Plots of the potential energy vs interatomic spacing, r, are shown below for all diatom sets associated with the interatomic potential. This calculation provides insights into the functional form of the potential's two-body interactions. A system consisting of only two atoms is created, and the potential energy is evaluated for the atoms separated by 0.02 Å <= r <= 6.0> Å in intervals of 0.02 Å. Two plots are shown: one for the "standard" interaction distance range, and one for small values of r. The small r plot is useful for determining whether the potential is suitable for radiation studies.
The calculation method used is available as the iprPy diatom_scan calculation method.
Clicking on the image of a plot will open an interactive version of it in a new tab. The underlying data for the plots can be downloaded by clicking on the links above each plot.
Notes and Disclaimers:
Version Information:
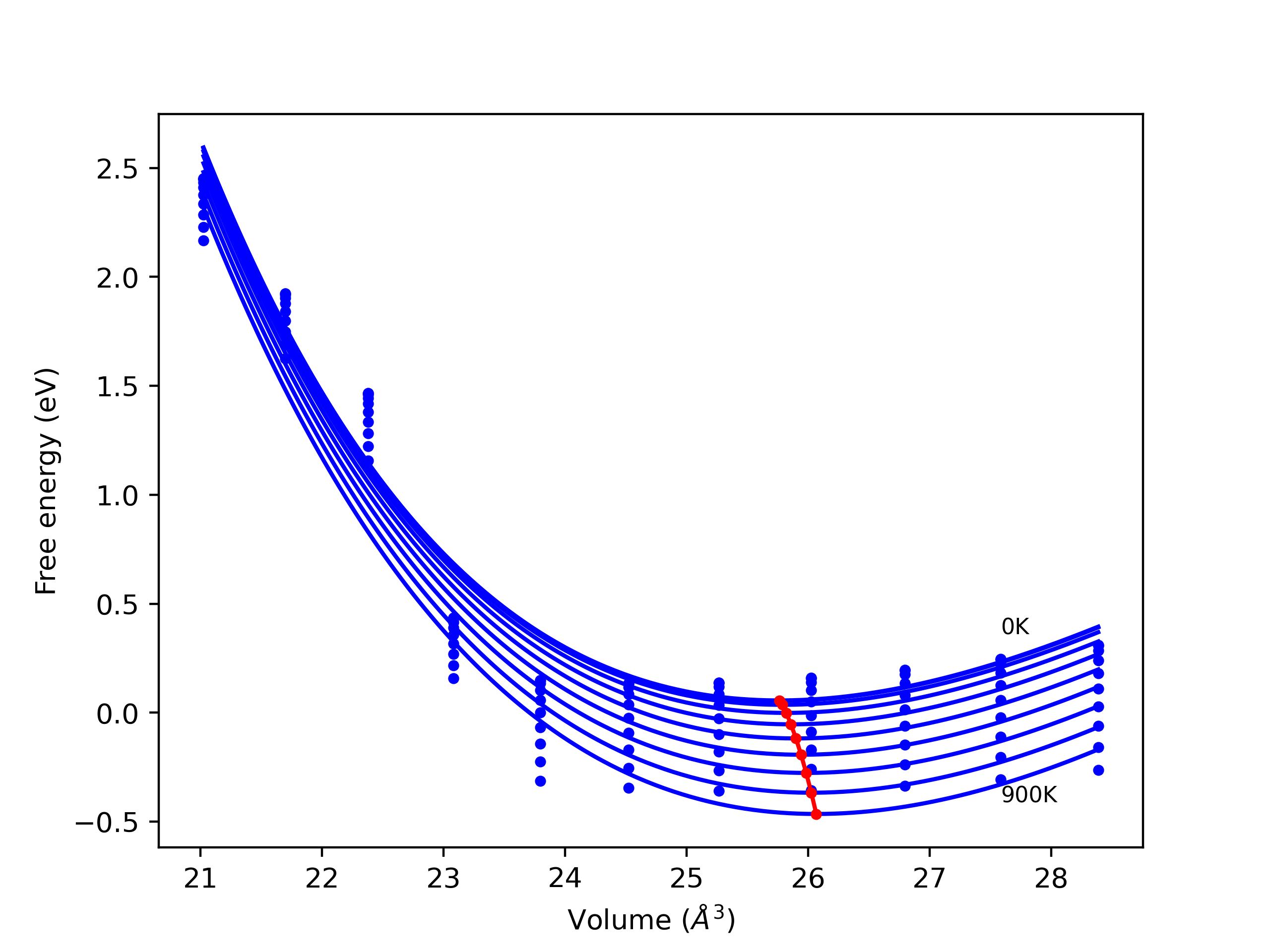
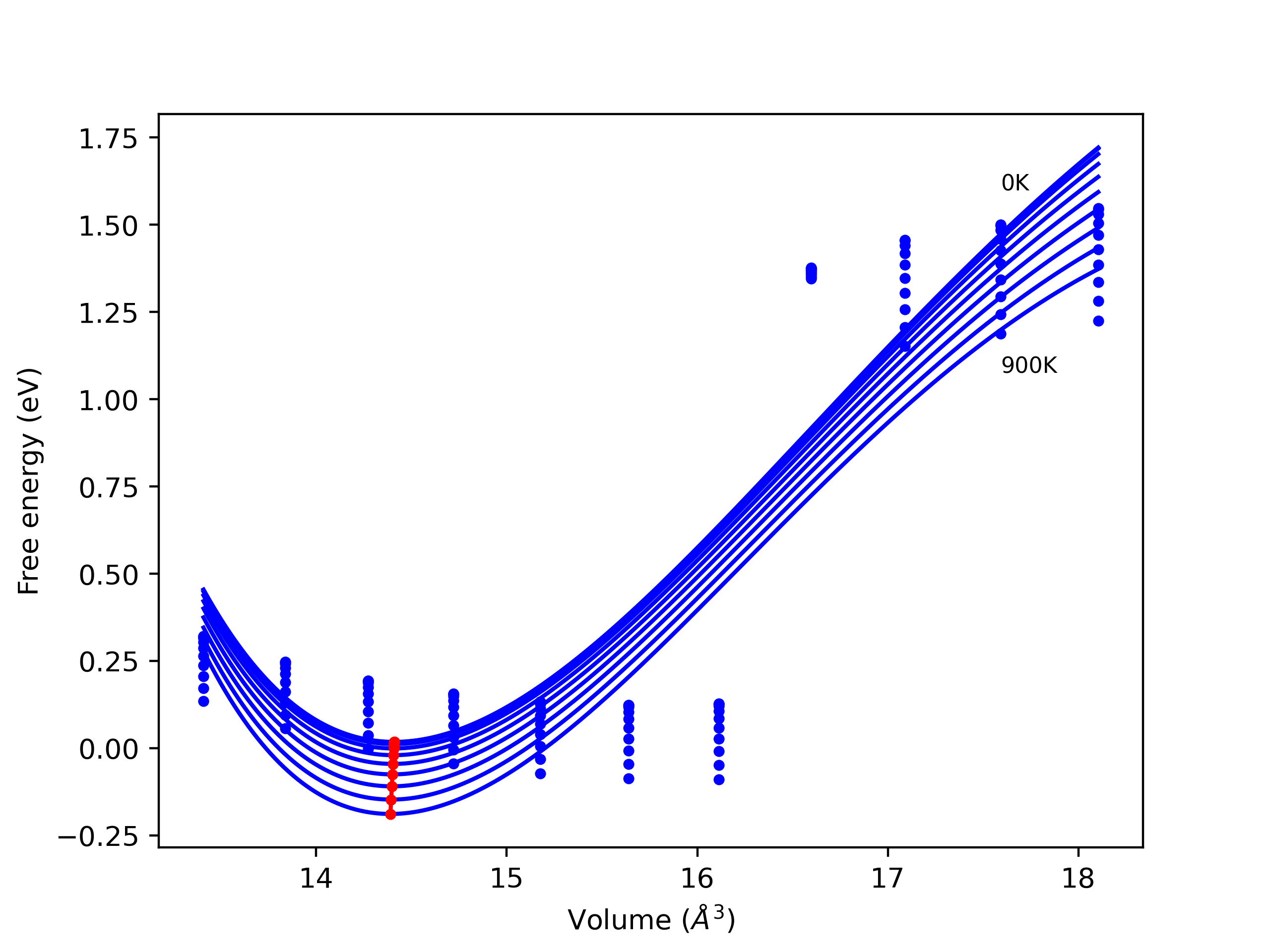
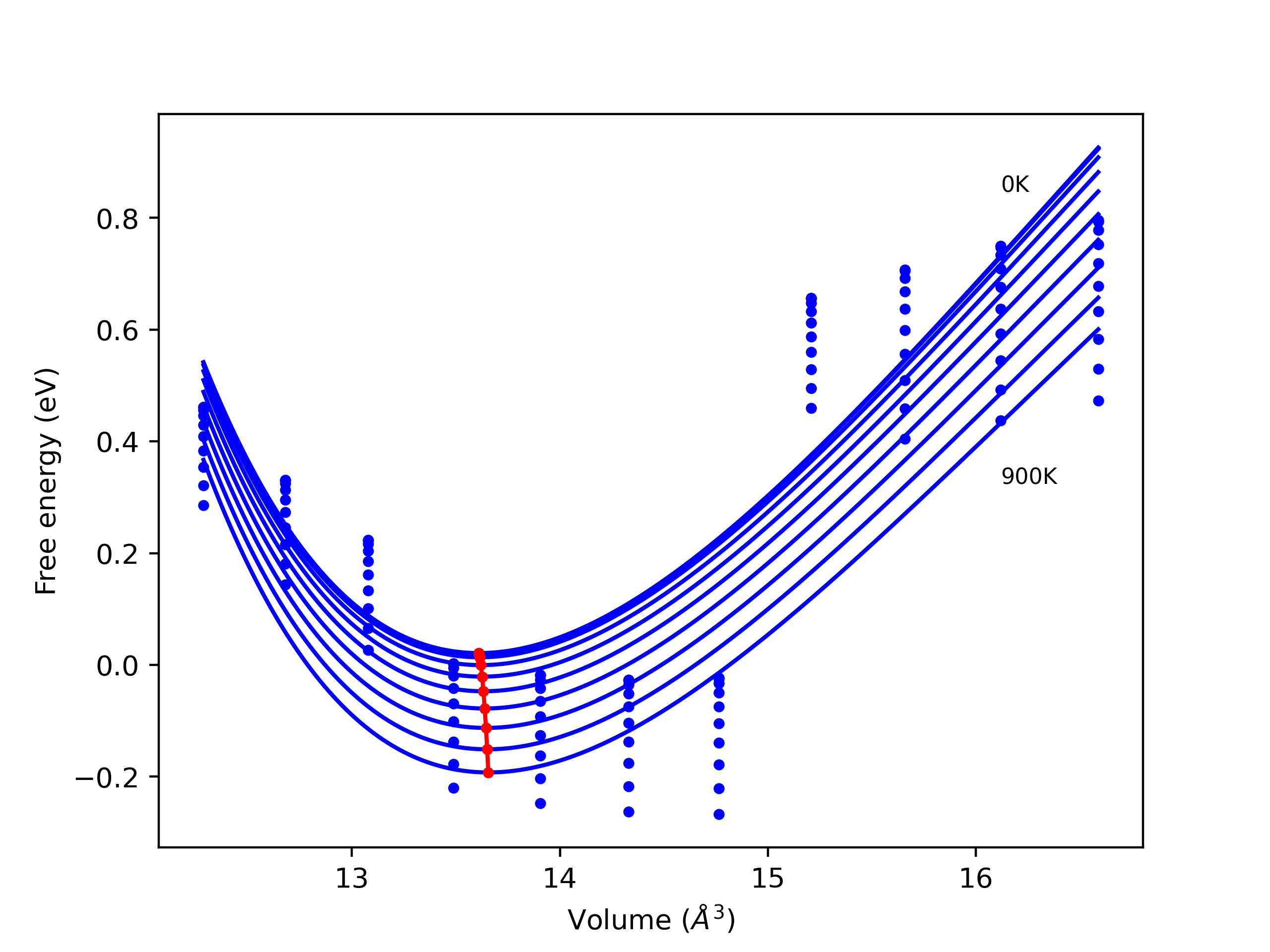
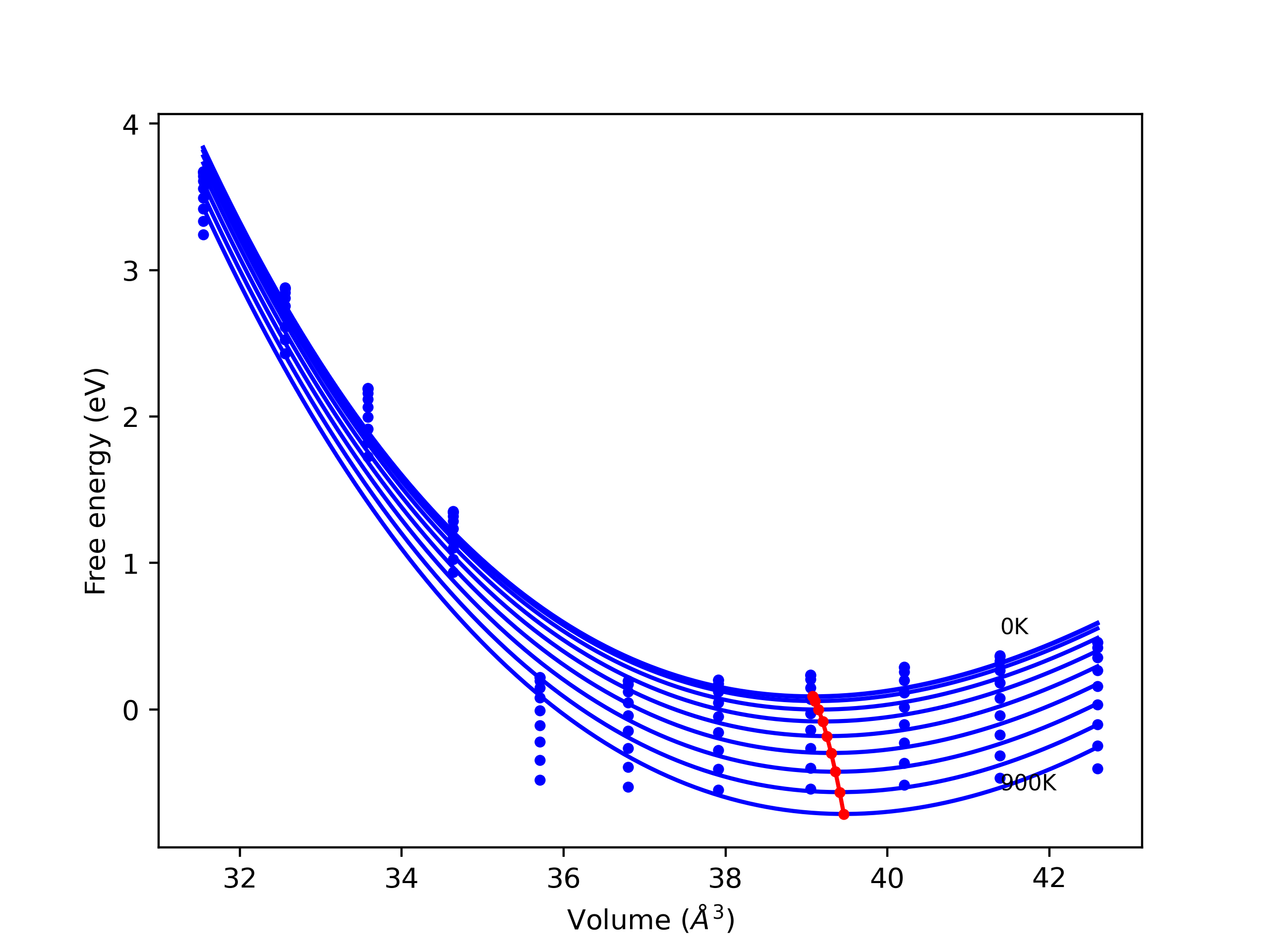
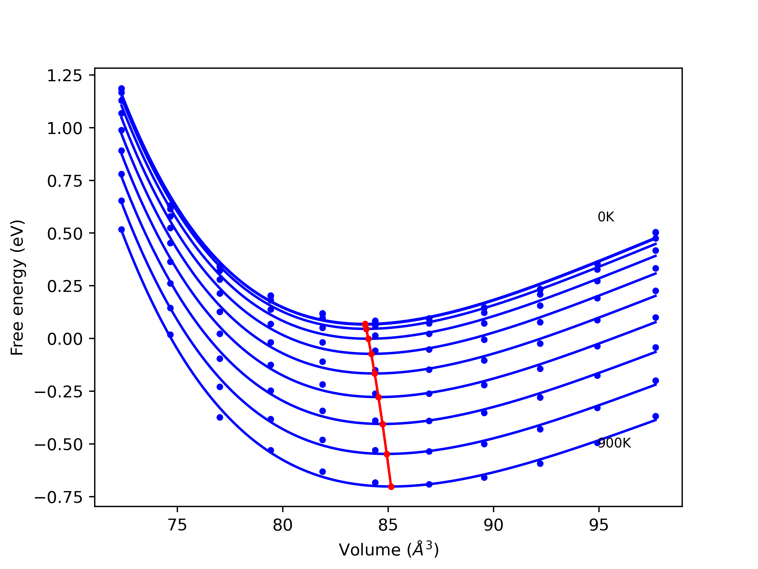
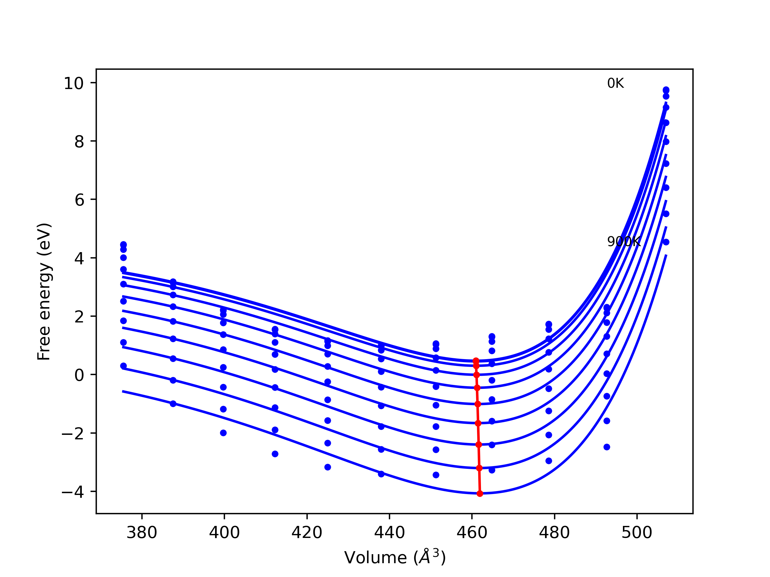
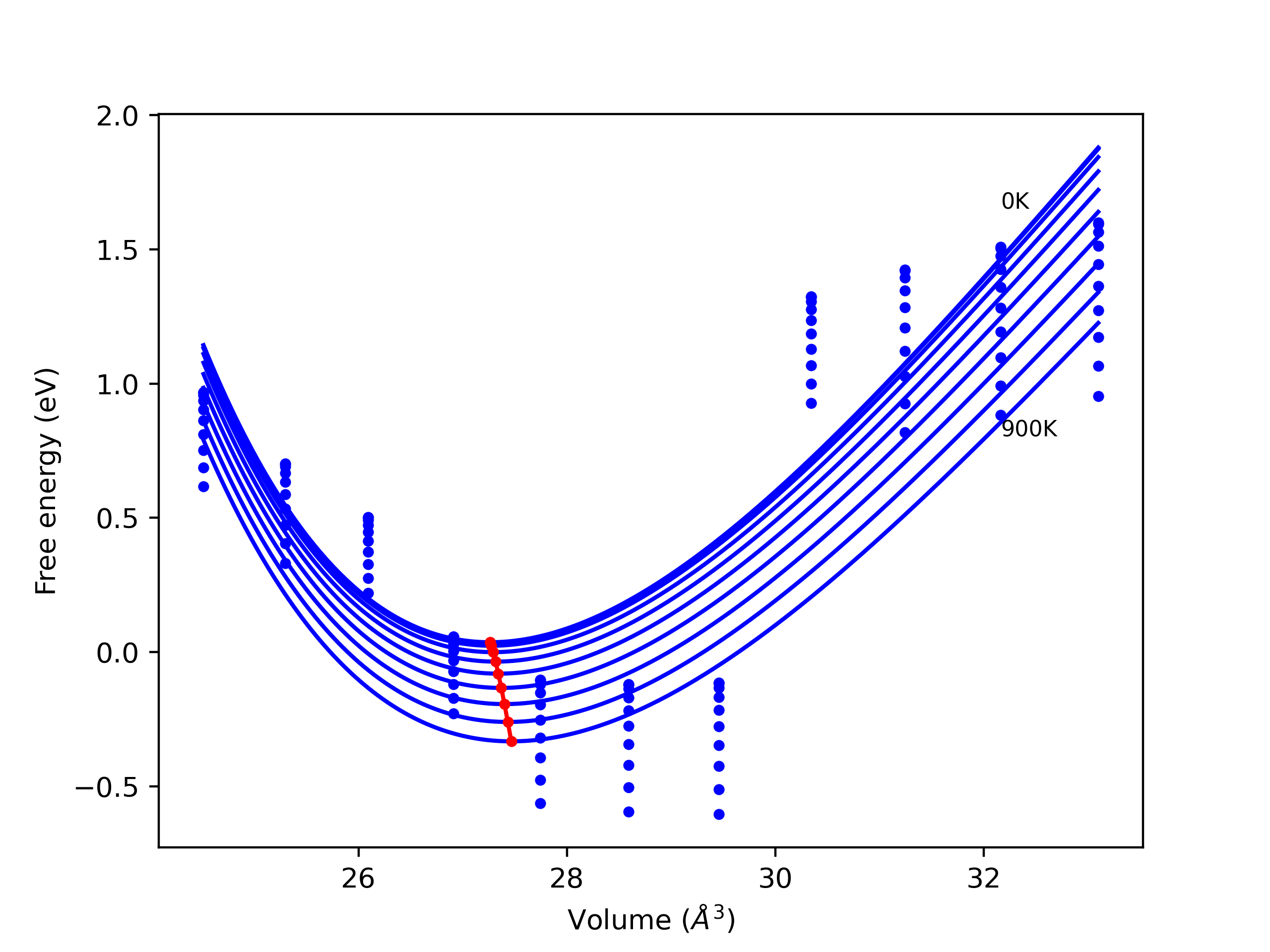
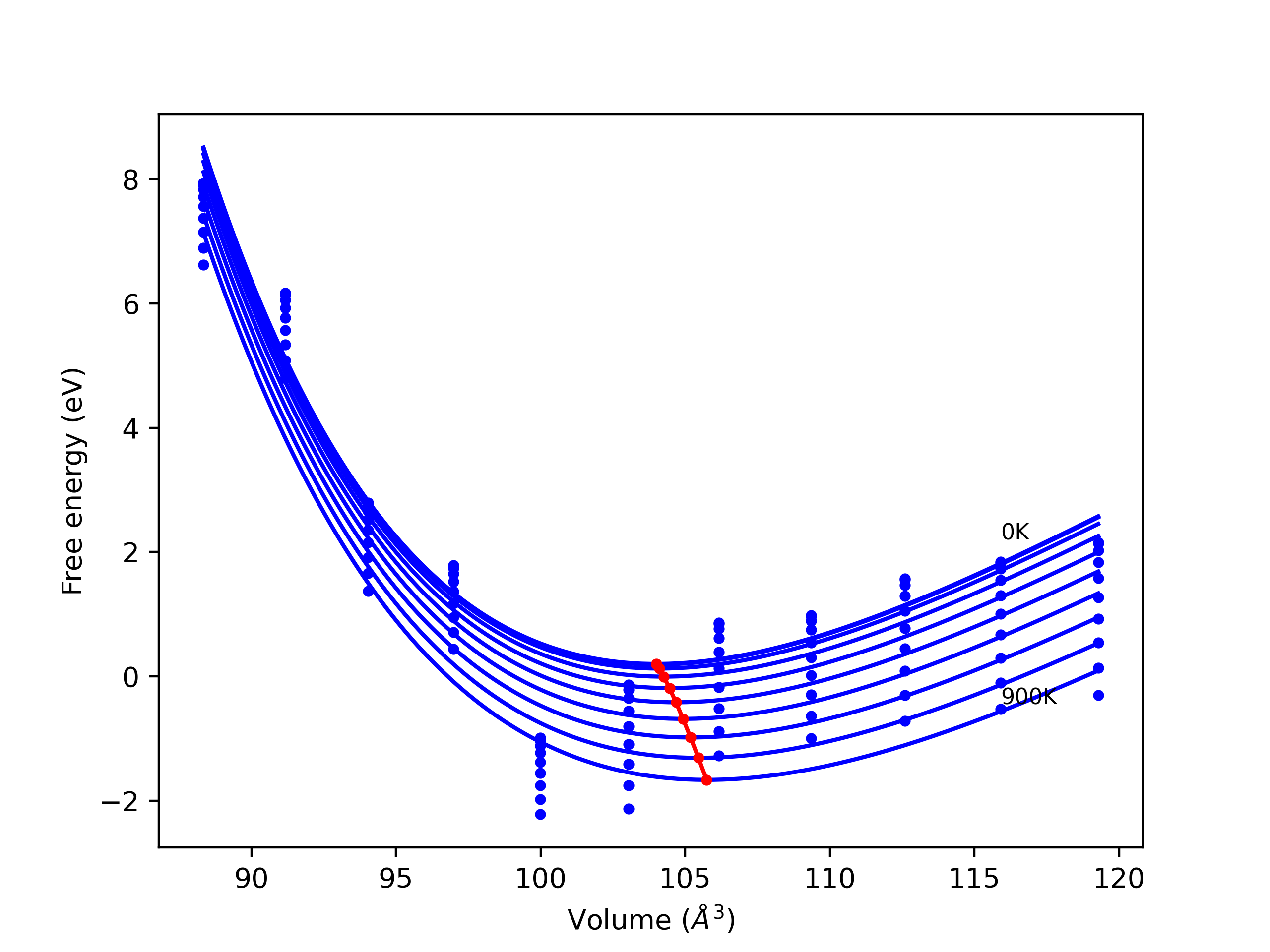
Plots of potential energy vs interatomic spacing, r, are shown below for a number of crystal structures. The structures are generated based on the ideal atomic positions and b/a and c/a lattice parameter ratios for a given crystal prototype. The size of the system is then uniformly scaled, and the energy calculated without relaxing the system. To obtain these plots, values of r are evaluated every 0.02 Å up to 6 Å.
The calculation method used is available as the iprPy E_vs_r_scan calculation method.
Clicking on the image of a plot will open an interactive version of it in a new tab. The underlying data for the plots can be downloaded by clicking on the links above each plot.
Notes and Disclaimers:
Version Information:
Computed lattice constants and cohesive/potential energies are displayed for a variety of crystal structures. The values displayed here are obtained using the following process.
The calculation methods used are implemented into iprPy as the following calculation styles
Notes and Disclaimers:
Version Information:
Download raw data (including filtered results)
Reference structure matches:
A1--Cu--fcc = mp-27, oqmd-9287, oqmd-1214570
A15--beta-W = oqmd-1215015, oqmd-1236371, oqmd-1280410
A2--W--bcc = mp-1014212, oqmd-1215193
A3'--alpha-La--double-hcp = oqmd-1215461
A3--Mg--hcp = mp-10649, oqmd-9288, oqmd-1215371
A4--C--dc = mp-149, oqmd-5714, oqmd-12378, oqmd-1215550
A5--beta-Sn = mp-92, oqmd-18979, oqmd-1215639
A6--In--bct = mp-1056579, oqmd-691768, oqmd-1215728
A7--alpha-As = oqmd-1215817
Ah--alpha-Po--sc = oqmd-1215906
| prototype | method | Ecoh (eV/atom) | Epot (eV/atom) | a0 (Å) | b0 (Å) | c0 (Å) | α (degrees) | β (degrees) | γ (degrees) |
|---|---|---|---|---|---|---|---|---|---|
| oqmd-5764 | dynamic | -4.63 | -4.63 | 3.8421 | 3.8421 | 6.2741 | 90.0 | 90.0 | 120.0 |
| A4--C--dc | dynamic | -4.63 | -4.63 | 5.4336 | 5.4336 | 5.4336 | 90.0 | 90.0 | 90.0 |
| oqmd-5764 | box | -4.6299 | -4.6299 | 3.8391 | 3.8391 | 6.2839 | 90.0 | 90.0 | 120.0 |
| oqmd-22507 | box | -4.6299 | -4.6299 | 3.8441 | 6.6439 | 6.2812 | 90.0 | 90.0 | 90.0 |
| mp-165 | box | -4.6299 | -4.6299 | 3.8389 | 3.8389 | 6.2847 | 90.0 | 90.0 | 120.0 |
| oqmd-717362 | dynamic | -4.5729 | -4.5729 | 14.6315 | 14.6315 | 14.6315 | 90.0 | 90.0 | 90.0 |
| oqmd-717362 | box | -4.5727 | -4.5727 | 14.6299 | 14.6299 | 14.6299 | 90.0 | 90.0 | 90.0 |
| mp-1203790 | dynamic | -4.5707 | -4.5707 | 10.3262 | 10.3262 | 16.9549 | 90.0 | 90.0 | 120.0 |
| mp-1203790 | box | -4.5703 | -4.5703 | 10.3323 | 10.3323 | 16.9312 | 90.0 | 90.0 | 120.0 |
| oqmd-22407 | dynamic | -4.5689 | -4.5689 | 6.5593 | 6.5593 | 3.9226 | 90.0 | 90.0 | 90.0 |
| mp-999200 | box | -4.5661 | -4.5661 | 6.5849 | 6.5849 | 3.9035 | 90.0 | 90.0 | 90.0 |
| oqmd-22407 | box | -4.5654 | -4.5654 | 6.5878 | 6.5878 | 3.9014 | 90.0 | 90.0 | 90.0 |
| oqmd-717360 | dynamic | -4.5599 | -4.5599 | 10.1551 | 10.1551 | 10.1551 | 90.0 | 90.0 | 90.0 |
| oqmd-717360 | box | -4.5597 | -4.5597 | 10.1524 | 10.1524 | 10.1524 | 90.0 | 90.0 | 90.0 |
| mp-971662 | box | -4.5597 | -4.5597 | 10.1518 | 10.1518 | 10.1518 | 90.0 | 90.0 | 90.0 |
| mp-1196961 | dynamic | -4.5463 | -4.5463 | 10.1354 | 10.1354 | 10.3004 | 90.0 | 90.0 | 120.0 |
| mp-1196961 | static | -4.5463 | -4.5463 | 10.1356 | 10.1356 | 10.3004 | 90.0 | 90.0 | 120.0 |
| mp-1196961 | box | -4.5458 | -4.5458 | 10.1379 | 10.1379 | 10.3136 | 90.0 | 90.0 | 120.0 |
| mp-1204627 | static | -4.5328 | -4.5328 | 16.4701 | 12.9228 | 9.9494 | 90.0 | 90.0 | 90.0 |
| mp-1204627 | box | -4.5302 | -4.5302 | 16.6656 | 12.8098 | 9.9492 | 90.0 | 90.0 | 90.0 |
| oqmd-22408 | dynamic | -4.5184 | -4.5184 | 13.9069 | 3.9106 | 6.1819 | 90.0 | 94.6 | 90.0 |
| mp-1200830 | dynamic | -4.5125 | -4.5125 | 12.3861 | 12.3861 | 12.3861 | 90.0 | 90.0 | 90.0 |
| oqmd-22408 | box | -4.5078 | -4.5078 | 13.8258 | 3.8823 | 6.3024 | 90.0 | 96.1 | 90.0 |
| mp-1079297 | box | -4.5077 | -4.5077 | 13.8209 | 3.8819 | 6.3028 | 90.0 | 96.1 | 90.0 |
| mp-1200830 | box | -4.503 | -4.503 | 12.4167 | 12.4167 | 12.4167 | 90.0 | 90.0 | 90.0 |
| mp-1201492 | dynamic | -4.5027 | -4.5027 | 17.51 | 17.51 | 17.51 | 90.0 | 90.0 | 90.0 |
| mp-1199894 | dynamic | -4.4997 | -4.4997 | 25.2761 | 15.0158 | 9.9302 | 90.0 | 94.3 | 90.0 |
| mp-1201492 | box | -4.498 | -4.498 | 17.5398 | 17.5398 | 17.5398 | 90.0 | 90.0 | 90.0 |
| mp-1199894 | static | -4.4821 | -4.4821 | 25.3869 | 15.2116 | 9.8342 | 90.0 | 94.3 | 90.0 |
| mp-1095269 | dynamic | -4.4765 | -4.4765 | 3.9171 | 10.2451 | 13.0924 | 90.0 | 90.0 | 90.0 |
| mp-1202745 | static | -4.4757 | -4.4757 | 9.9308 | 9.9308 | 16.0558 | 90.0 | 90.0 | 120.0 |
| mp-1202745 | box | -4.4745 | -4.4745 | 9.9454 | 9.9454 | 16.0492 | 90.0 | 90.0 | 120.0 |
| mp-1199894 | box | -4.472 | -4.472 | 25.387 | 15.2114 | 9.8338 | 90.0 | 94.3 | 90.0 |
| mp-971661 | static | -4.4718 | -4.4718 | 10.0763 | 10.0763 | 10.0763 | 90.0 | 90.0 | 90.0 |
| mp-971661 | box | -4.4676 | -4.4676 | 10.0738 | 10.0738 | 10.0738 | 90.0 | 90.0 | 90.0 |
| mp-1095269 | box | -4.4485 | -4.4485 | 3.8658 | 10.7443 | 12.6227 | 90.0 | 90.0 | 90.0 |
| mp-168 | static | -4.4292 | -4.4292 | 6.6169 | 6.6169 | 6.6169 | 90.0 | 90.0 | 90.0 |
| mp-168 | box | -4.4292 | -4.4292 | 6.6175 | 6.6175 | 6.6175 | 90.0 | 90.0 | 90.0 |
| oqmd-3484 | box | -4.4292 | -4.4292 | 6.6185 | 6.6185 | 6.6185 | 90.0 | 90.0 | 90.0 |
| mp-1204046 | dynamic | -4.4257 | -4.4257 | 10.3166 | 10.3166 | 23.6648 | 90.0 | 90.0 | 90.0 |
| mp-1204046 | static | -4.4078 | -4.4078 | 10.233 | 10.233 | 23.6777 | 90.0 | 90.0 | 90.0 |
| mp-1204046 | box | -4.3937 | -4.3937 | 10.1516 | 10.1516 | 24.0412 | 90.0 | 90.0 | 90.0 |
| oqmd-18985 | box | -4.3756 | -4.3756 | 9.4705 | 9.4705 | 5.5409 | 90.0 | 90.0 | 120.0 |
| mp-571520 | box | -4.375 | -4.375 | 9.4886 | 9.4886 | 5.5544 | 90.0 | 90.0 | 120.0 |
| oqmd-18985 | static | -4.3743 | -4.3743 | 9.4379 | 9.4379 | 5.6116 | 90.0 | 90.0 | 120.0 |
| mp-16220 | dynamic | -4.3648 | -4.3648 | 14.5554 | 14.5554 | 14.5554 | 90.0 | 90.0 | 90.0 |
| mp-1072544 | static | -4.3626 | -4.3626 | 6.7078 | 6.7078 | 6.7078 | 90.0 | 90.0 | 90.0 |
| Ah--alpha-Po--sc | dynamic | -4.3451 | -4.3451 | 2.5008 | 2.5008 | 2.5008 | 90.0 | 90.0 | 90.0 |
| A7--alpha-As | box | -4.345 | -4.345 | 3.5366 | 3.5366 | 8.6628 | 90.0 | 90.0 | 120.0 |
| mp-1245242 | dynamic | -4.3079 | -4.3079 | 12.6359 | 12.6452 | 12.7969 | 79.7 | 82.4 | 81.6 |
| mp-1245041 | dynamic | -4.3035 | -4.3035 | 12.7691 | 12.9762 | 13.0874 | 75.8 | 71.1 | 73.8 |
| mp-1120447 | dynamic | -4.2985 | -4.2985 | 4.9018 | 5.7884 | 6.7235 | 115.4 | 98.1 | 90.4 |
| mp-1244933 | dynamic | -4.2961 | -4.2961 | 12.4608 | 12.6397 | 13.1327 | 75.4 | 75.1 | 79.0 |
| oqmd-717361 | dynamic | -4.2925 | -4.2925 | 7.594 | 7.594 | 7.594 | 90.0 | 90.0 | 90.0 |
| mp-1244971 | dynamic | -4.2922 | -4.2922 | 11.5602 | 12.8251 | 13.6807 | 100.5 | 96.6 | 99.6 |
| oqmd-1214837 | dynamic | -4.2867 | -4.2867 | 10.0037 | 10.0037 | 10.0037 | 90.0 | 90.0 | 90.0 |
| oqmd-1214837 | static | -4.2854 | -4.2854 | 10.019 | 10.019 | 10.019 | 90.0 | 90.0 | 90.0 |
| oqmd-1214837 | box | -4.2767 | -4.2767 | 10.0341 | 10.0341 | 10.0341 | 90.0 | 90.0 | 90.0 |
| mp-1244990 | dynamic | -4.2607 | -4.2607 | 12.3344 | 12.4585 | 13.6223 | 104.2 | 104.8 | 96.0 |
| oqmd-717361 | box | -4.2113 | -4.2113 | 7.5823 | 7.5823 | 7.5823 | 90.0 | 90.0 | 90.0 |
| mp-1245041 | static | -4.2033 | -4.2033 | 12.7991 | 12.8714 | 12.9171 | 71.4 | 73.7 | 76.2 |
| mp-676011 | dynamic | -4.1975 | -4.1975 | 5.4372 | 5.4496 | 6.798 | 71.4 | 84.2 | 82.4 |
| mp-1244971 | static | -4.19 | -4.19 | 11.6575 | 12.707 | 13.3769 | 98.2 | 97.4 | 99.4 |
| mp-1245242 | box | -4.1683 | -4.1683 | 12.3417 | 12.5374 | 12.6368 | 79.8 | 81.2 | 82.6 |
| mp-1245242 | static | -4.1619 | -4.1619 | 12.3896 | 12.5926 | 12.6651 | 79.4 | 81.0 | 82.2 |
| oqmd-10215 | static | -4.1468 | -4.1468 | 14.6056 | 14.6056 | 14.6056 | 90.0 | 90.0 | 90.0 |
| mp-16220 | static | -4.1468 | -4.1468 | 14.6078 | 14.6078 | 14.6078 | 90.0 | 90.0 | 90.0 |
| A5--beta-Sn | static | -4.1208 | -4.1208 | 4.6623 | 4.6623 | 2.934 | 90.0 | 90.0 | 90.0 |
| A5--beta-Sn | static | -4.1206 | -4.1206 | 4.663 | 4.663 | 2.9335 | 90.0 | 90.0 | 90.0 |
| A5--beta-Sn | static | -4.1204 | -4.1204 | 4.6642 | 4.6642 | 2.9326 | 90.0 | 90.0 | 90.0 |
| oqmd-10215 | box | -4.1131 | -4.1131 | 14.7682 | 14.7682 | 14.7682 | 90.0 | 90.0 | 90.0 |
| mp-644693 | dynamic | -4.1084 | -4.1084 | 4.0032 | 5.4498 | 9.016 | 83.1 | 84.1 | 69.3 |
| mp-16220 | box | -4.1065 | -4.1065 | 14.7841 | 14.7841 | 14.7841 | 90.0 | 90.0 | 90.0 |
| mp-1244933 | static | -4.0956 | -4.0956 | 12.3191 | 12.5167 | 12.5214 | 78.4 | 73.5 | 77.1 |
| mp-109 | box | -4.077 | -4.077 | 4.8695 | 6.5331 | 7.4847 | 90.0 | 90.0 | 90.0 |
| mp-644693 | static | -4.039 | -4.039 | 3.9902 | 5.5106 | 8.952 | 106.1 | 91.1 | 110.8 |
| mp-1244990 | box | -4.038 | -4.038 | 12.0908 | 12.1348 | 12.6748 | 103.7 | 101.8 | 99.2 |
| mp-1244990 | static | -4.0344 | -4.0344 | 12.1605 | 12.205 | 12.6667 | 104.3 | 101.2 | 99.3 |
| mp-644693 | box | -4.029 | -4.029 | 3.9827 | 5.5182 | 8.9616 | 73.4 | 89.3 | 68.9 |
| mp-1268191 | dynamic | -4.0196 | -4.0196 | 6.6528 | 6.6528 | 2.4782 | 90.0 | 90.0 | 120.0 |
| oqmd-1214748 | box | -4.0162 | -4.0162 | 4.7413 | 7.2523 | 3.9785 | 90.0 | 90.0 | 90.0 |
| mp-1120447 | static | -3.968 | -3.968 | 5.0019 | 5.4145 | 6.8877 | 70.1 | 69.5 | 83.5 |
| oqmd-7479 | dynamic | -3.924 | -3.924 | 4.3704 | 4.9933 | 2.6203 | 90.0 | 90.0 | 90.0 |
| oqmd-78173 | static | -3.9182 | -3.9182 | 4.9388 | 5.5567 | 8.7058 | 90.0 | 90.0 | 90.0 |
| mp-109 | static | -3.9082 | -3.9082 | 4.9055 | 5.5936 | 8.7923 | 90.0 | 90.0 | 90.0 |
| oqmd-78173 | dynamic | -3.895 | -3.895 | 4.9897 | 5.2943 | 8.6961 | 90.0 | 90.0 | 90.0 |
| oqmd-1215282 | dynamic | -3.8861 | -3.8861 | 2.5133 | 4.5625 | 2.4993 | 90.0 | 90.0 | 90.0 |
| oqmd-1215104 | box | -3.8859 | -3.8859 | 4.9986 | 9.1254 | 2.5133 | 90.0 | 90.0 | 90.0 |
| oqmd-7479 | static | -3.8855 | -3.8855 | 4.7188 | 4.8287 | 2.6369 | 90.0 | 90.0 | 90.0 |
| oqmd-7479 | box | -3.8818 | -3.8818 | 4.6202 | 4.7483 | 2.7869 | 90.0 | 90.0 | 90.0 |
| mp-1001113 | static | -3.7919 | -3.7919 | 3.2345 | 9.1235 | 3.9088 | 90.0 | 90.0 | 90.0 |
| mp-676011 | static | -3.7821 | -3.7821 | 4.7967 | 5.5297 | 7.1397 | 72.3 | 70.9 | 67.2 |
| mp-1120747 | static | -3.5914 | -3.5914 | 5.0772 | 5.0772 | 4.2491 | 90.0 | 90.0 | 120.0 |
| oqmd-1214926 | static | -3.5412 | -3.5412 | 6.8068 | 6.8068 | 6.8068 | 90.0 | 90.0 | 90.0 |
| mp-1079649 | dynamic | -3.5195 | -3.5195 | 8.0943 | 5.2308 | 5.0446 | 90.0 | 90.0 | 90.0 |
| mp-1079649 | static | -3.5049 | -3.5049 | 8.1814 | 5.0419 | 5.1854 | 90.0 | 90.0 | 90.0 |
| oqmd-78174 | box | -3.485 | -3.485 | 8.1669 | 5.0886 | 5.2232 | 90.0 | 90.0 | 90.0 |
| oqmd-15748 | box | -3.4806 | -3.4806 | 8.1794 | 5.1065 | 5.193 | 90.0 | 90.0 | 90.0 |
| oqmd-78174 | static | -3.472 | -3.472 | 8.4808 | 5.0269 | 5.0687 | 90.0 | 90.0 | 90.0 |
| A6--In--bct | static | -3.4615 | -3.4615 | 2.5439 | 2.5439 | 3.8149 | 90.0 | 90.0 | 90.0 |
| oqmd-78174 | dynamic | -3.4417 | -3.4417 | 8.2549 | 4.9548 | 5.0384 | 90.0 | 90.0 | 90.0 |
| mp-1001113 | box | -3.325 | -3.325 | 4.2284 | 9.1791 | 2.9397 | 90.0 | 90.0 | 90.0 |
| mp-1120747 | box | -3.3133 | -3.3133 | 5.0178 | 5.0178 | 4.2093 | 90.0 | 90.0 | 120.0 |
| A3--Mg--hcp | dynamic | -3.2942 | -3.2942 | 2.5785 | 2.5785 | 4.2589 | 90.0 | 90.0 | 120.0 |
| mp-1094057 | dynamic | -3.2908 | -3.2908 | 2.5817 | 2.5817 | 19.1236 | 90.0 | 90.0 | 120.0 |
| oqmd-1216087 | dynamic | -3.2908 | -3.2908 | 2.5817 | 2.5817 | 19.1242 | 90.0 | 90.0 | 120.0 |
| mp-1094057 | box | -3.2907 | -3.2907 | 2.5818 | 2.5818 | 19.1227 | 90.0 | 90.0 | 120.0 |
| A3'--alpha-La--double-hcp | dynamic | -3.2891 | -3.2891 | 2.5834 | 2.5834 | 8.4897 | 90.0 | 90.0 | 120.0 |
| A1--Cu--fcc | dynamic | -3.2843 | -3.2843 | 3.6617 | 3.6617 | 3.6617 | 90.0 | 90.0 | 90.0 |
| A6--In--bct | static | -3.2555 | -3.2555 | 3.2057 | 3.2057 | 2.5915 | 90.0 | 90.0 | 90.0 |
| A2--W--bcc | static | -3.197 | -3.197 | 2.9374 | 2.9374 | 2.9374 | 90.0 | 90.0 | 90.0 |
| A15--beta-W | static | -3.1659 | -3.1659 | 4.8036 | 4.8036 | 4.8036 | 90.0 | 90.0 | 90.0 |
| mp-1120447 | box | -3.1527 | -3.1527 | 4.9325 | 6.0364 | 6.1478 | 94.1 | 112.2 | 101.7 |
| mp-1244933 | box | -3.1456 | -3.1456 | 11.5266 | 11.6779 | 12.0407 | 78.1 | 72.0 | 73.8 |
| oqmd-691764 | box | -3.0873 | -3.0873 | 2.565 | 2.565 | 6.7251 | 90.0 | 90.0 | 120.0 |
| mp-1245041 | box | -2.9381 | -2.9381 | 11.8539 | 12.2053 | 12.3496 | 64.5 | 69.8 | 71.4 |
| A2--W--bcc | static | -2.8815 | -2.8815 | 3.2057 | 3.2057 | 3.2057 | 90.0 | 90.0 | 90.0 |
Static elastic constants are displayed for the unique structures identified in Crystal Structure Predictions above. The values displayed here are obtained by measuring the change in virial stresses due to applying small strains to the relaxed crystals. The initial structure and the strained states are all relaxed using force minimization.
The calculation method used is available as the iprPy elastic_constants_static calculation method.
Notes and Disclaimers:
Version Information:
| 218.476 | 101.885 | 101.885 | -0.000 | -0.000 | 0.000 |
| 101.885 | 218.476 | 101.885 | 0.000 | 0.000 | 0.000 |
| 101.885 | 101.885 | 218.476 | 0.000 | 0.000 | 0.000 |
| 0.000 | 0.000 | 0.000 | 90.863 | -0.000 | 0.000 |
| 0.000 | 0.000 | 0.000 | 0.000 | 90.863 | -0.000 |
| 0.000 | 0.000 | 0.000 | 0.000 | -0.000 | 90.863 |
| 218.476 | 101.885 | 101.885 | -0.000 | 0.000 | 0.000 |
| 101.885 | 218.476 | 101.885 | 0.000 | 0.000 | -0.000 |
| 101.885 | 101.885 | 218.476 | -0.000 | -0.000 | 0.000 |
| -0.000 | -0.000 | -0.000 | 90.863 | 0.000 | -0.000 |
| -0.000 | 0.000 | -0.000 | -0.000 | 90.863 | 0.000 |
| -0.000 | -0.000 | 0.000 | -0.000 | 0.000 | 90.863 |
| 218.476 | 101.885 | 101.885 | -0.000 | -0.000 | -0.000 |
| 101.885 | 218.476 | 101.885 | -0.000 | -0.000 | 0.000 |
| 101.885 | 101.885 | 218.476 | 0.000 | -0.000 | -0.000 |
| -0.000 | 0.000 | 0.000 | 90.863 | -0.000 | 0.000 |
| 0.000 | -0.000 | 0.000 | -0.000 | 90.863 | -0.000 |
| 0.000 | 0.000 | -0.000 | -0.000 | -0.000 | 90.863 |
| 218.476 | 101.885 | 101.885 | 0.000 | 0.000 | 0.000 |
| 101.885 | 218.476 | 101.885 | 0.000 | 0.000 | -0.000 |
| 101.885 | 101.885 | 218.476 | 0.000 | 0.000 | 0.000 |
| 0.000 | -0.000 | -0.000 | 90.863 | 0.000 | 0.000 |
| -0.000 | 0.000 | -0.000 | 0.000 | 90.863 | 0.000 |
| -0.000 | -0.000 | 0.000 | 0.000 | 0.000 | 90.863 |
| 218.476 | 101.885 | 101.885 | -0.000 | -0.000 | -0.000 |
| 101.885 | 218.476 | 101.885 | -0.000 | -0.000 | 0.000 |
| 101.885 | 101.885 | 218.476 | -0.000 | -0.000 | -0.000 |
| -0.000 | 0.000 | 0.000 | 90.863 | -0.000 | -0.000 |
| 0.000 | -0.000 | 0.000 | 0.000 | 90.863 | -0.000 |
| 0.000 | 0.000 | -0.000 | -0.000 | -0.000 | 90.863 |
| 218.475 | 101.885 | 101.885 | 0.000 | 0.000 | 0.000 |
| 101.885 | 218.475 | 101.885 | 0.000 | 0.000 | -0.000 |
| 101.885 | 101.885 | 218.475 | -0.000 | -0.000 | 0.000 |
| 0.000 | -0.000 | -0.000 | 90.863 | 0.000 | 0.000 |
| -0.000 | 0.000 | -0.000 | -0.000 | 90.863 | 0.000 |
| -0.000 | -0.000 | 0.000 | 0.000 | 0.000 | 90.863 |
| 192.511 | 86.958 | 86.958 | 0.000 | -0.000 | 0.000 |
| 86.958 | 192.511 | 86.958 | -0.000 | -0.000 | -0.000 |
| 86.958 | 86.958 | 192.511 | -0.000 | -0.000 | 0.000 |
| -0.000 | -0.000 | 0.000 | -13.762 | -0.000 | 0.000 |
| -0.000 | 0.000 | -0.000 | -0.000 | -13.762 | 0.000 |
| -0.000 | 0.000 | -0.000 | -0.000 | -0.000 | -13.762 |
| 194.413 | 86.007 | 86.007 | -0.000 | 0.000 | -0.000 |
| 86.007 | 194.413 | 86.007 | -0.000 | -0.000 | -0.000 |
| 86.007 | 86.007 | 194.413 | -0.000 | -0.000 | -0.000 |
| 0.000 | 0.000 | -0.000 | -13.762 | 0.000 | -0.000 |
| 0.000 | -0.000 | 0.000 | 0.000 | -13.762 | -0.000 |
| 0.000 | -0.000 | 0.000 | 0.000 | 0.000 | -13.762 |
| 192.511 | 86.958 | 86.958 | 0.000 | 0.000 | 0.000 |
| 86.958 | 192.511 | 86.958 | 0.000 | -0.000 | 0.000 |
| 86.958 | 86.958 | 192.511 | -0.000 | -0.000 | 0.000 |
| 0.000 | -0.000 | -0.000 | -13.762 | -0.000 | 0.000 |
| -0.000 | 0.000 | -0.000 | -0.000 | -13.762 | 0.000 |
| -0.000 | -0.000 | 0.000 | -0.000 | -0.000 | -13.762 |
| 192.511 | 86.958 | 86.958 | -0.000 | 0.000 | -0.000 |
| 86.958 | 192.511 | 86.958 | -0.000 | 0.000 | -0.000 |
| 86.958 | 86.958 | 192.511 | -0.000 | 0.000 | -0.000 |
| -0.000 | 0.000 | 0.000 | -13.762 | 0.000 | -0.000 |
| 0.000 | -0.000 | 0.000 | 0.000 | -13.762 | -0.000 |
| 0.000 | 0.000 | -0.000 | 0.000 | 0.000 | -13.762 |
| 192.512 | 86.959 | 86.959 | -0.000 | -0.000 | 0.000 |
| 86.959 | 192.512 | 86.959 | -0.000 | -0.000 | 0.000 |
| 86.959 | 86.959 | 192.512 | -0.000 | -0.000 | 0.000 |
| 0.000 | -0.000 | -0.000 | -13.762 | -0.000 | 0.000 |
| -0.000 | 0.000 | -0.000 | -0.000 | -13.762 | 0.000 |
| -0.000 | -0.000 | 0.000 | -0.000 | -0.000 | -13.762 |
| 192.510 | 86.958 | 86.958 | 0.000 | 0.000 | -0.000 |
| 86.958 | 192.510 | 86.958 | -0.000 | 0.000 | -0.000 |
| 86.958 | 86.958 | 192.510 | 0.000 | 0.000 | -0.000 |
| -0.000 | 0.000 | 0.000 | -13.762 | 0.000 | -0.000 |
| 0.000 | -0.000 | 0.000 | 0.000 | -13.762 | -0.000 |
| 0.000 | 0.000 | -0.000 | 0.000 | 0.000 | -13.762 |
| 259.152 | 317.806 | 317.806 | -0.000 | -0.000 | -0.000 |
| 317.806 | 259.152 | 317.806 | -0.000 | -0.000 | -0.000 |
| 317.806 | 317.806 | 259.152 | -0.000 | -0.000 | -0.000 |
| -1862850897.287 | -2019390611.428 | -2019390608.855 | 128627520.447 | -0.000 | -0.000 |
| -2019390611.428 | -1862850897.287 | -2019390608.855 | -0.000 | 128627520.447 | -0.000 |
| -2019390611.428 | -2019390608.855 | -1862850897.287 | -0.000 | -0.000 | 128627520.447 |
| 3701390663.918 | 3701390707.252 | 3701390707.252 | 0.000 | 0.000 | -0.000 |
| 3701390707.252 | 3701390663.918 | 3701390707.252 | 0.000 | 0.000 | -0.000 |
| 3701390707.252 | 3701390707.252 | 3701390663.918 | 0.000 | 0.000 | -0.000 |
| 1862850897.287 | 2019390611.428 | 2019390608.855 | 128627520.447 | 0.000 | -0.000 |
| 2019390611.428 | 1862850897.287 | 2019390608.855 | 0.000 | 128627520.447 | -0.000 |
| 2019390611.428 | 2019390608.855 | 1862850897.287 | 0.000 | 0.000 | 128627520.447 |
| 259.152 | 317.806 | 317.806 | 0.000 | 0.000 | 0.000 |
| 317.806 | 259.152 | 317.806 | 0.000 | 0.000 | -0.000 |
| 317.806 | 317.806 | 259.152 | -0.000 | -0.000 | -0.000 |
| -186285039.311 | -201939016.548 | -201939013.975 | 12862858.259 | -0.000 | 0.000 |
| -201939016.548 | -186285039.311 | -201939013.975 | -0.000 | 12862858.259 | 0.000 |
| -201939016.548 | -201939013.975 | -186285039.311 | -0.000 | -0.000 | 12862858.259 |
| 370139154.789 | 370139198.124 | 370139198.124 | 0.000 | 0.000 | -0.000 |
| 370139198.124 | 370139154.789 | 370139198.124 | 0.000 | 0.000 | -0.000 |
| 370139198.124 | 370139198.124 | 370139154.789 | 0.000 | 0.000 | -0.000 |
| 186285039.311 | 201939016.548 | 201939013.975 | 12862858.259 | 0.000 | 0.000 |
| 201939016.548 | 186285039.311 | 201939013.975 | 0.000 | 12862858.259 | -0.000 |
| 201939016.548 | 201939013.975 | 186285039.311 | 0.000 | 0.000 | 12862858.259 |
| 259.152 | 317.806 | 317.806 | -0.000 | -0.000 | 0.000 |
| 317.806 | 259.152 | 317.806 | -0.000 | -0.000 | -0.000 |
| 317.806 | 317.806 | 259.152 | -0.000 | -0.000 | -0.000 |
| -18628453.513 | -20193857.059 | -20193854.487 | 1286392.041 | -0.000 | 0.000 |
| -20193857.059 | -18628453.513 | -20193854.487 | -0.000 | 1286392.041 | 0.000 |
| -20193857.059 | -20193854.487 | -18628453.513 | -0.000 | -0.000 | 1286392.041 |
| 37014003.876 | 37014047.211 | 37014047.211 | 0.000 | 0.000 | 0.000 |
| 37014047.211 | 37014003.876 | 37014047.211 | 0.000 | 0.000 | 0.000 |
| 37014047.211 | 37014047.211 | 37014003.876 | 0.000 | 0.000 | -0.000 |
| 18628453.513 | 20193857.059 | 20193854.487 | 1286392.041 | 0.000 | 0.000 |
| 20193857.059 | 18628453.513 | 20193854.487 | 0.000 | 1286392.041 | -0.000 |
| 20193857.059 | 20193854.487 | 18628453.513 | 0.000 | 0.000 | 1286392.041 |
| -463130930.819 | 479165123.658 | 479165123.658 | -0.000 | 0.000 | 0.000 |
| 479165123.658 | -463130930.819 | 479165123.658 | 0.000 | 0.000 | 0.000 |
| 479165123.658 | 479165123.658 | -463130930.819 | -0.000 | 0.000 | 0.000 |
| 0.000 | 0.000 | 0.000 | 31.740 | -0.000 | -0.000 |
| 0.000 | 0.000 | 0.000 | -0.000 | 31.740 | -0.000 |
| 0.000 | 0.000 | 0.000 | -0.000 | -0.000 | 31.740 |
| 62.041 | -25.898 | -25.898 | 0.000 | 0.000 | -0.000 |
| -25.898 | 62.041 | -25.898 | 0.000 | -0.000 | -0.000 |
| -25.898 | -25.898 | 62.041 | 0.000 | 0.000 | -0.000 |
| -0.000 | -0.000 | -0.000 | 31.740 | 0.000 | 0.000 |
| -0.000 | -0.000 | -0.000 | 0.000 | 31.740 | 0.000 |
| -0.000 | -0.000 | -0.000 | 0.000 | -0.000 | 31.740 |
| -46313115.229 | 47916530.504 | 47916530.504 | -0.000 | 0.000 | 0.000 |
| 47916530.504 | -46313115.229 | 47916530.504 | -0.000 | 0.000 | 0.000 |
| 47916530.504 | 47916530.504 | -46313115.229 | 0.000 | 0.000 | 0.000 |
| 0.000 | 0.000 | 0.000 | 31.740 | -0.000 | 0.000 |
| 0.000 | 0.000 | 0.000 | -0.000 | 31.740 | -0.000 |
| 0.000 | 0.000 | 0.000 | -0.000 | -0.000 | 31.740 |
| 62.041 | -25.898 | -25.898 | -0.000 | -0.000 | -0.000 |
| -25.898 | 62.041 | -25.898 | -0.000 | -0.000 | -0.000 |
| -25.898 | -25.898 | 62.041 | -0.000 | -0.000 | -0.000 |
| -0.000 | -0.000 | -0.000 | 31.740 | 0.000 | -0.000 |
| -0.000 | -0.000 | -0.000 | 0.000 | 31.740 | 0.000 |
| -0.000 | -0.000 | -0.000 | -0.000 | 0.000 | 31.740 |
| -4631333.670 | 4791671.188 | 4791671.188 | 0.000 | 0.000 | 0.000 |
| 4791671.188 | -4631333.670 | 4791671.188 | 0.000 | 0.000 | 0.000 |
| 4791671.188 | 4791671.188 | -4631333.670 | 0.000 | 0.000 | 0.000 |
| 0.000 | 0.000 | 0.000 | 31.740 | -0.000 | 0.000 |
| 0.000 | 0.000 | 0.000 | -0.000 | 31.740 | 0.000 |
| 0.000 | 0.000 | 0.000 | 0.000 | 0.000 | 31.740 |
| 62.041 | -25.898 | -25.898 | -0.000 | -0.000 | -0.000 |
| -25.898 | 62.041 | -25.898 | -0.000 | -0.000 | -0.000 |
| -25.898 | -25.898 | 62.041 | -0.000 | -0.000 | -0.000 |
| -0.000 | -0.000 | -0.000 | 31.740 | -0.000 | -0.000 |
| -0.000 | -0.000 | -0.000 | 0.000 | 31.740 | -0.000 |
| -0.000 | -0.000 | -0.000 | 0.000 | 0.000 | 31.740 |
| 253.644 | 96.663 | 74.052 | 0.000 | 0.000 | -0.000 |
| 93.316 | 256.991 | 74.052 | 0.000 | 0.000 | -0.000 |
| 74.052 | 74.052 | 271.943 | 0.000 | 0.000 | 0.000 |
| -0.000 | 0.000 | 0.000 | 67.584 | 0.000 | 0.000 |
| -0.000 | 0.000 | 0.000 | 0.000 | 67.584 | 0.000 |
| 0.000 | 0.000 | -0.000 | 0.000 | 0.000 | 81.837 |
| 256.991 | 93.316 | 74.052 | -0.000 | -0.000 | 0.000 |
| 96.663 | 253.644 | 74.052 | -0.000 | -0.000 | 0.000 |
| 74.052 | 74.052 | 271.943 | -0.000 | -0.000 | -0.000 |
| -0.000 | 0.000 | -0.000 | 67.584 | -0.000 | 0.000 |
| -0.000 | -0.000 | -0.000 | -0.000 | 67.584 | -0.000 |
| -0.000 | -0.000 | -0.000 | -0.000 | -0.000 | 81.837 |
| 256.991 | 93.316 | 74.052 | 0.000 | 0.000 | 0.000 |
| 93.316 | 256.991 | 74.052 | 0.000 | 0.000 | -0.000 |
| 74.052 | 74.052 | 271.943 | 0.000 | 0.000 | -0.000 |
| 0.000 | -0.000 | 0.000 | 67.584 | 0.000 | -0.000 |
| -0.000 | 0.000 | 0.000 | 0.000 | 67.584 | -0.000 |
| -0.000 | 0.000 | 0.000 | 0.000 | 0.000 | 81.837 |
| 256.990 | 93.316 | 74.052 | -0.000 | -0.000 | 0.000 |
| 96.663 | 253.644 | 74.052 | -0.000 | -0.000 | 0.000 |
| 74.052 | 74.052 | 271.942 | -0.000 | -0.000 | 0.000 |
| -0.000 | 0.000 | -0.000 | 67.584 | -0.000 | 0.000 |
| 0.000 | -0.000 | -0.000 | -0.000 | 67.584 | 0.000 |
| 0.000 | -0.000 | -0.000 | -0.000 | -0.000 | 81.837 |
| 253.645 | 96.663 | 74.052 | 0.000 | 0.000 | 0.000 |
| 96.663 | 253.645 | 74.052 | 0.000 | 0.000 | -0.000 |
| 74.053 | 74.053 | 271.944 | 0.000 | 0.000 | -0.000 |
| 0.000 | -0.000 | 0.000 | 67.584 | 0.000 | 0.000 |
| -0.000 | 0.000 | 0.000 | 0.000 | 67.584 | -0.000 |
| -0.000 | 0.000 | 0.000 | 0.000 | 0.000 | 81.837 |
| 253.643 | 96.662 | 74.052 | -0.000 | -0.000 | 0.000 |
| 96.662 | 253.643 | 74.052 | -0.000 | -0.000 | 0.000 |
| 74.052 | 74.052 | 271.942 | -0.000 | -0.000 | 0.000 |
| -0.000 | 0.000 | -0.000 | 67.584 | -0.000 | 0.000 |
| 0.000 | -0.000 | -0.000 | -0.000 | 67.584 | 0.000 |
| 0.000 | -0.000 | -0.000 | -0.000 | -0.000 | 81.837 |
| 262.939 | 95.552 | 67.795 | 0.000 | 0.000 | -0.000 |
| 98.960 | 259.531 | 67.795 | -0.000 | -0.000 | 0.000 |
| 67.795 | 67.795 | 282.704 | 0.000 | 0.000 | 0.000 |
| -0.000 | 0.000 | 0.000 | 66.245 | -0.000 | -0.000 |
| -0.000 | 0.000 | 0.000 | 0.000 | 66.245 | 0.000 |
| -0.000 | 0.000 | 0.000 | 0.000 | 0.000 | 80.286 |
| 262.939 | 95.552 | 67.795 | -0.000 | -0.000 | 0.000 |
| 98.960 | 259.531 | 67.795 | -0.000 | -0.000 | -0.000 |
| 67.795 | 67.795 | 282.704 | -0.000 | -0.000 | -0.000 |
| 0.000 | -0.000 | -0.000 | 66.245 | -0.000 | 0.000 |
| 0.000 | -0.000 | -0.000 | -0.000 | 66.245 | 0.000 |
| 0.000 | -0.000 | -0.000 | -0.000 | -0.000 | 80.286 |
| 262.939 | 95.552 | 67.795 | 0.000 | 0.000 | -0.000 |
| 98.960 | 259.531 | 67.795 | 0.000 | 0.000 | 0.000 |
| 67.795 | 67.795 | 282.705 | 0.000 | -0.000 | 0.000 |
| 0.000 | -0.000 | 0.000 | 66.245 | 0.000 | -0.000 |
| -0.000 | 0.000 | 0.000 | 0.000 | 66.245 | -0.000 |
| -0.000 | 0.000 | -0.000 | 0.000 | 0.000 | 80.286 |
| 259.531 | 98.960 | 67.795 | -0.000 | -0.000 | -0.000 |
| 95.552 | 262.939 | 67.795 | -0.000 | -0.000 | 0.000 |
| 67.795 | 67.795 | 282.704 | -0.000 | 0.000 | -0.000 |
| -0.000 | 0.000 | -0.000 | 66.245 | -0.000 | 0.000 |
| 0.000 | -0.000 | -0.000 | -0.000 | 66.245 | -0.000 |
| 0.000 | -0.000 | 0.000 | -0.000 | 0.000 | 80.286 |
| 262.940 | 95.553 | 67.795 | 0.000 | 0.000 | -0.000 |
| 98.961 | 259.532 | 67.795 | 0.000 | 0.000 | 0.000 |
| 67.795 | 67.795 | 282.705 | -0.000 | 0.000 | 0.000 |
| 0.000 | -0.000 | 0.000 | 66.245 | 0.000 | 0.000 |
| -0.000 | 0.000 | 0.000 | 0.000 | 66.245 | 0.000 |
| -0.000 | 0.000 | -0.000 | 0.000 | 0.000 | 80.286 |
| 259.530 | 98.960 | 67.795 | -0.000 | -0.000 | -0.000 |
| 98.960 | 259.530 | 67.795 | -0.000 | -0.000 | 0.000 |
| 67.794 | 67.794 | 282.703 | 0.000 | 0.000 | 0.000 |
| -0.000 | 0.000 | -0.000 | 66.245 | -0.000 | 0.000 |
| 0.000 | -0.000 | -0.000 | -0.000 | 66.245 | -0.000 |
| 0.000 | -0.000 | 0.000 | -0.000 | -0.000 | 80.286 |
| 172.574 | 64.569 | 64.569 | -0.000 | -0.000 | -0.000 |
| 64.569 | 172.574 | 64.569 | -0.000 | -0.000 | -0.000 |
| 64.569 | 64.569 | 172.574 | -0.000 | -0.000 | -0.000 |
| 0.000 | 0.000 | 0.000 | 117.198 | -0.000 | -0.000 |
| 0.000 | 0.000 | 0.000 | -0.000 | 117.198 | -0.000 |
| 0.000 | 0.000 | 0.000 | -0.000 | -0.000 | 117.198 |
| 172.574 | 64.569 | 64.569 | -0.000 | 0.000 | 0.000 |
| 64.569 | 172.574 | 64.569 | 0.000 | -0.000 | 0.000 |
| 64.569 | 64.569 | 172.574 | 0.000 | 0.000 | -0.000 |
| -0.000 | -0.000 | -0.000 | 117.198 | 0.000 | 0.000 |
| -0.000 | -0.000 | -0.000 | 0.000 | 117.198 | 0.000 |
| -0.000 | -0.000 | -0.000 | 0.000 | 0.000 | 117.198 |
| 172.574 | 64.569 | 64.569 | -0.000 | -0.000 | -0.000 |
| 64.569 | 172.574 | 64.569 | -0.000 | -0.000 | -0.000 |
| 64.569 | 64.569 | 172.574 | -0.000 | -0.000 | -0.000 |
| 0.000 | -0.000 | -0.000 | 81.285 | -0.000 | 0.000 |
| -0.000 | 0.000 | -0.000 | -0.000 | 81.285 | 0.000 |
| -0.000 | -0.000 | 0.000 | -0.000 | 0.000 | 81.285 |
| 172.574 | 64.569 | 64.569 | 0.000 | 0.000 | 0.000 |
| 64.569 | 172.574 | 64.569 | 0.000 | 0.000 | 0.000 |
| 64.569 | 64.569 | 172.574 | 0.000 | 0.000 | 0.000 |
| -0.000 | 0.000 | 0.000 | 81.285 | 0.000 | -0.000 |
| 0.000 | -0.000 | 0.000 | 0.000 | 81.285 | -0.000 |
| 0.000 | 0.000 | -0.000 | 0.000 | -0.000 | 81.285 |
| 172.575 | 64.570 | 64.570 | -0.000 | -0.000 | -0.000 |
| 64.570 | 172.575 | 64.570 | -0.000 | -0.000 | -0.000 |
| 64.570 | 64.570 | 172.575 | -0.000 | -0.000 | -0.000 |
| 0.000 | -0.000 | -0.000 | 81.285 | -0.000 | 0.000 |
| -0.000 | 0.000 | -0.000 | -0.000 | 81.285 | 0.000 |
| -0.000 | -0.000 | 0.000 | -0.000 | 0.000 | 81.285 |
| 172.574 | 64.569 | 64.569 | 0.000 | 0.000 | 0.000 |
| 64.569 | 172.574 | 64.569 | 0.000 | 0.000 | 0.000 |
| 64.569 | 64.569 | 172.574 | 0.000 | 0.000 | 0.000 |
| -0.000 | 0.000 | 0.000 | 81.285 | 0.000 | -0.000 |
| 0.000 | -0.000 | 0.000 | 0.000 | 81.285 | -0.000 |
| 0.000 | 0.000 | -0.000 | 0.000 | -0.000 | 81.285 |
| 469406381.288 | -153022584.119 | 995285604.049 | 0.000 | 0.000 | 0.000 |
| -153022584.119 | 469406381.288 | 995285604.049 | -0.000 | -0.000 | 0.000 |
| 351576703.133 | 351576703.133 | 1692521185.597 | 0.000 | -0.000 | -0.000 |
| -92621191.033 | 237213928.112 | 541114695.530 | 284437773.606 | -0.000 | -0.000 |
| 237213928.112 | -92621191.033 | 541114695.530 | 0.000 | 284437773.606 | 0.000 |
| 0.000 | -0.000 | 0.000 | 0.000 | -0.000 | 34.376 |
| 312.518 | -13.088 | 95.078 | -0.000 | -0.000 | 0.000 |
| -13.088 | 312.518 | 95.078 | -0.000 | -0.000 | -0.000 |
| 91.443 | 91.443 | -80.464 | -0.000 | 0.000 | 0.000 |
| 92621191.033 | -237213928.112 | -541114695.530 | 284437773.606 | 0.000 | -0.000 |
| -237213928.112 | 92621191.033 | -541114695.530 | -0.000 | 284437773.606 | 0.000 |
| -0.000 | 0.000 | -0.000 | -0.000 | 0.000 | 34.376 |
| 46940924.890 | -15302266.433 | 99528677.081 | 0.000 | -0.000 | -0.000 |
| -15302266.433 | 46940924.890 | 99528677.081 | 0.000 | -0.000 | -0.000 |
| 35157793.719 | 35157793.719 | 169252038.796 | -0.000 | -0.000 | -0.000 |
| -9262107.788 | 23721391.098 | 54111468.072 | 28443807.000 | 0.000 | -0.000 |
| 23721391.098 | -9262107.788 | 54111468.072 | 0.000 | 28443807.000 | -0.000 |
| -0.000 | -0.000 | 0.000 | 0.000 | -0.000 | 34.376 |
| 312.569 | -13.139 | 95.078 | -0.000 | 0.000 | -0.000 |
| -13.139 | 312.569 | 95.078 | 0.000 | 0.000 | 0.000 |
| 91.443 | 91.443 | -80.464 | 0.000 | -0.000 | 0.000 |
| 9262107.788 | -23721391.098 | -54111468.072 | 28443807.000 | -0.000 | -0.000 |
| -23721391.098 | 9262107.788 | -54111468.072 | -0.000 | 28443807.000 | 0.000 |
| 0.000 | 0.000 | -0.000 | -0.000 | -0.000 | 34.376 |
| 4694379.252 | -1530234.664 | 9952984.384 | 0.000 | 0.000 | -0.000 |
| -1530234.664 | 4694379.252 | 9952984.384 | 0.000 | -0.000 | -0.000 |
| 3515902.778 | 3515902.778 | 16925124.115 | -0.000 | -0.000 | 0.000 |
| -926199.463 | 2372137.396 | 5411145.326 | 2844410.339 | 0.000 | -0.000 |
| 2372137.396 | -926199.463 | 5411145.326 | 0.000 | 2844410.339 | -0.000 |
| -0.000 | -0.000 | 0.000 | 0.000 | -0.000 | 34.376 |
| 312.571 | -13.143 | 95.078 | -0.000 | 0.000 | -0.000 |
| -13.143 | 312.571 | 95.078 | 0.000 | 0.000 | 0.000 |
| 91.443 | 91.443 | -80.464 | -0.000 | 0.000 | 0.000 |
| 926199.463 | -2372137.396 | -5411145.326 | 2844410.339 | 0.000 | 0.000 |
| -2372137.396 | 926199.463 | -5411145.326 | -0.000 | 2844410.339 | -0.000 |
| 0.000 | 0.000 | -0.000 | -0.000 | 0.000 | 34.376 |
| 469456635.920 | -152897351.221 | 995076779.957 | -0.000 | 0.000 | 0.000 |
| -152897351.221 | 469456635.920 | 995076779.957 | -0.000 | -0.000 | 0.000 |
| 351717017.050 | 351717017.050 | 1692130534.469 | -0.000 | 0.000 | 0.000 |
| -92554959.809 | 237250027.529 | 541002516.530 | 284373191.005 | 0.000 | 0.000 |
| 237250027.529 | -92554959.809 | 541002516.530 | -0.000 | 284373191.005 | 0.000 |
| 0.000 | -0.000 | 0.000 | -0.000 | 0.000 | 34.388 |
| 312.426 | -13.071 | 95.047 | 0.000 | 0.000 | -0.000 |
| -13.071 | 312.426 | 95.047 | -0.000 | 0.000 | -0.000 |
| 91.415 | 91.415 | -80.448 | 0.000 | -0.000 | 0.000 |
| 92554959.809 | -237250027.529 | -541002516.530 | 284373191.005 | 0.000 | -0.000 |
| -237250027.529 | 92554959.809 | -541002516.530 | 0.000 | 284373191.005 | -0.000 |
| -0.000 | 0.000 | -0.000 | -0.000 | 0.000 | 34.388 |
| 46945950.277 | -15289743.132 | 99507794.639 | 0.000 | 0.000 | 0.000 |
| -15289743.132 | 46945950.277 | 99507794.639 | -0.000 | -0.000 | 0.000 |
| 35171825.082 | 35171825.082 | 169212973.693 | -0.000 | 0.000 | 0.000 |
| -9255484.664 | 23725001.036 | 54100250.169 | 28437348.724 | -0.000 | -0.000 |
| 23725001.036 | -9255484.664 | 54100250.169 | -0.000 | 28437348.724 | 0.000 |
| -0.000 | -0.000 | 0.000 | -0.000 | -0.000 | 34.388 |
| 312.491 | -13.137 | 95.047 | 0.000 | 0.000 | -0.000 |
| -13.137 | 312.491 | 95.047 | -0.000 | 0.000 | -0.000 |
| 91.415 | 91.415 | -80.448 | -0.000 | 0.000 | -0.000 |
| 9255484.664 | -23725001.036 | -54100250.169 | 28437348.724 | 0.000 | 0.000 |
| -23725001.036 | 9255484.664 | -54100250.169 | 0.000 | 28437348.724 | -0.000 |
| 0.000 | 0.000 | -0.000 | 0.000 | -0.000 | 34.388 |
| 4694881.715 | -1528982.323 | 9950896.107 | -0.000 | -0.000 | 0.000 |
| -1528982.323 | 4694881.715 | 9950896.107 | 0.000 | 0.000 | 0.000 |
| 3517305.885 | 3517305.885 | 16921217.615 | -0.000 | 0.000 | 0.000 |
| -925537.149 | 2372498.387 | 5410023.533 | 2843764.495 | -0.000 | 0.000 |
| 2372498.387 | -925537.149 | 5410023.533 | -0.000 | 2843764.495 | 0.000 |
| -0.000 | -0.000 | 0.000 | -0.000 | 0.000 | 34.388 |
| 312.496 | -13.143 | 95.047 | 0.000 | 0.000 | -0.000 |
| -13.143 | 312.496 | 95.047 | 0.000 | 0.000 | -0.000 |
| 91.415 | 91.415 | -80.449 | 0.000 | 0.000 | -0.000 |
| 925537.149 | -2372498.387 | -5410023.533 | 2843764.495 | 0.000 | -0.000 |
| -2372498.387 | 925537.149 | -5410023.533 | -0.000 | 2843764.495 | -0.000 |
| 0.000 | 0.000 | -0.000 | 0.000 | 0.000 | 34.388 |
| 469648038.342 | -152420338.686 | 994281298.853 | 0.000 | -0.000 | -0.000 |
| -152420338.686 | 469648038.342 | 994281298.853 | 0.000 | 0.000 | -0.000 |
| 352251333.347 | 352251333.347 | 1690642754.646 | -0.000 | -0.000 | -0.000 |
| -92302662.902 | 237387542.089 | 540575131.587 | 284127169.539 | -0.000 | 0.000 |
| 237387542.089 | -92302662.902 | 540575131.587 | 0.000 | 284127169.539 | -0.000 |
| -0.000 | 0.000 | 0.000 | 0.000 | 0.000 | 34.433 |
| 312.139 | -13.072 | 94.929 | -0.000 | 0.000 | 0.000 |
| -13.072 | 312.139 | 94.929 | 0.000 | 0.000 | 0.000 |
| 91.307 | 91.307 | -80.389 | -0.000 | -0.000 | 0.000 |
| 92302662.902 | -237387542.089 | -540575131.587 | 284127169.539 | 0.000 | -0.000 |
| -237387542.089 | 92302662.902 | -540575131.587 | -0.000 | 284127169.539 | -0.000 |
| -0.000 | -0.000 | -0.000 | -0.000 | 0.000 | 34.433 |
| 46965090.230 | -15242041.837 | 99428246.403 | 0.000 | 0.000 | -0.000 |
| -15242041.837 | 46965090.230 | 99428246.403 | -0.000 | 0.000 | -0.000 |
| 35225256.598 | 35225256.598 | 169064195.749 | 0.000 | -0.000 | -0.000 |
| -9230254.965 | 23738752.478 | 54057511.664 | 28412746.515 | 0.000 | -0.000 |
| 23738752.478 | -9230254.965 | 54057511.664 | 0.000 | 28412746.515 | -0.000 |
| -0.000 | -0.000 | 0.000 | 0.000 | -0.000 | 34.433 |
| 312.204 | -13.137 | 94.929 | -0.000 | -0.000 | 0.000 |
| -13.137 | 312.204 | 94.929 | -0.000 | -0.000 | 0.000 |
| 91.307 | 91.307 | -80.389 | 0.000 | 0.000 | 0.000 |
| 9230254.965 | -23738752.478 | -54057511.664 | 28412746.515 | 0.000 | 0.000 |
| -23738752.478 | 9230254.965 | -54057511.664 | -0.000 | 28412746.515 | 0.000 |
| 0.000 | 0.000 | -0.000 | -0.000 | -0.000 | 34.433 |
| 4696795.420 | -1524212.152 | 9942941.158 | 0.000 | 0.000 | -0.000 |
| -1524212.152 | 4696795.420 | 9942941.158 | 0.000 | -0.000 | -0.000 |
| 3522648.923 | 3522648.923 | 16906339.859 | -0.000 | -0.000 | -0.000 |
| -923014.172 | 2373873.517 | 5405749.672 | 2841304.213 | 0.000 | -0.000 |
| 2373873.517 | -923014.172 | 5405749.672 | 0.000 | 2841304.213 | -0.000 |
| -0.000 | -0.000 | 0.000 | 0.000 | 0.000 | 34.433 |
| 312.208 | -13.143 | 94.929 | -0.000 | -0.000 | 0.000 |
| -13.143 | 312.208 | 94.929 | -0.000 | -0.000 | 0.000 |
| 91.307 | 91.307 | -80.389 | -0.000 | 0.000 | -0.000 |
| 923014.172 | -2373873.517 | -5405749.672 | 2841304.213 | -0.000 | 0.000 |
| -2373873.517 | 923014.172 | -5405749.672 | -0.000 | 2841304.213 | 0.000 |
| 0.000 | 0.000 | -0.000 | -0.000 | 0.000 | 34.433 |
| 524.093 | 83.771 | 132.417 | -0.000 | -0.000 | 0.000 |
| 83.771 | 524.093 | 132.417 | -0.000 | -0.000 | 0.000 |
| 135.072 | 135.072 | 231.455 | -0.000 | -0.000 | 0.000 |
| 0.000 | 0.000 | 0.000 | 77.971 | -0.000 | 0.000 |
| 0.000 | 0.000 | 0.000 | -0.000 | 77.971 | 0.000 |
| 0.000 | 0.000 | 0.000 | -0.000 | -0.000 | 58.530 |
| 800489079.338 | 942895445.527 | 857485790.420 | 0.000 | 0.000 | -0.000 |
| 942895445.527 | 800489079.338 | 857485790.420 | 0.000 | 0.000 | -0.000 |
| 135.072 | 135.072 | 231.455 | 0.000 | 0.000 | -0.000 |
| -0.000 | -0.000 | -0.000 | 77.971 | 0.000 | -0.000 |
| -0.000 | -0.000 | -0.000 | 0.000 | 77.971 | -0.000 |
| -0.000 | -0.000 | -0.000 | 0.000 | 0.000 | 58.530 |
| 524.093 | 83.771 | 132.417 | -0.000 | -0.000 | 0.000 |
| 83.771 | 524.093 | 132.417 | -0.000 | -0.000 | 0.000 |
| 135.072 | 135.072 | 231.455 | -0.000 | -0.000 | 0.000 |
| 0.000 | 0.000 | 0.000 | 77.971 | -0.000 | 0.000 |
| 0.000 | 0.000 | 0.000 | -0.000 | 77.971 | 0.000 |
| 0.000 | -0.000 | 0.000 | -0.000 | -0.000 | 58.530 |
| 80049159.949 | 94289608.815 | 85748680.345 | 0.000 | 0.000 | -0.000 |
| 94289608.815 | 80049159.949 | 85748680.345 | 0.000 | 0.000 | -0.000 |
| 135.072 | 135.072 | 231.455 | 0.000 | 0.000 | -0.000 |
| -0.000 | -0.000 | -0.000 | 77.971 | 0.000 | -0.000 |
| -0.000 | -0.000 | -0.000 | 0.000 | 77.971 | -0.000 |
| -0.000 | 0.000 | -0.000 | 0.000 | 0.000 | 58.530 |
| 524.095 | 83.771 | 132.418 | -0.000 | -0.000 | 0.000 |
| 83.771 | 524.095 | 132.418 | -0.000 | -0.000 | 0.000 |
| 135.072 | 135.072 | 231.456 | -0.000 | -0.000 | 0.000 |
| 0.000 | -0.000 | 0.000 | 77.971 | -0.000 | 0.000 |
| -0.000 | 0.000 | 0.000 | -0.000 | 77.971 | 0.000 |
| -0.000 | -0.000 | 0.000 | -0.000 | -0.000 | 58.530 |
| 8005168.009 | 9429025.144 | 8574969.337 | 0.000 | 0.000 | -0.000 |
| 9429025.144 | 8005168.009 | 8574969.337 | 0.000 | 0.000 | -0.000 |
| 135.071 | 135.071 | 231.455 | 0.000 | 0.000 | -0.000 |
| -0.000 | 0.000 | -0.000 | 77.971 | 0.000 | -0.000 |
| 0.000 | -0.000 | -0.000 | 0.000 | 77.971 | 0.000 |
| 0.000 | 0.000 | -0.000 | 0.000 | 0.000 | 58.530 |
| 41.675 | 186.794 | 120.009 | 0.000 | 0.000 | -0.000 |
| 186.794 | 41.675 | 120.009 | 0.000 | 0.000 | 0.000 |
| 120.009 | 120.009 | 205.769 | 0.000 | 0.000 | -0.000 |
| 0.000 | 0.000 | 0.000 | 54.551 | 0.000 | -0.000 |
| 0.000 | 0.000 | 0.000 | 0.000 | 54.551 | -0.000 |
| 0.000 | 0.000 | 0.000 | 0.000 | 0.000 | 83.562 |
| 41.675 | 186.794 | 120.009 | -0.000 | -0.000 | 0.000 |
| 186.794 | 41.675 | 120.009 | -0.000 | -0.000 | -0.000 |
| 120.009 | 120.009 | 205.769 | -0.000 | -0.000 | 0.000 |
| -0.000 | -0.000 | 0.000 | 54.551 | -0.000 | 0.000 |
| -0.000 | -0.000 | 0.000 | -0.000 | 54.551 | 0.000 |
| -0.000 | -0.000 | -0.000 | -0.000 | -0.000 | 83.562 |
| 41.675 | 186.794 | 120.009 | 0.000 | 0.000 | -0.000 |
| 186.794 | 41.675 | 120.009 | 0.000 | 0.000 | 0.000 |
| 120.009 | 120.009 | 205.769 | 0.000 | 0.000 | -0.000 |
| 0.000 | -0.000 | 0.000 | 54.551 | 0.000 | -0.000 |
| -0.000 | 0.000 | 0.000 | 0.000 | 54.551 | -0.000 |
| 0.000 | 0.000 | 0.000 | 0.000 | 0.000 | 83.562 |
| 41.675 | 186.794 | 120.008 | -0.000 | -0.000 | 0.000 |
| 186.794 | 41.675 | 120.008 | -0.000 | -0.000 | 0.000 |
| 120.008 | 120.008 | 205.769 | -0.000 | -0.000 | 0.000 |
| -0.000 | 0.000 | -0.000 | 54.551 | -0.000 | 0.000 |
| 0.000 | -0.000 | -0.000 | -0.000 | 54.551 | 0.000 |
| -0.000 | -0.000 | -0.000 | -0.000 | -0.000 | 83.562 |
| 41.675 | 186.795 | 120.009 | 0.000 | 0.000 | -0.000 |
| 186.795 | 41.675 | 120.009 | 0.000 | 0.000 | -0.000 |
| 120.009 | 120.009 | 205.770 | 0.000 | 0.000 | -0.000 |
| 0.000 | -0.000 | 0.000 | 54.551 | 0.000 | -0.000 |
| -0.000 | 0.000 | 0.000 | 0.000 | 54.551 | 0.000 |
| 0.000 | 0.000 | 0.000 | 0.000 | 0.000 | 83.562 |
| 41.674 | 186.794 | 120.008 | -0.000 | -0.000 | 0.000 |
| 186.794 | 41.674 | 120.008 | -0.000 | -0.000 | -0.000 |
| 120.008 | 120.008 | 205.768 | -0.000 | -0.000 | 0.000 |
| -0.000 | 0.000 | -0.000 | 54.551 | -0.000 | 0.000 |
| 0.000 | -0.000 | -0.000 | -0.000 | 54.551 | 0.000 |
| -0.000 | -0.000 | -0.000 | -0.000 | -0.000 | 83.562 |
| 103.934 | 106.800 | 76.105 | 0.000 | -0.000 | -0.000 |
| 106.800 | 103.934 | 76.105 | -0.000 | -0.000 | -0.000 |
| 76.105 | 76.105 | 477.087 | -0.000 | -0.000 | -0.000 |
| 0.000 | 0.000 | -0.000 | 43.473 | -0.000 | -0.000 |
| 0.000 | 0.000 | -0.000 | -0.000 | 43.473 | -0.000 |
| 0.000 | 0.000 | 0.000 | 0.000 | -0.000 | 104.010 |
| 103.934 | 106.800 | 76.105 | 0.000 | 0.000 | 0.000 |
| 106.800 | 103.934 | 76.105 | -0.000 | 0.000 | 0.000 |
| 76.105 | 76.105 | 477.087 | -0.000 | -0.000 | 0.000 |
| -0.000 | -0.000 | 0.000 | 43.473 | 0.000 | -0.000 |
| 0.000 | -0.000 | 0.000 | 0.000 | 43.473 | 0.000 |
| -0.000 | -0.000 | -0.000 | -0.000 | 0.000 | 104.010 |
| 103.934 | 106.800 | 76.105 | 0.000 | 0.000 | -0.000 |
| 106.800 | 103.934 | 76.105 | 0.000 | -0.000 | -0.000 |
| 76.105 | 76.105 | 477.088 | -0.000 | -0.000 | -0.000 |
| 0.000 | 0.000 | -0.000 | 43.473 | -0.000 | -0.000 |
| 0.000 | 0.000 | -0.000 | -0.000 | 43.473 | -0.000 |
| 0.000 | 0.000 | 0.000 | -0.000 | -0.000 | 104.010 |
| 103.934 | 106.799 | 76.105 | -0.000 | 0.000 | 0.000 |
| 106.799 | 103.934 | 76.105 | 0.000 | 0.000 | -0.000 |
| 76.105 | 76.105 | 477.087 | 0.000 | 0.000 | 0.000 |
| -0.000 | -0.000 | 0.000 | 43.473 | 0.000 | 0.000 |
| -0.000 | -0.000 | 0.000 | 0.000 | 43.473 | 0.000 |
| -0.000 | -0.000 | -0.000 | 0.000 | 0.000 | 104.010 |
| 103.934 | 106.800 | 76.105 | -0.000 | -0.000 | -0.000 |
| 106.800 | 103.934 | 76.105 | -0.000 | -0.000 | -0.000 |
| 76.105 | 76.105 | 477.090 | -0.000 | -0.000 | -0.000 |
| 0.000 | 0.000 | -0.000 | 43.473 | -0.000 | -0.000 |
| 0.000 | 0.000 | -0.000 | -0.000 | 43.473 | -0.000 |
| 0.000 | 0.000 | 0.000 | -0.000 | -0.000 | 104.010 |
| 103.934 | 106.799 | 76.104 | -0.000 | -0.000 | 0.000 |
| 106.799 | 103.934 | 76.104 | -0.000 | -0.000 | 0.000 |
| 76.104 | 76.104 | 477.085 | 0.000 | 0.000 | 0.000 |
| -0.000 | -0.000 | 0.000 | 43.473 | 0.000 | 0.000 |
| -0.000 | -0.000 | 0.000 | -0.000 | 43.473 | 0.000 |
| -0.000 | -0.000 | -0.000 | -0.000 | 0.000 | 104.010 |
| 263.015 | 48.818 | 97.644 | -69.045 | -0.000 | -0.000 |
| 48.818 | 263.015 | 97.644 | 69.045 | 0.000 | -0.000 |
| 97.641 | 97.641 | 214.186 | -0.000 | 0.000 | -0.000 |
| -69.045 | 69.045 | 0.000 | 155.917 | -0.000 | -0.000 |
| 0.000 | 0.000 | 0.000 | -0.000 | 155.917 | -69.045 |
| 0.000 | 0.000 | 0.000 | -0.000 | -69.045 | 107.098 |
| 263.015 | 48.818 | 97.644 | -69.045 | -0.000 | -0.000 |
| 48.818 | 263.015 | 97.644 | 69.045 | -0.000 | 0.000 |
| 97.641 | 97.641 | 214.186 | 0.000 | -0.000 | 0.000 |
| -69.045 | 69.045 | -0.000 | 155.917 | -0.000 | 0.000 |
| -0.000 | -0.000 | -0.000 | 0.000 | 155.917 | -69.045 |
| -0.000 | -0.000 | -0.000 | 0.000 | -69.045 | 107.098 |
| 263.015 | 48.818 | 97.644 | -69.045 | 0.000 | -0.000 |
| 48.818 | 263.015 | 97.644 | 69.045 | 0.000 | -0.000 |
| 97.642 | 97.642 | 214.186 | -0.000 | 0.000 | -0.000 |
| -69.045 | 69.045 | 0.000 | 155.917 | -0.000 | 0.000 |
| 0.000 | 0.000 | 0.000 | -0.000 | 155.917 | -69.045 |
| 0.000 | 0.000 | 0.000 | -0.000 | -69.045 | 107.098 |
| 263.015 | 48.818 | 97.644 | -69.045 | -0.000 | 0.000 |
| 48.818 | 263.015 | 97.644 | 69.045 | -0.000 | 0.000 |
| 97.641 | 97.641 | 214.186 | 0.000 | -0.000 | 0.000 |
| -69.045 | 69.045 | -0.000 | 155.917 | -0.000 | 0.000 |
| -0.000 | -0.000 | -0.000 | 0.000 | 155.917 | -69.045 |
| -0.000 | -0.000 | -0.000 | 0.000 | -69.045 | 107.098 |
| 263.015 | 48.818 | 97.644 | -69.045 | -0.000 | 0.000 |
| 48.818 | 263.015 | 97.644 | 69.045 | 0.000 | -0.000 |
| 97.642 | 97.642 | 214.186 | -0.000 | 0.000 | 0.000 |
| -69.045 | 69.045 | 0.000 | 155.917 | 0.000 | 0.000 |
| 0.000 | 0.000 | 0.000 | -0.000 | 155.917 | -69.045 |
| 0.000 | 0.000 | 0.000 | -0.000 | -69.045 | 107.098 |
| 263.014 | 48.818 | 97.643 | -69.044 | 0.000 | 0.000 |
| 48.818 | 263.014 | 97.643 | 69.044 | -0.000 | 0.000 |
| 97.641 | 97.641 | 214.185 | 0.000 | -0.000 | 0.000 |
| -69.045 | 69.045 | -0.000 | 155.917 | 0.000 | 0.000 |
| -0.000 | -0.000 | -0.000 | 0.000 | 155.917 | -69.045 |
| -0.000 | -0.000 | -0.000 | 0.000 | -69.045 | 107.098 |
| 409.512 | 0.000 | 0.000 | -0.000 | -0.000 | -0.000 |
| 0.000 | 409.512 | 0.000 | -0.000 | -0.000 | -0.000 |
| 0.000 | 0.000 | 409.512 | -0.000 | -0.000 | 0.000 |
| -0.000 | 0.000 | -0.000 | 58.274 | -0.000 | 0.000 |
| 0.000 | -0.000 | -0.000 | 0.000 | 58.274 | 0.000 |
| 0.000 | -0.000 | -0.000 | 0.000 | 0.000 | 58.274 |
| 409.512 | -0.000 | -0.000 | -0.000 | -0.000 | -0.000 |
| -0.000 | 409.512 | -0.000 | -0.000 | -0.000 | -0.000 |
| -0.000 | -0.000 | 409.512 | -0.000 | -0.000 | -0.000 |
| 0.000 | -0.000 | 0.000 | 58.274 | -0.000 | -0.000 |
| -0.000 | 0.000 | 0.000 | -0.000 | 58.274 | 0.000 |
| -0.000 | 0.000 | 0.000 | -0.000 | 0.000 | 58.274 |
| 409.512 | 0.000 | 0.000 | -0.000 | 0.000 | 0.000 |
| 0.000 | 409.512 | 0.000 | -0.000 | -0.000 | 0.000 |
| 0.000 | 0.000 | 409.512 | -0.000 | 0.000 | 0.000 |
| -0.000 | -0.000 | -0.000 | 58.274 | 0.000 | 0.000 |
| -0.000 | -0.000 | -0.000 | 0.000 | 58.274 | 0.000 |
| -0.000 | -0.000 | -0.000 | 0.000 | 0.000 | 58.274 |
| 409.512 | -0.000 | -0.000 | -0.000 | -0.000 | -0.000 |
| -0.000 | 409.512 | -0.000 | -0.000 | -0.000 | -0.000 |
| -0.000 | -0.000 | 409.512 | -0.000 | -0.000 | -0.000 |
| 0.000 | 0.000 | 0.000 | 58.274 | -0.000 | -0.000 |
| 0.000 | 0.000 | 0.000 | -0.000 | 58.274 | -0.000 |
| 0.000 | 0.000 | 0.000 | -0.000 | -0.000 | 58.274 |
| 409.515 | -0.000 | -0.000 | -0.000 | -0.000 | 0.000 |
| -0.000 | 409.515 | -0.000 | -0.000 | 0.000 | 0.000 |
| -0.000 | -0.000 | 409.515 | 0.000 | 0.000 | 0.000 |
| -0.000 | -0.000 | -0.000 | 58.274 | 0.000 | 0.000 |
| -0.000 | -0.000 | -0.000 | 0.000 | 58.274 | 0.000 |
| -0.000 | -0.000 | -0.000 | -0.000 | -0.000 | 58.274 |
| 409.510 | 0.000 | 0.000 | -0.000 | -0.000 | -0.000 |
| 0.000 | 409.510 | 0.000 | -0.000 | -0.000 | -0.000 |
| 0.000 | 0.000 | 409.510 | -0.000 | -0.000 | -0.000 |
| 0.000 | 0.000 | 0.000 | 58.274 | -0.000 | -0.000 |
| 0.000 | 0.000 | 0.000 | -0.000 | 58.274 | -0.000 |
| 0.000 | 0.000 | 0.000 | 0.000 | 0.000 | 58.274 |
| 32.837 | 55.802 | 93.392 | -0.000 | -0.000 | 0.000 |
| 113.740 | 164.208 | 23.075 | -0.000 | -0.000 | 0.000 |
| 97.486 | 35.452 | 139.927 | -0.000 | -0.000 | 0.000 |
| -0.000 | 0.000 | -0.000 | -2.183 | -0.000 | 0.000 |
| -0.000 | 0.000 | 0.000 | -0.000 | 51.813 | -0.000 |
| -231412725.147 | -204358219.230 | -183567675.294 | -0.000 | -0.000 | -110353493.736 |
| 410618619.403 | 404297421.008 | 401109059.498 | 0.000 | 0.000 | -0.000 |
| 410618706.207 | 404297508.409 | 401108986.976 | 0.000 | 0.000 | -0.000 |
| 97.486 | 35.452 | 139.927 | 0.000 | 0.000 | -0.000 |
| 0.000 | -0.000 | 0.000 | -2.183 | 0.000 | -0.000 |
| 0.000 | -0.000 | -0.000 | 0.000 | 51.813 | 0.000 |
| 231412725.147 | 204358219.230 | 183567675.294 | 0.000 | 0.000 | -110353493.736 |
| 32.838 | 55.820 | 93.394 | -0.000 | -0.000 | -0.000 |
| 113.741 | 164.208 | 23.075 | -0.000 | -0.000 | 0.000 |
| 97.486 | 35.452 | 139.927 | -0.000 | -0.000 | 0.000 |
| -0.000 | 0.000 | -0.000 | -2.183 | -0.000 | 0.000 |
| 0.000 | -0.000 | 0.000 | -0.000 | 51.813 | 0.000 |
| -23141265.669 | -20435894.257 | -18356772.264 | -0.000 | -0.000 | -11035293.606 |
| 41061877.087 | 40429836.358 | 40110991.733 | 0.000 | 0.000 | -0.000 |
| 41061963.891 | 40429923.759 | 40110919.212 | 0.000 | 0.000 | -0.000 |
| 97.486 | 35.452 | 139.927 | 0.000 | 0.000 | -0.000 |
| 0.000 | -0.000 | 0.000 | -2.183 | 0.000 | -0.000 |
| -0.000 | 0.000 | -0.000 | 0.000 | 51.813 | 0.000 |
| 23141265.669 | 20435894.257 | 18356772.264 | 0.000 | 0.000 | -11035293.606 |
| 32.837 | 55.836 | 93.395 | -0.000 | -0.000 | 0.000 |
| 113.743 | 164.172 | 23.071 | -0.000 | -0.000 | 0.000 |
| 97.486 | 35.452 | 139.927 | -0.000 | -0.000 | 0.000 |
| -0.000 | 0.000 | -0.000 | -2.183 | -0.000 | 0.000 |
| 0.000 | -0.000 | 0.000 | -0.000 | 51.813 | -0.000 |
| -2314119.722 | -2043661.741 | -1835681.960 | -0.000 | -0.000 | -1103473.595 |
| 4106203.099 | 4043076.929 | 4011184.893 | 0.000 | 0.000 | -0.000 |
| 4106289.903 | 4043164.329 | 4011112.371 | 0.000 | 0.000 | -0.000 |
| 97.485 | 35.452 | 139.926 | 0.000 | 0.000 | -0.000 |
| 0.000 | -0.000 | 0.000 | -2.183 | 0.000 | -0.000 |
| -0.000 | 0.000 | -0.000 | 0.000 | 51.813 | -0.000 |
| 2314119.722 | 2043661.741 | 1835681.960 | 0.000 | 0.000 | -1103473.595 |
| 115.220 | 788.225 | -83.175 | 0.000 | -0.000 | -0.000 |
| -80.681 | 917.196 | -195.919 | 0.000 | -0.000 | -0.000 |
| 61.337 | 817.500 | -147.456 | 0.000 | 0.000 | -0.000 |
| -144.485 | 721.644 | -298.138 | 40.588 | -0.000 | -0.000 |
| -144.437 | 721.402 | -298.038 | 0.000 | 173.509 | -0.000 |
| -144.400 | 721.217 | -297.962 | 0.000 | 0.000 | -21.480 |
| 404.093 | -654.580 | 512.901 | -0.000 | -0.000 | 0.000 |
| 208.193 | -525.615 | 400.159 | -0.000 | 0.000 | 0.000 |
| 350.210 | -625.306 | 448.621 | -0.000 | -0.000 | 0.000 |
| 144.485 | -721.644 | 298.138 | 40.588 | 0.000 | 0.000 |
| 144.437 | -721.402 | 298.038 | -0.000 | 173.509 | 0.000 |
| 144.400 | -721.217 | 297.962 | -0.000 | 0.000 | -21.480 |
| 245.212 | 138.964 | 185.059 | 0.000 | -0.000 | -0.000 |
| 49.345 | 267.767 | 72.384 | 0.000 | -0.000 | -0.000 |
| 191.329 | 168.241 | 120.777 | 0.000 | -0.000 | -0.000 |
| -14.439 | 72.116 | -29.794 | 38.921 | 0.000 | -0.000 |
| -14.444 | 72.140 | -29.804 | 0.000 | 173.509 | -0.000 |
| -14.440 | 72.123 | -29.797 | 0.000 | -0.000 | -20.500 |
| 274.100 | -5.319 | 244.668 | -0.000 | -0.000 | 0.000 |
| 78.202 | 123.637 | 131.929 | -0.000 | 0.000 | 0.000 |
| 220.219 | 23.948 | 180.390 | -0.000 | 0.000 | 0.000 |
| 14.439 | -72.116 | 29.794 | 38.921 | 0.000 | 0.000 |
| 14.444 | -72.140 | 29.804 | -0.000 | 173.509 | 0.000 |
| 14.440 | -72.123 | 29.797 | -0.000 | 0.000 | -20.500 |
| 258.212 | 74.040 | 211.882 | 0.000 | -0.000 | -0.000 |
| 62.316 | 202.981 | 99.150 | 0.000 | 0.000 | -0.000 |
| 204.328 | 103.320 | 147.599 | 0.000 | -0.000 | -0.000 |
| -1.444 | 7.212 | -2.979 | 38.934 | -0.000 | -0.000 |
| -1.444 | 7.214 | -2.980 | 0.000 | 173.509 | -0.000 |
| -1.444 | 7.214 | -2.980 | 0.000 | 0.000 | -20.489 |
| 261.147 | 59.371 | 217.941 | -0.000 | -0.000 | 0.000 |
| 65.205 | 188.551 | 105.110 | -0.000 | 0.000 | 0.000 |
| 207.214 | 88.895 | 153.558 | -0.000 | 0.000 | 0.000 |
| 1.444 | -7.212 | 2.979 | 38.934 | 0.000 | 0.000 |
| 1.444 | -7.214 | 2.980 | -0.000 | 173.509 | 0.000 |
| 1.444 | -7.214 | 2.980 | -0.000 | 0.000 | -20.489 |
| 130.651 | 49.798 | 49.798 | -0.000 | 0.000 | 0.000 |
| 49.798 | 130.651 | 49.798 | 0.000 | 0.000 | -0.000 |
| 49.798 | 49.798 | 130.651 | -0.000 | 0.000 | 0.000 |
| -0.000 | 0.000 | 0.000 | 53.432 | 0.000 | -0.000 |
| 0.000 | -0.000 | -0.000 | -0.000 | 53.432 | 0.000 |
| -0.000 | 0.000 | -0.000 | -0.000 | 0.000 | 53.432 |
| 130.651 | 49.798 | 49.798 | 0.000 | -0.000 | -0.000 |
| 49.798 | 130.651 | 49.798 | 0.000 | -0.000 | -0.000 |
| 49.798 | 49.798 | 130.651 | -0.000 | -0.000 | -0.000 |
| 0.000 | -0.000 | 0.000 | 53.432 | -0.000 | -0.000 |
| 0.000 | 0.000 | -0.000 | -0.000 | 53.432 | -0.000 |
| -0.000 | -0.000 | 0.000 | 0.000 | -0.000 | 53.432 |
| 130.651 | 49.798 | 49.798 | -0.000 | 0.000 | 0.000 |
| 49.798 | 130.651 | 49.798 | -0.000 | 0.000 | 0.000 |
| 49.798 | 49.798 | 130.651 | -0.000 | -0.000 | 0.000 |
| 0.000 | -0.000 | -0.000 | -6.368 | 0.000 | -0.000 |
| -0.000 | 0.000 | -0.000 | -0.000 | -6.368 | -0.000 |
| -0.000 | -0.000 | 0.000 | -0.000 | -0.000 | -6.368 |
| 106.575 | 61.836 | 61.836 | -0.000 | -0.000 | -0.000 |
| 61.836 | 106.575 | 61.836 | -0.000 | -0.000 | -0.000 |
| 61.836 | 61.836 | 106.575 | -0.000 | -0.000 | -0.000 |
| -0.000 | 0.000 | 0.000 | -6.368 | -0.000 | -0.000 |
| 0.000 | -0.000 | 0.000 | -0.000 | -6.368 | 0.000 |
| 0.000 | 0.000 | -0.000 | 0.000 | 0.000 | -6.368 |
| 106.576 | 61.836 | 61.836 | 0.000 | 0.000 | 0.000 |
| 61.836 | 106.576 | 61.836 | 0.000 | 0.000 | -0.000 |
| 61.836 | 61.836 | 106.576 | -0.000 | 0.000 | 0.000 |
| 0.000 | -0.000 | -0.000 | -6.368 | -0.000 | -0.000 |
| -0.000 | 0.000 | -0.000 | 0.000 | -6.368 | -0.000 |
| -0.000 | -0.000 | 0.000 | -0.000 | -0.000 | -6.368 |
| 106.575 | 61.836 | 61.836 | -0.000 | -0.000 | -0.000 |
| 61.836 | 106.575 | 61.836 | -0.000 | -0.000 | -0.000 |
| 61.836 | 61.836 | 106.575 | -0.000 | 0.000 | -0.000 |
| -0.000 | 0.000 | 0.000 | -6.368 | 0.000 | 0.000 |
| 0.000 | -0.000 | 0.000 | 0.000 | -6.368 | -0.000 |
| 0.000 | 0.000 | -0.000 | -0.000 | 0.000 | -6.368 |
| 140.110 | 32.072 | 79.938 | 0.000 | 10.443 | -0.000 |
| 44.957 | 194.326 | 47.809 | 0.000 | 4.168 | -0.000 |
| 51.197 | 41.044 | 185.141 | -0.000 | 20.025 | -0.000 |
| 7.035 | -7.046 | 1.289 | 44.649 | 0.112 | -6.063 |
| 11.613 | -16.649 | 20.025 | 0.000 | 68.886 | -0.000 |
| 5.480 | -7.155 | 1.484 | -3.099 | 1.879 | 15.637 |
| 126.142 | 47.406 | 74.635 | 0.000 | 6.062 | 0.000 |
| 20.088 | 235.686 | 38.461 | -0.000 | -16.333 | 0.000 |
| 70.683 | 55.966 | 151.482 | -0.000 | 5.361 | -0.000 |
| -7.035 | 7.046 | -1.289 | 44.649 | -0.112 | -6.063 |
| -2.969 | 8.085 | 3.492 | -0.000 | 9.308 | 0.000 |
| -5.480 | 7.155 | -1.484 | -3.099 | -1.879 | 15.637 |
| 132.981 | 40.180 | 74.800 | 0.000 | 6.801 | 0.000 |
| 39.545 | 200.821 | 46.488 | -0.000 | 2.473 | -0.000 |
| 51.197 | 41.044 | 185.141 | -0.000 | 20.025 | 0.000 |
| 0.509 | -0.665 | 0.138 | 45.986 | 0.175 | -4.679 |
| 7.902 | 0.453 | 2.338 | 0.000 | 11.308 | -0.000 |
| 0.546 | -0.712 | 0.148 | -3.178 | 0.187 | 15.746 |
| 139.524 | 46.994 | 76.402 | -0.000 | 5.455 | -0.000 |
| 20.088 | 235.685 | 38.461 | -0.000 | -16.333 | -0.000 |
| 79.350 | 49.436 | 149.477 | 0.000 | 1.883 | 0.000 |
| -0.509 | 0.665 | -0.138 | 45.986 | -0.175 | -4.679 |
| 6.692 | 1.744 | 2.221 | -0.000 | 11.175 | 0.000 |
| -0.546 | 0.712 | -0.148 | -3.178 | -0.187 | 15.746 |
| 133.743 | 38.326 | 79.218 | 0.000 | 9.195 | -0.000 |
| 39.021 | 201.457 | 46.360 | 0.000 | 2.309 | -0.000 |
| 76.822 | 49.836 | 147.133 | 0.000 | 2.375 | -0.000 |
| 0.075 | -0.072 | 0.013 | 43.854 | -0.000 | -6.988 |
| 5.927 | 1.402 | 1.607 | 0.000 | 9.868 | -0.000 |
| 0.075 | -0.072 | 0.012 | -6.672 | -0.000 | 13.637 |
| 132.198 | 40.747 | 75.136 | -0.000 | 7.561 | 0.000 |
| 40.871 | 201.965 | 44.574 | -0.000 | 0.927 | 0.000 |
| 79.843 | 48.845 | 149.611 | 0.000 | 1.993 | 0.000 |
| -0.075 | 0.072 | -0.013 | 43.854 | 0.000 | -6.988 |
| 4.949 | 1.750 | 1.648 | -0.000 | 9.822 | 0.000 |
| -0.075 | 0.072 | -0.012 | -6.672 | 0.000 | 13.637 |
| 206.483 | 17.895 | 53.509 | 0.000 | 16.420 | -0.000 |
| 37.844 | 203.832 | 46.982 | -0.000 | 7.097 | -0.000 |
| 73.845 | 45.476 | 156.964 | 0.000 | 11.519 | -0.000 |
| -1.125 | 0.511 | 0.248 | 51.481 | -0.677 | -5.704 |
| 4.652 | 8.297 | 8.381 | 0.000 | 12.331 | -0.000 |
| 0.000 | 0.000 | -0.000 | -17.758 | -0.000 | 47.062 |
| 148.779 | 39.385 | 75.498 | 0.000 | 7.612 | 0.000 |
| 42.907 | 203.435 | 43.854 | 0.000 | 6.775 | 0.000 |
| 76.390 | 45.807 | 153.473 | -0.000 | 10.349 | 0.000 |
| 1.125 | -0.511 | -0.248 | 51.481 | 0.677 | -5.704 |
| 3.858 | 8.942 | 11.676 | 0.000 | 15.875 | 0.000 |
| -0.000 | -0.000 | 0.000 | -17.758 | 0.000 | 47.062 |
| 206.483 | 17.895 | 53.509 | 0.000 | 16.420 | -0.000 |
| 41.615 | 203.967 | 44.162 | 0.000 | 6.014 | -0.000 |
| 51.404 | 39.132 | 188.325 | 0.000 | 25.898 | -0.000 |
| -0.173 | 0.052 | 0.012 | 51.405 | -0.089 | -5.037 |
| 5.424 | 6.807 | 9.746 | 0.000 | 12.813 | -0.000 |
| -0.184 | 0.043 | 0.000 | -6.841 | -0.089 | 24.404 |
| 147.061 | 39.837 | 75.572 | -0.000 | 6.843 | -0.000 |
| 39.541 | 203.243 | 46.869 | 0.000 | 8.047 | -0.000 |
| 75.162 | 47.243 | 154.900 | -0.000 | 7.397 | 0.000 |
| 0.173 | -0.052 | -0.012 | 51.405 | 0.089 | -5.037 |
| 10.883 | -14.287 | 25.898 | -0.000 | 68.129 | 0.000 |
| 0.184 | -0.043 | -0.000 | -6.841 | 0.089 | 24.404 |
| 146.852 | 39.891 | 75.581 | 0.000 | 6.749 | 0.000 |
| 39.374 | 203.304 | 46.876 | 0.000 | 7.949 | -0.000 |
| 74.206 | 46.664 | 153.414 | -0.000 | 8.487 | -0.000 |
| -0.027 | 0.005 | 0.000 | 51.291 | -0.010 | -5.949 |
| 6.221 | 7.772 | 8.233 | 0.000 | 13.176 | -0.000 |
| -0.019 | 0.004 | 0.000 | -6.841 | -0.009 | 24.404 |
| 146.888 | 39.882 | 75.579 | -0.000 | 6.766 | 0.000 |
| 40.422 | 203.090 | 46.558 | 0.000 | 7.505 | -0.000 |
| 75.014 | 47.295 | 154.908 | 0.000 | 7.305 | 0.000 |
| 0.027 | -0.005 | -0.000 | 51.291 | 0.010 | -5.949 |
| 5.628 | 6.753 | 9.732 | -0.000 | 12.902 | 0.000 |
| 0.019 | -0.004 | -0.000 | -6.841 | 0.009 | 24.404 |
| 216.529 | 65.542 | 95.421 | 0.000 | -0.000 | 0.000 |
| 68.370 | 213.493 | 84.373 | -0.000 | -0.000 | 0.000 |
| 79.891 | 65.084 | 161.825 | -0.000 | -0.000 | 0.000 |
| -0.100 | 0.015 | -0.040 | 42.275 | -0.000 | 0.000 |
| -0.113 | 0.010 | -0.070 | 0.000 | 85.397 | -0.000 |
| -0.143 | 0.022 | -0.058 | 0.000 | -0.000 | 52.708 |
| 244.282 | 68.370 | 120.533 | 0.000 | -0.000 | -0.000 |
| 60.655 | 207.107 | 66.223 | -0.000 | 0.000 | -0.000 |
| 77.787 | 65.595 | 163.643 | -0.000 | 0.000 | -0.000 |
| 0.100 | -0.015 | 0.040 | 42.275 | -0.000 | -0.000 |
| 0.113 | -0.010 | 0.070 | -0.000 | 85.397 | -0.000 |
| 0.143 | -0.022 | 0.058 | -0.000 | 0.000 | 52.708 |
| 244.282 | 68.370 | 120.533 | -0.000 | 0.000 | 0.000 |
| 68.370 | 213.493 | 84.373 | -0.000 | 0.000 | 0.000 |
| 77.568 | 65.646 | 163.591 | 0.000 | 0.000 | 0.000 |
| 0.000 | 0.000 | 0.000 | 65.646 | -0.000 | 0.000 |
| -0.011 | 0.001 | -0.007 | 0.000 | 85.397 | 0.000 |
| 0.000 | 0.000 | 0.000 | -0.000 | -0.000 | 61.430 |
| 211.134 | 60.444 | 78.573 | -0.000 | -0.000 | 0.000 |
| 64.651 | 207.716 | 70.044 | -0.000 | 0.000 | 0.000 |
| 77.607 | 65.637 | 163.600 | -0.000 | -0.000 | -0.000 |
| -0.000 | -0.000 | -0.000 | 65.646 | 0.000 | -0.000 |
| 0.011 | -0.001 | 0.007 | -0.000 | 85.397 | 0.000 |
| -0.000 | -0.000 | -0.000 | 0.000 | 0.000 | 61.430 |
| 211.325 | 60.111 | 79.097 | 0.000 | -0.000 | 0.000 |
| 64.628 | 207.713 | 70.021 | 0.000 | -0.000 | 0.000 |
| 77.585 | 65.642 | 163.595 | 0.000 | -0.000 | 0.000 |
| -0.001 | 0.000 | -0.000 | 42.275 | 0.000 | -0.000 |
| 0.000 | 0.000 | 0.000 | -0.000 | 105.035 | -0.000 |
| 0.000 | 0.000 | 0.000 | -0.000 | 0.000 | 61.430 |
| 216.601 | 65.515 | 95.419 | -0.000 | 0.000 | -0.000 |
| 64.632 | 207.711 | 70.024 | -0.000 | 0.000 | 0.000 |
| 80.036 | 65.095 | 161.909 | 0.000 | 0.000 | 0.000 |
| 0.001 | -0.000 | 0.000 | 42.275 | -0.000 | -0.000 |
| -0.000 | -0.000 | -0.000 | 0.000 | 105.035 | -0.000 |
| -0.000 | -0.000 | -0.000 | 0.000 | -0.000 | 61.430 |
| 538.591 | 10.328 | 1.009 | 0.000 | 0.000 | 0.000 |
| 13.987 | 231.461 | 203.209 | -0.000 | 0.000 | 0.000 |
| 14.450 | 212.990 | 280.969 | 0.000 | -0.000 | 0.000 |
| 0.000 | -0.000 | -0.001 | 231.139 | 0.000 | 0.000 |
| 0.000 | -0.000 | 0.000 | 0.000 | 72.138 | 0.000 |
| 0.000 | -0.000 | 0.000 | 0.000 | -0.000 | 48.813 |
| 538.590 | 10.329 | 1.011 | -0.000 | 0.000 | -0.000 |
| 13.987 | 231.461 | 203.209 | -0.000 | 0.000 | 0.000 |
| 14.449 | 212.991 | 280.972 | -0.000 | -0.000 | -0.000 |
| -0.000 | 0.000 | 0.001 | 231.139 | 0.000 | -0.000 |
| -0.000 | 0.000 | 0.000 | 0.000 | 72.138 | -0.000 |
| -0.000 | 0.000 | -0.000 | -0.000 | 0.000 | 48.813 |
| 538.591 | 10.328 | 1.009 | 0.000 | -0.000 | 0.000 |
| 13.987 | 231.461 | 203.209 | 0.000 | -0.000 | 0.000 |
| 14.449 | 212.991 | 280.970 | -0.000 | 0.000 | -0.000 |
| 0.000 | 0.000 | 0.000 | 231.139 | -0.000 | -0.000 |
| 0.000 | -0.000 | -0.000 | 0.000 | 72.138 | 0.000 |
| 0.000 | -0.000 | -0.000 | 0.000 | -0.000 | 48.813 |
| 538.590 | 10.328 | 1.009 | -0.000 | 0.000 | -0.000 |
| 13.987 | 231.461 | 203.209 | -0.000 | 0.000 | 0.000 |
| 14.449 | 212.991 | 280.970 | -0.000 | -0.000 | -0.000 |
| -0.000 | -0.000 | -0.000 | 231.139 | -0.000 | -0.000 |
| -0.000 | 0.000 | 0.000 | 0.000 | 72.138 | -0.000 |
| -0.000 | 0.000 | 0.000 | -0.000 | 0.000 | 48.813 |
| 538.593 | 10.328 | 1.009 | 0.000 | -0.000 | -0.000 |
| 13.987 | 231.461 | 203.210 | 0.000 | -0.000 | 0.000 |
| 14.449 | 212.991 | 280.971 | 0.000 | 0.000 | -0.000 |
| -0.000 | 0.000 | 0.001 | 231.139 | 0.000 | 0.000 |
| -0.000 | -0.000 | -0.000 | 0.000 | 72.138 | 0.000 |
| 0.000 | -0.000 | -0.000 | -0.000 | -0.000 | 48.813 |
| 538.588 | 10.328 | 1.009 | -0.000 | -0.000 | -0.000 |
| 13.987 | 231.460 | 203.208 | -0.000 | -0.000 | -0.000 |
| 14.449 | 212.990 | 280.969 | -0.000 | 0.000 | -0.000 |
| 0.000 | -0.000 | -0.001 | 231.139 | 0.000 | 0.000 |
| 0.000 | 0.000 | 0.000 | -0.000 | 72.138 | 0.000 |
| -0.000 | 0.000 | 0.000 | 0.000 | 0.000 | 48.813 |
| 361.913 | 105.739 | -9.615 | 0.000 | 0.000 | 0.000 |
| 201.041 | -136.788 | 99.697 | -0.000 | -0.000 | -0.000 |
| 25.976 | 131.145 | 182.650 | -0.000 | -0.000 | 0.000 |
| 5.602 | -0.125 | -24.113 | 35.961 | 0.000 | 0.000 |
| 3.628 | -0.081 | -15.617 | 0.000 | 35.405 | 0.000 |
| 0.000 | 0.000 | 0.000 | -0.000 | -0.000 | 29.686 |
| 391.529 | 37.610 | 17.704 | -0.000 | 0.000 | -0.000 |
| 166.167 | -87.921 | 139.470 | 0.000 | 0.000 | 0.000 |
| 24.821 | 146.641 | 152.124 | -0.000 | 0.000 | -0.000 |
| -5.602 | 0.125 | 24.113 | 35.961 | -0.000 | -0.000 |
| -3.628 | 0.081 | 15.617 | -0.000 | 35.405 | -0.000 |
| -0.000 | -0.000 | -0.000 | 0.000 | 0.000 | 29.686 |
| 317.113 | 177.007 | 21.994 | -0.000 | 0.000 | 0.000 |
| 185.348 | -114.799 | 117.596 | 0.000 | -0.000 | -0.000 |
| 29.211 | 146.798 | 132.647 | 0.000 | 0.000 | 0.000 |
| 0.591 | -0.013 | -2.546 | 33.501 | 0.000 | 0.000 |
| 0.259 | -0.006 | -1.116 | -0.000 | 36.183 | 0.000 |
| -0.000 | -0.000 | -0.000 | 0.000 | -0.000 | 29.686 |
| 311.565 | 181.779 | 35.209 | -0.000 | 0.000 | 0.000 |
| 134.665 | -42.474 | 172.405 | -0.000 | -0.000 | -0.000 |
| 28.400 | 146.752 | 136.286 | 0.000 | -0.000 | -0.000 |
| -0.591 | 0.013 | 2.546 | 33.501 | -0.000 | -0.000 |
| -0.259 | 0.006 | 1.116 | 0.000 | 36.183 | -0.000 |
| 0.000 | 0.000 | 0.000 | -0.000 | 0.000 | 29.686 |
| 313.483 | 179.094 | 33.023 | -0.000 | -0.000 | -0.000 |
| 183.782 | -112.607 | 119.389 | 0.000 | -0.000 | -0.000 |
| 41.666 | 123.344 | 132.211 | 0.000 | -0.000 | -0.000 |
| -0.000 | 0.000 | 0.000 | 80.136 | -0.000 | -0.000 |
| -0.000 | -0.000 | -0.000 | 0.000 | 38.131 | -0.000 |
| 0.080 | -0.059 | -0.213 | 0.000 | -0.000 | 27.942 |
| 391.527 | 37.610 | 17.704 | -0.000 | 0.000 | 0.000 |
| 183.427 | -112.101 | 119.778 | 0.000 | 0.000 | 0.000 |
| 41.319 | 123.830 | 132.604 | 0.000 | 0.000 | 0.000 |
| 0.000 | -0.000 | -0.000 | 80.136 | 0.000 | 0.000 |
| 0.000 | 0.000 | 0.000 | -0.000 | 38.131 | 0.000 |
| -0.080 | 0.059 | 0.213 | 0.000 | 0.000 | 27.942 |
| 412.157 | 14.525 | 7.615 | 0.000 | -0.000 | 0.000 |
| 30.150 | 178.393 | 134.675 | 0.000 | -0.000 | 0.000 |
| 17.134 | 118.232 | 241.965 | 0.000 | -0.000 | 0.000 |
| 0.000 | -0.000 | 0.000 | 97.580 | 0.000 | -0.000 |
| -0.000 | -0.000 | -0.000 | 0.000 | 51.829 | 0.000 |
| 0.000 | -0.000 | -0.000 | -0.000 | -0.000 | 48.441 |
| 405.100 | 33.151 | 18.788 | 0.000 | 0.000 | -0.000 |
| 29.885 | 178.854 | 135.740 | -0.000 | -0.000 | -0.000 |
| 17.142 | 118.032 | 242.440 | -0.000 | -0.000 | 0.000 |
| -0.000 | 0.000 | -0.000 | 97.580 | 0.000 | 0.000 |
| -0.000 | 0.000 | -0.000 | -0.000 | 51.829 | -0.000 |
| -0.000 | 0.000 | 0.000 | 0.000 | -0.000 | 48.441 |
| 405.007 | 34.069 | 17.115 | 0.000 | 0.000 | 0.000 |
| 30.031 | 178.600 | 135.159 | 0.000 | -0.000 | 0.000 |
| 7.616 | 132.854 | 285.597 | 0.000 | -0.000 | 0.000 |
| -0.001 | 0.003 | 0.004 | 56.661 | 0.000 | -0.000 |
| -0.000 | -0.000 | -0.000 | -0.000 | 51.829 | -0.000 |
| -0.000 | -0.000 | -0.000 | 0.000 | -0.000 | 48.441 |
| 405.007 | 34.049 | 17.162 | 0.000 | -0.000 | 0.000 |
| 14.525 | 229.407 | 132.854 | -0.000 | 0.000 | 0.000 |
| 7.616 | 132.854 | 285.597 | 0.000 | 0.000 | 0.000 |
| 0.001 | -0.003 | -0.004 | 56.661 | -0.000 | 0.000 |
| 0.000 | 0.000 | 0.000 | -0.000 | 51.829 | 0.000 |
| 0.000 | 0.000 | 0.000 | -0.000 | 0.000 | 48.441 |
| 405.049 | 33.540 | 18.196 | -0.000 | -0.000 | -0.000 |
| 30.018 | 178.622 | 135.207 | 0.000 | -0.000 | 0.000 |
| 11.722 | 133.978 | 246.568 | 0.000 | -0.000 | 0.000 |
| -0.000 | 0.000 | 0.001 | 56.661 | 0.000 | 0.000 |
| -0.000 | -0.000 | -0.000 | 0.000 | 51.829 | 0.000 |
| -0.000 | -0.000 | -0.000 | 0.000 | -0.000 | 48.441 |
| 405.046 | 33.532 | 18.207 | -0.000 | 0.000 | 0.000 |
| 34.059 | 171.881 | 118.134 | -0.000 | 0.000 | 0.000 |
| 7.616 | 132.853 | 285.596 | -0.000 | 0.000 | -0.000 |
| 0.000 | -0.000 | -0.001 | 56.661 | -0.000 | -0.000 |
| 0.000 | 0.000 | 0.000 | -0.000 | 51.829 | -0.000 |
| 0.000 | 0.000 | 0.000 | -0.000 | 0.000 | 48.441 |
| 258.975 | 94.064 | 71.972 | 5.079 | 0.000 | -0.000 |
| 95.126 | 257.380 | 72.344 | -5.011 | 0.000 | -0.000 |
| 71.881 | 71.881 | 275.623 | 0.000 | -0.000 | -0.000 |
| 5.079 | -5.079 | 0.000 | 67.126 | 0.000 | 0.000 |
| -0.000 | -0.000 | 0.000 | 0.000 | 67.126 | 5.079 |
| -0.242 | -0.242 | 0.340 | -0.000 | 5.002 | 80.947 |
| 258.975 | 94.064 | 71.972 | 5.079 | -0.000 | -0.000 |
| 97.168 | 256.078 | 71.826 | -4.925 | 0.000 | -0.000 |
| 72.157 | 72.157 | 275.237 | -0.000 | 0.000 | 0.000 |
| 5.079 | -5.079 | -0.000 | 67.126 | 0.000 | 0.000 |
| 0.000 | 0.000 | -0.000 | -0.000 | 67.126 | 5.079 |
| 0.242 | 0.242 | -0.340 | -0.000 | 5.002 | 80.947 |
| 255.927 | 97.016 | 72.038 | 4.925 | -0.000 | 0.000 |
| 96.463 | 256.293 | 72.169 | -4.949 | 0.000 | 0.000 |
| 71.972 | 71.972 | 275.497 | -0.000 | -0.000 | 0.000 |
| 5.006 | -5.041 | 0.024 | 67.123 | -0.000 | -0.000 |
| -0.000 | 0.000 | 0.000 | 0.000 | 67.126 | 5.079 |
| -0.047 | -0.047 | 0.066 | 0.000 | 4.928 | 79.503 |
| 258.974 | 94.064 | 71.971 | 5.079 | -0.000 | 0.000 |
| 94.064 | 258.975 | 71.971 | -5.079 | 0.000 | 0.000 |
| 72.033 | 72.033 | 275.411 | -0.000 | 0.000 | 0.000 |
| 5.079 | -5.079 | -0.000 | 67.126 | 0.000 | -0.000 |
| 0.000 | -0.000 | -0.000 | -0.000 | 67.126 | 5.079 |
| 0.047 | 0.047 | -0.066 | -0.000 | 4.928 | 79.503 |
| 255.940 | 97.029 | 72.021 | 4.925 | -0.000 | -0.000 |
| 97.029 | 255.940 | 72.021 | -4.925 | -0.000 | 0.000 |
| 72.018 | 72.018 | 275.433 | -0.000 | -0.000 | 0.000 |
| 4.924 | -4.927 | 0.002 | 67.118 | -0.000 | 0.000 |
| -0.000 | 0.000 | 0.000 | 0.000 | 67.126 | 5.079 |
| -0.000 | 0.000 | 0.000 | 0.000 | 5.079 | 82.455 |
| 258.973 | 94.063 | 71.971 | 5.079 | -0.000 | 0.000 |
| 97.031 | 255.941 | 72.017 | -4.925 | 0.000 | 0.000 |
| 71.971 | 71.971 | 275.495 | 0.000 | -0.000 | -0.000 |
| 4.927 | -4.924 | -0.002 | 67.118 | -0.000 | 0.000 |
| 0.000 | -0.000 | -0.000 | -0.000 | 67.126 | 5.079 |
| 0.000 | -0.000 | -0.000 | -0.000 | 5.079 | 82.455 |
| 256.093 | 96.680 | 72.135 | 4.940 | 0.000 | 0.000 |
| 96.680 | 256.093 | 72.135 | -4.940 | -0.000 | 0.000 |
| 72.023 | 72.023 | 275.441 | -0.000 | 0.000 | -0.000 |
| 5.080 | -5.080 | 0.000 | 67.128 | 0.000 | 0.000 |
| -0.000 | -0.000 | 0.000 | 0.000 | 67.128 | 5.080 |
| -0.000 | -0.000 | 0.000 | 0.000 | 4.926 | 79.447 |
| 256.093 | 96.680 | 72.135 | 4.940 | 0.000 | -0.000 |
| 96.680 | 256.093 | 72.135 | -4.940 | 0.000 | -0.000 |
| 72.023 | 72.023 | 275.441 | -0.000 | -0.000 | -0.000 |
| 5.080 | -5.080 | -0.000 | 67.128 | 0.000 | -0.000 |
| 0.000 | 0.000 | -0.000 | -0.000 | 67.128 | 5.080 |
| 0.000 | 0.000 | -0.000 | -0.000 | 4.926 | 79.447 |
| 256.093 | 96.680 | 72.135 | 4.940 | -0.000 | 0.000 |
| 96.680 | 256.093 | 72.135 | -4.940 | 0.000 | 0.000 |
| 72.023 | 72.023 | 275.441 | 0.000 | 0.000 | 0.000 |
| 4.926 | -4.926 | 0.000 | 67.120 | -0.000 | 0.000 |
| -0.000 | 0.000 | 0.000 | 0.000 | 67.128 | 5.080 |
| -0.000 | 0.000 | 0.000 | 0.000 | 5.080 | 82.448 |
| 258.942 | 94.047 | 71.983 | 5.080 | -0.000 | -0.000 |
| 96.680 | 256.093 | 72.135 | -4.940 | -0.000 | -0.000 |
| 72.023 | 72.023 | 275.441 | -0.000 | 0.000 | 0.000 |
| 5.080 | -5.080 | -0.000 | 67.128 | -0.000 | -0.000 |
| 0.000 | -0.000 | -0.000 | -0.000 | 67.128 | 5.080 |
| 0.000 | -0.000 | -0.000 | -0.000 | 5.080 | 82.448 |
| 258.943 | 94.047 | 71.983 | 5.080 | 0.000 | 0.000 |
| 94.047 | 258.943 | 71.983 | -5.080 | 0.000 | 0.000 |
| 72.023 | 72.023 | 275.442 | -0.000 | -0.000 | -0.000 |
| 4.926 | -4.926 | 0.000 | 67.120 | -0.000 | -0.000 |
| -0.000 | 0.000 | 0.000 | 0.000 | 67.128 | 5.080 |
| -0.000 | 0.000 | -0.000 | 0.000 | 4.926 | 79.447 |
| 256.092 | 96.680 | 72.134 | 4.939 | 0.000 | -0.000 |
| 94.046 | 258.941 | 71.983 | -5.080 | 0.000 | -0.000 |
| 72.022 | 72.022 | 275.440 | 0.000 | 0.000 | -0.000 |
| 5.080 | -5.080 | -0.000 | 67.128 | -0.000 | -0.000 |
| 0.000 | -0.000 | -0.000 | -0.000 | 67.128 | 5.080 |
| 0.000 | -0.000 | 0.000 | -0.000 | 4.926 | 79.447 |
| 226.207 | 22.900 | 37.677 | -0.000 | -0.000 | 0.000 |
| -43.296 | 183.731 | -99.564 | 0.000 | 0.000 | 0.000 |
| 38.536 | 44.300 | 177.957 | -0.000 | 0.000 | 0.000 |
| -184.861 | -70.268 | -65.324 | 11.264 | 0.000 | -0.000 |
| -65.074 | -141.177 | -102.388 | -0.000 | 12.422 | 0.000 |
| -88.218 | 48.585 | -188.903 | 0.000 | 0.000 | 13.814 |
| 273.109 | -6.389 | 229.297 | -0.000 | -0.000 | -0.000 |
| 132.812 | 88.027 | 277.424 | -0.000 | -0.000 | -0.000 |
| 38.536 | 44.300 | 177.957 | 0.000 | -0.000 | -0.000 |
| 184.861 | 70.268 | 65.324 | 11.264 | 0.000 | 0.000 |
| 65.074 | 141.177 | 102.388 | 0.000 | 12.422 | 0.000 |
| 88.218 | -48.585 | 188.903 | -0.000 | -0.000 | 13.814 |
| 172.914 | 40.216 | 22.124 | -0.000 | 0.000 | -0.000 |
| 39.869 | 128.736 | 79.354 | 0.000 | -0.000 | -0.000 |
| 34.899 | 90.632 | 92.779 | 0.000 | -0.000 | 0.000 |
| -8.932 | 4.919 | -19.127 | 17.090 | 0.000 | 0.000 |
| -1.086 | -21.729 | -11.094 | -0.000 | 6.232 | -0.000 |
| -7.797 | -13.620 | -10.176 | -0.000 | 0.000 | 16.722 |
| 197.867 | 35.403 | 58.849 | -0.000 | 0.000 | 0.000 |
| 54.171 | 131.912 | 108.977 | -0.000 | -0.000 | -0.000 |
| 55.717 | 93.268 | 112.738 | -0.000 | -0.000 | 0.000 |
| 8.932 | -4.919 | 19.127 | 17.090 | -0.000 | -0.000 |
| 1.086 | 21.729 | 11.094 | 0.000 | 6.232 | 0.000 |
| 7.797 | 13.620 | 10.176 | 0.000 | -0.000 | 16.722 |
| 187.487 | 40.972 | 40.544 | 0.000 | -0.000 | 0.000 |
| 50.796 | 116.073 | 107.736 | -0.000 | -0.000 | 0.000 |
| 35.560 | 110.849 | 75.437 | -0.000 | -0.000 | -0.000 |
| -0.929 | 0.512 | -1.990 | 15.779 | 0.000 | 0.000 |
| -0.895 | 0.493 | -1.917 | 0.000 | 20.149 | -0.000 |
| -0.864 | 0.476 | -1.849 | 0.000 | 0.000 | 14.467 |
| 188.728 | 50.004 | 30.929 | 0.000 | -0.000 | 0.000 |
| 51.922 | 122.250 | 105.150 | -0.000 | -0.000 | 0.000 |
| 31.648 | 108.469 | 88.997 | -0.000 | -0.000 | -0.000 |
| 0.929 | -0.512 | 1.990 | 15.779 | -0.000 | -0.000 |
| 0.895 | -0.493 | 1.917 | -0.000 | 20.149 | -0.000 |
| 0.864 | -0.476 | 1.849 | -0.000 | -0.000 | 14.467 |
| 195.834 | 42.011 | 35.280 | -0.000 | 0.000 | -0.000 |
| 41.426 | 137.993 | 68.868 | -0.000 | 0.000 | 0.000 |
| 34.576 | 42.048 | 196.483 | -0.000 | 0.000 | -0.000 |
| -0.915 | -0.094 | 0.727 | 25.988 | 0.000 | -0.000 |
| 0.000 | 0.000 | 0.000 | -0.000 | 83.243 | 0.000 |
| -0.730 | -0.075 | 0.580 | -0.000 | -0.000 | 31.332 |
| 226.480 | 20.533 | 34.577 | 0.000 | -0.000 | 0.000 |
| 43.044 | 138.864 | 68.462 | 0.000 | 0.000 | 0.000 |
| 41.026 | 65.652 | 157.710 | 0.000 | -0.000 | 0.000 |
| 0.915 | 0.094 | -0.727 | 25.988 | 0.000 | 0.000 |
| -0.000 | -0.000 | -0.000 | 0.000 | 83.243 | 0.000 |
| 0.730 | 0.075 | -0.580 | 0.000 | 0.000 | 31.332 |
| 226.480 | 20.533 | 34.577 | -0.000 | 0.000 | -0.000 |
| 20.533 | 191.369 | 42.048 | -0.000 | -0.000 | -0.000 |
| 33.995 | 70.397 | 154.979 | -0.000 | -0.000 | -0.000 |
| 0.001 | -0.039 | -0.004 | 15.986 | 0.000 | -0.000 |
| -0.064 | -0.015 | 0.050 | -0.000 | 54.126 | 0.000 |
| 0.000 | 0.000 | 0.000 | -0.000 | 0.000 | 48.802 |
| 226.480 | 20.533 | 34.577 | 0.000 | -0.000 | 0.000 |
| 20.533 | 191.369 | 42.048 | 0.000 | -0.000 | 0.000 |
| 40.367 | 65.713 | 158.044 | 0.000 | 0.000 | 0.000 |
| -0.001 | 0.039 | 0.004 | 15.986 | 0.000 | -0.000 |
| 0.064 | 0.015 | -0.050 | 0.000 | 54.126 | 0.000 |
| -0.000 | -0.000 | -0.000 | 0.000 | 0.000 | 48.802 |
| 226.481 | 20.533 | 34.577 | -0.000 | -0.000 | -0.000 |
| 42.217 | 138.607 | 69.259 | -0.000 | 0.000 | -0.000 |
| 40.287 | 65.724 | 158.081 | -0.000 | 0.000 | -0.000 |
| -0.014 | -0.003 | 0.011 | 5.761 | 0.000 | -0.000 |
| -0.006 | -0.001 | 0.005 | -0.000 | 54.127 | -0.000 |
| -0.007 | -0.001 | 0.006 | -0.000 | -0.000 | 31.345 |
| 226.479 | 20.533 | 34.576 | 0.000 | -0.000 | -0.000 |
| 42.233 | 138.612 | 69.242 | 0.000 | -0.000 | -0.000 |
| 34.102 | 70.400 | 154.924 | 0.000 | 0.000 | 0.000 |
| 0.014 | 0.003 | -0.011 | 5.761 | -0.000 | 0.000 |
| 0.006 | 0.001 | -0.005 | 0.000 | 54.127 | 0.000 |
| 0.007 | 0.001 | -0.006 | 0.000 | -0.000 | 31.345 |
| 140.478 | 55.783 | 23.647 | 2.464 | -5.937 | 0.757 |
| 77.068 | 131.276 | -20.056 | -21.533 | -34.162 | -10.842 |
| 71.717 | 13.932 | 96.415 | 27.116 | -35.098 | -4.482 |
| 11.103 | -44.591 | -57.216 | 50.320 | -26.711 | -13.480 |
| -11532465.796 | -200192180.172 | 87069121.018 | 156402575.243 | -276551655.894 | -129952994.923 |
| -11532450.972 | -200192198.317 | 87069067.764 | 156402541.114 | -276551645.126 | -129952969.833 |
| 11532496.051 | 200192298.721 | -87068909.138 | -156402491.431 | 276551574.514 | 129952983.584 |
| 11532508.013 | 200192284.074 | -87068947.892 | -156402521.674 | 276551583.390 | 129952974.086 |
| 11532504.164 | 200192238.578 | -87068928.997 | -156402520.665 | 276551626.339 | 129952985.972 |
| 11532434.636 | 200192185.293 | -87069034.175 | -156402502.965 | 276551627.076 | 129952993.104 |
| 22.816 | 4.968 | 30.916 | -0.710 | 74.711 | 5.259 |
| -3.426 | 7.754 | 32.565 | -10.317 | -7.314 | 55.803 |
| 140.479 | 55.781 | 23.642 | 2.465 | -5.939 | 0.756 |
| 77.066 | 131.281 | -20.043 | -21.534 | -34.157 | -10.841 |
| 71.718 | 13.930 | 96.410 | 27.116 | -35.100 | -4.482 |
| 11.103 | -44.589 | -57.211 | 50.320 | -26.709 | -13.480 |
| -1153256.938 | -20019205.153 | 8706965.573 | 15640293.100 | -27655184.829 | -12995307.521 |
| -1153242.120 | -20019223.296 | 8706912.330 | 15640258.977 | -27655174.068 | -12995282.433 |
| 1153287.193 | 20019323.702 | -8706753.693 | -15640209.288 | 27655103.448 | 12995296.182 |
| 1153299.145 | 20019309.058 | -8706792.431 | -15640239.523 | 27655112.312 | 12995286.683 |
| 1153295.296 | 20019263.561 | -8706773.537 | -15640238.514 | 27655155.262 | 12995298.568 |
| 1153225.788 | 20019210.272 | -8706878.747 | -15640220.831 | 27655156.022 | 12995305.704 |
| 22.817 | 4.965 | 30.909 | -0.710 | 74.708 | 5.258 |
| -3.427 | 7.756 | 32.570 | -10.317 | -7.312 | 55.803 |
| 140.479 | 55.781 | 23.642 | 2.465 | -5.939 | 0.756 |
| 77.067 | 131.281 | -20.041 | -21.534 | -34.157 | -10.841 |
| 71.718 | 13.931 | 96.409 | 27.116 | -35.101 | -4.482 |
| 11.103 | -44.589 | -57.211 | 50.319 | -26.709 | -13.480 |
| -115336.053 | -2001907.651 | 870750.029 | 1564064.887 | -2765537.722 | -1299538.781 |
| -115321.235 | -2001925.794 | 870696.787 | 1564030.763 | -2765526.962 | -1299513.693 |
| 115366.294 | 2002026.166 | -870538.128 | -1563981.039 | 2765456.347 | 1299527.443 |
| 115378.246 | 2002011.524 | -870576.868 | -1564011.274 | 2765465.211 | 1299517.943 |
| 115374.414 | 2001966.058 | -870558.000 | -1564010.303 | 2765508.160 | 1299529.829 |
| 115304.902 | 2001912.770 | -870663.201 | -1563992.616 | 2765508.915 | 1299536.964 |
| 22.817 | 4.965 | 30.908 | -0.710 | 74.707 | 5.258 |
| -3.427 | 7.756 | 32.570 | -10.318 | -7.312 | 55.803 |
| 180.568 | -119.325 | 79.303 | 0.000 | 0.000 | 0.000 |
| 156.139 | -66.419 | 137.100 | 0.000 | 0.000 | -0.000 |
| 46.724 | 41.023 | 169.877 | 0.000 | 0.000 | -0.000 |
| 0.000 | 0.000 | 0.000 | 64.434 | 0.000 | -0.000 |
| 0.000 | 0.000 | -0.000 | -0.000 | 70.574 | -0.000 |
| 0.000 | 0.000 | -0.000 | -0.000 | 0.000 | 70.549 |
| 164.615 | 46.762 | 46.746 | 0.000 | -0.000 | -0.000 |
| -14.359 | 285.052 | 86.062 | 0.000 | -0.000 | 0.000 |
| -13.012 | 280.335 | 87.489 | -0.000 | -0.000 | 0.000 |
| -0.000 | -0.000 | -0.000 | 64.434 | -0.000 | -0.000 |
| -0.000 | -0.000 | -0.000 | 0.000 | 70.574 | 0.000 |
| -0.000 | -0.000 | 0.000 | 0.000 | -0.000 | 70.549 |
| 164.615 | 46.762 | 46.746 | -0.000 | 0.000 | -0.000 |
| 74.328 | 100.322 | 72.031 | -0.000 | 0.000 | -0.000 |
| 64.023 | 48.800 | 128.347 | -0.000 | 0.000 | -0.000 |
| 6.768 | -14.484 | 0.070 | 17.254 | 0.000 | -0.000 |
| 0.000 | 0.000 | 0.000 | -0.000 | 70.574 | -0.000 |
| 4.646 | -17.730 | 6.556 | -0.000 | 0.000 | 31.125 |
| 164.615 | 46.762 | 46.746 | 0.000 | -0.000 | 0.000 |
| 46.722 | 169.814 | 41.004 | 0.000 | -0.000 | 0.000 |
| 62.759 | 88.042 | 110.384 | 0.000 | -0.000 | 0.000 |
| -6.768 | 14.484 | -0.070 | 17.254 | -0.000 | 0.000 |
| -0.000 | -0.000 | -0.000 | 0.000 | 70.574 | 0.000 |
| -4.646 | 17.730 | -6.556 | 0.000 | -0.000 | 31.125 |
| 122.521 | 63.277 | 64.369 | 0.000 | 0.000 | -0.000 |
| 63.115 | 126.967 | 64.095 | 0.000 | 0.000 | -0.000 |
| 63.006 | 62.962 | 128.395 | -0.000 | 0.000 | -0.000 |
| 0.460 | -0.985 | 0.005 | 32.361 | 0.000 | -0.000 |
| 0.415 | -2.010 | 0.786 | -0.000 | 27.821 | -0.000 |
| 0.000 | 0.000 | 0.000 | -0.000 | 0.000 | 70.549 |
| 122.016 | 65.253 | 64.143 | 0.000 | -0.000 | 0.000 |
| 58.359 | 125.049 | 65.797 | -0.000 | -0.000 | 0.000 |
| 62.375 | 65.877 | 124.465 | -0.000 | -0.000 | 0.000 |
| -0.460 | 0.985 | -0.005 | 32.361 | -0.000 | -0.000 |
| -0.415 | 2.010 | -0.786 | 0.000 | 27.821 | -0.000 |
| -0.000 | -0.000 | -0.000 | 0.000 | -0.000 | 70.549 |
| 101260.338 | -296367.201 | -113410.770 | -0.000 | 391044.502 | 0.000 |
| 101139.692 | -296255.721 | -113411.931 | 0.000 | 391032.832 | 0.000 |
| 101149.737 | -296360.992 | -113297.419 | -0.000 | 391036.803 | -0.000 |
| -0.036 | -0.047 | 0.132 | 69.243 | -0.257 | 1.046 |
| 101102.327 | -296409.218 | -113463.311 | -0.000 | 391104.619 | -0.000 |
| 0.026 | -0.226 | 1.178 | 4.106 | -1.623 | 56.799 |
| 167.468 | 39.494 | 48.720 | 0.000 | 6.091 | -0.000 |
| 36.770 | 161.312 | 47.635 | 0.000 | -7.201 | -0.000 |
| 48.548 | 46.796 | 169.268 | 0.000 | -1.592 | -0.000 |
| 0.036 | 0.047 | -0.132 | 69.243 | 0.257 | 1.046 |
| 3.158 | 0.398 | -1.564 | 0.000 | 71.528 | -0.000 |
| -0.026 | 0.226 | -1.178 | 4.106 | 1.623 | 56.799 |
| 10271.065 | -29598.279 | -11295.328 | -0.000 | 39109.442 | 0.000 |
| 10150.420 | -29486.796 | -11296.490 | -0.000 | 39097.776 | 0.000 |
| 10160.606 | -29591.958 | -11181.993 | -0.000 | 39102.038 | 0.000 |
| 0.019 | -0.011 | 0.104 | 69.193 | -0.111 | 1.051 |
| 10113.056 | -29640.294 | -11347.870 | -0.000 | 39169.562 | 0.000 |
| -0.070 | -0.406 | 1.796 | 5.645 | -2.685 | 56.632 |
| 167.307 | 39.399 | 48.746 | -0.000 | 5.745 | 0.000 |
| 36.766 | 161.309 | 47.636 | 0.000 | -7.210 | -0.000 |
| 48.550 | 46.797 | 169.267 | 0.000 | -1.589 | -0.000 |
| -0.019 | 0.011 | -0.104 | 69.193 | 0.111 | 1.051 |
| 3.128 | 0.380 | -1.559 | 0.000 | 71.464 | -0.000 |
| 0.070 | 0.406 | -1.796 | 5.645 | 2.685 | 56.632 |
| 1172.141 | -2921.387 | -1083.785 | -0.000 | 3915.937 | 0.000 |
| 1051.467 | -2809.890 | -1084.904 | -0.000 | 3903.927 | -0.000 |
| 1061.680 | -2915.064 | -970.448 | -0.000 | 3908.536 | 0.000 |
| 498.230 | -855.694 | 484.082 | -788.604 | 344.836 | -1238.175 |
| 1014.128 | -2963.402 | -1136.326 | -0.000 | 3976.057 | 0.000 |
| 0.358 | -0.065 | 1.307 | 4.573 | -1.167 | 56.745 |
| 167.305 | 39.400 | 48.747 | 0.000 | 5.746 | -0.000 |
| 36.770 | 161.302 | 47.638 | 0.000 | -7.208 | -0.000 |
| 48.550 | 46.797 | 169.267 | 0.000 | -1.588 | -0.000 |
| -498.230 | 855.694 | -484.082 | -788.604 | -344.836 | -1238.175 |
| 3.129 | 0.381 | -1.559 | -0.000 | 71.465 | -0.000 |
| -0.358 | 0.065 | -1.307 | 4.573 | 1.167 | 56.745 |
| -15391174.560 | 2586244.090 | 300966.664 | -0.000 | -15492482.390 | -0.000 |
| -15391247.960 | 2586321.064 | 300964.222 | -0.000 | -15492470.474 | -0.000 |
| -15391262.861 | 2586248.494 | 301047.700 | 0.000 | -15492500.024 | -0.000 |
| -16959340.784 | 2931866.259 | 194297.505 | -630844.263 | -16624257.984 | -353523.853 |
| 0.858 | 2.368 | -0.592 | 0.000 | 65.355 | -0.000 |
| -16959338.713 | 2931865.775 | 194296.758 | 630884.768 | -16624254.685 | 353558.409 |
| 176.959 | 41.970 | 50.574 | 0.000 | 19.066 | -0.000 |
| 72.033 | 156.604 | 47.923 | -0.000 | 38.141 | 0.000 |
| 51.659 | 49.769 | 161.150 | -0.000 | -0.315 | 0.000 |
| 16959340.784 | -2931866.259 | -194297.505 | -630844.263 | 16624257.984 | -353523.853 |
| 15391327.040 | -2586187.024 | -300911.406 | -0.000 | 15492543.993 | 0.000 |
| 16959338.711 | -2931865.774 | -194296.757 | 630884.769 | 16624254.682 | 353558.409 |
| -1538984.967 | 258674.473 | 30149.134 | -0.000 | -1549235.718 | 0.000 |
| -1539058.365 | 258751.447 | 30146.692 | -0.000 | -1549223.800 | -0.000 |
| -1539073.251 | 258678.873 | 30230.166 | 0.000 | -1549253.329 | -0.000 |
| -1695929.570 | 293185.426 | 19428.223 | -63049.356 | -1662419.004 | -35351.984 |
| 0.849 | 2.369 | -0.591 | 0.000 | 65.342 | -0.000 |
| -1695927.460 | 293184.931 | 19427.462 | 63089.864 | -1662415.645 | 35386.542 |
| 176.969 | 41.969 | 50.574 | 0.000 | 19.078 | 0.000 |
| 72.090 | 156.594 | 47.918 | -0.000 | 38.214 | 0.000 |
| 51.675 | 49.767 | 161.149 | -0.000 | -0.295 | 0.000 |
| 1695929.570 | -293185.426 | -19428.223 | -63049.356 | 1662419.004 | -35351.984 |
| 1539137.480 | -258617.415 | -30093.886 | 0.000 | 1549297.370 | 0.000 |
| 1695927.460 | -293184.931 | -19427.462 | 63089.864 | 1662415.645 | 35386.542 |
| -153766.005 | 25917.511 | 3067.381 | -0.000 | -154911.049 | -0.000 |
| -153839.418 | 25994.490 | 3064.942 | -0.000 | -154899.148 | -0.000 |
| -153854.290 | 25921.911 | 3148.413 | 0.000 | -154928.659 | -0.000 |
| -169588.442 | 29317.341 | 1941.293 | -6269.865 | -166235.096 | -3534.798 |
| 0.849 | 2.369 | -0.591 | 0.000 | 65.342 | 0.000 |
| -169586.331 | 29316.846 | 1940.531 | 6310.374 | -166231.735 | 3569.356 |
| 176.969 | 41.969 | 50.574 | 0.000 | 19.081 | 0.000 |
| 72.097 | 156.588 | 47.919 | -0.000 | 38.220 | 0.000 |
| 51.688 | 49.764 | 161.147 | -0.000 | -0.279 | 0.000 |
| 169588.442 | -29317.341 | -1941.293 | -6269.865 | 166235.096 | -3534.798 |
| 153918.528 | -25860.455 | -3012.136 | -0.000 | 154972.713 | 0.000 |
| 169586.331 | -29316.846 | -1940.531 | 6310.374 | 166231.735 | 3569.356 |
| -8608400.196 | -12624277.125 | 10917662.101 | -0.000 | -8842896.890 | -0.000 |
| -8608479.434 | -12624189.295 | 10917652.831 | -0.000 | -8842888.506 | -0.000 |
| -8608488.290 | -12624279.540 | 10917750.823 | -0.000 | -8842911.968 | 0.000 |
| -16460041.118 | -24452198.107 | 23499629.072 | -584499.918 | -16949135.675 | -286924.336 |
| 1.267 | 0.525 | 0.262 | -0.000 | 64.396 | 0.000 |
| -16460040.975 | -24452198.182 | 23499628.896 | 584524.737 | -16949135.058 | 286946.523 |
| 168.904 | 48.594 | 41.504 | 0.000 | 15.024 | -0.000 |
| 59.639 | 180.214 | 27.476 | 0.000 | 27.115 | -0.000 |
| 48.380 | 48.694 | 155.083 | 0.000 | -0.750 | -0.000 |
| 16460041.118 | 24452198.107 | -23499629.072 | -584499.918 | 16949135.675 | -286924.336 |
| 8608547.625 | 12624339.440 | -10917616.624 | 0.000 | 8842956.593 | 0.000 |
| 16460040.975 | 24452198.182 | -23499628.896 | 584524.737 | 16949135.058 | 286946.523 |
| -860710.872 | -1262375.488 | 1091811.493 | -0.000 | -884278.956 | -0.000 |
| -860790.131 | -1262287.678 | 1091802.253 | -0.000 | -884270.609 | -0.000 |
| -860798.966 | -1262377.902 | 1091900.214 | -0.000 | -884294.032 | -0.000 |
| -1646002.756 | -2445219.656 | 2349961.119 | -58429.213 | -1694909.657 | -28691.539 |
| 1.298 | 0.562 | 0.225 | -0.000 | 64.440 | 0.000 |
| -1646002.610 | -2445219.731 | 2349960.939 | 58454.033 | -1694909.032 | 28713.726 |
| 168.881 | 48.567 | 41.530 | 0.000 | 14.992 | -0.000 |
| 59.621 | 180.192 | 27.497 | 0.000 | 27.090 | -0.000 |
| 48.351 | 48.659 | 155.117 | 0.000 | -0.791 | -0.000 |
| 1646002.756 | 2445219.656 | -2349961.119 | -58429.213 | 1694909.657 | -28691.539 |
| 860858.368 | 1262437.870 | -1091766.114 | 0.000 | 884338.778 | 0.000 |
| 1646002.610 | 2445219.731 | -2349960.939 | 58454.033 | 1694909.032 | 28713.726 |
| -85941.938 | -126185.324 | 109226.431 | -0.000 | -88417.162 | -0.000 |
| -86021.198 | -126097.510 | 109217.189 | -0.000 | -88408.809 | -0.000 |
| -86030.034 | -126187.739 | 109315.154 | -0.000 | -88432.241 | -0.000 |
| -164598.918 | -244521.811 | 234994.321 | -5822.143 | -169487.052 | -2868.259 |
| 1.300 | 0.564 | 0.224 | -0.000 | 64.442 | 0.000 |
| -164598.773 | -244521.886 | 234994.143 | 5846.963 | -169486.428 | 2890.446 |
| 168.876 | 48.563 | 41.534 | 0.000 | 14.987 | -0.000 |
| 59.619 | 180.182 | 27.503 | 0.000 | 27.084 | -0.000 |
| 48.348 | 48.656 | 155.120 | 0.000 | -0.795 | -0.000 |
| 164598.918 | 244521.811 | -234994.321 | -5822.143 | 169487.052 | -2868.259 |
| 86089.435 | 126247.706 | -109181.052 | 0.000 | 88476.983 | 0.000 |
| 164598.773 | 244521.886 | -234994.143 | 5846.963 | 169486.428 | 2890.446 |
| 173.724 | 41.222 | 41.222 | -0.000 | -0.000 | -0.000 |
| 41.222 | 173.724 | 41.222 | -0.000 | 0.000 | -0.000 |
| 41.222 | 41.222 | 173.724 | -0.000 | -0.000 | -0.000 |
| -36.911 | -36.911 | -36.911 | 35.586 | -0.000 | -0.000 |
| -36.911 | -36.911 | -36.911 | -0.000 | 35.586 | -0.000 |
| -36.911 | -36.911 | -36.911 | -0.000 | -0.000 | 35.586 |
| 158.690 | 86.654 | 86.654 | 0.000 | 0.000 | -0.000 |
| 86.654 | 158.690 | 86.654 | 0.000 | 0.000 | -0.000 |
| 86.654 | 86.654 | 158.690 | 0.000 | 0.000 | -0.000 |
| 36.911 | 36.911 | 36.911 | 35.586 | 0.000 | 0.000 |
| 36.911 | 36.911 | 36.911 | 0.000 | 35.586 | 0.000 |
| 36.911 | 36.911 | 36.911 | 0.000 | 0.000 | 35.586 |
| 173.724 | 41.222 | 41.222 | -0.000 | -0.000 | -0.000 |
| 41.222 | 173.724 | 41.222 | -0.000 | -0.000 | -0.000 |
| 41.222 | 41.222 | 173.724 | -0.000 | -0.000 | -0.000 |
| 0.000 | 0.000 | 0.000 | 69.872 | -0.000 | -0.000 |
| 0.000 | 0.000 | 0.000 | -0.000 | 69.872 | -0.000 |
| 0.000 | 0.000 | 0.000 | -0.000 | -0.000 | 69.872 |
| 144.997 | 57.866 | 57.866 | 0.000 | 0.000 | 0.000 |
| 57.866 | 144.997 | 57.866 | 0.000 | 0.000 | 0.000 |
| 57.866 | 57.866 | 144.997 | 0.000 | 0.000 | -0.000 |
| -0.000 | -0.000 | -0.000 | 69.872 | 0.000 | 0.000 |
| -0.000 | -0.000 | -0.000 | 0.000 | 69.872 | 0.000 |
| -0.000 | -0.000 | -0.000 | 0.000 | 0.000 | 69.872 |
| 140.258 | 54.223 | 54.223 | -0.000 | -0.000 | 0.000 |
| 54.223 | 140.258 | 54.223 | -0.000 | -0.000 | 0.000 |
| 54.223 | 54.223 | 140.258 | -0.000 | -0.000 | -0.000 |
| -0.354 | -0.354 | -0.354 | 35.109 | -0.000 | -0.000 |
| -0.354 | -0.354 | -0.354 | -0.000 | 35.109 | 0.000 |
| -0.354 | -0.354 | -0.354 | -0.000 | -0.000 | 35.109 |
| 143.496 | 54.954 | 54.954 | 0.000 | 0.000 | -0.000 |
| 54.954 | 143.496 | 54.954 | 0.000 | 0.000 | -0.000 |
| 54.954 | 54.954 | 143.496 | 0.000 | 0.000 | 0.000 |
| 0.354 | 0.354 | 0.354 | 35.109 | 0.000 | -0.000 |
| 0.354 | 0.354 | 0.354 | 0.000 | 35.109 | -0.000 |
| 0.354 | 0.354 | 0.354 | 0.000 | 0.000 | 35.109 |
| -245.693 | -333.172 | -333.172 | 0.000 | -0.000 | 0.000 |
| -333.172 | -245.693 | -333.172 | -0.000 | -0.000 | 0.000 |
| -333.172 | -333.172 | -245.693 | -0.000 | -0.000 | -0.000 |
| -602.224 | -602.224 | -602.224 | 29.606 | -0.000 | -0.000 |
| -557.886 | -557.886 | -557.886 | 0.000 | 36.810 | -0.000 |
| -602.224 | -602.224 | -602.224 | -0.000 | -0.000 | 29.606 |
| 169.381 | 39.152 | 39.152 | -0.000 | 0.000 | -0.000 |
| 39.152 | 169.381 | 39.152 | -0.000 | 0.000 | -0.000 |
| 39.152 | 39.152 | 169.381 | -0.000 | 0.000 | -0.000 |
| 602.224 | 602.224 | 602.224 | 29.606 | -0.000 | 0.000 |
| 557.886 | 557.886 | 557.886 | -0.000 | 36.810 | 0.000 |
| 557.886 | 557.886 | 557.886 | 0.000 | -0.000 | 36.810 |
| 169.381 | 39.152 | 39.152 | 0.000 | -0.000 | 0.000 |
| 39.152 | 169.381 | 39.152 | 0.000 | -0.000 | 0.000 |
| 39.152 | 39.152 | 169.381 | 0.000 | -0.000 | 0.000 |
| -38.575 | -38.575 | -38.575 | 40.082 | -0.000 | 0.000 |
| -38.575 | -38.575 | -38.575 | -0.000 | 40.082 | -0.000 |
| -38.575 | -38.575 | -38.575 | -0.000 | -0.000 | 40.082 |
| 185.594 | 98.548 | 98.548 | -0.000 | 0.000 | 0.000 |
| 98.548 | 185.594 | 98.548 | 0.000 | -0.000 | 0.000 |
| 98.548 | 98.548 | 185.594 | 0.000 | 0.000 | 0.000 |
| 38.575 | 38.575 | 38.575 | 40.082 | -0.000 | -0.000 |
| 38.575 | 38.575 | 38.575 | -0.000 | 40.082 | -0.000 |
| 38.575 | 38.575 | 38.575 | -0.000 | -0.000 | 40.082 |
| 133.097 | 46.852 | 46.852 | 0.000 | 0.000 | -0.000 |
| 46.852 | 133.097 | 46.852 | -0.000 | 0.000 | -0.000 |
| 46.852 | 46.852 | 133.097 | -0.000 | 0.000 | -0.000 |
| -4.073 | -4.073 | -4.073 | 38.498 | 0.000 | 0.000 |
| -4.073 | -4.073 | -4.073 | -0.000 | 38.498 | -0.000 |
| -4.073 | -4.073 | -4.073 | -0.000 | -0.000 | 38.498 |
| 141.513 | 56.550 | 56.550 | 0.000 | -0.000 | 0.000 |
| 56.550 | 141.513 | 56.550 | -0.000 | 0.000 | 0.000 |
| 56.550 | 56.550 | 141.513 | -0.000 | -0.000 | 0.000 |
| 4.073 | 4.073 | 4.073 | 38.498 | 0.000 | -0.000 |
| 4.073 | 4.073 | 4.073 | 0.000 | 38.498 | 0.000 |
| 4.073 | 4.073 | 4.073 | -0.000 | -0.000 | 38.498 |
| 400.412 | 337.699 | 337.700 | 0.000 | 0.000 | 0.000 |
| 337.702 | 400.409 | 337.700 | 0.000 | 0.000 | 0.000 |
| 337.702 | 337.699 | 400.410 | 0.000 | 0.000 | 0.000 |
| 0.000 | 0.000 | -0.000 | 60.133 | -0.000 | 0.000 |
| -0.000 | 0.000 | 0.000 | -0.000 | 60.133 | 0.000 |
| -0.000 | 0.000 | 0.000 | 0.000 | -0.000 | 60.133 |
| 102.568 | 67.422 | 67.421 | -0.000 | -0.000 | -0.000 |
| 67.421 | 102.569 | 67.421 | -0.000 | -0.000 | -0.000 |
| 67.421 | 67.422 | 102.569 | -0.000 | -0.000 | -0.000 |
| 0.000 | -0.000 | -0.000 | 60.133 | 0.000 | 0.000 |
| 0.000 | -0.000 | -0.000 | 0.000 | 60.133 | 0.000 |
| -0.000 | -0.000 | -0.000 | 0.000 | 0.000 | 60.133 |
| 176.571 | 39.749 | 39.749 | -0.000 | -0.000 | 0.000 |
| 39.749 | 176.571 | 39.749 | -0.000 | -0.000 | 0.000 |
| 39.749 | 39.749 | 176.571 | -0.000 | -0.000 | 0.000 |
| 0.000 | 0.000 | 0.000 | 60.133 | -0.000 | 0.000 |
| 0.000 | 0.000 | 0.000 | -0.000 | 60.133 | 0.000 |
| 0.000 | 0.000 | 0.000 | -0.000 | -0.000 | 60.133 |
| 77.089 | 60.070 | 60.070 | 0.000 | 0.000 | 0.000 |
| 60.070 | 77.089 | 60.070 | 0.000 | 0.000 | 0.000 |
| 60.070 | 60.070 | 77.089 | 0.000 | 0.000 | 0.000 |
| -0.000 | -0.000 | -0.000 | 60.133 | 0.000 | 0.000 |
| -0.000 | -0.000 | -0.000 | 0.000 | 60.133 | 0.000 |
| -0.000 | -0.000 | -0.000 | 0.000 | 0.000 | 60.133 |
| 109.172 | 68.401 | 68.401 | 0.000 | 0.000 | 0.000 |
| 68.401 | 109.172 | 68.401 | 0.000 | 0.000 | 0.000 |
| 68.401 | 68.401 | 109.172 | 0.000 | 0.000 | 0.000 |
| 0.036 | 0.035 | 0.036 | 27.114 | 0.000 | 0.000 |
| 0.036 | 0.036 | 0.036 | 0.000 | 27.114 | 0.000 |
| 0.035 | 0.036 | 0.036 | 0.000 | 0.000 | 27.114 |
| 105.341 | 61.972 | 61.972 | -0.000 | -0.000 | -0.000 |
| 68.259 | 95.274 | 68.259 | -0.000 | -0.000 | -0.000 |
| 61.972 | 61.972 | 105.341 | -0.000 | -0.000 | -0.000 |
| -0.036 | -0.035 | -0.036 | 27.114 | -0.000 | -0.000 |
| -0.036 | -0.036 | -0.036 | -0.000 | 27.114 | -0.000 |
| -0.035 | -0.036 | -0.036 | -0.000 | -0.000 | 27.114 |
| -41.837 | -73.278 | -69.353 | 1.455 | -0.283 | -0.259 |
| -67.842 | -48.089 | -69.741 | 1.551 | -0.301 | -0.276 |
| -80.305 | -77.939 | -72.703 | -0.602 | 0.120 | 0.103 |
| -155.085 | -152.757 | -154.358 | 8.065 | 0.118 | 0.101 |
| -85.260 | -80.022 | -83.625 | -1.322 | 15.657 | 0.235 |
| -0.000 | 0.000 | 0.000 | 0.000 | 0.000 | 59.405 |
| 173.405 | 38.481 | 38.481 | -0.000 | -0.000 | -0.000 |
| 38.481 | 173.405 | 38.481 | -0.000 | -0.000 | -0.000 |
| 38.481 | 38.481 | 173.405 | -0.000 | -0.000 | 0.000 |
| -13.114 | -11.677 | -12.665 | 8.005 | 0.065 | 0.073 |
| 135.871 | 141.806 | 137.724 | -1.514 | 24.339 | 0.269 |
| -0.000 | -0.000 | 0.000 | -0.000 | -0.000 | 59.405 |
| 66.769 | 91.620 | 91.484 | -0.049 | 0.010 | 0.008 |
| 56.311 | 74.531 | 56.349 | -0.030 | 0.006 | 0.005 |
| 65.584 | 65.799 | 79.775 | -0.053 | 0.011 | 0.010 |
| -15.336 | -15.220 | -15.300 | 14.146 | 0.006 | 0.005 |
| 0.000 | 0.000 | 0.000 | 0.000 | 59.405 | 0.000 |
| -15.337 | -15.219 | -15.300 | -0.030 | 0.006 | 14.154 |
| 57.390 | 86.870 | 87.011 | 0.050 | -0.010 | -0.009 |
| 81.879 | 102.335 | 81.895 | -0.013 | 0.002 | 0.003 |
| 81.824 | 81.884 | 102.431 | -0.015 | 0.003 | 0.003 |
| -0.000 | -0.000 | -0.000 | 59.405 | 0.000 | 0.000 |
| -3.343 | -3.570 | -3.414 | 0.056 | -11.406 | -0.010 |
| -1.478 | -1.533 | -1.495 | 0.013 | -0.003 | 9.802 |
| 116.862 | 64.531 | 64.524 | -0.003 | 0.001 | 0.000 |
| 64.525 | 116.861 | 64.529 | -0.003 | 0.001 | 0.000 |
| 64.522 | 64.532 | 116.862 | -0.003 | 0.001 | 0.000 |
| 1.008 | 1.018 | 1.011 | 24.718 | 0.001 | 0.000 |
| 1.008 | 1.018 | 1.011 | -0.003 | 24.719 | 0.000 |
| 1.008 | 1.019 | 1.011 | -0.003 | 0.001 | 24.719 |
| 115.943 | 64.487 | 64.494 | 0.003 | -0.001 | -0.000 |
| 64.492 | 115.944 | 64.489 | 0.003 | -0.001 | -0.000 |
| 64.496 | 64.485 | 115.943 | 0.003 | -0.001 | -0.000 |
| -1.008 | -1.019 | -1.011 | 24.719 | -0.001 | -0.000 |
| -1.008 | -1.018 | -1.011 | 0.003 | 24.718 | -0.000 |
| -0.468 | -0.470 | -0.469 | 0.000 | -0.000 | 26.071 |
| 159.578 | 41.702 | 43.710 | 1.692 | 0.000 | 0.000 |
| 1740.369 | 1743.678 | -1080.296 | 5.146 | 0.000 | 0.000 |
| 1727.246 | 1727.246 | -1051.139 | 0.000 | 0.000 | 0.000 |
| 1794.409 | 1816.976 | -840.398 | 37.063 | 0.000 | 0.000 |
| -0.000 | 0.000 | 0.000 | 0.000 | 62.171 | 1.692 |
| 1806.027 | 1806.027 | -840.663 | 0.000 | -11.284 | 43.963 |
| 159.578 | 41.702 | 43.710 | 1.692 | -0.000 | -0.000 |
| 41.702 | 159.578 | 43.710 | -1.692 | -0.000 | -0.000 |
| -2274.649 | -2274.649 | 77.854 | 0.000 | -0.000 | -0.000 |
| 1.692 | -1.692 | -0.000 | 62.171 | -0.000 | -0.000 |
| 0.000 | -0.000 | -0.000 | -0.000 | 62.171 | 1.692 |
| -1806.027 | -1806.027 | 840.663 | -0.000 | -11.284 | 43.963 |
| 159.578 | 41.702 | 43.710 | 1.692 | 0.000 | 0.000 |
| 231.595 | 318.204 | -35.913 | 11.195 | 0.000 | 0.000 |
| 292.862 | 292.862 | 221.978 | 0.000 | -0.000 | 0.000 |
| 169.866 | 192.340 | -84.919 | 36.262 | 0.000 | 0.000 |
| 181.135 | 181.135 | -84.941 | 0.000 | 36.249 | -11.238 |
| 244.874 | 244.874 | 84.180 | 0.000 | -5.630 | 41.447 |
| -77.807 | -82.668 | 184.817 | -5.053 | -0.000 | -0.000 |
| 41.702 | 159.578 | 43.710 | -1.692 | -0.000 | -0.000 |
| 43.593 | 43.593 | 162.022 | -0.000 | 0.000 | -0.000 |
| 1.692 | -1.692 | -0.000 | 62.171 | -0.000 | -0.000 |
| -181.135 | -181.135 | 84.941 | -0.000 | 36.249 | -11.238 |
| -244.874 | -244.874 | -84.180 | -0.000 | -5.630 | 41.447 |
| 127.693 | 85.788 | 50.143 | -8.938 | 0.000 | 0.000 |
| 41.702 | 159.579 | 43.710 | -1.692 | 0.000 | 0.000 |
| 74.713 | 74.713 | 112.149 | 0.000 | 0.000 | 0.000 |
| 8.935 | 28.312 | -10.164 | 19.050 | -0.000 | 0.000 |
| 12.936 | 12.936 | -8.983 | -0.000 | 10.082 | -3.640 |
| 0.000 | 0.000 | 0.000 | 0.000 | 1.692 | 58.938 |
| 159.578 | 41.702 | 43.710 | 1.692 | -0.000 | -0.000 |
| 54.020 | 80.603 | 56.531 | 9.434 | -0.000 | -0.000 |
| 52.672 | 52.672 | 120.140 | -0.000 | -0.000 | -0.000 |
| -28.312 | -8.935 | 10.164 | 19.050 | -0.000 | -0.000 |
| -12.936 | -12.936 | 8.983 | 0.000 | 10.082 | -3.640 |
| -0.000 | -0.000 | -0.000 | -0.000 | 1.692 | 58.938 |
| 175.451 | 40.803 | 43.465 | 0.000 | -0.000 | -0.000 |
| 40.802 | 175.451 | 43.465 | -0.000 | -0.000 | -0.000 |
| -248.144 | -248.144 | 539.434 | -0.000 | 0.000 | -0.000 |
| -0.000 | 0.000 | 0.000 | 69.116 | -0.000 | -0.000 |
| -0.000 | 0.000 | 0.000 | -0.000 | 69.116 | -0.000 |
| -518.256 | -518.256 | 296.645 | -0.000 | -0.000 | 26.562 |
| 692.786 | 619.799 | -446.283 | 0.000 | 0.000 | 0.000 |
| 40.802 | 175.451 | 43.465 | 0.000 | 0.000 | 0.000 |
| 43.465 | 43.465 | 174.371 | 0.000 | 0.000 | 0.000 |
| -0.000 | 0.000 | -0.000 | 69.116 | 0.000 | -0.000 |
| 0.000 | 0.000 | -0.000 | -0.000 | 69.116 | -0.000 |
| 518.256 | 518.256 | -296.645 | 0.000 | -0.000 | 26.562 |
| 175.451 | 40.803 | 43.465 | 0.000 | -0.000 | -0.000 |
| 51.894 | 52.884 | 130.304 | -0.000 | 0.000 | 0.000 |
| 53.278 | 53.278 | 131.200 | -0.000 | 0.000 | -0.000 |
| 0.000 | 0.000 | 0.000 | 69.116 | -0.000 | -0.000 |
| 0.000 | 0.000 | 0.000 | -0.000 | 69.116 | -0.000 |
| -54.793 | -54.793 | 62.913 | -0.000 | 0.000 | 37.604 |
| 175.451 | 40.802 | 43.465 | 0.000 | 0.000 | 0.000 |
| 40.802 | 175.451 | 43.465 | -0.000 | 0.000 | 0.000 |
| 43.465 | 43.465 | 174.371 | 0.000 | 0.000 | -0.000 |
| -0.000 | -0.000 | -0.000 | 69.116 | 0.000 | 0.000 |
| -0.000 | -0.000 | -0.000 | -0.000 | 69.116 | 0.000 |
| 54.793 | 54.793 | -62.913 | 0.000 | 0.000 | 37.604 |
| 121.925 | 64.036 | 70.435 | -0.000 | -0.000 | -0.000 |
| 58.417 | 122.025 | 67.023 | -0.000 | -0.000 | -0.000 |
| 43.465 | 43.465 | 174.371 | -0.000 | -0.000 | -0.000 |
| -1.888 | -1.888 | 2.564 | 29.468 | -0.000 | 0.000 |
| -1.888 | -1.888 | 2.564 | -0.000 | 29.471 | -0.000 |
| -5.296 | -5.296 | 6.160 | 0.000 | -0.000 | 32.918 |
| 175.451 | 40.802 | 43.464 | 0.000 | 0.000 | 0.000 |
| 65.939 | 129.074 | 63.850 | 0.000 | -0.000 | -0.000 |
| 68.696 | 68.696 | 123.693 | 0.000 | -0.000 | 0.000 |
| 1.888 | 1.888 | -2.564 | 29.468 | 0.000 | 0.000 |
| 1.888 | 1.888 | -2.564 | 0.000 | 29.471 | 0.000 |
| 5.296 | 5.296 | -6.160 | 0.000 | -0.000 | 32.918 |
| 175.512 | 40.753 | 43.618 | 0.000 | -0.000 | -0.000 |
| 176.190 | 143.008 | 204.603 | 0.000 | -0.000 | -0.000 |
| 333.568 | 333.568 | -88.707 | 0.000 | 0.000 | 0.000 |
| 127.043 | 127.043 | 19.357 | 47.326 | -0.000 | 0.000 |
| 80.603 | 80.603 | 107.482 | 0.000 | -17.192 | -0.000 |
| -0.000 | -0.000 | -0.000 | 0.000 | -0.000 | 67.379 |
| -119.871 | -251.993 | 299.817 | 0.000 | -0.000 | 0.000 |
| 40.753 | 175.512 | 43.618 | 0.000 | 0.000 | -0.000 |
| 16.794 | 16.794 | -43.953 | -0.000 | 0.000 | -0.000 |
| -127.043 | -127.043 | -19.357 | 47.326 | 0.000 | 0.000 |
| -80.603 | -80.603 | -107.482 | 0.000 | -17.192 | -0.000 |
| 0.000 | 0.000 | 0.000 | 0.000 | 0.000 | 67.379 |
| 80.161 | 98.011 | 102.144 | 0.000 | 0.000 | 0.000 |
| 67.425 | 155.802 | 57.919 | 0.000 | -0.000 | 0.000 |
| 43.516 | 43.516 | 174.205 | -0.000 | -0.000 | -0.000 |
| 0.000 | 0.000 | 0.000 | 69.062 | 0.000 | 0.000 |
| 7.554 | 7.554 | 10.073 | 0.000 | -11.774 | 0.000 |
| 0.000 | 0.000 | 0.000 | 0.000 | -0.000 | 67.379 |
| 139.699 | 12.798 | 67.323 | 0.000 | 0.000 | 0.000 |
| 84.455 | 62.776 | 83.620 | 0.000 | -0.000 | 0.000 |
| 84.055 | 84.055 | 65.629 | -0.000 | -0.000 | 0.000 |
| -0.000 | -0.000 | -0.000 | 69.062 | 0.000 | -0.000 |
| -7.554 | -7.554 | -10.073 | 0.000 | -11.774 | -0.000 |
| -0.000 | -0.000 | -0.000 | 0.000 | 0.000 | 67.379 |
| 175.512 | 40.753 | 43.618 | -0.000 | -0.000 | -0.000 |
| 64.178 | 128.394 | 66.615 | 0.000 | 0.000 | -0.000 |
| 65.290 | 65.290 | 128.002 | 0.000 | -0.000 | -0.000 |
| 0.000 | 0.000 | 0.000 | 69.062 | 0.000 | -0.000 |
| 0.000 | 0.000 | 0.000 | -0.000 | 69.062 | -0.000 |
| 1.280 | 1.280 | 0.463 | 0.000 | 0.000 | 32.316 |
| 125.701 | 61.611 | 63.100 | 0.000 | -0.000 | 0.000 |
| 40.753 | 175.511 | 43.617 | -0.000 | -0.000 | -0.000 |
| 65.572 | 65.572 | 127.253 | 0.000 | 0.000 | -0.000 |
| -0.000 | -0.000 | -0.000 | 69.062 | -0.000 | -0.000 |
| -0.000 | -0.000 | -0.000 | -0.000 | 69.062 | -0.000 |
| -1.280 | -1.280 | -0.463 | -0.000 | -0.000 | 32.316 |
| -234069.997 | -234159.782 | -911548.809 | -0.000 | -0.000 | -0.000 |
| -234159.782 | -234069.997 | -911548.809 | 0.000 | -0.000 | 0.000 |
| -234173.292 | -234173.292 | -911443.528 | 0.000 | -0.000 | -0.000 |
| 22877213.953 | 22877213.978 | 79870.375 | 13277680.737 | -0.000 | 0.000 |
| 22877213.978 | 22877213.953 | 79870.375 | -0.000 | 13277680.737 | 0.000 |
| 22877212.881 | 22877213.227 | 79871.025 | 0.000 | -0.000 | 17287611.939 |
| 160.325 | 47.358 | 40.155 | 0.000 | 0.000 | -0.000 |
| 47.358 | 160.324 | 40.155 | 0.000 | 0.000 | -0.000 |
| 44.569 | 44.569 | 156.908 | -0.000 | 0.000 | -0.000 |
| -22877213.953 | -22877213.978 | -79870.375 | 13277680.737 | -0.000 | -0.000 |
| -22877213.978 | -22877213.953 | -79870.375 | 0.000 | 13277680.737 | -0.000 |
| -22877212.881 | -22877213.227 | -79871.025 | -0.000 | -0.000 | 17287611.939 |
| -23270.153 | -23359.938 | -91120.817 | 0.000 | -0.000 | -0.000 |
| -23359.938 | -23270.153 | -91120.817 | 0.000 | -0.000 | -0.000 |
| -23373.499 | -23373.499 | -91015.489 | 0.000 | -0.000 | 0.000 |
| 2287720.757 | 2287720.783 | 7987.855 | 1327826.697 | 0.000 | -0.000 |
| 2287720.783 | 2287720.757 | 7987.855 | -0.000 | 1327826.697 | 0.000 |
| 2287719.663 | 2287720.009 | 7988.519 | 0.000 | -0.000 | 1728815.735 |
| 160.232 | 47.265 | 40.238 | -0.000 | -0.000 | -0.000 |
| 47.265 | 160.232 | 40.238 | 0.000 | 0.000 | 0.000 |
| 44.545 | 44.545 | 156.929 | -0.000 | 0.000 | 0.000 |
| -2287720.757 | -2287720.783 | -7987.855 | 1327826.697 | 0.000 | -0.000 |
| -2287720.783 | -2287720.757 | -7987.855 | 0.000 | 1327826.697 | -0.000 |
| -2287719.663 | -2287720.009 | -7988.519 | -0.000 | 0.000 | 1728815.735 |
| -2190.180 | -2279.969 | -9078.029 | 0.000 | -0.000 | -0.000 |
| -2279.969 | -2190.180 | -9078.029 | 0.000 | -0.000 | 0.000 |
| -2293.515 | -2293.515 | -8972.691 | 0.000 | -0.000 | 0.000 |
| 228771.434 | 228771.460 | 799.606 | 132841.296 | 0.000 | 0.000 |
| 228771.460 | 228771.434 | 799.606 | 0.000 | 132841.296 | -0.000 |
| 228770.344 | 228770.690 | 800.267 | 0.000 | 0.000 | 172936.115 |
| 160.222 | 47.257 | 40.245 | -0.000 | -0.000 | -0.000 |
| 47.257 | 160.222 | 40.245 | 0.000 | -0.000 | -0.000 |
| 44.535 | 44.535 | 156.937 | -0.000 | 0.000 | -0.000 |
| -228771.434 | -228771.460 | -799.606 | 132841.296 | -0.000 | 0.000 |
| -228771.460 | -228771.434 | -799.606 | -0.000 | 132841.296 | -0.000 |
| -228770.344 | -228770.690 | -800.267 | -0.000 | 0.000 | 172936.115 |
| 389.725 | 332.743 | -2191.923 | 0.000 | 0.000 | 0.000 |
| 332.743 | 389.725 | -2191.923 | 0.000 | 0.000 | 0.000 |
| 42.744 | 42.744 | 157.764 | 0.000 | -0.000 | 0.000 |
| -482.683 | -482.683 | -1093.814 | 30.279 | 0.000 | 0.000 |
| -482.683 | -482.683 | -1093.814 | -0.000 | 30.279 | -0.000 |
| -0.000 | 0.000 | -0.000 | -0.000 | -0.000 | 60.650 |
| -188.828 | -245.814 | 2283.265 | -0.000 | -0.000 | -0.000 |
| -245.814 | -188.828 | 2283.265 | -0.000 | -0.000 | -0.000 |
| 42.744 | 42.744 | 157.764 | -0.000 | 0.000 | -0.000 |
| 482.683 | 482.683 | 1093.814 | 30.279 | 0.000 | 0.000 |
| 482.683 | 482.683 | 1093.814 | 0.000 | 30.279 | -0.000 |
| 0.000 | -0.000 | 0.000 | 0.000 | 0.000 | 60.650 |
| 108.886 | 74.044 | -80.523 | 0.000 | 0.000 | 0.000 |
| 74.044 | 108.886 | -80.523 | 0.000 | 0.000 | -0.000 |
| 72.546 | 72.546 | -136.585 | 0.000 | 0.000 | 0.000 |
| 10.219 | 10.219 | -210.106 | 21.409 | 0.000 | -0.000 |
| 10.219 | 10.219 | -210.106 | 0.000 | 21.409 | 0.000 |
| 28.228 | 28.228 | -222.870 | 0.000 | -0.000 | 21.380 |
| 93.580 | 56.426 | 209.242 | -0.000 | -0.000 | 0.000 |
| 56.426 | 93.580 | 209.242 | -0.000 | -0.000 | -0.000 |
| 58.324 | 58.324 | 238.826 | -0.000 | -0.000 | -0.000 |
| -10.219 | -10.219 | 210.106 | 21.409 | -0.000 | -0.000 |
| -10.219 | -10.219 | 210.106 | -0.000 | 21.409 | -0.000 |
| -28.228 | -28.228 | 222.870 | -0.000 | -0.000 | 21.380 |
| 97.691 | 48.587 | 29.125 | 0.000 | 0.000 | 0.000 |
| 48.587 | 97.691 | 29.125 | 0.000 | -0.000 | -0.000 |
| 44.679 | 44.679 | 67.583 | 0.000 | -0.000 | 0.000 |
| -3.545 | -3.545 | -11.962 | 24.883 | -0.000 | 0.000 |
| -3.545 | -3.545 | -11.962 | 0.000 | 24.883 | 0.000 |
| 0.662 | 0.662 | -11.325 | 0.000 | -0.000 | 18.864 |
| 101.757 | 72.382 | 60.979 | -0.000 | 0.000 | -0.000 |
| 72.382 | 101.757 | 60.979 | -0.000 | -0.000 | 0.000 |
| 60.567 | 60.567 | 117.303 | -0.000 | -0.000 | -0.000 |
| 3.545 | 3.545 | 11.962 | 24.883 | 0.000 | -0.000 |
| 3.545 | 3.545 | 11.962 | -0.000 | 24.883 | -0.000 |
| -0.662 | -0.662 | 11.325 | -0.000 | -0.000 | 18.864 |
| 164.906 | 42.879 | 46.043 | 0.000 | 0.000 | 0.000 |
| 42.091 | 173.237 | 43.080 | 0.000 | 0.000 | 0.000 |
| 45.647 | 43.471 | 164.918 | 0.000 | 0.000 | 0.000 |
| -209.955 | 287.294 | -44.360 | 26.324 | -0.000 | 0.000 |
| -0.000 | 0.000 | 0.000 | 0.000 | 68.348 | 0.000 |
| -18.405 | 278.736 | 5.006 | 0.000 | 0.000 | 35.980 |
| 125.087 | -204.174 | 52.806 | -0.000 | -0.000 | -0.000 |
| 42.091 | 173.237 | 43.080 | -0.000 | 0.000 | -0.000 |
| 275.278 | -228.025 | 167.888 | -0.000 | 0.000 | -0.000 |
| 209.955 | -287.294 | 44.360 | 26.324 | -0.000 | -0.000 |
| 0.000 | -0.000 | -0.000 | 0.000 | 68.348 | -0.000 |
| 18.405 | -278.736 | -5.006 | -0.000 | 0.000 | 35.980 |
| 92.488 | 100.263 | 58.338 | 0.000 | 0.000 | 0.000 |
| 54.614 | 147.168 | 68.260 | -0.000 | -0.000 | 0.000 |
| 45.647 | 43.471 | 164.918 | 0.000 | 0.000 | 0.000 |
| 0.000 | 0.000 | 0.000 | 65.821 | -0.000 | 0.000 |
| -21.051 | 28.805 | -4.448 | 0.000 | 30.509 | 0.000 |
| -20.778 | 28.431 | -4.390 | 0.000 | -0.000 | 35.178 |
| 131.293 | 45.011 | 67.961 | 0.000 | -0.000 | -0.000 |
| 95.732 | 85.713 | 56.914 | -0.000 | 0.000 | -0.000 |
| 45.647 | 43.471 | 164.918 | -0.000 | -0.000 | -0.000 |
| -0.000 | -0.000 | -0.000 | 65.821 | 0.000 | -0.000 |
| 21.051 | -28.805 | 4.448 | -0.000 | 30.509 | -0.000 |
| 20.778 | -28.431 | 4.390 | -0.000 | -0.000 | 35.178 |
| 104.746 | 75.429 | 59.513 | 0.000 | -0.000 | 0.000 |
| 68.596 | 127.310 | 59.944 | 0.000 | 0.000 | 0.000 |
| 45.647 | 43.472 | 164.918 | 0.000 | 0.000 | 0.000 |
| -2.069 | 3.044 | 0.127 | 26.604 | 0.000 | 0.000 |
| -2.114 | 2.893 | -0.447 | -0.000 | 30.346 | 0.000 |
| -2.022 | 2.767 | -0.427 | 0.000 | -0.000 | 35.941 |
| 115.121 | 69.612 | 62.909 | -0.000 | 0.000 | -0.000 |
| 73.277 | 120.347 | 59.072 | 0.000 | 0.000 | -0.000 |
| 63.976 | 58.530 | 125.995 | -0.000 | 0.000 | -0.000 |
| 2.069 | -3.044 | -0.127 | 26.604 | 0.000 | -0.000 |
| 2.114 | -2.893 | 0.447 | 0.000 | 30.346 | -0.000 |
| 2.022 | -2.767 | 0.427 | 0.000 | -0.000 | 35.941 |
| -320427447.365 | -718419703.273 | -109133863.427 | -79117672.021 | 93221997.753 | 366530451.190 |
| -320427416.212 | -718419660.031 | -109133846.333 | -79117662.210 | 93221998.043 | 366530429.705 |
| -320427457.806 | -718419715.216 | -109133828.088 | -79117666.975 | 93222000.526 | 366530442.615 |
| -459.457 | -1141.187 | 166.544 | -67.044 | 306.368 | 799.647 |
| -434.475 | -1065.623 | 149.562 | -153.034 | 389.204 | 760.126 |
| -320427679.104 | -718419945.043 | -109134080.660 | -79117673.278 | 93221998.511 | 366530467.586 |
| 823.656 | 1252.074 | 24.100 | 155.274 | -313.797 | -795.154 |
| 764.174 | 1740.863 | -26.749 | 165.286 | -378.110 | -982.627 |
| 616.936 | 1243.773 | 245.024 | 156.319 | -296.459 | -778.260 |
| 320427680.945 | 718419926.710 | 109134078.136 | 79117673.418 | -93221998.653 | -366530455.958 |
| 320427695.110 | 718419944.178 | 109134085.607 | 79117673.636 | -93221993.539 | -366530458.607 |
| 506.726 | 1227.272 | -180.572 | 165.350 | -356.609 | -775.938 |
| -32042506.708 | -71841737.029 | -10913174.188 | -7911764.511 | 9322196.661 | 36653034.624 |
| -32042475.545 | -71841693.776 | -10913157.086 | -7911754.697 | 9322196.951 | 36653013.136 |
| -32042517.157 | -71841748.982 | -10913138.856 | -7911759.465 | 9322199.435 | 36653026.051 |
| -459.457 | -1141.188 | 166.543 | -67.045 | 306.368 | 799.646 |
| -434.471 | -1065.614 | 149.561 | -153.032 | 389.200 | 760.120 |
| -32042738.438 | -71841978.788 | -10913391.412 | -7911765.766 | 9322197.419 | 36653051.016 |
| 823.646 | 1252.058 | 24.103 | 155.271 | -313.792 | -795.141 |
| 764.160 | 1740.827 | -26.743 | 165.282 | -378.100 | -982.602 |
| 616.936 | 1243.774 | 245.023 | 156.319 | -296.459 | -778.259 |
| 32042740.307 | 71841960.490 | 10913388.914 | 7911765.911 | -9322197.562 | -36653039.398 |
| 32042754.442 | 71841977.922 | 10913396.359 | 7911766.124 | -9322192.447 | -36653042.037 |
| 506.718 | 1227.253 | -180.569 | 165.347 | -356.603 | -775.925 |
| -3204012.642 | -7183940.404 | -1091105.263 | -791173.759 | 932216.551 | 3665292.967 |
| -3203981.480 | -7183897.151 | -1091088.163 | -791163.945 | 932216.841 | 3665271.478 |
| -3204023.091 | -7183952.357 | -1091069.931 | -791168.714 | 932219.325 | 3665284.394 |
| -459.461 | -1141.203 | 166.547 | -67.061 | 306.377 | 799.657 |
| -434.470 | -1065.622 | 149.568 | -153.028 | 389.190 | 760.125 |
| -3204244.373 | -7184182.165 | -1091322.490 | -791175.014 | 932217.309 | 3665309.359 |
| 823.559 | 1251.924 | 24.127 | 155.248 | -313.751 | -795.031 |
| 764.077 | 1740.583 | -26.707 | 165.253 | -378.042 | -982.445 |
| 616.928 | 1243.748 | 245.005 | 156.312 | -296.451 | -778.237 |
| 3204246.243 | 7184163.867 | 1091319.992 | 791175.160 | -932217.453 | -3665297.741 |
| 3204260.377 | 7184181.298 | 1091327.436 | 791175.372 | -932212.338 | -3665300.380 |
| 506.686 | 1227.180 | -180.562 | 165.335 | -356.582 | -775.888 |
| 25767029.578 | 28840917.943 | 33183300.446 | -7909259.581 | -17982361.616 | -17043573.774 |
| 25766980.457 | 28840969.366 | 33183301.888 | -7909263.982 | -17982354.288 | -17043570.487 |
| 25766972.017 | 28840911.642 | 33183367.279 | -7909259.479 | -17982353.783 | -17043567.485 |
| 12.707 | 7.285 | 16.545 | 56.173 | -4.654 | 1.093 |
| 25766906.228 | 28840851.790 | 33183238.413 | -7909257.443 | -17982327.184 | -17043567.252 |
| 0.526 | 2.338 | 3.784 | -0.212 | -9.892 | 67.130 |
| 180.353 | 66.651 | 49.852 | 1.671 | -11.838 | -17.878 |
| 57.620 | 162.612 | 38.383 | -14.100 | 4.633 | -3.799 |
| 35.455 | 32.577 | 176.255 | -0.880 | 10.201 | -3.619 |
| -25766911.548 | -28840857.880 | -33183239.403 | 7909284.200 | 17982358.074 | 17043566.023 |
| -1.770 | -4.859 | -2.493 | -0.793 | 60.648 | -0.452 |
| -25766914.579 | -28840866.596 | -33183244.417 | 7909262.189 | 17982352.936 | 17043596.830 |
| 2576813.235 | 2884150.790 | 3318386.782 | -790926.734 | -1798240.051 | -1704365.163 |
| 2576764.117 | 2884202.218 | 3318388.226 | -790931.136 | -1798232.723 | -1704361.876 |
| 2576755.687 | 2884144.509 | 3318453.625 | -790926.636 | -1798232.221 | -1704358.874 |
| 12.706 | 7.284 | 16.545 | 56.173 | -4.654 | 1.093 |
| 2576689.892 | 2884084.648 | 3318324.754 | -790924.598 | -1798205.621 | -1704358.641 |
| 0.531 | 2.342 | 3.789 | -0.211 | -9.893 | 67.131 |
| 180.354 | 66.652 | 49.853 | 1.671 | -11.838 | -17.878 |
| 57.616 | 162.608 | 38.378 | -14.101 | 4.635 | -3.800 |
| 35.453 | 32.575 | 176.252 | -0.880 | 10.202 | -3.620 |
| -2576695.202 | -2884090.723 | -3318325.735 | 790951.351 | 1798236.508 | 1704357.413 |
| -1.787 | -4.878 | -2.513 | -0.797 | 60.655 | -0.455 |
| -2576698.239 | -2884099.449 | -3318330.759 | 790929.342 | 1798231.371 | 1704388.220 |
| 257787.274 | 288465.945 | 331888.510 | -79091.724 | -179826.582 | -170444.443 |
| 257730.249 | 288503.920 | 331881.666 | -79094.147 | -179816.221 | -170441.733 |
| 257734.053 | 288467.794 | 331962.259 | -79093.351 | -179820.065 | -170438.012 |
| 12.706 | 7.285 | 16.545 | 56.171 | -4.654 | 1.093 |
| 257668.259 | 288407.936 | 331833.389 | -79091.314 | -179793.465 | -170437.780 |
| 0.531 | 2.343 | 3.790 | -0.211 | -9.894 | 67.130 |
| 180.353 | 66.651 | 49.852 | 1.671 | -11.838 | -17.878 |
| 57.616 | 162.604 | 38.378 | -14.100 | 4.635 | -3.800 |
| 35.454 | 32.575 | 176.245 | -0.881 | 10.202 | -3.620 |
| -257673.568 | -288414.008 | -331834.369 | 79118.067 | 179824.351 | 170436.552 |
| -1.788 | -4.878 | -2.514 | -0.797 | 60.655 | -0.455 |
| -257676.605 | -288422.734 | -331839.393 | 79096.057 | 179819.215 | 170467.359 |
| 281.209 | 99.505 | -106.536 | -121.792 | 29.679 | 68.240 |
| 140.241 | 244.963 | -101.601 | -140.198 | 35.398 | 82.454 |
| 125.565 | 87.506 | 55.071 | -122.268 | 44.942 | 87.334 |
| 80.596 | 34.894 | -149.154 | -55.872 | 39.345 | 84.822 |
| 7.457 | -2.781 | 5.720 | -0.460 | 67.756 | 2.104 |
| -0.372 | -2.076 | -0.027 | -2.033 | -10.834 | 80.498 |
| 200.775 | 60.919 | 44.395 | 2.640 | -9.527 | -17.578 |
| 59.809 | 206.384 | 49.324 | -15.784 | -3.798 | -3.357 |
| 45.128 | 48.920 | 206.005 | 2.164 | 5.735 | 1.516 |
| 0.168 | -3.684 | 1.766 | 68.531 | 0.155 | -0.984 |
| -72.974 | -41.361 | 156.644 | 123.950 | 28.561 | -83.706 |
| -80.801 | -40.655 | 150.895 | 122.373 | -50.025 | -5.312 |
| 208.379 | 64.569 | 30.123 | -9.130 | -5.817 | -9.462 |
| 67.413 | 210.029 | 35.056 | -27.544 | -0.094 | 4.756 |
| 48.931 | 50.745 | 198.869 | -3.720 | 7.590 | 5.574 |
| 7.770 | -0.039 | -12.499 | 56.777 | 3.856 | 7.125 |
| 7.455 | -2.783 | 5.723 | -0.454 | 67.753 | 2.101 |
| -0.373 | -2.077 | -0.025 | -2.030 | -10.836 | 80.496 |
| 200.777 | 60.921 | 44.392 | 2.632 | -9.522 | -17.575 |
| 59.809 | 206.383 | 49.324 | -15.784 | -3.798 | -3.357 |
| 45.129 | 48.921 | 206.004 | 2.162 | 5.737 | 1.517 |
| 0.166 | -3.687 | 1.770 | 68.542 | 0.149 | -0.988 |
| -0.149 | -6.430 | 19.992 | 11.309 | 64.046 | -6.012 |
| -7.977 | -5.724 | 14.244 | 9.733 | -14.542 | 72.382 |
| 64698.683 | 57491.835 | 19458.534 | 47523.045 | -47326.801 | -76859.913 |
| 64556.660 | 57636.728 | 19465.476 | 47506.542 | -47321.754 | -76846.964 |
| 268.248 | -26.566 | 8.447 | -52.814 | 43.602 | 91.465 |
| 223.159 | -79.248 | -195.483 | 13.424 | 38.003 | 88.967 |
| 7.432 | -2.803 | 5.757 | -0.362 | 67.702 | 2.067 |
| -0.373 | -2.076 | -0.026 | -2.031 | -10.835 | 80.495 |
| 200.893 | 61.028 | 44.215 | 2.158 | -9.265 | -17.398 |
| 59.809 | 206.381 | 49.324 | -15.783 | -3.799 | -3.357 |
| 45.129 | 48.921 | 206.002 | 2.161 | 5.737 | 1.517 |
| 0.166 | -3.687 | 1.770 | 68.541 | 0.150 | -0.988 |
| 5.620 | -3.663 | 9.166 | 2.385 | 66.857 | 0.143 |
| -2.170 | -2.939 | 3.346 | 0.749 | -11.711 | 78.577 |
| 925137.952 | 1244170.589 | -5519489.089 | 1519241.180 | -888643.545 | -901080.634 |
| 924970.940 | 1244323.300 | -5519491.005 | 1519260.339 | -888657.956 | -901086.971 |
| 924983.786 | 1244171.602 | -5519360.433 | 1519226.329 | -888664.911 | -901073.474 |
| 924928.328 | 1244129.953 | -5519544.796 | 1519309.049 | -888656.989 | -901084.237 |
| 2.120 | 2.154 | -9.303 | 2.539 | 73.187 | -0.693 |
| -3.461 | 1.547 | 0.729 | 2.802 | 15.345 | 66.030 |
| 211.543 | 44.101 | 49.834 | 1.977 | 16.954 | 6.986 |
| 44.989 | 196.236 | 47.111 | 19.832 | 4.255 | 2.841 |
| 51.629 | 48.698 | 184.184 | -5.462 | -9.031 | 2.915 |
| 1.626 | 3.635 | -5.679 | 69.945 | 3.393 | 3.054 |
| -924920.858 | -1244126.304 | 5519526.274 | -1519241.710 | 888736.324 | 901093.723 |
| -924927.713 | -1244126.471 | 5519537.238 | -1519239.951 | 888678.444 | 901158.836 |
| 92704.964 | 124456.775 | -551904.854 | 151924.378 | -88849.117 | -90100.668 |
| 92537.972 | 124609.475 | -551906.790 | 151943.508 | -88863.513 | -90106.964 |
| 92550.921 | 124457.668 | -551776.381 | 151909.308 | -88870.365 | -90093.205 |
| 92495.359 | 124416.129 | -551960.580 | 151992.220 | -88862.546 | -90104.232 |
| 2.120 | 2.154 | -9.302 | 2.539 | 73.186 | -0.694 |
| -3.461 | 1.548 | 0.729 | 2.803 | 15.343 | 66.028 |
| 211.544 | 44.097 | 49.832 | 1.976 | 16.961 | 6.994 |
| 44.989 | 196.236 | 47.111 | 19.832 | 4.253 | 2.840 |
| 51.630 | 48.696 | 184.183 | -5.462 | -9.028 | 2.918 |
| 1.626 | 3.633 | -5.681 | 69.944 | 3.397 | 3.058 |
| -92487.672 | -124412.700 | 551941.720 | -151925.270 | 88942.093 | 90114.257 |
| -92494.527 | -124412.867 | 551952.684 | -151923.511 | 88884.213 | 90179.369 |
| 9455.747 | 12491.389 | -55137.219 | 15203.310 | -8875.428 | -9017.341 |
| 9294.685 | 12638.084 | -55148.386 | 15211.807 | -8884.058 | -9008.937 |
| 9314.569 | 12510.740 | -54985.817 | 15194.459 | -8900.151 | -9014.215 |
| 9246.163 | 12450.733 | -55192.951 | 15271.139 | -8888.854 | -9020.905 |
| 2.119 | 2.154 | -9.302 | 2.539 | 73.185 | -0.694 |
| -3.461 | 1.548 | 0.729 | 2.803 | 15.343 | 66.026 |
| 211.540 | 44.098 | 49.833 | 1.976 | 16.960 | 6.993 |
| 44.991 | 196.228 | 47.113 | 19.831 | 4.253 | 2.840 |
| 51.630 | 48.696 | 184.181 | -5.462 | -9.028 | 2.918 |
| 1.626 | 3.633 | -5.681 | 69.942 | 3.397 | 3.058 |
| -9244.529 | -12441.163 | 55183.536 | -15193.313 | 8962.496 | 9015.876 |
| -9251.426 | -12441.285 | 55194.568 | -15191.475 | 8904.577 | 9080.879 |
| -320780.434 | 904083.193 | -968947.877 | -1303208.227 | -223863.537 | -155060.079 |
| -320898.758 | 904188.783 | -968936.280 | -1303179.448 | -223867.650 | -155054.694 |
| -320887.880 | 904051.902 | -968811.639 | -1303176.574 | -223879.746 | -155051.708 |
| -0.813 | 5.759 | -8.408 | 56.606 | -0.648 | 3.861 |
| 1.278 | 7.795 | -11.569 | -2.738 | 61.546 | 1.395 |
| -320974.859 | 904038.367 | -969013.047 | -1303216.867 | -223864.981 | -155007.977 |
| 188.047 | 52.619 | 62.430 | 7.245 | 13.242 | 2.441 |
| 60.460 | 173.843 | 65.210 | 23.631 | 7.059 | 5.856 |
| 59.921 | 57.118 | 173.068 | -4.103 | -9.505 | 3.511 |
| 320973.904 | -904044.774 | 969019.647 | 1303294.704 | 223878.491 | 155070.336 |
| 320960.425 | -904009.775 | 968989.840 | 1303197.910 | 223933.678 | 155061.375 |
| -4.862 | -1.352 | 6.761 | 11.542 | 13.132 | 58.368 |
| -31913.504 | 90459.955 | -96840.908 | -130318.471 | -22375.569 | -15504.498 |
| -32031.829 | 90565.547 | -96829.314 | -130289.694 | -22379.683 | -15499.113 |
| -32020.951 | 90428.664 | -96704.670 | -130286.819 | -22391.778 | -15496.127 |
| -0.812 | 5.758 | -8.406 | 56.608 | -0.648 | 3.861 |
| 1.279 | 7.792 | -11.567 | -2.735 | 61.547 | 1.396 |
| -32107.930 | 90415.129 | -96906.078 | -130327.111 | -22377.013 | -15452.396 |
| 188.045 | 52.621 | 62.428 | 7.242 | 13.241 | 2.440 |
| 60.460 | 173.844 | 65.209 | 23.629 | 7.059 | 5.856 |
| 59.920 | 57.119 | 173.067 | -4.104 | -9.505 | 3.511 |
| 32106.981 | -90421.317 | 96912.663 | 130404.722 | 22390.481 | 15514.635 |
| 32093.500 | -90386.545 | 96882.878 | 130308.164 | 22445.712 | 15505.795 |
| -4.863 | -1.350 | 6.760 | 11.540 | 13.131 | 58.367 |
| -3026.810 | 9097.631 | -9630.211 | -13029.495 | -2226.772 | -1548.940 |
| -3145.137 | 9203.231 | -9618.618 | -13000.718 | -2230.886 | -1543.555 |
| -3134.259 | 9066.344 | -9493.963 | -12997.849 | -2242.983 | -1540.571 |
| -0.812 | 5.757 | -8.406 | 56.607 | -0.648 | 3.861 |
| 1.279 | 7.792 | -11.567 | -2.735 | 61.546 | 1.396 |
| -3221.237 | 9052.784 | -9695.380 | -13038.114 | -2228.213 | -1496.828 |
| 188.043 | 52.621 | 62.428 | 7.242 | 13.241 | 2.440 |
| 60.460 | 173.841 | 65.209 | 23.629 | 7.059 | 5.856 |
| 59.920 | 57.119 | 173.066 | -4.104 | -9.505 | 3.511 |
| 3220.282 | -9059.194 | 9701.981 | 13115.948 | 2241.722 | 1559.185 |
| 3206.807 | -9024.222 | 9672.181 | 13019.189 | 2296.917 | 1550.237 |
| -4.863 | -1.350 | 6.760 | 11.539 | 13.131 | 58.366 |
| 10768591.865 | -7224526.182 | -874080.521 | 8803984.634 | -15659091.170 | 484997.739 |
| 10768476.393 | -7224415.446 | -874079.726 | 8804000.916 | -15659100.162 | 484998.366 |
| 10768501.867 | -7224631.925 | -874221.221 | 8803944.589 | -15658983.688 | 485002.979 |
| 10768396.827 | -7224589.831 | -874116.030 | 8804045.176 | -15659112.812 | 484994.383 |
| 10768394.016 | -7224569.977 | -874073.565 | 8804003.559 | -15659088.001 | 484987.327 |
| 10768399.057 | -7224593.933 | -874140.312 | 8803989.971 | -15659094.461 | 485050.280 |
| 196.994 | 69.370 | 59.776 | -5.377 | 12.760 | 3.353 |
| 109.742 | 121.978 | -92.358 | -10.936 | 77.511 | 8.165 |
| 66.890 | 60.079 | 172.339 | -1.664 | 3.772 | 2.687 |
| 6.025 | -20.730 | -42.892 | 48.886 | 23.236 | 1.092 |
| -0.592 | -2.096 | -6.298 | 1.500 | 53.575 | -5.950 |
| -2.042 | -2.510 | -12.464 | -1.926 | 15.814 | 60.028 |
| 1077026.842 | -722385.775 | -87345.952 | 880395.208 | -1565902.333 | 48502.248 |
| 1076911.370 | -722275.040 | -87345.159 | 880411.489 | -1565911.324 | 48502.875 |
| 1076936.847 | -722491.520 | -87486.657 | 880355.162 | -1565794.847 | 48507.488 |
| 1076831.805 | -722449.427 | -87381.467 | 880455.749 | -1565923.972 | 48498.892 |
| 1076828.993 | -722429.570 | -87338.996 | 880414.133 | -1565899.165 | 48491.835 |
| 1076834.035 | -722453.529 | -87405.749 | 880400.543 | -1565905.622 | 48554.788 |
| 196.996 | 69.365 | 59.767 | -5.378 | 12.765 | 3.353 |
| 109.741 | 121.978 | -92.355 | -10.936 | 77.509 | 8.164 |
| 66.890 | 60.079 | 172.340 | -1.664 | 3.772 | 2.687 |
| 6.025 | -20.729 | -42.890 | 48.887 | 23.235 | 1.092 |
| -0.589 | -2.101 | -6.310 | 1.498 | 53.581 | -5.950 |
| -2.040 | -2.513 | -12.469 | -1.927 | 15.817 | 60.028 |
| 107870.340 | -72171.734 | -8672.495 | 88036.265 | -156583.449 | 4852.699 |
| 107754.868 | -72060.998 | -8671.700 | 88052.547 | -156592.441 | 4853.325 |
| 107780.373 | -72277.477 | -8813.190 | 87996.217 | -156475.951 | 4857.938 |
| 107675.303 | -72235.386 | -8708.010 | 88096.805 | -156605.089 | 4849.343 |
| 107672.490 | -72215.528 | -8665.536 | 88055.190 | -156580.285 | 4842.286 |
| 107677.533 | -72239.488 | -8732.294 | 88041.600 | -156586.738 | 4905.239 |
| 196.996 | 69.365 | 59.766 | -5.378 | 12.765 | 3.353 |
| 109.737 | 121.965 | -92.356 | -10.939 | 77.508 | 8.165 |
| 66.890 | 60.079 | 172.339 | -1.664 | 3.772 | 2.687 |
| 6.024 | -20.729 | -42.889 | 48.885 | 23.234 | 1.092 |
| -0.589 | -2.101 | -6.311 | 1.498 | 53.581 | -5.950 |
| -2.041 | -2.513 | -12.469 | -1.927 | 15.817 | 60.027 |
| -18323049.902 | 30671195.000 | 23441177.341 | -5385168.216 | -16463050.998 | 7534574.345 |
| -18323100.948 | 30671332.038 | 23441258.337 | -5385160.040 | -16463077.300 | 7534566.997 |
| -18323124.542 | 30671200.858 | 23441271.269 | -5385166.436 | -16463059.509 | 7534570.773 |
| -18323183.422 | 30671156.995 | 23441160.557 | -5385133.743 | -16463068.014 | 7534569.959 |
| -18323164.640 | 30671216.203 | 23441228.710 | -5385165.577 | -16463056.681 | 7534557.502 |
| -18323173.985 | 30671196.659 | 23441202.662 | -5385164.728 | -16463074.957 | 7534601.466 |
| 217.146 | 16.099 | -8.238 | 0.826 | 44.212 | 3.518 |
| 69.201 | 169.457 | 52.597 | 15.872 | 4.473 | 2.933 |
| 60.202 | 59.521 | 173.547 | 2.024 | -2.658 | 2.677 |
| -2.234 | -3.507 | -1.548 | 52.139 | 4.081 | -0.039 |
| 2.604 | -7.559 | -12.843 | 2.791 | 53.429 | -6.109 |
| 7.419 | -16.155 | -24.343 | 1.556 | 22.044 | 55.764 |
| -1832190.100 | 3067141.524 | 2344122.234 | -538519.242 | -1646287.388 | 753463.827 |
| -1832241.147 | 3067278.565 | 2344203.233 | -538511.066 | -1646313.691 | 753456.478 |
| -1832264.741 | 3067147.382 | 2344216.163 | -538517.462 | -1646295.899 | 753460.254 |
| -1832323.622 | 3067103.517 | 2344105.448 | -538484.769 | -1646304.403 | 753459.440 |
| -1832304.837 | 3067162.733 | 2344173.610 | -538516.603 | -1646293.073 | 753446.983 |
| -1832314.184 | 3067143.183 | 2344147.554 | -538515.754 | -1646311.347 | 753490.947 |
| 217.144 | 16.100 | -8.237 | 0.826 | 44.212 | 3.518 |
| 69.201 | 169.457 | 52.597 | 15.872 | 4.473 | 2.933 |
| 60.203 | 59.519 | 173.544 | 2.024 | -2.656 | 2.677 |
| -2.233 | -3.509 | -1.550 | 52.139 | 4.082 | -0.040 |
| 2.604 | -7.559 | -12.843 | 2.791 | 53.429 | -6.109 |
| 7.419 | -16.155 | -24.343 | 1.556 | 22.044 | 55.764 |
| -183104.034 | 306736.258 | 234416.840 | -53854.343 | -164611.042 | 75352.768 |
| -183155.166 | 306873.217 | 234497.723 | -53846.169 | -164637.330 | 75345.426 |
| -183178.679 | 306742.116 | 234510.770 | -53852.562 | -164619.554 | 75349.195 |
| -183237.641 | 306698.171 | 234399.939 | -53819.871 | -164628.043 | 75348.388 |
| -183218.858 | 306757.385 | 234468.098 | -53851.705 | -164616.713 | 75335.931 |
| -183228.204 | 306737.835 | 234442.042 | -53850.856 | -164634.986 | 75379.895 |
| 217.136 | 16.098 | -8.241 | 0.827 | 44.212 | 3.518 |
| 69.201 | 169.456 | 52.597 | 15.872 | 4.473 | 2.933 |
| 60.203 | 59.519 | 173.543 | 2.024 | -2.656 | 2.677 |
| -2.233 | -3.509 | -1.550 | 52.139 | 4.082 | -0.039 |
| 2.604 | -7.559 | -12.843 | 2.791 | 53.429 | -6.109 |
| 7.419 | -16.157 | -24.345 | 1.556 | 22.045 | 55.763 |
| 195.326 | 55.467 | 49.363 | -1.143 | 19.794 | 7.855 |
| 5735563.143 | 8042013.096 | -1237391.145 | 1034853.812 | 1302949.302 | 7738828.453 |
| 5735554.320 | 8041868.504 | -1237240.683 | 1034827.356 | 1302955.702 | 7738832.818 |
| 5735505.331 | 8041819.835 | -1237444.083 | 1034901.078 | 1302952.323 | 7738828.251 |
| -2.259 | -2.599 | 3.998 | 0.756 | 69.354 | -0.792 |
| -3.827 | -2.628 | 2.406 | -2.992 | 20.151 | 78.123 |
| -5735307.755 | -8041762.584 | 1237491.698 | -1034833.666 | -1302930.609 | -7738827.329 |
| 57.261 | 195.405 | 50.512 | 23.501 | -2.342 | -3.026 |
| 51.265 | 49.737 | 200.993 | -5.129 | 4.468 | 0.497 |
| 0.318 | 2.065 | -2.407 | 70.256 | 0.858 | -3.490 |
| -5735508.436 | -8041819.790 | 1237445.741 | -1034829.038 | -1302882.299 | -7738832.273 |
| -5735510.720 | -8041819.351 | 1237444.027 | -1034831.955 | -1302931.882 | -7738752.209 |
| 195.330 | 55.465 | 49.363 | -1.147 | 19.794 | 7.854 |
| 573607.540 | 804377.643 | -123693.608 | 103507.048 | 130292.810 | 773880.110 |
| 573598.717 | 804233.052 | -123543.146 | 103480.593 | 130299.210 | 773884.476 |
| 573549.727 | 804184.383 | -123746.547 | 103554.315 | 130295.831 | 773879.910 |
| -2.265 | -2.597 | 3.998 | 0.761 | 69.353 | -0.791 |
| -3.825 | -2.629 | 2.406 | -2.994 | 20.151 | 78.122 |
| -573352.147 | -804127.134 | 123794.163 | -103486.908 | -130274.114 | -773878.994 |
| 57.259 | 195.406 | 50.512 | 23.503 | -2.342 | -3.025 |
| 51.276 | 49.732 | 200.992 | -5.139 | 4.469 | 0.495 |
| 0.343 | 2.053 | -2.408 | 70.234 | 0.862 | -3.495 |
| -573552.832 | -804184.337 | 123748.205 | -103482.275 | -130225.807 | -773883.931 |
| -573555.109 | -804183.901 | 123746.492 | -103485.198 | -130275.387 | -773803.875 |
| 195.330 | 55.466 | 49.363 | -1.146 | 19.794 | 7.854 |
| 57411.978 | 80614.099 | -12323.855 | 10372.374 | 13027.160 | 77385.279 |
| 57403.154 | 80469.507 | -12173.392 | 10345.919 | 13033.559 | 77389.646 |
| 57354.166 | 80420.837 | -12376.793 | 10419.639 | 13030.181 | 77385.076 |
| -2.264 | -2.597 | 3.998 | 0.760 | 69.353 | -0.791 |
| -3.825 | -2.629 | 2.406 | -2.994 | 20.151 | 78.122 |
| -57157.425 | -80362.489 | 12424.656 | -10352.715 | -13008.792 | -77383.473 |
| 57.261 | 195.404 | 50.512 | 23.501 | -2.342 | -3.025 |
| 51.277 | 49.733 | 200.987 | -5.138 | 4.469 | 0.495 |
| 0.343 | 2.053 | -2.408 | 70.233 | 0.862 | -3.495 |
| -57357.271 | -80420.792 | 12378.451 | -10347.599 | -12960.158 | -77389.097 |
| -57359.549 | -80420.356 | 12376.738 | -10350.522 | -13009.738 | -77309.040 |
| -82293565.007 | -52247981.760 | -144992391.641 | 63067802.833 | 16415148.604 | 49470252.659 |
| -82293497.698 | -52247720.049 | -144992098.403 | 63067722.633 | 16415104.297 | 49470211.257 |
| -82293496.971 | -52247820.452 | -144991960.684 | 63067725.529 | 16415101.811 | 49470202.551 |
| -82294004.627 | -52248285.224 | -144992789.694 | 63067885.526 | 16415188.459 | 49470313.099 |
| -86.819 | -69.710 | -184.969 | 78.478 | 147.421 | 81.343 |
| -92.137 | -63.459 | -144.718 | 68.084 | 24.052 | 164.906 |
| 620.363 | 329.361 | 501.005 | -137.826 | -124.960 | -173.823 |
| 287.602 | 502.357 | 349.662 | -92.583 | -54.002 | -66.527 |
| 252.059 | 236.452 | 615.369 | -60.849 | -56.272 | -51.781 |
| 110.888 | 99.048 | 189.261 | 7.975 | -52.034 | -68.257 |
| 82293839.411 | 52248144.466 | 144992492.210 | -63067766.499 | -16415101.324 | -49470232.879 |
| 82293935.703 | 52248249.843 | 144992679.525 | -63067818.590 | -16415170.149 | -49470240.643 |
| -8229080.497 | -5224618.432 | -14499081.266 | 6306792.246 | 1641516.201 | 4947021.561 |
| -8229013.197 | -5224356.723 | -14498788.029 | 6306712.036 | 1641471.887 | 4946980.151 |
| -8229012.470 | -5224457.128 | -14498650.309 | 6306714.931 | 1641469.400 | 4946971.446 |
| -8229520.117 | -5224921.897 | -14499479.321 | 6306874.939 | 1641556.056 | 4947082.001 |
| -86.815 | -69.707 | -184.960 | 78.474 | 147.418 | 81.339 |
| -92.147 | -63.467 | -144.736 | 68.091 | 24.057 | 164.913 |
| 620.354 | 329.357 | 500.994 | -137.821 | -124.955 | -173.817 |
| 287.597 | 502.351 | 349.653 | -92.578 | -53.999 | -66.523 |
| 252.057 | 236.450 | 615.364 | -60.847 | -56.271 | -51.779 |
| 110.889 | 99.049 | 189.264 | 7.973 | -52.035 | -68.258 |
| 8229354.900 | 5224781.138 | 14499181.834 | -6306755.912 | -1641468.921 | -4947001.780 |
| 8229451.194 | 5224886.517 | 14499369.153 | -6306808.004 | -1641537.746 | -4947009.546 |
| -822632.048 | -522282.099 | -1449750.229 | 630691.188 | 164152.961 | 494698.452 |
| -822564.757 | -522020.383 | -1449456.997 | 630610.965 | 164108.639 | 494657.034 |
| -822564.031 | -522120.801 | -1449319.260 | 630613.861 | 164106.151 | 494648.328 |
| -823071.667 | -522585.567 | -1450148.289 | 630773.881 | 164192.818 | 494758.895 |
| -86.816 | -69.708 | -184.961 | 78.474 | 147.411 | 81.339 |
| -92.146 | -63.465 | -144.735 | 68.089 | 24.058 | 164.904 |
| 620.320 | 329.356 | 500.985 | -137.810 | -124.942 | -173.800 |
| 287.605 | 502.341 | 349.664 | -92.577 | -54.001 | -66.523 |
| 252.061 | 236.454 | 615.349 | -60.845 | -56.269 | -51.778 |
| 110.892 | 99.052 | 189.270 | 7.965 | -52.036 | -68.259 |
| 822906.451 | 522444.806 | 1449850.798 | -630654.853 | -164105.678 | -494678.670 |
| 823002.744 | 522550.185 | 1450038.116 | -630706.946 | -164174.506 | -494686.439 |
| 1926302.002 | 5389752.649 | 3687155.192 | 110015.001 | 1222710.568 | 1476851.302 |
| 1926189.079 | 5389865.822 | 3687158.416 | 110008.156 | 1222721.018 | 1476862.147 |
| 1926184.389 | 5389752.671 | 3687291.418 | 110015.220 | 1222717.092 | 1476865.563 |
| 37.809 | 107.629 | 58.237 | 63.437 | 18.643 | 19.264 |
| 32.944 | 82.321 | 46.563 | 7.269 | 68.333 | 10.804 |
| 1926142.299 | 5389717.349 | 3687118.354 | 110023.620 | 1222707.347 | 1476915.525 |
| 164.792 | -1.079 | 11.820 | -6.313 | -17.914 | -21.867 |
| 8.834 | 69.882 | -21.316 | -17.248 | -13.701 | -17.652 |
| -3.486 | -76.984 | 123.802 | -11.118 | -20.561 | -14.482 |
| -1926148.296 | -5389721.055 | -3687123.775 | -109969.837 | -1222718.294 | -1476861.319 |
| -1926132.905 | -5389699.632 | -3687109.519 | -110015.972 | -1222670.450 | -1476863.914 |
| -34.224 | -88.380 | -50.724 | 0.278 | -28.626 | 46.910 |
| 192776.799 | 539013.390 | 368755.050 | 10996.756 | 122261.928 | 147673.540 |
| 192663.875 | 539126.563 | 368758.274 | 10989.912 | 122272.378 | 147684.385 |
| 192659.191 | 539013.424 | 368891.284 | 10996.976 | 122268.453 | 147687.803 |
| 37.823 | 107.662 | 58.258 | 63.437 | 18.647 | 19.268 |
| 32.946 | 82.325 | 46.565 | 7.269 | 68.332 | 10.804 |
| 192617.099 | 538978.099 | 368718.218 | 11005.376 | 122258.708 | 147737.764 |
| 164.787 | -1.086 | 11.816 | -6.314 | -17.915 | -21.867 |
| 8.833 | 69.875 | -21.317 | -17.248 | -13.702 | -17.652 |
| -3.487 | -76.986 | 123.797 | -11.118 | -20.562 | -14.482 |
| -192623.096 | -538981.805 | -368723.638 | -10951.593 | -122269.655 | -147683.558 |
| -192607.707 | -538960.386 | -368709.385 | -10997.728 | -122221.811 | -147686.154 |
| -34.230 | -88.395 | -50.733 | 0.278 | -28.628 | 46.907 |
| 19424.282 | 53939.465 | 36915.036 | 1094.932 | 12217.064 | 14755.764 |
| 19311.355 | 54052.642 | 36918.260 | 1088.087 | 12227.514 | 14766.609 |
| 19306.670 | 53939.498 | 37051.272 | 1095.152 | 12223.589 | 14770.027 |
| 37.844 | 107.704 | 58.285 | 63.425 | 18.652 | 19.271 |
| 32.954 | 82.336 | 46.571 | 7.270 | 68.323 | 10.805 |
| 19264.506 | 53904.105 | 36878.189 | 1103.543 | 12213.843 | 14819.989 |
| 164.770 | -1.084 | 11.821 | -6.314 | -17.914 | -21.865 |
| 8.818 | 69.806 | -21.330 | -17.249 | -13.707 | -17.654 |
| -3.510 | -77.048 | 123.721 | -11.118 | -20.569 | -14.492 |
| -19270.503 | -53907.812 | -36883.610 | -1049.762 | -12224.790 | -14765.783 |
| -19255.188 | -53886.462 | -36869.371 | -1095.904 | -12176.946 | -14768.378 |
| -34.248 | -88.433 | -50.757 | 0.275 | -28.629 | 46.890 |
| -4665.971 | 12891.163 | -21398.112 | 6151.222 | 4157.255 | -4825.884 |
| -4816.310 | 13027.562 | -21393.962 | 6129.241 | 4180.915 | -4789.586 |
| -4837.189 | 12833.726 | -21166.840 | 6129.139 | 4179.403 | -4751.940 |
| -4867.443 | 12832.847 | -21439.852 | 6217.757 | 4179.724 | -4794.215 |
| -6.934 | -1.253 | 5.843 | -2.046 | 66.462 | 5.025 |
| -5.755 | 3.352 | -1.984 | -2.763 | -6.810 | 77.614 |
| 206.016 | 54.633 | 43.597 | 5.849 | -24.790 | -34.854 |
| 54.591 | 188.393 | 52.131 | -17.038 | -1.483 | 3.775 |
| 43.619 | 45.714 | 200.169 | -0.381 | 5.657 | 3.970 |
| 3.905 | -5.713 | 5.114 | 71.823 | -2.608 | -1.595 |
| 4865.533 | -12833.957 | 21441.744 | -6146.180 | -4114.997 | 4793.392 |
| 4865.355 | -12836.339 | 21444.735 | -6149.171 | -4189.317 | 4870.944 |
| -281.804 | 1336.367 | -2097.481 | 619.747 | 393.146 | -512.436 |
| -432.143 | 1472.768 | -2093.334 | 597.767 | 416.807 | -476.139 |
| -453.032 | 1279.363 | -1866.652 | 597.764 | 415.447 | -438.776 |
| -483.278 | 1278.044 | -2139.210 | 686.280 | 415.614 | -480.762 |
| -6.935 | -1.257 | 5.848 | -2.047 | 66.461 | 5.028 |
| -5.757 | 3.340 | -1.965 | -2.767 | -6.812 | 77.623 |
| 206.016 | 54.631 | 43.601 | 5.848 | -24.791 | -34.852 |
| 54.593 | 188.405 | 52.112 | -17.034 | -1.481 | 3.767 |
| 43.620 | 45.720 | 200.159 | -0.379 | 5.658 | 3.965 |
| 3.908 | -5.700 | 5.095 | 71.827 | -2.606 | -1.604 |
| 481.366 | -1279.106 | 2141.051 | -614.692 | -350.869 | 479.907 |
| 481.189 | -1281.538 | 2144.095 | -617.695 | -425.207 | 557.492 |
| 156.618 | 180.884 | -167.417 | 66.600 | 16.733 | -81.091 |
| 6.274 | 317.288 | -163.270 | 44.620 | 40.396 | -44.795 |
| -10.294 | 122.433 | 66.707 | 42.923 | 37.521 | -9.253 |
| -44.860 | 122.561 | -209.143 | 133.134 | 39.202 | -49.415 |
| -6.935 | -1.258 | 5.849 | -2.047 | 66.461 | 5.028 |
| -5.757 | 3.339 | -1.963 | -2.767 | -6.812 | 77.624 |
| 206.015 | 54.631 | 43.600 | 5.848 | -24.790 | -34.853 |
| 54.594 | 188.405 | 52.110 | -17.034 | -1.481 | 3.766 |
| 43.624 | 45.724 | 200.145 | -0.379 | 5.657 | 3.964 |
| 3.907 | -5.699 | 5.093 | 71.825 | -2.606 | -1.605 |
| 42.949 | -123.673 | 211.040 | -61.555 | 25.532 | 48.594 |
| 42.773 | -126.058 | 214.031 | -64.547 | -48.796 | 126.146 |
| 2642588.192 | -6463185.838 | -1767632.314 | 5100493.864 | -738989.359 | 931444.720 |
| 2642471.910 | -6463048.964 | -1767628.373 | 5100485.950 | -738980.750 | 931453.655 |
| 2642473.077 | -6463181.042 | -1767489.283 | 5100488.700 | -738979.838 | 931455.292 |
| 6.707 | 6.278 | -2.125 | 55.466 | 0.793 | 0.518 |
| 10.852 | 8.168 | 6.064 | -1.347 | 61.683 | 0.027 |
| 2642405.537 | -6463240.333 | -1767683.392 | 5100494.794 | -738990.261 | 931509.884 |
| 183.478 | 48.876 | 48.850 | 1.029 | -8.771 | -12.714 |
| 50.941 | 190.326 | 48.252 | -7.315 | 0.362 | -2.162 |
| 41.040 | 40.609 | 191.452 | -3.465 | -0.030 | 0.448 |
| -2642416.602 | 6463234.504 | 1767674.616 | -5100440.416 | 738980.978 | -931455.221 |
| -2642413.679 | 6463235.449 | 1767681.930 | -5100493.760 | 739037.613 | -931455.823 |
| -12.276 | -7.589 | -3.457 | 2.009 | -9.918 | 57.590 |
| 264410.091 | -646278.625 | -176722.599 | 510049.726 | -73906.483 | 93135.076 |
| 264295.669 | -646140.012 | -176717.724 | 510041.889 | -73897.820 | 93143.232 |
| 264296.835 | -646272.090 | -176578.634 | 510044.639 | -73896.908 | 93144.869 |
| 6.716 | 6.284 | -2.120 | 55.465 | 0.794 | 0.518 |
| 10.855 | 8.171 | 6.065 | -1.348 | 61.684 | 0.027 |
| 264229.312 | -646331.371 | -176772.733 | 510050.733 | -73907.329 | 93199.460 |
| 183.478 | 48.876 | 48.850 | 1.029 | -8.771 | -12.714 |
| 50.944 | 190.327 | 48.253 | -7.316 | 0.363 | -2.162 |
| 41.022 | 40.597 | 191.444 | -3.463 | -0.032 | 0.449 |
| -264240.365 | 646325.550 | 176763.964 | -509996.355 | 73898.047 | -93144.797 |
| -264237.441 | 646326.496 | 176771.279 | -510049.699 | 73954.683 | -93145.400 |
| -12.273 | -7.587 | -3.456 | 2.009 | -9.917 | 57.590 |
| 26570.017 | -64612.454 | -17642.564 | 51005.010 | -7398.364 | 9309.383 |
| 26455.017 | -64474.461 | -17637.967 | 50997.097 | -7389.721 | 9318.063 |
| 26479.212 | -64581.195 | -17487.569 | 51000.233 | -7388.615 | 9313.827 |
| 6.716 | 6.284 | -2.120 | 55.464 | 0.794 | 0.518 |
| 10.857 | 8.172 | 6.066 | -1.348 | 61.682 | 0.027 |
| 26387.363 | -64666.932 | -17693.628 | 51005.940 | -7399.263 | 9374.553 |
| 183.475 | 48.877 | 48.851 | 1.029 | -8.771 | -12.714 |
| 50.945 | 190.326 | 48.253 | -7.316 | 0.363 | -2.162 |
| 41.024 | 40.598 | 191.440 | -3.463 | -0.032 | 0.449 |
| -26422.741 | 64634.654 | 17672.899 | -50951.949 | 7389.754 | -9313.755 |
| -26396.979 | 64660.781 | 17691.426 | -51004.915 | 7446.585 | -9320.152 |
| -12.273 | -7.587 | -3.456 | 2.009 | -9.917 | 57.589 |
| 33370547.267 | 21302260.399 | 12359033.143 | 835939.495 | 6746728.930 | -36007.641 |
| 33370464.973 | 21302298.454 | 12359014.972 | 835934.699 | 6746731.408 | -36004.247 |
| 33370512.033 | 21302272.959 | 12359116.301 | 835935.397 | 6746732.332 | -36006.101 |
| 5.023 | 4.976 | -2.625 | 54.047 | 0.332 | 0.286 |
| 33370450.250 | 21302211.531 | 12358989.464 | 835937.389 | 6746757.353 | -36003.447 |
| 17.367 | 13.346 | 9.947 | -1.514 | -7.378 | 53.192 |
| 138.145 | 18.136 | 28.267 | 4.696 | -10.764 | -8.493 |
| 43.598 | 178.809 | 43.746 | -7.340 | 0.141 | -1.641 |
| 47.976 | 44.862 | 189.016 | -4.664 | 0.693 | -0.404 |
| -33370458.053 | -21302218.966 | -12358997.905 | -835909.677 | -6746734.102 | 36003.637 |
| -11.056 | -7.691 | -4.621 | 1.205 | 57.455 | 2.020 |
| -33370410.202 | -21302187.193 | -12358962.413 | -835941.001 | -6746736.370 | 36022.877 |
| 3337142.893 | 2130269.913 | 1235943.097 | 83594.727 | 674669.318 | -3604.665 |
| 3337060.606 | 2130307.974 | 1235924.932 | 83589.930 | 674671.796 | -3601.271 |
| 3337107.660 | 2130282.474 | 1236026.256 | 83590.629 | 674672.721 | -3603.125 |
| 5.013 | 4.968 | -2.630 | 54.048 | 0.331 | 0.287 |
| 3337045.878 | 2130221.047 | 1235899.420 | 83592.621 | 674697.741 | -3600.471 |
| 17.363 | 13.343 | 9.945 | -1.514 | -7.378 | 53.192 |
| 138.153 | 18.143 | 28.271 | 4.695 | -10.764 | -8.494 |
| 43.604 | 178.813 | 43.749 | -7.341 | 0.141 | -1.641 |
| 47.986 | 44.869 | 189.021 | -4.665 | 0.694 | -0.405 |
| -3337053.682 | -2130228.484 | -1235907.862 | -83564.908 | -674674.490 | 3600.661 |
| -11.046 | -7.684 | -4.616 | 1.204 | 57.456 | 2.020 |
| -3337005.829 | -2130196.709 | -1235872.368 | -83596.233 | -674676.758 | 3619.901 |
| 333802.458 | 213070.866 | 123634.090 | 8360.251 | 67463.356 | -364.367 |
| 333720.170 | 213108.931 | 123615.924 | 8355.455 | 67465.833 | -360.974 |
| 333767.223 | 213083.426 | 123717.252 | 8356.152 | 67466.759 | -362.827 |
| 5.012 | 4.967 | -2.630 | 54.048 | 0.331 | 0.287 |
| 333705.441 | 213021.999 | 123590.415 | 8358.144 | 67491.780 | -360.173 |
| 17.363 | 13.343 | 9.945 | -1.514 | -7.378 | 53.190 |
| 138.138 | 18.143 | 28.272 | 4.695 | -10.763 | -8.492 |
| 43.606 | 178.811 | 43.750 | -7.341 | 0.141 | -1.642 |
| 47.986 | 44.870 | 189.020 | -4.665 | 0.694 | -0.405 |
| -333713.245 | -213029.435 | -123598.858 | -8330.432 | -67468.529 | 360.363 |
| -11.045 | -7.683 | -4.616 | 1.204 | 57.454 | 2.019 |
| -333665.392 | -212997.661 | -123563.360 | -8361.758 | -67470.796 | 379.605 |
| -15604.571 | -3931.245 | 21608.167 | 814.222 | -5807.227 | -3566.914 |
| -15750.201 | -3782.350 | 21614.415 | 803.552 | -5800.631 | -3556.335 |
| -15755.768 | -3931.205 | 21767.056 | 821.326 | -5800.983 | -3555.866 |
| -3.658 | -4.656 | 3.459 | 69.958 | 1.915 | -2.097 |
| 1.484 | -2.237 | -2.252 | 1.959 | 67.200 | -3.354 |
| -15800.264 | -3979.661 | 21566.312 | 815.651 | -5810.536 | -3488.471 |
| 196.411 | 48.454 | 39.880 | -3.889 | -8.885 | -9.615 |
| 50.494 | 197.601 | 46.148 | -14.581 | -2.295 | 0.967 |
| 44.927 | 48.497 | 199.055 | 3.229 | -2.646 | 1.446 |
| 15797.093 | 3975.112 | -21564.752 | -748.265 | 5800.248 | 3555.212 |
| 15802.218 | 3977.532 | -21570.433 | -816.159 | 5865.433 | 3553.957 |
| 0.465 | 0.103 | -1.837 | -2.467 | -12.224 | 68.928 |
| -1383.882 | -349.459 | 2196.784 | 77.919 | -588.722 | -365.338 |
| -1529.507 | -200.563 | 2203.024 | 67.249 | -582.125 | -354.756 |
| -1535.089 | -349.418 | 2355.685 | 85.024 | -582.479 | -354.293 |
| -3.662 | -4.656 | 3.464 | 69.958 | 1.915 | -2.099 |
| 1.484 | -2.237 | -2.252 | 1.959 | 67.200 | -3.354 |
| -1579.609 | -397.871 | 2154.973 | 79.351 | -592.035 | -286.907 |
| 196.407 | 48.455 | 39.886 | -3.889 | -8.886 | -9.617 |
| 50.508 | 197.599 | 46.130 | -14.582 | -2.294 | 0.973 |
| 44.923 | 48.497 | 199.060 | 3.230 | -2.647 | 1.445 |
| 1576.407 | 393.325 | -2153.371 | -11.962 | 581.743 | 353.636 |
| 1581.540 | 395.744 | -2159.063 | -79.857 | 646.929 | 352.385 |
| 0.469 | 0.102 | -1.842 | -2.467 | -12.224 | 68.929 |
| 38.193 | 8.718 | 255.643 | 4.289 | -66.871 | -45.180 |
| -107.444 | 157.618 | 261.893 | -6.381 | -60.276 | -34.601 |
| -113.019 | 8.761 | 414.547 | 11.394 | -60.629 | -34.136 |
| -3.663 | -4.656 | 3.465 | 69.958 | 1.915 | -2.099 |
| 1.484 | -2.237 | -2.252 | 1.959 | 67.200 | -3.354 |
| -157.540 | -39.693 | 213.834 | 5.721 | -70.185 | 33.253 |
| 196.404 | 48.456 | 39.883 | -3.889 | -8.885 | -9.615 |
| 50.508 | 197.597 | 46.131 | -14.582 | -2.294 | 0.972 |
| 44.927 | 48.497 | 199.053 | 3.229 | -2.646 | 1.446 |
| 154.338 | 35.146 | -212.233 | 61.668 | 59.893 | 33.478 |
| 159.475 | 37.565 | -217.929 | -6.227 | 125.079 | 32.228 |
| 0.469 | 0.102 | -1.843 | -2.467 | -12.223 | 68.928 |
| 156.886 | 79.320 | 79.320 | 0.000 | -0.000 | -0.000 |
| 79.320 | 156.886 | 79.320 | -0.000 | 0.000 | -0.000 |
| 79.320 | 79.320 | 156.886 | -0.000 | -0.000 | 0.000 |
| 30.692 | 30.692 | 30.692 | 41.390 | -0.000 | -0.000 |
| 30.692 | 30.692 | 30.692 | -0.000 | 41.390 | -0.000 |
| 30.692 | 30.692 | 30.692 | -0.000 | -0.000 | 41.390 |
| 145.939 | 54.683 | 54.683 | 0.000 | -0.000 | -0.000 |
| 54.683 | 145.939 | 54.683 | -0.000 | 0.000 | -0.000 |
| 54.683 | 54.683 | 145.939 | -0.000 | -0.000 | 0.000 |
| -30.692 | -30.692 | -30.692 | 41.390 | 0.000 | 0.000 |
| -30.692 | -30.692 | -30.692 | 0.000 | 41.390 | 0.000 |
| -30.692 | -30.692 | -30.692 | 0.000 | 0.000 | 41.390 |
| 123.921 | 60.123 | 60.123 | -0.000 | -0.000 | -0.000 |
| 60.123 | 123.921 | 60.123 | -0.000 | -0.000 | -0.000 |
| 60.123 | 60.123 | 123.921 | -0.000 | -0.000 | -0.000 |
| 1.360 | 1.360 | 1.360 | 34.026 | -0.000 | -0.000 |
| 1.360 | 1.360 | 1.360 | -0.000 | 34.026 | -0.000 |
| 1.360 | 1.360 | 1.360 | -0.000 | -0.000 | 34.026 |
| 145.939 | 54.683 | 54.683 | 0.000 | -0.000 | -0.000 |
| 54.683 | 145.939 | 54.683 | -0.000 | 0.000 | -0.000 |
| 54.683 | 54.683 | 145.939 | -0.000 | -0.000 | 0.000 |
| -1.360 | -1.360 | -1.360 | 34.026 | 0.000 | 0.000 |
| -1.360 | -1.360 | -1.360 | 0.000 | 34.026 | 0.000 |
| -1.360 | -1.360 | -1.360 | 0.000 | 0.000 | 34.026 |
| 129.420 | 57.634 | 57.634 | -0.000 | -0.000 | -0.000 |
| 57.634 | 129.420 | 57.634 | -0.000 | -0.000 | -0.000 |
| 57.634 | 57.634 | 129.420 | -0.000 | -0.000 | -0.000 |
| 0.000 | 0.000 | 0.000 | 80.510 | 0.000 | 0.000 |
| 0.000 | 0.000 | 0.000 | 0.000 | 80.510 | 0.000 |
| 0.000 | 0.000 | 0.000 | 0.000 | 0.000 | 80.510 |
| 127.856 | 56.400 | 56.400 | 0.000 | 0.000 | 0.000 |
| 56.400 | 127.856 | 56.400 | 0.000 | 0.000 | 0.000 |
| 56.400 | 56.400 | 127.856 | 0.000 | 0.000 | 0.000 |
| -0.000 | -0.000 | -0.000 | 80.510 | -0.000 | -0.000 |
| -0.000 | -0.000 | -0.000 | -0.000 | 80.510 | -0.000 |
| -0.000 | -0.000 | -0.000 | -0.000 | -0.000 | 80.510 |
| 102.211 | 40.948 | 40.948 | -0.000 | -0.000 | -0.000 |
| 40.948 | 102.211 | 40.948 | -0.000 | -0.000 | -0.000 |
| 40.948 | 40.948 | 102.211 | -0.000 | -0.000 | -0.000 |
| -2.130 | -2.130 | -2.130 | 30.579 | -0.000 | -0.000 |
| -2.130 | -2.130 | -2.130 | -0.000 | 30.579 | -0.000 |
| -2.130 | -2.130 | -2.130 | -0.000 | -0.000 | 30.579 |
| 107.477 | 44.905 | 44.905 | 0.000 | 0.000 | 0.000 |
| 44.905 | 107.477 | 44.905 | 0.000 | 0.000 | 0.000 |
| 44.905 | 44.905 | 107.477 | 0.000 | 0.000 | 0.000 |
| 2.130 | 2.130 | 2.130 | 30.579 | 0.000 | 0.000 |
| 2.130 | 2.130 | 2.130 | 0.000 | 30.579 | 0.000 |
| 2.130 | 2.130 | 2.130 | 0.000 | 0.000 | 30.579 |
| 107.335 | 42.633 | 42.633 | -0.000 | -0.000 | -0.000 |
| 42.633 | 107.335 | 42.633 | -0.000 | -0.000 | -0.000 |
| 42.633 | 42.633 | 107.335 | -0.000 | -0.000 | -0.000 |
| 0.000 | 0.000 | 0.000 | 66.587 | -0.000 | 0.000 |
| 0.000 | 0.000 | 0.000 | -0.000 | 66.587 | 0.000 |
| 0.000 | 0.000 | 0.000 | -0.000 | 0.000 | 66.587 |
| 123.532 | 41.661 | 41.661 | 0.000 | 0.000 | -0.000 |
| 41.661 | 123.532 | 41.661 | 0.000 | 0.000 | -0.000 |
| 41.661 | 41.661 | 123.532 | -0.000 | 0.000 | -0.000 |
| -0.000 | -0.000 | -0.000 | 66.587 | -0.000 | -0.000 |
| -0.000 | -0.000 | -0.000 | -0.000 | 66.587 | -0.000 |
| -0.000 | -0.000 | -0.000 | -0.000 | -0.000 | 66.587 |
| 107.623 | 42.780 | 42.780 | -0.000 | -0.000 | -0.000 |
| 42.780 | 107.623 | 42.780 | -0.000 | -0.000 | -0.000 |
| 42.780 | 42.780 | 107.623 | -0.000 | -0.000 | -0.000 |
| -0.020 | -0.020 | -0.020 | 33.598 | -0.000 | -0.000 |
| -0.020 | -0.020 | -0.020 | -0.000 | 33.598 | -0.000 |
| -0.020 | -0.020 | -0.020 | -0.000 | -0.000 | 33.598 |
| 104.266 | 41.127 | 41.127 | 0.000 | 0.000 | -0.000 |
| 41.127 | 104.266 | 41.127 | 0.000 | 0.000 | 0.000 |
| 41.127 | 41.127 | 104.266 | 0.000 | 0.000 | -0.000 |
| 0.020 | 0.020 | 0.020 | 33.598 | 0.000 | 0.000 |
| 0.020 | 0.020 | 0.020 | 0.000 | 33.598 | 0.000 |
| 0.020 | 0.020 | 0.020 | 0.000 | 0.000 | 33.598 |
| 196.471 | 59.269 | 46.050 | 0.000 | -0.000 | 0.000 |
| 56.277 | 196.727 | 48.745 | 0.000 | -0.000 | -0.000 |
| 22.706 | 22.706 | 255.429 | -0.000 | 0.000 | 0.000 |
| 0.000 | -0.000 | -0.000 | 75.806 | 0.000 | 0.000 |
| -0.024 | -0.024 | 0.046 | 0.000 | 64.071 | 0.000 |
| 0.000 | 0.000 | -0.000 | -0.000 | 0.000 | 95.775 |
| 196.768 | 56.333 | 48.650 | -0.000 | 0.000 | 0.000 |
| 56.333 | 196.768 | 48.650 | -0.000 | 0.000 | 0.000 |
| 46.393 | 46.393 | 208.756 | -0.000 | 0.000 | 0.000 |
| -0.000 | -0.000 | 0.000 | 75.806 | -0.000 | -0.000 |
| 0.024 | 0.024 | -0.046 | -0.000 | 64.071 | -0.000 |
| -0.000 | -0.000 | 0.000 | 0.000 | 0.000 | 95.775 |
| 235.679 | 44.128 | 22.339 | -0.000 | 0.000 | 0.000 |
| 44.128 | 235.679 | 22.339 | -0.000 | 0.000 | 0.000 |
| 46.368 | 46.368 | 208.807 | 0.000 | 0.000 | -0.000 |
| -0.002 | -0.002 | 0.005 | 64.071 | 0.000 | -0.000 |
| 0.000 | 0.000 | -0.000 | -0.000 | 75.806 | 0.000 |
| 0.000 | -0.000 | 0.000 | -0.000 | 0.000 | 95.775 |
| 235.679 | 44.128 | 22.339 | 0.000 | -0.000 | -0.000 |
| 59.295 | 196.497 | 45.998 | -0.000 | 0.000 | 0.000 |
| 22.706 | 22.706 | 255.429 | 0.000 | -0.000 | -0.000 |
| 0.002 | 0.002 | -0.005 | 64.071 | -0.000 | 0.000 |
| -0.000 | -0.000 | 0.000 | 0.000 | 75.806 | 0.000 |
| -0.000 | 0.000 | -0.000 | 0.000 | -0.000 | 95.775 |
| 196.746 | 56.306 | 48.699 | -0.000 | 0.000 | 0.000 |
| 56.306 | 196.746 | 48.699 | 0.000 | -0.000 | -0.000 |
| 46.371 | 46.371 | 208.802 | 0.000 | 0.000 | -0.000 |
| 0.000 | 0.000 | -0.000 | 75.806 | 0.000 | 0.000 |
| 0.000 | 0.000 | -0.000 | 0.000 | 75.806 | -0.000 |
| -0.000 | -0.000 | 0.001 | -0.000 | -0.000 | 68.601 |
| 196.496 | 59.292 | 46.002 | -0.000 | 0.000 | -0.000 |
| 59.292 | 196.496 | 46.001 | 0.000 | -0.000 | -0.000 |
| 46.369 | 46.369 | 208.803 | -0.000 | -0.000 | 0.000 |
| -0.000 | -0.000 | 0.000 | 75.806 | -0.000 | -0.000 |
| -0.000 | -0.000 | 0.000 | 0.000 | 75.806 | -0.000 |
| 0.000 | 0.000 | -0.001 | 0.000 | 0.000 | 68.601 |
| 155.440 | 83.931 | 83.931 | 0.000 | 0.000 | 0.000 |
| 83.931 | 155.440 | 83.931 | 0.000 | -0.000 | -0.000 |
| 83.931 | 83.931 | 155.440 | 0.000 | 0.000 | -0.000 |
| -0.000 | -0.000 | 0.000 | 80.748 | -0.000 | -0.000 |
| -0.000 | -0.000 | 0.000 | 0.000 | 80.748 | -0.000 |
| -0.000 | -0.000 | 0.000 | 0.000 | 0.000 | 80.748 |
| 82.169 | 107.216 | 107.216 | 0.000 | -0.000 | -0.000 |
| 107.216 | 82.169 | 107.216 | 0.000 | -0.000 | -0.000 |
| 107.216 | 107.216 | 82.169 | 0.000 | -0.000 | -0.000 |
| 0.000 | 0.000 | -0.000 | 80.748 | 0.000 | 0.000 |
| 0.000 | 0.000 | -0.000 | -0.000 | 80.748 | 0.000 |
| 0.000 | 0.000 | -0.000 | -0.000 | -0.000 | 80.748 |
| 155.440 | 83.931 | 83.931 | 0.000 | 0.000 | 0.000 |
| 83.931 | 155.440 | 83.931 | 0.000 | 0.000 | -0.000 |
| 83.931 | 83.931 | 155.440 | 0.000 | 0.000 | -0.000 |
| 0.000 | -0.000 | 0.000 | 15.479 | 0.000 | 0.000 |
| 0.000 | 0.000 | -0.000 | -0.000 | 15.479 | 0.000 |
| -0.000 | 0.000 | 0.000 | -0.000 | 0.000 | 15.479 |
| 155.440 | 83.931 | 83.931 | -0.000 | -0.000 | -0.000 |
| 83.931 | 155.440 | 83.931 | -0.000 | -0.000 | 0.000 |
| 83.931 | 83.931 | 155.440 | -0.000 | -0.000 | 0.000 |
| -0.000 | 0.000 | -0.000 | 15.479 | 0.000 | -0.000 |
| -0.000 | -0.000 | 0.000 | 0.000 | 15.479 | -0.000 |
| 0.000 | -0.000 | -0.000 | 0.000 | -0.000 | 15.479 |
| 82.095 | 106.040 | 106.040 | -0.000 | 0.000 | 0.000 |
| 106.040 | 82.095 | 106.040 | -0.000 | 0.000 | -0.000 |
| 106.040 | 106.040 | 82.095 | -0.000 | -0.000 | 0.000 |
| 0.000 | -0.000 | 0.000 | 15.479 | 0.000 | 0.000 |
| 0.000 | 0.000 | -0.000 | -0.000 | 15.479 | 0.000 |
| -0.000 | 0.000 | 0.000 | -0.000 | 0.000 | 15.479 |
| 82.092 | 106.040 | 106.040 | 0.000 | -0.000 | -0.000 |
| 106.040 | 82.092 | 106.040 | 0.000 | -0.000 | -0.000 |
| 106.040 | 106.040 | 82.092 | 0.000 | -0.000 | -0.000 |
| -0.000 | 0.000 | -0.000 | 15.479 | -0.000 | -0.000 |
| -0.000 | -0.000 | 0.000 | 0.000 | 15.479 | -0.000 |
| 0.000 | -0.000 | -0.000 | 0.000 | -0.000 | 15.479 |
| 155.280 | 83.818 | 83.818 | -0.000 | -0.000 | 0.000 |
| 83.818 | 155.280 | 83.818 | -0.000 | -0.000 | 0.000 |
| 83.818 | 83.818 | 155.280 | -0.000 | -0.000 | 0.000 |
| -0.000 | -0.000 | 0.000 | 80.685 | -0.000 | 0.000 |
| -0.000 | -0.000 | 0.000 | -0.000 | 80.685 | 0.000 |
| -0.000 | -0.000 | 0.000 | -0.000 | -0.000 | 80.685 |
| 155.280 | 83.818 | 83.818 | 0.000 | 0.000 | -0.000 |
| 83.818 | 155.280 | 83.818 | 0.000 | 0.000 | -0.000 |
| 83.818 | 83.818 | 155.280 | 0.000 | 0.000 | -0.000 |
| 0.000 | 0.000 | -0.000 | 80.685 | 0.000 | -0.000 |
| 0.000 | 0.000 | -0.000 | 0.000 | 80.685 | -0.000 |
| 0.000 | 0.000 | -0.000 | 0.000 | 0.000 | 80.685 |
| 155.280 | 83.818 | 83.818 | -0.000 | -0.000 | 0.000 |
| 83.818 | 155.280 | 83.818 | -0.000 | -0.000 | 0.000 |
| 83.818 | 83.818 | 155.280 | -0.000 | -0.000 | 0.000 |
| 49.983 | 49.983 | 49.983 | 11.008 | 0.000 | -0.000 |
| 49.983 | 49.983 | 49.983 | -0.000 | 11.008 | -0.000 |
| 49.983 | 49.983 | 49.983 | 0.000 | -0.000 | 11.008 |
| 26.627 | 58.652 | 58.652 | 0.000 | -0.000 | -0.000 |
| 58.652 | 26.627 | 58.652 | 0.000 | -0.000 | 0.000 |
| 58.652 | 58.652 | 26.627 | 0.000 | 0.000 | 0.000 |
| -49.983 | -49.983 | -49.983 | 11.008 | -0.000 | 0.000 |
| -49.983 | -49.983 | -49.983 | 0.000 | 11.008 | -0.000 |
| -49.983 | -49.983 | -49.983 | 0.000 | -0.000 | 11.008 |
| 87.327 | 111.496 | 111.497 | -0.000 | 0.000 | -0.000 |
| 111.497 | 87.327 | 111.496 | -0.000 | -0.000 | 0.000 |
| 111.496 | 111.497 | 87.327 | -0.000 | 0.000 | -0.000 |
| -134999.727 | -1310168.599 | 392112.517 | -1357562.781 | 0.000 | -0.000 |
| 392115.232 | -134999.727 | -1310171.314 | 0.000 | -1357561.079 | -0.000 |
| -1310168.599 | 392112.517 | -134999.727 | -0.000 | 0.000 | -1357562.781 |
| 76.904 | 100.807 | 100.806 | -0.000 | 0.000 | 0.000 |
| 100.806 | 76.904 | 100.807 | 0.000 | -0.000 | 0.000 |
| 100.807 | 100.806 | 76.904 | 0.000 | 0.000 | 0.000 |
| 134999.727 | 1310168.599 | -392112.517 | -1357562.781 | -0.000 | -0.000 |
| -392115.232 | 134999.727 | 1310171.314 | 0.000 | -1357561.079 | 0.000 |
| 1310168.599 | -392112.517 | 134999.727 | -0.000 | -0.000 | -1357562.781 |
| 233.402 | 73.699 | 41.818 | 26.746 | -11.171 | 0.000 |
| 73.699 | 233.402 | 41.818 | -26.746 | 11.171 | -0.000 |
| 46.232 | 46.232 | 207.122 | 0.000 | -0.000 | -0.000 |
| 26.746 | -26.746 | 0.000 | 67.258 | -0.000 | 11.171 |
| -11.171 | 11.171 | 0.000 | 0.000 | 67.258 | 26.746 |
| 0.000 | 0.000 | -0.000 | 11.171 | 26.746 | 79.852 |
| 233.402 | 73.699 | 41.818 | 26.746 | -11.171 | -0.000 |
| 73.699 | 233.402 | 41.818 | -26.746 | 11.171 | 0.000 |
| 46.232 | 46.232 | 207.122 | -0.000 | 0.000 | -0.000 |
| 26.746 | -26.746 | -0.000 | 67.258 | 0.000 | 11.171 |
| -11.171 | 11.171 | -0.000 | -0.000 | 67.258 | 26.746 |
| -0.000 | 0.000 | -0.000 | 11.171 | 26.746 | 79.852 |
| 233.402 | 73.699 | 41.818 | 26.746 | -11.171 | -0.000 |
| 73.699 | 233.402 | 41.818 | -26.746 | 11.171 | -0.000 |
| 46.232 | 46.232 | 207.122 | -0.000 | -0.000 | -0.000 |
| 26.746 | -26.746 | 0.000 | 67.258 | 0.000 | 11.171 |
| -11.171 | 11.171 | 0.000 | 0.000 | 67.258 | 26.746 |
| 0.000 | 0.000 | 0.000 | 11.171 | 26.746 | 79.852 |
| 233.402 | 73.699 | 41.818 | 26.746 | -11.171 | 0.000 |
| 73.699 | 233.402 | 41.818 | -26.746 | 11.171 | 0.000 |
| 46.232 | 46.232 | 207.122 | -0.000 | 0.000 | 0.000 |
| 26.746 | -26.746 | -0.000 | 67.258 | -0.000 | 11.171 |
| -11.171 | 11.171 | -0.000 | -0.000 | 67.258 | 26.746 |
| -0.000 | -0.000 | -0.000 | 11.171 | 26.746 | 79.852 |
| 233.403 | 73.699 | 41.819 | 26.747 | -11.171 | -0.000 |
| 73.699 | 233.403 | 41.819 | -26.747 | 11.171 | -0.000 |
| 46.232 | 46.232 | 207.123 | 0.000 | -0.000 | 0.000 |
| 26.746 | -26.746 | 0.000 | 67.258 | 0.000 | 11.171 |
| -11.171 | 11.171 | 0.000 | 0.000 | 67.258 | 26.746 |
| 0.000 | 0.000 | 0.000 | 11.171 | 26.746 | 79.852 |
| 233.401 | 73.698 | 41.818 | 26.746 | -11.171 | 0.000 |
| 73.698 | 233.401 | 41.818 | -26.746 | 11.171 | 0.000 |
| 46.231 | 46.231 | 207.121 | -0.000 | 0.000 | 0.000 |
| 26.746 | -26.746 | -0.000 | 67.258 | -0.000 | 11.171 |
| -11.171 | 11.171 | -0.000 | -0.000 | 67.258 | 26.746 |
| -0.000 | -0.000 | -0.000 | 11.171 | 26.746 | 79.852 |
| 237.174 | 74.895 | 43.755 | 26.724 | 8.950 | 0.000 |
| 114.531 | 146.370 | 69.188 | -18.726 | 5.933 | -0.005 |
| 79.626 | 79.627 | 124.979 | -0.006 | 0.002 | -0.005 |
| 26.724 | -26.724 | 0.000 | 69.272 | -0.000 | -8.950 |
| 8.950 | -8.950 | 0.000 | 0.000 | 69.272 | 26.724 |
| 4.520 | 4.521 | -0.226 | 6.667 | 18.324 | 12.665 |
| 129.423 | 108.519 | 71.787 | 18.056 | -7.181 | 0.005 |
| 74.895 | 237.174 | 43.755 | -26.724 | -8.950 | -0.000 |
| 47.082 | 47.082 | 211.631 | -0.000 | 0.000 | -0.000 |
| 13.407 | -22.725 | 0.233 | 29.145 | -0.002 | 7.154 |
| 8.950 | -8.950 | -0.000 | -0.000 | 69.272 | 26.724 |
| -13.336 | -13.336 | -10.068 | 31.950 | 9.774 | 7.195 |
| 140.940 | 108.523 | 68.791 | 16.117 | -13.917 | -0.000 |
| 110.065 | 144.058 | 68.958 | -18.853 | 5.685 | -0.000 |
| 75.456 | 75.457 | 125.065 | -0.001 | 0.000 | -0.001 |
| 19.562 | -18.747 | -0.020 | 34.187 | 0.000 | 5.124 |
| -24.779 | 26.993 | 0.652 | -0.000 | 24.365 | 11.313 |
| 0.000 | 0.000 | 0.000 | -8.950 | 26.724 | 81.139 |
| 142.351 | 109.532 | 69.232 | 18.781 | -5.819 | 0.000 |
| 74.895 | 237.174 | 43.755 | -26.724 | -8.950 | -0.000 |
| 69.734 | 69.734 | 112.569 | 0.000 | -0.000 | 0.000 |
| -2.323 | -8.456 | -6.449 | -20.044 | -0.000 | 22.220 |
| 8.950 | -8.950 | -0.000 | -0.000 | 69.272 | 26.724 |
| -0.418 | -0.418 | 0.021 | 5.486 | 18.960 | 17.872 |
| 143.342 | 109.809 | 69.068 | 18.825 | -5.737 | -0.000 |
| 109.808 | 143.343 | 69.068 | -18.825 | 5.737 | -0.000 |
| 75.209 | 75.209 | 124.548 | -0.000 | 0.000 | -0.000 |
| 19.206 | -19.125 | -0.002 | 34.239 | 0.000 | 5.103 |
| -25.488 | 25.708 | 0.064 | 0.000 | 24.537 | 11.425 |
| 0.066 | 0.066 | 0.026 | 12.363 | 16.630 | 16.289 |
| 139.175 | 107.589 | 68.457 | 15.633 | -15.334 | 0.000 |
| 74.895 | 237.173 | 43.755 | -26.724 | -8.950 | -0.000 |
| 75.158 | 75.158 | 124.415 | 0.000 | -0.000 | 0.000 |
| 11.120 | -11.967 | -0.502 | -9.238 | -0.000 | 15.480 |
| -15.884 | 15.037 | -0.502 | -0.000 | -9.208 | 11.552 |
| -0.000 | -0.000 | -0.000 | -8.950 | 26.724 | 81.139 |
| 7690756.226 | 2133405.820 | -13078535.960 | 6199424.121 | -51510.820 | 11516822.792 |
| 7690733.456 | 2133417.898 | -13078536.715 | 6199423.202 | -51499.870 | 11516847.241 |
| 7690712.771 | 2133378.501 | -13078513.446 | 6199426.939 | -51500.222 | 11516865.262 |
| 17.196 | -4.954 | -13.858 | 40.386 | -23.580 | 0.598 |
| 7690691.478 | 2133365.586 | -13078555.245 | 6199423.058 | -51484.572 | 11516875.446 |
| -20.572 | -18.032 | -23.444 | 6.850 | 18.131 | 68.514 |
| 92.748 | 55.911 | 44.657 | 5.480 | -20.504 | -59.109 |
| 49.240 | 82.302 | 41.155 | -16.957 | -0.074 | -26.870 |
| 32.789 | 34.368 | 74.933 | -13.184 | -0.187 | -16.698 |
| -7690686.223 | -2133359.825 | 13078550.016 | -6199413.157 | 51492.602 | -11516864.759 |
| -8.405 | 1.486 | 0.808 | -24.898 | 37.631 | 17.314 |
| -7690716.207 | -2133377.715 | 13078549.278 | -6199418.934 | 51507.256 | -11516830.711 |
| 769132.885 | 213378.717 | -1307839.805 | 619938.911 | -5162.587 | 1151642.173 |
| 769110.115 | 213390.795 | -1307840.559 | 619937.993 | -5151.637 | 1151666.623 |
| 769089.431 | 213351.398 | -1307817.290 | 619941.729 | -5151.989 | 1151684.643 |
| 17.196 | -4.953 | -13.858 | 40.386 | -23.580 | 0.597 |
| 769068.137 | 213338.483 | -1307859.089 | 619937.849 | -5136.339 | 1151694.827 |
| -20.572 | -18.032 | -23.444 | 6.850 | 18.131 | 68.513 |
| 92.747 | 55.910 | 44.655 | 5.481 | -20.504 | -59.106 |
| 49.240 | 82.301 | 41.154 | -16.956 | -0.074 | -26.869 |
| 32.790 | 34.368 | 74.934 | -13.185 | -0.188 | -16.701 |
| -769062.881 | -213332.722 | 1307853.860 | -619927.948 | 5144.368 | -1151684.142 |
| -8.406 | 1.485 | 0.807 | -24.897 | 37.632 | 17.317 |
| -769092.867 | -213350.614 | 1307853.123 | -619933.723 | 5159.024 | -1151650.089 |
| 76970.552 | 21376.008 | -130770.190 | 61990.391 | -527.764 | 115124.111 |
| 76947.781 | 21388.086 | -130770.943 | 61989.472 | -516.814 | 115148.561 |
| 76927.097 | 21348.688 | -130747.675 | 61993.208 | -517.166 | 115166.580 |
| 17.196 | -4.953 | -13.857 | 40.385 | -23.580 | 0.596 |
| 76905.803 | 21335.773 | -130789.474 | 61989.329 | -501.516 | 115176.765 |
| -20.572 | -18.032 | -23.443 | 6.850 | 18.130 | 68.511 |
| 92.743 | 55.908 | 44.653 | 5.479 | -20.502 | -59.104 |
| 49.239 | 82.299 | 41.153 | -16.955 | -0.074 | -26.868 |
| 32.790 | 34.368 | 74.933 | -13.185 | -0.188 | -16.701 |
| -76900.548 | -21330.012 | 130784.245 | -61979.427 | 509.545 | -115166.080 |
| -8.406 | 1.485 | 0.807 | -24.896 | 37.631 | 17.317 |
| -76930.533 | -21347.903 | 130783.508 | -61985.202 | 524.201 | -115132.025 |
| 92.837 | 64.936 | 57.437 | -0.112 | 4.361 | 42.278 |
| 17340170.772 | 49464401.023 | 35077419.729 | 1033808.619 | -7563570.547 | -33093248.315 |
| 17340211.492 | 49464324.025 | 35077527.989 | 1033832.182 | -7563552.644 | -33093294.852 |
| 17340130.517 | 49464270.462 | 35077408.240 | 1033848.981 | -7563554.153 | -33093301.253 |
| 17340154.802 | 49464276.079 | 35077418.945 | 1033837.931 | -7563555.476 | -33093304.283 |
| 17340168.949 | 49464283.558 | 35077404.836 | 1033818.008 | -7563569.404 | -33093267.593 |
| -17340083.092 | -49464211.737 | -35077350.207 | -1033840.076 | 7563570.367 | 33093330.033 |
| 42.769 | 143.652 | 1.280 | -16.448 | -6.674 | 48.565 |
| 58.596 | 42.543 | 160.924 | -5.679 | 11.978 | 0.164 |
| -2.728 | -3.448 | -9.846 | 41.692 | 10.586 | -2.120 |
| 8.135 | -13.340 | 10.331 | 9.506 | 25.245 | -7.313 |
| 42.607 | 3.921 | -17.943 | -10.988 | -10.667 | 39.952 |
| 92.839 | 64.937 | 57.442 | -0.111 | 4.360 | 42.274 |
| 1734039.946 | 4946548.817 | 3507746.425 | 103359.275 | -756367.008 | -3309279.453 |
| 1734080.666 | 4946471.819 | 3507854.685 | 103382.838 | -756349.105 | -3309325.991 |
| 1733999.684 | 4946418.255 | 3507734.928 | 103399.635 | -756350.615 | -3309332.383 |
| 1734023.964 | 4946423.872 | 3507745.629 | 103388.584 | -756351.938 | -3309335.409 |
| 1734038.111 | 4946431.351 | 3507731.521 | 103368.661 | -756365.866 | -3309298.719 |
| -1733952.259 | -4946359.530 | -3507676.896 | -103390.729 | 756366.828 | 3309361.163 |
| 42.772 | 143.654 | 1.287 | -16.447 | -6.675 | 48.559 |
| 58.590 | 42.539 | 160.911 | -5.680 | 11.980 | 0.176 |
| -2.727 | -3.447 | -9.844 | 41.692 | 10.585 | -2.122 |
| 8.135 | -13.340 | 10.331 | 9.506 | 25.245 | -7.313 |
| 42.602 | 3.919 | -17.952 | -10.990 | -10.665 | 39.960 |
| 92.839 | 64.937 | 57.441 | -0.111 | 4.360 | 42.275 |
| 173426.867 | 494763.601 | 350779.096 | 10314.342 | -75646.652 | -330882.569 |
| 173467.582 | 494686.598 | 350887.354 | 10337.904 | -75628.751 | -330929.103 |
| 173386.600 | 494633.034 | 350767.597 | 10354.701 | -75630.261 | -330935.495 |
| 173410.881 | 494638.651 | 350778.298 | 10343.650 | -75631.584 | -330938.522 |
| 173425.029 | 494646.131 | 350764.190 | 10323.727 | -75645.512 | -330901.832 |
| -173339.176 | -494574.309 | -350709.566 | -10345.795 | 75646.474 | 330964.277 |
| 42.771 | 143.650 | 1.286 | -16.448 | -6.675 | 48.559 |
| 58.590 | 42.539 | 160.910 | -5.680 | 11.980 | 0.176 |
| -2.727 | -3.447 | -9.844 | 41.692 | 10.585 | -2.122 |
| 8.134 | -13.340 | 10.330 | 9.506 | 25.245 | -7.312 |
| 42.602 | 3.918 | -17.952 | -10.990 | -10.665 | 39.960 |
| 80926351.625 | -220639019.205 | 127514467.808 | 37799697.617 | 107400222.597 | 47216900.010 |
| 55.232 | 167.012 | 26.720 | -12.597 | -11.664 | 6.418 |
| 80926211.399 | -220639044.536 | 127514576.831 | 37799685.906 | 107400223.303 | 47216885.394 |
| 80926192.635 | -220639072.710 | 127514437.188 | 37799724.729 | 107400212.904 | 47216881.647 |
| 80926200.619 | -220639079.604 | 127514454.682 | 37799691.958 | 107400247.896 | 47216896.621 |
| 18.738 | 7.989 | -3.705 | -7.739 | -2.326 | 73.687 |
| 185.531 | 43.038 | 14.171 | 10.297 | 11.196 | 12.493 |
| -80926141.036 | 220639231.218 | -127514403.236 | -37799710.663 | -107400219.325 | -47216845.337 |
| 45.148 | -0.851 | 145.038 | -5.258 | 13.414 | -0.573 |
| 17.034 | -6.958 | -9.143 | 41.629 | 3.857 | -6.179 |
| 37.709 | -32.536 | 4.999 | 4.545 | 43.421 | 11.003 |
| -80926165.715 | 220639084.459 | -127514444.221 | -37799694.435 | -107400212.205 | -47216819.268 |
| 8092785.238 | -22063852.967 | 12751470.807 | 3779977.603 | 10740033.961 | 4721702.559 |
| 55.227 | 167.018 | 26.722 | -12.597 | -11.664 | 6.418 |
| 8092645.010 | -22063878.297 | 12751579.830 | 3779965.891 | 10740034.666 | 4721687.945 |
| 8092626.250 | -22063906.474 | 12751440.185 | 3780004.718 | 10740024.268 | 4721684.187 |
| 8092634.235 | -22063913.367 | 12751457.678 | 3779971.948 | 10740059.261 | 4721699.161 |
| 18.726 | 8.002 | -3.701 | -7.739 | -2.327 | 73.687 |
| 185.536 | 43.033 | 14.169 | 10.298 | 11.196 | 12.493 |
| -8092574.650 | 22064064.981 | -12751406.234 | -3779990.650 | -10740030.689 | -4721647.881 |
| 45.148 | -0.851 | 145.037 | -5.258 | 13.414 | -0.573 |
| 17.051 | -6.977 | -9.149 | 41.630 | 3.857 | -6.180 |
| 37.714 | -32.541 | 4.997 | 4.546 | 43.421 | 11.003 |
| -8092599.328 | 22063918.222 | -12751447.219 | -3779974.422 | -10740023.569 | -4721621.813 |
| 809428.600 | -2206336.343 | 1275171.107 | 378005.602 | 1074015.097 | 472182.814 |
| 55.227 | 167.019 | 26.722 | -12.597 | -11.664 | 6.418 |
| 809288.372 | -2206361.673 | 1275280.130 | 377993.890 | 1074015.803 | 472168.200 |
| 809269.612 | -2206389.850 | 1275140.485 | 378032.717 | 1074005.405 | 472164.442 |
| 809277.596 | -2206396.743 | 1275157.978 | 377999.946 | 1074040.397 | 472179.416 |
| 18.725 | 8.002 | -3.701 | -7.739 | -2.327 | 73.687 |
| 185.535 | 43.032 | 14.170 | 10.297 | 11.196 | 12.493 |
| -809218.012 | 2206548.355 | -1275106.533 | -378018.649 | -1074011.825 | -472128.136 |
| 45.147 | -0.849 | 145.033 | -5.258 | 13.414 | -0.573 |
| 17.051 | -6.977 | -9.149 | 41.630 | 3.857 | -6.179 |
| 37.714 | -32.541 | 4.997 | 4.546 | 43.421 | 11.002 |
| -809242.689 | 2206401.598 | -1275147.519 | -378002.421 | -1074004.706 | -472102.068 |
| 305.861 | 13.437 | 107.108 | -0.000 | -0.000 | -0.000 |
| -95.456 | 421.355 | 67.996 | -0.000 | -0.000 | -0.000 |
| 10.186 | 211.603 | -73.216 | -0.000 | -0.000 | -0.000 |
| -49483077.765 | 286270855.264 | 351374852.848 | 209710831.190 | -0.000 | -0.000 |
| 0.000 | 0.000 | -0.000 | -0.000 | 3.744 | -0.000 |
| -0.000 | 0.000 | -0.000 | 0.000 | -0.000 | 41.497 |
| 305.861 | 13.437 | 107.108 | 0.000 | 0.000 | 0.000 |
| -95.322 | 421.193 | 68.038 | -0.000 | 0.000 | 0.000 |
| 10.556 | 211.152 | -73.099 | 0.000 | 0.000 | 0.000 |
| 49483077.765 | -286270855.264 | -351374852.848 | 209710831.190 | -0.000 | 0.000 |
| -0.000 | -0.000 | 0.000 | 0.000 | 3.744 | 0.000 |
| 0.000 | -0.000 | 0.000 | -0.000 | 0.000 | 41.497 |
| 305.861 | 13.437 | 107.108 | -0.000 | -0.000 | -0.000 |
| -95.541 | 421.460 | 67.969 | -0.000 | -0.000 | -0.000 |
| 10.372 | 211.376 | -73.157 | -0.000 | -0.000 | 0.000 |
| -4948271.365 | 28627050.791 | 35137489.164 | 20971135.048 | -0.000 | 0.000 |
| 0.000 | 0.000 | -0.000 | -0.000 | 3.744 | -0.000 |
| -0.000 | -0.000 | 0.000 | -0.000 | 0.000 | 41.497 |
| 305.861 | 13.437 | 107.108 | 0.000 | 0.000 | 0.000 |
| -95.514 | 421.426 | 67.978 | -0.000 | 0.000 | 0.000 |
| 10.395 | 211.348 | -73.150 | -0.000 | -0.000 | 0.000 |
| 4948271.365 | -28627050.791 | -35137489.164 | 20971135.048 | -0.000 | 0.000 |
| -0.000 | -0.000 | 0.000 | 0.000 | 3.744 | 0.000 |
| 0.000 | 0.000 | -0.000 | 0.000 | -0.000 | 41.497 |
| 305.863 | 13.437 | 107.109 | -0.000 | -0.000 | 0.000 |
| -95.525 | 421.443 | 67.974 | -0.000 | -0.000 | -0.000 |
| 10.377 | 211.371 | -73.155 | -0.000 | -0.000 | -0.000 |
| -494796.660 | 2862677.694 | 3513751.108 | 2097156.576 | -0.000 | -0.000 |
| 0.000 | 0.000 | -0.000 | -0.000 | 3.744 | -0.000 |
| -0.000 | -0.000 | 0.000 | -0.000 | -0.000 | 41.497 |
| 305.860 | 13.437 | 107.108 | 0.000 | 0.000 | 0.000 |
| -95.523 | 421.434 | 67.975 | 0.000 | 0.000 | 0.000 |
| 10.379 | 211.368 | -73.155 | -0.000 | -0.000 | 0.000 |
| 494796.660 | -2862677.694 | -3513751.108 | 2097156.576 | 0.000 | 0.000 |
| -0.000 | -0.000 | 0.000 | 0.000 | 3.744 | 0.000 |
| 0.000 | 0.000 | -0.000 | 0.000 | -0.000 | 41.497 |
| 286.618 | 12.153 | 76.897 | 0.000 | -0.000 | 0.000 |
| -108.321 | 160.727 | -3.003 | 0.000 | -0.000 | -0.000 |
| 0.515 | 37.194 | 329.706 | 0.000 | -0.000 | 0.000 |
| -3.876 | 1.392 | -0.461 | 13.634 | -0.000 | 0.000 |
| 0.000 | 0.000 | -0.000 | 0.000 | -21.077 | -0.000 |
| 0.000 | 0.000 | 0.000 | 0.000 | 0.000 | 25.763 |
| 286.618 | 12.153 | 76.897 | -0.000 | -0.000 | -0.000 |
| -107.969 | 160.601 | -2.961 | 0.000 | 0.000 | -0.000 |
| 1.986 | 36.665 | 329.881 | -0.000 | 0.000 | -0.000 |
| 3.876 | -1.392 | 0.461 | 13.634 | 0.000 | -0.000 |
| -0.000 | -0.000 | 0.000 | -0.000 | -21.077 | 0.000 |
| -0.000 | -0.000 | -0.000 | -0.000 | 0.000 | 25.763 |
| 286.618 | 12.153 | 76.897 | 0.000 | 0.000 | 0.000 |
| -108.478 | 160.784 | -3.021 | 0.000 | -0.000 | 0.000 |
| 1.165 | 36.960 | 329.784 | -0.000 | -0.000 | -0.000 |
| -22.926 | 8.232 | -2.728 | 16.165 | -0.000 | -0.000 |
| 0.000 | -0.000 | -0.000 | 0.000 | -21.077 | 0.000 |
| -0.000 | -0.000 | 0.000 | 0.000 | -0.000 | 25.763 |
| 286.618 | 12.153 | 76.897 | -0.000 | 0.000 | -0.000 |
| -108.517 | 160.798 | -3.026 | -0.000 | 0.000 | -0.000 |
| 1.250 | 36.929 | 329.794 | -0.000 | 0.000 | 0.000 |
| 22.926 | -8.232 | 2.728 | 16.165 | -0.000 | -0.000 |
| -0.000 | 0.000 | 0.000 | -0.000 | -21.077 | 0.000 |
| 0.000 | 0.000 | -0.000 | -0.000 | 0.000 | 25.763 |
| 286.620 | 12.153 | 76.897 | -0.000 | -0.000 | -0.000 |
| -108.491 | 160.790 | -3.023 | 0.000 | -0.000 | 0.000 |
| 1.176 | 36.956 | 329.787 | -0.000 | -0.000 | -0.000 |
| -18.309 | 6.575 | -2.179 | 15.733 | -0.000 | 0.000 |
| 0.000 | -0.000 | -0.000 | -0.000 | -21.077 | 0.000 |
| -0.000 | -0.000 | 0.000 | 0.000 | 0.000 | 25.763 |
| 286.617 | 12.153 | 76.897 | -0.000 | 0.000 | 0.000 |
| -108.478 | 160.782 | -3.021 | 0.000 | 0.000 | -0.000 |
| 1.173 | 36.957 | 329.783 | -0.000 | -0.000 | 0.000 |
| 18.309 | -6.575 | 2.179 | 15.733 | 0.000 | -0.000 |
| -0.000 | 0.000 | 0.000 | 0.000 | -21.077 | -0.000 |
| 0.000 | 0.000 | -0.000 | -0.000 | -0.000 | 25.763 |
| 105.319 | 79.224 | 79.224 | 0.000 | -0.000 | 0.000 |
| 79.224 | 105.319 | 79.224 | 0.000 | 0.000 | 0.000 |
| 79.224 | 79.224 | 105.319 | -0.000 | -0.000 | 0.000 |
| 0.002 | 0.002 | 0.002 | 20.974 | -0.000 | 0.000 |
| 0.002 | 0.002 | 0.002 | -0.000 | 20.974 | -0.000 |
| 0.002 | 0.002 | 0.002 | 0.000 | -0.000 | 20.974 |
| 102.545 | 80.283 | 80.283 | -0.000 | 0.000 | -0.000 |
| 80.283 | 102.545 | 80.283 | -0.000 | -0.000 | -0.000 |
| 80.283 | 80.283 | 102.545 | 0.000 | -0.000 | -0.000 |
| -0.002 | -0.002 | -0.002 | 20.974 | -0.000 | 0.000 |
| -0.002 | -0.002 | -0.002 | -0.000 | 20.974 | -0.000 |
| -0.002 | -0.002 | -0.002 | 0.000 | -0.000 | 20.974 |
| 105.406 | 79.181 | 79.181 | -0.000 | 0.000 | 0.000 |
| 79.181 | 105.406 | 79.181 | -0.000 | 0.000 | -0.000 |
| 79.181 | 79.181 | 105.406 | 0.000 | 0.000 | 0.000 |
| 0.000 | 0.000 | 0.000 | 21.026 | -0.000 | 0.000 |
| 0.000 | 0.000 | 0.000 | 0.000 | 21.026 | -0.000 |
| 0.000 | 0.000 | 0.000 | -0.000 | 0.000 | 21.026 |
| 105.413 | 79.177 | 79.177 | -0.000 | -0.000 | -0.000 |
| 79.177 | 105.413 | 79.177 | 0.000 | -0.000 | -0.000 |
| 79.177 | 79.177 | 105.413 | -0.000 | 0.000 | -0.000 |
| -0.000 | -0.000 | -0.000 | 21.026 | 0.000 | -0.000 |
| -0.000 | -0.000 | -0.000 | 0.000 | 21.026 | -0.000 |
| -0.000 | -0.000 | -0.000 | -0.000 | 0.000 | 21.026 |
| 102.459 | 80.281 | 80.281 | 0.000 | 0.000 | 0.000 |
| 80.281 | 102.459 | 80.281 | 0.000 | 0.000 | 0.000 |
| 80.281 | 80.281 | 102.459 | -0.000 | -0.000 | 0.000 |
| -0.045 | -0.028 | -0.029 | -241.859 | 0.000 | 0.000 |
| -0.028 | -0.045 | -0.029 | -0.000 | -241.859 | -0.000 |
| -0.028 | -0.029 | -0.045 | 0.000 | 0.000 | -241.859 |
| 102.462 | 80.280 | 80.280 | -0.000 | 0.000 | 0.000 |
| 80.280 | 102.462 | 80.280 | -0.000 | -0.000 | -0.000 |
| 80.280 | 80.280 | 102.462 | -0.000 | -0.000 | 0.000 |
| 0.045 | 0.028 | 0.029 | -241.859 | -0.000 | -0.000 |
| 0.028 | 0.045 | 0.029 | -0.000 | -241.859 | 0.000 |
| 0.028 | 0.029 | 0.045 | -0.000 | -0.000 | -241.859 |
| 85.656 | 64.414 | 64.414 | -0.000 | 0.000 | -0.000 |
| 64.414 | 85.656 | 64.414 | 0.000 | 0.000 | -0.000 |
| 64.414 | 64.414 | 85.656 | -0.000 | 0.000 | -0.000 |
| -16.354 | -16.354 | -16.354 | 17.483 | 0.000 | -0.000 |
| -16.354 | -16.354 | -16.354 | -0.000 | 17.483 | -0.000 |
| -16.354 | -16.354 | -16.354 | -0.000 | 0.000 | 17.483 |
| 115.861 | 97.896 | 97.896 | 0.000 | -0.000 | 0.000 |
| 97.896 | 115.861 | 97.896 | 0.000 | -0.000 | 0.000 |
| 97.896 | 97.896 | 115.861 | -0.000 | -0.000 | 0.000 |
| 16.354 | 16.354 | 16.354 | 17.483 | -0.000 | 0.000 |
| 16.354 | 16.354 | 16.354 | 0.000 | 17.483 | 0.000 |
| 16.354 | 16.354 | 16.354 | -0.000 | -0.000 | 17.483 |
| 143.761 | 60.688 | 60.688 | 0.000 | -0.000 | -0.000 |
| 60.688 | 143.761 | 60.688 | 0.000 | -0.000 | -0.000 |
| 60.688 | 60.688 | 143.761 | 0.000 | -0.000 | 0.000 |
| 0.000 | 0.000 | 0.000 | 71.231 | -0.000 | -0.000 |
| 0.000 | 0.000 | 0.000 | 0.000 | 71.231 | -0.000 |
| 0.000 | 0.000 | 0.000 | 0.000 | 0.000 | 71.231 |
| 104.356 | 81.694 | 81.694 | 0.000 | -0.000 | 0.000 |
| 81.694 | 104.356 | 81.694 | 0.000 | -0.000 | 0.000 |
| 81.694 | 81.694 | 104.356 | 0.000 | -0.000 | 0.000 |
| -0.000 | -0.000 | -0.000 | 71.231 | 0.000 | 0.000 |
| -0.000 | -0.000 | -0.000 | -0.000 | 71.231 | 0.000 |
| -0.000 | -0.000 | -0.000 | -0.000 | 0.000 | 71.231 |
| 101.689 | 80.216 | 80.216 | -0.000 | 0.000 | -0.000 |
| 80.216 | 101.689 | 80.216 | -0.000 | 0.000 | -0.000 |
| 80.216 | 80.216 | 101.689 | -0.000 | 0.000 | -0.000 |
| -0.195 | -0.188 | -0.188 | -119.041 | 0.000 | -0.000 |
| -0.188 | -0.195 | -0.188 | -0.000 | -119.041 | -0.000 |
| -0.188 | -0.188 | -0.195 | -0.000 | 0.000 | -119.041 |
| 143.761 | 60.687 | 60.687 | 0.000 | 0.000 | 0.000 |
| 60.687 | 143.761 | 60.687 | -0.000 | -0.000 | -0.000 |
| 60.687 | 60.687 | 143.761 | 0.000 | 0.000 | -0.000 |
| 0.195 | 0.188 | 0.188 | -119.041 | -0.000 | 0.000 |
| 0.188 | 0.195 | 0.188 | 0.000 | -119.041 | 0.000 |
| 0.188 | 0.188 | 0.195 | 0.000 | -0.000 | -119.041 |
| 135.921 | 57.264 | 57.264 | -0.000 | 0.000 | 0.000 |
| 57.264 | 135.921 | 57.264 | -0.000 | -0.000 | 0.000 |
| 57.264 | 57.264 | 135.921 | 0.000 | 0.000 | 0.000 |
| -0.000 | 0.000 | 0.000 | 71.636 | 0.000 | 0.000 |
| -0.000 | 0.000 | 0.000 | 0.000 | 71.636 | 0.000 |
| -0.000 | 0.000 | 0.000 | 0.000 | 0.000 | 71.636 |
| 144.388 | 66.810 | 66.810 | -0.000 | -0.000 | -0.000 |
| 66.810 | 144.388 | 66.810 | -0.000 | -0.000 | -0.000 |
| 66.810 | 66.810 | 144.388 | -0.000 | 0.000 | -0.000 |
| 0.000 | -0.000 | -0.000 | 71.636 | -0.000 | -0.000 |
| 0.000 | -0.000 | -0.000 | 0.000 | 71.636 | -0.000 |
| 0.000 | -0.000 | -0.000 | -0.000 | 0.000 | 71.636 |
| 137.040 | 61.106 | 61.106 | -0.000 | -0.000 | 0.000 |
| 61.106 | 137.040 | 61.106 | 0.000 | 0.000 | 0.000 |
| 61.106 | 61.106 | 137.040 | 0.000 | 0.000 | 0.000 |
| -0.334 | -0.334 | -0.334 | 30.441 | -0.000 | 0.000 |
| -0.334 | -0.334 | -0.334 | 0.000 | 30.441 | 0.000 |
| -0.334 | -0.334 | -0.334 | -0.000 | 0.000 | 30.441 |
| 138.492 | 61.470 | 61.470 | 0.000 | 0.000 | -0.000 |
| 61.470 | 138.492 | 61.470 | -0.000 | 0.000 | -0.000 |
| 61.470 | 61.470 | 138.492 | -0.000 | 0.000 | -0.000 |
| 0.334 | 0.334 | 0.334 | 30.441 | -0.000 | -0.000 |
| 0.334 | 0.334 | 0.334 | -0.000 | 30.441 | -0.000 |
| 0.334 | 0.334 | 0.334 | -0.000 | -0.000 | 30.441 |
| 136.659 | 60.172 | 60.172 | 0.000 | 0.000 | 0.000 |
| 60.172 | 136.659 | 60.172 | 0.000 | 0.000 | 0.000 |
| 60.172 | 60.172 | 136.659 | 0.000 | 0.000 | 0.000 |
| -0.033 | -0.034 | -0.034 | 30.398 | -0.000 | 0.000 |
| -0.034 | -0.033 | -0.034 | -0.000 | 30.398 | 0.000 |
| -0.034 | -0.034 | -0.033 | -0.000 | -0.000 | 30.398 |
| 136.652 | 60.359 | 60.359 | 0.000 | -0.000 | -0.000 |
| 60.359 | 136.652 | 60.359 | -0.000 | 0.000 | 0.000 |
| 60.359 | 60.359 | 136.652 | -0.000 | 0.000 | -0.000 |
| 0.033 | 0.034 | 0.034 | 30.398 | 0.000 | -0.000 |
| 0.034 | 0.033 | 0.034 | 0.000 | 30.398 | -0.000 |
| 0.034 | 0.034 | 0.033 | 0.000 | -0.000 | 30.398 |
| 163.452 | 56.569 | 43.073 | 0.000 | -0.000 | -0.000 |
| 56.569 | 163.452 | 43.073 | 0.000 | -0.000 | -0.000 |
| 41.453 | 41.453 | 228.193 | -0.000 | -0.000 | -0.000 |
| 0.000 | 0.000 | -0.000 | 74.712 | 0.000 | 0.000 |
| 0.000 | 0.000 | -0.000 | 0.000 | 74.712 | -0.000 |
| 0.000 | 0.000 | -0.000 | 0.000 | -0.000 | 42.357 |
| 166.500 | 44.148 | 49.291 | -0.000 | -0.000 | 0.000 |
| 44.148 | 166.500 | 49.291 | -0.000 | -0.000 | -0.000 |
| 26.475 | 26.475 | 248.065 | -0.000 | -0.000 | 0.000 |
| -0.000 | -0.000 | 0.000 | 74.712 | -0.000 | 0.000 |
| -0.000 | -0.000 | 0.000 | -0.000 | 74.712 | -0.000 |
| -0.000 | -0.000 | 0.000 | -0.000 | 0.000 | 42.357 |
| 163.452 | 56.569 | 43.073 | 0.000 | -0.000 | -0.000 |
| 56.569 | 163.452 | 43.073 | -0.000 | -0.000 | -0.000 |
| 26.475 | 26.475 | 248.065 | -0.000 | -0.000 | -0.000 |
| 0.000 | 0.000 | -0.000 | 74.712 | 0.000 | 0.000 |
| 0.000 | 0.000 | -0.000 | 0.000 | 74.712 | 0.000 |
| -0.000 | 0.000 | -0.000 | 0.000 | -0.000 | 42.357 |
| 166.500 | 44.147 | 49.291 | -0.000 | 0.000 | -0.000 |
| 44.147 | 166.500 | 49.291 | 0.000 | -0.000 | -0.000 |
| 41.453 | 41.453 | 228.193 | -0.000 | 0.000 | -0.000 |
| -0.000 | -0.000 | 0.000 | 74.712 | -0.000 | -0.000 |
| -0.000 | -0.000 | 0.000 | 0.000 | 74.712 | -0.000 |
| 0.000 | -0.000 | 0.000 | 0.000 | 0.000 | 42.357 |
| 163.449 | 56.571 | 43.074 | -0.000 | -0.000 | 0.000 |
| 56.571 | 163.449 | 43.074 | 0.000 | -0.000 | 0.000 |
| 41.453 | 41.453 | 228.194 | 0.000 | 0.000 | 0.000 |
| 0.000 | 0.000 | -0.000 | 74.712 | 0.000 | 0.000 |
| 0.000 | 0.000 | -0.000 | 0.000 | 74.712 | 0.000 |
| -0.000 | -0.000 | -0.000 | -0.000 | 0.000 | 42.357 |
| 166.502 | 44.146 | 49.290 | 0.000 | 0.000 | -0.000 |
| 44.146 | 166.502 | 49.290 | 0.000 | 0.000 | -0.000 |
| 41.453 | 41.453 | 228.192 | 0.000 | 0.000 | 0.000 |
| -0.000 | -0.000 | 0.000 | 74.712 | 0.000 | -0.000 |
| -0.000 | -0.000 | 0.000 | 0.000 | 74.712 | -0.000 |
| 0.000 | 0.000 | 0.000 | 0.000 | 0.000 | 42.357 |
| 123.849 | 41.903 | 41.903 | 0.000 | 0.000 | 0.000 |
| 41.903 | 123.849 | 41.903 | 0.000 | -0.000 | 0.000 |
| 41.903 | 41.903 | 123.849 | 0.000 | 0.000 | -0.000 |
| -58.310 | -58.310 | -58.310 | 1.456 | -0.000 | -0.000 |
| -58.310 | -58.310 | -58.310 | -0.000 | 1.456 | -0.000 |
| -58.310 | -58.310 | -58.310 | -0.000 | 0.000 | 1.456 |
| 147.182 | 104.213 | 104.213 | -0.000 | -0.000 | 0.000 |
| 104.213 | 147.182 | 104.213 | 0.000 | -0.000 | 0.000 |
| 104.213 | 104.213 | 147.182 | -0.000 | 0.000 | 0.000 |
| 58.310 | 58.310 | 58.310 | 1.456 | 0.000 | 0.000 |
| 58.310 | 58.310 | 58.310 | -0.000 | 1.456 | 0.000 |
| 58.310 | 58.310 | 58.310 | -0.000 | -0.000 | 1.456 |
| 123.849 | 41.903 | 41.903 | 0.000 | 0.000 | 0.000 |
| 41.903 | 123.849 | 41.903 | 0.000 | -0.000 | 0.000 |
| 41.903 | 41.903 | 123.849 | 0.000 | 0.000 | -0.000 |
| 0.000 | 0.000 | 0.000 | 66.763 | 0.000 | 0.000 |
| 0.000 | 0.000 | 0.000 | 0.000 | 66.763 | 0.000 |
| 0.000 | 0.000 | 0.000 | 0.000 | 0.000 | 66.763 |
| 123.849 | 41.903 | 41.903 | -0.000 | -0.000 | -0.000 |
| 41.903 | 123.849 | 41.903 | -0.000 | -0.000 | -0.000 |
| 41.903 | 41.903 | 123.849 | -0.000 | -0.000 | -0.000 |
| -0.000 | -0.000 | -0.000 | 66.763 | -0.000 | -0.000 |
| -0.000 | -0.000 | -0.000 | -0.000 | 66.763 | -0.000 |
| -0.000 | -0.000 | -0.000 | -0.000 | -0.000 | 66.763 |
| 107.389 | 42.811 | 42.811 | 0.000 | 0.000 | -0.000 |
| 42.811 | 107.389 | 42.811 | 0.000 | 0.000 | -0.000 |
| 42.811 | 42.811 | 107.389 | 0.000 | 0.000 | -0.000 |
| 0.000 | 0.000 | 0.000 | 66.763 | 0.000 | 0.000 |
| 0.000 | 0.000 | 0.000 | 0.000 | 66.763 | 0.000 |
| 0.000 | 0.000 | 0.000 | 0.000 | 0.000 | 66.763 |
| 104.924 | 41.914 | 41.914 | -0.000 | 0.000 | 0.000 |
| 41.914 | 104.924 | 41.914 | -0.000 | 0.000 | 0.000 |
| 41.914 | 41.914 | 104.924 | -0.000 | 0.000 | 0.000 |
| -0.000 | -0.000 | -0.000 | 66.763 | -0.000 | -0.000 |
| -0.000 | -0.000 | -0.000 | -0.000 | 66.763 | -0.000 |
| -0.000 | -0.000 | -0.000 | -0.000 | -0.000 | 66.763 |
| 4.706 | 154.930 | 129.927 | 0.000 | -0.000 | 0.000 |
| 31.078 | 192.534 | 113.550 | 0.000 | 0.000 | 0.000 |
| 45.565 | 130.830 | 207.301 | -0.000 | -0.000 | 0.000 |
| 0.000 | 0.000 | 0.000 | 100.472 | 0.000 | 0.000 |
| -17488718.772 | 66465685.084 | -99612400.998 | -0.000 | -210641968.866 | 0.000 |
| 0.000 | 0.000 | 0.000 | 0.000 | 0.000 | -25.548 |
| 182064279.715 | 209805885.202 | 169370576.057 | -0.000 | 0.000 | -0.000 |
| 31.078 | 192.534 | 113.550 | -0.000 | 0.000 | -0.000 |
| 182064359.688 | 209805908.240 | 169370747.186 | -0.000 | -0.000 | -0.000 |
| -0.000 | -0.000 | 0.000 | 100.472 | 0.000 | -0.000 |
| 17488646.304 | -66465691.191 | 99612467.151 | -0.000 | -210641929.391 | -0.000 |
| -0.000 | -0.000 | -0.000 | -0.000 | -0.000 | -25.548 |
| 4.706 | 154.930 | 129.926 | -0.000 | 0.000 | 0.000 |
| 31.078 | 192.534 | 113.550 | 0.000 | -0.000 | 0.000 |
| 45.445 | 130.906 | 207.332 | 0.000 | -0.000 | 0.000 |
| 0.000 | 0.000 | 0.000 | 100.472 | -0.000 | 0.000 |
| -1749074.999 | 6646604.071 | -9961274.411 | -0.000 | -21064227.357 | 0.000 |
| 0.000 | -0.000 | -0.000 | 0.000 | -0.000 | -25.548 |
| 18206402.739 | 20980633.279 | 16937109.505 | 0.000 | 0.000 | -0.000 |
| 31.078 | 192.534 | 113.550 | -0.000 | -0.000 | -0.000 |
| 18206482.713 | 20980656.318 | 16937280.634 | 0.000 | -0.000 | -0.000 |
| -0.000 | -0.000 | -0.000 | 100.472 | 0.000 | -0.000 |
| 1749074.999 | -6646604.071 | 9961274.411 | 0.000 | -21064227.357 | 0.000 |
| -0.000 | 0.000 | 0.000 | -0.000 | 0.000 | -25.548 |
| 4.703 | 154.937 | 129.914 | 0.000 | -0.000 | 0.000 |
| 31.078 | 192.534 | 113.550 | 0.000 | -0.000 | 0.000 |
| 45.441 | 130.911 | 207.330 | 0.000 | 0.000 | 0.000 |
| 0.000 | 0.000 | 0.000 | 100.472 | -0.000 | -0.000 |
| -174905.258 | 664686.257 | -996118.377 | 0.000 | -2106424.882 | -0.000 |
| 0.000 | -0.000 | -0.000 | 0.000 | 0.000 | -25.548 |
| 1820615.041 | 2098108.087 | 1693762.850 | 0.000 | 0.000 | -0.000 |
| 31.078 | 192.533 | 113.549 | -0.000 | 0.000 | -0.000 |
| 1820695.015 | 2098131.126 | 1693933.978 | -0.000 | 0.000 | -0.000 |
| -0.000 | -0.000 | -0.000 | 100.472 | -0.000 | -0.000 |
| 174905.258 | -664686.257 | 996118.377 | -0.000 | -2106424.882 | -0.000 |
| -0.000 | 0.000 | 0.000 | -0.000 | 0.000 | -25.548 |
| 458.317 | 291.476 | 291.476 | 0.000 | 0.000 | 0.000 |
| 291.476 | 458.317 | 291.476 | 0.000 | 0.000 | 0.000 |
| 291.476 | 291.476 | 458.317 | 0.000 | 0.000 | 0.000 |
| 250.094 | 250.094 | 250.094 | 24.603 | 0.000 | 0.000 |
| 250.094 | 250.094 | 250.094 | 0.000 | 24.603 | 0.000 |
| 250.094 | 250.094 | 250.094 | 0.000 | 0.000 | 24.603 |
| -776.067 | -1043.777 | -1043.777 | -0.000 | -0.000 | -0.000 |
| -1043.777 | -776.067 | -1043.777 | -0.000 | -0.000 | -0.000 |
| -1043.777 | -1043.777 | -776.067 | -0.000 | -0.000 | -0.000 |
| -250.094 | -250.094 | -250.094 | 24.603 | -0.000 | -0.000 |
| -250.094 | -250.094 | -250.094 | -0.000 | 24.603 | -0.000 |
| -250.094 | -250.094 | -250.094 | -0.000 | -0.000 | 24.603 |
| 232.985 | 66.282 | 66.282 | 0.000 | 0.000 | 0.000 |
| 66.282 | 232.985 | 66.282 | 0.000 | 0.000 | 0.000 |
| 66.282 | 66.282 | 232.985 | 0.000 | 0.000 | 0.000 |
| 12.790 | 12.790 | 12.790 | 40.347 | -0.000 | -0.000 |
| 12.790 | 12.790 | 12.790 | -0.000 | 40.347 | -0.000 |
| 12.790 | 12.790 | 12.790 | -0.000 | -0.000 | 40.347 |
| 183.105 | -84.453 | -84.453 | -0.000 | -0.000 | -0.000 |
| -84.453 | 183.105 | -84.453 | -0.000 | -0.000 | -0.000 |
| -84.453 | -84.453 | 183.105 | -0.000 | -0.000 | -0.000 |
| -12.790 | -12.790 | -12.790 | 40.347 | 0.000 | 0.000 |
| -12.790 | -12.790 | -12.790 | 0.000 | 40.347 | 0.000 |
| -12.790 | -12.790 | -12.790 | 0.000 | 0.000 | 40.347 |
| 240.084 | 29.139 | 29.139 | -0.000 | -0.000 | -0.000 |
| 29.139 | 240.084 | 29.139 | -0.000 | -0.000 | -0.000 |
| 29.139 | 29.139 | 240.084 | -0.000 | -0.000 | -0.000 |
| 7.510 | 7.510 | 7.510 | 29.999 | 0.000 | 0.000 |
| 7.510 | 7.510 | 7.510 | 0.000 | 29.999 | 0.000 |
| 7.510 | 7.510 | 7.510 | 0.000 | 0.000 | 29.999 |
| 223.800 | 34.038 | 34.038 | -0.000 | -0.000 | -0.000 |
| 34.038 | 223.800 | 34.038 | -0.000 | -0.000 | -0.000 |
| 34.038 | 34.038 | 223.800 | -0.000 | -0.000 | -0.000 |
| -7.510 | -7.510 | -7.510 | 29.999 | -0.000 | -0.000 |
| -7.510 | -7.510 | -7.510 | -0.000 | 29.999 | -0.000 |
| -7.510 | -7.510 | -7.510 | -0.000 | -0.000 | 29.999 |
| 321.746 | 9.443 | 9.443 | 0.000 | -0.000 | -0.000 |
| 9.443 | 321.746 | 9.443 | -0.000 | 0.000 | -0.000 |
| 9.443 | 9.443 | 321.746 | -0.000 | -0.000 | 0.000 |
| -1130.450 | -1130.450 | -1130.450 | 41.599 | 0.000 | -0.000 |
| -1130.450 | -1130.450 | -1130.450 | 0.000 | 41.599 | -0.000 |
| -1130.450 | -1130.450 | -1130.450 | -0.000 | -0.000 | 41.599 |
| 1357.005 | 1165.516 | 1165.516 | 0.000 | 0.000 | 0.000 |
| 1165.516 | 1357.005 | 1165.516 | -0.000 | 0.000 | 0.000 |
| 1165.516 | 1165.516 | 1357.005 | 0.000 | 0.000 | 0.000 |
| 1130.450 | 1130.450 | 1130.450 | 41.599 | 0.000 | 0.000 |
| 1130.450 | 1130.450 | 1130.450 | 0.000 | 41.599 | 0.000 |
| 1130.450 | 1130.450 | 1130.450 | 0.000 | 0.000 | 41.599 |
| 230.303 | -29.629 | -29.629 | 0.000 | 0.000 | 0.000 |
| -29.629 | 230.303 | -29.629 | 0.000 | 0.000 | 0.000 |
| -29.629 | -29.629 | 230.303 | 0.000 | 0.000 | 0.000 |
| -112.531 | -112.531 | -112.531 | 41.517 | -0.000 | -0.000 |
| -112.531 | -112.531 | -112.531 | -0.000 | 41.517 | -0.000 |
| -112.531 | -112.531 | -112.531 | -0.000 | -0.000 | 41.517 |
| 330.852 | 68.936 | 68.936 | -0.000 | -0.000 | -0.000 |
| 68.936 | 330.852 | 68.936 | -0.000 | -0.000 | -0.000 |
| 68.936 | 68.936 | 330.852 | -0.000 | -0.000 | -0.000 |
| 112.531 | 112.531 | 112.531 | 41.517 | 0.000 | -0.000 |
| 112.531 | 112.531 | 112.531 | 0.000 | 41.517 | 0.000 |
| 112.531 | 112.531 | 112.531 | 0.000 | 0.000 | 41.517 |
| 254.885 | 18.647 | 18.647 | 0.000 | 0.000 | 0.000 |
| 18.647 | 254.885 | 18.647 | 0.000 | 0.000 | 0.000 |
| 18.647 | 18.647 | 254.885 | 0.000 | 0.000 | 0.000 |
| -10.108 | -10.108 | -10.108 | 38.992 | 0.000 | 0.000 |
| -10.108 | -10.108 | -10.108 | 0.000 | 38.992 | 0.000 |
| -10.108 | -10.108 | -10.108 | 0.000 | 0.000 | 38.992 |
| 248.203 | 41.303 | 41.303 | 0.000 | 0.000 | 0.000 |
| 41.303 | 248.203 | 41.303 | 0.000 | 0.000 | 0.000 |
| 41.303 | 41.303 | 248.203 | 0.000 | 0.000 | 0.000 |
| 10.108 | 10.108 | 10.108 | 38.992 | -0.000 | -0.000 |
| 10.108 | 10.108 | 10.108 | -0.000 | 38.992 | -0.000 |
| 10.108 | 10.108 | 10.108 | -0.000 | -0.000 | 38.992 |
| 174.260 | 101.066 | 101.066 | -0.000 | 0.000 | 0.000 |
| 101.066 | 174.260 | 101.066 | -0.000 | 0.000 | 0.000 |
| 101.066 | 101.066 | 174.260 | -0.000 | 0.000 | 0.000 |
| -402496012.749 | -392563306.731 | -392563308.527 | -89824812.051 | -0.000 | -0.000 |
| -392563306.731 | -402496012.749 | -392563308.527 | -0.000 | -89824812.051 | 0.000 |
| -392563306.731 | -392563308.527 | -402496012.749 | -0.000 | 0.000 | -89824812.051 |
| 918933243.477 | 918933298.779 | 918933298.779 | 0.000 | -0.000 | -0.000 |
| 918933298.999 | 918933243.697 | 918933298.999 | 0.000 | -0.000 | -0.000 |
| 918933299.000 | 918933299.000 | 918933243.698 | 0.000 | -0.000 | -0.000 |
| 402496012.749 | 392563306.731 | 392563308.527 | -89824812.051 | 0.000 | -0.000 |
| 392563306.731 | 402496012.749 | 392563308.527 | -0.000 | -89824812.051 | -0.000 |
| 392563306.731 | 392563308.527 | 402496012.749 | 0.000 | 0.000 | -89824812.051 |
| 173.988 | 100.794 | 100.794 | -0.000 | -0.000 | 0.000 |
| 100.794 | 173.988 | 100.794 | 0.000 | -0.000 | 0.000 |
| 100.794 | 100.794 | 173.988 | 0.000 | -0.000 | 0.000 |
| -40249590.387 | -39256314.383 | -39256316.180 | -8982446.363 | -0.000 | 0.000 |
| -39256314.382 | -40249590.386 | -39256316.178 | -0.000 | -8982446.362 | 0.000 |
| -39256314.383 | -39256316.180 | -40249590.387 | 0.000 | -0.000 | -8982446.363 |
| 91893128.522 | 91893183.827 | 91893183.827 | 0.000 | -0.000 | -0.000 |
| 91893183.827 | 91893128.522 | 91893183.827 | 0.000 | -0.000 | -0.000 |
| 91893183.827 | 91893183.827 | 91893128.522 | 0.000 | -0.000 | -0.000 |
| 40249590.387 | 39256314.383 | 39256316.180 | -8982446.363 | 0.000 | -0.000 |
| 39256314.383 | 40249590.387 | 39256316.180 | -0.000 | -8982446.363 | -0.000 |
| 39256314.383 | 39256316.180 | 40249590.387 | 0.000 | 0.000 | -8982446.363 |
| 173.955 | 100.760 | 100.760 | -0.000 | -0.000 | 0.000 |
| 100.760 | 173.955 | 100.760 | 0.000 | -0.000 | 0.000 |
| 100.760 | 100.760 | 173.955 | -0.000 | -0.000 | 0.000 |
| -4024948.144 | -3925615.140 | -3925616.937 | -898209.789 | -0.000 | 0.000 |
| -3925615.140 | -4024948.144 | -3925616.937 | -0.000 | -898209.789 | 0.000 |
| -3925615.140 | -3925616.937 | -4024948.144 | 0.000 | -0.000 | -898209.789 |
| 9189117.682 | 9189173.013 | 9189173.013 | 0.000 | -0.000 | -0.000 |
| 9189173.013 | 9189117.682 | 9189173.013 | 0.000 | -0.000 | -0.000 |
| 9189173.013 | 9189173.013 | 9189117.682 | 0.000 | -0.000 | -0.000 |
| 4024948.144 | 3925615.140 | 3925616.937 | -898209.789 | -0.000 | -0.000 |
| 3925615.140 | 4024948.144 | 3925616.937 | -0.000 | -898209.789 | -0.000 |
| 3925615.140 | 3925616.937 | 4024948.144 | 0.000 | 0.000 | -898209.789 |
| 433.639 | 11.334 | 4.139 | -0.000 | -0.000 | 0.000 |
| 11.349 | 184.601 | 73.391 | -0.000 | -0.000 | 0.000 |
| 4.146 | 73.383 | 434.176 | -0.000 | 0.000 | 0.000 |
| -0.000 | 0.000 | -0.000 | 41.011 | -0.000 | 0.000 |
| 0.000 | 0.000 | -0.000 | 0.000 | 70.966 | 0.000 |
| 0.000 | -0.000 | -0.000 | 0.000 | -0.000 | 40.257 |
| 433.639 | 11.334 | 4.139 | 0.000 | 0.000 | -0.000 |
| 11.349 | 184.601 | 73.391 | -0.000 | -0.000 | -0.000 |
| 4.146 | 73.383 | 434.176 | 0.000 | 0.000 | -0.000 |
| 0.000 | -0.000 | 0.000 | 41.011 | -0.000 | -0.000 |
| -0.000 | -0.000 | 0.000 | 0.000 | 70.966 | -0.000 |
| -0.000 | 0.000 | 0.000 | -0.000 | -0.000 | 40.257 |
| 433.640 | 11.334 | 4.139 | -0.000 | -0.000 | 0.000 |
| 11.349 | 184.601 | 73.391 | -0.000 | -0.000 | 0.000 |
| 4.146 | 73.383 | 434.177 | 0.000 | 0.000 | 0.000 |
| -0.000 | 0.000 | -0.000 | 41.011 | 0.000 | 0.000 |
| -0.000 | -0.000 | -0.000 | 0.000 | 70.966 | 0.000 |
| -0.000 | -0.000 | -0.000 | -0.000 | -0.000 | 40.257 |
| 433.639 | 11.334 | 4.139 | 0.000 | 0.000 | -0.000 |
| 11.349 | 184.601 | 73.391 | -0.000 | -0.000 | -0.000 |
| 4.146 | 73.383 | 434.176 | -0.000 | 0.000 | -0.000 |
| 0.000 | -0.000 | 0.000 | 41.011 | -0.000 | 0.000 |
| 0.000 | 0.000 | 0.000 | -0.000 | 70.966 | -0.000 |
| 0.000 | 0.000 | 0.000 | 0.000 | -0.000 | 40.257 |
| 433.642 | 11.334 | 4.140 | -0.000 | -0.000 | 0.000 |
| 11.349 | 184.602 | 73.392 | -0.000 | 0.000 | 0.000 |
| 4.146 | 73.384 | 434.179 | -0.000 | -0.000 | 0.000 |
| -0.000 | 0.000 | -0.000 | 41.011 | -0.000 | 0.000 |
| -0.000 | -0.000 | -0.000 | -0.000 | 70.966 | 0.000 |
| -0.000 | -0.000 | -0.000 | 0.000 | 0.000 | 40.257 |
| 433.637 | 11.334 | 4.139 | -0.000 | -0.000 | -0.000 |
| 11.349 | 184.600 | 73.391 | -0.000 | -0.000 | -0.000 |
| 4.146 | 73.383 | 434.174 | -0.000 | 0.000 | -0.000 |
| 0.000 | -0.000 | 0.000 | 41.011 | 0.000 | -0.000 |
| 0.000 | 0.000 | 0.000 | 0.000 | 70.966 | -0.000 |
| 0.000 | 0.000 | 0.000 | -0.000 | 0.000 | 40.257 |
| 434.170 | 73.408 | 4.131 | 0.000 | -0.000 | 0.000 |
| 73.408 | 184.684 | 11.320 | 0.000 | 0.000 | -0.000 |
| 4.131 | 11.320 | 433.595 | 0.000 | 0.000 | -0.000 |
| 0.000 | -0.000 | -0.000 | 40.250 | 0.000 | -0.000 |
| 0.000 | -0.000 | -0.000 | -0.000 | 70.966 | -0.000 |
| 0.000 | 0.000 | 0.000 | 0.000 | 0.000 | 41.039 |
| 434.170 | 73.408 | 4.131 | -0.000 | 0.000 | 0.000 |
| 73.408 | 184.684 | 11.320 | -0.000 | -0.000 | 0.000 |
| 4.131 | 11.320 | 433.595 | -0.000 | -0.000 | 0.000 |
| -0.000 | 0.000 | 0.000 | 40.250 | -0.000 | 0.000 |
| -0.000 | 0.000 | 0.000 | -0.000 | 70.966 | 0.000 |
| -0.000 | -0.000 | -0.000 | -0.000 | -0.000 | 41.039 |
| 434.170 | 73.408 | 4.131 | 0.000 | 0.000 | -0.000 |
| 73.408 | 184.684 | 11.320 | 0.000 | 0.000 | 0.000 |
| 4.131 | 11.320 | 433.595 | 0.000 | 0.000 | -0.000 |
| 0.000 | -0.000 | -0.000 | 40.250 | 0.000 | 0.000 |
| -0.000 | 0.000 | -0.000 | 0.000 | 70.966 | -0.000 |
| 0.000 | 0.000 | -0.000 | 0.000 | 0.000 | 41.039 |
| 434.170 | 73.408 | 4.131 | 0.000 | 0.000 | -0.000 |
| 73.408 | 184.684 | 11.320 | -0.000 | -0.000 | -0.000 |
| 4.131 | 11.320 | 433.595 | 0.000 | 0.000 | 0.000 |
| -0.000 | 0.000 | 0.000 | 40.250 | -0.000 | 0.000 |
| 0.000 | -0.000 | 0.000 | -0.000 | 70.966 | 0.000 |
| -0.000 | -0.000 | 0.000 | -0.000 | -0.000 | 41.039 |
| 434.172 | 73.409 | 4.131 | 0.000 | 0.000 | -0.000 |
| 73.409 | 184.685 | 11.320 | 0.000 | 0.000 | 0.000 |
| 4.131 | 11.320 | 433.597 | 0.000 | 0.000 | -0.000 |
| 0.000 | -0.000 | -0.000 | 40.250 | -0.000 | -0.000 |
| -0.000 | 0.000 | -0.000 | -0.000 | 70.966 | -0.000 |
| 0.000 | 0.000 | -0.000 | 0.000 | 0.000 | 41.039 |
| 434.168 | 73.408 | 4.131 | -0.000 | -0.000 | 0.000 |
| 73.408 | 184.683 | 11.320 | -0.000 | -0.000 | 0.000 |
| 4.131 | 11.320 | 433.593 | 0.000 | -0.000 | 0.000 |
| -0.000 | 0.000 | 0.000 | 40.250 | 0.000 | 0.000 |
| 0.000 | -0.000 | 0.000 | 0.000 | 70.966 | 0.000 |
| -0.000 | -0.000 | 0.000 | -0.000 | -0.000 | 41.039 |
| 257.396 | 95.143 | 72.320 | 5.009 | -0.000 | -0.000 |
| 96.903 | 255.825 | 72.187 | -4.923 | 0.000 | 0.000 |
| 71.869 | 71.869 | 275.586 | -0.000 | -0.000 | -0.000 |
| 5.077 | -5.077 | 0.000 | 67.120 | 0.000 | -0.000 |
| 0.000 | 0.000 | 0.000 | 0.000 | 67.120 | 5.077 |
| -0.241 | -0.241 | 0.338 | 0.000 | 4.999 | 80.942 |
| 258.995 | 94.074 | 71.949 | 5.077 | -0.000 | 0.000 |
| 96.091 | 257.408 | 71.647 | -4.985 | -0.000 | 0.000 |
| 72.142 | 72.142 | 275.204 | -0.000 | -0.000 | 0.000 |
| 5.077 | -5.077 | -0.000 | 67.120 | -0.000 | 0.000 |
| -0.000 | -0.000 | -0.000 | -0.000 | 67.120 | 5.077 |
| 0.241 | 0.241 | -0.338 | -0.000 | 4.999 | 80.942 |
| 256.313 | 96.475 | 72.146 | 4.947 | 0.000 | -0.000 |
| 96.475 | 256.313 | 72.146 | -4.947 | -0.000 | -0.000 |
| 71.958 | 71.958 | 275.462 | 0.000 | 0.000 | -0.000 |
| 5.077 | -5.077 | 0.000 | 67.120 | -0.000 | -0.000 |
| -0.000 | 0.000 | 0.000 | 0.000 | 67.120 | 5.077 |
| -0.000 | 0.000 | 0.000 | 0.000 | 5.077 | 82.460 |
| 255.975 | 97.053 | 71.977 | 4.923 | -0.000 | 0.000 |
| 96.904 | 256.028 | 72.044 | -4.929 | -0.000 | 0.000 |
| 71.958 | 71.958 | 275.461 | 0.000 | -0.000 | 0.000 |
| 5.077 | -5.077 | -0.000 | 67.120 | -0.000 | 0.000 |
| 0.000 | -0.000 | -0.000 | -0.000 | 67.120 | 5.077 |
| 0.000 | -0.000 | -0.000 | -0.000 | 5.077 | 82.460 |
| 255.962 | 97.038 | 71.998 | 4.924 | 0.000 | 0.000 |
| 97.038 | 255.961 | 71.998 | -4.924 | 0.000 | 0.000 |
| 72.005 | 72.005 | 275.398 | -0.000 | 0.000 | -0.000 |
| 4.922 | -4.925 | 0.002 | 67.112 | -0.000 | 0.000 |
| -0.000 | 0.000 | 0.000 | 0.000 | 67.120 | 5.077 |
| -0.005 | -0.005 | 0.007 | 0.000 | 4.924 | 79.462 |
| 256.132 | 96.727 | 72.095 | 4.936 | 0.000 | 0.000 |
| 94.073 | 258.994 | 71.948 | -5.077 | 0.000 | 0.000 |
| 71.958 | 71.958 | 275.460 | 0.000 | -0.000 | 0.000 |
| 4.937 | -4.928 | -0.006 | 67.113 | 0.000 | 0.000 |
| 0.000 | -0.000 | -0.000 | -0.000 | 67.120 | 5.077 |
| 0.005 | 0.005 | -0.007 | -0.000 | 4.924 | 79.462 |
| 141.012 | -60.067 | 193.800 | 0.000 | -0.000 | 0.000 |
| 21.046 | 58.073 | 190.815 | 0.000 | 0.000 | 0.000 |
| 25.489 | -63.862 | 265.544 | 0.000 | 0.000 | 0.000 |
| 0.000 | 0.000 | 0.000 | 62.134 | 0.000 | 0.000 |
| 0.000 | 0.000 | 0.000 | 0.000 | 101.150 | 0.000 |
| -35.532 | -119.073 | 138.159 | -0.000 | 0.000 | 39.959 |
| 208.079 | 177.151 | -85.704 | -0.000 | -0.000 | 0.000 |
| 64.734 | 189.524 | 80.897 | -0.000 | -0.000 | 0.000 |
| 116.304 | 79.360 | 226.167 | 0.000 | -0.000 | -0.000 |
| -0.000 | -0.000 | -0.000 | 62.134 | -0.000 | -0.000 |
| -0.000 | -0.000 | -0.000 | -0.000 | 101.150 | 0.000 |
| 35.532 | 119.073 | -138.159 | 0.000 | -0.000 | 39.959 |
| 234.499 | 62.984 | 116.090 | 0.000 | 0.000 | 0.000 |
| 64.734 | 189.524 | 80.897 | -0.000 | -0.000 | -0.000 |
| 116.304 | 79.360 | 226.167 | -0.000 | 0.000 | -0.000 |
| -2.340 | -7.842 | 9.099 | 15.530 | 0.000 | 0.000 |
| 0.000 | 0.000 | 0.000 | -0.000 | 101.150 | 0.000 |
| 0.000 | 0.000 | 0.000 | 0.000 | 0.000 | 59.406 |
| 234.499 | 62.984 | 116.090 | -0.000 | -0.000 | -0.000 |
| 60.147 | 188.855 | 39.794 | -0.000 | 0.000 | 0.000 |
| 57.530 | 66.096 | 112.392 | 0.000 | 0.000 | 0.000 |
| 2.340 | 7.842 | -9.099 | 15.530 | 0.000 | 0.000 |
| -0.000 | -0.000 | -0.000 | 0.000 | 101.150 | -0.000 |
| -0.000 | -0.000 | -0.000 | -0.000 | -0.000 | 59.406 |
| 208.254 | 58.968 | 92.042 | 0.000 | 0.000 | 0.000 |
| 57.024 | 180.524 | 63.672 | 0.000 | 0.000 | 0.000 |
| 74.445 | 58.291 | 156.795 | -0.000 | -0.000 | -0.000 |
| 0.699 | -1.148 | 2.306 | 36.100 | 0.000 | 0.000 |
| -0.122 | -0.410 | 0.476 | 0.000 | 82.614 | -0.000 |
| 0.000 | 0.000 | 0.000 | -0.000 | 0.000 | 59.406 |
| 206.436 | 59.738 | 88.803 | -0.000 | 0.000 | -0.000 |
| 64.734 | 189.523 | 80.897 | 0.000 | -0.000 | 0.000 |
| 74.169 | 58.127 | 146.339 | 0.000 | -0.000 | 0.000 |
| -0.699 | 1.148 | -2.306 | 36.100 | -0.000 | -0.000 |
| 0.122 | 0.410 | -0.476 | -0.000 | 82.614 | -0.000 |
| -0.000 | -0.000 | -0.000 | 0.000 | -0.000 | 59.406 |
| 222.945 | 70.558 | 43.216 | 26.235 | 17.355 | -0.000 |
| 70.558 | 222.945 | 43.216 | -26.235 | -17.355 | -0.000 |
| 318.584 | 318.584 | 332.991 | -0.000 | 0.000 | -0.000 |
| 26.330 | -26.139 | 0.046 | 65.063 | 0.000 | -17.355 |
| 17.451 | -17.260 | 0.045 | 0.000 | 65.063 | 26.235 |
| 0.096 | 0.095 | 0.045 | -17.355 | 26.235 | 76.193 |
| 222.827 | 70.440 | 43.160 | 26.235 | 17.355 | 0.000 |
| 70.433 | 222.820 | 43.157 | -26.235 | -17.355 | 0.000 |
| -92119676.879 | -92119676.878 | -91472344.751 | -0.000 | 0.000 | -0.000 |
| 26.147 | -26.323 | -0.042 | 65.062 | -0.000 | -17.355 |
| 17.355 | -17.355 | 0.000 | -0.000 | 65.063 | 26.235 |
| 0.000 | -0.000 | 0.000 | -17.355 | 26.235 | 76.193 |
| 222.957 | 70.570 | 43.222 | 26.235 | 17.355 | 0.000 |
| 70.573 | 222.960 | 43.223 | -26.235 | -17.355 | 0.000 |
| 319.781 | 319.781 | 333.523 | 0.000 | 0.000 | 0.000 |
| 26.242 | -26.227 | 0.004 | 65.063 | -0.000 | -17.355 |
| 17.373 | -17.338 | 0.008 | 0.000 | 65.063 | 26.235 |
| 0.000 | 0.000 | 0.000 | -17.355 | 26.235 | 76.193 |
| 222.929 | 70.543 | 43.209 | 26.235 | 17.355 | -0.000 |
| 70.556 | 222.943 | 43.215 | -26.235 | -17.355 | -0.000 |
| -9211460.435 | -9211460.434 | -9146549.256 | -0.000 | 0.000 | -0.000 |
| 26.230 | -26.239 | -0.002 | 65.063 | 0.000 | -17.355 |
| 17.349 | -17.361 | -0.003 | -0.000 | 65.063 | 26.235 |
| -0.000 | -0.000 | -0.000 | -17.355 | 26.235 | 76.193 |
| 222.946 | 70.559 | 43.217 | 26.235 | 17.355 | 0.000 |
| 70.559 | 222.946 | 43.216 | -26.235 | -17.355 | 0.000 |
| 320.554 | 320.554 | 333.511 | 0.000 | -0.000 | -0.000 |
| 26.235 | -26.235 | 0.000 | 65.062 | -0.000 | -17.355 |
| 17.356 | -17.355 | 0.000 | 0.000 | 65.063 | 26.235 |
| 0.001 | 0.002 | 0.001 | -17.355 | 26.235 | 76.193 |
| 222.943 | 70.556 | 43.215 | 26.235 | 17.355 | -0.000 |
| 70.557 | 222.944 | 43.216 | -26.235 | -17.355 | -0.000 |
| -921106.049 | -921106.049 | -914579.549 | -0.000 | 0.000 | -0.000 |
| 26.235 | -26.235 | -0.000 | 65.063 | 0.000 | -17.355 |
| 17.355 | -17.355 | -0.000 | -0.000 | 65.062 | 26.235 |
| -0.001 | -0.001 | -0.000 | -17.355 | 26.235 | 76.193 |
| 4219.332 | 4210.196 | -5686.055 | 17.593 | 8.550 | 0.009 |
| 4388.190 | 4388.640 | -5977.318 | -24.390 | 23.540 | 0.025 |
| 4161.202 | 4161.195 | -5628.202 | -0.012 | 0.000 | 0.009 |
| 27.111 | -27.111 | 0.000 | 69.859 | -0.000 | 9.330 |
| -9.330 | 9.330 | 0.000 | -0.000 | 69.859 | 27.111 |
| 0.000 | 0.000 | 0.000 | 9.330 | 27.111 | 81.464 |
| 238.719 | 75.790 | 44.757 | 27.111 | -9.330 | 0.000 |
| -3783.165 | -3745.660 | 5994.457 | -15.157 | -17.116 | -0.003 |
| 48.084 | 48.084 | 212.840 | 0.000 | 0.000 | -0.000 |
| 27.111 | -27.111 | -0.000 | 69.859 | 0.000 | 9.330 |
| -9.330 | 9.330 | 0.000 | 0.000 | 69.859 | 27.111 |
| -4086.465 | -4086.458 | 5752.746 | -8.512 | 17.618 | 4.662 |
| 539.511 | 531.983 | -507.089 | 17.505 | 8.736 | 0.001 |
| 531.983 | 539.511 | -507.088 | -17.507 | -8.736 | 0.001 |
| 461.930 | 461.930 | -472.169 | -0.000 | 0.000 | 0.000 |
| 425.620 | 390.353 | -574.346 | 25.745 | 0.000 | -8.495 |
| 406.804 | 372.640 | -593.362 | -0.000 | 35.622 | 15.165 |
| 407.657 | 407.656 | -573.881 | -8.483 | 17.641 | 4.858 |
| -273.835 | -285.381 | 641.225 | 17.755 | 8.268 | -0.001 |
| 75.790 | 238.719 | 44.757 | -27.111 | 9.330 | 0.000 |
| -316.019 | -316.019 | 712.936 | 0.000 | -0.000 | -0.000 |
| -390.354 | -425.619 | 574.346 | 25.747 | 0.000 | -8.497 |
| -399.491 | -416.482 | 574.346 | 0.001 | 25.746 | 17.632 |
| -407.657 | -407.656 | 573.881 | -8.480 | 17.641 | 4.857 |
| 176.138 | 149.538 | 20.212 | 18.685 | 6.518 | 0.000 |
| 149.537 | 176.139 | 20.212 | -18.685 | -6.518 | 0.000 |
| 116.171 | 116.171 | 68.081 | -0.000 | 0.000 | 0.000 |
| 27.111 | -27.111 | 0.000 | 69.859 | 0.000 | 9.330 |
| 60.765 | 24.217 | -64.125 | 0.000 | 31.526 | 14.454 |
| 36.738 | 36.738 | -51.718 | -6.722 | 18.577 | 12.426 |
| 74.748 | 42.929 | 105.881 | 5.475 | 19.151 | -0.000 |
| 66.902 | 96.065 | 129.787 | -16.718 | -7.253 | -0.000 |
| 48.084 | 48.084 | 212.840 | 0.000 | 0.000 | 0.000 |
| -21.161 | -55.710 | 61.081 | 16.349 | 0.000 | -5.720 |
| -30.281 | -44.135 | 52.380 | 0.000 | 29.628 | 18.467 |
| -39.923 | -39.923 | 60.785 | -10.133 | 16.544 | 16.578 |
| 234.395 | 13.958 | 27.121 | -0.000 | -0.000 | 0.000 |
| 13.958 | 234.395 | 27.121 | -0.000 | -0.000 | 0.000 |
| 43.100 | 43.100 | 226.607 | -0.000 | -0.000 | -0.000 |
| -0.000 | -0.000 | 0.000 | 77.027 | -0.000 | -0.000 |
| -0.000 | -0.000 | 0.000 | -0.000 | 77.027 | -0.000 |
| 0.000 | 0.000 | -0.000 | 0.000 | -0.000 | 50.618 |
| 164.974 | 58.047 | 43.100 | 0.000 | 0.000 | 0.000 |
| 58.047 | 164.974 | 43.100 | 0.000 | 0.000 | 0.000 |
| 43.100 | 43.100 | 226.607 | 0.000 | 0.000 | 0.000 |
| 0.000 | 0.000 | -0.000 | 77.027 | 0.000 | -0.000 |
| 0.000 | 0.000 | -0.000 | 0.000 | 77.027 | -0.000 |
| -0.000 | -0.000 | 0.000 | -0.000 | -0.000 | 50.618 |
| 164.974 | 58.048 | 43.100 | 0.000 | -0.000 | 0.000 |
| 58.048 | 164.974 | 43.100 | -0.000 | 0.000 | 0.000 |
| 43.100 | 43.100 | 226.607 | -0.000 | -0.000 | 0.000 |
| 0.000 | 0.000 | 0.000 | 77.027 | -0.000 | -0.000 |
| 0.000 | 0.000 | 0.000 | -0.000 | 77.027 | -0.000 |
| -0.000 | -0.000 | 0.000 | -0.000 | -0.000 | 50.618 |
| 164.974 | 58.047 | 43.100 | 0.000 | -0.000 | 0.000 |
| 58.047 | 164.974 | 43.100 | -0.000 | 0.000 | -0.000 |
| 43.100 | 43.100 | 226.607 | -0.000 | -0.000 | -0.000 |
| -0.000 | -0.000 | -0.000 | 77.027 | -0.000 | 0.000 |
| -0.000 | -0.000 | -0.000 | -0.000 | 77.027 | 0.000 |
| 0.000 | 0.000 | -0.000 | -0.000 | 0.000 | 50.618 |
| 164.971 | 58.049 | 43.101 | 0.000 | -0.000 | -0.000 |
| 58.049 | 164.971 | 43.101 | -0.000 | 0.000 | -0.000 |
| 43.100 | 43.100 | 226.608 | -0.000 | -0.000 | 0.000 |
| 0.000 | 0.000 | -0.000 | 77.027 | -0.000 | -0.000 |
| 0.000 | 0.000 | -0.000 | -0.000 | 77.027 | -0.000 |
| -0.000 | -0.000 | -0.000 | 0.000 | 0.000 | 41.751 |
| 164.977 | 58.046 | 43.099 | 0.000 | 0.000 | 0.000 |
| 58.046 | 164.977 | 43.099 | 0.000 | 0.000 | 0.000 |
| 43.100 | 43.100 | 226.606 | 0.000 | 0.000 | 0.000 |
| -0.000 | -0.000 | 0.000 | 77.027 | 0.000 | 0.000 |
| -0.000 | -0.000 | 0.000 | -0.000 | 77.027 | 0.000 |
| 0.000 | 0.000 | 0.000 | -0.000 | -0.000 | 41.751 |
| 229.121 | 13.583 | 28.075 | 0.000 | -0.000 | -0.000 |
| 13.583 | 229.121 | 28.075 | 0.000 | 0.000 | -0.000 |
| 26.483 | 26.483 | 248.057 | 0.000 | 0.000 | -0.000 |
| 0.000 | 0.000 | -0.000 | 74.752 | 0.000 | -0.000 |
| 0.000 | 0.000 | -0.000 | 0.000 | 74.752 | -0.000 |
| 0.000 | 0.000 | -0.000 | -0.000 | 0.000 | 42.348 |
| 163.486 | 56.600 | 43.066 | -0.000 | 0.000 | 0.000 |
| 56.600 | 163.486 | 43.066 | -0.000 | 0.000 | 0.000 |
| 41.473 | 41.473 | 228.186 | -0.000 | -0.000 | 0.000 |
| -0.000 | -0.000 | 0.000 | 74.752 | 0.000 | 0.000 |
| -0.000 | -0.000 | 0.000 | -0.000 | 74.752 | 0.000 |
| -0.000 | -0.000 | 0.000 | 0.000 | -0.000 | 42.348 |
| 163.486 | 56.600 | 43.066 | 0.000 | 0.000 | -0.000 |
| 56.600 | 163.486 | 43.066 | 0.000 | 0.000 | -0.000 |
| 41.473 | 41.473 | 228.186 | 0.000 | 0.000 | -0.000 |
| 0.000 | 0.000 | -0.000 | 74.752 | 0.000 | -0.000 |
| 0.000 | 0.000 | -0.000 | 0.000 | 74.752 | -0.000 |
| -0.000 | -0.000 | -0.000 | -0.000 | 0.000 | 42.348 |
| 163.486 | 56.600 | 43.066 | 0.000 | 0.000 | 0.000 |
| 56.600 | 163.486 | 43.066 | 0.000 | 0.000 | 0.000 |
| 41.473 | 41.473 | 228.185 | 0.000 | 0.000 | 0.000 |
| -0.000 | -0.000 | 0.000 | 74.752 | -0.000 | 0.000 |
| -0.000 | -0.000 | 0.000 | 0.000 | 74.752 | 0.000 |
| 0.000 | 0.000 | 0.000 | -0.000 | -0.000 | 42.348 |
| 163.483 | 56.601 | 43.067 | -0.000 | 0.000 | -0.000 |
| 56.601 | 163.483 | 43.067 | 0.000 | 0.000 | -0.000 |
| 41.474 | 41.474 | 228.186 | 0.000 | 0.000 | -0.000 |
| 0.000 | 0.000 | -0.000 | 74.752 | 0.000 | -0.000 |
| 0.000 | 0.000 | -0.000 | 0.000 | 74.752 | -0.000 |
| -0.000 | -0.000 | -0.000 | 0.000 | -0.000 | 42.348 |
| 163.488 | 56.598 | 43.065 | 0.000 | -0.000 | 0.000 |
| 56.598 | 163.488 | 43.065 | 0.000 | 0.000 | 0.000 |
| 41.473 | 41.473 | 228.185 | 0.000 | 0.000 | 0.000 |
| -0.000 | -0.000 | 0.000 | 74.752 | 0.000 | 0.000 |
| -0.000 | -0.000 | 0.000 | -0.000 | 74.752 | 0.000 |
| 0.000 | 0.000 | 0.000 | 0.000 | -0.000 | 42.348 |
| 935.626 | 692.969 | -833.160 | -0.000 | -934.868 | 0.000 |
| 961.079 | 375.979 | -673.239 | 0.000 | -615.862 | -0.000 |
| 948.698 | 664.609 | -803.232 | -0.000 | -917.970 | -0.000 |
| 855.596 | 616.535 | -933.637 | -5.802 | -923.671 | 20.283 |
| 967.377 | 167.614 | -741.897 | -0.000 | -617.983 | -0.000 |
| 637.486 | 327.212 | -849.723 | -6.484 | -850.205 | 14.039 |
| -775.108 | -540.401 | 1033.970 | 0.000 | 912.681 | -0.000 |
| -543.969 | -151.723 | 713.587 | 0.000 | 835.760 | -0.000 |
| 51.082 | 41.334 | 185.036 | 0.000 | 20.124 | 0.000 |
| -855.596 | -616.535 | 933.637 | -5.802 | 923.671 | 20.283 |
| -570.133 | -362.411 | 680.063 | -0.000 | 867.638 | -0.000 |
| -637.486 | -327.212 | 849.723 | -6.484 | 850.205 | 14.039 |
| 191.434 | 69.243 | 10.490 | 0.000 | -72.280 | -0.000 |
| 116.733 | 241.497 | -28.719 | -0.000 | -70.437 | -0.000 |
| 169.821 | 106.572 | 47.886 | -0.000 | -81.347 | -0.000 |
| 96.909 | 26.293 | -80.317 | 58.319 | -70.960 | -12.120 |
| 110.115 | 19.845 | -81.383 | 0.000 | -61.736 | -0.000 |
| 62.578 | 33.099 | -84.359 | -8.305 | -92.215 | 13.261 |
| 61.496 | 4.094 | 139.757 | -0.000 | 77.506 | 0.000 |
| -6.985 | 122.221 | 123.624 | -0.000 | 89.487 | 0.000 |
| 51.082 | 41.334 | 185.036 | -0.000 | 20.124 | 0.000 |
| -96.909 | -26.293 | 80.317 | 58.319 | 70.960 | -12.120 |
| -70.091 | -22.458 | 65.633 | -0.000 | 82.304 | 0.000 |
| -62.578 | -33.099 | 84.359 | -8.305 | 92.215 | 13.261 |
| 138.326 | 40.916 | 73.300 | -0.000 | 2.880 | -0.000 |
| 46.656 | 204.209 | 39.863 | -0.000 | -6.089 | 0.000 |
| 82.106 | 53.161 | 138.874 | -0.000 | -8.158 | 0.000 |
| 3.591 | 2.588 | -3.919 | 44.217 | -3.877 | -3.807 |
| 16.972 | 2.977 | -6.768 | 0.000 | 1.719 | -0.000 |
| 8.979 | 3.052 | -7.802 | -7.115 | -7.052 | 14.541 |
| 126.536 | 34.730 | 85.546 | 0.000 | 15.807 | 0.000 |
| 38.504 | 197.169 | 49.155 | 0.000 | 6.052 | 0.000 |
| 73.193 | 45.601 | 156.556 | 0.000 | 11.588 | 0.000 |
| -3.591 | -2.588 | 3.919 | 44.217 | 3.877 | -3.807 |
| -1.584 | -1.392 | 10.311 | 0.000 | 18.309 | 0.000 |
| -8.979 | -3.052 | 7.802 | -7.115 | 7.052 | 14.541 |
| 200.949 | 54.951 | 45.915 | 0.000 | 0.000 | 0.000 |
| 43.315 | 236.247 | 22.699 | 0.000 | 0.000 | 0.000 |
| 47.796 | 46.744 | 207.053 | 0.000 | 0.000 | -0.000 |
| 2.307 | -0.526 | -1.778 | 63.827 | 0.000 | -0.000 |
| 2.323 | -0.530 | -1.791 | -0.000 | 63.797 | 0.000 |
| 2.754 | -0.628 | -2.123 | 0.000 | 0.000 | 68.003 |
| 195.889 | 56.099 | 49.822 | 0.000 | -0.000 | -0.000 |
| 52.612 | 197.760 | 51.281 | -0.000 | -0.000 | -0.000 |
| 43.174 | 47.817 | 210.597 | 0.000 | -0.000 | 0.000 |
| -2.307 | 0.526 | 1.778 | 63.827 | -0.000 | 0.000 |
| -2.323 | 0.530 | 1.791 | 0.000 | 63.797 | 0.000 |
| -2.754 | 0.628 | 2.123 | -0.000 | -0.000 | 68.003 |
| 236.152 | 43.610 | 22.033 | 0.000 | 0.000 | 0.000 |
| 58.415 | 196.438 | 46.805 | 0.000 | 0.000 | 0.000 |
| 22.157 | 23.118 | 255.791 | 0.000 | 0.000 | 0.000 |
| 0.000 | 0.000 | -0.000 | 75.763 | 0.000 | 0.000 |
| 0.232 | -0.053 | -0.179 | 0.000 | 63.810 | -0.000 |
| 0.276 | -0.063 | -0.212 | -0.000 | 0.000 | 67.987 |
| 197.924 | 58.532 | 45.405 | -0.000 | -0.000 | -0.000 |
| 57.902 | 196.595 | 47.161 | -0.000 | -0.000 | -0.000 |
| 45.247 | 47.327 | 209.016 | -0.000 | -0.000 | 0.000 |
| -0.000 | -0.000 | 0.000 | 75.763 | -0.000 | -0.000 |
| -0.232 | 0.053 | 0.179 | -0.000 | 63.810 | 0.000 |
| -0.276 | 0.063 | 0.212 | 0.000 | -0.000 | 67.987 |
| 198.206 | 58.447 | 45.210 | 0.000 | 0.000 | 0.000 |
| 58.185 | 196.507 | 46.967 | 0.000 | 0.000 | 0.000 |
| 45.378 | 47.396 | 208.819 | 0.000 | -0.000 | 0.000 |
| 0.027 | -0.009 | -0.018 | 63.841 | -0.000 | 0.000 |
| 0.023 | -0.005 | -0.018 | 0.000 | 63.810 | 0.000 |
| 0.028 | -0.006 | -0.021 | 0.000 | 0.000 | 67.987 |
| 198.156 | 58.461 | 45.244 | -0.000 | 0.000 | -0.000 |
| 58.132 | 196.526 | 47.000 | 0.000 | -0.000 | -0.000 |
| 45.325 | 47.410 | 208.856 | -0.000 | 0.000 | -0.000 |
| -0.027 | 0.009 | 0.018 | 63.841 | 0.000 | 0.000 |
| -0.023 | 0.005 | 0.018 | -0.000 | 63.810 | 0.000 |
| -0.028 | 0.006 | 0.021 | 0.000 | 0.000 | 67.987 |
| 155.015 | 83.631 | 83.631 | -0.000 | 0.000 | 0.000 |
| 83.631 | 155.015 | 83.631 | -0.000 | 0.000 | 0.000 |
| 83.631 | 83.631 | 155.015 | -0.000 | 0.000 | 0.000 |
| -0.000 | 0.000 | 0.000 | 80.581 | -0.000 | -0.000 |
| -0.000 | 0.000 | 0.000 | -0.000 | 80.581 | 0.000 |
| -0.000 | -0.000 | 0.000 | 0.000 | 0.000 | 80.581 |
| 155.015 | 83.631 | 83.631 | 0.000 | -0.000 | -0.000 |
| 83.631 | 155.015 | 83.631 | 0.000 | -0.000 | -0.000 |
| 83.631 | 83.631 | 155.015 | 0.000 | -0.000 | -0.000 |
| 0.000 | -0.000 | -0.000 | 80.581 | -0.000 | 0.000 |
| 0.000 | 0.000 | -0.000 | 0.000 | 80.581 | -0.000 |
| 0.000 | -0.000 | -0.000 | 0.000 | -0.000 | 80.581 |
| 155.015 | 83.631 | 83.631 | -0.000 | 0.000 | 0.000 |
| 83.631 | 155.015 | 83.631 | -0.000 | -0.000 | 0.000 |
| 83.631 | 83.631 | 155.015 | -0.000 | 0.000 | 0.000 |
| -0.000 | 0.000 | 0.000 | 80.581 | -0.000 | 0.000 |
| -0.000 | 0.000 | 0.000 | -0.000 | 80.581 | 0.000 |
| -0.000 | 0.000 | 0.000 | 0.000 | -0.000 | 80.581 |
| 81.793 | 105.617 | 105.617 | 0.000 | 0.000 | 0.000 |
| 105.617 | 81.793 | 105.617 | 0.000 | -0.000 | 0.000 |
| 105.617 | 105.617 | 81.793 | -0.000 | -0.000 | -0.000 |
| 0.000 | -0.000 | -0.000 | 80.581 | 0.000 | -0.000 |
| 0.000 | -0.000 | -0.000 | 0.000 | 80.581 | -0.000 |
| 0.000 | -0.000 | -0.000 | -0.000 | -0.000 | 80.581 |
| 81.918 | 106.817 | 106.817 | 0.000 | -0.000 | 0.000 |
| 106.817 | 81.918 | 106.817 | -0.000 | -0.000 | -0.000 |
| 106.817 | 106.817 | 81.918 | 0.000 | 0.000 | 0.000 |
| -133412.784 | 391552.626 | -1306082.681 | -1356649.976 | -0.000 | 0.000 |
| -1306079.967 | -133412.784 | 391549.913 | 0.000 | -1356651.673 | -0.000 |
| 391552.626 | -1306082.681 | -133412.784 | 0.000 | -0.000 | -1356649.976 |
| 81.833 | 105.658 | 105.658 | -0.000 | 0.000 | -0.000 |
| 105.658 | 81.833 | 105.658 | 0.000 | 0.000 | -0.000 |
| 105.658 | 105.658 | 81.833 | 0.000 | 0.000 | 0.000 |
| 133412.784 | -391552.626 | 1306082.681 | -1356649.976 | 0.000 | 0.000 |
| 1306079.967 | 133412.784 | -391549.913 | 0.000 | -1356651.673 | 0.000 |
| -391552.626 | 1306082.681 | 133412.784 | -0.000 | -0.000 | -1356649.976 |
| 197.143 | 56.929 | 47.704 | -0.000 | -0.000 | 0.000 |
| 44.152 | 235.681 | 22.337 | -0.000 | 0.000 | 0.000 |
| 22.716 | 22.716 | 255.387 | -0.000 | 0.000 | 0.000 |
| 0.000 | 0.000 | -0.000 | 75.831 | 0.000 | 0.000 |
| 0.000 | -0.000 | -0.000 | 0.000 | 75.831 | 0.000 |
| 0.000 | -0.000 | -0.000 | 0.000 | 0.000 | 95.764 |
| 196.308 | 55.771 | 49.666 | -0.000 | 0.000 | -0.000 |
| 44.152 | 235.681 | 22.337 | 0.000 | -0.000 | -0.000 |
| 22.716 | 22.716 | 255.387 | 0.000 | -0.000 | -0.000 |
| -0.000 | 0.000 | 0.000 | 75.831 | -0.000 | -0.000 |
| -0.000 | 0.000 | 0.000 | -0.000 | 75.831 | 0.000 |
| -0.000 | 0.000 | 0.000 | -0.000 | -0.000 | 95.764 |
| 196.767 | 56.406 | 48.589 | 0.000 | -0.000 | 0.000 |
| 56.406 | 196.767 | 48.589 | -0.000 | -0.000 | 0.000 |
| 46.421 | 46.421 | 208.705 | 0.000 | -0.000 | 0.000 |
| 0.000 | 0.000 | -0.000 | 75.831 | -0.000 | 0.000 |
| 0.000 | 0.000 | -0.000 | -0.000 | 75.831 | 0.000 |
| 0.000 | -0.000 | 0.000 | -0.000 | 0.000 | 95.764 |
| 235.681 | 44.152 | 22.337 | -0.000 | 0.000 | -0.000 |
| 59.288 | 196.424 | 46.089 | -0.000 | 0.000 | -0.000 |
| 22.716 | 22.716 | 255.387 | 0.000 | -0.000 | -0.000 |
| -0.000 | -0.000 | 0.000 | 75.831 | 0.000 | -0.000 |
| -0.000 | -0.000 | 0.000 | 0.000 | 75.831 | 0.000 |
| -0.000 | 0.000 | -0.000 | 0.000 | -0.000 | 95.764 |
| 196.728 | 56.354 | 48.678 | -0.000 | -0.000 | 0.000 |
| 44.152 | 235.682 | 22.338 | 0.000 | 0.000 | 0.000 |
| 46.378 | 46.378 | 208.790 | 0.000 | -0.000 | 0.000 |
| 0.005 | 0.005 | -0.010 | 64.104 | -0.000 | 0.000 |
| 0.000 | 0.000 | -0.000 | -0.000 | 75.831 | 0.000 |
| 0.000 | -0.000 | 0.000 | -0.000 | 0.000 | 95.764 |
| 196.469 | 59.331 | 46.002 | -0.000 | 0.000 | -0.000 |
| 59.331 | 196.469 | 46.002 | 0.000 | -0.000 | -0.000 |
| 46.385 | 46.385 | 208.775 | -0.000 | 0.000 | -0.000 |
| -0.005 | -0.005 | 0.010 | 64.104 | 0.000 | -0.000 |
| -0.000 | -0.000 | 0.000 | 0.000 | 75.831 | 0.000 |
| -0.000 | 0.000 | -0.000 | 0.000 | 0.000 | 95.764 |
| 211.990 | 117.760 | 70.224 | -0.000 | -0.000 | -0.000 |
| 117.760 | 211.990 | 70.224 | -0.000 | -0.000 | -0.000 |
| 70.224 | 70.224 | 204.728 | -0.000 | -0.000 | -0.000 |
| -0.000 | 0.000 | -0.000 | -755.194 | 0.000 | -0.000 |
| 0.000 | -0.000 | -0.000 | 0.000 | -201.793 | 0.000 |
| -0.000 | 0.000 | -0.000 | 0.000 | -0.000 | 52.694 |
| 217.569 | 112.181 | 70.224 | 0.000 | 0.000 | 0.000 |
| 117.760 | 211.990 | 70.224 | -0.000 | 0.000 | 0.000 |
| 70.224 | 70.224 | 204.728 | 0.000 | 0.000 | -0.000 |
| 0.000 | -0.000 | 0.000 | -755.194 | 0.000 | 0.000 |
| -0.000 | 0.000 | 0.000 | 0.000 | -201.792 | -0.000 |
| 0.000 | -0.000 | 0.000 | -0.000 | -0.000 | 52.694 |
| 217.570 | 112.181 | 70.224 | -0.000 | -0.000 | -0.000 |
| 112.181 | 217.570 | 70.224 | 0.000 | -0.000 | -0.000 |
| 70.224 | 70.224 | 204.728 | -0.000 | -0.000 | 0.000 |
| -0.000 | -0.000 | 0.000 | -9.323 | -0.000 | -0.000 |
| -0.000 | -0.000 | 0.000 | 0.000 | -9.323 | -0.000 |
| -0.000 | 0.000 | -0.000 | 0.000 | -0.000 | 52.694 |
| 217.569 | 112.181 | 70.224 | 0.000 | 0.000 | 0.000 |
| 112.181 | 217.569 | 70.224 | 0.000 | 0.000 | 0.000 |
| 70.224 | 70.224 | 204.728 | -0.000 | 0.000 | -0.000 |
| 0.000 | 0.000 | -0.000 | -9.323 | -0.000 | 0.000 |
| 0.000 | 0.000 | -0.000 | 0.000 | -9.323 | 0.000 |
| 0.000 | -0.000 | 0.000 | -0.000 | -0.000 | 52.694 |
| 211.991 | 117.760 | 70.224 | -0.000 | -0.000 | 0.000 |
| 117.761 | 211.991 | 70.224 | 0.000 | -0.000 | -0.000 |
| 70.225 | 70.225 | 204.729 | -0.000 | -0.000 | 0.000 |
| 3598468.188 | 2557004.786 | 507722.535 | -307557.577 | -0.000 | -0.000 |
| 5872408.376 | 7391296.576 | 4675721.186 | 0.004 | -91550.238 | -0.003 |
| -0.000 | 0.000 | -0.000 | 0.000 | -0.000 | 47.115 |
| 211.989 | 117.760 | 70.224 | 0.000 | 0.000 | 0.000 |
| 117.760 | 211.989 | 70.224 | 0.000 | 0.000 | -0.000 |
| 70.224 | 70.224 | 204.727 | -0.000 | 0.000 | -0.000 |
| -3598468.148 | -2557004.819 | -507722.542 | -307557.576 | -0.000 | 0.000 |
| -5872408.374 | -7391296.563 | -4675721.159 | -0.010 | -91550.203 | -0.007 |
| 0.000 | -0.000 | 0.000 | 0.000 | 0.000 | 47.115 |
| 135.793 | 59.227 | 59.227 | 0.000 | 0.000 | 0.000 |
| 59.227 | 135.793 | 59.227 | -0.000 | 0.000 | -0.000 |
| 59.227 | 59.227 | 135.793 | -0.000 | 0.000 | 0.000 |
| -0.364 | -0.364 | -0.364 | 30.287 | -0.000 | 0.000 |
| -0.364 | -0.364 | -0.364 | -0.000 | 30.287 | 0.000 |
| -0.364 | -0.364 | -0.364 | -0.000 | 0.000 | 30.287 |
| 137.586 | 61.055 | 61.055 | -0.000 | -0.000 | -0.000 |
| 61.055 | 137.586 | 61.055 | 0.000 | 0.000 | -0.000 |
| 61.055 | 61.055 | 137.586 | -0.000 | 0.000 | 0.000 |
| 0.364 | 0.364 | 0.364 | 30.287 | -0.000 | -0.000 |
| 0.364 | 0.364 | 0.364 | 0.000 | 30.287 | 0.000 |
| 0.364 | 0.364 | 0.364 | 0.000 | 0.000 | 30.287 |
| 171.586 | 46.035 | 46.035 | -0.000 | -0.000 | 0.000 |
| 46.035 | 171.586 | 46.035 | -0.000 | -0.000 | -0.000 |
| 46.035 | 46.035 | 171.586 | -0.000 | -0.000 | 0.000 |
| -0.145 | -0.145 | -0.145 | 25.584 | -0.000 | 0.000 |
| -0.145 | -0.145 | -0.145 | 0.000 | 25.584 | -0.000 |
| -0.145 | -0.145 | -0.145 | 0.000 | 0.000 | 25.584 |
| 136.783 | 60.298 | 60.298 | 0.000 | 0.000 | 0.000 |
| 60.298 | 136.783 | 60.298 | -0.000 | -0.000 | -0.000 |
| 60.298 | 60.298 | 136.783 | -0.000 | -0.000 | -0.000 |
| 0.145 | 0.145 | 0.145 | 25.584 | -0.000 | 0.000 |
| 0.145 | 0.145 | 0.145 | 0.000 | 25.584 | 0.000 |
| 0.145 | 0.145 | 0.145 | 0.000 | -0.000 | 25.584 |
| 137.447 | 61.381 | 61.381 | 0.000 | 0.000 | 0.000 |
| 61.381 | 137.447 | 61.381 | 0.000 | -0.000 | 0.000 |
| 61.381 | 61.381 | 137.447 | -0.000 | -0.000 | -0.000 |
| -0.004 | -0.004 | -0.004 | 30.400 | -0.000 | 0.000 |
| -0.004 | -0.004 | -0.004 | 0.000 | 30.400 | -0.000 |
| -0.004 | -0.004 | -0.004 | -0.000 | 0.000 | 30.400 |
| 136.702 | 60.222 | 60.222 | 0.000 | 0.000 | -0.000 |
| 60.222 | 136.702 | 60.222 | 0.000 | 0.000 | -0.000 |
| 60.222 | 60.222 | 136.702 | 0.000 | -0.000 | 0.000 |
| 0.004 | 0.004 | 0.004 | 30.400 | 0.000 | -0.000 |
| 0.004 | 0.004 | 0.004 | -0.000 | 30.400 | 0.000 |
| 0.004 | 0.004 | 0.004 | 0.000 | -0.000 | 30.400 |
| 171.137 | 45.790 | 45.790 | -0.000 | 0.000 | -0.000 |
| 45.790 | 171.137 | 45.790 | -0.000 | 0.000 | 0.000 |
| 45.790 | 45.790 | 171.137 | -0.000 | -0.000 | 0.000 |
| 0.000 | 0.000 | 0.000 | 71.474 | 0.000 | -0.000 |
| 0.000 | 0.000 | 0.000 | -0.000 | 71.474 | 0.000 |
| 0.000 | 0.000 | -0.000 | 0.000 | 0.000 | 71.474 |
| 137.134 | 61.004 | 61.004 | 0.000 | 0.000 | -0.000 |
| 61.004 | 137.134 | 61.004 | 0.000 | -0.000 | -0.000 |
| 61.004 | 61.004 | 137.134 | 0.000 | -0.000 | -0.000 |
| -0.000 | -0.000 | -0.000 | 71.474 | 0.000 | -0.000 |
| -0.000 | -0.000 | -0.000 | 0.000 | 71.474 | -0.000 |
| -0.000 | -0.000 | 0.000 | 0.000 | 0.000 | 71.474 |
| 171.137 | 45.790 | 45.790 | -0.000 | 0.000 | -0.000 |
| 45.790 | 171.137 | 45.790 | -0.000 | -0.000 | -0.000 |
| 45.790 | 45.790 | 171.137 | -0.000 | 0.000 | -0.000 |
| 0.008 | 0.008 | 0.008 | 27.807 | 0.000 | -0.000 |
| 0.008 | 0.008 | 0.008 | -0.000 | 27.807 | 0.000 |
| 0.008 | 0.008 | 0.008 | 0.000 | -0.000 | 27.807 |
| 171.137 | 45.790 | 45.790 | -0.000 | -0.000 | -0.000 |
| 45.790 | 171.137 | 45.790 | -0.000 | -0.000 | 0.000 |
| 45.790 | 45.790 | 171.137 | 0.000 | 0.000 | -0.000 |
| -0.008 | -0.008 | -0.008 | 27.807 | 0.000 | 0.000 |
| -0.008 | -0.008 | -0.008 | -0.000 | 27.807 | -0.000 |
| -0.008 | -0.008 | -0.008 | 0.000 | -0.000 | 27.807 |
| 171.137 | 45.790 | 45.790 | -0.000 | 0.000 | -0.000 |
| 45.790 | 171.137 | 45.790 | 0.000 | 0.000 | -0.000 |
| 45.790 | 45.790 | 171.137 | -0.000 | 0.000 | -0.000 |
| 0.000 | 0.000 | 0.000 | 71.474 | 0.000 | -0.000 |
| 0.000 | 0.000 | 0.000 | -0.000 | 71.474 | -0.000 |
| 0.000 | 0.000 | 0.000 | -0.000 | -0.000 | 71.474 |
| 171.136 | 45.790 | 45.790 | 0.000 | 0.000 | -0.000 |
| 45.790 | 171.136 | 45.790 | 0.000 | 0.000 | -0.000 |
| 45.790 | 45.790 | 171.136 | 0.000 | 0.000 | -0.000 |
| -0.000 | -0.000 | -0.000 | 71.474 | 0.000 | 0.000 |
| -0.000 | -0.000 | -0.000 | 0.000 | 71.474 | -0.000 |
| -0.000 | -0.000 | -0.000 | 0.000 | -0.000 | 71.474 |
| 120.154 | 26.400 | 26.400 | 0.002 | -0.000 | -0.000 |
| 66.644 | 136.386 | 66.644 | 0.002 | -0.000 | -0.000 |
| 66.644 | 66.644 | 136.386 | 0.002 | -0.000 | -0.000 |
| -27.042 | -27.042 | -27.042 | 57.937 | -0.000 | -0.000 |
| -27.042 | -27.042 | -27.042 | 0.000 | 57.937 | -0.000 |
| -27.042 | -27.042 | -27.042 | 0.000 | -0.000 | 57.937 |
| 181.267 | 80.103 | 80.103 | -0.000 | 0.000 | 0.000 |
| 80.103 | 181.267 | 80.103 | -0.000 | 0.000 | 0.000 |
| 80.103 | 80.103 | 181.267 | -0.000 | 0.000 | 0.000 |
| 27.042 | 27.042 | 27.042 | 57.937 | 0.000 | 0.000 |
| 27.042 | 27.042 | 27.042 | -0.000 | 57.937 | 0.000 |
| 27.042 | 27.042 | 27.042 | -0.000 | 0.000 | 57.937 |
| 188.273 | 39.018 | 39.018 | -0.000 | -0.000 | 0.000 |
| 39.018 | 188.273 | 39.018 | 0.000 | 0.000 | 0.000 |
| 39.018 | 39.018 | 188.273 | -0.000 | -0.000 | 0.000 |
| 0.183 | 0.182 | 0.182 | 45.309 | -0.000 | -0.000 |
| 0.182 | 0.182 | 0.182 | 0.000 | 45.308 | -0.000 |
| 0.182 | 0.182 | 0.182 | 0.000 | -0.000 | 45.308 |
| 149.068 | 58.280 | 58.280 | -0.000 | 0.000 | 0.000 |
| 58.280 | 149.068 | 58.280 | -0.000 | 0.000 | 0.000 |
| 58.280 | 58.280 | 149.068 | -0.000 | 0.000 | 0.000 |
| -0.183 | -0.182 | -0.182 | 45.308 | 0.000 | 0.000 |
| -0.182 | -0.182 | -0.182 | -0.000 | 45.308 | 0.000 |
| -0.182 | -0.182 | -0.182 | -0.000 | 0.000 | 45.308 |
| 141.675 | 55.327 | 55.327 | 0.000 | -0.000 | -0.000 |
| 55.327 | 141.675 | 55.327 | 0.000 | -0.000 | -0.000 |
| 55.327 | 55.327 | 141.675 | 0.000 | -0.000 | -0.000 |
| -0.415 | -0.415 | -0.415 | 46.904 | -0.000 | -0.000 |
| -0.298 | -0.298 | -0.298 | 0.000 | 47.108 | -0.000 |
| -0.415 | -0.415 | -0.415 | 0.000 | -0.000 | 46.904 |
| 142.556 | 56.697 | 56.696 | 0.000 | -0.000 | -0.000 |
| 56.696 | 142.556 | 56.697 | 0.000 | -0.000 | -0.000 |
| 56.697 | 56.696 | 142.556 | 0.000 | -0.000 | -0.000 |
| 0.415 | 0.415 | 0.415 | 46.904 | 0.000 | 0.000 |
| 0.298 | 0.298 | 0.298 | -0.000 | 47.108 | 0.000 |
| 0.415 | 0.415 | 0.415 | -0.000 | 0.000 | 46.904 |
| 169.074 | 71.969 | 71.969 | -0.000 | 0.000 | 0.000 |
| 71.969 | 169.074 | 71.969 | -0.000 | 0.000 | 0.000 |
| 71.969 | 71.969 | 169.074 | -0.000 | 0.000 | 0.000 |
| -24.060 | -24.060 | -24.060 | 42.924 | 0.000 | 0.000 |
| -24.060 | -24.060 | -24.060 | -0.000 | 42.924 | 0.000 |
| -24.060 | -24.060 | -24.060 | -0.000 | 0.000 | 42.924 |
| 133.257 | 35.525 | 35.525 | 0.000 | -0.000 | -0.000 |
| 35.525 | 133.257 | 35.525 | 0.000 | -0.000 | -0.000 |
| 35.525 | 35.525 | 133.257 | 0.000 | -0.000 | -0.000 |
| 24.060 | 24.060 | 24.060 | 42.924 | -0.000 | -0.000 |
| 24.060 | 24.060 | 24.060 | 0.000 | 42.924 | -0.000 |
| 24.060 | 24.060 | 24.060 | 0.000 | -0.000 | 42.924 |
| 185.405 | 37.755 | 37.755 | 0.000 | -0.000 | 0.000 |
| 37.755 | 185.405 | 37.755 | 0.000 | 0.000 | -0.000 |
| 37.755 | 37.755 | 185.405 | 0.000 | 0.000 | 0.000 |
| -1.357 | -1.357 | -1.357 | 46.319 | 0.000 | 0.000 |
| -1.357 | -1.357 | -1.357 | -0.000 | 46.319 | 0.000 |
| -1.357 | -1.357 | -1.357 | -0.000 | 0.000 | 46.319 |
| 150.413 | 51.365 | 51.365 | 0.000 | -0.000 | -0.000 |
| 51.365 | 150.413 | 51.365 | 0.000 | -0.000 | -0.000 |
| 51.365 | 51.365 | 150.413 | 0.000 | -0.000 | -0.000 |
| 1.357 | 1.357 | 1.357 | 46.319 | -0.000 | -0.000 |
| 1.357 | 1.357 | 1.357 | 0.000 | 46.319 | -0.000 |
| 1.357 | 1.357 | 1.357 | 0.000 | -0.000 | 46.319 |
| 140.150 | 53.826 | 53.826 | -0.000 | 0.000 | 0.000 |
| 53.826 | 140.150 | 53.826 | -0.000 | 0.000 | -0.000 |
| 53.826 | 53.826 | 140.150 | -0.000 | 0.000 | -0.000 |
| -0.041 | -0.041 | -0.042 | 47.241 | 0.000 | 0.000 |
| -0.042 | -0.041 | -0.041 | -0.000 | 47.241 | 0.000 |
| -0.041 | -0.042 | -0.041 | -0.000 | 0.000 | 47.241 |
| 151.593 | 53.124 | 53.124 | 0.000 | -0.000 | -0.000 |
| 53.124 | 151.593 | 53.124 | 0.000 | -0.000 | -0.000 |
| 53.124 | 53.124 | 151.593 | 0.000 | -0.000 | -0.000 |
| 0.041 | 0.041 | 0.042 | 47.241 | -0.000 | -0.000 |
| 0.042 | 0.041 | 0.041 | 0.000 | 47.241 | -0.000 |
| 0.041 | 0.042 | 0.041 | 0.000 | -0.000 | 47.241 |
| 181.261 | 39.694 | 39.694 | -0.000 | 0.000 | 0.000 |
| 39.694 | 181.261 | 39.694 | -0.000 | 0.000 | 0.000 |
| 39.694 | 39.694 | 181.261 | 0.000 | 0.000 | 0.000 |
| 0.984 | 0.984 | 0.984 | 31.806 | 0.000 | 0.000 |
| 0.984 | 0.984 | 0.984 | 0.000 | 31.806 | 0.000 |
| 0.984 | 0.984 | 0.984 | 0.000 | 0.000 | 31.806 |
| 133.840 | 61.140 | 61.140 | -0.000 | -0.000 | -0.000 |
| 61.140 | 133.840 | 61.140 | -0.000 | -0.000 | -0.000 |
| 61.140 | 61.140 | 133.840 | -0.000 | -0.000 | -0.000 |
| -0.984 | -0.984 | -0.984 | 31.806 | -0.000 | -0.000 |
| -0.984 | -0.984 | -0.984 | 0.000 | 31.806 | -0.000 |
| -0.984 | -0.984 | -0.984 | -0.000 | -0.000 | 31.806 |
| 181.261 | 39.694 | 39.694 | 0.000 | 0.000 | 0.000 |
| 39.694 | 181.261 | 39.694 | 0.000 | 0.000 | 0.000 |
| 39.694 | 39.694 | 181.261 | 0.000 | 0.000 | 0.000 |
| 0.177 | 0.177 | 0.177 | 31.396 | 0.000 | 0.000 |
| 0.177 | 0.177 | 0.177 | -0.000 | 31.396 | 0.000 |
| 0.177 | 0.177 | 0.177 | -0.000 | -0.000 | 31.396 |
| 181.261 | 39.694 | 39.694 | 0.000 | -0.000 | -0.000 |
| 39.694 | 181.261 | 39.694 | -0.000 | -0.000 | -0.000 |
| 39.694 | 39.694 | 181.261 | -0.000 | -0.000 | -0.000 |
| -0.177 | -0.177 | -0.177 | 31.396 | -0.000 | -0.000 |
| -0.177 | -0.177 | -0.177 | -0.000 | 31.396 | -0.000 |
| -0.177 | -0.177 | -0.177 | -0.000 | 0.000 | 31.396 |
| 181.262 | 39.694 | 39.694 | 0.000 | 0.000 | 0.000 |
| 39.694 | 181.262 | 39.694 | 0.000 | 0.000 | 0.000 |
| 39.694 | 39.694 | 181.262 | -0.000 | 0.000 | 0.000 |
| 0.000 | 0.000 | 0.000 | 65.686 | 0.000 | 0.000 |
| 0.000 | 0.000 | 0.000 | 0.000 | 65.686 | 0.000 |
| 0.000 | 0.000 | 0.000 | 0.000 | 0.000 | 65.686 |
| 132.482 | 61.505 | 61.505 | -0.000 | 0.000 | -0.000 |
| 61.505 | 132.482 | 61.505 | -0.000 | 0.000 | -0.000 |
| 61.505 | 61.505 | 132.482 | -0.000 | 0.000 | -0.000 |
| -0.000 | -0.000 | -0.000 | 65.686 | -0.000 | -0.000 |
| -0.000 | -0.000 | -0.000 | -0.000 | 65.686 | -0.000 |
| -0.000 | -0.000 | -0.000 | -0.000 | -0.000 | 65.686 |
| 181.058 | 39.604 | 39.604 | 0.000 | 0.000 | -0.000 |
| 39.604 | 181.058 | 39.604 | 0.000 | 0.000 | -0.000 |
| 39.604 | 39.604 | 181.058 | 0.000 | 0.000 | -0.000 |
| 0.012 | 0.012 | 0.012 | 32.770 | -0.000 | 0.000 |
| 0.012 | 0.012 | 0.012 | -0.000 | 32.770 | 0.000 |
| 0.012 | 0.012 | 0.012 | -0.000 | 0.000 | 32.770 |
| 136.189 | 61.266 | 61.266 | -0.000 | 0.000 | -0.000 |
| 61.266 | 136.189 | 61.266 | 0.000 | -0.000 | 0.000 |
| 61.266 | 61.266 | 136.189 | 0.000 | 0.000 | -0.000 |
| -0.012 | -0.012 | -0.012 | 32.770 | -0.000 | -0.000 |
| -0.012 | -0.012 | -0.012 | -0.000 | 32.770 | 0.000 |
| -0.012 | -0.012 | -0.012 | 0.000 | 0.000 | 32.770 |
| 136.217 | 61.271 | 61.271 | 0.000 | 0.000 | 0.000 |
| 61.271 | 136.217 | 61.271 | 0.000 | 0.000 | 0.000 |
| 61.271 | 61.271 | 136.217 | 0.000 | 0.000 | -0.000 |
| 0.001 | 0.001 | 0.001 | 32.770 | 0.000 | -0.000 |
| 0.001 | 0.001 | 0.001 | 0.000 | 32.770 | -0.000 |
| 0.001 | 0.001 | 0.001 | 0.000 | -0.000 | 32.770 |
| 132.356 | 61.398 | 61.398 | -0.000 | -0.000 | 0.000 |
| 61.398 | 132.356 | 61.398 | 0.000 | -0.000 | 0.000 |
| 61.398 | 61.398 | 132.356 | -0.000 | 0.000 | -0.000 |
| -0.001 | -0.001 | -0.001 | 32.770 | 0.000 | 0.000 |
| -0.001 | -0.001 | -0.001 | -0.000 | 32.770 | -0.000 |
| -0.001 | -0.001 | -0.001 | 0.000 | 0.000 | 32.770 |
| 132.356 | 61.404 | 61.404 | -0.000 | 0.000 | 0.000 |
| 61.404 | 132.356 | 61.404 | 0.000 | 0.000 | -0.000 |
| 61.404 | 61.404 | 132.356 | 0.000 | 0.000 | -0.000 |
| 0.000 | 0.000 | 0.000 | 32.770 | -0.000 | 0.000 |
| 0.000 | 0.000 | 0.000 | 0.000 | 32.770 | 0.000 |
| 0.000 | 0.000 | 0.000 | 0.000 | 0.000 | 32.770 |
| 132.337 | 61.412 | 61.412 | 0.000 | -0.000 | 0.000 |
| 61.412 | 132.337 | 61.412 | -0.000 | 0.000 | 0.000 |
| 61.412 | 61.412 | 132.337 | -0.000 | -0.000 | -0.000 |
| -0.000 | -0.000 | -0.000 | 32.770 | 0.000 | -0.000 |
| -0.000 | -0.000 | -0.000 | 0.000 | 32.770 | 0.000 |
| -0.000 | -0.000 | -0.000 | 0.000 | -0.000 | 32.770 |
| 229.544 | 21.643 | 130.577 | 0.000 | 0.000 | -0.000 |
| 21.643 | 430.575 | 14.387 | 0.000 | 0.000 | -0.000 |
| 130.577 | 14.387 | 172.056 | 0.000 | -0.000 | -0.000 |
| -0.000 | 0.000 | -0.000 | 46.774 | -0.000 | 0.000 |
| -0.000 | 0.000 | -0.000 | 0.000 | 81.288 | 0.000 |
| -0.000 | 0.000 | -0.000 | 0.000 | -0.000 | 63.716 |
| 229.545 | 21.643 | 130.577 | -0.000 | -0.000 | 0.000 |
| 21.643 | 430.574 | 14.387 | 0.000 | -0.000 | 0.000 |
| 130.577 | 14.387 | 172.056 | -0.000 | -0.000 | 0.000 |
| 0.000 | -0.000 | 0.000 | 46.774 | 0.000 | 0.000 |
| 0.000 | -0.000 | 0.000 | -0.000 | 81.288 | -0.000 |
| 0.000 | -0.000 | 0.000 | 0.000 | 0.000 | 63.716 |
| 229.545 | 21.643 | 130.577 | 0.000 | -0.000 | -0.000 |
| 21.643 | 430.575 | 14.387 | 0.000 | 0.000 | -0.000 |
| 130.577 | 14.387 | 172.056 | 0.000 | 0.000 | -0.000 |
| -0.000 | 0.000 | -0.000 | 46.774 | -0.000 | -0.000 |
| 0.000 | -0.000 | 0.000 | 0.000 | 81.288 | 0.000 |
| -0.000 | -0.000 | 0.000 | 0.000 | -0.000 | 63.716 |
| 229.544 | 21.643 | 130.577 | 0.000 | -0.000 | 0.000 |
| 21.643 | 430.574 | 14.387 | -0.000 | -0.000 | 0.000 |
| 130.577 | 14.387 | 172.056 | -0.000 | -0.000 | 0.000 |
| 0.000 | -0.000 | 0.000 | 46.774 | 0.000 | -0.000 |
| -0.000 | 0.000 | -0.000 | -0.000 | 81.288 | -0.000 |
| 0.000 | 0.000 | -0.000 | -0.000 | 0.000 | 63.716 |
| 229.548 | 21.642 | 130.578 | 0.000 | -0.000 | -0.000 |
| 21.643 | 430.577 | 14.388 | -0.000 | 0.000 | -0.000 |
| 130.577 | 14.387 | 172.057 | 0.000 | -0.000 | -0.000 |
| -0.000 | -0.000 | -0.000 | 46.774 | -0.000 | -0.000 |
| 0.000 | -0.000 | 0.000 | -0.000 | 81.288 | -0.000 |
| -0.000 | -0.000 | 0.000 | -0.000 | -0.000 | 63.716 |
| 229.540 | 21.644 | 130.576 | -0.000 | 0.000 | 0.000 |
| 21.642 | 430.572 | 14.387 | -0.000 | -0.000 | 0.000 |
| 130.576 | 14.388 | 172.055 | -0.000 | -0.000 | 0.000 |
| 0.000 | 0.000 | 0.000 | 46.774 | 0.000 | 0.000 |
| -0.000 | 0.000 | -0.000 | 0.000 | 81.288 | 0.000 |
| 0.000 | 0.000 | -0.000 | -0.000 | 0.000 | 63.716 |
| 344.547 | 24.784 | 114.448 | 0.000 | 0.000 | -0.000 |
| -101.564 | 456.251 | 56.729 | 0.000 | -0.000 | -0.000 |
| 6.002 | 221.886 | -68.162 | 0.000 | -0.000 | -0.000 |
| -1.730 | 1.925 | -0.622 | 89.332 | -0.000 | 0.000 |
| 0.000 | 0.000 | 0.000 | -0.000 | 6.253 | -0.000 |
| 0.000 | 0.000 | 0.000 | -0.000 | -0.000 | 41.277 |
| 344.547 | 24.784 | 114.448 | 0.000 | 0.000 | 0.000 |
| -101.460 | 456.136 | 56.766 | -0.000 | -0.000 | -0.000 |
| 5.767 | 222.147 | -68.246 | 0.000 | -0.000 | 0.000 |
| 1.730 | -1.925 | 0.622 | 89.332 | -0.000 | -0.000 |
| -0.000 | -0.000 | -0.000 | 0.000 | 6.253 | 0.000 |
| -0.000 | -0.000 | -0.000 | 0.000 | -0.000 | 41.277 |
| 344.547 | 24.784 | 114.449 | 0.000 | 0.000 | -0.000 |
| -101.503 | 456.183 | 56.751 | -0.000 | 0.000 | 0.000 |
| 5.891 | 222.010 | -68.201 | -0.000 | 0.000 | -0.000 |
| -34.534 | 38.435 | -12.429 | 71.293 | 0.000 | -0.000 |
| 0.000 | 0.000 | -0.000 | 0.000 | 6.253 | -0.000 |
| -0.000 | -0.000 | 0.000 | 0.000 | -0.000 | 41.277 |
| 344.547 | 24.784 | 114.448 | 0.000 | 0.000 | -0.000 |
| -101.523 | 456.205 | 56.744 | -0.000 | 0.000 | -0.000 |
| 5.895 | 222.005 | -68.200 | -0.000 | -0.000 | 0.000 |
| 34.534 | -38.435 | 12.429 | 71.293 | -0.000 | 0.000 |
| -0.000 | -0.000 | 0.000 | 0.000 | 6.253 | 0.000 |
| 0.000 | 0.000 | -0.000 | 0.000 | -0.000 | 41.277 |
| 344.549 | 24.785 | 114.449 | -0.000 | 0.000 | -0.000 |
| -101.507 | 456.191 | 56.749 | -0.000 | 0.000 | 0.000 |
| 5.897 | 222.004 | -68.199 | -0.000 | -0.000 | 0.000 |
| -30.982 | 34.483 | -11.150 | 73.048 | 0.000 | -0.000 |
| 0.000 | -0.000 | -0.000 | -0.000 | 6.253 | 0.000 |
| -0.000 | -0.000 | 0.000 | -0.000 | 0.000 | 41.277 |
| 344.546 | 24.784 | 114.448 | 0.000 | -0.000 | 0.000 |
| -101.508 | 456.185 | 56.749 | 0.000 | -0.000 | -0.000 |
| 5.896 | 222.005 | -68.200 | 0.000 | -0.000 | -0.000 |
| 30.982 | -34.483 | 11.150 | 73.048 | -0.000 | 0.000 |
| -0.000 | 0.000 | 0.000 | 0.000 | 6.253 | -0.000 |
| 0.000 | 0.000 | -0.000 | 0.000 | -0.000 | 41.277 |
| 305.228 | 35.821 | 73.372 | 0.000 | -0.000 | -0.000 |
| -91.715 | 482.770 | 9.993 | 0.000 | 0.000 | -0.000 |
| -24.725 | 165.302 | 56.335 | 0.000 | 0.000 | 0.000 |
| -131.720 | 144.175 | -51.297 | 110.337 | -0.000 | -0.000 |
| 0.000 | 0.000 | 0.000 | 0.000 | -4.306 | -0.000 |
| 0.000 | -0.000 | 0.000 | 0.000 | 0.000 | 46.628 |
| 305.228 | 35.821 | 73.372 | -0.000 | 0.000 | 0.000 |
| -91.406 | 482.432 | 10.113 | -0.000 | -0.000 | 0.000 |
| -24.721 | 165.297 | 56.336 | -0.000 | -0.000 | 0.000 |
| 131.720 | -144.175 | 51.297 | 110.337 | -0.000 | 0.000 |
| -0.000 | -0.000 | -0.000 | -0.000 | -4.306 | 0.000 |
| 0.000 | 0.000 | -0.000 | -0.000 | -0.000 | 46.628 |
| 305.228 | 35.821 | 73.372 | 0.000 | 0.000 | -0.000 |
| -91.775 | 482.837 | 9.969 | 0.000 | -0.000 | -0.000 |
| -24.760 | 165.340 | 56.321 | 0.000 | -0.000 | 0.000 |
| -72.546 | 79.407 | -28.252 | 102.417 | -0.000 | -0.000 |
| 0.000 | -0.000 | -0.000 | 0.000 | -4.306 | -0.000 |
| -0.000 | -0.000 | 0.000 | 0.000 | 0.000 | 46.628 |
| 305.228 | 35.821 | 73.372 | -0.000 | -0.000 | 0.000 |
| -91.702 | 482.756 | 9.998 | -0.000 | 0.000 | 0.000 |
| -24.775 | 165.356 | 56.315 | -0.000 | 0.000 | 0.000 |
| 72.546 | -79.407 | 28.252 | 102.417 | 0.000 | -0.000 |
| -0.000 | 0.000 | 0.000 | -0.000 | -4.306 | 0.000 |
| 0.000 | 0.000 | -0.000 | -0.000 | 0.000 | 46.628 |
| 305.230 | 35.821 | 73.373 | 0.000 | 0.000 | -0.000 |
| -91.752 | 482.814 | 9.978 | 0.000 | 0.000 | -0.000 |
| -24.771 | 165.352 | 56.318 | 0.000 | -0.000 | -0.000 |
| -155.619 | 170.342 | -60.603 | 139.903 | -0.000 | -0.000 |
| 0.000 | -0.000 | -0.000 | 0.000 | -4.306 | -0.000 |
| -0.000 | -0.000 | 0.000 | 0.000 | 0.000 | 46.628 |
| 305.227 | 35.821 | 73.372 | -0.000 | 0.000 | 0.000 |
| -91.747 | 482.803 | 9.980 | -0.000 | -0.000 | -0.000 |
| -24.768 | 165.349 | 56.317 | -0.000 | 0.000 | 0.000 |
| 155.619 | -170.342 | 60.603 | 139.903 | 0.000 | 0.000 |
| -0.000 | 0.000 | 0.000 | -0.000 | -4.306 | 0.000 |
| 0.000 | 0.000 | -0.000 | -0.000 | 0.000 | 46.628 |
| 390.465 | 36.732 | 11.713 | 0.000 | 0.000 | -0.000 |
| 130.204 | -46.980 | 190.173 | -0.000 | 0.000 | 0.000 |
| 16.964 | 142.664 | 203.671 | 0.000 | 0.000 | -0.000 |
| 0.080 | -0.159 | -0.018 | 52.272 | 0.000 | -0.000 |
| 0.040 | -0.081 | -0.009 | 0.000 | 37.338 | -0.000 |
| 0.040 | -0.080 | -0.009 | 0.000 | -0.000 | 27.603 |
| 390.465 | 36.732 | 11.713 | -0.000 | -0.000 | 0.000 |
| 161.771 | -99.180 | 153.753 | -0.000 | -0.000 | 0.000 |
| 14.985 | 160.453 | 166.339 | 0.000 | 0.000 | -0.000 |
| -0.080 | 0.159 | 0.018 | 52.272 | 0.000 | 0.000 |
| -0.040 | 0.081 | 0.009 | -0.000 | 37.338 | 0.000 |
| -0.040 | 0.080 | 0.009 | 0.000 | 0.000 | 27.603 |
| 332.439 | 159.959 | 4.228 | -0.000 | -0.000 | -0.000 |
| 38.467 | 162.198 | 139.147 | 0.000 | 0.000 | 0.000 |
| 16.964 | 142.664 | 203.671 | -0.000 | -0.000 | 0.000 |
| 0.008 | -0.016 | -0.002 | 52.272 | -0.000 | -0.000 |
| 0.004 | -0.008 | -0.001 | 0.000 | 37.338 | 0.000 |
| -0.000 | -0.000 | -0.000 | 0.000 | 0.000 | 29.705 |
| 332.390 | 160.057 | 4.237 | -0.000 | -0.000 | 0.000 |
| 161.971 | -99.590 | 153.736 | 0.000 | 0.000 | 0.000 |
| 15.035 | 160.355 | 166.325 | 0.000 | 0.000 | 0.000 |
| -0.008 | 0.016 | 0.002 | 52.272 | -0.000 | 0.000 |
| -0.004 | 0.008 | 0.001 | -0.000 | 37.338 | -0.000 |
| 0.000 | 0.000 | 0.000 | 0.000 | -0.000 | 29.705 |
| 331.053 | 160.255 | 11.285 | -0.000 | -0.000 | 0.000 |
| 162.001 | -99.654 | 153.740 | -0.000 | -0.000 | -0.000 |
| 16.538 | 157.248 | 166.287 | 0.000 | 0.000 | -0.000 |
| 0.006 | -0.014 | 0.004 | 52.206 | -0.000 | -0.000 |
| 0.000 | -0.001 | -0.000 | 0.000 | 37.338 | -0.000 |
| -0.000 | -0.000 | -0.000 | 0.000 | 0.000 | 29.705 |
| 332.411 | 160.012 | 4.232 | -0.000 | -0.000 | 0.000 |
| 161.987 | -99.620 | 153.730 | 0.000 | 0.000 | -0.000 |
| 15.040 | 160.342 | 166.327 | -0.000 | 0.000 | -0.000 |
| -0.006 | 0.014 | -0.004 | 52.206 | -0.000 | 0.000 |
| -0.000 | 0.001 | 0.000 | -0.000 | 37.338 | 0.000 |
| 0.000 | 0.000 | 0.000 | -0.000 | -0.000 | 29.705 |
| 361.065 | 1045.390 | 3759.174 | -0.000 | 0.000 | -0.000 |
| 687.021 | 71.972 | 2999.533 | -0.000 | 0.000 | -0.000 |
| -54.147 | 1149.869 | 4018.389 | 0.000 | -0.000 | -0.000 |
| -65.237 | 1026.943 | 3753.264 | 85.703 | -0.000 | 0.000 |
| -65.238 | 1026.946 | 3753.275 | -0.000 | 58.113 | -0.000 |
| -65.238 | 1026.946 | 3753.274 | -0.000 | -0.000 | 46.347 |
| -239.657 | 113.436 | -2868.102 | -0.000 | 0.000 | 0.000 |
| 84.981 | -857.417 | -3624.002 | -0.000 | -0.000 | 0.000 |
| 5.488 | 139.166 | 302.167 | 0.000 | 0.000 | 0.000 |
| 65.237 | -1026.943 | -3753.264 | 85.703 | 0.000 | 0.000 |
| 65.238 | -1026.946 | -3753.275 | 0.000 | 58.113 | 0.000 |
| 65.238 | -1026.946 | -3753.274 | -0.000 | 0.000 | 46.347 |
| 419.801 | 121.158 | 381.410 | -0.000 | -0.000 | -0.000 |
| 90.934 | 151.832 | 406.597 | -0.000 | -0.000 | -0.000 |
| 79.170 | 109.621 | 544.678 | 0.000 | -0.000 | -0.000 |
| -6.522 | 102.661 | 375.204 | 85.711 | -0.000 | -0.000 |
| -6.524 | 102.695 | 375.327 | 0.000 | 58.113 | -0.000 |
| -0.000 | -0.000 | -0.000 | 0.000 | -0.000 | 46.641 |
| 432.794 | -84.221 | -369.468 | 0.000 | 0.000 | 0.000 |
| -41.529 | 169.578 | -169.612 | -0.000 | 0.000 | 0.000 |
| 5.488 | 139.166 | 302.167 | 0.000 | -0.000 | 0.000 |
| 6.522 | -102.661 | -375.204 | 85.711 | -0.000 | 0.000 |
| 6.524 | -102.695 | -375.327 | -0.000 | 58.113 | 0.000 |
| 0.000 | 0.000 | 0.000 | -0.000 | -0.000 | 46.641 |
| 429.286 | 23.816 | 41.749 | 0.000 | 0.000 | -0.000 |
| 31.326 | 159.819 | 147.303 | -0.000 | 0.000 | -0.000 |
| 17.057 | 117.892 | 274.290 | -0.000 | 0.000 | -0.000 |
| 7.023 | -1.594 | 27.961 | 83.298 | 0.000 | -0.000 |
| -0.000 | -0.000 | -0.000 | -0.000 | 58.116 | -0.000 |
| -0.000 | -0.000 | -0.000 | -0.000 | 0.000 | 46.641 |
| 416.036 | 25.590 | -15.872 | 0.000 | -0.000 | 0.000 |
| 18.080 | 161.591 | 89.681 | 0.000 | -0.000 | 0.000 |
| 6.315 | 119.379 | 227.754 | -0.000 | -0.000 | 0.000 |
| -7.023 | 1.594 | -27.961 | 83.298 | 0.000 | 0.000 |
| 0.000 | 0.000 | 0.000 | -0.000 | 58.116 | -0.000 |
| 0.000 | 0.000 | 0.000 | -0.000 | -0.000 | 46.641 |
| 232.748 | 63.103 | 117.181 | -0.000 | -0.000 | -0.000 |
| 111.698 | 191.914 | 173.816 | -0.000 | 0.000 | -0.000 |
| 135.698 | 63.414 | 264.561 | 0.000 | 0.000 | -0.000 |
| 43.957 | 3.692 | 94.255 | -5.570 | 0.000 | 0.000 |
| 58.892 | 6.025 | 118.348 | -0.000 | 82.393 | -0.000 |
| 49.756 | 4.179 | 106.690 | 0.000 | 0.000 | 38.867 |
| 125.019 | 50.662 | -45.867 | -0.000 | -0.000 | 0.000 |
| 64.531 | 193.763 | 78.819 | 0.000 | 0.000 | 0.000 |
| 117.999 | 78.209 | 222.032 | 0.000 | 0.000 | 0.000 |
| -43.957 | -3.692 | -94.255 | -5.570 | -0.000 | 0.000 |
| -58.892 | -6.025 | -118.348 | 0.000 | 82.393 | -0.000 |
| -49.756 | -4.179 | -106.690 | -0.000 | -0.000 | 38.867 |
| 210.507 | 59.838 | 97.465 | -0.000 | -0.000 | -0.000 |
| 64.531 | 193.763 | 78.819 | -0.000 | -0.000 | -0.000 |
| 81.335 | 58.740 | 159.719 | 0.000 | -0.000 | 0.000 |
| 5.605 | 0.466 | 11.281 | 32.879 | -0.000 | 0.000 |
| 4.789 | 0.399 | 9.676 | -0.000 | 81.349 | -0.000 |
| 5.796 | 0.715 | 12.079 | -0.000 | 0.000 | 49.660 |
| 200.355 | 58.659 | 82.229 | -0.000 | -0.000 | 0.000 |
| 48.527 | 184.632 | 44.306 | 0.000 | -0.000 | 0.000 |
| 117.999 | 78.209 | 222.032 | 0.000 | 0.000 | -0.000 |
| -5.605 | -0.466 | -11.281 | 32.879 | -0.000 | -0.000 |
| -4.789 | -0.399 | -9.676 | 0.000 | 81.349 | 0.000 |
| -5.796 | -0.715 | -12.079 | -0.000 | -0.000 | 49.660 |
| 208.139 | 59.607 | 93.038 | 0.000 | 0.000 | 0.000 |
| 59.911 | 186.726 | 62.487 | 0.000 | -0.000 | -0.000 |
| 76.131 | 57.397 | 149.460 | 0.000 | -0.000 | -0.000 |
| 0.000 | 0.000 | 0.000 | 61.499 | -0.000 | 0.000 |
| 0.000 | 0.000 | 0.000 | -0.000 | 102.043 | -0.000 |
| 0.226 | 0.019 | 0.484 | 0.000 | -0.000 | 50.297 |
| 201.592 | 54.106 | 74.373 | 0.000 | 0.000 | 0.000 |
| 59.293 | 186.615 | 61.106 | -0.000 | -0.000 | 0.000 |
| 74.717 | 56.991 | 146.712 | 0.000 | -0.000 | -0.000 |
| -0.000 | -0.000 | -0.000 | 61.499 | -0.000 | 0.000 |
| -0.000 | -0.000 | -0.000 | 0.000 | 102.043 | 0.000 |
| -0.226 | -0.019 | -0.484 | 0.000 | 0.000 | 50.297 |
| 203.323 | 79.350 | 74.333 | 0.000 | 0.000 | 0.000 |
| 305.699 | 203.388 | 455.051 | 0.000 | 0.000 | 0.000 |
| 74.333 | 82.993 | 230.120 | -0.000 | -0.000 | 0.000 |
| 0.000 | -0.000 | 0.000 | 74.525 | 0.000 | 0.000 |
| 0.000 | 0.000 | 0.000 | -0.000 | 65.221 | 0.000 |
| 0.000 | -0.000 | 0.000 | -0.000 | -0.000 | 62.389 |
| -23.478 | 167.259 | -310.325 | -0.000 | 0.000 | -0.000 |
| 79.350 | 342.110 | 82.993 | -0.000 | -0.000 | -0.000 |
| -153.135 | 151.628 | -177.033 | -0.000 | 0.000 | -0.000 |
| -0.000 | -0.000 | -0.000 | 74.525 | -0.000 | -0.000 |
| -0.000 | -0.000 | -0.000 | -0.000 | 65.221 | -0.000 |
| -0.000 | 0.000 | -0.000 | -0.000 | -0.000 | 62.389 |
| 203.323 | 79.350 | 74.333 | 0.000 | 0.000 | 0.000 |
| 104.386 | 313.094 | 117.438 | 0.000 | 0.000 | 0.000 |
| 89.678 | 67.344 | 243.136 | 0.000 | 0.000 | -0.000 |
| 22.379 | -10.556 | 36.910 | 65.325 | -0.000 | -0.000 |
| 0.000 | 0.000 | 0.000 | 0.000 | 65.221 | -0.000 |
| 0.000 | 0.000 | 0.000 | 0.000 | -0.000 | 62.389 |
| 176.428 | 90.348 | 29.536 | -0.000 | -0.000 | -0.000 |
| 79.350 | 342.110 | 82.993 | -0.000 | 0.000 | -0.000 |
| 48.196 | 76.024 | 167.258 | -0.000 | -0.000 | -0.000 |
| -22.379 | 10.556 | -36.910 | 65.325 | -0.000 | 0.000 |
| -0.000 | -0.000 | -0.000 | 0.000 | 65.221 | -0.000 |
| -0.000 | -0.000 | -0.000 | -0.000 | -0.000 | 62.389 |
| 200.896 | 80.933 | 71.130 | 0.000 | 0.000 | 0.000 |
| 81.935 | 325.596 | 76.032 | 0.000 | -0.000 | 0.000 |
| 71.531 | 72.881 | 213.246 | 0.000 | 0.000 | 0.000 |
| 0.000 | 0.000 | 0.000 | 74.525 | 0.000 | 0.000 |
| 0.000 | 0.000 | 0.000 | -0.000 | 65.221 | 0.000 |
| 0.000 | 0.000 | 0.000 | 0.000 | 0.000 | 62.389 |
| 196.428 | 82.654 | 63.540 | -0.000 | 0.000 | -0.000 |
| 79.460 | 327.939 | 72.844 | -0.000 | 0.000 | -0.000 |
| 64.391 | 80.697 | 201.875 | -0.000 | -0.000 | -0.000 |
| -0.000 | -0.000 | -0.000 | 74.525 | -0.000 | 0.000 |
| -0.000 | -0.000 | -0.000 | 0.000 | 65.221 | -0.000 |
| -0.000 | -0.000 | -0.000 | 0.000 | 0.000 | 62.389 |
| -79.521 | -220.476 | -180.313 | -0.000 | 0.000 | -0.000 |
| 7.155 | 142.169 | 37.881 | -0.000 | 0.000 | -0.000 |
| -134.184 | -146.179 | -0.221 | -0.000 | -0.000 | -0.000 |
| -267319881.530 | -315736519.874 | -344766938.703 | -122642021.778 | 0.000 | 0.000 |
| -297127671.915 | -304132077.743 | -359017379.141 | -0.000 | -152990531.310 | 0.000 |
| -331611173.717 | -334813339.127 | -407482851.518 | -0.000 | 0.000 | -94596558.471 |
| 690656709.559 | 665569430.713 | 907817833.109 | -0.000 | 0.000 | 0.000 |
| 690656606.431 | 665569566.501 | 907817846.233 | 0.000 | -0.000 | 0.000 |
| 690656617.389 | 665569253.227 | 907817889.157 | 0.000 | -0.000 | -0.000 |
| 267319881.530 | 315736519.874 | 344766938.703 | -122642021.778 | -0.000 | -0.000 |
| 297127671.958 | 304132077.789 | 359017379.207 | 0.000 | -152990531.293 | -0.000 |
| 331611173.717 | 334813339.126 | 407482851.518 | 0.000 | -0.000 | -94596558.471 |
| -79.445 | -220.395 | -180.233 | -0.000 | 0.000 | 0.000 |
| 7.232 | 142.247 | 37.959 | -0.000 | 0.000 | 0.000 |
| -134.096 | -146.088 | -0.131 | -0.000 | 0.000 | 0.000 |
| -26732005.527 | -31573661.508 | -34476714.113 | -12264140.754 | 0.000 | 0.000 |
| -29719056.539 | -30420000.759 | -35911492.140 | 0.000 | -15296459.387 | 0.000 |
| -33161284.356 | -33481452.968 | -40748478.720 | 0.000 | 0.000 | -9459612.515 |
| 69065801.127 | 66556985.016 | 90781820.850 | 0.000 | 0.000 | -0.000 |
| 69065700.195 | 66557104.022 | 90781839.268 | 0.000 | 0.000 | -0.000 |
| 69065695.977 | 66556977.279 | 90781956.757 | 0.000 | -0.000 | -0.000 |
| 26732005.527 | 31573661.508 | 34476714.113 | -12264140.754 | 0.000 | -0.000 |
| 29719056.537 | 30420000.756 | 35911492.137 | 0.000 | -15296459.388 | -0.000 |
| 33161284.356 | 33481452.968 | 40748478.720 | -0.000 | 0.000 | -9459612.515 |
| -79.374 | -220.282 | -180.133 | -0.000 | 0.000 | 0.000 |
| 7.237 | 142.254 | 37.964 | 0.000 | 0.000 | 0.000 |
| -134.051 | -146.024 | -0.076 | -0.000 | -0.000 | 0.000 |
| -2673217.925 | -3157375.671 | -3447691.652 | -1226352.652 | 0.000 | -0.000 |
| -2977196.172 | -3047707.375 | -3599350.526 | -0.000 | -1527458.454 | -0.000 |
| -3316295.389 | -3348264.327 | -4075041.401 | -0.000 | 0.000 | -945917.919 |
| 6906710.283 | 6655740.446 | 9078219.624 | -0.000 | 0.000 | -0.000 |
| 6906607.326 | 6655874.519 | 9078233.242 | -0.000 | 0.000 | -0.000 |
| 6906603.577 | 6655748.007 | 9078349.828 | 0.000 | -0.000 | 0.000 |
| 2673217.925 | 3157375.671 | 3447691.652 | -1226352.652 | -0.000 | -0.000 |
| 2977196.172 | 3047707.375 | 3599350.526 | 0.000 | -1527458.454 | -0.000 |
| 3316295.389 | 3348264.327 | 4075041.401 | 0.000 | -0.000 | -945917.919 |
Phonon band structures and crystal properties estimated from quasi-harmonic approximation (QHA) calculations are displayed for select crystals. The calculations were performed using phonopy and LAMMPS. For the phonon calculations, 3x3 supercells of the potential-specific relaxed crystals were used. The QHA calculations were based on 11 strain states ranging from -0.05 to 0.05.
The calculation method used is available as the iprPy phonon calculation method.
Notes and Disclaimers:
Version Information:






































































Static free surface formation energies are displayed for select crystals. The values displayed here are obtained by taking a perfect periodic bulk crystal, slicing along a crystallographic plane, and using force minimization to statically relax the surfaces. The free surface formation energy is computed by comparing the energy of the defect system to the bulk system and dividing by the total surface area created by the cut.
The calculation method used is available as the iprPy surface_energy_static calculation method.
Notes and Disclaimers:
Version Information:
| Surface | γfs (mJ/m2) |
|---|---|
| (110) | -293.63 |
| (321) | -106.57 |
| (210) | -90.23 |
| (310) | -86.66 |
| (320) | 2.14 |
| (221) | 149.98 |
| (311) | 223.37 |
| (211) | 246.77 |
| (331) | 286.34 |
| (332) | 516.79 |
| (322) | 665.43 |
| (111) | 713.30 |
| (100) | 868.27 |
| Surface | γfs (mJ/m2) |
|---|---|
| (2130) 2 | -495.68 |
| (1011) 1 | -241.47 |
| (1010) 2 | -194.00 |
| (1120) | -192.71 |
| (2130) 1 | -152.60 |
| (2131) 2 | -58.56 |
| (1012) 2 | 36.48 |
| (2241) | 70.15 |
| (2131) 1 | 89.79 |
| (1121) | 109.07 |
| (2112) | 155.61 |
| (2132) 1 | 208.23 |
| (2132) 2 | 237.55 |
| (1010) 1 | 442.55 |
| (2021) 1 | 496.59 |
| (1011) 2 | 519.87 |
| (2021) 2 | 645.87 |
| (0001) | 730.93 |
| Surface | γfs (mJ/m2) |
|---|---|
| (111) 2 | 1111.40 |
| (331) 2 | 1324.24 |
| (110) | 1360.24 |
| (321) | 1613.22 |
| (320) | 1673.92 |
| (211) | 1679.13 |
| (332) | 1790.60 |
| (210) | 1838.82 |
| (311) 1 | 1899.78 |
| (311) 2 | 1900.63 |
| (310) | 1992.39 |
| (322) | 2101.13 |
| (221) | 2157.91 |
| (100) | 2190.51 |
| (331) 1 | 2528.75 |
| (111) 1 | 4142.74 |
| Surface | γfs (mJ/m2) |
|---|---|
| (100) | 400.01 |
| (310) | 576.80 |
| (210) | 644.97 |
| (320) | 699.84 |
| (110) | 764.47 |
| (311) | 880.39 |
| (321) | 945.74 |
| (331) | 961.58 |
| (211) | 1037.34 |
| (221) | 1055.07 |
| (332) | 1149.19 |
| (322) | 1155.99 |
| (111) | 1284.30 |
Static point defect formation energies, Ef, and elastic dipole tensors, pij, are displayed for select crystals. Relaxed defect configurations are obtained by taking a 12x12x12 supercell of a perfect periodic bulk crystal, inserting the point defect, and using force minimization to statically relax the atomic positions while keeping the system dimensions constant. Ef is computed by comparing the energy of the defect system to the same number of atoms in a perfect bulk crystal. pij is estimated as the difference in the system's global pressure with and without the defect multiplied by the system's volume.
Simple structural comparisons of the unrelaxed and relaxed defect configurations are used to help determine if the defect structure has relaxed to a different configuration. Relaxed structures that are identified as no longer consistent with the ideal defect definition are excluded from the table below. The only exception to this is if the lowest energy interstitial configuration does not coincide with a known ideal defect, its energies and pressure tensor are included under the listing "relaxed interstitial". The full list of calculation results including the transformed structures and the structural comparison values is included in the csv file available from the "Download raw data" link.
The calculation method used is available as the iprPy point_defect_static calculation method.
Notes and Disclaimers:
| Point Defect | Ef (eV) | p11 (eV) | p22 (eV) | p33 (eV) | p12 (eV) | p13 (eV) | p23 (eV) |
|---|---|---|---|---|---|---|---|
| octahedral interstitial | -3.697 | 75.949 | 75.949 | 75.949 | -0.000 | -0.000 | -0.000 |
| 111 dumbbell | -3.446 | 97.802 | 97.802 | 97.802 | -0.342 | -0.342 | -0.342 |
| 100 dumbbell | -2.570 | 95.398 | 95.398 | 89.908 | -0.000 | 0.000 | 0.000 |
| tetrahedral interstitial | -1.025 | 91.050 | 91.050 | 91.050 | -0.000 | -0.000 | 0.000 |
| 2nn divacancy | -0.578 | -6.907 | -6.907 | -5.439 | -0.000 | -0.000 | -0.000 |
| vacancy | 0.333 | -4.098 | -4.098 | -4.098 | 0.000 | 0.000 | 0.000 |
| 1nn divacancy | 0.802 | -6.878 | -7.739 | -7.739 | 0.000 | -0.000 | 0.286 |
| 110 dumbbell | 1.500 | 78.180 | 86.008 | 86.008 | 0.000 | 0.000 | 19.712 |
| crowdion interstitial | 4.977 | 79.551 | 79.551 | 64.562 | 26.055 | -0.000 | -0.000 |
| Point Defect | Ef (eV) | p11 (eV) | p22 (eV) | p33 (eV) | p12 (eV) | p13 (eV) | p23 (eV) |
|---|---|---|---|---|---|---|---|
| relaxed interstitial | -5.647 | 105.015 | 107.619 | 112.924 | 1.639 | 0.594 | 0.396 |
| vacancy | -0.316 | -2.985 | -2.985 | -0.978 | -0.000 | -0.000 | -0.000 |
| 0001 dumbbell | 7.653 | 64.779 | 64.779 | 81.148 | -0.000 | -0.000 | -0.000 |
| Point Defect | Ef (eV) | p11 (eV) | p22 (eV) | p33 (eV) | p12 (eV) | p13 (eV) | p23 (eV) |
|---|---|---|---|---|---|---|---|
| vacancy | 3.543 | 0.365 | 0.365 | 0.365 | -0.000 | -0.000 | -0.000 |
| tetragonal interstitial | 3.716 | 9.732 | 9.732 | 9.732 | -0.000 | -0.000 | -0.000 |
| 1nn divacancy | 5.315 | 0.506 | 0.506 | 0.506 | -0.047 | -0.047 | -0.047 |
| bond centered interstitial | 6.539 | 21.252 | 21.252 | 21.252 | 8.886 | 8.886 | 8.886 |
| 100 dumbbell | 6.550 | 26.148 | 26.148 | 21.242 | 0.000 | 0.000 | 0.000 |
Plots of lattice and elastic constants are shown as a function of temperature. The 0K points were taken from the Crystal Structure Predictions and the Elastic Constants Predictions sections above for the unique crystal structures relaxed with the "dynamic" method. Starting from the 0 K relaxed crystal unit cells, supercell systems are created by replicating all three dimensions by the same multiplier to achieve at least 4000 atoms. The systems are then relaxed at 50 K and zero pressure using 1 million NPT steps. Lattice constants are estimated by averaging the measured box dimensions. Temperatures are iteratively increased by 50 K, with each subsequent relaxation calculation starting from the final atomic configuration at the previous temperature and relaxing for another 1 million steps.
The elastic constants are calculated using the deformation–fluctuation hybrid method. Starting from the final atomic configurations of the dynamic relaxations, the system is allowed to evolve at constant volume with a Langevin thermostat. The Born matrix is computed during this run by evaluating how the atomic forces would vary due to applied linear strain fields. The elastic constants can then be estimated using the averaged Born matrix values and the averaged stresses on the system.
The calculation methods used are available as the iprPy relax_dynamic and elastic_constants_dynamic calculation methods.
Clicking on the image of a plot will open an interactive version of it in a new tab. The underlying data for the plots can be downloaded by clicking on the links above each plot.
Notes and Disclaimers:
Version Information:
Plots of radial distribution functions at different temperatures and the temperature-dependent diffusion and viscosity are shown here for elemental liquids. Melt phases are constructed by starting with a 10x10x10 fcc super cell and relaxing with 50,000 NPT steps at zero pressure and a high melting temperature (3000 K for most potentials and elements). Following the melt, liquid structures are relaxed by running NPT for 10,000 steps over which the temperature is dropped by 50 K, then 50,000 NPT at the target temperature to estimate the equilibrium volume, followed by 20,000 NVT steps at the averaged equilibrium volume and target temperature. Structures from the NVT run are sampled to compute the radial distribution function of the liquid at the corresponding temperature.
The final relaxed configurations at each temperature explored are used as the initial configurations for the diffusion and viscosity calculations. For diffusion, the system is integrated for 100 runs of 2,000 NVT steps during which both the mean squared displacement (MSD) and the velocity auto correlation function (VACF) are computed. From these simulations, three estimates of diffusion are computed: one from the MSD of the full 200,000 step run, one in which the MSD is reset for each short run and then averaged, and one from the VACF computed for each short run and averaged. For viscosity, the Green-Kubo method is used which is evaluated during a 1 million step NVT run.
The calculation methods used are available as the iprPy relax_liquid_redo, diffusion_liquid, and viscosity_green_kubo calculation methods.
Clicking on the image of a plot will open an interactive version of it in a new tab. The underlying data for the plots can be downloaded by clicking on the links above each plot.
Notes and Disclaimers:
Version Information:
Plots of internal energy, Gibbs free energy, entropy, heat capacity and volume are shown here as a function of temperature for various crystal structures and liquid phases. The included crystal structures correspond to those in the Solid Structures vs. Temperature section, and the liquid phases to those in the Liquid Properties section. Internal energy and volume are taken from the associated structure relaxations mentioned in those previous sections. Constant pressure heat capacity is estimated using 3-point numerical derivatives of enthalpy versus temperature. Note that since all simulations done here are at 0 pressure, internal energy and enthalpy are equivalent.
The Gibbs energies of the phases are estimated using thermodynamic integration between the interatomic potential in question and a simpler model with known Gibbs free energy values. For solids, the reference model is an Einstein solid, while for liquids it is the Uhlenbeck-Ford potential. Besides a short run at the start of the solid calculations to estimate Einstein model spring constants, the two calculations proceed similarly. Starting with the final relaxation configurations, the systems are stabilized for 25,000 steps. Then, over the next 50,000 steps the potential is swapped out for the reference potential. The system is then stabilized for another 25,000 steps with the reference model before a reverse swap of 50,000 steps is performed. The simulation ends with one final 25,000 step stabilization period. From the simulation, the irreversible work of transformation is estimated and used to compute the absolute Gibbs free energy of the target phase and potential relative to the reference potential. Entropy is estimated as the difference in enthalpy and Gibbs free energy and divided by temperature.
The calculation methods used are available as the iprPy relax_dynamic, relax_liquid_redo, free_energy, and free_energy_liquid calculation methods.
Clicking on the image of a plot will open an interactive version of it in a new tab. The underlying data for the plots can be downloaded by clicking on the links above each plot.
Notes and Disclaimers:
Version Information:





