Plots of the potential energy vs interatomic spacing, r, are shown below for all diatom sets associated with the interatomic potential. This calculation provides insights into the functional form of the potential's two-body interactions. A system consisting of only two atoms is created, and the potential energy is evaluated for the atoms separated by 0.02 Å <= r <= 6.0> Å in intervals of 0.02 Å. Two plots are shown: one for the "standard" interaction distance range, and one for small values of r. The small r plot is useful for determining whether the potential is suitable for radiation studies.
The calculation method used is available as the iprPy diatom_scan calculation method.
Clicking on the image of a plot will open an interactive version of it in a new tab. The underlying data for the plots can be downloaded by clicking on the links above each plot.
Notes and Disclaimers:
Version Information:
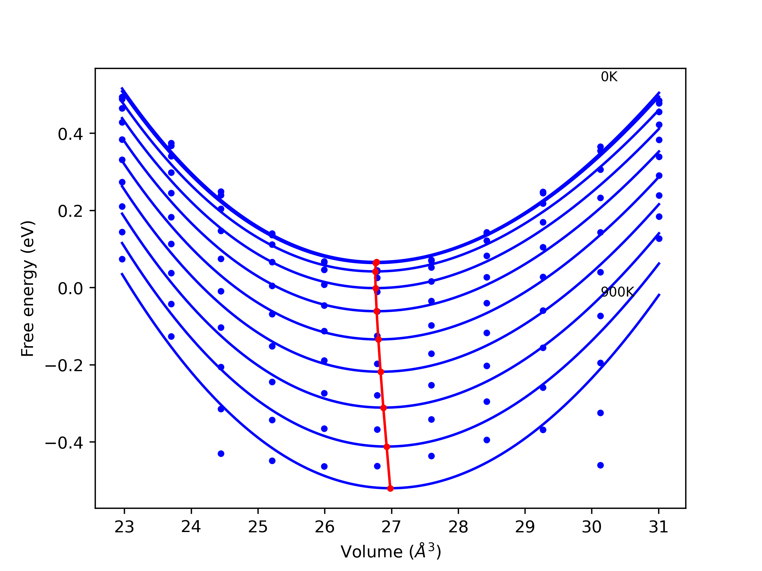
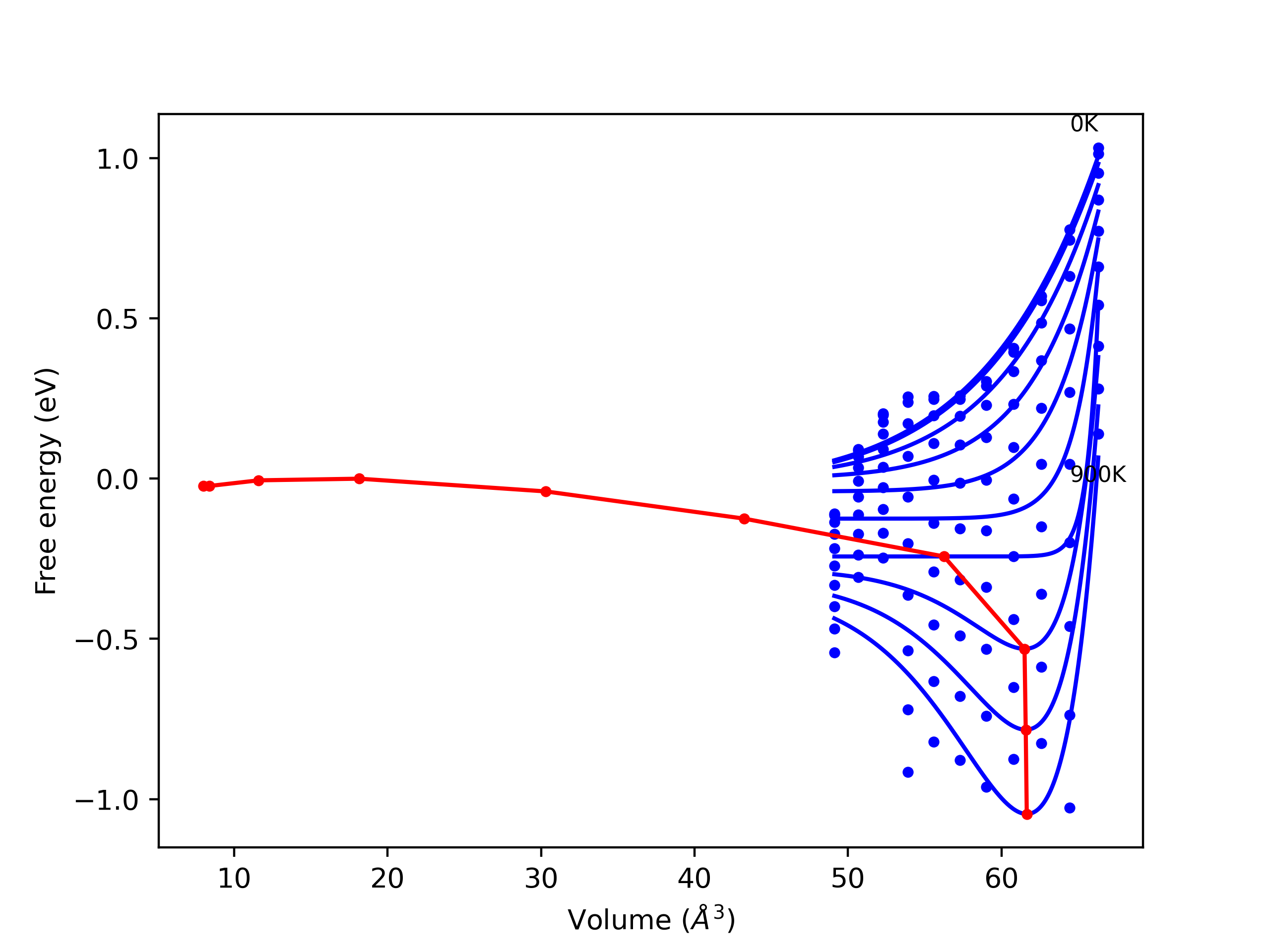
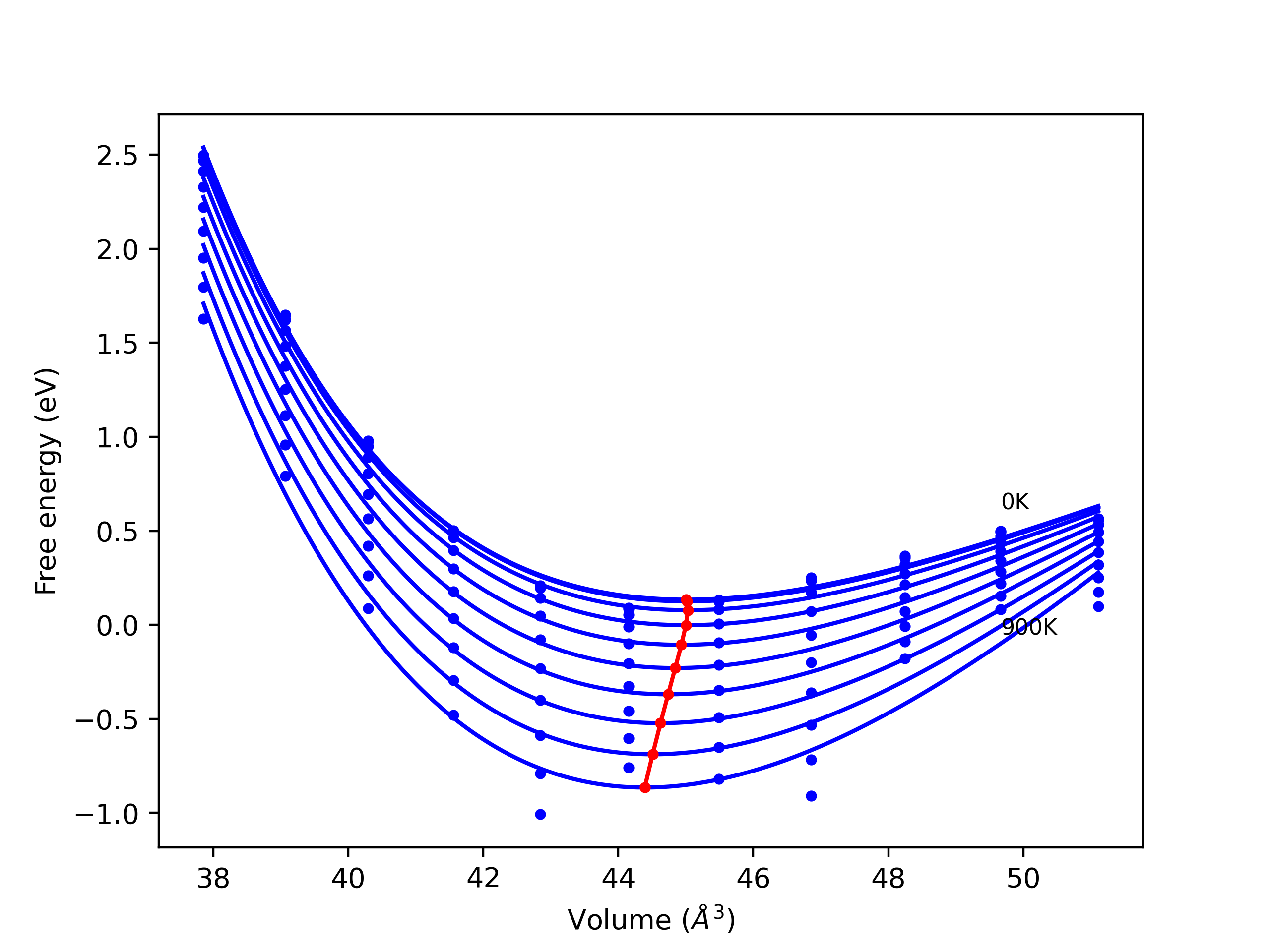
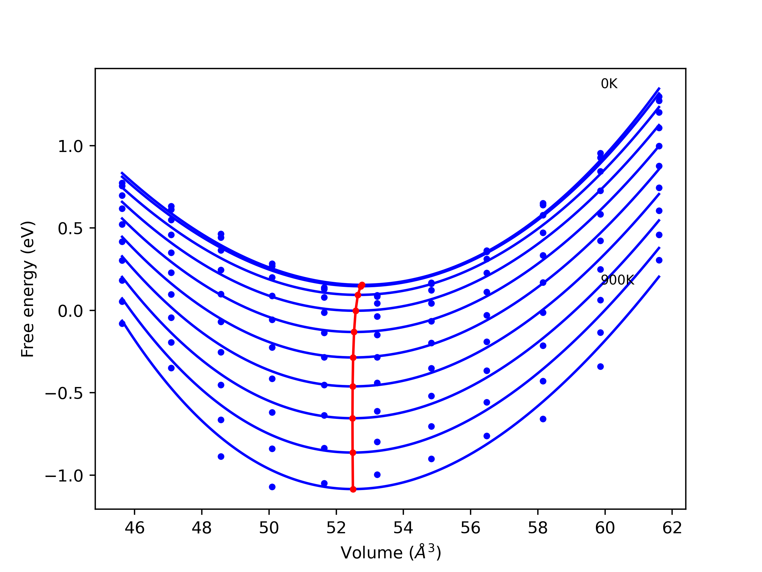
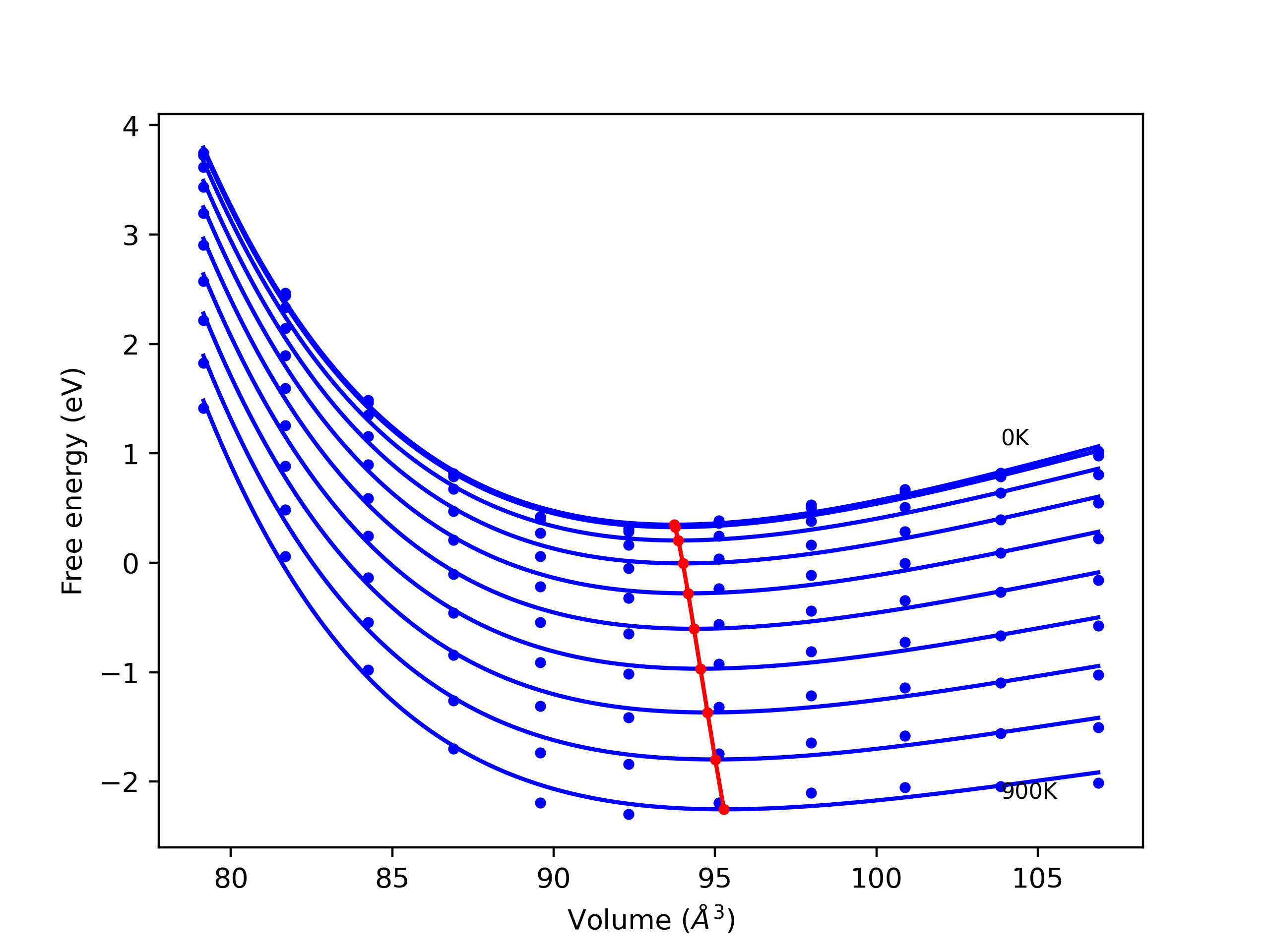
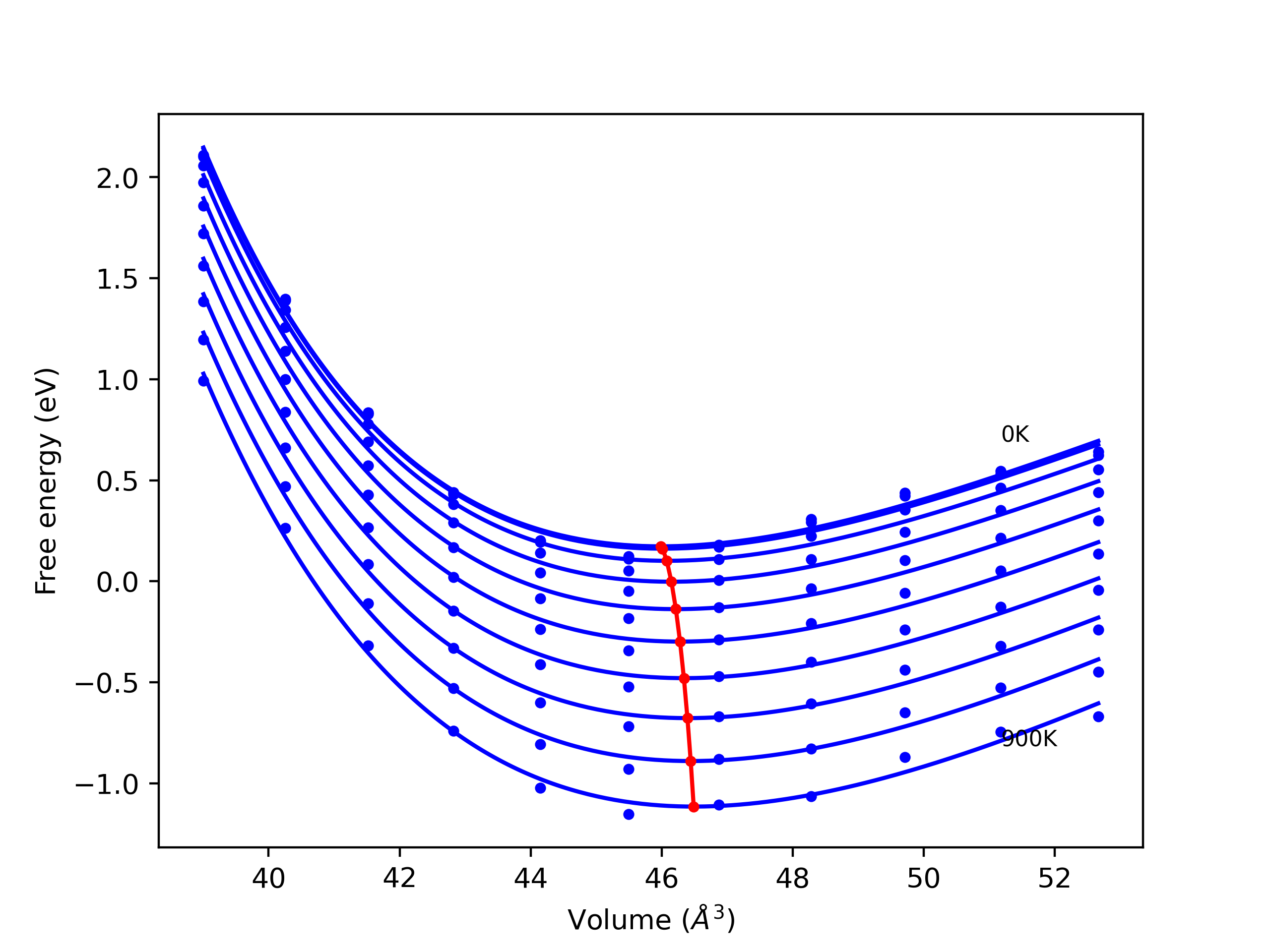
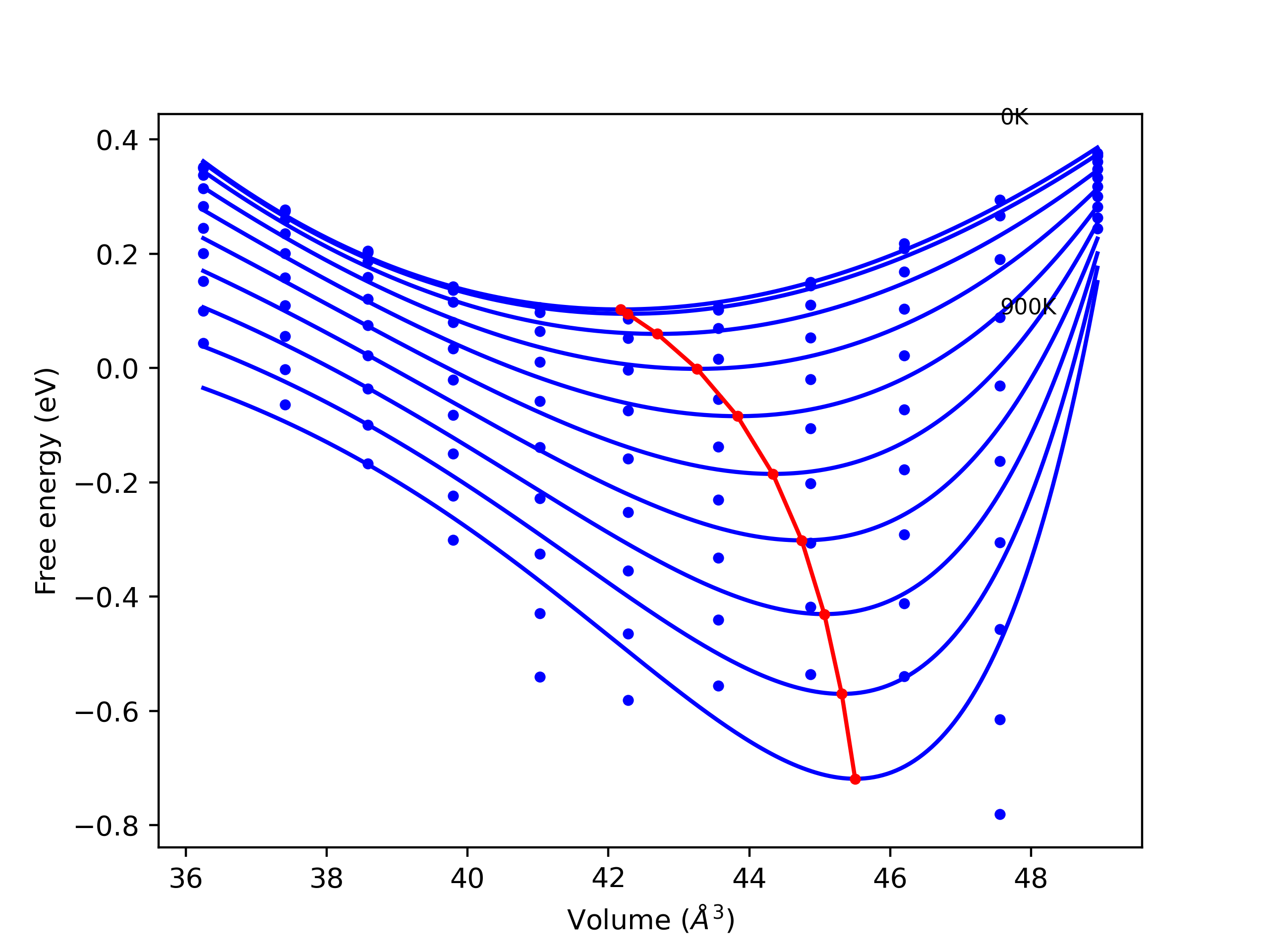
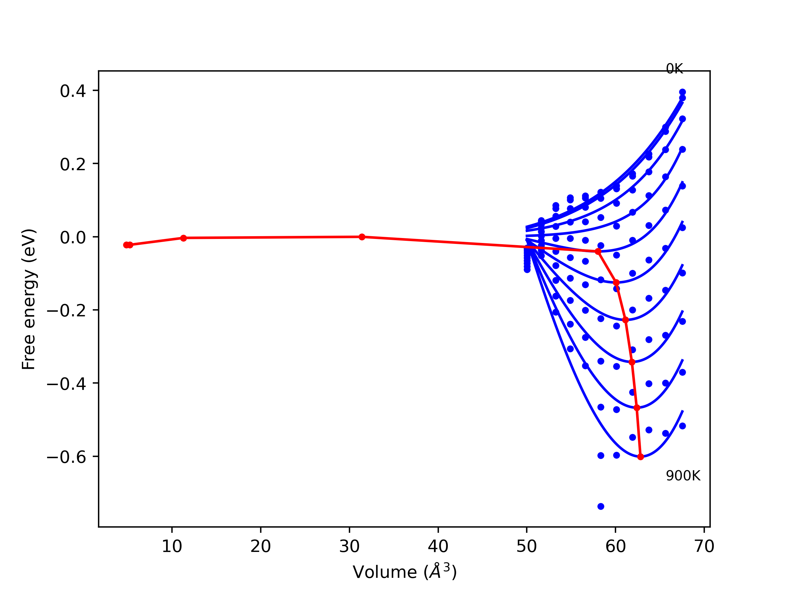
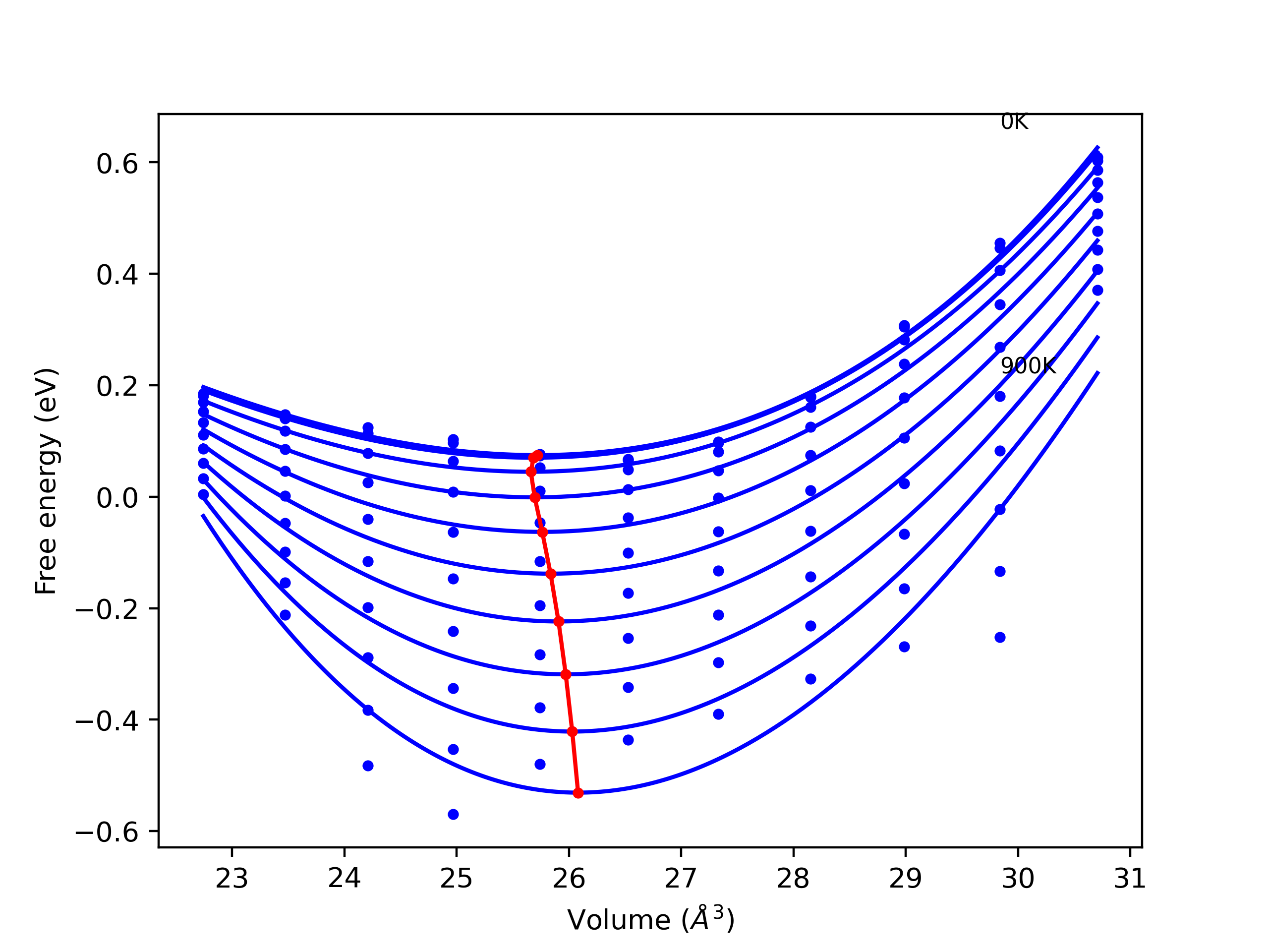
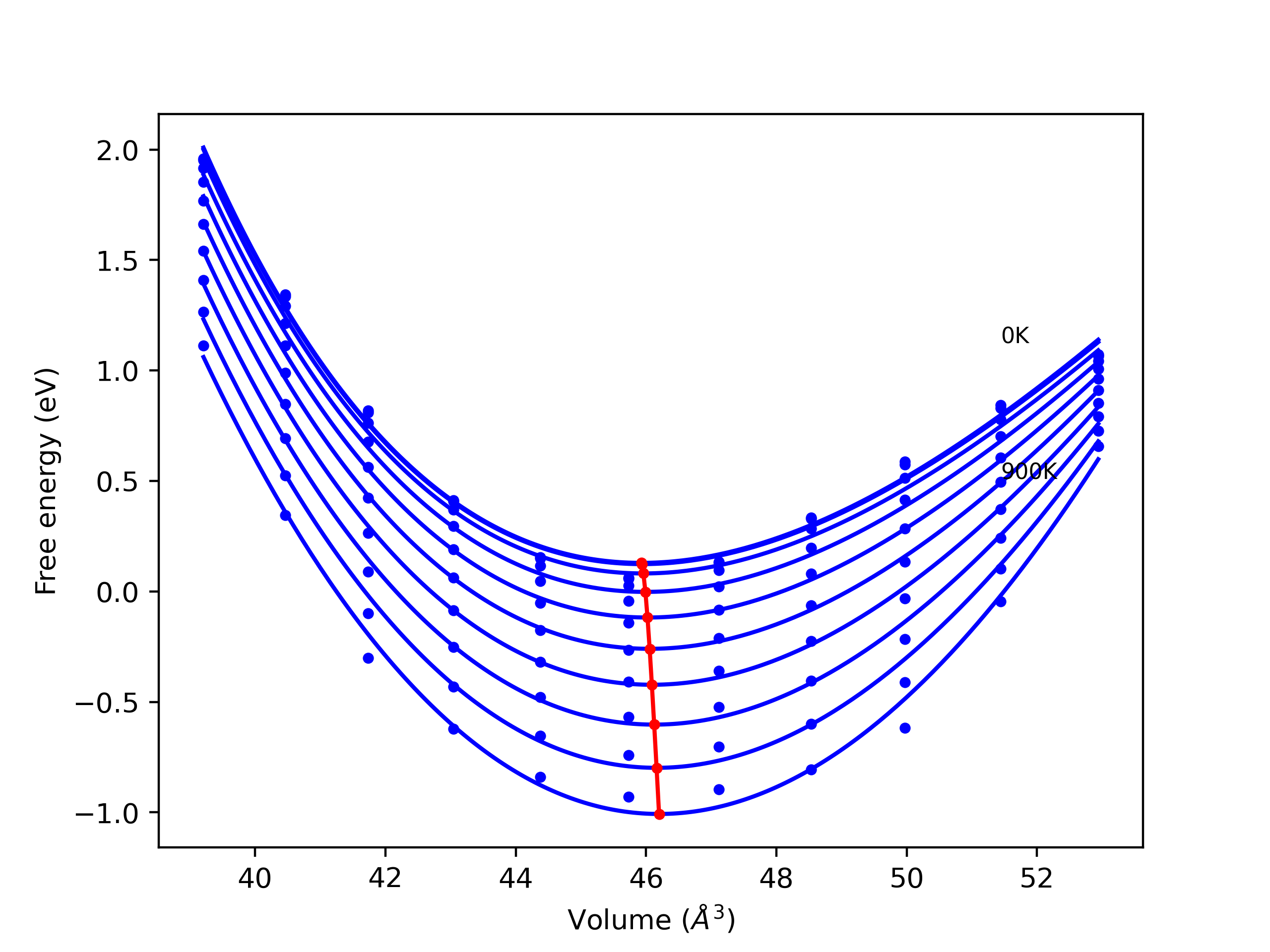
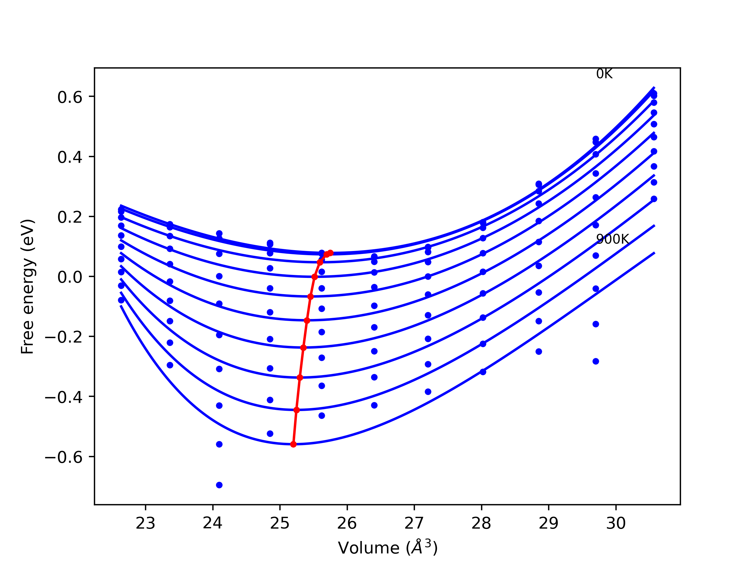
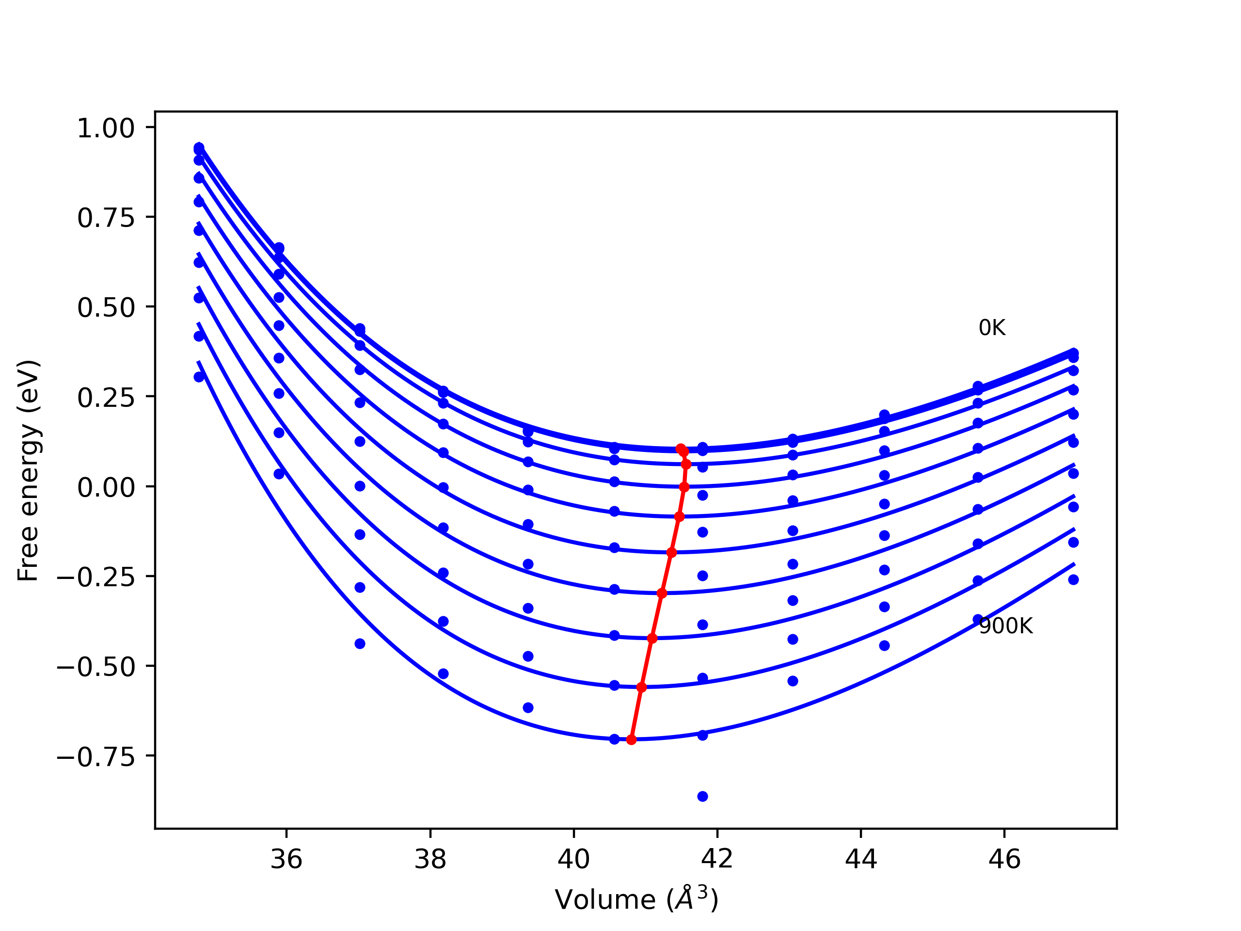
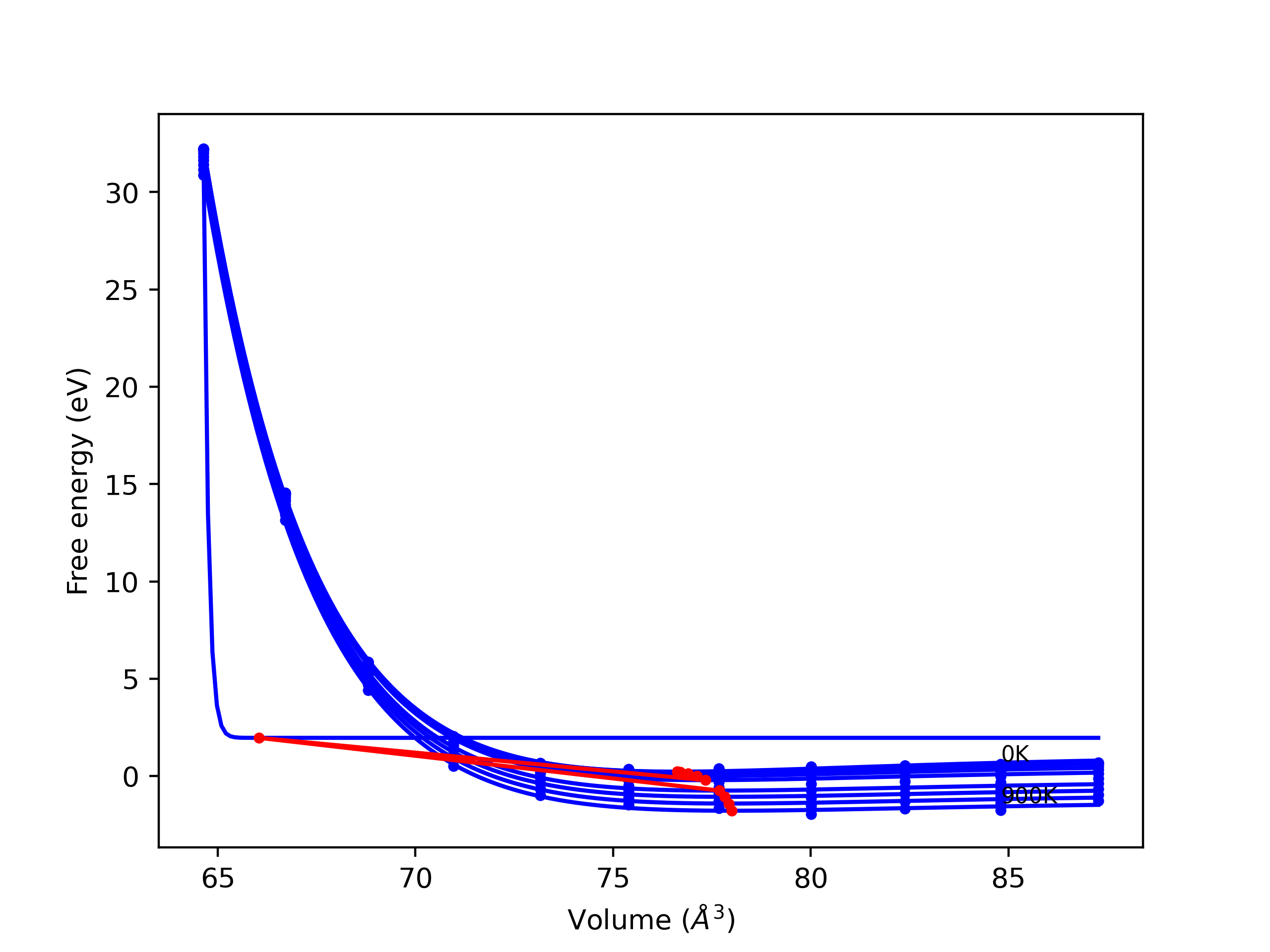
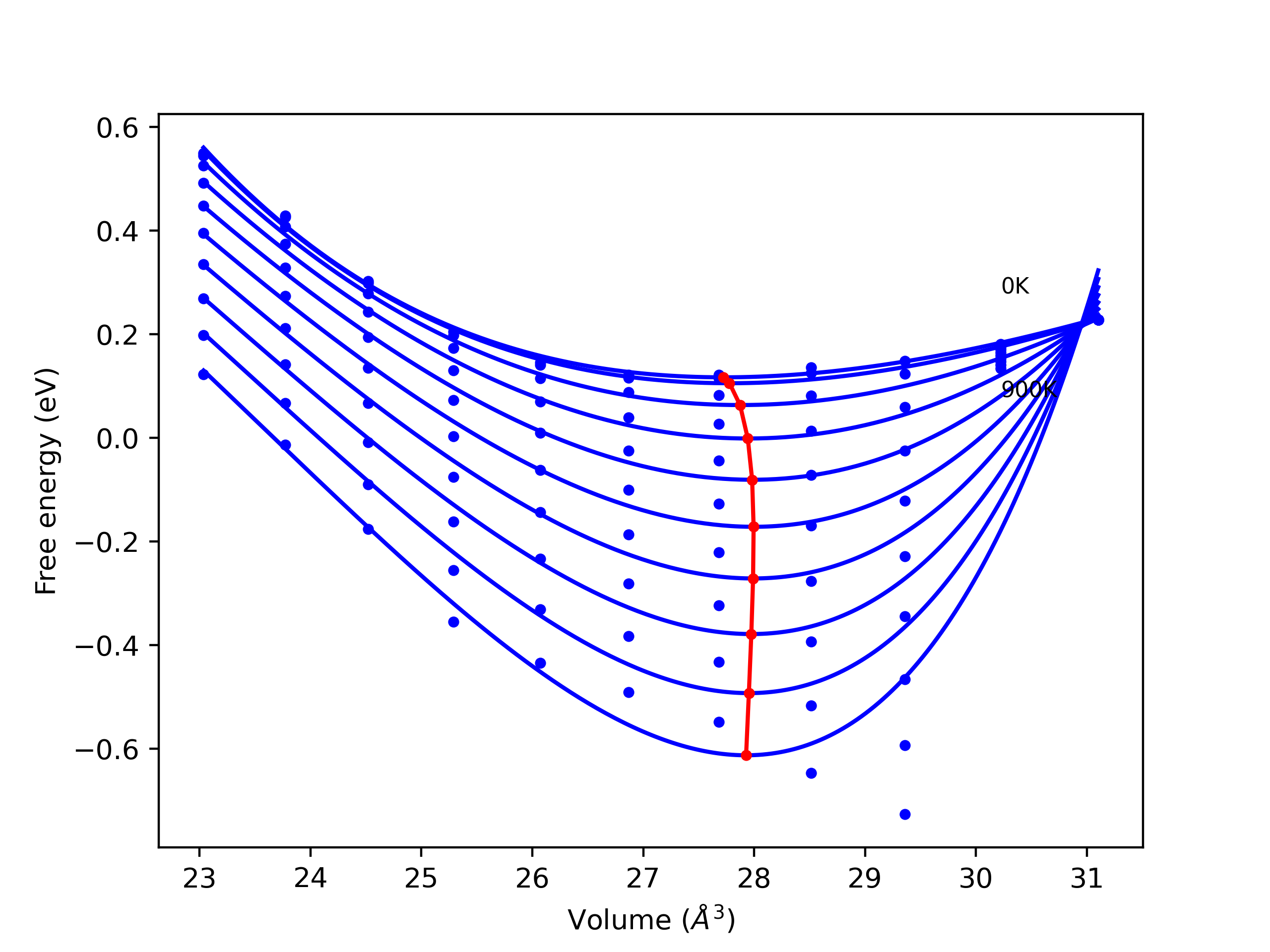
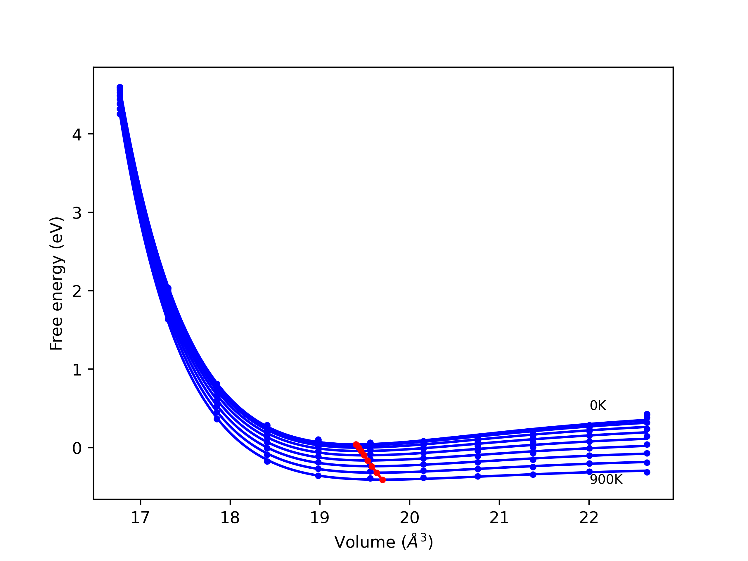
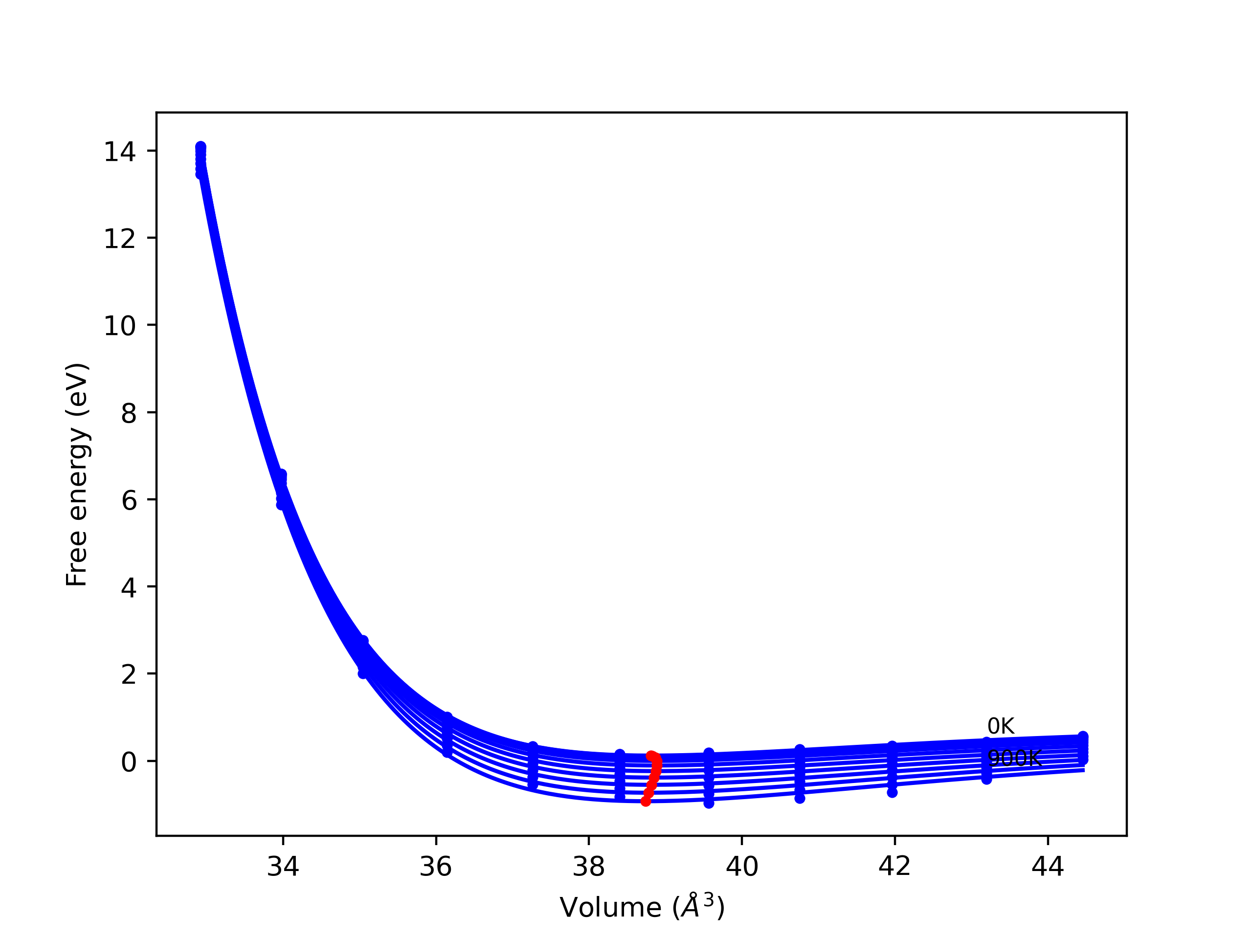
Plots of potential energy vs interatomic spacing, r, are shown below for a number of crystal structures. The structures are generated based on the ideal atomic positions and b/a and c/a lattice parameter ratios for a given crystal prototype. The size of the system is then uniformly scaled, and the energy calculated without relaxing the system. To obtain these plots, values of r are evaluated every 0.02 Å up to 6 Å.
The calculation method used is available as the iprPy E_vs_r_scan calculation method.
Clicking on the image of a plot will open an interactive version of it in a new tab. The underlying data for the plots can be downloaded by clicking on the links above each plot.
Notes and Disclaimers:
Version Information:
Computed lattice constants and cohesive/potential energies are displayed for a variety of crystal structures. The values displayed here are obtained using the following process.
The calculation methods used are implemented into iprPy as the following calculation styles
Notes and Disclaimers:
Version Information:
Download raw data (including filtered results)
Reference structure matches:
A1--Cu--fcc = mp-8633, oqmd-592135, oqmd-1214518
A15--beta-W = mp-17, oqmd-620565, oqmd-691761, oqmd-1214963, oqmd-1280318
A2--W--bcc = mp-90, oqmd-676284, oqmd-676532, oqmd-677049, oqmd-685486, oqmd-690214, oqmd-691769, oqmd-1215141
A3'--alpha-La--double-hcp = oqmd-1215409
A3--Mg--hcp = mp-89, oqmd-592444, oqmd-622452, oqmd-1215319
A4--C--dc = oqmd-1215498
A5--beta-Sn = oqmd-1215587
A6--In--bct = oqmd-1215676
A7--alpha-As = oqmd-1215765
| prototype | method | Ecoh (eV/atom) | Epot (eV/atom) | a0 (Å) | b0 (Å) | c0 (Å) | α (degrees) | β (degrees) | γ (degrees) |
|---|---|---|---|---|---|---|---|---|---|
| A2--W--bcc | dynamic | -4.0473 | -4.0473 | 2.8782 | 2.8782 | 2.8782 | 90.0 | 90.0 | 90.0 |
| A6--In--bct | static | -4.0417 | -4.0417 | 2.8387 | 2.8387 | 3.076 | 90.0 | 90.0 | 90.0 |
| A1--Cu--fcc | dynamic | -4.0374 | -4.0374 | 3.7618 | 3.7618 | 3.7618 | 90.0 | 90.0 | 90.0 |
| A3'--alpha-La--double-hcp | dynamic | -4.0358 | -4.0358 | 2.658 | 2.658 | 8.725 | 90.0 | 90.0 | 120.0 |
| oqmd-1216032 | dynamic | -4.0356 | -4.0356 | 2.6569 | 2.6569 | 19.6707 | 90.0 | 90.0 | 120.0 |
| A3--Mg--hcp | dynamic | -4.0351 | -4.0351 | 2.6547 | 2.6547 | 4.3882 | 90.0 | 90.0 | 120.0 |
| A15--beta-W | dynamic | -4.0165 | -4.0165 | 4.6487 | 4.6487 | 4.6487 | 90.0 | 90.0 | 90.0 |
| oqmd-1214874 | dynamic | -4.001 | -4.001 | 6.3817 | 6.3817 | 6.3817 | 90.0 | 90.0 | 90.0 |
| oqmd-1214785 | dynamic | -3.9832 | -3.9832 | 9.0065 | 9.0065 | 9.0065 | 90.0 | 90.0 | 90.0 |
| oqmd-1215230 | box | -3.9753 | -3.9753 | 2.6386 | 4.5655 | 4.4011 | 90.0 | 90.0 | 90.0 |
| oqmd-691775 | dynamic | -3.9491 | -3.9491 | 2.6328 | 2.6328 | 6.2326 | 90.0 | 90.0 | 120.0 |
| oqmd-631035 | dynamic | -3.9323 | -3.9323 | 8.8401 | 8.8401 | 4.6576 | 90.0 | 90.0 | 90.0 |
| mp-1192789 | box | -3.9232 | -3.9232 | 8.8409 | 8.8409 | 4.662 | 90.0 | 90.0 | 90.0 |
| oqmd-631035 | box | -3.8936 | -3.8936 | 8.8158 | 8.8158 | 4.6635 | 90.0 | 90.0 | 90.0 |
| A6--In--bct | box | -3.8309 | -3.8309 | 2.3589 | 2.3589 | 4.0199 | 90.0 | 90.0 | 90.0 |
| A5--beta-Sn | static | -3.3138 | -3.3138 | 4.606 | 4.606 | 2.5498 | 90.0 | 90.0 | 90.0 |
| A5--beta-Sn | static | -3.2402 | -3.2402 | 4.1715 | 4.1715 | 2.4352 | 90.0 | 90.0 | 90.0 |
| Ah--alpha-Po--sc | dynamic | -3.1757 | -3.1757 | 2.688 | 2.688 | 2.688 | 90.0 | 90.0 | 90.0 |
| oqmd-1215943 | static | -3.0503 | -3.0503 | 4.0042 | 4.0042 | 4.1336 | 90.0 | 90.0 | 120.0 |
| Ah--alpha-Po--sc | static | -3.0122 | -3.0122 | 2.3537 | 2.3537 | 2.3537 | 90.0 | 90.0 | 90.0 |
| Ah--alpha-Po--sc | box | -2.9038 | -2.9038 | 2.1909 | 2.1909 | 2.1909 | 90.0 | 90.0 | 90.0 |
| A4--C--dc | dynamic | -2.7911 | -2.7911 | 5.6229 | 5.6229 | 5.6229 | 90.0 | 90.0 | 90.0 |
Download raw data (including filtered results)
Reference structure matches:
| prototype | method | Ecoh (eV/atom) | Epot (eV/atom) | a0 (Å) | b0 (Å) | c0 (Å) | α (degrees) | β (degrees) | γ (degrees) |
|---|---|---|---|---|---|---|---|---|---|
| mp-1077708 | dynamic | -3.9335 | -3.9335 | 6.5843 | 6.5843 | 6.5843 | 90.0 | 90.0 | 90.0 |
| C1--CaF2--fluorite | dynamic | -3.5918 | -3.5918 | 5.5471 | 5.5471 | 5.5471 | 90.0 | 90.0 | 90.0 |
| C1--CaF2--fluorite | dynamic | -3.2641 | -3.2641 | 6.1331 | 6.1331 | 6.1331 | 90.0 | 90.0 | 90.0 |
| oqmd-1232501 | static | -2.9632 | -2.9632 | 5.2681 | 5.2681 | 3.3838 | 90.0 | 90.0 | 90.0 |
| oqmd-1232501 | box | -2.9562 | -2.9562 | 5.1886 | 5.1886 | 3.5127 | 90.0 | 90.0 | 90.0 |
| oqmd-1240427 | static | -1.8708 | -1.8708 | 11.322 | 11.322 | 11.322 | 90.0 | 90.0 | 90.0 |
Download raw data (including filtered results)
Reference structure matches:
| prototype | method | Ecoh (eV/atom) | Epot (eV/atom) | a0 (Å) | b0 (Å) | c0 (Å) | α (degrees) | β (degrees) | γ (degrees) |
|---|---|---|---|---|---|---|---|---|---|
| oqmd-426579 | static | -3.7775 | -3.7775 | 6.9351 | 6.9351 | 8.6452 | 90.0 | 90.0 | 120.0 |
| oqmd-426579 | box | -3.6363 | -3.6363 | 7.0615 | 7.0615 | 9.6128 | 90.0 | 90.0 | 120.0 |
Download raw data (including filtered results)
Reference structure matches:
L2_1--AlCu2Mn--heusler = oqmd-387658
| prototype | method | Ecoh (eV/atom) | Epot (eV/atom) | a0 (Å) | b0 (Å) | c0 (Å) | α (degrees) | β (degrees) | γ (degrees) |
|---|---|---|---|---|---|---|---|---|---|
| L2_1--AlCu2Mn--heusler | static | -4.179 | -4.179 | 5.6339 | 5.6339 | 5.6339 | 90.0 | 90.0 | 90.0 |
| L2_1--AlCu2Mn--heusler | dynamic | -3.9943 | -3.9943 | 6.119 | 6.119 | 6.119 | 90.0 | 90.0 | 90.0 |
Download raw data (including filtered results)
Reference structure matches:
| prototype | method | Ecoh (eV/atom) | Epot (eV/atom) | a0 (Å) | b0 (Å) | c0 (Å) | α (degrees) | β (degrees) | γ (degrees) |
|---|---|---|---|---|---|---|---|---|---|
| mp-1077252 | dynamic | -4.0801 | -4.0801 | 6.5854 | 6.5854 | 6.5854 | 90.0 | 90.0 | 90.0 |
| C1--CaF2--fluorite | static | -3.9398 | -3.9398 | 5.5992 | 5.5992 | 5.5992 | 90.0 | 90.0 | 90.0 |
| oqmd-1238640 | static | -1.9602 | -1.9602 | 11.3952 | 11.3952 | 11.3952 | 90.0 | 90.0 | 90.0 |
Download raw data (including filtered results)
Reference structure matches:
D0_3--BiF3 = mp-1008282, oqmd-310984
L1_2--AuCu3 = mp-1008285, oqmd-343214
| prototype | method | Ecoh (eV/atom) | Epot (eV/atom) | a0 (Å) | b0 (Å) | c0 (Å) | α (degrees) | β (degrees) | γ (degrees) |
|---|---|---|---|---|---|---|---|---|---|
| A15--Cr3Si | dynamic | -4.0611 | -4.0611 | 4.6786 | 4.6786 | 4.6786 | 90.0 | 90.0 | 90.0 |
| L1_2--AuCu3 | dynamic | -4.0456 | -4.0456 | 3.7614 | 3.7614 | 3.7614 | 90.0 | 90.0 | 90.0 |
| D0_3--BiF3 | dynamic | -4.0162 | -4.0162 | 5.6105 | 5.6105 | 5.6105 | 90.0 | 90.0 | 90.0 |
| oqmd-300442 | static | -3.9919 | -3.9919 | 3.3367 | 3.3367 | 8.0726 | 90.0 | 90.0 | 90.0 |
| oqmd-318728 | dynamic | -3.9163 | -3.9163 | 5.3505 | 5.3505 | 3.9089 | 90.0 | 90.0 | 120.0 |
| D0_3--BiF3 | static | -3.8904 | -3.8904 | 6.0838 | 6.0838 | 6.0838 | 90.0 | 90.0 | 90.0 |
Download raw data (including filtered results)
Reference structure matches:
A15--Cr3Si = oqmd-1280316
D0_3--BiF3 = mp-1008275, oqmd-313086
L1_2--AuCu3 = mp-1008278, oqmd-344860
| prototype | method | Ecoh (eV/atom) | Epot (eV/atom) | a0 (Å) | b0 (Å) | c0 (Å) | α (degrees) | β (degrees) | γ (degrees) |
|---|---|---|---|---|---|---|---|---|---|
| D0_3--BiF3 | dynamic | -4.3269 | -4.3269 | 5.6668 | 5.6668 | 5.6668 | 90.0 | 90.0 | 90.0 |
| A15--Cr3Si | dynamic | -4.2812 | -4.2812 | 4.5196 | 4.5196 | 4.5196 | 90.0 | 90.0 | 90.0 |
| oqmd-320374 | dynamic | -4.2353 | -4.2353 | 5.31 | 5.31 | 4.3657 | 90.0 | 90.0 | 120.0 |
| L1_2--AuCu3 | dynamic | -4.2305 | -4.2305 | 3.7605 | 3.7605 | 3.7605 | 90.0 | 90.0 | 90.0 |
| mp-1008284 | dynamic | -4.2243 | -4.2243 | 3.7607 | 3.7607 | 7.4999 | 90.0 | 90.0 | 90.0 |
| oqmd-302544 | box | -4.1513 | -4.1513 | 3.5007 | 3.5007 | 7.6986 | 90.0 | 90.0 | 90.0 |
Download raw data (including filtered results)
Reference structure matches:
| prototype | method | Ecoh (eV/atom) | Epot (eV/atom) | a0 (Å) | b0 (Å) | c0 (Å) | α (degrees) | β (degrees) | γ (degrees) |
|---|---|---|---|---|---|---|---|---|---|
| mp-1226243 | dynamic | -4.2333 | -4.2333 | 2.8526 | 4.0146 | 20.0583 | 90.0 | 90.0 | 90.0 |
| mp-1226243 | box | -4.2321 | -4.2321 | 2.8503 | 4.0146 | 20.0347 | 90.0 | 90.0 | 90.0 |
Download raw data (including filtered results)
Reference structure matches:
B1--NaCl--rock-salt = oqmd-1105105
B2--CsCl = oqmd-305920
B3--ZnS--cubic-zinc-blende = oqmd-1219336
L1_0--AuCu = oqmd-337462
| prototype | method | Ecoh (eV/atom) | Epot (eV/atom) | a0 (Å) | b0 (Å) | c0 (Å) | α (degrees) | β (degrees) | γ (degrees) |
|---|---|---|---|---|---|---|---|---|---|
| mp-1226211 | dynamic | -4.1681 | -4.1681 | 2.748 | 3.9625 | 4.052 | 90.0 | 90.0 | 90.0 |
| oqmd-327004 | dynamic | -4.1425 | -4.1425 | 2.641 | 2.641 | 13.1127 | 90.0 | 90.0 | 120.0 |
| oqmd-1229015 | dynamic | -4.135 | -4.135 | 2.6373 | 2.6373 | 4.3824 | 90.0 | 90.0 | 120.0 |
| L1_0--AuCu | static | -4.0549 | -4.0549 | 2.6972 | 2.6972 | 3.2836 | 90.0 | 90.0 | 90.0 |
| oqmd-1219850 | dynamic | -4.0428 | -4.0428 | 3.8899 | 2.7301 | 4.3063 | 90.0 | 90.0 | 90.0 |
| B2--CsCl | dynamic | -4.0404 | -4.0404 | 2.8008 | 2.8008 | 2.8008 | 90.0 | 90.0 | 90.0 |
| L1_0--AuCu | dynamic | -4.0179 | -4.0179 | 2.635 | 2.635 | 3.8205 | 90.0 | 90.0 | 90.0 |
| L1_0--AuCu | box | -3.9997 | -3.9997 | 2.6739 | 2.6739 | 3.5731 | 90.0 | 90.0 | 90.0 |
| B2--CsCl | dynamic | -3.8555 | -3.8555 | 3.1212 | 3.1212 | 3.1212 | 90.0 | 90.0 | 90.0 |
| B1--NaCl--rock-salt | static | -3.426 | -3.426 | 4.7188 | 4.7188 | 4.7188 | 90.0 | 90.0 | 90.0 |
| B1--NaCl--rock-salt | static | -3.1833 | -3.1833 | 5.2921 | 5.2921 | 5.2921 | 90.0 | 90.0 | 90.0 |
| B3--ZnS--cubic-zinc-blende | dynamic | -2.8229 | -2.8229 | 5.53 | 5.53 | 5.53 | 90.0 | 90.0 | 90.0 |
| oqmd-1225529 | static | -2.8081 | -2.8081 | 3.9273 | 3.9273 | 6.1403 | 90.0 | 90.0 | 120.0 |
| B3--ZnS--cubic-zinc-blende | dynamic | -2.5594 | -2.5594 | 6.1563 | 6.1563 | 6.1563 | 90.0 | 90.0 | 90.0 |
| oqmd-1229015 | box | -2.4631 | -2.4631 | 2.6329 | 2.6329 | 11.4299 | 90.0 | 90.0 | 120.0 |
Download raw data (including filtered results)
Reference structure matches:
| prototype | method | Ecoh (eV/atom) | Epot (eV/atom) | a0 (Å) | b0 (Å) | c0 (Å) | α (degrees) | β (degrees) | γ (degrees) |
|---|---|---|---|---|---|---|---|---|---|
| C1--CaF2--fluorite | dynamic | -3.5024 | -3.5024 | 5.5622 | 5.5622 | 5.5622 | 90.0 | 90.0 | 90.0 |
| C1--CaF2--fluorite | dynamic | -3.291 | -3.291 | 6.2247 | 6.2247 | 6.2247 | 90.0 | 90.0 | 90.0 |
| oqmd-1240426 | static | -1.8018 | -1.8018 | 11.7418 | 11.7418 | 11.7418 | 90.0 | 90.0 | 90.0 |
Download raw data (including filtered results)
Reference structure matches:
L2_1--AlCu2Mn--heusler = oqmd-527070
| prototype | method | Ecoh (eV/atom) | Epot (eV/atom) | a0 (Å) | b0 (Å) | c0 (Å) | α (degrees) | β (degrees) | γ (degrees) |
|---|---|---|---|---|---|---|---|---|---|
| L2_1--AlCu2Mn--heusler | dynamic | -4.1374 | -4.1374 | 5.5693 | 5.5693 | 5.5693 | 90.0 | 90.0 | 90.0 |
| L2_1--AlCu2Mn--heusler | dynamic | -3.8076 | -3.8076 | 6.2308 | 6.2308 | 6.2308 | 90.0 | 90.0 | 90.0 |
Download raw data (including filtered results)
Reference structure matches:
D0_3--BiF3 = mp-1018067, oqmd-308186
L1_2--AuCu3 = mp-1018081, oqmd-346012
| prototype | method | Ecoh (eV/atom) | Epot (eV/atom) | a0 (Å) | b0 (Å) | c0 (Å) | α (degrees) | β (degrees) | γ (degrees) |
|---|---|---|---|---|---|---|---|---|---|
| A15--Cr3Si | dynamic | -4.1053 | -4.1053 | 4.62 | 4.62 | 4.62 | 90.0 | 90.0 | 90.0 |
| oqmd-297657 | dynamic | -4.0842 | -4.0842 | 3.3872 | 3.3872 | 8.1769 | 90.0 | 90.0 | 90.0 |
| oqmd-297657 | box | -4.0154 | -4.0154 | 3.7394 | 3.7394 | 7.1536 | 90.0 | 90.0 | 90.0 |
| L1_2--AuCu3 | static | -3.9915 | -3.9915 | 3.6618 | 3.6618 | 3.6618 | 90.0 | 90.0 | 90.0 |
| oqmd-321526 | static | -3.9663 | -3.9663 | 5.2604 | 5.2604 | 3.8377 | 90.0 | 90.0 | 120.0 |
| D0_3--BiF3 | static | -3.9649 | -3.9649 | 5.6097 | 5.6097 | 5.6097 | 90.0 | 90.0 | 90.0 |
| D0_3--BiF3 | static | -3.8641 | -3.8641 | 6.1437 | 6.1437 | 6.1437 | 90.0 | 90.0 | 90.0 |
Download raw data (including filtered results)
Reference structure matches:
| prototype | method | Ecoh (eV/atom) | Epot (eV/atom) | a0 (Å) | b0 (Å) | c0 (Å) | α (degrees) | β (degrees) | γ (degrees) |
|---|---|---|---|---|---|---|---|---|---|
| mp-1226230 | static | -4.074 | -4.074 | 2.7815 | 3.9719 | 19.518 | 90.0 | 90.0 | 90.0 |
| mp-1226230 | box | -4.0685 | -4.0685 | 2.8114 | 3.9828 | 19.4251 | 90.0 | 90.0 | 90.0 |
Download raw data (including filtered results)
Reference structure matches:
| prototype | method | Ecoh (eV/atom) | Epot (eV/atom) | a0 (Å) | b0 (Å) | c0 (Å) | α (degrees) | β (degrees) | γ (degrees) |
|---|---|---|---|---|---|---|---|---|---|
| oqmd-959986 | dynamic | -3.8016 | -3.8016 | 5.4266 | 5.4266 | 5.4266 | 90.0 | 90.0 | 90.0 |
| oqmd-958168 | dynamic | -3.7758 | -3.7758 | 5.4889 | 5.4889 | 5.4889 | 90.0 | 90.0 | 90.0 |
| oqmd-835095 | dynamic | -3.7083 | -3.7083 | 5.4541 | 5.4541 | 5.4541 | 90.0 | 90.0 | 90.0 |
Download raw data (including filtered results)
Reference structure matches:
L2_1--AlCu2Mn--heusler = oqmd-528888
| prototype | method | Ecoh (eV/atom) | Epot (eV/atom) | a0 (Å) | b0 (Å) | c0 (Å) | α (degrees) | β (degrees) | γ (degrees) |
|---|---|---|---|---|---|---|---|---|---|
| L2_1--AlCu2Mn--heusler | dynamic | -4.2053 | -4.2053 | 5.5379 | 5.5379 | 5.5379 | 90.0 | 90.0 | 90.0 |
Download raw data (including filtered results)
Reference structure matches:
B1--NaCl--rock-salt = oqmd-1106140
B2--CsCl = mp-1226196, oqmd-306955
B3--ZnS--cubic-zinc-blende = oqmd-1219358
L1_0--AuCu = oqmd-338497
| prototype | method | Ecoh (eV/atom) | Epot (eV/atom) | a0 (Å) | b0 (Å) | c0 (Å) | α (degrees) | β (degrees) | γ (degrees) |
|---|---|---|---|---|---|---|---|---|---|
| B2--CsCl | dynamic | -4.421 | -4.421 | 2.8601 | 2.8601 | 2.8601 | 90.0 | 90.0 | 90.0 |
| oqmd-1229037 | dynamic | -4.3232 | -4.3232 | 2.6171 | 2.6171 | 4.0086 | 90.0 | 90.0 | 120.0 |
| mp-1226232 | dynamic | -4.3194 | -4.3194 | 2.5843 | 2.5843 | 12.578 | 90.0 | 90.0 | 120.0 |
| oqmd-1229037 | box | -3.8691 | -3.8691 | 3.7561 | 3.7561 | 2.5708 | 90.0 | 90.0 | 120.0 |
| B1--NaCl--rock-salt | static | -3.6188 | -3.6188 | 4.6541 | 4.6541 | 4.6541 | 90.0 | 90.0 | 90.0 |
| B1--NaCl--rock-salt | static | -3.5902 | -3.5902 | 5.1842 | 5.1842 | 5.1842 | 90.0 | 90.0 | 90.0 |
| B3--ZnS--cubic-zinc-blende | static | -3.2517 | -3.2517 | 5.4888 | 5.4888 | 5.4888 | 90.0 | 90.0 | 90.0 |
Download raw data (including filtered results)
Reference structure matches:
| prototype | method | Ecoh (eV/atom) | Epot (eV/atom) | a0 (Å) | b0 (Å) | c0 (Å) | α (degrees) | β (degrees) | γ (degrees) |
|---|---|---|---|---|---|---|---|---|---|
| mp-1077077 | dynamic | -4.394 | -4.394 | 6.4601 | 6.4601 | 6.4601 | 90.0 | 90.0 | 90.0 |
| C1--CaF2--fluorite | dynamic | -3.9226 | -3.9226 | 5.5458 | 5.5458 | 5.5458 | 90.0 | 90.0 | 90.0 |
| oqmd-1238639 | static | -2.0433 | -2.0433 | 11.181 | 11.181 | 11.181 | 90.0 | 90.0 | 90.0 |
Download raw data (including filtered results)
Reference structure matches:
D0_3--BiF3 = mp-1007975, oqmd-309832
L1_2--AuCu3 = mp-1007974, oqmd-348114
| prototype | method | Ecoh (eV/atom) | Epot (eV/atom) | a0 (Å) | b0 (Å) | c0 (Å) | α (degrees) | β (degrees) | γ (degrees) |
|---|---|---|---|---|---|---|---|---|---|
| D0_3--BiF3 | dynamic | -4.33 | -4.33 | 5.5916 | 5.5916 | 5.5916 | 90.0 | 90.0 | 90.0 |
| mp-1007923 | static | -4.3241 | -4.3241 | 3.8116 | 3.8116 | 6.5878 | 90.0 | 90.0 | 90.0 |
| mp-1226338 | box | -4.3229 | -4.3229 | 2.5008 | 2.5008 | 24.6039 | 90.0 | 90.0 | 120.0 |
| L1_2--AuCu3 | dynamic | -4.3201 | -4.3201 | 3.6517 | 3.6517 | 3.6517 | 90.0 | 90.0 | 90.0 |
| oqmd-323628 | static | -4.3197 | -4.3197 | 5.0522 | 5.0522 | 4.0039 | 90.0 | 90.0 | 120.0 |
| oqmd-323628 | box | -4.3147 | -4.3147 | 5.0437 | 5.0437 | 4.012 | 90.0 | 90.0 | 120.0 |
| oqmd-299290 | static | -4.2995 | -4.2995 | 3.414 | 3.414 | 7.5612 | 90.0 | 90.0 | 90.0 |
| A15--Cr3Si | dynamic | -4.2952 | -4.2952 | 4.5893 | 4.5893 | 4.5893 | 90.0 | 90.0 | 90.0 |
Download raw data (including filtered results)
Reference structure matches:
A1--Cu--fcc = mp-150, oqmd-7505, oqmd-1214525
A15--beta-W = oqmd-1214970
A2--W--bcc = mp-13, oqmd-8568, oqmd-22514, oqmd-1215148
A3'--alpha-La--double-hcp = oqmd-1215416
A3--Mg--hcp = mp-136, oqmd-30158, oqmd-51781, oqmd-1215326, oqmd-1215391
A4--C--dc = oqmd-1215505
A5--beta-Sn = oqmd-1215594
A6--In--bct = oqmd-1215683
Ah--alpha-Po--sc = mp-568345
| prototype | method | Ecoh (eV/atom) | Epot (eV/atom) | a0 (Å) | b0 (Å) | c0 (Å) | α (degrees) | β (degrees) | γ (degrees) |
|---|---|---|---|---|---|---|---|---|---|
| A6--In--bct | dynamic | -4.0521 | -4.0521 | 2.4133 | 2.4133 | 4.1138 | 90.0 | 90.0 | 90.0 |
| oqmd-1215237 | dynamic | -4.0504 | -4.0504 | 2.4114 | 4.7741 | 4.1108 | 90.0 | 90.0 | 90.0 |
| A1--Cu--fcc | static | -4.0477 | -4.0477 | 3.5484 | 3.5484 | 3.5484 | 90.0 | 90.0 | 90.0 |
| oqmd-1215237 | box | -4.0428 | -4.0428 | 2.432 | 4.6668 | 4.1366 | 90.0 | 90.0 | 90.0 |
| A6--In--bct | box | -4.041 | -4.041 | 2.4668 | 2.4668 | 3.7658 | 90.0 | 90.0 | 90.0 |
| A3'--alpha-La--double-hcp | dynamic | -4.0401 | -4.0401 | 2.5022 | 2.5022 | 8.3229 | 90.0 | 90.0 | 120.0 |
| oqmd-1216039 | dynamic | -4.0398 | -4.0398 | 2.5005 | 2.5005 | 18.7799 | 90.0 | 90.0 | 120.0 |
| oqmd-1216039 | box | -4.039 | -4.039 | 2.4999 | 2.4999 | 18.8104 | 90.0 | 90.0 | 120.0 |
| A3--Mg--hcp | dynamic | -4.0372 | -4.0372 | 2.4961 | 2.4961 | 4.2108 | 90.0 | 90.0 | 120.0 |
| A15--beta-W | dynamic | -3.9851 | -3.9851 | 4.6761 | 4.6761 | 4.6761 | 90.0 | 90.0 | 90.0 |
| mp-1245108 | dynamic | -3.9804 | -3.9804 | 10.2073 | 10.3387 | 11.1416 | 91.3 | 91.8 | 92.9 |
| A2--W--bcc | static | -3.9767 | -3.9767 | 2.817 | 2.817 | 2.817 | 90.0 | 90.0 | 90.0 |
| oqmd-1215861 | box | -3.9762 | -3.9762 | 3.9674 | 3.9674 | 2.4889 | 90.0 | 90.0 | 120.0 |
| oqmd-1214881 | dynamic | -3.9745 | -3.9745 | 6.18 | 6.18 | 6.18 | 90.0 | 90.0 | 90.0 |
| oqmd-1214881 | box | -3.9611 | -3.9611 | 6.2236 | 6.2236 | 6.2236 | 90.0 | 90.0 | 90.0 |
| oqmd-1214792 | dynamic | -3.9562 | -3.9562 | 8.8988 | 8.8988 | 8.8988 | 90.0 | 90.0 | 90.0 |
| A2--W--bcc | dynamic | -3.955 | -3.955 | 2.6473 | 2.6473 | 2.6473 | 90.0 | 90.0 | 90.0 |
| oqmd-1214792 | box | -3.9465 | -3.9465 | 8.9065 | 8.9065 | 8.9065 | 90.0 | 90.0 | 90.0 |
| oqmd-21053 | dynamic | -3.9235 | -3.9235 | 8.643 | 8.643 | 4.7598 | 90.0 | 90.0 | 90.0 |
| oqmd-21053 | box | -3.9139 | -3.9139 | 8.6587 | 8.6587 | 4.768 | 90.0 | 90.0 | 90.0 |
| mp-1245108 | static | -3.9114 | -3.9114 | 10.3395 | 10.5905 | 10.787 | 92.5 | 90.8 | 91.3 |
| mp-1194030 | box | -3.909 | -3.909 | 8.662 | 8.662 | 4.7679 | 90.0 | 90.0 | 90.0 |
| mp-1245108 | box | -3.8581 | -3.8581 | 10.5211 | 10.6021 | 10.8049 | 92.4 | 91.2 | 91.1 |
| oqmd-1215059 | static | -3.8166 | -3.8166 | 2.5408 | 4.1721 | 8.7484 | 90.0 | 90.0 | 90.0 |
| oqmd-1215059 | box | -3.8132 | -3.8132 | 2.5538 | 4.1717 | 8.6869 | 90.0 | 90.0 | 90.0 |
| mp-1096950 | box | -3.664 | -3.664 | 2.4263 | 2.4263 | 2.2695 | 90.0 | 90.0 | 120.0 |
| A5--beta-Sn | static | -3.6252 | -3.6252 | 4.3753 | 4.3753 | 2.3054 | 90.0 | 90.0 | 90.0 |
| Ah--alpha-Po--sc | static | -3.3998 | -3.3998 | 2.317 | 2.317 | 2.317 | 90.0 | 90.0 | 90.0 |
| oqmd-1215950 | box | -3.1789 | -3.1789 | 3.9734 | 4.3147 | 4.0117 | 90.0 | 119.3 | 90.0 |
| A7--alpha-As | box | -3.0913 | -3.0913 | 3.3664 | 3.3664 | 9.8384 | 90.0 | 90.0 | 120.0 |
| A4--C--dc | static | -2.761 | -2.761 | 5.4576 | 5.4576 | 5.4576 | 90.0 | 90.0 | 90.0 |
Download raw data (including filtered results)
Reference structure matches:
| prototype | method | Ecoh (eV/atom) | Epot (eV/atom) | a0 (Å) | b0 (Å) | c0 (Å) | α (degrees) | β (degrees) | γ (degrees) |
|---|---|---|---|---|---|---|---|---|---|
| mp-1224697 | dynamic | -4.1926 | -4.1926 | 2.5035 | 2.5035 | 6.5493 | 90.0 | 90.0 | 120.0 |
| mp-1077745 | dynamic | -3.9703 | -3.9703 | 6.5746 | 6.5746 | 6.5746 | 90.0 | 90.0 | 90.0 |
| C1--CaF2--fluorite | dynamic | -3.7319 | -3.7319 | 5.4102 | 5.4102 | 5.4102 | 90.0 | 90.0 | 90.0 |
| oqmd-1236414 | static | -2.0029 | -2.0029 | 10.9854 | 10.9854 | 10.9854 | 90.0 | 90.0 | 90.0 |
Download raw data (including filtered results)
Reference structure matches:
| prototype | method | Ecoh (eV/atom) | Epot (eV/atom) | a0 (Å) | b0 (Å) | c0 (Å) | α (degrees) | β (degrees) | γ (degrees) |
|---|---|---|---|---|---|---|---|---|---|
| oqmd-427042 | box | -3.7133 | -3.7133 | 6.068 | 6.068 | 11.9868 | 90.0 | 90.0 | 120.0 |
Download raw data (including filtered results)
Reference structure matches:
D0_3--BiF3 = mp-1007853, oqmd-312075
L1_2--AuCu3 = mp-999189, oqmd-343549
| prototype | method | Ecoh (eV/atom) | Epot (eV/atom) | a0 (Å) | b0 (Å) | c0 (Å) | α (degrees) | β (degrees) | γ (degrees) |
|---|---|---|---|---|---|---|---|---|---|
| mp-1224780 | dynamic | -4.2074 | -4.2074 | 2.6674 | 3.7911 | 7.5514 | 90.0 | 90.0 | 90.0 |
| oqmd-319063 | dynamic | -4.1803 | -4.1803 | 4.8022 | 4.8022 | 3.7749 | 90.0 | 90.0 | 120.0 |
| D0_3--BiF3 | dynamic | -4.1721 | -4.1721 | 5.3354 | 5.3354 | 5.3354 | 90.0 | 90.0 | 90.0 |
| mp-1224827 | dynamic | -4.1559 | -4.1559 | 2.5059 | 2.5059 | 25.7608 | 90.0 | 90.0 | 120.0 |
| mp-1007862 | dynamic | -4.1367 | -4.1367 | 3.4125 | 3.4125 | 8.1659 | 90.0 | 90.0 | 90.0 |
| L1_2--AuCu3 | static | -4.1194 | -4.1194 | 3.4781 | 3.4781 | 3.4781 | 90.0 | 90.0 | 90.0 |
| A15--Cr3Si | dynamic | -4.1051 | -4.1051 | 4.6643 | 4.6643 | 4.6643 | 90.0 | 90.0 | 90.0 |
| mp-1007862 | box | -4.0261 | -4.0261 | 3.6773 | 3.6773 | 6.3145 | 90.0 | 90.0 | 90.0 |
| oqmd-319063 | box | -4.0253 | -4.0253 | 4.9667 | 4.9667 | 4.298 | 90.0 | 90.0 | 120.0 |
Download raw data (including filtered results)
Reference structure matches:
| prototype | method | Ecoh (eV/atom) | Epot (eV/atom) | a0 (Å) | b0 (Å) | c0 (Å) | α (degrees) | β (degrees) | γ (degrees) |
|---|---|---|---|---|---|---|---|---|---|
| mp-1225009 | dynamic | -4.1946 | -4.1946 | 2.3904 | 2.3904 | 16.8876 | 90.0 | 90.0 | 90.0 |
Download raw data (including filtered results)
Reference structure matches:
B1--NaCl--rock-salt = oqmd-1105634
B2--CsCl = oqmd-306449
B3--ZnS--cubic-zinc-blende = oqmd-1222507
L1_0--AuCu = mp-2213, oqmd-17225, oqmd-30230, oqmd-337991
| prototype | method | Ecoh (eV/atom) | Epot (eV/atom) | a0 (Å) | b0 (Å) | c0 (Å) | α (degrees) | β (degrees) | γ (degrees) |
|---|---|---|---|---|---|---|---|---|---|
| mp-1224965 | dynamic | -4.3595 | -4.3595 | 2.7086 | 3.8215 | 3.774 | 90.0 | 90.0 | 90.0 |
| B2--CsCl | dynamic | -4.3029 | -4.3029 | 2.6944 | 2.6944 | 2.6944 | 90.0 | 90.0 | 90.0 |
| oqmd-1220313 | dynamic | -4.2973 | -4.2973 | 3.8245 | 2.395 | 4.1923 | 90.0 | 90.0 | 90.0 |
| L1_0--AuCu | dynamic | -4.2516 | -4.2516 | 2.3873 | 2.3873 | 3.4068 | 90.0 | 90.0 | 90.0 |
| mp-1224976 | dynamic | -4.243 | -4.243 | 2.4474 | 2.4474 | 13.0434 | 90.0 | 90.0 | 120.0 |
| oqmd-1229478 | dynamic | -4.2358 | -4.2358 | 2.4448 | 2.4448 | 4.3636 | 90.0 | 90.0 | 120.0 |
| oqmd-1229478 | box | -4.2201 | -4.2201 | 2.4751 | 2.4751 | 4.0613 | 90.0 | 90.0 | 120.0 |
| L1_0--AuCu | dynamic | -4.2186 | -4.2186 | 2.4214 | 2.4214 | 4.032 | 90.0 | 90.0 | 90.0 |
| L1_0--AuCu | box | -4.152 | -4.152 | 2.5017 | 2.5017 | 3.0758 | 90.0 | 90.0 | 90.0 |
| B2--CsCl | static | -3.6932 | -3.6932 | 3.1001 | 3.1001 | 3.1001 | 90.0 | 90.0 | 90.0 |
| B1--NaCl--rock-salt | dynamic | -3.6012 | -3.6012 | 4.7544 | 4.7544 | 4.7544 | 90.0 | 90.0 | 90.0 |
| B1--NaCl--rock-salt | static | -3.2995 | -3.2995 | 4.2717 | 4.2717 | 4.2717 | 90.0 | 90.0 | 90.0 |
| oqmd-1225992 | box | -3.2684 | -3.2684 | 3.9431 | 3.9431 | 4.734 | 90.0 | 90.0 | 120.0 |
| B3--ZnS--cubic-zinc-blende | static | -3.149 | -3.149 | 5.4034 | 5.4034 | 5.4034 | 90.0 | 90.0 | 90.0 |
Download raw data (including filtered results)
Reference structure matches:
| prototype | method | Ecoh (eV/atom) | Epot (eV/atom) | a0 (Å) | b0 (Å) | c0 (Å) | α (degrees) | β (degrees) | γ (degrees) |
|---|---|---|---|---|---|---|---|---|---|
| mp-1072076 | dynamic | -4.2542 | -4.2542 | 6.4901 | 6.4901 | 6.4901 | 90.0 | 90.0 | 90.0 |
| C1--CaF2--fluorite | dynamic | -3.8175 | -3.8175 | 5.4061 | 5.4061 | 5.4061 | 90.0 | 90.0 | 90.0 |
| oqmd-1236413 | static | -2.1673 | -2.1673 | 10.9518 | 10.9518 | 10.9518 | 90.0 | 90.0 | 90.0 |
Download raw data (including filtered results)
Reference structure matches:
D0_3--BiF3 = mp-1007854, oqmd-308521
L1_2--AuCu3 = mp-1418, oqmd-7241, oqmd-347103
| prototype | method | Ecoh (eV/atom) | Epot (eV/atom) | a0 (Å) | b0 (Å) | c0 (Å) | α (degrees) | β (degrees) | γ (degrees) |
|---|---|---|---|---|---|---|---|---|---|
| oqmd-322617 | dynamic | -4.3284 | -4.3284 | 4.8605 | 4.8605 | 3.8643 | 90.0 | 90.0 | 120.0 |
| D0_3--BiF3 | dynamic | -4.3238 | -4.3238 | 5.4063 | 5.4063 | 5.4063 | 90.0 | 90.0 | 90.0 |
| oqmd-322617 | box | -4.3222 | -4.3222 | 4.853 | 4.853 | 3.8602 | 90.0 | 90.0 | 120.0 |
| mp-1225078 | dynamic | -4.3179 | -4.3179 | 2.4553 | 2.4553 | 23.2779 | 90.0 | 90.0 | 120.0 |
| mp-1225078 | static | -4.3179 | -4.3179 | 2.4553 | 2.4553 | 23.2776 | 90.0 | 90.0 | 120.0 |
| mp-1079337 | dynamic | -4.3071 | -4.3071 | 3.8291 | 4.8406 | 4.3148 | 90.0 | 90.0 | 90.0 |
| L1_2--AuCu3 | dynamic | -4.307 | -4.307 | 3.4218 | 3.4218 | 3.4218 | 90.0 | 90.0 | 90.0 |
| mp-1079337 | box | -4.2908 | -4.2908 | 3.8793 | 4.8618 | 4.168 | 90.0 | 90.0 | 90.0 |
| mp-1225078 | box | -4.2877 | -4.2877 | 2.483 | 2.483 | 24.5974 | 90.0 | 90.0 | 120.0 |
| mp-1007855 | dynamic | -4.2593 | -4.2593 | 3.412 | 3.412 | 6.8141 | 90.0 | 90.0 | 90.0 |
| oqmd-297990 | box | -4.2375 | -4.2375 | 3.4247 | 3.4247 | 7.2653 | 90.0 | 90.0 | 90.0 |
| A15--Cr3Si | dynamic | -4.0906 | -4.0906 | 4.6694 | 4.6694 | 4.6694 | 90.0 | 90.0 | 90.0 |
| A15--Cr3Si | static | -4.0141 | -4.0141 | 4.2854 | 4.2854 | 4.2854 | 90.0 | 90.0 | 90.0 |
Download raw data (including filtered results)
Reference structure matches:
A1--Cu--fcc = mp-23, oqmd-676148, oqmd-1214550
A15--beta-W = oqmd-1214995, oqmd-1280360
A2--W--bcc = mp-1008728, oqmd-22516, oqmd-1215173
A3'--alpha-La--double-hcp = oqmd-1215441
A3--Mg--hcp = mp-10257, oqmd-677944, oqmd-1215351
A4--C--dc = oqmd-1215530
A5--beta-Sn = oqmd-1215619
A6--In--bct = oqmd-1215708
| prototype | method | Ecoh (eV/atom) | Epot (eV/atom) | a0 (Å) | b0 (Å) | c0 (Å) | α (degrees) | β (degrees) | γ (degrees) |
|---|---|---|---|---|---|---|---|---|---|
| A1--Cu--fcc | dynamic | -4.3457 | -4.3457 | 3.5185 | 3.5185 | 3.5185 | 90.0 | 90.0 | 90.0 |
| A3'--alpha-La--double-hcp | dynamic | -4.3399 | -4.3399 | 2.4904 | 2.4904 | 8.0595 | 90.0 | 90.0 | 120.0 |
| oqmd-1216067 | dynamic | -4.3384 | -4.3384 | 2.4914 | 2.4914 | 18.0786 | 90.0 | 90.0 | 120.0 |
| A3--Mg--hcp | dynamic | -4.3356 | -4.3356 | 2.4933 | 2.4933 | 3.9932 | 90.0 | 90.0 | 120.0 |
| oqmd-1215262 | box | -4.3349 | -4.3349 | 2.4833 | 4.3365 | 3.9931 | 90.0 | 90.0 | 90.0 |
| A2--W--bcc | static | -4.2876 | -4.2876 | 2.7573 | 2.7573 | 2.7573 | 90.0 | 90.0 | 90.0 |
| oqmd-1214906 | dynamic | -4.2701 | -4.2701 | 6.0342 | 6.0342 | 6.0342 | 90.0 | 90.0 | 90.0 |
| oqmd-1214906 | box | -4.2694 | -4.2694 | 6.037 | 6.037 | 6.037 | 90.0 | 90.0 | 90.0 |
| A15--beta-W | static | -4.2588 | -4.2588 | 4.4838 | 4.4838 | 4.4838 | 90.0 | 90.0 | 90.0 |
| oqmd-1214817 | dynamic | -4.2408 | -4.2408 | 8.637 | 8.637 | 8.637 | 90.0 | 90.0 | 90.0 |
| oqmd-1214817 | box | -4.24 | -4.24 | 8.6358 | 8.6358 | 8.6358 | 90.0 | 90.0 | 90.0 |
| oqmd-1215084 | box | -4.0648 | -4.0648 | 2.5482 | 4.0607 | 8.7222 | 90.0 | 90.0 | 90.0 |
| oqmd-1214728 | static | -4.0408 | -4.0408 | 2.4101 | 2.4101 | 8.0091 | 90.0 | 90.0 | 90.0 |
| oqmd-1214728 | box | -4.0354 | -4.0354 | 2.4248 | 2.4248 | 7.948 | 90.0 | 90.0 | 90.0 |
| A5--beta-Sn | static | -3.8004 | -3.8004 | 4.4978 | 4.4978 | 2.2743 | 90.0 | 90.0 | 90.0 |
| A5--beta-Sn | static | -3.7702 | -3.7702 | 4.7409 | 4.7409 | 2.3413 | 90.0 | 90.0 | 90.0 |
| A5--beta-Sn | box | -3.7587 | -3.7587 | 4.645 | 4.645 | 2.2988 | 90.0 | 90.0 | 90.0 |
| Ah--alpha-Po--sc | static | -3.7234 | -3.7234 | 2.4133 | 2.4133 | 2.4133 | 90.0 | 90.0 | 90.0 |
| Ah--alpha-Po--sc | static | -3.644 | -3.644 | 2.2765 | 2.2765 | 2.2765 | 90.0 | 90.0 | 90.0 |
| oqmd-1215975 | static | -3.4795 | -3.4795 | 3.9127 | 3.9127 | 4.2655 | 90.0 | 90.0 | 120.0 |
| A4--C--dc | static | -3.4244 | -3.4244 | 5.3498 | 5.3498 | 5.3498 | 90.0 | 90.0 | 90.0 |
| mp-1014111 | box | -3.3521 | -3.3521 | 2.442 | 2.442 | 14.7485 | 90.0 | 90.0 | 120.0 |
| mp-1014111 | dynamic | -3.3521 | -3.3521 | 2.442 | 2.442 | 14.0891 | 90.0 | 90.0 | 120.0 |
| mp-1014111 | static | -3.3521 | -3.3521 | 2.442 | 2.442 | 14.7479 | 90.0 | 90.0 | 120.0 |
Static elastic constants are displayed for the unique structures identified in Crystal Structure Predictions above. The values displayed here are obtained by measuring the change in virial stresses due to applying small strains to the relaxed crystals. The initial structure and the strained states are all relaxed using force minimization.
The calculation method used is available as the iprPy elastic_constants_static calculation method.
Notes and Disclaimers:
Version Information:
| 585.132 | 302.453 | 302.453 | -0.000 | 0.000 | 0.000 |
| 302.453 | 585.132 | 302.453 | 0.000 | 0.000 | 0.000 |
| 302.453 | 302.453 | 585.132 | -0.000 | 0.000 | 0.000 |
| -0.000 | -0.000 | -0.000 | 212.412 | 0.000 | 0.000 |
| -0.000 | -0.000 | -0.000 | 0.000 | 212.412 | 0.000 |
| -0.000 | -0.000 | -0.000 | 0.000 | 0.000 | 212.412 |
| 585.132 | 302.453 | 302.453 | -0.000 | -0.000 | 0.000 |
| 302.453 | 585.132 | 302.453 | -0.000 | -0.000 | -0.000 |
| 302.453 | 302.453 | 585.132 | -0.000 | -0.000 | -0.000 |
| 0.000 | 0.000 | 0.000 | 212.412 | -0.000 | 0.000 |
| 0.000 | 0.000 | 0.000 | -0.000 | 212.412 | -0.000 |
| 0.000 | 0.000 | 0.000 | 0.000 | -0.000 | 212.412 |
| 585.132 | 302.453 | 302.453 | -0.000 | 0.000 | 0.000 |
| 302.453 | 585.132 | 302.453 | 0.000 | -0.000 | -0.000 |
| 302.453 | 302.453 | 585.132 | -0.000 | 0.000 | 0.000 |
| -0.000 | -0.000 | -0.000 | 212.412 | 0.000 | 0.000 |
| -0.000 | -0.000 | -0.000 | -0.000 | 212.412 | 0.000 |
| -0.000 | -0.000 | -0.000 | 0.000 | 0.000 | 212.412 |
| 585.132 | 302.453 | 302.453 | -0.000 | -0.000 | -0.000 |
| 302.453 | 585.132 | 302.453 | -0.000 | -0.000 | 0.000 |
| 302.453 | 302.453 | 585.132 | 0.000 | 0.000 | -0.000 |
| 0.000 | 0.000 | 0.000 | 212.412 | 0.000 | -0.000 |
| 0.000 | 0.000 | 0.000 | 0.000 | 212.412 | -0.000 |
| 0.000 | 0.000 | 0.000 | -0.000 | -0.000 | 212.412 |
| 585.132 | 302.454 | 302.454 | 0.000 | 0.000 | 0.000 |
| 302.454 | 585.132 | 302.454 | 0.000 | 0.000 | 0.000 |
| 302.454 | 302.454 | 585.132 | 0.000 | 0.000 | 0.000 |
| -0.000 | -0.000 | -0.000 | 212.412 | 0.000 | 0.000 |
| -0.000 | -0.000 | -0.000 | 0.000 | 212.412 | -0.000 |
| -0.000 | -0.000 | -0.000 | 0.000 | -0.000 | 212.412 |
| 585.131 | 302.452 | 302.452 | -0.000 | -0.000 | -0.000 |
| 302.452 | 585.131 | 302.452 | -0.000 | -0.000 | -0.000 |
| 302.452 | 302.452 | 585.131 | 0.000 | -0.000 | -0.000 |
| 0.000 | 0.000 | 0.000 | 212.412 | -0.000 | 0.000 |
| 0.000 | 0.000 | 0.000 | 0.000 | 212.412 | 0.000 |
| 0.000 | 0.000 | 0.000 | -0.000 | -0.000 | 212.412 |
| 578.472 | 181.764 | 181.764 | -0.000 | 0.000 | 0.000 |
| 181.764 | 578.472 | 181.764 | -0.000 | -0.000 | 0.000 |
| 181.764 | 181.764 | 578.472 | -0.000 | -0.000 | 0.000 |
| -0.000 | 0.000 | 0.000 | 53.091 | -0.000 | 0.000 |
| 0.000 | -0.000 | 0.000 | -0.000 | 53.091 | 0.000 |
| 0.000 | -0.000 | -0.000 | -0.000 | -0.000 | 53.091 |
| 579.353 | 181.324 | 181.324 | 0.000 | -0.000 | -0.000 |
| 181.324 | 579.353 | 181.324 | 0.000 | 0.000 | -0.000 |
| 181.324 | 181.324 | 579.353 | 0.000 | -0.000 | -0.000 |
| 0.000 | -0.000 | 0.000 | 53.091 | 0.000 | -0.000 |
| -0.000 | 0.000 | -0.000 | 0.000 | 53.091 | -0.000 |
| -0.000 | 0.000 | 0.000 | 0.000 | 0.000 | 53.091 |
| 579.353 | 181.324 | 181.324 | -0.000 | -0.000 | 0.000 |
| 181.324 | 579.353 | 181.324 | -0.000 | -0.000 | 0.000 |
| 181.324 | 181.324 | 579.353 | -0.000 | -0.000 | 0.000 |
| 0.000 | 0.000 | 0.000 | 53.091 | -0.000 | 0.000 |
| 0.000 | 0.000 | 0.000 | -0.000 | 53.091 | 0.000 |
| 0.000 | 0.000 | 0.000 | -0.000 | -0.000 | 53.091 |
| 579.353 | 181.324 | 181.324 | 0.000 | 0.000 | -0.000 |
| 181.324 | 579.353 | 181.324 | 0.000 | -0.000 | -0.000 |
| 181.324 | 181.324 | 579.353 | 0.000 | -0.000 | -0.000 |
| -0.000 | -0.000 | -0.000 | 53.091 | 0.000 | -0.000 |
| -0.000 | -0.000 | -0.000 | 0.000 | 53.091 | -0.000 |
| -0.000 | -0.000 | -0.000 | -0.000 | 0.000 | 53.091 |
| 579.353 | 181.324 | 181.324 | -0.000 | 0.000 | -0.000 |
| 181.324 | 579.353 | 181.324 | -0.000 | 0.000 | 0.000 |
| 181.324 | 181.324 | 579.353 | -0.000 | -0.000 | 0.000 |
| 0.000 | 0.000 | 0.000 | 53.091 | -0.000 | 0.000 |
| 0.000 | 0.000 | 0.000 | -0.000 | 53.091 | 0.000 |
| 0.000 | 0.000 | 0.000 | -0.000 | -0.000 | 53.091 |
| 579.353 | 181.323 | 181.323 | 0.000 | -0.000 | -0.000 |
| 181.323 | 579.353 | 181.323 | 0.000 | 0.000 | -0.000 |
| 181.323 | 181.323 | 579.353 | 0.000 | -0.000 | -0.000 |
| -0.000 | -0.000 | -0.000 | 53.091 | -0.000 | -0.000 |
| -0.000 | -0.000 | -0.000 | 0.000 | 53.091 | -0.000 |
| -0.000 | -0.000 | -0.000 | 0.000 | 0.000 | 53.091 |
| 423.783 | 104.926 | 104.926 | 0.000 | 0.000 | -0.000 |
| 104.926 | 423.783 | 104.926 | 0.000 | 0.000 | 0.000 |
| 104.926 | 104.926 | 423.783 | -0.000 | -0.000 | -0.000 |
| 0.000 | 0.000 | 0.000 | 135.904 | -0.000 | 0.000 |
| 0.000 | 0.000 | 0.000 | 0.000 | 135.904 | 0.000 |
| 0.000 | 0.000 | -0.000 | 0.000 | -0.000 | 135.904 |
| 423.783 | 104.926 | 104.926 | -0.000 | -0.000 | -0.000 |
| 104.926 | 423.783 | 104.926 | -0.000 | -0.000 | -0.000 |
| 104.926 | 104.926 | 423.783 | -0.000 | -0.000 | -0.000 |
| -0.000 | -0.000 | -0.000 | 135.904 | 0.000 | -0.000 |
| -0.000 | -0.000 | -0.000 | -0.000 | 135.904 | -0.000 |
| -0.000 | -0.000 | 0.000 | -0.000 | -0.000 | 135.904 |
| 423.784 | 104.926 | 104.926 | -0.000 | -0.000 | 0.000 |
| 104.926 | 423.784 | 104.926 | -0.000 | 0.000 | 0.000 |
| 104.926 | 104.926 | 423.784 | -0.000 | -0.000 | -0.000 |
| 0.000 | 0.000 | 0.000 | 135.904 | -0.000 | 0.000 |
| 0.000 | 0.000 | 0.000 | -0.000 | 135.904 | 0.000 |
| 0.000 | 0.000 | 0.000 | -0.000 | 0.000 | 135.904 |
| 423.782 | 104.926 | 104.926 | -0.000 | 0.000 | 0.000 |
| 104.926 | 423.782 | 104.926 | -0.000 | 0.000 | -0.000 |
| 104.926 | 104.926 | 423.782 | 0.000 | 0.000 | -0.000 |
| -0.000 | -0.000 | -0.000 | 135.904 | -0.000 | -0.000 |
| -0.000 | -0.000 | -0.000 | -0.000 | 135.904 | -0.000 |
| -0.000 | -0.000 | -0.000 | 0.000 | -0.000 | 135.904 |
| 423.791 | 104.925 | 104.925 | -0.000 | 0.000 | 0.000 |
| 104.925 | 423.791 | 104.925 | 0.000 | -0.000 | 0.000 |
| 104.925 | 104.925 | 423.791 | 0.000 | 0.000 | 0.000 |
| 0.000 | 0.001 | 0.001 | 135.904 | 0.000 | 0.000 |
| 0.001 | 0.000 | 0.001 | 0.000 | 135.904 | 0.000 |
| 0.001 | 0.001 | 0.000 | 0.000 | -0.000 | 135.904 |
| 423.775 | 104.927 | 104.927 | -0.000 | 0.000 | -0.000 |
| 104.927 | 423.775 | 104.927 | 0.000 | 0.000 | -0.000 |
| 104.927 | 104.927 | 423.775 | -0.000 | -0.000 | -0.000 |
| -0.000 | -0.001 | -0.001 | 135.904 | -0.000 | -0.000 |
| -0.001 | -0.000 | -0.001 | -0.000 | 135.904 | -0.000 |
| -0.001 | -0.001 | -0.000 | -0.000 | 0.000 | 135.904 |
| 651.746 | 275.195 | 250.056 | -0.000 | -0.000 | -0.000 |
| 275.195 | 651.746 | 250.056 | 0.000 | -0.000 | -0.000 |
| 250.056 | 250.056 | 607.559 | 0.000 | 0.000 | -0.000 |
| 0.000 | -0.000 | -0.000 | 163.308 | -0.000 | -0.000 |
| -0.000 | -0.000 | -0.000 | 0.000 | 163.308 | 0.000 |
| -0.000 | 0.000 | -0.000 | 0.000 | 0.000 | 188.275 |
| 643.831 | 283.110 | 250.056 | -0.000 | -0.000 | 0.000 |
| 275.195 | 651.746 | 250.056 | -0.000 | 0.000 | 0.000 |
| 250.056 | 250.056 | 607.559 | -0.000 | 0.000 | 0.000 |
| -0.000 | 0.000 | 0.000 | 163.308 | 0.000 | 0.000 |
| 0.000 | 0.000 | 0.000 | -0.000 | 163.308 | 0.000 |
| 0.000 | 0.000 | 0.000 | -0.000 | -0.000 | 188.275 |
| 651.746 | 275.195 | 250.056 | 0.000 | -0.000 | -0.000 |
| 275.195 | 651.746 | 250.056 | 0.000 | -0.000 | -0.000 |
| 250.056 | 250.056 | 607.559 | -0.000 | -0.000 | -0.000 |
| -0.000 | -0.000 | -0.000 | 163.308 | -0.000 | -0.000 |
| -0.000 | -0.000 | -0.000 | 0.000 | 163.308 | 0.000 |
| -0.000 | 0.000 | -0.000 | 0.000 | -0.000 | 188.275 |
| 651.746 | 275.195 | 250.056 | -0.000 | 0.000 | -0.000 |
| 275.195 | 651.746 | 250.056 | 0.000 | 0.000 | 0.000 |
| 250.056 | 250.056 | 607.559 | -0.000 | -0.000 | 0.000 |
| 0.000 | 0.000 | 0.000 | 163.308 | 0.000 | 0.000 |
| 0.000 | 0.000 | 0.000 | -0.000 | 163.308 | 0.000 |
| 0.000 | -0.000 | 0.000 | -0.000 | 0.000 | 188.275 |
| 643.832 | 283.111 | 250.056 | 0.000 | -0.000 | -0.000 |
| 283.112 | 643.831 | 250.056 | 0.000 | -0.000 | -0.000 |
| 250.056 | 250.056 | 607.558 | 0.000 | 0.000 | -0.000 |
| -0.000 | -0.001 | -0.000 | 163.308 | 0.000 | -0.000 |
| -0.001 | -0.000 | -0.000 | 0.000 | 163.308 | -0.000 |
| -0.001 | 0.000 | -0.000 | 0.000 | -0.000 | 188.275 |
| 651.746 | 275.195 | 250.055 | -0.000 | -0.000 | 0.000 |
| 283.109 | 643.831 | 250.055 | -0.000 | 0.000 | 0.000 |
| 250.055 | 250.055 | 607.560 | 0.000 | 0.000 | 0.000 |
| 0.000 | 0.001 | 0.000 | 163.308 | 0.000 | 0.000 |
| 0.001 | 0.000 | 0.000 | -0.000 | 163.308 | 0.000 |
| 0.001 | -0.000 | 0.000 | -0.000 | 0.000 | 188.275 |
| 640.243 | 281.221 | 252.702 | -0.000 | -0.000 | 0.000 |
| 281.221 | 640.243 | 252.702 | -0.000 | -0.000 | 0.000 |
| 252.702 | 252.702 | 553.177 | -0.000 | -0.000 | 0.000 |
| 0.000 | -0.000 | -0.000 | 170.037 | -0.000 | 0.000 |
| -0.000 | 0.000 | -0.000 | -0.000 | 170.037 | 0.000 |
| -0.000 | 0.000 | -0.000 | -0.000 | 0.000 | 179.511 |
| 649.566 | 271.899 | 252.702 | 0.000 | 0.000 | 0.000 |
| 271.899 | 649.566 | 252.702 | 0.000 | 0.000 | 0.000 |
| 252.702 | 252.702 | 553.177 | 0.000 | 0.000 | -0.000 |
| -0.000 | 0.000 | 0.000 | 170.037 | -0.000 | -0.000 |
| 0.000 | -0.000 | 0.000 | 0.000 | 170.037 | -0.000 |
| 0.000 | -0.000 | 0.000 | 0.000 | -0.000 | 179.511 |
| 640.243 | 281.221 | 252.702 | -0.000 | -0.000 | 0.000 |
| 281.221 | 640.243 | 252.702 | 0.000 | -0.000 | 0.000 |
| 252.702 | 252.702 | 553.177 | -0.000 | -0.000 | 0.000 |
| -0.000 | -0.000 | -0.000 | 170.037 | -0.000 | 0.000 |
| -0.000 | -0.000 | -0.000 | -0.000 | 170.037 | 0.000 |
| -0.000 | 0.000 | -0.000 | -0.000 | 0.000 | 188.833 |
| 640.243 | 281.221 | 252.702 | 0.000 | 0.000 | -0.000 |
| 281.221 | 640.243 | 252.702 | 0.000 | 0.000 | -0.000 |
| 252.702 | 252.702 | 553.177 | 0.000 | 0.000 | -0.000 |
| 0.000 | 0.000 | 0.000 | 170.037 | 0.000 | -0.000 |
| 0.000 | 0.000 | 0.000 | 0.000 | 170.037 | 0.000 |
| 0.000 | -0.000 | 0.000 | -0.000 | -0.000 | 188.833 |
| 640.243 | 281.221 | 252.703 | -0.000 | 0.000 | 0.000 |
| 281.222 | 640.243 | 252.703 | -0.000 | -0.000 | 0.000 |
| 252.703 | 252.703 | 553.176 | -0.000 | -0.000 | -0.000 |
| -0.000 | -0.001 | -0.001 | 170.037 | 0.000 | 0.000 |
| -0.001 | -0.000 | -0.001 | -0.000 | 170.037 | 0.000 |
| -0.001 | 0.000 | -0.000 | -0.000 | 0.000 | 188.833 |
| 640.243 | 281.220 | 252.702 | 0.000 | 0.000 | -0.000 |
| 271.897 | 649.566 | 252.702 | 0.000 | -0.000 | -0.000 |
| 252.702 | 252.702 | 553.179 | 0.000 | -0.000 | -0.000 |
| 0.000 | 0.001 | 0.001 | 170.037 | 0.000 | -0.000 |
| 0.001 | 0.000 | 0.001 | 0.000 | 170.037 | -0.000 |
| 0.001 | -0.000 | 0.000 | 0.000 | -0.000 | 188.833 |
| 142.169 | 97.655 | 97.655 | 0.000 | 0.000 | 0.000 |
| 97.655 | 142.169 | 97.655 | 0.000 | 0.000 | 0.000 |
| 97.655 | 97.655 | 142.169 | 0.000 | 0.000 | 0.000 |
| 0.000 | -0.000 | 0.000 | 86.487 | -0.000 | -0.000 |
| -0.000 | 0.000 | 0.000 | -0.000 | 86.487 | -0.000 |
| -0.000 | 0.000 | 0.000 | -0.000 | -0.000 | 86.487 |
| 142.169 | 97.655 | 97.655 | -0.000 | -0.000 | -0.000 |
| 97.655 | 142.169 | 97.655 | -0.000 | -0.000 | -0.000 |
| 97.655 | 97.655 | 142.169 | -0.000 | -0.000 | -0.000 |
| -0.000 | 0.000 | -0.000 | 86.487 | 0.000 | 0.000 |
| 0.000 | -0.000 | -0.000 | 0.000 | 86.487 | 0.000 |
| 0.000 | -0.000 | -0.000 | 0.000 | 0.000 | 86.487 |
| 142.169 | 97.655 | 97.655 | -0.000 | 0.000 | 0.000 |
| 97.655 | 142.169 | 97.655 | 0.000 | -0.000 | 0.000 |
| 97.655 | 97.655 | 142.169 | 0.000 | 0.000 | -0.000 |
| -0.000 | -0.000 | -0.000 | 68.501 | 0.000 | 0.000 |
| -0.000 | -0.000 | -0.000 | 0.000 | 68.501 | 0.000 |
| -0.000 | -0.000 | -0.000 | 0.000 | 0.000 | 68.501 |
| 142.170 | 97.655 | 97.655 | -0.000 | -0.000 | -0.000 |
| 97.655 | 142.170 | 97.655 | -0.000 | -0.000 | -0.000 |
| 97.655 | 97.655 | 142.170 | -0.000 | -0.000 | -0.000 |
| 0.000 | 0.000 | 0.000 | 68.501 | -0.000 | -0.000 |
| 0.000 | 0.000 | 0.000 | -0.000 | 68.501 | -0.000 |
| 0.000 | 0.000 | 0.000 | -0.000 | -0.000 | 68.501 |
| 142.168 | 97.655 | 97.655 | 0.000 | 0.000 | 0.000 |
| 97.655 | 142.168 | 97.655 | 0.000 | 0.000 | 0.000 |
| 97.655 | 97.655 | 142.168 | 0.000 | 0.000 | 0.000 |
| -0.000 | -0.000 | -0.000 | 68.501 | 0.000 | 0.000 |
| -0.000 | -0.000 | -0.000 | 0.000 | 68.501 | 0.000 |
| -0.000 | -0.000 | -0.000 | 0.000 | 0.000 | 68.501 |
| 142.171 | 97.655 | 97.655 | -0.000 | -0.000 | -0.000 |
| 97.655 | 142.171 | 97.655 | -0.000 | -0.000 | -0.000 |
| 97.655 | 97.655 | 142.171 | -0.000 | -0.000 | -0.000 |
| 0.000 | 0.000 | 0.000 | 68.501 | -0.000 | -0.000 |
| 0.000 | 0.000 | 0.000 | -0.000 | 68.501 | -0.000 |
| 0.000 | 0.000 | 0.000 | -0.000 | -0.000 | 68.501 |
| 1009.176 | 325.443 | 354.465 | -0.000 | -0.000 | -0.000 |
| 325.443 | 1009.176 | 354.465 | -0.000 | -0.000 | -0.000 |
| 354.465 | 354.465 | 793.330 | -0.000 | -0.000 | -0.000 |
| -0.000 | 0.000 | 0.000 | -28.914 | 0.000 | 0.000 |
| 0.000 | -0.000 | 0.000 | -0.000 | -28.914 | -0.000 |
| 0.000 | 0.000 | -0.000 | -0.000 | -0.000 | -6.574 |
| 146.491 | 1188.127 | 354.465 | 0.000 | -0.000 | 0.000 |
| 1188.127 | 146.491 | 354.465 | 0.000 | -0.000 | 0.000 |
| 354.465 | 354.465 | 793.330 | 0.000 | -0.000 | -0.000 |
| 0.000 | -0.000 | -0.000 | -28.914 | 0.000 | 0.000 |
| -0.000 | 0.000 | -0.000 | 0.000 | -28.914 | 0.000 |
| -0.000 | -0.000 | 0.000 | 0.000 | 0.000 | -6.574 |
| 146.493 | 1188.127 | 354.468 | -0.000 | -0.000 | -0.000 |
| 1188.127 | 146.493 | 354.468 | 0.000 | 0.000 | -0.000 |
| 354.466 | 354.466 | 793.331 | 0.000 | 0.000 | -0.000 |
| -0.000 | 0.000 | 0.000 | 29.631 | -0.000 | 0.000 |
| 0.000 | -0.000 | 0.000 | 0.000 | -28.914 | -0.000 |
| 0.000 | -0.000 | -0.000 | -0.000 | -0.000 | -6.574 |
| 146.489 | 1188.127 | 354.463 | 0.000 | 0.000 | 0.000 |
| 1188.127 | 146.489 | 354.463 | -0.000 | -0.000 | -0.000 |
| 354.465 | 354.465 | 793.329 | 0.000 | 0.000 | 0.000 |
| 0.000 | -0.000 | -0.000 | 29.631 | -0.000 | 0.000 |
| -0.000 | 0.000 | -0.000 | -0.000 | -28.914 | 0.000 |
| -0.000 | 0.000 | 0.000 | 0.000 | -0.000 | -6.574 |
| 146.511 | 1188.129 | 354.492 | -0.000 | 0.000 | -0.000 |
| 1188.129 | 146.511 | 354.492 | -0.000 | 0.000 | -0.000 |
| 354.470 | 354.470 | 793.341 | 0.000 | 0.000 | 0.000 |
| -0.000 | 0.002 | 0.001 | -28.914 | -0.000 | -0.000 |
| 0.002 | -0.000 | 0.001 | -0.000 | -28.914 | 0.000 |
| -0.000 | 0.000 | -0.000 | 0.000 | 0.000 | -6.574 |
| 146.471 | 1188.125 | 354.438 | 0.000 | 0.000 | 0.000 |
| 1188.125 | 146.471 | 354.438 | 0.000 | -0.000 | -0.000 |
| 354.460 | 354.460 | 793.319 | 0.000 | 0.000 | -0.000 |
| 0.000 | -0.002 | -0.001 | -28.914 | 0.000 | -0.000 |
| -0.002 | 0.000 | -0.001 | 0.000 | -28.914 | 0.000 |
| 0.000 | -0.000 | 0.000 | -0.000 | -0.000 | -6.574 |
| 386.674 | -24.768 | 90.062 | 0.000 | 0.000 | -0.000 |
| -24.768 | 386.674 | 90.062 | -0.000 | -0.000 | -0.000 |
| 90.062 | 90.062 | 300.730 | 0.000 | 0.000 | -0.000 |
| -0.000 | -0.000 | -0.000 | 11.280 | -0.000 | -0.000 |
| 0.000 | -0.000 | -0.000 | 0.000 | 11.280 | 0.000 |
| -0.000 | -0.000 | -0.000 | 0.000 | 0.000 | -123.814 |
| 386.674 | -24.768 | 90.062 | -0.000 | -0.000 | 0.000 |
| -24.768 | 386.674 | 90.062 | -0.000 | -0.000 | 0.000 |
| 90.062 | 90.062 | 300.730 | -0.000 | -0.000 | 0.000 |
| 0.000 | 0.000 | 0.000 | 11.280 | -0.000 | 0.000 |
| -0.000 | 0.000 | 0.000 | -0.000 | 11.280 | 0.000 |
| 0.000 | 0.000 | 0.000 | -0.000 | -0.000 | -123.814 |
| 406.489 | -44.583 | 90.062 | 0.000 | 0.000 | -0.000 |
| -44.583 | 406.489 | 90.062 | 0.000 | 0.000 | -0.000 |
| 90.062 | 90.062 | 300.729 | 0.000 | 0.000 | -0.000 |
| -0.000 | 0.000 | -0.000 | 5.144 | -0.000 | -0.000 |
| 0.000 | -0.000 | -0.000 | 0.000 | 5.144 | -0.000 |
| -0.000 | -0.000 | -0.000 | 0.000 | -0.000 | -123.814 |
| 386.674 | -24.768 | 90.062 | -0.000 | 0.000 | 0.000 |
| -24.768 | 386.674 | 90.062 | -0.000 | -0.000 | -0.000 |
| 90.062 | 90.062 | 300.731 | -0.000 | 0.000 | -0.000 |
| 0.000 | -0.000 | 0.000 | 5.144 | -0.000 | 0.000 |
| -0.000 | 0.000 | 0.000 | -0.000 | 5.144 | 0.000 |
| 0.000 | 0.000 | 0.000 | -0.000 | 0.000 | -123.814 |
| 386.676 | -24.768 | 90.063 | 0.000 | 0.000 | -0.000 |
| -24.768 | 386.676 | 90.063 | 0.000 | 0.000 | -0.000 |
| 90.062 | 90.062 | 300.723 | 0.000 | 0.000 | -0.000 |
| -0.000 | 0.000 | -0.001 | 5.144 | -0.000 | -0.000 |
| 0.000 | -0.000 | -0.001 | 0.000 | 5.144 | -0.000 |
| -0.000 | -0.000 | -0.000 | 0.000 | 0.000 | -123.814 |
| 406.487 | -44.583 | 90.061 | -0.000 | 0.000 | 0.000 |
| -44.583 | 406.487 | 90.061 | -0.000 | 0.000 | 0.000 |
| 90.063 | 90.063 | 300.736 | -0.000 | -0.000 | 0.000 |
| 0.000 | -0.000 | 0.001 | 5.144 | -0.000 | -0.000 |
| -0.000 | 0.000 | 0.001 | -0.000 | 5.144 | 0.000 |
| 0.000 | 0.000 | 0.000 | -0.000 | -0.000 | -123.814 |
| 386.585 | -228.581 | 36.732 | 0.000 | -0.000 | -0.000 |
| -228.581 | 386.585 | 36.732 | 0.000 | 0.000 | 0.000 |
| 36.732 | 36.732 | 741.058 | 0.000 | 0.000 | 0.000 |
| 0.000 | 0.000 | -0.000 | 204.442 | -0.000 | -0.000 |
| 0.000 | 0.000 | -0.000 | 0.000 | 204.442 | -0.000 |
| 0.000 | 0.000 | 0.000 | 0.000 | 0.000 | -58.147 |
| 386.585 | -228.581 | 36.732 | -0.000 | -0.000 | 0.000 |
| -228.581 | 386.585 | 36.732 | -0.000 | -0.000 | 0.000 |
| 36.732 | 36.732 | 741.058 | 0.000 | 0.000 | -0.000 |
| -0.000 | -0.000 | 0.000 | 204.442 | -0.000 | -0.000 |
| -0.000 | -0.000 | 0.000 | 0.000 | 204.442 | -0.000 |
| -0.000 | -0.000 | -0.000 | -0.000 | -0.000 | -58.147 |
| 386.586 | -228.581 | 36.732 | 0.000 | 0.000 | -0.000 |
| -228.581 | 386.586 | 36.732 | 0.000 | -0.000 | -0.000 |
| 36.732 | 36.732 | 741.058 | -0.000 | -0.000 | 0.000 |
| 0.000 | 0.000 | -0.000 | 204.442 | -0.000 | -0.000 |
| 0.000 | 0.000 | -0.000 | -0.000 | 204.442 | -0.000 |
| 0.000 | 0.000 | 0.000 | 0.000 | -0.000 | -58.147 |
| 386.585 | -228.582 | 36.732 | -0.000 | -0.000 | 0.000 |
| -228.582 | 386.585 | 36.732 | -0.000 | -0.000 | -0.000 |
| 36.732 | 36.732 | 741.058 | -0.000 | -0.000 | 0.000 |
| -0.000 | -0.000 | 0.000 | 204.442 | 0.000 | -0.000 |
| -0.000 | -0.000 | 0.000 | -0.000 | 204.442 | -0.000 |
| -0.000 | -0.000 | -0.000 | 0.000 | 0.000 | -58.147 |
| 386.594 | -228.578 | 36.735 | -0.000 | -0.000 | 0.000 |
| -228.578 | 386.594 | 36.735 | 0.000 | -0.000 | -0.000 |
| 36.734 | 36.734 | 741.058 | 0.000 | -0.000 | 0.000 |
| 0.000 | 0.000 | -0.000 | 204.442 | -0.000 | -0.000 |
| 0.000 | 0.000 | -0.000 | -0.000 | 204.442 | -0.000 |
| 0.002 | 0.001 | 0.000 | 0.000 | 0.000 | -58.147 |
| 386.577 | -228.585 | 36.729 | -0.000 | 0.000 | 0.000 |
| -228.585 | 386.577 | 36.729 | 0.000 | -0.000 | 0.000 |
| 36.730 | 36.730 | 741.057 | -0.000 | -0.000 | 0.000 |
| -0.000 | -0.000 | 0.000 | 204.442 | -0.000 | -0.000 |
| -0.000 | -0.000 | 0.000 | -0.000 | 204.442 | -0.000 |
| -0.002 | -0.001 | -0.000 | 0.000 | -0.000 | -58.147 |
| 635.747 | 278.692 | 278.692 | 0.000 | 0.000 | -0.000 |
| 278.692 | 635.747 | 278.692 | 0.000 | -0.000 | -0.000 |
| 278.692 | 278.692 | 635.747 | 0.000 | 0.000 | -0.000 |
| 0.000 | 0.000 | 0.000 | -105.372 | -0.000 | 0.000 |
| 0.000 | 0.000 | 0.000 | 0.000 | -105.372 | -0.000 |
| 0.000 | 0.000 | 0.000 | 0.000 | 0.000 | -105.372 |
| 635.747 | 278.692 | 278.692 | -0.000 | 0.000 | 0.000 |
| 278.692 | 635.747 | 278.692 | -0.000 | 0.000 | 0.000 |
| 278.692 | 278.692 | 635.747 | -0.000 | -0.000 | 0.000 |
| -0.000 | -0.000 | 0.000 | -105.372 | -0.000 | 0.000 |
| -0.000 | -0.000 | -0.000 | -0.000 | -105.372 | 0.000 |
| -0.000 | 0.000 | -0.000 | -0.000 | -0.000 | -105.372 |
| 635.748 | 278.693 | 278.693 | -0.000 | 0.000 | -0.000 |
| 278.693 | 635.748 | 278.693 | 0.000 | -0.000 | -0.000 |
| 278.693 | 278.693 | 635.748 | 0.000 | -0.000 | -0.000 |
| 0.000 | 0.000 | 0.000 | -105.372 | -0.000 | -0.000 |
| 0.000 | 0.000 | 0.000 | 0.000 | -105.372 | -0.000 |
| 0.000 | 0.000 | 0.000 | 0.000 | -0.000 | -105.372 |
| 635.746 | 278.692 | 278.692 | -0.000 | 0.000 | 0.000 |
| 278.692 | 635.746 | 278.692 | -0.000 | 0.000 | 0.000 |
| 278.692 | 278.692 | 635.746 | -0.000 | 0.000 | 0.000 |
| -0.000 | -0.000 | -0.000 | -105.372 | 0.000 | -0.000 |
| -0.000 | -0.000 | -0.000 | -0.000 | -105.372 | 0.000 |
| -0.000 | -0.000 | -0.000 | -0.000 | 0.000 | -105.372 |
| 635.756 | 278.696 | 278.696 | 0.000 | -0.000 | -0.000 |
| 278.696 | 635.756 | 278.696 | -0.000 | -0.000 | -0.000 |
| 278.696 | 278.696 | 635.756 | 0.000 | -0.000 | -0.000 |
| 0.000 | 0.001 | 0.001 | -105.372 | -0.000 | -0.000 |
| 0.001 | 0.000 | 0.001 | 0.000 | -105.372 | -0.000 |
| 0.001 | 0.001 | 0.000 | -0.000 | -0.000 | -105.372 |
| 635.738 | 278.689 | 278.689 | -0.000 | 0.000 | 0.000 |
| 278.689 | 635.738 | 278.689 | 0.000 | 0.000 | 0.000 |
| 278.689 | 278.689 | 635.738 | 0.000 | 0.000 | 0.000 |
| -0.000 | -0.001 | -0.001 | -105.372 | 0.000 | -0.000 |
| -0.001 | -0.000 | -0.001 | -0.000 | -105.372 | 0.000 |
| -0.001 | -0.001 | -0.000 | 0.000 | 0.000 | -105.372 |
| 587.459 | 93.532 | 93.532 | -0.000 | 0.000 | 0.000 |
| 93.532 | 587.459 | 93.532 | -0.000 | 0.000 | 0.000 |
| 93.532 | 93.532 | 587.459 | -0.000 | -0.000 | 0.000 |
| -0.000 | 0.000 | -0.000 | -28.261 | -0.000 | 0.000 |
| 0.000 | -0.000 | -0.000 | -0.000 | -28.261 | 0.000 |
| 0.000 | -0.000 | -0.000 | -0.000 | -0.000 | -28.261 |
| 587.459 | 93.532 | 93.532 | 0.000 | 0.000 | -0.000 |
| 93.532 | 587.459 | 93.532 | -0.000 | 0.000 | -0.000 |
| 93.532 | 93.532 | 587.459 | -0.000 | -0.000 | -0.000 |
| 0.000 | -0.000 | 0.000 | -28.261 | -0.000 | 0.000 |
| 0.000 | 0.000 | 0.000 | 0.000 | -28.261 | -0.000 |
| -0.000 | 0.000 | 0.000 | 0.000 | 0.000 | -28.261 |
| 587.459 | 93.532 | 93.532 | -0.000 | -0.000 | 0.000 |
| 93.532 | 587.459 | 93.532 | -0.000 | -0.000 | 0.000 |
| 93.532 | 93.532 | 587.459 | -0.000 | 0.000 | 0.000 |
| -0.000 | 0.000 | -0.000 | -28.261 | -0.000 | -0.000 |
| 0.000 | -0.000 | -0.000 | -0.000 | -28.261 | 0.000 |
| 0.000 | -0.000 | -0.000 | -0.000 | 0.000 | -28.261 |
| 587.458 | 93.532 | 93.532 | -0.000 | -0.000 | -0.000 |
| 93.532 | 587.458 | 93.532 | -0.000 | -0.000 | -0.000 |
| 93.532 | 93.532 | 587.458 | 0.000 | -0.000 | -0.000 |
| 0.000 | -0.000 | 0.000 | -28.261 | 0.000 | -0.000 |
| -0.000 | 0.000 | 0.000 | 0.000 | -28.261 | -0.000 |
| -0.000 | 0.000 | 0.000 | 0.000 | 0.000 | -28.261 |
| 587.462 | 93.533 | 93.533 | -0.000 | 0.000 | 0.000 |
| 93.533 | 587.462 | 93.533 | 0.000 | -0.000 | 0.000 |
| 93.533 | 93.533 | 587.462 | -0.000 | -0.000 | 0.000 |
| -0.000 | 0.000 | -0.000 | -28.261 | -0.000 | 0.000 |
| 0.000 | -0.000 | -0.000 | -0.000 | -28.261 | 0.000 |
| 0.000 | -0.000 | -0.000 | -0.000 | -0.000 | -28.261 |
| 587.455 | 93.532 | 93.532 | 0.000 | 0.000 | -0.000 |
| 93.532 | 587.455 | 93.532 | -0.000 | 0.000 | 0.000 |
| 93.532 | 93.532 | 587.455 | 0.000 | -0.000 | -0.000 |
| 0.000 | -0.000 | 0.000 | -28.261 | 0.000 | 0.000 |
| -0.000 | 0.000 | 0.000 | 0.000 | -28.261 | -0.000 |
| -0.000 | 0.000 | 0.000 | 0.000 | 0.000 | -28.261 |
| 229.156 | 70.347 | 70.347 | -0.000 | -0.000 | 0.000 |
| 70.347 | 229.156 | 70.347 | -0.000 | -0.000 | -0.000 |
| 70.347 | 70.347 | 229.156 | 0.000 | 0.000 | 0.000 |
| 0.000 | -0.000 | -0.000 | 54.466 | -0.000 | -0.000 |
| -0.000 | -0.000 | -0.000 | 0.000 | 54.466 | 0.000 |
| -0.000 | -0.000 | 0.000 | 0.000 | -0.000 | 54.466 |
| 229.156 | 70.347 | 70.347 | 0.000 | 0.000 | -0.000 |
| 70.347 | 229.156 | 70.347 | 0.000 | -0.000 | -0.000 |
| 70.347 | 70.347 | 229.156 | 0.000 | 0.000 | -0.000 |
| 0.000 | 0.000 | 0.000 | 54.466 | 0.000 | -0.000 |
| 0.000 | 0.000 | 0.000 | 0.000 | 54.466 | -0.000 |
| 0.000 | 0.000 | -0.000 | -0.000 | -0.000 | 54.466 |
| 229.156 | 70.347 | 70.347 | -0.000 | 0.000 | 0.000 |
| 70.347 | 229.156 | 70.347 | -0.000 | -0.000 | -0.000 |
| 70.347 | 70.347 | 229.156 | 0.000 | 0.000 | 0.000 |
| -0.000 | -0.000 | -0.000 | 54.466 | -0.000 | -0.000 |
| -0.000 | -0.000 | -0.000 | -0.000 | 54.466 | 0.000 |
| -0.000 | -0.000 | -0.000 | 0.000 | 0.000 | 54.466 |
| 229.156 | 70.347 | 70.347 | 0.000 | -0.000 | -0.000 |
| 70.347 | 229.156 | 70.347 | 0.000 | 0.000 | -0.000 |
| 70.347 | 70.347 | 229.156 | -0.000 | -0.000 | -0.000 |
| 0.000 | 0.000 | 0.000 | 54.466 | 0.000 | -0.000 |
| 0.000 | 0.000 | 0.000 | 0.000 | 54.466 | -0.000 |
| 0.000 | 0.000 | 0.000 | -0.000 | -0.000 | 54.466 |
| 229.158 | 70.347 | 70.347 | 0.000 | 0.000 | 0.000 |
| 70.347 | 229.158 | 70.347 | 0.000 | 0.000 | 0.000 |
| 70.347 | 70.347 | 229.158 | -0.000 | -0.000 | 0.000 |
| -0.000 | -0.000 | -0.000 | 54.466 | -0.000 | -0.000 |
| -0.000 | -0.000 | -0.000 | -0.000 | 54.466 | 0.000 |
| -0.000 | -0.000 | -0.000 | -0.000 | 0.000 | 54.466 |
| 229.154 | 70.347 | 70.347 | -0.000 | -0.000 | -0.000 |
| 70.347 | 229.154 | 70.347 | -0.000 | -0.000 | -0.000 |
| 70.347 | 70.347 | 229.154 | 0.000 | 0.000 | -0.000 |
| 0.000 | 0.000 | 0.000 | 54.466 | -0.000 | -0.000 |
| 0.000 | 0.000 | 0.000 | -0.000 | 54.466 | 0.000 |
| 0.000 | 0.000 | 0.000 | -0.000 | -0.000 | 54.466 |
| 1649.809 | 1532.553 | -931.975 | 0.000 | 0.000 | 0.000 |
| 1532.553 | 1649.809 | -931.975 | 0.000 | 0.000 | -0.000 |
| 1515.980 | 1515.980 | -546.413 | -0.000 | 0.000 | -0.000 |
| 1328.586 | 1328.586 | -1119.995 | 63.277 | 0.000 | -0.000 |
| 1328.586 | 1328.586 | -1119.995 | 0.000 | 63.277 | -0.000 |
| 875.160 | 875.160 | -1447.401 | -0.000 | 0.000 | 48.003 |
| -635.310 | -747.482 | 2334.937 | 0.000 | -0.000 | -0.000 |
| -747.482 | -635.310 | 2334.937 | 0.000 | -0.000 | 0.000 |
| -72.685 | -72.685 | 1261.582 | 0.000 | -0.000 | 0.000 |
| -1328.586 | -1328.586 | 1119.995 | 63.277 | -0.000 | 0.000 |
| -1328.586 | -1328.586 | 1119.995 | 0.000 | 63.277 | 0.000 |
| -1328.591 | -1328.591 | 1119.995 | 0.000 | -0.000 | 50.102 |
| 356.583 | 221.390 | 119.539 | -0.000 | 0.000 | -0.000 |
| 221.390 | 356.583 | 119.539 | 0.000 | 0.000 | -0.000 |
| 320.269 | 320.269 | 461.568 | 0.000 | 0.000 | -0.000 |
| 26.069 | 26.069 | -68.738 | 67.759 | 0.000 | -0.000 |
| 26.069 | 26.069 | -68.738 | -0.000 | 67.759 | -0.000 |
| -0.000 | -0.000 | 0.000 | -0.000 | 0.000 | 73.108 |
| 304.083 | 169.394 | 256.977 | -0.000 | -0.000 | 0.000 |
| 169.394 | 304.083 | 256.977 | 0.000 | -0.000 | 0.000 |
| 161.911 | 161.911 | 643.011 | 0.000 | -0.000 | 0.000 |
| -26.069 | -26.069 | 68.738 | 67.759 | -0.000 | 0.000 |
| -26.069 | -26.069 | 68.738 | 0.000 | 67.759 | 0.000 |
| -132.820 | -132.820 | 111.972 | -0.000 | -0.000 | 50.108 |
| 333.737 | 217.900 | 176.817 | -0.000 | 0.000 | -0.000 |
| 217.900 | 333.737 | 176.817 | -0.000 | 0.000 | -0.000 |
| 196.846 | 196.846 | 553.266 | -0.000 | 0.000 | -0.000 |
| 2.644 | 2.644 | -6.970 | 67.711 | 0.000 | -0.000 |
| 2.644 | 2.644 | -6.970 | -0.000 | 67.711 | -0.000 |
| -0.000 | -0.000 | 0.000 | -0.000 | 0.000 | 73.108 |
| 301.894 | 200.939 | 201.947 | -0.000 | -0.000 | -0.000 |
| 200.939 | 301.894 | 201.947 | 0.000 | -0.000 | 0.000 |
| 188.922 | 188.922 | 579.177 | 0.000 | -0.000 | 0.000 |
| -2.644 | -2.644 | 6.970 | 67.711 | -0.000 | 0.000 |
| -2.644 | -2.644 | 6.970 | -0.000 | 67.711 | 0.000 |
| 0.000 | 0.000 | -0.000 | -0.000 | -0.000 | 73.108 |
| 475.931 | 225.338 | 225.338 | 0.000 | 0.000 | 0.000 |
| 225.338 | 475.931 | 225.338 | 0.000 | 0.000 | 0.000 |
| 225.338 | 225.338 | 475.931 | 0.000 | 0.000 | 0.000 |
| 0.000 | 0.000 | 0.000 | 105.078 | -0.000 | 0.000 |
| 0.000 | 0.000 | 0.000 | -0.000 | 105.078 | 0.000 |
| 0.000 | 0.000 | 0.000 | 0.000 | 0.000 | 105.078 |
| 490.960 | 225.648 | 225.648 | 0.000 | 0.000 | -0.000 |
| 225.648 | 490.960 | 225.648 | 0.000 | 0.000 | -0.000 |
| 225.648 | 225.648 | 490.960 | -0.000 | 0.000 | -0.000 |
| -0.000 | -0.000 | -0.000 | 105.078 | 0.000 | -0.000 |
| -0.000 | -0.000 | -0.000 | -0.000 | 105.078 | -0.000 |
| -0.000 | -0.000 | -0.000 | 0.000 | 0.000 | 105.078 |
| 490.961 | 225.648 | 225.648 | -0.000 | 0.000 | 0.000 |
| 225.648 | 490.961 | 225.648 | 0.000 | 0.000 | 0.000 |
| 225.648 | 225.648 | 490.961 | -0.000 | -0.000 | -0.000 |
| 0.005 | 0.005 | 0.005 | 94.967 | 0.000 | 0.000 |
| 0.005 | 0.005 | 0.005 | -0.000 | 94.967 | 0.000 |
| 0.005 | 0.005 | 0.005 | -0.000 | 0.000 | 94.967 |
| 477.025 | 225.899 | 225.899 | 0.000 | 0.000 | -0.000 |
| 225.899 | 477.025 | 225.899 | -0.000 | -0.000 | -0.000 |
| 225.899 | 225.899 | 477.025 | -0.000 | -0.000 | -0.000 |
| -0.005 | -0.005 | -0.005 | 94.967 | -0.000 | -0.000 |
| -0.005 | -0.005 | -0.005 | -0.000 | 94.967 | -0.000 |
| -0.005 | -0.005 | -0.005 | -0.000 | -0.000 | 94.967 |
| 490.964 | 225.649 | 225.649 | 0.000 | 0.000 | 0.000 |
| 225.649 | 490.964 | 225.649 | 0.000 | 0.000 | 0.000 |
| 225.649 | 225.649 | 490.964 | 0.000 | 0.000 | 0.000 |
| 0.000 | 0.000 | 0.001 | 105.078 | -0.000 | -0.000 |
| 0.000 | 0.000 | 0.001 | -0.000 | 105.078 | 0.000 |
| 0.000 | 0.001 | 0.000 | -0.000 | -0.000 | 105.078 |
| 475.398 | 224.908 | 224.908 | -0.000 | -0.000 | -0.000 |
| 224.908 | 475.398 | 224.908 | 0.000 | -0.000 | -0.000 |
| 224.908 | 224.908 | 475.398 | -0.000 | -0.000 | -0.000 |
| -0.000 | -0.000 | -0.001 | 105.078 | -0.000 | -0.000 |
| -0.000 | -0.000 | -0.001 | 0.000 | 105.078 | -0.000 |
| -0.000 | -0.001 | -0.000 | -0.000 | -0.000 | 105.078 |
| 534.339 | 262.593 | 262.593 | -0.000 | 0.000 | -0.000 |
| 262.593 | 534.339 | 262.593 | -0.000 | 0.000 | -0.000 |
| 262.593 | 262.593 | 534.339 | -0.000 | 0.000 | -0.000 |
| -0.000 | -0.000 | 0.000 | 153.995 | 0.000 | -0.000 |
| -0.000 | -0.000 | -0.000 | -0.000 | 153.995 | -0.000 |
| -0.000 | -0.000 | 0.000 | -0.000 | 0.000 | 153.995 |
| 512.220 | 262.518 | 262.518 | -0.000 | 0.000 | -0.000 |
| 262.518 | 512.220 | 262.518 | -0.000 | 0.000 | -0.000 |
| 262.518 | 262.518 | 512.220 | -0.000 | 0.000 | -0.000 |
| 0.000 | 0.000 | 0.000 | 153.995 | -0.000 | 0.000 |
| 0.000 | -0.000 | -0.000 | 0.000 | 153.995 | 0.000 |
| 0.000 | -0.000 | -0.000 | 0.000 | -0.000 | 153.995 |
| 515.782 | 262.967 | 262.967 | -0.000 | -0.000 | 0.000 |
| 262.967 | 515.782 | 262.967 | 0.000 | -0.000 | 0.000 |
| 262.967 | 262.967 | 515.782 | -0.000 | -0.000 | 0.000 |
| -0.000 | -0.000 | -0.000 | 153.995 | 0.000 | -0.000 |
| 0.001 | 0.001 | 0.001 | 0.000 | 128.788 | 0.000 |
| 0.001 | 0.001 | 0.001 | 0.000 | -0.000 | 128.788 |
| 534.339 | 262.593 | 262.593 | 0.000 | -0.000 | 0.000 |
| 262.593 | 534.339 | 262.593 | -0.000 | -0.000 | 0.000 |
| 262.593 | 262.593 | 534.339 | 0.000 | -0.000 | 0.000 |
| 0.000 | 0.000 | 0.000 | 153.995 | -0.000 | 0.000 |
| -0.001 | -0.001 | -0.001 | -0.000 | 128.788 | -0.000 |
| 0.000 | 0.000 | 0.000 | -0.000 | 0.000 | 119.823 |
| 511.470 | 260.072 | 260.072 | -0.000 | -0.000 | 0.000 |
| 260.072 | 511.470 | 260.072 | 0.000 | -0.000 | 0.000 |
| 260.072 | 260.072 | 511.470 | 0.000 | -0.000 | 0.000 |
| -0.000 | -0.001 | -0.000 | 120.426 | -0.000 | 0.000 |
| -0.001 | -0.000 | -0.000 | 0.000 | 120.426 | 0.000 |
| -0.001 | -0.000 | -0.000 | 0.000 | -0.000 | 120.426 |
| 512.217 | 262.516 | 262.516 | -0.000 | 0.000 | -0.000 |
| 262.516 | 512.217 | 262.516 | -0.000 | 0.000 | -0.000 |
| 262.516 | 262.516 | 512.217 | -0.000 | 0.000 | -0.000 |
| 0.000 | 0.001 | 0.000 | 120.426 | 0.000 | -0.000 |
| 0.001 | 0.000 | 0.000 | -0.000 | 120.426 | -0.000 |
| 0.001 | 0.000 | 0.000 | -0.000 | 0.000 | 120.426 |
| 630.958 | 297.591 | 261.224 | -0.000 | -0.000 | -0.000 |
| 287.662 | 636.063 | 259.885 | -0.000 | -0.000 | -0.000 |
| 259.838 | 268.429 | 575.612 | -0.000 | -0.000 | -0.000 |
| -4.798 | 4.779 | 0.042 | 161.976 | -0.000 | -0.000 |
| -4.800 | 4.781 | 0.042 | -0.000 | 163.201 | -0.000 |
| -4.771 | 4.752 | 0.042 | -0.000 | -0.000 | 171.258 |
| 643.408 | 285.189 | 261.114 | 0.000 | 0.000 | -0.000 |
| 297.261 | 626.501 | 259.801 | 0.000 | 0.000 | 0.000 |
| 269.437 | 258.867 | 575.527 | 0.000 | 0.000 | 0.000 |
| 4.798 | -4.779 | -0.042 | 161.976 | 0.000 | 0.000 |
| 4.800 | -4.781 | -0.042 | 0.000 | 163.201 | 0.000 |
| 4.771 | -4.752 | -0.042 | 0.000 | -0.000 | 171.258 |
| 635.278 | 293.288 | 261.186 | -0.000 | -0.000 | -0.000 |
| 284.840 | 638.873 | 259.910 | -0.000 | -0.000 | -0.000 |
| 264.158 | 264.126 | 575.574 | -0.000 | -0.000 | -0.000 |
| -0.461 | 0.459 | 0.004 | 161.976 | -0.000 | -0.000 |
| -0.000 | -0.000 | -0.000 | -0.000 | 163.201 | 0.000 |
| -0.000 | -0.000 | -0.000 | 0.000 | -0.000 | 178.866 |
| 636.238 | 292.332 | 261.177 | 0.000 | 0.000 | 0.000 |
| 284.840 | 638.874 | 259.910 | 0.000 | 0.000 | 0.000 |
| 264.570 | 263.715 | 575.570 | 0.000 | 0.000 | 0.000 |
| 0.461 | -0.459 | -0.004 | 161.976 | 0.000 | 0.000 |
| 0.000 | 0.000 | 0.000 | 0.000 | 163.201 | 0.000 |
| 0.000 | 0.000 | 0.000 | -0.000 | 0.000 | 178.866 |
| 635.709 | 292.858 | 261.182 | -0.000 | -0.000 | -0.000 |
| 292.414 | 631.328 | 259.843 | -0.000 | -0.000 | -0.000 |
| 264.571 | 263.715 | 575.569 | 0.000 | -0.000 | -0.000 |
| -0.020 | 0.019 | -0.000 | 161.976 | -0.000 | -0.000 |
| -0.049 | 0.048 | -0.000 | -0.000 | 163.201 | -0.000 |
| -0.048 | 0.047 | 0.000 | -0.000 | -0.000 | 171.276 |
| 635.807 | 292.762 | 261.181 | 0.000 | 0.000 | 0.000 |
| 292.509 | 631.236 | 259.842 | 0.000 | 0.000 | 0.000 |
| 264.685 | 263.599 | 575.571 | 0.000 | 0.000 | 0.000 |
| 0.020 | -0.019 | 0.000 | 161.976 | 0.000 | 0.000 |
| 0.049 | -0.048 | 0.000 | 0.000 | 163.201 | 0.000 |
| 0.048 | -0.047 | -0.000 | 0.000 | 0.000 | 171.276 |
| 380.594 | 149.350 | 71.011 | -0.000 | -0.000 | 0.000 |
| 149.350 | 380.594 | 71.011 | -0.000 | -0.000 | -0.000 |
| 71.011 | 71.011 | 754.442 | -0.000 | -0.000 | -0.000 |
| 0.000 | -0.000 | 0.000 | 28.440 | -0.000 | -0.000 |
| -0.000 | 0.000 | 0.000 | 0.000 | 28.440 | -0.000 |
| -1298467860.358 | -1143850286.950 | -1918021609.451 | -20469502.817 | -20417095.858 | -59459114.058 |
| 238.589 | 291.354 | 71.011 | 0.000 | 0.000 | -0.000 |
| 149.350 | 380.594 | 71.011 | 0.000 | 0.000 | 0.000 |
| 71.011 | 71.011 | 754.442 | 0.000 | 0.000 | 0.000 |
| -0.000 | 0.000 | -0.000 | 28.440 | 0.000 | 0.000 |
| 0.000 | -0.000 | -0.000 | 0.000 | 28.440 | 0.000 |
| 1193679810.609 | 1150699967.299 | 1811127355.525 | -7672216.777 | -1379488.122 | -6897761.854 |
| 238.589 | 291.354 | 71.011 | -0.000 | -0.000 | -0.000 |
| 149.350 | 380.594 | 71.011 | -0.000 | -0.000 | -0.000 |
| 71.011 | 71.011 | 754.443 | 0.000 | -0.000 | -0.000 |
| -0.000 | -0.000 | -0.000 | 28.440 | -0.000 | 0.000 |
| -0.000 | -0.000 | -0.000 | -0.000 | 28.440 | -0.000 |
| -123425739.146 | -125154439.270 | -177503030.414 | -749351.716 | 1235723.921 | -4060192.236 |
| 380.594 | 149.350 | 71.011 | 0.000 | 0.000 | 0.000 |
| 149.350 | 380.594 | 71.011 | 0.000 | 0.000 | 0.000 |
| 71.011 | 71.011 | 754.442 | 0.000 | 0.000 | 0.000 |
| 0.000 | 0.000 | 0.000 | 28.440 | 0.000 | -0.000 |
| 0.000 | 0.000 | 0.000 | 0.000 | 28.440 | -0.000 |
| -203893624.019 | -125079232.162 | 19768456.168 | 0.000 | 0.000 | -68255315.267 |
| 8567456.885 | 24330185.240 | -1976856.014 | -0.000 | -0.000 | -0.000 |
| 212.170 | 317.771 | 71.011 | -0.000 | -0.000 | 0.000 |
| 71.012 | 71.012 | 754.449 | -0.000 | 0.000 | -0.000 |
| -0.001 | -0.000 | -0.000 | 28.440 | -0.000 | 0.000 |
| -0.001 | -0.000 | -0.000 | -0.000 | 28.440 | -0.000 |
| 20389325.791 | 12507996.863 | -1976876.856 | -0.000 | -0.000 | -6825490.010 |
| 11642499.248 | 11628925.146 | 12102137.206 | -15400.658 | -30645.352 | -102292.002 |
| -8567122.305 | -24329880.253 | 1976916.627 | 0.000 | 0.000 | -0.000 |
| 71.011 | 71.011 | 754.436 | 0.000 | 0.000 | 0.000 |
| 0.001 | 0.000 | 0.000 | 28.440 | 0.000 | -0.000 |
| 0.001 | 0.000 | 0.000 | 0.000 | 28.440 | 0.000 |
| -20389325.791 | -12507996.863 | 1976876.856 | 0.000 | 0.000 | -6825490.010 |
| 636.735 | 264.510 | 1032.118 | 10.831 | 0.000 | 0.000 |
| 264.510 | 636.735 | 1032.118 | -10.831 | -0.000 | -0.000 |
| 251.271 | 251.271 | 590.602 | -0.000 | -0.000 | -0.000 |
| 10.714 | -10.714 | -0.000 | 165.913 | 0.000 | -0.000 |
| -0.000 | 0.000 | -0.000 | 0.000 | 165.913 | 10.714 |
| -12.022 | -12.022 | 780.782 | 0.000 | 11.085 | 180.889 |
| 655.556 | 293.779 | -529.470 | 11.085 | -0.000 | 0.000 |
| 293.779 | 655.556 | -529.470 | -11.085 | 0.000 | -0.000 |
| 251.271 | 251.271 | 590.602 | -0.000 | 0.000 | -0.000 |
| 10.714 | -10.714 | 0.000 | 165.913 | 0.000 | 0.000 |
| 0.000 | -0.000 | 0.000 | -0.000 | 165.913 | 10.714 |
| 12.022 | 12.022 | -780.782 | -0.000 | 11.085 | 180.889 |
| 642.331 | 280.554 | 329.400 | 11.085 | 0.000 | 0.000 |
| 275.331 | 647.552 | 329.467 | -10.831 | 0.000 | -0.000 |
| 251.271 | 251.271 | 590.602 | 0.000 | 0.000 | -0.000 |
| 9.629 | -12.033 | 78.078 | 165.908 | 0.000 | -0.000 |
| -0.000 | -0.000 | -0.000 | 0.000 | 165.913 | 10.714 |
| -0.000 | 0.000 | -0.000 | -0.000 | 10.714 | 188.517 |
| 651.163 | 274.129 | 251.271 | 10.714 | 0.000 | 0.000 |
| 282.958 | 644.736 | 173.241 | -11.085 | -0.000 | 0.000 |
| 252.523 | 252.523 | 509.319 | -0.000 | -0.000 | 0.000 |
| 10.714 | -10.714 | 0.000 | 165.913 | 0.000 | -0.000 |
| 0.000 | 0.000 | 0.000 | -0.000 | 165.913 | 10.714 |
| 0.000 | -0.000 | 0.000 | 0.000 | 10.714 | 188.517 |
| 648.430 | 276.601 | 259.775 | 10.841 | 0.000 | 0.000 |
| 274.130 | 651.162 | 251.272 | -10.714 | 0.000 | -0.000 |
| 251.272 | 251.272 | 590.601 | 0.000 | -0.000 | -0.000 |
| 10.714 | -10.715 | -0.000 | 165.913 | 0.000 | 0.000 |
| -0.121 | -0.120 | 7.809 | 0.000 | 165.908 | 10.831 |
| -0.001 | 0.000 | -0.000 | -0.000 | 10.714 | 188.517 |
| 651.162 | 274.128 | 251.271 | 10.714 | -0.000 | 0.000 |
| 276.864 | 648.685 | 242.859 | -10.841 | -0.000 | 0.000 |
| 251.440 | 251.440 | 579.591 | 0.000 | 0.000 | 0.000 |
| 10.714 | -10.713 | 0.000 | 165.913 | -0.000 | 0.000 |
| 0.121 | 0.120 | -7.809 | -0.000 | 165.908 | 10.831 |
| 0.001 | -0.000 | 0.000 | 0.000 | 10.714 | 188.517 |
| 353.969 | 193.506 | 192.922 | -0.000 | 0.000 | 0.000 |
| 223.147 | 345.898 | 491.903 | -0.000 | -0.000 | 0.000 |
| -26.785 | -26.785 | 1107.863 | 0.000 | 0.000 | 0.000 |
| 0.000 | 0.000 | 0.000 | 71.754 | -0.000 | -0.000 |
| 0.000 | 0.000 | 0.000 | -0.000 | 71.754 | 0.000 |
| -74.877 | -74.877 | 488.617 | 0.000 | 0.000 | 24.282 |
| 485.209 | 467.181 | -340.468 | -0.000 | -0.000 | -0.000 |
| 467.181 | 485.209 | -340.468 | -0.000 | 0.000 | -0.000 |
| 174.543 | 174.543 | 288.052 | 0.000 | -0.000 | -0.000 |
| 0.000 | -0.000 | -0.000 | 71.754 | 0.000 | 0.000 |
| -0.000 | -0.000 | -0.000 | -0.000 | 71.754 | -0.000 |
| 74.877 | 74.877 | -488.617 | -0.000 | -0.000 | 24.282 |
| 292.281 | 222.318 | 241.280 | -0.000 | 0.000 | 0.000 |
| 222.318 | 292.281 | 241.280 | -0.000 | 0.000 | 0.000 |
| 194.705 | 194.705 | 616.526 | -0.000 | 0.000 | 0.000 |
| 1.847 | 1.847 | 29.972 | 67.541 | -0.000 | 0.000 |
| 1.847 | 1.847 | 29.972 | 0.000 | 67.541 | 0.000 |
| 1.835 | 1.835 | 29.777 | -0.000 | 0.000 | 54.584 |
| 327.070 | 202.317 | 163.518 | 0.000 | -0.000 | -0.000 |
| 193.506 | 353.969 | 192.922 | 0.000 | -0.000 | 0.000 |
| 199.412 | 199.412 | 534.062 | 0.000 | -0.000 | -0.000 |
| -1.847 | -1.847 | -29.972 | 67.541 | 0.000 | -0.000 |
| -1.847 | -1.847 | -29.972 | 0.000 | 67.541 | -0.000 |
| -1.835 | -1.835 | -29.777 | -0.000 | 0.000 | 54.584 |
| 353.969 | 193.507 | 192.923 | -0.000 | 0.000 | -0.000 |
| 193.507 | 353.969 | 192.923 | -0.000 | 0.000 | 0.000 |
| 193.822 | 193.822 | 590.479 | -0.000 | 0.000 | -0.000 |
| 0.000 | -0.000 | 0.000 | 71.754 | -0.000 | -0.000 |
| -0.000 | 0.000 | 0.000 | -0.000 | 71.754 | 0.000 |
| -0.765 | -0.765 | 1.668 | -0.000 | 0.000 | 48.971 |
| 315.236 | 218.269 | 188.427 | 0.000 | 0.000 | -0.000 |
| 193.506 | 353.969 | 192.922 | -0.000 | -0.000 | 0.000 |
| 193.017 | 193.017 | 584.331 | -0.000 | 0.000 | -0.000 |
| -0.000 | 0.000 | -0.000 | 71.754 | -0.000 | 0.000 |
| 0.000 | -0.000 | -0.000 | -0.000 | 71.754 | -0.000 |
| 0.765 | 0.765 | -1.668 | -0.000 | -0.000 | 48.971 |
| 318.948 | 203.113 | 187.694 | -0.000 | -0.000 | -0.000 |
| 203.113 | 318.948 | 187.694 | -0.000 | 0.000 | -0.000 |
| 185.949 | 185.949 | 574.218 | -0.000 | -0.000 | -0.000 |
| -4.363 | -4.363 | -1.959 | 61.676 | -0.000 | -0.000 |
| -4.363 | -4.363 | -1.959 | -0.000 | 61.676 | -0.000 |
| 0.000 | -0.000 | 0.000 | -0.000 | -0.000 | 73.302 |
| 335.655 | 199.907 | 193.981 | 0.000 | -0.000 | -0.000 |
| 199.907 | 335.655 | 193.981 | 0.000 | 0.000 | -0.000 |
| 190.790 | 190.790 | 582.660 | 0.000 | -0.000 | 0.000 |
| 4.363 | 4.363 | 1.959 | 61.676 | 0.000 | 0.000 |
| 4.363 | 4.363 | 1.959 | 0.000 | 61.676 | 0.000 |
| 4.660 | 4.660 | 2.163 | 0.000 | -0.000 | 48.673 |
| 350.761 | 189.792 | 190.789 | -0.000 | -0.000 | 0.000 |
| 189.792 | 350.761 | 190.789 | -0.000 | -0.000 | 0.000 |
| 190.233 | 190.233 | 577.589 | -0.000 | 0.000 | 0.000 |
| 0.000 | -0.000 | 0.000 | 71.660 | -0.000 | 0.000 |
| -0.000 | 0.000 | 0.000 | -0.000 | 71.660 | 0.000 |
| -0.150 | -0.150 | -0.168 | -0.000 | -0.000 | 53.927 |
| 350.761 | 189.792 | 190.789 | -0.000 | -0.000 | -0.000 |
| 189.792 | 350.761 | 190.789 | 0.000 | -0.000 | -0.000 |
| 190.770 | 190.770 | 578.068 | 0.000 | 0.000 | 0.000 |
| -0.000 | 0.000 | -0.000 | 71.660 | -0.000 | -0.000 |
| 0.000 | -0.000 | -0.000 | -0.000 | 71.660 | 0.000 |
| 0.150 | 0.150 | 0.168 | 0.000 | 0.000 | 53.927 |
| 316.009 | 209.357 | 190.177 | -0.000 | -0.000 | -0.000 |
| 209.357 | 316.009 | 190.177 | -0.000 | -0.000 | -0.000 |
| 190.791 | 190.791 | 582.662 | -0.000 | -0.000 | -0.000 |
| -0.071 | -0.071 | -0.085 | 64.724 | -0.000 | -0.000 |
| -0.071 | -0.071 | -0.085 | -0.000 | 64.724 | -0.000 |
| -0.042 | -0.042 | -0.050 | 0.000 | -0.000 | 57.507 |
| 350.761 | 189.792 | 190.789 | 0.000 | -0.000 | -0.000 |
| 189.792 | 350.761 | 190.789 | 0.000 | 0.000 | -0.000 |
| 190.789 | 190.789 | 582.658 | 0.000 | 0.000 | -0.000 |
| 0.071 | 0.071 | 0.085 | 64.724 | -0.000 | 0.000 |
| 0.071 | 0.071 | 0.085 | 0.000 | 64.724 | 0.000 |
| 0.042 | 0.042 | 0.050 | 0.000 | -0.000 | 57.507 |
| 675.297 | 306.202 | 211.518 | -0.000 | 0.000 | 0.000 |
| 303.356 | 678.143 | 211.518 | 0.000 | 0.000 | -0.000 |
| 211.518 | 211.518 | 376.818 | -0.000 | -0.000 | 0.000 |
| 0.000 | -0.000 | 0.000 | 74.002 | -0.000 | 0.000 |
| -0.000 | 0.000 | 0.000 | 0.000 | 93.089 | -0.000 |
| -0.000 | 0.000 | 0.000 | 0.000 | 0.000 | 184.547 |
| 675.297 | 306.202 | 211.518 | 0.000 | 0.000 | -0.000 |
| 303.356 | 678.143 | 211.518 | 0.000 | -0.000 | 0.000 |
| 211.518 | 211.518 | 376.818 | 0.000 | -0.000 | -0.000 |
| -0.000 | 0.000 | -0.000 | 74.002 | 0.000 | -0.000 |
| 0.000 | -0.000 | -0.000 | 0.000 | 93.089 | 0.000 |
| 0.000 | 0.000 | -0.000 | 0.000 | 0.000 | 184.547 |
| 675.297 | 306.202 | 211.518 | -0.000 | 0.000 | 0.000 |
| 306.202 | 675.297 | 211.518 | -0.000 | -0.000 | 0.000 |
| 211.518 | 211.518 | 376.818 | -0.000 | 0.000 | 0.000 |
| 0.000 | 0.000 | 0.000 | 74.002 | -0.000 | 0.000 |
| 0.000 | 0.000 | 0.000 | -0.000 | 74.002 | 0.000 |
| -0.000 | -0.000 | 0.000 | -0.000 | -0.000 | 184.547 |
| 675.297 | 306.202 | 211.518 | 0.000 | -0.000 | -0.000 |
| 306.202 | 675.297 | 211.518 | 0.000 | -0.000 | -0.000 |
| 211.518 | 211.518 | 376.817 | 0.000 | 0.000 | -0.000 |
| -0.000 | -0.000 | -0.000 | 74.002 | 0.000 | -0.000 |
| -0.000 | -0.000 | -0.000 | 0.000 | 74.002 | -0.000 |
| 0.000 | 0.000 | -0.000 | 0.000 | 0.000 | 184.547 |
| 675.296 | 306.201 | 211.519 | -0.000 | -0.000 | 0.000 |
| 303.355 | 678.142 | 211.519 | 0.000 | 0.000 | -0.000 |
| 211.519 | 211.519 | 376.823 | -0.000 | -0.000 | 0.000 |
| 0.000 | 0.000 | 0.001 | 93.089 | 0.000 | -0.000 |
| 0.000 | 0.000 | 0.001 | 0.000 | 93.089 | -0.000 |
| -0.001 | -0.000 | 0.000 | -0.000 | 0.000 | 187.394 |
| 675.298 | 306.202 | 211.518 | 0.000 | 0.000 | -0.000 |
| 303.356 | 678.144 | 211.518 | 0.000 | -0.000 | 0.000 |
| 211.518 | 211.518 | 376.813 | 0.000 | 0.000 | -0.000 |
| -0.000 | -0.000 | -0.001 | 93.089 | -0.000 | 0.000 |
| -0.000 | -0.000 | -0.001 | -0.000 | 93.089 | 0.000 |
| 0.001 | 0.000 | -0.000 | -0.000 | -0.000 | 187.394 |
| 499.740 | 240.244 | 240.244 | 0.000 | -0.000 | -0.000 |
| 240.244 | 499.740 | 240.244 | 0.000 | -0.000 | -0.000 |
| 240.244 | 240.244 | 499.740 | 0.000 | -0.000 | -0.000 |
| 0.000 | 0.000 | 0.000 | 150.586 | -0.000 | -0.000 |
| 0.000 | 0.000 | 0.000 | -0.000 | 150.586 | -0.000 |
| 0.000 | 0.000 | 0.000 | 0.000 | -0.000 | 150.586 |
| 499.740 | 240.244 | 240.244 | -0.000 | 0.000 | 0.000 |
| 240.244 | 499.740 | 240.244 | 0.000 | 0.000 | 0.000 |
| 240.244 | 240.244 | 499.740 | 0.000 | 0.000 | 0.000 |
| -0.000 | -0.000 | -0.000 | 150.586 | 0.000 | 0.000 |
| -0.000 | -0.000 | -0.000 | -0.000 | 150.586 | 0.000 |
| -0.000 | -0.000 | -0.000 | 0.000 | 0.000 | 150.586 |
| 499.740 | 240.244 | 240.244 | 0.000 | -0.000 | -0.000 |
| 240.244 | 499.740 | 240.244 | 0.000 | -0.000 | -0.000 |
| 240.244 | 240.244 | 499.740 | -0.000 | -0.000 | 0.000 |
| 0.000 | 0.000 | 0.000 | 170.112 | -0.000 | -0.000 |
| 0.000 | 0.000 | 0.000 | -0.000 | 170.112 | -0.000 |
| 0.000 | 0.000 | 0.000 | 0.000 | -0.000 | 170.112 |
| 499.740 | 240.244 | 240.244 | 0.000 | 0.000 | 0.000 |
| 240.244 | 499.740 | 240.244 | -0.000 | 0.000 | 0.000 |
| 240.244 | 240.244 | 499.740 | -0.000 | 0.000 | 0.000 |
| -0.000 | -0.000 | -0.000 | 170.112 | 0.000 | -0.000 |
| -0.000 | -0.000 | -0.000 | -0.000 | 170.112 | 0.000 |
| -0.000 | -0.000 | -0.000 | -0.000 | 0.000 | 170.112 |
| 499.739 | 240.245 | 240.245 | -0.000 | -0.000 | -0.000 |
| 240.245 | 499.739 | 240.245 | -0.000 | -0.000 | 0.000 |
| 240.245 | 240.245 | 499.739 | 0.000 | 0.000 | -0.000 |
| 0.001 | 0.000 | 0.000 | 150.586 | -0.000 | -0.000 |
| 0.000 | 0.001 | 0.000 | -0.000 | 150.586 | -0.000 |
| 0.000 | 0.000 | 0.001 | 0.000 | -0.000 | 150.586 |
| 499.741 | 240.242 | 240.242 | 0.000 | 0.000 | 0.000 |
| 240.242 | 499.741 | 240.242 | -0.000 | 0.000 | 0.000 |
| 240.242 | 240.242 | 499.741 | 0.000 | 0.000 | 0.000 |
| -0.001 | -0.000 | -0.000 | 150.586 | 0.000 | 0.000 |
| -0.000 | -0.001 | -0.000 | -0.000 | 150.586 | 0.000 |
| -0.000 | -0.000 | -0.001 | -0.000 | 0.000 | 150.586 |
| 89.971 | 65.851 | 65.851 | -0.000 | -0.000 | 0.000 |
| 65.851 | 89.971 | 65.851 | -0.000 | -0.000 | -0.000 |
| 65.851 | 65.851 | 89.971 | -0.000 | -0.000 | -0.000 |
| -0.000 | -0.000 | -0.000 | 52.210 | -0.000 | -0.000 |
| -0.000 | -0.000 | -0.000 | -0.000 | 52.210 | -0.000 |
| -0.000 | -0.000 | -0.000 | -0.000 | -0.000 | 52.210 |
| 89.971 | 65.851 | 65.851 | 0.000 | 0.000 | 0.000 |
| 65.851 | 89.971 | 65.851 | 0.000 | 0.000 | 0.000 |
| 65.851 | 65.851 | 89.971 | 0.000 | 0.000 | 0.000 |
| 0.000 | 0.000 | 0.000 | 52.210 | 0.000 | -0.000 |
| 0.000 | 0.000 | 0.000 | 0.000 | 52.210 | -0.000 |
| 0.000 | 0.000 | 0.000 | 0.000 | 0.000 | 52.210 |
| 89.970 | 65.851 | 65.851 | -0.000 | -0.000 | 0.000 |
| 65.851 | 89.970 | 65.851 | -0.000 | -0.000 | -0.000 |
| 65.851 | 65.851 | 89.970 | -0.000 | -0.000 | 0.000 |
| -0.000 | -0.000 | -0.000 | 18.881 | -0.000 | 0.000 |
| -0.000 | -0.000 | -0.000 | -0.000 | 18.881 | 0.000 |
| -0.000 | -0.000 | -0.000 | -0.000 | -0.000 | 18.881 |
| 89.971 | 65.851 | 65.851 | 0.000 | 0.000 | 0.000 |
| 65.851 | 89.971 | 65.851 | 0.000 | 0.000 | 0.000 |
| 65.851 | 65.851 | 89.971 | 0.000 | 0.000 | -0.000 |
| 0.000 | 0.000 | 0.000 | 18.881 | 0.000 | 0.000 |
| 0.000 | 0.000 | 0.000 | 0.000 | 18.881 | 0.000 |
| 0.000 | 0.000 | 0.000 | 0.000 | 0.000 | 18.881 |
| 89.965 | 65.851 | 65.851 | -0.000 | -0.000 | -0.000 |
| 65.851 | 89.965 | 65.851 | -0.000 | -0.000 | -0.000 |
| 65.851 | 65.851 | 89.965 | -0.000 | -0.000 | 0.000 |
| -0.000 | -0.001 | -0.001 | 18.881 | -0.000 | -0.000 |
| -0.001 | -0.000 | -0.001 | -0.000 | 18.881 | -0.000 |
| -0.001 | -0.001 | -0.000 | -0.000 | -0.000 | 18.881 |
| 89.977 | 65.852 | 65.852 | 0.000 | 0.000 | -0.000 |
| 65.852 | 89.977 | 65.852 | 0.000 | 0.000 | 0.000 |
| 65.852 | 65.852 | 89.977 | 0.000 | 0.000 | 0.000 |
| 0.000 | 0.001 | 0.001 | 18.881 | 0.000 | -0.000 |
| 0.001 | 0.000 | 0.001 | 0.000 | 18.881 | -0.000 |
| 0.001 | 0.001 | 0.000 | 0.000 | 0.000 | 18.881 |
| 486.296 | 231.094 | 231.094 | -0.000 | -0.000 | 0.000 |
| 231.094 | 486.296 | 231.094 | -0.000 | -0.000 | 0.000 |
| 231.094 | 231.094 | 486.296 | -0.000 | -0.000 | 0.000 |
| 0.000 | 0.000 | 0.000 | 195.595 | -0.000 | 0.000 |
| 0.000 | 0.000 | 0.000 | -0.000 | 195.595 | 0.000 |
| 0.000 | 0.000 | 0.000 | -0.000 | -0.000 | 195.595 |
| 486.296 | 231.094 | 231.094 | 0.000 | 0.000 | -0.000 |
| 231.094 | 486.296 | 231.094 | 0.000 | 0.000 | -0.000 |
| 231.094 | 231.094 | 486.296 | 0.000 | 0.000 | -0.000 |
| -0.000 | -0.000 | -0.000 | 195.595 | 0.000 | -0.000 |
| -0.000 | -0.000 | -0.000 | 0.000 | 195.595 | -0.000 |
| -0.000 | -0.000 | -0.000 | 0.000 | 0.000 | 195.595 |
| 486.296 | 231.095 | 231.095 | -0.000 | -0.000 | 0.000 |
| 231.095 | 486.296 | 231.095 | -0.000 | -0.000 | 0.000 |
| 231.095 | 231.095 | 486.296 | -0.000 | -0.000 | 0.000 |
| 0.000 | 0.000 | 0.000 | 199.028 | 0.000 | 0.000 |
| 0.000 | 0.000 | 0.000 | -0.000 | 199.028 | 0.000 |
| 0.000 | 0.000 | 0.000 | -0.000 | -0.000 | 199.028 |
| 486.295 | 231.094 | 231.094 | 0.000 | 0.000 | -0.000 |
| 231.094 | 486.295 | 231.094 | 0.000 | 0.000 | -0.000 |
| 231.094 | 231.094 | 486.295 | 0.000 | 0.000 | -0.000 |
| -0.000 | -0.000 | -0.000 | 199.028 | 0.000 | -0.000 |
| -0.000 | -0.000 | -0.000 | 0.000 | 199.028 | -0.000 |
| -0.000 | -0.000 | -0.000 | -0.000 | -0.000 | 199.028 |
| 486.304 | 231.099 | 231.099 | -0.000 | -0.000 | 0.000 |
| 231.099 | 486.304 | 231.099 | -0.000 | -0.000 | 0.000 |
| 231.099 | 231.099 | 486.304 | -0.000 | -0.000 | 0.000 |
| 0.001 | 0.001 | 0.001 | 199.028 | 0.000 | 0.000 |
| 0.001 | 0.001 | 0.001 | -0.000 | 199.028 | 0.000 |
| 0.001 | 0.001 | 0.001 | -0.000 | 0.000 | 199.028 |
| 486.288 | 231.090 | 231.090 | 0.000 | 0.000 | -0.000 |
| 231.090 | 486.288 | 231.090 | 0.000 | -0.000 | -0.000 |
| 231.090 | 231.090 | 486.288 | 0.000 | 0.000 | -0.000 |
| -0.001 | -0.001 | -0.001 | 199.028 | 0.000 | -0.000 |
| -0.001 | -0.001 | -0.001 | 0.000 | 199.028 | -0.000 |
| -0.001 | -0.001 | -0.001 | 0.000 | 0.000 | 199.028 |
| 343.556 | 196.394 | 157.981 | 0.000 | -0.000 | -0.000 |
| 196.394 | 343.556 | 157.981 | 0.000 | -0.000 | -0.000 |
| 160.433 | 160.433 | 243.454 | -0.000 | -0.000 | -0.000 |
| 7.032 | 7.032 | -16.486 | 50.347 | -0.000 | -0.000 |
| 7.032 | 7.032 | -16.486 | 0.000 | 50.347 | -0.000 |
| -0.000 | -0.000 | 0.000 | -0.000 | -0.000 | 182.139 |
| 343.557 | 196.394 | 157.981 | 0.000 | 0.000 | 0.000 |
| 196.394 | 343.557 | 157.981 | -0.000 | -0.000 | 0.000 |
| 197.298 | 197.298 | 157.022 | -0.000 | 0.000 | 0.000 |
| -7.032 | -7.032 | 16.486 | 50.347 | 0.000 | 0.000 |
| -7.032 | -7.032 | 16.486 | -0.000 | 50.347 | 0.000 |
| 0.000 | 0.000 | 0.000 | 0.000 | 0.000 | 182.139 |
| 291.097 | 215.172 | 197.465 | 0.000 | 0.000 | -0.000 |
| 215.172 | 291.097 | 197.465 | 0.000 | -0.000 | -0.000 |
| 160.433 | 160.433 | 243.454 | 0.000 | 0.000 | -0.000 |
| 0.714 | 0.714 | -1.674 | 48.862 | 0.000 | -0.000 |
| 0.714 | 0.714 | -1.674 | 0.000 | 48.862 | -0.000 |
| 0.353 | 0.353 | -0.827 | -0.000 | 0.000 | 177.876 |
| 343.557 | 196.394 | 157.981 | -0.000 | -0.000 | 0.000 |
| 196.394 | 343.557 | 157.981 | -0.000 | -0.000 | 0.000 |
| 200.377 | 200.377 | 149.803 | -0.000 | 0.000 | 0.000 |
| -0.714 | -0.714 | 1.674 | 48.862 | 0.000 | 0.000 |
| -0.714 | -0.714 | 1.674 | -0.000 | 48.862 | 0.000 |
| -0.353 | -0.353 | 0.827 | 0.000 | 0.000 | 177.876 |
| 290.788 | 214.864 | 198.188 | 0.000 | 0.000 | -0.000 |
| 214.864 | 290.788 | 198.188 | 0.000 | -0.000 | -0.000 |
| 200.753 | 200.753 | 148.926 | 0.000 | -0.000 | -0.000 |
| 0.034 | 0.034 | -0.080 | 48.847 | -0.000 | -0.000 |
| 0.034 | 0.034 | -0.080 | 0.000 | 48.847 | -0.000 |
| -0.001 | -0.000 | -0.000 | 0.000 | 0.000 | 182.139 |
| 317.054 | 180.871 | 207.248 | -0.000 | 0.000 | 0.000 |
| 180.871 | 317.054 | 207.248 | -0.000 | 0.000 | 0.000 |
| 200.675 | 200.675 | 149.098 | 0.000 | 0.000 | 0.000 |
| -0.034 | -0.034 | 0.080 | 48.847 | -0.000 | 0.000 |
| -0.034 | -0.034 | 0.080 | 0.000 | 48.847 | 0.000 |
| 0.001 | 0.000 | 0.000 | -0.000 | 0.000 | 182.139 |
| 363.601 | 241.123 | 211.376 | -0.000 | 0.000 | 0.000 |
| 241.123 | 363.601 | 211.376 | -0.000 | -0.000 | 0.000 |
| 177.107 | 177.107 | 350.224 | 0.000 | -0.000 | 0.000 |
| 3.880 | 3.880 | -10.265 | 51.372 | 0.000 | 0.000 |
| 3.880 | 3.880 | -10.265 | 0.000 | 51.372 | -0.000 |
| 1.930 | 1.930 | -5.107 | -0.000 | 0.000 | 213.406 |
| 359.917 | 237.440 | 221.122 | 0.000 | 0.000 | -0.000 |
| 237.440 | 359.917 | 221.122 | 0.000 | 0.000 | -0.000 |
| 177.107 | 177.107 | 350.224 | 0.000 | 0.000 | -0.000 |
| -3.880 | -3.880 | 10.265 | 51.372 | 0.000 | -0.000 |
| -3.880 | -3.880 | 10.265 | -0.000 | 51.372 | -0.000 |
| -1.930 | -1.930 | 5.107 | 0.000 | 0.000 | 213.406 |
| 397.824 | 232.805 | 177.107 | 0.000 | -0.000 | -0.000 |
| 232.805 | 397.824 | 177.107 | -0.000 | -0.000 | 0.000 |
| 216.434 | 216.434 | 246.173 | -0.000 | -0.000 | 0.000 |
| 0.390 | 0.390 | -1.032 | 50.840 | -0.000 | 0.000 |
| 0.390 | 0.390 | -1.032 | 0.000 | 50.840 | 0.000 |
| 0.194 | 0.194 | -0.512 | -0.000 | 0.000 | 213.395 |
| 361.575 | 239.097 | 216.736 | 0.000 | 0.000 | -0.000 |
| 239.097 | 361.575 | 216.736 | 0.000 | -0.000 | -0.000 |
| 177.107 | 177.107 | 350.224 | -0.000 | 0.000 | -0.000 |
| -0.390 | -0.390 | 1.032 | 50.840 | -0.000 | -0.000 |
| -0.390 | -0.390 | 1.032 | -0.000 | 50.840 | -0.000 |
| -0.194 | -0.194 | 0.512 | 0.000 | 0.000 | 213.395 |
| 361.777 | 239.300 | 216.202 | -0.000 | 0.000 | 0.000 |
| 239.300 | 361.777 | 216.202 | -0.000 | -0.000 | 0.000 |
| 216.268 | 216.268 | 246.614 | -0.000 | -0.000 | 0.000 |
| 0.039 | 0.039 | -0.103 | 50.835 | -0.000 | 0.000 |
| 0.039 | 0.039 | -0.103 | -0.000 | 50.835 | 0.000 |
| 0.019 | 0.019 | -0.051 | 0.000 | 0.000 | 213.395 |
| 361.740 | 239.263 | 216.297 | 0.000 | -0.000 | -0.000 |
| 239.263 | 361.740 | 216.297 | -0.000 | -0.000 | -0.000 |
| 216.232 | 216.232 | 246.707 | 0.000 | -0.000 | -0.000 |
| -0.039 | -0.039 | 0.103 | 50.835 | 0.000 | -0.000 |
| -0.039 | -0.039 | 0.103 | 0.000 | 50.835 | -0.000 |
| -0.019 | -0.019 | 0.051 | 0.000 | 0.000 | 213.395 |
| 12.774 | 9.531 | 9.531 | -0.000 | -0.000 | -0.000 |
| 9.531 | 12.774 | 9.531 | -0.000 | -0.000 | -0.000 |
| 9.531 | 9.531 | 12.774 | -0.000 | -0.000 | -0.000 |
| 0.000 | 0.000 | 0.000 | 8.211 | 0.000 | 0.000 |
| 0.000 | 0.000 | 0.000 | 0.000 | 8.211 | 0.000 |
| 0.000 | 0.000 | 0.000 | 0.000 | 0.000 | 8.211 |
| 12.774 | 9.531 | 9.531 | 0.000 | 0.000 | 0.000 |
| 9.531 | 12.774 | 9.531 | 0.000 | 0.000 | 0.000 |
| 9.531 | 9.531 | 12.774 | 0.000 | 0.000 | 0.000 |
| -0.000 | -0.000 | -0.000 | 8.211 | -0.000 | -0.000 |
| -0.000 | -0.000 | -0.000 | -0.000 | 8.211 | -0.000 |
| -0.000 | -0.000 | -0.000 | -0.000 | -0.000 | 8.211 |
| 12.774 | 9.531 | 9.531 | -0.000 | -0.000 | -0.000 |
| 9.531 | 12.774 | 9.531 | -0.000 | -0.000 | -0.000 |
| 9.531 | 9.531 | 12.774 | -0.000 | -0.000 | 0.000 |
| -0.000 | -0.000 | 0.000 | 2.616 | -0.000 | -0.000 |
| -0.000 | -0.000 | 0.000 | -0.000 | 2.616 | -0.000 |
| -0.000 | 0.000 | -0.000 | -0.000 | -0.000 | 2.616 |
| 12.774 | 9.531 | 9.531 | -0.000 | 0.000 | 0.000 |
| 9.531 | 12.774 | 9.531 | 0.000 | -0.000 | 0.000 |
| 9.531 | 9.531 | 12.774 | 0.000 | 0.000 | -0.000 |
| 0.000 | 0.000 | -0.000 | 2.616 | 0.000 | 0.000 |
| 0.000 | 0.000 | -0.000 | 0.000 | 2.616 | 0.000 |
| 0.000 | -0.000 | 0.000 | 0.000 | 0.000 | 2.616 |
| 12.774 | 9.531 | 9.531 | 0.000 | 0.000 | 0.000 |
| 9.531 | 12.774 | 9.531 | 0.000 | 0.000 | 0.000 |
| 9.531 | 9.531 | 12.774 | 0.000 | 0.000 | 0.000 |
| -0.000 | -0.000 | 0.000 | 2.616 | -0.000 | -0.000 |
| -0.000 | -0.000 | 0.000 | -0.000 | 2.616 | -0.000 |
| -0.000 | 0.000 | -0.000 | -0.000 | -0.000 | 2.616 |
| 12.774 | 9.531 | 9.531 | -0.000 | 0.000 | 0.000 |
| 9.531 | 12.774 | 9.531 | 0.000 | -0.000 | 0.000 |
| 9.531 | 9.531 | 12.774 | 0.000 | 0.000 | -0.000 |
| 0.000 | 0.000 | -0.000 | 2.616 | 0.000 | 0.000 |
| 0.000 | 0.000 | -0.000 | 0.000 | 2.616 | 0.000 |
| 0.000 | -0.000 | 0.000 | 0.000 | 0.000 | 2.616 |
| 47.568 | 7.025 | -33.251 | 7.027 | -0.000 | 0.000 |
| -245.452 | -217.845 | 306.136 | -7.330 | 0.000 | -0.000 |
| -30.913 | -30.913 | 104.128 | -0.000 | -0.000 | 0.000 |
| -249.307 | -263.967 | 336.436 | -17.809 | -0.000 | -0.000 |
| -258.122 | -258.122 | 334.795 | 0.000 | -91.859 | 17.008 |
| 0.000 | -0.000 | 0.000 | -0.000 | 7.027 | 20.272 |
| 295.365 | 267.758 | -366.652 | 7.330 | -0.000 | 0.000 |
| 7.025 | 47.568 | -33.251 | -7.027 | 0.000 | -0.000 |
| 228.623 | 228.623 | -236.195 | 0.000 | 0.000 | 0.000 |
| 263.898 | 249.239 | -336.346 | -17.808 | -0.000 | -0.000 |
| 258.122 | 258.122 | -334.795 | -0.000 | -91.859 | 17.009 |
| 0.000 | 0.000 | -0.000 | -0.000 | 7.027 | 20.272 |
| -703.640 | 663.321 | 24.527 | 88.600 | 0.000 | -0.000 |
| 640.307 | -643.983 | -0.924 | -61.253 | 0.000 | -0.000 |
| -30.913 | -30.913 | 104.128 | -0.000 | -0.000 | 0.000 |
| -8.989 | -43.181 | 33.834 | -92.532 | 0.000 | -0.000 |
| -25.887 | -25.887 | 33.937 | -0.000 | -17.832 | 7.332 |
| -0.000 | -0.000 | -0.000 | 0.000 | 7.027 | 20.272 |
| 64.893 | 37.649 | -64.757 | 7.338 | 0.000 | 0.000 |
| 37.649 | 64.893 | -64.757 | -7.338 | 0.000 | 0.000 |
| -2.905 | -2.905 | 65.777 | -0.000 | -0.000 | 0.000 |
| 7.027 | -7.027 | 0.000 | -15.230 | 0.000 | 0.000 |
| 25.887 | 25.887 | -33.937 | 0.000 | -17.832 | 7.332 |
| 0.000 | 0.000 | 0.000 | -0.000 | 7.027 | 20.272 |
| -8104821.837 | 2625762.277 | -5465192.891 | 1657266.999 | -0.000 | 0.000 |
| -7613286.968 | -7276171.241 | -6596848.940 | -497404.134 | -9226.918 | 8838.927 |
| -30.315 | -30.315 | 103.219 | -0.000 | -0.000 | -0.000 |
| 7.027 | -7.027 | -0.000 | -15.230 | -0.000 | 0.000 |
| -7360163.861 | -7534341.932 | -6559555.564 | 268025.880 | -387732.302 | -164615.537 |
| -7334639.613 | -7315244.439 | -6614931.029 | 397512.656 | 418974.411 | 80896.698 |
| 7658862.416 | 7285479.216 | 6565782.166 | 442933.046 | 23719.270 | 1817.247 |
| 7633904.375 | 6361508.194 | 4670093.672 | -724075.080 | -23041.106 | 38306.245 |
| -30.912 | -30.912 | 104.129 | 0.000 | 0.000 | -0.000 |
| 7630878.065 | 6332511.936 | 4458428.672 | -717135.369 | -47770.519 | 27872.617 |
| 7470731.488 | 7535825.366 | 6504439.698 | -302578.396 | -428625.195 | -161710.780 |
| 7265017.385 | 7213054.207 | 6623735.548 | -527170.976 | 442636.417 | 186711.827 |
| 670.440 | 376.340 | 376.340 | -0.000 | 0.000 | -0.000 |
| 376.340 | 670.440 | 376.340 | 0.000 | -0.000 | -0.000 |
| 376.340 | 376.340 | 670.440 | -0.000 | -0.000 | 0.000 |
| 0.000 | 0.000 | 0.000 | 112.735 | -0.000 | -0.000 |
| 0.000 | 0.000 | 0.000 | 0.000 | 112.735 | -0.000 |
| 0.000 | 0.000 | 0.000 | -0.000 | 0.000 | 112.735 |
| 670.440 | 376.340 | 376.340 | 0.000 | 0.000 | 0.000 |
| 376.340 | 670.440 | 376.340 | 0.000 | 0.000 | 0.000 |
| 376.340 | 376.340 | 670.440 | 0.000 | 0.000 | 0.000 |
| -0.000 | -0.000 | -0.000 | 112.735 | 0.000 | 0.000 |
| -0.000 | -0.000 | 0.000 | 0.000 | 112.735 | 0.000 |
| -0.000 | -0.000 | 0.000 | 0.000 | 0.000 | 112.735 |
| 670.439 | 376.340 | 376.340 | -0.000 | -0.000 | -0.000 |
| 376.340 | 670.439 | 376.340 | 0.000 | 0.000 | -0.000 |
| 376.340 | 376.340 | 670.439 | -0.000 | -0.000 | -0.000 |
| 0.000 | 0.000 | 0.000 | 112.735 | -0.000 | -0.000 |
| 0.000 | 0.000 | 0.000 | -0.000 | 112.735 | -0.000 |
| 0.000 | 0.000 | 0.000 | -0.000 | -0.000 | 112.735 |
| 670.440 | 376.340 | 376.340 | 0.000 | 0.000 | 0.000 |
| 376.340 | 670.440 | 376.340 | 0.000 | 0.000 | 0.000 |
| 376.340 | 376.340 | 670.440 | 0.000 | 0.000 | 0.000 |
| -0.000 | -0.000 | -0.000 | 112.735 | -0.000 | 0.000 |
| -0.000 | -0.000 | -0.000 | 0.000 | 112.735 | 0.000 |
| -0.000 | -0.000 | -0.000 | -0.000 | 0.000 | 112.735 |
| 670.437 | 376.341 | 376.341 | -0.000 | -0.000 | -0.000 |
| 376.341 | 670.437 | 376.341 | -0.000 | -0.000 | -0.000 |
| 376.341 | 376.341 | 670.437 | -0.000 | -0.000 | -0.000 |
| 0.001 | 0.001 | 0.001 | 136.840 | 0.000 | -0.000 |
| 0.001 | 0.001 | 0.001 | -0.000 | 136.840 | -0.000 |
| 0.001 | 0.001 | 0.001 | -0.000 | -0.000 | 136.840 |
| 670.442 | 376.338 | 376.338 | 0.000 | 0.000 | 0.000 |
| 376.338 | 670.442 | 376.338 | 0.000 | 0.000 | 0.000 |
| 376.338 | 376.338 | 670.442 | 0.000 | 0.000 | 0.000 |
| -0.001 | -0.001 | -0.001 | 136.840 | 0.000 | -0.000 |
| -0.001 | -0.001 | -0.001 | 0.000 | 136.840 | 0.000 |
| -0.001 | -0.001 | -0.001 | 0.000 | 0.000 | 136.840 |
| 197.877 | 166.432 | 166.432 | 0.000 | 0.000 | 0.000 |
| 166.432 | 197.877 | 166.432 | 0.000 | 0.000 | -0.000 |
| 166.432 | 166.432 | 197.877 | -0.000 | 0.000 | -0.000 |
| -0.000 | -0.000 | -0.000 | 102.612 | 0.000 | -0.000 |
| -0.000 | -0.000 | -0.000 | 0.000 | 102.612 | 0.000 |
| -0.000 | -0.000 | -0.000 | 0.000 | 0.000 | 102.612 |
| 197.877 | 166.432 | 166.432 | -0.000 | -0.000 | -0.000 |
| 166.432 | 197.877 | 166.432 | -0.000 | -0.000 | -0.000 |
| 166.432 | 166.432 | 197.877 | 0.000 | -0.000 | -0.000 |
| 0.000 | 0.000 | 0.000 | 102.612 | -0.000 | -0.000 |
| 0.000 | 0.000 | 0.000 | -0.000 | 102.612 | 0.000 |
| 0.000 | 0.000 | 0.000 | -0.000 | -0.000 | 102.612 |
| 197.876 | 166.432 | 166.432 | -0.000 | 0.000 | -0.000 |
| 166.432 | 197.876 | 166.432 | -0.000 | -0.000 | -0.000 |
| 166.432 | 166.432 | 197.876 | -0.000 | 0.000 | -0.000 |
| -0.000 | -0.000 | -0.000 | 102.612 | 0.000 | -0.000 |
| -0.000 | -0.000 | -0.000 | 0.000 | 102.612 | 0.000 |
| -0.000 | -0.000 | -0.000 | 0.000 | 0.000 | 102.612 |
| 197.877 | 166.432 | 166.432 | 0.000 | -0.000 | 0.000 |
| 166.432 | 197.877 | 166.432 | 0.000 | -0.000 | 0.000 |
| 166.432 | 166.432 | 197.877 | -0.000 | -0.000 | 0.000 |
| 0.000 | 0.000 | 0.000 | 102.612 | -0.000 | 0.000 |
| 0.000 | 0.000 | 0.000 | -0.000 | 102.612 | -0.000 |
| 0.000 | 0.000 | 0.000 | -0.000 | -0.000 | 102.612 |
| 197.870 | 166.431 | 166.431 | 0.000 | 0.000 | -0.000 |
| 166.431 | 197.870 | 166.431 | -0.000 | 0.000 | -0.000 |
| 166.431 | 166.431 | 197.870 | 0.000 | 0.000 | 0.000 |
| -0.000 | -0.001 | -0.001 | 102.612 | 0.000 | -0.000 |
| -0.001 | -0.000 | -0.001 | 0.000 | 102.612 | 0.000 |
| -0.001 | -0.001 | -0.000 | 0.000 | 0.000 | 102.612 |
| 197.884 | 166.433 | 166.433 | 0.000 | -0.000 | 0.000 |
| 166.433 | 197.884 | 166.433 | -0.000 | -0.000 | 0.000 |
| 166.433 | 166.433 | 197.884 | -0.000 | -0.000 | 0.000 |
| 0.000 | 0.001 | 0.001 | 102.612 | -0.000 | -0.000 |
| 0.001 | 0.000 | 0.001 | -0.000 | 102.612 | -0.000 |
| 0.001 | 0.001 | 0.000 | -0.000 | -0.000 | 102.612 |
| 208.094 | 165.902 | 165.902 | 0.000 | -0.000 | 0.000 |
| 165.902 | 208.094 | 165.902 | 0.000 | 0.000 | -0.000 |
| 165.902 | 165.902 | 208.094 | -0.000 | -0.000 | 0.000 |
| 0.000 | 0.000 | 0.000 | 83.393 | -0.000 | 0.000 |
| 0.000 | 0.000 | 0.000 | 0.000 | 83.393 | 0.000 |
| 0.000 | 0.000 | 0.000 | 0.000 | -0.000 | 83.393 |
| 208.094 | 165.902 | 165.902 | -0.000 | 0.000 | 0.000 |
| 165.902 | 208.094 | 165.902 | -0.000 | 0.000 | -0.000 |
| 165.902 | 165.902 | 208.094 | -0.000 | 0.000 | 0.000 |
| -0.000 | -0.000 | -0.000 | 83.393 | 0.000 | 0.000 |
| -0.000 | -0.000 | -0.000 | 0.000 | 83.393 | 0.000 |
| -0.000 | -0.000 | -0.000 | -0.000 | 0.000 | 83.393 |
| 208.094 | 165.902 | 165.902 | 0.000 | -0.000 | 0.000 |
| 165.902 | 208.094 | 165.902 | 0.000 | -0.000 | 0.000 |
| 165.902 | 165.902 | 208.094 | 0.000 | 0.000 | -0.000 |
| 0.000 | 0.000 | 0.000 | 83.393 | -0.000 | 0.000 |
| 0.000 | 0.000 | 0.000 | -0.000 | 83.393 | -0.000 |
| 0.000 | 0.000 | 0.000 | -0.000 | -0.000 | 83.393 |
| 208.094 | 165.902 | 165.902 | 0.000 | 0.000 | 0.000 |
| 165.902 | 208.094 | 165.902 | -0.000 | 0.000 | 0.000 |
| 165.902 | 165.902 | 208.094 | 0.000 | 0.000 | 0.000 |
| -0.000 | -0.000 | -0.000 | 83.393 | 0.000 | 0.000 |
| -0.000 | -0.000 | -0.000 | 0.000 | 83.393 | 0.000 |
| -0.000 | -0.000 | -0.000 | 0.000 | 0.000 | 83.393 |
| 208.095 | 165.903 | 165.903 | 0.000 | 0.000 | 0.000 |
| 165.903 | 208.095 | 165.903 | 0.000 | -0.000 | 0.000 |
| 165.903 | 165.903 | 208.095 | 0.000 | 0.000 | -0.000 |
| -0.000 | 0.000 | 0.000 | -10.454 | -0.000 | 0.000 |
| 0.000 | -0.000 | 0.000 | -0.000 | -10.454 | -0.000 |
| 0.000 | 0.000 | -0.000 | 0.000 | -0.000 | -10.454 |
| 208.096 | 165.902 | 165.902 | -0.000 | 0.000 | 0.000 |
| 165.902 | 208.096 | 165.902 | -0.000 | -0.000 | 0.000 |
| 165.902 | 165.902 | 208.096 | -0.000 | 0.000 | -0.000 |
| 0.000 | -0.000 | -0.000 | -10.454 | 0.000 | 0.000 |
| -0.000 | 0.000 | -0.000 | -0.000 | -10.454 | -0.000 |
| -0.000 | -0.000 | 0.000 | -0.000 | 0.000 | -10.454 |
| 663.091 | 360.963 | 360.963 | -0.000 | -0.000 | 0.000 |
| 360.963 | 663.091 | 360.963 | -0.000 | -0.000 | 0.000 |
| 360.963 | 360.963 | 663.091 | -0.000 | -0.000 | 0.000 |
| 0.000 | 0.000 | -0.000 | 167.165 | -0.000 | 0.000 |
| 0.000 | 0.000 | -0.000 | -0.000 | 167.165 | 0.000 |
| 0.000 | 0.000 | 0.000 | -0.000 | -0.000 | 167.165 |
| 663.090 | 360.963 | 360.963 | 0.000 | 0.000 | -0.000 |
| 360.963 | 663.090 | 360.963 | 0.000 | 0.000 | -0.000 |
| 360.963 | 360.963 | 663.090 | 0.000 | 0.000 | -0.000 |
| -0.000 | -0.000 | -0.000 | 167.165 | 0.000 | -0.000 |
| -0.000 | -0.000 | -0.000 | 0.000 | 167.165 | -0.000 |
| -0.000 | -0.000 | -0.000 | 0.000 | 0.000 | 167.165 |
| 663.091 | 360.963 | 360.963 | -0.000 | -0.000 | 0.000 |
| 360.963 | 663.091 | 360.963 | -0.000 | -0.000 | 0.000 |
| 360.963 | 360.963 | 663.091 | -0.000 | -0.000 | 0.000 |
| 0.000 | -0.000 | 0.000 | 167.165 | -0.000 | 0.000 |
| -0.000 | 0.000 | 0.000 | -0.000 | 167.165 | 0.000 |
| -0.000 | 0.000 | 0.000 | -0.000 | -0.000 | 167.165 |
| 663.090 | 360.962 | 360.962 | 0.000 | 0.000 | -0.000 |
| 360.962 | 663.090 | 360.962 | 0.000 | 0.000 | -0.000 |
| 360.962 | 360.962 | 663.090 | 0.000 | 0.000 | -0.000 |
| -0.000 | 0.000 | -0.000 | 167.165 | 0.000 | -0.000 |
| 0.000 | -0.000 | -0.000 | 0.000 | 167.165 | -0.000 |
| 0.000 | -0.000 | -0.000 | 0.000 | 0.000 | 167.165 |
| 663.095 | 360.965 | 360.965 | -0.000 | -0.000 | 0.000 |
| 360.965 | 663.095 | 360.965 | -0.000 | -0.000 | 0.000 |
| 360.965 | 360.965 | 663.095 | -0.000 | -0.000 | 0.000 |
| 0.000 | -0.000 | 0.000 | 151.360 | 0.000 | -0.000 |
| -0.000 | 0.000 | 0.000 | 0.000 | 151.360 | -0.000 |
| -0.000 | 0.000 | 0.000 | 0.000 | 0.000 | 151.360 |
| 663.086 | 360.960 | 360.960 | -0.000 | 0.000 | -0.000 |
| 360.960 | 663.086 | 360.960 | 0.000 | -0.000 | -0.000 |
| 360.960 | 360.960 | 663.086 | 0.000 | 0.000 | 0.000 |
| -0.000 | 0.000 | -0.000 | 151.360 | -0.000 | 0.000 |
| 0.000 | -0.000 | -0.000 | 0.000 | 151.360 | 0.000 |
| 0.000 | -0.000 | -0.000 | -0.000 | -0.000 | 151.360 |
| 13.566 | 10.561 | 10.561 | 0.000 | 0.000 | -0.000 |
| 10.561 | 13.566 | 10.561 | 0.000 | 0.000 | -0.000 |
| 10.561 | 10.561 | 13.566 | 0.000 | 0.000 | 0.000 |
| 0.000 | -0.000 | 0.000 | 2.345 | 0.000 | 0.000 |
| 0.000 | -0.000 | 0.000 | 0.000 | 2.345 | 0.000 |
| -0.000 | -0.000 | -0.000 | 0.000 | 0.000 | 2.345 |
| 13.566 | 10.561 | 10.561 | 0.000 | 0.000 | 0.000 |
| 10.561 | 13.566 | 10.561 | 0.000 | 0.000 | 0.000 |
| 10.561 | 10.561 | 13.566 | -0.000 | 0.000 | 0.000 |
| 0.000 | 0.000 | -0.000 | 2.345 | -0.000 | -0.000 |
| -0.000 | 0.000 | -0.000 | -0.000 | 2.345 | -0.000 |
| 0.000 | 0.000 | 0.000 | -0.000 | -0.000 | 2.345 |
| 13.566 | 10.561 | 10.561 | -0.000 | 0.000 | -0.000 |
| 10.561 | 13.566 | 10.561 | 0.000 | -0.000 | -0.000 |
| 10.561 | 10.561 | 13.566 | 0.000 | 0.000 | -0.000 |
| -0.000 | -0.000 | 0.000 | 2.345 | 0.000 | 0.000 |
| 0.000 | -0.000 | 0.000 | 0.000 | 2.345 | 0.000 |
| 0.000 | 0.000 | -0.000 | 0.000 | 0.000 | 2.345 |
| 13.566 | 10.561 | 10.561 | -0.000 | 0.000 | 0.000 |
| 10.561 | 13.566 | 10.561 | 0.000 | -0.000 | 0.000 |
| 10.561 | 10.561 | 13.566 | -0.000 | -0.000 | -0.000 |
| 0.000 | 0.000 | -0.000 | 2.345 | -0.000 | -0.000 |
| 0.000 | 0.000 | -0.000 | -0.000 | 2.345 | -0.000 |
| 0.000 | -0.000 | 0.000 | -0.000 | -0.000 | 2.345 |
| 13.566 | 10.561 | 10.561 | 0.000 | 0.000 | -0.000 |
| 10.561 | 13.566 | 10.561 | 0.000 | 0.000 | -0.000 |
| 10.561 | 10.561 | 13.566 | 0.000 | 0.000 | 0.000 |
| 0.000 | 0.000 | 0.000 | 9.317 | -0.000 | -0.000 |
| 0.000 | 0.000 | 0.000 | -0.000 | 9.317 | -0.000 |
| 0.000 | 0.000 | 0.000 | -0.000 | -0.000 | 9.317 |
| 13.566 | 10.561 | 10.561 | 0.000 | -0.000 | 0.000 |
| 10.561 | 13.566 | 10.561 | -0.000 | 0.000 | 0.000 |
| 10.561 | 10.561 | 13.566 | -0.000 | -0.000 | 0.000 |
| -0.000 | -0.000 | -0.000 | 9.317 | 0.000 | 0.000 |
| -0.000 | -0.000 | -0.000 | 0.000 | 9.317 | 0.000 |
| -0.000 | -0.000 | -0.000 | 0.000 | 0.000 | 9.317 |
| 538.675 | 112.977 | 112.977 | -0.000 | 0.000 | -0.000 |
| 112.977 | 538.675 | 112.977 | -0.000 | 0.000 | -0.000 |
| 112.977 | 112.977 | 538.675 | 0.000 | 0.000 | -0.000 |
| -0.000 | 0.000 | 0.000 | 73.188 | 0.000 | -0.000 |
| 0.000 | 0.000 | 0.000 | -0.000 | 73.188 | -0.000 |
| -0.000 | 0.000 | -0.000 | -0.000 | 0.000 | 73.188 |
| 538.731 | 112.949 | 112.949 | -0.000 | -0.000 | 0.000 |
| 112.949 | 538.731 | 112.949 | -0.000 | -0.000 | 0.000 |
| 112.949 | 112.949 | 538.731 | 0.000 | 0.000 | 0.000 |
| 0.000 | -0.000 | -0.000 | 73.188 | -0.000 | 0.000 |
| -0.000 | -0.000 | -0.000 | 0.000 | 73.188 | 0.000 |
| -0.000 | -0.000 | 0.000 | -0.000 | -0.000 | 73.188 |
| 538.675 | 112.977 | 112.977 | -0.000 | 0.000 | -0.000 |
| 112.977 | 538.675 | 112.977 | 0.000 | 0.000 | -0.000 |
| 112.977 | 112.977 | 538.675 | -0.000 | 0.000 | -0.000 |
| 0.000 | 0.000 | 0.000 | 73.188 | 0.000 | -0.000 |
| 0.000 | 0.000 | 0.000 | -0.000 | 73.188 | -0.000 |
| 0.000 | 0.000 | 0.000 | 0.000 | 0.000 | 73.188 |
| 538.675 | 112.977 | 112.977 | -0.000 | -0.000 | 0.000 |
| 112.977 | 538.675 | 112.977 | 0.000 | -0.000 | 0.000 |
| 112.977 | 112.977 | 538.675 | -0.000 | -0.000 | 0.000 |
| -0.000 | -0.000 | -0.000 | 73.188 | 0.000 | 0.000 |
| -0.000 | -0.000 | -0.000 | 0.000 | 73.188 | 0.000 |
| -0.000 | -0.000 | -0.000 | 0.000 | -0.000 | 73.188 |
| 538.675 | 112.976 | 112.976 | 0.000 | 0.000 | -0.000 |
| 112.976 | 538.675 | 112.976 | -0.000 | 0.000 | -0.000 |
| 112.976 | 112.976 | 538.675 | -0.000 | 0.000 | -0.000 |
| 0.000 | 0.000 | 0.000 | 73.188 | -0.000 | -0.000 |
| 0.000 | 0.000 | 0.000 | 0.000 | 73.188 | -0.000 |
| 0.000 | 0.000 | 0.000 | -0.000 | 0.000 | 73.188 |
| 538.731 | 112.950 | 112.950 | 0.000 | -0.000 | 0.000 |
| 112.950 | 538.731 | 112.950 | 0.000 | -0.000 | 0.000 |
| 112.950 | 112.950 | 538.731 | 0.000 | -0.000 | 0.000 |
| -0.000 | -0.000 | -0.000 | 73.188 | -0.000 | 0.000 |
| -0.000 | -0.000 | -0.000 | -0.000 | 73.188 | 0.000 |
| -0.000 | -0.000 | -0.000 | 0.000 | -0.000 | 73.188 |
| 879.405 | 410.241 | 410.241 | -0.000 | -0.000 | -0.000 |
| 410.241 | 879.405 | 410.241 | 0.000 | 0.000 | 0.000 |
| 410.241 | 410.241 | 879.405 | -0.000 | 0.000 | -0.000 |
| 0.000 | 0.000 | 0.000 | 146.861 | 0.000 | -0.000 |
| 0.000 | 0.000 | 0.000 | -0.000 | 146.861 | 0.000 |
| 0.000 | 0.000 | 0.000 | -0.000 | 0.000 | 146.861 |
| 879.406 | 410.241 | 410.241 | -0.000 | 0.000 | 0.000 |
| 410.241 | 879.406 | 410.241 | 0.000 | -0.000 | 0.000 |
| 410.241 | 410.241 | 879.406 | -0.000 | -0.000 | -0.000 |
| -0.000 | -0.000 | -0.000 | 146.861 | 0.000 | 0.000 |
| -0.000 | -0.000 | -0.000 | 0.000 | 146.861 | 0.000 |
| -0.000 | -0.000 | -0.000 | 0.000 | 0.000 | 146.861 |
| 879.405 | 410.242 | 410.242 | -0.000 | -0.000 | -0.000 |
| 410.242 | 879.405 | 410.242 | -0.000 | 0.000 | -0.000 |
| 410.242 | 410.242 | 879.405 | -0.000 | 0.000 | -0.000 |
| 0.000 | 0.000 | 0.000 | 146.861 | -0.000 | -0.000 |
| 0.000 | 0.000 | 0.000 | -0.000 | 146.861 | -0.000 |
| 0.000 | 0.000 | 0.000 | 0.000 | 0.000 | 146.861 |
| 879.406 | 410.241 | 410.241 | 0.000 | -0.000 | 0.000 |
| 410.241 | 879.406 | 410.241 | 0.000 | -0.000 | 0.000 |
| 410.241 | 410.241 | 879.406 | 0.000 | -0.000 | 0.000 |
| -0.000 | -0.000 | -0.000 | 146.861 | -0.000 | 0.000 |
| -0.000 | -0.000 | -0.000 | -0.000 | 146.861 | -0.000 |
| -0.000 | -0.000 | -0.000 | 0.000 | -0.000 | 146.861 |
| 879.403 | 410.245 | 410.245 | -0.000 | 0.000 | -0.000 |
| 410.245 | 879.403 | 410.245 | -0.000 | 0.000 | -0.000 |
| 410.245 | 410.245 | 879.403 | -0.000 | 0.000 | -0.000 |
| 0.001 | 0.001 | 0.001 | 134.251 | 0.000 | -0.000 |
| 0.001 | 0.001 | 0.001 | -0.000 | 134.251 | 0.000 |
| 0.001 | 0.001 | 0.001 | 0.000 | 0.000 | 134.251 |
| 879.408 | 410.237 | 410.237 | 0.000 | -0.000 | 0.000 |
| 410.237 | 879.408 | 410.237 | 0.000 | 0.000 | 0.000 |
| 410.237 | 410.237 | 879.408 | 0.000 | -0.000 | 0.000 |
| -0.001 | -0.001 | -0.001 | 134.251 | 0.000 | 0.000 |
| -0.001 | -0.001 | -0.001 | 0.000 | 134.251 | -0.000 |
| -0.001 | -0.001 | -0.001 | -0.000 | -0.000 | 134.251 |
| 105.866 | 172.754 | 172.754 | -0.000 | -0.000 | 0.000 |
| 172.754 | 105.866 | 172.754 | 0.000 | -0.000 | 0.000 |
| 172.754 | 172.754 | 105.866 | -0.000 | -0.000 | 0.000 |
| -0.000 | -0.000 | -0.000 | 110.515 | -0.000 | -0.000 |
| -0.000 | -0.000 | -0.000 | -0.000 | 110.515 | -0.000 |
| -0.000 | -0.000 | -0.000 | -0.000 | -0.000 | 110.515 |
| 105.866 | 172.754 | 172.754 | 0.000 | 0.000 | 0.000 |
| 172.754 | 105.866 | 172.754 | -0.000 | 0.000 | -0.000 |
| 172.754 | 172.754 | 105.866 | -0.000 | -0.000 | 0.000 |
| 0.000 | 0.000 | 0.000 | 110.515 | 0.000 | -0.000 |
| 0.000 | 0.000 | 0.000 | 0.000 | 110.515 | 0.000 |
| 0.000 | 0.000 | 0.000 | 0.000 | 0.000 | 110.515 |
| 105.865 | 172.754 | 172.754 | 0.000 | -0.000 | -0.000 |
| 172.754 | 105.865 | 172.754 | 0.000 | -0.000 | -0.000 |
| 172.754 | 172.754 | 105.865 | 0.000 | -0.000 | 0.000 |
| -0.000 | -0.000 | -0.000 | 110.515 | -0.000 | 0.000 |
| -0.000 | -0.000 | -0.000 | 0.000 | 110.515 | -0.000 |
| -0.000 | -0.000 | -0.000 | -0.000 | -0.000 | 110.515 |
| 105.867 | 172.754 | 172.754 | 0.000 | 0.000 | -0.000 |
| 172.754 | 105.867 | 172.754 | 0.000 | 0.000 | -0.000 |
| 172.754 | 172.754 | 105.867 | 0.000 | 0.000 | -0.000 |
| 0.000 | 0.000 | 0.000 | 110.515 | 0.000 | 0.000 |
| 0.000 | 0.000 | 0.000 | 0.000 | 110.515 | 0.000 |
| 0.000 | 0.000 | 0.000 | 0.000 | 0.000 | 110.515 |
| 105.857 | 172.754 | 172.754 | -0.000 | -0.000 | 0.000 |
| 172.754 | 105.857 | 172.754 | -0.000 | -0.000 | 0.000 |
| 172.754 | 172.754 | 105.857 | -0.000 | -0.000 | 0.000 |
| -0.000 | -0.001 | -0.001 | 110.515 | -0.000 | 0.000 |
| -0.001 | -0.000 | -0.001 | -0.000 | 110.515 | -0.000 |
| -0.001 | -0.001 | -0.000 | 0.000 | -0.000 | 110.515 |
| 105.874 | 172.755 | 172.755 | 0.000 | 0.000 | -0.000 |
| 172.755 | 105.874 | 172.755 | 0.000 | 0.000 | 0.000 |
| 172.755 | 172.755 | 105.874 | -0.000 | 0.000 | -0.000 |
| 0.000 | 0.001 | 0.001 | 110.515 | 0.000 | -0.000 |
| 0.001 | 0.000 | 0.001 | 0.000 | 110.515 | 0.000 |
| 0.001 | 0.001 | 0.000 | 0.000 | 0.000 | 110.515 |
| 673.729 | 370.479 | 370.479 | 0.000 | -0.000 | -0.000 |
| 370.479 | 673.729 | 370.479 | -0.000 | 0.000 | -0.000 |
| 370.479 | 370.479 | 673.729 | 0.000 | -0.000 | -0.000 |
| -0.000 | -0.000 | -0.000 | 275.016 | 0.000 | -0.000 |
| -0.000 | -0.000 | -0.000 | 0.000 | 275.016 | -0.000 |
| -0.000 | -0.000 | -0.000 | 0.000 | -0.000 | 275.016 |
| 673.729 | 370.479 | 370.479 | 0.000 | 0.000 | 0.000 |
| 370.479 | 673.729 | 370.479 | 0.000 | 0.000 | 0.000 |
| 370.479 | 370.479 | 673.729 | 0.000 | 0.000 | 0.000 |
| 0.000 | 0.000 | 0.000 | 275.016 | -0.000 | 0.000 |
| 0.000 | 0.000 | 0.000 | -0.000 | 275.016 | 0.000 |
| 0.000 | 0.000 | 0.000 | -0.000 | 0.000 | 275.016 |
| 673.729 | 370.479 | 370.479 | 0.000 | -0.000 | -0.000 |
| 370.479 | 673.729 | 370.479 | 0.000 | -0.000 | -0.000 |
| 370.479 | 370.479 | 673.729 | 0.000 | -0.000 | -0.000 |
| -0.000 | -0.000 | -0.000 | 275.016 | -0.000 | -0.000 |
| -0.000 | -0.000 | -0.000 | 0.000 | 275.016 | -0.000 |
| -0.000 | -0.000 | -0.000 | 0.000 | -0.000 | 275.016 |
| 673.730 | 370.479 | 370.479 | 0.000 | -0.000 | 0.000 |
| 370.479 | 673.730 | 370.479 | -0.000 | 0.000 | 0.000 |
| 370.479 | 370.479 | 673.730 | 0.000 | 0.000 | 0.000 |
| 0.000 | 0.000 | 0.000 | 275.016 | -0.000 | 0.000 |
| 0.000 | 0.000 | 0.000 | 0.000 | 275.016 | 0.000 |
| 0.000 | 0.000 | 0.000 | -0.000 | 0.000 | 275.016 |
| 673.727 | 370.479 | 370.479 | 0.000 | 0.000 | -0.000 |
| 370.479 | 673.727 | 370.479 | -0.000 | 0.000 | -0.000 |
| 370.479 | 370.479 | 673.727 | 0.000 | 0.000 | -0.000 |
| -0.001 | -0.001 | -0.001 | 275.016 | 0.000 | -0.000 |
| -0.001 | -0.001 | -0.001 | 0.000 | 275.016 | -0.000 |
| -0.001 | -0.001 | -0.001 | -0.000 | 0.000 | 275.016 |
| 673.732 | 370.479 | 370.479 | -0.000 | -0.000 | 0.000 |
| 370.479 | 673.732 | 370.479 | 0.000 | -0.000 | 0.000 |
| 370.479 | 370.479 | 673.732 | -0.000 | 0.000 | 0.000 |
| 0.001 | 0.001 | 0.001 | 275.016 | -0.000 | 0.000 |
| 0.001 | 0.001 | 0.001 | -0.000 | 275.016 | 0.000 |
| 0.001 | 0.001 | 0.001 | 0.000 | -0.000 | 275.016 |
| 703.758 | 361.219 | 376.207 | 0.000 | 0.000 | 0.000 |
| 361.219 | 703.758 | 376.207 | 0.000 | 0.000 | -0.000 |
| 376.207 | 376.207 | 662.008 | 0.000 | 0.000 | -0.000 |
| -0.000 | -0.000 | 0.000 | 280.216 | 0.000 | -0.000 |
| -0.000 | -0.000 | 0.000 | -0.000 | 280.216 | 0.000 |
| -0.000 | -0.000 | 0.000 | 0.000 | 0.000 | 264.506 |
| 703.758 | 361.219 | 376.207 | -0.000 | -0.000 | 0.000 |
| 361.219 | 703.758 | 376.207 | -0.000 | -0.000 | 0.000 |
| 376.207 | 376.207 | 662.008 | -0.000 | -0.000 | 0.000 |
| 0.000 | 0.000 | -0.000 | 280.216 | -0.000 | -0.000 |
| 0.000 | 0.000 | -0.000 | -0.000 | 280.216 | 0.000 |
| 0.000 | 0.000 | -0.000 | 0.000 | 0.000 | 264.506 |
| 703.758 | 361.219 | 376.207 | 0.000 | 0.000 | 0.000 |
| 361.219 | 703.758 | 376.207 | 0.000 | 0.000 | 0.000 |
| 376.207 | 376.207 | 662.008 | 0.000 | 0.000 | 0.000 |
| -0.000 | -0.000 | 0.000 | 280.216 | 0.000 | 0.000 |
| -0.000 | -0.000 | 0.000 | 0.000 | 280.216 | 0.000 |
| -0.000 | -0.000 | -0.000 | 0.000 | 0.000 | 264.506 |
| 703.758 | 361.219 | 376.207 | -0.000 | -0.000 | -0.000 |
| 361.219 | 703.758 | 376.207 | -0.000 | 0.000 | -0.000 |
| 376.207 | 376.207 | 662.008 | 0.000 | 0.000 | -0.000 |
| 0.000 | 0.000 | -0.000 | 280.216 | -0.000 | -0.000 |
| 0.000 | 0.000 | -0.000 | 0.000 | 280.216 | -0.000 |
| 0.000 | 0.000 | 0.000 | -0.000 | -0.000 | 264.506 |
| 703.756 | 361.219 | 376.207 | 0.000 | 0.000 | -0.000 |
| 361.219 | 703.756 | 376.207 | 0.000 | -0.000 | -0.000 |
| 376.207 | 376.207 | 662.008 | 0.000 | 0.000 | -0.000 |
| -0.000 | -0.001 | 0.000 | 280.216 | 0.000 | 0.000 |
| -0.001 | -0.000 | 0.000 | 0.000 | 280.216 | 0.000 |
| -0.001 | -0.001 | -0.000 | 0.000 | 0.000 | 264.506 |
| 703.760 | 361.219 | 376.206 | 0.000 | 0.000 | -0.000 |
| 361.219 | 703.760 | 376.206 | -0.000 | -0.000 | 0.000 |
| 376.206 | 376.206 | 662.008 | -0.000 | -0.000 | -0.000 |
| 0.000 | 0.001 | -0.000 | 280.216 | -0.000 | -0.000 |
| 0.001 | 0.000 | -0.000 | -0.000 | 280.216 | -0.000 |
| 0.001 | 0.001 | 0.000 | -0.000 | -0.000 | 264.506 |
| -214017784.347 | -224409536.452 | -77620570.116 | 844024.174 | 1497217.843 | -13623266.598 |
| -220976437.708 | -222678205.455 | -47178639.327 | 1743104.060 | 1604136.077 | -8513082.906 |
| -9.226 | -9.226 | -122.990 | -0.000 | -0.000 | -0.000 |
| 0.000 | -0.000 | -0.000 | -10.079 | -0.000 | 0.000 |
| -0.000 | 0.000 | -0.000 | -0.000 | -10.079 | 0.000 |
| 0.000 | 0.000 | 0.000 | -0.000 | -0.000 | 46.625 |
| 59.622 | 60.838 | -9.226 | -0.000 | -0.000 | -0.000 |
| 60.838 | 59.622 | -9.226 | 0.000 | 0.000 | -0.000 |
| -9.226 | -9.226 | -122.990 | -0.000 | -0.000 | 0.000 |
| -0.000 | 0.000 | 0.000 | -10.079 | 0.000 | -0.000 |
| 0.000 | -0.000 | 0.000 | 0.000 | -10.079 | -0.000 |
| -0.000 | -0.000 | -0.000 | -0.000 | -0.000 | 46.625 |
| 59.622 | 60.838 | -9.226 | 0.000 | 0.000 | 0.000 |
| 60.838 | 59.622 | -9.226 | -0.000 | 0.000 | 0.000 |
| -9.226 | -9.226 | -122.991 | -0.000 | -0.000 | 0.000 |
| 0.000 | -0.000 | -0.000 | -10.023 | -0.000 | 0.000 |
| -0.000 | 0.000 | -0.000 | -0.000 | -10.023 | 0.000 |
| 0.000 | 0.000 | 0.000 | 0.000 | 0.000 | 46.625 |
| 60.227 | 60.233 | -9.226 | 0.000 | 0.000 | -0.000 |
| 60.233 | 60.227 | -9.226 | 0.000 | 0.000 | -0.000 |
| -9.226 | -9.226 | -122.989 | -0.000 | -0.000 | -0.000 |
| -0.000 | 0.000 | 0.000 | -10.023 | 0.000 | -0.000 |
| 0.000 | -0.000 | 0.000 | 0.000 | -10.023 | -0.000 |
| -0.000 | -0.000 | -0.000 | -0.000 | -0.000 | 46.625 |
| -2389890.915 | -2324853.126 | -7294412.517 | -0.000 | 0.000 | 0.000 |
| -2324853.126 | -2389890.915 | -7294412.517 | -0.000 | -0.000 | 0.000 |
| -9.226 | -9.226 | -122.995 | -0.000 | -0.000 | 0.000 |
| 0.000 | -0.000 | -0.000 | -10.079 | 0.000 | 0.000 |
| -0.000 | 0.000 | -0.000 | -0.000 | -10.079 | 0.000 |
| 0.000 | 0.000 | 0.000 | -0.000 | -0.000 | 46.625 |
| 60.227 | 60.233 | -9.226 | 0.000 | 0.000 | 0.000 |
| 60.233 | 60.227 | -9.226 | 0.000 | 0.000 | 0.000 |
| -9.225 | -9.225 | -122.985 | -0.000 | -0.000 | 0.000 |
| -0.000 | 0.000 | 0.000 | -10.079 | -0.000 | -0.000 |
| 0.000 | -0.000 | 0.000 | 0.000 | -10.079 | -0.000 |
| -0.000 | -0.000 | -0.000 | 0.000 | 0.000 | 46.625 |
| 625.509 | 464.678 | 364.885 | -0.000 | -0.000 | -0.000 |
| 464.678 | 625.509 | 364.885 | -0.000 | -0.000 | -0.000 |
| 364.885 | 364.885 | 986.987 | -0.000 | -0.000 | 0.000 |
| -0.000 | 0.000 | -0.000 | 203.409 | -0.000 | 0.000 |
| -0.000 | -0.000 | -0.000 | -0.000 | 203.409 | -0.000 |
| 0.000 | 0.000 | 0.000 | -0.000 | -0.000 | 298.489 |
| 627.488 | 462.698 | 364.885 | 0.000 | 0.000 | 0.000 |
| 462.698 | 627.488 | 364.885 | 0.000 | 0.000 | 0.000 |
| 364.885 | 364.885 | 986.987 | 0.000 | -0.000 | 0.000 |
| 0.000 | -0.000 | 0.000 | 203.409 | 0.000 | 0.000 |
| 0.000 | 0.000 | 0.000 | 0.000 | 203.409 | 0.000 |
| -0.000 | -0.000 | 0.000 | 0.000 | 0.000 | 298.489 |
| 625.510 | 464.678 | 364.885 | -0.000 | -0.000 | -0.000 |
| 464.678 | 625.510 | 364.885 | -0.000 | -0.000 | 0.000 |
| 364.885 | 364.885 | 986.987 | -0.000 | -0.000 | 0.000 |
| 0.000 | 0.000 | -0.000 | 203.409 | 0.000 | -0.000 |
| 0.000 | 0.000 | -0.000 | -0.000 | 203.409 | 0.000 |
| 0.000 | 0.000 | 0.000 | -0.000 | -0.000 | 298.489 |
| 625.508 | 464.677 | 364.884 | 0.000 | 0.000 | 0.000 |
| 464.677 | 625.508 | 364.884 | 0.000 | 0.000 | 0.000 |
| 364.884 | 364.884 | 986.987 | 0.000 | 0.000 | -0.000 |
| -0.000 | -0.000 | 0.000 | 203.409 | -0.000 | -0.000 |
| -0.000 | -0.000 | 0.000 | 0.000 | 203.409 | -0.000 |
| -0.000 | -0.000 | -0.000 | -0.000 | 0.000 | 298.489 |
| 625.521 | 464.683 | 364.889 | -0.000 | 0.000 | -0.000 |
| 464.683 | 625.521 | 364.889 | 0.000 | 0.000 | 0.000 |
| 364.888 | 364.888 | 986.990 | -0.000 | -0.000 | 0.000 |
| 0.000 | 0.000 | -0.001 | 203.409 | -0.000 | 0.000 |
| 0.000 | 0.000 | -0.001 | -0.000 | 203.409 | 0.000 |
| 0.001 | 0.002 | 0.000 | -0.000 | -0.000 | 298.489 |
| 627.477 | 462.693 | 364.880 | 0.000 | 0.000 | 0.000 |
| 462.693 | 627.477 | 364.880 | 0.000 | 0.000 | -0.000 |
| 364.881 | 364.881 | 986.985 | -0.000 | -0.000 | -0.000 |
| -0.000 | -0.000 | 0.001 | 203.409 | 0.000 | 0.000 |
| -0.000 | -0.000 | 0.001 | 0.000 | 203.409 | -0.000 |
| -0.001 | -0.002 | -0.000 | 0.000 | 0.000 | 298.489 |
| 558.011 | 263.058 | 226.274 | 0.000 | -0.000 | 0.000 |
| 73.759 | 504.817 | 7.222 | -0.000 | 0.000 | 0.000 |
| 126.959 | 126.959 | 651.854 | 0.000 | 0.000 | 0.000 |
| 0.000 | -0.000 | 0.000 | 152.446 | 0.000 | 0.000 |
| -0.000 | 0.000 | 0.000 | -0.000 | 152.446 | 0.000 |
| 123.259 | 123.259 | 222.688 | 0.000 | 0.000 | 206.319 |
| 504.817 | 73.759 | 7.222 | 0.000 | -0.000 | -0.000 |
| -42.173 | 370.466 | -218.867 | 0.000 | -0.000 | -0.000 |
| 7.222 | 7.222 | 435.530 | -0.000 | -0.000 | -0.000 |
| 0.000 | 0.000 | -0.000 | 152.446 | 0.000 | -0.000 |
| 0.000 | -0.000 | -0.000 | 0.000 | 152.446 | 0.000 |
| -123.259 | -123.259 | -222.688 | -0.000 | -0.000 | 206.319 |
| 504.817 | 73.759 | 7.222 | -0.000 | 0.000 | 0.000 |
| 73.759 | 504.817 | 7.222 | 0.000 | 0.000 | 0.000 |
| 7.222 | 7.222 | 435.531 | -0.000 | -0.000 | 0.000 |
| -0.000 | -0.000 | 0.000 | 152.446 | 0.000 | 0.000 |
| -0.000 | -0.000 | 0.000 | -0.000 | 152.446 | 0.000 |
| -0.000 | -0.000 | -0.000 | -0.000 | 0.000 | 215.529 |
| 479.749 | 68.406 | -20.259 | 0.000 | -0.000 | -0.000 |
| 68.406 | 479.749 | -20.259 | 0.000 | -0.000 | -0.000 |
| 7.222 | 7.222 | 435.529 | 0.000 | 0.000 | -0.000 |
| 0.000 | 0.000 | -0.000 | 152.446 | -0.000 | -0.000 |
| 0.000 | 0.000 | -0.000 | 0.000 | 152.446 | 0.000 |
| 0.000 | 0.000 | 0.000 | 0.000 | -0.000 | 215.529 |
| 504.814 | 73.758 | 7.221 | 0.000 | -0.000 | 0.000 |
| 73.758 | 504.814 | 7.221 | 0.000 | 0.000 | 0.000 |
| 5.051 | 5.051 | 431.613 | 0.000 | 0.000 | 0.000 |
| 3.033 | 3.033 | 5.481 | 142.485 | -0.000 | 0.000 |
| -0.000 | -0.000 | 0.002 | 0.000 | 152.446 | 0.000 |
| 0.281 | 0.282 | 0.511 | 0.000 | 0.000 | 147.011 |
| 478.097 | 86.965 | -4.990 | -0.000 | -0.000 | -0.000 |
| 139.171 | 433.979 | 2.316 | 0.000 | 0.000 | -0.000 |
| 2.585 | 2.585 | 427.146 | 0.000 | -0.000 | -0.000 |
| -3.033 | -3.033 | -5.481 | 142.485 | -0.000 | -0.000 |
| 0.000 | 0.000 | -0.002 | -0.000 | 152.446 | 0.000 |
| -0.281 | -0.282 | -0.511 | -0.000 | -0.000 | 147.011 |
| 520.424 | 276.020 | 276.020 | 0.000 | 0.000 | 0.000 |
| 276.020 | 520.424 | 276.020 | 0.000 | -0.000 | -0.000 |
| 276.020 | 276.020 | 520.424 | 0.000 | -0.000 | 0.000 |
| 0.000 | 0.000 | 0.000 | 69.107 | -0.000 | 0.000 |
| 0.000 | 0.000 | 0.000 | -0.000 | 69.107 | -0.000 |
| 0.000 | 0.000 | 0.000 | -0.000 | -0.000 | 69.107 |
| 517.714 | 277.375 | 277.375 | -0.000 | 0.000 | 0.000 |
| 277.375 | 517.714 | 277.375 | -0.000 | -0.000 | 0.000 |
| 277.375 | 277.375 | 517.714 | -0.000 | 0.000 | -0.000 |
| -0.000 | -0.000 | -0.000 | 69.107 | -0.000 | -0.000 |
| -0.000 | -0.000 | -0.000 | -0.000 | 69.107 | -0.000 |
| -0.000 | -0.000 | -0.000 | -0.000 | 0.000 | 69.107 |
| 520.424 | 276.021 | 276.021 | 0.000 | 0.000 | -0.000 |
| 276.021 | 520.424 | 276.021 | 0.000 | -0.000 | 0.000 |
| 276.021 | 276.021 | 520.424 | 0.000 | -0.000 | 0.000 |
| 0.000 | 0.000 | 0.000 | 81.824 | 0.000 | 0.000 |
| 0.000 | 0.000 | 0.000 | -0.000 | 81.824 | 0.000 |
| 0.000 | 0.000 | 0.000 | 0.000 | -0.000 | 81.824 |
| 520.424 | 276.020 | 276.020 | -0.000 | -0.000 | -0.000 |
| 276.020 | 520.424 | 276.020 | -0.000 | -0.000 | -0.000 |
| 276.020 | 276.020 | 520.424 | -0.000 | 0.000 | -0.000 |
| -0.000 | -0.000 | -0.000 | 81.824 | -0.000 | -0.000 |
| -0.000 | -0.000 | -0.000 | -0.000 | 81.824 | -0.000 |
| -0.000 | -0.000 | -0.000 | -0.000 | -0.000 | 81.824 |
| 520.425 | 276.024 | 276.024 | 0.000 | 0.000 | 0.000 |
| 276.024 | 520.425 | 276.024 | 0.000 | 0.000 | 0.000 |
| 276.024 | 276.024 | 520.425 | 0.000 | -0.000 | 0.000 |
| 0.001 | 0.001 | 0.001 | 69.107 | 0.000 | -0.000 |
| 0.001 | 0.001 | 0.001 | 0.000 | 69.107 | 0.000 |
| 0.001 | 0.001 | 0.001 | 0.000 | -0.000 | 69.107 |
| 520.422 | 276.016 | 276.016 | -0.000 | 0.000 | -0.000 |
| 276.016 | 520.422 | 276.016 | -0.000 | -0.000 | -0.000 |
| 276.016 | 276.016 | 520.422 | -0.000 | 0.000 | -0.000 |
| -0.001 | -0.001 | -0.001 | 69.107 | 0.000 | -0.000 |
| -0.001 | -0.001 | -0.001 | 0.000 | 69.107 | -0.000 |
| -0.001 | -0.001 | -0.001 | 0.000 | -0.000 | 69.107 |
| 714.506 | 428.045 | 428.045 | 0.000 | 0.000 | 0.000 |
| 428.045 | 714.506 | 428.045 | 0.000 | 0.000 | 0.000 |
| 428.045 | 428.045 | 714.506 | 0.000 | 0.000 | 0.000 |
| -0.000 | -0.000 | -0.000 | 169.986 | -0.000 | 0.000 |
| -0.000 | 0.000 | -0.000 | 0.000 | 169.986 | 0.000 |
| -0.000 | -0.000 | -0.000 | -0.000 | 0.000 | 169.986 |
| 714.506 | 428.045 | 428.045 | -0.000 | -0.000 | -0.000 |
| 428.045 | 714.506 | 428.045 | -0.000 | -0.000 | -0.000 |
| 428.045 | 428.045 | 714.506 | 0.000 | 0.000 | -0.000 |
| 0.000 | 0.000 | 0.000 | 169.986 | 0.000 | -0.000 |
| 0.000 | 0.000 | 0.000 | -0.000 | 169.986 | -0.000 |
| 0.000 | 0.000 | 0.000 | 0.000 | 0.000 | 169.986 |
| 714.506 | 428.046 | 428.046 | 0.000 | -0.000 | 0.000 |
| 428.046 | 714.506 | 428.046 | -0.000 | 0.000 | -0.000 |
| 428.046 | 428.046 | 714.506 | 0.000 | -0.000 | 0.000 |
| 0.000 | 0.000 | 0.000 | 169.986 | 0.000 | 0.000 |
| 0.000 | 0.000 | 0.000 | 0.000 | 169.986 | 0.000 |
| 0.000 | 0.000 | 0.000 | 0.000 | -0.000 | 169.986 |
| 714.506 | 428.045 | 428.045 | -0.000 | -0.000 | -0.000 |
| 428.045 | 714.506 | 428.045 | -0.000 | 0.000 | -0.000 |
| 428.045 | 428.045 | 714.506 | -0.000 | -0.000 | -0.000 |
| -0.000 | -0.000 | -0.000 | 169.986 | 0.000 | -0.000 |
| -0.000 | -0.000 | -0.000 | 0.000 | 169.986 | -0.000 |
| -0.000 | -0.000 | -0.000 | -0.000 | -0.000 | 169.986 |
| 714.507 | 428.048 | 428.048 | -0.000 | 0.000 | 0.000 |
| 428.048 | 714.507 | 428.048 | 0.000 | -0.000 | 0.000 |
| 428.048 | 428.048 | 714.507 | 0.000 | -0.000 | -0.000 |
| 0.000 | 0.000 | 0.000 | 171.671 | -0.000 | 0.000 |
| 0.000 | 0.000 | 0.000 | 0.000 | 171.671 | 0.000 |
| 0.000 | 0.000 | 0.000 | 0.000 | 0.000 | 171.671 |
| 714.505 | 428.042 | 428.042 | -0.000 | 0.000 | -0.000 |
| 428.042 | 714.505 | 428.042 | -0.000 | -0.000 | -0.000 |
| 428.042 | 428.042 | 714.505 | -0.000 | -0.000 | -0.000 |
| -0.000 | -0.000 | -0.000 | 171.671 | 0.000 | -0.000 |
| -0.000 | -0.000 | -0.000 | -0.000 | 171.671 | -0.000 |
| -0.000 | -0.000 | -0.000 | -0.000 | 0.000 | 171.671 |
| 456.029 | 230.274 | 230.274 | 0.000 | 0.000 | -0.000 |
| 230.274 | 456.029 | 230.274 | 0.000 | -0.000 | -0.000 |
| 230.274 | 230.274 | 456.029 | -0.000 | -0.000 | -0.000 |
| 0.000 | 0.000 | 0.000 | 163.074 | 0.000 | 0.000 |
| 0.000 | -0.000 | 0.000 | 0.000 | 163.074 | 0.000 |
| 0.000 | 0.000 | -0.000 | 0.000 | 0.000 | 163.074 |
| 456.029 | 230.274 | 230.274 | 0.000 | 0.000 | -0.000 |
| 230.274 | 456.029 | 230.274 | -0.000 | 0.000 | 0.000 |
| 230.274 | 230.274 | 456.029 | -0.000 | -0.000 | 0.000 |
| -0.000 | -0.000 | -0.000 | 163.074 | -0.000 | -0.000 |
| -0.000 | 0.000 | -0.000 | -0.000 | 163.074 | -0.000 |
| -0.000 | -0.000 | -0.000 | -0.000 | -0.000 | 163.074 |
| 456.029 | 230.274 | 230.274 | -0.000 | 0.000 | 0.000 |
| 230.274 | 456.029 | 230.274 | 0.000 | -0.000 | 0.000 |
| 230.274 | 230.274 | 456.029 | 0.000 | 0.000 | -0.000 |
| -0.000 | -0.000 | 0.000 | 163.074 | 0.000 | 0.000 |
| -0.000 | -0.000 | 0.000 | 0.000 | 163.074 | 0.000 |
| -0.000 | 0.000 | -0.000 | 0.000 | 0.000 | 163.074 |
| 456.029 | 230.274 | 230.274 | -0.000 | 0.000 | 0.000 |
| 230.274 | 456.029 | 230.274 | -0.000 | 0.000 | 0.000 |
| 230.274 | 230.274 | 456.029 | 0.000 | 0.000 | -0.000 |
| 0.000 | 0.000 | -0.000 | 163.074 | -0.000 | 0.000 |
| 0.000 | 0.000 | -0.000 | -0.000 | 163.074 | -0.000 |
| 0.000 | -0.000 | 0.000 | -0.000 | -0.000 | 163.074 |
| 456.028 | 230.273 | 230.273 | 0.000 | -0.000 | 0.000 |
| 230.273 | 456.028 | 230.273 | 0.000 | 0.000 | 0.000 |
| 230.273 | 230.273 | 456.028 | 0.000 | 0.000 | 0.000 |
| -0.000 | -0.000 | 0.000 | 163.074 | 0.000 | -0.000 |
| -0.000 | -0.000 | 0.000 | 0.000 | 163.074 | 0.000 |
| -0.000 | 0.000 | -0.000 | 0.000 | -0.000 | 163.074 |
| 456.031 | 230.275 | 230.275 | -0.000 | 0.000 | 0.000 |
| 230.275 | 456.031 | 230.275 | -0.000 | -0.000 | -0.000 |
| 230.275 | 230.275 | 456.031 | -0.000 | -0.000 | -0.000 |
| 0.000 | 0.000 | -0.000 | 163.074 | -0.000 | 0.000 |
| 0.000 | 0.000 | -0.000 | -0.000 | 163.074 | -0.000 |
| 0.000 | -0.000 | 0.000 | -0.000 | -0.000 | 163.074 |
| 447.373 | 222.233 | 222.533 | -0.000 | -0.000 | 0.000 |
| 222.233 | 447.373 | 222.533 | -0.000 | -0.000 | -0.000 |
| 222.533 | 222.533 | 450.578 | -0.000 | -0.000 | 0.000 |
| -0.000 | -0.000 | -0.000 | 163.111 | 0.000 | -0.000 |
| -0.000 | -0.000 | -0.000 | 0.000 | 163.111 | 0.000 |
| 0.000 | -0.000 | -0.000 | -0.000 | -0.000 | 163.231 |
| 447.373 | 222.233 | 222.533 | 0.000 | -0.000 | 0.000 |
| 222.233 | 447.373 | 222.533 | -0.000 | -0.000 | -0.000 |
| 222.533 | 222.533 | 450.578 | 0.000 | 0.000 | -0.000 |
| 0.000 | 0.000 | 0.000 | 163.111 | 0.000 | 0.000 |
| 0.000 | 0.000 | 0.000 | 0.000 | 163.111 | -0.000 |
| 0.000 | 0.000 | 0.000 | 0.000 | -0.000 | 163.231 |
| 447.373 | 222.233 | 222.533 | 0.000 | 0.000 | 0.000 |
| 222.233 | 447.373 | 222.533 | -0.000 | -0.000 | 0.000 |
| 222.533 | 222.533 | 450.578 | 0.000 | 0.000 | 0.000 |
| -0.000 | -0.000 | -0.000 | 163.111 | 0.000 | -0.000 |
| -0.000 | -0.000 | -0.000 | -0.000 | 163.111 | 0.000 |
| -0.000 | 0.000 | -0.000 | -0.000 | 0.000 | 163.231 |
| 447.373 | 222.233 | 222.533 | -0.000 | -0.000 | -0.000 |
| 222.233 | 447.373 | 222.533 | -0.000 | -0.000 | -0.000 |
| 222.533 | 222.533 | 450.579 | -0.000 | -0.000 | 0.000 |
| 0.000 | 0.000 | 0.000 | 163.111 | 0.000 | 0.000 |
| 0.000 | 0.000 | 0.000 | 0.000 | 163.111 | -0.000 |
| 0.000 | -0.000 | 0.000 | 0.000 | -0.000 | 163.231 |
| 446.240 | 223.364 | 222.533 | -0.000 | 0.000 | 0.000 |
| 223.364 | 446.240 | 222.533 | -0.000 | -0.000 | 0.000 |
| 222.533 | 222.533 | 450.576 | 0.000 | 0.000 | 0.000 |
| -0.000 | -0.000 | -0.000 | 162.447 | -0.000 | 0.000 |
| -0.000 | -0.000 | -0.000 | -0.000 | 162.447 | 0.000 |
| -0.000 | 0.000 | -0.000 | -0.000 | 0.000 | 163.231 |
| 447.375 | 222.234 | 222.534 | 0.000 | -0.000 | -0.000 |
| 222.234 | 447.375 | 222.534 | 0.000 | 0.000 | -0.000 |
| 222.534 | 222.534 | 450.580 | 0.000 | -0.000 | -0.000 |
| 0.000 | 0.000 | 0.000 | 162.447 | -0.000 | 0.000 |
| 0.000 | 0.000 | 0.000 | 0.000 | 162.447 | -0.000 |
| 0.000 | -0.000 | 0.000 | -0.000 | -0.000 | 163.231 |
| -267.839 | 38.524 | 146.615 | 0.000 | -0.000 | -0.000 |
| 38.524 | -267.839 | 146.615 | -0.000 | 0.000 | -0.000 |
| 146.615 | 146.615 | 513.403 | -0.000 | -0.000 | -0.000 |
| -0.000 | -0.000 | -0.000 | 110.638 | -0.000 | -0.000 |
| -0.000 | 0.000 | -0.000 | -0.000 | 110.638 | -0.000 |
| 0.000 | -0.000 | 0.000 | -0.000 | -0.000 | 1.790 |
| -267.839 | 38.524 | 146.615 | -0.000 | 0.000 | 0.000 |
| 38.524 | -267.839 | 146.615 | 0.000 | -0.000 | 0.000 |
| 146.615 | 146.615 | 513.403 | 0.000 | 0.000 | 0.000 |
| 0.000 | 0.000 | 0.000 | 110.638 | 0.000 | 0.000 |
| 0.000 | -0.000 | 0.000 | 0.000 | 110.638 | 0.000 |
| 0.000 | -0.000 | 0.000 | 0.000 | 0.000 | 1.790 |
| -269.564 | 40.250 | 146.615 | -0.000 | -0.000 | -0.000 |
| 40.250 | -269.564 | 146.615 | -0.000 | -0.000 | 0.000 |
| 146.615 | 146.615 | 513.403 | -0.000 | -0.000 | -0.000 |
| -0.000 | -0.000 | -0.000 | 112.501 | 0.000 | -0.000 |
| -0.000 | -0.000 | -0.000 | 0.000 | 112.501 | -0.000 |
| -0.000 | 0.000 | -0.000 | -0.000 | -0.000 | 1.790 |
| -269.565 | 40.250 | 146.614 | 0.000 | 0.000 | 0.000 |
| 40.250 | -269.565 | 146.614 | 0.000 | 0.000 | 0.000 |
| 146.614 | 146.614 | 513.403 | 0.000 | -0.000 | 0.000 |
| 0.000 | 0.000 | 0.000 | 112.501 | -0.000 | 0.000 |
| 0.000 | 0.000 | 0.000 | -0.000 | 112.501 | 0.000 |
| 0.000 | -0.000 | 0.000 | 0.000 | 0.000 | 1.790 |
| -267.837 | 38.528 | 146.618 | -0.000 | -0.000 | -0.000 |
| 38.528 | -267.837 | 146.618 | -0.000 | -0.000 | -0.000 |
| 146.618 | 146.618 | 513.404 | -0.000 | -0.000 | -0.000 |
| -0.000 | -0.000 | -0.001 | 112.501 | 0.000 | -0.000 |
| -0.000 | -0.000 | -0.001 | 0.000 | 112.501 | -0.000 |
| -0.000 | 0.000 | -0.000 | -0.000 | -0.000 | 1.790 |
| -267.841 | 38.520 | 146.611 | -0.000 | -0.000 | -0.000 |
| 38.520 | -267.841 | 146.611 | -0.000 | -0.000 | 0.000 |
| 146.611 | 146.611 | 513.402 | 0.000 | 0.000 | 0.000 |
| 0.000 | 0.000 | 0.001 | 112.501 | 0.000 | 0.000 |
| 0.000 | 0.000 | 0.001 | 0.000 | 112.501 | -0.000 |
| 0.000 | -0.000 | 0.000 | 0.000 | 0.000 | 1.790 |
| 510.317 | 218.909 | 200.473 | -0.000 | -0.000 | -0.000 |
| 218.909 | 510.317 | 200.473 | 0.000 | -0.000 | 0.000 |
| 200.473 | 200.473 | 432.174 | -0.000 | -0.000 | -0.000 |
| -0.000 | -0.000 | -0.000 | 127.626 | 0.000 | -0.000 |
| -0.000 | 0.000 | -0.000 | -0.000 | 127.626 | -0.000 |
| -0.000 | 0.000 | 0.000 | -0.000 | -0.000 | 145.704 |
| 505.577 | 226.820 | 189.488 | 0.000 | -0.000 | 0.000 |
| 226.820 | 505.577 | 189.488 | 0.000 | -0.000 | 0.000 |
| 202.318 | 202.318 | 419.383 | -0.000 | -0.000 | 0.000 |
| 0.000 | 0.000 | 0.000 | 127.626 | -0.000 | 0.000 |
| 0.000 | 0.000 | 0.000 | 0.000 | 127.626 | -0.000 |
| 0.000 | -0.000 | -0.000 | 0.000 | 0.000 | 145.704 |
| 510.317 | 218.909 | 200.473 | -0.000 | -0.000 | 0.000 |
| 221.763 | 506.780 | 202.844 | 0.000 | 0.000 | -0.000 |
| 200.473 | 200.473 | 432.173 | 0.000 | -0.000 | -0.000 |
| -0.000 | -0.000 | -0.000 | 127.626 | 0.000 | -0.000 |
| -0.000 | -0.000 | -0.000 | 0.000 | 127.626 | 0.000 |
| -0.000 | 0.000 | -0.000 | -0.000 | -0.000 | 145.704 |
| 504.118 | 225.361 | 199.600 | 0.000 | -0.000 | -0.000 |
| 218.909 | 510.318 | 200.473 | -0.000 | -0.000 | -0.000 |
| 200.473 | 200.473 | 432.174 | -0.000 | -0.000 | 0.000 |
| 0.000 | 0.000 | 0.000 | 127.626 | -0.000 | -0.000 |
| 0.000 | 0.000 | 0.000 | -0.000 | 127.626 | 0.000 |
| 0.000 | -0.000 | 0.000 | 0.000 | -0.000 | 145.704 |
| 504.526 | 224.395 | 201.525 | -0.000 | 0.000 | 0.000 |
| 218.909 | 510.316 | 200.472 | 0.000 | -0.000 | -0.000 |
| 200.471 | 200.471 | 432.171 | 0.000 | 0.000 | 0.000 |
| -0.000 | -0.001 | -0.001 | 127.626 | 0.000 | 0.000 |
| -0.001 | -0.000 | -0.001 | 0.000 | 127.626 | 0.000 |
| -0.001 | 0.000 | -0.000 | -0.000 | -0.000 | 145.704 |
| 503.986 | 225.226 | 200.533 | -0.000 | 0.000 | -0.000 |
| 224.946 | 504.171 | 200.861 | 0.000 | -0.000 | -0.000 |
| 200.474 | 200.474 | 432.176 | 0.000 | 0.000 | -0.000 |
| 0.000 | 0.001 | 0.001 | 127.626 | 0.000 | -0.000 |
| 0.001 | 0.000 | 0.001 | 0.000 | 127.626 | 0.000 |
| 0.001 | -0.000 | 0.000 | -0.000 | -0.000 | 145.704 |
| 555.034 | 221.015 | 235.067 | -0.000 | -0.000 | -0.000 |
| 221.286 | 536.754 | 215.875 | -0.000 | -0.000 | -0.000 |
| 201.030 | 193.123 | 503.470 | -0.000 | -0.000 | -0.000 |
| 2.185 | 0.136 | 3.515 | 125.545 | -0.000 | -0.000 |
| 0.000 | 0.000 | 0.000 | -0.000 | 166.093 | -0.000 |
| 0.000 | 0.000 | 0.000 | -0.000 | -0.000 | 156.915 |
| 516.362 | 194.804 | 200.305 | 0.000 | 0.000 | 0.000 |
| 197.672 | 519.782 | 195.762 | 0.000 | -0.000 | 0.000 |
| 199.188 | 192.798 | 500.749 | 0.000 | 0.000 | 0.000 |
| -2.185 | -0.136 | -3.515 | 125.545 | 0.000 | 0.000 |
| -0.000 | -0.000 | -0.000 | 0.000 | 166.093 | 0.000 |
| -0.000 | -0.000 | -0.000 | 0.000 | 0.000 | 156.915 |
| 555.034 | 221.015 | 235.067 | 0.000 | -0.000 | -0.000 |
| 221.287 | 536.754 | 215.875 | -0.000 | -0.000 | -0.000 |
| 234.983 | 215.519 | 534.701 | -0.000 | -0.000 | -0.000 |
| 0.244 | 0.015 | 0.392 | 122.999 | 0.000 | 0.000 |
| 0.116 | 0.007 | 0.186 | -0.000 | 165.641 | -0.000 |
| 0.000 | 0.000 | 0.000 | -0.000 | -0.000 | 156.915 |
| 518.003 | 195.530 | 202.224 | -0.000 | 0.000 | 0.000 |
| 221.286 | 536.754 | 215.875 | -0.000 | 0.000 | 0.000 |
| 199.854 | 192.837 | 501.824 | -0.000 | 0.000 | 0.000 |
| -0.244 | -0.015 | -0.392 | 122.999 | 0.000 | 0.000 |
| -0.116 | -0.007 | -0.186 | 0.000 | 165.641 | 0.000 |
| -0.000 | -0.000 | -0.000 | -0.000 | 0.000 | 156.915 |
| 518.217 | 195.630 | 202.469 | -0.000 | -0.000 | -0.000 |
| 221.287 | 536.756 | 215.876 | -0.000 | -0.000 | -0.000 |
| 234.984 | 215.520 | 534.703 | -0.000 | -0.000 | -0.000 |
| 0.025 | 0.001 | 0.039 | 122.969 | -0.000 | -0.000 |
| 0.012 | 0.001 | 0.019 | -0.000 | 165.636 | -0.000 |
| 0.004 | 0.001 | 0.007 | 0.000 | -0.000 | 156.915 |
| 555.033 | 221.014 | 235.066 | -0.000 | 0.000 | 0.000 |
| 195.891 | 519.241 | 193.392 | 0.000 | 0.000 | 0.000 |
| 200.055 | 193.043 | 501.920 | -0.000 | 0.000 | 0.000 |
| -0.025 | -0.001 | -0.039 | 122.969 | 0.000 | -0.000 |
| -0.012 | -0.001 | -0.019 | 0.000 | 165.636 | 0.000 |
| -0.004 | -0.001 | -0.007 | -0.000 | 0.000 | 156.915 |
| 513.750 | 193.773 | 196.207 | 0.000 | 0.000 | -0.000 |
| 196.485 | 518.663 | 193.253 | -0.000 | 0.000 | -0.000 |
| 195.173 | 190.373 | 488.619 | -0.000 | 0.000 | -0.000 |
| 0.000 | -0.000 | 0.000 | 146.749 | 0.000 | -0.000 |
| 0.000 | -0.000 | 0.000 | -0.000 | 163.959 | -0.000 |
| 0.000 | -0.000 | -0.000 | -0.000 | 0.000 | 155.189 |
| 516.807 | 195.180 | 199.875 | -0.000 | -0.000 | -0.000 |
| 218.910 | 534.818 | 213.255 | 0.000 | -0.000 | 0.000 |
| 196.589 | 190.601 | 490.820 | -0.000 | -0.000 | -0.000 |
| -0.000 | 0.000 | 0.000 | 146.749 | -0.000 | -0.000 |
| -0.000 | 0.000 | -0.000 | -0.000 | 163.959 | 0.000 |
| 0.000 | 0.000 | -0.000 | -0.000 | -0.000 | 155.189 |
| 550.856 | 218.910 | 231.194 | 0.000 | 0.000 | -0.000 |
| 218.910 | 534.819 | 213.255 | 0.000 | 0.000 | -0.000 |
| 231.193 | 213.255 | 524.381 | -0.000 | 0.000 | -0.000 |
| 0.000 | -0.000 | 0.000 | 146.749 | 0.000 | -0.000 |
| -0.187 | -0.173 | -0.121 | -0.000 | 163.453 | 0.000 |
| -0.034 | -0.003 | -0.056 | -0.000 | 0.000 | 155.189 |
| 550.855 | 218.910 | 231.193 | 0.000 | -0.000 | 0.000 |
| 198.401 | 519.704 | 195.362 | -0.000 | -0.000 | 0.000 |
| 231.193 | 213.254 | 524.380 | -0.000 | -0.000 | -0.000 |
| -0.000 | 0.000 | -0.000 | 146.749 | -0.000 | -0.000 |
| 0.187 | 0.173 | 0.121 | -0.000 | 163.453 | 0.000 |
| 0.034 | 0.003 | 0.056 | -0.000 | -0.000 | 155.189 |
| 515.196 | 194.414 | 197.971 | 0.000 | 0.000 | -0.000 |
| 218.910 | 534.820 | 213.255 | 0.000 | 0.000 | -0.000 |
| 195.847 | 190.536 | 489.606 | -0.000 | 0.000 | 0.000 |
| 0.000 | -0.000 | 0.000 | 146.749 | 0.000 | -0.000 |
| 0.000 | 0.000 | 0.001 | 0.000 | 163.959 | 0.000 |
| -0.003 | 0.000 | -0.005 | -0.000 | 0.000 | 155.189 |
| 514.032 | 194.478 | 195.866 | -0.000 | -0.000 | 0.000 |
| 218.909 | 534.817 | 213.254 | -0.000 | -0.000 | -0.000 |
| 231.192 | 213.254 | 524.377 | -0.000 | -0.000 | -0.000 |
| -0.000 | 0.000 | -0.000 | 146.749 | -0.000 | -0.000 |
| -0.000 | -0.000 | -0.001 | -0.000 | 163.959 | -0.000 |
| 0.003 | -0.000 | 0.005 | -0.000 | 0.000 | 155.189 |
| 853.760 | 1.503 | 1.503 | -0.000 | -0.000 | 0.000 |
| 1.503 | 853.760 | 1.503 | -0.000 | -0.000 | 0.000 |
| 1.503 | 1.503 | 853.760 | 0.000 | 0.000 | 0.000 |
| -0.000 | -0.000 | -0.000 | 81.060 | -0.000 | 0.000 |
| 0.000 | -0.000 | -0.000 | -0.000 | 81.060 | -0.000 |
| 0.000 | -0.000 | -0.000 | -0.000 | -0.000 | 81.060 |
| 853.760 | 1.503 | 1.503 | -0.000 | 0.000 | -0.000 |
| 1.503 | 853.760 | 1.503 | 0.000 | 0.000 | -0.000 |
| 1.503 | 1.503 | 853.760 | 0.000 | -0.000 | -0.000 |
| 0.000 | 0.000 | 0.000 | 81.060 | 0.000 | -0.000 |
| -0.000 | 0.000 | 0.000 | 0.000 | 81.060 | -0.000 |
| -0.000 | 0.000 | -0.000 | 0.000 | 0.000 | 81.060 |
| 853.761 | 1.503 | 1.503 | -0.000 | 0.000 | 0.000 |
| 1.503 | 853.761 | 1.503 | -0.000 | -0.000 | 0.000 |
| 1.503 | 1.503 | 853.761 | -0.000 | -0.000 | 0.000 |
| 0.000 | 0.000 | 0.000 | 81.060 | -0.000 | -0.000 |
| 0.000 | 0.000 | 0.000 | -0.000 | 81.060 | 0.000 |
| 0.000 | 0.000 | 0.000 | -0.000 | -0.000 | 81.060 |
| 853.760 | 1.503 | 1.503 | 0.000 | 0.000 | -0.000 |
| 1.503 | 853.760 | 1.503 | 0.000 | 0.000 | -0.000 |
| 1.503 | 1.503 | 853.760 | -0.000 | 0.000 | -0.000 |
| -0.000 | -0.000 | -0.000 | 81.060 | 0.000 | -0.000 |
| -0.000 | -0.000 | -0.000 | 0.000 | 81.060 | -0.000 |
| -0.000 | -0.000 | -0.000 | 0.000 | 0.000 | 81.060 |
| 853.766 | 1.503 | 1.503 | -0.000 | -0.000 | 0.000 |
| 1.503 | 853.766 | 1.503 | -0.000 | 0.000 | 0.000 |
| 1.503 | 1.503 | 853.766 | -0.000 | -0.000 | -0.000 |
| 0.000 | 0.000 | 0.000 | 81.060 | -0.000 | 0.000 |
| 0.000 | 0.000 | 0.000 | -0.000 | 81.060 | 0.000 |
| 0.000 | 0.000 | 0.000 | -0.000 | -0.000 | 81.060 |
| 853.755 | 1.504 | 1.504 | 0.000 | 0.000 | -0.000 |
| 1.504 | 853.755 | 1.504 | 0.000 | 0.000 | -0.000 |
| 1.504 | 1.504 | 853.755 | 0.000 | 0.000 | 0.000 |
| -0.000 | -0.000 | -0.000 | 81.060 | 0.000 | -0.000 |
| -0.000 | -0.000 | -0.000 | 0.000 | 81.060 | -0.000 |
| -0.000 | -0.000 | -0.000 | 0.000 | 0.000 | 81.060 |
| 208.838 | 51.990 | 51.990 | -0.000 | -0.000 | 0.000 |
| 51.990 | 208.838 | 51.990 | -0.000 | 0.000 | -0.000 |
| 51.990 | 51.990 | 208.838 | -0.000 | -0.000 | 0.000 |
| -0.000 | -0.000 | -0.000 | 41.600 | -0.000 | -0.000 |
| -0.000 | -0.000 | -0.000 | -0.000 | 41.600 | -0.000 |
| -0.000 | -0.000 | -0.000 | -0.000 | -0.000 | 41.600 |
| 208.838 | 51.990 | 51.990 | 0.000 | 0.000 | 0.000 |
| 51.990 | 208.838 | 51.990 | 0.000 | 0.000 | -0.000 |
| 51.990 | 51.990 | 208.838 | 0.000 | 0.000 | 0.000 |
| 0.000 | 0.000 | 0.000 | 41.600 | 0.000 | 0.000 |
| 0.000 | 0.000 | 0.000 | 0.000 | 41.600 | 0.000 |
| 0.000 | 0.000 | 0.000 | 0.000 | 0.000 | 41.600 |
| 208.837 | 51.990 | 51.990 | -0.000 | -0.000 | 0.000 |
| 51.990 | 208.837 | 51.990 | -0.000 | 0.000 | -0.000 |
| 51.990 | 51.990 | 208.837 | -0.000 | -0.000 | -0.000 |
| -0.000 | -0.000 | -0.000 | 41.600 | 0.000 | -0.000 |
| -0.000 | -0.000 | -0.000 | 0.000 | 41.600 | -0.000 |
| -0.000 | -0.000 | -0.000 | -0.000 | -0.000 | 41.600 |
| 208.838 | 51.990 | 51.990 | 0.000 | 0.000 | 0.000 |
| 51.990 | 208.838 | 51.990 | 0.000 | 0.000 | 0.000 |
| 51.990 | 51.990 | 208.838 | 0.000 | 0.000 | 0.000 |
| 0.000 | 0.000 | 0.000 | 41.600 | -0.000 | -0.000 |
| 0.000 | 0.000 | 0.000 | 0.000 | 41.600 | 0.000 |
| 0.000 | 0.000 | 0.000 | 0.000 | 0.000 | 41.600 |
| 208.835 | 51.989 | 51.989 | -0.000 | -0.000 | 0.000 |
| 51.989 | 208.835 | 51.989 | -0.000 | -0.000 | 0.000 |
| 51.989 | 51.989 | 208.835 | -0.000 | -0.000 | -0.000 |
| -0.000 | -0.001 | -0.001 | 41.600 | 0.000 | -0.000 |
| -0.001 | -0.000 | -0.001 | -0.000 | 41.600 | -0.000 |
| -0.001 | -0.001 | -0.000 | -0.000 | -0.000 | 41.600 |
| 208.840 | 51.991 | 51.991 | 0.000 | 0.000 | -0.000 |
| 51.991 | 208.840 | 51.991 | 0.000 | 0.000 | 0.000 |
| 51.991 | 51.991 | 208.840 | 0.000 | -0.000 | -0.000 |
| 0.000 | 0.001 | 0.001 | 41.600 | -0.000 | 0.000 |
| 0.001 | 0.000 | 0.001 | 0.000 | 41.600 | 0.000 |
| 0.001 | 0.001 | 0.000 | 0.000 | 0.000 | 41.600 |
| 1151.649 | 522.415 | 522.415 | -0.000 | 0.000 | 0.000 |
| 522.415 | 1151.649 | 522.415 | -0.000 | 0.000 | 0.000 |
| 522.415 | 522.415 | 1151.649 | -0.000 | 0.000 | 0.000 |
| 0.000 | -0.000 | 0.000 | 298.212 | 0.000 | -0.000 |
| -0.000 | 0.000 | 0.000 | -0.000 | 298.212 | 0.000 |
| 0.000 | 0.000 | 0.000 | -0.000 | 0.000 | 298.212 |
| 1151.649 | 522.415 | 522.415 | 0.000 | -0.000 | 0.000 |
| 522.415 | 1151.649 | 522.415 | 0.000 | -0.000 | 0.000 |
| 522.415 | 522.415 | 1151.649 | 0.000 | -0.000 | -0.000 |
| -0.000 | 0.000 | -0.000 | 298.212 | 0.000 | -0.000 |
| -0.000 | -0.000 | -0.000 | 0.000 | 298.212 | -0.000 |
| -0.000 | -0.000 | -0.000 | 0.000 | -0.000 | 298.212 |
| 1151.649 | 522.415 | 522.415 | -0.000 | -0.000 | -0.000 |
| 522.415 | 1151.649 | 522.415 | -0.000 | 0.000 | 0.000 |
| 522.415 | 522.415 | 1151.649 | -0.000 | 0.000 | 0.000 |
| 0.000 | 0.000 | 0.000 | 298.212 | -0.000 | 0.000 |
| 0.000 | 0.000 | 0.000 | -0.000 | 298.212 | 0.000 |
| 0.000 | 0.000 | 0.000 | -0.000 | 0.000 | 298.212 |
| 1151.647 | 522.415 | 522.415 | 0.000 | -0.000 | -0.000 |
| 522.415 | 1151.647 | 522.415 | 0.000 | -0.000 | 0.000 |
| 522.415 | 522.415 | 1151.647 | 0.000 | -0.000 | 0.000 |
| -0.000 | -0.000 | -0.000 | 298.212 | -0.000 | -0.000 |
| -0.000 | -0.000 | -0.000 | 0.000 | 298.212 | -0.000 |
| -0.000 | -0.000 | -0.000 | 0.000 | -0.000 | 298.212 |
| 1151.646 | 522.416 | 522.416 | -0.000 | -0.000 | 0.000 |
| 522.416 | 1151.646 | 522.416 | -0.000 | 0.000 | 0.000 |
| 522.416 | 522.416 | 1151.646 | -0.000 | 0.000 | 0.000 |
| 0.001 | 0.000 | 0.000 | 298.212 | 0.000 | -0.000 |
| 0.000 | 0.001 | 0.000 | 0.000 | 298.212 | 0.000 |
| 0.000 | 0.000 | 0.001 | -0.000 | 0.000 | 298.212 |
| 1151.648 | 522.414 | 522.414 | 0.000 | -0.000 | 0.000 |
| 522.414 | 1151.648 | 522.414 | 0.000 | -0.000 | -0.000 |
| 522.414 | 522.414 | 1151.648 | 0.000 | -0.000 | 0.000 |
| -0.001 | -0.000 | -0.000 | 298.212 | -0.000 | 0.000 |
| -0.000 | -0.001 | -0.000 | 0.000 | 298.212 | -0.000 |
| -0.000 | -0.000 | -0.001 | 0.000 | 0.000 | 298.212 |
| 534.265 | 210.654 | 210.654 | -0.000 | -0.000 | 0.000 |
| 210.654 | 534.265 | 210.654 | -0.000 | -0.000 | -0.000 |
| 210.654 | 210.654 | 534.265 | -0.000 | -0.000 | -0.000 |
| 0.000 | -0.000 | -0.000 | 179.027 | -0.000 | -0.000 |
| -0.000 | 0.000 | -0.000 | -0.000 | 179.027 | -0.000 |
| -0.000 | -0.000 | 0.000 | -0.000 | -0.000 | 179.027 |
| 534.265 | 210.654 | 210.654 | 0.000 | 0.000 | 0.000 |
| 210.654 | 534.265 | 210.654 | 0.000 | 0.000 | 0.000 |
| 210.654 | 210.654 | 534.265 | 0.000 | 0.000 | 0.000 |
| -0.000 | 0.000 | 0.000 | 179.027 | 0.000 | 0.000 |
| 0.000 | -0.000 | 0.000 | 0.000 | 179.027 | 0.000 |
| 0.000 | 0.000 | -0.000 | 0.000 | 0.000 | 179.027 |
| 534.265 | 210.654 | 210.654 | -0.000 | -0.000 | -0.000 |
| 210.654 | 534.265 | 210.654 | -0.000 | -0.000 | -0.000 |
| 210.654 | 210.654 | 534.265 | -0.000 | -0.000 | -0.000 |
| 0.000 | -0.000 | -0.000 | 179.027 | -0.000 | -0.000 |
| -0.000 | 0.000 | -0.000 | -0.000 | 179.027 | -0.000 |
| -0.000 | -0.000 | 0.000 | -0.000 | -0.000 | 179.027 |
| 534.265 | 210.654 | 210.654 | 0.000 | 0.000 | 0.000 |
| 210.654 | 534.265 | 210.654 | 0.000 | 0.000 | 0.000 |
| 210.654 | 210.654 | 534.265 | 0.000 | 0.000 | 0.000 |
| -0.000 | 0.000 | 0.000 | 179.027 | 0.000 | 0.000 |
| 0.000 | -0.000 | 0.000 | 0.000 | 179.027 | 0.000 |
| 0.000 | 0.000 | -0.000 | -0.000 | 0.000 | 179.027 |
| 534.261 | 210.654 | 210.654 | -0.000 | -0.000 | -0.000 |
| 210.654 | 534.261 | 210.654 | -0.000 | -0.000 | -0.000 |
| 210.654 | 210.654 | 534.261 | -0.000 | -0.000 | -0.000 |
| 0.000 | -0.001 | -0.000 | 179.027 | -0.000 | -0.000 |
| -0.001 | 0.000 | -0.000 | -0.000 | 179.027 | -0.000 |
| -0.001 | -0.000 | 0.000 | -0.000 | -0.000 | 179.027 |
| 534.269 | 210.653 | 210.653 | 0.000 | 0.000 | 0.000 |
| 210.653 | 534.269 | 210.653 | 0.000 | 0.000 | 0.000 |
| 210.653 | 210.653 | 534.269 | 0.000 | 0.000 | 0.000 |
| -0.000 | 0.001 | 0.000 | 179.027 | 0.000 | 0.000 |
| 0.001 | -0.000 | 0.000 | 0.000 | 179.027 | 0.000 |
| 0.001 | 0.000 | -0.000 | 0.000 | 0.000 | 179.027 |
| 195.275 | 97.675 | 97.675 | -0.000 | -0.000 | -0.000 |
| 97.675 | 195.275 | 97.675 | -0.000 | -0.000 | -0.000 |
| 97.675 | 97.675 | 195.275 | -0.000 | -0.000 | -0.000 |
| -0.000 | -0.000 | -0.000 | 70.770 | -0.000 | -0.000 |
| -0.000 | -0.000 | -0.000 | -0.000 | 70.770 | -0.000 |
| -0.000 | -0.000 | -0.000 | -0.000 | -0.000 | 70.770 |
| 195.275 | 97.675 | 97.675 | 0.000 | 0.000 | 0.000 |
| 97.675 | 195.275 | 97.675 | 0.000 | 0.000 | 0.000 |
| 97.675 | 97.675 | 195.275 | 0.000 | 0.000 | 0.000 |
| 0.000 | 0.000 | 0.000 | 70.770 | 0.000 | 0.000 |
| 0.000 | 0.000 | 0.000 | 0.000 | 70.770 | 0.000 |
| 0.000 | 0.000 | 0.000 | 0.000 | 0.000 | 70.770 |
| 195.275 | 97.675 | 97.675 | -0.000 | -0.000 | -0.000 |
| 97.675 | 195.275 | 97.675 | -0.000 | -0.000 | -0.000 |
| 97.675 | 97.675 | 195.275 | -0.000 | -0.000 | -0.000 |
| -0.000 | -0.000 | -0.000 | 70.770 | -0.000 | -0.000 |
| -0.000 | -0.000 | -0.000 | -0.000 | 70.770 | -0.000 |
| -0.000 | -0.000 | -0.000 | -0.000 | -0.000 | 70.770 |
| 195.276 | 97.675 | 97.675 | 0.000 | 0.000 | 0.000 |
| 97.675 | 195.276 | 97.675 | 0.000 | 0.000 | 0.000 |
| 97.675 | 97.675 | 195.276 | 0.000 | 0.000 | 0.000 |
| 0.000 | 0.000 | 0.000 | 70.770 | 0.000 | 0.000 |
| 0.000 | 0.000 | 0.000 | 0.000 | 70.770 | 0.000 |
| 0.000 | 0.000 | 0.000 | 0.000 | 0.000 | 70.770 |
| 195.274 | 97.675 | 97.675 | -0.000 | -0.000 | -0.000 |
| 97.675 | 195.274 | 97.675 | -0.000 | -0.000 | -0.000 |
| 97.675 | 97.675 | 195.274 | -0.000 | -0.000 | -0.000 |
| -0.000 | -0.000 | -0.000 | 70.770 | -0.000 | -0.000 |
| -0.000 | -0.000 | -0.000 | -0.000 | 70.770 | -0.000 |
| -0.000 | -0.000 | -0.000 | -0.000 | -0.000 | 70.770 |
| 195.277 | 97.675 | 97.675 | 0.000 | 0.000 | 0.000 |
| 97.675 | 195.277 | 97.675 | 0.000 | 0.000 | 0.000 |
| 97.675 | 97.675 | 195.277 | 0.000 | 0.000 | 0.000 |
| 0.000 | 0.000 | 0.000 | 70.770 | 0.000 | 0.000 |
| 0.000 | 0.000 | 0.000 | 0.000 | 70.770 | 0.000 |
| 0.000 | 0.000 | 0.000 | 0.000 | 0.000 | 70.770 |
| 59.419 | 41.527 | 41.527 | -0.000 | -0.000 | -0.000 |
| 41.527 | 59.419 | 41.527 | -0.000 | -0.000 | -0.000 |
| 41.527 | 41.527 | 59.419 | -0.000 | -0.000 | -0.000 |
| -0.000 | -0.000 | -0.000 | 11.920 | -0.000 | -0.000 |
| -0.000 | -0.000 | -0.000 | -0.000 | 11.920 | -0.000 |
| -0.000 | -0.000 | -0.000 | -0.000 | -0.000 | 11.920 |
| 59.419 | 41.527 | 41.527 | 0.000 | 0.000 | 0.000 |
| 41.527 | 59.419 | 41.527 | 0.000 | 0.000 | 0.000 |
| 41.527 | 41.527 | 59.419 | 0.000 | 0.000 | 0.000 |
| 0.000 | 0.000 | 0.000 | 11.920 | 0.000 | 0.000 |
| 0.000 | 0.000 | 0.000 | 0.000 | 11.920 | 0.000 |
| 0.000 | 0.000 | 0.000 | 0.000 | 0.000 | 11.920 |
| 59.419 | 41.527 | 41.527 | 0.000 | -0.000 | -0.000 |
| 41.527 | 59.419 | 41.527 | -0.000 | 0.000 | -0.000 |
| 41.527 | 41.527 | 59.419 | -0.000 | -0.000 | 0.000 |
| -0.000 | -0.000 | -0.000 | 11.920 | -0.000 | -0.000 |
| -0.000 | -0.000 | -0.000 | -0.000 | 11.920 | -0.000 |
| -0.000 | -0.000 | -0.000 | -0.000 | -0.000 | 11.920 |
| 59.419 | 41.527 | 41.527 | -0.000 | 0.000 | 0.000 |
| 41.527 | 59.419 | 41.527 | 0.000 | -0.000 | 0.000 |
| 41.527 | 41.527 | 59.419 | 0.000 | 0.000 | -0.000 |
| 0.000 | 0.000 | 0.000 | 11.920 | 0.000 | 0.000 |
| 0.000 | 0.000 | 0.000 | 0.000 | 11.920 | 0.000 |
| 0.000 | 0.000 | 0.000 | 0.000 | 0.000 | 11.920 |
| 59.416 | 41.526 | 41.526 | -0.000 | -0.000 | -0.000 |
| 41.526 | 59.416 | 41.526 | -0.000 | -0.000 | -0.000 |
| 41.526 | 41.526 | 59.416 | -0.000 | -0.000 | -0.000 |
| -0.001 | -0.001 | -0.001 | 11.920 | -0.000 | -0.000 |
| -0.001 | -0.001 | -0.001 | -0.000 | 11.920 | -0.000 |
| -0.001 | -0.001 | -0.001 | -0.000 | -0.000 | 11.920 |
| 59.422 | 41.527 | 41.527 | -0.000 | 0.000 | 0.000 |
| 41.527 | 59.422 | 41.527 | 0.000 | -0.000 | 0.000 |
| 41.527 | 41.527 | 59.422 | 0.000 | 0.000 | -0.000 |
| 0.001 | 0.001 | 0.001 | 11.920 | 0.000 | 0.000 |
| 0.001 | 0.001 | 0.001 | 0.000 | 11.920 | 0.000 |
| 0.001 | 0.001 | 0.001 | 0.000 | 0.000 | 11.920 |
| 681.747 | 137.591 | 250.115 | 0.000 | 0.000 | 0.000 |
| 137.591 | 681.747 | 250.115 | 0.000 | 0.000 | -0.000 |
| 250.115 | 250.115 | 361.455 | 0.000 | 0.000 | 0.000 |
| -0.000 | -0.000 | -0.000 | 240.898 | 0.000 | 0.000 |
| -0.000 | -0.000 | -0.000 | -0.000 | 240.898 | 0.000 |
| -0.000 | -0.000 | -0.000 | 0.000 | 0.000 | 130.118 |
| 681.747 | 137.591 | 250.115 | -0.000 | -0.000 | -0.000 |
| 137.591 | 681.747 | 250.115 | -0.000 | -0.000 | -0.000 |
| 250.115 | 250.115 | 361.455 | 0.000 | -0.000 | 0.000 |
| 0.000 | 0.000 | 0.000 | 240.898 | 0.000 | -0.000 |
| 0.000 | 0.000 | 0.000 | -0.000 | 240.898 | -0.000 |
| 0.000 | 0.000 | 0.000 | -0.000 | -0.000 | 130.118 |
| 681.746 | 137.590 | 250.115 | -0.000 | -0.000 | 0.000 |
| 137.590 | 681.746 | 250.115 | -0.000 | -0.000 | -0.000 |
| 250.115 | 250.115 | 361.454 | 0.000 | 0.000 | 0.000 |
| -0.000 | -0.000 | -0.000 | 240.898 | -0.000 | -0.000 |
| -0.000 | -0.000 | -0.000 | 0.000 | 240.898 | -0.000 |
| -0.000 | -0.000 | -0.000 | 0.000 | 0.000 | 130.118 |
| 681.748 | 137.591 | 250.115 | 0.000 | -0.000 | -0.000 |
| 137.591 | 681.748 | 250.115 | 0.000 | -0.000 | 0.000 |
| 250.115 | 250.115 | 361.455 | 0.000 | 0.000 | -0.000 |
| 0.000 | 0.000 | 0.000 | 240.898 | 0.000 | -0.000 |
| 0.000 | 0.000 | 0.000 | 0.000 | 240.898 | -0.000 |
| 0.000 | 0.000 | 0.000 | 0.000 | 0.000 | 130.118 |
| 681.740 | 137.589 | 250.113 | -0.000 | -0.000 | 0.000 |
| 137.589 | 681.740 | 250.113 | -0.000 | -0.000 | -0.000 |
| 250.114 | 250.114 | 361.452 | -0.000 | 0.000 | -0.000 |
| -0.000 | -0.001 | -0.000 | 240.898 | 0.000 | -0.000 |
| -0.001 | -0.000 | -0.000 | -0.000 | 240.898 | 0.000 |
| -0.001 | -0.001 | -0.000 | 0.000 | 0.000 | 130.118 |
| 681.754 | 137.592 | 250.117 | 0.000 | -0.000 | -0.000 |
| 137.592 | 681.754 | 250.117 | -0.000 | 0.000 | -0.000 |
| 250.116 | 250.116 | 361.457 | 0.000 | -0.000 | 0.000 |
| 0.000 | 0.001 | 0.000 | 240.898 | -0.000 | -0.000 |
| 0.001 | 0.000 | 0.000 | -0.000 | 240.898 | 0.000 |
| 0.001 | 0.001 | 0.000 | 0.000 | 0.000 | 130.118 |
| 656.681 | 47.461 | 71.529 | -0.000 | 0.000 | -0.000 |
| 47.461 | 656.681 | 71.529 | 0.000 | -0.000 | -0.000 |
| 71.529 | 71.529 | -325.331 | 0.000 | 0.000 | 0.000 |
| -0.000 | -0.000 | -0.000 | 166.362 | -0.000 | 0.000 |
| -0.000 | -0.000 | -0.000 | 0.000 | 166.362 | -0.000 |
| -0.000 | -0.000 | -0.000 | 0.000 | -0.000 | 138.238 |
| 656.681 | 47.461 | 71.529 | 0.000 | 0.000 | 0.000 |
| 47.461 | 656.681 | 71.529 | 0.000 | -0.000 | 0.000 |
| 71.529 | 71.529 | -325.330 | 0.000 | -0.000 | -0.000 |
| 0.000 | 0.000 | 0.000 | 166.362 | 0.000 | -0.000 |
| 0.000 | 0.000 | 0.000 | 0.000 | 166.362 | 0.000 |
| 0.000 | 0.000 | 0.000 | -0.000 | 0.000 | 138.238 |
| 656.680 | 47.461 | 71.529 | 0.000 | -0.000 | -0.000 |
| 47.461 | 656.680 | 71.529 | -0.000 | -0.000 | 0.000 |
| 71.529 | 71.529 | -325.331 | 0.000 | -0.000 | -0.000 |
| -0.000 | -0.000 | -0.000 | 166.362 | 0.000 | 0.000 |
| -0.000 | -0.000 | -0.000 | 0.000 | 166.362 | 0.000 |
| -0.000 | -0.000 | -0.000 | 0.000 | -0.000 | 138.238 |
| 656.681 | 47.461 | 71.529 | 0.000 | 0.000 | 0.000 |
| 47.461 | 656.681 | 71.529 | -0.000 | 0.000 | 0.000 |
| 71.529 | 71.529 | -325.330 | 0.000 | 0.000 | 0.000 |
| 0.000 | 0.000 | 0.000 | 166.362 | 0.000 | 0.000 |
| 0.000 | 0.000 | 0.000 | -0.000 | 166.362 | 0.000 |
| 0.000 | 0.000 | 0.000 | -0.000 | 0.000 | 138.238 |
| 656.675 | 47.460 | 71.527 | -0.000 | -0.000 | -0.000 |
| 47.460 | 656.675 | 71.527 | -0.000 | -0.000 | -0.000 |
| 71.527 | 71.527 | -325.336 | -0.000 | -0.000 | -0.000 |
| -0.001 | -0.002 | -0.001 | 166.362 | -0.000 | -0.000 |
| -0.002 | -0.001 | -0.001 | 0.000 | 166.362 | -0.000 |
| -0.001 | -0.001 | -0.001 | 0.000 | 0.000 | 138.238 |
| 656.686 | 47.463 | 71.531 | 0.000 | -0.000 | -0.000 |
| 47.463 | 656.686 | 71.531 | -0.000 | 0.000 | 0.000 |
| 71.531 | 71.531 | -325.325 | -0.000 | -0.000 | -0.000 |
| 0.001 | 0.002 | 0.001 | 166.362 | 0.000 | -0.000 |
| 0.002 | 0.001 | 0.001 | -0.000 | 166.362 | -0.000 |
| 0.001 | 0.001 | 0.001 | -0.000 | -0.000 | 138.238 |
| 747.360 | 153.209 | 204.344 | 0.000 | 0.000 | 0.000 |
| 153.209 | 747.360 | 204.344 | 0.000 | 0.000 | -0.000 |
| 204.344 | 204.344 | 733.330 | 0.000 | 0.000 | 0.000 |
| -0.000 | -0.000 | -0.000 | 144.199 | -0.000 | -0.000 |
| -0.000 | -0.000 | -0.000 | -0.000 | 144.199 | -0.000 |
| -0.000 | -0.000 | -0.000 | 0.000 | 0.000 | 95.035 |
| 747.360 | 153.209 | 204.344 | -0.000 | -0.000 | 0.000 |
| 153.209 | 747.360 | 204.344 | -0.000 | -0.000 | 0.000 |
| 204.344 | 204.344 | 733.330 | -0.000 | -0.000 | 0.000 |
| 0.000 | 0.000 | 0.000 | 144.199 | -0.000 | 0.000 |
| 0.000 | 0.000 | 0.000 | 0.000 | 144.199 | 0.000 |
| 0.000 | 0.000 | 0.000 | -0.000 | -0.000 | 95.035 |
| 747.360 | 153.209 | 204.344 | 0.000 | 0.000 | -0.000 |
| 153.209 | 747.360 | 204.344 | 0.000 | 0.000 | -0.000 |
| 204.344 | 204.344 | 733.331 | 0.000 | 0.000 | -0.000 |
| -0.000 | -0.000 | -0.000 | 144.199 | 0.000 | -0.000 |
| -0.000 | -0.000 | -0.000 | 0.000 | 144.199 | -0.000 |
| -0.000 | -0.000 | -0.000 | 0.000 | 0.000 | 95.035 |
| 747.360 | 153.209 | 204.344 | -0.000 | -0.000 | 0.000 |
| 153.209 | 747.360 | 204.344 | -0.000 | -0.000 | 0.000 |
| 204.344 | 204.344 | 733.329 | -0.000 | -0.000 | -0.000 |
| 0.000 | 0.000 | 0.000 | 144.199 | 0.000 | 0.000 |
| 0.000 | 0.000 | 0.000 | 0.000 | 144.199 | 0.000 |
| 0.000 | 0.000 | 0.000 | -0.000 | -0.000 | 95.035 |
| 747.358 | 153.211 | 204.346 | 0.000 | 0.000 | -0.000 |
| 153.211 | 747.358 | 204.346 | 0.000 | 0.000 | -0.000 |
| 204.347 | 204.347 | 733.337 | 0.000 | 0.000 | -0.000 |
| -0.000 | -0.001 | -0.000 | 144.199 | -0.000 | -0.000 |
| -0.001 | -0.000 | -0.000 | -0.000 | 144.199 | -0.000 |
| -0.001 | -0.001 | -0.000 | 0.000 | 0.000 | 95.035 |
| 747.361 | 153.208 | 204.343 | -0.000 | -0.000 | 0.000 |
| 153.208 | 747.361 | 204.343 | -0.000 | -0.000 | -0.000 |
| 204.341 | 204.341 | 733.323 | -0.000 | -0.000 | 0.000 |
| 0.000 | 0.001 | 0.000 | 144.199 | -0.000 | 0.000 |
| 0.001 | 0.000 | 0.000 | 0.000 | 144.199 | 0.000 |
| 0.001 | 0.001 | 0.000 | -0.000 | -0.000 | 95.035 |
| 872.605 | 504.260 | 451.074 | 0.000 | -0.000 | -0.000 |
| 504.260 | 1229.212 | 484.931 | 0.000 | -0.000 | -0.000 |
| 451.074 | 484.931 | 604.828 | 0.000 | -0.000 | -0.000 |
| -0.000 | -0.000 | -0.000 | 231.089 | -0.000 | 0.000 |
| -0.000 | -0.000 | 0.000 | 0.000 | 196.546 | -0.000 |
| 0.000 | 0.000 | 0.000 | 0.000 | -0.000 | 266.366 |
| 872.605 | 504.260 | 451.074 | -0.000 | 0.000 | 0.000 |
| 504.260 | 1229.212 | 484.931 | -0.000 | 0.000 | 0.000 |
| 451.074 | 484.931 | 604.827 | -0.000 | -0.000 | 0.000 |
| 0.000 | 0.000 | 0.000 | 231.089 | 0.000 | 0.000 |
| -0.000 | 0.000 | -0.000 | -0.000 | 196.546 | 0.000 |
| -0.000 | -0.000 | -0.000 | -0.000 | 0.000 | 266.366 |
| 872.605 | 504.261 | 451.074 | 0.000 | -0.000 | 0.000 |
| 504.261 | 1229.212 | 484.931 | 0.000 | -0.000 | 0.000 |
| 451.074 | 484.931 | 604.828 | 0.000 | -0.000 | -0.000 |
| 0.000 | -0.000 | -0.000 | 231.089 | -0.000 | 0.000 |
| -0.000 | 0.000 | 0.000 | 0.000 | 196.546 | -0.000 |
| 0.000 | 0.000 | 0.000 | 0.000 | -0.000 | 266.366 |
| 872.605 | 504.260 | 451.074 | -0.000 | 0.000 | -0.000 |
| 504.260 | 1229.211 | 484.931 | -0.000 | 0.000 | -0.000 |
| 451.074 | 484.931 | 604.827 | -0.000 | 0.000 | 0.000 |
| -0.000 | 0.000 | 0.000 | 231.089 | 0.000 | 0.000 |
| 0.000 | -0.000 | -0.000 | -0.000 | 196.546 | -0.000 |
| -0.000 | -0.000 | -0.000 | -0.000 | 0.000 | 266.366 |
| 872.608 | 504.262 | 451.075 | 0.000 | -0.000 | -0.000 |
| 504.263 | 1229.214 | 484.931 | 0.000 | -0.000 | -0.000 |
| 451.076 | 484.931 | 604.830 | -0.000 | -0.000 | -0.000 |
| 0.000 | -0.001 | -0.001 | 231.089 | 0.000 | -0.000 |
| -0.000 | 0.000 | 0.001 | 0.000 | 196.546 | -0.000 |
| 0.000 | 0.001 | 0.000 | 0.000 | -0.000 | 266.366 |
| 872.602 | 504.259 | 451.073 | -0.000 | 0.000 | -0.000 |
| 504.258 | 1229.209 | 484.931 | -0.000 | 0.000 | 0.000 |
| 451.072 | 484.931 | 604.825 | 0.000 | -0.000 | 0.000 |
| -0.000 | 0.001 | 0.001 | 231.089 | -0.000 | -0.000 |
| 0.000 | -0.000 | -0.001 | -0.000 | 196.546 | -0.000 |
| -0.000 | -0.001 | -0.000 | -0.000 | 0.000 | 266.366 |
| 1158.899 | 497.218 | 564.191 | 0.000 | 0.000 | 0.000 |
| 484.463 | 1013.521 | 376.350 | 0.000 | 0.000 | 0.000 |
| 564.191 | 439.279 | 1049.991 | 0.000 | 0.000 | 0.000 |
| -0.261 | 50.866 | -42.497 | 188.078 | 0.000 | -0.000 |
| -0.000 | 0.000 | -0.000 | 0.000 | 349.566 | 0.000 |
| -0.246 | 48.049 | -40.143 | 0.000 | 0.000 | 282.683 |
| 1158.899 | 497.218 | 564.191 | -0.000 | -0.000 | -0.000 |
| 481.103 | 911.931 | 442.700 | -0.000 | -0.000 | -0.000 |
| 540.664 | 352.851 | 1007.764 | 0.000 | -0.000 | -0.000 |
| 0.261 | -50.866 | 42.497 | 188.078 | -0.000 | 0.000 |
| 0.245 | -47.881 | 40.002 | -0.000 | 343.938 | -0.000 |
| 0.246 | -48.049 | 40.143 | -0.000 | -0.000 | 282.683 |
| 1153.507 | 489.651 | 544.582 | 0.000 | 0.000 | -0.000 |
| 497.218 | 1011.012 | 439.279 | 0.000 | 0.000 | 0.000 |
| 564.191 | 439.279 | 1049.991 | 0.000 | 0.000 | -0.000 |
| -0.035 | 6.820 | -5.698 | 174.310 | 0.000 | -0.000 |
| -0.023 | 4.425 | -3.697 | 0.000 | 344.364 | 0.000 |
| 0.000 | -0.000 | -0.000 | -0.000 | 0.000 | 282.683 |
| 1152.405 | 479.708 | 547.389 | -0.000 | -0.000 | -0.000 |
| 482.364 | 962.845 | 407.429 | -0.000 | -0.000 | -0.000 |
| 564.190 | 439.279 | 1049.991 | -0.000 | -0.000 | -0.000 |
| 0.035 | -6.820 | 5.698 | 174.310 | -0.000 | -0.000 |
| 0.023 | -4.425 | 3.697 | -0.000 | 344.364 | -0.000 |
| -0.000 | 0.000 | 0.000 | -0.000 | 0.000 | 282.683 |
| 1153.234 | 484.915 | 547.111 | 0.000 | -0.000 | -0.000 |
| 484.375 | 968.992 | 412.039 | 0.000 | -0.000 | 0.000 |
| 547.420 | 412.884 | 991.329 | -0.000 | -0.000 | 0.000 |
| -0.004 | 0.694 | -0.581 | 173.261 | 0.000 | 0.000 |
| -0.003 | 0.432 | -0.362 | 0.000 | 344.487 | 0.000 |
| 0.001 | -0.000 | -0.000 | 0.000 | 0.000 | 282.683 |
| 1153.146 | 483.751 | 547.656 | -0.000 | 0.000 | 0.000 |
| 483.076 | 969.200 | 405.678 | -0.000 | -0.000 | -0.000 |
| 547.483 | 412.540 | 991.914 | 0.000 | -0.000 | 0.000 |
| 0.004 | -0.694 | 0.581 | 173.261 | -0.000 | -0.000 |
| 0.003 | -0.432 | 0.362 | -0.000 | 344.487 | -0.000 |
| -0.001 | 0.000 | 0.000 | -0.000 | 0.000 | 282.683 |
| 287.850 | 102.940 | 65.454 | 0.000 | -0.000 | 0.000 |
| 127.607 | 249.306 | 86.474 | -0.000 | 0.000 | -0.000 |
| 65.454 | 65.454 | 181.206 | -0.000 | -0.000 | -0.000 |
| -0.707 | -0.707 | 2.141 | 49.915 | 0.000 | 0.000 |
| -0.707 | -0.707 | 2.141 | 0.000 | 49.915 | 0.000 |
| -0.000 | -0.000 | -0.000 | 0.000 | -0.000 | 92.455 |
| 287.850 | 102.940 | 65.454 | -0.000 | 0.000 | 0.000 |
| 129.205 | 251.372 | 80.923 | -0.000 | -0.000 | -0.000 |
| 86.209 | 86.209 | 118.332 | 0.000 | -0.000 | -0.000 |
| 0.707 | 0.707 | -2.141 | 49.915 | -0.000 | 0.000 |
| 0.707 | 0.707 | -2.141 | -0.000 | 49.915 | 0.000 |
| 0.000 | 0.000 | 0.000 | -0.000 | 0.000 | 92.455 |
| 248.233 | 126.189 | 90.247 | -0.000 | 0.000 | 0.000 |
| 126.189 | 248.232 | 90.247 | 0.000 | -0.000 | -0.000 |
| 85.142 | 85.142 | 121.563 | -0.000 | 0.000 | 0.000 |
| -0.070 | -0.070 | 0.213 | 49.943 | 0.000 | 0.000 |
| 0.000 | 0.000 | 0.000 | 0.000 | 54.710 | -0.000 |
| -0.088 | -0.088 | 0.267 | 0.000 | 0.000 | 61.435 |
| 287.850 | 102.940 | 65.454 | -0.000 | 0.000 | -0.000 |
| 102.940 | 287.850 | 65.454 | -0.000 | 0.000 | -0.000 |
| 85.336 | 85.336 | 120.976 | -0.000 | -0.000 | -0.000 |
| 0.070 | 0.070 | -0.213 | 49.943 | 0.000 | 0.000 |
| -0.000 | -0.000 | -0.000 | -0.000 | 54.710 | -0.000 |
| 0.088 | 0.088 | -0.267 | -0.000 | -0.000 | 61.435 |
| 248.284 | 126.312 | 89.981 | 0.000 | -0.000 | 0.000 |
| 102.940 | 287.849 | 65.454 | 0.000 | -0.000 | -0.000 |
| 85.228 | 85.228 | 121.305 | 0.000 | 0.000 | -0.000 |
| 0.000 | 0.000 | 0.000 | 54.710 | -0.000 | -0.000 |
| 0.000 | 0.000 | 0.000 | 0.000 | 54.710 | 0.000 |
| -0.000 | -0.000 | 0.000 | 0.000 | -0.000 | 92.455 |
| 250.358 | 128.415 | 83.658 | -0.000 | -0.000 | -0.000 |
| 102.940 | 287.850 | 65.454 | 0.000 | 0.000 | -0.000 |
| 85.247 | 85.247 | 121.243 | -0.000 | -0.000 | -0.000 |
| -0.000 | -0.000 | -0.000 | 54.710 | 0.000 | -0.000 |
| -0.000 | -0.000 | -0.000 | -0.000 | 54.710 | 0.000 |
| 0.000 | 0.000 | -0.000 | -0.000 | 0.000 | 92.455 |
| 106.935 | 44.592 | -0.100 | 0.000 | 0.000 | 0.000 |
| 44.592 | 106.935 | -0.100 | 0.000 | -0.000 | 0.000 |
| -0.100 | -0.100 | -2.827 | 0.000 | 0.000 | 0.000 |
| -0.000 | -0.000 | -0.000 | -0.100 | 0.000 | -0.000 |
| -0.000 | -0.000 | -0.000 | -0.000 | -0.100 | -0.000 |
| -0.000 | -0.000 | 0.000 | 0.000 | -0.000 | 31.171 |
| 106.935 | 44.592 | -0.100 | 0.000 | 0.000 | 0.000 |
| 44.592 | 106.935 | -0.100 | -0.000 | -0.000 | 0.000 |
| -0.100 | -0.100 | -2.827 | 0.000 | 0.000 | -0.000 |
| -0.000 | -0.000 | 0.000 | -0.100 | 0.000 | 0.000 |
| 0.000 | 0.000 | 0.000 | -0.000 | -0.100 | 0.000 |
| 0.000 | 0.000 | -0.000 | -0.000 | 0.000 | 31.171 |
| 106.935 | 44.592 | -0.100 | 0.000 | 0.000 | -0.000 |
| 44.592 | 106.935 | -0.100 | 0.000 | 0.000 | -0.000 |
| -0.100 | -0.100 | -2.827 | 0.000 | -0.000 | 0.000 |
| -0.000 | -0.000 | -0.000 | -0.100 | 0.000 | 0.000 |
| -0.000 | -0.000 | -0.000 | -0.000 | -0.100 | -0.000 |
| -0.000 | -0.000 | -0.000 | 0.000 | 0.000 | 31.171 |
| 106.935 | 44.592 | -0.100 | 0.000 | 0.000 | 0.000 |
| 44.592 | 106.935 | -0.100 | -0.000 | -0.000 | -0.000 |
| -0.100 | -0.100 | -2.827 | -0.000 | -0.000 | 0.000 |
| 0.000 | 0.000 | 0.000 | -0.100 | -0.000 | 0.000 |
| 0.000 | 0.000 | 0.000 | 0.000 | -0.100 | -0.000 |
| 0.000 | 0.000 | 0.000 | -0.000 | -0.000 | 31.171 |
| 106.934 | 44.592 | -0.100 | 0.000 | 0.000 | -0.000 |
| 44.592 | 106.934 | -0.100 | 0.000 | 0.000 | -0.000 |
| -0.100 | -0.100 | -2.828 | 0.000 | 0.000 | -0.000 |
| -0.000 | -0.000 | -0.000 | -0.100 | -0.000 | 0.000 |
| -0.000 | -0.000 | -0.000 | 0.000 | -0.100 | -0.000 |
| -0.000 | -0.000 | -0.000 | 0.000 | -0.000 | 31.171 |
| 106.935 | 44.592 | -0.100 | -0.000 | -0.000 | 0.000 |
| 44.592 | 106.935 | -0.100 | -0.000 | -0.000 | 0.000 |
| -0.100 | -0.100 | -2.827 | -0.000 | 0.000 | 0.000 |
| 0.000 | 0.000 | 0.000 | -0.100 | -0.000 | 0.000 |
| 0.000 | 0.000 | 0.000 | -0.000 | -0.100 | 0.000 |
| 0.000 | 0.000 | 0.000 | -0.000 | -0.000 | 31.171 |
| 618.889 | 219.296 | 237.763 | -60.024 | 0.000 | -0.000 |
| 219.296 | 618.889 | 237.763 | 60.024 | 0.000 | -0.000 |
| 237.763 | 237.763 | 509.814 | -0.000 | 0.000 | -0.000 |
| -60.024 | 60.024 | -0.000 | 213.794 | -0.000 | -0.000 |
| -0.000 | -0.000 | -0.000 | 0.000 | 213.794 | -60.024 |
| -0.000 | -0.000 | -0.000 | 0.000 | -60.024 | 199.796 |
| 618.889 | 219.297 | 237.764 | -60.024 | -0.000 | 0.000 |
| 219.297 | 618.889 | 237.764 | 60.024 | 0.000 | 0.000 |
| 237.764 | 237.764 | 509.815 | 0.000 | 0.000 | 0.000 |
| -60.024 | 60.024 | 0.000 | 213.794 | -0.000 | -0.000 |
| 0.000 | 0.000 | 0.000 | -0.000 | 213.794 | -60.024 |
| 0.000 | 0.000 | 0.000 | -0.000 | -60.024 | 199.796 |
| 618.889 | 219.296 | 237.763 | -60.024 | -0.000 | -0.000 |
| 219.296 | 618.889 | 237.763 | 60.024 | 0.000 | 0.000 |
| 237.763 | 237.763 | 509.814 | 0.000 | -0.000 | -0.000 |
| -60.024 | 60.024 | -0.000 | 213.794 | -0.000 | -0.000 |
| -0.000 | -0.000 | -0.000 | 0.000 | 213.794 | -60.024 |
| -0.000 | -0.000 | -0.000 | 0.000 | -60.024 | 199.796 |
| 618.890 | 219.297 | 237.764 | -60.024 | -0.000 | 0.000 |
| 219.297 | 618.890 | 237.764 | 60.024 | 0.000 | 0.000 |
| 237.764 | 237.764 | 509.815 | -0.000 | -0.000 | 0.000 |
| -60.024 | 60.024 | 0.000 | 213.794 | -0.000 | -0.000 |
| 0.000 | 0.000 | 0.000 | -0.000 | 213.794 | -60.024 |
| 0.000 | 0.000 | 0.000 | -0.000 | -60.024 | 199.796 |
| 618.884 | 219.295 | 237.762 | -60.024 | -0.000 | -0.000 |
| 219.295 | 618.884 | 237.762 | 60.024 | -0.000 | -0.000 |
| 237.762 | 237.762 | 509.813 | 0.000 | -0.000 | -0.000 |
| -60.025 | 60.023 | -0.001 | 213.794 | 0.000 | -0.000 |
| -0.001 | -0.000 | -0.001 | 0.000 | 213.794 | -60.024 |
| -0.001 | -0.001 | -0.000 | 0.000 | -60.024 | 199.796 |
| 618.894 | 219.298 | 237.765 | -60.024 | -0.000 | 0.000 |
| 219.298 | 618.894 | 237.765 | 60.025 | -0.000 | 0.000 |
| 237.765 | 237.765 | 509.816 | -0.000 | -0.000 | -0.000 |
| -60.024 | 60.026 | 0.001 | 213.794 | -0.000 | -0.000 |
| 0.001 | 0.000 | 0.001 | -0.000 | 213.794 | -60.024 |
| 0.001 | 0.001 | 0.000 | -0.000 | -60.024 | 199.796 |
| 422.698 | 139.770 | 139.770 | -0.000 | 0.000 | 0.000 |
| 139.770 | 422.698 | 139.770 | -0.000 | -0.000 | 0.000 |
| 139.770 | 139.770 | 422.698 | -0.000 | -0.000 | 0.000 |
| -0.000 | -0.000 | -0.000 | 167.205 | -0.000 | 0.000 |
| -0.000 | -0.000 | -0.000 | -0.000 | 167.205 | 0.000 |
| -0.000 | -0.000 | 0.000 | -0.000 | -0.000 | 167.205 |
| 422.698 | 139.770 | 139.770 | 0.000 | 0.000 | -0.000 |
| 139.770 | 422.698 | 139.770 | 0.000 | 0.000 | -0.000 |
| 139.770 | 139.770 | 422.698 | 0.000 | 0.000 | -0.000 |
| 0.000 | 0.000 | 0.000 | 167.205 | -0.000 | -0.000 |
| 0.000 | 0.000 | 0.000 | 0.000 | 167.205 | -0.000 |
| 0.000 | 0.000 | -0.000 | 0.000 | 0.000 | 167.205 |
| 422.698 | 139.770 | 139.770 | -0.000 | -0.000 | 0.000 |
| 139.770 | 422.698 | 139.770 | -0.000 | -0.000 | 0.000 |
| 139.770 | 139.770 | 422.698 | -0.000 | -0.000 | 0.000 |
| -0.000 | -0.000 | -0.000 | 167.205 | -0.000 | 0.000 |
| -0.000 | 0.000 | -0.000 | -0.000 | 167.205 | 0.000 |
| -0.000 | -0.000 | 0.000 | 0.000 | -0.000 | 167.205 |
| 422.698 | 139.770 | 139.770 | 0.000 | -0.000 | -0.000 |
| 139.770 | 422.698 | 139.770 | 0.000 | -0.000 | -0.000 |
| 139.770 | 139.770 | 422.698 | 0.000 | -0.000 | -0.000 |
| -0.000 | 0.000 | 0.000 | 167.205 | -0.000 | -0.000 |
| 0.000 | -0.000 | 0.000 | 0.000 | 167.205 | -0.000 |
| 0.000 | 0.000 | -0.000 | 0.000 | 0.000 | 167.205 |
| 422.696 | 139.769 | 139.769 | -0.000 | -0.000 | 0.000 |
| 139.769 | 422.696 | 139.769 | -0.000 | -0.000 | 0.000 |
| 139.769 | 139.769 | 422.696 | -0.000 | -0.000 | 0.000 |
| 0.000 | -0.001 | -0.000 | 167.205 | 0.000 | 0.000 |
| -0.001 | 0.000 | -0.000 | -0.000 | 167.205 | 0.000 |
| -0.001 | -0.000 | 0.000 | -0.000 | -0.000 | 167.205 |
| 422.700 | 139.771 | 139.771 | 0.000 | 0.000 | -0.000 |
| 139.771 | 422.700 | 139.771 | 0.000 | 0.000 | -0.000 |
| 139.771 | 139.771 | 422.700 | 0.000 | 0.000 | -0.000 |
| -0.000 | 0.001 | 0.000 | 167.205 | 0.000 | -0.000 |
| 0.001 | -0.000 | 0.000 | 0.000 | 167.205 | -0.000 |
| 0.001 | 0.000 | -0.000 | 0.000 | 0.000 | 167.205 |
| 262.425 | 110.337 | 110.337 | -0.000 | -0.000 | -0.000 |
| 110.337 | 262.425 | 110.337 | -0.000 | -0.000 | -0.000 |
| 110.337 | 110.337 | 262.425 | -0.000 | -0.000 | -0.000 |
| -0.000 | -0.000 | -0.000 | 98.865 | -0.000 | -0.000 |
| -0.000 | -0.000 | -0.000 | -0.000 | 98.865 | -0.000 |
| -0.000 | -0.000 | -0.000 | 0.000 | -0.000 | 98.865 |
| 262.425 | 110.337 | 110.337 | 0.000 | 0.000 | 0.000 |
| 110.337 | 262.425 | 110.337 | 0.000 | 0.000 | 0.000 |
| 110.337 | 110.337 | 262.425 | 0.000 | 0.000 | 0.000 |
| 0.000 | 0.000 | 0.000 | 98.865 | 0.000 | 0.000 |
| 0.000 | 0.000 | 0.000 | 0.000 | 98.865 | 0.000 |
| 0.000 | 0.000 | 0.000 | 0.000 | 0.000 | 98.865 |
| 262.425 | 110.337 | 110.337 | -0.000 | -0.000 | -0.000 |
| 110.337 | 262.425 | 110.337 | -0.000 | -0.000 | -0.000 |
| 110.337 | 110.337 | 262.425 | -0.000 | -0.000 | -0.000 |
| -0.000 | -0.000 | -0.000 | 98.865 | -0.000 | -0.000 |
| -0.000 | -0.000 | -0.000 | 0.000 | 98.865 | -0.000 |
| -0.000 | -0.000 | -0.000 | -0.000 | 0.000 | 98.865 |
| 262.426 | 110.337 | 110.337 | 0.000 | 0.000 | 0.000 |
| 110.337 | 262.426 | 110.337 | 0.000 | 0.000 | 0.000 |
| 110.337 | 110.337 | 262.426 | 0.000 | 0.000 | 0.000 |
| 0.000 | 0.000 | 0.000 | 98.865 | 0.000 | 0.000 |
| 0.000 | 0.000 | 0.000 | 0.000 | 98.865 | 0.000 |
| 0.000 | 0.000 | 0.000 | 0.000 | 0.000 | 98.865 |
| 262.422 | 110.337 | 110.337 | -0.000 | -0.000 | -0.000 |
| 110.337 | 262.422 | 110.337 | -0.000 | -0.000 | -0.000 |
| 110.337 | 110.337 | 262.422 | -0.000 | -0.000 | -0.000 |
| -0.000 | -0.001 | -0.001 | 86.583 | -0.000 | -0.000 |
| -0.001 | -0.000 | -0.001 | -0.000 | 86.583 | -0.000 |
| -0.001 | -0.001 | -0.000 | -0.000 | -0.000 | 86.583 |
| 262.429 | 110.337 | 110.337 | 0.000 | 0.000 | 0.000 |
| 110.337 | 262.429 | 110.337 | -0.000 | 0.000 | 0.000 |
| 110.337 | 110.337 | 262.429 | 0.000 | 0.000 | 0.000 |
| 0.000 | 0.001 | 0.001 | 86.583 | 0.000 | 0.000 |
| 0.001 | 0.000 | 0.001 | 0.000 | 86.583 | 0.000 |
| 0.001 | 0.001 | 0.000 | 0.000 | 0.000 | 86.583 |
| 4.285 | 3.633 | 3.633 | 0.000 | -0.000 | -0.000 |
| 3.633 | 4.285 | 3.633 | -0.000 | 0.000 | -0.000 |
| 3.633 | 3.633 | 4.285 | -0.000 | -0.000 | -0.000 |
| 0.000 | -0.000 | -0.000 | 1.191 | -0.000 | -0.000 |
| -0.000 | 0.000 | -0.000 | -0.000 | 1.191 | -0.000 |
| -0.000 | -0.000 | 0.000 | 0.000 | -0.000 | 1.191 |
| 4.285 | 3.633 | 3.633 | -0.000 | 0.000 | 0.000 |
| 3.633 | 4.285 | 3.633 | 0.000 | 0.000 | 0.000 |
| 3.633 | 3.633 | 4.285 | 0.000 | 0.000 | -0.000 |
| -0.000 | 0.000 | 0.000 | 1.191 | 0.000 | 0.000 |
| 0.000 | -0.000 | 0.000 | 0.000 | 1.191 | 0.000 |
| 0.000 | 0.000 | -0.000 | 0.000 | 0.000 | 1.191 |
| 4.285 | 3.633 | 3.633 | -0.000 | -0.000 | -0.000 |
| 3.633 | 4.285 | 3.633 | -0.000 | -0.000 | -0.000 |
| 3.633 | 3.633 | 4.285 | 0.000 | 0.000 | -0.000 |
| -0.000 | -0.000 | -0.000 | 2.314 | -0.000 | -0.000 |
| -0.000 | -0.000 | -0.000 | -0.000 | 2.314 | -0.000 |
| -0.000 | -0.000 | -0.000 | -0.000 | -0.000 | 2.314 |
| 4.285 | 3.633 | 3.633 | -0.000 | 0.000 | 0.000 |
| 3.633 | 4.285 | 3.633 | 0.000 | -0.000 | 0.000 |
| 3.633 | 3.633 | 4.285 | 0.000 | 0.000 | -0.000 |
| 0.000 | 0.000 | 0.000 | 2.314 | -0.000 | 0.000 |
| 0.000 | 0.000 | 0.000 | -0.000 | 2.314 | -0.000 |
| 0.000 | 0.000 | 0.000 | -0.000 | -0.000 | 2.314 |
| 4.285 | 3.633 | 3.633 | -0.000 | -0.000 | -0.000 |
| 3.633 | 4.285 | 3.633 | -0.000 | -0.000 | -0.000 |
| 3.633 | 3.633 | 4.285 | -0.000 | -0.000 | -0.000 |
| -0.000 | -0.000 | -0.000 | 2.314 | -0.000 | -0.000 |
| -0.000 | -0.000 | -0.000 | -0.000 | 2.314 | -0.000 |
| -0.000 | -0.000 | -0.000 | -0.000 | -0.000 | 2.314 |
| 4.285 | 3.633 | 3.633 | -0.000 | 0.000 | 0.000 |
| 3.633 | 4.285 | 3.633 | -0.000 | -0.000 | 0.000 |
| 3.633 | 3.633 | 4.285 | -0.000 | 0.000 | 0.000 |
| 0.000 | 0.000 | 0.000 | 2.314 | 0.000 | 0.000 |
| 0.000 | 0.000 | 0.000 | 0.000 | 2.314 | 0.000 |
| 0.000 | 0.000 | 0.000 | 0.000 | 0.000 | 2.314 |
| 806.491 | 256.634 | 256.634 | -0.000 | 0.000 | -0.000 |
| 256.634 | 806.491 | 256.634 | 0.000 | 0.000 | -0.000 |
| 256.634 | 256.634 | 806.491 | -0.000 | -0.000 | -0.000 |
| -0.000 | -0.000 | 0.000 | 283.937 | -0.000 | -0.000 |
| -0.000 | 0.000 | 0.000 | -0.000 | 283.937 | -0.000 |
| -0.000 | 0.000 | 0.000 | 0.000 | 0.000 | 283.937 |
| 806.491 | 256.634 | 256.634 | 0.000 | -0.000 | 0.000 |
| 256.634 | 806.491 | 256.634 | -0.000 | 0.000 | 0.000 |
| 256.634 | 256.634 | 806.491 | 0.000 | 0.000 | 0.000 |
| -0.000 | 0.000 | -0.000 | 283.937 | -0.000 | 0.000 |
| 0.000 | -0.000 | -0.000 | 0.000 | 283.937 | 0.000 |
| 0.000 | 0.000 | -0.000 | -0.000 | -0.000 | 283.937 |
| 806.490 | 256.634 | 256.634 | -0.000 | -0.000 | -0.000 |
| 256.634 | 806.490 | 256.634 | -0.000 | -0.000 | -0.000 |
| 256.634 | 256.634 | 806.490 | -0.000 | -0.000 | -0.000 |
| 0.000 | -0.000 | 0.000 | 284.134 | -0.000 | -0.000 |
| -0.000 | 0.000 | 0.000 | 0.000 | 284.134 | -0.000 |
| -0.000 | 0.000 | 0.000 | -0.000 | -0.000 | 284.134 |
| 806.491 | 256.634 | 256.634 | -0.000 | 0.000 | 0.000 |
| 256.634 | 806.491 | 256.634 | 0.000 | -0.000 | 0.000 |
| 256.634 | 256.634 | 806.491 | 0.000 | 0.000 | 0.000 |
| -0.000 | 0.000 | -0.000 | 284.134 | -0.000 | 0.000 |
| 0.000 | -0.000 | -0.000 | -0.000 | 284.134 | 0.000 |
| 0.000 | -0.000 | -0.000 | 0.000 | 0.000 | 284.134 |
| 806.489 | 256.633 | 256.633 | -0.000 | 0.000 | 0.000 |
| 256.633 | 806.489 | 256.633 | 0.000 | -0.000 | -0.000 |
| 256.633 | 256.633 | 806.489 | -0.000 | -0.000 | -0.000 |
| 0.001 | -0.000 | 0.000 | 283.937 | -0.000 | -0.000 |
| -0.000 | 0.001 | 0.000 | -0.000 | 283.937 | 0.000 |
| -0.000 | 0.000 | 0.001 | -0.000 | 0.000 | 283.937 |
| 806.492 | 256.634 | 256.634 | 0.000 | -0.000 | 0.000 |
| 256.634 | 806.492 | 256.634 | -0.000 | -0.000 | 0.000 |
| 256.634 | 256.634 | 806.492 | 0.000 | 0.000 | 0.000 |
| -0.001 | 0.000 | -0.000 | 283.937 | 0.000 | 0.000 |
| 0.000 | -0.001 | -0.000 | 0.000 | 283.937 | 0.000 |
| 0.000 | -0.000 | -0.001 | -0.000 | -0.000 | 283.937 |
| 352.436 | 209.676 | 209.676 | -0.000 | -0.000 | -0.000 |
| 209.676 | 352.436 | 209.676 | -0.000 | -0.000 | -0.000 |
| 209.676 | 209.676 | 352.436 | -0.000 | -0.000 | -0.000 |
| 0.000 | -0.000 | -0.000 | 173.223 | -0.000 | -0.000 |
| -0.000 | 0.000 | -0.000 | -0.000 | 173.223 | -0.000 |
| -0.000 | -0.000 | 0.000 | -0.000 | 0.000 | 173.223 |
| 352.436 | 209.676 | 209.676 | 0.000 | 0.000 | 0.000 |
| 209.676 | 352.436 | 209.676 | 0.000 | 0.000 | 0.000 |
| 209.676 | 209.676 | 352.436 | 0.000 | 0.000 | 0.000 |
| -0.000 | 0.000 | 0.000 | 173.223 | -0.000 | -0.000 |
| 0.000 | -0.000 | 0.000 | -0.000 | 173.223 | 0.000 |
| 0.000 | 0.000 | -0.000 | -0.000 | -0.000 | 173.223 |
| 352.435 | 209.676 | 209.676 | 0.000 | -0.000 | 0.000 |
| 209.676 | 352.435 | 209.676 | 0.000 | -0.000 | -0.000 |
| 209.676 | 209.676 | 352.435 | 0.000 | 0.000 | -0.000 |
| 0.000 | -0.000 | -0.000 | 173.223 | -0.000 | -0.000 |
| -0.000 | 0.000 | -0.000 | -0.000 | 173.223 | -0.000 |
| -0.000 | -0.000 | 0.000 | -0.000 | -0.000 | 173.223 |
| 352.436 | 209.676 | 209.676 | 0.000 | 0.000 | 0.000 |
| 209.676 | 352.436 | 209.676 | 0.000 | 0.000 | 0.000 |
| 209.676 | 209.676 | 352.436 | -0.000 | 0.000 | -0.000 |
| -0.000 | 0.000 | 0.000 | 173.223 | 0.000 | 0.000 |
| 0.000 | -0.000 | 0.000 | 0.000 | 173.223 | 0.000 |
| 0.000 | 0.000 | -0.000 | 0.000 | 0.000 | 173.223 |
| 352.431 | 209.676 | 209.676 | -0.000 | -0.000 | 0.000 |
| 209.676 | 352.431 | 209.676 | 0.000 | -0.000 | -0.000 |
| 209.676 | 209.676 | 352.431 | -0.000 | -0.000 | -0.000 |
| 0.000 | -0.001 | -0.000 | 156.783 | 0.000 | -0.000 |
| -0.001 | 0.000 | -0.000 | 0.000 | 156.783 | 0.000 |
| -0.001 | -0.000 | 0.000 | -0.000 | -0.000 | 156.783 |
| 352.441 | 209.676 | 209.676 | -0.000 | 0.000 | 0.000 |
| 209.676 | 352.441 | 209.676 | -0.000 | -0.000 | -0.000 |
| 209.676 | 209.676 | 352.441 | -0.000 | -0.000 | 0.000 |
| -0.000 | 0.001 | 0.000 | 156.783 | 0.000 | 0.000 |
| 0.001 | -0.000 | 0.000 | 0.000 | 156.783 | 0.000 |
| 0.001 | 0.000 | -0.000 | 0.000 | 0.000 | 156.783 |
| 552.612 | 201.493 | 201.493 | -0.000 | 0.000 | 0.000 |
| 201.493 | 552.612 | 201.493 | -0.000 | -0.000 | 0.000 |
| 201.493 | 201.493 | 552.612 | -0.000 | 0.000 | 0.000 |
| -0.000 | 0.000 | 0.000 | 102.099 | -0.000 | -0.000 |
| 0.000 | 0.000 | -0.000 | 0.000 | 102.099 | -0.000 |
| 0.000 | 0.000 | -0.000 | 0.000 | -0.000 | 102.099 |
| 552.612 | 201.493 | 201.493 | 0.000 | -0.000 | 0.000 |
| 201.493 | 552.612 | 201.493 | 0.000 | -0.000 | 0.000 |
| 201.493 | 201.493 | 552.612 | 0.000 | 0.000 | 0.000 |
| 0.000 | -0.000 | -0.000 | 102.099 | 0.000 | -0.000 |
| -0.000 | -0.000 | 0.000 | -0.000 | 102.099 | 0.000 |
| -0.000 | -0.000 | 0.000 | -0.000 | -0.000 | 102.099 |
| 552.612 | 201.493 | 201.493 | -0.000 | -0.000 | 0.000 |
| 201.493 | 552.612 | 201.493 | -0.000 | 0.000 | 0.000 |
| 201.493 | 201.493 | 552.612 | -0.000 | 0.000 | -0.000 |
| -0.000 | 0.000 | 0.000 | 102.099 | -0.000 | 0.000 |
| 0.000 | -0.000 | 0.000 | -0.000 | 102.099 | -0.000 |
| 0.000 | 0.000 | -0.000 | 0.000 | -0.000 | 102.099 |
| 552.611 | 201.493 | 201.493 | 0.000 | -0.000 | -0.000 |
| 201.493 | 552.611 | 201.493 | 0.000 | -0.000 | 0.000 |
| 201.493 | 201.493 | 552.611 | 0.000 | -0.000 | -0.000 |
| 0.000 | -0.000 | -0.000 | 102.099 | -0.000 | 0.000 |
| -0.000 | 0.000 | -0.000 | -0.000 | 102.099 | 0.000 |
| -0.000 | -0.000 | 0.000 | 0.000 | -0.000 | 102.099 |
| 552.614 | 201.494 | 201.494 | -0.000 | -0.000 | 0.000 |
| 201.494 | 552.614 | 201.494 | -0.000 | 0.000 | 0.000 |
| 201.494 | 201.494 | 552.614 | -0.000 | 0.000 | 0.000 |
| -0.000 | -0.000 | -0.000 | 139.720 | 0.000 | -0.000 |
| -0.000 | -0.000 | -0.000 | 0.000 | 139.720 | 0.000 |
| -0.000 | -0.000 | -0.000 | 0.000 | 0.000 | 139.720 |
| 552.609 | 201.491 | 201.491 | 0.000 | -0.000 | -0.000 |
| 201.491 | 552.609 | 201.491 | 0.000 | -0.000 | -0.000 |
| 201.491 | 201.491 | 552.609 | 0.000 | -0.000 | -0.000 |
| 0.000 | 0.000 | 0.000 | 139.720 | 0.000 | -0.000 |
| 0.000 | 0.000 | 0.000 | 0.000 | 139.720 | -0.000 |
| 0.000 | 0.000 | 0.000 | -0.000 | -0.000 | 139.720 |
| 463.456 | 222.501 | 222.501 | -0.000 | 0.000 | -0.000 |
| 222.501 | 463.456 | 222.501 | -0.000 | -0.000 | -0.000 |
| 222.501 | 222.501 | 463.456 | -0.000 | -0.000 | -0.000 |
| 0.000 | 0.000 | 0.000 | 76.270 | 0.000 | -0.000 |
| 0.000 | 0.000 | 0.000 | 0.000 | 76.270 | -0.000 |
| 0.000 | -0.000 | 0.000 | -0.000 | -0.000 | 76.270 |
| 463.456 | 222.501 | 222.501 | 0.000 | 0.000 | 0.000 |
| 222.501 | 463.456 | 222.501 | 0.000 | 0.000 | 0.000 |
| 222.501 | 222.501 | 463.456 | 0.000 | 0.000 | -0.000 |
| -0.000 | 0.000 | 0.000 | 76.270 | -0.000 | 0.000 |
| 0.000 | -0.000 | -0.000 | 0.000 | 76.270 | 0.000 |
| -0.000 | 0.000 | -0.000 | 0.000 | 0.000 | 76.270 |
| 463.456 | 222.501 | 222.501 | -0.000 | -0.000 | -0.000 |
| 222.501 | 463.456 | 222.501 | -0.000 | 0.000 | 0.000 |
| 222.501 | 222.501 | 463.456 | -0.000 | 0.000 | 0.000 |
| 0.000 | 0.000 | 0.000 | 61.985 | -0.000 | 0.000 |
| 0.000 | 0.000 | 0.000 | -0.000 | 61.985 | 0.000 |
| 0.000 | 0.000 | 0.000 | -0.000 | -0.000 | 61.985 |
| 463.456 | 222.501 | 222.501 | 0.000 | -0.000 | 0.000 |
| 222.501 | 463.456 | 222.501 | 0.000 | 0.000 | 0.000 |
| 222.501 | 222.501 | 463.456 | 0.000 | 0.000 | 0.000 |
| -0.000 | -0.000 | -0.000 | 61.985 | -0.000 | 0.000 |
| -0.000 | -0.000 | -0.000 | 0.000 | 61.985 | 0.000 |
| -0.000 | -0.000 | -0.000 | 0.000 | 0.000 | 61.985 |
| 463.456 | 222.502 | 222.502 | -0.000 | -0.000 | -0.000 |
| 222.502 | 463.456 | 222.502 | -0.000 | -0.000 | -0.000 |
| 222.502 | 222.502 | 463.456 | -0.000 | 0.000 | -0.000 |
| 0.001 | 0.001 | 0.001 | 76.270 | 0.000 | -0.000 |
| 0.001 | 0.001 | 0.001 | -0.000 | 76.270 | -0.000 |
| 0.001 | 0.001 | 0.001 | -0.000 | -0.000 | 76.270 |
| 463.455 | 222.500 | 222.500 | 0.000 | 0.000 | 0.000 |
| 222.500 | 463.455 | 222.500 | 0.000 | 0.000 | 0.000 |
| 222.500 | 222.500 | 463.455 | 0.000 | -0.000 | 0.000 |
| -0.001 | -0.001 | -0.001 | 76.270 | 0.000 | -0.000 |
| -0.001 | -0.001 | -0.001 | 0.000 | 76.270 | 0.000 |
| -0.001 | -0.001 | -0.001 | 0.000 | 0.000 | 76.270 |
| 167.319 | 171.745 | 171.745 | -0.000 | 0.000 | 0.000 |
| 171.745 | 167.319 | 171.745 | -0.000 | -0.000 | -0.000 |
| 171.745 | 171.745 | 167.319 | -0.000 | -0.000 | -0.000 |
| -0.000 | -0.000 | -0.000 | 143.509 | 0.000 | 0.000 |
| -0.000 | -0.000 | -0.000 | -0.000 | 143.509 | 0.000 |
| -0.000 | -0.000 | -0.000 | -0.000 | -0.000 | 143.509 |
| 167.319 | 171.745 | 171.745 | 0.000 | 0.000 | 0.000 |
| 171.745 | 167.319 | 171.745 | 0.000 | 0.000 | -0.000 |
| 171.745 | 171.745 | 167.319 | -0.000 | -0.000 | 0.000 |
| 0.000 | 0.000 | 0.000 | 143.509 | 0.000 | 0.000 |
| 0.000 | 0.000 | 0.000 | 0.000 | 143.509 | 0.000 |
| 0.000 | 0.000 | 0.000 | 0.000 | 0.000 | 143.509 |
| 167.319 | 171.745 | 171.745 | -0.000 | -0.000 | -0.000 |
| 171.745 | 167.319 | 171.745 | -0.000 | -0.000 | -0.000 |
| 171.745 | 171.745 | 167.319 | -0.000 | -0.000 | 0.000 |
| -0.000 | -0.000 | -0.000 | 144.068 | -0.000 | -0.000 |
| -0.000 | -0.000 | -0.000 | -0.000 | 144.068 | -0.000 |
| -0.000 | -0.000 | -0.000 | 0.000 | -0.000 | 144.068 |
| 167.320 | 171.745 | 171.745 | 0.000 | 0.000 | 0.000 |
| 171.745 | 167.320 | 171.745 | 0.000 | 0.000 | 0.000 |
| 171.745 | 171.745 | 167.320 | 0.000 | 0.000 | 0.000 |
| 0.000 | 0.000 | 0.000 | 144.068 | 0.000 | 0.000 |
| 0.000 | 0.000 | 0.000 | 0.000 | 144.068 | 0.000 |
| 0.000 | 0.000 | 0.000 | 0.000 | 0.000 | 144.068 |
| 167.314 | 171.745 | 171.745 | -0.000 | -0.000 | -0.000 |
| 171.745 | 167.314 | 171.745 | -0.000 | -0.000 | -0.000 |
| 171.745 | 171.745 | 167.314 | -0.000 | -0.000 | -0.000 |
| -0.000 | -0.001 | -0.001 | 144.068 | 0.000 | -0.000 |
| -0.001 | -0.000 | -0.001 | -0.000 | 144.068 | -0.000 |
| -0.001 | -0.001 | -0.000 | -0.000 | -0.000 | 144.068 |
| 167.324 | 171.746 | 171.746 | 0.000 | -0.000 | -0.000 |
| 171.746 | 167.324 | 171.746 | -0.000 | 0.000 | -0.000 |
| 171.746 | 171.746 | 167.324 | 0.000 | -0.000 | 0.000 |
| 0.000 | 0.001 | 0.001 | 144.068 | -0.000 | -0.000 |
| 0.001 | 0.000 | 0.001 | 0.000 | 144.068 | 0.000 |
| 0.001 | 0.001 | 0.000 | 0.000 | 0.000 | 144.068 |
| 8.052 | 131.931 | 131.931 | 0.000 | 0.000 | -0.000 |
| 131.931 | 8.052 | 131.931 | 0.000 | 0.000 | 0.000 |
| 131.931 | 131.931 | 8.052 | -0.000 | 0.000 | -0.000 |
| 0.000 | -0.000 | -0.000 | 70.369 | 0.000 | 0.000 |
| -0.000 | 0.000 | -0.000 | 0.000 | 70.369 | -0.000 |
| -0.000 | -0.000 | 0.000 | 0.000 | 0.000 | 70.369 |
| 8.052 | 131.931 | 131.931 | -0.000 | -0.000 | 0.000 |
| 131.931 | 8.052 | 131.931 | 0.000 | -0.000 | 0.000 |
| 131.931 | 131.931 | 8.052 | -0.000 | -0.000 | 0.000 |
| -0.000 | 0.000 | 0.000 | 70.369 | -0.000 | 0.000 |
| 0.000 | -0.000 | 0.000 | 0.000 | 70.369 | 0.000 |
| 0.000 | 0.000 | -0.000 | -0.000 | -0.000 | 70.369 |
| 8.051 | 131.931 | 131.931 | 0.000 | 0.000 | -0.000 |
| 131.931 | 8.051 | 131.931 | 0.000 | 0.000 | -0.000 |
| 131.931 | 131.931 | 8.051 | 0.000 | 0.000 | -0.000 |
| -0.000 | -0.000 | -0.000 | 70.369 | 0.000 | 0.000 |
| -0.000 | -0.000 | -0.000 | 0.000 | 70.369 | -0.000 |
| -0.000 | -0.000 | -0.000 | -0.000 | 0.000 | 70.369 |
| 8.052 | 131.931 | 131.931 | -0.000 | -0.000 | 0.000 |
| 131.931 | 8.052 | 131.931 | -0.000 | -0.000 | 0.000 |
| 131.931 | 131.931 | 8.052 | -0.000 | -0.000 | 0.000 |
| 0.000 | 0.000 | 0.000 | 70.369 | -0.000 | 0.000 |
| 0.000 | 0.000 | 0.000 | 0.000 | 70.369 | 0.000 |
| 0.000 | 0.000 | 0.000 | 0.000 | -0.000 | 70.369 |
| 8.048 | 131.931 | 131.931 | 0.000 | 0.000 | 0.000 |
| 131.931 | 8.048 | 131.931 | 0.000 | 0.000 | -0.000 |
| 131.931 | 131.931 | 8.048 | 0.000 | 0.000 | -0.000 |
| -0.000 | -0.001 | -0.001 | 70.369 | 0.000 | 0.000 |
| -0.001 | -0.000 | -0.001 | 0.000 | 70.369 | 0.000 |
| -0.001 | -0.001 | -0.000 | 0.000 | 0.000 | 70.369 |
| 8.055 | 131.931 | 131.931 | -0.000 | -0.000 | 0.000 |
| 131.931 | 8.055 | 131.931 | -0.000 | -0.000 | 0.000 |
| 131.931 | 131.931 | 8.055 | 0.000 | -0.000 | 0.000 |
| 0.000 | 0.001 | 0.001 | 70.369 | -0.000 | 0.000 |
| 0.001 | 0.000 | 0.001 | -0.000 | 70.369 | 0.000 |
| 0.001 | 0.001 | 0.000 | -0.000 | -0.000 | 70.369 |
| 511.021 | 336.745 | 310.376 | 0.000 | -0.000 | 0.000 |
| 336.745 | 511.021 | 310.376 | -0.000 | -0.000 | -0.000 |
| 310.376 | 310.376 | 594.046 | 0.000 | -0.000 | 0.000 |
| -0.000 | -0.000 | -0.000 | 173.675 | -0.000 | -0.000 |
| -0.000 | 0.000 | -0.000 | -0.000 | 173.675 | -0.000 |
| 0.000 | 0.000 | -0.000 | 0.000 | 0.000 | 199.834 |
| 511.021 | 336.745 | 310.376 | 0.000 | -0.000 | 0.000 |
| 336.745 | 511.021 | 310.376 | -0.000 | 0.000 | -0.000 |
| 310.376 | 310.376 | 594.046 | 0.000 | 0.000 | -0.000 |
| 0.000 | 0.000 | 0.000 | 173.675 | 0.000 | 0.000 |
| 0.000 | -0.000 | 0.000 | 0.000 | 173.675 | -0.000 |
| -0.000 | -0.000 | 0.000 | 0.000 | 0.000 | 199.834 |
| 511.022 | 336.745 | 310.376 | -0.000 | -0.000 | 0.000 |
| 336.745 | 511.022 | 310.376 | -0.000 | -0.000 | 0.000 |
| 310.376 | 310.376 | 594.046 | 0.000 | -0.000 | 0.000 |
| -0.000 | -0.000 | -0.000 | 169.931 | -0.000 | -0.000 |
| -0.000 | -0.000 | -0.000 | -0.000 | 169.931 | 0.000 |
| 0.000 | 0.000 | -0.000 | 0.000 | -0.000 | 199.834 |
| 511.021 | 336.745 | 310.376 | 0.000 | -0.000 | 0.000 |
| 336.745 | 511.021 | 310.376 | -0.000 | 0.000 | -0.000 |
| 310.376 | 310.376 | 594.046 | -0.000 | -0.000 | 0.000 |
| 0.000 | 0.000 | 0.000 | 169.931 | -0.000 | 0.000 |
| 0.000 | 0.000 | 0.000 | 0.000 | 169.931 | -0.000 |
| -0.000 | -0.000 | 0.000 | -0.000 | -0.000 | 199.834 |
| 511.026 | 336.747 | 310.377 | -0.000 | 0.000 | 0.000 |
| 336.747 | 511.026 | 310.377 | 0.000 | -0.000 | -0.000 |
| 310.376 | 310.376 | 594.044 | 0.000 | 0.000 | -0.000 |
| -0.000 | -0.000 | -0.001 | 169.931 | -0.000 | -0.000 |
| -0.000 | -0.000 | -0.001 | -0.000 | 169.931 | 0.000 |
| 0.001 | 0.001 | -0.000 | 0.000 | 0.000 | 199.834 |
| 511.017 | 336.743 | 310.375 | 0.000 | -0.000 | -0.000 |
| 336.743 | 511.017 | 310.375 | -0.000 | 0.000 | 0.000 |
| 310.376 | 310.376 | 594.047 | 0.000 | 0.000 | -0.000 |
| 0.000 | 0.000 | 0.001 | 169.931 | -0.000 | -0.000 |
| 0.000 | 0.000 | 0.001 | 0.000 | 169.931 | 0.000 |
| -0.001 | -0.001 | 0.000 | -0.000 | -0.000 | 199.834 |
| 233.498 | 186.491 | 140.246 | 0.000 | 0.000 | 0.000 |
| 186.491 | 233.498 | 140.246 | 0.000 | 0.000 | 0.000 |
| 140.246 | 140.246 | 20.643 | -0.000 | -0.000 | -0.000 |
| -0.000 | -0.000 | -0.000 | 122.634 | 0.000 | 0.000 |
| -0.000 | -0.000 | -0.000 | 0.000 | 122.635 | 0.000 |
| -0.000 | -0.000 | 0.000 | -0.000 | 0.000 | 169.659 |
| 225.548 | 194.442 | 140.246 | -0.000 | -0.000 | 0.000 |
| 194.442 | 225.548 | 140.246 | -0.000 | 0.000 | 0.000 |
| 140.246 | 140.246 | 20.643 | 0.000 | 0.000 | -0.000 |
| 0.000 | 0.000 | 0.000 | 122.634 | -0.000 | 0.000 |
| 0.000 | 0.000 | 0.000 | -0.000 | 122.634 | -0.000 |
| 0.000 | 0.000 | -0.000 | 0.000 | -0.000 | 169.659 |
| 233.498 | 186.491 | 140.246 | 0.000 | 0.000 | 0.000 |
| 186.491 | 233.498 | 140.246 | 0.000 | 0.000 | -0.000 |
| 140.246 | 140.246 | 20.643 | -0.000 | -0.000 | 0.000 |
| -0.000 | -0.000 | -0.000 | 123.225 | -0.000 | 0.000 |
| -0.000 | -0.000 | -0.000 | -0.000 | 123.225 | -0.000 |
| -0.000 | -0.000 | -0.000 | -0.000 | 0.000 | 169.659 |
| 225.548 | 194.442 | 140.246 | -0.000 | -0.000 | -0.000 |
| 194.442 | 225.548 | 140.246 | -0.000 | -0.000 | -0.000 |
| 140.246 | 140.246 | 20.643 | -0.000 | -0.000 | -0.000 |
| 0.000 | 0.000 | 0.000 | 123.225 | -0.000 | 0.000 |
| 0.000 | 0.000 | 0.000 | -0.000 | 123.225 | -0.000 |
| 0.000 | 0.000 | 0.000 | -0.000 | -0.000 | 169.659 |
| 225.544 | 194.441 | 140.246 | 0.000 | 0.000 | -0.000 |
| 194.441 | 225.544 | 140.246 | 0.000 | 0.000 | -0.000 |
| 140.246 | 140.246 | 20.643 | -0.000 | -0.000 | 0.000 |
| -0.000 | -0.002 | -0.001 | 123.225 | 0.000 | -0.000 |
| -0.002 | -0.000 | -0.001 | 0.000 | 123.225 | -0.000 |
| -0.001 | -0.001 | -0.000 | -0.000 | -0.000 | 169.659 |
| 225.551 | 194.442 | 140.246 | -0.000 | -0.000 | -0.000 |
| 194.442 | 225.551 | 140.246 | 0.000 | -0.000 | -0.000 |
| 140.245 | 140.245 | 20.643 | 0.000 | -0.000 | -0.000 |
| 0.000 | 0.002 | 0.001 | 123.225 | 0.000 | 0.000 |
| 0.002 | 0.000 | 0.001 | 0.000 | 123.225 | 0.000 |
| 0.001 | 0.001 | 0.000 | 0.000 | -0.000 | 169.659 |
| 709.034 | 559.081 | 302.139 | 0.000 | -0.000 | -0.000 |
| 242.722 | 436.373 | 238.175 | 0.000 | -0.000 | -0.000 |
| 238.175 | 238.175 | 512.783 | 0.000 | -0.000 | 0.000 |
| 310.993 | 310.993 | 67.543 | 89.835 | -0.000 | -0.000 |
| -0.000 | 0.000 | 0.000 | 0.000 | 90.077 | 0.000 |
| 312.139 | 312.139 | 67.792 | 0.000 | -0.000 | 74.987 |
| 436.373 | 242.722 | 238.175 | -0.000 | 0.000 | -0.000 |
| -65.223 | 84.768 | 166.553 | -0.000 | 0.000 | 0.000 |
| -76.651 | -76.651 | 444.407 | -0.000 | 0.000 | -0.000 |
| -310.993 | -310.993 | -67.543 | 89.835 | 0.000 | 0.000 |
| -0.000 | -0.000 | -0.000 | -0.000 | 90.077 | 0.000 |
| -312.139 | -312.139 | -67.792 | -0.000 | 0.000 | 74.987 |
| 436.373 | 242.722 | 238.175 | 0.000 | -0.000 | 0.000 |
| 709.139 | -13.073 | 240.021 | 0.000 | -0.000 | 0.000 |
| 238.175 | 238.175 | 512.783 | 0.000 | -0.000 | -0.000 |
| 0.000 | -0.000 | 0.000 | 90.077 | -0.000 | -0.000 |
| 31.216 | 31.216 | 6.780 | 0.000 | 89.834 | 0.000 |
| 28.980 | 28.979 | 6.297 | 0.000 | -0.000 | -359.976 |
| 436.374 | 242.722 | 238.175 | -0.000 | 0.000 | -0.000 |
| 242.722 | 436.374 | 238.175 | -0.000 | 0.000 | 0.000 |
| 238.175 | 238.175 | 512.783 | -0.000 | 0.000 | 0.000 |
| 0.000 | 0.000 | -0.000 | 90.077 | 0.000 | 0.000 |
| -31.216 | -31.216 | -6.780 | -0.000 | 89.834 | 0.000 |
| -28.980 | -28.979 | -6.297 | -0.000 | 0.000 | -359.976 |
| 436.368 | 242.721 | 238.176 | 0.000 | -0.000 | 0.000 |
| 242.721 | 436.368 | 238.176 | 0.000 | -0.000 | -0.000 |
| 238.176 | 238.176 | 512.785 | 0.000 | -0.000 | 0.000 |
| -0.000 | -0.000 | 0.001 | 90.077 | -0.000 | 0.000 |
| -0.000 | -0.000 | 0.001 | 0.000 | 90.077 | -0.000 |
| 35.258 | 35.255 | 7.665 | 0.000 | -0.000 | -149.862 |
| -1061.984 | 1698.474 | 233.131 | -0.000 | 0.000 | 0.000 |
| 242.723 | 436.378 | 238.175 | -0.000 | 0.000 | -0.000 |
| 231.220 | 231.220 | 511.270 | -0.000 | 0.000 | 0.000 |
| 0.000 | 0.000 | -0.001 | 90.077 | 0.000 | -0.000 |
| 0.000 | 0.000 | -0.001 | -0.000 | 90.077 | -0.000 |
| -35.258 | -35.255 | -7.665 | -0.000 | 0.000 | -149.862 |
| -426.635 | -626.374 | -951.704 | 0.000 | 0.000 | -0.000 |
| -572.350 | -340.466 | -1047.968 | 0.000 | -0.000 | -0.000 |
| -556.056 | -740.014 | -709.215 | -0.000 | -0.000 | -0.000 |
| -0.000 | 0.000 | -0.000 | 109.865 | -0.000 | -0.000 |
| -0.000 | -0.000 | 0.000 | 0.000 | 200.562 | -0.000 |
| -0.000 | 0.000 | -0.000 | -0.000 | -0.000 | 149.262 |
| 978.661 | 906.610 | 1317.846 | -0.000 | 0.000 | 0.000 |
| 259.058 | 575.857 | 229.399 | 0.000 | 0.000 | 0.000 |
| 320.658 | 229.400 | 615.737 | -0.000 | 0.000 | 0.000 |
| 0.000 | 0.000 | 0.000 | 109.865 | 0.000 | 0.000 |
| -0.000 | 0.000 | -0.000 | 0.000 | 200.562 | 0.000 |
| 0.000 | -0.000 | 0.000 | 0.000 | -0.000 | 149.262 |
| 211.197 | 69.164 | 80.125 | 0.000 | -0.000 | -0.000 |
| 80.061 | 371.154 | 6.163 | -0.000 | 0.000 | -0.000 |
| 209.027 | 120.841 | 343.290 | 0.000 | -0.000 | -0.000 |
| 4333291.030 | 38101289.077 | 26668234.500 | -8997393.877 | 0.000 | 0.000 |
| -89.852 | -101.388 | -121.601 | 0.000 | 163.202 | -0.000 |
| 0.000 | 0.000 | -0.000 | -0.000 | -0.000 | 149.262 |
| 380.870 | 259.057 | 320.656 | -0.000 | 0.000 | 0.000 |
| 259.058 | 575.856 | 229.399 | -0.000 | -0.000 | 0.000 |
| 320.658 | 229.400 | 615.736 | 0.000 | 0.000 | 0.000 |
| -4333291.027 | -38101289.076 | -26668234.497 | -8997393.877 | -0.000 | 0.000 |
| 89.852 | 101.388 | 121.601 | -0.000 | 163.202 | 0.000 |
| -0.000 | -0.000 | 0.000 | 0.000 | 0.000 | 149.262 |
| 278.990 | 143.157 | 189.282 | 0.000 | -0.000 | -0.000 |
| 259.059 | 575.860 | 229.399 | -0.000 | -0.000 | -0.000 |
| 259.742 | 173.899 | 440.985 | 0.000 | 0.000 | -0.000 |
| 433334.669 | 3810031.971 | 2666820.057 | -899650.458 | 0.000 | -0.000 |
| 0.001 | -0.000 | 0.003 | 0.000 | 200.562 | -0.000 |
| -7.477 | -8.323 | -10.901 | 0.000 | -0.000 | 149.262 |
| 294.988 | 160.693 | 214.627 | -0.000 | 0.000 | 0.000 |
| 259.057 | 575.854 | 229.399 | -0.000 | 0.000 | 0.000 |
| 199.138 | 100.803 | 391.847 | -0.000 | -0.000 | 0.000 |
| -433334.669 | -3810031.972 | -2666820.058 | -899650.458 | 0.000 | 0.000 |
| -0.001 | 0.000 | -0.003 | -0.000 | 200.562 | 0.000 |
| 7.477 | 8.323 | 10.901 | 0.000 | 0.000 | 149.262 |
| 331.220 | 245.538 | 331.293 | 0.000 | -0.000 | -0.000 |
| -12702.811 | -13951.296 | -9258.021 | 0.000 | 0.000 | -0.000 |
| -17685.825 | -19020.204 | -20991.460 | 0.000 | -0.000 | 0.000 |
| -12864.166 | -14391.407 | -9410.262 | 77.014 | -0.000 | -0.000 |
| -17887.817 | -19121.417 | -21360.784 | 0.000 | 166.297 | -0.000 |
| -17888.957 | -19122.483 | -21363.573 | 0.000 | 0.000 | 126.546 |
| 18123.760 | 19266.632 | 21564.127 | 0.000 | 0.000 | 0.000 |
| 18033.199 | 19547.727 | 21463.513 | -0.000 | 0.000 | 0.000 |
| 18089.611 | 19222.427 | 21729.791 | 0.000 | 0.000 | -0.000 |
| 12864.166 | 14391.407 | 9410.262 | 77.014 | 0.000 | -0.000 |
| 17887.817 | 19121.417 | 21360.784 | -0.000 | 166.297 | 0.000 |
| 17888.957 | 19122.483 | 21363.573 | -0.000 | -0.000 | 126.546 |
| -1552.591 | -1766.659 | -1932.455 | 0.000 | -0.000 | 0.000 |
| -1643.747 | -1486.149 | -2034.270 | 0.000 | -0.000 | 0.000 |
| -1587.170 | -1811.275 | -1767.771 | 0.000 | -0.000 | -0.000 |
| -1287.320 | -1440.152 | -941.687 | 76.998 | 0.000 | 0.000 |
| -1788.496 | -1911.822 | -2135.865 | 0.000 | 127.994 | -0.000 |
| -1788.656 | -1912.002 | -2135.978 | -0.000 | 0.000 | 126.546 |
| 2025.113 | 2057.715 | 2340.416 | -0.000 | -0.000 | 0.000 |
| 1448.115 | 1879.613 | 1093.726 | -0.000 | 0.000 | 0.000 |
| 1990.668 | 2013.245 | 2505.237 | -0.000 | 0.000 | 0.000 |
| 1287.320 | 1440.152 | 941.687 | 76.998 | 0.000 | -0.000 |
| 1788.496 | 1911.822 | 2135.865 | -0.000 | 127.994 | 0.000 |
| 1788.656 | 1912.002 | 2135.978 | -0.000 | 0.000 | 126.546 |
| 331.222 | 245.539 | 331.295 | 0.000 | -0.000 | 0.000 |
| -33.478 | 235.124 | -110.927 | 0.000 | -0.000 | -0.000 |
| 23.073 | -90.042 | 155.635 | -0.000 | 0.000 | 0.000 |
| 337860.995 | 3377739.089 | 2457144.070 | -732924.761 | -0.000 | 0.000 |
| -188.228 | -200.782 | -228.746 | 0.000 | 164.274 | 0.000 |
| -128.634 | -143.905 | -94.097 | 0.000 | 0.000 | 126.546 |
| 377.179 | 299.204 | 344.011 | 0.000 | 0.000 | 0.000 |
| 245.698 | 532.633 | 230.960 | -0.000 | 0.000 | -0.000 |
| 354.410 | 265.054 | 542.858 | 0.000 | 0.000 | 0.000 |
| -337860.995 | -3377739.091 | -2457144.071 | -732924.761 | -0.000 | 0.000 |
| 188.228 | 200.782 | 228.746 | -0.000 | 164.274 | -0.000 |
| 128.634 | 143.905 | 94.097 | -0.000 | 0.000 | 126.546 |
| 418.045 | 205.902 | 205.902 | 0.000 | 0.000 | 0.000 |
| 205.902 | 418.045 | 205.902 | 0.000 | 0.000 | 0.000 |
| 205.902 | 205.902 | 418.045 | 0.000 | 0.000 | 0.000 |
| 0.000 | -0.000 | -0.000 | 169.600 | 0.000 | -0.000 |
| 0.000 | 0.000 | -0.000 | 0.000 | 169.600 | -0.000 |
| 0.000 | 0.000 | 0.000 | -0.000 | -0.000 | 169.600 |
| 418.045 | 205.902 | 205.902 | -0.000 | -0.000 | -0.000 |
| 205.902 | 418.045 | 205.902 | -0.000 | -0.000 | -0.000 |
| 205.902 | 205.902 | 418.045 | -0.000 | -0.000 | -0.000 |
| -0.000 | 0.000 | 0.000 | 169.600 | -0.000 | 0.000 |
| 0.000 | -0.000 | 0.000 | -0.000 | 169.600 | 0.000 |
| 0.000 | -0.000 | 0.000 | -0.000 | -0.000 | 169.600 |
| 418.046 | 205.902 | 205.902 | 0.000 | 0.000 | 0.000 |
| 205.902 | 418.046 | 205.902 | 0.000 | 0.000 | 0.000 |
| 205.902 | 205.902 | 418.046 | 0.000 | 0.000 | 0.000 |
| 0.000 | -0.000 | -0.000 | 133.419 | -0.000 | 0.000 |
| -0.000 | 0.000 | -0.000 | 0.000 | 133.419 | 0.000 |
| -0.000 | -0.000 | 0.000 | 0.000 | 0.000 | 133.419 |
| 418.044 | 205.902 | 205.902 | -0.000 | -0.000 | -0.000 |
| 205.902 | 418.044 | 205.902 | -0.000 | -0.000 | -0.000 |
| 205.902 | 205.902 | 418.044 | -0.000 | -0.000 | -0.000 |
| -0.000 | 0.000 | 0.000 | 133.419 | -0.000 | -0.000 |
| 0.000 | -0.000 | 0.000 | -0.000 | 133.419 | -0.000 |
| 0.000 | 0.000 | -0.000 | 0.000 | -0.000 | 133.419 |
| 418.051 | 205.903 | 205.903 | 0.000 | 0.000 | 0.000 |
| 205.903 | 418.051 | 205.903 | 0.000 | 0.000 | 0.000 |
| 205.903 | 205.903 | 418.051 | 0.000 | 0.000 | 0.000 |
| 0.000 | -0.000 | 0.000 | 169.600 | -0.000 | -0.000 |
| -0.000 | 0.000 | 0.000 | -0.000 | 169.600 | -0.000 |
| -0.000 | 0.000 | 0.000 | -0.000 | -0.000 | 169.600 |
| 418.039 | 205.901 | 205.901 | -0.000 | -0.000 | -0.000 |
| 205.901 | 418.039 | 205.901 | -0.000 | -0.000 | -0.000 |
| 205.901 | 205.901 | 418.039 | -0.000 | -0.000 | -0.000 |
| -0.000 | 0.000 | -0.000 | 169.600 | -0.000 | 0.000 |
| 0.000 | -0.000 | -0.000 | -0.000 | 169.600 | 0.000 |
| 0.000 | -0.000 | -0.000 | -0.000 | -0.000 | 169.600 |
| 328.610 | 108.632 | 108.632 | 0.000 | 0.000 | 0.000 |
| 108.632 | 328.610 | 108.632 | 0.000 | -0.000 | 0.000 |
| 108.632 | 108.632 | 328.610 | 0.000 | 0.000 | -0.000 |
| -0.000 | -0.000 | -0.000 | 129.388 | -0.000 | -0.000 |
| -0.000 | -0.000 | -0.000 | -0.000 | 129.388 | -0.000 |
| -0.000 | -0.000 | 0.000 | -0.000 | -0.000 | 129.388 |
| 328.610 | 108.632 | 108.632 | -0.000 | -0.000 | 0.000 |
| 108.632 | 328.610 | 108.632 | 0.000 | -0.000 | -0.000 |
| 108.632 | 108.632 | 328.610 | 0.000 | 0.000 | 0.000 |
| -0.000 | 0.000 | 0.000 | 129.388 | 0.000 | 0.000 |
| 0.000 | -0.000 | 0.000 | 0.000 | 129.388 | 0.000 |
| 0.000 | 0.000 | -0.000 | 0.000 | -0.000 | 129.388 |
| 328.610 | 108.632 | 108.632 | -0.000 | 0.000 | -0.000 |
| 108.632 | 328.610 | 108.632 | 0.000 | -0.000 | -0.000 |
| 108.632 | 108.632 | 328.610 | -0.000 | -0.000 | -0.000 |
| 0.000 | -0.000 | 0.000 | 175.244 | 0.000 | 0.000 |
| -0.000 | 0.000 | 0.000 | 0.000 | 175.244 | 0.000 |
| -0.000 | 0.000 | 0.000 | 0.000 | 0.000 | 175.244 |
| 328.610 | 108.632 | 108.632 | -0.000 | -0.000 | -0.000 |
| 108.632 | 328.610 | 108.632 | -0.000 | -0.000 | 0.000 |
| 108.632 | 108.632 | 328.610 | 0.000 | 0.000 | 0.000 |
| -0.000 | 0.000 | -0.000 | 175.244 | -0.000 | -0.000 |
| 0.000 | -0.000 | -0.000 | -0.000 | 175.244 | -0.000 |
| 0.000 | -0.000 | -0.000 | -0.000 | -0.000 | 175.244 |
| 328.608 | 108.632 | 108.632 | 0.000 | 0.000 | 0.000 |
| 108.632 | 328.608 | 108.632 | 0.000 | 0.000 | 0.000 |
| 108.632 | 108.632 | 328.608 | -0.000 | -0.000 | -0.000 |
| 0.001 | -0.000 | 0.000 | 175.244 | 0.000 | 0.000 |
| -0.000 | 0.001 | 0.000 | 0.000 | 175.244 | 0.000 |
| -0.000 | 0.000 | 0.001 | 0.000 | 0.000 | 175.244 |
| 328.612 | 108.632 | 108.632 | 0.000 | 0.000 | 0.000 |
| 108.632 | 328.612 | 108.632 | -0.000 | 0.000 | 0.000 |
| 108.632 | 108.632 | 328.612 | 0.000 | 0.000 | 0.000 |
| -0.001 | 0.000 | -0.000 | 175.244 | -0.000 | -0.000 |
| 0.000 | -0.001 | -0.000 | -0.000 | 175.244 | -0.000 |
| 0.000 | -0.000 | -0.001 | -0.000 | -0.000 | 175.244 |
| 338.898 | 169.200 | 169.200 | 0.000 | 0.000 | 0.000 |
| 169.200 | 338.898 | 169.200 | 0.000 | 0.000 | 0.000 |
| 169.200 | 169.200 | 338.898 | 0.000 | 0.000 | 0.000 |
| 0.000 | -0.000 | -0.000 | 154.470 | 0.000 | 0.000 |
| -0.000 | 0.000 | -0.000 | 0.000 | 154.470 | 0.000 |
| -0.000 | -0.000 | 0.000 | 0.000 | 0.000 | 154.470 |
| 338.898 | 169.200 | 169.200 | -0.000 | -0.000 | -0.000 |
| 169.200 | 338.898 | 169.200 | -0.000 | -0.000 | -0.000 |
| 169.200 | 169.200 | 338.898 | -0.000 | -0.000 | -0.000 |
| -0.000 | 0.000 | -0.000 | 154.470 | -0.000 | -0.000 |
| 0.000 | -0.000 | -0.000 | -0.000 | 154.470 | -0.000 |
| 0.000 | 0.000 | -0.000 | -0.000 | -0.000 | 154.470 |
| 338.898 | 169.201 | 169.201 | 0.000 | 0.000 | 0.000 |
| 169.201 | 338.898 | 169.201 | 0.000 | 0.000 | 0.000 |
| 169.201 | 169.201 | 338.898 | 0.000 | 0.000 | 0.000 |
| 0.000 | -0.000 | -0.000 | 154.470 | 0.000 | 0.000 |
| -0.000 | 0.000 | -0.000 | 0.000 | 154.470 | 0.000 |
| -0.000 | -0.000 | 0.000 | 0.000 | 0.000 | 154.470 |
| 338.897 | 169.200 | 169.200 | -0.000 | -0.000 | -0.000 |
| 169.200 | 338.897 | 169.200 | -0.000 | -0.000 | -0.000 |
| 169.200 | 169.200 | 338.897 | -0.000 | -0.000 | -0.000 |
| -0.000 | 0.000 | 0.000 | 154.470 | -0.000 | -0.000 |
| 0.000 | -0.000 | 0.000 | -0.000 | 154.470 | -0.000 |
| 0.000 | 0.000 | -0.000 | -0.000 | -0.000 | 154.470 |
| 338.900 | 169.202 | 169.202 | 0.000 | 0.000 | 0.000 |
| 169.202 | 338.900 | 169.202 | 0.000 | 0.000 | 0.000 |
| 169.202 | 169.202 | 338.900 | 0.000 | 0.000 | 0.000 |
| 0.001 | -0.000 | -0.000 | 152.902 | 0.000 | 0.000 |
| -0.000 | 0.001 | -0.000 | 0.000 | 152.902 | 0.000 |
| -0.000 | -0.000 | 0.001 | 0.000 | 0.000 | 152.902 |
| 338.895 | 169.199 | 169.199 | -0.000 | -0.000 | -0.000 |
| 169.199 | 338.895 | 169.199 | -0.000 | -0.000 | -0.000 |
| 169.199 | 169.199 | 338.895 | -0.000 | -0.000 | -0.000 |
| -0.001 | 0.000 | 0.000 | 152.902 | -0.000 | -0.000 |
| 0.000 | -0.001 | 0.000 | -0.000 | 152.902 | -0.000 |
| 0.000 | 0.000 | -0.001 | -0.000 | -0.000 | 152.902 |
| 571.346 | 319.814 | 319.814 | 0.000 | 0.000 | 0.000 |
| 319.814 | 571.346 | 319.814 | 0.000 | 0.000 | 0.000 |
| 319.814 | 319.814 | 571.346 | 0.000 | 0.000 | 0.000 |
| 0.000 | 0.000 | 0.000 | 192.634 | 0.000 | 0.000 |
| 0.000 | 0.000 | 0.000 | 0.000 | 192.634 | 0.000 |
| 0.000 | 0.000 | 0.000 | 0.000 | 0.000 | 192.634 |
| 571.345 | 319.814 | 319.814 | -0.000 | -0.000 | 0.000 |
| 319.814 | 571.345 | 319.814 | -0.000 | -0.000 | -0.000 |
| 319.814 | 319.814 | 571.345 | 0.000 | -0.000 | 0.000 |
| -0.000 | -0.000 | -0.000 | 192.634 | -0.000 | -0.000 |
| -0.000 | -0.000 | -0.000 | -0.000 | 192.634 | -0.000 |
| -0.000 | -0.000 | -0.000 | -0.000 | -0.000 | 192.634 |
| 571.346 | 319.815 | 319.815 | 0.000 | 0.000 | 0.000 |
| 319.815 | 571.346 | 319.815 | 0.000 | 0.000 | 0.000 |
| 319.815 | 319.815 | 571.346 | 0.000 | 0.000 | 0.000 |
| 0.000 | 0.000 | 0.000 | 192.634 | 0.000 | 0.000 |
| 0.000 | 0.000 | 0.000 | 0.000 | 192.634 | 0.000 |
| 0.000 | 0.000 | 0.000 | 0.000 | 0.000 | 192.634 |
| 571.345 | 319.813 | 319.813 | -0.000 | -0.000 | 0.000 |
| 319.813 | 571.345 | 319.813 | 0.000 | -0.000 | -0.000 |
| 319.813 | 319.813 | 571.345 | -0.000 | -0.000 | 0.000 |
| -0.000 | -0.000 | -0.000 | 192.634 | -0.000 | -0.000 |
| -0.000 | -0.000 | -0.000 | -0.000 | 192.634 | -0.000 |
| -0.000 | -0.000 | -0.000 | -0.000 | -0.000 | 192.634 |
| 571.355 | 319.823 | 319.823 | -0.000 | 0.000 | 0.000 |
| 319.823 | 571.355 | 319.823 | 0.000 | 0.000 | -0.000 |
| 319.823 | 319.823 | 571.355 | 0.000 | 0.000 | 0.000 |
| 0.002 | 0.002 | 0.002 | 192.634 | -0.000 | -0.000 |
| 0.002 | 0.002 | 0.002 | -0.000 | 192.634 | 0.000 |
| 0.002 | 0.002 | 0.002 | 0.000 | 0.000 | 192.634 |
| 571.336 | 319.804 | 319.804 | -0.000 | -0.000 | -0.000 |
| 319.804 | 571.336 | 319.804 | -0.000 | -0.000 | -0.000 |
| 319.804 | 319.804 | 571.336 | -0.000 | -0.000 | -0.000 |
| -0.002 | -0.002 | -0.002 | 192.634 | -0.000 | -0.000 |
| -0.002 | -0.002 | -0.002 | -0.000 | 192.634 | -0.000 |
| -0.002 | -0.002 | -0.002 | -0.000 | -0.000 | 192.634 |
| 425.326 | 87.846 | 87.846 | 0.000 | 0.000 | 0.000 |
| 87.846 | 425.326 | 87.846 | -0.000 | 0.000 | 0.000 |
| 87.846 | 87.846 | 425.326 | -0.000 | 0.000 | -0.000 |
| -0.000 | -0.000 | -0.000 | -38.292 | 0.000 | 0.000 |
| -0.000 | -0.000 | -0.000 | -0.000 | -38.292 | -0.000 |
| -0.000 | -0.000 | -0.000 | -0.000 | 0.000 | -38.292 |
| 425.326 | 87.846 | 87.846 | -0.000 | -0.000 | -0.000 |
| 87.846 | 425.326 | 87.846 | -0.000 | -0.000 | -0.000 |
| 87.846 | 87.846 | 425.326 | -0.000 | -0.000 | -0.000 |
| 0.000 | 0.000 | 0.000 | -38.292 | -0.000 | -0.000 |
| 0.000 | 0.000 | 0.000 | -0.000 | -38.292 | 0.000 |
| 0.000 | 0.000 | 0.000 | 0.000 | -0.000 | -38.292 |
| 425.326 | 87.846 | 87.846 | 0.000 | 0.000 | -0.000 |
| 87.846 | 425.326 | 87.846 | 0.000 | 0.000 | 0.000 |
| 87.846 | 87.846 | 425.326 | 0.000 | 0.000 | -0.000 |
| -0.000 | -0.000 | -0.000 | -38.292 | 0.000 | 0.000 |
| -0.000 | -0.000 | -0.000 | -0.000 | -38.292 | 0.000 |
| -0.000 | -0.000 | -0.000 | -0.000 | 0.000 | -38.292 |
| 425.325 | 87.846 | 87.846 | 0.000 | -0.000 | -0.000 |
| 87.846 | 425.325 | 87.846 | 0.000 | -0.000 | -0.000 |
| 87.846 | 87.846 | 425.325 | 0.000 | 0.000 | -0.000 |
| 0.000 | 0.000 | 0.000 | -38.292 | -0.000 | -0.000 |
| 0.000 | 0.000 | 0.000 | -0.000 | -38.292 | -0.000 |
| 0.000 | 0.000 | 0.000 | 0.000 | -0.000 | -38.292 |
| 425.327 | 87.847 | 87.847 | -0.000 | 0.000 | -0.000 |
| 87.847 | 425.327 | 87.847 | 0.000 | 0.000 | -0.000 |
| 87.847 | 87.847 | 425.327 | -0.000 | 0.000 | -0.000 |
| -0.000 | -0.000 | -0.000 | -38.292 | 0.000 | 0.000 |
| -0.000 | -0.000 | -0.000 | -0.000 | -38.292 | -0.000 |
| -0.000 | -0.000 | -0.000 | -0.000 | 0.000 | -38.292 |
| 425.324 | 87.845 | 87.845 | -0.000 | -0.000 | -0.000 |
| 87.845 | 425.324 | 87.845 | 0.000 | -0.000 | 0.000 |
| 87.845 | 87.845 | 425.324 | -0.000 | -0.000 | -0.000 |
| 0.000 | 0.000 | 0.000 | -38.292 | -0.000 | -0.000 |
| 0.000 | 0.000 | 0.000 | -0.000 | -38.292 | -0.000 |
| 0.000 | 0.000 | 0.000 | 0.000 | -0.000 | -38.292 |
| 108.676 | 0.083 | 0.083 | -0.000 | -0.000 | -0.000 |
| 0.083 | 108.676 | 0.083 | -0.000 | -0.000 | -0.000 |
| 0.083 | 0.083 | 108.676 | -0.000 | -0.000 | -0.000 |
| 0.000 | -0.000 | -0.000 | -15.345 | -0.000 | -0.000 |
| -0.000 | 0.000 | -0.000 | -0.000 | -15.345 | -0.000 |
| -0.000 | -0.000 | 0.000 | -0.000 | -0.000 | -15.345 |
| 108.676 | 0.083 | 0.083 | 0.000 | 0.000 | 0.000 |
| 0.083 | 108.676 | 0.083 | 0.000 | 0.000 | 0.000 |
| 0.083 | 0.083 | 108.676 | -0.000 | -0.000 | 0.000 |
| -0.000 | 0.000 | 0.000 | -15.345 | 0.000 | 0.000 |
| 0.000 | 0.000 | 0.000 | 0.000 | -15.345 | 0.000 |
| 0.000 | 0.000 | 0.000 | 0.000 | -0.000 | -15.345 |
| 108.675 | 0.083 | 0.083 | -0.000 | -0.000 | -0.000 |
| 0.083 | 108.675 | 0.083 | -0.000 | 0.000 | -0.000 |
| 0.083 | 0.083 | 108.675 | -0.000 | -0.000 | -0.000 |
| -0.000 | -0.000 | -0.000 | -15.345 | -0.000 | -0.000 |
| -0.000 | -0.000 | -0.000 | -0.000 | -15.345 | -0.000 |
| -0.000 | -0.000 | -0.000 | -0.000 | -0.000 | -15.345 |
| 108.676 | 0.083 | 0.083 | 0.000 | 0.000 | 0.000 |
| 0.083 | 108.676 | 0.083 | 0.000 | 0.000 | 0.000 |
| 0.083 | 0.083 | 108.676 | 0.000 | 0.000 | 0.000 |
| 0.000 | 0.000 | 0.000 | -15.345 | 0.000 | 0.000 |
| 0.000 | 0.000 | 0.000 | 0.000 | -15.345 | 0.000 |
| 0.000 | 0.000 | 0.000 | 0.000 | 0.000 | -15.345 |
| 108.674 | 0.082 | 0.082 | -0.000 | 0.000 | -0.000 |
| 0.082 | 108.674 | 0.082 | -0.000 | -0.000 | -0.000 |
| 0.082 | 0.082 | 108.674 | 0.000 | 0.000 | -0.000 |
| -0.000 | -0.000 | -0.000 | -15.345 | -0.000 | -0.000 |
| -0.000 | -0.000 | -0.000 | -0.000 | -15.345 | -0.000 |
| -0.000 | -0.000 | -0.000 | -0.000 | -0.000 | -15.345 |
| 108.677 | 0.083 | 0.083 | 0.000 | 0.000 | 0.000 |
| 0.083 | 108.677 | 0.083 | 0.000 | 0.000 | 0.000 |
| 0.083 | 0.083 | 108.677 | 0.000 | 0.000 | 0.000 |
| 0.000 | 0.000 | 0.000 | -15.345 | 0.000 | 0.000 |
| 0.000 | 0.000 | 0.000 | 0.000 | -15.345 | 0.000 |
| 0.000 | 0.000 | 0.000 | 0.000 | 0.000 | -15.345 |
| 509.540 | 364.960 | 364.960 | -0.000 | 0.000 | -0.000 |
| 364.960 | 509.540 | 364.960 | 0.000 | -0.000 | 0.000 |
| 364.960 | 364.960 | 509.540 | 0.000 | 0.000 | -0.000 |
| 0.000 | 0.000 | 0.000 | 124.808 | 0.000 | -0.000 |
| 0.000 | 0.000 | 0.000 | 0.000 | 124.808 | -0.000 |
| 0.000 | 0.000 | 0.000 | -0.000 | 0.000 | 124.808 |
| 509.540 | 364.960 | 364.960 | -0.000 | -0.000 | 0.000 |
| 364.960 | 509.540 | 364.960 | 0.000 | -0.000 | 0.000 |
| 364.960 | 364.960 | 509.540 | 0.000 | 0.000 | 0.000 |
| -0.000 | -0.000 | -0.000 | 124.808 | -0.000 | 0.000 |
| -0.000 | -0.000 | -0.000 | -0.000 | 124.808 | 0.000 |
| -0.000 | -0.000 | 0.000 | -0.000 | -0.000 | 124.808 |
| 509.540 | 364.960 | 364.960 | 0.000 | -0.000 | -0.000 |
| 364.960 | 509.540 | 364.960 | -0.000 | 0.000 | 0.000 |
| 364.960 | 364.960 | 509.540 | 0.000 | 0.000 | -0.000 |
| 0.000 | 0.000 | 0.000 | 124.808 | 0.000 | -0.000 |
| 0.000 | 0.000 | 0.000 | 0.000 | 124.808 | -0.000 |
| 0.000 | 0.000 | 0.000 | 0.000 | 0.000 | 124.808 |
| 509.540 | 364.959 | 364.959 | -0.000 | -0.000 | 0.000 |
| 364.959 | 509.540 | 364.959 | -0.000 | -0.000 | -0.000 |
| 364.959 | 364.959 | 509.540 | -0.000 | -0.000 | 0.000 |
| -0.000 | -0.000 | -0.000 | 124.808 | -0.000 | 0.000 |
| -0.000 | -0.000 | -0.000 | -0.000 | 124.808 | 0.000 |
| -0.000 | -0.000 | -0.000 | -0.000 | -0.000 | 124.808 |
| 509.543 | 364.961 | 364.961 | 0.000 | -0.000 | 0.000 |
| 364.961 | 509.543 | 364.961 | -0.000 | 0.000 | -0.000 |
| 364.961 | 364.961 | 509.543 | -0.000 | -0.000 | -0.000 |
| 0.000 | 0.000 | 0.000 | 124.808 | 0.000 | -0.000 |
| 0.000 | 0.000 | 0.000 | -0.000 | 124.808 | -0.000 |
| 0.000 | 0.000 | 0.000 | -0.000 | 0.000 | 124.808 |
| 509.537 | 364.958 | 364.958 | 0.000 | -0.000 | -0.000 |
| 364.958 | 509.537 | 364.958 | -0.000 | -0.000 | 0.000 |
| 364.958 | 364.958 | 509.537 | 0.000 | 0.000 | 0.000 |
| -0.000 | -0.000 | -0.000 | 124.808 | -0.000 | 0.000 |
| -0.000 | -0.000 | -0.000 | 0.000 | 124.808 | 0.000 |
| -0.000 | -0.000 | -0.000 | -0.000 | -0.000 | 124.808 |
| 55.375 | 69.395 | 69.395 | -0.000 | -0.000 | -0.000 |
| 69.395 | 55.375 | 69.395 | -0.000 | -0.000 | -0.000 |
| 69.395 | 69.395 | 55.375 | -0.000 | -0.000 | -0.000 |
| 0.000 | -0.000 | -0.000 | 63.498 | -0.000 | 0.000 |
| -0.000 | 0.000 | -0.000 | -0.000 | 63.498 | 0.000 |
| -0.000 | 0.000 | 0.000 | -0.000 | -0.000 | 63.498 |
| 55.375 | 69.395 | 69.395 | 0.000 | 0.000 | 0.000 |
| 69.395 | 55.375 | 69.395 | 0.000 | 0.000 | 0.000 |
| 69.395 | 69.395 | 55.375 | 0.000 | 0.000 | 0.000 |
| 0.000 | 0.000 | 0.000 | 8.351 | 0.000 | 0.000 |
| 0.000 | 0.000 | 0.000 | 0.000 | 8.351 | 0.000 |
| 0.000 | 0.000 | 0.000 | 0.000 | 0.000 | 8.351 |
| 55.375 | 69.395 | 69.395 | -0.000 | -0.000 | -0.000 |
| 69.395 | 55.375 | 69.395 | -0.000 | -0.000 | -0.000 |
| 69.395 | 69.395 | 55.375 | -0.000 | -0.000 | -0.000 |
| -0.000 | -0.000 | -0.000 | 8.351 | -0.000 | 0.000 |
| -0.000 | -0.000 | -0.000 | -0.000 | 8.351 | 0.000 |
| -0.000 | -0.000 | -0.000 | -0.000 | 0.000 | 8.351 |
| 55.375 | 69.395 | 69.395 | 0.000 | 0.000 | 0.000 |
| 69.395 | 55.375 | 69.395 | 0.000 | 0.000 | 0.000 |
| 69.395 | 69.395 | 55.375 | 0.000 | 0.000 | 0.000 |
| 0.000 | 0.000 | 0.000 | 8.351 | 0.000 | 0.000 |
| 0.000 | 0.000 | 0.000 | 0.000 | 8.351 | 0.000 |
| 0.000 | 0.000 | 0.000 | 0.000 | 0.000 | 8.351 |
| 55.375 | 69.395 | 69.395 | -0.000 | -0.000 | -0.000 |
| 69.395 | 55.375 | 69.395 | -0.000 | -0.000 | -0.000 |
| 69.395 | 69.395 | 55.375 | -0.000 | -0.000 | -0.000 |
| -0.000 | -0.000 | -0.000 | 8.351 | -0.000 | -0.000 |
| -0.000 | -0.000 | -0.000 | -0.000 | 8.351 | -0.000 |
| -0.000 | -0.000 | -0.000 | -0.000 | -0.000 | 8.351 |
| 55.375 | 69.395 | 69.395 | 0.000 | 0.000 | 0.000 |
| 69.395 | 55.375 | 69.395 | 0.000 | 0.000 | 0.000 |
| 69.395 | 69.395 | 55.375 | 0.000 | 0.000 | 0.000 |
| 0.000 | 0.000 | 0.000 | 8.351 | 0.000 | 0.000 |
| 0.000 | 0.000 | 0.000 | 0.000 | 8.351 | 0.000 |
| 0.000 | 0.000 | 0.000 | 0.000 | 0.000 | 8.351 |
| 361.282 | 240.053 | 233.663 | -36.500 | 0.000 | 0.000 |
| 240.053 | 361.282 | 233.663 | 36.500 | -0.000 | 0.000 |
| 233.663 | 233.663 | 418.500 | -0.000 | 0.000 | 0.000 |
| -36.500 | 36.500 | -0.000 | 35.894 | -0.000 | 0.000 |
| -0.000 | -0.000 | 0.000 | -0.000 | 35.894 | -36.500 |
| -0.000 | -0.000 | 0.000 | -0.000 | -36.500 | 60.615 |
| 361.282 | 240.053 | 233.663 | -36.500 | -0.000 | -0.000 |
| 240.053 | 361.282 | 233.663 | 36.500 | 0.000 | -0.000 |
| 233.663 | 233.663 | 418.500 | 0.000 | 0.000 | -0.000 |
| -36.500 | 36.500 | 0.000 | 35.894 | 0.000 | -0.000 |
| 0.000 | 0.000 | 0.000 | 0.000 | 35.894 | -36.500 |
| 0.000 | 0.000 | 0.000 | 0.000 | -36.500 | 60.615 |
| 361.282 | 240.053 | 233.663 | -36.500 | -0.000 | 0.000 |
| 240.053 | 361.282 | 233.663 | 36.500 | -0.000 | 0.000 |
| 233.663 | 233.663 | 418.500 | 0.000 | -0.000 | 0.000 |
| -36.500 | 36.500 | -0.000 | 35.894 | -0.000 | 0.000 |
| -0.000 | -0.000 | -0.000 | -0.000 | 35.894 | -36.500 |
| -0.000 | -0.000 | -0.000 | -0.000 | -36.500 | 60.615 |
| 361.282 | 240.053 | 233.663 | -36.500 | 0.000 | -0.000 |
| 240.053 | 361.282 | 233.663 | 36.500 | 0.000 | -0.000 |
| 233.663 | 233.663 | 418.500 | -0.000 | 0.000 | -0.000 |
| -36.500 | 36.500 | 0.000 | 35.894 | -0.000 | -0.000 |
| 0.000 | 0.000 | 0.000 | 0.000 | 35.894 | -36.500 |
| 0.000 | 0.000 | 0.000 | 0.000 | -36.500 | 60.615 |
| 361.282 | 240.055 | 233.665 | -36.500 | -0.000 | 0.000 |
| 240.055 | 361.282 | 233.665 | 36.501 | 0.000 | 0.000 |
| 233.666 | 233.666 | 418.502 | -0.000 | -0.000 | 0.000 |
| -36.500 | 36.499 | -0.001 | 35.894 | 0.000 | 0.000 |
| -0.001 | -0.000 | -0.001 | -0.000 | 35.894 | -36.500 |
| -0.001 | -0.001 | -0.000 | -0.000 | -36.500 | 60.615 |
| 361.282 | 240.050 | 233.660 | -36.500 | -0.000 | -0.000 |
| 240.050 | 361.282 | 233.660 | 36.500 | -0.000 | -0.000 |
| 233.660 | 233.660 | 418.499 | -0.000 | 0.000 | -0.000 |
| -36.500 | 36.501 | 0.001 | 35.894 | 0.000 | -0.000 |
| 0.001 | 0.000 | 0.001 | 0.000 | 35.894 | -36.500 |
| 0.001 | 0.001 | 0.000 | 0.000 | -36.500 | 60.615 |
| 509.795 | 340.614 | 337.412 | 0.000 | 0.000 | 0.000 |
| 374.678 | 475.730 | 337.412 | 0.000 | 0.000 | 0.000 |
| 337.412 | 337.412 | 605.987 | 0.000 | -0.000 | 0.000 |
| 0.000 | 0.000 | 0.000 | 57.284 | -0.000 | 0.000 |
| 0.000 | 0.000 | 0.000 | 0.000 | 57.284 | -0.000 |
| -0.000 | 0.000 | -0.000 | 0.000 | 0.000 | 84.591 |
| 509.795 | 340.614 | 337.412 | 0.000 | -0.000 | -0.000 |
| 374.678 | 475.730 | 337.412 | -0.000 | -0.000 | -0.000 |
| 337.411 | 337.411 | 605.986 | -0.000 | 0.000 | -0.000 |
| -0.000 | -0.000 | -0.000 | 57.284 | -0.000 | -0.000 |
| -0.000 | -0.000 | -0.000 | 0.000 | 57.284 | -0.000 |
| 0.000 | -0.000 | 0.000 | -0.000 | -0.000 | 84.591 |
| 475.730 | 374.678 | 337.412 | -0.000 | -0.000 | 0.000 |
| 374.678 | 475.730 | 337.412 | 0.000 | 0.000 | 0.000 |
| 337.412 | 337.412 | 605.988 | 0.000 | 0.000 | 0.000 |
| 0.000 | 0.000 | 0.000 | 57.284 | 0.000 | 0.000 |
| 0.000 | 0.000 | 0.000 | 0.000 | 57.284 | 0.000 |
| -0.000 | -0.000 | -0.000 | 0.000 | 0.000 | 50.526 |
| 509.795 | 340.614 | 337.411 | -0.000 | 0.000 | -0.000 |
| 340.613 | 509.795 | 337.411 | -0.000 | 0.000 | -0.000 |
| 337.411 | 337.411 | 605.985 | -0.000 | -0.000 | -0.000 |
| -0.000 | -0.000 | -0.000 | 57.284 | 0.000 | -0.000 |
| -0.000 | -0.000 | -0.000 | 0.000 | 57.284 | 0.000 |
| 0.000 | 0.000 | 0.000 | -0.000 | 0.000 | 50.526 |
| 475.730 | 374.679 | 337.413 | -0.000 | 0.000 | 0.000 |
| 374.681 | 475.728 | 337.413 | 0.000 | 0.000 | 0.000 |
| 337.415 | 337.415 | 605.998 | 0.000 | 0.000 | 0.000 |
| 0.000 | 0.000 | 0.002 | 57.284 | 0.000 | 0.000 |
| 0.000 | 0.000 | 0.002 | 0.000 | 57.284 | 0.000 |
| -0.002 | -0.000 | -0.000 | -0.000 | 0.000 | 50.526 |
| 509.795 | 340.612 | 337.410 | -0.000 | -0.000 | -0.000 |
| 374.675 | 475.733 | 337.410 | 0.000 | -0.000 | -0.000 |
| 337.408 | 337.408 | 605.975 | -0.000 | 0.000 | -0.000 |
| -0.000 | -0.000 | -0.002 | 57.284 | -0.000 | -0.000 |
| -0.000 | -0.000 | -0.002 | -0.000 | 57.284 | -0.000 |
| 0.002 | 0.000 | 0.000 | 0.000 | 0.000 | 50.526 |
| 203.972 | 106.800 | 114.176 | 0.000 | -0.000 | -0.000 |
| 156.698 | 154.074 | 114.176 | 0.000 | 0.000 | -0.000 |
| 114.176 | 114.176 | 252.647 | 0.000 | 0.000 | 0.000 |
| 0.000 | -0.000 | -0.000 | 48.690 | 0.000 | 0.000 |
| -0.000 | 0.000 | -0.000 | 0.000 | 48.690 | 0.000 |
| -0.000 | -0.000 | -0.000 | 0.000 | 0.000 | -1.312 |
| 154.074 | 156.698 | 114.176 | -0.000 | -0.000 | 0.000 |
| 106.800 | 203.972 | 114.176 | -0.000 | 0.000 | 0.000 |
| 114.176 | 114.176 | 252.647 | -0.000 | -0.000 | -0.000 |
| 0.000 | 0.000 | 0.000 | 48.690 | 0.000 | -0.000 |
| 0.000 | 0.000 | 0.000 | -0.000 | 48.690 | 0.000 |
| 0.000 | 0.000 | 0.000 | -0.000 | -0.000 | -1.312 |
| 154.074 | 156.698 | 114.176 | 0.000 | 0.000 | 0.000 |
| 106.800 | 203.972 | 114.176 | 0.000 | -0.000 | 0.000 |
| 114.176 | 114.176 | 252.647 | 0.000 | -0.000 | 0.000 |
| -0.000 | -0.000 | -0.000 | 48.690 | 0.000 | 0.000 |
| -0.000 | -0.000 | -0.000 | 0.000 | 48.690 | 0.000 |
| -0.000 | -0.000 | -0.000 | 0.000 | -0.000 | 48.586 |
| 203.972 | 106.800 | 114.176 | -0.000 | 0.000 | 0.000 |
| 156.698 | 154.074 | 114.176 | -0.000 | -0.000 | 0.000 |
| 114.176 | 114.176 | 252.647 | -0.000 | 0.000 | 0.000 |
| 0.000 | 0.000 | 0.000 | 48.690 | -0.000 | -0.000 |
| 0.000 | 0.000 | 0.000 | -0.000 | 48.690 | -0.000 |
| 0.000 | 0.000 | 0.000 | -0.000 | -0.000 | 48.586 |
| 154.073 | 156.697 | 114.176 | 0.000 | 0.000 | 0.000 |
| 156.699 | 154.071 | 114.176 | 0.000 | 0.000 | -0.000 |
| 114.176 | 114.176 | 252.646 | 0.000 | 0.000 | -0.000 |
| -0.000 | -0.000 | -0.000 | 48.690 | 0.000 | 0.000 |
| -0.000 | -0.000 | -0.000 | 0.000 | 48.690 | 0.000 |
| -0.001 | -0.001 | -0.000 | 0.000 | 0.000 | -1.312 |
| 154.076 | 156.697 | 114.176 | -0.000 | -0.000 | 0.000 |
| 156.697 | 154.077 | 114.176 | -0.000 | -0.000 | -0.000 |
| 114.176 | 114.176 | 252.648 | -0.000 | -0.000 | -0.000 |
| 0.000 | 0.000 | 0.000 | 48.690 | 0.000 | -0.000 |
| 0.000 | 0.000 | 0.000 | -0.000 | 48.690 | -0.000 |
| 0.001 | 0.001 | 0.000 | -0.000 | -0.000 | -1.312 |
| 155.885 | 122.892 | 122.892 | -0.000 | -0.000 | 0.000 |
| 122.892 | 155.885 | 122.892 | -0.000 | -0.000 | 0.000 |
| 122.892 | 122.892 | 155.885 | -0.000 | -0.000 | -0.000 |
| -0.000 | 0.000 | 0.000 | 13.426 | -0.000 | 0.000 |
| -0.000 | -0.000 | 0.000 | -0.000 | 13.426 | -0.000 |
| -0.000 | -0.000 | 0.000 | 0.000 | 0.000 | 13.426 |
| 155.885 | 122.892 | 122.892 | 0.000 | 0.000 | 0.000 |
| 122.892 | 155.885 | 122.892 | 0.000 | 0.000 | -0.000 |
| 122.892 | 122.892 | 155.885 | -0.000 | -0.000 | 0.000 |
| 0.000 | 0.000 | -0.000 | 13.426 | -0.000 | -0.000 |
| 0.000 | -0.000 | -0.000 | -0.000 | 13.426 | 0.000 |
| 0.000 | -0.000 | -0.000 | -0.000 | -0.000 | 13.426 |
| 155.885 | 122.892 | 122.892 | -0.000 | -0.000 | 0.000 |
| 122.892 | 155.885 | 122.892 | -0.000 | -0.000 | 0.000 |
| 122.892 | 122.892 | 155.885 | -0.000 | -0.000 | -0.000 |
| 0.000 | -0.000 | 0.000 | 100.670 | 0.000 | 0.000 |
| -0.000 | 0.000 | 0.000 | 0.000 | 100.670 | 0.000 |
| -0.000 | 0.000 | 0.000 | 0.000 | -0.000 | 100.670 |
| 155.885 | 122.892 | 122.892 | 0.000 | 0.000 | 0.000 |
| 122.892 | 155.885 | 122.892 | 0.000 | 0.000 | 0.000 |
| 122.892 | 122.892 | 155.885 | 0.000 | 0.000 | 0.000 |
| -0.000 | 0.000 | -0.000 | 100.670 | -0.000 | -0.000 |
| 0.000 | -0.000 | -0.000 | -0.000 | 100.670 | -0.000 |
| 0.000 | -0.000 | -0.000 | 0.000 | 0.000 | 100.670 |
| 155.886 | 122.893 | 122.893 | -0.000 | -0.000 | 0.000 |
| 122.893 | 155.886 | 122.893 | -0.000 | -0.000 | 0.000 |
| 122.893 | 122.893 | 155.886 | -0.000 | -0.000 | 0.000 |
| 0.000 | -0.000 | 0.000 | 100.670 | 0.000 | 0.000 |
| -0.000 | 0.000 | 0.000 | 0.000 | 100.670 | 0.000 |
| -0.000 | 0.000 | 0.000 | 0.000 | -0.000 | 100.670 |
| 155.885 | 122.891 | 122.891 | 0.000 | 0.000 | -0.000 |
| 122.891 | 155.885 | 122.891 | 0.000 | 0.000 | 0.000 |
| 122.891 | 122.891 | 155.885 | 0.000 | 0.000 | 0.000 |
| -0.000 | 0.000 | -0.000 | 100.670 | -0.000 | -0.000 |
| 0.000 | -0.000 | -0.000 | -0.000 | 100.670 | -0.000 |
| 0.000 | -0.000 | -0.000 | -0.000 | 0.000 | 100.670 |
| 582.467 | 384.049 | 384.049 | 0.000 | -0.000 | -0.000 |
| 384.049 | 582.467 | 384.049 | -0.000 | 0.000 | -0.000 |
| 384.049 | 384.049 | 582.467 | 0.000 | 0.000 | 0.000 |
| -0.000 | -0.000 | -0.000 | 129.918 | 0.000 | -0.000 |
| -0.000 | -0.000 | -0.000 | 0.000 | 129.918 | -0.000 |
| -0.000 | -0.000 | -0.000 | -0.000 | -0.000 | 129.918 |
| 582.467 | 384.049 | 384.049 | -0.000 | -0.000 | 0.000 |
| 384.049 | 582.467 | 384.049 | -0.000 | -0.000 | 0.000 |
| 384.049 | 384.049 | 582.467 | -0.000 | -0.000 | 0.000 |
| 0.000 | 0.000 | 0.000 | 129.918 | 0.000 | -0.000 |
| 0.000 | 0.000 | 0.000 | 0.000 | 129.918 | -0.000 |
| 0.000 | 0.000 | 0.000 | -0.000 | 0.000 | 129.918 |
| 582.468 | 384.050 | 384.050 | -0.000 | 0.000 | 0.000 |
| 384.050 | 582.468 | 384.050 | 0.000 | 0.000 | 0.000 |
| 384.050 | 384.050 | 582.468 | 0.000 | 0.000 | 0.000 |
| 0.000 | 0.000 | 0.000 | 129.918 | 0.000 | 0.000 |
| 0.000 | 0.000 | 0.000 | 0.000 | 129.918 | -0.000 |
| 0.000 | 0.000 | 0.000 | 0.000 | 0.000 | 129.918 |
| 582.466 | 384.048 | 384.048 | -0.000 | -0.000 | -0.000 |
| 384.048 | 582.466 | 384.048 | -0.000 | -0.000 | -0.000 |
| 384.048 | 384.048 | 582.466 | -0.000 | -0.000 | -0.000 |
| -0.000 | -0.000 | -0.000 | 129.918 | 0.000 | 0.000 |
| -0.000 | -0.000 | -0.000 | 0.000 | 129.918 | 0.000 |
| -0.000 | -0.000 | -0.000 | -0.000 | 0.000 | 129.918 |
| 582.477 | 384.058 | 384.058 | 0.000 | 0.000 | 0.000 |
| 384.058 | 582.477 | 384.058 | -0.000 | 0.000 | -0.000 |
| 384.058 | 384.058 | 582.477 | 0.000 | 0.000 | 0.000 |
| 0.000 | 0.000 | 0.000 | 122.435 | 0.000 | 0.000 |
| 0.000 | 0.000 | 0.000 | 0.000 | 122.435 | 0.000 |
| 0.000 | 0.000 | 0.000 | 0.000 | 0.000 | 122.435 |
| 582.457 | 384.041 | 384.041 | -0.000 | -0.000 | -0.000 |
| 384.041 | 582.457 | 384.041 | -0.000 | -0.000 | -0.000 |
| 384.041 | 384.041 | 582.457 | -0.000 | -0.000 | 0.000 |
| -0.000 | -0.000 | -0.000 | 122.435 | -0.000 | 0.000 |
| -0.000 | -0.000 | -0.000 | -0.000 | 122.435 | -0.000 |
| -0.000 | -0.000 | -0.000 | 0.000 | -0.000 | 122.435 |
| 9.526 | 9.307 | 9.307 | 0.000 | 0.000 | 0.000 |
| 9.307 | 9.526 | 9.307 | 0.000 | 0.000 | 0.000 |
| 9.307 | 9.307 | 9.526 | 0.000 | -0.000 | 0.000 |
| 0.000 | 0.000 | -0.000 | -1.127 | 0.000 | 0.000 |
| -0.000 | 0.000 | -0.000 | 0.000 | -1.127 | 0.000 |
| 0.000 | -0.000 | -0.000 | 0.000 | 0.000 | -1.127 |
| 9.526 | 9.307 | 9.307 | 0.000 | -0.000 | -0.000 |
| 9.307 | 9.526 | 9.307 | -0.000 | 0.000 | -0.000 |
| 9.307 | 9.307 | 9.526 | -0.000 | 0.000 | 0.000 |
| 0.000 | -0.000 | 0.000 | -1.127 | -0.000 | -0.000 |
| -0.000 | -0.000 | 0.000 | -0.000 | -1.127 | -0.000 |
| -0.000 | -0.000 | 0.000 | -0.000 | -0.000 | -1.127 |
| 9.526 | 9.307 | 9.307 | -0.000 | 0.000 | 0.000 |
| 9.307 | 9.526 | 9.307 | 0.000 | -0.000 | 0.000 |
| 9.307 | 9.307 | 9.526 | 0.000 | -0.000 | 0.000 |
| -0.000 | -0.000 | -0.000 | -1.127 | 0.000 | 0.000 |
| -0.000 | -0.000 | -0.000 | 0.000 | -1.127 | 0.000 |
| -0.000 | -0.000 | -0.000 | 0.000 | 0.000 | -1.127 |
| 9.526 | 9.307 | 9.307 | -0.000 | -0.000 | -0.000 |
| 9.307 | 9.526 | 9.307 | -0.000 | -0.000 | -0.000 |
| 9.307 | 9.307 | 9.526 | -0.000 | -0.000 | -0.000 |
| 0.000 | 0.000 | 0.000 | -1.127 | -0.000 | -0.000 |
| 0.000 | 0.000 | 0.000 | -0.000 | -1.127 | -0.000 |
| 0.000 | 0.000 | 0.000 | -0.000 | -0.000 | -1.127 |
| 9.526 | 9.307 | 9.307 | -0.000 | -0.000 | 0.000 |
| 9.307 | 9.526 | 9.307 | 0.000 | -0.000 | 0.000 |
| 9.307 | 9.307 | 9.526 | 0.000 | 0.000 | -0.000 |
| -0.000 | -0.000 | -0.000 | -1.127 | 0.000 | 0.000 |
| -0.000 | -0.000 | -0.000 | 0.000 | -1.127 | 0.000 |
| -0.000 | -0.000 | -0.000 | 0.000 | 0.000 | -1.127 |
| 9.525 | 9.307 | 9.307 | 0.000 | -0.000 | -0.000 |
| 9.307 | 9.525 | 9.307 | -0.000 | 0.000 | -0.000 |
| 9.307 | 9.307 | 9.525 | -0.000 | -0.000 | 0.000 |
| 0.000 | 0.000 | 0.000 | -1.127 | -0.000 | -0.000 |
| 0.000 | 0.000 | 0.000 | -0.000 | -1.127 | -0.000 |
| 0.000 | 0.000 | 0.000 | -0.000 | -0.000 | -1.127 |
| 493.062 | 255.645 | 255.645 | -0.000 | -0.000 | -0.000 |
| 255.645 | 493.062 | 255.645 | 0.000 | -0.000 | -0.000 |
| 255.645 | 255.645 | 493.062 | -0.000 | -0.000 | -0.000 |
| 0.000 | 0.000 | 0.000 | 47.451 | -0.000 | -0.000 |
| 0.000 | 0.000 | 0.000 | 0.000 | 47.451 | -0.000 |
| 0.000 | 0.000 | 0.000 | -0.000 | -0.000 | 47.451 |
| 498.480 | 252.936 | 252.936 | 0.000 | 0.000 | 0.000 |
| 252.936 | 498.480 | 252.936 | 0.000 | 0.000 | 0.000 |
| 252.936 | 252.936 | 498.480 | -0.000 | 0.000 | 0.000 |
| -0.000 | -0.000 | -0.000 | 47.451 | 0.000 | 0.000 |
| -0.000 | -0.000 | -0.000 | -0.000 | 47.451 | 0.000 |
| -0.000 | -0.000 | -0.000 | 0.000 | 0.000 | 47.451 |
| 498.480 | 252.936 | 252.936 | 0.000 | 0.000 | -0.000 |
| 252.936 | 498.480 | 252.936 | 0.000 | -0.000 | -0.000 |
| 252.936 | 252.936 | 498.480 | 0.000 | -0.000 | 0.000 |
| 0.000 | 0.000 | 0.000 | 47.451 | -0.000 | 0.000 |
| 0.000 | 0.000 | 0.000 | -0.000 | 47.451 | 0.000 |
| 0.000 | 0.000 | 0.000 | -0.000 | -0.000 | 47.451 |
| 498.480 | 252.936 | 252.936 | 0.000 | 0.000 | 0.000 |
| 252.936 | 498.480 | 252.936 | 0.000 | 0.000 | 0.000 |
| 252.936 | 252.936 | 498.480 | -0.000 | 0.000 | 0.000 |
| -0.000 | -0.000 | -0.000 | 47.451 | 0.000 | -0.000 |
| -0.000 | -0.000 | -0.000 | 0.000 | 47.451 | -0.000 |
| -0.000 | -0.000 | -0.000 | 0.000 | 0.000 | 47.451 |
| 493.061 | 255.644 | 255.644 | -0.000 | -0.000 | -0.000 |
| 255.644 | 493.061 | 255.644 | 0.000 | 0.000 | 0.000 |
| 255.644 | 255.644 | 493.061 | 0.000 | 0.000 | 0.000 |
| 0.000 | 0.000 | 0.000 | 47.451 | -0.000 | 0.000 |
| 0.000 | 0.000 | 0.000 | -0.000 | 47.451 | 0.000 |
| 0.000 | 0.000 | 0.000 | -0.000 | -0.000 | 47.451 |
| 493.062 | 255.646 | 255.646 | 0.000 | 0.000 | 0.000 |
| 255.646 | 493.062 | 255.646 | 0.000 | 0.000 | 0.000 |
| 255.646 | 255.646 | 493.062 | -0.000 | -0.000 | 0.000 |
| -0.000 | -0.000 | -0.000 | 47.451 | 0.000 | 0.000 |
| -0.000 | -0.000 | -0.000 | -0.000 | 47.451 | 0.000 |
| -0.000 | -0.000 | -0.000 | 0.000 | 0.000 | 47.451 |
| 520.216 | 438.927 | 438.927 | -0.000 | -0.000 | -0.000 |
| 438.927 | 520.216 | 438.927 | -0.000 | -0.000 | -0.000 |
| 438.927 | 438.927 | 520.216 | -0.000 | -0.000 | -0.000 |
| 0.000 | 0.000 | 0.000 | 145.295 | -0.000 | 0.000 |
| 0.000 | 0.000 | 0.000 | -0.000 | 145.295 | 0.000 |
| 0.000 | 0.000 | 0.000 | 0.000 | 0.000 | 145.295 |
| 520.215 | 438.927 | 438.927 | 0.000 | 0.000 | 0.000 |
| 438.927 | 520.215 | 438.927 | 0.000 | 0.000 | -0.000 |
| 438.927 | 438.927 | 520.215 | -0.000 | -0.000 | -0.000 |
| -0.000 | -0.000 | -0.000 | 145.295 | -0.000 | -0.000 |
| -0.000 | -0.000 | -0.000 | -0.000 | 145.295 | -0.000 |
| -0.000 | -0.000 | -0.000 | -0.000 | -0.000 | 145.295 |
| 520.216 | 438.928 | 438.928 | 0.000 | -0.000 | -0.000 |
| 438.928 | 520.216 | 438.928 | -0.000 | -0.000 | 0.000 |
| 438.928 | 438.928 | 520.216 | 0.000 | 0.000 | -0.000 |
| 0.000 | 0.000 | 0.000 | 143.111 | 0.000 | 0.000 |
| 0.000 | 0.000 | 0.000 | 0.000 | 143.111 | -0.000 |
| 0.000 | 0.000 | 0.000 | 0.000 | 0.000 | 143.111 |
| 520.215 | 438.926 | 438.926 | 0.000 | -0.000 | -0.000 |
| 438.926 | 520.215 | 438.926 | -0.000 | 0.000 | -0.000 |
| 438.926 | 438.926 | 520.215 | 0.000 | 0.000 | 0.000 |
| -0.000 | -0.000 | -0.000 | 143.111 | -0.000 | -0.000 |
| -0.000 | -0.000 | -0.000 | -0.000 | 143.111 | -0.000 |
| -0.000 | -0.000 | -0.000 | -0.000 | -0.000 | 143.111 |
| 520.225 | 438.937 | 438.937 | 0.000 | 0.000 | -0.000 |
| 438.937 | 520.225 | 438.937 | 0.000 | 0.000 | 0.000 |
| 438.937 | 438.937 | 520.225 | 0.000 | 0.000 | -0.000 |
| 0.000 | 0.000 | 0.000 | 143.111 | 0.000 | -0.000 |
| 0.000 | 0.000 | 0.000 | 0.000 | 143.111 | 0.000 |
| 0.000 | 0.000 | 0.000 | 0.000 | 0.000 | 143.111 |
| 520.206 | 438.917 | 438.917 | 0.000 | 0.000 | 0.000 |
| 438.917 | 520.206 | 438.917 | 0.000 | 0.000 | -0.000 |
| 438.917 | 438.917 | 520.206 | -0.000 | -0.000 | 0.000 |
| -0.000 | -0.000 | -0.000 | 143.111 | -0.000 | -0.000 |
| -0.000 | -0.000 | -0.000 | -0.000 | 143.111 | -0.000 |
| -0.000 | -0.000 | -0.000 | -0.000 | -0.000 | 143.111 |
| 297.072 | 275.538 | 275.538 | 0.000 | 0.000 | 0.000 |
| 275.538 | 297.072 | 275.538 | 0.000 | 0.000 | 0.000 |
| 275.538 | 275.538 | 297.072 | -0.000 | 0.000 | 0.000 |
| -0.000 | -0.000 | 0.000 | 82.082 | 0.000 | 0.000 |
| -0.000 | -0.000 | 0.000 | 0.000 | 82.082 | 0.000 |
| -0.000 | 0.000 | -0.000 | 0.000 | 0.000 | 82.082 |
| 297.073 | 275.538 | 275.538 | 0.000 | -0.000 | -0.000 |
| 275.538 | 297.073 | 275.538 | -0.000 | 0.000 | -0.000 |
| 275.538 | 275.538 | 297.073 | -0.000 | -0.000 | -0.000 |
| 0.000 | -0.000 | -0.000 | 82.082 | -0.000 | -0.000 |
| 0.000 | 0.000 | -0.000 | 0.000 | 82.082 | -0.000 |
| 0.000 | 0.000 | 0.000 | 0.000 | -0.000 | 82.082 |
| 297.072 | 275.538 | 275.538 | 0.000 | 0.000 | 0.000 |
| 275.538 | 297.072 | 275.538 | 0.000 | 0.000 | 0.000 |
| 275.538 | 275.538 | 297.072 | -0.000 | 0.000 | 0.000 |
| -0.000 | -0.000 | 0.000 | 82.082 | 0.000 | 0.000 |
| -0.000 | -0.000 | 0.000 | -0.000 | 82.082 | 0.000 |
| -0.000 | 0.000 | -0.000 | 0.000 | 0.000 | 82.082 |
| 297.073 | 275.538 | 275.538 | 0.000 | -0.000 | -0.000 |
| 275.538 | 297.073 | 275.538 | -0.000 | -0.000 | -0.000 |
| 275.538 | 275.538 | 297.073 | 0.000 | -0.000 | -0.000 |
| 0.000 | 0.000 | -0.000 | 82.082 | -0.000 | -0.000 |
| 0.000 | 0.000 | -0.000 | -0.000 | 82.082 | -0.000 |
| 0.000 | -0.000 | 0.000 | 0.000 | -0.000 | 82.082 |
| 297.070 | 275.537 | 275.537 | -0.000 | 0.000 | 0.000 |
| 275.537 | 297.070 | 275.537 | -0.000 | 0.000 | 0.000 |
| 275.537 | 275.537 | 297.070 | -0.000 | 0.000 | 0.000 |
| -0.000 | -0.000 | 0.000 | 82.082 | 0.000 | 0.000 |
| -0.000 | -0.000 | 0.000 | 0.000 | 82.082 | 0.000 |
| -0.000 | 0.000 | -0.000 | 0.000 | 0.000 | 82.082 |
| 297.075 | 275.539 | 275.539 | -0.000 | -0.000 | -0.000 |
| 275.539 | 297.075 | 275.539 | 0.000 | -0.000 | -0.000 |
| 275.539 | 275.539 | 297.075 | -0.000 | -0.000 | -0.000 |
| 0.000 | 0.000 | -0.000 | 82.082 | -0.000 | -0.000 |
| 0.000 | 0.000 | -0.000 | -0.000 | 82.082 | -0.000 |
| 0.000 | -0.000 | 0.000 | -0.000 | -0.000 | 82.082 |
| 389.803 | 200.370 | 239.288 | 0.000 | -0.000 | -0.000 |
| 200.370 | 389.803 | 239.288 | -0.000 | 0.000 | 0.000 |
| 239.288 | 239.288 | 252.553 | -0.000 | 0.000 | 0.000 |
| 0.000 | 0.000 | 0.000 | 107.819 | 0.000 | 0.000 |
| 0.000 | 0.000 | 0.000 | 0.000 | 107.819 | -0.000 |
| 0.000 | 0.000 | 0.000 | 0.000 | 0.000 | 68.131 |
| 390.114 | 200.060 | 239.288 | -0.000 | -0.000 | 0.000 |
| 200.060 | 390.114 | 239.288 | -0.000 | -0.000 | 0.000 |
| 239.288 | 239.288 | 252.553 | 0.000 | -0.000 | 0.000 |
| 0.000 | 0.000 | -0.000 | 107.819 | -0.000 | 0.000 |
| -0.000 | -0.000 | -0.000 | 0.000 | 107.819 | 0.000 |
| -0.000 | -0.000 | 0.000 | -0.000 | -0.000 | 68.131 |
| 390.113 | 200.059 | 239.288 | 0.000 | 0.000 | -0.000 |
| 200.059 | 390.113 | 239.288 | 0.000 | 0.000 | 0.000 |
| 239.288 | 239.288 | 252.552 | -0.000 | -0.000 | 0.000 |
| 0.000 | -0.000 | 0.000 | 107.819 | 0.000 | 0.000 |
| -0.000 | 0.000 | 0.000 | 0.000 | 107.819 | -0.000 |
| 0.000 | 0.000 | -0.000 | 0.000 | 0.000 | 68.131 |
| 390.114 | 200.060 | 239.288 | 0.000 | -0.000 | 0.000 |
| 200.060 | 390.114 | 239.288 | -0.000 | -0.000 | -0.000 |
| 239.288 | 239.288 | 252.553 | 0.000 | -0.000 | 0.000 |
| -0.000 | 0.000 | -0.000 | 107.819 | -0.000 | 0.000 |
| 0.000 | -0.000 | -0.000 | -0.000 | 107.819 | 0.000 |
| -0.000 | -0.000 | 0.000 | -0.000 | -0.000 | 68.131 |
| 390.111 | 200.058 | 239.286 | 0.000 | 0.000 | 0.000 |
| 200.058 | 390.111 | 239.286 | 0.000 | 0.000 | -0.000 |
| 239.286 | 239.286 | 252.551 | 0.000 | 0.000 | 0.000 |
| 0.000 | -0.000 | 0.000 | 107.819 | 0.000 | 0.000 |
| -0.000 | 0.000 | 0.000 | 0.000 | 107.819 | -0.000 |
| 0.000 | 0.000 | -0.000 | 0.000 | 0.000 | 68.131 |
| 390.117 | 200.062 | 239.290 | -0.000 | -0.000 | 0.000 |
| 200.062 | 390.117 | 239.290 | -0.000 | -0.000 | 0.000 |
| 239.290 | 239.290 | 252.554 | -0.000 | -0.000 | -0.000 |
| -0.000 | 0.000 | -0.000 | 107.819 | -0.000 | 0.000 |
| 0.000 | -0.000 | -0.000 | -0.000 | 107.819 | 0.000 |
| -0.000 | -0.000 | 0.000 | -0.000 | -0.000 | 68.131 |
| 409.748 | 326.052 | 307.916 | 52.979 | -0.000 | 0.000 |
| 325.509 | 408.946 | 306.886 | -53.743 | 0.000 | -0.000 |
| 307.647 | 307.647 | 498.711 | -0.000 | -0.000 | -0.000 |
| 59.112 | -59.112 | 0.000 | -19.049 | 0.000 | 0.000 |
| 0.000 | 0.000 | 0.000 | -0.000 | 17.131 | 52.979 |
| 0.000 | 0.000 | 0.000 | -0.000 | 59.112 | 40.808 |
| 408.946 | 325.509 | 306.885 | 53.743 | -0.000 | 0.000 |
| 326.052 | 409.748 | 307.916 | -52.979 | 0.000 | 0.000 |
| 307.647 | 307.647 | 498.711 | 0.000 | -0.000 | -0.000 |
| 59.112 | -59.112 | -0.000 | -19.049 | -0.000 | 0.000 |
| -0.000 | -0.000 | -0.000 | 0.000 | 17.131 | 52.979 |
| -0.000 | -0.000 | -0.000 | 0.000 | 59.112 | 40.808 |
| 409.749 | 326.052 | 307.916 | 52.979 | 0.000 | -0.000 |
| 326.052 | 409.749 | 307.916 | -52.979 | 0.000 | -0.000 |
| 307.647 | 307.647 | 498.711 | -0.000 | 0.000 | -0.000 |
| 59.112 | -59.112 | -0.000 | -19.049 | 0.000 | -0.000 |
| -0.000 | -0.000 | -0.000 | 0.000 | 17.131 | 52.979 |
| -0.000 | -0.000 | 0.000 | 0.000 | 52.979 | 41.848 |
| 408.945 | 325.508 | 306.885 | 53.743 | -0.000 | -0.000 |
| 326.516 | 408.132 | 307.034 | -59.112 | -0.000 | 0.000 |
| 308.528 | 308.528 | 500.061 | 0.000 | -0.000 | 0.000 |
| 59.112 | -59.112 | 0.000 | -19.049 | 0.000 | -0.000 |
| 0.000 | 0.000 | 0.000 | -0.000 | 17.131 | 52.979 |
| 0.000 | 0.000 | -0.000 | -0.000 | 52.979 | 41.848 |
| 409.754 | 326.058 | 307.921 | 52.979 | 0.000 | 0.000 |
| 326.058 | 409.754 | 307.921 | -52.979 | 0.000 | -0.000 |
| 308.534 | 308.534 | 500.067 | 0.000 | -0.000 | -0.000 |
| 52.979 | -52.979 | -0.000 | 17.131 | 0.000 | -0.000 |
| -0.000 | -0.000 | -0.000 | 0.000 | -19.049 | 59.112 |
| -0.000 | -0.000 | -0.000 | 0.000 | 52.979 | 41.848 |
| 409.742 | 326.045 | 307.910 | 52.978 | -0.000 | -0.000 |
| 325.503 | 408.940 | 306.880 | -53.742 | -0.000 | -0.000 |
| 308.523 | 308.523 | 500.057 | 0.000 | -0.000 | -0.000 |
| 52.979 | -52.979 | 0.000 | 17.131 | -0.000 | 0.000 |
| 0.000 | 0.000 | 0.000 | -0.000 | -19.049 | 59.112 |
| 0.000 | 0.000 | 0.000 | -0.000 | 52.979 | 41.848 |
| 263.866 | 296.081 | 265.934 | -0.000 | -0.000 | -0.000 |
| 296.081 | 263.866 | 265.934 | -0.000 | -0.000 | 0.000 |
| 265.934 | 265.934 | 435.461 | -0.000 | 0.000 | -0.000 |
| 0.000 | 0.000 | 0.000 | 109.165 | 0.000 | 0.000 |
| -0.000 | 0.000 | 0.000 | 0.000 | 109.165 | 0.000 |
| 0.000 | 0.000 | 0.000 | 0.000 | -0.000 | 130.111 |
| 263.108 | 296.838 | 265.933 | -0.000 | -0.000 | 0.000 |
| 296.838 | 263.108 | 265.933 | -0.000 | -0.000 | 0.000 |
| 265.933 | 265.933 | 435.461 | -0.000 | -0.000 | 0.000 |
| -0.000 | -0.000 | -0.000 | 109.165 | 0.000 | 0.000 |
| 0.000 | -0.000 | -0.000 | -0.000 | 109.165 | -0.000 |
| 0.000 | -0.000 | -0.000 | 0.000 | -0.000 | 130.111 |
| 263.867 | 296.082 | 265.935 | -0.000 | -0.000 | -0.000 |
| 296.082 | 263.867 | 265.935 | -0.000 | -0.000 | -0.000 |
| 265.935 | 265.935 | 435.462 | 0.000 | 0.000 | -0.000 |
| 0.000 | 0.000 | -0.000 | 109.165 | -0.000 | 0.000 |
| 0.000 | 0.000 | -0.000 | -0.000 | 109.165 | -0.000 |
| 0.000 | 0.000 | 0.000 | 0.000 | -0.000 | 130.111 |
| 263.107 | 296.836 | 265.932 | -0.000 | -0.000 | 0.000 |
| 296.836 | 263.107 | 265.932 | -0.000 | 0.000 | 0.000 |
| 265.932 | 265.932 | 435.460 | -0.000 | 0.000 | 0.000 |
| -0.000 | -0.000 | 0.000 | 109.165 | 0.000 | -0.000 |
| -0.000 | -0.000 | 0.000 | 0.000 | 109.165 | 0.000 |
| -0.000 | -0.000 | -0.000 | -0.000 | -0.000 | 130.111 |
| 263.122 | 296.850 | 265.945 | 0.000 | -0.000 | 0.000 |
| 296.850 | 263.122 | 265.945 | 0.000 | 0.000 | -0.000 |
| 265.944 | 265.944 | 435.470 | 0.000 | 0.000 | -0.000 |
| 0.000 | 0.000 | -0.000 | 109.165 | 0.000 | -0.000 |
| 0.000 | 0.000 | -0.000 | 0.000 | 109.165 | -0.000 |
| 0.001 | 0.001 | 0.000 | -0.000 | 0.000 | 130.111 |
| 263.852 | 296.069 | 265.922 | -0.000 | 0.000 | -0.000 |
| 296.069 | 263.852 | 265.922 | 0.000 | 0.000 | 0.000 |
| 265.923 | 265.923 | 435.452 | 0.000 | 0.000 | -0.000 |
| -0.000 | -0.000 | 0.000 | 109.165 | 0.000 | 0.000 |
| -0.000 | -0.000 | 0.000 | 0.000 | 109.165 | 0.000 |
| -0.001 | -0.001 | -0.000 | -0.000 | -0.000 | 130.111 |
| 325.339 | 296.975 | 283.863 | -0.000 | -0.000 | -0.000 |
| 275.549 | 383.163 | 285.676 | -0.000 | -0.000 | 0.000 |
| 283.881 | 283.881 | 586.478 | -0.000 | -0.000 | -0.000 |
| -2.349 | -2.349 | -0.234 | 62.511 | -0.000 | -0.000 |
| -0.000 | 0.000 | 0.000 | -0.000 | 62.769 | 0.000 |
| 0.000 | 0.000 | 0.000 | -0.000 | -0.000 | 53.807 |
| 383.163 | 275.549 | 285.675 | 0.000 | 0.000 | 0.000 |
| 342.316 | 276.966 | 283.712 | 0.000 | 0.000 | -0.000 |
| 287.784 | 287.784 | 586.867 | 0.000 | 0.000 | 0.000 |
| 2.349 | 2.349 | 0.234 | 62.511 | 0.000 | 0.000 |
| -0.000 | -0.000 | -0.000 | 0.000 | 62.769 | 0.000 |
| 0.000 | -0.000 | -0.000 | 0.000 | 0.000 | 53.807 |
| 312.197 | 309.316 | 283.824 | 0.000 | -0.000 | -0.000 |
| 309.316 | 312.197 | 283.824 | -0.000 | -0.000 | -0.000 |
| 285.638 | 285.638 | 586.655 | -0.000 | -0.000 | -0.000 |
| 0.000 | -0.000 | 0.000 | 62.769 | -0.000 | -0.000 |
| -0.000 | 0.000 | 0.000 | -0.000 | 62.769 | 0.000 |
| -0.000 | 0.000 | 0.000 | -0.000 | -0.000 | 53.807 |
| 307.859 | 313.308 | 283.805 | 0.000 | 0.000 | -0.000 |
| 313.308 | 307.859 | 283.805 | 0.000 | 0.000 | -0.000 |
| 286.026 | 286.026 | 586.691 | -0.000 | 0.000 | 0.000 |
| -0.000 | 0.000 | -0.000 | 62.769 | 0.000 | 0.000 |
| 0.000 | -0.000 | -0.000 | 0.000 | 62.769 | 0.000 |
| 0.000 | -0.000 | -0.000 | 0.000 | 0.000 | 53.807 |
| -10202.667 | 10851.066 | 282.142 | -0.000 | -0.000 | 0.000 |
| 275.560 | 383.173 | 285.686 | -0.000 | -0.000 | -0.000 |
| 285.824 | 285.824 | 586.685 | -0.000 | -0.000 | 0.000 |
| 0.000 | -0.000 | 0.000 | 62.769 | -0.000 | -0.000 |
| -0.062 | -0.062 | -0.006 | -0.000 | 62.085 | -0.000 |
| -0.268 | -0.266 | -0.027 | -0.000 | -0.000 | -176.092 |
| -6828392.304 | 6838204.660 | 866169.651 | 0.000 | 0.000 | -0.000 |
| 10414.859 | -9751.913 | 288.641 | 0.000 | 0.000 | 0.000 |
| 285.840 | 285.840 | 586.661 | 0.000 | 0.000 | 0.000 |
| -0.000 | 0.000 | -0.000 | 62.769 | 0.000 | 0.000 |
| 0.062 | 0.062 | 0.006 | 0.000 | 62.085 | -0.000 |
| 0.268 | 0.266 | 0.027 | 0.000 | 0.000 | -176.092 |
| 357.764 | 249.538 | 261.319 | 0.000 | -0.000 | 0.000 |
| 293.737 | 279.065 | 261.741 | 0.000 | -0.000 | -0.000 |
| 261.437 | 261.437 | 564.928 | 0.000 | 0.000 | 0.000 |
| -0.000 | -0.000 | 0.000 | 63.798 | 0.000 | -0.000 |
| -0.000 | -0.000 | -0.000 | 0.000 | 63.110 | -0.000 |
| -0.000 | -0.000 | -0.000 | -0.000 | 0.000 | -173.003 |
| 10.613 | 593.298 | 261.360 | 0.000 | -0.000 | 0.000 |
| 293.737 | 279.065 | 261.741 | 0.000 | -0.000 | 0.000 |
| 261.319 | 261.319 | 564.931 | -0.000 | 0.000 | 0.000 |
| -0.000 | 0.000 | 0.000 | 63.798 | -0.000 | 0.000 |
| 0.000 | 0.000 | 0.000 | -0.000 | 63.110 | 0.000 |
| 0.000 | 0.000 | 0.000 | 0.000 | 0.000 | -173.003 |
| -995.326 | 1609.179 | 261.235 | -0.000 | 0.000 | -0.000 |
| 293.738 | 279.066 | 261.742 | 0.000 | -0.000 | 0.000 |
| 261.438 | 261.438 | 564.929 | 0.000 | -0.000 | 0.000 |
| 0.000 | -0.000 | 0.000 | 63.798 | 0.000 | 0.000 |
| -0.000 | 0.000 | 0.000 | 0.000 | 63.798 | 0.000 |
| -0.000 | -0.000 | -0.000 | 0.000 | -0.000 | 54.113 |
| 279.064 | 293.737 | 261.740 | 0.000 | -0.000 | 0.000 |
| 249.537 | 357.763 | 261.318 | -0.000 | -0.000 | -0.000 |
| 261.435 | 261.435 | 564.926 | -0.000 | 0.000 | -0.000 |
| 0.000 | 0.000 | -0.000 | 63.798 | 0.000 | 0.000 |
| 0.000 | -0.000 | -0.000 | -0.000 | 63.798 | 0.000 |
| 0.000 | 0.000 | 0.000 | 0.000 | 0.000 | 54.113 |
| 357.775 | 249.549 | 261.330 | 0.000 | -0.000 | -0.000 |
| 293.744 | 279.077 | 261.750 | 0.000 | -0.000 | -0.000 |
| 261.448 | 261.448 | 564.942 | -0.000 | -0.000 | -0.000 |
| 0.000 | -0.000 | 0.000 | 63.110 | 0.000 | -0.000 |
| -0.000 | 0.000 | 0.000 | -0.000 | 63.110 | 0.000 |
| -0.003 | -0.000 | -0.001 | -0.000 | 0.000 | -173.003 |
| -6796699.835 | 7090992.461 | 978194.155 | -0.001 | 0.000 | 0.000 |
| 14763.050 | -14096.460 | 266.950 | 0.000 | -0.000 | 0.000 |
| 261.307 | 261.307 | 564.916 | 0.000 | 0.000 | -0.000 |
| -0.000 | 0.000 | -0.000 | 63.110 | 0.000 | 0.000 |
| 0.000 | -0.000 | -0.000 | 0.000 | 63.110 | 0.000 |
| 0.003 | 0.000 | 0.001 | 0.000 | 0.000 | -173.003 |
| 332.685 | 200.647 | 200.647 | 0.000 | 0.000 | 0.000 |
| 200.647 | 332.685 | 200.647 | 0.000 | 0.000 | 0.000 |
| 200.647 | 200.647 | 332.685 | 0.000 | 0.000 | 0.000 |
| 0.000 | 0.000 | 0.000 | 129.563 | 0.000 | 0.000 |
| 0.000 | 0.000 | 0.000 | -0.000 | 129.563 | 0.000 |
| 0.000 | 0.000 | 0.000 | 0.000 | 0.000 | 129.563 |
| 332.685 | 200.647 | 200.647 | -0.000 | -0.000 | -0.000 |
| 200.647 | 332.685 | 200.647 | 0.000 | -0.000 | -0.000 |
| 200.647 | 200.647 | 332.685 | -0.000 | -0.000 | -0.000 |
| -0.000 | -0.000 | -0.000 | 129.563 | -0.000 | 0.000 |
| -0.000 | -0.000 | -0.000 | -0.000 | 129.563 | -0.000 |
| -0.000 | -0.000 | -0.000 | -0.000 | -0.000 | 129.563 |
| 332.685 | 200.647 | 200.647 | -0.000 | 0.000 | 0.000 |
| 200.647 | 332.685 | 200.647 | 0.000 | 0.000 | -0.000 |
| 200.647 | 200.647 | 332.685 | -0.000 | -0.000 | 0.000 |
| 0.000 | 0.000 | 0.000 | 129.563 | -0.000 | -0.000 |
| 0.000 | 0.000 | 0.000 | -0.000 | 129.563 | 0.000 |
| 0.000 | 0.000 | 0.000 | -0.000 | 0.000 | 129.563 |
| 332.684 | 200.647 | 200.647 | 0.000 | -0.000 | -0.000 |
| 200.647 | 332.684 | 200.647 | 0.000 | -0.000 | -0.000 |
| 200.647 | 200.647 | 332.684 | 0.000 | -0.000 | 0.000 |
| -0.000 | -0.000 | -0.000 | 129.563 | -0.000 | -0.000 |
| -0.000 | -0.000 | -0.000 | 0.000 | 129.563 | -0.000 |
| -0.000 | -0.000 | -0.000 | -0.000 | -0.000 | 129.563 |
| 332.689 | 200.647 | 200.647 | -0.000 | -0.000 | -0.000 |
| 200.647 | 332.689 | 200.647 | -0.000 | 0.000 | 0.000 |
| 200.647 | 200.647 | 332.689 | 0.000 | 0.000 | 0.000 |
| 0.000 | 0.001 | 0.001 | 129.563 | 0.000 | 0.000 |
| 0.001 | 0.000 | 0.001 | -0.000 | 129.563 | 0.000 |
| 0.001 | 0.001 | 0.000 | 0.000 | 0.000 | 129.563 |
| 332.680 | 200.646 | 200.646 | -0.000 | -0.000 | -0.000 |
| 200.646 | 332.680 | 200.646 | -0.000 | -0.000 | -0.000 |
| 200.646 | 200.646 | 332.680 | -0.000 | -0.000 | -0.000 |
| -0.000 | -0.001 | -0.001 | 129.563 | -0.000 | 0.000 |
| -0.001 | -0.000 | -0.001 | -0.000 | 129.563 | -0.000 |
| -0.001 | -0.001 | -0.000 | -0.000 | 0.000 | 129.563 |
| 229.230 | 87.433 | 87.433 | -0.000 | 0.000 | -0.000 |
| 87.433 | 229.230 | 87.433 | -0.000 | -0.000 | -0.000 |
| 87.433 | 87.433 | 229.230 | -0.000 | 0.000 | -0.000 |
| -0.000 | -0.000 | -0.000 | 76.383 | 0.000 | -0.000 |
| -0.000 | -0.000 | -0.000 | -0.000 | 76.383 | -0.000 |
| -0.000 | -0.000 | -0.000 | -0.000 | -0.000 | 76.383 |
| 224.546 | 89.775 | 89.775 | -0.000 | -0.000 | -0.000 |
| 89.775 | 224.546 | 89.775 | -0.000 | -0.000 | 0.000 |
| 89.775 | 89.775 | 224.546 | -0.000 | -0.000 | 0.000 |
| 0.000 | 0.000 | 0.000 | 76.383 | -0.000 | -0.000 |
| 0.000 | 0.000 | 0.000 | 0.000 | 76.383 | 0.000 |
| 0.000 | 0.000 | 0.000 | 0.000 | 0.000 | 76.383 |
| 229.230 | 87.433 | 87.433 | -0.000 | 0.000 | 0.000 |
| 87.433 | 229.230 | 87.433 | 0.000 | 0.000 | -0.000 |
| 87.433 | 87.433 | 229.230 | 0.000 | 0.000 | -0.000 |
| -0.000 | -0.000 | -0.000 | 5.288 | 0.000 | -0.000 |
| -0.000 | -0.000 | -0.000 | 0.000 | 5.288 | -0.000 |
| -0.000 | -0.000 | -0.000 | 0.000 | 0.000 | 5.288 |
| 224.546 | 89.775 | 89.775 | 0.000 | -0.000 | -0.000 |
| 89.775 | 224.546 | 89.775 | 0.000 | -0.000 | 0.000 |
| 89.775 | 89.775 | 224.546 | -0.000 | -0.000 | 0.000 |
| 0.000 | 0.000 | 0.000 | 5.288 | -0.000 | 0.000 |
| 0.000 | 0.000 | 0.000 | -0.000 | 5.288 | 0.000 |
| 0.000 | 0.000 | 0.000 | -0.000 | -0.000 | 5.288 |
| 229.228 | 87.433 | 87.433 | -0.000 | 0.000 | -0.000 |
| 87.433 | 229.228 | 87.433 | 0.000 | 0.000 | -0.000 |
| 87.433 | 87.433 | 229.228 | 0.000 | 0.000 | -0.000 |
| -0.000 | -0.001 | -0.001 | 76.383 | -0.000 | -0.000 |
| -0.001 | -0.000 | -0.001 | -0.000 | 76.383 | -0.000 |
| -0.001 | -0.001 | -0.000 | 0.000 | 0.000 | 76.383 |
| 229.232 | 87.433 | 87.433 | 0.000 | 0.000 | 0.000 |
| 87.433 | 229.232 | 87.433 | -0.000 | 0.000 | -0.000 |
| 87.433 | 87.433 | 229.232 | -0.000 | -0.000 | 0.000 |
| 0.000 | 0.001 | 0.001 | 76.383 | -0.000 | 0.000 |
| 0.001 | 0.000 | 0.001 | 0.000 | 76.383 | 0.000 |
| 0.001 | 0.001 | 0.000 | 0.000 | -0.000 | 76.383 |
| 579.717 | 272.406 | 272.406 | 0.000 | 0.000 | 0.000 |
| 272.406 | 579.717 | 272.406 | 0.000 | 0.000 | 0.000 |
| 272.406 | 272.406 | 579.717 | -0.000 | -0.000 | 0.000 |
| 0.000 | 0.000 | 0.000 | 266.042 | 0.000 | 0.000 |
| 0.000 | 0.000 | 0.000 | 0.000 | 266.042 | 0.000 |
| 0.000 | 0.000 | 0.000 | 0.000 | -0.000 | 266.042 |
| 579.717 | 272.406 | 272.406 | -0.000 | 0.000 | -0.000 |
| 272.406 | 579.717 | 272.406 | 0.000 | 0.000 | -0.000 |
| 272.406 | 272.406 | 579.717 | -0.000 | -0.000 | -0.000 |
| -0.000 | -0.000 | -0.000 | 266.042 | -0.000 | -0.000 |
| -0.000 | -0.000 | -0.000 | -0.000 | 266.042 | -0.000 |
| -0.000 | -0.000 | -0.000 | -0.000 | -0.000 | 266.042 |
| 579.718 | 272.408 | 272.408 | -0.000 | 0.000 | 0.000 |
| 272.408 | 579.718 | 272.408 | 0.000 | 0.000 | 0.000 |
| 272.408 | 272.408 | 579.718 | 0.000 | 0.000 | 0.000 |
| 0.000 | 0.000 | 0.000 | 266.042 | -0.000 | 0.000 |
| 0.000 | 0.000 | 0.000 | -0.000 | 266.042 | 0.000 |
| 0.000 | 0.000 | 0.000 | 0.000 | 0.000 | 266.042 |
| 579.716 | 272.405 | 272.405 | 0.000 | -0.000 | -0.000 |
| 272.405 | 579.716 | 272.405 | -0.000 | -0.000 | -0.000 |
| 272.405 | 272.405 | 579.716 | 0.000 | -0.000 | -0.000 |
| -0.000 | -0.000 | -0.000 | 266.042 | 0.000 | -0.000 |
| -0.000 | -0.000 | -0.000 | 0.000 | 266.042 | -0.000 |
| -0.000 | -0.000 | -0.000 | -0.000 | -0.000 | 266.042 |
| 579.727 | 272.421 | 272.421 | 0.000 | 0.000 | 0.000 |
| 272.421 | 579.727 | 272.421 | -0.000 | 0.000 | 0.000 |
| 272.421 | 272.421 | 579.727 | 0.000 | 0.000 | 0.000 |
| 0.001 | 0.000 | 0.001 | 266.042 | -0.000 | -0.000 |
| 0.000 | 0.001 | 0.001 | 0.000 | 266.042 | 0.000 |
| 0.000 | 0.001 | 0.001 | -0.000 | 0.000 | 266.042 |
| 579.707 | 272.391 | 272.391 | -0.000 | -0.000 | -0.000 |
| 272.391 | 579.707 | 272.391 | -0.000 | -0.000 | -0.000 |
| 272.391 | 272.391 | 579.707 | 0.000 | 0.000 | -0.000 |
| -0.001 | -0.000 | -0.001 | 266.042 | 0.000 | -0.000 |
| -0.000 | -0.001 | -0.001 | 0.000 | 266.042 | -0.000 |
| -0.000 | -0.001 | -0.001 | -0.000 | -0.000 | 266.042 |
| -81.847 | 112.338 | 112.338 | -0.000 | -0.000 | 0.000 |
| 112.338 | -81.847 | 112.338 | -0.000 | -0.000 | 0.000 |
| 112.338 | 112.338 | -81.847 | 0.000 | -0.000 | 0.000 |
| 0.000 | 0.000 | 0.000 | 40.286 | -0.000 | 0.000 |
| 0.000 | 0.000 | 0.000 | -0.000 | 40.286 | 0.000 |
| 0.000 | 0.000 | 0.000 | -0.000 | -0.000 | 40.286 |
| -81.847 | 112.338 | 112.338 | 0.000 | 0.000 | -0.000 |
| 112.338 | -81.847 | 112.338 | 0.000 | 0.000 | 0.000 |
| 112.338 | 112.338 | -81.847 | 0.000 | 0.000 | -0.000 |
| -0.000 | -0.000 | -0.000 | 40.286 | 0.000 | -0.000 |
| -0.000 | -0.000 | -0.000 | 0.000 | 40.286 | -0.000 |
| -0.000 | -0.000 | -0.000 | 0.000 | 0.000 | 40.286 |
| -81.847 | 112.338 | 112.338 | -0.000 | -0.000 | 0.000 |
| 112.338 | -81.847 | 112.338 | -0.000 | -0.000 | 0.000 |
| 112.338 | 112.338 | -81.847 | 0.000 | -0.000 | 0.000 |
| 0.000 | 0.000 | 0.000 | 40.286 | -0.000 | 0.000 |
| 0.000 | 0.000 | 0.000 | -0.000 | 40.286 | 0.000 |
| 0.000 | 0.000 | 0.000 | -0.000 | -0.000 | 40.286 |
| -81.847 | 112.338 | 112.338 | 0.000 | 0.000 | -0.000 |
| 112.338 | -81.847 | 112.338 | 0.000 | 0.000 | -0.000 |
| 112.338 | 112.338 | -81.847 | -0.000 | 0.000 | -0.000 |
| -0.000 | -0.000 | -0.000 | 40.286 | 0.000 | -0.000 |
| -0.000 | -0.000 | -0.000 | 0.000 | 40.286 | -0.000 |
| -0.000 | -0.000 | -0.000 | 0.000 | 0.000 | 40.286 |
| -81.844 | 112.339 | 112.339 | -0.000 | -0.000 | 0.000 |
| 112.339 | -81.844 | 112.339 | -0.000 | -0.000 | 0.000 |
| 112.339 | 112.339 | -81.844 | -0.000 | -0.000 | 0.000 |
| 0.001 | 0.001 | 0.001 | 40.286 | -0.000 | 0.000 |
| 0.001 | 0.001 | 0.001 | 0.000 | 40.286 | 0.000 |
| 0.001 | 0.001 | 0.001 | -0.000 | -0.000 | 40.286 |
| -81.850 | 112.338 | 112.338 | 0.000 | 0.000 | -0.000 |
| 112.338 | -81.850 | 112.338 | 0.000 | 0.000 | -0.000 |
| 112.338 | 112.338 | -81.850 | 0.000 | 0.000 | -0.000 |
| -0.001 | -0.001 | -0.001 | 40.286 | 0.000 | 0.000 |
| -0.001 | -0.001 | -0.001 | 0.000 | 40.286 | -0.000 |
| -0.001 | -0.001 | -0.001 | 0.000 | 0.000 | 40.286 |
| 407.884 | 187.527 | 158.124 | -0.000 | 0.000 | -0.000 |
| 211.985 | 383.427 | 158.124 | 0.000 | 0.000 | -0.000 |
| 158.124 | 158.124 | 384.041 | 0.000 | -0.000 | -0.000 |
| -0.000 | 0.000 | -0.000 | 81.186 | -0.000 | -0.000 |
| 0.000 | 0.000 | -0.000 | -0.000 | 81.186 | -0.000 |
| 0.000 | 0.000 | 0.000 | 0.000 | 0.000 | 85.721 |
| 407.884 | 187.527 | 158.124 | -0.000 | 0.000 | 0.000 |
| 211.985 | 383.427 | 158.124 | -0.000 | -0.000 | -0.000 |
| 158.124 | 158.124 | 384.041 | -0.000 | 0.000 | 0.000 |
| 0.000 | -0.000 | 0.000 | 81.186 | -0.000 | 0.000 |
| -0.000 | -0.000 | 0.000 | 0.000 | 81.186 | -0.000 |
| -0.000 | -0.000 | -0.000 | -0.000 | -0.000 | 85.721 |
| 383.428 | 211.985 | 158.124 | 0.000 | -0.000 | 0.000 |
| 211.985 | 383.428 | 158.124 | 0.000 | 0.000 | 0.000 |
| 158.124 | 158.124 | 384.041 | 0.000 | 0.000 | -0.000 |
| 0.000 | 0.000 | 0.000 | 81.186 | -0.000 | -0.000 |
| 0.000 | 0.000 | 0.000 | -0.000 | 81.186 | 0.000 |
| 0.000 | 0.000 | 0.000 | -0.000 | 0.000 | 85.721 |
| 407.884 | 187.527 | 158.124 | 0.000 | -0.000 | 0.000 |
| 211.985 | 383.426 | 158.124 | -0.000 | -0.000 | 0.000 |
| 158.124 | 158.124 | 384.041 | -0.000 | -0.000 | 0.000 |
| -0.000 | -0.000 | -0.000 | 81.186 | -0.000 | 0.000 |
| -0.000 | -0.000 | -0.000 | -0.000 | 81.186 | -0.000 |
| -0.000 | -0.000 | -0.000 | -0.000 | -0.000 | 85.721 |
| 407.889 | 187.528 | 158.124 | -0.000 | -0.000 | 0.000 |
| 211.985 | 383.433 | 158.125 | 0.000 | -0.000 | -0.000 |
| 158.124 | 158.124 | 384.041 | 0.000 | 0.000 | 0.000 |
| 0.000 | 0.000 | 0.000 | 81.186 | 0.000 | 0.000 |
| 0.000 | 0.000 | 0.000 | 0.000 | 81.186 | 0.000 |
| 0.001 | 0.001 | 0.000 | 0.000 | 0.000 | 85.721 |
| 407.879 | 187.527 | 158.123 | 0.000 | 0.000 | 0.000 |
| 211.984 | 383.421 | 158.123 | 0.000 | 0.000 | -0.000 |
| 158.124 | 158.124 | 384.042 | -0.000 | -0.000 | 0.000 |
| -0.000 | -0.000 | -0.000 | 81.186 | -0.000 | 0.000 |
| -0.000 | -0.000 | -0.000 | 0.000 | 81.186 | -0.000 |
| -0.001 | -0.001 | -0.000 | 0.000 | -0.000 | 85.721 |
| 430.987 | 196.806 | 185.113 | -0.000 | -0.000 | -0.000 |
| 196.806 | 430.987 | 185.113 | 0.000 | -0.000 | -0.000 |
| 185.113 | 185.113 | 511.570 | 0.000 | 0.000 | 0.000 |
| -0.000 | -0.000 | -0.000 | 106.182 | -0.000 | 0.000 |
| 0.000 | -0.000 | -0.000 | -0.000 | 106.182 | -0.000 |
| 0.000 | 0.000 | -0.000 | 0.000 | -0.000 | 74.005 |
| 430.987 | 196.806 | 185.113 | 0.000 | 0.000 | -0.000 |
| 196.806 | 430.987 | 185.113 | 0.000 | 0.000 | 0.000 |
| 185.113 | 185.113 | 511.570 | -0.000 | 0.000 | -0.000 |
| 0.000 | 0.000 | 0.000 | 106.182 | 0.000 | -0.000 |
| -0.000 | 0.000 | 0.000 | -0.000 | 106.182 | 0.000 |
| -0.000 | -0.000 | 0.000 | 0.000 | 0.000 | 74.005 |
| 387.901 | 239.892 | 185.114 | 0.000 | -0.000 | -0.000 |
| 239.891 | 387.902 | 185.114 | 0.000 | -0.000 | 0.000 |
| 185.114 | 185.114 | 511.570 | -0.000 | -0.000 | -0.000 |
| -0.000 | 0.000 | 0.000 | 106.182 | -0.000 | 0.000 |
| 0.000 | -0.000 | 0.000 | 0.000 | 106.182 | -0.000 |
| 0.000 | 0.000 | 0.000 | -0.000 | -0.000 | 74.005 |
| 430.986 | 196.806 | 185.113 | 0.000 | 0.000 | -0.000 |
| 239.891 | 387.900 | 185.113 | 0.000 | 0.000 | -0.000 |
| 185.113 | 185.113 | 511.570 | 0.000 | 0.000 | -0.000 |
| 0.000 | -0.000 | -0.000 | 106.182 | 0.000 | -0.000 |
| -0.000 | 0.000 | -0.000 | -0.000 | 106.182 | -0.000 |
| -0.000 | -0.000 | -0.000 | -0.000 | 0.000 | 74.005 |
| 387.907 | 239.893 | 185.114 | 0.000 | -0.000 | -0.000 |
| 196.807 | 430.991 | 185.114 | -0.000 | -0.000 | -0.000 |
| 185.114 | 185.114 | 511.570 | 0.000 | -0.000 | 0.000 |
| -0.000 | 0.000 | 0.000 | 106.182 | -0.000 | -0.000 |
| 0.000 | -0.000 | 0.000 | 0.000 | 106.182 | 0.000 |
| 0.001 | 0.001 | 0.000 | -0.000 | -0.000 | 74.005 |
| 430.981 | 196.805 | 185.113 | -0.000 | 0.000 | 0.000 |
| 239.891 | 387.894 | 185.113 | -0.000 | 0.000 | 0.000 |
| 185.113 | 185.113 | 511.570 | 0.000 | 0.000 | -0.000 |
| 0.000 | -0.000 | -0.000 | 106.182 | 0.000 | -0.000 |
| -0.000 | 0.000 | -0.000 | 0.000 | 106.182 | -0.000 |
| -0.001 | -0.001 | -0.000 | 0.000 | 0.000 | 74.005 |
| 32.150 | 45.338 | 45.338 | 0.000 | 0.000 | 0.000 |
| 45.338 | 32.150 | 45.338 | 0.000 | 0.000 | 0.000 |
| 45.338 | 45.338 | 32.150 | 0.000 | 0.000 | 0.000 |
| 0.000 | 0.000 | 0.000 | 32.971 | 0.000 | 0.000 |
| 0.000 | 0.000 | 0.000 | 0.000 | 32.971 | 0.000 |
| 0.000 | 0.000 | 0.000 | 0.000 | 0.000 | 32.971 |
| 32.150 | 45.338 | 45.338 | -0.000 | -0.000 | -0.000 |
| 45.338 | 32.150 | 45.338 | -0.000 | -0.000 | -0.000 |
| 45.338 | 45.338 | 32.150 | -0.000 | -0.000 | -0.000 |
| -0.000 | -0.000 | -0.000 | 32.971 | 0.000 | -0.000 |
| -0.000 | -0.000 | -0.000 | 0.000 | 32.971 | -0.000 |
| -0.000 | -0.000 | -0.000 | 0.000 | -0.000 | 32.971 |
| 32.150 | 45.338 | 45.338 | 0.000 | 0.000 | 0.000 |
| 45.338 | 32.150 | 45.338 | 0.000 | 0.000 | 0.000 |
| 45.338 | 45.338 | 32.150 | 0.000 | 0.000 | 0.000 |
| 0.000 | 0.000 | 0.000 | -34.256 | 0.000 | 0.000 |
| 0.000 | 0.000 | 0.000 | 0.000 | -34.256 | 0.000 |
| 0.000 | 0.000 | 0.000 | 0.000 | 0.000 | -34.256 |
| 32.149 | 45.338 | 45.338 | -0.000 | -0.000 | -0.000 |
| 45.338 | 32.149 | 45.338 | -0.000 | -0.000 | -0.000 |
| 45.338 | 45.338 | 32.149 | -0.000 | -0.000 | -0.000 |
| -0.000 | -0.000 | -0.000 | -34.256 | -0.000 | -0.000 |
| -0.000 | -0.000 | -0.000 | -0.000 | -34.256 | -0.000 |
| -0.000 | -0.000 | -0.000 | -0.000 | -0.000 | -34.256 |
| 32.150 | 45.338 | 45.338 | 0.000 | 0.000 | 0.000 |
| 45.338 | 32.150 | 45.338 | 0.000 | 0.000 | 0.000 |
| 45.338 | 45.338 | 32.150 | 0.000 | 0.000 | 0.000 |
| 0.000 | 0.000 | 0.000 | -34.256 | 0.000 | 0.000 |
| 0.000 | 0.000 | 0.000 | 0.000 | -34.256 | 0.000 |
| 0.000 | 0.000 | 0.000 | 0.000 | 0.000 | -34.256 |
| 32.149 | 45.338 | 45.338 | -0.000 | -0.000 | -0.000 |
| 45.338 | 32.149 | 45.338 | -0.000 | -0.000 | -0.000 |
| 45.338 | 45.338 | 32.149 | -0.000 | -0.000 | -0.000 |
| -0.000 | -0.000 | -0.000 | -34.256 | -0.000 | -0.000 |
| -0.000 | -0.000 | -0.000 | -0.000 | -34.256 | -0.000 |
| -0.000 | -0.000 | -0.000 | -0.000 | -0.000 | -34.256 |
| 644989070.794 | 816289162.525 | 997243925.202 | 77340991.433 | 29655660.879 | 26024459.119 |
| 1460714488.596 | -950517904.947 | 2980962905.795 | 14106960.955 | -0.492 | 0.156 |
| 27.387 | 27.387 | 498.991 | 0.000 | -0.000 | 0.000 |
| 0.000 | 0.000 | 0.000 | -47.688 | -0.000 | -0.000 |
| 0.000 | 0.000 | 0.000 | 0.000 | -47.688 | 0.000 |
| 0.000 | 0.000 | -0.000 | -0.000 | 0.000 | -23.273 |
| -783297244.114 | -601239644.913 | -1203087493.513 | 19968582.115 | -31035705.209 | -3437276.121 |
| -736689126.006 | -733780096.971 | -912863268.568 | 138835068.213 | -74562563.198 | 25636869.940 |
| 27.387 | 27.387 | 498.991 | -0.000 | 0.000 | 0.000 |
| -0.000 | -0.000 | -0.000 | -47.688 | 0.000 | -0.000 |
| -0.000 | -0.000 | -0.000 | -0.000 | -47.688 | 0.000 |
| -0.000 | -0.000 | 0.000 | -0.000 | 0.000 | -23.273 |
| 770.667 | 23.459 | 27.387 | -0.000 | 0.000 | -0.000 |
| 23.459 | 770.667 | 27.387 | 0.000 | -0.000 | 0.000 |
| 27.387 | 27.387 | 498.991 | 0.000 | 0.000 | -0.000 |
| 0.000 | 0.000 | 0.000 | -20.113 | -0.000 | -0.000 |
| 0.000 | 0.000 | 0.000 | 0.000 | -20.113 | -0.000 |
| 0.000 | 0.000 | 0.000 | 0.000 | -0.000 | -23.273 |
| -82006310.626 | -56606061.111 | -109928176.997 | -6219877.959 | 1125959.580 | -1123323.086 |
| -68841866.163 | -63382546.760 | -62404417.695 | -1034498.318 | 56739.207 | 3657383.112 |
| 27.387 | 27.387 | 498.990 | -0.000 | -0.000 | -0.000 |
| -0.000 | -0.000 | -0.000 | -20.113 | -0.000 | -0.000 |
| -0.000 | -0.000 | -0.000 | -0.000 | -20.113 | 0.000 |
| -0.000 | -0.000 | -0.000 | 0.000 | -0.000 | -23.273 |
| 3972113.720 | 5833422.420 | 3161296.993 | -279513.461 | 41810.928 | -27789.273 |
| 6832313.357 | 5799800.936 | 14017239.596 | 248353.270 | 184236.369 | 212320.569 |
| 27.388 | 27.388 | 498.999 | 0.000 | -0.000 | 0.000 |
| 0.000 | 0.002 | 0.001 | -47.688 | 0.000 | 0.000 |
| 0.002 | 0.000 | 0.001 | 0.000 | -47.688 | -0.000 |
| 0.001 | 0.001 | 0.000 | -0.000 | 0.000 | -23.273 |
| -6200839.422 | -3956118.098 | -2537444.312 | 94237.916 | 109883.915 | 107615.018 |
| -3907292.385 | -5362962.812 | -2803186.305 | -275830.007 | -29994.388 | 87806.647 |
| 27.386 | 27.386 | 498.982 | -0.000 | 0.000 | 0.000 |
| -0.000 | -0.002 | -0.001 | -47.688 | 0.000 | -0.000 |
| -0.002 | -0.000 | -0.001 | -0.000 | -47.688 | 0.000 |
| -0.001 | -0.001 | -0.000 | -0.000 | 0.000 | -23.273 |
| 623.572 | 159.383 | 242.747 | 0.000 | 0.000 | -0.000 |
| 159.383 | 623.572 | 242.747 | 0.000 | 0.000 | 0.000 |
| 242.747 | 242.747 | 373.699 | 0.000 | 0.000 | 0.000 |
| -0.000 | -0.000 | -0.000 | 183.643 | -0.000 | -0.000 |
| -0.000 | 0.000 | -0.000 | -0.000 | 183.643 | -0.000 |
| -0.000 | -0.000 | -0.000 | -0.000 | 0.000 | 99.196 |
| 623.572 | 159.383 | 242.747 | 0.000 | -0.000 | -0.000 |
| 159.383 | 623.572 | 242.747 | -0.000 | 0.000 | 0.000 |
| 242.747 | 242.747 | 373.699 | -0.000 | -0.000 | -0.000 |
| 0.000 | 0.000 | 0.000 | 183.643 | -0.000 | -0.000 |
| 0.000 | 0.000 | 0.000 | -0.000 | 183.643 | 0.000 |
| 0.000 | 0.000 | -0.000 | -0.000 | -0.000 | 99.196 |
| 623.572 | 159.383 | 242.747 | 0.000 | 0.000 | -0.000 |
| 159.383 | 623.572 | 242.747 | 0.000 | 0.000 | -0.000 |
| 242.747 | 242.747 | 373.698 | 0.000 | 0.000 | -0.000 |
| -0.000 | -0.000 | -0.000 | 183.643 | 0.000 | -0.000 |
| -0.000 | -0.000 | -0.000 | 0.000 | 183.643 | -0.000 |
| -0.000 | -0.000 | -0.000 | 0.000 | 0.000 | 99.196 |
| 623.572 | 159.383 | 242.747 | -0.000 | -0.000 | 0.000 |
| 159.383 | 623.572 | 242.747 | 0.000 | -0.000 | 0.000 |
| 242.747 | 242.747 | 373.700 | 0.000 | 0.000 | -0.000 |
| 0.000 | 0.000 | 0.000 | 183.643 | -0.000 | 0.000 |
| 0.000 | 0.000 | 0.000 | -0.000 | 183.643 | 0.000 |
| 0.000 | 0.000 | 0.000 | -0.000 | -0.000 | 99.196 |
| 623.573 | 159.383 | 242.747 | 0.000 | -0.000 | -0.000 |
| 159.383 | 623.573 | 242.747 | 0.000 | 0.000 | 0.000 |
| 242.746 | 242.746 | 373.691 | 0.000 | 0.000 | 0.000 |
| -0.000 | -0.001 | -0.001 | 183.643 | 0.000 | 0.000 |
| -0.001 | -0.000 | -0.001 | 0.000 | 183.643 | -0.000 |
| -0.001 | -0.001 | -0.000 | 0.000 | 0.000 | 99.196 |
| 623.571 | 159.383 | 242.747 | 0.000 | -0.000 | 0.000 |
| 159.383 | 623.571 | 242.747 | 0.000 | -0.000 | 0.000 |
| 242.748 | 242.748 | 373.707 | -0.000 | -0.000 | -0.000 |
| 0.000 | 0.001 | 0.001 | 183.643 | -0.000 | 0.000 |
| 0.001 | 0.000 | 0.001 | -0.000 | 183.643 | 0.000 |
| 0.001 | 0.001 | 0.000 | -0.000 | -0.000 | 99.196 |
| 528.059 | 158.028 | 160.900 | 0.000 | -0.000 | -0.000 |
| 158.028 | 528.059 | 160.900 | -0.000 | 0.000 | -0.000 |
| 160.900 | 160.900 | -13.762 | -0.000 | -0.000 | -0.000 |
| -0.000 | -0.000 | -0.000 | 81.281 | -0.000 | -0.000 |
| -0.000 | -0.000 | -0.000 | -0.000 | 81.281 | -0.000 |
| 0.000 | -0.000 | -0.000 | 0.000 | 0.000 | 78.201 |
| 528.059 | 158.028 | 160.900 | -0.000 | 0.000 | 0.000 |
| 158.028 | 528.059 | 160.900 | -0.000 | 0.000 | 0.000 |
| 160.900 | 160.900 | -13.762 | -0.000 | 0.000 | 0.000 |
| 0.000 | 0.000 | -0.000 | 81.281 | 0.000 | 0.000 |
| 0.000 | 0.000 | 0.000 | -0.000 | 81.281 | 0.000 |
| 0.000 | 0.000 | 0.000 | 0.000 | 0.000 | 78.201 |
| 528.060 | 158.028 | 160.900 | 0.000 | 0.000 | -0.000 |
| 158.028 | 528.060 | 160.900 | 0.000 | -0.000 | -0.000 |
| 160.900 | 160.900 | -13.762 | 0.000 | -0.000 | -0.000 |
| -0.000 | -0.000 | -0.000 | 81.281 | 0.000 | -0.000 |
| -0.000 | -0.000 | -0.000 | 0.000 | 81.281 | -0.000 |
| -0.000 | -0.000 | -0.000 | 0.000 | -0.000 | 78.201 |
| 528.059 | 158.028 | 160.900 | -0.000 | -0.000 | 0.000 |
| 158.028 | 528.059 | 160.900 | -0.000 | -0.000 | 0.000 |
| 160.900 | 160.900 | -13.762 | -0.000 | -0.000 | -0.000 |
| 0.000 | 0.000 | 0.000 | 81.281 | 0.000 | 0.000 |
| 0.000 | 0.000 | 0.000 | -0.000 | 81.281 | 0.000 |
| 0.000 | 0.000 | 0.000 | -0.000 | -0.000 | 78.201 |
| 528.065 | 158.028 | 160.901 | -0.000 | -0.000 | -0.000 |
| 158.028 | 528.065 | 160.901 | 0.000 | -0.000 | -0.000 |
| 160.901 | 160.901 | -13.764 | 0.000 | -0.000 | -0.000 |
| -0.000 | -0.000 | -0.000 | 81.281 | -0.000 | -0.000 |
| -0.000 | -0.000 | -0.000 | 0.000 | 81.281 | -0.000 |
| -0.000 | -0.000 | -0.000 | 0.000 | -0.000 | 78.201 |
| 528.054 | 158.027 | 160.900 | -0.000 | 0.000 | 0.000 |
| 158.027 | 528.054 | 160.900 | 0.000 | -0.000 | 0.000 |
| 160.900 | 160.900 | -13.761 | -0.000 | 0.000 | 0.000 |
| 0.000 | 0.000 | 0.000 | 81.281 | -0.000 | 0.000 |
| 0.000 | 0.000 | 0.000 | -0.000 | 81.281 | 0.000 |
| 0.000 | 0.000 | 0.000 | 0.000 | 0.000 | 78.201 |
| 9.749 | 1.444 | -10.591 | 12.939 | 0.000 | 0.000 |
| 1.444 | 9.749 | -10.591 | -12.939 | -0.000 | 0.000 |
| -17.870 | -17.870 | -97.678 | 0.000 | -0.000 | 0.000 |
| 12.942 | -12.937 | 0.003 | -22.715 | -0.000 | 0.000 |
| -0.000 | -0.000 | -0.000 | 0.000 | -22.715 | 12.939 |
| 0.002 | 0.002 | 0.003 | 0.000 | 12.939 | 4.153 |
| 9.749 | 1.444 | -10.591 | 12.939 | 0.000 | -0.000 |
| 1.444 | 9.749 | -10.591 | -12.939 | -0.000 | -0.000 |
| -17.872 | -17.872 | -97.681 | 0.000 | 0.000 | -0.000 |
| 12.939 | -12.939 | 0.000 | -22.715 | 0.000 | -0.000 |
| 0.000 | 0.000 | 0.000 | 0.000 | -22.715 | 12.939 |
| -0.002 | -0.002 | -0.003 | 0.000 | 12.939 | 4.153 |
| 9.749 | 1.444 | -10.590 | 12.939 | -0.000 | -0.000 |
| 1.444 | 9.749 | -10.591 | -12.939 | -0.000 | 0.000 |
| -17.869 | -17.869 | -97.678 | 0.000 | 0.000 | 0.000 |
| 12.939 | -12.939 | -0.000 | -22.715 | -0.000 | -0.000 |
| -0.000 | -0.000 | -0.000 | -0.000 | -22.715 | 12.939 |
| 0.000 | 0.000 | 0.000 | 0.000 | 12.939 | 4.153 |
| 9.749 | 1.444 | -10.590 | 12.939 | -0.000 | -0.000 |
| 1.444 | 9.749 | -10.590 | -12.939 | 0.000 | -0.000 |
| -17.870 | -17.870 | -97.678 | 0.000 | -0.000 | -0.000 |
| 12.939 | -12.939 | 0.000 | -22.715 | 0.000 | 0.000 |
| 0.000 | 0.000 | 0.000 | 0.000 | -22.715 | 12.939 |
| -0.000 | -0.000 | -0.000 | -0.000 | 12.939 | 4.153 |
| 9.748 | 1.444 | -10.591 | 12.939 | -0.000 | 0.000 |
| 1.444 | 9.748 | -10.591 | -12.939 | -0.000 | 0.000 |
| -17.870 | -17.870 | -97.678 | -0.000 | -0.000 | 0.000 |
| 12.939 | -12.940 | -0.000 | -22.715 | -0.000 | 0.000 |
| -0.000 | -0.000 | -0.000 | -0.000 | -22.715 | 12.939 |
| -0.000 | -0.000 | -0.000 | 0.000 | 12.939 | 4.153 |
| 9.751 | 1.444 | -10.590 | 12.939 | -0.000 | -0.000 |
| 1.444 | 9.751 | -10.590 | -12.939 | 0.000 | -0.000 |
| -17.869 | -17.869 | -97.678 | 0.000 | -0.000 | -0.000 |
| 12.939 | -12.939 | 0.000 | -22.715 | -0.000 | 0.000 |
| 0.000 | 0.000 | 0.000 | 0.000 | -22.715 | 12.939 |
| 0.000 | 0.000 | 0.000 | -0.000 | 12.939 | 4.153 |
| 295.718 | -21.071 | -21.071 | 0.000 | 0.000 | -0.000 |
| -21.071 | 295.718 | -21.071 | 0.000 | -0.000 | -0.000 |
| -21.071 | -21.071 | 295.718 | -0.000 | -0.000 | -0.000 |
| 0.000 | 0.000 | 0.000 | -59.351 | -0.000 | -0.000 |
| 0.000 | 0.000 | 0.000 | -0.000 | -59.351 | -0.000 |
| 0.000 | 0.000 | 0.000 | 0.000 | -0.000 | -59.351 |
| 295.718 | -21.071 | -21.071 | -0.000 | 0.000 | 0.000 |
| -21.071 | 295.718 | -21.071 | -0.000 | 0.000 | 0.000 |
| -21.071 | -21.071 | 295.718 | -0.000 | -0.000 | 0.000 |
| -0.000 | -0.000 | -0.000 | -59.351 | 0.000 | 0.000 |
| -0.000 | -0.000 | -0.000 | 0.000 | -59.351 | 0.000 |
| -0.000 | -0.000 | -0.000 | -0.000 | -0.000 | -59.351 |
| 295.719 | -21.071 | -21.071 | 0.000 | 0.000 | -0.000 |
| -21.071 | 295.719 | -21.071 | 0.000 | -0.000 | -0.000 |
| -21.071 | -21.071 | 295.719 | 0.000 | 0.000 | -0.000 |
| 0.000 | 0.000 | 0.000 | -59.351 | -0.000 | -0.000 |
| 0.000 | 0.000 | 0.000 | 0.000 | -59.351 | -0.000 |
| 0.000 | 0.000 | 0.000 | -0.000 | -0.000 | -59.351 |
| 295.718 | -21.071 | -21.071 | 0.000 | 0.000 | 0.000 |
| -21.071 | 295.718 | -21.071 | -0.000 | 0.000 | 0.000 |
| -21.071 | -21.071 | 295.718 | 0.000 | 0.000 | 0.000 |
| -0.000 | -0.000 | -0.000 | -59.351 | 0.000 | 0.000 |
| -0.000 | -0.000 | -0.000 | -0.000 | -59.351 | 0.000 |
| -0.000 | -0.000 | -0.000 | -0.000 | 0.000 | -59.351 |
| 295.723 | -21.070 | -21.070 | 0.000 | -0.000 | -0.000 |
| -21.070 | 295.723 | -21.070 | 0.000 | 0.000 | -0.000 |
| -21.070 | -21.070 | 295.723 | 0.000 | -0.000 | -0.000 |
| 0.000 | 0.000 | 0.000 | -59.351 | -0.000 | -0.000 |
| 0.000 | 0.000 | 0.000 | 0.000 | -59.351 | -0.000 |
| 0.000 | 0.000 | 0.000 | 0.000 | -0.000 | -59.351 |
| 295.713 | -21.072 | -21.072 | -0.000 | 0.000 | 0.000 |
| -21.072 | 295.713 | -21.072 | -0.000 | 0.000 | 0.000 |
| -21.072 | -21.072 | 295.713 | -0.000 | -0.000 | 0.000 |
| -0.000 | -0.000 | -0.000 | -59.351 | 0.000 | 0.000 |
| -0.000 | -0.000 | -0.000 | -0.000 | -59.351 | 0.000 |
| -0.000 | -0.000 | -0.000 | -0.000 | 0.000 | -59.351 |
| 398.005 | 184.632 | -11.350 | -0.000 | 0.000 | 0.000 |
| 184.632 | 398.005 | -11.350 | -0.000 | -0.000 | 0.000 |
| -11.350 | -11.350 | 349.191 | -0.000 | -0.000 | 0.000 |
| -0.000 | -0.000 | -0.000 | -88.537 | 0.000 | -0.000 |
| -0.000 | -0.000 | -0.000 | -0.000 | -88.537 | 0.000 |
| -0.000 | 0.000 | 0.000 | -0.000 | 0.000 | 106.687 |
| 398.005 | 184.632 | -11.350 | 0.000 | 0.000 | 0.000 |
| 184.632 | 398.005 | -11.350 | 0.000 | 0.000 | 0.000 |
| -11.350 | -11.350 | 349.191 | -0.000 | 0.000 | 0.000 |
| 0.000 | 0.000 | 0.000 | -88.537 | 0.000 | -0.000 |
| 0.000 | 0.000 | 0.000 | 0.000 | -88.537 | 0.000 |
| 0.000 | -0.000 | 0.000 | 0.000 | -0.000 | 106.687 |
| 398.005 | 184.632 | -11.350 | -0.000 | 0.000 | 0.000 |
| 184.632 | 398.005 | -11.350 | -0.000 | 0.000 | 0.000 |
| -11.350 | -11.350 | 349.192 | -0.000 | -0.000 | 0.000 |
| -0.000 | -0.000 | -0.000 | -88.537 | 0.000 | 0.000 |
| -0.000 | -0.000 | -0.000 | -0.000 | -88.537 | 0.000 |
| -0.000 | 0.000 | -0.000 | -0.000 | 0.000 | 106.687 |
| 398.005 | 184.632 | -11.350 | 0.000 | 0.000 | -0.000 |
| 184.632 | 398.005 | -11.350 | 0.000 | -0.000 | -0.000 |
| -11.350 | -11.350 | 349.191 | 0.000 | 0.000 | 0.000 |
| 0.000 | 0.000 | 0.000 | -88.537 | 0.000 | -0.000 |
| 0.000 | 0.000 | 0.000 | 0.000 | -88.537 | -0.000 |
| 0.000 | -0.000 | 0.000 | 0.000 | -0.000 | 106.687 |
| 398.004 | 184.631 | -11.351 | -0.000 | 0.000 | 0.000 |
| 184.632 | 398.002 | -11.351 | -0.000 | 0.000 | 0.000 |
| -11.350 | -11.350 | 349.194 | -0.000 | 0.000 | 0.000 |
| -0.000 | -0.001 | -0.000 | -88.537 | -0.000 | 0.000 |
| -0.001 | -0.000 | -0.000 | -0.000 | -88.537 | -0.000 |
| -0.001 | 0.000 | -0.000 | -0.000 | 0.000 | 106.687 |
| 398.007 | 184.632 | -11.349 | 0.000 | -0.000 | 0.000 |
| 184.631 | 398.008 | -11.349 | 0.000 | -0.000 | -0.000 |
| -11.350 | -11.350 | 349.188 | -0.000 | -0.000 | -0.000 |
| 0.000 | 0.001 | 0.000 | -88.537 | -0.000 | 0.000 |
| 0.001 | 0.000 | 0.000 | 0.000 | -88.537 | -0.000 |
| 0.001 | -0.000 | 0.000 | 0.000 | -0.000 | 106.687 |
| 1452.021 | 1239.068 | -1046.183 | 0.000 | 0.000 | 0.000 |
| 1239.068 | 1452.021 | -1046.183 | 0.000 | -0.000 | 0.000 |
| 121.602 | 121.602 | 372.993 | -0.000 | -0.000 | -0.000 |
| 1124.174 | 1124.174 | -1166.879 | 91.835 | -0.000 | 0.000 |
| 1124.174 | 1124.174 | -1166.879 | -0.000 | 91.835 | 0.000 |
| 0.000 | -0.000 | 0.000 | 0.000 | -0.000 | 100.403 |
| -751.790 | -939.493 | 1145.227 | 0.000 | -0.000 | -0.000 |
| -939.493 | -751.790 | 1145.227 | -0.000 | -0.000 | -0.000 |
| 121.602 | 121.602 | 372.993 | 0.000 | 0.000 | 0.000 |
| -1124.174 | -1124.174 | 1166.879 | 91.835 | -0.000 | -0.000 |
| -1124.174 | -1124.174 | 1166.879 | -0.000 | 91.835 | -0.000 |
| -0.000 | 0.000 | -0.000 | 0.000 | 0.000 | 100.403 |
| 416.784 | 229.482 | 17.284 | -0.000 | 0.000 | 0.000 |
| 229.482 | 416.784 | 17.284 | 0.000 | 0.000 | 0.000 |
| 121.602 | 121.602 | 372.992 | 0.000 | -0.000 | -0.000 |
| -0.000 | 0.000 | -0.000 | 107.549 | -0.000 | -0.000 |
| 0.000 | -0.000 | -0.000 | 0.000 | 107.549 | -0.000 |
| 112.505 | 112.505 | -116.778 | -0.000 | -0.000 | 81.526 |
| 215.542 | 2.406 | 237.454 | 0.000 | 0.000 | -0.000 |
| 2.406 | 215.542 | 237.454 | 0.000 | 0.000 | 0.000 |
| 121.602 | 121.602 | 372.993 | 0.000 | 0.000 | 0.000 |
| 0.000 | -0.000 | 0.000 | 107.549 | 0.000 | 0.000 |
| -0.000 | 0.000 | 0.000 | 0.000 | 107.549 | 0.000 |
| -112.505 | -112.505 | 116.778 | 0.000 | 0.000 | 81.526 |
| 276.010 | 180.486 | 132.569 | -0.000 | -0.000 | 0.000 |
| 180.486 | 276.010 | 132.569 | -0.000 | -0.000 | -0.000 |
| 130.712 | 130.712 | 331.536 | 0.000 | 0.000 | 0.000 |
| 12.855 | 12.855 | 8.296 | 44.394 | 0.000 | 0.000 |
| 12.855 | 12.855 | 8.296 | -0.000 | 44.394 | 0.000 |
| 10.192 | 10.192 | 8.109 | -0.000 | -0.000 | 50.192 |
| 297.957 | 114.067 | 129.812 | 0.000 | 0.000 | -0.000 |
| 114.067 | 297.957 | 129.812 | 0.000 | -0.000 | -0.000 |
| 109.445 | 109.445 | 354.731 | 0.000 | -0.000 | -0.000 |
| -12.855 | -12.855 | -8.296 | 44.394 | -0.000 | -0.000 |
| -12.855 | -12.855 | -8.296 | 0.000 | 44.394 | -0.000 |
| -11.858 | -11.858 | 12.309 | 0.000 | 0.000 | 80.506 |
| 343.315 | 135.234 | 137.070 | -2.238 | 18.108 | -19.004 |
| -519.670 | -358.669 | -238.449 | -806.827 | -55.052 | -972.046 |
| -101.532 | 167.811 | 508.432 | -356.314 | -203.152 | -498.559 |
| -154.285 | 157.694 | 154.009 | -183.806 | -286.764 | -107.426 |
| -138.454 | 155.327 | 139.877 | -248.079 | -228.380 | -101.953 |
| -168.409 | 155.866 | 151.262 | -260.342 | -290.890 | -32.758 |
| 452.493 | -32.941 | -14.893 | 253.303 | 309.990 | 86.986 |
| 727.313 | 735.965 | 477.387 | 802.859 | 27.360 | 945.174 |
| 283.873 | -27.364 | 107.946 | 264.597 | 289.104 | 108.323 |
| 152.986 | -166.808 | -135.595 | 326.873 | 301.043 | 97.618 |
| 16.690 | -4.372 | -3.606 | 7.967 | 85.965 | 0.727 |
| 604.420 | 534.466 | 365.429 | 794.623 | 39.836 | 988.347 |
| 283.455 | 145.545 | 144.398 | -27.593 | -13.330 | -25.795 |
| 41.849 | 134.057 | 83.987 | -81.948 | -18.124 | -108.535 |
| 98.499 | 131.656 | 245.209 | -29.926 | -26.717 | -44.654 |
| -25.218 | 1.475 | 36.116 | 22.466 | -12.315 | -57.222 |
| -0.181 | 9.318 | 9.566 | -18.278 | 36.213 | -9.686 |
| -18.394 | -6.713 | 7.691 | -4.063 | 4.300 | 87.622 |
| 343.315 | 135.234 | 137.070 | -2.238 | 18.108 | -19.004 |
| 146.735 | 271.075 | 122.414 | 20.996 | 22.564 | 3.796 |
| 145.599 | 118.632 | 238.129 | 34.819 | 24.618 | 16.061 |
| -0.883 | -5.553 | 8.627 | 90.754 | 7.967 | -4.193 |
| 16.690 | -4.372 | -3.606 | 7.967 | 85.965 | 0.727 |
| 43.119 | 41.727 | 43.147 | 70.014 | 2.837 | 125.147 |
| 238.153 | 109.138 | 111.475 | -10.996 | 10.552 | -25.724 |
| 117.229 | 251.198 | 131.648 | -6.388 | -11.620 | -13.986 |
| 137.321 | 140.006 | 301.732 | 8.627 | -3.606 | 7.069 |
| -2.215 | -2.884 | 10.695 | 68.619 | 4.125 | -5.962 |
| 16.690 | -4.372 | -3.606 | 7.967 | 85.965 | 0.727 |
| -17.990 | -8.240 | 10.062 | -9.922 | -0.015 | 51.497 |
| 298.197 | 127.306 | 128.024 | 0.650 | 19.065 | -14.284 |
| 137.265 | 325.350 | 141.899 | -4.665 | -4.242 | -6.706 |
| 137.320 | 140.004 | 301.730 | 8.627 | -3.606 | 7.069 |
| -0.883 | -5.554 | 8.627 | 90.754 | 7.967 | -4.193 |
| 16.630 | -8.759 | -6.492 | 9.803 | 67.005 | 1.598 |
| -13.270 | -8.088 | 4.983 | -2.309 | 6.118 | 71.332 |
| 294.314 | 119.948 | 119.948 | 0.000 | -0.000 | -0.000 |
| 119.948 | 294.314 | 119.948 | -0.000 | -0.000 | -0.000 |
| 119.948 | 119.948 | 294.314 | 0.000 | -0.000 | 0.000 |
| 19.878 | 19.878 | 19.878 | 10.820 | 0.000 | 0.000 |
| 19.878 | 19.878 | 19.878 | 0.000 | 10.820 | 0.000 |
| 19.878 | 19.878 | 19.878 | 0.000 | 0.000 | 10.820 |
| 171.481 | 132.912 | 132.912 | -0.000 | -0.000 | -0.000 |
| 132.912 | 171.481 | 132.912 | -0.000 | -0.000 | -0.000 |
| 132.912 | 132.912 | 171.481 | -0.000 | -0.000 | -0.000 |
| -19.878 | -19.878 | -19.878 | 10.820 | 0.000 | -0.000 |
| -19.878 | -19.878 | -19.878 | -0.000 | 10.820 | -0.000 |
| -19.878 | -19.878 | -19.878 | 0.000 | -0.000 | 10.820 |
| 294.314 | 119.948 | 119.948 | -0.000 | 0.000 | -0.000 |
| 119.948 | 294.314 | 119.948 | -0.000 | -0.000 | 0.000 |
| 119.948 | 119.948 | 294.314 | 0.000 | -0.000 | -0.000 |
| 1.902 | 1.902 | 1.902 | 13.405 | -0.000 | 0.000 |
| 1.902 | 1.902 | 1.902 | -0.000 | 13.405 | 0.000 |
| 1.902 | 1.902 | 1.902 | -0.000 | 0.000 | 13.405 |
| 294.314 | 119.948 | 119.948 | 0.000 | 0.000 | 0.000 |
| 119.948 | 294.314 | 119.948 | 0.000 | 0.000 | 0.000 |
| 119.948 | 119.948 | 294.314 | -0.000 | -0.000 | 0.000 |
| -1.902 | -1.902 | -1.902 | 13.405 | -0.000 | -0.000 |
| -1.902 | -1.902 | -1.902 | -0.000 | 13.405 | -0.000 |
| -1.902 | -1.902 | -1.902 | -0.000 | -0.000 | 13.405 |
| 232.677 | 134.499 | 134.499 | -0.000 | -0.000 | -0.000 |
| 134.499 | 232.677 | 134.499 | -0.000 | -0.000 | -0.000 |
| 134.499 | 134.499 | 232.677 | 0.000 | 0.000 | -0.000 |
| 0.751 | 0.751 | 0.751 | 42.369 | -0.000 | 0.000 |
| 0.751 | 0.751 | 0.751 | -0.000 | 42.369 | 0.000 |
| 0.751 | 0.751 | 0.751 | -0.000 | 0.000 | 42.369 |
| 294.312 | 119.947 | 119.947 | 0.000 | -0.000 | -0.000 |
| 119.947 | 294.312 | 119.947 | -0.000 | 0.000 | -0.000 |
| 119.947 | 119.947 | 294.312 | 0.000 | 0.000 | 0.000 |
| -0.751 | -0.751 | -0.751 | 42.369 | 0.000 | 0.000 |
| -0.751 | -0.751 | -0.751 | -0.000 | 42.369 | 0.000 |
| -0.751 | -0.751 | -0.751 | -0.000 | -0.000 | 42.369 |
| 288.738 | 117.431 | 117.431 | -0.000 | 0.000 | -0.000 |
| 117.431 | 288.738 | 117.431 | -0.000 | 0.000 | -0.000 |
| 117.431 | 117.431 | 288.738 | 0.000 | 0.000 | -0.000 |
| -0.000 | -0.000 | -0.000 | 70.963 | -0.000 | 0.000 |
| -0.000 | -0.000 | -0.000 | -0.000 | 70.963 | 0.000 |
| -0.000 | 0.000 | -0.000 | -0.000 | 0.000 | 70.963 |
| 1063.665 | 1098.817 | 1098.817 | 0.000 | -0.000 | 0.000 |
| 1098.817 | 1063.665 | 1098.817 | -0.000 | -0.000 | 0.000 |
| 1098.817 | 1098.817 | 1063.665 | -0.000 | -0.000 | 0.000 |
| 0.000 | 0.000 | 0.000 | 70.963 | -0.000 | 0.000 |
| 0.000 | 0.000 | 0.000 | -0.000 | 70.963 | 0.000 |
| 0.000 | -0.000 | 0.000 | -0.000 | -0.000 | 70.963 |
| 288.738 | 117.431 | 117.431 | -0.000 | 0.000 | 0.000 |
| 117.431 | 288.738 | 117.431 | -0.000 | 0.000 | -0.000 |
| 117.431 | 117.431 | 288.738 | -0.000 | 0.000 | 0.000 |
| -86.102 | -86.102 | -86.102 | 20.728 | -0.000 | -0.000 |
| -86.102 | -86.102 | -86.102 | -0.000 | 20.728 | -0.000 |
| -86.102 | -86.102 | -86.102 | -0.000 | 0.000 | 20.728 |
| 228.438 | 176.885 | 176.885 | 0.000 | -0.000 | 0.000 |
| 176.885 | 228.438 | 176.885 | 0.000 | -0.000 | 0.000 |
| 176.885 | 176.885 | 228.438 | -0.000 | -0.000 | 0.000 |
| 86.102 | 86.102 | 86.102 | 20.728 | -0.000 | 0.000 |
| 86.102 | 86.102 | 86.102 | -0.000 | 20.728 | 0.000 |
| 86.102 | 86.102 | 86.102 | -0.000 | -0.000 | 20.728 |
| 228.629 | 134.491 | 134.491 | -0.000 | 0.000 | -0.000 |
| 134.491 | 228.629 | 134.491 | -0.000 | 0.000 | -0.000 |
| 134.491 | 134.491 | 228.629 | -0.000 | 0.000 | -0.000 |
| -0.000 | -0.000 | 0.000 | 70.963 | 0.000 | 0.000 |
| -0.000 | -0.000 | 0.000 | 0.000 | 70.963 | 0.000 |
| -0.000 | 0.000 | -0.000 | -0.000 | -0.000 | 70.963 |
| 288.735 | 117.430 | 117.430 | 0.000 | -0.000 | -0.000 |
| 117.430 | 288.735 | 117.430 | 0.000 | 0.000 | -0.000 |
| 117.430 | 117.430 | 288.735 | 0.000 | -0.000 | -0.000 |
| 0.000 | 0.000 | -0.000 | 70.963 | 0.000 | -0.000 |
| 0.000 | 0.000 | -0.000 | 0.000 | 70.963 | -0.000 |
| 0.000 | -0.000 | 0.000 | 0.000 | -0.000 | 70.963 |
| 212.537 | 125.379 | 125.379 | 0.000 | 0.000 | 0.000 |
| 158.264 | 150.591 | 158.264 | -0.000 | -0.000 | 0.000 |
| 158.264 | 158.264 | 150.591 | -0.000 | -0.000 | 0.000 |
| -4.019 | -4.019 | -4.019 | 104.801 | -0.000 | 0.000 |
| -4.743 | -4.743 | -4.743 | -0.000 | 101.051 | -0.000 |
| -4.743 | -4.743 | -4.743 | -0.000 | -0.000 | 101.051 |
| 297.545 | 161.484 | 161.484 | 0.000 | 0.000 | 0.000 |
| 132.555 | 213.938 | 132.555 | -0.000 | 0.000 | -0.000 |
| 132.555 | 132.555 | 213.938 | -0.000 | -0.000 | -0.000 |
| 0.000 | -0.000 | -0.000 | 115.242 | 0.000 | 0.000 |
| 4.743 | 4.743 | 4.743 | 0.000 | 101.051 | 0.000 |
| 4.743 | 4.743 | 4.743 | 0.000 | -0.000 | 101.051 |
| 166.840 | 159.025 | 159.025 | -0.000 | -0.000 | -0.000 |
| 159.025 | 166.840 | 159.025 | -0.000 | 0.000 | -0.000 |
| 159.025 | 159.025 | 166.840 | -0.000 | 0.000 | -0.000 |
| 0.000 | 0.000 | 0.000 | 115.242 | -0.000 | -0.000 |
| 0.000 | 0.000 | 0.000 | -0.000 | 115.242 | -0.000 |
| 0.000 | 0.000 | 0.000 | -0.000 | -0.000 | 115.242 |
| 297.544 | 161.484 | 161.484 | 0.000 | 0.000 | 0.000 |
| 161.484 | 297.544 | 161.484 | 0.000 | 0.000 | 0.000 |
| 161.484 | 161.484 | 297.544 | 0.000 | 0.000 | 0.000 |
| 0.479 | 0.479 | 0.479 | 100.922 | 0.000 | 0.000 |
| 0.479 | 0.479 | 0.479 | 0.000 | 100.922 | 0.000 |
| 0.403 | 0.403 | 0.403 | -0.000 | -0.000 | 104.763 |
| 213.515 | 128.856 | 128.856 | 0.000 | -0.000 | 0.000 |
| 128.856 | 213.515 | 128.856 | 0.000 | -0.000 | 0.000 |
| 128.856 | 128.856 | 213.515 | 0.000 | 0.000 | 0.000 |
| -0.040 | -0.040 | -0.040 | 104.762 | 0.000 | 0.000 |
| -0.040 | -0.040 | -0.040 | 0.000 | 104.762 | 0.000 |
| -0.040 | -0.040 | -0.040 | -0.000 | 0.000 | 104.762 |
| 167.256 | 159.448 | 159.448 | 0.000 | 0.000 | 0.000 |
| 159.448 | 167.256 | 159.448 | 0.000 | -0.000 | 0.000 |
| 159.448 | 159.448 | 167.256 | 0.000 | -0.000 | 0.000 |
| 0.048 | 0.047 | 0.047 | 100.921 | -0.000 | 0.000 |
| 0.040 | 0.041 | 0.040 | -0.000 | 100.189 | -0.000 |
| 0.040 | 0.040 | 0.041 | 0.000 | 0.000 | 100.189 |
| 286.141 | 211.596 | 122.731 | -0.000 | 0.000 | 0.000 |
| 211.596 | 437.183 | 119.851 | -0.000 | -0.000 | 0.000 |
| 122.732 | 119.852 | 418.318 | 0.000 | 0.000 | 0.000 |
| -0.000 | -0.000 | 0.000 | 28.321 | 0.000 | 0.000 |
| 0.000 | 0.000 | -0.000 | -0.000 | 34.906 | 0.000 |
| -0.000 | 0.000 | -0.000 | 0.000 | 0.000 | 134.487 |
| 286.518 | 212.298 | 115.061 | -0.000 | -0.000 | -0.000 |
| 212.298 | 438.491 | 105.573 | -0.000 | -0.000 | -0.000 |
| 122.732 | 119.852 | 418.318 | 0.000 | -0.000 | -0.000 |
| 0.000 | 0.000 | -0.000 | 28.321 | -0.000 | -0.000 |
| -0.000 | -0.000 | 0.000 | 0.000 | 34.906 | -0.000 |
| -0.000 | -0.000 | 0.000 | 0.000 | -0.000 | 134.487 |
| 286.518 | 212.298 | 115.061 | -0.000 | 0.000 | 0.000 |
| 212.298 | 438.491 | 105.573 | 0.000 | -0.000 | 0.000 |
| 122.732 | 119.852 | 418.320 | -0.000 | 0.000 | 0.000 |
| -0.000 | -0.000 | -0.000 | 28.321 | -0.000 | 0.000 |
| 0.000 | -0.000 | 0.000 | -0.000 | 37.755 | 0.000 |
| 0.000 | 0.000 | -0.000 | 0.000 | 0.000 | 134.487 |
| 286.141 | 211.596 | 122.731 | -0.000 | 0.000 | 0.000 |
| 212.298 | 438.491 | 105.573 | 0.000 | 0.000 | -0.000 |
| 115.062 | 105.574 | 574.180 | -0.000 | -0.000 | -0.000 |
| 0.000 | 0.000 | 0.000 | 28.321 | 0.000 | -0.000 |
| -0.000 | 0.000 | -0.000 | 0.000 | 37.755 | -0.000 |
| -0.000 | -0.000 | 0.000 | 0.000 | 0.000 | 134.487 |
| 286.519 | 212.299 | 115.062 | -0.000 | 0.000 | 0.000 |
| 212.300 | 438.490 | 105.572 | 0.000 | 0.000 | 0.000 |
| 122.738 | 119.859 | 418.240 | -0.000 | 0.000 | 0.000 |
| -10831856.378 | 12173002.502 | -14971392.242 | -11926948.899 | 0.000 | -0.000 |
| 0.000 | -0.000 | 0.000 | -0.000 | 37.755 | 0.000 |
| 0.000 | 0.001 | -0.000 | 0.000 | -0.000 | 134.487 |
| 286.140 | 211.595 | 122.730 | -0.000 | -0.000 | -0.000 |
| 211.594 | 437.183 | 119.851 | -0.000 | -0.000 | 0.000 |
| 122.731 | 119.853 | 418.303 | -0.000 | 0.000 | -0.000 |
| 10831856.378 | -12173002.502 | 14971392.242 | -11926948.899 | 0.000 | -0.000 |
| -0.000 | 0.000 | -0.000 | -0.000 | 37.755 | -0.000 |
| -0.000 | -0.001 | 0.000 | -0.000 | -0.000 | 134.487 |
| 286.483 | 203.330 | 139.717 | 0.000 | -0.000 | -0.000 |
| 204.174 | 411.278 | 93.311 | -0.000 | -0.000 | 0.000 |
| 138.869 | 101.153 | 474.243 | -0.000 | -0.000 | -0.000 |
| -0.000 | -0.000 | -0.000 | 10.544 | -0.000 | -0.000 |
| 2.381 | 1.773 | -18.945 | 0.000 | 32.783 | 0.000 |
| 0.243 | 0.181 | -1.938 | -0.000 | -0.000 | 126.904 |
| 285.996 | 202.967 | 143.593 | 0.000 | 0.000 | 0.000 |
| 202.622 | 410.123 | 105.656 | -0.000 | 0.000 | 0.000 |
| 138.382 | 100.790 | 478.118 | 0.000 | 0.000 | 0.000 |
| 0.000 | 0.000 | 0.000 | 10.544 | 0.000 | -0.000 |
| -2.381 | -1.773 | 18.945 | 0.000 | 32.783 | 0.000 |
| -0.243 | -0.181 | 1.938 | 0.000 | 0.000 | 126.904 |
| 286.264 | 203.167 | 141.461 | -0.000 | -0.000 | -0.000 |
| 204.174 | 411.278 | 93.311 | 0.000 | -0.000 | 0.000 |
| 124.650 | 90.564 | 587.407 | 0.000 | -0.000 | -0.000 |
| -0.000 | -0.000 | -0.000 | 10.544 | -0.000 | 0.000 |
| 0.024 | 0.018 | -0.194 | -0.000 | 28.974 | -0.000 |
| 0.024 | 0.018 | -0.194 | -0.000 | -0.000 | 126.904 |
| 286.215 | 203.130 | 141.849 | -0.000 | 0.000 | -0.000 |
| 204.174 | 411.278 | 93.311 | 0.000 | 0.000 | -0.000 |
| 138.602 | 100.953 | 476.374 | 0.000 | 0.000 | -0.000 |
| 0.000 | 0.000 | 0.000 | 10.544 | 0.000 | 0.000 |
| -0.024 | -0.018 | 0.194 | -0.000 | 28.974 | -0.000 |
| -0.024 | -0.018 | 0.194 | 0.000 | 0.000 | 126.904 |
| 286.242 | 203.151 | 141.636 | 0.000 | -0.000 | 0.000 |
| 202.870 | 410.305 | 103.697 | 0.000 | 0.000 | -0.000 |
| 138.639 | 100.978 | 476.093 | 0.000 | -0.000 | -0.000 |
| -10776980.798 | 12390016.150 | -14453160.722 | -12149192.223 | 0.000 | 0.000 |
| 0.000 | -0.000 | 0.001 | 0.000 | 44.881 | -0.000 |
| 0.000 | 0.001 | -0.000 | -0.000 | 0.000 | 126.904 |
| 287.995 | 204.455 | 127.678 | 0.000 | 0.000 | 0.000 |
| 204.172 | 411.279 | 93.312 | -0.000 | 0.000 | -0.000 |
| 138.623 | 100.972 | 476.190 | -0.000 | -0.000 | 0.000 |
| 10776980.798 | -12390016.150 | 14453160.722 | -12149192.223 | -0.000 | -0.000 |
| -0.000 | 0.000 | -0.001 | 0.000 | 44.881 | -0.000 |
| -0.000 | -0.001 | 0.000 | -0.000 | -0.000 | 126.904 |
| 610.655 | 248.339 | 151.649 | 0.000 | 0.000 | -0.000 |
| 235.884 | 522.949 | 277.001 | 0.000 | 0.000 | -0.000 |
| 148.232 | 277.001 | 578.051 | 0.000 | 0.000 | -0.000 |
| 1.737 | -3.772 | -1.035 | 207.820 | 0.000 | -0.000 |
| -0.000 | -0.000 | -0.000 | 0.000 | 79.657 | 0.000 |
| -0.000 | -0.000 | -0.000 | 0.000 | -0.000 | 168.183 |
| 603.136 | 264.661 | 156.127 | -0.000 | -0.000 | -0.000 |
| 252.741 | 486.353 | 266.961 | -0.000 | -0.000 | 0.000 |
| 148.232 | 277.001 | 578.051 | -0.000 | -0.000 | 0.000 |
| -1.737 | 3.771 | 1.035 | 207.820 | -0.000 | 0.000 |
| 0.000 | 0.000 | 0.000 | -0.000 | 79.657 | -0.000 |
| 0.000 | 0.000 | 0.000 | -0.000 | -0.000 | 168.183 |
| 607.271 | 255.684 | 153.664 | 0.000 | 0.000 | -0.000 |
| 235.884 | 522.948 | 277.001 | 0.000 | 0.000 | -0.000 |
| 154.264 | 263.905 | 574.458 | 0.000 | 0.000 | -0.000 |
| -0.000 | -0.000 | 0.000 | 209.301 | 0.000 | -0.000 |
| -0.000 | -0.000 | -0.000 | 0.000 | 79.657 | -0.000 |
| 0.712 | -1.546 | -0.424 | 0.000 | 0.000 | 149.653 |
| 616.392 | 235.884 | 148.232 | -0.000 | 0.000 | 0.000 |
| 235.884 | 522.949 | 277.001 | -0.000 | 0.000 | 0.000 |
| 153.512 | 265.538 | 574.906 | -0.000 | -0.000 | 0.000 |
| 0.000 | 0.000 | -0.000 | 209.301 | -0.000 | 0.000 |
| 0.000 | 0.000 | 0.000 | -0.000 | 79.657 | -0.000 |
| -0.712 | 1.546 | 0.424 | -0.000 | -0.000 | 149.653 |
| 616.392 | 235.884 | 148.232 | 0.000 | 0.000 | -0.000 |
| 235.884 | 522.942 | 277.001 | 0.000 | 0.000 | 0.000 |
| 153.925 | 264.640 | 574.658 | 0.000 | 0.000 | -0.000 |
| -0.000 | -0.001 | 0.001 | 209.301 | 0.000 | -0.000 |
| 0.037 | -0.082 | -0.024 | 0.000 | 79.657 | -0.000 |
| 0.071 | -0.156 | -0.043 | 0.000 | 0.000 | 149.628 |
| 616.392 | 235.884 | 148.232 | -0.000 | -0.000 | 0.000 |
| 256.462 | 478.284 | 264.745 | -0.000 | -0.000 | 0.000 |
| 153.851 | 264.803 | 574.706 | -0.000 | -0.000 | 0.000 |
| 0.000 | 0.001 | -0.001 | 209.301 | -0.000 | -0.000 |
| -0.037 | 0.082 | 0.024 | -0.000 | 79.657 | -0.000 |
| -0.071 | 0.156 | 0.043 | -0.000 | -0.000 | 149.628 |
| 605.486 | 200.332 | 175.062 | -0.000 | -0.000 | 0.000 |
| 221.701 | 183.399 | 224.194 | -0.000 | -0.000 | 0.000 |
| 173.925 | 247.930 | 624.488 | -0.000 | 0.000 | -0.000 |
| -0.000 | -0.000 | 0.000 | 171.695 | -0.000 | -0.000 |
| -0.013 | 0.052 | 0.010 | -0.000 | 101.558 | 0.000 |
| -0.000 | -0.000 | -0.000 | -0.000 | 0.000 | 120.929 |
| 599.152 | 225.994 | 180.124 | 0.000 | 0.000 | 0.000 |
| 221.727 | 183.295 | 224.174 | 0.000 | 0.000 | 0.000 |
| 179.010 | 227.328 | 620.424 | 0.000 | 0.000 | -0.000 |
| 0.000 | 0.000 | -0.000 | 171.695 | 0.000 | -0.000 |
| 0.013 | -0.052 | -0.010 | 0.000 | 101.558 | 0.000 |
| 0.000 | 0.000 | 0.000 | 0.000 | -0.000 | 120.929 |
| 605.486 | 200.332 | 175.062 | -0.000 | 0.000 | -0.000 |
| 221.713 | 183.351 | 224.185 | -0.000 | -0.000 | 0.000 |
| 178.996 | 227.385 | 620.435 | -0.000 | -0.000 | -0.000 |
| -0.000 | -0.000 | 0.000 | 171.695 | -0.000 | 0.000 |
| -0.001 | 0.005 | 0.001 | -0.000 | 101.558 | -0.000 |
| -0.002 | 0.008 | 0.001 | -0.000 | -0.000 | 111.251 |
| 599.140 | 226.041 | 180.133 | 0.000 | 0.000 | 0.000 |
| 221.715 | 183.343 | 224.183 | 0.000 | 0.000 | 0.000 |
| 178.999 | 227.375 | 620.434 | 0.000 | 0.000 | 0.000 |
| 0.000 | 0.000 | -0.000 | 171.695 | 0.000 | 0.000 |
| 0.001 | -0.005 | -0.001 | 0.000 | 101.558 | 0.000 |
| 0.002 | -0.008 | -0.001 | 0.000 | -0.000 | 111.251 |
| 599.142 | 226.047 | 180.134 | -0.000 | -0.000 | 0.000 |
| 221.715 | 183.339 | 224.183 | -0.000 | -0.000 | 0.000 |
| 178.997 | 227.380 | 620.431 | -0.000 | 0.000 | -0.000 |
| -0.000 | -0.000 | 0.001 | 170.490 | -0.000 | 0.000 |
| -0.001 | 0.000 | -0.002 | -0.000 | 101.558 | -0.000 |
| -0.001 | -0.001 | -0.000 | -0.000 | -0.000 | 120.929 |
| 605.483 | 200.332 | 175.062 | 0.000 | -0.000 | -0.000 |
| 221.714 | 183.355 | 224.185 | 0.000 | 0.000 | 0.000 |
| 178.999 | 227.380 | 620.438 | 0.000 | -0.000 | 0.000 |
| 0.000 | 0.000 | -0.001 | 170.490 | -0.000 | 0.000 |
| 0.001 | -0.000 | 0.002 | 0.000 | 101.558 | -0.000 |
| 0.001 | 0.001 | 0.000 | 0.000 | 0.000 | 120.929 |
| 63.620 | 73.599 | 35.159 | 71.489 | -0.000 | -0.000 |
| 73.599 | 63.620 | 35.159 | -71.489 | 0.000 | -0.000 |
| 35.159 | 35.159 | -55.884 | 0.000 | -0.000 | 0.000 |
| 71.489 | -71.489 | -0.000 | -42.912 | 0.000 | -0.000 |
| 0.000 | 0.000 | -0.000 | -0.000 | -42.912 | 71.489 |
| 0.000 | -0.000 | 0.000 | 0.000 | 71.489 | -4.990 |
| 63.620 | 73.599 | 35.159 | 71.489 | -0.000 | 0.000 |
| 73.599 | 63.620 | 35.159 | -71.489 | -0.000 | -0.000 |
| 35.159 | 35.159 | -55.884 | 0.000 | 0.000 | -0.000 |
| 71.489 | -71.489 | 0.000 | -42.912 | 0.000 | -0.000 |
| -0.000 | -0.000 | 0.000 | 0.000 | -42.912 | 71.489 |
| -0.000 | -0.000 | -0.000 | -0.000 | 71.489 | -4.990 |
| 63.620 | 73.600 | 35.160 | 71.489 | -0.000 | 0.000 |
| 73.599 | 63.620 | 35.160 | -71.489 | 0.000 | -0.000 |
| 35.159 | 35.159 | -55.884 | -0.000 | 0.000 | -0.000 |
| 71.489 | -71.489 | -0.000 | -42.912 | 0.000 | 0.000 |
| 0.000 | 0.000 | -0.000 | 0.000 | -42.912 | 71.489 |
| 0.000 | 0.000 | 0.000 | 0.000 | 71.489 | -4.990 |
| 63.620 | 73.599 | 35.159 | 71.489 | 0.000 | 0.000 |
| 73.599 | 63.619 | 35.159 | -71.489 | 0.000 | -0.000 |
| 35.159 | 35.159 | -55.884 | -0.000 | -0.000 | 0.000 |
| 71.489 | -71.489 | 0.000 | -42.912 | 0.000 | -0.000 |
| -0.000 | -0.000 | 0.000 | -0.000 | -42.912 | 71.489 |
| -0.000 | -0.000 | -0.000 | -0.000 | 71.489 | -4.990 |
| 63.623 | 73.601 | 35.160 | 71.490 | 0.000 | -0.000 |
| 73.600 | 63.624 | 35.160 | -71.490 | -0.000 | 0.000 |
| 35.159 | 35.159 | -55.883 | 0.000 | -0.000 | 0.000 |
| 71.489 | -71.488 | -0.000 | -42.913 | -0.000 | -0.000 |
| 0.001 | 0.000 | -0.000 | 0.000 | -42.912 | 71.489 |
| 0.001 | 0.000 | 0.000 | 0.000 | 71.489 | -4.990 |
| 63.617 | 73.598 | 35.159 | 71.489 | -0.000 | 0.000 |
| 73.599 | 63.616 | 35.159 | -71.488 | -0.000 | -0.000 |
| 35.160 | 35.160 | -55.886 | -0.000 | -0.000 | 0.000 |
| 71.489 | -71.490 | 0.000 | -42.912 | 0.000 | -0.000 |
| -0.001 | -0.000 | 0.000 | -0.000 | -42.912 | 71.489 |
| -0.001 | -0.000 | -0.000 | -0.000 | 71.489 | -4.990 |
| 279889483.922 | 286774714.168 | 341375928.113 | 11717247.928 | -20366730.818 | 7546367.033 |
| 280847132.236 | 261796369.838 | 322726271.908 | 13967052.639 | -20156665.168 | 1058219.758 |
| 299531676.174 | 267135021.926 | 323827185.114 | 9825525.251 | -26598750.953 | -8256152.128 |
| 281812387.709 | 258507731.388 | 330366262.927 | 14096022.636 | -20776525.105 | 1059943.310 |
| 294544345.782 | 259986613.888 | 328327160.017 | 6996510.016 | -21211953.084 | -9514606.341 |
| 280897781.519 | 260008023.632 | 323180067.487 | 9590585.664 | -20085157.528 | 181791.838 |
| -282946945.970 | -299650442.608 | -317751139.666 | -16807367.960 | 18944080.266 | -7210682.265 |
| -278433075.058 | -257426272.051 | -324431595.035 | -7439586.696 | 25741703.488 | -4929751.141 |
| -280423524.352 | -255596763.163 | -320747609.435 | -7704930.044 | 19317857.064 | 715968.622 |
| -281301075.301 | -264799780.498 | -326434815.196 | -9465668.253 | 23885903.798 | -3851120.913 |
| -282509507.183 | -263060031.519 | -324174600.937 | -10971551.760 | 17914323.407 | -1192821.530 |
| -284767511.585 | -266416253.933 | -328180221.775 | -12138687.152 | 16772083.902 | 2231535.435 |
| 27167885.575 | 28465173.446 | 33270193.989 | 1314822.699 | -3017458.921 | 543952.591 |
| 29488701.422 | 28546159.449 | 33416824.120 | 1753216.566 | -2273214.956 | 325538.886 |
| 27533363.016 | 27335773.910 | 33876241.519 | 1269101.614 | -2287389.071 | 408236.849 |
| 27739457.529 | 26128105.645 | 32807987.185 | 1184083.021 | -2690024.064 | 335506.349 |
| 28519421.834 | 28751520.454 | 33705130.926 | 1229731.101 | -2438081.516 | 917348.727 |
| 26780647.300 | 26074999.409 | 31417123.293 | 1635933.444 | -2184031.473 | -829945.946 |
| -29771288.167 | -30312210.287 | -33709084.041 | -423971.211 | 3148073.148 | -941349.522 |
| -27879679.629 | -27293550.675 | -33205603.334 | -1047107.747 | 2892499.284 | 107974.638 |
| -28221655.439 | -29445095.032 | -34004536.772 | -867674.478 | 2488641.724 | -532123.251 |
| -28112841.017 | -26569337.313 | -34041407.209 | -1229327.268 | 1583950.802 | -136998.088 |
| -28159054.200 | -28798936.555 | -32400581.093 | -902177.688 | 3188358.734 | -205760.660 |
| -28978418.224 | -26693021.581 | -32698816.959 | -574336.051 | 2558027.825 | 992375.822 |
| 2864256.708 | 2691250.071 | 3486913.947 | 71414.127 | -271781.526 | -34139.453 |
| 2907947.869 | 2686096.467 | 3378143.402 | 182332.790 | -293600.791 | -10925.143 |
| 2920359.712 | 2922999.728 | 3500692.012 | -15266.222 | -164447.249 | -15265.496 |
| 2829799.389 | 2887949.065 | 3201171.472 | 109298.134 | -223764.555 | 27543.475 |
| 2824591.162 | 2714458.932 | 3121737.477 | 182600.933 | -141540.858 | -41909.660 |
| 2868261.250 | 3018313.602 | 3239279.132 | 559.750 | -183739.267 | 40718.035 |
| -2610275.236 | -2829482.079 | -3069626.569 | -29782.148 | 247351.721 | -127244.340 |
| -2567252.243 | -2816890.622 | -3240753.439 | -137970.519 | 272217.488 | 32369.254 |
| -2635344.502 | -2881811.494 | -3014794.745 | -73422.407 | 360555.878 | -6977.374 |
| -2818447.905 | -2931724.571 | -3413255.655 | -26072.084 | 196132.547 | -3565.285 |
| -2973225.450 | -2958449.136 | -3416347.213 | -108577.715 | 220908.457 | 63326.542 |
| -2834047.503 | -2989756.914 | -3468144.360 | -108942.896 | 241829.589 | -62376.027 |
| 390.219 | 216.843 | 168.514 | 14.479 | -0.000 | 0.000 |
| 216.843 | 390.219 | 168.514 | -14.479 | 0.000 | -0.000 |
| 169.020 | 169.020 | 440.025 | 0.000 | 0.000 | -0.000 |
| 14.479 | -14.479 | 0.000 | 94.018 | -0.000 | 0.000 |
| 0.000 | -0.000 | 0.000 | 0.000 | 96.687 | 6.051 |
| 0.000 | 0.000 | 0.000 | -0.000 | 6.051 | 113.306 |
| 417.600 | 190.989 | 172.803 | 6.051 | 0.000 | 0.000 |
| 211.139 | 393.259 | 161.032 | -13.095 | 0.000 | 0.000 |
| 169.020 | 169.020 | 440.025 | -0.000 | 0.000 | 0.000 |
| 6.051 | -6.051 | -0.000 | 96.687 | -0.000 | -0.000 |
| -0.000 | 0.000 | -0.000 | -0.000 | 96.687 | 6.051 |
| -0.000 | -0.000 | -0.000 | -0.000 | 6.051 | 113.306 |
| 393.260 | 211.139 | 161.032 | 13.095 | 0.000 | -0.000 |
| 211.139 | 393.260 | 161.032 | -13.095 | 0.000 | -0.000 |
| 173.309 | 173.309 | 464.127 | 0.000 | 0.000 | -0.000 |
| 6.051 | -6.051 | 0.000 | 96.687 | 0.000 | -0.000 |
| 0.000 | 0.000 | 0.000 | -0.000 | 94.018 | 14.479 |
| 0.000 | 0.000 | 0.000 | -0.000 | 14.479 | 86.688 |
| 417.599 | 190.989 | 172.803 | 6.051 | 0.000 | 0.000 |
| 211.139 | 393.259 | 161.032 | -13.095 | -0.000 | 0.000 |
| 169.020 | 169.020 | 440.024 | 0.000 | -0.000 | 0.000 |
| 6.051 | -6.051 | -0.000 | 96.687 | -0.000 | -0.000 |
| -0.000 | -0.000 | -0.000 | 0.000 | 94.018 | 14.479 |
| -0.000 | -0.000 | -0.000 | 0.000 | 14.479 | 86.688 |
| 417.605 | 190.989 | 172.804 | 6.051 | 0.000 | -0.000 |
| 190.990 | 417.604 | 172.804 | -6.051 | 0.000 | 0.000 |
| 169.021 | 169.021 | 440.028 | -0.000 | 0.000 | -0.000 |
| 14.479 | -14.479 | 0.001 | 94.018 | -0.000 | -0.000 |
| 0.000 | 0.000 | 0.000 | 0.000 | 96.687 | 6.051 |
| 0.000 | 0.001 | 0.000 | -0.000 | 6.051 | 113.306 |
| 417.595 | 190.988 | 172.803 | 6.051 | -0.000 | 0.000 |
| 190.987 | 417.595 | 172.803 | -6.051 | -0.000 | -0.000 |
| 169.019 | 169.019 | 440.021 | 0.000 | 0.000 | 0.000 |
| 14.479 | -14.480 | -0.001 | 94.018 | -0.000 | -0.000 |
| -0.000 | -0.000 | -0.000 | -0.000 | 96.687 | 6.051 |
| -0.000 | -0.001 | -0.000 | 0.000 | 6.051 | 113.306 |
| 392.343 | 211.443 | 164.102 | 12.652 | -0.000 | -0.000 |
| 211.443 | 392.343 | 164.102 | -12.652 | -0.000 | -0.000 |
| 174.380 | 174.380 | 466.850 | 0.000 | -0.000 | -0.000 |
| 6.068 | -6.068 | 0.000 | 97.411 | -0.000 | 0.000 |
| -0.000 | -0.000 | -0.000 | -0.000 | 95.176 | 13.764 |
| 0.000 | 0.000 | 0.000 | -0.000 | 6.068 | 113.117 |
| 389.681 | 216.439 | 170.719 | 13.764 | -0.000 | -0.000 |
| 211.444 | 392.342 | 164.102 | -12.652 | -0.000 | 0.000 |
| 174.380 | 174.380 | 466.850 | -0.000 | 0.000 | 0.000 |
| 6.068 | -6.068 | -0.000 | 97.411 | -0.000 | 0.000 |
| 0.000 | 0.000 | 0.000 | 0.000 | 95.176 | 13.764 |
| -0.000 | -0.000 | -0.000 | 0.000 | 6.068 | 113.117 |
| 389.681 | 216.439 | 170.719 | 13.764 | 0.000 | -0.000 |
| 211.444 | 392.343 | 164.102 | -12.652 | 0.000 | -0.000 |
| 170.718 | 170.718 | 446.087 | 0.000 | 0.000 | -0.000 |
| 6.068 | -6.068 | 0.000 | 97.411 | -0.000 | -0.000 |
| 0.000 | 0.000 | 0.000 | 0.000 | 97.411 | 6.068 |
| 0.000 | 0.000 | 0.000 | -0.000 | 6.068 | 113.117 |
| 392.342 | 211.444 | 164.102 | 12.652 | -0.000 | 0.000 |
| 190.588 | 416.822 | 174.380 | -6.068 | -0.000 | -0.000 |
| 170.718 | 170.718 | 446.086 | -0.000 | -0.000 | 0.000 |
| 6.068 | -6.068 | -0.000 | 97.411 | -0.000 | 0.000 |
| -0.000 | -0.000 | -0.000 | -0.000 | 97.411 | 6.068 |
| -0.000 | -0.000 | -0.000 | 0.000 | 6.068 | 113.117 |
| 416.828 | 190.589 | 174.381 | 6.068 | 0.000 | -0.000 |
| 190.590 | 416.827 | 174.381 | -6.068 | -0.000 | -0.000 |
| 174.380 | 174.380 | 466.851 | 0.000 | 0.000 | -0.000 |
| 13.764 | -13.764 | 0.001 | 95.176 | 0.000 | -0.000 |
| 0.000 | 0.000 | 0.000 | 0.000 | 97.411 | 6.068 |
| 0.000 | 0.001 | 0.000 | -0.000 | 6.068 | 113.117 |
| 416.818 | 190.588 | 174.380 | 6.068 | 0.000 | 0.000 |
| 190.587 | 416.818 | 174.380 | -6.068 | 0.000 | 0.000 |
| 170.717 | 170.717 | 446.083 | -0.000 | -0.000 | 0.000 |
| 13.764 | -13.765 | -0.001 | 95.176 | -0.000 | -0.000 |
| -0.000 | -0.000 | -0.000 | -0.000 | 97.411 | 6.068 |
| -0.000 | -0.001 | -0.000 | 0.000 | 6.068 | 113.117 |
| 467.766 | 253.465 | 218.762 | -0.000 | 0.000 | 0.000 |
| 253.465 | 467.766 | 218.762 | -0.000 | 0.000 | -0.000 |
| 128.191 | 128.191 | 367.442 | 0.000 | 0.000 | -0.000 |
| -0.000 | 0.000 | 0.000 | 107.825 | 0.000 | -0.000 |
| 0.000 | -0.000 | -0.000 | 0.000 | 107.825 | 0.000 |
| 0.000 | -0.000 | 0.000 | -0.000 | 0.000 | 100.408 |
| 24.282 | -89.134 | 118.021 | -0.000 | -0.000 | 0.000 |
| -89.134 | 24.282 | 118.021 | -0.000 | -0.000 | 0.000 |
| -116.883 | -116.883 | 300.186 | -0.000 | -0.000 | 0.000 |
| 0.000 | -0.000 | 0.000 | 107.825 | -0.000 | 0.000 |
| -0.000 | 0.000 | -0.000 | -0.000 | 107.825 | 0.000 |
| 0.000 | -0.000 | -0.000 | 0.000 | 0.000 | 100.408 |
| 370.361 | 119.951 | 128.191 | 0.000 | -0.000 | -0.000 |
| 119.951 | 370.361 | 128.191 | -0.000 | 0.000 | -0.000 |
| 128.191 | 128.191 | 367.442 | -0.000 | 0.000 | -0.000 |
| -0.000 | 0.000 | -0.000 | 107.825 | 0.000 | -0.000 |
| 0.000 | -0.000 | -0.000 | -0.000 | 107.825 | -0.000 |
| -0.000 | -0.000 | -0.000 | 0.000 | -0.000 | 100.408 |
| 370.361 | 119.951 | 128.191 | -0.000 | 0.000 | -0.000 |
| 119.951 | 370.361 | 128.191 | 0.000 | -0.000 | 0.000 |
| 117.550 | 117.550 | 333.021 | 0.000 | -0.000 | 0.000 |
| 0.000 | -0.000 | 0.000 | 107.825 | -0.000 | 0.000 |
| -0.000 | 0.000 | 0.000 | 0.000 | 107.825 | 0.000 |
| 0.000 | 0.000 | 0.000 | 0.000 | -0.000 | 100.408 |
| 291.049 | 161.283 | 125.757 | -0.000 | -0.000 | -0.000 |
| 161.283 | 291.049 | 125.757 | -0.000 | 0.000 | -0.000 |
| 128.192 | 128.192 | 367.440 | 0.000 | -0.000 | -0.000 |
| 2.678 | 2.678 | 1.842 | 71.682 | 0.000 | -0.000 |
| 2.678 | 2.678 | 1.842 | 0.000 | 71.682 | -0.000 |
| -0.000 | -0.000 | -0.000 | 0.000 | 0.000 | 100.408 |
| 370.359 | 119.950 | 128.191 | 0.000 | -0.000 | 0.000 |
| 119.950 | 370.359 | 128.191 | 0.000 | 0.000 | 0.000 |
| 127.741 | 127.741 | 341.233 | -0.000 | -0.000 | 0.000 |
| -2.678 | -2.678 | -1.842 | 71.682 | 0.000 | 0.000 |
| -2.678 | -2.678 | -1.842 | 0.000 | 71.682 | 0.000 |
| 0.000 | 0.000 | 0.000 | -0.000 | 0.000 | 100.408 |
| 358.827 | 114.413 | 122.554 | -0.000 | -0.000 | -0.000 |
| 114.413 | 358.827 | 122.554 | -0.000 | 0.000 | -0.000 |
| 122.547 | 122.547 | 373.857 | -0.000 | 0.000 | -0.000 |
| -69.443 | -69.443 | -39.101 | 72.487 | 0.000 | -0.000 |
| -69.443 | -69.443 | -39.101 | 0.000 | 72.487 | -0.000 |
| -99.883 | -99.883 | -87.197 | -0.000 | -0.000 | 76.851 |
| 358.827 | 114.413 | 122.554 | -0.000 | -0.000 | 0.000 |
| 114.413 | 358.827 | 122.554 | -0.000 | -0.000 | 0.000 |
| 122.547 | 122.547 | 373.857 | 0.000 | -0.000 | 0.000 |
| 69.443 | 69.443 | 39.101 | 72.487 | -0.000 | 0.000 |
| 69.443 | 69.443 | 39.101 | 0.000 | 72.487 | 0.000 |
| 99.883 | 99.883 | 87.197 | -0.000 | -0.000 | 76.851 |
| 313.966 | 105.941 | 113.989 | -0.000 | 0.000 | -0.000 |
| 105.941 | 313.966 | 113.989 | -0.000 | 0.000 | -0.000 |
| 114.422 | 114.422 | 338.620 | -0.000 | 0.000 | -0.000 |
| -0.000 | 0.000 | -0.000 | 107.776 | -0.000 | -0.000 |
| 0.000 | -0.000 | -0.000 | -0.000 | 107.776 | -0.000 |
| -10.537 | -10.537 | -9.199 | -0.000 | 0.000 | 75.555 |
| 358.826 | 114.413 | 122.554 | 0.000 | -0.000 | 0.000 |
| 114.413 | 358.826 | 122.554 | 0.000 | 0.000 | 0.000 |
| 122.547 | 122.547 | 373.857 | 0.000 | -0.000 | 0.000 |
| 0.000 | -0.000 | 0.000 | 107.776 | -0.000 | 0.000 |
| -0.000 | 0.000 | 0.000 | -0.000 | 107.776 | 0.000 |
| 10.537 | 10.537 | 9.199 | 0.000 | 0.000 | 75.555 |
| 275.689 | 164.776 | 117.736 | 0.000 | 0.000 | -0.000 |
| 164.778 | 275.689 | 117.736 | -0.000 | 0.000 | -0.000 |
| 122.548 | 122.548 | 373.854 | -0.000 | 0.000 | -0.000 |
| -0.007 | -0.006 | 1.087 | 65.417 | -0.000 | -0.000 |
| -0.006 | -0.007 | 1.087 | 0.000 | 65.417 | -0.000 |
| -0.000 | 0.000 | -0.000 | 0.000 | 0.000 | 100.436 |
| 286.688 | 145.686 | 119.197 | 0.000 | -0.000 | 0.000 |
| 145.686 | 286.688 | 119.197 | 0.000 | 0.000 | 0.000 |
| 123.138 | 123.138 | 347.218 | 0.000 | -0.000 | 0.000 |
| 0.007 | 0.006 | -1.087 | 65.417 | -0.000 | 0.000 |
| 0.006 | 0.007 | -1.087 | 0.000 | 65.417 | 0.000 |
| 0.000 | -0.000 | 0.000 | 0.000 | -0.000 | 100.436 |
| 377.973 | 172.923 | 172.923 | 0.000 | 0.000 | -0.000 |
| 172.923 | 377.973 | 172.923 | -0.000 | -0.000 | -0.000 |
| 172.923 | 172.923 | 377.973 | 0.000 | 0.000 | -0.000 |
| 0.000 | -0.000 | -0.000 | 44.104 | -0.000 | 0.000 |
| -0.000 | 0.000 | -0.000 | 0.000 | 44.104 | -0.000 |
| -0.000 | -0.000 | 0.000 | -0.000 | 0.000 | 44.104 |
| 377.973 | 172.923 | 172.923 | -0.000 | -0.000 | 0.000 |
| 172.923 | 377.973 | 172.923 | -0.000 | -0.000 | 0.000 |
| 172.923 | 172.923 | 377.973 | -0.000 | -0.000 | 0.000 |
| -0.000 | 0.000 | 0.000 | 44.104 | 0.000 | 0.000 |
| 0.000 | -0.000 | 0.000 | 0.000 | 44.104 | -0.000 |
| 0.000 | 0.000 | -0.000 | -0.000 | -0.000 | 44.104 |
| 377.973 | 172.923 | 172.923 | 0.000 | 0.000 | 0.000 |
| 172.923 | 377.973 | 172.923 | -0.000 | 0.000 | -0.000 |
| 172.923 | 172.923 | 377.973 | 0.000 | 0.000 | -0.000 |
| 0.000 | -0.000 | -0.000 | 121.368 | -0.000 | -0.000 |
| -0.000 | 0.000 | -0.000 | -0.000 | 121.368 | -0.000 |
| -0.000 | -0.000 | 0.000 | -0.000 | -0.000 | 121.368 |
| 377.973 | 172.923 | 172.923 | -0.000 | -0.000 | -0.000 |
| 172.923 | 377.973 | 172.923 | -0.000 | -0.000 | 0.000 |
| 172.923 | 172.923 | 377.973 | -0.000 | -0.000 | -0.000 |
| -0.000 | 0.000 | 0.000 | 121.368 | 0.000 | 0.000 |
| 0.000 | -0.000 | 0.000 | 0.000 | 121.368 | 0.000 |
| 0.000 | 0.000 | -0.000 | -0.000 | 0.000 | 121.368 |
| 377.972 | 172.924 | 172.924 | 0.000 | 0.000 | -0.000 |
| 172.924 | 377.972 | 172.924 | 0.000 | 0.000 | -0.000 |
| 172.924 | 172.924 | 377.972 | 0.000 | 0.000 | -0.000 |
| 0.000 | -0.000 | -0.000 | 121.368 | -0.000 | -0.000 |
| -0.000 | 0.000 | -0.000 | -0.000 | 121.368 | -0.000 |
| -0.000 | -0.000 | 0.000 | 0.000 | -0.000 | 121.368 |
| 377.974 | 172.922 | 172.922 | -0.000 | -0.000 | 0.000 |
| 172.922 | 377.974 | 172.922 | -0.000 | -0.000 | 0.000 |
| 172.922 | 172.922 | 377.974 | -0.000 | -0.000 | -0.000 |
| -0.000 | 0.000 | 0.000 | 121.368 | 0.000 | 0.000 |
| 0.000 | -0.000 | 0.000 | 0.000 | 121.368 | -0.000 |
| 0.000 | 0.000 | -0.000 | -0.000 | 0.000 | 121.368 |
| 414.777 | 245.906 | 245.906 | 0.000 | 0.000 | -0.000 |
| 245.906 | 414.777 | 245.906 | 0.000 | 0.000 | -0.000 |
| 245.906 | 245.906 | 414.777 | 0.000 | 0.000 | -0.000 |
| 0.000 | 0.000 | 0.000 | 140.191 | 0.000 | -0.000 |
| 0.000 | 0.000 | 0.000 | 0.000 | 140.191 | -0.000 |
| 0.000 | 0.000 | -0.000 | 0.000 | 0.000 | 140.191 |
| 414.777 | 245.906 | 245.906 | -0.000 | 0.000 | 0.000 |
| 245.906 | 414.777 | 245.906 | -0.000 | -0.000 | 0.000 |
| 245.906 | 245.906 | 414.777 | -0.000 | -0.000 | 0.000 |
| -0.000 | -0.000 | -0.000 | 140.191 | -0.000 | 0.000 |
| -0.000 | 0.000 | -0.000 | -0.000 | 140.191 | 0.000 |
| -0.000 | -0.000 | -0.000 | -0.000 | -0.000 | 140.191 |
| 414.778 | 245.906 | 245.906 | -0.000 | 0.000 | -0.000 |
| 245.906 | 414.778 | 245.906 | 0.000 | -0.000 | -0.000 |
| 245.906 | 245.906 | 414.778 | 0.000 | 0.000 | -0.000 |
| 0.000 | 0.000 | 0.000 | 140.191 | 0.000 | -0.000 |
| 0.000 | 0.000 | 0.000 | 0.000 | 140.191 | -0.000 |
| 0.000 | 0.000 | 0.000 | 0.000 | 0.000 | 140.191 |
| 414.776 | 245.906 | 245.906 | -0.000 | -0.000 | 0.000 |
| 245.906 | 414.776 | 245.906 | -0.000 | -0.000 | 0.000 |
| 245.906 | 245.906 | 414.776 | 0.000 | 0.000 | 0.000 |
| -0.000 | -0.000 | -0.000 | 140.191 | -0.000 | 0.000 |
| -0.000 | -0.000 | -0.000 | -0.000 | 140.191 | 0.000 |
| -0.000 | -0.000 | -0.000 | -0.000 | -0.000 | 140.191 |
| 414.786 | 245.908 | 245.908 | 0.000 | 0.000 | -0.000 |
| 245.908 | 414.786 | 245.908 | 0.000 | 0.000 | -0.000 |
| 245.908 | 245.908 | 414.786 | 0.000 | 0.000 | -0.000 |
| 0.000 | 0.001 | 0.001 | 140.191 | 0.000 | -0.000 |
| 0.001 | 0.000 | 0.001 | 0.000 | 140.191 | -0.000 |
| 0.001 | 0.001 | 0.000 | 0.000 | 0.000 | 140.191 |
| 414.768 | 245.905 | 245.905 | -0.000 | -0.000 | 0.000 |
| 245.905 | 414.768 | 245.905 | -0.000 | 0.000 | 0.000 |
| 245.905 | 245.905 | 414.768 | -0.000 | -0.000 | 0.000 |
| -0.000 | -0.001 | -0.001 | 140.191 | -0.000 | 0.000 |
| -0.001 | -0.000 | -0.001 | -0.000 | 140.191 | 0.000 |
| -0.001 | -0.001 | -0.000 | -0.000 | -0.000 | 140.191 |
| 260.457 | 119.620 | 640.629 | -65.251 | 0.000 | 0.000 |
| 119.620 | 260.457 | 640.629 | 65.251 | 0.000 | 0.000 |
| 132.941 | 132.941 | 605.451 | -0.000 | 0.000 | 0.000 |
| -43.818 | 86.682 | 511.244 | 97.990 | -0.000 | 0.000 |
| 21.432 | 21.432 | 511.244 | 0.000 | 97.990 | -65.250 |
| 21.412 | 21.412 | 510.769 | 0.000 | -65.251 | 70.418 |
| 239.511 | 98.000 | 132.941 | -66.527 | -0.000 | -0.000 |
| 98.000 | 239.511 | 132.941 | 66.527 | 0.000 | 0.000 |
| 132.941 | 132.941 | 605.451 | 0.000 | -0.000 | -0.000 |
| -83.131 | 40.310 | -510.733 | 84.637 | -0.000 | -0.000 |
| -21.432 | -21.432 | -511.244 | -0.000 | 97.990 | -65.250 |
| -21.412 | -21.412 | -510.769 | -0.000 | -65.251 | 70.418 |
| 240.253 | 101.282 | 180.933 | -61.721 | 0.000 | 0.000 |
| 98.000 | 239.511 | 132.941 | 66.527 | -0.000 | 0.000 |
| 132.941 | 132.941 | 605.450 | 0.000 | -0.000 | 0.000 |
| -66.527 | 66.527 | -0.000 | 102.822 | 0.000 | 0.000 |
| -0.000 | -0.000 | -0.000 | 0.000 | 102.822 | -66.527 |
| 2.156 | 2.156 | 51.429 | 0.000 | -65.242 | 70.416 |
| 239.511 | 98.000 | 132.941 | -66.527 | -0.000 | -0.000 |
| 96.055 | 236.888 | 78.451 | 65.243 | -0.000 | -0.000 |
| 132.942 | 132.942 | 605.452 | -0.000 | 0.000 | -0.000 |
| -66.527 | 66.527 | 0.000 | 102.822 | -0.000 | -0.000 |
| 0.000 | 0.000 | 0.000 | -0.000 | 102.822 | -66.527 |
| -2.156 | -2.156 | -51.429 | -0.000 | -65.242 | 70.416 |
| 238.830 | 99.140 | 138.419 | -63.077 | -0.000 | -0.000 |
| 97.999 | 239.512 | 132.939 | 66.527 | -0.000 | 0.000 |
| 130.072 | 130.072 | 537.039 | 0.000 | 0.000 | 0.000 |
| -61.808 | 63.164 | 16.174 | 87.534 | 0.000 | -0.000 |
| -0.001 | -0.000 | -0.002 | 0.000 | 102.822 | -66.527 |
| 0.334 | 0.334 | 7.954 | 0.000 | -64.540 | 70.231 |
| 237.897 | 98.928 | 124.754 | -61.721 | -0.000 | -0.000 |
| 97.993 | 238.662 | 122.729 | 64.936 | 0.000 | -0.000 |
| 129.647 | 129.647 | 526.842 | -0.000 | -0.000 | -0.000 |
| -66.527 | 66.528 | 0.002 | 102.822 | -0.000 | -0.000 |
| 0.001 | 0.000 | 0.002 | -0.000 | 102.822 | -66.527 |
| -0.334 | -0.334 | -7.954 | -0.000 | -64.540 | 70.231 |
| 8.416 | 12.115 | 12.115 | 0.000 | -0.000 | -0.000 |
| 12.115 | 8.416 | 12.115 | -0.000 | 0.000 | -0.000 |
| 12.115 | 12.115 | 8.416 | -0.000 | -0.000 | 0.000 |
| -0.000 | -0.000 | -0.000 | -4.129 | -0.000 | -0.000 |
| -0.000 | -0.000 | -0.000 | -0.000 | -4.129 | -0.000 |
| -0.000 | -0.000 | -0.000 | -0.000 | -0.000 | -4.129 |
| 8.416 | 12.115 | 12.115 | 0.000 | 0.000 | 0.000 |
| 12.115 | 8.416 | 12.115 | 0.000 | 0.000 | 0.000 |
| 12.115 | 12.115 | 8.416 | 0.000 | 0.000 | -0.000 |
| 0.000 | 0.000 | 0.000 | -4.129 | 0.000 | 0.000 |
| 0.000 | 0.000 | 0.000 | 0.000 | -4.129 | 0.000 |
| 0.000 | 0.000 | 0.000 | 0.000 | 0.000 | -4.129 |
| 8.416 | 12.115 | 12.115 | -0.000 | -0.000 | -0.000 |
| 12.115 | 8.416 | 12.115 | -0.000 | -0.000 | -0.000 |
| 12.115 | 12.115 | 8.416 | -0.000 | -0.000 | -0.000 |
| -0.000 | -0.000 | -0.000 | -4.129 | -0.000 | -0.000 |
| -0.000 | -0.000 | -0.000 | -0.000 | -4.129 | -0.000 |
| -0.000 | -0.000 | -0.000 | -0.000 | -0.000 | -4.129 |
| 8.416 | 12.115 | 12.115 | 0.000 | 0.000 | 0.000 |
| 12.115 | 8.416 | 12.115 | 0.000 | 0.000 | 0.000 |
| 12.115 | 12.115 | 8.416 | 0.000 | 0.000 | 0.000 |
| 0.000 | 0.000 | 0.000 | -4.129 | 0.000 | 0.000 |
| 0.000 | 0.000 | 0.000 | 0.000 | -4.129 | 0.000 |
| 0.000 | 0.000 | 0.000 | 0.000 | 0.000 | -4.129 |
| 8.416 | 12.115 | 12.115 | -0.000 | -0.000 | -0.000 |
| 12.115 | 8.416 | 12.115 | -0.000 | -0.000 | -0.000 |
| 12.115 | 12.115 | 8.416 | -0.000 | -0.000 | -0.000 |
| -0.000 | -0.000 | -0.000 | -4.129 | -0.000 | -0.000 |
| -0.000 | -0.000 | -0.000 | -0.000 | -4.129 | -0.000 |
| -0.000 | -0.000 | -0.000 | -0.000 | -0.000 | -4.129 |
| 8.416 | 12.115 | 12.115 | 0.000 | 0.000 | 0.000 |
| 12.115 | 8.416 | 12.115 | 0.000 | 0.000 | 0.000 |
| 12.115 | 12.115 | 8.416 | 0.000 | 0.000 | 0.000 |
| 0.000 | 0.000 | 0.000 | -4.129 | 0.000 | 0.000 |
| 0.000 | 0.000 | 0.000 | 0.000 | -4.129 | 0.000 |
| 0.000 | 0.000 | 0.000 | 0.000 | 0.000 | -4.129 |
| 198.628 | 144.545 | 165.321 | -5.469 | 0.000 | 0.000 |
| 144.545 | 198.628 | 165.321 | 5.469 | 0.000 | 0.000 |
| 167.720 | 167.720 | 433.641 | 0.000 | -0.000 | 0.000 |
| -8.855 | -57.003 | 74.652 | -34.662 | -0.000 | 0.000 |
| -36.537 | -36.537 | 85.048 | 0.000 | -14.980 | -8.545 |
| 0.000 | -0.000 | 0.000 | 0.000 | -5.469 | 27.041 |
| 82.872 | 331.397 | 84.625 | 11.044 | 0.000 | 0.000 |
| 196.099 | 161.561 | 166.392 | 9.018 | -0.000 | -0.000 |
| 203.319 | 203.319 | 381.361 | -0.000 | -0.000 | 0.000 |
| -5.469 | 5.469 | -0.000 | 45.555 | -0.000 | -0.000 |
| 36.537 | 36.537 | -85.048 | -0.000 | -14.980 | -8.545 |
| -0.000 | -0.000 | -0.000 | -0.000 | -5.469 | 27.041 |
| 115.884 | 207.267 | 189.932 | -11.295 | -0.000 | -0.000 |
| 240.409 | 50.136 | 240.171 | 4.227 | -0.000 | -0.000 |
| 185.847 | 185.847 | 392.465 | 0.000 | -0.000 | 0.000 |
| -5.469 | 5.469 | 0.000 | 45.555 | 0.000 | -0.000 |
| -3.401 | -3.400 | 3.548 | -0.000 | -8.574 | -15.419 |
| -8.052 | -8.052 | 15.579 | 0.000 | 23.943 | -203.023 |
| 123.026 | 208.572 | 184.956 | -11.061 | 0.000 | -0.000 |
| 260.859 | 47.179 | 213.291 | 3.642 | -0.000 | -0.000 |
| 204.914 | 204.914 | 348.638 | -0.000 | -0.000 | 0.000 |
| -5.469 | 5.469 | -0.000 | 45.555 | 0.000 | -0.000 |
| 3.401 | 3.401 | -3.548 | 0.000 | -8.574 | -15.419 |
| 8.052 | 8.052 | -15.579 | -0.000 | 23.943 | -203.023 |
| 47.321 | 249.349 | 230.761 | -3.280 | -0.000 | 0.000 |
| 144.546 | 198.630 | 165.321 | 5.469 | 0.000 | 0.000 |
| 193.370 | 193.370 | 372.981 | 0.000 | -0.000 | 0.000 |
| -17.348 | 16.563 | 0.409 | -16.931 | -0.000 | 0.000 |
| -0.393 | -0.393 | 0.409 | -0.000 | -16.932 | -16.956 |
| 0.000 | 0.000 | -0.000 | -0.000 | -5.469 | 27.041 |
| 118.346 | 209.236 | 187.572 | -11.275 | -0.000 | -0.000 |
| 251.506 | 46.909 | 227.988 | 3.207 | 0.000 | -0.000 |
| 195.173 | 195.173 | 368.492 | -0.000 | 0.000 | -0.000 |
| -16.563 | 17.349 | -0.409 | -16.933 | -0.000 | -0.000 |
| 0.393 | 0.393 | -0.409 | 0.000 | -16.932 | -16.956 |
| -0.000 | -0.000 | 0.000 | 0.000 | -5.469 | 27.041 |
| 427.814 | 163.464 | 163.464 | -0.000 | 0.000 | -0.000 |
| 163.464 | 427.814 | 163.464 | -0.000 | 0.000 | -0.000 |
| 163.464 | 163.464 | 427.814 | -0.000 | 0.000 | -0.000 |
| 0.000 | -0.000 | -0.000 | 120.862 | 0.000 | 0.000 |
| -0.000 | 0.000 | -0.000 | 0.000 | 120.862 | -0.000 |
| -0.000 | -0.000 | 0.000 | -0.000 | 0.000 | 120.862 |
| 427.814 | 163.464 | 163.464 | -0.000 | -0.000 | -0.000 |
| 163.464 | 427.814 | 163.464 | -0.000 | -0.000 | 0.000 |
| 163.464 | 163.464 | 427.814 | 0.000 | 0.000 | -0.000 |
| -0.000 | 0.000 | 0.000 | 120.862 | -0.000 | 0.000 |
| 0.000 | -0.000 | 0.000 | -0.000 | 120.862 | 0.000 |
| 0.000 | 0.000 | 0.000 | -0.000 | 0.000 | 120.862 |
| 427.814 | 163.464 | 163.464 | 0.000 | -0.000 | -0.000 |
| 163.464 | 427.814 | 163.464 | 0.000 | 0.000 | -0.000 |
| 163.464 | 163.464 | 427.814 | -0.000 | -0.000 | -0.000 |
| -0.000 | -0.000 | -0.000 | 53.283 | -0.000 | -0.000 |
| -0.000 | -0.000 | -0.000 | 0.000 | 53.283 | -0.000 |
| -0.000 | -0.000 | -0.000 | 0.000 | 0.000 | 53.283 |
| 427.814 | 163.464 | 163.464 | 0.000 | -0.000 | -0.000 |
| 163.464 | 427.814 | 163.464 | -0.000 | -0.000 | -0.000 |
| 163.464 | 163.464 | 427.814 | 0.000 | -0.000 | -0.000 |
| 0.000 | 0.000 | 0.000 | 53.283 | -0.000 | -0.000 |
| 0.000 | 0.000 | 0.000 | -0.000 | 53.283 | 0.000 |
| 0.000 | 0.000 | 0.000 | 0.000 | -0.000 | 53.283 |
| 436.670 | 159.035 | 159.035 | -0.000 | 0.000 | -0.000 |
| 159.035 | 436.670 | 159.035 | -0.000 | 0.000 | -0.000 |
| 159.035 | 159.035 | 436.670 | -0.000 | -0.000 | -0.000 |
| -0.000 | -0.000 | -0.000 | 53.283 | 0.000 | -0.000 |
| -0.000 | -0.000 | -0.000 | -0.000 | 53.283 | -0.000 |
| -0.000 | -0.000 | -0.000 | -0.000 | -0.000 | 53.283 |
| 427.815 | 163.463 | 163.463 | 0.000 | 0.000 | 0.000 |
| 163.463 | 427.815 | 163.463 | -0.000 | -0.000 | 0.000 |
| 163.463 | 163.463 | 427.815 | 0.000 | -0.000 | -0.000 |
| 0.000 | 0.000 | 0.000 | 53.283 | -0.000 | 0.000 |
| 0.000 | 0.000 | 0.000 | 0.000 | 53.283 | 0.000 |
| 0.000 | 0.000 | 0.000 | 0.000 | -0.000 | 53.283 |
| 939.725 | 461.433 | 461.433 | -0.000 | -0.000 | -0.000 |
| 461.433 | 939.725 | 461.433 | -0.000 | -0.000 | -0.000 |
| 461.433 | 461.433 | 939.725 | 0.000 | 0.000 | -0.000 |
| -0.000 | -0.000 | -0.000 | 295.848 | -0.000 | -0.000 |
| -0.000 | -0.000 | -0.000 | -0.000 | 295.847 | -0.000 |
| -0.000 | -0.000 | -0.000 | 0.000 | 0.000 | 295.847 |
| 939.725 | 461.433 | 461.433 | 0.000 | -0.000 | 0.000 |
| 461.433 | 939.725 | 461.433 | -0.000 | 0.000 | 0.000 |
| 461.433 | 461.433 | 939.725 | 0.000 | 0.000 | 0.000 |
| 0.000 | 0.000 | 0.000 | 295.847 | 0.000 | 0.000 |
| 0.000 | 0.000 | 0.000 | 0.000 | 295.847 | 0.000 |
| 0.000 | 0.000 | 0.000 | -0.000 | -0.000 | 295.848 |
| 939.726 | 461.434 | 461.434 | 0.000 | 0.000 | -0.000 |
| 461.434 | 939.726 | 461.434 | 0.000 | 0.000 | -0.000 |
| 461.434 | 461.434 | 939.726 | 0.000 | -0.000 | -0.000 |
| 0.000 | -0.000 | -0.000 | 296.564 | 0.000 | -0.000 |
| -0.000 | 0.000 | -0.000 | -0.000 | 296.564 | -0.000 |
| -0.000 | -0.000 | 0.000 | 0.000 | -0.000 | 296.564 |
| 939.724 | 461.432 | 461.432 | 0.000 | 0.000 | 0.000 |
| 461.432 | 939.724 | 461.432 | 0.000 | 0.000 | -0.000 |
| 461.432 | 461.432 | 939.724 | -0.000 | -0.000 | 0.000 |
| -0.000 | 0.000 | 0.000 | 296.564 | 0.000 | 0.000 |
| 0.000 | -0.000 | 0.000 | 0.000 | 296.564 | 0.000 |
| 0.000 | 0.000 | -0.000 | 0.000 | 0.000 | 296.564 |
| 939.734 | 461.446 | 461.446 | 0.000 | 0.000 | -0.000 |
| 461.446 | 939.734 | 461.446 | -0.000 | 0.000 | -0.000 |
| 461.446 | 461.446 | 939.734 | 0.000 | 0.000 | 0.000 |
| 0.000 | -0.001 | -0.000 | 296.564 | 0.000 | -0.000 |
| -0.001 | 0.000 | -0.000 | 0.000 | 296.564 | -0.000 |
| -0.001 | -0.000 | 0.000 | -0.000 | -0.000 | 296.564 |
| 939.716 | 461.420 | 461.420 | -0.000 | 0.000 | 0.000 |
| 461.420 | 939.716 | 461.420 | 0.000 | 0.000 | 0.000 |
| 461.420 | 461.420 | 939.716 | -0.000 | -0.000 | 0.000 |
| -0.000 | 0.001 | 0.000 | 296.564 | -0.000 | 0.000 |
| 0.001 | -0.000 | 0.000 | -0.000 | 296.564 | 0.000 |
| 0.001 | 0.000 | -0.000 | 0.000 | 0.000 | 296.564 |
| 248.487 | 77.560 | 77.560 | 0.000 | -0.000 | 0.000 |
| 77.560 | 248.487 | 77.560 | -0.000 | 0.000 | -0.000 |
| 77.560 | 77.560 | 248.487 | 0.000 | 0.000 | 0.000 |
| 0.000 | 0.000 | 0.000 | 100.142 | -0.000 | 0.000 |
| 0.000 | 0.000 | 0.000 | 0.000 | 100.142 | 0.000 |
| 0.000 | 0.000 | -0.000 | -0.000 | 0.000 | 100.142 |
| 248.487 | 77.560 | 77.560 | -0.000 | -0.000 | -0.000 |
| 77.560 | 248.487 | 77.560 | 0.000 | 0.000 | 0.000 |
| 77.560 | 77.560 | 248.487 | -0.000 | -0.000 | -0.000 |
| -0.000 | -0.000 | -0.000 | 100.142 | 0.000 | 0.000 |
| -0.000 | -0.000 | -0.000 | -0.000 | 100.142 | 0.000 |
| -0.000 | -0.000 | 0.000 | 0.000 | 0.000 | 100.142 |
| 248.487 | 77.560 | 77.560 | -0.000 | -0.000 | 0.000 |
| 77.560 | 248.487 | 77.560 | -0.000 | 0.000 | 0.000 |
| 77.560 | 77.560 | 248.487 | -0.000 | -0.000 | 0.000 |
| -0.000 | 0.000 | 0.000 | 100.142 | 0.000 | 0.000 |
| 0.000 | -0.000 | 0.000 | -0.000 | 100.142 | 0.000 |
| 0.000 | 0.000 | -0.000 | 0.000 | -0.000 | 100.142 |
| 248.487 | 77.560 | 77.560 | -0.000 | 0.000 | -0.000 |
| 77.560 | 248.487 | 77.560 | 0.000 | -0.000 | -0.000 |
| 77.560 | 77.560 | 248.487 | -0.000 | 0.000 | -0.000 |
| 0.000 | -0.000 | -0.000 | 100.142 | -0.000 | -0.000 |
| -0.000 | 0.000 | -0.000 | 0.000 | 100.142 | -0.000 |
| -0.000 | -0.000 | 0.000 | 0.000 | -0.000 | 100.142 |
| 248.489 | 77.559 | 77.559 | -0.000 | -0.000 | 0.000 |
| 77.559 | 248.489 | 77.559 | 0.000 | -0.000 | 0.000 |
| 77.559 | 77.559 | 248.489 | 0.000 | 0.000 | -0.000 |
| -0.000 | 0.001 | 0.002 | 100.142 | -0.000 | -0.000 |
| 0.001 | -0.000 | 0.002 | -0.000 | 100.142 | 0.000 |
| 0.001 | 0.002 | -0.000 | -0.000 | 0.000 | 100.142 |
| 248.485 | 77.562 | 77.562 | 0.000 | 0.000 | -0.000 |
| 77.562 | 248.485 | 77.562 | -0.000 | 0.000 | -0.000 |
| 77.562 | 77.562 | 248.485 | -0.000 | -0.000 | -0.000 |
| 0.000 | -0.001 | -0.002 | 100.142 | -0.000 | -0.000 |
| -0.001 | 0.000 | -0.002 | -0.000 | 100.142 | -0.000 |
| -0.001 | -0.002 | 0.000 | -0.000 | 0.000 | 100.142 |
| 479.414 | 104.863 | 212.576 | 0.000 | 0.000 | 0.000 |
| 104.862 | 566.628 | 157.163 | -0.000 | 0.000 | 0.000 |
| 230.740 | 185.974 | 828.933 | -0.000 | 0.000 | -0.000 |
| 0.000 | 0.000 | 0.000 | 284.471 | -0.000 | -0.000 |
| 0.005 | 0.009 | 0.008 | 0.000 | 326.975 | -0.000 |
| 0.000 | 0.000 | 0.000 | 0.000 | 0.000 | 220.079 |
| 479.410 | 104.856 | 212.570 | -0.000 | -0.000 | -0.000 |
| 123.539 | 596.251 | 185.973 | 0.000 | -0.000 | -0.000 |
| 230.740 | 185.973 | 828.933 | -0.000 | -0.000 | -0.000 |
| -0.000 | -0.000 | -0.000 | 284.471 | -0.000 | 0.000 |
| -0.005 | -0.009 | -0.008 | 0.000 | 326.975 | -0.000 |
| -0.000 | -0.000 | -0.000 | -0.000 | -0.000 | 220.079 |
| 491.190 | 123.540 | 230.741 | -0.000 | 0.000 | -0.000 |
| 104.861 | 566.626 | 157.161 | -0.000 | 0.000 | -0.000 |
| 212.574 | 157.161 | 800.911 | 0.000 | 0.000 | -0.000 |
| 0.001 | 0.001 | 0.001 | 254.641 | 0.000 | -0.000 |
| -0.000 | -0.000 | 0.000 | 0.000 | 329.422 | 0.000 |
| 0.000 | 0.000 | -0.000 | 0.000 | 0.000 | 220.079 |
| 491.189 | 123.538 | 230.739 | 0.000 | -0.000 | -0.000 |
| 104.858 | 566.624 | 157.159 | -0.000 | -0.000 | -0.000 |
| 212.572 | 157.159 | 800.909 | 0.000 | -0.000 | -0.000 |
| -0.001 | -0.001 | -0.001 | 254.641 | -0.000 | 0.000 |
| 0.000 | 0.000 | -0.000 | 0.000 | 329.422 | -0.000 |
| -0.000 | -0.000 | 0.000 | -0.000 | -0.000 | 220.079 |
| 479.418 | 104.869 | 212.582 | -0.000 | 0.000 | -0.000 |
| 104.870 | 566.634 | 157.169 | -0.000 | -0.000 | 0.000 |
| 230.749 | 185.982 | 828.940 | -0.000 | 0.000 | -0.000 |
| -0.000 | -0.000 | -0.000 | 284.471 | 0.000 | 0.000 |
| -0.001 | -0.000 | 0.000 | 0.000 | 329.422 | 0.000 |
| 0.000 | 0.001 | -0.000 | -0.000 | 0.000 | 220.079 |
| 491.184 | 123.531 | 230.732 | 0.000 | -0.000 | 0.000 |
| 104.850 | 566.616 | 157.151 | -0.000 | -0.000 | -0.000 |
| 212.563 | 157.151 | 800.902 | 0.000 | -0.000 | -0.000 |
| 0.000 | 0.000 | 0.000 | 284.471 | -0.000 | 0.000 |
| 0.001 | 0.000 | -0.000 | 0.000 | 329.422 | -0.000 |
| -0.000 | -0.001 | 0.000 | -0.000 | -0.000 | 220.079 |
| 283.517 | 125.100 | 138.499 | 56.445 | 0.000 | 0.000 |
| 125.100 | 283.517 | 138.499 | -56.445 | 0.000 | 0.000 |
| 134.911 | 134.911 | 427.988 | -0.000 | 0.000 | 0.000 |
| 49.712 | -49.712 | -0.000 | 77.537 | 0.000 | 0.000 |
| -0.000 | -0.000 | -0.000 | -0.000 | 91.192 | 56.445 |
| 0.000 | 0.000 | -0.000 | 0.000 | 49.712 | 75.888 |
| 280.906 | 126.845 | 128.702 | 52.027 | 0.000 | -0.000 |
| 125.100 | 283.517 | 138.499 | -56.445 | -0.000 | -0.000 |
| 138.500 | 138.500 | 509.173 | -0.000 | -0.000 | -0.000 |
| 49.712 | -49.712 | 0.000 | 77.537 | -0.000 | 0.000 |
| 0.000 | 0.000 | 0.000 | 0.000 | 91.192 | 56.445 |
| -0.000 | -0.000 | 0.000 | -0.000 | 49.712 | 75.888 |
| 283.517 | 125.100 | 138.499 | 56.445 | 0.000 | 0.000 |
| 125.100 | 283.517 | 138.499 | -56.445 | 0.000 | 0.000 |
| 134.911 | 134.911 | 427.989 | 0.000 | 0.000 | -0.000 |
| 49.712 | -49.712 | 0.000 | 77.537 | 0.000 | 0.000 |
| -0.000 | -0.000 | -0.000 | -0.000 | 91.192 | 56.445 |
| 0.000 | 0.000 | -0.000 | -0.000 | 56.445 | 79.209 |
| 283.517 | 125.100 | 138.499 | 56.445 | -0.000 | -0.000 |
| 125.100 | 283.517 | 138.499 | -56.445 | -0.000 | -0.000 |
| 134.911 | 134.911 | 427.988 | 0.000 | -0.000 | -0.000 |
| 49.712 | -49.712 | -0.000 | 77.537 | -0.000 | -0.000 |
| 0.000 | 0.000 | 0.000 | 0.000 | 91.192 | 56.445 |
| -0.000 | -0.000 | 0.000 | 0.000 | 56.445 | 79.209 |
| 283.519 | 125.099 | 138.497 | 56.445 | 0.000 | 0.000 |
| 126.845 | 280.907 | 128.702 | -52.026 | 0.000 | 0.000 |
| 134.911 | 134.911 | 427.991 | 0.000 | 0.000 | 0.000 |
| 49.712 | -49.711 | 0.001 | 77.537 | 0.000 | 0.000 |
| -0.000 | -0.000 | -0.001 | -0.000 | 91.192 | 56.445 |
| 0.000 | 0.001 | -0.000 | -0.000 | 56.445 | 79.209 |
| 283.516 | 125.101 | 138.500 | 56.445 | -0.000 | 0.000 |
| 125.100 | 283.516 | 138.500 | -56.446 | -0.000 | -0.000 |
| 134.912 | 134.912 | 427.986 | -0.000 | 0.000 | -0.000 |
| 56.445 | -56.445 | 0.001 | 91.192 | -0.000 | -0.000 |
| 0.000 | 0.000 | 0.001 | 0.000 | 91.192 | 56.445 |
| -0.000 | -0.001 | 0.000 | 0.000 | 56.445 | 79.209 |
| 546.308 | 268.947 | 305.050 | 0.000 | 0.000 | 0.000 |
| 268.947 | 546.308 | 305.050 | 0.000 | 0.000 | 0.000 |
| 305.050 | 305.050 | 563.220 | 0.000 | 0.000 | 0.000 |
| -0.000 | -0.000 | -0.000 | 220.903 | 0.000 | -0.000 |
| -0.000 | -0.000 | -0.000 | 0.000 | 220.903 | -0.000 |
| 0.000 | 0.000 | -0.000 | -0.000 | 0.000 | 183.236 |
| 532.870 | 282.385 | 305.050 | -0.000 | -0.000 | -0.000 |
| 282.385 | 532.870 | 305.050 | -0.000 | -0.000 | 0.000 |
| 305.050 | 305.050 | 563.220 | -0.000 | -0.000 | 0.000 |
| 0.000 | 0.000 | 0.000 | 220.903 | -0.000 | -0.000 |
| 0.000 | 0.000 | 0.000 | -0.000 | 220.903 | 0.000 |
| -0.000 | -0.000 | 0.000 | -0.000 | -0.000 | 183.236 |
| 546.308 | 268.947 | 305.050 | 0.000 | 0.000 | 0.000 |
| 268.947 | 546.308 | 305.050 | 0.000 | 0.000 | 0.000 |
| 305.050 | 305.050 | 563.220 | -0.000 | -0.000 | -0.000 |
| -0.000 | -0.000 | -0.000 | 220.903 | 0.000 | -0.000 |
| -0.000 | -0.000 | -0.000 | 0.000 | 220.903 | -0.000 |
| 0.000 | 0.000 | -0.000 | 0.000 | 0.000 | 183.236 |
| 532.870 | 282.385 | 305.050 | -0.000 | -0.000 | -0.000 |
| 282.385 | 532.870 | 305.050 | -0.000 | -0.000 | -0.000 |
| 305.050 | 305.050 | 563.221 | 0.000 | 0.000 | -0.000 |
| 0.000 | 0.000 | 0.000 | 220.903 | -0.000 | 0.000 |
| 0.000 | 0.000 | 0.000 | -0.000 | 220.903 | 0.000 |
| -0.000 | -0.000 | 0.000 | -0.000 | -0.000 | 183.236 |
| 546.309 | 268.948 | 305.050 | 0.000 | 0.000 | -0.000 |
| 268.948 | 546.309 | 305.050 | 0.000 | 0.000 | 0.000 |
| 305.049 | 305.049 | 563.216 | 0.000 | 0.000 | -0.000 |
| -0.000 | -0.001 | -0.001 | 208.942 | 0.000 | -0.000 |
| -0.001 | -0.000 | -0.001 | 0.000 | 208.942 | -0.000 |
| 0.001 | 0.001 | -0.000 | 0.000 | 0.000 | 183.236 |
| 546.308 | 268.946 | 305.051 | -0.000 | 0.000 | -0.000 |
| 268.946 | 546.308 | 305.051 | -0.000 | -0.000 | -0.000 |
| 305.051 | 305.051 | 563.225 | -0.000 | -0.000 | -0.000 |
| 0.000 | 0.001 | 0.001 | 208.942 | -0.000 | -0.000 |
| 0.001 | 0.000 | 0.001 | -0.000 | 208.942 | -0.000 |
| -0.001 | -0.001 | 0.000 | -0.000 | -0.000 | 183.236 |
| 78.727 | 138.127 | 81.958 | -0.000 | -0.000 | 0.000 |
| 138.127 | 78.727 | 81.958 | 0.000 | 0.000 | 0.000 |
| 81.958 | 81.958 | -199.094 | 0.000 | 0.000 | -0.000 |
| -0.000 | 0.000 | 0.000 | 58.503 | 0.000 | 0.000 |
| 0.000 | -0.000 | 0.000 | -0.000 | 58.503 | 0.000 |
| -0.000 | -0.000 | 0.000 | 0.000 | 0.000 | 114.468 |
| 78.292 | 138.562 | 81.958 | -0.000 | -0.000 | -0.000 |
| 138.562 | 78.292 | 81.958 | -0.000 | -0.000 | -0.000 |
| 81.958 | 81.958 | -199.094 | -0.000 | -0.000 | -0.000 |
| 0.000 | -0.000 | -0.000 | 58.503 | 0.000 | -0.000 |
| -0.000 | 0.000 | -0.000 | -0.000 | 58.503 | -0.000 |
| 0.000 | 0.000 | -0.000 | -0.000 | -0.000 | 114.468 |
| 78.293 | 138.562 | 81.958 | 0.000 | 0.000 | 0.000 |
| 138.562 | 78.293 | 81.958 | 0.000 | 0.000 | 0.000 |
| 81.958 | 81.958 | -199.094 | 0.000 | 0.000 | 0.000 |
| -0.000 | 0.000 | 0.000 | 58.503 | 0.000 | 0.000 |
| 0.000 | -0.000 | 0.000 | -0.000 | 58.503 | 0.000 |
| -0.000 | -0.000 | -0.000 | 0.000 | 0.000 | 114.468 |
| 78.292 | 138.562 | 81.958 | -0.000 | -0.000 | -0.000 |
| 138.562 | 78.292 | 81.958 | -0.000 | -0.000 | -0.000 |
| 81.958 | 81.958 | -199.094 | -0.000 | -0.000 | -0.000 |
| 0.000 | -0.000 | -0.000 | 58.503 | 0.000 | -0.000 |
| -0.000 | 0.000 | -0.000 | -0.000 | 58.503 | -0.000 |
| 0.000 | 0.000 | 0.000 | -0.000 | 0.000 | 114.468 |
| 78.729 | 138.126 | 81.960 | 0.000 | 0.000 | 0.000 |
| 138.126 | 78.729 | 81.960 | 0.000 | 0.000 | 0.000 |
| 81.959 | 81.959 | -199.095 | 0.000 | 0.000 | 0.000 |
| -0.000 | 0.002 | 0.002 | 58.503 | -0.000 | -0.000 |
| 0.002 | -0.000 | 0.002 | 0.000 | 58.503 | 0.000 |
| -0.002 | -0.002 | -0.000 | -0.000 | 0.000 | 114.468 |
| 78.290 | 138.564 | 81.955 | -0.000 | -0.000 | -0.000 |
| 138.564 | 78.290 | 81.955 | -0.000 | -0.000 | -0.000 |
| 81.956 | 81.956 | -199.092 | -0.000 | -0.000 | -0.000 |
| 0.000 | -0.002 | -0.002 | 58.503 | -0.000 | -0.000 |
| -0.002 | 0.000 | -0.002 | -0.000 | 58.503 | -0.000 |
| 0.002 | 0.002 | 0.000 | -0.000 | -0.000 | 114.468 |
| 968.852 | 595.739 | 678.797 | 0.000 | 0.000 | 0.000 |
| 595.739 | 968.852 | 678.797 | 0.000 | 0.000 | 0.000 |
| 683.115 | 683.115 | 1264.670 | -0.000 | 0.000 | 0.000 |
| 0.000 | -0.000 | 0.000 | 296.232 | -0.000 | -0.000 |
| -0.000 | 0.000 | 0.000 | -0.000 | 296.232 | 0.000 |
| -0.000 | -0.000 | 0.000 | 0.000 | 0.000 | 176.466 |
| 1007.467 | 591.210 | 683.114 | -0.000 | -0.000 | 0.000 |
| 595.739 | 968.851 | 678.796 | -0.000 | -0.000 | -0.000 |
| 680.038 | 680.038 | 1263.890 | -0.000 | -0.000 | 0.000 |
| -0.000 | -0.000 | -0.000 | 296.232 | -0.000 | 0.000 |
| 0.000 | 0.000 | -0.000 | 0.000 | 296.232 | -0.000 |
| 0.000 | -0.000 | -0.000 | -0.000 | -0.000 | 176.466 |
| 1007.469 | 591.212 | 683.116 | 0.000 | 0.000 | 0.000 |
| 595.741 | 968.853 | 678.798 | 0.000 | 0.000 | 0.000 |
| 683.116 | 683.116 | 1264.672 | -0.000 | -0.000 | 0.000 |
| 0.000 | -0.000 | 0.000 | 296.349 | -0.000 | 0.000 |
| -0.000 | 0.000 | 0.000 | -0.000 | 296.232 | 0.000 |
| -0.000 | 0.000 | -0.000 | -0.000 | -0.000 | 174.319 |
| 1007.466 | 591.209 | 683.112 | 0.000 | -0.000 | 0.000 |
| 595.737 | 968.850 | 678.795 | -0.000 | -0.000 | 0.000 |
| 683.113 | 683.113 | 1264.668 | 0.000 | 0.000 | 0.000 |
| -0.000 | 0.000 | -0.000 | 296.349 | 0.000 | 0.000 |
| 0.000 | -0.000 | -0.000 | 0.000 | 296.232 | -0.000 |
| 0.000 | -0.000 | 0.000 | 0.000 | 0.000 | 174.319 |
| 968.869 | 595.755 | 678.813 | 0.000 | 0.000 | -0.000 |
| 595.756 | 968.869 | 678.813 | -0.000 | 0.000 | 0.000 |
| 680.056 | 680.056 | 1263.911 | -0.000 | 0.000 | 0.000 |
| 0.000 | -0.000 | 0.001 | 296.349 | -0.000 | 0.000 |
| -0.000 | 0.000 | 0.001 | -0.000 | 296.349 | 0.000 |
| -0.000 | 0.001 | 0.000 | -0.000 | 0.000 | 208.129 |
| 968.833 | 595.723 | 678.780 | -0.000 | -0.000 | -0.000 |
| 591.193 | 1007.450 | 683.097 | 0.000 | 0.000 | -0.000 |
| 683.096 | 683.096 | 1264.650 | -0.000 | 0.000 | 0.000 |
| -0.000 | 0.000 | -0.001 | 296.349 | 0.000 | -0.000 |
| 0.000 | -0.000 | -0.001 | 0.000 | 296.349 | 0.000 |
| 0.000 | -0.001 | -0.000 | 0.000 | -0.000 | 208.129 |
| 132.172 | 55.876 | -3.019 | 0.000 | -0.000 | 0.000 |
| 55.876 | 132.172 | -3.019 | -0.000 | -0.000 | 0.000 |
| -1.845 | -1.845 | -161.092 | 0.000 | -0.000 | 0.000 |
| 0.017 | 0.015 | -0.010 | -84.289 | 0.000 | 0.000 |
| -0.000 | 0.000 | -0.000 | 0.000 | -18.964 | 0.000 |
| 0.000 | 0.000 | 0.000 | -0.000 | -0.000 | 38.148 |
| 132.172 | 55.876 | -3.019 | -0.000 | 0.000 | 0.000 |
| 55.876 | 132.172 | -3.019 | -0.000 | 0.000 | -0.000 |
| 6.810 | 6.810 | -166.584 | 0.000 | 0.000 | -0.000 |
| -0.017 | -0.015 | 0.010 | -84.289 | 0.000 | -0.000 |
| 0.000 | -0.000 | 0.000 | 0.000 | -18.964 | 0.000 |
| -0.000 | -0.000 | -0.000 | -0.000 | 0.000 | 38.148 |
| 89.498 | 52.233 | 11.677 | 0.000 | -0.000 | 0.000 |
| 55.875 | 132.173 | -3.019 | -0.000 | -0.000 | 0.000 |
| 6.811 | 6.811 | -166.585 | -0.000 | 0.000 | 0.000 |
| -0.000 | -0.000 | -0.000 | -18.964 | -0.000 | 0.000 |
| -0.000 | -0.000 | -0.000 | 0.000 | -18.964 | 0.000 |
| -30012165.017 | -31845731.622 | -171049027.485 | 6685797.501 | -4671622.439 | -6127248.619 |
| 132.172 | 55.876 | -3.019 | 0.000 | 0.000 | -0.000 |
| 55.876 | 132.172 | -3.019 | -0.000 | 0.000 | -0.000 |
| -1.844 | -1.844 | -161.091 | 0.000 | 0.000 | -0.000 |
| 0.000 | 0.000 | 0.000 | -18.964 | 0.000 | -0.000 |
| 0.000 | 0.000 | 0.000 | -0.000 | -18.964 | 0.000 |
| 30012168.322 | 31845730.053 | 171049026.960 | -6685804.407 | -4671630.689 | -6127259.813 |
| -2980868.482 | -2537042.415 | -15839809.966 | -373981.803 | -70570.853 | 18549.233 |
| 55.875 | 132.175 | -3.021 | -0.000 | -0.000 | 0.000 |
| 6.809 | 6.809 | -166.593 | -0.000 | -0.000 | 0.000 |
| 0.002 | 0.004 | -0.017 | -141.134 | -0.000 | 0.000 |
| 0.000 | -0.001 | -0.002 | -0.000 | -66.774 | 0.000 |
| -3001232.785 | -3184576.402 | -17104919.836 | 668582.557 | -467142.361 | -612668.146 |
| 89.496 | 52.236 | 11.680 | 0.000 | 0.000 | -0.000 |
| 55.876 | 132.170 | -3.017 | 0.000 | -0.000 | -0.000 |
| -1.841 | -1.841 | -161.084 | -0.000 | -0.000 | -0.000 |
| -0.002 | -0.004 | 0.017 | -141.134 | 0.000 | -0.000 |
| -0.000 | 0.001 | 0.002 | 0.000 | -66.774 | -0.000 |
| 3001228.740 | 3184575.073 | 17104911.479 | -668583.442 | -467144.809 | -612667.543 |
| 520.921 | 216.141 | 326.902 | -0.000 | -0.000 | 0.000 |
| 216.141 | 520.921 | 326.902 | -0.000 | -0.000 | 0.000 |
| 574.866 | 574.866 | 989.561 | -0.000 | -0.000 | -0.000 |
| 128.750 | 128.750 | 323.468 | 250.434 | -0.000 | -0.000 |
| 128.750 | 128.750 | 323.468 | -0.000 | 250.434 | -0.000 |
| -0.000 | 0.000 | 0.000 | -0.000 | -0.000 | 142.907 |
| 520.921 | 216.141 | 326.902 | 0.000 | 0.000 | 0.000 |
| 216.141 | 520.921 | 326.902 | 0.000 | 0.000 | 0.000 |
| 46.596 | 46.596 | 162.347 | 0.000 | 0.000 | 0.000 |
| -128.750 | -128.750 | -323.468 | 250.434 | 0.000 | -0.000 |
| -128.750 | -128.750 | -323.468 | 0.000 | 250.434 | 0.000 |
| 0.000 | 0.000 | 0.000 | 0.000 | 0.000 | 142.907 |
| 520.921 | 216.141 | 326.902 | -0.000 | -0.000 | -0.000 |
| 216.141 | 520.921 | 326.902 | -0.000 | -0.000 | -0.000 |
| 334.395 | 334.395 | 651.997 | -0.000 | -0.000 | -0.000 |
| 26.017 | 26.017 | 55.671 | 234.149 | -0.000 | -0.000 |
| 26.017 | 26.017 | 55.671 | -0.000 | 234.149 | -0.000 |
| 0.000 | 0.000 | 0.000 | -0.000 | -0.000 | 142.907 |
| 504.858 | 200.078 | 287.351 | 0.000 | 0.000 | 0.000 |
| 200.078 | 504.858 | 287.351 | 0.000 | 0.000 | -0.000 |
| 307.390 | 307.390 | 584.637 | 0.000 | 0.000 | -0.000 |
| -26.017 | -26.017 | -55.671 | 234.149 | 0.000 | 0.000 |
| -26.017 | -26.017 | -55.671 | 0.000 | 234.149 | 0.000 |
| -0.000 | -0.000 | -0.000 | 0.000 | 0.000 | 142.907 |
| 515.626 | 210.843 | 312.168 | -0.000 | -0.000 | -0.000 |
| 210.843 | 515.626 | 312.168 | -0.000 | -0.000 | -0.000 |
| 326.901 | 326.901 | 648.616 | -0.000 | -0.000 | 0.000 |
| 2.106 | 2.105 | 5.229 | 236.541 | -0.000 | -0.000 |
| 2.105 | 2.106 | 5.229 | -0.000 | 236.541 | 0.000 |
| 2.643 | 2.644 | 4.143 | -0.000 | -0.000 | 142.907 |
| 515.356 | 210.579 | 314.024 | 0.000 | 0.000 | 0.000 |
| 210.579 | 515.356 | 314.024 | 0.000 | 0.000 | 0.000 |
| 316.139 | 316.139 | 600.011 | 0.000 | 0.000 | 0.000 |
| -2.106 | -2.105 | -5.229 | 236.541 | 0.000 | 0.000 |
| -2.105 | -2.106 | -5.229 | 0.000 | 236.541 | 0.000 |
| -2.643 | -2.644 | -4.143 | 0.000 | 0.000 | 142.907 |
| 2550.200 | 368.674 | 368.674 | -0.000 | -0.000 | -0.000 |
| 368.674 | 2550.200 | 368.674 | -0.000 | -0.000 | -0.000 |
| 368.674 | 368.674 | 2550.200 | -0.000 | -0.000 | -0.000 |
| 0.000 | 0.000 | 0.000 | -73.854 | -0.000 | -0.000 |
| 0.000 | -0.000 | 0.000 | -0.000 | -73.854 | -0.000 |
| 0.000 | 0.000 | 0.000 | -0.000 | -0.000 | -73.854 |
| 2550.198 | 368.674 | 368.674 | 0.000 | 0.000 | 0.000 |
| 368.674 | 2550.198 | 368.674 | 0.000 | 0.000 | 0.000 |
| 368.674 | 368.674 | 2550.198 | 0.000 | 0.000 | 0.000 |
| -0.000 | -0.000 | -0.000 | -73.854 | 0.000 | 0.000 |
| -0.000 | 0.000 | -0.000 | 0.000 | -73.854 | 0.000 |
| -0.000 | -0.000 | -0.000 | 0.000 | 0.000 | -73.854 |
| 2550.209 | 368.676 | 368.676 | -0.000 | -0.000 | -0.000 |
| 368.676 | 2550.209 | 368.676 | -0.000 | -0.000 | -0.000 |
| 368.676 | 368.676 | 2550.209 | 0.000 | 0.000 | -0.000 |
| -0.000 | 0.000 | 0.000 | -73.854 | -0.000 | -0.000 |
| 0.000 | -0.000 | 0.000 | -0.000 | -73.854 | -0.000 |
| 0.000 | 0.000 | -0.000 | -0.000 | -0.000 | -73.854 |
| 2550.188 | 368.673 | 368.673 | 0.000 | 0.000 | 0.000 |
| 368.673 | 2550.188 | 368.673 | 0.000 | 0.000 | 0.000 |
| 368.673 | 368.673 | 2550.188 | 0.000 | 0.000 | 0.000 |
| 0.000 | -0.000 | -0.000 | -73.854 | 0.000 | 0.000 |
| -0.000 | 0.000 | -0.000 | 0.000 | -73.854 | 0.000 |
| -0.000 | -0.000 | 0.000 | 0.000 | 0.000 | -73.854 |
| 2550.302 | 368.690 | 368.690 | -0.000 | -0.000 | -0.000 |
| 368.690 | 2550.302 | 368.690 | -0.000 | -0.000 | -0.000 |
| 368.690 | 368.690 | 2550.302 | -0.000 | -0.000 | -0.000 |
| -0.000 | 0.003 | 0.002 | -73.854 | -0.000 | -0.000 |
| 0.003 | -0.000 | 0.002 | -0.000 | -73.854 | -0.000 |
| 0.003 | 0.002 | -0.000 | -0.000 | -0.000 | -73.854 |
| 2550.095 | 368.658 | 368.658 | 0.000 | 0.000 | 0.000 |
| 368.658 | 2550.095 | 368.658 | 0.000 | 0.000 | 0.000 |
| 368.658 | 368.658 | 2550.095 | 0.000 | 0.000 | 0.000 |
| 0.000 | -0.003 | -0.002 | -73.854 | 0.000 | 0.000 |
| -0.003 | 0.000 | -0.002 | 0.000 | -73.854 | 0.000 |
| -0.003 | -0.002 | 0.000 | 0.000 | 0.000 | -73.854 |
| 517.698 | 29.898 | 29.898 | 0.000 | 0.000 | -0.000 |
| 29.898 | 517.698 | 29.898 | 0.000 | 0.000 | -0.000 |
| 29.898 | 29.898 | 517.698 | -0.000 | -0.000 | -0.000 |
| 0.000 | 0.000 | -0.000 | 28.960 | -0.000 | 0.000 |
| 0.000 | 0.000 | -0.000 | 0.000 | 28.960 | -0.000 |
| 0.000 | -0.000 | 0.000 | 0.000 | 0.000 | 28.960 |
| 517.698 | 29.898 | 29.898 | -0.000 | -0.000 | 0.000 |
| 29.898 | 517.698 | 29.898 | -0.000 | -0.000 | 0.000 |
| 29.898 | 29.898 | 517.698 | -0.000 | -0.000 | 0.000 |
| -0.000 | -0.000 | 0.000 | 28.960 | -0.000 | 0.000 |
| -0.000 | -0.000 | 0.000 | -0.000 | 28.960 | -0.000 |
| -0.000 | 0.000 | -0.000 | -0.000 | -0.000 | 28.960 |
| 517.698 | 29.898 | 29.898 | 0.000 | 0.000 | -0.000 |
| 29.898 | 517.698 | 29.898 | 0.000 | 0.000 | -0.000 |
| 29.898 | 29.898 | 517.698 | -0.000 | -0.000 | -0.000 |
| 0.000 | -0.000 | -0.000 | 28.960 | 0.000 | 0.000 |
| -0.000 | 0.000 | -0.000 | 0.000 | 28.960 | -0.000 |
| -0.000 | -0.000 | 0.000 | 0.000 | 0.000 | 28.960 |
| 517.697 | 29.898 | 29.898 | -0.000 | -0.000 | -0.000 |
| 29.898 | 517.697 | 29.898 | -0.000 | 0.000 | 0.000 |
| 29.898 | 29.898 | 517.697 | -0.000 | -0.000 | 0.000 |
| -0.000 | 0.000 | 0.000 | 28.960 | -0.000 | 0.000 |
| 0.000 | -0.000 | 0.000 | -0.000 | 28.960 | 0.000 |
| 0.000 | 0.000 | -0.000 | 0.000 | 0.000 | 28.960 |
| 517.703 | 29.899 | 29.899 | 0.000 | 0.000 | -0.000 |
| 29.899 | 517.703 | 29.899 | 0.000 | 0.000 | 0.000 |
| 29.899 | 29.899 | 517.703 | 0.000 | 0.000 | -0.000 |
| 0.000 | -0.000 | -0.000 | 28.960 | -0.000 | 0.000 |
| -0.000 | 0.000 | -0.000 | -0.000 | 28.960 | 0.000 |
| -0.000 | -0.000 | 0.000 | 0.000 | 0.000 | 28.960 |
| 517.693 | 29.898 | 29.898 | -0.000 | -0.000 | 0.000 |
| 29.898 | 517.693 | 29.898 | 0.000 | -0.000 | 0.000 |
| 29.898 | 29.898 | 517.693 | -0.000 | -0.000 | 0.000 |
| -0.000 | 0.000 | 0.000 | 28.960 | -0.000 | 0.000 |
| 0.000 | -0.000 | 0.000 | -0.000 | 28.960 | -0.000 |
| 0.000 | 0.000 | -0.000 | -0.000 | -0.000 | 28.960 |
| 683.626 | 412.970 | 412.970 | -0.000 | -0.000 | -0.000 |
| 412.970 | 683.626 | 412.970 | -0.000 | -0.000 | -0.000 |
| 412.970 | 412.970 | 683.626 | -0.000 | -0.000 | -0.000 |
| 0.000 | -0.000 | 0.000 | 281.343 | -0.000 | -0.000 |
| -0.000 | 0.000 | -0.000 | -0.000 | 281.343 | -0.000 |
| -0.000 | 0.000 | 0.000 | -0.000 | -0.000 | 281.343 |
| 683.625 | 412.969 | 412.969 | 0.000 | 0.000 | 0.000 |
| 412.969 | 683.625 | 412.969 | 0.000 | 0.000 | 0.000 |
| 412.969 | 412.969 | 683.625 | 0.000 | 0.000 | 0.000 |
| -0.000 | 0.000 | -0.000 | 281.343 | 0.000 | 0.000 |
| 0.000 | -0.000 | -0.000 | 0.000 | 281.343 | 0.000 |
| 0.000 | -0.000 | -0.000 | 0.000 | 0.000 | 281.343 |
| 683.626 | 412.970 | 412.970 | -0.000 | -0.000 | -0.000 |
| 412.970 | 683.626 | 412.970 | -0.000 | -0.000 | -0.000 |
| 412.970 | 412.970 | 683.626 | -0.000 | -0.000 | 0.000 |
| 0.000 | -0.000 | -0.000 | 281.343 | -0.000 | -0.000 |
| -0.000 | 0.000 | -0.000 | -0.000 | 281.343 | -0.000 |
| -0.000 | -0.000 | 0.000 | -0.000 | -0.000 | 281.343 |
| 683.625 | 412.969 | 412.969 | 0.000 | 0.000 | -0.000 |
| 412.969 | 683.625 | 412.969 | 0.000 | 0.000 | 0.000 |
| 412.969 | 412.969 | 683.625 | 0.000 | 0.000 | 0.000 |
| -0.000 | 0.000 | 0.000 | 281.343 | 0.000 | -0.000 |
| 0.000 | -0.000 | 0.000 | 0.000 | 281.343 | 0.000 |
| 0.000 | 0.000 | -0.000 | 0.000 | 0.000 | 281.343 |
| 683.630 | 412.978 | 412.978 | -0.000 | -0.000 | -0.000 |
| 412.978 | 683.630 | 412.978 | -0.000 | -0.000 | -0.000 |
| 412.978 | 412.978 | 683.630 | -0.000 | -0.000 | -0.000 |
| 0.000 | -0.001 | -0.001 | 281.343 | -0.000 | -0.000 |
| -0.001 | 0.000 | -0.001 | -0.000 | 281.343 | -0.000 |
| -0.001 | -0.001 | 0.000 | -0.000 | -0.000 | 281.343 |
| 683.621 | 412.961 | 412.961 | 0.000 | 0.000 | -0.000 |
| 412.961 | 683.621 | 412.961 | 0.000 | 0.000 | 0.000 |
| 412.961 | 412.961 | 683.621 | 0.000 | 0.000 | 0.000 |
| -0.000 | 0.001 | 0.001 | 281.343 | 0.000 | 0.000 |
| 0.001 | -0.000 | 0.001 | 0.000 | 281.343 | 0.000 |
| 0.001 | 0.001 | -0.000 | 0.000 | 0.000 | 281.343 |
| 112.978 | 167.192 | 167.192 | 0.000 | 0.000 | 0.000 |
| 167.192 | 112.978 | 167.192 | 0.000 | 0.000 | 0.000 |
| 167.192 | 167.192 | 112.978 | 0.000 | 0.000 | 0.000 |
| -0.000 | -0.000 | -0.000 | 173.772 | -0.000 | 0.000 |
| -0.000 | -0.000 | -0.000 | -0.000 | 173.772 | 0.000 |
| -0.000 | -0.000 | 0.000 | 0.000 | 0.000 | 173.772 |
| 112.978 | 167.192 | 167.192 | -0.000 | -0.000 | -0.000 |
| 167.192 | 112.978 | 167.192 | -0.000 | -0.000 | -0.000 |
| 167.192 | 167.192 | 112.978 | -0.000 | -0.000 | -0.000 |
| 0.000 | 0.000 | 0.000 | 173.772 | -0.000 | -0.000 |
| 0.000 | 0.000 | 0.000 | -0.000 | 173.772 | -0.000 |
| 0.000 | 0.000 | -0.000 | -0.000 | -0.000 | 173.772 |
| 112.978 | 167.192 | 167.192 | 0.000 | 0.000 | 0.000 |
| 167.192 | 112.978 | 167.192 | 0.000 | 0.000 | 0.000 |
| 167.192 | 167.192 | 112.978 | 0.000 | 0.000 | 0.000 |
| 0.000 | -0.000 | -0.000 | 173.772 | 0.000 | 0.000 |
| -0.000 | 0.000 | -0.000 | 0.000 | 173.772 | 0.000 |
| -0.000 | -0.000 | 0.000 | 0.000 | 0.000 | 173.772 |
| 112.979 | 167.192 | 167.192 | -0.000 | -0.000 | -0.000 |
| 167.192 | 112.979 | 167.192 | -0.000 | -0.000 | -0.000 |
| 167.192 | 167.192 | 112.979 | -0.000 | -0.000 | -0.000 |
| -0.000 | 0.000 | 0.000 | 173.772 | -0.000 | -0.000 |
| 0.000 | -0.000 | 0.000 | -0.000 | 173.772 | -0.000 |
| 0.000 | 0.000 | -0.000 | -0.000 | -0.000 | 173.772 |
| 112.972 | 167.191 | 167.191 | 0.000 | 0.000 | 0.000 |
| 167.191 | 112.972 | 167.191 | 0.000 | 0.000 | 0.000 |
| 167.191 | 167.191 | 112.972 | 0.000 | -0.000 | 0.000 |
| 0.000 | -0.001 | -0.000 | 173.772 | -0.000 | 0.000 |
| -0.001 | 0.000 | -0.000 | -0.000 | 173.772 | 0.000 |
| -0.001 | -0.000 | 0.000 | 0.000 | 0.000 | 173.772 |
| 112.985 | 167.192 | 167.192 | -0.000 | -0.000 | -0.000 |
| 167.192 | 112.985 | 167.192 | -0.000 | -0.000 | -0.000 |
| 167.192 | 167.192 | 112.985 | -0.000 | -0.000 | -0.000 |
| -0.000 | 0.001 | 0.000 | 173.772 | -0.000 | -0.000 |
| 0.001 | -0.000 | 0.000 | -0.000 | 173.772 | -0.000 |
| 0.001 | 0.000 | -0.000 | -0.000 | -0.000 | 173.772 |
| 105.159 | 89.691 | 89.691 | 0.000 | 0.000 | 0.000 |
| 89.691 | 105.159 | 89.691 | 0.000 | 0.000 | 0.000 |
| 89.691 | 89.691 | 105.159 | 0.000 | 0.000 | 0.000 |
| -0.000 | -0.000 | -0.000 | 0.433 | 0.000 | 0.000 |
| -0.000 | -0.000 | -0.000 | 0.000 | 0.433 | 0.000 |
| -0.000 | -0.000 | -0.000 | 0.000 | 0.000 | 0.433 |
| 105.159 | 89.691 | 89.691 | -0.000 | -0.000 | -0.000 |
| 89.691 | 105.159 | 89.691 | -0.000 | -0.000 | -0.000 |
| 89.691 | 89.691 | 105.159 | -0.000 | -0.000 | -0.000 |
| -0.000 | 0.000 | 0.000 | 75.779 | -0.000 | -0.000 |
| 0.000 | -0.000 | 0.000 | -0.000 | 75.779 | -0.000 |
| 0.000 | 0.000 | -0.000 | -0.000 | -0.000 | 75.779 |
| 105.159 | 89.691 | 89.691 | -0.000 | 0.000 | 0.000 |
| 89.691 | 105.159 | 89.691 | 0.000 | -0.000 | 0.000 |
| 89.691 | 89.691 | 105.159 | 0.000 | 0.000 | -0.000 |
| -0.000 | -0.000 | -0.000 | 0.433 | 0.000 | 0.000 |
| -0.000 | -0.000 | -0.000 | 0.000 | 0.433 | 0.000 |
| -0.000 | -0.000 | -0.000 | 0.000 | 0.000 | 0.433 |
| 105.159 | 89.691 | 89.691 | 0.000 | -0.000 | -0.000 |
| 89.691 | 105.159 | 89.691 | -0.000 | 0.000 | -0.000 |
| 89.691 | 89.691 | 105.159 | -0.000 | -0.000 | 0.000 |
| 0.000 | 0.000 | 0.000 | 0.433 | -0.000 | -0.000 |
| 0.000 | 0.000 | 0.000 | -0.000 | 0.433 | -0.000 |
| 0.000 | 0.000 | 0.000 | -0.000 | -0.000 | 0.433 |
| 105.157 | 89.691 | 89.691 | 0.000 | 0.000 | 0.000 |
| 89.691 | 105.157 | 89.691 | 0.000 | 0.000 | 0.000 |
| 89.691 | 89.691 | 105.157 | 0.000 | 0.000 | 0.000 |
| -0.000 | -0.000 | -0.000 | 0.433 | 0.000 | 0.000 |
| -0.000 | -0.000 | -0.000 | 0.000 | 0.433 | 0.000 |
| -0.000 | -0.000 | -0.000 | 0.000 | 0.000 | 0.433 |
| 105.161 | 89.691 | 89.691 | -0.000 | -0.000 | -0.000 |
| 89.691 | 105.161 | 89.691 | -0.000 | -0.000 | -0.000 |
| 89.691 | 89.691 | 105.161 | -0.000 | -0.000 | -0.000 |
| 0.000 | 0.000 | 0.000 | 0.433 | -0.000 | -0.000 |
| 0.000 | 0.000 | 0.000 | -0.000 | 0.433 | -0.000 |
| 0.000 | 0.000 | 0.000 | -0.000 | -0.000 | 0.433 |
| 682.668 | 366.630 | 444.603 | -0.000 | 0.000 | -0.000 |
| 366.630 | 682.668 | 444.603 | 0.000 | -0.000 | -0.000 |
| 444.603 | 444.603 | 1014.475 | 0.000 | 0.000 | -0.000 |
| -0.000 | -0.000 | 0.000 | 234.234 | 0.000 | -0.000 |
| -0.000 | -0.000 | 0.000 | 0.000 | 234.234 | -0.000 |
| -0.000 | -0.000 | 0.000 | 0.000 | 0.000 | 162.017 |
| 682.668 | 366.630 | 444.602 | -0.000 | -0.000 | 0.000 |
| 366.630 | 682.668 | 444.602 | -0.000 | -0.000 | 0.000 |
| 444.602 | 444.602 | 1014.474 | -0.000 | -0.000 | 0.000 |
| 0.000 | 0.000 | -0.000 | 234.234 | 0.000 | 0.000 |
| 0.000 | 0.000 | -0.000 | 0.000 | 234.234 | 0.000 |
| 0.000 | 0.000 | -0.000 | 0.000 | -0.000 | 162.017 |
| 682.669 | 366.631 | 444.604 | 0.000 | 0.000 | -0.000 |
| 366.631 | 682.669 | 444.604 | -0.000 | 0.000 | -0.000 |
| 444.604 | 444.604 | 1014.476 | -0.000 | 0.000 | -0.000 |
| 0.000 | 0.000 | 0.000 | 234.234 | 0.000 | -0.000 |
| 0.000 | 0.000 | 0.000 | 0.000 | 234.234 | -0.000 |
| -0.000 | 0.000 | 0.000 | 0.000 | 0.000 | 162.017 |
| 682.666 | 366.629 | 444.601 | 0.000 | 0.000 | 0.000 |
| 366.629 | 682.666 | 444.601 | 0.000 | 0.000 | 0.000 |
| 444.601 | 444.601 | 1014.473 | 0.000 | -0.000 | 0.000 |
| -0.000 | -0.000 | -0.000 | 234.234 | -0.000 | 0.000 |
| -0.000 | -0.000 | -0.000 | -0.000 | 234.234 | 0.000 |
| 0.000 | -0.000 | -0.000 | -0.000 | -0.000 | 162.017 |
| 682.679 | 366.640 | 444.614 | 0.000 | -0.000 | -0.000 |
| 366.640 | 682.679 | 444.614 | -0.000 | 0.000 | -0.000 |
| 444.615 | 444.615 | 1014.490 | 0.000 | 0.000 | -0.000 |
| 0.001 | 0.000 | 0.002 | 234.234 | 0.000 | -0.000 |
| 0.000 | 0.001 | 0.002 | 0.000 | 234.234 | -0.000 |
| -0.000 | 0.000 | 0.001 | 0.000 | 0.000 | 162.017 |
| 682.656 | 366.620 | 444.591 | -0.000 | -0.000 | 0.000 |
| 366.620 | 682.656 | 444.591 | 0.000 | -0.000 | 0.000 |
| 444.590 | 444.590 | 1014.459 | 0.000 | 0.000 | 0.000 |
| -0.001 | -0.000 | -0.002 | 234.234 | -0.000 | 0.000 |
| -0.000 | -0.001 | -0.002 | -0.000 | 234.234 | 0.000 |
| 0.000 | -0.000 | -0.001 | -0.000 | -0.000 | 162.017 |
| 220.329 | -5.917 | 103.318 | 0.000 | -0.000 | -0.000 |
| -5.917 | 220.329 | 103.318 | -0.000 | -0.000 | 0.000 |
| 103.318 | 103.318 | 402.563 | -0.000 | -0.000 | 0.000 |
| -0.000 | -0.000 | -0.000 | 192.457 | -0.000 | 0.000 |
| -0.000 | -0.000 | -0.000 | -0.000 | 192.457 | 0.000 |
| 0.000 | 0.000 | -0.000 | -0.000 | -0.000 | 94.223 |
| 220.329 | -5.917 | 103.318 | 0.000 | 0.000 | -0.000 |
| -5.917 | 220.329 | 103.318 | 0.000 | 0.000 | 0.000 |
| 103.318 | 103.318 | 402.564 | -0.000 | 0.000 | -0.000 |
| 0.000 | 0.000 | 0.000 | 192.457 | 0.000 | -0.000 |
| 0.000 | 0.000 | 0.000 | 0.000 | 192.457 | -0.000 |
| -0.000 | -0.000 | 0.000 | -0.000 | 0.000 | 94.223 |
| 220.328 | -5.918 | 103.317 | -0.000 | -0.000 | 0.000 |
| -5.918 | 220.328 | 103.317 | -0.000 | -0.000 | 0.000 |
| 103.317 | 103.317 | 402.563 | -0.000 | -0.000 | 0.000 |
| -0.000 | -0.000 | -0.000 | 192.457 | -0.000 | 0.000 |
| -0.000 | -0.000 | -0.000 | -0.000 | 192.457 | 0.000 |
| -0.000 | -0.000 | -0.000 | -0.000 | -0.000 | 94.223 |
| 220.329 | -5.917 | 103.318 | -0.000 | 0.000 | -0.000 |
| -5.917 | 220.329 | 103.318 | 0.000 | 0.000 | -0.000 |
| 103.318 | 103.318 | 402.564 | 0.000 | 0.000 | -0.000 |
| 0.000 | 0.000 | 0.000 | 192.457 | 0.000 | 0.000 |
| 0.000 | 0.000 | 0.000 | 0.000 | 192.457 | -0.000 |
| 0.000 | 0.000 | 0.000 | 0.000 | 0.000 | 94.223 |
| 220.325 | -5.922 | 103.313 | -0.000 | -0.000 | 0.000 |
| -5.922 | 220.325 | 103.313 | -0.000 | -0.000 | 0.000 |
| 103.313 | 103.313 | 402.555 | -0.000 | -0.000 | 0.000 |
| -0.000 | -0.001 | -0.002 | 192.457 | -0.000 | -0.000 |
| -0.001 | -0.000 | -0.002 | -0.000 | 192.457 | 0.000 |
| -0.000 | -0.000 | -0.000 | -0.000 | -0.000 | 94.223 |
| 220.332 | -5.913 | 103.322 | 0.000 | 0.000 | 0.000 |
| -5.913 | 220.332 | 103.322 | 0.000 | 0.000 | -0.000 |
| 103.323 | 103.323 | 402.572 | 0.000 | 0.000 | -0.000 |
| 0.000 | 0.001 | 0.002 | 192.457 | 0.000 | -0.000 |
| 0.001 | 0.000 | 0.002 | 0.000 | 192.457 | -0.000 |
| 0.000 | 0.000 | 0.000 | 0.000 | 0.000 | 94.223 |
| 709.325 | 667.764 | 675.098 | -0.000 | -0.000 | 0.000 |
| 667.764 | 709.325 | 675.098 | -0.000 | -0.000 | 0.000 |
| 675.098 | 675.098 | -324.703 | -0.000 | -0.000 | -0.000 |
| 0.000 | -0.000 | -0.000 | 210.966 | -0.000 | 0.000 |
| -0.000 | 0.000 | 0.000 | -0.000 | 210.966 | -0.000 |
| 0.000 | 0.000 | 0.000 | -0.000 | -0.000 | 210.614 |
| 709.325 | 667.764 | 675.098 | 0.000 | 0.000 | -0.000 |
| 667.764 | 709.325 | 675.098 | 0.000 | 0.000 | 0.000 |
| 675.098 | 675.098 | -324.704 | 0.000 | 0.000 | -0.000 |
| -0.000 | -0.000 | -0.000 | 210.966 | 0.000 | -0.000 |
| 0.000 | -0.000 | -0.000 | 0.000 | 210.966 | -0.000 |
| -0.000 | -0.000 | 0.000 | 0.000 | 0.000 | 210.614 |
| 709.327 | 667.765 | 675.100 | -0.000 | -0.000 | 0.000 |
| 667.765 | 709.327 | 675.100 | -0.000 | -0.000 | 0.000 |
| 675.100 | 675.100 | -324.703 | -0.000 | -0.000 | 0.000 |
| 0.000 | 0.000 | 0.000 | 210.966 | -0.000 | 0.000 |
| 0.000 | 0.000 | 0.000 | -0.000 | 210.966 | 0.000 |
| 0.000 | 0.000 | 0.000 | -0.000 | -0.000 | 210.614 |
| 709.324 | 667.762 | 675.097 | 0.000 | 0.000 | -0.000 |
| 667.762 | 709.324 | 675.097 | 0.000 | 0.000 | -0.000 |
| 675.097 | 675.097 | -324.705 | 0.000 | 0.000 | -0.000 |
| -0.000 | -0.000 | -0.000 | 210.966 | 0.000 | 0.000 |
| -0.000 | -0.000 | -0.000 | 0.000 | 210.966 | -0.000 |
| -0.000 | -0.000 | -0.000 | 0.000 | 0.000 | 210.614 |
| 709.343 | 667.780 | 675.113 | -0.000 | -0.000 | 0.000 |
| 667.780 | 709.343 | 675.113 | -0.000 | -0.000 | 0.000 |
| 675.113 | 675.113 | -324.694 | -0.000 | -0.000 | 0.000 |
| 0.001 | 0.000 | 0.001 | 210.966 | -0.000 | -0.000 |
| 0.000 | 0.001 | 0.001 | -0.000 | 210.966 | 0.000 |
| 0.001 | 0.002 | 0.001 | -0.000 | -0.000 | 210.614 |
| 709.307 | 667.748 | 675.083 | 0.000 | 0.000 | -0.000 |
| 667.748 | 709.307 | 675.083 | 0.000 | 0.000 | 0.000 |
| 675.083 | 675.083 | -324.713 | 0.000 | 0.000 | -0.000 |
| -0.001 | -0.000 | -0.001 | 210.966 | 0.000 | -0.000 |
| -0.000 | -0.001 | -0.001 | 0.000 | 210.966 | -0.000 |
| -0.001 | -0.002 | -0.001 | 0.000 | 0.000 | 210.614 |
| 615.906 | 259.301 | 384.598 | 0.000 | 0.000 | -0.000 |
| 259.301 | 765.558 | 399.893 | 0.000 | 0.000 | 0.000 |
| 384.598 | 399.893 | 913.457 | 0.000 | 0.000 | -0.000 |
| -0.000 | -0.000 | 0.000 | 356.844 | 0.000 | 0.000 |
| -0.000 | -0.000 | 0.000 | 0.000 | 341.436 | -0.000 |
| -0.000 | 0.000 | -0.000 | 0.000 | 0.000 | 217.328 |
| 615.906 | 259.300 | 384.597 | -0.000 | -0.000 | -0.000 |
| 259.300 | 765.558 | 399.893 | -0.000 | -0.000 | -0.000 |
| 384.597 | 399.893 | 913.457 | -0.000 | -0.000 | -0.000 |
| 0.000 | 0.000 | -0.000 | 356.844 | -0.000 | -0.000 |
| 0.000 | 0.000 | -0.000 | -0.000 | 341.436 | -0.000 |
| 0.000 | -0.000 | 0.000 | -0.000 | -0.000 | 217.328 |
| 615.907 | 259.301 | 384.598 | 0.000 | 0.000 | -0.000 |
| 259.301 | 765.558 | 399.893 | 0.000 | 0.000 | 0.000 |
| 384.598 | 399.894 | 913.458 | 0.000 | 0.000 | -0.000 |
| -0.000 | -0.000 | 0.000 | 356.844 | 0.000 | 0.000 |
| -0.000 | -0.000 | 0.000 | 0.000 | 341.436 | 0.000 |
| -0.000 | 0.000 | -0.000 | -0.000 | 0.000 | 217.328 |
| 615.905 | 259.300 | 384.597 | -0.000 | -0.000 | 0.000 |
| 259.300 | 765.557 | 399.892 | -0.000 | -0.000 | -0.000 |
| 384.597 | 399.892 | 913.456 | -0.000 | -0.000 | 0.000 |
| 0.000 | 0.000 | -0.000 | 356.844 | -0.000 | -0.000 |
| 0.000 | 0.000 | -0.000 | -0.000 | 341.436 | -0.000 |
| 0.000 | -0.000 | 0.000 | 0.000 | -0.000 | 217.328 |
| 615.913 | 259.308 | 384.605 | 0.000 | 0.000 | 0.000 |
| 259.308 | 765.562 | 399.900 | 0.000 | 0.000 | 0.000 |
| 384.606 | 399.902 | 913.466 | 0.000 | 0.000 | -0.000 |
| -0.000 | -0.001 | 0.001 | 356.844 | 0.000 | 0.000 |
| -0.001 | -0.000 | 0.000 | 0.000 | 341.436 | -0.000 |
| -0.000 | 0.000 | -0.000 | 0.000 | 0.000 | 217.328 |
| 615.899 | 259.293 | 384.590 | -0.000 | -0.000 | -0.000 |
| 259.293 | 765.553 | 399.885 | -0.000 | -0.000 | -0.000 |
| 384.589 | 399.884 | 913.449 | -0.000 | -0.000 | -0.000 |
| 0.000 | 0.001 | -0.001 | 356.844 | -0.000 | -0.000 |
| 0.001 | 0.000 | -0.000 | -0.000 | 341.436 | 0.000 |
| 0.000 | -0.000 | 0.000 | -0.000 | -0.000 | 217.328 |
| 384.334 | 186.223 | 85.499 | -15.546 | -0.000 | -0.000 |
| 186.223 | 384.334 | 85.499 | 15.545 | 0.000 | -0.000 |
| 85.499 | 85.499 | 144.136 | -0.000 | -0.000 | -0.000 |
| -15.546 | 15.546 | -0.000 | 6.173 | -0.000 | -0.000 |
| -0.000 | 0.000 | -0.000 | 0.000 | 6.173 | -15.546 |
| 0.000 | 0.000 | 0.000 | -0.000 | -15.546 | 99.055 |
| 384.334 | 186.223 | 85.499 | -15.546 | -0.000 | 0.000 |
| 186.223 | 384.334 | 85.499 | 15.546 | -0.000 | 0.000 |
| 85.499 | 85.499 | 144.136 | 0.000 | 0.000 | 0.000 |
| -15.546 | 15.546 | 0.000 | 6.173 | 0.000 | 0.000 |
| 0.000 | -0.000 | 0.000 | -0.000 | 6.173 | -15.546 |
| -0.000 | -0.000 | -0.000 | 0.000 | -15.546 | 99.055 |
| 384.335 | 186.224 | 85.500 | -15.545 | -0.000 | -0.000 |
| 186.224 | 384.335 | 85.500 | 15.545 | -0.000 | -0.000 |
| 85.500 | 85.500 | 144.135 | 0.000 | -0.000 | -0.000 |
| -15.546 | 15.545 | -0.000 | 6.173 | 0.000 | -0.000 |
| -0.000 | -0.000 | -0.000 | 0.000 | 6.173 | -15.546 |
| 0.000 | 0.000 | -0.000 | 0.000 | -15.546 | 99.055 |
| 384.333 | 186.222 | 85.499 | -15.546 | 0.000 | 0.000 |
| 186.222 | 384.333 | 85.499 | 15.546 | 0.000 | 0.000 |
| 85.499 | 85.499 | 144.136 | 0.000 | 0.000 | 0.000 |
| -15.546 | 15.546 | 0.000 | 6.173 | 0.000 | 0.000 |
| 0.000 | 0.000 | 0.000 | -0.000 | 6.173 | -15.546 |
| -0.000 | -0.000 | 0.000 | -0.000 | -15.546 | 99.055 |
| 384.346 | 186.232 | 85.506 | -15.545 | -0.000 | -0.000 |
| 186.232 | 384.345 | 85.506 | 15.545 | -0.000 | -0.000 |
| 85.504 | 85.504 | 144.135 | -0.000 | -0.000 | -0.000 |
| -15.546 | 15.545 | -0.002 | 6.172 | 0.000 | -0.000 |
| -0.000 | -0.000 | -0.002 | 0.001 | 6.173 | -15.546 |
| 0.000 | 0.001 | -0.000 | 0.000 | -15.546 | 99.055 |
| 384.322 | 186.215 | 85.493 | -15.546 | 0.000 | 0.000 |
| 186.214 | 384.323 | 85.493 | 15.546 | -0.000 | 0.000 |
| 85.495 | 85.495 | 144.137 | 0.000 | 0.000 | 0.000 |
| -15.545 | 15.546 | 0.002 | 6.174 | 0.000 | 0.000 |
| 0.000 | 0.000 | 0.002 | -0.001 | 6.173 | -15.546 |
| -0.000 | -0.001 | 0.000 | -0.000 | -15.546 | 99.055 |
| 1305.137 | 622.520 | 648.019 | -0.000 | -0.000 | -0.000 |
| 636.538 | 819.496 | 523.671 | 0.000 | -0.000 | -0.000 |
| 799.873 | 704.706 | 1162.282 | -0.000 | -0.000 | -0.000 |
| -48.620 | -58.537 | -18.132 | 129.721 | -0.000 | -0.000 |
| -25.363 | -30.536 | -9.458 | -0.000 | 261.520 | -0.000 |
| -42.620 | -51.312 | -15.894 | -0.000 | -0.000 | 235.473 |
| 1389.489 | 725.693 | 727.130 | -0.000 | 0.000 | 0.000 |
| 722.186 | 924.487 | 610.846 | 0.000 | 0.000 | 0.000 |
| 755.165 | 644.330 | 952.421 | 0.000 | -0.000 | 0.000 |
| 48.620 | 58.537 | 18.132 | 129.721 | 0.000 | 0.000 |
| 25.363 | 30.536 | 9.459 | -0.000 | 261.520 | 0.000 |
| 42.620 | 51.312 | 15.894 | 0.000 | 0.000 | 235.473 |
| 1409.021 | 751.428 | 799.874 | -0.000 | -0.000 | -0.000 |
| 674.475 | 866.912 | 589.176 | 0.000 | 0.000 | -0.000 |
| 799.874 | 704.708 | 1162.284 | 0.000 | -0.000 | -0.000 |
| -5.690 | -6.850 | -2.122 | 119.355 | -0.000 | -0.000 |
| -0.000 | 0.000 | 0.000 | -0.000 | 277.461 | -0.000 |
| -4.262 | -5.131 | -1.589 | -0.000 | -0.000 | 235.473 |
| 1409.018 | 751.425 | 799.871 | 0.000 | 0.000 | 0.000 |
| 751.425 | 962.502 | 704.705 | 0.000 | 0.000 | 0.000 |
| 715.527 | 596.495 | 934.354 | 0.000 | -0.000 | 0.000 |
| 5.690 | 6.850 | 2.122 | 119.355 | 0.000 | 0.000 |
| 0.000 | -0.000 | -0.000 | 0.000 | 277.461 | 0.000 |
| 4.262 | 5.131 | 1.589 | -0.000 | 0.000 | 235.473 |
| 1350.219 | 678.360 | 710.936 | -0.000 | 0.000 | -0.000 |
| 678.451 | 871.708 | 590.995 | -0.000 | 0.000 | -0.000 |
| 710.697 | 590.666 | 932.171 | 0.000 | 0.000 | -0.000 |
| -0.562 | -0.682 | -0.420 | 91.963 | 0.000 | 0.000 |
| -0.375 | -0.452 | -0.155 | -0.000 | 265.569 | 0.000 |
| 0.002 | 0.001 | 0.000 | -0.000 | 0.000 | 235.473 |
| 1358.788 | 688.136 | 698.163 | -0.000 | 0.000 | 0.000 |
| 679.305 | 872.744 | 591.369 | -0.000 | -0.000 | 0.000 |
| 720.612 | 602.584 | 935.258 | 0.000 | 0.000 | 0.000 |
| 0.562 | 0.682 | 0.420 | 91.963 | -0.000 | 0.000 |
| 0.375 | 0.452 | 0.155 | -0.000 | 265.569 | 0.000 |
| -0.002 | -0.001 | -0.000 | 0.000 | -0.000 | 235.473 |
| 376.934 | 189.617 | 98.116 | 0.000 | -0.000 | -0.000 |
| 189.617 | 376.934 | 98.116 | 0.000 | -0.000 | -0.000 |
| 98.116 | 98.116 | 280.640 | 0.000 | 0.000 | -0.000 |
| -0.000 | -0.000 | -0.000 | 34.056 | -0.000 | -0.000 |
| -0.000 | -0.000 | -0.000 | 0.000 | 34.056 | 0.000 |
| 0.000 | 0.000 | -0.000 | 0.000 | -0.000 | 93.658 |
| 389.875 | 176.676 | 98.116 | -0.000 | -0.000 | 0.000 |
| 176.676 | 389.875 | 98.116 | -0.000 | -0.000 | 0.000 |
| 98.116 | 98.116 | 280.640 | -0.000 | 0.000 | -0.000 |
| 0.000 | 0.000 | 0.000 | 34.056 | 0.000 | 0.000 |
| 0.000 | 0.000 | 0.000 | -0.000 | 34.056 | 0.000 |
| -0.000 | -0.000 | 0.000 | -0.000 | 0.000 | 93.658 |
| 389.876 | 176.677 | 98.117 | 0.000 | 0.000 | -0.000 |
| 189.618 | 376.935 | 98.117 | 0.000 | -0.000 | 0.000 |
| 98.116 | 98.116 | 280.640 | 0.000 | -0.000 | -0.000 |
| -0.000 | -0.000 | -0.000 | 34.056 | -0.000 | -0.000 |
| -0.000 | -0.000 | -0.000 | 0.000 | 34.056 | 0.000 |
| 0.000 | 0.000 | -0.000 | 0.000 | -0.000 | 93.658 |
| 376.932 | 189.616 | 98.115 | -0.000 | 0.000 | 0.000 |
| 176.675 | 389.873 | 98.115 | -0.000 | -0.000 | 0.000 |
| 98.115 | 98.115 | 280.640 | -0.000 | 0.000 | 0.000 |
| 0.000 | 0.000 | 0.000 | 34.056 | -0.000 | 0.000 |
| 0.000 | 0.000 | 0.000 | -0.000 | 34.056 | 0.000 |
| -0.000 | -0.000 | 0.000 | -0.000 | 0.000 | 93.658 |
| 389.887 | 176.684 | 98.123 | 0.000 | 0.000 | -0.000 |
| 189.625 | 376.946 | 98.123 | 0.000 | -0.000 | 0.000 |
| 98.121 | 98.121 | 280.640 | 0.000 | -0.000 | -0.000 |
| -0.000 | -0.000 | -0.002 | 34.056 | 0.000 | -0.000 |
| -0.000 | -0.000 | -0.002 | 0.000 | 34.056 | -0.000 |
| 0.001 | 0.001 | -0.000 | 0.000 | -0.000 | 93.658 |
| 389.863 | 176.667 | 98.109 | -0.000 | -0.000 | 0.000 |
| 176.666 | 389.863 | 98.109 | -0.000 | -0.000 | 0.000 |
| 98.111 | 98.111 | 280.641 | -0.000 | 0.000 | 0.000 |
| 0.000 | 0.000 | 0.002 | 34.056 | 0.000 | 0.000 |
| 0.000 | 0.000 | 0.002 | -0.000 | 34.056 | -0.000 |
| -0.001 | -0.001 | 0.000 | -0.000 | 0.000 | 93.658 |
| 311.824 | 173.098 | -29.057 | -0.000 | -0.000 | -0.000 |
| 173.098 | 311.824 | -29.057 | -0.000 | -0.000 | -0.000 |
| -29.056 | -29.056 | -330.793 | -0.000 | -0.000 | -0.000 |
| -0.000 | 0.000 | -0.000 | -114.616 | -0.000 | -0.000 |
| -0.000 | 0.000 | 0.000 | -0.000 | -114.616 | -0.000 |
| -0.000 | 0.000 | 0.000 | -0.000 | 0.000 | 57.624 |
| 311.824 | 173.098 | -29.056 | -0.000 | 0.000 | 0.000 |
| 173.098 | 311.824 | -29.056 | -0.000 | 0.000 | 0.000 |
| -29.056 | -29.056 | -330.793 | 0.000 | -0.000 | 0.000 |
| 0.000 | -0.000 | 0.000 | -114.616 | -0.000 | 0.000 |
| 0.000 | -0.000 | 0.000 | 0.000 | -114.616 | 0.000 |
| 0.000 | -0.000 | -0.000 | 0.000 | -0.000 | 57.624 |
| 311.824 | 173.097 | -29.057 | 0.000 | 0.000 | -0.000 |
| 173.097 | 311.824 | -29.057 | -0.000 | -0.000 | -0.000 |
| -29.057 | -29.057 | -330.793 | -0.000 | 0.000 | -0.000 |
| 0.000 | 0.000 | 0.000 | -114.616 | -0.000 | -0.000 |
| 0.000 | 0.000 | 0.000 | 0.000 | -114.616 | -0.000 |
| 12728655.625 | 16777609.196 | -24397210.322 | 6.813 | -11.800 | 3506572.614 |
| 35809557.332 | 19125268.769 | 35194342.357 | -0.178 | 0.003 | -0.006 |
| -18801879.625 | -10703784.604 | 24397250.090 | 5.476 | 0.000 | 0.127 |
| -29.056 | -29.056 | -330.792 | 0.000 | -0.000 | 0.000 |
| -0.000 | -0.000 | -0.000 | -114.616 | -0.000 | 0.000 |
| -0.000 | -0.000 | -0.000 | 0.000 | -114.616 | -0.000 |
| -12728655.619 | -16777609.195 | 24397210.333 | -6.814 | -11.802 | 3506572.620 |
| 311.823 | 173.092 | -29.062 | 0.000 | -0.000 | -0.000 |
| -3580759.435 | -1912178.809 | -3519285.025 | -0.011 | -0.000 | 0.000 |
| -29.062 | -29.062 | -330.799 | -0.000 | 0.000 | -0.000 |
| -0.000 | 0.001 | 0.000 | -114.616 | 0.000 | -0.000 |
| 0.000 | 0.000 | 0.000 | -0.000 | -114.616 | -0.000 |
| 0.001 | 0.001 | 0.000 | -0.000 | 0.000 | 69.363 |
| 311.825 | 173.103 | -29.051 | 0.000 | 0.000 | 0.000 |
| 173.102 | 311.826 | -29.051 | 0.000 | -0.000 | 0.000 |
| -29.051 | -29.051 | -330.787 | 0.000 | -0.000 | 0.000 |
| 0.000 | -0.001 | -0.000 | -114.616 | -0.000 | 0.000 |
| -0.000 | -0.000 | -0.000 | 0.000 | -114.616 | 0.000 |
| -0.001 | -0.001 | -0.000 | 0.000 | 0.000 | 69.363 |
| 352.109 | 258.271 | 258.271 | -0.000 | 0.000 | -0.000 |
| 258.271 | 352.109 | 258.271 | 0.000 | -0.000 | 0.000 |
| 258.271 | 258.271 | 352.109 | 0.000 | 0.000 | -0.000 |
| -0.000 | -0.000 | -0.000 | 32.516 | -0.000 | -0.000 |
| -0.000 | -0.000 | -0.000 | -0.000 | 32.516 | 0.000 |
| -0.000 | -0.000 | -0.000 | -0.000 | -0.000 | 32.516 |
| 352.109 | 258.271 | 258.271 | 0.000 | -0.000 | 0.000 |
| 258.271 | 352.109 | 258.271 | -0.000 | 0.000 | -0.000 |
| 258.271 | 258.271 | 352.109 | -0.000 | -0.000 | 0.000 |
| 0.000 | 0.000 | 0.000 | 32.516 | 0.000 | -0.000 |
| 0.000 | 0.000 | 0.000 | 0.000 | 32.516 | -0.000 |
| 0.000 | 0.000 | 0.000 | 0.000 | 0.000 | 32.516 |
| 352.109 | 258.271 | 258.271 | 0.000 | 0.000 | 0.000 |
| 258.271 | 352.109 | 258.271 | 0.000 | -0.000 | 0.000 |
| 258.271 | 258.271 | 352.109 | 0.000 | 0.000 | -0.000 |
| -0.000 | -0.000 | -0.000 | 32.516 | -0.000 | 0.000 |
| -0.000 | -0.000 | -0.000 | -0.000 | 32.516 | 0.000 |
| -0.000 | -0.000 | -0.000 | -0.000 | -0.000 | 32.516 |
| 352.109 | 258.271 | 258.271 | -0.000 | 0.000 | -0.000 |
| 258.271 | 352.109 | 258.271 | -0.000 | -0.000 | 0.000 |
| 258.271 | 258.271 | 352.109 | -0.000 | -0.000 | -0.000 |
| 0.000 | 0.000 | 0.000 | 32.516 | 0.000 | -0.000 |
| 0.000 | 0.000 | 0.000 | 0.000 | 32.516 | -0.000 |
| 0.000 | 0.000 | 0.000 | 0.000 | 0.000 | 32.516 |
| 352.108 | 258.273 | 258.273 | 0.000 | -0.000 | 0.000 |
| 258.273 | 352.108 | 258.273 | 0.000 | -0.000 | 0.000 |
| 258.273 | 258.273 | 352.108 | 0.000 | 0.000 | -0.000 |
| 0.000 | -0.001 | -0.000 | 161.192 | -0.000 | -0.000 |
| -0.001 | 0.000 | -0.000 | -0.000 | 161.192 | 0.000 |
| -0.001 | -0.000 | 0.000 | -0.000 | -0.000 | 161.192 |
| 352.110 | 258.270 | 258.270 | 0.000 | 0.000 | 0.000 |
| 258.270 | 352.110 | 258.270 | -0.000 | 0.000 | -0.000 |
| 258.270 | 258.270 | 352.110 | -0.000 | -0.000 | 0.000 |
| -0.000 | 0.001 | 0.000 | 161.192 | -0.000 | -0.000 |
| 0.001 | -0.000 | 0.000 | -0.000 | 161.192 | -0.000 |
| 0.001 | 0.000 | -0.000 | 0.000 | -0.000 | 161.192 |
| 917.128 | 528.801 | 528.801 | 0.000 | -0.000 | -0.000 |
| 528.801 | 917.128 | 528.801 | -0.000 | 0.000 | -0.000 |
| 528.801 | 528.801 | 917.128 | -0.000 | -0.000 | -0.000 |
| 0.000 | 0.000 | 0.000 | 208.289 | -0.000 | -0.000 |
| 0.000 | 0.000 | 0.000 | -0.000 | 208.289 | -0.000 |
| 0.000 | 0.000 | 0.000 | -0.000 | -0.000 | 208.289 |
| 917.128 | 528.801 | 528.801 | 0.000 | 0.000 | 0.000 |
| 528.801 | 917.128 | 528.801 | 0.000 | 0.000 | 0.000 |
| 528.801 | 528.801 | 917.128 | 0.000 | 0.000 | 0.000 |
| -0.000 | -0.000 | -0.000 | 208.289 | -0.000 | 0.000 |
| -0.000 | -0.000 | -0.000 | -0.000 | 208.289 | 0.000 |
| -0.000 | -0.000 | -0.000 | -0.000 | 0.000 | 208.289 |
| 917.128 | 528.800 | 528.800 | -0.000 | -0.000 | -0.000 |
| 528.800 | 917.128 | 528.800 | -0.000 | -0.000 | -0.000 |
| 528.800 | 528.800 | 917.128 | -0.000 | -0.000 | -0.000 |
| -0.000 | 0.000 | 0.000 | 182.713 | -0.000 | -0.000 |
| 0.000 | -0.000 | 0.000 | -0.000 | 182.713 | -0.000 |
| 0.000 | 0.000 | -0.000 | -0.000 | -0.000 | 182.713 |
| 917.128 | 528.801 | 528.801 | 0.000 | 0.000 | 0.000 |
| 528.801 | 917.128 | 528.801 | 0.000 | 0.000 | 0.000 |
| 528.801 | 528.801 | 917.128 | 0.000 | 0.000 | 0.000 |
| 0.000 | -0.000 | -0.000 | 182.713 | 0.000 | 0.000 |
| -0.000 | 0.000 | -0.000 | 0.000 | 182.713 | 0.000 |
| -0.000 | -0.000 | 0.000 | 0.000 | 0.000 | 182.713 |
| 917.128 | 528.798 | 528.798 | -0.000 | -0.000 | -0.000 |
| 528.798 | 917.128 | 528.798 | -0.000 | -0.000 | -0.000 |
| 528.798 | 528.798 | 917.128 | -0.000 | -0.000 | -0.000 |
| -0.000 | 0.000 | 0.000 | 182.713 | -0.000 | -0.000 |
| 0.000 | -0.000 | 0.000 | -0.000 | 182.713 | -0.000 |
| 0.000 | 0.000 | -0.000 | -0.000 | -0.000 | 182.713 |
| 917.129 | 528.803 | 528.803 | 0.000 | 0.000 | 0.000 |
| 528.803 | 917.129 | 528.803 | 0.000 | 0.000 | 0.000 |
| 528.803 | 528.803 | 917.129 | 0.000 | 0.000 | 0.000 |
| 0.000 | -0.000 | -0.000 | 182.713 | 0.000 | 0.000 |
| -0.000 | 0.000 | -0.000 | 0.000 | 182.713 | 0.000 |
| -0.000 | -0.000 | 0.000 | 0.000 | 0.000 | 182.713 |
| 17.444 | 17.128 | 17.128 | 0.000 | 0.000 | 0.000 |
| 17.128 | 17.444 | 17.128 | 0.000 | 0.000 | 0.000 |
| 17.128 | 17.128 | 17.444 | 0.000 | 0.000 | 0.000 |
| -0.000 | -0.000 | -0.000 | -0.591 | 0.000 | 0.000 |
| -0.000 | -0.000 | -0.000 | 0.000 | -0.591 | 0.000 |
| -0.000 | -0.000 | 0.000 | 0.000 | 0.000 | -0.591 |
| 17.444 | 17.128 | 17.128 | 0.000 | -0.000 | -0.000 |
| 17.128 | 17.444 | 17.128 | -0.000 | 0.000 | -0.000 |
| 17.128 | 17.128 | 17.444 | -0.000 | -0.000 | 0.000 |
| 0.000 | 0.000 | 0.000 | -0.591 | -0.000 | -0.000 |
| 0.000 | -0.000 | 0.000 | -0.000 | -0.591 | -0.000 |
| 0.000 | 0.000 | -0.000 | -0.000 | -0.000 | -0.591 |
| 17.444 | 17.128 | 17.128 | 0.000 | 0.000 | 0.000 |
| 17.128 | 17.444 | 17.128 | 0.000 | 0.000 | 0.000 |
| 17.128 | 17.128 | 17.444 | 0.000 | 0.000 | 0.000 |
| -0.000 | -0.000 | -0.000 | -0.591 | 0.000 | 0.000 |
| -0.000 | -0.000 | -0.000 | 0.000 | -0.591 | 0.000 |
| -0.000 | -0.000 | -0.000 | 0.000 | 0.000 | -0.591 |
| 17.444 | 17.128 | 17.128 | -0.000 | -0.000 | -0.000 |
| 17.128 | 17.444 | 17.128 | -0.000 | -0.000 | -0.000 |
| 17.128 | 17.128 | 17.444 | -0.000 | -0.000 | -0.000 |
| 0.000 | 0.000 | 0.000 | -0.591 | -0.000 | -0.000 |
| 0.000 | 0.000 | 0.000 | -0.000 | -0.591 | -0.000 |
| 0.000 | 0.000 | 0.000 | -0.000 | -0.000 | -0.591 |
| 17.444 | 17.129 | 17.129 | 0.000 | 0.000 | 0.000 |
| 17.129 | 17.444 | 17.129 | 0.000 | 0.000 | 0.000 |
| 17.129 | 17.129 | 17.444 | 0.000 | 0.000 | 0.000 |
| -0.000 | -0.000 | -0.000 | -0.591 | 0.000 | 0.000 |
| -0.000 | -0.000 | -0.000 | 0.000 | -0.591 | 0.000 |
| -0.000 | -0.000 | -0.000 | 0.000 | 0.000 | -0.591 |
| 17.444 | 17.128 | 17.128 | -0.000 | -0.000 | -0.000 |
| 17.128 | 17.444 | 17.128 | -0.000 | -0.000 | -0.000 |
| 17.128 | 17.128 | 17.444 | -0.000 | -0.000 | -0.000 |
| 0.000 | 0.000 | 0.000 | -0.591 | -0.000 | -0.000 |
| 0.000 | 0.000 | 0.000 | -0.000 | -0.591 | -0.000 |
| 0.000 | 0.000 | 0.000 | -0.000 | -0.000 | -0.591 |
| 313.203 | 221.572 | 221.572 | 0.000 | 0.000 | 0.000 |
| 221.572 | 313.203 | 221.572 | 0.000 | 0.000 | 0.000 |
| 226.935 | 226.935 | 302.477 | 0.000 | -0.000 | 0.000 |
| -0.000 | 0.000 | 0.000 | -105.210 | 0.000 | -0.000 |
| 0.000 | -0.000 | 0.000 | 0.000 | -105.210 | 0.000 |
| 0.000 | -0.000 | -0.000 | -0.000 | -0.000 | -105.210 |
| 313.203 | 221.571 | 221.571 | -0.000 | 0.000 | 0.000 |
| 221.571 | 313.203 | 221.571 | -0.000 | 0.000 | 0.000 |
| 221.571 | 221.571 | 313.203 | -0.000 | -0.000 | 0.000 |
| 0.000 | -0.000 | -0.000 | -105.210 | 0.000 | -0.000 |
| -0.000 | 0.000 | -0.000 | -0.000 | -105.210 | 0.000 |
| -0.000 | 0.000 | 0.000 | -0.000 | 0.000 | -105.210 |
| 302.478 | 226.935 | 226.935 | 0.000 | -0.000 | 0.000 |
| 226.935 | 302.478 | 226.935 | 0.000 | 0.000 | 0.000 |
| 226.935 | 226.935 | 302.478 | 0.000 | -0.000 | -0.000 |
| 0.000 | 0.000 | 0.000 | -284.376 | -0.000 | 0.000 |
| 0.000 | 0.000 | 0.000 | 0.000 | -284.376 | 0.000 |
| 0.000 | 0.000 | 0.000 | 0.000 | 0.000 | -284.376 |
| 313.201 | 221.571 | 221.571 | -0.000 | -0.000 | 0.000 |
| 221.571 | 313.201 | 221.571 | 0.000 | 0.000 | -0.000 |
| 221.571 | 221.571 | 313.201 | -0.000 | 0.000 | -0.000 |
| -0.000 | -0.000 | -0.000 | -284.376 | -0.000 | -0.000 |
| -0.000 | -0.000 | -0.000 | -0.000 | -284.376 | -0.000 |
| -0.000 | -0.000 | -0.000 | -0.000 | -0.000 | -284.376 |
| 302.490 | 226.944 | 226.944 | 0.000 | 0.000 | 0.000 |
| 226.944 | 302.490 | 226.944 | 0.000 | -0.000 | 0.000 |
| 226.944 | 226.944 | 302.490 | 0.000 | 0.000 | 0.000 |
| 0.002 | 0.004 | 0.003 | -284.376 | 0.000 | 0.000 |
| 0.004 | 0.002 | 0.003 | 0.000 | -284.376 | 0.000 |
| 0.004 | 0.003 | 0.002 | 0.000 | 0.000 | -284.376 |
| 313.189 | 221.563 | 221.563 | -0.000 | -0.000 | -0.000 |
| 221.563 | 313.189 | 221.563 | -0.000 | -0.000 | 0.000 |
| 221.563 | 221.563 | 313.189 | -0.000 | 0.000 | 0.000 |
| -0.002 | -0.004 | -0.003 | -284.376 | -0.000 | -0.000 |
| -0.004 | -0.002 | -0.003 | -0.000 | -284.376 | -0.000 |
| -0.004 | -0.003 | -0.002 | -0.000 | -0.000 | -284.376 |
| 473.399 | 226.303 | 226.303 | -0.000 | -0.000 | -0.000 |
| 226.303 | 473.399 | 226.303 | -0.000 | -0.000 | -0.000 |
| 226.303 | 226.303 | 473.399 | -0.000 | -0.000 | -0.000 |
| -0.000 | -0.000 | -0.000 | 92.004 | -0.000 | -0.000 |
| -0.000 | -0.000 | -0.000 | -0.000 | 92.004 | -0.000 |
| -0.000 | -0.000 | -0.000 | -0.000 | -0.000 | 92.004 |
| 483.084 | 221.460 | 221.460 | 0.000 | 0.000 | 0.000 |
| 221.460 | 483.084 | 221.460 | 0.000 | 0.000 | 0.000 |
| 221.460 | 221.460 | 483.084 | 0.000 | 0.000 | 0.000 |
| 0.000 | 0.000 | 0.000 | 92.004 | 0.000 | 0.000 |
| 0.000 | -0.000 | 0.000 | 0.000 | 92.004 | 0.000 |
| 0.000 | 0.000 | 0.000 | 0.000 | 0.000 | 92.004 |
| 483.084 | 221.460 | 221.460 | -0.000 | -0.000 | -0.000 |
| 221.460 | 483.084 | 221.460 | -0.000 | -0.000 | -0.000 |
| 221.460 | 221.460 | 483.084 | -0.000 | -0.000 | -0.000 |
| -0.000 | 0.000 | 0.000 | 59.329 | -0.000 | -0.000 |
| 0.000 | -0.000 | 0.000 | -0.000 | 59.329 | -0.000 |
| 0.000 | 0.000 | -0.000 | -0.000 | -0.000 | 59.329 |
| 483.084 | 221.460 | 221.460 | 0.000 | 0.000 | 0.000 |
| 221.460 | 483.084 | 221.460 | 0.000 | 0.000 | 0.000 |
| 221.460 | 221.460 | 483.084 | 0.000 | 0.000 | 0.000 |
| 0.000 | -0.000 | -0.000 | 59.329 | 0.000 | 0.000 |
| -0.000 | 0.000 | -0.000 | 0.000 | 59.329 | 0.000 |
| -0.000 | -0.000 | 0.000 | 0.000 | 0.000 | 59.329 |
| 473.396 | 226.302 | 226.302 | -0.000 | -0.000 | -0.000 |
| 226.302 | 473.396 | 226.302 | -0.000 | -0.000 | -0.000 |
| 226.302 | 226.302 | 473.396 | -0.000 | -0.000 | -0.000 |
| -0.000 | -0.001 | -0.001 | 92.004 | -0.000 | -0.000 |
| -0.001 | -0.000 | -0.001 | 0.000 | 92.004 | -0.000 |
| -0.001 | -0.001 | -0.000 | -0.000 | -0.000 | 92.004 |
| 483.087 | 221.461 | 221.461 | 0.000 | 0.000 | 0.000 |
| 221.461 | 483.087 | 221.461 | 0.000 | 0.000 | 0.000 |
| 221.461 | 221.461 | 483.087 | 0.000 | 0.000 | 0.000 |
| 0.000 | 0.001 | 0.001 | 92.004 | 0.000 | 0.000 |
| 0.001 | 0.000 | 0.001 | 0.000 | 92.004 | 0.000 |
| 0.001 | 0.001 | 0.000 | 0.000 | 0.000 | 92.004 |
| 901.926 | 528.758 | 528.758 | -0.000 | 0.000 | 0.000 |
| 528.758 | 901.927 | 528.758 | -0.000 | -0.000 | 0.000 |
| 528.758 | 528.758 | 901.927 | -0.000 | -0.000 | 0.000 |
| -0.000 | -0.000 | -0.000 | 285.066 | -0.000 | 0.000 |
| -0.000 | 0.000 | -0.000 | -0.000 | 285.066 | 0.000 |
| -0.000 | -0.000 | 0.000 | -0.000 | -0.000 | 285.066 |
| 901.926 | 528.758 | 528.758 | 0.000 | 0.000 | 0.000 |
| 528.758 | 901.926 | 528.758 | 0.000 | 0.000 | -0.000 |
| 528.758 | 528.758 | 901.926 | 0.000 | 0.000 | 0.000 |
| 0.000 | 0.000 | 0.000 | 285.066 | 0.000 | -0.000 |
| 0.000 | 0.000 | 0.000 | 0.000 | 285.066 | -0.000 |
| 0.000 | 0.000 | -0.000 | 0.000 | 0.000 | 285.066 |
| 901.927 | 528.759 | 528.759 | -0.000 | -0.000 | 0.000 |
| 528.759 | 901.927 | 528.759 | -0.000 | -0.000 | 0.000 |
| 528.759 | 528.759 | 901.927 | -0.000 | -0.000 | -0.000 |
| 0.000 | -0.000 | -0.000 | 267.468 | -0.000 | 0.000 |
| -0.000 | 0.000 | -0.000 | -0.000 | 267.468 | 0.000 |
| -0.000 | -0.000 | 0.000 | -0.000 | 0.000 | 267.468 |
| 901.925 | 528.757 | 528.757 | 0.000 | 0.000 | -0.000 |
| 528.757 | 901.925 | 528.757 | -0.000 | 0.000 | -0.000 |
| 528.757 | 528.757 | 901.925 | 0.000 | 0.000 | 0.000 |
| -0.000 | 0.000 | 0.000 | 267.468 | 0.000 | -0.000 |
| 0.000 | -0.000 | 0.000 | 0.000 | 267.468 | -0.000 |
| 0.000 | 0.000 | -0.000 | 0.000 | 0.000 | 267.468 |
| 901.936 | 528.765 | 528.765 | -0.000 | 0.000 | 0.000 |
| 528.765 | 901.936 | 528.765 | -0.000 | -0.000 | 0.000 |
| 528.765 | 528.765 | 901.936 | -0.000 | -0.000 | -0.000 |
| 0.000 | -0.001 | -0.000 | 285.066 | 0.000 | 0.000 |
| -0.001 | 0.000 | -0.000 | 0.000 | 285.066 | 0.000 |
| -0.001 | -0.000 | 0.000 | -0.000 | -0.000 | 285.066 |
| 901.917 | 528.750 | 528.750 | 0.000 | -0.000 | -0.000 |
| 528.750 | 901.917 | 528.750 | -0.000 | 0.000 | -0.000 |
| 528.750 | 528.750 | 901.917 | 0.000 | 0.000 | 0.000 |
| -0.000 | 0.001 | 0.000 | 285.066 | 0.000 | 0.000 |
| 0.001 | -0.000 | 0.000 | 0.000 | 285.066 | -0.000 |
| 0.001 | 0.000 | -0.000 | 0.000 | 0.000 | 285.066 |
| 498.569 | 223.395 | 223.395 | -0.000 | -0.000 | 0.000 |
| 223.395 | 498.569 | 223.395 | -0.000 | -0.000 | 0.000 |
| 223.395 | 223.395 | 498.569 | -0.000 | -0.000 | 0.000 |
| -0.000 | 0.000 | 0.000 | 147.516 | -0.000 | 0.000 |
| 0.000 | -0.000 | 0.000 | -0.000 | 147.516 | -0.000 |
| 0.000 | 0.000 | -0.000 | -0.000 | -0.000 | 147.516 |
| 498.568 | 223.395 | 223.395 | 0.000 | 0.000 | 0.000 |
| 223.395 | 498.568 | 223.395 | 0.000 | 0.000 | -0.000 |
| 223.395 | 223.395 | 498.568 | 0.000 | 0.000 | 0.000 |
| 0.000 | -0.000 | -0.000 | 147.516 | 0.000 | -0.000 |
| -0.000 | 0.000 | -0.000 | 0.000 | 147.516 | 0.000 |
| -0.000 | -0.000 | 0.000 | 0.000 | 0.000 | 147.516 |
| 498.569 | 223.396 | 223.396 | -0.000 | 0.000 | 0.000 |
| 223.396 | 498.569 | 223.396 | -0.000 | -0.000 | 0.000 |
| 223.396 | 223.396 | 498.569 | -0.000 | -0.000 | 0.000 |
| -0.000 | 0.000 | 0.000 | 147.516 | -0.000 | 0.000 |
| 0.000 | -0.000 | 0.000 | -0.000 | 147.516 | -0.000 |
| 0.000 | 0.000 | -0.000 | -0.000 | -0.000 | 147.516 |
| 498.568 | 223.395 | 223.395 | 0.000 | 0.000 | -0.000 |
| 223.395 | 498.568 | 223.395 | 0.000 | 0.000 | -0.000 |
| 223.395 | 223.395 | 498.568 | 0.000 | 0.000 | 0.000 |
| 0.000 | -0.000 | -0.000 | 147.516 | 0.000 | -0.000 |
| -0.000 | 0.000 | -0.000 | 0.000 | 147.516 | -0.000 |
| -0.000 | -0.000 | 0.000 | 0.000 | 0.000 | 147.516 |
| 498.577 | 223.401 | 223.401 | -0.000 | -0.000 | 0.000 |
| 223.401 | 498.577 | 223.401 | -0.000 | -0.000 | 0.000 |
| 223.401 | 223.401 | 498.577 | -0.000 | -0.000 | 0.000 |
| -0.000 | 0.001 | 0.001 | 147.516 | -0.000 | 0.000 |
| 0.001 | -0.000 | 0.001 | -0.000 | 147.516 | -0.000 |
| 0.001 | 0.001 | -0.000 | -0.000 | -0.000 | 147.516 |
| 498.560 | 223.389 | 223.389 | 0.000 | 0.000 | 0.000 |
| 223.389 | 498.560 | 223.389 | 0.000 | 0.000 | -0.000 |
| 223.389 | 223.389 | 498.560 | 0.000 | 0.000 | -0.000 |
| 0.000 | -0.001 | -0.001 | 147.516 | 0.000 | -0.000 |
| -0.001 | 0.000 | -0.001 | 0.000 | 147.516 | -0.000 |
| -0.001 | -0.001 | 0.000 | 0.000 | 0.000 | 147.516 |
| 774.711 | 292.045 | 316.374 | -0.000 | -0.000 | -0.000 |
| -1286.717 | 397.170 | -638.423 | 0.000 | -0.000 | 0.000 |
| 316.374 | 304.876 | 624.059 | 0.000 | -0.000 | 0.000 |
| -1588.352 | -125.877 | -943.308 | 146.900 | -0.000 | -0.000 |
| -1495.100 | 155.942 | -541.635 | 0.000 | 175.530 | 0.000 |
| 0.000 | 0.000 | -0.000 | 0.000 | -0.000 | 167.108 |
| 2241.023 | 141.066 | 830.951 | -0.000 | 0.000 | -0.000 |
| 1889.945 | 648.268 | 1248.030 | -0.000 | 0.000 | -0.000 |
| 1884.024 | 421.635 | 1475.414 | -0.000 | 0.000 | 0.000 |
| 1588.352 | 125.877 | 943.308 | 146.900 | 0.000 | 0.000 |
| 0.000 | -0.000 | -0.000 | -0.000 | 192.722 | -0.000 |
| -0.000 | -0.000 | -0.000 | -0.000 | 0.000 | 167.108 |
| 774.712 | 292.045 | 316.374 | 0.000 | -0.000 | -0.000 |
| 145.476 | 549.305 | 252.591 | 0.000 | -0.000 | 0.000 |
| 149.394 | 285.798 | 462.621 | 0.000 | -0.000 | 0.000 |
| -149.010 | 16.128 | -53.243 | 145.538 | -0.000 | -0.000 |
| -156.008 | -12.364 | -92.652 | 0.000 | 169.134 | 0.000 |
| -158.807 | -12.585 | -94.314 | 0.000 | -0.000 | 166.179 |
| 903.953 | 295.500 | 364.038 | -0.000 | 0.000 | -0.000 |
| 292.044 | 549.242 | 304.875 | -0.000 | 0.000 | 0.000 |
| 316.373 | 304.876 | 624.058 | -0.000 | 0.000 | -0.000 |
| 149.010 | -16.128 | 53.243 | 145.538 | 0.000 | -0.000 |
| 156.008 | 12.364 | 92.652 | -0.000 | 169.134 | 0.000 |
| 158.807 | 12.585 | 94.314 | -0.000 | 0.000 | 166.179 |
| 774.717 | 292.051 | 316.380 | 0.000 | -0.000 | 0.000 |
| 281.953 | 529.779 | 312.437 | 0.000 | -0.000 | 0.000 |
| 286.316 | 299.186 | 570.924 | 0.000 | -0.000 | 0.000 |
| -15.670 | 2.649 | -7.133 | 142.788 | -0.000 | -0.000 |
| -14.848 | 1.418 | -5.544 | 0.000 | 175.391 | 0.000 |
| -15.367 | 2.172 | -6.529 | 0.000 | -0.000 | 166.467 |
| 764.475 | 288.645 | 299.221 | -0.000 | 0.000 | 0.000 |
| 314.617 | 524.614 | 326.485 | -0.000 | 0.000 | 0.000 |
| 300.355 | 300.228 | 578.595 | -0.000 | 0.000 | -0.000 |
| 15.670 | -2.649 | 7.133 | 142.788 | 0.000 | -0.000 |
| 14.848 | -1.418 | 5.544 | -0.000 | 175.391 | -0.000 |
| 15.367 | -2.172 | 6.529 | -0.000 | 0.000 | 166.467 |
| 1030.233 | 351.688 | 266.449 | -0.000 | -0.000 | 0.000 |
| 496.965 | 726.160 | 458.556 | 0.000 | -0.000 | -0.000 |
| 523.653 | 455.527 | 707.227 | 0.000 | -0.000 | -0.000 |
| 0.000 | 0.000 | 0.000 | 129.006 | -0.000 | -0.000 |
| 44.098 | -139.700 | -197.895 | 0.000 | 167.319 | 0.000 |
| 50.314 | -159.390 | -225.786 | 0.000 | 0.000 | 170.159 |
| 939.556 | 731.003 | 902.471 | -0.000 | 0.000 | 0.000 |
| 426.278 | 838.539 | 635.117 | -0.000 | 0.000 | -0.000 |
| 523.653 | 455.526 | 707.227 | -0.000 | 0.000 | -0.000 |
| -0.000 | -0.000 | -0.000 | 129.006 | 0.000 | -0.000 |
| -44.098 | 139.700 | 197.895 | -0.000 | 167.319 | 0.000 |
| -50.314 | 159.390 | 225.786 | -0.000 | 0.000 | 170.159 |
| 1060.246 | 497.698 | 527.416 | 0.000 | -0.000 | -0.000 |
| 496.965 | 726.161 | 458.557 | 0.000 | -0.000 | -0.000 |
| 525.549 | 230.979 | 145.817 | 0.000 | -0.000 | -0.000 |
| 4.613 | -14.614 | -20.702 | 39.867 | -0.000 | 0.000 |
| 1.684 | -5.334 | -7.555 | -0.000 | 184.469 | -0.000 |
| 0.000 | 0.000 | 0.000 | -0.000 | -0.000 | 171.647 |
| 1060.244 | 497.696 | 527.414 | -0.000 | 0.000 | 0.000 |
| 496.964 | 726.159 | 458.555 | 0.000 | 0.000 | 0.000 |
| 523.652 | 455.525 | 707.226 | -0.000 | -0.000 | 0.000 |
| -4.613 | 14.614 | 20.702 | 39.867 | 0.000 | 0.000 |
| -1.684 | 5.334 | 7.555 | -0.000 | 184.469 | 0.000 |
| -0.000 | -0.000 | -0.000 | 0.000 | 0.000 | 171.647 |
| 1031.691 | 477.912 | 474.620 | 0.000 | -0.000 | 0.000 |
| 472.292 | 663.192 | 334.882 | 0.000 | 0.000 | -0.000 |
| 519.904 | 243.594 | 180.966 | 0.000 | -0.000 | -0.000 |
| 1.586 | -2.279 | -3.913 | -65.385 | 0.000 | 0.000 |
| 0.001 | 0.000 | 0.000 | 0.000 | 195.059 | -0.000 |
| 0.001 | 0.000 | 0.000 | 0.000 | -0.000 | 171.647 |
| 1030.901 | 478.535 | 475.106 | -0.000 | 0.000 | 0.000 |
| 472.650 | 666.258 | 340.293 | -0.000 | 0.000 | 0.000 |
| 502.813 | 271.196 | 204.840 | -0.000 | 0.000 | 0.000 |
| -1.586 | 2.279 | 3.913 | -65.385 | -0.000 | 0.000 |
| -0.001 | -0.000 | -0.000 | -0.000 | 195.059 | 0.000 |
| -0.001 | -0.000 | -0.000 | -0.000 | 0.000 | 171.647 |
| 466.961 | 165.587 | 197.968 | 38.744 | 0.000 | -0.000 |
| 919.071 | 1213.849 | 3177.063 | -29.436 | -0.000 | -0.000 |
| 931.681 | 931.681 | 3524.665 | 0.000 | -0.000 | 0.000 |
| 38.744 | -38.744 | 0.000 | 183.198 | -0.000 | 0.000 |
| 755.724 | 755.724 | 3001.086 | 0.000 | 176.870 | 36.503 |
| 0.000 | 0.000 | -0.000 | 0.000 | 38.744 | 150.687 |
| -294.903 | -594.689 | -2824.350 | 36.503 | 0.000 | -0.000 |
| 165.587 | 466.961 | 197.968 | -38.744 | 0.000 | 0.000 |
| -579.448 | -579.448 | -2476.243 | -0.000 | 0.000 | -0.000 |
| -719.096 | -792.103 | -3000.593 | 176.871 | 0.000 | 0.000 |
| -755.724 | -755.724 | -3001.086 | -0.000 | 176.870 | 36.503 |
| -0.000 | -0.000 | 0.000 | -0.000 | 38.744 | 150.687 |
| 466.961 | 165.587 | 197.968 | 38.744 | -0.000 | 0.000 |
| 236.485 | 536.270 | 476.356 | -36.502 | -0.000 | -0.000 |
| 251.675 | 251.675 | 824.264 | 0.000 | -0.000 | 0.000 |
| 104.993 | 46.120 | 300.046 | 156.922 | 0.000 | 0.000 |
| 75.906 | 75.906 | 301.432 | 0.000 | 176.842 | 36.493 |
| 75.600 | 75.600 | 300.220 | 0.000 | 36.502 | 149.893 |
| 466.960 | 165.586 | 197.967 | 38.744 | -0.000 | 0.000 |
| 85.269 | 385.053 | -124.143 | -36.502 | 0.000 | 0.000 |
| 197.962 | 197.962 | 610.964 | -0.000 | 0.000 | 0.000 |
| 38.744 | -38.745 | -0.000 | 183.198 | 0.000 | 0.000 |
| -75.906 | -75.906 | -301.432 | -0.000 | 176.842 | 36.493 |
| -75.600 | -75.600 | -300.220 | -0.000 | 36.502 | 149.893 |
| 466.968 | 165.591 | 197.973 | 38.745 | -0.000 | -0.000 |
| 165.591 | 466.967 | 197.973 | -38.745 | -0.000 | -0.000 |
| 183.675 | 183.675 | 554.222 | 0.000 | -0.000 | 0.000 |
| 38.745 | -38.744 | 0.002 | 183.197 | 0.000 | -0.000 |
| 0.001 | 0.000 | 0.002 | 0.001 | 183.198 | 38.744 |
| 7.987 | 7.987 | 31.716 | 0.000 | 36.376 | 149.848 |
| 466.954 | 165.583 | 197.963 | 38.744 | 0.000 | 0.000 |
| 155.821 | 450.597 | 146.099 | -29.435 | 0.000 | -0.000 |
| 168.558 | 168.558 | 494.202 | -0.000 | -0.000 | -0.000 |
| 38.744 | -38.745 | -0.002 | 183.198 | 0.000 | 0.000 |
| -0.001 | -0.000 | -0.002 | -0.001 | 183.198 | 38.744 |
| -7.987 | -7.987 | -31.716 | -0.000 | 36.376 | 149.848 |
| 335.157 | 189.065 | 74.258 | -2.344 | 0.000 | -0.000 |
| 21179.285 | 21307.575 | 59758.713 | 35.888 | -0.000 | -0.000 |
| 20709.694 | 20709.694 | 58663.620 | -0.000 | 0.000 | 0.000 |
| -2.344 | 2.344 | -0.000 | -46.576 | 0.000 | -0.000 |
| 21166.628 | 21166.628 | 60211.594 | -0.000 | -156.662 | -31.554 |
| -437358418.779 | -437824495.147 | -892550126.349 | -204620.621 | -36300.286 | -10441.568 |
| 335.157 | 189.065 | 74.258 | -2.344 | -0.000 | 0.000 |
| 189.065 | 335.157 | 74.258 | 2.344 | -0.000 | 0.000 |
| -21621.531 | -21621.531 | -61753.789 | 0.000 | 0.000 | -0.000 |
| 424042067.089 | 435391984.652 | 920487036.383 | -23326220.613 | 18793.195 | 5417.803 |
| -21166.628 | -21166.628 | -60211.594 | 0.000 | -156.662 | -31.554 |
| 437304522.706 | 437766876.440 | 892477157.280 | 199665.363 | 44954.335 | 13882.151 |
| 335.157 | 189.065 | 74.257 | -2.344 | 0.000 | -0.000 |
| 189.065 | 335.157 | 74.257 | 2.344 | 0.000 | -0.000 |
| 69.399 | 69.399 | -50.739 | -0.000 | 0.000 | 0.000 |
| -38863368.499 | -36808879.549 | -89838995.126 | 1839493.399 | -905476.835 | -284662.864 |
| 0.000 | 0.000 | -0.000 | -0.000 | -46.576 | -2.344 |
| 0.000 | 0.000 | 0.000 | -0.000 | -2.344 | 73.046 |
| 335.157 | 189.065 | 74.258 | -2.344 | -0.000 | 0.000 |
| -2099.661 | -1980.197 | -6474.235 | 52.520 | 0.000 | 0.000 |
| 69.400 | 69.400 | -50.738 | 0.000 | -0.000 | -0.000 |
| 38191280.813 | 40031509.312 | 86652069.544 | -3598782.169 | 567.164 | -1051.958 |
| -0.000 | -0.000 | 0.000 | 0.000 | -46.576 | -2.344 |
| -0.000 | -0.000 | -0.000 | 0.000 | -2.344 | 73.046 |
| 335.156 | 189.062 | 74.254 | -2.344 | 0.000 | -0.000 |
| -3855161.928 | -4010092.709 | -8855701.055 | 297525.123 | -100715.797 | -29189.418 |
| -244.519 | -244.519 | -943.720 | -0.000 | -0.000 | -0.000 |
| -2.344 | 2.344 | -0.000 | -46.575 | -0.000 | -0.000 |
| 0.000 | 0.000 | -0.000 | -0.000 | -46.576 | -2.344 |
| 0.000 | 0.001 | 0.000 | -0.000 | -2.344 | 73.046 |
| 3852891.882 | 4033284.008 | 8689829.614 | -360617.388 | -47.238 | -113.330 |
| -185.843 | -91.094 | -1065.252 | 99.091 | 0.000 | 0.000 |
| -667.340 | -667.340 | -2146.510 | 0.000 | -0.000 | 0.000 |
| -2.344 | 2.344 | 0.000 | -46.576 | 0.000 | 0.000 |
| -0.000 | -0.000 | 0.000 | 0.000 | -46.576 | -2.344 |
| -0.000 | -0.001 | -0.000 | 0.000 | -2.344 | 73.046 |
| 608.485 | 356.776 | 314.485 | -0.000 | -0.000 | -0.000 |
| 356.776 | 608.485 | 314.485 | -0.000 | -0.000 | 0.000 |
| 314.486 | 314.486 | 580.254 | -0.000 | -0.000 | 0.000 |
| -0.000 | 0.000 | 0.000 | 126.968 | -0.000 | -0.000 |
| 0.000 | 0.000 | 0.000 | -0.000 | 126.968 | -0.000 |
| 0.000 | 0.000 | -0.000 | -0.000 | -0.000 | 170.308 |
| 608.485 | 356.776 | 314.485 | 0.000 | 0.000 | 0.000 |
| 356.776 | 608.485 | 314.485 | 0.000 | 0.000 | 0.000 |
| 314.485 | 314.485 | 580.254 | 0.000 | 0.000 | -0.000 |
| 0.000 | -0.000 | -0.000 | 126.968 | 0.000 | 0.000 |
| -0.000 | 0.000 | -0.000 | 0.000 | 126.968 | 0.000 |
| -0.000 | -0.000 | 0.000 | 0.000 | 0.000 | 170.308 |
| 608.486 | 356.776 | 314.486 | -0.000 | -0.000 | -0.000 |
| 356.776 | 608.486 | 314.486 | -0.000 | -0.000 | -0.000 |
| 314.486 | 314.486 | 580.255 | -0.000 | -0.000 | -0.000 |
| -0.000 | 0.000 | 0.000 | 126.958 | 0.000 | -0.000 |
| 0.000 | -0.000 | 0.000 | 0.000 | 126.958 | -0.000 |
| 0.000 | 0.000 | -0.000 | -0.000 | -0.000 | 170.308 |
| 608.504 | 356.755 | 314.484 | 0.000 | 0.000 | 0.000 |
| 356.755 | 608.504 | 314.484 | 0.000 | 0.000 | 0.000 |
| 314.484 | 314.484 | 580.253 | 0.000 | -0.000 | -0.000 |
| 0.000 | -0.000 | -0.000 | 126.958 | 0.000 | -0.000 |
| -0.000 | 0.000 | -0.000 | 0.000 | 126.958 | -0.000 |
| -0.000 | -0.000 | 0.000 | 0.000 | 0.000 | 170.308 |
| 608.516 | 356.764 | 314.495 | -0.000 | -0.000 | -0.000 |
| 356.764 | 608.516 | 314.495 | -0.000 | -0.000 | -0.000 |
| 314.494 | 314.494 | 580.266 | -0.000 | -0.000 | -0.000 |
| -0.000 | 0.003 | 0.003 | 126.968 | -0.000 | -0.000 |
| 0.003 | -0.000 | 0.003 | -0.000 | 126.968 | -0.000 |
| 0.001 | 0.001 | -0.000 | -0.000 | -0.000 | 170.308 |
| 608.493 | 356.748 | 314.476 | 0.000 | 0.000 | 0.000 |
| 356.748 | 608.493 | 314.476 | 0.000 | 0.000 | 0.000 |
| 314.476 | 314.476 | 580.242 | 0.000 | -0.000 | 0.000 |
| 0.000 | -0.003 | -0.003 | 126.968 | -0.000 | 0.000 |
| -0.003 | 0.000 | -0.003 | -0.000 | 126.968 | 0.000 |
| -0.001 | -0.001 | 0.000 | 0.000 | 0.000 | 170.308 |
| 114.314 | 50.267 | -133.111 | -0.000 | -0.000 | 0.000 |
| 50.267 | 114.314 | -133.111 | -0.000 | -0.000 | 0.000 |
| -133.111 | -133.111 | -289.560 | -0.000 | -0.000 | 0.000 |
| 0.000 | 0.000 | 0.000 | -44.917 | -0.000 | 0.000 |
| 0.000 | -0.000 | 0.000 | -0.000 | -44.917 | 0.000 |
| 0.000 | 0.000 | 0.000 | -0.000 | -0.000 | 137.576 |
| 114.314 | 50.267 | -133.111 | 0.000 | 0.000 | -0.000 |
| 50.267 | 114.314 | -133.111 | 0.000 | 0.000 | -0.000 |
| -133.111 | -133.111 | -289.560 | 0.000 | -0.000 | -0.000 |
| -0.000 | -0.000 | 0.000 | -44.917 | 0.000 | 0.000 |
| -0.000 | 0.000 | -0.000 | 0.000 | -44.917 | -0.000 |
| -0.000 | -0.000 | -0.000 | 0.000 | 0.000 | 137.576 |
| 114.314 | 50.267 | -133.111 | -0.000 | -0.000 | 0.000 |
| 50.267 | 114.314 | -133.111 | -0.000 | -0.000 | 0.000 |
| -133.111 | -133.111 | -289.560 | 0.000 | -0.000 | 0.000 |
| 0.000 | 0.000 | -0.000 | -44.917 | -0.000 | -0.000 |
| 0.000 | 0.000 | -0.000 | -0.000 | -44.917 | 0.000 |
| 0.000 | 0.000 | 0.000 | -0.000 | -0.000 | 137.576 |
| 114.314 | 50.267 | -133.111 | 0.000 | 0.000 | -0.000 |
| 50.267 | 114.314 | -133.111 | 0.000 | 0.000 | 0.000 |
| -133.111 | -133.111 | -289.560 | 0.000 | 0.000 | -0.000 |
| -0.000 | -0.000 | 0.000 | -44.917 | 0.000 | -0.000 |
| -0.000 | -0.000 | 0.000 | 0.000 | -44.917 | -0.000 |
| -0.000 | -0.000 | -0.000 | 0.000 | 0.000 | 137.576 |
| -632137.785 | -632368.999 | -1511647.046 | -0.000 | -0.000 | 0.000 |
| -632368.981 | -632137.779 | -1511647.033 | -0.000 | -0.000 | 0.000 |
| -133.113 | -133.113 | -289.562 | -0.000 | 0.000 | 0.000 |
| 0.000 | 0.000 | -0.000 | -44.917 | -0.000 | -0.000 |
| 0.000 | 0.000 | -0.000 | -0.000 | -44.917 | 0.000 |
| 0.001 | 0.001 | 0.000 | -0.000 | -0.000 | 137.576 |
| 632701.287 | 632470.085 | 1511851.327 | 0.001 | 0.001 | -0.000 |
| 632470.056 | 632701.260 | 1511851.284 | 0.000 | 0.001 | -0.000 |
| -133.109 | -133.109 | -289.559 | 0.000 | -0.000 | -0.000 |
| -0.000 | -0.000 | 0.000 | -44.917 | 0.000 | -0.000 |
| -0.000 | -0.000 | 0.000 | 0.000 | -44.917 | -0.000 |
| -0.001 | -0.001 | -0.000 | 0.000 | 0.000 | 137.576 |
| 672.967 | 442.889 | 470.174 | 0.000 | -0.000 | 0.000 |
| 451.915 | 723.305 | 507.039 | 0.000 | -0.000 | -0.000 |
| 506.709 | 506.709 | 1064.614 | -0.000 | -0.000 | 0.000 |
| -0.000 | 0.000 | -0.000 | 172.641 | -0.000 | -0.000 |
| -0.000 | 0.000 | -0.000 | 0.000 | 186.255 | 0.000 |
| 0.000 | 0.000 | -0.000 | -0.000 | -0.000 | 119.223 |
| 723.304 | 451.914 | 507.038 | -0.000 | 0.000 | -0.000 |
| 451.914 | 723.304 | 507.038 | -0.000 | 0.000 | 0.000 |
| 506.709 | 506.709 | 1064.614 | 0.000 | 0.000 | 0.000 |
| 0.000 | -0.000 | 0.000 | 172.641 | 0.000 | -0.000 |
| 0.000 | -0.000 | 0.000 | -0.000 | 186.255 | 0.000 |
| -0.000 | -0.000 | 0.000 | 0.000 | 0.000 | 119.223 |
| 723.306 | 451.915 | 507.039 | 0.000 | -0.000 | -0.000 |
| 442.730 | 674.260 | 470.877 | -0.000 | -0.000 | -0.000 |
| 506.710 | 506.710 | 1064.615 | 0.000 | -0.000 | -0.000 |
| -0.000 | -0.000 | -0.000 | 172.641 | -0.000 | 0.000 |
| 0.000 | 0.000 | 0.000 | 0.000 | 186.255 | 0.000 |
| 0.000 | 0.000 | 0.000 | 0.000 | -0.000 | 135.695 |
| 672.966 | 442.888 | 470.173 | 0.000 | -0.000 | 0.000 |
| 442.728 | 674.258 | 470.876 | -0.000 | -0.000 | 0.000 |
| 506.708 | 506.708 | 1064.614 | 0.000 | 0.000 | -0.000 |
| -0.000 | -0.000 | -0.000 | 186.255 | 0.000 | -0.000 |
| -0.000 | -0.000 | -0.000 | -0.000 | 186.255 | -0.000 |
| -0.000 | -0.000 | -0.000 | -0.000 | 0.000 | 135.695 |
| 683.823 | 425.362 | 466.026 | 0.000 | -0.000 | 0.000 |
| 425.366 | 683.826 | 466.030 | -0.000 | -0.000 | 0.000 |
| 506.719 | 506.719 | 1064.623 | -0.000 | 0.000 | -0.000 |
| 0.000 | 0.000 | 0.001 | 186.255 | -0.000 | 0.000 |
| 0.000 | 0.000 | 0.001 | 0.000 | 186.255 | -0.000 |
| 0.000 | 0.002 | 0.000 | 0.000 | -0.000 | 135.695 |
| 683.794 | 425.345 | 466.008 | -0.000 | 0.000 | 0.000 |
| 442.880 | 672.954 | 470.166 | -0.000 | 0.000 | 0.000 |
| 506.700 | 506.700 | 1064.606 | -0.000 | 0.000 | -0.000 |
| -0.000 | -0.000 | -0.001 | 186.255 | -0.000 | -0.000 |
| -0.000 | -0.000 | -0.001 | -0.000 | 186.255 | -0.000 |
| -0.000 | -0.002 | -0.000 | -0.000 | -0.000 | 135.695 |
| 607.657 | 363.946 | 409.782 | 0.000 | 0.000 | 0.000 |
| 363.946 | 607.657 | 409.782 | 0.000 | 0.000 | 0.000 |
| 442.522 | 442.523 | 999.532 | 0.000 | 0.000 | 0.000 |
| 0.445 | 0.445 | 0.550 | 171.467 | 0.000 | 0.000 |
| -0.000 | 0.000 | -0.000 | -0.000 | 183.699 | 0.000 |
| 0.513 | 0.513 | 0.633 | 0.000 | 0.000 | 112.079 |
| 640.779 | 383.848 | 442.522 | -0.000 | -0.000 | -0.000 |
| 383.848 | 640.779 | 442.522 | -0.000 | -0.000 | -0.000 |
| 442.522 | 442.522 | 999.532 | -0.000 | -0.000 | -0.000 |
| -0.445 | -0.445 | -0.550 | 171.467 | 0.000 | -0.000 |
| 0.000 | -0.000 | 0.000 | 0.000 | 183.699 | 0.000 |
| -0.513 | -0.513 | -0.633 | -0.000 | -0.000 | 112.079 |
| 640.781 | 383.849 | 442.523 | 0.000 | 0.000 | 0.000 |
| 363.794 | 607.527 | 409.608 | 0.000 | 0.000 | 0.000 |
| 413.848 | 413.848 | 964.121 | -0.000 | 0.000 | 0.000 |
| 0.045 | 0.044 | 0.055 | 171.462 | 0.000 | 0.000 |
| 0.000 | 0.000 | 0.000 | 0.000 | 183.699 | 0.000 |
| 0.051 | 0.051 | 0.063 | 0.000 | 0.000 | 112.072 |
| 607.495 | 363.759 | 409.567 | -0.000 | -0.000 | -0.000 |
| 363.758 | 607.496 | 409.567 | 0.000 | -0.000 | -0.000 |
| 442.522 | 442.522 | 999.531 | -0.000 | -0.000 | -0.000 |
| -0.045 | -0.044 | -0.055 | 171.462 | 0.000 | -0.000 |
| -0.000 | -0.000 | -0.000 | -0.000 | 183.699 | -0.000 |
| -0.051 | -0.051 | -0.063 | -0.000 | -0.000 | 112.072 |
| 640.793 | 383.856 | 442.531 | 0.000 | 0.000 | 0.000 |
| 363.788 | 607.528 | 409.599 | 0.000 | 0.000 | 0.000 |
| 442.531 | 442.531 | 999.540 | 0.000 | 0.000 | 0.000 |
| 0.004 | 0.004 | 0.005 | 171.462 | 0.000 | 0.000 |
| 0.000 | 0.000 | 0.001 | -0.000 | 183.699 | -0.000 |
| 0.000 | 0.002 | 0.000 | 0.000 | 0.000 | 128.466 |
| 598.255 | 380.720 | 414.340 | -0.000 | -0.000 | -0.000 |
| 381.083 | 596.755 | 413.638 | 0.000 | 0.000 | -0.000 |
| 413.821 | 413.821 | 964.091 | -0.000 | -0.000 | -0.000 |
| -0.004 | -0.004 | -0.005 | 171.462 | 0.000 | -0.000 |
| -0.000 | -0.000 | -0.001 | 0.000 | 183.699 | -0.000 |
| -0.000 | -0.002 | -0.000 | -0.000 | -0.000 | 128.466 |
| 242.895 | 139.126 | 139.126 | -0.000 | -0.000 | 0.000 |
| 139.126 | 242.895 | 139.126 | -0.000 | -0.000 | -0.000 |
| 139.126 | 139.126 | 242.895 | -0.000 | -0.000 | -0.000 |
| 0.000 | 0.000 | 0.000 | 118.800 | -0.000 | -0.000 |
| -0.000 | 0.000 | 0.000 | -0.000 | 118.800 | -0.000 |
| -0.000 | 0.000 | 0.000 | -0.000 | -0.000 | 118.800 |
| 242.895 | 139.126 | 139.126 | 0.000 | 0.000 | 0.000 |
| 139.126 | 242.895 | 139.126 | 0.000 | 0.000 | -0.000 |
| 139.126 | 139.126 | 242.895 | 0.000 | 0.000 | -0.000 |
| -0.000 | -0.000 | -0.000 | 118.800 | 0.000 | -0.000 |
| -0.000 | -0.000 | -0.000 | -0.000 | 118.800 | 0.000 |
| -0.000 | -0.000 | -0.000 | 0.000 | -0.000 | 118.800 |
| 242.895 | 139.126 | 139.126 | -0.000 | 0.000 | 0.000 |
| 139.126 | 242.895 | 139.126 | 0.000 | 0.000 | 0.000 |
| 139.126 | 139.126 | 242.895 | -0.000 | -0.000 | 0.000 |
| 0.000 | 0.000 | 0.000 | 118.800 | -0.000 | -0.000 |
| 0.000 | 0.000 | 0.000 | -0.000 | 118.800 | -0.000 |
| 0.000 | 0.000 | 0.000 | -0.000 | 0.000 | 118.800 |
| 242.895 | 139.126 | 139.126 | 0.000 | -0.000 | 0.000 |
| 139.126 | 242.895 | 139.126 | 0.000 | 0.000 | 0.000 |
| 139.126 | 139.126 | 242.895 | 0.000 | 0.000 | -0.000 |
| -0.000 | -0.000 | -0.000 | 118.800 | -0.000 | -0.000 |
| -0.000 | -0.000 | -0.000 | 0.000 | 118.800 | -0.000 |
| -0.000 | -0.000 | -0.000 | -0.000 | 0.000 | 118.800 |
| 242.897 | 139.126 | 139.126 | -0.000 | -0.000 | 0.000 |
| 139.126 | 242.897 | 139.126 | -0.000 | -0.000 | 0.000 |
| 139.126 | 139.126 | 242.897 | -0.000 | -0.000 | 0.000 |
| 0.000 | 0.000 | 0.000 | 118.800 | 0.000 | 0.000 |
| 0.000 | 0.000 | 0.000 | -0.000 | 118.800 | -0.000 |
| 0.000 | 0.000 | 0.000 | -0.000 | 0.000 | 118.800 |
| 242.894 | 139.126 | 139.126 | -0.000 | 0.000 | 0.000 |
| 139.126 | 242.894 | 139.126 | 0.000 | 0.000 | 0.000 |
| 139.126 | 139.126 | 242.894 | 0.000 | 0.000 | -0.000 |
| -0.000 | -0.000 | -0.000 | 118.800 | -0.000 | 0.000 |
| -0.000 | -0.000 | -0.000 | -0.000 | 118.800 | 0.000 |
| -0.000 | -0.000 | -0.000 | 0.000 | 0.000 | 118.800 |
| 584.680 | 371.495 | 371.495 | -0.000 | -0.000 | 0.000 |
| 371.495 | 584.680 | 371.495 | -0.000 | -0.000 | 0.000 |
| 371.495 | 371.495 | 584.680 | -0.000 | 0.000 | 0.000 |
| 0.000 | -0.000 | 0.000 | -35.667 | -0.000 | 0.000 |
| -0.000 | 0.000 | 0.000 | -0.000 | -35.667 | 0.000 |
| -0.000 | 0.000 | 0.000 | -0.000 | -0.000 | -35.667 |
| 584.680 | 371.496 | 371.496 | 0.000 | 0.000 | -0.000 |
| 371.496 | 584.680 | 371.496 | 0.000 | 0.000 | -0.000 |
| 371.496 | 371.496 | 584.680 | 0.000 | 0.000 | -0.000 |
| -0.000 | -0.000 | 0.000 | -35.667 | 0.000 | -0.000 |
| 0.000 | -0.000 | 0.000 | 0.000 | -35.667 | -0.000 |
| 0.000 | 0.000 | -0.000 | 0.000 | 0.000 | -35.667 |
| 578.508 | 374.580 | 374.580 | -0.000 | -0.000 | 0.000 |
| 374.580 | 578.508 | 374.580 | -0.000 | -0.000 | 0.000 |
| 374.580 | 374.580 | 578.508 | -0.000 | -0.000 | 0.000 |
| 0.000 | -0.000 | -0.000 | -35.667 | -0.000 | 0.000 |
| -0.000 | 0.000 | -0.000 | -0.000 | -35.667 | 0.000 |
| -0.000 | -0.000 | 0.000 | -0.000 | -0.000 | -35.667 |
| 578.510 | 374.582 | 374.582 | 0.000 | 0.000 | -0.000 |
| 374.582 | 578.510 | 374.582 | 0.000 | 0.000 | -0.000 |
| 374.582 | 374.582 | 578.510 | 0.000 | 0.000 | -0.000 |
| -0.000 | 0.000 | 0.000 | -35.667 | 0.000 | -0.000 |
| 0.000 | -0.000 | 0.000 | 0.000 | -35.667 | -0.000 |
| 0.000 | 0.000 | -0.000 | 0.000 | 0.000 | -35.667 |
| 578.502 | 374.573 | 374.573 | -0.000 | -0.000 | 0.000 |
| 374.573 | 578.502 | 374.573 | -0.000 | -0.000 | 0.000 |
| 374.573 | 374.573 | 578.502 | -0.000 | -0.000 | 0.000 |
| 0.000 | -0.001 | -0.001 | -35.667 | -0.000 | -0.000 |
| -0.001 | 0.000 | -0.001 | -0.000 | -35.667 | 0.000 |
| -0.001 | -0.001 | 0.000 | -0.000 | -0.000 | -35.667 |
| 578.516 | 374.589 | 374.589 | 0.000 | 0.000 | -0.000 |
| 374.589 | 578.516 | 374.589 | 0.000 | 0.000 | -0.000 |
| 374.589 | 374.589 | 578.516 | 0.000 | 0.000 | -0.000 |
| -0.000 | 0.001 | 0.001 | -35.667 | 0.000 | -0.000 |
| 0.001 | -0.000 | 0.001 | 0.000 | -35.667 | -0.000 |
| 0.001 | 0.001 | -0.000 | 0.000 | 0.000 | -35.667 |
| 217.907 | 161.576 | 161.576 | -0.000 | -0.000 | -0.000 |
| 161.576 | 217.907 | 161.576 | -0.000 | -0.000 | -0.000 |
| 161.576 | 161.576 | 217.907 | -0.000 | -0.000 | -0.000 |
| 0.000 | -0.000 | 0.000 | 141.801 | 0.000 | 0.000 |
| 0.000 | 0.000 | 0.000 | -0.000 | 141.801 | -0.000 |
| 0.000 | 0.000 | 0.000 | -0.000 | -0.000 | 141.801 |
| 217.907 | 161.576 | 161.576 | 0.000 | 0.000 | 0.000 |
| 161.576 | 217.907 | 161.576 | -0.000 | 0.000 | 0.000 |
| 161.576 | 161.576 | 217.907 | 0.000 | 0.000 | 0.000 |
| -0.000 | 0.000 | -0.000 | 141.801 | -0.000 | 0.000 |
| -0.000 | -0.000 | -0.000 | 0.000 | 141.801 | 0.000 |
| -0.000 | -0.000 | -0.000 | -0.000 | 0.000 | 141.801 |
| 217.907 | 161.576 | 161.576 | 0.000 | -0.000 | -0.000 |
| 161.576 | 217.907 | 161.576 | -0.000 | 0.000 | -0.000 |
| 161.576 | 161.576 | 217.907 | -0.000 | -0.000 | -0.000 |
| 0.000 | 0.000 | 0.000 | 141.801 | -0.000 | -0.000 |
| 0.000 | 0.000 | 0.000 | 0.000 | 141.801 | -0.000 |
| 0.000 | 0.000 | 0.000 | 0.000 | 0.000 | 141.801 |
| 217.907 | 161.576 | 161.576 | -0.000 | -0.000 | 0.000 |
| 161.576 | 217.907 | 161.576 | 0.000 | -0.000 | 0.000 |
| 161.576 | 161.576 | 217.907 | 0.000 | 0.000 | 0.000 |
| -0.000 | -0.000 | -0.000 | 141.801 | 0.000 | 0.000 |
| -0.000 | -0.000 | -0.000 | 0.000 | 141.801 | 0.000 |
| -0.000 | -0.000 | -0.000 | -0.000 | 0.000 | 141.801 |
| 217.908 | 161.576 | 161.576 | 0.000 | -0.000 | -0.000 |
| 161.576 | 217.908 | 161.576 | -0.000 | 0.000 | -0.000 |
| 161.576 | 161.576 | 217.908 | -0.000 | -0.000 | -0.000 |
| 0.000 | 0.000 | 0.000 | 141.801 | 0.000 | 0.000 |
| 0.000 | 0.000 | 0.000 | -0.000 | 141.801 | -0.000 |
| 0.000 | 0.000 | 0.000 | -0.000 | -0.000 | 141.801 |
| 217.905 | 161.575 | 161.575 | -0.000 | -0.000 | 0.000 |
| 161.575 | 217.905 | 161.575 | -0.000 | -0.000 | 0.000 |
| 161.575 | 161.575 | 217.905 | 0.000 | -0.000 | 0.000 |
| -0.000 | -0.000 | -0.000 | 141.801 | -0.000 | 0.000 |
| -0.000 | -0.000 | -0.000 | -0.000 | 141.801 | 0.000 |
| -0.000 | -0.000 | -0.000 | 0.000 | -0.000 | 141.801 |
| 295.196 | 135.715 | 96.608 | 0.000 | 0.000 | 0.000 |
| 135.715 | 295.196 | 96.608 | 0.000 | 0.000 | 0.000 |
| 96.608 | 96.608 | 323.714 | 0.000 | 0.000 | 0.000 |
| 0.000 | -0.000 | 0.000 | 76.690 | 0.000 | 0.000 |
| 0.000 | -0.000 | 0.000 | 0.000 | 76.690 | -0.000 |
| 0.000 | -0.000 | 0.000 | 0.000 | 0.000 | 79.740 |
| 295.196 | 135.715 | 96.608 | -0.000 | -0.000 | -0.000 |
| 117.657 | 313.253 | 96.608 | -0.000 | -0.000 | -0.000 |
| 96.608 | 96.608 | 323.714 | -0.000 | -0.000 | -0.000 |
| -0.000 | 0.000 | -0.000 | 76.690 | -0.000 | -0.000 |
| -0.000 | 0.000 | -0.000 | -0.000 | 76.690 | -0.000 |
| -0.000 | 0.000 | -0.000 | -0.000 | -0.000 | 79.740 |
| 313.253 | 117.657 | 96.608 | 0.000 | 0.000 | 0.000 |
| 117.657 | 313.253 | 96.608 | 0.000 | 0.000 | -0.000 |
| 96.608 | 96.608 | 323.715 | 0.000 | 0.000 | 0.000 |
| 0.000 | 0.000 | 0.000 | 76.690 | 0.000 | 0.000 |
| 0.000 | 0.000 | 0.000 | 0.000 | 76.690 | 0.000 |
| 0.000 | 0.000 | 0.000 | 0.000 | 0.000 | 97.798 |
| 313.253 | 117.657 | 96.608 | -0.000 | -0.000 | -0.000 |
| 117.657 | 313.253 | 96.608 | -0.000 | -0.000 | -0.000 |
| 96.608 | 96.608 | 323.714 | -0.000 | -0.000 | -0.000 |
| -0.000 | -0.000 | -0.000 | 76.690 | -0.000 | -0.000 |
| -0.000 | -0.000 | -0.000 | -0.000 | 76.690 | -0.000 |
| -0.000 | -0.000 | -0.000 | -0.000 | -0.000 | 97.798 |
| 313.254 | 117.658 | 96.609 | 0.000 | 0.000 | -0.000 |
| 117.658 | 313.254 | 96.609 | 0.000 | 0.000 | -0.000 |
| 96.609 | 96.609 | 323.716 | 0.000 | 0.000 | 0.000 |
| 0.000 | 0.000 | 0.000 | 76.690 | 0.000 | 0.000 |
| 0.000 | 0.000 | 0.000 | 0.000 | 76.690 | 0.000 |
| 0.000 | 0.000 | 0.000 | 0.000 | 0.000 | 79.740 |
| 295.194 | 135.714 | 96.608 | -0.000 | -0.000 | -0.000 |
| 117.657 | 313.251 | 96.608 | -0.000 | -0.000 | -0.000 |
| 96.608 | 96.608 | 323.713 | -0.000 | -0.000 | -0.000 |
| -0.000 | -0.000 | -0.000 | 76.690 | -0.000 | -0.000 |
| -0.000 | -0.000 | -0.000 | -0.000 | 76.690 | -0.000 |
| -0.000 | -0.000 | -0.000 | -0.000 | -0.000 | 79.740 |
| 313.735 | 117.739 | 97.299 | -0.000 | 0.000 | 0.000 |
| 143.165 | 288.309 | 97.299 | -0.000 | -0.000 | -0.000 |
| 97.299 | 97.299 | 319.348 | -0.000 | -0.000 | -0.000 |
| 0.000 | -0.000 | 0.000 | 77.438 | -0.000 | 0.000 |
| 0.000 | -0.000 | 0.000 | 0.000 | 77.438 | 0.000 |
| 0.000 | -0.000 | -0.000 | -0.000 | 0.000 | 72.572 |
| 313.735 | 117.739 | 97.299 | 0.000 | -0.000 | -0.000 |
| 143.165 | 288.309 | 97.299 | 0.000 | 0.000 | 0.000 |
| 97.299 | 97.299 | 319.348 | 0.000 | 0.000 | -0.000 |
| -0.000 | 0.000 | -0.000 | 77.438 | 0.000 | 0.000 |
| -0.000 | 0.000 | -0.000 | 0.000 | 77.438 | -0.000 |
| -0.000 | 0.000 | 0.000 | 0.000 | -0.000 | 72.572 |
| 288.309 | 143.165 | 97.299 | -0.000 | -0.000 | -0.000 |
| 143.165 | 288.309 | 97.299 | -0.000 | -0.000 | 0.000 |
| 97.299 | 97.299 | 319.348 | -0.000 | 0.000 | 0.000 |
| 0.000 | -0.000 | 0.000 | 77.438 | 0.000 | 0.000 |
| -0.000 | 0.000 | 0.000 | -0.000 | 77.438 | 0.000 |
| 0.000 | 0.000 | 0.000 | 0.000 | 0.000 | 97.998 |
| 288.309 | 143.165 | 97.299 | 0.000 | 0.000 | 0.000 |
| 117.739 | 313.735 | 97.299 | 0.000 | 0.000 | -0.000 |
| 97.299 | 97.299 | 319.348 | 0.000 | -0.000 | -0.000 |
| -0.000 | 0.000 | -0.000 | 77.438 | 0.000 | -0.000 |
| 0.000 | -0.000 | -0.000 | 0.000 | 77.438 | 0.000 |
| -0.000 | -0.000 | -0.000 | 0.000 | 0.000 | 97.998 |
| 288.311 | 143.166 | 97.300 | -0.000 | 0.000 | 0.000 |
| 117.739 | 313.737 | 97.300 | -0.000 | 0.000 | 0.000 |
| 97.300 | 97.300 | 319.350 | 0.000 | 0.000 | -0.000 |
| 0.000 | -0.000 | 0.000 | 77.438 | 0.000 | 0.000 |
| -0.000 | 0.000 | 0.000 | -0.000 | 77.438 | 0.000 |
| 0.000 | 0.000 | -0.000 | -0.000 | 0.000 | 72.572 |
| 288.308 | 143.165 | 97.299 | 0.000 | 0.000 | -0.000 |
| 143.165 | 288.308 | 97.299 | 0.000 | -0.000 | -0.000 |
| 97.299 | 97.299 | 319.347 | 0.000 | -0.000 | 0.000 |
| -0.000 | 0.000 | -0.000 | 77.438 | -0.000 | -0.000 |
| 0.000 | -0.000 | -0.000 | 0.000 | 77.438 | 0.000 |
| -0.000 | -0.000 | 0.000 | 0.000 | -0.000 | 72.572 |
| 70.539 | 67.598 | 67.598 | 0.000 | 0.000 | 0.000 |
| 67.598 | 70.539 | 67.598 | 0.000 | 0.000 | 0.000 |
| 67.598 | 67.598 | 70.539 | 0.000 | 0.000 | 0.000 |
| -0.000 | -0.000 | -0.000 | -7.086 | 0.000 | 0.000 |
| -0.000 | -0.000 | -0.000 | 0.000 | -7.086 | 0.000 |
| -0.000 | -0.000 | -0.000 | 0.000 | 0.000 | -7.086 |
| 70.539 | 67.598 | 67.598 | -0.000 | -0.000 | -0.000 |
| 67.598 | 70.539 | 67.598 | -0.000 | -0.000 | -0.000 |
| 67.598 | 67.598 | 70.539 | -0.000 | -0.000 | -0.000 |
| 0.000 | 0.000 | 0.000 | -7.086 | -0.000 | -0.000 |
| 0.000 | 0.000 | 0.000 | -0.000 | -7.086 | -0.000 |
| 0.000 | 0.000 | 0.000 | -0.000 | -0.000 | -7.086 |
| 70.539 | 67.598 | 67.598 | 0.000 | 0.000 | 0.000 |
| 67.598 | 70.539 | 67.598 | 0.000 | 0.000 | 0.000 |
| 67.598 | 67.598 | 70.539 | 0.000 | 0.000 | 0.000 |
| 0.000 | -0.000 | 0.000 | 48.275 | 0.000 | 0.000 |
| -0.000 | 0.000 | 0.000 | 0.000 | 48.275 | 0.000 |
| -0.000 | 0.000 | 0.000 | 0.000 | -0.000 | 48.275 |
| 70.539 | 67.598 | 67.598 | -0.000 | -0.000 | -0.000 |
| 67.598 | 70.539 | 67.598 | -0.000 | -0.000 | -0.000 |
| 67.598 | 67.598 | 70.539 | -0.000 | -0.000 | -0.000 |
| -0.000 | 0.000 | -0.000 | 48.275 | 0.000 | -0.000 |
| 0.000 | -0.000 | -0.000 | 0.000 | 48.275 | -0.000 |
| 0.000 | -0.000 | -0.000 | 0.000 | -0.000 | 48.275 |
| 70.539 | 67.598 | 67.598 | 0.000 | 0.000 | 0.000 |
| 67.598 | 70.539 | 67.598 | 0.000 | 0.000 | 0.000 |
| 67.598 | 67.598 | 70.539 | 0.000 | 0.000 | 0.000 |
| -0.000 | -0.000 | -0.000 | -7.086 | 0.000 | 0.000 |
| -0.000 | -0.000 | -0.000 | 0.000 | -7.086 | 0.000 |
| -0.000 | -0.000 | -0.000 | 0.000 | 0.000 | -7.086 |
| 70.540 | 67.598 | 67.598 | -0.000 | -0.000 | -0.000 |
| 67.598 | 70.540 | 67.598 | -0.000 | -0.000 | -0.000 |
| 67.598 | 67.598 | 70.540 | -0.000 | -0.000 | -0.000 |
| 0.000 | 0.000 | 0.000 | -7.086 | -0.000 | -0.000 |
| 0.000 | 0.000 | 0.000 | -0.000 | -7.086 | -0.000 |
| 0.000 | 0.000 | 0.000 | -0.000 | -0.000 | -7.086 |
| 228.841 | 780.355 | 496.046 | 0.000 | -0.000 | -0.000 |
| 780.355 | 228.841 | 496.046 | -0.000 | -0.000 | -0.000 |
| 496.046 | 496.046 | 864.176 | -0.000 | -0.000 | -0.000 |
| -0.000 | -0.000 | -0.000 | -58.338 | -0.000 | 0.000 |
| -0.000 | -0.000 | -0.000 | -0.000 | -58.338 | -0.000 |
| -0.000 | -0.000 | -0.000 | -0.000 | -0.000 | -73.724 |
| 573.809 | 435.388 | 496.046 | 0.000 | 0.000 | 0.000 |
| 435.388 | 573.809 | 496.046 | -0.000 | 0.000 | 0.000 |
| 496.046 | 496.046 | 864.176 | 0.000 | 0.000 | 0.000 |
| -0.000 | -0.000 | -0.000 | -58.338 | 0.000 | 0.000 |
| 0.000 | 0.000 | 0.000 | 0.000 | -58.338 | 0.000 |
| 0.000 | 0.000 | 0.000 | 0.000 | 0.000 | -73.724 |
| 573.809 | 435.387 | 496.046 | 0.000 | -0.000 | -0.000 |
| 435.387 | 573.809 | 496.046 | -0.000 | -0.000 | -0.000 |
| 496.046 | 496.046 | 864.176 | -0.000 | -0.000 | 0.000 |
| -0.000 | -0.000 | -0.000 | -58.338 | -0.000 | 0.000 |
| -0.000 | -0.000 | -0.000 | 0.000 | -58.338 | -0.000 |
| -0.000 | -0.000 | -0.000 | -0.000 | -0.000 | -73.724 |
| 228.842 | 780.356 | 496.046 | 0.000 | 0.000 | 0.000 |
| 780.356 | 228.842 | 496.046 | 0.000 | 0.000 | 0.000 |
| 496.046 | 496.046 | 864.176 | -0.000 | 0.000 | 0.000 |
| 0.000 | 0.000 | 0.000 | -58.338 | 0.000 | 0.000 |
| 0.000 | 0.000 | 0.000 | -0.000 | -58.338 | 0.000 |
| 0.000 | 0.000 | 0.000 | 0.000 | 0.000 | -73.724 |
| -16033065.082 | -17591336.161 | -13826322.865 | 804859.569 | 245643.431 | 478237.203 |
| -16016493.073 | -14934978.626 | -14073717.990 | -155628.490 | 37209.018 | -466565.654 |
| 496.044 | 496.044 | 864.177 | 0.000 | -0.000 | 0.000 |
| -0.000 | -0.000 | 0.000 | -58.338 | -0.000 | -0.000 |
| -0.000 | -0.000 | 0.000 | -0.000 | -58.338 | -0.000 |
| -0.000 | -0.000 | -0.000 | -0.000 | -0.000 | -73.724 |
| 15329615.316 | 14957160.321 | 13251457.051 | -77918.026 | -197401.911 | -182096.760 |
| 14467659.229 | 16783002.171 | 13252179.834 | 33984.676 | 112218.853 | -242032.611 |
| 496.049 | 496.049 | 864.175 | 0.000 | -0.000 | 0.000 |
| 0.000 | 0.000 | -0.000 | -58.338 | 0.000 | -0.000 |
| 0.000 | 0.000 | -0.000 | 0.000 | -58.338 | 0.000 |
| 0.000 | 0.000 | 0.000 | 0.000 | 0.000 | -73.724 |
| -220.841 | -374.937 | -385.783 | 0.000 | 0.000 | 0.000 |
| -374.937 | -220.841 | -385.783 | 0.000 | -0.000 | -0.000 |
| -385.783 | -385.783 | -161.597 | -0.000 | -0.000 | 0.000 |
| 0.000 | 0.000 | 0.000 | -38.379 | 0.000 | -0.000 |
| 0.000 | 0.000 | 0.000 | -0.000 | -38.379 | 0.000 |
| 0.000 | -0.000 | 0.000 | -0.000 | -0.000 | -27.531 |
| -220.841 | -374.936 | -385.783 | -0.000 | -0.000 | -0.000 |
| -374.936 | -220.841 | -385.783 | -0.000 | -0.000 | -0.000 |
| -385.783 | -385.783 | -161.597 | 0.000 | 0.000 | -0.000 |
| -0.000 | 0.000 | -0.000 | -38.379 | -0.000 | -0.000 |
| -0.000 | -0.000 | -0.000 | 0.000 | -38.379 | -0.000 |
| -0.000 | -0.000 | -0.000 | -0.000 | -0.000 | -27.531 |
| -220.841 | -374.937 | -385.784 | -0.000 | 0.000 | 0.000 |
| -374.937 | -220.841 | -385.784 | -0.000 | -0.000 | 0.000 |
| -385.784 | -385.784 | -161.597 | 0.000 | 0.000 | 0.000 |
| -0.000 | -0.000 | 0.000 | -38.379 | -0.000 | 0.000 |
| -0.000 | -0.000 | 0.000 | -0.000 | -38.379 | 0.000 |
| -0.000 | -0.000 | 0.000 | 0.000 | 0.000 | -27.531 |
| -421.284 | -174.491 | -385.783 | -0.000 | -0.000 | 0.000 |
| -174.491 | -421.284 | -385.783 | 0.000 | 0.000 | -0.000 |
| -385.783 | -385.783 | -161.597 | 0.000 | 0.000 | -0.000 |
| 0.000 | 0.000 | -0.000 | -38.379 | 0.000 | 0.000 |
| 0.000 | 0.000 | -0.000 | -0.000 | -38.379 | -0.000 |
| 0.000 | 0.000 | -0.000 | -0.000 | 0.000 | -27.531 |
| -12487196.305 | -11793330.304 | -10241463.121 | -39643.880 | -653907.417 | -227634.006 |
| -13316472.843 | -14108749.470 | -12859471.369 | -135069.688 | -218911.254 | -198539.785 |
| -385.790 | -385.790 | -161.601 | 0.000 | 0.000 | 0.000 |
| -0.000 | -0.000 | 0.000 | -38.379 | -0.000 | 0.000 |
| -0.000 | -0.000 | 0.000 | -0.000 | -38.379 | 0.000 |
| -0.000 | -0.000 | 0.000 | -0.000 | -0.000 | -27.531 |
| 12998027.876 | 12763677.033 | 10692065.432 | 228038.503 | 10918.469 | -129975.056 |
| 13292970.864 | 13265078.454 | 12695398.397 | 93344.673 | -57598.494 | -73536.050 |
| -385.777 | -385.777 | -161.593 | 0.000 | 0.000 | -0.000 |
| 0.000 | 0.000 | -0.000 | -38.379 | -0.000 | -0.000 |
| 0.000 | 0.000 | -0.000 | -0.000 | -38.379 | -0.000 |
| 0.000 | 0.000 | -0.000 | 0.000 | -0.000 | -27.531 |
| 276.090 | 119.546 | 117.614 | -0.000 | 0.000 | 0.000 |
| 119.546 | 276.090 | 117.614 | -0.000 | -0.000 | 0.000 |
| 117.614 | 117.614 | 267.946 | -0.000 | 0.000 | 0.000 |
| -0.000 | 0.000 | 0.000 | -39.851 | 0.000 | -0.000 |
| 0.000 | 0.000 | 0.000 | -0.000 | -39.851 | 0.000 |
| -0.000 | 0.000 | 0.000 | -0.000 | -0.000 | -16.055 |
| 112.906 | 282.730 | 117.614 | 0.000 | -0.000 | 0.000 |
| 282.730 | 112.906 | 117.614 | 0.000 | -0.000 | 0.000 |
| 117.615 | 117.615 | 267.946 | 0.000 | 0.000 | 0.000 |
| -0.000 | -0.000 | -0.000 | -39.851 | 0.000 | -0.000 |
| -0.000 | -0.000 | -0.000 | 0.000 | -39.851 | 0.000 |
| 0.000 | 0.000 | -0.000 | 0.000 | -0.000 | -16.055 |
| 276.090 | 119.546 | 117.614 | -0.000 | 0.000 | -0.000 |
| 119.546 | 276.090 | 117.614 | -0.000 | -0.000 | 0.000 |
| 117.614 | 117.614 | 267.946 | -0.000 | -0.000 | 0.000 |
| 0.000 | 0.000 | 0.000 | -39.851 | 0.000 | -0.000 |
| 0.000 | 0.000 | 0.000 | -0.000 | -39.851 | 0.000 |
| -0.000 | -0.000 | 0.000 | -0.000 | -0.000 | -16.055 |
| 276.090 | 119.546 | 117.615 | 0.000 | -0.000 | -0.000 |
| 119.546 | 276.090 | 117.615 | 0.000 | 0.000 | -0.000 |
| 117.615 | 117.615 | 267.946 | 0.000 | 0.000 | -0.000 |
| -0.000 | -0.000 | -0.000 | -39.851 | 0.000 | -0.000 |
| -0.000 | -0.000 | -0.000 | 0.000 | -39.851 | -0.000 |
| 0.000 | 0.000 | -0.000 | 0.000 | 0.000 | -16.055 |
| -12319493.047 | -12319601.548 | 2078468.337 | -0.000 | -0.000 | 0.000 |
| -12319601.548 | -12319493.047 | 2078468.337 | -0.000 | 0.000 | -0.000 |
| 117.614 | 117.614 | 267.947 | -0.000 | 0.000 | 0.000 |
| 0.000 | 0.000 | 0.000 | -39.851 | -0.000 | 0.000 |
| 0.000 | 0.000 | 0.000 | -0.000 | -39.851 | 0.000 |
| -0.000 | -0.000 | 0.000 | -0.000 | 0.000 | -16.055 |
| 12319995.357 | 12319886.860 | -2078067.268 | 0.000 | 0.000 | -0.000 |
| 13082029.777 | 12540504.460 | 13398852.853 | 141077.058 | 184201.464 | -87009.909 |
| 117.615 | 117.615 | 267.945 | 0.000 | -0.000 | -0.000 |
| -0.000 | -0.000 | -0.000 | -39.851 | 0.000 | -0.000 |
| -0.000 | -0.000 | -0.000 | 0.000 | -39.851 | 0.000 |
| 0.000 | 0.000 | -0.000 | 0.000 | 0.000 | -16.055 |
| 510.849 | 315.982 | 315.982 | -0.000 | -0.000 | 0.000 |
| 315.982 | 510.849 | 315.982 | 0.000 | -0.000 | -0.000 |
| 315.982 | 315.982 | 510.849 | 0.000 | 0.000 | -0.000 |
| 0.000 | 0.000 | 0.000 | -47.657 | -0.000 | -0.000 |
| 0.000 | 0.000 | -0.000 | 0.000 | -47.657 | 0.000 |
| -0.000 | -0.000 | -0.000 | 0.000 | -0.000 | -47.657 |
| 510.849 | 315.982 | 315.982 | -0.000 | -0.000 | -0.000 |
| 315.982 | 510.849 | 315.982 | -0.000 | 0.000 | 0.000 |
| 315.982 | 315.982 | 510.849 | -0.000 | 0.000 | 0.000 |
| -0.000 | -0.000 | 0.000 | -47.657 | 0.000 | -0.000 |
| 0.000 | 0.000 | 0.000 | -0.000 | -47.657 | 0.000 |
| 0.000 | 0.000 | 0.000 | -0.000 | 0.000 | -47.657 |
| 510.850 | 315.983 | 315.983 | 0.000 | -0.000 | 0.000 |
| 315.983 | 510.850 | 315.983 | -0.000 | -0.000 | 0.000 |
| 315.983 | 315.983 | 510.850 | 0.000 | -0.000 | -0.000 |
| 0.000 | 0.000 | -0.000 | -47.657 | -0.000 | -0.000 |
| -0.000 | 0.000 | -0.000 | 0.000 | -47.657 | 0.000 |
| -0.000 | -0.000 | 0.000 | 0.000 | -0.000 | -47.657 |
| 510.848 | 315.981 | 315.981 | -0.000 | 0.000 | -0.000 |
| 315.981 | 510.848 | 315.981 | -0.000 | -0.000 | 0.000 |
| 315.981 | 315.981 | 510.848 | -0.000 | 0.000 | -0.000 |
| -0.000 | 0.000 | 0.000 | -47.657 | 0.000 | -0.000 |
| 0.000 | -0.000 | 0.000 | -0.000 | -47.657 | -0.000 |
| 0.000 | 0.000 | -0.000 | -0.000 | 0.000 | -47.657 |
| 510.861 | 315.992 | 315.992 | 0.000 | -0.000 | -0.000 |
| 315.992 | 510.861 | 315.992 | -0.000 | -0.000 | 0.000 |
| 315.992 | 315.992 | 510.861 | 0.000 | -0.000 | -0.000 |
| 0.000 | 0.000 | -0.000 | -47.657 | -0.000 | -0.000 |
| 0.000 | 0.000 | -0.000 | 0.000 | -47.657 | 0.000 |
| 0.000 | -0.000 | 0.000 | -0.000 | 0.000 | -47.657 |
| 510.837 | 315.972 | 315.972 | -0.000 | 0.000 | -0.000 |
| 315.972 | 510.837 | 315.972 | -0.000 | -0.000 | 0.000 |
| 315.972 | 315.972 | 510.837 | -0.000 | 0.000 | 0.000 |
| -0.000 | -0.000 | 0.000 | -47.657 | 0.000 | -0.000 |
| -0.000 | -0.000 | 0.000 | -0.000 | -47.657 | -0.000 |
| -0.000 | 0.000 | -0.000 | 0.000 | 0.000 | -47.657 |
| 159.057 | 10.485 | 10.485 | 0.000 | 0.000 | 0.000 |
| 10.485 | 159.057 | 10.485 | -0.000 | -0.000 | 0.000 |
| 10.485 | 10.485 | 159.057 | -0.000 | -0.000 | 0.000 |
| -0.000 | -0.000 | -0.000 | 1.009 | 0.000 | -0.000 |
| -0.000 | 0.000 | -0.000 | 0.000 | 1.009 | 0.000 |
| -0.000 | -0.000 | -0.000 | -0.000 | -0.000 | 1.009 |
| 159.057 | 10.484 | 10.484 | 0.000 | -0.000 | -0.000 |
| 10.484 | 159.057 | 10.484 | 0.000 | 0.000 | -0.000 |
| 10.484 | 10.484 | 159.057 | 0.000 | -0.000 | -0.000 |
| 0.000 | 0.000 | 0.000 | 1.009 | 0.000 | -0.000 |
| 0.000 | -0.000 | 0.000 | 0.000 | 1.009 | -0.000 |
| 0.000 | 0.000 | 0.000 | 0.000 | 0.000 | 1.009 |
| 159.057 | 10.485 | 10.485 | -0.000 | 0.000 | 0.000 |
| 10.485 | 159.057 | 10.485 | -0.000 | 0.000 | 0.000 |
| 10.485 | 10.485 | 159.057 | 0.000 | 0.000 | 0.000 |
| -0.000 | -0.000 | -0.000 | 1.009 | 0.000 | 0.000 |
| -0.000 | -0.000 | -0.000 | -0.000 | 1.009 | 0.000 |
| -0.000 | -0.000 | -0.000 | -0.000 | -0.000 | 1.009 |
| 159.057 | 10.484 | 10.484 | -0.000 | -0.000 | -0.000 |
| 10.484 | 159.057 | 10.484 | 0.000 | -0.000 | -0.000 |
| 10.484 | 10.484 | 159.057 | 0.000 | 0.000 | -0.000 |
| 0.000 | 0.000 | 0.000 | 1.009 | -0.000 | -0.000 |
| 0.000 | 0.000 | 0.000 | -0.000 | 1.009 | -0.000 |
| 0.000 | 0.000 | 0.000 | -0.000 | 0.000 | 1.009 |
| 159.059 | 10.486 | 10.486 | -0.000 | -0.000 | 0.000 |
| 10.486 | 159.059 | 10.486 | 0.000 | 0.000 | 0.000 |
| 10.486 | 10.486 | 159.059 | -0.000 | -0.000 | 0.000 |
| -0.000 | -0.000 | -0.000 | 1.009 | -0.000 | 0.000 |
| -0.000 | -0.000 | -0.000 | -0.000 | 1.009 | 0.000 |
| -0.000 | -0.000 | -0.000 | 0.000 | 0.000 | 1.009 |
| 159.056 | 10.483 | 10.483 | 0.000 | 0.000 | -0.000 |
| 10.483 | 159.056 | 10.483 | 0.000 | 0.000 | -0.000 |
| 10.483 | 10.483 | 159.056 | 0.000 | 0.000 | -0.000 |
| 0.000 | 0.000 | 0.000 | 1.009 | 0.000 | 0.000 |
| 0.000 | 0.000 | 0.000 | 0.000 | 1.009 | -0.000 |
| 0.000 | 0.000 | 0.000 | 0.000 | 0.000 | 1.009 |
| 766.213 | 561.156 | 598.595 | 0.000 | -0.000 | -0.000 |
| 561.156 | 766.213 | 598.595 | 0.000 | -0.000 | -0.000 |
| 597.257 | 597.257 | 922.651 | 0.000 | 0.000 | 0.000 |
| 0.000 | 0.000 | 0.000 | -46.399 | 0.000 | -0.000 |
| 0.000 | 0.000 | -0.000 | -0.000 | -46.399 | -0.000 |
| 0.000 | 0.000 | -0.000 | -0.000 | -0.000 | 34.431 |
| 766.213 | 561.156 | 598.594 | -0.000 | -0.000 | 0.000 |
| 561.156 | 766.213 | 598.594 | 0.000 | 0.000 | 0.000 |
| 597.257 | 597.257 | 922.651 | 0.000 | 0.000 | 0.000 |
| -0.000 | -0.000 | 0.000 | -46.399 | -0.000 | -0.000 |
| -0.000 | -0.000 | -0.000 | 0.000 | -46.399 | 0.000 |
| -0.000 | -0.000 | 0.000 | -0.000 | 0.000 | 34.431 |
| 766.213 | 561.156 | 598.595 | -0.000 | -0.000 | -0.000 |
| 561.156 | 766.213 | 598.595 | -0.000 | -0.000 | 0.000 |
| 597.257 | 597.257 | 922.651 | -0.000 | 0.000 | -0.000 |
| -0.000 | -0.000 | -0.000 | -46.399 | 0.000 | -0.000 |
| -0.000 | -0.000 | -0.000 | -0.000 | -46.399 | -0.000 |
| -0.000 | -0.000 | 0.000 | 0.000 | -0.000 | 34.431 |
| 707.247 | 502.189 | 597.257 | -0.000 | -0.000 | 0.000 |
| 502.189 | 707.247 | 597.257 | -0.000 | 0.000 | -0.000 |
| 597.257 | 597.257 | 922.651 | 0.000 | 0.000 | -0.000 |
| 0.000 | 0.000 | 0.000 | -46.399 | -0.000 | 0.000 |
| 0.000 | 0.000 | 0.000 | 0.000 | -46.399 | 0.000 |
| 0.000 | 0.000 | -0.000 | -0.000 | 0.000 | 34.431 |
| 707.250 | 502.192 | 597.258 | -0.000 | -0.000 | -0.000 |
| 502.192 | 707.250 | 597.258 | -0.000 | -0.000 | 0.000 |
| 597.259 | 597.259 | 922.655 | -0.000 | -0.000 | -0.000 |
| -0.001 | -0.001 | -0.001 | -46.399 | 0.000 | -0.000 |
| -0.001 | -0.001 | -0.001 | 0.000 | -46.399 | -0.000 |
| -0.000 | -0.000 | 0.000 | -0.000 | -0.000 | 34.431 |
| 707.244 | 502.188 | 597.256 | 0.000 | -0.000 | 0.000 |
| 502.188 | 707.244 | 597.256 | -0.000 | 0.000 | -0.000 |
| 597.255 | 597.255 | 922.648 | -0.000 | 0.000 | -0.000 |
| 0.001 | 0.001 | 0.001 | -46.399 | -0.000 | 0.000 |
| 0.001 | 0.001 | 0.001 | -0.000 | -46.399 | 0.000 |
| 0.000 | 0.000 | -0.000 | 0.000 | -0.000 | 34.431 |
| 688.111 | 491.381 | 590.565 | -0.000 | -0.000 | 0.000 |
| 491.381 | 688.111 | 590.565 | -0.000 | -0.000 | 0.000 |
| 588.015 | 588.015 | 918.348 | -0.000 | -0.000 | -0.000 |
| 0.000 | 0.000 | -0.000 | 72.978 | -0.000 | 0.000 |
| 0.000 | 0.000 | -0.000 | -0.000 | 72.978 | 0.000 |
| -0.001 | -0.001 | 0.000 | -0.000 | -0.000 | 40.098 |
| 688.113 | 491.383 | 590.565 | 0.000 | 0.000 | 0.000 |
| 491.383 | 688.113 | 590.565 | 0.000 | 0.000 | 0.000 |
| 588.018 | 588.018 | 918.348 | 0.000 | 0.000 | 0.000 |
| -0.000 | -0.000 | 0.000 | 72.978 | 0.000 | 0.000 |
| -0.000 | -0.000 | 0.000 | 0.000 | 72.978 | -0.000 |
| 0.001 | 0.001 | -0.000 | 0.000 | 0.000 | 40.098 |
| 688.113 | 491.382 | 590.566 | -0.000 | -0.000 | 0.000 |
| 491.382 | 688.113 | 590.566 | -0.000 | -0.000 | -0.000 |
| 588.017 | 588.017 | 918.349 | -0.000 | -0.000 | -0.000 |
| -0.001 | -0.001 | -0.000 | -38.980 | -0.000 | -0.000 |
| -0.001 | -0.001 | -0.000 | -0.000 | -38.980 | -0.000 |
| -0.000 | -0.000 | 0.000 | -0.000 | -0.000 | 40.098 |
| 688.112 | 491.381 | 590.565 | 0.000 | 0.000 | 0.000 |
| 491.381 | 688.112 | 590.565 | 0.000 | 0.000 | -0.000 |
| 588.016 | 588.016 | 918.347 | -0.000 | -0.000 | 0.000 |
| 0.001 | 0.001 | 0.000 | -38.980 | -0.000 | 0.000 |
| 0.001 | 0.001 | 0.000 | 0.000 | -38.980 | 0.000 |
| 0.000 | 0.000 | -0.000 | 0.000 | 0.000 | 40.098 |
| 688.117 | 491.386 | 590.569 | -0.000 | -0.000 | 0.000 |
| 491.386 | 688.117 | 590.569 | -0.000 | -0.000 | -0.000 |
| 585.481 | 585.481 | 918.466 | 0.000 | 0.000 | -0.000 |
| -0.001 | -0.001 | -0.000 | -38.980 | -0.000 | -0.000 |
| -0.001 | -0.001 | -0.000 | -0.000 | -38.980 | 0.000 |
| -0.000 | -0.000 | 0.000 | -0.000 | -0.000 | 40.098 |
| 688.107 | 491.378 | 590.562 | 0.000 | 0.000 | 0.000 |
| 491.378 | 688.107 | 590.562 | 0.000 | 0.000 | 0.000 |
| 588.012 | 588.012 | 918.342 | 0.000 | 0.000 | -0.000 |
| 0.001 | 0.001 | 0.000 | -38.980 | 0.000 | -0.000 |
| 0.001 | 0.001 | 0.000 | 0.000 | -38.980 | 0.000 |
| 0.000 | 0.000 | -0.000 | 0.000 | 0.000 | 40.098 |
| 360.985 | 206.934 | 206.934 | 0.000 | 0.000 | -0.000 |
| 206.934 | 360.985 | 206.934 | 0.000 | 0.000 | -0.000 |
| 206.934 | 206.934 | 360.985 | 0.000 | 0.000 | 0.000 |
| 0.000 | -0.000 | 0.000 | 49.052 | -0.000 | 0.000 |
| -0.000 | 0.000 | -0.000 | -0.000 | 49.052 | -0.000 |
| -0.000 | -0.000 | -0.000 | -0.000 | -0.000 | 49.052 |
| 264.576 | 142.946 | 142.946 | -0.000 | -0.000 | -0.000 |
| 142.946 | 264.576 | 142.946 | 0.000 | -0.000 | -0.000 |
| 142.946 | 142.946 | 264.576 | 0.000 | 0.000 | -0.000 |
| 0.000 | 0.000 | 0.000 | 49.052 | -0.000 | -0.000 |
| 0.000 | 0.000 | 0.000 | -0.000 | 49.052 | -0.000 |
| 0.000 | 0.000 | -0.000 | -0.000 | -0.000 | 49.052 |
| 360.985 | 206.934 | 206.934 | -0.000 | 0.000 | 0.000 |
| 206.934 | 360.985 | 206.934 | 0.000 | 0.000 | 0.000 |
| 206.934 | 206.934 | 360.985 | 0.000 | -0.000 | -0.000 |
| -0.000 | 0.000 | 0.000 | 49.052 | -0.000 | -0.000 |
| 0.000 | -0.000 | 0.000 | -0.000 | 49.052 | -0.000 |
| 0.000 | 0.000 | -0.000 | -0.000 | -0.000 | 49.052 |
| 360.986 | 206.935 | 206.935 | -0.000 | -0.000 | -0.000 |
| 206.935 | 360.986 | 206.935 | -0.000 | -0.000 | -0.000 |
| 206.935 | 206.935 | 360.986 | -0.000 | 0.000 | -0.000 |
| 0.000 | -0.000 | -0.000 | 49.052 | -0.000 | -0.000 |
| -0.000 | 0.000 | -0.000 | -0.000 | 49.052 | -0.000 |
| -0.000 | -0.000 | 0.000 | -0.000 | -0.000 | 49.052 |
| 344.648 | 210.781 | 210.781 | 0.000 | -0.000 | -0.000 |
| 210.781 | 344.648 | 210.781 | -0.000 | -0.000 | 0.000 |
| 210.781 | 210.781 | 344.648 | 0.000 | -0.000 | -0.000 |
| 0.183 | 0.183 | 0.183 | 35.045 | 0.000 | -0.000 |
| 0.183 | 0.183 | 0.183 | 0.000 | 35.045 | -0.000 |
| 0.183 | 0.183 | 0.183 | -0.000 | 0.000 | 35.045 |
| 330.105 | 209.965 | 209.965 | -0.000 | -0.000 | -0.000 |
| 209.965 | 330.105 | 209.965 | -0.000 | 0.000 | 0.000 |
| 209.965 | 209.965 | 330.105 | -0.000 | -0.000 | -0.000 |
| -0.183 | -0.183 | -0.183 | 35.045 | -0.000 | -0.000 |
| -0.183 | -0.183 | -0.183 | -0.000 | 35.045 | 0.000 |
| -0.183 | -0.183 | -0.183 | -0.000 | -0.000 | 35.045 |
| 364.538 | 210.762 | 210.762 | 0.000 | 0.000 | 0.000 |
| 210.762 | 364.538 | 210.762 | 0.000 | -0.000 | 0.000 |
| 210.762 | 210.762 | 364.538 | 0.000 | 0.000 | 0.000 |
| -100.428 | -100.428 | -100.428 | 27.588 | -0.000 | -0.000 |
| -100.428 | -100.428 | -100.428 | -0.000 | 27.588 | -0.000 |
| -100.428 | -100.428 | -100.428 | -0.000 | -0.000 | 27.588 |
| 440.489 | 316.584 | 316.584 | 0.000 | 0.000 | 0.000 |
| 316.584 | 440.489 | 316.584 | 0.000 | 0.000 | 0.000 |
| 316.584 | 316.584 | 440.489 | 0.000 | 0.000 | 0.000 |
| 100.428 | 100.428 | 100.428 | 27.588 | 0.000 | 0.000 |
| 100.428 | 100.428 | 100.428 | 0.000 | 27.588 | 0.000 |
| 100.428 | 100.428 | 100.428 | 0.000 | 0.000 | 27.588 |
| 316.406 | 190.608 | 190.608 | -0.000 | -0.000 | -0.000 |
| 190.608 | 316.406 | 190.608 | -0.000 | -0.000 | -0.000 |
| 206.149 | 206.149 | 329.869 | -0.000 | -0.000 | -0.000 |
| -10.037 | -10.037 | -10.037 | 27.601 | -0.000 | -0.000 |
| -10.037 | -10.037 | -10.037 | -0.000 | 27.601 | -0.000 |
| -10.037 | -10.037 | -10.037 | -0.000 | -0.000 | 27.601 |
| 364.539 | 210.762 | 210.762 | -0.000 | -0.000 | -0.000 |
| 210.762 | 364.539 | 210.762 | -0.000 | -0.000 | -0.000 |
| 210.762 | 210.762 | 364.539 | -0.000 | -0.000 | -0.000 |
| 10.037 | 10.037 | 10.037 | 27.601 | 0.000 | 0.000 |
| 10.037 | 10.037 | 10.037 | 0.000 | 27.601 | 0.000 |
| 10.037 | 10.037 | 10.037 | 0.000 | 0.000 | 27.601 |
| 338.508 | 215.312 | 215.312 | -0.000 | -0.000 | -0.000 |
| 215.312 | 338.508 | 215.312 | -0.000 | -0.000 | -0.000 |
| 215.312 | 215.312 | 338.508 | -0.000 | -0.000 | -0.000 |
| -0.962 | -0.962 | -0.962 | 28.491 | -0.000 | -0.000 |
| -0.962 | -0.962 | -0.962 | -0.000 | 28.491 | -0.000 |
| -0.962 | -0.962 | -0.962 | -0.000 | -0.000 | 28.491 |
| 341.545 | 217.599 | 217.599 | 0.000 | 0.000 | 0.000 |
| 217.599 | 341.545 | 217.599 | 0.000 | 0.000 | 0.000 |
| 217.599 | 217.599 | 341.545 | 0.000 | 0.000 | 0.000 |
| 0.962 | 0.962 | 0.962 | 28.491 | 0.000 | 0.000 |
| 0.962 | 0.962 | 0.962 | 0.000 | 28.491 | 0.000 |
| 0.962 | 0.962 | 0.962 | 0.000 | 0.000 | 28.491 |
| 326.722 | 190.368 | 190.368 | -0.000 | 0.000 | 0.000 |
| 190.368 | 326.722 | 190.368 | -0.000 | 0.000 | 0.000 |
| 190.368 | 190.368 | 326.722 | -0.000 | 0.000 | 0.000 |
| -0.624 | -0.624 | -0.624 | 69.598 | -0.000 | 0.000 |
| -0.624 | -0.624 | -0.624 | -0.000 | 69.598 | 0.000 |
| -0.624 | -0.624 | -0.625 | -0.000 | -0.000 | 69.598 |
| 326.722 | 190.368 | 190.368 | 0.000 | -0.000 | -0.000 |
| 190.368 | 326.722 | 190.368 | 0.000 | -0.000 | -0.000 |
| 190.368 | 190.368 | 326.722 | 0.000 | -0.000 | -0.000 |
| 0.624 | 0.624 | 0.624 | 69.598 | 0.000 | -0.000 |
| 0.624 | 0.624 | 0.624 | 0.000 | 69.598 | -0.000 |
| 0.624 | 0.624 | 0.625 | 0.000 | 0.000 | 69.598 |
| 326.722 | 190.367 | 190.367 | -0.000 | 0.000 | 0.000 |
| 190.367 | 326.722 | 190.367 | -0.000 | 0.000 | 0.000 |
| 190.367 | 190.367 | 326.722 | -0.000 | 0.000 | 0.000 |
| 0.000 | 0.000 | 0.000 | 84.627 | 0.000 | 0.000 |
| 0.000 | 0.000 | 0.000 | -0.000 | 84.627 | 0.000 |
| 0.000 | 0.000 | 0.000 | -0.000 | 0.000 | 84.627 |
| 307.440 | 190.802 | 190.802 | 0.000 | 0.000 | 0.000 |
| 190.802 | 307.440 | 190.802 | 0.000 | 0.000 | 0.000 |
| 190.802 | 190.802 | 307.440 | 0.000 | 0.000 | 0.000 |
| -0.000 | -0.000 | -0.000 | 84.627 | -0.000 | -0.000 |
| -0.000 | -0.000 | -0.000 | 0.000 | 84.627 | -0.000 |
| -0.000 | -0.000 | -0.000 | 0.000 | -0.000 | 84.627 |
| 307.204 | 190.609 | 190.609 | -0.000 | -0.000 | -0.000 |
| 190.609 | 307.204 | 190.609 | -0.000 | -0.000 | -0.000 |
| 190.609 | 190.609 | 307.204 | -0.000 | -0.000 | -0.000 |
| -0.010 | -0.010 | -0.010 | 68.904 | -0.000 | 0.000 |
| -0.010 | -0.010 | -0.010 | -0.000 | 68.904 | -0.000 |
| -0.010 | -0.010 | -0.010 | -0.000 | -0.000 | 68.904 |
| 326.724 | 190.371 | 190.371 | 0.000 | -0.000 | -0.000 |
| 190.371 | 326.724 | 190.371 | 0.000 | 0.000 | -0.000 |
| 190.371 | 190.371 | 326.724 | 0.000 | -0.000 | -0.000 |
| 0.010 | 0.010 | 0.010 | 68.904 | 0.000 | 0.000 |
| 0.010 | 0.010 | 0.010 | 0.000 | 68.904 | 0.000 |
| 0.010 | 0.010 | 0.010 | 0.000 | 0.000 | 68.904 |
| 386.601 | 257.870 | 257.870 | 0.000 | 0.000 | -0.000 |
| 257.870 | 386.601 | 257.870 | 0.000 | 0.000 | -0.000 |
| 257.870 | 257.870 | 386.601 | 0.000 | 0.000 | -0.000 |
| -92.003 | -92.003 | -92.003 | 67.282 | 0.000 | -0.000 |
| -92.003 | -92.003 | -92.003 | 0.000 | 67.282 | -0.000 |
| -92.003 | -92.003 | -92.003 | 0.000 | 0.000 | 67.282 |
| 271.385 | 142.576 | 142.576 | -0.000 | -0.000 | 0.000 |
| 142.576 | 271.385 | 142.576 | -0.000 | -0.000 | 0.000 |
| 142.576 | 142.576 | 271.385 | -0.000 | -0.000 | 0.000 |
| 92.003 | 92.003 | 92.003 | 67.282 | -0.000 | 0.000 |
| 92.003 | 92.003 | 92.003 | -0.000 | 67.282 | 0.000 |
| 92.003 | 92.003 | 92.003 | -0.000 | -0.000 | 67.282 |
| 334.959 | 199.593 | 199.593 | -0.000 | 0.000 | -0.000 |
| 199.593 | 334.959 | 199.593 | -0.000 | 0.000 | -0.000 |
| 199.593 | 199.593 | 334.959 | -0.000 | 0.000 | -0.000 |
| 5.951 | 5.951 | 5.951 | 74.035 | 0.000 | -0.000 |
| 5.951 | 5.951 | 5.951 | 0.000 | 74.035 | -0.000 |
| 5.951 | 5.951 | 5.951 | 0.000 | 0.000 | 74.035 |
| 323.237 | 194.276 | 194.276 | -0.000 | -0.000 | 0.000 |
| 194.276 | 323.237 | 194.276 | -0.000 | -0.000 | 0.000 |
| 194.276 | 194.276 | 323.237 | -0.000 | -0.000 | 0.000 |
| -5.951 | -5.951 | -5.951 | 74.035 | -0.000 | 0.000 |
| -5.951 | -5.951 | -5.951 | -0.000 | 74.035 | 0.000 |
| -5.951 | -5.951 | -5.951 | -0.000 | -0.000 | 74.035 |
| 334.957 | 199.590 | 199.590 | -0.000 | 0.000 | -0.000 |
| 199.590 | 334.957 | 199.590 | -0.000 | 0.000 | -0.000 |
| 199.590 | 199.590 | 334.957 | -0.000 | 0.000 | -0.000 |
| 0.000 | 0.000 | 0.000 | 83.932 | 0.000 | -0.000 |
| 0.000 | 0.000 | 0.000 | -0.000 | 83.932 | -0.000 |
| 0.000 | 0.000 | 0.000 | -0.000 | 0.000 | 83.932 |
| 326.173 | 199.228 | 199.228 | -0.000 | -0.000 | 0.000 |
| 199.228 | 326.173 | 199.228 | -0.000 | -0.000 | 0.000 |
| 199.228 | 199.228 | 326.173 | 0.000 | -0.000 | 0.000 |
| -0.000 | -0.000 | -0.000 | 83.932 | -0.000 | 0.000 |
| -0.000 | -0.000 | -0.000 | 0.000 | 83.932 | 0.000 |
| -0.000 | -0.000 | -0.000 | 0.000 | 0.000 | 83.932 |
| 434.062 | 358.669 | 294.999 | -0.000 | -0.000 | 0.000 |
| 358.702 | 504.506 | 239.641 | -0.000 | 0.000 | 0.000 |
| 295.037 | 239.646 | 484.325 | -0.000 | 0.000 | 0.000 |
| -13.609 | -4.339 | -2.736 | -32.863 | 0.000 | 0.000 |
| -62.642 | -19.971 | -12.594 | -0.000 | -286.799 | 0.000 |
| -0.000 | 0.000 | -0.000 | -0.000 | 0.000 | 84.167 |
| 398.432 | 347.310 | 287.836 | 0.000 | -0.000 | -0.000 |
| 351.172 | 502.105 | 238.128 | 0.000 | -0.000 | -0.000 |
| 292.365 | 238.794 | 483.788 | 0.000 | -0.000 | -0.000 |
| 13.609 | 4.339 | 2.736 | -32.863 | -0.000 | 0.000 |
| 62.642 | 19.971 | 12.594 | 0.000 | -286.799 | -0.000 |
| 0.000 | -0.000 | 0.000 | 0.000 | -0.000 | 84.167 |
| 434.061 | 358.668 | 294.998 | -0.000 | 0.000 | 0.000 |
| 358.702 | 504.505 | 239.641 | -0.000 | 0.000 | 0.000 |
| 295.036 | 239.645 | 484.325 | -0.000 | 0.000 | 0.000 |
| -11.073 | -3.530 | -2.226 | -47.370 | -0.000 | 0.000 |
| -0.000 | -0.000 | 0.000 | -0.000 | 25.885 | 0.000 |
| -0.000 | 0.000 | -0.000 | -0.000 | 0.000 | 84.167 |
| 434.062 | 358.669 | 295.000 | 0.000 | -0.000 | -0.000 |
| 346.114 | 500.493 | 237.111 | 0.000 | 0.000 | -0.000 |
| 295.037 | 239.646 | 484.326 | 0.000 | -0.000 | -0.000 |
| 11.073 | 3.530 | 2.226 | -47.370 | -0.000 | -0.000 |
| 0.000 | 0.000 | -0.000 | 0.000 | 25.885 | -0.000 |
| 0.000 | -0.000 | 0.000 | 0.000 | -0.000 | 84.167 |
| 392.745 | 345.492 | 286.687 | -0.000 | -0.000 | 0.000 |
| 345.489 | 500.290 | 236.979 | -0.000 | 0.000 | 0.000 |
| 286.681 | 236.977 | 482.643 | -0.000 | 0.000 | 0.000 |
| -9479818.681 | 9706482.672 | -11886383.532 | -11908500.465 | 0.000 | -0.000 |
| -0.056 | -0.019 | -0.013 | -0.000 | -406.550 | 0.000 |
| -0.000 | 0.000 | -0.000 | -0.000 | -0.000 | 84.167 |
| 434.068 | 358.676 | 295.006 | 0.000 | -0.000 | -0.000 |
| 345.614 | 500.336 | 237.016 | 0.000 | -0.000 | 0.000 |
| 295.043 | 239.653 | 484.330 | 0.000 | 0.000 | -0.000 |
| 9479818.681 | -9706482.672 | 11886383.532 | -11908500.465 | -0.000 | -0.000 |
| 0.056 | 0.019 | 0.013 | 0.000 | -406.550 | -0.000 |
| 0.000 | -0.000 | 0.000 | 0.000 | -0.000 | 84.167 |
| 296.065 | 142.096 | 95.995 | -0.000 | 0.000 | 0.000 |
| 143.284 | 280.540 | 98.580 | -0.000 | 0.000 | 0.000 |
| 96.582 | 97.973 | 319.299 | -0.000 | 0.000 | 0.000 |
| 0.000 | 0.000 | 0.000 | 78.282 | -0.000 | -0.000 |
| 0.000 | 0.000 | 0.000 | -0.000 | 76.576 | -0.000 |
| -0.000 | 0.000 | -0.000 | -0.000 | 0.000 | 72.647 |
| 296.065 | 142.096 | 95.995 | 0.000 | -0.000 | -0.000 |
| 143.284 | 280.540 | 98.580 | 0.000 | -0.000 | 0.000 |
| 96.582 | 97.973 | 319.298 | 0.000 | -0.000 | -0.000 |
| -0.000 | -0.000 | -0.000 | 78.282 | 0.000 | 0.000 |
| 0.000 | -0.000 | -0.000 | 0.000 | 76.576 | -0.000 |
| 0.000 | -0.000 | 0.000 | 0.000 | -0.000 | 72.647 |
| 320.930 | 116.269 | 96.435 | 0.000 | 0.000 | -0.000 |
| 143.284 | 280.540 | 98.580 | -0.000 | 0.000 | 0.000 |
| 96.579 | 97.976 | 319.299 | -0.000 | 0.000 | 0.000 |
| 0.000 | -0.000 | 0.000 | 78.281 | 0.000 | -0.000 |
| -0.000 | 0.000 | 0.000 | -0.000 | 76.576 | -0.000 |
| 0.000 | 0.000 | -0.000 | -0.000 | -0.000 | 72.647 |
| 296.065 | 142.096 | 95.995 | 0.000 | -0.000 | -0.000 |
| 143.284 | 280.540 | 98.580 | 0.000 | -0.000 | 0.000 |
| 96.579 | 97.976 | 319.298 | 0.000 | -0.000 | 0.000 |
| -0.000 | 0.000 | -0.000 | 78.281 | -0.000 | 0.000 |
| 0.000 | -0.000 | -0.000 | 0.000 | 76.576 | -0.000 |
| -0.000 | -0.000 | 0.000 | 0.000 | 0.000 | 72.647 |
| 296.067 | 142.096 | 95.995 | -0.000 | 0.000 | 0.000 |
| 117.457 | 307.370 | 98.123 | 0.000 | 0.000 | -0.000 |
| 97.019 | 97.519 | 319.308 | 0.000 | 0.000 | -0.000 |
| 0.000 | -0.000 | 0.000 | 78.282 | 0.000 | -0.000 |
| -0.000 | 0.000 | 0.000 | -0.000 | 76.576 | 0.000 |
| 0.000 | 0.000 | -0.000 | -0.000 | 0.000 | 72.647 |
| 296.064 | 142.095 | 95.995 | 0.000 | -0.000 | 0.000 |
| 143.284 | 280.539 | 98.580 | 0.000 | -0.000 | -0.000 |
| 96.578 | 97.976 | 319.297 | 0.000 | 0.000 | -0.000 |
| -0.000 | 0.000 | -0.000 | 78.282 | -0.000 | 0.000 |
| 0.000 | -0.000 | -0.000 | 0.000 | 76.576 | 0.000 |
| -0.000 | -0.000 | 0.000 | 0.000 | -0.000 | 72.647 |
| 86.377 | 158.696 | -11.565 | 0.000 | 0.000 | -0.000 |
| 158.696 | 86.377 | -11.565 | 0.000 | 0.000 | 0.000 |
| -11.564 | -11.564 | 191.237 | -0.000 | -0.000 | 0.000 |
| -0.000 | 0.000 | -0.000 | -58.098 | -0.000 | 0.000 |
| -0.000 | 0.000 | -0.000 | -0.000 | -58.098 | 0.000 |
| 0.000 | 0.000 | 0.000 | -0.000 | -0.000 | 46.088 |
| 168.625 | 76.448 | -11.565 | 0.000 | -0.000 | -0.000 |
| 158.696 | 86.377 | -11.565 | -0.000 | -0.000 | 0.000 |
| -11.564 | -11.564 | 191.237 | 0.000 | -0.000 | -0.000 |
| 0.000 | -0.000 | 0.000 | -58.098 | 0.000 | -0.000 |
| 0.000 | -0.000 | 0.000 | 0.000 | -58.098 | -0.000 |
| 0.000 | -0.000 | -0.000 | 0.000 | 0.000 | 46.088 |
| 168.625 | 76.448 | -11.565 | -0.000 | 0.000 | 0.000 |
| 76.448 | 168.625 | -11.565 | -0.000 | -0.000 | 0.000 |
| -11.564 | -11.564 | 191.237 | 0.000 | 0.000 | 0.000 |
| -0.000 | 0.000 | -0.000 | -58.098 | 0.000 | 0.000 |
| 0.000 | 0.000 | -0.000 | -0.000 | -58.098 | 0.000 |
| -0.000 | 0.000 | -0.000 | 0.000 | 0.000 | -36.160 |
| 86.376 | 158.696 | -11.565 | 0.000 | -0.000 | -0.000 |
| 158.696 | 86.377 | -11.565 | -0.000 | -0.000 | -0.000 |
| -11.564 | -11.564 | 191.236 | 0.000 | -0.000 | -0.000 |
| 0.000 | -0.000 | 0.000 | -58.098 | -0.000 | -0.000 |
| -0.000 | -0.000 | 0.000 | 0.000 | -58.098 | -0.000 |
| 0.000 | -0.000 | 0.000 | -0.000 | -0.000 | -36.160 |
| 168.626 | 76.449 | -11.565 | -0.000 | -0.000 | 0.000 |
| 158.718 | 86.356 | -11.565 | -0.000 | -0.000 | 0.000 |
| -11.564 | -11.564 | 191.238 | 0.000 | 0.000 | 0.000 |
| -0.000 | 0.000 | -0.000 | -58.098 | -0.000 | -0.000 |
| 0.000 | 0.000 | -0.000 | -0.000 | -58.098 | 0.000 |
| -0.000 | -0.000 | -0.000 | 0.000 | 0.000 | -36.160 |
| 168.623 | 76.447 | -11.565 | 0.000 | 0.000 | 0.000 |
| 158.711 | 86.360 | -11.565 | -0.000 | -0.000 | -0.000 |
| -11.565 | -11.565 | 191.235 | 0.000 | -0.000 | -0.000 |
| 0.000 | -0.000 | 0.000 | -58.098 | 0.000 | 0.000 |
| -0.000 | -0.000 | 0.000 | 0.000 | -58.098 | -0.000 |
| 0.000 | 0.000 | 0.000 | -0.000 | -0.000 | -36.160 |
Phonon band structures and crystal properties estimated from quasi-harmonic approximation (QHA) calculations are displayed for select crystals. The calculations were performed using phonopy and LAMMPS. For the phonon calculations, 3x3 supercells of the potential-specific relaxed crystals were used. The QHA calculations were based on 11 strain states ranging from -0.05 to 0.05.
The calculation method used is available as the iprPy phonon calculation method.
Notes and Disclaimers:
Version Information:

































































































































































































































































































































































































Static free surface formation energies are displayed for select crystals. The values displayed here are obtained by taking a perfect periodic bulk crystal, slicing along a crystallographic plane, and using force minimization to statically relax the surfaces. The free surface formation energy is computed by comparing the energy of the defect system to the bulk system and dividing by the total surface area created by the cut.
The calculation method used is available as the iprPy surface_energy_static calculation method.
Notes and Disclaimers:
Version Information:
| Surface | γfs (mJ/m2) |
|---|---|
| (111) | 2543.75 |
| (100) | 2664.83 |
| (110) | 2684.90 |
| (332) | 2688.56 |
| (322) | 2702.62 |
| (221) | 2734.88 |
| (311) | 2740.17 |
| (211) | 2749.94 |
| (210) | 2751.99 |
| (331) | 2753.64 |
| (320) | 2758.77 |
| (321) | 2777.25 |
| (310) | 2786.19 |
| Surface | γfs (mJ/m2) |
|---|---|
| (211) 2 | 2628.84 |
| (111) | 2685.39 |
| (332) 2 | 2695.33 |
| (321) 2 | 2700.85 |
| (210) | 2712.84 |
| (322) | 2717.34 |
| (221) | 2732.45 |
| (321) 1 | 2734.88 |
| (332) 1 | 2743.98 |
| (110) | 2744.70 |
| (331) | 2749.47 |
| (311) | 2752.74 |
| (320) | 2779.10 |
| (310) | 2784.07 |
| (100) | 2789.96 |
| (211) 1 | 2794.52 |
| Surface | γfs (mJ/m2) |
|---|---|
| (100) | 2727.97 |
| (310) | 2838.55 |
| (210) | 2876.87 |
| (311) | 2883.11 |
| (320) | 2912.47 |
| (110) | 2914.40 |
| (211) | 2925.54 |
| (111) | 2977.86 |
| (321) | 2992.01 |
| (322) | 2992.54 |
| (332) | 3007.74 |
| (221) | 3028.87 |
| (331) | 3029.34 |
| Surface | γfs (mJ/m2) |
|---|---|
| (0001) | 2536.73 |
| (1012) 2 | 2623.85 |
| (1011) 1 | 2664.56 |
| (2021) 1 | 2675.66 |
| (1120) | 2683.93 |
| (2241) | 2729.43 |
| (2021) 2 | 2739.62 |
| (1121) | 2758.95 |
| (2132) 2 | 2759.73 |
| (2131) 1 | 2762.37 |
| (2130) | 2771.51 |
| (2112) | 2773.22 |
| (1010) | 2774.57 |
| (2132) 1 | 2790.16 |
| (2131) 2 | 2794.80 |
| (1012) 1 | 2837.65 |
| (1011) 2 | 2878.62 |
| Surface | γfs (mJ/m2) |
|---|---|
| (0001) | 2535.17 |
| (1010) 1 | 2592.62 |
| (1011) 2 | 2614.28 |
| (2021) 1 | 2679.51 |
| (1120) | 2682.89 |
| (1012) 1 | 2694.96 |
| (2112) | 2720.31 |
| (2130) 1 | 2737.40 |
| (2241) | 2759.48 |
| (2131) 2 | 2760.76 |
| (2132) 1 | 2766.25 |
| (1121) | 2776.09 |
| (2132) 2 | 2798.19 |
| (2130) 2 | 2801.36 |
| (1012) 2 | 2818.93 |
| (2131) 1 | 2822.99 |
| (2021) 2 | 2844.66 |
| (1010) 2 | 2945.11 |
| (1011) 1 | 3048.10 |
| Surface | γfs (mJ/m2) |
|---|---|
| (332) | -80584.95 |
| (331) 1 | -71776.75 |
| (322) | -69315.52 |
| (321) | -60544.77 |
| (320) | -59145.10 |
| (311) 2 | -54392.28 |
| (310) | -54143.76 |
| (221) | -50843.15 |
| (211) | -41147.78 |
| (210) | -37148.45 |
| (111) 2 | 926.81 |
| (331) 2 | 969.88 |
| (110) | 1033.84 |
| (311) 1 | 1073.99 |
| (100) | 1122.10 |
| (111) 1 | 1313.36 |
| Surface | γfs (mJ/m2) |
|---|---|
| (100) | 1221.61 |
| (110) | 1316.67 |
| (310) | 1361.23 |
| (320) | 1371.11 |
| (111) | 1378.52 |
| (210) | 1379.40 |
| (331) | 1402.97 |
| (311) | 1415.11 |
| (332) | 1417.54 |
| (211) | 1417.87 |
| (221) | 1419.97 |
| (322) | 1420.61 |
| (321) | 1426.39 |
| Surface | γfs (mJ/m2) |
|---|---|
| (211) 2 | 1993.38 |
| (210) | 2041.81 |
| (310) | 2079.32 |
| (321) 2 | 2082.76 |
| (332) 2 | 2084.83 |
| (311) | 2085.62 |
| (100) | 2086.78 |
| (321) 1 | 2095.13 |
| (322) | 2106.75 |
| (111) | 2107.29 |
| (110) | 2111.53 |
| (221) | 2112.61 |
| (331) | 2126.05 |
| (320) | 2126.96 |
| (332) 1 | 2142.40 |
| (211) 1 | 2185.89 |
| Surface | γfs (mJ/m2) |
|---|---|
| (322) | -3632.49 |
| (331) | -2900.46 |
| (311) | -2564.58 |
| (310) | -2552.90 |
| (221) | -1584.31 |
| (332) | -1422.25 |
| (210) | -230.31 |
| (100) | 814.35 |
| (320) | 2584.57 |
| (211) | 2872.54 |
| (111) | 2903.16 |
| (321) | 2956.23 |
| (110) | 3069.30 |
| Surface | γfs (mJ/m2) |
|---|---|
| (2241) | 2283.60 |
| (1121) | 2322.91 |
| (1120) | 2388.66 |
| (1012) 2 | 2402.66 |
| (0001) | 2405.31 |
| (2130) | 2410.77 |
| (2131) 2 | 2427.55 |
| (1011) 1 | 2451.72 |
| (2131) 1 | 2470.87 |
| (2132) 2 | 2472.80 |
| (2021) 1 | 2478.21 |
| (2112) | 2497.18 |
| (2021) 2 | 2503.09 |
| (2132) 1 | 2508.75 |
| (1010) | 2522.14 |
| (1012) 1 | 2577.71 |
| (1011) 2 | 2600.43 |
| Surface | γfs (mJ/m2) |
|---|---|
| (1010) 1 | 2374.25 |
| (1011) 2 | 2374.34 |
| (2241) | 2376.71 |
| (1120) | 2377.28 |
| (0001) | 2406.80 |
| (1121) | 2406.92 |
| (2130) 1 | 2425.66 |
| (2021) 1 | 2440.53 |
| (1012) 1 | 2464.31 |
| (2131) 2 | 2465.90 |
| (2112) | 2479.95 |
| (2130) 2 | 2494.23 |
| (2132) 2 | 2501.42 |
| (2132) 1 | 2508.40 |
| (2131) 1 | 2544.21 |
| (1012) 2 | 2563.18 |
| (2021) 2 | 2574.99 |
| (1010) 2 | 2663.75 |
| (1011) 1 | 2766.91 |
| Surface | γfs (mJ/m2) |
|---|---|
| (111) | 3016.56 |
| (210) | 3031.77 |
| (110) | 3041.06 |
| (320) | 3061.63 |
| (100) | 3073.23 |
| (311) | 3076.99 |
| (310) | 3093.40 |
| (332) | 3109.24 |
| (321) | 3113.92 |
| (331) | 3121.66 |
| (221) | 3125.55 |
| (322) | 3133.97 |
| (211) | 3144.39 |
| Surface | γfs (mJ/m2) |
|---|---|
| (0001) | 3002.36 |
| (1120) | 3034.57 |
| (1012) 2 | 3071.18 |
| (2241) | 3071.84 |
| (2132) 2 | 3087.13 |
| (1121) | 3090.97 |
| (2130) | 3093.55 |
| (2112) | 3094.69 |
| (2131) 2 | 3099.39 |
| (1011) 1 | 3101.66 |
| (2131) 1 | 3106.93 |
| (1010) | 3118.35 |
| (2021) 2 | 3129.22 |
| (2132) 1 | 3134.62 |
| (2021) 1 | 3142.81 |
| (1012) 1 | 3179.28 |
| (1011) 2 | 3245.37 |
| Surface | γfs (mJ/m2) |
|---|---|
| (0001) | 2994.99 |
| (1120) | 3040.50 |
| (1012) 1 | 3051.63 |
| (1010) 1 | 3057.03 |
| (1011) 2 | 3071.61 |
| (2112) | 3077.42 |
| (2130) 2 | 3099.09 |
| (2241) | 3099.37 |
| (2131) 2 | 3102.21 |
| (2130) 1 | 3105.20 |
| (1121) | 3116.65 |
| (2132) 1 | 3126.52 |
| (2132) 2 | 3146.22 |
| (2021) 1 | 3160.72 |
| (2021) 2 | 3187.16 |
| (2131) 1 | 3194.40 |
| (1010) 2 | 3221.05 |
| (1012) 2 | 3222.26 |
| (1011) 1 | 3340.48 |
Static point defect formation energies, Ef, and elastic dipole tensors, pij, are displayed for select crystals. Relaxed defect configurations are obtained by taking a 12x12x12 supercell of a perfect periodic bulk crystal, inserting the point defect, and using force minimization to statically relax the atomic positions while keeping the system dimensions constant. Ef is computed by comparing the energy of the defect system to the same number of atoms in a perfect bulk crystal. pij is estimated as the difference in the system's global pressure with and without the defect multiplied by the system's volume.
Simple structural comparisons of the unrelaxed and relaxed defect configurations are used to help determine if the defect structure has relaxed to a different configuration. Relaxed structures that are identified as no longer consistent with the ideal defect definition are excluded from the table below. The only exception to this is if the lowest energy interstitial configuration does not coincide with a known ideal defect, its energies and pressure tensor are included under the listing "relaxed interstitial". The full list of calculation results including the transformed structures and the structural comparison values is included in the csv file available from the "Download raw data" link.
The calculation method used is available as the iprPy point_defect_static calculation method.
Notes and Disclaimers:
| Point Defect | Ef (eV) | p11 (eV) | p22 (eV) | p33 (eV) | p12 (eV) | p13 (eV) | p23 (eV) |
|---|---|---|---|---|---|---|---|
| vacancy | 2.388 | -5.307 | -5.307 | -5.307 | 0.000 | 0.000 | -0.000 |
| 100 dumbbell | 3.923 | 18.170 | 18.170 | 21.645 | 0.000 | -0.000 | 0.000 |
| 111 dumbbell | 4.244 | 12.930 | 12.930 | 12.930 | 9.073 | 9.073 | 9.073 |
| crowdion interstitial | 4.289 | 10.424 | 10.424 | 20.176 | 11.955 | 0.000 | -0.000 |
| octahedral interstitial | 4.483 | 12.215 | 12.215 | 12.215 | -0.000 | -0.000 | -0.000 |
| 1nn divacancy | 4.632 | -10.120 | -8.962 | -8.962 | 0.000 | 0.000 | 0.875 |
| tetrahedral interstitial | 4.679 | 9.812 | 9.812 | 9.812 | 0.000 | 0.000 | 0.000 |
| 2nn divacancy | 4.700 | -9.783 | -9.783 | -9.369 | 0.000 | 0.000 | -0.000 |
| Point Defect | Ef (eV) | p11 (eV) | p22 (eV) | p33 (eV) | p12 (eV) | p13 (eV) | p23 (eV) |
|---|---|---|---|---|---|---|---|
| vacancy | 1.417 | 0.508 | 0.508 | 0.508 | 0.000 | -0.000 | -0.000 |
| 2nn divacancy | 2.743 | 0.443 | 0.443 | -4.001 | 0.000 | -0.000 | 0.000 |
| 1nn divacancy | 3.091 | -1.112 | -1.112 | -1.112 | 1.215 | 1.215 | 1.215 |
| 110 dumbbell | 5.239 | 34.832 | 27.188 | 27.188 | 0.000 | 0.000 | 10.281 |
| crowdion interstitial | 5.591 | 23.161 | 23.161 | 23.161 | 10.549 | 10.549 | 10.549 |
| 111 dumbbell | 5.601 | 22.783 | 22.783 | 22.783 | 10.619 | 10.619 | 10.619 |
| octahedral interstitial | 6.188 | 23.646 | 13.866 | 13.866 | -0.000 | -0.000 | -0.000 |
| 100 dumbbell | 6.300 | 9.210 | 9.210 | 17.586 | 0.000 | 0.000 | -0.000 |
| Point Defect | Ef (eV) | p11 (eV) | p22 (eV) | p33 (eV) | p12 (eV) | p13 (eV) | p23 (eV) |
|---|---|---|---|---|---|---|---|
| vacancy | 2.413 | -4.912 | -4.912 | -4.796 | -0.000 | -0.000 | 0.000 |
| 0001 dumbbell | 3.947 | 0.844 | 0.844 | 16.840 | -0.000 | -0.000 | -0.000 |
| Point Defect | Ef (eV) | p11 (eV) | p22 (eV) | p33 (eV) | p12 (eV) | p13 (eV) | p23 (eV) |
|---|---|---|---|---|---|---|---|
| relaxed interstitial | -12875.915 | -4009.668 | -3931.902 | -4797.878 | 324.993 | -284.891 | -167.326 |
| bond centered interstitial | -5.003 | -17.749 | -17.749 | -17.749 | 2.084 | 2.084 | 2.084 |
| tetragonal interstitial | -1.818 | 0.429 | 0.429 | 0.429 | 0.000 | 0.000 | 0.000 |
| Point Defect | Ef (eV) | p11 (eV) | p22 (eV) | p33 (eV) | p12 (eV) | p13 (eV) | p23 (eV) |
|---|---|---|---|---|---|---|---|
| vacancy | 2.723 | 10.926 | 10.926 | 10.926 | -0.000 | 0.000 | 0.000 |
| 2nn divacancy | 4.507 | 29.220 | 29.220 | 26.550 | -0.000 | -0.000 | 0.000 |
| 1nn divacancy | 5.061 | 31.703 | 31.703 | 31.703 | 2.784 | 2.784 | 2.784 |
| 111 dumbbell | 6.295 | 39.285 | 39.285 | 39.285 | 9.955 | 9.955 | 9.955 |
| 100 dumbbell | 6.405 | 28.400 | 28.400 | 42.239 | -0.000 | 0.000 | 0.000 |
| tetrahedral interstitial | 6.453 | 36.909 | 27.055 | 36.909 | 0.000 | -0.000 | -0.000 |
| Point Defect | Ef (eV) | p11 (eV) | p22 (eV) | p33 (eV) | p12 (eV) | p13 (eV) | p23 (eV) |
|---|---|---|---|---|---|---|---|
| vacancy | 1.705 | -2.870 | -2.870 | -7.627 | 0.000 | -0.000 | -0.000 |
| relaxed interstitial | 3.359 | 22.976 | 22.444 | 18.325 | -0.461 | 2.821 | -1.629 |
| 0001 dumbbell | 3.594 | 29.797 | 29.797 | 21.539 | 0.000 | -0.000 | -0.000 |
| Point Defect | Ef (eV) | p11 (eV) | p22 (eV) | p33 (eV) | p12 (eV) | p13 (eV) | p23 (eV) |
|---|---|---|---|---|---|---|---|
| vacancy | 1.486 | -5.918 | -5.918 | -5.918 | 0.000 | 0.000 | 0.000 |
| 2nn divacancy | 2.991 | -14.358 | -14.358 | -13.643 | 0.000 | 0.000 | 0.000 |
| 1nn divacancy | 3.102 | -15.741 | -13.792 | -13.792 | 0.000 | -0.000 | 0.695 |
| 100 dumbbell | 3.946 | 19.892 | 19.892 | 18.145 | 0.000 | 0.000 | 0.000 |
| octahedral interstitial | 4.066 | 19.996 | 19.996 | 19.996 | -0.000 | -0.000 | -0.000 |
| crowdion interstitial | 4.303 | 18.349 | 18.349 | 23.699 | 14.107 | 0.000 | 0.000 |
| 111 dumbbell | 4.482 | 19.438 | 19.438 | 19.438 | 4.770 | 4.770 | 4.770 |
| Point Defect | Ef (eV) | p11 (eV) | p22 (eV) | p33 (eV) | p12 (eV) | p13 (eV) | p23 (eV) |
|---|---|---|---|---|---|---|---|
| vacancy | 1.408 | -3.729 | -3.729 | -4.067 | 0.000 | -0.000 | 0.000 |
| 0001 dumbbell | 4.401 | 17.953 | 17.953 | 24.321 | 0.000 | 0.000 | 0.000 |
Plots of the atomic structure of dislocation cores are shown here. The dislocations were constructed using dislocation monopole configurations in which a straight dislocation is created in the center of the system using anisotropic elasticity and the elastic constants computed above. A cylindrical region centered around the dislocation is allowed to relax while the remaining atoms are held fixed. The relaxation consists of 1 million NVT steps at 10 K followed by an energy/force minimization. The final plots show the atomic configuration near the center of the monopole system, and display differential displacement arrows and Nye tensor color maps that are both taken with respect to the Burgers vector direction.
These plots show a wide range of final structures, some corresponding to expected dislocation structures and others not. While the characterizations are dislocation-type dependent, some general classification guidelines are listed here.
The calculation method used is available as the iprPy dislocation_monopole calculation method.
Links are provided above the images allowing for users to download the final defect configuration and a corresponding defect-free configuration if they wish to further analyze the structures or use them for subsequent simulations.
Notes and Disclaimers:
Version Information:
Plots of lattice and elastic constants are shown as a function of temperature. The 0K points were taken from the Crystal Structure Predictions and the Elastic Constants Predictions sections above for the unique crystal structures relaxed with the "dynamic" method. Starting from the 0 K relaxed crystal unit cells, supercell systems are created by replicating all three dimensions by the same multiplier to achieve at least 4000 atoms. The systems are then relaxed at 50 K and zero pressure using 1 million NPT steps. Lattice constants are estimated by averaging the measured box dimensions. Temperatures are iteratively increased by 50 K, with each subsequent relaxation calculation starting from the final atomic configuration at the previous temperature and relaxing for another 1 million steps.
The elastic constants are calculated using the deformation–fluctuation hybrid method. Starting from the final atomic configurations of the dynamic relaxations, the system is allowed to evolve at constant volume with a Langevin thermostat. The Born matrix is computed during this run by evaluating how the atomic forces would vary due to applied linear strain fields. The elastic constants can then be estimated using the averaged Born matrix values and the averaged stresses on the system.
The calculation methods used are available as the iprPy relax_dynamic and elastic_constants_dynamic calculation methods.
Clicking on the image of a plot will open an interactive version of it in a new tab. The underlying data for the plots can be downloaded by clicking on the links above each plot.
Notes and Disclaimers:
Version Information:
Plots of radial distribution functions at different temperatures and the temperature-dependent diffusion and viscosity are shown here for elemental liquids. Melt phases are constructed by starting with a 10x10x10 fcc super cell and relaxing with 50,000 NPT steps at zero pressure and a high melting temperature (3000 K for most potentials and elements). Following the melt, liquid structures are relaxed by running NPT for 10,000 steps over which the temperature is dropped by 50 K, then 50,000 NPT at the target temperature to estimate the equilibrium volume, followed by 20,000 NVT steps at the averaged equilibrium volume and target temperature. Structures from the NVT run are sampled to compute the radial distribution function of the liquid at the corresponding temperature.
The final relaxed configurations at each temperature explored are used as the initial configurations for the diffusion and viscosity calculations. For diffusion, the system is integrated for 100 runs of 2,000 NVT steps during which both the mean squared displacement (MSD) and the velocity auto correlation function (VACF) are computed. From these simulations, three estimates of diffusion are computed: one from the MSD of the full 200,000 step run, one in which the MSD is reset for each short run and then averaged, and one from the VACF computed for each short run and averaged. For viscosity, the Green-Kubo method is used which is evaluated during a 1 million step NVT run.
The calculation methods used are available as the iprPy relax_liquid_redo, diffusion_liquid, and viscosity_green_kubo calculation methods.
Clicking on the image of a plot will open an interactive version of it in a new tab. The underlying data for the plots can be downloaded by clicking on the links above each plot.
Notes and Disclaimers:
Version Information:
Plots of internal energy, Gibbs free energy, entropy, heat capacity and volume are shown here as a function of temperature for various crystal structures and liquid phases. The included crystal structures correspond to those in the Solid Structures vs. Temperature section, and the liquid phases to those in the Liquid Properties section. Internal energy and volume are taken from the associated structure relaxations mentioned in those previous sections. Constant pressure heat capacity is estimated using 3-point numerical derivatives of enthalpy versus temperature. Note that since all simulations done here are at 0 pressure, internal energy and enthalpy are equivalent.
The Gibbs energies of the phases are estimated using thermodynamic integration between the interatomic potential in question and a simpler model with known Gibbs free energy values. For solids, the reference model is an Einstein solid, while for liquids it is the Uhlenbeck-Ford potential. Besides a short run at the start of the solid calculations to estimate Einstein model spring constants, the two calculations proceed similarly. Starting with the final relaxation configurations, the systems are stabilized for 25,000 steps. Then, over the next 50,000 steps the potential is swapped out for the reference potential. The system is then stabilized for another 25,000 steps with the reference model before a reverse swap of 50,000 steps is performed. The simulation ends with one final 25,000 step stabilization period. From the simulation, the irreversible work of transformation is estimated and used to compute the absolute Gibbs free energy of the target phase and potential relative to the reference potential. Entropy is estimated as the difference in enthalpy and Gibbs free energy and divided by temperature.
The calculation methods used are available as the iprPy relax_dynamic, relax_liquid_redo, free_energy, and free_energy_liquid calculation methods.
Clicking on the image of a plot will open an interactive version of it in a new tab. The underlying data for the plots can be downloaded by clicking on the links above each plot.
Notes and Disclaimers:
Version Information:






