 | 0.245 | -0.620 | 0.000 | 0.000 | 95.437 |
| 427.708 | 97.382 | 99.221 | 0.000 | 0.000 | -0.000 |
| 96.118 | 408.345 | 154.469 | -0.000 | 0.000 | -0.000 |
| 100.050 | 152.951 | 378.004 | 0.000 | -0.000 | 0.000 |
| -1.117 | -0.865 | 2.191 | 108.433 | 0.000 | 0.000 |
| -0.653 | -0.505 | 1.281 | 0.000 | 98.389 | -0.000 |
| -0.316 | -0.245 | 0.620 | -0.000 | 0.000 | 95.437 |
| 428.029 | 97.611 | 98.612 | 0.000 | -0.000 | 0.000 |
| 96.126 | 433.145 | 130.135 | -0.000 | -0.000 | 0.000 |
| 99.836 | 155.425 | 375.835 | 0.000 | -0.000 | 0.000 |
| 0.003 | 0.156 | -0.156 | 107.058 | -0.000 | -0.000 |
| 0.080 | 0.062 | -0.158 | -0.000 | 98.003 | 0.000 |
| 0.032 | 0.024 | -0.062 | -0.000 | -0.000 | 95.437 |
| 427.972 | 97.570 | 98.720 | 0.000 | 0.000 | -0.000 |
| 95.956 | 409.498 | 153.533 | 0.000 | 0.000 | -0.000 |
| 99.776 | 155.150 | 376.175 | 0.000 | 0.000 | -0.000 |
| -0.003 | -0.156 | 0.156 | 107.058 | 0.000 | -0.000 |
| -0.080 | -0.062 | 0.158 | -0.000 | 98.003 | -0.000 |
| -0.032 | -0.024 | 0.062 | 0.000 | 0.000 | 95.437 |
| 427.999 | 97.195 | 99.061 | -0.000 | -0.000 | 0.000 |
| 95.988 | 409.653 | 153.346 | 0.000 | -0.000 | -0.000 |
| 99.809 | 155.303 | 375.990 | 0.000 | -0.000 | 0.000 |
| 0.003 | 0.014 | -0.016 | 107.047 | -0.000 | 0.000 |
| 0.004 | 0.010 | -0.014 | 0.000 | 97.995 | 0.000 |
| 0.004 | 0.002 | -0.006 | -0.000 | -0.000 | 95.437 |
| 427.987 | 97.166 | 99.093 | 0.000 | -0.000 | -0.000 |
| 95.982 | 409.617 | 153.380 | 0.000 | 0.000 | 0.000 |
| 99.803 | 155.272 | 376.019 | -0.000 | -0.000 | -0.000 |
| -0.003 | -0.014 | 0.016 | 107.047 | 0.000 | -0.000 |
| -0.004 | -0.010 | 0.014 | 0.000 | 97.995 | -0.000 |
| -0.004 | -0.002 | 0.006 | 0.000 | 0.000 | 95.437 |
| 77.363 | 93.064 | -10.259 | 0.000 | 0.000 | 0.000 |
| 93.064 | 77.363 | -10.259 | 0.000 | 0.000 | 0.000 |
| -10.219 | -10.219 | 228.899 | -0.000 | -0.000 | 0.000 |
| -0.000 | 0.000 | 0.000 | -10.184 | 0.000 | 0.000 |
| -0.000 | 0.000 | 0.000 | 0.000 | -10.184 | 0.000 |
| 0.000 | -0.000 | -0.000 | -0.000 | -0.000 | 42.604 |
| 77.363 | 93.064 | -10.259 | -0.000 | -0.000 | -0.000 |
| 93.064 | 77.363 | -10.259 | -0.000 | -0.000 | -0.000 |
| -10.219 | -10.219 | 228.899 | 0.000 | -0.000 | -0.000 |
| 0.000 | -0.000 | -0.000 | -10.184 | -0.000 | -0.000 |
| 0.000 | -0.000 | -0.000 | -0.000 | -10.184 | -0.000 |
| -0.000 | 0.000 | 0.000 | 0.000 | 0.000 | 42.604 |
| 127.818 | 42.609 | -10.259 | -0.000 | -0.000 | 0.000 |
| 93.065 | 77.363 | -10.259 | 0.000 | -0.000 | 0.000 |
| -10.219 | -10.219 | 228.899 | 0.000 | -0.000 | 0.000 |
| -0.000 | 0.000 | -0.000 | -10.184 | -0.000 | 0.000 |
| -0.000 | -0.000 | -0.000 | 0.000 | -10.184 | 0.000 |
| -0.000 | -0.000 | 0.000 | 0.000 | 0.000 | -7.851 |
| 127.818 | 42.609 | -10.259 | 0.000 | 0.000 | -0.000 |
| 93.064 | 77.363 | -10.259 | -0.000 | 0.000 | -0.000 |
| -10.219 | -10.219 | 228.899 | 0.000 | -0.000 | -0.000 |
| 0.000 | -0.000 | 0.000 | -10.184 | 0.000 | -0.000 |
| 0.000 | 0.000 | 0.000 | -0.000 | -10.184 | -0.000 |
| 0.000 | 0.000 | -0.000 | -0.000 | 0.000 | -7.851 |
| 77.365 | 93.063 | -10.259 | 0.000 | -0.000 | 0.000 |
| 93.067 | 77.361 | -10.259 | 0.000 | -0.000 | 0.000 |
| -10.219 | -10.219 | 228.901 | -0.000 | -0.000 | 0.000 |
| -0.000 | -0.000 | -0.000 | -10.184 | -0.000 | 0.000 |
| -0.000 | -0.000 | -0.000 | 0.000 | -10.184 | 0.000 |
| 0.001 | -0.001 | 0.000 | -0.000 | -0.000 | -7.851 |
| 77.360 | 93.067 | -10.259 | 0.000 | 0.000 | -0.000 |
| 93.093 | 77.334 | -10.259 | 0.000 | 0.000 | -0.000 |
| -10.219 | -10.219 | 228.897 | 0.000 | 0.000 | -0.000 |
| 0.000 | 0.000 | 0.000 | -10.184 | -0.000 | -0.000 |
| 0.000 | 0.000 | 0.000 | -0.000 | -10.184 | -0.000 |
| -0.001 | 0.001 | -0.000 | 0.000 | 0.000 | -7.851 |
| 385.848 | 160.600 | 98.780 | -0.000 | -0.000 | -0.000 |
| 160.600 | 385.848 | 98.780 | -0.000 | -0.000 | -0.000 |
| 98.780 | 98.780 | 431.297 | 0.000 | 0.000 | -0.000 |
| -0.000 | 0.000 | 0.000 | 98.780 | -0.000 | -0.000 |
| -0.000 | 0.000 | 0.000 | 0.000 | 98.780 | -0.000 |
| 0.000 | 0.000 | 0.000 | 0.000 | -0.000 | 136.612 |
| 385.848 | 160.600 | 98.780 | 0.000 | 0.000 | 0.000 |
| 160.600 | 385.848 | 98.780 | 0.000 | 0.000 | 0.000 |
| 98.780 | 98.780 | 431.297 | -0.000 | 0.000 | 0.000 |
| 0.000 | -0.000 | -0.000 | 98.780 | 0.000 | 0.000 |
| 0.000 | -0.000 | -0.000 | -0.000 | 98.780 | 0.000 |
| -0.000 | -0.000 | -0.000 | -0.000 | 0.000 | 136.612 |
| 409.837 | 136.612 | 98.780 | 0.000 | -0.000 | -0.000 |
| 160.601 | 385.848 | 98.780 | -0.000 | -0.000 | -0.000 |
| 98.780 | 98.780 | 431.297 | 0.000 | 0.000 | 0.000 |
| 0.000 | -0.000 | 0.000 | 98.780 | -0.000 | -0.000 |
| -0.000 | 0.000 | 0.000 | 0.000 | 98.780 | -0.000 |
| 0.000 | 0.000 | -0.000 | 0.000 | -0.000 | 112.624 |
| 385.848 | 160.600 | 98.780 | 0.000 | 0.000 | 0.000 |
| 136.612 | 409.836 | 98.780 | -0.000 | 0.000 | -0.000 |
| 98.780 | 98.780 | 431.297 | -0.000 | -0.000 | 0.000 |
| -0.000 | 0.000 | -0.000 | 98.780 | 0.000 | 0.000 |
| 0.000 | -0.000 | -0.000 | -0.000 | 98.780 | 0.000 |
| -0.000 | -0.000 | 0.000 | 0.000 | 0.000 | 112.624 |
| 385.851 | 160.601 | 98.780 | -0.000 | -0.000 | -0.000 |
| 136.613 | 409.839 | 98.780 | -0.000 | -0.000 | -0.000 |
| 98.781 | 98.781 | 431.300 | -0.000 | -0.000 | -0.000 |
| 0.000 | -0.000 | 0.001 | 98.780 | -0.000 | -0.000 |
| -0.000 | 0.000 | 0.001 | 0.000 | 98.780 | -0.000 |
| 0.000 | 0.001 | -0.000 | -0.000 | -0.000 | 112.624 |
| 409.833 | 136.612 | 98.780 | -0.000 | 0.000 | 0.000 |
| 160.599 | 385.845 | 98.780 | 0.000 | 0.000 | 0.000 |
| 98.779 | 98.779 | 431.294 | -0.000 | 0.000 | 0.000 |
| -0.000 | 0.000 | -0.001 | 98.780 | 0.000 | 0.000 |
| 0.000 | -0.000 | -0.001 | 0.000 | 98.780 | 0.000 |
| -0.000 | -0.001 | 0.000 | 0.000 | 0.000 | 112.624 |
| 83.574 | 113.569 | 113.569 | 0.000 | 0.000 | 0.000 |
| 113.569 | 83.574 | 113.569 | 0.000 | 0.000 | 0.000 |
| 113.569 | 113.569 | 83.574 | -0.000 | 0.000 | 0.000 |
| 0.000 | -0.000 | -0.000 | -25.003 | 0.000 | 0.000 |
| 0.000 | -0.000 | -0.000 | -0.000 | -25.003 | 0.000 |
| 0.000 | -0.000 | 0.000 | -0.000 | 0.000 | -25.003 |
| 83.574 | 113.569 | 113.569 | 0.000 | -0.000 | -0.000 |
| 113.569 | 83.574 | 113.569 | 0.000 | 0.000 | -0.000 |
| 113.569 | 113.569 | 83.574 | 0.000 | -0.000 | -0.000 |
| -0.000 | 0.000 | 0.000 | -25.003 | -0.000 | -0.000 |
| -0.000 | 0.000 | -0.000 | -0.000 | -25.003 | -0.000 |
| -0.000 | 0.000 | 0.000 | 0.000 | -0.000 | -25.003 |
| 83.574 | 113.569 | 113.569 | 0.000 | 0.000 | 0.000 |
| 113.569 | 83.574 | 113.569 | -0.000 | 0.000 | 0.000 |
| 113.569 | 113.569 | 83.574 | 0.000 | 0.000 | 0.000 |
| 0.000 | 0.000 | 0.000 | 113.569 | -0.000 | 0.000 |
| 0.000 | 0.000 | 0.000 | -0.000 | 113.569 | 0.000 |
| 0.000 | 0.000 | 0.000 | 0.000 | 0.000 | 113.569 |
| 83.574 | 113.569 | 113.569 | 0.000 | -0.000 | -0.000 |
| 113.569 | 83.574 | 113.569 | 0.000 | -0.000 | -0.000 |
| 113.569 | 113.569 | 83.574 | -0.000 | -0.000 | -0.000 |
| -0.000 | -0.000 | -0.000 | 113.569 | 0.000 | -0.000 |
| -0.000 | -0.000 | -0.000 | 0.000 | 113.569 | -0.000 |
| -0.000 | -0.000 | -0.000 | -0.000 | -0.000 | 113.569 |
| 83.575 | 113.569 | 113.569 | -0.000 | 0.000 | 0.000 |
| 113.569 | 83.575 | 113.569 | 0.000 | 0.000 | 0.000 |
| 113.569 | 113.569 | 83.575 | -0.000 | -0.000 | 0.000 |
| 0.000 | -0.000 | -0.000 | -25.003 | 0.000 | 0.000 |
| -0.000 | 0.000 | -0.000 | -0.000 | -25.003 | 0.000 |
| -0.000 | -0.000 | 0.000 | -0.000 | 0.000 | -25.003 |
| 83.574 | 113.568 | 113.568 | -0.000 | -0.000 | -0.000 |
| 113.568 | 83.574 | 113.568 | 0.000 | 0.000 | -0.000 |
| 113.568 | 113.568 | 83.574 | 0.000 | -0.000 | -0.000 |
| -0.000 | 0.000 | 0.000 | -25.003 | -0.000 | -0.000 |
| 0.000 | -0.000 | 0.000 | 0.000 | -25.003 | -0.000 |
| 0.000 | 0.000 | -0.000 | 0.000 | -0.000 | -25.003 |
| 239.160 | 120.398 | 120.398 | -0.000 | -0.000 | 0.000 |
| 120.398 | 239.160 | 120.398 | 0.000 | -0.000 | -0.000 |
| 120.398 | 120.398 | 239.160 | 0.000 | 0.000 | 0.000 |
| -0.000 | -0.000 | 0.000 | 119.178 | -0.000 | -0.000 |
| -0.000 | -0.000 | 0.000 | -0.000 | 119.178 | 0.000 |
| -0.000 | -0.000 | -0.000 | 0.000 | -0.000 | 119.178 |
| 239.160 | 120.398 | 120.398 | 0.000 | 0.000 | -0.000 |
| 120.398 | 239.160 | 120.398 | 0.000 | 0.000 | -0.000 |
| 120.398 | 120.398 | 239.160 | -0.000 | 0.000 | -0.000 |
| 0.000 | 0.000 | -0.000 | 119.178 | 0.000 | -0.000 |
| 0.000 | 0.000 | 0.000 | 0.000 | 119.178 | -0.000 |
| 0.000 | -0.000 | 0.000 | 0.000 | 0.000 | 119.178 |
| 239.160 | 120.398 | 120.398 | -0.000 | -0.000 | -0.000 |
| 120.398 | 239.160 | 120.398 | 0.000 | -0.000 | 0.000 |
| 120.398 | 120.398 | 239.160 | -0.000 | -0.000 | 0.000 |
| -0.000 | 0.000 | 0.000 | 120.398 | -0.000 | 0.000 |
| 0.000 | -0.000 | 0.000 | -0.000 | 120.398 | 0.000 |
| 0.000 | 0.000 | -0.000 | -0.000 | -0.000 | 120.398 |
| 239.160 | 120.398 | 120.398 | 0.000 | -0.000 | -0.000 |
| 120.398 | 239.160 | 120.398 | -0.000 | 0.000 | -0.000 |
| 120.398 | 120.398 | 239.160 | -0.000 | 0.000 | 0.000 |
| 0.000 | -0.000 | -0.000 | 120.398 | 0.000 | 0.000 |
| -0.000 | 0.000 | -0.000 | -0.000 | 120.398 | -0.000 |
| -0.000 | -0.000 | 0.000 | -0.000 | 0.000 | 120.398 |
| 239.161 | 120.399 | 120.399 | 0.000 | -0.000 | 0.000 |
| 120.399 | 239.161 | 120.399 | -0.000 | -0.000 | 0.000 |
| 120.399 | 120.399 | 239.161 | 0.000 | -0.000 | -0.000 |
| -0.000 | 0.000 | 0.001 | 119.178 | -0.000 | 0.000 |
| 0.000 | -0.000 | 0.001 | 0.000 | 119.178 | 0.000 |
| 0.000 | 0.001 | -0.000 | -0.000 | -0.000 | 119.178 |
| 239.159 | 120.398 | 120.398 | 0.000 | 0.000 | -0.000 |
| 120.398 | 239.159 | 120.398 | 0.000 | 0.000 | -0.000 |
| 120.398 | 120.398 | 239.159 | 0.000 | 0.000 | -0.000 |
| 0.000 | -0.000 | -0.001 | 119.178 | -0.000 | -0.000 |
| -0.000 | 0.000 | -0.001 | 0.000 | 119.178 | -0.000 |
| -0.000 | -0.001 | 0.000 | -0.000 | 0.000 | 119.178 |
| 420.051 | 173.808 | 70.978 | -0.000 | -0.000 | -0.000 |
| 173.920 | 314.234 | 175.601 | 0.000 | -0.000 | -0.000 |
| 70.752 | 175.264 | 421.869 | -0.000 | 0.000 | -0.000 |
| 0.000 | -0.000 | -0.000 | 173.274 | -0.000 | -0.000 |
| 0.000 | 0.000 | -0.000 | 0.000 | 69.632 | -0.000 |
| 0.000 | 0.000 | 0.000 | -0.000 | -0.000 | 174.670 |
| 420.051 | 173.808 | 70.978 | 0.000 | -0.000 | 0.000 |
| 173.920 | 314.234 | 175.601 | -0.000 | 0.000 | 0.000 |
| 70.752 | 175.264 | 421.869 | -0.000 | -0.000 | 0.000 |
| -0.000 | 0.000 | -0.000 | 173.274 | 0.000 | 0.000 |
| -0.000 | -0.000 | 0.000 | 0.000 | 69.632 | 0.000 |
| -0.000 | -0.000 | 0.000 | 0.000 | 0.000 | 174.670 |
| 420.052 | 173.808 | 70.978 | 0.000 | -0.000 | -0.000 |
| 173.920 | 314.234 | 175.602 | -0.000 | -0.000 | -0.000 |
| 70.752 | 175.264 | 421.869 | 0.000 | -0.000 | 0.000 |
| 0.000 | 0.000 | 0.000 | 174.049 | 0.000 | -0.000 |
| 0.000 | 0.000 | -0.000 | 0.000 | 69.632 | -0.000 |
| 0.000 | 0.000 | 0.000 | 0.000 | -0.000 | 174.670 |
| 420.261 | 174.221 | 70.304 | -0.000 | 0.000 | 0.000 |
| 173.920 | 314.234 | 175.601 | 0.000 | 0.000 | 0.000 |
| 70.752 | 175.264 | 421.869 | -0.000 | -0.000 | 0.000 |
| -0.000 | -0.000 | -0.000 | 174.049 | -0.000 | 0.000 |
| -0.000 | -0.000 | 0.000 | -0.000 | 69.632 | 0.000 |
| -0.000 | -0.000 | -0.000 | -0.000 | 0.000 | 174.670 |
| 420.055 | 173.809 | 70.978 | 0.000 | -0.000 | -0.000 |
| 174.334 | 315.048 | 174.276 | -0.000 | -0.000 | -0.000 |
| 70.753 | 175.264 | 421.873 | 0.000 | 0.000 | -0.000 |
| 0.000 | 0.001 | 0.000 | 173.274 | 0.000 | -0.000 |
| 0.000 | 0.000 | -0.000 | 0.000 | 69.632 | -0.000 |
| 0.000 | 0.001 | 0.000 | 0.000 | -0.000 | 174.670 |
| 420.047 | 173.808 | 70.978 | 0.000 | 0.000 | 0.000 |
| 174.332 | 315.045 | 174.274 | -0.000 | -0.000 | 0.000 |
| 70.752 | 175.263 | 421.866 | -0.000 | 0.000 | 0.000 |
| -0.000 | -0.001 | -0.000 | 173.274 | -0.000 | 0.000 |
| -0.000 | -0.000 | 0.000 | -0.000 | 69.632 | 0.000 |
| -0.000 | -0.001 | -0.000 | -0.000 | 0.000 | 174.670 |
| 420.232 | 175.239 | 71.876 | -0.000 | 0.000 | 0.000 |
| 175.239 | 315.297 | 176.978 | -0.000 | -0.000 | 0.000 |
| 71.876 | 176.978 | 418.408 | 0.000 | 0.000 | 0.000 |
| 0.000 | 0.000 | 0.000 | 174.898 | 0.000 | 0.000 |
| 0.000 | 0.000 | -0.000 | 0.000 | 70.765 | 0.000 |
| 0.000 | 0.000 | 0.000 | 0.000 | 0.000 | 175.648 |
| 420.232 | 175.239 | 71.876 | -0.000 | -0.000 | -0.000 |
| 175.239 | 315.297 | 176.978 | 0.000 | 0.000 | -0.000 |
| 71.876 | 176.978 | 418.408 | 0.000 | 0.000 | -0.000 |
| -0.000 | -0.000 | 0.000 | 174.898 | 0.000 | -0.000 |
| -0.000 | -0.000 | 0.000 | -0.000 | 70.765 | -0.000 |
| -0.000 | -0.000 | -0.000 | -0.000 | 0.000 | 175.648 |
| 420.232 | 175.239 | 71.876 | 0.000 | 0.000 | 0.000 |
| 175.648 | 316.100 | 175.656 | -0.000 | 0.000 | 0.000 |
| 71.876 | 176.978 | 418.408 | 0.000 | 0.000 | 0.000 |
| 0.000 | 0.000 | 0.000 | 174.898 | -0.000 | 0.000 |
| 0.000 | 0.000 | -0.000 | 0.000 | 70.765 | 0.000 |
| 0.000 | 0.000 | 0.000 | 0.000 | -0.000 | 175.648 |
| 420.231 | 175.239 | 71.876 | -0.000 | 0.000 | -0.000 |
| 175.648 | 316.100 | 175.656 | -0.000 | -0.000 | -0.000 |
| 71.876 | 176.978 | 418.407 | -0.000 | -0.000 | -0.000 |
| -0.000 | -0.000 | -0.000 | 174.898 | -0.000 | -0.000 |
| -0.000 | -0.000 | 0.000 | -0.000 | 70.765 | -0.000 |
| -0.000 | -0.000 | -0.000 | -0.000 | -0.000 | 175.648 |
| 420.444 | 175.649 | 71.203 | 0.000 | 0.000 | 0.000 |
| 175.240 | 315.298 | 176.979 | 0.000 | 0.000 | 0.000 |
| 71.876 | 176.978 | 418.411 | 0.000 | 0.000 | 0.000 |
| 0.000 | 0.000 | 0.000 | 174.898 | 0.000 | 0.000 |
| 0.000 | 0.000 | -0.000 | 0.000 | 70.765 | 0.000 |
| 0.000 | 0.001 | 0.000 | 0.000 | 0.000 | 175.648 |
| 420.228 | 175.238 | 71.876 | -0.000 | -0.000 | -0.000 |
| 175.647 | 316.099 | 175.655 | 0.000 | 0.000 | -0.000 |
| 71.876 | 176.977 | 418.404 | -0.000 | -0.000 | -0.000 |
| -0.000 | -0.000 | -0.000 | 174.898 | -0.000 | -0.000 |
| -0.000 | -0.000 | 0.000 | -0.000 | 70.765 | -0.000 |
| -0.000 | -0.001 | -0.000 | -0.000 | -0.000 | 175.648 |
| 6.076 | 6.728 | 6.728 | 0.000 | 0.000 | 0.000 |
| 6.728 | 6.076 | 6.728 | 0.000 | 0.000 | 0.000 |
| 6.728 | 6.728 | 6.076 | 0.000 | 0.000 | 0.000 |
| -0.000 | -0.000 | -0.000 | -0.903 | 0.000 | 0.000 |
| 0.000 | -0.000 | -0.000 | 0.000 | -0.903 | 0.000 |
| 0.000 | -0.000 | -0.000 | 0.000 | 0.000 | -0.903 |
| 6.076 | 6.728 | 6.728 | -0.000 | -0.000 | -0.000 |
| 6.728 | 6.076 | 6.728 | -0.000 | -0.000 | -0.000 |
| 6.728 | 6.728 | 6.076 | -0.000 | -0.000 | -0.000 |
| -0.000 | 0.000 | 0.000 | -0.903 | -0.000 | -0.000 |
| -0.000 | 0.000 | 0.000 | -0.000 | -0.903 | -0.000 |
| -0.000 | 0.000 | 0.000 | -0.000 | -0.000 | -0.903 |
| 6.076 | 6.728 | 6.728 | 0.000 | 0.000 | 0.000 |
| 6.728 | 6.076 | 6.728 | 0.000 | 0.000 | 0.000 |
| 6.728 | 6.728 | 6.076 | 0.000 | 0.000 | 0.000 |
| -0.000 | -0.000 | -0.000 | -0.903 | 0.000 | 0.000 |
| -0.000 | -0.000 | -0.000 | 0.000 | -0.903 | 0.000 |
| -0.000 | -0.000 | -0.000 | 0.000 | 0.000 | -0.903 |
| 6.076 | 6.728 | 6.728 | -0.000 | -0.000 | -0.000 |
| 6.728 | 6.076 | 6.728 | -0.000 | -0.000 | -0.000 |
| 6.728 | 6.728 | 6.076 | -0.000 | -0.000 | -0.000 |
| 0.000 | 0.000 | 0.000 | -0.903 | -0.000 | -0.000 |
| 0.000 | 0.000 | 0.000 | -0.000 | -0.903 | -0.000 |
| 0.000 | 0.000 | 0.000 | -0.000 | -0.000 | -0.903 |
| 6.076 | 6.728 | 6.728 | 0.000 | 0.000 | 0.000 |
| 6.728 | 6.076 | 6.728 | 0.000 | 0.000 | 0.000 |
| 6.728 | 6.728 | 6.076 | 0.000 | 0.000 | 0.000 |
| -0.000 | -0.000 | -0.000 | -0.903 | 0.000 | 0.000 |
| -0.000 | -0.000 | -0.000 | 0.000 | -0.903 | 0.000 |
| -0.000 | -0.000 | -0.000 | 0.000 | 0.000 | -0.903 |
| 6.076 | 6.727 | 6.727 | -0.000 | -0.000 | -0.000 |
| 6.727 | 6.076 | 6.727 | -0.000 | -0.000 | -0.000 |
| 6.727 | 6.727 | 6.076 | -0.000 | -0.000 | -0.000 |
| 0.000 | 0.000 | 0.000 | -0.903 | -0.000 | -0.000 |
| 0.000 | 0.000 | 0.000 | -0.000 | -0.903 | -0.000 |
| 0.000 | 0.000 | 0.000 | -0.000 | -0.000 | -0.903 |
| 480.945 | 23.960 | 23.960 | 0.000 | 0.000 | -0.000 |
| 23.960 | 480.945 | 23.960 | -0.000 | -0.000 | 0.000 |
| 23.960 | 23.960 | 480.945 | -0.000 | -0.000 | 0.000 |
| -0.000 | -0.000 | 0.000 | -120.286 | 0.000 | 0.000 |
| -0.000 | -0.000 | -0.000 | -0.000 | -120.286 | 0.000 |
| -0.000 | 0.000 | -0.000 | -0.000 | 0.000 | -120.286 |
| 483.564 | 22.650 | 22.650 | -0.000 | -0.000 | 0.000 |
| 22.650 | 483.564 | 22.650 | 0.000 | 0.000 | -0.000 |
| 22.650 | 22.650 | 483.564 | -0.000 | 0.000 | -0.000 |
| -0.000 | 0.000 | 0.000 | -120.286 | -0.000 | 0.000 |
| 0.000 | -0.000 | 0.000 | 0.000 | -120.286 | -0.000 |
| 0.000 | 0.000 | -0.000 | -0.000 | -0.000 | -120.286 |
| 483.565 | 22.650 | 22.650 | -0.000 | -0.000 | 0.000 |
| 22.650 | 483.565 | 22.650 | 0.000 | 0.000 | 0.000 |
| 22.650 | 22.650 | 483.565 | 0.000 | -0.000 | 0.000 |
| -0.000 | 0.000 | 0.000 | 22.650 | 0.000 | 0.000 |
| 0.000 | -0.000 | 0.000 | -0.000 | 22.650 | 0.000 |
| 0.000 | -0.000 | 0.000 | -0.000 | -0.000 | 22.650 |
| 483.564 | 22.650 | 22.650 | 0.000 | 0.000 | -0.000 |
| 22.650 | 483.564 | 22.650 | 0.000 | 0.000 | 0.000 |
| 22.650 | 22.650 | 483.564 | 0.000 | -0.000 | -0.000 |
| 0.000 | -0.000 | -0.000 | 22.650 | -0.000 | -0.000 |
| -0.000 | 0.000 | -0.000 | 0.000 | 22.650 | -0.000 |
| -0.000 | 0.000 | -0.000 | 0.000 | 0.000 | 22.650 |
| 483.568 | 22.650 | 22.650 | -0.000 | 0.000 | 0.000 |
| 22.650 | 483.568 | 22.650 | -0.000 | 0.000 | 0.000 |
| 22.650 | 22.650 | 483.568 | 0.000 | 0.000 | 0.000 |
| 0.001 | 0.000 | -0.000 | -120.286 | 0.000 | 0.000 |
| 0.000 | 0.001 | -0.000 | -0.000 | -120.286 | 0.000 |
| 0.000 | -0.000 | 0.001 | -0.000 | 0.000 | -120.286 |
| 480.941 | 23.960 | 23.960 | -0.000 | -0.000 | -0.000 |
| 23.960 | 480.941 | 23.960 | 0.000 | -0.000 | -0.000 |
| 23.960 | 23.960 | 480.941 | 0.000 | -0.000 | 0.000 |
| -0.001 | -0.000 | 0.000 | -120.286 | -0.000 | 0.000 |
| -0.000 | -0.001 | 0.000 | 0.000 | -120.286 | -0.000 |
| -0.000 | 0.000 | -0.001 | 0.000 | -0.000 | -120.286 |
| 167.452 | 215.673 | 215.673 | -0.000 | -0.000 | -0.000 |
| 215.673 | 167.452 | 215.673 | -0.000 | 0.000 | -0.000 |
| 215.673 | 215.673 | 167.452 | -0.000 | -0.000 | -0.000 |
| 0.000 | -0.000 | 0.000 | 215.673 | -0.000 | -0.000 |
| 0.000 | -0.000 | 0.000 | -0.000 | 215.673 | -0.000 |
| 0.000 | -0.000 | 0.000 | -0.000 | -0.000 | 215.673 |
| 167.452 | 215.673 | 215.673 | 0.000 | 0.000 | 0.000 |
| 215.673 | 167.452 | 215.673 | 0.000 | -0.000 | 0.000 |
| 215.673 | 215.673 | 167.452 | 0.000 | 0.000 | 0.000 |
| -0.000 | 0.000 | -0.000 | 215.673 | 0.000 | 0.000 |
| -0.000 | -0.000 | -0.000 | -0.000 | 215.673 | 0.000 |
| -0.000 | 0.000 | -0.000 | -0.000 | 0.000 | 215.673 |
| 167.452 | 215.673 | 215.673 | -0.000 | -0.000 | -0.000 |
| 215.673 | 167.452 | 215.673 | -0.000 | -0.000 | -0.000 |
| 215.673 | 215.673 | 167.452 | -0.000 | -0.000 | -0.000 |
| 0.000 | 0.000 | 0.000 | 215.673 | -0.000 | -0.000 |
| 0.000 | 0.000 | 0.000 | -0.000 | 215.673 | -0.000 |
| 0.000 | 0.000 | 0.000 | -0.000 | -0.000 | 215.673 |
| 167.452 | 215.673 | 215.673 | 0.000 | 0.000 | 0.000 |
| 215.673 | 167.452 | 215.673 | 0.000 | -0.000 | 0.000 |
| 215.673 | 215.673 | 167.452 | -0.000 | 0.000 | 0.000 |
| -0.000 | -0.000 | -0.000 | 215.673 | 0.000 | 0.000 |
| -0.000 | -0.000 | -0.000 | 0.000 | 215.673 | 0.000 |
| -0.000 | -0.000 | -0.000 | 0.000 | 0.000 | 215.673 |
| 167.453 | 215.674 | 215.674 | -0.000 | -0.000 | -0.000 |
| 215.674 | 167.453 | 215.674 | -0.000 | 0.000 | -0.000 |
| 215.674 | 215.674 | 167.453 | -0.000 | -0.000 | -0.000 |
| 0.001 | 0.000 | 0.001 | 215.673 | -0.000 | -0.000 |
| 0.000 | 0.001 | 0.001 | -0.000 | 215.673 | -0.000 |
| 0.000 | 0.001 | 0.001 | -0.000 | -0.000 | 215.673 |
| 167.451 | 215.672 | 215.672 | 0.000 | 0.000 | 0.000 |
| 215.672 | 167.451 | 215.672 | 0.000 | 0.000 | 0.000 |
| 215.672 | 215.672 | 167.451 | 0.000 | 0.000 | 0.000 |
| -0.001 | -0.000 | -0.001 | 215.673 | 0.000 | 0.000 |
| -0.000 | -0.001 | -0.001 | 0.000 | 215.673 | 0.000 |
| -0.000 | -0.001 | -0.001 | 0.000 | 0.000 | 215.673 |
| 318.043 | 176.093 | 176.093 | 0.000 | 0.000 | 0.000 |
| 176.093 | 318.043 | 176.093 | 0.000 | 0.000 | -0.000 |
| 176.093 | 176.093 | 318.043 | 0.000 | 0.000 | -0.000 |
| 0.000 | 0.000 | 0.000 | 176.093 | -0.000 | 0.000 |
| 0.000 | 0.000 | 0.000 | 0.000 | 176.093 | 0.000 |
| 0.000 | 0.000 | 0.000 | 0.000 | -0.000 | 176.093 |
| 318.043 | 176.093 | 176.093 | 0.000 | -0.000 | -0.000 |
| 176.093 | 318.043 | 176.093 | 0.000 | -0.000 | -0.000 |
| 176.093 | 176.093 | 318.043 | -0.000 | -0.000 | 0.000 |
| -0.000 | -0.000 | -0.000 | 176.093 | 0.000 | -0.000 |
| -0.000 | -0.000 | -0.000 | -0.000 | 176.093 | -0.000 |
| -0.000 | -0.000 | -0.000 | 0.000 | -0.000 | 176.093 |
| 318.043 | 176.093 | 176.093 | 0.000 | -0.000 | 0.000 |
| 176.093 | 318.043 | 176.093 | -0.000 | -0.000 | 0.000 |
| 176.093 | 176.093 | 318.043 | -0.000 | -0.000 | -0.000 |
| -0.000 | 0.000 | 0.000 | 176.093 | -0.000 | 0.000 |
| 0.000 | -0.000 | 0.000 | -0.000 | 176.093 | 0.000 |
| 0.000 | 0.000 | -0.000 | -0.000 | 0.000 | 176.093 |
| 318.043 | 176.093 | 176.093 | 0.000 | -0.000 | -0.000 |
| 176.093 | 318.043 | 176.093 | -0.000 | -0.000 | 0.000 |
| 176.093 | 176.093 | 318.043 | 0.000 | -0.000 | 0.000 |
| 0.000 | -0.000 | -0.000 | 176.093 | 0.000 | -0.000 |
| -0.000 | 0.000 | -0.000 | 0.000 | 176.093 | -0.000 |
| -0.000 | -0.000 | 0.000 | 0.000 | 0.000 | 176.093 |
| 318.044 | 176.094 | 176.094 | 0.000 | 0.000 | 0.000 |
| 176.094 | 318.044 | 176.094 | -0.000 | -0.000 | 0.000 |
| 176.094 | 176.094 | 318.044 | -0.000 | -0.000 | 0.000 |
| -0.000 | 0.000 | 0.001 | 176.093 | -0.000 | 0.000 |
| 0.000 | -0.000 | 0.001 | 0.000 | 176.093 | 0.000 |
| 0.000 | 0.001 | -0.000 | -0.000 | 0.000 | 176.093 |
| 318.042 | 176.092 | 176.092 | 0.000 | 0.000 | -0.000 |
| 176.092 | 318.042 | 176.092 | 0.000 | 0.000 | -0.000 |
| 176.092 | 176.092 | 318.042 | -0.000 | -0.000 | -0.000 |
| 0.000 | -0.000 | -0.001 | 176.093 | 0.000 | -0.000 |
| -0.000 | 0.000 | -0.001 | -0.000 | 176.093 | -0.000 |
| -0.000 | -0.001 | 0.000 | -0.000 | -0.000 | 176.093 |
| 422.659 | 140.883 | 106.120 | 49.659 | 0.000 | 0.000 |
| 140.883 | 422.659 | 106.120 | -49.659 | 0.000 | 0.000 |
| 106.119 | 106.119 | 457.087 | 0.000 | -0.000 | -0.000 |
| 49.640 | -49.639 | -0.000 | 106.072 | -0.000 | -0.000 |
| 0.000 | 0.000 | -0.000 | 0.000 | 106.072 | 49.640 |
| -0.000 | 0.000 | -0.000 | 0.000 | 49.666 | 140.892 |
| 422.659 | 140.883 | 106.120 | 49.659 | 0.000 | -0.000 |
| 140.883 | 422.659 | 106.120 | -49.659 | 0.000 | 0.000 |
| 106.120 | 106.120 | 457.087 | 0.000 | 0.000 | 0.000 |
| 49.639 | -49.640 | 0.000 | 106.072 | -0.000 | 0.000 |
| -0.000 | -0.000 | 0.000 | -0.000 | 106.072 | 49.640 |
| 0.000 | -0.000 | 0.000 | -0.000 | 49.666 | 140.892 |
| 422.660 | 140.883 | 106.120 | 49.659 | 0.000 | -0.000 |
| 140.883 | 422.659 | 106.120 | -49.659 | 0.000 | 0.000 |
| 106.119 | 106.119 | 457.087 | 0.000 | 0.000 | -0.000 |
| 49.666 | -49.666 | 0.000 | 106.119 | -0.000 | -0.000 |
| 0.000 | 0.000 | 0.000 | 0.000 | 106.072 | 49.640 |
| 0.000 | 0.000 | -0.000 | 0.000 | 49.640 | 140.877 |
| 422.659 | 140.883 | 106.120 | 49.659 | -0.000 | 0.000 |
| 140.892 | 422.675 | 106.119 | -49.666 | 0.000 | 0.000 |
| 106.120 | 106.120 | 457.087 | -0.000 | -0.000 | 0.000 |
| 49.666 | -49.666 | -0.000 | 106.119 | 0.000 | 0.000 |
| -0.000 | -0.000 | -0.000 | -0.000 | 106.072 | 49.640 |
| -0.000 | -0.000 | 0.000 | -0.000 | 49.640 | 140.877 |
| 422.679 | 140.892 | 106.119 | 49.666 | -0.000 | -0.000 |
| 140.893 | 422.678 | 106.119 | -49.666 | -0.000 | -0.000 |
| 106.121 | 106.121 | 457.089 | 0.000 | -0.000 | -0.000 |
| 49.666 | -49.666 | 0.001 | 106.119 | -0.000 | -0.000 |
| -0.000 | 0.000 | 0.001 | 0.000 | 106.119 | 49.666 |
| -0.000 | 0.001 | 0.000 | 0.000 | 49.640 | 140.877 |
| 422.672 | 140.891 | 106.119 | 49.666 | -0.000 | 0.000 |
| 140.895 | 422.648 | 106.119 | -49.640 | 0.000 | 0.000 |
| 106.118 | 106.118 | 457.084 | -0.000 | -0.000 | -0.000 |
| 49.666 | -49.666 | -0.001 | 106.120 | -0.000 | 0.000 |
| 0.000 | -0.000 | -0.001 | -0.000 | 106.119 | 49.666 |
| 0.000 | -0.001 | -0.000 | -0.000 | 49.640 | 140.877 |
| 421.408 | 140.277 | 103.826 | 48.948 | 0.000 | 0.000 |
| 140.268 | 421.392 | 103.826 | -48.941 | -0.000 | -0.000 |
| 104.188 | 104.188 | 451.602 | -0.000 | 0.000 | -0.000 |
| 48.948 | -48.948 | -0.000 | 104.839 | -0.000 | -0.000 |
| -0.000 | -0.000 | 0.000 | -0.000 | 104.791 | 48.922 |
| -0.000 | -0.000 | 0.000 | -0.000 | 48.948 | 140.566 |
| 421.408 | 140.277 | 103.826 | 48.948 | 0.000 | -0.000 |
| 140.268 | 421.392 | 103.826 | -48.941 | 0.000 | -0.000 |
| 104.188 | 104.188 | 451.602 | -0.000 | -0.000 | 0.000 |
| 48.948 | -48.948 | -0.000 | 104.839 | 0.000 | 0.000 |
| 0.000 | 0.000 | -0.000 | -0.000 | 104.791 | 48.922 |
| 0.000 | 0.000 | -0.000 | -0.000 | 48.948 | 140.566 |
| 421.409 | 140.277 | 103.826 | 48.948 | -0.000 | -0.000 |
| 140.268 | 421.392 | 103.826 | -48.941 | 0.000 | -0.000 |
| 104.188 | 104.188 | 451.602 | 0.000 | 0.000 | -0.000 |
| 48.948 | -48.948 | 0.000 | 104.839 | -0.000 | -0.000 |
| -0.000 | 0.000 | 0.000 | 0.000 | 104.839 | 48.948 |
| -0.000 | 0.000 | 0.000 | 0.000 | 48.948 | 140.566 |
| 421.408 | 140.277 | 103.826 | 48.948 | 0.000 | 0.000 |
| 140.268 | 421.392 | 103.826 | -48.941 | -0.000 | 0.000 |
| 104.188 | 104.188 | 451.602 | -0.000 | -0.000 | 0.000 |
| 48.948 | -48.948 | -0.000 | 104.839 | 0.000 | 0.000 |
| 0.000 | -0.000 | -0.000 | -0.000 | 104.839 | 48.948 |
| 0.000 | -0.000 | -0.000 | -0.000 | 48.948 | 140.566 |
| 421.412 | 140.277 | 103.827 | 48.949 | 0.000 | -0.000 |
| 140.278 | 421.411 | 103.827 | -48.949 | 0.000 | -0.000 |
| 104.189 | 104.189 | 451.604 | -0.000 | 0.000 | 0.000 |
| 48.922 | -48.922 | 0.001 | 104.791 | -0.000 | 0.000 |
| -0.000 | 0.000 | 0.001 | 0.000 | 104.791 | 48.922 |
| -0.000 | 0.001 | 0.000 | 0.000 | 48.948 | 140.566 |
| 421.389 | 140.268 | 103.825 | 48.941 | 0.000 | 0.000 |
| 140.267 | 421.389 | 103.825 | -48.941 | -0.000 | 0.000 |
| 104.187 | 104.187 | 451.599 | -0.000 | 0.000 | -0.000 |
| 48.922 | -48.922 | -0.001 | 104.791 | 0.000 | 0.000 |
| 0.000 | -0.000 | -0.001 | -0.000 | 104.791 | 48.922 |
| 0.000 | -0.001 | -0.000 | -0.000 | 48.948 | 140.566 |
| 317.116 | 177.018 | 176.098 | -0.000 | 0.000 | 0.000 |
| 177.018 | 317.116 | 176.098 | -0.000 | -0.000 | 0.000 |
| 176.098 | 176.098 | 318.026 | -0.000 | -0.000 | -0.000 |
| -0.000 | 0.000 | 0.000 | 175.479 | -0.000 | 0.000 |
| 0.000 | 0.000 | 0.000 | -0.000 | 175.479 | -0.000 |
| 0.000 | 0.000 | 0.000 | 0.000 | 0.000 | 176.087 |
| 317.116 | 177.018 | 176.098 | 0.000 | 0.000 | 0.000 |
| 177.018 | 317.116 | 176.098 | 0.000 | -0.000 | -0.000 |
| 176.098 | 176.098 | 318.026 | -0.000 | -0.000 | 0.000 |
| -0.000 | -0.000 | -0.000 | 175.479 | -0.000 | -0.000 |
| -0.000 | -0.000 | -0.000 | 0.000 | 175.479 | -0.000 |
| -0.000 | -0.000 | -0.000 | 0.000 | -0.000 | 176.087 |
| 317.116 | 177.018 | 176.098 | -0.000 | -0.000 | 0.000 |
| 177.018 | 317.116 | 176.098 | -0.000 | 0.000 | 0.000 |
| 176.098 | 176.098 | 318.026 | -0.000 | -0.000 | -0.000 |
| -0.000 | 0.000 | 0.000 | 175.479 | -0.000 | -0.000 |
| 0.000 | -0.000 | 0.000 | -0.000 | 175.479 | 0.000 |
| 0.000 | 0.000 | -0.000 | -0.000 | 0.000 | 176.087 |
| 317.116 | 177.018 | 176.098 | -0.000 | -0.000 | -0.000 |
| 177.018 | 317.116 | 176.098 | -0.000 | -0.000 | 0.000 |
| 176.098 | 176.098 | 318.025 | 0.000 | 0.000 | -0.000 |
| 0.000 | -0.000 | -0.000 | 175.479 | 0.000 | -0.000 |
| -0.000 | 0.000 | -0.000 | 0.000 | 175.479 | 0.000 |
| -0.000 | -0.000 | 0.000 | 0.000 | 0.000 | 176.087 |
| 317.117 | 177.019 | 176.099 | 0.000 | -0.000 | 0.000 |
| 177.019 | 317.117 | 176.099 | -0.000 | 0.000 | 0.000 |
| 176.099 | 176.099 | 318.027 | -0.000 | -0.000 | -0.000 |
| -0.000 | 0.000 | 0.001 | 175.479 | 0.000 | -0.000 |
| 0.000 | -0.000 | 0.001 | -0.000 | 175.479 | -0.000 |
| 0.000 | 0.001 | -0.000 | -0.000 | -0.000 | 176.087 |
| 318.045 | 176.086 | 176.097 | 0.000 | 0.000 | 0.000 |
| 176.086 | 318.045 | 176.097 | 0.000 | 0.000 | 0.000 |
| 176.097 | 176.097 | 318.024 | 0.000 | -0.000 | 0.000 |
| 0.000 | -0.000 | -0.001 | 175.479 | 0.000 | 0.000 |
| -0.000 | 0.000 | -0.001 | 0.000 | 175.479 | 0.000 |
| -0.000 | -0.001 | 0.000 | 0.000 | 0.000 | 176.087 |
| -427.596 | -657.678 | 1455.276 | 0.000 | -0.000 | 0.000 |
| -676.582 | -408.694 | 1455.278 | 0.000 | 0.000 | 0.000 |
| -720.540 | -720.540 | 1797.785 | 0.000 | -0.000 | 0.000 |
| -822.728 | -822.728 | 1353.179 | 100.983 | -0.000 | 0.000 |
| 0.000 | -0.000 | 0.000 | 0.000 | 101.759 | 0.000 |
| -822.704 | -822.704 | 1353.139 | 0.000 | 0.000 | 133.944 |
| 420.446 | 140.149 | 101.759 | -0.000 | -0.000 | -0.000 |
| 140.149 | 420.446 | 101.759 | -0.000 | 0.000 | -0.000 |
| 101.759 | 101.759 | 445.312 | -0.000 | 0.000 | -0.000 |
| 822.728 | 822.728 | -1353.179 | 100.983 | 0.000 | -0.000 |
| 0.000 | 0.000 | -0.000 | -0.000 | 101.759 | -0.000 |
| 822.704 | 822.704 | -1353.139 | -0.000 | 0.000 | 133.944 |
| 420.446 | 140.149 | 101.759 | 0.000 | 0.000 | 0.000 |
| 82.778 | 312.859 | 237.415 | 0.000 | -0.000 | 0.000 |
| 19.827 | 19.827 | 580.069 | 0.000 | -0.000 | 0.000 |
| -82.273 | -82.273 | 135.319 | 101.480 | 0.000 | 0.000 |
| 0.000 | 0.000 | 0.000 | 0.000 | 101.759 | 0.000 |
| -82.275 | -82.275 | 135.322 | 0.000 | -0.000 | 133.944 |
| 496.318 | 228.433 | -33.240 | -0.000 | -0.000 | 0.000 |
| 228.432 | 496.319 | -33.240 | 0.000 | 0.000 | -0.000 |
| 101.759 | 101.759 | 445.312 | -0.000 | -0.000 | -0.000 |
| 82.273 | 82.273 | -135.319 | 101.480 | 0.000 | -0.000 |
| -0.000 | -0.000 | -0.000 | -0.000 | 101.759 | -0.000 |
| 82.275 | 82.275 | -135.322 | -0.000 | -0.000 | 133.944 |
| 386.899 | 156.833 | 115.629 | 0.000 | -0.000 | 0.000 |
| 156.825 | 386.907 | 115.630 | 0.000 | -0.000 | 0.000 |
| 101.760 | 101.760 | 445.315 | 0.000 | -0.000 | 0.000 |
| -8.227 | -8.227 | 13.532 | 100.983 | -0.000 | 0.000 |
| -8.232 | -8.232 | 13.540 | 0.000 | 101.480 | 0.000 |
| -8.227 | -8.226 | 13.531 | 0.000 | -0.000 | 115.032 |
| 403.356 | 173.277 | 88.566 | -0.000 | 0.000 | -0.000 |
| 173.277 | 403.356 | 88.566 | -0.000 | 0.000 | -0.000 |
| 110.323 | 110.323 | 431.222 | -0.000 | 0.000 | -0.000 |
| 8.227 | 8.227 | -13.532 | 100.983 | 0.000 | -0.000 |
| 8.232 | 8.232 | -13.540 | -0.000 | 101.480 | -0.000 |
| 8.227 | 8.226 | -13.531 | -0.000 | 0.000 | 115.032 |
| 394.866 | 164.987 | 102.161 | -0.000 | 0.000 | 0.000 |
| 140.031 | 420.170 | 101.875 | 0.000 | 0.000 | 0.000 |
| 102.202 | 102.202 | 444.901 | -0.000 | 0.000 | 0.000 |
| 0.084 | 0.084 | -0.138 | 101.074 | 0.000 | 0.000 |
| -0.000 | 0.000 | 0.000 | 0.000 | 101.828 | 0.000 |
| 0.000 | 0.000 | 0.000 | 0.000 | 0.000 | 140.070 |
| 394.804 | 164.924 | 102.264 | 0.000 | -0.000 | -0.000 |
| 140.031 | 420.170 | 101.875 | -0.000 | -0.000 | -0.000 |
| 101.832 | 101.832 | 445.510 | 0.000 | -0.000 | -0.000 |
| -0.084 | -0.084 | 0.138 | 101.074 | -0.000 | -0.000 |
| 0.000 | -0.000 | -0.000 | -0.000 | 101.828 | -0.000 |
| 0.000 | -0.000 | -0.000 | -0.000 | -0.000 | 140.070 |
| 420.171 | 140.031 | 101.875 | -0.000 | 0.000 | 0.000 |
| 140.031 | 420.170 | 101.875 | 0.000 | 0.000 | 0.000 |
| 102.175 | 102.175 | 444.948 | -0.000 | 0.000 | 0.000 |
| 0.009 | 0.009 | -0.014 | 101.052 | -0.000 | 0.000 |
| 0.000 | 0.000 | 0.000 | -0.000 | 101.828 | 0.000 |
| -0.000 | 0.000 | 0.000 | 0.000 | 0.000 | 140.070 |
| 396.572 | 162.092 | 103.139 | -0.000 | -0.000 | -0.000 |
| 140.031 | 420.170 | 101.875 | -0.000 | -0.000 | -0.000 |
| 101.832 | 101.832 | 445.510 | -0.000 | -0.000 | -0.000 |
| -0.009 | -0.009 | 0.014 | 101.052 | -0.000 | -0.000 |
| -0.000 | -0.000 | -0.000 | 0.000 | 101.828 | -0.000 |
| 0.000 | -0.000 | -0.000 | -0.000 | -0.000 | 140.070 |
| 420.174 | 140.031 | 101.876 | 0.000 | 0.000 | 0.000 |
| 140.032 | 420.173 | 101.876 | 0.000 | 0.000 | 0.000 |
| 102.173 | 102.173 | 444.955 | 0.000 | 0.000 | 0.000 |
| 0.000 | 0.000 | 0.001 | 101.828 | 0.000 | 0.000 |
| 0.001 | 0.001 | -0.001 | 0.000 | 101.052 | 0.000 |
| -0.000 | 0.001 | 0.000 | 0.000 | 0.000 | 140.070 |
| 396.524 | 162.154 | 103.125 | 0.000 | -0.000 | -0.000 |
| 164.954 | 394.833 | 102.213 | -0.000 | -0.000 | -0.000 |
| 102.170 | 102.170 | 444.950 | -0.000 | -0.000 | -0.000 |
| -0.000 | -0.000 | -0.001 | 101.828 | -0.000 | -0.000 |
| -0.001 | -0.001 | 0.001 | 0.000 | 101.052 | -0.000 |
| 0.000 | -0.001 | -0.000 | -0.000 | -0.000 | 140.070 |
| 315.007 | 174.589 | 174.589 | 0.000 | -0.000 | -0.000 |
| 174.589 | 315.007 | 174.589 | 0.000 | 0.000 | 0.000 |
| 174.589 | 174.589 | 315.007 | -0.000 | -0.000 | -0.000 |
| -0.000 | 0.000 | 0.000 | 174.589 | 0.000 | 0.000 |
| 0.000 | -0.000 | 0.000 | 0.000 | 174.589 | 0.000 |
| 0.000 | 0.000 | -0.000 | 0.000 | 0.000 | 174.589 |
| 315.007 | 174.589 | 174.589 | -0.000 | -0.000 | 0.000 |
| 174.589 | 315.007 | 174.589 | 0.000 | -0.000 | -0.000 |
| 174.589 | 174.589 | 315.007 | -0.000 | -0.000 | 0.000 |
| 0.000 | -0.000 | -0.000 | 174.589 | -0.000 | -0.000 |
| -0.000 | 0.000 | -0.000 | 0.000 | 174.589 | -0.000 |
| -0.000 | -0.000 | 0.000 | -0.000 | -0.000 | 174.589 |
| 315.007 | 174.589 | 174.589 | -0.000 | 0.000 | 0.000 |
| 174.589 | 315.007 | 174.589 | 0.000 | 0.000 | 0.000 |
| 174.589 | 174.589 | 315.007 | 0.000 | -0.000 | -0.000 |
| -0.000 | 0.000 | 0.000 | 174.589 | 0.000 | 0.000 |
| 0.000 | -0.000 | 0.000 | 0.000 | 174.589 | 0.000 |
| 0.000 | 0.000 | -0.000 | 0.000 | 0.000 | 174.589 |
| 315.007 | 174.589 | 174.589 | -0.000 | -0.000 | 0.000 |
| 174.589 | 315.007 | 174.589 | -0.000 | -0.000 | -0.000 |
| 174.589 | 174.589 | 315.007 | -0.000 | -0.000 | 0.000 |
| 0.000 | -0.000 | -0.000 | 174.589 | -0.000 | -0.000 |
| -0.000 | 0.000 | -0.000 | -0.000 | 174.589 | -0.000 |
| -0.000 | -0.000 | 0.000 | -0.000 | -0.000 | 174.589 |
| 315.009 | 174.590 | 174.590 | 0.000 | 0.000 | -0.000 |
| 174.590 | 315.009 | 174.590 | 0.000 | 0.000 | 0.000 |
| 174.590 | 174.590 | 315.009 | 0.000 | 0.000 | -0.000 |
| -0.000 | 0.001 | 0.001 | 174.589 | 0.000 | -0.000 |
| 0.001 | -0.000 | 0.001 | 0.000 | 174.589 | 0.000 |
| 0.001 | 0.001 | -0.000 | 0.000 | 0.000 | 174.589 |
| 315.006 | 174.588 | 174.588 | -0.000 | -0.000 | -0.000 |
| 174.588 | 315.006 | 174.588 | -0.000 | -0.000 | -0.000 |
| 174.588 | 174.588 | 315.006 | -0.000 | -0.000 | 0.000 |
| 0.000 | -0.001 | -0.001 | 174.589 | -0.000 | 0.000 |
| -0.001 | 0.000 | -0.001 | -0.000 | 174.589 | -0.000 |
| -0.001 | -0.001 | 0.000 | -0.000 | -0.000 | 174.589 |
| 472.644 | 19.835 | 19.835 | -0.000 | -0.000 | 0.000 |
| 19.835 | 472.644 | 19.835 | -0.000 | -0.000 | 0.000 |
| 19.835 | 19.835 | 472.644 | 0.000 | -0.000 | 0.000 |
| -0.000 | 0.000 | 0.000 | 18.943 | 0.000 | 0.000 |
| 0.000 | 0.000 | 0.000 | -0.000 | 18.943 | -0.000 |
| 0.000 | 0.000 | -0.000 | 0.000 | 0.000 | 18.943 |
| 472.644 | 19.835 | 19.835 | -0.000 | -0.000 | 0.000 |
| 19.835 | 472.644 | 19.835 | 0.000 | -0.000 | -0.000 |
| 19.835 | 19.835 | 472.644 | -0.000 | 0.000 | -0.000 |
| 0.000 | -0.000 | 0.000 | 18.943 | 0.000 | -0.000 |
| -0.000 | -0.000 | 0.000 | 0.000 | 18.943 | -0.000 |
| -0.000 | 0.000 | 0.000 | 0.000 | -0.000 | 18.943 |
| 472.644 | 19.835 | 19.835 | -0.000 | -0.000 | -0.000 |
| 19.835 | 472.644 | 19.835 | -0.000 | 0.000 | -0.000 |
| 19.835 | 19.835 | 472.644 | -0.000 | 0.000 | 0.000 |
| 0.000 | 0.000 | -0.000 | 18.943 | 0.000 | 0.000 |
| 0.000 | 0.000 | -0.000 | -0.000 | 18.943 | 0.000 |
| 0.000 | -0.000 | 0.000 | -0.000 | 0.000 | 18.943 |
| 474.427 | 18.943 | 18.943 | 0.000 | -0.000 | -0.000 |
| 18.943 | 474.427 | 18.943 | 0.000 | 0.000 | 0.000 |
| 18.943 | 18.943 | 474.427 | 0.000 | -0.000 | -0.000 |
| -0.000 | -0.000 | 0.000 | 18.943 | -0.000 | 0.000 |
| -0.000 | -0.000 | 0.000 | 0.000 | 18.943 | -0.000 |
| -0.000 | 0.000 | -0.000 | 0.000 | -0.000 | 18.943 |
| 472.648 | 19.835 | 19.835 | -0.000 | 0.000 | -0.000 |
| 19.835 | 472.648 | 19.835 | -0.000 | 0.000 | -0.000 |
| 19.835 | 19.835 | 472.648 | -0.000 | 0.000 | 0.000 |
| 0.001 | 0.000 | -0.000 | -128.914 | 0.000 | 0.000 |
| 0.000 | 0.001 | -0.000 | -0.000 | -128.914 | 0.000 |
| 0.000 | -0.000 | 0.001 | 0.000 | 0.000 | -128.914 |
| 472.640 | 19.834 | 19.834 | 0.000 | -0.000 | -0.000 |
| 19.834 | 472.640 | 19.834 | 0.000 | -0.000 | 0.000 |
| 19.834 | 19.834 | 472.640 | 0.000 | 0.000 | 0.000 |
| -0.001 | -0.000 | 0.000 | -128.914 | 0.000 | 0.000 |
| -0.000 | -0.001 | 0.000 | 0.000 | -128.914 | -0.000 |
| -0.000 | 0.000 | -0.001 | 0.000 | -0.000 | -128.914 |
| 160.714 | 209.455 | 209.455 | 0.000 | 0.000 | -0.000 |
| 209.455 | 160.714 | 209.455 | 0.000 | 0.000 | 0.000 |
| 209.455 | 209.455 | 160.714 | -0.000 | -0.000 | -0.000 |
| 0.000 | 0.000 | 0.000 | 209.455 | -0.000 | -0.000 |
| 0.000 | 0.000 | 0.000 | -0.000 | 209.455 | -0.000 |
| 0.000 | 0.000 | 0.000 | -0.000 | -0.000 | 209.455 |
| 160.714 | 209.454 | 209.454 | 0.000 | -0.000 | 0.000 |
| 209.454 | 160.714 | 209.454 | 0.000 | 0.000 | -0.000 |
| 209.454 | 209.454 | 160.714 | 0.000 | -0.000 | 0.000 |
| -0.000 | -0.000 | -0.000 | 209.455 | -0.000 | 0.000 |
| -0.000 | -0.000 | -0.000 | -0.000 | 209.455 | 0.000 |
| -0.000 | -0.000 | -0.000 | 0.000 | 0.000 | 209.455 |
| 160.714 | 209.455 | 209.455 | -0.000 | 0.000 | -0.000 |
| 209.455 | 160.714 | 209.455 | 0.000 | -0.000 | -0.000 |
| 209.455 | 209.455 | 160.714 | 0.000 | -0.000 | -0.000 |
| 0.000 | 0.000 | 0.000 | 209.455 | -0.000 | -0.000 |
| 0.000 | 0.000 | 0.000 | -0.000 | 209.455 | -0.000 |
| 0.000 | 0.000 | 0.000 | -0.000 | 0.000 | 209.455 |
| 160.714 | 209.454 | 209.454 | 0.000 | -0.000 | 0.000 |
| 209.454 | 160.714 | 209.454 | 0.000 | -0.000 | -0.000 |
| 209.454 | 209.454 | 160.714 | -0.000 | 0.000 | 0.000 |
| -0.000 | -0.000 | -0.000 | 209.455 | 0.000 | 0.000 |
| -0.000 | -0.000 | -0.000 | 0.000 | 209.455 | 0.000 |
| -0.000 | -0.000 | -0.000 | 0.000 | 0.000 | 209.455 |
| 160.715 | 209.455 | 209.455 | -0.000 | -0.000 | -0.000 |
| 209.455 | 160.715 | 209.455 | 0.000 | 0.000 | 0.000 |
| 209.455 | 209.455 | 160.715 | -0.000 | -0.000 | -0.000 |
| 0.001 | 0.000 | 0.001 | 209.455 | -0.000 | 0.000 |
| 0.000 | 0.001 | 0.001 | -0.000 | 209.455 | -0.000 |
| 0.000 | 0.001 | 0.001 | 0.000 | 0.000 | 209.455 |
| 160.713 | 209.454 | 209.454 | 0.000 | 0.000 | 0.000 |
| 209.454 | 160.713 | 209.454 | 0.000 | -0.000 | 0.000 |
| 209.454 | 209.454 | 160.713 | 0.000 | -0.000 | 0.000 |
| -0.001 | -0.000 | -0.001 | 209.455 | 0.000 | 0.000 |
| -0.000 | -0.001 | -0.001 | 0.000 | 209.455 | 0.000 |
| -0.000 | -0.001 | -0.001 | -0.000 | -0.000 | 209.455 |
| 417.388 | 139.129 | 102.159 | -0.000 | 0.000 | -0.000 |
| 162.782 | 393.735 | 102.159 | -0.000 | 0.000 | -0.000 |
| 102.159 | 102.159 | 440.259 | -0.000 | 0.000 | -0.000 |
| -0.000 | -0.000 | 0.000 | 102.159 | -0.000 | -0.000 |
| -0.000 | -0.000 | 0.000 | -0.000 | 102.159 | -0.000 |
| -0.000 | 0.000 | 0.000 | 0.000 | -0.000 | 139.129 |
| 417.388 | 139.129 | 102.159 | 0.000 | -0.000 | 0.000 |
| 139.129 | 417.388 | 102.159 | -0.000 | -0.000 | -0.000 |
| 102.159 | 102.159 | 440.259 | 0.000 | 0.000 | 0.000 |
| 0.000 | 0.000 | -0.000 | 102.159 | 0.000 | -0.000 |
| 0.000 | -0.000 | -0.000 | 0.000 | 102.159 | -0.000 |
| 0.000 | -0.000 | -0.000 | -0.000 | 0.000 | 139.129 |
| 393.735 | 162.782 | 102.159 | -0.000 | 0.000 | -0.000 |
| 162.782 | 393.735 | 102.159 | -0.000 | -0.000 | 0.000 |
| 102.159 | 102.159 | 440.259 | -0.000 | 0.000 | -0.000 |
| 0.000 | 0.000 | 0.000 | 102.159 | -0.000 | 0.000 |
| 0.000 | 0.000 | 0.000 | -0.000 | 102.159 | 0.000 |
| 0.000 | 0.000 | -0.000 | -0.000 | -0.000 | 115.476 |
| 417.387 | 139.129 | 102.159 | 0.000 | -0.000 | 0.000 |
| 162.782 | 393.734 | 102.159 | 0.000 | 0.000 | 0.000 |
| 102.158 | 102.158 | 440.258 | 0.000 | 0.000 | 0.000 |
| -0.000 | -0.000 | -0.000 | 102.159 | 0.000 | 0.000 |
| -0.000 | -0.000 | -0.000 | 0.000 | 102.159 | 0.000 |
| -0.000 | -0.000 | 0.000 | 0.000 | 0.000 | 115.476 |
| 417.391 | 139.130 | 102.159 | -0.000 | -0.000 | -0.000 |
| 162.784 | 393.737 | 102.159 | 0.000 | -0.000 | 0.000 |
| 102.160 | 102.160 | 440.261 | -0.000 | 0.000 | -0.000 |
| 0.000 | 0.000 | 0.001 | 102.159 | -0.000 | 0.000 |
| 0.000 | 0.000 | 0.001 | -0.000 | 102.159 | -0.000 |
| 0.000 | 0.001 | -0.000 | -0.000 | -0.000 | 115.476 |
| 417.384 | 139.129 | 102.158 | -0.000 | -0.000 | -0.000 |
| 162.781 | 393.732 | 102.158 | 0.000 | -0.000 | 0.000 |
| 102.158 | 102.158 | 440.256 | 0.000 | 0.000 | 0.000 |
| -0.000 | -0.000 | -0.001 | 102.159 | -0.000 | 0.000 |
| -0.000 | -0.000 | -0.001 | 0.000 | 102.159 | 0.000 |
| -0.000 | -0.001 | 0.000 | 0.000 | 0.000 | 115.476 |
| 391.287 | 162.568 | 99.291 | 0.000 | -0.000 | 0.000 |
| 138.464 | 415.392 | 99.291 | -0.000 | -0.000 | -0.000 |
| 99.291 | 99.291 | 435.417 | -0.000 | 0.000 | 0.000 |
| 0.000 | -0.000 | 0.000 | 99.291 | 0.000 | -0.000 |
| -0.000 | -0.000 | 0.000 | 0.000 | 99.291 | 0.000 |
| 0.000 | 0.000 | -0.000 | 0.000 | 0.000 | 114.359 |
| 415.391 | 138.464 | 99.291 | 0.000 | 0.000 | -0.000 |
| 162.568 | 391.287 | 99.291 | -0.000 | 0.000 | 0.000 |
| 99.291 | 99.291 | 435.417 | 0.000 | 0.000 | -0.000 |
| 0.000 | 0.000 | -0.000 | 99.291 | 0.000 | -0.000 |
| 0.000 | 0.000 | -0.000 | 0.000 | 99.291 | 0.000 |
| -0.000 | -0.000 | 0.000 | -0.000 | -0.000 | 114.359 |
| 391.287 | 162.568 | 99.291 | 0.000 | 0.000 | -0.000 |
| 162.568 | 391.287 | 99.291 | 0.000 | 0.000 | -0.000 |
| 99.291 | 99.291 | 435.417 | -0.000 | 0.000 | -0.000 |
| 0.000 | -0.000 | 0.000 | 99.291 | 0.000 | 0.000 |
| -0.000 | 0.000 | 0.000 | 0.000 | 99.291 | 0.000 |
| 0.000 | 0.000 | -0.000 | 0.000 | 0.000 | 114.359 |
| 415.391 | 138.464 | 99.291 | 0.000 | -0.000 | 0.000 |
| 138.464 | 415.391 | 99.291 | -0.000 | 0.000 | 0.000 |
| 99.291 | 99.291 | 435.416 | 0.000 | -0.000 | 0.000 |
| -0.000 | 0.000 | -0.000 | 99.291 | -0.000 | 0.000 |
| 0.000 | -0.000 | -0.000 | 0.000 | 99.291 | 0.000 |
| -0.000 | -0.000 | 0.000 | -0.000 | -0.000 | 114.359 |
| 391.291 | 162.569 | 99.291 | 0.000 | 0.000 | -0.000 |
| 162.570 | 391.290 | 99.291 | 0.000 | 0.000 | -0.000 |
| 99.292 | 99.292 | 435.419 | -0.000 | -0.000 | -0.000 |
| 0.000 | 0.000 | 0.001 | 99.291 | 0.000 | -0.000 |
| -0.000 | 0.000 | 0.001 | -0.000 | 99.291 | -0.000 |
| 0.000 | 0.001 | 0.000 | -0.000 | 0.000 | 138.464 |
| 415.388 | 138.463 | 99.290 | 0.000 | -0.000 | 0.000 |
| 138.463 | 415.389 | 99.290 | 0.000 | -0.000 | 0.000 |
| 99.290 | 99.290 | 435.414 | 0.000 | 0.000 | 0.000 |
| -0.000 | -0.000 | -0.001 | 99.291 | -0.000 | 0.000 |
| 0.000 | -0.000 | -0.001 | 0.000 | 99.291 | -0.000 |
| -0.000 | -0.001 | -0.000 | 0.000 | -0.000 | 138.464 |
| 30.565 | 40.781 | 40.781 | 0.000 | 0.000 | 0.000 |
| 40.781 | 30.565 | 40.781 | 0.000 | 0.000 | 0.000 |
| 40.781 | 40.781 | 30.565 | 0.000 | 0.000 | 0.000 |
| -0.000 | -0.000 | -0.000 | -12.110 | 0.000 | 0.000 |
| -0.000 | 0.000 | -0.000 | 0.000 | -12.110 | 0.000 |
| -0.000 | 0.000 | -0.000 | 0.000 | 0.000 | -12.110 |
| 30.565 | 40.781 | 40.781 | -0.000 | -0.000 | -0.000 |
| 40.781 | 30.565 | 40.781 | -0.000 | -0.000 | -0.000 |
| 40.781 | 40.781 | 30.565 | -0.000 | -0.000 | -0.000 |
| 0.000 | -0.000 | 0.000 | -12.110 | -0.000 | -0.000 |
| 0.000 | -0.000 | 0.000 | -0.000 | -12.110 | -0.000 |
| 0.000 | -0.000 | 0.000 | -0.000 | -0.000 | -12.110 |
| 30.565 | 40.781 | 40.781 | 0.000 | 0.000 | 0.000 |
| 40.781 | 30.565 | 40.781 | 0.000 | 0.000 | 0.000 |
| 40.781 | 40.781 | 30.565 | 0.000 | 0.000 | 0.000 |
| -0.000 | -0.000 | -0.000 | -12.110 | 0.000 | 0.000 |
| -0.000 | -0.000 | -0.000 | 0.000 | -12.110 | 0.000 |
| -0.000 | -0.000 | -0.000 | 0.000 | 0.000 | -12.110 |
| 30.565 | 40.781 | 40.781 | -0.000 | -0.000 | -0.000 |
| 40.781 | 30.565 | 40.781 | -0.000 | -0.000 | -0.000 |
| 40.781 | 40.781 | 30.565 | -0.000 | -0.000 | -0.000 |
| 0.000 | 0.000 | 0.000 | -12.110 | -0.000 | -0.000 |
| 0.000 | 0.000 | 0.000 | -0.000 | -12.110 | -0.000 |
| 0.000 | 0.000 | 0.000 | -0.000 | -0.000 | -12.110 |
| 30.566 | 40.782 | 40.782 | 0.000 | 0.000 | 0.000 |
| 40.782 | 30.566 | 40.782 | 0.000 | 0.000 | 0.000 |
| 40.782 | 40.782 | 30.566 | 0.000 | 0.000 | 0.000 |
| -0.000 | -0.000 | -0.000 | -12.110 | 0.000 | 0.000 |
| -0.000 | -0.000 | -0.000 | 0.000 | -12.110 | 0.000 |
| -0.000 | -0.000 | -0.000 | 0.000 | 0.000 | -12.110 |
| 30.565 | 40.781 | 40.781 | -0.000 | -0.000 | -0.000 |
| 40.781 | 30.565 | 40.781 | -0.000 | -0.000 | -0.000 |
| 40.781 | 40.781 | 30.565 | -0.000 | -0.000 | -0.000 |
| 0.000 | 0.000 | 0.000 | -12.110 | -0.000 | -0.000 |
| 0.000 | 0.000 | 0.000 | -0.000 | -12.110 | -0.000 |
| 0.000 | 0.000 | 0.000 | -0.000 | -0.000 | -12.110 |
| 415.521 | -25.820 | 8.025 | 0.000 | 0.000 | -0.000 |
| -25.820 | 415.521 | 8.025 | 0.000 | -0.000 | -0.000 |
| 8.025 | 8.025 | 395.262 | 0.000 | -0.000 | -0.000 |
| -0.000 | -0.000 | -0.000 | -30.800 | 0.000 | 0.000 |
| -0.000 | -0.000 | -0.000 | 0.000 | -30.800 | -0.000 |
| -0.000 | -0.000 | -0.000 | -0.000 | 0.000 | -25.820 |
| 415.521 | -25.820 | 8.025 | 0.000 | 0.000 | 0.000 |
| -25.820 | 415.521 | 8.025 | 0.000 | 0.000 | 0.000 |
| 8.025 | 8.025 | 395.262 | -0.000 | 0.000 | 0.000 |
| 0.000 | 0.000 | 0.000 | -30.800 | -0.000 | 0.000 |
| 0.000 | 0.000 | 0.000 | -0.000 | -30.800 | 0.000 |
| 0.000 | 0.000 | 0.000 | -0.000 | 0.000 | -25.820 |
| 415.521 | -25.820 | 8.025 | 0.000 | -0.000 | -0.000 |
| -25.820 | 415.521 | 8.025 | 0.000 | -0.000 | -0.000 |
| 8.025 | 8.025 | 395.262 | 0.000 | -0.000 | -0.000 |
| -0.000 | 0.000 | -0.000 | -30.800 | -0.000 | -0.000 |
| 0.000 | -0.000 | -0.000 | 0.000 | -30.800 | -0.000 |
| -0.000 | -0.000 | -0.000 | 0.000 | -0.000 | -25.820 |
| -611.590 | 1001.291 | 8.025 | -0.000 | -0.000 | 0.000 |
| 1001.291 | -611.590 | 8.025 | -0.000 | 0.000 | 0.000 |
| 8.025 | 8.025 | 395.261 | -0.000 | -0.000 | -0.000 |
| 0.000 | -0.000 | 0.000 | -30.800 | 0.000 | 0.000 |
| -0.000 | 0.000 | 0.000 | 0.000 | -30.800 | 0.000 |
| 0.000 | 0.000 | 0.000 | 0.000 | 0.000 | -25.820 |
| -686.366 | 1076.065 | 8.023 | 0.000 | 0.000 | -0.000 |
| 1076.065 | -686.366 | 8.023 | 0.000 | 0.000 | -0.000 |
| 8.025 | 8.025 | 395.265 | -0.000 | -0.000 | -0.000 |
| -0.000 | 0.000 | -0.000 | -30.800 | -0.000 | -0.000 |
| 0.000 | -0.000 | -0.000 | 0.000 | -30.800 | 0.000 |
| -0.000 | 0.000 | -0.000 | 0.000 | -0.000 | -25.820 |
| -686.350 | 1076.053 | 8.027 | -0.000 | 0.000 | 0.000 |
| 1076.053 | -686.350 | 8.027 | 0.000 | 0.000 | 0.000 |
| 8.025 | 8.025 | 395.258 | 0.000 | 0.000 | 0.000 |
| 0.000 | -0.000 | 0.000 | -30.800 | 0.000 | 0.000 |
| -0.000 | 0.000 | 0.000 | -0.000 | -30.800 | 0.000 |
| 0.000 | -0.000 | 0.000 | -0.000 | 0.000 | -25.820 |
| -13.535 | -20.641 | -1.931 | -11.742 | 0.000 | 0.000 |
| -20.641 | -13.535 | -1.931 | 11.742 | 0.000 | 0.000 |
| -3.325 | -3.325 | 13.156 | 0.000 | 0.000 | 0.000 |
| -11.742 | 11.742 | 0.000 | 19.475 | 0.000 | 0.000 |
| 0.000 | -0.000 | 0.000 | -0.000 | 19.475 | -11.742 |
| 0.000 | -0.000 | 0.000 | -0.000 | -11.742 | 3.553 |
| -13.535 | -20.641 | -1.931 | -11.742 | 0.000 | -0.000 |
| -20.641 | -13.535 | -1.931 | 11.742 | -0.000 | -0.000 |
| -3.325 | -3.325 | 13.155 | 0.000 | -0.000 | -0.000 |
| -11.742 | 11.742 | -0.000 | 19.475 | 0.000 | -0.000 |
| -0.000 | 0.000 | -0.000 | 0.000 | 19.475 | -11.742 |
| -0.000 | 0.000 | -0.000 | 0.000 | -11.742 | 3.553 |
| -13.535 | -20.641 | -1.931 | -11.742 | 0.000 | 0.000 |
| -20.641 | -13.535 | -1.931 | 11.742 | 0.000 | 0.000 |
| -3.325 | -3.325 | 13.156 | -0.000 | -0.000 | 0.000 |
| -11.742 | 11.742 | 0.000 | 19.475 | 0.000 | 0.000 |
| 0.000 | -0.000 | 0.000 | -0.000 | 19.475 | -11.742 |
| 0.000 | -0.000 | 0.000 | -0.000 | -11.742 | 3.553 |
| -13.535 | -20.641 | -1.931 | -11.742 | 0.000 | -0.000 |
| -20.641 | -13.535 | -1.931 | 11.742 | -0.000 | -0.000 |
| -3.325 | -3.325 | 13.156 | 0.000 | 0.000 | -0.000 |
| -11.742 | 11.742 | -0.000 | 19.475 | 0.000 | -0.000 |
| -0.000 | 0.000 | -0.000 | 0.000 | 19.475 | -11.742 |
| -0.000 | 0.000 | -0.000 | 0.000 | -11.742 | 3.553 |
| -13.535 | -20.641 | -1.931 | -11.742 | 0.000 | 0.000 |
| -20.641 | -13.535 | -1.931 | 11.742 | 0.000 | 0.000 |
| -3.325 | -3.325 | 13.156 | -0.000 | 0.000 | 0.000 |
| -11.742 | 11.742 | 0.000 | 19.475 | 0.000 | 0.000 |
| 0.000 | 0.000 | 0.000 | -0.000 | 19.475 | -11.742 |
| 0.000 | -0.000 | 0.000 | -0.000 | -11.742 | 3.553 |
| -13.535 | -20.641 | -1.931 | -11.742 | 0.000 | -0.000 |
| -20.641 | -13.535 | -1.931 | 11.742 | -0.000 | -0.000 |
| -3.325 | -3.325 | 13.156 | 0.000 | -0.000 | -0.000 |
| -11.742 | 11.742 | -0.000 | 19.475 | -0.000 | -0.000 |
| -0.000 | -0.000 | -0.000 | 0.000 | 19.475 | -11.742 |
| -0.000 | 0.000 | -0.000 | 0.000 | -11.742 | 3.553 |
| 389.950 | -23.334 | -23.334 | 0.000 | 0.000 | 0.000 |
| -23.334 | 389.950 | -23.334 | 0.000 | 0.000 | 0.000 |
| -23.334 | -23.334 | 389.950 | 0.000 | 0.000 | 0.000 |
| -0.000 | 0.000 | -0.000 | -23.334 | 0.000 | 0.000 |
| 0.000 | 0.000 | -0.000 | 0.000 | -23.334 | 0.000 |
| 0.000 | -0.000 | -0.000 | 0.000 | 0.000 | -23.334 |
| 389.950 | -23.334 | -23.334 | -0.000 | -0.000 | 0.000 |
| -23.334 | 389.950 | -23.334 | -0.000 | -0.000 | -0.000 |
| -23.334 | -23.334 | 389.950 | 0.000 | 0.000 | 0.000 |
| -0.000 | -0.000 | 0.000 | -23.334 | -0.000 | 0.000 |
| -0.000 | -0.000 | 0.000 | -0.000 | -23.334 | -0.000 |
| -0.000 | 0.000 | 0.000 | -0.000 | -0.000 | -23.334 |
| 389.950 | -23.334 | -23.334 | 0.000 | -0.000 | 0.000 |
| -23.334 | 389.950 | -23.334 | 0.000 | 0.000 | 0.000 |
| -23.334 | -23.334 | 389.950 | 0.000 | 0.000 | -0.000 |
| 0.000 | 0.000 | -0.000 | -23.334 | 0.000 | 0.000 |
| 0.000 | 0.000 | -0.000 | 0.000 | -23.334 | 0.000 |
| 0.000 | -0.000 | 0.000 | 0.000 | 0.000 | -23.334 |
| 389.949 | -23.334 | -23.334 | -0.000 | 0.000 | 0.000 |
| -23.334 | 389.949 | -23.334 | -0.000 | -0.000 | -0.000 |
| -23.334 | -23.334 | 389.949 | 0.000 | -0.000 | 0.000 |
| -0.000 | -0.000 | 0.000 | -23.334 | -0.000 | -0.000 |
| -0.000 | -0.000 | 0.000 | -0.000 | -23.334 | -0.000 |
| -0.000 | 0.000 | -0.000 | -0.000 | -0.000 | -23.334 |
| 389.954 | -23.334 | -23.334 | 0.000 | 0.000 | -0.000 |
| -23.334 | 389.954 | -23.334 | 0.000 | 0.000 | -0.000 |
| -23.334 | -23.334 | 389.954 | 0.000 | 0.000 | 0.000 |
| 0.000 | 0.000 | -0.000 | -23.334 | 0.000 | 0.000 |
| 0.000 | 0.000 | -0.000 | 0.000 | -23.334 | 0.000 |
| 0.000 | -0.000 | 0.000 | 0.000 | 0.000 | -23.334 |
| 389.946 | -23.334 | -23.334 | -0.000 | 0.000 | -0.000 |
| -23.334 | 389.946 | -23.334 | -0.000 | -0.000 | -0.000 |
| -23.334 | -23.334 | 389.946 | -0.000 | 0.000 | -0.000 |
| -0.000 | -0.000 | 0.000 | -23.334 | -0.000 | -0.000 |
| -0.000 | -0.000 | 0.000 | -0.000 | -23.334 | -0.000 |
| -0.000 | 0.000 | -0.000 | -0.000 | -0.000 | -23.334 |
| 367.282 | 122.427 | -28.295 | 0.000 | -0.000 | 0.000 |
| 122.427 | 367.282 | -28.295 | 0.000 | 0.000 | 0.000 |
| -28.295 | -28.295 | 471.275 | 0.000 | -0.000 | 0.000 |
| 0.000 | 0.000 | -0.000 | -28.295 | 0.000 | 0.000 |
| -0.000 | 0.000 | 0.000 | 0.000 | -28.295 | 0.000 |
| 0.000 | 0.000 | 0.000 | 0.000 | 0.000 | 122.427 |
| 367.282 | 122.427 | -28.295 | -0.000 | 0.000 | -0.000 |
| 122.427 | 367.282 | -28.295 | -0.000 | -0.000 | -0.000 |
| -28.295 | -28.295 | 471.275 | -0.000 | 0.000 | -0.000 |
| -0.000 | -0.000 | -0.000 | -28.295 | -0.000 | -0.000 |
| -0.000 | -0.000 | -0.000 | 0.000 | -28.295 | -0.000 |
| 0.000 | -0.000 | -0.000 | -0.000 | -0.000 | 122.427 |
| 367.282 | 122.427 | -28.295 | 0.000 | 0.000 | -0.000 |
| 122.427 | 367.282 | -28.295 | 0.000 | 0.000 | 0.000 |
| -28.295 | -28.295 | 471.275 | 0.000 | 0.000 | 0.000 |
| -0.000 | 0.000 | -0.000 | -28.295 | 0.000 | -0.000 |
| 0.000 | -0.000 | -0.000 | 0.000 | -28.295 | 0.000 |
| 0.000 | 0.000 | 0.000 | 0.000 | 0.000 | 122.427 |
| 367.282 | 122.427 | -28.295 | -0.000 | 0.000 | -0.000 |
| 122.427 | 367.282 | -28.295 | -0.000 | -0.000 | -0.000 |
| -28.295 | -28.295 | 471.274 | -0.000 | -0.000 | -0.000 |
| 0.000 | -0.000 | 0.000 | -28.295 | -0.000 | -0.000 |
| -0.000 | 0.000 | 0.000 | -0.000 | -28.295 | -0.000 |
| -0.000 | -0.000 | -0.000 | -0.000 | 0.000 | 122.427 |
| 367.285 | 122.428 | -28.295 | 0.000 | -0.000 | -0.000 |
| 122.428 | 367.285 | -28.295 | 0.000 | 0.000 | -0.000 |
| -28.295 | -28.295 | 471.279 | 0.000 | 0.000 | 0.000 |
| -0.000 | 0.000 | -0.000 | -28.295 | -0.000 | 0.000 |
| 0.000 | -0.000 | -0.000 | 0.000 | -28.295 | 0.000 |
| 0.000 | 0.001 | -0.000 | 0.000 | 0.000 | 122.427 |
| 367.279 | 122.427 | -28.295 | -0.000 | -0.000 | -0.000 |
| 122.426 | 367.279 | -28.295 | -0.000 | -0.000 | -0.000 |
| -28.295 | -28.295 | 471.270 | -0.000 | -0.000 | -0.000 |
| 0.000 | -0.000 | 0.000 | -28.295 | 0.000 | -0.000 |
| -0.000 | 0.000 | 0.000 | -0.000 | -28.295 | -0.000 |
| -0.000 | -0.001 | 0.000 | -0.000 | 0.000 | 122.427 |
| 6.420 | -31.809 | 997.351 | 0.000 | 0.000 | 0.000 |
| -31.809 | 6.420 | 997.351 | 0.000 | 0.000 | 0.000 |
| -71.278 | -71.278 | 1195.589 | 0.000 | 0.000 | 0.000 |
| -122.758 | -122.758 | 795.170 | 46.430 | 0.000 | 0.000 |
| -122.758 | -122.758 | 795.170 | 0.000 | 46.430 | 0.000 |
| 0.000 | 0.000 | 0.000 | 0.000 | 0.000 | 81.911 |
| 462.026 | 424.058 | -897.373 | -0.000 | -0.000 | -0.000 |
| 424.058 | 462.026 | -897.373 | -0.000 | -0.000 | -0.000 |
| 174.235 | 174.235 | -394.733 | -0.000 | -0.000 | -0.000 |
| 122.758 | 122.758 | -795.170 | 46.430 | -0.000 | -0.000 |
| 122.758 | 122.758 | -795.170 | -0.000 | 46.430 | -0.000 |
| -0.000 | -0.000 | 0.000 | -0.000 | -0.000 | 81.911 |
| 320.298 | 94.874 | 132.594 | 0.000 | 0.000 | 0.000 |
| 94.874 | 320.298 | 132.594 | -0.000 | 0.000 | 0.000 |
| 39.208 | 39.208 | 479.899 | 0.000 | 0.000 | 0.000 |
| -12.287 | -12.287 | 79.590 | 46.427 | 0.000 | 0.000 |
| -12.287 | -12.287 | 79.590 | 0.000 | 46.427 | 0.000 |
| -22.627 | -22.627 | 94.200 | 0.000 | 0.000 | 4.782 |
| 315.016 | 176.267 | -77.270 | 0.000 | -0.000 | 0.000 |
| 176.267 | 315.016 | -77.270 | -0.000 | -0.000 | 0.000 |
| 79.693 | 79.693 | 271.907 | -0.000 | -0.000 | 0.000 |
| 12.287 | 12.287 | -79.590 | 46.427 | -0.000 | -0.000 |
| 12.287 | 12.287 | -79.590 | -0.000 | 46.427 | -0.000 |
| 22.627 | 22.627 | -94.200 | -0.000 | -0.000 | 4.782 |
| 250.716 | 178.509 | 58.147 | 0.000 | 0.000 | 0.000 |
| 178.509 | 250.716 | 58.147 | 0.000 | 0.000 | 0.000 |
| 47.181 | 47.181 | 410.267 | 0.000 | 0.000 | 0.000 |
| -2.230 | -2.230 | 9.186 | 30.589 | 0.000 | 0.000 |
| -2.230 | -2.230 | 9.186 | 0.000 | 30.589 | 0.000 |
| -1.493 | -1.493 | 4.136 | 0.000 | 0.000 | 35.697 |
| 252.677 | 183.337 | 42.893 | 0.000 | -0.000 | -0.000 |
| 183.337 | 252.677 | 42.893 | 0.000 | -0.000 | -0.000 |
| 52.660 | 52.660 | 392.757 | 0.000 | -0.000 | -0.000 |
| 2.230 | 2.230 | -9.186 | 30.589 | 0.000 | -0.000 |
| 2.230 | 2.230 | -9.186 | -0.000 | 30.589 | -0.000 |
| 1.493 | 1.493 | -4.136 | -0.000 | -0.000 | 35.697 |
| 274.398 | -168.334 | 313.695 | -509.293 | 108.373 | -76.205 |
| 113.932 | 346.176 | 146.237 | 23.124 | 14.807 | -40.149 |
| 130.107 | 91.047 | 313.785 | -94.959 | -36.405 | -36.763 |
| -21.511 | -24.839 | -11.952 | 73.404 | -13.682 | -13.783 |
| -38.956 | -270.852 | 131.746 | -515.812 | 251.206 | -124.342 |
| 28.373 | -92.797 | 8.508 | -52.433 | -14.202 | 82.487 |
| 339.930 | 113.318 | 154.895 | -1.588 | -3.912 | 45.142 |
| 133.880 | 392.732 | 129.585 | 89.091 | 19.826 | -11.702 |
| 150.677 | 144.940 | 307.007 | -28.397 | -30.839 | -8.759 |
| -2.221 | 29.744 | -28.397 | 144.940 | -8.759 | 14.407 |
| 15.191 | 14.407 | -30.839 | -8.759 | 150.677 | -2.221 |
| 47.973 | -40.149 | -7.350 | 14.807 | -9.102 | 113.932 |
| 339.931 | 113.318 | 154.895 | -1.588 | -3.912 | 45.143 |
| 112.894 | 312.857 | 152.713 | -7.082 | 22.747 | -45.125 |
| 147.246 | 139.348 | 299.009 | -35.099 | -31.524 | -12.090 |
| -2.221 | 29.744 | -28.397 | 144.940 | -8.759 | 14.407 |
| 15.191 | 14.407 | -30.839 | -8.759 | 150.678 | -2.221 |
| 45.520 | -44.464 | -6.296 | 7.468 | -9.317 | 107.172 |
| 331.259 | 135.373 | 143.244 | 27.898 | -12.149 | 50.537 |
| 113.932 | 346.176 | 146.237 | 23.124 | 14.807 | -40.149 |
| 150.677 | 144.940 | 307.006 | -28.397 | -30.839 | -8.759 |
| -0.541 | 34.277 | -30.049 | 146.814 | -7.730 | 16.424 |
| 16.760 | 19.515 | -32.668 | -1.420 | 147.119 | 0.731 |
| 49.331 | -33.724 | -9.586 | 20.780 | -8.232 | 112.663 |
| 339.933 | 113.318 | 154.896 | -1.589 | -3.912 | 45.143 |
| 115.859 | 331.092 | 147.861 | 16.284 | 15.577 | -42.447 |
| 148.512 | 143.969 | 295.085 | -29.314 | -31.088 | -9.854 |
| -2.710 | 28.075 | -28.259 | 137.554 | -8.117 | 13.131 |
| 14.639 | 13.510 | -30.818 | -8.900 | 146.664 | -2.349 |
| 47.232 | -39.624 | -7.780 | 13.454 | -8.827 | 109.620 |
| 333.967 | 114.814 | 153.209 | -1.127 | -3.718 | 44.966 |
| 114.972 | 340.135 | 145.866 | 23.311 | 14.488 | -38.903 |
| 148.862 | 145.343 | 293.746 | -27.586 | -30.960 | -9.195 |
| -2.199 | 29.612 | -28.610 | 141.197 | -8.226 | 14.055 |
| 15.190 | 14.407 | -30.839 | -8.759 | 150.677 | -2.221 |
| 47.972 | -40.149 | -7.350 | 14.807 | -9.102 | 113.932 |
| 203.565 | 133.056 | 35.391 | -19.169 | -91.010 | 41.444 |
| -7.633 | 246.589 | 98.625 | 15.954 | -89.299 | 74.832 |
| 58.090 | 77.990 | 270.193 | 8.218 | -7.931 | 0.996 |
| -19.870 | 51.763 | -26.074 | 49.865 | -88.302 | 50.306 |
| -26.699 | 51.832 | -40.194 | -24.634 | -29.786 | 49.911 |
| -31.660 | 61.921 | -31.489 | -20.098 | -82.173 | 119.139 |
| 252.173 | 37.378 | 102.334 | 30.137 | 85.717 | -49.424 |
| 191.151 | 186.772 | 93.054 | 2.510 | 96.665 | -49.715 |
| 91.603 | 38.221 | 284.550 | 32.055 | 81.701 | -42.698 |
| 28.700 | -43.895 | 40.884 | 99.150 | 88.421 | -40.561 |
| 21.871 | -43.828 | 26.766 | 24.668 | 146.926 | -40.955 |
| 16.909 | -33.739 | 35.470 | 29.205 | 94.550 | 28.273 |
| 159.102 | 118.853 | 95.632 | 13.639 | -20.820 | 0.441 |
| 81.797 | 219.666 | 96.134 | 9.909 | -5.610 | 18.793 |
| 68.178 | 98.585 | 228.844 | 6.684 | -13.977 | 9.807 |
| 5.110 | 2.286 | 8.218 | 89.078 | 0.412 | 4.425 |
| -2.381 | 4.078 | -7.931 | 0.412 | 70.709 | 4.131 |
| -9.822 | 18.893 | -1.368 | 2.075 | -2.707 | 78.186 |
| 247.041 | 76.685 | 59.633 | 6.207 | -2.438 | -3.326 |
| 74.822 | 255.409 | 78.286 | 6.817 | 3.743 | 16.072 |
| 58.090 | 77.990 | 270.192 | 8.218 | -7.931 | 0.996 |
| 6.852 | -0.861 | 10.767 | 76.795 | 8.955 | 0.303 |
| -2.381 | 4.078 | -7.931 | 0.412 | 70.709 | 4.131 |
| -4.933 | 9.264 | 5.372 | 7.038 | 15.082 | 69.044 |
| 199.882 | 97.677 | 82.976 | 6.595 | -5.113 | -3.062 |
| 96.791 | 198.311 | 107.741 | 5.814 | 1.525 | 12.413 |
| 77.566 | 96.226 | 227.752 | 6.007 | -5.409 | 4.089 |
| 4.130 | 5.742 | 6.063 | 59.421 | -1.417 | 5.085 |
| -4.240 | 5.665 | -5.077 | -0.268 | 33.523 | 3.348 |
| -8.131 | 12.807 | 3.501 | 5.075 | 2.347 | 47.490 |
| 195.797 | 98.428 | 85.887 | 9.315 | 0.318 | -4.361 |
| 103.127 | 190.406 | 109.861 | 4.932 | 3.721 | 9.909 |
| 86.866 | 104.520 | 210.675 | 5.978 | -3.941 | 3.697 |
| 4.491 | 3.876 | 7.557 | 70.061 | 1.046 | 4.453 |
| 2.631 | 1.074 | -5.504 | -0.587 | 30.550 | 1.066 |
| 5.364 | 6.216 | 0.118 | 10.003 | 0.870 | 36.016 |
| 428.794 | 150.080 | 92.962 | -0.000 | -0.000 | 0.000 |
| 153.083 | 375.607 | 99.060 | -0.000 | -0.000 | 0.000 |
| 95.119 | 98.202 | 427.354 | -0.000 | -0.000 | 0.000 |
| -0.000 | 0.000 | 0.000 | 100.269 | -0.000 | 0.000 |
| -0.000 | 0.000 | 0.000 | -0.000 | 94.512 | -0.000 |
| -0.000 | 0.000 | -0.000 | -0.000 | -0.000 | 106.086 |
| 428.794 | 150.079 | 92.962 | 0.000 | 0.000 | -0.000 |
| 153.084 | 375.607 | 99.060 | 0.000 | 0.000 | -0.000 |
| 95.119 | 98.202 | 427.354 | 0.000 | 0.000 | -0.000 |
| 0.000 | -0.000 | -0.000 | 100.269 | 0.000 | -0.000 |
| 0.000 | -0.000 | -0.000 | 0.000 | 94.512 | -0.000 |
| 0.000 | -0.000 | -0.000 | 0.000 | 0.000 | 106.086 |
| 428.794 | 150.079 | 92.962 | -0.000 | -0.000 | 0.000 |
| 153.084 | 375.607 | 99.060 | -0.000 | -0.000 | 0.000 |
| 95.113 | 98.208 | 427.354 | -0.000 | -0.000 | 0.000 |
| 0.000 | 0.000 | 0.000 | 100.269 | -0.000 | 0.000 |
| -0.000 | 0.000 | 0.000 | -0.000 | 94.512 | 0.000 |
| -0.000 | 0.000 | -0.000 | -0.000 | -0.000 | 106.086 |
| 428.794 | 150.079 | 92.962 | 0.000 | 0.000 | -0.000 |
| 153.084 | 375.607 | 99.060 | 0.000 | 0.000 | -0.000 |
| 95.113 | 98.208 | 427.353 | 0.000 | 0.000 | -0.000 |
| -0.000 | -0.000 | -0.000 | 100.269 | 0.000 | -0.000 |
| 0.000 | -0.000 | -0.000 | 0.000 | 94.512 | -0.000 |
| 0.000 | -0.000 | 0.000 | 0.000 | 0.000 | 106.086 |
| 428.798 | 150.080 | 92.962 | -0.000 | -0.000 | 0.000 |
| 153.085 | 375.610 | 99.061 | -0.000 | -0.000 | 0.000 |
| 95.114 | 98.209 | 427.356 | -0.000 | -0.000 | 0.000 |
| 0.000 | 0.000 | 0.001 | 100.269 | -0.000 | 0.000 |
| -0.000 | 0.000 | 0.001 | -0.000 | 94.512 | -0.000 |
| 0.000 | 0.001 | -0.000 | -0.000 | -0.000 | 106.086 |
| 428.790 | 150.079 | 92.961 | 0.000 | 0.000 | -0.000 |
| 153.082 | 375.605 | 99.060 | 0.000 | 0.000 | -0.000 |
| 95.112 | 98.207 | 427.351 | 0.000 | 0.000 | -0.000 |
| -0.000 | -0.000 | -0.001 | 100.269 | -0.000 | -0.000 |
| 0.000 | -0.000 | -0.001 | 0.000 | 94.512 | -0.000 |
| -0.000 | -0.001 | 0.000 | 0.000 | 0.000 | 106.086 |
| 383.888 | 129.235 | 129.235 | -0.000 | -0.000 | -0.000 |
| 129.235 | 383.888 | 129.235 | -0.000 | -0.000 | -0.000 |
| 129.235 | 129.235 | 383.888 | -0.000 | -0.000 | -0.000 |
| 19.555 | 19.555 | 19.555 | 37.501 | 0.000 | -0.000 |
| 19.555 | 19.555 | 19.555 | -0.000 | 37.501 | -0.000 |
| 19.555 | 19.555 | 19.555 | -0.000 | -0.000 | 37.501 |
| 331.552 | 76.864 | 76.864 | 0.000 | 0.000 | 0.000 |
| 76.864 | 331.552 | 76.864 | 0.000 | 0.000 | 0.000 |
| 76.864 | 76.864 | 331.552 | 0.000 | 0.000 | 0.000 |
| -19.555 | -19.555 | -19.555 | 37.501 | 0.000 | 0.000 |
| -19.555 | -19.555 | -19.555 | 0.000 | 37.501 | 0.000 |
| -19.555 | -19.555 | -19.555 | -0.000 | 0.000 | 37.501 |
| 343.902 | 106.356 | 106.356 | 0.000 | 0.000 | 0.000 |
| 106.356 | 343.902 | 106.356 | 0.000 | -0.000 | 0.000 |
| 106.356 | 106.356 | 343.902 | 0.000 | 0.000 | 0.000 |
| 1.936 | 1.936 | 1.936 | 36.960 | 0.000 | -0.000 |
| 1.936 | 1.936 | 1.936 | 0.000 | 36.960 | -0.000 |
| 1.936 | 1.936 | 1.936 | 0.000 | 0.000 | 36.960 |
| 348.886 | 111.377 | 111.377 | -0.000 | 0.000 | -0.000 |
| 111.377 | 348.886 | 111.377 | -0.000 | 0.000 | -0.000 |
| 111.377 | 111.377 | 348.886 | -0.000 | -0.000 | -0.000 |
| -1.936 | -1.936 | -1.936 | 36.960 | 0.000 | 0.000 |
| -1.936 | -1.936 | -1.936 | -0.000 | 36.960 | 0.000 |
| -1.936 | -1.936 | -1.936 | 0.000 | 0.000 | 36.960 |
| 352.190 | 106.070 | 106.070 | -0.000 | -0.000 | -0.000 |
| 106.070 | 352.190 | 106.070 | -0.000 | 0.000 | -0.000 |
| 106.070 | 106.070 | 352.190 | -0.000 | -0.000 | -0.000 |
| 0.218 | 0.218 | 0.218 | 34.074 | -0.000 | -0.000 |
| 0.218 | 0.218 | 0.218 | -0.000 | 34.074 | -0.000 |
| 0.218 | 0.218 | 0.218 | 0.000 | 0.000 | 34.074 |
| 352.300 | 105.631 | 105.631 | 0.000 | 0.000 | 0.000 |
| 105.631 | 352.300 | 105.631 | 0.000 | 0.000 | 0.000 |
| 105.631 | 105.631 | 352.300 | 0.000 | 0.000 | 0.000 |
| -0.218 | -0.218 | -0.218 | 34.074 | 0.000 | 0.000 |
| -0.218 | -0.218 | -0.218 | -0.000 | 34.074 | 0.000 |
| -0.218 | -0.218 | -0.218 | -0.000 | 0.000 | 34.074 |
| 302.242 | 101.132 | 101.132 | 0.000 | -0.000 | 0.000 |
| 101.132 | 302.242 | 101.132 | 0.000 | 0.000 | -0.000 |
| 101.132 | 101.132 | 302.242 | 0.000 | 0.000 | -0.000 |
| 0.501 | 0.501 | 0.501 | 46.586 | 0.000 | -0.000 |
| 0.501 | 0.501 | 0.501 | 0.000 | 46.586 | -0.000 |
| 0.501 | 0.501 | 0.501 | 0.000 | 0.000 | 46.586 |
| 364.037 | 71.802 | 71.802 | -0.000 | 0.000 | -0.000 |
| 71.802 | 364.037 | 71.802 | -0.000 | 0.000 | -0.000 |
| 71.802 | 71.802 | 364.037 | 0.000 | 0.000 | -0.000 |
| -0.501 | -0.501 | -0.501 | 46.586 | -0.000 | -0.000 |
| -0.501 | -0.501 | -0.501 | 0.000 | 46.586 | 0.000 |
| -0.501 | -0.501 | -0.501 | 0.000 | 0.000 | 46.586 |
| 310.727 | 97.876 | 97.876 | 0.000 | -0.000 | 0.000 |
| 97.876 | 310.727 | 97.876 | 0.000 | -0.000 | 0.000 |
| 97.876 | 97.876 | 310.727 | -0.000 | 0.000 | -0.000 |
| 0.000 | 0.000 | 0.000 | 76.490 | 0.000 | 0.000 |
| 0.000 | 0.000 | 0.000 | 0.000 | 76.490 | 0.000 |
| 0.000 | 0.000 | -0.000 | 0.000 | -0.000 | 76.490 |
| 364.036 | 71.802 | 71.802 | -0.000 | 0.000 | -0.000 |
| 71.802 | 364.036 | 71.802 | -0.000 | 0.000 | -0.000 |
| 71.802 | 71.802 | 364.036 | -0.000 | -0.000 | -0.000 |
| -0.000 | -0.000 | -0.000 | 76.490 | 0.000 | -0.000 |
| -0.000 | -0.000 | -0.000 | -0.000 | 76.490 | -0.000 |
| -0.000 | -0.000 | 0.000 | -0.000 | 0.000 | 76.490 |
| 321.523 | 92.925 | 92.925 | -0.000 | 0.000 | -0.000 |
| 92.925 | 321.523 | 92.925 | 0.000 | 0.000 | 0.000 |
| 92.925 | 92.925 | 321.523 | 0.000 | 0.000 | -0.000 |
| 0.005 | 0.005 | 0.005 | 44.477 | -0.000 | 0.000 |
| 0.005 | 0.005 | 0.005 | -0.000 | 44.477 | 0.000 |
| 0.005 | 0.005 | 0.005 | 0.000 | 0.000 | 44.477 |
| 311.180 | 97.990 | 97.990 | 0.000 | 0.000 | -0.000 |
| 97.990 | 311.180 | 97.990 | -0.000 | 0.000 | -0.000 |
| 97.990 | 97.990 | 311.180 | -0.000 | 0.000 | -0.000 |
| -0.005 | -0.005 | -0.005 | 44.477 | -0.000 | -0.000 |
| -0.005 | -0.005 | -0.005 | -0.000 | 44.477 | 0.000 |
| -0.005 | -0.005 | -0.005 | -0.000 | -0.000 | 44.477 |
| 878.549 | 745.154 | 745.154 | 0.000 | 0.000 | -0.000 |
| 745.154 | 878.549 | 745.154 | 0.000 | 0.000 | -0.000 |
| 745.154 | 745.154 | 878.548 | 0.000 | 0.000 | -0.000 |
| 615.112 | 615.112 | 615.112 | -294.454 | -0.000 | 0.001 |
| 615.112 | 615.112 | 615.112 | 0.000 | -294.455 | 0.001 |
| 615.112 | 615.112 | 615.112 | 0.000 | -0.000 | -294.454 |
| -317.503 | -463.946 | -463.946 | -0.000 | -0.000 | 0.000 |
| -463.946 | -317.503 | -463.946 | -0.000 | -0.000 | 0.000 |
| -463.946 | -463.946 | -317.502 | -0.000 | -0.000 | 0.000 |
| -615.112 | -615.112 | -615.112 | -294.455 | 0.000 | -0.001 |
| -615.112 | -615.112 | -615.112 | -0.000 | -294.454 | -0.001 |
| -615.112 | -615.112 | -615.112 | -0.000 | 0.000 | -294.455 |
| 295.590 | 135.661 | 135.661 | -0.000 | 0.000 | 0.000 |
| 135.661 | 295.590 | 135.661 | 0.000 | 0.000 | 0.000 |
| 135.661 | 135.661 | 295.590 | -0.000 | -0.000 | 0.000 |
| 58.932 | 58.932 | 58.932 | 70.662 | -0.000 | 0.000 |
| 58.932 | 58.932 | 58.932 | 0.000 | 70.662 | 0.000 |
| 58.932 | 58.932 | 58.932 | 0.000 | -0.000 | 70.662 |
| 186.723 | 96.266 | 96.266 | -0.000 | 0.000 | -0.000 |
| 96.266 | 186.723 | 96.266 | -0.000 | 0.000 | -0.000 |
| 96.266 | 96.266 | 186.723 | -0.000 | 0.000 | -0.000 |
| -58.932 | -58.932 | -58.932 | 70.662 | 0.000 | -0.000 |
| -58.932 | -58.932 | -58.932 | -0.000 | 70.662 | -0.000 |
| -58.932 | -58.932 | -58.932 | -0.000 | 0.000 | 70.662 |
| 274.359 | 146.605 | 146.605 | 0.000 | -0.000 | 0.000 |
| 146.605 | 274.359 | 146.605 | 0.000 | -0.000 | 0.000 |
| 146.605 | 146.605 | 274.359 | 0.000 | -0.000 | 0.000 |
| 0.752 | 0.752 | 0.752 | 83.115 | -0.000 | 0.000 |
| 0.752 | 0.752 | 0.752 | 0.000 | 83.115 | 0.000 |
| 0.752 | 0.752 | 0.752 | 0.000 | -0.000 | 83.115 |
| 250.665 | 148.891 | 148.891 | -0.000 | -0.000 | -0.000 |
| 148.891 | 250.665 | 148.891 | -0.000 | 0.000 | -0.000 |
| 148.891 | 148.891 | 250.665 | -0.000 | 0.000 | -0.000 |
| -0.752 | -0.752 | -0.752 | 83.115 | 0.000 | -0.000 |
| -0.752 | -0.752 | -0.752 | -0.000 | 83.115 | -0.000 |
| -0.752 | -0.752 | -0.752 | -0.000 | 0.000 | 83.115 |
| 287.458 | 131.255 | 131.255 | -0.000 | -0.000 | 0.000 |
| 131.255 | 287.458 | 131.255 | -0.000 | -0.000 | -0.000 |
| 131.255 | 131.255 | 287.458 | -0.000 | -0.000 | 0.000 |
| 0.000 | 0.000 | 0.000 | 132.641 | -0.000 | 0.000 |
| -0.000 | 0.000 | 0.000 | -0.000 | 132.641 | 0.000 |
| 0.000 | 0.000 | 0.000 | -0.000 | -0.000 | 132.641 |
| 287.458 | 131.255 | 131.255 | 0.000 | 0.000 | 0.000 |
| 131.255 | 287.458 | 131.255 | 0.000 | 0.000 | -0.000 |
| 131.255 | 131.255 | 287.458 | 0.000 | -0.000 | -0.000 |
| 0.000 | -0.000 | -0.000 | 132.641 | -0.000 | 0.000 |
| -0.000 | -0.000 | -0.000 | 0.000 | 132.641 | 0.000 |
| 0.000 | -0.000 | -0.000 | 0.000 | 0.000 | 132.641 |
| 287.458 | 131.255 | 131.255 | -0.000 | -0.000 | -0.000 |
| 131.255 | 287.458 | 131.255 | -0.000 | -0.000 | 0.000 |
| 131.255 | 131.255 | 287.458 | -0.000 | -0.000 | 0.000 |
| -0.017 | -0.004 | 0.009 | 84.833 | -0.008 | 0.006 |
| -0.017 | -0.004 | 0.009 | 0.003 | 84.831 | 0.006 |
| -0.017 | -0.004 | 0.009 | 0.003 | -0.008 | 84.834 |
| 268.178 | 140.288 | 140.278 | -0.002 | 0.007 | -0.005 |
| 140.298 | 268.171 | 140.275 | -0.002 | 0.007 | -0.005 |
| 140.295 | 140.284 | 268.165 | -0.002 | 0.007 | -0.005 |
| 0.017 | 0.004 | -0.009 | 84.832 | 0.008 | -0.006 |
| 0.017 | 0.004 | -0.009 | -0.003 | 84.834 | -0.006 |
| 0.017 | 0.004 | -0.009 | -0.003 | 0.008 | 84.832 |
| 268.154 | 140.290 | 140.291 | 0.000 | -0.001 | 0.000 |
| 140.289 | 268.154 | 140.291 | 0.000 | -0.001 | 0.000 |
| 140.289 | 140.291 | 268.155 | 0.000 | -0.001 | 0.000 |
| -0.003 | -0.002 | -0.001 | 77.137 | -0.000 | 0.000 |
| -0.002 | -0.002 | -0.001 | 0.000 | 77.136 | 0.000 |
| -0.002 | -0.002 | -0.001 | 0.000 | -0.000 | 77.137 |
| 268.155 | 140.289 | 140.287 | -0.000 | 0.001 | -0.000 |
| 140.289 | 268.154 | 140.287 | -0.000 | 0.001 | -0.000 |
| 140.289 | 140.288 | 268.153 | -0.000 | 0.001 | -0.000 |
| 0.003 | 0.002 | 0.001 | 77.136 | 0.000 | -0.000 |
| 0.002 | 0.002 | 0.001 | -0.000 | 77.137 | -0.000 |
| 0.002 | 0.002 | 0.001 | -0.000 | 0.000 | 77.136 |
| 89813522.384 | 66437988.882 | 116268027.252 | -8171901.457 | 8262194.339 | 875380.812 |
| 89836209.415 | 68859005.505 | 104763460.778 | -7073829.404 | 4284971.414 | -1484145.419 |
| 97853173.560 | 94658016.848 | 104604990.385 | -1276067.185 | 4159238.156 | -1426179.876 |
| 105508862.200 | 86988877.094 | 116064991.671 | 1477891.699 | -5661181.723 | -5215768.054 |
| 106525757.186 | 97565684.982 | 109637263.415 | -4270437.351 | -3066705.537 | -8557207.302 |
| 94840938.138 | 75637744.323 | 107131348.236 | -2390146.888 | 1157551.713 | -7749388.849 |
| -96915732.461 | -87330683.015 | -96043414.144 | 7741935.482 | -433315.189 | 5306120.040 |
| -91805286.735 | -90375855.888 | -100610745.568 | 4387542.698 | 6304396.035 | 2340204.706 |
| -90723380.884 | -85298755.364 | -101921009.797 | 10906773.174 | -67346.681 | 5500794.578 |
| -91284461.390 | -83737890.269 | -105667692.055 | 3068427.821 | 2486252.424 | 6590230.915 |
| -90041127.668 | -75588247.008 | -114581939.093 | -5285710.673 | -14981.683 | 9071126.841 |
| -98561206.228 | -93636564.268 | -116753068.138 | 1121740.267 | 3129470.043 | 5745282.599 |
| 9989583.346 | 7516571.841 | 10417062.192 | -979276.287 | -130727.826 | -1076941.657 |
| 9475126.072 | 8358108.738 | 10127655.173 | -808392.507 | 453332.363 | -825536.858 |
| 10889074.107 | 8224664.622 | 11088991.477 | -733097.819 | 438298.709 | -996346.136 |
| 9548108.938 | 8435521.400 | 10978836.915 | 113343.399 | 333942.459 | -1559650.255 |
| 9757998.682 | 7877132.745 | 11343756.053 | -921019.067 | -127026.918 | -160929.305 |
| 9279843.736 | 8304386.422 | 9879176.105 | -854781.465 | 170313.740 | -376427.441 |
| -9475068.781 | -8872198.818 | -10822788.332 | 898822.249 | 684991.636 | -693182.105 |
| -8496308.327 | -9446871.248 | -10554079.704 | 540681.177 | -262813.255 | -1144584.978 |
| -10114075.653 | -9228141.254 | -11425599.152 | 635022.126 | -266192.358 | 137878.632 |
| -9098362.914 | -8127376.167 | -10468788.529 | 1070588.519 | -175827.057 | -155942.717 |
| -8983470.940 | -8922821.622 | -10353268.945 | 326194.816 | 51704.243 | 378625.373 |
| -11004094.193 | -9388505.097 | -12190620.548 | 829312.443 | 478011.640 | -61087.328 |
| 1006724.495 | 961048.122 | 1143028.778 | 14374.706 | 17697.294 | -59514.384 |
| 1063878.467 | 916925.188 | 1310216.558 | 100025.854 | -12153.332 | -60881.968 |
| 939055.592 | 1010994.791 | 1150600.194 | -26524.016 | 35892.642 | -23003.556 |
| 1027517.623 | 1055869.659 | 1139277.233 | -109272.367 | 47941.960 | -31922.224 |
| 926360.490 | 920452.931 | 1086577.408 | -144253.936 | -4225.405 | -18977.913 |
| 1032118.692 | 1046259.476 | 1135160.864 | -112525.327 | 47897.051 | 9118.737 |
| -956479.916 | -831491.514 | -1189270.609 | 82870.896 | 53702.593 | 80363.788 |
| -846542.346 | -744442.477 | -1145488.626 | 1323.573 | 72438.866 | 15421.653 |
| -989434.894 | -822421.899 | -1131754.300 | -14166.763 | 76428.511 | 99056.547 |
| -978493.198 | -757058.143 | -1054560.385 | 70038.434 | -30839.867 | 42176.971 |
| -1219595.387 | -922919.320 | -1183329.107 | 63303.515 | -6730.871 | 73112.013 |
| -1067264.561 | -817956.908 | -1115362.679 | 23131.882 | -45555.932 | 84103.493 |
| 416.722 | 138.907 | 101.203 | 16.413 | -0.000 | 0.000 |
| 138.907 | 416.722 | 101.203 | -16.413 | 0.000 | -0.000 |
| 101.196 | 101.196 | 438.633 | -0.000 | -0.000 | 0.000 |
| 16.413 | -16.413 | 0.000 | 101.203 | -0.000 | 0.000 |
| -0.000 | -0.000 | -0.000 | -0.000 | 101.185 | 15.794 |
| 0.000 | 0.000 | -0.000 | -0.000 | 16.413 | 138.907 |
| 395.432 | 160.162 | 101.172 | 15.796 | 0.000 | 0.000 |
| 160.162 | 395.432 | 101.172 | -15.796 | 0.000 | -0.000 |
| 101.203 | 101.203 | 438.645 | 0.000 | -0.000 | 0.000 |
| 16.413 | -16.413 | -0.000 | 101.203 | 0.000 | 0.000 |
| 0.000 | 0.000 | 0.000 | -0.000 | 101.185 | 15.794 |
| -0.000 | -0.000 | 0.000 | -0.000 | 16.413 | 138.907 |
| 395.380 | 160.242 | 101.196 | 15.794 | -0.000 | -0.000 |
| 160.161 | 395.433 | 101.172 | -15.796 | -0.000 | 0.000 |
| 101.203 | 101.203 | 438.645 | -0.000 | -0.000 | -0.000 |
| 16.413 | -16.413 | 0.000 | 101.203 | -0.000 | -0.000 |
| -0.000 | 0.000 | 0.000 | 0.000 | 101.185 | 15.794 |
| 0.000 | 0.000 | 0.000 | 0.000 | 16.413 | 138.907 |
| 395.432 | 160.161 | 101.171 | 15.796 | 0.000 | 0.000 |
| 138.907 | 416.722 | 101.203 | -16.413 | 0.000 | -0.000 |
| 101.203 | 101.203 | 438.644 | -0.000 | 0.000 | 0.000 |
| 15.794 | -15.794 | -0.000 | 101.185 | -0.000 | 0.000 |
| 0.000 | -0.000 | -0.000 | -0.000 | 101.185 | 15.794 |
| -0.000 | -0.000 | -0.000 | -0.000 | 16.413 | 138.907 |
| 395.383 | 160.243 | 101.197 | 15.794 | -0.000 | -0.000 |
| 138.909 | 416.725 | 101.203 | -16.413 | -0.000 | -0.000 |
| 101.204 | 101.204 | 438.647 | 0.000 | -0.000 | 0.000 |
| 16.413 | -16.413 | 0.001 | 101.203 | -0.000 | -0.000 |
| 0.000 | 0.000 | 0.001 | 0.000 | 101.203 | 16.413 |
| 0.000 | 0.001 | -0.000 | -0.000 | 15.794 | 117.569 |
| 416.718 | 138.907 | 101.203 | 16.413 | -0.000 | 0.000 |
| 138.906 | 416.719 | 101.203 | -16.413 | 0.000 | 0.000 |
| 101.202 | 101.202 | 438.642 | 0.000 | 0.000 | -0.000 |
| 16.413 | -16.413 | -0.001 | 101.203 | 0.000 | -0.000 |
| -0.000 | -0.000 | -0.001 | -0.000 | 101.203 | 16.413 |
| -0.000 | -0.001 | 0.000 | 0.000 | 15.794 | 117.569 |
| 416.672 | 138.885 | 101.155 | 16.408 | 0.000 | 0.000 |
| 138.885 | 416.672 | 101.155 | -16.408 | 0.000 | 0.000 |
| 101.154 | 101.154 | 438.508 | 0.000 | 0.000 | -0.000 |
| 15.798 | -15.801 | -0.002 | 101.157 | 0.000 | -0.000 |
| -0.001 | -0.001 | -0.002 | 0.000 | 101.157 | 15.799 |
| -0.001 | -0.001 | -0.002 | 0.000 | 15.789 | 117.562 |
| 395.382 | 160.141 | 101.126 | 15.790 | -0.000 | -0.000 |
| 160.141 | 395.382 | 101.126 | -15.790 | -0.000 | 0.000 |
| 101.161 | 101.161 | 438.520 | -0.000 | -0.000 | 0.000 |
| 15.801 | -15.798 | 0.002 | 101.157 | -0.000 | 0.000 |
| 0.001 | 0.001 | 0.002 | -0.000 | 101.157 | 15.799 |
| 0.001 | 0.001 | 0.002 | -0.000 | 15.789 | 117.562 |
| 395.391 | 160.130 | 101.123 | 15.791 | 0.000 | 0.000 |
| 138.885 | 416.672 | 101.155 | -16.408 | 0.000 | 0.000 |
| 101.154 | 101.154 | 438.509 | -0.000 | 0.000 | -0.000 |
| 15.789 | -15.789 | -0.000 | 101.157 | 0.000 | 0.000 |
| -0.000 | -0.000 | -0.000 | 0.000 | 101.157 | 15.789 |
| 0.000 | 0.000 | 0.000 | 0.000 | 16.408 | 138.894 |
| 416.672 | 138.885 | 101.155 | 16.408 | -0.000 | -0.000 |
| 160.212 | 395.337 | 101.148 | -15.789 | -0.000 | 0.000 |
| 101.154 | 101.154 | 438.508 | -0.000 | -0.000 | 0.000 |
| 16.408 | -16.408 | -0.000 | 101.175 | -0.000 | 0.000 |
| 0.000 | 0.000 | 0.000 | -0.000 | 101.157 | 15.789 |
| -0.000 | -0.000 | -0.000 | -0.000 | 16.408 | 138.894 |
| 416.676 | 138.885 | 101.155 | 16.408 | 0.000 | 0.000 |
| 160.133 | 395.392 | 101.124 | -15.791 | 0.000 | -0.000 |
| 101.162 | 101.162 | 438.523 | 0.000 | 0.000 | -0.000 |
| 15.789 | -15.789 | 0.001 | 101.157 | 0.000 | -0.000 |
| 0.000 | 0.000 | 0.001 | 0.000 | 101.175 | 16.408 |
| 0.000 | 0.001 | 0.000 | 0.000 | 16.408 | 138.894 |
| 395.386 | 160.131 | 101.123 | 15.791 | -0.000 | 0.000 |
| 138.884 | 416.669 | 101.155 | -16.408 | -0.000 | -0.000 |
| 101.160 | 101.160 | 438.517 | -0.000 | -0.000 | 0.000 |
| 16.408 | -16.408 | -0.001 | 101.175 | -0.000 | 0.000 |
| -0.000 | -0.000 | -0.001 | -0.000 | 101.175 | 16.408 |
| -0.000 | -0.001 | -0.000 | -0.000 | 16.408 | 138.894 |
| -115.442 | 123.704 | -111.076 | -0.000 | -0.000 | 0.000 |
| 123.704 | -115.442 | -111.076 | -0.000 | -0.000 | 0.000 |
| 49.376 | 49.376 | 411.098 | 0.000 | 0.000 | 0.000 |
| 0.000 | 0.000 | 0.000 | 49.538 | -0.000 | 0.000 |
| 0.000 | 0.000 | 0.000 | -0.000 | 49.538 | -0.000 |
| 0.000 | 0.000 | -0.000 | -0.000 | 0.000 | 81.283 |
| 329.426 | 144.442 | -127.638 | -0.000 | -0.000 | -0.000 |
| 144.442 | 329.426 | -127.638 | 0.000 | -0.000 | 0.000 |
| 49.376 | 49.376 | 411.098 | 0.000 | -0.000 | -0.000 |
| -0.000 | -0.000 | 0.000 | 49.538 | 0.000 | 0.000 |
| -0.000 | -0.000 | 0.000 | -0.000 | 49.538 | -0.000 |
| -0.000 | -0.000 | 0.000 | 0.000 | -0.000 | 81.283 |
| 363.570 | 79.865 | 50.632 | -0.000 | 0.000 | 0.000 |
| 79.865 | 363.570 | 50.632 | 0.000 | 0.000 | -0.000 |
| 49.376 | 49.376 | 411.098 | 0.000 | 0.000 | 0.000 |
| -2.152 | -2.152 | 18.360 | 43.296 | 0.000 | 0.000 |
| -2.152 | -2.152 | 18.360 | 0.000 | 43.296 | 0.000 |
| -14.144 | -14.144 | -8.089 | -0.000 | 0.000 | -37.345 |
| 363.570 | 79.865 | 50.632 | 0.000 | -0.000 | 0.000 |
| 79.865 | 363.570 | 50.632 | 0.000 | -0.000 | -0.000 |
| 53.324 | 53.324 | 385.509 | -0.000 | -0.000 | 0.000 |
| 2.152 | 2.152 | -18.360 | 43.296 | -0.000 | 0.000 |
| 2.152 | 2.152 | -18.360 | -0.000 | 43.296 | -0.000 |
| 14.144 | 14.144 | 8.089 | 0.000 | -0.000 | -37.345 |
| 295.664 | 132.634 | 56.000 | -0.000 | 0.000 | -0.000 |
| 132.634 | 295.664 | 56.000 | -0.000 | 0.000 | 0.000 |
| 49.376 | 49.376 | 411.101 | -0.000 | 0.000 | 0.000 |
| -0.362 | -0.361 | 3.086 | 39.045 | 0.000 | 0.000 |
| -0.361 | -0.362 | 3.086 | -0.000 | 39.045 | -0.000 |
| -1.344 | -1.344 | 5.981 | -0.000 | 0.000 | 26.245 |
| 242.866 | 194.014 | 44.073 | 0.000 | -0.000 | 0.000 |
| 194.014 | 242.866 | 44.073 | 0.000 | -0.000 | 0.000 |
| 49.376 | 49.376 | 411.094 | -0.000 | 0.000 | -0.000 |
| 0.362 | 0.361 | -3.086 | 39.045 | 0.000 | 0.000 |
| 0.361 | 0.362 | -3.086 | -0.000 | 39.045 | -0.000 |
| 1.344 | 1.344 | -5.981 | 0.000 | 0.000 | 26.245 |
| 389.918 | -23.332 | -23.348 | -0.000 | -0.000 | 0.000 |
| -23.332 | 389.918 | -23.348 | 0.000 | -0.000 | -0.000 |
| -23.332 | -23.332 | 389.655 | 0.000 | -0.000 | 0.000 |
| -0.000 | 0.000 | -0.000 | -23.316 | -0.000 | 0.000 |
| 0.000 | 0.000 | -0.000 | 0.000 | -23.316 | 0.000 |
| 0.000 | -0.000 | -0.000 | 0.000 | -0.000 | -23.332 |
| 389.918 | -23.332 | -23.348 | -0.000 | 0.000 | 0.000 |
| -23.332 | 389.918 | -23.348 | -0.000 | 0.000 | 0.000 |
| -23.332 | -23.332 | 389.655 | -0.000 | -0.000 | 0.000 |
| 0.000 | -0.000 | 0.000 | -23.316 | 0.000 | 0.000 |
| 0.000 | -0.000 | 0.000 | -0.000 | -23.316 | -0.000 |
| 0.000 | 0.000 | 0.000 | -0.000 | 0.000 | -23.332 |
| 389.918 | -23.332 | -23.348 | 0.000 | -0.000 | 0.000 |
| -23.332 | 389.918 | -23.348 | 0.000 | -0.000 | 0.000 |
| -23.332 | -23.332 | 389.655 | 0.000 | -0.000 | 0.000 |
| 0.000 | 0.000 | -0.000 | -23.316 | -0.000 | -0.000 |
| 0.000 | 0.000 | -0.000 | 0.000 | -23.316 | -0.000 |
| 0.000 | -0.000 | -0.000 | 0.000 | -0.000 | -23.332 |
| 389.917 | -23.332 | -23.348 | -0.000 | 0.000 | 0.000 |
| -23.332 | 389.917 | -23.348 | -0.000 | 0.000 | 0.000 |
| -23.332 | -23.332 | 389.654 | -0.000 | -0.000 | -0.000 |
| -0.000 | -0.000 | 0.000 | -23.316 | 0.000 | -0.000 |
| -0.000 | -0.000 | 0.000 | -0.000 | -23.316 | -0.000 |
| -0.000 | 0.000 | 0.000 | -0.000 | 0.000 | -23.332 |
| 389.922 | -23.332 | -23.348 | 0.000 | -0.000 | 0.000 |
| -23.332 | 389.922 | -23.348 | 0.000 | -0.000 | 0.000 |
| -23.332 | -23.332 | 389.658 | 0.000 | -0.000 | 0.000 |
| 0.000 | 0.000 | -0.000 | -23.316 | -0.000 | -0.000 |
| 0.000 | 0.000 | -0.000 | -0.000 | -23.316 | 0.000 |
| 0.000 | -0.000 | 0.000 | -0.000 | -0.000 | -23.332 |
| 389.914 | -23.332 | -23.348 | -0.000 | 0.000 | -0.000 |
| -23.332 | 389.914 | -23.348 | -0.000 | 0.000 | 0.000 |
| -23.332 | -23.332 | 389.651 | -0.000 | 0.000 | -0.000 |
| -0.000 | -0.000 | 0.000 | -23.316 | 0.000 | -0.000 |
| -0.000 | -0.000 | 0.000 | 0.000 | -23.316 | 0.000 |
| -0.000 | 0.000 | -0.000 | 0.000 | 0.000 | -23.332 |
| 51.471 | 79.458 | 79.458 | -0.000 | -0.000 | -0.000 |
| 79.458 | 51.471 | 79.458 | -0.000 | 0.000 | -0.000 |
| 79.458 | 79.458 | 51.471 | -0.000 | -0.000 | -0.000 |
| -0.000 | -0.000 | 0.000 | -23.212 | 0.000 | 0.000 |
| -0.000 | 0.000 | 0.000 | 0.000 | -23.212 | -0.000 |
| -0.000 | 0.000 | 0.000 | 0.000 | 0.000 | -23.212 |
| 51.471 | 79.458 | 79.458 | 0.000 | 0.000 | 0.000 |
| 79.458 | 51.471 | 79.458 | 0.000 | -0.000 | -0.000 |
| 79.458 | 79.458 | 51.471 | 0.000 | 0.000 | -0.000 |
| 0.000 | -0.000 | -0.000 | -23.212 | 0.000 | -0.000 |
| 0.000 | -0.000 | -0.000 | 0.000 | -23.212 | 0.000 |
| 0.000 | -0.000 | -0.000 | 0.000 | -0.000 | -23.212 |
| 51.471 | 79.458 | 79.458 | 0.000 | 0.000 | -0.000 |
| 79.458 | 51.471 | 79.458 | -0.000 | 0.000 | -0.000 |
| 79.458 | 79.458 | 51.471 | 0.000 | 0.000 | -0.000 |
| -0.000 | -0.000 | -0.000 | -23.212 | 0.000 | 0.000 |
| -0.000 | -0.000 | -0.000 | -0.000 | -23.212 | -0.000 |
| -0.000 | -0.000 | 0.000 | -0.000 | 0.000 | -23.212 |
| 51.471 | 79.458 | 79.458 | 0.000 | -0.000 | 0.000 |
| 79.458 | 51.471 | 79.458 | 0.000 | 0.000 | -0.000 |
| 79.458 | 79.458 | 51.471 | -0.000 | -0.000 | -0.000 |
| 0.000 | 0.000 | 0.000 | -23.212 | -0.000 | -0.000 |
| 0.000 | 0.000 | 0.000 | 0.000 | -23.212 | 0.000 |
| 0.000 | 0.000 | -0.000 | 0.000 | -0.000 | -23.212 |
| 51.471 | 79.458 | 79.458 | -0.000 | 0.000 | 0.000 |
| 79.458 | 51.471 | 79.458 | -0.000 | 0.000 | 0.000 |
| 79.458 | 79.458 | 51.471 | -0.000 | 0.000 | -0.000 |
| -0.000 | -0.000 | -0.000 | -23.212 | 0.000 | -0.000 |
| -0.000 | -0.000 | -0.000 | 0.000 | -23.212 | 0.000 |
| -0.000 | -0.000 | -0.000 | -0.000 | -0.000 | -23.212 |
| 51.471 | 79.458 | 79.458 | 0.000 | -0.000 | 0.000 |
| 79.458 | 51.471 | 79.458 | 0.000 | -0.000 | 0.000 |
| 79.458 | 79.458 | 51.471 | 0.000 | 0.000 | 0.000 |
| 0.000 | 0.000 | 0.000 | -23.212 | -0.000 | 0.000 |
| 0.000 | 0.000 | 0.000 | 0.000 | -23.212 | 0.000 |
| 0.000 | 0.000 | 0.000 | 0.000 | -0.000 | -23.212 |
| 124.433 | 163.192 | 163.192 | -0.000 | -0.000 | 0.000 |
| 163.192 | 124.433 | 163.192 | 0.000 | -0.000 | 0.000 |
| 163.192 | 163.192 | 124.433 | -0.000 | 0.000 | 0.000 |
| 0.000 | 0.000 | 0.000 | 148.720 | -0.000 | -0.000 |
| 0.000 | 0.000 | -0.000 | -0.000 | 148.720 | -0.000 |
| 0.000 | 0.000 | 0.000 | -0.000 | -0.000 | 148.720 |
| 124.433 | 163.192 | 163.192 | 0.000 | 0.000 | -0.000 |
| 163.192 | 124.433 | 163.192 | -0.000 | 0.000 | -0.000 |
| 163.192 | 163.192 | 124.433 | 0.000 | -0.000 | -0.000 |
| -0.000 | -0.000 | -0.000 | 148.721 | 0.000 | 0.000 |
| -0.000 | -0.000 | -0.000 | 0.000 | 148.720 | 0.000 |
| 0.000 | -0.000 | -0.000 | 0.000 | 0.000 | 148.720 |
| 124.433 | 163.192 | 163.192 | 0.000 | -0.000 | -0.000 |
| 163.192 | 124.433 | 163.192 | -0.000 | -0.000 | -0.000 |
| 163.192 | 163.192 | 124.433 | -0.000 | -0.000 | 0.000 |
| 0.000 | 0.000 | 0.000 | 148.720 | 0.000 | 0.000 |
| 0.000 | 0.000 | 0.000 | -0.000 | 148.720 | -0.000 |
| 0.000 | 0.000 | 0.000 | -0.000 | -0.000 | 148.720 |
| 124.433 | 163.192 | 163.192 | 0.000 | 0.000 | 0.000 |
| 163.192 | 124.433 | 163.192 | -0.000 | -0.000 | 0.000 |
| 163.192 | 163.192 | 124.433 | -0.000 | -0.000 | -0.000 |
| -0.000 | -0.000 | -0.000 | 148.720 | 0.000 | 0.000 |
| -0.000 | -0.000 | -0.000 | 0.000 | 148.720 | -0.000 |
| -0.000 | -0.000 | -0.000 | 0.000 | 0.000 | 148.720 |
| 124.433 | 163.193 | 163.193 | -0.000 | -0.000 | 0.000 |
| 163.193 | 124.433 | 163.193 | -0.000 | 0.000 | -0.000 |
| 163.193 | 163.193 | 124.433 | 0.000 | -0.000 | 0.000 |
| 0.001 | 0.000 | 0.000 | 148.720 | -0.000 | -0.000 |
| 0.000 | 0.001 | 0.000 | -0.000 | 148.720 | 0.000 |
| 0.000 | 0.000 | 0.001 | -0.000 | -0.000 | 148.720 |
| 124.432 | 163.192 | 163.192 | 0.000 | 0.000 | 0.000 |
| 163.192 | 124.432 | 163.192 | 0.000 | 0.000 | 0.000 |
| 163.192 | 163.192 | 124.432 | 0.000 | 0.000 | -0.000 |
| -0.001 | -0.000 | -0.000 | 148.720 | 0.000 | 0.000 |
| -0.000 | -0.001 | -0.000 | 0.000 | 148.720 | 0.000 |
| -0.000 | -0.000 | -0.001 | 0.000 | 0.000 | 148.720 |
| 95.972 | 116.835 | 116.835 | 0.000 | 0.000 | 0.000 |
| 116.835 | 95.972 | 116.835 | 0.000 | 0.000 | 0.000 |
| 116.835 | 116.835 | 95.972 | 0.000 | -0.000 | 0.000 |
| 0.000 | 0.000 | -0.000 | -16.058 | 0.000 | 0.000 |
| 0.000 | 0.000 | 0.000 | 0.000 | -16.058 | 0.000 |
| 0.000 | 0.000 | 0.000 | 0.000 | 0.000 | -16.058 |
| 95.972 | 116.835 | 116.835 | -0.000 | -0.000 | -0.000 |
| 116.835 | 95.972 | 116.835 | -0.000 | 0.000 | -0.000 |
| 116.835 | 116.835 | 95.972 | -0.000 | -0.000 | 0.000 |
| -0.000 | -0.000 | 0.000 | -16.058 | -0.000 | -0.000 |
| -0.000 | -0.000 | -0.000 | -0.000 | -16.058 | -0.000 |
| -0.000 | -0.000 | -0.000 | -0.000 | -0.000 | -16.058 |
| 95.972 | 116.835 | 116.835 | 0.000 | 0.000 | 0.000 |
| 116.835 | 95.972 | 116.835 | 0.000 | 0.000 | 0.000 |
| 116.835 | 116.835 | 95.972 | 0.000 | 0.000 | -0.000 |
| 0.000 | 0.000 | 0.000 | 116.835 | -0.000 | 0.000 |
| 0.000 | 0.000 | 0.000 | 0.000 | 116.835 | 0.000 |
| 0.000 | 0.000 | 0.000 | 0.000 | -0.000 | 116.835 |
| 95.972 | 116.835 | 116.835 | -0.000 | -0.000 | -0.000 |
| 116.835 | 95.972 | 116.835 | -0.000 | 0.000 | -0.000 |
| 116.835 | 116.835 | 95.972 | -0.000 | 0.000 | 0.000 |
| -0.000 | -0.000 | -0.000 | 116.835 | 0.000 | -0.000 |
| -0.000 | -0.000 | -0.000 | -0.000 | 116.835 | -0.000 |
| -0.000 | -0.000 | -0.000 | -0.000 | -0.000 | 116.835 |
| 95.972 | 116.836 | 116.836 | 0.000 | -0.000 | 0.000 |
| 116.836 | 95.972 | 116.836 | 0.000 | -0.000 | 0.000 |
| 116.836 | 116.836 | 95.972 | 0.000 | -0.000 | -0.000 |
| 0.000 | -0.000 | -0.000 | -16.058 | -0.000 | 0.000 |
| -0.000 | 0.000 | -0.000 | 0.000 | -16.058 | 0.000 |
| -0.000 | -0.000 | 0.000 | 0.000 | 0.000 | -16.058 |
| 95.971 | 116.835 | 116.835 | -0.000 | 0.000 | -0.000 |
| 116.835 | 95.971 | 116.835 | -0.000 | -0.000 | -0.000 |
| 116.835 | 116.835 | 95.971 | -0.000 | -0.000 | 0.000 |
| -0.000 | 0.000 | 0.000 | -16.058 | 0.000 | -0.000 |
| 0.000 | -0.000 | 0.000 | -0.000 | -16.058 | -0.000 |
| 0.000 | 0.000 | -0.000 | -0.000 | -0.000 | -16.058 |
| 215.392 | 111.805 | 111.805 | 0.000 | 0.000 | 0.000 |
| 111.805 | 215.392 | 111.805 | -0.000 | 0.000 | 0.000 |
| 111.805 | 111.805 | 215.392 | -0.000 | 0.000 | 0.000 |
| 0.000 | -0.000 | 0.000 | 111.805 | 0.000 | 0.000 |
| 0.000 | -0.000 | 0.000 | -0.000 | 111.805 | 0.000 |
| 0.000 | 0.000 | 0.000 | -0.000 | 0.000 | 111.805 |
| 215.392 | 111.805 | 111.805 | -0.000 | -0.000 | -0.000 |
| 111.805 | 215.392 | 111.805 | -0.000 | -0.000 | -0.000 |
| 111.805 | 111.805 | 215.392 | 0.000 | -0.000 | -0.000 |
| 0.000 | 0.000 | -0.000 | 111.805 | -0.000 | -0.000 |
| -0.000 | 0.000 | -0.000 | 0.000 | 111.805 | -0.000 |
| -0.000 | -0.000 | -0.000 | 0.000 | -0.000 | 111.805 |
| 215.392 | 111.805 | 111.805 | 0.000 | 0.000 | -0.000 |
| 111.805 | 215.392 | 111.805 | -0.000 | 0.000 | 0.000 |
| 111.805 | 111.805 | 215.392 | -0.000 | 0.000 | 0.000 |
| -0.000 | 0.000 | 0.000 | 111.805 | 0.000 | 0.000 |
| 0.000 | -0.000 | 0.000 | -0.000 | 111.805 | 0.000 |
| 0.000 | 0.000 | -0.000 | -0.000 | 0.000 | 111.805 |
| 215.392 | 111.805 | 111.805 | 0.000 | 0.000 | -0.000 |
| 111.805 | 215.392 | 111.805 | 0.000 | -0.000 | -0.000 |
| 111.805 | 111.805 | 215.392 | 0.000 | -0.000 | -0.000 |
| 0.000 | -0.000 | -0.000 | 111.805 | -0.000 | -0.000 |
| -0.000 | 0.000 | -0.000 | 0.000 | 111.805 | -0.000 |
| -0.000 | -0.000 | 0.000 | 0.000 | -0.000 | 111.805 |
| 215.393 | 111.806 | 111.806 | 0.000 | 0.000 | 0.000 |
| 111.806 | 215.393 | 111.806 | 0.000 | -0.000 | 0.000 |
| 111.806 | 111.806 | 215.393 | -0.000 | 0.000 | 0.000 |
| -0.000 | 0.000 | 0.001 | 111.805 | 0.000 | 0.000 |
| 0.000 | -0.000 | 0.001 | -0.000 | 111.805 | 0.000 |
| 0.000 | 0.001 | -0.000 | -0.000 | 0.000 | 111.805 |
| 215.391 | 111.804 | 111.804 | 0.000 | -0.000 | -0.000 |
| 111.804 | 215.391 | 111.804 | -0.000 | -0.000 | -0.000 |
| 111.804 | 111.804 | 215.391 | 0.000 | -0.000 | -0.000 |
| 0.000 | -0.000 | -0.001 | 111.805 | -0.000 | -0.000 |
| -0.000 | 0.000 | -0.001 | 0.000 | 111.805 | -0.000 |
| -0.000 | -0.001 | 0.000 | 0.000 | -0.000 | 111.805 |
| 421.927 | 140.387 | 104.240 | -49.112 | 0.000 | 0.000 |
| 140.385 | 421.922 | 104.246 | 49.110 | -0.000 | 0.000 |
| 104.531 | 104.531 | 453.550 | -0.000 | -0.000 | 0.000 |
| -49.104 | 49.104 | 0.000 | 105.180 | -0.000 | 0.000 |
| -0.000 | -0.000 | 0.000 | -0.000 | 105.180 | -49.104 |
| 0.000 | 0.000 | 0.000 | -0.000 | -49.112 | 140.770 |
| 421.927 | 140.387 | 104.240 | -49.112 | 0.000 | -0.000 |
| 140.385 | 421.922 | 104.246 | 49.110 | 0.000 | -0.000 |
| 104.526 | 104.526 | 453.560 | 0.000 | -0.000 | -0.000 |
| -49.112 | 49.112 | -0.000 | 105.195 | -0.000 | -0.000 |
| 0.000 | 0.000 | -0.000 | 0.000 | 105.180 | -49.104 |
| -0.000 | -0.000 | -0.000 | 0.000 | -49.112 | 140.770 |
| 421.928 | 140.388 | 104.240 | -49.112 | -0.000 | 0.000 |
| 140.385 | 421.923 | 104.246 | 49.110 | 0.000 | 0.000 |
| 104.531 | 104.531 | 453.550 | -0.000 | 0.000 | 0.000 |
| -49.112 | 49.112 | 0.000 | 105.195 | 0.000 | 0.000 |
| 0.000 | 0.000 | 0.000 | -0.000 | 105.195 | -49.112 |
| -0.000 | 0.000 | 0.000 | -0.000 | -49.104 | 140.765 |
| 421.927 | 140.387 | 104.240 | -49.112 | 0.000 | -0.000 |
| 140.387 | 421.927 | 104.240 | 49.112 | -0.000 | -0.000 |
| 104.531 | 104.531 | 453.550 | 0.000 | -0.000 | -0.000 |
| -49.104 | 49.104 | -0.000 | 105.180 | -0.000 | -0.000 |
| -0.000 | -0.000 | -0.000 | 0.000 | 105.195 | -49.112 |
| 0.000 | -0.000 | -0.000 | 0.000 | -49.104 | 140.765 |
| 421.931 | 140.388 | 104.240 | -49.113 | 0.000 | 0.000 |
| 140.390 | 421.923 | 104.245 | 49.105 | -0.000 | 0.000 |
| 104.532 | 104.532 | 453.553 | -0.000 | -0.000 | 0.000 |
| -49.104 | 49.104 | 0.001 | 105.180 | -0.000 | 0.000 |
| 0.000 | 0.000 | 0.001 | -0.000 | 105.195 | -49.112 |
| 0.000 | 0.001 | 0.000 | -0.000 | -49.104 | 140.765 |
| 421.916 | 140.388 | 104.245 | -49.104 | 0.000 | -0.000 |
| 140.384 | 421.919 | 104.246 | 49.110 | -0.000 | -0.000 |
| 104.525 | 104.525 | 453.557 | 0.000 | -0.000 | -0.000 |
| -49.112 | 49.112 | -0.001 | 105.194 | -0.000 | -0.000 |
| -0.000 | -0.000 | -0.001 | 0.000 | 105.195 | -49.112 |
| -0.000 | -0.001 | -0.000 | 0.000 | -49.104 | 140.765 |
| 48.906 | 72.946 | 56.796 | 0.000 | 0.000 | 0.000 |
| 72.946 | 48.906 | 56.796 | 0.000 | 0.000 | 0.000 |
| 59.732 | 59.732 | 13.903 | 0.000 | 0.000 | 0.000 |
| 0.000 | 0.000 | -0.000 | -18.475 | 0.000 | 0.000 |
| 0.000 | 0.000 | -0.000 | 0.000 | -18.475 | 0.000 |
| 0.000 | 0.000 | -0.000 | 0.000 | 0.000 | 71.951 |
| 48.906 | 72.945 | 56.796 | -0.000 | -0.000 | -0.000 |
| 72.945 | 48.906 | 56.796 | -0.000 | -0.000 | -0.000 |
| 59.732 | 59.732 | 13.903 | -0.000 | -0.000 | -0.000 |
| -0.000 | -0.000 | 0.000 | -18.475 | 0.000 | -0.000 |
| -0.000 | -0.000 | 0.000 | -0.000 | -18.475 | -0.000 |
| -0.000 | -0.000 | 0.000 | -0.000 | -0.000 | 71.951 |
| 48.906 | 72.946 | 56.796 | 0.000 | 0.000 | 0.000 |
| 72.946 | 48.906 | 56.796 | 0.000 | 0.000 | 0.000 |
| 59.732 | 59.732 | 13.903 | -0.000 | -0.000 | 0.000 |
| 0.000 | 0.000 | -0.000 | -18.475 | 0.000 | 0.000 |
| 0.000 | 0.000 | -0.000 | 0.000 | -18.475 | 0.000 |
| 0.000 | 0.000 | 0.000 | 0.000 | 0.000 | 71.951 |
| 48.559 | 73.261 | 56.837 | -0.000 | -0.000 | -0.000 |
| 73.261 | 48.559 | 56.837 | -0.000 | -0.000 | -0.000 |
| 59.732 | 59.732 | 13.903 | -0.000 | -0.000 | -0.000 |
| -0.000 | -0.000 | 0.000 | -18.475 | -0.000 | -0.000 |
| -0.000 | -0.000 | 0.000 | -0.000 | -18.475 | -0.000 |
| -0.000 | -0.000 | -0.000 | -0.000 | -0.000 | 71.951 |
| 48.559 | 73.261 | 56.837 | -0.000 | 0.000 | 0.000 |
| 73.261 | 48.559 | 56.837 | 0.000 | 0.000 | 0.000 |
| 59.732 | 59.732 | 13.903 | 0.000 | 0.000 | 0.000 |
| 0.000 | 0.000 | -0.000 | -18.475 | 0.000 | 0.000 |
| 0.000 | 0.000 | -0.000 | 0.000 | -18.475 | 0.000 |
| 0.000 | 0.000 | 0.000 | 0.000 | 0.000 | 71.951 |
| 48.559 | 73.261 | 56.837 | -0.000 | -0.000 | -0.000 |
| 73.261 | 48.559 | 56.837 | -0.000 | -0.000 | -0.000 |
| 59.732 | 59.732 | 13.902 | -0.000 | -0.000 | -0.000 |
| -0.000 | -0.000 | 0.000 | -18.475 | -0.000 | -0.000 |
| -0.000 | -0.000 | 0.000 | -0.000 | -18.475 | -0.000 |
| -0.000 | -0.000 | -0.000 | -0.000 | -0.000 | 71.951 |
| 6.361 | 7.087 | 7.087 | 0.000 | -0.000 | -0.000 |
| 7.087 | 6.361 | 7.087 | -0.000 | 0.000 | 0.000 |
| 7.087 | 7.087 | 6.361 | -0.000 | -0.000 | 0.000 |
| -0.000 | -0.000 | 0.000 | -1.017 | -0.000 | -0.000 |
| -0.000 | -0.000 | 0.000 | -0.000 | -1.017 | -0.000 |
| -0.000 | -0.000 | 0.000 | -0.000 | -0.000 | -1.017 |
| 6.361 | 7.087 | 7.087 | 0.000 | 0.000 | -0.000 |
| 7.087 | 6.361 | 7.087 | 0.000 | 0.000 | -0.000 |
| 7.087 | 7.087 | 6.361 | 0.000 | 0.000 | -0.000 |
| 0.000 | 0.000 | -0.000 | -1.017 | 0.000 | 0.000 |
| 0.000 | 0.000 | -0.000 | 0.000 | -1.017 | 0.000 |
| 0.000 | 0.000 | -0.000 | 0.000 | 0.000 | -1.017 |
| 6.361 | 7.087 | 7.087 | 0.000 | -0.000 | 0.000 |
| 7.087 | 6.361 | 7.087 | -0.000 | -0.000 | 0.000 |
| 7.087 | 7.087 | 6.361 | -0.000 | -0.000 | 0.000 |
| -0.000 | -0.000 | -0.000 | -1.017 | -0.000 | -0.000 |
| -0.000 | -0.000 | -0.000 | -0.000 | -1.017 | -0.000 |
| -0.000 | -0.000 | -0.000 | -0.000 | -0.000 | -1.017 |
| 6.361 | 7.087 | 7.087 | -0.000 | 0.000 | -0.000 |
| 7.087 | 6.361 | 7.087 | 0.000 | -0.000 | -0.000 |
| 7.087 | 7.087 | 6.361 | 0.000 | 0.000 | -0.000 |
| 0.000 | 0.000 | 0.000 | -1.017 | 0.000 | 0.000 |
| 0.000 | 0.000 | 0.000 | 0.000 | -1.017 | 0.000 |
| 0.000 | 0.000 | 0.000 | 0.000 | 0.000 | -1.017 |
| 6.361 | 7.087 | 7.087 | -0.000 | -0.000 | 0.000 |
| 7.087 | 6.361 | 7.087 | -0.000 | -0.000 | 0.000 |
| 7.087 | 7.087 | 6.361 | -0.000 | -0.000 | -0.000 |
| -0.000 | -0.000 | -0.000 | -1.017 | -0.000 | -0.000 |
| -0.000 | -0.000 | -0.000 | -0.000 | -1.017 | -0.000 |
| -0.000 | -0.000 | -0.000 | -0.000 | -0.000 | -1.017 |
| 6.361 | 7.087 | 7.087 | 0.000 | 0.000 | -0.000 |
| 7.087 | 6.361 | 7.087 | 0.000 | 0.000 | -0.000 |
| 7.087 | 7.087 | 6.361 | 0.000 | 0.000 | 0.000 |
| 0.000 | 0.000 | 0.000 | -1.017 | 0.000 | 0.000 |
| 0.000 | 0.000 | 0.000 | 0.000 | -1.017 | 0.000 |
| 0.000 | 0.000 | 0.000 | 0.000 | 0.000 | -1.017 |
| 213.714 | 68.794 | 51.883 | -3.621 | 0.000 | 0.000 |
| 68.794 | 213.714 | 51.883 | 3.621 | 0.000 | -0.000 |
| 1537.279 | 1537.279 | -3699.025 | 0.000 | 0.000 | 0.000 |
| -3.621 | 3.621 | -0.000 | 44.960 | 0.000 | 0.000 |
| 0.000 | -0.000 | 0.000 | -0.000 | 44.960 | -3.621 |
| 1442.903 | 1442.903 | -3903.459 | 0.000 | -26.106 | -29.051 |
| -1354.548 | -1296.543 | 4000.909 | -26.095 | 0.000 | -0.000 |
| 68.794 | 213.714 | 51.883 | 3.621 | -0.000 | 0.000 |
| 46.589 | 46.589 | 330.386 | -0.000 | -0.000 | 0.000 |
| -3.621 | 3.621 | 0.000 | 44.960 | 0.000 | -0.000 |
| -0.000 | 0.000 | -0.000 | -0.000 | 44.960 | -3.621 |
| -1442.903 | -1442.903 | 3903.459 | -0.000 | -26.106 | -29.051 |
| 213.714 | 68.794 | 51.883 | -3.621 | 0.000 | -0.000 |
| 277.540 | 258.403 | -300.882 | 3.676 | 0.000 | -0.000 |
| 238.247 | 238.247 | -184.778 | 0.000 | 0.000 | -0.000 |
| 117.545 | 169.520 | -388.295 | -24.670 | -0.000 | -0.000 |
| 143.227 | 143.227 | -389.177 | 0.000 | -45.259 | -2.274 |
| 140.705 | 140.705 | -380.646 | -0.000 | -25.547 | -26.528 |
| -47.846 | 3.620 | 475.370 | -25.371 | -0.000 | 0.000 |
| 68.794 | 213.714 | 51.883 | 3.621 | -0.000 | -0.000 |
| 46.589 | 46.589 | 330.386 | 0.000 | -0.000 | -0.000 |
| -3.621 | 3.621 | -0.000 | 44.960 | -0.000 | -0.000 |
| -143.227 | -143.227 | 389.177 | -0.000 | -45.259 | -2.274 |
| -140.705 | -140.705 | 380.646 | 0.000 | -25.547 | -26.528 |
| 213.716 | 68.795 | 51.884 | -3.621 | 0.000 | 0.000 |
| 160.751 | 116.878 | 59.308 | 15.827 | 0.000 | -0.000 |
| 108.261 | 108.261 | 166.865 | -0.000 | 0.000 | 0.000 |
| -3.621 | 3.621 | 0.000 | 44.960 | 0.000 | 0.000 |
| 13.274 | 13.274 | -35.910 | -0.000 | -19.434 | -24.306 |
| 11.105 | 11.105 | -30.043 | -0.000 | -20.926 | -5.668 |
| 213.712 | 68.794 | 51.883 | -3.621 | -0.000 | 0.000 |
| 68.794 | 213.712 | 51.883 | 3.621 | -0.000 | -0.000 |
| 79.250 | 79.250 | 245.316 | 0.000 | 0.000 | 0.000 |
| -3.621 | 3.621 | -0.000 | 44.960 | -0.000 | 0.000 |
| -13.274 | -13.274 | 35.910 | 0.000 | -19.434 | -24.306 |
| -11.105 | -11.105 | 30.043 | 0.000 | -20.926 | -5.668 |
| 369.669 | 23.011 | 23.011 | 0.000 | -0.000 | 0.000 |
| 23.011 | 369.669 | 23.011 | -0.000 | -0.000 | 0.000 |
| 23.011 | 23.011 | 369.669 | -0.000 | -0.000 | 0.000 |
| 0.000 | 0.000 | 0.000 | 21.411 | -0.000 | 0.000 |
| 0.000 | 0.000 | 0.000 | -0.000 | 21.411 | 0.000 |
| 0.000 | 0.000 | 0.000 | 0.000 | -0.000 | 21.411 |
| 372.868 | 21.411 | 21.411 | 0.000 | 0.000 | -0.000 |
| 21.411 | 372.868 | 21.411 | 0.000 | 0.000 | -0.000 |
| 21.411 | 21.411 | 372.868 | 0.000 | 0.000 | 0.000 |
| 0.000 | -0.000 | -0.000 | 21.411 | 0.000 | 0.000 |
| -0.000 | -0.000 | -0.000 | 0.000 | 21.411 | -0.000 |
| -0.000 | 0.000 | -0.000 | -0.000 | 0.000 | 21.411 |
| 369.669 | 23.011 | 23.011 | 0.000 | -0.000 | 0.000 |
| 23.011 | 369.669 | 23.011 | 0.000 | 0.000 | 0.000 |
| 23.011 | 23.011 | 369.669 | 0.000 | -0.000 | 0.000 |
| 0.000 | 0.000 | -0.000 | -90.768 | -0.000 | 0.000 |
| 0.000 | 0.000 | -0.000 | -0.000 | -90.768 | 0.000 |
| 0.000 | -0.000 | 0.000 | -0.000 | -0.000 | -90.768 |
| 369.669 | 23.010 | 23.010 | 0.000 | 0.000 | -0.000 |
| 23.010 | 369.669 | 23.010 | 0.000 | -0.000 | -0.000 |
| 23.010 | 23.010 | 369.669 | 0.000 | -0.000 | -0.000 |
| -0.000 | -0.000 | 0.000 | -90.768 | 0.000 | -0.000 |
| -0.000 | -0.000 | 0.000 | 0.000 | -90.768 | -0.000 |
| -0.000 | 0.000 | -0.000 | 0.000 | 0.000 | -90.768 |
| 369.672 | 23.011 | 23.011 | -0.000 | -0.000 | 0.000 |
| 23.011 | 369.672 | 23.011 | -0.000 | -0.000 | 0.000 |
| 23.011 | 23.011 | 369.672 | -0.000 | -0.000 | 0.000 |
| 0.000 | 0.000 | -0.000 | -90.768 | -0.000 | 0.000 |
| 0.000 | 0.000 | -0.000 | -0.000 | -90.768 | 0.000 |
| 0.000 | -0.000 | 0.000 | 0.000 | -0.000 | -90.768 |
| 372.864 | 21.411 | 21.411 | 0.000 | -0.000 | -0.000 |
| 21.411 | 372.864 | 21.411 | 0.000 | -0.000 | -0.000 |
| 21.411 | 21.411 | 372.864 | 0.000 | 0.000 | -0.000 |
| -0.000 | -0.000 | 0.000 | -90.768 | 0.000 | -0.000 |
| -0.000 | -0.000 | 0.000 | 0.000 | -90.768 | -0.000 |
| -0.000 | 0.000 | -0.000 | 0.000 | 0.000 | -90.768 |
| 125.381 | 162.112 | 162.112 | -0.000 | -0.000 | -0.000 |
| 162.112 | 125.381 | 162.112 | 0.000 | -0.000 | -0.000 |
| 162.112 | 162.112 | 125.381 | -0.000 | -0.000 | -0.000 |
| 0.000 | -0.000 | 0.000 | 162.112 | -0.000 | -0.000 |
| -0.000 | 0.000 | 0.000 | -0.000 | 162.112 | -0.000 |
| -0.000 | 0.000 | 0.000 | -0.000 | -0.000 | 162.112 |
| 125.381 | 162.112 | 162.112 | 0.000 | 0.000 | 0.000 |
| 162.112 | 125.381 | 162.112 | -0.000 | 0.000 | 0.000 |
| 162.112 | 162.112 | 125.381 | 0.000 | 0.000 | 0.000 |
| -0.000 | -0.000 | -0.000 | 162.112 | 0.000 | 0.000 |
| -0.000 | -0.000 | -0.000 | 0.000 | 162.112 | 0.000 |
| -0.000 | -0.000 | -0.000 | 0.000 | 0.000 | 162.112 |
| 125.381 | 162.112 | 162.112 | -0.000 | -0.000 | -0.000 |
| 162.112 | 125.381 | 162.112 | -0.000 | -0.000 | -0.000 |
| 162.112 | 162.112 | 125.381 | 0.000 | -0.000 | -0.000 |
| 0.000 | 0.000 | 0.000 | 154.173 | -0.000 | -0.000 |
| 0.000 | 0.000 | 0.000 | 0.000 | 154.173 | -0.000 |
| 0.000 | 0.000 | 0.000 | -0.000 | -0.000 | 154.173 |
| 125.381 | 162.112 | 162.112 | -0.000 | 0.000 | 0.000 |
| 162.112 | 125.381 | 162.112 | 0.000 | 0.000 | 0.000 |
| 162.112 | 162.112 | 125.381 | 0.000 | 0.000 | 0.000 |
| -0.000 | -0.000 | -0.000 | 154.173 | 0.000 | 0.000 |
| -0.000 | -0.000 | -0.000 | 0.000 | 154.173 | 0.000 |
| -0.000 | -0.000 | -0.000 | 0.000 | 0.000 | 154.173 |
| 125.382 | 162.113 | 162.113 | -0.000 | -0.000 | -0.000 |
| 162.113 | 125.382 | 162.113 | -0.000 | -0.000 | -0.000 |
| 162.113 | 162.113 | 125.382 | 0.000 | -0.000 | -0.000 |
| 0.001 | 0.000 | 0.000 | 162.112 | -0.000 | -0.000 |
| 0.000 | 0.001 | 0.000 | 0.000 | 162.112 | -0.000 |
| 0.000 | 0.000 | 0.001 | 0.000 | -0.000 | 162.112 |
| 125.381 | 162.112 | 162.112 | 0.000 | 0.000 | 0.000 |
| 162.112 | 125.381 | 162.112 | -0.000 | 0.000 | 0.000 |
| 162.112 | 162.112 | 125.381 | 0.000 | 0.000 | 0.000 |
| -0.001 | -0.000 | -0.000 | 162.112 | 0.000 | 0.000 |
| -0.000 | -0.001 | -0.000 | 0.000 | 162.112 | 0.000 |
| -0.000 | -0.000 | -0.001 | -0.000 | 0.000 | 162.112 |
| 247.132 | 138.254 | 138.254 | 0.000 | 0.000 | -0.000 |
| 138.254 | 247.132 | 138.254 | 0.000 | -0.000 | -0.000 |
| 138.254 | 138.254 | 247.132 | 0.000 | -0.000 | 0.000 |
| -0.000 | 0.000 | 0.000 | 138.254 | 0.000 | 0.000 |
| 0.000 | -0.000 | 0.000 | 0.000 | 138.254 | 0.000 |
| 0.000 | 0.000 | -0.000 | 0.000 | 0.000 | 138.254 |
| 247.132 | 138.254 | 138.254 | -0.000 | -0.000 | -0.000 |
| 138.254 | 247.132 | 138.254 | -0.000 | -0.000 | 0.000 |
| 138.254 | 138.254 | 247.132 | -0.000 | 0.000 | -0.000 |
| 0.000 | -0.000 | -0.000 | 138.254 | -0.000 | -0.000 |
| -0.000 | 0.000 | -0.000 | -0.000 | 138.254 | -0.000 |
| -0.000 | -0.000 | 0.000 | -0.000 | -0.000 | 138.254 |
| 247.132 | 138.254 | 138.254 | 0.000 | 0.000 | 0.000 |
| 138.254 | 247.132 | 138.254 | 0.000 | 0.000 | -0.000 |
| 138.254 | 138.254 | 247.132 | 0.000 | 0.000 | 0.000 |
| -0.000 | 0.000 | 0.000 | 138.254 | 0.000 | 0.000 |
| 0.000 | -0.000 | 0.000 | 0.000 | 138.254 | 0.000 |
| 0.000 | 0.000 | -0.000 | 0.000 | 0.000 | 138.254 |
| 247.132 | 138.254 | 138.254 | -0.000 | -0.000 | -0.000 |
| 138.254 | 247.132 | 138.254 | -0.000 | -0.000 | 0.000 |
| 138.254 | 138.254 | 247.132 | -0.000 | -0.000 | -0.000 |
| 0.000 | -0.000 | -0.000 | 138.254 | -0.000 | 0.000 |
| -0.000 | 0.000 | -0.000 | -0.000 | 138.254 | -0.000 |
| -0.000 | -0.000 | 0.000 | -0.000 | -0.000 | 138.254 |
| 247.133 | 138.255 | 138.255 | -0.000 | 0.000 | 0.000 |
| 138.255 | 247.133 | 138.255 | 0.000 | 0.000 | 0.000 |
| 138.255 | 138.255 | 247.133 | 0.000 | 0.000 | 0.000 |
| -0.000 | 0.000 | 0.001 | 138.254 | 0.000 | 0.000 |
| 0.000 | -0.000 | 0.001 | 0.000 | 138.254 | 0.000 |
| 0.000 | 0.001 | -0.000 | 0.000 | 0.000 | 138.254 |
| 247.130 | 138.254 | 138.254 | -0.000 | 0.000 | -0.000 |
| 138.254 | 247.130 | 138.254 | -0.000 | -0.000 | -0.000 |
| 138.254 | 138.254 | 247.130 | -0.000 | -0.000 | -0.000 |
| 0.000 | -0.000 | -0.001 | 138.254 | -0.000 | -0.000 |
| -0.000 | 0.000 | -0.001 | -0.000 | 138.254 | -0.000 |
| -0.000 | -0.001 | 0.000 | -0.000 | -0.000 | 138.254 |
| 306.643 | 125.406 | 74.703 | -0.000 | -0.000 | -0.000 |
| 108.545 | 325.874 | 77.935 | -0.000 | 0.000 | -0.000 |
| 76.277 | 76.277 | 338.199 | 0.000 | 0.000 | 0.000 |
| 0.000 | 0.000 | 0.000 | 78.384 | -0.000 | -0.000 |
| -0.000 | 0.000 | 0.000 | 0.000 | 78.384 | 0.000 |
| 0.335 | 0.335 | 0.914 | -0.000 | -0.000 | 89.640 |
| 305.776 | 126.950 | 75.626 | -0.000 | -0.000 | -0.000 |
| 108.545 | 325.874 | 77.935 | -0.000 | -0.000 | -0.000 |
| 78.100 | 78.100 | 343.169 | 0.000 | -0.000 | 0.000 |
| 0.000 | -0.000 | -0.000 | 78.384 | 0.000 | 0.000 |
| 0.000 | -0.000 | -0.000 | -0.000 | 78.384 | -0.000 |
| -0.335 | -0.335 | -0.914 | 0.000 | 0.000 | 89.640 |
| 306.887 | 124.670 | 74.032 | 0.000 | 0.000 | 0.000 |
| 124.670 | 306.887 | 74.032 | -0.000 | 0.000 | -0.000 |
| 78.100 | 78.100 | 343.169 | 0.000 | -0.000 | -0.000 |
| 0.000 | 0.000 | 0.000 | 78.384 | 0.000 | 0.000 |
| 0.000 | 0.000 | 0.000 | 0.000 | 78.384 | -0.000 |
| -0.055 | -0.055 | -0.150 | -0.000 | 0.000 | 89.276 |
| 325.874 | 108.545 | 77.935 | 0.000 | 0.000 | 0.000 |
| 124.503 | 306.949 | 73.890 | -0.000 | -0.000 | -0.000 |
| 76.109 | 76.109 | 337.739 | -0.000 | -0.000 | -0.000 |
| -0.000 | -0.000 | -0.000 | 78.384 | 0.000 | -0.000 |
| -0.000 | -0.000 | -0.000 | -0.000 | 78.384 | -0.000 |
| 0.055 | 0.055 | 0.150 | -0.000 | 0.000 | 89.276 |
| 305.759 | 127.217 | 75.963 | -0.000 | -0.000 | -0.000 |
| 124.596 | 306.917 | 73.967 | 0.000 | -0.000 | -0.000 |
| 76.126 | 76.126 | 337.788 | -0.000 | 0.000 | -0.000 |
| 0.000 | 0.000 | 0.001 | 78.384 | 0.000 | 0.000 |
| 0.007 | 0.007 | 0.020 | 0.000 | 75.045 | 0.000 |
| 0.000 | 0.001 | 0.000 | -0.000 | -0.000 | 108.664 |
| 325.871 | 108.545 | 77.934 | 0.000 | 0.000 | 0.000 |
| 127.213 | 305.751 | 75.955 | -0.000 | -0.000 | -0.000 |
| 78.099 | 78.099 | 343.167 | -0.000 | 0.000 | 0.000 |
| -0.000 | -0.000 | -0.001 | 78.384 | 0.000 | 0.000 |
| -0.007 | -0.007 | -0.020 | -0.000 | 75.045 | 0.000 |
| -0.000 | -0.001 | -0.000 | -0.000 | 0.000 | 108.664 |
| 157.176 | 80.198 | 79.311 | 0.000 | 1.050 | 0.000 |
| 83.934 | 149.840 | 83.125 | -0.000 | 0.314 | 0.000 |
| 82.613 | 82.243 | 148.712 | -0.000 | 2.933 | 0.000 |
| -0.000 | 0.000 | 0.000 | 76.081 | -0.000 | -0.443 |
| -1.531 | -0.443 | 1.125 | 0.000 | 75.695 | -0.000 |
| 0.000 | 0.000 | 0.000 | -0.443 | -0.000 | 75.558 |
| 149.693 | 83.032 | 83.950 | 0.000 | -0.187 | -0.000 |
| 82.300 | 149.980 | 84.999 | 0.000 | -1.243 | 0.000 |
| 79.591 | 80.894 | 155.743 | -0.000 | 0.336 | -0.000 |
| -0.000 | -0.000 | -0.000 | 76.081 | 0.000 | -0.443 |
| -0.898 | -0.405 | 2.468 | -0.000 | 51.279 | -0.000 |
| -0.000 | -0.000 | -0.000 | -0.443 | 0.000 | 75.558 |
| 166.702 | 75.557 | 75.697 | 0.000 | -1.373 | -0.000 |
| 83.095 | 149.786 | 83.754 | 0.000 | -0.437 | 0.000 |
| 83.297 | 83.997 | 148.155 | -0.000 | 1.388 | 0.000 |
| 0.102 | 0.003 | -0.111 | 52.912 | 0.102 | -0.488 |
| 0.202 | -0.371 | 1.227 | 0.000 | 52.869 | 0.000 |
| 0.072 | -0.008 | -0.093 | -0.055 | 0.147 | 48.799 |
| 166.702 | 75.557 | 75.697 | 0.000 | -1.373 | 0.000 |
| 81.754 | 150.881 | 82.781 | -0.000 | 0.348 | 0.000 |
| 80.106 | 80.540 | 155.666 | -0.000 | 1.225 | -0.000 |
| -0.102 | -0.003 | 0.111 | 52.912 | -0.102 | -0.488 |
| 0.003 | -0.377 | 1.449 | -0.000 | 52.621 | -0.000 |
| -0.072 | 0.008 | 0.093 | -0.055 | -0.147 | 48.799 |
| 151.364 | 81.673 | 81.830 | -0.000 | 1.201 | 0.000 |
| 82.974 | 150.129 | 83.895 | -0.000 | -0.505 | -0.000 |
| 80.182 | 80.519 | 155.616 | -0.000 | 1.325 | 0.000 |
| 0.010 | 0.000 | -0.011 | 52.914 | 0.010 | -0.488 |
| 0.508 | -0.130 | 0.444 | -0.000 | 49.398 | 0.000 |
| 0.007 | -0.001 | -0.009 | -0.179 | 0.015 | 48.786 |
| 166.701 | 75.557 | 75.697 | -0.000 | -1.373 | 0.000 |
| 81.827 | 150.888 | 82.702 | -0.000 | 0.543 | -0.000 |
| 81.626 | 82.293 | 149.779 | -0.000 | 0.877 | 0.000 |
| -0.010 | -0.000 | 0.011 | 52.914 | -0.010 | -0.488 |
| 0.145 | 0.061 | 1.045 | -0.000 | 50.258 | 0.000 |
| -0.007 | 0.001 | 0.009 | -0.179 | -0.015 | 48.786 |
| 164.610 | 76.055 | 73.866 | -0.000 | 3.057 | -0.000 |
| 62.811 | 210.120 | 20.588 | 0.000 | -60.576 | 0.000 |
| 18.875 | 131.407 | 142.539 | 0.000 | -37.696 | -0.000 |
| -21.926 | 62.818 | -62.521 | 31.809 | -60.751 | 0.546 |
| -58.447 | 50.891 | -3.649 | 0.000 | 10.286 | -0.000 |
| -64.984 | 93.288 | -40.214 | 0.500 | -41.201 | 55.890 |
| 212.376 | -9.258 | 120.626 | 0.000 | 44.994 | 0.000 |
| 138.633 | 106.368 | 88.643 | -0.000 | 41.584 | 0.000 |
| 107.132 | 18.909 | 207.367 | -0.000 | 66.390 | -0.000 |
| 21.926 | -62.818 | 62.521 | 31.809 | 60.751 | 0.546 |
| 1.381 | 1.254 | 5.471 | 0.000 | 74.355 | 0.000 |
| 64.984 | -93.288 | 40.214 | 0.500 | 41.201 | 55.890 |
| 164.610 | 76.055 | 73.866 | -0.000 | 3.057 | -0.000 |
| 75.373 | 161.112 | 77.347 | 0.000 | -3.331 | 0.000 |
| 78.423 | 85.091 | 146.803 | -0.000 | -0.266 | 0.000 |
| -6.431 | 9.503 | -4.906 | 48.823 | -4.461 | 0.590 |
| 1.381 | 1.254 | 5.471 | -0.000 | 74.355 | -0.000 |
| -1.488 | 4.262 | -4.242 | 1.124 | -4.122 | 46.274 |
| 152.109 | 77.923 | 83.681 | -0.000 | 6.505 | -0.000 |
| 89.920 | 141.241 | 86.947 | -0.000 | 8.178 | -0.000 |
| 83.730 | 74.162 | 154.960 | -0.000 | 8.054 | 0.000 |
| 6.431 | -9.503 | 4.906 | 48.823 | 4.461 | 0.590 |
| 2.789 | -3.171 | 7.625 | -0.000 | 47.921 | -0.000 |
| 1.488 | -4.262 | 4.242 | 1.124 | 4.122 | 46.274 |
| 146.611 | 84.257 | 80.780 | -0.000 | 3.921 | -0.000 |
| 79.917 | 157.793 | 79.000 | -0.000 | 1.484 | -0.000 |
| 79.475 | 82.217 | 148.272 | 0.000 | 2.267 | 0.000 |
| -0.650 | 0.911 | -0.434 | 48.796 | -0.481 | 0.495 |
| 1.222 | 1.245 | 3.581 | 0.000 | 48.547 | -0.000 |
| -0.116 | 0.333 | -0.331 | 1.153 | -0.322 | 52.759 |
| 147.295 | 82.600 | 81.964 | 0.000 | 3.350 | 0.000 |
| 83.926 | 149.820 | 82.925 | 0.000 | 2.681 | 0.000 |
| 82.099 | 81.717 | 148.233 | 0.000 | 3.867 | 0.000 |
| 0.650 | -0.911 | 0.434 | 48.796 | 0.481 | 0.495 |
| 1.398 | 0.914 | 4.132 | 0.000 | 51.777 | -0.000 |
| 0.116 | -0.333 | 0.331 | 1.153 | 0.322 | 52.759 |
| 479.411 | 16.862 | 16.862 | -0.000 | -0.000 | -0.000 |
| 16.862 | 479.411 | 16.862 | -0.000 | 0.000 | -0.000 |
| 16.862 | 16.862 | 479.411 | -0.000 | 0.000 | -0.000 |
| -0.000 | 0.000 | -0.000 | 16.200 | -0.000 | -0.000 |
| 0.000 | 0.000 | -0.000 | -0.000 | 16.200 | -0.000 |
| 0.000 | -0.000 | -0.000 | -0.000 | -0.000 | 16.200 |
| 479.411 | 16.862 | 16.862 | 0.000 | 0.000 | 0.000 |
| 16.862 | 479.411 | 16.862 | 0.000 | -0.000 | 0.000 |
| 16.862 | 16.862 | 479.411 | 0.000 | 0.000 | 0.000 |
| -0.000 | -0.000 | 0.000 | 16.200 | 0.000 | -0.000 |
| -0.000 | -0.000 | -0.000 | 0.000 | 16.200 | 0.000 |
| -0.000 | -0.000 | 0.000 | -0.000 | 0.000 | 16.200 |
| 479.412 | 16.862 | 16.862 | -0.000 | 0.000 | -0.000 |
| 16.862 | 479.412 | 16.862 | -0.000 | 0.000 | -0.000 |
| 16.862 | 16.862 | 479.412 | -0.000 | -0.000 | -0.000 |
| 0.000 | 0.000 | -0.000 | 16.200 | 0.000 | -0.000 |
| 0.000 | 0.000 | -0.000 | -0.000 | 16.200 | -0.000 |
| 0.000 | -0.000 | 0.000 | -0.000 | -0.000 | 16.200 |
| 479.411 | 16.862 | 16.862 | 0.000 | -0.000 | 0.000 |
| 16.862 | 479.411 | 16.862 | 0.000 | -0.000 | -0.000 |
| 16.862 | 16.862 | 479.411 | 0.000 | -0.000 | -0.000 |
| -0.000 | -0.000 | 0.000 | 16.200 | -0.000 | 0.000 |
| -0.000 | -0.000 | 0.000 | 0.000 | 16.200 | 0.000 |
| -0.000 | 0.000 | -0.000 | 0.000 | 0.000 | 16.200 |
| 479.415 | 16.862 | 16.862 | -0.000 | 0.000 | -0.000 |
| 16.862 | 479.415 | 16.862 | -0.000 | 0.000 | -0.000 |
| 16.862 | 16.862 | 479.415 | -0.000 | 0.000 | -0.000 |
| 0.001 | -0.000 | -0.000 | -98.789 | 0.000 | -0.000 |
| -0.000 | 0.001 | -0.000 | -0.000 | -98.789 | -0.000 |
| -0.000 | -0.000 | 0.001 | -0.000 | -0.000 | -98.789 |
| 479.407 | 16.862 | 16.862 | 0.000 | -0.000 | 0.000 |
| 16.862 | 479.407 | 16.862 | 0.000 | 0.000 | 0.000 |
| 16.862 | 16.862 | 479.407 | 0.000 | -0.000 | 0.000 |
| -0.001 | 0.000 | 0.000 | -98.789 | -0.000 | 0.000 |
| 0.000 | -0.001 | 0.000 | 0.000 | -98.789 | 0.000 |
| 0.000 | 0.000 | -0.001 | 0.000 | 0.000 | -98.789 |
| 163.748 | 212.607 | 212.607 | -0.000 | 0.000 | 0.000 |
| 212.607 | 163.748 | 212.607 | -0.000 | -0.000 | 0.000 |
| 212.607 | 212.607 | 163.748 | 0.000 | -0.000 | 0.000 |
| 0.000 | 0.000 | -0.000 | 212.607 | 0.000 | 0.000 |
| 0.000 | 0.000 | -0.000 | -0.000 | 212.607 | 0.000 |
| 0.000 | 0.000 | 0.000 | -0.000 | 0.000 | 212.607 |
| 163.748 | 212.607 | 212.607 | 0.000 | -0.000 | -0.000 |
| 212.607 | 163.748 | 212.607 | 0.000 | -0.000 | -0.000 |
| 212.607 | 212.607 | 163.748 | -0.000 | -0.000 | -0.000 |
| -0.000 | 0.000 | 0.000 | 212.607 | 0.000 | -0.000 |
| -0.000 | -0.000 | 0.000 | 0.000 | 212.607 | -0.000 |
| -0.000 | -0.000 | -0.000 | 0.000 | 0.000 | 212.607 |
| 163.748 | 212.607 | 212.607 | -0.000 | -0.000 | 0.000 |
| 212.607 | 163.748 | 212.607 | -0.000 | -0.000 | 0.000 |
| 212.607 | 212.607 | 163.748 | -0.000 | 0.000 | 0.000 |
| 0.000 | 0.000 | 0.000 | 211.345 | -0.000 | 0.000 |
| 0.000 | 0.000 | 0.000 | -0.000 | 211.345 | 0.000 |
| 0.000 | 0.000 | 0.000 | -0.000 | 0.000 | 211.345 |
| 163.748 | 212.607 | 212.607 | 0.000 | 0.000 | -0.000 |
| 212.607 | 163.748 | 212.607 | 0.000 | 0.000 | -0.000 |
| 212.607 | 212.607 | 163.748 | 0.000 | 0.000 | -0.000 |
| -0.000 | -0.000 | -0.000 | 211.345 | 0.000 | -0.000 |
| -0.000 | -0.000 | -0.000 | 0.000 | 211.345 | -0.000 |
| -0.000 | -0.000 | -0.000 | 0.000 | -0.000 | 211.345 |
| 163.749 | 212.608 | 212.608 | -0.000 | -0.000 | 0.000 |
| 212.608 | 163.749 | 212.608 | -0.000 | -0.000 | 0.000 |
| 212.608 | 212.608 | 163.749 | -0.000 | 0.000 | 0.000 |
| 0.001 | 0.000 | 0.001 | 211.345 | -0.000 | 0.000 |
| 0.000 | 0.001 | 0.001 | -0.000 | 211.345 | 0.000 |
| 0.000 | 0.001 | 0.001 | -0.000 | 0.000 | 211.345 |
| 163.747 | 212.606 | 212.606 | 0.000 | -0.000 | -0.000 |
| 212.606 | 163.747 | 212.606 | 0.000 | 0.000 | -0.000 |
| 212.606 | 212.606 | 163.747 | 0.000 | 0.000 | -0.000 |
| -0.001 | -0.000 | -0.001 | 211.345 | 0.000 | -0.000 |
| -0.000 | -0.001 | -0.001 | 0.000 | 211.345 | -0.000 |
| -0.000 | -0.001 | -0.001 | 0.000 | -0.000 | 211.345 |
| 318.117 | 176.179 | 176.179 | 0.000 | 0.000 | -0.000 |
| 176.179 | 318.117 | 176.179 | 0.000 | 0.000 | -0.000 |
| 176.179 | 176.179 | 318.117 | 0.000 | 0.000 | -0.000 |
| 0.000 | 0.000 | 0.000 | 176.179 | 0.000 | -0.000 |
| 0.000 | -0.000 | 0.000 | 0.000 | 176.179 | -0.000 |
| 0.000 | 0.000 | 0.000 | 0.000 | -0.000 | 176.179 |
| 318.117 | 176.179 | 176.179 | -0.000 | -0.000 | 0.000 |
| 176.179 | 318.117 | 176.179 | -0.000 | -0.000 | 0.000 |
| 176.179 | 176.179 | 318.117 | -0.000 | -0.000 | 0.000 |
| -0.000 | -0.000 | -0.000 | 176.179 | -0.000 | 0.000 |
| -0.000 | 0.000 | -0.000 | -0.000 | 176.179 | 0.000 |
| -0.000 | -0.000 | -0.000 | -0.000 | 0.000 | 176.179 |
| 318.117 | 176.179 | 176.179 | 0.000 | 0.000 | -0.000 |
| 176.179 | 318.117 | 176.179 | 0.000 | 0.000 | -0.000 |
| 176.179 | 176.179 | 318.117 | 0.000 | 0.000 | -0.000 |
| -0.000 | 0.000 | 0.000 | 176.179 | 0.000 | -0.000 |
| 0.000 | -0.000 | 0.000 | 0.000 | 176.179 | -0.000 |
| 0.000 | 0.000 | -0.000 | 0.000 | -0.000 | 176.179 |
| 318.116 | 176.179 | 176.179 | -0.000 | 0.000 | 0.000 |
| 176.179 | 318.116 | 176.179 | -0.000 | -0.000 | 0.000 |
| 176.179 | 176.179 | 318.116 | -0.000 | -0.000 | 0.000 |
| 0.000 | -0.000 | -0.000 | 176.179 | -0.000 | 0.000 |
| -0.000 | 0.000 | -0.000 | -0.000 | 176.179 | 0.000 |
| -0.000 | -0.000 | 0.000 | -0.000 | 0.000 | 176.179 |
| 318.118 | 176.180 | 176.180 | 0.000 | 0.000 | -0.000 |
| 176.180 | 318.118 | 176.180 | 0.000 | 0.000 | -0.000 |
| 176.180 | 176.180 | 318.118 | 0.000 | -0.000 | -0.000 |
| -0.000 | 0.001 | 0.001 | 176.179 | 0.000 | -0.000 |
| 0.001 | -0.000 | 0.001 | 0.000 | 176.179 | -0.000 |
| 0.001 | 0.001 | -0.000 | 0.000 | 0.000 | 176.179 |
| 318.115 | 176.178 | 176.178 | -0.000 | 0.000 | 0.000 |
| 176.178 | 318.115 | 176.178 | -0.000 | -0.000 | 0.000 |
| 176.178 | 176.178 | 318.115 | -0.000 | -0.000 | 0.000 |
| 0.000 | -0.001 | -0.001 | 176.179 | -0.000 | 0.000 |
| -0.001 | 0.000 | -0.001 | -0.000 | 176.179 | 0.000 |
| -0.001 | -0.001 | 0.000 | -0.000 | -0.000 | 176.179 |
| 163.872 | 212.229 | 212.522 | 0.000 | -0.000 | -0.000 |
| 212.231 | 400.550 | -24.611 | 0.000 | 0.000 | 0.000 |
| 212.550 | -24.596 | 400.562 | 0.000 | -0.000 | 0.000 |
| -0.000 | 0.000 | -0.000 | -24.576 | 0.000 | 0.000 |
| 0.000 | -0.000 | 0.000 | 0.000 | 212.522 | -0.000 |
| 0.000 | 0.000 | 0.000 | 0.000 | 0.000 | 212.232 |
| 163.856 | 212.231 | 212.535 | -0.000 | -0.000 | -0.000 |
| 212.231 | 400.550 | -24.611 | -0.000 | -0.000 | 0.000 |
| 212.537 | -24.594 | 400.572 | -0.000 | -0.000 | 0.000 |
| 0.000 | -0.000 | -0.000 | -24.576 | -0.000 | -0.000 |
| -0.000 | 0.000 | -0.000 | -0.000 | 212.522 | 0.000 |
| -0.000 | -0.000 | -0.000 | -0.000 | -0.000 | 212.232 |
| 163.856 | 212.231 | 212.535 | 0.000 | -0.000 | -0.000 |
| 212.231 | 400.550 | -24.611 | 0.000 | 0.000 | 0.000 |
| 212.537 | -24.594 | 400.573 | 0.000 | 0.000 | -0.000 |
| -0.000 | 0.000 | -0.000 | -24.576 | 0.000 | 0.000 |
| 0.000 | -0.000 | 0.000 | 0.000 | 212.522 | 0.000 |
| 0.000 | 0.000 | 0.000 | 0.000 | 0.000 | 212.232 |
| 163.872 | 212.229 | 212.522 | -0.000 | -0.000 | 0.000 |
| 212.230 | 400.550 | -24.611 | -0.000 | 0.000 | -0.000 |
| 212.537 | -24.594 | 400.572 | -0.000 | 0.000 | 0.000 |
| 0.000 | -0.000 | 0.000 | -24.576 | -0.000 | -0.000 |
| -0.000 | 0.000 | -0.000 | -0.000 | 212.522 | -0.000 |
| -0.000 | -0.000 | -0.000 | -0.000 | 0.000 | 212.232 |
| 163.873 | 212.230 | 212.523 | 0.000 | 0.000 | 0.000 |
| 212.230 | 400.553 | -24.609 | 0.000 | 0.000 | 0.000 |
| 212.552 | -24.596 | 400.564 | 0.000 | -0.000 | -0.000 |
| -0.000 | 0.000 | -0.000 | -24.576 | 0.000 | 0.000 |
| 0.000 | -0.000 | 0.001 | 0.000 | 212.555 | -0.000 |
| 0.000 | 0.001 | -0.000 | 0.000 | 0.000 | 212.232 |
| 163.871 | 212.228 | 212.521 | -0.000 | -0.000 | -0.000 |
| 212.229 | 400.547 | -24.611 | -0.000 | -0.000 | -0.000 |
| 212.548 | -24.596 | 400.559 | -0.000 | -0.000 | -0.000 |
| 0.000 | -0.000 | 0.000 | -24.576 | -0.000 | -0.000 |
| -0.000 | 0.000 | -0.001 | -0.000 | 212.555 | -0.000 |
| -0.000 | -0.001 | 0.000 | -0.000 | -0.000 | 212.232 |
| 422.753 | 140.900 | 105.844 | 49.567 | 0.000 | -0.000 |
| 140.903 | 422.757 | 105.836 | -49.569 | 0.000 | -0.000 |
| 105.887 | 105.887 | 457.350 | 0.000 | 0.000 | -0.000 |
| 49.569 | -49.569 | 0.000 | 105.962 | 0.000 | -0.000 |
| 0.000 | -0.000 | 0.000 | 0.000 | 105.962 | 49.569 |
| -0.000 | 0.000 | -0.000 | 0.000 | 49.561 | 140.923 |
| 422.752 | 140.900 | 105.844 | 49.567 | 0.000 | 0.000 |
| 140.903 | 422.757 | 105.836 | -49.569 | -0.000 | 0.000 |
| 105.887 | 105.887 | 457.350 | -0.000 | -0.000 | 0.000 |
| 49.569 | -49.569 | 0.000 | 105.962 | -0.000 | 0.000 |
| -0.000 | 0.000 | 0.000 | -0.000 | 105.962 | 49.569 |
| -0.000 | -0.000 | 0.000 | -0.000 | 49.561 | 140.923 |
| 422.758 | 140.903 | 105.836 | 49.569 | -0.000 | -0.000 |
| 140.900 | 422.753 | 105.844 | -49.567 | 0.000 | -0.000 |
| 105.887 | 105.887 | 457.350 | 0.000 | 0.000 | -0.000 |
| 49.569 | -49.569 | 0.000 | 105.962 | -0.000 | -0.000 |
| 0.000 | 0.000 | 0.000 | 0.000 | 105.948 | 49.561 |
| 0.000 | 0.000 | -0.000 | 0.000 | 49.561 | 140.923 |
| 422.757 | 140.903 | 105.836 | 49.569 | -0.000 | 0.000 |
| 140.900 | 422.752 | 105.844 | -49.567 | -0.000 | 0.000 |
| 105.886 | 105.886 | 457.350 | -0.000 | 0.000 | 0.000 |
| 49.561 | -49.561 | -0.000 | 105.949 | -0.000 | 0.000 |
| -0.000 | -0.000 | -0.000 | -0.000 | 105.948 | 49.561 |
| -0.000 | -0.000 | -0.000 | -0.000 | 49.561 | 140.923 |
| 422.761 | 140.903 | 105.836 | 49.569 | 0.000 | -0.000 |
| 140.904 | 422.760 | 105.836 | -49.569 | 0.000 | -0.000 |
| 105.894 | 105.894 | 457.338 | 0.000 | 0.000 | -0.000 |
| 49.569 | -49.569 | 0.001 | 105.962 | -0.000 | -0.000 |
| 0.000 | 0.000 | 0.001 | 0.000 | 105.948 | 49.561 |
| 0.000 | 0.001 | 0.000 | 0.000 | 49.569 | 140.927 |
| 422.753 | 140.902 | 105.836 | 49.569 | 0.000 | 0.000 |
| 140.901 | 422.754 | 105.836 | -49.568 | 0.000 | 0.000 |
| 105.886 | 105.886 | 457.347 | -0.000 | -0.000 | 0.000 |
| 49.569 | -49.569 | -0.001 | 105.962 | -0.000 | 0.000 |
| -0.000 | -0.000 | -0.001 | -0.000 | 105.948 | 49.561 |
| -0.000 | -0.001 | -0.000 | -0.000 | 49.569 | 140.927 |
| 317.473 | 176.825 | 176.178 | -0.000 | 0.000 | -0.000 |
| 176.825 | 317.473 | 176.178 | 0.000 | -0.000 | -0.000 |
| 176.178 | 176.178 | 318.109 | -0.000 | -0.000 | -0.000 |
| 0.000 | 0.000 | 0.000 | 175.801 | 0.000 | -0.000 |
| 0.000 | 0.000 | 0.000 | -0.000 | 175.801 | -0.000 |
| 0.000 | 0.000 | -0.000 | -0.000 | -0.000 | 176.181 |
| 317.473 | 176.825 | 176.178 | 0.000 | 0.000 | -0.000 |
| 176.825 | 317.473 | 176.178 | 0.000 | 0.000 | 0.000 |
| 176.178 | 176.178 | 318.109 | 0.000 | -0.000 | 0.000 |
| -0.000 | -0.000 | -0.000 | 175.801 | 0.000 | 0.000 |
| -0.000 | -0.000 | -0.000 | 0.000 | 175.801 | 0.000 |
| -0.000 | -0.000 | 0.000 | -0.000 | 0.000 | 176.181 |
| 317.473 | 176.825 | 176.178 | -0.000 | -0.000 | -0.000 |
| 176.825 | 317.473 | 176.178 | -0.000 | -0.000 | -0.000 |
| 176.178 | 176.178 | 318.109 | -0.000 | -0.000 | -0.000 |
| -0.000 | 0.000 | 0.000 | 175.801 | -0.000 | -0.000 |
| 0.000 | -0.000 | 0.000 | -0.000 | 175.801 | -0.000 |
| 0.000 | 0.000 | -0.000 | -0.000 | 0.000 | 176.181 |
| 317.473 | 176.825 | 176.178 | 0.000 | 0.000 | 0.000 |
| 176.825 | 317.473 | 176.178 | 0.000 | -0.000 | 0.000 |
| 176.178 | 176.178 | 318.109 | -0.000 | -0.000 | 0.000 |
| 0.000 | -0.000 | -0.000 | 175.801 | 0.000 | 0.000 |
| -0.000 | 0.000 | -0.000 | 0.000 | 175.801 | 0.000 |
| -0.000 | -0.000 | 0.000 | 0.000 | -0.000 | 176.181 |
| 317.475 | 176.826 | 176.179 | -0.000 | 0.000 | 0.000 |
| 176.826 | 317.475 | 176.179 | 0.000 | -0.000 | 0.000 |
| 176.179 | 176.179 | 318.110 | -0.000 | -0.000 | -0.000 |
| -0.000 | 0.001 | 0.001 | 176.178 | -0.000 | -0.000 |
| 0.001 | -0.000 | 0.001 | -0.000 | 176.178 | -0.000 |
| 0.001 | 0.001 | -0.000 | -0.000 | -0.000 | 176.181 |
| 317.472 | 176.824 | 176.177 | 0.000 | -0.000 | 0.000 |
| 176.824 | 317.472 | 176.177 | 0.000 | 0.000 | 0.000 |
| 176.177 | 176.177 | 318.107 | 0.000 | 0.000 | 0.000 |
| 0.000 | -0.001 | -0.001 | 176.178 | 0.000 | 0.000 |
| -0.001 | 0.000 | -0.001 | 0.000 | 176.178 | 0.000 |
| -0.001 | -0.001 | 0.000 | 0.000 | 0.000 | 176.181 |
| 419.663 | 139.888 | 100.630 | -0.000 | 0.000 | -0.000 |
| 139.888 | 419.663 | 100.630 | 0.000 | 0.000 | 0.000 |
| 100.817 | 100.817 | 440.328 | -0.000 | -0.000 | -0.000 |
| -0.000 | 0.000 | 0.000 | 100.630 | -0.000 | -0.000 |
| -0.003 | -0.003 | 0.006 | -0.000 | 100.038 | -0.000 |
| -0.005 | -0.005 | 0.009 | -0.000 | 0.000 | 115.242 |
| 396.098 | 162.606 | 101.443 | 0.000 | 0.000 | 0.000 |
| 162.606 | 396.098 | 101.443 | 0.000 | -0.000 | 0.000 |
| 100.819 | 100.819 | 440.324 | 0.000 | 0.000 | 0.000 |
| -0.000 | -0.000 | -0.000 | 100.630 | 0.000 | 0.000 |
| 0.003 | 0.003 | -0.006 | 0.000 | 100.038 | 0.000 |
| 0.005 | 0.005 | -0.009 | 0.000 | -0.000 | 115.242 |
| 419.663 | 139.888 | 100.630 | 0.000 | 0.000 | -0.000 |
| 162.570 | 396.126 | 101.451 | -0.000 | 0.000 | -0.000 |
| 100.630 | 100.630 | 440.688 | -0.000 | -0.000 | -0.000 |
| 0.000 | 0.000 | 0.000 | 100.630 | -0.000 | -0.000 |
| -0.000 | -0.000 | 0.001 | 0.000 | 100.038 | -0.000 |
| -0.000 | -0.000 | 0.001 | -0.000 | -0.000 | 115.242 |
| 396.120 | 162.576 | 101.450 | 0.000 | 0.000 | 0.000 |
| 139.888 | 419.663 | 100.630 | 0.000 | -0.000 | 0.000 |
| 100.818 | 100.818 | 440.326 | 0.000 | -0.000 | 0.000 |
| -0.000 | -0.000 | -0.000 | 100.630 | -0.000 | 0.000 |
| 0.000 | 0.000 | -0.001 | -0.000 | 100.038 | 0.000 |
| 0.000 | 0.000 | -0.001 | 0.000 | -0.000 | 115.242 |
| 394.923 | 164.437 | 100.818 | -0.000 | 0.000 | -0.000 |
| 139.889 | 419.666 | 100.630 | -0.000 | 0.000 | -0.000 |
| 100.631 | 100.631 | 440.690 | -0.000 | 0.000 | -0.000 |
| 0.000 | 0.000 | 0.001 | 100.630 | -0.000 | -0.000 |
| 0.000 | 0.000 | 0.001 | -0.000 | 100.630 | -0.000 |
| 0.000 | 0.001 | 0.000 | -0.000 | 0.000 | 139.888 |
| 419.659 | 139.887 | 100.629 | 0.000 | -0.000 | 0.000 |
| 139.886 | 419.660 | 100.629 | 0.000 | -0.000 | 0.000 |
| 100.629 | 100.629 | 440.684 | 0.000 | -0.000 | 0.000 |
| -0.000 | -0.000 | -0.001 | 100.630 | 0.000 | 0.000 |
| -0.000 | -0.000 | -0.001 | 0.000 | 100.630 | 0.000 |
| -0.000 | -0.001 | -0.000 | -0.000 | -0.000 | 139.888 |
| 418.664 | 139.471 | 100.855 | 0.000 | 0.000 | 0.000 |
| 139.471 | 418.664 | 100.855 | -0.000 | -0.000 | -0.000 |
| 100.746 | 100.746 | 440.987 | 0.000 | 0.000 | 0.000 |
| 0.205 | 0.205 | -0.394 | 100.486 | -0.000 | 0.000 |
| -0.000 | 0.000 | 0.000 | -0.000 | 100.761 | 0.000 |
| -0.000 | 0.000 | 0.000 | -0.000 | 0.000 | 139.596 |
| 418.664 | 139.471 | 100.855 | -0.000 | -0.000 | -0.000 |
| 157.043 | 399.481 | 102.402 | 0.000 | -0.000 | -0.000 |
| 100.746 | 100.746 | 440.987 | 0.000 | -0.000 | -0.000 |
| -0.205 | -0.205 | 0.394 | 100.486 | 0.000 | -0.000 |
| 0.000 | -0.000 | -0.000 | 0.000 | 100.761 | -0.000 |
| 0.000 | -0.000 | -0.000 | -0.000 | -0.000 | 139.596 |
| 394.760 | 162.627 | 101.574 | 0.000 | 0.000 | 0.000 |
| 139.471 | 418.664 | 100.855 | -0.000 | 0.000 | 0.000 |
| 100.948 | 100.948 | 440.600 | -0.000 | -0.000 | 0.000 |
| 0.043 | 0.043 | -0.083 | 100.184 | 0.000 | 0.000 |
| 0.000 | 0.000 | 0.000 | 0.000 | 100.761 | -0.000 |
| 0.000 | 0.000 | 0.000 | 0.000 | 0.000 | 139.596 |
| 395.428 | 161.751 | 101.772 | -0.000 | 0.000 | -0.000 |
| 139.471 | 418.664 | 100.855 | 0.000 | -0.000 | -0.000 |
| 100.746 | 100.746 | 440.987 | -0.000 | -0.000 | -0.000 |
| -0.043 | -0.043 | 0.083 | 100.184 | -0.000 | -0.000 |
| -0.000 | -0.000 | -0.000 | -0.000 | 100.761 | -0.000 |
| -0.000 | -0.000 | -0.000 | -0.000 | -0.000 | 139.596 |
| 393.881 | 164.065 | 101.041 | 0.000 | -0.000 | -0.000 |
| 139.473 | 418.667 | 100.856 | -0.000 | 0.000 | 0.000 |
| 100.937 | 100.937 | 440.626 | -0.000 | 0.000 | -0.000 |
| 0.002 | 0.001 | -0.002 | 100.171 | -0.000 | 0.000 |
| 0.000 | 0.000 | 0.001 | -0.000 | 100.761 | 0.000 |
| -0.001 | -0.000 | 0.002 | 0.000 | 0.000 | 114.906 |
| 418.660 | 139.471 | 100.855 | -0.000 | -0.000 | -0.000 |
| 139.470 | 418.661 | 100.855 | -0.000 | -0.000 | -0.000 |
| 100.932 | 100.932 | 440.625 | 0.000 | -0.000 | 0.000 |
| -0.002 | -0.001 | 0.002 | 100.171 | 0.000 | 0.000 |
| -0.000 | -0.000 | -0.001 | 0.000 | 100.761 | -0.000 |
| 0.001 | 0.000 | -0.002 | -0.000 | -0.000 | 114.906 |
| 425.057 | 71.889 | 177.494 | -0.000 | 0.000 | 0.000 |
| 71.889 | 425.057 | 177.494 | 0.000 | 0.000 | 0.000 |
| 177.494 | 177.494 | 319.406 | -0.000 | -0.000 | 0.000 |
| -0.000 | -0.000 | -0.000 | 177.474 | 0.000 | 0.000 |
| -0.000 | -0.000 | 0.000 | 0.000 | 177.474 | 0.000 |
| -0.000 | -0.000 | 0.000 | 0.000 | 0.000 | 71.895 |
| 425.057 | 71.889 | 177.494 | -0.000 | -0.000 | -0.000 |
| 71.889 | 425.057 | 177.494 | -0.000 | -0.000 | -0.000 |
| 177.494 | 177.494 | 319.406 | -0.000 | -0.000 | -0.000 |
| 0.000 | 0.000 | -0.000 | 177.474 | 0.000 | -0.000 |
| 0.000 | 0.000 | -0.000 | 0.000 | 177.474 | -0.000 |
| 0.000 | 0.000 | -0.000 | -0.000 | -0.000 | 71.895 |
| 425.058 | 71.889 | 177.494 | 0.000 | 0.000 | 0.000 |
| 71.889 | 425.058 | 177.494 | 0.000 | 0.000 | 0.000 |
| 177.494 | 177.494 | 319.406 | -0.000 | 0.000 | 0.000 |
| 0.000 | 0.000 | 0.000 | 177.474 | -0.000 | 0.000 |
| 0.000 | 0.000 | 0.000 | 0.000 | 177.474 | 0.000 |
| 0.000 | -0.000 | 0.000 | 0.000 | 0.000 | 71.895 |
| 425.057 | 71.889 | 177.494 | -0.000 | -0.000 | -0.000 |
| 71.889 | 425.057 | 177.494 | -0.000 | -0.000 | -0.000 |
| 177.493 | 177.493 | 319.405 | -0.000 | -0.000 | -0.000 |
| -0.000 | -0.000 | -0.000 | 177.474 | 0.000 | -0.000 |
| -0.000 | -0.000 | -0.000 | -0.000 | 177.474 | -0.000 |
| -0.000 | 0.000 | -0.000 | -0.000 | 0.000 | 71.895 |
| 425.057 | 71.885 | 177.499 | 0.000 | 0.000 | 0.000 |
| 71.885 | 425.057 | 177.499 | -0.000 | 0.000 | 0.000 |
| 177.500 | 177.500 | 319.400 | 0.000 | -0.000 | 0.000 |
| 0.000 | 0.000 | 0.001 | 177.467 | 0.000 | 0.000 |
| 0.000 | 0.000 | 0.001 | 0.000 | 177.467 | 0.000 |
| 0.000 | 0.000 | 0.000 | 0.000 | 0.000 | 71.895 |
| 425.060 | 71.894 | 177.485 | -0.000 | -0.000 | -0.000 |
| 71.894 | 425.060 | 177.485 | -0.000 | 0.000 | -0.000 |
| 177.485 | 177.485 | 319.414 | -0.000 | -0.000 | -0.000 |
| -0.000 | -0.000 | -0.001 | 177.467 | -0.000 | -0.000 |
| -0.000 | -0.000 | -0.001 | -0.000 | 177.467 | -0.000 |
| -0.000 | -0.000 | -0.000 | -0.000 | -0.000 | 71.895 |
| 421.620 | 71.017 | 175.883 | -0.000 | -0.000 | -0.000 |
| 71.017 | 421.620 | 175.883 | -0.000 | -0.000 | -0.000 |
| 175.873 | 175.873 | 316.927 | -0.000 | -0.000 | -0.000 |
| 0.007 | 0.007 | -0.011 | 176.348 | -0.000 | -0.000 |
| 0.007 | 0.007 | -0.011 | -0.000 | 176.348 | -0.000 |
| 0.000 | -0.000 | 0.000 | -0.000 | 0.000 | 71.510 |
| 421.619 | 71.015 | 175.886 | 0.000 | 0.000 | 0.000 |
| 71.015 | 421.619 | 175.886 | 0.000 | 0.000 | 0.000 |
| 175.874 | 175.874 | 316.927 | 0.000 | 0.000 | 0.000 |
| -0.007 | -0.007 | 0.011 | 176.348 | 0.000 | 0.000 |
| -0.007 | -0.007 | 0.011 | 0.000 | 176.348 | 0.000 |
| -0.000 | 0.000 | -0.000 | 0.000 | 0.000 | 71.510 |
| 421.609 | 71.005 | 175.899 | -0.000 | -0.000 | -0.000 |
| 71.005 | 421.609 | 175.899 | -0.000 | -0.000 | -0.000 |
| 175.873 | 175.873 | 316.927 | -0.000 | -0.000 | -0.000 |
| 0.001 | 0.001 | -0.002 | 176.344 | 0.000 | -0.000 |
| 0.001 | 0.001 | -0.002 | -0.000 | 176.344 | -0.000 |
| 0.001 | 0.001 | -0.001 | -0.000 | 0.000 | 71.510 |
| 421.613 | 71.010 | 175.893 | 0.000 | 0.000 | 0.000 |
| 71.010 | 421.613 | 175.893 | 0.000 | -0.000 | 0.000 |
| 175.884 | 175.884 | 316.912 | 0.000 | -0.000 | 0.000 |
| -0.001 | -0.001 | 0.002 | 176.344 | -0.000 | 0.000 |
| -0.001 | -0.001 | 0.002 | 0.000 | 176.344 | 0.000 |
| -0.001 | -0.001 | 0.001 | 0.000 | -0.000 | 71.510 |
| 421.622 | 71.016 | 175.887 | -0.000 | -0.000 | -0.000 |
| 71.016 | 421.622 | 175.887 | -0.000 | 0.000 | -0.000 |
| 175.884 | 175.884 | 316.916 | -0.000 | -0.000 | -0.000 |
| 0.000 | -0.000 | 0.001 | 176.337 | 0.000 | -0.000 |
| -0.000 | 0.000 | 0.001 | -0.000 | 176.337 | -0.000 |
| 0.000 | 0.000 | 0.000 | -0.000 | 0.000 | 71.510 |
| 421.615 | 71.015 | 175.886 | 0.000 | 0.000 | 0.000 |
| 71.015 | 421.615 | 175.886 | 0.000 | -0.000 | 0.000 |
| 175.879 | 175.879 | 316.916 | 0.000 | -0.000 | 0.000 |
| -0.000 | 0.000 | -0.001 | 176.337 | -0.000 | 0.000 |
| 0.000 | -0.000 | -0.001 | 0.000 | 176.337 | 0.000 |
| -0.000 | -0.000 | -0.000 | 0.000 | -0.000 | 71.510 |
| 127.258 | 168.525 | 163.244 | -0.000 | 0.000 | -0.000 |
| 168.008 | 317.664 | -21.105 | 0.000 | -0.000 | -0.000 |
| 167.551 | -20.593 | 315.897 | 0.000 | -0.000 | -0.000 |
| -0.000 | -0.000 | -0.000 | -19.550 | -0.000 | -0.000 |
| -0.000 | -0.000 | 0.000 | 0.000 | 168.655 | -0.000 |
| -0.000 | -0.000 | 0.000 | 0.000 | -0.000 | 168.601 |
| 126.831 | 168.587 | 162.746 | -0.000 | 0.000 | 0.000 |
| 168.162 | 317.643 | -20.907 | 0.000 | 0.000 | 0.000 |
| 163.729 | -20.047 | 311.232 | -0.000 | 0.000 | 0.000 |
| 0.000 | 0.000 | 0.000 | -19.550 | 0.000 | 0.000 |
| 0.000 | 0.000 | -0.000 | -0.000 | 168.655 | 0.000 |
| 0.000 | 0.000 | -0.000 | -0.000 | 0.000 | 168.601 |
| 130.436 | 168.069 | 167.101 | 0.000 | -0.000 | -0.000 |
| 168.008 | 317.665 | -21.105 | 0.000 | -0.000 | -0.000 |
| 167.551 | -20.593 | 315.897 | 0.000 | -0.000 | -0.000 |
| 0.062 | -0.010 | 0.054 | -20.188 | 0.000 | -0.000 |
| 0.011 | -0.002 | 0.010 | 0.000 | 162.908 | -0.000 |
| 0.000 | 0.000 | -0.000 | 0.000 | -0.000 | 168.601 |
| 127.588 | 168.476 | 163.615 | -0.000 | 0.000 | 0.000 |
| 168.361 | 317.614 | -20.671 | -0.000 | 0.000 | 0.000 |
| 164.233 | -20.120 | 311.831 | 0.000 | 0.000 | -0.000 |
| -0.062 | 0.010 | -0.054 | -20.188 | -0.000 | 0.000 |
| -0.011 | 0.002 | -0.010 | -0.000 | 162.908 | 0.000 |
| -0.000 | -0.000 | 0.000 | -0.000 | 0.000 | 168.601 |
| 130.437 | 168.070 | 167.101 | 0.000 | -0.000 | 0.000 |
| 168.009 | 317.666 | -21.105 | -0.000 | -0.000 | -0.000 |
| 167.552 | -20.593 | 315.899 | -0.000 | -0.000 | -0.000 |
| 0.006 | -0.001 | 0.005 | -20.188 | -0.000 | -0.000 |
| 0.000 | -0.000 | 0.001 | 0.000 | 168.655 | -0.000 |
| 0.000 | 0.001 | -0.000 | 0.000 | -0.000 | 168.601 |
| 130.436 | 168.069 | 167.100 | 0.000 | 0.000 | 0.000 |
| 168.007 | 317.662 | -21.105 | 0.000 | 0.000 | 0.000 |
| 167.550 | -20.593 | 315.895 | 0.000 | 0.000 | 0.000 |
| -0.006 | 0.001 | -0.005 | -20.188 | 0.000 | 0.000 |
| -0.000 | 0.000 | -0.001 | -0.000 | 168.655 | 0.000 |
| -0.000 | -0.001 | 0.000 | -0.000 | 0.000 | 168.601 |
| 241.252 | -16.916 | -16.916 | 0.000 | -0.000 | -0.000 |
| -16.916 | 241.252 | -16.916 | 0.000 | -0.000 | -0.000 |
| -16.916 | -16.916 | 241.252 | 0.000 | -0.000 | -0.000 |
| 0.000 | -0.000 | -0.000 | -16.916 | -0.000 | -0.000 |
| 0.000 | -0.000 | 0.000 | 0.000 | -16.916 | -0.000 |
| 0.000 | -0.000 | 0.000 | 0.000 | -0.000 | -16.916 |
| 241.252 | -16.916 | -16.916 | -0.000 | 0.000 | 0.000 |
| -16.916 | 241.252 | -16.916 | -0.000 | 0.000 | 0.000 |
| -16.916 | -16.916 | 241.252 | -0.000 | 0.000 | 0.000 |
| -0.000 | 0.000 | 0.000 | -16.916 | 0.000 | 0.000 |
| -0.000 | 0.000 | -0.000 | -0.000 | -16.916 | 0.000 |
| -0.000 | 0.000 | -0.000 | -0.000 | 0.000 | -16.916 |
| 241.252 | -16.916 | -16.916 | 0.000 | -0.000 | -0.000 |
| -16.916 | 241.252 | -16.916 | 0.000 | -0.000 | -0.000 |
| -16.916 | -16.916 | 241.252 | 0.000 | -0.000 | -0.000 |
| 0.000 | 0.000 | -0.000 | -16.916 | -0.000 | -0.000 |
| 0.000 | -0.000 | -0.000 | 0.000 | -16.916 | -0.000 |
| 0.000 | -0.000 | 0.000 | 0.000 | -0.000 | -16.916 |
| 241.252 | -16.916 | -16.916 | -0.000 | 0.000 | 0.000 |
| -16.916 | 241.252 | -16.916 | -0.000 | 0.000 | 0.000 |
| -16.916 | -16.916 | 241.252 | 0.000 | 0.000 | 0.000 |
| -0.000 | -0.000 | 0.000 | -16.916 | 0.000 | 0.000 |
| -0.000 | 0.000 | 0.000 | -0.000 | -16.916 | 0.000 |
| -0.000 | 0.000 | -0.000 | -0.000 | 0.000 | -16.916 |
| 241.255 | -16.916 | -16.916 | 0.000 | -0.000 | -0.000 |
| -16.916 | 241.255 | -16.916 | 0.000 | -0.000 | -0.000 |
| -16.916 | -16.916 | 241.255 | 0.000 | -0.000 | -0.000 |
| 0.000 | 0.000 | -0.000 | -16.916 | -0.000 | -0.000 |
| 0.000 | 0.000 | -0.000 | 0.000 | -16.916 | -0.000 |
| 0.000 | -0.000 | 0.000 | 0.000 | -0.000 | -16.916 |
| 241.250 | -16.916 | -16.916 | -0.000 | 0.000 | 0.000 |
| -16.916 | 241.250 | -16.916 | -0.000 | 0.000 | 0.000 |
| -16.916 | -16.916 | 241.250 | 0.000 | 0.000 | 0.000 |
| -0.000 | -0.000 | 0.000 | -16.916 | 0.000 | 0.000 |
| -0.000 | -0.000 | 0.000 | -0.000 | -16.916 | 0.000 |
| -0.000 | 0.000 | -0.000 | -0.000 | 0.000 | -16.916 |
| 104.752 | 129.916 | 129.916 | -0.000 | 0.000 | 0.000 |
| 129.916 | 104.752 | 129.916 | -0.000 | -0.000 | 0.000 |
| 129.916 | 129.916 | 104.752 | 0.000 | 0.000 | 0.000 |
| 0.000 | 0.000 | 0.000 | 129.916 | 0.000 | 0.000 |
| 0.000 | 0.000 | 0.000 | 0.000 | 129.916 | 0.000 |
| 0.000 | 0.000 | 0.000 | -0.000 | 0.000 | 129.916 |
| 104.752 | 129.916 | 129.916 | 0.000 | -0.000 | -0.000 |
| 129.916 | 104.752 | 129.916 | 0.000 | -0.000 | 0.000 |
| 129.916 | 129.916 | 104.752 | 0.000 | -0.000 | -0.000 |
| -0.000 | 0.000 | -0.000 | 129.916 | -0.000 | -0.000 |
| -0.000 | -0.000 | -0.000 | -0.000 | 129.916 | -0.000 |
| -0.000 | -0.000 | -0.000 | 0.000 | -0.000 | 129.916 |
| 104.752 | 129.916 | 129.916 | -0.000 | -0.000 | 0.000 |
| 129.916 | 104.752 | 129.916 | -0.000 | 0.000 | 0.000 |
| 129.916 | 129.916 | 104.752 | -0.000 | 0.000 | 0.000 |
| 0.000 | 0.000 | 0.000 | 129.916 | 0.000 | 0.000 |
| 0.000 | 0.000 | 0.000 | 0.000 | 129.916 | 0.000 |
| 0.000 | 0.000 | 0.000 | -0.000 | 0.000 | 129.916 |
| 104.752 | 129.916 | 129.916 | 0.000 | -0.000 | -0.000 |
| 129.916 | 104.752 | 129.916 | -0.000 | -0.000 | 0.000 |
| 129.916 | 129.916 | 104.752 | -0.000 | -0.000 | 0.000 |
| -0.000 | -0.000 | -0.000 | 129.916 | 0.000 | 0.000 |
| -0.000 | -0.000 | -0.000 | 0.000 | 129.916 | -0.000 |
| -0.000 | -0.000 | -0.000 | -0.000 | -0.000 | 129.916 |
| 104.753 | 129.917 | 129.917 | -0.000 | 0.000 | 0.000 |
| 129.917 | 104.753 | 129.917 | -0.000 | 0.000 | 0.000 |
| 129.917 | 129.917 | 104.753 | -0.000 | 0.000 | 0.000 |
| 0.000 | 0.000 | 0.000 | 129.916 | 0.000 | 0.000 |
| 0.000 | 0.000 | 0.000 | 0.000 | 129.916 | 0.000 |
| 0.000 | 0.000 | 0.000 | -0.000 | 0.000 | 129.916 |
| 104.752 | 129.916 | 129.916 | 0.000 | 0.000 | -0.000 |
| 129.916 | 104.752 | 129.916 | 0.000 | -0.000 | -0.000 |
| 129.916 | 129.916 | 104.752 | -0.000 | 0.000 | -0.000 |
| -0.000 | -0.000 | -0.000 | 129.916 | -0.000 | 0.000 |
| -0.000 | -0.000 | -0.000 | 0.000 | 129.916 | -0.000 |
| -0.000 | -0.000 | -0.000 | 0.000 | -0.000 | 129.916 |
| 18.433 | 25.713 | 25.713 | -0.000 | -0.000 | -0.000 |
| 25.713 | 18.433 | 25.713 | -0.000 | -0.000 | -0.000 |
| 25.713 | 25.713 | 18.433 | -0.000 | -0.000 | -0.000 |
| -0.000 | 0.000 | 0.000 | -6.979 | -0.000 | -0.000 |
| -0.000 | 0.000 | 0.000 | -0.000 | -6.979 | -0.000 |
| -0.000 | -0.000 | 0.000 | -0.000 | -0.000 | -6.979 |
| 18.433 | 25.713 | 25.713 | 0.000 | 0.000 | 0.000 |
| 25.713 | 18.433 | 25.713 | 0.000 | 0.000 | 0.000 |
| 25.713 | 25.713 | 18.433 | 0.000 | 0.000 | 0.000 |
| 0.000 | -0.000 | -0.000 | -6.979 | 0.000 | 0.000 |
| 0.000 | -0.000 | -0.000 | 0.000 | -6.979 | 0.000 |
| 0.000 | -0.000 | -0.000 | 0.000 | 0.000 | -6.979 |
| 18.433 | 25.713 | 25.713 | -0.000 | -0.000 | -0.000 |
| 25.713 | 18.433 | 25.713 | -0.000 | -0.000 | -0.000 |
| 25.713 | 25.713 | 18.433 | -0.000 | -0.000 | 0.000 |
| -0.000 | -0.000 | -0.000 | -6.979 | -0.000 | -0.000 |
| -0.000 | -0.000 | -0.000 | -0.000 | -6.979 | -0.000 |
| -0.000 | -0.000 | -0.000 | -0.000 | -0.000 | -6.979 |
| 18.433 | 25.712 | 25.712 | 0.000 | 0.000 | 0.000 |
| 25.712 | 18.433 | 25.712 | 0.000 | 0.000 | 0.000 |
| 25.712 | 25.712 | 18.433 | 0.000 | 0.000 | 0.000 |
| 0.000 | 0.000 | 0.000 | -6.979 | 0.000 | 0.000 |
| 0.000 | 0.000 | 0.000 | -0.000 | -6.979 | 0.000 |
| 0.000 | 0.000 | 0.000 | 0.000 | 0.000 | -6.979 |
| 18.433 | 25.713 | 25.713 | -0.000 | -0.000 | -0.000 |
| 25.713 | 18.433 | 25.713 | -0.000 | -0.000 | -0.000 |
| 25.713 | 25.713 | 18.433 | -0.000 | -0.000 | -0.000 |
| -0.000 | -0.000 | -0.000 | -6.979 | -0.000 | -0.000 |
| -0.000 | -0.000 | -0.000 | -0.000 | -6.979 | -0.000 |
| -0.000 | -0.000 | -0.000 | -0.000 | -0.000 | -6.979 |
| 18.433 | 25.712 | 25.712 | 0.000 | 0.000 | 0.000 |
| 25.712 | 18.433 | 25.712 | 0.000 | 0.000 | 0.000 |
| 25.712 | 25.712 | 18.433 | 0.000 | 0.000 | 0.000 |
| 0.000 | 0.000 | 0.000 | -6.979 | 0.000 | 0.000 |
| 0.000 | 0.000 | 0.000 | 0.000 | -6.979 | 0.000 |
| 0.000 | 0.000 | 0.000 | 0.000 | 0.000 | -6.979 |
| 261.727 | 42.598 | 111.603 | 0.000 | 0.000 | -0.000 |
| 42.598 | 261.727 | 111.603 | 0.000 | -0.000 | -0.000 |
| 111.603 | 111.603 | 194.450 | -0.000 | 0.000 | 0.000 |
| 0.000 | -0.000 | 0.000 | 111.603 | -0.000 | 0.000 |
| -0.000 | 0.000 | 0.000 | 0.000 | 111.603 | 0.000 |
| -0.000 | 0.000 | 0.000 | -0.000 | 0.000 | 42.598 |
| 261.727 | 42.598 | 111.603 | -0.000 | -0.000 | 0.000 |
| 42.598 | 261.727 | 111.603 | 0.000 | 0.000 | -0.000 |
| 111.603 | 111.603 | 194.450 | 0.000 | -0.000 | -0.000 |
| -0.000 | -0.000 | -0.000 | 111.603 | 0.000 | 0.000 |
| 0.000 | -0.000 | -0.000 | 0.000 | 111.603 | -0.000 |
| 0.000 | -0.000 | -0.000 | 0.000 | 0.000 | 42.598 |
| 261.727 | 42.598 | 111.603 | -0.000 | -0.000 | 0.000 |
| 42.598 | 261.727 | 111.603 | 0.000 | -0.000 | -0.000 |
| 111.603 | 111.603 | 194.450 | -0.000 | -0.000 | 0.000 |
| 0.000 | 0.000 | 0.000 | 111.603 | -0.000 | -0.000 |
| 0.000 | 0.000 | 0.000 | 0.000 | 111.603 | 0.000 |
| 0.000 | 0.000 | 0.000 | -0.000 | 0.000 | 42.598 |
| 261.727 | 42.598 | 111.603 | 0.000 | -0.000 | -0.000 |
| 42.598 | 261.727 | 111.603 | 0.000 | 0.000 | 0.000 |
| 111.603 | 111.603 | 194.450 | 0.000 | 0.000 | -0.000 |
| -0.000 | -0.000 | -0.000 | 111.603 | -0.000 | -0.000 |
| -0.000 | -0.000 | -0.000 | -0.000 | 111.603 | -0.000 |
| -0.000 | -0.000 | -0.000 | -0.000 | 0.000 | 42.598 |
| 261.729 | 42.599 | 111.603 | 0.000 | -0.000 | -0.000 |
| 42.599 | 261.729 | 111.603 | -0.000 | -0.000 | -0.000 |
| 111.604 | 111.604 | 194.451 | -0.000 | -0.000 | 0.000 |
| 0.000 | 0.000 | 0.001 | 111.603 | 0.000 | -0.000 |
| 0.000 | 0.000 | 0.001 | -0.000 | 111.603 | -0.000 |
| 0.000 | 0.000 | 0.000 | -0.000 | 0.000 | 42.598 |
| 261.725 | 42.598 | 111.603 | -0.000 | -0.000 | 0.000 |
| 42.598 | 261.725 | 111.603 | -0.000 | 0.000 | 0.000 |
| 111.602 | 111.602 | 194.449 | 0.000 | 0.000 | -0.000 |
| -0.000 | -0.000 | -0.001 | 111.603 | -0.000 | 0.000 |
| -0.000 | -0.000 | -0.001 | 0.000 | 111.603 | 0.000 |
| -0.000 | -0.000 | -0.000 | 0.000 | 0.000 | 42.598 |
| 58.997 | 61.304 | 61.304 | -0.000 | 0.000 | -0.000 |
| 61.304 | 58.997 | 61.304 | -0.000 | 0.000 | 0.000 |
| 61.304 | 61.304 | 58.997 | -0.000 | 0.000 | 0.000 |
| -0.000 | 0.000 | 0.000 | -0.406 | 0.000 | -0.000 |
| -0.000 | -0.000 | 0.000 | -0.000 | -0.406 | 0.000 |
| -0.000 | -0.000 | 0.000 | -0.000 | 0.000 | -0.406 |
| 58.997 | 61.304 | 61.304 | 0.000 | -0.000 | 0.000 |
| 61.304 | 58.997 | 61.304 | 0.000 | -0.000 | -0.000 |
| 61.304 | 61.304 | 58.997 | 0.000 | -0.000 | -0.000 |
| 0.000 | 0.000 | -0.000 | -0.406 | -0.000 | 0.000 |
| 0.000 | 0.000 | 0.000 | 0.000 | -0.406 | -0.000 |
| 0.000 | 0.000 | -0.000 | 0.000 | -0.000 | -0.406 |
| 58.997 | 61.304 | 61.304 | -0.000 | 0.000 | 0.000 |
| 61.304 | 58.997 | 61.304 | -0.000 | 0.000 | 0.000 |
| 61.304 | 61.304 | 58.997 | -0.000 | 0.000 | -0.000 |
| 0.000 | -0.000 | -0.000 | -0.406 | 0.000 | 0.000 |
| -0.000 | 0.000 | -0.000 | -0.000 | -0.406 | 0.000 |
| -0.000 | -0.000 | 0.000 | -0.000 | 0.000 | -0.406 |
| 58.997 | 61.304 | 61.304 | 0.000 | -0.000 | -0.000 |
| 61.304 | 58.997 | 61.304 | 0.000 | 0.000 | -0.000 |
| 61.304 | 61.304 | 58.997 | 0.000 | 0.000 | -0.000 |
| -0.000 | 0.000 | 0.000 | -0.406 | -0.000 | -0.000 |
| 0.000 | -0.000 | 0.000 | 0.000 | -0.406 | -0.000 |
| 0.000 | 0.000 | -0.000 | 0.000 | -0.000 | -0.406 |
| 58.998 | 61.304 | 61.304 | -0.000 | -0.000 | -0.000 |
| 61.304 | 58.998 | 61.304 | -0.000 | 0.000 | -0.000 |
| 61.304 | 61.304 | 58.998 | -0.000 | 0.000 | 0.000 |
| 0.000 | -0.000 | -0.000 | -0.406 | -0.000 | 0.000 |
| -0.000 | 0.000 | -0.000 | -0.000 | -0.406 | 0.000 |
| -0.000 | -0.000 | 0.000 | -0.000 | 0.000 | -0.406 |
| 58.997 | 61.303 | 61.303 | -0.000 | -0.000 | -0.000 |
| 61.303 | 58.997 | 61.303 | 0.000 | -0.000 | -0.000 |
| 61.303 | 61.303 | 58.997 | 0.000 | 0.000 | -0.000 |
| -0.000 | 0.000 | 0.000 | -0.406 | 0.000 | -0.000 |
| 0.000 | -0.000 | 0.000 | 0.000 | -0.406 | -0.000 |
| 0.000 | 0.000 | -0.000 | 0.000 | -0.000 | -0.406 |
| 105.723 | 130.081 | 130.081 | -0.000 | -0.000 | -0.000 |
| 130.081 | 105.723 | 130.081 | -0.000 | -0.000 | -0.000 |
| 130.081 | 130.081 | 105.723 | -0.000 | -0.000 | -0.000 |
| 0.000 | -0.000 | -0.000 | 129.430 | -0.000 | -0.000 |
| -0.000 | -0.000 | -0.000 | -0.000 | 129.430 | -0.000 |
| -0.000 | -0.000 | -0.000 | -0.000 | -0.000 | 129.430 |
| 105.723 | 130.081 | 130.081 | 0.000 | 0.000 | 0.000 |
| 130.081 | 105.723 | 130.081 | 0.000 | 0.000 | 0.000 |
| 130.081 | 130.081 | 105.723 | 0.000 | 0.000 | 0.000 |
| -0.000 | 0.000 | 0.000 | 129.430 | 0.000 | 0.000 |
| 0.000 | 0.000 | 0.000 | 0.000 | 129.430 | 0.000 |
| 0.000 | 0.000 | 0.000 | 0.000 | 0.000 | 129.430 |
| 105.723 | 130.081 | 130.081 | -0.000 | -0.000 | -0.000 |
| 130.081 | 105.723 | 130.081 | -0.000 | -0.000 | -0.000 |
| 130.081 | 130.081 | 105.723 | -0.000 | -0.000 | -0.000 |
| 0.000 | 0.000 | 0.000 | 130.081 | -0.000 | -0.000 |
| 0.000 | 0.000 | 0.000 | -0.000 | 130.081 | -0.000 |
| 0.000 | 0.000 | 0.000 | -0.000 | -0.000 | 130.081 |
| 105.723 | 130.081 | 130.081 | 0.000 | 0.000 | 0.000 |
| 130.081 | 105.723 | 130.081 | 0.000 | 0.000 | 0.000 |
| 130.081 | 130.081 | 105.723 | 0.000 | 0.000 | 0.000 |
| -0.000 | -0.000 | -0.000 | 130.081 | 0.000 | 0.000 |
| -0.000 | -0.000 | -0.000 | 0.000 | 130.081 | 0.000 |
| -0.000 | -0.000 | -0.000 | 0.000 | 0.000 | 130.081 |
| 105.724 | 130.082 | 130.082 | -0.000 | -0.000 | -0.000 |
| 130.082 | 105.724 | 130.082 | -0.000 | -0.000 | -0.000 |
| 130.082 | 130.082 | 105.724 | -0.000 | -0.000 | -0.000 |
| 0.000 | 0.000 | 0.000 | 130.081 | 0.000 | -0.000 |
| 0.000 | 0.000 | 0.000 | 0.000 | 130.081 | -0.000 |
| 0.000 | 0.000 | 0.000 | -0.000 | -0.000 | 130.081 |
| 105.723 | 130.081 | 130.081 | 0.000 | 0.000 | 0.000 |
| 130.081 | 105.723 | 130.081 | 0.000 | 0.000 | 0.000 |
| 130.081 | 130.081 | 105.723 | 0.000 | 0.000 | 0.000 |
| -0.000 | -0.000 | -0.000 | 130.081 | 0.000 | 0.000 |
| -0.000 | -0.000 | -0.000 | 0.000 | 130.081 | 0.000 |
| -0.000 | -0.000 | -0.000 | 0.000 | 0.000 | 130.081 |
| 250.684 | 10.551 | 10.551 | 0.000 | -0.000 | -0.000 |
| 10.551 | 250.684 | 10.551 | -0.000 | -0.000 | -0.000 |
| 10.551 | 10.551 | 250.684 | -0.000 | -0.000 | -0.000 |
| -0.000 | 0.000 | 0.000 | 10.384 | 0.000 | -0.000 |
| 0.000 | -0.000 | -0.000 | -0.000 | 10.384 | -0.000 |
| 0.000 | -0.000 | -0.000 | -0.000 | -0.000 | 10.384 |
| 250.684 | 10.551 | 10.551 | 0.000 | -0.000 | 0.000 |
| 10.551 | 250.684 | 10.551 | 0.000 | 0.000 | 0.000 |
| 10.551 | 10.551 | 250.684 | -0.000 | 0.000 | 0.000 |
| 0.000 | -0.000 | 0.000 | 10.384 | -0.000 | -0.000 |
| -0.000 | 0.000 | 0.000 | -0.000 | 10.384 | 0.000 |
| -0.000 | 0.000 | 0.000 | 0.000 | 0.000 | 10.384 |
| 250.685 | 10.551 | 10.551 | -0.000 | 0.000 | -0.000 |
| 10.551 | 250.685 | 10.551 | -0.000 | -0.000 | -0.000 |
| 10.551 | 10.551 | 250.685 | -0.000 | 0.000 | -0.000 |
| 0.000 | 0.000 | -0.000 | 10.384 | -0.000 | -0.000 |
| 0.000 | 0.000 | -0.000 | -0.000 | 10.384 | -0.000 |
| 0.000 | -0.000 | 0.000 | -0.000 | -0.000 | 10.384 |
| 250.684 | 10.551 | 10.551 | 0.000 | -0.000 | 0.000 |
| 10.551 | 250.684 | 10.551 | -0.000 | -0.000 | -0.000 |
| 10.551 | 10.551 | 250.684 | -0.000 | -0.000 | 0.000 |
| -0.000 | -0.000 | 0.000 | 10.384 | 0.000 | -0.000 |
| -0.000 | -0.000 | 0.000 | 0.000 | 10.384 | 0.000 |
| -0.000 | 0.000 | -0.000 | 0.000 | -0.000 | 10.384 |
| 250.686 | 10.551 | 10.551 | -0.000 | 0.000 | -0.000 |
| 10.551 | 250.686 | 10.551 | -0.000 | -0.000 | -0.000 |
| 10.551 | 10.551 | 250.686 | -0.000 | -0.000 | -0.000 |
| -1823707.992 | -2024732.665 | -1835974.163 | 55079.656 | -41425.933 | 9098.994 |
| -2014044.941 | -1794021.112 | -1850862.080 | 7607.849 | 6206.748 | -44805.214 |
| -1934371.222 | -1888485.962 | -1866312.337 | -29273.914 | -26767.198 | 5845.403 |
| 250.682 | 10.551 | 10.551 | 0.000 | -0.000 | 0.000 |
| 10.551 | 250.682 | 10.551 | 0.000 | -0.000 | 0.000 |
| 10.551 | 10.551 | 250.682 | 0.000 | 0.000 | 0.000 |
| 1844995.483 | 1876766.603 | 1836797.148 | 7641.882 | -58030.076 | 120870.668 |
| 1837675.709 | 1823582.230 | 1937172.424 | 103295.400 | -34025.818 | 47343.090 |
| 1874810.084 | 1982146.337 | 1797061.891 | -70700.537 | -41908.043 | -62149.523 |
| 85.919 | 106.489 | 106.489 | 0.000 | -0.000 | 0.000 |
| 106.489 | 85.919 | 106.489 | 0.000 | -0.000 | 0.000 |
| 106.489 | 106.489 | 85.919 | 0.000 | -0.000 | 0.000 |
| 0.000 | 0.000 | 0.000 | 102.561 | -0.000 | -0.000 |
| 0.000 | 0.000 | 0.000 | -0.000 | 102.561 | 0.000 |
| 0.000 | -0.000 | 0.000 | 0.000 | -0.000 | 102.561 |
| 85.919 | 106.489 | 106.489 | -0.000 | 0.000 | -0.000 |
| 106.489 | 85.919 | 106.489 | -0.000 | 0.000 | -0.000 |
| 106.489 | 106.489 | 85.919 | -0.000 | 0.000 | 0.000 |
| -0.000 | 0.000 | -0.000 | 102.561 | 0.000 | -0.000 |
| -0.000 | -0.000 | -0.000 | -0.000 | 102.561 | -0.000 |
| -0.000 | -0.000 | -0.000 | -0.000 | 0.000 | 102.561 |
| 85.919 | 106.489 | 106.489 | 0.000 | -0.000 | -0.000 |
| 106.489 | 85.919 | 106.489 | 0.000 | -0.000 | -0.000 |
| 106.489 | 106.489 | 85.919 | 0.000 | -0.000 | 0.000 |
| 0.000 | 0.000 | 0.000 | 102.561 | 0.000 | 0.000 |
| 0.000 | 0.000 | 0.000 | 0.000 | 102.561 | 0.000 |
| 0.000 | 0.000 | 0.000 | 0.000 | -0.000 | 102.561 |
| 85.919 | 106.489 | 106.489 | -0.000 | 0.000 | -0.000 |
| 106.489 | 85.919 | 106.489 | -0.000 | 0.000 | -0.000 |
| 106.489 | 106.489 | 85.919 | -0.000 | 0.000 | -0.000 |
| -0.000 | -0.000 | -0.000 | 102.561 | -0.000 | -0.000 |
| -0.000 | -0.000 | -0.000 | -0.000 | 102.561 | -0.000 |
| -0.000 | -0.000 | -0.000 | -0.000 | 0.000 | 102.561 |
| 85.919 | 106.489 | 106.489 | 0.000 | -0.000 | 0.000 |
| 106.489 | 85.919 | 106.489 | 0.000 | -0.000 | 0.000 |
| 106.489 | 106.489 | 85.919 | 0.000 | -0.000 | 0.000 |
| 0.000 | 0.000 | 0.000 | 102.561 | -0.000 | 0.000 |
| 0.000 | 0.000 | 0.000 | 0.000 | 102.561 | 0.000 |
| 0.000 | 0.000 | 0.000 | 0.000 | -0.000 | 102.561 |
| 85.919 | 106.488 | 106.488 | -0.000 | 0.000 | -0.000 |
| 106.488 | 85.919 | 106.488 | 0.000 | 0.000 | -0.000 |
| 106.488 | 106.488 | 85.919 | -0.000 | 0.000 | -0.000 |
| -0.000 | -0.000 | -0.000 | 102.561 | 0.000 | -0.000 |
| -0.000 | -0.000 | -0.000 | -0.000 | 102.561 | -0.000 |
| -0.000 | -0.000 | -0.000 | -0.000 | 0.000 | 102.561 |
| 153.243 | 89.855 | 89.855 | -0.000 | -0.000 | -0.000 |
| 89.855 | 153.243 | 89.855 | -0.000 | -0.000 | -0.000 |
| 89.855 | 89.855 | 153.243 | -0.000 | 0.000 | 0.000 |
| -0.000 | 0.000 | 0.000 | 89.855 | -0.000 | 0.000 |
| 0.000 | -0.000 | 0.000 | -0.000 | 89.855 | 0.000 |
| 0.000 | 0.000 | -0.000 | -0.000 | -0.000 | 89.855 |
| 153.243 | 89.855 | 89.855 | 0.000 | 0.000 | -0.000 |
| 89.855 | 153.243 | 89.855 | 0.000 | 0.000 | 0.000 |
| 89.855 | 89.855 | 153.243 | 0.000 | 0.000 | -0.000 |
| 0.000 | -0.000 | -0.000 | 89.855 | 0.000 | 0.000 |
| -0.000 | 0.000 | -0.000 | 0.000 | 89.855 | 0.000 |
| -0.000 | -0.000 | 0.000 | 0.000 | 0.000 | 89.855 |
| 153.243 | 89.855 | 89.855 | -0.000 | -0.000 | 0.000 |
| 89.855 | 153.243 | 89.855 | -0.000 | -0.000 | -0.000 |
| 89.855 | 89.855 | 153.243 | -0.000 | -0.000 | 0.000 |
| -0.000 | 0.000 | 0.000 | 89.855 | -0.000 | -0.000 |
| 0.000 | -0.000 | 0.000 | -0.000 | 89.855 | -0.000 |
| 0.000 | 0.000 | -0.000 | -0.000 | -0.000 | 89.855 |
| 153.243 | 89.855 | 89.855 | 0.000 | 0.000 | -0.000 |
| 89.855 | 153.243 | 89.855 | 0.000 | 0.000 | -0.000 |
| 89.855 | 89.855 | 153.243 | 0.000 | 0.000 | 0.000 |
| 0.000 | -0.000 | -0.000 | 89.855 | 0.000 | -0.000 |
| -0.000 | 0.000 | -0.000 | 0.000 | 89.855 | 0.000 |
| -0.000 | -0.000 | 0.000 | 0.000 | 0.000 | 89.855 |
| 153.244 | 89.855 | 89.855 | -0.000 | -0.000 | -0.000 |
| 89.855 | 153.244 | 89.855 | -0.000 | -0.000 | 0.000 |
| 89.855 | 89.855 | 153.244 | -0.000 | -0.000 | 0.000 |
| -0.000 | 0.000 | 0.000 | 89.855 | -0.000 | 0.000 |
| 0.000 | -0.000 | 0.000 | -0.000 | 89.855 | -0.000 |
| 0.000 | 0.000 | -0.000 | -0.000 | -0.000 | 89.855 |
| 153.243 | 89.854 | 89.854 | 0.000 | 0.000 | -0.000 |
| 89.854 | 153.243 | 89.854 | 0.000 | 0.000 | -0.000 |
| 89.854 | 89.854 | 153.243 | 0.000 | 0.000 | -0.000 |
| 0.000 | -0.000 | -0.000 | 89.855 | 0.000 | -0.000 |
| -0.000 | 0.000 | -0.000 | 0.000 | 89.855 | 0.000 |
| -0.000 | -0.000 | 0.000 | 0.000 | 0.000 | 89.855 |
| 209.626 | 89.491 | 33.893 | 0.000 | -0.000 | -0.000 |
| 89.555 | 151.726 | 93.318 | 0.000 | -0.000 | 0.000 |
| 33.565 | 92.927 | 205.769 | 0.000 | -0.000 | 0.000 |
| -0.000 | -0.000 | 0.000 | 88.885 | 0.000 | 0.000 |
| -0.000 | -0.000 | 0.000 | 0.000 | 31.163 | 0.000 |
| -0.000 | -0.000 | 0.000 | 0.000 | -0.000 | 90.159 |
| 209.626 | 89.491 | 33.892 | -0.000 | 0.000 | -0.000 |
| 89.555 | 151.726 | 93.318 | 0.000 | -0.000 | -0.000 |
| 33.565 | 92.927 | 205.769 | -0.000 | 0.000 | -0.000 |
| 0.000 | 0.000 | -0.000 | 88.885 | 0.000 | -0.000 |
| 0.000 | 0.000 | -0.000 | -0.000 | 31.163 | -0.000 |
| 0.000 | 0.000 | -0.000 | -0.000 | 0.000 | 90.159 |
| 209.626 | 89.491 | 33.893 | -0.000 | -0.000 | 0.000 |
| 89.555 | 151.726 | 93.318 | 0.000 | -0.000 | 0.000 |
| 33.565 | 92.927 | 205.769 | 0.000 | -0.000 | 0.000 |
| 0.000 | 0.000 | 0.000 | 88.885 | -0.000 | 0.000 |
| -0.000 | 0.000 | 0.000 | 0.000 | 31.163 | 0.000 |
| -0.000 | 0.000 | 0.000 | -0.000 | -0.000 | 90.159 |
| 209.625 | 89.491 | 33.892 | 0.000 | 0.000 | -0.000 |
| 89.555 | 151.726 | 93.318 | -0.000 | -0.000 | -0.000 |
| 33.565 | 92.927 | 205.769 | -0.000 | 0.000 | -0.000 |
| -0.000 | -0.000 | -0.000 | 88.885 | -0.000 | -0.000 |
| 0.000 | -0.000 | -0.000 | -0.000 | 31.163 | -0.000 |
| 0.000 | -0.000 | -0.000 | 0.000 | 0.000 | 90.159 |
| 209.627 | 89.491 | 33.893 | -0.000 | -0.000 | 0.000 |
| 89.555 | 151.726 | 93.319 | -0.000 | -0.000 | 0.000 |
| 33.566 | 92.928 | 205.771 | 0.000 | -0.000 | 0.000 |
| 0.000 | 0.000 | 0.000 | 88.885 | -0.000 | 0.000 |
| 0.000 | 0.000 | 0.000 | 0.000 | 31.163 | 0.000 |
| -0.000 | 0.000 | 0.000 | -0.000 | -0.000 | 90.159 |
| 209.624 | 89.491 | 33.892 | -0.000 | 0.000 | -0.000 |
| 89.554 | 151.725 | 93.318 | 0.000 | 0.000 | -0.000 |
| 33.565 | 92.927 | 205.767 | -0.000 | 0.000 | -0.000 |
| -0.000 | -0.000 | -0.000 | 88.885 | 0.000 | -0.000 |
| -0.000 | -0.000 | -0.000 | 0.000 | 31.163 | -0.000 |
| 0.000 | -0.000 | -0.000 | 0.000 | 0.000 | 90.159 |
| 208.709 | 90.344 | 34.481 | 0.000 | -0.000 | -0.000 |
| 90.344 | 152.185 | 94.289 | 0.000 | -0.000 | -0.000 |
| 34.481 | 94.289 | 199.070 | 0.000 | -0.000 | -0.000 |
| -0.000 | -0.000 | 0.000 | 90.489 | -0.000 | -0.000 |
| -0.000 | -0.000 | 0.000 | 0.000 | 32.329 | -0.000 |
| -0.000 | 0.000 | 0.000 | 0.000 | -0.000 | 90.739 |
| 208.709 | 90.344 | 34.481 | -0.000 | 0.000 | 0.000 |
| 90.344 | 152.185 | 94.289 | -0.000 | 0.000 | 0.000 |
| 34.481 | 94.289 | 199.070 | -0.000 | -0.000 | 0.000 |
| 0.000 | 0.000 | -0.000 | 90.489 | 0.000 | 0.000 |
| 0.000 | 0.000 | -0.000 | 0.000 | 32.329 | 0.000 |
| 0.000 | -0.000 | -0.000 | -0.000 | 0.000 | 90.739 |
| 208.709 | 90.344 | 34.481 | 0.000 | -0.000 | -0.000 |
| 90.344 | 152.185 | 94.289 | -0.000 | -0.000 | -0.000 |
| 34.481 | 94.289 | 199.070 | -0.000 | -0.000 | -0.000 |
| 0.000 | 0.000 | 0.000 | 90.489 | -0.000 | -0.000 |
| 0.000 | 0.000 | 0.000 | -0.000 | 32.329 | -0.000 |
| -0.000 | 0.000 | 0.000 | 0.000 | -0.000 | 90.739 |
| 208.709 | 90.344 | 34.481 | -0.000 | -0.000 | 0.000 |
| 90.344 | 152.185 | 94.289 | -0.000 | -0.000 | 0.000 |
| 34.481 | 94.289 | 199.070 | -0.000 | 0.000 | 0.000 |
| -0.000 | -0.000 | -0.000 | 90.489 | 0.000 | 0.000 |
| -0.000 | -0.000 | -0.000 | -0.000 | 32.329 | 0.000 |
| 0.000 | -0.000 | -0.000 | 0.000 | 0.000 | 90.739 |
| 208.711 | 90.344 | 34.481 | 0.000 | -0.000 | -0.000 |
| 90.344 | 152.185 | 94.290 | -0.000 | 0.000 | -0.000 |
| 34.481 | 94.290 | 199.072 | 0.000 | -0.000 | -0.000 |
| 0.000 | 0.000 | 0.000 | 90.489 | -0.000 | -0.000 |
| 0.000 | 0.000 | 0.000 | 0.000 | 32.329 | -0.000 |
| -0.000 | 0.000 | 0.000 | 0.000 | -0.000 | 90.739 |
| 208.707 | 90.344 | 34.480 | -0.000 | -0.000 | 0.000 |
| 90.343 | 152.184 | 94.289 | -0.000 | 0.000 | 0.000 |
| 34.480 | 94.289 | 199.069 | -0.000 | -0.000 | 0.000 |
| -0.000 | -0.000 | -0.000 | 90.489 | 0.000 | 0.000 |
| -0.000 | -0.000 | -0.000 | -0.000 | 32.329 | 0.000 |
| 0.000 | -0.000 | -0.000 | -0.000 | 0.000 | 90.739 |
| 127.936 | 165.117 | 165.117 | 0.000 | 0.000 | -0.000 |
| 165.118 | 127.936 | 165.117 | -0.000 | 0.000 | 0.000 |
| 165.118 | 165.118 | 127.936 | 0.000 | 0.000 | 0.000 |
| 0.000 | 0.000 | -0.000 | 156.639 | -0.000 | -0.000 |
| 0.000 | 0.000 | 0.000 | 0.000 | 156.639 | -0.000 |
| 0.000 | 0.000 | 0.000 | 0.000 | 0.000 | 156.639 |
| 127.936 | 165.117 | 165.117 | -0.000 | -0.000 | 0.000 |
| 165.117 | 127.936 | 165.117 | -0.000 | -0.000 | 0.000 |
| 165.117 | 165.117 | 127.936 | -0.000 | -0.000 | -0.000 |
| -0.000 | -0.000 | -0.000 | 156.639 | -0.000 | 0.000 |
| -0.000 | -0.000 | -0.000 | -0.000 | 156.639 | 0.000 |
| -0.000 | -0.000 | -0.000 | -0.000 | -0.000 | 156.639 |
| 127.936 | 165.118 | 165.118 | 0.000 | 0.000 | -0.000 |
| 165.118 | 127.936 | 165.118 | 0.000 | -0.000 | -0.000 |
| 165.118 | 165.118 | 127.936 | 0.000 | -0.000 | 0.000 |
| 0.000 | 0.000 | 0.000 | 156.639 | -0.000 | -0.000 |
| 0.000 | 0.000 | 0.000 | 0.000 | 156.639 | -0.000 |
| 0.000 | 0.000 | 0.000 | -0.000 | 0.000 | 156.639 |
| 127.936 | 165.117 | 165.117 | -0.000 | -0.000 | 0.000 |
| 165.117 | 127.936 | 165.117 | -0.000 | 0.000 | 0.000 |
| 165.117 | 165.117 | 127.936 | -0.000 | -0.000 | -0.000 |
| -0.000 | -0.000 | -0.000 | 156.639 | 0.000 | 0.000 |
| -0.000 | -0.000 | -0.000 | -0.000 | 156.639 | 0.000 |
| -0.000 | -0.000 | -0.000 | -0.000 | -0.000 | 156.639 |
| 127.937 | 165.118 | 165.118 | 0.000 | 0.000 | -0.000 |
| 165.118 | 127.937 | 165.118 | 0.000 | 0.000 | -0.000 |
| 165.118 | 165.118 | 127.937 | -0.000 | -0.000 | 0.000 |
| 0.001 | 0.000 | 0.001 | 165.117 | -0.000 | -0.000 |
| 0.000 | 0.001 | 0.001 | 0.000 | 165.117 | -0.000 |
| 0.000 | 0.001 | 0.001 | 0.000 | 0.000 | 165.117 |
| 127.936 | 165.117 | 165.117 | -0.000 | 0.000 | -0.000 |
| 165.117 | 127.936 | 165.117 | -0.000 | -0.000 | -0.000 |
| 165.117 | 165.117 | 127.936 | -0.000 | -0.000 | -0.000 |
| -0.001 | -0.000 | -0.001 | 165.117 | 0.000 | 0.000 |
| -0.000 | -0.001 | -0.001 | 0.000 | 165.117 | 0.000 |
| -0.000 | -0.001 | -0.001 | 0.000 | -0.000 | 165.117 |
| 397.808 | -23.222 | -23.222 | 0.000 | 0.000 | 0.000 |
| -23.222 | 397.808 | -23.222 | 0.000 | 0.000 | 0.000 |
| -23.222 | -23.222 | 397.808 | 0.000 | 0.000 | 0.000 |
| -0.000 | -0.000 | -0.000 | -23.222 | -0.000 | 0.000 |
| -0.000 | 0.000 | -0.000 | 0.000 | -23.222 | 0.000 |
| -0.000 | -0.000 | -0.000 | 0.000 | 0.000 | -23.222 |
| 397.807 | -23.222 | -23.222 | -0.000 | -0.000 | 0.000 |
| -23.222 | 397.807 | -23.222 | -0.000 | 0.000 | 0.000 |
| -23.222 | -23.222 | 397.808 | -0.000 | 0.000 | -0.000 |
| 0.000 | 0.000 | 0.000 | -23.222 | 0.000 | 0.000 |
| 0.000 | -0.000 | 0.000 | -0.000 | -23.222 | -0.000 |
| 0.000 | 0.000 | 0.000 | 0.000 | -0.000 | -23.222 |
| 397.808 | -23.222 | -23.222 | 0.000 | -0.000 | 0.000 |
| -23.222 | 397.808 | -23.222 | 0.000 | 0.000 | -0.000 |
| -23.222 | -23.222 | 397.808 | 0.000 | 0.000 | 0.000 |
| -0.000 | 0.000 | -0.000 | -23.222 | -0.000 | 0.000 |
| 0.000 | 0.000 | -0.000 | 0.000 | -23.222 | 0.000 |
| 0.000 | -0.000 | -0.000 | 0.000 | 0.000 | -23.222 |
| 397.807 | -23.222 | -23.222 | -0.000 | -0.000 | -0.000 |
| -23.222 | 397.807 | -23.222 | -0.000 | 0.000 | -0.000 |
| -23.222 | -23.222 | 397.807 | -0.000 | 0.000 | -0.000 |
| 0.000 | -0.000 | 0.000 | -23.222 | 0.000 | -0.000 |
| -0.000 | -0.000 | 0.000 | -0.000 | -23.222 | -0.000 |
| -0.000 | 0.000 | 0.000 | -0.000 | -0.000 | -23.222 |
| 397.811 | -23.222 | -23.222 | 0.000 | 0.000 | -0.000 |
| -23.222 | 397.811 | -23.222 | 0.000 | -0.000 | 0.000 |
| -23.222 | -23.222 | 397.811 | 0.000 | 0.000 | 0.000 |
| 0.000 | 0.000 | -0.000 | -23.222 | 0.000 | 0.000 |
| 0.000 | 0.000 | -0.000 | 0.000 | -23.222 | 0.000 |
| 0.000 | -0.000 | 0.000 | 0.000 | 0.000 | -23.222 |
| 397.804 | -23.222 | -23.222 | -0.000 | -0.000 | 0.000 |
| -23.222 | 397.804 | -23.222 | -0.000 | -0.000 | -0.000 |
| -23.222 | -23.222 | 397.804 | -0.000 | -0.000 | -0.000 |
| -0.000 | -0.000 | 0.000 | -23.222 | -0.000 | 0.000 |
| -0.000 | -0.000 | 0.000 | -0.000 | -23.222 | -0.000 |
| -0.000 | 0.000 | -0.000 | -0.000 | -0.000 | -23.222 |
| 167.817 | 216.137 | 216.137 | -0.000 | -0.000 | -0.000 |
| 216.137 | 167.817 | 216.137 | -0.000 | -0.000 | -0.000 |
| 216.137 | 216.137 | 167.817 | 0.000 | 0.000 | 0.000 |
| 0.000 | -0.000 | 0.000 | 216.137 | 0.000 | -0.000 |
| 0.000 | 0.000 | 0.000 | -0.000 | 216.137 | 0.000 |
| 0.000 | 0.000 | 0.000 | 0.000 | -0.000 | 216.137 |
| 167.817 | 216.137 | 216.137 | -0.000 | 0.000 | 0.000 |
| 216.137 | 167.817 | 216.137 | -0.000 | 0.000 | -0.000 |
| 216.137 | 216.137 | 167.817 | 0.000 | 0.000 | -0.000 |
| -0.000 | -0.000 | -0.000 | 216.137 | -0.000 | -0.000 |
| -0.000 | -0.000 | 0.000 | 0.000 | 216.137 | -0.000 |
| -0.000 | -0.000 | -0.000 | -0.000 | 0.000 | 216.137 |
| 167.817 | 216.137 | 216.137 | -0.000 | -0.000 | 0.000 |
| 216.137 | 167.817 | 216.137 | -0.000 | 0.000 | 0.000 |
| 216.137 | 216.137 | 167.817 | -0.000 | -0.000 | 0.000 |
| 0.000 | 0.000 | 0.000 | 216.137 | 0.000 | -0.000 |
| 0.000 | 0.000 | 0.000 | -0.000 | 216.137 | 0.000 |
| 0.000 | 0.000 | 0.000 | -0.000 | -0.000 | 216.137 |
| 167.817 | 216.137 | 216.137 | -0.000 | 0.000 | -0.000 |
| 216.137 | 167.817 | 216.137 | -0.000 | 0.000 | -0.000 |
| 216.137 | 216.137 | 167.817 | 0.000 | -0.000 | -0.000 |
| -0.000 | -0.000 | -0.000 | 216.137 | -0.000 | -0.000 |
| -0.000 | -0.000 | -0.000 | -0.000 | 216.137 | -0.000 |
| -0.000 | -0.000 | -0.000 | -0.000 | 0.000 | 216.137 |
| 167.818 | 216.138 | 216.138 | -0.000 | -0.000 | -0.000 |
| 216.138 | 167.818 | 216.138 | 0.000 | -0.000 | 0.000 |
| 216.138 | 216.138 | 167.818 | -0.000 | -0.000 | 0.000 |
| 0.001 | 0.000 | 0.001 | 216.137 | -0.000 | 0.000 |
| 0.000 | 0.001 | 0.001 | 0.000 | 216.137 | 0.000 |
| 0.000 | 0.001 | 0.001 | 0.000 | -0.000 | 216.137 |
| 167.816 | 216.136 | 216.136 | -0.000 | 0.000 | -0.000 |
| 216.136 | 167.816 | 216.136 | -0.000 | 0.000 | -0.000 |
| 216.136 | 216.136 | 167.816 | 0.000 | 0.000 | -0.000 |
| -0.001 | -0.000 | -0.001 | 216.137 | 0.000 | -0.000 |
| -0.000 | -0.001 | -0.001 | -0.000 | 216.137 | -0.000 |
| -0.000 | -0.001 | -0.001 | -0.000 | 0.000 | 216.137 |
| 31.811 | 41.944 | 41.944 | 0.000 | 0.000 | 0.000 |
| 41.944 | 31.811 | 41.944 | 0.000 | 0.000 | 0.000 |
| 41.944 | 41.944 | 31.811 | 0.000 | -0.000 | 0.000 |
| -0.000 | -0.000 | 0.000 | -12.363 | 0.000 | 0.000 |
| -0.000 | -0.000 | 0.000 | 0.000 | -12.363 | 0.000 |
| -0.000 | -0.000 | 0.000 | 0.000 | 0.000 | -12.363 |
| 31.811 | 41.944 | 41.944 | -0.000 | -0.000 | -0.000 |
| 41.944 | 31.811 | 41.944 | -0.000 | 0.000 | -0.000 |
| 41.944 | 41.944 | 31.811 | -0.000 | -0.000 | -0.000 |
| 0.000 | 0.000 | -0.000 | -12.363 | -0.000 | -0.000 |
| 0.000 | 0.000 | -0.000 | -0.000 | -12.363 | -0.000 |
| 0.000 | 0.000 | -0.000 | -0.000 | -0.000 | -12.363 |
| 31.811 | 41.944 | 41.944 | 0.000 | 0.000 | 0.000 |
| 41.944 | 31.811 | 41.944 | 0.000 | 0.000 | 0.000 |
| 41.944 | 41.944 | 31.811 | 0.000 | 0.000 | 0.000 |
| -0.000 | -0.000 | -0.000 | -12.363 | -0.000 | 0.000 |
| -0.000 | -0.000 | -0.000 | 0.000 | -12.363 | 0.000 |
| -0.000 | -0.000 | -0.000 | 0.000 | 0.000 | -12.363 |
| 31.811 | 41.944 | 41.944 | -0.000 | -0.000 | -0.000 |
| 41.944 | 31.811 | 41.944 | -0.000 | -0.000 | -0.000 |
| 41.944 | 41.944 | 31.811 | -0.000 | -0.000 | -0.000 |
| 0.000 | 0.000 | 0.000 | -12.363 | -0.000 | -0.000 |
| 0.000 | 0.000 | 0.000 | -0.000 | -12.363 | -0.000 |
| 0.000 | 0.000 | 0.000 | -0.000 | -0.000 | -12.363 |
| 31.811 | 41.944 | 41.944 | 0.000 | 0.000 | 0.000 |
| 41.944 | 31.811 | 41.944 | 0.000 | 0.000 | 0.000 |
| 41.944 | 41.944 | 31.811 | 0.000 | 0.000 | 0.000 |
| -0.000 | -0.000 | -0.000 | -12.363 | 0.000 | 0.000 |
| -0.000 | -0.000 | -0.000 | 0.000 | -12.363 | 0.000 |
| -0.000 | -0.000 | -0.000 | 0.000 | 0.000 | -12.363 |
| 31.811 | 41.943 | 41.943 | -0.000 | -0.000 | -0.000 |
| 41.943 | 31.811 | 41.943 | -0.000 | -0.000 | -0.000 |
| 41.943 | 41.943 | 31.811 | -0.000 | -0.000 | -0.000 |
| 0.000 | 0.000 | 0.000 | -12.363 | -0.000 | -0.000 |
| 0.000 | 0.000 | 0.000 | -0.000 | -12.363 | -0.000 |
| 0.000 | 0.000 | 0.000 | -0.000 | -0.000 | -12.363 |
| 426.723 | 72.214 | 178.208 | 0.000 | -0.000 | -0.000 |
| 72.214 | 426.723 | 178.208 | 0.000 | -0.000 | 0.000 |
| 178.208 | 178.208 | 320.756 | -0.000 | -0.000 | 0.000 |
| 0.000 | 0.000 | 0.000 | 178.208 | -0.000 | -0.000 |
| -0.000 | 0.000 | 0.000 | -0.000 | 178.208 | 0.000 |
| -0.000 | 0.000 | 0.000 | -0.000 | -0.000 | 72.214 |
| 426.722 | 72.214 | 178.208 | -0.000 | 0.000 | -0.000 |
| 72.214 | 426.722 | 178.208 | -0.000 | 0.000 | 0.000 |
| 178.208 | 178.208 | 320.755 | 0.000 | 0.000 | -0.000 |
| -0.000 | 0.000 | -0.000 | 178.208 | 0.000 | 0.000 |
| 0.000 | -0.000 | -0.000 | 0.000 | 178.208 | 0.000 |
| -0.000 | -0.000 | -0.000 | 0.000 | 0.000 | 72.214 |
| 426.723 | 72.214 | 178.209 | 0.000 | -0.000 | -0.000 |
| 72.214 | 426.723 | 178.209 | 0.000 | -0.000 | -0.000 |
| 178.209 | 178.209 | 320.756 | -0.000 | -0.000 | 0.000 |
| 0.000 | 0.000 | 0.000 | 178.208 | -0.000 | 0.000 |
| 0.000 | 0.000 | 0.000 | -0.000 | 178.208 | -0.000 |
| 0.000 | 0.000 | 0.000 | -0.000 | -0.000 | 72.214 |
| 426.722 | 72.214 | 178.208 | 0.000 | 0.000 | 0.000 |
| 72.214 | 426.722 | 178.208 | 0.000 | 0.000 | 0.000 |
| 178.208 | 178.208 | 320.755 | 0.000 | 0.000 | 0.000 |
| -0.000 | -0.000 | -0.000 | 178.208 | 0.000 | -0.000 |
| -0.000 | -0.000 | -0.000 | 0.000 | 178.208 | 0.000 |
| -0.000 | -0.000 | -0.000 | 0.000 | 0.000 | 72.214 |
| 426.726 | 72.214 | 178.209 | 0.000 | -0.000 | -0.000 |
| 72.214 | 426.726 | 178.209 | -0.000 | -0.000 | 0.000 |
| 178.210 | 178.210 | 320.757 | -0.000 | -0.000 | 0.000 |
| 0.000 | 0.000 | 0.001 | 178.208 | -0.000 | -0.000 |
| 0.000 | 0.000 | 0.001 | -0.000 | 178.208 | -0.000 |
| 0.000 | 0.000 | 0.000 | -0.000 | -0.000 | 72.214 |
| 426.719 | 72.214 | 178.208 | -0.000 | 0.000 | 0.000 |
| 72.214 | 426.719 | 178.208 | 0.000 | 0.000 | -0.000 |
| 178.207 | 178.207 | 320.754 | 0.000 | 0.000 | -0.000 |
| -0.000 | -0.000 | -0.001 | 178.208 | 0.000 | -0.000 |
| -0.000 | -0.000 | -0.001 | 0.000 | 178.208 | 0.000 |
| -0.000 | -0.000 | -0.000 | 0.000 | 0.000 | 72.214 |
| 167.370 | 215.423 | 215.997 | 0.000 | 0.000 | -0.000 |
| 215.422 | 407.335 | -24.701 | 0.000 | 0.000 | -0.000 |
| 215.997 | -24.701 | 407.576 | 0.000 | 0.000 | -0.000 |
| 0.000 | 0.000 | -0.000 | -24.701 | 0.000 | -0.000 |
| 0.000 | 0.000 | 0.000 | 0.000 | 215.997 | -0.000 |
| 0.000 | 0.000 | 0.000 | 0.000 | 0.000 | 215.422 |
| 167.370 | 215.422 | 215.997 | -0.000 | -0.000 | 0.000 |
| 215.422 | 407.335 | -24.701 | -0.000 | -0.000 | 0.000 |
| 215.997 | -24.701 | 407.576 | -0.000 | -0.000 | 0.000 |
| -0.000 | -0.000 | -0.000 | -24.701 | -0.000 | 0.000 |
| -0.000 | -0.000 | -0.000 | 0.000 | 215.997 | 0.000 |
| -0.000 | -0.000 | -0.000 | -0.000 | -0.000 | 215.422 |
| 167.370 | 215.423 | 215.997 | 0.000 | 0.000 | -0.000 |
| 215.423 | 407.336 | -24.701 | 0.000 | 0.000 | -0.000 |
| 215.997 | -24.701 | 407.577 | 0.000 | -0.000 | -0.000 |
| -0.000 | 0.000 | -0.000 | -24.701 | -0.000 | -0.000 |
| 0.000 | 0.000 | 0.000 | 0.000 | 215.997 | -0.000 |
| 0.000 | 0.000 | -0.000 | 0.000 | 0.000 | 215.422 |
| 167.370 | 215.422 | 215.997 | -0.000 | -0.000 | -0.000 |
| 215.422 | 407.335 | -24.701 | -0.000 | -0.000 | 0.000 |
| 215.997 | -24.701 | 407.576 | -0.000 | -0.000 | 0.000 |
| 0.000 | -0.000 | 0.000 | -24.701 | -0.000 | -0.000 |
| -0.000 | -0.000 | -0.000 | -0.000 | 215.997 | 0.000 |
| -0.000 | -0.000 | -0.000 | -0.000 | -0.000 | 215.422 |
| 167.371 | 215.423 | 215.998 | 0.000 | 0.000 | -0.000 |
| 215.424 | 407.338 | -24.701 | 0.000 | 0.000 | -0.000 |
| 215.999 | -24.701 | 407.579 | 0.000 | -0.000 | -0.000 |
| -0.000 | 0.000 | -0.000 | -24.701 | 0.000 | -0.000 |
| 0.000 | -0.000 | 0.001 | 0.000 | 215.997 | -0.000 |
| 0.000 | 0.001 | -0.000 | 0.000 | 0.000 | 215.422 |
| 167.369 | 215.422 | 215.996 | 0.000 | -0.000 | 0.000 |
| 215.421 | 407.333 | -24.701 | -0.000 | -0.000 | 0.000 |
| 215.995 | -24.701 | 407.574 | -0.000 | -0.000 | 0.000 |
| 0.000 | -0.000 | 0.000 | -24.701 | -0.000 | -0.000 |
| -0.000 | 0.000 | -0.001 | -0.000 | 215.997 | 0.000 |
| -0.000 | -0.001 | 0.000 | -0.000 | -0.000 | 215.422 |
| 446.103 | 102.722 | 101.991 | 0.000 | 0.000 | 0.000 |
| 102.495 | 398.699 | 166.578 | 0.000 | 0.000 | 0.000 |
| 102.220 | 166.578 | 398.922 | -0.000 | 0.000 | 0.000 |
| -0.000 | 0.000 | -0.000 | 116.541 | -0.000 | 0.000 |
| -0.000 | 0.000 | -0.000 | -0.000 | 100.113 | 0.000 |
| -0.000 | 0.000 | -0.000 | -0.000 | -0.000 | 102.517 |
| 446.103 | 102.722 | 101.991 | 0.000 | 0.000 | -0.000 |
| 102.495 | 398.699 | 166.578 | -0.000 | 0.000 | -0.000 |
| 102.220 | 166.578 | 398.922 | -0.000 | -0.000 | -0.000 |
| 0.000 | -0.000 | 0.000 | 116.541 | 0.000 | -0.000 |
| 0.000 | -0.000 | 0.000 | -0.000 | 100.113 | -0.000 |
| 0.000 | -0.000 | 0.000 | 0.000 | -0.000 | 102.517 |
| 446.104 | 102.722 | 101.991 | -0.000 | 0.000 | 0.000 |
| 102.495 | 398.699 | 166.578 | 0.000 | 0.000 | 0.000 |
| 102.220 | 166.578 | 398.923 | 0.000 | 0.000 | 0.000 |
| -0.000 | 0.000 | 0.000 | 116.541 | -0.000 | 0.000 |
| 0.000 | 0.000 | -0.000 | -0.000 | 100.113 | 0.000 |
| 0.000 | 0.000 | 0.000 | -0.000 | 0.000 | 102.517 |
| 446.103 | 102.722 | 101.991 | 0.000 | -0.000 | -0.000 |
| 102.495 | 398.698 | 166.578 | 0.000 | -0.000 | -0.000 |
| 102.220 | 166.578 | 398.922 | 0.000 | -0.000 | -0.000 |
| 0.000 | -0.000 | -0.000 | 116.541 | 0.000 | -0.000 |
| -0.000 | -0.000 | 0.000 | -0.000 | 100.113 | -0.000 |
| -0.000 | -0.000 | -0.000 | -0.000 | -0.000 | 102.517 |
| 446.104 | 102.496 | 102.221 | -0.000 | -0.000 | 0.000 |
| 102.495 | 398.703 | 166.578 | -0.000 | -0.000 | 0.000 |
| 102.220 | 166.580 | 398.925 | 0.000 | -0.000 | 0.000 |
| -0.000 | 0.000 | 0.001 | 116.531 | 0.000 | 0.000 |
| 0.001 | 0.000 | -0.000 | -0.000 | 100.110 | 0.000 |
| 0.001 | -0.000 | 0.000 | -0.000 | 0.000 | 102.517 |
| 446.098 | 102.494 | 102.219 | 0.000 | -0.000 | -0.000 |
| 102.494 | 398.695 | 166.578 | 0.000 | -0.000 | -0.000 |
| 102.220 | 166.576 | 398.920 | -0.000 | 0.000 | -0.000 |
| 0.000 | -0.000 | -0.001 | 116.531 | -0.000 | -0.000 |
| -0.001 | -0.000 | 0.000 | -0.000 | 100.110 | -0.000 |
| -0.001 | 0.000 | -0.000 | 0.000 | -0.000 | 102.517 |
| 437.873 | 101.898 | 97.320 | 0.000 | 0.000 | 0.000 |
| 103.202 | 353.647 | 181.454 | -0.000 | 0.000 | -0.000 |
| 94.706 | 175.687 | 414.389 | -0.000 | 0.000 | -0.000 |
| 0.015 | -1.049 | 1.068 | 128.055 | -0.000 | -0.000 |
| 0.011 | -0.798 | 0.813 | 0.000 | 91.829 | 0.000 |
| 0.016 | -1.127 | 1.147 | -0.000 | 0.000 | 105.422 |
| 438.347 | 101.884 | 96.841 | 0.000 | -0.000 | 0.000 |
| 103.197 | 355.907 | 179.125 | -0.000 | -0.000 | 0.000 |
| 94.701 | 177.948 | 412.060 | 0.000 | 0.000 | 0.000 |
| -0.015 | 1.049 | -1.068 | 128.055 | 0.000 | 0.000 |
| -0.011 | 0.798 | -0.813 | -0.000 | 91.829 | 0.000 |
| -0.016 | 1.127 | -1.147 | 0.000 | -0.000 | 105.422 |
| 437.879 | 102.108 | 97.098 | -0.000 | 0.000 | 0.000 |
| 103.200 | 354.664 | 180.406 | 0.000 | -0.000 | -0.000 |
| 94.704 | 176.705 | 413.341 | -0.000 | 0.000 | -0.000 |
| 0.001 | -0.105 | 0.107 | 128.058 | -0.000 | 0.000 |
| 0.000 | -0.086 | 0.089 | -0.000 | 91.824 | 0.000 |
| 0.002 | -0.113 | 0.115 | -0.000 | 0.000 | 105.422 |
| 437.878 | 102.154 | 97.050 | 0.000 | -0.000 | -0.000 |
| 103.200 | 354.889 | 180.173 | 0.000 | -0.000 | -0.000 |
| 94.703 | 176.930 | 413.107 | -0.000 | 0.000 | -0.000 |
| -0.001 | 0.105 | -0.107 | 128.058 | 0.000 | 0.000 |
| -0.000 | 0.086 | -0.089 | 0.000 | 91.824 | 0.000 |
| -0.002 | 0.113 | -0.115 | 0.000 | -0.000 | 105.422 |
| 437.882 | 102.129 | 97.077 | 0.000 | 0.000 | -0.000 |
| 103.200 | 354.769 | 180.302 | 0.000 | -0.000 | -0.000 |
| 94.704 | 176.808 | 413.238 | -0.000 | -0.000 | -0.000 |
| -0.001 | -0.011 | 0.013 | 128.057 | 0.000 | 0.000 |
| 0.001 | -0.009 | 0.009 | -0.000 | 91.824 | -0.000 |
| 0.001 | -0.011 | 0.012 | -0.000 | 0.000 | 105.422 |
| 437.876 | 102.132 | 97.071 | -0.000 | 0.000 | 0.000 |
| 103.200 | 354.785 | 180.278 | 0.000 | 0.000 | 0.000 |
| 94.703 | 176.827 | 413.210 | -0.000 | 0.000 | 0.000 |
| 0.001 | 0.011 | -0.013 | 128.057 | -0.000 | 0.000 |
| -0.001 | 0.009 | -0.009 | 0.000 | 91.824 | 0.000 |
| -0.001 | 0.011 | -0.012 | 0.000 | -0.000 | 105.422 |
| 79.306 | 95.761 | -10.809 | 0.000 | 0.000 | -0.000 |
| 95.761 | 79.306 | -10.809 | 0.000 | 0.000 | 0.000 |
| -10.809 | -10.809 | 235.926 | 0.000 | 0.000 | -0.000 |
| 0.000 | -0.000 | -0.000 | -10.809 | 0.000 | -0.000 |
| 0.000 | -0.000 | -0.000 | -0.000 | -10.809 | 0.000 |
| 0.000 | -0.000 | 0.000 | -0.000 | 0.000 | -8.228 |
| 131.300 | 43.767 | -10.809 | -0.000 | -0.000 | 0.000 |
| 95.761 | 79.306 | -10.809 | -0.000 | -0.000 | 0.000 |
| -10.809 | -10.809 | 235.926 | 0.000 | -0.000 | -0.000 |
| -0.000 | 0.000 | 0.000 | -10.809 | -0.000 | -0.000 |
| -0.000 | 0.000 | 0.000 | 0.000 | -10.809 | -0.000 |
| -0.000 | 0.000 | -0.000 | -0.000 | -0.000 | -8.228 |
| 131.300 | 43.767 | -10.809 | 0.000 | 0.000 | 0.000 |
| 95.761 | 79.306 | -10.809 | 0.000 | 0.000 | 0.000 |
| -10.809 | -10.809 | 235.926 | -0.000 | 0.000 | -0.000 |
| -0.000 | -0.000 | -0.000 | -10.809 | 0.000 | 0.000 |
| 0.000 | -0.000 | -0.000 | -0.000 | -10.809 | 0.000 |
| -0.000 | -0.000 | 0.000 | -0.000 | 0.000 | -8.228 |
| 79.305 | 95.761 | -10.809 | -0.000 | -0.000 | 0.000 |
| 95.761 | 79.306 | -10.809 | -0.000 | -0.000 | -0.000 |
| -10.809 | -10.809 | 235.925 | 0.000 | -0.000 | -0.000 |
| 0.000 | 0.000 | 0.000 | -10.809 | -0.000 | -0.000 |
| -0.000 | 0.000 | 0.000 | -0.000 | -10.809 | -0.000 |
| 0.000 | 0.000 | -0.000 | 0.000 | -0.000 | -8.228 |
| 79.308 | 95.759 | -10.809 | -0.000 | 0.000 | 0.000 |
| 95.764 | 79.304 | -10.809 | 0.000 | 0.000 | 0.000 |
| -10.809 | -10.809 | 235.928 | -0.000 | 0.000 | 0.000 |
| -0.000 | -0.000 | -0.000 | -10.809 | 0.000 | 0.000 |
| -0.000 | -0.000 | -0.000 | -0.000 | -10.809 | -0.000 |
| 0.001 | -0.001 | 0.000 | -0.000 | 0.000 | -8.229 |
| 79.303 | 95.763 | -10.809 | -0.000 | -0.000 | 0.000 |
| 95.792 | 79.274 | -10.809 | -0.000 | -0.000 | 0.000 |
| -10.809 | -10.809 | 235.923 | 0.000 | -0.000 | -0.000 |
| 0.000 | 0.000 | 0.000 | -10.809 | -0.000 | 0.000 |
| 0.000 | 0.000 | 0.000 | 0.000 | -10.809 | -0.000 |
| -0.001 | 0.001 | -0.000 | -0.000 | -0.000 | -8.229 |
| 423.644 | 141.215 | 102.158 | -0.000 | -0.000 | 0.000 |
| 166.006 | 398.852 | 102.158 | -0.000 | -0.000 | -0.000 |
| 102.158 | 102.158 | 446.209 | -0.000 | 0.000 | -0.000 |
| 0.000 | -0.000 | 0.000 | 102.158 | 0.000 | -0.000 |
| 0.000 | -0.000 | 0.000 | -0.000 | 102.158 | 0.000 |
| 0.000 | -0.000 | 0.000 | -0.000 | 0.000 | 116.423 |
| 398.852 | 166.006 | 102.158 | 0.000 | -0.000 | 0.000 |
| 141.215 | 423.643 | 102.158 | 0.000 | -0.000 | -0.000 |
| 102.158 | 102.158 | 446.209 | 0.000 | -0.000 | -0.000 |
| -0.000 | 0.000 | -0.000 | 102.158 | 0.000 | -0.000 |
| -0.000 | 0.000 | -0.000 | 0.000 | 102.158 | 0.000 |
| -0.000 | 0.000 | 0.000 | 0.000 | -0.000 | 116.423 |
| 398.852 | 166.006 | 102.158 | -0.000 | 0.000 | 0.000 |
| 141.215 | 423.644 | 102.158 | -0.000 | -0.000 | 0.000 |
| 102.158 | 102.158 | 446.210 | -0.000 | -0.000 | 0.000 |
| 0.000 | -0.000 | 0.000 | 102.158 | -0.000 | -0.000 |
| -0.000 | 0.000 | 0.000 | -0.000 | 102.158 | -0.000 |
| 0.000 | 0.000 | 0.000 | -0.000 | 0.000 | 141.214 |
| 423.643 | 141.215 | 102.158 | 0.000 | -0.000 | -0.000 |
| 166.006 | 398.852 | 102.158 | 0.000 | 0.000 | -0.000 |
| 102.158 | 102.158 | 446.209 | 0.000 | 0.000 | -0.000 |
| -0.000 | 0.000 | -0.000 | 102.158 | -0.000 | -0.000 |
| 0.000 | -0.000 | -0.000 | 0.000 | 102.158 | 0.000 |
| -0.000 | -0.000 | -0.000 | 0.000 | 0.000 | 141.214 |
| 398.856 | 166.006 | 102.158 | -0.000 | 0.000 | 0.000 |
| 166.008 | 398.855 | 102.158 | -0.000 | 0.000 | 0.000 |
| 102.159 | 102.159 | 446.212 | -0.000 | -0.000 | -0.000 |
| 0.000 | -0.000 | 0.001 | 102.158 | -0.000 | 0.000 |
| -0.000 | 0.000 | 0.001 | -0.000 | 102.158 | 0.000 |
| 0.000 | 0.001 | 0.000 | -0.000 | 0.000 | 141.214 |
| 398.848 | 166.006 | 102.158 | 0.000 | -0.000 | -0.000 |
| 166.005 | 398.849 | 102.158 | 0.000 | -0.000 | 0.000 |
| 102.157 | 102.157 | 446.206 | -0.000 | 0.000 | -0.000 |
| -0.000 | 0.000 | -0.001 | 102.158 | 0.000 | 0.000 |
| 0.000 | -0.000 | -0.001 | 0.000 | 102.158 | 0.000 |
| -0.000 | -0.001 | -0.000 | -0.000 | 0.000 | 141.214 |
| 87.249 | 116.520 | 116.520 | -0.000 | -0.000 | -0.000 |
| 116.520 | 87.249 | 116.520 | -0.000 | -0.000 | -0.000 |
| 116.520 | 116.520 | 87.249 | -0.000 | -0.000 | 0.000 |
| -0.000 | 0.000 | -0.000 | -24.325 | -0.000 | -0.000 |
| -0.000 | 0.000 | -0.000 | -0.000 | -24.325 | -0.000 |
| -0.000 | 0.000 | -0.000 | -0.000 | -0.000 | -24.325 |
| 87.249 | 116.520 | 116.520 | 0.000 | 0.000 | 0.000 |
| 116.520 | 87.249 | 116.520 | 0.000 | 0.000 | 0.000 |
| 116.520 | 116.520 | 87.249 | 0.000 | 0.000 | 0.000 |
| 0.000 | -0.000 | 0.000 | -24.325 | 0.000 | 0.000 |
| 0.000 | -0.000 | 0.000 | 0.000 | -24.325 | 0.000 |
| 0.000 | -0.000 | 0.000 | 0.000 | 0.000 | -24.325 |
| 87.249 | 116.520 | 116.520 | -0.000 | -0.000 | -0.000 |
| 116.520 | 87.249 | 116.520 | -0.000 | -0.000 | -0.000 |
| 116.520 | 116.520 | 87.249 | 0.000 | -0.000 | -0.000 |
| 0.000 | -0.000 | -0.000 | -24.325 | -0.000 | -0.000 |
| -0.000 | 0.000 | -0.000 | -0.000 | -24.325 | -0.000 |
| -0.000 | -0.000 | 0.000 | -0.000 | -0.000 | -24.325 |
| 87.249 | 116.520 | 116.520 | 0.000 | -0.000 | 0.000 |
| 116.520 | 87.249 | 116.520 | 0.000 | 0.000 | 0.000 |
| 116.520 | 116.520 | 87.249 | 0.000 | 0.000 | 0.000 |
| -0.000 | 0.000 | 0.000 | -24.325 | 0.000 | 0.000 |
| 0.000 | -0.000 | 0.000 | 0.000 | -24.325 | 0.000 |
| 0.000 | 0.000 | -0.000 | 0.000 | 0.000 | -24.325 |
| 87.249 | 116.521 | 116.521 | -0.000 | -0.000 | -0.000 |
| 116.521 | 87.249 | 116.521 | 0.000 | 0.000 | -0.000 |
| 116.521 | 116.521 | 87.249 | -0.000 | -0.000 | -0.000 |
| 0.000 | -0.000 | -0.000 | -24.325 | -0.000 | -0.000 |
| -0.000 | 0.000 | -0.000 | -0.000 | -24.325 | -0.000 |
| -0.000 | -0.000 | 0.000 | -0.000 | -0.000 | -24.325 |
| 87.248 | 116.520 | 116.520 | 0.000 | 0.000 | 0.000 |
| 116.520 | 87.248 | 116.520 | 0.000 | 0.000 | 0.000 |
| 116.520 | 116.520 | 87.248 | 0.000 | 0.000 | 0.000 |
| -0.000 | 0.000 | 0.000 | -24.325 | 0.000 | 0.000 |
| 0.000 | -0.000 | 0.000 | 0.000 | -24.325 | 0.000 |
| 0.000 | 0.000 | -0.000 | 0.000 | 0.000 | -24.325 |
| 241.520 | 122.085 | 122.085 | 0.000 | 0.000 | -0.000 |
| 122.085 | 241.520 | 122.085 | 0.000 | 0.000 | -0.000 |
| 122.085 | 122.085 | 241.520 | 0.000 | 0.000 | -0.000 |
| -0.000 | -0.000 | 0.000 | 122.085 | -0.000 | -0.000 |
| 0.000 | -0.000 | 0.000 | 0.000 | 122.085 | -0.000 |
| 0.000 | -0.000 | -0.000 | 0.000 | 0.000 | 122.085 |
| 241.520 | 122.085 | 122.085 | -0.000 | 0.000 | 0.000 |
| 122.085 | 241.520 | 122.085 | -0.000 | 0.000 | 0.000 |
| 122.085 | 122.085 | 241.520 | -0.000 | 0.000 | 0.000 |
| -0.000 | 0.000 | -0.000 | 122.085 | -0.000 | 0.000 |
| -0.000 | 0.000 | -0.000 | -0.000 | 122.085 | 0.000 |
| -0.000 | -0.000 | 0.000 | 0.000 | 0.000 | 122.085 |
| 241.520 | 122.085 | 122.085 | 0.000 | 0.000 | -0.000 |
| 122.085 | 241.520 | 122.085 | 0.000 | 0.000 | -0.000 |
| 122.085 | 122.085 | 241.520 | 0.000 | 0.000 | -0.000 |
| -0.000 | 0.000 | 0.000 | 122.085 | 0.000 | -0.000 |
| 0.000 | -0.000 | 0.000 | 0.000 | 122.085 | -0.000 |
| 0.000 | 0.000 | -0.000 | -0.000 | -0.000 | 122.085 |
| 241.520 | 122.085 | 122.085 | -0.000 | -0.000 | 0.000 |
| 122.085 | 241.520 | 122.085 | -0.000 | -0.000 | 0.000 |
| 122.085 | 122.085 | 241.520 | -0.000 | 0.000 | 0.000 |
| 0.000 | -0.000 | -0.000 | 122.085 | -0.000 | 0.000 |
| -0.000 | 0.000 | -0.000 | -0.000 | 122.085 | 0.000 |
| -0.000 | -0.000 | 0.000 | -0.000 | 0.000 | 122.085 |
| 241.521 | 122.086 | 122.086 | 0.000 | 0.000 | -0.000 |
| 122.086 | 241.521 | 122.086 | 0.000 | 0.000 | -0.000 |
| 122.086 | 122.086 | 241.521 | -0.000 | -0.000 | -0.000 |
| -0.000 | 0.000 | 0.001 | 122.085 | 0.000 | -0.000 |
| 0.000 | -0.000 | 0.001 | 0.000 | 122.085 | -0.000 |
| 0.000 | 0.001 | -0.000 | -0.000 | -0.000 | 122.085 |
| 241.519 | 122.084 | 122.084 | -0.000 | 0.000 | 0.000 |
| 122.084 | 241.519 | 122.084 | -0.000 | -0.000 | 0.000 |
| 122.084 | 122.084 | 241.519 | -0.000 | 0.000 | 0.000 |
| 0.000 | -0.000 | -0.001 | 122.085 | -0.000 | 0.000 |
| -0.000 | 0.000 | -0.001 | -0.000 | 122.085 | 0.000 |
| -0.000 | -0.001 | 0.000 | 0.000 | 0.000 | 122.085 |
| 6.276 | 6.950 | 6.950 | 0.000 | 0.000 | 0.000 |
| 6.950 | 6.276 | 6.950 | 0.000 | 0.000 | 0.000 |
| 6.950 | 6.950 | 6.276 | 0.000 | 0.000 | 0.000 |
| 0.000 | -0.000 | -0.000 | -0.935 | -0.000 | -0.000 |
| -0.000 | -0.000 | -0.000 | -0.000 | -0.935 | -0.000 |
| -0.000 | -0.000 | -0.000 | 0.000 | -0.000 | -0.935 |
| 6.276 | 6.950 | 6.950 | -0.000 | -0.000 | -0.000 |
| 6.950 | 6.276 | 6.950 | -0.000 | -0.000 | -0.000 |
| 6.950 | 6.950 | 6.276 | -0.000 | -0.000 | -0.000 |
| 0.000 | 0.000 | 0.000 | -0.935 | -0.000 | 0.000 |
| 0.000 | 0.000 | 0.000 | -0.000 | -0.935 | -0.000 |
| 0.000 | 0.000 | 0.000 | -0.000 | -0.000 | -0.935 |
| 6.276 | 6.950 | 6.950 | 0.000 | 0.000 | 0.000 |
| 6.950 | 6.276 | 6.950 | 0.000 | 0.000 | 0.000 |
| 6.950 | 6.950 | 6.276 | 0.000 | 0.000 | 0.000 |
| -0.000 | -0.000 | -0.000 | -0.935 | -0.000 | -0.000 |
| -0.000 | -0.000 | -0.000 | 0.000 | -0.935 | -0.000 |
| -0.000 | -0.000 | -0.000 | 0.000 | 0.000 | -0.935 |
| 6.276 | 6.950 | 6.950 | -0.000 | -0.000 | -0.000 |
| 6.950 | 6.276 | 6.950 | -0.000 | -0.000 | -0.000 |
| 6.950 | 6.950 | 6.276 | -0.000 | -0.000 | -0.000 |
| 0.000 | 0.000 | 0.000 | -0.935 | 0.000 | -0.000 |
| 0.000 | 0.000 | 0.000 | 0.000 | -0.935 | 0.000 |
| 0.000 | 0.000 | 0.000 | -0.000 | -0.000 | -0.935 |
| 6.276 | 6.950 | 6.950 | -0.000 | 0.000 | 0.000 |
| 6.950 | 6.276 | 6.950 | 0.000 | -0.000 | 0.000 |
| 6.950 | 6.950 | 6.276 | 0.000 | 0.000 | -0.000 |
| -0.000 | -0.000 | -0.000 | -0.935 | -0.000 | -0.000 |
| -0.000 | -0.000 | -0.000 | -0.000 | -0.935 | 0.000 |
| -0.000 | -0.000 | -0.000 | 0.000 | 0.000 | -0.935 |
| 6.276 | 6.949 | 6.949 | 0.000 | -0.000 | -0.000 |
| 6.949 | 6.276 | 6.949 | -0.000 | 0.000 | -0.000 |
| 6.949 | 6.949 | 6.276 | -0.000 | -0.000 | 0.000 |
| 0.000 | 0.000 | 0.000 | -0.935 | -0.000 | 0.000 |
| 0.000 | 0.000 | 0.000 | -0.000 | -0.935 | -0.000 |
| 0.000 | 0.000 | 0.000 | -0.000 | -0.000 | -0.935 |
| 492.156 | 22.558 | 22.558 | 0.000 | 0.000 | 0.000 |
| 22.558 | 492.156 | 22.558 | -0.000 | 0.000 | 0.000 |
| 22.558 | 22.558 | 492.156 | -0.000 | 0.000 | 0.000 |
| -0.000 | -0.000 | -0.000 | -124.549 | 0.000 | 0.000 |
| -0.000 | -0.000 | -0.000 | -0.000 | -124.549 | 0.000 |
| -0.000 | 0.000 | -0.000 | -0.000 | 0.000 | -124.549 |
| 489.645 | 23.813 | 23.813 | 0.000 | -0.000 | -0.000 |
| 23.813 | 489.645 | 23.813 | 0.000 | -0.000 | -0.000 |
| 23.813 | 23.813 | 489.646 | 0.000 | -0.000 | -0.000 |
| -0.000 | 0.000 | 0.000 | -124.549 | -0.000 | -0.000 |
| 0.000 | -0.000 | 0.000 | 0.000 | -124.549 | -0.000 |
| 0.000 | 0.000 | 0.000 | 0.000 | -0.000 | -124.549 |
| 492.157 | 22.558 | 22.558 | 0.000 | 0.000 | 0.000 |
| 22.558 | 492.157 | 22.558 | -0.000 | 0.000 | 0.000 |
| 22.558 | 22.558 | 492.157 | -0.000 | 0.000 | 0.000 |
| 0.000 | 0.000 | -0.000 | -124.549 | 0.000 | 0.000 |
| 0.000 | 0.000 | -0.000 | -0.000 | -124.549 | 0.000 |
| 0.000 | -0.000 | 0.000 | 0.000 | 0.000 | -124.549 |
| 489.645 | 23.813 | 23.813 | 0.000 | -0.000 | -0.000 |
| 23.813 | 489.645 | 23.813 | 0.000 | -0.000 | -0.000 |
| 23.813 | 23.813 | 489.645 | -0.000 | -0.000 | -0.000 |
| -0.000 | -0.000 | 0.000 | -124.549 | -0.000 | -0.000 |
| -0.000 | -0.000 | 0.000 | 0.000 | -124.549 | -0.000 |
| -0.000 | 0.000 | -0.000 | 0.000 | -0.000 | -124.549 |
| 492.161 | 22.558 | 22.558 | 0.000 | 0.000 | 0.000 |
| 22.558 | 492.161 | 22.558 | -0.000 | 0.000 | 0.000 |
| 22.558 | 22.558 | 492.161 | -0.000 | 0.000 | 0.000 |
| 0.001 | 0.000 | -0.000 | -124.549 | 0.000 | 0.000 |
| 0.000 | 0.001 | -0.000 | 0.000 | -124.549 | 0.000 |
| 0.000 | -0.000 | 0.001 | -0.000 | 0.000 | -124.549 |
| 489.641 | 23.813 | 23.813 | 0.000 | -0.000 | -0.000 |
| 23.813 | 489.641 | 23.813 | 0.000 | -0.000 | -0.000 |
| 23.813 | 23.813 | 489.641 | 0.000 | -0.000 | -0.000 |
| -0.001 | -0.000 | 0.000 | -124.549 | -0.000 | -0.000 |
| -0.000 | -0.001 | 0.000 | 0.000 | -124.549 | -0.000 |
| -0.000 | 0.000 | -0.001 | 0.000 | -0.000 | -124.549 |
| 170.874 | 219.623 | 219.623 | -0.000 | 0.000 | -0.000 |
| 219.623 | 170.874 | 219.623 | 0.000 | 0.000 | -0.000 |
| 219.623 | 219.623 | 170.874 | 0.000 | 0.000 | -0.000 |
| -0.000 | -0.000 | -0.000 | 218.285 | 0.000 | -0.000 |
| -0.000 | -0.000 | -0.000 | -0.000 | 218.285 | -0.000 |
| -0.000 | -0.000 | -0.000 | -0.000 | 0.000 | 218.285 |
| 170.874 | 219.623 | 219.623 | -0.000 | -0.000 | -0.000 |
| 219.623 | 170.874 | 219.623 | -0.000 | -0.000 | 0.000 |
| 219.623 | 219.623 | 170.874 | 0.000 | -0.000 | 0.000 |
| 0.000 | 0.000 | 0.000 | 218.285 | -0.000 | 0.000 |
| 0.000 | 0.000 | 0.000 | -0.000 | 218.285 | 0.000 |
| 0.000 | 0.000 | 0.000 | -0.000 | -0.000 | 218.285 |
| 170.874 | 219.623 | 219.623 | -0.000 | 0.000 | -0.000 |
| 219.623 | 170.874 | 219.623 | -0.000 | 0.000 | -0.000 |
| 219.623 | 219.623 | 170.874 | -0.000 | 0.000 | -0.000 |
| 0.000 | 0.000 | 0.000 | 219.623 | 0.000 | -0.000 |
| 0.000 | 0.000 | 0.000 | -0.000 | 219.623 | -0.000 |
| 0.000 | 0.000 | 0.000 | -0.000 | 0.000 | 219.623 |
| 170.874 | 219.623 | 219.623 | -0.000 | -0.000 | 0.000 |
| 219.623 | 170.874 | 219.623 | -0.000 | -0.000 | 0.000 |
| 219.623 | 219.623 | 170.874 | 0.000 | -0.000 | 0.000 |
| -0.000 | -0.000 | -0.000 | 219.623 | -0.000 | -0.000 |
| -0.000 | -0.000 | -0.000 | 0.000 | 219.623 | 0.000 |
| -0.000 | -0.000 | -0.000 | 0.000 | -0.000 | 219.623 |
| 170.875 | 219.624 | 219.624 | 0.000 | 0.000 | -0.000 |
| 219.624 | 170.875 | 219.624 | 0.000 | 0.000 | 0.000 |
| 219.624 | 219.624 | 170.875 | 0.000 | 0.000 | -0.000 |
| 0.001 | 0.000 | 0.001 | 219.623 | 0.000 | -0.000 |
| 0.000 | 0.001 | 0.001 | -0.000 | 219.623 | 0.000 |
| 0.000 | 0.001 | 0.001 | 0.000 | 0.000 | 219.623 |
| 170.873 | 219.622 | 219.622 | -0.000 | -0.000 | 0.000 |
| 219.622 | 170.873 | 219.622 | -0.000 | -0.000 | 0.000 |
| 219.622 | 219.622 | 170.873 | 0.000 | -0.000 | 0.000 |
| -0.001 | -0.000 | -0.001 | 219.623 | -0.000 | -0.000 |
| -0.000 | -0.001 | -0.001 | 0.000 | 219.623 | 0.000 |
| -0.000 | -0.001 | -0.001 | -0.000 | -0.000 | 219.623 |
| 321.610 | 178.146 | 178.146 | -0.000 | -0.000 | 0.000 |
| 178.146 | 321.610 | 178.146 | 0.000 | -0.000 | -0.000 |
| 178.146 | 178.146 | 321.610 | -0.000 | -0.000 | -0.000 |
| -0.000 | 0.000 | 0.000 | 178.146 | -0.000 | -0.000 |
| 0.000 | -0.000 | 0.000 | -0.000 | 178.146 | -0.000 |
| 0.000 | 0.000 | -0.000 | 0.000 | -0.000 | 178.146 |
| 321.610 | 178.146 | 178.146 | 0.000 | 0.000 | 0.000 |
| 178.146 | 321.610 | 178.146 | 0.000 | 0.000 | 0.000 |
| 178.146 | 178.146 | 321.610 | 0.000 | 0.000 | 0.000 |
| 0.000 | -0.000 | -0.000 | 178.146 | 0.000 | 0.000 |
| -0.000 | 0.000 | -0.000 | -0.000 | 178.146 | 0.000 |
| -0.000 | -0.000 | 0.000 | -0.000 | 0.000 | 178.146 |
| 321.610 | 178.146 | 178.146 | -0.000 | -0.000 | -0.000 |
| 178.146 | 321.610 | 178.146 | -0.000 | -0.000 | -0.000 |
| 178.146 | 178.146 | 321.610 | -0.000 | -0.000 | -0.000 |
| -0.000 | 0.000 | 0.000 | 178.146 | -0.000 | -0.000 |
| 0.000 | -0.000 | 0.000 | 0.000 | 178.146 | -0.000 |
| 0.000 | 0.000 | -0.000 | 0.000 | -0.000 | 178.146 |
| 321.609 | 178.146 | 178.146 | -0.000 | -0.000 | 0.000 |
| 178.146 | 321.609 | 178.146 | -0.000 | -0.000 | 0.000 |
| 178.146 | 178.146 | 321.609 | -0.000 | -0.000 | -0.000 |
| 0.000 | -0.000 | -0.000 | 178.146 | 0.000 | 0.000 |
| -0.000 | 0.000 | -0.000 | 0.000 | 178.146 | 0.000 |
| -0.000 | -0.000 | 0.000 | -0.000 | 0.000 | 178.146 |
| 321.611 | 178.147 | 178.147 | 0.000 | 0.000 | -0.000 |
| 178.147 | 321.611 | 178.147 | 0.000 | 0.000 | -0.000 |
| 178.147 | 178.147 | 321.611 | -0.000 | -0.000 | -0.000 |
| -0.000 | 0.000 | 0.001 | 178.146 | -0.000 | 0.000 |
| 0.000 | -0.000 | 0.001 | -0.000 | 178.146 | 0.000 |
| 0.000 | 0.001 | -0.000 | 0.000 | 0.000 | 178.146 |
| 321.608 | 178.145 | 178.145 | 0.000 | 0.000 | 0.000 |
| 178.145 | 321.608 | 178.145 | 0.000 | 0.000 | 0.000 |
| 178.145 | 178.145 | 321.608 | 0.000 | 0.000 | 0.000 |
| 0.000 | -0.000 | -0.001 | 178.146 | 0.000 | 0.000 |
| -0.000 | 0.000 | -0.001 | 0.000 | 178.146 | 0.000 |
| -0.000 | -0.001 | 0.000 | -0.000 | 0.000 | 178.146 |
| 321.610 | 178.146 | 178.144 | -0.000 | -0.000 | -0.000 |
| 178.146 | 321.610 | 178.144 | -0.000 | -0.000 | -0.000 |
| 178.144 | 178.144 | 321.600 | -0.000 | -0.000 | -0.000 |
| 0.000 | 0.000 | 0.000 | 177.715 | -0.000 | 0.000 |
| 0.000 | 0.000 | 0.000 | -0.000 | 177.715 | -0.000 |
| 0.000 | 0.000 | 0.000 | -0.000 | -0.000 | 178.146 |
| 320.956 | 178.800 | 178.144 | 0.000 | 0.000 | 0.000 |
| 178.800 | 320.956 | 178.144 | -0.000 | 0.000 | 0.000 |
| 178.144 | 178.144 | 321.600 | 0.000 | 0.000 | 0.000 |
| -0.000 | -0.000 | -0.000 | 177.715 | 0.000 | 0.000 |
| -0.000 | -0.000 | -0.000 | -0.000 | 177.715 | 0.000 |
| -0.000 | -0.000 | -0.000 | 0.000 | 0.000 | 178.146 |
| 320.956 | 178.800 | 178.144 | -0.000 | -0.000 | 0.000 |
| 178.800 | 320.956 | 178.144 | -0.000 | -0.000 | -0.000 |
| 178.144 | 178.144 | 321.600 | -0.000 | -0.000 | -0.000 |
| -0.000 | 0.000 | 0.000 | 177.715 | -0.000 | 0.000 |
| 0.000 | -0.000 | 0.000 | -0.000 | 177.715 | -0.000 |
| 0.000 | 0.000 | -0.000 | -0.000 | -0.000 | 178.146 |
| 320.956 | 178.800 | 178.144 | 0.000 | 0.000 | 0.000 |
| 178.800 | 320.956 | 178.144 | 0.000 | 0.000 | 0.000 |
| 178.144 | 178.144 | 321.600 | 0.000 | 0.000 | -0.000 |
| 0.000 | -0.000 | -0.000 | 177.715 | 0.000 | -0.000 |
| -0.000 | 0.000 | -0.000 | 0.000 | 177.715 | 0.000 |
| -0.000 | -0.000 | 0.000 | 0.000 | 0.000 | 178.146 |
| 320.957 | 178.801 | 178.145 | -0.000 | -0.000 | 0.000 |
| 178.801 | 320.957 | 178.145 | -0.000 | -0.000 | 0.000 |
| 178.145 | 178.145 | 321.601 | -0.000 | -0.000 | -0.000 |
| -0.000 | 0.000 | 0.001 | 177.715 | -0.000 | -0.000 |
| 0.000 | -0.000 | 0.001 | -0.000 | 177.715 | -0.000 |
| 0.000 | 0.001 | -0.000 | 0.000 | -0.000 | 178.146 |
| 321.608 | 178.145 | 178.143 | 0.000 | 0.000 | 0.000 |
| 178.145 | 321.608 | 178.143 | 0.000 | 0.000 | 0.000 |
| 178.143 | 178.143 | 321.599 | 0.000 | -0.000 | -0.000 |
| 0.000 | -0.000 | -0.001 | 177.715 | 0.000 | -0.000 |
| -0.000 | 0.000 | -0.001 | 0.000 | 177.715 | 0.000 |
| -0.000 | -0.001 | 0.000 | 0.000 | 0.000 | 178.146 |
| 367.387 | -874.432 | 1162.004 | 0.000 | 0.000 | -0.000 |
| 14.874 | -280.666 | 927.336 | 0.000 | 0.000 | -0.000 |
| 15.874 | -523.023 | 1171.346 | 0.000 | 0.000 | 0.000 |
| -85.463 | -978.093 | 1057.948 | 116.181 | 0.000 | 0.000 |
| -95.950 | -946.976 | 1037.395 | -0.000 | 102.865 | -0.000 |
| -85.463 | -978.093 | 1057.948 | 0.000 | 0.000 | 103.756 |
| 451.239 | 575.377 | -356.504 | -0.000 | -0.000 | -0.000 |
| 199.850 | 1342.846 | -869.476 | -0.000 | -0.000 | -0.000 |
| 189.608 | 1144.998 | -658.676 | -0.000 | -0.000 | 0.000 |
| 85.463 | 978.093 | -1057.948 | 116.181 | -0.000 | 0.000 |
| 95.950 | 946.976 | -1037.395 | -0.000 | 102.865 | 0.000 |
| 85.463 | 978.093 | -1057.948 | -0.000 | -0.000 | 103.756 |
| 453.451 | 103.589 | 103.514 | 0.000 | -0.000 | -0.000 |
| 94.330 | 301.276 | 271.530 | -0.000 | -0.000 | 0.000 |
| 95.598 | 69.095 | 505.067 | -0.000 | -0.000 | -0.000 |
| -8.918 | -68.532 | 76.837 | 123.826 | 0.000 | 0.000 |
| -8.546 | -97.807 | 105.792 | 0.000 | 102.871 | -0.000 |
| 0.136 | -47.221 | 46.130 | 0.000 | 0.000 | 103.633 |
| 461.396 | 201.470 | -1.740 | -0.000 | -0.000 | 0.000 |
| 112.497 | 471.750 | 84.042 | -0.000 | 0.000 | 0.000 |
| 104.293 | 201.850 | 365.175 | 0.000 | 0.000 | 0.000 |
| 8.918 | 68.532 | -76.837 | 123.826 | -0.000 | -0.000 |
| 8.546 | 97.807 | -105.792 | -0.000 | 102.871 | -0.000 |
| -0.136 | 47.221 | -46.130 | -0.000 | -0.000 | 103.633 |
| 452.064 | 94.027 | 114.423 | 0.000 | -0.000 | 0.000 |
| 102.690 | 391.937 | 172.998 | 0.000 | -0.000 | -0.000 |
| 103.290 | 157.125 | 409.854 | 0.000 | 0.000 | -0.000 |
| -1.169 | -7.910 | 9.021 | 120.824 | -0.000 | 0.000 |
| 0.014 | -4.754 | 4.644 | 0.000 | 103.128 | -0.000 |
| 0.014 | -4.693 | 4.585 | 0.000 | 0.000 | 103.636 |
| 453.702 | 113.441 | 93.475 | -0.000 | -0.000 | -0.000 |
| 104.820 | 406.379 | 156.540 | -0.000 | 0.000 | -0.000 |
| 105.547 | 171.269 | 393.563 | -0.000 | 0.000 | 0.000 |
| 1.169 | 7.910 | -9.021 | 120.824 | 0.000 | 0.000 |
| -0.014 | 4.754 | -4.644 | -0.000 | 103.128 | 0.000 |
| -0.014 | 4.693 | -4.585 | -0.000 | -0.000 | 103.636 |
| 453.135 | 103.317 | 103.495 | 0.000 | 0.000 | 0.000 |
| 108.958 | 359.987 | 201.882 | 0.000 | -0.000 | -0.000 |
| 108.539 | 78.081 | 484.492 | 0.000 | -0.000 | 0.000 |
| 4.394 | -90.582 | 86.103 | 117.685 | -0.000 | -0.000 |
| 4.335 | -96.805 | 92.347 | 0.000 | 102.785 | -0.000 |
| 0.000 | 0.000 | 0.000 | 0.000 | -0.000 | 103.317 |
| 453.135 | 103.317 | 103.495 | -0.000 | -0.000 | 0.000 |
| 103.317 | 425.895 | 141.942 | -0.000 | -0.000 | 0.000 |
| 99.858 | 258.450 | 312.975 | -0.000 | 0.000 | -0.000 |
| -4.394 | 90.582 | -86.103 | 117.685 | 0.000 | -0.000 |
| -4.335 | 96.805 | -92.347 | -0.000 | 102.785 | 0.000 |
| -0.000 | 0.000 | -0.000 | -0.000 | 0.000 | 103.317 |
| 452.735 | 98.573 | 108.634 | 0.000 | -0.000 | -0.000 |
| 103.806 | 391.381 | 175.954 | 0.000 | 0.000 | -0.000 |
| 105.022 | 149.701 | 416.439 | 0.000 | -0.000 | -0.000 |
| 0.441 | -9.721 | 9.268 | 116.120 | 0.000 | -0.000 |
| 0.431 | -9.629 | 9.187 | 0.000 | 102.797 | 0.000 |
| 0.000 | 0.000 | 0.000 | 0.000 | -0.000 | 103.317 |
| 452.006 | 107.209 | 100.773 | -0.000 | -0.000 | 0.000 |
| 102.636 | 415.049 | 153.498 | -0.000 | 0.000 | 0.000 |
| 103.823 | 176.410 | 390.974 | -0.000 | 0.000 | 0.000 |
| -0.441 | 9.721 | -9.268 | 116.120 | 0.000 | 0.000 |
| -0.431 | 9.629 | -9.187 | -0.000 | 102.797 | 0.000 |
| -0.000 | -0.000 | -0.000 | -0.000 | -0.000 | 103.317 |
| 452.580 | 102.401 | 104.981 | 0.000 | -0.000 | -0.000 |
| 103.551 | 400.731 | 166.850 | 0.000 | -0.000 | -0.000 |
| 105.131 | 162.096 | 403.955 | 0.000 | -0.000 | -0.000 |
| 0.038 | -0.972 | 0.934 | 116.055 | 0.000 | -0.000 |
| 0.001 | 0.000 | 0.000 | 0.000 | 103.495 | 0.000 |
| 0.001 | 0.000 | 0.000 | 0.000 | -0.000 | 103.317 |
| 453.132 | 103.316 | 103.494 | -0.000 | 0.000 | -0.000 |
| 103.333 | 401.818 | 165.994 | -0.000 | 0.000 | 0.000 |
| 104.993 | 164.464 | 401.726 | -0.000 | -0.000 | -0.000 |
| -0.038 | 0.972 | -0.934 | 116.055 | -0.000 | -0.000 |
| -0.001 | -0.000 | -0.000 | -0.000 | 103.495 | -0.000 |
| -0.001 | -0.000 | -0.000 | -0.000 | 0.000 | 103.317 |
| 427.779 | 142.592 | 107.332 | 50.253 | -0.000 | 0.000 |
| 142.592 | 427.779 | 107.332 | -50.253 | 0.000 | 0.000 |
| 107.330 | 107.330 | 462.836 | -0.000 | -0.000 | 0.000 |
| 50.249 | -50.249 | 0.000 | 107.316 | 0.000 | 0.000 |
| -0.000 | 0.000 | 0.000 | -0.000 | 107.316 | 50.249 |
| 0.000 | 0.000 | 0.000 | -0.000 | 50.249 | 142.591 |
| 427.782 | 142.594 | 107.323 | 50.254 | -0.000 | -0.000 |
| 142.594 | 427.782 | 107.323 | -50.254 | 0.000 | -0.000 |
| 107.330 | 107.330 | 462.836 | 0.000 | -0.000 | -0.000 |
| 50.249 | -50.249 | -0.000 | 107.316 | -0.000 | -0.000 |
| 0.000 | 0.000 | -0.000 | 0.000 | 107.316 | 50.249 |
| 0.000 | -0.000 | -0.000 | -0.000 | 50.249 | 142.591 |
| 427.782 | 142.594 | 107.323 | 50.254 | -0.000 | 0.000 |
| 142.593 | 427.779 | 107.332 | -50.253 | -0.000 | 0.000 |
| 107.323 | 107.323 | 462.864 | -0.000 | 0.000 | 0.000 |
| 50.249 | -50.249 | 0.000 | 107.316 | 0.000 | 0.000 |
| -0.000 | 0.000 | 0.000 | 0.000 | 107.316 | 50.249 |
| -0.000 | 0.000 | 0.000 | 0.000 | 50.254 | 142.594 |
| 427.781 | 142.594 | 107.323 | 50.254 | -0.000 | -0.000 |
| 142.592 | 427.778 | 107.332 | -50.252 | 0.000 | -0.000 |
| 107.330 | 107.330 | 462.836 | 0.000 | 0.000 | -0.000 |
| 50.249 | -50.249 | -0.000 | 107.316 | -0.000 | -0.000 |
| 0.000 | -0.000 | -0.000 | -0.000 | 107.316 | 50.249 |
| 0.000 | -0.000 | -0.000 | -0.000 | 50.254 | 142.594 |
| 427.782 | 142.593 | 107.332 | 50.253 | 0.000 | 0.000 |
| 142.595 | 427.784 | 107.323 | -50.254 | 0.000 | 0.000 |
| 107.331 | 107.331 | 462.838 | -0.000 | 0.000 | 0.000 |
| 50.249 | -50.249 | 0.001 | 107.315 | 0.000 | 0.000 |
| -0.000 | 0.000 | 0.001 | 0.000 | 107.316 | 50.249 |
| -0.000 | 0.001 | 0.000 | 0.000 | 50.254 | 142.594 |
| 427.775 | 142.592 | 107.332 | 50.252 | 0.000 | -0.000 |
| 142.591 | 427.776 | 107.332 | -50.252 | 0.000 | -0.000 |
| 107.329 | 107.329 | 462.834 | 0.000 | -0.000 | -0.000 |
| 50.249 | -50.249 | -0.001 | 107.316 | -0.000 | -0.000 |
| 0.000 | -0.000 | -0.001 | -0.000 | 107.316 | 50.249 |
| 0.000 | -0.001 | -0.000 | -0.000 | 50.254 | 142.594 |
| 427.161 | 142.288 | 106.112 | 49.868 | -0.000 | -0.000 |
| 142.287 | 427.158 | 106.120 | -49.867 | 0.000 | -0.000 |
| 106.319 | 106.319 | 460.163 | 0.000 | 0.000 | 0.000 |
| 49.863 | -49.863 | 0.000 | 106.653 | -0.000 | 0.000 |
| 0.000 | -0.000 | -0.000 | 0.000 | 106.660 | 49.868 |
| -0.000 | -0.000 | 0.000 | 0.000 | 49.863 | 142.434 |
| 427.161 | 142.288 | 106.112 | 49.868 | 0.000 | 0.000 |
| 142.288 | 427.161 | 106.112 | -49.868 | -0.000 | -0.000 |
| 106.319 | 106.319 | 460.163 | -0.000 | -0.000 | 0.000 |
| 49.868 | -49.868 | -0.000 | 106.660 | 0.000 | 0.000 |
| 0.000 | 0.000 | -0.000 | -0.000 | 106.660 | 49.868 |
| 0.000 | 0.000 | -0.000 | -0.000 | 49.863 | 142.434 |
| 427.162 | 142.288 | 106.112 | 49.868 | 0.000 | 0.000 |
| 142.287 | 427.159 | 106.120 | -49.867 | -0.000 | -0.000 |
| 106.319 | 106.319 | 460.163 | 0.000 | 0.000 | 0.000 |
| 49.868 | -49.868 | 0.000 | 106.660 | 0.000 | 0.000 |
| -0.000 | 0.000 | 0.000 | 0.000 | 106.653 | 49.863 |
| -0.000 | 0.000 | 0.000 | 0.000 | 49.863 | 142.434 |
| 427.158 | 142.287 | 106.120 | 49.867 | 0.000 | 0.000 |
| 142.287 | 427.158 | 106.120 | -49.867 | -0.000 | -0.000 |
| 106.318 | 106.318 | 460.163 | -0.000 | 0.000 | 0.000 |
| 49.863 | -49.863 | -0.000 | 106.653 | -0.000 | -0.000 |
| 0.000 | -0.000 | -0.000 | -0.000 | 106.653 | 49.863 |
| 0.000 | -0.000 | -0.000 | -0.000 | 49.863 | 142.434 |
| 427.165 | 142.289 | 106.112 | 49.868 | -0.000 | -0.000 |
| 142.289 | 427.164 | 106.112 | -49.868 | 0.000 | 0.000 |
| 106.319 | 106.319 | 460.166 | 0.000 | 0.000 | 0.000 |
| 49.863 | -49.863 | 0.001 | 106.652 | -0.000 | 0.000 |
| -0.000 | 0.000 | 0.001 | 0.000 | 106.653 | 49.863 |
| -0.000 | 0.001 | 0.000 | 0.000 | 49.868 | 142.436 |
| 427.158 | 142.288 | 106.111 | 49.868 | -0.000 | 0.000 |
| 142.287 | 427.159 | 106.111 | -49.868 | -0.000 | 0.000 |
| 106.311 | 106.311 | 460.189 | -0.000 | 0.000 | 0.000 |
| 49.868 | -49.868 | -0.001 | 106.660 | -0.000 | -0.000 |
| 0.000 | -0.000 | -0.001 | -0.000 | 106.653 | 49.863 |
| 0.000 | -0.001 | -0.000 | -0.000 | 49.868 | 142.436 |
| 401.410 | 165.490 | 104.258 | 0.000 | -0.000 | 0.000 |
| 141.946 | 425.838 | 103.427 | -0.000 | -0.000 | 0.000 |
| 103.427 | 103.427 | 453.131 | 0.000 | -0.000 | 0.000 |
| 0.000 | 0.000 | 0.000 | 103.427 | -0.000 | 0.000 |
| 0.000 | -0.000 | 0.000 | 0.000 | 103.427 | 0.000 |
| -0.000 | 0.000 | -0.000 | 0.000 | -0.000 | 116.616 |
| 400.388 | 167.169 | 103.640 | -0.000 | 0.000 | -0.000 |
| 141.946 | 425.838 | 103.427 | -0.000 | 0.000 | -0.000 |
| 103.427 | 103.427 | 453.131 | -0.000 | 0.000 | -0.000 |
| -0.000 | 0.000 | -0.000 | 103.427 | 0.000 | -0.000 |
| -0.000 | 0.000 | -0.000 | -0.000 | 103.427 | -0.000 |
| 0.000 | -0.000 | 0.000 | 0.000 | 0.000 | 116.616 |
| 425.839 | 141.946 | 103.427 | 0.000 | -0.000 | 0.000 |
| 167.175 | 400.383 | 103.641 | 0.000 | -0.000 | 0.000 |
| 103.427 | 103.427 | 453.132 | 0.000 | -0.000 | 0.000 |
| 0.000 | -0.000 | 0.000 | 102.859 | -0.000 | 0.000 |
| -0.000 | 0.000 | 0.000 | 0.000 | 102.859 | 0.000 |
| -0.000 | 0.000 | 0.000 | -0.000 | -0.000 | 141.946 |
| 425.838 | 141.946 | 103.427 | -0.000 | 0.000 | -0.000 |
| 141.946 | 425.838 | 103.427 | -0.000 | 0.000 | -0.000 |
| 103.641 | 103.641 | 452.729 | -0.000 | 0.000 | -0.000 |
| -0.000 | 0.000 | -0.000 | 102.859 | 0.000 | -0.000 |
| 0.000 | -0.000 | -0.000 | -0.000 | 102.859 | -0.000 |
| 0.000 | -0.000 | -0.000 | 0.000 | 0.000 | 141.946 |
| 401.413 | 165.490 | 104.258 | -0.000 | -0.000 | 0.000 |
| 141.947 | 425.841 | 103.427 | -0.000 | -0.000 | 0.000 |
| 103.428 | 103.428 | 453.134 | 0.000 | -0.000 | 0.000 |
| 0.000 | -0.000 | 0.001 | 102.859 | -0.000 | 0.000 |
| -0.000 | 0.000 | 0.001 | 0.000 | 102.859 | 0.000 |
| -0.000 | 0.001 | 0.000 | 0.000 | -0.000 | 141.946 |
| 401.406 | 165.490 | 104.257 | 0.000 | 0.000 | -0.000 |
| 167.168 | 400.386 | 103.640 | -0.000 | 0.000 | -0.000 |
| 103.640 | 103.640 | 452.726 | -0.000 | 0.000 | -0.000 |
| -0.000 | 0.000 | -0.001 | 102.859 | 0.000 | -0.000 |
| 0.000 | -0.000 | -0.001 | -0.000 | 102.859 | -0.000 |
| 0.000 | -0.001 | -0.000 | -0.000 | 0.000 | 141.946 |
| 425.064 | 141.614 | 103.648 | -0.000 | -0.000 | -0.000 |
| 141.614 | 425.064 | 103.648 | -0.000 | -0.000 | -0.000 |
| 103.548 | 103.548 | 453.440 | -0.000 | -0.000 | -0.000 |
| 0.173 | 0.173 | -0.324 | 103.174 | -0.000 | -0.000 |
| 0.173 | 0.173 | -0.324 | -0.000 | 103.174 | -0.000 |
| 0.357 | 0.356 | -0.669 | -0.000 | -0.000 | 117.210 |
| 425.064 | 141.614 | 103.648 | 0.000 | 0.000 | 0.000 |
| 141.614 | 425.064 | 103.648 | 0.000 | 0.000 | 0.000 |
| 103.548 | 103.548 | 453.440 | 0.000 | 0.000 | 0.000 |
| -0.173 | -0.173 | 0.324 | 103.174 | 0.000 | 0.000 |
| -0.173 | -0.173 | 0.324 | 0.000 | 103.174 | 0.000 |
| -0.357 | -0.356 | 0.669 | 0.000 | 0.000 | 117.210 |
| 425.064 | 141.614 | 103.649 | -0.000 | -0.000 | -0.000 |
| 141.614 | 425.064 | 103.649 | -0.000 | -0.000 | -0.000 |
| 103.549 | 103.549 | 453.440 | -0.000 | -0.000 | -0.000 |
| 0.000 | 0.000 | 0.000 | 103.559 | -0.000 | -0.000 |
| 0.000 | 0.000 | 0.000 | -0.000 | 103.559 | -0.000 |
| 0.037 | 0.037 | -0.069 | -0.000 | -0.000 | 116.361 |
| 425.063 | 141.614 | 103.648 | 0.000 | 0.000 | 0.000 |
| 141.614 | 425.063 | 103.648 | 0.000 | 0.000 | 0.000 |
| 103.754 | 103.754 | 453.053 | 0.000 | 0.000 | 0.000 |
| -0.000 | -0.000 | -0.000 | 103.559 | 0.000 | 0.000 |
| -0.000 | -0.000 | -0.000 | 0.000 | 103.559 | 0.000 |
| -0.037 | -0.037 | 0.069 | 0.000 | 0.000 | 116.361 |
| 425.067 | 141.615 | 103.649 | -0.000 | -0.000 | -0.000 |
| 166.882 | 399.574 | 103.861 | -0.000 | -0.000 | -0.000 |
| 103.765 | 103.765 | 453.038 | -0.000 | -0.000 | -0.000 |
| 0.000 | 0.000 | 0.001 | 103.559 | -0.000 | -0.000 |
| 0.000 | 0.000 | 0.001 | -0.000 | 103.559 | -0.000 |
| 0.004 | 0.005 | -0.007 | -0.000 | -0.000 | 116.352 |
| 399.566 | 166.878 | 103.864 | 0.000 | 0.000 | 0.000 |
| 165.182 | 400.601 | 104.484 | 0.000 | 0.000 | 0.000 |
| 103.547 | 103.547 | 453.437 | 0.000 | 0.000 | 0.000 |
| -0.000 | -0.000 | -0.001 | 103.559 | 0.000 | 0.000 |
| -0.000 | -0.000 | -0.001 | 0.000 | 103.559 | 0.000 |
| -0.004 | -0.005 | 0.007 | 0.000 | 0.000 | 116.352 |
| 119.401 | 71.990 | 71.990 | -0.000 | 0.000 | 0.000 |
| 71.990 | 119.401 | 71.990 | 0.000 | 0.000 | -0.000 |
| 71.990 | 71.990 | 119.401 | -0.000 | 0.000 | 0.000 |
| 0.000 | 0.000 | 0.000 | 71.990 | 0.000 | 0.000 |
| 0.000 | 0.000 | 0.000 | 0.000 | 71.990 | 0.000 |
| 0.000 | 0.000 | 0.000 | 0.000 | 0.000 | 71.990 |
| 119.401 | 71.990 | 71.990 | 0.000 | -0.000 | 0.000 |
| 71.990 | 119.401 | 71.990 | -0.000 | -0.000 | -0.000 |
| 71.990 | 71.990 | 119.401 | 0.000 | -0.000 | -0.000 |
| -0.000 | -0.000 | -0.000 | 71.990 | -0.000 | -0.000 |
| -0.000 | -0.000 | -0.000 | -0.000 | 71.990 | -0.000 |
| -0.000 | -0.000 | -0.000 | -0.000 | -0.000 | 71.990 |
| 119.401 | 71.990 | 71.990 | 0.000 | 0.000 | -0.000 |
| 71.990 | 119.401 | 71.990 | 0.000 | -0.000 | -0.000 |
| 71.990 | 71.990 | 119.401 | 0.000 | 0.000 | 0.000 |
| -0.000 | 0.000 | 0.000 | 71.990 | 0.000 | 0.000 |
| 0.000 | -0.000 | 0.000 | -0.000 | 71.990 | 0.000 |
| 0.000 | 0.000 | -0.000 | 0.000 | 0.000 | 71.990 |
| 119.401 | 71.990 | 71.990 | 0.000 | -0.000 | -0.000 |
| 71.990 | 119.401 | 71.990 | -0.000 | 0.000 | -0.000 |
| 71.990 | 71.990 | 119.401 | -0.000 | -0.000 | -0.000 |
| 0.000 | -0.000 | -0.000 | 71.990 | -0.000 | -0.000 |
| -0.000 | 0.000 | -0.000 | 0.000 | 71.990 | -0.000 |
| -0.000 | -0.000 | 0.000 | 0.000 | -0.000 | 71.990 |
| 119.402 | 71.990 | 71.990 | 0.000 | 0.000 | -0.000 |
| 71.990 | 119.402 | 71.990 | -0.000 | -0.000 | 0.000 |
| 71.990 | 71.990 | 119.402 | 0.000 | -0.000 | 0.000 |
| -0.000 | 0.000 | 0.000 | 71.990 | 0.000 | -0.000 |
| 0.000 | -0.000 | 0.000 | 0.000 | 71.990 | 0.000 |
| 0.000 | 0.000 | -0.000 | -0.000 | 0.000 | 71.990 |
| 119.401 | 71.989 | 71.989 | 0.000 | -0.000 | -0.000 |
| 71.989 | 119.401 | 71.989 | -0.000 | -0.000 | -0.000 |
| 71.989 | 71.989 | 119.401 | 0.000 | -0.000 | -0.000 |
| 0.000 | -0.000 | -0.000 | 71.990 | -0.000 | -0.000 |
| -0.000 | 0.000 | -0.000 | -0.000 | 71.990 | -0.000 |
| -0.000 | -0.000 | 0.000 | -0.000 | -0.000 | 71.990 |
| 201.095 | 10.738 | 10.738 | 0.000 | 0.000 | -0.000 |
| 10.738 | 201.095 | 10.738 | -0.000 | -0.000 | -0.000 |
| 10.738 | 10.738 | 201.095 | -0.000 | 0.000 | -0.000 |
| -0.000 | 0.000 | 0.000 | 10.354 | -0.000 | -0.000 |
| 0.000 | 0.000 | 0.000 | 0.000 | 10.354 | -0.000 |
| 0.000 | 0.000 | 0.000 | 0.000 | -0.000 | 10.354 |
| 201.095 | 10.738 | 10.738 | -0.000 | 0.000 | 0.000 |
| 10.738 | 201.095 | 10.738 | -0.000 | -0.000 | 0.000 |
| 10.738 | 10.738 | 201.095 | -0.000 | -0.000 | 0.000 |
| -0.000 | -0.000 | -0.000 | 10.354 | 0.000 | -0.000 |
| -0.000 | -0.000 | 0.000 | -0.000 | 10.354 | 0.000 |
| -0.000 | -0.000 | -0.000 | 0.000 | -0.000 | 10.354 |
| 201.095 | 10.738 | 10.738 | 0.000 | -0.000 | -0.000 |
| 10.738 | 201.095 | 10.738 | -0.000 | 0.000 | -0.000 |
| 10.738 | 10.738 | 201.095 | 0.000 | 0.000 | -0.000 |
| 0.000 | 0.000 | 0.000 | 10.354 | -0.000 | -0.000 |
| 0.001 | -0.001 | -0.000 | 0.000 | -56.713 | -0.000 |
| 0.002 | -0.000 | -0.001 | 0.000 | 0.000 | -56.713 |
| 201.095 | 10.738 | 10.738 | 0.000 | -0.000 | 0.000 |
| 10.738 | 201.095 | 10.738 | 0.000 | 0.000 | -0.000 |
| 10.738 | 10.738 | 201.095 | 0.000 | -0.000 | 0.000 |
| -0.000 | -0.000 | -0.000 | 10.354 | 0.000 | 0.000 |
| -0.001 | 0.002 | -0.000 | 0.000 | -56.713 | 0.000 |
| -0.001 | 0.000 | 0.001 | -0.000 | -0.000 | -56.713 |
| 201.097 | 10.738 | 10.738 | 0.000 | 0.000 | -0.000 |
| 10.738 | 201.097 | 10.738 | -0.000 | 0.000 | -0.000 |
| 10.738 | 10.738 | 201.097 | 0.000 | -0.000 | -0.000 |
| 0.000 | 0.000 | 0.000 | -56.714 | 0.000 | -0.000 |
| 0.000 | 0.000 | 0.000 | 0.000 | -56.714 | -0.000 |
| 0.000 | 0.000 | 0.000 | 0.000 | 0.000 | -56.714 |
| 201.093 | 10.738 | 10.738 | -0.000 | -0.000 | 0.000 |
| 10.738 | 201.093 | 10.738 | 0.000 | 0.000 | 0.000 |
| 10.738 | 10.738 | 201.093 | -0.000 | -0.000 | 0.000 |
| -0.000 | -0.000 | -0.000 | -56.714 | -0.000 | 0.000 |
| -0.000 | -0.000 | -0.000 | -0.000 | -56.714 | 0.000 |
| -0.000 | -0.000 | -0.000 | -0.000 | -0.000 | -56.714 |
| 68.483 | 85.827 | 85.827 | -0.000 | 0.000 | 0.000 |
| 85.827 | 68.483 | 85.827 | 0.000 | -0.000 | 0.000 |
| 85.827 | 85.827 | 68.483 | -0.000 | 0.000 | 0.000 |
| 0.000 | 0.000 | 0.000 | 85.827 | 0.000 | 0.000 |
| 0.000 | 0.000 | 0.000 | 0.000 | 85.827 | 0.000 |
| 0.000 | 0.000 | 0.000 | 0.000 | 0.000 | 85.827 |
| 68.483 | 85.827 | 85.827 | 0.000 | -0.000 | -0.000 |
| 85.827 | 68.483 | 85.827 | 0.000 | -0.000 | -0.000 |
| 85.827 | 85.827 | 68.483 | -0.000 | 0.000 | -0.000 |
| -0.000 | -0.000 | -0.000 | 85.827 | -0.000 | 0.000 |
| -0.000 | -0.000 | -0.000 | 0.000 | 85.827 | -0.000 |
| -0.000 | -0.000 | -0.000 | -0.000 | -0.000 | 85.827 |
| 68.483 | 85.827 | 85.827 | 0.000 | -0.000 | 0.000 |
| 85.827 | 68.483 | 85.827 | 0.000 | -0.000 | 0.000 |
| 85.827 | 85.827 | 68.483 | 0.000 | -0.000 | 0.000 |
| 0.000 | 0.000 | 0.000 | 85.827 | 0.000 | 0.000 |
| 0.000 | 0.000 | 0.000 | 0.000 | 85.827 | 0.000 |
| 0.000 | 0.000 | 0.000 | -0.000 | 0.000 | 85.827 |
| 68.483 | 85.827 | 85.827 | -0.000 | 0.000 | -0.000 |
| 85.827 | 68.483 | 85.827 | -0.000 | 0.000 | -0.000 |
| 85.827 | 85.827 | 68.483 | -0.000 | -0.000 | -0.000 |
| -0.000 | -0.000 | -0.000 | 85.827 | -0.000 | -0.000 |
| -0.000 | -0.000 | -0.000 | -0.000 | 85.827 | -0.000 |
| -0.000 | -0.000 | -0.000 | 0.000 | 0.000 | 85.827 |
| 68.483 | 85.827 | 85.827 | 0.000 | -0.000 | 0.000 |
| 85.827 | 68.483 | 85.827 | -0.000 | -0.000 | 0.000 |
| 85.827 | 85.827 | 68.483 | 0.000 | 0.000 | 0.000 |
| 0.000 | 0.000 | 0.000 | 85.827 | 0.000 | -0.000 |
| 0.000 | 0.000 | 0.000 | -0.000 | 85.827 | 0.000 |
| 0.000 | 0.000 | 0.000 | 0.000 | 0.000 | 85.827 |
| 68.483 | 85.826 | 85.826 | 0.000 | -0.000 | -0.000 |
| 85.826 | 68.483 | 85.826 | -0.000 | -0.000 | 0.000 |
| 85.826 | 85.826 | 68.483 | -0.000 | -0.000 | -0.000 |
| -0.000 | -0.000 | -0.000 | 85.827 | -0.000 | -0.000 |
| -0.000 | -0.000 | -0.000 | -0.000 | 85.827 | -0.000 |
| -0.000 | -0.000 | -0.000 | -0.000 | -0.000 | 85.827 |
| 153.805 | 67.485 | 39.296 | 0.000 | 0.000 | -0.000 |
| 55.322 | 165.967 | 39.296 | 0.000 | 0.000 | -0.000 |
| 39.296 | 39.296 | 181.469 | -0.000 | 0.000 | 0.000 |
| 0.000 | 0.000 | 0.000 | 39.296 | 0.000 | 0.000 |
| 0.000 | 0.000 | 0.000 | 0.000 | 39.296 | 0.000 |
| -0.000 | 0.000 | -0.000 | -0.000 | 0.000 | 55.322 |
| 165.967 | 55.322 | 39.296 | -0.000 | -0.000 | -0.000 |
| 55.322 | 165.967 | 39.296 | 0.000 | -0.000 | -0.000 |
| 39.296 | 39.296 | 181.469 | -0.000 | -0.000 | 0.000 |
| -0.000 | -0.000 | -0.000 | 39.296 | -0.000 | 0.000 |
| -0.000 | -0.000 | -0.000 | -0.000 | 39.296 | 0.000 |
| -0.000 | -0.000 | 0.000 | 0.000 | -0.000 | 55.322 |
| 165.967 | 55.322 | 39.296 | -0.000 | -0.000 | 0.000 |
| 55.322 | 165.967 | 39.296 | 0.000 | 0.000 | 0.000 |
| 39.296 | 39.296 | 181.469 | 0.000 | -0.000 | 0.000 |
| 0.000 | 0.000 | 0.000 | 39.296 | 0.000 | 0.000 |
| -0.000 | 0.000 | 0.000 | 0.000 | 39.296 | 0.000 |
| 0.000 | 0.000 | 0.000 | -0.000 | 0.000 | 55.322 |
| 153.804 | 67.485 | 39.296 | 0.000 | -0.000 | -0.000 |
| 67.485 | 153.804 | 39.296 | 0.000 | -0.000 | -0.000 |
| 39.296 | 39.296 | 181.469 | -0.000 | -0.000 | -0.000 |
| -0.000 | -0.000 | -0.000 | 39.296 | -0.000 | 0.000 |
| 0.000 | -0.000 | -0.000 | -0.000 | 39.296 | -0.000 |
| -0.000 | -0.000 | -0.000 | 0.000 | -0.000 | 55.322 |
| 165.969 | 55.323 | 39.296 | -0.000 | 0.000 | 0.000 |
| 55.323 | 165.968 | 39.296 | -0.000 | 0.000 | 0.000 |
| 39.296 | 39.296 | 181.470 | -0.000 | -0.000 | 0.000 |
| 0.000 | -0.000 | 0.000 | 39.296 | 0.000 | -0.000 |
| 0.000 | 0.000 | 0.000 | 0.000 | 39.296 | 0.000 |
| 0.000 | 0.000 | -0.000 | 0.000 | 0.000 | 43.160 |
| 153.803 | 67.485 | 39.295 | -0.000 | -0.000 | -0.000 |
| 67.484 | 153.803 | 39.295 | -0.000 | -0.000 | -0.000 |
| 39.295 | 39.295 | 181.468 | -0.000 | -0.000 | -0.000 |
| -0.000 | 0.000 | -0.000 | 39.296 | -0.000 | 0.000 |
| -0.000 | -0.000 | -0.000 | -0.000 | 39.296 | -0.000 |
| -0.000 | -0.000 | 0.000 | -0.000 | -0.000 | 43.160 |
| 153.067 | 66.115 | 38.978 | -0.000 | -0.000 | -0.000 |
| 54.795 | 164.386 | 38.978 | 0.000 | -0.000 | 0.000 |
| 38.978 | 38.978 | 179.677 | -0.000 | -0.000 | -0.000 |
| 0.000 | -0.000 | 0.000 | 38.978 | 0.000 | 0.000 |
| 0.000 | -0.000 | 0.000 | -0.000 | 38.978 | -0.000 |
| 0.000 | 0.000 | 0.000 | -0.000 | -0.000 | 43.476 |
| 153.067 | 66.115 | 38.978 | 0.000 | -0.000 | -0.000 |
| 66.115 | 153.067 | 38.978 | 0.000 | -0.000 | -0.000 |
| 38.978 | 38.978 | 179.677 | 0.000 | 0.000 | 0.000 |
| -0.000 | 0.000 | -0.000 | 38.978 | 0.000 | 0.000 |
| -0.000 | 0.000 | -0.000 | -0.000 | 38.978 | 0.000 |
| -0.000 | -0.000 | -0.000 | 0.000 | -0.000 | 43.476 |
| 153.067 | 66.115 | 38.978 | -0.000 | 0.000 | 0.000 |
| 54.795 | 164.386 | 38.978 | 0.000 | 0.000 | 0.000 |
| 38.978 | 38.978 | 179.677 | -0.000 | -0.000 | -0.000 |
| 0.000 | -0.000 | 0.000 | 38.978 | 0.000 | -0.000 |
| -0.000 | 0.000 | 0.000 | -0.000 | 38.978 | 0.000 |
| 0.000 | 0.000 | -0.000 | 0.000 | -0.000 | 43.476 |
| 153.067 | 66.115 | 38.978 | -0.000 | 0.000 | 0.000 |
| 66.115 | 153.067 | 38.978 | 0.000 | -0.000 | -0.000 |
| 38.978 | 38.978 | 179.677 | 0.000 | -0.000 | 0.000 |
| -0.000 | 0.000 | -0.000 | 38.978 | 0.000 | -0.000 |
| 0.000 | -0.000 | -0.000 | 0.000 | 38.978 | 0.000 |
| -0.000 | -0.000 | 0.000 | 0.000 | 0.000 | 43.476 |
| 164.388 | 54.796 | 38.978 | -0.000 | 0.000 | 0.000 |
| 54.796 | 164.387 | 38.978 | 0.000 | 0.000 | -0.000 |
| 38.978 | 38.978 | 179.678 | -0.000 | 0.000 | 0.000 |
| 0.000 | -0.000 | 0.000 | 38.978 | -0.000 | -0.000 |
| -0.000 | 0.000 | 0.000 | -0.000 | 38.978 | 0.000 |
| 0.000 | 0.000 | -0.000 | -0.000 | -0.000 | 43.476 |
| 153.065 | 66.115 | 38.978 | 0.000 | -0.000 | -0.000 |
| 66.114 | 153.066 | 38.978 | -0.000 | -0.000 | -0.000 |
| 38.977 | 38.977 | 179.676 | 0.000 | 0.000 | 0.000 |
| -0.000 | 0.000 | -0.000 | 38.978 | -0.000 | -0.000 |
| 0.000 | -0.000 | -0.000 | -0.000 | 38.978 | -0.000 |
| -0.000 | -0.000 | 0.000 | 0.000 | -0.000 | 43.476 |
| 11.484 | 16.448 | 16.448 | 0.000 | 0.000 | 0.000 |
| 16.448 | 11.484 | 16.448 | 0.000 | 0.000 | 0.000 |
| 16.448 | 16.448 | 11.484 | 0.000 | 0.000 | 0.000 |
| 0.000 | 0.000 | -0.000 | -3.983 | -0.000 | -0.000 |
| 0.000 | 0.000 | -0.000 | 0.000 | -3.983 | -0.000 |
| 0.000 | 0.000 | -0.000 | 0.000 | 0.000 | -3.983 |
| 11.484 | 16.448 | 16.448 | -0.000 | -0.000 | -0.000 |
| 16.448 | 11.484 | 16.448 | -0.000 | -0.000 | -0.000 |
| 16.448 | 16.448 | 11.484 | -0.000 | -0.000 | -0.000 |
| -0.000 | -0.000 | 0.000 | -3.983 | -0.000 | 0.000 |
| -0.000 | -0.000 | 0.000 | -0.000 | -3.983 | 0.000 |
| -0.000 | -0.000 | 0.000 | -0.000 | -0.000 | -3.983 |
| 11.484 | 16.448 | 16.448 | 0.000 | 0.000 | 0.000 |
| 16.448 | 11.484 | 16.448 | 0.000 | 0.000 | 0.000 |
| 16.448 | 16.448 | 11.484 | 0.000 | 0.000 | 0.000 |
| -0.000 | -0.000 | -0.000 | -3.983 | -0.000 | 0.000 |
| -0.000 | -0.000 | -0.000 | -0.000 | -3.983 | -0.000 |
| -0.000 | -0.000 | -0.000 | 0.000 | 0.000 | -3.983 |
| 11.484 | 16.448 | 16.448 | -0.000 | -0.000 | -0.000 |
| 16.448 | 11.484 | 16.448 | -0.000 | -0.000 | -0.000 |
| 16.448 | 16.448 | 11.484 | -0.000 | -0.000 | -0.000 |
| 0.000 | 0.000 | 0.000 | -3.983 | 0.000 | -0.000 |
| 0.000 | 0.000 | 0.000 | -0.000 | -3.983 | 0.000 |
| 0.000 | 0.000 | 0.000 | -0.000 | 0.000 | -3.983 |
| 11.484 | 16.448 | 16.448 | 0.000 | 0.000 | 0.000 |
| 16.448 | 11.484 | 16.448 | 0.000 | 0.000 | 0.000 |
| 16.448 | 16.448 | 11.484 | 0.000 | 0.000 | -0.000 |
| -0.000 | -0.000 | -0.000 | -3.983 | 0.000 | -0.000 |
| -0.000 | -0.000 | -0.000 | 0.000 | -3.983 | -0.000 |
| -0.000 | -0.000 | -0.000 | 0.000 | 0.000 | -3.983 |
| 11.484 | 16.448 | 16.448 | -0.000 | -0.000 | -0.000 |
| 16.448 | 11.484 | 16.448 | -0.000 | 0.000 | -0.000 |
| 16.448 | 16.448 | 11.484 | -0.000 | -0.000 | -0.000 |
| 0.000 | 0.000 | 0.000 | -3.983 | -0.000 | 0.000 |
| 0.000 | 0.000 | 0.000 | -0.000 | -3.983 | 0.000 |
| 0.000 | 0.000 | 0.000 | -0.000 | -0.000 | -3.983 |
| 172.383 | -11.432 | 4.793 | 0.000 | -0.000 | -0.000 |
| -11.432 | 172.383 | 4.793 | 0.000 | -0.000 | -0.000 |
| 4.793 | 4.793 | 167.190 | 0.000 | -0.000 | -0.000 |
| -0.000 | 0.000 | -0.000 | -11.110 | 0.000 | 0.000 |
| -0.000 | 0.000 | -0.000 | 0.000 | -11.110 | -0.000 |
| -0.000 | 0.000 | -0.000 | 0.000 | -0.000 | -11.432 |
| 172.383 | -11.432 | 4.793 | -0.000 | 0.000 | 0.000 |
| -11.432 | 172.383 | 4.793 | -0.000 | 0.000 | -0.000 |
| 4.793 | 4.793 | 167.190 | -0.000 | 0.000 | 0.000 |
| 0.000 | -0.000 | 0.000 | -11.110 | -0.000 | 0.000 |
| 0.000 | -0.000 | -0.000 | -0.000 | -11.110 | -0.000 |
| 0.000 | -0.000 | -0.000 | -0.000 | 0.000 | -11.432 |
| -168.427 | 329.379 | 4.793 | -0.000 | 0.000 | 0.000 |
| 329.379 | -168.427 | 4.793 | 0.000 | -0.000 | -0.000 |
| 4.793 | 4.793 | 167.190 | 0.000 | -0.000 | -0.000 |
| -0.000 | 0.000 | -0.000 | -11.110 | -0.000 | -0.000 |
| 0.000 | -0.000 | -0.000 | 0.000 | -11.110 | -0.000 |
| -0.000 | -0.000 | -0.000 | 0.000 | -0.000 | -11.432 |
| 172.383 | -11.432 | 4.793 | -0.000 | 0.000 | 0.000 |
| -11.432 | 172.383 | 4.793 | -0.000 | 0.000 | 0.000 |
| 4.793 | 4.793 | 167.190 | -0.000 | 0.000 | 0.000 |
| 0.000 | -0.000 | 0.000 | -11.110 | 0.000 | 0.000 |
| -0.000 | 0.000 | 0.000 | 0.000 | -11.110 | 0.000 |
| -0.000 | 0.000 | 0.000 | -0.000 | 0.000 | -11.432 |
| -117.891 | 278.842 | 4.792 | 0.000 | 0.000 | -0.000 |
| 278.842 | -117.891 | 4.792 | 0.000 | 0.000 | -0.000 |
| 4.793 | 4.793 | 167.191 | 0.000 | 0.000 | -0.000 |
| -0.000 | 0.000 | -0.000 | -11.110 | -0.000 | -0.000 |
| 0.000 | -0.000 | -0.000 | 0.000 | -11.110 | -0.000 |
| -0.000 | 0.000 | -0.000 | 0.000 | 0.000 | -11.432 |
| -221.726 | 382.679 | 4.795 | 0.000 | 0.000 | -0.000 |
| 355.319 | -194.366 | 4.794 | -0.000 | -0.000 | 0.000 |
| 4.793 | 4.793 | 167.188 | -0.000 | 0.000 | -0.000 |
| 0.000 | -0.000 | 0.000 | -11.110 | 0.000 | -0.000 |
| -0.000 | 0.000 | 0.000 | -0.000 | -11.110 | 0.000 |
| 0.000 | -0.000 | 0.000 | -0.000 | -0.000 | -11.432 |
| -8.907 | -9.384 | -1.063 | -3.501 | 0.000 | -0.000 |
| -9.384 | -8.907 | -1.063 | 3.501 | 0.000 | -0.000 |
| -1.426 | -1.426 | 4.920 | -0.000 | 0.000 | -0.000 |
| -3.501 | 3.501 | 0.000 | 7.834 | 0.000 | -0.000 |
| -0.000 | -0.000 | -0.000 | -0.000 | 7.834 | -3.501 |
| -0.000 | -0.000 | -0.000 | -0.000 | -3.501 | 0.239 |
| -8.907 | -9.384 | -1.063 | -3.501 | -0.000 | 0.000 |
| -9.384 | -8.907 | -1.063 | 3.501 | -0.000 | 0.000 |
| -1.426 | -1.426 | 4.920 | 0.000 | -0.000 | 0.000 |
| -3.501 | 3.501 | -0.000 | 7.834 | -0.000 | 0.000 |
| 0.000 | 0.000 | 0.000 | 0.000 | 7.834 | -3.501 |
| 0.000 | 0.000 | 0.000 | 0.000 | -3.501 | 0.239 |
| -8.907 | -9.384 | -1.063 | -3.501 | 0.000 | -0.000 |
| -9.384 | -8.907 | -1.063 | 3.501 | 0.000 | -0.000 |
| -1.426 | -1.426 | 4.920 | -0.000 | 0.000 | -0.000 |
| -3.501 | 3.501 | 0.000 | 7.834 | 0.000 | -0.000 |
| 0.000 | -0.000 | 0.000 | -0.000 | 7.834 | -3.501 |
| -0.000 | -0.000 | -0.000 | -0.000 | -3.501 | 0.239 |
| -8.907 | -9.384 | -1.063 | -3.501 | -0.000 | 0.000 |
| -9.384 | -8.907 | -1.063 | 3.501 | -0.000 | 0.000 |
| -1.426 | -1.426 | 4.920 | 0.000 | -0.000 | 0.000 |
| -3.501 | 3.501 | -0.000 | 7.834 | -0.000 | 0.000 |
| -0.000 | -0.000 | -0.000 | 0.000 | 7.834 | -3.501 |
| 0.000 | 0.000 | 0.000 | 0.000 | -3.501 | 0.239 |
| -8.907 | -9.384 | -1.063 | -3.501 | 0.000 | -0.000 |
| -9.384 | -8.907 | -1.063 | 3.501 | 0.000 | -0.000 |
| -1.426 | -1.426 | 4.920 | -0.000 | 0.000 | -0.000 |
| -3.501 | 3.501 | 0.000 | 7.834 | -0.000 | -0.000 |
| 0.000 | 0.000 | 0.000 | -0.000 | 7.834 | -3.501 |
| 0.000 | -0.000 | 0.000 | -0.000 | -3.501 | 0.239 |
| -8.907 | -9.384 | -1.063 | -3.501 | -0.000 | 0.000 |
| -9.384 | -8.907 | -1.063 | 3.501 | -0.000 | 0.000 |
| -1.426 | -1.426 | 4.920 | 0.000 | -0.000 | 0.000 |
| -3.501 | 3.501 | -0.000 | 7.834 | -0.000 | 0.000 |
| -0.000 | -0.000 | -0.000 | 0.000 | 7.834 | -3.501 |
| -0.000 | 0.000 | -0.000 | 0.000 | -3.501 | 0.239 |
| 149.675 | -9.949 | -9.949 | -0.000 | -0.000 | -0.000 |
| -9.949 | 149.675 | -9.949 | -0.000 | 0.000 | -0.000 |
| -9.949 | -9.949 | 149.675 | 0.000 | 0.000 | 0.000 |
| 0.000 | -0.000 | -0.000 | -9.949 | -0.000 | 0.000 |
| 0.000 | -0.000 | -0.000 | -0.000 | -9.949 | -0.000 |
| 0.000 | -0.000 | -0.000 | -0.000 | 0.000 | -9.949 |
| 149.675 | -9.949 | -9.949 | 0.000 | 0.000 | 0.000 |
| -9.949 | 149.675 | -9.949 | 0.000 | 0.000 | 0.000 |
| -9.949 | -9.949 | 149.675 | 0.000 | 0.000 | 0.000 |
| -0.000 | 0.000 | 0.000 | -9.949 | 0.000 | 0.000 |
| -0.000 | 0.000 | 0.000 | 0.000 | -9.949 | 0.000 |
| -0.000 | 0.000 | 0.000 | 0.000 | 0.000 | -9.949 |
| 149.675 | -9.949 | -9.949 | -0.000 | 0.000 | -0.000 |
| -9.949 | 149.675 | -9.949 | -0.000 | -0.000 | -0.000 |
| -9.949 | -9.949 | 149.675 | -0.000 | -0.000 | 0.000 |
| -0.000 | -0.000 | -0.000 | -9.949 | -0.000 | -0.000 |
| -0.000 | -0.000 | -0.000 | -0.000 | -9.949 | -0.000 |
| -0.000 | -0.000 | -0.000 | 0.000 | 0.000 | -9.949 |
| 149.675 | -9.949 | -9.949 | 0.000 | -0.000 | 0.000 |
| -9.949 | 149.675 | -9.949 | 0.000 | -0.000 | 0.000 |
| -9.949 | -9.949 | 149.675 | -0.000 | 0.000 | 0.000 |
| 0.000 | 0.000 | 0.000 | -9.949 | 0.000 | 0.000 |
| 0.000 | 0.000 | 0.000 | 0.000 | -9.949 | 0.000 |
| 0.000 | 0.000 | 0.000 | -0.000 | 0.000 | -9.949 |
| 149.677 | -9.949 | -9.949 | -0.000 | 0.000 | -0.000 |
| -9.949 | 149.677 | -9.949 | -0.000 | -0.000 | -0.000 |
| -9.949 | -9.949 | 149.677 | 0.000 | -0.000 | 0.000 |
| -0.000 | -0.000 | -0.000 | -9.949 | 0.000 | 0.000 |
| -0.000 | -0.000 | -0.000 | -0.000 | -9.949 | -0.000 |
| -0.000 | -0.000 | -0.000 | -0.000 | 0.000 | -9.949 |
| 149.674 | -9.949 | -9.949 | 0.000 | 0.000 | 0.000 |
| -9.949 | 149.674 | -9.949 | 0.000 | 0.000 | 0.000 |
| -9.949 | -9.949 | 149.674 | 0.000 | 0.000 | -0.000 |
| 0.000 | 0.000 | 0.000 | -9.949 | -0.000 | 0.000 |
| 0.000 | 0.000 | 0.000 | 0.000 | -9.949 | 0.000 |
| 0.000 | 0.000 | 0.000 | 0.000 | 0.000 | -9.949 |
| 10.333 | 1.355 | 1.355 | 0.000 | 0.000 | -0.000 |
| 1.355 | 10.333 | 1.355 | 0.000 | 0.000 | -0.000 |
| 1.355 | 1.355 | 10.333 | 0.000 | 0.000 | -0.000 |
| -10.189 | -10.189 | -10.189 | 7.033 | 0.000 | -0.000 |
| -10.189 | -10.189 | -10.189 | 0.000 | 7.033 | -0.000 |
| -10.189 | -10.189 | -10.189 | 0.000 | 0.000 | 7.033 |
| 34.339 | 14.518 | 14.518 | 0.000 | 0.000 | -0.000 |
| 14.518 | 34.339 | 14.518 | 0.000 | -0.000 | 0.000 |
| 14.518 | 14.518 | 34.339 | -0.000 | -0.000 | 0.000 |
| 10.189 | 10.189 | 10.189 | 7.033 | -0.000 | 0.000 |
| 10.189 | 10.189 | 10.189 | -0.000 | 7.033 | 0.000 |
| 10.189 | 10.189 | 10.189 | -0.000 | -0.000 | 7.033 |
| 13.140 | 9.743 | 9.743 | 0.000 | 0.000 | -0.000 |
| 9.743 | 13.140 | 9.743 | 0.000 | 0.000 | -0.000 |
| 9.743 | 9.743 | 13.140 | 0.000 | 0.000 | -0.000 |
| -0.849 | -0.849 | -0.849 | 5.697 | 0.000 | -0.000 |
| -0.849 | -0.849 | -0.849 | 0.000 | 5.697 | -0.000 |
| -0.849 | -0.849 | -0.849 | 0.000 | 0.000 | 5.697 |
| 33.691 | 15.815 | 15.815 | -0.000 | -0.000 | 0.000 |
| 15.815 | 33.691 | 15.815 | -0.000 | -0.000 | 0.000 |
| 15.815 | 15.815 | 33.691 | -0.000 | -0.000 | 0.000 |
| 0.849 | 0.849 | 0.849 | 5.697 | -0.000 | 0.000 |
| 0.849 | 0.849 | 0.849 | -0.000 | 5.697 | 0.000 |
| 0.849 | 0.849 | 0.849 | -0.000 | -0.000 | 5.697 |
| 10.876 | 9.786 | 9.786 | 0.000 | 0.000 | -0.000 |
| 9.786 | 10.876 | 9.786 | 0.000 | 0.000 | -0.000 |
| 9.786 | 9.786 | 10.876 | 0.000 | 0.000 | -0.000 |
| -0.606 | -0.606 | -0.606 | 10.496 | 0.000 | -0.000 |
| -0.606 | -0.606 | -0.606 | 0.000 | 10.496 | -0.000 |
| -0.606 | -0.606 | -0.606 | 0.000 | 0.000 | 10.496 |
| 10.921 | 10.045 | 10.045 | -0.000 | -0.000 | 0.000 |
| 10.045 | 10.921 | 10.045 | -0.000 | -0.000 | 0.000 |
| 10.045 | 10.045 | 10.921 | -0.000 | -0.000 | 0.000 |
| 0.606 | 0.606 | 0.606 | 10.496 | -0.000 | 0.000 |
| 0.606 | 0.606 | 0.606 | -0.000 | 10.496 | 0.000 |
| 0.606 | 0.606 | 0.606 | -0.000 | -0.000 | 10.496 |
| 137.660 | 49.763 | 49.763 | 0.000 | 0.000 | 0.000 |
| 49.763 | 137.660 | 49.763 | 0.000 | 0.000 | 0.000 |
| 49.763 | 49.763 | 137.660 | 0.000 | 0.000 | 0.000 |
| 15.486 | 15.486 | 15.486 | 21.127 | 0.000 | 0.000 |
| 15.486 | 15.486 | 15.486 | 0.000 | 21.127 | 0.000 |
| 15.486 | 15.486 | 15.486 | 0.000 | 0.000 | 21.127 |
| 103.539 | 16.273 | 16.273 | -0.000 | -0.000 | -0.000 |
| 16.273 | 103.539 | 16.273 | -0.000 | -0.000 | -0.000 |
| 16.273 | 16.273 | 103.539 | -0.000 | -0.000 | -0.000 |
| -15.486 | -15.486 | -15.486 | 21.127 | -0.000 | -0.000 |
| -15.486 | -15.486 | -15.486 | -0.000 | 21.127 | -0.000 |
| -15.486 | -15.486 | -15.486 | -0.000 | -0.000 | 21.127 |
| 124.655 | 36.939 | 36.939 | 0.000 | 0.000 | 0.000 |
| 36.939 | 124.655 | 36.939 | 0.000 | 0.000 | 0.000 |
| 36.939 | 36.939 | 124.655 | 0.000 | 0.000 | 0.000 |
| 1.555 | 1.555 | 1.555 | 21.093 | 0.000 | 0.000 |
| 1.555 | 1.555 | 1.555 | 0.000 | 21.093 | 0.000 |
| 1.555 | 1.555 | 1.555 | 0.000 | 0.000 | 21.093 |
| 120.672 | 33.877 | 33.877 | -0.000 | -0.000 | -0.000 |
| 33.877 | 120.672 | 33.877 | -0.000 | 0.000 | -0.000 |
| 33.877 | 33.877 | 120.672 | -0.000 | 0.000 | -0.000 |
| -1.555 | -1.555 | -1.555 | 21.093 | -0.000 | -0.000 |
| -1.555 | -1.555 | -1.555 | -0.000 | 21.093 | -0.000 |
| -1.555 | -1.555 | -1.555 | -0.000 | -0.000 | 21.093 |
| 141.259 | 26.585 | 26.585 | -0.000 | -0.000 | 0.000 |
| 26.585 | 141.259 | 26.585 | -0.000 | -0.000 | -0.000 |
| 26.585 | 26.585 | 141.259 | -0.000 | -0.000 | 0.000 |
| 0.187 | 0.187 | 0.187 | 19.322 | 0.000 | 0.000 |
| 0.187 | 0.187 | 0.187 | 0.000 | 19.322 | 0.000 |
| 0.187 | 0.187 | 0.187 | 0.000 | 0.000 | 19.322 |
| 120.544 | 36.493 | 36.493 | -0.000 | -0.000 | -0.000 |
| 36.493 | 120.544 | 36.493 | -0.000 | -0.000 | -0.000 |
| 36.493 | 36.493 | 120.544 | -0.000 | -0.000 | -0.000 |
| -0.187 | -0.187 | -0.187 | 19.322 | -0.000 | -0.000 |
| -0.187 | -0.187 | -0.187 | -0.000 | 19.322 | -0.000 |
| -0.187 | -0.187 | -0.187 | -0.000 | -0.000 | 19.322 |
| 110.776 | 61.974 | 61.974 | 0.000 | 0.000 | 0.000 |
| 61.974 | 110.776 | 61.974 | 0.000 | 0.000 | 0.000 |
| 61.974 | 61.974 | 110.776 | 0.000 | 0.000 | 0.000 |
| 0.000 | 0.000 | 0.000 | 56.533 | 0.000 | 0.000 |
| 0.000 | 0.000 | 0.000 | -0.000 | 56.533 | 0.000 |
| 0.000 | 0.000 | 0.000 | 0.000 | 0.000 | 56.533 |
| 124.061 | 56.551 | 56.551 | -0.000 | -0.000 | -0.000 |
| 56.551 | 124.061 | 56.551 | -0.000 | -0.000 | -0.000 |
| 56.551 | 56.551 | 124.061 | -0.000 | -0.000 | -0.000 |
| -0.000 | -0.000 | -0.000 | 56.533 | -0.000 | -0.000 |
| -0.000 | -0.000 | -0.000 | -0.000 | 56.533 | -0.000 |
| -0.000 | -0.000 | -0.000 | -0.000 | -0.000 | 56.533 |
| 124.061 | 56.552 | 56.552 | 0.000 | 0.000 | 0.000 |
| 56.552 | 124.061 | 56.552 | 0.000 | 0.000 | 0.000 |
| 56.552 | 56.552 | 124.061 | -0.000 | 0.000 | 0.000 |
| -0.046 | -0.046 | -0.046 | 31.654 | 0.000 | 0.000 |
| -0.046 | -0.046 | -0.046 | 0.000 | 31.654 | 0.000 |
| -0.046 | -0.046 | -0.046 | 0.000 | 0.000 | 31.654 |
| 110.592 | 62.989 | 62.989 | -0.000 | -0.000 | -0.000 |
| 62.989 | 110.592 | 62.989 | -0.000 | -0.000 | -0.000 |
| 62.989 | 62.989 | 110.592 | -0.000 | -0.000 | -0.000 |
| 0.046 | 0.046 | 0.046 | 31.653 | -0.000 | -0.000 |
| 0.046 | 0.046 | 0.046 | -0.000 | 31.653 | -0.000 |
| 0.046 | 0.046 | 0.046 | -0.000 | -0.000 | 31.653 |
| 111.623 | 61.998 | 61.998 | 0.000 | 0.000 | 0.000 |
| 61.998 | 111.623 | 61.998 | 0.000 | 0.000 | 0.000 |
| 61.998 | 61.998 | 111.623 | 0.000 | 0.000 | 0.000 |
| -0.004 | -0.004 | -0.004 | 31.700 | 0.000 | 0.000 |
| -0.004 | -0.004 | -0.004 | 0.000 | 31.700 | 0.000 |
| -0.004 | -0.004 | -0.004 | 0.000 | 0.000 | 31.700 |
| 111.632 | 61.999 | 61.999 | -0.000 | -0.000 | -0.000 |
| 61.999 | 111.632 | 61.999 | -0.000 | -0.000 | -0.000 |
| 61.999 | 61.999 | 111.632 | -0.000 | -0.000 | -0.000 |
| 0.004 | 0.004 | 0.004 | 31.700 | -0.000 | -0.000 |
| 0.004 | 0.004 | 0.004 | -0.000 | 31.700 | -0.000 |
| 0.004 | 0.004 | 0.004 | -0.000 | -0.000 | 31.700 |
| 116.437 | 60.410 | 60.410 | -0.000 | -0.000 | -0.000 |
| 60.410 | 116.437 | 60.410 | -0.000 | -0.000 | -0.000 |
| 60.410 | 60.410 | 116.437 | -0.000 | -0.000 | -0.000 |
| 0.300 | 0.300 | 0.300 | 36.621 | -0.000 | -0.000 |
| 0.300 | 0.300 | 0.300 | -0.000 | 36.621 | -0.000 |
| 0.300 | 0.300 | 0.300 | -0.000 | -0.000 | 36.621 |
| 115.553 | 60.064 | 60.064 | 0.000 | 0.000 | 0.000 |
| 60.064 | 115.553 | 60.064 | 0.000 | 0.000 | 0.000 |
| 60.064 | 60.064 | 115.553 | 0.000 | 0.000 | 0.000 |
| -0.300 | -0.300 | -0.300 | 36.621 | 0.000 | 0.000 |
| -0.300 | -0.300 | -0.300 | 0.000 | 36.621 | 0.000 |
| -0.300 | -0.300 | -0.300 | 0.000 | 0.000 | 36.621 |
| 116.200 | 60.186 | 60.186 | -0.000 | -0.000 | -0.000 |
| 60.186 | 116.200 | 60.186 | -0.000 | -0.000 | -0.000 |
| 60.186 | 60.186 | 116.200 | -0.000 | -0.000 | -0.000 |
| 0.030 | 0.030 | 0.030 | 36.756 | -0.000 | -0.000 |
| 0.030 | 0.030 | 0.030 | -0.000 | 36.756 | -0.000 |
| 0.030 | 0.030 | 0.030 | -0.000 | -0.000 | 36.756 |
| 109.811 | 62.860 | 62.860 | -0.000 | -0.000 | -0.000 |
| 62.860 | 109.811 | 62.860 | -0.000 | -0.000 | -0.000 |
| 62.860 | 62.860 | 109.811 | -0.000 | -0.000 | -0.000 |
| -0.030 | -0.030 | -0.030 | 36.756 | 0.000 | 0.000 |
| -0.030 | -0.030 | -0.030 | 0.000 | 36.756 | 0.000 |
| -0.030 | -0.030 | -0.030 | 0.000 | 0.000 | 36.756 |
| 116.162 | 60.171 | 60.171 | -0.000 | -0.000 | -0.000 |
| 60.171 | 116.162 | 60.171 | -0.000 | -0.000 | -0.000 |
| 60.171 | 60.171 | 116.162 | -0.000 | -0.000 | -0.000 |
| 0.003 | 0.003 | 0.003 | 36.757 | -0.000 | -0.000 |
| 0.003 | 0.003 | 0.003 | -0.000 | 36.757 | -0.000 |
| 0.003 | 0.003 | 0.003 | -0.000 | -0.000 | 36.757 |
| 111.541 | 61.923 | 61.923 | 0.000 | 0.000 | 0.000 |
| 61.923 | 111.541 | 61.923 | 0.000 | 0.000 | 0.000 |
| 61.923 | 61.923 | 111.541 | 0.000 | 0.000 | 0.000 |
| -0.003 | -0.003 | -0.003 | 36.757 | 0.000 | 0.000 |
| -0.003 | -0.003 | -0.003 | 0.000 | 36.757 | 0.000 |
| -0.003 | -0.003 | -0.003 | 0.000 | 0.000 | 36.757 |
| 104.378 | 57.115 | 57.115 | 0.000 | 0.000 | 0.000 |
| 57.115 | 104.378 | 57.115 | 0.000 | 0.000 | 0.000 |
| 57.115 | 57.115 | 104.378 | 0.000 | 0.000 | 0.000 |
| -5.219 | -5.219 | -5.219 | 31.401 | 0.000 | 0.000 |
| -5.219 | -5.219 | -5.219 | 0.000 | 31.401 | 0.000 |
| -5.219 | -5.219 | -5.219 | 0.000 | 0.000 | 31.401 |
| 123.818 | 56.416 | 56.416 | -0.000 | -0.000 | -0.000 |
| 56.416 | 123.818 | 56.416 | 0.000 | -0.000 | 0.000 |
| 56.416 | 56.416 | 123.818 | 0.000 | -0.000 | -0.000 |
| 5.219 | 5.219 | 5.219 | 31.401 | -0.000 | -0.000 |
| 5.219 | 5.219 | 5.219 | -0.000 | 31.401 | -0.000 |
| 5.219 | 5.219 | 5.219 | -0.000 | -0.000 | 31.401 |
| 123.818 | 56.416 | 56.416 | -0.000 | 0.000 | -0.000 |
| 56.416 | 123.818 | 56.416 | -0.000 | 0.000 | 0.000 |
| 56.416 | 56.416 | 123.818 | -0.000 | 0.000 | 0.000 |
| 0.000 | 0.000 | 0.000 | 56.442 | 0.000 | -0.000 |
| 0.000 | 0.000 | 0.000 | -0.000 | 56.442 | 0.000 |
| 0.000 | 0.000 | 0.000 | 0.000 | 0.000 | 56.442 |
| 113.009 | 62.616 | 62.616 | -0.000 | -0.000 | -0.000 |
| 62.616 | 113.009 | 62.616 | -0.000 | -0.000 | -0.000 |
| 62.616 | 62.616 | 113.009 | -0.000 | -0.000 | -0.000 |
| -0.000 | -0.000 | -0.000 | 56.442 | 0.000 | -0.000 |
| -0.000 | -0.000 | -0.000 | 0.000 | 56.442 | -0.000 |
| -0.000 | -0.000 | -0.000 | 0.000 | -0.000 | 56.442 |
| 110.264 | 62.746 | 62.746 | 0.000 | 0.000 | 0.000 |
| 62.746 | 110.264 | 62.746 | 0.000 | 0.000 | 0.000 |
| 62.746 | 62.746 | 110.264 | 0.000 | 0.000 | 0.000 |
| -0.041 | -0.041 | -0.041 | 36.718 | 0.000 | 0.000 |
| -0.041 | -0.041 | -0.041 | 0.000 | 36.718 | 0.000 |
| -0.041 | -0.041 | -0.041 | 0.000 | 0.000 | 36.718 |
| 116.078 | 60.110 | 60.110 | -0.000 | -0.000 | -0.000 |
| 60.110 | 116.078 | 60.110 | -0.000 | -0.000 | -0.000 |
| 60.110 | 60.110 | 116.078 | -0.000 | -0.000 | -0.000 |
| 0.041 | 0.041 | 0.041 | 36.718 | -0.000 | -0.000 |
| 0.041 | 0.041 | 0.041 | -0.000 | 36.718 | -0.000 |
| 0.041 | 0.041 | 0.041 | -0.000 | -0.000 | 36.718 |
| 165.562 | 34.032 | 34.032 | -0.000 | -0.000 | 0.000 |
| 34.032 | 165.562 | 34.032 | -0.000 | -0.000 | 0.000 |
| 34.032 | 34.032 | 165.562 | -0.000 | 0.000 | -0.000 |
| 0.000 | 0.000 | 0.000 | 34.032 | -0.000 | 0.000 |
| 0.000 | -0.000 | 0.000 | -0.000 | 34.032 | 0.000 |
| 0.000 | 0.000 | -0.000 | -0.000 | -0.000 | 34.032 |
| 135.041 | 62.300 | 62.300 | 0.000 | -0.000 | -0.000 |
| 62.300 | 135.041 | 62.300 | 0.000 | 0.000 | -0.000 |
| 62.300 | 62.300 | 135.041 | -0.000 | -0.000 | -0.000 |
| -0.000 | -0.000 | -0.000 | 34.032 | 0.000 | -0.000 |
| -0.000 | 0.000 | 0.000 | 0.000 | 34.032 | -0.000 |
| -0.000 | 0.000 | 0.000 | 0.000 | 0.000 | 34.032 |
| 136.331 | 47.606 | 47.606 | 0.000 | 0.000 | 0.000 |
| 47.606 | 136.331 | 47.606 | 0.000 | 0.000 | 0.000 |
| 47.606 | 47.606 | 136.331 | 0.000 | 0.000 | 0.000 |
| 0.000 | 0.000 | 0.000 | 34.032 | -0.000 | 0.000 |
| 0.000 | 0.000 | 0.000 | -0.000 | 34.032 | 0.000 |
| 0.000 | 0.000 | -0.000 | -0.000 | -0.000 | 34.032 |
| 143.892 | 46.844 | 46.844 | -0.000 | 0.000 | -0.000 |
| 46.844 | 143.892 | 46.844 | 0.000 | -0.000 | -0.000 |
| 46.844 | 46.844 | 143.892 | -0.000 | 0.000 | -0.000 |
| -0.000 | -0.000 | -0.000 | 34.032 | 0.000 | -0.000 |
| -0.000 | -0.000 | -0.000 | 0.000 | 34.032 | -0.000 |
| -0.000 | -0.000 | -0.000 | 0.000 | -0.000 | 34.032 |
| 146.614 | 43.387 | 43.387 | 0.000 | 0.000 | 0.000 |
| 43.387 | 146.614 | 43.387 | 0.000 | -0.000 | 0.000 |
| 43.387 | 43.387 | 146.614 | -0.000 | -0.000 | 0.000 |
| -0.036 | -0.036 | -0.036 | 19.653 | 0.000 | 0.000 |
| -0.036 | -0.036 | -0.036 | -0.000 | 19.653 | 0.000 |
| -0.036 | -0.036 | -0.036 | 0.000 | -0.000 | 19.653 |
| 165.561 | 34.032 | 34.032 | 0.000 | -0.000 | -0.000 |
| 34.032 | 165.561 | 34.032 | 0.000 | -0.000 | -0.000 |
| 34.032 | 34.032 | 165.561 | 0.000 | 0.000 | -0.000 |
| 0.036 | 0.036 | 0.036 | 19.653 | 0.000 | -0.000 |
| 0.036 | 0.036 | 0.036 | 0.000 | 19.653 | -0.000 |
| 0.036 | 0.036 | 0.036 | 0.000 | 0.000 | 19.653 |
| 135.372 | 34.931 | 34.931 | 0.000 | -0.000 | 0.000 |
| 34.931 | 135.372 | 34.931 | 0.000 | -0.000 | 0.000 |
| 34.931 | 34.931 | 135.372 | 0.000 | -0.000 | 0.000 |
| 3.651 | 3.651 | 3.651 | 21.397 | -0.000 | 0.000 |
| 3.651 | 3.651 | 3.651 | 0.000 | 21.397 | 0.000 |
| 3.651 | 3.651 | 3.651 | 0.000 | -0.000 | 21.397 |
| 141.210 | 26.570 | 26.570 | 0.000 | -0.000 | 0.000 |
| 26.570 | 141.210 | 26.570 | 0.000 | -0.000 | 0.000 |
| 26.570 | 26.570 | 141.210 | 0.000 | -0.000 | -0.000 |
| -3.651 | -3.651 | -3.651 | 21.397 | 0.000 | -0.000 |
| -3.651 | -3.651 | -3.651 | -0.000 | 21.397 | -0.000 |
| -3.651 | -3.651 | -3.651 | -0.000 | 0.000 | 21.397 |
| 141.210 | 26.570 | 26.570 | 0.000 | 0.000 | -0.000 |
| 26.570 | 141.210 | 26.570 | -0.000 | 0.000 | -0.000 |
| 26.570 | 26.570 | 141.210 | -0.000 | -0.000 | 0.000 |
| 0.391 | 0.391 | 0.391 | 12.621 | -0.000 | 0.000 |
| 0.391 | 0.391 | 0.391 | 0.000 | 12.621 | 0.000 |
| 0.391 | 0.391 | 0.391 | 0.000 | -0.000 | 12.621 |
| 141.210 | 26.570 | 26.570 | 0.000 | -0.000 | 0.000 |
| 26.570 | 141.210 | 26.570 | -0.000 | -0.000 | 0.000 |
| 26.570 | 26.570 | 141.210 | -0.000 | -0.000 | 0.000 |
| -0.391 | -0.391 | -0.391 | 12.621 | 0.000 | -0.000 |
| -0.391 | -0.391 | -0.391 | -0.000 | 12.621 | -0.000 |
| -0.391 | -0.391 | -0.391 | -0.000 | 0.000 | 12.621 |
| 125.145 | 34.634 | 34.634 | 0.000 | -0.000 | 0.000 |
| 34.634 | 125.145 | 34.634 | 0.000 | -0.000 | 0.000 |
| 34.634 | 34.634 | 125.145 | 0.000 | -0.000 | 0.000 |
| 0.025 | 0.026 | 0.026 | 13.116 | -0.000 | 0.000 |
| 0.026 | 0.025 | 0.026 | 0.000 | 13.116 | 0.000 |
| 0.026 | 0.026 | 0.025 | 0.000 | -0.000 | 13.116 |
| 121.164 | 36.461 | 36.461 | -0.000 | 0.000 | -0.000 |
| 36.461 | 121.164 | 36.461 | -0.000 | 0.000 | -0.000 |
| 36.461 | 36.461 | 121.164 | 0.000 | 0.000 | -0.000 |
| -0.025 | -0.026 | -0.026 | 13.116 | 0.000 | -0.000 |
| -0.026 | -0.025 | -0.026 | -0.000 | 13.116 | -0.000 |
| -0.026 | -0.026 | -0.025 | -0.000 | 0.000 | 13.116 |
| 62.965 | 61.670 | 61.670 | -0.000 | -0.000 | 0.000 |
| 61.670 | 62.964 | 61.670 | -0.000 | -0.000 | 0.000 |
| 61.670 | 61.670 | 62.965 | -0.000 | -0.000 | 0.000 |
| 0.000 | -0.000 | -0.000 | 1.522 | -0.000 | -0.000 |
| 0.000 | -0.000 | -0.000 | -0.000 | 1.522 | 0.000 |
| 0.000 | -0.000 | -0.000 | -0.000 | -0.000 | 1.522 |
| 62.965 | 61.670 | 61.670 | 0.000 | 0.000 | -0.000 |
| 61.670 | 62.965 | 61.670 | 0.000 | 0.000 | -0.000 |
| 61.670 | 61.670 | 62.965 | -0.000 | 0.000 | -0.000 |
| -0.000 | 0.000 | 0.000 | 1.522 | 0.000 | -0.000 |
| 0.000 | 0.000 | 0.000 | 0.000 | 1.522 | -0.000 |
| 0.000 | 0.000 | 0.000 | 0.000 | 0.000 | 1.522 |
| 62.965 | 61.670 | 61.670 | -0.000 | -0.000 | 0.000 |
| 61.670 | 62.965 | 61.670 | -0.000 | -0.000 | 0.000 |
| 61.670 | 61.670 | 62.965 | -0.000 | -0.000 | 0.000 |
| 0.000 | -0.000 | -0.000 | 1.522 | -0.000 | 0.000 |
| -0.000 | 0.000 | -0.000 | -0.000 | 1.522 | 0.000 |
| -0.000 | -0.000 | 0.000 | -0.000 | -0.000 | 1.522 |
| 62.964 | 61.670 | 61.670 | 0.000 | 0.000 | -0.000 |
| 61.670 | 62.964 | 61.670 | -0.000 | 0.000 | -0.000 |
| 61.670 | 61.670 | 62.964 | 0.000 | 0.000 | -0.000 |
| -0.000 | 0.000 | 0.000 | 1.522 | 0.000 | 0.000 |
| 0.000 | -0.000 | 0.000 | 0.000 | 1.522 | -0.000 |
| 0.000 | 0.000 | -0.000 | 0.000 | 0.000 | 1.522 |
| 62.965 | 61.670 | 61.670 | -0.000 | -0.000 | 0.000 |
| 61.670 | 62.965 | 61.670 | -0.000 | -0.000 | 0.000 |
| 61.670 | 61.670 | 62.965 | 0.000 | -0.000 | 0.000 |
| 0.000 | -0.000 | -0.000 | 1.522 | -0.000 | -0.000 |
| -0.000 | 0.000 | -0.000 | -0.000 | 1.522 | 0.000 |
| -0.000 | -0.000 | 0.000 | -0.000 | -0.000 | 1.522 |
| 62.964 | 61.670 | 61.670 | 0.000 | 0.000 | -0.000 |
| 61.670 | 62.964 | 61.670 | 0.000 | 0.000 | -0.000 |
| 61.670 | 61.670 | 62.964 | -0.000 | 0.000 | -0.000 |
| -0.000 | 0.000 | 0.000 | 1.522 | 0.000 | -0.000 |
| 0.000 | -0.000 | 0.000 | 0.000 | 1.522 | -0.000 |
| 0.000 | 0.000 | -0.000 | 0.000 | 0.000 | 1.522 |
| 250.869 | 9.194 | 9.194 | -0.000 | 0.000 | 0.000 |
| 9.194 | 250.869 | 9.194 | -0.000 | 0.000 | 0.000 |
| 9.194 | 9.194 | 250.869 | -0.000 | 0.000 | 0.000 |
| 0.000 | -0.000 | -0.000 | 9.085 | 0.000 | 0.000 |
| -0.000 | -0.000 | -0.000 | -0.000 | 9.085 | 0.000 |
| -0.000 | -0.000 | -0.000 | -0.000 | 0.000 | 9.085 |
| 250.869 | 9.194 | 9.194 | 0.000 | -0.000 | -0.000 |
| 9.194 | 250.869 | 9.194 | 0.000 | -0.000 | -0.000 |
| 9.194 | 9.194 | 250.869 | -0.000 | -0.000 | -0.000 |
| -0.000 | 0.000 | 0.000 | 9.085 | -0.000 | -0.000 |
| -0.000 | 0.000 | 0.000 | 0.000 | 9.085 | -0.000 |
| -0.000 | 0.000 | 0.000 | 0.000 | -0.000 | 9.085 |
| 250.869 | 9.194 | 9.194 | -0.000 | 0.000 | 0.000 |
| 9.194 | 250.869 | 9.194 | -0.000 | 0.000 | 0.000 |
| 9.194 | 9.194 | 250.869 | -0.000 | 0.000 | 0.000 |
| -22993011.424 | -21272867.967 | -20582994.780 | -173653.842 | -445016.493 | 52441.002 |
| -22917281.586 | -22780246.056 | -21723658.168 | 343675.956 | 114313.519 | 1005099.347 |
| -22069054.090 | -22614697.154 | -23141481.339 | 83055.340 | 45680.659 | -140176.119 |
| 250.869 | 9.194 | 9.194 | 0.000 | -0.000 | -0.000 |
| 9.194 | 250.869 | 9.194 | 0.000 | -0.000 | -0.000 |
| 9.194 | 9.194 | 250.869 | 0.000 | -0.000 | -0.000 |
| 21873628.992 | 22470890.103 | 21201310.397 | 162994.296 | 776819.882 | -30634.226 |
| 22431912.524 | 22312151.931 | 22079475.049 | -670938.154 | 396765.978 | 383467.866 |
| 21054980.538 | 22854637.556 | 20562206.075 | 790882.620 | 4596.503 | 173550.153 |
| 250.871 | 9.194 | 9.194 | -0.000 | 0.000 | 0.000 |
| 9.194 | 250.871 | 9.194 | -0.000 | 0.000 | 0.000 |
| 9.194 | 9.194 | 250.871 | -0.000 | 0.000 | 0.000 |
| -2340063.663 | -2137745.036 | -2188434.515 | -5447.617 | 38392.251 | 18071.661 |
| -2186080.663 | -2297523.928 | -2208556.454 | -20402.483 | -2191.732 | -60914.318 |
| -2329495.331 | -2277085.654 | -2195483.996 | -5056.864 | -45090.863 | 52833.550 |
| 250.867 | 9.194 | 9.194 | 0.000 | -0.000 | -0.000 |
| 9.194 | 250.867 | 9.194 | 0.000 | -0.000 | -0.000 |
| 9.194 | 9.194 | 250.867 | 0.000 | -0.000 | -0.000 |
| 2284999.481 | 2332808.695 | 2213151.141 | 56923.331 | 643.527 | 1970.079 |
| 2300311.729 | 2276387.364 | 2178547.563 | -43526.383 | -34005.221 | -31470.930 |
| 2252261.097 | 2119621.606 | 2199505.931 | 51108.720 | 911.360 | 97099.710 |
| 86.009 | 106.373 | 106.373 | -0.000 | 0.000 | 0.000 |
| 106.373 | 86.009 | 106.373 | 0.000 | 0.000 | 0.000 |
| 106.373 | 106.373 | 86.009 | 0.000 | 0.000 | 0.000 |
| -0.000 | -0.000 | 0.000 | 99.112 | 0.000 | 0.000 |
| -0.000 | -0.000 | 0.000 | 0.000 | 99.112 | 0.000 |
| -0.000 | 0.000 | -0.000 | 0.000 | 0.000 | 99.112 |
| 86.009 | 106.373 | 106.373 | -0.000 | -0.000 | 0.000 |
| 106.373 | 86.009 | 106.373 | -0.000 | -0.000 | 0.000 |
| 106.373 | 106.373 | 86.009 | 0.000 | -0.000 | -0.000 |
| 0.000 | 0.000 | 0.000 | 99.112 | -0.000 | 0.000 |
| 0.000 | 0.000 | 0.000 | -0.000 | 99.112 | -0.000 |
| 0.000 | -0.000 | 0.000 | 0.000 | -0.000 | 99.112 |
| 86.009 | 106.373 | 106.373 | -0.000 | 0.000 | -0.000 |
| 106.373 | 86.009 | 106.373 | -0.000 | 0.000 | 0.000 |
| 106.373 | 106.373 | 86.009 | 0.000 | 0.000 | -0.000 |
| 0.000 | 0.000 | 0.000 | 99.112 | 0.000 | 0.000 |
| 0.000 | 0.000 | 0.000 | 0.000 | 99.112 | -0.000 |
| 0.000 | 0.000 | 0.000 | 0.000 | 0.000 | 99.112 |
| 86.009 | 106.373 | 106.373 | -0.000 | -0.000 | 0.000 |
| 106.373 | 86.009 | 106.373 | -0.000 | -0.000 | 0.000 |
| 106.373 | 106.373 | 86.009 | -0.000 | -0.000 | -0.000 |
| -0.000 | -0.000 | -0.000 | 99.112 | -0.000 | 0.000 |
| -0.000 | -0.000 | -0.000 | -0.000 | 99.112 | -0.000 |
| -0.000 | -0.000 | -0.000 | -0.000 | -0.000 | 99.112 |
| 86.009 | 106.374 | 106.374 | 0.000 | 0.000 | -0.000 |
| 106.374 | 86.009 | 106.374 | -0.000 | 0.000 | 0.000 |
| 106.374 | 106.374 | 86.009 | 0.000 | 0.000 | -0.000 |
| 0.000 | 0.000 | 0.000 | 99.112 | 0.000 | -0.000 |
| 0.000 | 0.000 | 0.000 | 0.000 | 99.112 | 0.000 |
| 0.000 | 0.000 | 0.000 | 0.000 | 0.000 | 99.112 |
| 86.008 | 106.373 | 106.373 | -0.000 | -0.000 | -0.000 |
| 106.373 | 86.008 | 106.373 | -0.000 | -0.000 | -0.000 |
| 106.373 | 106.373 | 86.008 | -0.000 | -0.000 | -0.000 |
| -0.000 | -0.000 | -0.000 | 99.112 | -0.000 | -0.000 |
| -0.000 | -0.000 | -0.000 | -0.000 | 99.112 | -0.000 |
| -0.000 | -0.000 | -0.000 | 0.000 | -0.000 | 99.112 |
| 153.577 | 89.587 | 89.587 | -0.000 | -0.000 | 0.000 |
| 89.587 | 153.577 | 89.587 | -0.000 | 0.000 | -0.000 |
| 89.587 | 89.587 | 153.577 | -0.000 | -0.000 | 0.000 |
| 0.000 | 0.000 | 0.000 | 89.587 | 0.000 | 0.000 |
| 0.000 | -0.000 | 0.000 | -0.000 | 89.587 | 0.000 |
| 0.000 | 0.000 | -0.000 | -0.000 | -0.000 | 89.587 |
| 153.577 | 89.587 | 89.587 | 0.000 | -0.000 | -0.000 |
| 89.587 | 153.577 | 89.587 | 0.000 | -0.000 | -0.000 |
| 89.587 | 89.587 | 153.577 | 0.000 | 0.000 | -0.000 |
| -0.000 | -0.000 | -0.000 | 89.587 | -0.000 | -0.000 |
| -0.000 | -0.000 | -0.000 | 0.000 | 89.587 | -0.000 |
| -0.000 | -0.000 | 0.000 | 0.000 | -0.000 | 89.587 |
| 153.577 | 89.587 | 89.587 | -0.000 | 0.000 | 0.000 |
| 89.587 | 153.577 | 89.587 | -0.000 | 0.000 | -0.000 |
| 89.587 | 89.587 | 153.577 | -0.000 | -0.000 | 0.000 |
| -0.000 | 0.000 | 0.000 | 89.587 | 0.000 | 0.000 |
| 0.000 | -0.000 | 0.000 | -0.000 | 89.587 | 0.000 |
| 0.000 | 0.000 | -0.000 | -0.000 | 0.000 | 89.587 |
| 153.577 | 89.586 | 89.586 | 0.000 | 0.000 | -0.000 |
| 89.586 | 153.577 | 89.586 | 0.000 | -0.000 | -0.000 |
| 89.586 | 89.586 | 153.577 | 0.000 | 0.000 | -0.000 |
| 0.000 | -0.000 | -0.000 | 89.587 | 0.000 | 0.000 |
| -0.000 | 0.000 | -0.000 | 0.000 | 89.587 | -0.000 |
| -0.000 | -0.000 | 0.000 | 0.000 | 0.000 | 89.587 |
| 153.577 | 89.587 | 89.587 | -0.000 | -0.000 | -0.000 |
| 89.587 | 153.577 | 89.587 | -0.000 | 0.000 | 0.000 |
| 89.587 | 89.587 | 153.577 | -0.000 | -0.000 | 0.000 |
| -0.000 | 0.000 | 0.000 | 89.587 | -0.000 | 0.000 |
| 0.000 | -0.000 | 0.000 | -0.000 | 89.587 | 0.000 |
| 0.000 | 0.000 | -0.000 | -0.000 | -0.000 | 89.587 |
| 153.576 | 89.586 | 89.586 | 0.000 | -0.000 | 0.000 |
| 89.586 | 153.576 | 89.586 | 0.000 | 0.000 | -0.000 |
| 89.586 | 89.586 | 153.576 | 0.000 | 0.000 | -0.000 |
| 0.000 | -0.000 | -0.000 | 89.587 | 0.000 | 0.000 |
| -0.000 | 0.000 | -0.000 | 0.000 | 89.587 | -0.000 |
| -0.000 | -0.000 | 0.000 | 0.000 | 0.000 | 89.587 |
| 247.068 | -16.738 | -16.738 | 0.000 | 0.000 | 0.000 |
| -16.738 | 247.068 | -16.738 | 0.000 | -0.000 | 0.000 |
| -16.738 | -16.738 | 247.068 | 0.000 | 0.000 | -0.000 |
| 0.000 | 0.000 | -0.000 | -16.738 | 0.000 | 0.000 |
| -0.000 | -0.000 | -0.000 | -0.000 | -16.738 | 0.000 |
| -0.000 | -0.000 | -0.000 | 0.000 | 0.000 | -16.738 |
| 247.068 | -16.738 | -16.738 | -0.000 | -0.000 | -0.000 |
| -16.738 | 247.068 | -16.738 | -0.000 | -0.000 | -0.000 |
| -16.738 | -16.738 | 247.068 | 0.000 | -0.000 | 0.000 |
| -0.000 | -0.000 | 0.000 | -16.738 | -0.000 | -0.000 |
| 0.000 | 0.000 | 0.000 | -0.000 | -16.738 | -0.000 |
| 0.000 | 0.000 | 0.000 | -0.000 | -0.000 | -16.738 |
| 247.068 | -16.738 | -16.738 | 0.000 | 0.000 | 0.000 |
| -16.738 | 247.068 | -16.738 | 0.000 | 0.000 | 0.000 |
| -16.738 | -16.738 | 247.068 | -0.000 | 0.000 | -0.000 |
| 0.000 | 0.000 | -0.000 | -16.738 | 0.000 | 0.000 |
| 0.000 | 0.000 | -0.000 | 0.000 | -16.738 | 0.000 |
| 0.000 | -0.000 | -0.000 | 0.000 | 0.000 | -16.738 |
| 247.067 | -16.738 | -16.738 | 0.000 | -0.000 | -0.000 |
| -16.738 | 247.067 | -16.738 | -0.000 | -0.000 | -0.000 |
| -16.738 | -16.738 | 247.067 | 0.000 | -0.000 | 0.000 |
| -0.000 | -0.000 | 0.000 | -16.738 | -0.000 | -0.000 |
| -0.000 | -0.000 | 0.000 | -0.000 | -16.738 | -0.000 |
| -0.000 | 0.000 | 0.000 | -0.000 | -0.000 | -16.738 |
| 247.070 | -16.738 | -16.738 | 0.000 | 0.000 | 0.000 |
| -16.738 | 247.070 | -16.738 | 0.000 | 0.000 | 0.000 |
| -16.738 | -16.738 | 247.070 | 0.000 | 0.000 | -0.000 |
| 0.000 | 0.000 | -0.000 | -16.738 | 0.000 | 0.000 |
| 0.000 | 0.000 | -0.000 | 0.000 | -16.738 | 0.000 |
| 0.000 | -0.000 | 0.000 | -0.000 | 0.000 | -16.738 |
| 247.065 | -16.738 | -16.738 | -0.000 | -0.000 | -0.000 |
| -16.738 | 247.065 | -16.738 | -0.000 | -0.000 | -0.000 |
| -16.738 | -16.738 | 247.065 | 0.000 | -0.000 | 0.000 |
| -0.000 | -0.000 | 0.000 | -16.738 | -0.000 | -0.000 |
| -0.000 | -0.000 | 0.000 | 0.000 | -16.738 | -0.000 |
| -0.000 | 0.000 | -0.000 | 0.000 | -0.000 | -16.738 |
| 107.398 | 130.573 | 130.573 | -0.000 | -0.000 | 0.000 |
| 130.573 | 107.398 | 130.573 | -0.000 | -0.000 | 0.000 |
| 130.573 | 130.573 | 107.398 | -0.000 | 0.000 | 0.000 |
| 0.000 | 0.000 | 0.000 | 130.572 | -0.000 | 0.000 |
| 0.000 | 0.000 | 0.000 | -0.000 | 130.572 | -0.000 |
| 0.000 | 0.000 | 0.000 | -0.000 | -0.000 | 130.572 |
| 107.398 | 130.572 | 130.572 | 0.000 | -0.000 | 0.000 |
| 130.572 | 107.398 | 130.572 | 0.000 | 0.000 | 0.000 |
| 130.572 | 130.572 | 107.398 | 0.000 | 0.000 | -0.000 |
| -0.000 | -0.000 | -0.000 | 130.572 | 0.000 | 0.000 |
| -0.000 | -0.000 | -0.000 | -0.000 | 130.572 | 0.000 |
| -0.000 | -0.000 | -0.000 | 0.000 | 0.000 | 130.573 |
| 107.398 | 130.573 | 130.573 | -0.000 | -0.000 | -0.000 |
| 130.573 | 107.398 | 130.573 | -0.000 | -0.000 | 0.000 |
| 130.573 | 130.573 | 107.398 | 0.000 | -0.000 | 0.000 |
| 0.000 | 0.000 | 0.000 | 130.572 | -0.000 | -0.000 |
| 0.000 | 0.000 | 0.000 | -0.000 | 130.572 | -0.000 |
| 0.000 | 0.000 | 0.000 | -0.000 | -0.000 | 130.572 |
| 107.398 | 130.572 | 130.572 | -0.000 | -0.000 | 0.000 |
| 130.572 | 107.398 | 130.572 | 0.000 | 0.000 | 0.000 |
| 130.572 | 130.572 | 107.398 | 0.000 | 0.000 | -0.000 |
| -0.000 | -0.000 | -0.000 | 130.572 | 0.000 | -0.000 |
| -0.000 | -0.000 | -0.000 | 0.000 | 130.572 | 0.000 |
| -0.000 | -0.000 | -0.000 | 0.000 | 0.000 | 130.572 |
| 107.399 | 130.573 | 130.573 | -0.000 | -0.000 | -0.000 |
| 130.573 | 107.399 | 130.573 | -0.000 | -0.000 | -0.000 |
| 130.573 | 130.573 | 107.399 | -0.000 | -0.000 | 0.000 |
| 0.000 | 0.000 | 0.000 | 130.572 | -0.000 | -0.000 |
| 0.000 | 0.000 | 0.000 | -0.000 | 130.572 | -0.000 |
| 0.000 | 0.000 | 0.000 | -0.000 | -0.000 | 130.572 |
| 107.398 | 130.572 | 130.572 | 0.000 | 0.000 | 0.000 |
| 130.572 | 107.398 | 130.572 | 0.000 | 0.000 | 0.000 |
| 130.572 | 130.572 | 107.398 | 0.000 | 0.000 | -0.000 |
| -0.000 | -0.000 | -0.000 | 130.572 | -0.000 | -0.000 |
| -0.000 | -0.000 | -0.000 | 0.000 | 130.572 | 0.000 |
| -0.000 | -0.000 | -0.000 | 0.000 | -0.000 | 130.572 |
| 18.637 | 25.960 | 25.960 | -0.000 | -0.000 | -0.000 |
| 25.960 | 18.637 | 25.960 | -0.000 | -0.000 | -0.000 |
| 25.960 | 25.960 | 18.637 | -0.000 | -0.000 | -0.000 |
| -0.000 | -0.000 | 0.000 | -7.326 | -0.000 | -0.000 |
| -0.000 | -0.000 | 0.000 | -0.000 | -7.326 | -0.000 |
| -0.000 | -0.000 | 0.000 | -0.000 | -0.000 | -7.326 |
| 18.637 | 25.960 | 25.960 | 0.000 | 0.000 | 0.000 |
| 25.960 | 18.637 | 25.960 | 0.000 | 0.000 | 0.000 |
| 25.960 | 25.960 | 18.637 | 0.000 | 0.000 | 0.000 |
| 0.000 | 0.000 | -0.000 | -7.326 | 0.000 | 0.000 |
| 0.000 | 0.000 | -0.000 | 0.000 | -7.326 | 0.000 |
| 0.000 | 0.000 | 0.000 | 0.000 | 0.000 | -7.326 |
| 18.637 | 25.960 | 25.960 | -0.000 | -0.000 | -0.000 |
| 25.960 | 18.637 | 25.960 | -0.000 | -0.000 | -0.000 |
| 25.960 | 25.960 | 18.637 | -0.000 | -0.000 | -0.000 |
| -0.000 | -0.000 | -0.000 | -7.326 | -0.000 | -0.000 |
| -0.000 | -0.000 | -0.000 | -0.000 | -7.326 | -0.000 |
| -0.000 | -0.000 | -0.000 | -0.000 | -0.000 | -7.326 |
| 18.637 | 25.960 | 25.960 | 0.000 | 0.000 | 0.000 |
| 25.960 | 18.637 | 25.960 | 0.000 | 0.000 | 0.000 |
| 25.960 | 25.960 | 18.637 | 0.000 | 0.000 | 0.000 |
| 0.000 | 0.000 | 0.000 | -7.326 | 0.000 | 0.000 |
| 0.000 | 0.000 | 0.000 | 0.000 | -7.326 | 0.000 |
| 0.000 | 0.000 | 0.000 | 0.000 | 0.000 | -7.326 |
| 18.637 | 25.960 | 25.960 | -0.000 | -0.000 | -0.000 |
| 25.960 | 18.637 | 25.960 | -0.000 | -0.000 | -0.000 |
| 25.960 | 25.960 | 18.637 | -0.000 | -0.000 | -0.000 |
| -0.000 | -0.000 | -0.000 | -7.326 | -0.000 | -0.000 |
| -0.000 | -0.000 | -0.000 | -0.000 | -7.326 | -0.000 |
| -0.000 | -0.000 | -0.000 | -0.000 | -0.000 | -7.326 |
| 18.637 | 25.960 | 25.960 | 0.000 | 0.000 | 0.000 |
| 25.960 | 18.637 | 25.960 | 0.000 | 0.000 | 0.000 |
| 25.960 | 25.960 | 18.637 | 0.000 | 0.000 | 0.000 |
| 0.000 | 0.000 | 0.000 | -7.326 | 0.000 | 0.000 |
| 0.000 | 0.000 | 0.000 | 0.000 | -7.326 | 0.000 |
| 0.000 | 0.000 | 0.000 | 0.000 | 0.000 | -7.326 |
| 258.525 | 45.375 | 113.554 | 0.000 | -0.000 | 0.000 |
| 45.375 | 258.525 | 113.554 | 0.000 | 0.000 | 0.000 |
| 113.554 | 113.554 | 195.491 | 0.000 | -0.000 | 0.000 |
| 0.000 | 0.000 | 0.000 | 113.554 | 0.000 | 0.000 |
| 0.000 | 0.000 | 0.000 | 0.000 | 113.554 | 0.000 |
| 0.000 | -0.000 | 0.000 | -0.000 | -0.000 | 45.375 |
| 258.525 | 45.375 | 113.554 | 0.000 | 0.000 | -0.000 |
| 45.375 | 258.525 | 113.554 | 0.000 | -0.000 | -0.000 |
| 113.554 | 113.554 | 195.491 | 0.000 | 0.000 | -0.000 |
| -0.000 | -0.000 | -0.000 | 113.554 | -0.000 | -0.000 |
| -0.000 | -0.000 | -0.000 | 0.000 | 113.554 | 0.000 |
| -0.000 | -0.000 | -0.000 | 0.000 | 0.000 | 45.375 |
| 258.525 | 45.375 | 113.554 | -0.000 | -0.000 | 0.000 |
| 45.375 | 258.525 | 113.554 | -0.000 | -0.000 | 0.000 |
| 113.554 | 113.554 | 195.491 | 0.000 | 0.000 | -0.000 |
| 0.000 | 0.000 | 0.000 | 113.554 | 0.000 | 0.000 |
| 0.000 | 0.000 | 0.000 | -0.000 | 113.554 | 0.000 |
| 0.000 | 0.000 | 0.000 | 0.000 | 0.000 | 45.375 |
| 258.525 | 45.375 | 113.554 | 0.000 | 0.000 | -0.000 |
| 45.375 | 258.525 | 113.554 | -0.000 | 0.000 | -0.000 |
| 113.554 | 113.554 | 195.491 | -0.000 | 0.000 | -0.000 |
| -0.000 | -0.000 | -0.000 | 113.554 | 0.000 | -0.000 |
| -0.000 | -0.000 | -0.000 | -0.000 | 113.554 | -0.000 |
| -0.000 | -0.000 | -0.000 | 0.000 | 0.000 | 45.375 |
| 258.527 | 45.375 | 113.554 | -0.000 | 0.000 | 0.000 |
| 45.375 | 258.527 | 113.554 | -0.000 | 0.000 | 0.000 |
| 113.554 | 113.554 | 195.492 | 0.000 | 0.000 | 0.000 |
| 0.000 | 0.000 | 0.001 | 113.554 | 0.000 | 0.000 |
| 0.000 | 0.000 | 0.001 | 0.000 | 113.554 | 0.000 |
| 0.000 | 0.000 | 0.000 | -0.000 | -0.000 | 45.375 |
| 258.523 | 45.374 | 113.553 | -0.000 | 0.000 | -0.000 |
| 45.374 | 258.523 | 113.553 | -0.000 | -0.000 | -0.000 |
| 113.553 | 113.553 | 195.490 | 0.000 | 0.000 | -0.000 |
| -0.000 | -0.000 | -0.001 | 113.554 | -0.000 | -0.000 |
| -0.000 | -0.000 | -0.001 | 0.000 | 113.554 | -0.000 |
| -0.000 | -0.000 | -0.000 | 0.000 | 0.000 | 45.375 |
| 48.552 | 79.899 | 79.899 | 0.000 | 0.000 | 0.000 |
| 79.899 | 48.552 | 79.899 | 0.000 | 0.000 | 0.000 |
| 79.899 | 79.899 | 48.552 | 0.000 | 0.000 | -0.000 |
| 0.000 | 0.000 | 0.000 | -27.346 | 0.000 | 0.000 |
| 0.000 | 0.000 | 0.000 | 0.000 | -27.346 | 0.000 |
| 0.000 | 0.000 | 0.000 | 0.000 | 0.000 | -27.346 |
| 48.552 | 79.899 | 79.899 | -0.000 | -0.000 | -0.000 |
| 79.899 | 48.552 | 79.899 | -0.000 | -0.000 | -0.000 |
| 79.899 | 79.899 | 48.552 | -0.000 | 0.000 | -0.000 |
| -0.000 | 0.000 | -0.000 | -27.346 | -0.000 | 0.000 |
| 0.000 | -0.000 | -0.000 | -0.000 | -27.346 | -0.000 |
| 0.000 | -0.000 | -0.000 | -0.000 | -0.000 | -27.346 |
| 48.552 | 79.899 | 79.899 | 0.000 | 0.000 | 0.000 |
| 79.899 | 48.552 | 79.899 | 0.000 | -0.000 | 0.000 |
| 79.899 | 79.899 | 48.552 | 0.000 | 0.000 | 0.000 |
| -0.000 | -0.000 | -0.000 | -27.346 | 0.000 | -0.000 |
| -0.000 | -0.000 | -0.000 | 0.000 | -27.346 | 0.000 |
| -0.000 | -0.000 | -0.000 | 0.000 | 0.000 | -27.346 |
| 48.552 | 79.899 | 79.899 | -0.000 | -0.000 | -0.000 |
| 79.899 | 48.552 | 79.899 | -0.000 | -0.000 | 0.000 |
| 79.899 | 79.899 | 48.552 | -0.000 | -0.000 | -0.000 |
| 0.000 | 0.000 | 0.000 | -27.346 | -0.000 | -0.000 |
| 0.000 | 0.000 | 0.000 | -0.000 | -27.346 | -0.000 |
| 0.000 | 0.000 | 0.000 | -0.000 | -0.000 | -27.346 |
| 48.553 | 79.899 | 79.899 | 0.000 | 0.000 | 0.000 |
| 79.899 | 48.553 | 79.899 | -0.000 | 0.000 | 0.000 |
| 79.899 | 79.899 | 48.553 | 0.000 | 0.000 | 0.000 |
| -0.000 | -0.000 | -0.000 | -27.346 | 0.000 | 0.000 |
| -0.000 | -0.000 | -0.000 | 0.000 | -27.346 | 0.000 |
| -0.000 | -0.000 | -0.000 | 0.000 | 0.000 | -27.346 |
| 48.552 | 79.899 | 79.899 | -0.000 | -0.000 | 0.000 |
| 79.899 | 48.552 | 79.899 | -0.000 | 0.000 | -0.000 |
| 79.899 | 79.899 | 48.552 | -0.000 | -0.000 | 0.000 |
| 0.000 | 0.000 | 0.000 | -27.346 | -0.000 | -0.000 |
| 0.000 | 0.000 | 0.000 | -0.000 | -27.346 | -0.000 |
| 0.000 | 0.000 | 0.000 | -0.000 | -0.000 | -27.346 |
| 374.270 | 25.826 | 25.826 | -0.000 | -0.000 | -0.000 |
| 25.826 | 374.270 | 25.826 | -0.000 | -0.000 | -0.000 |
| 25.826 | 25.826 | 374.270 | -0.000 | 0.000 | 0.000 |
| -0.000 | 0.000 | 0.000 | -87.369 | -0.000 | -0.000 |
| -0.000 | -0.000 | 0.000 | -0.000 | -87.369 | -0.000 |
| -0.000 | 0.000 | -0.000 | -0.000 | -0.000 | -87.369 |
| 374.270 | 25.826 | 25.826 | 0.000 | 0.000 | 0.000 |
| 25.826 | 374.270 | 25.826 | 0.000 | 0.000 | 0.000 |
| 25.826 | 25.826 | 374.270 | 0.000 | 0.000 | 0.000 |
| -0.000 | -0.000 | 0.000 | -87.369 | 0.000 | 0.000 |
| 0.000 | -0.000 | 0.000 | 0.000 | -87.369 | 0.000 |
| 0.000 | 0.000 | -0.000 | 0.000 | 0.000 | -87.369 |
| 378.482 | 23.720 | 23.720 | -0.000 | -0.000 | 0.000 |
| 23.720 | 378.482 | 23.720 | -0.000 | 0.000 | 0.000 |
| 23.720 | 23.720 | 378.482 | -0.000 | -0.000 | -0.000 |
| -0.000 | 0.000 | 0.000 | 23.720 | -0.000 | 0.000 |
| 0.000 | -0.000 | 0.000 | -0.000 | 23.720 | -0.000 |
| 0.000 | 0.000 | -0.000 | -0.000 | -0.000 | 23.720 |
| 374.270 | 25.826 | 25.826 | 0.000 | 0.000 | 0.000 |
| 25.826 | 374.270 | 25.826 | 0.000 | 0.000 | 0.000 |
| 25.826 | 25.826 | 374.270 | 0.000 | 0.000 | 0.000 |
| 0.000 | -0.000 | -0.000 | 23.720 | -0.000 | 0.000 |
| -0.000 | 0.000 | -0.000 | 0.000 | 23.720 | 0.000 |
| -0.000 | -0.000 | 0.000 | 0.000 | -0.000 | 23.720 |
| 374.273 | 25.826 | 25.826 | -0.000 | 0.000 | -0.000 |
| 25.826 | 374.273 | 25.826 | -0.000 | -0.000 | -0.000 |
| 25.826 | 25.826 | 374.273 | -0.000 | -0.000 | -0.000 |
| 0.000 | -0.000 | -0.000 | -87.369 | -0.000 | 0.000 |
| -0.000 | 0.000 | -0.000 | 0.000 | -87.369 | -0.000 |
| -0.000 | -0.000 | 0.000 | -0.000 | 0.000 | -87.369 |
| 374.267 | 25.825 | 25.825 | 0.000 | 0.000 | -0.000 |
| 25.825 | 374.267 | 25.825 | 0.000 | 0.000 | 0.000 |
| 25.825 | 25.825 | 374.267 | 0.000 | 0.000 | -0.000 |
| -0.000 | 0.000 | 0.000 | -87.369 | 0.000 | 0.000 |
| 0.000 | -0.000 | 0.000 | 0.000 | -87.369 | 0.000 |
| 0.000 | 0.000 | -0.000 | 0.000 | 0.000 | -87.369 |
| 127.378 | 166.638 | 166.638 | 0.000 | -0.000 | 0.000 |
| 166.638 | 127.378 | 166.638 | 0.000 | -0.000 | 0.000 |
| 166.638 | 166.638 | 127.378 | 0.000 | -0.000 | 0.000 |
| -0.000 | -0.000 | -0.000 | 166.638 | 0.000 | 0.000 |
| -0.000 | -0.000 | 0.000 | 0.000 | 166.638 | 0.000 |
| -0.000 | -0.000 | 0.000 | 0.000 | -0.000 | 166.638 |
| 127.378 | 166.638 | 166.638 | 0.000 | 0.000 | -0.000 |
| 166.638 | 127.378 | 166.638 | -0.000 | -0.000 | -0.000 |
| 166.638 | 166.638 | 127.378 | 0.000 | 0.000 | 0.000 |
| 0.000 | 0.000 | -0.000 | 166.638 | -0.000 | -0.000 |
| 0.000 | -0.000 | -0.000 | -0.000 | 166.638 | -0.000 |
| 0.000 | -0.000 | -0.000 | 0.000 | 0.000 | 166.638 |
| 127.378 | 166.638 | 166.638 | 0.000 | -0.000 | 0.000 |
| 166.638 | 127.378 | 166.638 | 0.000 | -0.000 | 0.000 |
| 166.638 | 166.638 | 127.378 | 0.000 | -0.000 | 0.000 |
| 0.000 | 0.000 | 0.000 | 166.638 | 0.000 | 0.000 |
| 0.000 | 0.000 | 0.000 | 0.000 | 166.638 | 0.000 |
| 0.000 | 0.000 | 0.000 | 0.000 | -0.000 | 166.638 |
| 127.378 | 166.638 | 166.638 | -0.000 | 0.000 | -0.000 |
| 166.638 | 127.378 | 166.638 | -0.000 | 0.000 | -0.000 |
| 166.638 | 166.638 | 127.378 | -0.000 | 0.000 | 0.000 |
| -0.000 | -0.000 | -0.000 | 166.638 | -0.000 | -0.000 |
| -0.000 | -0.000 | -0.000 | -0.000 | 166.638 | -0.000 |
| -0.000 | -0.000 | -0.000 | -0.000 | 0.000 | 166.638 |
| 127.379 | 166.639 | 166.639 | 0.000 | -0.000 | -0.000 |
| 166.639 | 127.379 | 166.639 | 0.000 | 0.000 | -0.000 |
| 166.639 | 166.639 | 127.379 | -0.000 | -0.000 | -0.000 |
| 0.001 | 0.000 | 0.000 | 151.227 | -0.000 | 0.000 |
| 0.000 | 0.001 | 0.000 | 0.000 | 151.227 | 0.000 |
| 0.000 | 0.000 | 0.001 | 0.000 | -0.000 | 151.227 |
| 127.377 | 166.637 | 166.637 | 0.000 | 0.000 | -0.000 |
| 166.637 | 127.377 | 166.637 | -0.000 | 0.000 | 0.000 |
| 166.637 | 166.637 | 127.377 | -0.000 | 0.000 | 0.000 |
| -0.001 | -0.000 | -0.000 | 151.227 | 0.000 | -0.000 |
| -0.000 | -0.001 | -0.000 | -0.000 | 151.227 | -0.000 |
| -0.000 | -0.000 | -0.001 | -0.000 | 0.000 | 151.227 |
| 253.530 | 140.895 | 140.895 | -0.000 | -0.000 | -0.000 |
| 140.895 | 253.530 | 140.895 | 0.000 | -0.000 | -0.000 |
| 140.895 | 140.895 | 253.530 | -0.000 | -0.000 | -0.000 |
| -0.000 | 0.000 | 0.000 | 140.895 | -0.000 | -0.000 |
| 0.000 | -0.000 | 0.000 | -0.000 | 140.895 | 0.000 |
| 0.000 | 0.000 | -0.000 | 0.000 | -0.000 | 140.895 |
| 253.530 | 140.895 | 140.895 | 0.000 | 0.000 | -0.000 |
| 140.895 | 253.530 | 140.895 | 0.000 | 0.000 | -0.000 |
| 140.895 | 140.895 | 253.530 | 0.000 | 0.000 | 0.000 |
| 0.000 | -0.000 | -0.000 | 140.895 | -0.000 | 0.000 |
| -0.000 | 0.000 | -0.000 | -0.000 | 140.895 | -0.000 |
| -0.000 | -0.000 | 0.000 | -0.000 | 0.000 | 140.895 |
| 253.530 | 140.895 | 140.895 | -0.000 | -0.000 | -0.000 |
| 140.895 | 253.530 | 140.895 | 0.000 | 0.000 | -0.000 |
| 140.895 | 140.895 | 253.530 | 0.000 | 0.000 | -0.000 |
| -0.000 | 0.000 | 0.000 | 140.895 | -0.000 | -0.000 |
| 0.000 | -0.000 | 0.000 | -0.000 | 140.895 | 0.000 |
| 0.000 | 0.000 | -0.000 | 0.000 | 0.000 | 140.895 |
| 253.530 | 140.895 | 140.895 | -0.000 | 0.000 | 0.000 |
| 140.895 | 253.530 | 140.895 | -0.000 | -0.000 | -0.000 |
| 140.895 | 140.895 | 253.530 | 0.000 | 0.000 | 0.000 |
| 0.000 | -0.000 | -0.000 | 140.895 | -0.000 | -0.000 |
| -0.000 | 0.000 | -0.000 | -0.000 | 140.895 | 0.000 |
| -0.000 | -0.000 | 0.000 | -0.000 | 0.000 | 140.895 |
| 253.531 | 140.896 | 140.896 | -0.000 | -0.000 | -0.000 |
| 140.896 | 253.531 | 140.896 | 0.000 | 0.000 | -0.000 |
| 140.896 | 140.896 | 253.531 | -0.000 | -0.000 | -0.000 |
| -0.000 | 0.000 | 0.001 | 140.895 | -0.000 | 0.000 |
| 0.000 | -0.000 | 0.001 | -0.000 | 140.895 | 0.000 |
| 0.000 | 0.001 | -0.000 | 0.000 | 0.000 | 140.895 |
| 253.529 | 140.894 | 140.894 | 0.000 | -0.000 | -0.000 |
| 140.894 | 253.529 | 140.894 | -0.000 | -0.000 | 0.000 |
| 140.894 | 140.894 | 253.529 | 0.000 | 0.000 | 0.000 |
| 0.000 | -0.000 | -0.001 | 140.895 | 0.000 | 0.000 |
| -0.000 | 0.000 | -0.001 | 0.000 | 140.895 | 0.000 |
| -0.000 | -0.001 | 0.000 | -0.000 | -0.000 | 140.895 |
| 321.677 | 178.378 | 178.378 | 0.000 | -0.000 | 0.000 |
| 178.378 | 321.677 | 178.378 | 0.000 | 0.000 | -0.000 |
| 178.378 | 178.378 | 321.677 | 0.000 | 0.000 | -0.000 |
| 0.000 | 0.000 | 0.000 | 178.378 | 0.000 | -0.000 |
| 0.000 | 0.000 | 0.000 | 0.000 | 178.378 | -0.000 |
| 0.000 | 0.000 | 0.000 | 0.000 | 0.000 | 178.378 |
| 321.677 | 178.378 | 178.378 | -0.000 | -0.000 | 0.000 |
| 178.378 | 321.677 | 178.378 | -0.000 | -0.000 | 0.000 |
| 178.378 | 178.378 | 321.677 | -0.000 | -0.000 | 0.000 |
| -0.000 | -0.000 | -0.000 | 178.378 | -0.000 | 0.000 |
| -0.000 | -0.000 | -0.000 | -0.000 | 178.378 | 0.000 |
| -0.000 | -0.000 | -0.000 | -0.000 | 0.000 | 178.378 |
| 321.677 | 178.378 | 178.378 | 0.000 | 0.000 | -0.000 |
| 178.378 | 321.677 | 178.378 | 0.000 | -0.000 | 0.000 |
| 178.378 | 178.378 | 321.677 | 0.000 | 0.000 | -0.000 |
| -0.000 | 0.000 | 0.000 | 178.378 | -0.000 | -0.000 |
| 0.000 | -0.000 | 0.000 | 0.000 | 178.378 | -0.000 |
| 0.000 | 0.000 | -0.000 | 0.000 | -0.000 | 178.378 |
| 321.677 | 178.378 | 178.378 | 0.000 | -0.000 | 0.000 |
| 178.378 | 321.677 | 178.378 | -0.000 | 0.000 | 0.000 |
| 178.378 | 178.378 | 321.677 | -0.000 | -0.000 | 0.000 |
| 0.000 | -0.000 | -0.000 | 178.378 | 0.000 | 0.000 |
| -0.000 | 0.000 | -0.000 | -0.000 | 178.378 | 0.000 |
| -0.000 | -0.000 | 0.000 | -0.000 | 0.000 | 178.378 |
| 321.678 | 178.379 | 178.379 | 0.000 | -0.000 | 0.000 |
| 178.379 | 321.678 | 178.379 | 0.000 | -0.000 | -0.000 |
| 178.379 | 178.379 | 321.678 | 0.000 | 0.000 | 0.000 |
| -0.000 | 0.001 | 0.001 | 178.378 | 0.000 | -0.000 |
| 0.001 | -0.000 | 0.001 | 0.000 | 178.378 | -0.000 |
| 0.001 | 0.001 | -0.000 | 0.000 | -0.000 | 178.378 |
| 321.676 | 178.377 | 178.377 | -0.000 | -0.000 | 0.000 |
| 178.377 | 321.676 | 178.377 | -0.000 | -0.000 | -0.000 |
| 178.377 | 178.377 | 321.676 | 0.000 | 0.000 | 0.000 |
| 0.000 | -0.001 | -0.001 | 178.378 | -0.000 | 0.000 |
| -0.001 | 0.000 | -0.001 | -0.000 | 178.378 | 0.000 |
| -0.001 | -0.001 | 0.000 | -0.000 | 0.000 | 178.378 |
| 498.507 | 20.790 | 20.790 | 0.000 | -0.000 | 0.000 |
| 20.790 | 498.507 | 20.790 | 0.000 | -0.000 | 0.000 |
| 20.790 | 20.790 | 498.507 | 0.000 | -0.000 | 0.000 |
| -0.000 | -0.000 | -0.000 | 19.836 | -0.000 | -0.000 |
| 0.000 | -0.000 | 0.000 | 0.000 | 19.836 | 0.000 |
| 0.000 | -0.000 | 0.000 | 0.000 | -0.000 | 19.836 |
| 498.507 | 20.790 | 20.790 | -0.000 | 0.000 | -0.000 |
| 20.790 | 498.507 | 20.790 | -0.000 | 0.000 | -0.000 |
| 20.790 | 20.790 | 498.507 | -0.000 | 0.000 | 0.000 |
| 0.000 | -0.000 | 0.000 | 19.836 | 0.000 | -0.000 |
| -0.000 | 0.000 | -0.000 | -0.000 | 19.836 | -0.000 |
| -0.000 | -0.000 | -0.000 | -0.000 | 0.000 | 19.836 |
| 498.508 | 20.790 | 20.790 | 0.000 | -0.000 | 0.000 |
| 20.790 | 498.508 | 20.790 | 0.000 | -0.000 | 0.000 |
| 20.790 | 20.790 | 498.508 | 0.000 | -0.000 | 0.000 |
| 0.000 | 0.000 | -0.000 | 19.836 | -0.000 | 0.000 |
| 0.000 | 0.000 | -0.000 | 0.000 | 19.836 | 0.000 |
| 0.000 | 0.000 | 0.000 | 0.000 | -0.000 | 19.836 |
| 498.507 | 20.790 | 20.790 | -0.000 | 0.000 | -0.000 |
| 20.790 | 498.507 | 20.790 | -0.000 | 0.000 | -0.000 |
| 20.790 | 20.790 | 498.507 | 0.000 | 0.000 | -0.000 |
| -0.000 | -0.000 | -0.000 | 19.836 | 0.000 | -0.000 |
| -0.000 | -0.000 | 0.000 | 0.000 | 19.836 | -0.000 |
| -0.000 | -0.000 | -0.000 | -0.000 | 0.000 | 19.836 |
| 500.419 | 19.837 | 19.837 | 0.000 | -0.000 | 0.000 |
| 19.837 | 500.419 | 19.837 | 0.000 | -0.000 | 0.000 |
| 19.837 | 19.837 | 500.419 | 0.000 | -0.000 | 0.000 |
| 0.001 | 0.001 | -0.000 | -170.031 | -0.000 | 0.000 |
| 0.000 | 0.001 | -0.000 | 0.000 | -143.943 | 0.000 |
| 0.001 | -0.000 | 0.001 | 0.000 | -0.000 | -170.031 |
| 500.410 | 19.836 | 19.836 | -0.000 | -0.000 | -0.000 |
| 19.836 | 500.410 | 19.836 | -0.000 | 0.000 | -0.000 |
| 19.836 | 19.836 | 500.410 | 0.000 | 0.000 | -0.000 |
| -0.001 | -0.000 | 0.000 | -143.943 | 0.000 | 0.000 |
| -0.000 | -0.001 | 0.000 | -0.000 | -143.943 | -0.000 |
| -0.000 | 0.000 | -0.001 | -0.000 | 0.000 | -143.943 |
| 174.909 | 223.464 | 223.464 | -0.000 | 0.000 | -0.000 |
| 223.464 | 174.909 | 223.464 | -0.000 | 0.000 | -0.000 |
| 223.464 | 223.464 | 174.909 | 0.000 | 0.000 | -0.000 |
| 0.000 | 0.000 | 0.000 | 223.464 | -0.000 | -0.000 |
| 0.000 | 0.000 | 0.000 | -0.000 | 223.464 | 0.000 |
| 0.000 | 0.000 | 0.000 | -0.000 | 0.000 | 223.464 |
| 174.909 | 223.464 | 223.464 | 0.000 | -0.000 | 0.000 |
| 223.464 | 174.909 | 223.464 | 0.000 | -0.000 | -0.000 |
| 223.464 | 223.464 | 174.909 | 0.000 | -0.000 | 0.000 |
| -0.000 | -0.000 | -0.000 | 223.464 | 0.000 | -0.000 |
| -0.000 | -0.000 | -0.000 | -0.000 | 223.464 | -0.000 |
| -0.000 | -0.000 | -0.000 | 0.000 | -0.000 | 223.464 |
| 174.909 | 223.464 | 223.464 | -0.000 | 0.000 | -0.000 |
| 223.464 | 174.909 | 223.464 | -0.000 | -0.000 | -0.000 |
| 223.464 | 223.464 | 174.909 | -0.000 | 0.000 | -0.000 |
| 0.000 | 0.000 | 0.000 | 223.464 | 0.000 | -0.000 |
| 0.000 | 0.000 | 0.000 | 0.000 | 223.464 | 0.000 |
| 0.000 | 0.000 | 0.000 | -0.000 | 0.000 | 223.464 |
| 174.908 | 223.464 | 223.464 | 0.000 | -0.000 | 0.000 |
| 223.464 | 174.908 | 223.464 | 0.000 | -0.000 | -0.000 |
| 223.464 | 223.464 | 174.908 | -0.000 | -0.000 | 0.000 |
| -0.000 | -0.000 | -0.000 | 223.464 | -0.000 | 0.000 |
| -0.000 | -0.000 | -0.000 | -0.000 | 223.464 | -0.000 |
| -0.000 | -0.000 | -0.000 | 0.000 | -0.000 | 223.464 |
| 174.910 | 223.465 | 223.465 | 0.000 | 0.000 | -0.000 |
| 223.465 | 174.910 | 223.465 | -0.000 | 0.000 | -0.000 |
| 223.465 | 223.465 | 174.910 | -0.000 | 0.000 | 0.000 |
| 0.001 | 0.000 | 0.001 | 223.464 | 0.000 | 0.000 |
| 0.000 | 0.001 | 0.001 | -0.000 | 223.464 | -0.000 |
| 0.000 | 0.001 | 0.001 | -0.000 | 0.000 | 223.464 |
| 174.908 | 223.463 | 223.463 | 0.000 | -0.000 | -0.000 |
| 223.463 | 174.908 | 223.463 | 0.000 | -0.000 | 0.000 |
| 223.463 | 223.463 | 174.908 | 0.000 | -0.000 | 0.000 |
| -0.001 | -0.000 | -0.001 | 223.464 | -0.000 | -0.000 |
| -0.000 | -0.001 | -0.001 | -0.000 | 223.464 | 0.000 |
| -0.000 | -0.001 | -0.001 | 0.000 | -0.000 | 223.464 |
| 427.978 | 142.659 | 106.607 | -0.000 | -0.000 | -0.000 |
| 142.659 | 427.978 | 106.607 | 0.000 | -0.000 | -0.000 |
| 106.607 | 106.607 | 462.041 | 0.000 | -0.000 | -0.000 |
| 0.000 | -0.000 | 0.000 | 106.607 | -0.000 | -0.000 |
| 0.000 | -0.000 | 0.000 | 0.000 | 106.607 | -0.000 |
| 0.000 | 0.000 | 0.000 | 0.000 | -0.000 | 142.659 |
| 427.978 | 142.659 | 106.607 | 0.000 | 0.000 | 0.000 |
| 142.659 | 427.978 | 106.607 | 0.000 | 0.000 | 0.000 |
| 106.607 | 106.607 | 462.040 | -0.000 | 0.000 | 0.000 |
| -0.000 | 0.000 | -0.000 | 106.607 | 0.000 | 0.000 |
| -0.000 | 0.000 | -0.000 | -0.000 | 106.607 | 0.000 |
| -0.000 | -0.000 | -0.000 | -0.000 | 0.000 | 142.659 |
| 403.436 | 167.201 | 106.607 | 0.000 | -0.000 | -0.000 |
| 167.202 | 403.436 | 106.607 | 0.000 | -0.000 | -0.000 |
| 106.608 | 106.608 | 462.041 | 0.000 | -0.000 | -0.000 |
| 0.000 | -0.000 | 0.000 | 106.607 | 0.000 | -0.000 |
| -0.000 | 0.000 | 0.000 | -0.000 | 106.607 | -0.000 |
| -0.000 | 0.000 | 0.000 | -0.000 | -0.000 | 142.659 |
| 427.978 | 142.659 | 106.607 | -0.000 | 0.000 | 0.000 |
| 142.659 | 427.978 | 106.607 | -0.000 | 0.000 | 0.000 |
| 106.607 | 106.607 | 462.040 | 0.000 | 0.000 | 0.000 |
| -0.000 | 0.000 | -0.000 | 106.607 | -0.000 | 0.000 |
| 0.000 | -0.000 | -0.000 | -0.000 | 106.607 | 0.000 |
| 0.000 | -0.000 | -0.000 | -0.000 | 0.000 | 142.659 |
| 403.439 | 167.202 | 106.608 | 0.000 | -0.000 | -0.000 |
| 142.661 | 427.981 | 106.608 | -0.000 | -0.000 | -0.000 |
| 106.608 | 106.608 | 462.044 | 0.000 | -0.000 | -0.000 |
| 0.000 | -0.000 | 0.001 | 106.607 | -0.000 | -0.000 |
| 0.000 | 0.000 | 0.001 | 0.000 | 106.607 | -0.000 |
| -0.000 | 0.001 | 0.000 | 0.000 | -0.000 | 142.659 |
| 427.975 | 142.659 | 106.607 | 0.000 | 0.000 | 0.000 |
| 167.200 | 403.433 | 106.607 | -0.000 | 0.000 | 0.000 |
| 106.606 | 106.606 | 462.037 | -0.000 | 0.000 | 0.000 |
| -0.000 | 0.000 | -0.001 | 106.607 | 0.000 | 0.000 |
| -0.000 | -0.000 | -0.001 | -0.000 | 106.607 | 0.000 |
| 0.000 | -0.001 | -0.000 | 0.000 | 0.000 | 142.659 |
| 427.682 | 142.561 | 104.830 | 0.000 | -0.000 | -0.000 |
| 167.932 | 402.311 | 104.830 | -0.000 | 0.000 | -0.000 |
| 104.830 | 104.830 | 460.362 | 0.000 | -0.000 | -0.000 |
| 0.000 | -0.000 | 0.000 | 104.830 | -0.000 | -0.000 |
| 0.000 | -0.000 | 0.000 | -0.000 | 104.830 | -0.000 |
| 0.000 | -0.000 | 0.000 | -0.000 | -0.000 | 117.190 |
| 402.311 | 167.932 | 104.830 | 0.000 | -0.000 | 0.000 |
| 142.561 | 427.682 | 104.830 | 0.000 | -0.000 | -0.000 |
| 104.830 | 104.830 | 460.362 | 0.000 | 0.000 | 0.000 |
| -0.000 | 0.000 | -0.000 | 104.830 | 0.000 | 0.000 |
| -0.000 | 0.000 | -0.000 | 0.000 | 104.830 | 0.000 |
| -0.000 | 0.000 | -0.000 | 0.000 | 0.000 | 117.190 |
| 427.682 | 142.561 | 104.830 | -0.000 | -0.000 | -0.000 |
| 167.932 | 402.311 | 104.830 | -0.000 | -0.000 | 0.000 |
| 104.830 | 104.830 | 460.362 | -0.000 | -0.000 | -0.000 |
| 0.000 | -0.000 | 0.000 | 104.830 | 0.000 | -0.000 |
| -0.000 | 0.000 | 0.000 | -0.000 | 104.830 | 0.000 |
| -0.000 | 0.000 | -0.000 | -0.000 | -0.000 | 117.190 |
| 402.310 | 167.931 | 104.830 | 0.000 | 0.000 | -0.000 |
| 142.560 | 427.681 | 104.830 | 0.000 | 0.000 | -0.000 |
| 104.829 | 104.829 | 460.362 | 0.000 | 0.000 | 0.000 |
| -0.000 | 0.000 | -0.000 | 104.830 | -0.000 | 0.000 |
| 0.000 | -0.000 | -0.000 | 0.000 | 104.830 | -0.000 |
| 0.000 | -0.000 | 0.000 | 0.000 | 0.000 | 117.190 |
| 427.685 | 142.561 | 104.830 | 0.000 | 0.000 | -0.000 |
| 167.933 | 402.313 | 104.830 | -0.000 | 0.000 | -0.000 |
| 104.831 | 104.831 | 460.365 | -0.000 | -0.000 | 0.000 |
| 0.000 | -0.000 | 0.001 | 104.830 | -0.000 | -0.000 |
| -0.000 | 0.000 | 0.001 | -0.000 | 104.830 | -0.000 |
| -0.000 | 0.001 | -0.000 | -0.000 | -0.000 | 117.190 |
| 402.307 | 167.931 | 104.829 | 0.000 | -0.000 | 0.000 |
| 167.930 | 402.308 | 104.829 | 0.000 | -0.000 | -0.000 |
| 104.829 | 104.829 | 460.359 | 0.000 | 0.000 | 0.000 |
| -0.000 | 0.000 | -0.001 | 104.830 | 0.000 | 0.000 |
| 0.000 | -0.000 | -0.001 | 0.000 | 104.830 | 0.000 |
| 0.000 | -0.001 | 0.000 | 0.000 | 0.000 | 117.190 |
| 33.038 | 43.096 | 43.096 | 0.000 | 0.000 | 0.000 |
| 43.096 | 33.038 | 43.096 | 0.000 | 0.000 | 0.000 |
| 43.096 | 43.096 | 33.038 | 0.000 | 0.000 | 0.000 |
| -0.000 | -0.000 | -0.000 | -12.566 | 0.000 | 0.000 |
| -0.000 | -0.000 | -0.000 | 0.000 | -12.566 | 0.000 |
| -0.000 | -0.000 | -0.000 | 0.000 | 0.000 | -12.566 |
| 33.038 | 43.096 | 43.096 | -0.000 | -0.000 | -0.000 |
| 43.096 | 33.038 | 43.096 | -0.000 | -0.000 | -0.000 |
| 43.096 | 43.096 | 33.038 | -0.000 | -0.000 | -0.000 |
| 0.000 | 0.000 | 0.000 | -12.566 | 0.000 | -0.000 |
| 0.000 | 0.000 | 0.000 | -0.000 | -12.566 | -0.000 |
| 0.000 | 0.000 | 0.000 | -0.000 | -0.000 | -12.566 |
| 33.038 | 43.096 | 43.096 | 0.000 | 0.000 | 0.000 |
| 43.096 | 33.038 | 43.096 | 0.000 | 0.000 | 0.000 |
| 43.096 | 43.096 | 33.038 | 0.000 | 0.000 | 0.000 |
| -0.000 | -0.000 | -0.000 | -12.566 | -0.000 | 0.000 |
| -0.000 | -0.000 | -0.000 | 0.000 | -12.566 | 0.000 |
| -0.000 | -0.000 | -0.000 | 0.000 | 0.000 | -12.566 |
| 33.038 | 43.096 | 43.096 | -0.000 | -0.000 | -0.000 |
| 43.096 | 33.038 | 43.096 | -0.000 | -0.000 | -0.000 |
| 43.096 | 43.096 | 33.038 | -0.000 | -0.000 | -0.000 |
| 0.000 | 0.000 | 0.000 | -12.566 | -0.000 | -0.000 |
| 0.000 | 0.000 | 0.000 | -0.000 | -12.566 | -0.000 |
| 0.000 | 0.000 | 0.000 | -0.000 | 0.000 | -12.566 |
| 33.038 | 43.096 | 43.096 | 0.000 | 0.000 | 0.000 |
| 43.096 | 33.038 | 43.096 | 0.000 | 0.000 | 0.000 |
| 43.096 | 43.096 | 33.038 | 0.000 | 0.000 | 0.000 |
| -0.000 | -0.000 | -0.000 | -12.566 | 0.000 | 0.000 |
| -0.000 | -0.000 | -0.000 | 0.000 | -12.566 | 0.000 |
| -0.000 | -0.000 | -0.000 | 0.000 | 0.000 | -12.566 |
| 33.038 | 43.096 | 43.096 | -0.000 | -0.000 | -0.000 |
| 43.096 | 33.038 | 43.096 | -0.000 | -0.000 | -0.000 |
| 43.096 | 43.096 | 33.038 | -0.000 | -0.000 | -0.000 |
| 0.000 | 0.000 | 0.000 | -12.566 | -0.000 | -0.000 |
| 0.000 | 0.000 | 0.000 | -0.000 | -12.566 | -0.000 |
| 0.000 | 0.000 | 0.000 | -0.000 | -0.000 | -12.566 |
| 428.743 | -27.354 | 8.528 | 0.000 | -0.000 | -0.000 |
| -27.354 | 428.743 | 8.528 | 0.000 | -0.000 | -0.000 |
| 8.528 | 8.528 | 413.924 | 0.000 | -0.000 | -0.000 |
| -0.000 | -0.000 | -0.000 | -31.667 | -0.000 | -0.000 |
| -0.000 | 0.000 | -0.000 | 0.000 | -31.667 | -0.000 |
| -0.000 | -0.000 | -0.000 | 0.000 | 0.000 | -27.354 |
| -655.097 | 1056.485 | 8.528 | 0.000 | -0.000 | 0.000 |
| 1056.485 | -655.097 | 8.528 | -0.000 | 0.000 | 0.000 |
| 8.528 | 8.528 | 413.924 | -0.000 | 0.000 | 0.000 |
| 0.000 | -0.000 | 0.000 | -31.667 | 0.000 | 0.000 |
| 0.000 | -0.000 | 0.000 | -0.000 | -31.667 | 0.000 |
| 0.000 | 0.000 | 0.000 | -0.000 | -0.000 | -27.354 |
| 428.743 | -27.354 | 8.528 | 0.000 | -0.000 | -0.000 |
| -27.354 | 428.743 | 8.528 | 0.000 | -0.000 | 0.000 |
| 8.528 | 8.528 | 413.924 | 0.000 | -0.000 | -0.000 |
| -0.000 | 0.000 | -0.000 | -31.667 | -0.000 | -0.000 |
| 0.000 | -0.000 | -0.000 | 0.000 | -31.667 | 0.000 |
| -0.000 | -0.000 | -0.000 | 0.000 | -0.000 | -27.354 |
| 428.742 | -27.354 | 8.528 | -0.000 | 0.000 | 0.000 |
| -27.354 | 428.742 | 8.528 | -0.000 | 0.000 | 0.000 |
| 8.528 | 8.528 | 413.924 | -0.000 | 0.000 | 0.000 |
| 0.000 | -0.000 | 0.000 | -31.667 | 0.000 | 0.000 |
| -0.000 | 0.000 | 0.000 | 0.000 | -31.667 | 0.000 |
| 0.000 | 0.000 | 0.000 | -0.000 | 0.000 | -27.354 |
| -683.685 | 1085.071 | 8.527 | 0.000 | 0.000 | -0.000 |
| 1085.071 | -683.685 | 8.527 | 0.000 | 0.000 | -0.000 |
| 8.528 | 8.528 | 413.928 | 0.000 | 0.000 | 0.000 |
| -0.000 | 0.000 | -0.000 | -31.667 | -0.000 | -0.000 |
| 0.000 | -0.000 | -0.000 | 0.000 | -31.667 | 0.000 |
| -0.001 | 0.000 | -0.000 | -0.000 | -0.000 | -27.354 |
| -683.670 | 1085.060 | 8.530 | -0.000 | 0.000 | 0.000 |
| 1085.060 | -683.670 | 8.530 | 0.000 | -0.000 | -0.000 |
| 8.528 | 8.528 | 413.920 | -0.000 | 0.000 | -0.000 |
| 0.000 | -0.000 | 0.000 | -31.667 | 0.000 | 0.000 |
| -0.000 | 0.000 | 0.000 | -0.000 | -31.667 | 0.000 |
| 0.001 | -0.000 | 0.000 | 0.000 | 0.000 | -27.354 |
| -13.817 | -21.455 | -3.367 | -12.167 | -0.000 | 0.000 |
| -21.455 | -13.817 | -3.367 | 12.167 | -0.000 | 0.000 |
| -4.668 | -4.668 | 9.706 | 0.000 | 0.000 | 0.000 |
| -12.167 | 12.167 | 0.000 | 19.305 | 0.000 | 0.000 |
| -0.004 | -0.004 | -0.005 | -0.000 | 19.305 | -12.167 |
| 0.000 | 0.000 | 0.000 | 0.000 | -12.167 | 3.819 |
| -13.809 | -21.447 | -3.357 | -12.167 | -0.000 | -0.000 |
| -21.447 | -13.809 | -3.357 | 12.167 | -0.000 | -0.000 |
| -4.664 | -4.664 | 9.711 | -0.000 | -0.000 | -0.000 |
| -12.167 | 12.167 | -0.000 | 19.305 | -0.000 | -0.000 |
| 0.004 | 0.004 | 0.005 | 0.000 | 19.305 | -12.167 |
| -0.000 | -0.000 | -0.000 | -0.000 | -12.167 | 3.819 |
| -13.813 | -21.451 | -3.362 | -12.167 | -0.000 | 0.000 |
| -21.451 | -13.813 | -3.362 | 12.167 | 0.000 | 0.000 |
| -4.664 | -4.664 | 9.710 | 0.000 | 0.000 | 0.000 |
| -12.167 | 12.166 | -0.000 | 19.305 | -0.000 | 0.000 |
| 0.000 | 0.000 | 0.000 | -0.000 | 19.305 | -12.167 |
| -0.000 | -0.000 | -0.000 | -0.000 | -12.167 | 3.819 |
| -13.813 | -21.451 | -3.362 | -12.167 | -0.000 | -0.000 |
| -21.451 | -13.813 | -3.362 | 12.167 | 0.000 | -0.000 |
| -4.663 | -4.663 | 9.711 | -0.000 | -0.000 | 0.000 |
| -12.166 | 12.167 | 0.000 | 19.305 | 0.000 | -0.000 |
| -0.000 | -0.000 | -0.000 | 0.000 | 19.305 | -12.167 |
| 0.000 | 0.000 | 0.000 | 0.000 | -12.167 | 3.819 |
| -13.813 | -21.451 | -3.362 | -12.167 | 0.000 | 0.000 |
| -21.451 | -13.813 | -3.362 | 12.167 | 0.000 | 0.000 |
| -4.664 | -4.664 | 9.711 | 0.000 | -0.000 | -0.000 |
| -12.167 | 12.167 | 0.000 | 19.305 | 0.000 | 0.000 |
| 0.000 | 0.000 | 0.000 | -0.000 | 19.305 | -12.167 |
| -0.000 | -0.000 | -0.000 | -0.000 | -12.167 | 3.819 |
| -13.813 | -21.451 | -3.362 | -12.167 | 0.000 | -0.000 |
| -21.451 | -13.813 | -3.362 | 12.167 | -0.000 | -0.000 |
| -4.664 | -4.664 | 9.710 | -0.000 | -0.000 | -0.000 |
| -12.167 | 12.167 | -0.000 | 19.305 | -0.000 | -0.000 |
| -0.000 | -0.000 | -0.000 | 0.000 | 19.305 | -12.167 |
| 0.000 | 0.000 | 0.000 | 0.000 | -12.167 | 3.819 |
| 405.019 | -23.172 | -23.172 | 0.000 | -0.000 | 0.000 |
| -23.172 | 405.019 | -23.172 | -0.000 | 0.000 | 0.000 |
| -23.172 | -23.172 | 405.019 | -0.000 | 0.000 | -0.000 |
| 0.000 | -0.000 | -0.000 | -23.172 | 0.000 | 0.000 |
| -0.000 | 0.000 | -0.000 | -0.000 | -23.172 | 0.000 |
| -0.000 | -0.000 | 0.000 | 0.000 | 0.000 | -23.172 |
| 405.019 | -23.172 | -23.172 | -0.000 | -0.000 | -0.000 |
| -23.172 | 405.019 | -23.172 | -0.000 | -0.000 | 0.000 |
| -23.172 | -23.172 | 405.019 | 0.000 | 0.000 | -0.000 |
| -0.000 | 0.000 | 0.000 | -23.172 | -0.000 | -0.000 |
| 0.000 | -0.000 | 0.000 | 0.000 | -23.172 | -0.000 |
| 0.000 | 0.000 | -0.000 | -0.000 | -0.000 | -23.172 |
| 405.019 | -23.172 | -23.172 | -0.000 | 0.000 | 0.000 |
| -23.172 | 405.019 | -23.172 | 0.000 | 0.000 | 0.000 |
| -23.172 | -23.172 | 405.019 | -0.000 | 0.000 | -0.000 |
| 0.000 | 0.000 | -0.000 | -23.172 | 0.000 | 0.000 |
| 0.000 | 0.000 | -0.000 | 0.000 | -23.172 | 0.000 |
| 0.000 | -0.000 | 0.000 | 0.000 | 0.000 | -23.172 |
| 405.018 | -23.172 | -23.172 | -0.000 | 0.000 | -0.000 |
| -23.172 | 405.018 | -23.172 | 0.000 | -0.000 | 0.000 |
| -23.172 | -23.172 | 405.018 | -0.000 | -0.000 | 0.000 |
| -0.000 | -0.000 | 0.000 | -23.172 | -0.000 | 0.000 |
| -0.000 | -0.000 | 0.000 | -0.000 | -23.172 | -0.000 |
| -0.000 | 0.000 | -0.000 | -0.000 | -0.000 | -23.172 |
| 405.023 | -23.172 | -23.172 | -0.000 | 0.000 | 0.000 |
| -23.172 | 405.023 | -23.172 | 0.000 | 0.000 | 0.000 |
| -23.172 | -23.172 | 405.023 | -0.000 | 0.000 | -0.000 |
| 0.000 | 0.000 | -0.000 | -23.172 | -0.000 | 0.000 |
| 0.000 | 0.000 | -0.000 | 0.000 | -23.172 | 0.000 |
| 0.000 | -0.000 | 0.000 | 0.000 | 0.000 | -23.172 |
| 405.015 | -23.172 | -23.172 | -0.000 | -0.000 | -0.000 |
| -23.172 | 405.015 | -23.172 | -0.000 | -0.000 | -0.000 |
| -23.172 | -23.172 | 405.015 | 0.000 | -0.000 | 0.000 |
| -0.000 | -0.000 | 0.000 | -23.172 | 0.000 | -0.000 |
| -0.000 | -0.000 | 0.000 | -0.000 | -23.172 | -0.000 |
| -0.000 | 0.000 | -0.000 | -0.000 | -0.000 | -23.172 |
| 84.538 | -7.299 | -5.947 | 0.000 | 0.000 | -0.000 |
| -4.345 | -5.810 | -5.950 | 0.000 | 0.000 | -0.000 |
| 0.190 | 0.089 | -4.193 | 0.000 | -0.000 | 0.000 |
| 0.451 | 0.421 | -8.280 | -4.363 | 0.000 | 0.000 |
| 0.192 | 0.142 | -3.854 | 0.000 | -8.620 | -0.000 |
| 0.260 | 0.243 | -4.772 | 0.000 | -0.000 | 11.787 |
| 86.667 | 0.879 | 8.364 | -0.000 | 0.000 | 0.000 |
| -4.908 | -6.253 | 5.110 | -0.000 | -0.000 | 0.000 |
| -0.332 | -0.399 | 5.400 | -0.000 | 0.000 | -0.000 |
| -0.451 | -0.421 | 8.280 | -4.363 | 0.000 | 0.000 |
| -0.192 | -0.142 | 3.854 | -0.000 | -8.620 | -0.000 |
| -0.260 | -0.243 | 4.772 | -0.000 | 0.000 | 11.787 |
| 84.195 | -7.716 | -0.473 | 0.000 | 0.000 | 0.000 |
| -4.653 | -6.117 | -0.472 | 0.000 | 0.000 | -0.000 |
| -1.454 | -4.515 | -0.481 | 0.000 | 0.000 | -0.000 |
| 0.049 | 0.046 | -0.896 | -4.837 | -0.000 | -0.000 |
| 11874742.828 | 12917270.443 | -0.431 | 0.065 | 0.014 | 0.000 |
| 0.026 | 0.024 | -0.477 | 0.000 | -0.000 | 11.787 |
| 84.145 | -7.756 | 0.487 | -0.000 | -0.000 | -0.000 |
| -4.702 | -6.157 | 0.487 | -0.000 | -0.000 | 0.000 |
| -1.504 | -4.556 | 0.482 | -0.000 | -0.000 | 0.000 |
| -0.049 | -0.046 | 0.896 | -4.837 | 0.000 | -0.000 |
| -11874742.833 | -12917270.479 | 0.478 | -0.064 | 0.015 | 0.000 |
| -0.026 | -0.024 | 0.477 | -0.000 | 0.000 | 11.787 |
| 84.173 | -7.737 | -0.048 | 0.000 | 0.000 | 0.000 |
| -4.675 | -6.135 | -0.048 | 0.000 | 0.000 | -0.000 |
| -1.478 | -4.540 | -0.055 | 0.000 | 0.000 | 0.000 |
| 1799666.200 | 4863578.690 | -0.043 | 0.007 | -0.000 | -0.000 |
| 1187474.284 | 1291727.048 | -0.048 | -0.001 | -0.003 | -0.000 |
| 0.003 | 0.002 | -0.048 | 0.000 | -0.000 | 11.787 |
| 84.166 | -7.741 | 0.048 | -0.000 | -0.000 | -0.000 |
| -4.680 | -6.140 | 0.048 | -0.000 | -0.000 | 0.000 |
| -1.484 | -4.545 | 0.055 | -0.000 | -0.000 | 0.000 |
| -1799666.200 | -4863578.690 | 0.042 | 0.007 | 0.000 | -0.000 |
| -1187474.282 | -1291727.049 | 0.053 | 0.001 | 0.004 | -0.000 |
| -0.003 | -0.002 | 0.048 | -0.000 | 0.000 | 11.787 |
| 414.521 | -12.580 | 61.797 | 0.000 | 0.000 | 0.000 |
| -12.580 | 414.520 | 61.797 | -0.000 | 0.000 | 0.000 |
| 61.597 | 61.597 | 377.730 | -0.000 | 0.000 | 0.000 |
| -0.000 | -0.000 | 0.000 | -53.315 | 0.000 | 0.000 |
| -0.000 | -0.000 | 0.000 | -0.000 | -53.315 | 0.000 |
| -0.000 | -0.000 | 0.000 | -0.000 | 0.000 | 6.519 |
| 414.521 | -12.580 | 61.797 | 0.000 | -0.000 | -0.000 |
| -12.580 | 414.521 | 61.797 | 0.000 | 0.000 | -0.000 |
| 61.597 | 61.597 | 377.730 | 0.000 | -0.000 | -0.000 |
| 0.000 | 0.000 | -0.000 | -53.315 | -0.000 | -0.000 |
| 0.000 | 0.000 | -0.000 | 0.000 | -53.315 | -0.000 |
| 0.000 | 0.000 | -0.000 | 0.000 | 0.000 | 6.519 |
| 414.521 | -12.580 | 61.797 | -0.000 | 0.000 | 0.000 |
| -12.580 | 414.521 | 61.797 | 0.000 | 0.000 | 0.000 |
| 61.597 | 61.597 | 377.730 | -0.000 | 0.000 | 0.000 |
| -0.000 | -0.000 | -0.000 | -53.315 | -0.000 | 0.000 |
| -0.000 | -0.000 | -0.000 | -0.000 | -53.315 | 0.000 |
| -0.000 | -0.000 | 0.000 | -0.000 | 0.000 | 6.519 |
| 414.520 | -12.580 | 61.797 | -0.000 | -0.000 | -0.000 |
| -12.580 | 414.520 | 61.797 | 0.000 | -0.000 | -0.000 |
| 61.596 | 61.596 | 377.730 | 0.000 | -0.000 | -0.000 |
| 0.000 | 0.000 | 0.000 | -53.315 | -0.000 | -0.000 |
| 0.000 | 0.000 | 0.000 | 0.000 | -53.315 | -0.000 |
| 0.000 | 0.000 | -0.000 | 0.000 | -0.000 | 6.519 |
| 414.525 | -12.580 | 61.797 | -0.000 | -0.000 | 0.000 |
| -12.580 | 414.525 | 61.797 | 0.000 | -0.000 | 0.000 |
| 61.597 | 61.597 | 377.732 | -0.000 | 0.000 | 0.000 |
| -0.001 | -0.001 | -0.000 | -53.315 | -0.000 | 0.000 |
| -0.001 | -0.001 | -0.000 | 0.000 | -53.315 | 0.000 |
| -0.000 | -0.000 | 0.000 | 0.000 | 0.000 | 6.519 |
| 414.516 | -12.580 | 61.797 | 0.000 | -0.000 | -0.000 |
| -12.580 | 414.516 | 61.797 | -0.000 | -0.000 | -0.000 |
| 61.596 | 61.596 | 377.727 | 0.000 | 0.000 | -0.000 |
| 0.001 | 0.001 | 0.000 | -53.315 | -0.000 | -0.000 |
| 0.001 | 0.001 | 0.000 | -0.000 | -53.315 | -0.000 |
| 0.000 | 0.000 | -0.000 | -0.000 | -0.000 | 6.519 |
| 417.257 | 86.775 | 86.775 | 0.000 | -0.000 | 0.000 |
| 86.775 | 417.257 | 86.775 | 0.000 | -0.000 | -0.000 |
| 86.775 | 86.775 | 417.257 | 0.000 | 0.000 | 0.000 |
| -0.000 | 0.000 | 0.000 | 86.775 | -0.000 | -0.000 |
| 0.000 | 0.000 | -0.000 | 0.000 | 86.775 | 0.000 |
| -0.000 | 0.000 | 0.000 | 0.000 | 0.000 | 86.775 |
| 349.787 | 108.448 | 108.448 | -0.000 | 0.000 | -0.000 |
| 108.448 | 349.787 | 108.448 | -0.000 | -0.000 | -0.000 |
| 108.448 | 108.448 | 349.787 | -0.000 | -0.000 | -0.000 |
| 0.000 | -0.000 | -0.000 | 86.775 | 0.000 | -0.000 |
| -0.000 | -0.000 | 0.000 | -0.000 | 86.775 | -0.000 |
| -0.000 | -0.000 | 0.000 | 0.000 | -0.000 | 86.775 |
| 417.258 | 86.775 | 86.775 | 0.000 | -0.000 | -0.000 |
| 86.775 | 417.258 | 86.775 | 0.000 | 0.000 | 0.000 |
| 86.775 | 86.775 | 417.258 | -0.000 | 0.000 | 0.000 |
| 0.775 | 0.775 | 0.775 | 35.392 | 0.000 | 0.000 |
| 0.775 | 0.775 | 0.775 | 0.000 | 35.392 | 0.000 |
| 0.775 | 0.775 | 0.775 | 0.000 | 0.000 | 35.392 |
| 357.600 | 115.218 | 115.218 | -0.000 | -0.000 | -0.000 |
| 115.218 | 357.600 | 115.218 | -0.000 | -0.000 | -0.000 |
| 115.218 | 115.218 | 357.600 | -0.000 | 0.000 | -0.000 |
| -0.775 | -0.775 | -0.775 | 35.392 | 0.000 | -0.000 |
| -0.775 | -0.775 | -0.775 | -0.000 | 35.392 | -0.000 |
| -0.775 | -0.775 | -0.775 | -0.000 | -0.000 | 35.392 |
| 367.665 | 111.490 | 111.490 | 0.000 | 0.000 | 0.000 |
| 111.490 | 367.665 | 111.490 | 0.000 | -0.000 | 0.000 |
| 111.490 | 111.490 | 367.665 | 0.000 | 0.000 | 0.000 |
| 0.000 | 0.000 | 0.000 | 86.775 | 0.000 | 0.000 |
| 0.000 | 0.000 | 0.000 | 0.000 | 86.775 | 0.000 |
| 0.000 | 0.000 | 0.000 | -0.000 | -0.000 | 86.775 |
| 360.133 | 114.884 | 114.884 | -0.000 | -0.000 | -0.000 |
| 114.884 | 360.133 | 114.884 | -0.000 | -0.000 | -0.000 |
| 114.884 | 114.884 | 360.133 | -0.000 | -0.000 | -0.000 |
| -0.000 | -0.000 | -0.000 | 86.775 | 0.000 | 0.000 |
| -0.000 | -0.000 | -0.000 | -0.000 | 86.775 | -0.000 |
| -0.000 | -0.000 | -0.000 | -0.000 | -0.000 | 86.775 |
| 409.891 | 84.479 | 84.479 | 0.000 | -0.000 | -0.000 |
| 84.479 | 409.891 | 84.479 | -0.000 | -0.000 | -0.000 |
| 84.479 | 84.479 | 409.891 | 0.000 | 0.000 | -0.000 |
| -0.000 | 0.000 | 0.000 | 85.462 | -0.000 | -0.000 |
| 0.000 | -0.000 | 0.000 | -0.000 | 85.462 | -0.000 |
| 0.000 | -0.000 | -0.000 | 0.000 | 0.000 | 85.462 |
| 370.184 | 126.956 | 126.956 | 0.000 | -0.000 | 0.000 |
| 126.956 | 370.184 | 126.956 | 0.000 | 0.000 | 0.000 |
| 126.956 | 126.956 | 370.184 | 0.000 | 0.000 | 0.000 |
| 0.000 | 0.000 | -0.000 | 85.462 | -0.000 | 0.000 |
| -0.000 | 0.000 | -0.000 | 0.000 | 85.462 | 0.000 |
| -0.000 | 0.000 | 0.000 | -0.000 | -0.000 | 85.462 |
| 409.891 | 84.479 | 84.479 | 0.000 | -0.000 | -0.000 |
| 84.479 | 409.891 | 84.479 | -0.000 | 0.000 | -0.000 |
| 84.479 | 84.479 | 409.891 | -0.000 | 0.000 | -0.000 |
| 0.000 | 0.000 | 0.000 | 85.462 | -0.000 | -0.000 |
| 0.000 | 0.000 | 0.000 | -0.000 | 85.462 | -0.000 |
| 0.000 | 0.000 | 0.000 | -0.000 | 0.000 | 85.462 |
| 360.470 | 109.781 | 109.781 | 0.000 | -0.000 | 0.000 |
| 109.781 | 360.470 | 109.781 | 0.000 | 0.000 | 0.000 |
| 109.781 | 109.781 | 360.470 | 0.000 | -0.000 | 0.000 |
| -0.000 | -0.000 | -0.000 | 85.462 | -0.000 | 0.000 |
| -0.000 | -0.000 | -0.000 | -0.000 | 85.462 | 0.000 |
| -0.000 | -0.000 | -0.000 | 0.000 | -0.000 | 85.462 |
| 409.894 | 84.480 | 84.480 | 0.000 | 0.000 | -0.000 |
| 84.480 | 409.894 | 84.480 | -0.000 | -0.000 | -0.000 |
| 84.480 | 84.480 | 409.894 | 0.000 | -0.000 | -0.000 |
| 0.000 | 0.000 | 0.000 | 85.462 | -0.000 | -0.000 |
| 0.000 | 0.000 | 0.000 | 0.000 | 85.462 | -0.000 |
| 0.000 | 0.000 | 0.000 | 0.000 | 0.000 | 85.462 |
| 362.495 | 108.072 | 108.072 | 0.000 | 0.000 | 0.000 |
| 108.072 | 362.495 | 108.072 | 0.000 | 0.000 | 0.000 |
| 108.072 | 108.072 | 362.495 | -0.000 | 0.000 | 0.000 |
| -0.000 | -0.000 | -0.000 | 85.462 | -0.000 | 0.000 |
| -0.000 | -0.000 | -0.000 | 0.000 | 85.462 | 0.000 |
| -0.000 | -0.000 | -0.000 | -0.000 | 0.000 | 85.462 |
| 312.571 | 142.409 | 142.409 | 0.000 | -0.000 | -0.000 |
| 142.409 | 312.571 | 142.409 | 0.000 | -0.000 | -0.000 |
| 142.409 | 142.409 | 312.571 | 0.000 | -0.000 | -0.000 |
| -0.937 | -0.937 | -0.937 | 76.100 | 0.000 | 0.000 |
| -0.937 | -0.937 | -0.937 | -0.000 | 76.100 | 0.000 |
| -0.937 | -0.937 | -0.937 | -0.000 | 0.000 | 76.100 |
| 312.571 | 142.409 | 142.409 | -0.000 | 0.000 | 0.000 |
| 142.409 | 312.571 | 142.409 | -0.000 | 0.000 | 0.000 |
| 142.409 | 142.409 | 312.571 | -0.000 | 0.000 | 0.000 |
| 0.937 | 0.937 | 0.937 | 76.100 | -0.000 | -0.000 |
| 0.937 | 0.937 | 0.937 | 0.000 | 76.100 | -0.000 |
| 0.937 | 0.937 | 0.937 | 0.000 | -0.000 | 76.100 |
| 312.571 | 142.409 | 142.409 | -0.000 | -0.000 | 0.000 |
| 142.409 | 312.571 | 142.409 | 0.000 | -0.000 | 0.000 |
| 142.409 | 142.409 | 312.571 | 0.000 | -0.000 | -0.000 |
| -0.095 | -0.095 | -0.095 | 90.992 | 0.000 | 0.000 |
| -0.095 | -0.095 | -0.095 | -0.000 | 90.992 | 0.000 |
| -0.095 | -0.095 | -0.095 | -0.000 | 0.000 | 90.992 |
| 291.949 | 152.185 | 152.185 | 0.000 | -0.000 | -0.000 |
| 152.185 | 291.949 | 152.185 | 0.000 | -0.000 | -0.000 |
| 152.185 | 152.185 | 291.949 | 0.000 | -0.000 | -0.000 |
| 0.095 | 0.095 | 0.095 | 90.992 | -0.000 | -0.000 |
| 0.095 | 0.095 | 0.095 | 0.000 | 90.992 | -0.000 |
| 0.095 | 0.095 | 0.095 | 0.000 | -0.000 | 90.992 |
| 273.032 | 159.840 | 159.840 | -0.000 | 0.000 | 0.000 |
| 142.410 | 312.573 | 142.410 | 0.000 | 0.000 | -0.000 |
| 142.410 | 142.410 | 312.573 | 0.000 | -0.000 | -0.000 |
| -0.009 | -0.009 | -0.009 | 90.997 | 0.000 | 0.000 |
| -0.009 | -0.009 | -0.009 | -0.000 | 90.997 | 0.000 |
| -0.009 | -0.009 | -0.009 | -0.000 | 0.000 | 90.997 |
| 291.831 | 152.132 | 152.132 | 0.000 | -0.000 | -0.000 |
| 152.132 | 291.831 | 152.132 | 0.000 | -0.000 | -0.000 |
| 152.132 | 152.132 | 291.831 | 0.000 | -0.000 | -0.000 |
| 0.009 | 0.009 | 0.009 | 90.997 | -0.000 | -0.000 |
| 0.009 | 0.009 | 0.009 | 0.000 | 90.997 | -0.000 |
| 0.009 | 0.009 | 0.009 | 0.000 | -0.000 | 90.997 |
| 291.604 | 151.983 | 151.992 | 0.002 | 0.003 | -0.000 |
| 151.983 | 291.604 | 151.992 | 0.002 | 0.003 | -0.000 |
| 151.985 | 151.985 | 291.609 | 0.002 | 0.003 | -0.000 |
| 0.039 | 0.039 | 0.049 | 90.927 | 0.003 | -0.000 |
| 0.039 | 0.039 | 0.049 | 0.003 | 90.926 | -0.000 |
| 0.039 | 0.039 | 0.049 | 0.003 | 0.003 | 90.926 |
| 278.066 | 156.874 | 156.867 | -0.003 | -0.003 | -0.001 |
| 156.874 | 278.066 | 156.867 | -0.003 | -0.003 | -0.001 |
| 156.874 | 156.874 | 278.059 | -0.003 | -0.003 | -0.001 |
| -0.039 | -0.039 | -0.049 | 90.924 | -0.003 | 0.000 |
| -0.039 | -0.039 | -0.049 | -0.003 | 90.924 | 0.000 |
| -0.039 | -0.039 | -0.049 | -0.003 | -0.003 | 90.925 |
| 291.552 | 151.964 | 151.965 | 0.000 | 0.000 | -0.000 |
| 151.964 | 291.552 | 151.965 | 0.000 | 0.000 | -0.000 |
| 151.964 | 151.964 | 291.552 | 0.000 | 0.000 | -0.000 |
| 0.004 | 0.004 | 0.005 | 90.926 | 0.000 | -0.000 |
| 0.004 | 0.004 | 0.005 | 0.000 | 90.926 | -0.000 |
| 0.004 | 0.004 | 0.005 | 0.000 | 0.000 | 90.926 |
| 312.282 | 142.251 | 142.251 | -0.000 | -0.000 | 0.000 |
| 142.251 | 312.282 | 142.251 | 0.000 | -0.000 | 0.000 |
| 142.251 | 142.251 | 312.282 | 0.000 | -0.000 | 0.000 |
| -0.004 | -0.004 | -0.005 | 90.926 | -0.000 | 0.000 |
| -0.004 | -0.004 | -0.005 | -0.000 | 90.926 | 0.000 |
| -0.004 | -0.004 | -0.005 | -0.000 | -0.000 | 90.926 |
| 312.284 | 142.252 | 142.252 | -0.000 | 0.000 | -0.000 |
| 142.252 | 312.284 | 142.252 | 0.000 | -0.000 | -0.000 |
| 142.252 | 142.252 | 312.284 | -0.000 | -0.000 | -0.000 |
| 0.001 | 0.001 | 0.001 | 78.581 | 0.000 | 0.000 |
| 0.000 | 0.000 | 0.001 | 0.000 | 142.301 | -0.000 |
| 0.001 | 0.001 | 0.001 | 0.000 | 0.000 | 78.581 |
| 277.941 | 157.072 | 157.072 | -0.000 | -0.000 | -0.000 |
| 157.072 | 277.941 | 157.072 | -0.000 | -0.000 | -0.000 |
| 157.072 | 157.072 | 277.941 | -0.000 | -0.000 | -0.000 |
| -0.001 | -0.001 | -0.001 | 78.581 | -0.000 | -0.000 |
| -0.001 | -0.001 | -0.001 | -0.000 | 78.581 | -0.000 |
| -0.001 | -0.001 | -0.001 | -0.000 | -0.000 | 78.581 |
| 349.964 | 149.212 | 62.340 | -0.000 | -0.000 | -0.000 |
| 147.139 | 419.642 | -37.180 | 0.000 | -0.000 | -0.000 |
| 60.545 | -36.902 | 485.237 | 0.000 | -0.000 | -0.000 |
| -3.136 | 0.077 | 0.407 | -36.265 | -0.000 | -0.000 |
| 0.000 | 0.000 | 0.000 | -0.000 | 60.795 | -0.000 |
| -3.064 | 0.075 | 0.398 | 0.000 | 0.000 | 148.745 |
| 356.093 | 149.062 | 61.544 | 0.000 | -0.000 | 0.000 |
| 153.267 | 419.492 | -37.976 | -0.000 | -0.000 | 0.000 |
| 66.673 | -37.052 | 484.440 | -0.000 | -0.000 | 0.000 |
| 3.136 | -0.077 | -0.407 | -36.265 | 0.000 | 0.000 |
| -0.000 | -0.000 | -0.000 | 0.000 | 60.795 | 0.000 |
| 3.064 | -0.075 | -0.398 | -0.000 | -0.000 | 148.745 |
| 352.723 | 149.145 | 61.982 | -0.000 | -0.000 | -0.000 |
| 149.897 | 419.575 | -37.538 | 0.000 | 0.000 | -0.000 |
| 63.303 | -36.969 | 484.879 | 0.000 | -0.000 | -0.000 |
| -1.153 | 0.028 | 0.150 | -36.296 | 0.000 | -0.000 |
| -0.306 | 0.007 | 0.040 | 0.000 | -70.719 | -0.000 |
| 0.000 | 0.000 | 0.000 | 0.000 | 0.000 | 148.745 |
| 353.335 | 149.130 | 61.902 | 0.000 | 0.000 | 0.000 |
| 150.509 | 419.559 | -37.618 | -0.000 | 0.000 | 0.000 |
| 63.915 | -36.984 | 484.798 | -0.000 | -0.000 | 0.000 |
| 1.153 | -0.028 | -0.150 | -36.296 | -0.000 | 0.000 |
| 0.306 | -0.007 | -0.040 | -0.000 | -70.719 | 0.000 |
| -0.000 | -0.000 | -0.000 | -0.000 | -0.000 | 148.745 |
| 353.001 | 149.138 | 61.946 | 0.000 | -0.000 | -0.000 |
| 149.750 | 419.581 | -37.519 | 0.000 | -0.000 | -0.000 |
| 63.579 | -36.976 | 484.847 | -0.000 | 0.000 | -0.000 |
| -13694581.782 | -14479757.918 | -9417103.340 | 2601528.584 | 119780.107 | -272701.482 |
| -0.031 | 0.001 | 0.003 | 0.000 | -70.719 | -0.000 |
| -0.031 | 0.002 | 0.004 | 0.000 | 0.000 | 148.745 |
| 353.056 | 149.136 | 61.938 | -0.000 | 0.000 | 0.000 |
| 150.232 | 419.563 | -37.582 | -0.000 | -0.000 | 0.000 |
| 63.639 | -36.977 | 484.830 | 0.000 | -0.000 | 0.000 |
| 15417691.770 | 14440267.448 | 8459934.126 | 2318890.972 | 51271.334 | -12311.950 |
| 0.031 | -0.001 | -0.003 | -0.000 | -70.719 | 0.000 |
| 0.031 | -0.002 | -0.004 | -0.000 | 0.000 | 148.745 |
| 419.833 | 161.716 | 102.457 | 0.000 | -0.000 | 0.000 |
| 163.211 | 396.066 | 105.767 | 0.000 | -0.000 | 0.000 |
| 103.391 | 105.123 | 458.575 | 0.000 | -0.000 | 0.000 |
| -0.000 | 0.000 | 0.000 | 105.969 | -0.000 | 0.000 |
| -0.000 | 0.000 | 0.000 | 0.000 | 102.856 | 0.000 |
| -0.002 | 0.002 | -0.000 | 0.000 | 0.000 | 112.724 |
| 419.836 | 161.713 | 102.457 | -0.000 | -0.000 | -0.000 |
| 163.215 | 396.063 | 105.767 | -0.000 | 0.000 | -0.000 |
| 103.394 | 105.120 | 458.575 | -0.000 | 0.000 | -0.000 |
| 0.000 | -0.000 | -0.000 | 105.969 | 0.000 | -0.000 |
| 0.000 | -0.000 | -0.000 | -0.000 | 102.856 | -0.000 |
| 0.002 | -0.002 | 0.000 | -0.000 | 0.000 | 112.724 |
| 419.834 | 161.715 | 102.457 | 0.000 | 0.000 | 0.000 |
| 163.213 | 396.064 | 105.767 | 0.000 | -0.000 | 0.000 |
| 103.352 | 105.162 | 458.575 | 0.000 | 0.000 | 0.000 |
| -0.000 | 0.000 | 0.000 | 105.969 | -0.000 | 0.000 |
| -0.000 | 0.000 | 0.000 | 0.000 | 102.856 | 0.000 |
| -0.000 | 0.000 | -0.000 | 0.000 | 0.000 | 112.724 |
| 419.834 | 161.715 | 102.457 | -0.000 | -0.000 | -0.000 |
| 163.213 | 396.064 | 105.767 | -0.000 | -0.000 | -0.000 |
| 103.352 | 105.162 | 458.574 | -0.000 | 0.000 | -0.000 |
| 0.000 | -0.000 | -0.000 | 105.969 | -0.000 | -0.000 |
| 0.000 | -0.000 | -0.000 | -0.000 | 102.856 | -0.000 |
| 0.000 | -0.000 | 0.000 | -0.000 | -0.000 | 112.724 |
| 419.838 | 161.715 | 102.457 | 0.000 | -0.000 | 0.000 |
| 163.215 | 396.066 | 105.767 | 0.000 | 0.000 | 0.000 |
| 103.352 | 105.164 | 458.577 | 0.000 | 0.000 | 0.000 |
| 0.000 | 0.000 | 0.001 | 105.969 | 0.000 | 0.000 |
| -0.000 | 0.000 | 0.001 | 0.000 | 102.856 | 0.000 |
| -0.000 | 0.001 | -0.000 | 0.000 | 0.000 | 112.724 |
| 419.830 | 161.715 | 102.456 | -0.000 | 0.000 | -0.000 |
| 163.212 | 396.062 | 105.767 | -0.000 | -0.000 | -0.000 |
| 103.350 | 105.162 | 458.571 | -0.000 | -0.000 | -0.000 |
| -0.000 | -0.000 | -0.001 | 105.969 | -0.000 | -0.000 |
| 0.000 | -0.000 | -0.001 | -0.000 | 102.856 | -0.000 |
| 0.000 | -0.001 | 0.000 | -0.000 | 0.000 | 112.724 |
Phonon band structures and crystal properties estimated from quasi-harmonic approximation (QHA) calculations are displayed for select crystals. The calculations were performed using phonopy and LAMMPS. For the phonon calculations, 3x3 supercells of the potential-specific relaxed crystals were used. The QHA calculations were based on 11 strain states ranging from -0.05 to 0.05.
The calculation method used is available as the iprPy phonon calculation method.
Notes and Disclaimers:
Version Information:

























































































































































































































































































































































Static free surface formation energies are displayed for select crystals. The values displayed here are obtained by taking a perfect periodic bulk crystal, slicing along a crystallographic plane, and using force minimization to statically relax the surfaces. The free surface formation energy is computed by comparing the energy of the defect system to the bulk system and dividing by the total surface area created by the cut.
The calculation method used is available as the iprPy surface_energy_static calculation method.
Notes and Disclaimers:
Version Information:
| Surface | γfs (mJ/m2) |
|---|---|
| (111) | 1798.61 |
| (100) | 1868.03 |
| (332) | 1914.22 |
| (322) | 1930.48 |
| (221) | 1957.73 |
| (211) | 1979.61 |
| (110) | 1982.02 |
| (331) | 1984.60 |
| (311) | 1989.64 |
| (321) | 2023.72 |
| (310) | 2028.80 |
| (210) | 2039.82 |
| (320) | 2042.05 |
| Surface | γfs (mJ/m2) |
|---|---|
| (111) | 1683.40 |
| (100) | 1749.52 |
| (332) | 1792.14 |
| (322) | 1807.57 |
| (221) | 1833.30 |
| (211) | 1854.07 |
| (110) | 1856.72 |
| (331) | 1859.00 |
| (311) | 1863.64 |
| (321) | 1895.74 |
| (310) | 1900.41 |
| (210) | 1910.63 |
| (320) | 1912.80 |
| Surface | γfs (mJ/m2) |
|---|---|
| (111) | 1781.47 |
| (100) | 1850.97 |
| (332) | 1896.35 |
| (322) | 1912.60 |
| (221) | 1939.74 |
| (211) | 1961.62 |
| (110) | 1964.29 |
| (331) | 1966.74 |
| (311) | 1971.66 |
| (321) | 2005.58 |
| (310) | 2010.51 |
| (210) | 2021.38 |
| (320) | 2023.66 |
| Surface | γfs (mJ/m2) |
|---|---|
| (111) | 756.05 |
| (100) | 792.72 |
| (332) | 807.26 |
| (322) | 814.60 |
| (221) | 827.17 |
| (211) | 837.28 |
| (110) | 838.50 |
| (331) | 840.18 |
| (311) | 843.43 |
| (321) | 857.21 |
| (310) | 860.91 |
| (210) | 864.38 |
| (320) | 864.76 |
| Surface | γfs (mJ/m2) |
|---|---|
| (111) | 1834.49 |
| (100) | 1905.08 |
| (332) | 1952.25 |
| (322) | 1968.83 |
| (221) | 1996.55 |
| (211) | 2018.84 |
| (110) | 2021.20 |
| (331) | 2023.86 |
| (311) | 2029.04 |
| (321) | 2063.74 |
| (310) | 2068.95 |
| (210) | 2080.20 |
| (320) | 2082.45 |
| Surface | γfs (mJ/m2) |
|---|---|
| (0001) | 1830.28 |
| (1012) 2 | 1885.78 |
| (1011) 1 | 1941.07 |
| (2021) 1 | 1947.81 |
| (1120) | 2010.75 |
| (2021) 2 | 2013.80 |
| (2241) | 2045.57 |
| (2131) 1 | 2048.43 |
| (2132) 2 | 2051.76 |
| (1010) | 2055.60 |
| (1121) | 2068.29 |
| (2132) 1 | 2073.81 |
| (2130) | 2078.58 |
| (2112) | 2079.37 |
| (1012) 1 | 2093.46 |
| (2131) 2 | 2101.85 |
| (1011) 2 | 2107.05 |
Static point defect formation energies, Ef, and elastic dipole tensors, pij, are displayed for select crystals. Relaxed defect configurations are obtained by taking a 12x12x12 supercell of a perfect periodic bulk crystal, inserting the point defect, and using force minimization to statically relax the atomic positions while keeping the system dimensions constant. Ef is computed by comparing the energy of the defect system to the same number of atoms in a perfect bulk crystal. pij is estimated as the difference in the system's global pressure with and without the defect multiplied by the system's volume.
Simple structural comparisons of the unrelaxed and relaxed defect configurations are used to help determine if the defect structure has relaxed to a different configuration. Relaxed structures that are identified as no longer consistent with the ideal defect definition are excluded from the table below. The only exception to this is if the lowest energy interstitial configuration does not coincide with a known ideal defect, its energies and pressure tensor are included under the listing "relaxed interstitial". The full list of calculation results including the transformed structures and the structural comparison values is included in the csv file available from the "Download raw data" link.
The calculation method used is available as the iprPy point_defect_static calculation method.
Notes and Disclaimers:
| Point Defect | Ef (eV) | p11 (eV) | p22 (eV) | p33 (eV) | p12 (eV) | p13 (eV) | p23 (eV) |
|---|---|---|---|---|---|---|---|
| vacancy | 1.818 | -0.535 | -0.535 | -0.535 | -0.000 | -0.000 | 0.000 |
| 1nn divacancy | 3.407 | -2.170 | -0.794 | -0.794 | -0.000 | -0.000 | 0.055 |
| 2nn divacancy | 3.578 | -1.133 | -1.133 | -1.339 | -0.000 | -0.000 | 0.000 |
| 100 dumbbell | 7.038 | 51.110 | 51.110 | 47.331 | -0.000 | -0.000 | 0.000 |
| Point Defect | Ef (eV) | p11 (eV) | p22 (eV) | p33 (eV) | p12 (eV) | p13 (eV) | p23 (eV) |
|---|---|---|---|---|---|---|---|
| vacancy | 1.772 | -0.524 | -0.524 | -0.524 | 0.000 | 0.000 | 0.000 |
| 1nn divacancy | 3.320 | -2.119 | -0.770 | -0.770 | 0.000 | 0.000 | 0.054 |
| 2nn divacancy | 3.487 | -1.111 | -1.111 | -1.307 | 0.000 | 0.000 | 0.000 |
| 100 dumbbell | 6.941 | 51.081 | 51.081 | 47.245 | 0.000 | -0.000 | -0.000 |
| octahedral interstitial | 7.141 | 51.235 | 51.235 | 51.235 | -0.000 | -0.000 | -0.000 |
| Point Defect | Ef (eV) | p11 (eV) | p22 (eV) | p33 (eV) | p12 (eV) | p13 (eV) | p23 (eV) |
|---|---|---|---|---|---|---|---|
| vacancy | 1.852 | -0.545 | -0.545 | -0.545 | -0.000 | -0.000 | -0.000 |
| 1nn divacancy | 3.469 | -2.202 | -0.801 | -0.801 | -0.000 | -0.000 | 0.058 |
| 2nn divacancy | 3.644 | -1.155 | -1.155 | -1.362 | -0.000 | -0.000 | -0.000 |
| 100 dumbbell | 7.231 | 53.141 | 53.141 | 49.158 | -0.000 | -0.000 | -0.000 |
| 110 dumbbell | 7.852 | 61.543 | 51.202 | 51.202 | 0.000 | 0.000 | 28.994 |
| Point Defect | Ef (eV) | p11 (eV) | p22 (eV) | p33 (eV) | p12 (eV) | p13 (eV) | p23 (eV) |
|---|---|---|---|---|---|---|---|
| vacancy | 0.953 | -0.291 | -0.291 | -0.291 | 0.000 | -0.000 | -0.000 |
| 1nn divacancy | 1.782 | -1.191 | -0.429 | -0.429 | 0.000 | -0.000 | 0.025 |
| 2nn divacancy | 1.874 | -0.620 | -0.620 | -0.713 | -0.000 | -0.000 | -0.000 |
| 100 dumbbell | 3.783 | 28.333 | 28.333 | 26.393 | 0.000 | 0.000 | 0.000 |
| crowdion interstitial | 4.082 | 27.417 | 27.417 | 32.976 | 15.348 | 0.000 | 0.000 |
| Point Defect | Ef (eV) | p11 (eV) | p22 (eV) | p33 (eV) | p12 (eV) | p13 (eV) | p23 (eV) |
|---|---|---|---|---|---|---|---|
| vacancy | 1.841 | -0.542 | -0.542 | -0.542 | 0.000 | 0.000 | -0.000 |
| 1nn divacancy | 3.449 | -2.201 | -0.804 | -0.804 | 0.000 | 0.000 | 0.054 |
| 2nn divacancy | 3.623 | -1.148 | -1.148 | -1.356 | 0.000 | 0.000 | -0.000 |
| 100 dumbbell | 7.113 | 51.612 | 51.612 | 47.819 | -0.000 | 0.000 | 0.000 |
Plots of lattice and elastic constants are shown as a function of temperature. The 0K points were taken from the Crystal Structure Predictions and the Elastic Constants Predictions sections above for the unique crystal structures relaxed with the "dynamic" method. Starting from the 0 K relaxed crystal unit cells, supercell systems are created by replicating all three dimensions by the same multiplier to achieve at least 4000 atoms. The systems are then relaxed at 50 K and zero pressure using 1 million NPT steps. Lattice constants are estimated by averaging the measured box dimensions. Temperatures are iteratively increased by 50 K, with each subsequent relaxation calculation starting from the final atomic configuration at the previous temperature and relaxing for another 1 million steps.
The elastic constants are calculated using the deformation–fluctuation hybrid method. Starting from the final atomic configurations of the dynamic relaxations, the system is allowed to evolve at constant volume with a Langevin thermostat. The Born matrix is computed during this run by evaluating how the atomic forces would vary due to applied linear strain fields. The elastic constants can then be estimated using the averaged Born matrix values and the averaged stresses on the system.
The calculation methods used are available as the iprPy relax_dynamic and elastic_constants_dynamic calculation methods.
Clicking on the image of a plot will open an interactive version of it in a new tab. The underlying data for the plots can be downloaded by clicking on the links above each plot.
Notes and Disclaimers:
Version Information:
Plots of radial distribution functions at different temperatures and the temperature-dependent diffusion and viscosity are shown here for elemental liquids. Melt phases are constructed by starting with a 10x10x10 fcc super cell and relaxing with 50,000 NPT steps at zero pressure and a high melting temperature (3000 K for most potentials and elements). Following the melt, liquid structures are relaxed by running NPT for 10,000 steps over which the temperature is dropped by 50 K, then 50,000 NPT at the target temperature to estimate the equilibrium volume, followed by 20,000 NVT steps at the averaged equilibrium volume and target temperature. Structures from the NVT run are sampled to compute the radial distribution function of the liquid at the corresponding temperature.
The final relaxed configurations at each temperature explored are used as the initial configurations for the diffusion and viscosity calculations. For diffusion, the system is integrated for 100 runs of 2,000 NVT steps during which both the mean squared displacement (MSD) and the velocity auto correlation function (VACF) are computed. From these simulations, three estimates of diffusion are computed: one from the MSD of the full 200,000 step run, one in which the MSD is reset for each short run and then averaged, and one from the VACF computed for each short run and averaged. For viscosity, the Green-Kubo method is used which is evaluated during a 1 million step NVT run.
The calculation methods used are available as the iprPy relax_liquid_redo, diffusion_liquid, and viscosity_green_kubo calculation methods.
Clicking on the image of a plot will open an interactive version of it in a new tab. The underlying data for the plots can be downloaded by clicking on the links above each plot.
Notes and Disclaimers:
Version Information:
Plots of internal energy, Gibbs free energy, entropy, heat capacity and volume are shown here as a function of temperature for various crystal structures and liquid phases. The included crystal structures correspond to those in the Solid Structures vs. Temperature section, and the liquid phases to those in the Liquid Properties section. Internal energy and volume are taken from the associated structure relaxations mentioned in those previous sections. Constant pressure heat capacity is estimated using 3-point numerical derivatives of enthalpy versus temperature. Note that since all simulations done here are at 0 pressure, internal energy and enthalpy are equivalent.
The Gibbs energies of the phases are estimated using thermodynamic integration between the interatomic potential in question and a simpler model with known Gibbs free energy values. For solids, the reference model is an Einstein solid, while for liquids it is the Uhlenbeck-Ford potential. Besides a short run at the start of the solid calculations to estimate Einstein model spring constants, the two calculations proceed similarly. Starting with the final relaxation configurations, the systems are stabilized for 25,000 steps. Then, over the next 50,000 steps the potential is swapped out for the reference potential. The system is then stabilized for another 25,000 steps with the reference model before a reverse swap of 50,000 steps is performed. The simulation ends with one final 25,000 step stabilization period. From the simulation, the irreversible work of transformation is estimated and used to compute the absolute Gibbs free energy of the target phase and potential relative to the reference potential. Entropy is estimated as the difference in enthalpy and Gibbs free energy and divided by temperature.
The calculation methods used are available as the iprPy relax_dynamic, relax_liquid_redo, free_energy, and free_energy_liquid calculation methods.
Clicking on the image of a plot will open an interactive version of it in a new tab. The underlying data for the plots can be downloaded by clicking on the links above each plot.
Notes and Disclaimers:
Version Information:





