Plots of the potential energy vs interatomic spacing, r, are shown below for all diatom sets associated with the interatomic potential. This calculation provides insights into the functional form of the potential's two-body interactions. A system consisting of only two atoms is created, and the potential energy is evaluated for the atoms separated by 0.02 Å <= r <= 6.0> Å in intervals of 0.02 Å. Two plots are shown: one for the "standard" interaction distance range, and one for small values of r. The small r plot is useful for determining whether the potential is suitable for radiation studies.
The calculation method used is available as the iprPy diatom_scan calculation method.
Clicking on the image of a plot will open an interactive version of it in a new tab. The underlying data for the plots can be downloaded by clicking on the links above each plot.
Notes and Disclaimers:
Version Information:
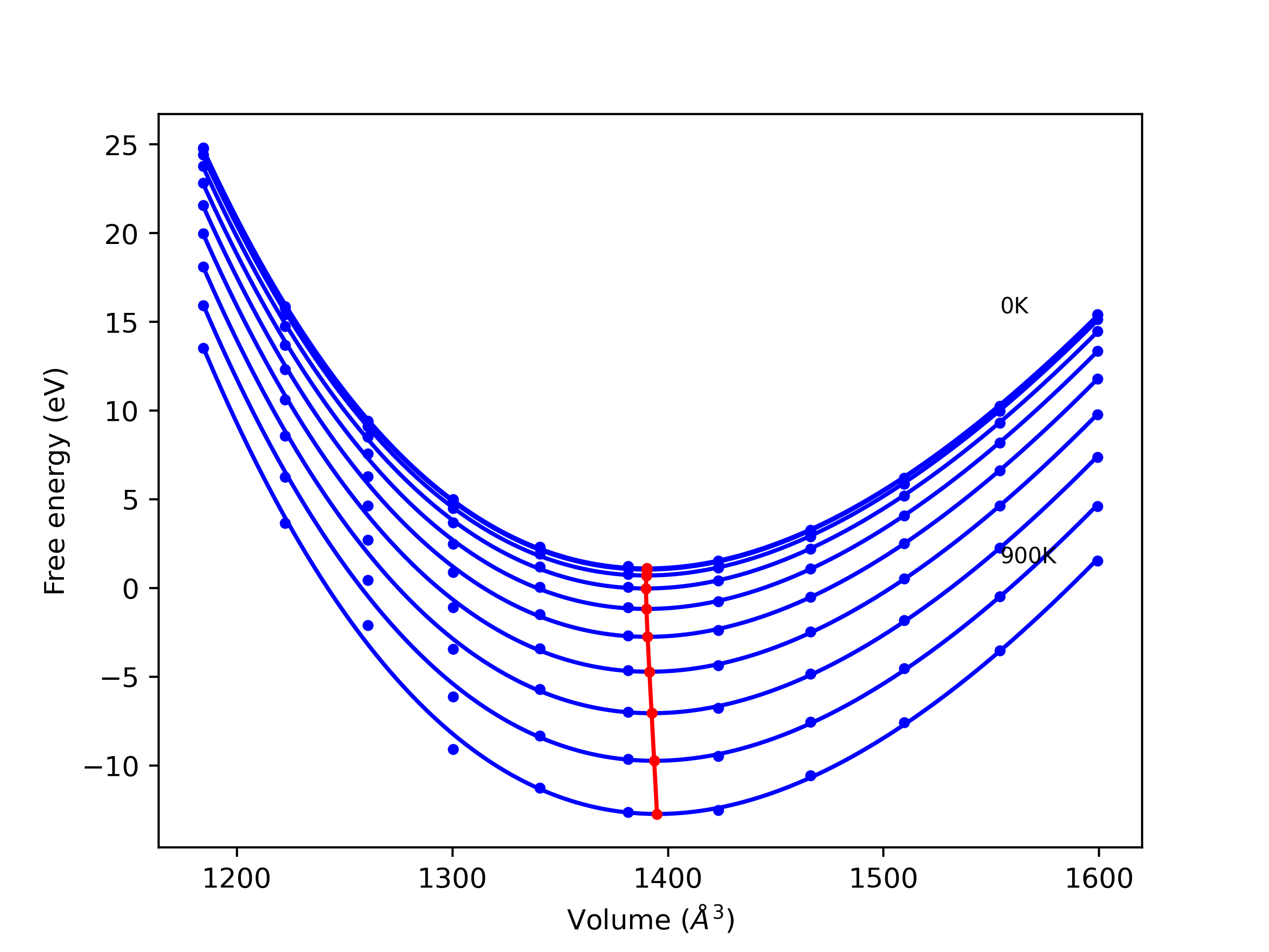
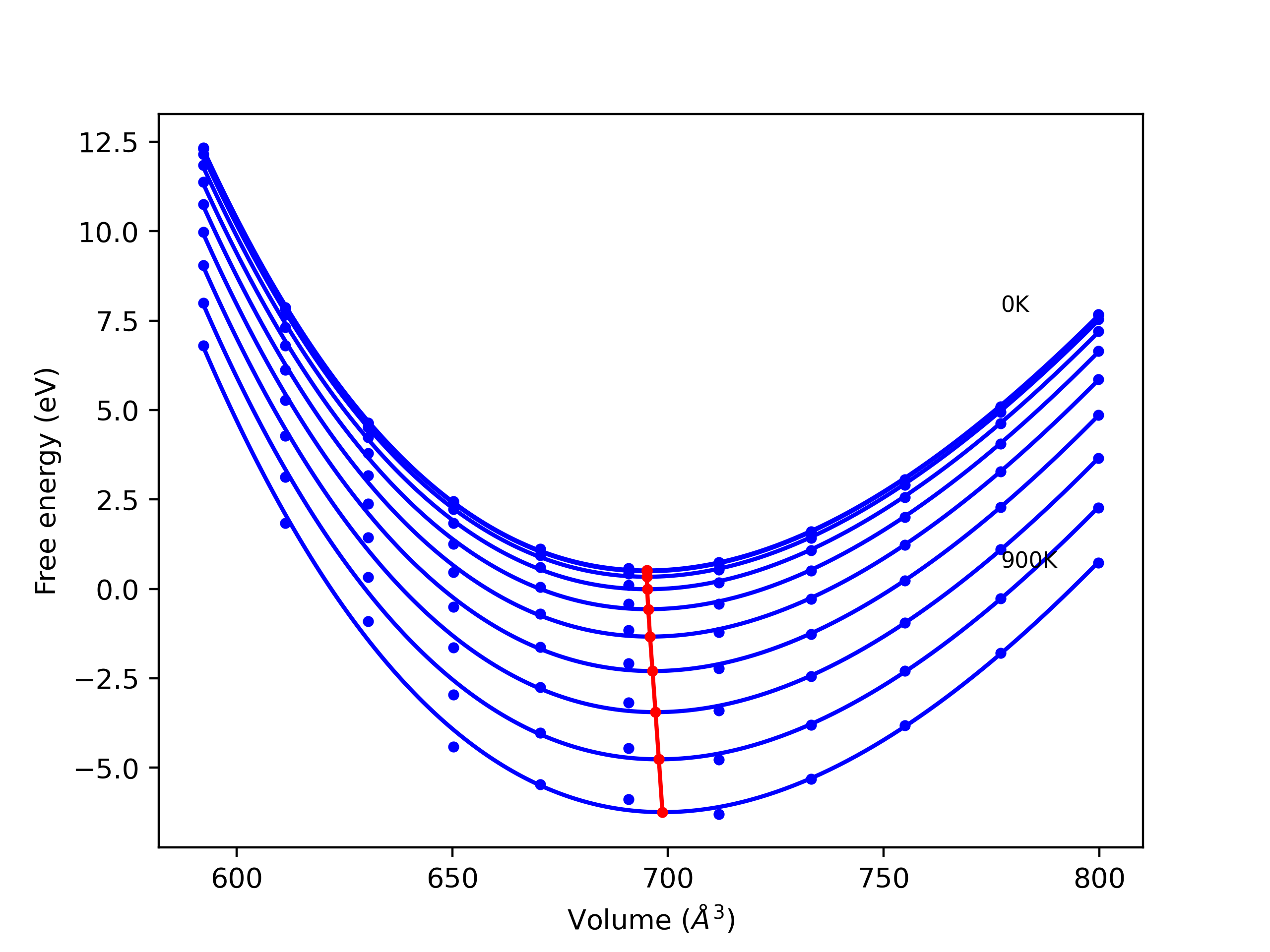
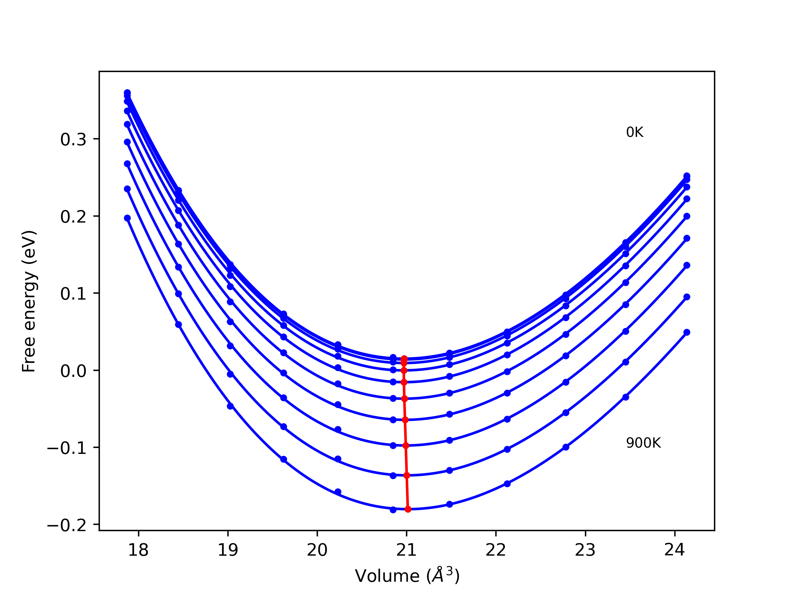
Plots of potential energy vs interatomic spacing, r, are shown below for a number of crystal structures. The structures are generated based on the ideal atomic positions and b/a and c/a lattice parameter ratios for a given crystal prototype. The size of the system is then uniformly scaled, and the energy calculated without relaxing the system. To obtain these plots, values of r are evaluated every 0.02 Å up to 6 Å.
The calculation method used is available as the iprPy E_vs_r_scan calculation method.
Clicking on the image of a plot will open an interactive version of it in a new tab. The underlying data for the plots can be downloaded by clicking on the links above each plot.
Notes and Disclaimers:
Version Information:
Computed lattice constants and cohesive/potential energies are displayed for a variety of crystal structures. The values displayed here are obtained using the following process.
The calculation methods used are implemented into iprPy as the following calculation styles
Notes and Disclaimers:
Version Information:
Download raw data (including filtered results)
Reference structure matches:
A1--Cu--fcc = oqmd-1214512
A15--beta-W = oqmd-1214957
A2--W--bcc = oqmd-1215135
A3'--alpha-La--double-hcp = oqmd-1215403
A3--Mg--hcp = oqmd-1215313
A4--C--dc = mp-66, oqmd-675640
A5--beta-Sn = oqmd-1215581
A6--In--bct = mp-1181996, oqmd-1215670
A7--alpha-As = oqmd-594528
Ah--alpha-Po--sc = mp-998866, oqmd-636457, oqmd-1214601
| prototype | method | Ecoh (eV/atom) | Epot (eV/atom) | a0 (Å) | b0 (Å) | c0 (Å) | α (degrees) | β (degrees) | γ (degrees) | 
|---|---|---|---|---|---|---|---|---|---|
| mp-569416 | static | -7.4028 | -7.4028 | 2.4562 | 2.4562 | 54.6869 | 90.0 | 90.0 | 120.0 | 
| mp-606949 | dynamic | -7.4028 | -7.4028 | 2.4562 | 2.4562 | 29.4917 | 90.0 | 90.0 | 120.0 | 
| mp-569416 | dynamic | -7.4028 | -7.4028 | 2.4562 | 2.4562 | 54.7122 | 90.0 | 90.0 | 120.0 | 
| mp-990424 | dynamic | -7.4028 | -7.4028 | 2.4562 | 2.4562 | 24.1254 | 90.0 | 90.0 | 120.0 | 
| mp-937760 | dynamic | -7.4028 | -7.4028 | 2.4562 | 4.2542 | 7.1733 | 90.0 | 90.0 | 90.0 | 
| oqmd-590101 | static | -7.4028 | -7.4028 | 2.4562 | 2.4562 | 6.7957 | 90.0 | 90.0 | 120.0 | 
| mp-568363 | static | -7.4028 | -7.4028 | 2.4562 | 4.2542 | 8.1499 | 90.0 | 90.0 | 90.0 | 
| mp-606949 | static | -7.4028 | -7.4028 | 2.4562 | 2.4562 | 29.4913 | 90.0 | 90.0 | 120.0 | 
| mp-990424 | static | -7.4028 | -7.4028 | 2.4562 | 2.4562 | 24.1327 | 90.0 | 90.0 | 120.0 | 
| mp-568806 | static | -7.4028 | -7.4028 | 2.4562 | 2.4562 | 3.6535 | 90.0 | 90.0 | 120.0 | 
| oqmd-683819 | static | -7.4028 | -7.4028 | 2.4562 | 4.2542 | 6.6519 | 90.0 | 90.0 | 90.0 | 
| mp-48 | dynamic | -7.4028 | -7.4028 | 2.4562 | 2.4562 | 7.8031 | 90.0 | 90.0 | 120.0 | 
| mp-169 | static | -7.4028 | -7.4028 | 4.2542 | 2.4562 | 3.7636 | 90.0 | 111.5 | 90.0 | 
| mp-169 | dynamic | -7.4028 | -7.4028 | 4.2542 | 2.4562 | 3.7634 | 90.0 | 111.5 | 90.0 | 
| mp-568363 | dynamic | -7.4028 | -7.4028 | 2.4562 | 4.2542 | 8.2893 | 90.0 | 90.0 | 90.0 | 
| mp-632329 | dynamic | -7.4028 | -7.4028 | 4.2542 | 2.4562 | 3.3722 | 90.0 | 94.4 | 90.0 | 
| mp-632329 | static | -7.4028 | -7.4028 | 4.2542 | 2.4562 | 3.7374 | 90.0 | 94.1 | 90.0 | 
| oqmd-1215937 | dynamic | -7.4028 | -7.4028 | 2.4562 | 2.4562 | 7.3725 | 90.0 | 90.0 | 120.0 | 
| mp-568286 | static | -7.4028 | -7.4028 | 2.4562 | 4.2542 | 7.0357 | 90.0 | 90.0 | 90.0 | 
| mp-568806 | dynamic | -7.4028 | -7.4028 | 2.4562 | 2.4562 | 3.6594 | 90.0 | 90.0 | 120.0 | 
| oqmd-589492 | dynamic | -7.4028 | -7.4028 | 2.4562 | 2.4562 | 53.495 | 90.0 | 90.0 | 120.0 | 
| oqmd-683820 | static | -7.4028 | -7.4028 | 2.4562 | 4.2542 | 6.7738 | 90.0 | 90.0 | 90.0 | 
| mp-997182 | dynamic | -7.4028 | -7.4028 | 2.4562 | 2.4562 | 12.0458 | 90.0 | 90.0 | 120.0 | 
| mp-569304 | dynamic | -7.4028 | -7.4028 | 2.4562 | 2.4562 | 33.1908 | 90.0 | 90.0 | 120.0 | 
| oqmd-589493 | static | -7.4028 | -7.4028 | 2.4562 | 2.4562 | 28.9518 | 90.0 | 90.0 | 120.0 | 
| oqmd-589491 | static | -7.4028 | -7.4028 | 2.4562 | 2.4562 | 33.2379 | 90.0 | 90.0 | 120.0 | 
| oqmd-589491 | dynamic | -7.4028 | -7.4028 | 2.4562 | 2.4562 | 33.3582 | 90.0 | 90.0 | 120.0 | 
| mp-990448 | dynamic | -7.4028 | -7.4028 | 2.4562 | 2.4562 | 8.5238 | 90.0 | 90.0 | 120.0 | 
| oqmd-683820 | dynamic | -7.4028 | -7.4028 | 2.4562 | 4.2542 | 6.8163 | 90.0 | 90.0 | 90.0 | 
| oqmd-589492 | static | -7.4028 | -7.4028 | 2.4562 | 2.4562 | 53.4804 | 90.0 | 90.0 | 120.0 | 
| oqmd-683819 | dynamic | -7.4028 | -7.4028 | 2.4562 | 4.2542 | 6.6661 | 90.0 | 90.0 | 90.0 | 
| oqmd-589493 | dynamic | -7.4028 | -7.4028 | 2.4562 | 2.4562 | 28.956 | 90.0 | 90.0 | 120.0 | 
| mp-1040425 | dynamic | -7.4028 | -7.4028 | 2.4562 | 2.4562 | 19.9983 | 90.0 | 90.0 | 120.0 | 
| A7--alpha-As | dynamic | -7.4028 | -7.4028 | 2.4562 | 2.4562 | 10.2131 | 90.0 | 90.0 | 120.0 | 
| oqmd-590101 | dynamic | -7.4028 | -7.4028 | 2.4562 | 2.4562 | 6.7965 | 90.0 | 90.0 | 120.0 | 
| oqmd-1214690 | dynamic | -7.4028 | -7.4028 | 2.4562 | 4.2542 | 6.6767 | 90.0 | 90.0 | 90.0 | 
| mp-568410 | static | -7.4028 | -7.4028 | 4.7566 | 4.9123 | 4.2543 | 90.0 | 90.0 | 90.0 | 
| oqmd-599492 | dynamic | -7.3759 | -7.3759 | 2.4394 | 2.4394 | 15.9338 | 90.0 | 90.0 | 120.0 | 
| mp-611448 | dynamic | -7.3759 | -7.3759 | 2.4394 | 2.4394 | 11.9503 | 90.0 | 90.0 | 120.0 | 
| mp-611426 | dynamic | -7.3759 | -7.3759 | 2.4394 | 2.4394 | 7.9669 | 90.0 | 90.0 | 120.0 | 
| oqmd-599494 | dynamic | -7.3759 | -7.3759 | 2.4394 | 2.4394 | 41.8262 | 90.0 | 90.0 | 120.0 | 
| A4--C--dc | dynamic | -7.3759 | -7.3759 | 3.4498 | 3.4498 | 3.4498 | 90.0 | 90.0 | 90.0 | 
| oqmd-599489 | dynamic | -7.3759 | -7.3759 | 2.4394 | 2.4394 | 3.9834 | 90.0 | 90.0 | 120.0 | 
| oqmd-599493 | dynamic | -7.3759 | -7.3759 | 2.4394 | 2.4394 | 29.8759 | 90.0 | 90.0 | 120.0 | 
| oqmd-599489 | box | -7.3758 | -7.3758 | 2.439 | 2.439 | 3.9846 | 90.0 | 90.0 | 120.0 | 
| mp-47 | box | -7.3758 | -7.3758 | 2.4389 | 2.4389 | 3.9848 | 90.0 | 90.0 | 120.0 | 
| oqmd-599492 | box | -7.3751 | -7.3751 | 2.4392 | 2.4392 | 15.936 | 90.0 | 90.0 | 120.0 | 
| mp-616440 | box | -7.375 | -7.375 | 2.4393 | 2.4393 | 15.9353 | 90.0 | 90.0 | 120.0 | 
| oqmd-599491 | box | -7.3749 | -7.3749 | 2.4393 | 2.4393 | 11.9518 | 90.0 | 90.0 | 120.0 | 
| mp-569567 | box | -7.3748 | -7.3748 | 2.4393 | 2.4393 | 41.8296 | 90.0 | 90.0 | 120.0 | 
| mp-611448 | box | -7.3748 | -7.3748 | 2.4393 | 2.4393 | 11.9516 | 90.0 | 90.0 | 120.0 | 
| oqmd-599493 | box | -7.3747 | -7.3747 | 2.4393 | 2.4393 | 29.8786 | 90.0 | 90.0 | 120.0 | 
| mp-569517 | box | -7.3746 | -7.3746 | 2.4393 | 2.4393 | 29.8796 | 90.0 | 90.0 | 120.0 | 
| mp-611426 | box | -7.3745 | -7.3745 | 2.4392 | 2.4392 | 7.9685 | 90.0 | 90.0 | 120.0 | 
| oqmd-599490 | box | -7.3744 | -7.3744 | 2.4393 | 2.4393 | 7.9679 | 90.0 | 90.0 | 120.0 | 
| mp-1096869 | static | -7.3219 | -7.3219 | 25.4723 | 14.7653 | 2.37 | 90.0 | 94.8 | 90.0 | 
| mp-1008374 | dynamic | -7.164 | -7.164 | 2.4858 | 7.7401 | 2.4643 | 90.0 | 90.0 | 90.0 | 
| mp-1008374 | box | -7.1625 | -7.1625 | 2.4879 | 7.7286 | 2.4673 | 90.0 | 90.0 | 90.0 | 
| mp-1078845 | dynamic | -6.9333 | -6.9333 | 4.4992 | 8.4445 | 2.4619 | 90.0 | 90.0 | 90.0 | 
| mp-1190171 | dynamic | -6.8589 | -6.8589 | 8.875 | 2.4455 | 4.0745 | 90.0 | 90.0 | 90.0 | 
| mp-1080826 | dynamic | -6.8551 | -6.8551 | 8.9573 | 2.4458 | 4.0668 | 90.0 | 96.4 | 90.0 | 
| oqmd-637130 | box | -6.8315 | -6.8315 | 8.9852 | 2.4335 | 4.0872 | 90.0 | 90.0 | 90.0 | 
| oqmd-637352 | box | -6.8311 | -6.8311 | 9.047 | 2.4372 | 4.0761 | 90.0 | 96.2 | 90.0 | 
| mp-1190171 | box | -6.8308 | -6.8308 | 8.992 | 2.4336 | 4.0856 | 90.0 | 90.0 | 90.0 | 
| mp-1080826 | box | -6.8306 | -6.8306 | 9.0492 | 2.4375 | 4.0751 | 90.0 | 96.2 | 90.0 | 
| mp-1078845 | box | -6.7996 | -6.7996 | 4.1852 | 8.7713 | 2.4123 | 90.0 | 90.0 | 90.0 | 
| oqmd-689315 | static | -6.7176 | -6.7176 | 10.2821 | 17.3828 | 17.9039 | 90.0 | 90.0 | 90.0 | 
| mp-683919 | static | -6.7175 | -6.7175 | 10.2889 | 17.4522 | 17.9279 | 90.0 | 90.0 | 90.0 | 
| mp-568028 | dynamic | -6.7136 | -6.7136 | 7.8927 | 13.796 | 9.3262 | 90.0 | 90.0 | 90.0 | 
| mp-568028 | static | -6.7114 | -6.7114 | 7.9747 | 13.7957 | 9.3226 | 90.0 | 90.0 | 90.0 | 
| mp-683919 | box | -6.7036 | -6.7036 | 10.2428 | 17.5294 | 17.9949 | 90.0 | 90.0 | 90.0 | 
| oqmd-689315 | box | -6.6945 | -6.6945 | 10.1362 | 17.5764 | 18.0322 | 90.0 | 90.0 | 90.0 | 
| oqmd-610557 | box | -6.687 | -6.687 | 4.7392 | 5.6109 | 4.2719 | 90.0 | 90.0 | 90.0 | 
| oqmd-610556 | box | -6.6835 | -6.6835 | 4.7382 | 5.614 | 4.2722 | 90.0 | 90.0 | 90.0 | 
| mp-568410 | box | -6.6808 | -6.6808 | 4.7381 | 5.6155 | 4.2726 | 90.0 | 90.0 | 90.0 | 
| oqmd-677227 | dynamic | -6.6573 | -6.6573 | 14.051 | 14.051 | 14.051 | 90.0 | 90.0 | 90.0 | 
| oqmd-603085 | dynamic | -6.6573 | -6.6573 | 13.8439 | 13.8439 | 13.8439 | 90.0 | 90.0 | 90.0 | 
| oqmd-684315 | dynamic | -6.6573 | -6.6573 | 9.8948 | 14.8601 | 9.3952 | 90.0 | 90.0 | 90.0 | 
| mp-1196583 | dynamic | -6.6573 | -6.6573 | 14.2765 | 14.2765 | 14.2765 | 90.0 | 90.0 | 90.0 | 
| mp-1205283 | dynamic | -6.6573 | -6.6573 | 9.564 | 14.0556 | 9.6862 | 90.0 | 90.0 | 90.0 | 
| mp-667273 | dynamic | -6.6573 | -6.6573 | 14.2617 | 14.2617 | 14.2617 | 90.0 | 90.0 | 90.0 | 
| oqmd-677227 | static | -6.6573 | -6.6573 | 14.1926 | 14.1926 | 14.1926 | 90.0 | 90.0 | 90.0 | 
| oqmd-603085 | static | -6.6572 | -6.6572 | 13.9986 | 13.9986 | 13.9986 | 90.0 | 90.0 | 90.0 | 
| mp-1196583 | static | -6.6572 | -6.6572 | 14.415 | 14.415 | 14.415 | 90.0 | 90.0 | 90.0 | 
| mp-667273 | static | -6.6565 | -6.6565 | 14.4745 | 14.4745 | 14.4745 | 90.0 | 90.0 | 90.0 | 
| mp-1196583 | box | -6.6562 | -6.6562 | 14.4111 | 14.4111 | 14.4111 | 90.0 | 90.0 | 90.0 | 
| oqmd-603085 | box | -6.6562 | -6.6562 | 13.995 | 13.995 | 13.995 | 90.0 | 90.0 | 90.0 | 
| mp-667273 | box | -6.6559 | -6.6559 | 14.4721 | 14.4721 | 14.4721 | 90.0 | 90.0 | 90.0 | 
| mp-1147718 | static | -6.6534 | -6.6534 | 10.2428 | 14.7482 | 9.1969 | 90.0 | 90.0 | 90.0 | 
| mp-630227 | static | -6.6502 | -6.6502 | 9.0668 | 9.1098 | 15.6975 | 90.0 | 90.0 | 90.0 | 
| oqmd-595714 | static | -6.65 | -6.65 | 9.0816 | 9.1234 | 14.6288 | 90.0 | 90.0 | 90.0 | 
| oqmd-684627 | static | -6.6498 | -6.6498 | 9.1093 | 9.1093 | 15.276 | 90.0 | 90.0 | 90.0 | 
| oqmd-677227 | box | -6.6495 | -6.6495 | 14.1918 | 14.1918 | 14.1918 | 90.0 | 90.0 | 90.0 | 
| mp-1205283 | static | -6.6408 | -6.6408 | 8.9079 | 13.6744 | 9.3398 | 90.0 | 90.0 | 90.0 | 
| mp-1147718 | box | -6.6366 | -6.6366 | 10.2493 | 14.7411 | 9.2548 | 90.0 | 90.0 | 90.0 | 
| mp-680372 | static | -6.6357 | -6.6357 | 9.1817 | 9.1817 | 25.3516 | 90.0 | 90.0 | 120.0 | 
| oqmd-614417 | static | -6.6349 | -6.6349 | 9.1802 | 9.1802 | 24.1622 | 90.0 | 90.0 | 120.0 | 
| oqmd-595714 | box | -6.6236 | -6.6236 | 9.1242 | 9.1749 | 14.5633 | 90.0 | 90.0 | 90.0 | 
| mp-630227 | box | -6.6232 | -6.6232 | 9.1202 | 9.1602 | 15.634 | 90.0 | 90.0 | 90.0 | 
| oqmd-684627 | box | -6.6127 | -6.6127 | 9.1632 | 9.1632 | 15.2013 | 90.0 | 90.0 | 90.0 | 
| oqmd-614417 | box | -6.5987 | -6.5987 | 9.1897 | 9.1897 | 24.2659 | 90.0 | 90.0 | 120.0 | 
| mp-680372 | box | -6.5963 | -6.5963 | 9.1983 | 9.1983 | 25.4424 | 90.0 | 90.0 | 120.0 | 
| mp-568028 | box | -6.5623 | -6.5623 | 8.4904 | 13.873 | 9.5885 | 90.0 | 90.0 | 90.0 | 
| mp-1018088 | dynamic | -6.51 | -6.51 | 4.1082 | 4.1082 | 4.1082 | 90.0 | 90.0 | 90.0 | 
| mp-24 | dynamic | -6.5058 | -6.5058 | 4.3092 | 4.3092 | 4.3092 | 90.0 | 90.0 | 90.0 | 
| mp-24 | box | -6.5055 | -6.5055 | 4.3104 | 4.3104 | 4.3104 | 90.0 | 90.0 | 90.0 | 
| mp-579909 | static | -6.4658 | -6.4658 | 4.7975 | 5.07 | 6.8108 | 90.0 | 90.0 | 90.0 | 
| oqmd-610552 | static | -6.4658 | -6.4658 | 4.7975 | 5.07 | 6.3948 | 90.0 | 90.0 | 90.0 | 
| oqmd-637443 | static | -6.4552 | -6.4552 | 5.176 | 5.176 | 5.176 | 90.0 | 90.0 | 90.0 | 
| mp-1188817 | static | -6.4552 | -6.4552 | 5.1762 | 5.1762 | 5.1762 | 90.0 | 90.0 | 90.0 | 
| oqmd-637443 | box | -6.407 | -6.407 | 5.2018 | 5.2018 | 5.2018 | 90.0 | 90.0 | 90.0 | 
| mp-1188817 | box | -6.4055 | -6.4055 | 5.2018 | 5.2018 | 5.2018 | 90.0 | 90.0 | 90.0 | 
| oqmd-637353 | box | -6.3873 | -6.3873 | 4.4435 | 4.4435 | 2.384 | 90.0 | 90.0 | 90.0 | 
| mp-1008395 | box | -6.3853 | -6.3853 | 4.4438 | 4.4438 | 2.3841 | 90.0 | 90.0 | 90.0 | 
| mp-624889 | static | -6.3399 | -6.3399 | 4.8191 | 4.917 | 5.7336 | 90.0 | 90.0 | 90.0 | 
| mp-624889 | box | -6.2683 | -6.2683 | 4.6969 | 5.241 | 5.8199 | 90.0 | 90.0 | 90.0 | 
| mp-579909 | box | -6.2574 | -6.2574 | 4.6555 | 5.5023 | 6.9064 | 90.0 | 90.0 | 90.0 | 
| oqmd-610552 | box | -6.2537 | -6.2537 | 4.6512 | 5.4993 | 6.4982 | 90.0 | 90.0 | 90.0 | 
| mp-1245190 | dynamic | -6.2279 | -6.2279 | 9.8987 | 10.165 | 10.7113 | 88.0 | 88.4 | 87.7 | 
| mp-1244964 | dynamic | -6.2222 | -6.2222 | 10.2941 | 11.0272 | 12.6724 | 90.7 | 94.0 | 92.5 | 
| mp-1245190 | static | -6.1571 | -6.1571 | 9.8792 | 10.6305 | 11.0906 | 91.1 | 93.6 | 90.1 | 
| oqmd-684315 | static | -6.1432 | -6.1432 | 9.8346 | 16.0998 | 9.1207 | 90.0 | 90.0 | 90.0 | 
| mp-1196857 | dynamic | -6.0516 | -6.0516 | 9.1363 | 18.8543 | 5.9558 | 90.0 | 90.0 | 90.0 | 
| mp-1196857 | static | -6.0455 | -6.0455 | 12.6433 | 18.6489 | 4.8446 | 90.0 | 90.0 | 90.0 | 
| mp-1244964 | static | -5.9838 | -5.9838 | 9.6872 | 11.4582 | 11.9166 | 89.7 | 85.8 | 88.4 | 
| mp-570002 | static | -5.9037 | -5.9037 | 5.4446 | 5.4446 | 5.4446 | 90.0 | 90.0 | 90.0 | 
| oqmd-585286 | static | -5.9037 | -5.9037 | 5.4445 | 5.4445 | 5.4445 | 90.0 | 90.0 | 90.0 | 
| mp-1182684 | static | -5.8371 | -5.8371 | 12.975 | 13.3148 | 22.2453 | 90.0 | 90.0 | 90.0 | 
| mp-1244913 | dynamic | -5.8067 | -5.8067 | 11.7945 | 12.7349 | 13.8659 | 89.2 | 82.4 | 87.7 | 
| mp-1244913 | static | -5.779 | -5.779 | 11.1216 | 11.9676 | 12.6262 | 78.5 | 81.2 | 82.9 | 
| mp-1205283 | box | -5.7177 | -5.7177 | 10.2994 | 13.3001 | 9.139 | 90.0 | 90.0 | 90.0 | 
| mp-1182684 | dynamic | -5.5995 | -5.5995 | 9.9777 | 13.9447 | 18.6156 | 90.0 | 90.0 | 90.0 | 
| oqmd-1214779 | dynamic | -5.5935 | -5.5935 | 8.7483 | 8.7483 | 8.7483 | 90.0 | 90.0 | 90.0 | 
| mp-1197903 | static | -5.4831 | -5.4831 | 10.1539 | 10.8878 | 25.1342 | 86.6 | 89.5 | 62.9 | 
| mp-1197903 | dynamic | -5.3235 | -5.3235 | 10.3253 | 10.8719 | 32.5573 | 94.8 | 94.8 | 108.6 | 
| oqmd-684315 | box | -5.253 | -5.253 | 10.4831 | 15.2928 | 9.2446 | 90.0 | 90.0 | 90.0 | 
| mp-1192619 | dynamic | -5.0926 | -5.0926 | 11.8185 | 11.8185 | 11.8185 | 90.0 | 90.0 | 90.0 | 
| oqmd-585286 | box | -4.9906 | -4.9906 | 5.0091 | 5.0091 | 5.0091 | 90.0 | 90.0 | 90.0 | 
| mp-570002 | box | -4.9901 | -4.9901 | 5.0092 | 5.0092 | 5.0092 | 90.0 | 90.0 | 90.0 | 
| mp-1245190 | box | -4.9261 | -4.9261 | 10.4783 | 11.0896 | 11.0993 | 91.2 | 90.9 | 91.5 | 
| mp-1244964 | box | -4.5257 | -4.5257 | 10.5158 | 11.0405 | 11.9233 | 90.2 | 95.4 | 92.1 | 
| mp-1205417 | static | -4.3325 | -4.3325 | 15.767 | 15.767 | 9.0944 | 90.0 | 90.0 | 90.0 | 
| mp-1182684 | box | -4.0886 | -4.0886 | 13.1966 | 14.3505 | 17.5198 | 90.0 | 90.0 | 90.0 | 
| mp-1244913 | box | -4.0884 | -4.0884 | 11.2731 | 11.4666 | 12.066 | 81.5 | 88.8 | 86.5 | 
| mp-1095633 | box | -3.6152 | -3.6152 | 6.5134 | 6.5134 | 8.4885 | 90.0 | 90.0 | 90.0 | 
| mp-1197903 | box | -3.5153 | -3.5153 | 8.8523 | 10.4294 | 25.7369 | 98.2 | 91.2 | 106.7 | 
| mp-1205417 | box | -3.4404 | -3.4404 | 13.7821 | 13.7821 | 7.9375 | 90.0 | 90.0 | 90.0 | 
| mp-1192619 | box | -2.7546 | -2.7546 | 10.3547 | 10.3547 | 10.3547 | 90.0 | 90.0 | 90.0 | 
| oqmd-1214779 | box | -2.6767 | -2.6767 | 9.943 | 9.943 | 9.943 | 90.0 | 90.0 | 90.0 | 
| A3'--alpha-La--double-hcp | box | -2.3096 | -2.3096 | 2.5605 | 2.5605 | 4.2722 | 90.0 | 90.0 | 120.0 | 
| Ah--alpha-Po--sc | box | -2.2195 | -2.2195 | 1.8209 | 1.8209 | 1.8209 | 90.0 | 90.0 | 90.0 | 
| oqmd-1214868 | box | -1.9228 | -1.9228 | 7.6801 | 7.6801 | 7.6801 | 90.0 | 90.0 | 90.0 | 
| A15--beta-W | static | -1.5736 | -1.5736 | 3.5916 | 3.5916 | 3.5916 | 90.0 | 90.0 | 90.0 | 
| A2--W--bcc | static | -1.4589 | -1.4589 | 2.2399 | 2.2399 | 2.2399 | 90.0 | 90.0 | 90.0 | 
Static elastic constants are displayed for the unique structures identified in Crystal Structure Predictions above. The values displayed here are obtained by measuring the change in virial stresses due to applying small strains to the relaxed crystals. The initial structure and the strained states are all relaxed using force minimization.
The calculation method used is available as the iprPy elastic_constants_static calculation method.
Notes and Disclaimers:
Version Information:
| 6942386903.196 | 5551616868.326 | 4879875794.705 | -55069967.157 | -53653866.919 | -56409040.468 | 
| 4644330919.502 | 6925349229.967 | 6129994580.581 | 11807113.257 | 52848285.995 | -8656606.321 | 
| 5748828285.978 | 4821516421.187 | 7087215409.084 | -131864031.220 | 92302872.146 | -1958502.238 | 
| -0.000 | -0.000 | -0.000 | -10.488 | -0.000 | -0.000 | 
| -0.000 | -0.000 | -0.000 | -0.000 | -10.488 | -0.000 | 
| 0.000 | -0.000 | -0.000 | -0.000 | 0.000 | -10.488 | 
| -4886983931.873 | -6071849636.210 | -6251232453.456 | -106547392.515 | 86596370.595 | 37999341.583 | 
| -6366363404.115 | -4732937561.011 | -5964098164.819 | -96007193.306 | 133476704.507 | -105206268.644 | 
| -6195881167.200 | -6404481366.888 | -4778411383.341 | -72062684.683 | 86878868.761 | 106352960.493 | 
| 0.000 | 0.000 | -0.000 | -10.488 | -0.000 | 0.000 | 
| -0.000 | 0.000 | -0.000 | -0.000 | -10.488 | 0.000 | 
| -0.000 | 0.000 | 0.000 | 0.000 | 0.000 | -10.488 | 
| 752230876.450 | 655409057.962 | 431221044.399 | 13381589.193 | -11558112.840 | -4528602.399 | 
| 430364481.064 | 767182632.684 | 618470563.910 | 5142391.656 | -15910798.667 | -3674741.727 | 
| 629856957.754 | 409959031.437 | 742334034.951 | -3148978.951 | 9116918.861 | 5000981.215 | 
| 0.000 | -0.000 | -0.000 | -10.488 | -0.000 | -0.000 | 
| -0.000 | 0.000 | -0.000 | -0.000 | -10.488 | -0.000 | 
| -0.000 | -0.000 | 0.000 | 0.000 | 0.000 | -10.488 | 
| -469367376.740 | -643766252.324 | -612734185.471 | -5247588.268 | 5563432.114 | 536116.769 | 
| -640071461.459 | -482166254.294 | -646582561.891 | 7207779.818 | -5701086.417 | 788652.098 | 
| -629917509.283 | -620193861.910 | -512892374.197 | -12943439.507 | -13225111.596 | -12381114.162 | 
| -0.000 | 0.000 | 0.000 | -10.488 | 0.000 | 0.000 | 
| 0.000 | -0.000 | 0.000 | 0.000 | -10.488 | 0.000 | 
| 0.000 | 0.000 | -0.000 | 0.000 | -0.000 | -10.488 | 
| 64842969.404 | 61155552.507 | 47027514.000 | 237654.591 | -1280841.405 | 237509.018 | 
| 47417978.053 | 61049297.527 | 61139163.054 | -592241.890 | 100437.753 | -183055.018 | 
| 61588416.786 | 49806881.510 | 65158189.473 | 1595874.509 | -69395.276 | -588063.256 | 
| 0.000 | -0.001 | -0.000 | 61.047 | -0.000 | -0.000 | 
| -0.001 | 0.000 | -0.000 | -0.000 | 61.047 | -0.000 | 
| -0.001 | -0.000 | 0.000 | -0.000 | -0.000 | 61.047 | 
| -50510456.125 | -63864203.448 | -62519020.547 | -630472.022 | 1150272.272 | 845272.460 | 
| -63022809.393 | -49255678.163 | -62089014.483 | 566891.759 | -770170.497 | -2017860.025 | 
| -63350766.141 | -64315038.845 | -49121253.100 | -1505676.184 | -455304.256 | -202276.568 | 
| -0.000 | 0.001 | 0.000 | 61.047 | -0.000 | 0.000 | 
| 0.001 | -0.001 | 0.000 | 0.000 | -10.488 | -0.000 | 
| 0.001 | 0.000 | -0.000 | 0.000 | 0.000 | 61.047 | 
| 674.618 | 544.650 | 544.650 | -0.000 | 0.000 | 0.000 | 
| 544.650 | 674.619 | 544.650 | -0.000 | -0.000 | 0.000 | 
| 544.650 | 544.651 | 674.618 | -0.000 | 0.000 | 0.000 | 
| -0.000 | 0.000 | -0.000 | -362.782 | -0.000 | 0.000 | 
| -0.000 | 0.000 | -0.000 | -0.000 | -362.782 | 0.000 | 
| -0.000 | 0.000 | -0.000 | -0.000 | -0.000 | -362.782 | 
| 674.618 | 544.650 | 544.651 | 0.000 | 0.000 | -0.000 | 
| 544.650 | 674.618 | 544.651 | 0.000 | 0.000 | -0.000 | 
| 544.650 | 544.650 | 674.618 | 0.000 | 0.000 | 0.000 | 
| 0.000 | 0.000 | 0.000 | -362.782 | 0.000 | 0.000 | 
| 0.000 | -0.000 | 0.000 | 0.000 | -362.781 | -0.000 | 
| 0.000 | -0.000 | 0.000 | 0.000 | 0.000 | -362.782 | 
| 674.618 | 544.651 | 544.651 | -0.000 | 0.000 | 0.000 | 
| 544.651 | 674.618 | 544.651 | -0.000 | -0.000 | 0.000 | 
| 544.651 | 544.651 | 674.618 | -0.000 | -0.000 | 0.000 | 
| 0.000 | 0.000 | -0.000 | -362.782 | -0.000 | 0.000 | 
| 0.000 | 0.000 | -0.000 | -0.000 | -362.782 | 0.000 | 
| 0.000 | -0.000 | 0.000 | 0.000 | 0.000 | -362.782 | 
| 674.619 | 544.650 | 544.650 | 0.000 | 0.000 | -0.000 | 
| 544.650 | 674.619 | 544.650 | 0.000 | 0.000 | -0.000 | 
| 544.650 | 544.650 | 674.619 | 0.000 | 0.000 | -0.000 | 
| -0.000 | -0.000 | 0.000 | -362.782 | -0.000 | -0.000 | 
| -0.000 | -0.000 | 0.000 | 0.000 | -362.782 | -0.000 | 
| -0.000 | 0.000 | -0.000 | 0.000 | 0.000 | -362.782 | 
| 674.616 | 544.652 | 544.652 | -0.000 | 0.000 | -0.000 | 
| 544.652 | 674.616 | 544.652 | -0.000 | -0.000 | 0.000 | 
| 544.652 | 544.652 | 674.616 | -0.000 | -0.000 | -0.000 | 
| 0.001 | 0.001 | -0.000 | -362.782 | -0.000 | 0.000 | 
| 0.001 | 0.001 | -0.000 | -0.000 | -362.782 | 0.000 | 
| 0.001 | -0.000 | 0.001 | -0.000 | -0.000 | -362.782 | 
| 674.621 | 544.649 | 544.649 | 0.000 | 0.000 | -0.000 | 
| 544.649 | 674.621 | 544.649 | 0.000 | 0.000 | 0.000 | 
| 544.649 | 544.649 | 674.621 | 0.000 | 0.000 | -0.000 | 
| -0.001 | -0.001 | 0.000 | -362.782 | 0.000 | -0.000 | 
| -0.001 | -0.001 | 0.000 | 0.000 | -362.782 | -0.000 | 
| -0.001 | 0.000 | -0.001 | 0.000 | 0.000 | -362.782 | 
| 766.036 | 202.475 | 294.174 | 0.000 | -0.000 | -0.000 | 
| 202.475 | 766.036 | 294.174 | -0.000 | 0.000 | 0.000 | 
| 294.174 | 294.174 | 967.848 | 0.000 | -0.000 | 0.000 | 
| -0.000 | 0.000 | 0.000 | -459.021 | -0.000 | 0.000 | 
| -0.000 | 0.000 | 0.000 | 0.000 | -459.021 | -0.000 | 
| -0.000 | 0.000 | 0.000 | 0.000 | -0.000 | 262.310 | 
| 746.565 | 221.946 | 294.174 | 0.000 | 0.000 | 0.000 | 
| 221.946 | 746.565 | 294.174 | -0.000 | 0.000 | -0.000 | 
| 4247357120.846 | 3762350200.857 | -4345917968.631 | 21846247.650 | 71472571.795 | -9952711.714 | 
| 0.000 | 0.000 | -0.000 | -459.021 | 0.000 | 0.000 | 
| 0.000 | -0.000 | -0.000 | -0.000 | -459.021 | -0.000 | 
| 0.000 | -0.000 | -0.000 | -0.000 | 0.000 | 262.310 | 
| 746.579 | 221.933 | 294.174 | -0.000 | -0.000 | -0.000 | 
| 221.933 | 746.578 | 294.174 | 0.000 | -0.000 | 0.000 | 
| 294.174 | 294.174 | 967.848 | 0.000 | -0.000 | 0.000 | 
| 0.000 | 0.000 | 0.000 | -459.021 | -0.000 | 0.000 | 
| 0.000 | 0.000 | 0.000 | -0.000 | -459.021 | 0.000 | 
| -0.000 | 0.000 | 0.000 | 0.000 | -0.000 | 262.323 | 
| 766.036 | 202.475 | 294.174 | 0.000 | 0.000 | 0.000 | 
| 202.475 | 766.036 | 294.174 | -0.000 | 0.000 | -0.000 | 
| 424297622.188 | 376794910.753 | -429233461.228 | 2417853.464 | 6394132.913 | -791137.945 | 
| -0.000 | -0.000 | -0.000 | -459.021 | 0.000 | -0.000 | 
| 0.000 | -0.000 | -0.000 | 0.000 | -459.021 | -0.000 | 
| 0.000 | -0.000 | -0.000 | -0.000 | 0.000 | 262.323 | 
| 766.038 | 202.475 | 294.175 | -0.000 | -0.000 | -0.000 | 
| 202.476 | 766.037 | 294.175 | 0.000 | -0.000 | 0.000 | 
| -42322540.002 | -37771570.431 | 42727417.916 | -237743.838 | -682610.930 | 90764.382 | 
| 0.000 | 0.000 | 0.001 | -459.021 | -0.000 | 0.000 | 
| -42249223.997 | -37566681.858 | 43913086.928 | -1085972.627 | 865085.126 | 344386.809 | 
| -0.001 | 0.001 | 0.001 | 0.000 | -0.000 | 262.323 | 
| 746.576 | 221.933 | 294.173 | -0.000 | 0.000 | 0.000 | 
| 221.931 | 746.578 | 294.173 | -0.000 | 0.000 | -0.000 | 
| 42344632.490 | 37885749.551 | -43113563.010 | 209932.658 | 1179637.197 | 25886.347 | 
| 41948325.866 | 38887439.706 | -42258685.034 | 332526.322 | -479702.960 | -494112.952 | 
| 42077115.523 | 37494982.906 | -43412742.170 | 727135.977 | -758500.285 | -311889.511 | 
| 0.001 | -0.001 | -0.001 | -0.000 | 0.000 | 262.323 | 
| 1070.197 | 224.291 | 224.291 | 0.000 | -0.000 | 0.000 | 
| 224.291 | 1070.197 | 224.291 | 0.000 | 0.000 | -0.000 | 
| 224.291 | 224.291 | 1070.197 | -0.000 | -0.000 | 0.000 | 
| 0.000 | -0.000 | 0.000 | 605.519 | 0.000 | -0.000 | 
| -0.000 | -0.000 | 0.000 | 0.000 | 605.519 | -0.000 | 
| 0.000 | 0.000 | -0.000 | -0.000 | -0.000 | 605.519 | 
| 1070.197 | 224.291 | 224.291 | 0.000 | 0.000 | 0.000 | 
| 224.291 | 1070.197 | 224.291 | 0.000 | 0.000 | 0.000 | 
| 224.291 | 224.291 | 1070.197 | 0.000 | 0.000 | 0.000 | 
| 0.000 | -0.000 | -0.000 | 605.519 | -0.000 | 0.000 | 
| 0.000 | 0.000 | -0.000 | 0.000 | 605.519 | 0.000 | 
| 0.000 | -0.000 | 0.000 | -0.000 | 0.000 | 605.519 | 
| 1070.197 | 224.291 | 224.291 | 0.000 | -0.000 | -0.000 | 
| 224.291 | 1070.197 | 224.291 | -0.000 | -0.000 | -0.000 | 
| 224.291 | 224.291 | 1070.197 | -0.000 | -0.000 | 0.000 | 
| -0.000 | 0.000 | 0.000 | 644.057 | -0.000 | -0.000 | 
| 0.000 | -0.000 | 0.000 | 0.000 | 644.057 | 0.000 | 
| 0.000 | 0.000 | -0.000 | 0.000 | 0.000 | 644.057 | 
| 1070.197 | 224.291 | 224.291 | 0.000 | 0.000 | -0.000 | 
| 224.291 | 1070.197 | 224.291 | 0.000 | 0.000 | 0.000 | 
| 224.291 | 224.291 | 1070.197 | -0.000 | 0.000 | 0.000 | 
| 0.000 | -0.000 | -0.000 | 644.057 | -0.000 | 0.000 | 
| -0.000 | 0.000 | -0.000 | -0.000 | 644.057 | 0.000 | 
| -0.000 | -0.000 | 0.000 | -0.000 | -0.000 | 644.057 | 
| 1070.196 | 224.293 | 224.293 | -0.000 | -0.000 | -0.000 | 
| 224.293 | 1070.196 | 224.293 | 0.000 | -0.000 | -0.000 | 
| 224.293 | 224.293 | 1070.196 | 0.000 | -0.000 | -0.000 | 
| -0.000 | 0.000 | 0.001 | 644.057 | -0.000 | -0.000 | 
| 0.000 | -0.000 | 0.001 | 0.000 | 644.057 | -0.000 | 
| 0.000 | 0.001 | -0.000 | -0.000 | -0.000 | 644.057 | 
| 1070.197 | 224.289 | 224.289 | 0.000 | 0.000 | 0.000 | 
| 224.289 | 1070.197 | 224.289 | 0.000 | 0.000 | 0.000 | 
| 224.289 | 224.289 | 1070.197 | -0.000 | 0.000 | 0.000 | 
| 0.000 | -0.000 | -0.001 | 644.057 | -0.000 | -0.000 | 
| -0.000 | 0.000 | -0.001 | -0.000 | 644.057 | 0.000 | 
| -0.000 | -0.001 | 0.000 | -0.000 | 0.000 | 644.057 | 
| 578.201 | 415.690 | 0.000 | 0.000 | 0.000 | -0.000 | 
| 415.690 | 578.201 | 0.000 | 0.000 | 0.000 | 0.000 | 
| -0.000 | -0.000 | 0.000 | 0.000 | 0.000 | -0.000 | 
| -0.000 | -0.000 | 0.000 | 0.000 | 0.000 | 0.000 | 
| -0.000 | -0.000 | 0.000 | 0.000 | 0.000 | -0.000 | 
| -0.000 | -0.000 | 0.000 | 0.000 | 0.000 | 326.581 | 
| 578.202 | 415.690 | -0.000 | -0.000 | -0.000 | -0.000 | 
| 415.690 | 578.202 | -0.000 | -0.000 | -0.000 | 0.000 | 
| 0.000 | 0.000 | -0.000 | -0.000 | -0.000 | 0.000 | 
| 0.000 | 0.000 | -0.000 | -0.000 | -0.000 | -0.000 | 
| 0.000 | 0.000 | -0.000 | -0.000 | -0.000 | 0.000 | 
| 0.000 | 0.000 | -0.000 | -0.000 | -0.000 | 326.581 | 
| 578.202 | 415.690 | 0.000 | 0.000 | 0.000 | -0.000 | 
| 415.690 | 578.202 | 0.000 | 0.000 | 0.000 | 0.000 | 
| -0.000 | -0.000 | 0.000 | 0.000 | 0.000 | -0.000 | 
| -0.000 | -0.000 | 0.000 | 0.000 | 0.000 | 0.000 | 
| -0.000 | -0.000 | 0.000 | 0.000 | 0.000 | -0.000 | 
| -0.000 | 0.000 | 0.000 | 0.000 | 0.000 | 326.581 | 
| 578.201 | 415.690 | -0.000 | -0.000 | -0.000 | 0.000 | 
| 415.690 | 578.201 | -0.000 | -0.000 | -0.000 | 0.000 | 
| 0.000 | 0.000 | -0.000 | -0.000 | -0.000 | 0.000 | 
| 0.000 | 0.000 | -0.000 | -0.000 | -0.000 | -0.000 | 
| 0.000 | 0.000 | -0.000 | -0.000 | -0.000 | 0.000 | 
| 0.000 | -0.000 | -0.000 | -0.000 | -0.000 | 326.581 | 
| 578.204 | 415.690 | 0.000 | 0.000 | 0.000 | 0.000 | 
| 415.690 | 578.204 | 0.000 | 0.000 | 0.000 | -0.000 | 
| -0.000 | -0.000 | 0.000 | 0.000 | 0.000 | -0.000 | 
| -0.000 | -0.000 | 0.000 | 0.000 | 0.000 | 0.000 | 
| -0.000 | -0.000 | 0.000 | 0.000 | 0.000 | -0.000 | 
| -0.000 | 0.000 | 0.000 | 0.000 | 0.000 | 326.581 | 
| 578.199 | 415.689 | -0.000 | -0.000 | -0.000 | -0.000 | 
| 415.689 | 578.199 | -0.000 | -0.000 | -0.000 | 0.000 | 
| 0.000 | 0.000 | -0.000 | -0.000 | -0.000 | 0.000 | 
| 0.000 | 0.000 | -0.000 | -0.000 | -0.000 | -0.000 | 
| 0.000 | 0.000 | -0.000 | -0.000 | -0.000 | 0.000 | 
| 0.000 | -0.000 | -0.000 | -0.000 | -0.000 | 326.581 | 
| 672.670 | 348.056 | 0.000 | -0.000 | -0.000 | 0.000 | 
| 288.676 | 732.050 | 0.000 | 0.000 | -0.000 | 0.000 | 
| 0.000 | 0.000 | 0.000 | -0.000 | -0.000 | 0.000 | 
| 0.000 | -0.000 | 0.000 | -0.000 | -0.000 | -0.000 | 
| 0.000 | -0.000 | -0.000 | -0.000 | -0.000 | -0.000 | 
| 0.000 | -0.000 | -0.000 | -0.000 | -0.000 | 221.687 | 
| 732.050 | 288.676 | 0.000 | -0.000 | 0.000 | -0.000 | 
| 288.676 | 732.050 | 0.000 | 0.000 | -0.000 | -0.000 | 
| 0.000 | 0.000 | -0.000 | -0.000 | 0.000 | 0.000 | 
| -0.000 | -0.000 | 0.000 | 0.000 | 0.000 | 0.000 | 
| -0.000 | -0.000 | 0.000 | 0.000 | 0.000 | 0.000 | 
| 0.000 | -0.000 | 0.000 | 0.000 | -0.000 | 221.687 | 
| 732.050 | 288.676 | -0.000 | -0.000 | -0.000 | -0.000 | 
| 348.056 | 672.671 | 0.000 | -0.000 | 0.000 | -0.000 | 
| 0.000 | 0.000 | 0.000 | -0.000 | -0.000 | 0.000 | 
| 0.000 | 0.000 | -0.000 | -0.000 | -0.000 | -0.000 | 
| 0.000 | -0.000 | -0.000 | 0.000 | -0.000 | -0.000 | 
| 0.000 | -0.000 | 0.000 | -0.000 | -0.000 | 162.307 | 
| 672.665 | 348.061 | -0.000 | -0.000 | 0.000 | 0.000 | 
| 348.057 | 672.669 | -0.000 | 0.000 | -0.000 | 0.000 | 
| 0.000 | 0.000 | 0.000 | 0.000 | 0.000 | 0.000 | 
| -0.000 | -0.000 | 0.000 | 0.000 | 0.000 | 0.000 | 
| -0.000 | 0.000 | 0.000 | 0.000 | 0.000 | 0.000 | 
| -0.000 | 0.000 | -0.000 | 0.000 | -0.000 | 162.307 | 
| 672.662 | 348.067 | 0.000 | -0.000 | -0.000 | 0.000 | 
| 348.274 | 672.455 | 0.000 | 0.000 | -0.000 | -0.000 | 
| 0.000 | 0.000 | 0.000 | -0.000 | -0.000 | 0.000 | 
| 0.000 | 0.000 | -0.000 | -0.000 | -0.000 | -0.000 | 
| -0.000 | -0.000 | -0.000 | -0.000 | -0.000 | -0.000 | 
| 0.001 | -0.001 | 0.000 | -0.000 | -0.000 | 162.307 | 
| 672.659 | 348.065 | -0.000 | -0.000 | 0.000 | 0.000 | 
| 288.676 | 732.048 | -0.000 | 0.000 | -0.000 | 0.000 | 
| 0.000 | 0.000 | 0.000 | 0.000 | 0.000 | 0.000 | 
| -0.000 | -0.000 | 0.000 | 0.000 | 0.000 | 0.000 | 
| -0.000 | 0.000 | -0.000 | -0.000 | -0.000 | 0.000 | 
| -0.001 | 0.001 | -0.000 | 0.000 | -0.000 | 162.307 | 
| 586.089 | 340.620 | 340.620 | -0.000 | 0.000 | -0.000 | 
| 340.620 | 586.089 | 340.620 | -0.000 | -0.000 | 0.000 | 
| 340.620 | 340.620 | 586.089 | -0.000 | -0.000 | 0.000 | 
| -0.000 | -0.000 | 0.000 | 251.782 | 0.000 | 0.000 | 
| -0.000 | -0.000 | 0.000 | -0.000 | 251.782 | -0.000 | 
| -0.000 | -0.000 | -0.000 | -0.000 | -0.000 | 251.782 | 
| 586.089 | 340.620 | 340.620 | 0.000 | -0.000 | -0.000 | 
| 340.620 | 586.089 | 340.620 | 0.000 | -0.000 | -0.000 | 
| 340.620 | 340.620 | 586.089 | 0.000 | -0.000 | -0.000 | 
| 0.000 | 0.000 | 0.000 | 251.782 | -0.000 | -0.000 | 
| 0.000 | 0.000 | -0.000 | 0.000 | 251.782 | -0.000 | 
| -0.000 | 0.000 | 0.000 | 0.000 | 0.000 | 251.782 | 
| 586.089 | 340.620 | 340.620 | -0.000 | 0.000 | 0.000 | 
| 340.620 | 586.089 | 340.620 | -0.000 | 0.000 | 0.000 | 
| 340.620 | 340.620 | 586.089 | -0.000 | -0.000 | 0.000 | 
| -0.000 | 0.000 | 0.000 | 251.782 | 0.000 | 0.000 | 
| 0.000 | -0.000 | 0.000 | -0.000 | 251.782 | -0.000 | 
| 0.000 | 0.000 | -0.000 | -0.000 | -0.000 | 251.782 | 
| 586.089 | 340.620 | 340.620 | 0.000 | -0.000 | -0.000 | 
| 340.620 | 586.089 | 340.620 | 0.000 | -0.000 | -0.000 | 
| 340.620 | 340.620 | 586.089 | 0.000 | -0.000 | -0.000 | 
| 0.000 | -0.000 | -0.000 | 251.782 | -0.000 | -0.000 | 
| -0.000 | 0.000 | -0.000 | 0.000 | 251.782 | -0.000 | 
| -0.000 | -0.000 | 0.000 | 0.000 | -0.000 | 251.782 | 
| 586.094 | 340.621 | 340.621 | -0.000 | 0.000 | 0.000 | 
| 340.621 | 586.094 | 340.621 | -0.000 | -0.000 | 0.000 | 
| 340.621 | 340.621 | 586.094 | -0.000 | -0.000 | 0.000 | 
| -0.001 | 0.000 | 0.001 | 251.782 | -0.000 | 0.000 | 
| 0.000 | -0.001 | 0.001 | -0.000 | 251.782 | 0.000 | 
| 0.000 | 0.001 | -0.001 | -0.000 | -0.000 | 251.782 | 
| 586.084 | 340.620 | 340.620 | 0.000 | 0.000 | -0.000 | 
| 340.620 | 586.084 | 340.620 | 0.000 | 0.000 | -0.000 | 
| 340.620 | 340.620 | 586.084 | 0.000 | -0.000 | -0.000 | 
| 0.001 | -0.000 | -0.001 | 251.782 | 0.000 | 0.000 | 
| -0.000 | 0.001 | -0.001 | 0.000 | 251.782 | -0.000 | 
| -0.000 | -0.001 | 0.001 | 0.000 | -0.000 | 251.782 | 
| 546.469 | 12.639 | 57.246 | 0.000 | -0.000 | -0.000 | 
| -126.125 | 1485.488 | 234.854 | -0.000 | -0.000 | -0.000 | 
| -97.496 | 776.861 | 841.078 | 0.000 | -0.000 | -0.000 | 
| 0.000 | 0.000 | -0.000 | 639.704 | -0.000 | -0.000 | 
| 0.000 | -0.000 | -0.000 | 0.000 | 193.339 | -0.000 | 
| 0.000 | -0.000 | -0.000 | 0.000 | -0.000 | 322.832 | 
| 546.469 | 12.639 | 57.247 | -0.000 | -0.000 | 0.000 | 
| 179.979 | 640.096 | 469.730 | -0.000 | 0.000 | -0.000 | 
| 57.417 | 347.935 | 961.601 | -0.000 | 0.000 | 0.000 | 
| -0.000 | 0.000 | 0.000 | 639.704 | -0.000 | -0.000 | 
| 0.000 | 0.000 | 0.000 | -0.000 | 193.339 | 0.000 | 
| -0.000 | 0.000 | 0.000 | -0.000 | 0.000 | 322.832 | 
| 524.632 | 70.867 | 43.652 | 0.000 | 0.000 | -0.000 | 
| 11.629 | 1105.028 | 340.574 | -0.000 | -0.000 | -0.000 | 
| 40.254 | 396.428 | 946.774 | 0.000 | -0.000 | -0.000 | 
| -15.448 | 42.674 | -11.867 | 632.403 | -0.000 | 0.000 | 
| -0.000 | 0.000 | -0.000 | 0.000 | 193.339 | -0.000 | 
| -18.517 | 51.154 | -14.232 | -0.000 | -0.000 | 132.556 | 
| 555.234 | -13.649 | 67.134 | -0.000 | 0.000 | 0.000 | 
| 42.222 | 1020.548 | 364.032 | 0.000 | 0.000 | -0.000 | 
| 70.862 | 311.895 | 970.259 | 0.000 | 0.000 | -0.000 | 
| 15.448 | -42.674 | 11.867 | 632.403 | -0.000 | -0.000 | 
| 0.000 | -0.000 | 0.000 | -0.000 | 193.339 | -0.000 | 
| 18.517 | -51.154 | 14.232 | 0.000 | 0.000 | 132.556 | 
| 538.420 | 32.806 | 54.208 | -0.000 | 0.000 | 0.000 | 
| 25.372 | 1067.078 | 351.115 | 0.000 | 0.000 | -0.000 | 
| 54.031 | 358.379 | 957.348 | -0.000 | -0.000 | -0.000 | 
| -2.146 | 5.927 | -1.646 | 632.221 | 0.000 | -0.000 | 
| -0.001 | 0.001 | -0.001 | -0.000 | 193.339 | -0.000 | 
| -1.934 | 5.341 | -1.484 | -0.000 | -0.000 | 174.458 | 
| 541.479 | 24.343 | 56.567 | -0.000 | 0.000 | 0.000 | 
| 28.435 | 1058.619 | 353.458 | 0.000 | 0.000 | -0.000 | 
| 57.092 | 349.923 | 959.695 | -0.000 | 0.000 | -0.000 | 
| 2.146 | -5.927 | 1.646 | 632.221 | 0.000 | 0.000 | 
| 0.001 | -0.001 | 0.001 | 0.000 | 193.339 | 0.000 | 
| 1.934 | -5.341 | 1.484 | 0.000 | 0.000 | 174.458 | 
| 695.161 | 102.304 | 273.186 | -0.000 | -0.000 | 0.000 | 
| 102.304 | 695.161 | 273.186 | -0.000 | 0.000 | 0.000 | 
| 249.935 | 249.935 | 1035.885 | -0.000 | 0.000 | -0.000 | 
| 0.000 | -0.000 | 0.000 | 202.977 | 0.000 | -0.000 | 
| -0.000 | -0.000 | 0.000 | -0.000 | 202.977 | -0.000 | 
| -0.000 | -0.000 | 0.000 | -0.000 | -0.000 | 671.925 | 
| 672.675 | 86.428 | 354.697 | 0.000 | -0.000 | 0.000 | 
| 86.428 | 672.675 | 354.697 | -0.000 | 0.000 | 0.000 | 
| 249.935 | 249.935 | 1035.885 | 0.000 | 0.000 | 0.000 | 
| -0.000 | 0.000 | 0.000 | 202.977 | 0.000 | 0.000 | 
| 0.000 | 0.000 | 0.000 | -0.000 | 202.977 | 0.000 | 
| 0.000 | -0.000 | -0.000 | 0.000 | -0.000 | 671.925 | 
| -231355172.134 | 557574575.490 | -97499308.414 | -0.000 | 0.000 | -0.000 | 
| 557574575.489 | -231355172.128 | -97499308.432 | 0.000 | -0.000 | -0.000 | 
| 249.935 | 249.935 | 1035.885 | -0.000 | -0.000 | -0.000 | 
| -0.000 | 0.000 | 0.000 | 202.977 | -0.000 | -0.000 | 
| 0.000 | -0.000 | 0.000 | 0.000 | 202.977 | -0.000 | 
| -0.006 | -0.006 | 0.026 | -0.000 | -0.000 | 510.651 | 
| 672.609 | 86.346 | 355.011 | -0.000 | -0.000 | 0.000 | 
| 86.346 | 672.609 | 355.011 | -0.000 | -0.000 | 0.000 | 
| 316.302 | 316.302 | 753.845 | 0.000 | -0.000 | 0.000 | 
| 0.000 | -0.000 | -0.000 | 202.977 | -0.000 | 0.000 | 
| -0.000 | 0.000 | -0.000 | 0.000 | 202.977 | 0.000 | 
| -0.000 | -0.000 | -0.000 | 0.000 | -0.000 | 671.925 | 
| -23134475.349 | 55757470.454 | -9749568.702 | 0.000 | 0.000 | -0.000 | 
| 55757470.454 | -23134475.349 | -9749568.702 | -0.000 | 0.000 | -0.000 | 
| 316.287 | 316.287 | 753.911 | 0.000 | 0.000 | -0.000 | 
| -0.002 | -0.001 | 0.004 | 127.096 | -0.000 | -0.000 | 
| -0.001 | -0.002 | 0.004 | -0.000 | 127.096 | -0.000 | 
| -0.001 | -0.001 | 0.004 | -0.000 | -0.000 | 510.651 | 
| -55755637.684 | 23135568.421 | 9749947.502 | 0.000 | -0.000 | 0.000 | 
| 23135568.421 | -55755637.684 | 9749947.502 | -0.000 | -0.000 | 0.000 | 
| 316.290 | 316.290 | 753.896 | 0.000 | -0.000 | -0.000 | 
| 0.002 | 0.001 | -0.004 | 127.096 | -0.000 | 0.000 | 
| 0.001 | 0.002 | -0.004 | 0.000 | 127.096 | 0.000 | 
| 0.001 | 0.001 | -0.004 | 0.000 | -0.000 | 510.651 | 
| 241.184 | 224.036 | 224.036 | 0.000 | -0.000 | 0.000 | 
| 224.036 | 241.184 | 224.036 | 0.000 | -0.000 | -0.000 | 
| 224.036 | 224.036 | 241.184 | 0.000 | -0.000 | 0.000 | 
| -0.000 | 0.000 | 0.000 | 63.523 | -0.000 | 0.000 | 
| 0.000 | -0.000 | 0.000 | -0.000 | 63.523 | 0.000 | 
| 0.000 | -0.000 | 0.000 | 0.000 | -0.000 | 63.523 | 
| 317.548 | 185.853 | 185.853 | 0.000 | 0.000 | -0.000 | 
| 185.854 | 317.548 | 185.853 | 0.000 | 0.000 | -0.000 | 
| 185.853 | 185.853 | 317.548 | 0.000 | 0.000 | 0.000 | 
| 0.000 | -0.000 | -0.000 | 63.523 | 0.000 | -0.000 | 
| -0.000 | -0.000 | -0.000 | -0.000 | 63.523 | -0.000 | 
| -0.000 | -0.000 | -0.000 | -0.000 | 0.000 | 63.523 | 
| 241.183 | 224.036 | 224.036 | -0.000 | -0.000 | 0.000 | 
| 224.036 | 241.183 | 224.036 | 0.000 | -0.000 | 0.000 | 
| 224.036 | 224.036 | 241.183 | -0.000 | -0.000 | -0.000 | 
| -0.000 | -0.000 | 0.000 | 181.274 | -0.000 | 0.000 | 
| -0.000 | -0.000 | 0.000 | -0.000 | 181.274 | 0.000 | 
| -0.000 | 0.000 | -0.000 | -0.000 | -0.000 | 181.274 | 
| 317.548 | 185.853 | 185.853 | 0.000 | 0.000 | -0.000 | 
| 185.853 | 317.548 | 185.853 | 0.000 | 0.000 | -0.000 | 
| 185.853 | 185.853 | 317.548 | 0.000 | 0.000 | -0.000 | 
| 0.000 | 0.000 | -0.000 | 181.274 | 0.000 | -0.000 | 
| 0.000 | 0.000 | -0.000 | 0.000 | 181.274 | -0.000 | 
| 0.000 | -0.000 | 0.000 | 0.000 | 0.000 | 181.274 | 
| 241.187 | 224.034 | 224.034 | 0.000 | -0.000 | 0.000 | 
| 224.034 | 241.187 | 224.034 | 0.000 | -0.000 | 0.000 | 
| 224.034 | 224.034 | 241.187 | 0.000 | -0.000 | 0.000 | 
| -0.001 | 0.000 | 0.000 | 63.523 | -0.000 | 0.000 | 
| 0.000 | -0.001 | 0.000 | -0.000 | 63.523 | 0.000 | 
| 0.000 | 0.000 | -0.001 | 0.000 | -0.000 | 63.523 | 
| 241.188 | 224.033 | 224.033 | -0.000 | 0.000 | -0.000 | 
| 224.033 | 241.188 | 224.033 | 0.000 | 0.000 | -0.000 | 
| 224.033 | 224.033 | 241.188 | -0.000 | 0.000 | -0.000 | 
| 0.001 | -0.000 | -0.000 | 63.523 | 0.000 | -0.000 | 
| -0.000 | 0.001 | -0.000 | 0.000 | 63.523 | -0.000 | 
| -0.000 | -0.000 | 0.001 | 0.000 | 0.000 | 63.523 | 
| 114.510 | 59.250 | 0.000 | 0.000 | 0.000 | -0.000 | 
| 49.142 | 124.618 | 0.000 | 0.000 | 0.000 | 0.000 | 
| 0.000 | 0.000 | 0.000 | 0.000 | 0.000 | 0.000 | 
| 0.000 | 0.000 | 0.000 | 0.000 | 0.000 | 0.000 | 
| 0.000 | 0.000 | 0.000 | 0.000 | 0.000 | 0.000 | 
| -0.000 | 0.000 | 0.000 | 0.000 | 0.000 | 37.738 | 
| 124.618 | 49.142 | -0.000 | -0.000 | -0.000 | -0.000 | 
| 59.250 | 114.510 | -0.000 | -0.000 | -0.000 | 0.000 | 
| 0.000 | 0.000 | -0.000 | -0.000 | -0.000 | 0.000 | 
| -0.000 | -0.000 | -0.000 | -0.000 | -0.000 | -0.000 | 
| -0.000 | -0.000 | -0.000 | -0.000 | -0.000 | 0.000 | 
| -0.000 | -0.000 | -0.000 | -0.000 | -0.000 | 37.738 | 
| 124.618 | 49.142 | 0.000 | 0.000 | 0.000 | -0.000 | 
| 59.250 | 114.510 | 0.000 | 0.000 | 0.000 | -0.000 | 
| 0.000 | 0.000 | 0.000 | 0.000 | 0.000 | 0.000 | 
| 0.000 | 0.000 | 0.000 | 0.000 | 0.000 | 0.000 | 
| 0.000 | 0.000 | 0.000 | 0.000 | 0.000 | -0.000 | 
| 0.000 | -0.000 | 0.000 | 0.000 | 0.000 | 27.630 | 
| 124.618 | 49.142 | -0.000 | -0.000 | -0.000 | -0.000 | 
| 59.250 | 114.510 | -0.000 | -0.000 | -0.000 | 0.000 | 
| 0.000 | 0.000 | -0.000 | -0.000 | -0.000 | 0.000 | 
| 0.000 | -0.000 | -0.000 | -0.000 | -0.000 | -0.000 | 
| -0.000 | -0.000 | -0.000 | -0.000 | -0.000 | -0.000 | 
| -0.000 | 0.000 | -0.000 | -0.000 | -0.000 | 27.630 | 
| 114.509 | 59.252 | 0.000 | 0.000 | 0.000 | -0.000 | 
| 49.142 | 124.619 | 0.000 | 0.000 | 0.000 | 0.000 | 
| 0.000 | 0.000 | 0.000 | 0.000 | 0.000 | 0.000 | 
| 0.000 | 0.000 | 0.000 | 0.000 | 0.000 | 0.000 | 
| 0.000 | 0.000 | 0.000 | 0.000 | 0.000 | -0.000 | 
| 0.000 | -0.000 | 0.000 | 0.000 | 0.000 | 27.630 | 
| 114.511 | 59.249 | -0.000 | -0.000 | -0.000 | 0.000 | 
| 59.252 | 114.508 | -0.000 | -0.000 | -0.000 | 0.000 | 
| 0.000 | 0.000 | -0.000 | -0.000 | -0.000 | 0.000 | 
| -0.000 | -0.000 | -0.000 | -0.000 | -0.000 | 0.000 | 
| -0.000 | -0.000 | -0.000 | -0.000 | -0.000 | -0.000 | 
| -0.000 | 0.000 | -0.000 | -0.000 | -0.000 | 27.630 | 
| 10015.951 | 4005.523 | -2407.836 | 540.115 | 3810.091 | -2647.622 | 
| 2208.995 | 2443.025 | -3203.001 | 105.413 | -145.582 | -1654.938 | 
| 2413.180 | 2837.812 | -3784.715 | 1130.492 | 5093.808 | -5104.659 | 
| 8600.969 | 4118.284 | -2466.352 | 2182.485 | 3735.336 | -7354.480 | 
| 6405.145 | 3779.329 | -3349.288 | 1170.395 | 5630.405 | -6492.146 | 
| 1971.234 | 2235.625 | -4207.664 | 1735.707 | 953.363 | -5118.887 | 
| 3501.364 | 418.951 | 858.347 | -547.996 | -1337.826 | 918.760 | 
| -12061.065 | -2892.059 | 2731.587 | -1799.504 | -1081.304 | 5607.862 | 
| -7825.282 | -2173.275 | 8047.408 | -121.563 | 111.365 | -116.638 | 
| -5660.391 | -1962.222 | 7622.595 | -204.331 | -1226.492 | 802.578 | 
| -2195.845 | -338.912 | -883.000 | -546.906 | 1895.183 | 862.369 | 
| -6485.376 | -2816.551 | 2466.166 | -1719.775 | -3732.121 | 6295.496 | 
| 3583.752 | 792.991 | -281.712 | 124.793 | 230.674 | -157.065 | 
| 1209.407 | 1734.813 | -128.185 | -5.540 | 240.785 | -646.241 | 
| 1081.705 | 701.895 | 1391.505 | 343.501 | 252.800 | -973.608 | 
| 335.867 | 253.352 | -589.298 | 638.062 | 408.753 | -752.812 | 
| 212.490 | 291.759 | -846.187 | 126.302 | 757.735 | -644.208 | 
| 217.967 | 36.458 | -596.575 | 71.625 | 124.568 | 1010.327 | 
| -841.378 | -673.203 | -542.324 | -43.739 | -118.616 | 893.261 | 
| 796.318 | 1393.508 | 284.479 | -54.780 | -134.557 | 90.651 | 
| 74.912 | -84.048 | 1817.357 | -61.032 | -143.722 | 743.633 | 
| -1000.452 | -442.441 | 759.326 | 524.922 | -124.477 | 601.149 | 
| -437.541 | -336.112 | 90.047 | -53.107 | 683.597 | 354.354 | 
| -734.039 | -370.175 | 762.071 | -61.455 | -128.923 | 1488.374 | 
| 1284.396 | 47.153 | 163.694 | 11.561 | 51.227 | -47.797 | 
| 266.778 | 1209.111 | 212.405 | 6.259 | -16.232 | -24.467 | 
| 83.945 | 178.722 | 1203.117 | 12.502 | 24.141 | -10.186 | 
| 181.769 | 74.002 | 17.545 | 475.452 | 26.020 | -65.743 | 
| 136.749 | 41.794 | -7.801 | -7.852 | 511.481 | -61.063 | 
| 97.093 | 38.854 | 0.396 | 21.909 | 51.281 | 542.437 | 
| 1186.890 | 1.366 | 102.304 | -4.774 | -38.088 | 57.897 | 
| 6.882 | 1117.479 | 290.555 | -12.238 | -53.299 | 49.977 | 
| -20.056 | 112.697 | 1236.140 | -22.983 | -81.246 | 51.382 | 
| -71.069 | -56.557 | 25.032 | 433.755 | -64.702 | 123.286 | 
| -55.420 | -38.842 | 25.774 | -16.154 | 436.416 | 76.822 | 
| -91.358 | -28.331 | -17.445 | -22.395 | -28.288 | 684.346 | 
| 1112.303 | 36.735 | 320.823 | 0.000 | 147.873 | -0.000 | 
| 13.492 | 1277.945 | 148.403 | -0.000 | -112.078 | -0.000 | 
| 320.121 | 215.040 | 1140.318 | -0.000 | 188.305 | 0.000 | 
| -0.004 | 0.002 | 0.002 | 630.893 | 0.000 | 11.702 | 
| 108.548 | -145.161 | 135.456 | -0.000 | 686.725 | 0.000 | 
| 0.000 | 0.000 | 0.000 | 23.121 | -0.000 | 610.461 | 
| 1274.376 | 14.476 | 252.054 | 0.000 | 135.016 | -0.000 | 
| 32.477 | 1217.936 | 177.790 | -0.000 | -157.116 | -0.000 | 
| 97.250 | 148.403 | 1472.964 | 0.000 | 74.045 | -0.000 | 
| 0.004 | -0.002 | -0.002 | 630.893 | -0.000 | 11.702 | 
| 64.265 | -120.288 | 159.204 | 0.000 | 642.081 | 0.000 | 
| -0.000 | -0.000 | -0.000 | 23.121 | 0.000 | 610.461 | 
| 1274.721 | 14.459 | 251.868 | 0.000 | 135.274 | 0.000 | 
| 32.478 | 1217.938 | 177.788 | 0.000 | -157.116 | 0.000 | 
| 273.427 | 185.392 | 1238.706 | -0.000 | 179.279 | 0.000 | 
| 0.000 | -0.000 | -0.000 | 641.553 | -0.000 | 30.215 | 
| 64.249 | -120.292 | 159.212 | -0.000 | 642.042 | -0.000 | 
| 0.000 | -0.000 | -0.000 | 37.969 | -0.000 | 258.768 | 
| 1106.638 | 22.632 | 331.381 | -0.000 | 113.045 | 0.000 | 
| 37.646 | 1201.536 | 211.337 | 0.000 | -143.677 | -0.000 | 
| 269.735 | 220.340 | 1158.381 | 0.000 | 143.493 | 0.000 | 
| -0.000 | 0.000 | 0.000 | 641.553 | 0.000 | 30.215 | 
| 108.547 | -145.162 | 135.457 | 0.000 | 686.724 | -0.000 | 
| -0.000 | 0.000 | 0.000 | 37.969 | 0.000 | 258.768 | 
| 1100.763 | 21.311 | 350.746 | -0.000 | 117.716 | 0.000 | 
| 33.281 | 1204.089 | 218.093 | -0.000 | -142.382 | -0.000 | 
| 272.671 | 185.234 | 1239.714 | -0.000 | 178.827 | -0.000 | 
| 0.001 | -0.000 | 0.000 | 641.553 | 0.000 | 30.215 | 
| 44.492 | -144.794 | 178.142 | -0.000 | 619.426 | 0.000 | 
| 0.001 | -0.000 | -0.002 | -7.314 | 0.002 | 120.819 | 
| 1101.026 | 21.453 | 354.335 | -0.000 | 116.200 | -0.000 | 
| 38.728 | 1207.133 | 204.972 | 0.000 | -122.847 | -0.000 | 
| 331.275 | 207.556 | 1137.040 | 0.000 | 171.139 | 0.000 | 
| -0.001 | 0.000 | -0.000 | 641.553 | -0.000 | 30.215 | 
| 64.228 | -120.265 | 159.223 | -0.000 | 642.046 | 0.000 | 
| -0.001 | 0.000 | 0.002 | -7.314 | -0.002 | 120.819 | 
| 1999.165 | 175.611 | -766.504 | -0.000 | 2201.683 | -0.000 | 
| 879.941 | 1343.606 | -821.888 | -0.000 | 1861.626 | -0.000 | 
| 66.020 | 133.102 | 1440.283 | -0.000 | 47.142 | -0.000 | 
| 845.232 | 140.735 | -984.695 | 681.583 | 2007.521 | 30.970 | 
| 843.150 | 300.047 | -1659.638 | -0.000 | 1946.724 | -0.000 | 
| 623.661 | 50.933 | -1472.698 | 24.261 | 1285.568 | 368.207 | 
| 355.819 | -110.100 | 1180.297 | 0.000 | -1795.982 | 0.000 | 
| -806.660 | 1065.567 | 1140.661 | 0.000 | -2140.786 | 0.000 | 
| 66.020 | 133.102 | 1440.283 | 0.000 | 47.142 | 0.000 | 
| -845.232 | -140.735 | 984.695 | 681.583 | -2007.521 | 30.970 | 
| 199.153 | -104.353 | 47.142 | 0.000 | 942.808 | 0.000 | 
| -623.661 | -50.933 | 1472.698 | 24.261 | -1285.568 | 368.207 | 
| 1190.977 | 35.498 | 189.858 | -0.000 | 238.769 | -0.000 | 
| 58.845 | 1220.746 | 89.804 | -0.000 | -11.371 | -0.000 | 
| 375.562 | 250.559 | 921.711 | -0.000 | 293.973 | -0.000 | 
| -0.000 | 0.000 | 0.000 | 738.264 | -0.000 | 27.194 | 
| 112.453 | -94.786 | -15.208 | -0.000 | 750.883 | -0.000 | 
| 64.351 | 3.547 | -176.048 | 23.722 | 126.329 | 309.972 | 
| 1153.049 | 6.657 | 294.248 | 0.000 | -27.504 | 0.000 | 
| -39.616 | 1175.396 | 385.210 | 0.000 | -253.083 | -0.000 | 
| 172.280 | 168.456 | 1273.516 | 0.000 | -28.845 | 0.000 | 
| 0.000 | -0.000 | -0.000 | 738.264 | 0.000 | 27.194 | 
| -56.818 | -168.126 | 319.880 | 0.000 | 466.797 | 0.000 | 
| -64.351 | -3.547 | 176.048 | 23.722 | -126.329 | 309.972 | 
| 1073.611 | 23.941 | 288.865 | -0.000 | 119.693 | 0.000 | 
| 23.541 | 1228.768 | 152.508 | -0.000 | -138.013 | -0.000 | 
| 302.072 | 209.187 | 1083.904 | -0.000 | 168.465 | -0.000 | 
| 14.390 | 2.395 | -16.763 | 641.773 | 34.175 | 33.621 | 
| 100.554 | -135.708 | 104.222 | -0.000 | 682.944 | -0.000 | 
| 12.451 | 10.339 | -26.045 | -15.620 | 18.794 | 125.696 | 
| 1458.645 | 5.905 | 76.233 | 0.000 | 294.440 | 0.000 | 
| 7.092 | 1210.500 | 218.133 | 0.000 | -153.821 | 0.000 | 
| 284.462 | 200.315 | 1119.329 | 0.000 | 137.794 | 0.000 | 
| -14.390 | -2.395 | 16.763 | 641.773 | -34.175 | 33.621 | 
| 92.017 | -137.099 | 114.289 | 0.000 | 662.719 | 0.000 | 
| -12.451 | -10.339 | 26.045 | -15.620 | -18.794 | 125.696 | 
| -15991345.509 | -16556279.410 | -56624508.618 | -1068160.894 | -151802.848 | 196468.790 | 
| -15684363.765 | -16937157.864 | -56694735.987 | -1146517.337 | 20482.947 | 259410.154 | 
| -15732225.080 | -16809477.184 | -56693986.825 | -1113553.178 | -36076.866 | 210190.590 | 
| -16145533.935 | -16747671.351 | -56645524.691 | -998848.218 | -188653.956 | 162715.270 | 
| -15694197.384 | -16450172.213 | -56752232.401 | -1064988.455 | -187711.631 | 82060.365 | 
| -15725267.117 | -16900223.945 | -56751603.669 | -1160078.509 | -60163.073 | 255462.430 | 
| 15675222.852 | 16960300.694 | 56714112.736 | 1212177.630 | 15306.496 | -273156.447 | 
| 15730042.617 | 16917702.134 | 56735418.090 | 1176369.013 | 36098.523 | -254557.807 | 
| 15718560.958 | 16862457.667 | 56778241.760 | 1145980.999 | 69085.805 | -225406.260 | 
| 15719524.051 | 16917293.545 | 56772485.157 | 1127849.963 | 25394.981 | -257911.262 | 
| 15633730.316 | 16825196.361 | 56954757.251 | 1084010.366 | 91628.204 | -249606.895 | 
| 15711873.322 | 16902761.470 | 56729588.871 | 1192323.295 | 35729.063 | -243722.502 | 
| -1586518.296 | -1672366.421 | -5690844.204 | -95362.709 | -31146.301 | 21202.368 | 
| -1572145.292 | -1692195.618 | -5670154.095 | -117880.739 | -297.939 | 27219.461 | 
| -1569763.699 | -1676448.340 | -5664542.190 | -113892.728 | -3671.252 | 11868.688 | 
| -1617783.892 | -1680521.798 | -5723899.294 | -97589.602 | -12188.305 | 21126.926 | 
| -1569623.000 | -1675186.087 | -5675619.878 | -113617.575 | -8204.333 | 18038.496 | 
| -1569456.875 | -1660559.628 | -5662909.758 | -111158.906 | -10903.042 | 13871.155 | 
| 1569524.908 | 1689981.332 | 5646788.597 | 124320.689 | -2100.909 | -24376.910 | 
| 1612546.096 | 1668618.506 | 5672523.264 | 104962.697 | 25234.758 | -23925.118 | 
| 1570515.308 | 1696513.767 | 5649676.164 | 125158.928 | -3287.203 | -27604.633 | 
| 1573308.340 | 1690897.091 | 5675184.747 | 117087.451 | 5167.692 | -24961.211 | 
| 1571083.526 | 1693834.346 | 5666997.642 | 117838.240 | 2097.431 | -22994.321 | 
| 1574703.739 | 1665243.252 | 5675711.669 | 98039.334 | 13863.690 | -12861.428 | 
| -156883.033 | -164958.085 | -566822.997 | -10436.521 | -1637.174 | 500.009 | 
| -156119.603 | -166403.591 | -564767.652 | -11679.592 | 114.499 | 1656.006 | 
| -157191.912 | -169302.430 | -566695.350 | -12161.291 | -166.538 | 2579.524 | 
| -157266.114 | -169347.421 | -566934.396 | -12116.444 | -271.620 | 2512.400 | 
| -157202.766 | -169058.165 | -566958.656 | -11839.983 | -166.622 | 2530.737 | 
| -157165.551 | -166753.997 | -567279.587 | -11127.035 | -1273.696 | 1563.986 | 
| 156884.500 | 169177.357 | 569009.719 | 11323.113 | 741.758 | -2809.558 | 
| 156977.406 | 169355.929 | 564729.667 | 12549.480 | -302.552 | -2565.533 | 
| 158593.830 | 165983.082 | 566161.582 | 11386.184 | 1545.141 | -1577.993 | 
| 158207.921 | 166990.485 | 567078.867 | 10315.781 | 1619.684 | -2062.179 | 
| 159908.968 | 165957.951 | 566092.443 | 10709.845 | 2236.222 | -1509.175 | 
| 156472.884 | 167398.949 | 566907.842 | 10920.834 | 802.453 | -2000.719 | 
| 22077.687 | -21445.232 | -6387.224 | 2143.483 | 4163.449 | -761.089 | 
| 1544.302 | 6427.965 | 15268.650 | -2326.408 | 3632.198 | -692.628 | 
| -53480.700 | -60000.109 | -226000.735 | 2056.550 | -896.629 | 6217.513 | 
| -25768.114 | -38420.407 | -132348.559 | -258.062 | 3930.035 | 2797.337 | 
| 7266.173 | -6441.264 | -176.118 | -5715.745 | 32694.449 | -743.240 | 
| 5855.199 | 11873.076 | 38328.919 | 112.545 | -1545.167 | 4311.461 | 
| 16807.660 | 6781.293 | 53129.210 | 306.596 | -2071.168 | -377.826 | 
| 3990.624 | -24023.649 | -38523.691 | -392.281 | -3492.029 | 1733.267 | 
| -23328.332 | -28334.769 | -98424.804 | -371.687 | -2451.247 | 2656.340 | 
| -167.260 | -26307.185 | -57069.452 | -1546.396 | 2586.769 | 769.868 | 
| -5275.608 | 8264.036 | 4806.974 | -2347.077 | 8067.764 | 517.477 | 
| 10953.329 | 12475.200 | 48440.569 | -1397.818 | -389.392 | 3827.641 | 
| -601.716 | -686.147 | -2425.949 | -311.012 | 380.067 | 9.628 | 
| 1700.690 | 669.688 | 3867.346 | 321.477 | 330.196 | -104.810 | 
| -1940.032 | -1995.647 | -7576.902 | 205.498 | 14.957 | 88.023 | 
| 994.381 | 647.727 | 3207.061 | 19.767 | 441.628 | -99.871 | 
| -813.402 | -476.689 | -2614.072 | 521.497 | 45.973 | 38.534 | 
| -4804.892 | 77.810 | -9753.857 | 45.353 | 297.829 | -1221.376 | 
| 829.684 | 324.929 | 1755.423 | -12.482 | 56.446 | 5.438 | 
| 1925.755 | 1991.345 | 6964.602 | -55.739 | 126.688 | -119.477 | 
| 1045.232 | 1270.853 | 5071.182 | -341.561 | -238.741 | -29.083 | 
| -248.159 | -345.561 | -988.212 | 11.444 | -225.042 | 78.285 | 
| 992.712 | 584.383 | 3655.357 | 267.541 | -246.054 | -19.180 | 
| 3659.159 | 104.201 | 7925.766 | -320.567 | -148.536 | -511.255 | 
| 327.813 | 92.138 | 69.250 | -1.598 | 59.633 | 2.193 | 
| 106.682 | 340.686 | 120.922 | 37.260 | -0.034 | -3.421 | 
| -61.165 | -83.950 | -319.864 | 18.166 | 45.085 | 14.472 | 
| -104.151 | -94.889 | -435.613 | 150.863 | 12.685 | 7.943 | 
| -283.612 | -335.139 | -1290.676 | -44.700 | 172.481 | 13.737 | 
| -193.262 | -224.483 | -876.281 | 1.825 | 39.867 | 155.834 | 
| 376.886 | 77.791 | 130.931 | 2.441 | -23.078 | 2.442 | 
| 123.309 | 360.917 | 220.494 | 1.293 | -13.306 | -6.283 | 
| 275.497 | 274.267 | 1072.962 | -38.982 | -35.369 | -14.769 | 
| 28.043 | 34.858 | 146.740 | 126.637 | -0.341 | -7.361 | 
| 71.074 | 92.609 | 391.652 | -10.435 | 145.303 | -3.110 | 
| -70.141 | -60.403 | -286.263 | 9.904 | -37.783 | 139.303 | 
| 325.225 | -158.556 | 26.461 | 0.000 | 29.941 | 0.000 | 
| 235.006 | -106.113 | 18.266 | -0.000 | 29.888 | 0.000 | 
| 232.034 | -169.945 | 18.182 | 0.000 | 29.917 | 0.000 | 
| 273.576 | -143.593 | 18.544 | 3.138 | 80.706 | 0.002 | 
| 37.950 | 28.675 | -13.954 | -0.000 | 49.220 | 0.000 | 
| 273.581 | -143.596 | 18.544 | 0.002 | 80.707 | 31.631 | 
| 117.961 | 14.155 | 12.473 | -0.000 | 0.021 | -0.000 | 
| -10.856 | -458.535 | 2.093 | 0.000 | -71.623 | -0.000 | 
| -42.568 | 174.725 | 17.608 | 0.000 | -112.922 | -0.000 | 
| -273.576 | 143.593 | -18.544 | 3.138 | -80.706 | 0.002 | 
| -222.185 | 171.853 | -16.495 | 0.000 | -19.544 | -0.000 | 
| -273.581 | 143.596 | -18.544 | 0.002 | -80.707 | 31.631 | 
| 111.804 | -5.815 | 8.760 | -0.000 | 8.520 | 0.000 | 
| 35.424 | 48.223 | 3.450 | -0.000 | 2.998 | 0.000 | 
| -34.816 | 3.276 | -7.434 | 0.000 | 13.718 | -0.000 | 
| 22.223 | -17.188 | 1.650 | 4.564 | 2.994 | 0.008 | 
| 3.058 | 3.363 | -1.470 | 0.000 | 6.954 | 0.000 | 
| 12.450 | 42.714 | 4.830 | 0.004 | 10.434 | 9.699 | 
| 80.580 | 30.540 | 8.287 | 0.000 | -3.001 | -0.000 | 
| 14.155 | 80.802 | 2.152 | 0.000 | 0.008 | -0.000 | 
| -12.236 | 18.980 | 0.049 | 0.000 | -2.994 | -0.000 | 
| -22.223 | 17.188 | -1.650 | 4.564 | -2.994 | 0.008 | 
| -27.214 | 14.259 | -1.840 | -0.000 | -0.605 | -0.000 | 
| -6.934 | -41.596 | -0.153 | -0.021 | -6.592 | -107.870 | 
| 53.508 | -3.072 | 3.770 | 0.000 | -0.086 | 0.000 | 
| 8.857 | 34.504 | 0.765 | 0.000 | 1.136 | 0.000 | 
| 4.377 | -0.165 | -0.263 | 0.000 | 0.344 | 0.000 | 
| 0.666 | 0.014 | -0.093 | 0.686 | 0.466 | -0.004 | 
| 2.441 | -1.880 | 0.180 | 0.000 | 10.466 | 0.000 | 
| 2.192 | -2.363 | 0.113 | 0.001 | 0.802 | 4.670 | 
| 13.701 | -3.262 | 1.739 | 0.000 | -0.703 | -0.000 | 
| -1.782 | 2.477 | -0.404 | -0.000 | -0.556 | -0.000 | 
| 4.567 | 2.509 | 0.517 | 0.000 | -0.783 | -0.000 | 
| -0.666 | -0.014 | 0.093 | 0.686 | -0.466 | -0.004 | 
| -2.715 | 2.108 | -0.202 | 0.000 | 9.432 | -0.000 | 
| -2.967 | 1.198 | -0.192 | -0.001 | -1.107 | 24.792 | 
| 704.299 | -385.574 | -44.948 | 78.229 | 7.888 | 215.871 | 
| 233.232 | 33.412 | -1.262 | -36.854 | 160.557 | 20.948 | 
| 625.453 | -242.948 | -103.219 | 80.190 | 171.953 | -40.520 | 
| 226.515 | -3.743 | 0.886 | -18.586 | 160.686 | 14.633 | 
| 212.177 | 4.713 | -8.223 | -28.420 | 182.876 | 18.252 | 
| -26.000 | -1.574 | 11.686 | -4.897 | -5.849 | 36.575 | 
| -585.051 | 247.132 | 112.658 | -73.211 | -186.647 | 34.040 | 
| -203.199 | -68.401 | 174.930 | -7.078 | -63.210 | -20.015 | 
| -192.156 | -96.550 | 238.217 | 12.605 | -67.935 | -21.353 | 
| -760.863 | 433.568 | 83.107 | -109.970 | 132.511 | -257.130 | 
| -16.849 | -0.455 | 6.970 | -8.092 | 57.265 | 0.163 | 
| -26.000 | -1.574 | 11.686 | -4.897 | -5.849 | 36.575 | 
| 76.981 | -25.545 | 0.453 | 12.144 | 12.806 | -8.111 | 
| 29.378 | 26.447 | 4.444 | -12.811 | 14.686 | 3.908 | 
| 33.473 | 19.290 | 58.393 | 4.886 | 0.339 | 1.774 | 
| 64.411 | -32.094 | -9.432 | 11.747 | 18.934 | -8.270 | 
| 55.531 | -26.166 | -22.614 | 8.186 | 20.405 | -7.526 | 
| 8.571 | 11.051 | -16.268 | -5.514 | 0.299 | 25.330 | 
| -105.687 | 39.196 | 5.307 | -5.591 | 7.317 | -32.215 | 
| -62.207 | 43.961 | 14.776 | -15.815 | -19.658 | 7.837 | 
| -51.450 | 28.126 | 24.759 | -5.663 | -28.122 | 2.664 | 
| -21.749 | -10.140 | 5.509 | 10.725 | -18.158 | -6.118 | 
| -109.512 | 45.981 | 16.965 | 0.674 | -11.698 | -33.102 | 
| -61.043 | 28.249 | 10.618 | -12.305 | -22.351 | 13.889 | 
| 22.142 | -0.384 | 1.599 | 0.965 | -1.474 | -2.956 | 
| 8.421 | 23.871 | 4.400 | -9.929 | -0.205 | 2.187 | 
| 12.020 | 2.029 | 9.281 | 1.827 | -7.850 | 0.826 | 
| 3.005 | -9.367 | 5.085 | 7.721 | -0.121 | -3.961 | 
| 2.291 | -4.190 | -9.123 | -0.541 | 5.162 | -0.822 | 
| -8.958 | 1.784 | -2.260 | -4.875 | -5.216 | 22.698 | 
| 8.111 | 5.337 | 4.301 | -0.363 | -1.058 | -5.455 | 
| 3.967 | 27.879 | 4.397 | -10.479 | -3.408 | 1.609 | 
| 0.687 | 7.136 | 10.243 | 0.647 | -8.339 | -1.970 | 
| -3.125 | -6.006 | 3.142 | 4.157 | -1.941 | -4.229 | 
| -7.252 | 2.158 | -5.565 | -1.150 | 3.004 | -4.631 | 
| -13.603 | -0.465 | 1.463 | -4.729 | -6.505 | 22.598 | 
| 477.209 | 245.908 | 245.908 | 0.000 | -0.000 | -0.000 | 
| 245.908 | 477.209 | 245.908 | 0.000 | -0.000 | -0.000 | 
| 245.908 | 245.908 | 477.209 | 0.000 | -0.000 | -0.000 | 
| 0.000 | -0.000 | 0.000 | 279.662 | -0.000 | -0.000 | 
| 0.000 | -0.000 | 0.000 | 0.000 | 279.662 | -0.000 | 
| 0.000 | -0.000 | 0.000 | -0.000 | -0.000 | 279.662 | 
| 477.484 | 245.870 | 245.870 | -0.000 | 0.000 | 0.000 | 
| 245.870 | 477.484 | 245.870 | 0.000 | 0.000 | 0.000 | 
| 257.384 | 257.384 | 419.103 | 0.000 | 0.000 | 0.000 | 
| -0.000 | 0.000 | -0.000 | 279.662 | 0.000 | 0.000 | 
| -0.000 | 0.000 | -0.000 | -0.000 | 279.662 | 0.000 | 
| -0.000 | -0.000 | -0.000 | 0.000 | 0.000 | 279.662 | 
| 642.425 | 168.508 | 168.508 | -0.000 | -0.000 | -0.000 | 
| 168.508 | 642.425 | 168.508 | -0.000 | -0.000 | -0.000 | 
| 168.508 | 168.508 | 642.425 | 0.000 | -0.000 | -0.000 | 
| -0.003 | -0.003 | -0.003 | 143.101 | -0.000 | -0.000 | 
| -0.003 | -0.003 | -0.003 | 0.000 | 143.101 | -0.000 | 
| -0.003 | -0.003 | -0.003 | 0.000 | -0.000 | 143.101 | 
| 642.424 | 168.508 | 168.508 | 0.000 | 0.000 | 0.000 | 
| 168.508 | 642.425 | 168.508 | -0.000 | 0.000 | 0.000 | 
| 245.886 | 245.886 | 477.361 | 0.000 | 0.000 | 0.000 | 
| 0.003 | 0.003 | 0.003 | 143.101 | 0.000 | -0.000 | 
| 0.003 | 0.003 | 0.003 | -0.000 | 143.101 | 0.000 | 
| 0.003 | 0.003 | 0.003 | -0.000 | 0.000 | 143.101 | 
| 418.889 | 256.834 | 256.834 | -0.000 | -0.000 | -0.000 | 
| 256.834 | 418.889 | 256.834 | -0.000 | -0.000 | -0.000 | 
| 256.834 | 256.834 | 418.889 | -0.000 | -0.000 | -0.000 | 
| -0.000 | 0.000 | 0.000 | 279.662 | -0.000 | -0.000 | 
| 0.000 | -0.000 | 0.000 | 0.000 | 279.662 | -0.000 | 
| 0.000 | 0.000 | -0.000 | 0.000 | -0.000 | 279.662 | 
| 418.887 | 256.847 | 256.847 | 0.000 | 0.000 | 0.000 | 
| 256.847 | 418.887 | 256.847 | 0.000 | 0.000 | 0.000 | 
| 256.847 | 256.847 | 418.887 | 0.000 | 0.000 | 0.000 | 
| 0.000 | -0.000 | -0.000 | 279.662 | 0.000 | -0.000 | 
| -0.000 | 0.000 | -0.000 | 0.000 | 279.662 | 0.000 | 
| -0.000 | -0.000 | 0.000 | -0.000 | 0.000 | 279.662 | 
| 3931.313 | 5641.165 | -11374.506 | 0.000 | 0.000 | 0.000 | 
| 1696.540 | 6513.735 | -9169.538 | -0.000 | -0.000 | -0.000 | 
| -3406.496 | 3515.831 | -552.449 | 0.000 | -0.000 | -0.000 | 
| 0.000 | 0.000 | -0.000 | 726.994 | 0.000 | -0.000 | 
| -158.463 | 7197.301 | -9265.973 | 0.000 | 1554.996 | 0.000 | 
| 0.000 | 0.000 | -0.000 | 0.000 | 0.000 | 595.585 | 
| -2152.013 | -5367.547 | 11946.733 | 0.000 | -0.000 | 0.000 | 
| 3634.040 | -1961.108 | 1713.144 | 0.000 | 0.000 | -0.000 | 
| -2654.573 | -5405.802 | 12739.263 | 0.000 | -0.000 | 0.000 | 
| -0.000 | -0.000 | -0.000 | 726.994 | -0.000 | 0.000 | 
| 158.463 | -7197.302 | 9265.973 | -0.000 | 1554.996 | -0.000 | 
| -0.000 | 0.000 | -0.000 | -0.000 | 0.000 | 595.584 | 
| 892.335 | 220.149 | 176.960 | 0.000 | -0.000 | 0.000 | 
| -407.648 | 1526.840 | 61.859 | 0.000 | 0.000 | -0.000 | 
| 48.035 | 860.857 | 327.935 | -0.000 | 0.000 | -0.000 | 
| -370.404 | 320.264 | -151.816 | 657.264 | -0.000 | 0.000 | 
| 387.631 | 529.260 | -1160.588 | 0.000 | 425.651 | -0.000 | 
| -376.892 | 325.873 | -154.475 | -0.000 | -0.000 | 483.001 | 
| 1537.313 | -6.037 | 36.197 | -0.000 | 0.000 | -0.000 | 
| -260.504 | 699.027 | 1345.431 | -0.000 | -0.000 | -0.000 | 
| 546.392 | -23.538 | 1245.396 | -0.000 | 0.000 | -0.000 | 
| 370.404 | -320.264 | 151.816 | 657.264 | 0.000 | 0.000 | 
| -387.631 | -529.260 | 1160.588 | -0.000 | 425.651 | 0.000 | 
| 376.892 | -325.873 | 154.475 | 0.000 | 0.000 | 483.001 | 
| 1043.586 | 61.842 | 258.149 | -0.000 | -0.000 | -0.000 | 
| -24.749 | 1285.738 | 136.269 | 0.000 | -0.000 | -0.000 | 
| 267.160 | 231.814 | 1110.611 | 0.000 | -0.000 | -0.000 | 
| -45.940 | 39.721 | -18.830 | 640.508 | -0.000 | 0.000 | 
| -15.461 | 13.368 | -6.336 | 0.000 | 670.581 | 0.000 | 
| -5.353 | 61.182 | -76.715 | 0.000 | 0.000 | 95.685 | 
| 1049.117 | -19.702 | 381.964 | -0.000 | 0.000 | 0.000 | 
| -24.262 | 1300.822 | 135.189 | 0.000 | -0.000 | -0.000 | 
| 275.334 | 193.246 | 1117.721 | 0.000 | 0.000 | 0.000 | 
| 45.940 | -39.721 | 18.830 | 640.508 | 0.000 | 0.000 | 
| -32.286 | -45.915 | 100.579 | 0.000 | 614.646 | -0.000 | 
| 5.353 | -61.182 | 76.715 | 0.000 | -0.000 | 95.685 | 
| 361.695 | 132.326 | 132.326 | -0.000 | -0.000 | -0.000 | 
| 132.326 | 361.695 | 132.326 | -0.000 | -0.000 | -0.000 | 
| 132.326 | 132.326 | 361.695 | -0.000 | -0.000 | -0.000 | 
| -0.000 | -0.000 | -0.000 | 199.542 | -0.000 | -0.000 | 
| -0.000 | -0.000 | 0.000 | -0.000 | 199.542 | 0.000 | 
| 0.000 | -0.000 | -0.000 | 0.000 | -0.000 | 199.542 | 
| 361.695 | 132.326 | 132.326 | 0.000 | 0.000 | 0.000 | 
| 132.326 | 361.695 | 132.326 | -0.000 | 0.000 | 0.000 | 
| 132.326 | 132.326 | 361.695 | 0.000 | 0.000 | -0.000 | 
| 0.000 | -0.000 | 0.000 | 199.542 | 0.000 | 0.000 | 
| 0.000 | -0.000 | 0.000 | 0.000 | 199.542 | -0.000 | 
| -0.000 | -0.000 | -0.000 | 0.000 | 0.000 | 199.542 | 
| 421.464 | 131.830 | 131.830 | 0.000 | -0.000 | 0.000 | 
| 131.830 | 421.464 | 131.830 | 0.000 | -0.000 | 0.000 | 
| 131.830 | 131.830 | 421.464 | 0.000 | -0.000 | 0.000 | 
| 0.000 | -0.000 | 0.000 | 233.450 | 0.000 | 0.000 | 
| -0.000 | 0.000 | 0.000 | -0.000 | 233.450 | 0.000 | 
| -0.000 | 0.000 | 0.000 | 0.000 | 0.000 | 233.450 | 
| 421.464 | 131.830 | 131.830 | -0.000 | -0.000 | -0.000 | 
| 131.830 | 421.464 | 131.830 | -0.000 | -0.000 | -0.000 | 
| 131.830 | 131.830 | 421.464 | -0.000 | -0.000 | -0.000 | 
| -0.000 | 0.000 | -0.000 | 233.450 | 0.000 | 0.000 | 
| 0.000 | -0.000 | -0.000 | 0.000 | 233.450 | -0.000 | 
| 0.000 | -0.000 | -0.000 | -0.000 | -0.000 | 233.450 | 
| 350.483 | 127.294 | 127.294 | 0.000 | 0.000 | 0.000 | 
| 127.294 | 350.483 | 127.294 | 0.000 | 0.000 | 0.000 | 
| 127.294 | 127.294 | 350.483 | 0.000 | 0.000 | 0.000 | 
| 0.000 | -0.000 | 0.000 | 233.450 | 0.000 | 0.000 | 
| -0.000 | 0.000 | 0.000 | 0.000 | 233.450 | 0.000 | 
| -0.000 | 0.000 | 0.000 | -0.000 | -0.000 | 233.450 | 
| 350.495 | 127.293 | 127.293 | -0.000 | -0.000 | -0.000 | 
| 127.293 | 350.495 | 127.293 | -0.000 | -0.000 | -0.000 | 
| 127.293 | 127.293 | 350.495 | -0.000 | -0.000 | -0.000 | 
| -0.000 | 0.000 | -0.000 | 233.450 | 0.000 | -0.000 | 
| 0.000 | -0.000 | -0.000 | -0.000 | 233.450 | -0.000 | 
| 0.000 | -0.000 | -0.000 | -0.000 | 0.000 | 233.450 | 
| 41.016 | 35.481 | 35.411 | -0.346 | -0.398 | -1.089 | 
| 35.472 | 41.023 | 35.410 | -0.346 | -0.398 | -1.089 | 
| 35.480 | 35.488 | 40.961 | -0.346 | -0.398 | -1.089 | 
| 39.150 | 39.169 | 38.998 | -0.750 | -0.431 | -1.132 | 
| 37.806 | 37.813 | 37.744 | -0.347 | 1.973 | -1.091 | 
| 37.802 | 37.810 | 37.740 | -0.347 | -0.399 | 1.281 | 
| -34.911 | -40.624 | -40.554 | 0.348 | 0.400 | 1.093 | 
| 31.227 | 49.081 | 31.227 | 0.000 | -0.000 | -0.000 | 
| -40.626 | -40.634 | -34.858 | 0.348 | 0.400 | 1.093 | 
| -37.810 | -37.818 | -37.748 | 2.716 | 0.399 | 1.091 | 
| -37.810 | -37.818 | -37.748 | 0.347 | 2.768 | 1.091 | 
| 108.490 | 108.486 | 108.520 | 0.222 | 0.259 | -12.758 | 
| 6.149 | 4.761 | 4.744 | -0.035 | -0.040 | -0.103 | 
| -3.485 | 3.787 | -3.487 | -0.013 | -0.015 | -0.043 | 
| -3.524 | -3.524 | 3.733 | -0.013 | -0.015 | -0.044 | 
| 4.738 | 4.739 | 4.728 | 1.224 | -0.036 | -0.096 | 
| 4.738 | 4.740 | 4.728 | -0.032 | 1.220 | -0.096 | 
| -0.000 | 0.000 | 0.000 | -0.000 | 0.000 | 33.479 | 
| -0.346 | -5.790 | -5.783 | 0.036 | 0.041 | 0.113 | 
| -3.869 | -3.019 | -3.867 | 0.021 | 0.025 | 0.070 | 
| -5.517 | -5.518 | -2.904 | 0.028 | 0.032 | 0.083 | 
| -0.000 | 0.000 | -0.000 | 33.479 | -0.000 | -0.000 | 
| 0.000 | -0.000 | -0.000 | 0.000 | 33.479 | -0.000 | 
| 7.680 | 7.680 | 7.682 | 0.016 | 0.018 | 0.279 | 
| 2.159 | -2.596 | -2.597 | -0.004 | -0.005 | -0.013 | 
| -2.596 | 2.159 | -2.597 | -0.004 | -0.005 | -0.013 | 
| -2.597 | -2.597 | 2.157 | -0.004 | -0.005 | -0.013 | 
| 0.566 | 0.566 | 0.565 | 1.270 | -0.004 | -0.012 | 
| 0.566 | 0.566 | 0.565 | -0.004 | 1.270 | -0.012 | 
| 0.565 | 0.565 | 0.564 | -0.004 | -0.004 | 1.265 | 
| 1.936 | -3.107 | -3.106 | 0.004 | 0.004 | 0.012 | 
| -3.108 | 1.934 | -3.108 | 0.004 | 0.004 | 0.012 | 
| -3.106 | -3.107 | 1.938 | 0.004 | 0.004 | 0.012 | 
| 0.664 | 0.664 | 0.664 | 4.726 | 0.002 | 0.004 | 
| 0.664 | 0.664 | 0.664 | 0.001 | 4.726 | 0.004 | 
| -0.567 | -0.567 | -0.566 | 0.004 | 0.004 | 1.279 | 
| 22.868 | 43.872 | 36.292 | 0.000 | 20.560 | -0.000 | 
| 6.375 | 15.651 | 10.932 | -0.000 | 2.559 | -0.000 | 
| 29.811 | 70.636 | 270.220 | -0.000 | 35.728 | -0.000 | 
| 0.000 | -0.000 | -0.000 | 78.116 | -0.000 | 10.417 | 
| 6.916 | 3.955 | 17.596 | -0.000 | 15.713 | -0.000 | 
| -0.000 | -0.000 | -0.000 | 10.417 | -0.000 | 42.530 | 
| 22.868 | 43.872 | 36.292 | 0.000 | 20.560 | -0.000 | 
| 42.246 | 111.955 | 70.636 | 0.000 | 8.961 | 0.000 | 
| 11.914 | 25.700 | 145.044 | -0.000 | 20.291 | 0.000 | 
| 0.000 | 0.000 | 0.000 | 78.116 | 0.000 | 10.417 | 
| 6.906 | 3.947 | 17.586 | -0.000 | 15.694 | 0.000 | 
| 0.000 | 0.000 | 0.000 | 10.417 | 0.000 | 42.530 | 
| 8.454 | 13.181 | 13.664 | 0.000 | 10.511 | -0.000 | 
| 42.246 | 111.955 | 70.636 | 0.000 | 8.961 | -0.000 | 
| -2.726 | -14.519 | 43.080 | -0.000 | 10.993 | -0.000 | 
| 0.000 | -0.000 | -0.000 | 78.116 | -0.000 | 10.417 | 
| 6.912 | 3.952 | 17.591 | -0.000 | 15.704 | -0.000 | 
| 0.000 | 0.000 | -0.000 | 5.055 | 0.001 | 6.273 | 
| 3.433 | 3.899 | 8.222 | -0.000 | 5.909 | 0.000 | 
| 14.597 | 37.129 | 25.122 | 0.000 | 4.643 | 0.000 | 
| 2.569 | -0.678 | 77.618 | -0.000 | 14.799 | -0.000 | 
| -0.000 | 0.000 | 0.000 | 78.116 | 0.000 | 10.417 | 
| 14.650 | 8.961 | 35.728 | -0.000 | 32.579 | 0.000 | 
| -0.000 | -0.000 | 0.000 | 5.055 | -0.001 | 6.273 | 
| 0.209 | -0.062 | 0.611 | -0.000 | 0.654 | 0.000 | 
| 14.593 | 37.118 | 25.114 | 0.000 | 4.642 | -0.000 | 
| -1.664 | -9.475 | 24.035 | 0.000 | 7.071 | 0.000 | 
| 0.000 | 0.000 | -0.000 | 12.452 | 0.000 | 3.004 | 
| 0.583 | -1.879 | 10.819 | -0.000 | 4.336 | -0.000 | 
| 0.000 | 0.000 | -0.000 | 1.047 | 0.000 | 1.138 | 
| 1.072 | 0.164 | 2.794 | 0.000 | 2.870 | -0.000 | 
| 2.463 | 6.560 | -1.693 | 0.000 | -0.073 | 0.000 | 
| -3.234 | -12.268 | 13.173 | -0.000 | 4.637 | 0.000 | 
| -0.000 | -0.000 | 0.000 | 6.651 | -0.000 | 1.996 | 
| 0.583 | -1.879 | 10.818 | 0.000 | 4.336 | 0.000 | 
| -0.000 | -0.000 | 0.000 | 1.047 | -0.000 | 1.138 | 
| 136.252 | 83.521 | 83.521 | -0.000 | -0.000 | -0.000 | 
| 83.521 | 136.252 | 83.521 | -0.000 | -0.000 | -0.000 | 
| 83.521 | 83.521 | 136.252 | -0.000 | 0.000 | -0.000 | 
| 0.008 | 0.008 | 0.008 | 47.738 | -0.000 | 0.000 | 
| 0.008 | 0.008 | 0.008 | -0.000 | 47.738 | -0.000 | 
| 0.008 | 0.008 | 0.008 | -0.000 | -0.000 | 47.738 | 
| 323.999 | 92.149 | 92.149 | 0.000 | 0.000 | 0.000 | 
| 92.149 | 323.999 | 92.148 | 0.000 | 0.000 | 0.000 | 
| 92.149 | 92.149 | 323.999 | 0.000 | 0.000 | 0.000 | 
| -0.008 | -0.008 | -0.008 | 47.738 | -0.000 | 0.000 | 
| -0.008 | -0.008 | -0.008 | -0.000 | 47.738 | 0.000 | 
| -0.008 | -0.008 | -0.008 | -0.000 | 0.000 | 47.738 | 
| 323.999 | 92.149 | 92.149 | -0.000 | 0.000 | -0.000 | 
| 92.149 | 323.999 | 92.149 | -0.000 | -0.000 | -0.000 | 
| 92.149 | 92.149 | 323.999 | -0.000 | -0.000 | -0.000 | 
| 0.001 | 0.001 | 0.001 | 47.738 | -0.000 | -0.000 | 
| 0.001 | 0.001 | 0.001 | -0.000 | 47.738 | -0.000 | 
| 0.001 | 0.001 | 0.001 | -0.000 | -0.000 | 47.738 | 
| 66.863 | 43.507 | 43.507 | 0.000 | 0.000 | 0.000 | 
| 43.507 | 66.863 | 43.507 | 0.000 | 0.000 | 0.000 | 
| 43.507 | 43.507 | 66.863 | 0.000 | 0.000 | 0.000 | 
| -0.001 | -0.001 | -0.001 | 47.738 | 0.000 | -0.000 | 
| -0.001 | -0.001 | -0.001 | 0.000 | 47.738 | 0.000 | 
| -0.001 | -0.001 | -0.001 | 0.000 | 0.000 | 47.738 | 
| 324.000 | 92.149 | 92.149 | 0.000 | -0.000 | -0.000 | 
| 92.149 | 324.000 | 92.149 | 0.000 | -0.000 | -0.000 | 
| 92.149 | 92.149 | 324.000 | -0.000 | -0.000 | -0.000 | 
| 0.000 | 0.000 | 0.000 | 115.925 | 0.000 | 0.000 | 
| -0.000 | 0.000 | 0.000 | -0.000 | 115.925 | -0.000 | 
| 0.000 | 0.000 | 0.000 | -0.000 | -0.000 | 115.925 | 
| 323.998 | 92.148 | 92.148 | -0.000 | 0.000 | -0.000 | 
| 92.148 | 323.998 | 92.148 | 0.000 | 0.000 | 0.000 | 
| 92.148 | 92.148 | 323.998 | 0.000 | 0.000 | 0.000 | 
| -0.000 | -0.000 | -0.000 | 115.925 | 0.000 | 0.000 | 
| 0.000 | -0.000 | -0.000 | -0.000 | 115.925 | 0.000 | 
| -0.000 | -0.000 | -0.000 | -0.000 | 0.000 | 115.925 | 
| -221.898 | -338.517 | -338.517 | 0.000 | -0.000 | -0.000 | 
| -338.517 | -221.898 | -338.517 | 0.000 | 0.000 | -0.000 | 
| -338.517 | -338.517 | -221.898 | -0.000 | -0.000 | 0.000 | 
| -423.105 | -423.105 | -423.105 | 58.341 | -0.000 | 0.000 | 
| -423.105 | -423.105 | -423.105 | 0.000 | 58.341 | 0.000 | 
| -423.105 | -423.105 | -423.105 | 0.000 | -0.000 | 58.341 | 
| 624.459 | 507.727 | 507.727 | -0.000 | 0.000 | 0.000 | 
| 507.727 | 624.459 | 507.727 | -0.000 | 0.000 | 0.000 | 
| 507.727 | 507.727 | 624.459 | -0.000 | 0.000 | 0.000 | 
| 423.105 | 423.105 | 423.105 | 58.341 | 0.000 | 0.000 | 
| 423.105 | 423.105 | 423.105 | -0.000 | 58.341 | 0.000 | 
| 423.105 | 423.105 | 423.105 | -0.000 | 0.000 | 58.341 | 
| 158.052 | 42.167 | 42.167 | 0.000 | 0.000 | -0.000 | 
| 42.167 | 158.052 | 42.167 | 0.000 | 0.000 | -0.000 | 
| 42.167 | 42.167 | 158.052 | 0.000 | 0.000 | 0.000 | 
| 0.000 | -0.000 | 0.000 | 113.387 | -0.000 | -0.000 | 
| -0.000 | 0.000 | 0.000 | -0.000 | 113.387 | -0.000 | 
| -0.000 | 0.000 | 0.000 | 0.000 | 0.000 | 113.387 | 
| 244.050 | 127.011 | 127.011 | -0.000 | -0.000 | -0.000 | 
| 127.011 | 244.050 | 127.011 | -0.000 | 0.000 | 0.000 | 
| 127.011 | 127.011 | 244.050 | -0.000 | 0.000 | -0.000 | 
| 0.000 | -0.000 | -0.000 | 113.387 | -0.000 | 0.000 | 
| 0.000 | -0.000 | -0.000 | 0.000 | 113.387 | 0.000 | 
| 0.000 | -0.000 | -0.000 | -0.000 | 0.000 | 113.387 | 
| -11.055 | 23.950 | 23.950 | 0.000 | 0.000 | -0.000 | 
| 23.950 | -11.055 | 23.950 | 0.000 | -0.000 | -0.000 | 
| 23.950 | 23.950 | -11.055 | 0.000 | 0.000 | -0.000 | 
| -17.303 | -17.303 | -17.303 | -12.495 | 0.000 | -0.000 | 
| -17.303 | -17.303 | -17.303 | 0.000 | -12.495 | -0.000 | 
| -17.303 | -17.303 | -17.303 | 0.000 | -0.000 | -12.495 | 
| -39.209 | 12.113 | 12.113 | -0.000 | 0.000 | 0.000 | 
| 12.113 | -39.209 | 12.113 | -0.000 | 0.000 | 0.000 | 
| 12.113 | 12.113 | -39.209 | -0.000 | -0.000 | 0.000 | 
| 17.303 | 17.303 | 17.303 | -12.495 | 0.000 | 0.000 | 
| 17.303 | 17.303 | 17.303 | -0.000 | -12.495 | -0.000 | 
| 17.303 | 17.303 | 17.303 | -0.000 | 0.000 | -12.495 | 
| 713.700 | 623.022 | 623.022 | 0.000 | 0.000 | 0.000 | 
| 623.022 | 713.700 | 623.022 | 0.000 | 0.000 | -0.000 | 
| 623.022 | 623.022 | 713.700 | 0.000 | 0.000 | -0.000 | 
| 312.341 | 312.342 | 312.341 | 80.062 | -0.000 | -0.000 | 
| 312.341 | 312.341 | 312.341 | -0.000 | 80.062 | -0.000 | 
| 312.341 | 312.342 | 312.341 | 0.000 | 0.000 | 80.062 | 
| -65.396 | -225.517 | -225.517 | -0.000 | 0.000 | 0.000 | 
| -225.517 | -65.396 | -225.517 | -0.000 | 0.000 | 0.000 | 
| -225.517 | -225.517 | -65.396 | -0.000 | 0.000 | 0.000 | 
| -312.341 | -312.342 | -312.341 | 80.062 | 0.000 | 0.000 | 
| -312.341 | -312.341 | -312.341 | -0.000 | 80.062 | 0.000 | 
| -312.341 | -312.341 | -312.341 | -0.000 | -0.000 | 80.062 | 
| 278.179 | 118.082 | 118.082 | 0.000 | 0.000 | -0.000 | 
| 118.082 | 278.179 | 118.082 | 0.000 | -0.000 | -0.000 | 
| 118.082 | 118.082 | 278.179 | 0.000 | 0.000 | -0.000 | 
| 31.243 | 31.243 | 31.243 | 80.053 | -0.000 | -0.000 | 
| 31.243 | 31.243 | 31.243 | 0.000 | 80.053 | -0.000 | 
| 31.243 | 31.243 | 31.243 | 0.000 | 0.000 | 80.053 | 
| 215.618 | 55.565 | 55.565 | -0.000 | -0.000 | 0.000 | 
| 55.565 | 215.618 | 55.565 | -0.000 | 0.000 | 0.000 | 
| 55.565 | 55.565 | 215.618 | -0.000 | -0.000 | 0.000 | 
| -31.243 | -31.243 | -31.243 | 80.053 | 0.000 | 0.000 | 
| -31.243 | -31.243 | -31.243 | -0.000 | 80.053 | 0.000 | 
| -31.243 | -31.243 | -31.243 | 0.000 | -0.000 | 80.053 | 
| 149.774 | 73.729 | 73.729 | 0.000 | 0.000 | -0.000 | 
| 73.729 | 149.774 | 73.729 | 0.000 | -0.000 | 0.000 | 
| 73.729 | 73.729 | 149.774 | 0.000 | 0.000 | -0.000 | 
| 3.210 | 3.210 | 3.210 | 79.144 | -0.000 | -0.000 | 
| 3.210 | 3.210 | 3.210 | 0.000 | 79.144 | -0.000 | 
| 3.210 | 3.210 | 3.210 | 0.000 | 0.000 | 79.144 | 
| 238.368 | 83.237 | 83.237 | -0.000 | -0.000 | 0.000 | 
| 83.237 | 238.368 | 83.237 | -0.000 | -0.000 | 0.000 | 
| 83.237 | 83.237 | 238.368 | -0.000 | 0.000 | 0.000 | 
| -3.210 | -3.210 | -3.210 | 79.144 | 0.000 | 0.000 | 
| -3.210 | -3.210 | -3.210 | -0.000 | 79.144 | 0.000 | 
| -3.210 | -3.210 | -3.210 | -0.000 | 0.000 | 79.144 | 
| 36.312 | 16.323 | 70.587 | -0.000 | -0.000 | -0.000 | 
| 16.323 | 419.024 | 31.730 | -0.000 | 0.000 | 0.000 | 
| 34.665 | 30.712 | 67.385 | -0.000 | -0.000 | -0.000 | 
| -0.000 | 0.002 | -0.001 | 64.707 | 0.000 | -0.000 | 
| -0.000 | 0.000 | 0.000 | 0.000 | 70.587 | -0.000 | 
| -0.002 | 0.015 | -0.005 | 0.000 | -0.000 | 0.734 | 
| 36.312 | 16.323 | 70.587 | 0.000 | 0.000 | 0.000 | 
| -20.713 | 146.139 | -40.263 | 0.000 | -0.000 | 0.000 | 
| 70.587 | 31.729 | 137.212 | 0.000 | 0.000 | 0.000 | 
| 0.000 | -0.002 | 0.001 | 64.707 | -0.000 | 0.000 | 
| 0.000 | -0.000 | -0.000 | 0.000 | 70.587 | 0.000 | 
| 0.002 | -0.015 | 0.005 | 0.000 | 0.000 | 0.734 | 
| 36.312 | 16.323 | 70.587 | -0.000 | -0.000 | -0.000 | 
| -20.615 | 64.643 | -40.074 | 0.000 | -0.000 | -0.000 | 
| 5.091 | -12.451 | 9.896 | 0.000 | -0.000 | -0.000 | 
| 0.000 | 0.000 | 0.000 | 88.903 | -0.000 | -0.000 | 
| -0.000 | 0.000 | 0.000 | 0.000 | 70.587 | -0.000 | 
| -0.000 | -0.000 | 0.000 | -0.000 | -0.000 | 45.735 | 
| 0.804 | -7.406 | 1.563 | -0.000 | 0.000 | 0.000 | 
| -20.685 | 64.217 | -40.209 | 0.000 | 0.000 | 0.000 | 
| 5.085 | -12.463 | 9.886 | 0.000 | -0.000 | 0.000 | 
| -0.000 | -0.000 | -0.000 | 88.903 | 0.000 | 0.000 | 
| 0.000 | -0.000 | -0.000 | 0.000 | 70.587 | 0.000 | 
| 0.000 | -0.000 | -0.000 | -0.000 | 0.000 | 45.735 | 
| 36.312 | 16.323 | 70.587 | -0.000 | -0.000 | -0.000 | 
| 3.121 | 8.211 | 6.067 | 0.000 | -0.000 | -0.000 | 
| 34.966 | 30.718 | 67.970 | 0.000 | -0.000 | -0.000 | 
| 0.000 | 0.000 | 0.000 | 64.706 | 0.000 | -0.000 | 
| -0.000 | 0.000 | -0.000 | 0.000 | 34.664 | -0.000 | 
| -0.000 | -0.000 | 0.000 | -0.000 | 0.000 | 45.735 | 
| 0.357 | -4.561 | 0.693 | -0.000 | 0.000 | 0.000 | 
| -10.753 | 29.546 | -20.902 | 0.000 | -0.000 | -0.000 | 
| 70.586 | 31.729 | 137.212 | 0.000 | 0.000 | -0.000 | 
| -0.000 | -0.000 | -0.000 | 64.706 | 0.000 | -0.000 | 
| 0.000 | -0.000 | 0.000 | 0.000 | 34.664 | 0.000 | 
| 0.000 | 0.000 | -0.000 | 0.000 | 0.000 | 45.735 | 
| 390.509 | 111.064 | 111.064 | 0.000 | -0.000 | 0.000 | 
| 100.685 | 164.216 | 100.632 | 0.000 | -0.000 | -0.000 | 
| 111.064 | 111.064 | 390.509 | 0.000 | -0.000 | 0.000 | 
| 0.024 | -0.005 | -0.017 | 57.538 | -0.000 | -0.000 | 
| 0.024 | -0.005 | -0.017 | 0.000 | 57.538 | -0.000 | 
| 0.024 | -0.005 | -0.017 | 0.000 | 0.000 | 57.537 | 
| 80.595 | 52.458 | 52.475 | -0.000 | 0.000 | 0.000 | 
| 100.620 | 164.177 | 100.673 | 0.000 | 0.000 | 0.000 | 
| 100.619 | 100.657 | 164.182 | -0.000 | -0.000 | 0.000 | 
| -0.024 | 0.005 | 0.017 | 57.537 | -0.000 | -0.000 | 
| -0.024 | 0.005 | 0.017 | -0.000 | 57.538 | 0.000 | 
| -0.024 | 0.005 | 0.017 | -0.000 | 0.000 | 57.538 | 
| 390.509 | 111.064 | 111.064 | 0.000 | -0.000 | 0.000 | 
| 111.064 | 390.509 | 111.064 | 0.000 | -0.000 | 0.000 | 
| 52.446 | 52.444 | 80.590 | 0.000 | 0.000 | -0.000 | 
| 0.002 | -0.000 | -0.002 | 57.537 | 0.000 | -0.000 | 
| 0.000 | 0.000 | 0.000 | 0.000 | 139.722 | 0.000 | 
| 0.000 | 0.000 | 0.000 | 0.000 | -0.000 | 139.722 | 
| 80.574 | 52.441 | 52.443 | -0.000 | 0.000 | 0.000 | 
| 100.648 | 164.182 | 100.654 | -0.000 | 0.000 | -0.000 | 
| 100.649 | 100.653 | 164.196 | -0.000 | 0.000 | 0.000 | 
| -0.002 | 0.000 | 0.002 | 57.537 | 0.000 | 0.000 | 
| -0.000 | -0.000 | -0.000 | 0.000 | 139.722 | -0.000 | 
| -0.000 | -0.000 | -0.000 | -0.000 | 0.000 | 139.722 | 
| 164.185 | 100.652 | 100.652 | 0.000 | 0.000 | 0.000 | 
| 52.439 | 80.571 | 52.438 | 0.000 | -0.000 | -0.000 | 
| -34.111 | -34.111 | 23.219 | 0.000 | -0.000 | -0.000 | 
| 0.000 | -0.000 | -0.000 | 31.336 | -0.000 | -0.000 | 
| 0.000 | -0.000 | -0.000 | 0.000 | 57.537 | -0.000 | 
| 0.000 | -0.000 | -0.000 | 0.000 | -0.000 | 31.336 | 
| 164.208 | 100.653 | 100.653 | -0.000 | 0.000 | 0.000 | 
| 52.440 | 80.589 | 52.440 | -0.000 | 0.000 | 0.000 | 
| 111.064 | 111.064 | 390.508 | -0.000 | 0.000 | 0.000 | 
| -0.000 | 0.000 | 0.000 | 31.336 | -0.000 | 0.000 | 
| -0.000 | 0.000 | 0.000 | -0.000 | 57.537 | 0.000 | 
| -0.000 | 0.000 | 0.000 | -0.000 | 0.000 | 31.336 | 
| 693.958 | 639.259 | -711.807 | 0.000 | -0.001 | 0.000 | 
| 18.430 | 462.623 | 48.766 | -0.000 | 0.000 | -0.000 | 
| 418.271 | 673.012 | -431.030 | 0.000 | -0.001 | 0.000 | 
| 337.775 | 604.151 | -784.998 | 151.689 | -0.001 | -0.000 | 
| 337.867 | 604.316 | -785.213 | 0.000 | 159.738 | 0.000 | 
| -0.000 | 0.000 | 0.000 | 0.000 | -0.000 | 196.904 | 
| 2605.978 | -3040.015 | 1091.913 | -0.000 | 0.001 | -0.000 | 
| -303.314 | -214.727 | 853.681 | -0.000 | 0.001 | -0.000 | 
| -257.265 | -535.271 | 1138.928 | -0.000 | 0.001 | 0.000 | 
| -337.775 | -604.151 | 784.998 | 151.689 | 0.001 | 0.000 | 
| -337.868 | -604.316 | 785.213 | -0.000 | 159.740 | -0.000 | 
| -337.863 | -604.307 | 785.201 | -0.000 | 0.001 | 128.871 | 
| 386.998 | 96.079 | -4.354 | 0.000 | -0.000 | 0.000 | 
| 67.776 | 451.962 | -10.398 | 0.000 | -0.000 | 0.000 | 
| 48.821 | 51.185 | 462.706 | -0.000 | -0.000 | 0.000 | 
| 33.773 | 60.407 | -78.490 | 151.694 | -0.000 | 0.000 | 
| 33.800 | 60.455 | -78.552 | 0.000 | 159.724 | 0.000 | 
| -0.000 | 0.000 | 0.000 | -0.000 | 0.000 | 196.904 | 
| 325.767 | -26.017 | 150.690 | -0.000 | 0.000 | 0.000 | 
| 268.928 | 38.731 | 151.078 | -0.000 | 0.000 | 0.000 | 
| 271.119 | -251.090 | 436.299 | -0.000 | 0.000 | 0.000 | 
| -33.773 | -60.407 | 78.490 | 151.694 | 0.000 | 0.000 | 
| -33.800 | -60.455 | 78.552 | -0.000 | 159.724 | 0.000 | 
| 0.000 | -0.000 | -0.000 | -0.000 | 0.000 | 196.904 | 
| 450.727 | 16.084 | 44.056 | -0.000 | 0.000 | -0.000 | 
| 35.647 | 407.169 | 57.159 | 0.000 | -0.000 | -0.000 | 
| -32.786 | 86.478 | 116.950 | 0.000 | -0.000 | 0.000 | 
| 3.347 | 5.986 | -7.778 | 152.060 | -0.000 | -0.000 | 
| 3.478 | 6.221 | -8.083 | 0.000 | 158.617 | -0.000 | 
| 3.165 | 5.662 | -7.357 | 0.000 | -0.000 | 133.162 | 
| 367.431 | 25.244 | 77.425 | -0.000 | 0.000 | 0.000 | 
| 21.850 | 132.758 | 34.795 | -0.000 | 0.000 | -0.000 | 
| 56.740 | -17.181 | 258.856 | 0.000 | 0.000 | -0.000 | 
| -3.347 | -5.986 | 7.778 | 152.060 | 0.000 | 0.000 | 
| -3.478 | -6.221 | 8.083 | -0.000 | 158.617 | -0.000 | 
| -3.165 | -5.662 | 7.357 | -0.000 | 0.000 | 133.162 | 
| 59.939 | 8.741 | 7.331 | 0.000 | -0.000 | 0.010 | 
| 8.741 | 60.164 | 7.331 | -0.000 | 0.000 | -0.090 | 
| 7.331 | 7.331 | 22.057 | 0.000 | -0.000 | -0.001 | 
| 0.409 | 0.342 | -0.052 | -3.482 | 0.021 | 0.036 | 
| 0.214 | 0.026 | -0.046 | -0.007 | -2.015 | 0.126 | 
| 0.010 | -0.090 | -0.001 | -0.000 | -0.000 | 45.077 | 
| 59.939 | 8.741 | 7.331 | 0.000 | -0.000 | 0.010 | 
| 8.741 | 60.164 | 7.331 | -0.000 | 0.000 | -0.090 | 
| 7.331 | 7.331 | 22.057 | 0.000 | -0.000 | -0.001 | 
| -2.206 | -2.326 | 0.035 | 0.033 | -0.019 | -0.220 | 
| -0.000 | 0.000 | -0.000 | -0.001 | 7.331 | -0.000 | 
| 0.010 | -0.090 | -0.001 | -0.000 | -0.000 | 45.077 | 
| 18.823 | 9.803 | 0.236 | -0.001 | 0.002 | -0.017 | 
| -0.471 | 8.200 | -1.988 | -0.001 | 0.002 | -0.008 | 
| 7.331 | 7.331 | 22.057 | 0.000 | -0.000 | -0.001 | 
| 0.000 | -0.000 | 0.000 | 7.331 | -0.001 | -0.000 | 
| -0.000 | 0.000 | -0.000 | -0.001 | 7.331 | -0.000 | 
| 0.002 | -0.090 | -0.002 | -0.000 | 0.000 | 18.621 | 
| 18.920 | 9.815 | 0.264 | 0.000 | -0.000 | -0.035 | 
| 8.741 | 60.164 | 7.331 | -0.000 | 0.000 | -0.090 | 
| -0.018 | 0.004 | -0.010 | 0.001 | -0.001 | -0.009 | 
| 0.000 | -0.000 | 0.000 | 7.331 | -0.001 | -0.000 | 
| -0.013 | 0.008 | 0.004 | 0.001 | 0.015 | -0.009 | 
| 0.010 | -0.090 | -0.001 | -0.000 | -0.000 | 45.077 | 
| 1.953 | -1.896 | -0.151 | 0.000 | -0.000 | -0.023 | 
| -0.031 | -0.114 | -0.027 | -0.000 | 0.000 | -0.022 | 
| -0.000 | -0.002 | -0.006 | -0.000 | 0.000 | 0.002 | 
| 0.001 | -0.000 | -0.000 | 0.002 | 0.000 | 0.001 | 
| -0.000 | 0.000 | -0.000 | -0.001 | 7.331 | -0.000 | 
| -0.023 | -0.023 | -0.000 | -0.000 | 0.000 | 0.132 | 
| 0.466 | 0.056 | 0.810 | -0.000 | -0.000 | -0.033 | 
| 0.210 | 0.115 | -0.022 | 0.000 | -0.000 | -0.027 | 
| -0.000 | 0.001 | 0.004 | 0.000 | -0.000 | -0.002 | 
| 0.000 | -0.000 | 0.000 | 7.331 | -0.001 | -0.000 | 
| -0.001 | 0.001 | 0.000 | 0.000 | 0.001 | -0.000 | 
| -0.003 | -0.087 | -0.001 | -0.000 | -0.000 | 18.626 | 
| 132334.516 | -100969.872 | -31955.795 | 141469.212 | 30311.643 | 158876.428 | 
| 161561.484 | 52404.252 | 33023.395 | 41730.109 | 74102.090 | 91711.393 | 
| 161690.154 | 52233.542 | 33311.260 | 41699.769 | 74143.054 | 91714.594 | 
| 161533.040 | 52151.826 | 32974.612 | 41873.939 | 74111.257 | 91693.801 | 
| 161456.324 | -26274.743 | -136040.976 | -73414.007 | 70197.045 | 88912.569 | 
| 161527.413 | 52166.257 | 32979.442 | 41732.284 | 74056.353 | 91842.909 | 
| -161179.054 | 26305.302 | 136051.878 | 73406.012 | -70053.565 | -88938.357 | 
| -161424.815 | 26509.961 | 136064.336 | 73408.472 | -70048.512 | -88925.145 | 
| -161533.311 | 26282.601 | 136344.530 | 73395.275 | -70097.647 | -88940.258 | 
| -161483.442 | 26265.416 | 136010.574 | 73544.684 | -70052.376 | -88951.476 | 
| -161602.751 | -52189.392 | -32968.447 | -41737.835 | -73981.291 | -91725.036 | 
| -161497.353 | -52154.918 | -32970.322 | -41740.789 | -74070.787 | -91585.357 | 
| 16524.249 | -2567.132 | -13544.458 | -7354.867 | 6994.728 | 8921.393 | 
| 16245.825 | -2356.873 | -13532.962 | -7361.005 | 6989.166 | 8923.984 | 
| 13825.623 | 3200.190 | -16614.620 | 10627.586 | 385.467 | 11437.355 | 
| 13274.170 | -17923.993 | -20078.128 | 2755.271 | 2623.194 | 15624.101 | 
| 13260.495 | -10086.883 | -3178.197 | 14136.977 | 3174.152 | 15887.092 | 
| 16208.683 | 5247.298 | 3328.450 | 4155.522 | 7384.786 | 9314.202 | 
| -12895.968 | 10129.871 | 3221.211 | -14145.815 | -3032.347 | -15882.107 | 
| -16141.334 | -4978.836 | -3264.362 | -4178.020 | -7422.416 | -9164.888 | 
| -13711.662 | -3108.389 | 17268.830 | -10678.695 | -415.203 | -11413.908 | 
| -16157.150 | -5228.974 | -3312.425 | -4034.271 | -7409.478 | -9179.219 | 
| -16151.309 | 2618.306 | 13591.450 | 7340.633 | -6857.159 | -8913.319 | 
| -16147.276 | 2635.495 | 13604.038 | 7333.495 | -7018.777 | -8769.390 | 
| 1930.860 | 555.358 | 358.359 | 416.585 | 737.926 | 925.382 | 
| 1654.251 | 765.311 | 367.314 | 411.137 | 732.986 | 928.057 | 
| 30.348 | 32.694 | 309.701 | -18.618 | -0.931 | 0.302 | 
| -291.494 | -1541.775 | -665.591 | 1139.197 | -434.465 | 663.006 | 
| 1324.040 | -1015.900 | -328.249 | 1413.360 | 450.877 | 1571.436 | 
| 1382.900 | 325.996 | -1689.477 | 1057.061 | 24.276 | 1269.639 | 
| -1013.052 | 1039.872 | 343.148 | -1413.683 | -303.926 | -1583.707 | 
| -1588.361 | -276.470 | -299.812 | -421.957 | -746.075 | -909.744 | 
| -1595.150 | -493.399 | -15.934 | -433.598 | -746.556 | -918.098 | 
| 1.723 | -10.177 | -17.461 | 139.898 | -5.147 | -5.767 | 
| -1378.492 | -322.813 | 1682.780 | -1066.228 | 109.037 | -1162.175 | 
| -1377.694 | -306.496 | 1694.892 | -1073.220 | -53.149 | -1018.882 | 
| -3343.160 | -9478.207 | -845.877 | 2885.955 | -1820.889 | 5839.618 | 
| -3246.178 | -8260.019 | -762.039 | 2587.693 | -1591.406 | 5275.953 | 
| 732.452 | 1890.219 | 349.233 | -569.308 | 316.822 | -1172.567 | 
| -5974.698 | -15748.308 | -1450.492 | 4895.569 | -2947.023 | 9684.814 | 
| 1421.856 | 3878.086 | 323.378 | -1177.262 | 833.720 | -2378.584 | 
| -3229.790 | -8547.153 | -801.220 | 2565.189 | -1604.675 | 5413.447 | 
| 3506.002 | 8550.538 | 809.255 | -2578.218 | 1547.106 | -5271.133 | 
| 7255.113 | 19385.159 | 1776.227 | -5790.996 | 3573.037 | -11760.807 | 
| 1237.491 | 3229.222 | 473.056 | -975.002 | 566.974 | -1996.527 | 
| 4574.257 | 12035.184 | 1101.869 | -3524.874 | 2242.201 | -7435.586 | 
| 911.532 | 2547.199 | 202.541 | -773.727 | 584.719 | -1556.830 | 
| -5007.069 | -13218.821 | -1229.427 | 3981.193 | -2477.555 | 8293.408 | 
| -447.856 | -1850.302 | -144.930 | 574.224 | -396.334 | 1139.533 | 
| 127.762 | 641.498 | 57.886 | -110.218 | 69.524 | -207.793 | 
| -99.702 | -299.706 | 148.138 | 94.436 | -92.352 | 177.148 | 
| 1346.041 | 3522.670 | 318.829 | -945.864 | 652.240 | -2191.311 | 
| 0.935 | 139.383 | -19.658 | -44.131 | 135.055 | -74.302 | 
| -995.109 | -2653.542 | -258.960 | 779.122 | -504.365 | 1782.841 | 
| 363.119 | 287.035 | 51.471 | -73.506 | 3.230 | -177.449 | 
| 138.912 | 666.387 | 59.684 | -117.917 | 75.736 | -223.753 | 
| -1454.573 | -3864.961 | -179.148 | 1175.022 | -758.246 | 2374.514 | 
| 467.895 | 1213.091 | 106.952 | -245.100 | 221.314 | -767.803 | 
| -308.775 | -674.913 | -94.312 | 202.675 | -16.983 | 427.645 | 
| 626.926 | 1600.841 | 130.017 | -510.542 | 291.708 | -841.172 | 
| 388.395 | 361.297 | 58.481 | -95.658 | 17.058 | -222.828 | 
| -13.159 | 251.365 | 24.179 | 4.861 | -2.667 | 26.129 | 
| -72.582 | -227.122 | 154.835 | 72.465 | -78.839 | 132.601 | 
| 118.090 | 290.857 | 22.279 | 32.626 | 48.839 | -199.495 | 
| 13.875 | 172.780 | -16.053 | -54.687 | 139.305 | -95.016 | 
| 52.310 | 92.664 | -7.372 | -52.699 | 9.916 | 84.079 | 
| 279.808 | 73.456 | 31.860 | -8.505 | -36.292 | -45.687 | 
| 1.506 | 285.252 | 26.407 | -5.736 | 4.820 | 4.710 | 
| 31.316 | 45.186 | 178.594 | -9.986 | -27.741 | -34.965 | 
| 82.478 | 194.924 | 13.317 | 60.221 | 31.297 | -140.582 | 
| -8.794 | 112.263 | -21.830 | -36.302 | 128.786 | -57.838 | 
| -111.133 | -339.918 | -47.340 | 78.329 | -70.136 | 349.622 | 
| 272.168 | 48.059 | 38.919 | 11.143 | 1.652 | 25.977 | 
| 47.913 | 305.356 | 56.482 | -5.874 | -1.098 | 15.786 | 
| 40.314 | 56.087 | 331.146 | -8.315 | 24.576 | -15.330 | 
| 37779.535 | 93875.148 | 123499.481 | -107541.733 | 68280.946 | -59531.402 | 
| 37761.894 | 93869.811 | 123545.277 | -107662.326 | 68392.387 | -59521.154 | 
| 29.089 | 16.339 | -16.497 | 10.542 | -4.091 | 118.579 | 
| -37478.567 | -93821.965 | -123481.699 | 107691.227 | -68262.706 | 59548.373 | 
| 3.016 | 290.173 | 104.564 | -14.542 | 10.756 | 61.617 | 
| 40.314 | 56.087 | 331.146 | -8.315 | 24.576 | -15.330 | 
| -28.763 | -11.190 | 29.533 | 131.637 | 24.651 | 57.568 | 
| 11.338 | -0.240 | 24.576 | 18.068 | 128.111 | 1.997 | 
| 13.643 | 9.313 | 10.575 | 3.050 | 6.813 | 127.067 | 
| 273.679 | 48.720 | 36.744 | 11.500 | 0.963 | 24.116 | 
| 3823.211 | 9691.693 | 12410.179 | -10774.530 | 6826.480 | -5937.929 | 
| 3813.380 | 9442.228 | 12686.470 | -10777.197 | 6852.273 | -5966.340 | 
| 15.694 | 2.160 | -13.669 | 138.692 | 15.732 | 9.491 | 
| 11.764 | -0.009 | 23.675 | 18.304 | 127.674 | 1.814 | 
| 33.377 | 17.377 | -19.474 | 10.514 | -4.173 | 112.351 | 
| 266.991 | 46.594 | 44.290 | 9.788 | 3.079 | 29.737 | 
| 47.913 | 305.356 | 56.482 | -5.874 | -1.098 | 15.786 | 
| 40.314 | 56.087 | 331.146 | -8.315 | 24.576 | -15.330 | 
| 11.954 | 0.842 | -9.605 | 138.355 | 16.845 | 13.703 | 
| 9.495 | -1.105 | 28.091 | 16.939 | 129.451 | 2.697 | 
| -3745.504 | -9370.528 | -12368.867 | 10778.480 | -6830.533 | 6069.979 | 
| 271.937 | 48.156 | 39.253 | 10.586 | 1.967 | 24.240 | 
| 50.847 | 301.809 | 57.054 | -5.810 | 0.325 | 10.928 | 
| 41.826 | 56.028 | 331.969 | -9.409 | 26.362 | -18.811 | 
| 390.619 | 940.583 | 1224.280 | -940.757 | 698.625 | -585.301 | 
| 12.152 | -0.088 | 24.792 | 17.312 | 128.062 | -0.163 | 
| 41.779 | 18.619 | -27.283 | 1.654 | -5.032 | 62.983 | 
| 218.574 | 44.206 | 56.967 | 1.577 | -2.285 | 42.171 | 
| 46.718 | 301.476 | 59.857 | -6.148 | 0.418 | 16.138 | 
| 38.964 | 55.807 | 330.834 | -9.049 | 25.670 | -13.875 | 
| 8.763 | 0.970 | -8.248 | 135.603 | 15.791 | 15.316 | 
| 6.394 | -0.894 | 27.502 | 15.942 | 125.421 | 5.788 | 
| 26.953 | 16.011 | -16.238 | 10.409 | -4.808 | 120.014 | 
| 3073.636 | 2397.142 | 634.402 | -550.175 | -152.597 | -324.926 | 
| 2977.705 | 2424.600 | 631.497 | -538.561 | -225.124 | -300.190 | 
| -8.441 | 127.317 | 481.604 | -86.447 | 21.286 | -75.543 | 
| 1856.244 | 1362.948 | 838.143 | -387.338 | -104.613 | -242.480 | 
| 2277.325 | 1857.456 | 610.250 | -294.529 | -485.155 | 67.620 | 
| -33.850 | 99.941 | 246.084 | -85.348 | 23.640 | 5.793 | 
| 289.379 | -58.022 | -215.356 | 90.178 | -8.893 | 80.794 | 
| 69.008 | 84.281 | -206.268 | 76.451 | -19.239 | 86.895 | 
| -3099.789 | -2292.640 | -889.934 | 633.827 | -34.602 | 323.298 | 
| -2957.291 | -2379.113 | -614.909 | 590.106 | 189.014 | 342.742 | 
| -1847.443 | -1361.235 | -861.426 | 289.752 | 0.222 | 226.159 | 
| -1836.761 | -1355.805 | -865.609 | 302.183 | 74.204 | 152.095 | 
| 249.893 | 42.298 | 51.465 | -3.268 | 12.935 | -5.130 | 
| 29.716 | 184.533 | 60.312 | -16.920 | 2.570 | 1.056 | 
| 27.000 | 38.766 | 196.111 | -17.356 | -10.052 | -6.105 | 
| -3.211 | 46.389 | 7.929 | -108.970 | -10.792 | -0.846 | 
| -2.358 | 9.398 | 25.774 | -2.145 | 96.930 | -4.673 | 
| -1.739 | 17.987 | 28.114 | -9.001 | 5.820 | 75.933 | 
| 256.228 | 23.997 | 2.671 | 13.861 | 8.954 | 10.540 | 
| -280.238 | -144.794 | -68.878 | 30.766 | 30.672 | 52.068 | 
| 17.406 | 5.470 | 166.124 | 13.159 | 1.902 | 12.738 | 
| 6.946 | -20.726 | -25.615 | 97.761 | 4.417 | 6.969 | 
| 4.714 | -8.728 | -22.627 | 14.829 | 93.380 | 10.842 | 
| -284.912 | -203.397 | -111.051 | 71.646 | -1.700 | 73.824 | 
| 89.098 | 24.682 | 10.717 | -3.634 | 1.851 | 4.665 | 
| 24.113 | 136.511 | 30.825 | -17.163 | 5.195 | 4.920 | 
| 9.974 | 22.778 | 68.916 | -16.792 | 9.232 | -3.318 | 
| 8.265 | -18.452 | -8.156 | 48.455 | 3.188 | -0.514 | 
| 13.427 | 13.918 | 9.860 | 0.701 | 31.686 | 0.575 | 
| 2.275 | 12.374 | 9.125 | -3.508 | 0.329 | 33.884 | 
| 163.252 | 23.142 | 12.479 | 7.788 | 11.819 | 3.041 | 
| -3.275 | 31.445 | -1.936 | -10.606 | 12.369 | 18.974 | 
| 8.672 | 5.793 | 79.068 | -15.360 | 3.308 | 3.447 | 
| -19.412 | -26.064 | -22.002 | 23.268 | 2.581 | 0.191 | 
| 1.971 | 3.293 | -6.792 | 4.507 | 56.062 | 3.572 | 
| 3.337 | 4.551 | 2.756 | 2.476 | 3.223 | 64.924 | 
| -142378.556 | -79910.999 | -56603.699 | 67324.531 | -89950.245 | 106832.652 | 
| 73.542 | 309.761 | 58.831 | -18.454 | 2.076 | -20.721 | 
| -142717.061 | -79927.033 | -56220.161 | 67287.009 | -89938.891 | 106866.389 | 
| 34.982 | -48.326 | -104.176 | 253.514 | -81.424 | -1.456 | 
| -13.255 | -15.261 | -49.299 | 35.436 | 134.523 | -0.199 | 
| -142800.364 | -80006.403 | -56659.174 | 67306.434 | -89944.303 | 107018.977 | 
| 143170.920 | 80059.922 | 56719.348 | -67307.601 | 89912.379 | -106895.651 | 
| 142834.865 | 80285.166 | 56695.130 | -67317.723 | 89915.226 | -106873.079 | 
| 142818.935 | 80033.861 | 57077.724 | -67328.310 | 89905.544 | -106850.070 | 
| 7.808 | -16.244 | -29.059 | 148.813 | -10.957 | -9.840 | 
| 142747.163 | 79977.377 | 56628.695 | -67310.224 | 90083.299 | -106862.786 | 
| -15.962 | -11.461 | 26.379 | -27.900 | 4.877 | 144.941 | 
| -13884.130 | -7926.086 | -5613.352 | 6743.420 | -9015.686 | 10657.290 | 
| -14206.568 | -7691.010 | -5612.336 | 6716.489 | -8994.683 | 10668.007 | 
| 56.958 | 54.298 | 430.626 | -18.522 | -15.969 | 5.096 | 
| 7.975 | -16.230 | -29.006 | 148.890 | -10.955 | -9.918 | 
| -14.175 | 1.912 | -7.603 | -10.957 | 170.187 | -10.434 | 
| -24.216 | -20.785 | 2.800 | -9.006 | -12.944 | 154.174 | 
| 393.409 | 74.181 | 56.956 | 7.180 | -19.011 | -30.162 | 
| 14348.374 | 8306.333 | 5719.954 | -6746.721 | 8991.602 | -10704.809 | 
| 57.448 | 58.494 | 441.698 | -29.429 | -7.382 | 2.290 | 
| 14281.717 | 7989.421 | 5654.288 | -6605.177 | 8997.436 | -10699.125 | 
| -14.841 | 1.852 | -7.810 | -11.287 | 170.158 | -10.114 | 
| 14253.396 | 7978.749 | 5671.391 | -6743.162 | 8982.235 | -10532.988 | 
| -1036.119 | -727.717 | -514.233 | 686.131 | -922.450 | 1039.602 | 
| 72.575 | 306.800 | 55.264 | -15.307 | -0.886 | -19.486 | 
| -1370.801 | -742.006 | -127.290 | 645.172 | -907.982 | 1071.552 | 
| -1418.468 | -815.981 | -595.046 | 822.126 | -910.197 | 1058.125 | 
| -15.398 | 0.226 | -11.537 | -7.707 | 166.090 | -8.738 | 
| -1450.893 | -820.449 | -563.221 | 664.338 | -911.821 | 1221.686 | 
| 389.214 | 75.376 | 60.180 | 3.391 | -16.253 | -30.412 | 
| 1499.434 | 1108.372 | 625.348 | -693.014 | 901.612 | -1088.650 | 
| 56.577 | 58.518 | 440.437 | -29.986 | -7.256 | 2.658 | 
| 8.206 | -15.141 | -26.053 | 145.278 | -8.647 | -10.666 | 
| -16.028 | 2.095 | -7.024 | -13.184 | 169.870 | -9.601 | 
| 1404.040 | 780.267 | 572.412 | -685.076 | 888.973 | -915.974 | 
| 152.608 | 90.856 | -683.648 | -135.113 | 168.436 | -29.398 | 
| 18.427 | 571.147 | -2135.506 | -183.171 | 11.487 | -303.066 | 
| -103.400 | 31.830 | -336.561 | -161.914 | 370.005 | 67.470 | 
| -75.291 | -4.431 | -256.811 | -1.029 | 216.416 | 41.876 | 
| -98.978 | 377.784 | -2390.709 | -310.764 | 357.190 | -207.115 | 
| 2.429 | 3.607 | 5.828 | -7.335 | 25.491 | 134.711 | 
| 146.237 | -206.081 | 914.277 | 1.085 | 224.864 | 240.741 | 
| 168.389 | -661.189 | 4424.894 | 630.405 | -973.967 | 280.643 | 
| 27.123 | 37.234 | 328.039 | 11.500 | -3.876 | 5.136 | 
| 115.373 | -932.171 | 4835.975 | 697.121 | -1067.367 | 334.071 | 
| 111.936 | -455.357 | 2907.345 | 387.087 | -344.894 | 266.145 | 
| 87.701 | 25.480 | 270.195 | 96.432 | -195.960 | 57.506 | 
| 167.370 | 350.269 | -915.118 | -132.616 | 408.427 | -55.472 | 
| 24.476 | 303.633 | 40.395 | 10.756 | 12.559 | 6.944 | 
| 23.260 | 74.654 | -54.955 | -11.077 | -3.111 | -34.839 | 
| -4.527 | 9.622 | -16.826 | 87.157 | 20.463 | 0.743 | 
| -17.480 | 111.503 | -536.315 | -77.949 | 198.558 | -14.240 | 
| -9.533 | 91.339 | -480.642 | -69.477 | 140.115 | 24.896 | 
| 498.017 | -13.383 | 521.211 | 487.914 | -1867.771 | -568.929 | 
| -65.101 | -591.413 | 1264.866 | 183.139 | -700.866 | 116.801 | 
| 410.627 | 226.927 | 356.920 | 472.580 | -1704.210 | -627.824 | 
| 22.355 | -28.294 | 308.530 | 109.801 | -76.284 | 13.269 | 
| 389.586 | 167.641 | 312.751 | 466.562 | -1662.548 | -592.249 | 
| 13.982 | 5.811 | 28.192 | 4.232 | -2.925 | 96.874 | 
| 186.811 | 27.275 | 2.845 | -2.282 | -4.007 | 6.213 | 
| 24.113 | 300.280 | 41.120 | 10.140 | 13.505 | 7.657 | 
| 25.551 | 36.931 | 174.344 | 7.744 | -3.472 | -5.132 | 
| -0.582 | 18.502 | -27.112 | 54.087 | 4.948 | -1.771 | 
| -9.504 | 3.122 | -8.346 | -3.507 | 93.972 | 16.587 | 
| 9.993 | 49.013 | -109.418 | -14.225 | 71.743 | 28.595 | 
| 185.486 | 19.283 | 51.869 | 4.619 | -11.833 | 9.943 | 
| 24.530 | 231.323 | 40.879 | 13.413 | 5.229 | 6.923 | 
| 18.331 | 25.178 | 157.924 | 11.429 | -11.239 | -1.387 | 
| -6.313 | -66.478 | 138.996 | 55.040 | -76.367 | 16.254 | 
| 39.738 | 33.304 | 10.902 | 43.629 | -109.731 | -47.068 | 
| 38.538 | -13.229 | 58.788 | 50.353 | -174.999 | -19.430 | 
| 2216.189 | -12.864 | -12.864 | -0.000 | -0.000 | -0.000 | 
| -12.863 | 2216.188 | -12.864 | -0.000 | 0.000 | -0.000 | 
| -12.863 | -12.864 | 2216.188 | -0.000 | -0.000 | -0.000 | 
| 0.000 | -0.000 | -0.000 | 603.060 | 0.000 | -0.000 | 
| 0.000 | -0.000 | -0.000 | -0.000 | 603.060 | -0.000 | 
| 0.000 | 0.000 | -0.000 | -0.000 | 0.000 | 603.060 | 
| 2218.832 | -4.258 | -4.258 | 0.000 | -0.000 | 0.000 | 
| -4.258 | 2218.832 | -4.258 | -0.000 | -0.000 | 0.000 | 
| -4.258 | -4.258 | 2218.833 | 0.000 | -0.000 | 0.000 | 
| -0.000 | -0.000 | 0.000 | 603.060 | -0.000 | 0.000 | 
| -0.000 | 0.000 | 0.000 | 0.000 | 603.060 | 0.000 | 
| -0.000 | -0.000 | 0.000 | 0.000 | 0.000 | 603.060 | 
| 2218.834 | -4.258 | -4.258 | -0.000 | 0.000 | -0.000 | 
| -4.258 | 2218.834 | -4.258 | 0.000 | 0.000 | -0.000 | 
| -4.258 | -4.258 | 2218.834 | -0.000 | 0.000 | 0.000 | 
| 0.000 | -0.000 | 0.000 | 603.060 | 0.000 | -0.000 | 
| 0.000 | 0.000 | -0.000 | 0.000 | 603.060 | -0.000 | 
| 0.000 | 0.000 | 0.000 | -0.000 | 0.000 | 603.060 | 
| 2216.186 | -12.863 | -12.863 | 0.000 | -0.000 | 0.000 | 
| -12.863 | 2216.186 | -12.863 | 0.000 | 0.000 | 0.000 | 
| -12.863 | -12.863 | 2216.186 | -0.000 | -0.000 | 0.000 | 
| -0.000 | 0.000 | -0.000 | 603.060 | -0.000 | 0.000 | 
| -0.000 | -0.000 | 0.000 | 0.000 | 603.060 | 0.000 | 
| -0.000 | -0.000 | -0.000 | 0.000 | -0.000 | 603.060 | 
| 2216.180 | -12.852 | -12.851 | -0.000 | 0.000 | -0.000 | 
| -12.851 | 2216.180 | -12.852 | -0.000 | -0.000 | -0.000 | 
| -12.852 | -12.851 | 2216.180 | -0.000 | 0.000 | -0.000 | 
| 0.000 | -0.000 | 0.003 | 824.083 | 0.000 | -0.000 | 
| 0.003 | 0.000 | -0.000 | -0.000 | 824.083 | -0.000 | 
| -0.000 | 0.003 | 0.000 | -0.000 | -0.000 | 824.083 | 
| 2216.172 | -12.864 | -12.865 | 0.000 | 0.000 | 0.000 | 
| -12.865 | 2216.172 | -12.864 | 0.000 | -0.000 | 0.000 | 
| -12.864 | -12.865 | 2216.172 | 0.000 | 0.000 | 0.000 | 
| -0.000 | 0.000 | -0.003 | 824.083 | -0.000 | -0.000 | 
| -0.003 | -0.000 | 0.000 | 0.000 | 824.083 | 0.000 | 
| 0.000 | -0.003 | -0.000 | 0.000 | 0.000 | 824.083 | 
| 2238.936 | 34.490 | 34.490 | -0.000 | 0.000 | -0.000 | 
| 34.490 | 2238.936 | 34.490 | -0.000 | -0.000 | -0.000 | 
| 34.490 | 34.490 | 2238.936 | 0.000 | -0.000 | -0.000 | 
| 0.000 | 0.000 | -0.000 | 823.803 | 0.000 | 0.000 | 
| -0.000 | 0.000 | -0.000 | -0.000 | 823.803 | -0.000 | 
| 0.000 | 0.000 | -0.000 | 0.000 | 0.000 | 823.803 | 
| 2162.407 | -65.485 | -65.485 | 0.000 | -0.000 | 0.000 | 
| -65.485 | 2162.406 | -65.485 | -0.000 | -0.000 | 0.000 | 
| -65.485 | -65.485 | 2162.407 | -0.000 | -0.000 | 0.000 | 
| -0.000 | -0.000 | 0.000 | 823.803 | 0.000 | 0.000 | 
| -0.000 | -0.000 | 0.000 | 0.000 | 823.803 | 0.000 | 
| -0.000 | -0.000 | 0.000 | 0.000 | -0.000 | 823.803 | 
| 2220.006 | -7.888 | -7.888 | -0.000 | 0.000 | -0.000 | 
| -7.888 | 2220.006 | -7.888 | 0.000 | 0.000 | 0.000 | 
| -7.888 | -7.888 | 2220.006 | 0.000 | 0.000 | 0.000 | 
| 2.872 | 2.872 | 2.872 | 602.442 | 0.000 | 0.000 | 
| 2.872 | 2.872 | 2.872 | 0.000 | 602.442 | -0.000 | 
| 2.872 | 2.872 | 2.872 | -0.000 | 0.000 | 602.442 | 
| 2211.355 | -6.544 | -6.544 | -0.000 | -0.000 | -0.000 | 
| -6.544 | 2211.355 | -6.544 | -0.000 | -0.000 | 0.000 | 
| -6.544 | -6.544 | 2211.355 | -0.000 | -0.000 | -0.000 | 
| -2.872 | -2.872 | -2.872 | 602.442 | -0.000 | 0.000 | 
| -2.872 | -2.872 | -2.872 | 0.000 | 602.442 | 0.000 | 
| -2.872 | -2.872 | -2.872 | -0.000 | -0.000 | 602.442 | 
| 2215.283 | -12.589 | -12.588 | -0.000 | 0.000 | 0.000 | 
| -12.588 | 2215.283 | -12.589 | -0.000 | 0.000 | 0.000 | 
| -12.589 | -12.588 | 2215.283 | 0.000 | 0.000 | -0.000 | 
| 0.000 | -0.000 | 0.003 | 823.803 | 0.000 | 0.000 | 
| 0.003 | 0.000 | -0.000 | -0.000 | 823.803 | -0.000 | 
| -0.000 | 0.003 | 0.000 | 0.000 | 0.000 | 823.803 | 
| 2214.194 | -13.633 | -13.635 | 0.000 | -0.000 | -0.000 | 
| -13.635 | 2214.194 | -13.633 | 0.000 | -0.000 | 0.000 | 
| -13.633 | -13.635 | 2214.194 | -0.000 | -0.000 | 0.000 | 
| -0.000 | 0.000 | -0.003 | 823.803 | 0.000 | 0.000 | 
| -0.003 | -0.000 | -0.000 | 0.000 | 823.803 | 0.000 | 
| 0.000 | -0.003 | -0.000 | -0.000 | -0.000 | 823.803 | 
| 1290.506 | 150.045 | 78.740 | -0.000 | 0.000 | 0.000 | 
| 176.168 | 1240.019 | 103.070 | 0.000 | -0.000 | -0.000 | 
| 103.624 | 103.624 | 1311.877 | 0.000 | 0.000 | -0.000 | 
| -0.000 | -0.000 | 0.000 | 486.477 | 0.000 | -0.000 | 
| -0.000 | -0.000 | 0.000 | 0.000 | 486.477 | -0.000 | 
| -0.000 | -0.000 | 0.000 | -0.000 | 0.000 | 531.925 | 
| 1240.018 | 176.169 | 103.070 | -0.000 | 0.000 | -0.000 | 
| 150.045 | 1290.506 | 78.740 | -0.000 | -0.000 | 0.000 | 
| 79.294 | 79.294 | 1360.469 | -0.000 | -0.000 | -0.000 | 
| 0.000 | 0.000 | -0.000 | 486.477 | 0.000 | 0.000 | 
| 0.000 | 0.000 | -0.000 | -0.000 | 486.477 | 0.000 | 
| 0.000 | 0.000 | -0.000 | -0.000 | -0.000 | 570.230 | 
| 1240.022 | 176.167 | 103.069 | 0.000 | 0.000 | 0.000 | 
| 176.167 | 1240.022 | 103.068 | 0.000 | -0.000 | 0.000 | 
| 103.628 | 103.628 | 1311.870 | 0.000 | -0.000 | 0.000 | 
| -0.000 | -0.000 | 0.000 | 486.477 | -0.000 | 0.000 | 
| -0.000 | -0.000 | 0.000 | 0.000 | 502.360 | -0.000 | 
| -0.000 | 0.000 | -0.000 | 0.000 | -0.000 | 531.926 | 
| 1240.481 | 171.795 | 106.976 | -0.000 | -0.000 | 0.000 | 
| 171.795 | 1240.481 | 106.976 | -0.000 | 0.000 | 0.000 | 
| 103.820 | 103.820 | 1311.485 | 0.000 | 0.000 | 0.000 | 
| 0.000 | 0.000 | -0.000 | 486.477 | -0.000 | -0.000 | 
| 0.000 | 0.000 | -0.000 | 0.000 | 502.360 | 0.000 | 
| 0.000 | -0.000 | 0.000 | -0.000 | 0.000 | 531.926 | 
| 1240.519 | 171.780 | 106.957 | 0.000 | 0.000 | -0.000 | 
| 171.780 | 1240.522 | 106.954 | 0.000 | 0.000 | -0.000 | 
| 103.623 | 103.623 | 1311.882 | 0.000 | -0.000 | -0.000 | 
| -0.000 | -0.002 | 0.002 | 502.360 | 0.000 | 0.000 | 
| -0.001 | -0.000 | 0.002 | -0.000 | 486.476 | -0.000 | 
| -0.002 | 0.000 | 0.002 | -0.000 | -0.000 | 570.230 | 
| 1240.447 | 171.808 | 106.993 | -0.000 | 0.000 | 0.000 | 
| 176.185 | 1239.976 | 103.093 | -0.000 | 0.000 | 0.000 | 
| 103.737 | 103.737 | 1311.649 | -0.000 | 0.000 | 0.000 | 
| 0.000 | 0.002 | -0.002 | 502.360 | 0.000 | 0.000 | 
| 0.001 | 0.000 | -0.002 | -0.000 | 486.476 | 0.000 | 
| 0.002 | -0.000 | -0.002 | 0.000 | -0.000 | 570.230 | 
| 278.955 | 77.112 | 93.004 | -0.000 | -0.000 | 0.000 | 
| 90.367 | 563.434 | 96.819 | -0.000 | -0.000 | -0.000 | 
| 127.203 | 100.525 | 609.028 | -0.000 | -0.000 | 0.000 | 
| -0.000 | 0.000 | -0.000 | 266.522 | -0.000 | 0.000 | 
| -0.014 | -0.000 | 0.004 | -0.000 | 157.889 | 0.000 | 
| -0.010 | -0.002 | 0.004 | 0.000 | -0.000 | 130.212 | 
| 363.137 | 98.975 | 107.556 | 0.000 | 0.000 | -0.000 | 
| 43.968 | 649.225 | 87.093 | 0.000 | -0.000 | 0.000 | 
| 110.031 | 87.093 | 721.821 | 0.000 | 0.000 | -0.000 | 
| -0.000 | -0.000 | -0.000 | 266.522 | 0.000 | -0.000 | 
| 0.014 | 0.000 | -0.004 | 0.000 | 157.889 | -0.000 | 
| 0.011 | 0.002 | -0.004 | 0.000 | 0.000 | 130.212 | 
| 300.154 | 92.846 | 90.929 | 0.000 | -0.000 | 0.000 | 
| 90.373 | 563.432 | 96.817 | -0.000 | -0.000 | 0.000 | 
| 91.795 | 82.399 | 509.801 | -0.000 | -0.000 | 0.000 | 
| -0.002 | 0.001 | 0.000 | 150.748 | -0.000 | 0.000 | 
| 0.000 | 0.000 | 0.000 | 0.000 | 282.488 | 0.000 | 
| -0.000 | -0.000 | 0.000 | -0.000 | -0.000 | 115.006 | 
| 619.738 | 43.968 | 110.031 | 0.000 | 0.000 | 0.000 | 
| 101.837 | 457.876 | 51.471 | 0.000 | 0.000 | -0.000 | 
| 127.209 | 100.540 | 608.987 | 0.000 | 0.000 | -0.000 | 
| 0.002 | -0.001 | -0.000 | 150.748 | 0.000 | -0.000 | 
| -0.000 | -0.000 | -0.000 | 0.000 | 282.488 | -0.000 | 
| 0.000 | 0.000 | -0.000 | 0.000 | 0.000 | 115.006 | 
| 297.824 | 93.568 | 91.072 | -0.000 | -0.000 | 0.000 | 
| 90.373 | 563.434 | 96.817 | -0.000 | -0.000 | -0.000 | 
| 91.798 | 82.400 | 509.778 | -0.000 | 0.000 | -0.000 | 
| 0.000 | 0.000 | 0.000 | 266.522 | -0.000 | 0.000 | 
| -0.000 | 0.000 | 0.000 | -0.000 | 219.344 | 0.000 | 
| -0.000 | 0.000 | 0.000 | -0.000 | 0.000 | 223.333 | 
| 469.015 | 97.692 | 124.413 | 0.000 | 0.000 | -0.000 | 
| 90.373 | 563.429 | 96.817 | 0.000 | 0.000 | -0.000 | 
| 91.747 | 82.373 | 509.695 | 0.000 | 0.000 | 0.000 | 
| -0.000 | -0.000 | -0.000 | 266.522 | -0.000 | -0.000 | 
| 0.000 | -0.000 | -0.000 | 0.000 | 219.344 | -0.000 | 
| 0.000 | -0.000 | -0.000 | -0.000 | 0.000 | 223.333 | 
| -955645.305 | -532505.283 | -646786.373 | -0.000 | 0.000 | -0.000 | 
| -50235.928 | 33043.285 | 6461.206 | 0.000 | 0.000 | -0.000 | 
| 148.457 | 40.567 | 434.384 | 0.000 | -0.000 | -0.000 | 
| 0.000 | -0.000 | 0.000 | 233.264 | 0.000 | -0.000 | 
| -896665.718 | 26751.820 | -198663.041 | 0.000 | -381505.669 | -0.000 | 
| -552781.689 | 379340.193 | 82185.960 | 0.000 | 0.000 | 2771.138 | 
| 457.080 | 15.463 | 56.083 | 0.000 | -0.000 | 0.000 | 
| 3.940 | 544.977 | 63.867 | -0.000 | 0.000 | 0.000 | 
| 956141.676 | 532612.502 | 647418.196 | 0.000 | 0.000 | 0.000 | 
| -0.000 | 0.000 | -0.000 | 233.264 | 0.000 | 0.000 | 
| 885667.683 | -16669.857 | 197335.391 | -0.000 | -395036.594 | 0.000 | 
| 514892.817 | -346561.744 | -88659.027 | -0.000 | -0.000 | 2794.827 | 
| -99242.292 | -50692.269 | -64193.637 | -0.000 | 0.000 | -0.000 | 
| -3878.552 | 2920.202 | 467.580 | 0.000 | 0.000 | -0.000 | 
| 62.963 | 69.506 | 575.376 | 0.000 | 0.000 | -0.000 | 
| -47804.737 | -26626.198 | -32342.799 | 29573.699 | 0.000 | -0.000 | 
| 31.463 | -31.335 | 2.170 | -0.000 | 200.983 | -0.000 | 
| -47765.608 | -26663.911 | -32343.208 | -0.000 | 0.000 | -35492.009 | 
| 96075.201 | 53264.908 | 64727.116 | -0.000 | 0.000 | 0.000 | 
| 96978.658 | 52848.197 | 64617.260 | 0.000 | -0.000 | 0.000 | 
| 3930.425 | -2471.748 | -26.707 | 0.000 | 0.000 | 0.000 | 
| 47804.737 | 26626.198 | 32342.799 | 29573.699 | 0.000 | 0.000 | 
| -31.463 | 31.335 | -2.170 | -0.000 | 200.983 | 0.000 | 
| 47765.608 | 26663.911 | 32343.208 | 0.000 | 0.000 | -35492.009 | 
| -9023.516 | -5518.447 | -6530.623 | -0.000 | 0.000 | -0.000 | 
| 8.655 | 541.574 | 57.714 | 0.000 | 0.000 | -0.000 | 
| -581.253 | 432.815 | 479.347 | -0.000 | 0.000 | -0.000 | 
| -4762.229 | -2679.623 | -3235.841 | -2710.613 | 0.000 | -0.000 | 
| -4753.014 | -2689.335 | -3233.553 | -0.000 | -3728.240 | -0.000 | 
| -4730.875 | -2704.450 | -3249.753 | -0.000 | 0.000 | 3747.061 | 
| 840.598 | -364.216 | -61.168 | -0.000 | 0.000 | 0.000 | 
| -355.030 | 786.205 | 182.885 | -0.000 | -0.000 | 0.000 | 
| 285.360 | -127.974 | 395.069 | -0.000 | -0.000 | 0.000 | 
| 4762.229 | 2679.623 | 3235.841 | -2710.613 | -0.000 | 0.000 | 
| 4753.014 | 2689.335 | 3233.553 | -0.000 | -3728.240 | 0.000 | 
| 4730.875 | 2704.450 | 3249.753 | -0.000 | -0.000 | 3747.061 | 
| 620.841 | 244.822 | 0.000 | 0.000 | 0.000 | 0.000 | 
| 295.181 | 570.481 | 0.000 | 0.000 | 0.000 | 0.000 | 
| -0.000 | -0.000 | 0.000 | 0.000 | 0.000 | -0.000 | 
| -0.000 | -0.000 | 0.000 | 0.000 | 0.000 | 0.000 | 
| 0.000 | -0.000 | 0.000 | 0.000 | 0.000 | 0.000 | 
| -0.000 | -0.000 | 0.000 | 0.000 | 0.000 | 188.009 | 
| 620.840 | 244.822 | -0.000 | -0.000 | -0.000 | -0.000 | 
| 244.822 | 620.840 | -0.000 | -0.000 | -0.000 | -0.000 | 
| 0.000 | 0.000 | -0.000 | -0.000 | -0.000 | 0.000 | 
| -0.000 | 0.000 | -0.000 | -0.000 | -0.000 | -0.000 | 
| -0.000 | 0.000 | -0.000 | -0.000 | -0.000 | -0.000 | 
| 0.000 | 0.000 | -0.000 | -0.000 | -0.000 | 188.009 | 
| 620.841 | 244.822 | 0.000 | 0.000 | 0.000 | 0.000 | 
| 295.182 | 570.480 | 0.000 | 0.000 | 0.000 | 0.000 | 
| -0.000 | -0.000 | 0.000 | 0.000 | 0.000 | -0.000 | 
| 0.000 | -0.000 | 0.000 | 0.000 | 0.000 | 0.000 | 
| -0.000 | -0.000 | 0.000 | 0.000 | 0.000 | 0.000 | 
| -0.000 | 0.000 | 0.000 | 0.000 | 0.000 | 137.650 | 
| 620.840 | 244.822 | -0.000 | -0.000 | -0.000 | -0.000 | 
| 244.822 | 620.840 | -0.000 | -0.000 | -0.000 | -0.000 | 
| 0.000 | 0.000 | -0.000 | -0.000 | -0.000 | 0.000 | 
| 0.000 | 0.000 | -0.000 | -0.000 | -0.000 | -0.000 | 
| 0.000 | 0.000 | -0.000 | -0.000 | -0.000 | -0.000 | 
| 0.000 | -0.000 | -0.000 | -0.000 | -0.000 | 137.650 | 
| 570.490 | 295.174 | 0.000 | 0.000 | 0.000 | 0.000 | 
| 295.190 | 570.474 | 0.000 | 0.000 | 0.000 | 0.000 | 
| -0.000 | -0.000 | 0.000 | 0.000 | 0.000 | -0.000 | 
| 0.000 | -0.000 | 0.000 | 0.000 | 0.000 | 0.000 | 
| 0.000 | -0.000 | 0.000 | 0.000 | 0.000 | 0.000 | 
| -0.000 | 0.001 | 0.000 | 0.000 | 0.000 | 188.009 | 
| 570.472 | 295.188 | -0.000 | -0.000 | -0.000 | -0.000 | 
| 295.172 | 570.488 | -0.000 | -0.000 | -0.000 | -0.000 | 
| 0.000 | 0.000 | -0.000 | -0.000 | -0.000 | 0.000 | 
| 0.000 | 0.000 | -0.000 | -0.000 | -0.000 | -0.000 | 
| 0.000 | 0.000 | -0.000 | -0.000 | -0.000 | -0.000 | 
| 0.000 | -0.001 | -0.000 | -0.000 | -0.000 | 188.009 | 
| 611.579 | 241.170 | 0.000 | 0.000 | 0.000 | 0.000 | 
| 290.778 | 561.971 | 0.000 | 0.000 | 0.000 | 0.000 | 
| 0.000 | -0.000 | 0.000 | 0.000 | 0.000 | 0.000 | 
| 0.000 | -0.000 | 0.000 | 0.000 | 0.000 | -0.000 | 
| 0.000 | -0.000 | 0.000 | 0.000 | 0.000 | 0.000 | 
| -0.000 | 0.000 | 0.000 | 0.000 | 0.000 | 185.205 | 
| 611.579 | 241.170 | -0.000 | -0.000 | -0.000 | -0.000 | 
| 241.170 | 611.579 | -0.000 | -0.000 | -0.000 | -0.000 | 
| -0.000 | 0.000 | -0.000 | -0.000 | -0.000 | -0.000 | 
| -0.000 | 0.000 | -0.000 | -0.000 | -0.000 | 0.000 | 
| -0.000 | 0.000 | -0.000 | -0.000 | -0.000 | -0.000 | 
| 0.000 | 0.000 | -0.000 | -0.000 | -0.000 | 185.205 | 
| 611.579 | 241.170 | 0.000 | 0.000 | 0.000 | 0.000 | 
| 290.779 | 561.970 | 0.000 | 0.000 | 0.000 | 0.000 | 
| 0.000 | -0.000 | 0.000 | 0.000 | 0.000 | 0.000 | 
| 0.000 | -0.000 | 0.000 | 0.000 | 0.000 | -0.000 | 
| 0.000 | -0.000 | 0.000 | 0.000 | 0.000 | 0.000 | 
| -0.000 | 0.000 | 0.000 | 0.000 | 0.000 | 135.596 | 
| 611.579 | 241.170 | -0.000 | -0.000 | -0.000 | -0.000 | 
| 241.169 | 611.579 | -0.000 | -0.000 | -0.000 | -0.000 | 
| -0.000 | 0.000 | -0.000 | -0.000 | -0.000 | -0.000 | 
| -0.000 | 0.000 | -0.000 | -0.000 | -0.000 | 0.000 | 
| -0.000 | 0.000 | -0.000 | -0.000 | -0.000 | -0.000 | 
| 0.000 | -0.000 | -0.000 | -0.000 | -0.000 | 135.596 | 
| 561.979 | 290.771 | 0.000 | 0.000 | 0.000 | 0.000 | 
| 290.787 | 561.964 | 0.000 | 0.000 | 0.000 | 0.000 | 
| 0.000 | -0.000 | 0.000 | 0.000 | 0.000 | 0.000 | 
| 0.000 | -0.000 | 0.000 | 0.000 | 0.000 | 0.000 | 
| 0.000 | -0.000 | 0.000 | 0.000 | 0.000 | 0.000 | 
| -0.000 | 0.001 | 0.000 | 0.000 | 0.000 | 185.205 | 
| 561.962 | 290.785 | -0.000 | -0.000 | -0.000 | -0.000 | 
| 290.769 | 561.978 | -0.000 | -0.000 | -0.000 | -0.000 | 
| -0.000 | 0.000 | -0.000 | -0.000 | -0.000 | -0.000 | 
| -0.000 | 0.000 | -0.000 | -0.000 | -0.000 | -0.000 | 
| -0.000 | 0.000 | -0.000 | -0.000 | -0.000 | -0.000 | 
| 0.000 | -0.001 | -0.000 | -0.000 | -0.000 | 185.205 | 
| -2491.285 | 0.001 | 3313.796 | -0.000 | -0.000 | 0.000 | 
| -3342.186 | 0.001 | 2863.022 | -0.000 | -0.000 | 0.000 | 
| -2891.997 | 0.001 | 3745.332 | 0.000 | -0.000 | 0.000 | 
| -3368.825 | 0.001 | 2848.791 | -14.232 | -0.000 | 0.000 | 
| 0.000 | -0.000 | 0.000 | 0.000 | 390.060 | 0.000 | 
| -3368.825 | 0.001 | 2848.791 | -0.000 | -0.000 | 0.000 | 
| 3588.316 | -0.001 | -1827.317 | -0.000 | 0.000 | -0.000 | 
| 3395.464 | -0.001 | -2834.559 | 0.000 | 0.000 | -0.000 | 
| 3219.415 | -0.001 | -1422.681 | 0.000 | 0.000 | -0.000 | 
| 3368.825 | -0.001 | -2848.791 | -14.232 | 0.000 | -0.000 | 
| -0.000 | -0.000 | -0.000 | -0.000 | 390.060 | -0.000 | 
| 3368.825 | -0.001 | -2848.791 | 0.000 | 0.000 | -0.000 | 
| 587.618 | 0.000 | 710.174 | 0.000 | -0.000 | 0.000 | 
| -310.244 | 0.000 | 299.111 | -0.000 | -0.000 | 0.000 | 
| 218.686 | 0.000 | 1114.835 | 0.000 | -0.000 | 0.000 | 
| -336.883 | 0.000 | 284.879 | -14.232 | -0.000 | 0.000 | 
| -335.141 | 0.000 | 283.406 | 0.000 | 383.168 | 0.000 | 
| -336.883 | 0.000 | 284.879 | -0.000 | -0.000 | -0.000 | 
| 1218.298 | -0.000 | 176.849 | -0.000 | 0.000 | -0.000 | 
| 363.522 | -0.000 | -270.647 | 0.000 | 0.000 | -0.000 | 
| 816.493 | -0.000 | 609.310 | -0.000 | 0.000 | -0.000 | 
| 336.883 | -0.000 | -284.879 | -14.232 | 0.000 | -0.000 | 
| 335.141 | -0.000 | -283.406 | 0.000 | 383.168 | -0.000 | 
| 336.883 | -0.000 | -284.879 | 0.000 | 0.000 | -0.000 | 
| 830.651 | 0.000 | 504.663 | 0.000 | -0.000 | 0.000 | 
| -7.049 | 0.000 | 42.719 | -0.000 | -0.000 | 0.000 | 
| 465.566 | 0.000 | 906.066 | 0.000 | -0.000 | 0.000 | 
| -33.692 | 0.000 | 28.490 | -14.232 | -0.000 | 0.000 | 
| -35.863 | 0.000 | 30.327 | 0.000 | 387.500 | 0.000 | 
| -27.282 | 0.000 | 23.071 | 0.000 | -0.000 | 0.000 | 
| 883.756 | -0.000 | 459.743 | 0.000 | 0.000 | -0.000 | 
| 60.327 | -0.000 | -14.256 | 0.000 | 0.000 | -0.000 | 
| 519.584 | -0.000 | 860.385 | -0.000 | 0.000 | -0.000 | 
| 33.692 | -0.000 | -28.490 | -14.232 | 0.000 | -0.000 | 
| 35.863 | -0.000 | -30.327 | -0.000 | 387.500 | -0.000 | 
| 27.282 | -0.000 | -23.071 | -0.000 | 0.000 | -0.000 | 
| 597.907 | 309.372 | 0.000 | 0.000 | 0.000 | -0.000 | 
| 256.592 | 650.688 | 0.000 | 0.000 | 0.000 | 0.000 | 
| 0.000 | 0.000 | 0.000 | 0.000 | 0.000 | -0.000 | 
| -0.000 | 0.000 | 0.000 | 0.000 | 0.000 | -0.000 | 
| -0.000 | -0.000 | 0.000 | 0.000 | 0.000 | -0.000 | 
| -0.000 | 0.000 | 0.000 | 0.000 | 0.000 | 197.048 | 
| 650.688 | 256.592 | -0.000 | -0.000 | -0.000 | -0.000 | 
| 309.372 | 597.907 | -0.000 | -0.000 | -0.000 | -0.000 | 
| 0.000 | 0.000 | -0.000 | -0.000 | -0.000 | -0.000 | 
| 0.000 | -0.000 | -0.000 | -0.000 | -0.000 | 0.000 | 
| 0.000 | 0.000 | -0.000 | -0.000 | -0.000 | -0.000 | 
| 0.000 | -0.000 | -0.000 | -0.000 | -0.000 | 197.048 | 
| 650.688 | 256.592 | 0.000 | 0.000 | 0.000 | 0.000 | 
| 309.372 | 597.908 | 0.000 | 0.000 | 0.000 | -0.000 | 
| 0.000 | 0.000 | 0.000 | 0.000 | 0.000 | -0.000 | 
| -0.000 | 0.000 | 0.000 | 0.000 | 0.000 | -0.000 | 
| 0.000 | -0.000 | 0.000 | 0.000 | 0.000 | 0.000 | 
| 0.000 | -0.000 | 0.000 | 0.000 | 0.000 | 144.267 | 
| 650.688 | 256.592 | -0.000 | -0.000 | -0.000 | 0.000 | 
| 309.373 | 597.906 | -0.000 | -0.000 | -0.000 | -0.000 | 
| 0.000 | 0.000 | -0.000 | -0.000 | -0.000 | -0.000 | 
| 0.000 | -0.000 | -0.000 | -0.000 | -0.000 | 0.000 | 
| 0.000 | 0.000 | -0.000 | -0.000 | -0.000 | -0.000 | 
| -0.000 | 0.000 | -0.000 | -0.000 | -0.000 | 144.267 | 
| 597.900 | 309.382 | 0.000 | 0.000 | 0.000 | 0.000 | 
| 256.592 | 650.690 | 0.000 | 0.000 | 0.000 | -0.000 | 
| 0.000 | 0.000 | 0.000 | 0.000 | 0.000 | -0.000 | 
| -0.000 | 0.000 | 0.000 | 0.000 | 0.000 | -0.000 | 
| 0.000 | 0.000 | 0.000 | 0.000 | 0.000 | 0.000 | 
| 0.001 | -0.001 | 0.000 | 0.000 | 0.000 | 144.267 | 
| 597.915 | 309.363 | -0.000 | -0.000 | -0.000 | -0.000 | 
| 309.380 | 597.898 | -0.000 | -0.000 | -0.000 | 0.000 | 
| 0.000 | 0.000 | -0.000 | -0.000 | -0.000 | -0.000 | 
| 0.000 | -0.000 | -0.000 | -0.000 | -0.000 | 0.000 | 
| 0.000 | 0.000 | -0.000 | -0.000 | -0.000 | -0.000 | 
| -0.001 | 0.001 | -0.000 | -0.000 | -0.000 | 144.267 | 
| 479.883 | 248.304 | -0.000 | 0.000 | -0.000 | 0.000 | 
| 248.303 | 479.883 | -0.000 | 0.000 | 0.000 | 0.000 | 
| 0.000 | -0.000 | 0.000 | 0.000 | -0.000 | 0.000 | 
| 0.000 | -0.000 | 0.000 | 0.000 | -0.000 | 0.000 | 
| -0.000 | -0.000 | 0.000 | 0.000 | -0.000 | 0.000 | 
| -0.000 | -0.000 | -0.000 | 0.000 | -0.000 | 115.790 | 
| 479.883 | 248.303 | 0.000 | -0.000 | -0.000 | -0.000 | 
| 205.941 | 522.245 | 0.000 | -0.000 | -0.000 | -0.000 | 
| -0.000 | 0.000 | -0.000 | -0.000 | 0.000 | -0.000 | 
| -0.000 | -0.000 | -0.000 | -0.000 | 0.000 | -0.000 | 
| 0.000 | 0.000 | -0.000 | -0.000 | 0.000 | -0.000 | 
| 0.000 | 0.000 | 0.000 | -0.000 | -0.000 | 115.790 | 
| 479.882 | 248.304 | -0.000 | 0.000 | 0.000 | -0.000 | 
| 205.942 | 522.245 | -0.000 | -0.000 | -0.000 | -0.000 | 
| 0.000 | -0.000 | 0.000 | 0.000 | -0.000 | 0.000 | 
| 0.000 | -0.000 | 0.000 | 0.000 | -0.000 | 0.000 | 
| -0.000 | -0.000 | 0.000 | 0.000 | -0.000 | 0.000 | 
| 0.000 | -0.000 | -0.000 | -0.000 | 0.000 | 158.152 | 
| 479.884 | 248.303 | -0.000 | -0.000 | -0.000 | 0.000 | 
| 248.304 | 479.882 | 0.000 | -0.000 | -0.000 | -0.000 | 
| -0.000 | 0.000 | -0.000 | -0.000 | 0.000 | -0.000 | 
| -0.000 | -0.000 | -0.000 | -0.000 | 0.000 | -0.000 | 
| 0.000 | 0.000 | -0.000 | -0.000 | 0.000 | -0.000 | 
| -0.000 | 0.000 | 0.000 | 0.000 | 0.000 | 158.152 | 
| 480.038 | 248.150 | -0.000 | -0.000 | -0.000 | -0.000 | 
| 248.298 | 479.890 | -0.000 | 0.000 | 0.000 | -0.000 | 
| 0.000 | -0.000 | 0.000 | 0.000 | -0.000 | 0.000 | 
| 0.000 | 0.000 | 0.000 | 0.000 | -0.000 | 0.000 | 
| -0.000 | -0.000 | 0.000 | 0.000 | -0.000 | 0.000 | 
| 0.001 | -0.001 | -0.000 | 0.000 | -0.000 | 115.790 | 
| 479.889 | 248.296 | 0.000 | -0.000 | 0.000 | 0.000 | 
| 248.149 | 480.036 | 0.000 | 0.000 | -0.000 | 0.000 | 
| -0.000 | 0.000 | -0.000 | -0.000 | 0.000 | -0.000 | 
| -0.000 | -0.000 | -0.000 | -0.000 | 0.000 | -0.000 | 
| 0.000 | 0.000 | -0.000 | -0.000 | 0.000 | -0.000 | 
| -0.001 | 0.001 | 0.000 | -0.000 | -0.000 | 115.790 | 
| 1247.902 | 166.616 | 104.262 | 16.975 | 0.000 | 0.001 | 
| 166.617 | 1247.902 | 104.262 | -16.975 | 0.000 | 0.001 | 
| 76.890 | 76.888 | 1365.003 | -0.000 | 0.000 | 0.000 | 
| 17.257 | -17.256 | 0.000 | 485.252 | 0.000 | 0.001 | 
| -0.000 | 0.000 | 0.000 | -0.000 | 485.252 | 17.257 | 
| -0.000 | 0.000 | 0.000 | -0.000 | 18.810 | 535.920 | 
| 1291.301 | 150.590 | 76.888 | 20.846 | -0.000 | -0.001 | 
| 150.588 | 1291.301 | 76.888 | -20.846 | -0.000 | -0.001 | 
| 102.580 | 102.580 | 1313.618 | 0.000 | -0.000 | -0.000 | 
| 20.845 | -20.846 | -0.000 | 499.227 | -0.000 | -0.001 | 
| 0.000 | -0.000 | -0.000 | 0.000 | 485.252 | 17.256 | 
| 0.000 | -0.000 | -0.000 | 0.000 | 18.810 | 535.918 | 
| 1247.902 | 166.616 | 104.262 | 16.975 | 0.000 | 0.000 | 
| 150.590 | 1291.302 | 76.888 | -20.846 | 0.000 | 0.000 | 
| 76.888 | 76.888 | 1365.004 | -0.000 | 0.000 | 0.000 | 
| 20.846 | -20.846 | 0.000 | 499.227 | 0.000 | 0.000 | 
| -0.000 | 0.000 | 0.000 | 0.000 | 485.252 | 17.257 | 
| -0.000 | 0.000 | -0.000 | 0.000 | 20.846 | 570.356 | 
| 1291.301 | 150.590 | 76.888 | 20.846 | -0.000 | -0.000 | 
| 150.589 | 1291.301 | 76.888 | -20.846 | -0.000 | -0.000 | 
| 76.888 | 76.888 | 1365.003 | 0.000 | -0.000 | -0.000 | 
| 17.256 | -17.256 | -0.000 | 485.252 | -0.000 | -0.000 | 
| 0.000 | -0.000 | -0.000 | -0.000 | 485.252 | 17.256 | 
| 0.000 | -0.000 | 0.000 | -0.000 | 20.846 | 570.356 | 
| 1247.905 | 166.616 | 104.262 | 16.975 | 0.000 | 0.000 | 
| 150.591 | 1291.305 | 76.888 | -20.846 | 0.000 | 0.000 | 
| 102.584 | 102.584 | 1313.616 | -0.000 | 0.000 | 0.000 | 
| 17.203 | -17.204 | 0.001 | 485.251 | 0.000 | 0.000 | 
| -0.001 | 0.000 | 0.001 | 0.000 | 485.252 | 17.256 | 
| -0.001 | 0.002 | -0.001 | 0.000 | 16.868 | 539.824 | 
| 1245.010 | 175.728 | 98.037 | 17.854 | -0.000 | -0.000 | 
| 175.726 | 1245.013 | 98.037 | -17.854 | -0.000 | -0.000 | 
| 102.580 | 102.580 | 1313.615 | 0.000 | -0.000 | -0.000 | 
| 17.256 | -17.256 | -0.001 | 485.252 | -0.000 | -0.000 | 
| 0.001 | -0.000 | -0.001 | -0.000 | 485.252 | 17.256 | 
| 0.001 | -0.002 | 0.001 | -0.000 | 16.868 | 539.824 | 
| 1538.614 | 471.850 | -491.985 | 16.014 | -0.000 | 0.000 | 
| 471.850 | 1538.614 | -491.985 | -16.014 | -0.000 | 0.000 | 
| 76.881 | 76.881 | 1364.793 | 0.000 | -0.000 | -0.000 | 
| 232.946 | 198.171 | -431.146 | 486.136 | -0.000 | 0.000 | 
| 215.639 | 215.639 | -431.306 | 0.000 | 486.131 | 17.387 | 
| 0.000 | -0.000 | -0.000 | 0.000 | 20.837 | 570.343 | 
| 940.184 | -127.496 | 705.869 | 16.074 | -0.000 | -0.000 | 
| -127.157 | 940.612 | 705.103 | -16.080 | 0.000 | -0.000 | 
| 76.882 | 76.882 | 1364.793 | -0.000 | 0.000 | -0.000 | 
| -218.291 | -252.456 | 470.778 | 483.901 | 0.000 | -0.000 | 
| -215.639 | -215.639 | 431.306 | -0.000 | 486.131 | 17.386 | 
| 0.000 | -0.000 | 0.000 | -0.000 | 20.837 | 570.343 | 
| 1268.288 | 191.608 | 58.620 | 17.488 | -0.000 | 0.000 | 
| 150.501 | 1291.189 | 76.827 | -20.837 | -0.000 | -0.000 | 
| 133.664 | 133.664 | 1251.221 | 0.000 | -0.000 | 0.000 | 
| 45.528 | 13.260 | -58.792 | 480.819 | -0.000 | 0.000 | 
| 29.360 | 29.361 | -58.725 | 0.000 | 480.840 | 16.139 | 
| -0.000 | 0.000 | 0.000 | 0.000 | 20.837 | 570.343 | 
| 1291.188 | 150.501 | 76.827 | 20.837 | 0.000 | 0.000 | 
| 150.501 | 1291.188 | 76.827 | -20.837 | 0.000 | -0.000 | 
| 81.055 | 81.055 | 1356.445 | -0.000 | 0.000 | -0.000 | 
| 20.837 | -20.837 | -0.000 | 499.159 | 0.000 | -0.000 | 
| -29.360 | -29.361 | 58.725 | -0.000 | 480.840 | 16.139 | 
| 0.000 | -0.000 | -0.000 | -0.000 | 20.837 | 570.343 | 
| 1249.449 | 169.289 | 99.785 | 16.888 | -0.000 | 0.000 | 
| 175.184 | 1248.502 | 94.836 | -17.739 | -0.000 | 0.000 | 
| 104.497 | 104.497 | 1309.561 | 0.000 | -0.000 | -0.000 | 
| 19.442 | -14.792 | -4.650 | 484.650 | -0.000 | -0.000 | 
| -0.001 | 0.000 | 0.001 | 0.000 | 499.159 | 20.837 | 
| 2.912 | 2.914 | -5.826 | 0.000 | 16.196 | 534.613 | 
| 1245.273 | 164.125 | 109.117 | 16.953 | 0.000 | 0.000 | 
| 150.501 | 1291.185 | 76.826 | -20.837 | 0.000 | -0.000 | 
| 100.576 | 100.576 | 1317.399 | -0.000 | 0.000 | -0.000 | 
| 20.837 | -20.836 | -0.001 | 499.159 | 0.000 | -0.000 | 
| 0.001 | -0.000 | -0.001 | -0.000 | 499.159 | 20.837 | 
| -2.912 | -2.914 | 5.826 | -0.000 | 16.196 | 534.613 | 
| 1247.459 | 171.349 | 99.971 | 12.558 | -0.000 | 0.000 | 
| 171.350 | 1247.458 | 99.971 | -12.558 | -0.000 | 0.000 | 
| 76.889 | 76.888 | 1365.002 | 0.000 | -0.000 | -0.000 | 
| 12.319 | -12.318 | -0.001 | 484.839 | -0.000 | 0.000 | 
| 0.001 | -0.000 | -0.000 | 0.000 | 484.839 | 12.318 | 
| 0.001 | 0.000 | -0.000 | 0.000 | 12.113 | 541.183 | 
| 1249.323 | 165.676 | 103.781 | 12.174 | 0.000 | 0.000 | 
| 165.675 | 1249.324 | 103.781 | -12.174 | 0.000 | -0.000 | 
| 102.579 | 102.580 | 1313.619 | -0.000 | 0.000 | -0.000 | 
| 12.316 | -12.318 | 0.000 | 484.839 | 0.000 | -0.000 | 
| -0.001 | -0.000 | 0.000 | -0.000 | 484.839 | 12.318 | 
| -0.001 | -0.000 | 0.000 | -0.000 | 12.113 | 541.183 | 
| 1249.325 | 165.676 | 103.778 | 12.174 | 0.000 | 0.000 | 
| 150.590 | 1291.302 | 76.888 | -14.890 | 0.000 | 0.000 | 
| 76.888 | 76.888 | 1365.003 | 0.000 | -0.000 | -0.000 | 
| 12.318 | -12.318 | -0.000 | 484.839 | -0.000 | 0.000 | 
| 0.000 | 0.000 | -0.000 | 0.000 | 484.839 | 12.318 | 
| 0.000 | 0.000 | -0.000 | 0.000 | 12.113 | 541.183 | 
| 1247.457 | 171.349 | 99.973 | 12.558 | 0.000 | -0.000 | 
| 165.676 | 1249.324 | 103.779 | -12.174 | 0.000 | -0.000 | 
| 76.888 | 76.888 | 1365.003 | -0.000 | 0.000 | 0.000 | 
| 12.318 | -12.318 | 0.000 | 484.839 | 0.000 | -0.000 | 
| -0.000 | -0.000 | 0.000 | -0.000 | 484.839 | 12.318 | 
| -0.000 | -0.000 | 0.000 | -0.000 | 12.113 | 541.183 | 
| 1291.306 | 150.590 | 76.888 | 14.890 | -0.000 | -0.000 | 
| 165.589 | 1249.573 | 103.621 | -12.190 | -0.000 | 0.000 | 
| 102.584 | 102.584 | 1313.616 | 0.000 | -0.000 | 0.000 | 
| 12.318 | -12.319 | 0.001 | 484.839 | 0.000 | 0.000 | 
| -0.001 | 0.000 | 0.001 | 0.000 | 484.839 | 12.318 | 
| -0.001 | 0.002 | -0.001 | 0.000 | 12.113 | 541.184 | 
| 1239.476 | 174.285 | 105.014 | 12.049 | 0.000 | -0.000 | 
| 165.598 | 1249.535 | 103.642 | -12.187 | -0.000 | -0.000 | 
| 102.405 | 102.405 | 1313.964 | -0.000 | 0.000 | 0.000 | 
| 12.318 | -12.317 | -0.001 | 484.839 | 0.000 | -0.000 | 
| 0.001 | -0.000 | -0.001 | -0.000 | 484.839 | 12.318 | 
| 0.001 | -0.002 | 0.001 | -0.000 | 12.113 | 541.184 | 
| 1072.963 | 39.196 | 406.972 | 12.472 | -0.000 | 0.000 | 
| 150.579 | 1290.526 | 77.494 | -14.894 | -0.000 | 0.000 | 
| 77.264 | 77.259 | 1364.507 | 0.000 | -0.000 | -0.000 | 
| -158.780 | -182.777 | 342.113 | 482.078 | -0.000 | 0.000 | 
| 190.271 | 190.271 | -381.172 | 0.000 | 516.652 | 18.119 | 
| 0.000 | 0.000 | -0.001 | 0.000 | 14.894 | 569.976 | 
| 1290.523 | 150.574 | 77.496 | 14.894 | 0.000 | -0.000 | 
| 612.081 | 1603.175 | -697.931 | -7.859 | 0.000 | -0.000 | 
| 77.253 | 77.259 | 1364.509 | -0.000 | 0.000 | 0.000 | 
| 14.891 | -14.895 | 0.001 | 498.468 | 0.000 | -0.000 | 
| -190.271 | -190.271 | 381.172 | -0.000 | 516.652 | 18.119 | 
| -0.002 | 0.000 | 0.001 | -0.000 | 14.894 | 569.976 | 
| 1290.527 | 150.574 | 77.494 | 14.894 | -0.000 | 0.000 | 
| 150.574 | 1290.527 | 77.494 | -14.894 | -0.000 | 0.000 | 
| 105.650 | 105.650 | 1307.631 | 0.000 | -0.000 | 0.000 | 
| -3.668 | -28.072 | 31.791 | 483.181 | -0.000 | 0.000 | 
| 8.479 | 8.479 | -16.986 | 0.000 | 507.188 | 16.353 | 
| -37.208 | -37.207 | 74.537 | 0.000 | 8.686 | 504.298 | 
| 1290.526 | 150.574 | 77.495 | 14.894 | 0.000 | -0.000 | 
| 228.961 | 1226.650 | 62.961 | -8.171 | 0.000 | -0.000 | 
| 97.141 | 97.140 | 1324.678 | -0.000 | 0.000 | -0.000 | 
| 28.095 | 3.701 | -31.847 | 483.155 | 0.000 | 0.000 | 
| -8.479 | -8.479 | 16.986 | -0.000 | 507.188 | 16.353 | 
| 37.208 | 37.207 | -74.537 | -0.000 | 8.686 | 504.298 | 
| 1245.262 | 164.822 | 108.564 | 12.081 | -0.000 | 0.000 | 
| 150.575 | 1290.531 | 77.492 | -14.895 | -0.000 | 0.000 | 
| 102.214 | 102.214 | 1314.519 | 0.000 | -0.000 | -0.000 | 
| 10.249 | -13.732 | 3.488 | 483.152 | -0.000 | 0.000 | 
| -1.547 | -1.546 | 3.098 | 0.000 | 485.710 | 12.344 | 
| -1.761 | -1.759 | 3.526 | 0.000 | 11.957 | 538.902 | 
| 1244.649 | 175.291 | 98.688 | 12.466 | 0.000 | -0.000 | 
| 168.461 | 1247.993 | 102.179 | -12.039 | 0.000 | -0.000 | 
| 103.796 | 103.796 | 1311.342 | -0.000 | 0.000 | -0.000 | 
| 14.894 | -14.894 | 0.000 | 498.468 | 0.000 | -0.000 | 
| 1.547 | 1.546 | -3.098 | -0.000 | 485.710 | 12.344 | 
| 1.761 | 1.759 | -3.526 | -0.000 | 11.957 | 538.902 | 
| 741.264 | -27.080 | -27.081 | 0.000 | 0.000 | 0.000 | 
| -27.080 | 741.264 | -27.081 | 0.000 | 0.000 | -0.000 | 
| -27.080 | -27.080 | 741.264 | -0.000 | -0.000 | -0.000 | 
| -84.476 | -84.476 | -84.476 | 281.604 | -0.000 | 0.000 | 
| -84.476 | -84.476 | -84.476 | -0.000 | 281.604 | 0.000 | 
| -84.476 | -84.476 | -84.476 | -0.000 | 0.000 | 281.604 | 
| 741.264 | -27.080 | -27.080 | 0.000 | 0.000 | 0.000 | 
| -27.080 | 741.264 | -27.080 | 0.000 | 0.000 | 0.000 | 
| -27.080 | -27.080 | 741.264 | 0.000 | 0.000 | 0.000 | 
| 84.476 | 84.476 | 84.476 | 281.604 | 0.000 | 0.000 | 
| 84.476 | 84.476 | 84.476 | -0.000 | 281.604 | 0.000 | 
| 84.476 | 84.476 | 84.476 | -0.000 | 0.000 | 281.604 | 
| 607.861 | -133.129 | -133.129 | 0.000 | -0.000 | -0.000 | 
| -133.129 | 607.861 | -133.129 | -0.000 | 0.000 | 0.000 | 
| -133.129 | -133.129 | 607.861 | -0.000 | 0.000 | 0.000 | 
| -7.082 | -7.082 | -7.082 | 284.205 | -0.000 | 0.000 | 
| -7.082 | -7.082 | -7.082 | 0.000 | 284.205 | -0.000 | 
| -7.082 | -7.082 | -7.082 | 0.000 | -0.000 | 284.205 | 
| 741.263 | -27.080 | -27.080 | 0.000 | 0.000 | 0.000 | 
| -27.080 | 741.263 | -27.080 | 0.000 | 0.000 | -0.000 | 
| -27.080 | -27.080 | 741.263 | 0.000 | 0.000 | 0.000 | 
| 7.082 | 7.082 | 7.082 | 284.205 | 0.000 | 0.000 | 
| 7.082 | 7.082 | 7.082 | 0.000 | 284.205 | -0.000 | 
| 7.082 | 7.082 | 7.082 | 0.000 | 0.000 | 284.205 | 
| 615.856 | -125.149 | -125.149 | -0.000 | -0.000 | 0.000 | 
| -125.149 | 615.856 | -125.149 | 0.000 | 0.000 | 0.000 | 
| -125.149 | -125.149 | 615.856 | -0.000 | -0.000 | 0.000 | 
| -0.001 | -0.000 | 0.000 | 473.755 | 0.000 | -0.000 | 
| -0.000 | -0.001 | 0.000 | 0.000 | 473.755 | -0.000 | 
| -0.000 | 0.000 | -0.001 | 0.000 | -0.000 | 473.755 | 
| 617.545 | -123.518 | -123.518 | 0.000 | 0.000 | -0.000 | 
| -123.518 | 617.545 | -123.518 | 0.000 | 0.000 | -0.000 | 
| -123.372 | -123.372 | 617.602 | -0.000 | 0.000 | 0.000 | 
| 0.001 | 0.000 | -0.000 | 473.755 | 0.000 | 0.000 | 
| 0.000 | 0.001 | -0.000 | 0.000 | 473.755 | 0.000 | 
| 0.000 | -0.000 | 0.001 | 0.000 | -0.000 | 473.755 | 
| 551.228 | 16.121 | 16.121 | 0.000 | 0.000 | -0.000 | 
| 16.121 | 551.228 | 16.121 | -0.000 | 0.000 | -0.000 | 
| 16.121 | 16.121 | 551.228 | -0.000 | 0.000 | -0.000 | 
| 0.000 | 0.000 | -0.000 | 509.882 | 0.000 | -0.000 | 
| 0.000 | -0.000 | -0.000 | 0.000 | 509.882 | -0.000 | 
| 0.000 | 0.000 | -0.000 | 0.000 | 0.000 | 509.882 | 
| 551.228 | 16.121 | 16.121 | -0.000 | -0.000 | 0.000 | 
| 16.121 | 551.228 | 16.121 | -0.000 | -0.000 | 0.000 | 
| 16.121 | 16.121 | 551.228 | 0.000 | 0.000 | 0.000 | 
| -0.000 | -0.000 | 0.000 | 509.882 | 0.000 | 0.000 | 
| 0.000 | 0.000 | 0.000 | -0.000 | 509.882 | 0.000 | 
| -0.000 | 0.000 | 0.000 | -0.000 | -0.000 | 509.882 | 
| 510.442 | 36.065 | 36.065 | 0.000 | -0.000 | 0.000 | 
| 36.065 | 510.442 | 36.065 | 0.000 | -0.000 | 0.000 | 
| 36.065 | 36.065 | 510.442 | -0.000 | -0.000 | 0.000 | 
| -0.000 | -0.000 | -0.000 | 236.497 | 0.000 | 0.000 | 
| -0.000 | -0.000 | -0.000 | -0.000 | 236.497 | 0.000 | 
| -0.000 | -0.000 | -0.000 | -0.000 | -0.000 | 236.497 | 
| 510.359 | 35.734 | 35.734 | -0.000 | 0.000 | -0.000 | 
| 36.062 | 510.446 | 36.062 | 0.000 | 0.000 | -0.000 | 
| 35.734 | 35.734 | 510.359 | -0.000 | -0.000 | -0.000 | 
| 0.000 | 0.000 | 0.000 | 236.497 | 0.000 | -0.000 | 
| 0.000 | 0.000 | 0.000 | -0.000 | 236.497 | -0.000 | 
| 0.000 | 0.000 | 0.000 | 0.000 | 0.000 | 236.497 | 
| 510.453 | 36.060 | 36.060 | -0.000 | -0.000 | 0.000 | 
| 36.060 | 510.453 | 36.060 | -0.000 | -0.000 | 0.000 | 
| 36.060 | 36.060 | 510.453 | 0.000 | -0.000 | 0.000 | 
| -0.000 | -0.000 | 0.000 | 219.454 | -0.000 | 0.000 | 
| -0.000 | -0.000 | 0.000 | 0.000 | 219.454 | 0.000 | 
| -0.000 | 0.000 | -0.000 | -0.000 | -0.000 | 219.454 | 
| 511.415 | 35.588 | 35.588 | 0.000 | 0.000 | -0.000 | 
| 35.588 | 511.415 | 35.588 | -0.000 | 0.000 | -0.000 | 
| 35.588 | 35.588 | 511.415 | -0.000 | 0.000 | -0.000 | 
| 0.000 | 0.000 | -0.000 | 219.454 | 0.000 | -0.000 | 
| 0.000 | 0.000 | -0.000 | 0.000 | 219.454 | -0.000 | 
| 0.000 | -0.000 | 0.000 | 0.000 | 0.000 | 219.454 | 
| 706.594 | 71.948 | -4.462 | -0.000 | -0.000 | -0.000 | 
| -38.944 | 132.180 | 656.857 | -0.000 | -0.000 | -0.000 | 
| -153.314 | 25.049 | 704.892 | -0.000 | -0.000 | 0.000 | 
| 0.000 | 0.000 | -0.000 | 63.854 | -0.000 | -0.000 | 
| -202.095 | 20.852 | 413.241 | 0.000 | 46.694 | -0.000 | 
| -201.301 | 20.770 | 411.619 | -0.000 | -0.000 | 110.846 | 
| 881.629 | 67.375 | -408.000 | 0.000 | 0.000 | 0.000 | 
| 93.732 | 287.236 | 27.433 | 0.000 | 0.000 | 0.000 | 
| 4.492 | 14.603 | 469.547 | 0.000 | 0.000 | 0.000 | 
| -0.000 | -0.000 | 0.000 | 63.854 | 0.000 | -0.000 | 
| 202.095 | -20.852 | -413.241 | 0.000 | 46.694 | 0.000 | 
| 201.301 | -20.770 | -411.619 | 0.000 | 0.000 | 110.846 | 
| 660.027 | 74.969 | 72.139 | -0.000 | -0.000 | -0.000 | 
| 93.732 | 287.236 | 27.433 | -0.000 | -0.000 | -0.000 | 
| -6.255 | 4.685 | 73.796 | -0.000 | -0.000 | -0.000 | 
| -26.932 | 2.779 | 55.070 | 15.624 | -0.000 | -0.000 | 
| -14.051 | -10.288 | 70.718 | 0.000 | -3.203 | -0.000 | 
| -32.575 | 3.361 | 66.608 | -0.000 | -0.000 | 91.969 | 
| 684.532 | 89.640 | -11.504 | 0.000 | 0.000 | 0.000 | 
| 93.732 | 287.236 | 27.433 | 0.000 | 0.000 | 0.000 | 
| 84.161 | -2.417 | 174.971 | 0.000 | 0.000 | -0.000 | 
| 26.932 | -2.779 | -55.070 | 15.624 | 0.000 | 0.000 | 
| 14.051 | 10.288 | -70.718 | 0.000 | -3.203 | 0.000 | 
| 32.575 | -3.361 | -66.608 | 0.000 | 0.000 | 91.969 | 
| 672.458 | 82.873 | 6.189 | 0.000 | -0.000 | -0.000 | 
| 120.062 | 239.232 | 17.127 | -0.000 | -0.000 | -0.000 | 
| 7.522 | -13.679 | 9.620 | -0.000 | -0.000 | -0.000 | 
| -3.190 | 0.329 | 6.522 | 6.731 | -0.000 | -0.000 | 
| 0.770 | -1.838 | 3.498 | -0.000 | -3.324 | -0.000 | 
| 1.134 | -2.341 | 4.099 | -0.000 | -0.000 | 55.030 | 
| 677.053 | 85.280 | 21.141 | 0.000 | 0.000 | 0.000 | 
| 107.703 | 227.716 | 23.544 | 0.000 | 0.000 | 0.000 | 
| 10.403 | -11.991 | -7.028 | 0.000 | 0.000 | 0.000 | 
| 3.190 | -0.329 | -6.522 | 6.731 | 0.000 | 0.000 | 
| -0.770 | 1.838 | -3.498 | 0.000 | -3.324 | 0.000 | 
| -1.134 | 2.341 | -4.099 | 0.000 | 0.000 | 55.030 | 
| 467.528 | 184.365 | 0.000 | -0.000 | 0.000 | 0.000 | 
| 184.364 | 467.528 | 0.000 | 0.000 | 0.000 | 0.000 | 
| -0.000 | 0.000 | 0.000 | 0.000 | -0.000 | 0.000 | 
| -0.000 | 0.000 | -0.000 | 0.000 | -0.000 | 0.000 | 
| -0.000 | 0.000 | -0.000 | 0.000 | -0.000 | 0.000 | 
| 0.000 | 0.000 | -0.000 | -0.000 | -0.000 | 141.582 | 
| 429.604 | 222.288 | 0.000 | 0.000 | 0.000 | -0.000 | 
| 184.365 | 467.528 | 0.000 | 0.000 | -0.000 | -0.000 | 
| 0.000 | -0.000 | -0.000 | -0.000 | 0.000 | -0.000 | 
| 0.000 | -0.000 | 0.000 | -0.000 | -0.000 | -0.000 | 
| 0.000 | -0.000 | 0.000 | -0.000 | 0.000 | -0.000 | 
| 0.000 | 0.000 | 0.000 | 0.000 | -0.000 | 141.582 | 
| 429.605 | 222.288 | -0.000 | 0.000 | -0.000 | -0.000 | 
| 184.365 | 467.528 | -0.000 | 0.000 | -0.000 | 0.000 | 
| -0.000 | 0.000 | 0.000 | 0.000 | -0.000 | 0.000 | 
| -0.000 | 0.000 | -0.000 | 0.000 | -0.000 | 0.000 | 
| -0.000 | 0.000 | -0.000 | 0.000 | -0.000 | 0.000 | 
| 0.000 | -0.000 | -0.000 | 0.000 | -0.000 | 141.582 | 
| 429.605 | 222.287 | 0.000 | 0.000 | 0.000 | -0.000 | 
| 222.285 | 429.607 | 0.000 | -0.000 | 0.000 | -0.000 | 
| 0.000 | -0.000 | -0.000 | -0.000 | 0.000 | -0.000 | 
| -0.000 | -0.000 | 0.000 | -0.000 | 0.000 | -0.000 | 
| 0.000 | -0.000 | 0.000 | -0.000 | -0.000 | -0.000 | 
| -0.000 | 0.000 | 0.000 | -0.000 | -0.000 | 141.582 | 
| 429.599 | 222.295 | 0.000 | -0.000 | -0.000 | 0.000 | 
| 222.288 | 429.606 | -0.000 | 0.000 | -0.000 | 0.000 | 
| -0.000 | 0.000 | 0.000 | 0.000 | -0.000 | 0.000 | 
| 0.000 | 0.000 | -0.000 | 0.000 | -0.000 | 0.000 | 
| -0.000 | 0.000 | -0.000 | 0.000 | -0.000 | 0.000 | 
| 0.001 | -0.001 | 0.000 | -0.000 | 0.000 | 103.658 | 
| 429.610 | 222.281 | 0.000 | 0.000 | 0.000 | -0.000 | 
| 222.293 | 429.598 | 0.000 | 0.000 | 0.000 | -0.000 | 
| 0.000 | -0.000 | -0.000 | -0.000 | 0.000 | 0.000 | 
| -0.000 | -0.000 | 0.000 | -0.000 | 0.000 | -0.000 | 
| 0.000 | -0.000 | 0.000 | -0.000 | 0.000 | -0.000 | 
| -0.001 | 0.001 | 0.000 | 0.000 | 0.000 | 103.658 | 
| -13149.162 | -14223.608 | 28882.266 | 0.000 | -0.000 | 0.000 | 
| -14223.608 | -13149.163 | 28882.266 | -0.000 | -0.000 | 0.000 | 
| -14311.470 | -14311.471 | 30132.434 | -0.000 | -0.000 | 0.000 | 
| -14902.751 | -14902.751 | 29796.008 | 484.537 | -0.000 | 0.000 | 
| -14478.743 | -14478.743 | 28948.258 | -0.000 | 484.966 | 0.000 | 
| -14414.164 | -14414.164 | 28819.141 | -0.000 | -0.000 | 542.073 | 
| 15664.345 | 14580.198 | -28716.686 | 0.000 | 0.000 | -0.000 | 
| 14674.988 | 15749.011 | -28896.086 | -0.000 | 0.000 | -0.000 | 
| 14516.853 | 14516.852 | -27505.839 | 0.000 | 0.000 | -0.000 | 
| 14902.751 | 14902.751 | -29796.008 | 484.537 | 0.000 | -0.000 | 
| 14478.743 | 14478.743 | -28948.258 | -0.000 | 484.966 | -0.000 | 
| 14414.164 | 14414.164 | -28819.141 | 0.000 | 0.000 | 542.073 | 
| -193.759 | -1277.812 | 2989.321 | -0.000 | -0.000 | 0.000 | 
| -1275.410 | -191.263 | 2984.424 | 0.000 | -0.000 | 0.000 | 
| -1337.439 | -1337.439 | 4192.639 | 0.000 | -0.000 | 0.000 | 
| -1441.414 | -1441.414 | 2881.910 | 485.032 | -0.000 | 0.000 | 
| -1459.759 | -1459.759 | 2918.587 | -0.000 | 484.846 | 0.000 | 
| -1453.599 | -1453.599 | 2906.272 | -0.000 | -0.000 | 541.834 | 
| 2691.622 | 1607.479 | -2779.514 | -0.000 | -0.000 | -0.000 | 
| 1616.593 | 2679.222 | -2776.228 | -0.000 | 0.000 | -0.000 | 
| 1542.941 | 1542.941 | -1566.286 | -0.000 | 0.000 | -0.000 | 
| 1441.414 | 1441.414 | -2881.910 | 485.032 | 0.000 | -0.000 | 
| 1459.759 | 1459.759 | -2918.587 | -0.000 | 484.846 | -0.000 | 
| 1453.599 | 1453.599 | -2906.272 | 0.000 | 0.000 | 541.834 | 
| 1099.085 | 25.837 | 393.659 | -0.000 | -0.000 | 0.000 | 
| 21.677 | 1105.751 | 391.154 | 0.000 | -0.000 | 0.000 | 
| -42.821 | -42.821 | 1604.229 | -0.000 | -0.000 | 0.000 | 
| -144.121 | -144.122 | 288.151 | 485.034 | -0.000 | 0.000 | 
| -144.122 | -144.121 | 288.151 | -0.000 | 485.034 | 0.000 | 
| -144.235 | -144.233 | 288.377 | 0.000 | -0.000 | 536.259 | 
| 1394.539 | 310.545 | -186.326 | -0.000 | 0.000 | -0.000 | 
| 315.552 | 1387.723 | -184.518 | -0.000 | 0.000 | -0.000 | 
| 246.861 | 246.861 | 1025.046 | -0.000 | 0.000 | -0.000 | 
| 144.121 | 144.122 | -288.151 | 485.034 | 0.000 | -0.000 | 
| 144.122 | 144.121 | -288.151 | 0.000 | 485.034 | -0.000 | 
| 144.235 | 144.233 | -288.377 | -0.000 | 0.000 | 536.259 | 
| 1024.451 | -55.910 | 550.031 | 0.000 | -0.000 | 0.000 | 
| -55.910 | 1024.451 | 550.031 | -0.000 | -0.000 | 0.000 | 
| -118.097 | -118.097 | 1754.778 | -0.000 | -0.000 | 0.000 | 
| -195.767 | -195.767 | 391.500 | 485.592 | -0.000 | 0.000 | 
| -0.000 | 0.000 | -0.000 | -0.000 | 498.716 | 0.000 | 
| -222.892 | -222.892 | 445.745 | -0.000 | 0.000 | 540.129 | 
| 1469.922 | 389.712 | -340.985 | -0.000 | 0.000 | -0.000 | 
| 389.713 | 1469.922 | -340.986 | 0.000 | 0.000 | 0.000 | 
| 297.747 | 297.747 | 923.161 | 0.000 | -0.000 | 0.000 | 
| 195.767 | 195.767 | -391.500 | 485.592 | -0.000 | -0.000 | 
| 0.000 | -0.000 | 0.000 | 0.000 | 498.716 | -0.000 | 
| 222.892 | 222.892 | -445.745 | 0.000 | 0.000 | 540.129 | 
| 1225.575 | 144.430 | 148.602 | -0.000 | 0.000 | 0.000 | 
| 150.497 | 1291.260 | 76.855 | -0.000 | -0.000 | 0.000 | 
| 82.347 | 82.347 | 1353.923 | -0.000 | 0.000 | 0.000 | 
| -19.641 | -19.641 | 39.278 | 485.547 | 0.000 | 0.000 | 
| -19.630 | -19.630 | 39.257 | 0.000 | 485.554 | 0.000 | 
| -19.458 | -19.457 | 38.912 | -0.000 | -0.000 | 538.295 | 
| 1269.022 | 189.186 | 60.406 | -0.000 | -0.000 | -0.000 | 
| 189.590 | 1266.366 | 62.658 | -0.000 | -0.000 | -0.000 | 
| 76.945 | 76.945 | 1364.727 | 0.000 | 0.000 | -0.000 | 
| -0.000 | 0.000 | -0.000 | 498.716 | -0.000 | -0.000 | 
| 19.630 | 19.630 | -39.257 | 0.000 | 485.554 | -0.000 | 
| 19.458 | 19.457 | -38.912 | 0.000 | -0.000 | 538.295 | 
| 1246.725 | 163.784 | 108.104 | -0.000 | -0.000 | 0.000 | 
| 163.784 | 1246.732 | 108.099 | 0.000 | -0.000 | -0.000 | 
| 100.723 | 100.723 | 1317.177 | -0.000 | 0.000 | 0.000 | 
| -2.042 | -2.043 | 4.084 | 484.617 | -0.000 | -0.000 | 
| -2.043 | -2.042 | 4.084 | 0.000 | 484.617 | 0.000 | 
| -0.000 | 0.001 | 0.000 | -0.000 | -0.000 | 570.381 | 
| 1249.012 | 173.727 | 95.867 | 0.000 | 0.000 | -0.000 | 
| 168.236 | 1250.536 | 99.834 | 0.000 | 0.000 | -0.000 | 
| 104.735 | 104.735 | 1309.150 | 0.000 | 0.000 | 0.000 | 
| 2.042 | 2.043 | -4.084 | 484.617 | -0.000 | -0.000 | 
| 2.043 | 2.042 | -4.084 | 0.000 | 484.617 | -0.000 | 
| 0.000 | -0.001 | -0.000 | -0.000 | 0.000 | 570.381 | 
| 1291.189 | 150.553 | 76.865 | -0.000 | 0.000 | 0.000 | 
| 251.733 | 1337.412 | -70.544 | 0.000 | -0.000 | -0.000 | 
| 76.861 | 76.861 | 1364.894 | 0.000 | -0.000 | 0.000 | 
| 0.000 | -0.000 | -0.001 | 498.240 | -0.000 | -0.000 | 
| 86.325 | 86.325 | -172.655 | -0.000 | 484.442 | 0.000 | 
| 86.486 | 86.486 | -172.978 | 0.000 | -0.000 | 542.921 | 
| 1164.591 | 78.625 | 275.396 | 0.000 | 0.000 | 0.000 | 
| 150.553 | 1291.189 | 76.864 | -0.000 | 0.000 | 0.000 | 
| 76.861 | 76.861 | 1364.894 | 0.000 | -0.000 | -0.000 | 
| -0.000 | 0.000 | 0.000 | 498.240 | -0.000 | 0.000 | 
| -86.325 | -86.325 | 172.655 | 0.000 | 484.442 | -0.000 | 
| -86.486 | -86.486 | 172.978 | -0.000 | 0.000 | 542.921 | 
| 1258.058 | 174.597 | 85.951 | -0.000 | -0.000 | 0.000 | 
| 150.553 | 1291.189 | 76.864 | 0.000 | -0.000 | 0.000 | 
| 76.861 | 76.861 | 1364.894 | -0.000 | -0.000 | 0.000 | 
| 0.000 | -0.000 | 0.000 | 498.240 | 0.000 | 0.000 | 
| -0.000 | 0.000 | 0.000 | 0.000 | 498.240 | -0.000 | 
| 8.963 | 8.963 | -17.927 | 0.000 | 0.000 | 541.925 | 
| 1238.816 | 162.019 | 117.771 | -0.000 | 0.000 | -0.000 | 
| 150.553 | 1291.188 | 76.864 | -0.000 | -0.000 | -0.000 | 
| 94.063 | 94.063 | 1330.487 | 0.000 | 0.000 | 0.000 | 
| -0.000 | 0.000 | -0.000 | 498.240 | 0.000 | -0.000 | 
| 0.000 | -0.000 | -0.000 | 0.000 | 498.240 | 0.000 | 
| -8.963 | -8.963 | 17.927 | 0.000 | -0.000 | 541.925 | 
| 1291.193 | 150.553 | 76.864 | -0.000 | -0.000 | -0.000 | 
| 166.253 | 1250.516 | 101.841 | -0.000 | -0.000 | -0.000 | 
| 103.398 | 103.398 | 1311.822 | -0.000 | -0.000 | -0.000 | 
| 0.000 | -0.001 | 0.001 | 498.240 | 0.000 | 0.000 | 
| -0.001 | 0.000 | 0.001 | 0.000 | 498.240 | -0.000 | 
| 0.721 | 0.724 | -1.445 | -0.000 | -0.000 | 539.854 | 
| 1249.039 | 164.371 | 105.193 | 0.000 | 0.000 | 0.000 | 
| 171.555 | 1241.424 | 105.624 | 0.000 | 0.000 | 0.000 | 
| 76.861 | 76.861 | 1364.889 | 0.000 | 0.000 | -0.000 | 
| -0.000 | 0.001 | -0.001 | 498.240 | 0.000 | -0.000 | 
| 0.001 | -0.000 | -0.001 | -0.000 | 498.240 | 0.000 | 
| -0.721 | -0.724 | 1.445 | 0.000 | -0.000 | 539.854 | 
| 2387.881 | -2659.491 | -166.146 | 0.000 | -0.000 | 0.000 | 
| 1808.569 | -2555.823 | -215.979 | -0.000 | -0.000 | -0.000 | 
| 2315.299 | -4447.499 | 2865.124 | -0.000 | -0.000 | 0.000 | 
| 2300.424 | -4472.826 | 2736.850 | -7.138 | -0.000 | 0.000 | 
| 0.000 | 0.000 | -0.000 | 0.000 | 118.092 | 0.000 | 
| 0.000 | -0.000 | -0.000 | -0.000 | -0.000 | 184.316 | 
| 767.763 | 118.849 | 61.100 | 0.000 | 0.000 | -0.000 | 
| -2123.059 | 4689.710 | -2718.287 | -0.000 | 0.000 | 0.000 | 
| -1614.383 | 2859.626 | 559.906 | 0.000 | 0.000 | 0.000 | 
| -2300.424 | 4472.826 | -2736.850 | -7.138 | 0.000 | 0.000 | 
| -0.000 | 0.000 | 0.000 | 0.000 | 118.092 | 0.000 | 
| -0.000 | 0.000 | 0.000 | 0.000 | 0.000 | 184.316 | 
| 974.586 | -288.362 | 285.507 | -0.000 | -0.000 | -0.000 | 
| 402.807 | -222.712 | 294.966 | -0.000 | -0.000 | -0.000 | 
| 253.435 | -445.538 | 417.242 | 0.000 | -0.000 | -0.000 | 
| 228.751 | -444.644 | 271.409 | -6.695 | -0.000 | -0.000 | 
| 228.225 | -443.410 | 269.570 | 0.000 | -19.346 | 0.000 | 
| 229.185 | -445.438 | 271.648 | -0.000 | -0.000 | 134.367 | 
| 514.515 | 606.196 | -262.238 | 0.000 | 0.000 | 0.000 | 
| -62.927 | 659.382 | -313.631 | -0.000 | -0.000 | 0.000 | 
| -222.725 | 483.320 | -182.400 | 0.000 | 0.000 | 0.000 | 
| -228.751 | 444.644 | -271.409 | -6.695 | 0.000 | 0.000 | 
| -228.225 | 443.410 | -269.570 | 0.000 | -19.346 | 0.000 | 
| -229.185 | 445.438 | -271.648 | 0.000 | 0.000 | 134.367 | 
| 767.201 | 111.863 | 31.472 | -0.000 | -0.000 | -0.000 | 
| 187.604 | 217.894 | -0.394 | 0.000 | -0.000 | 0.000 | 
| 30.063 | -52.775 | 31.577 | 0.000 | -0.000 | -0.000 | 
| 23.532 | -45.274 | 29.906 | 3.581 | -0.000 | -0.000 | 
| 21.088 | -40.608 | 22.822 | 0.000 | -6.197 | 0.000 | 
| 20.838 | -40.073 | 22.246 | 0.000 | -0.000 | 139.936 | 
| 734.306 | 174.611 | 52.530 | -0.000 | 0.000 | 0.000 | 
| 151.572 | 260.352 | -20.655 | 0.000 | 0.000 | 0.000 | 
| 1.401 | 61.291 | 47.766 | 0.000 | 0.000 | -0.000 | 
| -23.532 | 45.274 | -29.906 | 3.581 | 0.000 | -0.000 | 
| -21.088 | 40.608 | -22.822 | 0.000 | -6.197 | 0.000 | 
| -20.838 | 40.073 | -22.246 | 0.000 | 0.000 | 139.936 | 
| 424.526 | 3349.704 | 1512.430 | 317.382 | 59.934 | -227.814 | 
| 63.694 | 757.056 | 266.687 | -247.455 | 2.034 | -211.410 | 
| 217.144 | 3787.105 | 1964.937 | -33.018 | -43.290 | -261.698 | 
| 911.791 | 1771.164 | 848.195 | -11.174 | -121.460 | -617.771 | 
| 253.028 | 822.233 | 333.508 | 66.918 | -36.728 | 47.998 | 
| 1615.346 | 2936.129 | 1084.313 | 0.756 | -406.414 | 144.084 | 
| -231.521 | -2106.891 | -593.632 | 331.720 | 471.843 | 267.175 | 
| -315.944 | -238.455 | -236.709 | -335.083 | 229.146 | -13.424 | 
| 187.582 | -2146.340 | -290.235 | 119.511 | 458.959 | 359.723 | 
| -242.895 | -835.821 | -330.053 | 89.979 | 139.572 | -108.657 | 
| -1071.323 | -812.975 | -229.784 | 600.192 | 296.265 | 344.610 | 
| -178.698 | -2543.427 | -799.818 | 501.714 | 417.951 | 461.700 | 
| 289.185 | 444.077 | 255.520 | -85.363 | 12.561 | 12.564 | 
| 97.998 | 564.768 | 142.445 | -44.058 | -11.667 | -34.328 | 
| 149.491 | 282.811 | 488.074 | -46.139 | 0.948 | 38.764 | 
| -32.407 | 161.195 | 35.602 | 295.300 | -24.142 | -55.610 | 
| 37.406 | 194.689 | 73.119 | -89.441 | 125.336 | -13.166 | 
| -79.530 | 300.156 | 108.097 | 47.520 | -45.071 | 186.570 | 
| 584.233 | -95.676 | 30.934 | 24.663 | 50.144 | -9.937 | 
| 103.243 | -37.385 | -82.791 | 8.693 | 22.979 | 4.549 | 
| 40.374 | -405.781 | 229.382 | 14.121 | 29.370 | 10.270 | 
| -16.993 | -202.352 | -62.374 | 198.761 | -13.541 | 45.140 | 
| 1.803 | -187.345 | -49.291 | 60.318 | 217.601 | -17.108 | 
| 46.278 | -178.461 | -55.732 | -31.971 | 21.908 | 177.695 | 
| -12.010 | 17.264 | -6.703 | -3.407 | -1.347 | 5.216 | 
| 115.551 | 338.011 | 94.629 | 7.744 | -4.409 | -6.599 | 
| -58.468 | 9.985 | 37.321 | -5.653 | 1.741 | 0.829 | 
| 1.282 | 19.442 | 7.907 | -8.117 | -4.418 | -0.069 | 
| 8.464 | 26.592 | 9.528 | -4.630 | 152.228 | -1.076 | 
| 13.887 | 35.125 | 12.017 | 0.790 | -0.447 | 158.443 | 
| 383.745 | 99.833 | 83.428 | -7.307 | 4.091 | 4.516 | 
| 3.775 | -83.011 | -15.935 | -5.779 | 1.216 | 0.338 | 
| 89.766 | 66.881 | 393.389 | -7.315 | 2.794 | -7.200 | 
| 0.531 | -20.739 | -7.975 | 147.383 | 0.574 | 3.331 | 
| 0.595 | -20.120 | -11.041 | 3.069 | 155.780 | 3.106 | 
| -10.886 | -28.005 | -8.088 | -0.270 | 3.039 | 162.024 | 
| 726.127 | 375.716 | 0.000 | 0.000 | 0.000 | 0.000 | 
| 311.617 | 790.226 | 0.000 | 0.000 | 0.000 | 0.000 | 
| 0.000 | -0.000 | 0.000 | 0.000 | 0.000 | 0.000 | 
| 0.000 | -0.000 | 0.000 | 0.000 | 0.000 | 0.000 | 
| 0.000 | -0.000 | 0.000 | 0.000 | 0.000 | 0.000 | 
| -0.000 | 0.000 | 0.000 | 0.000 | 0.000 | 175.205 | 
| 726.127 | 375.716 | -0.000 | -0.000 | -0.000 | 0.000 | 
| 375.716 | 726.127 | -0.000 | -0.000 | -0.000 | -0.000 | 
| -0.000 | 0.000 | -0.000 | -0.000 | -0.000 | -0.000 | 
| -0.000 | 0.000 | -0.000 | -0.000 | -0.000 | 0.000 | 
| -0.000 | 0.000 | -0.000 | -0.000 | -0.000 | 0.000 | 
| 0.000 | -0.000 | -0.000 | -0.000 | -0.000 | 175.205 | 
| 726.128 | 375.715 | 0.000 | 0.000 | 0.000 | 0.000 | 
| 375.717 | 726.126 | 0.000 | 0.000 | 0.000 | 0.000 | 
| 0.000 | -0.000 | 0.000 | 0.000 | 0.000 | 0.000 | 
| 0.000 | -0.000 | 0.000 | 0.000 | 0.000 | 0.000 | 
| 0.000 | -0.000 | 0.000 | 0.000 | 0.000 | 0.000 | 
| -0.000 | 0.000 | 0.000 | 0.000 | 0.000 | 175.205 | 
| 790.226 | 311.617 | -0.000 | -0.000 | -0.000 | -0.000 | 
| 375.715 | 726.128 | -0.000 | -0.000 | -0.000 | -0.000 | 
| -0.000 | 0.000 | -0.000 | -0.000 | -0.000 | -0.000 | 
| -0.000 | 0.000 | -0.000 | -0.000 | -0.000 | -0.000 | 
| -0.000 | 0.000 | -0.000 | -0.000 | -0.000 | 0.000 | 
| 0.000 | -0.000 | -0.000 | -0.000 | -0.000 | 175.205 | 
| 726.138 | 375.707 | 0.000 | 0.000 | 0.000 | 0.000 | 
| 375.728 | 726.118 | 0.000 | 0.000 | 0.000 | 0.000 | 
| 0.000 | -0.000 | 0.000 | 0.000 | 0.000 | 0.000 | 
| 0.000 | -0.000 | 0.000 | 0.000 | 0.000 | -0.000 | 
| 0.000 | -0.000 | 0.000 | 0.000 | 0.000 | -0.000 | 
| -0.002 | 0.001 | 0.000 | 0.000 | 0.000 | 175.205 | 
| 726.124 | 375.717 | -0.000 | -0.000 | -0.000 | 0.000 | 
| 375.705 | 726.136 | -0.000 | -0.000 | -0.000 | 0.000 | 
| -0.000 | 0.000 | -0.000 | -0.000 | -0.000 | -0.000 | 
| -0.000 | 0.000 | -0.000 | -0.000 | -0.000 | -0.000 | 
| -0.000 | 0.000 | -0.000 | -0.000 | -0.000 | -0.000 | 
| 0.002 | -0.001 | -0.000 | -0.000 | -0.000 | 175.205 | 
| 726.362 | 375.838 | 0.000 | 0.000 | 0.000 | -0.000 | 
| 311.718 | 790.482 | 0.000 | 0.000 | 0.000 | 0.000 | 
| 0.000 | -0.000 | 0.000 | 0.000 | 0.000 | 0.000 | 
| 0.000 | -0.000 | 0.000 | 0.000 | 0.000 | 0.000 | 
| 0.000 | -0.000 | 0.000 | 0.000 | 0.000 | -0.000 | 
| -0.000 | -0.000 | 0.000 | 0.000 | 0.000 | 175.262 | 
| 726.362 | 375.838 | -0.000 | -0.000 | -0.000 | 0.000 | 
| 375.838 | 726.362 | -0.000 | -0.000 | -0.000 | 0.000 | 
| -0.000 | 0.000 | -0.000 | -0.000 | -0.000 | -0.000 | 
| -0.000 | 0.000 | -0.000 | -0.000 | -0.000 | -0.000 | 
| -0.000 | 0.000 | -0.000 | -0.000 | -0.000 | 0.000 | 
| 0.000 | -0.000 | -0.000 | -0.000 | -0.000 | 175.262 | 
| 726.363 | 375.837 | 0.000 | 0.000 | 0.000 | 0.000 | 
| 375.839 | 726.361 | 0.000 | 0.000 | 0.000 | 0.000 | 
| 0.000 | -0.000 | 0.000 | 0.000 | 0.000 | 0.000 | 
| 0.000 | -0.000 | 0.000 | 0.000 | 0.000 | 0.000 | 
| 0.000 | -0.000 | 0.000 | 0.000 | 0.000 | 0.000 | 
| -0.000 | 0.000 | 0.000 | 0.000 | 0.000 | 175.262 | 
| 790.481 | 311.718 | -0.000 | -0.000 | -0.000 | -0.000 | 
| 375.837 | 726.363 | -0.000 | -0.000 | -0.000 | 0.000 | 
| -0.000 | 0.000 | -0.000 | -0.000 | -0.000 | -0.000 | 
| -0.000 | 0.000 | -0.000 | -0.000 | -0.000 | 0.000 | 
| -0.000 | 0.000 | -0.000 | -0.000 | -0.000 | -0.000 | 
| 0.000 | -0.000 | -0.000 | -0.000 | -0.000 | 175.262 | 
| 726.373 | 375.829 | 0.000 | 0.000 | 0.000 | -0.000 | 
| 375.849 | 726.353 | 0.000 | 0.000 | 0.000 | 0.000 | 
| 0.000 | -0.000 | 0.000 | 0.000 | 0.000 | 0.000 | 
| 0.000 | -0.000 | 0.000 | 0.000 | 0.000 | -0.000 | 
| 0.000 | -0.000 | 0.000 | 0.000 | 0.000 | 0.000 | 
| -0.002 | 0.001 | 0.000 | 0.000 | 0.000 | 175.262 | 
| 726.359 | 375.839 | -0.000 | -0.000 | -0.000 | -0.000 | 
| 375.827 | 726.371 | -0.000 | -0.000 | -0.000 | 0.000 | 
| -0.000 | 0.000 | -0.000 | -0.000 | -0.000 | -0.000 | 
| -0.000 | 0.000 | -0.000 | -0.000 | -0.000 | 0.000 | 
| -0.000 | 0.000 | -0.000 | -0.000 | -0.000 | 0.000 | 
| 0.002 | -0.001 | -0.000 | -0.000 | -0.000 | 175.262 | 
| 343.214 | 97.613 | 97.613 | 0.000 | -0.000 | 0.000 | 
| 97.613 | 343.214 | 97.613 | 0.000 | -0.000 | 0.000 | 
| 97.613 | 97.613 | 343.214 | -0.000 | -0.000 | 0.000 | 
| -0.000 | -0.000 | 0.000 | 122.800 | -0.000 | 0.000 | 
| 0.000 | -0.000 | 0.000 | -0.000 | 122.800 | 0.000 | 
| -0.000 | -0.000 | 0.000 | 0.000 | 0.000 | 122.800 | 
| 144.321 | 88.473 | 88.473 | 0.000 | 0.000 | -0.000 | 
| 88.473 | 144.321 | 88.473 | 0.000 | 0.000 | -0.000 | 
| 88.473 | 88.473 | 144.321 | 0.000 | 0.000 | 0.000 | 
| 0.000 | 0.000 | -0.000 | 122.800 | 0.000 | -0.000 | 
| 0.000 | 0.000 | -0.000 | 0.000 | 122.800 | -0.000 | 
| 0.000 | 0.000 | -0.000 | -0.000 | 0.000 | 122.800 | 
| 144.308 | 88.461 | 88.461 | -0.000 | -0.000 | 0.000 | 
| 88.461 | 144.308 | 88.461 | -0.000 | -0.000 | 0.000 | 
| 88.461 | 88.461 | 144.308 | -0.000 | -0.000 | 0.000 | 
| 0.000 | -0.000 | 0.000 | 122.800 | -0.000 | 0.000 | 
| -0.001 | -0.001 | -0.001 | -0.000 | 32.742 | 0.000 | 
| -0.000 | 0.000 | 0.000 | 0.000 | 0.000 | 122.800 | 
| 343.213 | 97.613 | 97.613 | 0.000 | 0.000 | -0.000 | 
| 97.613 | 343.213 | 97.613 | 0.000 | 0.000 | -0.000 | 
| 97.613 | 97.613 | 343.213 | -0.000 | 0.000 | -0.000 | 
| -0.000 | 0.000 | -0.000 | 122.800 | 0.000 | -0.000 | 
| 0.001 | 0.001 | 0.001 | 0.000 | 32.742 | -0.000 | 
| 0.000 | -0.000 | -0.000 | -0.000 | 0.000 | 122.800 | 
| 70.811 | 46.087 | 46.087 | -0.000 | -0.000 | -0.000 | 
| 46.087 | 70.811 | 46.087 | -0.000 | -0.000 | 0.000 | 
| 46.087 | 46.087 | 70.811 | -0.000 | -0.000 | 0.000 | 
| 0.000 | -0.000 | 0.000 | 122.800 | -0.000 | 0.000 | 
| 0.000 | 0.000 | 0.000 | -0.000 | 122.800 | 0.000 | 
| -0.000 | 0.000 | 0.000 | -0.000 | -0.000 | 122.800 | 
| 45.230 | 16.439 | 16.439 | 0.000 | 0.000 | -0.000 | 
| 16.439 | 45.230 | 16.439 | 0.000 | 0.000 | 0.000 | 
| 16.439 | 16.439 | 45.230 | 0.000 | 0.000 | -0.000 | 
| -0.000 | 0.000 | -0.000 | 122.800 | 0.000 | -0.000 | 
| -0.000 | -0.000 | -0.000 | 0.000 | 122.800 | -0.000 | 
| 0.000 | -0.000 | -0.000 | -0.000 | 0.000 | 122.800 | 
| 335.200 | 95.334 | 95.334 | 0.000 | -0.000 | -0.000 | 
| 95.334 | 335.200 | 95.334 | -0.000 | -0.000 | -0.000 | 
| 95.334 | 95.334 | 335.200 | 0.000 | 0.000 | -0.000 | 
| -0.000 | 0.000 | -0.000 | 119.933 | -0.000 | -0.000 | 
| -0.000 | 0.000 | 0.000 | 0.000 | 119.933 | -0.000 | 
| -0.000 | 0.000 | -0.000 | 0.000 | 0.000 | 119.933 | 
| 335.200 | 95.334 | 95.334 | -0.000 | -0.000 | 0.000 | 
| 95.334 | 335.200 | 95.334 | 0.000 | 0.000 | 0.000 | 
| 95.334 | 95.334 | 335.200 | -0.000 | 0.000 | 0.000 | 
| 0.000 | 0.000 | 0.000 | 119.933 | 0.000 | 0.000 | 
| 0.000 | -0.000 | 0.000 | -0.000 | 119.933 | 0.000 | 
| 0.000 | -0.000 | 0.000 | -0.000 | -0.000 | 119.933 | 
| 335.200 | 95.334 | 95.334 | 0.000 | 0.000 | -0.000 | 
| 95.334 | 335.200 | 95.334 | 0.000 | -0.000 | -0.000 | 
| 95.334 | 95.334 | 335.200 | -0.000 | -0.000 | -0.000 | 
| -0.000 | -0.000 | 0.000 | 119.933 | 0.000 | -0.000 | 
| -0.000 | 0.000 | 0.000 | 0.000 | 119.933 | -0.000 | 
| -0.000 | 0.000 | 0.000 | 0.000 | -0.000 | 119.933 | 
| 335.200 | 95.334 | 95.334 | 0.000 | -0.000 | -0.000 | 
| 95.334 | 335.200 | 95.334 | 0.000 | -0.000 | 0.000 | 
| 95.334 | 95.334 | 335.200 | -0.000 | -0.000 | -0.000 | 
| -0.000 | 0.000 | -0.000 | 119.933 | -0.000 | -0.000 | 
| 0.000 | -0.000 | -0.000 | -0.000 | 119.933 | 0.000 | 
| 0.000 | -0.000 | -0.000 | -0.000 | -0.000 | 119.933 | 
| 335.201 | 95.334 | 95.335 | 0.000 | 0.000 | 0.000 | 
| 95.335 | 335.201 | 95.334 | 0.000 | 0.000 | -0.000 | 
| 60.459 | 60.459 | 198.195 | -0.000 | 0.000 | -0.000 | 
| 0.000 | -0.000 | 0.000 | 119.933 | 0.000 | -0.000 | 
| 0.000 | 0.000 | 0.000 | 0.000 | 119.933 | -0.000 | 
| -0.000 | 0.000 | 0.000 | 0.000 | -0.000 | 119.933 | 
| 276.299 | 114.451 | 114.451 | 0.000 | -0.000 | 0.000 | 
| 114.462 | 276.263 | 114.463 | -0.000 | -0.000 | 0.000 | 
| 114.462 | 114.462 | 276.263 | 0.000 | -0.000 | 0.000 | 
| -0.000 | 0.000 | -0.000 | 119.933 | -0.000 | 0.000 | 
| -0.000 | -0.000 | -0.000 | -0.000 | 119.933 | 0.000 | 
| 23.332 | 23.332 | 23.332 | 0.000 | -0.000 | 80.153 | 
| 12.299 | -165.927 | -165.927 | -0.000 | 0.000 | -0.000 | 
| -165.927 | 12.299 | -165.927 | 0.000 | 0.000 | -0.000 | 
| -165.927 | -165.927 | 12.299 | 0.000 | 0.000 | -0.000 | 
| -255.027 | -255.027 | -255.027 | 89.490 | 0.000 | -0.000 | 
| -255.027 | -255.027 | -255.027 | -0.000 | 89.490 | -0.000 | 
| -255.027 | -255.027 | -255.027 | -0.000 | 0.000 | 89.490 | 
| 334.848 | 95.234 | 95.234 | 0.000 | 0.000 | 0.000 | 
| 95.234 | 334.848 | 95.234 | -0.000 | 0.000 | -0.000 | 
| 95.234 | 95.234 | 334.848 | 0.000 | 0.000 | 0.000 | 
| 255.027 | 255.027 | 255.027 | 89.490 | -0.000 | 0.000 | 
| 255.027 | 255.027 | 255.027 | 0.000 | 89.490 | 0.000 | 
| 255.027 | 255.027 | 255.027 | 0.000 | 0.000 | 89.490 | 
| 334.848 | 95.234 | 95.234 | -0.000 | 0.000 | -0.000 | 
| 95.234 | 334.848 | 95.234 | 0.000 | -0.000 | -0.000 | 
| 95.234 | 95.234 | 334.848 | -0.000 | 0.000 | -0.000 | 
| 0.000 | -0.000 | 0.000 | 119.807 | -0.000 | -0.000 | 
| 0.000 | 0.000 | 0.000 | -0.000 | 119.807 | -0.000 | 
| -0.000 | 0.000 | 0.000 | 0.000 | -0.000 | 119.807 | 
| 334.848 | 95.234 | 95.234 | -0.000 | -0.000 | 0.000 | 
| 95.234 | 334.848 | 95.234 | 0.000 | 0.000 | 0.000 | 
| 95.234 | 95.234 | 334.848 | -0.000 | -0.000 | 0.000 | 
| -0.000 | 0.000 | -0.000 | 119.807 | -0.000 | 0.000 | 
| -0.000 | -0.000 | -0.000 | 0.000 | 119.807 | 0.000 | 
| 0.000 | -0.000 | -0.000 | -0.000 | -0.000 | 119.807 | 
| 144.828 | 79.499 | 79.499 | -0.000 | 0.000 | -0.000 | 
| 79.499 | 144.828 | 79.499 | -0.000 | -0.000 | -0.000 | 
| 79.499 | 79.499 | 144.828 | 0.000 | -0.000 | -0.000 | 
| 0.000 | -0.000 | 0.000 | 119.807 | 0.000 | -0.000 | 
| 0.000 | 0.000 | 0.000 | 0.000 | 119.807 | -0.000 | 
| -0.000 | 0.000 | 0.000 | -0.000 | 0.000 | 119.807 | 
| 66.966 | 36.422 | 36.422 | 0.000 | -0.000 | 0.000 | 
| 36.422 | 66.966 | 36.422 | -0.000 | -0.000 | 0.000 | 
| 36.422 | 36.422 | 66.966 | -0.000 | 0.000 | 0.000 | 
| -0.000 | 0.000 | -0.000 | 119.807 | 0.000 | 0.000 | 
| -0.000 | -0.000 | -0.000 | -0.000 | 119.807 | 0.000 | 
| 0.000 | -0.000 | -0.000 | 0.000 | -0.000 | 119.807 | 
| 8158.469 | 7836.621 | 17121.374 | 13.767 | 0.013 | 0.013 | 
| 7837.430 | 8157.660 | 17121.374 | -13.030 | 0.013 | 0.013 | 
| 7863.499 | 7862.690 | 17297.118 | 0.369 | 0.013 | 0.013 | 
| 7770.078 | 7742.469 | 17021.329 | 119.682 | 0.013 | 0.013 | 
| 7756.678 | 7755.868 | 17021.328 | 0.369 | 119.325 | 13.413 | 
| 7756.676 | 7755.867 | 17021.325 | 0.369 | 13.413 | 160.517 | 
| -7354.957 | -7675.126 | -16921.286 | 13.033 | -0.013 | -0.013 | 
| -7675.936 | -7354.148 | -16921.287 | -13.771 | -0.013 | -0.013 | 
| -7649.865 | -7649.056 | -16745.570 | -0.369 | -0.013 | -0.013 | 
| -7743.277 | -7769.268 | -17021.328 | 118.943 | -0.013 | -0.013 | 
| -7756.677 | -7755.869 | -17021.328 | -0.369 | 119.300 | 13.387 | 
| -7756.676 | -7755.867 | -17021.325 | -0.369 | 13.387 | 160.492 | 
| 1177.805 | 856.417 | 1802.261 | 13.419 | 0.001 | 0.001 | 
| 859.442 | 1180.451 | 1808.793 | -13.359 | 0.001 | 0.001 | 
| 98.339 | 98.339 | 386.375 | 0.000 | -0.000 | 0.000 | 
| 789.098 | 762.217 | 1702.200 | 119.348 | 0.001 | 0.001 | 
| 775.698 | 775.617 | 1702.199 | 0.037 | 119.312 | 13.401 | 
| 775.683 | 775.602 | 1702.167 | 0.037 | 13.402 | 160.505 | 
| 467.084 | 89.292 | 100.294 | 10.018 | 0.000 | -0.000 | 
| -695.004 | -374.221 | -1602.171 | -13.456 | -0.001 | -0.001 | 
| -680.412 | -680.330 | -1453.738 | -0.037 | -0.001 | -0.001 | 
| 10.018 | -10.018 | -0.000 | 163.751 | 0.000 | -0.000 | 
| -775.698 | -775.617 | -1702.199 | -0.037 | 119.309 | 13.399 | 
| -775.683 | -775.602 | -1702.167 | -0.037 | 13.399 | 160.502 | 
| 482.715 | 159.114 | 271.189 | 13.250 | 0.000 | 0.000 | 
| -2745461.853 | -2651843.819 | 1237.491 | 3.055 | -2.133 | 2408.450 | 
| 186.523 | 186.514 | 448.004 | 0.004 | 0.000 | 0.000 | 
| -2745450.917 | -2651938.361 | 1243.031 | 2.826 | 0.262 | 2453.162 | 
| -2745486.817 | -2651949.509 | 1243.745 | 2.395 | -0.031 | 2439.347 | 
| -2745572.441 | -2652084.663 | 1236.233 | 1.775 | 2.390 | 2464.602 | 
| 467.083 | 89.292 | 100.294 | 10.018 | 0.000 | -0.000 | 
| 89.292 | 467.083 | 100.294 | -10.018 | 0.000 | -0.000 | 
| 98.339 | 98.339 | 386.373 | 0.000 | 0.000 | -0.000 | 
| 2745464.871 | 2651976.934 | -1245.064 | 0.508 | 0.897 | -2474.675 | 
| 2745488.995 | 2652068.833 | -1235.913 | -1.151 | -2.241 | -2448.557 | 
| 2745650.859 | 2652224.425 | -1225.562 | -1.491 | -4.053 | -2414.045 | 
| 16508.761 | 4161.361 | -1102957.637 | 3103.667 | 1891.487 | 4150.881 | 
| 16478.868 | 4680.529 | -1073182.691 | 3521.849 | 1742.449 | 4341.275 | 
| 15769.755 | 3555.417 | -1094363.847 | 3550.250 | 1555.829 | 4145.866 | 
| 17324.085 | 4457.932 | -1078099.114 | 3457.704 | 2432.018 | 3795.548 | 
| 16362.022 | 4479.629 | -1006286.892 | 3588.643 | 1195.992 | 3499.889 | 
| 16562.661 | 3165.717 | -1163323.226 | 3701.054 | 2047.834 | 3799.651 | 
| -15423.624 | -3266.012 | 1090115.665 | -3208.251 | -1382.251 | -3549.175 | 
| -16897.603 | -4611.913 | 1118819.110 | -3375.843 | -2221.793 | -4447.988 | 
| -15590.864 | -4282.017 | 1064191.813 | -3458.966 | -2124.043 | -4295.301 | 
| -16338.834 | -3499.046 | 1079647.872 | -3211.552 | -1780.356 | -4251.313 | 
| -15948.088 | -3450.766 | 1070897.679 | -3852.332 | -2343.640 | -4545.007 | 
| -16706.956 | -3281.851 | 1109992.502 | -4132.723 | -1618.866 | -3681.793 | 
| 2285.396 | 2257.475 | -115230.278 | -661.685 | -312.735 | 535.900 | 
| 2364.314 | 2331.256 | -117135.187 | -737.924 | -255.637 | 538.847 | 
| 2199.836 | 2312.916 | -112972.650 | -716.285 | -264.572 | 623.573 | 
| 2383.546 | 2280.455 | -117900.945 | -728.132 | -316.352 | 609.950 | 
| 2111.465 | 2163.247 | -111360.732 | -733.986 | -267.193 | 559.507 | 
| 2173.493 | 2280.075 | -113418.884 | -721.764 | -314.620 | 591.702 | 
| -2271.794 | -2286.213 | 115647.824 | 702.082 | 353.396 | -500.811 | 
| -2308.658 | -2220.434 | 117327.801 | 806.989 | 330.984 | -608.357 | 
| -2324.637 | -2322.086 | 115793.439 | 762.581 | 308.420 | -513.712 | 
| -2264.312 | -2374.317 | 115038.421 | 739.632 | 297.473 | -630.769 | 
| -95.712 | 76.544 | 373.677 | -36.146 | 109.544 | -3.034 | 
| -2332.276 | -2268.915 | 117520.955 | 787.635 | 300.120 | -546.242 | 
| 219.207 | 225.438 | -11505.700 | -75.661 | -31.986 | 59.835 | 
| 230.999 | 216.762 | -11680.702 | -77.320 | -32.220 | 62.356 | 
| 243.809 | 233.422 | -11806.928 | -79.195 | -34.758 | 66.315 | 
| 239.484 | 221.704 | -11952.929 | -78.488 | -28.037 | 58.902 | 
| 230.854 | 226.696 | -11458.261 | -72.088 | -25.189 | 50.641 | 
| 232.622 | 220.381 | -11690.968 | -76.867 | -26.905 | 52.226 | 
| -243.863 | -230.154 | 12069.142 | 80.366 | 40.018 | -54.396 | 
| -234.573 | -229.779 | 11792.868 | 75.785 | 37.640 | -58.715 | 
| -226.669 | -236.302 | 11601.525 | 80.519 | 27.825 | -59.208 | 
| -236.686 | -236.124 | 11724.544 | 82.673 | 29.750 | -51.172 | 
| -216.062 | -213.013 | 11036.466 | 76.606 | 22.905 | -66.975 | 
| -234.964 | -235.174 | 11795.247 | 79.421 | 38.399 | -66.354 | 
| 573.934 | 296.968 | 0.000 | 0.000 | 0.000 | -0.000 | 
| 246.303 | 624.598 | 0.000 | 0.000 | 0.000 | -0.000 | 
| -0.000 | 0.000 | 0.000 | 0.000 | 0.000 | -0.000 | 
| -0.000 | 0.000 | 0.000 | 0.000 | 0.000 | -0.000 | 
| -0.000 | 0.000 | 0.000 | 0.000 | 0.000 | -0.000 | 
| 0.000 | -0.000 | 0.000 | 0.000 | 0.000 | 189.147 | 
| 624.598 | 246.303 | -0.000 | -0.000 | -0.000 | -0.000 | 
| 246.303 | 624.598 | -0.000 | -0.000 | -0.000 | 0.000 | 
| 0.000 | -0.000 | -0.000 | -0.000 | -0.000 | 0.000 | 
| 0.000 | -0.000 | -0.000 | -0.000 | -0.000 | 0.000 | 
| 0.000 | -0.000 | -0.000 | -0.000 | -0.000 | 0.000 | 
| -0.000 | 0.000 | -0.000 | -0.000 | -0.000 | 189.147 | 
| 573.933 | 296.969 | 0.000 | 0.000 | 0.000 | -0.000 | 
| 246.303 | 624.598 | 0.000 | 0.000 | 0.000 | -0.000 | 
| -0.000 | 0.000 | 0.000 | 0.000 | 0.000 | -0.000 | 
| -0.000 | 0.000 | 0.000 | 0.000 | 0.000 | -0.000 | 
| -0.000 | 0.000 | 0.000 | 0.000 | 0.000 | -0.000 | 
| 0.000 | -0.000 | 0.000 | 0.000 | 0.000 | 138.483 | 
| 624.598 | 246.303 | -0.000 | -0.000 | -0.000 | 0.000 | 
| 246.303 | 624.598 | -0.000 | -0.000 | -0.000 | -0.000 | 
| 0.000 | -0.000 | -0.000 | -0.000 | -0.000 | 0.000 | 
| 0.000 | -0.000 | -0.000 | -0.000 | -0.000 | 0.000 | 
| 0.000 | -0.000 | -0.000 | -0.000 | -0.000 | 0.000 | 
| -0.000 | 0.000 | -0.000 | -0.000 | -0.000 | 138.483 | 
| 573.927 | 296.977 | 0.000 | 0.000 | 0.000 | 0.000 | 
| 296.961 | 573.943 | 0.000 | 0.000 | 0.000 | -0.000 | 
| -0.000 | 0.000 | 0.000 | 0.000 | 0.000 | -0.000 | 
| -0.000 | 0.000 | 0.000 | 0.000 | 0.000 | -0.000 | 
| -0.000 | 0.000 | 0.000 | 0.000 | 0.000 | -0.000 | 
| 0.001 | -0.001 | 0.000 | 0.000 | 0.000 | 138.483 | 
| 573.941 | 296.959 | -0.000 | -0.000 | -0.000 | 0.000 | 
| 296.975 | 573.925 | -0.000 | -0.000 | -0.000 | 0.000 | 
| 0.000 | -0.000 | -0.000 | -0.000 | -0.000 | 0.000 | 
| 0.000 | -0.000 | -0.000 | -0.000 | -0.000 | 0.000 | 
| 0.000 | -0.000 | -0.000 | -0.000 | -0.000 | 0.000 | 
| -0.001 | 0.001 | -0.000 | -0.000 | -0.000 | 138.483 | 
| 685.967 | 354.937 | 0.000 | 0.000 | 0.000 | -0.000 | 
| 294.382 | 746.521 | 0.000 | 0.000 | 0.000 | -0.000 | 
| -0.000 | -0.000 | 0.000 | 0.000 | 0.000 | -0.000 | 
| -0.000 | 0.000 | 0.000 | 0.000 | 0.000 | 0.000 | 
| -0.000 | -0.000 | 0.000 | 0.000 | 0.000 | -0.000 | 
| -0.000 | 0.000 | 0.000 | 0.000 | 0.000 | 226.069 | 
| 746.521 | 294.382 | -0.000 | -0.000 | -0.000 | 0.000 | 
| 294.383 | 746.521 | -0.000 | -0.000 | -0.000 | 0.000 | 
| 0.000 | 0.000 | -0.000 | -0.000 | -0.000 | 0.000 | 
| 0.000 | -0.000 | -0.000 | -0.000 | -0.000 | 0.000 | 
| 0.000 | -0.000 | -0.000 | -0.000 | -0.000 | 0.000 | 
| 0.000 | 0.000 | -0.000 | -0.000 | -0.000 | 226.069 | 
| 685.966 | 354.938 | 0.000 | 0.000 | 0.000 | -0.000 | 
| 294.382 | 746.521 | 0.000 | 0.000 | 0.000 | 0.000 | 
| -0.000 | -0.000 | 0.000 | 0.000 | 0.000 | -0.000 | 
| -0.000 | 0.000 | 0.000 | 0.000 | 0.000 | -0.000 | 
| -0.000 | 0.000 | 0.000 | 0.000 | 0.000 | -0.000 | 
| 0.000 | -0.000 | 0.000 | 0.000 | 0.000 | 165.515 | 
| 746.521 | 294.382 | -0.000 | -0.000 | -0.000 | -0.000 | 
| 294.382 | 746.521 | -0.000 | -0.000 | -0.000 | 0.000 | 
| 0.000 | 0.000 | -0.000 | -0.000 | -0.000 | 0.000 | 
| 0.000 | 0.000 | -0.000 | -0.000 | -0.000 | 0.000 | 
| 0.000 | 0.000 | -0.000 | -0.000 | -0.000 | 0.000 | 
| -0.000 | 0.000 | -0.000 | -0.000 | -0.000 | 165.515 | 
| 685.958 | 354.947 | 0.000 | 0.000 | 0.000 | -0.000 | 
| 354.928 | 685.977 | 0.000 | 0.000 | 0.000 | -0.000 | 
| -0.000 | -0.000 | 0.000 | 0.000 | 0.000 | -0.000 | 
| -0.000 | 0.000 | 0.000 | 0.000 | 0.000 | -0.000 | 
| -0.000 | -0.000 | 0.000 | 0.000 | 0.000 | -0.000 | 
| 0.001 | -0.001 | 0.000 | 0.000 | 0.000 | 165.515 | 
| 685.975 | 354.926 | -0.000 | -0.000 | -0.000 | 0.000 | 
| 354.945 | 685.956 | -0.000 | -0.000 | -0.000 | 0.000 | 
| 0.000 | 0.000 | -0.000 | -0.000 | -0.000 | 0.000 | 
| 0.000 | -0.000 | -0.000 | -0.000 | -0.000 | -0.000 | 
| 0.000 | 0.000 | -0.000 | -0.000 | -0.000 | 0.000 | 
| -0.001 | 0.001 | -0.000 | -0.000 | -0.000 | 165.515 | 
| -49.959 | -17.095 | -26.954 | 0.493 | -0.672 | 1.612 | 
| 12.389 | 27.776 | 8.226 | 0.352 | 0.109 | 2.949 | 
| 19.990 | 24.600 | 81.920 | 0.053 | 0.029 | 1.909 | 
| -12.672 | -7.586 | -14.878 | 10.994 | 0.026 | 2.377 | 
| -12.381 | -7.429 | -14.684 | 0.239 | 12.105 | 2.368 | 
| -3.385 | 1.996 | -7.704 | 0.130 | -0.361 | 59.374 | 
| 101.105 | 21.011 | 28.239 | 0.002 | 0.698 | -1.419 | 
| -35.975 | -95.609 | -36.458 | 0.251 | 0.354 | -5.746 | 
| 25.287 | 20.169 | 102.595 | 0.091 | 0.772 | -2.207 | 
| 37.877 | 29.190 | 34.119 | -73.239 | -0.557 | -1.365 | 
| 0.415 | -0.642 | 0.655 | 0.440 | 89.209 | -0.037 | 
| 4.174 | -1.121 | 7.066 | 0.171 | 0.400 | 54.973 | 
| 27.452 | 18.838 | 18.204 | 0.082 | 0.264 | 0.434 | 
| 18.379 | 27.399 | 17.287 | 0.137 | 0.198 | 0.436 | 
| -9.644 | -8.589 | -11.864 | -0.109 | -0.136 | 0.276 | 
| -1.484 | -0.780 | -1.786 | 10.624 | -0.051 | 0.210 | 
| -1.302 | -0.785 | -1.550 | 0.031 | 11.104 | 0.205 | 
| -2.336 | -1.505 | -2.157 | -0.043 | 0.008 | -9.427 | 
| 131.259 | 14.584 | 14.537 | -0.056 | 0.415 | 0.452 | 
| 26.958 | 78.800 | 26.300 | 0.082 | -0.162 | 0.091 | 
| 27.026 | 25.428 | 78.533 | 0.077 | 0.391 | -0.497 | 
| 1.572 | 0.960 | 1.968 | 8.854 | 0.048 | -0.218 | 
| 1.738 | 0.951 | 2.187 | -0.013 | 11.061 | -0.194 | 
| 1.750 | 1.188 | 1.953 | -0.014 | 0.063 | 11.007 | 
| 21.802 | 17.994 | 17.794 | 0.050 | 0.216 | 0.240 | 
| -3.749 | 0.657 | -3.687 | -0.026 | -0.010 | 0.030 | 
| 2.833 | 2.431 | 8.400 | 0.007 | 0.064 | 0.044 | 
| -0.201 | -0.146 | -0.228 | 0.014 | 0.008 | 0.032 | 
| 0.043 | -0.072 | -0.051 | -0.049 | 5.653 | -0.114 | 
| -0.213 | -0.102 | -0.180 | -0.024 | 0.008 | 0.288 | 
| 1.579 | -3.125 | -2.987 | -0.002 | -0.006 | -0.041 | 
| -0.638 | 2.079 | -0.773 | 0.016 | 0.016 | -0.026 | 
| -1.114 | -1.087 | 0.875 | -0.020 | -0.000 | -0.038 | 
| 0.198 | -0.002 | 0.349 | 9.237 | 0.009 | -0.073 | 
| 0.209 | 0.111 | 0.196 | -0.025 | 0.909 | -0.029 | 
| 0.208 | 0.115 | 0.198 | -0.024 | -0.004 | 0.975 | 
| 196.298 | 196.261 | 196.182 | 0.020 | -0.005 | 0.020 | 
| 196.455 | 196.337 | 196.457 | 0.028 | 0.020 | 0.026 | 
| 196.511 | 196.495 | 196.220 | 0.022 | -0.008 | 0.037 | 
| 4149.584 | 2057.979 | 2753.923 | -1122.741 | -27.849 | -222.764 | 
| 2964.187 | 8380.992 | 3449.220 | -343.786 | -2429.398 | -9.684 | 
| 855.983 | 1476.088 | 4261.976 | 179.006 | -27.050 | -1218.824 | 
| -195.893 | -196.376 | -196.267 | -0.013 | 0.019 | -0.051 | 
| -196.333 | -196.513 | -196.263 | 0.026 | 0.041 | 0.030 | 
| -195.958 | -195.992 | -195.805 | -0.045 | 0.005 | -0.022 | 
| -4181.730 | -1050.935 | -558.241 | 112.403 | 505.446 | 225.891 | 
| -9535.696 | -9287.172 | -8153.652 | 3453.251 | -3511.844 | 4583.806 | 
| -6930.261 | -6697.779 | -5675.518 | -743.866 | -359.484 | -634.492 | 
| 19.632 | 19.666 | 19.662 | 0.004 | -0.001 | 0.003 | 
| 19.644 | 19.633 | 19.628 | 0.003 | 0.000 | 0.003 | 
| 19.622 | 19.624 | 19.622 | 0.003 | -0.001 | 0.005 | 
| 19.636 | 19.653 | 19.636 | -0.010 | -0.001 | 0.003 | 
| 19.627 | 19.629 | 19.625 | 0.002 | 0.003 | 0.002 | 
| 19.627 | 19.629 | 19.631 | 0.001 | 0.001 | -0.001 | 
| -19.644 | -19.632 | -19.622 | -0.003 | -0.000 | -0.002 | 
| -19.642 | -19.594 | -19.635 | -0.004 | 0.003 | -0.003 | 
| -19.624 | -19.627 | -19.683 | -0.005 | -0.000 | -0.004 | 
| -19.624 | -19.617 | -19.621 | -0.002 | -0.001 | -0.004 | 
| -19.632 | -19.630 | -19.625 | -0.003 | -0.001 | -0.003 | 
| -19.633 | -19.635 | -19.627 | -0.001 | 0.001 | -0.006 | 
| 1.963 | 1.963 | 1.962 | 0.000 | 0.000 | 0.000 | 
| 1.962 | 1.963 | 1.960 | 0.000 | -0.000 | 0.000 | 
| 1.968 | 1.967 | 1.963 | 0.000 | 0.000 | 0.000 | 
| 1.965 | 1.964 | 1.963 | 0.001 | -0.000 | 0.000 | 
| 1.959 | 1.961 | 1.959 | 0.000 | -0.000 | 0.000 | 
| 1.963 | 1.964 | 1.961 | 0.000 | 0.000 | -0.000 | 
| -1.961 | -1.965 | -1.964 | -0.000 | 0.000 | -0.000 | 
| -1.962 | -1.968 | -1.962 | -0.000 | 0.000 | -0.000 | 
| -1.962 | -1.962 | -1.959 | -0.000 | 0.000 | -0.000 | 
| -1.962 | -1.961 | -1.961 | 0.000 | 0.000 | -0.000 | 
| -1.962 | -1.963 | -1.962 | -0.000 | 0.000 | -0.000 | 
| -1.962 | -1.963 | -1.963 | -0.000 | 0.000 | -0.000 | 
| 741.377 | -26.904 | -26.904 | 0.000 | 0.000 | 0.000 | 
| -26.904 | 741.377 | -26.904 | 0.000 | -0.000 | -0.000 | 
| -26.904 | -26.904 | 741.377 | 0.000 | -0.000 | 0.000 | 
| 0.000 | -0.000 | -0.000 | 287.109 | -0.000 | 0.000 | 
| 0.000 | -0.000 | -0.000 | 0.000 | 287.109 | 0.000 | 
| 0.000 | -0.000 | 0.000 | 0.000 | -0.000 | 287.109 | 
| 741.377 | -26.904 | -26.904 | -0.000 | 0.000 | -0.000 | 
| -26.904 | 741.377 | -26.904 | 0.000 | 0.000 | 0.000 | 
| -26.904 | -26.904 | 741.377 | 0.000 | 0.000 | -0.000 | 
| 0.000 | 0.000 | 0.000 | 287.109 | -0.000 | -0.000 | 
| -0.000 | 0.000 | 0.000 | 0.000 | 287.109 | -0.000 | 
| -0.000 | 0.000 | -0.000 | -0.000 | 0.000 | 287.109 | 
| 626.686 | -98.485 | -98.485 | 0.000 | -0.000 | 0.000 | 
| -98.485 | 626.686 | -98.485 | 0.000 | -0.000 | 0.000 | 
| -98.485 | -98.485 | 626.686 | -0.000 | 0.000 | -0.000 | 
| 0.000 | -0.000 | -0.000 | 287.109 | -0.000 | 0.000 | 
| -0.000 | 0.000 | -0.000 | 0.000 | 287.109 | 0.000 | 
| -0.000 | -0.000 | 0.000 | -0.000 | -0.000 | 287.109 | 
| 741.376 | -26.904 | -26.904 | -0.000 | 0.000 | 0.000 | 
| -26.904 | 741.376 | -26.904 | -0.000 | -0.000 | -0.000 | 
| -26.904 | -26.904 | 741.376 | 0.000 | 0.000 | -0.000 | 
| -0.000 | 0.000 | 0.000 | 287.109 | 0.000 | -0.000 | 
| 0.000 | -0.000 | 0.000 | 0.000 | 287.109 | -0.000 | 
| 0.000 | 0.000 | -0.000 | -0.000 | 0.000 | 287.109 | 
| 741.385 | -26.908 | -26.908 | -0.000 | -0.000 | -0.000 | 
| -26.908 | 741.385 | -26.908 | -0.000 | 0.000 | 0.000 | 
| -26.908 | -26.908 | 741.385 | 0.000 | -0.000 | 0.000 | 
| 0.000 | -0.001 | -0.000 | 287.107 | -0.000 | -0.000 | 
| -0.001 | 0.000 | -0.000 | -0.000 | 287.107 | 0.000 | 
| -0.001 | -0.000 | 0.000 | 0.000 | -0.000 | 287.107 | 
| 626.503 | -98.587 | -98.587 | -0.000 | 0.000 | 0.000 | 
| -98.587 | 626.503 | -98.587 | 0.000 | -0.000 | 0.000 | 
| -98.587 | -98.587 | 626.503 | -0.000 | 0.000 | -0.000 | 
| -0.000 | 0.001 | 0.000 | 287.107 | 0.000 | -0.000 | 
| 0.001 | -0.000 | 0.000 | 0.000 | 287.107 | -0.000 | 
| 0.001 | 0.000 | -0.000 | -0.000 | 0.000 | 287.107 | 
| 559.193 | 220.512 | -0.000 | 0.000 | -0.000 | -0.001 | 
| 220.512 | 559.194 | -0.000 | -0.000 | 0.000 | 0.000 | 
| -0.000 | -0.000 | -0.000 | -0.000 | -0.000 | -0.000 | 
| -0.000 | 0.000 | -0.000 | -0.000 | -0.000 | -0.000 | 
| -0.000 | -0.000 | -0.000 | -0.000 | -0.000 | -0.000 | 
| -0.000 | -0.000 | -0.000 | -0.000 | 0.000 | 169.340 | 
| 513.834 | 265.871 | 0.000 | 0.000 | 0.000 | -0.000 | 
| 265.871 | 513.834 | 0.000 | 0.000 | 0.000 | 0.000 | 
| 0.000 | 0.000 | 0.000 | 0.000 | 0.000 | 0.000 | 
| 0.000 | -0.000 | 0.000 | 0.000 | 0.000 | 0.000 | 
| 0.000 | 0.000 | 0.000 | 0.000 | 0.000 | 0.000 | 
| 0.000 | 0.000 | 0.000 | 0.000 | 0.000 | 169.341 | 
| 513.834 | 265.872 | -0.000 | 0.000 | -0.000 | 0.000 | 
| 265.870 | 513.835 | -0.000 | 0.000 | -0.000 | -0.000 | 
| -0.000 | 0.000 | -0.000 | -0.000 | -0.000 | -0.000 | 
| -0.000 | 0.000 | -0.000 | -0.000 | -0.000 | -0.000 | 
| -0.000 | -0.000 | -0.000 | -0.000 | -0.000 | -0.000 | 
| 0.000 | -0.000 | -0.000 | -0.000 | -0.000 | 123.982 | 
| 559.193 | 220.512 | 0.000 | 0.000 | -0.000 | 0.000 | 
| 220.512 | 559.193 | 0.000 | -0.000 | 0.000 | -0.000 | 
| 0.000 | 0.000 | 0.000 | 0.000 | 0.000 | 0.000 | 
| 0.000 | -0.000 | 0.000 | 0.000 | 0.000 | 0.000 | 
| 0.000 | 0.000 | 0.000 | 0.000 | 0.000 | 0.000 | 
| -0.000 | 0.000 | 0.000 | 0.000 | 0.000 | 123.982 | 
| 513.828 | 265.879 | -0.000 | 0.000 | 0.000 | 0.000 | 
| 265.872 | 513.835 | -0.000 | -0.000 | 0.000 | -0.000 | 
| 0.000 | -0.000 | -0.000 | -0.000 | -0.000 | -0.000 | 
| -0.000 | 0.000 | -0.000 | -0.000 | -0.000 | -0.000 | 
| -0.000 | -0.000 | -0.000 | -0.000 | -0.000 | -0.000 | 
| 0.001 | -0.001 | -0.000 | 0.000 | -0.000 | 123.982 | 
| 559.192 | 220.511 | 0.000 | 0.000 | -0.000 | 0.000 | 
| 265.877 | 513.827 | 0.000 | -0.000 | -0.000 | -0.000 | 
| 0.000 | 0.000 | 0.000 | 0.000 | 0.000 | 0.000 | 
| 0.000 | -0.000 | 0.000 | 0.000 | 0.000 | 0.000 | 
| 0.000 | 0.000 | 0.000 | 0.000 | 0.000 | 0.000 | 
| -0.001 | 0.001 | 0.000 | -0.000 | -0.000 | 123.982 | 
| 559.040 | 220.452 | 0.000 | 0.000 | 0.000 | 0.000 | 
| 220.451 | 559.040 | 0.000 | 0.000 | 0.000 | 0.000 | 
| 0.000 | -0.000 | 0.000 | 0.000 | 0.000 | -0.000 | 
| 0.000 | 0.000 | 0.000 | 0.000 | 0.000 | 0.000 | 
| -0.000 | 0.000 | 0.000 | 0.000 | 0.000 | 0.000 | 
| -0.000 | 0.000 | 0.000 | 0.000 | 0.000 | 169.294 | 
| 513.693 | 265.797 | -0.000 | -0.000 | -0.000 | -0.001 | 
| 265.798 | 513.693 | -0.000 | -0.000 | -0.000 | -0.001 | 
| 0.000 | -0.000 | -0.000 | -0.000 | -0.000 | -0.000 | 
| 0.000 | -0.000 | -0.000 | -0.000 | -0.000 | -0.000 | 
| 0.000 | -0.000 | -0.000 | -0.000 | -0.000 | -0.000 | 
| 0.000 | -0.000 | -0.000 | -0.000 | -0.000 | 169.294 | 
| 513.693 | 265.799 | 0.000 | 0.000 | 0.000 | 0.000 | 
| 265.797 | 513.694 | 0.000 | 0.000 | 0.000 | 0.000 | 
| 0.000 | -0.000 | 0.000 | 0.000 | 0.000 | -0.000 | 
| -0.000 | 0.000 | 0.000 | 0.000 | 0.000 | 0.000 | 
| -0.000 | 0.000 | 0.000 | 0.000 | 0.000 | 0.000 | 
| 0.000 | 0.000 | 0.000 | 0.000 | 0.000 | 169.294 | 
| 513.694 | 265.797 | -0.000 | -0.000 | -0.000 | -0.000 | 
| 220.451 | 559.040 | -0.000 | -0.000 | -0.000 | -0.000 | 
| 0.000 | -0.000 | -0.000 | -0.000 | -0.000 | -0.000 | 
| 0.000 | -0.000 | -0.000 | -0.000 | -0.000 | -0.000 | 
| -0.000 | -0.000 | -0.000 | -0.000 | -0.000 | -0.000 | 
| -0.000 | -0.000 | -0.000 | -0.000 | -0.000 | 169.294 | 
| 513.687 | 265.806 | 0.000 | 0.000 | 0.000 | 0.000 | 
| 265.797 | 513.695 | 0.000 | 0.000 | 0.000 | 0.000 | 
| 0.000 | -0.000 | 0.000 | 0.000 | 0.000 | -0.000 | 
| -0.000 | 0.000 | 0.000 | 0.000 | 0.000 | 0.000 | 
| -0.000 | 0.000 | 0.000 | 0.000 | 0.000 | 0.000 | 
| 0.001 | -0.001 | 0.000 | 0.000 | 0.000 | 123.948 | 
| 513.700 | 265.790 | -0.000 | -0.000 | -0.000 | -0.000 | 
| 265.804 | 513.686 | -0.000 | -0.000 | -0.000 | -0.000 | 
| 0.000 | -0.000 | -0.000 | -0.000 | -0.000 | -0.000 | 
| -0.000 | -0.000 | -0.000 | -0.000 | -0.000 | -0.000 | 
| -0.000 | -0.000 | -0.000 | -0.000 | -0.000 | -0.000 | 
| -0.001 | 0.001 | -0.000 | -0.000 | -0.000 | 123.948 | 
| 474.513 | 245.525 | 0.000 | 0.000 | 0.000 | 0.000 | 
| 203.637 | 516.401 | 0.000 | 0.000 | 0.000 | 0.000 | 
| -0.000 | 0.000 | 0.000 | 0.000 | 0.000 | 0.000 | 
| -0.000 | 0.000 | 0.000 | 0.000 | 0.000 | 0.000 | 
| -0.000 | 0.000 | 0.000 | 0.000 | 0.000 | 0.000 | 
| -0.000 | 0.000 | 0.000 | 0.000 | 0.000 | 156.382 | 
| 474.513 | 245.525 | -0.000 | -0.000 | -0.000 | -0.000 | 
| 245.525 | 474.513 | -0.000 | -0.000 | -0.000 | -0.000 | 
| 0.000 | -0.000 | -0.000 | -0.000 | -0.000 | -0.000 | 
| 0.000 | -0.000 | -0.000 | -0.000 | -0.000 | -0.000 | 
| 0.000 | -0.000 | -0.000 | -0.000 | -0.000 | -0.000 | 
| 0.000 | -0.000 | -0.000 | -0.000 | -0.000 | 156.382 | 
| 474.528 | 245.510 | 0.000 | 0.000 | 0.000 | 0.000 | 
| 203.637 | 516.401 | 0.000 | 0.000 | 0.000 | 0.000 | 
| -0.000 | 0.000 | 0.000 | 0.000 | 0.000 | 0.000 | 
| -0.000 | 0.000 | 0.000 | 0.000 | 0.000 | 0.000 | 
| -0.000 | 0.000 | 0.000 | 0.000 | 0.000 | 0.000 | 
| 0.000 | -0.000 | 0.000 | 0.000 | 0.000 | 114.494 | 
| 474.514 | 245.524 | -0.000 | -0.000 | -0.000 | -0.000 | 
| 245.526 | 474.512 | -0.000 | -0.000 | -0.000 | -0.000 | 
| 0.000 | -0.000 | -0.000 | -0.000 | -0.000 | -0.000 | 
| 0.000 | -0.000 | -0.000 | -0.000 | -0.000 | -0.000 | 
| 0.000 | -0.000 | -0.000 | -0.000 | -0.000 | -0.000 | 
| -0.000 | 0.000 | -0.000 | -0.000 | -0.000 | 114.494 | 
| 474.507 | 245.532 | 0.000 | 0.000 | 0.000 | 0.000 | 
| 203.637 | 516.403 | 0.000 | 0.000 | 0.000 | 0.000 | 
| -0.000 | 0.000 | 0.000 | 0.000 | 0.000 | 0.000 | 
| -0.000 | 0.000 | 0.000 | 0.000 | 0.000 | 0.000 | 
| -0.000 | 0.000 | 0.000 | 0.000 | 0.000 | 0.000 | 
| 0.001 | -0.001 | 0.000 | 0.000 | 0.000 | 114.494 | 
| 474.519 | 245.518 | -0.000 | -0.000 | -0.000 | -0.000 | 
| 245.531 | 474.506 | -0.000 | -0.000 | -0.000 | -0.000 | 
| 0.000 | -0.000 | -0.000 | -0.000 | -0.000 | -0.000 | 
| 0.000 | -0.000 | -0.000 | -0.000 | -0.000 | -0.000 | 
| 0.000 | -0.000 | -0.000 | -0.000 | -0.000 | -0.000 | 
| -0.001 | 0.001 | -0.000 | -0.000 | -0.000 | 114.494 | 
| 516.477 | 203.666 | 0.000 | -0.000 | -0.000 | 0.000 | 
| 245.561 | 474.583 | 0.000 | -0.000 | -0.000 | -0.000 | 
| 0.000 | -0.000 | 0.000 | -0.000 | 0.000 | -0.001 | 
| 0.000 | -0.000 | 0.000 | -0.000 | -0.000 | -0.000 | 
| 0.000 | -0.000 | 0.000 | -0.000 | 0.000 | -0.001 | 
| 0.000 | -0.000 | -0.000 | -0.000 | -0.000 | 114.510 | 
| 474.583 | 245.561 | 0.000 | 0.000 | 0.000 | 0.000 | 
| 245.561 | 474.582 | -0.000 | 0.000 | -0.000 | 0.000 | 
| -0.000 | 0.000 | -0.000 | 0.000 | 0.000 | 0.001 | 
| -0.000 | 0.000 | -0.000 | 0.000 | 0.000 | 0.001 | 
| -0.000 | 0.000 | -0.000 | 0.000 | 0.000 | 0.001 | 
| 0.000 | 0.000 | -0.000 | 0.000 | 0.000 | 114.511 | 
| 474.582 | 245.562 | 0.000 | -0.000 | -0.000 | -0.000 | 
| 245.560 | 474.583 | 0.000 | -0.000 | -0.000 | -0.000 | 
| 0.000 | -0.000 | 0.000 | -0.000 | -0.000 | -0.000 | 
| 0.000 | -0.000 | 0.000 | -0.000 | -0.000 | -0.000 | 
| 0.000 | -0.000 | 0.000 | -0.000 | -0.000 | -0.000 | 
| 0.000 | -0.000 | 0.000 | -0.000 | 0.000 | 114.511 | 
| 474.567 | 245.576 | 0.000 | -0.000 | 0.000 | 0.000 | 
| 245.562 | 474.582 | -0.000 | 0.000 | 0.000 | 0.000 | 
| -0.000 | 0.000 | -0.000 | 0.000 | -0.000 | 0.000 | 
| -0.000 | 0.000 | -0.000 | 0.000 | -0.000 | 0.000 | 
| -0.000 | 0.000 | -0.000 | 0.000 | 0.000 | 0.000 | 
| -0.000 | 0.000 | -0.000 | 0.000 | 0.000 | 114.511 | 
| 474.736 | 245.409 | -0.000 | 0.000 | -0.000 | -0.000 | 
| 245.555 | 474.590 | -0.000 | -0.000 | -0.000 | -0.000 | 
| 0.000 | -0.000 | 0.000 | -0.000 | -0.000 | -0.000 | 
| 0.000 | -0.000 | 0.000 | -0.000 | 0.000 | -0.000 | 
| 0.000 | -0.000 | 0.000 | -0.000 | -0.000 | -0.000 | 
| 0.001 | -0.001 | -0.000 | -0.000 | 0.000 | 114.511 | 
| 474.589 | 245.554 | -0.000 | 0.000 | 0.000 | 0.000 | 
| 245.562 | 474.581 | -0.000 | -0.000 | 0.000 | 0.000 | 
| 0.000 | 0.000 | -0.000 | 0.000 | 0.000 | 0.000 | 
| -0.000 | 0.000 | -0.000 | 0.000 | 0.000 | 0.000 | 
| -0.000 | 0.000 | -0.000 | 0.000 | 0.000 | 0.000 | 
| -0.001 | 0.001 | -0.000 | 0.000 | 0.000 | 114.511 | 
| 733.366 | 289.195 | 0.000 | 0.000 | 0.000 | -0.000 | 
| 289.195 | 733.366 | 0.000 | 0.000 | 0.000 | -0.000 | 
| -0.000 | 0.000 | 0.000 | 0.000 | 0.000 | 0.000 | 
| -0.000 | -0.000 | 0.000 | 0.000 | 0.000 | -0.000 | 
| 0.000 | 0.000 | 0.000 | 0.000 | 0.000 | -0.000 | 
| 0.000 | 0.000 | 0.000 | 0.000 | 0.000 | 222.085 | 
| 733.366 | 289.195 | -0.000 | -0.000 | -0.000 | 0.000 | 
| 289.195 | 733.366 | -0.000 | -0.000 | -0.000 | 0.000 | 
| -0.000 | 0.000 | -0.000 | -0.000 | -0.000 | 0.000 | 
| 0.000 | -0.000 | -0.000 | -0.000 | -0.000 | 0.000 | 
| -0.000 | -0.000 | -0.000 | -0.000 | -0.000 | 0.000 | 
| -0.000 | -0.000 | -0.000 | -0.000 | -0.000 | 222.086 | 
| 733.366 | 289.195 | 0.000 | 0.000 | 0.000 | -0.000 | 
| 348.681 | 673.880 | 0.000 | 0.000 | 0.000 | -0.000 | 
| -0.000 | 0.000 | 0.000 | 0.000 | 0.000 | 0.000 | 
| -0.000 | -0.000 | 0.000 | 0.000 | 0.000 | -0.000 | 
| 0.000 | 0.000 | 0.000 | 0.000 | 0.000 | -0.000 | 
| 0.000 | -0.000 | 0.000 | 0.000 | 0.000 | 162.598 | 
| 733.366 | 289.195 | -0.000 | -0.000 | -0.000 | 0.000 | 
| 348.683 | 673.878 | -0.000 | -0.000 | -0.000 | 0.000 | 
| -0.000 | 0.000 | -0.000 | -0.000 | -0.000 | 0.000 | 
| 0.000 | 0.000 | -0.000 | -0.000 | -0.000 | 0.000 | 
| -0.000 | 0.000 | -0.000 | -0.000 | -0.000 | 0.000 | 
| -0.000 | 0.000 | -0.000 | -0.000 | -0.000 | 162.598 | 
| 673.871 | 348.692 | 0.000 | 0.000 | 0.000 | -0.000 | 
| 348.684 | 673.879 | 0.000 | 0.000 | 0.000 | -0.000 | 
| -0.000 | 0.000 | 0.000 | 0.000 | 0.000 | 0.000 | 
| -0.000 | 0.000 | 0.000 | 0.000 | 0.000 | -0.000 | 
| 0.000 | 0.000 | 0.000 | 0.000 | 0.000 | -0.000 | 
| 0.001 | -0.000 | 0.000 | 0.000 | 0.000 | 222.086 | 
| 673.868 | 348.691 | -0.000 | -0.000 | -0.000 | 0.000 | 
| 289.195 | 733.363 | -0.000 | -0.000 | -0.000 | 0.000 | 
| -0.000 | 0.000 | -0.000 | -0.000 | -0.000 | 0.000 | 
| 0.000 | 0.000 | -0.000 | -0.000 | -0.000 | 0.000 | 
| -0.000 | -0.000 | -0.000 | -0.000 | -0.000 | 0.000 | 
| -0.001 | 0.000 | -0.000 | -0.000 | -0.000 | 222.086 | 
| -2861.178 | 104.726 | -806.163 | -78.591 | 4866.412 | -2187.589 | 
| -10447.469 | -497.976 | -3312.544 | -578.231 | 2986.853 | -1815.857 | 
| 1192.286 | 597.549 | 801.318 | 1224.064 | 2817.596 | -1167.181 | 
| 40.255 | 983.343 | -22.992 | -417.901 | 6101.752 | -2169.081 | 
| -14086.568 | -2332.036 | -4679.489 | -176.517 | 2159.261 | -3111.913 | 
| -18685.223 | -2926.834 | -6181.388 | -143.447 | 3670.609 | -868.520 | 
| 2962.785 | 264.003 | 896.076 | -552.438 | -4829.176 | 1394.367 | 
| -198.057 | -61.983 | -106.823 | -73.389 | -982.963 | 1146.542 | 
| 12018.659 | 1791.627 | 4169.181 | 278.256 | -1167.914 | 534.630 | 
| -3777.862 | -729.517 | -1217.342 | 318.006 | -931.274 | -411.481 | 
| 19454.673 | 3274.674 | 6559.661 | 368.367 | -4865.780 | 1064.594 | 
| 18898.007 | 3189.910 | 6207.402 | 1013.256 | -7718.970 | -673.279 | 
| -1188.503 | -124.276 | -442.010 | -13.073 | 404.035 | -53.375 | 
| -505.222 | 360.466 | -118.718 | -26.962 | 298.485 | -207.488 | 
| -788.320 | -55.115 | 156.584 | -18.377 | -72.389 | 22.964 | 
| 228.562 | 79.157 | 65.722 | 219.236 | 642.614 | -424.933 | 
| -2303.906 | -332.534 | -764.245 | -38.545 | -585.337 | -42.868 | 
| -1642.120 | -250.624 | -539.384 | 2.861 | 260.074 | -715.219 | 
| 534.056 | 97.882 | 117.050 | -51.090 | -298.367 | 45.747 | 
| 888.959 | 590.708 | 339.080 | 9.614 | -179.868 | 208.281 | 
| 595.474 | 173.561 | 576.907 | 42.959 | -650.063 | 52.048 | 
| 1658.654 | 265.955 | 557.248 | 316.992 | -362.956 | 177.488 | 
| 2120.866 | 321.670 | 685.108 | 36.155 | 511.170 | -130.356 | 
| 1514.458 | 243.403 | 500.558 | 0.055 | -329.048 | -421.953 | 
| 336.762 | 92.047 | 49.660 | -4.947 | 33.711 | -14.178 | 
| 157.367 | 445.413 | 109.278 | -14.867 | 30.407 | -13.037 | 
| -21.161 | 82.613 | 391.669 | 15.848 | 21.419 | -22.063 | 
| 165.087 | 35.438 | 53.401 | 147.888 | 44.171 | 9.473 | 
| -45.789 | -2.778 | -15.063 | 6.236 | 184.493 | -29.297 | 
| 113.413 | 28.921 | 37.428 | -7.777 | 4.598 | 160.909 | 
| 638.396 | 139.611 | 148.866 | 8.727 | -56.352 | 11.507 | 
| 2.404 | 408.135 | 54.757 | 0.664 | -19.216 | -3.354 | 
| 198.497 | 110.598 | 465.578 | -4.863 | -27.913 | 21.557 | 
| 152.072 | 22.727 | 50.359 | 180.383 | -40.153 | 1.233 | 
| 180.160 | 32.242 | 59.748 | 1.009 | 130.302 | 24.354 | 
| 101.597 | 13.836 | 32.558 | 9.997 | -11.424 | 206.454 | 
| 290.205 | -788.503 | 2014.944 | -0.000 | 0.000 | 0.000 | 
| -781.677 | 282.197 | 2016.124 | -0.000 | 0.000 | 0.000 | 
| 79.021 | 79.021 | 1361.008 | -0.000 | 0.000 | 0.000 | 
| -957.757 | -957.757 | 1912.907 | 486.585 | 0.000 | 0.000 | 
| -957.817 | -957.817 | 1913.028 | -0.000 | 485.956 | 0.000 | 
| -0.000 | -0.000 | 0.000 | 0.000 | 0.000 | 570.285 | 
| 2204.787 | 1126.080 | -1809.011 | 0.000 | -0.000 | -0.000 | 
| 1134.054 | 2197.921 | -1810.118 | 0.000 | -0.000 | -0.000 | 
| 1060.698 | 1060.698 | -599.675 | 0.000 | 0.000 | -0.000 | 
| 957.757 | 957.757 | -1912.907 | 486.585 | 0.000 | -0.000 | 
| 957.817 | 957.817 | -1913.028 | -0.000 | 485.956 | -0.000 | 
| 0.000 | 0.000 | -0.000 | -0.000 | -0.000 | 570.285 | 
| 1146.156 | 69.943 | 302.880 | -0.000 | 0.000 | 0.000 | 
| 80.492 | 1144.349 | 294.149 | -0.000 | 0.000 | 0.000 | 
| 7.766 | 7.766 | 1503.325 | -0.000 | 0.000 | 0.000 | 
| -98.582 | -98.582 | 196.895 | 485.555 | 0.000 | 0.000 | 
| -95.734 | -95.734 | 191.208 | -0.000 | 485.964 | 0.000 | 
| -96.486 | -96.486 | 192.709 | -0.000 | 0.000 | 531.682 | 
| 1290.674 | 150.105 | 78.505 | 0.000 | -0.000 | -0.000 | 
| 150.104 | 1290.674 | 78.505 | 0.000 | -0.000 | -0.000 | 
| 203.806 | 203.806 | 1111.778 | 0.000 | -0.000 | -0.000 | 
| 98.582 | 98.582 | -196.895 | 485.555 | 0.000 | -0.000 | 
| 95.734 | 95.734 | -191.208 | 0.000 | 485.964 | -0.000 | 
| 96.486 | 96.486 | -192.709 | 0.000 | -0.000 | 531.682 | 
| 1290.674 | 150.104 | 78.511 | -0.000 | 0.000 | 0.000 | 
| 166.631 | 1230.530 | 122.068 | -0.000 | 0.000 | 0.000 | 
| 79.015 | 79.015 | 1361.022 | -0.000 | 0.000 | 0.000 | 
| -9.330 | -9.331 | 18.636 | 486.383 | 0.000 | 0.000 | 
| -9.336 | -9.335 | 18.645 | -0.000 | 486.375 | 0.000 | 
| -11.576 | -11.574 | 23.119 | -0.000 | 0.000 | 532.882 | 
| 1249.146 | 184.999 | 85.126 | 0.000 | -0.000 | -0.000 | 
| 185.003 | 1249.142 | 85.127 | 0.000 | -0.000 | -0.000 | 
| 113.024 | 113.024 | 1293.093 | 0.000 | -0.000 | -0.000 | 
| 9.330 | 9.331 | -18.636 | 486.383 | -0.000 | -0.000 | 
| 9.336 | 9.335 | -18.645 | -0.000 | 486.375 | -0.000 | 
| 11.576 | 11.574 | -23.119 | 0.000 | -0.000 | 532.882 | 
| 1291.302 | 150.590 | 76.888 | 0.000 | 0.000 | -0.000 | 
| 150.590 | 1291.302 | 76.888 | 0.000 | 0.000 | 0.000 | 
| 143.026 | 143.026 | 1232.728 | 0.000 | 0.000 | 0.000 | 
| -0.000 | 0.000 | -0.000 | 503.087 | 0.000 | 0.000 | 
| 0.000 | 0.000 | -0.000 | 0.000 | 503.087 | 0.000 | 
| 40.445 | 40.445 | -80.890 | 0.000 | -0.000 | 531.364 | 
| 1291.301 | 150.589 | 76.888 | -0.000 | -0.000 | -0.000 | 
| 150.590 | 1291.301 | 76.888 | -0.000 | -0.000 | 0.000 | 
| 76.888 | 76.888 | 1365.003 | -0.000 | -0.000 | -0.000 | 
| -0.000 | -0.000 | 0.000 | 503.087 | 0.000 | -0.000 | 
| -0.000 | -0.000 | 0.000 | -0.000 | 503.087 | -0.000 | 
| -40.445 | -40.445 | 80.891 | -0.000 | -0.000 | 531.364 | 
| 1243.254 | 177.483 | 98.042 | 0.000 | 0.000 | 0.000 | 
| 180.780 | 1243.508 | 94.491 | 0.000 | -0.000 | 0.000 | 
| 106.619 | 106.619 | 1305.543 | 0.000 | 0.000 | 0.000 | 
| 0.000 | -0.000 | 0.000 | 503.087 | -0.000 | 0.000 | 
| -0.000 | 0.000 | 0.000 | 0.000 | 503.087 | 0.000 | 
| 5.008 | 5.008 | -10.016 | 0.000 | 0.000 | 531.746 | 
| 1291.301 | 150.590 | 76.888 | -0.000 | -0.000 | -0.000 | 
| 150.590 | 1291.301 | 76.888 | -0.000 | 0.000 | -0.000 | 
| 98.536 | 98.536 | 1321.707 | -0.000 | 0.000 | -0.000 | 
| -0.000 | 0.000 | -0.000 | 503.087 | -0.000 | -0.000 | 
| 0.000 | -0.000 | -0.000 | -0.000 | 503.087 | -0.000 | 
| -5.008 | -5.008 | 10.016 | -0.000 | -0.000 | 531.746 | 
| 1240.316 | 172.494 | 105.974 | 0.000 | 0.000 | 0.000 | 
| 172.388 | 1240.565 | 105.830 | 0.000 | 0.000 | 0.000 | 
| 102.985 | 102.985 | 1312.813 | 0.000 | 0.000 | 0.000 | 
| 0.000 | -0.001 | 0.001 | 503.087 | 0.000 | 0.000 | 
| 0.392 | 0.393 | -0.784 | 0.000 | 487.366 | 0.000 | 
| 0.505 | 0.508 | -1.012 | 0.000 | 0.000 | 531.366 | 
| 1239.720 | 171.405 | 107.651 | -0.000 | -0.000 | -0.000 | 
| 171.419 | 1239.681 | 107.675 | -0.000 | -0.000 | -0.000 | 
| 102.177 | 102.177 | 1314.421 | -0.000 | -0.000 | -0.000 | 
| -0.000 | 0.001 | -0.001 | 503.087 | -0.000 | -0.000 | 
| -0.392 | -0.393 | 0.784 | -0.000 | 487.366 | -0.000 | 
| -0.505 | -0.508 | 1.012 | -0.000 | 0.000 | 531.366 | 
| 1457.842 | 404.290 | -343.505 | 0.000 | -0.000 | -0.000 | 
| 404.311 | 1457.856 | -343.540 | 0.000 | -0.000 | 0.000 | 
| 77.152 | 77.152 | 1364.291 | 0.000 | -0.000 | 0.000 | 
| 149.362 | 149.361 | -298.684 | 485.496 | 0.000 | -0.000 | 
| 0.000 | -0.000 | 0.000 | 0.000 | 499.692 | -0.000 | 
| 228.574 | 228.574 | -457.090 | 0.000 | -0.000 | 527.029 | 
| 1291.192 | 150.408 | 76.972 | -0.000 | 0.000 | 0.000 | 
| -53.057 | 1001.541 | 570.025 | 0.000 | -0.000 | 0.000 | 
| 77.152 | 77.152 | 1364.291 | -0.000 | -0.000 | 0.000 | 
| -149.362 | -149.361 | 298.684 | 485.496 | 0.000 | 0.000 | 
| -0.000 | 0.000 | -0.000 | -0.000 | 499.692 | -0.000 | 
| -228.574 | -228.574 | 457.089 | -0.000 | 0.000 | 527.029 | 
| 1291.193 | 150.408 | 76.972 | 0.000 | -0.000 | -0.000 | 
| 183.347 | 1262.096 | 73.130 | 0.000 | 0.000 | -0.000 | 
| 117.605 | 117.605 | 1283.396 | -0.000 | -0.000 | 0.000 | 
| 22.213 | 22.213 | -44.420 | 478.032 | 0.000 | -0.000 | 
| 22.213 | 22.213 | -44.420 | 0.000 | 478.032 | -0.000 | 
| 17.440 | 17.440 | -34.875 | 0.000 | -0.000 | 537.828 | 
| 1231.292 | 156.226 | 131.047 | -0.000 | 0.000 | 0.000 | 
| 156.229 | 1231.304 | 131.032 | -0.000 | -0.000 | 0.000 | 
| 77.152 | 77.152 | 1364.291 | -0.000 | 0.000 | 0.000 | 
| -22.213 | -22.213 | 44.420 | 478.032 | 0.000 | 0.000 | 
| -22.213 | -22.213 | 44.420 | 0.000 | 478.032 | 0.000 | 
| -17.440 | -17.440 | 34.875 | -0.000 | 0.000 | 537.828 | 
| 1291.195 | 150.408 | 76.975 | 0.000 | -0.000 | -0.000 | 
| 175.986 | 1247.060 | 95.528 | 0.000 | -0.000 | -0.000 | 
| 104.597 | 104.597 | 1309.411 | 0.000 | -0.000 | 0.000 | 
| 1.554 | 1.553 | -3.107 | 484.536 | 0.000 | -0.000 | 
| 1.553 | 1.554 | -3.107 | 0.000 | 484.536 | -0.000 | 
| -0.001 | 0.001 | 0.001 | 0.000 | -0.000 | 570.392 | 
| 1243.592 | 173.319 | 101.655 | -0.000 | 0.000 | 0.000 | 
| 165.790 | 1244.661 | 108.114 | -0.000 | 0.000 | 0.000 | 
| 101.627 | 101.627 | 1315.347 | -0.000 | 0.000 | -0.000 | 
| -1.554 | -1.553 | 3.107 | 484.536 | 0.000 | 0.000 | 
| -1.553 | -1.554 | 3.107 | -0.000 | 484.536 | 0.000 | 
| 0.001 | -0.001 | -0.001 | -0.000 | 0.000 | 570.392 | 
| 1071.252 | -5.418 | 452.753 | -0.000 | 0.000 | 0.000 | 
| 150.417 | 1291.253 | 77.034 | 0.000 | 0.000 | -0.000 | 
| -76.042 | -76.042 | 1670.668 | -0.000 | -0.000 | -0.000 | 
| -176.615 | -176.615 | 353.122 | 481.851 | -0.000 | 0.000 | 
| -176.389 | -176.390 | 352.671 | -0.000 | 481.872 | -0.000 | 
| 0.000 | -0.000 | -0.000 | 0.000 | 0.000 | 570.418 | 
| 1291.253 | 150.417 | 77.033 | -0.000 | -0.000 | -0.000 | 
| 348.828 | 1422.716 | -252.740 | 0.000 | -0.000 | -0.000 | 
| 77.231 | 77.231 | 1364.215 | 0.000 | -0.000 | -0.000 | 
| 176.615 | 176.615 | -353.122 | 481.851 | 0.000 | 0.000 | 
| 176.389 | 176.390 | -352.671 | -0.000 | 481.873 | 0.000 | 
| -0.000 | -0.000 | 0.000 | -0.000 | -0.000 | 570.418 | 
| 1232.341 | 150.294 | 136.051 | 0.000 | -0.000 | -0.000 | 
| 156.096 | 1232.093 | 130.498 | -0.000 | 0.000 | 0.000 | 
| 87.817 | 87.817 | 1343.051 | 0.000 | -0.000 | -0.000 | 
| 0.000 | -0.000 | 0.000 | 498.617 | 0.000 | 0.000 | 
| -0.000 | 0.000 | 0.000 | 0.000 | 498.617 | 0.000 | 
| -0.000 | 0.000 | 0.000 | -0.000 | -0.000 | 570.418 | 
| 1260.639 | 185.943 | 72.123 | 0.000 | -0.000 | -0.000 | 
| 185.945 | 1260.637 | 72.122 | -0.000 | -0.000 | 0.000 | 
| 117.495 | 117.495 | 1283.712 | 0.000 | 0.000 | -0.000 | 
| -0.000 | 0.000 | -0.000 | 498.617 | -0.000 | -0.000 | 
| 0.000 | -0.000 | -0.000 | -0.000 | 498.617 | -0.000 | 
| 0.000 | -0.000 | -0.000 | 0.000 | -0.000 | 570.418 | 
| 1291.255 | 150.417 | 77.036 | -0.000 | 0.000 | 0.000 | 
| 164.451 | 1246.955 | 107.292 | -0.000 | 0.000 | -0.000 | 
| 101.254 | 101.254 | 1316.186 | 0.000 | 0.000 | -0.000 | 
| -1.505 | -1.506 | 3.010 | 484.746 | -0.000 | 0.000 | 
| -1.467 | -1.466 | 2.933 | 0.000 | 484.697 | 0.000 | 
| -0.001 | 0.001 | 0.001 | 0.000 | 0.000 | 570.418 | 
| 1250.415 | 167.461 | 100.815 | -0.000 | -0.000 | -0.000 | 
| 167.516 | 1250.282 | 100.894 | 0.000 | -0.000 | -0.000 | 
| 104.198 | 104.198 | 1310.295 | -0.000 | 0.000 | 0.000 | 
| 1.505 | 1.506 | -3.010 | 484.746 | -0.000 | -0.000 | 
| 1.467 | 1.466 | -2.933 | -0.000 | 484.697 | -0.000 | 
| 0.001 | -0.001 | -0.001 | -0.000 | 0.000 | 570.418 | 
| 1291.301 | 150.590 | 76.888 | 0.000 | -0.000 | 0.000 | 
| 150.590 | 1291.301 | 76.888 | -0.000 | 0.000 | 0.000 | 
| 76.888 | 76.888 | 1365.003 | 0.000 | -0.000 | -0.000 | 
| 0.000 | 0.000 | -0.000 | 485.011 | 0.000 | -0.000 | 
| -0.000 | -0.000 | -0.000 | 0.000 | 498.799 | -0.000 | 
| -0.000 | 0.000 | -0.000 | -0.000 | 0.000 | 540.578 | 
| 1246.490 | 173.003 | 99.286 | 0.000 | -0.000 | 0.000 | 
| 150.590 | 1291.302 | 76.888 | -0.000 | -0.000 | -0.000 | 
| 102.580 | 102.580 | 1313.618 | -0.000 | -0.000 | 0.000 | 
| -0.000 | -0.000 | 0.000 | 485.011 | -0.000 | -0.000 | 
| 0.000 | 0.000 | -0.000 | -0.000 | 498.799 | 0.000 | 
| 0.000 | 0.000 | 0.000 | 0.000 | -0.000 | 540.578 | 
| 1246.491 | 173.003 | 99.286 | -0.000 | 0.000 | -0.000 | 
| 173.003 | 1246.490 | 99.286 | -0.000 | -0.000 | -0.000 | 
| 102.576 | 102.576 | 1313.628 | -0.000 | -0.000 | -0.000 | 
| 0.000 | -0.000 | 0.000 | 485.011 | 0.000 | 0.000 | 
| -0.000 | 0.000 | 0.000 | -0.000 | 498.799 | -0.000 | 
| -0.000 | 0.000 | -0.000 | 0.000 | 0.000 | 570.356 | 
| 1248.734 | 166.065 | 103.980 | 0.000 | -0.000 | 0.000 | 
| 166.065 | 1248.735 | 103.980 | 0.000 | 0.000 | 0.000 | 
| 76.888 | 76.888 | 1365.003 | 0.000 | -0.000 | 0.000 | 
| -0.000 | 0.000 | -0.000 | 485.011 | 0.000 | 0.000 | 
| 0.000 | -0.000 | -0.000 | 0.000 | 498.799 | -0.000 | 
| 0.000 | -0.000 | 0.000 | -0.000 | -0.000 | 570.356 | 
| 1246.511 | 172.997 | 99.275 | 0.000 | -0.000 | -0.000 | 
| 166.065 | 1248.742 | 103.977 | 0.000 | 0.000 | -0.000 | 
| 76.888 | 76.888 | 1365.008 | -0.000 | 0.000 | -0.000 | 
| 0.000 | -0.001 | 0.001 | 485.011 | 0.000 | -0.000 | 
| -0.001 | 0.000 | 0.001 | 0.000 | 498.799 | -0.000 | 
| -0.001 | 0.002 | -0.001 | -0.000 | 0.000 | 540.577 | 
| 1248.934 | 165.991 | 103.850 | -0.000 | 0.000 | -0.000 | 
| 165.985 | 1248.949 | 103.842 | -0.000 | -0.000 | -0.000 | 
| 102.563 | 102.563 | 1313.650 | -0.000 | -0.000 | 0.000 | 
| -0.000 | 0.001 | -0.001 | 485.011 | 0.000 | 0.000 | 
| 0.001 | -0.000 | -0.001 | -0.000 | 498.799 | 0.000 | 
| 0.001 | -0.002 | 0.001 | 0.000 | -0.000 | 540.577 | 
| 1259.874 | 332.104 | -73.118 | -0.000 | 0.000 | 0.000 | 
| 332.104 | 1259.874 | -73.118 | -0.000 | -0.000 | 0.000 | 
| 258.938 | 258.938 | 1001.021 | -0.000 | 0.000 | 0.000 | 
| 0.001 | 0.000 | 0.000 | 498.052 | -0.000 | 0.000 | 
| 31.511 | 31.511 | -62.993 | -0.000 | 484.225 | 0.000 | 
| -0.000 | 0.000 | 0.000 | -0.000 | -0.000 | 570.431 | 
| 1291.261 | 150.401 | 77.129 | 0.000 | 0.000 | -0.000 | 
| 90.610 | 1047.313 | 380.735 | -0.000 | 0.000 | -0.000 | 
| 77.358 | 77.359 | 1364.015 | -0.000 | 0.000 | -0.000 | 
| -0.001 | -0.000 | -0.000 | 498.052 | 0.000 | -0.000 | 
| -30.168 | -30.168 | 60.310 | -0.000 | 485.527 | -0.000 | 
| 0.000 | -0.000 | 0.000 | 0.000 | 0.000 | 570.430 | 
| 1236.980 | 176.285 | 105.515 | 0.000 | -0.000 | 0.000 | 
| 176.290 | 1236.970 | 105.520 | -0.000 | -0.000 | -0.000 | 
| 112.895 | 112.895 | 1292.976 | -0.000 | 0.000 | 0.000 | 
| 5.843 | 5.843 | -11.680 | 472.672 | -0.000 | 0.000 | 
| -0.000 | 0.000 | 0.000 | 0.000 | 498.052 | 0.000 | 
| 5.028 | 5.029 | -10.052 | -0.000 | -0.000 | 527.723 | 
| 1232.832 | 165.481 | 120.459 | -0.000 | 0.000 | -0.000 | 
| 165.483 | 1232.825 | 120.465 | -0.000 | 0.000 | 0.000 | 
| 108.133 | 108.133 | 1302.496 | 0.000 | 0.000 | -0.000 | 
| -5.843 | -5.843 | 11.680 | 472.672 | 0.000 | -0.000 | 
| 0.000 | -0.000 | -0.000 | -0.000 | 498.052 | -0.000 | 
| -5.028 | -5.029 | 10.052 | 0.000 | 0.000 | 527.723 | 
| 1250.025 | 165.647 | 103.113 | 0.000 | 0.000 | -0.000 | 
| 169.357 | 1246.526 | 102.902 | 0.000 | -0.000 | 0.000 | 
| 77.356 | 77.356 | 1364.024 | -0.000 | -0.000 | 0.000 | 
| 0.318 | 0.317 | -0.635 | 484.235 | 0.000 | -0.000 | 
| 0.317 | 0.318 | -0.635 | 0.000 | 484.235 | 0.000 | 
| 0.338 | 0.340 | -0.677 | -0.000 | -0.000 | 541.705 | 
| 1291.260 | 150.401 | 77.126 | 0.000 | -0.000 | -0.000 | 
| 169.705 | 1248.022 | 101.050 | 0.000 | 0.000 | -0.000 | 
| 103.446 | 103.446 | 1311.863 | 0.000 | -0.000 | -0.000 | 
| -0.318 | -0.317 | 0.635 | 484.235 | -0.000 | 0.000 | 
| -0.317 | -0.318 | 0.635 | 0.000 | 484.235 | -0.000 | 
| -0.338 | -0.340 | 0.677 | 0.000 | 0.000 | 541.705 | 
| 1249.765 | 165.389 | 103.625 | -0.000 | 0.000 | -0.000 | 
| 150.590 | 1291.302 | 76.888 | 0.000 | 0.000 | 0.000 | 
| 76.888 | 76.888 | 1365.004 | 0.000 | 0.000 | -0.000 | 
| 0.001 | 0.001 | -0.002 | 484.711 | 0.000 | -0.000 | 
| 0.001 | 0.001 | -0.002 | 0.000 | 484.711 | -0.000 | 
| 0.001 | 0.001 | -0.002 | 0.000 | 0.000 | 541.632 | 
| 1249.762 | 165.387 | 103.630 | 0.000 | 0.000 | 0.000 | 
| 170.194 | 1248.161 | 100.425 | -0.000 | 0.000 | 0.000 | 
| 102.579 | 102.580 | 1313.619 | -0.000 | 0.000 | 0.000 | 
| -0.001 | -0.001 | 0.002 | 484.711 | 0.000 | 0.000 | 
| -0.001 | -0.001 | 0.002 | -0.000 | 484.711 | 0.000 | 
| -0.001 | -0.001 | 0.002 | -0.000 | -0.000 | 541.632 | 
| 1291.302 | 150.590 | 76.888 | 0.000 | 0.000 | 0.000 | 
| 150.590 | 1291.302 | 76.888 | 0.000 | 0.000 | -0.000 | 
| 102.581 | 102.581 | 1313.618 | 0.000 | -0.000 | -0.000 | 
| 0.000 | -0.000 | -0.000 | 484.711 | -0.000 | -0.000 | 
| -0.000 | 0.000 | 0.000 | 0.000 | 498.263 | -0.000 | 
| -0.000 | 0.000 | -0.000 | -0.000 | 0.000 | 570.356 | 
| 1249.763 | 165.388 | 103.628 | -0.000 | -0.000 | -0.000 | 
| 170.194 | 1248.162 | 100.423 | -0.000 | 0.000 | -0.000 | 
| 102.580 | 102.580 | 1313.618 | 0.000 | 0.000 | 0.000 | 
| -0.000 | 0.000 | 0.000 | 484.711 | 0.000 | 0.000 | 
| 0.000 | -0.000 | -0.000 | 0.000 | 498.263 | -0.000 | 
| 0.000 | -0.000 | 0.000 | 0.000 | -0.000 | 570.356 | 
| 1249.767 | 165.388 | 103.629 | 0.000 | 0.000 | -0.000 | 
| 150.591 | 1291.305 | 76.888 | 0.000 | 0.000 | -0.000 | 
| 102.584 | 102.584 | 1313.616 | -0.000 | 0.000 | -0.000 | 
| 0.000 | -0.001 | 0.001 | 484.712 | -0.000 | -0.000 | 
| -0.001 | 0.000 | 0.001 | -0.000 | 498.262 | -0.000 | 
| -0.001 | 0.002 | -0.001 | 0.000 | -0.000 | 539.894 | 
| 1249.761 | 165.387 | 103.626 | 0.000 | -0.000 | 0.000 | 
| 165.312 | 1249.971 | 103.493 | 0.000 | -0.000 | -0.000 | 
| 102.582 | 102.582 | 1313.611 | -0.000 | -0.000 | 0.000 | 
| -0.000 | 0.001 | -0.001 | 484.712 | 0.000 | 0.000 | 
| 0.001 | -0.000 | -0.001 | -0.000 | 498.262 | -0.000 | 
| 0.001 | -0.002 | 0.001 | -0.000 | 0.000 | 539.894 | 
| 1178.515 | 235.978 | 104.097 | 7.870 | 0.000 | -0.000 | 
| 150.462 | 1291.243 | 76.891 | -20.832 | 0.000 | 0.000 | 
| 77.022 | 77.021 | 1364.566 | 0.000 | -0.000 | -0.000 | 
| 40.834 | 26.388 | -67.216 | 445.922 | 0.000 | 0.000 | 
| -0.000 | -0.000 | 0.001 | -0.000 | 499.106 | 20.831 | 
| -0.000 | -0.000 | 0.000 | -0.000 | 20.832 | 570.391 | 
| 1156.106 | 166.898 | 195.579 | 10.922 | -0.000 | -0.000 | 
| 166.897 | 1156.106 | 195.579 | -10.922 | -0.000 | -0.000 | 
| 77.021 | 77.022 | 1364.564 | -0.000 | -0.000 | 0.000 | 
| 9.380 | -25.694 | 16.309 | 487.426 | -0.000 | -0.000 | 
| 0.000 | 0.000 | -0.000 | 0.000 | 499.106 | 20.832 | 
| -0.000 | 0.000 | -0.001 | 0.000 | 20.832 | 570.391 | 
| 1246.843 | 168.251 | 103.500 | 16.766 | -0.000 | -0.000 | 
| 150.461 | 1291.243 | 76.891 | -20.832 | -0.000 | 0.000 | 
| 104.410 | 104.410 | 1309.793 | 0.000 | 0.000 | -0.000 | 
| 20.832 | -20.832 | 0.000 | 499.106 | 0.000 | 0.000 | 
| -0.000 | 0.000 | 0.000 | 0.000 | 499.106 | 20.832 | 
| -0.000 | 0.000 | 0.000 | 0.000 | 20.832 | 570.391 | 
| 1245.267 | 166.095 | 107.230 | 16.804 | -0.000 | -0.000 | 
| 150.461 | 1291.243 | 76.891 | -20.832 | 0.000 | -0.000 | 
| 101.695 | 101.695 | 1315.224 | 0.000 | -0.000 | -0.000 | 
| 20.832 | -20.832 | -0.000 | 499.106 | -0.000 | -0.000 | 
| 0.000 | -0.000 | -0.000 | -0.000 | 499.106 | 20.832 | 
| 0.000 | -0.000 | 0.000 | -0.000 | 20.832 | 570.391 | 
| 1245.184 | 175.687 | 97.726 | 17.857 | 0.000 | 0.000 | 
| 175.689 | 1245.183 | 97.726 | -17.857 | -0.000 | 0.000 | 
| 102.676 | 102.675 | 1313.265 | 0.000 | 0.000 | -0.000 | 
| 20.832 | -20.833 | 0.001 | 499.106 | -0.000 | 0.000 | 
| -0.001 | 0.000 | 0.001 | 0.000 | 499.106 | 20.832 | 
| 0.098 | 0.100 | -0.198 | 0.000 | 16.835 | 539.830 | 
| 1247.868 | 166.364 | 104.356 | 16.957 | -0.000 | -0.000 | 
| 175.524 | 1244.957 | 98.108 | -17.844 | 0.000 | -0.000 | 
| 102.526 | 102.526 | 1313.559 | -0.000 | 0.000 | 0.000 | 
| 17.147 | -17.323 | 0.176 | 485.053 | -0.000 | -0.000 | 
| 0.001 | -0.000 | -0.001 | -0.000 | 499.106 | 20.832 | 
| -0.098 | -0.100 | 0.198 | -0.000 | 16.835 | 539.830 | 
| -140.949 | -270.390 | -270.390 | -0.000 | 0.000 | 0.000 | 
| -270.390 | -140.949 | -270.390 | -0.000 | -0.000 | 0.000 | 
| -270.390 | -270.390 | -140.949 | 0.000 | -0.000 | 0.000 | 
| 0.000 | 0.000 | -0.000 | 127.901 | -0.000 | 0.000 | 
| 0.000 | 0.000 | 0.000 | -0.000 | 127.901 | 0.000 | 
| 0.000 | 0.000 | 0.000 | 0.000 | -0.000 | 127.902 | 
| 357.471 | 101.668 | 101.668 | -0.000 | 0.000 | -0.000 | 
| 101.668 | 357.471 | 101.668 | -0.000 | 0.000 | -0.000 | 
| 101.668 | 101.668 | 357.471 | -0.000 | 0.000 | -0.000 | 
| -0.000 | -0.000 | 0.000 | 127.901 | -0.000 | -0.000 | 
| -0.000 | -0.000 | 0.000 | 0.000 | 127.901 | -0.000 | 
| -0.000 | -0.000 | 0.000 | 0.000 | 0.000 | 127.901 | 
| 93.411 | 34.986 | 34.986 | -0.000 | -0.000 | 0.000 | 
| 34.986 | 93.411 | 34.986 | 0.000 | -0.000 | 0.000 | 
| 34.986 | 34.986 | 93.411 | -0.000 | -0.000 | 0.000 | 
| -37.701 | -37.701 | -37.701 | 62.813 | -0.000 | 0.000 | 
| -37.701 | -37.701 | -37.701 | -0.000 | 62.813 | 0.000 | 
| -37.701 | -37.701 | -37.701 | -0.000 | -0.000 | 62.813 | 
| 211.195 | 143.825 | 143.825 | -0.000 | 0.000 | 0.000 | 
| 143.825 | 211.195 | 143.825 | 0.000 | -0.000 | 0.000 | 
| 143.825 | 143.825 | 211.195 | 0.000 | 0.000 | -0.000 | 
| 37.701 | 37.701 | 37.701 | 62.813 | -0.000 | -0.000 | 
| 37.701 | 37.701 | 37.701 | 0.000 | 62.813 | -0.000 | 
| 37.701 | 37.701 | 37.701 | 0.000 | 0.000 | 62.813 | 
| 56.335 | 35.889 | 35.889 | 0.000 | 0.000 | 0.000 | 
| 35.889 | 56.335 | 35.889 | 0.000 | 0.000 | 0.000 | 
| 35.889 | 35.889 | 56.335 | -0.000 | -0.000 | 0.000 | 
| 0.000 | -0.000 | 0.000 | 127.901 | 0.000 | 0.000 | 
| 0.000 | 0.000 | 0.000 | -0.000 | 127.901 | 0.000 | 
| -0.000 | 0.000 | 0.000 | 0.000 | 0.000 | 127.901 | 
| 90.910 | 60.203 | 60.203 | -0.000 | 0.000 | -0.000 | 
| 60.203 | 90.910 | 60.203 | -0.000 | 0.000 | 0.000 | 
| 60.203 | 60.203 | 90.910 | 0.000 | 0.000 | -0.000 | 
| -0.000 | 0.000 | -0.000 | 127.901 | -0.000 | -0.000 | 
| -0.000 | -0.000 | -0.000 | 0.000 | 127.901 | -0.000 | 
| 0.000 | -0.000 | -0.000 | -0.000 | 0.000 | 127.901 | 
| 346.015 | 98.410 | 98.410 | 0.000 | 0.000 | 0.000 | 
| 98.410 | 346.015 | 98.410 | -0.000 | 0.000 | 0.000 | 
| 98.410 | 98.410 | 346.015 | -0.000 | -0.000 | -0.000 | 
| -0.000 | -0.000 | 0.000 | 123.802 | 0.000 | -0.000 | 
| -0.000 | 0.000 | 0.000 | -0.000 | 123.802 | -0.000 | 
| -0.000 | -0.000 | 0.000 | -0.000 | 0.000 | 123.802 | 
| 346.015 | 98.410 | 98.410 | -0.000 | 0.000 | 0.000 | 
| 98.410 | 346.015 | 98.410 | -0.000 | -0.000 | 0.000 | 
| 98.410 | 98.410 | 346.015 | -0.000 | -0.000 | -0.000 | 
| 0.000 | 0.000 | 0.000 | 123.802 | -0.000 | 0.000 | 
| -0.000 | -0.000 | -0.000 | 0.000 | 123.802 | 0.000 | 
| -0.000 | -0.000 | -0.000 | 0.000 | -0.000 | 123.802 | 
| 346.015 | 98.410 | 98.410 | 0.000 | 0.000 | 0.000 | 
| 98.410 | 346.015 | 98.410 | 0.000 | 0.000 | -0.000 | 
| 98.410 | 98.410 | 346.015 | 0.000 | -0.000 | -0.000 | 
| 0.000 | -0.000 | 0.000 | 123.802 | -0.000 | -0.000 | 
| 0.000 | 0.000 | 0.000 | 0.000 | 123.802 | -0.000 | 
| -0.000 | 0.000 | 0.000 | 0.000 | -0.000 | 123.802 | 
| 346.015 | 98.410 | 98.410 | 0.000 | -0.000 | -0.000 | 
| 98.410 | 346.015 | 98.410 | -0.000 | 0.000 | 0.000 | 
| 98.410 | 98.410 | 346.015 | 0.000 | 0.000 | 0.000 | 
| -0.000 | 0.000 | -0.000 | 123.802 | -0.000 | 0.000 | 
| -0.000 | -0.000 | -0.000 | 0.000 | 123.802 | -0.000 | 
| 0.000 | -0.000 | -0.000 | -0.000 | 0.000 | 123.802 | 
| 99.581 | 48.262 | 48.262 | -0.000 | 0.000 | -0.000 | 
| 48.262 | 99.581 | 48.262 | -0.000 | 0.000 | -0.000 | 
| 48.262 | 48.262 | 99.581 | -0.000 | -0.000 | -0.000 | 
| 0.000 | -0.000 | 0.000 | 123.802 | 0.000 | -0.000 | 
| 0.000 | 0.000 | 0.000 | 0.000 | 123.802 | 0.000 | 
| -0.000 | 0.000 | 0.000 | 0.000 | 0.000 | 123.802 | 
| 170.384 | 120.605 | 120.605 | 0.000 | 0.000 | 0.000 | 
| 120.605 | 170.384 | 120.605 | 0.000 | -0.000 | -0.000 | 
| 120.605 | 120.605 | 170.384 | 0.000 | 0.000 | 0.000 | 
| -0.000 | 0.000 | -0.000 | 123.802 | 0.000 | 0.000 | 
| -0.000 | -0.000 | -0.000 | 0.000 | 123.802 | 0.000 | 
| 0.000 | -0.000 | -0.000 | 0.000 | 0.000 | 123.802 | 
| 345.754 | 98.336 | 98.336 | -0.000 | -0.000 | -0.000 | 
| 98.336 | 345.754 | 98.336 | 0.000 | -0.000 | -0.000 | 
| 98.336 | 98.336 | 345.754 | -0.000 | 0.000 | -0.000 | 
| -0.000 | 0.000 | -0.000 | 123.709 | -0.000 | -0.000 | 
| -0.000 | -0.000 | -0.000 | -0.000 | 123.709 | -0.000 | 
| 0.000 | -0.000 | 0.000 | -0.000 | -0.000 | 123.709 | 
| 345.754 | 98.336 | 98.336 | 0.000 | 0.000 | 0.000 | 
| 98.336 | 345.754 | 98.336 | 0.000 | 0.000 | 0.000 | 
| 98.336 | 98.336 | 345.754 | 0.000 | -0.000 | -0.000 | 
| 0.000 | 0.000 | 0.000 | 123.709 | 0.000 | 0.000 | 
| 0.000 | 0.000 | 0.000 | 0.000 | 123.709 | -0.000 | 
| -0.000 | -0.000 | 0.000 | 0.000 | -0.000 | 123.709 | 
| 345.754 | 98.336 | 98.336 | -0.000 | -0.000 | -0.000 | 
| 98.336 | 345.754 | 98.336 | -0.000 | -0.000 | -0.000 | 
| 98.336 | 98.336 | 345.754 | 0.000 | 0.000 | -0.000 | 
| 0.000 | -0.000 | 0.000 | 123.709 | -0.000 | -0.000 | 
| 0.000 | 0.000 | 0.000 | -0.000 | 123.709 | -0.000 | 
| -0.000 | 0.000 | 0.000 | 0.000 | -0.000 | 123.709 | 
| 345.753 | 98.336 | 98.336 | 0.000 | 0.000 | 0.000 | 
| 98.336 | 345.753 | 98.336 | 0.000 | 0.000 | 0.000 | 
| 98.336 | 98.336 | 345.753 | 0.000 | -0.000 | -0.000 | 
| -0.000 | 0.000 | -0.000 | 123.709 | -0.000 | 0.000 | 
| -0.000 | -0.000 | -0.000 | 0.000 | 123.709 | -0.000 | 
| 0.000 | -0.000 | -0.000 | 0.000 | -0.000 | 123.709 | 
| -280.827 | -239.573 | -239.574 | -0.000 | -0.000 | 0.000 | 
| -239.574 | -280.827 | -239.574 | -0.000 | -0.000 | 0.000 | 
| -239.573 | -239.573 | -280.826 | -0.000 | 0.000 | 0.000 | 
| 0.000 | -0.000 | 0.000 | 123.709 | 0.000 | 0.000 | 
| 0.000 | 0.000 | 0.000 | -0.000 | 123.709 | -0.000 | 
| -0.000 | 0.000 | 0.000 | -0.000 | 0.000 | 123.709 | 
| 359.022 | 290.605 | 290.605 | 0.000 | -0.000 | -0.000 | 
| 290.605 | 359.022 | 290.605 | 0.000 | -0.000 | 0.000 | 
| 290.606 | 290.605 | 359.022 | 0.000 | -0.000 | -0.000 | 
| -0.000 | 0.000 | -0.000 | 123.709 | -0.000 | 0.000 | 
| -0.000 | -0.000 | -0.000 | -0.000 | 123.709 | -0.000 | 
| 0.000 | -0.000 | -0.000 | 0.000 | 0.000 | 123.709 | 
| -1137.215 | 2824.189 | 7374.106 | -0.000 | -0.000 | -0.000 | 
| 100.190 | 305.268 | 29.056 | 0.000 | -0.000 | 0.000 | 
| 5.873 | 15.720 | 498.055 | 0.000 | -0.000 | -0.000 | 
| -6.246 | 3899.269 | 11247.874 | -46.379 | -0.000 | 0.000 | 
| 0.000 | 0.000 | 0.000 | -0.000 | 101.881 | -0.000 | 
| -0.000 | 0.000 | 0.000 | 0.000 | -0.000 | 150.024 | 
| 2581.357 | -2771.157 | -7700.805 | -0.000 | -0.000 | 0.000 | 
| 126.015 | -3673.899 | -11181.751 | 0.000 | 0.000 | 0.000 | 
| 1922.425 | -2768.246 | -7318.298 | 0.000 | 0.000 | 0.000 | 
| 6.246 | -3899.269 | -11247.874 | -46.379 | 0.000 | 0.000 | 
| -0.000 | -0.000 | -0.000 | -0.000 | 101.881 | 0.000 | 
| -0.000 | -0.000 | -0.000 | -0.000 | 0.000 | 150.024 | 
| 713.839 | 479.962 | 1118.361 | -0.000 | 0.000 | -0.000 | 
| 113.068 | 609.367 | 1175.693 | -0.000 | -0.000 | -0.000 | 
| 11.325 | 352.809 | 1185.200 | 0.000 | 0.000 | 0.000 | 
| -183.787 | 276.255 | 744.212 | -15.033 | -0.000 | -0.000 | 
| -185.261 | 278.470 | 750.178 | -0.000 | -11.783 | -0.000 | 
| 0.000 | 0.000 | 0.000 | 0.000 | 0.000 | 150.024 | 
| 713.741 | -277.077 | -1184.295 | 0.000 | 0.000 | 0.000 | 
| 109.348 | -126.790 | -1181.887 | 0.000 | -0.000 | 0.000 | 
| 7.933 | -379.507 | -1184.815 | -0.000 | -0.000 | -0.000 | 
| 183.787 | -276.255 | -744.212 | -15.033 | -0.000 | 0.000 | 
| 185.261 | -278.470 | -750.178 | -0.000 | -11.783 | 0.000 | 
| -0.000 | -0.000 | -0.000 | -0.000 | 0.000 | 150.024 | 
| 707.519 | 103.708 | 58.371 | 0.000 | -0.000 | -0.000 | 
| 100.190 | 305.268 | 29.056 | -0.000 | -0.000 | -0.000 | 
| 11.102 | 50.941 | 153.130 | 0.000 | -0.000 | -0.000 | 
| 4.388 | 24.026 | 70.578 | -2.139 | -0.000 | 0.000 | 
| 0.000 | 0.000 | -0.000 | 0.000 | 101.881 | -0.000 | 
| 0.000 | 0.000 | 0.000 | -0.000 | -0.000 | 150.024 | 
| 715.402 | 51.662 | -117.334 | -0.000 | -0.000 | -0.000 | 
| 145.116 | 233.346 | -48.041 | -0.000 | 0.000 | 0.000 | 
| 9.482 | -50.003 | -119.325 | 0.000 | 0.000 | -0.000 | 
| -4.388 | -24.026 | -70.578 | -2.139 | 0.000 | 0.000 | 
| -0.000 | -0.000 | 0.000 | -0.000 | 101.881 | 0.000 | 
| -0.000 | -0.000 | -0.000 | 0.000 | 0.000 | 150.024 | 
| -78.714 | 0.000 | 1288.393 | 0.000 | 0.000 | -0.000 | 
| -842.852 | 0.000 | 751.116 | -0.000 | -0.000 | -0.000 | 
| 410.539 | -0.000 | 953.111 | 0.000 | 0.000 | -0.000 | 
| -869.117 | 0.000 | 737.041 | -14.075 | -0.000 | -0.000 | 
| -327.736 | 0.000 | 277.932 | 0.000 | 383.286 | -0.000 | 
| -869.117 | 0.000 | 737.041 | 0.000 | -0.000 | -0.000 | 
| 1612.412 | -0.000 | -145.743 | -0.000 | 0.000 | 0.000 | 
| 895.382 | -0.000 | -722.966 | -0.000 | -0.000 | 0.000 | 
| 851.656 | -0.000 | 579.029 | 0.000 | -0.000 | 0.000 | 
| 869.117 | -0.000 | -737.041 | -14.075 | -0.000 | 0.000 | 
| 327.736 | -0.000 | -277.932 | -0.000 | 383.286 | -0.000 | 
| 869.117 | -0.000 | -737.041 | -0.000 | 0.000 | 0.000 | 
| 785.502 | 0.000 | 555.522 | -0.000 | -0.000 | -0.000 | 
| -60.646 | 0.000 | 87.779 | 0.000 | 0.000 | -0.000 | 
| 530.913 | 0.000 | 851.030 | -0.000 | -0.000 | -0.000 | 
| -86.912 | 0.000 | 73.704 | -14.075 | -0.000 | -0.000 | 
| 0.000 | -0.000 | -0.000 | 0.000 | 388.690 | -0.000 | 
| -86.912 | 0.000 | 73.704 | -0.000 | -0.000 | -0.000 | 
| 899.694 | -0.000 | 458.653 | -0.000 | 0.000 | 0.000 | 
| 113.177 | -0.000 | -59.629 | -0.000 | -0.000 | -0.000 | 
| 584.704 | -0.000 | 805.413 | -0.000 | -0.000 | 0.000 | 
| 86.912 | -0.000 | -73.704 | -14.075 | 0.000 | 0.000 | 
| -0.000 | 0.000 | 0.000 | -0.000 | 388.690 | 0.000 | 
| 86.912 | -0.000 | -73.704 | 0.000 | -0.000 | 0.000 | 
| 867.188 | 0.000 | 486.381 | 0.000 | 0.000 | -0.000 | 
| 17.574 | 0.000 | 21.445 | -0.000 | -0.000 | -0.000 | 
| 410.540 | -0.000 | 953.112 | -0.000 | -0.000 | -0.000 | 
| -0.000 | 0.000 | -0.000 | -14.075 | -0.000 | -0.000 | 
| -6.339 | 0.000 | 5.375 | 0.000 | 384.913 | 0.000 | 
| -8.691 | 0.000 | 7.370 | -0.000 | -0.000 | -0.000 | 
| 873.198 | -0.000 | 480.991 | -0.000 | 0.000 | 0.000 | 
| 34.956 | -0.000 | 6.705 | 0.000 | -0.000 | -0.000 | 
| 499.270 | -0.000 | 877.863 | 0.000 | -0.000 | 0.000 | 
| 0.000 | -0.000 | 0.000 | -14.075 | 0.000 | 0.000 | 
| 6.339 | -0.000 | -5.375 | -0.000 | 384.913 | 0.000 | 
| 8.691 | -0.000 | -7.370 | -0.000 | -0.000 | 0.000 | 
| 732.597 | 0.000 | 540.673 | -0.000 | -0.000 | -0.000 | 
| 26.131 | 0.000 | 14.026 | -0.000 | 0.000 | 0.000 | 
| 436.793 | 0.000 | 930.916 | -0.000 | -0.000 | -0.000 | 
| 0.000 | 0.000 | 0.000 | -14.026 | 0.000 | 0.000 | 
| -66.449 | 0.000 | 56.419 | -0.000 | 384.033 | -0.000 | 
| 0.000 | 0.000 | 0.000 | -0.000 | 0.000 | 0.000 | 
| 899.747 | -0.000 | 398.750 | -0.000 | 0.000 | 0.000 | 
| 26.131 | -0.000 | 14.025 | 0.000 | -0.000 | -0.000 | 
| 564.296 | -0.000 | 822.659 | 0.000 | -0.000 | -0.000 | 
| -0.000 | -0.000 | -0.000 | -14.025 | -0.000 | -0.000 | 
| 66.449 | -0.000 | -56.419 | 0.000 | 384.033 | 0.000 | 
| 0.000 | -0.000 | -0.000 | 0.000 | -0.000 | -0.000 | 
| 792.679 | 0.000 | 489.673 | -0.000 | -0.000 | -0.000 | 
| 26.131 | 0.000 | 14.025 | -0.000 | 0.000 | -0.000 | 
| 410.856 | 0.000 | 952.939 | -0.000 | 0.000 | -0.000 | 
| -0.000 | 0.000 | -0.000 | -14.025 | 0.000 | -0.000 | 
| -4.221 | 0.000 | 3.584 | -0.000 | 383.920 | -0.000 | 
| -0.000 | 0.000 | 0.000 | -0.000 | 0.000 | -0.000 | 
| 805.863 | -0.000 | 478.450 | 0.000 | 0.000 | 0.000 | 
| 26.131 | -0.000 | 14.025 | 0.000 | -0.000 | -0.000 | 
| 502.760 | -0.000 | 874.906 | 0.000 | -0.000 | -0.000 | 
| 0.000 | -0.000 | 0.000 | -14.025 | -0.000 | 0.000 | 
| 4.221 | -0.000 | -3.584 | 0.000 | 383.920 | 0.000 | 
| 0.000 | -0.000 | -0.000 | 0.000 | -0.000 | 0.000 | 
| 798.829 | 0.000 | 484.583 | -0.000 | -0.000 | -0.000 | 
| 26.131 | 0.000 | 14.026 | -0.000 | 0.000 | 0.000 | 
| 495.485 | 0.000 | 881.085 | -0.000 | 0.000 | -0.000 | 
| -0.000 | 0.000 | -0.000 | -14.025 | -0.000 | 0.000 | 
| -0.746 | 0.000 | 0.634 | -0.000 | 384.053 | -0.000 | 
| -0.000 | 0.000 | 0.000 | -0.000 | 0.000 | 0.000 | 
| 799.785 | -0.000 | 483.478 | -0.000 | -0.000 | 0.000 | 
| 26.131 | -0.000 | 14.025 | 0.000 | -0.000 | -0.000 | 
| 496.787 | -0.000 | 879.977 | 0.000 | -0.000 | 0.000 | 
| 0.000 | -0.000 | 0.000 | -14.025 | 0.000 | 0.000 | 
| 0.746 | -0.000 | -0.634 | 0.000 | 384.053 | 0.000 | 
| -0.000 | -0.000 | -0.000 | 0.000 | 0.000 | 0.000 | 
| -205.379 | -868.523 | 96.787 | 461.813 | 57.140 | -417.101 | 
| -211.644 | 1187.540 | 260.790 | 467.793 | -62.125 | -62.810 | 
| -143.680 | 428.159 | 580.167 | 377.255 | 6.013 | -117.689 | 
| 279.185 | -1018.345 | 199.436 | 69.094 | 109.790 | -259.302 | 
| -24.968 | -578.704 | -134.903 | 155.421 | 150.647 | -362.515 | 
| -284.648 | 5.159 | -61.628 | 234.075 | 6.102 | 316.513 | 
| 1773.774 | 456.337 | 430.954 | -235.069 | 23.438 | -12.521 | 
| 144.904 | 1143.709 | -83.072 | -142.820 | -74.651 | 118.314 | 
| 67.476 | 644.238 | 577.894 | -244.190 | -106.617 | 542.960 | 
| -52.116 | 244.916 | -363.711 | 194.656 | 74.683 | 204.679 | 
| 89.295 | 297.231 | 181.321 | -276.576 | -88.930 | 488.762 | 
| -482.869 | -146.730 | -195.554 | -325.874 | -150.112 | 584.810 | 
| 335.562 | -19.300 | 50.860 | 64.466 | 3.873 | -50.970 | 
| 29.834 | 413.732 | 96.315 | 24.767 | 21.749 | -29.271 | 
| 25.389 | -30.453 | 451.445 | 4.348 | 5.766 | -35.605 | 
| 56.977 | -263.126 | -18.432 | 53.514 | 23.919 | -31.775 | 
| -9.742 | -16.370 | 17.704 | 31.120 | 202.906 | -19.440 | 
| 1.764 | 17.715 | 39.992 | 10.192 | -44.680 | 315.143 | 
| 600.757 | 161.028 | 114.142 | -34.831 | -14.223 | 32.901 | 
| -237.736 | -482.322 | -173.442 | -258.852 | -3.801 | 27.395 | 
| 171.449 | 261.452 | 650.361 | 5.772 | 9.323 | 9.831 | 
| 61.607 | -55.019 | -29.451 | 60.725 | -8.293 | 37.526 | 
| -7.060 | -3.958 | -6.023 | 4.574 | 446.275 | -179.242 | 
| -6.259 | 108.517 | -3.051 | -38.016 | 70.830 | 55.928 | 
| 1307.058 | -5.908 | 251.224 | 0.000 | -0.000 | 0.000 | 
| -10.811 | 1280.873 | 170.948 | 0.000 | 0.000 | 0.000 | 
| 55.767 | 170.948 | 1466.321 | 0.000 | 0.000 | -0.000 | 
| 0.017 | -0.004 | 0.010 | 635.730 | 0.001 | 0.000 | 
| -0.000 | -0.000 | 0.000 | 0.000 | 941.020 | -0.000 | 
| 0.130 | -0.123 | -0.026 | 0.000 | -0.006 | 109.109 | 
| 1640.349 | -10.811 | 55.766 | -0.000 | -0.000 | 0.000 | 
| -5.969 | 1224.695 | 210.627 | -0.000 | 0.000 | 0.000 | 
| 294.910 | 245.849 | 1098.214 | -0.000 | 0.000 | 0.000 | 
| -0.018 | 0.004 | -0.010 | 635.730 | -0.001 | -0.000 | 
| 0.000 | 0.000 | -0.000 | -0.000 | 941.020 | 0.000 | 
| -0.130 | 0.123 | 0.025 | -0.000 | 0.006 | 109.108 | 
| 1640.350 | -10.811 | 55.767 | 0.000 | 0.000 | -0.000 | 
| -5.950 | 1224.677 | 210.630 | 0.000 | -0.000 | -0.000 | 
| 55.767 | 170.948 | 1466.321 | 0.000 | 0.000 | 0.000 | 
| -0.000 | 0.000 | 0.000 | 740.501 | 0.000 | 0.000 | 
| 0.000 | 0.000 | 0.000 | 0.000 | 941.020 | -0.000 | 
| 0.000 | -0.000 | 0.000 | 0.000 | 0.000 | 625.114 | 
| 1114.278 | 3.247 | 340.438 | -0.000 | 0.000 | -0.000 | 
| -5.953 | 1224.679 | 210.630 | -0.000 | 0.000 | 0.000 | 
| 55.766 | 170.948 | 1466.321 | -0.000 | -0.000 | -0.000 | 
| 0.000 | -0.000 | -0.000 | 740.501 | -0.000 | -0.000 | 
| -0.000 | -0.000 | -0.000 | -0.000 | 941.020 | 0.000 | 
| 0.000 | 0.000 | -0.000 | -0.000 | -0.000 | 625.114 | 
| 1124.934 | 21.018 | 326.405 | 0.000 | -0.000 | 0.000 | 
| 10.639 | 1211.654 | 237.008 | 0.000 | -0.000 | 0.000 | 
| 294.972 | 245.834 | 1098.188 | 0.000 | -0.000 | 0.000 | 
| 0.002 | -0.001 | -0.000 | 641.091 | -0.000 | 0.000 | 
| 0.001 | 0.000 | 0.001 | 0.000 | 941.020 | 0.000 | 
| -0.001 | -0.001 | 0.000 | 0.000 | -0.000 | 275.471 | 
| 1098.456 | 23.712 | 335.667 | -0.000 | -0.000 | -0.000 | 
| 10.629 | 1211.764 | 236.925 | -0.000 | 0.000 | 0.000 | 
| 294.914 | 245.820 | 1098.248 | -0.000 | 0.000 | -0.000 | 
| -0.002 | 0.001 | 0.000 | 641.091 | 0.000 | -0.000 | 
| -0.001 | -0.000 | -0.001 | -0.000 | 941.020 | 0.000 | 
| 0.001 | 0.001 | -0.000 | -0.000 | 0.000 | 275.471 | 
| -3524.733 | 591.532 | 2934.158 | 0.000 | 0.000 | 0.000 | 
| 316.855 | -567.581 | 4238.624 | -0.000 | -0.000 | 0.000 | 
| 3508.420 | -1661.995 | 1323.686 | 0.000 | -0.000 | -0.000 | 
| -4259.360 | 730.667 | 2322.340 | 529.711 | -0.000 | 0.000 | 
| 290.648 | -1801.976 | 4074.991 | 0.000 | 756.113 | 0.000 | 
| 0.000 | 0.000 | -0.000 | 0.000 | -0.000 | 595.349 | 
| 784.158 | 1821.737 | -3732.530 | -0.000 | 0.000 | -0.000 | 
| 4203.262 | 432.951 | -2022.435 | -0.000 | 0.000 | -0.000 | 
| 28.521 | 146.697 | 1437.230 | -0.000 | 0.000 | -0.000 | 
| 4259.360 | -730.667 | -2322.340 | 529.711 | -0.000 | -0.000 | 
| -3319.501 | 1895.359 | -154.683 | -0.000 | 547.247 | -0.000 | 
| 0.000 | -0.000 | -0.000 | -0.000 | 0.000 | 595.349 | 
| 1109.469 | -159.026 | 733.849 | 0.000 | -0.000 | -0.000 | 
| -448.021 | 1230.500 | 543.333 | 0.000 | -0.000 | 0.000 | 
| 80.456 | 309.338 | 1142.530 | 0.000 | -0.000 | 0.000 | 
| 336.044 | -191.873 | 15.659 | 681.935 | 0.000 | 0.000 | 
| 0.000 | 0.000 | 0.000 | 0.000 | 902.389 | 0.000 | 
| 341.003 | -194.705 | 15.890 | 0.000 | -0.000 | 523.138 | 
| 1533.201 | -5.957 | 36.443 | -0.000 | 0.000 | -0.000 | 
| -371.758 | 1429.184 | 175.085 | -0.000 | 0.000 | 0.000 | 
| 636.197 | 173.068 | 891.332 | -0.000 | 0.000 | -0.000 | 
| -336.037 | 191.870 | -15.659 | 681.936 | 0.000 | -0.000 | 
| -0.000 | -0.000 | -0.000 | -0.000 | 902.389 | -0.000 | 
| -341.003 | 194.705 | -15.890 | -0.000 | 0.000 | 523.138 | 
| 1030.034 | -15.591 | 372.600 | 0.000 | -0.000 | 0.000 | 
| 6.035 | 1227.438 | 181.444 | 0.000 | -0.000 | 0.000 | 
| 250.045 | 175.569 | 1207.268 | 0.000 | -0.000 | 0.000 | 
| -7.241 | -4.079 | 12.076 | 615.928 | -0.000 | 0.000 | 
| 17.726 | -19.561 | 24.262 | 0.000 | 646.284 | 0.000 | 
| 0.000 | -0.000 | 0.001 | 0.000 | -0.000 | 595.349 | 
| 1051.377 | 12.650 | 312.516 | -0.000 | 0.000 | 0.000 | 
| -53.108 | 1254.104 | 184.406 | 0.000 | 0.000 | -0.000 | 
| 334.580 | 230.379 | 1032.871 | 0.000 | 0.000 | -0.000 | 
| 7.241 | 4.079 | -12.076 | 615.928 | 0.000 | -0.000 | 
| -17.726 | 19.561 | -24.262 | -0.000 | 646.284 | -0.000 | 
| -0.000 | 0.000 | -0.001 | -0.000 | 0.000 | 595.349 | 
| 15066.287 | -6203.275 | -69.300 | -0.000 | -1709.738 | -0.000 | 
| 13993.681 | -5339.055 | 1238.234 | 0.000 | -18.771 | -0.000 | 
| 14338.749 | -6350.923 | 2139.240 | -0.000 | 263.532 | -0.000 | 
| 14077.067 | -6284.925 | -376.735 | 629.668 | -1880.856 | 17.422 | 
| 8728.662 | -5938.288 | -326.979 | -0.000 | -3814.233 | -0.000 | 
| 14089.022 | -6283.917 | -372.195 | 13.430 | -1865.004 | 339.845 | 
| -12923.807 | 6573.659 | -768.201 | 0.000 | -8.745 | -0.000 | 
| -14014.626 | 7769.263 | -831.670 | 0.000 | -211.152 | 0.000 | 
| -13645.942 | 6739.491 | 71.254 | 0.000 | 57.703 | 0.000 | 
| -14077.067 | 6284.925 | 376.735 | 629.668 | 1880.856 | 17.423 | 
| -15614.128 | 5879.193 | 2554.951 | 0.000 | 1407.370 | 0.000 | 
| -14089.022 | 6283.917 | 372.195 | 13.430 | 1865.004 | 339.845 | 
| 2014.945 | -540.397 | 202.203 | -0.000 | -330.293 | -0.000 | 
| 1407.098 | 553.307 | 307.365 | -0.000 | -103.855 | -0.000 | 
| 1870.611 | -401.351 | 848.636 | -0.000 | 60.183 | -0.000 | 
| 0.000 | -0.000 | 0.000 | 738.736 | -0.000 | 27.521 | 
| 837.259 | -676.973 | 95.696 | -0.000 | 152.059 | -0.000 | 
| 1419.962 | -630.637 | -44.143 | 12.751 | -195.386 | 334.324 | 
| -507.590 | 622.641 | 560.387 | 0.000 | 182.813 | -0.000 | 
| -1543.024 | 1819.736 | 431.414 | 0.000 | -58.822 | 0.000 | 
| 66.003 | 133.680 | 1440.047 | 0.000 | 46.741 | 0.000 | 
| -0.000 | 0.000 | -0.000 | 738.736 | 0.000 | 27.521 | 
| -1386.874 | 500.476 | 218.856 | 0.000 | 823.781 | 0.000 | 
| -1419.962 | 630.637 | 44.143 | 12.751 | 195.386 | 334.324 | 
| 1208.728 | -36.135 | 297.138 | -0.000 | 95.416 | -0.000 | 
| 1.824 | 1290.075 | 123.628 | -0.000 | -108.510 | -0.000 | 
| 463.986 | 138.975 | 1075.682 | 0.000 | 138.507 | -0.000 | 
| 162.578 | -59.156 | -32.121 | 627.957 | -4.455 | 0.823 | 
| 149.627 | -173.082 | 106.857 | -0.000 | 642.819 | -0.000 | 
| 195.085 | -58.118 | -63.868 | -24.348 | 4.183 | 142.918 | 
| 911.406 | 78.936 | 327.160 | 0.000 | 104.306 | 0.000 | 
| -104.160 | 1271.484 | 188.991 | 0.000 | -98.124 | 0.000 | 
| 149.358 | 258.525 | 1119.566 | -0.000 | 148.316 | 0.000 | 
| -162.578 | 59.156 | 32.121 | 627.957 | 4.455 | 0.823 | 
| -68.083 | -43.174 | 116.627 | 0.000 | 648.626 | 0.000 | 
| -195.085 | 58.118 | 63.868 | -24.348 | -4.183 | 142.918 | 
| 695.040 | 102.314 | 273.196 | -0.000 | -0.000 | 0.000 | 
| 85.703 | 671.934 | 357.646 | -0.000 | -0.000 | 0.000 | 
| 315.470 | 315.471 | 757.254 | -0.000 | -0.000 | 0.000 | 
| 0.000 | 0.000 | 0.000 | 202.981 | -0.000 | 0.000 | 
| -0.000 | 0.000 | 0.000 | 0.000 | 202.981 | 0.000 | 
| -0.000 | -0.000 | 0.000 | -0.000 | -0.000 | 671.942 | 
| 695.040 | 102.314 | 273.196 | 0.000 | 0.000 | -0.000 | 
| 102.314 | 695.040 | 273.196 | 0.000 | 0.000 | -0.000 | 
| 249.944 | 249.944 | 1035.908 | 0.000 | 0.000 | -0.000 | 
| -0.000 | -0.000 | -0.000 | 202.981 | 0.000 | -0.000 | 
| -0.000 | -0.000 | -0.000 | -0.000 | 202.981 | -0.000 | 
| 0.000 | -0.000 | -0.000 | 0.000 | 0.000 | 671.942 | 
| 695.041 | 102.314 | 273.196 | -0.000 | -0.000 | 0.000 | 
| 557608293.794 | -231342033.494 | -97504074.318 | 0.000 | -0.000 | 0.000 | 
| 249.944 | 249.944 | 1035.908 | -0.000 | -0.000 | 0.000 | 
| -0.000 | 0.000 | 0.000 | 202.981 | -0.000 | 0.000 | 
| 0.000 | -0.000 | 0.000 | 0.000 | 202.981 | 0.000 | 
| 0.000 | 0.000 | 0.000 | -0.000 | -0.000 | 671.942 | 
| 672.523 | 86.432 | 354.843 | 0.000 | 0.000 | 0.000 | 
| 231343126.931 | -557606460.905 | 97504452.158 | 0.000 | 0.000 | -0.000 | 
| 316.346 | 316.346 | 753.530 | 0.000 | 0.000 | -0.000 | 
| 0.000 | -0.000 | -0.000 | 202.981 | 0.000 | -0.000 | 
| -0.000 | 0.000 | -0.000 | 0.000 | 202.981 | -0.000 | 
| -0.000 | -0.000 | -0.000 | 0.000 | 0.000 | 671.942 | 
| -23133161.474 | 55760842.286 | -9750045.284 | 0.000 | -0.000 | 0.000 | 
| 55760842.287 | -23133161.482 | -9750045.261 | 0.000 | -0.000 | 0.000 | 
| 316.249 | 316.249 | 753.946 | -0.000 | -0.000 | 0.000 | 
| -0.000 | 0.000 | 0.000 | 202.981 | -0.000 | -0.000 | 
| -0.008 | -0.009 | 0.036 | 0.000 | 127.095 | 0.000 | 
| -0.005 | -0.004 | 0.020 | -0.000 | -0.000 | 510.658 | 
| -55759009.382 | 23134254.560 | 9750424.086 | -0.000 | 0.000 | -0.000 | 
| 23134254.558 | -55759009.382 | 9750424.092 | 0.000 | 0.000 | -0.000 | 
| 316.097 | 316.097 | 754.586 | 0.000 | 0.000 | -0.000 | 
| 0.000 | -0.000 | -0.000 | 202.981 | 0.000 | 0.000 | 
| 0.008 | 0.009 | -0.036 | -0.000 | 127.095 | -0.000 | 
| 0.005 | 0.004 | -0.020 | 0.000 | 0.000 | 510.658 | 
| 642.445 | 168.515 | 168.515 | 0.000 | 0.000 | -0.000 | 
| 168.515 | 642.445 | 168.515 | 0.000 | -0.000 | -0.000 | 
| 168.515 | 168.515 | 642.445 | 0.000 | 0.000 | 0.000 | 
| 0.000 | 0.000 | 0.000 | 279.669 | -0.000 | -0.000 | 
| 0.000 | 0.000 | 0.000 | 0.000 | 279.669 | -0.000 | 
| 0.000 | -0.000 | 0.000 | -0.000 | -0.000 | 279.669 | 
| 477.415 | 245.175 | 245.175 | 0.000 | 0.000 | -0.000 | 
| 245.175 | 477.415 | 245.175 | -0.000 | -0.000 | -0.000 | 
| 245.175 | 245.175 | 477.415 | 0.000 | 0.000 | -0.000 | 
| -0.000 | 0.000 | -0.000 | 279.669 | -0.000 | 0.000 | 
| 0.000 | 0.000 | -0.000 | 0.000 | 279.669 | 0.000 | 
| 0.000 | 0.000 | -0.000 | 0.000 | 0.000 | 279.669 | 
| 477.358 | 245.970 | 245.970 | 0.000 | 0.000 | 0.000 | 
| 245.970 | 477.358 | 245.970 | 0.000 | -0.000 | 0.000 | 
| 245.970 | 245.970 | 477.358 | 0.000 | -0.000 | 0.000 | 
| -0.000 | 0.000 | 0.000 | 279.669 | -0.000 | -0.000 | 
| 0.000 | 0.000 | 0.000 | 0.000 | 279.669 | -0.000 | 
| 0.000 | 0.000 | 0.000 | 0.000 | -0.000 | 279.669 | 
| 642.445 | 168.515 | 168.515 | 0.000 | 0.000 | -0.000 | 
| 168.515 | 642.445 | 168.515 | -0.000 | -0.000 | -0.000 | 
| 168.515 | 168.515 | 642.445 | -0.000 | 0.000 | -0.000 | 
| 0.000 | -0.000 | -0.000 | 279.669 | 0.000 | 0.000 | 
| -0.000 | 0.000 | -0.000 | -0.000 | 279.669 | 0.000 | 
| -0.000 | -0.000 | -0.000 | -0.000 | 0.000 | 279.669 | 
| 418.831 | 256.864 | 256.864 | 0.000 | -0.000 | -0.000 | 
| 256.864 | 418.831 | 256.864 | 0.000 | -0.000 | -0.000 | 
| 256.864 | 256.864 | 418.831 | 0.000 | -0.000 | -0.000 | 
| 0.004 | 0.004 | 0.004 | 143.103 | -0.000 | 0.000 | 
| 0.004 | 0.004 | 0.004 | 0.000 | 143.103 | 0.000 | 
| 0.004 | 0.004 | 0.004 | -0.000 | 0.000 | 143.103 | 
| 477.362 | 245.890 | 245.890 | 0.000 | -0.000 | -0.000 | 
| 245.890 | 477.362 | 245.890 | 0.000 | -0.000 | -0.000 | 
| 245.890 | 245.890 | 477.362 | 0.000 | 0.000 | -0.000 | 
| -0.004 | -0.004 | -0.004 | 143.103 | -0.000 | -0.000 | 
| -0.004 | -0.004 | -0.004 | -0.000 | 143.103 | -0.000 | 
| -0.004 | -0.004 | -0.004 | -0.000 | -0.000 | 143.103 | 
| 143.752 | 88.124 | 88.123 | 0.000 | -0.000 | 0.000 | 
| 88.123 | 143.752 | 88.123 | -0.000 | -0.000 | 0.000 | 
| 88.123 | 88.123 | 143.751 | -0.000 | 0.000 | 0.000 | 
| 0.001 | 0.001 | 0.001 | 50.375 | -0.000 | 0.000 | 
| 0.001 | 0.001 | 0.001 | 0.000 | 50.375 | 0.000 | 
| 0.001 | 0.001 | 0.001 | -0.000 | -0.000 | 50.375 | 
| 143.762 | 88.122 | 88.122 | -0.000 | 0.000 | -0.000 | 
| 88.122 | 143.762 | 88.122 | -0.000 | 0.000 | -0.000 | 
| 88.122 | 88.122 | 143.762 | -0.000 | -0.000 | -0.000 | 
| -0.001 | -0.001 | -0.001 | 50.375 | 0.000 | -0.000 | 
| -0.001 | -0.001 | -0.001 | 0.000 | 50.375 | -0.000 | 
| -0.001 | -0.001 | -0.001 | 0.000 | 0.000 | 50.375 | 
| 26.128 | -19.630 | -19.630 | 0.000 | -0.000 | 0.000 | 
| -19.630 | 26.128 | -19.630 | -0.000 | -0.000 | 0.000 | 
| 45.913 | 45.913 | 70.574 | -0.000 | -0.000 | 0.000 | 
| -0.000 | -0.000 | -0.000 | 27.435 | -0.000 | 0.000 | 
| -0.000 | -0.000 | -0.000 | 0.000 | 27.435 | 0.000 | 
| -0.000 | -0.000 | -0.000 | 0.000 | -0.000 | 27.435 | 
| 341.897 | 97.239 | 97.239 | -0.000 | -0.000 | -0.000 | 
| 97.239 | 341.897 | 97.239 | 0.000 | 0.000 | -0.000 | 
| 97.239 | 97.239 | 341.897 | -0.000 | 0.000 | -0.000 | 
| 0.000 | 0.000 | 0.000 | 27.435 | 0.000 | -0.000 | 
| 0.000 | 0.000 | 0.000 | -0.000 | 27.435 | -0.000 | 
| 0.000 | 0.000 | 0.000 | -0.000 | 0.000 | 27.435 | 
| 341.898 | 97.239 | 97.239 | 0.000 | -0.000 | 0.000 | 
| 97.239 | 341.898 | 97.239 | 0.000 | 0.000 | 0.000 | 
| 97.239 | 97.239 | 341.898 | 0.000 | -0.000 | 0.000 | 
| 0.000 | 0.000 | 0.000 | 122.329 | -0.000 | -0.000 | 
| -0.000 | 0.000 | 0.000 | -0.000 | 122.329 | 0.000 | 
| 0.000 | 0.000 | 0.000 | 0.000 | -0.000 | 122.329 | 
| 70.553 | 45.913 | 45.913 | -0.000 | 0.000 | -0.000 | 
| 45.913 | 70.553 | 45.913 | 0.000 | 0.000 | -0.000 | 
| 45.913 | 45.913 | 70.553 | -0.000 | 0.000 | -0.000 | 
| -0.000 | -0.000 | -0.000 | 122.329 | -0.000 | -0.000 | 
| 0.000 | -0.000 | -0.000 | 0.000 | 122.329 | -0.000 | 
| -0.000 | -0.000 | -0.000 | 0.000 | 0.000 | 122.329 | 
| 331.819 | 94.373 | 94.373 | 0.000 | 0.000 | 0.000 | 
| 94.373 | 331.819 | 94.373 | -0.000 | 0.000 | 0.000 | 
| 94.373 | 94.373 | 331.819 | -0.000 | 0.000 | 0.000 | 
| -1175.493 | -1175.493 | -1175.493 | 85.585 | 0.000 | 0.000 | 
| -1175.493 | -1175.493 | -1175.493 | -0.000 | 85.585 | 0.000 | 
| -1175.493 | -1175.493 | -1175.493 | -0.000 | 0.000 | 85.585 | 
| 331.819 | 94.373 | 94.373 | 0.000 | -0.000 | -0.000 | 
| 94.373 | 331.819 | 94.373 | 0.000 | 0.000 | -0.000 | 
| 94.373 | 94.373 | 331.819 | 0.000 | -0.000 | -0.000 | 
| 1175.493 | 1175.493 | 1175.493 | 85.585 | -0.000 | -0.000 | 
| 1175.493 | 1175.493 | 1175.493 | -0.000 | 85.585 | -0.000 | 
| 1175.493 | 1175.493 | 1175.493 | 0.000 | -0.000 | 85.585 | 
| 331.819 | 94.373 | 94.373 | 0.000 | 0.000 | 0.000 | 
| 94.373 | 331.819 | 94.373 | -0.000 | 0.000 | 0.000 | 
| 94.373 | 94.373 | 331.819 | -0.000 | 0.000 | -0.000 | 
| -117.604 | -117.604 | -117.604 | 85.570 | 0.000 | -0.000 | 
| -117.677 | -117.677 | -117.677 | 0.000 | 85.549 | -0.000 | 
| -117.677 | -117.677 | -117.677 | -0.000 | -0.000 | 85.549 | 
| 379.437 | 207.635 | 207.635 | 0.000 | 0.000 | -0.000 | 
| 207.635 | 379.437 | 207.635 | 0.000 | -0.000 | -0.000 | 
| 207.635 | 207.635 | 379.437 | 0.000 | -0.000 | -0.000 | 
| 117.677 | 117.677 | 117.677 | 85.549 | -0.000 | -0.000 | 
| 117.677 | 117.677 | 117.677 | 0.000 | 85.549 | -0.000 | 
| 117.677 | 117.677 | 117.677 | 0.000 | -0.000 | 85.549 | 
| 220.429 | 73.870 | 73.870 | -0.000 | 0.000 | 0.000 | 
| 73.870 | 220.429 | 73.870 | 0.000 | 0.000 | -0.000 | 
| 73.870 | 73.870 | 220.429 | -0.000 | 0.000 | 0.000 | 
| 0.000 | 0.000 | 0.000 | 118.723 | 0.000 | 0.000 | 
| -0.000 | 0.000 | 0.000 | -0.000 | 118.723 | 0.000 | 
| 0.000 | 0.000 | 0.000 | -0.000 | 0.000 | 118.723 | 
| 331.818 | 94.372 | 94.372 | -0.000 | -0.000 | -0.000 | 
| 94.372 | 331.818 | 94.372 | 0.000 | -0.000 | -0.000 | 
| 94.372 | 94.373 | 331.818 | 0.000 | -0.000 | -0.000 | 
| -0.000 | -0.000 | -0.000 | 118.723 | -0.000 | -0.000 | 
| 0.000 | -0.000 | -0.000 | 0.000 | 118.723 | -0.000 | 
| -0.000 | -0.000 | -0.000 | 0.000 | -0.000 | 118.723 | 
| 331.765 | 94.356 | 94.356 | -0.000 | 0.000 | 0.000 | 
| 94.356 | 331.765 | 94.356 | 0.000 | 0.000 | 0.000 | 
| 94.356 | 94.356 | 331.765 | -0.000 | 0.000 | 0.000 | 
| -347.240 | -347.240 | -347.240 | 58.118 | 0.000 | 0.000 | 
| -347.240 | -347.240 | -347.240 | 0.000 | 58.118 | 0.000 | 
| -347.240 | -347.240 | -347.240 | -0.000 | -0.000 | 58.118 | 
| 331.765 | 94.356 | 94.356 | -0.000 | 0.000 | 0.000 | 
| 94.356 | 331.765 | 94.356 | 0.000 | -0.000 | -0.000 | 
| 94.356 | 94.356 | 331.764 | -0.000 | -0.000 | 0.000 | 
| 347.240 | 347.240 | 347.240 | 58.118 | -0.000 | -0.000 | 
| 347.240 | 347.240 | 347.240 | 0.000 | 58.118 | -0.000 | 
| 347.240 | 347.240 | 347.240 | 0.000 | -0.000 | 58.118 | 
| 331.765 | 94.356 | 94.356 | 0.000 | 0.000 | 0.000 | 
| 94.356 | 331.765 | 94.356 | -0.000 | 0.000 | 0.000 | 
| 94.356 | 94.356 | 331.765 | -0.000 | 0.000 | 0.000 | 
| -34.734 | -34.734 | -34.734 | 58.101 | 0.000 | 0.000 | 
| -34.734 | -34.734 | -34.734 | 0.000 | 58.101 | 0.000 | 
| -34.734 | -34.734 | -34.734 | 0.000 | 0.000 | 58.101 | 
| 239.420 | 123.254 | 123.254 | -0.000 | -0.000 | -0.000 | 
| 123.254 | 239.420 | 123.254 | -0.000 | -0.000 | -0.000 | 
| 123.254 | 123.254 | 239.420 | -0.000 | 0.000 | -0.000 | 
| 34.734 | 34.734 | 34.734 | 58.101 | -0.000 | -0.000 | 
| 34.734 | 34.734 | 34.734 | 0.000 | 58.101 | -0.000 | 
| 34.734 | 34.734 | 34.734 | -0.000 | -0.000 | 58.101 | 
| 4.621 | 32.702 | 32.702 | -0.000 | 0.000 | 0.000 | 
| 32.702 | 4.621 | 32.702 | 0.000 | 0.000 | -0.000 | 
| 32.702 | 32.702 | 4.621 | -0.000 | 0.000 | -0.000 | 
| -3.515 | -3.515 | -3.515 | 57.380 | 0.000 | 0.000 | 
| -3.515 | -3.515 | -3.515 | 0.000 | 57.380 | 0.000 | 
| -3.515 | -3.515 | -3.515 | 0.000 | 0.000 | 57.380 | 
| -82.361 | -101.756 | -101.757 | -0.000 | -0.000 | -0.000 | 
| -101.757 | -82.361 | -101.756 | 0.000 | -0.000 | -0.000 | 
| -101.756 | -101.757 | -82.361 | -0.000 | -0.000 | -0.000 | 
| 3.515 | 3.515 | 3.515 | 57.380 | -0.000 | -0.000 | 
| 3.515 | 3.515 | 3.515 | 0.000 | 57.380 | -0.000 | 
| 3.515 | 3.515 | 3.515 | -0.000 | -0.000 | 57.380 | 
| 687.063 | 355.504 | 0.000 | 0.000 | 0.000 | 0.000 | 
| 294.853 | 747.715 | 0.000 | 0.000 | 0.000 | 0.000 | 
| -0.000 | 0.000 | 0.000 | 0.000 | 0.000 | 0.000 | 
| -0.000 | -0.000 | 0.000 | 0.000 | 0.000 | -0.000 | 
| -0.000 | 0.000 | 0.000 | 0.000 | 0.000 | 0.000 | 
| -0.000 | 0.000 | 0.000 | 0.000 | 0.000 | 226.431 | 
| 687.064 | 355.504 | -0.000 | -0.000 | -0.000 | -0.000 | 
| 355.504 | 687.063 | -0.000 | -0.000 | -0.000 | -0.000 | 
| 0.000 | -0.000 | -0.000 | -0.000 | -0.000 | -0.000 | 
| 0.000 | -0.000 | -0.000 | -0.000 | -0.000 | 0.000 | 
| 0.000 | -0.000 | -0.000 | -0.000 | -0.000 | 0.000 | 
| 0.000 | -0.000 | -0.000 | -0.000 | -0.000 | 226.431 | 
| 687.063 | 355.505 | 0.000 | 0.000 | 0.000 | -0.000 | 
| 294.853 | 747.715 | 0.000 | 0.000 | 0.000 | -0.000 | 
| -0.000 | 0.000 | 0.000 | 0.000 | 0.000 | 0.000 | 
| -0.000 | 0.000 | 0.000 | 0.000 | 0.000 | -0.000 | 
| -0.000 | 0.000 | 0.000 | 0.000 | 0.000 | -0.000 | 
| 0.000 | -0.000 | 0.000 | 0.000 | 0.000 | 165.780 | 
| 747.714 | 294.853 | -0.000 | -0.000 | -0.000 | 0.000 | 
| 294.853 | 747.714 | -0.000 | -0.000 | -0.000 | 0.000 | 
| 0.000 | -0.000 | -0.000 | -0.000 | -0.000 | -0.000 | 
| 0.000 | -0.000 | -0.000 | -0.000 | -0.000 | 0.000 | 
| 0.000 | -0.000 | -0.000 | -0.000 | -0.000 | -0.000 | 
| -0.000 | 0.000 | -0.000 | -0.000 | -0.000 | 165.780 | 
| 687.055 | 355.515 | 0.000 | 0.000 | 0.000 | 0.000 | 
| 355.726 | 686.844 | 0.000 | 0.000 | 0.000 | -0.000 | 
| -0.000 | 0.000 | 0.000 | 0.000 | 0.000 | 0.000 | 
| -0.000 | -0.000 | 0.000 | 0.000 | 0.000 | -0.000 | 
| -0.000 | 0.000 | 0.000 | 0.000 | 0.000 | -0.000 | 
| 0.001 | -0.001 | 0.000 | 0.000 | 0.000 | 165.780 | 
| 687.072 | 355.493 | -0.000 | -0.000 | -0.000 | 0.000 | 
| 355.512 | 687.053 | -0.000 | -0.000 | -0.000 | 0.000 | 
| 0.000 | -0.000 | -0.000 | -0.000 | -0.000 | -0.000 | 
| 0.000 | 0.000 | -0.000 | -0.000 | -0.000 | 0.000 | 
| 0.000 | -0.000 | -0.000 | -0.000 | -0.000 | 0.000 | 
| -0.001 | 0.001 | -0.000 | -0.000 | -0.000 | 165.780 | 
| 671.923 | 347.670 | 0.000 | 0.000 | 0.000 | -0.000 | 
| 288.356 | 731.238 | 0.000 | 0.000 | 0.000 | -0.000 | 
| 0.000 | 0.000 | 0.000 | 0.000 | 0.000 | -0.000 | 
| 0.000 | 0.000 | 0.000 | 0.000 | 0.000 | -0.000 | 
| 0.000 | 0.000 | 0.000 | 0.000 | 0.000 | -0.000 | 
| -0.000 | -0.000 | 0.000 | 0.000 | 0.000 | 221.441 | 
| 731.238 | 288.356 | -0.000 | -0.000 | -0.000 | 0.000 | 
| 288.356 | 731.238 | -0.000 | -0.000 | -0.000 | 0.000 | 
| -0.000 | -0.000 | -0.000 | -0.000 | -0.000 | 0.000 | 
| -0.000 | -0.000 | -0.000 | -0.000 | -0.000 | 0.000 | 
| 0.000 | -0.000 | -0.000 | -0.000 | -0.000 | 0.000 | 
| -0.000 | -0.000 | -0.000 | -0.000 | -0.000 | 221.441 | 
| 671.923 | 347.671 | 0.000 | 0.000 | 0.000 | -0.000 | 
| 288.356 | 731.238 | 0.000 | 0.000 | 0.000 | -0.000 | 
| 0.000 | 0.000 | 0.000 | 0.000 | 0.000 | -0.000 | 
| 0.000 | 0.000 | 0.000 | 0.000 | 0.000 | -0.000 | 
| 0.000 | 0.000 | 0.000 | 0.000 | 0.000 | -0.000 | 
| 0.000 | -0.000 | 0.000 | 0.000 | 0.000 | 162.127 | 
| 731.238 | 288.356 | -0.000 | -0.000 | -0.000 | 0.000 | 
| 288.356 | 731.238 | -0.000 | -0.000 | -0.000 | 0.000 | 
| -0.000 | -0.000 | -0.000 | -0.000 | -0.000 | 0.000 | 
| -0.000 | -0.000 | -0.000 | -0.000 | -0.000 | 0.000 | 
| 0.000 | -0.000 | -0.000 | -0.000 | -0.000 | 0.000 | 
| -0.000 | 0.000 | -0.000 | -0.000 | -0.000 | 162.127 | 
| 671.915 | 347.681 | 0.000 | 0.000 | 0.000 | -0.000 | 
| 347.887 | 671.709 | 0.000 | 0.000 | 0.000 | -0.000 | 
| 0.000 | 0.000 | 0.000 | 0.000 | 0.000 | -0.000 | 
| 0.000 | 0.000 | 0.000 | 0.000 | 0.000 | -0.000 | 
| 0.000 | 0.000 | 0.000 | 0.000 | 0.000 | -0.000 | 
| 0.001 | -0.001 | 0.000 | 0.000 | 0.000 | 162.127 | 
| 671.707 | 347.885 | -0.000 | -0.000 | -0.000 | 0.000 | 
| 347.678 | 671.913 | -0.000 | -0.000 | -0.000 | 0.000 | 
| -0.000 | -0.000 | -0.000 | -0.000 | -0.000 | 0.000 | 
| -0.000 | -0.000 | -0.000 | -0.000 | -0.000 | 0.000 | 
| -0.000 | -0.000 | -0.000 | -0.000 | -0.000 | 0.000 | 
| -0.001 | 0.001 | -0.000 | -0.000 | -0.000 | 162.127 | 
| 20.445 | -29.998 | -29.996 | 0.000 | -0.000 | -0.000 | 
| 88.480 | 144.338 | 88.481 | -0.000 | -0.000 | -0.000 | 
| 97.632 | 97.633 | 343.281 | 0.000 | -0.000 | 0.000 | 
| 0.000 | 0.000 | -0.000 | 122.824 | 0.000 | 0.000 | 
| 0.000 | -0.001 | 0.001 | 0.000 | 50.579 | 0.000 | 
| 0.000 | -0.001 | 0.001 | 0.000 | 0.000 | 50.579 | 
| 144.338 | 88.481 | 88.478 | -0.000 | -0.000 | -0.000 | 
| 88.479 | 144.339 | 88.478 | -0.000 | 0.000 | 0.000 | 
| 88.479 | 88.481 | 144.339 | -0.000 | -0.000 | -0.000 | 
| -0.000 | -0.000 | 0.000 | 122.824 | 0.000 | -0.000 | 
| -0.000 | 0.001 | -0.001 | -0.000 | 50.579 | -0.000 | 
| -0.000 | 0.001 | -0.001 | -0.000 | 0.000 | 50.579 | 
| 343.281 | 97.632 | 97.632 | 0.000 | 0.000 | 0.000 | 
| 46.098 | 70.841 | 46.098 | 0.000 | -0.000 | 0.000 | 
| 88.480 | 88.479 | 144.337 | 0.000 | -0.000 | 0.000 | 
| 0.000 | -0.000 | 0.000 | 50.579 | 0.000 | 0.000 | 
| -0.000 | 0.000 | 0.000 | 0.000 | 122.824 | 0.000 | 
| -0.000 | -0.000 | 0.000 | -0.000 | 0.000 | 50.579 | 
| 343.281 | 97.632 | 97.632 | -0.000 | -0.000 | 0.000 | 
| 97.632 | 343.281 | 97.632 | -0.000 | 0.000 | -0.000 | 
| -19.708 | -19.708 | 26.232 | -0.000 | -0.000 | -0.000 | 
| -0.000 | 0.000 | -0.000 | 50.579 | 0.000 | -0.000 | 
| -0.000 | -0.000 | -0.000 | -0.000 | 122.824 | 0.000 | 
| 0.000 | 0.000 | -0.000 | -0.000 | 0.000 | 50.579 | 
| 20.413 | -29.987 | -29.987 | 0.000 | -0.000 | -0.000 | 
| -19.708 | 26.239 | -19.708 | 0.000 | -0.000 | 0.000 | 
| -29.993 | -29.993 | 20.437 | 0.000 | -0.000 | 0.000 | 
| 0.000 | -0.000 | -0.000 | 50.579 | -0.000 | 0.000 | 
| -0.000 | 0.000 | -0.000 | -0.000 | 50.579 | 0.000 | 
| -0.000 | 0.000 | 0.000 | 0.000 | 0.000 | 122.824 | 
| 20.434 | -29.998 | -29.998 | -0.000 | 0.000 | -0.000 | 
| 88.480 | 144.348 | 88.480 | 0.000 | -0.000 | 0.000 | 
| 97.632 | 97.632 | 343.280 | -0.000 | -0.000 | -0.000 | 
| -0.000 | 0.000 | 0.000 | 50.579 | 0.000 | 0.000 | 
| 0.000 | -0.000 | 0.000 | -0.000 | 50.579 | -0.000 | 
| 0.000 | -0.000 | -0.000 | -0.000 | 0.000 | 122.824 | 
| 357.752 | 20.498 | 66.743 | -0.000 | -0.000 | 0.000 | 
| 37.000 | 408.902 | 27.749 | -0.000 | -0.000 | -0.000 | 
| 61.536 | 6.041 | 370.359 | -0.000 | -0.000 | 0.000 | 
| -0.000 | 0.000 | -0.000 | 108.881 | -0.000 | -0.000 | 
| -0.000 | 0.000 | 0.000 | -0.000 | 128.685 | -0.000 | 
| -0.000 | 0.000 | 0.000 | 0.000 | -0.000 | 117.878 | 
| 357.752 | 20.498 | 66.743 | 0.000 | 0.000 | 0.000 | 
| 37.000 | 408.902 | 27.749 | 0.000 | 0.000 | 0.000 | 
| 61.536 | 6.041 | 370.359 | -0.000 | 0.000 | -0.000 | 
| 0.000 | -0.000 | -0.000 | 108.881 | 0.000 | 0.000 | 
| 0.000 | -0.000 | -0.000 | 0.000 | 128.685 | 0.000 | 
| 0.000 | -0.000 | 0.000 | 0.000 | 0.000 | 117.878 | 
| 223.551 | 130.189 | -7.496 | 0.000 | -0.001 | -0.000 | 
| 37.000 | 408.902 | 27.749 | -0.000 | -0.000 | -0.000 | 
| 16.598 | 94.403 | 211.873 | 0.000 | -0.001 | -0.000 | 
| -36.756 | 83.205 | -64.858 | 94.540 | -0.001 | -0.000 | 
| 0.000 | 0.000 | 0.000 | -0.000 | 128.685 | -0.000 | 
| -36.762 | 83.220 | -64.870 | 0.000 | -0.001 | 100.344 | 
| 357.751 | 20.498 | 66.743 | 0.000 | 0.000 | 0.000 | 
| 67.946 | -76.883 | -140.804 | -0.000 | 0.001 | 0.000 | 
| 61.536 | 6.041 | 370.358 | 0.000 | 0.000 | 0.000 | 
| -0.000 | -0.000 | -0.000 | 108.881 | 0.000 | 0.000 | 
| -0.000 | -0.000 | -0.000 | 0.000 | 128.685 | 0.000 | 
| 0.000 | -0.000 | -0.000 | 0.000 | 0.000 | 117.878 | 
| 260.228 | 55.602 | 50.154 | 0.000 | -0.000 | -0.000 | 
| 4.966 | 232.172 | 33.078 | 0.000 | -0.000 | -0.000 | 
| 47.490 | 24.436 | 266.173 | 0.000 | -0.000 | -0.000 | 
| 0.000 | 0.000 | 0.000 | 108.881 | -0.000 | -0.000 | 
| -3.555 | 8.048 | -6.274 | 0.000 | 82.135 | -0.000 | 
| -4.210 | 9.530 | -7.428 | 0.000 | -0.000 | 97.800 | 
| 166.736 | 12.656 | 0.838 | -0.000 | 0.000 | -0.000 | 
| 37.000 | 408.901 | 27.749 | 0.000 | 0.000 | 0.000 | 
| 5.453 | -15.555 | 143.988 | -0.000 | 0.000 | -0.000 | 
| -0.000 | -0.000 | -0.000 | 108.881 | 0.000 | 0.000 | 
| 3.555 | -8.048 | 6.274 | -0.000 | 82.135 | 0.000 | 
| 4.210 | -9.530 | 7.428 | -0.000 | 0.000 | 97.800 | 
| 222.587 | -1889.276 | -833.792 | 634.033 | 1340.453 | 886.534 | 
| -1540.278 | -1370.928 | -869.540 | 1247.071 | 564.586 | 1768.606 | 
| -3590.818 | -606.869 | -1318.413 | 214.493 | 1408.091 | 1653.520 | 
| -3918.945 | -1734.297 | -1400.046 | 18.905 | 589.831 | 844.663 | 
| -2408.524 | -2683.301 | -1795.757 | 926.568 | 707.152 | 855.724 | 
| -963.893 | -1324.573 | -1379.635 | 1437.060 | 137.516 | 2033.438 | 
| 4215.775 | 3758.355 | 2159.599 | -751.191 | -1365.735 | -284.562 | 
| 2536.252 | 500.896 | 1187.931 | 840.748 | -862.050 | -875.634 | 
| 953.904 | 73.642 | 815.729 | -1046.171 | -1279.477 | -1160.085 | 
| 1042.376 | 1396.846 | 1050.765 | -1644.766 | -552.881 | -2607.742 | 
| 2172.449 | 36.528 | 765.158 | -2603.393 | -1646.074 | -1457.050 | 
| -135.749 | -1146.603 | -630.988 | -347.441 | -248.322 | -924.981 | 
| 304.323 | 147.305 | 102.483 | 56.177 | 95.209 | 209.376 | 
| -180.003 | 113.814 | -72.307 | 136.497 | 193.635 | 177.496 | 
| 92.278 | -319.312 | 41.222 | -32.138 | -11.294 | 102.721 | 
| -80.342 | -248.936 | -143.143 | 165.229 | 129.252 | 129.108 | 
| -342.600 | -4.108 | -143.404 | 167.030 | 208.281 | 90.985 | 
| 72.293 | -128.108 | -43.375 | 138.903 | 130.277 | 224.438 | 
| 624.899 | 443.540 | 261.173 | -87.729 | -97.944 | -261.474 | 
| 103.184 | 358.211 | 127.766 | -123.901 | -149.849 | -93.303 | 
| 166.927 | -44.070 | 198.563 | -241.914 | -28.356 | -164.952 | 
| 304.464 | 195.596 | 160.712 | -17.821 | -144.830 | -176.209 | 
| 353.884 | 56.278 | 162.648 | -2.314 | -23.699 | -106.236 | 
| 326.887 | 23.502 | 147.037 | -179.935 | -184.617 | -69.133 | 
| 280.979 | 88.641 | 82.984 | 12.279 | 8.920 | 6.207 | 
| 63.657 | 241.148 | 62.397 | 4.789 | 21.667 | 8.544 | 
| 65.650 | 83.150 | 230.511 | 6.318 | 4.765 | 12.120 | 
| -18.744 | -11.339 | -10.836 | 88.364 | -0.098 | 15.064 | 
| -38.802 | 19.470 | -3.658 | 5.257 | 93.861 | 2.577 | 
| -33.141 | -52.193 | -23.279 | 7.341 | 12.636 | 125.841 | 
| 308.189 | 87.667 | 90.284 | -15.340 | -1.603 | -12.312 | 
| 126.487 | 295.092 | 92.934 | -15.225 | -6.487 | -22.563 | 
| 81.885 | 74.291 | 217.986 | 2.366 | -16.671 | -12.831 | 
| 27.596 | 24.732 | 18.581 | 74.370 | -26.387 | -19.608 | 
| 15.613 | 2.393 | 11.720 | -16.248 | 83.725 | 6.145 | 
| 30.174 | -18.290 | 6.637 | 2.545 | -19.600 | 59.825 | 
| 2367.595 | -1427.472 | -119383.866 | 179.404 | 14.281 | 561.216 | 
| 2354.639 | -1418.730 | -120975.356 | 226.708 | 32.158 | 492.798 | 
| 2321.393 | -1277.496 | -116353.843 | 172.772 | 33.209 | 579.223 | 
| 2288.905 | -1367.489 | -116963.289 | 174.336 | -42.387 | 509.824 | 
| 2280.208 | -1446.818 | -117466.731 | 209.040 | 20.120 | 528.162 | 
| 2265.874 | -1337.629 | -116905.276 | 192.072 | -112.158 | 471.737 | 
| -2283.708 | 1428.518 | 117013.502 | -158.970 | -74.827 | -501.595 | 
| -2245.088 | 1538.325 | 115727.494 | -191.592 | 15.251 | -512.366 | 
| -2160.128 | 1401.531 | 110956.330 | -162.191 | -18.531 | -591.605 | 
| -2319.356 | 1474.632 | 113887.703 | -194.010 | -59.808 | -473.520 | 
| -2188.847 | 1449.589 | 115141.283 | -234.351 | -17.737 | -459.145 | 
| -2392.498 | 1451.996 | 119130.787 | -242.776 | -7.744 | -497.489 | 
| 134.881 | -25.585 | -10716.910 | 205.689 | -0.938 | -3.854 | 
| 35.992 | 132.697 | -2.866 | -5.504 | -6.621 | -0.204 | 
| 135.475 | -31.711 | -10220.354 | 199.493 | -10.888 | -0.105 | 
| 116.903 | -39.608 | -9492.390 | 187.928 | -6.948 | -3.934 | 
| -3.469 | 14.767 | -51.499 | -10.589 | 48.940 | -3.829 | 
| 113.025 | -32.113 | -9190.968 | 186.438 | -14.187 | 12.458 | 
| -109.938 | 39.905 | 10180.245 | -200.169 | 18.865 | 0.161 | 
| -109.026 | 41.593 | 9281.648 | -182.354 | 13.816 | 6.575 | 
| -133.698 | 39.915 | 10423.332 | -205.007 | 10.184 | -1.271 | 
| 0.550 | -17.192 | 50.859 | 55.644 | -2.074 | 9.223 | 
| -0.694 | -22.548 | 48.894 | 11.857 | 46.052 | 3.113 | 
| -92.569 | 16.321 | 7414.435 | -140.316 | 12.634 | -6.162 | 
Phonon band structures and crystal properties estimated from quasi-harmonic approximation (QHA) calculations are displayed for select crystals. The calculations were performed using phonopy and LAMMPS. For the phonon calculations, 3x3 supercells of the potential-specific relaxed crystals were used. The QHA calculations were based on 11 strain states ranging from -0.05 to 0.05.
The calculation method used is available as the iprPy phonon calculation method.
Notes and Disclaimers:
Version Information:

































































Plots of lattice and elastic constants are shown as a function of temperature. The 0K points were taken from the Crystal Structure Predictions and the Elastic Constants Predictions sections above for the unique crystal structures relaxed with the "dynamic" method. Starting from the 0 K relaxed crystal unit cells, supercell systems are created by replicating all three dimensions by the same multiplier to achieve at least 4000 atoms. The systems are then relaxed at 50 K and zero pressure using 1 million NPT steps. Lattice constants are estimated by averaging the measured box dimensions. Temperatures are iteratively increased by 50 K, with each subsequent relaxation calculation starting from the final atomic configuration at the previous temperature and relaxing for another 1 million steps.
The elastic constants are calculated using the deformation–fluctuation hybrid method. Starting from the final atomic configurations of the dynamic relaxations, the system is allowed to evolve at constant volume with a Langevin thermostat. The Born matrix is computed during this run by evaluating how the atomic forces would vary due to applied linear strain fields. The elastic constants can then be estimated using the averaged Born matrix values and the averaged stresses on the system.
The calculation methods used are available as the iprPy relax_dynamic and elastic_constants_dynamic calculation methods.
Clicking on the image of a plot will open an interactive version of it in a new tab. The underlying data for the plots can be downloaded by clicking on the links above each plot.
Notes and Disclaimers:
Version Information:
Plots of internal energy, Gibbs free energy, entropy, heat capacity and volume are shown here as a function of temperature for various crystal structures and liquid phases. The included crystal structures correspond to those in the Solid Structures vs. Temperature section, and the liquid phases to those in the Liquid Properties section. Internal energy and volume are taken from the associated structure relaxations mentioned in those previous sections. Constant pressure heat capacity is estimated using 3-point numerical derivatives of enthalpy versus temperature. Note that since all simulations done here are at 0 pressure, internal energy and enthalpy are equivalent.
The Gibbs energies of the phases are estimated using thermodynamic integration between the interatomic potential in question and a simpler model with known Gibbs free energy values. For solids, the reference model is an Einstein solid, while for liquids it is the Uhlenbeck-Ford potential. Besides a short run at the start of the solid calculations to estimate Einstein model spring constants, the two calculations proceed similarly. Starting with the final relaxation configurations, the systems are stabilized for 25,000 steps. Then, over the next 50,000 steps the potential is swapped out for the reference potential. The system is then stabilized for another 25,000 steps with the reference model before a reverse swap of 50,000 steps is performed. The simulation ends with one final 25,000 step stabilization period. From the simulation, the irreversible work of transformation is estimated and used to compute the absolute Gibbs free energy of the target phase and potential relative to the reference potential. Entropy is estimated as the difference in enthalpy and Gibbs free energy and divided by temperature.
The calculation methods used are available as the iprPy relax_dynamic, relax_liquid_redo, free_energy, and free_energy_liquid calculation methods.
Clicking on the image of a plot will open an interactive version of it in a new tab. The underlying data for the plots can be downloaded by clicking on the links above each plot.
Notes and Disclaimers:
Version Information:
            
            



