Plots of the potential energy vs interatomic spacing, r, are shown below for all diatom sets associated with the interatomic potential. This calculation provides insights into the functional form of the potential's two-body interactions. A system consisting of only two atoms is created, and the potential energy is evaluated for the atoms separated by 0.02 Å <= r <= 6.0> Å in intervals of 0.02 Å. Two plots are shown: one for the "standard" interaction distance range, and one for small values of r. The small r plot is useful for determining whether the potential is suitable for radiation studies.
The calculation method used is available as the iprPy diatom_scan calculation method.
Clicking on the image of a plot will open an interactive version of it in a new tab. The underlying data for the plots can be downloaded by clicking on the links above each plot.
Notes and Disclaimers:
Version Information:
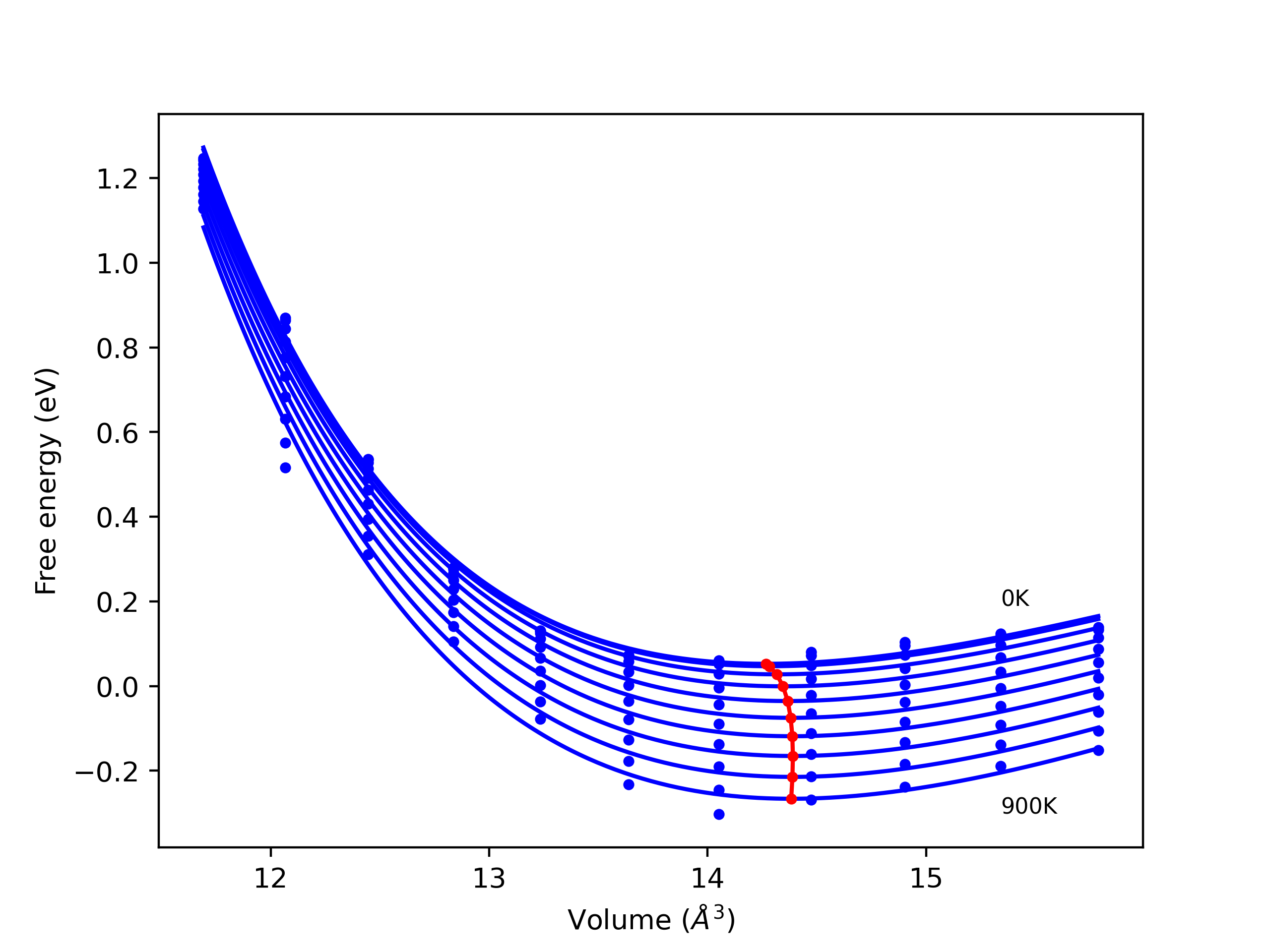
Plots of potential energy vs interatomic spacing, r, are shown below for a number of crystal structures. The structures are generated based on the ideal atomic positions and b/a and c/a lattice parameter ratios for a given crystal prototype. The size of the system is then uniformly scaled, and the energy calculated without relaxing the system. To obtain these plots, values of r are evaluated every 0.02 Å up to 6 Å.
The calculation method used is available as the iprPy E_vs_r_scan calculation method.
Clicking on the image of a plot will open an interactive version of it in a new tab. The underlying data for the plots can be downloaded by clicking on the links above each plot.
Notes and Disclaimers:
Version Information:
Computed lattice constants and cohesive/potential energies are displayed for a variety of crystal structures. The values displayed here are obtained using the following process.
The calculation methods used are implemented into iprPy as the following calculation styles
Notes and Disclaimers:
Version Information:
Download raw data (including filtered results)
Reference structure matches:
A1--Cu--fcc = mp-634659, oqmd-5497, oqmd-5499, oqmd-1214529
A15--beta-W = oqmd-1214974
A2--W--bcc = mp-632250, oqmd-5517, oqmd-1215152
A3'--alpha-La--double-hcp = oqmd-1215420
A3--Mg--hcp = mp-23907, mp-570752, oqmd-40867, oqmd-676625, oqmd-1215330
A4--C--dc = oqmd-1215509
A5--beta-Sn = oqmd-1215598
A6--In--bct = oqmd-1215687
A7--alpha-As = oqmd-1215776
| prototype | method | Ecoh (eV/atom) | Epot (eV/atom) | a0 (Å) | b0 (Å) | c0 (Å) | α (degrees) | β (degrees) | γ (degrees) |
|---|---|---|---|---|---|---|---|---|---|
| A1--Cu--fcc | static | -0.0 | -0.0 | 4.2435 | 4.2435 | 4.2435 | 90.0 | 90.0 | 90.0 |
| A3'--alpha-La--double-hcp | static | -0.0 | -0.0 | 3.0006 | 3.0006 | 9.8 | 90.0 | 90.0 | 120.0 |
| A3--Mg--hcp | static | -0.0 | -0.0 | 3.0006 | 3.0006 | 4.9 | 90.0 | 90.0 | 120.0 |
| A2--W--bcc | static | -0.0 | -0.0 | 3.4648 | 3.4648 | 3.4648 | 90.0 | 90.0 | 90.0 |
| oqmd-1215865 | static | -0.0 | -0.0 | 3.0006 | 3.0006 | 3.0006 | 90.0 | 90.0 | 120.0 |
| oqmd-11544 | static | -0.0 | -0.0 | 3.0006 | 3.0006 | 15.9217 | 90.0 | 90.0 | 120.0 |
| A5--beta-Sn | static | -0.0 | -0.0 | 5.8107 | 5.8107 | 3.0006 | 90.0 | 90.0 | 90.0 |
| A3--Mg--hcp | static | -0.0 | -0.0 | 3.3974 | 3.3974 | 4.5415 | 90.0 | 90.0 | 120.0 |
| Ah--alpha-Po--sc | static | -0.0 | -0.0 | 3.0006 | 3.0006 | 3.0006 | 90.0 | 90.0 | 90.0 |
| oqmd-1214618 | static | -0.0 | -0.0 | 4.2163 | 4.2163 | 5.2633 | 90.0 | 90.0 | 120.0 |
| oqmd-57242 | static | -0.0 | -0.0 | 3.0006 | 5.0671 | 3.0006 | 90.0 | 99.3 | 90.0 |
| A3'--alpha-La--double-hcp | static | -0.0 | -0.0 | 4.0882 | 4.0882 | 7.411 | 90.0 | 90.0 | 120.0 |
| oqmd-1214707 | static | -0.0 | -0.0 | 3.2983 | 5.0136 | 16.8449 | 90.0 | 90.0 | 90.0 |
| A4--C--dc | static | -0.0 | -0.0 | 6.9296 | 6.9296 | 6.9296 | 90.0 | 90.0 | 90.0 |
| oqmd-57246 | static | -0.0 | -0.0 | 3.7733 | 4.6666 | 4.9361 | 90.0 | 90.0 | 90.0 |
| oqmd-57239 | static | -0.0 | -0.0 | 3.8755 | 4.582 | 4.97 | 90.0 | 90.0 | 90.0 |
| oqmd-57243 | static | -0.0 | -0.0 | 3.9227 | 4.5417 | 4.9445 | 90.0 | 90.0 | 90.0 |
| A5--beta-Sn | static | -0.0 | -0.0 | 5.7865 | 5.7865 | 3.182 | 90.0 | 90.0 | 90.0 |
| A6--In--bct | static | -0.0 | -0.0 | 3.0006 | 3.0006 | 4.2781 | 90.0 | 90.0 | 90.0 |
| A6--In--bct | static | -0.0 | -0.0 | 3.0006 | 3.0006 | 4.5 | 90.0 | 90.0 | 90.0 |
| oqmd-82346 | static | -0.0 | -0.0 | 3.6527 | 4.7616 | 4.9266 | 90.0 | 90.0 | 90.0 |
| oqmd-1215954 | static | -0.0 | -0.0 | 5.1972 | 5.1972 | 6.0012 | 90.0 | 90.0 | 120.0 |
| A7--alpha-As | static | -0.0 | -0.0 | 4.483 | 4.483 | 12.4485 | 90.0 | 90.0 | 120.0 |
| oqmd-82345 | static | -0.0 | -0.0 | 3.885 | 4.9167 | 4.6012 | 90.0 | 90.0 | 90.0 |
| A3--Mg--hcp | static | -0.0 | -0.0 | 4.5668 | 4.5668 | 3.0006 | 90.0 | 90.0 | 120.0 |
| A15--beta-W | static | -0.0 | -0.0 | 6.0012 | 6.0012 | 6.0012 | 90.0 | 90.0 | 90.0 |
| mp-1066989 | static | -0.0 | -0.0 | 3.3081 | 22.1083 | 6.3141 | 90.0 | 90.0 | 90.0 |
| mp-850274 | static | -0.0 | -0.0 | 4.3181 | 4.3181 | 14.9714 | 90.0 | 90.0 | 90.0 |
| oqmd-5539 | static | -0.0 | -0.0 | 3.5118 | 3.5118 | 11.1733 | 90.0 | 90.0 | 90.0 |
| oqmd-675624 | static | -0.0 | -0.0 | 3.4566 | 3.4566 | 10.7138 | 90.0 | 90.0 | 90.0 |
| mp-24504 | static | -0.0 | -0.0 | 3.8412 | 3.8412 | 20.3792 | 90.0 | 90.0 | 120.0 |
| mp-632172 | static | -0.0 | -0.0 | 4.4568 | 4.4568 | 12.5718 | 90.0 | 90.0 | 90.0 |
| mp-632291 | static | -0.0 | -0.0 | 3.3977 | 3.3977 | 16.6186 | 90.0 | 90.0 | 90.0 |
| oqmd-1214796 | static | -0.0 | -0.0 | 26.7966 | 26.7966 | 26.7966 | 90.0 | 90.0 | 90.0 |
| mp-1181265 | static | -0.0 | -0.0 | 6.8306 | 11.3241 | 19.883 | 90.0 | 90.5 | 90.2 |
| mp-1188177 | static | -0.0 | -0.0 | 24.7948 | 11.0509 | 26.4085 | 90.0 | 90.0 | 90.0 |
| oqmd-1214885 | static | -0.0 | -0.0 | 24.2274 | 24.2274 | 29.7281 | 90.0 | 90.0 | 120.0 |
| A4--C--dc | dynamic | 0.0 | 0.0 | 7.6525 | 7.6525 | 7.6525 | 90.0 | 90.0 | 90.0 |
| A1--Cu--fcc | dynamic | 0.0 | 0.0 | 5.4286 | 5.4286 | 5.4286 | 90.0 | 90.0 | 90.0 |
| A5--beta-Sn | dynamic | 0.0 | 0.0 | 6.8508 | 6.8508 | 3.2643 | 90.0 | 90.0 | 90.0 |
| A6--In--bct | dynamic | 0.0 | 0.0 | 3.799 | 3.799 | 4.5 | 90.0 | 90.0 | 90.0 |
| mp-754417 | dynamic | 0.0 | 0.0 | 3.2113 | 3.2113 | 3.156 | 90.0 | 90.0 | 120.0 |
| mp-632291 | dynamic | 0.0 | 0.0 | 4.3874 | 4.3874 | 9.0393 | 90.0 | 90.0 | 90.0 |
| A2--W--bcc | dynamic | 0.0 | 0.0 | 5.21 | 5.21 | 5.21 | 90.0 | 90.0 | 90.0 |
| A2--W--bcc | dynamic | 0.0 | 0.0 | 4.2261 | 4.2261 | 4.2261 | 90.0 | 90.0 | 90.0 |
| mp-24504 | dynamic | 0.0 | 0.0 | 4.7726 | 4.7726 | 10.5568 | 90.0 | 90.0 | 120.0 |
| mp-632172 | dynamic | 0.0 | 0.0 | 4.4569 | 4.4569 | 7.6968 | 90.0 | 90.0 | 90.0 |
| mp-850274 | dynamic | 0.0 | 0.0 | 4.3182 | 4.3182 | 8.8363 | 90.0 | 90.0 | 90.0 |
| A1--Cu--fcc | dynamic | 0.0 | 0.0 | 4.5524 | 4.5524 | 4.5524 | 90.0 | 90.0 | 90.0 |
| A3--Mg--hcp | dynamic | 0.0 | 0.0 | 3.9004 | 3.9004 | 6.3557 | 90.0 | 90.0 | 120.0 |
| mp-1066989 | dynamic | 0.0 | 0.0 | 4.2479 | 10.762 | 8.0564 | 90.0 | 90.0 | 90.0 |
| A3--Mg--hcp | dynamic | 0.0 | 0.0 | 5.1702 | 5.1702 | 3.8495 | 90.0 | 90.0 | 120.0 |
| Ah--alpha-Po--sc | dynamic | 0.0 | 0.0 | 3.9298 | 3.9298 | 3.9298 | 90.0 | 90.0 | 90.0 |
| mp-1188177 | dynamic | 0.0 | 0.0 | 8.8374 | 9.7032 | 7.8021 | 90.0 | 90.0 | 90.0 |
| A3--Mg--hcp | dynamic | 0.0 | 0.0 | 3.6762 | 3.6762 | 6.0032 | 90.0 | 90.0 | 120.0 |
| A1--Cu--fcc | dynamic | 0.0 | 0.0 | 4.91 | 4.91 | 4.91 | 90.0 | 90.0 | 90.0 |
| A1--Cu--fcc | box | 0.0 | 0.0 | 4.2462 | 4.2462 | 4.2462 | 90.0 | 90.0 | 90.0 |
| A15--beta-W | box | 0.0 | 0.0 | 6.0028 | 6.0028 | 6.0028 | 90.0 | 90.0 | 90.0 |
| A1--Cu--fcc | box | 0.0 | 0.0 | 4.2446 | 4.2446 | 4.2446 | 90.0 | 90.0 | 90.0 |
Download raw data (including filtered results)
Reference structure matches:
| prototype | method | Ecoh (eV/atom) | Epot (eV/atom) | a0 (Å) | b0 (Å) | c0 (Å) | α (degrees) | β (degrees) | γ (degrees) |
|---|---|---|---|---|---|---|---|---|---|
| C1--CaF2--fluorite | static | -0.0531 | -0.0531 | 4.519 | 4.519 | 4.519 | 90.0 | 90.0 | 90.0 |
Download raw data (including filtered results)
Reference structure matches:
| prototype | method | Ecoh (eV/atom) | Epot (eV/atom) | a0 (Å) | b0 (Å) | c0 (Å) | α (degrees) | β (degrees) | γ (degrees) |
|---|---|---|---|---|---|---|---|---|---|
| L2_1--AlCu2Mn--heusler | static | -0.8218 | -0.8218 | 4.5781 | 4.5781 | 4.5781 | 90.0 | 90.0 | 90.0 |
Download raw data (including filtered results)
Reference structure matches:
| prototype | method | Ecoh (eV/atom) | Epot (eV/atom) | a0 (Å) | b0 (Å) | c0 (Å) | α (degrees) | β (degrees) | γ (degrees) |
|---|---|---|---|---|---|---|---|---|---|
| mp-1095432 | dynamic | -2.1655 | -2.1655 | 4.6638 | 3.1532 | 5.4915 | 90.0 | 90.0 | 90.0 |
| mp-1095432 | box | -2.1212 | -2.1212 | 5.0237 | 3.0973 | 5.3583 | 90.0 | 90.0 | 90.0 |
| C1--CaF2--fluorite | dynamic | -2.0604 | -2.0604 | 4.3978 | 4.3978 | 4.3978 | 90.0 | 90.0 | 90.0 |
| oqmd-1233228 | box | -1.3618 | -1.3618 | 5.1443 | 5.1443 | 2.6478 | 90.0 | 90.0 | 90.0 |
| oqmd-1239725 | static | -0.5222 | -0.5222 | 8.4189 | 8.4189 | 8.4189 | 90.0 | 90.0 | 90.0 |
Download raw data (including filtered results)
Reference structure matches:
| prototype | method | Ecoh (eV/atom) | Epot (eV/atom) | a0 (Å) | b0 (Å) | c0 (Å) | α (degrees) | β (degrees) | γ (degrees) |
|---|---|---|---|---|---|---|---|---|---|
| oqmd-427306 | dynamic | -4.8479 | -4.8479 | 5.2167 | 5.2167 | 13.5778 | 90.0 | 90.0 | 120.0 |
Download raw data (including filtered results)
Reference structure matches:
| prototype | method | Ecoh (eV/atom) | Epot (eV/atom) | a0 (Å) | b0 (Å) | c0 (Å) | α (degrees) | β (degrees) | γ (degrees) |
|---|---|---|---|---|---|---|---|---|---|
| L1_2--AuCu3 | static | -0.0 | -0.0 | 4.2435 | 4.2435 | 4.2435 | 90.0 | 90.0 | 90.0 |
| D0_3--BiF3 | static | -0.0 | -0.0 | 6.9296 | 6.9296 | 6.9296 | 90.0 | 90.0 | 90.0 |
| A15--Cr3Si | static | -0.0 | -0.0 | 6.0012 | 6.0012 | 6.0012 | 90.0 | 90.0 | 90.0 |
| L1_2--AuCu3 | dynamic | 0.0 | 0.0 | 4.861 | 4.861 | 4.861 | 90.0 | 90.0 | 90.0 |
| D0_3--BiF3 | dynamic | 0.0 | 0.0 | 7.4255 | 7.4255 | 7.4255 | 90.0 | 90.0 | 90.0 |
Download raw data (including filtered results)
Reference structure matches:
L1_2--AuCu3 = oqmd-349162
| prototype | method | Ecoh (eV/atom) | Epot (eV/atom) | a0 (Å) | b0 (Å) | c0 (Å) | α (degrees) | β (degrees) | γ (degrees) |
|---|---|---|---|---|---|---|---|---|---|
| mp-1079923 | box | -1.3762 | -1.3762 | 2.9629 | 3.0424 | 9.2516 | 90.0 | 99.1 | 90.0 |
| oqmd-324676 | box | -1.2554 | -1.2554 | 4.6386 | 4.6386 | 3.025 | 90.0 | 90.0 | 120.0 |
| D0_3--BiF3 | static | -1.1949 | -1.1949 | 4.4783 | 4.4783 | 4.4783 | 90.0 | 90.0 | 90.0 |
| mp-1078686 | box | -1.1014 | -1.1014 | 3.3503 | 3.0947 | 5.3661 | 90.0 | 101.9 | 90.0 |
| L1_2--AuCu3 | static | -1.0996 | -1.0996 | 3.0841 | 3.0841 | 3.0841 | 90.0 | 90.0 | 90.0 |
| A15--Cr3Si | static | -1.084 | -1.084 | 3.5718 | 3.5718 | 3.5718 | 90.0 | 90.0 | 90.0 |
Download raw data (including filtered results)
Reference structure matches:
| prototype | method | Ecoh (eV/atom) | Epot (eV/atom) | a0 (Å) | b0 (Å) | c0 (Å) | α (degrees) | β (degrees) | γ (degrees) |
|---|---|---|---|---|---|---|---|---|---|
| mp-1078595 | box | -0.8255 | -0.8255 | 3.0601 | 3.0601 | 8.6799 | 90.0 | 90.0 | 90.0 |
Download raw data (including filtered results)
Reference structure matches:
| prototype | method | Ecoh (eV/atom) | Epot (eV/atom) | a0 (Å) | b0 (Å) | c0 (Å) | α (degrees) | β (degrees) | γ (degrees) |
|---|---|---|---|---|---|---|---|---|---|
| mp-1095646 | static | -0.7758 | -0.7758 | 15.6615 | 9.292 | 2.6108 | 90.0 | 90.0 | 90.0 |
Download raw data (including filtered results)
Reference structure matches:
| prototype | method | Ecoh (eV/atom) | Epot (eV/atom) | a0 (Å) | b0 (Å) | c0 (Å) | α (degrees) | β (degrees) | γ (degrees) |
|---|---|---|---|---|---|---|---|---|---|
| L1_0--AuCu | dynamic | -0.5543 | -0.5543 | 1.6881 | 1.6881 | 2.518 | 90.0 | 90.0 | 90.0 |
| B2--CsCl | static | -0.514 | -0.514 | 1.9783 | 1.9783 | 1.9783 | 90.0 | 90.0 | 90.0 |
| B1--NaCl--rock-salt | box | -0.3086 | -0.3086 | 3.4291 | 3.4291 | 3.4291 | 90.0 | 90.0 | 90.0 |
| B3--ZnS--cubic-zinc-blende | static | -0.1657 | -0.1657 | 4.0086 | 4.0086 | 4.0086 | 90.0 | 90.0 | 90.0 |
Download raw data (including filtered results)
Reference structure matches:
| prototype | method | Ecoh (eV/atom) | Epot (eV/atom) | a0 (Å) | b0 (Å) | c0 (Å) | α (degrees) | β (degrees) | γ (degrees) |
|---|---|---|---|---|---|---|---|---|---|
| C1--CaF2--fluorite | static | -0.7293 | -0.7293 | 3.8307 | 3.8307 | 3.8307 | 90.0 | 90.0 | 90.0 |
Download raw data (including filtered results)
Reference structure matches:
| prototype | method | Ecoh (eV/atom) | Epot (eV/atom) | a0 (Å) | b0 (Å) | c0 (Å) | α (degrees) | β (degrees) | γ (degrees) |
|---|---|---|---|---|---|---|---|---|---|
| L2_1--AlCu2Mn--heusler | static | -0.0399 | -0.0399 | 5.951 | 5.951 | 5.951 | 90.0 | 90.0 | 90.0 |
| L2_1--AlCu2Mn--heusler | static | -0.0089 | -0.0089 | 4.7176 | 4.7176 | 4.7176 | 90.0 | 90.0 | 90.0 |
| L2_1--AlCu2Mn--heusler | static | -0.0 | -0.0 | 8.0825 | 8.0825 | 8.0825 | 90.0 | 90.0 | 90.0 |
Download raw data (including filtered results)
Reference structure matches:
| prototype | method | Ecoh (eV/atom) | Epot (eV/atom) | a0 (Å) | b0 (Å) | c0 (Å) | α (degrees) | β (degrees) | γ (degrees) |
|---|---|---|---|---|---|---|---|---|---|
| L1_2--AuCu3 | dynamic | -1.6433 | -1.6433 | 2.3441 | 2.3441 | 2.3441 | 90.0 | 90.0 | 90.0 |
| A15--Cr3Si | static | -1.6056 | -1.6056 | 2.9518 | 2.9518 | 2.9518 | 90.0 | 90.0 | 90.0 |
| D0_3--BiF3 | static | -1.5739 | -1.5739 | 3.7301 | 3.7301 | 3.7301 | 90.0 | 90.0 | 90.0 |
Download raw data (including filtered results)
Reference structure matches:
| prototype | method | Ecoh (eV/atom) | Epot (eV/atom) | a0 (Å) | b0 (Å) | c0 (Å) | α (degrees) | β (degrees) | γ (degrees) |
|---|---|---|---|---|---|---|---|---|---|
| L2_1--AlCu2Mn--heusler | static | -2.6834 | -2.6834 | 5.9733 | 5.9733 | 5.9733 | 90.0 | 90.0 | 90.0 |
Download raw data (including filtered results)
Reference structure matches:
B1--NaCl--rock-salt = oqmd-1104666
B2--CsCl = oqmd-305481, oqmd-337023
B3--ZnS--cubic-zinc-blende = oqmd-1222771
| prototype | method | Ecoh (eV/atom) | Epot (eV/atom) | a0 (Å) | b0 (Å) | c0 (Å) | α (degrees) | β (degrees) | γ (degrees) |
|---|---|---|---|---|---|---|---|---|---|
| mp-1007761 | dynamic | -3.9227 | -3.9227 | 3.0276 | 3.0276 | 4.5652 | 90.0 | 90.0 | 120.0 |
| B1--NaCl--rock-salt | dynamic | -3.9017 | -3.9017 | 4.1944 | 4.1944 | 4.1944 | 90.0 | 90.0 | 90.0 |
| oqmd-1226256 | static | -3.6859 | -3.6859 | 3.149 | 3.149 | 4.461 | 90.0 | 90.0 | 120.0 |
| B3--ZnS--cubic-zinc-blende | dynamic | -3.6577 | -3.6577 | 4.3095 | 4.3095 | 4.3095 | 90.0 | 90.0 | 90.0 |
| oqmd-1229742 | static | -3.4577 | -3.4577 | 2.7718 | 2.7718 | 3.0824 | 90.0 | 90.0 | 120.0 |
| B2--CsCl | static | -3.2869 | -3.2869 | 2.6486 | 2.6486 | 2.6486 | 90.0 | 90.0 | 90.0 |
Download raw data (including filtered results)
Reference structure matches:
| prototype | method | Ecoh (eV/atom) | Epot (eV/atom) | a0 (Å) | b0 (Å) | c0 (Å) | α (degrees) | β (degrees) | γ (degrees) |
|---|---|---|---|---|---|---|---|---|---|
| C1--CaF2--fluorite | static | -4.5158 | -4.5158 | 5.2777 | 5.2777 | 5.2777 | 90.0 | 90.0 | 90.0 |
| oqmd-1239724 | static | -3.7704 | -3.7704 | 8.396 | 8.396 | 8.396 | 90.0 | 90.0 | 90.0 |
Download raw data (including filtered results)
Reference structure matches:
D0_3--BiF3 = oqmd-314134
L1_2--AuCu3 = oqmd-345128
| prototype | method | Ecoh (eV/atom) | Epot (eV/atom) | a0 (Å) | b0 (Å) | c0 (Å) | α (degrees) | β (degrees) | γ (degrees) |
|---|---|---|---|---|---|---|---|---|---|
| D0_3--BiF3 | static | -5.6886 | -5.6886 | 6.2013 | 6.2013 | 6.2013 | 90.0 | 90.0 | 90.0 |
| L1_2--AuCu3 | static | -5.5774 | -5.5774 | 3.7718 | 3.7718 | 3.7718 | 90.0 | 90.0 | 90.0 |
| oqmd-303592 | box | -5.521 | -5.521 | 3.7262 | 3.7262 | 8.3494 | 90.0 | 90.0 | 90.0 |
| A15--Cr3Si | static | -5.4698 | -5.4698 | 4.8206 | 4.8206 | 4.8206 | 90.0 | 90.0 | 90.0 |
| L1_2--AuCu3 | static | -0.0 | -0.0 | 7.7216 | 7.7216 | 7.7216 | 90.0 | 90.0 | 90.0 |
| D0_3--BiF3 | static | -0.0 | -0.0 | 12.6093 | 12.6093 | 12.6093 | 90.0 | 90.0 | 90.0 |
| A15--Cr3Si | static | -0.0 | -0.0 | 10.92 | 10.92 | 10.92 | 90.0 | 90.0 | 90.0 |
Download raw data (including filtered results)
Reference structure matches:
A1--Cu--fcc = mp-614456, oqmd-4177, oqmd-1214530
A15--beta-W = oqmd-1214975
A2--W--bcc = mp-23158, oqmd-8084, oqmd-1215153
A3'--alpha-La--double-hcp = oqmd-1215421
A3--Mg--hcp = mp-23156, oqmd-8085, oqmd-8394, oqmd-1215331
A4--C--dc = oqmd-1215510
A5--beta-Sn = oqmd-1215599
A6--In--bct = oqmd-1215688
A7--alpha-As = oqmd-1215777
| prototype | method | Ecoh (eV/atom) | Epot (eV/atom) | a0 (Å) | b0 (Å) | c0 (Å) | α (degrees) | β (degrees) | γ (degrees) |
|---|---|---|---|---|---|---|---|---|---|
| A1--Cu--fcc | box | -0.0 | -0.0 | 4.2446 | 4.2446 | 4.2446 | 90.0 | 90.0 | 90.0 |
| A2--W--bcc | box | -0.0 | -0.0 | 3.4657 | 3.4657 | 3.4657 | 90.0 | 90.0 | 90.0 |
| A3--Mg--hcp | box | 0.0 | 0.0 | 3.0006 | 3.0006 | 4.902 | 90.0 | 90.0 | 120.0 |
| A3'--alpha-La--double-hcp | box | 0.0 | 0.0 | 3.0006 | 3.0006 | 9.8014 | 90.0 | 90.0 | 120.0 |
| A2--W--bcc | box | 0.0 | 0.0 | 3.4648 | 3.4648 | 3.4648 | 90.0 | 90.0 | 90.0 |
| A1--Cu--fcc | box | 0.0 | 0.0 | 4.2435 | 4.2435 | 4.2435 | 90.0 | 90.0 | 90.0 |
Download raw data (including filtered results)
Reference structure matches:
| prototype | method | Ecoh (eV/atom) | Epot (eV/atom) | a0 (Å) | b0 (Å) | c0 (Å) | α (degrees) | β (degrees) | γ (degrees) |
|---|---|---|---|---|---|---|---|---|---|
| C1--CaF2--fluorite | static | -0.0445 | -0.0445 | 5.9755 | 5.9755 | 5.9755 | 90.0 | 90.0 | 90.0 |
| C1--CaF2--fluorite | static | -0.0 | -0.0 | 8.0825 | 8.0825 | 8.0825 | 90.0 | 90.0 | 90.0 |
| C1--CaF2--fluorite | dynamic | 0.0 | 0.0 | 8.6829 | 8.6829 | 8.6829 | 90.0 | 90.0 | 90.0 |
| C1--CaF2--fluorite | static | 0.0247 | 0.0247 | 4.708 | 4.708 | 4.708 | 90.0 | 90.0 | 90.0 |
Download raw data (including filtered results)
Reference structure matches:
| prototype | method | Ecoh (eV/atom) | Epot (eV/atom) | a0 (Å) | b0 (Å) | c0 (Å) | α (degrees) | β (degrees) | γ (degrees) |
|---|---|---|---|---|---|---|---|---|---|
| L1_2--AuCu3 | static | -0.2402 | -0.2402 | 4.0582 | 4.0582 | 4.0582 | 90.0 | 90.0 | 90.0 |
| A15--Cr3Si | static | -0.0122 | -0.0122 | 5.0523 | 5.0523 | 5.0523 | 90.0 | 90.0 | 90.0 |
| D0_3--BiF3 | static | -0.0113 | -0.0113 | 6.047 | 6.047 | 6.047 | 90.0 | 90.0 | 90.0 |
| D0_3--BiF3 | static | -0.0 | -0.0 | 8.0825 | 8.0825 | 8.0825 | 90.0 | 90.0 | 90.0 |
| D0_3--BiF3 | dynamic | 0.0 | 0.0 | 8.5672 | 8.5672 | 8.5672 | 90.0 | 90.0 | 90.0 |
Download raw data (including filtered results)
Reference structure matches:
| prototype | method | Ecoh (eV/atom) | Epot (eV/atom) | a0 (Å) | b0 (Å) | c0 (Å) | α (degrees) | β (degrees) | γ (degrees) |
|---|---|---|---|---|---|---|---|---|---|
| B2--CsCl | static | -2.3359 | -2.3359 | 3.0831 | 3.0831 | 3.0831 | 90.0 | 90.0 | 90.0 |
| L1_0--AuCu | box | -2.329 | -2.329 | 2.9519 | 2.9519 | 3.344 | 90.0 | 90.0 | 90.0 |
| B1--NaCl--rock-salt | static | -2.1666 | -2.1666 | 4.4338 | 4.4338 | 4.4338 | 90.0 | 90.0 | 90.0 |
| B3--ZnS--cubic-zinc-blende | static | -1.7023 | -1.7023 | 4.4241 | 4.4241 | 4.4241 | 90.0 | 90.0 | 90.0 |
| B3--ZnS--cubic-zinc-blende | static | -0.0 | -0.0 | 8.0825 | 8.0825 | 8.0825 | 90.0 | 90.0 | 90.0 |
| B3--ZnS--cubic-zinc-blende | dynamic | 0.0 | 0.0 | 8.7901 | 8.7901 | 8.7901 | 90.0 | 90.0 | 90.0 |
Download raw data (including filtered results)
Reference structure matches:
| prototype | method | Ecoh (eV/atom) | Epot (eV/atom) | a0 (Å) | b0 (Å) | c0 (Å) | α (degrees) | β (degrees) | γ (degrees) |
|---|---|---|---|---|---|---|---|---|---|
| C1--CaF2--fluorite | static | -3.6034 | -3.6034 | 5.9442 | 5.9442 | 5.9442 | 90.0 | 90.0 | 90.0 |
Download raw data (including filtered results)
Reference structure matches:
| prototype | method | Ecoh (eV/atom) | Epot (eV/atom) | a0 (Å) | b0 (Å) | c0 (Å) | α (degrees) | β (degrees) | γ (degrees) |
|---|---|---|---|---|---|---|---|---|---|
| D0_3--BiF3 | dynamic | -5.4012 | -5.4012 | 6.312 | 6.312 | 6.312 | 90.0 | 90.0 | 90.0 |
| L1_2--AuCu3 | dynamic | -5.1876 | -5.1876 | 4.1064 | 4.1064 | 4.1064 | 90.0 | 90.0 | 90.0 |
| A15--Cr3Si | dynamic | -5.1223 | -5.1223 | 5.0128 | 5.0128 | 5.0128 | 90.0 | 90.0 | 90.0 |
| L1_2--AuCu3 | static | -0.0 | -0.0 | 7.7216 | 7.7216 | 7.7216 | 90.0 | 90.0 | 90.0 |
| D0_3--BiF3 | static | -0.0 | -0.0 | 12.6093 | 12.6093 | 12.6093 | 90.0 | 90.0 | 90.0 |
| A15--Cr3Si | static | -0.0 | -0.0 | 10.92 | 10.92 | 10.92 | 90.0 | 90.0 | 90.0 |
| L1_2--AuCu3 | dynamic | 0.0 | 0.0 | 9.3652 | 9.3652 | 9.3652 | 90.0 | 90.0 | 90.0 |
Download raw data (including filtered results)
Reference structure matches:
A1--Cu--fcc = mp-8641, oqmd-676155, oqmd-1214584
A15--beta-W = mp-11334, oqmd-9254, oqmd-1215029
A2--W--bcc = mp-91, oqmd-676232, oqmd-1215207
A3'--alpha-La--double-hcp = oqmd-1215475
A3--Mg--hcp = oqmd-1215385
A4--C--dc = oqmd-1215564
A5--beta-Sn = oqmd-1215653
A6--In--bct = oqmd-1215742
A7--alpha-As = oqmd-1215831
| prototype | method | Ecoh (eV/atom) | Epot (eV/atom) | a0 (Å) | b0 (Å) | c0 (Å) | α (degrees) | β (degrees) | γ (degrees) |
|---|---|---|---|---|---|---|---|---|---|
| A2--W--bcc | dynamic | -8.9 | -8.9 | 3.14 | 3.14 | 3.14 | 90.0 | 90.0 | 90.0 |
| oqmd-1214851 | dynamic | -8.6459 | -8.6459 | 9.7107 | 9.7107 | 9.7107 | 90.0 | 90.0 | 90.0 |
| oqmd-1214851 | box | -8.6349 | -8.6349 | 9.724 | 9.724 | 9.724 | 90.0 | 90.0 | 90.0 |
| oqmd-1214940 | static | -8.588 | -8.588 | 6.7998 | 6.7998 | 6.7998 | 90.0 | 90.0 | 90.0 |
| oqmd-1214940 | box | -8.5842 | -8.5842 | 6.8229 | 6.8229 | 6.8229 | 90.0 | 90.0 | 90.0 |
| A15--beta-W | dynamic | -8.5642 | -8.5642 | 4.9596 | 4.9596 | 4.9596 | 90.0 | 90.0 | 90.0 |
| A6--In--bct | static | -8.5538 | -8.5538 | 2.6493 | 2.6493 | 4.2962 | 90.0 | 90.0 | 90.0 |
| A1--Cu--fcc | dynamic | -8.5272 | -8.5272 | 3.7926 | 3.7926 | 3.7926 | 90.0 | 90.0 | 90.0 |
| A3'--alpha-La--double-hcp | static | -8.5261 | -8.5261 | 2.6841 | 2.6841 | 9.1246 | 90.0 | 90.0 | 120.0 |
| A6--In--bct | box | -8.5227 | -8.5227 | 2.6624 | 2.6624 | 3.9619 | 90.0 | 90.0 | 90.0 |
| A1--Cu--fcc | static | -8.43 | -8.43 | 4.0534 | 4.0534 | 4.0534 | 90.0 | 90.0 | 90.0 |
| A1--Cu--fcc | box | -8.4298 | -8.4298 | 4.0293 | 4.0293 | 4.0293 | 90.0 | 90.0 | 90.0 |
| A5--beta-Sn | static | -7.5987 | -7.5987 | 5.1165 | 5.1165 | 2.6672 | 90.0 | 90.0 | 90.0 |
| mp-1178801 | box | -7.3599 | -7.3599 | 9.5712 | 2.6362 | 14.1288 | 90.0 | 105.5 | 90.0 |
| Ah--alpha-Po--sc | box | -6.9656 | -6.9656 | 2.6314 | 2.6314 | 2.6314 | 90.0 | 90.0 | 90.0 |
| A7--alpha-As | box | -6.2022 | -6.2022 | 3.8249 | 3.8249 | 10.9063 | 90.0 | 90.0 | 120.0 |
| A4--C--dc | dynamic | -5.8524 | -5.8524 | 6.1594 | 6.1594 | 6.1594 | 90.0 | 90.0 | 90.0 |
| A3'--alpha-La--double-hcp | static | -0.0 | -0.0 | 5.4602 | 5.4602 | 17.8332 | 90.0 | 90.0 | 120.0 |
| A3--Mg--hcp | static | -0.0 | -0.0 | 5.4602 | 5.4602 | 8.9166 | 90.0 | 90.0 | 120.0 |
| A1--Cu--fcc | static | -0.0 | -0.0 | 7.7216 | 7.7216 | 7.7216 | 90.0 | 90.0 | 90.0 |
| A2--W--bcc | static | -0.0 | -0.0 | 6.3047 | 6.3047 | 6.3047 | 90.0 | 90.0 | 90.0 |
| Ah--alpha-Po--sc | static | -0.0 | -0.0 | 5.46 | 5.46 | 5.46 | 90.0 | 90.0 | 90.0 |
| A7--alpha-As | static | -0.0 | -0.0 | 8.1577 | 8.1577 | 22.6536 | 90.0 | 90.0 | 120.0 |
| A4--C--dc | static | -0.0 | -0.0 | 12.6093 | 12.6093 | 12.6093 | 90.0 | 90.0 | 90.0 |
| A6--In--bct | static | -0.0 | -0.0 | 5.46 | 5.46 | 8.19 | 90.0 | 90.0 | 90.0 |
| A5--beta-Sn | static | -0.0 | -0.0 | 10.5291 | 10.5291 | 5.791 | 90.0 | 90.0 | 90.0 |
| A15--beta-W | static | -0.0 | -0.0 | 10.92 | 10.92 | 10.92 | 90.0 | 90.0 | 90.0 |
| A5--beta-Sn | dynamic | 0.0 | 0.0 | 13.2953 | 13.2953 | 5.999 | 90.0 | 90.0 | 90.0 |
| A4--C--dc | dynamic | 0.0 | 0.0 | 14.4592 | 14.4592 | 14.4592 | 90.0 | 90.0 | 90.0 |
| A2--W--bcc | dynamic | 0.0 | 0.0 | 8.2687 | 8.2687 | 8.2687 | 90.0 | 90.0 | 90.0 |
| Ah--alpha-Po--sc | dynamic | 0.0 | 0.0 | 7.951 | 7.951 | 7.951 | 90.0 | 90.0 | 90.0 |
| A1--Cu--fcc | dynamic | 0.0 | 0.0 | 9.386 | 9.386 | 9.386 | 90.0 | 90.0 | 90.0 |
| A6--In--bct | dynamic | 0.0 | 0.0 | 7.5759 | 7.5759 | 8.19 | 90.0 | 90.0 | 90.0 |
| A15--beta-W | dynamic | 0.0 | 0.0 | 12.4814 | 12.4814 | 12.4814 | 90.0 | 90.0 | 90.0 |
Static elastic constants are displayed for the unique structures identified in Crystal Structure Predictions above. The values displayed here are obtained by measuring the change in virial stresses due to applying small strains to the relaxed crystals. The initial structure and the strained states are all relaxed using force minimization.
The calculation method used is available as the iprPy elastic_constants_static calculation method.
Notes and Disclaimers:
Version Information:
| 0.001 | 0.001 | 0.001 | 0.000 | -0.000 | -0.000 |
| 0.001 | 0.001 | 0.001 | 0.000 | 0.000 | 0.000 |
| 0.001 | 0.001 | 0.001 | -0.000 | -0.000 | -0.000 |
| -0.000 | -0.000 | -0.000 | 0.001 | 0.000 | 0.000 |
| -0.000 | -0.000 | -0.000 | 0.000 | 0.001 | 0.000 |
| -0.000 | -0.000 | -0.000 | -0.000 | 0.000 | 0.001 |
| 0.001 | 0.001 | 0.001 | 0.000 | 0.000 | 0.000 |
| 0.001 | 0.001 | 0.001 | 0.000 | 0.000 | 0.000 |
| 0.001 | 0.001 | 0.001 | -0.000 | -0.000 | 0.000 |
| 0.000 | 0.000 | 0.000 | 0.001 | 0.000 | 0.000 |
| 0.000 | 0.000 | 0.000 | 0.000 | 0.001 | 0.000 |
| 0.000 | 0.000 | 0.000 | 0.000 | 0.000 | 0.001 |
| 0.001 | 0.001 | 0.001 | 0.000 | 0.000 | 0.000 |
| 0.001 | 0.001 | 0.001 | 0.000 | 0.000 | 0.000 |
| 0.001 | 0.001 | 0.001 | -0.000 | -0.000 | 0.000 |
| -0.000 | -0.000 | -0.000 | 0.001 | -0.000 | -0.000 |
| -0.000 | -0.000 | -0.000 | -0.000 | 0.001 | -0.000 |
| -0.000 | -0.000 | -0.000 | -0.000 | -0.000 | 0.001 |
| 0.001 | 0.001 | 0.001 | 0.000 | 0.000 | -0.000 |
| 0.001 | 0.001 | 0.001 | 0.000 | 0.000 | 0.000 |
| 0.001 | 0.001 | 0.001 | -0.000 | -0.000 | -0.000 |
| 0.000 | 0.000 | 0.000 | 0.001 | -0.000 | -0.000 |
| 0.000 | 0.000 | 0.000 | -0.000 | 0.001 | -0.000 |
| 0.000 | 0.000 | 0.000 | 0.000 | -0.000 | 0.001 |
| 0.001 | 0.001 | 0.001 | -0.000 | 0.000 | 0.000 |
| 0.001 | 0.001 | 0.001 | 0.000 | -0.000 | -0.000 |
| 0.001 | 0.001 | 0.001 | -0.000 | -0.000 | -0.000 |
| -0.000 | -0.000 | -0.000 | 0.001 | 0.000 | -0.000 |
| -0.000 | -0.000 | -0.000 | -0.000 | 0.001 | -0.000 |
| -0.000 | -0.000 | -0.000 | 0.000 | -0.000 | 0.001 |
| 0.001 | 0.001 | 0.001 | 0.000 | 0.000 | -0.000 |
| 0.001 | 0.001 | 0.001 | 0.000 | 0.000 | 0.000 |
| 0.001 | 0.001 | 0.001 | 0.000 | 0.000 | 0.000 |
| 0.000 | 0.000 | 0.000 | 0.001 | -0.000 | 0.000 |
| 0.000 | 0.000 | 0.000 | -0.000 | 0.001 | 0.000 |
| 0.000 | 0.000 | 0.000 | -0.000 | 0.000 | 0.001 |
| -0.002 | -0.001 | -0.001 | 0.000 | -0.000 | -0.000 |
| -0.001 | -0.002 | -0.001 | -0.000 | 0.000 | 0.000 |
| -0.001 | -0.001 | -0.002 | 0.000 | 0.000 | -0.000 |
| 0.000 | -0.000 | -0.000 | -0.001 | -0.000 | 0.000 |
| -0.000 | 0.000 | -0.000 | -0.000 | -0.001 | 0.000 |
| -0.000 | -0.000 | 0.000 | 0.000 | 0.000 | -0.001 |
| -0.002 | -0.001 | -0.001 | 0.000 | -0.000 | 0.000 |
| -0.001 | -0.002 | -0.001 | -0.000 | 0.000 | 0.000 |
| -0.001 | -0.001 | -0.002 | 0.000 | -0.000 | 0.000 |
| -0.000 | 0.000 | 0.000 | -0.001 | -0.000 | 0.000 |
| 0.000 | -0.000 | 0.000 | -0.000 | -0.001 | 0.000 |
| 0.000 | 0.000 | -0.000 | -0.000 | 0.000 | -0.001 |
| -0.002 | -0.001 | -0.001 | 0.000 | -0.000 | -0.000 |
| -0.001 | -0.002 | -0.001 | -0.000 | 0.000 | 0.000 |
| -0.001 | -0.001 | -0.002 | 0.000 | 0.000 | -0.000 |
| 0.000 | -0.000 | -0.000 | -0.001 | -0.000 | -0.000 |
| -0.000 | 0.000 | -0.000 | -0.000 | -0.001 | -0.000 |
| -0.000 | -0.000 | 0.000 | 0.000 | -0.000 | -0.001 |
| -0.002 | -0.001 | -0.001 | 0.000 | -0.000 | -0.000 |
| -0.001 | -0.002 | -0.001 | -0.000 | 0.000 | 0.000 |
| -0.001 | -0.001 | -0.002 | -0.000 | -0.000 | 0.000 |
| -0.000 | 0.000 | 0.000 | -0.001 | -0.000 | -0.000 |
| 0.000 | -0.000 | 0.000 | -0.000 | -0.001 | -0.000 |
| 0.000 | 0.000 | -0.000 | -0.000 | -0.000 | -0.001 |
| -0.002 | -0.001 | -0.001 | -0.000 | 0.000 | -0.000 |
| -0.001 | -0.002 | -0.001 | 0.000 | -0.000 | 0.000 |
| -0.001 | -0.001 | -0.002 | -0.000 | -0.000 | 0.000 |
| 0.000 | -0.000 | -0.000 | -0.001 | 0.000 | 0.000 |
| -0.000 | 0.000 | -0.000 | 0.000 | -0.001 | 0.000 |
| -0.000 | -0.000 | 0.000 | -0.000 | 0.000 | -0.001 |
| -0.002 | -0.001 | -0.001 | -0.000 | 0.000 | -0.000 |
| -0.001 | -0.002 | -0.001 | 0.000 | -0.000 | -0.000 |
| -0.001 | -0.001 | -0.002 | 0.000 | 0.000 | -0.000 |
| -0.000 | 0.000 | 0.000 | -0.001 | -0.000 | 0.000 |
| 0.000 | -0.000 | 0.000 | -0.000 | -0.001 | 0.000 |
| 0.000 | 0.000 | -0.000 | 0.000 | 0.000 | -0.001 |
| -0.000 | -0.000 | -0.000 | -0.000 | -0.000 | -0.000 |
| -0.000 | -0.000 | -0.000 | 0.000 | -0.000 | -0.000 |
| -0.000 | -0.000 | -0.000 | -0.000 | -0.000 | 0.000 |
| 0.000 | -0.000 | -0.000 | -0.000 | -0.000 | -0.000 |
| -0.000 | 0.000 | -0.000 | -0.000 | -0.000 | -0.000 |
| -0.000 | -0.000 | 0.000 | 0.000 | -0.000 | -0.000 |
| -0.000 | -0.000 | -0.000 | -0.000 | 0.000 | 0.000 |
| -0.000 | -0.000 | -0.000 | 0.000 | -0.000 | 0.000 |
| -0.000 | -0.000 | -0.000 | 0.000 | 0.000 | -0.000 |
| -0.000 | 0.000 | 0.000 | -0.000 | 0.000 | -0.000 |
| 0.000 | -0.000 | 0.000 | -0.000 | -0.000 | -0.000 |
| 0.000 | 0.000 | -0.000 | -0.000 | -0.000 | -0.000 |
| -0.000 | -0.000 | -0.000 | -0.000 | -0.000 | 0.000 |
| -0.000 | -0.000 | -0.000 | 0.000 | -0.000 | -0.000 |
| -0.000 | -0.000 | -0.000 | 0.000 | 0.000 | -0.000 |
| 0.000 | -0.000 | -0.000 | -0.000 | -0.000 | -0.000 |
| -0.000 | 0.000 | -0.000 | 0.000 | -0.000 | -0.000 |
| -0.000 | -0.000 | 0.000 | 0.000 | -0.000 | -0.000 |
| -0.000 | -0.000 | -0.000 | 0.000 | -0.000 | -0.000 |
| -0.000 | -0.000 | -0.000 | 0.000 | 0.000 | -0.000 |
| -0.000 | -0.000 | -0.000 | 0.000 | 0.000 | 0.000 |
| -0.000 | 0.000 | 0.000 | -0.000 | 0.000 | 0.000 |
| 0.000 | -0.000 | 0.000 | 0.000 | -0.000 | 0.000 |
| 0.000 | 0.000 | -0.000 | -0.000 | 0.000 | -0.000 |
| -0.000 | -0.000 | -0.000 | -0.000 | -0.000 | -0.000 |
| -0.000 | -0.000 | -0.000 | 0.000 | -0.000 | -0.000 |
| -0.000 | -0.000 | -0.000 | -0.000 | -0.000 | 0.000 |
| 0.000 | -0.000 | -0.000 | -0.000 | 0.000 | -0.000 |
| -0.000 | 0.000 | -0.000 | 0.000 | -0.000 | -0.000 |
| -0.000 | -0.000 | 0.000 | 0.000 | -0.000 | -0.000 |
| -0.000 | -0.000 | -0.000 | -0.000 | -0.000 | -0.000 |
| -0.000 | -0.000 | -0.000 | -0.000 | -0.000 | 0.000 |
| -0.000 | -0.000 | -0.000 | 0.000 | -0.000 | -0.000 |
| -0.000 | 0.000 | 0.000 | -0.000 | 0.000 | 0.000 |
| 0.000 | -0.000 | 0.000 | 0.000 | -0.000 | 0.000 |
| 0.000 | 0.000 | -0.000 | -0.000 | 0.000 | -0.000 |
| 0.000 | 0.000 | 0.000 | 0.000 | -0.000 | -0.000 |
| 0.000 | 0.000 | 0.000 | -0.000 | 0.000 | -0.000 |
| 0.000 | 0.000 | 0.000 | 0.000 | -0.000 | -0.000 |
| 0.000 | -0.000 | -0.000 | -0.000 | -0.000 | 0.000 |
| -0.000 | 0.000 | -0.000 | 0.000 | -0.000 | 0.000 |
| -0.000 | -0.000 | 0.000 | 0.000 | -0.000 | -0.000 |
| 0.000 | -0.000 | -0.000 | -0.000 | -0.000 | 0.000 |
| -0.000 | 0.000 | -0.000 | -0.000 | 0.000 | -0.000 |
| -0.000 | -0.000 | 0.000 | 0.000 | 0.000 | 0.000 |
| -0.000 | 0.000 | 0.000 | -0.000 | 0.000 | 0.000 |
| 0.000 | -0.000 | 0.000 | -0.000 | -0.000 | -0.000 |
| 0.000 | 0.000 | -0.000 | -0.000 | 0.000 | -0.000 |
| 0.000 | 0.000 | 0.000 | 0.000 | -0.000 | 0.000 |
| 0.000 | 0.000 | 0.000 | 0.000 | 0.000 | -0.000 |
| 0.000 | 0.000 | 0.000 | -0.000 | 0.000 | -0.000 |
| 0.000 | 0.000 | -0.000 | -0.000 | -0.000 | -0.000 |
| -0.000 | 0.000 | -0.000 | 0.000 | -0.000 | 0.000 |
| 0.000 | -0.000 | 0.000 | 0.000 | -0.000 | -0.000 |
| 0.000 | -0.000 | -0.000 | -0.000 | 0.000 | 0.000 |
| -0.000 | 0.000 | -0.000 | -0.000 | 0.000 | 0.000 |
| -0.000 | -0.000 | 0.000 | -0.000 | -0.000 | 0.000 |
| -0.000 | 0.000 | 0.000 | -0.000 | 0.000 | 0.000 |
| -0.000 | -0.000 | 0.000 | -0.000 | -0.000 | -0.000 |
| 0.000 | 0.000 | -0.000 | -0.000 | 0.000 | -0.000 |
| 0.000 | 0.000 | 0.000 | 0.000 | -0.000 | 0.000 |
| 0.000 | 0.000 | 0.000 | 0.000 | 0.000 | -0.000 |
| 0.000 | 0.000 | 0.000 | -0.000 | 0.000 | -0.000 |
| 0.000 | 0.000 | -0.000 | -0.000 | -0.000 | -0.000 |
| -0.000 | 0.000 | -0.000 | 0.000 | -0.000 | 0.000 |
| 0.000 | -0.000 | 0.000 | 0.000 | -0.000 | -0.000 |
| 0.000 | 0.000 | 0.000 | -0.000 | 0.000 | 0.000 |
| 0.000 | 0.000 | 0.000 | 0.000 | 0.000 | 0.000 |
| 0.000 | 0.000 | 0.000 | -0.000 | 0.000 | 0.000 |
| -0.000 | 0.000 | 0.000 | -0.000 | 0.000 | -0.000 |
| 0.000 | -0.000 | 0.000 | -0.000 | -0.000 | -0.000 |
| 0.000 | 0.000 | -0.000 | -0.000 | 0.000 | -0.000 |
| -0.000 | 0.000 | 0.000 | -0.000 | 0.000 | 0.000 |
| 0.000 | -0.000 | 0.000 | 0.000 | 0.000 | -0.000 |
| 0.000 | 0.000 | -0.000 | 0.000 | -0.000 | -0.000 |
| 0.000 | -0.000 | 0.000 | 0.000 | 0.000 | -0.000 |
| -0.000 | 0.000 | 0.000 | 0.000 | 0.000 | -0.000 |
| -0.000 | 0.000 | 0.000 | -0.000 | 0.000 | 0.000 |
| -0.000 | -0.000 | -0.000 | 0.000 | 0.000 | 0.000 |
| -0.000 | -0.000 | -0.000 | 0.000 | -0.000 | -0.000 |
| -0.000 | -0.000 | -0.000 | 0.000 | 0.000 | 0.000 |
| -0.000 | 0.000 | -0.000 | 0.000 | -0.000 | -0.000 |
| 0.000 | -0.000 | -0.000 | -0.000 | 0.000 | -0.000 |
| 0.000 | -0.000 | -0.000 | 0.000 | 0.000 | 0.000 |
| -0.000 | 0.000 | 0.000 | -0.000 | -0.000 | -0.000 |
| 0.000 | -0.000 | 0.000 | -0.000 | 0.000 | 0.000 |
| 0.000 | 0.000 | -0.000 | 0.000 | 0.000 | -0.000 |
| 0.000 | 0.000 | 0.000 | 0.000 | 0.000 | 0.000 |
| -0.000 | 0.000 | 0.000 | 0.000 | 0.000 | 0.000 |
| 0.000 | 0.000 | 0.000 | -0.000 | -0.000 | 0.000 |
| -0.000 | -0.000 | -0.000 | 0.000 | 0.000 | -0.000 |
| -0.000 | -0.000 | -0.000 | -0.000 | -0.000 | 0.000 |
| -0.000 | -0.000 | -0.000 | 0.000 | 0.000 | 0.000 |
| -0.000 | 0.000 | -0.000 | 0.000 | -0.000 | -0.000 |
| 0.000 | -0.000 | -0.000 | -0.000 | 0.000 | -0.000 |
| 0.000 | -0.000 | -0.000 | 0.000 | 0.000 | 0.000 |
| -0.000 | 0.000 | 0.000 | -0.000 | -0.000 | 0.000 |
| 0.000 | -0.000 | 0.000 | -0.000 | 0.000 | -0.000 |
| 0.000 | 0.000 | -0.000 | -0.000 | -0.000 | -0.000 |
| 0.000 | 0.000 | 0.000 | 0.000 | -0.000 | -0.000 |
| 0.000 | 0.000 | 0.000 | 0.000 | 0.000 | 0.000 |
| 0.000 | 0.000 | 0.000 | -0.000 | -0.000 | 0.000 |
| -0.000 | -0.000 | -0.000 | 0.000 | -0.000 | 0.000 |
| -0.000 | -0.000 | -0.000 | 0.000 | -0.000 | 0.000 |
| -0.000 | -0.000 | -0.000 | -0.000 | -0.000 | 0.000 |
| -0.000 | -0.000 | -0.000 | 0.000 | 0.000 | 0.000 |
| 0.000 | -0.000 | -0.000 | -0.000 | 0.000 | -0.000 |
| -0.000 | -0.000 | -0.000 | 0.000 | 0.000 | 0.000 |
| 0.001 | 0.001 | 0.001 | 0.000 | -0.000 | -0.000 |
| 0.001 | 0.001 | 0.001 | -0.000 | 0.000 | -0.000 |
| 0.001 | 0.001 | 0.001 | -0.000 | -0.000 | 0.000 |
| -0.000 | -0.000 | -0.000 | 0.001 | -0.000 | 0.000 |
| -0.000 | -0.000 | -0.000 | -0.000 | 0.001 | 0.000 |
| -0.000 | -0.000 | -0.000 | -0.000 | -0.000 | 0.001 |
| 0.001 | 0.001 | 0.001 | -0.000 | -0.000 | -0.000 |
| 0.001 | 0.001 | 0.001 | -0.000 | -0.000 | -0.000 |
| 0.001 | 0.001 | 0.001 | -0.000 | -0.000 | -0.000 |
| 0.000 | 0.000 | 0.000 | 0.001 | -0.000 | 0.000 |
| 0.000 | 0.000 | 0.000 | -0.000 | 0.001 | 0.000 |
| 0.000 | 0.000 | 0.000 | -0.000 | 0.000 | 0.001 |
| 0.001 | 0.001 | 0.001 | -0.000 | -0.000 | 0.000 |
| 0.001 | 0.001 | 0.001 | -0.000 | -0.000 | 0.000 |
| 0.001 | 0.001 | 0.001 | -0.000 | -0.000 | -0.000 |
| -0.000 | -0.000 | -0.000 | 0.001 | -0.000 | 0.000 |
| -0.000 | -0.000 | -0.000 | -0.000 | 0.001 | 0.000 |
| -0.000 | -0.000 | -0.000 | 0.000 | -0.000 | 0.001 |
| 0.001 | 0.001 | 0.001 | 0.000 | 0.000 | 0.000 |
| 0.001 | 0.001 | 0.001 | 0.000 | 0.000 | 0.000 |
| 0.001 | 0.001 | 0.001 | 0.000 | 0.000 | -0.000 |
| 0.000 | 0.000 | 0.000 | 0.001 | -0.000 | -0.000 |
| 0.000 | 0.000 | 0.000 | -0.000 | 0.001 | -0.000 |
| 0.000 | 0.000 | 0.000 | 0.000 | 0.000 | 0.001 |
| 0.001 | 0.001 | 0.001 | -0.000 | -0.000 | 0.000 |
| 0.001 | 0.001 | 0.001 | -0.000 | -0.000 | 0.000 |
| 0.001 | 0.001 | 0.001 | -0.000 | -0.000 | 0.000 |
| -0.000 | -0.000 | -0.000 | 0.001 | -0.000 | 0.000 |
| -0.000 | -0.000 | -0.000 | -0.000 | 0.001 | 0.000 |
| -0.000 | -0.000 | -0.000 | -0.000 | -0.000 | 0.001 |
| 0.001 | 0.001 | 0.001 | -0.000 | -0.000 | -0.000 |
| 0.001 | 0.001 | 0.001 | -0.000 | -0.000 | -0.000 |
| 0.001 | 0.001 | 0.001 | -0.000 | -0.000 | -0.000 |
| 0.000 | 0.000 | 0.000 | 0.001 | -0.000 | -0.000 |
| 0.000 | 0.000 | 0.000 | -0.000 | 0.001 | -0.000 |
| 0.000 | 0.000 | 0.000 | -0.000 | -0.000 | 0.001 |
| 0.002 | 0.001 | 0.000 | -0.000 | 0.000 | 0.000 |
| 0.001 | 0.002 | 0.000 | 0.000 | -0.000 | 0.000 |
| 0.000 | 0.000 | 0.002 | 0.000 | -0.000 | 0.000 |
| -0.000 | -0.000 | -0.000 | 0.000 | -0.000 | 0.000 |
| -0.000 | -0.000 | -0.000 | 0.000 | 0.000 | 0.000 |
| -0.000 | -0.000 | -0.000 | 0.000 | -0.000 | 0.001 |
| 0.002 | 0.001 | 0.000 | 0.000 | 0.000 | -0.000 |
| 0.001 | 0.002 | 0.000 | -0.000 | 0.000 | -0.000 |
| 0.000 | 0.000 | 0.002 | -0.000 | -0.000 | -0.000 |
| 0.000 | 0.000 | 0.000 | 0.000 | -0.000 | -0.000 |
| 0.000 | 0.000 | 0.000 | -0.000 | 0.000 | 0.000 |
| 0.000 | 0.000 | 0.000 | -0.000 | -0.000 | 0.001 |
| 0.002 | 0.001 | 0.000 | 0.000 | 0.000 | 0.000 |
| 0.001 | 0.002 | 0.000 | -0.000 | -0.000 | 0.000 |
| 0.000 | 0.000 | 0.002 | 0.000 | -0.000 | 0.000 |
| -0.000 | -0.000 | -0.000 | 0.000 | -0.000 | 0.000 |
| -0.000 | -0.000 | -0.000 | 0.000 | 0.000 | 0.000 |
| -0.000 | -0.000 | -0.000 | 0.000 | 0.000 | 0.001 |
| 0.002 | 0.001 | 0.000 | -0.000 | 0.000 | -0.000 |
| 0.001 | 0.002 | 0.000 | -0.000 | -0.000 | -0.000 |
| 0.000 | 0.000 | 0.002 | -0.000 | -0.000 | -0.000 |
| 0.000 | 0.000 | 0.000 | 0.000 | 0.000 | -0.000 |
| 0.000 | 0.000 | 0.000 | -0.000 | 0.000 | 0.000 |
| 0.000 | 0.000 | 0.000 | -0.000 | 0.000 | 0.001 |
| 0.002 | 0.001 | 0.000 | -0.000 | 0.000 | 0.000 |
| 0.001 | 0.002 | 0.000 | 0.000 | -0.000 | 0.000 |
| 0.000 | 0.000 | 0.002 | 0.000 | -0.000 | 0.000 |
| -0.000 | -0.000 | -0.000 | 0.000 | -0.000 | 0.000 |
| -0.000 | -0.000 | -0.000 | 0.000 | 0.000 | 0.000 |
| -0.000 | -0.000 | -0.000 | 0.000 | -0.000 | 0.001 |
| 0.002 | 0.001 | 0.000 | -0.000 | -0.000 | -0.000 |
| 0.001 | 0.002 | 0.000 | 0.000 | 0.000 | -0.000 |
| 0.000 | 0.000 | 0.002 | -0.000 | 0.000 | -0.000 |
| 0.000 | 0.000 | 0.000 | 0.000 | 0.000 | -0.000 |
| 0.000 | 0.000 | 0.000 | -0.000 | 0.000 | 0.000 |
| 0.000 | 0.000 | 0.000 | -0.000 | -0.000 | 0.001 |
| 0.002 | 0.001 | 0.000 | 0.000 | 0.000 | -0.000 |
| 0.001 | 0.002 | 0.000 | -0.000 | 0.000 | -0.000 |
| 0.000 | 0.000 | 0.002 | 0.000 | 0.000 | 0.000 |
| -0.000 | -0.000 | -0.000 | 0.000 | 0.000 | -0.000 |
| -0.000 | -0.000 | -0.000 | 0.000 | 0.000 | -0.000 |
| -0.000 | -0.000 | -0.000 | 0.000 | 0.000 | 0.001 |
| 0.002 | 0.001 | 0.000 | -0.000 | -0.000 | 0.000 |
| 0.001 | 0.002 | 0.000 | -0.000 | -0.000 | 0.000 |
| 0.000 | 0.000 | 0.002 | -0.000 | 0.000 | -0.000 |
| 0.000 | 0.000 | 0.000 | 0.000 | 0.000 | 0.000 |
| 0.000 | 0.000 | 0.000 | -0.000 | 0.000 | -0.000 |
| 0.000 | 0.000 | 0.000 | -0.000 | 0.000 | 0.001 |
| 0.002 | 0.001 | 0.000 | 0.000 | -0.000 | -0.000 |
| 0.001 | 0.002 | 0.000 | 0.000 | 0.000 | 0.000 |
| 0.000 | 0.000 | 0.002 | 0.000 | 0.000 | 0.000 |
| -0.000 | -0.000 | -0.000 | 0.000 | -0.000 | -0.000 |
| -0.000 | -0.000 | -0.000 | 0.000 | 0.000 | -0.000 |
| -0.000 | -0.000 | -0.000 | 0.000 | 0.000 | 0.001 |
| 0.002 | 0.001 | 0.000 | -0.000 | 0.000 | 0.000 |
| 0.001 | 0.002 | 0.000 | -0.000 | 0.000 | 0.000 |
| 0.000 | 0.000 | 0.002 | -0.000 | 0.000 | -0.000 |
| 0.000 | 0.000 | 0.000 | 0.000 | -0.000 | 0.000 |
| 0.000 | 0.000 | 0.000 | -0.000 | 0.000 | -0.000 |
| 0.000 | 0.000 | 0.000 | -0.000 | 0.000 | 0.001 |
| 0.002 | 0.001 | 0.000 | 0.000 | -0.000 | -0.000 |
| 0.001 | 0.002 | 0.000 | 0.000 | -0.000 | -0.000 |
| 0.000 | 0.000 | 0.002 | 0.000 | 0.000 | 0.000 |
| -0.000 | -0.000 | -0.000 | 0.000 | 0.000 | -0.000 |
| -0.000 | -0.000 | -0.000 | 0.000 | 0.000 | -0.000 |
| -0.000 | -0.000 | -0.000 | -0.000 | 0.000 | 0.001 |
| 0.002 | 0.001 | 0.000 | -0.000 | -0.000 | 0.000 |
| 0.001 | 0.002 | 0.000 | -0.000 | 0.000 | 0.000 |
| 0.000 | 0.000 | 0.002 | -0.000 | 0.000 | 0.000 |
| 0.000 | 0.000 | 0.000 | 0.000 | 0.000 | 0.000 |
| 0.000 | 0.000 | 0.000 | -0.000 | 0.000 | -0.000 |
| 0.000 | 0.000 | 0.000 | 0.000 | 0.000 | 0.001 |
| 0.000 | 0.000 | 0.000 | -0.000 | -0.000 | -0.000 |
| 0.000 | 0.000 | 0.000 | -0.000 | -0.000 | -0.000 |
| 0.000 | 0.000 | 0.000 | -0.000 | -0.000 | -0.000 |
| -0.000 | -0.000 | -0.000 | 0.000 | -0.000 | -0.000 |
| -0.000 | -0.000 | -0.000 | -0.000 | 0.000 | -0.000 |
| -0.000 | -0.000 | -0.000 | -0.000 | -0.000 | 0.000 |
| 0.000 | 0.000 | 0.000 | 0.000 | 0.000 | 0.000 |
| 0.000 | 0.000 | 0.000 | 0.000 | 0.000 | 0.000 |
| 0.000 | 0.000 | 0.000 | 0.000 | 0.000 | 0.000 |
| 0.000 | 0.000 | 0.000 | 0.000 | 0.000 | 0.000 |
| 0.000 | 0.000 | 0.000 | 0.000 | 0.000 | 0.000 |
| 0.000 | 0.000 | 0.000 | 0.000 | 0.000 | 0.000 |
| 0.000 | 0.000 | 0.000 | -0.000 | -0.000 | -0.000 |
| 0.000 | 0.000 | 0.000 | -0.000 | -0.000 | -0.000 |
| 0.000 | 0.000 | 0.000 | -0.000 | -0.000 | -0.000 |
| -0.000 | -0.000 | -0.000 | 0.000 | -0.000 | -0.000 |
| -0.000 | -0.000 | -0.000 | -0.000 | 0.000 | -0.000 |
| -0.000 | -0.000 | -0.000 | -0.000 | -0.000 | 0.000 |
| 0.000 | 0.000 | 0.000 | -0.000 | 0.000 | 0.000 |
| 0.000 | 0.000 | 0.000 | 0.000 | -0.000 | 0.000 |
| 0.000 | 0.000 | 0.000 | 0.000 | 0.000 | -0.000 |
| 0.000 | 0.000 | 0.000 | 0.000 | 0.000 | 0.000 |
| 0.000 | 0.000 | 0.000 | 0.000 | 0.000 | 0.000 |
| 0.000 | 0.000 | 0.000 | 0.000 | 0.000 | 0.000 |
| 0.000 | 0.000 | 0.000 | 0.000 | -0.000 | -0.000 |
| 0.000 | 0.000 | 0.000 | -0.000 | 0.000 | -0.000 |
| 0.000 | 0.000 | 0.000 | -0.000 | -0.000 | 0.000 |
| -0.000 | -0.000 | -0.000 | 0.000 | -0.000 | -0.000 |
| -0.000 | -0.000 | -0.000 | -0.000 | 0.000 | -0.000 |
| -0.000 | -0.000 | -0.000 | -0.000 | -0.000 | 0.000 |
| 0.000 | 0.000 | 0.000 | 0.000 | 0.000 | 0.000 |
| 0.000 | 0.000 | 0.000 | 0.000 | 0.000 | 0.000 |
| 0.000 | 0.000 | 0.000 | 0.000 | 0.000 | 0.000 |
| 0.000 | 0.000 | 0.000 | 0.000 | 0.000 | 0.000 |
| 0.000 | 0.000 | 0.000 | 0.000 | 0.000 | 0.000 |
| 0.000 | 0.000 | 0.000 | 0.000 | 0.000 | 0.000 |
| 0.001 | -0.000 | 0.000 | 0.000 | -0.000 | -0.000 |
| 0.000 | 0.001 | 0.000 | -0.000 | 0.000 | 0.000 |
| 0.000 | 0.000 | 0.000 | -0.000 | 0.000 | -0.000 |
| 0.000 | -0.000 | -0.000 | 0.000 | 0.000 | 0.000 |
| -0.000 | -0.000 | -0.000 | 0.000 | 0.000 | -0.000 |
| 0.000 | -0.000 | 0.000 | 0.000 | 0.000 | -0.000 |
| 0.001 | 0.000 | 0.000 | -0.000 | -0.000 | 0.000 |
| 0.000 | 0.001 | 0.000 | -0.000 | -0.000 | -0.000 |
| 0.000 | 0.000 | 0.000 | 0.000 | 0.000 | -0.000 |
| -0.000 | 0.000 | 0.000 | 0.000 | -0.000 | 0.000 |
| 0.000 | 0.000 | 0.000 | -0.000 | 0.000 | -0.000 |
| -0.000 | 0.000 | -0.000 | -0.000 | 0.000 | -0.000 |
| 0.001 | 0.000 | 0.000 | -0.000 | 0.000 | -0.000 |
| 0.000 | 0.001 | 0.000 | 0.000 | 0.000 | 0.000 |
| 0.000 | 0.000 | 0.000 | -0.000 | 0.000 | -0.000 |
| -0.000 | -0.000 | -0.000 | 0.000 | 0.000 | -0.000 |
| -0.000 | -0.000 | -0.000 | -0.000 | 0.000 | 0.000 |
| 0.000 | -0.000 | -0.000 | -0.000 | -0.000 | -0.000 |
| 0.001 | 0.000 | 0.000 | -0.000 | -0.000 | 0.000 |
| 0.000 | 0.001 | 0.000 | 0.000 | -0.000 | 0.000 |
| 0.000 | 0.000 | 0.000 | 0.000 | 0.000 | -0.000 |
| 0.000 | 0.000 | 0.000 | 0.000 | -0.000 | -0.000 |
| 0.000 | 0.000 | 0.000 | 0.000 | 0.000 | 0.000 |
| -0.000 | 0.000 | 0.000 | 0.000 | -0.000 | -0.000 |
| 0.001 | 0.000 | 0.000 | 0.000 | 0.000 | -0.000 |
| 0.000 | 0.001 | 0.000 | -0.000 | -0.000 | 0.000 |
| 0.000 | 0.000 | 0.000 | -0.000 | 0.000 | -0.000 |
| -0.000 | -0.000 | -0.000 | 0.000 | -0.000 | -0.000 |
| -0.000 | -0.000 | -0.000 | 0.000 | 0.000 | -0.000 |
| 0.000 | -0.000 | -0.000 | -0.000 | -0.000 | -0.000 |
| 0.001 | 0.000 | 0.000 | 0.000 | 0.000 | 0.000 |
| 0.000 | 0.001 | 0.000 | 0.000 | 0.000 | -0.000 |
| 0.000 | 0.000 | 0.000 | -0.000 | 0.000 | 0.000 |
| 0.000 | 0.000 | 0.000 | 0.000 | 0.000 | 0.000 |
| 0.000 | 0.000 | 0.000 | -0.000 | 0.000 | -0.000 |
| -0.000 | 0.000 | 0.000 | 0.000 | 0.000 | -0.000 |
| 0.001 | 0.000 | 0.000 | 0.000 | 0.000 | 0.000 |
| 0.000 | 0.001 | 0.000 | 0.000 | 0.000 | 0.000 |
| 0.000 | 0.000 | 0.000 | 0.000 | 0.000 | -0.000 |
| -0.000 | 0.000 | 0.000 | 0.000 | 0.000 | -0.000 |
| 0.000 | -0.000 | 0.000 | 0.000 | 0.000 | 0.000 |
| 0.000 | -0.000 | 0.000 | 0.000 | 0.000 | -0.000 |
| 0.001 | 0.000 | -0.000 | -0.000 | -0.000 | 0.000 |
| 0.000 | 0.001 | -0.000 | -0.000 | -0.000 | 0.000 |
| 0.000 | 0.000 | -0.000 | -0.000 | -0.000 | 0.000 |
| 0.000 | -0.000 | -0.000 | -0.000 | -0.000 | 0.000 |
| -0.000 | 0.000 | -0.000 | -0.000 | -0.000 | 0.000 |
| -0.000 | 0.000 | -0.000 | -0.000 | -0.000 | -0.000 |
| 0.001 | 0.000 | 0.000 | 0.000 | 0.000 | -0.000 |
| 0.000 | 0.001 | 0.000 | 0.000 | 0.000 | -0.000 |
| 0.000 | 0.000 | 0.000 | 0.000 | 0.000 | -0.000 |
| -0.000 | 0.000 | 0.000 | 0.000 | 0.000 | -0.000 |
| 0.000 | -0.000 | 0.000 | 0.000 | 0.000 | 0.000 |
| 0.000 | -0.000 | 0.000 | 0.000 | 0.000 | -0.000 |
| 0.001 | 0.000 | -0.000 | -0.000 | -0.000 | 0.000 |
| 0.000 | 0.001 | -0.000 | -0.000 | -0.000 | 0.000 |
| 0.000 | 0.000 | -0.000 | -0.000 | -0.000 | 0.000 |
| 0.000 | -0.000 | -0.000 | -0.000 | -0.000 | 0.000 |
| -0.000 | 0.000 | -0.000 | -0.000 | -0.000 | 0.000 |
| -0.000 | 0.000 | -0.000 | -0.000 | -0.000 | -0.000 |
| 0.001 | 0.000 | 0.000 | 0.000 | 0.000 | -0.000 |
| 0.000 | 0.001 | 0.000 | 0.000 | 0.000 | 0.000 |
| 0.000 | 0.000 | 0.000 | 0.000 | 0.000 | -0.000 |
| -0.000 | 0.000 | 0.000 | 0.000 | 0.000 | -0.000 |
| 0.000 | -0.000 | 0.000 | 0.000 | 0.000 | -0.000 |
| 0.000 | -0.000 | 0.000 | 0.000 | 0.000 | -0.000 |
| 0.001 | 0.000 | -0.000 | -0.000 | -0.000 | 0.000 |
| 0.000 | 0.001 | -0.000 | -0.000 | -0.000 | 0.000 |
| 0.000 | 0.000 | -0.000 | -0.000 | -0.000 | 0.000 |
| 0.000 | -0.000 | -0.000 | -0.000 | -0.000 | 0.000 |
| -0.000 | 0.000 | -0.000 | -0.000 | -0.000 | -0.000 |
| -0.000 | 0.000 | -0.000 | -0.000 | -0.000 | -0.000 |
| 0.001 | -0.000 | 0.000 | 0.000 | 0.000 | -0.000 |
| -0.000 | 0.001 | 0.000 | 0.000 | 0.000 | -0.000 |
| -0.000 | -0.000 | 0.000 | 0.000 | 0.000 | 0.000 |
| -0.000 | -0.000 | 0.000 | 0.000 | 0.000 | 0.000 |
| -0.000 | -0.000 | 0.000 | 0.000 | 0.000 | -0.000 |
| -0.000 | -0.000 | 0.000 | 0.000 | 0.000 | -0.000 |
| 0.001 | 0.000 | -0.000 | -0.000 | -0.000 | -0.000 |
| 0.000 | 0.001 | -0.000 | -0.000 | -0.000 | 0.000 |
| 0.000 | 0.000 | -0.000 | -0.000 | -0.000 | -0.000 |
| 0.000 | 0.000 | -0.000 | -0.000 | -0.000 | -0.000 |
| 0.000 | 0.000 | -0.000 | -0.000 | -0.000 | 0.000 |
| 0.000 | 0.000 | -0.000 | -0.000 | -0.000 | -0.000 |
| 0.001 | 0.000 | 0.000 | 0.000 | 0.000 | -0.000 |
| 0.000 | 0.001 | 0.000 | 0.000 | 0.000 | -0.000 |
| 0.000 | 0.000 | 0.000 | 0.000 | 0.000 | 0.000 |
| -0.000 | -0.000 | 0.000 | 0.000 | 0.000 | 0.000 |
| -0.000 | -0.000 | 0.000 | 0.000 | 0.000 | -0.000 |
| -0.000 | -0.000 | 0.000 | 0.000 | 0.000 | -0.000 |
| 0.001 | 0.000 | -0.000 | -0.000 | -0.000 | -0.000 |
| 0.000 | 0.001 | -0.000 | -0.000 | -0.000 | -0.000 |
| 0.000 | 0.000 | -0.000 | -0.000 | -0.000 | -0.000 |
| 0.000 | 0.000 | -0.000 | -0.000 | -0.000 | 0.000 |
| 0.000 | 0.000 | -0.000 | -0.000 | -0.000 | -0.000 |
| 0.000 | 0.000 | -0.000 | -0.000 | -0.000 | -0.000 |
| 0.001 | 0.000 | 0.000 | 0.000 | 0.000 | 0.000 |
| 0.000 | 0.001 | 0.000 | 0.000 | 0.000 | -0.000 |
| 0.000 | 0.000 | 0.000 | 0.000 | 0.000 | 0.000 |
| -0.000 | -0.000 | 0.000 | 0.000 | 0.000 | -0.000 |
| -0.000 | -0.000 | 0.000 | 0.000 | 0.000 | -0.000 |
| -0.000 | -0.000 | 0.000 | 0.000 | 0.000 | -0.000 |
| 0.001 | 0.000 | -0.000 | -0.000 | -0.000 | 0.000 |
| 0.000 | 0.001 | -0.000 | -0.000 | -0.000 | -0.000 |
| 0.000 | 0.000 | -0.000 | -0.000 | -0.000 | -0.000 |
| 0.000 | 0.000 | -0.000 | -0.000 | -0.000 | -0.000 |
| 0.000 | 0.000 | -0.000 | -0.000 | -0.000 | -0.000 |
| 0.000 | 0.000 | -0.000 | -0.000 | -0.000 | -0.000 |
| 0.000 | 0.000 | 0.000 | -0.000 | 0.000 | -0.000 |
| 0.000 | 0.000 | 0.000 | 0.000 | 0.000 | -0.000 |
| 0.000 | 0.000 | 0.000 | 0.000 | 0.000 | -0.000 |
| -0.000 | 0.000 | -0.000 | 0.000 | 0.000 | -0.000 |
| -0.000 | -0.000 | -0.000 | 0.000 | 0.000 | -0.000 |
| -0.000 | -0.000 | -0.000 | 0.000 | -0.000 | 0.000 |
| 0.000 | 0.000 | 0.000 | -0.000 | -0.000 | 0.000 |
| 0.000 | 0.000 | 0.000 | 0.000 | -0.000 | 0.000 |
| 0.000 | 0.000 | 0.000 | 0.000 | -0.000 | 0.000 |
| -0.000 | 0.000 | 0.000 | 0.000 | -0.000 | 0.000 |
| 0.000 | 0.000 | 0.000 | -0.000 | 0.000 | -0.000 |
| 0.000 | 0.000 | 0.000 | -0.000 | -0.000 | 0.000 |
| 0.000 | 0.000 | 0.000 | -0.000 | 0.000 | -0.000 |
| 0.000 | 0.000 | 0.000 | 0.000 | 0.000 | -0.000 |
| 0.000 | 0.000 | 0.000 | -0.000 | 0.000 | -0.000 |
| -0.000 | 0.000 | -0.000 | 0.000 | 0.000 | -0.000 |
| -0.000 | -0.000 | -0.000 | 0.000 | 0.000 | -0.000 |
| -0.000 | -0.000 | -0.000 | 0.000 | -0.000 | 0.000 |
| 0.000 | 0.000 | 0.000 | -0.000 | -0.000 | 0.000 |
| 0.000 | 0.000 | 0.000 | 0.000 | -0.000 | 0.000 |
| 0.000 | 0.000 | 0.000 | 0.000 | -0.000 | 0.000 |
| -0.000 | 0.000 | 0.000 | 0.000 | -0.000 | 0.000 |
| 0.000 | 0.000 | 0.000 | -0.000 | 0.000 | -0.000 |
| 0.000 | 0.000 | 0.000 | -0.000 | -0.000 | 0.000 |
| 0.000 | 0.000 | 0.000 | -0.000 | 0.000 | -0.000 |
| 0.000 | 0.000 | 0.000 | 0.000 | 0.000 | -0.000 |
| 0.000 | 0.000 | 0.000 | -0.000 | 0.000 | -0.000 |
| -0.000 | 0.000 | -0.000 | 0.000 | 0.000 | -0.000 |
| -0.000 | -0.000 | -0.000 | 0.000 | 0.000 | -0.000 |
| -0.000 | -0.000 | -0.000 | 0.000 | -0.000 | 0.000 |
| 0.000 | 0.000 | 0.000 | -0.000 | -0.000 | 0.000 |
| 0.000 | 0.000 | 0.000 | 0.000 | -0.000 | 0.000 |
| 0.000 | 0.000 | 0.000 | 0.000 | -0.000 | 0.000 |
| -0.000 | 0.000 | 0.000 | 0.000 | -0.000 | 0.000 |
| 0.000 | 0.000 | 0.000 | -0.000 | 0.000 | -0.000 |
| 0.000 | 0.000 | 0.000 | -0.000 | -0.000 | 0.000 |
| 0.001 | 0.000 | 0.000 | 0.000 | -0.000 | 0.000 |
| 0.000 | 0.001 | 0.000 | -0.000 | 0.000 | 0.000 |
| 0.000 | 0.000 | 0.001 | -0.000 | -0.000 | -0.000 |
| -0.000 | -0.000 | -0.000 | -0.000 | 0.000 | -0.000 |
| -0.000 | -0.000 | -0.000 | 0.000 | -0.000 | -0.000 |
| -0.000 | -0.000 | -0.000 | 0.000 | -0.000 | -0.000 |
| 0.001 | 0.000 | 0.000 | 0.000 | 0.000 | 0.000 |
| 0.000 | 0.001 | 0.000 | 0.000 | 0.000 | -0.000 |
| 0.000 | 0.000 | 0.001 | 0.000 | 0.000 | 0.000 |
| 0.000 | 0.000 | 0.000 | -0.000 | -0.000 | 0.000 |
| 0.000 | 0.000 | 0.000 | -0.000 | -0.000 | -0.000 |
| 0.000 | 0.000 | 0.000 | -0.000 | 0.000 | -0.000 |
| 0.001 | 0.000 | 0.000 | 0.000 | -0.000 | -0.000 |
| 0.000 | 0.001 | 0.000 | -0.000 | 0.000 | 0.000 |
| 0.000 | 0.000 | 0.001 | -0.000 | -0.000 | -0.000 |
| -0.000 | -0.000 | -0.000 | -0.000 | -0.000 | -0.000 |
| -0.000 | -0.000 | -0.000 | -0.000 | -0.000 | 0.000 |
| -0.000 | -0.000 | -0.000 | 0.000 | 0.000 | -0.000 |
| 0.001 | 0.000 | 0.000 | 0.000 | 0.000 | 0.000 |
| 0.000 | 0.001 | 0.000 | 0.000 | 0.000 | 0.000 |
| 0.000 | 0.000 | 0.001 | -0.000 | -0.000 | 0.000 |
| 0.000 | 0.000 | 0.000 | -0.000 | 0.000 | 0.000 |
| 0.000 | 0.000 | 0.000 | 0.000 | -0.000 | -0.000 |
| 0.000 | 0.000 | 0.000 | -0.000 | -0.000 | -0.000 |
| 0.001 | 0.000 | 0.000 | 0.000 | 0.000 | -0.000 |
| 0.000 | 0.001 | 0.000 | 0.000 | 0.000 | -0.000 |
| 0.000 | 0.000 | 0.001 | 0.000 | 0.000 | -0.000 |
| -0.000 | 0.000 | -0.000 | -0.000 | 0.000 | -0.000 |
| 0.000 | -0.000 | -0.000 | 0.000 | -0.000 | 0.000 |
| 0.000 | -0.000 | -0.000 | 0.000 | 0.000 | -0.000 |
| 0.001 | 0.000 | 0.000 | 0.000 | 0.000 | -0.000 |
| 0.000 | 0.001 | 0.000 | 0.000 | 0.000 | 0.000 |
| 0.000 | 0.000 | 0.001 | 0.000 | 0.000 | 0.000 |
| 0.000 | 0.000 | 0.000 | -0.000 | -0.000 | 0.000 |
| 0.000 | 0.000 | 0.000 | -0.000 | -0.000 | 0.000 |
| 0.000 | 0.000 | 0.000 | -0.000 | -0.000 | -0.000 |
| 0.000 | 0.000 | 0.000 | -0.000 | -0.000 | 0.000 |
| 0.000 | 0.000 | 0.000 | -0.000 | 0.000 | 0.000 |
| 0.000 | 0.000 | 0.000 | -0.000 | -0.000 | 0.000 |
| 0.000 | 0.000 | -0.000 | -0.000 | -0.000 | 0.000 |
| 0.000 | 0.000 | -0.000 | 0.000 | -0.000 | 0.000 |
| 0.000 | 0.000 | 0.000 | -0.000 | -0.000 | 0.000 |
| -0.000 | -0.000 | 0.000 | 0.000 | -0.000 | -0.000 |
| -0.000 | -0.000 | 0.000 | 0.000 | -0.000 | -0.000 |
| -0.000 | -0.000 | 0.000 | 0.000 | 0.000 | -0.000 |
| -0.000 | -0.000 | 0.000 | -0.000 | 0.000 | 0.000 |
| -0.000 | -0.000 | 0.000 | -0.000 | -0.000 | -0.000 |
| -0.000 | -0.000 | -0.000 | 0.000 | 0.000 | -0.000 |
| 0.000 | 0.000 | 0.000 | -0.000 | 0.000 | 0.000 |
| 0.000 | 0.000 | 0.000 | 0.000 | 0.000 | 0.000 |
| 0.000 | 0.000 | 0.000 | -0.000 | -0.000 | 0.000 |
| 0.000 | 0.000 | -0.000 | -0.000 | -0.000 | 0.000 |
| 0.000 | 0.000 | -0.000 | 0.000 | -0.000 | 0.000 |
| 0.000 | 0.000 | 0.000 | -0.000 | -0.000 | 0.000 |
| -0.000 | -0.000 | 0.000 | 0.000 | 0.000 | -0.000 |
| -0.000 | -0.000 | 0.000 | 0.000 | -0.000 | -0.000 |
| -0.000 | -0.000 | 0.000 | -0.000 | 0.000 | -0.000 |
| -0.000 | -0.000 | 0.000 | -0.000 | 0.000 | -0.000 |
| -0.000 | -0.000 | 0.000 | -0.000 | -0.000 | -0.000 |
| -0.000 | -0.000 | -0.000 | 0.000 | 0.000 | -0.000 |
| 0.000 | 0.000 | 0.000 | -0.000 | -0.000 | 0.000 |
| 0.000 | 0.000 | 0.000 | 0.000 | 0.000 | 0.000 |
| 0.000 | 0.000 | 0.000 | 0.000 | -0.000 | 0.000 |
| 0.000 | 0.000 | -0.000 | -0.000 | -0.000 | 0.000 |
| 0.000 | 0.000 | -0.000 | -0.000 | -0.000 | 0.000 |
| 0.000 | 0.000 | 0.000 | -0.000 | -0.000 | 0.000 |
| -0.000 | -0.000 | 0.000 | 0.000 | 0.000 | -0.000 |
| -0.000 | -0.000 | 0.000 | 0.000 | -0.000 | -0.000 |
| -0.000 | -0.000 | 0.000 | 0.000 | -0.000 | -0.000 |
| -0.000 | -0.000 | 0.000 | -0.000 | 0.000 | 0.000 |
| -0.000 | -0.000 | 0.000 | 0.000 | -0.000 | -0.000 |
| -0.000 | -0.000 | -0.000 | 0.000 | -0.000 | -0.000 |
| 30.533 | -6.824 | -6.824 | -0.000 | -0.000 | -0.000 |
| -6.824 | 30.533 | -6.824 | -0.000 | -0.000 | -0.000 |
| -6.824 | -6.824 | 30.533 | -0.000 | -0.000 | -0.000 |
| 0.000 | 0.000 | -0.000 | -9.151 | -0.000 | 0.000 |
| 0.000 | 0.000 | -0.000 | -0.000 | -9.151 | 0.000 |
| 0.000 | -0.000 | 0.000 | -0.000 | -0.000 | -9.151 |
| 30.533 | -6.824 | -6.824 | 0.000 | 0.000 | 0.000 |
| -6.824 | 30.533 | -6.824 | 0.000 | 0.000 | 0.000 |
| -6.824 | -6.824 | 30.533 | 0.000 | 0.000 | 0.000 |
| -0.000 | -0.000 | 0.000 | -9.151 | 0.000 | -0.000 |
| -0.000 | -0.000 | 0.000 | 0.000 | -9.151 | -0.000 |
| -0.000 | 0.000 | -0.000 | 0.000 | 0.000 | -9.151 |
| 30.533 | -6.824 | -6.824 | -0.000 | -0.000 | -0.000 |
| -6.824 | 30.533 | -6.824 | -0.000 | -0.000 | 0.000 |
| -6.824 | -6.824 | 30.533 | -0.000 | -0.000 | -0.000 |
| 0.000 | 0.000 | -0.000 | -9.151 | -0.000 | 0.000 |
| 0.000 | 0.000 | -0.000 | -0.000 | -9.151 | 0.000 |
| 0.000 | -0.000 | 0.000 | -0.000 | -0.000 | -9.151 |
| 30.533 | -6.824 | -6.824 | 0.000 | 0.000 | -0.000 |
| -6.824 | 30.533 | -6.824 | 0.000 | 0.000 | -0.000 |
| -6.824 | -6.824 | 30.533 | 0.000 | 0.000 | 0.000 |
| -0.000 | -0.000 | 0.000 | -9.151 | 0.000 | 0.000 |
| -0.000 | -0.000 | 0.000 | 0.000 | -9.151 | -0.000 |
| -0.000 | 0.000 | -0.000 | 0.000 | 0.000 | -9.151 |
| 30.533 | -6.824 | -6.824 | -0.000 | -0.000 | -0.000 |
| -6.824 | 30.533 | -6.824 | -0.000 | -0.000 | -0.000 |
| -6.824 | -6.824 | 30.533 | -0.000 | -0.000 | -0.000 |
| 0.000 | 0.000 | -0.000 | -9.151 | -0.000 | -0.000 |
| 0.000 | 0.000 | -0.000 | -0.000 | -9.151 | 0.000 |
| 0.000 | -0.000 | 0.000 | -0.000 | -0.000 | -9.151 |
| 30.533 | -6.824 | -6.824 | 0.000 | 0.000 | 0.000 |
| -6.824 | 30.533 | -6.824 | 0.000 | 0.000 | -0.000 |
| -6.824 | -6.824 | 30.533 | 0.000 | 0.000 | 0.000 |
| -0.000 | -0.000 | 0.000 | -9.151 | 0.000 | 0.000 |
| -0.000 | -0.000 | 0.000 | 0.000 | -9.151 | 0.000 |
| -0.000 | 0.000 | -0.000 | 0.000 | 0.000 | -9.151 |
| 332.725 | 101.796 | 101.796 | -0.000 | -0.000 | -0.000 |
| 101.796 | 332.725 | 101.796 | -0.000 | -0.000 | -0.000 |
| 101.796 | 101.796 | 332.725 | 0.000 | 0.000 | -0.000 |
| 0.000 | 0.000 | 0.000 | 53.890 | -0.000 | 0.000 |
| 0.000 | 0.000 | 0.000 | -0.000 | 53.890 | -0.000 |
| 0.000 | 0.000 | 0.000 | 0.000 | 0.000 | 53.890 |
| 332.725 | 101.796 | 101.796 | 0.000 | 0.000 | -0.000 |
| 101.796 | 332.725 | 101.796 | 0.000 | 0.000 | -0.000 |
| 101.796 | 101.796 | 332.725 | -0.000 | -0.000 | -0.000 |
| 0.000 | -0.000 | -0.000 | 53.890 | 0.000 | -0.000 |
| 0.000 | -0.000 | -0.000 | 0.000 | 53.890 | -0.000 |
| 0.000 | -0.000 | -0.000 | 0.000 | -0.000 | 53.890 |
| 332.726 | 101.796 | 101.796 | -0.000 | -0.000 | -0.000 |
| 101.796 | 332.726 | 101.796 | -0.000 | -0.000 | 0.000 |
| 101.796 | 101.796 | 332.726 | 0.000 | 0.000 | -0.000 |
| 0.000 | 0.000 | 0.000 | 53.890 | -0.000 | -0.000 |
| 0.000 | 0.000 | 0.000 | -0.000 | 53.890 | 0.000 |
| 0.000 | 0.000 | 0.000 | -0.000 | 0.000 | 53.890 |
| 332.725 | 101.796 | 101.796 | 0.000 | -0.000 | 0.000 |
| 101.796 | 332.725 | 101.796 | 0.000 | 0.000 | 0.000 |
| 101.796 | 101.796 | 332.725 | 0.000 | -0.000 | 0.000 |
| -0.000 | -0.000 | -0.000 | 53.890 | 0.000 | -0.000 |
| -0.000 | -0.000 | -0.000 | 0.000 | 53.890 | -0.000 |
| -0.000 | -0.000 | -0.000 | -0.000 | -0.000 | 53.890 |
| 332.727 | 101.797 | 101.797 | -0.000 | -0.000 | -0.000 |
| 101.797 | 332.727 | 101.797 | -0.000 | -0.000 | 0.000 |
| 101.797 | 101.797 | 332.727 | -0.000 | 0.000 | -0.000 |
| 0.000 | 0.000 | 0.000 | -14.618 | -0.000 | 0.000 |
| 0.000 | 0.000 | 0.000 | -0.000 | -14.618 | 0.000 |
| 0.000 | 0.000 | 0.000 | 0.000 | 0.000 | -14.618 |
| 332.724 | 101.795 | 101.795 | 0.000 | 0.000 | 0.000 |
| 101.795 | 332.724 | 101.795 | 0.000 | 0.000 | 0.000 |
| 101.795 | 101.795 | 332.724 | 0.000 | 0.000 | 0.000 |
| -0.000 | -0.000 | -0.000 | -14.618 | 0.000 | -0.000 |
| -0.000 | -0.000 | -0.000 | 0.000 | -14.618 | -0.000 |
| -0.000 | -0.000 | -0.000 | -0.000 | -0.000 | -14.618 |
| 653.478 | 423.166 | 423.166 | -0.000 | 0.000 | 0.000 |
| 423.166 | 653.478 | 423.166 | 0.000 | 0.000 | 0.000 |
| 423.166 | 423.166 | 653.478 | 0.000 | 0.000 | 0.000 |
| 0.000 | -0.000 | -0.000 | 375.278 | 0.000 | -0.000 |
| -0.000 | 0.000 | -0.000 | 0.000 | 375.278 | 0.000 |
| -0.000 | 0.000 | 0.000 | 0.000 | -0.000 | 375.278 |
| 653.478 | 423.166 | 423.166 | -0.000 | -0.000 | -0.000 |
| 423.166 | 653.478 | 423.166 | -0.000 | -0.000 | -0.000 |
| 423.166 | 423.166 | 653.478 | 0.000 | 0.000 | -0.000 |
| -0.000 | 0.000 | 0.000 | 375.278 | 0.000 | 0.000 |
| 0.000 | -0.000 | 0.000 | 0.000 | 375.278 | -0.000 |
| 0.000 | -0.000 | 0.000 | -0.000 | -0.000 | 375.278 |
| 653.478 | 423.166 | 423.166 | -0.000 | 0.000 | -0.000 |
| 423.166 | 653.478 | 423.166 | 0.000 | 0.000 | 0.000 |
| 423.166 | 423.166 | 653.478 | 0.000 | 0.000 | 0.000 |
| -0.000 | -0.000 | -0.000 | 141.902 | 0.000 | 0.000 |
| -0.000 | -0.000 | -0.000 | 0.000 | 141.902 | 0.000 |
| -0.000 | -0.000 | -0.000 | -0.000 | 0.000 | 141.902 |
| 653.478 | 423.166 | 423.166 | -0.000 | -0.000 | -0.000 |
| 423.166 | 653.478 | 423.166 | -0.000 | -0.000 | -0.000 |
| 423.166 | 423.166 | 653.478 | 0.000 | -0.000 | -0.000 |
| 0.000 | 0.000 | 0.000 | 141.902 | -0.000 | 0.000 |
| 0.000 | 0.000 | 0.000 | -0.000 | 141.902 | -0.000 |
| 0.000 | 0.000 | 0.000 | -0.000 | -0.000 | 141.902 |
| 653.478 | 423.167 | 423.167 | 0.000 | 0.000 | 0.000 |
| 423.167 | 653.478 | 423.167 | 0.000 | 0.000 | -0.000 |
| 423.167 | 423.167 | 653.478 | 0.000 | 0.000 | 0.000 |
| 0.000 | -0.000 | 0.000 | 375.278 | 0.000 | 0.000 |
| -0.000 | 0.000 | 0.000 | 0.000 | 375.278 | 0.000 |
| -0.000 | 0.000 | 0.000 | 0.000 | 0.000 | 375.278 |
| 653.478 | 423.165 | 423.165 | -0.000 | -0.000 | 0.000 |
| 423.165 | 653.478 | 423.165 | -0.000 | -0.000 | -0.000 |
| 423.165 | 423.165 | 653.478 | -0.000 | -0.000 | -0.000 |
| -0.000 | 0.000 | -0.000 | 375.278 | -0.000 | -0.000 |
| 0.000 | -0.000 | -0.000 | -0.000 | 375.278 | -0.000 |
| 0.000 | -0.000 | -0.000 | -0.000 | -0.000 | 375.278 |
| -3078.997 | -907.397 | 3851.282 | -0.000 | 0.000 | -0.000 |
| 201.531 | 731.497 | 277.653 | -0.000 | 0.000 | 0.000 |
| -2143.096 | 898.454 | 8013.805 | 0.000 | -0.000 | 0.000 |
| -0.000 | -0.000 | 0.000 | 227.359 | 0.000 | 0.000 |
| -3416.027 | -1096.895 | 3591.050 | -0.000 | 139.236 | -0.000 |
| 0.000 | 0.000 | 0.000 | 0.000 | 0.000 | 158.829 |
| 3754.796 | 1287.212 | -3334.175 | 0.000 | -0.000 | 0.000 |
| 3649.453 | 1682.212 | -3276.710 | 0.000 | -0.000 | 0.000 |
| 232.022 | 275.209 | 796.978 | 0.000 | 0.000 | -0.000 |
| 0.000 | 0.000 | -0.000 | 227.359 | -0.000 | -0.000 |
| 2410.472 | -591.579 | -7577.780 | 0.000 | 145.753 | 0.000 |
| 0.000 | 0.000 | 0.000 | 0.000 | -0.000 | 158.829 |
| -23.362 | 427.790 | 629.695 | -0.000 | 0.000 | -0.000 |
| -111.570 | 500.851 | 665.201 | -0.000 | 0.000 | -0.000 |
| -2.577 | 339.173 | 1348.089 | -0.000 | 0.000 | -0.000 |
| -172.759 | 202.652 | 874.782 | 186.406 | 0.000 | -0.000 |
| -117.531 | 68.401 | 818.067 | -0.000 | 164.619 | -0.000 |
| -277.921 | 222.857 | 420.492 | -0.000 | 0.000 | 148.523 |
| 416.976 | 204.687 | 237.622 | 0.000 | 0.000 | -0.000 |
| 565.742 | 669.808 | -25.030 | 0.000 | -0.000 | 0.000 |
| 610.921 | 469.364 | 328.865 | 0.000 | -0.000 | 0.000 |
| 172.759 | -202.652 | -874.782 | 186.406 | -0.000 | 0.000 |
| 117.531 | -68.402 | -818.067 | 0.000 | 164.619 | 0.000 |
| 277.921 | -222.857 | -420.492 | 0.000 | -0.000 | 148.523 |
| 219.395 | 243.806 | 322.482 | 0.000 | -0.000 | 0.000 |
| 209.874 | 571.246 | 364.620 | 0.000 | -0.000 | 0.000 |
| 217.218 | 291.536 | 661.903 | -0.000 | 0.000 | -0.000 |
| -13.526 | -0.429 | 75.787 | 149.958 | 0.000 | -0.000 |
| -24.354 | 1.227 | 78.379 | 0.000 | 121.245 | 0.000 |
| -19.078 | 15.331 | 85.683 | -0.000 | 0.000 | 115.313 |
| 257.183 | 256.583 | 205.340 | 0.000 | -0.000 | 0.000 |
| 243.936 | 555.389 | 205.115 | 0.000 | -0.000 | 0.000 |
| 253.428 | 262.379 | 516.300 | 0.000 | -0.000 | 0.000 |
| 13.526 | 0.429 | -75.787 | 149.958 | -0.000 | 0.000 |
| 17.604 | -7.864 | -55.689 | 0.000 | 115.107 | 0.000 |
| 19.078 | -15.331 | -85.683 | 0.000 | -0.000 | 115.313 |
| -13266140.562 | 7705013.243 | 10094740.306 | 5309300.108 | -1202453.042 | -1874850.527 |
| -11428674.202 | 12317015.922 | 13669002.547 | 3646276.222 | -2860005.958 | -383207.859 |
| -12680467.864 | 14619077.926 | 14519852.373 | 4174745.958 | 2035167.857 | 3706043.565 |
| -12880270.930 | 15290393.478 | 14470906.292 | 8765991.638 | 1722561.345 | 4414233.857 |
| -14130284.478 | 19124166.672 | 20948952.871 | 3007002.844 | -1325836.969 | 957534.392 |
| -11057943.716 | 13521048.433 | 13962539.483 | 3547016.713 | -2366829.119 | -1011293.033 |
| 13084501.630 | -13039638.015 | -14138650.616 | -3883187.947 | 3647583.796 | -513936.265 |
| 12923277.184 | -12058411.352 | -12097953.159 | -3442189.942 | 2733795.729 | 1250241.282 |
| 12436779.897 | -9590187.988 | -12628217.140 | -4097479.410 | 1096408.990 | 1886055.577 |
| 10775042.740 | -13733027.829 | -15332287.598 | -4346075.811 | 2276916.580 | 1490428.903 |
| 14304131.729 | -16118179.394 | -16472612.694 | -4894201.753 | 39717.014 | -917290.574 |
| 12093242.574 | -11809166.779 | -13394864.209 | -4841834.184 | 1247939.391 | 2382273.557 |
| -1251307.526 | 1060666.853 | 1189413.061 | 483704.685 | -101110.985 | -147940.718 |
| -1160108.700 | 1090565.475 | 1356737.992 | 449411.608 | -17158.782 | -181356.160 |
| -1410601.123 | 1061132.286 | 1170862.764 | 385880.073 | -239925.948 | -77692.432 |
| -1416683.597 | 1411072.589 | 1469716.641 | 851894.975 | 99874.647 | 475458.750 |
| -1063754.421 | 1437240.488 | 1787665.275 | 258084.148 | -283726.954 | -116717.198 |
| -1026492.587 | 1503173.988 | 1602308.358 | 335049.299 | -129451.848 | 164953.768 |
| 1290150.849 | -1092304.628 | -1419443.732 | -283981.816 | 311395.998 | 75265.865 |
| 1588670.843 | -1104937.870 | -1869281.898 | -482096.226 | 173743.130 | -32899.364 |
| 1237326.428 | -1347670.792 | -1400405.504 | -420566.084 | 17073.145 | -32859.743 |
| 1227294.205 | -1007765.426 | -1204031.422 | -446980.898 | 126992.301 | 175854.090 |
| 1241111.773 | -1320542.356 | -1177646.226 | -378183.373 | 261354.649 | 114910.519 |
| 1374438.660 | -1098303.522 | -1214103.474 | -488220.547 | 67367.675 | 200962.530 |
| -144966.627 | 95898.316 | 104697.120 | 55622.309 | -21433.024 | -9091.196 |
| -124031.234 | 112156.703 | 130112.304 | 42846.206 | -4772.680 | -20588.285 |
| -128296.312 | 97754.241 | 124987.860 | 44845.675 | -14398.755 | -15183.019 |
| -120916.503 | 108229.843 | 118748.627 | 47398.188 | -12095.839 | -18087.601 |
| -122780.956 | 103010.511 | 110799.062 | 48120.183 | -9655.387 | -12511.464 |
| -128358.227 | 85712.403 | 92417.960 | 64159.440 | -8246.871 | -17101.861 |
| 123088.616 | -145311.238 | -144086.604 | -55226.802 | -23087.625 | -41092.603 |
| 140839.045 | -158581.363 | -161966.716 | -51207.614 | -1352.067 | -7221.596 |
| 121164.442 | -203579.107 | -187403.530 | -51745.692 | 428.568 | -55154.947 |
| 117387.253 | -112827.947 | -106516.718 | -55860.121 | -6268.559 | 17854.118 |
| 126153.351 | -134804.606 | -134940.090 | -49081.303 | 17049.344 | 17297.254 |
| 101762.607 | -180819.589 | -155904.941 | -31890.150 | 52786.025 | 21423.361 |
| 39.994 | 39.857 | 39.857 | 0.000 | 0.000 | 0.000 |
| 39.857 | 39.994 | 39.857 | 0.000 | 0.000 | 0.000 |
| 39.857 | 39.857 | 39.994 | 0.000 | 0.000 | -0.000 |
| -0.000 | -0.000 | 0.000 | 0.139 | 0.000 | 0.000 |
| 0.000 | -0.000 | 0.000 | 0.000 | 0.139 | 0.000 |
| -0.000 | 0.000 | -0.000 | 0.000 | 0.000 | 0.139 |
| 39.994 | 39.857 | 39.857 | 0.000 | -0.000 | -0.000 |
| 39.857 | 39.994 | 39.857 | -0.000 | 0.000 | -0.000 |
| 39.857 | 39.857 | 39.994 | -0.000 | -0.000 | 0.000 |
| -0.000 | 0.000 | 0.000 | 0.139 | 0.000 | -0.000 |
| 0.000 | 0.000 | 0.000 | 0.000 | 0.139 | -0.000 |
| -0.000 | 0.000 | 0.000 | -0.000 | -0.000 | 0.139 |
| 39.994 | 39.857 | 39.857 | -0.000 | 0.000 | 0.000 |
| 39.857 | 39.994 | 39.857 | 0.000 | -0.000 | 0.000 |
| 39.857 | 39.857 | 39.994 | 0.000 | 0.000 | -0.000 |
| 0.000 | 0.000 | 0.000 | 25.933 | -0.000 | -0.000 |
| 0.000 | 0.000 | 0.000 | -0.000 | 25.933 | -0.000 |
| 0.000 | 0.000 | 0.000 | 0.000 | -0.000 | 25.933 |
| 39.994 | 39.857 | 39.857 | 0.000 | 0.000 | -0.000 |
| 39.857 | 39.994 | 39.857 | -0.000 | 0.000 | -0.000 |
| 39.857 | 39.857 | 39.994 | -0.000 | -0.000 | 0.000 |
| -0.000 | -0.000 | -0.000 | 25.933 | 0.000 | -0.000 |
| -0.000 | -0.000 | -0.000 | -0.000 | 25.933 | 0.000 |
| -0.000 | -0.000 | -0.000 | -0.000 | -0.000 | 25.933 |
| 39.994 | 39.857 | 39.857 | 0.000 | 0.000 | 0.000 |
| 39.857 | 39.994 | 39.857 | 0.000 | 0.000 | 0.000 |
| 39.857 | 39.857 | 39.994 | 0.000 | 0.000 | 0.000 |
| -0.000 | -0.000 | -0.000 | 0.139 | 0.000 | 0.000 |
| -0.000 | -0.000 | -0.000 | 0.000 | 0.139 | 0.000 |
| -0.000 | -0.000 | -0.000 | 0.000 | 0.000 | 0.139 |
| 39.994 | 39.857 | 39.857 | -0.000 | -0.000 | -0.000 |
| 39.857 | 39.994 | 39.857 | 0.000 | -0.000 | -0.000 |
| 39.857 | 39.857 | 39.994 | -0.000 | -0.000 | -0.000 |
| 0.000 | 0.000 | 0.000 | 0.139 | -0.000 | -0.000 |
| 0.000 | 0.000 | 0.000 | -0.000 | 0.139 | -0.000 |
| 0.000 | 0.000 | 0.000 | -0.000 | -0.000 | 0.139 |
| 333.006 | 142.304 | 219.127 | 0.190 | -0.000 | 0.000 |
| -854.471 | -684.941 | 5086.480 | 4.707 | 0.000 | 0.000 |
| 219.127 | 219.127 | 592.648 | -0.000 | -0.000 | 0.000 |
| 1722.382 | 1725.230 | 1309.645 | 165.129 | -0.000 | 0.000 |
| -0.000 | 0.000 | 0.000 | 0.000 | 166.289 | 0.190 |
| -1002.146 | -1002.146 | 4865.505 | -0.000 | -3.477 | 85.480 |
| 333.006 | 142.304 | 219.127 | 0.190 | -0.000 | -0.000 |
| 142.304 | 333.006 | 219.127 | -0.190 | -0.000 | -0.000 |
| 219.127 | 219.127 | 592.648 | 0.000 | -0.000 | -0.000 |
| 0.190 | -0.190 | -0.000 | 166.289 | 0.000 | -0.000 |
| -0.000 | 0.000 | -0.000 | 0.000 | 166.289 | 0.190 |
| 1002.146 | 1002.146 | -4865.505 | 0.000 | -3.477 | 85.480 |
| 493.789 | 322.653 | 352.622 | -1.472 | -0.000 | -0.000 |
| 142.304 | 333.005 | 219.127 | -0.190 | -0.000 | 0.000 |
| 120.740 | 120.740 | 1073.014 | 0.000 | 0.000 | 0.000 |
| 0.190 | -0.190 | 0.000 | 166.289 | -0.000 | -0.000 |
| -100.219 | -100.219 | 486.553 | -0.000 | 165.232 | -1.459 |
| -0.000 | -0.000 | -0.000 | 0.000 | 0.190 | 95.351 |
| 333.006 | 142.304 | 219.127 | 0.190 | -0.000 | -0.000 |
| -22.563 | 149.679 | 90.546 | 1.378 | -0.000 | 0.000 |
| 44.825 | 44.825 | 459.792 | 0.000 | -0.000 | 0.000 |
| 95.478 | 104.891 | -486.464 | 163.516 | 0.000 | -0.000 |
| 100.219 | 100.219 | -486.553 | 0.000 | 165.232 | -1.459 |
| 0.000 | 0.000 | 0.000 | -0.000 | 0.190 | 95.351 |
| 333.002 | 142.303 | 219.127 | 0.190 | 0.000 | 0.000 |
| 142.303 | 333.002 | 219.127 | -0.190 | 0.000 | 0.000 |
| 219.129 | 219.129 | 592.658 | 0.000 | 0.000 | 0.000 |
| 15.783 | 18.624 | 13.072 | 165.131 | -0.000 | -0.000 |
| -0.000 | -0.000 | 0.002 | 0.000 | 166.289 | 0.190 |
| -8.165 | -8.166 | 45.640 | -0.000 | -4.422 | 85.009 |
| 333.009 | 142.304 | 219.126 | 0.190 | -0.000 | -0.000 |
| 130.808 | 306.467 | 207.683 | 1.088 | 0.000 | 0.000 |
| 199.963 | 199.963 | 577.636 | 0.000 | 0.000 | 0.000 |
| 5.133 | 14.374 | -47.784 | 163.563 | 0.000 | -0.000 |
| 0.000 | 0.000 | -0.002 | -0.000 | 166.289 | 0.190 |
| 8.165 | 8.166 | -45.640 | 0.000 | -4.422 | 85.009 |
| 0.000 | 0.000 | 0.000 | 0.000 | -0.000 | -0.000 |
| 0.000 | 0.000 | 0.000 | -0.000 | 0.000 | -0.000 |
| 0.000 | 0.000 | 0.000 | 0.000 | -0.000 | -0.000 |
| 0.000 | -0.000 | -0.000 | -0.000 | -0.000 | 0.000 |
| -0.000 | 0.000 | -0.000 | 0.000 | -0.000 | 0.000 |
| -0.000 | -0.000 | 0.000 | 0.000 | -0.000 | -0.000 |
| 0.000 | -0.000 | -0.000 | -0.000 | -0.000 | 0.000 |
| -0.000 | 0.000 | -0.000 | -0.000 | 0.000 | -0.000 |
| -0.000 | -0.000 | 0.000 | 0.000 | 0.000 | 0.000 |
| -0.000 | 0.000 | 0.000 | -0.000 | 0.000 | 0.000 |
| 0.000 | -0.000 | 0.000 | -0.000 | -0.000 | -0.000 |
| 0.000 | 0.000 | -0.000 | -0.000 | 0.000 | -0.000 |
| 0.000 | 0.000 | 0.000 | 0.000 | -0.000 | 0.000 |
| 0.000 | 0.000 | 0.000 | 0.000 | 0.000 | -0.000 |
| 0.000 | 0.000 | 0.000 | -0.000 | 0.000 | -0.000 |
| 0.000 | 0.000 | -0.000 | -0.000 | -0.000 | -0.000 |
| -0.000 | 0.000 | -0.000 | 0.000 | -0.000 | 0.000 |
| 0.000 | -0.000 | 0.000 | 0.000 | -0.000 | -0.000 |
| 0.000 | -0.000 | -0.000 | -0.000 | 0.000 | 0.000 |
| -0.000 | 0.000 | -0.000 | -0.000 | 0.000 | 0.000 |
| -0.000 | -0.000 | 0.000 | -0.000 | -0.000 | 0.000 |
| -0.000 | 0.000 | 0.000 | -0.000 | 0.000 | 0.000 |
| -0.000 | -0.000 | 0.000 | -0.000 | -0.000 | -0.000 |
| 0.000 | 0.000 | -0.000 | -0.000 | 0.000 | -0.000 |
| 0.000 | 0.000 | 0.000 | 0.000 | -0.000 | 0.000 |
| 0.000 | 0.000 | 0.000 | 0.000 | 0.000 | -0.000 |
| 0.000 | 0.000 | 0.000 | -0.000 | 0.000 | -0.000 |
| 0.000 | 0.000 | -0.000 | -0.000 | -0.000 | -0.000 |
| -0.000 | 0.000 | -0.000 | 0.000 | -0.000 | 0.000 |
| 0.000 | -0.000 | 0.000 | 0.000 | -0.000 | -0.000 |
| 0.000 | 0.000 | 0.000 | -0.000 | 0.000 | 0.000 |
| 0.000 | 0.000 | 0.000 | 0.000 | 0.000 | 0.000 |
| 0.000 | 0.000 | 0.000 | -0.000 | 0.000 | 0.000 |
| -0.000 | 0.000 | 0.000 | -0.000 | 0.000 | -0.000 |
| 0.000 | -0.000 | 0.000 | -0.000 | -0.000 | -0.000 |
| 0.000 | 0.000 | -0.000 | -0.000 | 0.000 | -0.000 |
| 0.000 | 0.000 | 0.000 | 0.000 | -0.000 | -0.000 |
| 0.000 | 0.000 | 0.000 | -0.000 | 0.000 | -0.000 |
| 0.000 | 0.000 | 0.000 | -0.000 | -0.000 | -0.000 |
| -0.000 | -0.000 | -0.000 | 0.000 | -0.000 | 0.000 |
| -0.000 | -0.000 | -0.000 | -0.000 | 0.000 | 0.000 |
| -0.000 | -0.000 | -0.000 | -0.000 | 0.000 | 0.000 |
| 0.000 | 0.000 | 0.000 | 0.000 | 0.000 | -0.000 |
| 0.000 | 0.000 | 0.000 | 0.000 | 0.000 | -0.000 |
| 0.000 | 0.000 | 0.000 | 0.000 | 0.000 | -0.000 |
| 0.000 | 0.000 | 0.000 | 0.000 | 0.000 | -0.000 |
| 0.000 | 0.000 | 0.000 | 0.000 | 0.000 | -0.000 |
| 0.000 | 0.000 | 0.000 | 0.000 | 0.000 | 0.000 |
| 0.000 | 0.000 | 0.000 | -0.000 | -0.000 | 0.000 |
| 0.000 | 0.000 | 0.000 | -0.000 | -0.000 | 0.000 |
| 0.000 | 0.000 | 0.000 | -0.000 | -0.000 | -0.000 |
| -0.000 | -0.000 | -0.000 | 0.000 | -0.000 | 0.000 |
| -0.000 | -0.000 | -0.000 | -0.000 | 0.000 | 0.000 |
| -0.000 | -0.000 | -0.000 | -0.000 | -0.000 | 0.000 |
| 0.000 | 0.000 | 0.000 | 0.000 | 0.000 | -0.000 |
| 0.000 | 0.000 | 0.000 | 0.000 | 0.000 | -0.000 |
| 0.000 | 0.000 | 0.000 | -0.000 | -0.000 | 0.000 |
| 0.000 | 0.000 | 0.000 | 0.000 | -0.000 | 0.000 |
| 0.000 | 0.000 | 0.000 | -0.000 | 0.000 | 0.000 |
| 0.000 | 0.000 | 0.000 | -0.000 | 0.000 | 0.000 |
| 0.000 | 0.000 | 0.000 | -0.000 | -0.000 | -0.000 |
| 0.000 | 0.000 | 0.000 | -0.000 | -0.000 | -0.000 |
| 0.000 | 0.000 | 0.000 | -0.000 | -0.000 | -0.000 |
| -0.000 | -0.000 | -0.000 | 0.000 | -0.000 | -0.000 |
| -0.000 | -0.000 | -0.000 | -0.000 | 0.000 | -0.000 |
| -0.000 | -0.000 | -0.000 | -0.000 | -0.000 | 0.000 |
| 0.000 | 0.000 | 0.000 | 0.000 | 0.000 | 0.000 |
| 0.000 | 0.000 | 0.000 | 0.000 | 0.000 | 0.000 |
| 0.000 | 0.000 | 0.000 | 0.000 | 0.000 | 0.000 |
| 0.000 | 0.000 | 0.000 | 0.000 | -0.000 | 0.000 |
| 0.000 | 0.000 | 0.000 | -0.000 | 0.000 | 0.000 |
| 0.000 | 0.000 | 0.000 | -0.000 | 0.000 | 0.000 |
| 0.000 | 0.000 | 0.000 | 0.000 | -0.000 | -0.000 |
| 0.000 | 0.000 | 0.000 | -0.000 | 0.000 | -0.000 |
| 0.000 | 0.000 | 0.000 | -0.000 | -0.000 | 0.000 |
| -0.000 | -0.000 | -0.000 | 0.000 | -0.000 | 0.000 |
| -0.000 | -0.000 | -0.000 | -0.000 | 0.000 | 0.000 |
| -0.000 | -0.000 | -0.000 | -0.000 | 0.000 | 0.000 |
| 0.000 | 0.000 | 0.000 | -0.000 | 0.000 | 0.000 |
| 0.000 | 0.000 | 0.000 | 0.000 | -0.000 | 0.000 |
| 0.000 | 0.000 | 0.000 | 0.000 | 0.000 | -0.000 |
| 0.000 | 0.000 | 0.000 | 0.000 | 0.000 | -0.000 |
| 0.000 | 0.000 | 0.000 | 0.000 | 0.000 | -0.000 |
| 0.000 | 0.000 | 0.000 | 0.000 | -0.000 | 0.000 |
| 0.000 | 0.000 | 0.000 | 0.000 | 0.000 | 0.000 |
| 0.000 | 0.000 | 0.000 | 0.000 | 0.000 | 0.000 |
| 0.000 | 0.000 | 0.000 | 0.000 | 0.000 | 0.000 |
| -0.000 | -0.000 | -0.000 | 0.000 | 0.000 | 0.000 |
| -0.000 | -0.000 | -0.000 | 0.000 | 0.000 | 0.000 |
| -0.000 | -0.000 | -0.000 | 0.000 | 0.000 | 0.000 |
| 0.000 | 0.000 | 0.000 | -0.000 | 0.000 | 0.000 |
| 0.000 | 0.000 | 0.000 | 0.000 | -0.000 | 0.000 |
| 0.000 | 0.000 | 0.000 | 0.000 | 0.000 | -0.000 |
| 0.000 | 0.000 | 0.000 | 0.000 | -0.000 | -0.000 |
| 0.000 | 0.000 | 0.000 | -0.000 | 0.000 | -0.000 |
| 0.000 | 0.000 | 0.000 | -0.000 | -0.000 | 0.000 |
| 0.000 | 0.000 | 0.000 | 0.000 | -0.000 | -0.000 |
| 0.000 | 0.000 | 0.000 | -0.000 | 0.000 | -0.000 |
| 0.000 | 0.000 | 0.000 | -0.000 | -0.000 | 0.000 |
| -0.000 | -0.000 | -0.000 | 0.000 | -0.000 | 0.000 |
| -0.000 | -0.000 | -0.000 | -0.000 | 0.000 | 0.000 |
| -0.000 | -0.000 | -0.000 | -0.000 | 0.000 | 0.000 |
| 0.000 | 0.000 | 0.000 | -0.000 | -0.000 | -0.000 |
| 0.000 | 0.000 | 0.000 | -0.000 | -0.000 | -0.000 |
| 0.000 | 0.000 | 0.000 | -0.000 | -0.000 | -0.000 |
| 0.000 | 0.000 | 0.000 | 0.000 | 0.000 | -0.000 |
| 0.000 | 0.000 | 0.000 | 0.000 | 0.000 | -0.000 |
| 0.000 | 0.000 | 0.000 | 0.000 | -0.000 | 0.000 |
| 58.512 | 118.945 | 118.945 | 0.000 | 0.000 | 0.000 |
| 118.945 | 58.512 | 118.945 | -0.000 | 0.000 | 0.000 |
| 118.945 | 118.945 | 58.512 | 0.000 | 0.000 | 0.000 |
| -0.000 | -0.000 | -0.000 | 65.189 | 0.000 | 0.000 |
| -0.000 | 0.000 | -0.000 | 0.000 | 65.189 | 0.000 |
| -0.000 | -0.000 | 0.000 | 0.000 | 0.000 | 65.189 |
| 58.512 | 118.945 | 118.945 | -0.000 | -0.000 | -0.000 |
| 118.945 | 58.512 | 118.945 | -0.000 | -0.000 | -0.000 |
| 118.945 | 118.945 | 58.512 | -0.000 | -0.000 | -0.000 |
| -0.000 | 0.000 | 0.000 | 65.189 | -0.000 | -0.000 |
| 0.000 | -0.000 | 0.000 | -0.000 | 65.189 | -0.000 |
| 0.000 | 0.000 | -0.000 | -0.000 | -0.000 | 65.189 |
| 58.512 | 118.945 | 118.945 | 0.000 | 0.000 | 0.000 |
| 118.945 | 58.512 | 118.945 | 0.000 | 0.000 | 0.000 |
| 118.945 | 118.945 | 58.512 | 0.000 | 0.000 | 0.000 |
| -0.000 | -0.000 | 0.000 | 69.700 | -0.000 | -0.000 |
| -0.000 | -0.000 | 0.000 | -0.000 | 69.700 | 0.000 |
| -0.000 | 0.000 | -0.000 | -0.000 | 0.000 | 69.700 |
| 58.512 | 118.945 | 118.945 | 0.000 | -0.000 | -0.000 |
| 118.945 | 58.512 | 118.945 | -0.000 | -0.000 | 0.000 |
| 118.945 | 118.945 | 58.512 | 0.000 | 0.000 | -0.000 |
| 0.000 | 0.000 | -0.000 | 69.700 | -0.000 | 0.000 |
| 0.000 | 0.000 | -0.000 | 0.000 | 69.700 | -0.000 |
| 0.000 | -0.000 | 0.000 | -0.000 | 0.000 | 69.700 |
| 57.283 | 119.562 | 119.562 | 0.000 | 0.000 | 0.000 |
| 119.562 | 57.283 | 119.562 | 0.000 | 0.000 | 0.000 |
| 119.562 | 119.562 | 57.283 | 0.000 | 0.000 | 0.000 |
| -0.000 | -0.000 | 0.000 | 69.700 | 0.000 | 0.000 |
| -0.000 | -0.000 | 0.000 | 0.000 | 69.700 | 0.000 |
| -0.000 | 0.000 | -0.000 | 0.000 | 0.000 | 69.700 |
| 57.276 | 119.561 | 119.561 | -0.000 | -0.000 | -0.000 |
| 119.561 | 57.276 | 119.561 | -0.000 | -0.000 | -0.000 |
| 119.561 | 119.561 | 57.276 | -0.000 | -0.000 | -0.000 |
| 0.000 | 0.000 | -0.000 | 69.700 | -0.000 | -0.000 |
| 0.000 | 0.000 | -0.000 | -0.000 | 69.700 | -0.000 |
| 0.000 | -0.000 | 0.000 | -0.000 | -0.000 | 69.700 |
| 390.200 | 247.281 | 247.281 | 0.000 | 0.000 | -0.000 |
| 247.281 | 390.200 | 247.281 | 0.000 | 0.000 | -0.000 |
| 247.281 | 247.281 | 390.200 | 0.000 | 0.000 | -0.000 |
| 0.000 | 0.000 | 0.000 | 199.177 | -0.000 | -0.000 |
| 0.000 | 0.000 | 0.000 | -0.000 | 199.177 | -0.000 |
| 0.000 | 0.000 | 0.000 | -0.000 | -0.000 | 199.177 |
| 390.200 | 247.281 | 247.281 | -0.000 | -0.000 | 0.000 |
| 247.281 | 390.200 | 247.281 | -0.000 | 0.000 | 0.000 |
| 247.281 | 247.281 | 390.200 | -0.000 | -0.000 | 0.000 |
| -0.000 | -0.000 | -0.000 | 199.177 | 0.000 | 0.000 |
| -0.000 | -0.000 | -0.000 | 0.000 | 199.177 | 0.000 |
| -0.000 | -0.000 | -0.000 | -0.000 | -0.000 | 199.177 |
| 390.200 | 247.281 | 247.281 | 0.000 | 0.000 | -0.000 |
| 247.281 | 390.200 | 247.281 | 0.000 | 0.000 | -0.000 |
| 247.281 | 247.281 | 390.200 | 0.000 | 0.000 | -0.000 |
| 0.000 | 0.000 | 0.000 | 103.862 | 0.000 | -0.000 |
| 0.000 | 0.000 | 0.000 | -0.000 | 103.862 | -0.000 |
| 0.000 | 0.000 | 0.000 | -0.000 | -0.000 | 103.862 |
| 390.199 | 247.280 | 247.280 | -0.000 | -0.000 | 0.000 |
| 247.280 | 390.199 | 247.280 | -0.000 | -0.000 | -0.000 |
| 247.280 | 247.280 | 390.199 | -0.000 | -0.000 | 0.000 |
| -0.000 | -0.000 | -0.000 | 103.862 | -0.000 | 0.000 |
| -0.000 | -0.000 | -0.000 | -0.000 | 103.862 | 0.000 |
| -0.000 | -0.000 | -0.000 | 0.000 | -0.000 | 103.862 |
| 390.201 | 247.282 | 247.282 | 0.000 | 0.000 | -0.000 |
| 247.282 | 390.201 | 247.282 | 0.000 | 0.000 | -0.000 |
| 247.282 | 247.282 | 390.201 | -0.000 | -0.000 | -0.000 |
| 0.000 | 0.000 | 0.000 | 103.862 | 0.000 | -0.000 |
| 0.000 | 0.000 | 0.000 | 0.000 | 103.862 | -0.000 |
| 0.000 | 0.000 | 0.000 | 0.000 | 0.000 | 103.862 |
| 390.198 | 247.279 | 247.279 | -0.000 | -0.000 | 0.000 |
| 247.279 | 390.198 | 247.279 | -0.000 | -0.000 | 0.000 |
| 247.279 | 247.279 | 390.198 | 0.000 | 0.000 | 0.000 |
| -0.000 | -0.000 | -0.000 | 103.862 | -0.000 | 0.000 |
| -0.000 | -0.000 | -0.000 | -0.000 | 103.862 | 0.000 |
| -0.000 | -0.000 | -0.000 | -0.000 | 0.000 | 103.862 |
| 180.630 | 108.061 | 108.061 | 0.000 | 0.000 | 0.000 |
| 108.061 | 180.630 | 108.061 | 0.000 | 0.000 | 0.000 |
| 108.061 | 108.061 | 180.630 | 0.000 | -0.000 | 0.000 |
| -0.000 | -0.000 | -0.000 | 70.448 | 0.000 | 0.000 |
| -0.000 | -0.000 | -0.000 | 0.000 | 70.448 | 0.000 |
| -0.000 | -0.000 | -0.000 | 0.000 | 0.000 | 70.448 |
| 180.630 | 108.061 | 108.061 | -0.000 | -0.000 | -0.000 |
| 108.061 | 180.630 | 108.061 | -0.000 | -0.000 | -0.000 |
| 108.061 | 108.061 | 180.630 | -0.000 | -0.000 | -0.000 |
| 0.000 | 0.000 | 0.000 | 70.448 | -0.000 | -0.000 |
| 0.000 | 0.000 | 0.000 | -0.000 | 70.448 | -0.000 |
| 0.000 | 0.000 | 0.000 | -0.000 | -0.000 | 70.448 |
| 180.630 | 108.061 | 108.061 | 0.000 | 0.000 | 0.000 |
| 108.061 | 180.630 | 108.061 | 0.000 | 0.000 | 0.000 |
| 108.061 | 108.061 | 180.630 | 0.000 | 0.000 | 0.000 |
| -0.000 | -0.000 | -0.000 | 70.448 | 0.000 | 0.000 |
| -0.000 | -0.000 | -0.000 | 0.000 | 70.448 | 0.000 |
| -0.000 | -0.000 | -0.000 | 0.000 | 0.000 | 70.448 |
| 180.630 | 108.061 | 108.061 | -0.000 | -0.000 | -0.000 |
| 108.061 | 180.630 | 108.061 | -0.000 | -0.000 | -0.000 |
| 108.061 | 108.061 | 180.630 | -0.000 | -0.000 | -0.000 |
| 0.000 | 0.000 | 0.000 | 70.448 | -0.000 | -0.000 |
| 0.000 | 0.000 | 0.000 | -0.000 | 70.448 | -0.000 |
| 0.000 | 0.000 | 0.000 | -0.000 | -0.000 | 70.448 |
| 180.630 | 108.061 | 108.061 | 0.000 | 0.000 | 0.000 |
| 108.061 | 180.630 | 108.061 | 0.000 | 0.000 | -0.000 |
| 108.061 | 108.061 | 180.630 | 0.000 | -0.000 | 0.000 |
| -0.000 | -0.000 | -0.000 | 70.448 | 0.000 | 0.000 |
| -0.000 | -0.000 | -0.000 | 0.000 | 70.448 | 0.000 |
| -0.000 | -0.000 | -0.000 | 0.000 | 0.000 | 70.448 |
| 180.631 | 108.061 | 108.061 | -0.000 | -0.000 | -0.000 |
| 108.061 | 180.631 | 108.061 | -0.000 | -0.000 | -0.000 |
| 108.061 | 108.061 | 180.631 | -0.000 | -0.000 | -0.000 |
| 0.000 | 0.000 | 0.000 | 70.448 | -0.000 | -0.000 |
| 0.000 | 0.000 | 0.000 | -0.000 | 70.448 | -0.000 |
| 0.000 | 0.000 | 0.000 | -0.000 | -0.000 | 70.448 |
| 124.832 | 100.024 | 98.775 | -0.003 | 5.855 | 0.001 |
| 58.357 | 199.321 | 118.998 | -0.011 | 8.340 | 0.004 |
| 102.516 | 118.402 | 135.957 | -0.014 | 9.964 | 0.005 |
| 11.689 | 14.158 | -13.319 | 18.279 | -2.762 | -6.951 |
| 39.007 | 28.696 | -7.930 | -0.014 | -2.309 | 0.005 |
| 11.652 | 14.031 | -12.852 | -10.741 | -2.638 | 233.668 |
| 87.944 | 50.093 | 143.625 | 0.017 | 20.737 | -0.006 |
| 32.821 | 167.248 | 156.272 | 0.010 | 14.288 | -0.003 |
| 80.341 | 90.664 | 178.539 | 0.003 | 15.135 | -0.001 |
| -11.689 | -14.159 | 13.319 | 18.296 | 2.762 | -6.956 |
| 7.638 | -13.650 | 29.323 | 0.012 | 9.409 | -0.004 |
| -11.652 | -14.031 | 12.852 | -10.724 | 2.638 | 233.662 |
| 96.781 | 58.700 | 126.020 | -0.001 | 22.544 | 0.000 |
| 43.932 | 178.908 | 136.414 | -0.001 | 14.812 | 0.000 |
| 104.774 | 126.237 | 144.902 | 0.001 | 1.019 | -0.000 |
| 0.941 | 1.347 | -1.911 | 18.262 | -0.375 | -7.000 |
| 32.038 | 20.926 | -0.405 | 0.000 | -3.792 | -0.000 |
| 0.941 | 1.347 | -1.911 | -10.365 | -0.375 | 233.224 |
| 94.032 | 54.788 | 129.853 | 0.001 | 23.959 | -0.000 |
| 41.229 | 175.035 | 140.279 | 0.001 | 16.273 | -0.000 |
| 101.517 | 121.443 | 148.485 | -0.001 | 2.648 | 0.000 |
| -0.941 | -1.347 | 1.911 | 18.263 | 0.375 | -7.001 |
| 29.448 | 17.181 | 3.328 | -0.000 | -2.695 | 0.000 |
| -0.941 | -1.347 | 1.911 | -10.363 | 0.375 | 233.224 |
| 95.528 | 56.980 | 127.795 | -0.000 | 23.136 | 0.000 |
| 42.790 | 177.238 | 138.106 | -0.000 | 15.445 | 0.000 |
| 103.233 | 124.246 | 146.317 | -0.000 | 1.385 | 0.000 |
| 0.094 | 0.135 | -0.192 | 18.262 | -0.039 | -6.999 |
| 30.821 | 19.164 | 1.142 | -0.000 | -3.339 | 0.000 |
| 0.096 | 0.136 | -0.189 | -10.364 | -0.037 | 233.223 |
| 95.295 | 56.632 | 128.172 | 0.000 | 23.224 | -0.000 |
| 42.352 | 176.699 | 138.581 | 0.000 | 15.600 | -0.000 |
| 103.045 | 123.936 | 146.623 | 0.000 | 1.497 | -0.000 |
| -0.094 | -0.135 | 0.192 | 18.262 | 0.039 | -7.000 |
| 30.436 | 18.675 | 1.582 | 0.000 | -3.198 | -0.000 |
| -0.096 | -0.136 | 0.189 | -10.364 | 0.037 | 233.223 |
| 7.234 | 51.729 | 20.770 | 0.000 | 4.091 | 0.000 |
| 51.303 | 82.570 | 21.644 | 0.000 | -0.378 | 0.000 |
| 17.121 | 18.361 | 28.500 | 0.000 | -0.397 | -0.000 |
| 2.031 | 2.349 | 2.654 | 11.605 | -0.602 | 0.024 |
| 2.635 | 3.027 | 3.379 | 0.000 | 9.893 | 0.000 |
| 2.797 | 3.235 | 3.656 | 0.052 | -0.829 | 77.242 |
| 4.286 | 48.319 | 16.911 | -0.000 | 5.034 | -0.000 |
| 48.193 | 78.973 | 17.580 | -0.000 | 0.544 | -0.000 |
| 13.881 | 14.615 | 24.269 | -0.000 | 0.527 | -0.000 |
| -2.031 | -2.349 | -2.654 | 11.605 | 0.602 | 0.024 |
| -2.254 | -2.629 | -3.012 | -0.000 | 11.372 | -0.000 |
| -2.797 | -3.235 | -3.656 | 0.052 | 0.829 | 77.242 |
| 6.287 | 50.810 | 19.655 | 0.000 | 0.391 | 0.000 |
| 55.250 | 77.171 | 19.415 | 0.000 | -0.410 | 0.000 |
| 15.960 | 16.540 | 20.883 | 0.000 | -0.181 | 0.000 |
| -0.095 | -0.062 | 0.103 | 7.531 | -0.076 | 0.050 |
| 0.229 | 0.231 | 0.433 | 0.000 | 4.757 | 0.000 |
| 0.272 | 0.315 | 0.355 | 0.048 | -0.081 | 77.242 |
| 5.982 | 50.450 | 19.231 | -0.000 | 0.598 | -0.000 |
| 54.872 | 76.858 | 18.600 | -0.000 | 0.385 | -0.000 |
| 15.394 | 16.364 | 26.243 | -0.000 | 0.110 | 0.000 |
| 0.095 | 0.062 | -0.103 | 7.531 | 0.076 | 0.050 |
| 0.180 | 0.057 | -0.145 | 0.000 | 4.874 | -0.000 |
| -0.272 | -0.315 | -0.355 | 0.048 | 0.081 | 77.242 |
| 26604.689 | -689822.501 | 2317159.876 | -3712.174 | -6124.419 | 6327.357 |
| 55.239 | 77.010 | 19.272 | -0.000 | -0.105 | 0.000 |
| 15.879 | 16.321 | 20.424 | 0.000 | -0.030 | -0.000 |
| 0.006 | 0.017 | 0.034 | 7.376 | -0.008 | 0.050 |
| 0.213 | -0.051 | 0.032 | 0.000 | 4.770 | 0.000 |
| 0.021 | 0.024 | 0.027 | 0.019 | -0.006 | 77.242 |
| -24833.129 | 689485.607 | -2317754.065 | 3881.096 | -409.151 | 4034.897 |
| -34300.356 | 686311.652 | -2328066.445 | 2692.411 | 7308.825 | -15523.817 |
| 15.844 | 16.232 | 20.291 | -0.000 | 0.009 | -0.000 |
| -0.006 | -0.017 | -0.034 | 7.376 | 0.008 | 0.050 |
| 0.205 | -0.083 | -0.035 | -0.000 | 4.783 | -0.000 |
| -0.021 | -0.024 | -0.027 | 0.019 | 0.006 | 77.242 |
| 158.111 | 67.944 | 91.343 | -0.000 | -0.000 | -0.000 |
| 80.391 | 145.650 | 91.252 | -0.000 | 0.000 | 0.000 |
| 91.427 | 91.427 | 220.725 | 0.000 | 0.000 | 0.000 |
| -0.002 | -0.002 | -0.022 | 56.213 | 0.000 | 0.000 |
| -0.002 | -0.002 | -0.022 | 0.000 | 56.213 | 0.000 |
| -0.002 | -0.002 | -0.022 | 0.000 | -0.000 | 32.629 |
| 145.653 | 80.395 | 91.296 | -0.000 | -0.000 | -0.000 |
| 80.395 | 145.653 | 91.296 | 0.000 | -0.000 | -0.000 |
| 91.428 | 91.428 | 220.739 | -0.000 | -0.000 | -0.000 |
| 0.002 | 0.002 | 0.022 | 56.213 | -0.000 | -0.000 |
| 0.002 | 0.002 | 0.022 | -0.000 | 56.213 | -0.000 |
| 0.002 | 0.002 | 0.022 | -0.000 | 0.000 | 32.629 |
| 145.651 | 80.393 | 91.272 | 0.000 | 0.000 | 0.000 |
| 71.922 | 154.131 | 91.334 | 0.000 | -0.000 | 0.000 |
| 91.428 | 91.428 | 220.731 | 0.000 | 0.000 | 0.000 |
| -0.000 | -0.000 | -0.002 | 56.213 | -0.000 | 0.000 |
| -0.000 | -0.000 | -0.002 | 0.000 | 56.213 | 0.000 |
| 0.001 | 0.001 | 0.015 | 0.000 | 0.000 | 5.710 |
| 154.132 | 71.922 | 91.335 | -0.000 | 0.000 | -0.000 |
| 67.944 | 158.111 | 91.343 | 0.000 | 0.000 | -0.000 |
| 91.428 | 91.428 | 220.733 | 0.000 | 0.000 | -0.000 |
| 0.000 | 0.000 | 0.002 | 56.213 | -0.000 | -0.000 |
| 0.000 | 0.000 | 0.002 | 0.000 | 56.213 | -0.000 |
| -0.001 | -0.001 | -0.015 | 0.000 | -0.000 | 5.710 |
| 154.131 | 71.922 | 91.334 | 0.000 | -0.000 | 0.000 |
| 67.945 | 158.110 | 91.343 | 0.000 | -0.000 | -0.000 |
| 91.428 | 91.428 | 220.730 | 0.000 | 0.000 | 0.000 |
| -0.000 | -0.000 | -0.000 | 56.213 | 0.000 | 0.000 |
| -0.000 | -0.000 | -0.000 | 0.000 | 56.213 | 0.000 |
| -0.000 | -0.000 | -0.000 | -0.000 | -0.000 | 41.105 |
| 154.132 | 71.922 | 91.335 | 0.000 | -0.000 | -0.000 |
| 71.922 | 154.132 | 91.335 | 0.000 | 0.000 | -0.000 |
| 91.428 | 91.428 | 220.734 | 0.000 | -0.000 | -0.000 |
| 0.000 | 0.000 | 0.000 | 56.213 | 0.000 | -0.000 |
| 0.000 | 0.000 | 0.000 | -0.000 | 56.213 | -0.000 |
| 0.000 | 0.000 | 0.000 | -0.000 | 0.000 | 41.105 |
| 692.118 | -22.648 | -22.648 | 0.000 | 0.000 | -0.000 |
| -22.648 | 692.118 | -22.648 | 0.000 | 0.000 | 0.000 |
| -22.648 | -22.648 | 692.118 | 0.000 | 0.000 | -0.000 |
| 0.000 | -0.000 | -0.000 | -22.648 | 0.000 | -0.000 |
| -0.000 | 0.000 | -0.000 | 0.000 | -22.648 | -0.000 |
| -0.000 | -0.000 | 0.000 | 0.000 | 0.000 | -22.648 |
| 692.118 | -22.648 | -22.648 | -0.000 | -0.000 | 0.000 |
| -22.648 | 692.118 | -22.648 | -0.000 | -0.000 | 0.000 |
| -22.648 | -22.648 | 692.118 | -0.000 | -0.000 | -0.000 |
| 0.000 | 0.000 | 0.000 | -22.648 | -0.000 | 0.000 |
| 0.000 | 0.000 | 0.000 | -0.000 | -22.648 | 0.000 |
| 0.000 | 0.000 | 0.000 | -0.000 | -0.000 | -22.648 |
| 692.119 | -22.648 | -22.648 | 0.000 | 0.000 | -0.000 |
| -22.648 | 692.119 | -22.648 | 0.000 | 0.000 | -0.000 |
| -22.648 | -22.648 | 692.119 | 0.000 | 0.000 | 0.000 |
| -0.000 | 0.000 | -0.000 | -22.648 | 0.000 | 0.000 |
| 0.000 | -0.000 | -0.000 | 0.000 | -22.648 | -0.000 |
| 0.000 | -0.000 | -0.000 | -0.000 | 0.000 | -22.648 |
| 692.118 | -22.648 | -22.648 | -0.000 | -0.000 | -0.000 |
| -22.648 | 692.118 | -22.648 | -0.000 | -0.000 | -0.000 |
| -22.648 | -22.648 | 692.118 | -0.000 | -0.000 | -0.000 |
| 0.000 | -0.000 | 0.000 | -22.648 | -0.000 | 0.000 |
| -0.000 | 0.000 | 0.000 | -0.000 | -22.648 | 0.000 |
| -0.000 | 0.000 | 0.000 | -0.000 | -0.000 | -22.648 |
| 692.126 | -22.648 | -22.648 | 0.000 | 0.000 | -0.000 |
| -22.648 | 692.126 | -22.648 | -0.000 | -0.000 | -0.000 |
| -22.648 | -22.648 | 692.126 | -0.000 | -0.000 | -0.000 |
| -0.000 | 0.000 | -0.000 | -22.648 | 0.000 | 0.000 |
| 0.000 | -0.000 | -0.000 | 0.000 | -22.648 | -0.000 |
| 0.000 | -0.000 | -0.000 | 0.000 | 0.000 | -22.648 |
| 692.111 | -22.647 | -22.647 | -0.000 | -0.000 | -0.000 |
| -22.647 | 692.111 | -22.647 | -0.000 | -0.000 | 0.000 |
| -22.647 | -22.647 | 692.111 | 0.000 | 0.000 | 0.000 |
| 0.000 | -0.000 | 0.000 | -22.648 | -0.000 | -0.000 |
| -0.000 | 0.000 | 0.000 | -0.000 | -22.648 | 0.000 |
| -0.000 | 0.000 | 0.000 | -0.000 | -0.000 | -22.648 |
| 360.576 | 420.154 | 420.154 | 0.000 | 0.000 | 0.000 |
| 420.154 | 360.576 | 420.154 | 0.000 | 0.000 | 0.000 |
| 420.154 | 420.154 | 360.576 | 0.000 | 0.000 | 0.000 |
| 0.000 | 0.000 | 0.000 | 420.154 | 0.000 | 0.000 |
| 0.000 | 0.000 | 0.000 | 0.000 | 420.154 | 0.000 |
| 0.000 | 0.000 | 0.000 | 0.000 | 0.000 | 420.154 |
| 360.576 | 420.154 | 420.154 | -0.000 | -0.000 | -0.000 |
| 420.154 | 360.576 | 420.154 | -0.000 | -0.000 | -0.000 |
| 420.154 | 420.154 | 360.576 | -0.000 | -0.000 | -0.000 |
| -0.000 | -0.000 | -0.000 | 420.154 | -0.000 | -0.000 |
| -0.000 | -0.000 | -0.000 | -0.000 | 420.154 | -0.000 |
| -0.000 | -0.000 | -0.000 | -0.000 | -0.000 | 420.154 |
| 360.577 | 420.154 | 420.154 | 0.000 | 0.000 | 0.000 |
| 420.154 | 360.577 | 420.154 | 0.000 | 0.000 | 0.000 |
| 420.154 | 420.154 | 360.577 | 0.000 | 0.000 | 0.000 |
| 0.000 | 0.000 | 0.000 | 420.154 | 0.000 | 0.000 |
| 0.000 | 0.000 | 0.000 | 0.000 | 420.154 | 0.000 |
| 0.000 | 0.000 | 0.000 | 0.000 | 0.000 | 420.154 |
| 360.576 | 420.153 | 420.153 | -0.000 | -0.000 | -0.000 |
| 420.153 | 360.576 | 420.153 | -0.000 | -0.000 | -0.000 |
| 420.153 | 420.153 | 360.576 | -0.000 | -0.000 | -0.000 |
| -0.000 | -0.000 | -0.000 | 420.154 | -0.000 | -0.000 |
| -0.000 | -0.000 | -0.000 | -0.000 | 420.154 | -0.000 |
| -0.000 | -0.000 | -0.000 | -0.000 | -0.000 | 420.154 |
| 360.579 | 420.155 | 420.155 | 0.000 | 0.000 | 0.000 |
| 420.155 | 360.579 | 420.155 | 0.000 | 0.000 | 0.000 |
| 420.155 | 420.155 | 360.579 | 0.000 | 0.000 | 0.000 |
| 0.001 | 0.001 | 0.001 | 420.154 | 0.000 | 0.000 |
| 0.001 | 0.001 | 0.001 | 0.000 | 420.154 | 0.000 |
| 0.001 | 0.001 | 0.001 | 0.000 | 0.000 | 420.154 |
| 360.574 | 420.152 | 420.152 | -0.000 | -0.000 | -0.000 |
| 420.152 | 360.574 | 420.152 | -0.000 | -0.000 | -0.000 |
| 420.152 | 420.152 | 360.574 | -0.000 | -0.000 | -0.000 |
| -0.001 | -0.001 | -0.001 | 420.154 | -0.000 | -0.000 |
| -0.001 | -0.001 | -0.001 | -0.000 | 420.154 | -0.000 |
| -0.001 | -0.001 | -0.001 | -0.000 | -0.000 | 420.154 |
| 68.295 | 73.193 | 73.193 | -0.000 | -0.000 | -0.000 |
| 73.193 | 68.295 | 73.193 | -0.000 | -0.000 | -0.000 |
| 73.193 | 73.193 | 68.295 | -0.000 | -0.000 | -0.000 |
| 0.000 | 0.000 | 0.000 | -5.457 | -0.000 | -0.000 |
| 0.000 | 0.000 | 0.000 | -0.000 | -5.457 | -0.000 |
| 0.000 | 0.000 | 0.000 | -0.000 | -0.000 | -5.457 |
| 68.295 | 73.193 | 73.193 | 0.000 | 0.000 | 0.000 |
| 73.193 | 68.295 | 73.193 | 0.000 | 0.000 | 0.000 |
| 73.193 | 73.193 | 68.295 | 0.000 | 0.000 | 0.000 |
| -0.000 | -0.000 | -0.000 | -5.457 | 0.000 | 0.000 |
| -0.000 | -0.000 | -0.000 | 0.000 | -5.457 | 0.000 |
| -0.000 | -0.000 | -0.000 | 0.000 | 0.000 | -5.457 |
| 68.295 | 73.193 | 73.193 | -0.000 | -0.000 | -0.000 |
| 73.193 | 68.295 | 73.193 | -0.000 | -0.000 | -0.000 |
| 73.193 | 73.193 | 68.295 | -0.000 | -0.000 | -0.000 |
| -0.000 | -0.000 | -0.000 | -5.457 | -0.000 | -0.000 |
| -0.000 | -0.000 | -0.000 | -0.000 | -5.457 | -0.000 |
| -0.000 | -0.000 | -0.000 | -0.000 | -0.000 | -5.457 |
| 68.295 | 73.193 | 73.193 | 0.000 | 0.000 | 0.000 |
| 73.193 | 68.295 | 73.193 | 0.000 | 0.000 | 0.000 |
| 73.193 | 73.193 | 68.295 | 0.000 | 0.000 | 0.000 |
| 0.000 | 0.000 | 0.000 | -5.457 | 0.000 | 0.000 |
| 0.000 | 0.000 | 0.000 | 0.000 | -5.457 | 0.000 |
| 0.000 | 0.000 | 0.000 | 0.000 | 0.000 | -5.457 |
| 68.296 | 73.193 | 73.193 | -0.000 | -0.000 | -0.000 |
| 73.193 | 68.296 | 73.193 | -0.000 | -0.000 | -0.000 |
| 73.193 | 73.193 | 68.296 | -0.000 | -0.000 | -0.000 |
| -0.000 | -0.000 | -0.000 | -5.457 | -0.000 | -0.000 |
| -0.000 | -0.000 | -0.000 | -0.000 | -5.457 | -0.000 |
| -0.000 | -0.000 | -0.000 | -0.000 | -0.000 | -5.457 |
| 68.295 | 73.192 | 73.192 | 0.000 | 0.000 | 0.000 |
| 73.192 | 68.295 | 73.192 | 0.000 | 0.000 | 0.000 |
| 73.192 | 73.192 | 68.295 | 0.000 | 0.000 | 0.000 |
| 0.000 | 0.000 | 0.000 | -5.457 | 0.000 | 0.000 |
| 0.000 | 0.000 | 0.000 | 0.000 | -5.457 | 0.000 |
| 0.000 | 0.000 | 0.000 | 0.000 | 0.000 | -5.457 |
| 389.931 | 144.840 | 395.153 | 0.000 | -0.000 | 0.000 |
| 144.840 | 389.931 | 395.153 | 0.000 | 0.000 | 0.000 |
| 395.153 | 395.153 | 830.957 | -0.000 | -0.000 | -0.000 |
| 0.000 | 0.000 | 0.000 | 395.153 | -0.000 | 0.000 |
| 0.000 | 0.000 | 0.000 | -0.000 | 395.153 | 0.000 |
| -0.000 | 0.000 | 0.000 | 0.000 | 0.000 | 144.840 |
| 389.931 | 144.840 | 395.153 | 0.000 | 0.000 | -0.000 |
| 144.840 | 389.931 | 395.153 | 0.000 | 0.000 | 0.000 |
| 395.153 | 395.153 | 830.957 | 0.000 | 0.000 | 0.000 |
| -0.000 | -0.000 | -0.000 | 395.153 | 0.000 | 0.000 |
| -0.000 | -0.000 | -0.000 | 0.000 | 395.153 | -0.000 |
| 0.000 | -0.000 | -0.000 | 0.000 | -0.000 | 144.840 |
| 389.931 | 144.840 | 395.154 | 0.000 | 0.000 | -0.000 |
| 144.840 | 389.931 | 395.154 | 0.000 | 0.000 | -0.000 |
| 395.154 | 395.154 | 830.958 | -0.000 | -0.000 | -0.000 |
| 0.000 | 0.000 | 0.000 | 395.153 | -0.000 | 0.000 |
| 0.000 | 0.000 | 0.000 | -0.000 | 395.153 | 0.000 |
| 0.000 | 0.000 | 0.000 | 0.000 | 0.000 | 144.840 |
| 389.931 | 144.840 | 395.153 | -0.000 | -0.000 | -0.000 |
| 144.840 | 389.931 | 395.153 | -0.000 | 0.000 | -0.000 |
| 395.153 | 395.153 | 830.957 | 0.000 | 0.000 | -0.000 |
| -0.000 | -0.000 | -0.000 | 395.153 | -0.000 | -0.000 |
| -0.000 | -0.000 | -0.000 | -0.000 | 395.153 | 0.000 |
| -0.000 | -0.000 | -0.000 | -0.000 | 0.000 | 144.840 |
| 389.932 | 144.841 | 395.155 | 0.000 | -0.000 | 0.000 |
| 144.841 | 389.932 | 395.155 | -0.000 | 0.000 | 0.000 |
| 395.157 | 395.157 | 830.963 | 0.000 | 0.000 | -0.000 |
| 0.001 | 0.000 | 0.003 | 395.153 | 0.000 | -0.000 |
| 0.000 | 0.001 | 0.003 | 0.000 | 395.153 | -0.000 |
| 0.000 | 0.000 | 0.001 | -0.000 | 0.000 | 144.840 |
| 389.930 | 144.840 | 395.152 | -0.000 | -0.000 | -0.000 |
| 144.840 | 389.930 | 395.152 | -0.000 | -0.000 | 0.000 |
| 395.150 | 395.150 | 830.952 | -0.000 | -0.000 | -0.000 |
| -0.001 | -0.000 | -0.003 | 395.153 | 0.000 | 0.000 |
| -0.000 | -0.001 | -0.003 | -0.000 | 395.153 | 0.000 |
| -0.000 | -0.000 | -0.001 | -0.000 | -0.000 | 144.840 |
| 255.488 | 345.239 | 345.239 | -0.000 | 0.000 | -0.000 |
| 345.239 | 255.488 | 345.239 | 0.000 | 0.000 | -0.000 |
| 345.239 | 345.239 | 255.488 | -0.000 | -0.000 | -0.000 |
| 0.000 | -0.000 | -0.000 | -30.765 | -0.000 | -0.000 |
| -0.000 | 0.000 | -0.000 | -0.000 | -30.765 | -0.000 |
| -0.000 | -0.000 | 0.000 | 0.000 | 0.000 | -30.765 |
| 255.488 | 345.239 | 345.239 | 0.000 | 0.000 | 0.000 |
| 345.239 | 255.488 | 345.239 | -0.000 | 0.000 | 0.000 |
| 345.239 | 345.239 | 255.488 | 0.000 | 0.000 | 0.000 |
| -0.000 | 0.000 | 0.000 | -30.765 | 0.000 | 0.000 |
| 0.000 | -0.000 | 0.000 | -0.000 | -30.765 | -0.000 |
| 0.000 | 0.000 | -0.000 | -0.000 | -0.000 | -30.765 |
| 255.488 | 345.239 | 345.239 | -0.000 | 0.000 | 0.000 |
| 345.239 | 255.488 | 345.239 | 0.000 | -0.000 | -0.000 |
| 345.239 | 345.239 | 255.488 | -0.000 | 0.000 | -0.000 |
| 0.000 | -0.000 | -0.000 | -30.765 | -0.000 | -0.000 |
| -0.000 | 0.000 | -0.000 | -0.000 | -30.765 | -0.000 |
| -0.000 | -0.000 | 0.000 | -0.000 | -0.000 | -30.765 |
| 255.488 | 345.238 | 345.238 | 0.000 | -0.000 | -0.000 |
| 345.238 | 255.488 | 345.238 | -0.000 | 0.000 | 0.000 |
| 345.238 | 345.238 | 255.488 | -0.000 | 0.000 | 0.000 |
| -0.000 | 0.000 | 0.000 | -30.765 | 0.000 | 0.000 |
| 0.000 | -0.000 | 0.000 | 0.000 | -30.765 | 0.000 |
| 0.000 | 0.000 | -0.000 | -0.000 | 0.000 | -30.765 |
| 255.489 | 345.240 | 345.240 | 0.000 | -0.000 | -0.000 |
| 345.240 | 255.489 | 345.240 | -0.000 | 0.000 | -0.000 |
| 345.240 | 345.240 | 255.489 | -0.000 | -0.000 | -0.000 |
| 0.001 | -0.000 | -0.000 | -30.765 | -0.000 | 0.000 |
| -0.000 | 0.001 | -0.000 | -0.000 | -30.765 | -0.000 |
| -0.000 | -0.000 | 0.001 | -0.000 | 0.000 | -30.765 |
| 255.487 | 345.238 | 345.238 | 0.000 | 0.000 | 0.000 |
| 345.238 | 255.487 | 345.238 | 0.000 | -0.000 | 0.000 |
| 345.238 | 345.238 | 255.487 | 0.000 | 0.000 | 0.000 |
| -0.001 | 0.000 | 0.000 | -30.765 | 0.000 | 0.000 |
| 0.000 | -0.001 | 0.000 | 0.000 | -30.765 | 0.000 |
| 0.000 | 0.000 | -0.001 | 0.000 | 0.000 | -30.765 |
| 42.192 | 105.590 | 105.590 | -0.000 | -0.000 | -0.000 |
| 105.590 | 42.192 | 105.590 | -0.000 | -0.000 | -0.000 |
| 105.590 | 105.590 | 42.192 | -0.000 | -0.000 | -0.000 |
| -0.000 | 0.000 | 0.000 | -531.341 | 0.000 | 0.000 |
| 0.000 | -0.000 | 0.000 | -0.000 | -531.341 | -0.000 |
| 0.000 | 0.000 | -0.000 | -0.000 | -0.000 | -531.341 |
| 42.192 | 105.590 | 105.590 | 0.000 | -0.000 | -0.000 |
| 105.590 | 42.192 | 105.590 | 0.000 | 0.000 | 0.000 |
| 105.590 | 105.590 | 42.192 | 0.000 | 0.000 | -0.000 |
| 0.000 | -0.000 | -0.000 | -531.341 | 0.000 | 0.000 |
| -0.000 | 0.000 | -0.000 | 0.000 | -531.341 | 0.000 |
| -0.000 | -0.000 | 0.000 | 0.000 | 0.000 | -531.341 |
| 42.193 | 105.590 | 105.590 | -0.000 | -0.000 | -0.000 |
| 105.590 | 42.193 | 105.590 | -0.000 | -0.000 | 0.000 |
| 105.590 | 105.590 | 42.193 | 0.000 | 0.000 | -0.000 |
| 74148554.455 | 89854177.563 | 94614333.558 | 1138908.279 | 2553203.291 | 2681728.189 |
| 85671947.150 | 74022041.151 | 85830113.615 | -986331.532 | 2179528.510 | 4199696.531 |
| 93837968.526 | 87548379.263 | 79079816.226 | -681197.893 | -601035.750 | 4745010.840 |
| 42.192 | 105.590 | 105.590 | 0.000 | 0.000 | 0.000 |
| 105.590 | 42.192 | 105.590 | 0.000 | 0.000 | 0.000 |
| 105.590 | 105.590 | 42.192 | 0.000 | 0.000 | -0.000 |
| -63727160.963 | -86804084.502 | -90046305.771 | -3324897.369 | -1271008.528 | -2210670.085 |
| -94592424.682 | -77809903.513 | -88941682.390 | 481900.198 | 1250272.980 | -1599321.016 |
| -104294210.063 | -91895599.282 | -70637041.766 | -2902083.431 | -1401863.137 | -1730306.287 |
| 42.195 | 105.590 | 105.590 | -0.000 | -0.000 | -0.000 |
| 105.590 | 42.195 | 105.590 | -0.000 | -0.000 | 0.000 |
| 105.590 | 105.590 | 42.195 | -0.000 | -0.000 | -0.000 |
| 7958421.475 | 9082130.454 | 9462621.533 | -24946.301 | -69436.337 | -153169.786 |
| 8914445.768 | 7004557.423 | 8973774.946 | 211480.101 | -324063.222 | 44657.216 |
| 9491072.487 | 8359023.092 | 7614969.276 | 116502.205 | -322996.046 | 159410.804 |
| 42.190 | 105.589 | 105.589 | 0.000 | 0.000 | 0.000 |
| 105.589 | 42.190 | 105.589 | 0.000 | 0.000 | 0.000 |
| 105.589 | 105.589 | 42.190 | 0.000 | 0.000 | -0.000 |
| -6625160.747 | -10243933.196 | -10159044.962 | -154511.696 | 112007.056 | -144598.811 |
| -8997637.749 | -7005715.036 | -8478961.415 | 385746.534 | -137796.610 | 83542.671 |
| -9628368.440 | -9065436.313 | -7289113.172 | -119290.717 | 25347.928 | 153044.455 |
| 12.733 | 52.538 | 52.538 | -0.000 | 0.000 | 0.000 |
| 52.538 | 12.733 | 52.538 | 0.000 | 0.000 | 0.000 |
| 52.538 | 52.538 | 12.733 | -0.000 | -0.000 | -0.000 |
| -0.000 | 0.000 | -0.000 | -93.252 | 0.000 | 0.000 |
| 0.000 | -0.000 | -0.000 | 0.000 | -93.252 | 0.000 |
| 0.000 | -0.000 | -0.000 | 0.000 | 0.000 | -93.252 |
| 12.733 | 52.538 | 52.538 | -0.000 | -0.000 | -0.000 |
| 52.538 | 12.733 | 52.538 | -0.000 | -0.000 | 0.000 |
| 52.538 | 52.538 | 12.733 | 0.000 | 0.000 | -0.000 |
| 0.000 | -0.000 | 0.000 | -93.252 | -0.000 | -0.000 |
| -0.000 | 0.000 | 0.000 | -0.000 | -93.252 | 0.000 |
| -0.000 | 0.000 | 0.000 | -0.000 | -0.000 | -93.252 |
| 12.733 | 52.538 | 52.538 | 0.000 | 0.000 | 0.000 |
| 52.538 | 12.733 | 52.538 | 0.000 | 0.000 | 0.000 |
| 52.538 | 52.538 | 12.733 | 0.000 | 0.000 | 0.000 |
| -0.000 | 0.000 | -0.000 | -93.252 | 0.000 | 0.000 |
| 0.000 | -0.000 | -0.000 | -0.000 | -93.252 | 0.000 |
| 0.000 | -0.000 | -0.000 | 0.000 | 0.000 | -93.252 |
| 12.733 | 52.538 | 52.538 | -0.000 | -0.000 | -0.000 |
| 52.538 | 12.733 | 52.538 | -0.000 | -0.000 | 0.000 |
| 52.538 | 52.538 | 12.733 | -0.000 | 0.000 | -0.000 |
| 0.000 | -0.000 | 0.000 | -93.252 | 0.000 | -0.000 |
| -0.000 | 0.000 | 0.000 | 0.000 | -93.252 | -0.000 |
| -0.000 | 0.000 | 0.000 | -0.000 | -0.000 | -93.252 |
| 12.733 | 52.538 | 52.538 | -0.000 | 0.000 | 0.000 |
| 52.538 | 12.733 | 52.538 | -0.000 | -0.000 | -0.000 |
| 52.538 | 52.538 | 12.733 | -0.000 | -0.000 | -0.000 |
| -0.001 | 0.000 | -0.000 | -93.252 | 0.000 | 0.000 |
| 0.000 | -0.001 | -0.000 | 0.000 | -93.252 | 0.000 |
| 0.000 | -0.000 | -0.001 | 0.000 | 0.000 | -93.252 |
| 12.733 | 52.538 | 52.538 | -0.000 | -0.000 | -0.000 |
| 52.538 | 12.733 | 52.538 | -0.000 | -0.000 | -0.000 |
| 52.538 | 52.538 | 12.733 | -0.000 | -0.000 | -0.000 |
| 0.001 | -0.000 | 0.000 | -93.252 | -0.000 | 0.000 |
| -0.000 | 0.001 | 0.000 | -0.000 | -93.252 | 0.000 |
| -0.000 | 0.000 | 0.001 | -0.000 | -0.000 | -93.252 |
| 0.005 | 0.005 | 0.005 | -0.000 | -0.000 | 0.000 |
| 0.005 | 0.005 | 0.005 | -0.000 | -0.000 | 0.000 |
| 0.005 | 0.005 | 0.005 | -0.000 | -0.000 | -0.000 |
| 0.000 | 0.000 | 0.000 | 0.005 | -0.000 | -0.000 |
| 0.000 | 0.000 | 0.000 | -0.000 | 0.005 | -0.000 |
| 0.000 | 0.000 | 0.000 | 0.000 | -0.000 | 0.005 |
| 0.005 | 0.005 | 0.005 | -0.000 | -0.000 | -0.000 |
| 0.005 | 0.005 | 0.005 | -0.000 | -0.000 | -0.000 |
| 0.005 | 0.005 | 0.005 | 0.000 | 0.000 | -0.000 |
| -0.000 | -0.000 | -0.000 | 0.005 | -0.000 | -0.000 |
| -0.000 | -0.000 | -0.000 | -0.000 | 0.005 | -0.000 |
| -0.000 | -0.000 | -0.000 | 0.000 | -0.000 | 0.005 |
| 0.005 | 0.005 | 0.005 | -0.000 | -0.000 | -0.000 |
| 0.005 | 0.005 | 0.005 | -0.000 | -0.000 | -0.000 |
| 0.005 | 0.005 | 0.005 | -0.000 | -0.000 | -0.000 |
| 0.000 | 0.000 | 0.000 | 0.005 | 0.000 | -0.000 |
| 0.000 | 0.000 | 0.000 | 0.000 | 0.005 | -0.000 |
| 0.000 | 0.000 | 0.000 | 0.000 | 0.000 | 0.005 |
| 0.005 | 0.005 | 0.005 | 0.000 | 0.000 | -0.000 |
| 0.005 | 0.005 | 0.005 | 0.000 | 0.000 | -0.000 |
| 0.005 | 0.005 | 0.005 | -0.000 | -0.000 | -0.000 |
| -0.000 | -0.000 | -0.000 | 0.005 | 0.000 | -0.000 |
| -0.000 | -0.000 | -0.000 | 0.000 | 0.005 | -0.000 |
| -0.000 | -0.000 | -0.000 | 0.000 | -0.000 | 0.005 |
| 0.005 | 0.005 | 0.005 | -0.000 | -0.000 | -0.000 |
| 0.005 | 0.005 | 0.005 | -0.000 | -0.000 | -0.000 |
| 0.005 | 0.005 | 0.005 | -0.000 | -0.000 | -0.000 |
| 0.000 | 0.000 | 0.000 | 0.005 | -0.000 | 0.000 |
| 0.000 | 0.000 | 0.000 | -0.000 | 0.005 | 0.000 |
| 0.000 | 0.000 | 0.000 | -0.000 | -0.000 | 0.005 |
| 0.005 | 0.005 | 0.005 | 0.000 | -0.000 | -0.000 |
| 0.005 | 0.005 | 0.005 | -0.000 | 0.000 | -0.000 |
| 0.005 | 0.005 | 0.005 | 0.000 | 0.000 | 0.000 |
| -0.000 | -0.000 | -0.000 | 0.005 | 0.000 | -0.000 |
| -0.000 | -0.000 | -0.000 | 0.000 | 0.005 | -0.000 |
| -0.000 | -0.000 | -0.000 | 0.000 | -0.000 | 0.005 |
| 1130.689 | 362.104 | 362.104 | 0.000 | 0.000 | -0.000 |
| 362.104 | 1130.689 | 362.104 | 0.000 | -0.000 | -0.000 |
| 362.104 | 362.104 | 1130.689 | 0.000 | 0.000 | 0.000 |
| 0.000 | 0.000 | 0.000 | 26.709 | 0.000 | 0.000 |
| 0.000 | 0.000 | -0.000 | 0.000 | 26.709 | 0.000 |
| 0.000 | 0.000 | 0.000 | 0.000 | 0.000 | 26.709 |
| 1130.689 | 362.104 | 362.104 | -0.000 | -0.000 | 0.000 |
| 362.104 | 1130.689 | 362.104 | 0.000 | 0.000 | 0.000 |
| 362.104 | 362.104 | 1130.689 | -0.000 | -0.000 | -0.000 |
| -0.000 | -0.000 | 0.000 | 26.709 | 0.000 | -0.000 |
| -0.000 | -0.000 | 0.000 | -0.000 | 26.709 | -0.000 |
| -0.000 | -0.000 | -0.000 | -0.000 | -0.000 | 26.709 |
| 1130.690 | 362.105 | 362.105 | 0.000 | -0.000 | -0.000 |
| 362.105 | 1130.690 | 362.105 | -0.000 | -0.000 | -0.000 |
| 362.105 | 362.105 | 1130.690 | -0.000 | -0.000 | 0.000 |
| -0.000 | 0.000 | -0.000 | 26.709 | -0.000 | 0.000 |
| 0.000 | -0.000 | -0.000 | 0.000 | 26.709 | 0.000 |
| 0.000 | -0.000 | -0.000 | 0.000 | 0.000 | 26.709 |
| 1130.689 | 362.104 | 362.104 | -0.000 | -0.000 | 0.000 |
| 362.104 | 1130.689 | 362.104 | 0.000 | 0.000 | -0.000 |
| 362.104 | 362.104 | 1130.689 | 0.000 | 0.000 | -0.000 |
| 0.000 | -0.000 | 0.000 | 26.709 | 0.000 | -0.000 |
| -0.000 | 0.000 | 0.000 | 0.000 | 26.709 | -0.000 |
| -0.000 | 0.000 | 0.000 | -0.000 | -0.000 | 26.709 |
| 1130.692 | 362.106 | 362.106 | 0.000 | -0.000 | 0.000 |
| 362.106 | 1130.692 | 362.106 | 0.000 | -0.000 | -0.000 |
| 362.106 | 362.106 | 1130.692 | -0.000 | -0.000 | 0.000 |
| -0.000 | 0.000 | -0.000 | 26.709 | 0.000 | 0.000 |
| 0.000 | -0.000 | -0.000 | -0.000 | 26.709 | 0.000 |
| 0.000 | -0.000 | -0.000 | 0.000 | 0.000 | 26.709 |
| 1130.686 | 362.103 | 362.103 | -0.000 | -0.000 | 0.000 |
| 362.103 | 1130.686 | 362.103 | 0.000 | 0.000 | 0.000 |
| 362.103 | 362.103 | 1130.686 | -0.000 | -0.000 | -0.000 |
| 0.000 | -0.000 | 0.000 | 26.709 | -0.000 | -0.000 |
| -0.000 | 0.000 | 0.000 | 0.000 | 26.709 | -0.000 |
| -0.000 | 0.000 | 0.000 | -0.000 | -0.000 | 26.709 |
| 442.074 | 531.472 | 531.472 | -0.000 | -0.000 | -0.000 |
| 531.472 | 442.074 | 531.472 | -0.000 | -0.000 | 0.000 |
| 531.472 | 531.472 | 442.074 | 0.000 | 0.000 | -0.000 |
| 0.000 | -0.000 | -0.000 | 236.258 | -0.000 | -0.000 |
| 0.000 | 0.000 | -0.000 | -0.000 | 236.258 | -0.000 |
| -0.000 | -0.000 | 0.000 | -0.000 | 0.000 | 236.258 |
| 442.074 | 531.472 | 531.472 | 0.000 | 0.000 | 0.000 |
| 531.472 | 442.074 | 531.472 | 0.000 | 0.000 | 0.000 |
| 531.472 | 531.472 | 442.074 | 0.000 | -0.000 | 0.000 |
| -0.000 | 0.000 | 0.000 | 236.258 | 0.000 | -0.000 |
| 0.000 | -0.000 | 0.000 | 0.000 | 236.258 | 0.000 |
| 0.000 | 0.000 | -0.000 | 0.000 | 0.000 | 236.258 |
| 442.074 | 531.472 | 531.472 | 0.000 | 0.000 | -0.000 |
| 531.472 | 442.074 | 531.472 | 0.000 | -0.000 | -0.000 |
| 531.472 | 531.472 | 442.074 | -0.000 | -0.000 | -0.000 |
| 0.000 | -0.000 | 0.000 | 531.472 | 0.000 | -0.000 |
| -0.000 | 0.000 | 0.000 | -0.000 | 531.472 | -0.000 |
| -0.000 | 0.000 | 0.000 | -0.000 | -0.000 | 531.472 |
| 442.074 | 531.472 | 531.472 | 0.000 | 0.000 | 0.000 |
| 531.472 | 442.074 | 531.472 | 0.000 | 0.000 | 0.000 |
| 531.472 | 531.472 | 442.074 | 0.000 | 0.000 | 0.000 |
| -0.000 | 0.000 | -0.000 | 531.472 | 0.000 | 0.000 |
| 0.000 | -0.000 | -0.000 | 0.000 | 531.472 | 0.000 |
| 0.000 | -0.000 | -0.000 | -0.000 | -0.000 | 531.472 |
| 442.075 | 531.474 | 531.474 | -0.000 | -0.000 | 0.000 |
| 531.474 | 442.075 | 531.474 | 0.000 | -0.000 | -0.000 |
| 531.474 | 531.474 | 442.075 | -0.000 | -0.000 | -0.000 |
| 0.000 | -0.001 | -0.000 | 236.258 | 0.000 | -0.000 |
| -0.001 | 0.000 | -0.000 | 0.000 | 236.258 | -0.000 |
| -0.001 | -0.000 | 0.000 | 0.000 | -0.000 | 236.258 |
| 442.073 | 531.471 | 531.471 | 0.000 | 0.000 | 0.000 |
| 531.471 | 442.073 | 531.471 | 0.000 | 0.000 | 0.000 |
| 531.471 | 531.471 | 442.073 | 0.000 | 0.000 | 0.000 |
| -0.000 | 0.001 | 0.000 | 236.258 | -0.000 | 0.000 |
| 0.001 | -0.000 | 0.000 | 0.000 | 236.258 | 0.000 |
| 0.001 | 0.000 | -0.000 | 0.000 | 0.000 | 236.258 |
| 814.694 | 493.725 | 493.725 | -0.000 | -0.000 | -0.000 |
| 493.725 | 814.694 | 493.725 | -0.000 | -0.000 | -0.000 |
| 493.725 | 493.725 | 814.694 | -0.000 | -0.000 | -0.000 |
| -0.000 | 0.000 | 0.000 | 493.725 | -0.000 | 0.000 |
| 0.000 | -0.000 | 0.000 | -0.000 | 493.725 | -0.000 |
| 0.000 | 0.000 | -0.000 | -0.000 | -0.000 | 493.725 |
| 814.694 | 493.725 | 493.725 | 0.000 | 0.000 | -0.000 |
| 493.725 | 814.694 | 493.725 | 0.000 | 0.000 | 0.000 |
| 493.725 | 493.725 | 814.694 | 0.000 | 0.000 | 0.000 |
| 0.000 | 0.000 | -0.000 | 493.725 | 0.000 | 0.000 |
| -0.000 | 0.000 | -0.000 | 0.000 | 493.725 | 0.000 |
| -0.000 | -0.000 | 0.000 | 0.000 | 0.000 | 493.725 |
| 814.694 | 493.725 | 493.725 | -0.000 | -0.000 | 0.000 |
| 493.725 | 814.694 | 493.725 | -0.000 | -0.000 | -0.000 |
| 493.725 | 493.725 | 814.694 | -0.000 | -0.000 | -0.000 |
| -0.000 | 0.000 | 0.000 | 493.725 | -0.000 | -0.000 |
| 0.000 | -0.000 | 0.000 | -0.000 | 493.725 | -0.000 |
| 0.000 | 0.000 | -0.000 | -0.000 | -0.000 | 493.725 |
| 814.694 | 493.725 | 493.725 | 0.000 | 0.000 | 0.000 |
| 493.725 | 814.694 | 493.725 | 0.000 | 0.000 | 0.000 |
| 493.725 | 493.725 | 814.694 | 0.000 | 0.000 | -0.000 |
| 0.000 | -0.000 | -0.000 | 493.725 | 0.000 | -0.000 |
| -0.000 | 0.000 | -0.000 | 0.000 | 493.725 | -0.000 |
| -0.000 | -0.000 | 0.000 | 0.000 | 0.000 | 493.725 |
| 814.696 | 493.727 | 493.727 | -0.000 | -0.000 | 0.000 |
| 493.727 | 814.696 | 493.727 | -0.000 | -0.000 | -0.000 |
| 493.727 | 493.727 | 814.696 | -0.000 | -0.000 | 0.000 |
| -0.000 | 0.000 | 0.001 | 493.725 | -0.000 | 0.000 |
| 0.000 | -0.000 | 0.001 | -0.000 | 493.725 | 0.000 |
| 0.000 | 0.001 | -0.000 | -0.000 | -0.000 | 493.725 |
| 814.693 | 493.723 | 493.723 | 0.000 | 0.000 | 0.000 |
| 493.723 | 814.693 | 493.723 | 0.000 | 0.000 | -0.000 |
| 493.723 | 493.723 | 814.693 | 0.000 | 0.000 | 0.000 |
| 0.000 | -0.000 | -0.001 | 493.725 | 0.000 | -0.000 |
| -0.000 | 0.000 | -0.001 | 0.000 | 493.725 | -0.000 |
| -0.000 | -0.001 | 0.000 | 0.000 | 0.000 | 493.725 |
| 84.002 | 110.003 | 110.003 | 0.000 | 0.000 | 0.000 |
| 110.003 | 84.002 | 110.003 | 0.000 | 0.000 | 0.000 |
| 110.003 | 110.003 | 84.002 | 0.000 | 0.000 | 0.000 |
| 0.000 | -0.000 | 0.000 | 65.929 | 0.000 | 0.000 |
| -0.000 | -0.000 | 0.000 | 0.000 | 65.929 | 0.000 |
| -0.000 | -0.000 | -0.000 | 0.000 | 0.000 | 65.929 |
| 84.002 | 110.003 | 110.003 | -0.000 | -0.000 | -0.000 |
| 110.003 | 84.002 | 110.003 | -0.000 | -0.000 | -0.000 |
| 110.003 | 110.003 | 84.002 | -0.000 | -0.000 | -0.000 |
| -0.000 | 0.000 | -0.000 | 65.929 | -0.000 | -0.000 |
| 0.000 | 0.000 | -0.000 | -0.000 | 65.929 | -0.000 |
| 0.000 | 0.000 | -0.000 | -0.000 | -0.000 | 65.929 |
| 84.002 | 110.004 | 110.004 | 0.000 | 0.000 | 0.000 |
| 110.004 | 84.002 | 110.004 | 0.000 | 0.000 | 0.000 |
| 110.004 | 110.004 | 84.002 | 0.000 | 0.000 | 0.000 |
| -0.000 | -0.000 | -0.000 | 65.929 | 0.000 | 0.000 |
| -0.000 | -0.000 | -0.000 | 0.000 | 65.929 | 0.000 |
| -0.000 | -0.000 | -0.000 | 0.000 | 0.000 | 65.929 |
| 84.003 | 110.003 | 110.003 | -0.000 | -0.000 | -0.000 |
| 110.003 | 84.003 | 110.003 | -0.000 | -0.000 | -0.000 |
| 110.003 | 110.003 | 84.003 | -0.000 | -0.000 | -0.000 |
| 0.000 | 0.000 | 0.000 | 65.929 | -0.000 | -0.000 |
| 0.000 | 0.000 | 0.000 | -0.000 | 65.929 | -0.000 |
| 0.000 | 0.000 | 0.000 | -0.000 | -0.000 | 65.929 |
| 84.001 | 110.004 | 110.004 | 0.000 | 0.000 | 0.000 |
| 110.004 | 84.001 | 110.004 | 0.000 | 0.000 | 0.000 |
| 110.004 | 110.004 | 84.001 | 0.000 | 0.000 | 0.000 |
| -0.000 | -0.000 | -0.000 | 65.929 | 0.000 | 0.000 |
| -0.000 | -0.000 | -0.000 | 0.000 | 65.929 | -0.000 |
| -0.000 | -0.000 | -0.000 | 0.000 | 0.000 | 65.929 |
| 84.004 | 110.003 | 110.003 | -0.000 | -0.000 | -0.000 |
| 110.003 | 84.004 | 110.003 | -0.000 | -0.000 | -0.000 |
| 110.003 | 110.003 | 84.004 | -0.000 | -0.000 | -0.000 |
| 0.000 | 0.000 | 0.000 | 65.929 | -0.000 | -0.000 |
| 0.000 | 0.000 | 0.000 | -0.000 | 65.929 | -0.000 |
| 0.000 | 0.000 | 0.000 | -0.000 | -0.000 | 65.929 |
| 282.948 | 100.404 | 100.404 | -0.000 | -0.000 | 0.000 |
| 100.404 | 282.948 | 100.404 | -0.000 | -0.000 | 0.000 |
| 100.404 | 100.404 | 282.948 | 0.000 | 0.000 | 0.000 |
| 0.000 | 0.000 | 0.000 | 50.734 | 0.000 | 0.000 |
| 0.000 | 0.000 | 0.000 | 0.000 | 50.734 | 0.000 |
| 0.000 | 0.000 | 0.000 | -0.000 | 0.000 | 50.734 |
| 282.948 | 100.404 | 100.404 | 0.000 | 0.000 | -0.000 |
| 100.404 | 282.948 | 100.404 | 0.000 | 0.000 | -0.000 |
| 100.404 | 100.404 | 282.948 | -0.000 | -0.000 | -0.000 |
| -0.000 | -0.000 | -0.000 | 50.734 | 0.000 | -0.000 |
| -0.000 | -0.000 | -0.000 | -0.000 | 50.734 | -0.000 |
| -0.000 | -0.000 | -0.000 | 0.000 | 0.000 | 50.734 |
| 282.948 | 100.404 | 100.404 | -0.000 | -0.000 | 0.000 |
| 100.404 | 282.948 | 100.404 | -0.000 | -0.000 | 0.000 |
| 100.404 | 100.404 | 282.948 | -0.000 | -0.000 | 0.000 |
| -0.000 | 0.000 | 0.000 | 50.734 | 0.000 | 0.000 |
| 0.000 | -0.000 | 0.000 | 0.000 | 50.734 | 0.000 |
| 0.000 | 0.000 | -0.000 | -0.000 | -0.000 | 50.734 |
| 282.948 | 100.404 | 100.404 | 0.000 | 0.000 | 0.000 |
| 100.404 | 282.948 | 100.404 | 0.000 | 0.000 | 0.000 |
| 100.404 | 100.404 | 282.948 | 0.000 | 0.000 | -0.000 |
| 0.000 | -0.000 | -0.000 | 50.734 | -0.000 | -0.000 |
| -0.000 | 0.000 | -0.000 | 0.000 | 50.734 | -0.000 |
| -0.000 | -0.000 | 0.000 | 0.000 | 0.000 | 50.734 |
| 282.949 | 100.404 | 100.404 | -0.000 | -0.000 | 0.000 |
| 100.404 | 282.949 | 100.404 | -0.000 | -0.000 | -0.000 |
| 100.404 | 100.404 | 282.949 | -0.000 | -0.000 | 0.000 |
| -0.000 | 0.001 | 0.001 | 50.734 | -0.000 | 0.000 |
| 0.001 | -0.000 | 0.001 | -0.000 | 50.734 | 0.000 |
| 0.001 | 0.001 | -0.000 | -0.000 | -0.000 | 50.734 |
| 282.947 | 100.403 | 100.403 | 0.000 | 0.000 | -0.000 |
| 100.403 | 282.947 | 100.403 | 0.000 | 0.000 | -0.000 |
| 100.403 | 100.403 | 282.947 | 0.000 | -0.000 | -0.000 |
| 0.000 | -0.001 | -0.001 | 50.734 | 0.000 | -0.000 |
| -0.001 | 0.000 | -0.001 | 0.000 | 50.734 | -0.000 |
| -0.001 | -0.001 | 0.000 | 0.000 | -0.000 | 50.734 |
| 1549.692 | -27.031 | -27.031 | -0.000 | -0.000 | 0.000 |
| -27.031 | 1549.692 | -27.031 | -0.000 | -0.000 | 0.000 |
| -27.031 | -27.031 | 1549.692 | -0.000 | -0.000 | -0.000 |
| -0.000 | -0.000 | -0.000 | -85.862 | -0.000 | 0.000 |
| -0.000 | -0.000 | -0.000 | -0.000 | -85.862 | 0.000 |
| -0.000 | -0.000 | -0.000 | 0.000 | -0.000 | -85.862 |
| 1549.691 | -27.031 | -27.031 | 0.000 | 0.000 | -0.000 |
| -27.031 | 1549.691 | -27.031 | 0.000 | 0.000 | 0.000 |
| -27.031 | -27.031 | 1549.691 | 0.000 | 0.000 | -0.000 |
| 0.000 | 0.000 | 0.000 | -85.862 | 0.000 | -0.000 |
| 0.000 | 0.000 | 0.000 | 0.000 | -85.862 | -0.000 |
| 0.000 | 0.000 | 0.000 | 0.000 | 0.000 | -85.862 |
| 1549.696 | -27.031 | -27.031 | -0.000 | -0.000 | 0.000 |
| -27.031 | 1549.696 | -27.031 | -0.000 | -0.000 | 0.000 |
| -27.031 | -27.031 | 1549.696 | -0.000 | -0.000 | -0.000 |
| 0.000 | 0.000 | -0.000 | -85.862 | -0.000 | 0.000 |
| 0.000 | 0.000 | -0.000 | -0.000 | -85.862 | -0.000 |
| 0.000 | -0.000 | 0.000 | -0.000 | -0.000 | -85.862 |
| 1549.687 | -27.031 | -27.031 | 0.000 | 0.000 | -0.000 |
| -27.031 | 1549.687 | -27.031 | 0.000 | 0.000 | -0.000 |
| -27.031 | -27.031 | 1549.687 | 0.000 | 0.000 | -0.000 |
| -0.000 | -0.000 | 0.000 | -85.862 | 0.000 | -0.000 |
| -0.000 | -0.000 | 0.000 | 0.000 | -85.862 | -0.000 |
| -0.000 | 0.000 | -0.000 | 0.000 | 0.000 | -85.862 |
| 1549.735 | -27.030 | -27.030 | 0.000 | 0.000 | 0.000 |
| -27.030 | 1549.735 | -27.030 | 0.000 | 0.000 | 0.000 |
| -27.030 | -27.030 | 1549.735 | -0.000 | -0.000 | 0.000 |
| 0.000 | 0.000 | -0.001 | -85.862 | -0.000 | 0.000 |
| 0.000 | 0.000 | -0.001 | -0.000 | -85.862 | 0.000 |
| 0.000 | -0.001 | 0.000 | -0.000 | -0.000 | -85.862 |
| 1549.648 | -27.031 | -27.031 | 0.000 | -0.000 | -0.000 |
| -27.031 | 1549.648 | -27.031 | -0.000 | 0.000 | 0.000 |
| -27.031 | -27.031 | 1549.648 | 0.000 | -0.000 | 0.000 |
| -0.000 | -0.000 | 0.001 | -85.862 | 0.000 | -0.000 |
| -0.000 | -0.000 | 0.001 | 0.000 | -85.862 | -0.000 |
| -0.000 | 0.001 | -0.000 | 0.000 | 0.000 | -85.862 |
| 473.956 | 314.798 | 314.799 | 0.000 | 0.000 | 0.000 |
| 314.798 | 473.956 | 314.799 | 0.000 | 0.000 | 0.000 |
| 314.798 | 314.798 | 473.956 | 0.000 | 0.000 | 0.000 |
| 0.000 | -0.000 | 0.000 | 266.777 | -0.000 | 0.000 |
| -0.000 | -0.000 | 0.000 | -0.000 | 266.777 | 0.000 |
| -0.000 | -0.000 | 0.000 | -0.000 | 0.000 | 266.777 |
| 473.956 | 314.798 | 314.798 | -0.000 | -0.000 | -0.000 |
| 314.798 | 473.956 | 314.798 | -0.000 | -0.000 | -0.000 |
| 314.798 | 314.798 | 473.956 | -0.000 | -0.000 | -0.000 |
| -0.000 | 0.000 | -0.000 | 266.777 | -0.000 | -0.000 |
| 0.000 | -0.000 | -0.000 | -0.000 | 266.777 | -0.000 |
| 0.000 | 0.000 | -0.000 | -0.000 | -0.000 | 266.777 |
| 473.956 | 314.798 | 314.798 | 0.000 | 0.000 | 0.000 |
| 314.798 | 473.956 | 314.798 | 0.000 | 0.000 | 0.000 |
| 314.798 | 314.798 | 473.956 | 0.000 | 0.000 | 0.000 |
| -0.000 | -0.000 | -0.000 | 81.265 | 0.000 | 0.000 |
| -0.000 | -0.000 | -0.000 | 0.000 | 81.265 | 0.000 |
| -0.000 | -0.000 | -0.000 | 0.000 | 0.000 | 81.265 |
| 473.957 | 314.798 | 314.798 | -0.000 | -0.000 | -0.000 |
| 314.798 | 473.957 | 314.798 | -0.000 | -0.000 | -0.000 |
| 314.798 | 314.798 | 473.957 | -0.000 | -0.000 | -0.000 |
| 0.000 | 0.000 | 0.000 | 81.265 | -0.000 | -0.000 |
| 0.000 | 0.000 | 0.000 | -0.000 | 81.265 | -0.000 |
| 0.000 | 0.000 | 0.000 | -0.000 | -0.000 | 81.265 |
| 473.955 | 314.798 | 314.798 | 0.000 | 0.000 | 0.000 |
| 314.798 | 473.955 | 314.798 | 0.000 | 0.000 | 0.000 |
| 314.798 | 314.798 | 473.955 | 0.000 | 0.000 | 0.000 |
| -0.000 | -0.001 | -0.001 | 81.265 | 0.000 | 0.000 |
| -0.001 | -0.000 | -0.001 | 0.000 | 81.265 | 0.000 |
| -0.001 | -0.001 | -0.000 | 0.000 | 0.000 | 81.265 |
| 473.958 | 314.798 | 314.798 | -0.000 | -0.000 | -0.000 |
| 314.798 | 473.958 | 314.798 | -0.000 | -0.000 | -0.000 |
| 314.798 | 314.798 | 473.958 | -0.000 | -0.000 | -0.000 |
| 0.000 | 0.001 | 0.001 | 81.265 | -0.000 | -0.000 |
| 0.001 | 0.000 | 0.001 | -0.000 | 81.265 | -0.000 |
| 0.001 | 0.001 | 0.000 | -0.000 | -0.000 | 81.265 |
| 382.452 | 159.991 | 200.987 | 0.000 | -0.000 | 0.000 |
| 159.154 | 383.289 | 200.987 | 0.000 | 0.000 | 0.000 |
| 200.987 | 200.987 | 452.689 | 0.000 | 0.000 | -0.000 |
| -0.000 | -0.000 | 0.000 | 148.425 | 0.000 | 0.000 |
| -0.000 | -0.000 | 0.000 | 0.000 | 148.425 | -0.000 |
| -0.000 | -0.000 | -0.000 | 0.000 | 0.000 | 111.231 |
| 383.289 | 159.154 | 200.987 | 0.000 | -0.000 | 0.000 |
| 159.991 | 382.452 | 200.987 | -0.000 | -0.000 | -0.000 |
| 200.987 | 200.987 | 452.689 | -0.000 | -0.000 | 0.000 |
| 0.000 | 0.000 | -0.000 | 148.425 | -0.000 | -0.000 |
| 0.000 | 0.000 | -0.000 | 0.000 | 148.425 | -0.000 |
| 0.000 | 0.000 | 0.000 | -0.000 | -0.000 | 111.231 |
| 383.289 | 159.154 | 200.987 | -0.000 | 0.000 | 0.000 |
| 159.991 | 382.452 | 200.987 | 0.000 | 0.000 | 0.000 |
| 200.987 | 200.987 | 452.690 | 0.000 | 0.000 | -0.000 |
| -0.000 | -0.000 | 0.000 | 148.425 | 0.000 | -0.000 |
| -0.000 | -0.000 | 0.000 | 0.000 | 148.425 | -0.000 |
| -0.000 | -0.000 | -0.000 | 0.000 | -0.000 | 111.231 |
| 383.290 | 159.154 | 200.987 | 0.000 | -0.000 | -0.000 |
| 159.154 | 383.290 | 200.987 | -0.000 | 0.000 | -0.000 |
| 200.987 | 200.987 | 452.689 | -0.000 | -0.000 | -0.000 |
| 0.000 | 0.000 | -0.000 | 148.425 | 0.000 | -0.000 |
| 0.000 | 0.000 | -0.000 | -0.000 | 148.425 | -0.000 |
| 0.000 | 0.000 | 0.000 | 0.000 | -0.000 | 111.231 |
| 383.285 | 159.154 | 200.987 | -0.000 | 0.000 | 0.000 |
| 159.990 | 382.448 | 200.987 | 0.000 | 0.000 | 0.000 |
| 200.988 | 200.988 | 452.692 | 0.000 | -0.000 | -0.000 |
| -0.000 | -0.001 | 0.000 | 148.425 | 0.000 | 0.000 |
| -0.001 | -0.000 | 0.000 | -0.000 | 148.425 | 0.000 |
| -0.001 | -0.001 | -0.000 | 0.000 | -0.000 | 111.231 |
| 382.456 | 159.991 | 200.987 | -0.000 | -0.000 | -0.000 |
| 159.155 | 383.293 | 200.987 | -0.000 | -0.000 | -0.000 |
| 200.986 | 200.986 | 452.687 | -0.000 | 0.000 | -0.000 |
| 0.000 | 0.001 | -0.000 | 148.425 | -0.000 | 0.000 |
| 0.001 | 0.000 | -0.000 | 0.000 | 148.425 | -0.000 |
| 0.001 | 0.001 | 0.000 | -0.000 | 0.000 | 111.231 |
| 128.651 | 109.008 | 82.621 | -0.000 | 0.000 | 0.000 |
| 96.751 | 140.908 | 82.621 | -0.000 | -0.000 | 0.000 |
| 82.621 | 82.621 | 219.829 | -0.000 | -0.000 | -0.000 |
| -0.000 | -0.000 | -0.000 | 39.067 | 0.000 | 0.000 |
| -0.000 | 0.000 | -0.000 | -0.000 | 39.067 | 0.000 |
| 0.000 | 0.000 | -0.000 | -0.000 | -0.000 | 9.822 |
| 140.908 | 96.751 | 82.621 | 0.000 | 0.000 | -0.000 |
| 109.008 | 128.651 | 82.621 | 0.000 | 0.000 | 0.000 |
| 82.621 | 82.621 | 219.829 | 0.000 | 0.000 | 0.000 |
| 0.000 | 0.000 | 0.000 | 39.067 | 0.000 | -0.000 |
| 0.000 | -0.000 | 0.000 | 0.000 | 39.067 | 0.000 |
| -0.000 | -0.000 | 0.000 | 0.000 | 0.000 | 9.822 |
| 128.651 | 109.008 | 82.621 | -0.000 | -0.000 | 0.000 |
| 109.008 | 128.651 | 82.621 | -0.000 | -0.000 | 0.000 |
| 82.621 | 82.621 | 219.829 | -0.000 | -0.000 | -0.000 |
| -0.000 | -0.000 | -0.000 | 39.067 | -0.000 | 0.000 |
| -0.000 | -0.000 | -0.000 | -0.000 | 39.067 | -0.000 |
| 0.000 | -0.000 | -0.000 | -0.000 | -0.000 | 9.822 |
| 140.908 | 96.751 | 82.621 | 0.000 | 0.000 | 0.000 |
| 96.751 | 140.908 | 82.621 | 0.000 | 0.000 | -0.000 |
| 82.622 | 82.622 | 219.829 | 0.000 | 0.000 | 0.000 |
| 0.000 | 0.000 | 0.000 | 39.067 | 0.000 | -0.000 |
| 0.000 | 0.000 | 0.000 | 0.000 | 39.067 | 0.000 |
| -0.000 | 0.000 | 0.000 | 0.000 | 0.000 | 9.822 |
| 140.909 | 96.752 | 82.621 | -0.000 | -0.000 | -0.000 |
| 96.751 | 140.910 | 82.621 | 0.000 | -0.000 | -0.000 |
| 82.621 | 82.621 | 219.827 | -0.000 | -0.000 | -0.000 |
| -0.000 | -0.001 | -0.001 | 39.067 | -0.000 | 0.000 |
| -0.001 | -0.000 | -0.001 | -0.000 | 39.067 | -0.000 |
| 0.000 | -0.000 | -0.000 | -0.000 | 0.000 | 22.079 |
| 140.908 | 96.750 | 82.622 | 0.000 | 0.000 | -0.000 |
| 109.008 | 128.650 | 82.622 | 0.000 | 0.000 | -0.000 |
| 82.622 | 82.622 | 219.832 | 0.000 | 0.000 | 0.000 |
| 0.000 | 0.001 | 0.001 | 39.067 | 0.000 | -0.000 |
| 0.001 | 0.000 | 0.001 | 0.000 | 39.067 | -0.000 |
| -0.000 | 0.000 | 0.000 | 0.000 | 0.000 | 22.079 |
| 1860.822 | -37.983 | -37.983 | 0.000 | 0.000 | 0.000 |
| -37.983 | 1860.822 | -37.983 | 0.000 | 0.000 | -0.000 |
| -37.983 | -37.983 | 1860.822 | -0.000 | -0.000 | 0.000 |
| 0.000 | 0.000 | 0.000 | -96.188 | -0.000 | 0.000 |
| 0.000 | 0.000 | 0.000 | -0.000 | -96.188 | 0.000 |
| 0.000 | 0.000 | 0.000 | 0.000 | 0.000 | -96.188 |
| 1860.821 | -37.983 | -37.983 | -0.000 | -0.000 | -0.000 |
| -37.983 | 1860.821 | -37.983 | -0.000 | 0.000 | -0.000 |
| -37.983 | -37.983 | 1860.821 | -0.000 | -0.000 | -0.000 |
| -0.000 | -0.000 | -0.000 | -96.188 | -0.000 | -0.000 |
| -0.000 | -0.000 | -0.000 | -0.000 | -96.188 | -0.000 |
| -0.000 | -0.000 | -0.000 | -0.000 | -0.000 | -96.188 |
| 1860.826 | -37.983 | -37.983 | 0.000 | 0.000 | 0.000 |
| -37.983 | 1860.826 | -37.983 | 0.000 | 0.000 | -0.000 |
| -37.983 | -37.983 | 1860.826 | 0.000 | 0.000 | 0.000 |
| 0.000 | 0.000 | -0.000 | -96.188 | 0.000 | 0.000 |
| 0.000 | 0.000 | -0.000 | 0.000 | -96.188 | 0.000 |
| 0.000 | -0.000 | 0.000 | 0.000 | 0.000 | -96.188 |
| 1860.817 | -37.983 | -37.983 | 0.000 | -0.000 | -0.000 |
| -37.983 | 1860.817 | -37.983 | -0.000 | -0.000 | 0.000 |
| -37.983 | -37.983 | 1860.817 | 0.000 | 0.000 | -0.000 |
| -0.000 | -0.000 | 0.000 | -96.188 | 0.000 | -0.000 |
| -0.000 | -0.000 | 0.000 | -0.000 | -96.188 | -0.000 |
| -0.000 | 0.000 | -0.000 | -0.000 | -0.000 | -96.188 |
| 1860.865 | -37.983 | -37.983 | 0.000 | 0.000 | 0.000 |
| -37.983 | 1860.865 | -37.983 | 0.000 | 0.000 | 0.000 |
| -37.983 | -37.983 | 1860.865 | 0.000 | 0.000 | -0.000 |
| 0.000 | 0.000 | -0.001 | -96.188 | 0.000 | 0.000 |
| 0.000 | 0.000 | -0.001 | -0.000 | -96.188 | 0.000 |
| 0.000 | -0.001 | 0.000 | 0.000 | 0.000 | -96.188 |
| 1860.778 | -37.983 | -37.983 | -0.000 | -0.000 | -0.000 |
| -37.983 | 1860.778 | -37.983 | -0.000 | -0.000 | 0.000 |
| -37.983 | -37.983 | 1860.778 | 0.000 | 0.000 | -0.000 |
| -0.000 | -0.000 | 0.001 | -96.188 | -0.000 | -0.000 |
| -0.000 | -0.000 | 0.001 | -0.000 | -96.188 | -0.000 |
| -0.000 | 0.001 | -0.000 | -0.000 | -0.000 | -96.188 |
| 75.424 | 75.653 | 75.653 | 0.000 | 0.000 | 0.000 |
| 75.653 | 75.424 | 75.653 | 0.000 | 0.000 | 0.000 |
| 75.653 | 75.653 | 75.424 | 0.000 | 0.000 | 0.000 |
| 0.000 | 0.000 | 0.000 | 59.324 | 0.000 | 0.000 |
| 0.000 | 0.000 | 0.000 | 0.000 | 59.324 | 0.000 |
| 0.000 | 0.000 | 0.000 | 0.000 | 0.000 | 59.324 |
| 75.424 | 75.653 | 75.653 | -0.000 | -0.000 | -0.000 |
| 75.653 | 75.424 | 75.653 | -0.000 | -0.000 | -0.000 |
| 75.653 | 75.653 | 75.424 | -0.000 | -0.000 | -0.000 |
| -0.000 | -0.000 | -0.000 | 59.324 | 0.000 | -0.000 |
| -0.000 | -0.000 | -0.000 | 0.000 | 59.324 | -0.000 |
| -0.000 | -0.000 | -0.000 | 0.000 | -0.000 | 59.324 |
| 75.424 | 75.653 | 75.653 | 0.000 | 0.000 | 0.000 |
| 75.653 | 75.424 | 75.653 | 0.000 | 0.000 | 0.000 |
| 75.653 | 75.653 | 75.424 | 0.000 | 0.000 | 0.000 |
| 0.000 | 0.000 | 0.000 | 59.324 | -0.000 | 0.000 |
| 0.000 | 0.000 | 0.000 | -0.000 | 59.324 | 0.000 |
| 0.000 | 0.000 | 0.000 | -0.000 | 0.000 | 59.324 |
| 75.424 | 75.653 | 75.653 | -0.000 | -0.000 | -0.000 |
| 75.653 | 75.424 | 75.653 | -0.000 | -0.000 | -0.000 |
| 75.653 | 75.653 | 75.424 | -0.000 | -0.000 | -0.000 |
| -0.000 | -0.000 | -0.000 | 59.324 | -0.000 | -0.000 |
| -0.000 | -0.000 | -0.000 | -0.000 | 59.324 | -0.000 |
| -0.000 | -0.000 | -0.000 | -0.000 | -0.000 | 59.324 |
| 75.424 | 75.653 | 75.653 | 0.000 | 0.000 | 0.000 |
| 75.653 | 75.424 | 75.653 | 0.000 | 0.000 | 0.000 |
| 75.653 | 75.653 | 75.424 | 0.000 | 0.000 | 0.000 |
| -0.000 | 0.000 | 0.000 | -7.122 | 0.000 | 0.000 |
| 0.000 | -0.000 | 0.000 | 0.000 | -7.122 | 0.000 |
| 0.000 | 0.000 | -0.000 | 0.000 | 0.000 | -7.122 |
| 75.423 | 75.652 | 75.652 | -0.000 | -0.000 | -0.000 |
| 75.652 | 75.423 | 75.652 | -0.000 | -0.000 | -0.000 |
| 75.652 | 75.652 | 75.423 | -0.000 | -0.000 | -0.000 |
| 0.000 | -0.000 | -0.000 | -7.122 | -0.000 | -0.000 |
| -0.000 | 0.000 | -0.000 | -0.000 | -7.122 | -0.000 |
| -0.000 | -0.000 | 0.000 | -0.000 | -0.000 | -7.122 |
| 356.827 | 116.793 | 116.793 | -0.000 | -0.000 | -0.000 |
| 116.793 | 356.827 | 116.793 | 0.000 | 0.000 | -0.000 |
| 116.793 | 116.793 | 356.827 | 0.000 | -0.000 | -0.000 |
| 0.000 | 0.000 | 0.000 | 78.701 | 0.000 | -0.000 |
| 0.000 | 0.000 | 0.000 | 0.000 | 77.643 | -0.000 |
| 0.000 | 0.000 | 0.000 | -0.000 | -0.000 | 77.643 |
| 356.827 | 116.793 | 116.793 | -0.000 | 0.000 | 0.000 |
| 116.793 | 356.827 | 116.793 | -0.000 | 0.000 | 0.000 |
| 116.793 | 116.793 | 356.827 | -0.000 | 0.000 | 0.000 |
| -0.000 | -0.000 | -0.000 | 78.701 | -0.000 | 0.000 |
| 0.000 | -0.000 | -0.000 | 0.000 | 77.643 | 0.000 |
| -0.000 | -0.000 | -0.000 | -0.000 | 0.000 | 77.643 |
| 356.794 | 116.810 | 116.810 | 0.000 | -0.000 | 0.000 |
| 116.810 | 356.794 | 116.810 | 0.000 | -0.000 | -0.000 |
| 116.810 | 116.810 | 356.794 | 0.000 | -0.000 | -0.000 |
| 0.000 | 0.000 | 0.000 | 77.643 | -0.000 | -0.000 |
| 0.000 | 0.000 | 0.000 | 0.000 | 77.643 | -0.000 |
| 0.000 | 0.000 | 0.000 | -0.000 | -0.000 | 77.643 |
| 356.793 | 116.809 | 116.809 | -0.000 | 0.000 | 0.000 |
| 116.809 | 356.793 | 116.809 | -0.000 | 0.000 | -0.000 |
| 116.809 | 116.809 | 356.793 | -0.000 | 0.000 | 0.000 |
| -0.000 | -0.000 | -0.000 | 77.643 | 0.000 | 0.000 |
| -0.000 | -0.000 | -0.000 | -0.000 | 77.643 | 0.000 |
| -0.000 | -0.000 | -0.000 | 0.000 | 0.000 | 77.643 |
| 356.799 | 116.810 | 116.810 | 0.000 | 0.000 | -0.000 |
| 116.810 | 356.799 | 116.810 | 0.000 | 0.000 | -0.000 |
| 116.810 | 116.810 | 356.799 | 0.000 | -0.000 | 0.000 |
| 0.000 | 0.000 | 0.000 | 78.701 | -0.000 | -0.000 |
| 0.000 | 0.000 | 0.000 | 0.000 | 78.701 | -0.000 |
| 0.000 | 0.000 | 0.000 | 0.000 | -0.000 | 78.701 |
| 356.821 | 116.792 | 116.792 | -0.000 | 0.000 | 0.000 |
| 116.792 | 356.821 | 116.792 | -0.000 | 0.000 | 0.000 |
| 116.792 | 116.792 | 356.821 | 0.000 | 0.000 | 0.000 |
| -0.000 | -0.000 | -0.000 | 78.701 | 0.000 | 0.000 |
| -0.000 | -0.000 | -0.000 | -0.000 | 78.701 | 0.000 |
| -0.000 | -0.000 | -0.000 | -0.000 | -0.000 | 78.701 |
| 0.000 | 0.000 | 0.000 | -0.000 | 0.000 | -0.000 |
| 0.000 | 0.000 | 0.000 | -0.000 | 0.000 | -0.000 |
| 0.000 | 0.000 | 0.000 | -0.000 | 0.000 | -0.000 |
| 0.000 | 0.000 | 0.000 | -0.000 | 0.000 | -0.000 |
| 0.000 | 0.000 | 0.000 | -0.000 | -0.000 | -0.000 |
| 0.000 | 0.000 | 0.000 | -0.000 | -0.000 | -0.000 |
| 0.000 | 0.000 | 0.000 | 0.000 | 0.000 | 0.000 |
| 0.000 | 0.000 | 0.000 | 0.000 | -0.000 | 0.000 |
| 0.000 | 0.000 | 0.000 | 0.000 | -0.000 | 0.000 |
| -0.000 | -0.000 | -0.000 | -0.000 | -0.000 | 0.000 |
| -0.000 | -0.000 | -0.000 | 0.000 | -0.000 | 0.000 |
| -0.000 | -0.000 | -0.000 | 0.000 | -0.000 | -0.000 |
| 0.000 | 0.000 | 0.000 | -0.000 | -0.000 | -0.000 |
| 0.000 | 0.000 | 0.000 | -0.000 | 0.000 | -0.000 |
| 0.000 | 0.000 | 0.000 | -0.000 | 0.000 | -0.000 |
| 0.000 | 0.000 | 0.000 | -0.000 | 0.000 | -0.000 |
| 0.000 | 0.000 | 0.000 | -0.000 | -0.000 | -0.000 |
| 0.000 | 0.000 | 0.000 | -0.000 | 0.000 | -0.000 |
| 0.000 | 0.000 | 0.000 | 0.000 | -0.000 | 0.000 |
| 0.000 | 0.000 | 0.000 | 0.000 | -0.000 | 0.000 |
| 0.000 | 0.000 | 0.000 | 0.000 | 0.000 | 0.000 |
| -0.000 | -0.000 | -0.000 | -0.000 | -0.000 | 0.000 |
| -0.000 | -0.000 | -0.000 | 0.000 | -0.000 | 0.000 |
| -0.000 | -0.000 | -0.000 | 0.000 | -0.000 | -0.000 |
| 0.000 | 0.000 | 0.000 | -0.000 | 0.000 | -0.000 |
| 0.000 | 0.000 | 0.000 | -0.000 | 0.000 | -0.000 |
| 0.000 | 0.000 | 0.000 | -0.000 | 0.000 | -0.000 |
| 0.000 | 0.000 | -0.000 | -0.000 | 0.000 | -0.000 |
| 0.000 | 0.000 | -0.000 | -0.000 | -0.000 | -0.000 |
| 0.000 | -0.000 | 0.000 | -0.000 | -0.000 | -0.000 |
| 0.000 | 0.000 | 0.000 | 0.000 | 0.000 | 0.000 |
| 0.000 | 0.000 | 0.000 | 0.000 | -0.000 | 0.000 |
| 0.000 | 0.000 | 0.000 | 0.000 | -0.000 | 0.000 |
| -0.000 | -0.000 | 0.000 | -0.000 | -0.000 | 0.000 |
| -0.000 | -0.000 | 0.000 | 0.000 | -0.000 | 0.000 |
| -0.000 | 0.000 | -0.000 | 0.000 | -0.000 | -0.000 |
| 380.487 | 227.043 | 227.043 | -0.000 | -0.000 | -0.000 |
| 227.043 | 380.487 | 227.043 | -0.000 | -0.000 | -0.000 |
| 227.043 | 227.043 | 380.487 | -0.000 | -0.000 | -0.000 |
| 0.000 | 0.000 | 0.000 | 144.184 | -0.000 | 0.000 |
| 0.000 | 0.000 | 0.000 | -0.000 | 144.184 | -0.000 |
| 0.000 | 0.000 | 0.000 | -0.000 | -0.000 | 144.184 |
| 380.487 | 227.042 | 227.042 | 0.000 | 0.000 | 0.000 |
| 227.042 | 380.487 | 227.042 | 0.000 | 0.000 | 0.000 |
| 227.042 | 227.042 | 380.487 | -0.000 | -0.000 | 0.000 |
| -0.000 | -0.000 | -0.000 | 144.184 | 0.000 | 0.000 |
| -0.000 | -0.000 | -0.000 | 0.000 | 144.184 | 0.000 |
| -0.000 | -0.000 | -0.000 | 0.000 | 0.000 | 144.184 |
| 380.487 | 227.043 | 227.043 | -0.000 | 0.000 | -0.000 |
| 227.043 | 380.487 | 227.043 | -0.000 | -0.000 | -0.000 |
| 227.043 | 227.043 | 380.487 | -0.000 | -0.000 | -0.000 |
| 0.000 | 0.000 | 0.000 | 178.323 | -0.000 | -0.000 |
| 0.000 | 0.000 | 0.000 | -0.000 | 178.323 | -0.000 |
| 0.000 | 0.000 | 0.000 | -0.000 | -0.000 | 178.323 |
| 380.487 | 227.042 | 227.042 | -0.000 | -0.000 | 0.000 |
| 227.042 | 380.487 | 227.042 | 0.000 | -0.000 | -0.000 |
| 227.042 | 227.042 | 380.487 | 0.000 | 0.000 | 0.000 |
| -0.000 | -0.000 | -0.000 | 178.323 | 0.000 | 0.000 |
| -0.000 | -0.000 | -0.000 | 0.000 | 178.323 | 0.000 |
| -0.000 | -0.000 | -0.000 | -0.000 | 0.000 | 178.323 |
| 380.491 | 227.047 | 227.047 | 0.000 | -0.000 | -0.000 |
| 227.047 | 380.491 | 227.047 | -0.000 | -0.000 | -0.000 |
| 227.047 | 227.047 | 380.491 | -0.000 | -0.000 | -0.000 |
| 0.004 | 0.004 | 0.004 | 178.323 | 0.000 | 0.000 |
| 0.004 | 0.004 | 0.004 | 0.000 | 178.323 | -0.000 |
| 0.004 | 0.004 | 0.004 | -0.000 | 0.000 | 178.323 |
| 380.483 | 227.038 | 227.038 | 0.000 | -0.000 | 0.000 |
| 227.038 | 380.483 | 227.038 | 0.000 | 0.000 | 0.000 |
| 227.038 | 227.038 | 380.483 | -0.000 | 0.000 | 0.000 |
| -0.004 | -0.004 | -0.004 | 178.323 | -0.000 | -0.000 |
| -0.004 | -0.004 | -0.004 | -0.000 | 178.323 | 0.000 |
| -0.004 | -0.004 | -0.004 | -0.000 | 0.000 | 178.323 |
| 0.000 | 0.000 | 0.000 | 0.000 | 0.000 | 0.000 |
| 0.000 | 0.000 | 0.000 | 0.000 | 0.000 | 0.000 |
| 0.000 | 0.000 | 0.000 | 0.000 | 0.000 | -0.000 |
| 0.000 | 0.000 | 0.000 | -0.000 | -0.000 | 0.000 |
| 0.000 | 0.000 | 0.000 | -0.000 | 0.000 | 0.000 |
| 0.000 | 0.000 | 0.000 | 0.000 | 0.000 | -0.000 |
| -0.000 | 0.000 | 0.000 | -0.000 | -0.000 | -0.000 |
| 0.000 | -0.000 | 0.000 | -0.000 | 0.000 | -0.000 |
| 0.000 | 0.000 | -0.000 | -0.000 | -0.000 | -0.000 |
| -0.000 | -0.000 | -0.000 | -0.000 | -0.000 | -0.000 |
| -0.000 | -0.000 | -0.000 | -0.000 | 0.000 | 0.000 |
| -0.000 | -0.000 | -0.000 | -0.000 | 0.000 | 0.000 |
| 0.000 | 0.000 | 0.000 | 0.000 | 0.000 | 0.000 |
| 0.000 | 0.000 | 0.000 | 0.000 | -0.000 | -0.000 |
| 0.000 | 0.000 | 0.000 | 0.000 | 0.000 | 0.000 |
| 0.000 | 0.000 | 0.000 | -0.000 | -0.000 | 0.000 |
| 0.000 | 0.000 | 0.000 | 0.000 | -0.000 | -0.000 |
| 0.000 | 0.000 | 0.000 | 0.000 | -0.000 | -0.000 |
| 0.000 | 0.000 | 0.000 | -0.000 | -0.000 | 0.000 |
| 0.000 | 0.000 | 0.000 | -0.000 | -0.000 | -0.000 |
| 0.000 | 0.000 | 0.000 | -0.000 | -0.000 | 0.000 |
| -0.000 | -0.000 | -0.000 | 0.000 | -0.000 | 0.000 |
| -0.000 | -0.000 | -0.000 | -0.000 | 0.000 | 0.000 |
| -0.000 | -0.000 | -0.000 | -0.000 | -0.000 | 0.000 |
| -0.000 | 0.000 | 0.000 | -0.000 | -0.000 | -0.000 |
| 0.000 | -0.000 | 0.000 | 0.000 | -0.000 | -0.000 |
| 0.000 | 0.000 | -0.000 | 0.000 | -0.000 | -0.000 |
| 0.000 | -0.000 | 0.000 | -0.000 | -0.000 | -0.000 |
| -0.000 | 0.000 | 0.000 | -0.000 | -0.000 | 0.000 |
| -0.000 | 0.000 | 0.000 | 0.000 | -0.000 | -0.000 |
| 0.000 | 0.000 | 0.000 | -0.000 | -0.000 | 0.000 |
| 0.000 | 0.000 | 0.000 | -0.000 | 0.000 | 0.000 |
| 0.000 | 0.000 | 0.000 | -0.000 | 0.000 | -0.000 |
| -0.000 | 0.000 | -0.000 | -0.000 | 0.000 | 0.000 |
| 0.000 | -0.000 | -0.000 | 0.000 | -0.000 | -0.000 |
| 0.000 | -0.000 | -0.000 | -0.000 | 0.000 | 0.000 |
| 639.365 | 470.749 | 470.749 | 0.000 | -0.000 | 0.000 |
| 470.749 | 639.365 | 470.749 | -0.000 | 0.000 | 0.000 |
| 470.749 | 470.749 | 639.365 | 0.000 | 0.000 | 0.000 |
| 0.000 | 0.000 | 0.000 | 424.813 | 0.000 | -0.000 |
| 0.000 | 0.000 | 0.000 | 0.000 | 424.813 | -0.000 |
| 0.000 | 0.000 | -0.000 | 0.000 | 0.000 | 424.813 |
| 639.365 | 470.748 | 470.748 | 0.000 | 0.000 | 0.000 |
| 470.748 | 639.365 | 470.748 | 0.000 | 0.000 | 0.000 |
| 470.748 | 470.748 | 639.365 | 0.000 | 0.000 | 0.000 |
| -0.000 | -0.000 | -0.000 | 424.813 | -0.000 | 0.000 |
| -0.000 | -0.000 | -0.000 | -0.000 | 424.813 | 0.000 |
| -0.000 | -0.000 | 0.000 | 0.000 | 0.000 | 424.813 |
| 639.367 | 470.749 | 470.749 | -0.000 | -0.000 | 0.000 |
| 470.749 | 639.367 | 470.749 | -0.000 | -0.000 | 0.000 |
| 470.749 | 470.749 | 639.367 | -0.000 | 0.000 | 0.000 |
| -0.000 | 0.001 | 0.001 | 424.813 | -0.000 | -0.000 |
| 0.001 | -0.000 | 0.001 | -0.000 | 424.813 | 0.000 |
| 0.001 | 0.001 | -0.000 | -0.000 | -0.000 | 424.813 |
| 639.364 | 470.748 | 470.748 | 0.000 | 0.000 | 0.000 |
| 470.748 | 639.364 | 470.748 | 0.000 | 0.000 | 0.000 |
| 470.748 | 470.748 | 639.364 | -0.000 | -0.000 | -0.000 |
| 0.000 | -0.001 | -0.001 | 424.813 | 0.000 | 0.000 |
| -0.001 | 0.000 | -0.001 | -0.000 | 424.813 | -0.000 |
| -0.001 | -0.001 | 0.000 | 0.000 | -0.000 | 424.813 |
| 639.381 | 470.757 | 470.757 | -0.000 | 0.000 | -0.000 |
| 470.757 | 639.381 | 470.757 | -0.000 | -0.000 | 0.000 |
| 470.757 | 470.757 | 639.381 | -0.000 | -0.000 | -0.000 |
| -0.000 | 0.007 | 0.008 | 424.813 | -0.000 | -0.000 |
| 0.007 | -0.000 | 0.008 | -0.000 | 424.813 | -0.000 |
| 0.007 | 0.008 | -0.000 | -0.000 | 0.000 | 424.813 |
| 639.350 | 470.740 | 470.740 | -0.000 | 0.000 | -0.000 |
| 470.740 | 639.350 | 470.740 | 0.000 | 0.000 | -0.000 |
| 470.740 | 470.740 | 639.350 | 0.000 | 0.000 | -0.000 |
| 0.000 | -0.007 | -0.008 | 424.813 | 0.000 | 0.000 |
| -0.007 | 0.000 | -0.008 | -0.000 | 424.813 | 0.000 |
| -0.007 | -0.008 | 0.000 | 0.000 | 0.000 | 424.813 |
| 0.000 | 0.000 | 0.000 | -0.000 | -0.000 | -0.000 |
| 0.000 | 0.000 | 0.000 | -0.000 | -0.000 | -0.000 |
| 0.000 | 0.000 | 0.000 | -0.000 | -0.000 | -0.000 |
| 0.000 | -0.000 | 0.000 | -0.000 | -0.000 | 0.000 |
| -0.000 | 0.000 | 0.000 | -0.000 | -0.000 | -0.000 |
| 0.000 | 0.000 | 0.000 | -0.000 | -0.000 | -0.000 |
| 0.000 | 0.000 | 0.000 | 0.000 | 0.000 | 0.000 |
| 0.000 | 0.000 | 0.000 | 0.000 | 0.000 | 0.000 |
| 0.000 | 0.000 | 0.000 | 0.000 | 0.000 | 0.000 |
| -0.000 | 0.000 | -0.000 | -0.000 | 0.000 | -0.000 |
| 0.000 | -0.000 | -0.000 | 0.000 | -0.000 | 0.000 |
| 0.000 | -0.000 | -0.000 | 0.000 | 0.000 | -0.000 |
| 0.000 | 0.000 | 0.000 | -0.000 | -0.000 | -0.000 |
| 0.000 | 0.000 | 0.000 | -0.000 | 0.000 | -0.000 |
| 0.000 | 0.000 | 0.000 | -0.000 | -0.000 | 0.000 |
| 0.000 | 0.000 | 0.000 | -0.000 | -0.000 | 0.000 |
| 0.000 | 0.000 | 0.000 | -0.000 | -0.000 | -0.000 |
| -0.000 | 0.000 | 0.000 | -0.000 | -0.000 | -0.000 |
| 0.000 | 0.000 | 0.000 | 0.000 | -0.000 | -0.000 |
| 0.000 | 0.000 | 0.000 | -0.000 | 0.000 | 0.000 |
| 0.000 | 0.000 | 0.000 | 0.000 | 0.000 | -0.000 |
| -0.000 | 0.000 | -0.000 | -0.000 | -0.000 | 0.000 |
| 0.000 | -0.000 | -0.000 | -0.000 | -0.000 | 0.000 |
| 0.000 | -0.000 | -0.000 | 0.000 | 0.000 | -0.000 |
| 0.000 | 0.000 | 0.000 | -0.000 | -0.000 | -0.000 |
| 0.000 | 0.000 | 0.000 | -0.000 | -0.000 | -0.000 |
| 0.000 | 0.000 | 0.000 | -0.000 | -0.000 | -0.000 |
| -0.000 | 0.000 | 0.000 | -0.000 | -0.000 | -0.000 |
| 0.000 | -0.000 | 0.000 | -0.000 | -0.000 | -0.000 |
| 0.000 | 0.000 | -0.000 | -0.000 | -0.000 | -0.000 |
| 0.000 | 0.000 | 0.000 | 0.000 | -0.000 | 0.000 |
| 0.000 | 0.000 | 0.000 | -0.000 | 0.000 | 0.000 |
| 0.000 | 0.000 | 0.000 | 0.000 | 0.000 | 0.000 |
| 0.000 | -0.000 | -0.000 | -0.000 | 0.000 | 0.000 |
| -0.000 | 0.000 | -0.000 | 0.000 | -0.000 | 0.000 |
| -0.000 | -0.000 | 0.000 | 0.000 | 0.000 | -0.000 |
| 555.298 | 769.355 | 49.154 | -0.000 | -0.000 | 0.000 |
| 769.355 | 555.298 | 49.154 | -0.000 | -0.000 | 0.000 |
| 49.154 | 49.154 | -65.227 | -0.000 | -0.000 | -0.000 |
| 0.000 | -0.000 | -0.000 | 4.836 | -0.000 | -0.000 |
| -0.000 | 0.000 | -0.000 | -0.000 | 4.836 | -0.000 |
| 0.000 | 0.000 | -0.000 | 0.000 | -0.000 | 697.181 |
| 574.862 | 749.790 | 49.154 | 0.000 | 0.000 | -0.000 |
| 749.790 | 574.862 | 49.154 | 0.000 | 0.000 | -0.000 |
| 49.154 | 49.154 | -65.227 | 0.000 | 0.000 | 0.000 |
| 0.000 | 0.000 | 0.000 | 4.836 | -0.000 | -0.000 |
| 0.000 | 0.000 | 0.000 | -0.000 | 4.836 | -0.000 |
| -0.000 | -0.000 | 0.000 | -0.000 | -0.000 | 697.181 |
| 555.298 | 769.356 | 49.154 | -0.000 | -0.000 | 0.000 |
| 769.356 | 555.298 | 49.154 | -0.000 | -0.000 | 0.000 |
| 49.154 | 49.154 | -65.228 | -0.000 | 0.000 | -0.000 |
| -0.000 | -0.000 | -0.000 | 4.836 | -0.000 | 0.000 |
| -0.000 | -0.000 | -0.000 | -0.000 | 4.836 | 0.000 |
| 0.001 | 0.001 | -0.000 | 0.000 | 0.000 | 697.181 |
| 574.862 | 749.789 | 49.154 | 0.000 | -0.000 | 0.000 |
| 749.789 | 574.862 | 49.154 | -0.000 | 0.000 | 0.000 |
| 49.154 | 49.154 | -65.226 | -0.000 | -0.000 | 0.000 |
| 0.000 | 0.000 | 0.000 | 4.836 | -0.000 | -0.000 |
| 0.000 | 0.000 | 0.000 | -0.000 | 4.836 | -0.000 |
| -0.001 | -0.001 | 0.000 | -0.000 | -0.000 | 697.181 |
| 574.869 | 749.797 | 49.154 | 0.000 | 0.000 | -0.000 |
| 749.797 | 574.869 | 49.154 | 0.000 | 0.000 | 0.000 |
| 49.153 | 49.153 | -65.233 | -0.000 | 0.000 | -0.000 |
| -0.000 | -0.000 | -0.001 | 4.141 | -0.000 | 0.000 |
| -0.000 | -0.000 | -0.001 | -0.000 | 4.141 | 0.000 |
| 0.006 | 0.007 | -0.000 | 0.000 | 0.000 | 697.181 |
| 555.292 | 769.347 | 49.155 | 0.000 | 0.000 | -0.000 |
| 769.347 | 555.292 | 49.155 | 0.000 | -0.000 | 0.000 |
| 49.155 | 49.155 | -65.221 | -0.000 | -0.000 | 0.000 |
| 0.000 | 0.000 | 0.001 | 4.141 | -0.000 | -0.000 |
| 0.000 | 0.000 | 0.001 | -0.000 | 4.141 | -0.000 |
| -0.006 | -0.007 | 0.000 | -0.000 | -0.000 | 697.181 |
| -0.003 | -0.001 | -0.001 | 0.000 | -0.000 | -0.000 |
| -0.001 | -0.003 | -0.001 | -0.000 | 0.000 | -0.000 |
| -0.001 | -0.001 | -0.003 | 0.000 | -0.000 | 0.000 |
| 0.000 | 0.000 | 0.000 | -0.001 | -0.000 | 0.000 |
| 0.000 | 0.000 | 0.000 | -0.000 | -0.001 | 0.000 |
| 0.000 | 0.000 | 0.000 | -0.000 | 0.000 | -0.001 |
| -0.003 | -0.001 | -0.001 | -0.000 | 0.000 | -0.000 |
| -0.001 | -0.003 | -0.001 | 0.000 | -0.000 | 0.000 |
| -0.001 | -0.001 | -0.003 | -0.000 | -0.000 | -0.000 |
| -0.000 | -0.000 | -0.000 | -0.001 | 0.000 | 0.000 |
| -0.000 | -0.000 | -0.000 | 0.000 | -0.001 | 0.000 |
| -0.000 | -0.000 | -0.000 | 0.000 | 0.000 | -0.001 |
| -0.003 | -0.001 | -0.001 | 0.000 | -0.000 | -0.000 |
| -0.001 | -0.003 | -0.001 | -0.000 | 0.000 | 0.000 |
| -0.001 | -0.001 | -0.003 | -0.000 | -0.000 | -0.000 |
| 0.000 | 0.000 | 0.000 | -0.001 | -0.000 | 0.000 |
| 0.000 | 0.000 | 0.000 | -0.000 | -0.001 | 0.000 |
| 0.000 | 0.000 | 0.000 | 0.000 | 0.000 | -0.001 |
| -0.003 | -0.001 | -0.001 | 0.000 | 0.000 | 0.000 |
| -0.001 | -0.003 | -0.001 | 0.000 | 0.000 | -0.000 |
| -0.001 | -0.001 | -0.003 | 0.000 | 0.000 | 0.000 |
| -0.000 | -0.000 | -0.000 | -0.001 | 0.000 | 0.000 |
| -0.000 | -0.000 | -0.000 | 0.000 | -0.001 | 0.000 |
| -0.000 | -0.000 | -0.000 | -0.000 | 0.000 | -0.001 |
| -0.001 | -0.001 | -0.001 | 0.000 | 0.000 | 0.000 |
| -0.001 | -0.001 | -0.001 | 0.000 | 0.000 | 0.000 |
| -0.001 | -0.001 | -0.001 | 0.000 | 0.000 | 0.000 |
| 0.000 | 0.000 | 0.000 | -0.001 | -0.000 | -0.000 |
| 0.000 | 0.000 | 0.000 | -0.000 | -0.001 | -0.000 |
| 0.000 | 0.000 | 0.000 | 0.000 | -0.000 | -0.001 |
| -0.001 | -0.001 | -0.001 | -0.000 | 0.000 | 0.000 |
| -0.001 | -0.001 | -0.001 | 0.000 | -0.000 | 0.000 |
| -0.001 | -0.001 | -0.001 | 0.000 | 0.000 | -0.000 |
| -0.000 | -0.000 | -0.000 | -0.001 | 0.000 | 0.000 |
| -0.000 | -0.000 | -0.000 | 0.000 | -0.001 | 0.000 |
| -0.000 | -0.000 | -0.000 | 0.000 | 0.000 | -0.001 |
| -0.001 | -0.001 | -0.001 | -0.000 | 0.000 | 0.000 |
| -0.001 | -0.001 | -0.001 | 0.000 | -0.000 | 0.000 |
| -0.001 | -0.001 | -0.001 | -0.000 | -0.000 | -0.000 |
| 0.000 | 0.000 | 0.000 | -0.001 | -0.000 | -0.000 |
| 0.000 | 0.000 | 0.000 | -0.000 | -0.001 | -0.000 |
| 0.000 | 0.000 | 0.000 | -0.000 | -0.000 | -0.001 |
| -0.001 | -0.001 | -0.001 | -0.000 | 0.000 | 0.000 |
| -0.001 | -0.001 | -0.001 | 0.000 | -0.000 | 0.000 |
| -0.001 | -0.001 | -0.001 | -0.000 | -0.000 | -0.000 |
| -0.000 | -0.000 | -0.000 | -0.001 | 0.000 | -0.000 |
| -0.000 | -0.000 | -0.000 | 0.000 | -0.001 | -0.000 |
| -0.000 | -0.000 | -0.000 | 0.000 | -0.000 | -0.001 |
| 0.001 | 0.001 | 0.001 | 0.000 | 0.000 | -0.000 |
| 0.001 | 0.001 | 0.001 | 0.000 | 0.000 | -0.000 |
| 0.001 | 0.001 | 0.001 | -0.000 | -0.000 | -0.000 |
| 0.000 | 0.000 | 0.000 | 0.001 | 0.000 | 0.000 |
| 0.000 | 0.000 | 0.000 | 0.000 | 0.001 | 0.000 |
| 0.000 | 0.000 | 0.000 | 0.000 | 0.000 | 0.001 |
| 0.001 | 0.001 | 0.001 | 0.000 | -0.000 | 0.000 |
| 0.001 | 0.001 | 0.001 | -0.000 | 0.000 | 0.000 |
| 0.001 | 0.001 | 0.001 | -0.000 | -0.000 | 0.000 |
| -0.000 | -0.000 | -0.000 | 0.001 | 0.000 | -0.000 |
| -0.000 | -0.000 | -0.000 | 0.000 | 0.001 | -0.000 |
| -0.000 | -0.000 | -0.000 | 0.000 | -0.000 | 0.001 |
| 0.001 | 0.001 | 0.001 | -0.000 | 0.000 | -0.000 |
| 0.001 | 0.001 | 0.001 | 0.000 | -0.000 | -0.000 |
| 0.001 | 0.001 | 0.001 | 0.000 | 0.000 | -0.000 |
| 0.000 | 0.000 | 0.000 | 0.001 | -0.000 | -0.000 |
| 0.000 | 0.000 | 0.000 | -0.000 | 0.001 | -0.000 |
| 0.000 | 0.000 | 0.000 | -0.000 | -0.000 | 0.001 |
| 0.001 | 0.001 | 0.001 | 0.000 | 0.000 | 0.000 |
| 0.001 | 0.001 | 0.001 | 0.000 | 0.000 | 0.000 |
| 0.001 | 0.001 | 0.001 | -0.000 | -0.000 | 0.000 |
| -0.000 | -0.000 | -0.000 | 0.001 | 0.000 | 0.000 |
| -0.000 | -0.000 | -0.000 | 0.000 | 0.001 | 0.000 |
| -0.000 | -0.000 | -0.000 | 0.000 | 0.000 | 0.001 |
| 0.001 | 0.001 | 0.001 | 0.000 | 0.000 | -0.000 |
| 0.001 | 0.001 | 0.001 | 0.000 | 0.000 | -0.000 |
| 0.001 | 0.001 | 0.001 | 0.000 | 0.000 | -0.000 |
| 0.000 | 0.000 | 0.000 | 0.001 | 0.000 | -0.000 |
| 0.000 | 0.000 | 0.000 | 0.000 | 0.001 | -0.000 |
| 0.000 | 0.000 | 0.000 | -0.000 | -0.000 | 0.001 |
| 0.001 | 0.001 | 0.001 | -0.000 | -0.000 | 0.000 |
| 0.001 | 0.001 | 0.001 | -0.000 | -0.000 | 0.000 |
| 0.001 | 0.001 | 0.001 | -0.000 | -0.000 | 0.000 |
| -0.000 | -0.000 | -0.000 | 0.001 | -0.000 | -0.000 |
| -0.000 | -0.000 | -0.000 | -0.000 | 0.001 | -0.000 |
| -0.000 | -0.000 | -0.000 | -0.000 | -0.000 | 0.001 |
| 0.000 | 0.000 | 0.000 | 0.000 | -0.000 | -0.000 |
| 0.000 | 0.000 | 0.000 | -0.000 | 0.000 | -0.000 |
| 0.000 | 0.000 | 0.000 | -0.000 | -0.000 | 0.000 |
| 0.000 | 0.000 | 0.000 | 0.000 | -0.000 | -0.000 |
| 0.000 | 0.000 | 0.000 | -0.000 | 0.000 | -0.000 |
| 0.000 | 0.000 | 0.000 | -0.000 | 0.000 | 0.000 |
| 0.000 | 0.000 | 0.000 | -0.000 | -0.000 | -0.000 |
| 0.000 | 0.000 | 0.000 | -0.000 | -0.000 | -0.000 |
| 0.000 | 0.000 | 0.000 | -0.000 | -0.000 | 0.000 |
| -0.000 | -0.000 | -0.000 | 0.000 | -0.000 | 0.000 |
| -0.000 | -0.000 | -0.000 | -0.000 | 0.000 | 0.000 |
| -0.000 | -0.000 | -0.000 | -0.000 | 0.000 | 0.000 |
| 0.000 | 0.000 | 0.000 | 0.000 | 0.000 | -0.000 |
| 0.000 | 0.000 | 0.000 | 0.000 | 0.000 | -0.000 |
| 0.000 | 0.000 | 0.000 | 0.000 | 0.000 | -0.000 |
| 0.000 | 0.000 | 0.000 | 0.000 | -0.000 | -0.000 |
| 0.000 | 0.000 | 0.000 | -0.000 | 0.000 | -0.000 |
| 0.000 | 0.000 | 0.000 | -0.000 | -0.000 | 0.000 |
| 0.000 | 0.000 | 0.000 | 0.000 | -0.000 | -0.000 |
| 0.000 | 0.000 | 0.000 | -0.000 | 0.000 | -0.000 |
| 0.000 | 0.000 | 0.000 | -0.000 | -0.000 | 0.000 |
| -0.000 | -0.000 | -0.000 | 0.000 | -0.000 | 0.000 |
| -0.000 | -0.000 | -0.000 | -0.000 | 0.000 | 0.000 |
| -0.000 | -0.000 | -0.000 | -0.000 | 0.000 | 0.000 |
| 0.000 | 0.000 | 0.000 | -0.000 | -0.000 | -0.000 |
| 0.000 | 0.000 | 0.000 | -0.000 | -0.000 | -0.000 |
| 0.000 | 0.000 | 0.000 | -0.000 | -0.000 | -0.000 |
| 0.000 | 0.000 | 0.000 | 0.000 | -0.000 | -0.000 |
| 0.000 | 0.000 | 0.000 | -0.000 | 0.000 | -0.000 |
| 0.000 | 0.000 | 0.000 | -0.000 | -0.000 | 0.000 |
| 0.000 | 0.000 | 0.000 | -0.000 | 0.000 | 0.000 |
| 0.000 | 0.000 | 0.000 | 0.000 | -0.000 | 0.000 |
| 0.000 | 0.000 | 0.000 | 0.000 | 0.000 | -0.000 |
| -0.000 | -0.000 | -0.000 | 0.000 | -0.000 | 0.000 |
| -0.000 | -0.000 | -0.000 | -0.000 | 0.000 | 0.000 |
| -0.000 | -0.000 | -0.000 | 0.000 | 0.000 | 0.000 |
| -0.004 | -0.001 | -0.002 | -0.000 | -0.000 | 0.000 |
| -0.001 | -0.004 | -0.002 | 0.000 | -0.000 | 0.000 |
| -0.002 | -0.002 | -0.006 | 0.000 | -0.000 | -0.000 |
| 0.000 | 0.000 | 0.000 | -0.002 | 0.000 | -0.000 |
| 0.000 | 0.000 | 0.000 | -0.000 | -0.002 | 0.000 |
| 0.000 | 0.000 | 0.000 | 0.000 | -0.000 | -0.001 |
| -0.004 | -0.001 | -0.002 | 0.000 | 0.000 | 0.000 |
| -0.001 | -0.004 | -0.002 | -0.000 | 0.000 | -0.000 |
| -0.002 | -0.002 | -0.006 | -0.000 | 0.000 | -0.000 |
| -0.000 | -0.000 | -0.000 | -0.002 | -0.000 | 0.000 |
| -0.000 | -0.000 | -0.000 | 0.000 | -0.002 | -0.000 |
| -0.000 | -0.000 | -0.000 | -0.000 | -0.000 | -0.001 |
| -0.004 | -0.001 | -0.002 | -0.000 | 0.000 | 0.000 |
| -0.001 | -0.004 | -0.002 | 0.000 | 0.000 | 0.000 |
| -0.002 | -0.002 | -0.006 | 0.000 | -0.000 | 0.000 |
| 0.000 | 0.000 | 0.000 | -0.002 | 0.000 | 0.000 |
| 0.000 | 0.000 | 0.000 | -0.000 | -0.002 | 0.000 |
| 0.000 | 0.000 | 0.000 | -0.000 | 0.000 | -0.001 |
| -0.004 | -0.001 | -0.002 | -0.000 | -0.000 | -0.000 |
| -0.001 | -0.004 | -0.002 | 0.000 | 0.000 | -0.000 |
| -0.002 | -0.002 | -0.006 | -0.000 | -0.000 | 0.000 |
| -0.000 | -0.000 | -0.000 | -0.002 | 0.000 | -0.000 |
| -0.000 | -0.000 | -0.000 | -0.000 | -0.002 | 0.000 |
| -0.000 | -0.000 | -0.000 | 0.000 | 0.000 | -0.001 |
| -0.004 | -0.001 | -0.002 | -0.000 | 0.000 | -0.000 |
| -0.001 | -0.004 | -0.002 | 0.000 | -0.000 | -0.000 |
| -0.002 | -0.002 | -0.006 | -0.000 | 0.000 | -0.000 |
| 0.000 | 0.000 | 0.000 | -0.002 | 0.000 | 0.000 |
| 0.000 | 0.000 | 0.000 | 0.000 | -0.002 | 0.000 |
| 0.000 | 0.000 | 0.000 | -0.000 | 0.000 | -0.001 |
| -0.004 | -0.001 | -0.002 | -0.000 | 0.000 | 0.000 |
| -0.001 | -0.004 | -0.002 | -0.000 | -0.000 | -0.000 |
| -0.002 | -0.002 | -0.006 | 0.000 | 0.000 | -0.000 |
| -0.000 | -0.000 | -0.000 | -0.002 | 0.000 | 0.000 |
| -0.000 | -0.000 | -0.000 | -0.000 | -0.002 | 0.000 |
| -0.000 | -0.000 | -0.000 | 0.000 | 0.000 | -0.001 |
| 22.524 | 115.907 | 115.907 | -0.000 | -0.000 | -0.000 |
| 115.907 | 22.524 | 115.907 | -0.000 | -0.000 | -0.000 |
| 115.907 | 115.907 | 22.524 | -0.000 | -0.000 | 0.000 |
| 0.000 | 0.000 | 0.000 | 68.546 | 0.000 | -0.000 |
| 0.000 | 0.000 | 0.000 | -0.000 | 68.546 | -0.000 |
| 0.000 | 0.000 | 0.000 | 0.000 | -0.000 | 68.546 |
| 22.524 | 115.907 | 115.907 | 0.000 | 0.000 | 0.000 |
| 115.907 | 22.524 | 115.907 | 0.000 | 0.000 | 0.000 |
| 115.907 | 115.907 | 22.524 | 0.000 | 0.000 | 0.000 |
| -0.000 | -0.000 | -0.000 | 68.546 | -0.000 | 0.000 |
| 0.000 | -0.000 | -0.000 | -0.000 | 68.546 | 0.000 |
| 0.000 | -0.000 | -0.000 | -0.000 | 0.000 | 68.546 |
| 22.524 | 115.907 | 115.907 | -0.000 | -0.000 | -0.000 |
| 115.907 | 22.524 | 115.907 | -0.000 | -0.000 | -0.000 |
| 115.907 | 115.907 | 22.524 | -0.000 | -0.000 | -0.000 |
| 6153350.902 | 23307596.461 | 20689920.998 | 560935.255 | -1426100.264 | 5632672.943 |
| 17951704.486 | 3174498.876 | 18878218.141 | 1094170.508 | 2817978.829 | -569871.639 |
| 13445439.067 | 11033166.721 | 5685551.644 | 1163578.800 | -1527064.418 | 1213014.408 |
| 22.523 | 115.907 | 115.907 | 0.000 | 0.000 | 0.000 |
| 115.907 | 22.523 | 115.907 | 0.000 | 0.000 | 0.000 |
| 115.907 | 115.907 | 22.523 | 0.000 | 0.000 | 0.000 |
| -8531871.762 | -24170414.292 | -16645712.184 | 3173219.524 | 6427410.585 | -4115190.501 |
| -25330246.501 | -8705546.902 | -18872043.667 | 3240086.755 | 1942760.599 | -387529.709 |
| -24256084.367 | -11776666.242 | -6377286.655 | 1941164.016 | -1862790.439 | 2366823.193 |
| 22.526 | 115.907 | 115.907 | -0.000 | -0.000 | -0.000 |
| 115.907 | 22.526 | 115.907 | -0.000 | -0.000 | -0.000 |
| 115.907 | 115.907 | 22.526 | -0.000 | -0.000 | -0.000 |
| 1571651.675 | 2715136.168 | 2152353.517 | 503636.013 | -265517.241 | 238101.185 |
| 2605713.994 | 1277759.809 | 1964882.127 | 48105.962 | 100269.152 | 11087.885 |
| 2802538.952 | 3645803.567 | 1637799.555 | 439006.869 | -222281.728 | 280840.453 |
| 22.522 | 115.906 | 115.906 | 0.000 | 0.000 | 0.000 |
| 115.906 | 22.522 | 115.906 | 0.000 | 0.000 | 0.000 |
| 115.906 | 115.906 | 22.522 | 0.000 | 0.000 | 0.000 |
| -623938.394 | -2642033.147 | -2996271.122 | 639635.173 | -87020.040 | -3630.247 |
| -2040768.197 | -493593.493 | -1879182.526 | -208046.118 | -436881.694 | -145244.363 |
| -1419848.562 | -1559316.154 | -470726.565 | 122016.150 | 171944.725 | 124908.157 |
| 12.191 | 53.470 | 53.470 | 0.000 | 0.000 | 0.000 |
| 53.470 | 12.191 | 53.470 | 0.000 | 0.000 | 0.000 |
| 53.470 | 53.470 | 12.191 | 0.000 | 0.000 | 0.000 |
| -0.000 | 0.000 | 0.000 | -69.300 | 0.000 | 0.000 |
| 0.000 | -0.000 | 0.000 | 0.000 | -69.300 | 0.000 |
| 0.000 | 0.000 | -0.000 | 0.000 | 0.000 | -69.300 |
| 12.191 | 53.470 | 53.470 | -0.000 | -0.000 | -0.000 |
| 53.470 | 12.191 | 53.470 | -0.000 | -0.000 | -0.000 |
| 53.470 | 53.470 | 12.191 | -0.000 | -0.000 | -0.000 |
| 0.000 | -0.000 | -0.000 | -69.300 | -0.000 | -0.000 |
| -0.000 | 0.000 | -0.000 | -0.000 | -69.300 | -0.000 |
| -0.000 | -0.000 | 0.000 | -0.000 | -0.000 | -69.300 |
| 12.191 | 53.470 | 53.470 | 0.000 | 0.000 | 0.000 |
| 53.470 | 12.191 | 53.470 | 0.000 | 0.000 | 0.000 |
| 53.470 | 53.470 | 12.191 | 0.000 | 0.000 | 0.000 |
| -0.000 | 0.000 | -0.000 | -69.300 | 0.000 | 0.000 |
| 0.000 | -0.000 | -0.000 | 0.000 | -69.300 | 0.000 |
| 0.000 | -0.000 | -0.000 | 0.000 | 0.000 | -69.300 |
| 12.191 | 53.470 | 53.470 | -0.000 | -0.000 | -0.000 |
| 53.470 | 12.191 | 53.470 | -0.000 | -0.000 | -0.000 |
| 53.470 | 53.470 | 12.191 | -0.000 | -0.000 | -0.000 |
| 0.000 | -0.000 | 0.000 | -69.300 | -0.000 | -0.000 |
| -0.000 | 0.000 | 0.000 | -0.000 | -69.300 | -0.000 |
| -0.000 | 0.000 | 0.000 | -0.000 | -0.000 | -69.300 |
| 12.191 | 53.470 | 53.470 | 0.000 | 0.000 | 0.000 |
| 53.470 | 12.191 | 53.470 | 0.000 | 0.000 | 0.000 |
| 53.470 | 53.470 | 12.191 | 0.000 | 0.000 | 0.000 |
| -0.000 | 0.000 | -0.000 | -69.300 | 0.000 | 0.000 |
| 0.000 | -0.000 | -0.000 | 0.000 | -69.300 | 0.000 |
| 0.000 | -0.000 | -0.000 | 0.000 | 0.000 | -69.300 |
| 12.191 | 53.470 | 53.470 | -0.000 | 0.000 | -0.000 |
| 53.470 | 12.191 | 53.470 | 0.000 | -0.000 | -0.000 |
| 53.470 | 53.470 | 12.191 | -0.000 | -0.000 | -0.000 |
| 0.000 | -0.000 | 0.000 | -69.300 | -0.000 | -0.000 |
| -0.000 | 0.000 | 0.000 | -0.000 | -69.300 | -0.000 |
| -0.000 | 0.000 | 0.000 | -0.000 | -0.000 | -69.300 |
| 0.005 | 0.005 | 0.005 | 0.000 | 0.000 | 0.000 |
| 0.005 | 0.005 | 0.005 | 0.000 | 0.000 | 0.000 |
| 0.005 | 0.005 | 0.005 | 0.000 | 0.000 | 0.000 |
| 0.000 | 0.000 | 0.000 | 0.005 | -0.000 | 0.000 |
| 0.000 | 0.000 | 0.000 | -0.000 | 0.005 | 0.000 |
| 0.000 | 0.000 | 0.000 | -0.000 | -0.000 | 0.005 |
| 0.005 | 0.005 | 0.005 | 0.000 | -0.000 | -0.000 |
| 0.005 | 0.005 | 0.005 | -0.000 | 0.000 | -0.000 |
| 0.005 | 0.005 | 0.005 | -0.000 | -0.000 | -0.000 |
| -0.000 | -0.000 | -0.000 | 0.005 | 0.000 | -0.000 |
| -0.000 | -0.000 | -0.000 | 0.000 | 0.005 | -0.000 |
| -0.000 | -0.000 | -0.000 | 0.000 | -0.000 | 0.005 |
| 0.005 | 0.005 | 0.005 | -0.000 | -0.000 | 0.000 |
| 0.005 | 0.005 | 0.005 | -0.000 | -0.000 | 0.000 |
| 0.005 | 0.005 | 0.005 | -0.000 | -0.000 | 0.000 |
| 0.000 | 0.000 | 0.000 | 0.005 | 0.000 | 0.000 |
| 0.000 | 0.000 | 0.000 | 0.000 | 0.005 | 0.000 |
| 0.000 | 0.000 | 0.000 | 0.000 | -0.000 | 0.005 |
| 0.005 | 0.005 | 0.005 | -0.000 | -0.000 | -0.000 |
| 0.005 | 0.005 | 0.005 | -0.000 | -0.000 | -0.000 |
| 0.005 | 0.005 | 0.005 | -0.000 | -0.000 | -0.000 |
| -0.000 | -0.000 | -0.000 | 0.005 | -0.000 | -0.000 |
| -0.000 | -0.000 | -0.000 | -0.000 | 0.005 | -0.000 |
| -0.000 | -0.000 | -0.000 | -0.000 | 0.000 | 0.005 |
| 0.005 | 0.005 | 0.005 | -0.000 | -0.000 | 0.000 |
| 0.005 | 0.005 | 0.005 | -0.000 | -0.000 | 0.000 |
| 0.005 | 0.005 | 0.005 | -0.000 | -0.000 | -0.000 |
| 0.000 | 0.000 | 0.000 | 0.005 | -0.000 | 0.000 |
| 0.000 | 0.000 | 0.000 | -0.000 | 0.005 | 0.000 |
| 0.000 | 0.000 | 0.000 | -0.000 | 0.000 | 0.005 |
| 0.005 | 0.005 | 0.005 | 0.000 | -0.000 | -0.000 |
| 0.005 | 0.005 | 0.005 | -0.000 | 0.000 | -0.000 |
| 0.005 | 0.005 | 0.005 | -0.000 | -0.000 | -0.000 |
| -0.000 | -0.000 | -0.000 | 0.005 | 0.000 | -0.000 |
| -0.000 | -0.000 | -0.000 | 0.000 | 0.005 | -0.000 |
| -0.000 | -0.000 | -0.000 | 0.000 | 0.000 | 0.005 |
| 71812268.999 | -78928989.982 | -97517381.122 | -12228600.432 | 1375879.033 | -401898.931 |
| -92757271.783 | 70224995.495 | -86668178.361 | 1048250.071 | -18427024.396 | -3155471.161 |
| -82466047.543 | -102442686.093 | 56945327.445 | 5412983.329 | -3202752.598 | -11121956.455 |
| -0.000 | 0.000 | 0.000 | -59.307 | -0.000 | 0.000 |
| -0.000 | -0.000 | 0.000 | 0.000 | -59.307 | 0.000 |
| 0.000 | 0.000 | 0.000 | -0.000 | -0.000 | -59.307 |
| 37.606 | 4.322 | 4.322 | 0.000 | 0.000 | -0.000 |
| 4.322 | 37.606 | 4.322 | -0.000 | 0.000 | -0.000 |
| 4.322 | 4.322 | 37.606 | -0.000 | -0.000 | 0.000 |
| 0.000 | -0.000 | -0.000 | -59.307 | -0.000 | -0.000 |
| 0.000 | 0.000 | -0.000 | -0.000 | -59.307 | -0.000 |
| 0.000 | -0.000 | -0.000 | -0.000 | 0.000 | -59.307 |
| 6622404.429 | -9630977.506 | -7239428.162 | -1660515.420 | 950232.733 | 22710.730 |
| -8962140.365 | 5890398.550 | -10034769.697 | -964407.406 | -1834494.528 | 1087271.767 |
| -8225051.659 | -9341294.195 | 5750333.815 | -14000.907 | -756217.232 | -1609129.054 |
| 0.000 | 0.000 | 0.000 | -59.307 | -0.000 | 0.000 |
| 0.000 | 0.000 | 0.000 | -0.000 | -59.307 | 0.000 |
| 0.000 | 0.000 | 0.000 | -0.000 | -0.000 | -59.307 |
| 45840203.489 | -8373312.377 | -8363442.656 | 1054581.283 | 254151.305 | 563886.099 |
| -10684696.578 | 40832811.035 | -11914069.488 | -592654.641 | 1455702.030 | 265376.425 |
| -9035761.808 | -9296128.809 | 44295041.200 | -371682.305 | 539727.247 | -365263.687 |
| -0.000 | -0.000 | -0.000 | -59.307 | -0.000 | -0.000 |
| -0.000 | -0.000 | -0.000 | 0.000 | -59.307 | -0.000 |
| -0.000 | -0.000 | -0.000 | 0.000 | 0.000 | -59.307 |
| 233741.902 | -1272035.785 | -1169082.126 | -159540.972 | -95494.062 | -255508.627 |
| -1108942.758 | 323465.916 | -921127.563 | -187186.101 | -182397.368 | -159748.996 |
| -1131500.806 | -960305.331 | 341084.097 | -56420.216 | -228726.405 | -242891.454 |
| 0.000 | 0.000 | 0.000 | -59.307 | -0.000 | 0.000 |
| 0.000 | 0.000 | 0.000 | -0.000 | -59.307 | 0.000 |
| 0.000 | 0.000 | 0.000 | -0.000 | 0.000 | -59.307 |
| 4033616.099 | -964330.106 | -878518.678 | -28502.614 | -42350.334 | -29684.837 |
| -855212.215 | 4184979.896 | -971521.389 | -237.227 | -119069.024 | -69960.122 |
| -868331.797 | -934153.260 | 4364554.867 | 58124.451 | 70515.850 | -42032.933 |
| -0.000 | -0.000 | -0.000 | -59.307 | 0.000 | 0.000 |
| -0.000 | -0.000 | -0.000 | 0.000 | -59.307 | -0.000 |
| -0.000 | -0.000 | -0.000 | 0.000 | 0.000 | -59.307 |
| 40.381 | 39.823 | 39.823 | 0.000 | -0.000 | -0.000 |
| 39.823 | 40.381 | 39.823 | 0.000 | 0.000 | -0.000 |
| 39.823 | 39.823 | 40.381 | 0.000 | 0.000 | 0.000 |
| -0.000 | -0.000 | -0.000 | -142.614 | -0.000 | -0.000 |
| 0.000 | -0.000 | -0.000 | -0.000 | -142.614 | -0.000 |
| 0.000 | -0.000 | -0.000 | -0.000 | -0.000 | -142.614 |
| 40.381 | 39.823 | 39.823 | 0.000 | 0.000 | 0.000 |
| 39.823 | 40.381 | 39.823 | 0.000 | 0.000 | 0.000 |
| 39.823 | 39.823 | 40.381 | 0.000 | 0.000 | 0.000 |
| 0.000 | 0.000 | 0.000 | -142.614 | 0.000 | -0.000 |
| -0.000 | 0.000 | 0.000 | 0.000 | -142.614 | 0.000 |
| 0.000 | 0.000 | 0.000 | 0.000 | 0.000 | -142.614 |
| 40.381 | 39.823 | 39.823 | -0.000 | -0.000 | -0.000 |
| 39.823 | 40.381 | 39.823 | -0.000 | -0.000 | -0.000 |
| 39.823 | 39.823 | 40.381 | 0.000 | -0.000 | 0.000 |
| -0.000 | 0.000 | -0.000 | -142.614 | -0.000 | 0.000 |
| 0.000 | -0.000 | -0.000 | -0.000 | -142.614 | -0.000 |
| 0.000 | -0.000 | -0.000 | -0.000 | -0.000 | -142.614 |
| 40.381 | 39.823 | 39.823 | -0.000 | -0.000 | -0.000 |
| 39.823 | 40.381 | 39.823 | -0.000 | -0.000 | -0.000 |
| 39.823 | 39.823 | 40.381 | -0.000 | -0.000 | -0.000 |
| 0.000 | -0.000 | 0.000 | -142.614 | 0.000 | -0.000 |
| -0.000 | 0.000 | 0.000 | 0.000 | -142.614 | 0.000 |
| -0.000 | 0.000 | 0.000 | 0.000 | 0.000 | -142.614 |
| 40.381 | 39.823 | 39.823 | -0.000 | -0.000 | 0.000 |
| 39.823 | 40.381 | 39.823 | -0.000 | -0.000 | 0.000 |
| 39.823 | 39.823 | 40.381 | 0.000 | 0.000 | -0.000 |
| -0.000 | 0.000 | -0.000 | -177.226 | -0.000 | -0.000 |
| 0.000 | -0.000 | -0.000 | -0.000 | -177.226 | -0.000 |
| 0.000 | -0.000 | -0.000 | -0.000 | -0.000 | -177.226 |
| 40.380 | 39.823 | 39.823 | -0.000 | 0.000 | 0.000 |
| 39.823 | 40.380 | 39.823 | -0.000 | -0.000 | -0.000 |
| 39.823 | 39.823 | 40.380 | 0.000 | -0.000 | -0.000 |
| 0.000 | -0.000 | 0.000 | -177.226 | 0.000 | 0.000 |
| -0.000 | 0.000 | 0.000 | 0.000 | -177.226 | 0.000 |
| -0.000 | 0.000 | 0.000 | 0.000 | 0.000 | -177.226 |
| 0.005 | 0.005 | 0.005 | 0.000 | 0.000 | 0.000 |
| 0.005 | 0.005 | 0.005 | 0.000 | 0.000 | 0.000 |
| 0.005 | 0.005 | 0.005 | 0.000 | 0.000 | 0.000 |
| 0.000 | 0.000 | 0.000 | 0.005 | -0.000 | 0.000 |
| 0.000 | 0.000 | 0.000 | -0.000 | 0.005 | 0.000 |
| 0.000 | 0.000 | 0.000 | -0.000 | -0.000 | 0.005 |
| 0.005 | 0.005 | 0.005 | 0.000 | -0.000 | -0.000 |
| 0.005 | 0.005 | 0.005 | -0.000 | 0.000 | -0.000 |
| 0.005 | 0.005 | 0.005 | -0.000 | -0.000 | -0.000 |
| -0.000 | -0.000 | -0.000 | 0.005 | 0.000 | -0.000 |
| -0.000 | -0.000 | -0.000 | 0.000 | 0.005 | -0.000 |
| -0.000 | -0.000 | -0.000 | 0.000 | -0.000 | 0.005 |
| 0.005 | 0.005 | 0.005 | -0.000 | -0.000 | 0.000 |
| 0.005 | 0.005 | 0.005 | -0.000 | -0.000 | 0.000 |
| 0.005 | 0.005 | 0.005 | -0.000 | -0.000 | 0.000 |
| 0.000 | 0.000 | 0.000 | 0.005 | 0.000 | 0.000 |
| 0.000 | 0.000 | 0.000 | 0.000 | 0.005 | 0.000 |
| 0.000 | 0.000 | 0.000 | 0.000 | -0.000 | 0.005 |
| 0.005 | 0.005 | 0.005 | -0.000 | -0.000 | -0.000 |
| 0.005 | 0.005 | 0.005 | -0.000 | -0.000 | -0.000 |
| 0.005 | 0.005 | 0.005 | -0.000 | -0.000 | -0.000 |
| -0.000 | -0.000 | -0.000 | 0.005 | -0.000 | -0.000 |
| -0.000 | -0.000 | -0.000 | -0.000 | 0.005 | -0.000 |
| -0.000 | -0.000 | -0.000 | -0.000 | 0.000 | 0.005 |
| 0.005 | 0.005 | 0.005 | -0.000 | -0.000 | 0.000 |
| 0.005 | 0.005 | 0.005 | -0.000 | -0.000 | 0.000 |
| 0.005 | 0.005 | 0.005 | -0.000 | -0.000 | -0.000 |
| 0.000 | 0.000 | 0.000 | 0.005 | -0.000 | 0.000 |
| 0.000 | 0.000 | 0.000 | -0.000 | 0.005 | 0.000 |
| 0.000 | 0.000 | 0.000 | -0.000 | 0.000 | 0.005 |
| 0.005 | 0.005 | 0.005 | 0.000 | -0.000 | -0.000 |
| 0.005 | 0.005 | 0.005 | -0.000 | 0.000 | -0.000 |
| 0.005 | 0.005 | 0.005 | -0.000 | -0.000 | -0.000 |
| -0.000 | -0.000 | -0.000 | 0.005 | 0.000 | -0.000 |
| -0.000 | -0.000 | -0.000 | 0.000 | 0.005 | -0.000 |
| -0.000 | -0.000 | -0.000 | 0.000 | 0.000 | 0.005 |
| -49.834 | 48.262 | 48.262 | 0.000 | 0.000 | 0.000 |
| 48.262 | -49.834 | 48.262 | 0.000 | 0.000 | 0.000 |
| 48.262 | 48.262 | -49.834 | 0.000 | 0.000 | 0.000 |
| -0.000 | -0.000 | 0.000 | 19.287 | 0.000 | 0.000 |
| -0.000 | -0.000 | 0.000 | -0.000 | 19.287 | 0.000 |
| 0.000 | 0.000 | -0.000 | -0.000 | 0.000 | 19.287 |
| -49.834 | 48.262 | 48.262 | 0.000 | -0.000 | -0.000 |
| 48.262 | -49.834 | 48.262 | -0.000 | 0.000 | -0.000 |
| 48.262 | 48.262 | -49.834 | -0.000 | -0.000 | 0.000 |
| -0.000 | 0.000 | -0.000 | 19.287 | 0.000 | -0.000 |
| 0.000 | -0.000 | -0.000 | 0.000 | 19.287 | -0.000 |
| 0.000 | -0.000 | -0.000 | 0.000 | -0.000 | 19.287 |
| -49.834 | 48.262 | 48.262 | -0.000 | 0.000 | 0.000 |
| 48.262 | -49.834 | 48.262 | 0.000 | 0.000 | 0.000 |
| 48.262 | 48.262 | -49.834 | 0.000 | 0.000 | 0.000 |
| -0.000 | -0.000 | 0.000 | 19.287 | 0.000 | 0.000 |
| -0.000 | -0.000 | 0.000 | 0.000 | 19.287 | 0.000 |
| -0.000 | 0.000 | -0.000 | 0.000 | 0.000 | 19.287 |
| -49.834 | 48.262 | 48.262 | -0.000 | -0.000 | -0.000 |
| 48.262 | -49.834 | 48.262 | -0.000 | -0.000 | -0.000 |
| 48.262 | 48.262 | -49.834 | -0.000 | -0.000 | -0.000 |
| 0.000 | 0.000 | -0.000 | 19.287 | -0.000 | 0.000 |
| 0.000 | 0.000 | -0.000 | -0.000 | 19.287 | -0.000 |
| 0.000 | -0.000 | 0.000 | -0.000 | -0.000 | 19.287 |
| -49.834 | 48.262 | 48.262 | -0.000 | 0.000 | 0.000 |
| 48.262 | -49.834 | 48.262 | 0.000 | 0.000 | 0.000 |
| 48.262 | 48.262 | -49.834 | 0.000 | 0.000 | 0.000 |
| -0.000 | -0.000 | 0.000 | 19.287 | 0.000 | 0.000 |
| -0.000 | -0.000 | 0.000 | 0.000 | 19.287 | 0.000 |
| -0.000 | 0.000 | -0.000 | 0.000 | 0.000 | 19.287 |
| -49.833 | 48.262 | 48.262 | 0.000 | -0.000 | -0.000 |
| 48.262 | -49.833 | 48.262 | 0.000 | 0.000 | -0.000 |
| 48.262 | 48.262 | -49.833 | -0.000 | -0.000 | 0.000 |
| 0.000 | 0.000 | -0.000 | 19.287 | -0.000 | -0.000 |
| 0.000 | 0.000 | -0.000 | -0.000 | 19.287 | -0.000 |
| 0.000 | -0.000 | 0.000 | -0.000 | -0.000 | 19.287 |
| 465.859 | 142.556 | 142.556 | 0.000 | 0.000 | 0.000 |
| 142.556 | 465.859 | 142.556 | 0.000 | 0.000 | 0.000 |
| 142.556 | 142.556 | 465.859 | 0.000 | 0.000 | 0.000 |
| 0.000 | 0.000 | 0.000 | 94.518 | 0.000 | 0.000 |
| 0.000 | 0.000 | 0.000 | -0.000 | 94.518 | 0.000 |
| 0.000 | 0.000 | 0.000 | 0.000 | 0.000 | 94.518 |
| 465.859 | 142.555 | 142.555 | -0.000 | -0.000 | -0.000 |
| 142.555 | 465.859 | 142.555 | -0.000 | -0.000 | -0.000 |
| 142.555 | 142.555 | 465.859 | -0.000 | -0.000 | -0.000 |
| -0.000 | -0.000 | -0.000 | 94.518 | -0.000 | -0.000 |
| -0.000 | -0.000 | -0.000 | 0.000 | 94.518 | -0.000 |
| -0.000 | -0.000 | -0.000 | -0.000 | -0.000 | 94.518 |
| 465.860 | 142.556 | 142.556 | -0.000 | 0.000 | 0.000 |
| 142.556 | 465.860 | 142.556 | 0.000 | 0.000 | 0.000 |
| 142.556 | 142.556 | 465.860 | 0.000 | 0.000 | 0.000 |
| 0.000 | 0.000 | 0.000 | 94.518 | 0.000 | 0.000 |
| 0.000 | 0.000 | 0.000 | 0.000 | 94.518 | 0.000 |
| 0.000 | 0.000 | 0.000 | 0.000 | 0.000 | 94.518 |
| 465.858 | 142.555 | 142.555 | -0.000 | -0.000 | -0.000 |
| 142.555 | 465.858 | 142.555 | -0.000 | -0.000 | -0.000 |
| 142.555 | 142.555 | 465.858 | -0.000 | -0.000 | -0.000 |
| -0.000 | -0.000 | -0.000 | 94.518 | -0.000 | -0.000 |
| -0.000 | -0.000 | -0.000 | -0.000 | 94.518 | -0.000 |
| -0.000 | -0.000 | -0.000 | -0.000 | -0.000 | 94.518 |
| 465.866 | 142.558 | 142.558 | 0.000 | 0.000 | 0.000 |
| 142.558 | 465.866 | 142.558 | 0.000 | 0.000 | 0.000 |
| 142.558 | 142.558 | 465.866 | 0.000 | 0.000 | 0.000 |
| 0.001 | 0.002 | 0.002 | 94.518 | 0.000 | 0.000 |
| 0.002 | 0.001 | 0.002 | 0.000 | 94.518 | 0.000 |
| 0.002 | 0.002 | 0.001 | 0.000 | 0.000 | 94.518 |
| 465.852 | 142.553 | 142.553 | 0.000 | -0.000 | -0.000 |
| 142.553 | 465.852 | 142.553 | -0.000 | -0.000 | -0.000 |
| 142.553 | 142.553 | 465.852 | -0.000 | -0.000 | -0.000 |
| -0.001 | -0.002 | -0.002 | 94.518 | -0.000 | -0.000 |
| -0.002 | -0.001 | -0.002 | -0.000 | 94.518 | -0.000 |
| -0.002 | -0.002 | -0.001 | -0.000 | -0.000 | 94.518 |
| 164.956 | 127.749 | 127.749 | -0.000 | -0.000 | 0.000 |
| 127.749 | 164.956 | 127.749 | -0.000 | -0.000 | -0.000 |
| 127.749 | 127.749 | 164.956 | -0.000 | -0.000 | -0.000 |
| -0.000 | -0.000 | -0.000 | 90.083 | -0.000 | 0.000 |
| -0.000 | -0.000 | -0.000 | -0.000 | 90.083 | -0.000 |
| -0.000 | -0.000 | -0.000 | -0.000 | -0.000 | 90.083 |
| 164.956 | 127.749 | 127.749 | 0.000 | 0.000 | 0.000 |
| 127.749 | 164.956 | 127.749 | 0.000 | 0.000 | 0.000 |
| 127.749 | 127.749 | 164.956 | 0.000 | 0.000 | 0.000 |
| 0.000 | 0.000 | 0.000 | 90.083 | 0.000 | -0.000 |
| 0.000 | 0.000 | 0.000 | 0.000 | 90.083 | 0.000 |
| 0.000 | 0.000 | 0.000 | 0.000 | 0.000 | 90.083 |
| 164.956 | 127.749 | 127.749 | -0.000 | -0.000 | -0.000 |
| 127.749 | 164.956 | 127.749 | -0.000 | -0.000 | -0.000 |
| 127.749 | 127.749 | 164.956 | -0.000 | -0.000 | -0.000 |
| -0.000 | -0.000 | -0.000 | 90.083 | -0.000 | 0.000 |
| -0.000 | -0.000 | -0.000 | -0.000 | 90.083 | 0.000 |
| -0.000 | -0.000 | -0.000 | -0.000 | -0.000 | 90.083 |
| 164.956 | 127.749 | 127.749 | 0.000 | 0.000 | 0.000 |
| 127.749 | 164.956 | 127.749 | 0.000 | 0.000 | -0.000 |
| 127.749 | 127.749 | 164.956 | 0.000 | 0.000 | -0.000 |
| 0.000 | 0.000 | 0.000 | 90.083 | 0.000 | -0.000 |
| 0.000 | 0.000 | 0.000 | 0.000 | 90.083 | -0.000 |
| 0.000 | 0.000 | 0.000 | 0.000 | 0.000 | 90.083 |
| 164.955 | 127.749 | 127.749 | -0.000 | -0.000 | -0.000 |
| 127.749 | 164.955 | 127.749 | -0.000 | -0.000 | -0.000 |
| 127.749 | 127.749 | 164.955 | -0.000 | -0.000 | -0.000 |
| -0.000 | -0.000 | -0.000 | 90.083 | -0.000 | 0.000 |
| -0.000 | -0.000 | -0.000 | -0.000 | 90.083 | 0.000 |
| -0.000 | -0.000 | -0.000 | -0.000 | -0.000 | 90.083 |
| 164.957 | 127.749 | 127.749 | 0.000 | 0.000 | -0.000 |
| 127.749 | 164.957 | 127.749 | 0.000 | 0.000 | 0.000 |
| 127.749 | 127.749 | 164.957 | 0.000 | 0.000 | -0.000 |
| 0.000 | 0.000 | 0.000 | 90.083 | 0.000 | -0.000 |
| 0.000 | 0.000 | 0.000 | 0.000 | 90.083 | 0.000 |
| 0.000 | 0.000 | 0.000 | 0.000 | 0.000 | 90.083 |
| 381.320 | 230.081 | 230.081 | 0.000 | 0.000 | 0.000 |
| 230.081 | 381.320 | 230.081 | 0.000 | 0.000 | 0.000 |
| 230.081 | 230.081 | 381.320 | 0.000 | 0.000 | 0.000 |
| 0.000 | 0.000 | 0.000 | -15.139 | 0.000 | 0.000 |
| 0.000 | 0.000 | 0.000 | 0.000 | -15.139 | 0.000 |
| 0.000 | 0.000 | 0.000 | 0.000 | 0.000 | -15.139 |
| 381.319 | 230.081 | 230.081 | -0.000 | -0.000 | -0.000 |
| 230.081 | 381.319 | 230.081 | -0.000 | -0.000 | -0.000 |
| 230.081 | 230.081 | 381.319 | -0.000 | -0.000 | -0.000 |
| -0.000 | -0.000 | -0.000 | -15.139 | -0.000 | -0.000 |
| -0.000 | -0.000 | -0.000 | -0.000 | -15.139 | -0.000 |
| -0.000 | -0.000 | -0.000 | -0.000 | -0.000 | -15.139 |
| 381.320 | 230.082 | 230.082 | 0.000 | 0.000 | 0.000 |
| 230.082 | 381.320 | 230.082 | 0.000 | 0.000 | 0.000 |
| 230.082 | 230.082 | 381.320 | 0.000 | 0.000 | 0.000 |
| 0.000 | 0.000 | 0.000 | -15.139 | 0.000 | 0.000 |
| 0.000 | 0.000 | 0.000 | 0.000 | -15.139 | 0.000 |
| 0.000 | 0.000 | 0.000 | 0.000 | 0.000 | -15.139 |
| 381.319 | 230.081 | 230.081 | -0.000 | -0.000 | -0.000 |
| 230.081 | 381.319 | 230.081 | -0.000 | -0.000 | -0.000 |
| 230.081 | 230.081 | 381.319 | -0.000 | -0.000 | -0.000 |
| -0.000 | -0.000 | -0.000 | -15.139 | -0.000 | -0.000 |
| -0.000 | -0.000 | -0.000 | -0.000 | -15.139 | -0.000 |
| -0.000 | -0.000 | -0.000 | -0.000 | -0.000 | -15.139 |
| 381.326 | 230.084 | 230.084 | 0.000 | 0.000 | 0.000 |
| 230.084 | 381.326 | 230.084 | 0.000 | 0.000 | 0.000 |
| 230.084 | 230.084 | 381.326 | 0.000 | 0.000 | 0.000 |
| 0.001 | 0.002 | 0.002 | -15.139 | 0.000 | 0.000 |
| 0.002 | 0.001 | 0.002 | 0.000 | -15.139 | 0.000 |
| 0.002 | 0.002 | 0.001 | 0.000 | 0.000 | -15.139 |
| 381.313 | 230.079 | 230.079 | -0.000 | -0.000 | -0.000 |
| 230.079 | 381.313 | 230.079 | -0.000 | -0.000 | -0.000 |
| 230.079 | 230.079 | 381.313 | -0.000 | -0.000 | -0.000 |
| -0.001 | -0.002 | -0.002 | -15.139 | -0.000 | -0.000 |
| -0.002 | -0.001 | -0.002 | -0.000 | -15.139 | -0.000 |
| -0.002 | -0.002 | -0.001 | -0.000 | -0.000 | -15.139 |
| 0.003 | 0.003 | 0.003 | 0.000 | -0.000 | -0.000 |
| 0.003 | 0.003 | 0.003 | -0.000 | 0.000 | -0.000 |
| 0.003 | 0.003 | 0.003 | -0.000 | -0.000 | 0.000 |
| 0.000 | 0.000 | 0.000 | 0.003 | -0.000 | -0.000 |
| 0.000 | 0.000 | 0.000 | -0.000 | 0.003 | -0.000 |
| 0.000 | 0.000 | 0.000 | -0.000 | -0.000 | 0.003 |
| 0.003 | 0.003 | 0.003 | -0.000 | 0.000 | 0.000 |
| 0.003 | 0.003 | 0.003 | 0.000 | -0.000 | 0.000 |
| 0.003 | 0.003 | 0.003 | 0.000 | 0.000 | -0.000 |
| -0.000 | -0.000 | -0.000 | 0.003 | -0.000 | 0.000 |
| -0.000 | -0.000 | -0.000 | -0.000 | 0.003 | 0.000 |
| -0.000 | -0.000 | -0.000 | -0.000 | 0.000 | 0.003 |
| 0.003 | 0.003 | 0.003 | 0.000 | -0.000 | -0.000 |
| 0.003 | 0.003 | 0.003 | -0.000 | 0.000 | -0.000 |
| 0.003 | 0.003 | 0.003 | -0.000 | -0.000 | 0.000 |
| 0.000 | 0.000 | 0.000 | 0.003 | -0.000 | -0.000 |
| 0.000 | 0.000 | 0.000 | -0.000 | 0.003 | -0.000 |
| 0.000 | 0.000 | 0.000 | -0.000 | -0.000 | 0.003 |
| 0.003 | 0.003 | 0.003 | 0.000 | 0.000 | 0.000 |
| 0.003 | 0.003 | 0.003 | 0.000 | 0.000 | 0.000 |
| 0.003 | 0.003 | 0.003 | 0.000 | 0.000 | 0.000 |
| -0.000 | -0.000 | -0.000 | 0.003 | -0.000 | 0.000 |
| -0.000 | -0.000 | -0.000 | -0.000 | 0.003 | 0.000 |
| -0.000 | -0.000 | -0.000 | -0.000 | 0.000 | 0.003 |
| 0.003 | 0.003 | 0.003 | -0.000 | -0.000 | -0.000 |
| 0.003 | 0.003 | 0.003 | -0.000 | -0.000 | -0.000 |
| 0.003 | 0.003 | 0.003 | -0.000 | -0.000 | -0.000 |
| 0.000 | 0.000 | 0.000 | 0.003 | 0.000 | -0.000 |
| 0.000 | 0.000 | 0.000 | 0.000 | 0.003 | -0.000 |
| 0.000 | 0.000 | 0.000 | 0.000 | -0.000 | 0.003 |
| 0.003 | 0.003 | 0.003 | 0.000 | 0.000 | 0.000 |
| 0.003 | 0.003 | 0.003 | 0.000 | 0.000 | 0.000 |
| 0.003 | 0.003 | 0.003 | 0.000 | 0.000 | 0.000 |
| -0.000 | -0.000 | -0.000 | 0.003 | 0.000 | 0.000 |
| -0.000 | -0.000 | -0.000 | 0.000 | 0.003 | 0.000 |
| -0.000 | -0.000 | -0.000 | 0.000 | 0.000 | 0.003 |
| 96.235 | 132.283 | 127.726 | 0.000 | -0.000 | -0.000 |
| 132.283 | 96.235 | 127.726 | -0.000 | -0.000 | -0.000 |
| 127.726 | 127.726 | 89.663 | -0.000 | -0.000 | 0.000 |
| -0.000 | -0.000 | 0.000 | 96.069 | -0.000 | 0.000 |
| -0.000 | 0.000 | 0.000 | -0.000 | 96.069 | -0.000 |
| -0.000 | -0.000 | 0.000 | -0.000 | -0.000 | 80.660 |
| 96.235 | 132.283 | 127.726 | -0.000 | 0.000 | 0.000 |
| 132.283 | 96.235 | 127.726 | -0.000 | 0.000 | 0.000 |
| 127.726 | 127.726 | 89.663 | 0.000 | 0.000 | -0.000 |
| 0.000 | 0.000 | -0.000 | 96.069 | 0.000 | 0.000 |
| 0.000 | -0.000 | -0.000 | 0.000 | 96.069 | 0.000 |
| 0.000 | 0.000 | -0.000 | 0.000 | 0.000 | 80.660 |
| 96.235 | 132.283 | 127.726 | -0.000 | -0.000 | -0.000 |
| 132.283 | 96.235 | 127.726 | -0.000 | -0.000 | 0.000 |
| 127.726 | 127.726 | 89.663 | -0.000 | -0.000 | 0.000 |
| -0.000 | -0.000 | -0.000 | 96.069 | 0.000 | -0.000 |
| -0.000 | -0.000 | -0.000 | 0.000 | 96.069 | 0.000 |
| -0.000 | -0.000 | -0.000 | -0.000 | -0.000 | 80.660 |
| 96.235 | 132.283 | 127.726 | 0.000 | -0.000 | -0.000 |
| 132.283 | 96.235 | 127.726 | 0.000 | 0.000 | -0.000 |
| 127.726 | 127.726 | 89.663 | 0.000 | 0.000 | 0.000 |
| 0.000 | 0.000 | 0.000 | 96.069 | 0.000 | 0.000 |
| 0.000 | 0.000 | 0.000 | 0.000 | 96.069 | 0.000 |
| 0.000 | 0.000 | 0.000 | 0.000 | 0.000 | 80.660 |
| 96.236 | 132.283 | 127.727 | -0.000 | -0.000 | -0.000 |
| 132.283 | 96.236 | 127.727 | -0.000 | -0.000 | -0.000 |
| 127.727 | 127.727 | 89.664 | -0.000 | -0.000 | -0.000 |
| -0.000 | -0.000 | -0.000 | 96.069 | -0.000 | -0.000 |
| -0.000 | -0.000 | -0.000 | -0.000 | 96.069 | 0.000 |
| -0.001 | -0.000 | -0.000 | 0.000 | -0.000 | 80.660 |
| 96.233 | 132.283 | 127.726 | 0.000 | 0.000 | 0.000 |
| 132.283 | 96.233 | 127.726 | -0.000 | 0.000 | 0.000 |
| 127.726 | 127.726 | 89.662 | -0.000 | 0.000 | -0.000 |
| 0.000 | 0.000 | 0.000 | 96.069 | 0.000 | 0.000 |
| 0.000 | 0.000 | 0.000 | 0.000 | 96.069 | -0.000 |
| 0.001 | 0.000 | 0.000 | -0.000 | 0.000 | 80.660 |
| 72.063 | 104.566 | 104.566 | 0.000 | 0.000 | -0.000 |
| 104.566 | 72.063 | 104.566 | 0.000 | -0.000 | -0.000 |
| 104.566 | 104.566 | 72.063 | 0.000 | 0.000 | -0.000 |
| -0.000 | -0.000 | 0.000 | 59.339 | -0.000 | -0.000 |
| -0.000 | -0.000 | 0.000 | 0.000 | 59.339 | 0.000 |
| -0.000 | 0.000 | 0.000 | -0.000 | 0.000 | 59.339 |
| 72.063 | 104.566 | 104.566 | -0.000 | -0.000 | -0.000 |
| 104.566 | 72.063 | 104.566 | 0.000 | -0.000 | -0.000 |
| 104.566 | 104.566 | 72.063 | -0.000 | -0.000 | 0.000 |
| 0.000 | 0.000 | -0.000 | 59.339 | -0.000 | -0.000 |
| 0.000 | 0.000 | -0.000 | -0.000 | 59.339 | 0.000 |
| 0.000 | -0.000 | -0.000 | 0.000 | -0.000 | 59.339 |
| 72.063 | 104.566 | 104.566 | 0.000 | 0.000 | -0.000 |
| 104.566 | 72.063 | 104.566 | -0.000 | -0.000 | -0.000 |
| 104.566 | 104.566 | 72.063 | 0.000 | 0.000 | 0.000 |
| 0.000 | -0.000 | -0.000 | 28.596 | -0.000 | -0.000 |
| -0.000 | 0.000 | -0.000 | 0.000 | 28.596 | 0.000 |
| -0.000 | -0.000 | 0.000 | 0.000 | 0.000 | 28.596 |
| 72.063 | 104.566 | 104.566 | -0.000 | 0.000 | -0.000 |
| 104.566 | 72.063 | 104.566 | 0.000 | 0.000 | -0.000 |
| 104.566 | 104.566 | 72.063 | -0.000 | -0.000 | 0.000 |
| -0.000 | 0.000 | 0.000 | 28.596 | -0.000 | -0.000 |
| 0.000 | -0.000 | 0.000 | 0.000 | 28.596 | 0.000 |
| 0.000 | 0.000 | -0.000 | 0.000 | 0.000 | 28.596 |
| 72.066 | 104.566 | 104.566 | 0.000 | -0.000 | -0.000 |
| 104.566 | 72.066 | 104.566 | 0.000 | 0.000 | 0.000 |
| 104.566 | 104.566 | 72.066 | 0.000 | 0.000 | -0.000 |
| 0.002 | -0.000 | -0.000 | 28.596 | 0.000 | 0.000 |
| -0.000 | 0.002 | -0.000 | 0.000 | 28.596 | -0.000 |
| -0.000 | -0.000 | 0.002 | -0.000 | -0.000 | 28.596 |
| 72.060 | 104.566 | 104.566 | -0.000 | -0.000 | 0.000 |
| 104.566 | 72.060 | 104.566 | -0.000 | -0.000 | 0.000 |
| 104.566 | 104.566 | 72.060 | 0.000 | 0.000 | -0.000 |
| -0.002 | 0.000 | 0.000 | 28.596 | -0.000 | 0.000 |
| 0.000 | -0.002 | 0.000 | -0.000 | 28.596 | 0.000 |
| 0.000 | 0.000 | -0.002 | 0.000 | 0.000 | 28.596 |
| 161.405 | 97.224 | 97.224 | -0.000 | -0.000 | -0.000 |
| 97.224 | 161.405 | 97.224 | -0.000 | -0.000 | 0.000 |
| 97.224 | 97.224 | 161.405 | -0.000 | -0.000 | -0.000 |
| -0.000 | -0.000 | 0.000 | 58.264 | -0.000 | 0.000 |
| -0.000 | 0.000 | 0.000 | 0.000 | 58.264 | -0.000 |
| -0.000 | 0.000 | 0.000 | 0.000 | 0.000 | 58.264 |
| 161.405 | 97.224 | 97.224 | 0.000 | -0.000 | 0.000 |
| 97.224 | 161.405 | 97.224 | 0.000 | -0.000 | 0.000 |
| 97.224 | 97.224 | 161.405 | 0.000 | 0.000 | 0.000 |
| 0.000 | 0.000 | -0.000 | 58.264 | 0.000 | -0.000 |
| 0.000 | -0.000 | -0.000 | -0.000 | 58.264 | -0.000 |
| 0.000 | -0.000 | -0.000 | -0.000 | -0.000 | 58.264 |
| 161.404 | 97.224 | 97.224 | -0.000 | 0.000 | 0.000 |
| 97.224 | 161.404 | 97.224 | 0.000 | 0.000 | -0.000 |
| 97.224 | 97.224 | 161.404 | -0.000 | 0.000 | 0.000 |
| -0.000 | -0.000 | -0.000 | 58.264 | 0.000 | -0.000 |
| -0.000 | -0.000 | -0.000 | 0.000 | 58.264 | -0.000 |
| -0.000 | -0.000 | -0.000 | 0.000 | 0.000 | 58.264 |
| 161.405 | 97.224 | 97.224 | 0.000 | -0.000 | 0.000 |
| 97.224 | 161.405 | 97.224 | -0.000 | -0.000 | -0.000 |
| 97.224 | 97.224 | 161.405 | -0.000 | -0.000 | 0.000 |
| 0.000 | 0.000 | 0.000 | 58.264 | -0.000 | -0.000 |
| 0.000 | 0.000 | 0.000 | -0.000 | 58.264 | 0.000 |
| 0.000 | 0.000 | 0.000 | -0.000 | 0.000 | 58.264 |
| 161.403 | 97.224 | 97.224 | -0.000 | -0.000 | -0.000 |
| 97.224 | 161.403 | 97.224 | -0.000 | -0.000 | 0.000 |
| 97.224 | 97.224 | 161.403 | -0.000 | -0.000 | -0.000 |
| -0.000 | -0.000 | -0.000 | 58.264 | -0.000 | -0.000 |
| -0.000 | -0.000 | -0.000 | 0.000 | 58.264 | -0.000 |
| -0.000 | -0.000 | -0.000 | 0.000 | -0.000 | 58.264 |
| 161.407 | 97.224 | 97.224 | 0.000 | -0.000 | 0.000 |
| 97.224 | 161.407 | 97.224 | -0.000 | -0.000 | 0.000 |
| 97.224 | 97.224 | 161.407 | 0.000 | -0.000 | -0.000 |
| 0.000 | 0.000 | 0.000 | 58.264 | 0.000 | -0.000 |
| 0.000 | 0.000 | 0.000 | -0.000 | 58.264 | -0.000 |
| 0.000 | 0.000 | 0.000 | 0.000 | 0.000 | 58.264 |
| 0.000 | 0.000 | 0.000 | -0.000 | 0.000 | -0.000 |
| 0.000 | 0.000 | 0.000 | -0.000 | 0.000 | -0.000 |
| 0.000 | 0.000 | 0.000 | -0.000 | 0.000 | -0.000 |
| 0.000 | 0.000 | 0.000 | -0.000 | 0.000 | -0.000 |
| 0.000 | 0.000 | 0.000 | -0.000 | -0.000 | -0.000 |
| 0.000 | 0.000 | 0.000 | -0.000 | -0.000 | -0.000 |
| 0.000 | 0.000 | 0.000 | 0.000 | 0.000 | 0.000 |
| 0.000 | 0.000 | 0.000 | 0.000 | -0.000 | 0.000 |
| 0.000 | 0.000 | 0.000 | 0.000 | -0.000 | 0.000 |
| -0.000 | -0.000 | -0.000 | -0.000 | -0.000 | 0.000 |
| -0.000 | -0.000 | -0.000 | 0.000 | -0.000 | 0.000 |
| -0.000 | -0.000 | -0.000 | 0.000 | -0.000 | -0.000 |
| 0.000 | 0.000 | 0.000 | -0.000 | -0.000 | -0.000 |
| 0.000 | 0.000 | 0.000 | -0.000 | 0.000 | -0.000 |
| 0.000 | 0.000 | 0.000 | -0.000 | 0.000 | -0.000 |
| 0.000 | 0.000 | 0.000 | -0.000 | 0.000 | -0.000 |
| 0.000 | 0.000 | 0.000 | -0.000 | -0.000 | -0.000 |
| 0.000 | 0.000 | 0.000 | -0.000 | 0.000 | -0.000 |
| 0.000 | 0.000 | 0.000 | 0.000 | -0.000 | 0.000 |
| 0.000 | 0.000 | 0.000 | 0.000 | -0.000 | 0.000 |
| 0.000 | 0.000 | 0.000 | 0.000 | 0.000 | 0.000 |
| -0.000 | -0.000 | -0.000 | -0.000 | -0.000 | 0.000 |
| -0.000 | -0.000 | -0.000 | 0.000 | -0.000 | 0.000 |
| -0.000 | -0.000 | -0.000 | 0.000 | -0.000 | -0.000 |
| 0.000 | 0.000 | 0.000 | -0.000 | 0.000 | -0.000 |
| 0.000 | 0.000 | 0.000 | -0.000 | 0.000 | -0.000 |
| 0.000 | 0.000 | 0.000 | -0.000 | 0.000 | -0.000 |
| 0.000 | 0.000 | -0.000 | -0.000 | 0.000 | -0.000 |
| 0.000 | 0.000 | -0.000 | -0.000 | -0.000 | -0.000 |
| 0.000 | -0.000 | 0.000 | -0.000 | -0.000 | -0.000 |
| 0.000 | 0.000 | 0.000 | 0.000 | 0.000 | 0.000 |
| 0.000 | 0.000 | 0.000 | 0.000 | -0.000 | 0.000 |
| 0.000 | 0.000 | 0.000 | 0.000 | -0.000 | 0.000 |
| -0.000 | -0.000 | 0.000 | -0.000 | -0.000 | 0.000 |
| -0.000 | -0.000 | 0.000 | 0.000 | -0.000 | 0.000 |
| -0.000 | 0.000 | -0.000 | 0.000 | -0.000 | -0.000 |
| 319.476 | 136.937 | 136.937 | 0.000 | 0.000 | 0.000 |
| 136.937 | 319.476 | 136.937 | 0.000 | 0.000 | 0.000 |
| 136.937 | 136.937 | 319.476 | 0.000 | 0.000 | 0.000 |
| -0.000 | -0.000 | -0.000 | 88.841 | 0.000 | 0.000 |
| -0.000 | 0.000 | -0.000 | 0.000 | 88.841 | 0.000 |
| -0.000 | -0.000 | -0.000 | 0.000 | 0.000 | 88.841 |
| 319.476 | 136.937 | 136.937 | -0.000 | -0.000 | -0.000 |
| 136.937 | 319.476 | 136.937 | -0.000 | -0.000 | -0.000 |
| 136.937 | 136.937 | 319.476 | -0.000 | -0.000 | -0.000 |
| 0.000 | 0.000 | 0.000 | 88.841 | -0.000 | -0.000 |
| 0.000 | -0.000 | 0.000 | -0.000 | 88.841 | -0.000 |
| 0.000 | 0.000 | 0.000 | -0.000 | -0.000 | 88.841 |
| 319.475 | 136.937 | 136.937 | 0.000 | 0.000 | 0.000 |
| 136.937 | 319.475 | 136.937 | 0.000 | 0.000 | 0.000 |
| 136.937 | 136.937 | 319.475 | 0.000 | 0.000 | 0.000 |
| -0.000 | -0.000 | -0.000 | 88.841 | 0.000 | 0.000 |
| -0.000 | -0.000 | -0.000 | 0.000 | 88.841 | 0.000 |
| -0.000 | -0.000 | -0.000 | 0.000 | 0.000 | 88.841 |
| 319.476 | 136.937 | 136.937 | -0.000 | -0.000 | -0.000 |
| 136.937 | 319.476 | 136.937 | -0.000 | -0.000 | -0.000 |
| 136.937 | 136.937 | 319.476 | -0.000 | -0.000 | -0.000 |
| 0.000 | 0.000 | 0.000 | 88.841 | -0.000 | -0.000 |
| 0.000 | 0.000 | 0.000 | -0.000 | 88.841 | -0.000 |
| 0.000 | 0.000 | 0.000 | -0.000 | -0.000 | 88.841 |
| 319.475 | 136.937 | 136.937 | 0.000 | 0.000 | 0.000 |
| 136.937 | 319.475 | 136.937 | 0.000 | 0.000 | 0.000 |
| 136.937 | 136.937 | 319.475 | 0.000 | 0.000 | 0.000 |
| -0.000 | -0.000 | -0.000 | 88.841 | 0.000 | 0.000 |
| -0.000 | -0.000 | -0.000 | 0.000 | 88.841 | 0.000 |
| -0.000 | -0.000 | -0.000 | 0.000 | 0.000 | 88.841 |
| 319.476 | 136.937 | 136.937 | -0.000 | -0.000 | -0.000 |
| 136.937 | 319.476 | 136.937 | -0.000 | -0.000 | -0.000 |
| 136.937 | 136.937 | 319.476 | -0.000 | -0.000 | -0.000 |
| 0.000 | 0.000 | 0.000 | 88.841 | -0.000 | -0.000 |
| 0.000 | 0.000 | 0.000 | -0.000 | 88.841 | -0.000 |
| 0.000 | 0.000 | 0.000 | -0.000 | -0.000 | 88.841 |
| 0.000 | 0.000 | 0.000 | 0.000 | 0.000 | 0.000 |
| 0.000 | 0.000 | 0.000 | 0.000 | 0.000 | 0.000 |
| 0.000 | 0.000 | 0.000 | 0.000 | 0.000 | -0.000 |
| 0.000 | 0.000 | 0.000 | -0.000 | -0.000 | 0.000 |
| 0.000 | 0.000 | 0.000 | -0.000 | 0.000 | 0.000 |
| 0.000 | 0.000 | 0.000 | 0.000 | 0.000 | -0.000 |
| -0.000 | 0.000 | 0.000 | -0.000 | -0.000 | -0.000 |
| 0.000 | -0.000 | 0.000 | -0.000 | 0.000 | -0.000 |
| 0.000 | 0.000 | -0.000 | -0.000 | -0.000 | -0.000 |
| -0.000 | -0.000 | -0.000 | -0.000 | -0.000 | -0.000 |
| -0.000 | -0.000 | -0.000 | -0.000 | 0.000 | 0.000 |
| -0.000 | -0.000 | -0.000 | -0.000 | 0.000 | 0.000 |
| 0.000 | 0.000 | 0.000 | 0.000 | 0.000 | 0.000 |
| 0.000 | 0.000 | 0.000 | 0.000 | -0.000 | -0.000 |
| 0.000 | 0.000 | 0.000 | 0.000 | 0.000 | 0.000 |
| 0.000 | 0.000 | 0.000 | -0.000 | -0.000 | 0.000 |
| 0.000 | 0.000 | 0.000 | 0.000 | -0.000 | -0.000 |
| 0.000 | 0.000 | 0.000 | 0.000 | -0.000 | -0.000 |
| 0.000 | 0.000 | 0.000 | -0.000 | -0.000 | 0.000 |
| 0.000 | 0.000 | 0.000 | -0.000 | -0.000 | -0.000 |
| 0.000 | 0.000 | 0.000 | -0.000 | -0.000 | 0.000 |
| -0.000 | -0.000 | -0.000 | 0.000 | -0.000 | 0.000 |
| -0.000 | -0.000 | -0.000 | -0.000 | 0.000 | 0.000 |
| -0.000 | -0.000 | -0.000 | -0.000 | -0.000 | 0.000 |
| -0.000 | 0.000 | 0.000 | -0.000 | -0.000 | -0.000 |
| 0.000 | -0.000 | 0.000 | 0.000 | -0.000 | -0.000 |
| 0.000 | 0.000 | -0.000 | 0.000 | -0.000 | -0.000 |
| 0.000 | -0.000 | 0.000 | -0.000 | -0.000 | -0.000 |
| -0.000 | 0.000 | 0.000 | -0.000 | -0.000 | 0.000 |
| -0.000 | 0.000 | 0.000 | 0.000 | -0.000 | -0.000 |
| 0.000 | 0.000 | 0.000 | -0.000 | -0.000 | 0.000 |
| 0.000 | 0.000 | 0.000 | -0.000 | 0.000 | 0.000 |
| 0.000 | 0.000 | 0.000 | -0.000 | 0.000 | -0.000 |
| -0.000 | 0.000 | -0.000 | -0.000 | 0.000 | 0.000 |
| 0.000 | -0.000 | -0.000 | 0.000 | -0.000 | -0.000 |
| 0.000 | -0.000 | -0.000 | -0.000 | 0.000 | 0.000 |
| 90.802 | 72.418 | 72.419 | -0.000 | -0.000 | -0.000 |
| 72.419 | 90.802 | 72.419 | -0.000 | -0.000 | -0.000 |
| 72.419 | 72.418 | 90.802 | -0.000 | -0.000 | -0.000 |
| -0.000 | -0.000 | -0.000 | 30.216 | -0.000 | -0.000 |
| -0.000 | -0.000 | -0.000 | -0.000 | 30.216 | -0.000 |
| -0.000 | -0.000 | -0.000 | -0.000 | -0.000 | 30.216 |
| 90.802 | 72.419 | 72.419 | 0.000 | 0.000 | 0.000 |
| 72.419 | 90.802 | 72.419 | 0.000 | 0.000 | 0.000 |
| 72.419 | 72.419 | 90.802 | 0.000 | -0.000 | 0.000 |
| 0.000 | 0.000 | 0.000 | 30.216 | 0.000 | 0.000 |
| 0.000 | 0.000 | 0.000 | 0.000 | 30.216 | 0.000 |
| 0.000 | 0.000 | 0.000 | 0.000 | 0.000 | 30.216 |
| 90.802 | 72.418 | 72.418 | -0.000 | -0.000 | -0.000 |
| 72.418 | 90.802 | 72.418 | -0.000 | -0.000 | -0.000 |
| 72.418 | 72.418 | 90.802 | -0.000 | -0.000 | -0.000 |
| -0.000 | -0.000 | -0.000 | 30.216 | -0.000 | -0.000 |
| -0.000 | -0.000 | -0.000 | -0.000 | 30.216 | -0.000 |
| -0.000 | -0.000 | -0.000 | -0.000 | -0.000 | 30.216 |
| 90.802 | 72.419 | 72.419 | 0.000 | 0.000 | 0.000 |
| 72.419 | 90.802 | 72.419 | -0.000 | 0.000 | -0.000 |
| 72.419 | 72.419 | 90.802 | -0.000 | -0.000 | 0.000 |
| 0.000 | 0.000 | 0.000 | 30.216 | 0.000 | 0.000 |
| 0.000 | 0.000 | 0.000 | 0.000 | 30.216 | 0.000 |
| 0.000 | 0.000 | 0.000 | 0.000 | 0.000 | 30.216 |
| 90.799 | 72.418 | 72.418 | -0.000 | -0.000 | -0.000 |
| 72.418 | 90.799 | 72.418 | -0.000 | -0.000 | 0.000 |
| 72.418 | 72.418 | 90.799 | 0.000 | 0.000 | -0.000 |
| -0.000 | -0.000 | -0.000 | 30.216 | -0.000 | -0.000 |
| -0.000 | -0.000 | -0.000 | -0.000 | 30.216 | -0.000 |
| -0.000 | -0.000 | -0.000 | -0.000 | -0.000 | 30.216 |
| 90.805 | 72.419 | 72.419 | 0.000 | 0.000 | 0.000 |
| 72.419 | 90.805 | 72.419 | -0.000 | -0.000 | 0.000 |
| 72.419 | 72.419 | 90.805 | 0.000 | -0.000 | 0.000 |
| 0.000 | 0.000 | 0.000 | 30.216 | 0.000 | 0.000 |
| 0.000 | 0.000 | 0.000 | 0.000 | 30.216 | 0.000 |
| 0.000 | 0.000 | 0.000 | 0.000 | 0.000 | 30.216 |
| 0.000 | 0.000 | 0.000 | -0.000 | -0.000 | -0.000 |
| 0.000 | 0.000 | 0.000 | -0.000 | -0.000 | -0.000 |
| 0.000 | 0.000 | 0.000 | -0.000 | -0.000 | -0.000 |
| 0.000 | -0.000 | 0.000 | -0.000 | -0.000 | 0.000 |
| -0.000 | 0.000 | 0.000 | -0.000 | -0.000 | -0.000 |
| 0.000 | 0.000 | 0.000 | -0.000 | -0.000 | -0.000 |
| 0.000 | 0.000 | 0.000 | 0.000 | 0.000 | 0.000 |
| 0.000 | 0.000 | 0.000 | 0.000 | 0.000 | 0.000 |
| 0.000 | 0.000 | 0.000 | 0.000 | 0.000 | 0.000 |
| -0.000 | 0.000 | -0.000 | -0.000 | 0.000 | -0.000 |
| 0.000 | -0.000 | -0.000 | 0.000 | -0.000 | 0.000 |
| 0.000 | -0.000 | -0.000 | 0.000 | 0.000 | -0.000 |
| 0.000 | 0.000 | 0.000 | -0.000 | -0.000 | -0.000 |
| 0.000 | 0.000 | 0.000 | -0.000 | 0.000 | -0.000 |
| 0.000 | 0.000 | 0.000 | -0.000 | -0.000 | 0.000 |
| 0.000 | 0.000 | 0.000 | -0.000 | -0.000 | 0.000 |
| 0.000 | 0.000 | 0.000 | -0.000 | -0.000 | -0.000 |
| -0.000 | 0.000 | 0.000 | -0.000 | -0.000 | -0.000 |
| 0.000 | 0.000 | 0.000 | 0.000 | -0.000 | -0.000 |
| 0.000 | 0.000 | 0.000 | -0.000 | 0.000 | 0.000 |
| 0.000 | 0.000 | 0.000 | 0.000 | 0.000 | -0.000 |
| -0.000 | 0.000 | -0.000 | -0.000 | -0.000 | 0.000 |
| 0.000 | -0.000 | -0.000 | -0.000 | -0.000 | 0.000 |
| 0.000 | -0.000 | -0.000 | 0.000 | 0.000 | -0.000 |
| 0.000 | 0.000 | 0.000 | -0.000 | -0.000 | -0.000 |
| 0.000 | 0.000 | 0.000 | -0.000 | -0.000 | -0.000 |
| 0.000 | 0.000 | 0.000 | -0.000 | -0.000 | -0.000 |
| -0.000 | 0.000 | 0.000 | -0.000 | -0.000 | -0.000 |
| 0.000 | -0.000 | 0.000 | -0.000 | -0.000 | -0.000 |
| 0.000 | 0.000 | -0.000 | -0.000 | -0.000 | -0.000 |
| 0.000 | 0.000 | 0.000 | 0.000 | -0.000 | 0.000 |
| 0.000 | 0.000 | 0.000 | -0.000 | 0.000 | 0.000 |
| 0.000 | 0.000 | 0.000 | 0.000 | 0.000 | 0.000 |
| 0.000 | -0.000 | -0.000 | -0.000 | 0.000 | 0.000 |
| -0.000 | 0.000 | -0.000 | 0.000 | -0.000 | 0.000 |
| -0.000 | -0.000 | 0.000 | 0.000 | 0.000 | -0.000 |
| 626.372 | 494.750 | 494.750 | 0.000 | 0.000 | -0.000 |
| 494.750 | 626.372 | 494.750 | 0.000 | 0.000 | -0.000 |
| 494.750 | 494.750 | 626.372 | 0.000 | -0.000 | -0.000 |
| 0.000 | 0.000 | 0.000 | 477.760 | -0.000 | -0.000 |
| 0.000 | 0.000 | 0.000 | -0.000 | 477.760 | -0.000 |
| 0.000 | 0.000 | 0.000 | -0.000 | -0.000 | 477.760 |
| 626.371 | 494.749 | 494.749 | -0.000 | -0.000 | -0.000 |
| 494.749 | 626.371 | 494.749 | -0.000 | -0.000 | -0.000 |
| 494.749 | 494.749 | 626.371 | 0.000 | -0.000 | 0.000 |
| -0.000 | -0.000 | -0.000 | 477.760 | 0.000 | 0.000 |
| -0.000 | -0.000 | -0.000 | -0.000 | 477.760 | 0.000 |
| -0.000 | -0.000 | -0.000 | 0.000 | 0.000 | 477.760 |
| 626.374 | 494.751 | 494.751 | -0.000 | -0.000 | -0.000 |
| 494.751 | 626.374 | 494.751 | -0.000 | -0.000 | -0.000 |
| 494.751 | 494.751 | 626.374 | 0.000 | 0.000 | -0.000 |
| -0.000 | 0.001 | 0.002 | 477.760 | -0.000 | -0.000 |
| 0.001 | -0.000 | 0.002 | -0.000 | 477.760 | -0.000 |
| 0.001 | 0.002 | -0.000 | -0.000 | 0.000 | 477.760 |
| 626.368 | 494.748 | 494.748 | -0.000 | -0.000 | 0.000 |
| 494.748 | 626.368 | 494.748 | -0.000 | -0.000 | -0.000 |
| 494.748 | 494.748 | 626.368 | -0.000 | -0.000 | 0.000 |
| 0.000 | -0.001 | -0.002 | 477.760 | -0.000 | 0.000 |
| -0.001 | 0.000 | -0.002 | -0.000 | 477.760 | 0.000 |
| -0.001 | -0.002 | 0.000 | -0.000 | -0.000 | 477.760 |
| 626.402 | 494.765 | 494.765 | 0.000 | 0.000 | -0.000 |
| 494.765 | 626.402 | 494.765 | 0.000 | 0.000 | 0.000 |
| 494.765 | 494.765 | 626.402 | 0.000 | 0.000 | -0.000 |
| -0.000 | 0.014 | 0.015 | 477.760 | 0.000 | 0.000 |
| 0.014 | -0.000 | 0.015 | 0.000 | 477.760 | -0.000 |
| 0.014 | 0.015 | -0.000 | -0.000 | -0.000 | 477.760 |
| 626.341 | 494.734 | 494.734 | -0.000 | 0.000 | 0.000 |
| 494.734 | 626.341 | 494.734 | 0.000 | 0.000 | -0.000 |
| 494.734 | 494.734 | 626.341 | -0.000 | -0.000 | 0.000 |
| 0.000 | -0.014 | -0.015 | 477.760 | -0.000 | 0.000 |
| -0.014 | 0.000 | -0.015 | 0.000 | 477.760 | 0.000 |
| -0.014 | -0.015 | 0.000 | 0.000 | -0.000 | 477.760 |
| -133.820 | 10.730 | 10.730 | 0.000 | -0.000 | 0.000 |
| 10.730 | -133.820 | 10.730 | 0.000 | -0.000 | 0.000 |
| 10.730 | 10.730 | -133.820 | 0.000 | -0.000 | 0.000 |
| -0.000 | -0.000 | -0.000 | -37.921 | 0.000 | -0.000 |
| -0.000 | -0.000 | -0.000 | 0.000 | -37.921 | -0.000 |
| -0.000 | -0.000 | -0.000 | 0.000 | 0.000 | -37.921 |
| -133.820 | 10.730 | 10.730 | -0.000 | -0.000 | -0.000 |
| 10.730 | -133.820 | 10.730 | -0.000 | -0.000 | 0.000 |
| 10.730 | 10.730 | -133.820 | 0.000 | 0.000 | 0.000 |
| 0.000 | 0.000 | 0.000 | -37.921 | -0.000 | 0.000 |
| 0.000 | 0.000 | 0.000 | -0.000 | -37.921 | 0.000 |
| 0.000 | 0.000 | 0.000 | -0.000 | 0.000 | -37.921 |
| -133.821 | 10.730 | 10.730 | -0.000 | 0.000 | 0.000 |
| 10.730 | -133.821 | 10.730 | 0.000 | 0.000 | 0.000 |
| 10.730 | 10.730 | -133.821 | 0.000 | 0.000 | 0.000 |
| -0.000 | -0.000 | -0.000 | -37.921 | 0.000 | -0.000 |
| -0.000 | -0.000 | -0.000 | -0.000 | -37.921 | -0.000 |
| -0.000 | -0.000 | -0.000 | 0.000 | -0.000 | -37.921 |
| -133.820 | 10.730 | 10.730 | 0.000 | 0.000 | -0.000 |
| 10.730 | -133.820 | 10.730 | 0.000 | 0.000 | -0.000 |
| 10.730 | 10.730 | -133.820 | 0.000 | 0.000 | -0.000 |
| 0.000 | 0.000 | 0.000 | -37.921 | 0.000 | -0.000 |
| 0.000 | 0.000 | 0.000 | -0.000 | -37.921 | 0.000 |
| 0.000 | 0.000 | 0.000 | -0.000 | 0.000 | -37.921 |
| -133.827 | 10.728 | 10.728 | -0.000 | 0.000 | -0.000 |
| 10.728 | -133.827 | 10.728 | -0.000 | 0.000 | -0.000 |
| 10.728 | 10.728 | -133.827 | 0.000 | -0.000 | -0.000 |
| -0.001 | -0.002 | -0.002 | -37.921 | 0.000 | 0.000 |
| -0.002 | -0.001 | -0.002 | 0.000 | -37.921 | 0.000 |
| -0.002 | -0.002 | -0.001 | 0.000 | 0.000 | -37.921 |
| -133.813 | 10.732 | 10.732 | 0.000 | 0.000 | -0.000 |
| 10.732 | -133.813 | 10.732 | 0.000 | 0.000 | 0.000 |
| 10.732 | 10.732 | -133.813 | 0.000 | 0.000 | 0.000 |
| 0.001 | 0.002 | 0.002 | -37.921 | -0.000 | 0.000 |
| 0.002 | 0.001 | 0.002 | 0.000 | -37.921 | -0.000 |
| 0.002 | 0.002 | 0.001 | -0.000 | -0.000 | -37.921 |
| -7.707 | 59.052 | 59.052 | -0.000 | -0.000 | 0.000 |
| 59.052 | -7.707 | 59.052 | 0.000 | -0.000 | 0.000 |
| 59.052 | 59.052 | -7.707 | 0.000 | -0.000 | 0.000 |
| -0.000 | -0.000 | -0.000 | 9.633 | -0.000 | 0.000 |
| -0.000 | -0.000 | -0.000 | -0.000 | 9.633 | 0.000 |
| -0.000 | -0.000 | -0.000 | 0.000 | -0.000 | 9.633 |
| -7.707 | 59.052 | 59.052 | 0.000 | 0.000 | -0.000 |
| 59.052 | -7.707 | 59.052 | -0.000 | 0.000 | 0.000 |
| 59.052 | 59.052 | -7.707 | -0.000 | 0.000 | 0.000 |
| 0.000 | 0.000 | 0.000 | 9.633 | 0.000 | -0.000 |
| 0.000 | 0.000 | 0.000 | 0.000 | 9.633 | 0.000 |
| 0.000 | 0.000 | 0.000 | 0.000 | 0.000 | 9.633 |
| -7.707 | 59.052 | 59.052 | -0.000 | -0.000 | 0.000 |
| 59.052 | -7.707 | 59.052 | 0.000 | -0.000 | 0.000 |
| 59.052 | 59.052 | -7.707 | -0.000 | -0.000 | -0.000 |
| -0.000 | -0.000 | -0.000 | 9.633 | -0.000 | 0.000 |
| -0.000 | -0.000 | -0.000 | 0.000 | 9.633 | 0.000 |
| -0.000 | -0.000 | -0.000 | 0.000 | -0.000 | 9.633 |
| -7.706 | 59.052 | 59.052 | 0.000 | 0.000 | -0.000 |
| 59.052 | -7.706 | 59.052 | -0.000 | 0.000 | 0.000 |
| 59.052 | 59.052 | -7.706 | 0.000 | 0.000 | 0.000 |
| 0.000 | 0.000 | 0.000 | 9.633 | -0.000 | -0.000 |
| 0.000 | 0.000 | 0.000 | -0.000 | 9.633 | 0.000 |
| 0.000 | 0.000 | 0.000 | 0.000 | 0.000 | 9.633 |
| -7.713 | 59.051 | 59.051 | 0.000 | -0.000 | 0.000 |
| 59.051 | -7.713 | 59.051 | 0.000 | -0.000 | 0.000 |
| 59.051 | 59.051 | -7.713 | 0.000 | -0.000 | -0.000 |
| -0.001 | -0.001 | -0.001 | 9.633 | -0.000 | -0.000 |
| -0.001 | -0.001 | -0.001 | 0.000 | 9.633 | -0.000 |
| -0.001 | -0.001 | -0.001 | 0.000 | -0.000 | 9.633 |
| -7.700 | 59.053 | 59.053 | 0.000 | 0.000 | 0.000 |
| 59.053 | -7.700 | 59.053 | 0.000 | 0.000 | -0.000 |
| 59.053 | 59.053 | -7.700 | 0.000 | 0.000 | 0.000 |
| 0.001 | 0.001 | 0.001 | 9.633 | 0.000 | 0.000 |
| 0.001 | 0.001 | 0.001 | 0.000 | 9.633 | 0.000 |
| 0.001 | 0.001 | 0.001 | 0.000 | 0.000 | 9.633 |
| 0.000 | 0.000 | 0.000 | 0.000 | 0.000 | -0.000 |
| 0.000 | 0.000 | 0.000 | 0.000 | 0.000 | -0.000 |
| 0.000 | 0.000 | 0.000 | -0.000 | -0.000 | -0.000 |
| 0.000 | -0.000 | 0.000 | -0.000 | 0.000 | -0.000 |
| -0.000 | 0.000 | 0.000 | 0.000 | -0.000 | -0.000 |
| -0.000 | 0.000 | 0.000 | 0.000 | 0.000 | -0.000 |
| 0.000 | 0.000 | 0.000 | -0.000 | -0.000 | -0.000 |
| 0.000 | 0.000 | 0.000 | -0.000 | -0.000 | -0.000 |
| 0.000 | 0.000 | 0.000 | -0.000 | -0.000 | 0.000 |
| -0.000 | 0.000 | -0.000 | -0.000 | -0.000 | 0.000 |
| 0.000 | -0.000 | -0.000 | -0.000 | -0.000 | 0.000 |
| 0.000 | -0.000 | -0.000 | -0.000 | -0.000 | -0.000 |
| 0.000 | 0.000 | 0.000 | 0.000 | 0.000 | -0.000 |
| 0.000 | 0.000 | 0.000 | 0.000 | 0.000 | 0.000 |
| 0.000 | 0.000 | 0.000 | 0.000 | -0.000 | -0.000 |
| 0.000 | -0.000 | 0.000 | -0.000 | 0.000 | -0.000 |
| -0.000 | 0.000 | 0.000 | 0.000 | -0.000 | -0.000 |
| -0.000 | 0.000 | 0.000 | 0.000 | 0.000 | -0.000 |
| 0.000 | 0.000 | 0.000 | -0.000 | -0.000 | 0.000 |
| 0.000 | 0.000 | 0.000 | -0.000 | -0.000 | -0.000 |
| 0.000 | 0.000 | 0.000 | -0.000 | -0.000 | 0.000 |
| -0.000 | 0.000 | -0.000 | -0.000 | -0.000 | 0.000 |
| 0.000 | -0.000 | -0.000 | -0.000 | -0.000 | 0.000 |
| 0.000 | -0.000 | -0.000 | -0.000 | -0.000 | -0.000 |
| 0.000 | 0.000 | 0.000 | 0.000 | 0.000 | -0.000 |
| 0.000 | 0.000 | 0.000 | 0.000 | 0.000 | -0.000 |
| 0.000 | 0.000 | 0.000 | -0.000 | -0.000 | -0.000 |
| -0.000 | 0.000 | 0.000 | -0.000 | 0.000 | -0.000 |
| 0.000 | -0.000 | 0.000 | 0.000 | -0.000 | -0.000 |
| 0.000 | 0.000 | -0.000 | 0.000 | 0.000 | -0.000 |
| 0.000 | 0.000 | 0.000 | -0.000 | -0.000 | -0.000 |
| 0.000 | 0.000 | 0.000 | -0.000 | -0.000 | 0.000 |
| 0.000 | 0.000 | 0.000 | -0.000 | -0.000 | 0.000 |
| 0.000 | -0.000 | -0.000 | -0.000 | -0.000 | 0.000 |
| -0.000 | 0.000 | -0.000 | -0.000 | -0.000 | 0.000 |
| -0.000 | -0.000 | 0.000 | -0.000 | -0.000 | -0.000 |
| 233.646 | 138.878 | 138.878 | 0.000 | 0.000 | -0.000 |
| 138.878 | 233.646 | 138.878 | -0.000 | 0.000 | 0.000 |
| 138.878 | 138.878 | 233.646 | 0.000 | 0.000 | 0.000 |
| 0.000 | -0.000 | -0.000 | 96.389 | 0.000 | 0.000 |
| 0.000 | -0.000 | -0.000 | -0.000 | 96.389 | 0.000 |
| 0.000 | -0.000 | -0.000 | -0.000 | 0.000 | 96.389 |
| 234.937 | 138.232 | 138.232 | 0.000 | -0.000 | -0.000 |
| 138.232 | 234.937 | 138.232 | 0.000 | -0.000 | 0.000 |
| 138.232 | 138.232 | 234.937 | 0.000 | -0.000 | 0.000 |
| -0.000 | 0.000 | 0.000 | 96.389 | 0.000 | 0.000 |
| -0.000 | 0.000 | 0.000 | 0.000 | 96.389 | -0.000 |
| -0.000 | 0.000 | 0.000 | 0.000 | -0.000 | 96.389 |
| 234.937 | 138.232 | 138.232 | -0.000 | 0.000 | -0.000 |
| 138.232 | 234.937 | 138.232 | -0.000 | -0.000 | -0.000 |
| 138.232 | 138.232 | 234.937 | 0.000 | 0.000 | -0.000 |
| -0.000 | -0.000 | -0.000 | 100.309 | -0.000 | -0.000 |
| -0.000 | -0.000 | -0.000 | -0.000 | 100.309 | -0.000 |
| -0.000 | -0.000 | -0.000 | -0.000 | -0.000 | 100.309 |
| 233.646 | 138.878 | 138.878 | -0.000 | -0.000 | 0.000 |
| 138.878 | 233.646 | 138.878 | -0.000 | -0.000 | -0.000 |
| 138.878 | 138.878 | 233.646 | -0.000 | -0.000 | -0.000 |
| 0.000 | 0.000 | 0.000 | 100.309 | -0.000 | 0.000 |
| 0.000 | 0.000 | 0.000 | -0.000 | 100.309 | 0.000 |
| 0.000 | 0.000 | 0.000 | 0.000 | -0.000 | 100.309 |
| 234.935 | 138.232 | 138.232 | -0.000 | 0.000 | 0.000 |
| 138.232 | 234.935 | 138.232 | -0.000 | -0.000 | 0.000 |
| 138.232 | 138.232 | 234.935 | -0.000 | -0.000 | 0.000 |
| -0.000 | -0.000 | -0.000 | 96.389 | 0.000 | -0.000 |
| -0.000 | -0.000 | -0.000 | 0.000 | 96.389 | 0.000 |
| -0.000 | -0.000 | -0.000 | 0.000 | 0.000 | 96.389 |
| 234.940 | 138.232 | 138.232 | 0.000 | -0.000 | -0.000 |
| 138.232 | 234.940 | 138.232 | 0.000 | 0.000 | -0.000 |
| 138.232 | 138.232 | 234.940 | 0.000 | 0.000 | -0.000 |
| 0.000 | 0.000 | 0.000 | 96.389 | -0.000 | -0.000 |
| 0.000 | 0.000 | 0.000 | -0.000 | 96.389 | -0.000 |
| 0.000 | 0.000 | 0.000 | -0.000 | -0.000 | 96.389 |
| 0.000 | 0.000 | 0.000 | -0.000 | 0.000 | -0.000 |
| 0.000 | 0.000 | 0.000 | -0.000 | 0.000 | -0.000 |
| 0.000 | 0.000 | 0.000 | -0.000 | 0.000 | -0.000 |
| 0.000 | 0.000 | 0.000 | -0.000 | 0.000 | -0.000 |
| 0.000 | 0.000 | 0.000 | -0.000 | -0.000 | -0.000 |
| 0.000 | 0.000 | 0.000 | -0.000 | -0.000 | -0.000 |
| 0.000 | 0.000 | 0.000 | 0.000 | 0.000 | 0.000 |
| 0.000 | 0.000 | 0.000 | 0.000 | -0.000 | 0.000 |
| 0.000 | 0.000 | 0.000 | 0.000 | -0.000 | 0.000 |
| -0.000 | -0.000 | -0.000 | -0.000 | -0.000 | 0.000 |
| -0.000 | -0.000 | -0.000 | 0.000 | -0.000 | 0.000 |
| -0.000 | -0.000 | -0.000 | 0.000 | -0.000 | -0.000 |
| 0.000 | 0.000 | 0.000 | -0.000 | -0.000 | -0.000 |
| 0.000 | 0.000 | 0.000 | -0.000 | 0.000 | -0.000 |
| 0.000 | 0.000 | 0.000 | -0.000 | 0.000 | -0.000 |
| 0.000 | 0.000 | 0.000 | -0.000 | 0.000 | -0.000 |
| 0.000 | 0.000 | 0.000 | -0.000 | -0.000 | -0.000 |
| 0.000 | 0.000 | 0.000 | -0.000 | 0.000 | -0.000 |
| 0.000 | 0.000 | 0.000 | 0.000 | -0.000 | 0.000 |
| 0.000 | 0.000 | 0.000 | 0.000 | -0.000 | 0.000 |
| 0.000 | 0.000 | 0.000 | 0.000 | 0.000 | 0.000 |
| -0.000 | -0.000 | -0.000 | -0.000 | -0.000 | 0.000 |
| -0.000 | -0.000 | -0.000 | 0.000 | -0.000 | 0.000 |
| -0.000 | -0.000 | -0.000 | 0.000 | -0.000 | -0.000 |
| 0.000 | 0.000 | 0.000 | -0.000 | 0.000 | -0.000 |
| 0.000 | 0.000 | 0.000 | -0.000 | 0.000 | -0.000 |
| 0.000 | 0.000 | 0.000 | -0.000 | 0.000 | -0.000 |
| 0.000 | 0.000 | -0.000 | -0.000 | 0.000 | -0.000 |
| 0.000 | 0.000 | -0.000 | -0.000 | -0.000 | -0.000 |
| 0.000 | -0.000 | 0.000 | -0.000 | -0.000 | -0.000 |
| 0.000 | 0.000 | 0.000 | 0.000 | 0.000 | 0.000 |
| 0.000 | 0.000 | 0.000 | 0.000 | -0.000 | 0.000 |
| 0.000 | 0.000 | 0.000 | 0.000 | -0.000 | 0.000 |
| -0.000 | -0.000 | 0.000 | -0.000 | -0.000 | 0.000 |
| -0.000 | -0.000 | 0.000 | 0.000 | -0.000 | 0.000 |
| -0.000 | 0.000 | -0.000 | 0.000 | -0.000 | -0.000 |
| 522.996 | 202.990 | 202.990 | 0.000 | 0.000 | 0.000 |
| 202.990 | 522.996 | 202.990 | 0.000 | -0.000 | 0.000 |
| 202.990 | 202.990 | 522.996 | 0.000 | -0.000 | -0.000 |
| 0.000 | 0.000 | 0.000 | 160.009 | -0.000 | 0.000 |
| 0.000 | 0.000 | 0.000 | 0.000 | 160.009 | -0.000 |
| 0.000 | 0.000 | 0.000 | 0.000 | 0.000 | 160.009 |
| 522.996 | 202.990 | 202.990 | -0.000 | 0.000 | 0.000 |
| 202.990 | 522.996 | 202.990 | -0.000 | -0.000 | 0.000 |
| 202.990 | 202.990 | 522.996 | 0.000 | 0.000 | -0.000 |
| -0.000 | -0.000 | -0.000 | 160.009 | 0.000 | -0.000 |
| -0.000 | -0.000 | -0.000 | -0.000 | 160.009 | -0.000 |
| -0.000 | -0.000 | -0.000 | -0.000 | -0.000 | 160.009 |
| 522.996 | 202.990 | 202.990 | 0.000 | -0.000 | -0.000 |
| 202.990 | 522.996 | 202.990 | 0.000 | -0.000 | 0.000 |
| 202.990 | 202.990 | 522.996 | 0.000 | 0.000 | -0.000 |
| 0.000 | 0.000 | 0.000 | 160.009 | 0.000 | 0.000 |
| 0.000 | 0.000 | 0.000 | 0.000 | 160.009 | -0.000 |
| 0.000 | 0.000 | 0.000 | 0.000 | -0.000 | 160.009 |
| 522.996 | 202.990 | 202.990 | -0.000 | 0.000 | 0.000 |
| 202.990 | 522.996 | 202.990 | -0.000 | -0.000 | -0.000 |
| 202.990 | 202.990 | 522.996 | -0.000 | -0.000 | 0.000 |
| -0.000 | -0.000 | -0.000 | 160.009 | 0.000 | 0.000 |
| -0.000 | -0.000 | -0.000 | -0.000 | 160.009 | -0.000 |
| -0.000 | -0.000 | -0.000 | -0.000 | 0.000 | 160.009 |
| 522.996 | 202.991 | 202.991 | -0.000 | -0.000 | -0.000 |
| 202.991 | 522.996 | 202.991 | 0.000 | -0.000 | -0.000 |
| 202.991 | 202.991 | 522.996 | 0.000 | 0.000 | 0.000 |
| 0.001 | 0.000 | 0.000 | 160.009 | 0.000 | -0.000 |
| 0.000 | 0.001 | 0.000 | 0.000 | 160.009 | -0.000 |
| 0.000 | 0.000 | 0.001 | 0.000 | -0.000 | 160.009 |
| 522.996 | 202.989 | 202.989 | -0.000 | 0.000 | -0.000 |
| 202.989 | 522.996 | 202.989 | -0.000 | -0.000 | -0.000 |
| 202.989 | 202.989 | 522.996 | -0.000 | 0.000 | 0.000 |
| -0.001 | -0.000 | -0.000 | 160.009 | -0.000 | -0.000 |
| -0.000 | -0.001 | -0.000 | -0.000 | 160.009 | -0.000 |
| -0.000 | -0.000 | -0.001 | -0.000 | 0.000 | 160.009 |
| 0.000 | 0.000 | 0.000 | -0.000 | -0.000 | -0.000 |
| 0.000 | 0.000 | 0.000 | -0.000 | -0.000 | -0.000 |
| 0.000 | 0.000 | 0.000 | -0.000 | -0.000 | 0.000 |
| 0.000 | 0.000 | 0.000 | 0.000 | -0.000 | -0.000 |
| 0.000 | 0.000 | 0.000 | -0.000 | -0.000 | 0.000 |
| 0.000 | 0.000 | 0.000 | 0.000 | 0.000 | -0.000 |
| -0.000 | 0.000 | 0.000 | 0.000 | 0.000 | 0.000 |
| 0.000 | -0.000 | 0.000 | 0.000 | -0.000 | 0.000 |
| 0.000 | 0.000 | -0.000 | 0.000 | 0.000 | -0.000 |
| -0.000 | -0.000 | -0.000 | 0.000 | 0.000 | 0.000 |
| -0.000 | -0.000 | -0.000 | 0.000 | 0.000 | -0.000 |
| -0.000 | -0.000 | -0.000 | 0.000 | 0.000 | 0.000 |
| 0.000 | 0.000 | 0.000 | -0.000 | -0.000 | -0.000 |
| 0.000 | 0.000 | 0.000 | -0.000 | -0.000 | -0.000 |
| 0.000 | 0.000 | 0.000 | -0.000 | -0.000 | -0.000 |
| 0.000 | 0.000 | 0.000 | -0.000 | 0.000 | -0.000 |
| 0.000 | 0.000 | 0.000 | 0.000 | -0.000 | 0.000 |
| 0.000 | 0.000 | 0.000 | -0.000 | -0.000 | -0.000 |
| -0.000 | 0.000 | 0.000 | 0.000 | 0.000 | -0.000 |
| 0.000 | -0.000 | 0.000 | 0.000 | 0.000 | 0.000 |
| 0.000 | 0.000 | -0.000 | 0.000 | 0.000 | 0.000 |
| -0.000 | -0.000 | -0.000 | 0.000 | 0.000 | 0.000 |
| -0.000 | -0.000 | -0.000 | 0.000 | 0.000 | 0.000 |
| -0.000 | -0.000 | -0.000 | 0.000 | 0.000 | 0.000 |
| -0.000 | 0.000 | 0.000 | -0.000 | -0.000 | 0.000 |
| 0.000 | -0.000 | 0.000 | -0.000 | -0.000 | -0.000 |
| 0.000 | 0.000 | -0.000 | -0.000 | -0.000 | 0.000 |
| 0.000 | -0.000 | 0.000 | 0.000 | 0.000 | -0.000 |
| -0.000 | 0.000 | 0.000 | 0.000 | 0.000 | 0.000 |
| -0.000 | 0.000 | 0.000 | -0.000 | -0.000 | -0.000 |
| 0.000 | 0.000 | 0.000 | 0.000 | 0.000 | 0.000 |
| 0.000 | 0.000 | 0.000 | 0.000 | 0.000 | 0.000 |
| 0.000 | 0.000 | 0.000 | 0.000 | 0.000 | 0.000 |
| -0.000 | 0.000 | -0.000 | 0.000 | -0.000 | 0.000 |
| 0.000 | -0.000 | -0.000 | 0.000 | 0.000 | 0.000 |
| 0.000 | -0.000 | -0.000 | 0.000 | 0.000 | -0.000 |
| 801.929 | 287.873 | 13.245 | -0.000 | 0.000 | -0.000 |
| 731.095 | 358.708 | 13.245 | -0.000 | -0.000 | -0.000 |
| 13.245 | 13.245 | 237.474 | -0.000 | -0.000 | 0.000 |
| -0.000 | -0.000 | -0.000 | -15.706 | 0.000 | 0.000 |
| -0.000 | -0.000 | -0.000 | -0.000 | -15.706 | 0.000 |
| -0.000 | 0.000 | -0.000 | -0.000 | -0.000 | -186.194 |
| 358.707 | 731.095 | 13.245 | 0.000 | 0.000 | 0.000 |
| 731.094 | 358.707 | 13.245 | 0.000 | 0.000 | 0.000 |
| 13.245 | 13.245 | 237.474 | 0.000 | 0.000 | -0.000 |
| 0.000 | 0.000 | 0.000 | -15.706 | 0.000 | -0.000 |
| 0.000 | 0.000 | 0.000 | 0.000 | -15.706 | 0.000 |
| 0.000 | -0.000 | 0.000 | 0.000 | 0.000 | -186.194 |
| -274.381 | 1364.184 | 13.240 | -0.000 | 0.000 | -0.000 |
| 287.875 | 801.933 | 13.245 | 0.000 | -0.000 | 0.000 |
| 13.245 | 13.245 | 237.474 | 0.000 | -0.000 | -0.000 |
| -0.000 | -0.000 | -0.000 | -15.706 | -0.000 | -0.000 |
| -0.000 | -0.000 | -0.000 | -0.000 | -15.706 | 0.000 |
| 0.000 | 0.002 | -0.000 | -0.000 | 0.000 | 257.028 |
| 358.702 | 731.095 | 13.246 | 0.000 | 0.000 | 0.000 |
| 287.872 | 801.924 | 13.245 | 0.000 | 0.000 | -0.000 |
| 13.245 | 13.245 | 237.473 | 0.000 | 0.000 | 0.000 |
| 0.000 | 0.000 | 0.000 | -15.706 | 0.000 | -0.000 |
| 0.000 | 0.000 | 0.000 | 0.000 | -15.706 | 0.000 |
| -0.000 | -0.002 | 0.000 | 0.000 | -0.000 | 257.028 |
| -6887670.810 | 9115577.073 | 3015349.769 | -0.000 | -0.000 | 0.003 |
| 31121271.982 | -5580064.515 | 30169888.788 | -0.000 | -0.000 | -0.000 |
| 13.244 | 13.244 | 237.474 | -0.000 | -0.000 | -0.000 |
| 0.000 | -0.001 | -0.001 | -15.706 | -0.000 | -0.000 |
| -0.001 | -0.000 | -0.001 | 0.000 | -15.706 | -0.000 |
| 3594252.830 | 21945249.814 | 30169296.494 | 0.000 | 0.000 | -15892109.776 |
| -31119555.478 | 5581751.674 | -30168599.990 | -0.000 | -0.000 | -0.000 |
| 6888751.377 | -9114608.654 | -3015364.579 | -0.000 | -0.000 | -0.003 |
| 13.245 | 13.245 | 237.473 | 0.000 | 0.000 | 0.000 |
| -0.000 | 0.001 | 0.001 | -15.706 | 0.000 | 0.000 |
| 0.001 | 0.000 | 0.001 | -0.000 | -15.706 | -0.000 |
| -3594252.830 | -21945249.814 | -30169296.494 | -0.000 | 0.000 | -15892109.776 |
| 0.000 | 0.000 | 0.000 | -0.000 | -0.000 | 0.000 |
| 0.000 | 0.000 | 0.000 | -0.000 | -0.000 | 0.000 |
| 0.000 | 0.000 | 0.000 | -0.000 | -0.000 | -0.000 |
| 0.000 | -0.000 | 0.000 | -0.000 | -0.000 | 0.000 |
| 0.000 | 0.000 | 0.000 | -0.000 | -0.000 | 0.000 |
| -0.000 | 0.000 | 0.000 | -0.000 | -0.000 | -0.000 |
| 0.000 | 0.000 | 0.000 | 0.000 | 0.000 | -0.000 |
| 0.000 | 0.000 | 0.000 | 0.000 | 0.000 | -0.000 |
| 0.000 | 0.000 | 0.000 | 0.000 | -0.000 | 0.000 |
| -0.000 | 0.000 | -0.000 | -0.000 | -0.000 | -0.000 |
| -0.000 | -0.000 | -0.000 | 0.000 | -0.000 | -0.000 |
| 0.000 | -0.000 | -0.000 | 0.000 | 0.000 | -0.000 |
| 0.000 | 0.000 | 0.000 | -0.000 | -0.000 | 0.000 |
| 0.000 | 0.000 | 0.000 | -0.000 | -0.000 | 0.000 |
| 0.000 | 0.000 | 0.000 | -0.000 | -0.000 | -0.000 |
| 0.000 | -0.000 | -0.000 | -0.000 | 0.000 | -0.000 |
| 0.000 | 0.000 | 0.000 | -0.000 | -0.000 | 0.000 |
| -0.000 | 0.000 | 0.000 | -0.000 | -0.000 | -0.000 |
| 0.000 | 0.000 | 0.000 | -0.000 | 0.000 | -0.000 |
| 0.000 | 0.000 | 0.000 | 0.000 | 0.000 | -0.000 |
| 0.000 | 0.000 | 0.000 | -0.000 | -0.000 | 0.000 |
| -0.000 | 0.000 | -0.000 | -0.000 | -0.000 | -0.000 |
| -0.000 | -0.000 | 0.000 | 0.000 | -0.000 | -0.000 |
| -0.000 | -0.000 | -0.000 | 0.000 | 0.000 | -0.000 |
| 0.000 | 0.000 | 0.000 | -0.000 | -0.000 | 0.000 |
| 0.000 | 0.000 | 0.000 | -0.000 | -0.000 | 0.000 |
| 0.000 | 0.000 | 0.000 | 0.000 | 0.000 | -0.000 |
| -0.000 | 0.000 | -0.000 | -0.000 | -0.000 | 0.000 |
| 0.000 | -0.000 | -0.000 | 0.000 | -0.000 | 0.000 |
| -0.000 | 0.000 | -0.000 | 0.000 | -0.000 | -0.000 |
| 0.000 | 0.000 | 0.000 | 0.000 | 0.000 | -0.000 |
| 0.000 | 0.000 | 0.000 | 0.000 | 0.000 | -0.000 |
| 0.000 | 0.000 | 0.000 | -0.000 | -0.000 | 0.000 |
| 0.000 | -0.000 | 0.000 | -0.000 | 0.000 | -0.000 |
| -0.000 | 0.000 | 0.000 | -0.000 | -0.000 | -0.000 |
| 0.000 | -0.000 | 0.000 | -0.000 | 0.000 | -0.000 |
| 0.000 | 0.000 | 0.000 | 0.000 | 0.000 | 0.000 |
| 0.000 | 0.000 | 0.000 | -0.000 | 0.000 | -0.000 |
| 0.000 | 0.000 | 0.000 | 0.000 | 0.000 | 0.000 |
| 0.000 | 0.000 | 0.000 | -0.000 | 0.000 | -0.000 |
| 0.000 | 0.000 | 0.000 | 0.000 | -0.000 | 0.000 |
| 0.000 | 0.000 | 0.000 | 0.000 | 0.000 | -0.000 |
| 0.000 | 0.000 | 0.000 | -0.000 | -0.000 | -0.000 |
| 0.000 | 0.000 | 0.000 | -0.000 | 0.000 | -0.000 |
| 0.000 | 0.000 | 0.000 | -0.000 | 0.000 | -0.000 |
| -0.000 | 0.000 | -0.000 | -0.000 | -0.000 | 0.000 |
| -0.000 | -0.000 | -0.000 | -0.000 | -0.000 | -0.000 |
| -0.000 | -0.000 | -0.000 | -0.000 | 0.000 | -0.000 |
| 0.000 | 0.000 | 0.000 | -0.000 | 0.000 | -0.000 |
| 0.000 | 0.000 | 0.000 | -0.000 | -0.000 | 0.000 |
| 0.000 | 0.000 | 0.000 | 0.000 | 0.000 | 0.000 |
| 0.000 | 0.000 | 0.000 | -0.000 | 0.000 | -0.000 |
| 0.000 | 0.000 | 0.000 | -0.000 | -0.000 | 0.000 |
| 0.000 | 0.000 | 0.000 | -0.000 | 0.000 | -0.000 |
| 0.000 | 0.000 | 0.000 | -0.000 | -0.000 | 0.000 |
| 0.000 | 0.000 | 0.000 | 0.000 | -0.000 | -0.000 |
| 0.000 | 0.000 | 0.000 | 0.000 | 0.000 | 0.000 |
| -0.000 | 0.000 | -0.000 | -0.000 | 0.000 | 0.000 |
| -0.000 | -0.000 | -0.000 | 0.000 | -0.000 | 0.000 |
| -0.000 | -0.000 | -0.000 | 0.000 | 0.000 | -0.000 |
| 0.000 | 0.000 | 0.000 | 0.000 | 0.000 | -0.000 |
| 0.000 | 0.000 | 0.000 | -0.000 | 0.000 | 0.000 |
| 0.000 | 0.000 | 0.000 | -0.000 | 0.000 | -0.000 |
| -0.000 | 0.000 | -0.000 | -0.000 | -0.000 | -0.000 |
| 0.000 | -0.000 | -0.000 | 0.000 | -0.000 | 0.000 |
| -0.000 | 0.000 | -0.000 | -0.000 | -0.000 | -0.000 |
| 0.000 | 0.000 | 0.000 | -0.000 | -0.000 | -0.000 |
| 0.000 | 0.000 | 0.000 | -0.000 | -0.000 | -0.000 |
| 0.000 | 0.000 | 0.000 | -0.000 | -0.000 | -0.000 |
| 0.000 | -0.000 | 0.000 | -0.000 | 0.000 | 0.000 |
| -0.000 | 0.000 | 0.000 | -0.000 | -0.000 | -0.000 |
| 0.000 | -0.000 | 0.000 | 0.000 | 0.000 | -0.000 |
| 207.166 | 178.147 | 178.147 | 0.000 | 0.000 | 0.000 |
| 178.147 | 207.166 | 178.147 | 0.000 | 0.000 | 0.000 |
| 178.147 | 178.147 | 207.166 | 0.000 | 0.000 | 0.000 |
| -0.000 | -0.000 | -0.000 | 26.815 | 0.000 | 0.000 |
| -0.000 | -0.000 | -0.000 | 0.000 | 26.815 | 0.000 |
| -0.000 | -0.000 | -0.000 | 0.000 | 0.000 | 26.815 |
| 207.166 | 178.147 | 178.147 | -0.000 | -0.000 | -0.000 |
| 178.147 | 207.166 | 178.147 | -0.000 | -0.000 | -0.000 |
| 178.147 | 178.147 | 207.166 | -0.000 | -0.000 | -0.000 |
| 0.000 | 0.000 | 0.000 | 26.815 | -0.000 | -0.000 |
| 0.000 | 0.000 | 0.000 | -0.000 | 26.815 | -0.000 |
| 0.000 | 0.000 | 0.000 | -0.000 | -0.000 | 26.815 |
| 207.166 | 178.148 | 178.148 | 0.000 | 0.000 | 0.000 |
| 178.148 | 207.166 | 178.148 | 0.000 | 0.000 | 0.000 |
| 178.148 | 178.148 | 207.166 | 0.000 | 0.000 | 0.000 |
| 0.000 | 0.000 | 0.000 | 140.611 | 0.000 | 0.000 |
| 0.000 | 0.000 | 0.000 | 0.000 | 140.611 | 0.000 |
| 0.000 | 0.000 | 0.000 | 0.000 | 0.000 | 140.611 |
| 207.165 | 178.147 | 178.147 | -0.000 | -0.000 | -0.000 |
| 178.147 | 207.165 | 178.147 | -0.000 | -0.000 | -0.000 |
| 178.147 | 178.147 | 207.165 | -0.000 | -0.000 | -0.000 |
| -0.000 | -0.000 | -0.000 | 140.611 | -0.000 | -0.000 |
| -0.000 | -0.000 | -0.000 | -0.000 | 140.611 | -0.000 |
| -0.000 | -0.000 | -0.000 | -0.000 | -0.000 | 140.611 |
| 207.167 | 178.150 | 178.150 | 0.000 | 0.000 | 0.000 |
| 178.150 | 207.167 | 178.150 | 0.000 | 0.000 | 0.000 |
| 178.150 | 178.150 | 207.167 | 0.000 | 0.000 | 0.000 |
| -0.000 | -0.000 | -0.000 | 26.815 | 0.000 | 0.000 |
| -0.000 | -0.000 | -0.000 | 0.000 | 26.815 | 0.000 |
| -0.000 | -0.000 | -0.000 | 0.000 | 0.000 | 26.815 |
| 207.164 | 178.145 | 178.145 | -0.000 | -0.000 | -0.000 |
| 178.145 | 207.164 | 178.145 | -0.000 | -0.000 | -0.000 |
| 178.145 | 178.145 | 207.164 | -0.000 | -0.000 | -0.000 |
| 0.000 | 0.000 | 0.000 | 26.815 | -0.000 | -0.000 |
| 0.000 | 0.000 | 0.000 | -0.000 | 26.815 | -0.000 |
| 0.000 | 0.000 | 0.000 | -0.000 | -0.000 | 26.815 |
| 0.000 | 0.000 | 0.000 | 0.000 | 0.000 | 0.000 |
| 0.000 | 0.000 | 0.000 | 0.000 | 0.000 | 0.000 |
| 0.000 | 0.000 | 0.000 | 0.000 | 0.000 | 0.000 |
| 0.000 | 0.000 | 0.000 | 0.000 | 0.000 | 0.000 |
| 0.000 | 0.000 | 0.000 | 0.000 | 0.000 | 0.000 |
| 0.000 | 0.000 | 0.000 | 0.000 | -0.000 | 0.000 |
| -0.000 | 0.000 | 0.000 | -0.000 | -0.000 | -0.000 |
| 0.000 | -0.000 | 0.000 | -0.000 | -0.000 | -0.000 |
| 0.000 | 0.000 | -0.000 | -0.000 | -0.000 | -0.000 |
| -0.000 | -0.000 | -0.000 | -0.000 | -0.000 | -0.000 |
| -0.000 | -0.000 | -0.000 | -0.000 | -0.000 | -0.000 |
| -0.000 | -0.000 | -0.000 | -0.000 | -0.000 | -0.000 |
| 0.000 | 0.000 | 0.000 | 0.000 | 0.000 | 0.000 |
| 0.000 | 0.000 | 0.000 | 0.000 | 0.000 | 0.000 |
| 0.000 | 0.000 | 0.000 | 0.000 | 0.000 | 0.000 |
| 0.000 | 0.000 | 0.000 | 0.000 | 0.000 | 0.000 |
| 0.000 | 0.000 | 0.000 | 0.000 | 0.000 | 0.000 |
| 0.000 | 0.000 | 0.000 | 0.000 | 0.000 | 0.000 |
| -0.000 | 0.000 | 0.000 | -0.000 | -0.000 | -0.000 |
| 0.000 | -0.000 | 0.000 | -0.000 | -0.000 | -0.000 |
| 0.000 | 0.000 | -0.000 | -0.000 | -0.000 | -0.000 |
| -0.000 | -0.000 | -0.000 | -0.000 | -0.000 | -0.000 |
| -0.000 | -0.000 | -0.000 | -0.000 | -0.000 | -0.000 |
| -0.000 | -0.000 | -0.000 | 0.000 | 0.000 | -0.000 |
| -0.000 | 0.000 | 0.000 | 0.000 | 0.000 | 0.000 |
| 0.000 | -0.000 | 0.000 | 0.000 | 0.000 | 0.000 |
| 0.000 | 0.000 | -0.000 | 0.000 | 0.000 | 0.000 |
| 0.000 | -0.000 | 0.000 | 0.000 | -0.000 | 0.000 |
| -0.000 | 0.000 | 0.000 | -0.000 | 0.000 | 0.000 |
| -0.000 | 0.000 | 0.000 | 0.000 | 0.000 | -0.000 |
| 0.000 | 0.000 | 0.000 | -0.000 | -0.000 | -0.000 |
| 0.000 | 0.000 | 0.000 | -0.000 | -0.000 | -0.000 |
| 0.000 | 0.000 | 0.000 | -0.000 | -0.000 | 0.000 |
| -0.000 | 0.000 | -0.000 | -0.000 | -0.000 | -0.000 |
| 0.000 | -0.000 | -0.000 | -0.000 | 0.000 | -0.000 |
| 0.000 | -0.000 | -0.000 | -0.000 | -0.000 | -0.000 |
| 1575.293 | -141.044 | 217.891 | -0.000 | -0.000 | 0.000 |
| -141.044 | 1575.293 | 217.891 | -0.000 | -0.000 | -0.000 |
| 217.891 | 217.891 | 1574.505 | 0.000 | 0.000 | -0.000 |
| -0.000 | 0.000 | -0.000 | 56.156 | -0.000 | 0.000 |
| -0.000 | 0.000 | -0.000 | 0.000 | 56.156 | -0.000 |
| -0.000 | -0.000 | -0.000 | 0.000 | -0.000 | -195.318 |
| 1575.293 | -141.044 | 217.891 | 0.000 | -0.000 | -0.000 |
| -141.044 | 1575.293 | 217.891 | -0.000 | -0.000 | 0.000 |
| 217.891 | 217.891 | 1574.504 | -0.000 | -0.000 | -0.000 |
| 0.000 | -0.000 | 0.000 | 56.156 | -0.000 | 0.000 |
| 0.000 | -0.000 | 0.000 | -0.000 | 56.156 | -0.000 |
| 0.000 | 0.000 | 0.000 | -0.000 | -0.000 | -195.318 |
| 995.165 | 439.085 | 217.892 | 0.000 | 0.000 | -0.000 |
| 439.085 | 995.165 | 217.892 | -0.000 | 0.000 | -0.000 |
| 217.891 | 217.891 | 1574.509 | 0.000 | 0.000 | -0.000 |
| -0.000 | -0.000 | -0.000 | 56.156 | -0.000 | 0.000 |
| -0.000 | -0.000 | -0.000 | 0.000 | 56.156 | 0.000 |
| -0.000 | -0.000 | -0.000 | 0.000 | 0.000 | -195.318 |
| 995.164 | 439.083 | 217.891 | -0.000 | 0.000 | 0.000 |
| 439.083 | 995.164 | 217.891 | -0.000 | -0.000 | -0.000 |
| 217.891 | 217.891 | 1574.500 | -0.000 | -0.000 | 0.000 |
| 0.000 | 0.000 | 0.000 | 56.156 | -0.000 | 0.000 |
| 0.000 | 0.000 | 0.000 | -0.000 | 56.156 | -0.000 |
| 0.000 | 0.000 | 0.000 | -0.000 | -0.000 | -195.318 |
| 995.172 | 439.093 | 217.893 | 0.000 | 0.000 | -0.000 |
| 439.093 | 995.172 | 217.893 | 0.000 | 0.000 | -0.000 |
| 217.891 | 217.891 | 1574.550 | 0.000 | 0.000 | -0.000 |
| -0.000 | -0.000 | -0.001 | 56.156 | -0.000 | 0.000 |
| -0.000 | -0.000 | -0.001 | 0.000 | 56.156 | 0.000 |
| -0.000 | -0.002 | -0.000 | 0.000 | 0.000 | -195.318 |
| 995.158 | 439.074 | 217.890 | -0.000 | -0.000 | -0.000 |
| 439.074 | 995.158 | 217.890 | -0.000 | -0.000 | 0.000 |
| 217.891 | 217.891 | 1574.460 | -0.000 | -0.000 | -0.000 |
| 0.000 | 0.000 | 0.001 | 56.156 | 0.000 | 0.000 |
| 0.000 | 0.000 | 0.001 | -0.000 | 56.156 | 0.000 |
| 0.000 | 0.002 | 0.000 | 0.000 | -0.000 | -195.318 |
| 0.000 | 0.000 | 0.000 | -0.000 | -0.000 | 0.000 |
| 0.000 | 0.000 | 0.000 | 0.000 | -0.000 | -0.000 |
| 0.000 | 0.000 | -0.000 | 0.000 | 0.000 | 0.000 |
| 0.000 | -0.000 | 0.000 | 0.000 | -0.000 | -0.000 |
| -0.000 | 0.000 | 0.000 | 0.000 | 0.000 | 0.000 |
| -0.000 | 0.000 | 0.000 | -0.000 | -0.000 | -0.000 |
| 0.000 | 0.000 | 0.000 | 0.000 | 0.000 | -0.000 |
| 0.000 | 0.000 | 0.000 | 0.000 | 0.000 | -0.000 |
| 0.000 | 0.000 | -0.000 | -0.000 | -0.000 | -0.000 |
| -0.000 | -0.000 | -0.000 | 0.000 | 0.000 | -0.000 |
| 0.000 | -0.000 | -0.000 | -0.000 | 0.000 | 0.000 |
| 0.000 | -0.000 | -0.000 | -0.000 | 0.000 | -0.000 |
| 0.000 | 0.000 | 0.000 | 0.000 | 0.000 | -0.000 |
| 0.000 | 0.000 | 0.000 | 0.000 | -0.000 | 0.000 |
| 0.000 | 0.000 | -0.000 | 0.000 | -0.000 | -0.000 |
| 0.000 | -0.000 | 0.000 | 0.000 | -0.000 | -0.000 |
| -0.000 | 0.000 | -0.000 | 0.000 | 0.000 | -0.000 |
| 0.000 | -0.000 | -0.000 | 0.000 | 0.000 | -0.000 |
| 0.000 | 0.000 | 0.000 | 0.000 | 0.000 | 0.000 |
| 0.000 | 0.000 | 0.000 | -0.000 | -0.000 | -0.000 |
| 0.000 | 0.000 | -0.000 | 0.000 | 0.000 | -0.000 |
| -0.000 | 0.000 | -0.000 | 0.000 | 0.000 | -0.000 |
| -0.000 | -0.000 | -0.000 | -0.000 | 0.000 | -0.000 |
| -0.000 | 0.000 | 0.000 | -0.000 | -0.000 | -0.000 |
| 0.000 | 0.000 | 0.000 | -0.000 | -0.000 | -0.000 |
| 0.000 | 0.000 | 0.000 | 0.000 | -0.000 | 0.000 |
| 0.000 | 0.000 | -0.000 | 0.000 | -0.000 | -0.000 |
| -0.000 | 0.000 | 0.000 | 0.000 | -0.000 | -0.000 |
| 0.000 | -0.000 | 0.000 | 0.000 | 0.000 | -0.000 |
| 0.000 | -0.000 | -0.000 | 0.000 | -0.000 | -0.000 |
| 0.000 | 0.000 | 0.000 | 0.000 | -0.000 | 0.000 |
| 0.000 | 0.000 | 0.000 | -0.000 | 0.000 | 0.000 |
| 0.000 | 0.000 | -0.000 | 0.000 | 0.000 | -0.000 |
| 0.000 | -0.000 | -0.000 | 0.000 | 0.000 | -0.000 |
| -0.000 | 0.000 | -0.000 | -0.000 | 0.000 | -0.000 |
| -0.000 | 0.000 | 0.000 | -0.000 | -0.000 | -0.000 |
| 2061.856 | -39.671 | 191.802 | -0.000 | -0.000 | 0.000 |
| -39.671 | 2061.856 | 191.802 | -0.000 | 0.000 | -0.000 |
| 191.802 | 191.802 | 461.336 | 0.000 | -0.000 | -0.000 |
| 0.000 | 0.000 | -0.000 | 153.788 | 0.000 | 0.000 |
| 0.000 | 0.000 | -0.000 | -0.000 | 153.788 | 0.000 |
| 0.000 | 0.000 | -0.000 | -0.000 | 0.000 | -82.420 |
| 2061.855 | -39.671 | 191.802 | 0.000 | -0.000 | 0.000 |
| -39.671 | 2061.855 | 191.802 | 0.000 | 0.000 | 0.000 |
| 191.802 | 191.802 | 461.336 | 0.000 | 0.000 | 0.000 |
| -0.000 | -0.000 | 0.000 | 153.788 | 0.000 | 0.000 |
| -0.000 | -0.000 | 0.000 | 0.000 | 153.788 | 0.000 |
| -0.000 | -0.000 | 0.000 | -0.000 | -0.000 | -82.420 |
| 2061.861 | -39.671 | 191.802 | -0.000 | -0.000 | -0.000 |
| -39.671 | 2061.861 | 191.802 | -0.000 | -0.000 | -0.000 |
| 191.801 | 191.801 | 461.336 | 0.000 | 0.000 | -0.000 |
| 0.000 | 0.000 | -0.000 | 153.788 | 0.000 | 0.000 |
| 0.000 | 0.000 | -0.000 | -0.000 | 153.788 | 0.000 |
| 0.000 | -0.000 | 0.000 | -0.000 | 0.000 | -82.420 |
| 2061.850 | -39.671 | 191.801 | 0.000 | -0.000 | 0.000 |
| -39.671 | 2061.850 | 191.801 | -0.000 | 0.000 | -0.000 |
| 191.802 | 191.802 | 461.337 | 0.000 | 0.000 | 0.000 |
| -0.000 | -0.000 | 0.000 | 153.788 | -0.000 | -0.000 |
| -0.000 | -0.000 | 0.000 | -0.000 | 153.788 | -0.000 |
| -0.000 | 0.000 | -0.000 | 0.000 | 0.000 | -82.420 |
| 2061.913 | -39.670 | 191.802 | -0.000 | -0.000 | 0.000 |
| -39.670 | 2061.913 | 191.802 | -0.000 | -0.000 | -0.000 |
| 191.801 | 191.801 | 461.329 | -0.000 | -0.000 | -0.000 |
| 0.000 | 0.000 | -0.001 | 153.788 | 0.000 | 0.000 |
| 0.000 | 0.000 | -0.001 | -0.000 | 153.788 | -0.000 |
| 0.001 | -0.000 | 0.000 | -0.000 | -0.000 | -82.420 |
| 2061.798 | -39.671 | 191.801 | 0.000 | 0.000 | 0.000 |
| -39.671 | 2061.798 | 191.801 | 0.000 | 0.000 | 0.000 |
| 191.802 | 191.802 | 461.343 | 0.000 | 0.000 | -0.000 |
| -0.000 | -0.000 | 0.001 | 153.788 | -0.000 | -0.000 |
| -0.000 | -0.000 | 0.001 | 0.000 | 153.788 | -0.000 |
| -0.001 | 0.000 | -0.000 | 0.000 | 0.000 | -82.420 |
| 1656.457 | -78.675 | 102.570 | 0.000 | 0.000 | -0.000 |
| -78.675 | 1656.457 | 102.570 | 0.000 | 0.000 | -0.000 |
| 102.570 | 102.570 | -127.986 | 0.000 | 0.000 | -0.000 |
| -0.000 | 0.000 | 0.000 | 76.841 | 0.000 | -0.000 |
| 0.000 | 0.000 | 0.000 | 0.000 | 76.841 | -0.000 |
| 0.000 | -0.000 | -0.000 | -0.000 | -0.000 | -105.236 |
| 1656.456 | -78.675 | 102.570 | -0.000 | 0.000 | 0.000 |
| -78.675 | 1656.456 | 102.570 | 0.000 | 0.000 | 0.000 |
| 102.570 | 102.570 | -127.986 | -0.000 | 0.000 | 0.000 |
| 0.000 | -0.000 | -0.000 | 76.841 | 0.000 | 0.000 |
| -0.000 | -0.000 | -0.000 | -0.000 | 76.841 | 0.000 |
| -0.000 | 0.000 | 0.000 | 0.000 | -0.000 | -105.236 |
| 1656.463 | -78.675 | 102.570 | -0.000 | 0.000 | -0.000 |
| -78.675 | 1656.463 | 102.570 | 0.000 | -0.000 | -0.000 |
| 102.570 | 102.570 | -127.986 | 0.000 | -0.000 | -0.000 |
| -0.000 | 0.000 | 0.000 | 76.841 | -0.000 | -0.000 |
| 0.000 | -0.000 | 0.000 | 0.000 | 76.841 | -0.000 |
| 0.000 | -0.000 | -0.000 | 0.000 | 0.000 | -105.236 |
| 1656.451 | -78.675 | 102.570 | 0.000 | 0.000 | 0.000 |
| -78.675 | 1656.451 | 102.570 | -0.000 | -0.000 | 0.000 |
| 102.570 | 102.570 | -127.987 | -0.000 | 0.000 | 0.000 |
| 0.000 | -0.000 | -0.000 | 76.841 | -0.000 | 0.000 |
| -0.000 | 0.000 | -0.000 | -0.000 | 76.841 | 0.000 |
| -0.000 | 0.000 | 0.000 | -0.000 | 0.000 | -105.236 |
| 1656.515 | -78.675 | 102.571 | 0.000 | -0.000 | -0.000 |
| -78.675 | 1656.515 | 102.571 | 0.000 | -0.000 | -0.000 |
| 102.571 | 102.571 | -127.986 | 0.000 | 0.000 | -0.000 |
| -0.000 | 0.000 | 0.001 | 76.841 | 0.000 | -0.000 |
| 0.000 | -0.000 | 0.001 | 0.000 | 76.841 | -0.000 |
| 0.000 | -0.001 | -0.000 | 0.000 | 0.000 | -105.236 |
| 1656.398 | -78.675 | 102.570 | -0.000 | -0.000 | 0.000 |
| -78.675 | 1656.398 | 102.570 | -0.000 | -0.000 | 0.000 |
| 102.570 | 102.570 | -127.987 | -0.000 | -0.000 | 0.000 |
| 0.000 | -0.000 | -0.001 | 76.841 | 0.000 | 0.000 |
| -0.000 | 0.000 | -0.001 | -0.000 | 76.841 | 0.000 |
| -0.000 | 0.001 | 0.000 | -0.000 | -0.000 | -105.236 |
| 0.000 | 0.000 | 0.000 | 0.000 | 0.000 | -0.000 |
| 0.000 | 0.000 | 0.000 | 0.000 | 0.000 | 0.000 |
| 0.000 | 0.000 | 0.000 | 0.000 | 0.000 | -0.000 |
| 0.000 | 0.000 | 0.000 | 0.000 | 0.000 | 0.000 |
| 0.000 | 0.000 | 0.000 | 0.000 | 0.000 | -0.000 |
| 0.000 | 0.000 | 0.000 | 0.000 | 0.000 | -0.000 |
| 0.000 | 0.000 | -0.000 | -0.000 | -0.000 | 0.000 |
| 0.000 | 0.000 | -0.000 | -0.000 | -0.000 | 0.000 |
| 0.000 | 0.000 | -0.000 | -0.000 | -0.000 | 0.000 |
| -0.000 | -0.000 | -0.000 | -0.000 | -0.000 | 0.000 |
| -0.000 | -0.000 | -0.000 | -0.000 | -0.000 | 0.000 |
| -0.000 | -0.000 | -0.000 | -0.000 | -0.000 | -0.000 |
| 0.000 | 0.000 | 0.000 | 0.000 | 0.000 | -0.000 |
| 0.000 | 0.000 | 0.000 | 0.000 | 0.000 | -0.000 |
| 0.000 | 0.000 | 0.000 | 0.000 | 0.000 | -0.000 |
| 0.000 | 0.000 | 0.000 | 0.000 | 0.000 | -0.000 |
| 0.000 | 0.000 | 0.000 | 0.000 | 0.000 | 0.000 |
| 0.000 | -0.000 | 0.000 | 0.000 | 0.000 | -0.000 |
| 0.000 | 0.000 | -0.000 | -0.000 | -0.000 | 0.000 |
| 0.000 | 0.000 | -0.000 | -0.000 | -0.000 | 0.000 |
| 0.000 | 0.000 | -0.000 | -0.000 | -0.000 | 0.000 |
| -0.000 | -0.000 | -0.000 | -0.000 | -0.000 | 0.000 |
| -0.000 | -0.000 | -0.000 | -0.000 | -0.000 | 0.000 |
| -0.000 | 0.000 | -0.000 | -0.000 | -0.000 | -0.000 |
| 0.000 | 0.000 | 0.000 | 0.000 | 0.000 | -0.000 |
| 0.000 | 0.000 | 0.000 | 0.000 | 0.000 | -0.000 |
| 0.000 | 0.000 | 0.000 | 0.000 | 0.000 | -0.000 |
| 0.000 | 0.000 | 0.000 | 0.000 | 0.000 | 0.000 |
| 0.000 | 0.000 | 0.000 | 0.000 | 0.000 | -0.000 |
| 0.000 | -0.000 | 0.000 | 0.000 | 0.000 | -0.000 |
| 0.000 | 0.000 | -0.000 | -0.000 | -0.000 | 0.000 |
| 0.000 | 0.000 | -0.000 | -0.000 | -0.000 | 0.000 |
| 0.000 | 0.000 | -0.000 | -0.000 | -0.000 | 0.000 |
| -0.000 | -0.000 | -0.000 | -0.000 | -0.000 | 0.000 |
| -0.000 | -0.000 | -0.000 | -0.000 | -0.000 | 0.000 |
| -0.000 | 0.000 | -0.000 | -0.000 | -0.000 | -0.000 |
| 0.000 | 0.000 | 0.000 | -0.000 | 0.000 | -0.000 |
| 0.000 | 0.000 | 0.000 | 0.000 | 0.000 | 0.000 |
| 0.000 | 0.000 | -0.000 | -0.000 | 0.000 | 0.000 |
| -0.000 | 0.000 | 0.000 | 0.000 | 0.000 | 0.000 |
| -0.000 | -0.000 | 0.000 | -0.000 | 0.000 | -0.000 |
| -0.000 | -0.000 | 0.000 | 0.000 | -0.000 | -0.000 |
| 0.000 | 0.000 | 0.000 | -0.000 | -0.000 | -0.000 |
| 0.000 | 0.000 | 0.000 | 0.000 | -0.000 | -0.000 |
| 0.000 | 0.000 | -0.000 | 0.000 | -0.000 | -0.000 |
| -0.000 | 0.000 | -0.000 | 0.000 | 0.000 | -0.000 |
| 0.000 | 0.000 | -0.000 | 0.000 | 0.000 | -0.000 |
| 0.000 | 0.000 | -0.000 | -0.000 | -0.000 | -0.000 |
| 0.000 | 0.000 | 0.000 | -0.000 | 0.000 | 0.000 |
| 0.000 | 0.000 | 0.000 | 0.000 | 0.000 | 0.000 |
| 0.000 | 0.000 | -0.000 | -0.000 | 0.000 | 0.000 |
| -0.000 | 0.000 | 0.000 | 0.000 | 0.000 | 0.000 |
| -0.000 | -0.000 | 0.000 | -0.000 | 0.000 | -0.000 |
| -0.000 | -0.000 | 0.000 | -0.000 | -0.000 | -0.000 |
| 0.000 | 0.000 | 0.000 | -0.000 | -0.000 | -0.000 |
| 0.000 | 0.000 | 0.000 | 0.000 | -0.000 | -0.000 |
| 0.000 | 0.000 | -0.000 | 0.000 | -0.000 | -0.000 |
| -0.000 | 0.000 | -0.000 | 0.000 | -0.000 | -0.000 |
| 0.000 | 0.000 | -0.000 | 0.000 | 0.000 | -0.000 |
| 0.000 | 0.000 | -0.000 | 0.000 | -0.000 | -0.000 |
| -0.000 | -0.000 | 0.000 | -0.000 | 0.000 | 0.000 |
| -0.000 | -0.000 | 0.000 | 0.000 | 0.000 | 0.000 |
| -0.000 | -0.000 | 0.000 | 0.000 | 0.000 | 0.000 |
| -0.000 | -0.000 | 0.000 | 0.000 | 0.000 | 0.000 |
| -0.000 | -0.000 | 0.000 | -0.000 | 0.000 | -0.000 |
| -0.000 | -0.000 | 0.000 | -0.000 | -0.000 | -0.000 |
| 0.000 | 0.000 | 0.000 | -0.000 | -0.000 | -0.000 |
| 0.000 | 0.000 | 0.000 | 0.000 | -0.000 | -0.000 |
| 0.000 | 0.000 | -0.000 | -0.000 | -0.000 | -0.000 |
| 0.000 | 0.000 | -0.000 | 0.000 | -0.000 | -0.000 |
| 0.000 | 0.000 | -0.000 | 0.000 | 0.000 | -0.000 |
| 0.000 | 0.000 | -0.000 | 0.000 | -0.000 | -0.000 |
| 2107.394 | -49.839 | -49.839 | -0.000 | -0.000 | -0.000 |
| -49.839 | 2107.394 | -49.839 | -0.000 | -0.000 | -0.000 |
| -49.839 | -49.839 | 2107.394 | -0.000 | -0.000 | -0.000 |
| 0.000 | 0.000 | 0.000 | -107.494 | -0.000 | -0.000 |
| 0.000 | 0.000 | 0.000 | -0.000 | -107.494 | -0.000 |
| 0.000 | 0.000 | 0.000 | -0.000 | -0.000 | -107.494 |
| 2107.393 | -49.839 | -49.839 | -0.000 | -0.000 | 0.000 |
| -49.839 | 2107.393 | -49.839 | -0.000 | 0.000 | 0.000 |
| -49.839 | -49.839 | 2107.393 | -0.000 | -0.000 | 0.000 |
| -0.000 | -0.000 | -0.000 | -107.494 | 0.000 | 0.000 |
| -0.000 | -0.000 | -0.000 | 0.000 | -107.494 | 0.000 |
| -0.000 | -0.000 | -0.000 | 0.000 | -0.000 | -107.494 |
| 2107.400 | -49.839 | -49.839 | -0.000 | -0.000 | -0.000 |
| -49.839 | 2107.400 | -49.839 | -0.000 | -0.000 | -0.000 |
| -49.839 | -49.839 | 2107.400 | -0.000 | -0.000 | -0.000 |
| 0.000 | 0.000 | -0.000 | -107.494 | -0.000 | -0.000 |
| 0.000 | 0.000 | -0.000 | -0.000 | -107.494 | -0.000 |
| 0.000 | -0.000 | 0.000 | -0.000 | -0.000 | -107.494 |
| 2107.388 | -49.839 | -49.839 | -0.000 | 0.000 | 0.000 |
| -49.839 | 2107.388 | -49.839 | 0.000 | 0.000 | 0.000 |
| -49.839 | -49.839 | 2107.388 | -0.000 | -0.000 | 0.000 |
| -0.000 | -0.000 | 0.000 | -107.494 | 0.000 | 0.000 |
| -0.000 | -0.000 | 0.000 | 0.000 | -107.494 | 0.000 |
| -0.000 | 0.000 | -0.000 | 0.000 | 0.000 | -107.494 |
| 2107.453 | -49.839 | -49.839 | 0.000 | 0.000 | -0.000 |
| -49.839 | 2107.453 | -49.839 | 0.000 | -0.000 | -0.000 |
| -49.839 | -49.839 | 2107.453 | -0.000 | -0.000 | -0.000 |
| 0.000 | 0.000 | -0.001 | -107.494 | 0.000 | -0.000 |
| 0.000 | 0.000 | -0.001 | 0.000 | -107.494 | -0.000 |
| 0.000 | -0.001 | 0.000 | -0.000 | 0.000 | -107.494 |
| 2107.335 | -49.840 | -49.840 | -0.000 | 0.000 | 0.000 |
| -49.840 | 2107.335 | -49.840 | -0.000 | 0.000 | 0.000 |
| -49.840 | -49.840 | 2107.335 | 0.000 | 0.000 | 0.000 |
| -0.000 | -0.000 | 0.001 | -107.494 | 0.000 | 0.000 |
| -0.000 | -0.000 | 0.001 | 0.000 | -107.494 | 0.000 |
| -0.000 | 0.001 | -0.000 | -0.000 | 0.000 | -107.494 |
| 0.000 | 0.000 | 0.000 | 0.000 | 0.000 | -0.000 |
| 0.000 | 0.000 | 0.000 | 0.000 | 0.000 | -0.000 |
| 0.000 | 0.000 | 0.000 | -0.000 | -0.000 | -0.000 |
| 0.000 | -0.000 | 0.000 | -0.000 | 0.000 | -0.000 |
| -0.000 | 0.000 | 0.000 | 0.000 | -0.000 | 0.000 |
| 0.000 | 0.000 | 0.000 | 0.000 | 0.000 | -0.000 |
| 0.000 | 0.000 | 0.000 | -0.000 | -0.000 | 0.000 |
| 0.000 | 0.000 | 0.000 | -0.000 | -0.000 | 0.000 |
| 0.000 | 0.000 | 0.000 | 0.000 | 0.000 | 0.000 |
| -0.000 | -0.000 | -0.000 | -0.000 | -0.000 | 0.000 |
| -0.000 | -0.000 | -0.000 | -0.000 | -0.000 | 0.000 |
| 0.000 | -0.000 | -0.000 | -0.000 | -0.000 | -0.000 |
| 0.000 | 0.000 | 0.000 | 0.000 | 0.000 | -0.000 |
| 0.000 | 0.000 | 0.000 | 0.000 | 0.000 | 0.000 |
| 0.000 | 0.000 | 0.000 | -0.000 | -0.000 | -0.000 |
| 0.000 | 0.000 | -0.000 | -0.000 | 0.000 | -0.000 |
| 0.000 | 0.000 | -0.000 | 0.000 | -0.000 | 0.000 |
| 0.000 | -0.000 | 0.000 | 0.000 | 0.000 | -0.000 |
| 0.000 | 0.000 | 0.000 | -0.000 | -0.000 | 0.000 |
| 0.000 | 0.000 | 0.000 | -0.000 | -0.000 | 0.000 |
| 0.000 | 0.000 | 0.000 | 0.000 | 0.000 | 0.000 |
| -0.000 | -0.000 | 0.000 | -0.000 | -0.000 | 0.000 |
| -0.000 | -0.000 | 0.000 | -0.000 | -0.000 | -0.000 |
| -0.000 | 0.000 | -0.000 | -0.000 | -0.000 | -0.000 |
| 0.000 | 0.000 | 0.000 | 0.000 | 0.000 | -0.000 |
| 0.000 | 0.000 | 0.000 | -0.000 | 0.000 | -0.000 |
| 0.000 | 0.000 | 0.000 | 0.000 | -0.000 | -0.000 |
| 0.000 | 0.000 | -0.000 | -0.000 | 0.000 | -0.000 |
| 0.000 | 0.000 | -0.000 | 0.000 | -0.000 | -0.000 |
| 0.000 | -0.000 | 0.000 | 0.000 | 0.000 | -0.000 |
| 0.000 | 0.000 | 0.000 | -0.000 | -0.000 | 0.000 |
| 0.000 | 0.000 | 0.000 | -0.000 | -0.000 | 0.000 |
| 0.000 | 0.000 | 0.000 | 0.000 | 0.000 | 0.000 |
| -0.000 | -0.000 | 0.000 | -0.000 | -0.000 | 0.000 |
| -0.000 | -0.000 | 0.000 | -0.000 | -0.000 | 0.000 |
| -0.000 | 0.000 | -0.000 | -0.000 | -0.000 | -0.000 |
| 4386.398 | 4086.551 | 4086.551 | -0.000 | -0.000 | -0.000 |
| 4086.550 | 4386.398 | 4086.551 | -0.000 | -0.000 | -0.000 |
| 4086.550 | 4086.551 | 4386.398 | -0.000 | -0.000 | -0.000 |
| 3824.295 | 3824.295 | 3824.295 | 116.401 | -0.000 | -0.000 |
| 3662.755 | 3662.755 | 3662.755 | 0.000 | 119.575 | 0.000 |
| 3662.755 | 3662.755 | 3662.755 | 0.000 | 0.000 | 119.575 |
| 892.301 | 247.279 | 247.279 | -0.000 | 0.000 | 0.000 |
| 247.279 | 892.301 | 247.279 | -0.000 | -0.000 | 0.000 |
| 247.279 | 247.279 | 892.301 | -0.000 | 0.000 | 0.000 |
| -3662.755 | -3662.755 | -3662.755 | 119.575 | -0.000 | 0.000 |
| -3824.295 | -3824.295 | -3824.295 | 0.000 | 116.401 | 0.000 |
| -3824.295 | -3824.295 | -3824.295 | 0.000 | 0.000 | 116.401 |
| 892.301 | 247.279 | 247.279 | 0.000 | -0.000 | -0.000 |
| 247.279 | 892.301 | 247.279 | 0.000 | 0.000 | -0.000 |
| 247.279 | 247.279 | 892.301 | 0.000 | 0.000 | -0.000 |
| 0.000 | -0.000 | -0.000 | 203.764 | -0.000 | -0.000 |
| -0.000 | 0.000 | -0.000 | 0.000 | 203.764 | -0.000 |
| -0.000 | -0.000 | 0.000 | 0.000 | -0.000 | 203.764 |
| 234.838 | -107.128 | -107.128 | 0.000 | 0.000 | 0.000 |
| -107.128 | 234.838 | -107.128 | 0.000 | 0.000 | 0.000 |
| -107.128 | -107.128 | 234.838 | 0.000 | 0.000 | 0.000 |
| -0.000 | 0.000 | 0.000 | 203.764 | 0.000 | -0.000 |
| 0.000 | -0.000 | 0.000 | -0.000 | 203.764 | -0.000 |
| 0.000 | 0.000 | -0.000 | -0.000 | -0.000 | 203.764 |
| 593.667 | 296.677 | 296.677 | -0.000 | -0.000 | -0.000 |
| 296.677 | 593.667 | 296.677 | -0.000 | -0.000 | -0.000 |
| 296.677 | 296.677 | 593.667 | -0.000 | -0.000 | -0.000 |
| 45.848 | 45.848 | 45.848 | 101.485 | -0.000 | -0.000 |
| 45.848 | 45.848 | 45.848 | -0.000 | 101.485 | 0.000 |
| 45.848 | 45.848 | 45.848 | -0.000 | 0.000 | 101.485 |
| 547.384 | 214.003 | 214.003 | 0.000 | 0.000 | 0.000 |
| 214.003 | 547.384 | 214.003 | 0.000 | 0.000 | 0.000 |
| 214.003 | 214.003 | 547.384 | 0.000 | 0.000 | 0.000 |
| -45.848 | -45.848 | -45.848 | 101.485 | -0.000 | -0.000 |
| -45.848 | -45.848 | -45.848 | -0.000 | 101.485 | -0.000 |
| -45.848 | -45.848 | -45.848 | -0.000 | -0.000 | 101.485 |
| -569.967 | -926.333 | -926.333 | 0.000 | 0.000 | 0.000 |
| -926.333 | -569.967 | -926.333 | 0.000 | 0.000 | 0.000 |
| -926.333 | -926.333 | -569.967 | 0.000 | 0.000 | 0.000 |
| 0.000 | 0.000 | -0.000 | 204.739 | 0.000 | -0.000 |
| -0.000 | 0.000 | -0.000 | -0.000 | 204.739 | 0.000 |
| -0.000 | -0.000 | 0.000 | -0.000 | 0.000 | 204.739 |
| 879.091 | 245.869 | 245.869 | -0.000 | -0.000 | 0.000 |
| 245.869 | 879.091 | 245.869 | 0.000 | -0.000 | 0.000 |
| 245.869 | 245.869 | 879.091 | 0.000 | -0.000 | -0.000 |
| -0.000 | 0.000 | 0.000 | 204.739 | -0.000 | -0.000 |
| 0.000 | -0.000 | 0.000 | 0.000 | 204.739 | -0.000 |
| 0.000 | -0.000 | -0.000 | -0.000 | 0.000 | 204.739 |
| 428.255 | 155.987 | 155.987 | 0.000 | 0.000 | 0.000 |
| 155.987 | 428.255 | 155.987 | 0.000 | 0.000 | 0.000 |
| 155.987 | 155.987 | 428.255 | 0.000 | 0.000 | 0.000 |
| -14.650 | -14.649 | -14.650 | 52.161 | 0.000 | 0.000 |
| -14.649 | -14.650 | -14.650 | 0.000 | 52.161 | 0.000 |
| -14.649 | -14.650 | -14.650 | 0.000 | 0.000 | 52.161 |
| 428.337 | 410.513 | 410.513 | -0.000 | -0.000 | -0.000 |
| 410.513 | 428.337 | 410.513 | -0.000 | -0.000 | -0.000 |
| 410.513 | 410.513 | 428.337 | -0.000 | -0.000 | -0.000 |
| 14.650 | 14.649 | 14.650 | 52.161 | -0.000 | -0.000 |
| 14.649 | 14.650 | 14.650 | -0.000 | 52.161 | -0.000 |
| 14.649 | 14.650 | 14.650 | -0.000 | -0.000 | 52.161 |
| 508.460 | 249.574 | 249.574 | 0.000 | 0.000 | 0.000 |
| 249.574 | 508.460 | 249.574 | 0.000 | 0.000 | 0.000 |
| 249.574 | 249.574 | 508.460 | 0.000 | 0.000 | 0.000 |
| -11.730 | -11.731 | -11.731 | 96.212 | 0.000 | 0.000 |
| -11.731 | -11.730 | -11.731 | 0.000 | 96.212 | 0.000 |
| -11.731 | -11.731 | -11.730 | 0.000 | 0.000 | 96.212 |
| 571.266 | 272.755 | 272.755 | -0.000 | -0.000 | -0.000 |
| 272.755 | 571.266 | 272.755 | -0.000 | -0.000 | -0.000 |
| 272.755 | 272.755 | 571.266 | -0.000 | -0.000 | -0.000 |
| 11.730 | 11.731 | 11.731 | 96.212 | -0.000 | -0.000 |
| 11.731 | 11.730 | 11.731 | -0.000 | 96.212 | -0.000 |
| 11.731 | 11.731 | 11.730 | -0.000 | -0.000 | 96.212 |
| 292.137 | 194.098 | 194.098 | 0.000 | -0.000 | -0.000 |
| 194.098 | 292.137 | 194.098 | -0.000 | 0.000 | 0.000 |
| 194.098 | 194.098 | 292.137 | 0.000 | -0.000 | 0.000 |
| -1.223 | -1.223 | -1.223 | 98.684 | -0.000 | -0.000 |
| -1.223 | -1.223 | -1.223 | -0.000 | 98.684 | -0.000 |
| -1.223 | -1.223 | -1.223 | -0.000 | -0.000 | 98.684 |
| 215.275 | 147.491 | 147.491 | 0.000 | 0.000 | 0.000 |
| 147.491 | 215.275 | 147.491 | 0.000 | 0.000 | 0.000 |
| 147.491 | 147.491 | 215.275 | 0.000 | 0.000 | 0.000 |
| 1.223 | 1.223 | 1.223 | 98.684 | 0.000 | 0.000 |
| 1.223 | 1.223 | 1.223 | 0.000 | 98.684 | 0.000 |
| 1.223 | 1.223 | 1.223 | 0.000 | 0.000 | 98.684 |
| 212.221 | 144.683 | 144.683 | -0.000 | -0.000 | -0.000 |
| 144.683 | 212.221 | 144.683 | -0.000 | -0.000 | -0.000 |
| 144.683 | 144.683 | 212.221 | -0.000 | -0.000 | -0.000 |
| -0.366 | -0.366 | -0.366 | 81.908 | -0.000 | -0.000 |
| -0.366 | -0.366 | -0.366 | -0.000 | 81.908 | -0.000 |
| -0.366 | -0.366 | -0.366 | -0.000 | -0.000 | 81.908 |
| 198.659 | 129.038 | 129.038 | 0.000 | 0.000 | 0.000 |
| 129.038 | 198.659 | 129.038 | 0.000 | 0.000 | 0.000 |
| 129.038 | 129.038 | 198.659 | 0.000 | 0.000 | 0.000 |
| 0.366 | 0.366 | 0.366 | 81.908 | 0.000 | 0.000 |
| 0.366 | 0.366 | 0.366 | 0.000 | 81.908 | 0.000 |
| 0.366 | 0.366 | 0.366 | 0.000 | 0.000 | 81.908 |
| 198.407 | 128.774 | 128.774 | -0.000 | -0.000 | -0.000 |
| 128.774 | 198.407 | 128.774 | -0.000 | -0.000 | -0.000 |
| 128.774 | 128.774 | 198.407 | -0.000 | -0.000 | -0.000 |
| -0.000 | -0.001 | -0.001 | 151.130 | -0.000 | 0.000 |
| -0.001 | -0.000 | -0.001 | -0.000 | 151.130 | -0.000 |
| -0.001 | -0.001 | -0.000 | -0.000 | 0.000 | 151.130 |
| 193.087 | 140.209 | 140.209 | 0.000 | 0.000 | 0.000 |
| 140.209 | 193.087 | 140.209 | 0.000 | 0.000 | 0.000 |
| 140.209 | 140.209 | 193.087 | 0.000 | 0.000 | 0.000 |
| 0.000 | 0.001 | 0.001 | 151.130 | -0.000 | 0.000 |
| 0.001 | 0.000 | 0.001 | -0.000 | 151.130 | -0.000 |
| 0.001 | 0.001 | 0.000 | -0.000 | 0.000 | 151.130 |
| 229.985 | 153.508 | 153.508 | -0.002 | -0.002 | -0.002 |
| 153.508 | 229.985 | 153.508 | -0.002 | -0.002 | -0.002 |
| 153.508 | 153.508 | 229.985 | -0.002 | -0.002 | -0.002 |
| 0.045 | 0.045 | 0.045 | 85.257 | -0.001 | -0.001 |
| 0.045 | 0.045 | 0.045 | -0.001 | 85.257 | -0.001 |
| 0.045 | 0.045 | 0.045 | -0.001 | -0.001 | 85.258 |
| 301.959 | 191.508 | 191.508 | 0.000 | -0.000 | 0.000 |
| 191.508 | 301.959 | 191.508 | -0.000 | 0.000 | -0.000 |
| 191.508 | 191.508 | 301.959 | -0.000 | -0.000 | 0.000 |
| -0.045 | -0.045 | -0.045 | 85.263 | 0.001 | 0.001 |
| -0.045 | -0.045 | -0.045 | 0.001 | 85.263 | 0.001 |
| -0.045 | -0.045 | -0.045 | 0.001 | 0.001 | 85.263 |
| 301.959 | 191.508 | 191.508 | 0.000 | 0.000 | -0.000 |
| 191.508 | 301.959 | 191.508 | 0.000 | 0.000 | 0.000 |
| 191.508 | 191.508 | 301.959 | -0.000 | 0.000 | 0.000 |
| -0.000 | -0.000 | -0.000 | 150.833 | 0.000 | -0.000 |
| -0.000 | -0.000 | -0.000 | 0.000 | 150.833 | -0.000 |
| -0.000 | -0.000 | -0.000 | 0.000 | -0.000 | 150.833 |
| 229.858 | 153.402 | 153.402 | 0.000 | 0.000 | 0.000 |
| 153.402 | 229.858 | 153.402 | 0.000 | 0.000 | 0.000 |
| 153.402 | 153.402 | 229.858 | 0.000 | 0.000 | 0.000 |
| 0.000 | 0.000 | 0.000 | 150.833 | 0.000 | 0.000 |
| 0.000 | 0.000 | 0.000 | 0.000 | 150.833 | 0.000 |
| 0.000 | 0.000 | 0.000 | 0.000 | 0.000 | 150.833 |
| 301.959 | 191.508 | 191.508 | 0.000 | -0.000 | -0.000 |
| 191.508 | 301.959 | 191.508 | 0.000 | 0.000 | -0.000 |
| 191.508 | 191.508 | 301.959 | -0.000 | 0.000 | 0.000 |
| -0.000 | -0.000 | -0.000 | 150.833 | -0.000 | -0.000 |
| -0.000 | -0.000 | -0.000 | 0.000 | 150.833 | -0.000 |
| -0.000 | -0.000 | -0.000 | 0.000 | 0.000 | 150.833 |
| 229.868 | 153.411 | 153.411 | 0.000 | 0.000 | 0.000 |
| 153.411 | 229.868 | 153.411 | 0.000 | 0.000 | 0.000 |
| 153.411 | 153.411 | 229.868 | 0.000 | 0.000 | 0.000 |
| 0.000 | 0.000 | 0.000 | 150.833 | -0.000 | 0.000 |
| 0.000 | 0.000 | 0.000 | -0.000 | 150.833 | 0.000 |
| 0.000 | 0.000 | 0.000 | -0.000 | 0.000 | 150.833 |
Phonon band structures and crystal properties estimated from quasi-harmonic approximation (QHA) calculations are displayed for select crystals. The calculations were performed using phonopy and LAMMPS. For the phonon calculations, 3x3 supercells of the potential-specific relaxed crystals were used. The QHA calculations were based on 11 strain states ranging from -0.05 to 0.05.
The calculation method used is available as the iprPy phonon calculation method.
Notes and Disclaimers:
Version Information:











































































Static free surface formation energies are displayed for select crystals. The values displayed here are obtained by taking a perfect periodic bulk crystal, slicing along a crystallographic plane, and using force minimization to statically relax the surfaces. The free surface formation energy is computed by comparing the energy of the defect system to the bulk system and dividing by the total surface area created by the cut.
The calculation method used is available as the iprPy surface_energy_static calculation method.
Notes and Disclaimers:
Version Information:
| Surface | γfs (mJ/m2) |
|---|---|
| (331) | 0.00 |
| (110) | 0.00 |
| (210) | 0.00 |
| (321) | 0.00 |
| (322) | 0.00 |
| (211) | 0.00 |
| (332) | 0.00 |
| (310) | 0.00 |
| (111) | 0.00 |
| (311) | 0.00 |
| (320) | 0.00 |
| (221) | 0.00 |
| (100) | 0.00 |
| Surface | γfs (mJ/m2) |
|---|---|
| (221) | 0.00 |
| (110) | 0.00 |
| (310) | 0.00 |
| (111) | 0.00 |
| (332) | 0.00 |
| (100) | 0.00 |
| (320) | 0.00 |
| (210) | 0.00 |
| (321) | 0.00 |
| (311) | 0.00 |
| (331) | 0.00 |
| (322) | 0.00 |
| (211) | 0.00 |
| Surface | γfs (mJ/m2) |
|---|---|
| (2131) 1 | 0.00 |
| (2131) 2 | 0.00 |
| (2130) 2 | 0.00 |
| (2021) 1 | 0.00 |
| (1121) | 0.00 |
| (0001) | 0.00 |
| (1010) 1 | 0.00 |
| (1011) 2 | 0.00 |
| (1012) 1 | 0.00 |
| (2132) 1 | 0.00 |
| (1120) | 0.00 |
| (2241) | 0.00 |
| (1012) 2 | 0.00 |
| (1011) 1 | 0.00 |
| (2130) 1 | 0.00 |
| (2021) 2 | 0.00 |
| (2112) | 0.00 |
| (1010) 2 | 0.00 |
| Surface | γfs (mJ/m2) |
|---|---|
| (100) | 0.00 |
| (221) | 0.00 |
| (310) | 0.00 |
| (111) 2 | 0.00 |
| (322) | 0.00 |
| (331) 2 | 0.00 |
| (111) 1 | 0.00 |
| (110) | 0.00 |
| (320) | 0.00 |
| (311) 1 | 0.00 |
| (321) | 0.00 |
| (332) | 0.00 |
| (211) | 0.00 |
| (210) | 0.00 |
| (331) 1 | 0.00 |
| Surface | γfs (mJ/m2) |
|---|---|
| (101) 1 | 0.00 |
| (211) 2 | 0.00 |
| (100) | 0.00 |
| (211) 1 | 0.00 |
| (111) | 0.00 |
| (001) | 0.00 |
| (201) | 0.00 |
| (112) | 0.00 |
| (101) 2 | 0.00 |
| (110) | 0.00 |
| Surface | γfs (mJ/m2) |
|---|---|
| (110) | 0.00 |
| (101) | 0.00 |
| (201) | 0.00 |
| (001) | 0.00 |
| (211) | 0.00 |
| (111) | 0.00 |
| (112) | 0.00 |
| (100) | 0.00 |
| Surface | γfs (mJ/m2) |
|---|---|
| (211) | 0.00 |
| (331) | 0.00 |
| (332) | 0.00 |
| (310) | 0.00 |
| (311) | 0.00 |
| (210) | 0.00 |
| (110) | 0.00 |
| (322) | 0.00 |
| (100) | 0.00 |
| (320) | 0.00 |
| (221) | 0.00 |
| (321) | 0.00 |
| (111) | 0.00 |
| Surface | γfs (mJ/m2) |
|---|---|
| (332) | -20571.64 |
| (221) | -14931.03 |
| (310) | -8579.05 |
| (331) | -8473.08 |
| (311) | -7147.27 |
| (111) | 1849.61 |
| (322) | 2127.72 |
| (100) | 2189.67 |
| (211) | 2274.84 |
| (321) | 2430.69 |
| (110) | 2435.70 |
| (320) | 2574.17 |
| (210) | 2610.56 |
| Surface | γfs (mJ/m2) |
|---|---|
| (100) | 0.00 |
| (211) | 0.00 |
| (331) | 0.00 |
| (322) | 0.00 |
| (111) | 0.00 |
| (221) | 0.00 |
| (310) | 0.00 |
| (321) | 0.00 |
| (210) | 0.00 |
| (110) | 0.00 |
| (332) | 0.00 |
| (320) | 0.00 |
| (311) | 0.00 |
| Surface | γfs (mJ/m2) |
|---|---|
| (210) | 0.00 |
| (111) | 0.00 |
| (322) | 0.00 |
| (332) 2 | 0.00 |
| (311) | 0.00 |
| (321) 2 | 0.00 |
| (221) | 0.00 |
| (331) | 0.00 |
| (332) 1 | 0.00 |
| (110) | 0.00 |
| (100) | 0.00 |
| (320) | 0.00 |
| (211) 2 | 0.00 |
| (211) 1 | 0.00 |
| (310) | 0.00 |
| (321) 1 | 0.00 |
| Surface | γfs (mJ/m2) |
|---|---|
| (110) | 2306.27 |
| (320) | 2571.06 |
| (321) | 2664.06 |
| (331) | 2675.10 |
| (210) | 2686.44 |
| (100) | 2721.07 |
| (211) | 2752.90 |
| (310) | 2773.57 |
| (221) | 2803.19 |
| (311) | 2859.75 |
| (322) | 2880.11 |
| (332) | 2895.69 |
| (111) | 2962.94 |
| Surface | γfs (mJ/m2) |
|---|---|
| (322) | 0.00 |
| (332) | 0.00 |
| (311) | 0.00 |
| (310) | 0.00 |
| (111) | 0.00 |
| (110) | 0.00 |
| (211) | 0.00 |
| (210) | 0.00 |
| (321) | 0.00 |
| (221) | 0.00 |
| (331) | 0.00 |
| (100) | 0.00 |
| Surface | γfs (mJ/m2) |
|---|---|
| (110) | 0.00 |
| (321) | 0.00 |
| (210) | 0.00 |
| (221) | 0.00 |
| (331) 2 | 0.00 |
| (311) 2 | 0.00 |
| (111) 1 | 0.00 |
| (100) | 0.00 |
| (311) 1 | 0.00 |
| (320) | 0.00 |
| (211) | 0.00 |
| (310) | 0.00 |
| (331) 1 | 0.00 |
| (322) | 0.00 |
| (111) 2 | 0.00 |
| (332) | 0.00 |
| Surface | γfs (mJ/m2) |
|---|---|
| (211) 1 | 0.00 |
| (001) | 0.00 |
| (110) | 0.00 |
| (100) | 0.00 |
| (211) 2 | 0.00 |
| (101) 1 | 0.00 |
| (112) | 0.00 |
| (201) | 0.00 |
| (111) | 0.00 |
| (101) 2 | 0.00 |
| Surface | γfs (mJ/m2) |
|---|---|
| (211) | 0.00 |
| (201) | 0.00 |
| (112) | 0.00 |
| (110) | 0.00 |
| (001) | 0.00 |
| (100) | 0.00 |
| (101) | 0.00 |
| (111) | 0.00 |
| Surface | γfs (mJ/m2) |
|---|---|
| (310) | 0.00 |
| (110) | 0.00 |
| (100) | 0.00 |
| (322) | 0.00 |
| (321) | 0.00 |
| (210) | 0.00 |
| (111) | 0.00 |
| (311) | 0.00 |
| (221) | 0.00 |
| (211) | 0.00 |
| (320) | 0.00 |
| (331) | 0.00 |
| (332) | 0.00 |
Static point defect formation energies, Ef, and elastic dipole tensors, pij, are displayed for select crystals. Relaxed defect configurations are obtained by taking a 12x12x12 supercell of a perfect periodic bulk crystal, inserting the point defect, and using force minimization to statically relax the atomic positions while keeping the system dimensions constant. Ef is computed by comparing the energy of the defect system to the same number of atoms in a perfect bulk crystal. pij is estimated as the difference in the system's global pressure with and without the defect multiplied by the system's volume.
Simple structural comparisons of the unrelaxed and relaxed defect configurations are used to help determine if the defect structure has relaxed to a different configuration. Relaxed structures that are identified as no longer consistent with the ideal defect definition are excluded from the table below. The only exception to this is if the lowest energy interstitial configuration does not coincide with a known ideal defect, its energies and pressure tensor are included under the listing "relaxed interstitial". The full list of calculation results including the transformed structures and the structural comparison values is included in the csv file available from the "Download raw data" link.
The calculation method used is available as the iprPy point_defect_static calculation method.
Notes and Disclaimers:
| Point Defect | Ef (eV) | p11 (eV) | p22 (eV) | p33 (eV) | p12 (eV) | p13 (eV) | p23 (eV) |
|---|---|---|---|---|---|---|---|
| 2nn divacancy | 0.000 | -0.000 | -0.000 | -0.000 | -0.000 | -0.000 | -0.000 |
| 1nn divacancy | 0.000 | -0.000 | -0.000 | -0.000 | -0.000 | -0.000 | -0.000 |
| vacancy | 0.000 | -0.000 | -0.000 | -0.000 | -0.000 | -0.000 | -0.000 |
| crowdion interstitial | 0.000 | 0.000 | 0.000 | -0.000 | 0.000 | -0.000 | -0.000 |
| Point Defect | Ef (eV) | p11 (eV) | p22 (eV) | p33 (eV) | p12 (eV) | p13 (eV) | p23 (eV) |
|---|---|---|---|---|---|---|---|
| 2nn divacancy | 0.000 | -0.000 | -0.000 | -0.000 | -0.000 | -0.000 | -0.000 |
| 1nn divacancy | 0.000 | -0.000 | -0.000 | -0.000 | -0.000 | -0.000 | -0.000 |
| vacancy | 0.000 | -0.000 | -0.000 | -0.000 | -0.000 | -0.000 | -0.000 |
| tetrahedral interstitial | 0.000 | 0.000 | 0.000 | 0.000 | 0.000 | -0.000 | 0.000 |
| 110 dumbbell | 0.000 | 0.000 | 0.000 | 0.000 | 0.000 | 0.000 | 0.000 |
| 100 dumbbell | 0.000 | -0.000 | -0.000 | 0.000 | -0.000 | -0.000 | -0.000 |
| crowdion interstitial | 0.000 | 0.000 | 0.000 | 0.000 | 0.000 | 0.000 | 0.000 |
| 111 dumbbell | 0.000 | 0.000 | 0.000 | 0.000 | 0.000 | 0.000 | 0.000 |
| Point Defect | Ef (eV) | p11 (eV) | p22 (eV) | p33 (eV) | p12 (eV) | p13 (eV) | p23 (eV) |
|---|---|---|---|---|---|---|---|
| vacancy | 0.000 | -0.000 | -0.000 | -0.000 | -0.000 | -0.000 | -0.000 |
| 2110 dumbbell | 0.000 | 0.000 | -0.000 | -0.000 | -0.000 | -0.000 | -0.000 |
| Point Defect | Ef (eV) | p11 (eV) | p22 (eV) | p33 (eV) | p12 (eV) | p13 (eV) | p23 (eV) |
|---|---|---|---|---|---|---|---|
| 1nn divacancy | 0.000 | -0.000 | -0.000 | -0.000 | -0.000 | -0.000 | -0.000 |
| tetragonal interstitial | 0.000 | -0.000 | -0.000 | -0.000 | -0.000 | -0.000 | -0.000 |
| hexagonal interstitial | 0.000 | -0.000 | -0.000 | -0.000 | -0.000 | -0.000 | -0.000 |
| vacancy | 0.000 | -0.000 | -0.000 | -0.000 | -0.000 | -0.000 | -0.000 |
| 110 dumbbell | 0.000 | 0.000 | 0.000 | 0.000 | -0.000 | -0.000 | 0.000 |
| 100 dumbbell | 0.000 | 0.000 | 0.000 | 0.000 | 0.000 | -0.000 | -0.000 |
| bond centered interstitial | 0.000 | 0.000 | 0.000 | 0.000 | 0.000 | 0.000 | 0.000 |
| Point Defect | Ef (eV) | p11 (eV) | p22 (eV) | p33 (eV) | p12 (eV) | p13 (eV) | p23 (eV) |
|---|---|---|---|---|---|---|---|
| vacancy | 3.021 | -0.239 | -0.239 | -0.239 | 0.000 | 0.000 | -0.000 |
| 1nn divacancy | 5.460 | 1.446 | 5.136 | 5.136 | 0.000 | -0.000 | -2.363 |
| 2nn divacancy | 6.081 | -0.938 | -0.938 | -1.816 | 0.000 | 0.000 | 0.000 |
| 111 dumbbell | 12.189 | 626.401 | 626.401 | 626.401 | 41.435 | 41.435 | 41.435 |
| crowdion interstitial | 12.387 | 612.914 | 612.914 | 659.272 | 36.846 | -0.000 | -0.000 |
| 110 dumbbell | 12.391 | 659.681 | 611.527 | 611.527 | 0.000 | 0.000 | 38.258 |
| octahedral interstitial | 12.447 | 469.387 | 469.387 | 469.387 | -0.000 | -0.000 | -0.000 |
| tetrahedral interstitial | 12.570 | 644.085 | 644.085 | 644.085 | -0.000 | -0.000 | -0.000 |
| 100 dumbbell | 13.001 | 587.032 | 587.032 | 516.671 | -0.000 | 0.000 | -0.000 |
| Point Defect | Ef (eV) | p11 (eV) | p22 (eV) | p33 (eV) | p12 (eV) | p13 (eV) | p23 (eV) |
|---|---|---|---|---|---|---|---|
| 111 dumbbell | -43.453 | 0.000 | 0.000 | 0.000 | 0.000 | 0.000 | 0.000 |
| octahedral interstitial | -34.670 | -0.000 | -0.000 | -0.000 | 0.000 | 0.000 | 0.000 |
| tetrahedral interstitial | -20.730 | -0.000 | -0.000 | -0.000 | -0.000 | -0.000 | -0.000 |
| 110 dumbbell | -15.305 | -0.000 | -0.000 | -0.000 | -0.000 | -0.000 | -0.000 |
| crowdion interstitial | -12.178 | -0.000 | -0.000 | -0.000 | -0.000 | -0.000 | -0.000 |
| 100 dumbbell | -0.000 | 0.000 | 0.000 | 0.000 | -0.000 | 0.000 | 0.000 |
| 1nn divacancy | 0.000 | -0.000 | -0.000 | -0.000 | -0.000 | -0.000 | -0.000 |
| 2nn divacancy | 0.000 | -0.000 | -0.000 | -0.000 | -0.000 | -0.000 | -0.000 |
| vacancy | 0.000 | -0.000 | -0.000 | -0.000 | -0.000 | -0.000 | -0.000 |
| Point Defect | Ef (eV) | p11 (eV) | p22 (eV) | p33 (eV) | p12 (eV) | p13 (eV) | p23 (eV) |
|---|---|---|---|---|---|---|---|
| vacancy | 3.485 | -1.293 | -1.293 | -1.293 | 0.000 | 0.000 | 0.000 |
| 1nn divacancy | 6.480 | -2.633 | -2.633 | -2.633 | 0.267 | 0.267 | 0.267 |
| 2nn divacancy | 6.588 | -2.833 | -2.833 | -5.958 | -0.000 | -0.000 | 0.000 |
| 111 dumbbell | 10.401 | 36.023 | 36.023 | 36.023 | 16.020 | 16.020 | 16.020 |
| crowdion interstitial | 10.420 | 34.731 | 34.731 | 34.731 | 14.258 | 14.258 | 14.258 |
| 110 dumbbell | 10.860 | 50.231 | 51.172 | 51.172 | 0.000 | 0.000 | 13.467 |
| octahedral interstitial | 12.723 | 57.717 | 41.151 | 41.151 | 0.000 | 0.000 | -0.000 |
| Point Defect | Ef (eV) | p11 (eV) | p22 (eV) | p33 (eV) | p12 (eV) | p13 (eV) | p23 (eV) |
|---|---|---|---|---|---|---|---|
| relaxed interstitial | -28.878 | -0.000 | 0.000 | -0.000 | -0.000 | 0.000 | 0.000 |
| 111 dumbbell | -15.305 | -0.000 | -0.000 | -0.000 | -0.000 | -0.000 | -0.000 |
| crowdion interstitial | -12.178 | -0.000 | -0.000 | -0.000 | -0.000 | -0.000 | -0.000 |
| octahedral interstitial | -12.178 | -0.000 | -0.000 | -0.000 | -0.000 | -0.000 | -0.000 |
| 110 dumbbell | -0.000 | 0.000 | 0.000 | 0.000 | 0.000 | 0.000 | 0.000 |
| 1nn divacancy | 0.000 | -0.000 | -0.000 | -0.000 | -0.000 | -0.000 | -0.000 |
| 100 dumbbell | 0.000 | -0.000 | -0.000 | -0.000 | -0.000 | -0.000 | -0.000 |
| vacancy | 0.000 | -0.000 | -0.000 | -0.000 | -0.000 | -0.000 | -0.000 |
| 2nn divacancy | 0.000 | -0.000 | -0.000 | -0.000 | -0.000 | -0.000 | -0.000 |
| Point Defect | Ef (eV) | p11 (eV) | p22 (eV) | p33 (eV) | p12 (eV) | p13 (eV) | p23 (eV) |
|---|---|---|---|---|---|---|---|
| 110 dumbbell | -15.305 | -0.000 | -0.000 | -0.000 | 0.000 | 0.000 | -0.000 |
| bond centered interstitial | -12.178 | -0.000 | -0.000 | -0.000 | -0.000 | -0.000 | -0.000 |
| 100 dumbbell | -7.653 | -0.000 | -0.000 | -0.000 | -0.000 | -0.000 | -0.000 |
| tetragonal interstitial | 0.000 | -0.000 | -0.000 | -0.000 | -0.000 | -0.000 | -0.000 |
| hexagonal interstitial | 0.000 | -0.000 | -0.000 | -0.000 | -0.000 | -0.000 | -0.000 |
| vacancy | 0.000 | -0.000 | -0.000 | -0.000 | -0.000 | -0.000 | -0.000 |
| 1nn divacancy | 0.000 | -0.000 | -0.000 | -0.000 | -0.000 | -0.000 | -0.000 |
Plots of the atomic structure of dislocation cores are shown here. The dislocations were constructed using dislocation monopole configurations in which a straight dislocation is created in the center of the system using anisotropic elasticity and the elastic constants computed above. A cylindrical region centered around the dislocation is allowed to relax while the remaining atoms are held fixed. The relaxation consists of 1 million NVT steps at 10 K followed by an energy/force minimization. The final plots show the atomic configuration near the center of the monopole system, and display differential displacement arrows and Nye tensor color maps that are both taken with respect to the Burgers vector direction.
These plots show a wide range of final structures, some corresponding to expected dislocation structures and others not. While the characterizations are dislocation-type dependent, some general classification guidelines are listed here.
The calculation method used is available as the iprPy dislocation_monopole calculation method.
Links are provided above the images allowing for users to download the final defect configuration and a corresponding defect-free configuration if they wish to further analyze the structures or use them for subsequent simulations.
Notes and Disclaimers:
Version Information:
Plots of lattice and elastic constants are shown as a function of temperature. The 0K points were taken from the Crystal Structure Predictions and the Elastic Constants Predictions sections above for the unique crystal structures relaxed with the "dynamic" method. Starting from the 0 K relaxed crystal unit cells, supercell systems are created by replicating all three dimensions by the same multiplier to achieve at least 4000 atoms. The systems are then relaxed at 50 K and zero pressure using 1 million NPT steps. Lattice constants are estimated by averaging the measured box dimensions. Temperatures are iteratively increased by 50 K, with each subsequent relaxation calculation starting from the final atomic configuration at the previous temperature and relaxing for another 1 million steps.
The elastic constants are calculated using the deformation–fluctuation hybrid method. Starting from the final atomic configurations of the dynamic relaxations, the system is allowed to evolve at constant volume with a Langevin thermostat. The Born matrix is computed during this run by evaluating how the atomic forces would vary due to applied linear strain fields. The elastic constants can then be estimated using the averaged Born matrix values and the averaged stresses on the system.
The calculation methods used are available as the iprPy relax_dynamic and elastic_constants_dynamic calculation methods.
Clicking on the image of a plot will open an interactive version of it in a new tab. The underlying data for the plots can be downloaded by clicking on the links above each plot.
Notes and Disclaimers:
Version Information:
Plots of radial distribution functions at different temperatures and the temperature-dependent diffusion and viscosity are shown here for elemental liquids. Melt phases are constructed by starting with a 10x10x10 fcc super cell and relaxing with 50,000 NPT steps at zero pressure and a high melting temperature (3000 K for most potentials and elements). Following the melt, liquid structures are relaxed by running NPT for 10,000 steps over which the temperature is dropped by 50 K, then 50,000 NPT at the target temperature to estimate the equilibrium volume, followed by 20,000 NVT steps at the averaged equilibrium volume and target temperature. Structures from the NVT run are sampled to compute the radial distribution function of the liquid at the corresponding temperature.
The final relaxed configurations at each temperature explored are used as the initial configurations for the diffusion and viscosity calculations. For diffusion, the system is integrated for 100 runs of 2,000 NVT steps during which both the mean squared displacement (MSD) and the velocity auto correlation function (VACF) are computed. From these simulations, three estimates of diffusion are computed: one from the MSD of the full 200,000 step run, one in which the MSD is reset for each short run and then averaged, and one from the VACF computed for each short run and averaged. For viscosity, the Green-Kubo method is used which is evaluated during a 1 million step NVT run.
The calculation methods used are available as the iprPy relax_liquid_redo, diffusion_liquid, and viscosity_green_kubo calculation methods.
Clicking on the image of a plot will open an interactive version of it in a new tab. The underlying data for the plots can be downloaded by clicking on the links above each plot.
Notes and Disclaimers:
Version Information:
Plots of internal energy, Gibbs free energy, entropy, heat capacity and volume are shown here as a function of temperature for various crystal structures and liquid phases. The included crystal structures correspond to those in the Solid Structures vs. Temperature section, and the liquid phases to those in the Liquid Properties section. Internal energy and volume are taken from the associated structure relaxations mentioned in those previous sections. Constant pressure heat capacity is estimated using 3-point numerical derivatives of enthalpy versus temperature. Note that since all simulations done here are at 0 pressure, internal energy and enthalpy are equivalent.
The Gibbs energies of the phases are estimated using thermodynamic integration between the interatomic potential in question and a simpler model with known Gibbs free energy values. For solids, the reference model is an Einstein solid, while for liquids it is the Uhlenbeck-Ford potential. Besides a short run at the start of the solid calculations to estimate Einstein model spring constants, the two calculations proceed similarly. Starting with the final relaxation configurations, the systems are stabilized for 25,000 steps. Then, over the next 50,000 steps the potential is swapped out for the reference potential. The system is then stabilized for another 25,000 steps with the reference model before a reverse swap of 50,000 steps is performed. The simulation ends with one final 25,000 step stabilization period. From the simulation, the irreversible work of transformation is estimated and used to compute the absolute Gibbs free energy of the target phase and potential relative to the reference potential. Entropy is estimated as the difference in enthalpy and Gibbs free energy and divided by temperature.
The calculation methods used are available as the iprPy relax_dynamic, relax_liquid_redo, free_energy, and free_energy_liquid calculation methods.
Clicking on the image of a plot will open an interactive version of it in a new tab. The underlying data for the plots can be downloaded by clicking on the links above each plot.
Notes and Disclaimers:
Version Information:






